KR20180077180A - 트리테르펜 사포닌 유사체 - Google Patents
트리테르펜 사포닌 유사체 Download PDFInfo
- Publication number
- KR20180077180A KR20180077180A KR1020187012783A KR20187012783A KR20180077180A KR 20180077180 A KR20180077180 A KR 20180077180A KR 1020187012783 A KR1020187012783 A KR 1020187012783A KR 20187012783 A KR20187012783 A KR 20187012783A KR 20180077180 A KR20180077180 A KR 20180077180A
- Authority
- KR
- South Korea
- Prior art keywords
- group
- nitrogen
- independently selected
- oxygen
- sulfur
- Prior art date
- Legal status (The legal status is an assumption and is not a legal conclusion. Google has not performed a legal analysis and makes no representation as to the accuracy of the status listed.)
- Ceased
Links
- 229930182493 triterpene saponin Natural products 0.000 title 1
- -1 triterpene glycoside saponin Chemical class 0.000 claims abstract description 284
- 150000001875 compounds Chemical class 0.000 claims abstract description 219
- 238000000034 method Methods 0.000 claims abstract description 48
- 239000008194 pharmaceutical composition Substances 0.000 claims abstract description 33
- 238000011282 treatment Methods 0.000 claims abstract description 7
- IJGRMHOSHXDMSA-UHFFFAOYSA-N nitrogen Substances N#N IJGRMHOSHXDMSA-UHFFFAOYSA-N 0.000 claims description 357
- 229910052757 nitrogen Inorganic materials 0.000 claims description 217
- 125000005842 heteroatom Chemical group 0.000 claims description 183
- QVGXLLKOCUKJST-UHFFFAOYSA-N atomic oxygen Chemical group [O] QVGXLLKOCUKJST-UHFFFAOYSA-N 0.000 claims description 161
- 229910052717 sulfur Chemical group 0.000 claims description 147
- NINIDFKCEFEMDL-UHFFFAOYSA-N Sulfur Chemical group [S] NINIDFKCEFEMDL-UHFFFAOYSA-N 0.000 claims description 145
- 239000011593 sulfur Chemical group 0.000 claims description 145
- 229910052760 oxygen Inorganic materials 0.000 claims description 144
- 239000001301 oxygen Chemical group 0.000 claims description 143
- 125000001931 aliphatic group Chemical group 0.000 claims description 141
- 229910052739 hydrogen Inorganic materials 0.000 claims description 133
- 239000001257 hydrogen Substances 0.000 claims description 133
- 125000000623 heterocyclic group Chemical group 0.000 claims description 89
- 229910052736 halogen Inorganic materials 0.000 claims description 86
- 150000002367 halogens Chemical class 0.000 claims description 83
- 125000000041 C6-C10 aryl group Chemical group 0.000 claims description 82
- 125000002252 acyl group Chemical group 0.000 claims description 80
- 125000003710 aryl alkyl group Chemical group 0.000 claims description 80
- 150000002431 hydrogen Chemical class 0.000 claims description 71
- 125000001313 C5-C10 heteroaryl group Chemical group 0.000 claims description 55
- 125000003118 aryl group Chemical group 0.000 claims description 46
- 150000002148 esters Chemical class 0.000 claims description 44
- 150000001720 carbohydrates Chemical class 0.000 claims description 41
- 101100294115 Caenorhabditis elegans nhr-4 gene Proteins 0.000 claims description 40
- 125000001072 heteroaryl group Chemical group 0.000 claims description 37
- UFHFLCQGNIYNRP-UHFFFAOYSA-N Hydrogen Chemical compound [H][H] UFHFLCQGNIYNRP-UHFFFAOYSA-N 0.000 claims description 36
- 206010057190 Respiratory tract infections Diseases 0.000 claims description 36
- 229920006395 saturated elastomer Polymers 0.000 claims description 34
- 150000001241 acetals Chemical class 0.000 claims description 32
- 150000005215 alkyl ethers Chemical class 0.000 claims description 32
- 239000000427 antigen Substances 0.000 claims description 32
- 102000036639 antigens Human genes 0.000 claims description 32
- 108091007433 antigens Proteins 0.000 claims description 32
- MHDVGSVTJDSBDK-UHFFFAOYSA-N dibenzyl ether Chemical class C=1C=CC=CC=1COCC1=CC=CC=C1 MHDVGSVTJDSBDK-UHFFFAOYSA-N 0.000 claims description 32
- KPUWHANPEXNPJT-UHFFFAOYSA-N disiloxane Chemical class [SiH3]O[SiH3] KPUWHANPEXNPJT-UHFFFAOYSA-N 0.000 claims description 32
- QJGQUHMNIGDVPM-UHFFFAOYSA-N nitrogen group Chemical group [N] QJGQUHMNIGDVPM-UHFFFAOYSA-N 0.000 claims description 32
- 125000000217 alkyl group Chemical group 0.000 claims description 30
- 125000004435 hydrogen atom Chemical group [H]* 0.000 claims description 30
- DHKHKXVYLBGOIT-UHFFFAOYSA-N acetaldehyde Diethyl Acetal Natural products CCOC(C)OCC DHKHKXVYLBGOIT-UHFFFAOYSA-N 0.000 claims description 26
- 150000003839 salts Chemical class 0.000 claims description 23
- 125000006239 protecting group Chemical group 0.000 claims description 20
- KXDHJXZQYSOELW-UHFFFAOYSA-M Carbamate Chemical compound NC([O-])=O KXDHJXZQYSOELW-UHFFFAOYSA-M 0.000 claims description 18
- BVKZGUZCCUSVTD-UHFFFAOYSA-L Carbonate Chemical compound [O-]C([O-])=O BVKZGUZCCUSVTD-UHFFFAOYSA-L 0.000 claims description 18
- 150000004649 carbonic acid derivatives Chemical class 0.000 claims description 15
- 150000002243 furanoses Chemical class 0.000 claims description 15
- 239000000463 material Substances 0.000 claims description 14
- 125000004433 nitrogen atom Chemical group N* 0.000 claims description 14
- 208000016604 Lyme disease Diseases 0.000 claims description 12
- 150000001408 amides Chemical class 0.000 claims description 11
- 208000037265 diseases, disorders, signs and symptoms Diseases 0.000 claims description 11
- 125000003178 carboxy group Chemical group [H]OC(*)=O 0.000 claims description 10
- 201000010099 disease Diseases 0.000 claims description 10
- 229940042795 hydrazides for tuberculosis treatment Drugs 0.000 claims description 8
- 230000008569 process Effects 0.000 claims description 8
- 230000002194 synthesizing effect Effects 0.000 claims description 8
- 241000894006 Bacteria Species 0.000 claims description 7
