RU2018141218A - Замещенные 2-алкилимидазолил-карбоксамиды в качестве средств для борьбы с вредителями - Google Patents
Замещенные 2-алкилимидазолил-карбоксамиды в качестве средств для борьбы с вредителями Download PDFInfo
- Publication number
- RU2018141218A RU2018141218A RU2018141218A RU2018141218A RU2018141218A RU 2018141218 A RU2018141218 A RU 2018141218A RU 2018141218 A RU2018141218 A RU 2018141218A RU 2018141218 A RU2018141218 A RU 2018141218A RU 2018141218 A RU2018141218 A RU 2018141218A
- Authority
- RU
- Russia
- Prior art keywords
- alkyl
- optionally
- cyano
- methyl
- ethyl
- Prior art date
Links
- -1 C 1 -C 4 alkoxy Chemical group 0.000 claims 212
- ZAMOUSCENKQFHK-UHFFFAOYSA-N Chlorine atom Chemical group [Cl] ZAMOUSCENKQFHK-UHFFFAOYSA-N 0.000 claims 83
- 239000000460 chlorine Chemical group 0.000 claims 83
- 229910052801 chlorine Inorganic materials 0.000 claims 83
- 229910052731 fluorine Inorganic materials 0.000 claims 82
- 239000011737 fluorine Substances 0.000 claims 82
- 125000001153 fluoro group Chemical group F* 0.000 claims 81
- 125000004093 cyano group Chemical group *C#N 0.000 claims 79
- 125000001495 ethyl group Chemical group [H]C([H])([H])C([H])([H])* 0.000 claims 75
- 125000002023 trifluoromethyl group Chemical group FC(F)(F)* 0.000 claims 71
- WKBOTKDWSSQWDR-UHFFFAOYSA-N Bromine atom Chemical group [Br] WKBOTKDWSSQWDR-UHFFFAOYSA-N 0.000 claims 66
- GDTBXPJZTBHREO-UHFFFAOYSA-N bromine Chemical group BrBr GDTBXPJZTBHREO-UHFFFAOYSA-N 0.000 claims 66
- 229910052794 bromium Inorganic materials 0.000 claims 66
- 125000002496 methyl group Chemical group [H]C([H])([H])* 0.000 claims 66
- 229910052736 halogen Inorganic materials 0.000 claims 63
- 150000002367 halogens Chemical class 0.000 claims 62
- 125000000449 nitro group Chemical group [O-][N+](*)=O 0.000 claims 49
- 229910052739 hydrogen Inorganic materials 0.000 claims 45
- 239000001257 hydrogen Substances 0.000 claims 45
- 125000004765 (C1-C4) haloalkyl group Chemical group 0.000 claims 41
- 229910052760 oxygen Inorganic materials 0.000 claims 39
- 150000002431 hydrogen Chemical class 0.000 claims 38
- UQZPGHOJMQTOHB-UHFFFAOYSA-N 2-chloro-n-(2-chloroethyl)-n-ethylethanamine Chemical compound ClCCN(CC)CCCl UQZPGHOJMQTOHB-UHFFFAOYSA-N 0.000 claims 33
- 125000000876 trifluoromethoxy group Chemical group FC(F)(F)O* 0.000 claims 33
- 229910052717 sulfur Chemical group 0.000 claims 32
- 125000001028 difluoromethyl group Chemical group [H]C(F)(F)* 0.000 claims 31
- 125000004786 difluoromethoxy group Chemical group [H]C(F)(F)O* 0.000 claims 23
- 125000004767 (C1-C4) haloalkoxy group Chemical group 0.000 claims 22
- 125000005842 heteroatom Chemical group 0.000 claims 22
- 125000001072 heteroaryl group Chemical group 0.000 claims 19
- 125000000547 substituted alkyl group Chemical group 0.000 claims 17
- 125000004435 hydrogen atom Chemical group [H]* 0.000 claims 16
- 150000001875 compounds Chemical class 0.000 claims 14
- 125000006216 methylsulfinyl group Chemical group [H]C([H])([H])S(*)=O 0.000 claims 14
- 125000004170 methylsulfonyl group Chemical group [H]C([H])([H])S(*)(=O)=O 0.000 claims 14
- 125000003342 alkenyl group Chemical group 0.000 claims 13
- 125000000304 alkynyl group Chemical group 0.000 claims 13
- 125000000956 methoxy group Chemical group [H]C([H])([H])O* 0.000 claims 13
- 125000004076 pyridyl group Chemical group 0.000 claims 13
- 125000000714 pyrimidinyl group Chemical group 0.000 claims 13
- 125000000335 thiazolyl group Chemical group 0.000 claims 13
- 125000001544 thienyl group Chemical group 0.000 claims 13
- 125000001889 triflyl group Chemical group FC(F)(F)S(*)(=O)=O 0.000 claims 12
- 125000003710 aryl alkyl group Chemical group 0.000 claims 10
- 125000004802 cyanophenyl group Chemical group 0.000 claims 10
- 125000001316 cycloalkyl alkyl group Chemical group 0.000 claims 10
- 125000005346 substituted cycloalkyl group Chemical group 0.000 claims 10
- 125000002944 cyanoaryl group Chemical group 0.000 claims 9
- 125000006125 ethylsulfonyl group Chemical group 0.000 claims 9
- 125000004705 ethylthio group Chemical group C(C)S* 0.000 claims 9
- 125000001449 isopropyl group Chemical group [H]C([H])([H])C([H])(*)C([H])([H])[H] 0.000 claims 9
- 125000000081 (C5-C8) cycloalkenyl group Chemical group 0.000 claims 8
- QVGXLLKOCUKJST-UHFFFAOYSA-N atomic oxygen Chemical group [O] QVGXLLKOCUKJST-UHFFFAOYSA-N 0.000 claims 8
- 125000000392 cycloalkenyl group Chemical group 0.000 claims 8
- 125000002541 furyl group Chemical group 0.000 claims 8
- 125000000842 isoxazolyl group Chemical group 0.000 claims 8
- 125000001624 naphthyl group Chemical group 0.000 claims 8
- 125000002971 oxazolyl group Chemical group 0.000 claims 8
- 239000001301 oxygen Substances 0.000 claims 8
- 125000001436 propyl group Chemical group [H]C([*])([H])C([H])([H])C([H])([H])[H] 0.000 claims 8
- 125000003373 pyrazinyl group Chemical group 0.000 claims 8
- 125000002098 pyridazinyl group Chemical group 0.000 claims 8
- 125000003107 substituted aryl group Chemical group 0.000 claims 8
- 125000004306 triazinyl group Chemical group 0.000 claims 8
- 125000003903 2-propenyl group Chemical group [H]C([*])([H])C([H])=C([H])[H] 0.000 claims 7
- 125000001494 2-propynyl group Chemical group [H]C#CC([H])([H])* 0.000 claims 7
- UFHFLCQGNIYNRP-UHFFFAOYSA-N Hydrogen Chemical compound [H][H] UFHFLCQGNIYNRP-UHFFFAOYSA-N 0.000 claims 7
- 125000000217 alkyl group Chemical group 0.000 claims 7
- 125000000959 isobutyl group Chemical group [H]C([H])([H])C([H])(C([H])([H])[H])C([H])([H])* 0.000 claims 7
- 125000001786 isothiazolyl group Chemical group 0.000 claims 7
- 125000003226 pyrazolyl group Chemical group 0.000 claims 7
- 125000001995 cyclobutyl group Chemical group [H]C1([H])C([H])([H])C([H])(*)C1([H])[H] 0.000 claims 6
- 125000000113 cyclohexyl group Chemical group [H]C1([H])C([H])([H])C([H])([H])C([H])(*)C([H])([H])C1([H])[H] 0.000 claims 6
- 125000001511 cyclopentyl group Chemical group [H]C1([H])C([H])([H])C([H])([H])C([H])(*)C1([H])[H] 0.000 claims 6
- 125000002883 imidazolyl group Chemical group 0.000 claims 6
- 125000001972 isopentyl group Chemical group [H]C([H])([H])C([H])(C([H])([H])[H])C([H])([H])C([H])([H])* 0.000 claims 6
- 125000001971 neopentyl group Chemical group [H]C([*])([H])C(C([H])([H])[H])(C([H])([H])[H])C([H])([H])[H] 0.000 claims 6
- 125000001997 phenyl group Chemical group [H]C1=C([H])C([H])=C(*)C([H])=C1[H] 0.000 claims 6
- 125000000999 tert-butyl group Chemical group [H]C([H])([H])C(*)(C([H])([H])[H])C([H])([H])[H] 0.000 claims 6
- 125000004974 2-butenyl group Chemical group C(C=CC)* 0.000 claims 5
- 125000000069 2-butynyl group Chemical group [H]C([H])([H])C#CC([H])([H])* 0.000 claims 5
- 125000004850 cyclobutylmethyl group Chemical group C1(CCC1)C* 0.000 claims 5
- 125000004210 cyclohexylmethyl group Chemical group [H]C([H])(*)C1([H])C([H])([H])C([H])([H])C([H])([H])C([H])([H])C1([H])[H] 0.000 claims 5
- 125000004851 cyclopentylmethyl group Chemical group C1(CCCC1)C* 0.000 claims 5
- 125000001559 cyclopropyl group Chemical group [H]C1([H])C([H])([H])C1([H])* 0.000 claims 5
- 125000001188 haloalkyl group Chemical group 0.000 claims 5
- 125000004051 hexyl group Chemical group [H]C([H])([H])C([H])([H])C([H])([H])C([H])([H])C([H])([H])C([H])([H])* 0.000 claims 5
- 125000004108 n-butyl group Chemical group [H]C([H])([H])C([H])([H])C([H])([H])C([H])([H])* 0.000 claims 5
- 125000005244 neohexyl group Chemical group [H]C([H])([H])C(C([H])([H])[H])(C([H])([H])[H])C([H])([H])C([H])([H])* 0.000 claims 5
- 229910052757 nitrogen Inorganic materials 0.000 claims 5
- 125000004433 nitrogen atom Chemical group N* 0.000 claims 5
- 125000001147 pentyl group Chemical group C(CCCC)* 0.000 claims 5
- 150000003839 salts Chemical class 0.000 claims 5
- 125000002914 sec-butyl group Chemical group [H]C([H])([H])C([H])([H])C([H])(*)C([H])([H])[H] 0.000 claims 5
- 125000001113 thiadiazolyl group Chemical group 0.000 claims 5
- PXGOKWXKJXAPGV-UHFFFAOYSA-N Fluorine Chemical compound FF PXGOKWXKJXAPGV-UHFFFAOYSA-N 0.000 claims 4
- 241000607479 Yersinia pestis Species 0.000 claims 4
- 125000001931 aliphatic group Chemical group 0.000 claims 4
- 229910052799 carbon Inorganic materials 0.000 claims 4
- 125000004432 carbon atom Chemical group C* 0.000 claims 4
- 125000000623 heterocyclic group Chemical group 0.000 claims 4
- 125000004179 3-chlorophenyl group Chemical group [H]C1=C([H])C(*)=C([H])C(Cl)=C1[H] 0.000 claims 3
- 125000000882 C2-C6 alkenyl group Chemical group 0.000 claims 3
- 125000003601 C2-C6 alkynyl group Chemical group 0.000 claims 3
- NINIDFKCEFEMDL-UHFFFAOYSA-N Sulfur Chemical group [S] NINIDFKCEFEMDL-UHFFFAOYSA-N 0.000 claims 3
- 239000012872 agrochemical composition Substances 0.000 claims 3
- 125000002946 cyanobenzyl group Chemical group 0.000 claims 3
- 125000004186 cyclopropylmethyl group Chemical group [H]C([H])(*)C1([H])C([H])([H])C1([H])[H] 0.000 claims 3
- 125000003854 p-chlorophenyl group Chemical group [H]C1=C([H])C(*)=C([H])C([H])=C1Cl 0.000 claims 3
- 125000005344 pyridylmethyl group Chemical group [H]C1=C([H])C([H])=C([H])C(=N1)C([H])([H])* 0.000 claims 3
- 239000011593 sulfur Chemical group 0.000 claims 3
- 125000004205 trifluoroethyl group Chemical group [H]C([H])(*)C(F)(F)F 0.000 claims 3
- 125000004182 2-chlorophenyl group Chemical group [H]C1=C([H])C(Cl)=C(*)C([H])=C1[H] 0.000 claims 2
- JRLTTZUODKEYDH-UHFFFAOYSA-N 8-methylquinoline Chemical group C1=CN=C2C(C)=CC=CC2=C1 JRLTTZUODKEYDH-UHFFFAOYSA-N 0.000 claims 2
- 125000003545 alkoxy group Chemical group 0.000 claims 2
- 125000001797 benzyl group Chemical group [H]C1=C([H])C([H])=C(C([H])=C1[H])C([H])([H])* 0.000 claims 2
- 150000002221 fluorine Chemical class 0.000 claims 2
- 125000004438 haloalkoxy group Chemical group 0.000 claims 2
- VNWKTOKETHGBQD-UHFFFAOYSA-N methane Chemical group C VNWKTOKETHGBQD-UHFFFAOYSA-N 0.000 claims 2
- 125000005936 piperidyl group Chemical group 0.000 claims 2
- 125000006413 ring segment Chemical group 0.000 claims 2
- 229920006395 saturated elastomer Polymers 0.000 claims 2
- 239000004094 surface-active agent Substances 0.000 claims 2
- 125000001412 tetrahydropyranyl group Chemical group 0.000 claims 2
- 125000005302 thiazolylmethyl group Chemical group [H]C1=C([H])N=C(S1)C([H])([H])* 0.000 claims 2
- 125000000391 vinyl group Chemical group [H]C([*])=C([H])[H] 0.000 claims 2
- 229920002554 vinyl polymer Chemical group 0.000 claims 2
- 125000004454 (C1-C6) alkoxycarbonyl group Chemical group 0.000 claims 1
- 125000004739 (C1-C6) alkylsulfonyl group Chemical group 0.000 claims 1
- 125000004737 (C1-C6) haloalkoxy group Chemical group 0.000 claims 1
- 125000005913 (C3-C6) cycloalkyl group Chemical group 0.000 claims 1
- 125000004206 2,2,2-trifluoroethyl group Chemical group [H]C([H])(*)C(F)(F)F 0.000 claims 1
- 125000004189 3,4-dichlorophenyl group Chemical group [H]C1=C([H])C(Cl)=C(Cl)C([H])=C1* 0.000 claims 1
- 125000004648 C2-C8 alkenyl group Chemical group 0.000 claims 1
- 125000004649 C2-C8 alkynyl group Chemical group 0.000 claims 1
- YZCKVEUIGOORGS-IGMARMGPSA-N Protium Chemical compound [1H] YZCKVEUIGOORGS-IGMARMGPSA-N 0.000 claims 1
- KPCZJLGGXRGYIE-UHFFFAOYSA-N [C]1=CC=CN=C1 Chemical group [C]1=CC=CN=C1 KPCZJLGGXRGYIE-UHFFFAOYSA-N 0.000 claims 1
- 239000013543 active substance Substances 0.000 claims 1
- HSFWRNGVRCDJHI-UHFFFAOYSA-N alpha-acetylene Chemical group C#C HSFWRNGVRCDJHI-UHFFFAOYSA-N 0.000 claims 1
- 125000003118 aryl group Chemical group 0.000 claims 1
- 125000004369 butenyl group Chemical group C(=CCC)* 0.000 claims 1
- 239000003795 chemical substances by application Substances 0.000 claims 1
- FHIVAFMUCKRCQO-UHFFFAOYSA-N diazinon Chemical compound CCOP(=S)(OCC)OC1=CC(C)=NC(C(C)C)=N1 FHIVAFMUCKRCQO-UHFFFAOYSA-N 0.000 claims 1
- 125000006001 difluoroethyl group Chemical group 0.000 claims 1
- DNJIEGIFACGWOD-UHFFFAOYSA-N ethanethiol Chemical group CCS DNJIEGIFACGWOD-UHFFFAOYSA-N 0.000 claims 1
- 125000001301 ethoxy group Chemical group [H]C([H])([H])C([H])([H])O* 0.000 claims 1
- 125000005448 ethoxyethyl group Chemical group [H]C([H])([H])C([H])([H])OC([H])([H])C([H])([H])* 0.000 claims 1
