RU2332415C2 - Производные пиразола, полезные в качестве ингибиторов протеинкиназы - Google Patents
Производные пиразола, полезные в качестве ингибиторов протеинкиназы Download PDFInfo
- Publication number
- RU2332415C2 RU2332415C2 RU2003122210/04A RU2003122210A RU2332415C2 RU 2332415 C2 RU2332415 C2 RU 2332415C2 RU 2003122210/04 A RU2003122210/04 A RU 2003122210/04A RU 2003122210 A RU2003122210 A RU 2003122210A RU 2332415 C2 RU2332415 C2 RU 2332415C2
- Authority
- RU
- Russia
- Prior art keywords
- ring
- amine
- pyrazol
- quinazolin
- methyl
- Prior art date
Links
- 0 CC(*)C(*=C([C@@]1N=CN(*)C1*)NC)=I Chemical compound CC(*)C(*=C([C@@]1N=CN(*)C1*)NC)=I 0.000 description 62
- AYEQJLOHMLYKAV-UHFFFAOYSA-N CC(Nc(cc1)ccc1S)=O Chemical compound CC(Nc(cc1)ccc1S)=O AYEQJLOHMLYKAV-UHFFFAOYSA-N 0.000 description 8
- WCDSVWRUXWCYFN-UHFFFAOYSA-N Nc(cc1)ccc1S Chemical compound Nc(cc1)ccc1S WCDSVWRUXWCYFN-UHFFFAOYSA-N 0.000 description 5
- KDLSTBYZKATUIM-UHFFFAOYSA-N SCc1cccc(Cl)c1 Chemical compound SCc1cccc(Cl)c1 KDLSTBYZKATUIM-UHFFFAOYSA-N 0.000 description 3
- GWSVARXVWRFLLY-UHFFFAOYSA-N O=C(C1CC1)Nc(cc1)ccc1S Chemical compound O=C(C1CC1)Nc(cc1)ccc1S GWSVARXVWRFLLY-UHFFFAOYSA-N 0.000 description 2
- MHYLGNYKRCJFRI-UHFFFAOYSA-N C(C1)C1C1=CC(Nc2n[nH]c3ccccc23)=N1 Chemical compound C(C1)C1C1=CC(Nc2n[nH]c3ccccc23)=N1 MHYLGNYKRCJFRI-UHFFFAOYSA-N 0.000 description 1
- WOMDABKDMGWEFH-UHFFFAOYSA-N CC(C(CCCC1)=C1N)=N Chemical compound CC(C(CCCC1)=C1N)=N WOMDABKDMGWEFH-UHFFFAOYSA-N 0.000 description 1
- GIROESBYMDYHRL-UHFFFAOYSA-N CC(C)(C)C(Nc(cc1)ccc1S)=O Chemical compound CC(C)(C)C(Nc(cc1)ccc1S)=O GIROESBYMDYHRL-UHFFFAOYSA-N 0.000 description 1
- YYZNFLXZNSOQHP-UHFFFAOYSA-N CC(C)(C)OC(Nc(cc1)ccc1S)=O Chemical compound CC(C)(C)OC(Nc(cc1)ccc1S)=O YYZNFLXZNSOQHP-UHFFFAOYSA-N 0.000 description 1
- RXPYVVSRHPJITB-UHFFFAOYSA-N CC(CNC(C)=C1)=C1Nc1n[nH]c2ccccc12 Chemical compound CC(CNC(C)=C1)=C1Nc1n[nH]c2ccccc12 RXPYVVSRHPJITB-UHFFFAOYSA-N 0.000 description 1
- NJWDQVAOORNJOY-UHFFFAOYSA-N CC(Nc1ccc(CS)cc1)=O Chemical compound CC(Nc1ccc(CS)cc1)=O NJWDQVAOORNJOY-UHFFFAOYSA-N 0.000 description 1
- GSUXSXIAZUNVGZ-UHFFFAOYSA-N CC(c1cccnc1N)=N Chemical compound CC(c1cccnc1N)=N GSUXSXIAZUNVGZ-UHFFFAOYSA-N 0.000 description 1
- HFFVBZRCAZNDJO-CSKARUKUSA-N CC1=CC(N/C(/C=C(\N)/N2CCOCC2)=N/C)=N1 Chemical compound CC1=CC(N/C(/C=C(\N)/N2CCOCC2)=N/C)=N1 HFFVBZRCAZNDJO-CSKARUKUSA-N 0.000 description 1
- RCTRRSUNUVWJDL-UHFFFAOYSA-N CC1=CC(Nc2n[nH]c(-c3ccccc3)c2)=N1 Chemical compound CC1=CC(Nc2n[nH]c(-c3ccccc3)c2)=N1 RCTRRSUNUVWJDL-UHFFFAOYSA-N 0.000 description 1
- VBFAZKHNGLNRAN-UHFFFAOYSA-N CC1=CC(Nc2n[nH]c(N3CCOCC3)c2)=CCN1 Chemical compound CC1=CC(Nc2n[nH]c(N3CCOCC3)c2)=CCN1 VBFAZKHNGLNRAN-UHFFFAOYSA-N 0.000 description 1
- OSMSXFQSIZTURG-UHFFFAOYSA-N CC1=NNC2N=CN=CC12 Chemical compound CC1=NNC2N=CN=CC12 OSMSXFQSIZTURG-UHFFFAOYSA-N 0.000 description 1
- MLPRAEGVVQDFCB-UHFFFAOYSA-N CCC(C(C1CC1)=C1)N=C1Nc1n[nH]c(C)c1 Chemical compound CCC(C(C1CC1)=C1)N=C1Nc1n[nH]c(C)c1 MLPRAEGVVQDFCB-UHFFFAOYSA-N 0.000 description 1
- VTNQGOBLHDRERJ-UHFFFAOYSA-N CCC(C)C(Nc(cc1)ccc1S)=O Chemical compound CCC(C)C(Nc(cc1)ccc1S)=O VTNQGOBLHDRERJ-UHFFFAOYSA-N 0.000 description 1
- OVWVKAZOYVJMGW-UHFFFAOYSA-N CCC(Nc(cc1)ccc1S)=O Chemical compound CCC(Nc(cc1)ccc1S)=O OVWVKAZOYVJMGW-UHFFFAOYSA-N 0.000 description 1
- LBMFLZLQOKPBBW-UHFFFAOYSA-N CCC1C(C)=CC(Nc2n[nH]c3cc([N+]([O-])=O)ccc23)=C2C1C2 Chemical compound CCC1C(C)=CC(Nc2n[nH]c3cc([N+]([O-])=O)ccc23)=C2C1C2 LBMFLZLQOKPBBW-UHFFFAOYSA-N 0.000 description 1
- JQVSFEIEBXSDEN-QBFSEMIESA-N CCCN/C(/C)=C\C(Nc1n[nH]c(-c2ccccc2)c1)=C Chemical compound CCCN/C(/C)=C\C(Nc1n[nH]c(-c2ccccc2)c1)=C JQVSFEIEBXSDEN-QBFSEMIESA-N 0.000 description 1
- SUDRRSFKLQAPPT-UHFFFAOYSA-N CN(CSc1c2)c1ccc2N Chemical compound CN(CSc1c2)c1ccc2N SUDRRSFKLQAPPT-UHFFFAOYSA-N 0.000 description 1
- HSXAMHLXKRIJJZ-UHFFFAOYSA-N CSc1cc(N)ccc1N Chemical compound CSc1cc(N)ccc1N HSXAMHLXKRIJJZ-UHFFFAOYSA-N 0.000 description 1
- DOLQYFPDPKPQSS-UHFFFAOYSA-N Cc(c(C)c1)ccc1N Chemical compound Cc(c(C)c1)ccc1N DOLQYFPDPKPQSS-UHFFFAOYSA-N 0.000 description 1
- HWUIJIOSFJIUGC-UHFFFAOYSA-N Cc1cc(Nc2nc(Sc(c(Cl)c3)ccc3Cl)nc3ccccc23)n[nH]1 Chemical compound Cc1cc(Nc2nc(Sc(c(Cl)c3)ccc3Cl)nc3ccccc23)n[nH]1 HWUIJIOSFJIUGC-UHFFFAOYSA-N 0.000 description 1
- WJRKUGVFONLDHK-UHFFFAOYSA-N Cc1n[nH]c2c1cncn2 Chemical compound Cc1n[nH]c2c1cncn2 WJRKUGVFONLDHK-UHFFFAOYSA-N 0.000 description 1
- LMHHFZAXSANGGM-UHFFFAOYSA-N NC1Cc2ccccc2C1 Chemical compound NC1Cc2ccccc2C1 LMHHFZAXSANGGM-UHFFFAOYSA-N 0.000 description 1
- PHNDZBFLOPIMSM-UHFFFAOYSA-N Nc(cc1)ccc1N1CCOCC1 Chemical compound Nc(cc1)ccc1N1CCOCC1 PHNDZBFLOPIMSM-UHFFFAOYSA-N 0.000 description 1
- KKZWMPJTGGRYCT-UHFFFAOYSA-N O=C(CN1CCOCC1)Nc(cc1)ccc1S Chemical compound O=C(CN1CCOCC1)Nc(cc1)ccc1S KKZWMPJTGGRYCT-UHFFFAOYSA-N 0.000 description 1
- NWMDADPUYPBHBP-UHFFFAOYSA-N O=CNc(cc1)ccc1S Chemical compound O=CNc(cc1)ccc1S NWMDADPUYPBHBP-UHFFFAOYSA-N 0.000 description 1
- UENWRTRMUIOCKN-UHFFFAOYSA-N SCc1ccccc1 Chemical compound SCc1ccccc1 UENWRTRMUIOCKN-UHFFFAOYSA-N 0.000 description 1
- VZXOZSQDJJNBRC-UHFFFAOYSA-N Sc(cc1)ccc1Cl Chemical compound Sc(cc1)ccc1Cl VZXOZSQDJJNBRC-UHFFFAOYSA-N 0.000 description 1
- RMVRSNDYEFQCLF-UHFFFAOYSA-N Sc1ccccc1 Chemical compound Sc1ccccc1 RMVRSNDYEFQCLF-UHFFFAOYSA-N 0.000 description 1
Landscapes
- Pharmaceuticals Containing Other Organic And Inorganic Compounds (AREA)
Abstract
Настоящее изобретение относится к новым производным пиразола формулы (IIa) или их фармацевтически приемлемым солям, где:
Rx и Ry объединены вместе с их промежуточными атомами с образованием бензольного или циклогексильного кольца, необязательно замещенного R3;
R1 представляет собой Т-(кольцо D); кольцо D представляет собой фенил, необязательно замещенный 1-2 группами R5, или нафтил или имидазолил или бензимидазолил, необязательно замещенный С1-С6алкильной группой; Т представляет собой связь; R2 представляет собой водород, С1-С6алкил или С3-С6циклоалкил; R2′ представляет собой водород; или R2 и R2′ объединены вместе с их промежуточными атомами с образованием фенильного кольца; R3 выбран из С1-С6алкила, водорода, галогена, -ОН, -NH2, -NHOH, -NO2, С1-С6алкокси, необязательно замещенного -N(R4)2 каждый R4 независимо выбран из С1-С6алкила, -CO2С1-С6алкила или два R4 у одного и того же атома азота объединены вместе атомом азота с образованием морфолинового кольца; каждый R5 представляет собой один или два заместителя, независимо выбранных из С1-С6алкила, галогена, -ОН, -NH2, -CF3, С1-С6алкокси, -СООН, -СО2С1-С6алкила, -NHCO-С1-С6алифатической группы, -NHCO(C1-C6алкил)N(R4)2, -CONHC1-С6алкила, -CONH(С1-С6алкил)N(R4)2, и -NHSO2С1-С6алкила. Соединения полезны как ингибиторы протеинкиназ, в частности как ингибиторы Aurora-2 и GSK-3, для лечения заболеваний, таких как рак, диабет и болезнь Альцгеймера. Объектами изобретения также являются фармацевтическая композиция на основе этих соединений и способы лечения заболеваний, опосредованных указанными протеинкиназами. 10 н. и 15 з.п. ф-лы, 12 табл.
Description
ПЕРЕКРЕСТНАЯ ССЫЛКА НА РОДСТВЕННЫЕ ЗАЯВКИ
По данной заявке испрашивается приоритет по первоначальной заявке на патент США 60/257887, поданной 21 декабря 2000 г., и первоначальной заявке на патент США 60/286949, поданной 27 апреля 2001 г., содержания которых включены в данное описание в виде ссылок.
ОБЛАСТЬ ТЕХНИКИ, К КОТОРОЙ ОТНОСИТСЯ ИЗОБРЕТЕНИЕ
Настоящее изобретение относится к области медицинской химии и касается соединений, которые являются ингибиторами протеинкиназы, композиций, содержащих такие соединения, и способов их применения. В частности, настоящее изобретение относится к соединениям, которые являются ингибиторами протеинкиназы Aurora-2. Изобретение касается также способов лечения связанных с указанными протеинкиназами заболеваний, в частности заболеваний, связанных с Aurora-2, таких как рак.
ПРЕДПОСЫЛКИ СОЗДАНИЯ ИЗОБРЕТЕНИЯ
Поиску новых терапевтических средств в последнее время в значительной степени способствовало лучшее понимание структуры ферментов и других биомолекул, связанных с определенными заболеваниями. Важным классом ферментов, являющихся предметом широких исследований, являются протеинкиназы.
Протеинкиназы служат посредниками внутриклеточного преобразования сигналов. Осуществляют они это путем переноса фосфорила от нуклеозидтрифосфата к акцептору белков, входящему в путь передачи сигналов. Существует много киназ и путей, посредством которых внеклеточные и другие раздражители вызывают разнообразные клеточные ответные реакции, имеющие место в клетке. Примеры таких раздражителей включают сигналы окружающей среды и химического напряжения (например, осмотический удар, тепловой удар, ультрафиолетовое излучение, бактериальный эндотоксин, Н2О2), цитокины (например, интерлейкин-1 (IL-1) и фактор некроза опухоли α (TNF-α)) и факторы роста (например, гранулоцитарно-макрофагальный колониестимулирующий фактор (GM-CSF) и фактор роста фибробластов (FGF)). Внеклеточные раздражители могут вызывать одну или несколько клеточных ответных реакций, связанных с ростом, миграцией и дифференциацией клеток, секрецией гормонов, активацией транскрипционных факторов, сокращением мышц, метаболизмом глюкозы, управлением синтезом белков и регуляцией клеточного цикла.
Многие заболевания связаны с анормальными клеточными ответными реакциями, инициируемыми событиями, опосредованными протеинкиназой. Указанные заболевания включают аутоиммунные заболевания, воспалительные заболевания, нейрологические и нейродегенеративные заболевания, рак, сердечно-сосудистые заболевания, аллергии и астму, болезнь Альцгеймера или гормональные заболевания. Поэтому в медицинской химии были приложены значительные усилия, чтобы найти ингибиторы протеинкиназы, эффективные в качестве лекарственных средств.
Aurora-2 представляет собой серин/треонинпротеинкиназу, причастную к возникновению у человека злокачественной опухоли, такой как рак толстой кишки, рак молочной железы и другие солидные опухоли. Полагают, что указанная киназа участвует в актах фосфорилирования белка, регулирующих клеточный цикл. В частности, Aurora-2 может играть роль в управлении правильным расщеплением хромосом во время митоза. Разрегулирование клеточного цикла может привести к пролиферации клеток и другим нарушениям. Установлено, что в ткани злокачественной опухоли толстой кишки человека чрезмерно выражен белок Aurora-2. Смотри Bischoff et al., EMBO J., 1998, 17, 3052-3065; Schumacher et al., J. Cell Biol., 1998, 143, 1635-1646; Kimura et al., J. Biol. Chem., 1997, 272, 13766-13771.
Гликогенсинтаза-киназа-3 (GSK-3) представляет собой серин/треонинпротеинкиназу, состоящую из α и β изоформ, каждая из которых кодируется различающимися генами [Coghlan et al., Chemistry & Biology, 7, 793-803 (2000); Kim and Kimmel, Curr. Opinion Genetics Dev., 10, 508-514 (2000)]. GSK-3 причастна к различным заболеваниям, включающим диабет, болезнь Альцгеймера, растройства ЦНС, такие как маниакальное депрессивное расстройство и нейродегенеративные заболевания, и гипертрофию сердечной мышцы [WO 99/65897; WO 00/38675; and Haq et al., J. Cell Biol. (2000) 151, 117]. Указанные заболевания могут быть вызваны анормальной работой некоторых клеточных путей передачи сигналов, где играет роль GSK-3, или привести к ней. Как уже установлено, GSK-3 фосфорилирует ряд регуляторных белков и модулирует их активность. Указанные белки включают гликогенсинтазу, которая является скоростьограничивающим ферментом, необходимым для синтеза гликогена, сопутствующий микротрубочкам белок Tau, фактор генной транскрипции β-катенин, фактор инициирования трансляции e1F2B, а также АТФ-цитратлиазу, аксин, фактор-1 теплового удара, c-Jun, c-Myc, c-Myb, CREB и СЕРВα. Различные указанные белки-мишени вовлекают GSK-3 во многие аспекты клеточного метаболизма, пролиферации, дифференциации и развития клеток.
В опосредованном GSK-3 пути метаболизма, подходящем для лечения диабета типа II, вызванная инсулином передача сигналов ведет к клеточному усвоению глюкозы и синтезу гликогена. Согласно этому метаболизму GSK-3 является негативным регулятором инсулининдуцированного сигнала. Обычно присутствие инсулина вызывает ингибирование опосредованных GSK-3 фосфорилирования и дезактивацию гликогенсинтазы. Ингибирование GSK-3 ведет к увеличению синтеза гликогена и усвоения глюкозы [Klein et al., PNAS, 93, 8455-9 (1996); Cross et al., Biochem. J., 303, 21-26 (1994); Cohen, Biochem. Soc. Trans., 21, 555-567 (1993); Massillon et al., Biochem. J. 299, 123-128 (1994)]. Но у больного диабетом при ослаблении реакции на инсулин синтез гликогена и усвоение глюкозы не способны повышаться несмотря на относительно высокий уровень инсулина в крови. Это приводит к ненормально высокому содержанию в крови глюкозы с острыми и долговременными эффектами, которые в конечном счете могут привести к сердечно-сосудистому заболеванию, почечной недостаточности и слепоте. У таких больных не бывает нормального ингибирования GSK-3, вызываемого инсулином. Уже было сообщение о том, что у больных диабетом типа II имеет место чрезмерная выраженность GSK-3 [WO 00/38675]. Таким образом, терапевтические ингибиторы GSK-3 могут быть полезны для лечения больных диабетом с ослабленной реакцией на инсулин.
Активность GSK-3 связывают также с болезнью Альцгеймера. Эта болезнь характеризуется хорошо известным β-амилоидным пептидом и образованием внутриклеточных нейрофибриллярных сплетений. Нейрофибриллярные сплетения содержат гиперфосфорилированный белок Tau, где Tau фосфорилирован на не соответствующих норме участках. Уже показано, что GSK-3 фосфорилирует указанные аномальные участки в клеточных и животных моделях. Кроме того, показано, что ингибирование GSK-3 предотвращает гиперфосфорилирование Tau в клетках [Lovestone et al., Current Biology 4, 1077-86 (1994); Brownlees et al., Neuroreport 8, 3251-55 (1997)]. Таким образом, по-видимому, активность GSK-3 может способствовать образованию нейрофибриллярных сплетений и развитию болезни Альцгеймера.
Другим субстратом для GSK-3 является β-катенин, который разлагается после фосфорилирования посредством GSK-3. Уже сообщалось, что больные шизофренией имеют пониженный уровень β-катенина, которым сопровождаются также и другие заболевания, связанные с гибелью нейронных клеток [Zhong et al., Nature, 395, 698-702 (1998); Takashima et al., PNAS, 90, 7789-93 (1993); Pei et al., J. Neuropathol. Exp, 56, 70-78 (1997)].
Вследствие биологической важности GSK-3 в настоящее время существует заинтересованность в терапевтически эффективных ингибиторах GSK-3. Имеются недавние сообщения [WO 99/65897 (Chiron) and WO 00/38675 (SmithKline Beecham)] о малых молекулах, которые ингибируют GSK-3.
В отношении многих из указанных выше заболеваний, связанных с патологической активностью GSK-3, для их лечения целью являются и другие протеинкиназы. Однако различные протеинкиназы часто действуют по разным биологическим путям. Например, как недавно сообщалось (WO 00/12497 (Scios)), некоторые производные хиназолина являются ингибиторами киназы р38. Было сообщено, что указанные соединения могут быть использованы для лечения состояний, характеризующихся повышенной активностью р38-α и/или повышенной активностью TGF-β. Хотя активность р38 сопровождается широким разнообразием заболеваний, включая диабет, нет сведений о том, что киназа р38 является составной частью пути передачи инсулининдуцируемого сигнала, которая регулирует синтез гликогена или усвоение глюкозы. Следовательно, не ожидается, что ингибирование р38, в отличие от GSK-3, будет улучшать синтез гликогена и/или усвоение глюкозы.
Необходимость разработки новых лекарственных средств для лечения болезней человека продолжает оставаться актуальной. Протеинкиназы Aurora-2 и GSK-3 являются особенно привлекательными для открытия новых лекарственных средств вследствие их важной роли в возникновении и развитии рака и диабета соответственно.
ПОДРОБНОЕ ОПИСАНИЕ ИЗОБРЕТЕНИЯ
Было обнаружено, что соединения по настоящему изобретению и содержащие их фармацевтические композиции могут использоваться в качестве ингибиторов протеинкиназ, в частности ингибиторов протеинкиназы Aurora-2. Предложены соединения, имеющие общую формулу I:
или их фармацевтически приемлемые производные или пролекарства, где:
Z1 представляет собой азот или С-R8, и Z2 представляет собой азот или СН, причем по крайней мере один из Z1 и Z2 представляет собой азот;
Rx и Ry независимо выбраны из Т-R3 или L-Z-R3, или Rx и Ry объединены вместе с их промежуточными атомами с образованием конденсированного ненасыщенного или частично ненасыщенного 5-7-членного кольца, имеющего 0-3 кольцевых гетероатома, выбранных из кислорода, серы или азота, причем каждый замещаемый углерод в указанном конденсированном кольце, образованном радикалами Rx и Ry, независимо замещен оксогруппой, Т-R3 или L-Z-R3 и каждый замещаемый азот в указанном кольце, образованном радикалами Rx и Ry, независимо замещен радикалом R4;
Q выбран из -N(R4)-, -О-, -S-, -С(R6')2-, 1,2-циклопропандиила, 1,2-циклобутандиила или 1,3-циклобутандиила;
R1 представляет собой Т-(кольцо D);
кольцо D представляет собой 5-7-членное моноциклическое кольцо или 8-10-членное бициклическое кольцо, выбранное из арильного, гетероарильного, гетероциклильного или карбоциклильного колец, из которых гетероарильное или гетероциклильное кольцо содержит 1-4 кольцевых гетероатома, выбранных из азота, кислорода или серы, причем каждый замещаемый углерод кольца D независимо замещен оксогруппой, Т-R5 или V-Z-R5 и каждый замещаемый азот кольца D независимо замещен группой -R4;
Т представляет собой связь или С1-4 алкилиденовую цепь, причем, когда Q представляет собой -С(R6')2-, метиленовое звено указанной С1-4 алкилиденовой цепи является необязательно замещенным группой -О-, -S-, -N(R4)-, -СО-, -CONH-, -NHCO-, -SO2-, -SO2NH-, -NHSO2-, -CO2-, -OC(O)-, -OC(O)NH- или -NHCO2-;
Z представляет собой С1-4 алкилиденовую цепь;
L представляет собой -О-, -S-, -SO-, -SO2-, -N(R6)SO2-, -SO2N(R6)-, -N(R6)-, -CO-, -CO2-, -N(R6)CO-, -N(R6)C(O)O-, -N(R6)CON(R6)-, -N(R6)SO2N(R6)-, -N(R6)N(R6)-, -C(О)N(R6)-, -OC(О)N(R6)-, -C(R6)2О-, -C(R6)2S-, -C(R6)2SO-, -C(R6)2SO2-, -C(R6)2SO2N(R6)-, -C(R6)2N(R6)-, -C(R6)2N(R6)C(О)-, -C(R6)2N(R6)C(О)О-, -C(R6)=NN(R6)-, -C(R6)=N-О-, -C(R6)2N(R6)N(R6)-, -C(R6)2N(R6)SO2N(R6)- или -C(R6)2N(R6)CON(R6)-;
R2 и R2' независимо выбраны из -R, -T-W-R6 или R2 и R2' объединены вместе с их промежуточными атомами с образованием конденсированного 5-8-членного ненасыщенного или частично ненасыщенного кольца, имеющего 0-3 кольцевых гетероатома, выбранных из азота, кислорода или серы, причем каждый замещаемый углерод в указанном конденсированном кольце, образованном радикалами R2 и R2', независимо замещен галогеном, оксогруппой, -CN, -NO2, -R7 или -V-R6 и каждый замещаемый азот в указанном кольце, образованном радикалами R2 и R2', независимо замещен радикалом R4;
R3 выбран из -R, галогена, -OR, -C(=O)R, -CO2R, -COCOR, -COCH2COR, -NO2, -CN, -S(O)R, -S(O)2R, -SR, -N(R4)2, -CON(R7)2, -SO2N(R7)2, -OC(=O)R, -N(R7)COR, -N(R7)CO2(С1-6 алифатическая группа), -N(R4)N(R4)2, -C=NN(R4)2, -C=N-OR, -N(R7)CON(R7)2, -N(R7)SO2N(R7)2, -N(R4)SO2R или -OC(=O)N(R7)2;
каждый R независимо выбран из водорода или необязательно замещенной группы, выбранной из С1-6 алифатической группы, С6-10 арила, гетероарильного кольца, имеющего 5-10 кольцевых атомов, или гетероциклильного кольца, имеющего 5-10 кольцевых атомов;
каждый R4 независимо выбран из -R7, -COR7, -CO2(необязательно замещенная С1-6 алифатическая группа), -CON(R7)2 или -SO2R7;
каждый R5 независимо выбран из -R, галогена, -OR, -C(=O)R, -CO2R, -COCOR, -NO2, -CN, -S(O)R, -SO2R, -SR, -N(R4)2, -CON(R4)2, -SO2N(R4)2, -OC(=O)R, -N(R4)COR, -N(R4)CO2(необязательно замещенная С1-6 алифатическая группа), -N(R4)N(R4)2, -C=NN(R4)2, -C=N-OR, -N(R4)CON(R4)2, -N(R4)SO2N(R4)2, -N(R4)SO2R или -OC(=O)N(R4)2;
V представляет собой -О-, -S-, -SO-, -SO2-, -N(R6)SO2-, -SO2N(R6)-, -N(R6)-, -CO-, -CO2-, -N(R6)CO-, -N(R6)C(O)O-, -N(R6)CON(R6)-, -N(R6)SO2N(R6)-, -N(R6)N(R6)-, -C(О)N(R6)-, -OC(О)N(R6)-, -C(R6)2О-, -C(R6)2S-, -C(R6)2SO-, -C(R6)2SO2-, -C(R6)2SO2N(R6)-, -C(R6)2N(R6)-, -C(R6)2N(R6)C(О)-, -C(R6)2N(R6)C(О)О-, -C(R6)=NN(R6)-, -C(R6)=N-О-, -C(R6)2N(R6)N(R6)-, -C(R6)2N(R6)SO2N(R6)- или -C(R6)2N(R6)CON(R6)-;
W представляет собой -C(R6)2О-, -C(R6)2S-, -C(R6)2SO-, -C(R6)2SO2-, -C(R6)2SO2N(R6)-, -C(R6)2N(R6)-, -CO-, -CO2-, -C(R6)OC(О)-, -C(R6)OC(О)N(R6)-, -C(R6)2N(R6)CO-, -C(R6)2N(R6)C(О)О-, -C(R6)=NN(R6)-, -C(R6)=N-О-, -C(R6)2N(R6)N(R6)-, -C(R6)2N(R6)SO2N(R6)-, -C(R6)2N(R6)CON(R6)- или -CON(R6)-;
каждый R6 независимо выбран из водорода или необязательно замещенной С1-4 алифатической группы, или две группы R6 у одного и того же атома азота могут быть объединены вместе с атомом азота с образованием 5-6-членного гетероциклильного или гетероарильного кольца;
каждый R6' независимо выбран из водорода или С1-4 алифатической группы, или две группы R6' у одного и того же атома углерода объединены друг с другом с образованием 3-6-членного карбоциклического кольца;
каждый R7 независимо выбран из водорода или необязательно замещенной С1-6 алифатической группы, или два R7 у одного и того же атома азота объединены вместе с атомом азота с образованием 5-8-членного гетероциклильного или гетероарильного кольца; и
R8 выбран из -R, галогена, -OR, -C(=O)R, -CO2R, -COCOR, -NO2, -CN, -S(O)R, -SO2R, -SR, -N(R4)2, -CON(R4)2, -SO2N(R4)2, -OC(=O)R, -N(R4)COR, -N(R4)CO2 (необязательно замещенная С1-6 алифатическая группа), -N(R4)N(R4)2, -C=NN(R4)2, -C=N-OR, -N(R4)CON(R4)2, -N(R4)SO2N(R4)2, -N(R4)SO2R или -OC(=O)N(R4)2.
В данном описании используются, если не указано иного, следующие определения терминов. Выражение «необязательно замещенная» используют взаимозаменяемо с выражением «замещенная или незамещенная» или с термином «(не)замещенная». Если не указано иное, необязательно замещенная группа может иметь заместитель в каждом замещаемом положении группы, и каждое замещение не зависит от другого.
Термин «алифатическая» при использовании в данном описании означает неразветвленные, разветвленные или циклические С1-С12 углеводороды, которые являются полностью насыщенными или которые содержат одну или несколько единиц ненасыщенности, но не являются ароматическими. Например, подходящие алифатические группы включают замещенные или незамещенные неразветвленные, разветвленные или циклические алкильныые, алкенильные, алкинильные группы и их гибриды, такие как (циклоалкил)алкил, (циклоалкенил)алкил или (циклоалкил)алкенил. Термины «алкил», «алкокси», «гидроксиалкил», «алкоксиалкил» и «алкоксикарбонил», используемые как таковые или как часть большего фрагмента, охватывают как неразветвленные, так и разветвленные цепи, содержащие один-двенадцать углеродных атомов. Термины «алкенил» и «алкинил», используемые как таковые или как часть большего фрагмента, охватывают как неразветвленные, так и разветвленные цепи, содержащие два-двенадцать углеродных атомов. Термин «циклоалкил», используемый как таковой или как часть большего фрагмента, включает циклические С3-С12 углеводороды, которые являются полностью насыщенными или которые содержат одну или несколько единиц ненасыщенности, но не являются ароматическими.
Термины «галогеналкил», «галогеналкенил» и «галогеналкокси» означают соответственно алкил, алкенил или алкокси, замещенный одним или несколькими атомами галогена. Термин «галоген» означает F, Cl, Br или I.
Термин «гетероатом» означает азот, кислород или серу и охватывает всякую окисленную форму азота и серы и кватернизованную форму всякого азотистого основания. Термин «азот» также включает замещаемый азот в гетероциклическом кольце. Например, в насыщенном или частично ненасыщенном кольце, имеющем 0-3 гетероатома, выбранных из кислорода, серы или азота, азот может находиться в виде N (как в 3,4-дигидро-2Н-пирролиле), NH (как в пирролидиниле) или NR+ (как в N-замещенном пирролидиниле).
Термины «карбоцикл», «карбоциклильный», «карбоцикло» или «карбоциклический» при использовании в данном описании означают алифатическую кольцевую систему, имеющую от трех до четырнадцати членов. Термины «карбоцикл», «карбоциклильный», «карбоцикло» или «карбоциклический», насыщенный или частично ненасыщенный, также относятся к кольцам, которые являются необязательно замещенными. Термины «карбоцикл», «карбоциклильный», «карбоцикло» или «карбоциклический» охватывают также алифатические кольца, конденсированные с одним или несколькими ароматическими или неароматическими кольцами, такими как в декагидронафтиле или тетрагидронафтиле, где радикал или точка присоединения находится в алифатическом кольце.
Термин «арил», использованный в данном описании в отдельности или как часть большего фрагмента, как в «аралкиле», «аралкокси» или «арилоксиалкиле», относится к ароматическим кольцевым группам, имеющим от пяти до четырнадцати членов, таким как фенил, бензил, фенетил, 1-нафтил, 2-нафтил, 1-антрацил и 2-антрацил. Термин «арил» относится также к кольцам, которые являются необязательно замещенными. Термин «арил» можно применять взаимозаменяемо с термином «арильное кольцо». «Арил» охватывает также конденсированные полициклические ароматические кольцевые системы, в которых ароматическое кольцо конденсировано с одним или несколькими кольцами. Примеры включают 1-нафтил, 2-нафтил, 1-антрацил и 2-антрацил. В объем термина «арил» при использовании его в данном описании входит также группа, в которой ароматическое кольцо конденсировано с одним или несколькими неароматическими кольцами, такая как инданил, фенантридинил или тетрагидронафтил, где радикал или точка присоединения находится в ароматическом кольце.
Термин «гетероцикл», «гетероциклильный» или «гетероциклический» при использовании в данном описании включает неароматические кольцевые системы, имеющие от пяти до четырнадцати членов, предпочтительно от пяти до десяти, в которых один или несколько кольцевых углеродных атомов, предпочтительно от одного до четырех, заменены каждый гетероатомом, таким как N, O или S. Примеры гетероциклических колец включают 3-1Н-бензимидазол-2-он, (1-замещенный)-2-оксобензимидазол-3-ил, 2-тетрагидрофуранил, 3-тетрагидрофуранил, 2-тетрагидропиранил, 3-тетрагидропиранил, 4-тетрагидропиранил, [1,3]-диоксаланил, [1,3]-дитиоланил, [1,3]-диоксанил, 2-тетрагидротиофенил, 3-тетрагидротиофенил, 2-морфолинил, 3-морфолинил, 4-морфолинил, 2-тиоморфолинил, 3-тиоморфолинил, 4-тиоморфолинил, 1-пирролидинил, 2-пирролидинил, 3-пирролидинил, 1-пиперазинил, 2-пиперазинил, 1-пиперидинил, 2-пиперидинил, 3-пиперидинил, 4-пиперидинил, 4-тиазолидинил, диазолонил, N-замещенный диазолонил, l-фталимидинил, бензоксанил, бензопирролидинил, бензопиперидинил, бензоксоланил, бензотиоланил и бензотианил. В объем термина «гетероциклильный» или «гетероциклический» при использовании в данном описании входит также группа, в которой неароматическое кольцо, содержащее гетероатом, конденсировано с одним или несколькими ароматическими или неароматическими кольцами, такая как индолинил, хроманил, фенантридинил или тетрагидрохинолинил, где радикал или точка присоединения находится в неароматическом гетероатомсодержащем кольце. Термин «гетероцикл», «гетероциклильный» или «гетероциклический», насыщенный или частично ненасыщенный, также относится к кольцам, которые являются необязательно замещенными.
Термин «гетероарил», использованный в отдельности или как часть большего фрагмента, как в «гетероаралкиле» или «гетероарилалкокси», относится к гетероароматическим кольцевым группам, имеющим от пяти до четырнадцати членов. Примеры гетероарильных колец включают 2-фуранил, 3-фуранил, N-имидазолил, 2-имидазолил, 4-имидазолил, 5-имидазолил, 3-изоксазолил, 4-изоксазолил, 5-изоксазолил, 2-оксадиазолил, 5-оксадиазолил, 2-оксазолил, 4-оксазолил, 5-оксазолил, 1-пирролил, 2-пирролил, 3-пирролил, 1-пиразолил, 2- пиразолил, 3-пиразолил, 2-пиридил, 3-пиридил, 4-пиридил, 2-пиримидил, 4-пиримидил, 5-пиримидил, 3-пиридазинил, 2-тиазолил, 4-тиазолил, 5-тиазолил, 5-тетразолил, 2-триазолил, 5-триазолил, 2-тиенил, 3-тиенил, карбазолил, бензимидазолил, бензотиенил, бензофуранил, индазолил, хинолинил, бензотриазолил, бензотиазолил, бензоксазолил, бензимидазолил, изохинолинил, индолил, изоиндолил, акридинил или бензизоксазолил. В объем термина «гетероарил» при использовании в данном описании входит также группа, в которой гетероциклическое кольцо конденсировано с одним или несколькими ароматическими или неароматическими кольцами, где радикал или точка присоединения находится в гетероароматическом кольце. Примеры включают тетрагидрохинолинил, тетрагидроизохинолинил и пиридо[3,4-d]пиримидинил. Термин «гетероарил» относится также к кольцам, которые являются необязательно замещенными. Термин «гетероарил» может быть использован взаимозаменяемо с термином «гетероарильное кольцо» или термином «гетероароматический».
Арильная (включая аралкил, аралкокси, арилоксиалкил и тому подобное) или гетероарильная (включая гетероаралкил и гетероарилалкокси и тому подобное) группа может содержать один или несколько заместителей. Примеры подходящих заместителей у ненасыщенного углеродного атома арильной, гетероарильной, аралкильной или гетероаралкильной группы включают галоген, -Rо, -ORо, SRо, 1,2-метилендиокси, 1,2-этилендиокси, защищенный OH (такой как ацилокси), фенил (Ph), замещенный Ph, -O(Ph), замещенный -O(Ph), -CH2(Ph), замещенный -CH2(Ph), -CH2CH2(Ph), замещенный -CH2CH2(Ph), -NO2, -CN, -N(R°)2, -NR°C(O)R°, -NR°C(O)N(R°)2, -NRоCO2Rо, -NR°NR°C(О)R°, -NR°NR°C(O)N(R°)2, -NR°NR°CO2Rо, -C(О)C(О)R°, -C(О)CH2C(О)R°, -CO2R°, -C(O)R°, -C(O)N(R°)2, -OC(О)N(R°)2, -S(O)2Rо, -SO2N(R°)2, -S(O)R°, -NR°SO2N(R°)2, -NRоSO2Rо, -C(=S)N(R°)2, -C(=NH)-N(R°)2, -(CH2)yNHC(O)R°, -(CH2)yNHC(О)CH(V-Rо)(R°), где каждый R° независимо выбран из водорода, замещенной или незамещенной алифатической группы, незамещенного гетероарильного или гетероциклического кольца, фенила (Ph), замещенного Ph, -О(Ph), замещенного -О(Ph), -CH2(Ph) или замещенного -CH2(Ph), y представляет собой 0-6 и V представляет собой связывающую группу. Примеры заместителей в алифатической группе или фенильном кольце радикала Rо включают амино, алкиламино, диалкиламино, аминокарбонил, галоген, алкил, алкиламинокарбонил, диалкиламинокарбонил, алкиламинокарбонилокси, диалкиламинокарбонилокси, алкокси, нитро, циано, карбокси, алкоксикарбонил, алкилкарбонил, гидрокси, галогеналкокси или галогеналкил.
Алифатическая группа или неароматическое гетероциклическое кольцо может содержать один или несколько заместителей. Примеры подходящих заместителей у насыщенного углеродного атома алифатической группы или неароматического гетероциклического кольца включают перечисленные выше для ненасыщенного углеродного атома арильной или гетероарильной группы и следующие: =O, =S, =NNHR*, =NN(R*)2, =N-, =NNHC(O)R*, =NNHCO2(алкил), =NNHSO2(алкил) или =NR*, где каждый R* независимо выбран из водорода, незамещенной алифатической группы или замещенной алифатической группы. Примеры заместителей в алифатической группе включают амино, алкиламино, диалкиламино, аминокарбонил, галоген, алкил, алкиламинокарбонил, диалкиламинокарбонил, алкиламинокарбонилокси, диалкиламинокарбонилокси, алкокси, нитро, циано, карбокси, алкоксикарбонил, алкилкарбонил, гидрокси, галогеналкокси или галогеналкил.
Подходящие заместители у атома азота неароматического гетероциклического кольца включают -R+, -N(R+)2, -C(О)R+, -CO2R+, -C(О)C(О)R+, -C(О)CH2C(О)R+, -SO2R+, -SO2N(R+)2, -C(=S)N(R+)2, -C(=NH)-N(R+)2 и -NR+SO2R+, где каждый R+ независимо выбран из водорода, алифатической группы, замещенной алифатической группы, фенила (Ph), замещенного Ph, -О(Ph), замещенного -О(Ph), -CH2(Ph), замещенного -CH2(Ph) или незамещенного гетероарильного или гетероциклического кольца. Примеры заместителей в алифатической группе или фенильном кольце включают амино, алкиламино, диалкиламино, аминокарбонил, галоген, алкил, алкиламинокарбонил, диалкиламинокарбонил, алкиламинокарбонилокси, диалкиламинокарбонилокси, алкокси, нитро, циано, карбокси, алкоксикарбонил, алкилкарбонил, гидрокси, галогеналкокси или галогеналкил.
Термин «связывающая группа» или «связыватель» означает органический фрагмент, который соединяет две части соединения. Связыватели обычно состоят из атома, такого как атом кислорода или атом серы, звена, такого как -NH-, -CH2-, -С(О)-, -С(О)NH-, или цепи атомов, такой как алкилиденовая цепь. Молекулярная масса связывателя находится в диапазоне обычно примерно 14-200, предпочтительно 14-96, при длине до примерно шести атомов. Примеры связывателей включают насыщенную или ненасыщенную С1-6 алкилиденовую цепь, которая является необязательно замещенной и в которой один или два насыщенных углерода необязательно замещены группой -C(O)-, -C(O)C(O)-, -CONH-, -CONHNH-, -CO2-, -OC(O)-, -NHCO2-, -O-, -NHCONH-, -OC(O)NH-, -NHNH-, -NHCO-, -S-, -SO-, -SO2-, -NH-, -SO2NH- или -NHSO2-.
Термин «алкилиденовая цепь» относится к необязательно замещенной неразветвленной или разветвленной углеродной цепи, которая может быть полностью насыщенной или может иметь одну или несколько единиц ненасыщенности. Необязательные заместители - такие как описанные выше для алифатической группы.
Допустимо сочетание заместителей или переменных, только если такое сочетание дает устойчивое или химически возможное соединение. Устойчивое или химически возможное соединение - это соединение, химическая структура которого по существу не изменяется при выдерживании при температуре 40°С или ниже в отсутствие влаги или других химически активных соединений в течение по крайней мере недели.
Если не указано иное, то подразумевается, что показанные в данном описании структуры включают все их стереохимические формы, т.е. R и S конфигурации для каждого асимметрического центра. Следовательно, индивидуальные стереохимические изомеры, а также энантиомерные и диастереомерные смеси предлагаемых соединений находятся в объеме настоящего изобретения. Если не указано иное, то подразумевается, что показанные в данном описании структуры включают соединения, которые различаются только по наличию одного или нескольких изотопически обогащенных атомов. Например, соединения, имеющие предлагаемые структуры, если исключить замену водорода на дейтерий или тритий или замену углерода на 13С- или 14С-обогащенный углерод, находятся в объеме настоящего изобретения.
Из соединений формулы I или их солей могут быть изготовлены композиции. В предпочтительном варианте композиция является фармацевтической композицией. В одном варианте композиция содержит эффективное для ингибирования протеинкиназы количество ингибитора протеинкиназы, в частности Aurora-2, в биологическом образце или у пациента. Соединения по настоящему изобретению и их фармацевтические композиции, которые содержат эффективное для лечения или профилактики Aurora-2-опосредованного состояния количество ингибитора протеинкиназы, и фармацевтически приемлемый носитель, вспомогательное вещество или наполнитель, могут быть в виде препарата, пригодного для введения пациенту.
Другой аспект настоящего изобретения относится к способу лечения или профилактики Aurora-2-опосредованного заболевания ингибитором Aurora-2 и заключается во введении пациенту, нуждающемуся в таком лечении, терапевтически эффективного количества соединения формулы I или содержащей его композиции.
Термин «Aurora-2-опосредованное заболевание» или «Aurora-2-опосредованное состояние» при использовании в данном описании означает всякое заболевание или другое ухудшенное состояние, в котором, как известно, играет роль Aurora-2. Термин «Aurora-2-опосредованное заболевание» или «Aurora-2-опосредованное состояние» означает также те заболевания или состояния, которые облегчает лечение ингибитором Aurora-2. Такие состояния включают, без ограничения, рак толстой кишки, рак молочной железы, рак желудка и рак яичника.
Еще один аспект настоящего изобретения относится к способу ингибирования активности Aurora-2 в биологическом образце и включает контактирование биологического образца с ингибитором Aurora-2 формулы I или содержащей его композицией.
Еще один аспект настоящего изобретения относится к способу ингибирования активности Aurora-2 у пациента и включает введение пациенту соединения формулы I или композиции, содержащей указанное соединение.
Другой аспект настоящего изобретения относится к способу лечения или профилактики GSK-3-опосредованного заболевания ингибитором GSK-3 и включает введение пациенту, нуждающемуся в таком лечении, терапевтически эффективного количества соединения формулы I или содержащей его композиции.
Термин «GSK-3-опосредованное заболевание» или «GSK-3-опосредованное состояние» при использовании в данном описании означает всякое заболевание или другое ухудшенное состояние, в котором, как известно, играет роль GSK-3. Такие заболевания или состояния включают, без ограничения, диабет, болезнь Альцгеймера, болезнь Хантингтона, болезнь Паркинсона, обусловленную СПИД-ом деменцию, боковой амиотрофический склероз (AML), рассеянный склероз (MS), шизофрению, гипертрофию сердечной мышцы, реперфузию с ишемией и облысение.
Один аспект настоящего изобретения относится к способу усиления синтеза гликогена и/или снижения уровня глюкозы в крови у пациента, нуждающегося в этом, и включает введение пациенту терапевтически эффективного количества соединения формулы I или его фармацевтической композиции. Данный способ особенно полезен для больных диабетом. Другой способ относится к ингибированию продукции гиперфосфорилированного белка Tau, которое полезно для остановки или замедления развития болезни Альцгеймера. Еще один способ относится к ингибированию фосфорилирования β-катенина, которое полезно для лечения шизофрении. Другой аспект настоящего изобретения относится к способу ингибирования активности GSK-3 в биологическом образце и включает осуществление контактирования биологического образца с ингибитором GSK-3 формулы I.
Еще один аспект настоящего изобретения относится к способу ингибирования активности GSK-3 у пациента и включает введение пациенту соединения формулы I или композиции, содержащей указанное соединение.
Другой аспект настоящего изобретения относится к способу лечения или профилактики CDK-2-опосредованного заболевания ингибитором CDK-2 и включает введение пациенту, нуждающемуся в таком лечении, терапевтически эффективного количества соединения формулы I или содержащей его композиции.
Термин «CDK-2-опосредованное заболевание» или «CDK-2-опосредованное состояние» при использовании в данном описании означает всякое заболевание или другое ухудшенное состояние, в котором, как известно, играет роль CDK-2. Термин «CDK-2-опосредованное заболевание» или «CDK-2-опосредованное состояние» означает также те заболевания или состояния, которые облегчает лечение ингибитором CDK-2. Такие состояния включают, без ограничения, рак, болезнь Альцгеймера, рестеноз, ангиогенез, гломерулонефрит, цитомегаловирус, ВИЧ, герпес, псориаз, атеросклероз, алопецию и аутоиммунные заболевания, такие как ревматоидный артрит. Смотри Fischer, P.M. and Lane, D.P., Current Medicinal Chemistry, 1, 1213-1245 (2000); Mani, S., Wang, C., Wu, K., Francis, R. and Pestell, R., Exp. Opin. Invest. Drugs, 9, 1849 (2000); Fry, D.W. and Garrett, M.D., Current Opinion in Oncologic, Endocrine & Metabolic Investigational Drugs, 2, 40-59 (2000).
Еще один аспект настоящего изобретения относится к способу ингибирования активности CDK-2 в биологическом образце или у пациента и включает введение пациенту соединения формулы I или композиции, содержащей указанное соединение.
Еще один аспект настоящего изобретения относится к способу лечения или профилактики ERK-2-опосредованных заболеваний ингибитором ERK-2 и включает введение пациенту, нуждающемуся в таком лечении, терапевтически эффективного количества соединения формулы I или содержащей его композиции.
Термин «ERK-2-опосредованное заболевание» или «ERK-2-опосредованное состояние» при использовании в данном описании означает всякое болезненное состояние или другое ухудшенное состояние, в котором, как известно, играет роль ERK-2. Термин «ERK-2-опосредованное заболевание» или «ERK-2-опосредованное состояние» означает также те заболевания или состояния, которые облегчает лечение ингибитором ERK-2. Такие состояния включают, без ограничения, рак, шок, диабет, гепатомегалию, сердечно-сосудистое заболевание, включая кардиомегалию, болезнь Альцгеймера, кистозный фиброз, вирусное заболевание, аутоиммунные заболевания, атеросклероз, рестеноз, псориаз, аллергические нарушения, включая астму, воспаление, неврологические нарушения и гормональные заболевания. Термин «рак» включает, но не ограничивается ими, следующие виды рака: рак молочной железы, яичника, шейки матки, предстательной железы, яичка, мочеполовых путей, пищевода, гортани, глиобластому, нейробластому, рак желудка, рак кожи, кератоакантому, рак легкого, эпидермоидную карциному, крупноклеточную карциному, мелкоклеточную карциному, аденокарциному легкого, рак кости, рак ободочной кишки, аденому, рак поджелудочной железы, аденокарциному, рак щитовидной железы, фолликулярную карциному, недифференцированную карциному, папиллярную карциному, семиному, меланому, саркому, рак мочевого пузыря, рак печени и желчных протоков, рак почки, миелоидные нарушения, лимфоидные нарушения, волосяные клетки Ходжкина, рак преддверия рта и глотки (ротовой части), рак губы, языка, полости рта, глотки, тонкой кишки, ободочной и прямой кишок, толстой кишки, прямой кишки, мозга и центральной нервной системы и лейкоз. Протеинкиназа ERK-2 и ее роль в различных заболеваниях уже описаны [Bokemeyer et al. 1996, Kidney Int. 49, 1187; Anderson et al., 1990, Nature 343, 651; Crews et al., 1992, Science 258, 478; Bjorbaek et al., 1995, J. Biol. Chem. 270, 18848; Rouse et al., 1994, Cell 78, 1027; Raingeaud et al., 1996, Mol. Cell Biol. 16, 1247; Raingeaud et al. 1996; Chen et al., 1993 Proc. Natl. Acad. Sci. USA 90, 10952; Oliver et al., 1995, Proc. Soc. Exp. Biol. Med. 210, 162; Moodie et al., 1993, Science 260, 1658; Frey and Mulder, 1997, Cancer Res. 57, 628; Sivaraman et al., 1997, J Clin. Invest. 99, 1478; Whelchel et al., 1997, Am. J. Respir. Cell Mol. Biol. 16, 589].
Еще один аспект настоящего изобретения относится к способу ингибирования активности ERK-2 в биологическом образце или у пациента и включает введение пациенту соединения формулы I или композиции, содержащей указанное соединение. Еще один аспект настоящего изобретения относится к способу лечения или профилактики АКТ-опосредованного заболевания ингибитором АКТ и включает введение пациенту, нуждающемуся в таком лечении, терапевтически эффективного количества соединения формулы I или содержащей его фармацевтической композиции.
Термин «АКТ-опосредованное заболевание» или «АКТ-опосредованное состояние» при использовании в данном описании означает всякое заболевание или другое ухудшенное состояние, в котором, как известно, играет роль АКТ. Термин «АКТ-опосредованное заболевание» или «АКТ-опосредованное состояние» означает также те заболевания или состояния, которые облегчает лечение ингибитором АКТ. АКТ-опосредованные заболевания или состояния включают, но не ограничиваются ими, пролиферативные нарушения, рак и нейродегенеративные нарушения. Связь АКТ, известной также как протеинкиназа В, с различными заболеваниями уже описана [Khwaja, A., Nature, pp. 33-34, 1990; Zang, Q.Y., et al, Oncogene, 19 2000; Kazuhiko, N., et al, The Journal of Neuroscience, 20 2000].
Еще один аспект настоящего изобретения относится к способу ингибирования активности AKT в биологическом образце или у пациента и включает введение пациенту соединения формулы I или композиции, содержащей указанное соединение.
Еще один аспект настоящего изобретения относится к способу лечения или профилактики Src-опосредованного заболевания ингибитором Src и включает введение пациенту, нуждающемуся в таком лечении, терапевтически эффективного количества соединения формулы I или содержащей его фармацевтической композиции. Термин «Scr-опосредованное заболевание» или «Scr-опосредованное состояние» при использовании в данном описании означает всякое заболевание или другое ухудшенное состояние, в котором, как известно, играет роль Src. Термин «Src-опосредованное заболевание» или «Src-опосредованное состояние» означает также те заболевания или состояния, которые облегчает лечение ингибитором Src. Такие состояния включают, но не ограничиваются ими, гиперкальцемию, остеопороз, остеоартрит, рак, симптоматическое лечение метастаза в кость и болезнь Педжета. Протеинкиназа Src и ее роль в различных заболеваниях уже описаны [Soriano, Cell, 69, 551 (1992); Soriano et al., Cell, 64, 693 (1991); Takayanagi, J. Clin. Invest., 104, 137 (1999); Boschelli, Drugs of the Future 2000, 25(7), 717, (2000); Talamonti, J. Clin. Invest., 91, 53 (1993); Lutz, Biochem. Biophys. Res. 243, 503 (1998); Rosen, J. Biol. Chem., 261, 13754 (1986); Bolen, Proc. Natl. Acad. Sci. USA, 84, 2251 (1987); Masaki, Hepatology, 27, 1257 (1998); Biscardi, Adv. Cancer Res., 76, 61 (1999); Lynch, Leukemia, 7, 1416 (1993); Wiener, Clin. Cancer Res., 5, 2164 (1999); Staley, Cell Growth Diff., 8, 269 (1997)].
Еще один аспект настоящего изобретения относится к способу ингибирования активности Src в биологическом образце или у пациента и включает введение пациенту соединения формулы I или композиции, содержащей указанное соединение.
Другой аспект настоящего изобретения относится к способу лечения или профилактики Lck-опосредованного заболевания ингибитором Lck и включает введение пациенту, нуждающемуся в таком лечении, терапевтически эффективного количества соединения формулы I или содержащей его фармацевтической композиции.
Термин «Lck-опосредованное заболевание» или «Lck-опосредованное состояние» при использовании в данном описании означает всякое болезненное состояние или другое ухудшенное состояние, в котором, как известно, играет роль Lck. Термин «Lck-опосредованное заболевание» или «Lck-опосредованное состояние» означает также те заболевания или состояния, которые облегчает лечение ингибитором Lck. Lck-опосредованные заболевания или состояния включают, но не ограничиваются ими, аутоимммунные заболевания, такие как отторжение трансплантата, аллергия, ревматоидный артрит и лейкоз. Связь Lck с различными заболеваниями уже описана [Molina et al., Nature, 357, 161 (1992)].
Еще один аспект настоящего изобретения относится к способу ингибирования активности Lck в биологическом образце или у пациента и включает введение пациенту соединения формулы I или композиции, содержащей указанное соединение.
Термин «фармацевтически приемлемый носитель, вспомогательное вещество или наполнитель» относится к нетоксическому носителю, вспомогательному веществу или наполнителю, которые можно вводить пациенту вместе с соединением по настоящему изобретению и которые не нарушают фармакологической активности указанного соединения.
Термин «пациент» включает человека и субъектов ветеринарии.
Термин «биологический образец» при использовании в данном описании включает, без ограничения, культуры клеток или их экстракты, препараты фермента, пригодного для исследования in vitro, биобтат, взятый у млекопитающего, или его экстракты и кровь, слюну, мочу, кал, сперму, слезы и другие жидкости организма или их экстракты.
Количество, эффективное для ингибирования протеинкиназы, например Aurora-2 и GSK-3, представляет собой количество, которое в значительной мере ингибирует активность киназы по сравнению с активностью фермента в отсутствие ингибитора. Для определения ингибирования можно использовать любой способ, такой как, например, в описанных ниже примерах биологических испытаний.
Фармацевтически приемлемые носители, которые могут быть использованы в указанных фармацевтических композициях, общеизвестны в данной области. Они включают, но не ограничиваются ими, ионообменники, оксид алюминия, стеарат алюминия, лецитин, сывороточные белки, такие как сывороточный альбумин человека, буферные вещества, такие как фосфаты, глицин, сорбиновую кислоту, сорбат калия, неполный глицерид, смеси насыщенных растительных жирных кислот, воду, соли или электролиты, такие как протаминсульфат, гидрофосфат динатрия, гидрофосфат калия, хлорид натрия, соли цинка, коллоидальный диоксид кремния, трисиликат магния, поливинилпирролидон, вещества на основе целлюлозы, полиэтиленгликоль, натрийкарбоксиметилцеллюлозу, полиакрилаты, воски, полиэтиленполиоксипропиленовые блок-полимеры, полиэтиленгликоль и ланолин.
Композиции по настоящему изобретению могут быть введены перорально, парентерально, с помощью аэрозоля для ингаляции, местно, ректально, назально, трансбуккально, вагинально или через имплантированный резервуар. Термин «парентеральный» включает подкожный, внутривенный, внутримышечный, внутрисуставной, интрасиновиальный, внутригрудинный, внутриоболочечный, внутрипеченочный, интралезиональный и интракраниальный способы инъекции или вливания. Предпочтительно композиции вводят перорально, внутрибрюшинно или внутривенно.
Стерильные инъекционные формы композиций по настоящему изобретению могут представлять собой водную или масляную суспензию. Указанные суспензии могут быть изготовлены известными в данной области способами с использованием подходящих диспергирующих или смачивающих средств и суспендирующих средств. Стерильный инъекционный препарат может быть также стерильным раствором или суспензией в нетоксическом парентерально приемлемом разбавителе или растворителе, например в виде раствора в 1,3-бутандиоле. Из приемлемых наполнителей и растворителей, которые могут быть использованы, можно указать воду, раствор Рингера и изотонический раствор хлорида натрия. Кроме того, в качестве растворителя или суспендирующей среды удобно использовать стерильные нелетучие масла. Для этой цели можно использовать любое легкое нелетучее масло, включая синтетические моно- или диглицериды. Пригодны для изготовления инъекционных лекарственных форм жирные кислоты, такие как олеиновая кислота и ее глицеридные производные, а также натуральные фармацевтически приемлемые масла, такие как оливковое или касторовое масло, в частности их полиоксиэтилированные версии. Указанные масляные растворы или суспензии могут также содержать длинноцепочечный спиртовой разбавитель или диспергатор, такой как карбоксиметилцеллюлоза, или подобные диспергирующие средства, которые обычно используют для изготовления фармацевтически приемлемых лекарственных форм, включающих эмульсии и суспензии. Для получения лекарственных форм можно также использовать другие обычно применяемые поверхностно-активные вещества, такие как Твины, Спаны и другие эмульгирующие средства или усилители биодоступности, которые обычно используют для изготовления фармацевтически приемлемых твердых, жидких или других лекарственных форм.
Фармацевтические композиции по настоящему изобретению могут быть введены перорально в виде любой приемлемой для перорального применения лекарственной формы, включая, но не ограничиваясь ими, капсулы, таблетки, водные суспензии или растворы. В случае таблеток для перорального применения обычно используемые носители включают лактозу и кукурузный крахмал. Обычно добавляют также смазывающие вещества, такие как стеарат магния. Для перорального введения в форме капсул подходящие разбавители включают лактозу и высушенный кукурузный крахмал. Когда для перорального применения нужны водные суспензии, активный компонент смешивают с эмульгирующим и суспендирующим веществами. При необходимости могут быть также добавлены любые подслащивающие, корригирующие или красящие вещества.
Фармацевтические композиции по настоящему изобретению могут быть также введены в форме суппозиториев для ректального применения. Суппозитории могут быть изготовлены смешиванием активного компонента с подходящим нераздражающим индифферентным веществом, которое является твердым при комнатной температуре, но жидким при температуре в прямой кишке и, следовательно, будет плавиться в прямой кишке с высвобождением лекарственного вещества. Такие материалы включают масло какао, пчелиный воск и полиэтиленгликоль.
Фармацевтические композиции по настоящему изобретению могут быть также введены местно, в частности, когда целью лечения являются места или органы, легко доступные для местного применения, например при болезнях глаз, кожи или нижней части кишечного тракта. Подходящие лекарственные формы для местного применения легко получают для каждого из указанных мест или органов.
Местное применение для нижней части кишечного тракта может быть осуществлено посредством ректальной лекарственной формы в виде суппозитория (смотри выше) или посредством подходящего состава для клизмы. Можно также использовать пластыри для местного чрескожного введения.
Для местного применения фармацевтические композиции могут быть изготовлены в виде подходящей мази, содержащей активный компонент, суспендированный или растворенный в одном или нескольких носителях. Носители для местного введения соединений по настоящему изобретению включают, но не ограничиваются ими, минеральное масло, вазелиновое масло, белый вазелин, пропиленгликоль, полиоксиэтилен, полиоксипропилен, эмульгирующий воск и воду. В соответствии с другим вариантом фармацевтические композиции могут быть изготовлены в подходящей форме лосьона или крема, содержащего активные компоненты, суспендированные или растворенные в одном или нескольких фармацевтически приемлемых носителях. Подходящие носители включают, но не ограничиваются ими, минеральное масло, сорбитанмоностеарат, полисорбат 60, воск из сложных цетиловых эфиров, цетеариловый спирт, 2-октилдодеканол, бензиловый спирт и воду.
Для офтальмологического применения фармацевтические композиции могут быть изготовлены в форме тончайших суспензий в изотоническом стерильном солевом растворе с отрегулированным рН или, предпочтительно, в виде растворов в изотоническом стерильном солевом растворе с отрегулированным рН с консервантом, таким как хлорид бензилалкония, или без него. В соответствии с другим вариантом фармацевтические композиции для офтальмологического применения могут быть изготовлены в виде мази, такой как вазелин.
Фармацевтические композиции по настоящему изобретению могут быть также введены путем аэрозольного распыления в нос или путем ингаляции. Такие композиции получают в соответствии с технологией, хорошо известной в области изготовления лекарственных форм, и они могут быть изготовлены в виде растворов в солевом растворе с использованием бензилового спирта или других подходящих консервантов, промоторов абсорбции для улучшения биодоступности, фторуглеродов и/или других традиционных солюбилизирующих или диспергирующих веществ.
Помимо соединений по настоящему изобретению в композициях для лечения и профилактики указанных выше заболеваний и нарушений могут быть также использованы фармацевтически приемлемые производные или пролекарства соединений по настоящему изобретению.
«Фармацевтически приемлемое производное или пролекарство» означает любое фармацевтически приемлемое производное в виде соли, сложного эфира, соли сложного эфира или другого производного соединения по настоящему изобретению, которое при введении реципиенту способно давать, прямо или косвенно, соединение по настоящему изобретению или ингибиторно активный метаболит или его остаток. Особенно подходящими производными или пролекарствами являются те, которые повышают биодоступность соединений по настоящему изобретению при введении их пациенту (например, обеспечивая перорально введенному соединению возможность более легкого всасывания в кровь) или улучшают доставку исходного соединения в биологические мишени (например, головной мозг или лимфатическую систему) относительно других исходных видов соединения.
Фармацевтически приемлемые пролекарства соединений по настоящему изобретению включают, без ограничения, сложные эфиры, аминокислотные сложные эфиры, фосфатные сложные эфиры, соли металлов, сульфонатные сложные эфиры, карбаматы и амиды.
Фармацевтически приемлемые соли соединений по настоящему изобретению включают соли, полученные с фармацевтически приемлемыми неорганическими и органическими кислотами и основаниями. Примеры подходящих кислотных солей включают ацетат, адипат, альгинат, аспартат, бензоат, бензолсульфонат, бисульфат, бутират, цитрат, камфорат, камфорсульфонат, циклопентанпропионат, диглюконат, додецилсульфат, этансульфонат, формиат, фумарат, глюкогептаноат, глицерофосфат, гликолат, гемисульфат, гептаноат, гексаноат, гидрохлорид, гидробромид, гидроиодид, 2-гидроксиэтансульфонат, лактат, малеат, малонат, метансульфонат, 2-нафталинсульфонат, никотинат, нитрат, оксалат, пальмоат, пектинат, персульфат, 3-фенилпропионат, фосфат, пикрат, пивалат, пропионат, салицилат, сукцинат, сульфат, тартрат, тиоцианат, тозилат и ундеканоат. Другие кислоты, например щавелевая, хотя сами и не являются фармацевтически приемлемыми, могут быть использованы для получения солей, полезных в качестве промежуточных соединений для получения соединений по настоящему изобретению и их фармацевтически приемлемых кислотно-аддитивных солей.
Соли, полученные с подходящими основаниями, включают соли щелочных металлов (например, натрия и калия), соли щелочноземельных металлов (например, магния), соли аммония и соли N+(С1-4 алкил)4. Настоящее изобретение предусматривает также кватернизацию оснувных азотсодержащих групп соединений по настоящему изобретению. Путем такой кватернизации могут быть получены продукты, растворимые в воде или масле, или диспергируемые продукты.
Количество ингибитора протеинкиназы, которое может быть смешано с носителем для получения разовой лекарственной формы, может изменяться в зависимости от подвергаемого лечению пациента и от конкретного способа введения. Предпочтительно композиции должны быть приготовлены таким образом, чтобы пациенту, принимающему указанные композиции, можно было вводить дозу ингибитора в диапазоне 0,01-100 мг/кг массы тела/сутки. Следует также учесть, что конкретная доза и назначаемый режим лечения конкретного пациента будет зависеть от множества факторов, включающих активность конкретного применяемого соединения, возраст, массу тела, общее состояние здоровья, пол, режим питания, время введения, скорость выведения, комбинацию лекарств и оценку лечащего врача и тяжесть конкретной болезни, подлежащей лечению. Количество ингибитора будет зависеть также от конкретного соединения в композиции.
В зависимости от конкретного опосредованного протеинкиназой состояния, которое нужно лечить или предупреждать, вместе с ингибиторами по настоящему изобретению могут быть введены дополнительные лекарственные средства, которые обычно вводят для лечения или предупреждения данного состояния. Например, при лечении рака, вместе с предлагаемыми соединениями для лечения рака, могут быть скомбинированы другие химиотерапевтические средства или другие антипролиферативные средства. Такие средства включают, но не ограничиваются ими, адриамицин, дексаметазон, винкристин, циклофосфамид, фторурацил, топотекан, таксол, интерфероны и производные платины.
Другие примеры средств, с которыми также могут быть скомбинированы ингибиторы по настоящему изобретению, включают, но не ограничиваются ими, средства для лечения диабета, такие как инсулин или аналоги инсулина, в форме, пригодной для инъекции или ингаляции, глитазоны, ингибиторы альфа-глюкозидазы, бигуаниды, сенсибилизаторы инсулина и сульфонилмочевины; противовоспалительные средства, такие как кортикостероиды, блокаторы TNF, IL-1 RA, азатиоприн, циклофосфамид и сульфасалазин; иммуномоделирующие и иммуносупрессивные средства, такие как циклоспорин, такролимус, рапамицин, мукофенолят мофетил, интерфероны, кортикостероиды, циклофосфамид, азатиоприн и сульфасалазин; нейротрофические факторы, такие как ингибиторы ацетилхолинэстеразы, ингибиторы МАО, интерфероны, противосудорожные средства, блокаторы ионных каналов, рилузол и средства против болезни Паркинсона; средства для лечения сердечно-сосудистого заболевания, такие как бета-блокаторы, ингибиторы АПФ (АСЕ), диуретики, нитраты, блокаторы кальциевых каналов и статины; средства для лечения болезни печени, такие как кортикостероиды, холестирамин, интерфероны и противовирусные средства; средства для лечения заболевания крови, такие как кортикостероиды, противолейкозные средства и ростовые факторы, и средства для лечения иммунодефицитных нарушений, такие как гаммаглобулин.
Указанные дополнительные средства могут быть введены отдельно от композиции, содержащей ингибитор протеинкиназы, как часть схемы приема нескольких лекарственных средств. В соответствии с другим вариантом указанные средства могут быть частью разовой лекарственной формы, смешанной с ингибитором протеинкиназы по настоящему изобретению в одной композиции.
Соединения по настоящему изобретению могут существовать в альтернативных таутомерных формах, как таутомеры i и ii, показанных ниже. Если не указано иное, представление одного таутомера подразумевает и включение другого.
Rx и Ry могут быть взяты вместе с образованием конденсированного кольца, что дает бициклическую кольцевую систему, содержащую кольцо А. Предпочтительные кольца Rх/Ry включают 5-, 6- или 7-членное ненасыщенное или частично ненасыщенное кольцо, имеющее 0-2 гетероатома, причем указанное кольцо Rх/Ry является необязательно замещенным. Ниже показаны примеры бициклических систем, содержащих кольцо А, в виде соединений I-A - I-ВВ, где Z1 представляет собой азот или С(R8) и Z2 представляет собой азот или С(Н).
Предпочтительные бициклические системы с кольцом А включают I-A, I-B, I-C, I-D, I-E, I-F, I-I, I-J, I-K, I-P, I-Q, I-V и I-U, более предпочтительно I-A, I-B, I-D, I-E, I-J, I-P и I-V и наиболее предпочтительно I-A, I-B, I-D, I-E и I-J.
В моноциклической кольцевой системе А предпочтительные группы Rх, когда они присутствуют, включают водород, алкил- или диалкиламино, ацетамидо или С1-4 алифатическую группу, такую как метил, этил, циклопропил или изопропил. Предпочтительные группы Ry, когда они присутствуют, включают T-R3 или L-Z-R3, где T представляет собой связь или метилен, L представляет собой -О-, -S-, -C(R6)2О-, -CO- или -N(R4)- и R3 представляет собой -R, -N(R4)2 или -OR. Предпочтительные группы Ry включают 5-6-членные гетероарильные или гетероциклильные кольца, такие как 2-пиридил, 4-пиридил, пирролидинил, пиперидинил, морфолинил или пиперазинил; С1-6 алифатическую группу, такую как метил, этил, циклопропил, изопропил или трет-бутил; алкоксиалкиламино, такой как метоксиэтиламино; алкоксиалкил, такой как метоксиметил или метоксиэтил; алкил- или диалкиламино, такой как этиламино или диметиламино; алкил- или диалкиламиноалкокси, такой как диметиламинопропилокси; ацетамидо и необязательно замещенный фенил, такой как фенил или галогензамещенный фенил.
В бициклической системе с кольцом А кольцо, образованное взятыми вместе Rх и Ry, может быть замещенным или незамещенным. Подходящие заместители включают -R, галоген, -О(СН2)2-4-N(R4)2, -О(СН2)2-4-R, -OR, -N(R4)-(CH2)2-4-N(R4)2, -N(R4)-(CH2)2-4-R, C(=O)R, -CO2R, -COCOR, -NO2, -CN, -S(O)R, -SO2R, -SR, -N(R4)2, -CON(R4)2, -SO2N(R4)2, -OC(=O)R, -N(R4)COR, -N(R4)CO2(необязательно замещенная С1-6 алифатическая группа), -N(R4)N(R4)2, -C=NN(R4)2, -C=N-OR, -N(R4)CON(R4)2, -N(R4)SO2N(R4)2, -N(R4)SO2R или -OC(=O)N(R4)2, где R и R4 - такие, как определенные выше. Предпочтительные заместители в кольце Rх/Ry включают галоген, -R, -OR, -COR, -CO2R, -CON(R4)2, -CN, -О(СН2)2-4-N(R4)2, -О(СН2)2-4-R, -NO2, -N(R4)2, -NR4COR, -NR4SO2R, -SO2N(R4)2, где R представляет собой водород или необязательно замещенную С1-6 алифатическую группу.
R2 и R2' могут быть взяты вместе с образованием конденсированного кольца, что дает бициклическую кольцевую систему, содержащую пиразольное кольцо. Предпочтительные конденсированные кольца включают бензо, пиридо, пиримидо и частично ненасыщенное 6-членное карбоциклическое кольцо, причем указанное конденсированное кольцо является необязательно замещенным. Примеры указанных конденсированных колец представлены в следующих соединениях формулы I, имеющих пиразолсодержащую бициклическую кольцевую систему:
Предпочтительные заместители в конденсированном кольце R2-R2' включают один или несколько из следующих заместителей: галоген, -N(R4)2, -С1-3 алкил, -С1-3 галогеналкил, -NO2, -О(С1-3 алкил), -CO2(С1-3 алкил), -CN, -SO2(С1-3 алкил), -SO2NH2, -OC(О)NH2, -NH2SO2(C1-3 алкил), -NHC(O)(С1-3 алкил), -C(О)NH2 и -CO(C1-3 алкил), где (C1-3 алкил) наиболее предпочтительно представляет собой метил.
Когда пиразольная кольцевая система является моноциклической, предпочтительные группы R2 включают водород, С1-4 алифатическую группу, алкоксикарбонил, (не)замещенный фенил, гидроксиалкил, алкоксиалкил, аминокарбонил, моно- или диалкиламинокарбонил, аминоалкил, алкиламиноалкил, диалкиламиноалкил, фениламинокарбонил и (N-гетероциклил)карбонил. Примеры таких предпочтительных заместителей R2 включают метил, циклопропил, этил, изопропил, пропил, трет-бутил, циклопентил, фенил, CO2H, CO2CH3, CH2OH, CH2OCH3, CH2CH2CH2OH, CH2CH2CH2OCH3, CH2СН2CH2OCH2Ph, CH2CH2CH2NH2, CH2CH2CH2NHCOOC(CH3)3, CONHCH(CH3)2, CONHCH2CH=CH2, CONHCH2CH2OCH3, CONHCH2Ph, CONH(циклогексил), CON(Et)2, CON(CH3)CH2Ph, CONH(н-C3H7), CON(Et)CH2CH2CH3, CONHCH2CH(CH3)2, CON(н-C3H7)2, CO(3-метоксиметилпирролидин-1-ил), CONH(3-толил), CONH(4-толил), CONHCH3, CO(морфолин-1-ил), CO(4-метилпиперазин-1-ил), CONHCH2CH2OH, CONH2 и CO(пиперидин-l-ил). Предпочтительной группой R2' является водород.
Вариант, который особенно полезен для лечения Aurora-2-опосредованных заболеваний, относится к соединениям формулы IIa:
или их фармацевтически приемлемым производным или пролекарствам, где:
Rx и Ry объединены вместе с их промежуточными атомами с образованием конденсированного ненасыщенного или частично ненасыщенного 5-7-членного кольца, имеющего 0-3 кольцевых гетероатома, выбранных из кислорода, серы или азота, причем каждый замещаемый углерод в указанном конденсированном кольце, образованном радикалами Rx и Ry, независимо замещен оксогруппой, Т-R3 или L-Z-R3 и каждый замещаемый азот в указанном кольце, образованном радикалами Rx и Ry, независимо замещен радикалом R4;
R1 представляет собой Т-(кольцо D);
кольцо D представляет собой 5-7-членное моноциклическое кольцо или 8-10-членное бициклическое кольцо, выбранное из арильного, гетероарильного, гетероциклильного или карбоциклильного колец, из которых гетероарильное или гетероциклильное кольцо содержит 1-4 кольцевых гетероатома, выбранных из азота, кислорода или серы, причем каждый замещаемый углерод кольца D независимо замещен оксогруппой, Т-R5 или V-Z-R5 и каждый замещаемый азот кольца D независимо замещен группой -R4;
Т представляет собой связь или С1-4 алкилиденовую цепь;
Z представляет собой С1-4 алкилиденовую цепь;
L представляет собой -О-, -S-, -SO-, -SO2-, -N(R6)SO2-, -SO2N(R6)-, -N(R6)-, -CO-, -CO2-, -N(R6)CO-, -N(R6)C(O)O-, -N(R6)CON(R6)-, -N(R6)SO2N(R6)-, -N(R6)N(R6)-, -C(О)N(R6)-, -OC(О)N(R6)-, -C(R6)2О-, -C(R6)2S-, -C(R6)2SO-, -C(R6)2SO2-, -C(R6)2SO2N(R6)-, -C(R6)2N(R6)-, -C(R6)2N(R6)C(О)-, -C(R6)2N(R6)C(О)О-, -C(R6)=NN(R6)-, -C(R6)=N-О-, -C(R6)2N(R6)N(R6)-, -C(R6)2N(R6)SO2N(R6)- или -C(R6)2N(R6)CON(R6)-;
R2 и R2' независимо выбраны из -R, -T-W-R6, или R2 и R2' объединены вместе с их промежуточными атомами с образованием конденсированного 5-8-членного ненасыщенного или частично ненасыщенного кольца, имеющего 0-3 кольцевых гетероатома, выбранных из азота, кислорода или серы, причем каждый замещаемый углерод в указанном конденсированном кольце, образованном радикалами R2 и R2', независимо замещен галогеном, оксогруппой, -CN, -NO2, -R7 или -V-R6 и каждый замещаемый азот в указанном кольце, образованном радикалами R2 и R2', независимо замещен радикалом R4;
R3 выбран из -R, галогена, -OR, -C(=O)R, -CO2R, -COCOR, -COCH2COR, -NO2, -CN, -S(O)R, -S(O)2R, -SR, -N(R4)2, -CON(R7)2, -SO2N(R7)2, -OC(=O)R, -N(R7)COR, -N(R7)CO2(С1-6 алифатическая группа), -N(R4)N(R4)2, -C=NN(R4)2, -C=N-OR, -N(R7)CON(R7)2, -N(R7)SO2N(R7)2, -N(R4)SO2R или -OC(=O)N(R7)2;
каждый R независимо выбран из водорода или необязательно замещенной группы, выбранной из С1-6 алифатической группы, С6-10 арила, гетероарильного кольца, имеющего 5-10 кольцевых атомов, или гетероциклильного кольца, имеющего 5-10 кольцевых атомов;
каждый R4 независимо выбран из -R7, -COR7, -CO2(необязательно замещенная С1-6 алифатическая группа), -CON(R7)2 или -SO2R7;
каждый R5 независимо выбран из -R, галогена, -OR, -C(=O)R, -CO2R, -COCOR, -NO2, -CN, -S(O)R, -SO2R, -SR, -N(R4)2, -CON(R4)2, -SO2N(R4)2, -OC(=O)R, -N(R4)COR, -N(R4)CO2(необязательно замещенная С1-6 алифатическая группа), -N(R4)N(R4)2, -C=NN(R4)2, -C=N-OR, -N(R4)CON(R4)2, -N(R4)SO2N(R4)2, -N(R4)SO2R или -OC(=O)N(R4)2;
V представляет собой -О-, -S-, -SO-, -SO2-, -N(R6)SO2-, -SO2N(R6)-, -N(R6)-, -CO-, -CO2-, -N(R6)CO-, -N(R6)C(O)O-, -N(R6)CON(R6)-, -N(R6)SO2N(R6)-, -N(R6)N(R6)-, -C(О)N(R6)-, -OC(О)N(R6)-, -C(R6)2О-, -C(R6)2S-, -C(R6)2SO-, -C(R6)2SO2-, -C(R6)2SO2N(R6)-, -C(R6)2N(R6)-, -C(R6)2N(R6)C(О)-, -C(R6)2N(R6)C(О)О-, -C(R6)=NN(R6)-, -C(R6)=N-О-, -C(R6)2N(R6)N(R6)-, -C(R6)2N(R6)SO2N(R6)- или -C(R6)2N(R6)CON(R6)-;
W представляет собой -C(R6)2О-, -C(R6)2S-, -C(R6)2SO-, -C(R6)2SO2-, -C(R6)2SO2N(R6)-, -C(R6)2N(R6)-, -CO-, -CO2-, -C(R6)OC(О)-, -C(R6)OC(О)N(R6)-, -C(R6)2N(R6)CO-, -C(R6)2N(R6)C(О)О-, -C(R6)=NN(R6)-, -C(R6)=N-О-, -C(R6)2N(R6)N(R6)-, -C(R6)2N(R6)SO2N(R6)-, -C(R6)2N(R6)CON(R6)- или -CON(R6)-;
каждый R6 независимо выбран из водорода или необязательно замещенной С1-4 алифатической группы, или две группы R6 у одного и того же атома азота могут быть объединены вместе с атомом азота с образованием 5-6-членного гетероциклильного или гетероарильного кольца; и
каждый R7 независимо выбран из водорода или необязательно замещенной С1-6 алифатической группы или два R7 у одного и того же атома азота объединены вместе с атомом азота с образованием 5-8-членного гетероциклильного или гетероарильного кольца.