- 150000004657 carbamic acid derivatives Chemical class 0.000 claims description 7
- 241000589968 Borrelia Species 0.000 claims description 6
- 241000589969 Borreliella burgdorferi Species 0.000 claims description 6
- 241001148605 Borreliella garinii Species 0.000 claims description 6
- 244000274051 Cornus kousa Species 0.000 claims description 6
- 241000589970 Spirochaetales Species 0.000 claims description 6
- 206010013023 diphtheria Diseases 0.000 claims description 6
- 208000002672 hepatitis B Diseases 0.000 claims description 6
- 201000005702 Pertussis Diseases 0.000 claims description 5
- 206010043376 Tetanus Diseases 0.000 claims description 5
- 241000700605 Viruses Species 0.000 claims description 5
- 241000588832 Bordetella pertussis Species 0.000 claims description 3
- 238000011321 prophylaxis Methods 0.000 claims 3
- 150000003215 pyranoses Chemical group 0.000 claims 3
- 241000193449 Clostridium tetani Species 0.000 claims 1
- 241000186216 Corynebacterium Species 0.000 claims 1
- 241000700721 Hepatitis B virus Species 0.000 claims 1
- 229930182490 saponin Natural products 0.000 abstract description 68
- 239000000203 mixture Substances 0.000 abstract description 67
- 239000001397 quillaja saponaria molina bark Substances 0.000 abstract description 55
- 230000015572 biosynthetic process Effects 0.000 abstract description 40
- 238000003786 synthesis reaction Methods 0.000 abstract description 39
- 239000002671 adjuvant Substances 0.000 abstract description 19
- 239000000543 intermediate Substances 0.000 abstract description 10
- 230000003053 immunization Effects 0.000 abstract description 5
- 238000002649 immunization Methods 0.000 abstract description 5
- 208000035473 Communicable disease Diseases 0.000 abstract description 4
- VLKZOEOYAKHREP-UHFFFAOYSA-N n-Hexane Chemical compound CCCCCC VLKZOEOYAKHREP-UHFFFAOYSA-N 0.000 description 81
- XEKOWRVHYACXOJ-UHFFFAOYSA-N Ethyl acetate Chemical compound CCOC(C)=O XEKOWRVHYACXOJ-UHFFFAOYSA-N 0.000 description 78
- 239000003623 enhancer Substances 0.000 description 72
- 235000017709 saponins Nutrition 0.000 description 67
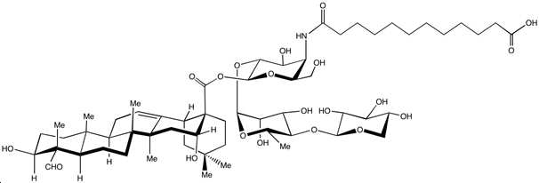
- DRHZYJAUECRAJM-DWSYSWFDSA-N (2s,3s,4s,5r,6r)-6-[[(3s,4s,4ar,6ar,6bs,8r,8ar,12as,14ar,14br)-8a-[(2s,3r,4s,5r,6r)-3-[(2s,3r,4s,5r,6s)-5-[(2s,3r,4s,5r)-4-[(2s,3r,4r)-3,4-dihydroxy-4-(hydroxymethyl)oxolan-2-yl]oxy-3,5-dihydroxyoxan-2-yl]oxy-3,4-dihydroxy-6-methyloxan-2-yl]oxy-5-[(3s,5s, Chemical compound O([C@H]1[C@H](O)[C@H](O[C@H]([C@@H]1O[C@H]1[C@@H]([C@@H](O)[C@@H](O)[C@@H](CO)O1)O)O[C@H]1CC[C@]2(C)[C@H]3CC=C4[C@@H]5CC(C)(C)CC[C@@]5([C@@H](C[C@@]4(C)[C@]3(C)CC[C@H]2[C@@]1(C=O)C)O)C(=O)O[C@@H]1O[C@H](C)[C@@H]([C@@H]([C@H]1O[C@H]1[C@@H]([C@H](O)[C@@H](O[C@H]2[C@@H]([C@@H](O[C@H]3[C@@H]([C@@](O)(CO)CO3)O)[C@H](O)CO2)O)[C@H](C)O1)O)O)OC(=O)C[C@@H](O)C[C@H](OC(=O)C[C@@H](O)C[C@@H]([C@@H](C)CC)O[C@H]1[C@@H]([C@@H](O)[C@H](CO)O1)O)[C@@H](C)CC)C(O)=O)[C@@H]1OC[C@@H](O)[C@H](O)[C@H]1O DRHZYJAUECRAJM-DWSYSWFDSA-N 0.000 description 55
- 239000000243 solution Substances 0.000 description 53
- OKKJLVBELUTLKV-UHFFFAOYSA-N Methanol Chemical compound OC OKKJLVBELUTLKV-UHFFFAOYSA-N 0.000 description 48
- 150000007949 saponins Chemical class 0.000 description 45
- 229960005486 vaccine Drugs 0.000 description 45
- 235000019439 ethyl acetate Nutrition 0.000 description 39
- XLYOFNOQVPJJNP-UHFFFAOYSA-N water Substances O XLYOFNOQVPJJNP-UHFFFAOYSA-N 0.000 description 39
- 239000011541 reaction mixture Substances 0.000 description 38
- 235000014633 carbohydrates Nutrition 0.000 description 32
- YXFVVABEGXRONW-UHFFFAOYSA-N Toluene Chemical compound CC1=CC=CC=C1 YXFVVABEGXRONW-UHFFFAOYSA-N 0.000 description 30
- 238000006243 chemical reaction Methods 0.000 description 30
- 238000010898 silica gel chromatography Methods 0.000 description 29
- 239000007787 solid Substances 0.000 description 25
- 125000001424 substituent group Chemical group 0.000 description 24
- UHOVQNZJYSORNB-UHFFFAOYSA-N Benzene Chemical compound C1=CC=CC=C1 UHOVQNZJYSORNB-UHFFFAOYSA-N 0.000 description 21
- 238000000746 purification Methods 0.000 description 21
- OILHVNROWDFZDW-UHFFFAOYSA-N prosapogenin Natural products CC1(C)CCC2(C(O)CC3(C)C(=CCC4C5(C)CCC(OC6OC(CO)C(O)C(O)C6O)C(C)(C=O)C5CCC34C)C2C1)C(=O)O OILHVNROWDFZDW-UHFFFAOYSA-N 0.000 description 20
- 241000894007 species Species 0.000 description 19
- SRBFZHDQGSBBOR-IOVATXLUSA-N D-xylopyranose Chemical compound O[C@@H]1COC(O)[C@H](O)[C@H]1O SRBFZHDQGSBBOR-IOVATXLUSA-N 0.000 description 17
- 230000000694 effects Effects 0.000 description 17
- ZNFRITHWVZXJRK-UHFFFAOYSA-N Vitalboside A Natural products C12CC(C)(C)CCC2(C(O)=O)CCC(C2(CCC3C4(C)C)C)(C)C1=CCC2C3(C)CCC4OC1OC(CO)C(O)C(O)C1O ZNFRITHWVZXJRK-UHFFFAOYSA-N 0.000 description 16
- VTXFLUJNMHWAAT-UHFFFAOYSA-N alternoside VII Natural products CC1(C)CC(O)C2(CO)C(O)CC3(C)C(=CCC4C5(C)CCC(OC6OC(C(O)C(OC7OC(CO)C(O)C(O)C7O)C6O)C(=O)O)C(C)(C)C5CCC34C)C2C1 VTXFLUJNMHWAAT-UHFFFAOYSA-N 0.000 description 16
- 239000000047 product Substances 0.000 description 16
- IAGSHEHQJJTLLR-UHFFFAOYSA-N sapindoside B Natural products OC1C(C)OC(OC2C(OCC(O)C2O)OC2C(C3C(C4C(C5(CCC6(CCC(C)(C)CC6C5=CC4)C(O)=O)C)(C)CC3)(C)CC2)(C)CO)C(O)C1OC1OCC(O)C(O)C1O IAGSHEHQJJTLLR-UHFFFAOYSA-N 0.000 description 16
- 229910052799 carbon Inorganic materials 0.000 description 14
- 239000012141 concentrate Substances 0.000 description 14
- 235000008504 concentrate Nutrition 0.000 description 14
- 239000000284 extract Substances 0.000 description 14
- PIGTXFOGKFOFTO-UHFFFAOYSA-N prosapogenin Chemical compound C12CC(C)(C)CCC2(C(O)=O)C(O)CC(C2(CCC3C4(C=O)C)C)(C)C1=CCC2C3(C)CCC4OC1OC(C(O)=O)C(O)C(O)C1O PIGTXFOGKFOFTO-UHFFFAOYSA-N 0.000 description 14