- 125000005745 ethoxymethyl group Chemical group [H]C([H])([H])C([H])([H])OC([H])([H])* 0.000 claims 1
- 125000002534 ethynyl group Chemical group [H]C#C* 0.000 claims 1
- 239000000945 filler Substances 0.000 claims 1
- 239000013067 intermediate product Substances 0.000 claims 1
- 125000000555 isopropenyl group Chemical group [H]\C([H])=C(\*)C([H])([H])[H] 0.000 claims 1
- MGIYRDNGCNKGJU-UHFFFAOYSA-N isothiazolinone Chemical compound O=C1C=CSN1 MGIYRDNGCNKGJU-UHFFFAOYSA-N 0.000 claims 1
- 239000000463 material Substances 0.000 claims 1
- 239000002184 metal Chemical group 0.000 claims 1
- 125000004123 n-propyl group Chemical group [H]C([H])([H])C([H])([H])C([H])([H])* 0.000 claims 1
- 239000000546 pharmaceutical excipient Substances 0.000 claims 1
- 125000004368 propenyl group Chemical group C(=CC)* 0.000 claims 1
- SNOOUWRIMMFWNE-UHFFFAOYSA-M sodium;6-[(3,4,5-trimethoxybenzoyl)amino]hexanoate Chemical compound [Na+].COC1=CC(C(=O)NCCCCCC([O-])=O)=CC(OC)=C1OC SNOOUWRIMMFWNE-UHFFFAOYSA-M 0.000 claims 1
- 125000005017 substituted alkenyl group Chemical group 0.000 claims 1
- 230000001225 therapeutic effect Effects 0.000 claims 1
- 150000004867 thiadiazoles Chemical group 0.000 claims 1
- 150000003573 thiols Chemical class 0.000 claims 1
- 125000003866 trichloromethyl group Chemical group ClC(Cl)(Cl)* 0.000 claims 1
Classifications
-
- C—CHEMISTRY; METALLURGY
- C07—ORGANIC CHEMISTRY
- C07D—HETEROCYCLIC COMPOUNDS
- C07D401/00—Heterocyclic compounds containing two or more hetero rings, having nitrogen atoms as the only ring hetero atoms, at least one ring being a six-membered ring with only one nitrogen atom
- C07D401/02—Heterocyclic compounds containing two or more hetero rings, having nitrogen atoms as the only ring hetero atoms, at least one ring being a six-membered ring with only one nitrogen atom containing two hetero rings
- C07D401/12—Heterocyclic compounds containing two or more hetero rings, having nitrogen atoms as the only ring hetero atoms, at least one ring being a six-membered ring with only one nitrogen atom containing two hetero rings linked by a chain containing hetero atoms as chain links
-
- A—HUMAN NECESSITIES
- A01—AGRICULTURE; FORESTRY; ANIMAL HUSBANDRY; HUNTING; TRAPPING; FISHING
- A01N—PRESERVATION OF BODIES OF HUMANS OR ANIMALS OR PLANTS OR PARTS THEREOF; BIOCIDES, e.g. AS DISINFECTANTS, AS PESTICIDES OR AS HERBICIDES; PEST REPELLANTS OR ATTRACTANTS; PLANT GROWTH REGULATORS
- A01N43/00—Biocides, pest repellants or attractants, or plant growth regulators containing heterocyclic compounds
- A01N43/48—Biocides, pest repellants or attractants, or plant growth regulators containing heterocyclic compounds having rings with two nitrogen atoms as the only ring hetero atoms
- A01N43/50—1,3-Diazoles; Hydrogenated 1,3-diazoles
-
- A—HUMAN NECESSITIES
- A01—AGRICULTURE; FORESTRY; ANIMAL HUSBANDRY; HUNTING; TRAPPING; FISHING
- A01N—PRESERVATION OF BODIES OF HUMANS OR ANIMALS OR PLANTS OR PARTS THEREOF; BIOCIDES, e.g. AS DISINFECTANTS, AS PESTICIDES OR AS HERBICIDES; PEST REPELLANTS OR ATTRACTANTS; PLANT GROWTH REGULATORS
- A01N43/00—Biocides, pest repellants or attractants, or plant growth regulators containing heterocyclic compounds
- A01N43/48—Biocides, pest repellants or attractants, or plant growth regulators containing heterocyclic compounds having rings with two nitrogen atoms as the only ring hetero atoms
- A01N43/54—1,3-Diazines; Hydrogenated 1,3-diazines
-
- A—HUMAN NECESSITIES
- A01—AGRICULTURE; FORESTRY; ANIMAL HUSBANDRY; HUNTING; TRAPPING; FISHING
- A01N—PRESERVATION OF BODIES OF HUMANS OR ANIMALS OR PLANTS OR PARTS THEREOF; BIOCIDES, e.g. AS DISINFECTANTS, AS PESTICIDES OR AS HERBICIDES; PEST REPELLANTS OR ATTRACTANTS; PLANT GROWTH REGULATORS
- A01N43/00—Biocides, pest repellants or attractants, or plant growth regulators containing heterocyclic compounds
- A01N43/48—Biocides, pest repellants or attractants, or plant growth regulators containing heterocyclic compounds having rings with two nitrogen atoms as the only ring hetero atoms
- A01N43/56—1,2-Diazoles; Hydrogenated 1,2-diazoles
-
- A—HUMAN NECESSITIES
- A01—AGRICULTURE; FORESTRY; ANIMAL HUSBANDRY; HUNTING; TRAPPING; FISHING
- A01N—PRESERVATION OF BODIES OF HUMANS OR ANIMALS OR PLANTS OR PARTS THEREOF; BIOCIDES, e.g. AS DISINFECTANTS, AS PESTICIDES OR AS HERBICIDES; PEST REPELLANTS OR ATTRACTANTS; PLANT GROWTH REGULATORS
- A01N43/00—Biocides, pest repellants or attractants, or plant growth regulators containing heterocyclic compounds
- A01N43/64—Biocides, pest repellants or attractants, or plant growth regulators containing heterocyclic compounds having rings with three nitrogen atoms as the only ring hetero atoms
- A01N43/647—Triazoles; Hydrogenated triazoles
-
- A—HUMAN NECESSITIES
- A61—MEDICAL OR VETERINARY SCIENCE; HYGIENE
- A61P—SPECIFIC THERAPEUTIC ACTIVITY OF CHEMICAL COMPOUNDS OR MEDICINAL PREPARATIONS
- A61P33/00—Antiparasitic agents
-
- C—CHEMISTRY; METALLURGY
- C07—ORGANIC CHEMISTRY
- C07D—HETEROCYCLIC COMPOUNDS
- C07D401/00—Heterocyclic compounds containing two or more hetero rings, having nitrogen atoms as the only ring hetero atoms, at least one ring being a six-membered ring with only one nitrogen atom
- C07D401/14—Heterocyclic compounds containing two or more hetero rings, having nitrogen atoms as the only ring hetero atoms, at least one ring being a six-membered ring with only one nitrogen atom containing three or more hetero rings
Landscapes
- Life Sciences & Earth Sciences (AREA)
- Organic Chemistry (AREA)
- Chemical & Material Sciences (AREA)
- Health & Medical Sciences (AREA)
- General Health & Medical Sciences (AREA)
- Environmental Sciences (AREA)
- Engineering & Computer Science (AREA)
- Dentistry (AREA)
- Pest Control & Pesticides (AREA)
- Wood Science & Technology (AREA)
- Zoology (AREA)
- Agronomy & Crop Science (AREA)
- Plant Pathology (AREA)
- Veterinary Medicine (AREA)
- General Chemical & Material Sciences (AREA)
- Chemical Kinetics & Catalysis (AREA)
- Tropical Medicine & Parasitology (AREA)
- Medicinal Chemistry (AREA)
- Nuclear Medicine, Radiotherapy & Molecular Imaging (AREA)
- Pharmacology & Pharmacy (AREA)
- Animal Behavior & Ethology (AREA)
- Public Health (AREA)
- Pharmaceuticals Containing Other Organic And Inorganic Compounds (AREA)
- Plural Heterocyclic Compounds (AREA)
- Agricultural Chemicals And Associated Chemicals (AREA)
- Nitrogen Condensed Heterocyclic Rings (AREA)
- Nitrogen And Oxygen Or Sulfur-Condensed Heterocyclic Ring Systems (AREA)
Claims (164)
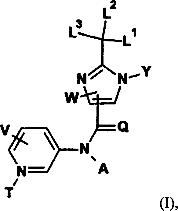
1. Соединения формулы (I)
в которой
Q представляет собой кислород или серу,
V представляет собой остаток из ряда водород, галоген, алкил, галогеналкил, алкокси, галогеналкокси и циано,
W представляет собой остаток из ряда водород, галоген, алкил, галогеналкил, алкокси, галогеналкокси и циано,
Y представляет собой остаток из ряда водород, при необходимости замещенный алкил, алкенил и алкинил, при необходимости прерывающийся гетероатомом, при необходимости замещенный циклоалкил, при необходимости прерывающийся гетероатомом, при необходимости замещенный циклоалкилалкил, арилалкил, гетарилалкил и циано,
А представляет собой остаток из ряда водород, при необходимости замещенный алкил, алкенил и алкинил, при необходимости прерывающийся гетероатомом, при необходимости замещенный циклоалкил и циклоалкил-алкил,
Т представляет собой кислород или электронную пару,
L1 представляет собой остаток из ряда водород, циано, при необходимости замещенный алкил, алкенил и алкинил, при необходимости прерывающийся гетероатомом, при необходимости замещенный циклоалкил и циклоалкенил, при необходимости прерывающийся гетероатомом, при необходимости замещенный циклоалкилалкил, при необходимости замещенный арил и гетарил, при необходимости замещенный арилалкил и гетарилалкил,
L2 представляет собой остаток из ряда водород и при необходимости замещенный алкил,
или
L1 и L2 вместе с атомом углерода, с которым они связаны, представляют собой при необходимости замещенное трех-восьми членное алифатическое кольцо, которое при необходимости может прерываться гетероатом,
или
L1 и L2 вместе представляют собой при необходимости замещенный алкенил,
L3 представляет собой остаток из ряда водород, S(O)nR1a, OR1b и N(R2)(R3), причем в случае, когда L1 и/или L2 представляет собой водород или при необходимости замещенный алкил, L3 представляет собой остаток из ряда S(O)nR1a, OR1b и N(R2)(R3),
R1a представляет собой остаток из ряда при необходимости замещенный алкил, алкенил и алкинил, при необходимости прерывающийся гетероатомом, при необходимости замещенный циклоалкил и циклоалкенил, при необходимости прерывающийся гетероатомом, при необходимости замещенный циклоалкилалкил и циклоалкенилалкил, при необходимости замещенный арил и гетарил, при необходимости замещенный арилалкил и гетарил алкил,
R1b представляет собой остаток из ряда водород, при необходимости замещенный алкил, алкенил и алкинил, при необходимости прерывающийся гетероатомом, при необходимости замещенный циклоалкил и циклоалкенил, при необходимости прерывающийся гетероатомом, при необходимости замещенный циклоалкилалкил и циклоалкенилалкил, при необходимости замещенный арил и гетарил и при необходимости замещенный арилалкил и гетарилалкил,
R2 представляет собой остаток из ряда водород, при необходимости замещенный алкил, алкенил и алкинил, при необходимости прерывающийся гетероатомом, при необходимости замещенный циклоалкил и циклоалкенил, при необходимости прерывающийся гетероатомом, при необходимости замещенный циклоалкилалкил и циклоалкенилалкил, при необходимости замещенный арил и гетарил и при необходимости замещенный арилалкил и гетарилалкил,
R3 представляет собой остаток из ряда водород, при необходимости замещенный алкил, алкенил и алкинил или представляет собой остаток C(O)N(R5)(R6), C(O)R7, C(O)OR8 и SO2R9,
или
R2 и R3 вместе с атомом азота, с которым они связаны, представляют собой при необходимости замещенный, насыщенный, частично насыщенный или ароматический гетероцикл с 3-9 кольцевыми атомами, который при необходимости может прерываться дополнительным гетероатомом и/или одной или двумя СО-группами,
R5 и R6 независимо друг от друга представляют собой остаток из ряда водород, при необходимости замещенный алкил, алкенил и алкинил, при необходимости прерывающийся гетероатомом, при необходимости замещенный циклоалкил и циклоалкенил, при необходимости прерывающийся гетероатомом, при необходимости замещенный циклоалкилалкил, при необходимости замещенный арил и гетарил и при необходимости замещенный арилалкил и гетарилалкил,
или
R5 и R6 вместе с атомом азота, с которым они связаны, представляют собой при необходимости замещенное трех-восьми членное алифатическое кольцо, которое при необходимости может прерываться гетероатомом,
R7 представляет собой остаток из ряда водород, при необходимости замещенный алкил, алкенил и алкинил, при необходимости прерывающийся гетероатомом, при необходимости замещенный циклоалкил и циклоалкенил, при необходимости прерывающийся гетероатомом, при необходимости замещенный циклоалкилалкил и циклоалкенилалкил, при необходимости замещенный арил и гетарил и при необходимости замещенный арилалкил и гетарилалкил,
R8 представляет собой остаток из ряда водород, при необходимости замещенный алкил, алкенил и алкинил, при необходимости прерывающийся гетероатомом, при необходимости замещенный циклоалкил и циклоалкенил, при необходимости прерывающийся гетероатомом, при необходимости замещенный циклоалкилалкил и циклоалкенилалкил, при необходимости замещенный арил и гетарил и при необходимости замещенный арилалкил и гетарилалкил,
R9 представляет собой остаток из ряда при необходимости замещенный алкил, алкенил и алкинил, при необходимости прерывающийся гетероатомом, при необходимости замещенный циклоалкил и циклоалкенил, при необходимости прерывающийся гетероатомом, при необходимости замещенный циклоалкилалкил и циклоалкенилалкил, при необходимости замещенный арил и гетарил и при необходимости замещенный арилалкил и гетарилалкил,
n представляет собой число 0, 1 или 2,
и их соли.