Предпочтительные кольца, образованные радикалами Rх и Ry, включают 5-, 6- или 7-членное ненасыщенное или частично ненасыщенное кольцо, имеющее 0-2 гетероатома, причем указанное кольцо Rх/Ry является необязательно замещенным. Это дает бициклическую кольцевую систему, содержащую пиримидиновое кольцо. Примеры предпочтительных пиримидиновых кольцевых систем формулы IIa показаны ниже.
Более предпочтительные пиримидиновые кольцевые системы формулы IIa включают IIa-A, IIa-B, IIa-D, IIa-Е, IIa-J, IIa-P и IIa-V, наиболее предпочтительно IIa-A, IIa-B, IIa-D, IIa-E и IIa-J.
Кольцо, образованное взятыми вместе Rх и Ry, может быть замещенным или незамещенным. Подходящие заместители включают -R, галоген, -О(СН2)2-4-N(R4)2, -О(СН2)2-4-R, -OR, -N(R4)-(CH2)2-4-N(R4)2, -N(R4)-(CH2)2-4-R, C(=O)R, -CO2R, -COCOR, -NO2, -CN, -S(O)R, -SO2R, -SR, -N(R4)2, -CON(R4)2, -SO2N(R4)2, -OC(=O)R, -N(R4)COR, -N(R4)CO2(необязательно замещенная С1-6 алифатическая группа), -N(R4)N(R4)2, -C=NN(R4)2, -C=N-OR, -N(R4)CON(R4)2, -N(R4)SO2N(R4)2, -N(R4)SO2R или -OC(=O)N(R4)2, где R и R4 - такие как определенные выше. Предпочтительные заместители в кольце Rх/Ry включают галоген, -R, -OR, -COR, -CO2R, -CON(R4)2, -CN, -О(СН2)2-4-N(R4)2, -О(СН2)2-4-R, -NO2, -N(R4)2, -NR4COR, -NR4SO2R, -SO2N(R4)2, где R представляет собой водород или необязательно замещенную С1-6 алифатическую группу.
Группы R2 и R2' в формуле IIa могут быть взяты вместе с образованием конденсированного кольца, что дает бициклическую кольцевую систему, содержащую пиразольное кольцо. Предпочтительные конденсированные кольца включают бензольное, пиридиновое, пиримидиновое и частично ненасыщенное 6-членное карбоциклическое кольца. Примеры указанных конденсированных колец представлены в следующих соединениях формулы IIa, имеющих пиразолсодержащую бициклическую кольцевую систему:
Предпочтительные заместители в конденсированном кольце R2/R2' формулы IIa включают один или несколько из следующих заместителей: галоген, -N(R4)2, -С1-4 алкил, -С1-4 галогеналкил, -NO2, -О(С1-4 алкил), -CO2(С1-4 алкил), -CN, -SO2(С1-4 алкил), -SO2NH2, -OC(О)NH2, -NH2SO2(C1-4 алкил), -NHC(O)(С1-4 алкил), -C(О)NH2 и -CO(C1-4 алкил), где (C1-4 алкил) представляет собой неразветвленную, разветвленную или циклическую алкильную группу. Предпочтительно С1-4 алкильная группа представляет собой метил или этил.
Когда пиразольная кольцевая система формулы IIa является моноциклической, предпочтительные группы R2 включают водород или замещенную или незамещенную группу, выбранную из арильной, гетероарильной или С1-6 алифатической группы. Примеры таких предпочтительных групп R2 включают Н, метил, этил, пропил, циклопропил, изопропил, циклопентил, гидроксипропил, метоксипропил и бензилоксипропил. Предпочтительной группой R2' является водород.
Когда кольцо D формулы IIa является моноциклическим, предпочтительные группы кольца D включают фенил, пиридил, пиридазинил, пиримидинил и пиразинил.
Когда кольцо D формулы IIa является бициклическим, предпочтительные группы бициклического кольца D включают нафтил, тетрагидронафтил, инданил, бензимидазолил, хинолинил, индолил, изоиндолил, индолинил, бензо[b]фурил, бензо[b]тиофенил, индазолил, бензотиазолил, циннолинил, фталазинил, хиназолинил, хиноксазолинил, 1,8-нафтиридинил и изохинолинил.
В кольце D формулы IIa предпочтительные заместители Т-R5 или V-Z-R5 включают галоген, -CN, -NO2, -N(R4)2, необязательно замещенную С1-6 алифатическую группу, -OR, -C(О)R, -CO2R, -CONH(R4), -N(R4)COR, -N(R4)CO2R, -SO2N(R4)2, -N(R4)SO2R, -N(R6)COCH2N(R4)2, -N(R6)СОСН2СН2N(R4)2 и -N(R6)СОСН2СН2СН2N(R4)2, где R выбран из водорода, С1-6 алифатической группы, фенила, 5-6-членного гетероарильного кольца или 5-6-членного гетероциклического кольца. Более предпочтительные заместители R5 включают -Cl, -Br, -F, -CN, -CF3, -COOH, -CONHMe, -CONHEt, -NH2, -NHAc, -NHSO2Ме, -NHSO2Et, -NHSO2(н-пропил), -NHSO2(изопропил), -NHCOEt, -NHCOCH2NHCH3, -NHCOCH2N(CO2t-Bu)СН3, -NHCOCH2N(СН3)2, -NHCOCH2СН2N(СН3)2, -NHCOCH2СН2СН2N(СН3)2, -NHCO(циклопропил), -NHCO(изобутил), -NHCOCH2(морфолин-4-ил), -NHCOCH2СН2(морфолин-4-ил), -NHCOCH2СН2СН2(морфолин-4-ил), -NHCO2(трет-бутил), -NH(С1-4 алифатическую группу), такую как -NHMe, N(C1-4 алифатическую группу)2, такую как -NMe2, ОН, -O(C1-4 алифатическую группу), такую как -OMe, C1-4 алифатическую группу, такую как метил, этил, циклопропил, изопропил или трет-бутил, и -СО2(С1-4 алифатическую группу).
Предпочтительные соединения формулы IIa имеют один или несколько, а более предпочтительно все признаки, выбранные из следующих:
(а) Rx и Ry взяты вместе с их промежуточными атомами с образованием конденсированного ненасыщенного или частично ненасыщенного 5-6-членного кольца, имеющего 0-2 гетероатома, выбранных из кислорода, серы или азота, причем каждый замещаемый кольцевой углерод в указанном конденсированном кольце, образованном радикалами Rx и Ry, независимо замещен оксогруппой, Т-R3 или L-Z-R3 и каждый замещаемый кольцевой азот в указанном кольце, образованном радикалами Rx и Ry, независимо замещен радикалом R4;
(b) R1 представляет собой Т-(кольцо D), где Т представляет собой связь или метиленовое звено;
(с) кольцо D представляет собой 5-7-членное моноциклическое кольцо или 8-10-членное бициклическое кольцо, выбранное из арильного или гетероарильного кольца;
(d) R2 представляет собой -R или -T-W-R6, и R2' представляет собой водород; или R2 и R2' взяты вместе друг с другом с образованием необязательно замещенного бензольного кольца; и
(е) R3 выбран из -R, галогена, -OR или -N(R4)2.
Более предпочтительные соединения формулы IIa имеют один или несколько, а более предпочтительно все признаки, выбранные из следующих:
(a) Rx и Ry взяты вместе друг с другом с образованием бензольного, пиридинового, циклопентильного, циклогексильного, циклогептильного, тиенильного, пиперидинового или имидазольного кольца;
(b) R1 представляет собой Т-(кольцо D), где Т представляет собой связь и кольцо D представляет собой 5-6-членное моноциклическое кольцо или 8-10-членное бициклическое кольцо, выбранное из арильного или гетероарильного кольца;
(с) R2 представляет собой -R, и R2' представляет собой водород, причем R выбран из водорода, С1-6 алифатической группы, фенила, 5-6-членного гетероарильного кольца или 5-6-членного гетероциклического кольца; и
(d) R3 выбран из -R, галогена, -OR или -N(R4)2, причем R выбран из водорода, С1-6 алифатической группы, 5-6-членного гетероциклила, фенила или 5-6-членного гетероарила и L представляет собой -О-, -S- или -N(R4)-.
Еще более предпочтительные соединения формулы IIa имеют один или несколько, а более предпочтительно все признаки, выбранные из следующих:
(a) Rx и Ry взяты вместе друг с другом с образованием бензольного, пиридинового, пиперидинового или циклогексильного кольца;
(b) R1 представляет собой Т-(кольцо D), где Т представляет собой связь и кольцо D представляет собой 5-6-членное арильное или гетероарильное кольцо;
(с) R2 представляет собой водород или С1-4 алифатическую группу, и R2' представляет собой водород;
(d) R3 выбран из -R, -OR или -N(R4)2, причем R выбран из водорода, С1-6 алифатической группы, 5-6-членного гетероциклила, фенила или 5-6-членного гетероарила и L представляет собой -О-, -S- или -NH-; и
(е) кольцо D замещено заместителями в количестве до трех, выбранными из галогена, -CN, -NO2, -N(R4)2, необязательно замещенной С1-6 алифатической группы, -OR, -C(О)R, -CO2R, -CONH(R4), -N(R4)COR, -N(R4)CO2R, -SO2N(R4)2, -N(R4)SO2R, -N(R6)COCH2N(R4)2, -N(R6)СОСН2СН2N(R4)2 или -N(R6)СОСН2СН2СН2N(R4)2, где R выбран из водорода, С1-6 алифатической группы, фенила, 5-6-членного гетероарильного кольца или 5-6-членного гетероциклического кольца.
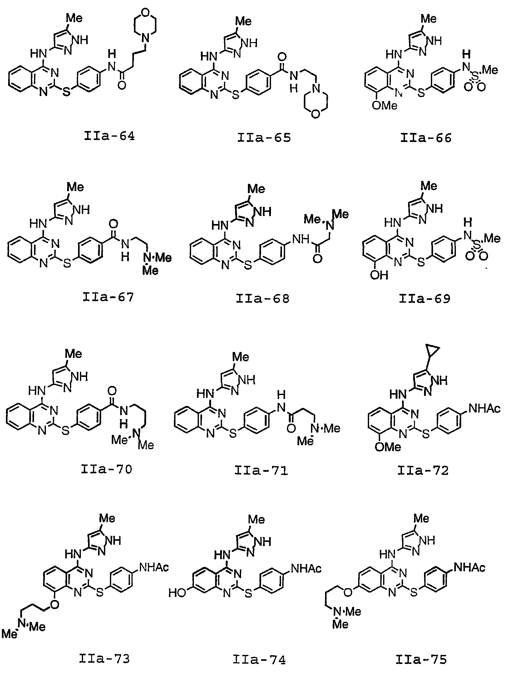
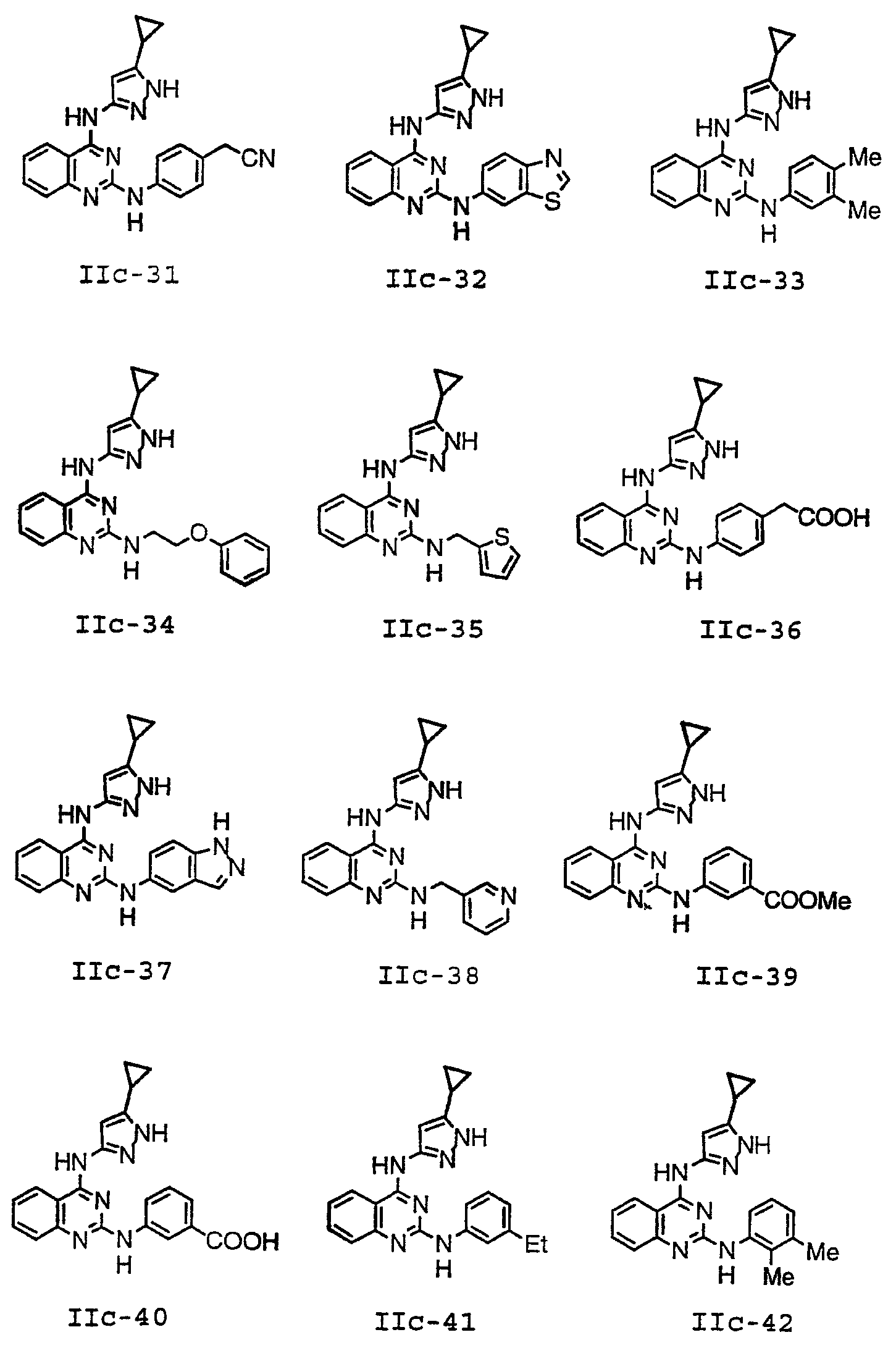
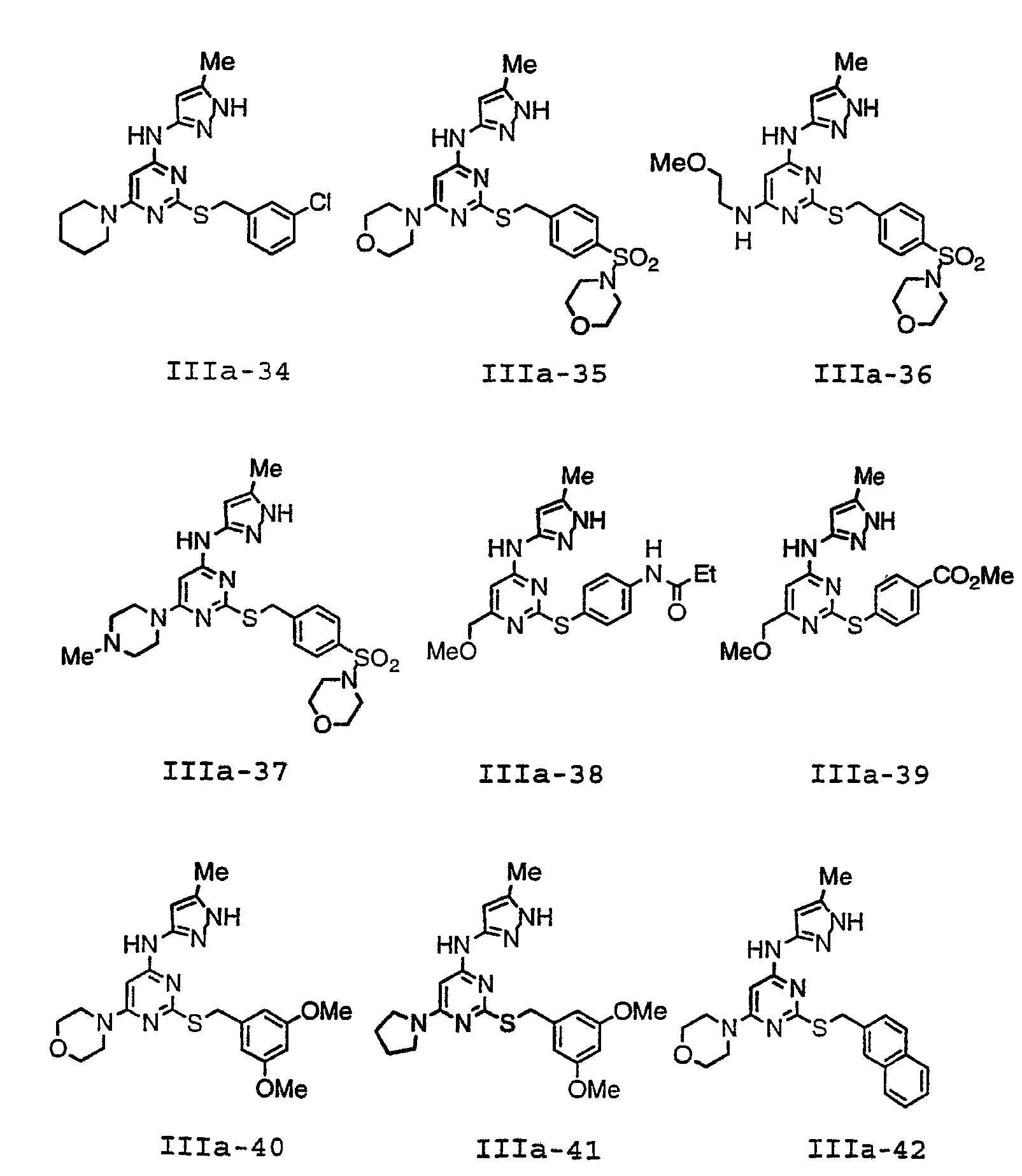
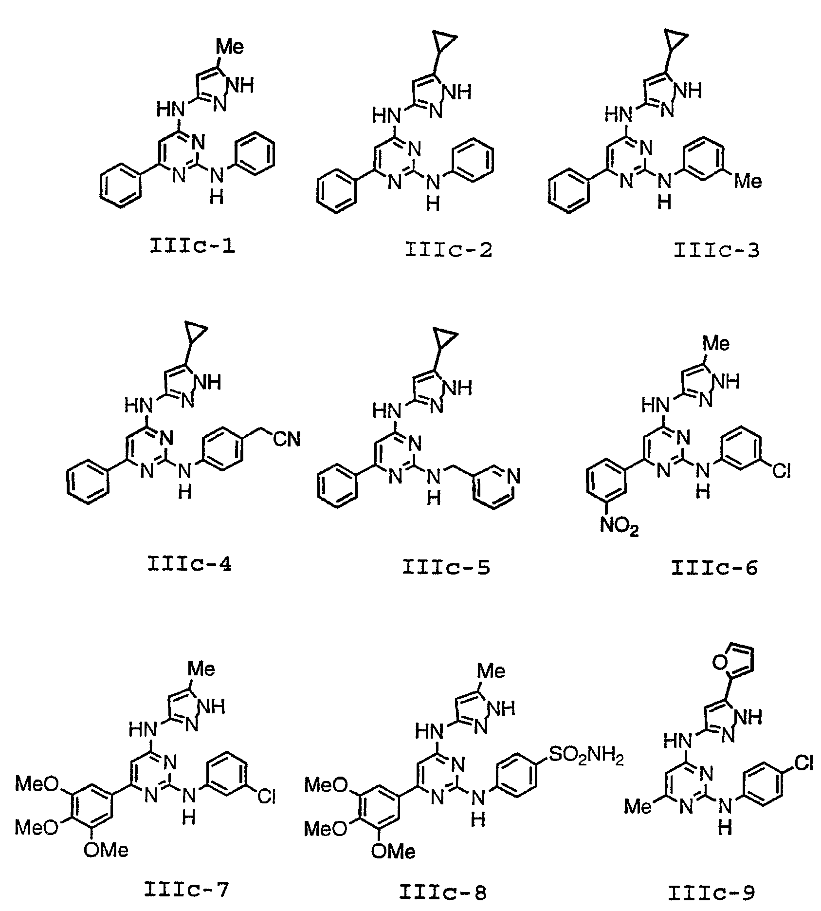
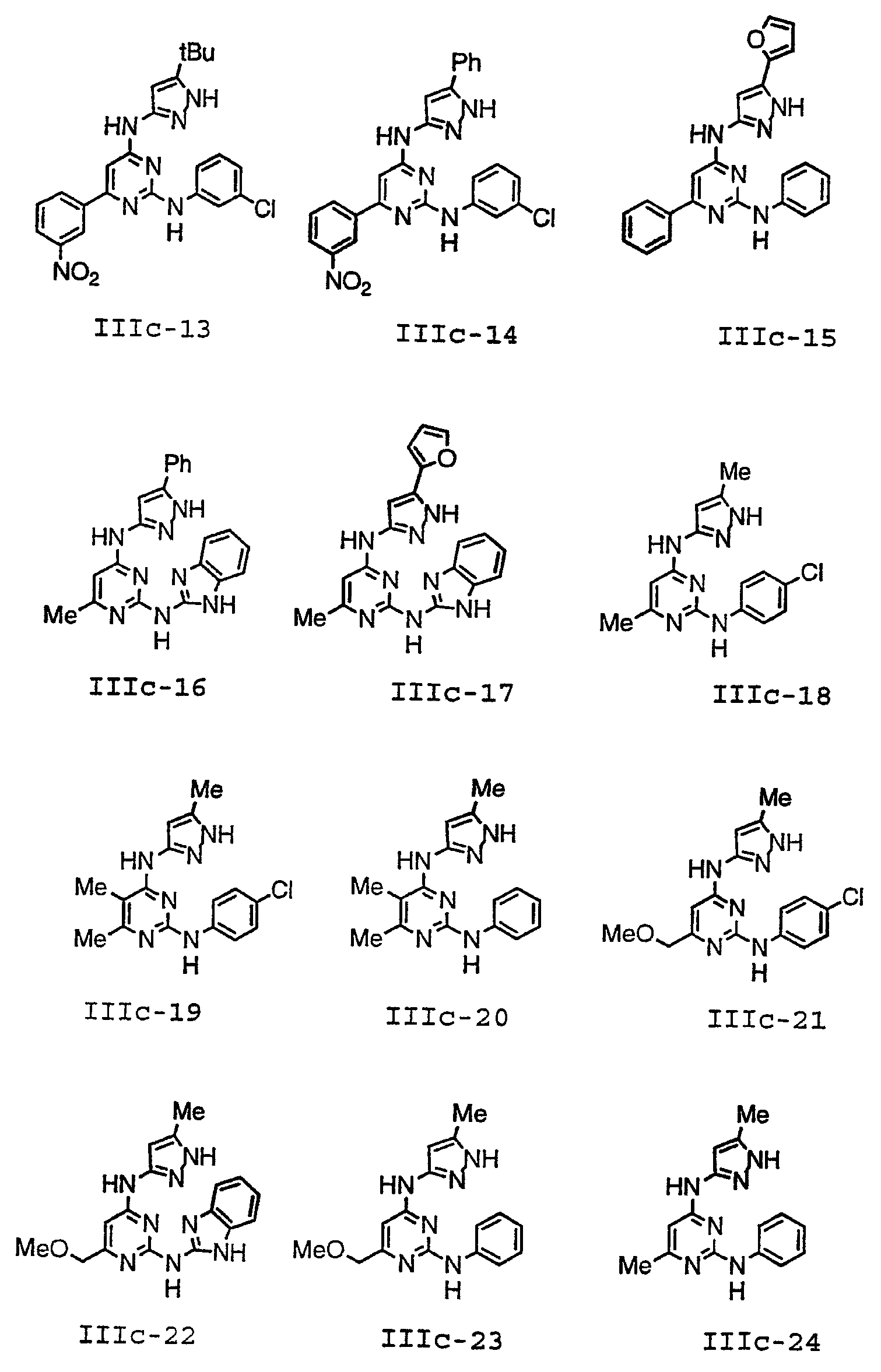
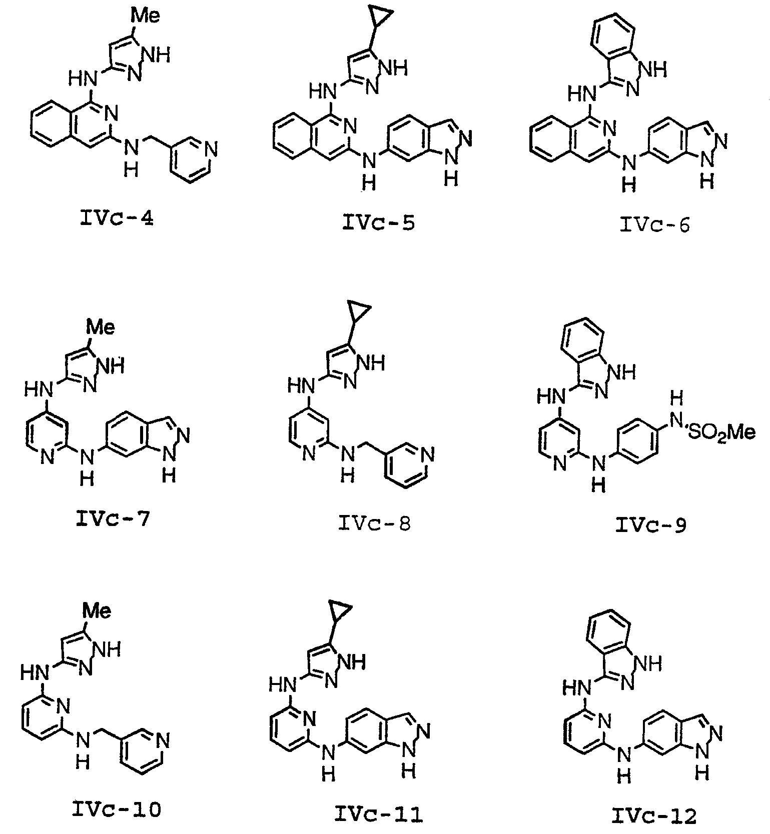
Характерные соединения формулы IIa показаны ниже в таблице 1.
Таблица 1
В другом аспекте настоящее изобретение относится к композиции, содержащей соединение формулы IIa и фармацевтически приемлемый носитель.
Другой аспект настоящего изобретения относится к способу лечения или профилактики Aurora-2-опосредованного заболевания ингибитором Aurora-2 и включает введение пациенту, нуждающемуся в таком лечении, терапевтически эффективного количества соединения формулы IIa или содержащей его фармацевтической композиции.
Еще один аспект настоящего изобретения относится к способу ингибирования активности Aurora-2 у пациента, включающему введение пациенту соединения формулы IIa или композиции, содержащей указанное соединение.
Еще один аспект настоящего изобретения относится к способу лечения или профилактики GSK-3-опосредованного заболевания ингибитором GSK-3, включающему введение пациенту, нуждающемуся в таком лечении, терапевтически эффективного количества соединения формулы IIa или содержащей его фармацевтической композиции.
Еще один аспект настоящего изобретения относится к способу усиления синтеза гликогена и/или снижения уровня глюкозы в крови у пациента, нуждающегося в этом, включающему введение указанному пациенту соединения формулы IIa или содержащей его фармацевтической композиции. Данный способ особенно полезен для больных диабетом.
Еще один аспект настоящего изобретения относится к способу ингибирования продукции гиперфосфорилированного белка Tau и полезен для остановки или замедления развития болезни Альцгеймера.
Еще один аспект настоящего изобретения относится к способу ингибирования фосфорилирования β-катенина и полезен для лечения шизофрении.
Еще один аспект настоящего изобретения относится к способу ингибирования активности GSK-3 у пациента, включающему введение пациенту соединения формулы IIa или содержащей его фармацевтической композиции.
Другой аспект настоящего изобретения относится к способу лечения или профилактики CDK-2-опосредованного заболевания ингибитором CDK-2, включающему введение пациенту, нуждающемуся в таком лечении, терапевтически эффективного количества соединения формулы IIa или содержащей его фармацевтической композиции.
Еще один аспект настоящего изобретения относится к способу ингибирования активности CDK-2 у пациента, включающему введение пациенту соединения формулы IIa или содержащей его фармацевтической композиции.
Другой аспект настоящего изобретения относится к способу лечения или профилактики Src-опосредованного заболевания ингибитором Src, включающему введение пациенту, нуждающемуся в таком лечении, терапевтически эффективного количества соединения формулы IIa или содержащей его фармацевтической композиции.
Еще один аспект настоящего изобретения относится к способу ингибирования активности Src у пациента, включающему введение пациенту соединения формулы IIa или содержащей его фармацевтической композиции.
Еще один аспект настоящего изобретения относится к способу ингибирования активности Aurora-2, GSK-3, CDK-2 или Src в биологическом образце, включающему осуществление контактирования биологического образца с ингибитором Aurora-2, GSK-3, CDK-2 или Src формулы IIa или с содержащей его фармацевтической композицией в количестве, эффективном для ингибирования Aurora-2, GSK-3, CDK-2 или Src.
Каждый из указанных выше способов, направленных на ингибирование Aurora-2, GSK-3, CDK-2 или Src или лечение заболевания, облегчаемого указанным ингибированием, предпочтительно осуществляют с использованием предпочтительного соединения формулы IIa, такого как описанные выше соединения.
Другой аспект настоящего изобретения относится к соединениям формулы IIb:
или их фармацевтически приемлемым производным или пролекарствам, где:
Rx и Ry объединены вместе с их промежуточными атомами с образованием конденсированного ненасыщенного или частично ненасыщенного 5-7-членного кольца, имеющего 0-3 кольцевых гетероатома, выбранных из кислорода, серы или азота, причем каждый замещаемый углерод в указанном конденсированном кольце, образованном радикалами Rx и Ry, независимо замещен оксогруппой, Т-R3 или L-Z-R3 и каждый замещаемый азот в указанном кольце, образованном радикалами Rx и Ry, независимо замещен радикалом R4;
R1 представляет собой Т-(кольцо D);
кольцо D представляет собой 5-7-членное моноциклическое кольцо или 8-10-членное бициклическое кольцо, выбранное из арильного, гетероарильного, гетероциклильного или карбоциклильного колец, из которых гетероарильное или гетероциклильное кольцо содержит 1-4 кольцевых гетероатома, выбранных из азота, кислорода или серы, причем каждый замещаемый углерод кольца D независимо замещен оксогруппой, Т-R5 или V-Z-R5 и каждый замещаемый азот кольца D независимо замещен группой -R4;
Т представляет собой связь или С1-4 алкилиденовую цепь;
Z представляет собой С1-4 алкилиденовую цепь;
L представляет собой -О-, -S-, -SO-, -SO2-, -N(R6)SO2-, -SO2N(R6)-, -N(R6)-, -CO-, -CO2-, -N(R6)CO-, -N(R6)C(O)O-, -N(R6)CON(R6)-, -N(R6)SO2N(R6)-, -N(R6)N(R6)-, -C(О)N(R6)-, -OC(О)N(R6)-, -C(R6)2О-, -C(R6)2S-, -C(R6)2SO-, -C(R6)2SO2-, -C(R6)2SO2N(R6)-, -C(R6)2N(R6)-, -C(R6)2N(R6)C(О)-, -C(R6)2N(R6)C(О)О-, -C(R6)=NN(R6)-, -C(R6)=N-О-, -C(R6)2N(R6)N(R6)-, -C(R6)2N(R6)SO2N(R6)- или -C(R6)2N(R6)CON(R6)-;
R2 и R2' независимо выбраны из -R, -T-W-R6 или R2 и R2' объединены вместе с их промежуточными атомами с образованием конденсированного 5-8-членного ненасыщенного или частично ненасыщенного кольца, имеющего 0-3 кольцевых гетероатома, выбранных из азота, кислорода или серы, причем каждый замещаемый углерод в указанном конденсированном кольце, образованном радикалами R2 и R2', независимо замещен галогеном, оксогруппой, -CN, -NO2, -R7 или -V-R6 и каждый замещаемый азот в указанном кольце, образованном радикалами R2 и R2', независимо замещен радикалом R4;
R3 выбран из -R, галогена, -OR, -C(=O)R, -CO2R, -COCOR, -COCH2COR, -NO2, -CN, -S(O)R, -S(O)2R, -SR, -N(R4)2, -CON(R7)2, -SO2N(R7)2, -OC(=O)R, -N(R7)COR, -N(R7)CO2(С1-6 алифатическая группа), -N(R4)N(R4)2, -C=NN(R4)2, -C=N-OR, -N(R7)CON(R7)2, -N(R7)SO2N(R7)2, -N(R4)SO2R или -OC(=O)N(R7)2;
каждый R независимо выбран из водорода или необязательно замещенной группы, выбранной из С1-6 алифатической группы, С6-10 арила, гетероарильного кольца, имеющего 5-10 кольцевых атомов, или гетероциклильного кольца, имеющего 5-10 кольцевых атомов;
каждый R4 независимо выбран из -R7, -COR7, -CO2(необязательно замещенная С1-6 алифатическая группа), -CON(R7)2 или -SO2R7;
каждый R5 независимо выбран из -R, галогена, -OR, -C(=O)R, -CO2R, -COCOR, -NO2, -CN, -S(O)R, -SO2R, -SR, -N(R4)2, -CON(R4)2, -SO2N(R4)2, -OC(=O)R, -N(R4)COR, -N(R4)CO2(необязательно замещенная С1-6 алифатическая группа), -N(R4)N(R4)2, -C=NN(R4)2, -C=N-OR, -N(R4)CON(R4)2, -N(R4)SO2N(R4)2, -N(R4)SO2R или -OC(=O)N(R4)2;
V представляет собой -О-, -S-, -SO-, -SO2-, -N(R6)SO2-, -SO2N(R6)-, -N(R6)-, -CO-, -CO2-, -N(R6)CO-, -N(R6)C(O)O-, -N(R6)CON(R6)-, -N(R6)SO2N(R6)-, -N(R6)N(R6)-, -C(О)N(R6)-, -OC(О)N(R6)-, -C(R6)2О-, -C(R6)2S-, -C(R6)2SO-, -C(R6)2SO2-, -C(R6)2SO2N(R6)-, -C(R6)2N(R6)-, -C(R6)2N(R6)C(О)-, -C(R6)2N(R6)C(О)О-, -C(R6)=NN(R6)-, -C(R6)=N-О-, -C(R6)2N(R6)N(R6)-, -C(R6)2N(R6)SO2N(R6)- или -C(R6)2N(R6)CON(R6)-;
W представляет собой -C(R6)2О-, -C(R6)2S-, -C(R6)2SO-, -C(R6)2SO2-, -C(R6)2SO2N(R6)-, -C(R6)2N(R6)-, -CO-, -CO2-, -C(R6)OC(О)-, -C(R6)OC(О)N(R6)-, -C(R6)2N(R6)CO-, -C(R6)2N(R6)C(О)О-, -C(R6)=NN(R6)-, -C(R6)=N-О-, -C(R6)2N(R6)N(R6)-, -C(R6)2N(R6)SO2N(R6)-, -C(R6)2N(R6)CON(R6)- или -CON(R6)-;
каждый R6 независимо выбран из водорода или необязательно замещенной С1-4 алифатической группы, или две группы R6 у одного и того же атома азота могут быть объединены вместе с атомом азота с образованием 5-6-членного гетероциклильного или гетероарильного кольца; и
каждый R7 независимо выбран из водорода или необязательно замещенной С1-6 алифатической группы, или два R7 у одного и того же атома азота объединены вместе с атомом азота с образованием 5-8-членного гетероциклильного или гетероарильного кольца.
Предпочтительные кольца, образованные радикалами Rх и Ry, включают 5-, 6- или 7-членное ненасыщенное или частично ненасыщенное кольцо, имеющее 0-2 гетероатома, причем указанное кольцо Rх/Ry является необязательно замещенным. Это дает бициклическую кольцевую систему, содержащую пиримидиновое кольцо. Примеры предпочтительных пиримидиновых кольцевых систем формулы IIb показаны ниже.
Более предпочтительные пиримидиновые кольцевые системы формулы IIb включают IIb-A, IIb-B, IIb-D, IIb-Е, IIb-J, IIb-P и IIb-V, наиболее предпочтительно IIb-A, IIb-B, IIb-D, IIb-E и IIb-J.
Кольцо, образованное взятыми вместе Rх и Ry, может быть замещенным или незамещенным. Подходящие заместители включают -R, галоген, -О(СН2)2-4-N(R4)2, -О(СН2)2-4-R, -OR, -N(R4)-(CH2)2-4-N(R4)2, -N(R4)-(CH2)2-4-R, C(=O)R, -CO2R, -COCOR, -NO2, -CN, -S(O)R, -SO2R, -SR, -N(R4)2, -CON(R4)2, -SO2N(R4)2, -OC(=O)R, -N(R4)COR, -N(R4)CO2(необязательно замещенная С1-6 алифатическая группа), -N(R4)N(R4)2, -C=NN(R4)2, -C=N-OR, -N(R4)CON(R4)2, -N(R4)SO2N(R4)2, -N(R4)SO2R или -OC(=O)N(R4)2, где R и R4 - такие как определенные выше. Предпочтительные заместители в кольце Rх/Ry включают галоген, -R, -OR, -COR, -CO2R, -CON(R4)2, -CN, -О(СН2)2-4-N(R4)2, -О(СН2)2-4-R, -NO2, -N(R4)2, -NR4COR, -NR4SO2R, -SO2N(R4)2, где R представляет собой водород или необязательно замещенную С1-6 алифатическую группу.
Группы R2 и R2' в формуле IIb могут быть взяты вместе с образованием конденсированного кольца, что дает бициклическую кольцевую систему, содержащую пиразольное кольцо. Предпочтительные конденсированные кольца включают бензольное, пиридиновое, пиримидиновое и частично ненасыщенное 6-членное карбоциклическое кольца. Примеры указанных конденсированных колец представлены в следующих соединениях формулы IIb, имеющих пиразолсодержащую бициклическую кольцевую систему:
Предпочтительные заместители в конденсированном кольце R2-R2' формулы IIb включают один или несколько из следующих заместителей: галоген, -N(R4)2, -С1-4 алкил, -С1-4 галогеналкил, -NO2, -О(С1-4 алкил), -CO2(С1-4 алкил), -CN, -SO2(С1-4 алкил), -SO2NH2, -OC(О)NH2, -NH2SO2(C1-4 алкил), -NHC(O)(С1-4 алкил), -C(О)NH2 и -CO(C1-4 алкил), где (C1-4 алкил) представляет собой неразветвленную, разветвленную или циклическую алкильную группу. Предпочтительно С1-4 алкильная группа представляет собой метил или этил.
Когда пиразольная кольцевая система формулы IIb является моноциклической, предпочтительные группы R2 включают водород или замещенную или незамещенную группу, выбранную из арильной, гетероарильной или С1-6 алифатической группы. Примеры таких предпочтительных групп R2 включают Н, метил, этил, пропил, циклопропил, изопропил, циклопентил, гидроксипропил, метоксипропил и бензилоксипропил. Предпочтительной группой R2' является водород.
Когда кольцо D формулы IIb является моноциклическим, предпочтительные группы кольца D включают фенил, пиридил, пиридазинил, пиримидинил и пиразинил.
Когда кольцо D формулы IIb является бициклическим, предпочтительные группы бициклического кольца D включают нафтил, тетрагидронафтил, инданил, бензимидазолил, хинолинил, индолил, изоиндолил, индолинил, бензо[b]фурил, бензо[b]тиофенил, индазолил, бензотиазолил, циннолинил, фталазинил, хиназолинил, хиноксазолинил, 1,8-нафтиридинил и изохинолинил.
В кольце D формулы IIb предпочтительные заместители Т-R5 или V-Z-R5 включают галоген, -CN, -NO2, -N(R4)2, необязательно замещенную С1-6 алифатическую группу, -OR, -C(О)R, -CO2R, -CONH(R4), -N(R4)COR, -N(R4)CO2R, -SO2N(R4)2, -N(R4)SO2R, -N(R6)COCH2N(R4)2, -N(R6)СОСН2СН2N(R4)2 и -N(R6)СОСН2СН2СН2N(R4)2, где R выбран из водорода, С1-6 алифатической группы, фенила, 5-6-членного гетероарильного кольца или 5-6-членного гетероциклического кольца. Более предпочтительные заместители R5 включают -Cl, -Br, -F, -CN, -CF3, -COOH, -CONHMe, -CONHEt, -NH2, -NHAc, -NHSO2Ме, -NHSO2Et, -NHSO2(н-пропил), -NHSO2(изопропил), -NHCOEt, -NHCOCH2NHCH3, -NHCOCH2N(CO2t-Bu)СН3, -NHCOCH2N(СН3)2, -NHCOCH2СН2N(СН3)2, -NHCOCH2СН2СН2N(СН3)2, -NHCO(циклопропил), -NHCO(изобутил), -NHCOCH2(морфолин-4-ил), -NHCOCH2СН2(морфолин-4-ил), -NHCOCH2СН2СН2(морфолин-4-ил), -NHCO2(трет-бутил), -NH(С1-4 алифатическую группу), такую как -NHMe, N(C1-4 алифатическую группу)2, такую как -NMe2, ОН, -O(C1-4 алифатическую группу), такую как -OMe, C1-4 алифатическую группу, такую как метил, этил, циклопропил, изопропил или трет-бутил, и -СО2(С1-4 алифатическую группу).
Предпочтительные соединения формулы IIb имеют один или несколько, а более предпочтительно все признаки, выбранные из следующих:
(а) Rx и Ry взяты вместе с их промежуточными атомами с образованием конденсированного ненасыщенного или частично ненасыщенного 5-6-членного кольца, имеющего 0-2 гетероатома, выбранных из кислорода, серы или азота, причем каждый замещаемый кольцевой углерод в указанном конденсированном кольце, образованном радикалами Rx и Ry, независимо замещен оксогруппой, Т-R3 или L-Z-R3 и каждый замещаемый кольцевой азот в указанном кольце, образованном радикалами Rx и Ry, независимо замещен радикалом R4;
(b) R1 представляет собой Т-(кольцо D), где Т представляет собой связь или метиленовое звено;
(с) кольцо D представляет собой 5-7-членное моноциклическое кольцо или 8-10-членное бициклическое кольцо, выбранное из арильного или гетероарильного кольца;
(d) R2 представляет собой -R или -T-W-R6, и R2' представляет собой водород; или R2 и R2' взяты вместе друг с другом с образованием необязательно замещенного бензольного кольца; и
(е) R3 выбран из -R, галогена, -OR или -N(R4)2.
Более предпочтительные соединения формулы IIb имеют один или несколько, а более предпочтительно все признаки, выбранные из следующих:
(a) Rx и Ry взяты вместе друг с другом с образованием бензольного, пиридинового, циклопентильного, циклогексильного, циклогептильного, тиенильного, пиперидинового или имидазольного кольца;
(b) R1 представляет собой Т-(кольцо D), где Т представляет собой связь и кольцо D представляет собой 5-6-членное моноциклическое кольцо или 8-10-членное бициклическое кольцо, выбранное из арильного или гетероарильного кольца;
(с) R2 представляет собой -R, и R2' представляет собой водород, причем R выбран из водорода, С1-6 алифатической группы, фенила, 5-6-членного гетероарильного кольца или 5-6-членного гетероциклического кольца; и
(d) R3 выбран из -R, галогена, -OR или -N(R4)2, причем R выбран из водорода, С1-6 алифатической группы, 5-6-членного гетероциклила, фенила или 5-6-членного гетероарила и L представляет собой -О-, -S- или -N(R4)-.
Еще более предпочтительные соединения формулы IIb имеют один или несколько, а более предпочтительно все признаки, выбранные из следующих:
(a) Rx и Ry взяты вместе друг с другом с образованием бензольного, пиридинового, пиперидинового или циклогексильного кольца;
(b) R1 представляет собой Т-(кольцо D), где Т представляет собой связь и кольцо D представляет собой 5-6-членное арильное или гетероарильное кольцо;
(с) R2 представляет собой водород или С1-4 алифатическую группу и R2' представляет собой водород;
(d) R3 выбран из -R, -OR или -N(R4)2, причем R выбран из водорода, С1-6 алифатической группы, 5-6-членного гетероциклила, фенила или 5-6-членного гетероарила и L представляет собой -О-, -S- или -NH-; и
(е) кольцо D замещено заместителями в количестве до трех, выбранными из галогена, -CN, -NO2, -N(R4)2, необязательно замещенной С1-6 алифатической группы, -OR, -C(О)R, -CO2R, -CONH(R4), -N(R4)COR, -N(R4)CO2R, -SO2N(R4)2, -N(R4)SO2R, -N(R6)COCH2N(R4)2, -N(R6)СОСН2СН2N(R4)2 или -N(R6)СОСН2СН2СН2N(R4)2, где R выбран из водорода, С1-6 алифатической группы, фенила, 5-6-членного гетероарильного кольца или 5-6-членного гетероциклического кольца.
Характерные соединения формулы IIb показаны ниже в таблице 2.
Таблица 2
В другом аспекте настоящее изобретение относится к композиции, содержащей соединение формулы IIb и фармацевтически приемлемый носитель.
Другой аспект настоящего изобретения относится к способу лечения или профилактики Aurora-2-опосредованного заболевания ингибитором Aurora-2 и включает введение пациенту, нуждающемуся в таком лечении, терапевтически эффективного количества соединения формулы IIb или содержащей его фармацевтической композиции.
Еще один аспект настоящего изобретения относится к способу ингибирования активности Aurora-2 у пациента, включающему введение пациенту соединения формулы IIb или композиции, содержащей указанное соединение.
Еще один аспект настоящего изобретения относится к способу лечения или профилактики GSK-3-опосредованного заболевания ингибитором GSK-3, включающему введение пациенту, нуждающемуся в таком лечении, терапевтически эффективного количества соединения формулы IIb или содержащей его фармацевтической композиции.
Еще один аспект настоящего изобретения относится к способу усиления синтеза гликогена и/или снижения уровня глюкозы в крови у пациента, нуждающегося в этом, включающему введение указанному пациенту терапевтически эффективного количества соединения формулы IIb или содержащей его фармацевтической композиции. Данный способ особенно полезен для больных диабетом.
Еще один аспект настоящего изобретения относится к способу ингибирования продукции гиперфосфорилированного белка Tau и полезен для остановки или замедления развития болезни Альцгеймера.
Еще один аспект настоящего изобретения относится к способу ингибирования фосфорилирования β-катенина и полезен для лечения шизофрении.
Еще один аспект настоящего изобретения относится к способу ингибирования активности GSK-3 у пациента, включающему введение пациенту соединения формулы IIb или содержащей его фармацевтической композиции.
Еще один аспект настоящего изобретения относится к способу ингибирования активности Aurora-2 или GSK-3 в биологическом образце, включающему осуществление контактирования биологического образца с ингибитором Aurora-2 или GSK-3 формулы IIb или с содержащей его фармацевтической композицией в количестве, эффективном для ингибирования Aurora-2 или GSK-3.
Каждый из указанных выше способов, направленных на ингибирование Aurora-2 или GSK-3 или лечение заболевания, облегчаемого указанным ингибированием, предпочтительно осуществляют с использованием предпочтительного соединения формулы IIb, такого как описанные выше соединения.
Другой вариант настоящего изобретения относится к соединениям формулы IIc:
или их фармацевтически приемлемым производным или пролекарствам, где:
Rx и Ry объединены вместе с их промежуточными атомами с образованием конденсированного ненасыщенного или частично ненасыщенного 5-7-членного кольца, имеющего 0-3 кольцевых гетероатома, выбранных из кислорода, серы или азота, причем каждый замещаемый углерод в указанном конденсированном кольце, образованном радикалами Rx и Ry, независимо замещен оксогруппой, Т-R3 или L-Z-R3 и каждый замещаемый азот в указанном кольце, образованном радикалами Rx и Ry, независимо замещен радикалом R4;
R1 представляет собой Т-(кольцо D);
кольцо D представляет собой 5-7-членное моноциклическое кольцо или 8-10-членное бициклическое кольцо, выбранное из арильного, гетероарильного, гетероциклильного или карбоциклильного колец, из которых гетероарильное или гетероциклильное кольцо содержит 1-4 кольцевых гетероатома, выбранных из азота, кислорода или серы, причем каждый замещаемый углерод кольца D независимо замещен оксогруппой, Т-R5 или V-Z-R5 и каждый замещаемый азот кольца D независимо замещен группой -R4;
Т представляет собой связь или С1-4 алкилиденовую цепь;Z представляет собой С1-4 алкилиденовую цепь;
L представляет собой -О-, -S-, -SO-, -SO2-, -N(R6)SO2-, -SO2N(R6)-, -N(R6)-, -CO-, -CO2-, -N(R6)CO-, -N(R6)C(O)O-, -N(R6)CON(R6)-, -N(R6)SO2N(R6)-, -N(R6)N(R6)-, -C(О)N(R6)-, -OC(О)N(R6)-, -C(R6)2О-, -C(R6)2S-, -C(R6)2SO-, -C(R6)2SO2-, -C(R6)2SO2N(R6)-, -C(R6)2N(R6)-, -C(R6)2N(R6)C(О)-, -C(R6)2N(R6)C(О)О-, -C(R6)=NN(R6)-, -C(R6)=N-О-, -C(R6)2N(R6)N(R6)-, -C(R6)2N(R6)SO2N(R6)- или -C(R6)2N(R6)CON(R6)-;
R2 и R2' независимо выбраны из -R, -T-W-R6 или R2 и R2' объединены вместе с их промежуточными атомами с образованием конденсированного 5-8-членного ненасыщенного или частично ненасыщенного кольца, имеющего 0-3 кольцевых гетероатома, выбранных из азота, кислорода или серы, причем каждый замещаемый углерод в указанном конденсированном кольце, образованном радикалами R2 и R2', независимо замещен галогеном, оксогруппой, -CN, -NO2, -R7 или -V-R6 и каждый замещаемый азот в указанном кольце, образованном радикалами R2 и R2', независимо замещен радикалом R4;
R3 выбран из -R, галогена, -OR, -C(=O)R, -CO2R, -COCOR, -COCH2COR, -NO2, -CN, -S(O)R, -S(O)2R, -SR, -N(R4)2, -CON(R7)2, -SO2N(R7)2, -OC(=O)R, -N(R7)COR, -N(R7)CO2(С1-6 алифатическая группа), -N(R4)N(R4)2, -C=NN(R4)2, -C=N-OR, -N(R7)CON(R7)2, -N(R7)SO2N(R7)2, -N(R4)SO2R или -OC(=O)N(R7)2;
каждый R независимо выбран из водорода или необязательно замещенной группы, выбранной из С1-6 алифатической группы, С6-10 арила, гетероарильного кольца, имеющего 5-10 кольцевых атомов, или гетероциклильного кольца, имеющего 5-10 кольцевых атомов;каждый R4 независимо выбран из -R7, -COR7, -CO2(необязательно замещенная С1-6 алифатическая группа), -CON(R7)2 или -SO2R7;
каждый R5 независимо выбран из -R, галогена, -OR, -C(=O)R, -CO2R, -COCOR, -NO2, -CN, -S(O)R, -SO2R, -SR, -N(R4)2, -CON(R4)2, -SO2N(R4)2, -OC(=O)R, -N(R4)COR, -N(R4)CO2(необязательно замещенная С1-6 алифатическая группа), -N(R4)N(R4)2, -C=NN(R4)2, -C=N-OR, -N(R4)CON(R4)2, -N(R4)SO2N(R4)2, -N(R4)SO2R или -OC(=O)N(R4)2;
V представляет собой -О-, -S-, -SO-, -SO2-, -N(R6)SO2-, -SO2N(R6)-, -N(R6)-, -CO-, -CO2-, -N(R6)CO-, -N(R6)C(O)O-, -N(R6)CON(R6)-, -N(R6)SO2N(R6)-, -N(R6)N(R6)-, -C(О)N(R6)-, -OC(О)N(R6)-, -C(R6)2О-, -C(R6)2S-, -C(R6)2SO-, -C(R6)2SO2-, -C(R6)2SO2N(R6)-, -C(R6)2N(R6)-, -C(R6)2N(R6)C(О)-, -C(R6)2N(R6)C(О)О-, -C(R6)=NN(R6)-, -C(R6)=N-О-, -C(R6)2N(R6)N(R6)-, -C(R6)2N(R6)SO2N(R6)- или -C(R6)2N(R6)CON(R6)-;
W представляет собой -C(R6)2О-, -C(R6)2S-, -C(R6)2SO-, -C(R6)2SO2-, -C(R6)2SO2N(R6)-, -C(R6)2N(R6)-, -CO-, -CO2-, -C(R6)OC(О)-, -C(R6)OC(О)N(R6)-, -C(R6)2N(R6)CO-, -C(R6)2N(R6)C(О)О-, -C(R6)=NN(R6)-, -C(R6)=N-О-, -C(R6)2N(R6)N(R6)-, -C(R6)2N(R6)SO2N(R6)-, -C(R6)2N(R6)CON(R6)- или -CON(R6)-;
каждый R6 независимо выбран из водорода или необязательно замещенной С1-4 алифатической группы, или две группы R6 у одного и того же атома азота могут быть объединены вместе с атомом азота с образованием 5-6-членного гетероциклильного или гетероарильного кольца; и
каждый R7 независимо выбран из водорода или необязательно замещенной С1-6 алифатической группы или два R7 у одного и того же атома азота объединены вместе с атомом азота с образованием 5-8-членного гетероциклильного или гетероарильного кольца.
Предпочтительные кольца, образованные радикалами Rх и Ry, включают 5-, 6- или 7-членное ненасыщенное или частично ненасыщенное кольцо, имеющее 0-2 гетероатома, причем указанное кольцо Rх/Ry является необязательно замещенным. Это дает бициклическую кольцевую систему, содержащую пиримидиновое кольцо. Примеры предпочтительных пиримидиновых кольцевых систем формулы IIc показаны ниже.
Более предпочтительные пиримидиновые кольцевые системы формулы IIc включают IIc-A, IIc-B, IIc-D, IIc-Е, IIc-J, IIc-P и IIc-V, наиболее предпочтительно IIc-A, IIc-B, IIc-D, IIc-E и IIc-J.
Кольцо, образованное взятыми вместе Rх и Ry формулы IIc, может быть замещенным или незамещенным. Подходящие заместители включают -R, галоген, -О(СН2)2-4-N(R4)2, -О(СН2)2-4-R, -OR, -N(R4)-(CH2)2-4-N(R4)2, -N(R4)-(CH2)2-4-R, C(=O)R, -CO2R, -COCOR, -NO2, -CN, -S(O)R, -SO2R, -SR, -N(R4)2, -CON(R4)2, -SO2N(R4)2, -OC(=O)R, -N(R4)COR, -N(R4)CO2(необязательно замещенная С1-6 алифатическая группа), -N(R4)N(R4)2, -C=NN(R4)2, -C=N-OR, -N(R4)CON(R4)2, -N(R4)SO2N(R4)2, -N(R4)SO2R или -OC(=O)N(R4)2, где R и R4 - такие как определенные выше. Предпочтительные заместители в кольце Rх/Ry включают галоген, -R, -OR, -COR, -CO2R, -CON(R4)2, -CN, -О(СН2)2-4-N(R4)2, -О(СН2)2-4-R, -NO2, -N(R4)2, -NR4COR, -NR4SO2R, -SO2N(R4)2, где R представляет собой водород или необязательно замещенную С1-6 алифатическую группу.
Группы R2 и R2' в формуле IIc могут быть взяты вместе с образованием конденсированного кольца, что дает бициклическую кольцевую систему, содержащую пиразольное кольцо. Предпочтительные конденсированные кольца включают бензольное, пиридиновое, пиримидиновое и частично ненасыщенное 6-членное карбоциклическое кольца. Примеры указанных конденсированных колец представлены в следующих соединениях формулы IIc, имеющих пиразолсодержащую бициклическую кольцевую систему:
Предпочтительные заместители в конденсированном кольце R2/R2' формулы IIc включают один или несколько из следующих заместителей: галоген, -N(R4)2, -С1-4 алкил, -С1-4 галогеналкил, -NO2, -О(С1-4 алкил), -CO2(С1-4 алкил), -CN, -SO2(С1-4 алкил), -SO2NH2, -OC(О)NH2, -NH2SO2(C1-4 алкил), -NHC(O)(С1-4 алкил), -C(О)NH2 и -CO(C1-4 алкил), где (C1-4 алкил) представляет собой неразветвленную, разветвленную или циклическую алкильную группу. Предпочтительно С1-4 алкильная группа представляет собой метил.
Когда пиразольная кольцевая система формулы IIc является моноциклической, предпочтительные группы R2 включают водород или замещенную или незамещенную группу, выбранную из арильной, гетероарильной или С1-6 алифатической группы. Примеры таких предпочтительных групп R2 включают Н, метил, этил, пропил, циклопропил, изопропил, циклопентил, гидроксипропил, метоксипропил и бензилоксипропил. Предпочтительной группой R2' является водород.
Когда кольцо D формулы IIc является моноциклическим, предпочтительные группы кольца D включают фенил, пиридил, пиридазинил, пиримидинил и пиразинил.
Когда кольцо D формулы IIc является бициклическим, предпочтительные группы бициклического кольца D включают нафтил, тетрагидронафтил, инданил, бензимидазолил, хинолинил, индолил, изоиндолил, индолинил, бензо[b]фурил, бензо[b]тиофенил, индазолил, бензотиазолил, циннолинил, фталазинил, хиназолинил, хиноксазолинил, 1,8-нафтиридинил и изохинолинил.
В кольце D формулы IIc предпочтительные заместители Т-R5 или V-Z-R5 включают галоген, -CN, -NO2, -N(R4)2, необязательно замещенную С1-6 алифатическую группу, -OR, -C(О)R, -CO2R, -CONH(R4), -N(R4)COR, -N(R4)CO2R, -SO2N(R4)2, -N(R4)SO2R, -N(R6)COCH2N(R4)2, -N(R6)СОСН2СН2N(R4)2 и -N(R6)СОСН2СН2СН2N(R4)2, где R выбран из водорода, С1-6 алифатической группы, фенила, 5-6-членного гетероарильного кольца или 5-6-членного гетероциклического кольца. Более предпочтительные заместители R5 включают -Cl, -Br, -F, -CN, -CF3, -COOH, -CONHMe, -CONHEt, -NH2, -NHAc, -NHSO2Ме, -NHSO2Et, -NHSO2(н-пропил), -NHSO2(изопропил), -NHCOEt, -NHCOCH2NHCH3, -NHCOCH2N(CO2t-Bu)СН3, -NHCOCH2N(СН3)2, -NHCOCH2СН2N(СН3)2, -NHCOCH2СН2СН2N(СН3)2, -NHCO(циклопропил), -NHCO(изобутил), -NHCOCH2(морфолин-4-ил), -NHCOCH2СН2(морфолин-4-ил), -NHCOCH2СН2СН2(морфолин-4-ил), -NHCO2(трет-бутил), -NH(С1-4 алифатическую группу), такую как -NHMe, N(C1-4 алифатическую группу)2, такую как -NMe2, ОН, -O(C1-4 алифатическую группу), такую как -OMe, C1-4 алифатическую группу, такую как метил, этил, циклопропил, изопропил или трет-бутил, и -СО2(С1-4 алифатическую группу).
Предпочтительные соединения формулы IIc имеют один или несколько, а более предпочтительно все признаки, выбранные из следующих:
(а) Rx и Ry взяты вместе с их промежуточными атомами с образованием конденсированного ненасыщенного или частично ненасыщенного 5-6-членного кольца, имеющего 0-2 гетероатома, выбранных из кислорода, серы или азота, причем каждый замещаемый кольцевой углерод в указанном конденсированном кольце, образованном радикалами Rx и Ry, независимо замещен оксогруппой, Т-R3 или L-Z-R3 и каждый замещаемый кольцевой азот в указанном кольце, образованном радикалами Rx и Ry, независимо замещен радикалом R4;
(b) R1 представляет собой Т-(кольцо D), где Т представляет собой связь или метиленовое звено;
(с) кольцо D представляет собой 5-7-членное моноциклическое кольцо или 8-10-членное бициклическое кольцо, выбранное из арильного или гетероарильного кольца;
(d) R2 представляет собой -R или -T-W-R6 и R2' представляет собой водород; или R2 и R2' взяты вместе друг с другом с образованием необязательно замещенного бензольного кольца; и
(е) R3 выбран из -R, галогена, -OR или -N(R4)2.
Более предпочтительные соединения формулы IIc имеют один или несколько, а более предпочтительно все признаки, выбранные из следующих:
(a) Rx и Ry взяты вместе друг с другом с образованием бензольного, пиридинового, циклопентильного, циклогексильного, циклогептильного, тиенильного, пиперидинового или имидазольного кольца;
(b) R1 представляет собой Т-(кольцо D), где Т представляет собой связь и кольцо D представляет собой 5-6-членное моноциклическое кольцо или 8-10-членное бициклическое кольцо, выбранное из арильного или гетероарильного кольца;
(с) R2 представляет собой -R, и R2' представляет собой водород, причем R выбран из водорода, С1-6 алифатической группы, фенила, 5-6-членного гетероарильного кольца или 5-6-членного гетероциклического кольца; и
(d) R3 выбран из -R, галогена, -OR или -N(R4)2, причем R выбран из водорода, С1-6 алифатической группы, 5-6-членного гетероциклила, фенила или 5-6-членного гетероарила и L представляет собой -О-, -S- или -N(R4)-.
Еще более предпочтительные соединения формулы IIc имеют один или несколько, а более предпочтительно все признаки, выбранные из следующих:
(a) Rx и Ry взяты вместе друг с другом с образованием бензольного, пиридинового, пиперидинового или циклогексильного кольца;
(b) R1 представляет собой Т-(кольцо D), где Т представляет собой связь и кольцо D представляет собой 5-6-членное арильное или гетероарильное кольцо;
(с) R2 представляет собой водород или С1-4 алифатическую группу и R2' представляет собой водород;
(d) R3 выбран из -R, -OR или -N(R4)2, причем R выбран из водорода, С1-6 алифатической группы, 5-6-членного гетероциклила, фенила или 5-6-членного гетероарила и L представляет собой -О-, -S- или -NH-; и
(е) кольцо D замещено заместителями в количестве до трех, выбранными из галогена, -CN, -NO2, -N(R4)2, необязательно замещенной С1-6 алифатической группы, -OR, -C(О)R, -CO2R, -CONH(R4), -N(R4)COR, -N(R4)CO2R, -SO2N(R4)2, -N(R4)SO2R, -N(R6)COCH2N(R4)2, -N(R6)СОСН2СН2N(R4)2 или -N(R6)СОСН2СН2СН2N(R4)2, где R выбран из водорода, С1-6 алифатической группы, фенила, 5-6-членного гетероарильного кольца или 5-6-членного гетероциклического кольца.
Предпочтительные соединения формулы IIc включают соединения формулы IIc':
или их фармацевтически приемлемые производные или пролекарства, где:
Rx и Ry объединены вместе с их промежуточными атомами с образованием конденсированного бензольного кольца, причем каждый замещаемый углерод в указанном конденсированном кольце, образованном радикалами Rx и Ry, независимо замещен Т-R3 или L-Z-R3;R1 представляет собой Т-(кольцо D);
кольцо D представляет собой 5-7-членное моноциклическое кольцо или 8-10-членное бициклическое кольцо, выбранное из арильного, гетероарильного, гетероциклильного или карбоциклильного колец, из которых гетероарильное или гетероциклильное кольцо содержит 1-4 кольцевых гетероатома, выбранных из азота, кислорода или серы, причем каждый замещаемый углерод кольца D независимо замещен оксогруппой, Т-R5 или V-Z-R5 и каждый замещаемый азот кольца D независимо замещен группой -R4;
Т представляет собой связь или С1-4 алкилиденовую цепь;
Z представляет собой С1-4 алкилиденовую цепь;
L представляет собой -О-, -S-, -SO-, -SO2-, -N(R6)SO2-, -SO2N(R6)-, -N(R6)-, -CO-, -CO2-, -N(R6)CO-, -N(R6)C(O)O-, -N(R6)CON(R6)-, -N(R6)SO2N(R6)-, -N(R6)N(R6)-, -C(О)N(R6)-, -OC(О)N(R6)-, -C(R6)2О-, -C(R6)2S-, -C(R6)2SO-, -C(R6)2SO2-, -C(R6)2SO2N(R6)-, -C(R6)2N(R6)-, -C(R6)2N(R6)C(О)-, -C(R6)2N(R6)C(О)О-, -C(R6)=NN(R6)-, -C(R6)=N-О-, -C(R6)2N(R6)N(R6)-, -C(R6)2N(R6)SO2N(R6)- или -C(R6)2N(R6)CON(R6)-;
R2 и R2' независимо выбраны из -R, -T-W-R6 или R2 и R2' объединены вместе с их промежуточными атомами с образованием конденсированного 5-8-членного ненасыщенного или частично ненасыщенного кольца, имеющего 0-3 кольцевых гетероатома, выбранных из азота, кислорода или серы, причем каждый замещаемый углерод в указанном конденсированном кольце, образованном радикалами R2 и R2', независимо замещен галогеном, оксогруппой, -CN, -NO2, -R7 или -V-R6 и каждый замещаемый азот в указанном кольце, образованном радикалами R2 и R2', независимо замещен радикалом R4;
R3 выбран из -R, галогена, -OR, -C(=O)R, -CO2R, -COCOR, -COCH2COR, -NO2, -CN, -S(O)R, -S(O)2R, -SR, -N(R4)2, -CON(R7)2, -SO2N(R7)2, -OC(=O)R, -N(R7)COR, -N(R7)CO2(С1-6 алифатическая группа), -N(R4)N(R4)2, -C=NN(R4)2, -C=N-OR, -N(R7)CON(R7)2, -N(R7)SO2N(R7)2, -N(R4)SO2R или -OC(=O)N(R7)2;
каждый R независимо выбран из водорода или необязательно замещенной группы, выбранной из С1-6 алифатической группы, С6-10 арила, гетероарильного кольца, имеющего 5-10 кольцевых атомов, или гетероциклильного кольца, имеющего 5-10 кольцевых атомов;
каждый R4 независимо выбран из -R7, -COR7, -CO2(необязательно замещенная С1-6 алифатическая группа), -CON(R7)2 или -SO2R7;
каждый R5 независимо выбран из -R, галогена, -OR, -C(=O)R, -CO2R, -COCOR, -NO2, -CN, -S(O)R, -SO2R, -SR, -N(R4)2, -CON(R4)2, -SO2N(R4)2, -OC(=O)R, -N(R4)COR, -N(R4)CO2(необязательно замещенная С1-6 алифатическая группа), -N(R4)N(R4)2, -C=NN(R4)2, -C=N-OR, -N(R4)CON(R4)2, -N(R4)SO2N(R4)2, -N(R4)SO2R или -OC(=O)N(R4)2;
V представляет собой -О-, -S-, -SO-, -SO2-, -N(R6)SO2-, -SO2N(R6)-, -N(R6)-, -CO-, -CO2-, -N(R6)CO-, -N(R6)C(O)O-, -N(R6)CON(R6)-, -N(R6)SO2N(R6)-, -N(R6)N(R6)-, -C(О)N(R6)-, -OC(О)N(R6)-, -C(R6)2О-, -C(R6)2S-, -C(R6)2SO-, -C(R6)2SO2-, -C(R6)2SO2N(R6)-, -C(R6)2N(R6)-, -C(R6)2N(R6)C(О)-, -C(R6)2N(R6)C(О)О-, -C(R6)=NN(R6)-, -C(R6)=N-О-, -C(R6)2N(R6)N(R6)-, -C(R6)2N(R6)SO2N(R6)- или -C(R6)2N(R6)CON(R6)-;
W представляет собой -C(R6)2О-, -C(R6)2S-, -C(R6)2SO-, -C(R6)2SO2-, -C(R6)2SO2N(R6)-, -C(R6)2N(R6)-, -CO-, -CO2-, -C(R6)OC(О)-, -C(R6)OC(О)N(R6)-, -C(R6)2N(R6)CO-, -C(R6)2N(R6)C(О)О-, -C(R6)=NN(R6)-, -C(R6)=N-О-, -C(R6)2N(R6)N(R6)-, -C(R6)2N(R6)SO2N(R6)-, -C(R6)2N(R6)CON(R6)- или -CON(R6)-;
каждый R6 независимо выбран из водорода или необязательно замещенной С1-4 алифатической группы, или две группы R6 у одного и того же атома азота могут быть объединены вместе с атомом азота с образованием 5-6-членного гетероциклильного или гетероарильного кольца; и
каждый R7 независимо выбран из водорода или необязательно замещенной С1-6 алифатической группы или два R7 у одного и того же атома азота объединены вместе с атомом азота с образованием 5-8-членного гетероциклильного или гетероарильного кольца.
Кольцо, образованное взятыми вместе Rх и Ry формулы IIc', может быть замещенным или незамещенным. Подходящие заместители включают -R, галоген, -О(СН2)2-4-N(R4)2, -О(СН2)2-4-R, -OR, -N(R4)-(CH2)2-4-N(R4)2, -N(R4)-(CH2)2-4-R, C(=O)R, -CO2R, -COCOR, -NO2, -CN, -S(O)R, -SO2R, -SR, -N(R4)2, -CON(R4)2, -SO2N(R4)2, -OC(=O)R, -N(R4)COR, -N(R4)CO2(необязательно замещенная С1-6 алифатическая группа), -N(R4)N(R4)2, -C=NN(R4)2, -C=N-OR, -N(R4)CON(R4)2, -N(R4)SO2N(R4)2, -N(R4)SO2R или -OC(=O)N(R4)2, где R и R4 - такие как определенные выше. Предпочтительные заместители в кольце Rх/Ry включают галоген, -R, -OR, -COR, -CO2R, -CON(R4)2, -CN, -О(СН2)2-4-N(R4)2, -О(СН2)2-4-R, -NO2, -N(R4)2, -NR4COR, -NR4SO2R, -SO2N(R4)2, где R представляет собой водород или необязательно замещенную С1-6 алифатическую группу.
Группы R2 и R2' в формуле IIc' могут быть взяты вместе с образованием конденсированного кольца, что дает бициклическую кольцевую систему, содержащую пиразольное кольцо. Предпочтительные конденсированные кольца включают бензольное, пиридиновое, пиримидиновое и частично ненасыщенное 6-членное карбоциклическое кольца. Примеры указанных конденсированных колец представлены в следующих соединениях формулы IIc', имеющих пиразолсодержащую бициклическую кольцевую систему:
Предпочтительные заместители в конденсированном кольце R2/R2' формулы IIc' включают один или несколько из следующих заместителей: галоген, -N(R4)2, -С1-4 алкил, -С1-4 галогеналкил, -NO2, -О(С1-4 алкил), -CO2(С1-4 алкил), -CN, -SO2(С1-4 алкил), -SO2NH2, -OC(О)NH2, -NH2SO2(C1-4 алкил), -NHC(O)(С1-4 алкил), -C(О)NH2 и -CO(C1-4 алкил), где (C1-4 алкил) представляет собой неразветвленную, разветвленную или циклическую алкильную группу. Предпочтительно С1-4 алкильная группа представляет собой метил.
Когда пиразольная кольцевая система формулы IIc' является моноциклической, предпочтительные группы R2 включают водород или замещенную или незамещенную группу, выбранную из арильной, гетероарильной или С1-6 алифатической группы. Примеры таких предпочтительных групп R2 включают Н, метил, этил, пропил, циклопропил, изопропил, циклопентил, гидроксипропил, метоксипропил и бензилоксипропил. Предпочтительной группой R2' является водород.
Когда кольцо D формулы IIc' является моноциклическим, предпочтительные группы кольца D включают фенил, пиридил, пиридазинил, пиримидинил и пиразинил.
Когда кольцо D формулы IIc' является бициклическим, предпочтительные группы бициклического кольца D включают нафтил, тетрагидронафтил, инданил, бензимидазолил, хинолинил, индолил, изоиндолил, индолинил, бензо[b]фурил, бензо[b]тиофенил, индазолил, бензотиазолил, циннолинил, фталазинил, хиназолинил, хиноксазолинил, 1,8-нафтиридинил и изохинолинил.
В кольце D формулы IIc' предпочтительные заместители Т-R5 или V-Z-R5 включают галоген, -CN, -NO2, -N(R4)2, необязательно замещенную С1-6 алифатическую группу, -OR, -C(О)R, -CO2R, -CONH(R4), -N(R4)COR, -N(R4)CO2R, -SO2N(R4)2, -N(R4)SO2R, -N(R6)COCH2N(R4)2, -N(R6)СОСН2СН2N(R4)2 и -N(R6)СОСН2СН2СН2N(R4)2, где R выбран из водорода, С1-6 алифатической группы, фенила, 5-6-членного гетероарильного кольца или 5-6-членного гетероциклического кольца. Более предпочтительные заместители R5 включают -Cl, -Br, -F, -CN, -CF3, -COOH, -CONHMe, -CONHEt, -NH2, -NHAc, -NHSO2Ме, -NHSO2Et, -NHSO2(н-пропил), -NHSO2(изопропил), -NHCOEt, -NHCOCH2NHCH3, -NHCOCH2N(CO2t-Bu)СН3, -NHCOCH2N(СН3)2, -NHCOCH2СН2N(СН3)2, -NHCOCH2СН2СН2N(СН3)2, -NHCO(циклопропил), -NHCO(изобутил), -NHCOCH2(морфолин-4-ил), -NHCOCH2СН2(морфолин-4-ил), -NHCOCH2СН2СН2(морфолин-4-ил), -NHCO2(трет-бутил), -NH(С1-4 алифатическую группу), такую как -NHMe, N(C1-4 алифатическую группу)2, такую как -NMe2, ОН, -O(C1-4 алифатическую группу), такую как -OMe, C1-4 алифатическую группу, такую как метил, этил, циклопропил, изопропил или трет-бутил, и -СО2(С1-4 алифатическую группу).
Предпочтительные соединения формулы IIc' имеют один или несколько, а более предпочтительно все признаки, выбранные из следующих:
(a) R1 представляет собой Т-(кольцо D), где Т представляет собой связь или метиленовое звено;
(b) кольцо D представляет собой 5-7-членное моноциклическое кольцо или 8-10-членное бициклическое кольцо, выбранное из арильного или гетероарильного кольца;
(c) R2 представляет собой -R или -T-W-R6 и R2' представляет собой водород; или R2 и R2' взяты вместе друг с другом с образованием необязательно замещенного бензольного кольца; и
(d) R3 выбран из -R, галогена, -OR или -N(R4)2.
Более предпочтительные соединения формулы IIc' имеют один или несколько, а более предпочтительно все признаки, выбранные из следующих:
(a) R1 представляет собой Т-(кольцо D), где Т представляет собой связь и кольцо D представляет собой 5-6-членное моноциклическое кольцо или 8-10-членное бициклическое кольцо, выбранное из арильного или гетероарильного кольца;
(b) R2 представляет собой -R и R2' представляет собой водород, причем R выбран из водорода, С1-6 алифатической группы, фенила, 5-6-членного гетероарильного кольца или 5-6-членного гетероциклического кольца; и
(c) R3 выбран из -R, галогена, -OR или -N(R4)2, причем R выбран из водорода, С1-6 алифатической группы, 5-6-членного гетероциклила, фенила или 5-6-членного гетероарила и L представляет собой -О-, -S- или -N(R4)-.
Еще более предпочтительные соединения формулы IIc' имеют один или несколько, а более предпочтительно все признаки, выбранные из следующих:
(a) R1 представляет собой Т-(кольцо D), где Т представляет собой связь и кольцо D представляет собой 5-6-членное арильное или гетероарильное кольцо;
(b) R2 представляет собой водород или С1-4 алифатическую группу и R2' представляет собой водород;
(c) R3 выбран из -R, -OR или -N(R4)2, причем R выбран из водорода, С1-6 алифатической группы, 5-6-членного гетероциклила, фенила или 5-6-членного гетероарила и L представляет собой -О-, -S- или -NH-; и
(d) кольцо D замещено заместителями в количестве до трех, выбранными из галогена, -CN, -NO2, -N(R4)2, необязательно замещенной С1-6 алифатической группы, -OR, -C(О)R, -CO2R, -CONH(R4), -N(R4)COR, -N(R4)CO2R, -SO2N(R4)2, -N(R4)SO2R, -N(R6)COCH2N(R4)2, -N(R6)СОСН2СН2N(R4)2 или -N(R6)СОСН2СН2СН2N(R4)2, где R выбран из водорода, С1-6 алифатической группы, фенила, 5-6-членного гетероарильного кольца или 5-6-членного гетероциклического кольца.