- SRBFZHDQGSBBOR-UHFFFAOYSA-N beta-D-Pyranose-Lyxose Natural products OC1COC(O)C(O)C1O SRBFZHDQGSBBOR-UHFFFAOYSA-N 0.000 description 13
- 125000004122 cyclic group Chemical group 0.000 description 13
- 125000005843 halogen group Chemical group 0.000 description 13
- 238000003756 stirring Methods 0.000 description 13
- 230000028993 immune response Effects 0.000 description 12
- 150000002772 monosaccharides Chemical class 0.000 description 12
- 239000003921 oil Substances 0.000 description 12
- 235000019198 oils Nutrition 0.000 description 12
- 150000003214 pyranose derivatives Chemical group 0.000 description 12
- 150000004043 trisaccharides Chemical class 0.000 description 12
- LFQSCWFLJHTTHZ-UHFFFAOYSA-N Ethanol Chemical compound CCO LFQSCWFLJHTTHZ-UHFFFAOYSA-N 0.000 description 11
- 241000699670 Mus sp. Species 0.000 description 11
- 230000002949 hemolytic effect Effects 0.000 description 11
- 239000000126 substance Substances 0.000 description 11
- WEVYAHXRMPXWCK-UHFFFAOYSA-N Acetonitrile Chemical compound CC#N WEVYAHXRMPXWCK-UHFFFAOYSA-N 0.000 description 10
- JUJWROOIHBZHMG-UHFFFAOYSA-N Pyridine Chemical compound C1=CC=NC=C1 JUJWROOIHBZHMG-UHFFFAOYSA-N 0.000 description 10
- 235000009001 Quillaja saponaria Nutrition 0.000 description 10
- 239000003814 drug Substances 0.000 description 10
- 125000004446 heteroarylalkyl group Chemical group 0.000 description 10
- 239000000725 suspension Substances 0.000 description 10
- 241001465754 Metazoa Species 0.000 description 9
- MQUFAARYGOUYEV-UWEXFCAOSA-N Quillaic acid Natural products CC1(C)CC[C@@]2([C@H](O)C[C@]3(C)C(=CC[C@H]4[C@@]5(C)CC[C@H](O)[C@](C)(C=O)[C@H]5CC[C@@]34C)[C@H]2C1)C(=O)O MQUFAARYGOUYEV-UWEXFCAOSA-N 0.000 description 9
- VYPSYNLAJGMNEJ-UHFFFAOYSA-N Silicium dioxide Chemical compound O=[Si]=O VYPSYNLAJGMNEJ-UHFFFAOYSA-N 0.000 description 9
- 239000002253 acid Substances 0.000 description 9
- 229940102614 adacel Drugs 0.000 description 9
- PYMYPHUHKUWMLA-UHFFFAOYSA-N arabinose Natural products OCC(O)C(O)C(O)C=O PYMYPHUHKUWMLA-UHFFFAOYSA-N 0.000 description 9
- 230000005847 immunogenicity Effects 0.000 description 9
- KDLHZDBZIXYQEI-UHFFFAOYSA-N palladium Substances [Pd] KDLHZDBZIXYQEI-UHFFFAOYSA-N 0.000 description 9
- 238000012546 transfer Methods 0.000 description 9
- 150000001412 amines Chemical group 0.000 description 8
- 230000001965 increasing effect Effects 0.000 description 8
- 239000000546 pharmaceutical excipient Substances 0.000 description 8
- 238000002360 preparation method Methods 0.000 description 8
- 231100000419 toxicity Toxicity 0.000 description 8
- 230000001988 toxicity Effects 0.000 description 8
- OKTJSMMVPCPJKN-UHFFFAOYSA-N Carbon Chemical class [C] OKTJSMMVPCPJKN-UHFFFAOYSA-N 0.000 description 7
- SHZGCJCMOBCMKK-UHFFFAOYSA-N D-mannomethylose Natural products CC1OC(O)C(O)C(O)C1O SHZGCJCMOBCMKK-UHFFFAOYSA-N 0.000 description 7
- 229940124884 Engerix-B Drugs 0.000 description 7
- 241001454523 Quillaja saponaria Species 0.000 description 7
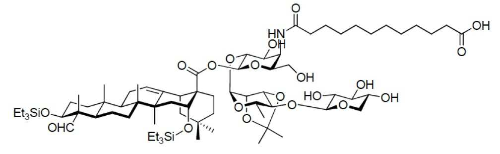
- UZQJVUCHXGYFLQ-AYDHOLPZSA-N [(2s,3r,4s,5r,6r)-4-[(2s,3r,4s,5r,6r)-4-[(2r,3r,4s,5r,6r)-4-[(2s,3r,4s,5r,6r)-3,5-dihydroxy-6-(hydroxymethyl)-4-[(2s,3r,4s,5s,6r)-3,4,5-trihydroxy-6-(hydroxymethyl)oxan-2-yl]oxyoxan-2-yl]oxy-3,5-dihydroxy-6-(hydroxymethyl)oxan-2-yl]oxy-3,5-dihydroxy-6-(hy Chemical compound O([C@H]1[C@H](O)[C@@H](CO)O[C@H]([C@@H]1O)O[C@H]1[C@H](O)[C@@H](CO)O[C@H]([C@@H]1O)O[C@H]1CC[C@]2(C)[C@H]3CC=C4[C@@]([C@@]3(CC[C@H]2[C@@]1(C=O)C)C)(C)CC(O)[C@]1(CCC(CC14)(C)C)C(=O)O[C@H]1[C@@H]([C@@H](O[C@H]2[C@@H]([C@@H](O[C@H]3[C@@H]([C@@H](O[C@H]4[C@@H]([C@@H](O[C@H]5[C@@H]([C@@H](O)[C@H](O)[C@@H](CO)O5)O)[C@H](O)[C@@H](CO)O4)O)[C@H](O)[C@@H](CO)O3)O)[C@H](O)[C@@H](CO)O2)O)[C@H](O)[C@@H](CO)O1)O)[C@@H]1O[C@H](CO)[C@@H](O)[C@H](O)[C@H]1O UZQJVUCHXGYFLQ-AYDHOLPZSA-N 0.000 description 7
- 229940037003 alum Drugs 0.000 description 7
- 239000002585 base Substances 0.000 description 7
- 125000004093 cyano group Chemical group *C#N 0.000 description 7
- 239000012044 organic layer Substances 0.000 description 7
- 239000000741 silica gel Substances 0.000 description 7
- 229910002027 silica gel Inorganic materials 0.000 description 7
- 239000002904 solvent Substances 0.000 description 7
- DLFVBJFMPXGRIB-UHFFFAOYSA-N Acetamide Chemical compound CC(N)=O DLFVBJFMPXGRIB-UHFFFAOYSA-N 0.000 description 6
- CSCPPACGZOOCGX-UHFFFAOYSA-N Acetone Chemical compound CC(C)=O CSCPPACGZOOCGX-UHFFFAOYSA-N 0.000 description 6
- PNNNRSAQSRJVSB-UHFFFAOYSA-N L-rhamnose Natural products CC(O)C(O)C(O)C(O)C=O PNNNRSAQSRJVSB-UHFFFAOYSA-N 0.000 description 6
- DNIAPMSPPWPWGF-UHFFFAOYSA-N Propylene glycol Chemical compound CC(O)CO DNIAPMSPPWPWGF-UHFFFAOYSA-N 0.000 description 6
- PXIPVTKHYLBLMZ-UHFFFAOYSA-N Sodium azide Chemical compound [Na+].[N-]=[N+]=[N-] PXIPVTKHYLBLMZ-UHFFFAOYSA-N 0.000 description 6
- 239000004480 active ingredient Substances 0.000 description 6
- 125000002947 alkylene group Chemical group 0.000 description 6
- XXROGKLTLUQVRX-UHFFFAOYSA-N allyl alcohol Chemical compound OCC=C XXROGKLTLUQVRX-UHFFFAOYSA-N 0.000 description 6
- 239000002552 dosage form Substances 0.000 description 6
- 239000003937 drug carrier Substances 0.000 description 6
- 125000000524 functional group Chemical group 0.000 description 6
- 125000002887 hydroxy group Chemical group [H]O* 0.000 description 6
- 230000003389 potentiating effect Effects 0.000 description 6
- 239000002243 precursor Substances 0.000 description 6
- 238000010992 reflux Methods 0.000 description 6
- 230000001225 therapeutic effect Effects 0.000 description 6
- CPAWVYGBEPVUOZ-JIMJEQGWSA-N (2r,3s,4r)-5-hydroxy-2,3,4-tris(phenylmethoxy)pentanal Chemical compound O([C@H](CO)[C@H](OCC=1C=CC=CC=1)[C@@H](OCC=1C=CC=CC=1)C=O)CC1=CC=CC=C1 CPAWVYGBEPVUOZ-JIMJEQGWSA-N 0.000 description 5