2. Соединения по п. 1, в которых
Q представляет собой кислород или серу,
V представляет собой остаток из ряда водород, галоген, С1-С4-алкил, С1-С4-галогеналкил, С1-С4-алкокси, С1-С4-галогеналкокси и циано,
W представляет собой остаток из ряда водород, галоген, С1-С4-алкил, С1-С4-галогеналкил, С1-С4-алкокси, С1-С4-галогеналкокси и циано,
Y представляет собой остаток из ряда водород, при необходимости один или более раз независимо друг от друга замещенный галогеном, С1-С4-алкокси, С1-С4-алкил-S(O)n- и циано С1-С6-алкил, С3-С6-алкенил и С3-С6-алкинил, при необходимости от одного до четырех раз независимо друг от друга замещенный галогеном, С1-С4-алкилом, С1-С4-галогеналкилом, С1-С4-алкокси и циано С3-С8-циклоалкил, при необходимости от одного до двух раз независимо друг от друга прерывающийся О, S(O)n и NR4, при необходимости от одного до четырех раз независимо друг от друга замещенный галогеном, С1-С4-алкилом, С1-С4-галогеналкилом, С1-С4-алкокси и циано, неразветвленный или разветвленный С3-C8-циклоалкил-С1-С4-алкил, и при необходимости от одного до трех раз независимо друг от друга замещенный галогеном, С1-С4-алкилом, С1-С4-галогеналкилом, С1-С4-алкокси, С1-С4-алкил-S(O)n-, С1-С4-галогеналкокси, С1-С4-галогеналкил-S(O)n-, нитро и циано арил-С1-С4-алкил и гетарил-С1-С4-алкил,
А представляет собой остаток из ряда водород, при необходимости один или более раз независимо друг от друга замещенный галогеном, С1-С4-алкокси, С1-С4-алкил-S(O)n- и циано С1-С6-алкил, С3-С6-алкенил и С3-С6-алкинил, при необходимости от одного до двух раз независимо друг от друга замещенный галогеном, С1-С4-алкилом, С1-С4-галогеналкилом, С1-С4-алкокси и циано С3-С6-циклоалкил, который при необходимости может прерываться О, S(O)n, NR4, и при необходимости от одного до двух раз независимо друг от друга замещенный галогеном, С1-С4-алкилом, С1-С4-галогеналкилом, С1-С4-алкокси и циано, неразветвленный или разветвленный С3-С8-циклоалкил-С1-С4-алкил, который при необходимости может прерываться О, S(O)n или NR4,
Т представляет собой кислород или электронную пару,
L1 представляет собой остаток из ряда водород, при
необходимости от одного до пяти раз независимо друг от друга замещенный галогеном и один или два раза замещенный С1-С4-алкокси, С1-С4-алкил-S(O)n- и циано С1-С8-алкил, С2-С8-алкенил и С2-С8-алкинил, при необходимости от одного до пяти раз независимо друг от друга замещенный галогеном и один или два раза замещенный С1-С4-алкилом, С1-С4-галогеналкилом, С1-С4-алкокси и циано С3-С8-циклоалкил и С5-С8-циклоалкенил, которые при необходимости от одного до двух раз независимо друг от друга могут прерываться О, S(O)n, СО и NR4, при необходимости от одного до пяти раз независимо друг от друга замещенный галогеном и один или два раза замещенный С1-С4-алкилом, С1-С4-алогеналкилом, С1-С4-алкокси и циано неразветвленный или разветвленный С3-С8-циклоалкил-С1-С4-алкил и С5-С8-циклоалкенил-С1-С4-алкил, которые при необходимости от одного до двух раз независимо друг от друга могут прерываться О, S(O)n, СО и NR4, и при необходимости от одного до трех раз независимо друг от друга замещенный галогеном, С1-С4-алкилом, С1-С4-алогеналкилом, С1-С4-алкокси, С1-С4-алкил-S(O)n-, С1-С4-галогеналкокси, С1-С4-галогеналкил-S(O)n-, нитро и циано арил, гетарил, арилалкил и гетарилалкил,
L2 представляет собой остаток из ряда водород, при необходимости от одного до пяти раз независимо друг от друга замещенный галогеном и один или два раза замещенный С1-С4-алкокси, С1-С4-алкил-S(O)n- и циано С1-С4-алкил,
или
L1 и L2 вместе с атомом углерода, с которым они связаны, представляют собой при необходимости от одного до трех раз независимо друг от друга замещенный галогеном, С1-С4-алкокси, С1-С4-алкил-S(O)n- и циано С3-С8-циклоалкил,
или
L1 и L2 вместе представляют собой при необходимости от одного до трех раз независимо друг от друга замещенный галогеном, С1-С4-алкокси, С1-С4-алкил-S(O)n- и циано С2-С6-алкенил,
L3 представляет собой остаток из ряда водород, S(O)nR1a, OR1b и
N(R2)(R3), причем в случае, когда L1 и/или L2 представляет собой водород или при необходимости замещенный алкил, L3 представляет собой остаток из ряда S(O)nR1a, OR1b и N(R2)(R3),
R1a представляет собой остаток из ряда при необходимости от
одного до пяти раз независимо друг от друга замещенный галогеном и один или два раза замещенный С1-С4-алкокси, С1-С4-алкил-S(O)n-, циано, C(O)N(R5)(R6), C(G)R7 и C(O)OR8 С1-С8-алкил, С3-С8-алкенил и С3-С8-алкинил, при необходимости от одного до четырех раз независимо друг от друга замещенный галогеном, С1-С4-алкилом, С1-С4-галогеналкилом, С1-С4-алкокси и циано С3-С8-циклоалкил и C5-C8-циклоалкенил, которые при необходимости от одного до двух раз независимо друг от друга могут прерываться О, S(O)n, СО и NR4, при необходимости от одного до четырех раз независимо друг от друга замещенный галогеном, С1-С4-алкилом, С1-С4-галогеналкилом, С1-С4-алкокси и циано, неразветвленный или разветвленный С3-C8-циклоалкил-С1-С4-алкил и С5-С8-циклоалкенил-С1-С4-алкил, которые при необходимости от одного до двух раз независимо друг от друга могут прерываться О, S(O)n, СО и NR4, при необходимости от одного до трех раз независимо друг от друга замещенный галогеном, С1-С4-алкилом, С1-С4-галогеналкилом, С1-С4-алкокси, С1-С4-алкил-S(O)n-, С1-С4-галогеналкокси, С1-С4-галогеналкил-S(O)n-, нитро и циано арил и гетарил и при необходимости от одного до трех раз независимо друг от друга замещенный галогеном, С1-С4-алкилом, С1-С4-галогеналкилом, С1-С4-алкокси, С1-С4-алкил-S(O)n-, С1-С4-галогеналкокси, С1-С4-галогеналкил-S(O)n-, нитро и циано, неразветвленный или разветвленный арил-С1-С4-алкил и гетарил-С1-С4-алкил,
R1b представляет собой остаток из ряда водород, при необходимости от одного до пяти раз независимо друг от друга замещенный галогеном и один или два раза замещенный С1-С4-алкокси, С1-С4-алкил-S(O)n-, циано, C(O)N(R5)(R6), C(G)R7 и C(O)OR8 С1-С8-алкил, С3-С8-алкенил и С3-С8-алкинил, при необходимости от одного до четырех раз независимо друг от друга замещенный галогеном, С1-С4-алкилом, С1-С4-галогеналкилом, С1-С4-алкокси и циано С3-С8-циклоалкил и С5-С8-циклоалкенил, которые при необходимости от одного до двух раз независимо друг от друга могут прерываться О, S(O)n, СО и NR4, при необходимости от одного до четырех раз независимо друг от друга замещенный галогеном, С1-С4-алкилом, С1-С4-галогеналкилом, С1-С4-алкокси и циано, неразветвленный или разветвленный С3-С8-циклоалкил-С1-С4-алкил и С5-С8-циклоалкенил-С1-С4-алкил, которые при необходимости от одного до двух раз независимо друг от друга могут прерываться О, S(O)n, СО и NR4, при необходимости от одного до трех раз независимо друг от друга замещенный галогеном, С1-С4-алкилом, С1-С4-галогеналкилом, С1-С4-алкокси, С1-С4-алкил-S(O)n-, С1-С4-галогеналкокси, С1-С4-галогеналкил-S(O)n-, нитро и циано арил и гетарил, и при необходимости от одного до трех раз независимо друг от друга замещенный галогеном, С1-С4-алкилом, С1-С4-галогеналкилом, С1-С4-алкокси, С1-С4-алкил-S(O)n-, С1-С4-галогеналкокси, С1-С4-галогеналкил-S(O)n-, нитро и циано, неразветвленный или разветвленный арил-С1-С4-алкил и гетарил-С1-С4-алкил,
G представляет собой О, N-CN или N-OR8,
R2 представляет собой остаток из ряда водород, при необходимости от одного до пяти раз независимо друг от друга замещенный галогеном и один или два раза замещенный С1-С4-алкокси, С1-С4-алкил-S(O)n- и циано С1-С8-алкил, С3-С8-алкенил и С3-С8-алкинил, при необходимости от одного до двух раз независимо друг от друга замещенный галогеном, С1-С4-алкилом, С1-С4-галогеналкилом, С1-С4-алкокси и циано С3-С8-циклоалкил и С5-С8-циклоалкенил, которые при необходимости от одного до двух раз независимо друг от друга могут прерываться О, S(O)n, СО и NR4, при необходимости от одного до двух раз независимо друг от друга замещенный галогеном, С1-С4-алкилом, С1-С4-галогеналкилом, С1-С4-алкокси и циано, неразветвленный или разветвленный С3-С8-циклоалкил-С1-С4 алкил и С5-С8-циклоалкенил-С1-С4-алкил, которые при необходимости от одного до двух раз независимо друг от друга могут прерываться О, S(O)n, СО и NR4, при необходимости от одного до трех раз независимо друг от друга замещенный галогеном, С1-С4-алкилом, С1-С4-галогеналкилом, С1-С4-алкокси, С1-С4-алкил-S(O)n-, С1-С4-галогеналкокси, С1-С4-галогеналкил-S(O)n-, нитро и циано арил и гетарил, и при необходимости от одного до трех раз независимо друг от друга замещенный галогеном, С1-С4-алкилом, С1-С4-галогеналкилом, С1-С4-алкокси, С1-С4-алкил-S(O)n-, С1-С4-галогеналкокси, С1-С4-галогеналкил-S(O)n-, нитро и циано, неразветвленный или разветвленный арил-С1-С4-алкил и гетарил-С1-С4-алкил,