Другие предпочтительные соединения формулы IIc включают соединения формулы IIc'':
или их фармацевтически приемлемые производные или пролекарства, где:
Rx и Ry объединены вместе с их промежуточными атомами с образованием конденсированного ненасыщенного или частично ненасыщенного 5-7-членного кольца, имеющего 0-3 кольцевых гетероатома, выбранных из кислорода, серы или азота, причем каждый замещаемый углерод в указанном конденсированном кольце, образованном радикалами Rx и Ry, необязательно замещен оксогруппой, Т-R3 или L-Z-R3 и каждый замещаемый азот в указанном кольце, образованном радикалами Rx и Ry, необязательно замещен радикалом R4; при условии, что указанное конденсированное кольцо, образованное радикалами Rx и Ry, отлично от бензольного кольца;
R1 представляет собой Т-(кольцо D);
кольцо D представляет собой 5-7-членное моноциклическое кольцо или 8-10-членное бициклическое кольцо, выбранное из арильного, гетероарильного, гетероциклильного или карбоциклильного колец, из которых гетероарильное или гетероциклильное кольцо содержит 1-4 кольцевых гетероатома, выбранных из азота, кислорода или серы, причем каждый замещаемый углерод кольца D независимо замещен оксогруппой, Т-R5 или V-Z-R5 и каждый замещаемый азот кольца D независимо замещен группой -R4;
Т представляет собой связь или С1-4 алкилиденовую цепь;
Z представляет собой С1-4 алкилиденовую цепь;
L представляет собой -О-, -S-, -SO-, -SO2-, -N(R6)SO2-, -SO2N(R6)-, -N(R6)-, -CO-, -CO2-, -N(R6)CO-, -N(R6)C(O)O-, -N(R6)CON(R6)-, -N(R6)SO2N(R6)-, -N(R6)N(R6)-, -C(О)N(R6)-, -OC(О)N(R6)-, -C(R6)2О-, -C(R6)2S-, -C(R6)2SO-, -C(R6)2SO2-, -C(R6)2SO2N(R6)-, -C(R6)2N(R6)-, -C(R6)2N(R6)C(О)-, -C(R6)2N(R6)C(О)О-, -C(R6)=NN(R6)-, -C(R6)=N-О-, -C(R6)2N(R6)N(R6)-, -C(R6)2N(R6)SO2N(R6)- или -C(R6)2N(R6)CON(R6)-;
R2 и R2' независимо выбраны из -R, -T-W-R6 или R2 и R2' объединены вместе с их промежуточными атомами с образованием конденсированного 5-8-членного ненасыщенного или частично ненасыщенного кольца, имеющего 0-3 кольцевых гетероатома, выбранных из азота, кислорода или серы, причем каждый замещаемый углерод в указанном конденсированном кольце, образованном радикалами R2 и R2', независимо замещен галогеном, оксогруппой, -CN, -NO2, -R7 или -V-R6 и каждый замещаемый азот в указанном кольце, образованном радикалами R2 и R2', независимо замещен радикалом R4;
R3 выбран из -R, галогена, -OR, -C(=O)R, -CO2R, -COCOR, -COCH2COR, -NO2, -CN, -S(O)R, -S(O)2R, -SR, -N(R4)2, -CON(R7)2, -SO2N(R7)2, -OC(=O)R, -N(R7)COR, -N(R7)CO2(С1-6 алифатическая группа), -N(R4)N(R4)2, -C=NN(R4)2, -C=N-OR, -N(R7)CON(R7)2, -N(R7)SO2N(R7)2, -N(R4)SO2R или -OC(=O)N(R7)2;
каждый R независимо выбран из водорода или необязательно замещенной группы, выбранной из С1-6 алифатической группы, С6-10 арила, гетероарильного кольца, имеющего 5-10 кольцевых атомов, или гетероциклильного кольца, имеющего 5-10 кольцевых атомов;
каждый R4 независимо выбран из -R7, -COR7, -CO2 (необязательно замещенная С1-6 алифатическая группа), -CON(R7)2 или -SO2R7;
каждый R5 независимо выбран из -R, галогена, -OR, -C(=O)R, -CO2R, -COCOR, -NO2, -CN, -S(O)R, -SO2R, -SR, -N(R4)2, -CON(R4)2, -SO2N(R4)2, -OC(=O)R, -N(R4)COR, -N(R4)CO2 (необязательно замещенная С1-6 алифатическая группа), -N(R4)N(R4)2, -C=NN(R4)2, -C=N-OR, -N(R4)CON(R4)2, -N(R4)SO2N(R4)2, -N(R4)SO2R или -OC(=O)N(R4)2;
V представляет собой -О-, -S-, -SO-, -SO2-, -N(R6)SO2-, -SO2N(R6)-, -N(R6)-, -CO-, -CO2-, -N(R6)CO-, -N(R6)C(O)O-, -N(R6)CON(R6)-, -N(R6)SO2N(R6)-, -N(R6)N(R6)-, -C(О)N(R6)-, -OC(О)N(R6)-, -C(R6)2О-, -C(R6)2S-, -C(R6)2SO-, -C(R6)2SO2-, -C(R6)2SO2N(R6)-, -C(R6)2N(R6)-, -C(R6)2N(R6)C(О)-, -C(R6)2N(R6)C(О)О-, -C(R6)=NN(R6)-, -C(R6)=N-О-, -C(R6)2N(R6)N(R6)-, -C(R6)2N(R6)SO2N(R6)- или -C(R6)2N(R6)CON(R6)-;
W представляет собой -C(R6)2О-, -C(R6)2S-, -C(R6)2SO-, -C(R6)2SO2-, -C(R6)2SO2N(R6)-, -C(R6)2N(R6)-, -CO-, -CO2-, -C(R6)OC(О)-, -C(R6)OC(О)N(R6)-, -C(R6)2N(R6)CO-, -C(R6)2N(R6)C(О)О-, -C(R6)=NN(R6)-, -C(R6)=N-О-, -C(R6)2N(R6)N(R6)-, -C(R6)2N(R6)SO2N(R6)-, -C(R6)2N(R6)CON(R6)- или -CON(R6)-;
каждый R6 независимо выбран из водорода или необязательно замещенной С1-4 алифатической группы, или две группы R6 у одного и того же атома азота могут быть объединены вместе с атомом азота с образованием 5-6-членного гетероциклильного или гетероарильного кольца; и
каждый R7 независимо выбран из водорода или необязательно замещенной С1-6 алифатической группы или два R7 у одного и того же атома азота объединены вместе с атомом азота с образованием 5-8-членного гетероциклильного или гетероарильного кольца.
Предпочтительные кольца, образованные радикалами Rх и Ry формулы IIc'', включают 5-, 6- или 7-членное ненасыщенное или частично ненасыщенное кольцо, имеющее 1-2 гетероатома, или частично ненасыщенное карбоциклическое кольцо, причем указанное кольцо Rх/Ry является необязательно замещенным. Это дает бициклическую кольцевую систему, содержащую пиримидиновое кольцо. Примеры предпочтительных пиримидиновых кольцевых систем формулы IIc" показаны ниже.
Более предпочтительные пиримидиновые кольцевые системы формулы IIc" включают IIc"-B, IIc"-D, IIc"-Е, IIc"-J, IIc"-P и IIc"-V, наиболее предпочтительно IIc"-B, IIc"-D, IIc"-E и IIc"-J.
Кольцо, образованное взятыми вместе Rх и Ry формулы IIc'', может быть замещенным или незамещенным. Подходящие заместители включают -R, галоген, -О(СН2)2-4-N(R4)2, -О(СН2)2-4-R, -OR, -N(R4)-(CH2)2-4-N(R4)2, -N(R4)-(CH2)2-4-R, -C(=O)R, -CO2R, -COCOR, -NO2, -CN, -S(O)R, -SO2R, -SR, -N(R4)2, -CON(R4)2, -SO2N(R4)2, -OC(=O)R, -N(R4)COR, -N(R4)CO2(необязательно замещенная С1-6 алифатическая группа), -N(R4)N(R4)2, -C=NN(R4)2, -C=N-OR, -N(R4)CON(R4)2, -N(R4)SO2N(R4)2, -N(R4)SO2R или -OC(=O)N(R4)2, где R и R4 - такие как определенные выше. Предпочтительные заместители в кольце Rх/Ry включают галоген, -R, -OR, -COR, -CO2R, -CON(R4)2, -CN, -О(СН2)2-4-N(R4)2, -О(СН2)2-4-R, -NO2, -N(R4)2, -NR4COR, -NR4SO2R, -SO2N(R4)2, где R представляет собой водород или необязательно замещенную С1-6 алифатическую группу.
Группы R2 и R2' в формуле IIc" могут быть взяты вместе с образованием конденсированного кольца, что дает бициклическую кольцевую систему, содержащую пиразольное кольцо. Предпочтительные конденсированные кольца включают бензольное, пиридиновое, пиримидиновое и частично ненасыщенное 6-членное карбоциклическое кольца. Примеры указанных конденсированных колец представлены в следующих соединениях формулы IIc", имеющих пиразолсодержащую бициклическую кольцевую систему:
Предпочтительные заместители в конденсированном кольце R2/R2' формулы IIc" включают один или несколько из следующих заместителей: галоген, -N(R4)2, -С1-4 алкил, -С1-4 галогеналкил, -NO2, -О(С1-4 алкил), -CO2(С1-4 алкил), -CN, -SO2(С1-4 алкил), -SO2NH2, -OC(О)NH2, -NH2SO2(C1-4 алкил), -NHC(O)(С1-4 алкил), -C(О)NH2 и -CO(C1-4 алкил), где (C1-4 алкил) представляет собой неразветвленную, разветвленную или циклическую алкильную группу. Предпочтительно С1-4 алкильная группа представляет собой метил.
Когда пиразольная кольцевая система формулы IIc" является моноциклической, предпочтительные группы R2 включают водород или замещенную или незамещенную группу, выбранную из арильной, гетероарильной или С1-6 алифатической группы. Примеры таких предпочтительных групп R2 включают Н, метил, этил, пропил, циклопропил, изопропил, циклопентил, гидроксипропил, метоксипропил и бензилоксипропил. Предпочтительной группой R2' является водород.
Когда кольцо D формулы IIc" является моноциклическим, предпочтительные группы кольца D включают фенил, пиридил, пиридазинил, пиримидинил и пиразинил.
Когда кольцо D формулы IIc" является бициклическим, предпочтительные группы бициклического кольца D включают нафтил, тетрагидронафтил, инданил, бензимидазолил, хинолинил, индолил, изоиндолил, индолинил, бензо[b]фурил, бензо[b]тиофенил, индазолил, бензотиазолил, циннолинил, фталазинил, хиназолинил, хиноксазолинил, 1,8-нафтиридинил и изохинолинил.
В кольце D формулы IIc" предпочтительные заместители Т-R5 или V-Z-R5 включают галоген, -CN, -NO2, -N(R4)2, необязательно замещенную С1-6 алифатическую группу, -OR, -C(О)R, -CO2R, -CONH(R4), -N(R4)COR, -N(R4)CO2R, -SO2N(R4)2, -N(R4)SO2R, -N(R6)COCH2N(R4)2, -N(R6)СОСН2СН2N(R4)2 и -N(R6)СОСН2СН2СН2N(R4)2, где R выбран из водорода, С1-6 алифатической группы, фенила, 5-6-членного гетероарильного кольца или 5-6-членного гетероциклического кольца. Более предпочтительные заместители R5 включают -Cl, -Br, -F, -CN, -CF3, -COOH, -CONHMe, -CONHEt, -NH2, -NHAc, -NHSO2Ме, -NHSO2Et, -NHSO2(н-пропил), -NHSO2(изопропил), -NHCOEt, -NHCOCH2NHCH3, -NHCOCH2N(CO2t-Bu)СН3, -NHCOCH2N(СН3)2, -NHCOCH2СН2N(СН3)2, -NHCOCH2СН2СН2N(СН3)2, -NHCO(циклопропил), -NHCO(изобутил), -NHCOCH2(морфолин-4-ил), -NHCOCH2СН2(морфолин-4-ил), -NHCOCH2СН2СН2(морфолин-4-ил), -NHCO2(трет-бутил), -NH(С1-4 алифатическую группу), такую как -NHMe, N(C1-4 алифатическую группу)2, такую как -NMe2, ОН, -O(C1-4 алифатическую группу), такую как -OMe, C1-4 алифатическую группу, такую как метил, этил, циклопропил, изопропил или трет-бутил, и -СО2(С1-4 алифатическую группу).
Предпочтительные соединения формулы IIc" имеют один или несколько, а более предпочтительно все признаки, выбранные из следующих:
(а) Rx и Ry взяты вместе с их промежуточными атомами с образованием конденсированного ненасыщенного или частично ненасыщенного 5-6-членного кольца, имеющего 1-2 гетероатома, выбранных из кислорода, серы или азота, или частично ненасыщенного 6-членного карбоциклического кольца, причем каждый замещаемый кольцевой углерод в указанном конденсированном кольце, образованном радикалами Rx и Ry, независимо замещен оксогруппой, Т-R3 или L-Z-R3 и каждый замещаемый кольцевой азот в указанном кольце, образованном радикалами Rx и Ry, независимо замещен радикалом R4;
(b) R1 представляет собой Т-(кольцо D), где Т представляет собой связь или метиленовое звено и кольцо D представляет собой 5-7-членное моноциклическое или 8-10-членное бициклическое арильное или гетероарильное кольцо;
(с) R2 представляет собой -R или -T-W-R6, и R2' представляет собой водород; или R2 и R2' взяты вместе друг с другом с образованием необязательно замещенного бензольного кольца; и
(d) R3 выбран из -R, галогена, -OR или -N(R4)2.
Более предпочтительные соединения формулы IIc" имеют один или несколько, а более предпочтительно все признаки, выбранные из следующих:
(a) Rx и Ry взяты вместе друг с другом с образованием бензольного, пиридинового, циклопентильного, циклогексильного, циклогептильного, тиенильного, пиперидинового или имидазольного кольца, причем каждый замещаемый кольцевой углерод в указанном конденсированном кольце, образованном радикалами Rx и Ry, независимо замещен оксогруппой, Т-R3 или L-Z-R3 и каждый замещаемый кольцевой азот в указанном кольце, образованном радикалами Rx и Ry, независимо замещен радикалом R4;
(b) R1 представляет собой Т-(кольцо D), где Т представляет собой связь и кольцо D представляет собой 5-6-членное моноциклическое кольцо или 8-10-членное бициклическое кольцо, выбранное из арильного или гетероарильного кольца;
(с) R2 представляет собой -R и R2' представляет собой водород, причем R выбран из водорода, С1-6 алифатической группы, фенила, 5-6-членного гетероарильного кольца или 5-6-членного гетероциклического кольца; и
(d) R3 выбран из -R, галогена, -OR или -N(R4)2, причем R выбран из водорода, С1-6 алифатической группы, 5-6-членного гетероциклила, фенила или 5-6-членного гетероарила и L представляет собой -О-, -S- или -N(R4)-.
Еще более предпочтительные соединения формулы IIc" имеют один или несколько, а более предпочтительно все признаки, выбранные из следующих:
(a) Rx и Ry взяты вместе друг с другом с образованием пиридинового, пиперидинового или циклогексильного кольца, причем каждый замещаемый кольцевой углерод в указанном конденсированном кольце, образованном радикалами Rx и Ry, независимо замещен оксогруппой, Т-R3 или L-Z-R3 и каждый замещаемый кольцевой азот в указанном кольце, образованном радикалами Rx и Ry, независимо замещен радикалом R4;
(b) R1 представляет собой Т-(кольцо D), где Т представляет собой связь и кольцо D представляет собой 5-6-членное арильное или гетероарильное кольцо;
(с) R2 представляет собой водород или С1-4 алифатическую группу и R2' представляет собой водород;
(d) R3 выбран из -R, -OR или -N(R4)2, причем R выбран из водорода, С1-6 алифатической группы, 5-6-членного гетероциклила, фенила или 5-6-членного гетероарила и L представляет собой -О-, -S- или -NH-; и
(е) кольцо D замещено заместителями в количестве до трех, выбранными из галогена, -CN, -NO2, -N(R4)2, необязательно замещенной С1-6 алифатической группы, -OR, -C(О)R, -CO2R, -CONH(R4), -N(R4)COR, -N(R4)CO2R, -SO2N(R4)2, -N(R4)SO2R, -N(R6)COCH2N(R4)2, -N(R6)СОСН2СН2N(R4)2 или -N(R6)СОСН2СН2СН2N(R4)2, где R выбран из водорода, С1-6 алифатической группы, фенила, 5-6-членного гетероарильного кольца или 5-6-членного гетероциклического кольца.
Характерные соединения формулы IIc показаны ниже в таблице 3.
Таблица 3
В еще одном варианте настоящее изобретение относится к композиции, содержащей соединение формулы IIc, IIc' или IIc'' и фармацевтически приемлемый носитель.
Другой аспект настоящего изобретения относится к способу лечения или профилактики Aurora-2-опосредованного заболевания ингибитором Aurora-2 и включает введение пациенту, нуждающемуся в таком лечении, терапевтически эффективного количества соединения формулы IIc, IIc' или IIc'' или содержащей его фармацевтической композиции.
Еще один аспект настоящего изобретения относится к способу ингибирования активности Aurora-2 у пациента, включающему введение пациенту соединения формулы IIc, IIc' или IIc'' или композиции, содержащей указанное соединение.
Еще один аспект настоящего изобретения относится к способу лечения или профилактики GSK-3-опосредованного заболевания ингибитором GSK-3, включающему введение пациенту, нуждающемуся в таком лечении, терапевтически эффективного количества соединения формулы IIc, IIc' или IIc'' или содержащей его фармацевтической композиции.
Еще один аспект настоящего изобретения относится к способу усиления синтеза гликогена и/или снижения уровня глюкозы в крови у пациента, нуждающегося в этом, включающему введение указанному пациенту соединения формулы IIc, IIc' или IIc'' или содержащей его фармацевтической композиции. Данный способ особенно полезен для больных диабетом.
Еще один аспект настоящего изобретения относится к способу ингибирования продукции гиперфосфорилированного белка Tau и полезен для остановки или замедления развития болезни Альцгеймера.
Еще один аспект настоящего изобретения относится к способу ингибирования фосфорилирования β-катенина и полезен для лечения шизофрении.
Еще один аспект настоящего изобретения относится к способу ингибирования активности GSK-3 у пациента, включающему введение пациенту соединения формулы IIc, IIc' или IIc'' или содержащей его фармацевтической композиции.
Другой аспект настоящего изобретения относится к способу лечения или профилактики Src-опосредованного заболевания ингибитором Src, включающему введение пациенту, нуждающемуся в таком лечении, терапевтически эффективного количества соединения формулы IIc, IIc' или IIc'' или содержащей его фармацевтической композиции.
Еще один аспект настоящего изобретения относится к способу ингибирования активности Src у пациента, включающему введение пациенту соединения формулы IIc, IIc' или IIc'' или содержащей его фармацевтической композиции.
Другой аспект настоящего изобретения относится к способу лечения или профилактики ERK-2-опосредованного заболевания ингибитором ERK-2, включающему введение пациенту, нуждающемуся в таком лечении, терапевтически эффективного количества соединения формулы IIc, IIc' или IIc'' или содержащей его фармацевтической композиции.
Еще один аспект настоящего изобретения относится к способу ингибирования активности ERK-2 у пациента, включающему введение пациенту соединения формулы IIc, IIc' или IIc'' или содержащей его фармацевтической композиции.
Другой аспект настоящего изобретения относится к способу лечения или профилактики AKT-опосредованного заболевания ингибитором AKT, включающему введение пациенту, нуждающемуся в таком лечении, терапевтически эффективного количества соединения формулы IIc, IIc' или IIc'' или содержащей его фармацевтической композиции.
Еще один аспект настоящего изобретения относится к способу ингибирования активности протеинкиназы AKT у пациента, включающему введение пациенту соединения формулы IIc, IIc' или IIc'' или содержащей его фармацевтической композиции.
Еще один аспект настоящего изобретения относится к способу ингибирования активности Aurora-2, GSK-3, Src, ERK-2 или АКТ в биологическом образце, включающему осуществление контактирования биологического образца с ингибитором Aurora-2, GSK-3, Src, ERK-2 или АКТ формулы IIc, IIc' или IIc'' или с содержащей его фармацевтической композицией в количестве, эффективном для ингибирования Aurora-2, GSK-3, Src, ERK-2 или АКТ.
Каждый из указанных выше способов, направленных на ингибирование Aurora-2, GSK-3, Src, ERK-2 или АКТ или лечение заболевания, облегчаемого указанным ингибированием, предпочтительно осуществляют с использованием предпочтительного соединения формулы IIc, IIc' или IIc'', такого как описанные выше соединения.
Другой вариант настоящего изобретения, особенно полезный для лечения Aurora-2-опосредованных заболеваний, относится к соединениям формулы IId:
или их фармацевтически приемлемым производным или пролекарствам, где:
Q' выбран из -С(R6')2-, 1,2-циклопропандиила, 1,2-циклобутандиила или 1,3-циклобутандиила;
Rx и Ry объединены вместе с их промежуточными атомами с образованием конденсированного ненасыщенного или частично ненасыщенного 5-7-членного кольца, имеющего 0-3 кольцевых гетероатома, выбранных из кислорода, серы или азота, причем каждый замещаемый углерод в указанном конденсированном кольце, образованном радикалами Rx и Ry, независимо замещен оксогруппой, Т-R3 или L-Z-R3 и каждый замещаемый азот в указанном кольце, образованном радикалами Rx и Ry, независимо замещен радикалом R4;
R1 представляет собой Т-(кольцо D);
кольцо D представляет собой 5-7-членное моноциклическое кольцо или 8-10-членное бициклическое кольцо, выбранное из арильного, гетероарильного, гетероциклильного или карбоциклильного колец, из которых гетероарильное или гетероциклильное кольцо содержит 1-4 кольцевых гетероатома, выбранных из азота, кислорода или серы, причем каждый замещаемый углерод кольца D независимо замещен оксогруппой, Т-R5 или V-Z-R5 и каждый замещаемый азот кольца D независимо замещен группой -R4;
Т представляет собой связь или С1-4 алкилиденовую цепь, причем когда Q' представляет собой -С(R6')2-, метиленовая группа указанной С1-4 алкилиденовой цепи является необязательно замещенной заместителем -O-, -S-, -N(R4)-, -СО-, -CONH-, -NHCO-, -SO2-, -SO2NH-, -NHSO2-, -CO2-, -OC(O)-, -OC(O)NH- или -NHCO2-;
Z представляет собой С1-4 алкилиденовую цепь;
L представляет собой -О-, -S-, -SO-, -SO2-, -N(R6)SO2-, -SO2N(R6)-, -N(R6)-, -CO-, -CO2-, -N(R6)CO-, -N(R6)C(O)O-, -N(R6)CON(R6)-, -N(R6)SO2N(R6)-, -N(R6)N(R6)-, -C(О)N(R6)-, -OC(О)N(R6)-, -C(R6)2О-, -C(R6)2S-, -C(R6)2SO-, -C(R6)2SO2-, -C(R6)2SO2N(R6)-, -C(R6)2N(R6)-, -C(R6)2N(R6)C(О)-, -C(R6)2N(R6)C(О)О-, -C(R6)=NN(R6)-, -C(R6)=N-О-, -C(R6)2N(R6)N(R6)-, -C(R6)2N(R6)SO2N(R6)- или -C(R6)2N(R6)CON(R6)-;
R2 и R2' независимо выбраны из -R, -T-W-R6 или R2 и R2' объединены вместе с их промежуточными атомами с образованием конденсированного 5-8-членного ненасыщенного или частично ненасыщенного кольца, имеющего 0-3 кольцевых гетероатома, выбранных из азота, кислорода или серы, причем каждый замещаемый углерод в указанном конденсированном кольце, образованном радикалами R2 и R2', независимо замещен галогеном, оксогруппой, -CN, -NO2, -R7 или -V-R6 и каждый замещаемый азот в указанном кольце, образованном радикалами R2 и R2', независимо замещен радикалом R4;
R3 выбран из -R, галогена, -OR, -C(=O)R, -CO2R, -COCOR, -COCH2COR, -NO2, -CN, -S(O)R, -S(O)2R, -SR, -N(R4)2, -CON(R7)2, -SO2N(R7)2, -OC(=O)R, -N(R7)COR, -N(R7)CO2(С1-6 алифатическая группа), -N(R4)N(R4)2, -C=NN(R4)2, -C=N-OR, -N(R7)CON(R7)2, -N(R7)SO2N(R7)2, -N(R4)SO2R или -OC(=O)N(R7)2;
каждый R независимо выбран из водорода или необязательно замещенной группы, выбранной из С1-6 алифатической группы, С6-10 арила, гетероарильного кольца, имеющего 5-10 кольцевых атомов, или гетероциклильного кольца, имеющего 5-10 кольцевых атомов;
каждый R4 независимо выбран из -R7, -COR7, -CO2(необязательно замещенная С1-6 алифатическая группа), -CON(R7)2 или -SO2R7;
каждый R5 независимо выбран из -R, галогена, -OR, -C(=O)R, -CO2R, -COCOR, -NO2, -CN, -S(O)R, -SO2R, -SR, -N(R4)2, -CON(R4)2, -SO2N(R4)2, -OC(=O)R, -N(R4)COR, -N(R4)CO2(необязательно замещенная С1-6 алифатическая группа), -N(R4)N(R4)2, -C=NN(R4)2, -C=N-OR, -N(R4)CON(R4)2, -N(R4)SO2N(R4)2, -N(R4)SO2R или -OC(=O)N(R4)2;
V представляет собой -О-, -S-, -SO-, -SO2-, -N(R6)SO2-, -SO2N(R6)-, -N(R6)-, -CO-, -CO2-, -N(R6)CO-, -N(R6)C(O)O-, -N(R6)CON(R6)-, -N(R6)SO2N(R6)-, -N(R6)N(R6)-, -C(О)N(R6)-, -OC(О)N(R6)-, -C(R6)2О-, -C(R6)2S-, -C(R6)2SO-, -C(R6)2SO2-, -C(R6)2SO2N(R6)-, -C(R6)2N(R6)-, -C(R6)2N(R6)C(О)-, -C(R6)2N(R6)C(О)О-, -C(R6)=NN(R6)-, -C(R6)=N-О-, -C(R6)2N(R6)N(R6)-, -C(R6)2N(R6)SO2N(R6)- или -C(R6)2N(R6)CON(R6)-;
W представляет собой -C(R6)2О-, -C(R6)2S-, -C(R6)2SO-, -C(R6)2SO2-, -C(R6)2SO2N(R6)-, -C(R6)2N(R6)-, -CO-, -CO2-, -C(R6)OC(О)-, -C(R6)OC(О)N(R6)-, -C(R6)2N(R6)CO-, -C(R6)2N(R6)C(О)О-, -C(R6)=NN(R6)-, -C(R6)=N-О-, -C(R6)2N(R6)N(R6)-, -C(R6)2N(R6)SO2N(R6)-, -C(R6)2N(R6)CON(R6)- или -CON(R6)-;
каждый R6 независимо выбран из водорода или необязательно замещенной С1-4 алифатической группы, или две группы R6 у одного и того же атома азота могут быть объединены вместе с атомом азота с образованием 5-6-членного гетероциклильного или гетероарильного кольца;
каждый R6' независимо выбран из водорода или С1-4 алифатической группы или два R6' у одного и того же углеродного атома объединены друг с другом с образованием 3-6-членного карбоциклического кольца; и
каждый R7 независимо выбран из водорода или необязательно замещенной С1-6 алифатической группы или два R7 у одного и того же атома азота объединены вместе с атомом азота с образованием 5-8-членного гетероциклильного или гетероарильного кольца.
Предпочтительные кольца, образованные радикалами Rх и Ry, включают 5-, 6- или 7-членное ненасыщенное или частично ненасыщенное кольцо, имеющее 0-2 гетероатома, причем указанное кольцо Rх/Ry является необязательно замещенным. Это дает бициклическую кольцевую систему, содержащую пиримидиновое кольцо. Примеры предпочтительных пиримидиновых кольцевых систем формулы IId показаны ниже.
Более предпочтительные пиримидиновые кольцевые системы формулы IId включают IId-A, IId-B, IId-D, IId-Е, IId-J, IId-P и IId-V, наиболее предпочтительно IId-A, IId-B, IId-D, IId-E и IId-J.
Кольцо, образованное взятыми вместе Rх и Ry формулы IId, может быть замещенным или незамещенным. Подходящие заместители включают -R, галоген, -О(СН2)2-4-N(R4)2, -О(СН2)2-4-R, -OR, -N(R4)-(CH2)2-4-N(R4)2, -N(R4)-(CH2)2-4-R, C(=O)R, -CO2R, -COCOR, -NO2, -CN, -S(O)R, -SO2R, -SR, -N(R4)2, -CON(R4)2, -SO2N(R4)2, -OC(=O)R, -N(R4)COR, -N(R4)CO2(необязательно замещенная С1-6 алифатическая группа), -N(R4)N(R4)2, -C=NN(R4)2, -C=N-OR, -N(R4)CON(R4)2, -N(R4)SO2N(R4)2, -N(R4)SO2R или -OC(=O)N(R4)2, где R и R4 - такие как определенные выше. Предпочтительные заместители в кольце Rх/Ry включают галоген, -R, -OR, -COR, -CO2R, -CON(R4)2, -CN, -О(СН2)2-4-N(R4)2, -О(СН2)2-4-R, -NO2, -N(R4)2, -NR4COR, -NR4SO2R, -SO2N(R4)2, где R представляет собой водород или необязательно замещенную С1-6 алифатическую группу.
Группы R2 и R2' в формуле IId могут быть взяты вместе с образованием конденсированного кольца, что дает бициклическую кольцевую систему, содержащую пиразольное кольцо. Предпочтительные конденсированные кольца включают бензольное, пиридиновое, пиримидиновое и частично ненасыщенное 6-членное карбоциклическое кольца. Примеры указанных конденсированных колец представлены в следующих соединениях формулы IId, имеющих пиразолсодержащую бициклическую кольцевую систему:
Предпочтительные заместители в конденсированном кольце R2/R2' формулы IId включают один или несколько из следующих заместителей: галоген, -N(R4)2, -С1-4 алкил, -С1-4 галогеналкил, -NO2, -О(С1-4 алкил), -CO2(С1-4 алкил), -CN, -SO2(С1-4 алкил), -SO2NH2, -OC(О)NH2, -NH2SO2(C1-4 алкил), -NHC(O)(С1-4 алкил), -C(О)NH2 и -CO(C1-4 алкил), где (C1-4 алкил) представляет собой неразветвленную, разветвленную или циклическую алкильную группу. Предпочтительно С1-4 алкильная группа представляет собой метил.
Когда пиразольная кольцевая система формулы IId является моноциклической, предпочтительные группы R2 включают водород или замещенную или незамещенную группу, выбранную из арильной, гетероарильной или С1-6 алифатической группы. Примеры таких предпочтительных групп R2 включают Н, метил, этил, пропил, циклопропил, изопропил, циклопентил, гидроксипропил, метоксипропил и бензилоксипропил. Предпочтительной группой R2' является водород.
Когда кольцо D формулы IId является моноциклическим, предпочтительные группы кольца D включают фенил, пиридил, пиридазинил, пиримидинил и пиразинил.
Когда кольцо D формулы IId является бициклическим, предпочтительные группы бициклического кольца D включают нафтил, тетрагидронафтил, инданил, бензимидазолил, хинолинил, индолил, изоиндолил, индолинил, бензо[b]фурил, бензо[b]тиофенил, индазолил, бензотиазолил, циннолинил, фталазинил, хиназолинил, хиноксазолинил, 1,8-нафтиридинил и изохинолинил.
В кольце D формулы IId предпочтительные заместители Т-R5 или V-Z-R5 включают галоген, -CN, -NO2, -N(R4)2, необязательно замещенную С1-6 алифатическую группу, -OR, -C(О)R, -CO2R, -CONH(R4), -N(R4)COR, -N(R4)CO2R, -SO2N(R4)2, -N(R4)SO2R, -N(R6)COCH2N(R4)2, -N(R6)СОСН2СН2N(R4)2 и -N(R6)СОСН2СН2СН2N(R4)2, где R выбран из водорода, С1-6 алифатической группы, фенила, 5-6-членного гетероарильного кольца или 5-6-членного гетероциклического кольца. Более предпочтительные заместители R5 включают -Cl, -Br, -F, -CN, -CF3, -COOH, -CONHMe, -CONHEt, -NH2, -NHAc, -NHSO2Ме, -NHSO2Et, -NHSO2(н-пропил), -NHSO2(изопропил), -NHCOEt, -NHCOCH2NHCH3, -NHCOCH2N(CO2t-Bu)СН3, -NHCOCH2N(СН3)2, -NHCOCH2СН2N(СН3)2, -NHCOCH2СН2СН2N(СН3)2, -NHCO(циклопропил), -NHCO(изобутил), -NHCOCH2(морфолин-4-ил), -NHCOCH2СН2(морфолин-4-ил), -NHCOCH2СН2СН2(морфолин-4-ил), -NHCO2(трет-бутил), -NH(С1-4 алифатическую группу), такую как -NHMe, N(C1-4 алифатическую группу)2, такую как -NMe2, ОН, -O(C1-4 алифатическую группу), такую как -OMe, C1-4 алифатическую группу, такую как метил, этил, циклопропил, изопропил или трет-бутил, и -СО2(С1-4 алифатическую группу).
Предпочтительные группы Q' формулы IId включают -С(R6')2- или 1,2-циклопропандиил, где каждый R6' независимо выбран из водорода или метила. Более предпочтительной группой Q' является -СН2-.
Предпочтительные соединения формулы IId имеют один или несколько, а более предпочтительно все признаки, выбранные из следующих:
(а) Rx и Ry взяты вместе с их промежуточными атомами с образованием конденсированного ненасыщенного или частично ненасыщенного 5-6-членного кольца, имеющего 0-2 гетероатома, выбранных из кислорода, серы или азота, причем каждый замещаемый кольцевой углерод в указанном конденсированном кольце, образованном радикалами Rx и Ry, независимо замещен оксогруппой, Т-R3 или L-Z-R3 и каждый замещаемый кольцевой азот в указанном кольце, образованном радикалами Rx и Ry, независимо замещен радикалом R4;
(b) R1 представляет собой Т-(кольцо D), где Т представляет собой связь или метиленовое звено и где указанное метиленовое звено необязательно замещено заместителем -О-, -NH- или -S-;
(с) кольцо D представляет собой 5-7-членное моноциклическое кольцо или 8-10-членное бициклическое кольцо, выбранное из арильного или гетероарильного кольца;
(d) R2 представляет собой -R или -T-W-R6 и R2' представляет собой водород; или R2 и R2' взяты вместе друг с другом с образованием необязательно замещенного бензольного кольца; и
(е) R3 выбран из -R, галогена, -OR или -N(R4)2.
Более предпочтительные соединения формулы IId имеют один или несколько, а более предпочтительно все признаки, выбранные из следующих:
(a) Rx и Ry взяты вместе друг с другом с образованием бензольного, пиридинового, циклопентильного, циклогексильного, циклогептильного, тиенильного, пиперидинового или имидазольного кольца;
(b) R1 представляет собой Т-(кольцо D), где Т представляет собой связь или метиленовое звено, причем указанное метиленовое звено необязательно замещено заместителем -О-, и кольцо D представляет собой 5-6-членное моноциклическое кольцо или 8-10-членное бициклическое кольцо, выбранное из арильного или гетероарильного кольца;
(с) R2 представляет собой -R и R2' представляет собой водород, причем R выбран из водорода, С1-6 алифатической группы, фенила, 5-6-членного гетероарильного кольца или 5-6-членного гетероциклического кольца;
(d) R3 выбран из -R, галогена, -OR или -N(R4)2, причем R выбран из водорода, С1-6 алифатической группы, 5-6-членного гетероциклила, фенила или 5-6-членного гетероарила и L представляет собой -О-, -S- или -N(R4)-; и
(е) Q' представляет собой -С(R6')2- или 1,2-циклопропандиил, где каждый R6' независимо выбран из водорода или метила.
Еще более предпочтительные соединения формулы IId имеют один или несколько, а более предпочтительно все признаки, выбранные из следующих:
(a) Rx и Ry взяты вместе друг с другом с образованием бензольного, пиридинового, пиперидинового или циклогексильного кольца;
(b) R1 представляет собой Т-(кольцо D), где Т представляет собой связь и кольцо D представляет собой 5-6-членное арильное или гетероарильное кольцо;
(с) R2 представляет собой водород или С1-4 алифатическую группу и R2' представляет собой водород;
(d) R3 выбран из -R, -OR или -N(R4)2, причем R выбран из водорода, С1-6 алифатической группы, 5-6-членного гетероциклила, фенила или 5-6-членного гетероарила и L представляет собой -О-, -S- или -NH-;
(е) кольцо D замещено заместителями в количестве до трех, выбранными из галогена, -CN, -NO2, -N(R4)2, необязательно замещенной С1-6 алифатической группы, -OR, -C(О)R, -CO2R, -CONH(R4), -N(R4)COR, -N(R4)CO2R, -SO2N(R4)2, -N(R4)SO2R, -N(R6)COCH2N(R4)2, -N(R6)СОСН2СН2N(R4)2 или -N(R6)СОСН2СН2СН2N(R4)2, где R выбран из водорода, С1-6 алифатической группы, фенила, 5-6-членного гетероарильного кольца или 5-6-членного гетероциклического кольца; и
(f) Q' представляет собой -СН2-.
Характерные соединения формулы IId показаны ниже в таблице 4.
Таблица 4
В еще одном варианте настоящее изобретение относится к композиции, содержащей соединение формулы IId и фармацевтически приемлемый носитель.
Другой аспект настоящего изобретения относится к способу лечения или профилактики Aurora-2-опосредованного заболевания ингибитором Aurora-2 и включает введение пациенту, нуждающемуся в таком лечении, терапевтически эффективного количества соединения формулы IId или содержащей его фармацевтической композиции.
Еще один аспект настоящего изобретения относится к способу ингибирования активности Aurora-2 у пациента, включающему введение пациенту соединения формулы IId или композиции, содержащей указанное соединение.
Еще один аспект настоящего изобретения относится к способу лечения или профилактики GSK-3-опосредованного заболевания ингибитором GSK-3, включающему введение пациенту, нуждающемуся в таком лечении, терапевтически эффективного количества соединения формулы IId или содержащей его фармацевтической композиции.
Еще один аспект настоящего изобретения относится к способу усиления синтеза гликогена и/или снижения уровня глюкозы в крови у пациента, нуждающегося в этом, включающему введение указанному пациенту соединения формулы IId или содержащей его фармацевтической композиции. Данный способ особенно полезен для больных диабетом. Другой способ относится к ингибированию продукции гиперфосфорилированного белка Tau и полезен для остановки или замедления развития болезни Альцгеймера. Еще один способ относится к ингибированию фосфорилирования β-катенина и полезен для лечения шизофрении.
Еще один аспект настоящего изобретения относится к способу ингибирования активности GSK-3 у пациента, включающему введение пациенту соединения формулы IId или содержащей его фармацевтической композиции.
Еще один аспект настоящего изобретения относится к способу ингибирования активности Aurora-2 или GSK-3 в биологическом образце, включающему осуществление контактирования биологического образца с ингибитором Aurora-2 или GSK-3 формулы IId или с содержащей его фармацевтической композицией в количестве, эффективном для ингибирования Aurora-2 или GSK-3.
Каждый из указанных выше способов, направленных на ингибирование Aurora-2 или GSK-3 или лечение заболевания, облегчаемого указанным ингибированием, предпочтительно осуществляют с использованием предпочтительного соединения формулы IId, такого как описанные выше соединения.
Еще один вариант настоящего изобретения относится к соединениям формулы IIIa:
или их фармацевтически приемлемым производным или пролекарствам, где:
Rx и Ry, независимо выбраны из Т-R3 или L-Z-R3;
R1 представляет собой Т-(кольцо D);
кольцо D представляет собой 5-7-членное моноциклическое кольцо или 8-10-членное бициклическое кольцо, выбранное из арильного, гетероарильного, гетероциклильного или карбоциклильного колец, из которых гетероарильное или гетероциклильное кольцо содержит 1-4 кольцевых гетероатома, выбранных из азота, кислорода или серы, причем каждый замещаемый углерод кольца D независимо замещен оксогруппой, Т-R5 или V-Z-R5 и каждый замещаемый азот кольца D независимо замещен группой -R4;
Т представляет собой связь или С1-4 алкилиденовую цепь;
Z представляет собой С1-4 алкилиденовую цепь;
L представляет собой -О-, -S-, -SO-, -SO2-, -N(R6)SO2-, -SO2N(R6)-, -N(R6)-, -CO-, -CO2-, -N(R6)CO-, -N(R6)C(O)O-, -N(R6)CON(R6)-, -N(R6)SO2N(R6)-, -N(R6)N(R6)-, -C(О)N(R6)-, -OC(О)N(R6)-, -C(R6)2О-, -C(R6)2S-, -C(R6)2SO-, -C(R6)2SO2-, -C(R6)2SO2N(R6)-, -C(R6)2N(R6)-, -C(R6)2N(R6)C(О)-, -C(R6)2N(R6)C(О)О-, -C(R6)=NN(R6)-, -C(R6)=N-О-, -C(R6)2N(R6)N(R6)-, -C(R6)2N(R6)SO2N(R6)- или -C(R6)2N(R6)CON(R6)-;
R2 и R2' независимо выбраны из -R, -T-W-R6 или R2 и R2' объединены вместе с их промежуточными атомами с образованием конденсированного 5-8-членного ненасыщенного или частично ненасыщенного кольца, имеющего 0-3 кольцевых гетероатома, выбранных из азота, кислорода или серы, причем каждый замещаемый углерод в указанном конденсированном кольце, образованном радикалами R2 и R2', независимо замещен галогеном, оксогруппой, -CN, -NO2, -R7 или -V-R6 и каждый замещаемый азот в указанном кольце, образованном радикалами R2 и R2', независимо замещен радикалом R4;
R3 выбран из -R, галогена, -OR, -C(=O)R, -CO2R, -COCOR, -COCH2COR, -NO2, -CN, -S(O)R, -S(O)2R, -SR, -N(R4)2, -CON(R7)2, -SO2N(R7)2, -OC(=O)R, -N(R7)COR, -N(R7)CO2(С1-6 алифатическая группа), -N(R4)N(R4)2, -C=NN(R4)2, -C=N-OR, -N(R7)CON(R7)2, -N(R7)SO2N(R7)2, -N(R4)SO2R или -OC(=O)N(R7)2;
каждый R независимо выбран из водорода или необязательно замещенной группы, выбранной из С1-6 алифатической группы, С6-10 арила, гетероарильного кольца, имеющего 5-10 кольцевых атомов, или гетероциклильного кольца, имеющего 5-10 кольцевых атомов;
каждый R4 независимо выбран из -R7, -COR7, -CO2(необязательно замещенная С1-6 алифатическая группа), -CON(R7)2 или -SO2R7;
каждый R5 независимо выбран из -R, галогена, -OR, -C(=O)R, -CO2R, -COCOR, -NO2, -CN, -S(O)R, -SO2R, -SR, -N(R4)2, -CON(R4)2, -SO2N(R4)2, -OC(=O)R, -N(R4)COR, -N(R4)CO2(необязательно замещенная С1-6 алифатическая группа), -N(R4)N(R4)2, -C=NN(R4)2, -C=N-OR, -N(R4)CON(R4)2, -N(R4)SO2N(R4)2, -N(R4)SO2R или -OC(=O)N(R4)2;
V представляет собой -О-, -S-, -SO-, -SO2-, -N(R6)SO2-, -SO2N(R6)-, -N(R6)-, -CO-, -CO2-, -N(R6)CO-, -N(R6)C(O)O-, -N(R6)CON(R6)-, -N(R6)SO2N(R6)-, -N(R6)N(R6)-, -C(О)N(R6)-, -OC(О)N(R6)-, -C(R6)2О-, -C(R6)2S-, -C(R6)2SO-, -C(R6)2SO2-, -C(R6)2SO2N(R6)-, -C(R6)2N(R6)-, -C(R6)2N(R6)C(О)-, -C(R6)2N(R6)C(О)О-, -C(R6)=NN(R6)-, -C(R6)=N-О-, -C(R6)2N(R6)N(R6)-, -C(R6)2N(R6)SO2N(R6)- или -C(R6)2N(R6)CON(R6)-;
W представляет собой -C(R6)2О-, -C(R6)2S-, -C(R6)2SO-, -C(R6)2SO2-, -C(R6)2SO2N(R6)-, -C(R6)2N(R6)-, -CO-, -CO2-, -C(R6)OC(О)-, -C(R6)OC(О)N(R6)-, -C(R6)2N(R6)CO-, -C(R6)2N(R6)C(О)О-, -C(R6)=NN(R6)-, -C(R6)=N-О-, -C(R6)2N(R6)N(R6)-, -C(R6)2N(R6)SO2N(R6)-, -C(R6)2N(R6)CON(R6)- или -CON(R6)-;
каждый R6 независимо выбран из водорода или необязательно замещенной С1-4 алифатической группы, или две группы R6 у одного и того же атома азота могут быть объединены вместе с атомом азота с образованием 5-6-членного гетероциклильного или гетероарильного кольца; и
каждый R7 независимо выбран из водорода или необязательно замещенной С1-6 алифатической группы или два R7 у одного и того же атома азота объединены вместе с атомом азота с образованием 5-8-членного гетероциклильного или гетероарильного кольца.
Предпочтительные группы Rх формулы IIIa включают водород, алкил- или диалкиламино, ацетамидо или С1-4 алифатическую группу, такую как метил, этил, циклопропил или изопропил.
Предпочтительные группы Rу формулы IIIa включают Т-R3 или L-Z-R3, где T представляет собой связь или метилен, L представляет собой -О-, -S- или -N(R4)-, -С(R6)2О-, -CO- и R3 представляет собой -R, -N(R4)2- или -OR. Примеры предпочтительных групп Rу включают 2-пиридил, 4-пиридил, пирролидинил, пиперидинил, морфолинил, пиперазинил, метил, этил, циклопропил, изопропил, трет-бутил, алкоксиалкиламино, такой как метоксиэтиламино, алкоксиалкил, такой как метоксиметил или метоксиэтил, алкил- или диалкиламино, такой как этиламино или диметиламино, алкил- или диалкиламиноалкокси, такой как диметиламинопропилокси, ацетамидо, необязательно замещенный фенил, такой как фенил или галогензамещенный фенил.
Группы R2 и R2' в формуле IIIa могут быть взяты вместе с образованием конденсированного кольца, что дает бициклическую кольцевую систему, содержащую пиразольное кольцо. Предпочтительные конденсированные кольца включают бензольное, пиридиновое, пиримидиновое и частично ненасыщенное 6-членное карбоциклическое кольца. Примеры указанных конденсированных колец представлены в следующих соединениях формулы IIIa, имеющих пиразолсодержащую бициклическую кольцевую систему:
Предпочтительные заместители в конденсированном кольце R2-R2' формулы IIIa включают один или несколько из следующих заместителей: галоген, -N(R4)2, -С1-4 алкил, -С1-4 галогеналкил, -NO2, -О(С1-4 алкил), -CO2(С1-4 алкил), -CN, -SO2(С1-4 алкил), -SO2NH2, -OC(О)NH2, -NH2SO2(C1-4 алкил), -NHC(O)(С1-4 алкил), -C(О)NH2 и -CO(C1-4 алкил), где (C1-4 алкил) представляет собой неразветвленную, разветвленную или циклическую алкильную группу. Предпочтительно С1-4 алкильная группа представляет собой метил.
Когда пиразольная кольцевая система формулы IIIa является моноциклической, предпочтительные группы R2 включают водород или замещенную или незамещенную группу, выбранную из арильной, гетероарильной или С1-6 алифатической группы. Примеры таких предпочтительных групп R2 включают Н, метил, этил, пропил, циклопропил, изопропил, циклопентил, гидроксипропил, метоксипропил и бензилоксипропил. Предпочтительной группой R2' является водород.
Когда кольцо D формулы IIIa является моноциклическим, предпочтительные группы кольца D включают фенил, пиридил, пиридазинил, пиримидинил и пиразинил.
Когда кольцо D формулы IIIa является бициклическим, предпочтительные группы бициклического кольца D включают нафтил, тетрагидронафтил, инданил, бензимидазолил, хинолинил, индолил, изоиндолил, индолинил, бензо[b]фурил, бензо[b]тиофенил, индазолил, бензотиазолил, циннолинил, фталазинил, хиназолинил, хиноксазолинил, 1,8-нафтиридинил и изохинолинил.
В кольце D формулы IIIa предпочтительные заместители Т-R5 или V-Z-R5 включают галоген, -CN, -NO2, -N(R4)2, необязательно замещенную С1-6 алифатическую группу, -OR, -C(О)R, -CO2R, -CONH(R4), -N(R4)COR, -N(R4)CO2R, -SO2N(R4)2, -N(R4)SO2R, -N(R6)COCH2N(R4)2, -N(R6)СОСН2СН2N(R4)2 и -N(R6)СОСН2СН2СН2N(R4)2, где R выбран из водорода, С1-6 алифатической группы, фенила, 5-6-членного гетероарильного кольца или 5-6-членного гетероциклического кольца. Более предпочтительные заместители R5 включают -Cl, -Br, -F, -CN, -CF3, -COOH, -CONHMe, -CONHEt, -NH2, -NHAc, -NHSO2Ме, -NHSO2Et, -NHSO2(н-пропил), -NHSO2(изопропил), -NHCOEt, -NHCOCH2NHCH3, -NHCOCH2N(CO2t-Bu)СН3, -NHCOCH2N(СН3)2, -NHCOCH2СН2N(СН3)2, -NHCOCH2СН2СН2N(СН3)2, -NHCO(циклопропил), -NHCO(изобутил), -NHCOCH2(морфолин-4-ил), -NHCOCH2СН2(морфолин-4-ил), -NHCOCH2СН2СН2(морфолин-4-ил), -NHCO2(трет-бутил), -NH(С1-4 алифатическую группу), такую как -NHMe, -N(C1-4 алифатическую группу)2, такую как -NMe2, ОН, -O(C1-4 алифатическую группу), такую как -OMe, C1-4 алифатическую группу, такую как метил, этил, циклопропил, изопропил или трет-бутил, и -СО2(С1-4 алифатическую группу).
Предпочтительные соединения формулы IIIa имеют один или несколько, а более предпочтительно все признаки, выбранные из следующих:
(а) Rx представляет собой водород, алкил- или диалкиламино, ацетамидо или С1-4 алифатическую группу;(b) Ry представляет собой Т-R3 или L-Z-R3, где T представляет собой связь или метилен и R3 представляет собой -R, -N(R4)2 или -OR;
(с) R1 представляет собой Т-(кольцо D), где Т представляет собой связь или метиленовое звено;
(d) кольцо D представляет собой 5-7-членное моноциклическое или 8-10-членное бициклическое арильное или гетероарильное кольцо; и
(е) R2 представляет собой -R или -T-W-R6, и R2' представляет собой водород; или R2 и R2' взяты вместе друг с другом с образованием необязательно замещенного бензольного кольца.
Более предпочтительные соединения формулы IIIa имеют один или несколько, а более предпочтительно все признаки, выбранные из следующих:
(a) Ry представляет собой Т-R3 или L-Z-R3, где T представляет собой связь или метилен и R3 выбран из -R, -OR или -N(R4)2, где R выбран из водорода, С1-6 алифатической группы или 5-6-членного гетероциклила, фенила или 5-6-членного гетероарила;
(b) R1 представляет собой Т-(кольцо D), где Т представляет собой связь;
(с) кольцо D представляет собой 5-6-членное моноциклическое или 8-10-членное бициклическое арильное или гетероарильное кольцо;
(d) R2 представляет собой -R и R2' представляет собой водород, причем R выбран из водорода, С1-6 алифатической группы, фенила, 5-6-членного гетероарильного кольца или 5-6-членного гетероциклического кольца; и(е) L представляет собой -О-, -S- или -N(R4)-.
Еще более предпочтительные соединения формулы IIIa имеют один или несколько, а более предпочтительно все признаки, выбранные из следующих:
(a) Rx представляет собой водород, метил, этил, пропил, циклопропил, изопропил, метиламино или ацетимидо;
(b) Rу выбран из 2-пиридила, 4-пиридила, пирролидинила, пиперидинила, морфолинила, пиперазинила, метила, этила, циклопропила, изопропила, трет-бутила, алкоксиалкиламино, алкоксиалкила, алкил- или диалкиламино, алкил- или диалкиламиноалкокси, ацетамидо, необязательно замещенного фенила или метоксиметила;
(с) R1 представляет собой Т-(кольцо D), где Т представляет собой связь и кольцо D представляет собой 5-6-членное арильное или гетероарильное кольцо, причем кольцо D является необязательно замещенным одной или двумя группами, выбранными из галогена, -CN, -NO2, -N(R4)2, необязательно замещенной С1-6 алифатической группы, -OR, -CO2R, -CONH(R4), -N(R4)COR, -N(R4)SO2R, -N(R6)СОСН2СН2N(R4)2 или -N(R6)СОСН2СН2СН2N(R4)2,; и
(d) R2 представляет собой водород или замещенную или незамещенную С1-6 алифатическую группу и L представляет собой -О-, -S- или -NH-.
Характерные соединения формулы IIIa показаны ниже в таблице 5.
Таблица 5
В еще одном варианте настоящее изобретение относится к композиции, содержащей соединение формулы IIIa и фармацевтически приемлемый носитель.
Другой аспект настоящего изобретения относится к способу лечения или профилактики Aurora-2-опосредованного заболевания ингибитором Aurora-2 и включает введение пациенту, нуждающемуся в таком лечении, терапевтически эффективного количества соединения формулы IIIa или содержащей его фармацевтической композиции.
Еще один аспект настоящего изобретения относится к способу ингибирования активности Aurora-2 у пациента, включающему введение пациенту соединения формулы IIIa или композиции, содержащей указанное соединение.
Еще один аспект настоящего изобретения относится к способу лечения или профилактики GSK-3-опосредованного заболевания ингибитором GSK-3, включающему введение пациенту, нуждающемуся в таком лечении, терапевтически эффективного количества соединения формулы IIIa или содержащей его фармацевтической композиции.
Еще один аспект настоящего изобретения относится к способу усиления синтеза гликогена и/или снижения уровня глюкозы в крови у пациента, нуждающегося в этом, включающему введение указанному пациенту терапевтически эффективного количества соединения формулы IIIa или содержащей его фармацевтической композиции. Данный способ особенно полезен для больных диабетом. Другой способ относится к ингибированию продукции гиперфосфорилированного белка Tau и полезен для остановки или замедления развития болезни Альцгеймера. Еще один способ относится к ингибированию фосфорилирования β-катенина и полезен для лечения шизофрении.
Еще один аспект настоящего изобретения относится к способу ингибирования активности протеинкиназы GSK-3 у пациента, включающему введение пациенту соединения формулы IIIa или содержащей его фармацевтической композиции.
Другой аспект настоящего изобретения относится к способу лечения или профилактики Src-опосредованного заболевания ингибитором Src, включающему введение пациенту, нуждающемуся в таком лечении, терапевтически эффективного количества соединения формулы IIIa или содержащей его фармацевтической композиции.
Еще один аспект настоящего изобретения относится к способу ингибирования активности Src у пациента, включающему введение пациенту соединения формулы IIIa или содержащей его фармацевтической композиции.
Еще один аспект настоящего изобретения относится к способу ингибирования активности Aurora-2, GSK-3 или Src в биологическом образце, включающему осуществление контактирования биологического образца с ингибитором Aurora-2, GSK-3 или Src формулы IIIa или с содержащей его фармацевтической композицией в количестве, эффективном для ингибирования Aurora-2, GSK-3 или Src.
Каждый из указанных выше способов, направленных на ингибирование Aurora-2, GSK-3 или Src или лечение заболевания, облегчаемого указанным ингибированием, предпочтительно осуществляют с использованием предпочтительного соединения формулы IIIa, такого как описанные выше соединения.
Другой вариант настоящего изобретения относится к соединениям формулы IIIb:
или их фармацевтически приемлемым производным или пролекарствам, где:
Rx и Ry, независимо выбраны из Т-R3 или L-Z-R3;
R1 представляет собой Т-(кольцо D);
кольцо D представляет собой 5-7-членное моноциклическое кольцо или 8-10-членное бициклическое кольцо, выбранное из арильного, гетероарильного, гетероциклильного или карбоциклильного колец, из которых гетероарильное или гетероциклильное кольцо содержит 1-4 кольцевых гетероатома, выбранных из азота, кислорода или серы, причем каждый замещаемый углерод кольца D независимо замещен оксогруппой, Т-R5 или V-Z-R5 и каждый замещаемый азот кольца D независимо замещен группой -R4;
Т представляет собой связь или С1-4 алкилиденовую цепь;
Z представляет собой С1-4 алкилиденовую цепь;
L представляет собой -О-, -S-, -SO-, -SO2-, -N(R6)SO2-, -SO2N(R6)-, -N(R6)-, -CO-, -CO2-, -N(R6)CO-, -N(R6)C(O)O-, -N(R6)CON(R6)-, -N(R6)SO2N(R6)-, -N(R6)N(R6)-, -C(О)N(R6)-, -OC(О)N(R6)-, -C(R6)2О-, -C(R6)2S-, -C(R6)2SO-, -C(R6)2SO2-, -C(R6)2SO2N(R6)-, -C(R6)2N(R6)-, -C(R6)2N(R6)C(О)-, -C(R6)2N(R6)C(О)О-, -C(R6)=NN(R6)-, -C(R6)=N-О-, -C(R6)2N(R6)N(R6)-, -C(R6)2N(R6)SO2N(R6)- или -C(R6)2N(R6)CON(R6)-;
R2 и R2' независимо выбраны из -R, -T-W-R6 или R2 и R2' объединены вместе с их промежуточными атомами с образованием конденсированного 5-8-членного ненасыщенного или частично ненасыщенного кольца, имеющего 0-3 кольцевых гетероатома, выбранных из азота, кислорода или серы, причем каждый замещаемый углерод в указанном конденсированном кольце, образованном радикалами R2 и R2', независимо замещен галогеном, оксогруппой, -CN, -NO2, -R7 или -V-R6 и каждый замещаемый азот в указанном кольце, образованном радикалами R2 и R2', независимо замещен радикалом R4;
R3 выбран из -R, галогена, -OR, -C(=O)R, -CO2R, -COCOR, -COCH2COR, -NO2, -CN, -S(O)R, -S(O)2R, -SR, -N(R4)2, -CON(R7)2, -SO2N(R7)2, -OC(=O)R, -N(R7)COR, -N(R7)CO2(С1-6 алифатическая группа), -N(R4)N(R4)2, -C=NN(R4)2, -C=N-OR, -N(R7)CON(R7)2, -N(R7)SO2N(R7)2, -N(R4)SO2R или -OC(=O)N(R7)2;
каждый R независимо выбран из водорода или необязательно замещенной группы, выбранной из С1-6 алифатической группы, С6-10 арила, гетероарильного кольца, имеющего 5-10 кольцевых атомов, или гетероциклильного кольца, имеющего 5-10 кольцевых атомов;
каждый R4 независимо выбран из -R7, -COR7, -CO2(необязательно замещенная С1-6 алифатическая группа), -CON(R7)2 или -SO2R7;
каждый R5 независимо выбран из -R, галогена, -OR, -C(=O)R, -CO2R, -COCOR, -NO2, -CN, -S(O)R, -SO2R, -SR, -N(R4)2, -CON(R4)2, -SO2N(R4)2, -OC(=O)R, -N(R4)COR, -N(R4)CO2(необязательно замещенная С1-6 алифатическая группа), -N(R4)N(R4)2, -C=NN(R4)2, -C=N-OR, -N(R4)CON(R4)2, -N(R4)SO2N(R4)2, -N(R4)SO2R или -OC(=O)N(R4)2;
V представляет собой -О-, -S-, -SO-, -SO2-, -N(R6)SO2-, -SO2N(R6)-, -N(R6)-, -CO-, -CO2-, -N(R6)CO-, -N(R6)C(O)O-, -N(R6)CON(R6)-, -N(R6)SO2N(R6)-, -N(R6)N(R6)-, -C(О)N(R6)-, -OC(О)N(R6)-, -C(R6)2О-, -C(R6)2S-, -C(R6)2SO-, -C(R6)2SO2-, -C(R6)2SO2N(R6)-, -C(R6)2N(R6)-, -C(R6)2N(R6)C(О)-, -C(R6)2N(R6)C(О)О-, -C(R6)=NN(R6)-, -C(R6)=N-О-, -C(R6)2N(R6)N(R6)-, -C(R6)2N(R6)SO2N(R6)- или -C(R6)2N(R6)CON(R6)-;
W представляет собой -C(R6)2О-, -C(R6)2S-, -C(R6)2SO-, -C(R6)2SO2-, -C(R6)2SO2N(R6)-, -C(R6)2N(R6)-, -CO-, -CO2-, -C(R6)OC(О)-, -C(R6)OC(О)N(R6)-, -C(R6)2N(R6)CO-, -C(R6)2N(R6)C(О)О-, -C(R6)=NN(R6)-, -C(R6)=N-О-, -C(R6)2N(R6)N(R6)-, -C(R6)2N(R6)SO2N(R6)-, -C(R6)2N(R6)CON(R6)- или -CON(R6)-;
каждый R6 независимо выбран из водорода или необязательно замещенной С1-4 алифатической группы, или две группы R6 у одного и того же атома азота могут быть объединены вместе с атомом азота с образованием 5-6-членного гетероциклильного или гетероарильного кольца; и
каждый R7 независимо выбран из водорода или необязательно замещенной С1-6 алифатической группы или два R7 у одного и того же атома азота объединены вместе с атомом азота с образованием 5-8-членного гетероциклильного или гетероарильного кольца.
Предпочтительные группы Rх формулы IIIb включают водород, алкил- или диалкиламино, ацетамидо или С1-4 алифатическую группу, такую как метил, этил, циклопропил или изопропил.
Предпочтительные группы Rу формулы IIIb включают Т-R3 или L-Z-R3, где T представляет собой связь или метилен, L представляет собой -О-, -S- или -N(R4)-, -С(R6)2О-, -CO- и R3 представляет собой -R, -N(R4)2- или -OR. Примеры предпочтительных групп Rу включают 2-пиридил, 4-пиридил, пирролидинил, пиперидинил, морфолинил, пиперазинил, метил, этил, циклопропил, изопропил, трет-бутил, алкоксиалкиламино, такой как метоксиэтиламино, алкоксиалкил, такой как метоксиметил или метоксиэтил, алкил- или диалкиламино, такой как этиламино или диметиламино, алкил- или диалкиламиноалкокси, такой как диметиламинопропилокси, ацетамидо, необязательно замещенный фенил, такой как фенил или галогензамещенный фенил.
Группы R2 и R2' в формуле IIIb могут быть взяты вместе с образованием конденсированного кольца, что дает бициклическую кольцевую систему, содержащую пиразольное кольцо. Предпочтительные конденсированные кольца включают бензольное, пиридиновое, пиримидиновое и частично ненасыщенное 6-членное карбоциклическое кольца. Примеры указанных конденсированных колец представлены в следующих соединениях формулы IIIb, имеющих пиразолсодержащую бициклическую кольцевую систему:
Предпочтительные заместители в конденсированном кольце R2-R2' формулы IIIb включают один или несколько из следующих заместителей: галоген, -N(R4)2, -С1-4 алкил, -С1-4 галогеналкил, -NO2, -О(С1-4 алкил), -CO2(С1-4 алкил), -CN, -SO2(С1-4 алкил), -SO2NH2, -OC(О)NH2, -NH2SO2(C1-4 алкил), -NHC(O)(С1-4 алкил), -C(О)NH2 и -CO(C1-4 алкил), где (C1-4 алкил) представляет собой неразветвленную, разветвленную или циклическую алкильную группу. Предпочтительно С1-4 алкильная группа представляет собой метил.
Когда пиразольная кольцевая система формулы IIIb является моноциклической, предпочтительные группы R2 включают водород или замещенную или незамещенную группу, выбранную из арильной, гетероарильной или С1-6 алифатической группы. Примеры таких предпочтительных групп R2 включают Н, метил, этил, пропил, циклопропил, изопропил, циклопентил, гидроксипропил, метоксипропил и бензилоксипропил. Предпочтительной группой R2' является водород.
Когда кольцо D формулы IIIb является моноциклическим, предпочтительные группы кольца D включают фенил, пиридил, пиридазинил, пиримидинил и пиразинил.
Когда кольцо D формулы IIIb является бициклическим, предпочтительные группы бициклического кольца D включают нафтил, тетрагидронафтил, инданил, бензимидазолил, хинолинил, индолил, изоиндолил, индолинил, бензо[b]фурил, бензо[b]тиофенил, индазолил, бензотиазолил, циннолинил, фталазинил, хиназолинил, хиноксазолинил, 1,8-нафтиридинил и изохинолинил.
В кольце D формулы IIIb предпочтительные заместители Т-R5 или V-Z-R5 включают галоген, -CN, -NO2, -N(R4)2, необязательно замещенную С1-6 алифатическую группу, -OR, -C(О)R, -CO2R, -CONH(R4), -N(R4)COR, -N(R4)CO2R, -SO2N(R4)2, -N(R4)SO2R, -N(R6)COCH2N(R4)2, -N(R6)СОСН2СН2N(R4)2 и -N(R6)СОСН2СН2СН2N(R4)2, где R выбран из водорода, С1-6 алифатической группы, фенила, 5-6-членного гетероарильного кольца или 5-6-членного гетероциклического кольца. Более предпочтительные заместители R5 включают -Cl, -Br, -F, -CN, -CF3, -COOH, -CONHMe, -CONHEt, -NH2, -NHAc, -NHSO2Ме, -NHSO2Et, -NHSO2(н-пропил), -NHSO2(изопропил), -NHCOEt, -NHCOCH2NHCH3, -NHCOCH2N(CO2t-Bu)СН3, -NHCOCH2N(СН3)2, -NHCOCH2СН2N(СН3)2, -NHCOCH2СН2СН2N(СН3)2, -NHCO(циклопропил), -NHCO(изобутил), -NHCOCH2(морфолин-4-ил), -NHCOCH2СН2(морфолин-4-ил), -NHCOCH2СН2СН2(морфолин-4-ил), -NHCO2(трет-бутил), -NH(С1-4 алифатическую группу), такую как -NHMe, N(C1-4 алифатическую группу)2, такую как -NMe2, ОН, -O(C1-4 алифатическую группу), такую как -OMe, C1-4 алифатическую группу, такую как метил, этил, циклопропил, изопропил или трет-бутил, и -СО2(С1-4 алифатическую группу).
Предпочтительные соединения формулы IIIb имеют один или несколько, а более предпочтительно все признаки, выбранные из следующих:
(а) Rx представляет собой водород, алкил- или диалкиламино, ацетамидо или С1-4 алифатическую группу;
(b) Ry представляет собой Т-R3 или L-Z-R3, где T представляет собой связь или метилен и R3 представляет собой -R, -N(R4)2 или -OR;
(с) R1 представляет собой Т-(кольцо D), где Т представляет собой связь или метиленовое звено;
(d) кольцо D представляет собой 5-7-членное моноциклическое или 8-10-членное бициклическое арильное или гетероарильное кольцо; и
(е) R2 представляет собой -R или -T-W-R6, и R2' представляет собой водород; или R2 и R2' взяты вместе друг с другом с образованием необязательно замещенного бензольного кольца.
Более предпочтительные соединения формулы IIIb имеют один или несколько, а более предпочтительно все признаки, выбранные из следующих:
(a) Ry представляет собой Т-R3 или L-Z-R3, где T представляет собой связь или метилен и R3 выбран из -R, -OR или -N(R4)2, где R выбран из водорода, С1-6 алифатической группы или 5-6-членного гетероциклила, фенила или 5-6-членного гетероарила;
(b) R1 представляет собой Т-(кольцо D), где Т представляет собой связь;
(с) кольцо D представляет собой 5-6-членное моноциклическое или 8-10-членное бициклическое арильное или гетероарильное кольцо;
(d) R2 представляет собой -R и R2' представляет собой водород, причем R выбран из водорода, С1-6 алифатической группы, фенила, 5-6-членного гетероарильного кольца или 5-6-членного гетероциклического кольца; и
(е) L представляет собой -О-, -S- или -N(R4)-.
Еще более предпочтительные соединения формулы IIIb имеют один или несколько, а более предпочтительно все признаки, выбранные из следующих:
(a) Rx представляет собой водород, метил, этил, пропил, циклопропил, изопропил, метиламино или ацетимидо;
(b) Rу выбран из 2-пиридила, 4-пиридила, пирролидинила, пиперидинила, морфолинила, пиперазинила, метила, этила, циклопропила, изопропила, трет-бутила, алкоксиалкиламино, алкоксиалкила, алкил- или диалкиламино, алкил- или диалкиламиноалкокси, ацетамидо, необязательно замещенного фенила или метоксиметила;
(с) R1 представляет собой Т-(кольцо D), где Т представляет собой связь и кольцо D представляет собой 5-6-членное арильное или гетероарильное кольцо, причем кольцо D является необязательно замещенным одной или двумя группами, выбранными из галогена, -CN, -NO2, -N(R4)2, необязательно замещенной С1-6 алифатической группы, -OR, -CO2R, -CONH(R4), -N(R4)COR, -N(R4)SO2R, -N(R6)СОСН2СН2N(R4)2 или -N(R6)СОСН2СН2СН2N(R4)2,; и
(d) R2 представляет собой водород или замещенную или незамещенную С1-6 алифатическую группу и L представляет собой -О-, -S- или -NH-.
Характерные соединения формулы IIIb показаны ниже в таблице 6.
Таблица 6
В еще одном варианте настоящее изобретение относится к композиции, содержащей соединение формулы IIIb и фармацевтически приемлемый носитель.
Другой аспект настоящего изобретения относится к способу лечения или профилактики Aurora-2-опосредованного заболевания ингибитором Aurora-2 и включает введение пациенту, нуждающемуся в таком лечении, терапевтически эффективного количества соединения формулы IIIb или содержащей его фармацевтической композиции.
Еще один аспект настоящего изобретения относится к способу ингибирования активности Aurora-2 у пациента, включающему введение пациенту соединения формулы IIIb или композиции, содержащей указанное соединение.
Еще один аспект настоящего изобретения относится к способу лечения или профилактики GSK-3-опосредованного заболевания ингибитором GSK-3, включающему введение пациенту, нуждающемуся в таком лечении, терапевтически эффективного количества соединения формулы IIIb или содержащей его фармацевтической композиции.
Еще один аспект настоящего изобретения относится к способу усиления синтеза гликогена и/или снижения уровня глюкозы в крови у пациента, нуждающегося в этом, включающему введение указанному пациенту соединения формулы IIIb или содержащей его фармацевтической композиции. Данный способ особенно полезен для больных диабетом. Другой способ относится к ингибированию продукции гиперфосфорилированного белка Tau и полезен для остановки или замедления развития болезни Альцгеймера. Еще один способ относится к ингибированию фосфорилирования β-катенина и полезен для лечения шизофрении.
Еще один аспект настоящего изобретения относится к способу ингибирования активности GSK-3 у пациента, включающему введение пациенту соединения формулы IIIb или содержащей его фармацевтической композиции.
Еще один аспект настоящего изобретения относится к способу ингибирования активности Aurora-2 или GSK-3 в биологическом образце, включающему осуществление контактирования биологического образца с ингибитором Aurora-2 или GSK-3 формулы IIIb или с содержащей его фармацевтической композицией в количестве, эффективном для ингибирования Aurora-2 или GSK-3.
Каждый из указанных выше способов, направленных на ингибирование Aurora-2 или GSK-3 или лечение заболевания, облегчаемого указанным ингибированием, предпочтительно осуществляют с использованием предпочтительного соединения формулы IIIb, такого как описанные выше соединения.
Еще один вариант настоящего изобретения относится к соединениям формулы IIIc:
или их фармацевтически приемлемым производным или пролекарствам, где:
Rx и Ry, независимо выбраны из Т-R3 или L-Z-R3;
R1 представляет собой Т-(кольцо D);
кольцо D представляет собой 5-7-членное моноциклическое кольцо или 8-10-членное бициклическое кольцо, выбранное из арильного, гетероарильного, гетероциклильного или карбоциклильного колец, из которых гетероарильное или гетероциклильное кольцо содержит 1-4 кольцевых гетероатома, выбранных из азота, кислорода или серы, причем каждый замещаемый углерод кольца D независимо замещен оксогруппой, Т-R5 или V-Z-R5 и каждый замещаемый азот кольца D независимо замещен группой -R4;
Т представляет собой связь или С1-4 алкилиденовую цепь;
Z представляет собой С1-4 алкилиденовую цепь;
L представляет собой -О-, -S-, -SO-, -SO2-, -N(R6)SO2-, -SO2N(R6)-, -N(R6)-, -CO-, -CO2-, -N(R6)CO-, -N(R6)C(O)O-, -N(R6)CON(R6)-, -N(R6)SO2N(R6)-, -N(R6)N(R6)-, -C(О)N(R6)-, -OC(О)N(R6)-, -C(R6)2О-, -C(R6)2S-, -C(R6)2SO-, -C(R6)2SO2-, -C(R6)2SO2N(R6)-, -C(R6)2N(R6)-, -C(R6)2N(R6)C(О)-, -C(R6)2N(R6)C(О)О-, -C(R6)=NN(R6)-, -C(R6)=N-О-, -C(R6)2N(R6)N(R6)-, -C(R6)2N(R6)SO2N(R6)- или -C(R6)2N(R6)CON(R6)-;
R2 и R2' независимо выбраны из -R, -T-W-R6 или R2 и R2' объединены вместе с их промежуточными атомами с образованием конденсированного 5-8-членного ненасыщенного или частично ненасыщенного кольца, имеющего 0-3 кольцевых гетероатома, выбранных из азота, кислорода или серы, причем каждый замещаемый углерод в указанном конденсированном кольце, образованном радикалами R2 и R2', независимо замещен галогеном, оксогруппой, -CN, -NO2, -R7 или -V-R6 и каждый замещаемый азот в указанном кольце, образованном радикалами R2 и R2', независимо замещен радикалом R4;
R3 выбран из -R, галогена, -OR, -C(=O)R, -CO2R, -COCOR, -COCH2COR, -NO2, -CN, -S(O)R, -S(O)2R, -SR, -N(R4)2, -CON(R7)2, -SO2N(R7)2, -OC(=O)R, -N(R7)COR, -N(R7)CO2(С1-6 алифатическая группа), -N(R4)N(R4)2, -C=NN(R4)2, -C=N-OR, -N(R7)CON(R7)2, -N(R7)SO2N(R7)2, -N(R4)SO2R или -OC(=O)N(R7)2;
каждый R независимо выбран из водорода или необязательно замещенной группы, выбранной из С1-6 алифатической группы, С6-10 арила, гетероарильного кольца, имеющего 5-10 кольцевых атомов, или гетероциклильного кольца, имеющего 5-10 кольцевых атомов;
каждый R4 независимо выбран из -R7, -COR7, -CO2(необязательно замещенная С1-6 алифатическая группа), -CON(R7)2 или -SO2R7;
каждый R5 независимо выбран из -R, галогена, -OR, -C(=O)R, -CO2R, -COCOR, -NO2, -CN, -S(O)R, -SO2R, -SR, -N(R4)2, -CON(R4)2, -SO2N(R4)2, -OC(=O)R, -N(R4)COR, -N(R4)CO2(необязательно замещенная С1-6 алифатическая группа), -N(R4)N(R4)2, -C=NN(R4)2, -C=N-OR, -N(R4)CON(R4)2, -N(R4)SO2N(R4)2, -N(R4)SO2R или -OC(=O)N(R4)2;
V представляет собой -О-, -S-, -SO-, -SO2-, -N(R6)SO2-, -SO2N(R6)-, -N(R6)-, -CO-, -CO2-, -N(R6)CO-, -N(R6)C(O)O-, -N(R6)CON(R6)-, -N(R6)SO2N(R6)-, -N(R6)N(R6)-, -C(О)N(R6)-, -OC(О)N(R6)-, -C(R6)2О-, -C(R6)2S-, -C(R6)2SO-, -C(R6)2SO2-, -C(R6)2SO2N(R6)-, -C(R6)2N(R6)-, -C(R6)2N(R6)C(О)-, -C(R6)2N(R6)C(О)О-, -C(R6)=NN(R6)-, -C(R6)=N-О-, -C(R6)2N(R6)N(R6)-, -C(R6)2N(R6)SO2N(R6)- или -C(R6)2N(R6)CON(R6)-;
W представляет собой -C(R6)2О-, -C(R6)2S-, -C(R6)2SO-, -C(R6)2SO2-, -C(R6)2SO2N(R6)-, -C(R6)2N(R6)-, -CO-, -CO2-, -C(R6)OC(О)-, -C(R6)OC(О)N(R6)-, -C(R6)2N(R6)CO-, -C(R6)2N(R6)C(О)О-, -C(R6)=NN(R6)-, -C(R6)=N-О-, -C(R6)2N(R6)N(R6)-, -C(R6)2N(R6)SO2N(R6)-, -C(R6)2N(R6)CON(R6)- или -CON(R6)-;
каждый R6 независимо выбран из водорода или необязательно замещенной С1-4 алифатической группы, или две группы R6 у одного и того же атома азота могут быть объединены вместе с атомом азота с образованием 5-6-членного гетероциклильного или гетероарильного кольца; и
каждый R7 независимо выбран из водорода или необязательно замещенной С1-6 алифатической группы или два R7 у одного и того же атома азота объединены вместе с атомом азота с образованием 5-8-членного гетероциклильного или гетероарильного кольца.
Предпочтительные группы Rх формулы IIIc включают водород, алкил- или диалкиламино, ацетамидо или С1-4 алифатическую группу, такую как метил, этил, циклопропил или изопропил.
Предпочтительные группы Rу формулы IIIc включают Т-R3 или L-Z-R3, где T представляет собой связь или метилен, L представляет собой -О-, -S- или -N(R4)-, -С(R6)2О-, -CO- и R3 представляет собой -R, -N(R4)2- или -OR. Примеры предпочтительных групп Rу включают 2-пиридил, 4-пиридил, пирролидинил, пиперидинил, морфолинил, пиперазинил, метил, этил, циклопропил, изопропил, трет-бутил, алкоксиалкиламино, такой как метоксиэтиламино, алкоксиалкил, такой как метоксиметил или метоксиэтил, алкил- или диалкиламино, такой как этиламино или диметиламино, алкил- или диалкиламиноалкокси, такой как диметиламинопропилокси, ацетамидо, необязательно замещенный фенил, такой как фенил или галогензамещенный фенил.
Группы R2 и R2' в формуле IIIc могут быть взяты вместе с образованием конденсированного кольца, что дает бициклическую кольцевую систему, содержащую пиразольное кольцо. Предпочтительные конденсированные кольца включают бензольное, пиридиновое, пиримидиновое и частично ненасыщенное 6-членное карбоциклическое кольца. Примеры указанных конденсированных колец представлены в следующих соединениях формулы IIIc, имеющих пиразолсодержащую бициклическую кольцевую систему:
Предпочтительные заместители в конденсированном кольце R2-R2' формулы IIIc включают один или несколько из следующих заместителей: галоген, -N(R4)2, -С1-4 алкил, -С1-4 галогеналкил, -NO2, -О(С1-4 алкил), -CO2(С1-4 алкил), -CN, -SO2(С1-4 алкил), -SO2NH2, -OC(О)NH2, -NH2SO2(C1-4 алкил), -NHC(O)(С1-4 алкил), -C(О)NH2 и -CO(C1-4 алкил), где (C1-4 алкил) представляет собой неразветвленную, разветвленную или циклическую алкильную группу. Предпочтительно С1-4 алкильная группа представляет собой метил.
Когда пиразольная кольцевая система формулы IIIc является моноциклической, предпочтительные группы R2 включают водород или замещенную или незамещенную группу, выбранную из арильной, гетероарильной или С1-6 алифатической группы. Примеры таких предпочтительных групп R2 включают Н, метил, этил, пропил, циклопропил, изопропил, циклопентил, гидроксипропил, метоксипропил и бензилоксипропил. Предпочтительной группой R2' является водород.
Когда кольцо D формулы IIIc является моноциклическим, предпочтительные группы кольца D включают фенил, пиридил, пиридазинил, пиримидинил и пиразинил.
Когда кольцо D формулы IIIc является бициклическим, предпочтительные группы бициклического кольца D включают нафтил, тетрагидронафтил, инданил, бензимидазолил, хинолинил, индолил, изоиндолил, индолинил, бензо[b]фурил, бензо[b]тиофенил, индазолил, бензотиазолил, циннолинил, фталазинил, хиназолинил, хиноксазолинил, 1,8-нафтиридинил и изохинолинил.