- RTZKZFJDLAIYFH-UHFFFAOYSA-N Diethyl ether Chemical compound CCOCC RTZKZFJDLAIYFH-UHFFFAOYSA-N 0.000 description 5
- PEDCQBHIVMGVHV-UHFFFAOYSA-N Glycerine Chemical compound OCC(O)CO PEDCQBHIVMGVHV-UHFFFAOYSA-N 0.000 description 5
- 241000699666 Mus <mouse, genus> Species 0.000 description 5
- 238000010521 absorption reaction Methods 0.000 description 5
- 230000037396 body weight Effects 0.000 description 5
- 125000004432 carbon atom Chemical group C* 0.000 description 5
- 239000003795 chemical substances by application Substances 0.000 description 5
- 150000002016 disaccharides Chemical class 0.000 description 5
- 238000002955 isolation Methods 0.000 description 5
- 125000002496 methyl group Chemical group [H]C([H])([H])* 0.000 description 5
- 125000002950 monocyclic group Chemical group 0.000 description 5
- 231100000252 nontoxic Toxicity 0.000 description 5
- 230000003000 nontoxic effect Effects 0.000 description 5
- 229920001542 oligosaccharide Polymers 0.000 description 5
- 150000002482 oligosaccharides Chemical class 0.000 description 5
- 239000012074 organic phase Substances 0.000 description 5
- UMJSCPRVCHMLSP-UHFFFAOYSA-N pyridine Natural products COC1=CC=CN=C1 UMJSCPRVCHMLSP-UHFFFAOYSA-N 0.000 description 5
- 238000010791 quenching Methods 0.000 description 5
- 239000011734 sodium Substances 0.000 description 5
- 235000000346 sugar Nutrition 0.000 description 5
- 238000006257 total synthesis reaction Methods 0.000 description 5
- 231100000331 toxic Toxicity 0.000 description 5
- 230000002588 toxic effect Effects 0.000 description 5
- 150000003648 triterpenes Chemical class 0.000 description 5
- YWBHROUQJYHSOR-UHFFFAOYSA-N $l^{1}-selanylbenzene Chemical compound [Se]C1=CC=CC=C1 YWBHROUQJYHSOR-UHFFFAOYSA-N 0.000 description 4
- QJDMQMIMGQKBTN-DPYQTVNSSA-N (2R,3S,4S,5S)-4-azido-2,3,5,6-tetrahydroxyhexanal Chemical compound OC[C@@H](O)[C@H](N=[N+]=[N-])[C@H](O)[C@@H](O)C=O QJDMQMIMGQKBTN-DPYQTVNSSA-N 0.000 description 4
- QTBSBXVTEAMEQO-UHFFFAOYSA-N Acetic acid Chemical compound CC(O)=O QTBSBXVTEAMEQO-UHFFFAOYSA-N 0.000 description 4
- CIWBSHSKHKDKBQ-JLAZNSOCSA-N Ascorbic acid Chemical class OC[C@H](O)[C@H]1OC(=O)C(O)=C1O CIWBSHSKHKDKBQ-JLAZNSOCSA-N 0.000 description 4
- PIGTXFOGKFOFTO-PPEDVFHSSA-N CC1(C)CC[C@@]2([C@H](O)C[C@]3(C)C(=CC[C@@H]4[C@@]5(C)CCC(O[C@@H]6O[C@@H]([C@@H](O)[C@H](O)[C@H]6O)C(O)=O)[C@@](C)(C=O)[C@@H]5CC[C@@]34C)[C@@H]2C1)C(O)=O Chemical compound CC1(C)CC[C@@]2([C@H](O)C[C@]3(C)C(=CC[C@@H]4[C@@]5(C)CCC(O[C@@H]6O[C@@H]([C@@H](O)[C@H](O)[C@H]6O)C(O)=O)[C@@](C)(C=O)[C@@H]5CC[C@@]34C)[C@@H]2C1)C(O)=O PIGTXFOGKFOFTO-PPEDVFHSSA-N 0.000 description 4
- JOYRKODLDBILNP-UHFFFAOYSA-N Ethyl urethane Chemical compound CCOC(N)=O JOYRKODLDBILNP-UHFFFAOYSA-N 0.000 description 4
- VEXZGXHMUGYJMC-UHFFFAOYSA-N Hydrochloric acid Chemical compound Cl VEXZGXHMUGYJMC-UHFFFAOYSA-N 0.000 description 4
- FFOPEPMHKILNIT-UHFFFAOYSA-N Isopropyl butyrate Chemical compound CCCC(=O)OC(C)C FFOPEPMHKILNIT-UHFFFAOYSA-N 0.000 description 4
- SHZGCJCMOBCMKK-JFNONXLTSA-N L-rhamnopyranose Chemical compound C[C@@H]1OC(O)[C@H](O)[C@H](O)[C@H]1O SHZGCJCMOBCMKK-JFNONXLTSA-N 0.000 description 4
- NBIIXXVUZAFLBC-UHFFFAOYSA-N Phosphoric acid Chemical compound OP(O)(O)=O NBIIXXVUZAFLBC-UHFFFAOYSA-N 0.000 description 4
- 229940124950 Prevnar 13 Drugs 0.000 description 4
- KEAYESYHFKHZAL-UHFFFAOYSA-N Sodium Chemical compound [Na] KEAYESYHFKHZAL-UHFFFAOYSA-N 0.000 description 4
- PMZURENOXWZQFD-UHFFFAOYSA-L Sodium Sulfate Chemical compound [Na+].[Na+].[O-]S([O-])(=O)=O PMZURENOXWZQFD-UHFFFAOYSA-L 0.000 description 4
- 125000002015 acyclic group Chemical group 0.000 description 4
- 125000004450 alkenylene group Chemical group 0.000 description 4
- 125000005137 alkenylsulfonyl group Chemical group 0.000 description 4
- 125000003545 alkoxy group Chemical group 0.000 description 4
- 125000004390 alkyl sulfonyl group Chemical group 0.000 description 4
- 238000005937 allylation reaction Methods 0.000 description 4
- 239000003963 antioxidant agent Substances 0.000 description 4
- 235000006708 antioxidants Nutrition 0.000 description 4
- 239000008346 aqueous phase Substances 0.000 description 4
- 125000004391 aryl sulfonyl group Chemical group 0.000 description 4
- 125000004429 atom Chemical group 0.000 description 4
- 125000002619 bicyclic group Chemical group 0.000 description 4
- 239000012267 brine Substances 0.000 description 4
- 230000015556 catabolic process Effects 0.000 description 4
- 230000008859 change Effects 0.000 description 4
- 230000001684 chronic effect Effects 0.000 description 4
- 239000012043 crude product Substances 0.000 description 4
- 125000000753 cycloalkyl group Chemical group 0.000 description 4
- IJGRMHOSHXDMSA-UHFFFAOYSA-O diazynium Chemical group [NH+]#N IJGRMHOSHXDMSA-UHFFFAOYSA-O 0.000 description 4
- ZUOUZKKEUPVFJK-UHFFFAOYSA-N diphenyl Chemical compound C1=CC=CC=C1C1=CC=CC=C1 ZUOUZKKEUPVFJK-UHFFFAOYSA-N 0.000 description 4
- 239000012153 distilled water Substances 0.000 description 4
- 235000019441 ethanol Nutrition 0.000 description 4
- CEIPQQODRKXDSB-UHFFFAOYSA-N ethyl 3-(6-hydroxynaphthalen-2-yl)-1H-indazole-5-carboximidate dihydrochloride Chemical compound Cl.Cl.C1=C(O)C=CC2=CC(C3=NNC4=CC=C(C=C43)C(=N)OCC)=CC=C21 CEIPQQODRKXDSB-UHFFFAOYSA-N 0.000 description 4
- 238000004880 explosion Methods 0.000 description 4
- 238000009472 formulation Methods 0.000 description 4
- 238000002347 injection Methods 0.000 description 4
- 239000007924 injection Substances 0.000 description 4
- 239000010410 layer Substances 0.000 description 4