R3 представляет собой остаток из ряда водород, при необходимости от одного до трех раз независимо друг от друга замещенный галогеном, С1-С4-алкокси, С1-С4-алкил-S(O)n- и циано С1-С8-алкил, С3-С8-алкенил и С3-С8-алкинил или представляет собой остаток C(O)N(R5)(R6), C(O)R7, C(O)OR8 и SO2R9,
или
R2 и R3 вместе с атомом азота, с которым они связаны, представляют собой гетероцикл из ряда U-1 - U-36,
R4 представляет собой остаток из ряда водород, при необходимости от одного до трех раз независимо друг от друга замещенный галогеном, С1-С4-алкокси и С1-С4-алкил-S(O)n- С1-С8-алкил, С3-С8-алкенил и С3-С8-алкинил, при необходимости от одного до двух раз независимо друг от друга замещенный галогеном, С1-С4-алкилом, С1-С4-галогеналкилом, С1-С4-алкокси и циано С3-С8-циклоалкил и С3-С8-циклоалкил- С1-С4-алкил, при необходимости от одного до трех раз независимо друг от друга замещенный галогеном, С1-С4-алкилом, С1-С4-галогеналкилом, С1-С4-алкокси, С1-С4-алкил-S(O)n-, С1-С4-галогеналкокси, С1-С4-галогеналкил-S(O)n-, нитро и циано арил и гетарил и при необходимости от одного до трех раз независимо друг от друга замещенный галогеном, С1-С4-алкилом, С1-С4-галогеналкилом, С1-С4-алкокси, С1-С4-алкил-S(O)n-, С1-С4-галогеналкокси, С1-С4-галогеналкил-S(O)n-, нитро и циано, неразветвленный или разветвленный арил-С1-С4-алкил и гетарил-С1-С4-алкил,
R5 и R6 независимо друг от друга представляют собой остаток из ряда водород, при необходимости от одного до пяти раз независимо друг от друга замещенный галогеном и один или два раза замещенный С1-С4-алкокси и С1-С4-алкил-S(O)n- С1-С8-алкил, С3-С8-алкенил и С3-С8-алкинил, при необходимости от одного до двух раз независимо друг от друга замещенный галогеном, С1-С4-алкилом, С1-С4-галогеналкилом, С1-С4-алкокси и циано С3-С8-циклоалкил, С5-С8-циклоалкенил и С3-С8-циклоалкил-С1-С4-алкил, при необходимости от одного до трех раз независимо друг от друга замещенный галогеном, С1-С4-алкилом, С1-С4-галогеналкилом, С1-С4-алкокси, С1-С4-алкил-S(O)n-, С1-С4-галогеналкокси, С1-С4-галогеналкил-S(O)n-, нитро и циано арил и гетарил и при необходимости от одного до трех раз независимо друг от друга замещенный галогеном, С1-С4-алкилом, С1-С4-галогеналкилом, С1-С4-алкокси, С1-С4-алкил-S(O)n-, С1-С4-галогеналкокси, С1-С4-галогеналкил-S(O)n-, нитро и циано, неразветвленный или разветвленный арил-С1-С4-алкил и гетарил-С1-С4-алкил,
или
R5 и R6 вместе с атомом азота, с которым они связаны, представляют собой трех-восьми членное алифатическое кольцо, которое при необходимости замещено С1-С2-алкилом, С1-С2-галоалкилом и С1-С2-алкокси и при необходимости может прерываться О или S(O)n,
R7 представляет собой остаток из ряда водород, при необходимости от одного до пяти раз независимо друг от друга замещенный галогеном и один или два раза замещенный С1-С4-алкокси, С1-С4-алкил-S(O)n- и циано C1-C8-алкил, С3-С8-алкенил и С3-С8-алкинил, при необходимости от одного до двух раз независимо друг от друга замещенный галогеном, С1-С4-алкилом, С1-С4-галогеналкилом, С1-С4-алкокси и циано С3-C8-циклоалкил и С5-С8-циклоалкенил, которые при необходимости могут прерываться О, S(O)n, СО или NR4, при необходимости от одного до двух раз независимо друг от друга замещенный галогеном, С1-С4-алкилом, С1-С4-галогеналкилом, С1-С4-алкокси и циано, неразветвленный или разветвленный С3-С8-циклоалкил-С1-С4-алкил и С5-С8-циклоалкенил- С1-С4-алкил, которые при необходимости могут прерываться О, S(O)n, СО или NR4, при необходимости от одного до трех раз независимо друг от друга замещенный галогеном, С1-С4-алкилом, С1-С4-галогеналкилом, С1-С4-алкокси, С1-С4-алкил-S(O)n-, С1-С4-галогеналкокси, С1-С4-галогеналкил-S(O)n-, нитро и циано арил и гетарил и при необходимости от одного до трех раз независимо друг от друга замещенный галогеном, С1-С4-алкилом, С1-С4-галогеналкилом, С1-С4-алкокси, С1-С4-алкил-S(O)n-, С1-С4-галогеналкокси, С1-С4-галогеналкил-S(O)n-, нитро и циано, неразветвленный или разветвленный арил-С1-С4-алкил и гетарил-С1-С4-алкил,
R8 представляет собой остаток из ряда водород, при необходимости от одного до пяти раз независимо друг от друга замещенный галогеном и один или два раза замещенный С1-С4-алкокси, С1-С4-алкил-S(O)n- и циано C1-C8-алкил, С3-С8-алкенил и С3-С8-алкинил, при необходимости от одного до двух раз независимо друг от друга замещенный галогеном, С1-С4-алкилом, С1-С4-галогеналкилом, С1-С4-алкокси и циано С3-С8-циклоалкил и С5-С8-циклоалкенил, которые при необходимости могут прерываться О, S(O)n, СО, NR4, при необходимости от одного до двух раз независимо друг от друга замещенный галогеном, С1-С4-алкилом, С1-С4-галогеналкилом, С1-С4-алкокси, циано неразветвленный или разветвленный С3-С8-циклоалкил-С1-С4-алкил и С5-С8-циклоалкенил-С1-С4-алкил, которые при необходимости могут прерываться О, S(O)n, СО, NR4, при необходимости от одного до трех раз независимо друг от друга замещенный галогеном, С1-С4-алкилом, С1-С4-галогеналкилом, С1-С4-алкокси, С1-С4-алкил-S(O)n-, С1-С4-галогеналкокси, С1-С4-галогеналкил-S(O)n-, нитро и циано арил и гетарил, и при необходимости от одного до трех раз независимо друг от друга замещенный галогеном, С1-С4-алкилом, С1-С4-галогеналкилом, С1-С4-алкокси, С1-С4-алкил-S(O)n-, С1-С4-галогеналкокси, С1-С4-галогеналкил-S(O)n-, нитро и циано неразветвленный или разветвленный арил-С1-С4-алкил и гетарил-С1-С4-алкил,
R9 представляет собой остаток из ряда при необходимости от одного до пяти раз независимо друг от друга замещенный галогеном и один или два раза замещенный С1-С4-алкокси, С1-С4-алкил-S(O)n- и циано С1-С8-алкил, С3-С8-алкенил и С3-С8-алкинил, при необходимости от одного до двух раз независимо друг от друга замещенный галогеном, С1-С4-алкилом, С1-С4-галогеналкилом, С1-С4-алкокси и циано С3-С8-циклоалкил и С5-С8-циклоалкенил, которые при необходимости могут прерываться О, S(O)n, СО, NR4, при необходимости от одного до двух раз независимо друг от друга замещенный галогеном, С1-С4-алкилом, С1-С4-галогеналкилом, С1-С4-алкокси и циано, неразветвленный или разветвленный С3-С8-циклоалкил-С1-С4-алкил и С5-С8-циклоалкенил-С1-С4-алкил, которые при необходимости могут прерываться О, S(O)n, СО, NR4, и при необходимости от одного до трех раз независимо друг от друга замещенный галогеном, С1-С4-алкилом, С1-С4-галогеналкилом, С1-С4-алкокси, С1-С4-алкил-S(O)n-, С1-С4-галогеналкокси, С1-С4-галогеналкил-S(O)n-, нитро и циано арил и гетарил, при необходимости от одного до трех раз независимо друг от друга замещенный галогеном, С1-С4-алкилом, С1-С4-галогеналкилом, С1-С4-алкокси, С1-С4-алкил-S(O)n-, С1-С4-галогеналкокси, С1-С4-галогеналкил-S(O)n-, нитро и циано, неразветвленный или разветвленный арил-С1-С4-алкил и гетарил-С1-С4-алкил,
Xb представляет собой остаток из ряда галоген, нитро, циано, С1-С4-алкил, С1-С4-галогеналкил, С1-С4-алкокси, С1-С4-алкил-S(O)n-, С1-С4-галогеналкокси, С1-С4-галогеналкил-S(O)n-, С1-С4-алкокси-С1-С4-алкил, циано-С1-С4-алкил, при необходимости от одного до четырех раз замещенный галогеном, С1-С4-алкилом, С1-С4-галогеналкилом, С1-С4-алкокси и С1-С4-алкил-S(O)n- С3-С6-циклоалкил и С3-С6-циклоалкил-С1-С4-алкил, которые при необходимости могут прерываться О или S(O)n, С2-С6-алкенил, С2-С6-алкинил, С1-С4-алкилкарбонил, С1-С4-галогеналкилкарбонил, C1-С6-алкоксикарбонил, C1-С6-алкиламинокарбонил, ди-(С1-С6)-алкиламинокарбонил, C1-С6-алкилкарбониламино, арил и гетарил, причем заместители арил и гетарил при необходимости один или более раз, одинаково или различно могут быть замещены галогеном, циано, нитро, C1-С6-алкилом, С2-С6-алкенилом, С2-С6-алкинилом, С1-С4-алкокси, С1-С4-галогеналкилом, C1-С6-галогеналкокси, С1-С4-алкил-S(O)n-, С1-С4-галогеналкил-S(O)n-, нитро и циано, и причем кольцевой атом N в U-13, U-14, U-16, U-28 и U-35 не замещен галогеном, нитро, циано, С1-С4-алкокси, С1-С4-галогеналкокси и С1-С4-алкокси-С1-С4-алкилокси,
m представляет собой число 0, 1 или 2, причем в случае, когда m=2 остатки Xb при необходимости могут быть независимыми друг от друга,
n представляет собой число 0, 1 или 2,
и их соли.