В кольце D формулы IIIc предпочтительные заместители Т-R5 или V-Z-R5 включают галоген, -CN, -NO2, -N(R4)2, необязательно замещенную С1-6 алифатическую группу, -OR, -C(О)R, -CO2R, -CONH(R4), -N(R4)COR, -N(R4)CO2R, -SO2N(R4)2, -N(R4)SO2R, -N(R6)COCH2N(R4)2, -N(R6)СОСН2СН2N(R4)2 и -N(R6)СОСН2СН2СН2N(R4)2, где R выбран из водорода, С1-6 алифатической группы, фенила, 5-6-членного гетероарильного кольца или 5-6-членного гетероциклического кольца. Более предпочтительные заместители R5 включают -Cl, -Br, -F, -CN, -CF3, -COOH, -CONHMe, -CONHEt, -NH2, -NHAc, -NHSO2Ме, -NHSO2Et, -NHSO2(н-пропил), -NHSO2(изопропил), -NHCOEt, -NHCOCH2NHCH3, -NHCOCH2N(CO2t-Bu)СН3, -NHCOCH2N(СН3)2, -NHCOCH2СН2N(СН3)2, -NHCOCH2СН2СН2N(СН3)2, -NHCO(циклопропил), -NHCO(изобутил), -NHCOCH2(морфолин-4-ил), -NHCOCH2СН2(морфолин-4-ил), -NHCOCH2СН2СН2(морфолин-4-ил), -NHCO2(трет-бутил), -NH(С1-4 алифатическую группу), такую как -NHMe, N(C1-4 алифатическую группу)2, такую как -NMe2, ОН, -O(C1-4 алифатическую группу), такую как -OMe, C1-4 алифатическую группу, такую как метил, этил, циклопропил, изопропил или трет-бутил, и -СО2(С1-4 алифатическую группу).
Предпочтительные соединения формулы IIIc имеют один или несколько, а более предпочтительно все признаки, выбранные из следующих:
(а) Rx представляет собой водород, алкил- или диалкиламино, ацетамидо или С1-4 алифатическую группу;
(b) Ry представляет собой Т-R3 или L-Z-R3, где T представляет собой связь или метилен и R3 представляет собой -R, -N(R4)2 или -OR;
(с) R1 представляет собой Т-(кольцо D), где Т представляет собой связь или метиленовое звено;
(d) кольцо D представляет собой 5-7-членное моноциклическое или 8-10-членное бициклическое арильное или гетероарильное кольцо; и
(е) R2 представляет собой -R или -T-W-R6, и R2' представляет собой водород; или R2 и R2' взяты вместе друг с другом с образованием необязательно замещенного бензольного кольца.
Более предпочтительные соединения формулы IIIc имеют один или несколько, а более предпочтительно все признаки, выбранные из следующих:
(a) Ry представляет собой Т-R3 или L-Z-R3, где T представляет собой связь или метилен и R3 выбран из -R, -OR или -N(R4)2, где R выбран из С1-6 алифатической группы или 5-6-членного гетероциклила, фенила или 5-6-членного гетероарила;
(b) R1 представляет собой Т-(кольцо D), где Т представляет собой связь;
(с) кольцо D представляет собой 5-6-членное моноциклическое или 8-10-членное бициклическое арильное или гетероарильное кольцо;
(d) R2 представляет собой -R и R2' представляет собой водород, причем R выбран из водорода, С1-6 алифатической группы, фенила, 5-6-членного гетероарильного кольца или 5-6-членного гетероциклического кольца; и
(е) L представляет собой -О-, -S- или -N(R4)-.
Еще более предпочтительные соединения формулы IIIc имеют один или несколько, а более предпочтительно все признаки, выбранные из следующих:
(a) Rx представляет собой водород, метил, этил, пропил, циклопропил, изопропил, метиламино или ацетимидо;
(b) Rу выбран из 2-пиридила, 4-пиридила, пирролидинила, пиперидинила, морфолинила, пиперазинила, метила, этила, циклопропила, изопропила, трет-бутила, алкоксиалкиламино, алкоксиалкила, алкил- или диалкиламино, алкил- или диалкиламиноалкокси, ацетамидо, необязательно замещенного фенила или метоксиметила;
(с) R1 представляет собой Т-(кольцо D), где Т представляет собой связь и кольцо D представляет собой 5-6-членное арильное или гетероарильное кольцо, причем кольцо D является необязательно замещенным одной или двумя группами, выбранными из галогена, -CN, -NO2, -N(R4)2, необязательно замещенной С1-6 алифатической группы, -OR, -CO2R, -CONH(R4), -N(R4)COR, -N(R4)SO2R, -N(R6)СОСН2СН2N(R4)2 или -N(R6)СОСН2СН2СН2N(R4)2,; и
(d) R2 представляет собой водород или замещенную или незамещенную С1-6 алифатическую группу и L представляет собой -О-, -S- или -NH-.
Характерные соединения формулы IIIc показаны ниже в таблице 7.
Таблица 7
В еще одном варианте настоящее изобретение относится к композиции, содержащей соединение формулы IIIc и фармацевтически приемлемый носитель.
Другой аспект настоящего изобретения относится к способу лечения или профилактики Aurora-2-опосредованного заболевания ингибитором Aurora-2 и включает введение пациенту, нуждающемуся в таком лечении, терапевтически эффективного количества соединения формулы IIIc или содержащей его фармацевтической композиции.
Еще один аспект настоящего изобретения относится к способу ингибирования активности Aurora-2 у пациента, включающему введение пациенту соединения формулы IIIc или композиции, содержащей указанное соединение.
Еще один аспект настоящего изобретения относится к способу лечения или профилактики GSK-3-опосредованного заболевания ингибитором GSK-3, включающему введение пациенту, нуждающемуся в таком лечении, терапевтически эффективного количества соединения формулы IIIc или содержащей его фармацевтической композиции.
Еще один аспект настоящего изобретения относится к способу усиления синтеза гликогена и/или снижения уровня глюкозы в крови у пациента, нуждающегося в этом, включающему введение указанному пациенту терапевтически эффективного количества соединения формулы IIIc или содержащей его фармацевтической композиции. Данный способ особенно полезен для больных диабетом. Другой способ относится к ингибированию продукции гиперфосфорилированного белка Tau и полезен для остановки или замедления развития болезни Альцгеймера. Еще один способ относится к ингибированию фосфорилирования β-катенина и полезен для лечения шизофрении.
Еще один аспект настоящего изобретения относится к способу ингибирования активности GSK-3 у пациента, включающему введение пациенту соединения формулы IIIc или композиции, содержащей указанное соединение.
Другой аспект настоящего изобретения относится к способу лечения или профилактики Src-опосредованного заболевания ингибитором Src, включающему введение пациенту, нуждающемуся в таком лечении, терапевтически эффективного количества соединения формулы IIIc или содержащей его фармацевтической композиции.
Еще один аспект настоящего изобретения относится к способу ингибирования активности Src у пациента, включающему введение пациенту соединения формулы IIIc или композиции, содержащей указанное соединение.
Еще один аспект настоящего изобретения относится к способу ингибирования активности Aurora-2, GSK-3 или Src в биологическом образце, включающему осуществление контактирования биологического образца с ингибитором Aurora-2, GSK-3 или Src формулы IIIc или с содержащей его фармацевтической композицией в количестве, эффективном для ингибирования Aurora-2, GSK-3 или Src.
Каждый из указанных выше способов, направленных на ингибирование Aurora-2, GSK-3 или Src или лечение заболевания, облегчаемого указанным ингибированием, предпочтительно осуществляют с использованием предпочтительного соединения формулы IIIc, такого как описанные выше соединения.
Еще один вариант настоящего изобретения относится к соединениям формулы IIId:
или их фармацевтически приемлемым производным или пролекарствам, где:
Q' выбран из -С(R6')2-, 1,2-циклопропандиила, 1,2-циклобутандиила или 1,3-циклобутандиила;
Rx и Ry, независимо выбраны из Т-R3 или L-Z-R3;
R1 представляет собой Т-(кольцо D);
кольцо D представляет собой 5-7-членное моноциклическое кольцо или 8-10-членное бициклическое кольцо, выбранное из арильного, гетероарильного, гетероциклильного или карбоциклильного колец, из которых гетероарильное или гетероциклильное кольцо содержит 1-4 кольцевых гетероатома, выбранных из азота, кислорода или серы, причем каждый замещаемый углерод кольца D независимо замещен оксогруппой, Т-R5 или V-Z-R5 и каждый замещаемый азот кольца D независимо замещен группой -R4;
Т представляет собой связь или С1-4 алкилиденовую цепь, причем, когда Q' представляет собой -С(R6')2-, метиленовая группа указанной С1-4 алкилиденовой цепи является необязательно замещенной заместителем -O-, -S-, -N(R4)-, -СО-, -CONH-, -NHCO-, -SO2-, -SO2NH-, -NHSO2-, -CO2-, -OC(O)-, -OC(O)NH- или -NHCO2-;
Z представляет собой С1-4 алкилиденовую цепь;
L представляет собой -О-, -S-, -SO-, -SO2-, -N(R6)SO2-, -SO2N(R6)-, -N(R6)-, -CO-, -CO2-, -N(R6)CO-, -N(R6)C(O)O-, -N(R6)CON(R6)-, -N(R6)SO2N(R6)-, -N(R6)N(R6)-, -C(О)N(R6)-, -OC(О)N(R6)-, -C(R6)2О-, -C(R6)2S-, -C(R6)2SO-, -C(R6)2SO2-, -C(R6)2SO2N(R6)-, -C(R6)2N(R6)-, -C(R6)2N(R6)C(О)-, -C(R6)2N(R6)C(О)О-, -C(R6)=NN(R6)-, -C(R6)=N-О-, -C(R6)2N(R6)N(R6)-, -C(R6)2N(R6)SO2N(R6)- или -C(R6)2N(R6)CON(R6)-;
R2 и R2' независимо выбраны из -R, -T-W-R6 или R2 и R2' объединены вместе с их промежуточными атомами с образованием конденсированного 5-8-членного ненасыщенного или частично ненасыщенного кольца, имеющего 0-3 кольцевых гетероатома, выбранных из азота, кислорода или серы, причем каждый замещаемый углерод в указанном конденсированном кольце, образованном радикалами R2 и R2', независимо замещен галогеном, оксогруппой, -CN, -NO2, -R7 или -V-R6 и каждый замещаемый азот в указанном кольце, образованном радикалами R2 и R2', независимо замещен радикалом R4;
R3 выбран из -R, галогена, -OR, -C(=O)R, -CO2R, -COCOR, -COCH2COR, -NO2, -CN, -S(O)R, -S(O)2R, -SR, -N(R4)2, -CON(R7)2, -SO2N(R7)2, -OC(=O)R, -N(R7)COR, -N(R7)CO2(С1-6 алифатическая группа), -N(R4)N(R4)2, -C=NN(R4)2, -C=N-OR, -N(R7)CON(R7)2, -N(R7)SO2N(R7)2, -N(R4)SO2R или -OC(=O)N(R7)2;
каждый R независимо выбран из водорода или необязательно замещенной группы, выбранной из С1-6 алифатической группы, С6-10 арила, гетероарильного кольца, имеющего 5-10 кольцевых атомов, или гетероциклильного кольца, имеющего 5-10 кольцевых атомов;
каждый R4 независимо выбран из -R7, -COR7, -CO2(необязательно замещенная С1-6 алифатическая группа), -CON(R7)2 или -SO2R7;
каждый R5 независимо выбран из -R, галогена, -OR, -C(=O)R, -CO2R, -COCOR, -NO2, -CN, -S(O)R, -SO2R, -SR, -N(R4)2, -CON(R4)2, -SO2N(R4)2, -OC(=O)R, -N(R4)COR, -N(R4)CO2(необязательно замещенная С1-6 алифатическая группа), -N(R4)N(R4)2, -C=NN(R4)2, -C=N-OR, -N(R4)CON(R4)2, -N(R4)SO2N(R4)2, -N(R4)SO2R или -OC(=O)N(R4)2;
V представляет собой -О-, -S-, -SO-, -SO2-, -N(R6)SO2-, -SO2N(R6)-, -N(R6)-, -CO-, -CO2-, -N(R6)CO-, -N(R6)C(O)O-, -N(R6)CON(R6)-, -N(R6)SO2N(R6)-, -N(R6)N(R6)-, -C(О)N(R6)-, -OC(О)N(R6)-, -C(R6)2О-, -C(R6)2S-, -C(R6)2SO-, -C(R6)2SO2-, -C(R6)2SO2N(R6)-, -C(R6)2N(R6)-, -C(R6)2N(R6)C(О)-, -C(R6)2N(R6)C(О)О-, -C(R6)=NN(R6)-, -C(R6)=N-О-, -C(R6)2N(R6)N(R6)-, -C(R6)2N(R6)SO2N(R6)- или -C(R6)2N(R6)CON(R6)-;
W представляет собой -C(R6)2О-, -C(R6)2S-, -C(R6)2SO-, -C(R6)2SO2-, -C(R6)2SO2N(R6)-, -C(R6)2N(R6)-, -CO-, -CO2-, -C(R6)OC(О)-, -C(R6)OC(О)N(R6)-, -C(R6)2N(R6)CO-, -C(R6)2N(R6)C(О)О-, -C(R6)=NN(R6)-, -C(R6)=N-О-, -C(R6)2N(R6)N(R6)-, -C(R6)2N(R6)SO2N(R6)-, -C(R6)2N(R6)CON(R6)- или -CON(R6)-;
каждый R6 независимо выбран из водорода или необязательно замещенной С1-4 алифатической группы, или две группы R6 у одного и того же атома азота могут быть объединены вместе с атомом азота с образованием 5-6-членного гетероциклильного или гетероарильного кольца;
каждый R6' независимо выбран из водорода или С1-4 алифатической группы или два R6' у одного и того же углеродного атома объединены друг с другом с образованием 3-6-членного карбоциклического кольца; и
каждый R7 независимо выбран из водорода или необязательно замещенной С1-6 алифатической группы или два R7 у одного и того же атома азота объединены вместе с атомом азота с образованием 5-8-членного гетероциклильного или гетероарильного кольца.
Предпочтительные группы Rх формулы IIId включают водород, алкил- или диалкиламино, ацетамидо или С1-4 алифатическую группу, такую как метил, этил, циклопропил или изопропил.
Предпочтительные группы Rу формулы IIId включают Т-R3 или L-Z-R3, где T представляет собой связь или метилен, L представляет собой -О-, -S- или -N(R4)-, -С(R6)2О-, -CO- и R3 представляет собой -R, -N(R4)2- или -OR. Примеры предпочтительных групп Rу включают 2-пиридил, 4-пиридил, пирролидинил, пиперидинил, морфолинил, пиперазинил, метил, этил, циклопропил, изопропил, трет-бутил, алкоксиалкиламино, такой как метоксиэтиламино, алкоксиалкил, такой как метоксиметил или метоксиэтил, алкил- или диалкиламино, такой как этиламино или диметиламино, алкил- или диалкиламиноалкокси, такой как диметиламинопропилокси, ацетамидо, необязательно замещенный фенил, такой как фенил или галогензамещенный фенил.
Группы R2 и R2' в формуле IIId могут быть взяты вместе с образованием конденсированного кольца, что дает бициклическую кольцевую систему, содержащую пиразольное кольцо. Предпочтительные конденсированные кольца включают бензольное, пиридиновое, пиримидиновое и частично ненасыщенное 6-членное карбоциклическое кольца. Примеры указанных конденсированных колец представлены в следующих соединениях формулы IIId, имеющих пиразолсодержащую бициклическую кольцевую систему:
Предпочтительные заместители в конденсированном кольце R2/R2' формулы IIId включают один или несколько из следующих заместителей: галоген, -N(R4)2, -С1-4 алкил, -С1-4 галогеналкил, -NO2, -О(С1-4 алкил), -CO2(С1-4 алкил), -CN, -SO2(С1-4 алкил), -SO2NH2, -OC(О)NH2, -NH2SO2(C1-4 алкил), -NHC(O)(С1-4 алкил), -C(О)NH2 и -CO(C1-4 алкил), где (C1-4 алкил) представляет собой неразветвленную, разветвленную или циклическую алкильную группу. Предпочтительно С1-4 алкильная группа представляет собой метил.
Когда пиразольная кольцевая система формулы IIId является моноциклической, предпочтительные группы R2 включают водород или замещенную или незамещенную группу, выбранную из арильной, гетероарильной или С1-6 алифатической группы. Примеры таких предпочтительных групп R2 включают Н, метил, этил, пропил, циклопропил, изопропил, циклопентил, гидроксипропил, метоксипропил и бензилоксипропил. Предпочтительной группой R2' является водород.Когда кольцо D формулы IIId является моноциклическим, предпочтительные группы кольца D включают фенил, пиридил, пиридазинил, пиримидинил и пиразинил.
Когда кольцо D формулы IIId является бициклическим, предпочтительные группы бициклического кольца D включают нафтил, тетрагидронафтил, инданил, бензимидазолил, хинолинил, индолил, изоиндолил, индолинил, бензо[b]фурил, бензо[b]тиофенил, индазолил, бензотиазолил, циннолинил, фталазинил, хиназолинил, хиноксазолинил, 1,8-нафтиридинил и изохинолинил.
В кольце D формулы IIId предпочтительные заместители Т-R5 или V-Z-R5 включают галоген, -CN, -NO2, -N(R4)2, необязательно замещенную С1-6 алифатическую группу, -OR, -C(О)R, -CO2R, -CONH(R4), -N(R4)COR, -N(R4)CO2R, -SO2N(R4)2, -N(R4)SO2R, -N(R6)COCH2N(R4)2, -N(R6)СОСН2СН2N(R4)2 и -N(R6)СОСН2СН2СН2N(R4)2, где R выбран из водорода, С1-6 алифатической группы, фенила, 5-6-членного гетероарильного кольца или 5-6-членного гетероциклического кольца. Более предпочтительные заместители R5 включают -Cl, -Br, -F, -CN, -CF3, -COOH, -CONHMe, -CONHEt, -NH2, -NHAc, -NHSO2Ме, -NHSO2Et, -NHSO2(н-пропил), -NHSO2(изопропил), -NHCOEt, -NHCOCH2NHCH3, -NHCOCH2N(CO2t-Bu)СН3, -NHCOCH2N(СН3)2, -NHCOCH2СН2N(СН3)2, -NHCOCH2СН2СН2N(СН3)2, -NHCO(циклопропил), -NHCO(изобутил), -NHCOCH2(морфолин-4-ил), -NHCOCH2СН2(морфолин-4-ил), -NHCOCH2СН2СН2(морфолин-4-ил), -NHCO2(трет-бутил), -NH(С1-4 алифатическую группу), такую как -NHMe, -N(C1-4 алифатическую группу)2, такую как -NMe2, ОН, -O(C1-4 алифатическую группу), такую как -OMe, C1-4 алифатическую группу, такую как метил, этил, циклопропил, изопропил или трет-бутил, и -СО2(С1-4 алифатическую группу).
Предпочтительные группы Q' формулы IIId включают -С(R6')2- или 1,2-циклопропандиил, где каждый R6' независимо выбран из водорода или метила. Более предпочтительной группой Q' является -СН2-.
Предпочтительные соединения формулы IIId имеют один или несколько, а более предпочтительно все признаки, выбранные из следующих:
(а) Rx представляет собой водород, алкил- или диалкиламино, ацетамидо или С1-4 алифатическую группу;
(b) Ry представляет собой Т-R3 или L-Z-R3, где T представляет собой связь или метилен и R3 представляет собой -R, -N(R4)2 или -OR;
(с) R1 представляет собой Т-(кольцо D), где Т представляет собой связь или метиленовое звено, причем указанное метиленовое звено является необязательно замещенным группой -O-, -NH- или -S-;
(d) кольцо D представляет собой 5-7-членное моноциклическое или 8-10-членное бициклическое арильное или гетероарильное кольцо; и
(е) R2 представляет собой -R или -T-W-R6, и R2' представляет собой водород; или R2 и R2' взяты вместе друг с другом с образованием необязательно замещенного бензольного кольца.
Более предпочтительные соединения формулы IIId имеют один или несколько, а более предпочтительно все признаки, выбранные из следующих:
(a) Ry представляет собой Т-R3 или L-Z-R3, где T представляет собой связь или метилен и R3 выбран из -R, -OR или -N(R4)2, где R выбран из водорода, С1-6 алифатической группы или 5-6-членного гетероциклила, фенила или 5-6-членного гетероарила;
(b) R1 представляет собой Т-(кольцо D), где Т представляет собой связь;
(с) кольцо D представляет собой 5-6-членное моноциклическое или 8-10-членное бициклическое арильное или гетероарильное кольцо;
(d) R2 представляет собой -R и R2' представляет собой водород, причем R выбран из водорода, С1-6 алифатической группы, фенила, 5-6-членного гетероарильного кольца или 5-6-членного гетероциклического кольца;
(е) L представляет собой -О-, -S- или -N(R4)-; и
(f) Q' представляет собой -С(R6')2- или 1,2-циклопропандиил, где каждый R6' независимо выбран из водорода или метила.
Еще более предпочтительные соединения формулы IIId имеют один или несколько, а более предпочтительно все признаки, выбранные из следующих:
(a) Rx представляет собой водород, метил, этил, пропил, циклопропил, изопропил, метиламино или ацетимидо;
(b) Rу выбран из 2-пиридила, 4-пиридила, пирролидинила, пиперидинила, морфолинила, пиперазинила, метила, этила, циклопропила, изопропила, трет-бутила, алкоксиалкиламино, алкоксиалкила, алкил- или диалкиламино, алкил- или диалкиламиноалкокси, ацетамидо, необязательно замещенного фенила или метоксиметила;
(с) R1 представляет собой Т-(кольцо D), где Т представляет собой связь и кольцо D представляет собой 5-6-членное арильное или гетероарильное кольцо, причем кольцо D является необязательно замещенным одной или двумя группами, выбранными из галогена, -CN, -NO2, -N(R4)2, необязательно замещенной С1-6 алифатической группы, -OR, -CO2R, -CONH(R4), -N(R4)COR, -N(R4)SO2R, -N(R6)СОСН2СН2N(R4)2 или -N(R6)СОСН2СН2СН2N(R4)2,;
(d) R2 представляет собой водород или замещенную или незамещенную С1-6 алифатическую группу и L представляет собой -О-, -S- или -NH-; и
(e) Q' представляет собой -СН2-.
Характерные соединения формулы IIId показаны ниже в таблице 8.
Таблица 8
В еще одном варианте настоящее изобретение относится к композиции, содержащей соединение формулы IIId и фармацевтически приемлемый носитель.
Другой аспект настоящего изобретения относится к способу лечения или профилактики Aurora-2-опосредованного заболевания ингибитором Aurora-2 и включает введение пациенту, нуждающемуся в таком лечении, терапевтически эффективного количества соединения формулы IIId или содержащей его фармацевтической композиции.
Еще один аспект настоящего изобретения относится к способу ингибирования активности Aurora-2 у пациента, включающему введение пациенту соединения формулы IIId или композиции, содержащей указанное соединение.
Еще один аспект настоящего изобретения относится к способу лечения или профилактики GSK-3-опосредованного заболевания ингибитором GSK-3, включающему введение пациенту, нуждающемуся в таком лечении, терапевтически эффективного количества соединения формулы IIId или содержащей его фармацевтической композиции.
Еще один аспект настоящего изобретения относится к способу усиления синтеза гликогена и/или снижения уровня глюкозы в крови у пациента, нуждающегося в этом, включающему введение указанному пациенту терапевтически эффективного количества соединения формулы IIId или содержащей его фармацевтической композиции. Данный способ особенно полезен для больных диабетом. Другой способ относится к ингибированию продукции гиперфосфорилированного белка Tau и полезен для остановки или замедления развития болезни Альцгеймера. Еще один способ относится к ингибированию фосфорилирования β-катенина и полезен для лечения шизофрении.
Еще один аспект настоящего изобретения относится к способу ингибирования активности GSK-3 у пациента, включающему введение пациенту соединения формулы IIId или композиции, содержащей указанное соединение.
Еще один аспект настоящего изобретения относится к способу ингибирования активности Aurora-2 или GSK-3 в биологическом образце, включающему осуществление контактирования биологического образца с ингибитором Aurora-2 или GSK-3 формулы IIId или с содержащей его фармацевтической композицией в количестве, эффективном для ингибирования Aurora-2 или GSK-3.
Каждый из указанных выше способов, направленных на ингибирование Aurora-2 или GSK-3 или лечение заболевания, облегчаемого указанным ингибированием, предпочтительно осуществляют с использованием предпочтительного соединения формулы IIId, такого как описанные выше соединения.
Еще один вариант настоящего изобретения относится к соединениям формулы IVa:
или их фармацевтически приемлемым производным или пролекарствам, где:
Z1 представляет собой азот или С-R8 и Z2 представляет собой азот или СН, причем один из Z1 и Z2 представляет собой азот;
Rx и Ry независимо выбраны из Т-R3 или L-Z-R3 или Rx и Ry объединены вместе с их промежуточными атомами с образованием конденсированного ненасыщенного или частично ненасыщенного 5-7-членного кольца, имеющего 0-3 кольцевых гетероатома, выбранных из кислорода, серы или азота, причем каждый замещаемый углерод в указанном конденсированном кольце, образованном радикалами Rx и Ry, независимо замещен оксогруппой, Т-R3 или L-Z-R3 и каждый замещаемый азот в указанном кольце, образованном радикалами Rx и Ry, независимо замещен радикалом R4;
R1 представляет собой Т-(кольцо D);
кольцо D представляет собой 5-7-членное моноциклическое кольцо или 8-10-членное бициклическое кольцо, выбранное из арильного, гетероарильного, гетероциклильного или карбоциклильного колец, из которых гетероарильное или гетероциклильное кольцо содержит 1-4 кольцевых гетероатома, выбранных из азота, кислорода или серы, причем каждый замещаемый углерод кольца D независимо замещен оксогруппой, Т-R5 или V-Z-R5 и каждый замещаемый азот кольца D независимо замещен группой -R4;
Т представляет собой связь или С1-4 алкилиденовую цепь;
Z представляет собой С1-4 алкилиденовую цепь;
L представляет собой -О-, -S-, -SO-, -SO2-, -N(R6)SO2-, -SO2N(R6)-, -N(R6)-, -CO-, -CO2-, -N(R6)CO-, -N(R6)C(O)O-, -N(R6)CON(R6)-, -N(R6)SO2N(R6)-, -N(R6)N(R6)-, -C(О)N(R6)-, -OC(О)N(R6)-, -C(R6)2О-, -C(R6)2S-, -C(R6)2SO-, -C(R6)2SO2-, -C(R6)2SO2N(R6)-, -C(R6)2N(R6)-, -C(R6)2N(R6)C(О)-, -C(R6)2N(R6)C(О)О-, -C(R6)=NN(R6)-, -C(R6)=N-О-, -C(R6)2N(R6)N(R6)-, -C(R6)2N(R6)SO2N(R6)- или -C(R6)2N(R6)CON(R6)-;
R2 и R2' независимо выбраны из -R, -T-W-R6 или R2 и R2' объединены вместе с их промежуточными атомами с образованием конденсированного 5-8-членного ненасыщенного или частично ненасыщенного кольца, имеющего 0-3 кольцевых гетероатома, выбранных из азота, кислорода или серы, причем каждый замещаемый углерод в указанном конденсированном кольце, образованном радикалами R2 и R2', независимо замещен галогеном, оксогруппой, -CN, -NO2, -R7 или -V-R6 и каждый замещаемый азот в указанном кольце, образованном радикалами R2 и R2', независимо замещен радикалом R4;
R3 выбран из -R, галогена, -OR, -C(=O)R, -CO2R, -COCOR, -COCH2COR, -NO2, -CN, -S(O)R, -S(O)2R, -SR, -N(R4)2, -CON(R7)2, -SO2N(R7)2, -OC(=O)R, -N(R7)COR, -N(R7)CO2(С1-6 алифатическая группа), -N(R4)N(R4)2, -C=NN(R4)2, -C=N-OR, -N(R7)CON(R7)2, -N(R7)SO2N(R7)2, -N(R4)SO2R или -OC(=O)N(R7)2;
каждый R независимо выбран из водорода или необязательно замещенной группы, выбранной из С1-6 алифатической группы, С6-10 арила, гетероарильного кольца, имеющего 5-10 кольцевых атомов, или гетероциклильного кольца, имеющего 5-10 кольцевых атомов;
каждый R4 независимо выбран из -R7, -COR7, -CO2(необязательно замещенная С1-6 алифатическая группа), -CON(R7)2 или -SO2R7;
каждый R5 независимо выбран из -R, галогена, -OR, -C(=O)R, -CO2R, -COCOR, -NO2, -CN, -S(O)R, -SO2R, -SR, -N(R4)2, -CON(R4)2, -SO2N(R4)2, -OC(=O)R, -N(R4)COR, -N(R4)CO2(необязательно замещенная С1-6 алифатическая группа), -N(R4)N(R4)2, -C=NN(R4)2, -C=N-OR, -N(R4)CON(R4)2, -N(R4)SO2N(R4)2, -N(R4)SO2R или -OC(=O)N(R4)2;
V представляет собой -О-, -S-, -SO-, -SO2-, -N(R6)SO2-, -SO2N(R6)-, -N(R6)-, -CO-, -CO2-, -N(R6)CO-, -N(R6)C(O)O-, -N(R6)CON(R6)-, -N(R6)SO2N(R6)-, -N(R6)N(R6)-, -C(О)N(R6)-, -OC(О)N(R6)-, -C(R6)2О-, -C(R6)2S-, -C(R6)2SO-, -C(R6)2SO2-, -C(R6)2SO2N(R6)-, -C(R6)2N(R6)-, -C(R6)2N(R6)C(О)-, -C(R6)2N(R6)C(О)О-, -C(R6)=NN(R6)-, -C(R6)=N-О-, -C(R6)2N(R6)N(R6)-, -C(R6)2N(R6)SO2N(R6)- или -C(R6)2N(R6)CON(R6)-;
W представляет собой -C(R6)2О-, -C(R6)2S-, -C(R6)2SO-, -C(R6)2SO2-, -C(R6)2SO2N(R6)-, -C(R6)2N(R6)-, -CO-, -CO2-, -C(R6)OC(О)-, -C(R6)OC(О)N(R6)-, -C(R6)2N(R6)CO-, -C(R6)2N(R6)C(О)О-, -C(R6)=NN(R6)-, -C(R6)=N-О-, -C(R6)2N(R6)N(R6)-, -C(R6)2N(R6)SO2N(R6)-, -C(R6)2N(R6)CON(R6)- или -CON(R6)-;
каждый R6 независимо выбран из водорода или необязательно замещенной С1-4 алифатической группы, или две группы R6 у одного и того же атома азота могут быть объединены вместе с атомом азота с образованием 5-6-членного гетероциклильного или гетероарильного кольца;
каждый R7 независимо выбран из водорода или необязательно замещенной С1-6 алифатической группы или два R7 у одного и того же атома азота объединены вместе с атомом азота с образованием 5-8-членного гетероциклильного или гетероарильного кольца; и
R8 выбран из -R, галогена, -OR, -C(=O)R, -CO2R, -COCOR, -NO2, -CN, -S(O)R, -SO2R, -SR, -N(R4)2, -CON(R4)2, -SO2N(R4)2, -OC(=O)R, -N(R4)COR, -N(R4)CO2(необязательно замещенная С1-6 алифатическая группа), -N(R4)N(R4)2, -C=NN(R4)2, -C=N-OR, -N(R4)CON(R4)2, -N(R4)SO2N(R4)2, -N(R4)SO2R или -OC(=O)N(R4)2.
Предпочтительные кольца, образованные радикалами Rх и Ry формулы IVa, включают 5-, 6- или 7-членное ненасыщенное или частично ненасыщенное кольцо, имеющее 0-2 гетероатома, причем указанное кольцо Rх/Ry является необязательно замещенным. Это дает бициклическую кольцевую систему, содержащую пиридиновое кольцо. Примеры предпочтительных пиридиновых кольцевых систем формулы IVa показаны ниже.
Более предпочтительные пиридиновые кольцевые системы формулы IVa включают IVa-A, IVa-B, IVa-D, IVa-Е, IVa-J, IVa-P и IVa-V, наиболее предпочтительно IVa-A, IVa-B, IVa-D, IVa-E и IVa-J. Еще более предпочтительными пиридиновыми кольцевыми системами формулы IVa являются описанные выше системы, в которых Z1 представляет собой азот и Z2 представляет собой СН.
Предпочтительные группы Rх формулы IVa включают водород, алкил- или диалкиламино, ацетамидо или С1-4 алифатическую группу, такую как метил, этил, циклопропил или изопропил.
Предпочтительные группы Rу формулы IVa включают Т-R3 или L-Z-R3, где T представляет собой связь или метилен, L представляет собой -О-, -S- или -N(R4)-, -С(R6)2О-, -CO- и R3 представляет собой -R, -N(R4)2- или -OR. Примеры предпочтительных групп Rу включают 2-пиридил, 4-пиридил, пирролидинил, пиперидинил, морфолинил, пиперазинил, метил, этил, циклопропил, изопропил, трет-бутил, алкоксиалкиламино, такой как метоксиэтиламино, алкоксиалкил, такой как метоксиметил или метоксиэтил, алкил- или диалкиламино, такой как этиламино или диметиламино, алкил- или диалкиламиноалкокси, такой как диметиламинопропилокси, ацетамидо, необязательно замещенный фенил, такой как фенил или галогензамещенный фенил.
Кольцо, образованное взятыми вместе группами Rх и Ry формулы IVa, может быть замещенным или незамещенным. Подходящие заместители включают -R, галоген, -О(СН2)2-4-N(R4)2, -О(СН2)2-4-R, -OR, -N(R4)-(CH2)2-4-N(R4)2, -N(R4)-(CH2)2-4-R, C(=O)R, -CO2R, -COCOR, -NO2, -CN, -S(O)R, -SO2R, -SR, -N(R4)2, -CON(R4)2, -SO2N(R4)2, -OC(=O)R, -N(R4)COR, -N(R4)CO2(необязательно замещенная С1-6 алифатическая группа), -N(R4)N(R4)2, -C=NN(R4)2, -C=N-OR, -N(R4)CON(R4)2, -N(R4)SO2N(R4)2, -N(R4)SO2R или -OC(=O)N(R4)2, где R и R4 - такие как определенные выше. Предпочтительные заместители в кольце Rх/Ry включают галоген, -R, -OR, -COR, -CO2R, -CON(R4)2, -CN, -О(СН2)2-4-N(R4)2, -О(СН2)2-4-R, -NO2, -N(R4)2, -NR4COR, -NR4SO2R, -SO2N(R4)2, где R представляет собой водород или необязательно замещенную С1-6 алифатическую группу.
Группы R2 и R2' в формуле IVa могут быть взяты вместе с образованием конденсированного кольца, что дает бициклическую кольцевую систему, содержащую пиразольное кольцо. Предпочтительные конденсированные кольца включают бензольное, пиридиновое, пиримидиновое и частично ненасыщенное 6-членное карбоциклическое кольца. Примеры указанных конденсированных колец представлены в следующих соединениях формулы IVa, имеющих пиразолсодержащую бициклическую кольцевую систему:
Предпочтительные заместители в конденсированном кольце R2/R2' формулы IVa включают один или несколько из следующих заместителей: галоген, -N(R4)2, -С1-4 алкил, -С1-4 галогеналкил, -NO2, -О(С1-4 алкил), -CO2(С1-4 алкил), -CN, -SO2(С1-4 алкил), -SO2NH2, -OC(О)NH2, -NH2SO2(C1-4 алкил), -NHC(O)(С1-4 алкил), -C(О)NH2 и -CO(C1-4 алкил), где (C1-4 алкил) представляет собой неразветвленную, разветвленную или циклическую алкильную группу. Предпочтительно С1-4 алкильная группа представляет собой метил.
Когда пиразольная кольцевая система формулы IVa является моноциклической, предпочтительные группы R2 включают водород или замещенную или незамещенную группу, выбранную из арильной, гетероарильной или С1-6 алифатической группы. Примеры таких предпочтительных групп R2 включают Н, метил, этил, пропил, циклопропил, изопропил, циклопентил, гидроксипропил, метоксипропил и бензилоксипропил. Предпочтительной группой R2' является водород.
Когда кольцо D формулы IVa является моноциклическим, предпочтительные группы кольца D включают фенил, пиридил, пиридазинил, пиримидинил и пиразинил.
Когда кольцо D формулы IVa является бициклическим, предпочтительные группы бициклического кольца D включают нафтил, тетрагидронафтил, инданил, бензимидазолил, хинолинил, индолил, изоиндолил, индолинил, бензо[b]фурил, бензо[b]тиофенил, индазолил, бензотиазолил, циннолинил, фталазинил, хиназолинил, хиноксазолинил, 1,8-нафтиридинил и изохинолинил.
В кольце D формулы IVa предпочтительные заместители Т-R5 или V-Z-R5 включают галоген, -CN, -NO2, -N(R4)2, необязательно замещенную С1-6 алифатическую группу, -OR, -C(О)R, -CO2R, -CONH(R4), -N(R4)COR, -N(R4)CO2R, -SO2N(R4)2, -N(R4)SO2R, -N(R6)COCH2N(R4)2, -N(R6)СОСН2СН2N(R4)2 и -N(R6)СОСН2СН2СН2N(R4)2, где R выбран из водорода, С1-6 алифатической группы, фенила, 5-6-членного гетероарильного кольца или 5-6-членного гетероциклического кольца. Более предпочтительные заместители R5 включают -Cl, -Br, -F, -CN, -CF3, -COOH, -CONHMe, -CONHEt, -NH2, -NHAc, -NHSO2Ме, -NHSO2Et, -NHSO2(н-пропил), -NHSO2(изопропил), -NHCOEt, -NHCOCH2NHCH3, -NHCOCH2N(CO2t-Bu)СН3, -NHCOCH2N(СН3)2, -NHCOCH2СН2N(СН3)2, -NHCOCH2СН2СН2N(СН3)2, -NHCO(циклопропил), -NHCO(изобутил), -NHCOCH2(морфолин-4-ил), -NHCOCH2СН2(морфолин-4-ил), -NHCOCH2СН2СН2(морфолин-4-ил), -NHCO2(трет-бутил), -NH(С1-4 алифатическую группу), такую как -NHMe, N(C1-4 алифатическую группу)2, такую как -NMe2, ОН, -O(C1-4 алифатическую группу), такую как -OMe, C1-4 алифатическую группу, такую как метил, этил, циклопропил, изопропил или трет-бутил, и -СО2(С1-4 алифатическую группу).
Предпочтительные группы R8 формулы IVa, когда они присутствуют, включают R, OR и N(R4)2. Примеры предпочтительных групп R8 включают метил, этил, NH2, NH2СН2СН2NH, N(СН3)2СН2СН2NH, N(СН3)2СН2СН2О, (пиперидин-1-ил)СН2СН2О и NH2СН2СН2О.
Предпочтительные соединения формулы IVa имеют один или несколько, а более предпочтительно все признаки, выбранные из следующих:
(а) Rх представляет собой водород, алкил- или диалкиламино, ацетамидо или С1-4 алифатическую группу и Rу представляет собой Т-R3 или L-Z-R3, где T представляет собой связь или метилен и R3 представляет собой -R, -N(R4)2- или -OR, или Rx и Ry взяты вместе с их промежуточными атомами с образованием конденсированного ненасыщенного или частично ненасыщенного 5-6-членного кольца, имеющего 0-2 гетероатома, выбранных из кислорода, серы или азота, причем каждый замещаемый кольцевой углерод в указанном конденсированном кольце, образованном радикалами Rx и Ry, независимо замещен оксогруппой, Т-R3 или L-Z-R3 и каждый замещаемый кольцевой азот в указанном кольце, образованном радикалами Rx и Ry, независимо замещен радикалом R4;
(b) R1 представляет собой Т-(кольцо D), где Т представляет собой связь или метиленовое звено;
(с) кольцо D представляет собой 5-7-членное моноциклическое кольцо или 8-10-членное бициклическое арильное или гетероарильное кольцо; и
(d) R2 представляет собой -R или -T-W-R6 и R2' представляет собой водород; или R2 и R2' взяты вместе друг с другом с образованием необязательно замещенного бензольного кольца.
Более предпочтительные соединения формулы IVa имеют один или несколько, а более предпочтительно все признаки, выбранные из следующих:
(a) Rу представляет собой Т-R3 или L-Z-R3, где T представляет собой связь или метилен и R3 выбран из -R, -OR или -N(R4)2-, где R выбран из водорода, С1-6 алифатической группы или 5-6-членного гетероциклила, фенила или 5-6-членного гетероарила, или Rx и Ry взяты вместе с их промежуточными атомами с образованием бензольного, пиридинового, циклопентильного, циклогексильного, циклогептильного, тиенильного, пиперидинового или имидазольного кольца, причем каждый замещаемый кольцевой углерод в указанном конденсированном кольце, образованном радикалами Rx и Ry, независимо замещен оксогруппой, Т-R3 или L-Z-R3 и каждый замещаемый кольцевой азот в указанном кольце, образованном радикалами Rx и Ry, независимо замещен радикалом R4;
(b) R1 представляет собой Т-(кольцо D), где Т представляет собой связь и кольцо D представляет собой 5-6-членное моноциклическое или 8-10-членное бициклическое арильное или гетероарильное кольцо;
(с) R2 представляет собой -R и R2' представляет собой водород, причем R выбран из водорода, С1-6 алифатической группы, фенила, 5-6-членного гетероарильного кольца или 5-6-членного гетероциклического кольца; и
(d) R3 выбран из -R, галогена, -OR или -N(R4)2, причем R выбран из водорода, С1-6 алифатической группы или 5-6-членного гетероциклила, фенила или 5-6-членного гетероарила и L представляет собой -О-, -S- или -N(R4)-.
Еще более предпочтительные соединения формулы IVa имеют один или несколько, а более предпочтительно все признаки, выбранные из следующих:
(a) Rх представляет собой метил, этил, пропил, циклопропил, изопропил, метиламино или ацетамидо и Rу выбран из 2-пиридила, 4-пиридила, пирролидинила, пиперидинила, морфолинила, пиперазинила, метила, этила, циклопропила, изопропила, трет-бутила, алкоксиалкиламино, алкоксиалкила, алкил- или диалкиламино, алкил- или диалкиламиноалкокси, ацетамидо, необязательно замещенного фенила или метоксиметила, или Rx и Ry взяты вместе с их промежуточными атомами с образованием бензольного, пиридинового, пиперидинового или циклогексильного кольца, причем указанное кольцо является необязательно замещенным галогеном, -R, -OR, -COR, -CO2R, -CON(R4)2, -CN, -О(СН2)2-4-N(R4)2, -О(СН2)2-4-R, -NO2, -N(R4)2, -NR4COR, -NR4SO2R или -SO2N(R4)2, где R представляет собой водород или необязательно замещенную С1-6 алифатическую группу;
(b) R1 представляет собой Т-(кольцо D), где Т представляет собой связь и кольцо D представляет собой 5-6-членное арильное или гетероарильное кольцо, необязательно замещенное одной или двумя группами, выбранными из галогена, -CN, -NO2, -N(R4)2, необязательно замещенной С1-6 алифатической группы, -OR, -C(О)R, -CO2R, -CONH(R4), -N(R4)COR, -N(R4)CO2R, -SO2N(R4)2, -N(R4)SO2R, -N(R6)COCH2N(R4)2, -N(R6)СОСН2СН2N(R4)2 или -N(R6)СОСН2СН2СН2N(R4)2;
(с) R2 представляет собой водород или замещенную или незамещенную группу, выбранную из арильной, гетероарильной или С1-6 алифатической группы, и R2' представляет собой водород;
(d) R3 выбран из -R, -OR или -N(R4)2, причем R выбран из водорода, С1-6 алифатической группы, 5-6-членного гетероциклила, фенила или 5-6-членного гетероарила и L представляет собой -О-, -S- или -NH-; и
(е) кольцо D замещено заместителями в количестве до трех, выбранными из галогена, -CN, -NO2, -N(R4)2, необязательно замещенной С1-6 алифатической группы, -OR, -C(О)R, -CO2R, -CONH(R4), -N(R4)COR, -N(R4)CO2R, -SO2N(R4)2, -N(R4)SO2R, -N(R6)COCH2N(R4)2, -N(R6)СОСН2СН2N(R4)2 или -N(R6)СОСН2СН2СН2N(R4)2, где R выбран из водорода, С1-6 алифатической группы, фенила, 5-6-членного гетероарильного кольца или 5-6-членного гетероциклического кольца.
Характерные соединения формулы IVa показаны ниже в таблице 9.
Таблица 9
В другом аспекте настоящее изобретение относится к композиции, содержащей соединение формулы IVa и фармацевтически приемлемый носитель.
Другой аспект настоящего изобретения относится к способу лечения или профилактики Aurora-2-опосредованного заболевания ингибитором Aurora-2 и включает введение пациенту, нуждающемуся в таком лечении, терапевтически эффективного количества соединения формулы IVa или содержащей его фармацевтической композиции.
Еще один аспект настоящего изобретения относится к способу ингибирования активности Aurora-2 у пациента, включающему введение пациенту соединения формулы IVa или композиции, содержащей указанное соединение.
Еще один аспект настоящего изобретения относится к способу лечения или профилактики GSK-3-опосредованного заболевания ингибитором GSK-3, включающему введение пациенту, нуждающемуся в таком лечении, терапевтически эффективного количества соединения формулы IVa или содержащей его фармацевтической композиции.
Еще один аспект настоящего изобретения относится к способу усиления синтеза гликогена и/или снижения уровня глюкозы в крови у пациента, нуждающегося в этом, включающему введение указанному пациенту терапевтически эффективного количество соединения формулы IVa или содержащей его фармацевтической композиции. Данный способ особенно полезен для больных диабетом. Другой способ относится к ингибированию продукции гиперфосфорилированного белка Tau и полезен для остановки или замедления развития болезни Альцгеймера. Еще один способ относится к ингибированию фосфорилирования β-катенина и полезен для лечения шизофрении.
Еще один аспект настоящего изобретения относится к способу ингибирования активности GSK-3 у пациента, включающему введение пациенту соединения формулы IVa или содержащей его фармацевтической композиции.
Еще один аспект настоящего изобретения относится к способу ингибирования активности Aurora-2 или GSK-3 в биологическом образце, включающему осуществление контактирования биологического образца с ингибитором Aurora-2 или GSK-3 формулы IVa или с содержащей его фармацевтической композицией в количестве, эффективном для ингибирования Aurora-2 или GSK-3.
Каждый из указанных выше способов, направленных на ингибирование Aurora-2 или GSK-3 или лечение заболевания, облегчаемого указанным ингибированием, предпочтительно осуществляют с использованием предпочтительного соединения формулы IVa, такого как описанные выше соединения.
Еще один вариант настоящего изобретения относится к соединениям формулы IVb:
или их фармацевтически приемлемым производным или пролекарствам, где:
Z1 представляет собой азот или С-R8 и Z2 представляет собой азот или СН, причем один из Z1 и Z2 представляет собой азот;
Rx и Ry независимо выбраны из Т-R3 или L-Z-R3 или Rx и Ry объединены вместе с их промежуточными атомами с образованием конденсированного ненасыщенного или частично ненасыщенного 5-7-членного кольца, имеющего 0-3 кольцевых гетероатома, выбранных из кислорода, серы или азота, причем каждый замещаемый углерод в указанном конденсированном кольце, образованном радикалами Rx и Ry, независимо замещен оксогруппой, Т-R3 или L-Z-R3 и каждый замещаемый азот в указанном кольце, образованном радикалами Rx и Ry, независимо замещен радикалом R4;
R1 представляет собой Т-(кольцо D);
кольцо D представляет собой 5-7-членное моноциклическое кольцо или 8-10-членное бициклическое кольцо, выбранное из арильного, гетероарильного, гетероциклильного или карбоциклильного колец, из которых гетероарильное или гетероциклильное кольцо содержит 1-4 кольцевых гетероатома, выбранных из азота, кислорода или серы, причем каждый замещаемый углерод кольца D независимо замещен оксогруппой, Т-R5 или V-Z-R5 и каждый замещаемый азот кольца D независимо замещен группой -R4;
Т представляет собой связь или С1-4 алкилиденовую цепь;
Z представляет собой С1-4 алкилиденовую цепь;
L представляет собой -О-, -S-, -SO-, -SO2-, -N(R6)SO2-, -SO2N(R6)-, -N(R6)-, -CO-, -CO2-, -N(R6)CO-, -N(R6)C(O)O-, -N(R6)CON(R6)-, -N(R6)SO2N(R6)-, -N(R6)N(R6)-, -C(О)N(R6)-, -OC(О)N(R6)-, -C(R6)2О-, -C(R6)2S-, -C(R6)2SO-, -C(R6)2SO2-, -C(R6)2SO2N(R6)-, -C(R6)2N(R6)-, -C(R6)2N(R6)C(О)-, -C(R6)2N(R6)C(О)О-, -C(R6)=NN(R6)-, -C(R6)=N-О-, -C(R6)2N(R6)N(R6)-, -C(R6)2N(R6)SO2N(R6)- или -C(R6)2N(R6)CON(R6)-;
R2 и R2' независимо выбраны из -R, -T-W-R6 или R2 и R2' объединены вместе с их промежуточными атомами с образованием конденсированного 5-8-членного ненасыщенного или частично ненасыщенного кольца, имеющего 0-3 кольцевых гетероатома, выбранных из азота, кислорода или серы, причем каждый замещаемый углерод в указанном конденсированном кольце, образованном радикалами R2 и R2', независимо замещен галогеном, оксогруппой, -CN, -NO2, -R7 или -V-R6 и каждый замещаемый азот в указанном кольце, образованном радикалами R2 и R2', независимо замещен радикалом R4;
R3 выбран из -R, галогена, -OR, -C(=O)R, -CO2R, -COCOR, -COCH2COR, -NO2, -CN, -S(O)R, -S(O)2R, -SR, -N(R4)2, -CON(R7)2, -SO2N(R7)2, -OC(=O)R, -N(R7)COR, -N(R7)CO2(С1-6 алифатическая группа), -N(R4)N(R4)2, -C=NN(R4)2, -C=N-OR, -N(R7)CON(R7)2, -N(R7)SO2N(R7)2, -N(R4)SO2R или -OC(=O)N(R7)2;
каждый R независимо выбран из водорода или необязательно замещенной группы, выбранной из С1-6 алифатической группы, С6-10 арила, гетероарильного кольца, имеющего 5-10 кольцевых атомов, или гетероциклильного кольца, имеющего 5-10 кольцевых атомов;
каждый R4 независимо выбран из -R7, -COR7, -CO2(необязательно замещенная С1-6 алифатическая группа), -CON(R7)2 или -SO2R7;
каждый R5 независимо выбран из -R, галогена, -OR, -C(=O)R, -CO2R, -COCOR, -NO2, -CN, -S(O)R, -SO2R, -SR, -N(R4)2, -CON(R4)2, -SO2N(R4)2, -OC(=O)R, -N(R4)COR, -N(R4)CO2(необязательно замещенная С1-6 алифатическая группа), -N(R4)N(R4)2, -C=NN(R4)2, -C=N-OR, -N(R4)CON(R4)2, -N(R4)SO2N(R4)2, -N(R4)SO2R или -OC(=O)N(R4)2;
V представляет собой -О-, -S-, -SO-, -SO2-, -N(R6)SO2-, -SO2N(R6)-, -N(R6)-, -CO-, -CO2-, -N(R6)CO-, -N(R6)C(O)O-, -N(R6)CON(R6)-, -N(R6)SO2N(R6)-, -N(R6)N(R6)-, -C(О)N(R6)-, -OC(О)N(R6)-, -C(R6)2О-, -C(R6)2S-, -C(R6)2SO-, -C(R6)2SO2-, -C(R6)2SO2N(R6)-, -C(R6)2N(R6)-, -C(R6)2N(R6)C(О)-, -C(R6)2N(R6)C(О)О-, -C(R6)=NN(R6)-, -C(R6)=N-О-, -C(R6)2N(R6)N(R6)-, -C(R6)2N(R6)SO2N(R6)- или -C(R6)2N(R6)CON(R6)-;
W представляет собой -C(R6)2О-, -C(R6)2S-, -C(R6)2SO-, -C(R6)2SO2-, -C(R6)2SO2N(R6)-, -C(R6)2N(R6)-, -CO-, -CO2-, -C(R6)OC(О)-, -C(R6)OC(О)N(R6)-, -C(R6)2N(R6)CO-, -C(R6)2N(R6)C(О)О-, -C(R6)=NN(R6)-, -C(R6)=N-О-, -C(R6)2N(R6)N(R6)-, -C(R6)2N(R6)SO2N(R6)-, -C(R6)2N(R6)CON(R6)- или -CON(R6)-;
каждый R6 независимо выбран из водорода или необязательно замещенной С1-4 алифатической группы, или две группы R6 у одного и того же атома азота могут быть объединены вместе с атомом азота с образованием 5-6-членного гетероциклильного или гетероарильного кольца;
каждый R7 независимо выбран из водорода или необязательно замещенной С1-6 алифатической группы или два R7 у одного и того же атома азота объединены вместе с атомом азота с образованием 5-8-членного гетероциклильного или гетероарильного кольца; и
R8 выбран из -R, галогена, -OR, -C(=O)R, -CO2R, -COCOR, -NO2, -CN, -S(O)R, -SO2R, -SR, -N(R4)2, -CON(R4)2, -SO2N(R4)2, -OC(=O)R, -N(R4)COR, -N(R4)CO2(необязательно замещенная С1-6 алифатическая группа), -N(R4)N(R4)2, -C=NN(R4)2, -C=N-OR, -N(R4)CON(R4)2, -N(R4)SO2N(R4)2, -N(R4)SO2R или -OC(=O)N(R4)2.
Предпочтительные кольца, образованные радикалами Rх и Ry формулы IVb, включают 5-, 6- или 7-членное ненасыщенное или частично ненасыщенное кольцо, имеющее 0-2 гетероатома, причем указанное кольцо Rх/Ry является необязательно замещенным. Это дает бициклическую кольцевую систему, содержащую пиримидиновое кольцо. Примеры предпочтительных пиримидиновых кольцевых систем формулы IVb показаны ниже.
Более предпочтительные пиримидиновые кольцевые системы формулы IVb включают IVb-A, IVb-B, IVb-D, IVb-Е, IVb-J, IVb-P и IVb-V, наиболее предпочтительно IVb-A, IVb-B, IVb-D, IVb-E и IVb-J. Еще более предпочтительными пиримидиновыми кольцевыми системами формулы IVb являются описанные выше системы, в которых Z1 представляет собой азот и Z2 представляет собой СН.
Предпочтительные группы Rх формулы IVb включают водород, алкил- или диалкиламино, ацетамидо или С1-4 алифатическую группу, такую как метил, этил, циклопропил или изопропил.
Предпочтительные группы Rу формулы IVb включают Т-R3 или L-Z-R3, где T представляет собой связь или метилен, L представляет собой -О-, -S- или -N(R4)-, -С(R6)2О-, -CO- и R3 представляет собой -R, -N(R4)2- или -OR. Примеры предпочтительных групп Rу включают 2-пиридил, 4-пиридил, пирролидинил, пиперидинил, морфолинил, пиперазинил, метил, этил, циклопропил, изопропил, трет-бутил, алкоксиалкиламино, такой как метоксиэтиламино, алкоксиалкил, такой как метоксиметил или метоксиэтил, алкил- или диалкиламино, такой как этиламино или диметиламино, алкил- или диалкиламиноалкокси, такой как диметиламинопропилокси, ацетамидо, необязательно замещенный фенил, такой как фенил или галогензамещенный фенил.
Кольцо, образованное взятыми вместе группами Rх и Ry формулы IVb, может быть замещенным или незамещенным. Подходящие заместители включают -R, галоген, -О(СН2)2-4-N(R4)2, -О(СН2)2-4-R, -OR, -N(R4)-(CH2)2-4-N(R4)2, -N(R4)-(CH2)2-4-R, C(=O)R, -CO2R, -COCOR, -NO2, -CN, -S(O)R, -SO2R, -SR, -N(R4)2, -CON(R4)2, -SO2N(R4)2, -OC(=O)R, -N(R4)COR, -N(R4)CO2(необязательно замещенная С1-6 алифатическая группа), -N(R4)N(R4)2, -C=NN(R4)2, -C=N-OR, -N(R4)CON(R4)2, -N(R4)SO2N(R4)2, -N(R4)SO2R или -OC(=O)N(R4)2, где R и R4 - такие как определенные выше. Предпочтительные заместители в кольце Rх/Ry включают галоген, -R, -OR, -COR, -CO2R, -CON(R4)2, -CN, -О(СН2)2-4-N(R4)2, -О(СН2)2-4-R, -NO2, -N(R4)2, -NR4COR, -NR4SO2R, -SO2N(R4)2, где R представляет собой водород или необязательно замещенную С1-6 алифатическую группу.
Группы R2 и R2' в формуле IVb могут быть взяты вместе с образованием конденсированного кольца, что дает бициклическую кольцевую систему, содержащую пиразольное кольцо. Предпочтительные конденсированные кольца включают бензольное, пиридиновое, пиримидиновое и частично ненасыщенное 6-членное карбоциклическое кольца. Примеры указанных конденсированных колец представлены в следующих соединениях формулы IVb, имеющих пиразолсодержащую бициклическую кольцевую систему:
Предпочтительные заместители в конденсированном кольце R2/R2' формулы IVb включают один или несколько из следующих заместителей: галоген, -N(R4)2, -С1-4 алкил, -С1-4 галогеналкил, -NO2, -О(С1-4 алкил), -CO2(С1-4 алкил), -CN, -SO2(С1-4 алкил), -SO2NH2, -OC(О)NH2, -NH2SO2(C1-4 алкил), -NHC(O)(С1-4 алкил), -C(О)NH2 и -CO(C1-4 алкил), где (C1-4 алкил) представляет собой неразветвленную, разветвленную или циклическую алкильную группу. Предпочтительно С1-4 алкильная группа представляет собой метил.
Когда пиразольная кольцевая система формулы IVb является моноциклической, предпочтительные группы R2 включают водород или замещенную или незамещенную группу, выбранную из арильной, гетероарильной или С1-6 алифатической группы. Примеры таких предпочтительных групп R2 включают водород, метил, этил, пропил, циклопропил, изопропил, циклопентил, гидроксипропил, метоксипропил и бензилоксипропил. Предпочтительной группой R2' является водород.
Когда кольцо D формулы IVb является моноциклическим, предпочтительные группы кольца D включают фенил, пиридил, пиридазинил, пиримидинил и пиразинил.
Когда кольцо D формулы IVb является бициклическим, предпочтительные группы бициклического кольца D включают нафтил, тетрагидронафтил, инданил, бензимидазолил, хинолинил, индолил, изоиндолил, индолинил, бензо[b]фурил, бензо[b]тиофенил, индазолил, бензотиазолил, циннолинил, фталазинил, хиназолинил, хиноксазолинил, 1,8-нафтиридинил и изохинолинил.
В кольце D формулы IVb предпочтительные заместители Т-R5 или V-Z-R5 включают галоген, -CN, -NO2, -N(R4)2, необязательно замещенную С1-6 алифатическую группу, -OR, -C(О)R, -CO2R, -CONH(R4), -N(R4)COR, -N(R4)CO2R, -SO2N(R4)2, -N(R4)SO2R, -N(R6)COCH2N(R4)2, -N(R6)СОСН2СН2N(R4)2 и -N(R6)СОСН2СН2СН2N(R4)2, где R выбран из водорода, С1-6 алифатической группы, фенила, 5-6-членного гетероарильного кольца или 5-6-членного гетероциклического кольца. Более предпочтительные заместители R5 включают -Cl, -Br, -F, -CN, -CF3, -COOH, -CONHMe, -CONHEt, -NH2, -NHAc, -NHSO2Ме, -NHSO2Et, -NHSO2(н-пропил), -NHSO2(изопропил), -NHCOEt, -NHCOCH2NHCH3, -NHCOCH2N(CO2t-Bu)СН3, -NHCOCH2N(СН3)2, -NHCOCH2СН2N(СН3)2, -NHCOCH2СН2СН2N(СН3)2, -NHCO(циклопропил), -NHCO(изобутил), -NHCOCH2(морфолин-4-ил), -NHCOCH2СН2(морфолин-4-ил), -NHCOCH2СН2СН2(морфолин-4-ил), -NHCO2(трет-бутил), -NH(С1-4 алифатическую группу), такую как -NHMe, N(C1-4 алифатическую группу)2, такую как -NMe2, ОН, -O(C1-4 алифатическую группу), такую как -OMe, C1-4 алифатическую группу, такую как метил, этил, циклопропил, изопропил или трет-бутил, и -СО2(С1-4 алифатическую группу).
Предпочтительные группы R8 формулы IVb, когда они присутствуют, включают R, OR и N(R4)2. Примеры предпочтительных групп R8 включают метил, этил, NH2, NH2СН2СН2NH, N(СН3)2СН2СН2NH, N(СН3)2СН2СН2О, (пиперидин-1-ил)СН2СН2О и NH2СН2СН2О.
Предпочтительные соединения формулы IVb имеют один или несколько, а более предпочтительно все признаки, выбранные из следующих:
(а) Rх представляет собой водород, алкил- или диалкиламино, ацетамидо или С1-4 алифатическую группу и Rу представляет собой Т-R3 или L-Z-R3, где T представляет собой связь или метилен и R3 представляет собой -R, -N(R4)2- или -OR, или Rx и Ry взяты вместе с их промежуточными атомами с образованием конденсированного ненасыщенного или частично ненасыщенного 5-6-членного кольца, имеющего 0-2 гетероатома, выбранных из кислорода, серы или азота, причем каждый замещаемый кольцевой углерод в указанном конденсированном кольце, образованном радикалами Rx и Ry, независимо замещен оксогруппой, Т-R3 или L-Z-R3 и каждый замещаемый кольцевой азот в указанном кольце, образованном радикалами Rx и Ry, независимо замещен радикалом R4;
(b) R1 представляет собой Т-(кольцо D), где Т представляет собой связь или метиленовое звено;
(с) кольцо D представляет собой 5-7-членное моноциклическое кольцо или 8-10-членное бициклическое арильное или гетероарильное кольцо; и
(d) R2 представляет собой -R или -T-W-R6 и R2' представляет собой водород; или R2 и R2' взяты вместе друг с другом с образованием необязательно замещенного бензольного кольца.
Более предпочтительные соединения формулы IVb имеют один или несколько, а более предпочтительно все признаки, выбранные из следующих:
(a) Rу представляет собой Т-R3 или L-Z-R3, где T представляет собой связь или метилен и R3 выбран из -R, -OR или -N(R4)2-, где R выбран из водорода, С1-6 алифатической группы или 5-6-членного гетероциклила, фенила или 5-6-членного гетероарила, или Rx и Ry взяты вместе с их промежуточными атомами с образованием бензольного, пиридинового, циклопентильного, циклогексильного, циклогептильного, тиенильного, пиперидинового или имидазольного кольца, причем каждый замещаемый кольцевой углерод в указанном конденсированном кольце, образованном радикалами Rx и Ry, независимо замещен оксогруппой, Т-R3 или L-Z-R3 и каждый замещаемый кольцевой азот в указанном кольце, образованном радикалами Rx и Ry, независимо замещен радикалом R4;
(b) R1 представляет собой Т-(кольцо D), где Т представляет собой связь и кольцо D представляет собой 5-6-членное моноциклическое или 8-10-членное бициклическое арильное или гетероарильное кольцо;
(с) R2 представляет собой -R и R2' представляет собой водород, причем R выбран из водорода, С1-6 алифатической группы, фенила, 5-6-членного гетероарильного кольца или 5-6-членного гетероциклического кольца; и
(d) R3 выбран из -R, галогена, -OR или -N(R4)2, причем R выбран из водорода, С1-6 алифатической группы или 5-6-членного гетероциклила, фенила или 5-6-членного гетероарила и L представляет собой -О-, -S- или -N(R4)-.
Еще более предпочтительные соединения формулы IVb имеют один или несколько, а более предпочтительно все признаки, выбранные из следующих:
(a) Rх представляет собой метил, этил, пропил, циклопропил, изопропил, метиламино или ацетамидо и Rу выбран из 2-пиридила, 4-пиридила, пирролидинила, пиперидинила, морфолинила, пиперазинила, метила, этила, циклопропила, изопропила, трет-бутила, алкоксиалкиламино, алкоксиалкила, алкил- или диалкиламино, алкил- или диалкиламиноалкокси, ацетамидо, необязательно замещенного фенила или метоксиметила, или Rx и Ry взяты вместе с их промежуточными атомами с образованием бензольного, пиридинового, пиперидинового или циклогексильного кольца, причем указанное кольцо является необязательно замещенным галогеном, -R, -OR, -COR, -CO2R, -CON(R4)2, -CN, -О(СН2)2-4-N(R4)2, -О(СН2)2-4-R, -NO2, -N(R4)2, -NR4COR, -NR4SO2R или -SO2N(R4)2, где R представляет собой водород или необязательно замещенную С1-6 алифатическую группу;
(b) R1 представляет собой Т-(кольцо D), где Т представляет собой связь и кольцо D представляет собой 5-6-членное арильное или гетероарильное кольцо, необязательно замещенное одной или двумя группами, выбранными из галогена, -CN, -NO2, -N(R4)2, необязательно замещенной С1-6 алифатической группы, -OR, -C(О)R, -CO2R, -CONH(R4), -N(R4)COR, -N(R4)CO2R, -SO2N(R4)2, -N(R4)SO2R, -N(R6)COCH2N(R4)2, -N(R6)СОСН2СН2N(R4)2 или -N(R6)СОСН2СН2СН2N(R4)2;
(с) R2 представляет собой водород или замещенную или незамещенную группу, выбранную из арильной, гетероарильной или С1-6 алифатической группы, и R2' представляет собой водород;
(d) R3 выбран из -R, -OR или -N(R4)2, причем R выбран из водорода, С1-6 алифатической группы, 5-6-членного гетероциклила, фенила или 5-6-членного гетероарила и L представляет собой -О-, -S- или -NH-; и
(е) кольцо D замещено заместителями в количестве до трех, выбранными из галогена, -CN, -NO2, -N(R4)2, необязательно замещенной С1-6 алифатической группы, -OR, -C(О)R, -CO2R, -CONH(R4), -N(R4)COR, -N(R4)CO2R, -SO2N(R4)2, -N(R4)SO2R, -N(R6)COCH2N(R4)2, -N(R6)СОСН2СН2N(R4)2 или -N(R6)СОСН2СН2СН2N(R4)2, где R выбран из водорода, С1-6 алифатической группы, фенила, 5-6-членного гетероарильного кольца или 5-6-членного гетероциклического кольца.
Характерные соединения формулы IVb показаны ниже в таблице 10.
Таблица 10
В другом аспекте настоящее изобретение относится к композиции, содержащей соединение формулы IVb и фармацевтически приемлемый носитель.
Другой аспект настоящего изобретения относится к способу лечения или профилактики Aurora-2-опосредованного заболевания ингибитором Aurora-2 и включает введение пациенту, нуждающемуся в таком лечении, терапевтически эффективного количества соединения формулы IVb или содержащей его фармацевтической композиции.
Еще один аспект настоящего изобретения относится к способу ингибирования активности Aurora-2 у пациента, включающему введение пациенту соединения формулы IVb или композиции, содержащей указанное соединение.
Еще один аспект настоящего изобретения относится к способу лечения или профилактики GSK-3-опосредованного заболевания ингибитором GSK-3, включающему введение пациенту, нуждающемуся в таком лечении, терапевтически эффективного количества соединения формулы IVb или композиции, содержащей указанное соединение.
Еще один аспект настоящего изобретения относится к способу усиления синтеза гликогена и/или снижения уровня глюкозы в крови у пациента, нуждающегося в этом, включающему введение указанному пациенту соединения формулы IVb или содержащей его фармацевтической композиции. Данный способ особенно полезен для больных диабетом. Другой способ относится к ингибированию продукции гиперфосфорилированного белка Tau и полезен для остановки или замедления развития болезни Альцгеймера. Еще один способ относится к ингибированию фосфорилирования β-катенина и полезен для лечения шизофрении.
Еще один аспект настоящего изобретения относится к способу ингибирования активности GSK-3 у пациента, включающему введение пациенту соединения формулы IVb или содержащей его фармацевтической композиции.
Еще один аспект настоящего изобретения относится к способу ингибирования активности Aurora-2 или GSK-3 в биологическом образце, включающему осуществление контактирования биологического образца с ингибитором Aurora-2 или GSK-3 формулы IVb или с содержащей его фармацевтической композицией в количестве, эффективном для ингибирования Aurora-2 или GSK-3.
Каждый из указанных выше способов, направленных на ингибирование Aurora-2 или GSK-3 или лечение заболевания, облегчаемого указанным ингибированием, предпочтительно осуществляют с использованием предпочтительного соединения формулы IVb, такого как описанные выше соединения.
Еще один вариант настоящего изобретения относится к соединениям формулы IVc:
или их фармацевтически приемлемым производным или пролекарствам, где:
Z1 представляет собой азот или С-R8 и Z2 представляет собой азот или СН, причем один из Z1 и Z2 представляет собой азот;
Rx и Ry независимо выбраны из Т-R3 или L-Z-R3 или Rx и Ry объединены вместе с их промежуточными атомами с образованием конденсированного ненасыщенного или частично ненасыщенного 5-7-членного кольца, имеющего 0-3 кольцевых гетероатома, выбранных из кислорода, серы или азота, причем каждый замещаемый углерод в указанном конденсированном кольце, образованном радикалами Rx и Ry, независимо замещен оксогруппой, Т-R3 или L-Z-R3 и каждый замещаемый азот в указанном кольце, образованном радикалами Rx и Ry, независимо замещен радикалом R4;
R1 представляет собой Т-(кольцо D);
кольцо D представляет собой 5-7-членное моноциклическое кольцо или 8-10-членное бициклическое кольцо, выбранное из арильного, гетероарильного, гетероциклильного или карбоциклильного колец, из которых гетероарильное или гетероциклильное кольцо содержит 1-4 кольцевых гетероатома, выбранных из азота, кислорода или серы, причем каждый замещаемый углерод кольца D независимо замещен оксогруппой, Т-R5 или V-Z-R5 и каждый замещаемый азот кольца D независимо замещен группой -R4;
Т представляет собой связь или С1-4 алкилиденовую цепь;
Z представляет собой С1-4 алкилиденовую цепь;
L представляет собой -О-, -S-, -SO-, -SO2-, -N(R6)SO2-, -SO2N(R6)-, -N(R6)-, -CO-, -CO2-, -N(R6)CO-, -N(R6)C(O)O-, -N(R6)CON(R6)-, -N(R6)SO2N(R6)-, -N(R6)N(R6)-, -C(О)N(R6)-, -OC(О)N(R6)-, -C(R6)2О-, -C(R6)2S-, -C(R6)2SO-, -C(R6)2SO2-, -C(R6)2SO2N(R6)-, -C(R6)2N(R6)-, -C(R6)2N(R6)C(О)-, -C(R6)2N(R6)C(О)О-, -C(R6)=NN(R6)-, -C(R6)=N-О-, -C(R6)2N(R6)N(R6)-, -C(R6)2N(R6)SO2N(R6)- или -C(R6)2N(R6)CON(R6)-;R2 и R2' независимо выбраны из -R, -T-W-R6 или R2 и R2' объединены вместе с их промежуточными атомами с образованием конденсированного 5-8-членного ненасыщенного или частично ненасыщенного кольца, имеющего 0-3 кольцевых гетероатома, выбранных из азота, кислорода или серы, причем каждый замещаемый углерод в указанном конденсированном кольце, образованном радикалами R2 и R2', независимо замещен галогеном, оксогруппой, -CN, -NO2, -R7 или -V-R6 и каждый замещаемый азот в указанном кольце, образованном радикалами R2 и R2', независимо замещен радикалом R4;
R3 выбран из -R, галогена, -OR, -C(=O)R, -CO2R, -COCOR, -COCH2COR, -NO2, -CN, -S(O)R, -S(O)2R, -SR, -N(R4)2, -CON(R7)2, -SO2N(R7)2, -OC(=O)R, -N(R7)COR, -N(R7)CO2(С1-6 алифатическая группа), -N(R4)N(R4)2, -C=NN(R4)2, -C=N-OR, -N(R7)CON(R7)2, -N(R7)SO2N(R7)2, -N(R4)SO2R или -OC(=O)N(R7)2;
каждый R независимо выбран из водорода или необязательно замещенной группы, выбранной из С1-6 алифатической группы, С6-10 арила, гетероарильного кольца, имеющего 5-10 кольцевых атомов, или гетероциклильного кольца, имеющего 5-10 кольцевых атомов;
каждый R4 независимо выбран из -R7, -COR7, -CO2(необязательно замещенная С1-6 алифатическая группа), -CON(R7)2 или -SO2R7;
каждый R5 независимо выбран из -R, галогена, -OR, -C(=O)R, -CO2R, -COCOR, -NO2, -CN, -S(O)R, -SO2R, -SR, -N(R4)2, -CON(R4)2, -SO2N(R4)2, -OC(=O)R, -N(R4)COR, -N(R4)CO2(необязательно замещенная С1-6 алифатическая группа), -N(R4)N(R4)2, -C=NN(R4)2, -C=N-OR, -N(R4)CON(R4)2, -N(R4)SO2N(R4)2, -N(R4)SO2R или -OC(=O)N(R4)2;
V представляет собой -О-, -S-, -SO-, -SO2-, -N(R6)SO2-, -SO2N(R6)-, -N(R6)-, -CO-, -CO2-, -N(R6)CO-, -N(R6)C(O)O-, -N(R6)CON(R6)-, -N(R6)SO2N(R6)-, -N(R6)N(R6)-, -C(О)N(R6)-, -OC(О)N(R6)-, -C(R6)2О-, -C(R6)2S-, -C(R6)2SO-, -C(R6)2SO2-, -C(R6)2SO2N(R6)-, -C(R6)2N(R6)-, -C(R6)2N(R6)C(О)-, -C(R6)2N(R6)C(О)О-, -C(R6)=NN(R6)-, -C(R6)=N-О-, -C(R6)2N(R6)N(R6)-, -C(R6)2N(R6)SO2N(R6)- или -C(R6)2N(R6)CON(R6)-;
W представляет собой -C(R6)2О-, -C(R6)2S-, -C(R6)2SO-, -C(R6)2SO2-, -C(R6)2SO2N(R6)-, -C(R6)2N(R6)-, -CO-, -CO2-, -C(R6)OC(О)-, -C(R6)OC(О)N(R6)-, -C(R6)2N(R6)CO-, -C(R6)2N(R6)C(О)О-, -C(R6)=NN(R6)-, -C(R6)=N-О-, -C(R6)2N(R6)N(R6)-, -C(R6)2N(R6)SO2N(R6)-, -C(R6)2N(R6)CON(R6)- или -CON(R6)-;
каждый R6 независимо выбран из водорода или необязательно замещенной С1-4 алифатической группы, или две группы R6 у одного и того же атома азота могут быть объединены вместе с атомом азота с образованием 5-6-членного гетероциклильного или гетероарильного кольца;
каждый R7 независимо выбран из водорода или необязательно замещенной С1-6 алифатической группы или два R7 у одного и того же атома азота объединены вместе с атомом азота с образованием 5-8-членного гетероциклильного или гетероарильного кольца; и
R8 выбран из -R, галогена, -OR, -C(=O)R, -CO2R, -COCOR, -NO2, -CN, -S(O)R, -SO2R, -SR, -N(R4)2, -CON(R4)2, -SO2N(R4)2, -OC(=O)R, -N(R4)COR, -N(R4)CO2(необязательно замещенная С1-6 алифатическая группа), -N(R4)N(R4)2, -C=NN(R4)2, -C=N-OR, -N(R4)CON(R4)2, -N(R4)SO2N(R4)2, -N(R4)SO2R или -OC(=O)N(R4)2.
Предпочтительные кольца, образованные радикалами Rх и Ry формулы IVc, включают 5-, 6- или 7-членное ненасыщенное или частично ненасыщенное кольцо, имеющее 0-2 гетероатома, причем указанное кольцо Rх/Ry является необязательно замещенным. Это дает бициклическую кольцевую систему, содержащую пиридиновое кольцо. Примеры предпочтительных пиридиновых кольцевых систем формулы IVc показаны ниже.
Более предпочтительные пиридиновые кольцевые системы формулы IVc включают IVc-A, IVc-B, IVc-D, IVc-Е, IVc-J, IVc-P и IVc-V, наиболее предпочтительно IVc-A, IVc-B, IVc-D, IVc-E и IVc-J. Еще более предпочтительными пиридиновыми кольцевыми системами формулы IVc являются описанные выше системы, в которых Z1 представляет собой азот и Z2 представляет собой СН.
Предпочтительные группы Rх формулы IVc включают водород, алкил- или диалкиламино, ацетамидо или С1-4 алифатическую группу, такую как метил, этил, циклопропил или изопропил.
Предпочтительные группы Rу формулы IVc включают Т-R3 или L-Z-R3, где T представляет собой связь или метилен, L представляет собой -О-, -S- или -N(R4)-, -С(R6)2О-, -CO- и R3 представляет собой -R, -N(R4)2- или -OR. Примеры предпочтительных групп Rу включают 2-пиридил, 4-пиридил, пирролидинил, пиперидинил, морфолинил, пиперазинил, метил, этил, циклопропил, изопропил, трет-бутил, алкоксиалкиламино, такой как метоксиэтиламино, алкоксиалкил, такой как метоксиметил или метоксиэтил, алкил- или диалкиламино, такой как этиламино или диметиламино, алкил- или диалкиламиноалкокси, такой как диметиламинопропилокси, ацетамидо, необязательно замещенный фенил, такой как фенил или галогензамещенный фенил.
Кольцо, образованное взятыми вместе группами Rх и Ry формулы IVc, может быть замещенным или незамещенным. Подходящие заместители включают -R, галоген, -О(СН2)2-4-N(R4)2, -О(СН2)2-4-R, -OR, -N(R4)-(CH2)2-4-N(R4)2, -N(R4)-(CH2)2-4-R, C(=O)R, -CO2R, -COCOR, -NO2, -CN, -S(O)R, -SO2R, -SR, -N(R4)2, -CON(R4)2, -SO2N(R4)2, -OC(=O)R, -N(R4)COR, -N(R4)CO2(необязательно замещенная С1-6 алифатическая группа), -N(R4)N(R4)2, -C=NN(R4)2, -C=N-OR, -N(R4)CON(R4)2, -N(R4)SO2N(R4)2, -N(R4)SO2R или -OC(=O)N(R4)2, где R и R4 - такие как определенные выше. Предпочтительные заместители в кольце Rх/Ry включают галоген, -R, -OR, -COR, -CO2R, -CON(R4)2, -CN, -О(СН2)2-4-N(R4)2, -О(СН2)2-4-R, -NO2, -N(R4)2, -NR4COR, -NR4SO2R, -SO2N(R4)2, где R представляет собой водород или необязательно замещенную С1-6 алифатическую группу.
Группы R2 и R2' в формуле IVc могут быть взяты вместе с образованием конденсированного кольца, что дает бициклическую кольцевую систему, содержащую пиразольное кольцо. Предпочтительные конденсированные кольца включают бензольное, пиридиновое, пиримидиновое и частично ненасыщенное 6-членное карбоциклическое кольца. Примеры указанных конденсированных колец представлены в следующих соединениях формулы IVc, имеющих пиразолсодержащую бициклическую кольцевую систему:
Предпочтительные заместители в конденсированном кольце R2-R2' формулы IVc включают один или несколько из следующих заместителей: галоген, -N(R4)2, -С1-4 алкил, -С1-4 галогеналкил, -NO2, -О(С1-4 алкил), -CO2(С1-4 алкил), -CN, -SO2(С1-4 алкил), -SO2NH2, -OC(О)NH2, -NH2SO2(C1-4 алкил), -NHC(O)(С1-4 алкил), -C(О)NH2 и -CO(C1-4 алкил), где (C1-4 алкил) представляет собой неразветвленную, разветвленную или циклическую алкильную группу. Предпочтительно С1-4 алкильная группа представляет собой метил.