- GTCAXTIRRLKXRU-UHFFFAOYSA-N methyl carbamate Chemical compound COC(N)=O GTCAXTIRRLKXRU-UHFFFAOYSA-N 0.000 description 4
- 125000001997 phenyl group Chemical group [H]C1=C([H])C([H])=C(*)C([H])=C1[H] 0.000 description 4
- 229920001282 polysaccharide Polymers 0.000 description 4
- 239000005017 polysaccharide Substances 0.000 description 4
- 150000004804 polysaccharides Chemical class 0.000 description 4
- 230000009467 reduction Effects 0.000 description 4
- 125000006413 ring segment Chemical group 0.000 description 4
- 239000012312 sodium hydride Substances 0.000 description 4
- 229910000104 sodium hydride Inorganic materials 0.000 description 4
- HPALAKNZSZLMCH-UHFFFAOYSA-M sodium;chloride;hydrate Chemical compound O.[Na+].[Cl-] HPALAKNZSZLMCH-UHFFFAOYSA-M 0.000 description 4
- 208000024891 symptom Diseases 0.000 description 4
- VZCYOOQTPOCHFL-UHFFFAOYSA-N trans-butenedioic acid Chemical class OC(=O)C=CC(O)=O VZCYOOQTPOCHFL-UHFFFAOYSA-N 0.000 description 4
- STMPXDBGVJZCEX-UHFFFAOYSA-N triethylsilyl trifluoromethanesulfonate Chemical compound CC[Si](CC)(CC)OS(=O)(=O)C(F)(F)F STMPXDBGVJZCEX-UHFFFAOYSA-N 0.000 description 4
- 125000000025 triisopropylsilyl group Chemical group C(C)(C)[Si](C(C)C)(C(C)C)* 0.000 description 4
- SZIUEGFGVMDZLJ-UHFFFAOYSA-N (1-methylcyclohexyl)carbamic acid Chemical compound OC(=O)NC1(C)CCCCC1 SZIUEGFGVMDZLJ-UHFFFAOYSA-N 0.000 description 3
- OISVCGZHLKNMSJ-UHFFFAOYSA-N 2,6-dimethylpyridine Chemical compound CC1=CC=CC(C)=N1 OISVCGZHLKNMSJ-UHFFFAOYSA-N 0.000 description 3
- 125000004172 4-methoxyphenyl group Chemical group [H]C1=C([H])C(OC([H])([H])[H])=C([H])C([H])=C1* 0.000 description 3
- 229920001817 Agar Polymers 0.000 description 3
- FBPFZTCFMRRESA-FSIIMWSLSA-N D-Glucitol Natural products OC[C@H](O)[C@H](O)[C@@H](O)[C@H](O)CO FBPFZTCFMRRESA-FSIIMWSLSA-N 0.000 description 3
- FBPFZTCFMRRESA-JGWLITMVSA-N D-glucitol Chemical compound OC[C@H](O)[C@@H](O)[C@H](O)[C@H](O)CO FBPFZTCFMRRESA-JGWLITMVSA-N 0.000 description 3
- RWSOTUBLDIXVET-UHFFFAOYSA-N Dihydrogen sulfide Chemical compound S RWSOTUBLDIXVET-UHFFFAOYSA-N 0.000 description 3
- JVTAAEKCZFNVCJ-UHFFFAOYSA-M Lactate Chemical compound CC(O)C([O-])=O JVTAAEKCZFNVCJ-UHFFFAOYSA-M 0.000 description 3
- AFVFQIVMOAPDHO-UHFFFAOYSA-N Methanesulfonic acid Chemical compound CS(O)(=O)=O AFVFQIVMOAPDHO-UHFFFAOYSA-N 0.000 description 3
- NPKISZUVEBESJI-AWEZNQCLSA-N N-benzoyl-L-phenylalanine Chemical class C([C@@H](C(=O)O)NC(=O)C=1C=CC=CC=1)C1=CC=CC=C1 NPKISZUVEBESJI-AWEZNQCLSA-N 0.000 description 3
- 206010028980 Neoplasm Diseases 0.000 description 3
- OAICVXFJPJFONN-UHFFFAOYSA-N Phosphorus Chemical compound [P] OAICVXFJPJFONN-UHFFFAOYSA-N 0.000 description 3
- KWYUFKZDYYNOTN-UHFFFAOYSA-M Potassium hydroxide Chemical compound [OH-].[K+] KWYUFKZDYYNOTN-UHFFFAOYSA-M 0.000 description 3
- RWRDLPDLKQPQOW-UHFFFAOYSA-N Pyrrolidine Chemical compound C1CCNC1 RWRDLPDLKQPQOW-UHFFFAOYSA-N 0.000 description 3
- 235000014443 Pyrus communis Nutrition 0.000 description 3
- 241001092473 Quillaja Species 0.000 description 3
- BUGBHKTXTAQXES-UHFFFAOYSA-N Selenium Chemical compound [Se] BUGBHKTXTAQXES-UHFFFAOYSA-N 0.000 description 3
- FAPWRFPIFSIZLT-UHFFFAOYSA-M Sodium chloride Chemical compound [Na+].[Cl-] FAPWRFPIFSIZLT-UHFFFAOYSA-M 0.000 description 3
- HEMHJVSKTPXQMS-UHFFFAOYSA-M Sodium hydroxide Chemical compound [OH-].[Na+] HEMHJVSKTPXQMS-UHFFFAOYSA-M 0.000 description 3
- CZMRCDWAGMRECN-UGDNZRGBSA-N Sucrose Chemical compound O[C@H]1[C@H](O)[C@@H](CO)O[C@@]1(CO)O[C@@H]1[C@H](O)[C@@H](O)[C@H](O)[C@@H](CO)O1 CZMRCDWAGMRECN-UGDNZRGBSA-N 0.000 description 3
- 229930006000 Sucrose Natural products 0.000 description 3
- QAOWNCQODCNURD-UHFFFAOYSA-L Sulfate Chemical compound [O-]S([O-])(=O)=O QAOWNCQODCNURD-UHFFFAOYSA-L 0.000 description 3
- 239000007983 Tris buffer Substances 0.000 description 3
- 230000002378 acidificating effect Effects 0.000 description 3
- 239000008272 agar Substances 0.000 description 3
- PNNNRSAQSRJVSB-BXKVDMCESA-N aldehydo-L-rhamnose Chemical compound C[C@H](O)[C@H](O)[C@@H](O)[C@@H](O)C=O PNNNRSAQSRJVSB-BXKVDMCESA-N 0.000 description 3
- 229910052784 alkaline earth metal Inorganic materials 0.000 description 3
- 125000004419 alkynylene group Chemical group 0.000 description 3
- 239000012298 atmosphere Substances 0.000 description 3
- 235000010290 biphenyl Nutrition 0.000 description 3
- 239000004305 biphenyl Substances 0.000 description 3
- 201000011510 cancer Diseases 0.000 description 3
- 150000001721 carbon Chemical group 0.000 description 3
- KRKNYBCHXYNGOX-UHFFFAOYSA-N citric acid Chemical compound OC(=O)CC(O)(C(O)=O)CC(O)=O KRKNYBCHXYNGOX-UHFFFAOYSA-N 0.000 description 3
- 239000012230 colorless oil Substances 0.000 description 3
- 238000006264 debenzylation reaction Methods 0.000 description 3
- 238000006731 degradation reaction Methods 0.000 description 3
- 238000001514 detection method Methods 0.000 description 3
- 239000006185 dispersion Substances 0.000 description 3
- 229940079593 drug Drugs 0.000 description 3
- 239000003480 eluent Substances 0.000 description 3
- 230000002708 enhancing effect Effects 0.000 description 3
- 239000006260 foam Substances 0.000 description 3
- 229930182830 galactose Natural products 0.000 description 3
- 230000013595 glycosylation Effects 0.000 description 3
- 238000006206 glycosylation reaction Methods 0.000 description 3
- 229930195733 hydrocarbon Natural products 0.000 description 3
- 150000002430 hydrocarbons Chemical group 0.000 description 3
- 238000007327 hydrogenolysis reaction Methods 0.000 description 3
- 238000009169 immunotherapy Methods 0.000 description 3
- 208000015181 infectious disease Diseases 0.000 description 3