3. Соединения по п. 2, в которых
Q представляет собой кислород или серу,
V представляет собой остаток из ряда водород, фтор, хлор, бром, метил, этил, дифторметил, трифторметил, метокси, этокси, дифторметокси, трифторметокси и циано,
W представляет собой остаток из ряда водород, фтор, хлор, бром, метил, этил, дифторметил, трифторметил, метокси, этокси. дифторметокси, трифторметокси и циано,
Y представляет собой остаток из ряда водород, при необходимости от одного до пяти раз независимо друг от друга замещенный фтором, хлором, бромом, метокси, этокси, метил-S(O)n-, этил-S(O)n и циано С1-С4-алкил, С3-С4-алкенил и С3-С4-алкинил, при необходимости от одного до двух раз независимо друг от друга замещенный фтором, хлором, бромом, метилом, этилом, трифторметилом, метокси, этокси, циано С3-С6-циклоалкил и при необходимости от одного до двух раз независимо друг от друга прерывающийся О, S(O)n, NR4, при необходимости от одного до четырех раз независимо друг от друга замещенный фтором, хлором, бромом, метилом, этилом, трифторметилом, метокси, этокси, циано неразветвленный или разветвленный С3-С6-циклоалкил-С1-С2-алкил и циано,
А представляет собой остаток из ряда водород, при
необходимости от одного до пяти раз независимо друг от друга замещенный фтором, хлором, бромом, метокси, этокси, метил-S(O)n-, этил-S(O)n- и циано С1-С6-алкил, С3-С6-алкенил и С3-С6-алкинил, при необходимости от одного до двух раз независимо друг от друга замещенный фтором, хлором, бромом, метилом, этилом, трифторметилом, метокси, этокси, циано С3-С6-циклоалкил, при необходимости от одного до двух раз независимо друг от друга замещенный фтором, хлором, бромом, метилом, этилом, трифторметилом, метокси, этокси, циано неразветвленный или разветвленный С3-С6-циклоалкил-С1-С2-алкил,
Т представляет собой кислород или электронную пару,
L1 представляет собой остаток из ряда водород, при
необходимости от одного до пяти раз независимо друг от друга замещенный фтором, хлором и бромом и от одного до трех раз замещенный метокси, этокси, метил-S(O)n-, этил-S(O)n- и циано C1-С6-алкил, С2-С6-алкенил и С2-С6-алкинил, при необходимости от одного до двух раз независимо друг от друга прерывающийся О, S(O)n, СО и NR4, при необходимости от одного до двух раз независимо друг от друга замещенный фтором, хлором, бромом, метилом, этилом, трифторметилом, метокси, этокси и циано С3-С6-циклоалкил, при необходимости от одного до двух раз независимо друг от друга прерывающийся О, S(O)n, СО и NR4, при необходимости от одного до двух раз независимо друг от друга замещенный фтором, хлором, бромом, метилом, этилом, трифторметилом, метокси, этокси и циано неразветвленный или разветвленный С3-С6-циклоалкил-С1-С2-алкил, при необходимости от одного до двух раз независимо друг от друга замещенный фтором, хлором, бромом, метилом, этилом, дифторметилом, трифторметилом, метокси, этокси, метил-S(O)n-, этил-S(O)n-, дифторметокси, трифторметокси, трифторметил-S(O)n-, дифторэтил-S(O)n-, трифторэтил-S(O)n-, нитро и циано фенил, нафтил, пиридил, пиримидил, пиридазинил, пиразинил, триазинил, фуранил, тиенил, оксазолил, изоксазолил, тиазолил, изотиазолил, пиразолил, имидазолил, оксдиазолил и тиадиазолил и при необходимости от одного до двух раз независимо друг от друга замещенный фтором, хлором, бромом, метилом, этилом, дифторметилом, трифторметилом, метокси, этокси, метил-S(O)n-, этил-S(O)n-, дифторметокси, трифторметокси, трифторметил-S(O)n-, дифторэтил-S(O)n-, трифторэтил-S(O)n-, нитро и циано, неразветвленный или разветвленный фенил-С1-С2-алкил, пиридил-С1-С2-алкил, пиримидил-С1-С2-алкил, тиазолил-С1-С2-алкил и пиразолил-С1-С2-алкил,
L2 представляет собой остаток из ряда водород, при необходимости от одного до пяти раз независимо друг от друга замещенный фтором, хлором и бромом и один или два раза замещенный метокси, этокси, метил-S(O)n-, этил-S(O)n- и циано С1-С4-алкил,
или
L1 и L2 вместе с атомом углерода, с которым они связаны, представляют собой при необходимости от одного до трех раз независимо друг от друга замещенный фтором, хлором, бромом, метил-S(O)n-, этил-S(O)n- и циано С3-С8-циклоалкил,
или
L1 и L2 вместе представляют собой при необходимости от одного до трех раз независимо друг от друга замещенный фтором, хлором, бромом, метил-S(O)n-, этил-S(O)n- и циано С2-С6-алкенил,
L3 представляет собой остаток из ряда водород, S(O)nR1a, OR1b и N(R2)(R3), причем в случае, когда L1 и/или L2 представляет собой водород или при необходимости замещенный алкил, L3 представляет собой остаток из ряда S(O)nR1a, OR1b и N(R2)(R3),
R1a представляет собой остаток из ряда при необходимости от одного до пяти раз независимо друг от друга замещенный фтором, хлором и бромом и один или два раза метокси, этокси, метил-S(O)n-, этил-S(O)n-, циано, C(O)N(R5)(R6), C(G)R7 и C(O)OR8 C1-С6-алкил, С3-С6-алкенил и С3-С6-алкинил, при необходимости от одного до двух раз независимо друг от друга прерывающийся О, S(O)n, СО и NR4, при необходимости от одного до двух раз независимо друг от друга замещенный фтором, хлором, бромом, метилом, этилом, трифторметилом, метокси, этокси и циано С3-С6-циклоалкил, при необходимости от одного до двух раз независимо друг от друга прерывающийся О, S(O)n, СО и NR4, при необходимости от одного до двух раз независимо друг от друга замещенный фтором, хлором, бромом, метилом, этилом, трифторметилом, метокси, этокси и циано, неразветвленный или разветвленный С3-С6-циклоалкил-С1-С2-алкил, при необходимости от одного до двух раз независимо друг от друга замещенный фтором, хлором, бромом, метилом, этилом, дифторметилом, трифторметилом, метокси, этокси, метил-S(O)n-, этил-S(O)n-, дифторметокси, трифторметокси, трифторметил-S(O)n-, дифторэтил-S(O)n-, трифторэтил-S(O)n-, нитро и циано фенил, нафтил, пиридил, пиримидил, пиридазинил, пиразинил, триазинил, фуранил, тиенил, оксазолил, изоксазолил, тиазолил, изотиазолил, пиразолил, имидазолил, оксдиазолил и тиадиазолил, и при необходимости от одного до двух раз независимо друг от друга замещенный фтором, хлором, бромом, метилом, этилом, дифторметилом, трифторметилом, метокси, этокси, метил-S(O)n-, этил-S(O)n-, дифторметокси, трифторметокси, трифторметил-S(O)n-, дифторэтил-S(O)n-, трифторэтил-S(O)n-, нитро и циано, неразветвленный или разветвленный фенил-C1-С2-алкил, пиридил-C1-С2-алкил, пиримидил-C1-С2-алкил, тиазолил-C1-С2-алкил и пиразолил-C1-С2-алкил,
R1b представляет собой остаток из ряда водород, при необходимости от одного до пяти раз независимо друг от друга замещенный фтором, хлором и бромом и один или два раза замещенный метокси, этокси, метил-S(O)n-, этил-S(O)n-, циано, C(O)N(R5)(R6), C(G)R7 и C(O)OR8 C1-С6-алкил, С3-С6-алкенил и С3-С6-алкинил, при необходимости от одного до двух раз независимо друг от друга прерывающийся О, S(O)n, СО и NR4, при необходимости от одного до двух раз независимо друг от друга замещенный фтором, хлором, бромом, метилом, этилом, трифторметилом, метокси, этокси и циано С3-С6-циклоалкил, при необходимости от одного до двух раз независимо друг от друга прерывающийся О, S(O)n, СО и NR4, при необходимости от одного до двух раз независимо друг от друга замещенный фтором, хлором, бромом, метилом, этилом, трифторметилом, метокси, этокси и циано, неразветвленный или разветвленный С3-С6-циклоалкил-C1-С2-алкил, при необходимости от одного до двух раз независимо друг от друга замещенный фтором, хлором, бромом, метилом, этилом, дифторметилом, трифторметилом, метокси, этокси, метил-S(O)n-, этил-S(O)n-, дифторметокси, трифторметокси, трифторметил-S(O)n-, дифторэтил-S(O)n-, трифторэтил-S(O)n-, нитро и циано фенил, нафтил, пиридил, пиримидил, пиридазинил, пиразинил, триазинил, фуранил, тиенил, оксазолил, изоксазолил, тиазолил, изотиазолил, пиразолил, имидазолил, оксдиазолил и тиадиазолил, и при необходимости от одного до двух раз независимо друг от друга замещенный фтором, хлором, бромом, метилом, этилом, дифторметилом, трифторметилом, метокси, этокси, метил-S(O)n-, этил-S(O)n-, дифторметокси, трифторметокси, трифторметил-S(O)n-, дифторэтил-S(O)n-, трифторэтил-S(O)n-, нитро и циано неразветвленный или разветвленный фенил-C1-С2-алкил, пиридил-C1-С2-алкил, пиримидил-C1-С2-алкил, тиазолил-C1-С2-алкил и пиразолил-C1-С2-алкил,
G представляет собой О или N-OR8,
R2 представляет собой остаток из ряда водород, при необходимости от одного до пяти раз независимо друг от друга замещенный фтором, хлором и бромом и один или два раза замещенный метокси, этокси, метил-S(O)n-, этил-S(O)n- и циано C1-С6-алкил, С3-С6-алкенил и С3-С6-алкинил, при необходимости от одного до двух раз независимо друг от друга прерывающийся О, S(O)n, СО и NR4, при необходимости от одного до двух раз независимо друг от друга замещенный фтором, хлором, бромом, метилом, этилом, трифторметилом, метокси, этокси и циано С3-С6-циклоалкил, при необходимости от одного до двух раз независимо друг от друга прерывающийся О, S(O)n, СО и NR4, при необходимости от одного до двух раз независимо друг от друга замещенный фтором, хлором, бромом, метилом, этилом, трифторметилом, метокси, этокси и циано, неразветвленный или разветвленный С3-С6-циклоалкил-C1-С2-алкил, при необходимости от одного до двух раз независимо друг от друга замещенный фтором, хлором, бромом, метилом, этилом, дифторметилом, трифторметилом, метокси, этокси, метил-S(O)n-, этил-S(O)n-, дифторметокси, трифторметокси, трифторметил-S(O)n-, дифторэтил-S(O)n-, трифторэтил-S(O)n-, нитро и циано фенил, нафтил, пиридил, пиримидил, пиридазинил, пиразинил, триазинил, фуранил, тиенил, оксазолил, изоксазолил, тиазолил, изотиазолил, пиразолил, имидазолил, оксдиазолил и тиадиазолил, и при необходимости от одного до двух раз независимо друг от друга замещенный фтором, хлором, бромом, метилом, этилом, дифторметилом, трифторметилом, метокси, этокси, метил-S(O)n-, этил-S(O)n-, дифторметокси, трифторметокси, трифторметил-S(O)n-, дифторэтил-S(O)n-, трифторэтил-S(O)n-, нитро и циано, неразветвленный или разветвленный фенил-C1-С2-алкил, пиридил-C1-С2-алкил, пиримидил-C1-С2-алкил, тиазолил-C1-С2-алкил и пиразолил-C1-С2-алкил,
R3 представляет собой остаток из ряда водород, при необходимости от одного до трех раз независимо друг от друга замещенный фтором, хлором, бромом, метокси, этокси, метил-S(O)n-, этил-S(O)n- и циано C1-С6-алкил, С3-С6-алкенил и С3-С6-алкинил или представляет собой остаток, C(O)N(R5)(R6), C(O)R7, C(O)OR8 и SO2R9,
или
R2 и R3 вместе с N представляют собой гетероцикл из ряда U-1, U-2, U-3, U-4, U-5, U-6, U-7, U-10, U-13, U-14, U-24, U-25, U-26, U-27, U-29, U-30, U-31, U-32, U-33, U-34, U-35 и U-36,
R4 представляет собой остаток из ряда водород, при необходимости от одного до трех раз независимо друг от друга замещенный фтором, хлором, бромом, метокси, этокси, метил-S(O)n-, этил-S(O)n- и циано C1-С6-алкил, С3-С6-алкенил и С3-С6-алкинил, при необходимости от одного до двух раз независимо друг от друга замещенный фтором, хлором, бромом, метилом, этилом, трифторметилом, метокси, этокси и циано С3-С6-циклоалкил, при необходимости от одного до двух раз независимо друг от друга замещенный фтором, хлором, бромом, метилом, этилом, трифторметилом, метокси, этокси и циано, неразветвленный или разветвленный С3-С6-циклоалкил-C1-С2-алкил, при необходимости от одного до двух раз независимо друг от друга замещенный фтором, хлором, бромом, метилом, этилом, дифторметилом, трифторметилом, метокси, этокси, метил-S(O)n-, этил-S(O)n-, дифторметокси, трифторметокси, трифторметил-S(O)n-, дифторэтил-S(O)n-, трифторэтил-S(O)n-, нитро и циано фенил, нафтил, пиридил, пиримидил, пиридазинил, пиразинил, триазинил, фуранил, тиенил, оксазолил, изоксазолил, тиазолил, изотиазолил, пиразолил, имидазолил, оксдиазолил и тиадиазолил, и при необходимости от одного до двух раз независимо друг от друга замещенный фтором, хлором, бромом, метилом, этилом, дифторметилом, трифторметилом, метокси, этокси, метил-S(O)n-, этил-S(O)n-, дифторметокси, трифторметокси, трифторметил-S(O)n-, дифторэтил-S(O)n-, трифторэтил-S(O)n-, нитро и циано, неразветвленный или разветвленный фенил-C1-С2-алкил, пиридил-C1-С2-алкил, пиримидил-C1-С2-алкил, тиазолил-C1-С2-алкил и пиразолил-C1-С2-алкил,