Когда пиразольная кольцевая система формулы IVc является моноциклической, предпочтительные группы R2 включают водород или замещенную или незамещенную группу, выбранную из арильной, гетероарильной или С1-6 алифатической группы. Примеры таких предпочтительных групп R2 включают Н, метил, этил, пропил, циклопропил, изопропил, циклопентил, гидроксипропил, метоксипропил и бензилоксипропил. Предпочтительной группой R2' является водород.
Когда кольцо D формулы IVc является моноциклическим, предпочтительные группы кольца D включают фенил, пиридил, пиридазинил, пиримидинил и пиразинил.
Когда кольцо D формулы IVc является бициклическим, предпочтительные группы бициклического кольца D включают нафтил, тетрагидронафтил, инданил, бензимидазолил, хинолинил, индолил, изоиндолил, индолинил, бензо[b]фурил, бензо[b]тиофенил, индазолил, бензотиазолил, циннолинил, фталазинил, хиназолинил, хиноксазолинил, 1,8-нафтиридинил и изохинолинил.
В кольце D формулы IVc предпочтительные заместители Т-R5 или V-Z-R5 включают галоген, -CN, -NO2, -N(R4)2, необязательно замещенную С1-6 алифатическую группу, -OR, -C(О)R, -CO2R, -CONH(R4), -N(R4)COR, -N(R4)CO2R, -SO2N(R4)2, -N(R4)SO2R, -N(R6)COCH2N(R4)2, -N(R6)СОСН2СН2N(R4)2 и -N(R6)СОСН2СН2СН2N(R4)2, где R выбран из водорода, С1-6 алифатической группы, фенила, 5-6-членного гетероарильного кольца или 5-6-членного гетероциклического кольца. Более предпочтительные заместители R5 включают -Cl, -Br, -F, -CN, -CF3, -COOH, -CONHMe, -CONHEt, -NH2, -NHAc, -NHSO2Ме, -NHSO2Et, -NHSO2(н-пропил), -NHSO2(изопропил), -NHCOEt, -NHCOCH2NHCH3, -NHCOCH2N(CO2t-Bu)СН3, -NHCOCH2N(СН3)2, -NHCOCH2СН2N(СН3)2, -NHCOCH2СН2СН2N(СН3)2, -NHCO(циклопропил), -NHCO(изобутил), -NHCOCH2(морфолин-4-ил), -NHCOCH2СН2(морфолин-4-ил), -NHCOCH2СН2СН2(морфолин-4-ил), -NHCO2(трет-бутил), -NH(С1-4 алифатическую группу), такую как -NHMe, N(C1-4 алифатическую группу)2, такую как -NMe2, ОН, -O(C1-4 алифатическую группу), такую как -OMe, C1-4 алифатическую группу, такую как метил, этил, циклопропил, изопропил или трет-бутил, и -СО2(С1-4 алифатическую группу).
Предпочтительные группы R8 формулы IVc, когда они присутствуют, включают R, OR и N(R4)2. Примеры предпочтительных групп R8 включают метил, этил, NH2, NH2СН2СН2NH, N(СН3)2СН2СН2NH, N(СН3)2СН2СН2О, (пиперидин-1-ил)СН2СН2О и NH2СН2СН2О.
Предпочтительные соединения формулы IVc имеют один или несколько, а более предпочтительно все признаки, выбранные из следующих:
(а) Rх представляет собой водород, алкил- или диалкиламино, ацетамидо или С1-4 алифатическую группу и Rу представляет собой Т-R3 или L-Z-R3, где T представляет собой связь или метилен и R3 представляет собой -R, -N(R4)2- или -OR, или Rx и Ry взяты вместе с их промежуточными атомами с образованием конденсированного ненасыщенного или частично ненасыщенного 5-6-членного кольца, имеющего 0-2 гетероатома, выбранных из кислорода, серы или азота, причем каждый замещаемый кольцевой углерод в указанном конденсированном кольце, образованном радикалами Rx и Ry, независимо замещен оксогруппой, Т-R3 или L-Z-R3 и каждый замещаемый кольцевой азот в указанном кольце, образованном радикалами Rx и Ry, независимо замещен радикалом R4;
(b) R1 представляет собой Т-(кольцо D), где Т представляет собой связь или метиленовое звено;
(с) кольцо D представляет собой 5-7-членное моноциклическое кольцо или 8-10-членное бициклическое арильное или гетероарильное кольцо; и
(d) R2 представляет собой -R или -T-W-R6 и R2' представляет собой водород; или R2 и R2' взяты вместе друг с другом с образованием необязательно замещенного бензольного кольца.
Более предпочтительные соединения формулы IVc имеют один или несколько, а более предпочтительно все признаки, выбранные из следующих:
(a) Rу представляет собой Т-R3 или L-Z-R3, где T представляет собой связь или метилен и R3 выбран из -R, -OR или -N(R4)2-, где R выбран из водорода, С1-6 алифатической группы или 5-6-членного гетероциклила, фенила или 5-6-членного гетероарила, или Rx и Ry взяты вместе с их промежуточными атомами с образованием бензольного, пиридинового, циклопентильного, циклогексильного, циклогептильного, тиенильного, пиперидинового или имидазольного кольца, причем каждый замещаемый кольцевой углерод в указанном конденсированном кольце, образованном радикалами Rx и Ry, независимо замещен оксогруппой, Т-R3 или L-Z-R3 и каждый замещаемый кольцевой азот в указанном кольце, образованном радикалами Rx и Ry, независимо замещен радикалом R4;
(b) R1 представляет собой Т-(кольцо D), где Т представляет собой связь и кольцо D представляет собой 5-6-членное моноциклическое или 8-10-членное бициклическое арильное или гетероарильное кольцо;
(с) R2 представляет собой -R и R2' представляет собой водород, причем R выбран из водорода, С1-6 алифатической группы, фенила, 5-6-членного гетероарильного кольца или 5-6-членного гетероциклического кольца; и
(d) R3 выбран из -R, галогена, -OR или -N(R4)2, причем R выбран из водорода, С1-6 алифатической группы или 5-6-членного гетероциклила, фенила или 5-6-членного гетероарила и L представляет собой -О-, -S- или -N(R4)-.
Еще более предпочтительные соединения формулы IVc имеют один или несколько, а более предпочтительно все признаки, выбранные из следующих:
(a) Rх представляет собой метил, этил, пропил, циклопропил, изопропил, метиламино или ацетамидо и Rу выбран из 2-пиридила, 4-пиридила, пирролидинила, пиперидинила, морфолинила, пиперазинила, метила, этила, циклопропила, изопропила, трет-бутила, алкоксиалкиламино, алкоксиалкила, алкил- или диалкиламино, алкил- или диалкиламиноалкокси, ацетамидо, необязательно замещенного фенила или метоксиметила, или Rx и Ry взяты вместе с их промежуточными атомами с образованием бензольного, пиридинового, пиперидинового или циклогексильного кольца, причем указанное кольцо является необязательно замещенным галогеном, -R, -OR, -COR, -CO2R, -CON(R4)2, -CN, -О(СН2)2-4-N(R4)2, -О(СН2)2-4-R, -NO2, -N(R4)2, -NR4COR, -NR4SO2R или -SO2N(R4)2, где R представляет собой водород или необязательно замещенную С1-6 алифатическую группу;
(b) R1 представляет собой Т-(кольцо D), где Т представляет собой связь и кольцо D представляет собой 5-6-членное арильное или гетероарильное кольцо, необязательно замещенное одной или двумя группами, выбранными из галогена, -CN, -NO2, -N(R4)2, необязательно замещенной С1-6 алифатической группы, -OR, -C(О)R, -CO2R, -CONH(R4), -N(R4)COR, -N(R4)CO2R, -SO2N(R4)2, -N(R4)SO2R, -N(R6)COCH2N(R4)2, -N(R6)СОСН2СН2N(R4)2 или -N(R6)СОСН2СН2СН2N(R4)2;
(с) R2 представляет собой водород или замещенную или незамещенную группу, выбранную из арильной, гетероарильной или С1-6 алифатической группы, и R2' представляет собой водород;
(d) R3 выбран из -R, -OR или -N(R4)2, причем R выбран из водорода, С1-6 алифатической группы, 5-6-членного гетероциклила, фенила или 5-6-членного гетероарила и L представляет собой -О-, -S- или -NH-; и
(е) кольцо D замещено заместителями в количестве до трех, выбранными из галогена, -CN, -NO2, -N(R4)2, необязательно замещенной С1-6 алифатической группы, -OR, -C(О)R, -CO2R, -CONH(R4), -N(R4)COR, -N(R4)CO2R, -SO2N(R4)2, -N(R4)SO2R, -N(R6)COCH2N(R4)2, -N(R6)СОСН2СН2N(R4)2 или -N(R6)СОСН2СН2СН2N(R4)2, где R выбран из водорода, С1-6 алифатической группы, фенила, 5-6-членного гетероарильного кольца или 5-6-членного гетероциклического кольца.
Характерные соединения формулы IVc показаны ниже в таблице 11.
Таблица 11
В другом аспекте настоящее изобретение относится к композиции, содержащей соединение формулы IVc и фармацевтически приемлемый носитель.
Другой аспект настоящего изобретения относится к способу лечения или профилактики Aurora-2-опосредованного заболевания ингибитором Aurora-2 и включает введение пациенту, нуждающемуся в таком лечении, терапевтически эффективного количества соединения формулы IVc или содержащей его фармацевтической композиции.
Еще один аспект настоящего изобретения относится к способу ингибирования активности Aurora-2 у пациента, включающему введение пациенту соединения формулы IVc или композиции, содержащей указанное соединение.
Еще один аспект настоящего изобретения относится к способу лечения или профилактики GSK-3-опосредованного заболевания ингибитором GSK-3, включающему введение пациенту, нуждающемуся в таком лечении, терапевтически эффективного количества соединения формулы IVc или содержащей его фармацевтической композиции.
Еще один аспект настоящего изобретения относится к способу усиления синтеза гликогена и/или снижения уровня глюкозы в крови у пациента, нуждающегося в этом, включающему введение указанному пациенту терапевтически эффективного количества соединения формулы IVc или содержащей его фармацевтической композиции. Данный способ особенно полезен для больных диабетом. Другой способ относится к ингибированию продукции гиперфосфорилированного белка Tau и полезен для остановки или замедления развития болезни Альцгеймера. Еще один способ относится к ингибированию фосфорилирования β-катенина и полезен для лечения шизофрении.
Еще один аспект настоящего изобретения относится к способу ингибирования активности GSK-3 у пациента, включающему введение пациенту соединения формулы IVc или содержащей его фармацевтической композиции.
Еще один аспект настоящего изобретения относится к способу ингибирования активности Aurora-2 или GSK-3 в биологическом образце, включающему осуществление контактирования биологического образца с ингибитором Aurora-2 или GSK-3 формулы IVc или с содержащей его фармацевтической композицией в количестве, эффективном для ингибирования Aurora-2 или GSK-3.
Каждый из указанных выше способов, направленных на ингибирование Aurora-2 или GSK-3 или лечение заболевания, облегчаемого указанным ингибированием, предпочтительно осуществляют с использованием предпочтительного соединения формулы IVc, такого как описанные выше соединения.
Еще один вариант настоящего изобретения относится к соединениям формулы IVd:
или их фармацевтически приемлемым производным или пролекарствам, где:
Z1 представляет собой азот или С-R8 и Z2 представляет собой азот или СН, причем один из Z1 или Z2 представляет собой азот;
Q' выбран из -С(R6')2-, 1,2-циклопропандиила, 1,2-циклобутандиила или 1,3-циклобутандиила;
Rx и Ry независимо выбраны из Т-R3 или L-Z-R3 или Rx и Ry объединены вместе с их промежуточными атомами с образованием конденсированного ненасыщенного или частично ненасыщенного 5-7-членного кольца, имеющего 0-3 кольцевых гетероатома, выбранных из кислорода, серы или азота, причем каждый замещаемый углерод в указанном конденсированном кольце, образованном радикалами Rx и Ry, независимо замещен оксогруппой, Т-R3 или L-Z-R3 и каждый замещаемый азот в указанном кольце, образованном радикалами Rx и Ry, независимо замещен радикалом R4;
R1 представляет собой Т-(кольцо D);
кольцо D представляет собой 5-7-членное моноциклическое кольцо или 8-10-членное бициклическое кольцо, выбранное из арильного, гетероарильного, гетероциклильного или карбоциклильного колец, из которых гетероарильное или гетероциклильное кольцо содержит 1-4 кольцевых гетероатома, выбранных из азота, кислорода или серы, причем каждый замещаемый углерод кольца D независимо замещен оксогруппой, Т-R5 или V-Z-R5 и каждый замещаемый азот кольца D независимо замещен группой -R4;
Т представляет собой связь или С1-4 алкилиденовую цепь, причем, когда Q' представляет собой -С(R6')2-, метиленовая группа указанной С1-4 алкилиденовой цепи является необязательно замещенной заместителем -O-, -S-, -N(R4)-, -СО-, -CONH-, -NHCO-, -SO2-, -SO2NH-, -NHSO2-, -CO2-, -OC(O)-, -OC(O)NH- или -NHCO2-;
Z представляет собой С1-4 алкилиденовую цепь;
L представляет собой -О-, -S-, -SO-, -SO2-, -N(R6)SO2-, -SO2N(R6)-, -N(R6)-, -CO-, -CO2-, -N(R6)CO-, -N(R6)C(O)O-, -N(R6)CON(R6)-, -N(R6)SO2N(R6)-, -N(R6)N(R6)-, -C(О)N(R6)-, -OC(О)N(R6)-, -C(R6)2О-, -C(R6)2S-, -C(R6)2SO-, -C(R6)2SO2-, -C(R6)2SO2N(R6)-, -C(R6)2N(R6)-, -C(R6)2N(R6)C(О)-, -C(R6)2N(R6)C(О)О-, -C(R6)=NN(R6)-, -C(R6)=N-О-, -C(R6)2N(R6)N(R6)-, -C(R6)2N(R6)SO2N(R6)- или -C(R6)2N(R6)CON(R6)-;
R2 и R2' независимо выбраны из -R, -T-W-R6 или R2 и R2' объединены вместе с их промежуточными атомами с образованием конденсированного 5-8-членного ненасыщенного или частично ненасыщенного кольца, имеющего 0-3 кольцевых гетероатома, выбранных из азота, кислорода или серы, причем каждый замещаемый углерод в указанном конденсированном кольце, образованном радикалами R2 и R2', независимо замещен галогеном, оксогруппой, -CN, -NO2, -R7 или -V-R6 и каждый замещаемый азот в указанном кольце, образованном радикалами R2 и R2', независимо замещен радикалом R4;
R3 выбран из -R, галогена, -OR, -C(=O)R, -CO2R, -COCOR, -COCH2COR, -NO2, -CN, -S(O)R, -S(O)2R, -SR, -N(R4)2, -CON(R7)2, -SO2N(R7)2, -OC(=O)R, -N(R7)COR, -N(R7)CO2(С1-6 алифатическая группа), -N(R4)N(R4)2, -C=NN(R4)2, -C=N-OR, -N(R7)CON(R7)2, -N(R7)SO2N(R7)2, -N(R4)SO2R или -OC(=O)N(R7)2;
каждый R независимо выбран из водорода или необязательно замещенной группы, выбранной из С1-6 алифатической группы, С6-10 арила, гетероарильного кольца, имеющего 5-10 кольцевых атомов, или гетероциклильного кольца, имеющего 5-10 кольцевых атомов;
каждый R4 независимо выбран из -R7, -COR7, -CO2(необязательно замещенная С1-6 алифатическая группа), -CON(R7)2 или -SO2R7;
каждый R5 независимо выбран из -R, галогена, -OR, -C(=O)R, -CO2R, -COCOR, -NO2, -CN, -S(O)R, -SO2R, -SR, -N(R4)2, -CON(R4)2, -SO2N(R4)2, -OC(=O)R, -N(R4)COR, -N(R4)CO2(необязательно замещенная С1-6 алифатическая группа), -N(R4)N(R4)2, -C=NN(R4)2, -C=N-OR, -N(R4)CON(R4)2, -N(R4)SO2N(R4)2, -N(R4)SO2R или -OC(=O)N(R4)2;
V представляет собой -О-, -S-, -SO-, -SO2-, -N(R6)SO2-, -SO2N(R6)-, -N(R6)-, -CO-, -CO2-, -N(R6)CO-, -N(R6)C(O)O-, -N(R6)CON(R6)-, -N(R6)SO2N(R6)-, -N(R6)N(R6)-, -C(О)N(R6)-, -OC(О)N(R6)-, -C(R6)2О-, -C(R6)2S-, -C(R6)2SO-, -C(R6)2SO2-, -C(R6)2SO2N(R6)-, -C(R6)2N(R6)-, -C(R6)2N(R6)C(О)-, -C(R6)2N(R6)C(О)О-, -C(R6)=NN(R6)-, -C(R6)=N-О-, -C(R6)2N(R6)N(R6)-, -C(R6)2N(R6)SO2N(R6)- или -C(R6)2N(R6)CON(R6)-;
W представляет собой -C(R6)2О-, -C(R6)2S-, -C(R6)2SO-, -C(R6)2SO2-, -C(R6)2SO2N(R6)-, -C(R6)2N(R6)-, -CO-, -CO2-, -C(R6)OC(О)-, -C(R6)OC(О)N(R6)-, -C(R6)2N(R6)CO-, -C(R6)2N(R6)C(О)О-, -C(R6)=NN(R6)-, -C(R6)=N-О-, -C(R6)2N(R6)N(R6)-, -C(R6)2N(R6)SO2N(R6)-, -C(R6)2N(R6)CON(R6)- или -CON(R6)-;
каждый R6 независимо выбран из водорода или необязательно замещенной С1-4 алифатической группы, или две группы R6 у одного и того же атома азота могут быть объединены вместе с атомом азота с образованием 5-6-членного гетероциклильного или гетероарильного кольца;
каждый R6' независимо выбран из водорода или С1-4 алифатической группы или два R6' у одного и того же углеродного атома объединены друг с другом с образованием 3-6-членного карбоциклического кольца;
каждый R7 независимо выбран из водорода или необязательно замещенной С1-6 алифатической группы или два R7 у одного и того же атома азота объединены вместе с атомом азота с образованием 5-8-членного гетероциклильного или гетероарильного кольца; и
R8 выбран из -R, галогена, -OR, -C(=O)R, -CO2R, -COCOR, -NO2, -CN, -S(O)R, -SO2R, -SR, -N(R4)2, -CON(R4)2, -SO2N(R4)2, -OC(=O)R, -N(R4)COR, -N(R4)CO2(необязательно замещенная С1-6 алифатическая группа), -N(R4)N(R4)2, -C=NN(R4)2, -C=N-OR, -N(R4)CON(R4)2, -N(R4)SO2N(R4)2, -N(R4)SO2R или -OC(=O)N(R4)2.
Предпочтительные кольца, образованные радикалами Rх и Ry формулы IVd, включают 5-, 6- или 7-членное ненасыщенное или частично ненасыщенное кольцо, имеющее 0-2 гетероатома, причем указанное кольцо Rх/Ry является необязательно замещенным. Это дает бициклическую кольцевую систему, содержащую пиридиновое кольцо. Примеры предпочтительных пиридиновых кольцевых систем формулы IVd показаны ниже.
Более предпочтительные пиридиновые кольцевые системы формулы IVd включают IVd-A, IVd-B, IVd-D, IVd-Е, IVd-J, IVd-P и IVd-V, наиболее предпочтительно IVd-A, IVd-B, IVd-D, IVd-E и IVd-J. Еще более предпочтительными пиридиновыми кольцевыми системами формулы IVd являются описанные выше системы, в которых Z1 представляет собой азот и Z2 представляет собой СН.
Предпочтительные группы Rх формулы IVd включают водород, алкил- или диалкиламино, ацетамидо или С1-4 алифатическую группу, такую как метил, этил, циклопропил или изопропил.
Предпочтительные группы Rу формулы IVd включают Т-R3 или L-Z-R3, где T представляет собой связь или метилен, L представляет собой -О-, -S- или -N(R4)-, -С(R6)2О-, -CO- и R3 представляет собой -R, -N(R4)2- или -OR. Примеры предпочтительных групп Rу включают 2-пиридил, 4-пиридил, пирролидинил, пиперидинил, морфолинил, пиперазинил, метил, этил, циклопропил, изопропил, трет-бутил, алкоксиалкиламино, такой как метоксиэтиламино, алкоксиалкил, такой как метоксиметил или метоксиэтил, алкил- или диалкиламино, такой как этиламино или диметиламино, алкил- или диалкиламиноалкокси, такой как диметиламинопропилокси, ацетамидо, необязательно замещенный фенил, такой как фенил или галогензамещенный фенил.
Кольцо, образованное взятыми вместе группами Rх и Ry формулы IVd, может быть замещенным или незамещенным. Подходящие заместители включают -R, галоген, -О(СН2)2-4-N(R4)2, -О(СН2)2-4-R, -OR, -N(R4)-(CH2)2-4-N(R4)2, -N(R4)-(CH2)2-4-R, -C(=O)R, -CO2R, -COCOR, -NO2, -CN, -S(O)R, -SO2R, -SR, -N(R4)2, -CON(R4)2, -SO2N(R4)2, -OC(=O)R, -N(R4)COR, -N(R4)CO2(необязательно замещенная С1-6 алифатическая группа), -N(R4)N(R4)2, -C=NN(R4)2, -C=N-OR, -N(R4)CON(R4)2, -N(R4)SO2N(R4)2, -N(R4)SO2R или -OC(=O)N(R4)2, где R и R4 - такие как определенные выше. Предпочтительные заместители в кольце Rх/Ry включают галоген, -R, -OR, -COR, -CO2R, -CON(R4)2, -CN, -О(СН2)2-4-N(R4)2, -О(СН2)2-4-R, -NO2, -N(R4)2, -NR4COR, -NR4SO2R, -SO2N(R4)2, где R представляет собой водород или необязательно замещенную С1-6 алифатическую группу.
Группы R2 и R2' в формуле IVd могут быть взяты вместе с образованием конденсированного кольца, что дает бициклическую кольцевую систему, содержащую пиразольное кольцо. Предпочтительные конденсированные кольца включают бензольное, пиридиновое, пиримидиновое и частично ненасыщенное 6-членное карбоциклическое кольца. Примеры указанных конденсированных колец представлены в следующих соединениях формулы IVd, имеющих пиразолсодержащую бициклическую кольцевую систему:
Предпочтительные заместители в конденсированном кольце R2/R2' формулы IVd включают один или несколько из следующих заместителей: галоген, -N(R4)2, -С1-4 алкил, -С1-4 галогеналкил, -NO2, -О(С1-4 алкил), -CO2(С1-4 алкил), -CN, -SO2(С1-4 алкил), -SO2NH2, -OC(О)NH2, -NH2SO2(C1-4 алкил), -NHC(O)(С1-4 алкил), -C(О)NH2 и -CO(C1-4 алкил), где (C1-4 алкил) представляет собой неразветвленную, разветвленную или циклическую алкильную группу. Предпочтительно С1-4 алкильная группа представляет собой метил.
Когда пиразольная кольцевая система формулы IVd является моноциклической, предпочтительные группы R2 включают водород или замещенную или незамещенную группу, выбранную из арильной, гетероарильной или С1-6 алифатической группы. Примеры таких предпочтительных групп R2 включают Н, метил, этил, пропил, циклопропил, изопропил, циклопентил, гидроксипропил, метоксипропил и бензилоксипропил. Предпочтительной группой R2' является водород.
Когда кольцо D формулы IVd является моноциклическим, предпочтительные группы кольца D включают фенил, пиридил, пиридазинил, пиримидинил и пиразинил.
Когда кольцо D формулы IVd является бициклическим, предпочтительные группы бициклического кольца D включают нафтил, тетрагидронафтил, инданил, бензимидазолил, хинолинил, индолил, изоиндолил, индолинил, бензо[b]фурил, бензо[b]тиофенил, индазолил, бензотиазолил, циннолинил, фталазинил, хиназолинил, хиноксазолинил, 1,8-нафтиридинил и изохинолинил.
В кольце D формулы IVd предпочтительные заместители Т-R5 или V-Z-R5 включают галоген, -CN, -NO2, -N(R4)2, необязательно замещенную С1-6 алифатическую группу, -OR, -C(О)R, -CO2R, -CONH(R4), -N(R4)COR, -N(R4)CO2R, -SO2N(R4)2, -N(R4)SO2R, -N(R6)COCH2N(R4)2, -N(R6)СОСН2СН2N(R4)2 и -N(R6)СОСН2СН2СН2N(R4)2, где R выбран из водорода, С1-6 алифатической группы, фенила, 5-6-членного гетероарильного кольца или 5-6-членного гетероциклического кольца. Более предпочтительные заместители R5 включают -Cl, -Br, -F, -CN, -CF3, -COOH, -CONHMe, -CONHEt, -NH2, -NHAc, -NHSO2Ме, -NHSO2Et, -NHSO2(н-пропил), -NHSO2(изопропил), -NHCOEt, -NHCOCH2NHCH3, -NHCOCH2N(CO2t-Bu)СН3, -NHCOCH2N(СН3)2, -NHCOCH2СН2N(СН3)2, -NHCOCH2СН2СН2N(СН3)2, -NHCO(циклопропил), -NHCO(изобутил), -NHCOCH2(морфолин-4-ил), -NHCOCH2СН2(морфолин-4-ил), -NHCOCH2СН2СН2(морфолин-4-ил), -NHCO2(трет-бутил), -NH(С1-4 алифатическую группу), такую как -NHMe, -N(C1-4 алифатическую группу)2, такую как -NMe2, ОН, -O(C1-4 алифатическую группу), такую как -OMe, C1-4 алифатическую группу, такую как метил, этил, циклопропил, изопропил или трет-бутил, и -СО2(С1-4 алифатическую группу).
Предпочтительные группы R8 формулы IVd, когда они присутствуют, включают R, OR и N(R4)2. Примеры предпочтительных групп R8 включают метил, этил, NH2, NH2СН2СН2NH, N(СН3)2СН2СН2NH, N(СН3)2СН2СН2О, (пиперидин-1-ил)СН2СН2О и NH2СН2СН2О.
Предпочтительные группы Q' формулы IVd включают -С(R6')2- или 1,2-циклопропандиил, где каждый R6' независимо выбран из водорода или метила. Более предпочтительной группой Q' является -СН2-.
Предпочтительные соединения формулы IVd имеют один или несколько, а более предпочтительно все признаки, выбранные из следующих:
(а) Rх представляет собой водород, алкил- или диалкиламино, ацетамидо или С1-4 алифатическую группу и Rу представляет собой Т-R3 или L-Z-R3, где T представляет собой связь или метилен и R3 представляет собой -R, -N(R4)2- или -OR, или Rx и Ry взяты вместе с их промежуточными атомами с образованием конденсированного ненасыщенного или частично ненасыщенного 5-6-членного кольца, имеющего 0-2 гетероатома, выбранных из кислорода, серы или азота, причем каждый замещаемый кольцевой углерод в указанном конденсированном кольце, образованном радикалами Rx и Ry, независимо замещен оксогруппой, Т-R3 или L-Z-R3 и каждый замещаемый кольцевой азот в указанном кольце, образованном радикалами Rx и Ry, независимо замещен радикалом R4;
(b) R1 представляет собой Т-(кольцо D), где Т представляет собой связь или метиленовое звено, причем указанное метиленовое звено является необязательно замещенным группой -O-, -NH- или -S-;
(с) кольцо D представляет собой 5-7-членное моноциклическое кольцо или 8-10-членное бициклическое арильное или гетероарильное кольцо; и
(d) R2 представляет собой -R или -T-W-R6 и R2' представляет собой водород; или R2 и R2' взяты вместе друг с другом с образованием необязательно замещенного бензольного кольца.
Более предпочтительные соединения формулы IVd имеют один или несколько, а более предпочтительно все признаки, выбранные из следующих:
(a) Rу представляет собой Т-R3 или L-Z-R3, где T представляет собой связь или метилен и R3 выбран из -R, -OR или -N(R4)2-, где R выбран из водорода, С1-6 алифатической группы или 5-6-членного гетероциклила, фенила или 5-6-членного гетероарила, или Rx и Ry взяты вместе с их промежуточными атомами с образованием бензольного, пиридинового, циклопентильного, циклогексильного, циклогептильного, тиенильного, пиперидинового или имидазольного кольца, причем каждый замещаемый кольцевой углерод в указанном конденсированном кольце, образованном радикалами Rx и Ry, независимо замещен оксогруппой, Т-R3 или L-Z-R3 и каждый замещаемый кольцевой азот в указанном кольце, образованном радикалами Rx и Ry, независимо замещен радикалом R4;
(b) R1 представляет собой Т-(кольцо D), где Т представляет собой связь и кольцо D представляет собой 5-6-членное моноциклическое или 8-10-членное бициклическое арильное или гетероарильное кольцо;
(с) R2 представляет собой -R и R2' представляет собой водород, причем R выбран из водорода, С1-6 алифатической группы, фенила, 5-6-членного гетероарильного кольца или 5-6-членного гетероциклического кольца;
(d) R3 выбран из -R, галогена, -OR или -N(R4)2, причем R выбран из водорода, С1-6 алифатической группы или 5-6-членного гетероциклила, фенила или 5-6-членного гетероарила и L представляет собой -О-, -S- или -N(R4)-; и
(е) Q' представляет собой -С(R6')2- или 1,2-циклопропандиил, причем каждый R6' независимо выбран из водорода или метила.
Еще более предпочтительные соединения формулы IVd имеют один или несколько, а более предпочтительно все признаки, выбранные из следующих:
(a) Rх представляет собой метил, этил, пропил, циклопропил, изопропил, метиламино или ацетамидо и Rу выбран из 2-пиридила, 4-пиридила, пирролидинила, пиперидинила, морфолинила, пиперазинила, метила, этила, циклопропила, изопропила, трет-бутила, алкоксиалкиламино, алкоксиалкила, алкил- или диалкиламино, алкил- или диалкиламиноалкокси, ацетамидо, необязательно замещенного фенила или метоксиметила, или Rx и Ry взяты вместе с их промежуточными атомами с образованием бензольного, пиридинового, пиперидинового или циклогексильного кольца, причем указанное кольцо является необязательно замещенным галогеном, -R, -OR, -COR, -CO2R, -CON(R4)2, -CN, -О(СН2)2-4-N(R4)2, -О(СН2)2-4-R, -NO2, -N(R4)2, -NR4COR, -NR4SO2R или -SO2N(R4)2, где R представляет собой водород или необязательно замещенную С1-6 алифатическую группу;
(b) R1 представляет собой Т-(кольцо D), где Т представляет собой связь и кольцо D представляет собой 5-6-членное арильное или гетероарильное кольцо, необязательно замещенное одной или двумя группами, выбранными из галогена, -CN, -NO2, -N(R4)2, необязательно замещенной С1-6 алифатической группы, -OR, -C(О)R, -CO2R, -CONH(R4), -N(R4)COR, -N(R4)CO2R, -SO2N(R4)2, -N(R4)SO2R, -N(R6)COCH2N(R4)2, -N(R6)СОСН2СН2N(R4)2 или -N(R6)СОСН2СН2СН2N(R4)2;
(с) R2 представляет собой водород или замещенную или незамещенную группу, выбранную из арильной, гетероарильной или С1-6 алифатической группы, и R2' представляет собой водород;
(d) R3 выбран из -R, -OR или -N(R4)2, причем R выбран из водорода, С1-6 алифатической группы, 5-6-членного гетероциклила, фенила или 5-6-членного гетероарила и L представляет собой -О-, -S- или -NH-;
(е) кольцо D замещено заместителями в количестве до трех, выбранными из галогена, -CN, -NO2, -N(R4)2, необязательно замещенной С1-6 алифатической группы, -OR, -C(О)R, -CO2R, -CONH(R4), -N(R4)COR, -N(R4)CO2R, -SO2N(R4)2, -N(R4)SO2R, -N(R6)COCH2N(R4)2, -N(R6)СОСН2СН2N(R4)2 или -N(R6)СОСН2СН2СН2N(R4)2, где R выбран из водорода, С1-6 алифатической группы, фенила, 5-6-членного гетероарильного кольца или 5-6-членного гетероциклического кольца; и
(f) Q' представляет собой -СН2-.
Характерные соединения формулы IVd показаны ниже в таблице 12.
Таблица 12
В другом аспекте настоящее изобретение относится к композиции, содержащей соединение формулы IVd и фармацевтически приемлемый носитель.
Другой аспект настоящего изобретения относится к способу лечения или профилактики Aurora-2-опосредованного заболевания ингибитором Aurora-2 и включает введение пациенту, нуждающемуся в таком лечении, терапевтически эффективного количества соединения формулы IVd или содержащей его фармацевтической композиции.
Еще один аспект настоящего изобретения относится к способу ингибирования активности Aurora-2 у пациента, включающему введение пациенту соединения формулы IVd или композиции, содержащей указанное соединение.
Еще один аспект настоящего изобретения относится к способу лечения или профилактики GSK-3-опосредованного заболевания ингибитором GSK-3, включающему введение пациенту, нуждающемуся в таком лечении, терапевтически эффективного количества соединения формулы IVd или содержащей его фармацевтической композиции.Еще один аспект настоящего изобретения относится к способу усиления синтеза гликогена и/или снижения уровня глюкозы в крови у пациента, нуждающегося в этом, включающему введение указанному пациенту терапевтически эффективного количества соединения формулы IVd или содержащей его фармацевтической композиции. Данный способ особенно полезен для больных диабетом. Другой способ относится к ингибированию продукции гиперфосфорилированного белка Tau и полезен для остановки или замедления развития болезни Альцгеймера. Еще один способ относится к ингибированию фосфорилирования β-катенина и полезен для лечения шизофрении.
Еще один аспект настоящего изобретения относится к способу ингибирования активности протеинкиназы GSK-3 у пациента, включающему введение пациенту соединения формулы IVd или композиции, содержащей указанное соединение.
Еще один аспект настоящего изобретения относится к способу ингибирования активности Aurora-2 или GSK-3 в биологическом образце, включающему осуществление контактирования биологического образца с ингибитором Aurora-2 или GSK-3 формулы IVd или с содержащей его фармацевтической композицией в количестве, эффективном для ингибирования Aurora-2 или GSK-3.
Каждый из указанных выше способов, направленных на ингибирование Aurora-2 или GSK-3 или лечение заболевания, облегчаемого указанным ингибированием, предпочтительно осуществляют с использованием предпочтительного соединения формулы IVd, такого как описанные выше соединения.
Соединения по настоящему изобретению могут быть получены обычными известными специалистам в данной области способами, предназначенными для получения аналогичных соединений, как проиллюстрировано ниже общими схемами I-VII, общими способами, следующими далее, и затем примерами получения.
Схема I
Реагенты: (а) EtOH, Et3N, комнатная температура; (b) R1-QH (Q = S, NH или O) или R1-CH2-M/катализатор (M представляет собой Al или Mg или Sn, катализатор = Pd° или Ni°).
На схеме I показан общий путь получения соединений по настоящему изобретению. Дихлорированный исходный продукт 1 может быть получен способами, подобными описанным в J. Indian. Chem. Soc., 61, 690-693 (1984) или в J. Med. Chem., 37, 3828-3833 (1994). Осуществление взаимодействия соединения 1 с аминопиразолом (или аминоиндазолом) 2 способом, подобным описанному в Bioorg. Med. Chem. lett, 10, 11, 1175-1180, (2000) или в J. Het. Chem, 21, 1161-1167, (1984) дает однохлористое промежуточное соединение 3. Условия замещения хлора в соединении 3 на R1-Q зависит от характера связующего звена Q и обычно известно в данной области химии. Смотри, например, J. Med. Chem, 38, 14, 2763-2773, (1995) (где Q представляет собой N-связь), или Chem. Pharm. Bull., 40, 1, 227-229, (1992) (S-связь), или J. Het. Chem., 21, 1161-1167, (1984) (O-связь) или Bioorg. Med. Chem. Lett, 8, 20, 2891-2896, (1998) (C-связь).
Схема II
Реагенты: (а) POCl3, Pr3N, 110°С; (b) EtOH, Et3N, комнатная температура.
На схеме II показан альтернативный путь получения предлагаемых соединений. Исходный продукт 4 может быть получен способом, подобным описанному для аналогичных соединений. Смотри Chem. Heterocycl. Compd., 35, 7, 818-820 (1999) (где Q представляет собой N-связь), Indian J. Chem. Sect. B, 22, 1, 37-42 (1983) (N-связь), Pestic. Sci, 47, 2, 103-114 (1996) (О-связь), J. Med. Chem., 23, 8, 913-918 (1980) (S-связь), или Pharmazie, 43, 7, 475-476 (1988) (C-связь). Хлорирование соединения 4 дает промежуточное соединение 5. Смотри J. Med. Chem., 43, 22, 4288-4312 (2000) (Q представляет собой N-связь), Pestic. Sci, 47, 2, 103-114 (1996) (O-связь), J. Med. Chem., 41, 20, 3793-3803 (1998) (S-связь) или J. Med. Chem., 43, 22, 4288-4312 (2000) (C-связь). Замещение группы 4-Cl в промежуточном соединении 5 аминопиразолом (или аминоиндазолом) 2 для получения соединений по настоящему изобретению может быть осуществлено известными способами получения аналогичных соединений. Смотри J. Med. Chem., 38, 14, 2763-2773 (1995) (где Q представляет собой N-связь), Bioorg. Med. Chem. Lett., 7, 4, 421-424 (1997) (О-связь), Bioorg. Med. Chem. Lett., 10, 8, 703-706 (2000) (S-связь) или J. Med. Chem., 41, 21, 4021-4035 (1998) (C-связь).
Схема III
Реагенты: (a) POCl3; (b) EtOH, Et3N, комнатная температура; (с) оксон; (d) R1-QH (Q = S, NH или O) или R1-CH2-M/катализатор (M представляет собой Al или Mg или Sn, катализатор = Pd° или Ni°).
На схеме III показан альтернативный путь получения предлагаемых соединений. Исходный продукт 6 может быть хлорирован с получением промежуточного соединения 7. Замещение группы 4-хлор в промежуточном соединении 7 аминопиразолом (или аминоиндазолом) 2 дает промежуточное соединение 8, которое при окислении метилсульфанильной группы дает метилсульфон 9. Метилсульфонильная группа соединения 9 может быть легко замещена на R1-QH с получением требуемого продукта II. Смотри J. Am. Chem. Soc., 81, 5997-6006 (1959) (где Q представляет собой N-связь) или Bioorg. Med. Chem. Lett., 10, 8, 821-826 (2000) (S-связь).
Схема IV
Реагенты: (a) POCl3; (b) EtOH, Et3N, комнатная температура; (с) Rу-Н (Q = S, NH или O); (d) оксон; (е) R1-QH (Q = S, NH или O) или R1-CH2-M/катализатор (M представляет собой Al или Mg или Sn, катализатор = Pd° или Ni°)
На схеме IV показан общий путь получения соединений по настоящему изобретению, в которых Rу представляет собой группу, присоединенную к пиримидиновому ядру через гетероатом азота, кислорода или серы. Исходный 4,6-дигидрокси-2-метилсульфанилпиримидин 10 может быть получен так, как описано в J. Med. Chem., 27, 12, 1621-1629 (1984). Атомы хлора в промежуточном соединении 11 могут быть замещены последовательно аминопиразолом (или аминоиндазолом) 2 и затем другим амином (или спиртом или тиолом) с последующими процедурами, подобными тем, которые описаны в патенте США № 2585906 (ICI, 1949). Метилсульфанильная группа соединения 13 может быть затем окислена с получением метилсульфона 14. Замещение метилсульфонильной группы соединения 14 дает требуемый продукт II.
Схема V
На схеме V показан общий путь получения соединений формул IVa, IVb, IVc и IVd. Стадии (а) и (b) аналогичны соответствующим стадиям, описанным выше для схемы I. Смотри Indian. J. Chem. Sect. B., 34, 9, 1995, 778-790; J. Chem. Soc., 1947, 899-905, J. Chem. Soc., 34, 9, 1948, 777-782; и Indian. J. Chem., 1967, 467-470.
Синтетические преобразования, показанные на схемах I-IV, дополнительно проиллюстрированы следующими далее способами.
Схема VI
На схеме VI показан общий путь получения промежуточного соединения арилгуанидина, используемого для получения соединений, в которых Q представляет собой -C(R6')2-. Моно- или диалкилирование соединения 19 на стадии (a) с получением соединения 20 может быть осуществлено способами, по существу аналогичными тем, что описаны у Jeffery, J. E., et al, J. Chem Soc, Perkin Trans 1, 1996 (21) 2583-2589; Gnecco, D., et al, Org Prep Proced Int, 1996, 28 (4), 478-480; Fedorynski, M. and Jonczyk, A., Org Prep Proced Int, 1995, 27 (3), 355-359; Suzuki, S, et al, Can J Chem, 1994, 71 (2) 357-361; and Prasad, G., et al, J Org Chem, 1991, (25), 7188-7190. Получение на стадии (b) соединения 21 из соединения 20 может быть осуществлено способами, по существу аналогичными тем, что описаны у Moss, R., et al, Tetrahedron Lett, 1995, (48), 8761-8764 и Garigipati, R., Tetrahedron Lett, 1990, (14), 1969-1972.
Арилгуанидиновые промежуточные соединения, полученные по схеме VI, могут быть затем использованы для получения соединений по настоящему изобретению описанными выше способами, показанными на схемах I-V, и способами, известными специалисту в данной области химии.
Схема VII
На схеме VII показан общий способ, который можно использовать для получения соединений формулы II, где Q представляет собой 1,2-циклопропандиил. Соединение 26 можно затем использовать для получения требуемых производных аминопиразола описанными выше способами, показанными на схеме I, стадия (b).
Способ А. К раствору 2,4-дихлорхиназолина (12,69 г, 63 ммоль) и 3-амино-5-метилпиразола (6,18 г, 63 ммоль) в этаноле (220 мл) добавляют триэтиламин (8,13 мл, 63 ммоль) и реакционную смесь перемешивают 3 часа при комнатной температуре. Полученный бледно-желтый осадок собирают фильтрованием, промывают холодным этанолом и высушивают в вакууме с получением (2-хлорхиназолин-4-ил)-(5-метил-2Н-пиразол-3-ил)амина.
Полученный (2-хлорхиназолин-4-ил)-(5-метил-2Н-пиразол-3-ил)амин (155 мг, 0,6 ммоль) и 3-хлоранилин (0,316 мл, 2,99 ммоль) кипятят с обратным холодильником в трет-бутаноле (3 мл) в течение 20 часов. Смесь концентрируют в вакууме и остаток суспендируют в EtOH/Н2О (1 мл/3 мл). Добавляют К2СО3 (83 мг, 0,6 ммоль) и суспензию перемешивают 2 часа при комнатной температуре. Образовавшееся твердое вещество собирают и сушат в вакууме с получением продукта [2-(3-хлорфениламино)хиназолин-4-ил]-(5-метил-2Н-пиразол-3-ил)амина.
Способ В. Гидрид натрия (45 мг, 1,12 ммоль) в ТГФ (2 мл) обрабатывают 3-метоксифенолом (0,94 г, 7,6 ммоль) и реакционную смесь перемешивают до прекращения бурного выделения газа. Удаляют в вакууме ТГФ и добавляют полученный выше (2-хлорхиназолин-4-ил)-(5-метил-2Н-пиразол-3-ил)амин (150 мг, 0,51 ммоль). Реакционную смесь перемешивают при 100°С в течение 20 часов, после чего вливают в водный К2СО3 и перемешивают 2 часа при комнатной температуре. Образовавшееся твердое вещество собирают и перекристаллизовывают из этанола с получением [2-(3-метоксифенокси)хиназолин-4-ил]-(5-метил-2Н-пиразол-3-ил)амина.
Способ С. К раствору 4-гидрокси-2-феноксиметилхиназолина (2 г, 7,93 ммоль) в оксихлориде фосфора (10 мл) добавляют трипропиламин (3,02 мл, 15,8 ммоль) и реакционную смесь нагревают 30 минут при 110°С. Избыток оксихлорида фосфора выпаривают в вакууме, остаток выливают в охлаждаемый льдом водный NaHCO3 и экстрагируют этилацетатом. Органический слой промывают насыщенным раствором соли, сушат, фильтруют и упаривают. Полученный остаток очищают флэш-хроматографией (SiO2, градиент гексан/AcOEt) с получением 4-хлор-2-феноксиметилхиназолина.
К раствору полученного выше 4-хлор-2-феноксиметилхиназолина (0,5 г, 1,85 ммоль) в ТГФ (30 мл) добавляют 3-амино-5-циклопропилпиразол (0,47 г, 3,69 ммоль) и реакционную смесь нагревают при 65°С в течение 24 часов. Выпаривают растворитель и добавляют этанол. Образовавшееся белое твердое вещество собирают фильтрованием и высушивают в вакууме, получая в результате (5-циклопропил-2Н-пиразол-3-ил)-(2-феноксиметилхиназолин-4-ил)амин.
Способ D. К раствору полученного выше (2-хлорхиназолин-4-ил)-(5-циклопропил-2Н-пиразол-3-ил)амина (123 мг, 0,43 ммоль) в ТГФ (5 мл) добавляют NiCl2(dppp) (12 мг, 2,1·10-5 моль), а затем 1 М бензилмагнийхлорид в ТГФ (2,15 мл, 2,15 ммоль). Раствор нагревают при 50°С в течение 20 часов и затем реакционную смесь гасят водным NH4Cl и продукт экстрагируют этилацетатом. Выпаривают растворитель и остаток очищают флэш-хроматографией с получением требуемого (2-бензилхиназолин-4-ил)-(5-циклопропил-2Н-пиразол-3-ил)амина.
Способ Е. Раствор (2-хлорхиназолин-4-ил)-(5-метил-2Н-пиразол-3-ил)амина (200 мг, 0,77 ммоль) и 4-ацетамидотиофенола (644 мг, 3,85 ммоль) кипятят с обратным холодильником в трет-бутаноле (3 мл) в течение 20 часов. К смеси добавляют диэтиловый эфир (10 мл) и образовавшееся твердое вещество собирают фильтрованием. Полученное твердое вещество суспендируют в EtOH/Н2О (1 мл/3 мл), затем добавляют К2СО3 (110 мг, 0,8 ммоль) и суспензию перемешивают 2 часа при комнатной температуре. Образовавшееся твердое вещество собирают и сушат в вакууме с получением продукта [2-(4-ацетамидофенилсульфанил)хиназолин-4-ил]-(5-метил-2Н-пиразол-3-ил)амина.
Способ F. К раствору 2,4-дихлор-5,6,7,8-тетрагидрохиназолина (500 мг, 2,46 ммоль) и 3-амино-5-циклопропилпиразола (303 мг, 2,46 ммоль) в ДМФ (10 мл) добавляют триэтиламин (0,357 мл, 2,56 ммоль) и затем иодид натрия (368 мг, 2,46 ммоль) и реакционную смесь нагревают при 90°С в течение 20 часов. Реакционную смесь распределяют между этилацетатом и насыщенным водным раствором NaHCO3. Органический слой промывают насыщенным раствором соли и упаривают в вакууме. Остаток очищают флэш-хроматографией (SiO2, градиент гексан/AcOEt) с получением (2-хлор-5,6,7,8-тетрагидрохиназолин-4-ил)-(5-циклопропил-2Н-пиразол-3-ил)амина.
Полученный выше (2-хлор-5,6,7,8-тетрагидрохиназолин-4-ил)-(5-циклопропил-2Н-пиразол-3-ил)амин подвергают взаимодействию с 2-нафталинмеркаптаном, как описано в способе L, и в результате получают требуемый (5-циклопропил-2Н-пиразол-3-ил)-[2-(нафталин-2-илсульфанил)-5,6,7,8-тетрагидрохиназолин-4-ил]амин.
Способ G. Раствор (5-циклопропил-2Н-пиразол-3-ил)-[2-(3-метоксикарбонилфенилсульфанил)хиназолин-4-ил]амина (110 мг, 0,26 ммоль) в смеси ТГФ/вода (1/1, 10 мл) обрабатывают 1 М LiOH (0,75 мл, 0,75 ммоль). Смесь перемешивают 20 часов при комнатной температуре и затем нейтрализуют добавлением 1 М HCl (0,75 мл, 0,75 ммоль). Образовавшееся твердое вещество собирают фильтрованием, получая в результате требуемый [2-(3-карбоксифенилсульфанил)хиназолин-4-ил]-(5-циклопропил-2Н-пиразол-3-ил)амин.
Способ Н. Раствор [2-(4-ацетамидофенилсульфанил)-7-метоксихиназолин-4-ил]-(5-метил-2Н-пиразол-3-ил)амина (23 мг, 5,54·10-5 моль) в дихлорэтане (3 мл) обрабатывают 1 М BBr3 в дихлорметане (222 мкл, 2,21·10-4 моль). Смесь нагревают при 80°С в течение 4 часов и затем добавляют 1 М BBr3 в ДХМ (DCM) (222 мкл, 2,21·10-4 моль). Реакционную смесь нагревают при 80°С еще 3 часа. Выпаривают растворитель и к остатку добавляют метанол, чтобы погасить остаточный BBr3. Выпаривают в вакууме растворитель и повторяют указанную операцию 3 раза. К твердому остатку добавляют 1 М HCl (2 мл) и суспензию перемешивают при комнатной температуре в течение 15 часов. Твердое вещество собирают фильтрованием и суспендируют в смеси вода/EtOH (3/1, 8 мл). Смесь нейтрализуют добавлением NaHCO3 и перемешивают 2 часа при комнатной температуре. Полученное твердое вещество собирают фильтрованием, промывают водой и диэтиловым эфиром, получая в результате требуемый [2-(4-ацетамидофенилсульфанил)-7-гидроксихиназолин-4-ил]-(5-метил-2Н-пиразол-3-ил)амин.
Способ I. К раствору [2-(4-ацетамидофенилсульфанил)-7-гидроксихиназолин-4-ил]-(5-метил-2Н-пиразол-3-ил)амина (32 мг, 7,87·10-5 моль) в ДМФ (1 мл) добавляют карбонат калия (65 мг, 4,72·10-4 моль) и реакционную смесь нагревают до 80°С. Затем добавляют N-(3-хлорпропил)морфолин (39 мг, 2,36·10-4 моль) и смесь перемешивают при 80°С в течение 4 часов, охлаждают до комнатной температуры и выпаривают растворитель. Полученный остаток очищают флэш-хроматографией с получением требуемого [2-(4-ацетамидофенилсульфанил)-7-(3-морфолин-4-илпропокси)хиназолин-4-ил]-(5-метил-2Н-пиразол-3-ил)амина.
Способ J. К раствору [2-(4-ацетамидофенилсульфанил)-7-нитрохиназолин-4-ил]-(5-метил-2Н-пиразол-3-ил)амина (147 мг, 3,38·10-4 моль) в метаноле (5 мл) добавляют 10% Pd/C (40 мг) и реакционную смесь обрабатывают водородом при давлении в баллоне при 45°С в течение 20 часов. Отфильтровывают катализатор через слой целита, который затем промывают разбавленной HCl. Объединенный желтый фильтрат упаривают и полученный твердый остаток кристаллизуют из метанола с получением требуемого [2-(4-ацетамидофенилсульфанил)-7-гидроксиаминохиназолин-4-ил]-(5-метил-2Н-пиразол-3-ил)амина.
Способ К. [2-(4-Ацетамидофенилсульфанил)-7-нитрохиназолин-4-ил]-(5-метил-2Н-пиразол-3-ил)амин (182 мг, 4,18·10-4 моль) растворяют в смеси EtOH/вода/АсОН (25/10/1, 36 мл) и реакционную смесь нагревают при 90°С. Добавляют железный порошок (93 мг) и смесь перемешивают при 90°С в течение 4 часов, охлаждают до комнатной температуры и фильтруют через подушку целита. Подушку промывают метанолом и объединенный фильтрат концентрируют в вакууме. Остаток очищают флэш-хроматографией (SiO2, градиент ДХМ/МеОН) с получением требуемого [2-(4-ацетамидофенилсульфанил)-7-аминохиназолин-4-ил]-(5-метил-2Н-пиразол-3-ил)-амина.
Способ L. К раствору 2,4-дихлор-6-фенилпиримидина (300 мг, 1,33 ммоль) и 3-амино-5-метилпиразола (129 мг, 1,33 ммоль) в ДМФ (7 мл) добавляют триэтиламин (195 мкл, 1,33 ммоль) и затем иодид натрия (200 мг, 1,33 ммоль) и реакционную смесь перемешивают 15 часов при 90°С. Полученный раствор распределяют между этилацетатом и водой и органическую фазу промывают насыщенным раствором соли, сушат над MgSO4 и затем концентрируют в вакууме. Остаток растирают в метаноле и полученное белое твердое вещество собирают фильтрованием, получая в результате (2-хлор-6-фенилпиримидин-4-ил)-(5-метил-2Н-пиразол-3-ил)амин (236 мг, 62%).
Полученный выше (2-хлор-6-фенилпиримидин-4-ил)-(5-метил-2Н-пиразол-3-ил)амин (60 мг, 0,21 ммоль) смешивают с 4-ацетамидотиофенолом (176 мг, 1,05 ммоль) в трет-бутаноле (5 мл) и смесь кипятят с обратным холодильником в течение 20 часов. Реакционную смесь охлаждают до комнатной температуры и распределяют между этилацетатом и водным NaHCO3. Органический слой промывают насыщенным раствором соли, сушат над MgSO4 и концентрируют в вакууме. Полученный остаток очищают флэш-хроматографией (SiO2, градиент ДХМ/МеОН) и в результате получают [2-(4-ацетамидофенилсульфанил)-6-фенилпиримидин-4-ил]-(5-метил-2Н-пиразол-3-ил)амин (74 мг, 85%).
Способ М. К суспензии 4,6-дигидроксимеркаптопиримидина (8 г, 55 ммоль) в смеси EtOH/вода (1/1, 140 мл) добавляют NaOH (2,33 г, 58,3 ммоль) и затем 4-метоксибензилхлорид (7,90 мл, 58,3 ммоль). Раствор перемешивают 1,5 часа при 60°С и затем еще 6 часов при комнатной температуре. Полученный белый осадок собирают фильтрованием с получением 4,6-дигидрокси-2-(4-метоксибензилсульфанил)пиримидина.
Полученный выше 4,6-дигидрокси-2-(4-метоксибензилсульфанил)пиримидин (2,5 г, 9,46 ммоль) суспендируют в POCl3 (20 мл) и к смеси добавляют по каплям трипропиламин (3,60 мл, 18,9 ммоль). Затем реакционную смесь нагревают при 110°С в течение 4 часов. Коричневый раствор охлаждают до комнатной температуры и выпаривают растворитель. Остаток выливают на охлаждаемый льдом NaHCO3 и затем продукт экстрагируют этилацетатом. Органическую фазу сушат над MgSO4, концентрируют в вакууме и остаток очищают флэш-хроматографией (SiO2, градиент гексан/AcOEt) c получением 4,6-дихлор-2-(4-метоксибензилсульфанил)пиримидина.
К раствору полученного 4,6-дихлор-2-(4-метоксибензилсульфанил)пиримидина (915 мг, 3,04 ммоль) и 3-амино-5-метилпиразола (310 мг, 3,19 ммоль) в BuOH (20 мл) добавляют диизопропилэтиламин (0,56 мл, 3,19 ммоль) и затем иодид натрия (455 мг, 3,04 ммоль). Реакционную смесь перемешивают 15 часов при 120°С. Удаляют в вакууме растворитель и остаток очищают флэш-хроматографией (SiO2, градиент гексан/AcOEt) c получением [6-хлор-2-(4-метоксибензилсульфанил)пиримидин-4-ил]-(5-метил-2Н-пиразол-3-ил)амина.
Полученный выше [6-хлор-2-(4-метоксибензилсульфанил)пиримидин-4-ил]-(5-метил-2Н-пиразол-3-ил)амин (500 мг, 1,38 ммоль) в 1-метилпиперазине (10 мл) нагревают при 130°С в течение 15 часов. Затем удаляют в вакууме растворитель и остаток очищают флэш-хроматографией (SiO2, градиент дихлорметан/МеОН) c получением требуемого продукта [2-(4-метоксибензилсульфанил)-6-(4-метилпиперазин-1-ил)пиримидин-4-ил]-(5-метил-2Н-пиразол-3-ил)-амина.
Способ N. Раствор [2-(4-ацетамидофенилсульфанил)-6-(4-метоксифенил)пиримидин-4-ил]-(5-метил-2Н-пиразол-3-ил)амина (100 мг, 2,24·10-4 моль) в дихлорэтане (5 мл) обрабатывают 1 М BBr3 в ДХМ (896 мкл, 8,96·10-4 моль). Смесь затем нагревают при 80°С в течение 4 часов, после чего добавляют к ней 1 М BBr3 в ДХМ (896 мкл, 8,96·10-4 моль). Реакционную смесь затем нагревают при 80°С еще 3 часа. Выпаривают растворитель и к остатку добавляют метанол, чтобы погасить остаточный BBr3. Выпаривают в вакууме растворитель и повторяют указанную стадию выпаривания 3 раза. К твердому остатку добавляют 1 М HCl (8 мл) и суспензию перемешивают при комнатной температуре в течение 15 часов. Твердое вещество собирают фильтрованием и суспендируют в смеси вода/EtOH (3/1, 24 мл). Смесь нейтрализуют добавлением NaHCO3 и перемешивают 2 часа при комнатной температуре. Полученное твердое вещество собирают фильтрованием, промывают водой и диэтиловым эфиром, получая в результате требуемый [2-(4-ацетамидофенилсульфанил)-6-(4-гидроксифенил)пиримидин-4-ил]-(5-метил-2Н-пиразол-3-ил)амин.
К раствору полученного выше [2-(4-ацетамидофенилсульфанил)-6-(4-гидроксифенил)пиримидин-4-ил]-(5-метил-2Н-пиразол-3-ил)амина (70 мг, 1,62·10-4 моль) в ДМФ (3 мл) добавляют карбонат калия (134 мг, 9,71·10-4 моль). Реакционную смесь нагревают до 80°С и затем добавляют 1-диметиламино-3-хлорпропангидрохлорид (77 мг, 4,86·10-4 моль). Смесь перемешивают при 80°С в течение 4 часов, охлаждают до комнатной температуры и выпаривают растворитель. Остаток очищают флэш-хроматографией с получением требуемого продукта {2-(4-ацетамидофенилсульфанил)-6-[4-(3-диметиламинопропокси)фенил]пиримидин-4-ил}-(5-метил-2Н-пиразол-3-ил)амина.
Способ О. К раствору [6-метоксикарбонил-2-(4-пропиониламинофенилсульфанил)пиримидин-4-ил]-(5-метил-2Н-пиразол-3-ил)-амина (2 г, 4,85 ммоль) в ТГФ (100 мл) добавляют борогидрид лития (0,32 г, 14,5 ммоль). Реакционную смесь перемешивают при 50°С в течение 1,5 часов. Затем реакционную смесь гасят разбавленной HCl и экстрагируют этилацетатом. Органический слой последовательно промывают насыщенным водным раствором NaHCO3 и насыщенным раствором соли, сушат над MgSO4 и упаривают. Твердый остаток растирают в этилацетате и полученное белое твердое вещество собирают фильтрованием, получая в результате требуемый [6-гидроксиметил-2-(4-пропиониламинофенилсульфанил)пиримидин-4-ил]-(5-метил-2Н-пиразол-3-ил)амин.
Способ Р. К раствору 4,6-дихлор-2-метилсульфанилпиримидина (5 г, 25,6 ммоль) и 3-амино-5-метилпиразола (2,61 г, 26,9 ммоль) в BuOH (60 мл) добавляют диизопропилэтиламин (4,69 мл, 26,9 ммоль) и затем иодид натрия (3,84 г, 25,6 ммоль). Реакционную смесь перемешивают 15 часов при 120°С. Удаляют в вакууме растворитель и остаток очищают флэш-хроматографией (SiO2, градиент гексан/AcOEt) c получением (6-хлор-2-метилсульфанилпиримидин-4-ил)-(5-метил-2Н-пиразол-3-ил)амина.
Полученный выше (6-хлор-2-метилсульфанилпиримидин-4-ил)-(5-метил-2Н-пиразол-3-ил)амин (2,42 г, 9,46 ммоль) нагревают в морфолине (10 мл) при 130°С в течение 15 часов. Затем удаляют в вакууме растворитель и остаток растирают в EtOH и собирают фильтрованием, получая в результате [2-метилсульфанил-6-(морфолин-4-ил)пиримидин-4-ил]-(5-метил-2Н-пиразол-3-ил)амин.
К суспензии полученного выше [2-метилсульфанил-6-(морфолин-4-ил)пиримидин-4-ил]-(5-метил-2Н-пиразол-3-ил)амина (500 мг, 1,63 ммоль) в МеОН (10 мл) добавляют раствор оксона (3,0 г) в воде (10 мл). Реакционную смесь перемешивают при комнатной температуре в течение 15 часов и большую часть растворителя выпаривают. Остаток распределяют между ДХМ и насыщенным водным раствором NaHCO3. Органический слой промывают насыщенным раствором соли, сушат, фильтруют и упаривают. Остаток растирают в МеОН и полученное белое твердое вещество собирают фильтрованием, получая в результате [2-метилсульфонил-6-(морфолин-4-ил)пиримидин-4-ил]-(5-метил-2Н-пиразол-3-ил)амин.
Полученный выше [2-метилсульфонил-6-(морфолин-4-ил)пиримидин-4-ил]-(5-метил-2Н-пиразол-3-ил)амин (178 мг, 0,52 ммоль) и 4-ацетамидотиофенол (176 мг, 1,05 ммоль) кипятят с обратным холодильником в трет-бутаноле (5 мл) в течение 20 часов. Реакционную смесь охлаждают до комнатной температуры и распределяют между этилацетатом и водным NaHCO3. Органический слой промывают насыщенным раствором соли, сушат над MgSO4 и концентрируют в вакууме. Остаток очищают флэш-хроматографией с получением требуемого продукта [2-(4-ацетамидофенилсульфанил)-6-(морфолин-4-ил)пиримидин-4-ил]-(5-метил-2Н-пиразол-3-ил)амина.
Для более полного понимания настоящего изобретения дано описание следующих ниже примеров. Следует понимать, что данные примеры предназначены лишь для иллюстративных целей и не должны восприниматься как каким-то образом ограничивающие настоящее изобретение.
ПРИМЕРЫ СИНТЕЗА
Для анализа конкретных соединений, указанных в описанных ниже примерах синтеза, были использованы следующие методы ВЭЖХ. При использовании в данном описании термин «Rt» относится к времени удерживания для соединения, анализированного с применением конкретного метода ВЭЖХ.
ВЭЖХ-метод А:
Колонка: С18, 3 мкм, 2,1×50 мм, «Lighting» ф. Jones Chromatography.
Градиент: от 100% воды (содержащей 1% ацетонитрил, 0,1% TFA) до 100% ацетонитрила (содержащего 0,1% TFA) за 4,0 минуты, выдержка при 100% ацетонитриле в течение 1,4 минуты и возврат к исходным условиям. Общее рабочее время 7,0 минут. Скорость потока: 0,8 мл/мин.
ВЭЖХ-метод В:
Колонка: С18, 5 мкм, 4,6×150 мм, «Dynamax» ф. Rainin.Градиент: от 100% воды (содержащей 1% ацетонитрил, 0,1% TFA) до 100% ацетонитрила (содержащего 0,1% TFA) за 20 минут, выдержка при 100% ацетонитриле в течение 7,0 минут и возврат к исходным условиям. Общее рабочее время 31,5 минуты. Скорость потока: 1,0 мл/мин.
ВЭЖХ-метод С:
Колонка: Cyano, 5 мкм, 4,6×150 мм, «Microsorb» ф. Varian.
Градиент: от 99% воды (0,1% TFA), 1% ацетонитрила (содержащего 0,1% TFA) до 50% воды (0,1% TFA), 50% ацетонитрила (содержащего 0,1% TFA) за 20 минут, выдержка в течение 8,0 минут и возврат к исходным условиям. Общее рабочее время 30 минут. Скорость потока: 1,0 мл/мин.
ВЭЖХ-метод D:
Колонка: Waters (YMC) ODS-AQ 2,0×50 мм, S5, 120A.
Градиент: от 90% воды (0,2% муравьиная кислота), 10% ацетонитрила (содержащего 0,1% муравьиную кислоту) до 10% воды (0,1% муравьиная кислота), 90% ацетонитрила (содержащего 0,1% муравьиную кислоту) за 5,0 минут, выдержка в течение 0,8 минуты и возврат к исходным условиям. Общее рабочее время 7,0 минут. Скорость потока: 1,0 мл/мин.
ВЭЖХ-метод Е:
Колонка: 50×2,0 мм, Hypersil C18 BDS; 5 мкм.
Градиент: элюирование от 100% воды (0,1% TFA) до 5% воды (0,1% TFA), 95% ацетонитрила (содержащего 0,1% TFA) за 2,1 минуты, возврат к исходным условиям через 2,3 минуты. Скорость потока: 1,0 мл/мин.
Пример 1 (5-Метил-2Н-пиразол-3-ил)-(2-фенилсульфанилхиназолин-4-ил)амин (IIa-1): Получен способом, подобным описанному выше способу Е, в виде бледно-желтого твердого вещества, т.пл.>300°C (разлож.); 1Н ЯМР (ДМСО) δ 2,07 (3H, с), 5,54 (1H, с), 7,38 (1H, м), 7,56-7,45 (4H, м), 7,65 (2H, м), 7,73 (1H, м), 8,55 (1H, д), 10,43 (1H, с), 12,05 (1H, шир.с); ИК (твердое вещество) 3259, 3170, 3109, 1618, 1594, 1565, 1525, 1476; МС 334,0 (М+H)+.
Пример 2 [2-(4-Хлорфенилсульфанил)хиназолин-4-ил]-(5-метил-2Н-пиразол-3-ил)амин (IIa-2): Получен способом, подобным описанному выше способу Е, в виде бледно-желтого твердого вещества, т.пл. 259-260°C; 1Н ЯМР (ДМСО) δ 2,12 (3H, с), 5,40 (1H, с), 7,60 (1H, т), 7,64 (2H, д), 7,76 (3H, д), 7,92 (1H, т), 8,70 (1H, д), 11,50 (1H, шир.с); ИК (твердое вещество) 1627, 1606, 1557, 1484, 1473, 1433, 1400, 1339, 1286, 1219; МС 368,0 (М+H)+.
Пример 3 [2-(2,4-Дихлорфенилсульфанил)хиназолин-4-ил]-(5-метил-2Н-пиразол-3-ил)амин (IIa-3): Получен способом, подобным описанному выше способу Е, в виде бледно-желтого твердого вещества, т.пл. 258-259°C; 1Н ЯМР (ДМСО) δ 2,12 (3H, с), 5,40 (1H, с), 7,54 (1H, т), 7,63 (1H, м), 7,68 (1H, д), 7,86 (1H, т), 7,92 (1H, д), 7,96 (1H, д), 8,66 (1H, д) 11,20 (1H, шир.с); ИК (твердое вещество) 1623, 1610, 1551, 1488, 1435, 1410, 1339, 1284, 1217; МС 402,0 (М+H)+.
Пример 4 [2-(4-Метоксифенилсульфанил)хиназолин-4-ил]-(5-метил-2Н-пиразол-3-ил)амин (IIa-4): Получен способом, подобным описанному выше способу Е, в виде бледно-желтого твердого вещества, т.пл. 264-268°C; 1Н ЯМР (ДМСО) δ 2,04 (3H, с), 3,85 (3H, с), 5,43 (1H, с), 7,12 (2H, д), 7,53 (1H, т), 7,61 (3H, д), 7,84 (3H, т), 8,63 (1H, д), 11,09 (1H, шир.с), 12,30 (1H, шир.с); ИК (твердое вещество) 1622, 1598, 1552, 1492, 1404, 1340, 1292, 1249, 1219, 1171, 1161; МС 364,1 (М+H)+.
Пример 5 [2-(2-Этилфенилсульфанил)хиназолин-4-ил]-(5-метил-2Н-пиразол-3-ил)амин (IIa-5): Получен способом, подобным описанному выше способу Е, в виде бледно-желтого твердого вещества, т.пл. 205-208°C; 1Н ЯМР (ДМСО) δ 2,05 (3H, с), 5,19 (1H, с), 7,38 (1H, т), 7,52-7,64 (3H, м), 7,68 (2H, д), 7,90 (1H, т), 8,68 (1H, д); ИК (твердое вещество) 3262, 2967, 1632, 1605, 1558, 1492, 1434, 1403, 1344, 1294, 1224, 1162; МС 362,1 (М+H)+.
Пример 6 {2-[2,4-Бис(трифторметил)фенилсульфанил]хиназолин-4-ил}-(5-метил-2Н-пиразол-3-ил)амин (IIa-6): Получен способом, подобным описанному выше способу Е, в виде бледно-желтого твердого вещества, т.пл. >300°C; 1Н ЯМР (ДМСО) δ 1,98 (3H, с), 5,37 (1H, с), 7,50 (1H, т), 7,59 (2H, д), 7,84 (1H, д), 8,32 (1H, с), 8,40 (2H, с), 8,66 (1H, д), 10,73 (1H, шир.с); ИК (твердое вещество) 1628, 1603, 1577, 1548, 1512, 1493, 1448, 1417, 1354, 1275, 1196, 1124; МС 470,1 (М+Н)+.
Пример 7 [2-(4-Хлорфенилсульфанил)хиназолин-4-ил]-(5-метил-2Н-пиразол-3-ил)амин (IIa-7): Получен способом, подобным описанному выше способу Е, в виде бледно-желтого твердого вещества, т.пл. 262-263°C; 1Н ЯМР (ДМСО) δ 2,05 (3H, с), 5,35 (1H, с), 7,52 (2H, т), 7,65 (2H, м), 7,74 (1H, д), 7,83 (1H, т), 7,88 (1H, д), 8,62 (1H, д), 10,97 (1H, шир.с); ИК (твердое вещество) 1621, 1603, 1569, 1544, 1491, 1448, 1400, 1376, 1336, 1288, 1208; МС 368,0 (М+Н)+.
Пример 8 [2-(2,3-Дихлорфенилсульфанил)хиназолин-4-ил]-(5-метил-2Н-пиразол-3-ил)амин (IIa-8): Получен способом, подобным описанному выше способу Е, в виде бледно-желтого твердого вещества, т.пл. >300°C; 1Н ЯМР (ДМСО) δ 2,05 (3H, с), 5,34 (1H, с), 7,50 (2H, м), 7,60 (1H, д), 7,75 (1H, т), 7,88 (2H, м), 8,62 (1H, д), 10,72 (1H, шир.с); ИК (твердое вещество) 1632, 1609, 1561, 1532, 1492, 1432, 1400, 1380, 1345, 1298, 1228, 1162, 1125; МС 402,0 (М+Н)+.
Пример 9 [2-(3-Хлорфенилсульфанил)хиназолин-4-ил]-(5-метил-2Н-пиразол-3-ил)амин (IIa-9): Получен способом, подобным описанному выше способу Е, в виде бледно-желтого твердого вещества, т.пл. 248-249°C; 1Н ЯМР (ДМСО) δ 2,05 (3H, с), 5,42 (1H, с), 7,55 (2H, м), 7,66 (3H, м), 7,81 (1H, с), 7,85 (1H, т), 8,62 (1H, д), 11,10 (1H, шир.с); ИК (твердое вещество) 1628, 1611, 1551, 1487, 1432, 1410, 1341, 1292, 1217, 1165; МС 368,0 (М+Н)+.
Пример 10 [2-(1-Метилимидазол-2-илсульфанил)хиназолин-4-ил]-(5-метил-2Н-пиразол-3-ил)амин (IIa-10): Получен способом, подобным описанному выше способу Е, в виде не совсем белого твердого вещества, т.пл. 255-256°C; 1Н ЯМР (ДМСО) δ 2,19 (3H, с), 3,59 (1H, с), 5,51 (1H, с), 7,18 (1H, с), 7,45 (1H, т), 7,57 (1H, с), 7,59 (1H, д), 7,77 (1H, т), 8,57 (1H, д), 10,57 (1H, с), 12,13 (1H, шир.с); ИК (твердое вещество) 1628, 1565, 1550, 1532, 1492, 1430, 1376, 1333, 1292, 1278, 1211; МС 338,2 (М+H)+.
Пример 11 [2-(2-Гидроксифенилсульфанил)хиназолин-4-ил]-(5-метил-2Н-пиразол-3-ил)амин (IIa-11): Получен способом, подобным описанному выше способу Е, в виде бледно-желтого твердого вещества, т.пл. 273-275°C; 1Н ЯМР (ДМСО) δ 2,06 (3H, с), 5,41 (1H, с), 6,99 (1H, т), 7,07 (1H, д), 7,50 (1H, т), 7,57-7,62 (2H, м), 7,73 (1H, д), 7,94 (1H, т), 8,71 (1H, д), 10,29 (1H, шир.с), 11,66 (1H, шир.с); ИК (твердое вещество) 1623, 1597, 1552, 1485, 1442, 1404, 1354, 1341, 1289, 1221, 1165; МС 350,1 (М+H)+.
Пример 12 [2-(2,4-Дифторфенилсульфанил)хиназолин-4-ил]-(5-метил-2Н-пиразол-3-ил)амин (IIa-12): Получен способом, подобным описанному выше способу Е, в виде бледно-желтого твердого вещества, т.пл. 256-258°C; 1Н ЯМР (ДМСО) δ 2,10 (3H, с), 5,41 (1H, с), 7,33 (1H, т), 7,51-7,58 (2H, м), 7,65 (1H, д), 7,82-7,91 (2H, м), 8,63 (1H, д), 11,06 (1H, шир.с); ИК (твердое вещество) 1626, 1608, 1556, 1482, 1409, 1341, 1288, 1270, 1219, 1162, 1140; МС 370,1 (М+H)+.
Пример 13 [2-(3,4-Диметоксифенилсульфанил)хиназолин-4-ил]-(5-метил-2Н-пиразол-3-ил)амин (IIa-13): Получен способом, подобным описанному выше способу Е, в виде бледно-желтого твердого вещества, т.пл. 229-232°C; 1Н ЯМР (ДМСО) δ 2,05 (3H, с), 3,70 (3H, с), 3,85 (3H, с), 5,39 (1H, с), 6,95 (1H, д), 7,30 (2H, д), 7,60 (1H, т), 7,77 (1H, д), 7,94 (1H, т), 8,72 (1H, д), 11,66 (1H, шир.с); ИК (твердое вещество) 1625, 1607, 1551, 1503, 1436, 1404, 1342, 1290, 1254, 1237, 1218, 1161, 1137; МС 394,1 (М+H)+.
Пример 14 [2-(3-Метилфенилсульфанил)хиназолин-4-ил]-(5-метил-2Н-пиразол-3-ил)амин (IIa-14): Получен способом, подобным описанному выше способу Е, в виде бледно-желтого твердого вещества, т.пл. 249-250°C; 1Н ЯМР (ДМСО) δ 2,06 (3H, с), 2,36 (3H, с), 5,31 (1H, с), 7,45 (2H, д), 7,48-7,58 (3H, м), 7,61 (1H, д), 7,88 (1H, т), 8,68 (1H, д), 11,66 (1H, шир.с); ИК (твердое вещество) 1617, 1587, 1558, 1496, 14414, 1387, 1341, 1283, 1221, 1162, 1140; МС 348,1 (М+H)+.
Пример 15 [2-(2-Метоксифенилсульфанил)хиназолин-4-ил]-(5-метил-2Н-пиразол-3-ил)амин (IIa-15): Получен способом, подобным описанному выше способу Е, в виде бледно-желтого твердого вещества, т.пл. 237-239°C; 1Н ЯМР (ДМСО) δ 2,07 (3H, с), 3,71 (3H, с), 5,35 (1H, с), 7,12 (1H, т), 7,23 (1H, д), 7,55 (1H, т), 7,60-7,67 (3H, м), 7,87 (1H, т), 8,66 (1H, д), 11,20 (1H, шир.с); ИК (твердое вещество) 1632, 1606, 1561, 1480, 1430, 1405, 1344, 1292, 1276, 1251, 1224; МС 364,1 (М+H)+.
Пример 16 [2-(2-Нафталинилсульфанил)хиназолин-4-ил]-(5-метил-2Н-пиразол-3-ил)амин (IIa-16): Получен способом, подобным описанному выше способу Е, в виде бледно-желтого твердого вещества, т.пл. 267-270°C; 1Н ЯМР (ДМСО) δ 2,05 (3H, с), 5,09 (1H, с), 7,57 (1H, т), 7,62-7,75 (4H, м), 7,90 (1H, т), 8,07 (3H, т), 8,40 (1H, с), 8,66 (1H, д), 11,28 (1H, шир.с); ИК (твердое вещество) 1624, 1606, 1550, 1487, 1435, 1407, 1341, 1285, 1216, 1158; МС 384,1 (М+H)+.
Пример 17 [2-(2,6-Дихлорфенилсульфанил)хиназолин-4-ил]-(5-метил-2Н-пиразол-3-ил)амин (IIa-17): Получен способом, подобным описанному выше способу Е, в виде бледно-коричневого твердого вещества, т.пл. >300°С; 1Н ЯМР (ДМСО) δ 2,11 (3H, с), 5,49 (1H, с), 7,49 (1H, т), 7,59-7,67 (2H, м), 7,76 (2H, д), 7,81 (1H, д), 8,60 (1H, д), 10,60 (1H, с); ИК (твердое вещество) 1618, 1599, 1565, 1533, 1486, 1424, 1401, 1361, 1344, 1285, 1246, 1216, 1188, 1172; МС 402,0 (М+H)+.
Пример 18 [2-(3,4-Дихлорфенилсульфанил)хиназолин-4-ил]-(5-метил-2Н-пиразол-3-ил)амин (IIa-18): Получен способом, подобным описанному выше способу Е, в виде бледно-желтого твердого вещества, т.пл. 268-272°C; 1Н ЯМР (ДМСО) δ 2,11 (3H, с), 5,47 (1H, с), 7,56 (1H, т), 7,68-7,72 (2H, м), 7,83 (2H, д), 7,88 (1H, т), 8,05 (1H, д), 8,66 (1H, д); ИК (твердое вещество) 1628, 1607, 1556, 1488, 1436, 14412, 1399, 1367, 1341, 1288, 1216, 1166; МС 402,0 (М+H)+.
Пример 19 [2-(Бензимидазол-2-илсульфанил)хиназолин-4-ил]-(5-метил-2Н-пиразол-3-ил)амин (IIa-19): Получен способом, подобным описанному выше способу Е, в виде бледно-серого твердого вещества, т.пл. 192-196°C; 1Н ЯМР (ДМСО) δ 1,60 (3H, с), 5,48 (1H, с), 7,44 (2H, м), 7,53 (1H, т), 7,69 (2H, д), 7,76 (2H, м), 7,85 (1H, т), 8,64 (1H, д), 10,79 (1H, с); ИК (твердое вещество) 1618, 1606, 1569, 1537, 1487, 1411, 1395, 1369, 1343, 1288, 1273, 1170; МС 374,1 (М+H)+.