- VZCYOOQTPOCHFL-UPHRSURJSA-N maleic acid Chemical compound OC(=O)\C=C/C(O)=O VZCYOOQTPOCHFL-UPHRSURJSA-N 0.000 description 3
- 238000004519 manufacturing process Methods 0.000 description 3
- 239000012071 phase Substances 0.000 description 3
- 229910052698 phosphorus Inorganic materials 0.000 description 3
- 239000011574 phosphorus Substances 0.000 description 3
- 230000002062 proliferating effect Effects 0.000 description 3
- 230000000069 prophylactic effect Effects 0.000 description 3
- 125000004076 pyridyl group Chemical group 0.000 description 3
- 125000000719 pyrrolidinyl group Chemical group 0.000 description 3
- 230000004044 response Effects 0.000 description 3
- 238000004007 reversed phase HPLC Methods 0.000 description 3
- 238000002390 rotary evaporation Methods 0.000 description 3
- 229910052711 selenium Inorganic materials 0.000 description 3
- 239000011669 selenium Substances 0.000 description 3
- 238000000926 separation method Methods 0.000 description 3
- 235000010356 sorbitol Nutrition 0.000 description 3
- 239000000600 sorbitol Substances 0.000 description 3
- 239000007858 starting material Substances 0.000 description 3
- 239000005720 sucrose Substances 0.000 description 3
- 238000010189 synthetic method Methods 0.000 description 3
- 125000000147 tetrahydroquinolinyl group Chemical group N1(CCCC2=CC=CC=C12)* 0.000 description 3
- 238000002560 therapeutic procedure Methods 0.000 description 3
- 210000001519 tissue Anatomy 0.000 description 3
- 231100000041 toxicology testing Toxicity 0.000 description 3
- 238000002255 vaccination Methods 0.000 description 3
- 230000004580 weight loss Effects 0.000 description 3
- FUJICALGSOMFAM-UHFFFAOYSA-N (2,5-dioxopyrrolidin-1-yl) 4-iodobenzoate Chemical compound C1=CC(I)=CC=C1C(=O)ON1C(=O)CCC1=O FUJICALGSOMFAM-UHFFFAOYSA-N 0.000 description 2
- HDXIQHTUNGFJIC-UHFFFAOYSA-N (25R)-spirost-5-en-3beta-ol 3-O-<O-alpha-L-rhamnopyranosyl-(1-->2)-beta-D-glucopyranoside> Natural products O1C2(OCC(C)CC2)C(C)C(C2(CCC3C4(C)CC5)C)C1CC2C3CC=C4CC5OC1OC(CO)C(O)C(O)C1OC1OC(C)C(O)C(O)C1O HDXIQHTUNGFJIC-UHFFFAOYSA-N 0.000 description 2
- FPBOSUGVPBRYCA-UHFFFAOYSA-N (4-nitrophenyl)methyl carbamate Chemical compound NC(=O)OCC1=CC=C([N+]([O-])=O)C=C1 FPBOSUGVPBRYCA-UHFFFAOYSA-N 0.000 description 2
- 125000003088 (fluoren-9-ylmethoxy)carbonyl group Chemical group 0.000 description 2
- IIZPXYDJLKNOIY-JXPKJXOSSA-N 1-palmitoyl-2-arachidonoyl-sn-glycero-3-phosphocholine Chemical compound CCCCCCCCCCCCCCCC(=O)OC[C@H](COP([O-])(=O)OCC[N+](C)(C)C)OC(=O)CCC\C=C/C\C=C/C\C=C/C\C=C/CCCCC IIZPXYDJLKNOIY-JXPKJXOSSA-N 0.000 description 2
- LJCZNYWLQZZIOS-UHFFFAOYSA-N 2,2,2-trichlorethoxycarbonyl chloride Chemical compound ClC(=O)OCC(Cl)(Cl)Cl LJCZNYWLQZZIOS-UHFFFAOYSA-N 0.000 description 2
- HZAXFHJVJLSVMW-UHFFFAOYSA-N 2-Aminoethan-1-ol Chemical compound NCCO HZAXFHJVJLSVMW-UHFFFAOYSA-N 0.000 description 2
- HFMMDZBPEJXFGC-UHFFFAOYSA-N 2-methylbutan-2-ylcarbamic acid Chemical compound CCC(C)(C)NC(O)=O HFMMDZBPEJXFGC-UHFFFAOYSA-N 0.000 description 2
- RUFDYIJGNPVTAY-UHFFFAOYSA-N 6-[(2-methylpropan-2-yl)oxycarbonylamino]hexanoic acid Chemical compound CC(C)(C)OC(=O)NCCCCCC(O)=O RUFDYIJGNPVTAY-UHFFFAOYSA-N 0.000 description 2
- HBAQYPYDRFILMT-UHFFFAOYSA-N 8-[3-(1-cyclopropylpyrazol-4-yl)-1H-pyrazolo[4,3-d]pyrimidin-5-yl]-3-methyl-3,8-diazabicyclo[3.2.1]octan-2-one Chemical class C1(CC1)N1N=CC(=C1)C1=NNC2=C1N=C(N=C2)N1C2C(N(CC1CC2)C)=O HBAQYPYDRFILMT-UHFFFAOYSA-N 0.000 description 2
- GUBGYTABKSRVRQ-XLOQQCSPSA-N Alpha-Lactose Chemical compound O[C@@H]1[C@@H](O)[C@@H](O)[C@@H](CO)O[C@H]1O[C@@H]1[C@@H](CO)O[C@H](O)[C@H](O)[C@H]1O GUBGYTABKSRVRQ-XLOQQCSPSA-N 0.000 description 2
- QGZKDVFQNNGYKY-UHFFFAOYSA-O Ammonium Chemical compound [NH4+] QGZKDVFQNNGYKY-UHFFFAOYSA-O 0.000 description 2
- 241000416162 Astragalus gummifer Species 0.000 description 2
- KXDAEFPNCMNJSK-UHFFFAOYSA-N Benzamide Chemical compound NC(=O)C1=CC=CC=C1 KXDAEFPNCMNJSK-UHFFFAOYSA-N 0.000 description 2
- BTBUEUYNUDRHOZ-UHFFFAOYSA-N Borate Chemical class [O-]B([O-])[O-] BTBUEUYNUDRHOZ-UHFFFAOYSA-N 0.000 description 2
- 206010006187 Breast cancer Diseases 0.000 description 2
- 208000026310 Breast neoplasm Diseases 0.000 description 2
- 239000004322 Butylated hydroxytoluene Substances 0.000 description 2
- NLZUEZXRPGMBCV-UHFFFAOYSA-N Butylhydroxytoluene Chemical compound CC1=CC(C(C)(C)C)=C(O)C(C(C)(C)C)=C1 NLZUEZXRPGMBCV-UHFFFAOYSA-N 0.000 description 2
- OKKJLVBELUTLKV-MZCSYVLQSA-N Deuterated methanol Chemical compound [2H]OC([2H])([2H])[2H] OKKJLVBELUTLKV-MZCSYVLQSA-N 0.000 description 2
- FEWJPZIEWOKRBE-JCYAYHJZSA-N Dextrotartaric acid Chemical compound OC(=O)[C@H](O)[C@@H](O)C(O)=O FEWJPZIEWOKRBE-JCYAYHJZSA-N 0.000 description 2
- QOSSAOTZNIDXMA-UHFFFAOYSA-N Dicylcohexylcarbodiimide Chemical compound C1CCCCC1N=C=NC1CCCCC1 QOSSAOTZNIDXMA-UHFFFAOYSA-N 0.000 description 2
- KCXVZYZYPLLWCC-UHFFFAOYSA-N EDTA Chemical compound OC(=O)CN(CC(O)=O)CCN(CC(O)=O)CC(O)=O KCXVZYZYPLLWCC-UHFFFAOYSA-N 0.000 description 2
- LVGKNOAMLMIIKO-UHFFFAOYSA-N Elaidinsaeure-aethylester Natural products CCCCCCCCC=CCCCCCCCC(=O)OCC LVGKNOAMLMIIKO-UHFFFAOYSA-N 0.000 description 2
- QUSNBJAOOMFDIB-UHFFFAOYSA-N Ethylamine Chemical compound CCN QUSNBJAOOMFDIB-UHFFFAOYSA-N 0.000 description 2
- ZHNUHDYFZUAESO-UHFFFAOYSA-N Formamide Chemical compound NC=O ZHNUHDYFZUAESO-UHFFFAOYSA-N 0.000 description 2
- BDAGIHXWWSANSR-UHFFFAOYSA-M Formate Chemical class [O-]C=O BDAGIHXWWSANSR-UHFFFAOYSA-M 0.000 description 2
- 108010010803 Gelatin Proteins 0.000 description 2
- WQZGKKKJIJFFOK-GASJEMHNSA-N Glucose Natural products OC[C@H]1OC(O)[C@H](O)[C@@H](O)[C@@H]1O WQZGKKKJIJFFOK-GASJEMHNSA-N 0.000 description 2
- 206010018910 Haemolysis Diseases 0.000 description 2