R5 и R6 независимо друг от друга представляют собой остаток из ряда водород, при необходимости от одного до пяти раз независимо друг от друга замещенный фтором, хлором и бромом и один или два раза замещенный метокси, этокси, метил-S(O)n-, этил-S(O)n- и циано C1-С6-алкил, С3-С6-алкенил и С3-С6-алкинил, при необходимости от одного до двух раз независимо друг от друга замещенный фтором, хлором, бромом, метилом, этилом, трифторметилом, метокси, этокси и циано С3-С6-циклоалкил, при необходимости от одного до двух раз независимо друг от друга замещенный фтором, хлором, бромом, метилом, этилом, трифторметилом, метокси, этокси и циано, неразветвленный или разветвленный С3-С6-циклоалкил-C1-С2-алкил, при необходимости от одного до двух раз независимо друг от друга замещенный фтором, хлором, бромом, метилом, этилом, дифторметилом, трифторметилом, метокси, этокси, метил-S(O)n-, этил-S(O)n-, дифторметокси, трифторметокси, трифторметил-S(O)n-, дифторэтил-S(O)n-, трифторэтил-S(O)n-, нитро и циано фенил, нафтил, пиридил, пиримидил, пиридазинил, пиразинил, триазинил, фуранил, тиенил, оксазолил, изоксазолил, тиазолил, изотиазолил, пиразолил, имидазолил, оксдиазолил и тиадиазолил, при необходимости от одного до двух раз независимо друг от друга замещенный фтором, хлором, бромом, метилом, этилом, дифторметилом, трифторметилом, метокси, этокси, метил-S(O)n-, этил-S(O)n-, дифторметокси, трифторметокси, трифторметил-S(O)n-, дифторэтил-S(O)n-, трифторэтил-S(O)n-, нитро и циано, неразветвленный или разветвленный фенил-C1-С2-алкил, пиридил-C1-С2-алкил, пиримидил-C1-С2-алкил, тиазолил-C1-С2-алкил и пиразолил-C1-С2-алкил,
или
R5 и R6 вместе с атомом азота, с которым они связаны, представляют собой трех-шести членное алифатическое кольцо, которое при необходимости замещено C1-С2-алкилом, C1-С2-галоалкилом и C1-С2-алкокси и при необходимости может прерываться О или S(O)n,
R7 представляет собой остаток из ряда водород, при необходимости от одного до пяти раз независимо друг от друга замещенный фтором, хлором и бромом и один или два раза замещенный метокси, этокси, метил-S(O)n-, этил-S(O)n- и циано C1-С6-алкил, С3-С6-алкенил и С3-С6-алкинил, при необходимости от одного до двух раз независимо друг от друга замещенный фтором, хлором, бромом, метилом, этилом, трифторметилом, метокси, этокси и циано С3-С6-циклоалкил, при необходимости от одного до двух раз независимо друг от друга замещенный фтором, хлором, бромом, метилом, этилом, трифторметилом, метокси, этокси и циано, неразветвленный или разветвленный С3-С6-циклоалкил-C1-С2-алкил, при необходимости от одного до двух раз независимо друг от друга замещенный фтором, хлором, бромом, метилом, этилом, дифторметилом, трифторметилом, метокси, этокси, метил-S(O)n-, этил-S(O)n-, дифторметокси, трифторметокси, трифторметил-S(O)n-, дифторэтил-S(O)n-, трифторэтил-S(O)n-, нитро и циано фенил, нафтил, пиридил, пиримидил, пиридазинил, пиразинил, триазинил, фуранил, тиенил, оксазолил, изоксазолил, тиазолил, изотиазолил, пиразолил, имидазолил, оксдиазолил и тиадиазолил, и при необходимости от одного до двух раз независимо друг от друга замещенный фтором, хлором, бромом, метилом, этилом, дифторметилом, трифторметилом, метокси, этокси, метил-S(O)n-, этил-S(O)n-, дифторметокси, трифторметокси, трифторметил-S(O)n-, дифторэтил-S(O)n-, трифторэтил-S(O)n-, нитро и циано, неразветвленный или разветвленный фенил-C1-С2-алкил, пиридил-C1-С2-алкил, пиримидил-C1-С2-алкил, тиазолил-C1-С2-алкил и пиразолил-C1-С2-алкил,
R8 представляет собой остаток из ряда водород, при необходимости от одного до пяти раз независимо друг от друга замещенный фтором, хлором и бромом и один или два раза замещенный метокси, этокси, метил-S(O)n-, этил-S(O)n- и циано C1-С6-алкил, С3-С6-алкенил и С3-С6-алкинил, при необходимости от одного до двух раз независимо друг от друга замещенный фтором, хлором, бромом, метилом, этилом, трифторметилом, метокси, этокси и циано С3-С6-циклоалкил, при необходимости от одного до двух раз независимо друг от друга замещенный фтором, хлором, бромом, метилом, этилом, трифторметилом, метокси, этокси и циано, неразветвленный или разветвленный С3-С6-циклоалкил-C1-С2-алкил, при необходимости от одного до двух раз независимо друг от друга замещенный фтором, хлором, бромом, метилом, этилом, дифторметилом, трифторметилом, метокси, этокси, метил-S(O)n-, этил-S(O)n-, дифторметокси, трифторметокси, трифторметил-S(O)n-, дифторэтил-S(O)n-, трифторэтил-S(O)n-, нитро и циано фенил, нафтил, пиридил, пиримидил, пиридазинил, пиразинил, триазинил, фуранил, тиенил, оксазолил, изоксазолил, тиазолил, изотиазолил, пиразолил, имидазолил, оксдиазолил и тиадиазолил, и при необходимости от одного до двух раз независимо друг от друга замещенный фтором, хлором, бромом, метилом, этилом, дифторметилом, трифторметилом, метокси, этокси, метил-S(O)n-, этил-S(O)n-, дифторметокси, трифторметокси, трифторметил-S(O)n-, дифторэтил-S(O)n-, трифторэтил-S(O)n-, нитро и циано, неразветвленный или разветвленный фенил-C1-С2-алкил, пиридил-C1-С2-алкил, пиримидил-C1-С2-алкил, тиазолил-C1-С2-алкил и пиразолил-C1-С2-алкил,
Xb представляет собой остаток из ряда галоген, нитро, циано, C1-С4-алкил, С3-С6-циклоалкил, C1-С2-галогеналкил, С1-С4-алкокси, С1-С4-алкил-S(O)n-, С1-С4-галогеналкокси, С1-С4-галогеналкил-S(O)n- С3-С6-галогенциклоалкил, С1-С4-алкокси-C1-С4-алкил, C1-С4-алкоксикарбонил, С1-С4-алкиламинокарбонил, C1-С6-алкилсульфонил, C1-С6-алкилкарбониламино и фенил, причем фенил может быть замещен при необходимости от одного до трех раз фтором, хлором, бромом, метилом, этилом, дифторметилом, трифторметилом, метокси, этокси, метил-S(O)n-, этил-S(O)n-, дифторметокси, трифторметокси, трифторметил-S(O)n-, дифторэтил-S(O)n-, трифторэтил-S(O)n-, нитро и циано,
m представляет собой число 0, 1 или 2, причем в случае, когда m=2, остатки Xb при необходимости могут быть независимыми друг от друга,
n представляет собой число 0, 1 или 2,
и их соли.
4. Соединения по п. 2 согласно формуле (I-1)
причем
V представляет собой остаток из ряда водород, фтор, хлор, метил и циано,
W представляет собой остаток из ряда водород, фтор, хлор, бром, метил, этил и циано,
Y представляет собой остаток из ряда водород, при необходимости от одного до трех раз независимо друг от друга замещенный фтором, метокси, этокси и циано метил, этил, пропил, аллил и пропаргил,
А представляет собой остаток из ряда водород, при необходимости от одного до трех раз независимо друг от друга замещенный фтором, метокси, этокси и циано метил, этил, пропил, аллил, пропаргил, циклопропил и циклопропилметил,
Т представляет собой электронную пару или кислород,
L1 представляет собой остаток из ряда водород, при необходимости от одного до трех раз независимо друг от друга замещенный фтором, хлором и бромом и один раз замещенный метокси, этокси, метилсульфанилом, этилсульфанилом, метилсульфинилом, этилсульфинилом, метилсульфонилом, этилсульфонилом или циано метил, этил, пропил, изопропил, н-бутил, изобутил, втор-бутил, трет-бутил, пентил, изопентил, 2,2-диметил-пропил, гексил, неогексил, винил, аллил, металлил, 2-бутенил, пропаргил, этинил и 2-бутинил, при необходимости от одного до двух раз независимо друг от друга замещенный фтором, хлором, метилом, этилом, трифторметилом, метокси и циано циклопропил, циклобутил, циклопентил и циклогексил, при необходимости от одного до двух раз независимо друг от друга замещенный фтором, хлором, метилом, этилом, трифторметилом, метокси и циано циклопропилметил, циклобутилметил, циклопентилметил и циклогексилметил, при необходимости от одного до двух раз независимо друг от друга замещенный фтором, хлором, бромом, метилом, этилом, дифторметилом, трифторметилом, метокси, этокси, метилсульфанилом, этилсульфанилом, метилсульфинилом, этилсульфинилом, метилсульфонилом, этилсульфонилом, дифторметокси, трифторметокси, трифторметилсульфанилом, трифторметилсульфинилом, трифторметилсульфонилом, дифторметилсульфанилом, дифторметилсульфинилом, дифторметилсульфонилом, трифторэтилсульфанилом, трифторэтилсульфинилом, трифторэтилсульфонилом, нитро и циано фенил, пиридил, пиримидил, тиенил и тиазолил, при необходимости от одного до двух раз независимо друг от друга замещенный фтором, хлором, бромом, метилом, этилом, дифторметилом, трифторметилом, метокси, этокси, метилсульфанилом, этилсульфанилом, метилсульфинилом, этилсульфинилом, метилсульфонилом, этилсульфонилом, дифторметокси, трифторметокси, трифторметилсульфанилом, трифторметилсульфинилом, трифторметилсульфонилом, дифторметилсульфанилом, дифторметилсульфинилом, дифторметилсульфонилом, трифторэтилсульфанилом, трифторэтилсульфинилом, трифторэтилсульфонилом, нитро и циано бензил, пиридилметил, пиримидилметил, тиазолилметил и пиразолил-метил,
L2 представляет собой остаток из ряда водород, при необходимости от одного до трех раз независимо друг от друга замещенный фтором, метокси, этокси и циано метил, этил и пропил,
или
L1 и L2 вместе с атомом углерода, с которым они связаны, представляют собой при необходимости от одного до трех раз независимо друг от друга замещенный фтором, хлором, бромом, метил-S(O)n-, этил-S(O)n- и циано циклопропил, циклобутил, циклопентил или циклогексил,
или
L1 и L2 вместе представляют собой при необходимости от одного до трех раз независимо друг от друга замещенный фтором, хлором, бромом, метил-S(O)n-, этил-S(O)n- и циано этенил, пропенил или бутенил,
L3 представляет собой остаток из ряда водород, S(O)nR1a, OR1b и N(R2)(R3), причем в случае, когда L1 и/или L2 представляет собой водород или при необходимости замещенный алкил, L3 представляет собой остаток из ряда S(O)nR1a, OR1b и N(R2)(R3),
R1a представляет собой остаток из ряда при необходимости от одного до пяти раз независимо друг от друга замещенный фтором, хлором и бромом, и один раз замещенный метокси, этокси, метилсульфанилом, этилсульфанилом, метилсульфинилом, этилсульфинилом, метилсульфонилом, этилсульфонилом, циано, C(O)N(R5)(R6) или C(O)OR8 Метил, этил, пропил, изопропил, н-бутил, изобутил, втор-бутил, трет-бутил, пентил, изопентил, 2,2-диметил-пропил, гексил, неогексил, аллил, металлил, 2-бутенил, пропаргил и 2-бутинил, при необходимости от одного до двух раз независимо друг от друга замещенный фтором, хлором, метилом, этилом, трифторметилом, метокси и циано циклопропил, циклобутил, циклопентил и циклогексил, при необходимости от одного до двух раз независимо друг от друга замещенный фтором, хлором, метилом, этилом, трифторметилом, метокси и циано тетрагидрофуранил, тетрагидропиранил, пирролидил, N-метилпирролидил, пиперидил и N-метилпиперидил, при необходимости от одного до двух раз независимо друг от друга замещенный фтором, хлором, метилом, этилом, трифторметилом, метокси и циано циклопропилметил, циклобутилметил, циклопентилметил и циклогексилметил, при необходимости от одного до двух раз независимо друг от друга замещенный фтором, хлором, бромом, метилом, этилом, дифторметилом, трифторметилом, метокси, этокси, метилсульфанилом, этилсульфанилом, метилсульфинилом, этилсульфинилом, метилсульфонилом, этилсульфонилом, дифторметокси, трифторметокси, трифторметилсульфанилом, трифторметилсульфинилом, трифторметилсульфонилом, дифторметилсульфанилом, дифторметилсульфинилом, дифторметилсульфонилом, трифторэтилсульфанилом, трифторэтилсульфинилом, трифторэтилсульфонилом, нитро и циано фенил, пиридил, пиримидил, тиенил и тиазолил, и при необходимости от одного до двух раз независимо друг от друга замещенный фтором, хлором, бромом, метилом, этилом, дифторметилом, трифторметилом, метокси, этокси, метилсульфанилом, этилсульфанилом, метилсульфинилом, этилсульфинилом, метилсульфонилом, этилсульфонилом, дифторметокси, трифторметокси, трифторметилсульфанилом, трифторметилсульфинилом, трифторметилсульфонилом, дифторметилсульфанилом, дифторметилсульфинилом, дифторметилсульфонилом, трифторэтилсульфанилом, трифторэтилсульфинилом, трифторэтилсульфонилом, нитро и циано бензил, пиридилметил, пиримидилметил, тиазолилметил и пиразолил-метил,