Пример 20 [2-(2-Аминофенилсульфанил)хиназолин-4-ил]-(5-метил-2Н-пиразол-3-ил)амин (IIa-20): Получен способом, подобным описанному выше способу Е, в виде светло-желтого твердого вещества, т.пл. 257-259°C; 1Н ЯМР (ДМСО) δ 2,11-2,30 (3H, 2 x шир.с), 6,10 (1H, шир.с), 7,10-7,80 (7H, м), 8,60 (1H, шир.с), 9,80 (1H, шир.с), 10,80 (1H, шир.с); ИК (твердое вещество) 1623, 1591, 1567, 1538, 1496, 1483, 1410, 1351.
Пример 21 (5-Циклопропил-2Н-пиразол-3-ил)-(2-фенилсульфанилхиназолин-4-ил)амин (IIa-21): Получен способом, подобным описанному выше способу Е, в виде желтого твердого вещества, т.пл. 233-236°C; 1Н ЯМР (ДМСО) δ 0,89 (2H, д), 0,98 (2H, д), 1,67 (1H, м), 5,48 (1H, с), 7,54-7,73 (7H, м), 7,89 (1H, т), 8,68 (1H, д), 11,60 (1H, шир.с); ИК (твердое вещество) 1629, 1606, 1577, 1546, 1509, 1484, 1438, 1413, 1370, 1291, 1219; МС 360,3 (М+H)+.
Пример 22 (5-Циклопропил-2Н-пиразол-3-ил)-[2-(3-метоксикарбонилфенилсульфанил)хиназолин-4-ил)амин (IIa-22): Получен способом, подобным описанному выше способу Е, в виде белого твердого вещества, т.пл. 224-225°С, 1Н ЯМР (ДМСО) δ 0,52 (2H, м), 0,86 (2H, м), 1,67 (1H, м), 3,86 (3H, с), 5,60 (1H, с), 7,45 (1H, т), 7,56 (1H, д), 7,66 (1H, т), 7,76 (1H, т), 7,93 (1H, д), 8,10 (1H, д), 8,18 (1H, с), 8,57 (1H, д), 10,48 (1H, шир.с), 12,07 (1H, шир.с); ИК (твердое вещество) 1724, 1617, 1593, 1567, 1526, 1478, 1432, 1400, 1361, 1343, 1283, 1260, 1218, 1169, 1128; МС 418,3 (М+H)+.
Пример 23 (5-Циклопропил-2Н-пиразол-3-ил)-[2-(3-метилфенилсульфанил)хиназолин-4-ил)амин (IIa-23): Получен способом, подобным описанному выше способу Е, в виде белого твердого вещества, т.пл. 241-243°C; 1Н ЯМР (ДМСО) δ 0,55-0,63 (2H, м), 1,87-1,97 (1Н, м), 1,67-1,79 (1H, м), 2,35 (3H, с), 5,72 (1H, с), 7,30-7,60 (6H, м), 7,68-7,78 (1H, м), 8,50-8,60 (1H, д), 10,38 (1H, с), 12,02, (1H, с); ИК (твердое вещество) 1617, 1594, 1568, 1529, 1480, 1401, 1344, 1287, 1176, 758, 665, 656; МС (М+H)+.
Пример 24 (5-Циклопропил-2Н-пиразол-3-ил)-[2-(3-метоксифенилсульфанил)хиназолин-4-ил)амин (IIa-22): Получен способом, подобным описанному выше способу Е, в виде белого твердого вещества, т.пл. 232-234°C; 1Н ЯМР (ДМСО) δ 0,55-0,62 (2H, м), 0,88-0,97 (2H, м), 1,70-1,80 (1H, м), 3,79 (3H, с), 5,79 (1H, с), 7,08 (1H, д), 7,22-7,29 (2H, м), 7,40-7,50 (2H, м), 7,60 (1H, д), 7,79 (1H, т), 8,57 (1H, д), 10,40 (1H, с), 12,04 (1H, с); ИК (твердое вещество) 3100, 1618, 1592, 1567, 1527, 1477, 1402, 1345, 1284, 1246, 1231, 1171, 1041, 1001, 969, 826, 761, 692, 667; МС (М+H)+.
Пример 25 (5-Циклопропил-2Н-пиразол-3-ил)-[2-(3,4-диметоксифенилсульфанил)хиназолин-4-ил)амин (IIa-25): Получен способом, подобным описанному выше способу Е, в виде белого твердого вещества, т.пл. 250-252°C, 1Н ЯМР (ДМСО) δ 0,54-0,60 (2H, м), 0,83-0,91 (2H, м), 1,68-1,77 (1H, м), 3,79 (3H, с), 3,85 (3H, с), 5,79 (1H, с), 7,10 (1H, д), 7,20-7,26 (2H, м), 7,45 (1H, т), 7,57 (1H, д), 7,77 (1H, т), 8,55 (1H, д), 10,45 (1H, с), 12,04 (1H, м); ИК (твердое вещество) 1617, 1593, 1567, 1530, 1504, 1479, 1457, 1439, 1398, 1364, 1347, 1288, 1269, 1250, 1232, 1181, 1169, 1138, 1037, 1020, 997, 972, 882, 846, 804, 764, 750; МС (М+H)+.
Пример 26 [2-(3-Карбоксифенилсульфанил)хиназолин-4-ил)-(5-циклопропил-2Н-пиразол-3-ил)амин (IIa-26): Получен из IIa-22 способом G в виде желтого твердого вещества, т.пл. >300°C; 1Н ЯМР (ДМСО) δ 0,53 (2H, д), 0,86 (2H, д), 1,65 (1H, м), 5,37 (1H, с), 7,55 (1H, т), 7,68 (1H, т), 7,81 (1H, д), 7,88 (1H, т), 7,95 (1H, д), 8,15 (1H, д), 8,15 (1H, с), 8,71 (1H, д), 11,32 (1H, шир.с); ИК (твердое вещество) 1702, 1626, 1609, 1559, 1490, 1412, 1355, 1293, 1222, 1170; МС 404,7(М+H)+.
Пример 27 (5-Циклопропил-2Н-пиразол-3-ил)-[2-(нафталин-2-илсульфанил)хиназолин-4-ил)амин (IIa-27): Получен способом, подобным описанному выше способу Е, в виде не совсем белого твердого вещества, т.пл. 285-288°C; 1Н ЯМР (ДМСО) δ 0,25 (2H, шир.с), 0,52 (2H, шир.с), 0,87 (1H, м), 5,54 (1H, шир.с), 7,42-7,77 (4H, м), 8,00 (3Н, м), 8,30 (1H, шир.с), 8,56 (1H, шир.д), 10,42 и 11,88 (1H, 2 x шир.с); ИК (твердое вещество) 1615, 1592, 1562, 1527, 1476, 1398, 1366, 1287, 1240, 1216, 1167, 1158, 1142, 1128, 996, 965; МС 410,7(М+H)+.
Пример 28 (5-Циклопропил-2Н-пиразол-3-ил)-[2-(2,4-дифторфенилсульфанил)хиназолин-4-ил)амин (IIa-28): Получен способом, подобным описанному выше способу Е, в виде не совсем белого твердого вещества, т.пл. 250-253°C; 1Н ЯМР (ДМСО) δ 0,61 (2H, м), 0,91 (2H, м), 1,74 (1H, м), 5,67 (1H, м), 7,24-7,28 (1H, м), 7,44-7,48 (3Н, м), 7,53-7,81 (2H, шир.м), 8,55 (1H, м), 10,47 и 12,10 (1H, 2 x шир.с); ИК (твердое вещество) 1614, 1598, 1565, 1525, 1479, 1423, 1398, 1366, 1345, 1285, 1267, 1243, 1213, 1168, 1143, 1114, 1026, 995, 968; МС 396,6(М+H)+.
Пример 29 (5-Циклопропил-2Н-пиразол-3-ил)-[2-(нафталин-2-илфенилсульфанил)-5,6,7,8-тетрагидрохиназолин-4-ил)амин (IIa-29): Получен способом, подобным описанному выше способу F, в виде белого твердого вещества, т.пл. 244°C; 1Н ЯМР (ДМСО) δ 0,13 (2H, с), 0,45 (2H, с), 0,79 (1H, с), 1,73 (4H, с), 2,42 (2H, с), 2,58 (2H, с), 5,28 (1H, с), 7,58 (2H, д), 7,61 (2H, д), 7,97 (3H, д), 8,23 (1H, с), 8,56 (1H, с), 11,63 (1H, с); ИК (твердое вещество) 1594, 1561, 1514, 1477, 1423, 1333, 1279, 1251, 990, 808, 744, 657, 651; МС 414,7(М+H)+.
Пример 30 (5-Циклопропил-2Н-пиразол-3-ил)-[2-(2,3-дихлорфенилсульфанил)хиназолин-4-ил)амин (IIa-30): Получен способом, подобным описанному выше способу Е, в виде не совсем белого твердого вещества, т.пл. 250-252°C; 1Н ЯМР (ДМСО) δ 0,60 (2H, д), 0,93 (2H, д), 1,70 (1H, м), 5,54 (1H, с), 7,47 (2H, м), 7,57 (1H, д), 7,76 (1H, т), 7,86 (2H, д), 8,57 (1H, д), 10,48 (1H, с), 12,04 (1H, с); ИК (твердое вещество) 1616, 1601, 1570, 1528, 1486, 1432, 1400, 1367, 1335, 1285, 1246, 1210, 1159, 1146, 1051, 1033, 1021, 997; МС 428,6(М+H)+.
Пример 31 [2-(3-Хлорфенилсульфанил)хиназолин-4-ил)-(5-циклопропил-2Н-пиразол-3-ил)амин (IIa-31): Получен способом, подобным описанному выше способу Е, в виде не совсем белого твердого вещества, т.пл. 235-238°C; 1Н ЯМР (ДМСО) δ 0,58 (2H, д), 0,92 (2H, д), 1,75 (1H, м), 5,71 (1H, с), 7,44 (1H, т),7,50-7,63 (4H, м), 7,73 (1H, с), 7,75 (1H, т), 8,57 (1H, д), 10,46 (1H, с), 12,08 (1H, с); ИК (твердое вещество) 1616, 1593, 1562,,1528, 1479, 1456, 1406, 1367, 1343, 1286, 1244, 1216, 1176, 1067, 1051, 997; МС 394,7(М+Н)+.
Пример 32 [2-(2-Хлорфенилсульфанил)хиназолин-4-ил)-(5-циклопропил-2Н-пиразол-3-ил)амин (IIa-32): Получен способом, подобным описанному выше способу Е, в виде не совсем белого твердого вещества, т.пл. 255-257°C; 1Н ЯМР (ДМСО) δ 0,59 (2H, д), 0,91 (2H, д), 1,71 (1H, м), 5,62 (1H, с), 7,45 (2H, м), 7,57 (1H, м), 7,69 (1H, д), 7,75 (1H, т), 7,85 (1H, д), 8,56 (1H, д), 10,43 (1H, с), 12,03 (1H, с); ИК (твердое вещество) 1619, 1596, 1564, 1529, 1480, 1446, 1398, 1370, 1343, 1289, 1246, 1218, 1165, 1148, 1089, 1054, 1030, 997; МС 394,7(М+H)+.
Пример 33 (5-Циклопропил-2Н-пиразол-3-ил)-[2-(3,4-диметилфенилсульфанил)хиназолин-4-ил)амин (IIa-33): Получен способом, подобным описанному выше способу Е, в виде не совсем белого твердого вещества, т.пл. 255-256°C; 1Н ЯМР (ДМСО) δ 0,56 (2H, м), 0,90 (2H, м), 1,67 (1H, м), 2,26 и 2,29 (6H, 2 x с), 5,75 (1H, шир.с), 7,26 (1H, м), 7,35-7,55 (4H, м), 7,74 (1H, м), 8,54 (1H, шир.с), 10,44 и 12,06 (2H, 2 x шир.с); ИК (твердое вещество) 1617, 1596, 1569, 1526, 1479, 1459, 1404, 1366, 1343, 1287, 1243, 1218, 1167, 1145, 1017, 996, 966; МС 388,3(М+H)+.
Пример 34 [2-(Бензимидазол-2-илсульфанил)хиназолин-4-ил)-(5-циклопропил-2Н-пиразол-3-ил)амин (IIa-34): Получен способом, подобным описанному выше способу Е, в виде не совсем белого твердого вещества, т.пл. 201-203°C; 1Н ЯМР (ДМСО) δ 0,44 (2H, м), 0,71 (2H, м), 1,17 (1H, м), 5,72 (1H, м), 7,23 (2H, м), 7,51-7,81 (5H, м), 8,59 (1H, м), 10,59, 12,06 и 13,17 (3Н, 3 x шир.с); ИК (твердое вещество) 1617, 1601, 1572, 1532, 1485, 1402, 1374, 1341, 1290, 1273, 1209, 1168, 1024, 1010, 965; МС 400,2(М+H)+.
Пример 35 (5-Циклопропил-2Н-пиразол-3-ил)-[2-(4-метоксикарбонилфенилсульфанил)хиназолин-4-ил)амин (IIa-35): Получен способом, подобным описанному выше способу Е, в виде не совсем белого твердого вещества, т.пл. 245-246°C; 1Н ЯМР (ДМСО) δ 0,47 (2H, шир.с), 0,80 (2H, шир.с), 1,62 (1H, м), 3,85 (3H, с), 5,69 (1H, шир.с), 7,46 (1H, м), 7,58 (1H, м), 7,76-7,81 (3H, м), 8,02-8,05 (2H, м), 8,57 (1H, м), 10,48 и 12,11 (2H, 2 x шир.с); ИК (твердое вещество) 1721, 1712, 1616, 1596, 1572, 1564, 1523, 1481, 1435, 1404, 1360, 1346, 1277, 1181, 1114, 1106, 996, 971; МС 418,2(М+H)+.
Пример 36 [2-(4-Ацетамидофенилсульфанил)хиназолин-4-ил)-(5-циклопропил-2Н-пиразол-3-ил)амин (IIa-36): Получен способом, подобным описанному выше способу Е, в виде не совсем белого твердого вещества, т.пл. 239-241°C; 1Н ЯМР (ДМСО) δ 0,57 (2H, м), 0,83 (2H, м), 1,69 (1H, м), 2,02 (3H, с), 5,73 (1H, шир.с), 7,41 (1H, м), 7,53-7,57 (3H, м), 7,73-7,75 (3H, м), 8,54 (1H, м), 10,18, 10,39 и 11,98 (3H, 3 x шир.с), ИК (твердое вещество) 1665, 1618, 1607, 1586, 1572, 1564, 1529, 1482, 1387, 1343, 1320, 1287, 1243, 1221, 1162, 1005, 968; МС 417,2(М+H)+.
Пример 37 (5-Циклопропил-2Н-пиразол-3-ил)-[2-(нафталин-1-илсульфанил)хиназолин-4-ил)амин (IIa-37): Получен способом, подобным описанному выше способу Е, в виде не совсем белого твердого вещества, т.пл. 271-273°C; 1Н ЯМР (ДМСО) δ 0,46-0,47 (2H, м), 0,87-0,89 (2H, м), 1,57 (1H, м), 5,01 (1H, м), 7,42 (1H, м), 7,52-7,54 (3H, м), 7,64 (1H, м), 7,75 (1H, м), 7,98 (1H, м), 8,06 (1H, м), 8,17 (1H, м), 8,28 (1H, м), 8,50 (1H, м), 10,29 (1H, шир.с), 11,84 (1H, шир.с); ИК (твердое вещество) 1615, 1592, 1567, 1528, 1483, 1401, 1362, 1343, 1285, 1242, 1219, 1173, 998, 963; МС 410,2(М+H)+.
Пример 38 [2-(4-Ацетамидофенилсульфанил)хиназолин-4-ил]-(5-метил-2Н-пиразол-3-ил)амин (IIa-38): Получен способом, подобным описанному выше способу Е, в виде белого твердого вещества, т.пр. 268-271°C; 1Н ЯМР (ДМСО) δ 2,02 (3H, с), 2,09 (3H, с), 5,56 (1Н, с), 7,40 (1H, т), 7,55 (3H, м), 7,75 (3H, д), 8,55 (1H, д), 10,21 (1H, с), 10,40 (1H, с), 12,03 (1H, с); ИК (твердое вещество) 1662, 1620, 1599, 1572, 1531, 1438, 1397, 1370, 1358, 1341, 1323, 1312, 1278, 1265, 1245, 1216, 1161, 1006, 966; МС 391,2(М+H)+.
Пример 39 [2-(4-Метансульфониламинофенилсульфанил) хиназолин-4-ил]-(5-метил-2Н-пиразол-3-ил)амин (IIa-39): Получен способом, подобным описанному выше способу Е, в виде не совсем белого твердого вещества, т.пл. 219-222°C; 1Н ЯМР (ДМСО) δ 2,15 (3H, с), 2,61 (3H, с), 5,84 (1H, с), 6,91 (2H, д), 7,22 (2H, д), 7,36 (1H, с), 7,52 (1H, д), 7,69 (1H, с), 8,53 (1H, д), 10,31 (1H, с), 11,96 (1H, с); ИК (твердое вещество) 1621, 1602, 1584, 1567, 1528, 1486, 1351, 1287, 1253, 1207, 1179, 1102, 1091, 983; МС 427,0(М+H)+.
Пример 40 [2-(4-Ацетамидофенилсульфанил)-7-метоксихиназолин-4-ил]-(5-метил-2Н-пиразол-3-ил)амин (IIa-40): Получен способом, подобным описанному выше способу Е, в виде белого твердого вещества, т.пл. 291-293°C; 1Н ЯМР (ДМСО) δ 2,01 (3H, с), 2,09 (3H, с), 3,87 (3H, с), 5,55 (1H, с), 6,96 (1H, с), 6,99 (1H, д), 7,55 (2H, д), 7,73 (2H, д), 8,45 (1H, д), 10,21 (1H, с), 10,23 (1H, с), 11,99 (1H, с); ИК (твердое вещество); МС 421,2(М+H)+.
Пример 41 [2-(4-Ацетамидофенилсульфанил)-8-(3-морфолин-4-илпропокси)хиназолин-4-ил]-(5-метил-2Н-пиразол-3-ил)амин (IIa-41): Получен способом, подобным описанному выше способу Е, в виде белого твердого вещества, т.пл. 262-264°C; 1Н ЯМР (ДМСО) δ 1,94 (2H, квинт.), 2,03 (3H, с), 2,09 (3H, с), 2,38 (4H, с), 2,45 (2H, т), 3,58 (4H, с), 4,11 (2H, т), 5,60 (1H, с), 7,24 (1H, д), 7,30 (1H, т), 7,57 (2H, д), 7,73 (2H, д), 8,07 (1H, д), 10,20 (1H, с), 10,24 (1H, с), 12,02 (1H, шир.с); ИК (твердое вещество) 3245, 3045, 2954, 2918, 2845, 1663, 1609, 1586, 1527, 1468, 1391, 1332, 1268, 1254, 1159, 1136, 1114, 1054, 995, 823; МС 534,4(М+H)+.
Пример 42 [2-(4-Метоксикарбонилфенилсульфанил)хиназолин-4-ил]-(5-метил-2Н-пиразол-3-ил)амин (IIa-42): Получен способом, подобным описанному выше способу Е, в виде не совсем белого твердого вещества, т.пл. 257-260°C, 1Н ЯМР (ДМСО) δ 1,95 (3H, с), 3,89 (3H, с), 5,51 (1H, шир.с), 7,39 (1H, шир.с), 7,51 (1H, шир.с), 7,70 (1H, шир.с), 7,81 (2H, д), 8,04 (2H, д), 8,51 (1H, шир.с), 10,48 (1H, шир.с), 12,03 (1H, шир.с); ИК (твердое вещество) 1718, 1618, 1599, 1568, 1531, 1481, 1434, 1395, 1362, 1342, 1286, 1247, 1216, 1156, 1116, 1018, 1003, 968; МС 392,2(М+H)+.
Пример 43 [2-(4-Карбоксифенилсульфанил)хиназолин-4-ил]-(5-метил-2Н-пиразол-3-ил)амин (IIa-43): Получен способом, подобным описанному выше способу Е, в виде не совсем белого твердого вещества, т.пл. 263-265°C; 1Н ЯМР (ДМСО) δ 1,98 (3H, с), 5,50 (1H, с), 7,46 (1H, т), 7,60 (1H, д), 7,78 (3H, м), 8,02 (2H, д), 8,58 (1H, д), 10,58 (1H, с), 12,50 (1H, шир.с); ИК (твердое вещество) 1623, 1605, 1574, 1560, 1533, 1490, 1401, 1349, 1318, 1285, 1249, 1216, 1174, 1131, 1088, 1018; МС 378,2(М+H)+.
Пример 44 [2-(4-Ацетамидофенилсульфанил)-8-метоксихиназолин-4-ил]-(5-метил-2Н-пиразол-3-ил)амин (IIa-44): Получен способом, подобным описанному выше способу Е, в виде не совсем белого твердого вещества, т.пл. 247-249°C; 1Н ЯМР (ДМСО) δ 1,99 (3H, с), 2,10 (3H, с), 3,93 (3H, с), 5,40 (1H, с), 7,31 (1H, д), 7,38 (1H, т), 7,57 (2H, д), 7,76 (2H, д), 8,11 (1H, д), 10,28 (1H, с), 10,61 (1H, с), 12,11 (1H, шир.с); ИК (твердое вещество) 3234, 3052, 2938, 1673, 1618, 1591, 1536, 1481, 1459, 1390, 1372, 1345, 1317, 1267, 1249, 1158, 1058, 985, 830; МС 421,2(М+H)+.
Пример 45 [2-(4-Ацетамидофенилсульфанил)-7-(3-морфолин-4-илпропокси)хиназолин-4-ил]-(5-метил-2Н-пиразол-3-ил)амин (IIa-45): Получен из IIa-74 способом I в виде не совсем белого твердого вещества, т.пл. 153°C (разлож.); 1Н ЯМР (ДМСО) δ 2,02 (3H, с), 2,09 (3H, с), 2,29 (2H, квинт.), 3,16 (2H, м), 3,36 (4H, м), 3,57 (4H, м), 4,11 (2H, м), 5,58 (1H, с), 7,22-7,29 (2H, м), 7,55 (2H, д), 7,76 (2H, д), 8,07 (1H, д), 10,26 (1H, шир.с), 10,35 (1H, с), 12,06 (1H, шир.с); ИК (твердое вещество) 1673, 1614, 1591, 1532, 1486, 1391, 1336, 1254, 1109, 1063, 995; МС 534,2(М+H)+.
Пример 46 [2-(4-Бромфенилсульфанил)хиназолин-4-ил]-(5-метил-2Н-пиразол-3-ил)амин (IIa-46): Получен способом, подобным описанному выше способу Е, в виде не совсем белого твердого вещества, т.пл. >300°C; 1Н ЯМР (ДМСО) δ 2,15 (3H, с), 5,63 (1H, шир.с), 7,44 (1H, м), 7,55-7,62 (3H, м), 7,69-7,77 (3H, м), 8,56 (1H, м), 10,47 и 12,12 (2H, 2 x шир.с); ИК (твердое вещество) 1615, 1597, 1565, 1525, 1478, 1396, 1362, 1339, 1285, 1218, 1158, 1034, 1009, 967; МС 412,1/414,1(М+H)+.
Пример 47 [2-(3-Бромфенилсульфанил)хиназолин-4-ил]-(5-метил-2Н-пиразол-3-ил)амин (IIa-47): Получен способом, подобным описанному выше способу Е, в виде не совсем белого твердого вещества, т.пл. 280-28l°C; 1Н ЯМР (ДМСО) δ 2,12 (3H, с), 5,54 (1H, шир.с), 7,46 (1H, м), 7,55-7,68 (3H, м), 7,75-7,88 (3H, м), 8,81 (1H, м), 10,49 и 12,11 (2H, 2×шир.с); ИК (твердое вещество) 1617, 1600, 1567, 1530, 1483, 1399, 1362, 1342, 1282, 1200, 1168, 1054, 1034, 1005, 967; МС 412,2/414,2(М+H)+.
Пример 48 [2-(4-Изопропансульфониламинофенилсульфанил) хиназолин-4-ил]-(5-метил-2Н-пиразол-3-ил)амин (IIa-48): Получен способом, подобным описанному выше способу Е, в виде белого твердого вещества, т.пл. 294-297°C; 1Н ЯМР (ДМСО) δ 1,26 (6H, д), 2,13 (3H, с), 5,75 (1H, с), 7,34 (2H, д), 7,41 (1H, т), 7,54 (1H, д), 7,59 (2H, д), 7,73 (1H, т), 8,53 (1H, д), 10,16 (1H, с), 10,42 (1H, с), 12,07 (1H, шир.с); ИК (твердое вещество) 1613, 1593, 1560, 1530, 1482, 1384, 1364, 1346, 1320, 1290, 1265, 1243, 1216, 1169, 1141, 1084, 1056, 1019, 999, 969, 916; МС 455,2(М+H)+.
Пример 49 [2-(4-Изобутириламинофенилсульфанил)хиназолин-4-ил]-(5-метил-2Н-пиразол-3-ил)амин (IIa-49): Получен способом, подобным описанному выше способу Е, в виде не совсем белого твердого вещества, т.пл. 285-287°C; 1Н ЯМР (ДМСО) δ 1,12-1,13 (6H, м), 1,99 (3H, с), 2,64 (1H, м), 5,52 (1H, шир.с), 7,41 (1H, м), 7,54-7,57 (3H, м), 7,72-7,77 (3H, м), 8,54 (1H, м), 10,12, 10,41 и 12,04 (3H, 3 x шир.с); ИК (твердое вещество) 1704, 1680, 1617, 1590, 1566, 1516, 1481, 1395, 1358, 1341, 1286, 1247, 1214, 1155, 1052, 1032, 1006, 969; МС 419,3 (М+H)+.
Пример 50 (5-Метил-2Н-пиразол-3-ил)-[2-(4-пропиониламинофенилсульфанил)хиназолин-4-ил]амин (IIa-50): Получен способом, подобным описанному выше способу Е, в виде не совсем белого твердого вещества, т.пл. 281-282°C; 1Н ЯМР (ДМСО) δ 1,11-1,13 (3H, м), 1,98 (3H, с), 2,33 (2H, м), 5,51 (1H, шир.с), 7,41 (1H, м), 7,55-7,57 (3H, м), 7,71-7,78 (3H, м), 8,54 (1H, м), 10,11, 10,41 и 12,04 (3H, 3 x шир.с); ИК (твердое вещество) 1654, 1621, 1599, 1571, 1527, 1476, 1398, 1358, 1341, 1286, 1244, 1216, 1155, 1006, 969; MC 405,3(M+H)+.
Пример 51 [2-(4-Циклопропанкарбониламинофенилсульфанил) хиназолин-4-ил]-(5-метил-2Н-пиразол-3-ил)амин (IIa-51): Получен способом, подобным описанному выше способу Е, в виде не совсем белого твердого вещества, т.пл. 300-303°C; 1Н ЯМР (ДМСО) δ 0,82-0,84 (4H, м), 1,83 (1H, м), 2,01 (3H, с), 5,55 (1H, шир.с), 7,39-7,41 (2H, м), 7,53-7,57 (2H, м), 7,72-7,77 (2H, м), 8,53-8,55 (2H, м), 10,40, 10,46 и 12,03 (3H, 3 x шир.с); ИК (твердое вещество) 1664, 1614, 1591, 1560, 1526, 1480, 1432, 1390, 1344, 1288, 1240, 1194, 1177, 1152, 997; MC 417,2 (M+H)+.
Пример 52 [2-(4-Ацетамидофенилсульфанил)-8-гидроксихиназолин-4-ил]-(5-метил-2Н-пиразол-3-ил)амин (IIa-52): рыжевато-коричневое твердое вещество, т.пл. 258-259°C; 1Н ЯМР (ДМСО) δ 1,99 (3H, с), 2,09 (3H, с), 5,45 (1H, с), 7,10 (1H, д), 7,22 (1H, т), 7,57 (2H, д), 7,75 (2H, д), 7,95 (1H, д), 9,35 (1H, с), 10,22 (1H, с), 10,26 (1H, с), 12,00 (1H, шир.с); ИК (твердое вещество) 3295, 3272, 3181, 3109, 1654, 1591, 1527, 1482, 1459, 1386, 1368, 1314, 1268, 1141, 1077, 991, 814; MC 407,2(M+H)+.
Пример 53 [2-(4-Ацетамидофенилсульфанил)-7-нитрохиназолин-4-ил]-(5-метил-2Н-пиразол-3-ил)амин (IIa-53): Получен способом, подобным описанному выше способу Е, в виде желтого твердого вещества, 1Н ЯМР (ДМСО) δ 2,02 (3H, с), 2,09 (3H, с), 5,54 (1H, с), 7,58 (2H, д), 7,75 (2H, д), 8,08 (1H, д), 8,22 (1H, с), 8,80 (1H, д), 10,24 (1H, с), 10,85 (1H, с), 12,15 (1H, с); ИК (твердое вещество); МС 436,2(М+H)+.
Пример 54 (5-Метил-2Н-пиразол-3-ил)-{2-[4-(пропан-1-сульфониламино)фенилсульфанил]хиназолин-4-ил}амин (IIa-54): Получен способом, подобным описанному выше способу Е, в виде белого твердого вещества, т.пл. 272-273°C; 1Н ЯМР (ДМСО) δ 0,95 (3H, т), 1,71 (2H, м), 2,13 (3H, с), 3,18 (2H, т), 5,70 (1H, с), 7,31 (2H, д), 7,41 (1H, т), 7,52 (1H, д), 7,58 (1H, д), 7,73 (1H, т), 8,55 (1H, д), 10,16 (1H, с), 10,42 (1H, с), 12,07 (1H, с), ИК (твердое вещество) 1615, 1594, 1563, 1530, 1481, 1389, 1362, 1346, 1325, 1291, 1245, 1147, 969; МС 455,2(М+H)+.
Пример 55 [2-(4-Этилсульфониламинофенилсульфанил)хиназолин-4-ил]-(5-метил-2Н-пиразол-3-ил)амин (IIa-55): Получен способом, подобным описанному выше способу Е, в виде не совсем белого твердого вещества, т.пл. 279-280°C; 1Н ЯМР (ДМСО) δ 1,28 (3H, т), 2,19 (3H,с), 3,25 (2H, м), 5,76 (1H, с), 7,36 (2H, д), 7,48 (1H, т), 7,53 (1H, д), 7,65 (1H, д), 7,80 (1H, т), 8,61 (1H, д), 10,23 (1H, с), 10,49 (1H, с), 12,13 (1H, с); ИК (твердое вещество) 1615, 1597, 1564, 1532, 1506, 1485, 1455, 1388, 1361, 1347, 1323, 1294, 1218, 1150, 1033, 1016, 998, 968, 918; МС 441,2(М+H)+.
Пример 56 [2-(4-Ацетамидофенилсульфанил)-7-гидроксиаминохиназолин-4-ил]-(5-метил-2Н-пиразол-3-ил)амин (IIa-56): Получен из IIa-53 способом J в виде желтого твердого вещества, 1Н ЯМР (ДМСО) δ 1,97 (3H, с), 2,11 (3H, с), 5,19 (1H, с), 6,88-6,91 (2H, м), 7,65 (2Н, д), 7,85 (2H, д), 8,44 (1H, д), 9,27 (1H, шир.с), 10,49 (1H, с), 11,38 (1H, с), 14,58 (1H, шир.с), ИК (твердое вещество); МС 422,2(М+H)+.
Пример 57 [2-(4-Изобутанкарбониламинофенилсульфанил) хиназолин-4-ил]-(5-метил-2Н-пиразол-3-ил)амин (IIa-57): Получен способом, подобным описанному выше способу Е, в виде белого твердого вещества, т.пл. 281-282°C; 1Н ЯМР (ДМСО) δ 0,95-0,97 (6H, м), 2,00 (3H, с), 2,12 (1H, м), 2,23-2,25 (2H, м), 5,56 (1H, с), 7,41 (1H, м), 7,54-7,57 (3H, м), 7,72-7,78 (3H, м), 8,54 (1H, м), 10,14, 10,41 и 12,03 (3H, 3×шир.с); ИК (твердое вещество) 1737, 1658, 1618, 1599, 1566, 1530, 1483, 1432, 1394, 1364, 1343, 1313, 1287, 1242, 1216, 1167, 1151, 1003, 967; МС 433,2(М+H)+.
Пример 58 [2-(4-трет-Бутоксикарбониламинофенилсульфанил) хиназолин-4-ил]-(5-метил-2Н-пиразол-3-ил)амин (IIa-58): Получен способом, подобным описанному выше способу Е, в виде белого твердого вещества, т.пл. 243-246°C; 1Н ЯМР (ДМСО) δ 1,50 (9H, с), 1,97 (3H,с), 5,40 (1H, с), 7,07 (2H, шир.с), 7,36 (1H, шир.с), 7,47 (2H, д), 7,58 (2H, д), 8,12 (1H, шир.с), 9,58 (1H, с), 11,24 (1H, шир.с); ИК (твердое вещество) 1701, 1593, 1559, 1515, 1482, 1396, 1365, 1346, 1308, 1288, 1237, 1154, 1051, 1020, 969; МС 449,2(М+H)+.
Пример 59 [2-(4-Ацетамидофенилсульфанил)-7-аминохиназолин-4-ил]-(5-метил-2Н-пиразол-3-ил)амин (IIa-59): Получен из IIa-53 способом К в виде не совсем белого твердого вещества, т.пл. 264-265 °C; 1Н ЯМР (ДМСО) δ 1,99 (3H, с), 2,09 (1H, с), 5,53 (1H, с), 5,97 (2H, с), 6,47 (1H, с), 6,68 (1H, д), 7,52 (2H, д), 7,71 (2H, д), 8,15 (1H, д), 9,83 (1H, шир.с), 10,19 (1H, с), 10,87 (1H, шир.с); ИК (твердое вещество); МС 406,2(М+H)+.
Пример 60 (5-Метил-2Н-пиразол-3-ил)-{2-[4-(2-морфолин-4-илацетиламино)фенилсульфанил]хиназолин-4-ил}амин (IIa-60): Получен способом, подобным описанному выше способу Е, в виде не совсем белого твердого вещества, т.пл. 266-267 °C; 1Н ЯМР (ДМСО) δ 2,03 (3H, с), 2,57 (4H, м), 3,23 (2H, с), 3,69 (4H, м), 5,58 (1H, с), 7,40 (1H, т), 7,55-7,62 (3H, м), 7,75 (1H, т), 7,80 (2H, д), 8,54 (1H, д), 10,02 (1H, с), 10,41 (1H, с), 12,03 (1H,с); ИК (твердое вещество) 1686, 1598, 1564, 1533, 1515, 1484, 1387, 1362, 1348, 1291, 1113, 868, 801, 773; МС 476,4(М+H)+.
Пример 61 (5-Циклопропил-2Н-пиразол-3-ил)-[2-(4-метилсульфониламинофенилсульфанил)хиназолин-4-ил)амин (IIa-61): Получен способом, подобным описанному выше способу Е, в виде белого твердого вещества, т.пл 235-238°С; 1Н ЯМР (ДМСО) δ 0,61 (2H, с), 0,92 (2H, д), 1,82 (1H, шир.с), 2,98 (3H, с), 5,90 (1H, с), 7,23 (2H, д), 7,41 (1H, т), 7,54 (3H, м), 7,72 (1H, т), 8,55 (1H, д), 10,16 (1H, шир.с), 10,38 (1H, с), 11,99 (1H, с); ИК (твердое вещество) 1621, 1605, 1573, 1532, 1494, 1455, 1375, 1342, 1316, 1290, 1232, 1143, 1113, 985, 972; МС 453,3(М+H)+.
Пример 62 [2-(4-Аминофенилсульфанил)хиназолин-4-ил]-(5-метил-2Н-пиразол-3-ил)амин (IIa-62): Получен способом, подобным описанному выше способу Е, в виде не совсем белого твердого вещества, т.пл. >300°C; 1Н ЯМР (ДМСО) δ 2,16 (3Н, с), 5,58 (1H, с), 6,78 (2H, д), 7,36 (2H, д), 7,64 (2H, м), 7,94 (1H, т), 8,74 (1H, д), 11,82 (1H, шир.с); ИК (твердое вещество) 1615, 1591, 1561, 1532, 1495, 1480, 1387, 1363, 1344, 1288, 1244, 1148, 966; МС 349,2(М+H)+.
Пример 63 [2-(4-Ацетамидофенилсульфанил)хиназолин-4-ил]-(2Н-пиразол-3-ил)амин (IIa-63): Получен способом, подобным описанному выше способу Е, в виде белого твердого вещества, 1Н ЯМР (ДМСО) δ 2,11 (3Н, с), 5,93 (1H, с), 7,31-7,68 (8H, м), 8,54 (1H, с), 10,17 (1H, с), 10,54 (1H, с), 12,38 (1H, с); ИК (твердое вещество); МС 377,4(М+H)+.
Пример 64 (5-Метил-2Н-пиразол-3-ил)-{2-[4-(4-морфолин-4-ил-бутириламино)фенилсульфанил]хиназолин-4-ил}амин (IIa-64): Получен способом, подобным описанному выше способу Е, в виде белого твердого вещества, т.пл. 240-243°C; 1Н ЯМР (ДМСО) δ 1,77 (2H, м), 2,00 (3Н, с), 2,31-2,38 (8H, м), 3,57 (4H, м), 5,54 (1H, с), 7,39-7,76 (7H, м), 8,53 (1H, шир.м), 10,15 (1H, с), 10,41 (1H, с), 12,00 (1H, шир.с); ИК (твердое вещество); МС 504,3(М+H)+.
Пример 65 (5-Метил-2Н-пиразол-3-ил)-{2-[4-(2-морфолин-4-ил-этилкарбамоил)фенилсульфанил]хиназолин-4-ил}амин (IIa-65): Получен способом, подобным описанному выше способу Е, в виде белого твердого вещества, т.пл. 246-248°C; 1Н ЯМР (ДМСО) δ 1,97 (3Н, с), 2,43 (4H, шир.с), 3,30 (2H, с), 3,42 (2H, м), 3,58 (4H, шир.с), 5,52 (1H, с), 7,43 (1H, т), 7,55 (1H, д), 7,76 (3Н, м), 7,97 (2H, д), 8,56 (2H, м), 10,45 (1H, с), 12,05 (1H, шир.с); ИК (твердое вещество) 1637, 1618, 1596, 1568, 1530, 1484, 1396, 1362, 1343, 1286, 1247, 1216, 1159, 1116, 1006, 967; МС 490,3(М+H)+.
Пример 66 [8-Метокси-2-(4-метилсульфониламинофенилсульфанил)хиназолин-4-ил]-(5-метил-2Н-пиразол-3-ил)амин (IIa-66): Получен способом, подобным описанному выше способу Е, в виде не совсем белого твердого вещества, т.пл. 275-277°C; 1Н ЯМР (ДМСО) δ 2,10 (3H, с), 3,07 (3H, с), 3,89 (3H, с), 5,58 (1H, с), 7,24 (1H, д), 7,26-7,36 (3H, м), 7,60 (2H, д), 8,07 (1H, д), 10,13 (1H, с), 11,26 (1H, С), 12,03 (1H, с); ИК (твердое вещество) 3379, 1622, 1595, 1531, 1481, 1467, 1344, 1326, 1271, 1248, 1143, 1061, 993, 975, 924, 829; МС 457,2(М+H)+.
Пример 67 {2-[4-(2-Диметиламиноэтилкарбамоил) фенилсульфанил]хиназолин-4-ил}-(5-метил-2Н-пиразол-3-ил)амин (IIa-67): Получен способом, подобным описанному выше способу Е, в виде белого твердого вещества, т.пл. 192-193°C; 1Н ЯМР (ДМСО) δ 1,99 (3H, с), 2,20 (6H, с), 2,42 (2H, т), 3,40 (2H, кв), 5,56 (1H, с), 7,43 (1H, т), 7,57 (1H, д), 7,77 (3H, м), 7,92 (2H, д), 8,56 (2H, м), 10,44 (1H, с), 12,04 (1H,шир.с); ИК (твердое вещество) 1650, 1618, 1593, 1561, 1525, 1481, 1419, 1395, 1361, 1337, 1287, 1247; 1214, 1165, 1004, 969; МС 448,3(М+H)+.
Пример 68 {2-[4-(2-Диметиламиноацетиламино) фенилсульфанил]хиназолин-4-ил}-(5-метил-2Н-пиразол-3-ил)амин (IIa-68): Получен способом, подобным описанному выше способу Е, в виде белого твердого вещества, т.пл. 241-243°C; 1Н ЯМР (ДМСО) δ 2,00 (3H, с), 2,33 (6H, с), 3,14 (2H, с), 5,60 (1H, с), 7,40 (1H, т), 7,58 (3H, м), 7,77 (1H, т), 7,76 (2H, д), 8,58 (1H, д), 10,04 (1H, с), 10,42 (1H, с), 11,99 (1H, с); ИК (твердое вещество) 1707, 1617, 1601, 1571, 1509, 1485, 1420, 1397, 1365, 1304, 1290, 1243, 1215, 1161, 970, 847, 813, 765, 716, 683, 656; МС 434,3(М+H)+.
Пример 69 [8-Гидрокси-2-(4-метилсульфониламинофенилсульфанил)хиназолин-4-ил]-(5-метил-2Н-пиразол-3-ил)амин (IIa-69): бледно-зеленое твердое вещество, т.пл. 291-293°C; 1Н ЯМР (ДМСО) δ 2,10 (3H, с), 3,09 (3H, с), 5,57 (1H, с), 7,11 (1H, д), 7,24 (1H, т), 7,31 (2H, д), 7,62 (2H, д), 7,96 (1H, д), 9,32 (1H, с), 10,16 (1H, с), 11,28 (1H, с), 12,02 (1H, с);, ИК (твердое вещество) 3256, 1596, 1531, 1460, 1392, 1317, 1334, 1296, 1267, 1146, 993, 968, 931, 824; МС 443,2(М+H)+.
Пример 70 {2-[4-(3-Диметиламинопропилкарбамоил) фенилсульфанил]хиназолин-4-ил}-(5-метил-2Н-пиразол-3-ил)амин (IIa-67): Получен способом, подобным описанному выше способу Е, в виде розового твердого вещества, т.пл. 210-213°C, 1Н ЯМР (ДМСО) δ 1,48 (2H, м), 2,01 (3H, с), 2,24 (6H, с), 2,38 (2H, шир.с), 2,93 (2H, с), 5,57 (1H, с), 7,48 (1H, т), 7,62 (1H, д), 7,80 (3H, м), 8,02 (2H, д), 8,61 (1H, д), 8,74 (1H, с), 10,50 (1H, с), 12,15 (1H, шир.с); ИК (твердое вещество) 1682, 1618, 1595, 1567, 1528, 1484, 1400, 1361, 1344, 1285, 1247, 1219, 1172, 1084, 1006, 969; МС 462,3(М+H)+.
Пример 71 {2-[4-(3-Диметиламинопропиониламино) фенилсульфанил]хиназолин-4-ил}-(5-метил-2Н-пиразол-3-ил)амин (IIa-71): Получен способом, подобным описанному выше способу Е, в виде не совсем белого твердого вещества, т.пл. 280°C (разлож.); 1Н ЯМР (ДМСО) δ 2,09 (3H, с), 2,60 (6H, с), 2,93 (2H, м), 3,10 (2H, м), 5,64 (1H, с), 7,47 (1H, т), 7,59-7,70 (3Н, м), 7,80-7,87 (3Н, м), 8,61 (1H, д), 10,47 (1H, с), 10,48 (1H, с), 12,15 (1H, С); ИК (твердое вещество) 1670, 1619, 1598, 1586, 1571, 1534, 1515, 1481, 1397, 1364, 1348, 1286, 1178, 1162, 764; МС 448,4(М+H)+.
Пример 72 [2-(4-Ацетамидофенилсульфанил)-8-метоксихиназолин-4-ил)-(5-циклопропил-2Н-пиразол-3-ил)амин (IIa-72): Получен способом, подобным описанному выше способу Е, в виде не совсем белого твердого вещества, т.пл. 265-268°C; 1Н ЯМР (ДМСО) δ 0,49-0,56 (2H, м), 0,79-0,83 (2H, м), 1,55-1,70 (1H, м), 2,06 (3Н, с), 3,89 (3Н, с), 5,61 (1H, с), 7,25 (1H, д), 7,33 (1H, т), 7,56 (2H, д), 7,74 (2H, д), 8,07 (1H, д), 10,17 (1H, с), 10,26 (1H, с), 11,94 (1H, шир.с); ИК (твердое вещество) 3250, 1671, 1617, 1595, 1536, 1480, 1460, 1396, 1373, 1335, 1254, 1160, 1131, 1071, 1011, 984, 869, 815; МС 447,4(М+H)+.
Пример 73 [2-(4-Ацетамидофенилсульфанил)-8-(3-диметиламинопропокси)хиназолин-4-ил]-(5-метил-2Н-пиразол-3-ил)амин (IIa-73): Получен способом, подобным описанному выше способу Е, в виде не совсем белого твердого вещества, т.пл. 170-172°C; 1Н ЯМР (ДМСО) δ 1,91 (2H, квинт.), 2,03 (3Н, с), 2,09 (3H, с), 2,17 (6H, с), 2,40 (2H, т), 4,10 (2H, т), 5,59 (1H, с), 7,23 (1H, д), 7,30 (1H, т), 7,57 (2H, д), 7,73 (2H, д), 8,06 (1H, д), 10,20 (1H, с), 10,24 (1H, с), 12,02 (1H, шир.с); ИК (твердое вещество) 3234, 3108, 1675, 1614, 1592, 1531, 1484, 1395, 1371, 1338, 1316, 1253, 1161, 1137, 1062, 1038, 994, 958, 823; МС 492,4(М+H)+.
Пример 74 [2-(4-Ацетамидофенилсульфанил)-7-гидроксихиназолин-4-ил]-(5-метил-2Н-пиразол-3-ил)амин (IIa-73): Получен из IIa-40 способом Н в виде не совсем белого твердого вещества, т.пл. 246-248°C; 1Н ЯМР (ДМСО) δ 2,00 (3H, с), 2,08 (3H, с), 5,52 (1H, с), 6,78 (1H, с), 6,87 (1H, д), 7,54 (2H, д), 7,72 (2H, д), 8,37 (1H, д), 10,06 (1H, с), 10,17 (1H, с), 10,37 (H, с), 11,95 (1H, шир.с); ИК (твердое вещество) 1661, 1633, 1594, 1572, 1539, 1492, 1420, 1389, 1359, 1298, 1223, 1176, 1148, 1087, 1026, 1010, 965; МС 407,4(М+Н)+.
Пример 75 [2-(4-Ацетамидофенилсульфанил)-7-(3-диметиламинопропокси)хиназолин-4-ил]-(5-метил-2Н-пиразол-3-ил)амин (IIa-75): Получен способом, подобным описанному выше способу I, в виде не совсем белого твердого вещества, т.пл. 249-250°C; 1Н ЯМР (ДМСО) δ 1,90 (2H, квинт.), 2,01 (3H, с), 2,09 (3H, с), 2,19 (6H, с), 2,42 (2H, м), 4,12 (2H, т), 5,55 (1H, с), 6,93 (1H, с), 6,98 (1H, д), 7,55 (2H, д), 7,73 (2H, д), 8,43 (1H, д), 10,21 (1H, с), 10,23 (1H, с), 11,98 (1H, шир.с); ИК (твердое вещество) 3272, 1677, 1615, 1571, 1558, 1530, 1501, 1434, 1420, 1394, 1344, 1320, 1292, 1263, 1222, 1168, 1048, 1034, 1005, 967, 864, 844; МС 492,4(М+H)+.
Пример 76 (2-{4-[2-(трет-Бутоксикарбонилметиламино) ацетиламино]фенилсульфанил}хиназолин-4-ил)-(5-метил-2Н-пиразол-3-ил)амин (IIa-76): Получен способом, подобным описанному выше способу Е, в виде белого твердого вещества, т.пл. 228-229°C (разлож.); 1Н ЯМР (ДМСО) δ 1,37 (3H, с), 1,40 (3H, с), 2,02+2,03 (3H, 2 x с), 2,88 + 2,90 (3H, 2 x с), 4,01 + 4,02 (2H, 2 x с), 5,52 + 5,57 (1H, 2 x с), 7,47 (1H, т), 7,55-7,63 (3H, м), 7,75-7,80 (3H, м), 8,60 (1H, д), 10,28 + 10,30 (1H, 2 x с), 10,45 (1H, с), 12,08 (1H, с),; ИК (твердое вещество) 1698, 1683, 1653, 1617, 1594, 1559, 1538, 1532, 1507, 1488, 1457, 1418, 1397, 1364, 1346, 1307, 1287, 1246, 1151, 842, 827, 759; МС 520,4 (М+H)+.
Пример 77 {2-[4-(2-Метиламиноацетиламино)фенилсульфанил] хиназолин-4-ил}-(5-метил-2Н-пиразол-3-ил)амин (IIa-77): Получен способом, подобным описанному выше способу Е, в виде белого твердого вещества, т.пл. 242-244°C; 1Н ЯМР (ДМСО) δ 2,01 (3H, с), 2,34 (3H, с), 3,32 (2H, с), 5,58 (1H, с), 7,45 (1H, т), 7,50-7,60 (3H, м), 7,75 (1H, т), 7,80 (2H, д), 8,55 (1H, д), 10,10 (1H, шир.с), 10,42 (1H, с), 12,02 (1H, с); ИК (твердое вещество) 1674, 1619, 1598, 1570, 1525, 1483, 1417, 1363, 1345, 1298, 1285, 1247, 1160, 966, 827, 804, 784, 763, 712, 670, 653; МС 420,4 (М+H)+.
Пример 78 [2-(4-Ацетамидофенилсульфанил)-8-фторхиназолин-4-ил)-(5-метил-2Н-пиразол-3-ил)амин (IIa-78): Получен способом, подобным описанному выше способу Е, в виде белого твердого вещества, т.пл. 257-259°C; 1Н ЯМР (ДМСО) δ 2,01 (3H, с), 2,09 (3H, с), 5,49 (1H, с), 7,42 (1H, т), 7,57-7,68 (3H, м), 7,75 (2H, д), 8,40 (1H, д), 10,28 (1H, с), 10,75 (1H, с); 19F ЯМР (ДМСО) δ -127,3; ИК (твердое вещество) 1690, 1670, 1637, 1609, 1588, 1543, 1519, 1493, 1456, 1434, 1395, 1366, 1332, 1315, 1289, 1254, 1242, 1032, 838, 829, 808, 744; МС 409,4(М+H)+.
Пример 79 (1Н-Индазол-3-ил)-(2-фенилсульфанилхиназолин-4-ил)амин (IIa-79): Получен способом, подобным описанному выше способу Е, в виде белого твердого вещества, 1Н ЯМР (ДМСО) δ 7,07 (м, 3H), 7,19 (т, 1H), 7,37 (д, 2H), 7,39 (т, 1H), 7,52 (дд, 1H), 7,54 (т, 1H), 7,55 (д, 1H), 7,56 (т, 1H), 7,83 (т, 1H), 8,53 (д, 1H), 10,71 (с, 1H), 12,85 (с, 1H); МС 370,1 (М+H)+.
Пример 80 {2-[(2-Гидроксиэтил)фениламино]хиназолин-4-ил}-(5-метил-2Н-пиразол-3-ил)амин (IIc-1): Получен способом, подобным описанному выше способу А, в виде коричневого твердого вещества, т.пл. 217°C; 1Н ЯМР (ДМСО) δ 1,99 (3Н, с), 3,69 (2H, т), 4,05 (2H, т), 5,00 (1H, шир.с), 5,53 (1H, шир.с), 7,09 (1H, м), 7,25-7,40 (4H, м), 7,40-7,48 (2H, м), 7,54 (1H, м), 8,34 (1H, м), 10,07 (1H, с), 11,67 (1H, шир.с); ИК (твердое вещество) 3395, 3155, 3052, 2934, 1623, 1598, 1577, 1475, 1434, 1393; МС 361,2 (М+H)+.
Пример 81 [2-(Метилфениламино)хиназолин-4-ил]-(5-метил-2Н-пиразол-3-ил)амин (IIc-2): Получен способом, подобным описанному выше способу А, в виде белого твердого вещества, т.пл. 154-156°C, 1Н ЯМР (ДМСО) δ 2,03 (3H, с), 3,51 (3H, с), 5,70 (1H, с), 7,13 (1H, м), 7,36-7,25 (3Н, м), 7,48-7,37 (3Н, м), 7,58 (1H, м), 8,38 (1H, д), 9,98 (1H, с), 11,91 (1H с); ИК (твердое вещество) 1621, 1598, 1578, 1540, 1494, 1473, 1398, 1374; МС 331,0(М+H)+.
Пример 82 (5-метил-2Н-пиразол-3-ил)-{2-[N-метил-N-(пиридин-3-илметил)амино]хиназолин-4-ил}амин (IIc-3): Получен способом, подобным описанному выше способу А, в виде желтого твердого вещества, т.пл. 177°C; 1Н ЯМР (ДМСО) δ 0,45 (2H, с), 0,84 (2H, с), 1,80 (1H, с), 3,16 (3Н, с), 4,93 (2H, с), 6,18 (1H, шир.с), 7,10 (1H, т), 7,34 (2H, с), 7,55 (1H, т), 7,64 (1H, с), 8,36 (1H, д), 8,45 (1H, с), 8,52 (1H, с), 10,03 (1H, с), 12,17 (1H, с); ИК (твердое вещество) 3104, 2995, 2936, 1618, 1591, 1559, 1541, 1518, 1477, 1409, 1386, 1350, 1300, 1018, 991, 873, 827; МС 372,3 (М+H)+.
Пример 83 (5-метил-2Н-пиразол-3-ил)-(2-фениламинохиназолин-4-ил)амин (IIc-4): Получен способом, подобным описанному выше способу А, в виде белого твердого вещества, 1Н ЯМР (ДМСО @60°C) δ 2,27 (3H, с), 6,47 (1H, шир.с), 6,92 (1H, м), 7,31 (3H, м), 7,53 (1H, м), 7,70 (1H, м), 7,91 (2H, м), 8,37 (2H, д), 9,16 (1H, шир.с), 10,05 (1H, шир.с), 12,15 (1H, шир.с); ИК (твердое вещество) 1623, 1601, 1573, 1541, 1478; МС 317,0 (М+H)+.
Пример 84 (2-Бензиламинохиназолин-4-ил)-(5-метил-2Н-пиразол-3-ил)амин (IIc-5): Получен способом, подобным описанному выше способу А, в виде белого твердого вещества, т.пл. 225-227°C; 1Н ЯМР (ДМСО) δ 2,20 (3H, с), 4,62(2H, д), 7,18 (1H, с), 7,43-7,60 (8H, м), 8,22 (1H, с), 9,99 (1H, шир.с), 12,05 (1H, шир.с); ИК (твердое вещество) 1630, 1609, 1578, 1538, 1511; МС 331,0 (М+H)+.
Пример 85 (2-Циклогексиламинохиназолин-4-ил)-(5-метил-2Н-пиразол-3-ил)амин (IIc-6): Получен способом, подобным описанному выше способу А, в виде не совсем белого твердого вещества, т.пл. 280°C (разлож.); 1Н ЯМР (ДМСО) δ 1,11-1,44 (5H, м), 1,56 (1H, м), 1,71 (2H, м), 1,92 (2H, м), 2,26 (3H, с), 3,75 (1H, с), 6,63 (1H, шир.с), 7,04 (1H, с), 7,28 (1H, с), 7,51 (1H, м), 8,26 (1H, с), 9,97 (1H, шир.с), 12,08 (1H, шир.с), 12,75 (1H, шир.с); ИК (твердое вещество) 2927, 2853, 1619, 1596, 1569, 1522, 1482; МС 323,0 (М+H)+.
Пример 86 [2-(2,3-Дигидробензо[1,4]диоксин-6-иламино)хиназолин-4-ил]-(5-метил-2Н-пиразол-3-ил)амин (IIc-7): Получен способом, подобным описанному выше способу А, в виде не совсем зеленого твердого вещества, т.пл. >250°C; 1Н ЯМР (ДМСО) δ 2,23 (3H, с), 4,15 (4H, м), 6,32 (1H, шир.с), 6,76 (1H, д), 7,16 (1H, т), 7,22 (1H, дд), 7,39 (1H, д), 7,57 (1H, т), 7,66 (1H, с), 8,34 (1H, д), 9,07 (1H, шир.с), 10,20 (1H, шир.с), 12,15 (1H, шир.с); ИК (твердое вещество) 3445, 3045, 2968, 2927, 2868, 1618, 1595, 1577, 1559, 1509, 1441, 1377, 1073; МС 375,1 (М+H)+.
Пример 87 (2-Циклогексилметиламинохиназолин-4-ил)-(5-метил-2Н-пиразол-3-ил)амин (IIc-8): Получен способом, подобным описанному выше способу А, в виде белого твердого вещества, т.пл. 211°С; 1Н ЯМР (ДМСО) δ 0,85-1,30 (5H, м), 1,50-1,85 (6H, м), 2,22 (3H, с), 3,19 (2H, с), 6,50-7,00 (1H, шир.с), 7,06 (1H, шир.с), 7,29 (1H, шир.с), 7,51 (1H, т), 8,26 (1H, шир.с), 9,97 (1H, шир.с), 12,04 (1H, шир.с), 12,75 (1H, шир.с); ИК (твердое вещество) 3333, 2927, 2850, 2831, 1627, 1609, 1577, 1540, 1508, 1449, 1422, 1340, 988; МС 337,4 (М+H)+.
Пример 88 [2-(1Н-Индазол-6-иламино)хиназолин-4-ил]-(5-метил-2Н-пиразол-3-ил)амин (IIc-9): Получен способом, подобным описанному выше способу А, в виде не совсем белого твердого вещества, т.пл. >250°C; 1Н ЯМР (ДМСО) δ 2,24 (3H, с), 5,93 и 6,89 (1H, 2 x шир.с), 7,05-8,15 (6H, м), 8,25-8,90 (2H, м), 9,25 и 9,97 (1H, 2 x шир.с), 10,11 и 10,57 (1H, 2 x шир.с), 12,15 и 12,80 (2H, 2 x шир.с); ИК (твердое вещество) 3456, 3315, 2923, 1613, 1600, 1577, 1549, 1467; МС 357,1 (М+H)+.
Пример 89 (5-метил-2Н-пиразол-3-ил)-[2-(пиридин-3-илметиламино)хиназолин-4-ил]амин (IIc-10): Получен способом, подобным описанному выше способу А, в виде не совсем белого твердого вещества, т.пл. 218°C; 1Н ЯМР (ДМСО) δ 2,20 (3H, с), 4,59 (2H, с), 6,30 (1H, шир.с), 7,10 (1H, с), 7,33 (2H, с), 7,54 (1H, с), 7,78 (1H, с), 8,31 (1H, с), 8,43 (1H, с), 8,61 (1H, с), 10,0 (1H, шир.с), 12,15 (1H, шир.с); ИК (твердое вещество) 3308, 2945, 2919, 2858, 1623, 1593, 1577, 1552, 1501, 1475, 1449, 1383; МС 332,1(М+H)+.
Пример 90 [2-(3-Хлорфениламино)хиназолин-4-ил]-(5-метил-2Н-пиразол-3-ил)амин (IIc-11): Получен способом, подобным описанному выше способу А, в виде не совсем белого твердого вещества, т.пл. >250°C, 1Н ЯМР (ДМСО) δ 2,29 (3Н, с), 5,30-6,98 (1H, м), 6,96 (1H, с), 7,28 (2H, с), 7,51 (1H, с), 7,67 (1H, с), 7,77 (1H, с), 8,23 (1H, с), 8,46 (1H, с), 9,35 и 10,00 (1H, 2 x шир.с), 10,14 и 10,64 (1H, 2 x шир.с), 12,20 и 12,82 (1H, 2 x шир.с); ИК (твердое вещество) 3447, 3078, 2945, 2914, 2863, 1618, 1600, 1572, 1549, 1472, 1440, 1403, 1372; МС 351,1(М+H)+.
Пример 91 [2-(4-Хлорфениламино)хиназолин-4-ил]-(5-метил-2Н-пиразол-3-ил)амин (IIc-12): Получен способом, подобным описанному выше способу А, в виде не совсем белого твердого вещества, т.пл. >250°C; 1Н ЯМР (ДМСО) δ 2,27 (3Н, с), 5,20-6,80 (1H, м), 7,26 (1H, с), 7,33 (2H, с), 7,51 (1H, с), 7,66 (1H, с), 7,99 (2H, д), 8,42 (1H, с), 9,29 и 9,93 (1H, 2 x шир.с), 10,13 и 10,55 (1H, 2 x шир.с), 12,19 и 12,81 (1H, 2 x шир.с), ИК (твердое вещество) 3439, 3057, 2957, 1618, 1600, 1586, 1572, 1550, 1504, 1486, 1431, 1413, 1367; МС 351,1(М+H)+.
Пример 92 [2-(4-Фторбензиламино)хиназолин-4-ил]-(5-метил-2Н-пиразол-3-ил)амин (IIc-13): Получен способом, подобным описанному выше способу А, в виде белого твердого вещества, т.пл. 216°C; 1Н ЯМР (ДМСО) δ 2,20 (3Н, с), 4,56 (2H, д), 6,30 (1Н, шир.с), 7,05-7,20 (3Н, м), 7,31 (1Н, д), 7,42 (2H, с), 7,54 (1Н, т), 8,32 (1Н, с), 10,01 и 10,34 (1H, 2 x шир.с), 12,09 и 12,75 (1Н, 2 x шир.с); ИК (твердое вещество) 3333, 2854, 1632, 1609, 1577, 1536, 1508, 1367; МС 349,3(М+H)+.
Пример 93 {2-[2-(2-Гидроксиэтил)фениламино]хиназолин-4-ил}-(5-метил-2Н-пиразол-3-ил)амин (IIc-14): Получен способом, подобным описанному выше способу А, в виде белого твердого вещества, т.пл. 222°C; 1Н ЯМР (ДМСО) δ 2,09 (3Н, с), 2,80 (2H, т), 3,61 (2H, т), 4,87 (1Н, шир.с), 5,85 (1Н, шир.с), 7,30-7,53 (5H, м), 7,63 (1Н, д), 7,86 (1Н, т), 8,68 (1Н, д), 10,11 (1Н, шир.с), 11,55 (1Н, шир.с), 12,49 (1Н, шир.с), 13,50 (1Н, шир.с); ИК (твердое вещество) 3193, 3171, 3111, 3084, 1636, 1577, 1559, 1509, 1486, 1413, 1340, 1058; МС 361,3(М+H)+.
Пример 94 [2-(4-Цианметилфениламино)хиназолин-4-ил]-(5-метил-2Н-пиразол-3-ил)амин (IIc-15): Получен способом, подобным описанному выше способу А, в виде не совсем белого твердого вещества, т.пл. >250°C; 1Н ЯМР (ДМСО) δ 2,23 (3Н, с), 4,09 (2H, с), 6,28 (1Н, шир.с), 7,41 (2H, д), 7,48 (1Н, т), 7,57-7,63 (3Н, м), 7,87 (1Н, т), 10,70 (1Н, с), 11,56 (1Н, с), 12,63 (1Н, шир.с), 13,25 (1Н, шир.с); ИК (твердое вещество) 3294, 3271, 3093, 1641, 1586, 1568, 1550, 1513, 1481, 1413, 1336, 1158, 999; МС 356,2(М+H)+.
Пример 95 [2-(3-Гидроксиметилфениламино)хиназолин-4-ил]-(5-метил-2Н-пиразол-3-ил)амин (IIc-16): Получен способом, подобным описанному выше способу А, в виде не совсем белого твердого вещества, т.пл. >250°C; 1Н ЯМР (ДМСО) δ 2,20 (3Н, с), 4,53 (2H, с), 5,22 (1Н, шир.с), 6,31 (1Н, шир.с), 7,24 (1Н, д), 7,33-7,53 (4H, м), 7,61 (1Н, д), 7,86 (1Н, т), 8,67 (1H, д), 10,61 (1H, шир.с), 11,52 (1H, шир.с), 12,59 (1H, шир.с), 13,10 (1H, шир.с); ИК (твердое вещество) 3401, 3209, 3108, 3071, 2975, 2916, 1632, 1609, 1595, 1554, 1485, 1421, 1371, 1348, 1046, 1005, 813; МС 347,3 (М+H)+.
Пример 96 [2-(3-Гидроксифениламино)хиназолин-4-ил]-(5-метил-2Н-пиразол-3-ил)амин (IIc-17): Получен способом, подобным описанному выше способу А, в виде белого твердого вещества, т.пл. >250°C; 1Н ЯМР (ДМСО) δ 2,22 (3H, с), 6,42 (1H, шир.с), 6,72 (1H, д), 6,97 (2H, с), 7,21 (1H, т), 7,47 (1H, т), 7,60 (1H, д), 7,85 (1H, т), 8,67 (1H, д), 9,76 (1H, с), 10,53 (1H, с), 11,53 (1H, с), 12,58 (1H, шир.с), 12,99 (1H, шир.с); ИК (твердое вещество) 3354, 3027, 2893, 2817, 1654, 1588, 1541, 1490, 1436, 1418, 1332, 1154, 1004; МС 333,2 (М+H)+.
Пример 97 (5-Циклопропил-2Н-пиразол-3-ил)-(2-фениламинохиназолин-4-ил)амин (IIc-18): Получен способом, подобным описанному выше способу А, в виде не совсем белого твердого вещества, т.пл. 234°C, 1Н ЯМР (ДМСО) δ 0,74 (2H, с), 0,92 (2H, с), 1,91 (1H, с), 5,83 и 6,54 (1H, 2 x шир.с), 6,94 (1H, т), 7,30 (3H, м), 7,50 (1H, с), 7,65 (1H, с), 7,91 (2H, д), 8,27 (1H, с), 9,13 и 9,77 (1H, 2 x шир.с), 10,07 и 10,52 (1H, 2 x шир.с), 12,19 и 12,82 (1H, 2 x шир.с); ИК (твердое вещество) 3443, 1622, 1595, 1577, 1554, 1486, 1449, 1413, 1376, 1340, 1235, 1171, 988, 806; МС 343,2 (М+H)+.
Пример 98 (5-Циклопропил-2Н-пиразол-3-ил)-[2-(3-метилфениламино)хиназолин-4-ил]амин (IIc-19): Получен способом, подобным описанному выше способу А, в виде не совсем белого твердого вещества, т.пл. 117°C; 1Н ЯМР (ДМСО) δ 0,72 (2H, с), 0,92 (2H, с), 1,90 (1H, м), 2,32 (3H, с), 6,20 (1H, шир.с), 6,80 (1H, д), 7,20 (1H, т), 7,27 (1H, шир.с), 7,51 (1H, шир.с), 7,55-7,85 (3H, м), 8,43 (1H, шир.с), 9,50 (1H, шир.с), 10,44 (1H, с), 12,55 (1H, шир.с); ИК (твердое вещество) 3303, 1618, 1581, 1554, 1536, 1495, 1472, 1436, 1413, 1372, 1336, 1240, 990; МС 357,4 (М+H)+.
Пример 99 (5-Циклопропил-2Н-пиразол-3-ил)-[2-(6-метоксипиридин-3-иламино)хиназолин-4-ил]амин (IIc-20): Получен способом, подобным описанному выше способу А, в виде розового твердого вещества, т.пл. 120°C; 1Н ЯМР (ДМСО) δ 0,72 (2H, с), 0,91 (2H, с), 1,89 (1H, м), 3,85 (3H, с), 6,20 (1H, шир.с), 6,82 (1H, д), 7,25 (1H, с), 7,48 (1H, м), 7,66 (1H, т), 8,13 (1H, шир.с), 8,42 (1H, шир.с), 8,61 (1H, шир.с), 9,50 (1H, шир.с), 10,48 (1H, шир.с), 12,55 (1H, шир.с); ИК (твердое вещество) 3457, 3439, 1622, 1604, 1577, 1554, 1481, 1422, 1386, 1363, 1272, 1235, 1035, 985, 821; МС 374,2 (М+H)+.
Пример 100 (5-Циклопропил-2Н-пиразол-3-ил)-[2-(индан-5-ил-амино)хиназолин-4-ил]амин (IIc-21): Получен способом, подобным описанному выше способу А, в виде бледно-коричневого твердого вещества, т.пл. 199-204°C; 1Н ЯМР (ДМСО) δ 0,69 (2H, шир.с), 0,91 (2H, шир.с), 1,90 (1H, м), 2,02 (2H, м), 2,68 (1H, м), 2,83 (3H, м), 6,46 (1H, шир.с), 7,18 (1H, д), 7,26 (1H, шир.с), 7,50 (1H, д), 7,67 (1H, т), 7,75 (1H, шир.с), 8,45 (1H, шир.с), 9,70 (1H, шир.с), 10,60 (1H, шир.с), 12,30 и 12,80 (1H, 2 x шир.с); ИК (твердое вещество) 1621, 1601, 1572, 1552, 1495, 1474, 1439, 1425, 1408, 1382, 1363, 1319, 1267; МС 383,3(М+H)+.
Пример 101 (5-Циклопропил-2Н-пиразол-3-ил)-[2-(1Н-индол-6-иламино)хиназолин-4-ил]амин (IIc-22): Получен способом, подобным описанному выше способу А, в виде темно-коричневого твердого вещества, т.пл. >300°C; 1Н ЯМР (ДМСО) δ 0,69 (2H, шир.с), 0,89 (2H, шир.с), 1,88 (1H, м), 5,77 и 6,74 (1H, 2 x шир.с), 6,35 (1H, с), 7,22 (3H, шир.с), 7,45 (2H, д), 7,65 (1H, с), 8,35 (2H, шир.с), 8,86, 9,70 и 10,01 (1H, 3×шир.с), 10,49, 12,12 и l2,84 (1H, 3 x шир.с), 10,94 (с, 1H); ИК (твердое вещество) 1623, 1603, 1571, 1549, 1495, 1477, 1460, 1419, 1383, 1336, 1264, 1250, 1238; МС 382,4(М+H)+.
Пример 102 [2-(4-Ацетамидо-3-метилфениламино)хиназолин-4-ил]-(5-циклопропил-2Н-пиразол-3-ил)амин (IIc-23): Получен способом, подобным описанному выше способу А, в виде не совсем белого твердого вещества, т.пл. >188°C (разлож.); 1Н ЯМР (ДМСО) δ 0,72 (2H, шир.с), 0,94 (2H, шир.с), 1,92 (1H, м), 2,03 (3H, с), 2,19 (3H, с), 5,80 и 6,69 (1H, 2 x шир.с), 7,22 (2H, шир.с), 7,49 (1H, шир.с), 7,70 (3H, м), 8,35 (1H, шир.с), 9,01, 9,59 и 10,01 (1H, 3 x шир.с), 9,19 (1H, с), 10,53, 12,16 и 12,81 (1H, 3 x шир.с); ИК (твердое вещество) 1637, 1624, 1578, 1542, 1502, 1474, 1428, 1403, 1343, 1320, 1307, 1250; МС 414,4(М+H)+.
Пример 103 [2-(4-Хлор-3-метилфениламино)хиназолин-4-ил]-(5-циклопропил-2Н-пиразол-3-ил)амин (IIc-24): Получен способом, подобным описанному выше способу А, в виде бледно-коричневого твердого вещества, т.пл. 244-246°C; 1Н ЯМР (ДМСО) δ 0,69 (2H, шир.с), 0,94 (2H, шир.с), 1,91 (1H, м), 2,32 (3H, с), 5,89 и 6,63 (1H, 2 x шир.с), 7,28 (2H, м), 7,49 (1H, м), 7,65 (1H, м), 7,80 (1H, шир.с), 7,86 (1H, с), 8,40 (1H, шир.с), 9,17, 9,81 и 10,06 (1H, 3 x шир.с), 10,58, 12,19 и 12,78 (1H, 3 x шир.с); ИК (твердое вещество) 1615, 1578, 1549, 1475, 1419, 1397, 1365, 1331, 1296, 1261, 1238, 1187, 1139; МС 391,4(М+H)+.
Пример 104 (5-Циклопропил-2Н-пиразол-3-ил)-[2-(4-этилфениламино)хиназолин-4-ил]амин (IIc-25): Получен способом, подобным описанному выше способу А, в виде бледно-коричневого твердого вещества, т.пл. 250-251°C; 1Н ЯМР (ДМСО) δ 0,72 (2H, шир.с), 0,91 (2H, шир.с), 1,19 (3Н, т), 1,91 (1H, м), 2,58 (2H, кв), 5,81 и 6,64 (1H, 2 x шир.с), 7,15 (2H, д), 7,22 (1H, с), 7,47 (1H, с), 7,64 (1H, с), 7,78 (2H, с), 8,36 (1H, шир.с), 9,03, 9,66 и 10,05 (1H, 3 x шир.с), 10,49, 12,20 и 12,80 (1H, 3 x шир.с); ИК (твердое вещество) 1603, 1574, 1546, 1509, 1497, 1474, 1439, 1417, 1386; МС 371,5(М+H)+.
Пример 105 (5-Циклопропил-2Н-пиразол-3-ил)-[2-(4-пропилфениламино)хиназолин-4-ил]амин (IIc-26): Получен способом, подобным описанному выше способу А, в виде не совсем белого твердого вещества, т.пл. 255-256°C; 1Н ЯМР (ДМСО) δ 0,72 (2H, шир.с), 0,91 (5H, т), 1,60 (2H, м), 1,90 (1H, м), 2,58 (2H, кв), 5,81 и 6,63 (1H, 2 x шир.с), 7,12 (2H, д), 7,21 (1H, с), 7,47 (1H, с), 7,63 (1H, с), 7,77 (2H, с), 8,36 (1H, шир.с), 9,01, 9,70 и 10,11 (1H, 3x шир.с), 10,51, 12,17 и 12,80 (1H, 3 x шир.с); ИК (твердое вещество) 1595, 1571, 1545, 1499, 1477, 1442, 1413, 1388; МС 385,6(М+H)+.
Пример 106 (5-Циклопропил-2Н-пиразол-3-ил)-{2-[4-(2-гидроксиэтил)фениламино]хиназолин-4-ил}амин (IIc-27): Получен способом, подобным описанному выше способу А, в виде бледно-коричневого твердого вещества, т.пл. 255-256°C; 1Н ЯМР (ДМСО) δ 0,73 (2H, шир.с), 0,91 (5H, т), 1,90 (1H, м), 2,69 (2H, т), 3,60 (2H, кв), 4,62 (1H, т), 5,81 и 6,65 (1H, 2 x шир.с), 7,15 (2H, д), 7,22 (1H, с), 7,46 (1H, с), 7,63 (1H, с), 7,77 (2H, с), 8,36 (1H, шир.с), 9,05, 9,69 и 10,02 (1H, 3 x шир.с), 10,52, 12,17 и 12,79 (1H, 3 x шир.с); ИК (твердое вещество) 1632, 1569, 1546, 1483, 1452, 1434, 1402, 1371, 1267, 1231; МС 387,4 (М+H)+.
Пример 107 (5-Циклопропил-2Н-пиразол-3-ил)-(2-фенетиламинохиназолин-4-ил)амин (IIc-28): Получен способом, подобным описанному выше способу А, в виде белого твердого вещества, т.пл. >250°C; 1Н ЯМР (ДМСО) δ 0,66 (2H, м), 0,84 (2H, м), 1,83 (1H, м), 2,90 (2H, т), 3,56 (2H, м), 6,29 (1H, шир.с), 7,01 (1H, т), 7,12-7,38 (6H, м), 7,48 (1H, т), 8,42 (1H, с), 10,91 (1H, шир.с), 13,11 (1H, шир.с); ИК (твердое вещество) 2922, 1650, 1627, 1577, 1550, 1500, 1482, 1395, 1368, 1004, 832; МС 371,3(М+H)+.
Пример 108 [2-(2-Циклогексилэтиламино)хиназолин-4-ил]-(5-циклопропил-2Н-пиразол-3-ил)амин (IIc-29): Получен способом, подобным описанному выше способу А, в виде белого твердого вещества, т.пл. >250°C; 1Н ЯМР (ДМСО) δ 0,70 (2H, с), 0,80-1,00 (4H, м), 1,05-1,30 (4H, м), 1,30-1,50 (3Н, м), 1,55-1,80 (5H, м), 1,87 (1H, с), 5,40-6,70 (2H, шир.с), 7,04 (1H, с), 7,25 (1H, с), 7,49 (1H, с), 8,25 (1H, с), 10,06 (1H, шир.с), 11,93 (1H, шир.с); ИК (твердое вещество) 3448, 2920, 2852, 1618, 1600, 1568, 1550, 1486, 1418, 1395, 1367, 1258, 1008, 985; МС 377,4(М+H)+.
Пример 109 [2-(4-Карбоксиметоксифениламино)хиназолин-4-ил]-(5-циклопропил-2Н-пиразол-3-ил)амин (IIc-30): Получен способом, подобным описанному выше способу А, в виде желтого твердого вещества, т.пл. >250°C; 1Н ЯМР (ДМСО) δ 0,72 (2H, м), 0,91 (2H, м), 1,90 (1H, м), 4,62 (2H, с), 6,24 (1H, с), 6,88 (2H, с), 7,21 (1H, м), 7,45 (1H, м), 7,62 (1H, м), 7,78 (2H, м), 8,35 (1H, м), 9,31 (1H, с), 10,25 (1H, с), 11,70 (1H, шир.с); ИК (твердое вещество) 1663, 1595, 1563, 1509, 1422, 1331, 1240, 1176, 1053, 999; МС 417,3(М+H)+.
Пример 110 [2-(4-Цианметилфениламино)хиназолин-4-ил]-(5-циклопропил-2Н-пиразол-3-ил)амин (IIc-31): Получен способом, подобным описанному выше способу А, в виде белого твердого вещества, т.пл. 222°C; 1Н ЯМР (ДМСО) δ 0,74 (2H, м), 0,93 (2H, м), 1,92 (1H, м), 3,97 (2H, с), 5,82 и 6,65 (1H, 2 x шир.с), 7,29 (3H, м), 7,50 (1H, м), 7,66 (1H, м), 7,92 (2H, м), 8,39 (1H, м), 9,21 и 9,85 (1H, 2 x шир.с), 9,90 и 10,56 (1H, 2 x с), 12,19 и 12,80 (1H, 2 x шир.с); ИК (твердое вещество) 1641, 1622, 1595, 1581, 1554, 1513, 1486, 1463, 1408, 1372, 985, 821; МС 382,3(М+H)+.
Пример 111 [2-(Бензотиазол-6-иламино)хиназолин-4-ил]-(5-циклопропил-2Н-пиразол-3-ил)амин (IIc-32): Получен способом, подобным описанному выше способу А, в виде не совсем белого твердого вещества, т.пл. 255-256°C; 1Н ЯМР (ДМСО) δ 0,73 (2H, м), 0,92 (2H, м), 1,92 (1H, м), 5,83 и 6,63 (1H, 2 x шир.с), 7,27 (1H, шир.с), 7,59 (1H, шир.с), 7,68 (1H, шир.с), 7,79 (1H, шир.с), 7,98 (1H, шир.с), 8,41 (1H, шир.с), 8,97 (1H, шир.с), 9,19 (1H, с), 9,58 и 10,10 (1H, 2 x шир.с), 10,57, 12,21 и 12,85 (1H, 3 x шир.с); ИК (твердое вещество) 1624, 1592, 1575, 1512, 1472, 1411, 1377, 1333, 1244; МС 400,3(М+H)+.