- 241000282412 Homo Species 0.000 description 2
- GUBGYTABKSRVRQ-QKKXKWKRSA-N Lactose Natural products OC[C@H]1O[C@@H](O[C@H]2[C@H](O)[C@@H](O)C(O)O[C@@H]2CO)[C@H](O)[C@@H](O)[C@H]1O GUBGYTABKSRVRQ-QKKXKWKRSA-N 0.000 description 2
- BAVYZALUXZFZLV-UHFFFAOYSA-N Methylamine Chemical compound NC BAVYZALUXZFZLV-UHFFFAOYSA-N 0.000 description 2
- LRHPLDYGYMQRHN-UHFFFAOYSA-N N-Butanol Chemical compound CCCCO LRHPLDYGYMQRHN-UHFFFAOYSA-N 0.000 description 2
- 229910002651 NO3 Inorganic materials 0.000 description 2
- 101100030361 Neurospora crassa (strain ATCC 24698 / 74-OR23-1A / CBS 708.71 / DSM 1257 / FGSC 987) pph-3 gene Proteins 0.000 description 2
- NHNBFGGVMKEFGY-UHFFFAOYSA-N Nitrate Chemical compound [O-][N+]([O-])=O NHNBFGGVMKEFGY-UHFFFAOYSA-N 0.000 description 2
- 239000004677 Nylon Substances 0.000 description 2
- 229910019142 PO4 Inorganic materials 0.000 description 2
- 108010081690 Pertussis Toxin Proteins 0.000 description 2
- ISWSIDIOOBJBQZ-UHFFFAOYSA-N Phenol Chemical compound OC1=CC=CC=C1 ISWSIDIOOBJBQZ-UHFFFAOYSA-N 0.000 description 2
- GLUUGHFHXGJENI-UHFFFAOYSA-N Piperazine Chemical compound C1CNCCN1 GLUUGHFHXGJENI-UHFFFAOYSA-N 0.000 description 2
- 239000002202 Polyethylene glycol Substances 0.000 description 2
- ZTHYODDOHIVTJV-UHFFFAOYSA-N Propyl gallate Chemical compound CCCOC(=O)C1=CC(O)=C(O)C(O)=C1 ZTHYODDOHIVTJV-UHFFFAOYSA-N 0.000 description 2
- ZUMDKMTZYHACBK-UHFFFAOYSA-N Prosapogenin B Natural products CC1CCC2(OC1)OC3CC4C5CC=C6CC(CCC6(C)C5CCC4(C)C3C2C)OC7OC(CO)C(OC8OC(C)C(O)C(O)C8O)C(O)C7O ZUMDKMTZYHACBK-UHFFFAOYSA-N 0.000 description 2
- 206010060862 Prostate cancer Diseases 0.000 description 2
- 208000000236 Prostatic Neoplasms Diseases 0.000 description 2
- 241000700159 Rattus Species 0.000 description 2
- XUIMIQQOPSSXEZ-UHFFFAOYSA-N Silicon Chemical compound [Si] XUIMIQQOPSSXEZ-UHFFFAOYSA-N 0.000 description 2
- 206010041067 Small cell lung cancer Diseases 0.000 description 2
- 229920002472 Starch Polymers 0.000 description 2
- QAOWNCQODCNURD-UHFFFAOYSA-N Sulfuric acid Chemical compound OS(O)(=O)=O QAOWNCQODCNURD-UHFFFAOYSA-N 0.000 description 2
- 229920001615 Tragacanth Polymers 0.000 description 2
- 230000005856 abnormality Effects 0.000 description 2
- WETWJCDKMRHUPV-UHFFFAOYSA-N acetyl chloride Chemical compound CC(Cl)=O WETWJCDKMRHUPV-UHFFFAOYSA-N 0.000 description 2
- 238000005903 acid hydrolysis reaction Methods 0.000 description 2
- 238000005917 acylation reaction Methods 0.000 description 2
- 239000000654 additive Substances 0.000 description 2
- 235000010443 alginic acid Nutrition 0.000 description 2
- 229920000615 alginic acid Polymers 0.000 description 2
- 125000000304 alkynyl group Chemical group 0.000 description 2
- 208000026935 allergic disease Diseases 0.000 description 2
- 229910052782 aluminium Inorganic materials 0.000 description 2
- XAGFODPZIPBFFR-UHFFFAOYSA-N aluminium Chemical compound [Al] XAGFODPZIPBFFR-UHFFFAOYSA-N 0.000 description 2
- 229910000147 aluminium phosphate Inorganic materials 0.000 description 2
- 238000013459 approach Methods 0.000 description 2
- 235000010323 ascorbic acid Nutrition 0.000 description 2
- 239000011668 ascorbic acid Chemical class 0.000 description 2
- 230000009286 beneficial effect Effects 0.000 description 2
- 230000008901 benefit Effects 0.000 description 2
- AGEZXYOZHKGVCM-UHFFFAOYSA-N benzyl bromide Chemical compound BrCC1=CC=CC=C1 AGEZXYOZHKGVCM-UHFFFAOYSA-N 0.000 description 2
- HSDAJNMJOMSNEV-UHFFFAOYSA-N benzyl chloroformate Chemical compound ClC(=O)OCC1=CC=CC=C1 HSDAJNMJOMSNEV-UHFFFAOYSA-N 0.000 description 2
- 125000001797 benzyl group Chemical group [H]C1=C([H])C([H])=C(C([H])=C1[H])C([H])([H])* 0.000 description 2
- WQZGKKKJIJFFOK-VFUOTHLCSA-N beta-D-glucose Chemical compound OC[C@H]1O[C@@H](O)[C@H](O)[C@@H](O)[C@@H]1O WQZGKKKJIJFFOK-VFUOTHLCSA-N 0.000 description 2
- 125000006267 biphenyl group Chemical group 0.000 description 2
- 235000010354 butylated hydroxytoluene Nutrition 0.000 description 2
- 229940095259 butylated hydroxytoluene Drugs 0.000 description 2
- 238000009566 cancer vaccine Methods 0.000 description 2
- 229940022399 cancer vaccine Drugs 0.000 description 2
- 150000001732 carboxylic acid derivatives Chemical class 0.000 description 2
- 239000012876 carrier material Substances 0.000 description 2
- 239000001913 cellulose Substances 0.000 description 2
- 235000010980 cellulose Nutrition 0.000 description 2
- 229920002678 cellulose Polymers 0.000 description 2
- 239000012707 chemical precursor Substances 0.000 description 2
- 239000003153 chemical reaction reagent Substances 0.000 description 2
- OSASVXMJTNOKOY-UHFFFAOYSA-N chlorobutanol Chemical compound CC(C)(O)C(Cl)(Cl)Cl OSASVXMJTNOKOY-UHFFFAOYSA-N 0.000 description 2
- HVYWMOMLDIMFJA-DPAQBDIFSA-N cholesterol Chemical compound C1C=C2C[C@@H](O)CC[C@]2(C)[C@@H]2[C@@H]1[C@@H]1CC[C@H]([C@H](C)CCCC(C)C)[C@@]1(C)CC2 HVYWMOMLDIMFJA-DPAQBDIFSA-N 0.000 description 2
- 125000000490 cinnamyl group Chemical group C(C=CC1=CC=CC=C1)* 0.000 description 2
- 238000000576 coating method Methods 0.000 description 2
- 230000021615 conjugation Effects 0.000 description 2
- 239000013078 crystal Substances 0.000 description 2
- 230000001086 cytosolic effect Effects 0.000 description 2
- 238000007275 deallylation reaction Methods 0.000 description 2
- 238000010511 deprotection reaction Methods 0.000 description 2
- 239000003085 diluting agent Substances 0.000 description 2
- 230000008034 disappearance Effects 0.000 description 2
- 238000004090 dissolution Methods 0.000 description 2
- 150000004252 dithioacetals Chemical class 0.000 description 2
- 231100000371 dose-limiting toxicity Toxicity 0.000 description 2
- 229920001971 elastomer Polymers 0.000 description 2