R1b представляет собой остаток из ряда водород, при необходимости от одного до пяти раз независимо друг от друга замещенный фтором, хлором, бромом или один раз замещенный метокси, этокси, метилсульфанилом, этилсульфанилом, метилсульфинилом, этилсульфинилом, метилсульфонилом, этилсульфонилом, циано, C(O)N(R5)(R6) или C(O)OR8 метил, этил, пропил, изопропил, н-бутил, изобутил, втор-бутил, трет-бутил, пентил, изопентил, 2,2-диметил-пропил, гексил, неогексил, аллил, металлил, 2-бутенил, пропаргил и 2-бутинил, при необходимости от одного до двух раз независимо друг от друга замещенный фтором, хлором, метилом, этилом, трифторметилом, метокси и циано циклопропил, циклобутил, циклопентил и циклогексил, при необходимости от одного до двух раз независимо друг от друга замещенный фтором, хлором, метилом, этилом, трифторметилом, метокси и циано тетрагидрофуранил, тетрагидропиранил, пирролидил, N-метилпирролидил, пиперидил и N-метилпиперидил, при необходимости от одного до двух раз независимо друг от друга замещенный фтором, хлором, метилом, этилом, трифторметилом, метокси и циано циклопропилметил, циклобутилметил, циклопентилметил и циклогексилметил, при необходимости от одного до двух раз независимо друг от друга замещенный фтором, хлором, бромом, метилом, этилом, дифторметилом, трифторметилом, метокси, этокси, метилсульфанилом, этилсульфанилом, метилсульфинилом, этилсульфинилом, метилсульфонилом, этилсульфонилом, дифторметокси, трифторметокси, трифторметилсульфанилом, трифторметилсульфинилом, трифторметилсульфонилом, дифторметилсульфанилом, дифторметилсульфинилом, дифторметилсульфонилом, трифторэтилсульфанилом, трифторэтилсульфинилом, трифторэтилсульфонилом, нитро и циано фенил, пиридил, пиримидил, тиенил и тиазолил и при необходимости от одного до двух раз независимо друг от друга замещенный фтором, хлором, бромом, метилом, этилом, дифторметилом, трифторметилом, метокси, этокси, метилсульфанилом, этилсульфанилом, метилсульфинилом, этилсульфинилом, метилсульфонилом, этилсульфонилом, дифторметокси, трифторметокси, трифторметилсульфанилом, трифторметилсульфинилом, трифторметилсульфонилом, дифторметилсульфанилом, дифторметилсульфинилом, дифторметилсульфонилом, трифторэтилсульфанилом, трифторэтилсульфинилом, трифторэтилсульфонилом, нитро и циано бензил, пиридилметил, пиримидилметил, тиазолилметил и пиразолил-метил,
R2 и R3 вместе с N представляют собой гетероцикл из ряда U-1, U-2, U-3, U-4, U-5, U-6, U-7, U-13, U-25, U-26, U-27, U-29, U-30, U-31, U-32, U-33, U-34, U-35 и U-36,
R5 и R6 независимо друг от друга представляют собой остаток из ряда водород, при необходимости от одного до трех раз независимо друг от друга замещенный фтором, хлором и бромом или один раз замещенный метокси, этокси, метилсульфанилом, этилсульфанилом, метилсульфинилом, этилсульфинилом, метилсульфонилом, этилсульфонилом или циано метил, этил, пропил, изопропил, н-бутил, изобутил, втор-бутил, трет-бутил, пентил, изопентил, 2,2-диметил-пропил, гексил, неогексил, аллил, металлил, 2-бутенил, пропаргил и 2-бутинил, при необходимости от одного до двух раз независимо друг от друга замещенный фтором, хлором, метилом, этилом, трифторметилом, метокси и циано циклопропил, циклобутил, циклопентил и циклогексил, при необходимости от одного до двух раз независимо друг от друга замещенный фтором, хлором, метилом, этилом, трифторметилом, метокси и циано циклопропилметил, циклобутилметил, циклопентилметил и циклогексилметил, при необходимости от одного до двух раз независимо друг от друга замещенный фтором, хлором, бромом, метилом, этилом, дифторметилом, трифторметилом, метокси, этокси, метилсульфанилом, этилсульфанилом, метилсульфинилом, этилсульфинилом, метилсульфонилом, этилсульфонилом, дифторметокси, трифторметокси, трифторметилсульфанилом, трифторметилсульфинилом, трифторметилсульфонилом, дифторметилсульфанилом, дифторметилсульфинилом, дифторметилсульфонилом, трифторэтилсульфанилом, трифторэтилсульфинилом, трифторэтилсульфонилом, нитро и циано фенил, пиридил, пиримидил, тиенил и тиазолил, и при необходимости от одного до двух раз независимо друг от друга замещенный фтором, хлором, бромом, метилом, этилом, дифторметилом, трифторметилом, метокси, этокси, метилсульфанилом, этилсульфанилом, метилсульфинилом, этилсульфинилом, метилсульфонилом, этилсульфонилом, дифторметокси, трифторметокси, трифторметилсульфанилом, трифторметилсульфинилом, трифторметилсульфонилом, дифторметилсульфанилом, дифторметилсульфинилом, дифторметилсульфонилом, трифторэтилсульфанилом, трифторэтилсульфинилом, трифторэтилсульфонилом, нитро и циано бензил, пиридилметил, пиримидилметил, тиазолилметил и пиразолил-метил,
R8 представляет собой остаток из ряда водород, при
необходимости от одного до трех раз независимо друг от друга замещенный фтором, хлором и бромом или один раз замещенный метокси, этокси, метилсульфанилом, этилсульфанилом, метилсульфинилом, этилсульфинилом, метилсульфонилом, этилсульфонилом или циано метил, этил, пропил, изопропил, н-бутил, изобутил, втор-бутил, трет-бутил, пентил, изопентил, 2,2-диметил-пропил, гексил, неогексил, аллил, металлил, 2-бутенил, пропаргил и 2-бутинил, при необходимости от одного до двух раз независимо друг от друга замещенный фтором, хлором, метилом, этилом, трифторметилом, метокси и циано циклопропил, циклобутил, циклопентил и циклогексил, при необходимости от одного до двух раз независимо друг от друга замещенный фтором, хлором, метилом, этилом, трифторметилом, метокси и циано циклопропилметил, циклобутилметил, циклопентилметил и циклогексилметил, при необходимости от одного до двух раз независимо друг от друга замещенный фтором, хлором, бромом, метилом, этилом, дифторметилом, трифторметилом, метокси, этокси, метилсульфанилом, этилсульфанилом, метилсульфинилом, этилсульфинилом, метилсульфонилом, этилсульфонилом, дифторметокси, трифторметокси, трифторметилсульфанилом, трифторметилсульфинилом, трифторметилсульфонилом, дифторметилсульфанилом, дифторметилсульфинилом, дифторметилсульфонилом, трифторэтилсульфанилом, трифторэтилсульфинилом, трифторэтилсульфонилом, нитро и циано фенил, пиридил, пиримидил, тиенил и тиазолил, и при необходимости от одного до двух раз независимо друг от друга замещенный фтором, хлором, бромом, метилом, этилом, дифторметилом, трифторметилом, метокси, этокси, метилсульфанилом, этилсульфанилом, метилсульфинилом, этилсульфинилом, метилсульфонилом, этилсульфонилом, дифторметокси, трифторметокси, трифторметилсульфанилом, трифторметилсульфинилом, трифторметилсульфонилом, дифторметилсульфанилом, дифторметилсульфинилом, дифторметилсульфонилом, трифторэтилсульфанилом, трифторэтилсульфинилом, трифторэтилсульфонилом, нитро и циано бензил, пиридилметил, пиримидилметил, тиазолилметил и пиразолил-метил,
Xb представляет собой остаток из ряда фтор, хлор, бром, циано, метил, этил, н-пропил, изопропил, циклопропил, трифторметил, дифторметил, трифторэтил, метокси, этокси, н-пропокси, изопропокси, трифторметокси, метоксиметил, этоксиметил, метоксиэтил, этоксиэтил, метил-S(O)n-, этил-S(O)n- и фенил, причем фенил может быть замещен при необходимости от одного до трех раз фтором, хлором, бромом, метилом, этилом, дифторметилом, трифторметилом, метокси, этокси, нитро и циано,
m представляет собой число 0, 1 или 2, причем в случае, когда m=2, остатки Xb при необходимости могут быть независимыми друг от друга,
n представляет собой число 0, 1 или 2,
и их соли.
5. Соединения по п. 2 согласно формуле (I-1)
причем
V представляет собой водород,
W представляет собой водород,
Y представляет собой метил,
А представляет собой метил, этил или циклопропил,
Т представляет собой электронную пару или кислород,
L1 представляет собой остаток из ряда водород, метил, трифторметил, трихлорметил, изопропил, изобутил, изопентил, фенил, 2-хлорфенил, 3-хлорфенил, 4-хлорфенил, 3,4-дихлорфенил, 2-пиридинил, 3-пиридинил, 4-пиридинил, 4-хлорпиридин-3-ил, 2-ггаримидил и бензил,
L2 представляет собой водород или метил,
или
L1 и L2 вместе представляют собой винил, проп-1-ен-2-ил, (1E)-проп-1-ен-1-ил, (1Z)-проп-1-ен-1-ил или циклопропил,
L3 представляет собой остаток из ряда водород. S(O)nR1a, OR1b и N(R2)(R3), причем в случае, когда L1 и/или L2 представляет собой водород или при необходимости замещенный алкил, L3 представляет собой остаток из ряда S(O)nR1a, OR1b и N(R2)(R3),
R1a представляет собой остаток из ряда метил, этил, изопропил, изобутил, трет-бутил, циклопропилметил, 2,2-диметилпропил, 2-метокси-2-оксоэтил, фенил, 2-хлорфенил, 3-хлорфенил, 4-хлорфенил и 2-пиримидил,
R1b представляет собой остаток из ряда водород, метил, этил, 2,2,2-трифторэтил, изопропил, циклопропилметил, бензил, 3-хлорфенил и 4-хлорфенил,
R2 и R3 вместе с N представляют собой гетероцикл из ряда U-2, U-4,-U-5 и U-13,
Xb представляет собой трифторметил, метил или циклопропил,
m представляет собой число 0 или 1,
n представляет собой число 0 или 2,
и их соли.
6. Соединения по любому из пп. 1-5, отличающиеся тем, что
L3 представляет собой остаток из ряда S(O)nR1a, OR1b и N(R2)(R3).
7. Соединения по любому из пп. 1-5, отличающиеся тем, что
L3 представляет собой остаток из ряда S(O)nR1a и N(R2)(R3).
8. Соединения по любому из пп. 1-5, отличающиеся тем, что
L3 представляет собой остаток S(O)nR1a.
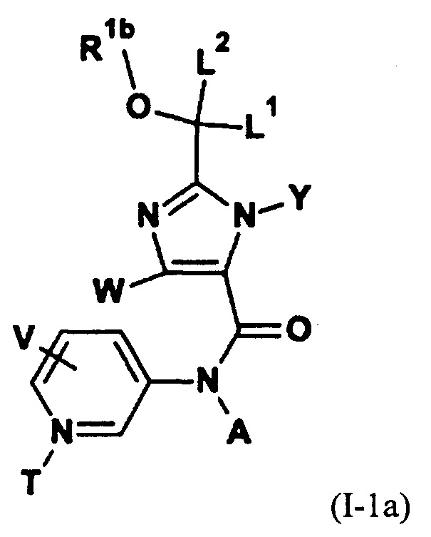
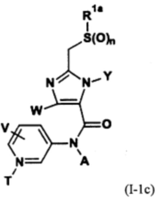
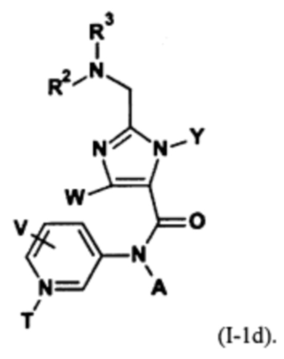
9. Соединения по любому из пп. 1-5 согласно формулам (I-1a), (I-1с) или (I-1d), предпочтительно согласно (I-1с)
10. Средство, содержащее по меньшей мере одно соединение по любому из пп. 1-9 и целевые наполнители и/или поверхностно-активные вещества в частности для борьбы с животными вредителями.
11. Способ борьбы с животными вредителями, в котором по меньшей мере одним соединением по любому из пп. 1-9 или средством по п. 10 воздействуют на животных-вредителей и/или среду их обитания.
12. Применение по меньшей мере одного соединения по любому из пп. 1-9, или средства по п. 10 для борьбы с животными вредителями.
13. Способ по п. 11 или применение по п. 12, при котором исключается хирургическое, терапевтическое и диагностическое лечение человека или животного.
14. Применение по меньшей мере одного соединения по любому из пп. 1-9 для защиты материала для размножения растений.
15. Агрохимическая композиция, содержащая по меньшей мере одно соединение по любому из пп. 1-9 в биологически активном количестве от 0,00000001 до 98 мас. % от массы агрохимической композиции, а также наполнители и/или поверхностно-активные вещества.
16. Агрохимическая композиция по п. 15, дополнительно содержащая другое агрохимически активное вещество.
17. Промежуточные продукты формул (II) и (III)
причем остатки имеют значения согласно любому из пп. 2-5 и особенно предпочтительно, имеют значения согласно п. 5.