Пример 112 (5-Циклопропил-2Н-пиразол-3-ил)-[2-(3,4-диметилфениламино)хиназолин-4-ил]амин (IIc-33): Получен способом, подобным описанному выше способу А, в виде белого твердого вещества, т.пл. 245-246°C; 1Н ЯМР (ДМСО) δ 0,72 (2H, шир.с), 0,90 (2H, шир.с), 1,90 (1H, м), 2,18 (3H, с), 2,23 (3H, с), 5,77 и 6,63 (1H, 2 x шир.с), 7,09 (1H, д), 7,23 (1H, шир.с), 7,47 (1H, шир.с), 7,59 (1H, шир.с), 7,64 (1H, шир.с), 8,36 (1H, шир.с), 9,02, 9,55 и 10,07 (1H, 3 x шир.с), 10,49, 12,31 и 12,80 (1H, 3 x шир.с); ИК (твердое вещество) 1620, 1600, 1574, 1552, 1497, 1474, 1436, 1416, 1385, 1262; МС 371,5(М+H)+.
Пример 113 (5-Циклопропил-2Н-пиразол-3-ил)-[2-(2-феноксиэтиламино)хиназолин-4-ил]амин (IIc-34): Получен способом, подобным описанному выше способу А, в виде белого твердого вещества, т.пл. 203°C; 1Н ЯМР (ДМСО) δ 0,70 (2H, м), 0,88 (2H, м), 1,87 (1H, м), 3,73 (2H, д), 4,16 (2H, с), 5,75 и 6,70 (1H, 2 x шир.с), 6,93 (1H, т), 6,90-7,20 (3Н, м), 7,20-7,45 (3Н, м), 7,55 (1H, с), 7,76 (1H, шир.с), 8,32 (1H, с), 9,95 и 10,35 (1H, 2 x с), 12,13 и 12,75 (1H, 2 x шир.с); ИК (твердое вещество) 3434, 1622, 1600, 1572, 1554, 1499, 1476, 1422, 1399, 1385, 1303, 1267, 1226, 1212, 1052, 829; МС 387,4(М+H)+.
Пример 114 (5-Циклопропил-2Н-пиразол-3-ил)-[2-(тиофен-2-метиламино)хиназолин-4-ил]амин (IIc-35): Получен способом, подобным описанному выше способу А, в виде белого твердого вещества, т.пл. 212°C; 1Н ЯМР (ДМСО) δ 0,67 (2H, м), 0,90 (2H, м), 1,86 (1H, м), 4,74 (2H, д), 5,76 и 6,66 (1H, 2 x шир.с), 6,95 (1H, с), 6,90-7,20 (2H, м), 7,20-8,45 (5H, м), 9,94 и 10,40 (1H, 2 x с), 12,13 и 12,71 (1H, 2 x шир.с); ИК (твердое вещество) 3444, 2948, 2847, 1622, 1600, 1559, 1500, 1481, 1418, 1390, 1358, 1336, 1313, 1263, 1217, 1185, 1149, 990, 821; МС 363,4(М+H)+.
Пример 115 [2-(4-Карбоксиметилфениламино)хиназолин-4-ил]-(5-циклопропил-2Н-пиразол-3-ил)амин (IIc-36): Получен способом, подобным описанному выше способу А, в виде коричневого твердого вещества, т.пл. >210°C (разлож.); 1Н ЯМР (ДМСО) δ 0,64 (2H, шир.с), 0,92 (2H, м), 1,92 (1H, м), 3,50 (2H, с), 5,76 и 6,54 (1H, 2 x с), 7,19 (1H, с), 7,24 (1H, м), 7,49 (1H, д), 7,64 (1H, т), 7,84 (2H, д), 8,37 (1H, м), 10,27 и 12,25 (1H, 2 x шир.с); ИК (твердое вещество) 1648, 1591, 1555, 1512, 1489, 1428, 1411, 1374; МС 401,4(М+H)+.
Пример 116 (5-Циклопропил-2Н-пиразол-3-ил)-[2-(1Н-индазол-5-иламино)хиназолин-4-ил]амин (IIc-37): Получен способом, подобным описанному выше способу А, в виде пурпурного твердого вещества, т.пл. 268-271°C; 1Н ЯМР (ДМСО) δ 0,69 (2H, шир.с), 0,90 (2H, м), 1,88 (1H, м), 5,86 и 6,58 (1H, 2 x с), 7,22 (1H, с), 7,61 (1H, с), 7,71 (2H, м), 8,01 (1H, с), 8,37 (2H, с), 8,58, 9,05 и 9,58 (1H, 3 x шир.с), 10,01, 10,68 и 12,38 (1H, 3 x шир.с), 12,90 (1H, с); ИК (твердое вещество) 1626, 1605, 1576, 1546, 1512, 1495, 1476, 1447, 1431, 1416, 1393, 1261, 1224; МС 383,3(М+Н)+.
Пример 117 (5-Циклопропил-2Н-пиразол-3-ил)-[2-(пиридин-3-илметиламино)хиназолин-4-ил]амин (IIc-38): Получен способом, подобным описанному выше способу А, в виде желтого твердого вещества, т.пл. 193°C; 1Н ЯМР (ДМСО) δ 0,69 (2H, м), 0,89 (2H, м), 1,86 (1H, м), 4,60 (2H, с), 5,76, 6,22 и 6,66 (1H, 3 x шир.с), 7,10 (1H, с), 7,33 (2H, с), 7,54 (1H, с), 7,78 (1H, с), 8,31 (1H, с), 8,44 (1H, с), 8,61 (1H, с), 10,00 и 10,32 (1H, 2 x с), 12,15 и 12,63 (1H, 2 x шир.с); ИК (твердое вещество) 2927, 2850, 1623, 1600, 1577, 1536, 1477, 1418, 1332, 1254, 814; МС 358,3(М+H)+.
Пример 118 (5-Циклопропил-2Н-пиразол-3-ил)-[2-(3-метоксикарбонилфениламино)хиназолин-4-ил]амин (IIc-39): Получен способом, подобным описанному выше способу А, в виде белого твердого вещества, т.пл. 228-231°C; 1Н ЯМР (ДМСО) δ 0,73 (2H, шир.с), 0,91 (2H, м), 1,92 (1H, м), 3,88 (3Н, с), 5,99 и 6,79 (1H, 2 x с), 7,27 (1H, с), 7,46 (3Н, м), 7,68 (1H, с), 8,36 (1H, д), 8,48 (2H, с), 9,36, 9,84 и 10,00 (1H, 3 x шир.с), 10,63, 12,17 и 12,79 (1H, 3 x шир.с); ИК (твердое вещество) 1716, 1615, 1591, 1579, 1557, 1473, 1432, 1416, 1379, 1334, 1298, 1276, 1226, 1191, 1142, 1110, 1020, 985; МС 401,3(М+H)+.
Пример 119 [2-(3-Карбоксифениламино)хиназолин-4-ил]-(5-циклопропил-2Н-пиразол-3-ил)амин (IIc-40): Получен способом, подобным описанному выше способу А, в виде не совсем белого твердого вещества, т.пл. 298-302°C; 1Н ЯМР (ДМСО) δ 0,73 (2H, шир.с), 0,91 (2H, м), 1,90 (1H, м), 7,26 (1H, с), 7,35 (1H, т), 7,50 (2H, д), 7,66 (1H, т), 8,31 (2H, м), 8,41 (1H, д); ИК (твердое вещество) 1661, 1597, 1578, 1558, 1517, 1486, 1424, 1385; МС 387,3(М+H)+.
Пример 120 (5-Циклопропил-2Н-пиразол-3-ил)-[2-(3-этилфениламино)хиназолин-4-ил]амин (IIc-41): Получен способом, подобным описанному выше способу А, в виде не совсем белого твердого вещества, т.пл. 186-l88°C; 1Н ЯМР (ДМСО) δ 0,73 (2H, шир.с), 0,91 (2H, шир.с), 1,22 (3Н, т), 1,90 (1H, м), 2,62 (2H, д), 5,81 и 6,70 (1H, 2 x шир. с), 6,78 (1H, д), 7,20 (2H, с), 7,48 (1H, с), 7,65 (1H, с), 7,69 (1H, с), 7,81 (1H, с), 8,38 (1H, шир.с), 9,03, 9,74 и 10,03 (1H, 3 x шир.с), 10,55, 12,16 и 12,82 (1H, 3 x шир.с); ИК (твердое вещество) 1614, 1580, 1549, 1534, 1493, 1471, 1433, 1409, 1374, 1340, 1240, 1182, 1165, 1138; МС 371,3(М+H)+.
Пример 121 (5-Циклопропил-2Н-пиразол-3-ил)-[2-(2,3-диметилфениламино)хиназолин-4-ил]амин (IIc-42): Получен способом, подобным описанному выше способу А, в виде не совсем белого твердого вещества, т.пл. 241-242°C; 1Н ЯМР (ДМСО) δ 0,58 (2H, шир.с), 0,86 (2H, д), 1,77 (1H, шир.с), 2,11 (3H, шир.с), 2,28 (3H, с), 5,77 и 6,14 (1H, 2 x шир.с,), 7,01 (1H, с), 7,11 (1H, т), 7,22 (1H, шир.с), 7,29 (1H, д), 7,56 (1H, с), 8,36 (1H, шир.с), 8,49, 8,,98 и 9,98 (1H, 3 x шир.с), 10,48, 12,04 и 12,68 (1H, 3 x шир.с); ИК (твердое вещество) 1622, 1603, 1573, 1552, 1495, 1471, 1440, 1428, 1412, 1384, 1268; МС 371,4(М+Н)+.
Пример 122 (5-Циклопропил-2Н-пиразол-3-ил)-[2-(3,4-диметоксифениламино)хиназолин-4-ил]амин (IIc-43): Получен способом, подобным описанному выше способу А, в виде серого твердого вещества, т.пл. 144°C; 1Н ЯМР (ДМСО) δ 0,69 (2H, с), 0,86 (2H, д), 1,89 (1H, м), 3,61 (3H, с), 3,67 (3H, с), 5,76 (1H, шир.с), 6,12 (1H, д), 6,31 (1H, с), 6,66 (1H, д), 6,94 (1H, д), 7,27 (1H, т), 7,50 (1H, д), 7,68 (1H, т), 8,45 и 9,36 (1H, шир.с, ротамеры), 9,42 и 10,54 (1H, с, ротамеры), 12,29 и 12,82 (1H, шир.с, ротамеры); ИК (твердое вещество) 3331, 3000, 2959, 2931, 2836, 1627, 1604, 1577, 1536, 1509, 1463, 1441, 1418, 1336, 1259, 1232, 1200, 1027; МС 403,8,(М+H)+.
Пример 123 (5-Циклопропил-2Н-пиразол-3-ил)-[2-(3-метоксифениламино)хиназолин-4-ил]амин (IIc-44): Получен способом, подобным описанному выше способу А, в виде серого твердого вещества, т.пл. 207-21l°C; 1Н ЯМР (ДМСО) δ 0,73 (2H, шир.с), 0,91 (2H, шир.с), 1,91 (1H, м), 3,77 (3H, с), 5,81 и 6,71 (1H, 2 x шир.с), 6,53 (1H, д), 7,19-7,85 (7H, м), 8,34 (1H, с), 9,08, 9,79 и 10,06 (1H, 3×шир.с), 10,56, 12,16 и 12,82 (1H, 3×шир.с); ИК (твердое вещество) 1611, 1580, 1549, 1533, 1498, 1477, 1430, 1409, 1374, 1337, 1253, 1204, 1180, 1157, 1141, 1041, 1030, 992; МС 373,7(М+H)+.
Пример 124 (5-Метил-2Н-пиразол-3-ил)-(2-фениламино-5,6,7,8-тетрагидрохиназолинин-4-ил]амин (IIc-45): Получен способом, подобным описанному выше способу С.
Пример 125 [2-(Бифенил-3-иламино)хиназолин-4-ил]-(5-циклопропил-2Н-пиразол-3-ил)амин (IIc-46): Получен способом, подобным описанному выше способу А, в виде бледно-коричневого твердого вещества, т.пл. 153°C; 1Н ЯМР (ДМСО) δ 0,73 (2H, с), 0,90 (2H, д), 1,89 (1H, м), 5,83 и 6,70 (1H, шир.с, ротамеры), 7,25 (2H, д), 7,32 (2H, м), 7,50 (3Н, т), 7,68 (3Н, м), 8,00 (1H, д), 8,22 (1H, шир.с), 8,40 (1H, шир.с), 9,20 и 9,89 (1H, шир.с, ротамеры), 10,06 и 10,46 (1H, с, ротамеры), 12,17 и 12,84 (1H, шир.с, ротамеры); ИК (твердое вещество) 3333, 1627, 1609, 1581, 1540, 1504, 1472, 1449, 1426, 1335, 1248, 1216, 1102, 988, 819; МС 419,3(М+H)+.
Пример 126 (5-Циклопропил-2Н-пиразол-3-ил)-[2-(3-фенилпроп-1-иламино)хиназолин-4-ил]амин (IIc-47): Получен способом, подобным описанному выше способу А, в виде белого твердого вещества, т.пл. 189°C; 1Н ЯМР (ДМСО) δ 0,71 (2H, с), 0,91 (2H, с), 1,89 (3Н, с), 2,69 (2H, с), 3,37 (2H, с), 5,76 и 6,66 (1H, шир.с, ротамеры), 6,95-7,60 (8H, м), 8,10-8,40 (1H, м), 9,89 и 10,30 (1H, шир.с, ротамеры), 12,10 и 12,75 (1H, шир.с, ротамеры); ИК (твердое вещество) 1622, 1595, 1572, 1545, 1499, 1481, 1417, 1390, 1367, 1048, 997, 829; МС 385,4(М+H)+.
Пример 127 [2-(4-Ацетамидо-3-метилфениламино)хиназолин-4-ил]-(5-метил-2Н-пиразол-3-ил)амин (IIc-48): Получен способом, подобным описанному выше способу А, в виде бледно-коричневого твердого вещества, т.пл. 251°C; 1Н ЯМР (ДМСО) δ 2,04 (3H, с), 2,19 (3H, с), 2,56 (3H, с), 5,92 и 6,80 (1H, шир.с, ротамеры), 7,22 (2H, с), 7,48 (1H, с), 7,64 (1H, с), 7,73 (2H, с), 8,40 (1H, с), 9,05 и 9,74 (1H, шир.с, ротамеры), 9,20 (1H, с), 10,05 и 10,54 (1H, шир.с, ротамеры), 12,15 и 12,82 (1H, шир.с, ротамеры); ИК (твердое вещество) 3309, 2972, 2936, 1641, 1604, 1577, 1536, 1504, 1468, 1423, 1409, 1377, 1341, 1304, 1259, 1223, 1100, 1009, 864; МС 388,2(М+H)+.
Пример 128 (5-Циклопропил-2Н-пиразол-3-ил)-[2-(индан-2-иламино)хиназолин-4-ил]амин (IIc-49): Получен способом, подобным описанному выше способу А, в виде коричневого твердого вещества, т.пл. 233-234°C; 1Н ЯМР (ДМСО) δ 0,65 (2H, с), 0,84 (2H, с), 1,83 (1H, с), 2,91 (2H, м), 3,33 (2H, с), 4,72 (1H, с), 6,07 (1H, шир.с), 7,00-7,60 (8H, м), 8,29 (1H, с), 10,30 (1H, шир.с), 12,24 (1H, шир.с); ИК (твердое вещество) 3425, 2941, 2836, 1622, 1595, 1572, 1540, 1495, 1476, 1426, 1394, 1248, 1025, 1007, 870, 833; МС 383,3(М+H)+.
Пример 129 [2-(3-Метилфениламино)хиназолин-4-ил]-(5-метил-2Н-пиразол-3-ил)амин (IIc-50): Получен способом, подобным описанному выше способу А, в виде не совсем белого твердого вещества, т.пл. 240-242°C; 1Н ЯМР (ДМСО) δ 2,25 (3H, с), 2,30 (3H, с), 5,95 (1H, шир.с), 6,76 (1H, д), 7,10-7,35 (2H, м), 7,48 (1H, с), 7,55-7,85 (3H, м), 8,40 (1H, с), 9,05 и 9,74 (1H, шир.с, ротамеры), 10,07 и 10,55 (1H, шир.с, ротамеры), 12,14 и 12,81 (1H, шир.с, ротамеры); ИК (твердое вещество) 3443, 2914, 2859, 1622, 1586, 1549, 1536, 1481, 1445, 1408, 1372, 1330, 1267, 1239, 1184, 1166, 1139, 993, 838, 806; МС 331,3(М+H)+.
Пример 130 [2-(2-Хлор-5-метилфениламино)хиназолин-4-ил]-(5-метил-2Н-пиразол-3-ил)амин (IIc-51): Получен способом, подобным описанному выше способу А, в виде серого твердого вещества, т.пл. 246-247°C; 1Н ЯМР (ДМСО) δ 2,19 (3H, с), 2,31 (3H, с), 6,37 (1H, шир.с), 6,94 (1H, д), 7,23 (1H, с), 7,37 (1H, д), 7,43 (1H, д), 7,64 (1H, т), 7,97 (1H, с), 8,19 (1H, с), 8,42 (1H, шир.с), 10,17 (1H, шир.с), 12,19 (1H, шир.с); ИК (твердое вещество) 3409, 2918, 2850, 1627, 1591, 1573, 1545, 1513, 1486, 1463, 1418, 1386, 1332, 1291, 1259, 1182, 1000, 827; МС 365,2(М+H)+.
Пример 131 (5-Циклопропил-2Н-пиразол-3-ил)-{2-[4-(морфолин-1-ил)фениламино]хиназолин-4-ил}амин (IIc-52): Получен способом, подобным описанному выше способу А, в виде серого твердого вещества, т.пл. 275-276°C; 1Н ЯМР (ДМСО) δ 0,71 (2H, с), 0,90 (2H, с), 1,89 (1H, с), 3,05 (4H, с), 3,75 (4H, с), 5,78 и 6,61 (1H, шир.с, ротамеры), 6,93 (2H, с), 7,20 (1H, с), 7,43 (1H, с), 7,50-7,90 (3H, м), 8,39 (1H, с), 8,95 и 9,58 (1H, шир.с, ротамеры), 10,07 и 10,47 (1H, шир.с, ротамеры), 12,16 и 12,81 (1H, шир.с, ротамеры); ИК (твердое вещество) 3245, 2990, 2972, 2959, 2936, 2918, 1618, 1577, 1559, 1509, 1477, 1445, 1413, 1382, 1264, 1223, 1150, 1109, 1050, 923, 882, 823; МС 428,3(М+H)+.
Пример 132 [2-(Бензотиазол-6-иламино)хиназолин-4-ил]-(5-метил-2Н-пиразол-3-ил)амин (IIc-53): Получен способом, подобным описанному выше способу А, в виде не совсем белого твердого вещества, т.пл. 236-239°C; 1Н ЯМР (ДМСО) δ 2,25 (3H, с), 6,35 (1H, шир.с), 7,22 (1H, т), 7,53 (1H, д), 7,62 (1H, т), 7,76 (1H, д), 7,98 (1H, д), 8,39 (1H, д), 9,05 (1H, С), 9,17 (1H, с), 9,59 (1H, шир.с), 10,30 (1H, шир.с), 12,35 (1H, шир.с); ИК (твердое вещество) 1622, 1605, 1567, 1546, 1505, 1473, 1441, 1417, 1385, 1341, 1297, 1273, 1253, 1192, 1130; МС 374,1(М+H)+.
Пример 133 [2-(3,4-Диметилфениламино)хиназолин-4-ил]-(5-метил-2Н-пиразол-3-ил)амин (IIc-54): Получен способом, подобным описанному выше способу А, в виде не совсем белого твердого вещества, т.пл. 249-251°C; 1Н ЯМР (ДМСО) δ 2,18 (3H, шир.с), 2,21 (3H, шир.с), 2,24 (3H, шир.с), 5,92 и 6,80 (1H, 2 x шир.с), 7,05 (1H, шир.с), 7,21 (1H, шир.с), 7,46 (1H, шир.с), 7,64 (3H, шир.с), 8,37 (1H, шир.с), 9,00, 9,51 и 9,73 (1H, 3 x шир.с), 10,12, 10,54 и 12,17 (1H, 3 x шир.с); ИК (твердое вещество) 1616, 1582, 1547, 1505, 1473, 1452, 1413, 1368, 1334, 1294, 1246, 1210, 1188, 1170, 1139; МС 345,3(М+H)+.
Пример 134 [2-(3-Этилфениламино)хиназолин-4-ил]-(5-метил-2Н-пиразол-3-ил)амин (IIc-55): Получен способом, подобным описанному выше способу А, в виде не совсем белого твердого вещества, т.пл. 238-239°C; 1Н ЯМР (ДМСО) δ 1,21 (3H, т), 2,25 (3H, шир.с), 2,61 (2H, кв), 5,92 и 6,80 (1H, 2×шир.с), 6,78 (1H, д), 7,21 (2H, шир.с), 7,48 (1H, шир.с), 7,65 (1H, с), 7,72 (1H, с), 7,80 (1H, с), 8,40 (1H, шир.с), 9,09, 9,58 и 10,10 (1H, 3 x шир.с), 10,54, 12,26 и 12,81 (1H, 3 x шир.с); ИК (твердое вещество) 1619, 1556, 1535, 1471, 1441, 1407, 1377, 1341, 1274, 1246, 1185, 1167, 1139, 995; МС 345,5(М+H)+.
Пример 135 [2-(3-Метоксифениламино)хиназолин-4-ил]-(5-метил-2Н-пиразол-3-ил)амин (IIc-56): Получен способом, подобным описанному выше способу А, в виде не совсем белого твердого вещества, т.пл. 212-215°C; 1Н ЯМР (ДМСО) δ 2,25 (3H, шир.с), 3,77 (3H, с), 5,92 и 6,84 (1H, 2 x шир.с), 6,55 (1H, д), 7,13 (2H, м), 7,41-7,50 (2H, м), 7,65 (1H, с), 7,77 (1H, с), 8,41 (1H, шир.с), 9,10, 9,79 и,10,10 (1H, 3×шир.с), 10,55, 12,13 и 12,82 (1H, 3 x шир.с); ИК (твердое вещество) 1610, 1576, 1532, 1494, 1468, 1425, 1337, 1277, 1256, 1201, 1159; МС 347,4(М+H)+.
Пример 136 [2-(4-Ацетамидо-3-цианфениламино)хиназолин-4-ил]-(5-метил-2Н-пиразол-3-ил)амин (IIc-57): Получен способом, подобным описанному выше способу А, в виде не совсем белого твердого вещества, т.пл. 294-296°C; 1Н ЯМР (ДМСО) δ 2,08 (3H, с), 2,28 (3H, с), 6,67 (1H, шир.с), 7,27 (1H, с), 7,43 (1H, д), 7,53 (1H, с), 7,68 (1H, с), 8,04 (1H, д), 8,45 (2H, с), 9,41, 10,35 и 12,18 (2H, 3 x шир.с), 10,00 (1H, с); ИК (твердое вещество) 1620, 1583, 1558, 1237, 1508, 1477, 1446, 1413, 1373, 1341, 1292, 1259, 1241, 1180, 1162, 1142, 1105, 1030, 1000; МС 399,2(М+H)+.
Пример 137 [2-(2-Метоксибифенил-5-иламино)хиназолин-4-ил]-(5-метил-2Н-пиразол-3-ил)амин (IIc-58): Получен способом, подобным описанному выше способу А, в виде белого твердого вещества, т.пл. 222-223°C; 1Н ЯМР (ДМСО) δ 2,22 (3H, с), 3,75 (3H, с), 6,82 (1H, шир.с), 7,05-7,11 (1H, м), 7,15-7,25 (1H, м), 7,30-7,36 (1H, м), 7,40-7,50 (3H, м), 7,49-7,55 (2H, м), 7,55-7,70 (1H, м), 7,70-7,82 (1H, м), 7,90-8,02 (1H, м), 8,30-8,50 (1H, м); ИК (твердое вещество) 1625, 1604, 1574, 1556, 1496, 1473, 1444, 1403, 1384, 1258, 1234, 1182, 1018, 824, 806, 755, 698; МС 423,4(М+H)+.
Пример 138 [2-(4-Ацетамидофениламино)хиназолин-4-ил]-(5-метил-2Н-пиразол-3-ил)амин (IIc-59): Получен способом, подобным описанному выше способу А, в виде не совсем белого твердого вещества, т.пл. 253-256°С; 1Н ЯМР (ДМСО) δ 2,02 (3H, с), 2,25 (3H, шир.с), 5,92 и 6,77 (1H, 2 x шир.с), 7,21 (1H, с), 7,49 (3H, с), 7,63 (1H, с), 7,83 (2H, д), 8,38 (1H, шир.с), 9,03 и 10,05 (1H, 2 x шир.с), 9,81 (1H, с), 12,13 и 12,80 (1H, 2 x шир.с); ИК (твердое вещество) 1669, 1635, 1617, 1574, 1535, 1512, 1486, 1422, 1394, 1366, 1316, 1268, 1231, 1184, 1119, 1101; МС 374,1 (М+H)+.
Пример 139 [2-(4-трет-Бутоксикарбониламинофениламино)хиназолин-4-ил]-(5-метил-2Н-пиразол-3-ил)амин (IIc-60): Получен способом, подобным описанному выше способу А, в виде не совсем белого твердого вещества, т.пл. 238-242°C; 1Н ЯМР (ДМСО) δ 1,48 (9H, с), 2,24 (3H, с), 6,23 (1H, шир.с), 7,12 (1H, с), 7,36 (3H, с), 7,54 (1H, с), 7,67 (2H, д), 8,30 (1H, д), 9,14 (2H, шир.с), 10,24 и 12,19 (1H, 2×шир.с); ИК (твердое вещество) 1698, 1620, 1555, 1520, 1475, 1443, 1405, 1371, 1310, 1241, 1167, 1055, 996; МС 432,1(М+H)+.
Пример 140 [2-(4-Цианфениламино)хиназолин-4-ил]-(5-метил-2Н-пиразол-3-ил)амин (IIc-61): Получен способом, подобным описанному выше способу А, в виде не совсем белого твердого вещества, т.пл. 293-298°C; 1Н ЯМР (ДМСО) δ 2,25 (3H, с), 6,50 (1H, шир.с), 7,27 (1H, с), 7,51 (1H, с), 7,64 (1H, с), 7,71 (2H, д), 8,40 (1H, с), 9,76 (1H, шир.с), 10,34 (1H, шир.с), 12,33 (1H, шир.с); ИК (твердое вещество) 1633, 1605, 1571, 1517, 1505, 1469, 1418, 1337, 1255, 1174, 1000; МС 342,1(М+H)+.
Пример 141 (5-Метил-2Н-пиразол-3-ил)-[2-(6-оксо-6,10b-дигидро-4аН-бензо[c]хромен-2-иламино)хиназолин-4-ил]амин (IIc-62): Получен способом, подобным описанному выше способу А, в виде бледно-желтого твердого вещества, т.пл. 293-298°C; 1Н ЯМР (ДМСО) δ 1,72 (3H, шир.с), 6,23 (1H, шир.с), 7,50 (1H, т), 7,66 (2H, т), 7,75 (1H, т), 7,87 (1H, т), 7,77 (1H, т), 8,26 (1H, д), 8,33 (1H, д), 8,58-8,72 (2H, м), 10,55 (1H, с), 11,55 (1H, с), 12,40 (1H, с); ИК (твердое вещество) 1707, 1629, 1607, 1579, 1540, 1497, 1488, 1471, 1446, 1428, 1417, 1346, 1332, 1298, 1270, 1255, 1207, 1114, 998, 816, 793, 766, 758, 710, 685; МС 435,4(М+H)+.
Пример 142 [2-(Бифенил-3-иламино)хиназолин-4-ил]-(5-метил-2Н-пиразол-3-ил)амин (IIc-63): Получен способом, подобным описанному выше способу А, в виде бледно-коричневого твердого вещества, т.пл. 206-207°C; 1Н ЯМР (ДМСО) δ 2,20 (3H, с), 6,80 (1H, шир.с), 7,24-7,27 (2H, м), 7,36-7,40 (2H, м), 7,48-7,52 (3H, м), 7,67-7,69 (3H, м), 7,94 (1H, м), 8,26 (1H, м), 8,42 (1H, м), 9,30 (1H, шир.с), 10,16 (1H, шир.с), 12,13 (1H, шир.с); ИК (твердое вещество) 1593, 1578, 1544, 1498, 1479, 1414, 1384, 1251, 1209, 1003; МС 393,2(М+H)+.
Пример 143 [2-(4-Метоксикарбонилметил-3-метилфениламино)-хиназолин-4-ил]-(5-метил-2Н-пиразол-3-ил)амин (IIc-64): Получен способом, подобным описанному выше способу А, в виде белого твердого вещества, т.пл. 245-246°C; 1Н ЯМР (ДМСО) δ 2,23 (3H, с), 2,26 (3H, с), 3,63 (3H, с), 3,64 (2H, с), 5,99 (0,5H, шир.с), 6,80 (0,5H, шир.с), 7,10 (1H, м), 7,25 (1H, м), 7,50 (1H, м), 7,61-7,80 (3H, м), 8,44 (1H, м), 9,10 (0,5H, шир.с), 9,78 (0,5H, шир.с), 10,11 (0,5H, шир.с), 10,56 (0,5H, шир.с), 12,18 (0,5H, шир.с), 12,90 (0,5H, шир.с); ИК (твердое вещество) 1732, 1710, 1622, 1581, 1554, 1538, 1508, 1490, 1446, 1411, 1371, 1336, 1306, 1257, 1244, 1204, 1146, 1016, 998, 797, 754, 692; МС 403,4(М+H)+.
Пример 144 [2-(4-Карбоксиметил-3-метилфениламино)хиназолин-4-ил]-(5-метил-2Н-пиразол-3-ил)амин (IIc-65): Раствор [2-(4-метоксикарбонилметил-3-метилфениламино)хиназолин-4-ил]-(5-метил-2Н-пиразол-3-ил)амина (IIc-64, 200 мг, 0,5 ммоль) в смеси метанол/вода (3/1, 8 мл) обрабатывали 1М NaOH (2 мл, 2 ммоль). Смесь нагревали при 70°С в течение 2 часов и затем нейтрализовали добавлением 1 М HCl (2 мл, 2 ммоль). Образовавшееся твердое вещество собирали фильтрованием с получением указанного в заголовке соединения (185 мг, 95%) в виде бледно-желтого твердого вещества, т.пл. 245°C (разлож.); 1Н ЯМР (ДМСО) δ 2,27 (6H, 2 x с), 3,55 (2H, с), 6,49 (1H, с), 7,13 (1H, д), 7,26 (1H, т), 7,50 (1H, д), 7,62-7,78 (3H, м), 8,42 (1H, д), 9,34 (1H, д), 10,26 (1H, с), 12,36 (1H, с); ИК (твердое вещество) 1660, 1590, 1562, 1504, 1427, 1385, 810, 776, 751, 693; МС 389,4(М+H)+.
Пример 145 [2-(4-Аминофениламино)хиназолин-4-ил]-(5-метил-2Н-пиразол-3-ил)амин (IIc-66): Раствор [2-(4-трет-бутоксикарбониламинофениламино)хиназолин-4-ил]-(5-метил-2Н-пиразол-3-ил)амина (IIc-60, 100 мг, 0,232 ммоль) в смеси DCM/TFA (5/1, 12 мл) перемешивали в течение 2 часов при комнатной температуре. Удаляли в вакууме растворители и остаток растирали в водном К2СО3. Полученное твердое вещество собирали фильтрованием и промывали диэтиловым эфиром с получением IIc-66 (69 мг, 90%) в виде не совсем белого твердого вещества, т.пл. 164-167°C; 1Н ЯМР (ДМСО) δ 2,24 (3H, с), 6,33 (1H, шир.с), 7,12 (2H, д), 7,48 (3H, м), 7,58 (1H, д), 7,86 (1H, т), 8,64 (1H, д), 10,86 (1H, шир.с), 11,46 (1H, с); ИК (твердое вещество) 1681, 1512, 1496, 1433, 1415, 1187, 1129; МС 332,4(М+H)+.
Пример 146 [2-(4-Бромфениламино)хиназолин-4-ил]-(5-метил-2Н-пиразол-3-ил)амин (IIc-67): Получен способом, подобным описанному выше способу А, в виде не совсем белого твердого вещества, т.пл. 290-293°C; 1Н ЯМР (ДМСО) δ 2,27 (3H, с), 6,71 (1H, шир.с), 7,22 (1H, м), 7,46-7,50 (3Н, м), 7,66 (1H, м), 7,92-7,94 (2H, м), 8,38 (1H, м), 9,28, 10,11 и 12,13 (3H, 3 x шир.с); ИК (твердое вещество) 1619, 1572, 1548, 1486, 1436, 1409, 1372, 1238, 1186, 1136, 1071, 997; МС 395,1/397,1(М+H)+.
Пример 147 [2-(4-Изобутириламинофениламино)хиназолин-4-ил]-(5-метил-2Н-пиразол-3-ил)амин (IIc-68): Получен способом, подобным описанному выше способу А, в виде желтого твердого вещества, т.пл. 176-179°С; 1Н ЯМР (ДМСО) δ 1,11 (6H, д), 2,15 (3Н, с), 2,62 (1H, м), 6,25 (1H, шир.с), 7,41 (1H, д), 7,46 (1H, т), 7,63 (1H, д), 7,71 (2H, д), 7,84 (1H, т), 8,64 (1H, д), 10,00 (1H, с), 10,34 (1H, шир.с), 11,47 (1H, шир.с), 12,47 (1H, шир.с); ИК (твердое вещество) 1676, 1653, 1585, 1561, 1512, 1423, 1407, 1312, 1199, 1177, 1128; МС 402,3(М+H)+.
Пример 148 (5-Этил-2Н-пиразол-3-ил)-[2-(5-этил-2Н-пиразол-3-иламино)хиназолин-4-ил]амин (IIc-69): К раствору 2,4-дихлорхиназолина (0,5 г, 2,51 ммоль) и 3-амино-5-этилпиразола (558 мг, 5,02 ммоль) в этаноле (10 мл) добавляли триэтиламин (0,35 мл, 2,51 ммоль) и полученную смесь перемешивали 3 часа при комнатной температуре. Полученный бледно-желтый осадок собирали фильтрованием, промывали холодным этанолом и высушивали в вакууме с получением соединения IIc-69 (306 мг, 35%) в виде не совсем белого твердого вещества, т.пл. 248-252°C; 1Н ЯМР (ДМСО) δ 1,30 (м, 6H), 2,72 (м, 4H), 6,12 (шир.с, 1H), 6,54 и 6,90 (шир.с, 1H), 7,58 (т, 1H), 7,74 (д, 1H), 7,90 (т, 1H), 8,78 (д, 1H); ИК (твердое вещество) 1639, 1602, 1591, 1555, 1418; МС 349,2(М+H)+.
Пример 149 (1Н-Индазол-3-ил)-(2-фениламинохиназолин-4-ил)амин (IIc-70): Получен способом, подобным описанному выше способу А, в виде белого твердого вещества, 1Н ЯМР (ДМСО) δ 6,90 (м, 3Н), 7,11 (т, 1H), 7,19 (м, 2H), 7,44 (т, 1H), 7,57 (м, 1H), 7,62 (д, 1H), 7,67 (д, 2H), 7,71 (д, 1H), 7,93 (т, 1H), 8,59 (д, 1H), 11,55 (шир.с, 1H), 13,15 (с, 1H); МС 353,2(М+H)+.
Пример 150 (1Н-Индазол-3-ил)-[2-(3-трифторметилфениламино)хиназолин-4-ил]амин (IIc-71): Получен способом, подобным описанному выше способу А, в виде бледно-желтого твердого вещества, 1Н ЯМР (ДМСО) δ 7,00 (т, 1H), 7,02 (д, 1H), 7,22 (д, 1H), 7,37 (тд, 1H), 7,56 (м, 3H), 7,61 (д, 1H), 7,66 (д, 2H), 7,92 (т, 1H), 8,60 (д, 1H), 10,61 (шир.с, 1H), 11,42 (шир.с, 1H), 13,12 (с, 1H); МС 421,2(М+Н)+.
Пример 151 (1Н-Индазол-3-ил)-[2-(4-трифторметилфениламино)хиназолин-4-ил]амин (IIc-72): Получен способом, подобным описанному выше способу А, в виде бледно-желтого твердого вещества, 1Н ЯМР (ДМСО) δ 7,08 (т, 1H), 7,16 (д, 2H), 7,44 (м, 3H), 7,58 (т, 1H), 7,6 (т, 2H), 7,69 (д, 1H), 7,95 (т, 1H), 8,62 (д, 1H), 10,82 (шир.с, 1H), 11,50 (шир.с, 1H), 12,20 (с, 1H); МС 421,2(М+H)+.
Пример 152 [2-(Адамантан-2-иламино)хиназолин-4-ил]-(1Н-индазол-3-ил)амин (IIc-73): Получен способом, подобным описанному выше способу А, в виде белого твердого вещества, 1Н ЯМР (ДМСО) δ 0,83 (шир.с, 1H), 0,85 (шир.с, 1H), 1,44 (м, 4H), 1,55 (м, 3H), 1,63 (с, 2H); 1,73 (с, 1H), 1,82 (с, 1H), 1,84 (с, 1H), 3,56 (м, 1H), 7,10 (т, 1H), 7,41 (т, 1H), 7,51 (т, 1H), 7,54 (д, 1H), 7,57 (д, 1H), 7,69 (д, 1H), 7,90 (т, 1H), 8,45 (д, 1H), 8,58 (д, 1H), 11,60 (с, 1H), 13,10 (с, 1H); МС 411,3(М+H)+.
Пример 153 (1Н-Индазол-3-ил)-(2-метилфениламинохиназолин-4-ил)амин (IIc-74): Получен способом, подобным описанному выше способу А, в виде белого твердого вещества, 1Н ЯМР (ДМСО) δ 3,27 (с, 1H), 6,88 (т, 1H), 6,93 (т, 2H), 7,04 (т, 1H), 7,14 (д, 2H), 7,22 (т, 1H), 7,36 (м, 2H), 7,48 (д, 1H), 7,54 (д, 1H), 7,62 (т, 1H), 8,37 (д, 1H), 10,11 (с, 1H), 12,71 (с, 1H); МС 367,2(М+H)+.
Пример 154 [2-(2-Хлорфенил)аминохиназолин-4-ил]-(1Н-индазол-3-ил)амин (IIc-75): Получен способом, подобным описанному выше способу А, в виде белого твердого вещества, 1Н ЯМР (ДМСО) δ 6,81 (т, 1H), 6,87 (тд, 1H), 7,07 (т, 1H), 7,34 (дд, 1H), 7,35 (т, 1H), 7,40 (т, 1H), 7,53 (д, 1H), 7,56 (д, 1H), 7,63 (д, 2H), 7,72 (т, 1H), 8,07 (д, 1H), 8,46 (д, 1H), 10,37 (с, 1H), 12,89 (с, 1H); МС 387,1(М+H)+.
Пример 155 (1Н-Индазол-3-ил)-[2-(2-трифторметилфениламино)хиназолин-4-ил]амин (IIc-76): Получен способом, подобным описанному выше способу А, в виде белого твердого вещества, 1Н ЯМР (ДМСО) δ 7,01 (т, 1H), 7,20 (м, 1H), 7,32 (м, 1H), 7,36 (т, 1H), 7,43 (д, 1H), 7,49 (д, 1H), 7,55 (д, 1H), 7,61 (т, 1H), 7,64 (д, 1H), 7,69 (д, 1H), 7,95 (т, 2H), 8,62 (д, 1H), 10,15 (м, 1H), 11,62 (с, 1H), 13,03 (с, 1H); МС 421,2(М+H)+.
Пример 156 [2-(4-Цианметилфениламино)хиназолин-4-ил]-(1Н-индазол-3-ил)амин (IIc-77): Получен способом, подобным описанному выше способу А, в виде белого твердого вещества, 1Н ЯМР (ДМСО) δ 13,16 (с, 1H), 11,49 (шир.с, 1H), 10,38 (шир.с, 1H), 8,58 (д, 1H), 7,92 (т, 1H), 7,67 (т, 2H), 7,61 (д, 1H), 7,56 (м, 1H), 7,44 (т, 1H), 7,22 (м, 2H), 7,08 (т, 1H), 6,86 (м, 2H), 3,87 (с, 2H); МС 392,2(М+H)+.
Пример 157 [2-(4-Хлорфениламино)-5,6,7,8-тетрагидрохиназолинин-4-ил]-(5-метил-2Н-пиразол-3-ил)амин (IIc-78): Получен способом, подобным описанному выше способу С; МС 355,5(М+H)+.
Пример 158 (5-Метил-2Н-пиразол-3-ил)-(2-фениламино-6,7,8,9-тетрагидро-5Н-циклогептапиримидин-4-ил)амин (IIc-79): Получен способом, подобным описанному выше способу С; МС 335,3(М+H)+.
Пример 159 [2-(Бензимидазол-2-иламино)-7-бензил-5,6,7,8-тетрагидропиридо[3,4-d]пиримидин-4-ил]-(5-метил-2Н-пиразол-3-ил)амин (IIc-80): Получен способом, подобным описанному выше способу С; МС 452,0(М+H)+.
Пример 160 (7-Бензил-2-фениламино-5,6,7,8-тетрагидропиридо-[3,4-d]пиримидин-4-ил)-(5-метил-2Н-пиразол-3-ил)амин (IIc-81): Получен способом, подобным описанному выше способу С; МС 412,1(М+H)+.
Пример 161 [6-Бензил-2-(4-хлорфениламино)-5,6,7,8-тетрагидропиридо[4,3-d]пиримидин-4-ил]-(5-метил-2Н-пиразол-3-ил)амин (IIc-82): Получен способом, подобным описанному выше способу С; МС 446,3(М+H)+.
Пример 162 [2-(Бензимидазол-2-иламино)-6-бензил-5,6,7,8-тетрагидропиридо[4,3-d]пиримидин-4-ил]-(5-метил-2Н-пиразол-3-ил)амин (IIc-83): Получен способом, подобным описанному выше способу С; МС 452,2(М+H)+.
Пример 163 (6-Бензил-2-фениламино-5,6,7,8-тетрагидропиридо-[4,3-d]пиримидин-4-ил)-(5-метил-2Н-пиразол-3-ил)амин (IIc-84): Получен способом, подобным описанному выше способу С; МС 411,9(М+H)+.
Пример 164 (5-Метил-2Н-пиразол-3-ил)-(2-фениламино-5,6,7,8-тетрагидропиридо[3,4-d]пиримидин-4-ил)амин (IIc-85): Получен способом, подобным описанному выше способу С; МС 322,3(М+H)+.
Пример 165 [2-(4-Цианметилфениламино)хиназолин-4-ил]-(1Н-пиразоло[3,4-b]пиридин-3-ил)амин (IIc-86): Получен способом, подобным описанному выше способу А, в виде не совсем белого твердого вещества, 1Н ЯМР (ДМСО) δ 13,65 (с, 1H), 12,82 (шир.с, 1H), 11,69 (шир.с, 1H), 8,55 (дд, 2H), 8,12 (д, 1H), 7,88 (м, 1H), 7,66 (м, 1H), 7,50 (м, 1H), 7,30 (м, 2H), 7,09 (м, 1H), 6,94 (м, 2H), 3,89 (с, 2H); МС 393,1(М+H)+.
Пример 166 [2-(4-Цианбензиламино)хиназолин-4-ил]-(1Н-пиразоло-[3,4-b]пиридин-3-ил)амин (IIc-87): Получен способом, подобным описанному выше способу А, в виде не совсем белого твердого вещества, 1Н ЯМР (ДМСО) δ 13,68 (с, 1H), 12,82 (шир. с, 1H), 11,70 (шир.с, 1H), 8,55 (м, 3H), 8,00 (д, 1H), 7,92 (т, 1H), 7,59 (м, 4H), 6,96 (м, 2H), 6,86 (м, 1H), 4,23 (с, 2H); МС 393,1(М+H)+.
Пример 167 [2-(4-Цианметилфениламино)хиназолин-4-ил]-(4-фтор-1Н-индазол-3-ил)амин (IIc-88): Получен способом, подобным описанному выше способу А, в виде белого твердого вещества, 1Н ЯМР (ДМСО) δ 13,49 (с, 1H), 11,61 (шир.с, 1H), 10,64 (шир.с, 1H), 8,56 (д, 1H), 7,95 (т, 1H), 7,67 (д, 1H), 7,58 (т, 1H), 7,46 (т, 1H), 7,43 (дд, 1H), 7,14 (м, 2H), 6,85 (дд, 3H), 3,88 (с, 2H); МС 410,1(М+H)+.
Пример 168 [2-(4-Цианфениламино)хиназолин-4-ил]-(1Н-индазол-3-ил)амин (IIc-89): Получен способом, подобным описанному выше способу А, в виде белого твердого вещества, 1Н ЯМР (ДМСО) δ 13,14 (с, 1H), 11,31 (шир.с, 1H), 10,51 (шир.с, 1H), 8,59 (д, 1H), 7,91 (т, 1H), 7,65 (д, 3H), 7,56 (т, 1H), 7,50 (м, 2H), 7,45 (дд, 1H), 7,26 (д, 2H), 7,08 (т, 1H); МС 378,2(М+H)+.
Пример 169 [2-(4-Цианбензиламино)хиназолин-4-ил]-(1Н-индазол-3-ил)амин (IIc-90): Получен способом, подобным описанному выше способу А, в виде белого твердого вещества, 1Н ЯМР (ДМСО) δ 13,12 (с, 1H), 12,91 (шир.с, 1H), 11,60 (шир.с, 1H), 8,57 (д, 1H), 7,91 (т, 1H), 7,63 (д, 1H), 7,55 (м, 5H), 7,38 (т, 1H), 6,89 (т, 1H), 6,84 (шир.д, 2H), 4,19 (с, 2H); МС 392,2(М+H)+.
Пример 170 (5-Циклопропил-2Н-пиразол-3-ил)-[2-(нафталин-2-илокси)хиназолин-4-ил]амин (IIb-1): Получен способом, подобным описанному выше способу B, в виде белого твердого вещества, т.пл. 327-328°C; 1Н ЯМР (ДМСО) δ -0,05-0,07 (2H, м), 0,50-0,68 (2H, м), 1,28-1,40 (1H, м), 5,68 (1H, с), 7,40-7,50 (2H, м), 7,50-7,64 (3Н, м), 7,70-7,80 (2H, м), 7,82-8,08 (3Н, м), 8,64 (1H, д), 10,58 (1H, с), 12,07 (1H, с); ИК (твердое вещество) 1621, 1595, 1575, 1554, 1508, 1480, 1410, 1385, 1320, 1254, 1240, 1212, 1166, 830, 819, 758; МС 394,4(М+H)+.
Пример 171 (5-Метил-2Н-пиразол-3-ил)-[2-(нафталин-2-илокси)хиназолин-4-ил]амин (IIb-2): Получен способом, подобным описанному выше способу B, в виде бледно-коричневого твердого вещества, т.пл. >300°C; 1Н ЯМР (ДМСО) δ 1,62 (3Н, с), 5,65 (1H, с), 7,96 (2H, шир.с), 7,55 (3Н, д), 7,76 (2H, м), 7,92 (1H, д), 8,00 (2H, м), 8,58 (1H, д), 10,56 (1H, с), 11,99 (1H, с); ИК (твердое вещество) 1625, 1601, 1571, 1556, 1479, 1377, 1315, 1250, 1236, 1210, 1159; МС 368,7(М+H)+.
Пример 172 (5-Метил-2Н-пиразол-3-ил)-(2-феноксихиназолин-4-ил)амин (IIb-3): Получен способом, подобным описанному выше способу B, в виде рыжевато-коричневого твердого вещества, т.пл. 287-290°C; 1Н ЯМР (ДМСО) δ 2,10 (3Н, с), 5,92 (1H, с), 7,23 (2H, д), 7,29 (1H, т), 7,38 (1H, т), 7,46-7,53 (3Н, м), 7,85 (1H, т), 8,58 (1H, д), 10,55 (1H, с), 12,11 (1H, с); ИК (твердое вещество) 1622, 1602, 1572, 1556, 1542, 1477, 1454, 1402, 1373, 1316, 1249, 1200, 1172, 1158; МС 318,3(М+H)+.
Пример 173 (5-Циклопропил-2Н-пиразол-3-ил)-[2-(5,6,7,8-тетрагидронафталин-2-илокси)хиназолин-4-ил]амин (IIb-4): Получен способом, подобным описанному выше способу B, в виде твердого вещества, т.пл. 277-279°С; 1Н ЯМР (ДМСО) δ 0,40-0,50 (2H, м), 0,89-0,96 (2H, м), 1,71-1,87 (5H, м), 2,70-2,83 (4H, м), 5,88 (1H, с), 6,88-6,96 (2H, м), 7,12 (1H, д), 7,39 (1H, т), 7,58 (1H, д), 7,76 (1H, т), 8,58 (1H, д), 10,54 (1H, с), 12,20 (1H, с); ИК (твердое вещество) 1731, 1641, 1614, 1570, 1506, 1495, 1464, 1424, 1362, 1340, 1240, 880, 831, 812, 776, 758; МС 398,4(М+H)+.
Пример 174 (5-Циклопропил-2Н-пиразол-3-ил)-[2-(3-метилфенокси)хиназолин-4-ил]амин (IIb-5): Получен способом, подобным описанному выше способу B, в виде не совсем белого твердого вещества, т.пл. 283-284°C; 1Н ЯМР (ДМСО) δ 0,49-0,53 (2H, м), 0,89-0,96 (2H, м), 1,72-1,81 (1H, м), 2,40 (3H, с), 5,82 (1H, с), 7,03 (1H, д), 7,08 (1H, с), 7,15 (1H, д), 7,35-7,46 (2H, м), 7,58 (1H, д), 7,78 (1H, т), 8,62 (1H, д), 10,58 (1H, с), 12,25 (1H, с); ИК (твердое вещество) 1622, 1604, 1576, 1557, 1483, 1419, 1381, 1319, 1253, 1189, 1158, 997, 842, 789, 763; МС 358,4(М+H)+.
Пример 175 [2-(3-Метоксифенокси)хиназолин-4-ил]-(5-метил-2Н-пиразол-3-ил)амин (IIb-6): Получен способом, подобным описанному выше способу B, в виде белого твердого вещества, т.пл. 277-278°C, 1Н ЯМР (ДМСО) δ 2,15 (3H, с), 3,78 (3H, с), 6,00 (1H, с), 6,77-6,90 (3H, м), 7,30-7,41 (2H, м), 7,52 (1H, д), 7,70 (1H, т), 8,59 (1H, д), 10,57 (1H, с), 12,10 (1H, с); ИК (твердое вещество) 1623, 1603, 1575, 1556, 1487, 1456, 1430, 1373, 1316, 1253, 1192, 1142, 1046, 1022, 833, 760; МС 348,4(М+H)+.
Пример 176 [2-(3,4-Диметоксифенокси)хиназолин-4-ил]-(5-метил-2Н-пиразол-3-ил)амин (IIb-7): Получен способом, подобным описанному выше способу B, в виде не совсем белого твердого вещества, т.пл. 277-278°C; 1Н ЯМР (ДМСО) δ 2,09 (3H, с), 3,70 (3H, с), 3,78 (3H, с), 5,98 (1H, с), 6,73-6,77 (1H, м), 6,90 (1H, с), 7,00 (1H, д), 7,35-7,45 (1H, м), 7,58 (1H, д), 7,70-7,78 (1H, м), 8,63 (1H, д), 10,55 (1H, с), 12,19 (1H, с),; ИК (твердое вещество) 1626, 1603, 1576, 1557, 1509, 1481, 1436, 1409, 1382, 1372, 1318, 1249, 1227, 1195, 1180, 1158, 1120, 1029, 965, 835, 803, 767, 753; МС 378,4(М+H)+.
Пример 177 [2-(Бензо[1,3]диоксол-5-илокси)хиназолин-4-ил]-(5-метил-2Н-пиразол-3-ил)амин (IIb-8): Получен способом, подобным описанному выше способу B, в виде не совсем белого твердого вещества, т.пл. 296-299°С(разлож.); 1Н ЯМР (ДМСО) δ 2,13 (3H, с), 6,05 (1H, с), 6,09 (2H, с), 6,69 (1H, д), 6,90 (1H, с), 6,98 (1H, д), 7,39 (1H, т), 7,53 (1H, д), 7,70 (1H, т), 8,58 (1H, д), 10,59 (1H, с); ИК (твердое вещество) 1602, 1577, 1538, 1508, 1499, 1481, 1455, 1401, 1377, 1323, 1251, 1241, 1169, 1121, 1038, 1022, 951, 935, 863, 813, 752; МС 362,4(М+H)+.
Пример 178 [2-(3-Метоксикарбонилфенокси)хиназолин-4-ил]-(5-метил-2Н-пиразол-3-ил)амин (IIb-9): Получен способом, подобным описанному выше способу B, в виде не совсем белого твердого вещества, т.пл. 269-270°C; 1Н ЯМР (ДМСО) δ 2,05 (3H, с), 3,90 (3H, с), 5,88 (1H, с), 7,00-7,90 (7H, м), 8,50-8,65 (1H, м), 10,65 (1H, с); ИК (твердое вещество) 1722, 1626, 1605, 1578, 1559, 1507, 1429, 1378, 1317, 1282, 1272, 1255, 1204, 1185, 1096, 1021, 990, 869, 841, 758; МС 362,4(М+H)+.
Пример 179 (5-Циклопропил-2Н-пиразол-3-ил)-(2-феноксиметилхиназолин-4-ил)амин (IId-1): Получен способом, подобным описанному выше способу С, в виде бледно-желтого твердого вещества, т.пл. 265-267°C; 1Н ЯМР (ДМСО) δ 0,67 (2H, м), 0,93 (2H, м), 1,87 (1H, м), 5,19 (2H, с), 6,55 (1H, шир.с), 6,90-7,02 (3H, м), 7,26-7,30 (2H, м), 7,54 (1H, м), 7,74-7,83 (2H, м), 8,61 (1H, м), 10,45 (1H, шир.с), 12,18 (1H, шир.с); МС 358,4(М+H)+.
Пример 180 (2-Бензилоксиметилхиназолин-4-ил)-(5-циклопропил-2Н-пиразол-3-ил)амин (IId-2): Получен способом, подобным описанному выше способу С, в виде белого твердого вещества, т.пл. 211-213°C, 1Н ЯМР (ДМСО) δ 0,65 (2H, м), 0,90 (2H, м), 1,86 (1H, м), 4,63 (2H, с), 4,68 (1H, с), 6,71 (1H, с), 7,28-7,54 (6H, м), 7,76-7,81 (2H, м), 8,61 (1H, м), 10,41 (1H, с), 12,19 (1H, с); МС 372,3(М+H)+.
Пример 181 (2-Бензилхиназолин-4-ил)-(5-циклопропил-2Н-пиразол-3-ил)амин (IId-3): Получен способом, подобным описанному выше способу D, в виде белого твердого вещества, т.пл. 219-221°C; 1Н ЯМР (ДМСО) δ 0,66 (2H, м), 0,95 (2H, м), 1,87 (1H, м), 4,11 (2H, с), 6,31 (1H, с), 7,20-7,50 (6H, м), 7,71-7,79 (2H, м), 8,55 (1H, м), 10,27 (1H, с), 12,15 (1H, с); МС 342,7(М+H)+.
Пример 182 (5-Циклопропил-2Н-пиразол-3-ил)-(2-метилхиназолин-4-ил)амин (IId-4): Получен способом, подобным описанному выше способу С, в виде белого твердого вещества, т.пл. 289-290°C; 1Н ЯМР (ДМСО) δ 2,31 (3H, с), 2,71 (3H, с), 6,73 (1H, с), 7,75 (2H, кв), 8,04 (1H, т), 8,82 (1H, с), 11,94 (1H, с), 12,65 (1H, с), ИК (твердое вещество) 3266, 1636, 1607, 1579, 1479, 1407, 769, 668; МС 240,4 (М+H)+.
Пример 183 [2-(4-Хлорфеноксиметил)-6,7,8,9-тетрагидро-5Н-циклогептапиримидин-4-ил]-(5-метил-2Н-пиразол-3-ил)амин (IId-5): Получен способом, подобным описанному выше способу С, в виде белого твердого вещества, 1Н ЯМР (ДМСО) δ 1,58 (2H, м), 1,68 (2H, м), 1,85 (2H, м), 2,20 (3H, с), 2,90 (2H, м), 3,00 (2H, м), 5,26 (2H, с), 6,15 (1H, с), 7,15 (2H, д), 7,40 (2H, д), 10,25 (1H, шир.); МС 384,3(М+H)+.
Пример 184 [2-(4-Хлорфеноксиметил)-5,6,7,8-тетрагидрохиназолин-4-ил]-(5-метил-2Н-пиразол-3-ил)амин (IId-6): Получен способом, подобным описанному выше способу С, в виде белого твердого вещества, 1Н ЯМР (ДМСО) δ 1,80 (4H, м), 2,15 (3H, с), 2,55 (2H, м затемненный), 2,75 (2H, м), 5,25 (2H, с), 6,12 (1H, с), 7,08 (2H, д), 7,35 (2H, д), 9,80 (1H, шир.); МС 370,2(М+H)+.
Пример 185 (5-Циклопропил-2Н-пиразол-3-ил)-[2-(нафталин-2-илсульфанил)-6-фенилпиримидин-4-ил]амин (IIIa-1): Получен способом, подобным описанному выше способу L, в виде белого твердого вещества, т.пл. 233-234°C; 1Н ЯМР (ДМСО) δ 0,21 (2H, шир.с), 0,56 (2H, шир.с), 1,17 (1H, шир.м), 5,35 (1H, шир.с), 7,02 (1H, шир.с), 7,49 (3H, м), 7,59 (2H, м), 7,73 (1H, д), 7,88 (2H, м), 8,02 (3H, м), 8,30 (1H, м), 10,01 (1H, с), 11,75 (1H, шир.с); ИК (твердое вещество); МС 436,7(М+Н)+.
Пример 186 (5-Циклопропил-2Н-пиразол-3-ил)-[2-(3-метоксикарбонилфенилилсульфанил)-6-фенилпиримидин-4-ил]амин (IIIa-2): Получен способом, подобным описанному выше способу L, в виде белого твердого вещества, т.пл. 126-129°C; 1Н ЯМР (ДМСО) δ 0,52 (2H, м), 0,87 (2H, м), 1,69 (1H, м), 3,87 (3H, с), 5,47 (1H, с), 7,03 (1H, шир.с), 7,49 (3H, м), 7,67 (1H, м), 7,87 (2H, м), 7,94 (1H, м), 8,09 (1H, м), 8,23 (1H, м), 10,07 (1H, с), 11,94 (1H, с); ИК (твердое вещество); МС 444,7(М+H)+.
Пример 187 (5-Циклопропил-2Н-пиразол-3-ил)-[2-(нафталин-2-илсульфанил)пиримидин-4-ил]амин (IIIa-3): Получен способом, подобным описанному выше способу L, в виде белого твердого вещества, т.пл. 248-250°С; 1Н ЯМР (ДМСО) δ 0,21 (2H, шир.с), 0,55 (2H, шир.с), 0,94 (1H, шир.м), 5,31 (1H, шир.с), 6,55 (1H, шир.с), 7,57-7,66 (3H, м), 7,99-8,03 (4H, м), 8,25 (1H, с), 9,94 (1H, с), 11,75 (1H, шир.с); ИК (твердое вещество); МС 360,7(М+Н)+.
Пример 188 (5-Циклопропил-2Н-пиразол-3-ил)-[5,6-диметил-2-(нафталин-2-илсульфанил)пиримидин-4-ил]амин (IIIa-4): Получен способом, подобным описанному выше способу L, в виде белого твердого вещества, т.пл. >270°C; 1Н ЯМР (ДМСО) δ 0,14 (2H, д), 0,45 (2H, д), 0,78 (1H, с), 2,05 (3H, с), 2,27 (3H, с), 5,26 (1H, с), 7,60 (3H, д), 7,99 (3H, д), 8,21 (1H, с), 8,66 (1H, с), 11,60 (1H, с); ИК (твердое вещество) 1560, 1508, 1478, 1288, 1176, 1109, 994, 809, 740, 669; МС 388,7(М+H)+.
Пример 189 (5-Циклопропил-2Н-пиразол-3-ил)-[5-метил-2-(нафталин-2-илсульфанил)пиримидин-4-ил]амин (IIIa-5): Получен способом, подобным описанному выше способу L, в виде белого твердого вещества, т.пл. 197°C; 1Н ЯМР (ДМСО) δ 0,21 (2H, д), 0,51 (2H, д), 0,78 (1H, с), 2,08 (3H, с), 5,40 (1H, с), 7,57 (2H, д), 7,62 (1H, д), 7,92 (1H, с), 7,97 (3H, д), 8,22 (1H, с), 8,88 (1H, с), 11,70 (1H, с); ИК (твердое вещество) 1738, 1583, 1563, 1488, 1460, 1364, 1234, 1216, 808, 656; МС 374,2(М+H)+.
Пример 190 (5-Циклопропил-2Н-пиразол-3-ил)-[6-метил-2-(нафталин-2-илсульфанил)пиримидин-4-ил]амин (IIIa-6): Получен способом, подобным описанному выше способу L, в виде белого твердого вещества, т.пл. 232°C; 1Н ЯМР (ДМСО) δ 0,15 (2H, с), 0,51 (2H, с), 0,92 (1H, с), 2,20 (3Н, с), 5,22 (1H, с), 7,60 (2H, с), 7,67 (1H, д), 7,98 (3Н, с), 8,24 (1H, с), 9,79 (1H, с), 11,60 (1H, с); ИК (твердое вещество) 1586, 1508,7, 1485, 1282, 1180, 815, 788, 744, 674, 666; МС 374,2(М+H)+.
Пример 191 (5-Циклопропил-2Н-пиразол-3-ил)-[6-(морфолин-4-ил)-2-(нафталин-2-илсульфанил)пиримидин-4-ил]амин (IIIa-7): К раствору 2,4,6-трихлорпиримидина (600 мг, 3,27 ммоль) и 3-амино-5-циклопропилпиразола (403 мг, 3,27 ммоль) в EtOH (10 мл) добавляли триэтиламин (456 мкл, 3,27 ммоль) и реакционную смесь перемешивали 15 часов при комнатной температуре. Выпаривали растворитель и остаток очищали флэш-хроматографией (SiO2, градиент смеси гексан/AcOEt) с получением (5-циклопропил-2Н-пиразол-3-ил)-(2,6-дихлорпиримидин-4-ил)амина (705 мг, 80%).
К раствору (5-циклопропил-2Н-пиразол-3-ил)-(2,6-дихлорпиримидин-4-ил)амина (211 мг, 0,781 ммоль) и 2-нафталинтиола (125 мг, 0,781 ммоль) в трет-бутаноле (5 мл) добавляли триэтиламин (174 мкл, 1,25 ммоль) и полученную смесь кипятили с обратным холодильником в течение 15 часов. Реакционную смесь охлаждали до комнатной температуры и распределяли между этилацетатом и водным раствором NaHCO3. Органический слой промывали насыщенным раствором соли, сушили над MgSO4 и концентрировали в вакууме. Остаток очищали флэш-хроматографией (SiO2, градиент смеси гексан/AcOEt) с получением [6-хлор-2-(нафталин-2-илсульфанил)пиримидин-4-ил]-(5-циклопропил-2Н-пиразол-3-ил)амина.
Полученный выше [6-хлор-2-(нафталин-2-илсульфанил)пиримидин-4-ил]-(5-циклопропил-2Н-пиразол-3-ил)амин (70 мг, 1,78·10-4 моль) растворяли в морфолине (3 мл) и смесь нагревали при 120°С в течение 15 часов. Выпаривали растворитель и остаток очищали флэш-хроматографией с получением соединения IIIa-7 (50 мг, 63%) в виде белого твердого вещества, т.пл. 118-120°C; 1Н ЯМР (ДМСО) δ 0,34-0,91 (4H, 4 x м), 1,28 и 1,78 (1H, 2 x м), 3,32 (2H, м), 3,60 (6H, м), 5,38-6,16 (2H, шир.м), 7,55-7,66 (3Н, м), 7,95-8,02 (3Н, м), 8,19 и 8,23 (1H, 2 x с), 9,28 и 9,31 (1H, 2 x шир.с), 11,71 и 11,84 (1H, 2 x шир.с), ИК (твердое вещество); МС 445,2(М+H)+.
Пример 192 (5-Циклопропил-2Н-пиразол-3-ил)-[6-(1-метилпиперазин-4-ил)-2-(нафталин-2-илсульфанил)пиримидин-4-ил]амин (IIIa-8): Получен способом, по существу подобным описанному выше способу получения соединения IIIa-7, в виде белого твердого вещества, т.пл. 113-115°C; 1Н ЯМР (ДМСО) δ 0,35-0,91 (4H, 4 x м), 1,31 и 1,78 (1H, 2 x м), 2,17 и 2,19 (3Н, 2 x с), 2,29 (4H, м), 3,35 (2H, м), 3,61 (2H, м), 5,38-6,20 (2H, шир.м), 7,55-7,66 (3Н, м), 7,95-8,02 (3Н, м), 8,17 и 8,23 (1H, 2xс), 9,26 и 9,32 (1H, 2 x шир.с), 11,71 и 11,85 (1H, 2 x шир.с); ИК (твердое вещество); МС 458,3(М+H)+.
Пример 193 [6-(2,6-Диметилфенил)-2-(нафталин-2-илсульфанил)пиримидин-4-ил]-(5-метил-2Н-пиразол-3-ил)амин (IIIa-9): Получен способом, подобным описанному выше способу L, в виде не совсем белого твердого вещества, т.пл. 148-152°C; 1Н ЯМР (ДМСО) δ 2,10 (6H, с), 2,26 (3Н, д), 5,09 и 6,31 (1H, 2 x шир.с), 7,03 (3Н, с), 7,22 (1H, с), 7,59 (2H, т), 7,69 (1H, д), 7,99 (3H, д), 8,28 (1H, с), 9,93 (1H, с), 11,67 (1H, шир.с); ИК (твердое вещество) 2970, 1739, 1436, 1365, 1229, 1217, 1205; МС 438,3(М+H)+.
Пример 194 [6-(2-Метилфенил)-2-(нафталин-2-илсульфанил)пиримидин-4-ил]-(5-метил-2Н-пиразол-3-ил)амин (IIIa-10): Получен способом, подобным описанному выше способу L, в виде белого твердого вещества, т.пл. 211-214°C; 1Н ЯМР (ДМСО) δ 1,41 (3H, с), 2,30 (3H, с), 5,26 и 6,55 (1H, 2 x шир.с), 7,34 (5H, м), 7,62 (2H, т), 7,70 (1H, д), 7,99 (3H, т), 8,30 (1H, с), 9,97 (1H, с), 11,73 (1H, шир.с); ИК (твердое вещество) 2356, 1615, 1582, 1483, 1265, 851, 822, 761; МС 424,0(М+H)+.
Пример 195 [2-(4-Ацетамидофенилсульфанил)-6-фенилпиримидин-4-ил]-(5-метил-2Н-пиразол-3-ил)амин (IIIa-11): Получен способом, подобным описанному выше способу L, в виде белого твердого вещества, т.пл. 153-155°C; 1Н ЯМР (ДМСО) δ 2,01 (3H, с), 2,08 (3H, с), 5,43 (1H, с), 6,96 (1H, шир.с), 7,49-7,88 (9H, м), 10,00 (1H, шир.с), 10,23 (1H, с), 11,86 (1H, шир.с); МС 417,2(М+H)+.
Пример 196 (5-Метил-2Н-пиразол-3-ил)-[2-(нафталин-2-илсульфанил)-6-фенилпиримидин-4-ил]амин (IIIa-12): Получен способом, подобным описанному выше способу L, в виде белого твердого вещества, т.пл. 237-239°C; 1Н ЯМР (ДМСО) δ 1,39 (3H, шир.с), 5,12 (1H, шир.с), 6,98 (1H, шир.с), 7,50 (3H, м), 7,62-7,63 (2H, м), 7,72 (1H, д), 7,90 (2H, м), 8,03-8,05 (3H, м), 8,31 (1H, с), 10,00 (1H, с), 11,73 (1H, шир.с); ИК (твердое вещество); МС 410,2(М+H)+.
Пример 197 [2-(4-Изобутириламинофенилсульфанил)-6-фенилпиримидин-4-ил]-(5-метил-2Н-пиразол-3-ил)амин (IIIa-13): Получен способом, подобным описанному выше способу L, в виде не совсем белого твердого вещества, т.пл. 201-202°C; 1Н ЯМР (ДМСО) δ 1,05-1,13 (6H, м), 1,97 (3H, с), 2,65 (1H, м), 5,37 (1H, шир.с), 6,93 (1H, шир.с), 7,50-7,58 (5H, м), 7,78-7,90 (4H, м), 9,99, 10,12 и 11,84 (3H, 3×шир.с); ИК (твердое вещество) 1676, 1614, 1586, 1573, 1514, 1483, 1395, 1299, 1262, 1242, 1214, 1168, 1089, 988; МС 445,3(М+H)+.
Пример 198 [6-(4-Метилпиперазин-1-ил)-2-метилсульфанилпиримидин-4-ил]-(5-метил-2Н-пиразол-3-ил)амин (IIIa-14): Получен способом, подобным описанному выше способу M, в виде не совсем белого твердого вещества, 1Н ЯМР (ДМСО) δ 2,18 (3H, с), 2,20 (3H, с), 2,36 (4H, м), 2,41 (3H, с), 3,46 (4H, м), 5,91 (1H, с), 6,41 (1H, шир.с), 9,20 (1H, с), 11,87 (1H, с); ИК (твердое вещество); МС 320,3(М+H)+.
Пример 199 (5-Метил-2Н-пиразол-3-ил)-[6-фенил-2-(4-пропиониламинофенилсульфанил)пиримидин-4-ил]амин (IIIa-15): Получен способом, подобным описанному выше способу L, в виде бледно-розового твердого вещества, т.пл. 204-206°C; 1Н ЯМР (ДМСО) δ 1,09-1,13 (3H, м), 2,00 (3H, с), 2,33-2,37 (2H, м), 5,40 (1H, шир.с), 6,95 (1H, шир.с), 7,50 (3H, м), 7,56-7,58 (2H, м), 7,76-7,78 (2H, м), 7,88 (2H, м), 9,99, 10,15 и 11,85 (3H, 3 x шир.с); ИК (твердое вещество) 1678, 1623, 1580, 1534, 1496, 1453, 1398, 1307, 1245, 1203, 1119, 1049, 1030, 1004; МС 431,2(М+H)+.
Пример 200 [2-(4-Циклопропанкарбониламинофенилсульфанил)-6-фенилпиримидин-4-ил]-(5-метил-2Н-пиразол-3-ил)амин (IIIa-16): Получен способом, подобным описанному выше способу L, в виде не совсем белого твердого вещества, т.пл. 253-255°C; 1Н ЯМР (ДМСО) δ 0,82-0,83 (4H, м), 1,83 (1H, м), 2,00 (3H, с), 5,41 (1H, шир.с), 6,88 (1H, шир.с), 7,42-7,50 (3H, м), 7,56-7,58 (2H, м), 7,76-7,78 (2H, м), 7,89 (2H, м), 9,99, 10,47 и 11,85 (3H, 3 x шир.с); ИК (твердое вещество) 1672, 1621, 1591, 1581, 1573, 1537, 1495, 1448, 1405, 1390, 1312, 1254, 1246, 1202, 1192, 1179, 1119,2, 1005, 959; МС 443,2(М+H)+.
Пример 201 (5-Метил-2Н-пиразол-3-ил)-{6-фенил-2-[4-(пропан-1-сульфониламино)фенилсульфанил]пиримидин-4-ил}амин (IIIa-17): Получен способом, подобным описанному выше способу L, в виде не совсем белого твердого вещества, т.пл. 232-235°C; 1Н ЯМР (ДМСО) δ 0,94 (3H, т), 1,71 (2H, м), 2,12 (3H, с), 3,13 (2H, т), 5,59 (1H, с), 7,31 (2H, д), 7,49 (3H, с), 7,59 (2H, д), 7,85 (2H, с), 10,00 (1H, шир.с), 10,16 (1H, с), 12,05 (1H, шир.с); ИК (твердое вещество) 1628, 1587, 1545, 1525, 1496, 1455, 1311, 1255, 1236, 1212, 1186, 1140, 1032, 1001, 934; МС 481,2(М+H)+.
Пример 202 [2-(4-Этансульфониламинофенилсульфанил)-6-фенилпиримидин-4-ил]-(5-метил-2Н-пиразол-3-ил)амин (IIIa-18): Получен способом, подобным описанному выше способу L, в виде бледно-желтого твердого вещества, т.пл. 251-254°C; 1Н ЯМР (ДМСО) δ 1,21 (3H, т), 2,12 (3H, с), 3,15 (2H, кв), 5,59 (1H, с), 7,32 (2H, д), 7,49 (3H, с), 7,57 (2H, д), 7,85 (2H, с), 9,99 (1H, шир.с), 10,15 (1H, шир.с), 11,90 (1H, шир.с); ИК (твердое вещество) 1621, 1585, 1542, 1523, 1495, 1455, 1315, 1257, 1208, 1142, 1049, 1033, 1002, 932; МС 467,2(М+H)+.
Пример 203 [2-(4-Ацетамидофенилсульфанил)-6-(2-метилфенил)-пиримидин-4-ил]-(5-метил-2Н-пиразол-3-ил)амин (IIIa-19): Получен способом, подобным описанному выше способу L, в виде белого твердого вещества, т.пл. 212-214°C; 1Н ЯМР (ДМСО) δ 2,01 (3H, с), 2,08 (3H, с), 2,24 (3H, с), 5,43 (1H, с), 6,56 (1H, шир.с), 7,49-7,88 (9H, м), 10,00 (1H, шир.с), 10,23 (1H, с), 11,86 (1H, шир.с); ИК (твердое вещество) l701, 1634, 1588, 1555, 1496, 1390, 1307, 1208, 1169, 823, 803; МС 431,4(М+H)+.
Пример 204 [2-(4-Изобутанкарбониламинофенилсульфанил)-6-фенилпиримидин-4-ил]-(5-метил-2Н-пиразол-3-ил)амин (IIIa-20): Получен способом, подобным описанному выше способу L, в виде не совсем белого твердого вещества, т.пл. 241-243°C; 1Н ЯМР (ДМСО) δ 0,95-0,96 (6H, м), 2,00 (3H, с), 2,11 (1H, м), 2,23-2,25 (2H, м), 5,43 (1H, шир.с), 6,95 (1H, шир.с), 7,50-7,58 (5H, м), 7,77-7,89 (4H, м), 10,00, 10,13 и 11,84 (3H, 3 x шир.с); ИК (твердое вещество) 1660, 1628, 1589, 1575, 1543, 1525, 1496, 1451, 1398, 1357, 1314, 1301, 1251, 1206, 1108, 995; МС 459,2(М+H)+.
Пример 205 [2-(4-Ацетамидофенилсульфанил)-5-метил-6-фенилпиримидин-4-ил]-(5-метил-2Н-пиразол-3-ил)амин (IIIa-21): Получен способом, подобным описанному выше способу L, в виде бледно-розового твердого вещества, т.пл. 276-277°C; 1Н ЯМР (ДМСО) δ 1,98 (3H, с), 2,08 (6H, с), 5,41 (1H, шир.с), 7,47-7,55 (7H, м), 7,72-7,74 (2H, м), 8,89, 10,20 и 11,87 (3H, 3 x шир.с); ИК (твердое вещество) 1676, 1591, 1555, 1540, 1519, 1493, 1393, 1375, 1303, 1260, 1230, 1176, 1148, 1045, 1011, 969; МС 431,2(М+H)+.
Пример 206 [2-(4-Ацетамидофенилсульфанил)-6-(4-метоксифенил)пиримидин-4-ил]-(5-метил-2Н-пиразол-3-ил)амин (IIIa-22): Получен способом, подобным описанному выше способу L, в виде не совсем белого твердого вещества, т.пл. 241-245°C; 1Н ЯМР (ДМСО) δ 1,99 (3H, с), 2,06 (3H, с), 3,82 (3H, с), 5,44 (1H, с), 7,03 (2H, д), 7,53 (2H, д), 7,71 (2H, с), 7,83 (2H, с), 10,12 (1H, с), 10,23 (1H, с), 11,84 (1H, с); ИК (твердое вещество) 1627, 1606, 1571, 1511, 1313, 1257, 1181, 830; МС 447,2(М+Н)+.
Пример 207 [6-(3-Ацетамидофенил)-2-(4-ацетамидофенилсульфанил)пиримидин-4-ил]-(5-метил-2Н-пиразол-3-ил)амин (IIIa-23): Получен способом, подобным описанному выше способу L, в виде коричневого твердого вещества, т.пл. 227-230°C; 1Н ЯМР (ДМСО) δ 2,01 (3H, с), 2,11 (6H, с), 5,34 (1H, с), 6,99 (1H, шир.с), 7,41 (1H, т), 7,49-7,62 (3H, м), 3,71-3,76 (3H, м), 8,19 (1H с), 10,09-10,18 (2H, шир.с), 10,23 (1H, с), 12,20 (1H, шир.с); ИК (твердое вещество) 1635, 1573, 1533, 1488, 1372, 1318, 1297, 827, 798; МС 474,3(М+Н)+.
Пример 208 [2-(4-Изопропансульфониламинофенилсульфанил)-6-фенилпиримидин-4-ил]-(5-метил-2Н-пиразол-3-ил)амин (IIIa-24): Получен способом, подобным описанному выше способу L, в виде белого твердого вещества, т.пл. 255-257°C; 1Н ЯМР (ДМСО) δ 1,28 (6H, д), 2,14 (3H, с), 3,32 (1H, с), 5,60 (1H, с), 7,36 (2H, д), 7,49 (3H, с), 7,60 (2H, д), 7,85 (2H, с), 10,00 (1H, шир.с), 10,11 (1H, с), 11,92 (1H, шир.с); ИК (твердое вещество) 1625, 1587, 1574, 1545, 1525, 1495, 1313, 1295, 1257, 1234, 1136, 1000, 934; МС 481,2(М+H)+.
Пример 209 {2-[4-(2-Диметиламиноацетиламино) фенилсульфанил]-6-фенилпиримидин-4-ил}-(5-метил-2Н-пиразол-3-ил)амин (IIIa-25): Получен способом, подобным описанному выше способу L, в виде не совсем белого твердого вещества, т.пл. 213-215°C; 1Н ЯМР (ДМСО) δ 2,00 (3H, с), 2,31 (6H, с), 3,15 (2H, с), 5,45 (1H, с), 6,83 (1H, шир.с), 7,46-7,51 (3H, м), 7,59 (2H, д), 7,80-7,92 (5H, м), 9,98 (1H, с), 10,05 (1H, с); ИК (твердое вещество) 1701, 1617, 1587, 1571, 1509, 1480, 1456, 1304, 1284, 1254, 1238, 1213, 1181, 1156, 987, 833, 782, 754, 695; МС 460,3(М+H)+.
Пример 210 [2-(3-Хлорбензилсульфанил)-6-морфолин-4-илпиримидин-4-ил]-(5-метил-2Н-пиразол-3-ил)амин (IIIa-26): Получен способом, подобным описанному выше способу М, в виде белого твердого вещества, т.пл. 224-225°C; 1Н ЯМР (ДМСО) δ 2,17 (3H, с), 3,40-3,50 (4H, м), 3,60-3,71 (4H, м), 4,30 (2H, с), 5,95 (1H, шир.с), 6,41 (1H, шир.с), 7,23-7,55 (4H, м), 9,31 (1H, с), 11,89 (1H, шир.с); ИК (твердое вещество) 1557, 1476, 1442, 1401, 1314, 1232, 1121, 1018; МС 417,4(М+H)+.
Пример 211 [2-(3-Хлорбензилсульфанил)-6-(2-метоксиэтиламино)пиримидин-4-ил]-(5-метил-2Н-пиразол-3-ил)амин (IIIa-27): Получен способом, подобным описанному выше способу М, в виде белого твердого вещества, т.пл. 101-102°C; 1Н ЯМР (ДМСО) δ 2,15 (3H, с), 3,21 (3H, с), 3,28-3,41 (4H, м), 4,29 (2H, с), 5,78 (1H, шир.с), 6,20 (1H, шир.с), 7,10 (1H, шир.с), 7,21-7,50 (4H, м), 9,01 (1H, шир.с); ИК (твердое вещество) 1598, 1555, 1527, 1336, 1293, 1117, 1079, 974, 783; МС 405,4(М+H)+.
Пример 212 [2-Бензилсульфанил-6-(4-метилпиперазин-1-ил)-пиримидин-4-ил]-(5-метил-2Н-пиразол-3-ил)амин (IIIa-28): Получен способом, подобным описанному выше способу М, в виде желтой смолы, 1Н ЯМР (CDCl3) δ 2,23 (3H, с), 2,28 (3H, с), 2,31-2,64 (4H, м), 3,30-3,65 (4H, м), 4,38 (2H, с), 5,83 (1H, с), 6,23 (1H, шир.с), 7,17-7,49 (5H, м), 7,98-8,18 (1H, м); ИК (твердое вещество) 1555, 1494, 1371, 1315, 1286, 1233, 999, 977, 801, 774, 709; МС 396,4(М+H)+.
Пример 213 [2-Бензилсульфанил-6-морфолин-4-илпиримидин-4-ил]-(5-метил-2Н-пиразол-3-ил)амин (IIIa-29): Получен способом, подобным описанному выше способу М, в виде не совсем белой пены, 1Н ЯМР (CDCl3) δ 2,31 (3H, с), 3,39-3,80 (8H, м), 4,39 (2H, с), 5,84 (1H, с), 6,25 (1H, шир.с), 7,20-7,50 (5H, м), 8,10 (1H, с); ИК (твердое вещество) 1557, 1486, 1442, 1314, 1229, 1213, 1121, 767, 698; МС 383,4(М+H)+.
Пример 214 [2-(3-Хлорбензилсульфанил)-6-(4-метилпиперазин-1-ил)пиримидин-4-ил]-(5-метил-2Н-пиразол-3-ил)амин (IIIa-30): Получен способом, подобным описанному выше способу М, в виде белой пены, 1Н ЯМР (CDCl3) δ 2,31 (3H, с), 2,35 (3H, с), 2,40-2,51 (4H, м), 3,56-3,69 (4H, м), 4,34 (2H, с), 5,85 (1H, с), 6,29 (1H, шир.с), 6,89 (1H, с), 7,18-7,50 (4H, м); ИК (твердое вещество) 1553, 1514, 1484, 1446, 1277, 1228, 999, 799; МС 430,4(М+H)+.
Пример 215 [2-(4-Метоксибензилсульфанил)-6-(4-метилпиперазин-1-ил)пиримидин-4-ил]-(5-метил-2Н-пиразол-3-ил)амин (IIIa-31): Получен способом, подобным описанному выше способу М, в виде желтого масла, 1Н ЯМР (CDCl3) δ 2,28 (3H, с), 2,33 (3H, с), 2,44-2,45 (4H, м), 3,62 (4H, м), 3,80 (3H, с), 4,34 (2H, с), 5,32 (1H, с), 6,28 (1H, шир.с), 6,83-6,85 (2H, м), 7,34-7,36 (2H, м); ИК (твердое вещество) 1659, 1554, 1508, 1485, 1449, 1366, 1318, 1302, 1277, 1230, 1166, 1146, 1030, 999, 973, 948; МС 443,4(М+H)+.
Пример 216 [2-(4-Ацетамидофенилсульфанил)-6-трет-бутил-пиримидин-4-ил]-(5-метил-2Н-пиразол-3-ил)амин (IIIa-32): Получен способом, подобным описанному выше способу L, в виде белого твердого вещества, т.пл. 227-228°C; 1Н ЯМР (ДМСО) δ 1,10 (3H, шир.с), 1,20 (9H, с), 2,00 (3H, с), 2,35 (2H, кв), 5,35 (1H, шир.с), 6,55 (1H, шир.с), 7,55 (2H, д), 7,75 (2H, д), 10,1 (1H, шир.с), 1,15 (1H, с), 12,1 (1H, шир.с); ИК (твердое вещество); МС (М+H)+.
Пример 217 (5-Циклопропил-2Н-пиразол-3-ил)-[6-фенил-2-(4-пропиониламинофенилсульфанил)пиримидин-4-ил]амин (IIIa-33): Получен способом, подобным описанному выше способу L, в виде не совсем белого твердого вещества, т.пл. 208-209°C; 1Н ЯМР (ДМСО) δ 0,52 (2H, м), 0,80 (2H, м), 1,08-1,10 (3H, м), 1,65 (1H, шир.с), 2,33-2,37 (2H, м), 5,50 (1H, шир.с), 7,03 (1H, шир.с), 7,47 (3H, м), 7,50-7,58 (2H, м), 7,76-7,77 (2H, м), 7,88-7,98 (2H, м), 10,00, 10,11 и 11,86 (3H, 3 x шир.с); ИК (твердое вещество) 1676, 1617, 1575, 1539, 1520, 1485, 1459, 1418, 1395, 1304, 1255, 1243, 1215, 1161, 1071, 990; МС 457,4(М+H)+.
Пример 218 [2-(3-Хлорбензилсульфанил)-6-(пиперидин-1-ил)-пиримидин-4-ил]-(5-метил-2Н-пиразол-3-ил)амин (IIIa-34): Получен способом, подобным описанному выше способу М, в виде белого твердого вещества, т.пл. 234-235°C; 1Н ЯМР (ДМСО) δ 1,40-1,64 (6H, м), 2,13 (3H, с), 3,42-3,51 (4H, м), 4,27 (2H, с), 5,85 (1H, шир.с), 6,46 (1H, шир.с), 7,23-7,41 (3H, м), 7,48 (1H, с), 9,18 (1H, с), 11,83 (1H, с); ИК (твердое вещество) 1598, 1546, 1483, 1398, 1317, 1227, 974, 798, 779; МС 415,4(М+H)+.
Пример 219 (5-Метил-2Н-пиразол-3-ил)-{2-[4-(морфолинсульфонил)бензилсульфанил]-6-морфолин-4-илпиримидин-4-ил}амин (IIIa-35): Получен способом, подобным описанному выше способу М, в виде белого твердого вещества, 1Н ЯМР (ДМСО) δ 2,24 (3H, с), 2,90-3,01 (4H, м), 3,29-3,36 (4H, м), 3,48-3,57 (4H, м), 3,67-3,75 (4H, м), 4,43 (2Н, с), 5,82-6,10 (2Н, м), 7,50-7,70 (5Н, м); ИК (твердое вещество) 1550, 1483, 1441, 1346, 1308, 1255, 1160, 1112, 941, 726; МС 532,5(М+H)+.
Пример 220 {6-(2-метоксиэтиламино)-2-[4-(морфолинсульфонил)бензилсульфанил]пиримидин-4-ил}-(5-метил-2Н-пиразол-3-ил)амин (IIIa-36): Получен способом, подобным описанному выше способу М, в виде белого твердого вещества, т.пл. 193-195°C; 1Н ЯМР (ДМСО) δ 2,15 (3H, с), 2,79-2,89 (4H, м), 3,34 (3H, с), 3,40-3,51 (4H, м), 3,59-3,67 (4H, м), 4,41 (2Н, с), 5,76-5,72 (1H, м), 6,20 (1H, шир.с), 7,10 (1H, шир.с), 7,61-7,74 (4H, м), 9,03 (1H, шир.с), 11,81 (1H, шир.с); ИК (твердое вещество) 1593, 1555, 1484, 1350, 1298, 1255, 1160, 1107, 936; МС 520,5(М+H)+.
Пример 221 {6-(4-метилпиперазин-1-ил)-2-[4-(морфолинсульфонил)бензилсульфанил]пиримидин-4-ил}-(5-метил-2Н-пиразол-3-ил)амин (IIIa-37): Получен способом, подобным описанному выше способу М, в виде белого твердого вещества, т.пл. 206-207°C; 1Н ЯМР (ДМСО) δ 2,09 (3H, с), 2,20 (3H, с), 2,26-2,40 (4H, м), 2,78-2,88 (4H, м), 3,38-3,49 (4H, м), 3,56-3,67 (4H, м), 4,41 (2Н, с), 5,82 (1H, шир.с), 6,42 (1H, шир.с), 7,60-7,74 (4H, м), 9,26 (1Н, с), 11,89 (1H, шир.с); ИК (твердое вещество) 1583, 1558, 1479, 1346, 1231, 1160, 1112, 998, 969, 926; МС 545,5(М+H)+.
Пример 222 [6-Метоксиметил-2-(4-пропиониламинофенилсульфанил)пиримидин-4-ил]-(5-метил-2Н-пиразол-3-ил)амин (IIIa-38): Получен способом, подобным описанному выше способу L, в виде белого твердого вещества, 1Н ЯМР (ДМСО) δ 1,03-1,14 (3H, м), 2,00 (3H, с), 2,29-2,40 (2H, м), OMe под ДМСО, 4,22 (2H, м), 5,26 (1H, шир.с), 6,45 (1H, шир.с), 7,44-7,56 (2H, м), 7,68-7,80 (2H, м), 9,86 (1H, шир.с), 10,11 (1H, с), 11,79 (1H, шир.с); ИК (твердое вещество) 1670, 1593, 1517, 1479, 1393, 1360, 1269, 1174, 1107; МС 399,4(М+H)+.
Пример 223 [2-(4-Метоксикарбонилфенилсульфанил)-6-метоксиметилпиримидин-4-ил]-(5-метил-2Н-пиразол-3-ил)амин (IIIa-39): Получен способом, подобным описанному выше способу L, в виде белого твердого вещества, т.пл. 204-205°C; 1Н ЯМР (ДМСО) δ 1,89 (3H, шир.с), 3,85 (3H, с), Оме под ДМСО, 4,23 (2H, с), 5,22 (1H, шир.с), 6,51 (1H, шир.с), 7,70-7,81 (2H, м), 7,96-8,06 (2H, м), 9,99 (1H, шир.с), 11,85 (1H, шир.с); ИК (твердое вещество) 1721, 1621, 1583, 1519, 1484, 1289, 1271, 1178, 1119, 1109, 997, 841; МС 386,3(М+H)+.
Пример 224 [2-(3,5-Диметоксибензилсульфанил)-6-морфолин-4-илпиримидин-4-ил]-(5-метил-2Н-пиразол-3-ил)амин (IIIa-40): Получен способом, подобным описанному выше способу М, в виде белого твердого вещества, 1Н ЯМР (ДМСО) δ 2,15 (3H, с), 3,40-3,49 (4H, м), 3,60-3,74 (10Н, м), 4,25 (2H, с), 5,88 (1H, шир.с), 6,31-6,61 (5H, м), 9,32 (1H, с), 11,86 (1H, с); ИК (твердое вещество) 1581, 1556, 1470, 1439, 1315, 1232, 1205, 1159, 1144; МС 443,4(М+H)+.
Пример 225 [2-(3,5-Диметоксибензилсульфанил)-6-пирролидин-4-илпиримидин-4-ил]-(5-метил-2Н-пиразол-3-ил)амин (IIIa-41): Получен способом, подобным описанному выше способу М, в виде белого твердого вещества, 1Н ЯМР (ДМСО) δ 1,80-1,97 (4H, м), 2,15 (3H, с), 3,43-3,45 (4H, м), 3,69 (6H, с), 4,26 (2H, с), 5,85 (1H, шир.с), 6,18 (1H, шир.с), 6,35 (1H, шир.с), 6,60 (2H, с), 9,12 (1H, с), 11,88 (1H, с); ИК (твердое вещество) l598, 1560, 1474, 1470, 1346, 1303, 1207, 1136, 1050; МС 427,4(М+H)+.
Пример 226 (5-Метил-2Н-пиразол-3-ил)-[6-морфолин-4-ил-2-(нафталин-2-илметилсульфанил)пиримидин-4-ил]амин (IIIa-42): Получен способом, подобным описанному выше способу М, в виде не совсем белого твердого вещества, 1Н ЯМР (ДМСО) δ 2,15 (3H, с), 3,37-3,50 (4H, м), 3,59-3,70 (4H, м), 4,48 (2H, с), 5,88 (1H, шир.с), 6,40 (1H, шир.с), 7,40-7,60 (3H, м), 7,78-7,95 (4H, м), 9,30 (1H, с), 11,89 (1H, шир.с); ИК (твердое вещество) 1607, 1555, 1484, 1441, 1398, 1365, 1308, 1231, 1179, 1112; МС 433,4(М+H)+.
Пример 227 {2-(4-Ацетамидофенилсульфанил)-6-[4-(3-диметиламинопропокси)фенил]пиримидин-4-ил}-(5-метил-2Н-пиразол-3-ил)-амин (IIIa-43): Получен способом, подобным описанному выше способу N, в виде белого твердого вещества, т.пл. 219-222°C; 1Н ЯМР (CDCl3) δ 1,97-2,07 (2H, м), 2,14 (3H, с), 2,18 (3H, с), 2,30 (6H, с), 2,52 (2H, т), 4,09 (2H, т), 5,56 (1H, с), 6,80 (1H, шир.с), 6,99 (2H, д), 7,60 (2H, д), 7,68-7,78 (3H, м), 7,85 (2H, д); ИК (твердое вещество) 1606, 1590, 1512, 1482, 1309, 1250, 1238, 1210, 1178, 1151, 1055, 989, 824, 711, 690, 665, 656; МС 518,4 (М+H)+.
Пример 228 [2-(4-Ацетамидофенилсульфанил)-6-[морфолин-4-ил)пиримидин-4-ил]-(5-метил-2Н-пиразол-3-ил)амин (IIIa-44): Получен способом, подобным описанному выше способу Р, в виде белого твердого вещества; МС 426,4(М+H)+.
Пример 229 [6-Гидроксиметил-2-(4-пропиониламинофенилсульфанил)пиримидин-4-ил]-(5-метил-2Н-пиразол-3-ил)амин (IIIa-45): Получен из IIIa-48 способом О, в виде белого твердого вещества, 1Н ЯМР (ДМСО) δ 1,08-1,18 (3H, м), 1,96 (3H, шир.с), 2,29-2,40 (2H, м), 4,20-4,40 (3H, м), 5,20-5,46 (2H, м), 6,56 (1H, с), 7,50 (2H, д), 7,79 (2H, д), 9,90 (1H, шир.с), 10,13 (1H, с), 11,78 (1H, шир.с); МС 385,4(М+H)+.
Пример 230 [2-(4-Ацетамидофенилсульфанил)пиримидин-4-ил]-(5-метил-2Н-пиразол-3-ил)амин (IIIa-46): Получен способом, подобным описанному выше способу L, в виде не совсем белого твердого вещества, т.пл. 249-250°C; 1Н ЯМР (ДМСО) δ 1,99 (3H, с), 2,08 (3H, с), 5,38 (1H, шир.с), 6,45 (1H, шир.с), 7,50 (2H, д), 7,71 (2H, д), 7,98 (1H, д), 9,89 (1H, шир.с), 10,19 (1H, шир.с), 11,83 (1H, шир.с); ИК (твердое вещество) 1657, 1609, 1584, 1515, 1494, 1468, 1395, 1372, 1355, 1330, 1316, 1201, 1175, 1157, 1027, 993; МС 341,4(М+H)+.
Пример 231 [6-(1-Бутоксикарбонил)-2-(4-пропиониламинофенилсульфанил)пиримидин-4-ил]-(5-метил-2Н-пиразол-3-ил)амин (IIIa-47): Получен способом, подобным описанному выше способу L, в виде желтого твердого вещества, 1Н ЯМР (ДМСО) δ 0,90-0,98 (3H, м), 1,03-1,12 (3H, м), 1,31-1,45 (2H, м), 1,60-1,71 (2H, м), 1,94 (3H, шир.с), 2,29-2,40 (2H, м), 4,20-4,30 (2H, м), 5,25 (1H, шир.с), 7,08 (1H, шир.с), 7,49-7,55 (2H, м), 7,72-7,81 (2H, м), 10,15 (1H, шир.с), 10,32 (1H, шир.с), 11,89 (1H, шир.с); ИК (твердое вещество) 1736, 1679, 1622, 1584, 1517, 1489, 1284, 1174; МС 455,4(М+H)+.
Пример 232 [6-(Метоксикарбонил-2-(4-пропиониламинофенилсульфанил)пиримидин-4-ил]-(5-метил-2Н-пиразол-3-ил)амин (IIIa-48): Получен способом, подобным описанному выше способу L, в виде желтого твердого вещества, 1Н ЯМР (ДМСО) δ 1,10 (3H, т), 1,94 (3H, шир.с), 2,35 (2H, кв), 3,84 (3H, с), 5,22 (1H, шир.с), 7,05 (1H, с), 7,52 (2H, д), 7,79 (2H, д), 10,18 (1H, шир.с), 10,38 (1H, шир.с), 11,89 (1H, шир.с),; ИК (твердое вещество) 1741, 1679, 1617, 1589, 1512, 1484, 1374, 1284, 1250; МС 413,4(М+H)+.
Пример 233 (5-Метил-2Н-пиразол-3-ил)-(6-фенил-2-фениламинопиримидин-4-ил)амин (IIIc-1): белое твердое вещество, МС 343,4(М+H)+.
Пример 234 (5-Циклопропил-2Н-пиразол-3-ил)-(6-фенил-2-фениламинопиримидин-4-ил)амин (IIIc-2): белое твердое вещество, т.пл. 267-269°C; 1Н ЯМР (ДМСО) δ 0,63 (2H, м), 0,96 (2H, м), 1,87 (1Н, м), 6,07 (1H, с), 6,84 (1H, шир.с), 7,20 (1H, м), 7,33-8,05 (9H, м), 10,52 (1H, шир.с), 11,08 (1H, шир.с), 12,53 (1H, шир.с); ИК (твердое вещество); МС 369,7(М+H)+.
Пример 235 (5-Циклопропил-2Н-пиразол-3-ил)-[2-(3-метилфениламино)-6-фенилпиримидин-4-ил]амин (IIIc-3): белое твердое вещество, т.пл. 267-270°C; 1Н ЯМР (ДМСО) δ 0,63 (2H, м), 0,94 (2H, м), 1,87 (1H, м), 2,36 (3H, с), 6,12 (1H, с), 6,81 (1H, шир.с), 7,03 (1H, м), 7,29-7,94 (8H, м), 10,43 (1H, шир.с), 11,12 (1H, шир.с), 12,47 (1H, шир.с); ИК (твердое вещество); МС 383,7(М+H)+.
Пример 236 [2-(4-Цианметилфениламино)-6-фенилпиримидин-4-ил]-(5-циклопропил-2Н-пиразол-3-ил)амин (IIIc-4): бледно-желтое твердое вещество, т.пл. 294-297°C; 1Н ЯМР (ДМСО) δ 0,64 (2H, м), 0,97 (2H, м), 1,89 (1H, м), 4,06 (2H, с), 6,07 (1H, с), 6,87 (1H, шир.с), 7,40 (2H, м), 7,63-7,90 (5H, м), 7,95 (2H, м), 10,51 (1H, шир.с), 11,02 (1H, шир.с), 12,57 (1H, шир.с); ИК (твердое вещество); МС 408,8(М+H)+.
Пример 237 (5-Циклопропил-2Н-пиразол-3-ил)-[6-фенил-2-(пиридин-3-илметиламино)пиримидин-4-ил]амин (IIIc-5): не совсем белое твердое вещество, т.пл. 191-193°C; 1Н ЯМР (ДМСО) δ 0,65 (2H, м), 0,89 (2H, м), 1,83 (1H, м), 4,59 (2H, с), 6,04 (1H, шир.с), 6,76 (1H, шир.с), 7,32-7,56 (5H, м), 7,77 (1H, м), 7,88-7,97 (2H, м), 8,43 (1H, м), 8,61 (1H, с), 9,47 (1H, шир.с), 11,93 (1H, шир.с), ИК (твердое вещество); МС 384,8(М+H)+.
Пример 238 [2-(3-Хлорфенил)амино-6-(3-нитрофенил)пиримидин-4-ил]-(5-метил-2Н-пиразол-3-ил)амин (IIIc-6): не совсем белое твердое вещество, 1Н ЯМР (CD3OD) δ 5,95 (1H, с), 6,65 (1H, с), 6,90 (1H, д), 7,18 (1H, т), 7,32 (1H, д), 7,58 (1H, т), 7,82 (1H, с), 8,18 (1H, д), 8,25 (1H, д), 8,65 (1H, с); МС 422,1(М+H)+.
Пример 239 [2-(3-Хлорфенил)амино-6-(3,4,5-триметоксифенил)пиримидин-4-ил]-(5-метил-2Н-пиразол-3-ил)амин (IIIc-7): белое твердое вещество, МС 467,7(М+H)+.
Пример 240 (5-Метил-2Н-пиразол-3-ил)-[2-(4-сульфамоилфениламино-6-(3,4,5-триметоксифенил)пиримидин-4-ил]амин (IIIc-8): белое твердое вещество, МС 512,6(М+H)+.
Пример 241 [2-(4-Хлорфенил)амино-6-метилпиримидин-4-ил]-(5-(фуран-2-ил)-2Н-пиразол-3-ил)амин (IIIc-9): белое твердое вещество, МС 367,1(М+H)+.
Пример 242 [2-(Бензимидазол-2-иламино)-6-этилпиримидин-4-ил]-(5-метил-2Н-пиразол-3-ил)амин (IIIc-10): МС 335,5(М+H)+.
Пример 243 [2-(4-Хлорфенил)амино-6-метилпиримидин-4-ил]-(5-фенил-2Н-пиразол-3-ил)амин (IIIc-11): МС 377,5(М+H)+.
Пример 244 [2-(4-Хлорфенил)амино-6-этилпиримидин-4-ил]-(5-метил-2Н-пиразол-3-ил)амин (IIIc-12): МС 329,4(М+H)+.
Пример 245 (5-трет-Бутил-2Н-пиразол-3-ил)-[2-(3-хлорфенил)амино-6-(3-нитрофенил)пиримидин-4-ил]амин (IIIc-13): не совсем белое твердое вещество, 1Н ЯМР (CD3OD) δ 1,32 (9Н, с), 6,18 (1H, с), 7,04 (1H, с), 7,14 (1H, д), 7,35 (1H, т), 7,58 (1H, д), 7,82 (1H, т), 7,91 (1H, с), 8,35 (1H, д), 8,40 (1H, д), 8,90 (1H, с); МС 464,2(М+H)+.
Пример 246 [2-(3-Хлорфенил)амино-6-(3-нитрофенил)пиримидин-4-ил]-(5-фенил-2Н-пиразол-3-ил)амин (IIIc-14): не совсем белое твердое вещество, 1Н ЯМР (CD3OD) δ 6,66 (1H, с), 7,12 (1H, д), 7,30-7,45 (5H, м), 7,50 (1H, д), 7,62 (2H, д), 7,78 (1H, т), 7,88 (1H, с), 8,35 (1H, д), 8,42 (1H, д), 8,85 (1H, с); МС 484,1(М+H)+.
Пример 247 [5-(Фуран-2-ил)-2Н-пиразол-3-ил]-(6-фенил-2-фениламинопиримидин-4-ил)амин (IIIc-15): МС 395,4(М+H)+.
Пример 248 [2-(Бензимидазол-2-иламино-6-метилпиримидин-4-ил]-5-фенил-2Н-пиразол-3-ил)амин (IIIc-16): МС 383,2(М+H)+.
Пример 249 [2-(Бензимидазол-2-иламино-6-метилпиримидин-4-ил]-[5-(фуран-2-ил)-2Н-пиразол-3-ил]амин (IIIc-17): МС 373,4(М+H)+.
Пример 250 [2-(4-Хлорфениламино)-6-метилпиримидин-4-ил]-(5-метил-2Н-пиразол-3-ил)амин (IIIc-18): МС 315,4(М+H)+.
Пример 251 [2-(4-Хлорфенил)амино-5,6-диметилпиримидин-4-ил]-(5-метил-2Н-пиразол-3-ил)амин (IIIc-19): МС 329,4(М+H)+.
Пример 252 (5,6-Диметил-2-фениламинопиримидин-4-ил)-(5-метил-2Н-пиразол-3-ил)амин (IIIc-20): МС 295,5(М+H)+.
Пример 253 [2-(4-Хлорфенил)амино-6-метоксиметилпиримидин-4-ил]-(5-метил-2Н-пиразол-3-ил)амин (IIIc-21): МС 345,1(М+H)+.
Пример 254 [2-(Бензимидазол-2-иламино)-6-метоксиметилпиримидин-4-ил]-(5-метил-2Н-пиразол-3-ил)амин (IIIc-22): МС 351,2(М+H)+.
Пример 255 (6-Метоксиметил-2-фениламинопиримидин-4-ил)-(5-метил-2Н-пиразол-3-ил)амин (IIIc-23): МС 311,2(М+H)+.
Пример 256 (6-Метил-2-фениламинопиримидин-4-ил)-(5-метил-2Н-пиразол-3-ил)амин (IIIc-24): МС 281,1(М+H)+.
Пример 257 [2-(2-Хлорфеноксиметил)-6-метилпиримидин-4-ил]-(5-метил-2Н-пиразол-3-ил)амин (IIId-1): МС 392,1(М+H)+.
Пример 258 [2-(2-Хлорфеноксиметил)-6-метилпиримидин-4-ил]-[5-(фуран-2-ил)-2Н-пиразол-3-ил]амин (IIId-2): МС 382,1(М+H)+.
Пример 259 (6-Метил-2-феноксиметилпиримидин-4-ил)-(5-фенил-2Н-пиразол-3-ил)амин (IIId-3): МС 358,2(М+H)+.
Пример 260 [5-(Фуран-2-ил)-2Н-пиразол-3-ил]-(6-метил-2-феноксиметилпиримидин-4-ил)амин (IIId-4): МС 348,2(М+H)+.
Пример 261 [5-(Фуран-2-ил)-2Н-пиразол-3-ил]-(6-метил-2-фенилсульфанилметилпиримидин-4-ил)амин (IIId-5): МС 364,1(М+H)+.
Пример 262 [6-Метил-2-(4-метилфенилсульфанилметил)пиримидин-4-ил]-(5-фенил-2Н-пиразол-3-ил)амин (IIId-6): МС 388,1(М+H)+.
Пример 263 [5-(Фуран-2-ил)-2Н-пиразол-3-ил]-[6-метил-2-(4-метилфенилсульфанилметил)пиримидин-4-ил]амин (IIId-7): МС 378,1(М+H)+.
Пример 264 [2-(4-Фторфеноксиметил)-6-метилпиримидин-4-ил]-(5-фенил-2Н-пиразол-3-ил)амин (IIId-8): МС 376,2(М+H)+.
Пример 265 [2-(4-Фторфеноксиметил)-6-метилпиримидин-4-ил]-[5-(фуран-2-ил)-2Н-пиразол-3-ил]амин (IIId-9): МС 366,2(М+H)+.
Пример 266 (6-Этил-2-фенилсульфанилметилпиримидин-4-ил)-(5-метил-2Н-пиразол-3-ил)амин (IIId-10): МС 326,2(М+H)+.
Пример 267 (6-Этил-2-феноксиметилпиримидин-4-ил)-(5-метил-2Н-пиразол-3-ил)амин (IIId-11): МС 310,2(М+H)+.
Пример 268 [6-Этил-2-(4-фторфеноксиметил)пиримидин-4-ил]-(5-метил-2Н-пиразол-3-ил)амин (IIId-12): МС 328,2(М+H)+.
Пример 269 [6-Этил-2-(1-метил-1-фенилэтил)пиримидин-4-ил]-(5-метил-2Н-пиразол-3-ил)амин (IIId-13): МС 322,2(М+H)+.
Пример 270 [2-(4-Хлорфеноксиметил)-6-метилпиримидин-4-ил]-(5-фенил-2Н-пиразол-3-ил)амин (IIId-14): МС 392,2(М+H)+.
Пример 271 [2-(4-Хлорфеноксиметил)-6-метилпиримидин-4-ил]-(5-метил-2Н-пиразол-3-ил)амин (IIId-15): МС 330,2(М+H)+.
Пример 272 [2-(4-Хлорфеноксиметил)-6-метоксиметилпиримидин-4-ил]-(5-метил-2Н-пиразол-3-ил)амин (IIId-16): белое твердое вещество, 1H ЯМР (ДМСО) δ 2,20 (3Н, с), 3,43 (3Н, с), 4,49 (2H, с), 5,20 (2H, с), 6,05 (1H, шир.), 7,05 (2H, д), 7,33 (2H, д), 10,55 (1H, шир.), МС 360,2(М+H)+.
Пример 273 [2-(4-Хлорфеноксиметил)-6-метилпиримидин-4-ил]-[5-(фуран-2-ил)-2Н-пиразол-3-ил]амин (IIId-17): МС 382,2(М+H)+.
Пример 274 (5-Метил-2Н-пиразол-3-ил)-(2-фенилсульфанилметил-5,6,7,8-тетрагидрохиназолин-4-ил)амин (IId-7): МС 352,5(М+H)+.
Пример 275 [2-(4-Метилфенилсульфанилметил)-6,7,8,9-тетрагидро-5Н-циклогептапиримидин-4-ил]-(5-метил-2Н-пиразол-3-ил)амин (IId-8): МС 380,2(М+H)+.
Пример 276 [2-(1-Метил-1-фенилэтил)-6,7,8,9-тетрагидро-5Н-циклогептапиримидин-4-ил]-(5-метил-2Н-пиразол-3-ил)амин (IId-9): МС 362,3(М+H)+.
Пример 277 [2-(2,6-Дихлорбензил)-5,6,7,8-тетрагидрохиназолин-4-ил]-(5-метил-2Н-пиразол-3-ил)амин (IId-10): МС 388,1(М+H)+.
Пример 278 [7-Бензил-2-(2,6-дихлорбензил)-5,6,7,8-тетрагидропиридо[3,4-d]пиримидин-4-ил]-(5-метил-2Н-пиразол-3-ил)амин (IId-11): МС 479,5(М+H)+.
Пример 279 [6-Бензил-2-(4-хлорфеноксиметил)-5,6,7,8-тетрагидропиридо[4,3-d]пиримидин-4-ил]-(5-метил-2Н-пиразол-3-ил)амин (IId-12): МС 461,2(М+H)+.
Пример 280 [2-(4-Хлорфеноксиметил)-5,6,7,8-тетрагидропиридо[4,3-d]пиримидин-4-ил]-(5-метил-2Н-пиразол-3-ил)амин (IId-13): МС 371,3(М+H)+.
Пример 281 [2-(2,6-Дихлорбензил)-6-метилпиримидин-4-ил]-(5-метил-2Н-пиразол-3-ил)амин (IIId-18): МС 348,1(М+H)+.
Пример 282 [2-(2,6-Дихлорбензил)-5,6-диметилпиримидин-4-ил]-(5-метил-2Н-пиразол-3-ил)амин (IIId-19): белое твердое вещество, 1Н ЯМР (ДМСО) δ 8,50 (1H, с), 7,70 (1H, д), 7,3-7,1 (3H, м), 5,25 (1H, с), 4,10 (1H, с), 2,30 (3H, с), 2,10 (3H, с), 1,80 (3H, с); МС 362,1(М+H)+.
Пример 283 (1Н-Индазол-3-ил)-[2-(2-фенилциклопропил) хиназолин-4-ил]амин (IId-16): 1Н ЯМР (ДМСО) δ 13,2 (1H, с), 12,0 (1H, с), 8,76 (1H, м), 8,10 (1H, м), 7,85 (2H, м), 7,75 (1H, м), 7,61 (1H, м) 7,41 (1H, м), 7,30 (2H, м), 7,20 (2H, м), 7,12 (2H, м), 2,35 (2H, м), 1,60 (1H, м), 1,35 (1H, м); МС: м/z, 378,1 MH+; ВЭЖХ Rt=3,21 мин.
Пример 284 (7-Фтор-1Н-индазол-3-ил)-[2-(2-фенилциклопропил) хиназолин-4-ил]амин (IId-17): 1Н ЯМР (ДМСО) δ 13,8 (1H, с), 12,05 (1H, с), 8,75 (1H, м), 8,10 (1H, м), 7,85 (2H, м), 7,60 (1H, м), 7,35 (3H, м) 7,25-7,10 (4H, м), 2,35 (2H, м), 1,60 (1H, м), 1,35 (1H, м); МС: м/z, 396,1 MH+; ВЭЖХ Rt=3,26 мин.
Пример 285 (5-Фтор-1Н-индазол-3-ил)-[2-(2-фенилциклопропил) хиназолин-4-ил]амин (IId-18): 1Н ЯМР (ДМСО) δ 13,3 (1H, с), 12,0 (1H, с), 8,75 (1H, м), 8,10 (1H, м), 7,85 (2H, м), 7,65 (2H, м), 7,35 (3H, м), 7,20 (1H, м), 7,10 (2H, м), 2,40 (2H, м), 1,65 (1H, м), 1,35(1H, м); МС: м/z, 396,1 MH+; ВЭЖХ Rt=3,26 мин.
Пример 286 (5-Метил-1Н-пиразол-3-ил)-[2-(2-фенилциклопропил)хиназолин-4-ил]амин (IId-19): 1Н ЯМР (ДМСО) δ 12,8 (1H, c), 11,90 (1H, с), 8,80 (1H, м), 8,10 (1H, м), 7,85 (2H, м), 7,30-7,20 (5H, м), 6,55 (1H, с) 2,80 (1H, м), 2,55 (1H, м), 2,35 (3H, с), 2,00 (2H, м); МС: м/z, 342,1 MH+; ВЭЖХ Rt=3,13 мин.
БИОЛОГИЧЕСКИЕ ИСПЫТАНИЯ
Активность соединений как ингибиторов протеинкиназ может быть определена in vitro, in vivo и на клеточной линии. Исследования in vitro включают методы определения ингибирования фосфорилирующей активности или АТФазной активности активированной протеинкиназы. Чередующиеся анализы in vitro обеспечивают количественное определение способности ингибитора связываться с протеинкиназой. Связывание ингибитора может быть измерено путем мечения ингибитора радиоактивными метками перед связыванием, выделения комплекса ингибитор-протеинкиназа и оппределения количества связанных радиоактивных меток. В соответствии с другим вариантом связывание ингибитора может быть определено проведением сравнительного эксперимента, в котором новые ингибиторы инкубируют с протеинкиназой, связанной с известными радиолигандами.
ПРИМЕР 1 БИОЛОГИЧЕСКОГО ИСПЫТАНИЯ
ОПРЕДЕЛЕНИЕ Ki ДЛЯ ИНГИБИРОВАНИЯ GSK-3
Соединения проверяли на их способность ингибировать активность GSK-3β (АА 1-420), пользуясь стандартной сопряженной ферментной системой (Fox et al. (1998) Protein Sci. 7, 2249). Реакции проводили в растворе, содержавшем 100 мМ HEPES (рН 7,5), 10 мМ MgCl2, 25 мМ NaCl, 300 мкМ NADH, 1 мМ DTT и 1,5% ДМСО. Конечные концентрации субстрата в образце составляли 20 мкМ АТФ (Sigma Chemicals, St Louis, MO) и 300 мкМ пептид (HSSPHQS(PO3H2)EDEEE, American Peptide, Sunnyvale, CA). Реакции проводили при 30°С и 20 нМ GSK-3β. Конечные концентрации компонентов сопряженной ферментной системы составляли 2,5 мМ фосфоенолпируват, 300 мкМ NADH, 30 мкг/мл пируваткиназы и 10 мкг/мл лактатдегидрогеназы.
Приготавливали исходный буферный раствор для испытания, содержавший все перечисленные выше реагенты за исключением АТФ и интересующего испытуемого соединения. Исходный буферный раствор (175 мкл) инкубировали в 96-луночном планшете с 5 мкл интересущего испытуемого соединения при конечных концентрациях в диапазоне 0,002-30 мкМ при 30°С в течение 10 минут. Обычно проводили 12-точечное титрование, приготавливая серийные разбавления (из 10 мМ растворов исходных соединений) посредством ДМСО испытуемых соединений в дочерних планшетах. Реакцию инициировали добавлением 20 мкл АТФ (конечная концентрация 20 мкМ). Пользуясь считывающим устройством для планшетов ф. Molecular Devices Spectramax (Sunnyvale, CA), получали скорости реакции за 10 минут при 30°С. По данным скорости определяли значения Ki в зависимости от концентрации ингибитора.
Следующие соединения имели значения Ki менее чем 0,1 мкМ для GSK-3: IIa-2, IIa-3, IIa-8, IIa-9, IIa-11, IIa-12, IIa-17, IIa-18, IIa-21 - IIa-24, IIa-26, IIa-28, IIa-30 - IIa-32, IIa-39, IIa-43, IIa-46, IIa-47, IIa-61, IIc-3, IIc-6, IIc-8, IIc-10 - IIc-12, IIc-15, IIc-18, IIc-20 - IIc-22, IIc-24, IIc-25, IIc-27, IIc-30 - IIc-32, IIc-35 - IIc-39, IIc-42, IIc-53, IIc-61, IIc-67, IIc-77, IIc-78, IIb-1, IIb-3, IIb-5, IIb-8, IId-1, IIIa-2, IIIa-3, IIIa-6, IIIa-17, IIIa-18, IIIa-24, IIIa-27, IIIc-2 - IIIc-5, IIIc-9, IIIc-11, IIIc-12, IIIc-15, IIIc-18, IIIc-19, IIIc-21, IIIc-24, IIIb-1 - IIIb-6, IIIb-8 - IIIb-10, IIIb-13, IIIb-14, IIId-20, IIId-21, IId-14 и IId-19.
Следующие соединения имели значения Ki между 0,1 и 1,0 мкМ для GSK-3: IIa-1, IIa-4, IIa-5, IIa-7, IIa-14, IIa-15, IIa-20, IIa-29, IIa-34 - IIa-36, IIa-38, IIa-41, IIa-42, IIa-48, IIa-54, IIa-55, IIa-62, IIa-63, IIa-66, IIa-69, IIa-78, IIc-1, IIc-2, IIc-4, IIc-5, IIc-7, IIc-9, IIc-13, IIc-14, IIc-16, IIc-17, IIc-19, IIc-23, IIc-26, IIc-28, IIc-29, IIc-33, IIc-34, IIc-40, IIc-41, IIc-43 - IIc-45, IIc-47 - IIc-52, IIc-54 - IIc-57, IIc-59, IIc-63 - IIc-66, IIc-72, IIc-75, IIc-76, IIc-79, IIc-6, IIb-7, IIb-9, IId-2, IId-5, IId-6, IIIa-1, IIIa-4, IIIa-5, IIIa-7, IIIa-8, IIIa-10, IIIa-11, IIIa-19, IIIa-22, IIIa-23, IIIa-26, IIIa-29, IIIa-30, IIIa-31, IIIa-33, IIIa-34, IIIa-37, IIIa-42, IIIc-1, IIIc-8, IIIc-20, IIIc-23, IIIb-7, IIIb-11, IIIb-12, IIIb-15, IIIb-16, IId-16, IId-17 и IId-18.
Следующие соединения имели значения Ki между 1,0 и 7,0 мкМ для GSK-3: IIa-10, IIa-13, IIa-25, IIa-40, IIa-45, IIa-49, IIa-50 - IIa-52, IIa-64, IIa-65, IIa-67, IIa-68, IIa-71, IIa-72, IIa-74, IIa-76, IIa-77, IIa-81, IIc-58, IIc-60, IIc-62, IIc-68 - IIc-71, IIc-74, IId-3, IId-4, IIIa-15, IIIa-16, IIIa-21, IIIa-28, IIIa-35, IIIa-36, IIIa-38, IIIa-41, IIIa-43, IIIa-45, IIIa-49, IIIc-10, IIIc-16, IIIc-17 и IIIc-22.
ПРИМЕР 2 БИОЛОГИЧЕСКОГО ИСПЫТАНИЯ
ОПРЕДЕЛЕНИЕ Ki ДЛЯ ИНГИБИРОВАНИЯ AURORA-2
Соединения проверяли описанным ниже образом на их способность ингибировать активность AURORA-2, пользуясь стандартной сопряженной ферментной системой (Fox et al. (1998) Protein Sci. 7, 2249).
К исходному буферному раствору для анализа, содержавшему 0,1 М HEPES (рН 7,5), 10 мМ MgCl2, 1 мМ DTT, 25 мМ NaCl, 2,5 мМ фосфоенолпируват, 300 мкМ NADH, 30 мг/мл пируваткиназы, 10 мг/мл лактатдегидрогеназы, 40 мМ АТФ и 800 мкМ пептид (LRRASLG, American Peptide, Sunnyvale, CA), добавляли раствор соединения по настоящему изобретению в ДМСО до конечной концентрации 30 мкМ. Полученную смесь инкубировали при 30°С в течение 10 минут. Реакцию инициировали добавлением 10 мкл исходного раствора AURORA-2 с получением конечной концентрации 70 нМ в образце. Пользуясь считывающим устройством для планшетов ф. BioRad Ultramark (Hercules, CA), получали скорости реакции путем мониторинга спектральной поглощательной способности при 340 нм за 5 минут считывания при 30°С. По данным скорости определяли значения Ki в зависимости от концентрации ингибитора.
Следующие соединения имели значения Ki менее чем 0,1 мкМ для AURORA-2: IIa-1 - IIa-18, IIa-21 - IIa-64, IIa-66, IIa-68, IIa-69, IIa-71 - IIa-78, IIa-81, IIc-1 - IIc-13, IIc-15 - IIc-44, IIc-46 - IIc-61, IIc-63 - IIc-65, IIc-67 - IIc-69, IIb-1 - IIb-9, IId-1 - IId-3, IIIa-1 - IIIa-8, IIIa-10 - IIIa-13, IIIa-15 - IIIa-32, IIIa-36 - IIIa-41, IIIa-44 - IIIa-49, IIIc-1 - IIIc-5, IIIc-12 и IIIc-15.
Следующие соединения имели значения Ki между 0,1 и 1,0 мкМ для AURORA-2: IIa-20, IIa-65, IIa-67, IIa-70, IIa-80, IIc-14, IIc-66, IId-5, IId-6, IIIa-14, IIIa-33 - IIIa-35, IIIc-9, IIIc-11, IIIb-1, IIIb-2, IIIb-7, IIIb-10 - IIIb-13, IIIb-15, IIIb-16 и IIId-20.
Следующие соединения имели значения Ki между 1,0 и 10,0 мкМ для AURORA-2: IIa-10, IIc-71, IIc-75, IIc-76, IId-4, IIIa-42, IIIa-43, IIIc-10, IIIb-3-6, IIIb-8, IIIb-9 и IIIb-14.
ПРИМЕР 3 БИОЛОГИЧЕСКОГО ИСПЫТАНИЯ
ИСПЫТАНИЕ НА ИНГИБИРОВАНИЕ CDK-2
Соединения проверяли описанным ниже образом на их способность ингибировать активность CDK-2, пользуясь стандартной сопряженной ферментной системой (Fox et al. (1998) Protein Sci. 7, 2249).
К исходному буферному раствору для анализа, содержавшему 0,1 М HEPES (рН 7,5), 10 мМ MgCl2, 1 мМ DTT, 25 мМ NaCl, 2,5 мМ фосфоенолпируват, 300 мкМ NADH, 30 мг/мл пируваткиназы, 10 мг/мл лактатдегидрогеназы, 100 мМ АТФ и 100 мкМ пептид (MAHHHRSPRKRAKKK, American Peptide, Sunnyvale, CA) добавляли раствор соединения по настоящему изобретению в ДМСО до конечной концентрации 30 мкМ. Полученную смесь инкубировали при 30°С в течение 10 минут.
Реакцию инициировали добавлением 10 мкл исходного раствора CDK-2/Cyclin A с получением конечной концентрации 25 нМ в образце. Пользуясь считывающим устройством для планшетов ф. BioRad Ultramark (Hercules, CA), получали скорости реакции путем мониторинга спектральной поглощательной способности при 340 нм за 5 минут считывания при 30°С. По данным скорости определяли значения Ki в зависимости от концентрации ингибитора.
Следующие соединения имели значения Ki менее чем 1 мкМ для CDK-2: IIa-14, IIa-36, IIc-15, IIc-25, IIc-27, IIc-32, IIc-53 и IIIc-4.
Следующие соединения имели значения Ki между 1,0 и 20,0 мкМ для CDK-2: IIa-38, IIa-40, IIa-44, IIa-52 и IIa-54.
ПРИМЕР 4 БИОЛОГИЧЕСКОГО ИСПЫТАНИЯ
ИСПЫТАНИЕ НА ИНГИБИРОВАНИЕ ERK
Соединения проверяли на ингибирование ERK2 путем спектрофотометрического анализа сопряженной ферментной системы (Fox et al. (1998) Protein Sci. 7, 2249). При данном анализе инкубировали фиксированную концентрацию активированного ERK2 (10 нм) с различными концентрациями соединения в ДМСО (2,5%) в течение 10 минут при 30°С в 0,1 М HEPES буфере (рН 7,5), содержавшем 10 мМ MgCl2, 2,5 мМ фосфоенолпируват, 200 мкМ NADH, 150 мкг/мл пируваткиназы, 50 мкг/мл лактатдегидрогеназы и 200 мкМ пептид эрктид. Реакцию инициировали добавлением 65 мкМ АТФ. Контролировали скорость уменьшения спектральной поглощательной способности при 340 нм. По данным скорости оценивали IC50 в зависимости от концентрации ингибитора.
Следующие соединения имели значения Ki менее чем 1 мкМ для ERK-2: IIc-15, IIc-27, IIc-32, IIc-53 и IIIc-4.
Следующие соединения имели значения Ki между 1,0 и 20,0 мкМ для ERK-2: IIc-18, IIc-25 и IIa-36.
ПРИМЕР 5 БИОЛОГИЧЕСКОГО ИСПЫТАНИЯ
ИСПЫТАНИЕ НА ИНГИБИРОВАНИЕ АКТ
Соединения проверяли на их способность ингибировать АКТ, пользуясь стандартной сопряженной ферментной системой (Fox et al. (1998) Protein Sci. 7, 2249). Испытания проводили в смеси 100 мМ HEPES (рН 7,5), 10 мМ MgCl2, 25 мМ NaCl, 1 мМ DTT и 1,5% ДМСО. Конечные концентрации субстратов в образце составляли 170 мкМ АТФ (Sigma Chemicals) и 200 мкМ пептид (RPRAATF, American Peptide, Sunnyvale, CA). Испытания проводили при 30°С и 45 нМ АКТ. Конечные концентрации компонентов сопряженной ферментной системы составляли 2,5 мМ фосфоенолпируват, 300 мкМ NADH, 30 мкг/мл пируваткиназы и 10 мкг/мл лактатдегидрогеназы.
Приготавливали исходный буферный раствор для испытания, содержавший все перечисленные выше реагенты за исключением АКТ, DTT и интересующего испытуемого соединения. Исходный буферный раствор (56 мкл) помещали в 384-луночный планшет, после чего добавляли 1 мкл 2 мМ исходного раствора в ДМСО, содержавшего испытуемое соединение (конечная концентрация соединения 30 мкМ). Планшет подвергали предварительному инкубированию в течение примерно 10 минут при 30°С и затем инициировали реакцию добавлением 10 мкл фермента (конечная концентрация 45 нМ) и 1 мМ DTT. Пользуясь считывающим устройством для планшетов ф. BioRad Ultramark (Hercules, CA), получали скорости реакции за 5 минут считывания при 30°С. Соединения, показавшие более чем 50% ингибирование в сопоставлении со стандартными лунками, содержавшими смесь для анализа и ДМСО без испытуемого соединения, титровали для определения значений IC50.
Следующие соединения имели значения Ki между 1,0 и 20,0 мкМ для АКТ-3: IIc-18, IIc-22, IIc-25, IIc-27, IIc-31, IIc-32, IIc-37, IIc-39, IIc-42 и IIc-53.
ПРИМЕР 6 БИОЛОГИЧЕСКОГО ИСПЫТАНИЯ
ИСПЫТАНИЕ НА ИНГИБИРОВАНИЕ SRC
Соединения оценивали как ингибиторы киназы Src человека с использованием радиоактивного метода анализа или спектрофотометрического метода.
Испытание А на ингибирование Src: Радиоактивный метод анализа
Соединения испытывали в качестве ингибиторов рекомбинантной человеческой Src киназы полной длины (ф. Upstate Biotechnology, кат. № 14-117), экспрессированной и очищенной от палочковидных вирусных клеток. Активность Src киназы проверяли после инкорпорирования 33Р из АТФ в тирозин произвольного поли Glu-Tyr полимерного субстрата композиции, Glu:Tyr = 4:1 (Sigma, кат. № Р-0275). Конечные концентрации компонентов для анализа были следующими: 0,05 М HEPES (рН 7,6), 10 мМ MgCl2, 2 мМ DTT, 0,25 мг/мл БСА (BSA), 10 мкМ АТФ (1-2 мкКи 33Р-АТФ на реакцию), 5 мг/мл поли Glu-Tyr и 1-2 единицы рекомбинантной человеческой Src киназы. При обычном испытании все компоненты реакционной смеси за исключением АТФ предварительно смешивали и аликвотировали в лунки планшета для испытаний. В лунки добавляли ингибиторы, растворенные в ДМСО, до получения конечной концентрации ДМСО, равной 2,5%. Планшет инкубировали при 30°С в течение 10 минут, после чего инициировали реакцию добавлением 33Р-АТФ. Через 20 минут реакцию гасили добавлением 150 мкл 10% трихлоруксусной кислоты (ТСА), содержавшей 20 мМ Na3PO4. Погашенные образцы затем переносили на 96-луночную фильтровальную пластину (Whatman, фильтр из стекловолокна UNI-Filter GF/F, кат. № 7700-3310), установленную на вакуумном коллекторе для фильтровальной пластины. Фильтровальные пластины промывали 4 раза 10% ТСА, содержавшей 20 мМ Na3PO4, и затем 4 раза метанолом. Затем в каждую лунку добавляли 200 мкл сцинтилляционной жидкости. Пластины герметически закрывали и определяли величину радиоактивности, связанной с фильтрами, на сцинтилляционном счетчике TopCount. Инкорпорированную радиоактивность изображали в виде графика зависимости от концентрации ингибитора. Данные согласовывали со сравнительной моделью кинетики ингибирования с получением значений Ki для соединения.
Испытание В на ингибирование Src: Спектрофотометрический метод
Определяли количество АДФ, полученного из АТФ путем катализированного рекомбинантной человеческой Src киназой фосфорилирования поли Glu-Tyr субстрата, с использованием сопряженной ферментной системы (Fox et al. (1998) Protein Sci. 7, 2249). При данном методе одну молекулу NADH окисляют до NAD для каждой молекулы АДФ, полученного в киназной реакции. Исчезновение NADH можно удобно проследить при 340 нм.
Конечные концентрации компонентов для анализа были следующими: 0,025 М HEPES (рН 7,6), 10 мМ MgCl2, 2 мМ DTT, 0,25 мг/мл поли Glu-Tyr и 25 нМ рекомбинантной человеческой Src киназы. Конечные концентрации компонентов сопряженной ферментной системы были следующими: 2,5 мМ фосфоенолпируват, 200 мкМ NADH, 30 мкг/мл пируваткиназы и 10 мкг/мл лактатдегидрогеназы.
При обычном испытании все компоненты реакционной смеси за исключением АТФ предварительно смешивали и аликвотировали в лунки планшета для испытаний. В лунки добавляли ингибиторы, растворенные в ДМСО, до получения конечной концентрации ДМСО, равной 2,5%. Планшет инкубировали при 30°С в течение 10 минут, после чего инициировали реакцию добавлением 100 мкМ АТФ. На считывающем устройстве для планшетов регистрировали изменение по времени спектральной поглощательной способности при 340 нм, т.е. скорость реакции. Полученные данные скорости как функции концентрации ингибитора согласовывали со сравнительной моделью кинетики ингибирования с получением значений Ki для соединения.
Следующие соединения имели значения Ki <100 нМ для Src: IIa-8, IIa-21, IIa-23, IIa-24, IIa-27, IIa-28, IIa-30 - IIa-33, IIb-1, IIb-4, IIb-5, IIc-3, IIc-8, IIc-10, IIc-13, IIc-15, IIc-18, IIc-19, IIc-21 - IIc-24, IIc-31 - IIc-35, IIc-37 - IIc-39, IIc-41 - IIc-44, IIc-51, IId-1, IId-2, IIIa-1, IIIa-6 - IIIa-8, IIIa-26 - IIIa-30 и IIIc-1 - IIIc-5.
Следующие соединения имели значения Ki между 100 нМ и 1 мкМ для Src: IIa-1; IIa-2, IIa-7, IIa-9, IIa-12, IIa-14, IIa-22, IIa-25, IIa-26, IIa-29, IIa-34 - IIa-42, IIa-46, IIa-47, IIa-49 - IIa-52, IIa-56, IIa-57, IIa-59, IIa-61, IIa-62, IIa-66, IIa-67, IIa-69, IIa-72, IIa-73, IIa-75, IIb-6, IIb-8, IIc-4 - IIc-7, IIc-9, IIc-11, IIc-12, IIc-14, IIc-16, IIc-17, IIc-20, IIc-25 - IIc-30, IIc-36, IIc-40, IIc-46 - IIc-50, IIc-52 - IIc-61, IIc-63 - IIc-65, IIc-67, IIc-69, IId-3, IIIa-2 - IIIa-5, IIIa-11, IIIa-14 - IIIa-18, IIIa-22 - IIIa-24, IIIa-31, IIIa-33, IIIa-35, IIIa-38 - IIIa-43 и IIIa-47.
Следующие соединения имели значения Ki между 1 мкМ и 6 мкМ для Src: IIa-13, IIa-20, IIa-44, IIa-45, IIa-48, IIa-54, IIa-55, IIa-63, IIa-65, IIa-68, IIa-70, IIa-71, IIa-74, IIa-77, IIa-78, IIa-81, IIb-3, IIb-9, IIc-1, IIc-2, IIc-66, IIc-68, IIIa-13, IIIa-21, IIIa-25, IIIa-34, IIIa-36, IIIa-37 и IIIa-44.
Выше был представлен ряд вариантов осуществления настоящего изобретения, но очевидно, что основная структура может быть изменена с получением других вариантов, в которых использованы соединения и способы по настоящему изобретению. Поэтому понятно, что объем настоящего изобретения определяется пунктами прилагаемой формулы изобретения, а не конкретными вариантами, которые представлены в качестве примера.
Claims (25)
1. Соединение формулы IIa
или его фармацевтически приемлемая соль,
где Rx и Ry объединены вместе с их промежуточными атомами с образованием бензольного или циклогексильного кольца, необязательно замещенного R3;
R1 представляет собой Т-(кольцо D);
кольцо D представляет собой фенил, необязательно замещенный 1-2 группами R5, или нафтил, или имидазолил, или бензимидазолил, необязательно замещенный С1-С6алкильной группой;
Т представляет собой связь;
R2 представляет собой водород, С1-С6алкил или С3-С6циклоалкил;
R2′ представляет собой водород;
или R2 и R2′ объединены вместе с их промежуточными атомами с образованием фенильного кольца;
R3 выбран из С1-С6алкила, водорода, галогена, -ОН, -NH2, -NHOH, -NO2, С1-С6алкокси, необязательно замещенного -N(R4)2;
каждый R4 независимо выбран из С1-С6алкила, -СО2С1-С6алкила или два R4 у одного и того же атома азота объединены вместе атомом азота с образованием морфолинового кольца;
каждый R5 представляет собой один или два заместителя, независимо выбранных из С1-С6алкила, галогена, -ОН, -NH2, -CF3, С1-С6алкокси, -СООН, -CO2С1-С6алкила, -NHCO-С1-С6алифатической группы, -NHCO(C1-С6алкил)N(R4)2, -CONHC1-С6алкила, -CONH(C1-C6алкил)N(R4)2 и -NHSO2C1-С6алкила.
2. Соединение по п.1, где указанное соединение имеет один или несколько признаков, выбранных из следующих:
(a) Rx и Ry объединены вместе с их промежуточными атомами с образованием бензольного или циклогексильного кольца, необязательно замещенного R3;
(b) R1 представляет собой Т-(кольцо D);
(c) кольцо D представляет собой фенил, необязательно замещенный 1-2 группами R5, или нафтил, или имидазолил, или бензимидазолил, необязательно замещенный С1-С6алкильной группой;
(d) R2 представляет собой водород, C1-С6алкил или С3-С6циклоалкил;
(е) R3 выбран из С1-С6алкила, галогена, -ОН или С1-С6алкокси, необязательно замещенного -N(R)2.
3. Соединение по п.2, где
(a) Rx и Ry объединены вместе с их промежуточными атомами с образованием бензольного или циклогексильного кольца, необязательно замещенного R3;
(b) R1 представляет собой Т-(кольцо D);
(с) кольцо D представляет собой фенил, необязательно замещенный 1-2 группами R5, или нафтил, или имидазолил, или бензимидазолил, необязательно замещенный С1-С6алкильной группой;
(d) R2 представляет собой С1-С6алкил;
(e) R3 выбран из С1-С6алкила, галогена, -ОН или С1-С6алкокси, необязательно замещенного -N(R4)2.
4. Соединение по п.2, где указанное соединение имеет один или несколько признаков, выбранных из следующих:
(a) Rx и Ry взяты вместе друг с другом с образованием бензольного кольца;
(b) R1 представляет собой Т-(кольцо D);
(c) кольцо D представляет собой фенил, необязательно замещенный 1-2 группами R5, или нафтил, или имидазолил, или бензимидазолил, необязательно замещенный C1-С6алкильной группой;
(d) R2 представляет собой водород, С1-С6алкил или С3-С6циклоалкил;
5. Соединение по п.4,
где (a) Rx и Ry взяты вместе друг с другом с образованием бензольного кольца;
(b) R1 представляет собой Т-(кольцо D);
(c) кольцо D представляет собой фенил, необязательно замещенный 1-2 группами R5, или нафтил, или имидазолил, или бензимидазолил, необязательно замещенный C1-С6алкильной группой;
(d) R представляет собой С1-С6алкил.
6. Соединение, выбранное из группы, включающей
(5-Метил-2Н-пиразол-3-ил)-(2-фенилсульфанилхиназолин-4-ил)амин;
[2-(4-Хлорфенилсульфанил)хиназолин-4-ил]-(5-метил-2Н-пиразол-3-ил)амин;
[2-(2,4-Дихлорфенилсульфанил)хиназолин-4-ил]-(5-метил-2Н-пиразол-3-ил)амин;
[2-(4-Метоксифенилсульфанил)хиназолин-4-ил]-(5-метил-2Н-пиразол-3-ил)амин;
[2-(2-Этилфенилсульфанил)хиназолин-4-ил]-(5-метил-2Н-пиразол-3-ил)амин;
{2-[2,4-Бис(трифторметил)фенилсульфанил]хиназолин-4-ил}-(5-метил-2Н-пиразол-3-ил)амин;
[2-(2-Хлорфенилсульфанил)хиназолин-4-ил]-(5-метил-2Н-пиразол-3-ил)амин;
[2-(2,3-Дихлорфенилсульфанил)хиназолин-4-ил]-(5-метил-2Н-пиразол-3-ил)амин;
[2-(3-Хлорфенилсульфанил)хиназолин-4-ил]-(5-метил-2Н-пиразол-3-ил)амин;
[2-(1-Метилимидазол-2-илсульфанил)хиназолин-4-ил]-(5-метил-2Н-пиразол-3-ил)амин;
[2-(2-Гидроксифенилсульфанил)хиназолин-4-ил]-(5-метил-2Н-пиразол-3-ил)амин;
[2-(2,4-Дифторфенилсульфанил)хиназолин-4-ил]-(5-метил-2Н-пиразол-3-ил)амин;
[2-(3,4-Диметоксифенилсульфанил)хиназолин-4-ил]-(5-метил-2Н-пиразол-3-ил)амин;
[2-(3-Метилфенилсульфанил)хиназолин-4-ил]-(5-метил-2Н-пиразол-3-ил)амин;
[2-(2-Метоксифенилсульфанил)хиназолин-4-ил]-(5-метил-2Н-пиразол-3-ил)амин;
[2-(2-Нафталинилсульфанил)хиназолин-4-ил]-(5-метил-2Н-пиразол-3-ил)амин;
[2-(2,6-Дихлорфенилсульфанил)хиназолин-4-ил]-(5-метил-2Н-пиразол-3-ил)амин;
[2-(3,4-Дихлорфенилсульфанил)хиназолин-4-ил]-(5-метил-2Н-пиразол-3-ил)амин;
[2-(Бензимидазол-2-илсульфанил)хиназолин-4-ил]-(5-метил-2Н-пиразол-3-ил)амин;
[2-(2-Аминофенилсульфанил)хиназолин-4-ил]-(5-метил-2Н-пиразол-3-ил)амин;
(5-Циклопропил-2Н-пиразол-3-ил)-(2-фенилсульфанилхиназолин-4-ил)амин; (5-Циклопропил-2Н-пиразол-3-ил)-[2-(3-метоксикарбонилфенилсульфанил)хиназолин-4-ил)амин;
(5-Циклопропил-2Н-пиразол-3-ил)-[2-(3-метилфенилсульфанил)хиназолин-4-ил)амин;
(5-Циклопропил-2Н-пиразол-3-ил)-[2-(3-метоксифенилсульфанил)хиназолин-4-ил)амин;
(5-Циклопропил-2Н-пиразол-3-ил)-[2-(3,4-диметоксифенилсульфанил)хиназолин-4-ил)амин;
[2-(3-Карбоксифенилсульфанил)хиназолин-4-ил)-(5-циклопропил-2Н-пиразол-3-ил)амин;
(5-Циклопропил-2Н-пиразол-3-ил)-[2-(нафталин-2-илсульфанил)хиназолин-4-ил)амин;
(5-Циклопропил-2Н-пиразол-3-ил)-[2-(2,4-дифторфенилсульфанил)хиназолин-4-ил)амин;
(5-Циклопропил-2Н-пиразол-3-ил)-[2-(нафталин-2-илсульфанил)-5,6,7,8-тетрагидрохиназолин-4-ил)амин;
(5-Циклопропил-2Н-пиразол-3-ил)-[2-(2,3-дихлорфенилсульфанил)хиназолин-4-ил)амин;
[2-(3-Хлорфенилсульфанил)хиназолин-4-ил)-(5-циклопропил-2Н-пиразол-3-ил)амин;
[2-(2-Хлорфенилсульфанил)хиназолин-4-ил)-(5-циклопропил-2Н-пиразол-3-ил)амин;
(5-Циклопропил-2Н-пиразол-3-ил)-[2-(3,4-диметилфенилсульфанил)хиназолин-4-ил)амин;
[2-(Бензимидазол-2-илсульфанил)хиназолин-4-ил)-(5-циклопропил-2Н-пиразол-3-ил)амин;
(5-Циклопропил-2Н-пиразол-3-ил)-[2-(4-метоксикарбонилфенилсульфанил)хиназолин-4-ил)амин;
[2-(4-Ацетамидофенилсульфанил)хиназолин-4-ил)-(5-циклопропил-2Н-пиразол-3-ил)амин;
(5-Циклопропил-2Н-пиразол-3-ил)-[2-(нафталин-1-илсульфанил)хиназолин-4-ил)амин;
[2-(4-Ацетамидофенилсульфанил)хиназолин-4-ил]-(5-метил-2Н-пиразол-3-ил)амин;
[2-(4-Метансульфониламинофенилсульфанил)хиназолин-4-ил]-(5-метил-2Н-пиразол-3-ил)амин;
[2-(4-Ацетамидофенилсульфанил)-7-метоксихиназолин-4-ил]-(5-метил-2Н-пиразол-3-ил)амин;
[2-(4-Ацетамидофенилсульфанил)-8-(3-морфолин-4-ил-пропокси)хиназолин-4-ил]-(5-метил-2Н-пиразол-3-ил)амин;
[2-(4-Метоксикарбонилфенилсульфанил)хиназолин-4-ил]-(5-метил-2Н-пиразол-3-ил)амин;
[2-(4-Карбоксифенилсульфанил)хиназолин-4-ил]-(5-метил-2Н-пиразол-3-ил)амин;
[2-(4-Ацетамидофенилсульфанил)-8-метоксихиназолин-4-ил]-(5-метил-2Н-пиразол-3-ил)амин;
[2-(4-Ацетамидофенилсульфанил)-7-(3-морфолин-4-илпропокси)хиназолин-4-ил]-(5-метил-2Н-пиразол-3-ил)амин;
[2-(4-Бромфенилсульфанил)хиназолин-4-ил]-(5-метил-2Н-пиразол-3-ил)амин;
[2-(3-Бромфенилсульфанил)хиназолин-4-ил]-(5-метил-2Н-пиразол-3-ил)амин;
[2-(4-Изопропансульфониламинофенилсульфанил)хиназолин-4-ил]-(5-метил-2Н-пиразол-3-ил)амин; [2-(4-Изобутириламинофенилсульфанил)хиназолин-4-ил]-(5-метил-2Н-пиразол-3-ил)амин;
(5-Метил-2Н-пиразол-3-ил)-[2-(4-пропиониламинофенилсульфанил)хиназолин-4-ил]амин;
[2-(4-Циклопропанкарбониламинофенилсульфанил)хиназолин-4-ил]-(5-метил-2Н-пиразол-3-ил)амин;
[2-(4-Ацетамидофенилсульфанил)-8-гидроксихиназолин-4-ил]-(5-метил-2Н-пиразол-3-ил)амин;
[2-(4-Ацетамидофенилсульфанил)-7-нитрохиназолин-4-ил]-(5-метил-2Н-пиразол-3-ил)амин;
(5-Метил-2Н-пиразол-3-ил)-{2-[4-(пропан-1-сульфониламино)фенилсульфанил]хиназолин-4-ил}амин;
[2-(4-Этилсульфониламинофенилсульфанил)хиназолин-4-ил]-(5-метил-2Н-пиразол-3-ил)амин;
[2-(4-Ацетамидофенилсульфанил)-7-гидроксиаминохиназолин-4-ил]-(5-метил-2Н-пиразол-3-ил)амин;
[2-(4-Изобутанкарбониламинофенилсульфанил)хиназолин-4-ил]-(5-метил-2Н-пиразол-3-ил)амин;
[2-(4-трет-Бутоксикарбониламинофенилсульфанил)хиназолин-4-ил]-(5-метил-2Н-пиразол-3-ил)амин;
[2-(4-Ацетамидофенилсульфанил)-7-аминохиназолин-4-ил]-(5-метил-2Н-пиразол-3-ил)амин;
(5-Метил-2Н-пиразол-3-ил)-{2-[4-(2-морфолин-4-илацетиламино)фенилсульфанил]хиназолин-4-ил}амин;
(5-Циклопропил-2Н-пиразол-3-ил)-[2-(4-метилсульфониламинофенилсульфанил)хиназолин-4-ил)амин;
[2-(4-Аминофенилсульфанил)хиназолин-4-ил]-(5-метил-2Н-пиразол-3-ил)амин;
[2-(4-Ацетамидофенилсульфанил)хиназолин-4-ил]-(2Н-пиразол-3-ил)амин;
(5-Метил-2Н-пиразол-3-ил)-{2-[4-(4-морфолин-4-илбутириламино)фенилсульфанил]хиназолин-4-ил}амин;
(5-Метил-2Н-пиразол-3-ил)-{2-[4-(2-морфолин-4-илэтилкарбамоил)фенилсульфанил]хиназолин-4-ил}амин;
[8-Метокси-2-(4-метилсульфониламинофенилсульфанил)-хиназолин-4-ил]-(5-метил-2Н-пиразол-3-ил)амин;
{2-[4-(2-Диметиламиноэтилкарбамоил)фенилсульфанил]-хиназолин-4-ил}-(5-метил-2Н-пиразол-3-ил)амин;
{2-[4-(2-Диметиламиноацетиламино)фенилсульфанил]хиназолин-4-ил}-(5-метил-2Н-пиразол-3-ил)амин;
[8-Гидрокси-2-(4-метилсульфониламинофенилсульфанил)-хиназолин-4-ил]-(5-метил-2Н-пиразол-3-ил)амин;
{2-[4-(3-Диметиламинопропилкарбамоил)фенилсульфанил]-хиназолин-4-ил}-(5-метил-2Н-пиразол-3-ил)амин;
{2-[4-(3-Диметиламинопропиониламино)фенилсульфанил]-хиназолин-4-ил}-(5-метил-2Н-пиразол-3-ил)амин;
[2-(4-Ацетамидофенилсульфанил)-8-метоксихиназолин-4-ил)-(5-циклопропил-2Н-пиразол-3-ил)амин;
[2-(4-Ацетамидофенилсульфанил)-8-(3-диметиламинопропокси)-хиназолин-4-ил]-(5-метил-2Н-пиразол-3-ил)амин;
[2-(4-Ацетамидофенилсульфанил)-7-гидроксихиназолин-4-ил]-(5-метил-2Н-пиразол-3-ил)амин;
[2-(4-Ацетамидофенилсульфанил)-7-(3-диметиламинопропокси)-хиназолин-4-ил]-(5-метил-2Н-пиразол-3-ил)амин; (2-{4-[2-(трет-Бутоксикарбонилметиламино)ацетиламино]-фенилсульфанил}хиназолин-4-ил)-(5-метил-2Н-пиразол-3-ил)амин;
{2-[4-(2-Метиламиноацетиламино)фенилсульфанил]хиназолин-4-ил}-(5-метил-2Н-пиразол-3-ил)амин;
[2-(4-Ацетамидофенилсульфанил)-8-фторхиназолин-4-ил)-(5-метил-2Н-пиразол-3-ил)амин;
(1Н-Индазол-3-ил)-(2-фенилсульфанилхиназолин-4-ил)амин.
7. Соединение по пп.1-6 для получения фармацевтической композиции для ингибирования активности протеинкиназы, выбранной из AURORA-2, GSK-3, CDK-2 и Src.
8. Фармацевтическая композиция для ингибирования активности протеинкиназы, выбранной из AURORA-2, GSK-3, CDK-2 и Src, содержащая соединение по любому из пп.1-6 и фармацевтически приемлемый носитель.
9. Способ ингибирования активности протеинкиназы, такой как AURORA-2, GSK-3, CDK-2 или Src, в биологическом образце, заключающийся в контактировании указанного биологического образца с соединением по любому из пп.1-6, взятого в свободном виде или в виде композиции по п.8.
10. Способ по п.9 ингибирования активности AURORA-2.
11. Способ по п.9 ингибирования активности GSK-3.
12. Способ по п.9 ингибирования активности CDK-2.
13. Способ по п.9 ингибирования активности Src.
14. Способ лечения Aurora-2-опосредованного заболевания, включающий введение пациенту, нуждающемуся в таком лечении, терапевтически эффективного количества композиции по п.8.
15. Способ по п.14, в котором указанное заболевание выбрано из рака толстой кишки, молочной железы, желудка или яичника.
16. Способ по п.15, включающий также введение дополнительного лекарственного средства.
17. Способ по п.16, в котором указанным дополнительным лекарственным средством является химиотерапевтическое средство.
18. Способ лечения GSK-3-опосредованного заболевания, включающий введение пациенту, нуждающемуся в таком лечении, терапевтически эффективного количества композиции по п.8.
19. Способ по п.18, в котором указанное GSK-3-опосредованное заболевание выбрано из диабета, болезни Альцгеймера, болезни Хантингтона, болезни Паркинсона, обусловленной СПИД-ом деменции, бокового амиотрофического склероза (AML), рассеянного склероза (MS), шизофрении, гипертрофии сердечной мышцы, реперфузии с ишемией и облысения.
20. Способ по п.19, в котором указанным GSK-3-опосредованным заболеванием является диабет.
21. Способ усиления синтеза гликогена или снижения уровня глюкозы в крови у пациента, нуждающегося в этом, включающий введение указанному пациенту терапевтически эффективного количества композиции по п.8.
22. Способ ингибирования продукции гиперфосфорилированного белка Tau у пациента, включающий введение пациенту, нуждающемуся в этом, терапевтически эффективного количества композиции по п.8.
23. Способ ингибирования фосфорилирования β-катенина, включающий введение пациенту, нуждающемуся в этом, терапевтически эффективного количества композиции по п.8.
24. Способ лечения CDK-2-опосредованного заболевания, включающий введение пациенту, нуждающемуся в таком лечении, терапевтически эффективного количества композиции по п.8.
25. Способ лечения Src-опосредованного заболевания, включающий введение пациенту, нуждающемуся в таком лечении, терапевтически эффективного количества композиции по п.8.
Applications Claiming Priority (3)
| Application Number | Priority Date | Filing Date | Title |
|---|---|---|---|
| US60/257,887 | 2000-12-21 | ||
| US28694901P | 2001-04-27 | 2001-04-27 | |
| US60/286,949 | 2001-04-27 |
Publications (2)
| Publication Number | Publication Date |
|---|---|
| RU2003122210A RU2003122210A (ru) | 2004-12-27 |
| RU2332415C2 true RU2332415C2 (ru) | 2008-08-27 |
Family
ID=46274690
Family Applications (1)
| Application Number | Title | Priority Date | Filing Date |
|---|---|---|---|
| RU2003122210/04A RU2332415C2 (ru) | 2001-04-27 | 2001-12-19 | Производные пиразола, полезные в качестве ингибиторов протеинкиназы |
Country Status (1)
| Country | Link |
|---|---|
| RU (1) | RU2332415C2 (ru) |
Cited By (3)
| Publication number | Priority date | Publication date | Assignee | Title |
|---|---|---|---|---|
| RU2529019C2 (ru) * | 2009-02-27 | 2014-09-27 | Эмбит Байосайенсиз Корпорейшн | Модулирующие jak киназу хиназолиновые производные и способы их применения |
| US9181198B2 (en) | 2010-07-29 | 2015-11-10 | Oryzon Genomics S.A. | Arylcyclopropylamine based demethylase inhibitors of LSD1 and their medical use |
| RU2805569C1 (ru) * | 2019-12-06 | 2023-10-19 | Дз Байо(Уси) Ко., Лтд. | Тиазололактамные соединения в качестве ингибиторов ERK и их применение |
Families Citing this family (3)
| Publication number | Priority date | Publication date | Assignee | Title |
|---|---|---|---|---|
| EP1833819A1 (en) * | 2004-12-30 | 2007-09-19 | Astex Therapeutics Limited | Pyrazole compounds that modulate the activity of cdk, gsk and aurora kinases |
| AR054425A1 (es) * | 2005-01-21 | 2007-06-27 | Astex Therapeutics Ltd | Sales de adicion de piperidin 4-il- amida de acido 4-(2,6-dicloro-benzoilamino) 1h-pirazol-3-carboxilico. |
| JP2008081492A (ja) * | 2006-08-31 | 2008-04-10 | Banyu Pharmaceut Co Ltd | オーロラa選択的阻害作用を有する新規アミノピリジン誘導体 |
Citations (3)
| Publication number | Priority date | Publication date | Assignee | Title |
|---|---|---|---|---|
| RU96106055A (ru) * | 1995-03-30 | 1998-06-10 | Пфайзер Инк. | Производные хиназолина, способ их получения, способ лечения и фармацевтическая композиция |
| RU2137762C1 (ru) * | 1994-02-23 | 1999-09-20 | Пфайзер Инк. | 4-гетероциклил-замещенные производные хиназолина, фармацевтическая композиция |
| WO2000021955A1 (en) * | 1998-10-08 | 2000-04-20 | Astrazeneca Ab | Quinazoline derivatives |
Family Cites Families (1)
| Publication number | Priority date | Publication date | Assignee | Title |
|---|---|---|---|---|
| EP2163546B1 (en) * | 1995-03-30 | 2016-06-01 | Pfizer Products Inc. | Quinazoline derivatives |
-
2001
- 2001-12-19 RU RU2003122210/04A patent/RU2332415C2/ru not_active IP Right Cessation
Patent Citations (3)
| Publication number | Priority date | Publication date | Assignee | Title |
|---|---|---|---|---|
| RU2137762C1 (ru) * | 1994-02-23 | 1999-09-20 | Пфайзер Инк. | 4-гетероциклил-замещенные производные хиназолина, фармацевтическая композиция |
| RU96106055A (ru) * | 1995-03-30 | 1998-06-10 | Пфайзер Инк. | Производные хиназолина, способ их получения, способ лечения и фармацевтическая композиция |
| WO2000021955A1 (en) * | 1998-10-08 | 2000-04-20 | Astrazeneca Ab | Quinazoline derivatives |
Non-Patent Citations (2)
| Title |
|---|
| примеры 16-20, реферат. * |
| реферат. * |
Cited By (6)
| Publication number | Priority date | Publication date | Assignee | Title |
|---|---|---|---|---|
| RU2529019C2 (ru) * | 2009-02-27 | 2014-09-27 | Эмбит Байосайенсиз Корпорейшн | Модулирующие jak киназу хиназолиновые производные и способы их применения |
| US9181198B2 (en) | 2010-07-29 | 2015-11-10 | Oryzon Genomics S.A. | Arylcyclopropylamine based demethylase inhibitors of LSD1 and their medical use |
| RU2611437C2 (ru) * | 2010-07-29 | 2017-02-22 | Оризон Дженомикс С.А. | Ингибиторы деметилазы lsd1 на основе арилциклопропиламина и их применение в медицине |
| US9708309B2 (en) | 2010-07-29 | 2017-07-18 | Oryzon Genomics, S.A. | Arylcyclopropylamine based demethylase inhibitors of LSD1 and their medical use |
| US10233178B2 (en) | 2010-07-29 | 2019-03-19 | Oryzon Genomics, S.A. | Arylcyclopropylamine based demethylase inhibitors of LSD1 and their medical use |
| RU2805569C1 (ru) * | 2019-12-06 | 2023-10-19 | Дз Байо(Уси) Ко., Лтд. | Тиазололактамные соединения в качестве ингибиторов ERK и их применение |
Similar Documents
| Publication | Publication Date | Title |
|---|---|---|
| RU2355688C2 (ru) | Производные пиразола, полезные в качестве ингибиторов протеинкиназы | |
| AU2001297619A1 (en) | Pyrazole compounds useful as protein kinase inhibitors | |
| AU2002255452A1 (en) | Pyrazole compounds useful as protein kinase inhibitors | |
| RU2332415C2 (ru) | Производные пиразола, полезные в качестве ингибиторов протеинкиназы | |
| AU2002246899A1 (en) | Pyrazole compounds useful as protein kinase inhibitors | |
| AU2002245198A1 (en) | Pyrazole compounds useful as protein kinase inhibitors | |
| AU2002246731A1 (en) | Pyrazole compounds useful as protein kinase inhibitors |
Legal Events
| Date | Code | Title | Description |
|---|---|---|---|
| MM4A | The patent is invalid due to non-payment of fees |
Effective date: 20121220 |




























































































