Applications Claiming Priority (3)
| Application Number | Priority Date | Filing Date | Title |
|---|---|---|---|
| EP16166786 | 2016-04-25 | ||
| EPEP16166786.0 | 2016-04-25 | ||
| PCT/EP2017/059228 WO2017186536A1 (de) | 2016-04-25 | 2017-04-19 | Substituierte 2-alkylimidazolyl-carboxamide als schädlingsbekämpfungsmittel |
Publications (1)
| Publication Number | Publication Date |
|---|---|
| RU2018141218A true RU2018141218A (ru) | 2020-05-26 |
Family
ID=55808485
Family Applications (1)
| Application Number | Title | Priority Date | Filing Date |
|---|---|---|---|
| RU2018141218A RU2018141218A (ru) | 2016-04-25 | 2017-04-19 | Замещенные 2-алкилимидазолил-карбоксамиды в качестве средств для борьбы с вредителями |
Country Status (22)
| Country | Link |
|---|---|
| US (1) | US10689365B2 (ru) |
| EP (1) | EP3448845B1 (ru) |
| JP (1) | JP2019514893A (ru) |
| KR (1) | KR20180135956A (ru) |
| CN (1) | CN109328186A (ru) |
| AR (1) | AR108312A1 (ru) |
| AU (1) | AU2017256505B2 (ru) |
| BR (1) | BR112018071951A2 (ru) |
| CA (1) | CA3021811A1 (ru) |
| CL (1) | CL2018003037A1 (ru) |
| CO (1) | CO2018011368A2 (ru) |
| IL (1) | IL262506B (ru) |
| MX (1) | MX2018013060A (ru) |
| PE (1) | PE20190215A1 (ru) |
| PH (1) | PH12018502237A1 (ru) |
| PL (1) | PL3448845T3 (ru) |
| RU (1) | RU2018141218A (ru) |
| SI (1) | SI3448845T1 (ru) |
| TW (1) | TW201803865A (ru) |
| UY (1) | UY37209A (ru) |
| WO (1) | WO2017186536A1 (ru) |
| ZA (1) | ZA201807933B (ru) |
Families Citing this family (3)
| Publication number | Priority date | Publication date | Assignee | Title |
|---|---|---|---|---|
| WO2019137995A1 (en) | 2018-01-11 | 2019-07-18 | Basf Se | Novel pyridazine compounds for controlling invertebrate pests |
| WO2021086044A1 (ko) | 2019-10-29 | 2021-05-06 | 주식회사 엘지화학 | 작물보호제용 신규 화합물 |
| CN115485272A (zh) | 2020-03-27 | 2022-12-16 | 朗多生物制药股份有限公司 | Plxdc2配体 |
Family Cites Families (35)
| Publication number | Priority date | Publication date | Assignee | Title |
|---|---|---|---|---|
| DE3537290A1 (de) | 1985-10-19 | 1987-04-23 | Hoechst Ag | 1,2,5-substituierte imidazolverbindungen, verfahren zu ihrer herstellung und ihre verwendung als wachstumsregulatoren |
| DE3729852A1 (de) | 1987-09-05 | 1989-03-23 | Basf Ag | Verfahren zur herstellung von 1-alkylimidazol-5-carbonsaeuren sowie deren estern, amiden und nitrilen |
| GB0213715D0 (en) | 2002-06-14 | 2002-07-24 | Syngenta Ltd | Chemical compounds |
| TWI312272B (en) | 2003-05-12 | 2009-07-21 | Sumitomo Chemical Co | Pyrimidine compound and pests controlling composition containing the same |
| GB0414438D0 (en) | 2004-06-28 | 2004-07-28 | Syngenta Participations Ag | Chemical compounds |
| SG140605A1 (en) | 2004-07-22 | 2008-03-28 | Hoffmann La Roche | Benzothiazole derivatives |
| CA2581725C (en) | 2004-10-20 | 2013-01-08 | Kumiai Chemical Industry Co., Ltd. | 3-triazolylphenyl sulfide derivative, and insecticide, miticide and nematicide containing it as an active ingredient |
| CN102936221B (zh) | 2005-10-06 | 2014-09-10 | 日本曹达株式会社 | 桥联环状胺化合物以及有害生物防除剂 |
| JP5268461B2 (ja) | 2008-07-14 | 2013-08-21 | Meiji Seikaファルマ株式会社 | Pf1364物質、その製造方法、生産菌株、及び、それを有効成分とする農園芸用殺虫剤 |
| CN101337937B (zh) | 2008-08-12 | 2010-12-22 | 国家农药创制工程技术研究中心 | 具有杀虫活性的n-苯基-5-取代氨基吡唑类化合物 |
| CN101337940B (zh) | 2008-08-12 | 2012-05-02 | 国家农药创制工程技术研究中心 | 具杀虫活性的含氮杂环二氯烯丙醚类化合物 |
| CN101715774A (zh) | 2008-10-09 | 2010-06-02 | 浙江化工科技集团有限公司 | 一个具有杀虫活性化合物制备及用途 |
| EP2184273A1 (de) | 2008-11-05 | 2010-05-12 | Bayer CropScience AG | Halogen-substituierte Verbindungen als Pestizide |
| GB0820344D0 (en) | 2008-11-06 | 2008-12-17 | Syngenta Ltd | Herbicidal compositions |
| EP2409976A4 (en) | 2009-03-19 | 2012-09-19 | Taisho Pharmaceutical Co Ltd | GLYCINE TRANSPORTER INHIBITOR |
| EP2236505A1 (de) | 2009-04-03 | 2010-10-06 | Bayer CropScience AG | Acylierte Aminopyridine und - pyridazine als Insektizide |
| CN102469785A (zh) * | 2009-07-24 | 2012-05-23 | 巴斯夫欧洲公司 | 防治无脊椎动物害虫的吡啶衍生物 |
| WO2011085575A1 (zh) | 2010-01-15 | 2011-07-21 | 江苏省农药研究所股份有限公司 | 邻杂环甲酰苯胺类化合物及其合成方法和应用 |
| WO2011093352A1 (ja) | 2010-01-27 | 2011-08-04 | 武田薬品工業株式会社 | チアゾール誘導体 |
| WO2012029672A1 (ja) | 2010-08-31 | 2012-03-08 | Meiji Seikaファルマ株式会社 | 有害生物防除剤 |
| CN101967139B (zh) | 2010-09-14 | 2013-06-05 | 中化蓝天集团有限公司 | 一种含一氟甲氧基吡唑的邻甲酰氨基苯甲酰胺类化合物、其合成方法及应用 |
| WO2013050317A1 (en) | 2011-10-03 | 2013-04-11 | Syngenta Limited | Polymorphs of an isoxazoline derivative |
| CN102391261A (zh) | 2011-10-14 | 2012-03-28 | 上海交通大学 | 一种n-取代噁二嗪类化合物及其制备方法和应用 |
| US9334238B2 (en) | 2012-03-30 | 2016-05-10 | Basf Se | N-substituted pyridinylidenes for combating animal pests |
| EP2647626A1 (en) | 2012-04-03 | 2013-10-09 | Syngenta Participations AG. | 1-Aza-spiro[4.5]dec-3-ene and 1,8-diaza-spiro[4.5]dec-3-ene derivatives as pesticides |
| US8901153B2 (en) | 2012-04-27 | 2014-12-02 | Dow Agrosciences, Llc. | Pesticidal compositions and processes related thereto |
| US9282739B2 (en) | 2012-04-27 | 2016-03-15 | Dow Agrosciences Llc | Pesticidal compositions and processes related thereto |
| CN103232431B (zh) | 2013-01-25 | 2014-11-05 | 青岛科技大学 | 一种二卤代吡唑酰胺类化合物及其应用 |
| CN103109816B (zh) | 2013-01-25 | 2014-09-10 | 青岛科技大学 | 硫代苯甲酰胺类化合物及其应用 |
| US20140275503A1 (en) | 2013-03-13 | 2014-09-18 | Dow Agrosciences Llc | Process for the preparation of certain triaryl rhamnose carbamates |
| CN103524422B (zh) | 2013-10-11 | 2015-05-27 | 中国农业科学院植物保护研究所 | 苯并咪唑衍生物及其制备方法和用途 |
| WO2015058021A1 (en) | 2013-10-17 | 2015-04-23 | Dow Agrosciences Llc | Processes for the preparation of pesticidal compounds |
| CA2925595A1 (en) | 2013-10-17 | 2015-04-23 | Dow Agrosciences Llc | Processes for the preparation of pesticidal compounds |
| BR112018016365A2 (pt) * | 2016-02-11 | 2018-12-26 | Bayer Cropscience Aktiengesellschaft | oxiimidazolilcarboxamidas substituídas como pesticidas |
| ES2858093T3 (es) * | 2016-08-10 | 2021-09-29 | Bayer Cropscience Ag | 2-Heterociclil-imidazolil-carboxamidas sustituidas como pesticidas |
-
2017
- 2017-04-19 RU RU2018141218A patent/RU2018141218A/ru not_active Application Discontinuation
- 2017-04-19 PE PE2018002168A patent/PE20190215A1/es not_active Application Discontinuation
- 2017-04-19 WO PCT/EP2017/059228 patent/WO2017186536A1/de not_active Ceased
- 2017-04-19 MX MX2018013060A patent/MX2018013060A/es unknown
- 2017-04-19 EP EP17717745.8A patent/EP3448845B1/de active Active
- 2017-04-19 PL PL17717745T patent/PL3448845T3/pl unknown
- 2017-04-19 JP JP2018555616A patent/JP2019514893A/ja active Pending
- 2017-04-19 KR KR1020187033672A patent/KR20180135956A/ko not_active Withdrawn
- 2017-04-19 US US16/096,098 patent/US10689365B2/en not_active Expired - Fee Related
- 2017-04-19 AU AU2017256505A patent/AU2017256505B2/en not_active Ceased
- 2017-04-19 CA CA3021811A patent/CA3021811A1/en not_active Abandoned
- 2017-04-19 BR BR112018071951A patent/BR112018071951A2/pt not_active Application Discontinuation
- 2017-04-19 CN CN201780036037.1A patent/CN109328186A/zh active Pending
- 2017-04-19 SI SI201730513T patent/SI3448845T1/sl unknown
- 2017-04-21 TW TW106113363A patent/TW201803865A/zh unknown
- 2017-04-25 AR ARP170101040A patent/AR108312A1/es unknown
- 2017-04-25 UY UY0001037209A patent/UY37209A/es not_active Application Discontinuation
-
2018
- 2018-10-18 PH PH12018502237A patent/PH12018502237A1/en unknown
- 2018-10-22 IL IL262506A patent/IL262506B/en active IP Right Grant
- 2018-10-25 CO CONC2018/0011368A patent/CO2018011368A2/es unknown
- 2018-10-25 CL CL2018003037A patent/CL2018003037A1/es unknown
- 2018-11-23 ZA ZA2018/07933A patent/ZA201807933B/en unknown
Also Published As
| Publication number | Publication date |
|---|---|
| US20190119250A1 (en) | 2019-04-25 |
| CL2018003037A1 (es) | 2019-02-15 |
| IL262506B (en) | 2021-03-25 |
| WO2017186536A1 (de) | 2017-11-02 |
| AU2017256505B2 (en) | 2021-02-18 |
| KR20180135956A (ko) | 2018-12-21 |
| TW201803865A (zh) | 2018-02-01 |
| IL262506A (en) | 2018-12-31 |
| CO2018011368A2 (es) | 2018-10-31 |
| UY37209A (es) | 2017-11-30 |
| EP3448845A1 (de) | 2019-03-06 |
| CN109328186A (zh) | 2019-02-12 |
| AU2017256505A1 (en) | 2018-11-15 |
| ZA201807933B (en) | 2020-12-23 |
| PH12018502237A1 (en) | 2019-08-19 |
| JP2019514893A (ja) | 2019-06-06 |
| BR112018071951A2 (pt) | 2019-02-05 |
| SI3448845T1 (sl) | 2020-12-31 |
| MX2018013060A (es) | 2019-03-28 |
| CA3021811A1 (en) | 2017-11-02 |
| PL3448845T3 (pl) | 2021-05-04 |
| US10689365B2 (en) | 2020-06-23 |
| EP3448845B1 (de) | 2020-11-04 |
| PE20190215A1 (es) | 2019-02-07 |
| AR108312A1 (es) | 2018-08-08 |
Similar Documents
| Publication | Publication Date | Title |
|---|---|---|
| RU2019106494A (ru) | Замещенные 2-гетероциклил-имидазолил-карбоксамиды в качестве средств для борьбы с вредителями | |
| JP2018505887A5 (ru) | ||
| JP2017511378A5 (ru) | ||
| RU2017131549A (ru) | Замещенные 2-тиоимидазолил-карбоксамиды в качестве средств для борьбы с вредителями | |
| JP2018509418A5 (ru) | ||
| ES2338699T3 (es) | Arilpirazoles sustituidos para uso contra parasitos. | |
| RU2018123928A (ru) | Мезоионные галогенированные 3-(ацетил)-1-[(1,3-тиазол-5-ил)метил]-1н-имидазо[1,2-а]пиридин-4-иум-2-олатные производные и родственные соединения в качестве инсектицидов | |
| JP2016518385A5 (ru) | ||
| JP2019507745A5 (ru) | ||
| RU2018132164A (ru) | Замещенные имидазолил-карбоксамиды в качестве средств для борьбы с вредителями | |
| RU2018141218A (ru) | Замещенные 2-алкилимидазолил-карбоксамиды в качестве средств для борьбы с вредителями | |
| JP2017537882A5 (ru) | ||
| EP1539717B1 (en) | Microbiocidal (e.g fungicidal) 1,2,3-triazole derivatives | |
| JP2016525136A5 (ru) | ||
| RU2016142309A (ru) | Пестицидно активные гетероциклические производные с серосодержащими заместителями | |
| JP2018502912A5 (ru) | ||
| RU2017125267A (ru) | Пестицидно активные гетероциклические производные с серосодержащими заместителями | |
| JP2018519323A5 (ru) | ||
| JP2019535706A5 (ru) | ||
| RU2018132198A (ru) | Замещенные имидазолил-карбоксамиды в качестве средств для борьбы с вредителями | |
| JP2017523167A5 (ru) | ||
| JP2018513870A5 (ru) | ||
| JP2018502148A5 (ru) | ||
| AR063048A1 (es) | Derivados de n-cicloaquil-carboxamida, tiocarboxamida y carboximidamida n-sustituida fungicidas | |
| RU2018132172A (ru) | Замещенные 2-оксиимидазолил-карбоксамиды в качестве средств для борьбы с вредителями |
Legal Events
| Date | Code | Title | Description |
|---|---|---|---|
| FA93 | Acknowledgement of application withdrawn (no request for examination) |
Effective date: 20200420 |