- 239000003995 emulsifying agent Substances 0.000 description 2
- RIFGWPKJUGCATF-UHFFFAOYSA-N ethyl chloroformate Chemical compound CCOC(Cl)=O RIFGWPKJUGCATF-UHFFFAOYSA-N 0.000 description 2
- MMXKVMNBHPAILY-UHFFFAOYSA-N ethyl laurate Chemical compound CCCCCCCCCCCC(=O)OCC MMXKVMNBHPAILY-UHFFFAOYSA-N 0.000 description 2
- LVGKNOAMLMIIKO-QXMHVHEDSA-N ethyl oleate Chemical compound CCCCCCCC\C=C/CCCCCCCC(=O)OCC LVGKNOAMLMIIKO-QXMHVHEDSA-N 0.000 description 2
- 229940093471 ethyl oleate Drugs 0.000 description 2
- 238000002474 experimental method Methods 0.000 description 2
- 239000000706 filtrate Substances 0.000 description 2
- 229910052731 fluorine Inorganic materials 0.000 description 2
- 238000005187 foaming Methods 0.000 description 2
- 238000001640 fractional crystallisation Methods 0.000 description 2
- 239000012634 fragment Substances 0.000 description 2
- 238000007710 freezing Methods 0.000 description 2
- 230000008014 freezing Effects 0.000 description 2
- 239000008273 gelatin Substances 0.000 description 2
- 229920000159 gelatin Polymers 0.000 description 2
- 235000019322 gelatine Nutrition 0.000 description 2
- 235000011852 gelatine desserts Nutrition 0.000 description 2
- 239000011521 glass Substances 0.000 description 2
- YVECGMZCTULTIS-PBXRRBTRSA-N glucal Chemical compound OC[C@H]1OC=C[C@@H](O)[C@@H]1O YVECGMZCTULTIS-PBXRRBTRSA-N 0.000 description 2
- 239000008103 glucose Substances 0.000 description 2
- 235000011187 glycerol Nutrition 0.000 description 2
- 229930182470 glycoside Natural products 0.000 description 2
- 229940093915 gynecological organic acid Drugs 0.000 description 2
- 230000036541 health Effects 0.000 description 2
- 150000002373 hemiacetals Chemical class 0.000 description 2
- 230000008588 hemolysis Effects 0.000 description 2
- 125000004475 heteroaralkyl group Chemical group 0.000 description 2
- 230000007062 hydrolysis Effects 0.000 description 2
- 238000006460 hydrolysis reaction Methods 0.000 description 2
- XLYOFNOQVPJJNP-UHFFFAOYSA-M hydroxide Chemical compound [OH-] XLYOFNOQVPJJNP-UHFFFAOYSA-M 0.000 description 2
- 230000036039 immunity Effects 0.000 description 2
- 230000002163 immunogen Effects 0.000 description 2
- 230000003308 immunostimulating effect Effects 0.000 description 2
- 230000001976 improved effect Effects 0.000 description 2
- 230000007794 irritation Effects 0.000 description 2
- 239000008101 lactose Substances 0.000 description 2
- 239000000787 lecithin Substances 0.000 description 2
- 235000010445 lecithin Nutrition 0.000 description 2
- 229940067606 lecithin Drugs 0.000 description 2
- 239000007788 liquid Substances 0.000 description 2
- 231100000053 low toxicity Toxicity 0.000 description 2
- HQKMJHAJHXVSDF-UHFFFAOYSA-L magnesium stearate Chemical compound [Mg+2].CCCCCCCCCCCCCCCCCC([O-])=O.CCCCCCCCCCCCCCCCCC([O-])=O HQKMJHAJHXVSDF-UHFFFAOYSA-L 0.000 description 2
- 201000004792 malaria Diseases 0.000 description 2
- 201000001441 melanoma Diseases 0.000 description 2
- 229910052751 metal Inorganic materials 0.000 description 2
- 239000002184 metal Substances 0.000 description 2
- 125000004184 methoxymethyl group Chemical group [H]C([H])([H])OC([H])([H])* 0.000 description 2
- 125000004092 methylthiomethyl group Chemical group [H]C([H])([H])SC([H])([H])* 0.000 description 2
- 150000007522 mineralic acids Chemical class 0.000 description 2
- 125000000449 nitro group Chemical group [O-][N+](*)=O 0.000 description 2
- 150000002829 nitrogen Chemical class 0.000 description 2
- 229920001778 nylon Polymers 0.000 description 2
- 239000004006 olive oil Substances 0.000 description 2
- 235000008390 olive oil Nutrition 0.000 description 2
- HDXIQHTUNGFJIC-FOAHKCLGSA-N ophiopogonin c Chemical compound O([C@@H]1[C@@H](O)[C@H](O)[C@@H](CO)O[C@H]1O[C@@H]1CC2=CC[C@H]3[C@@H]4C[C@H]5[C@@H]([C@]4(CC[C@@H]3[C@@]2(C)CC1)C)[C@@H]([C@]1(OC[C@H](C)CC1)O5)C)[C@@H]1O[C@@H](C)[C@H](O)[C@@H](O)[C@H]1O HDXIQHTUNGFJIC-FOAHKCLGSA-N 0.000 description 2
- 210000000056 organ Anatomy 0.000 description 2
- 150000007524 organic acids Chemical class 0.000 description 2
- 235000005985 organic acids Nutrition 0.000 description 2
- 230000036961 partial effect Effects 0.000 description 2
- 244000052769 pathogen Species 0.000 description 2
- 230000001717 pathogenic effect Effects 0.000 description 2
- VLTRZXGMWDSKGL-UHFFFAOYSA-N perchloric acid Chemical compound OCl(=O)(=O)=O VLTRZXGMWDSKGL-UHFFFAOYSA-N 0.000 description 2
- 230000002093 peripheral effect Effects 0.000 description 2
- 125000004934 phenanthridinyl group Chemical group C1(=CC=CC2=NC=C3C=CC=CC3=C12)* 0.000 description 2
- 239000010452 phosphate Substances 0.000 description 2
- NBIIXXVUZAFLBC-UHFFFAOYSA-K phosphate Chemical compound [O-]P([O-])([O-])=O NBIIXXVUZAFLBC-UHFFFAOYSA-K 0.000 description 2
- 235000011007 phosphoric acid Nutrition 0.000 description 2
- 229920001223 polyethylene glycol Polymers 0.000 description 2
- 229920005862 polyol Polymers 0.000 description 2
- 150000003077 polyols Chemical class 0.000 description 2
- 239000000843 powder Substances 0.000 description 2
- 239000002244 precipitate Substances 0.000 description 2
- 239000003755 preservative agent Substances 0.000 description 2
- 125000002924 primary amino group Chemical group [H]N([H])* 0.000 description 2
- 230000035755 proliferation Effects 0.000 description 2
- 230000002035 prolonged effect Effects 0.000 description 2
- UAUUFLADFXKYAU-UHFFFAOYSA-N prosaikogenin A Natural products OC1C(O)C(O)C(C)OC1OC1C(CO)(C)C(CCC2(C)C3(CC(O)C4(CO)CCC(C)(C)CC4=C3C=CC32)C)C3(C)CC1 UAUUFLADFXKYAU-UHFFFAOYSA-N 0.000 description 2
- WTCQDJNZRIUPHG-FATUNNNVSA-N prosapogenin A Natural products C[C@@H]1CC[C@@]2(OC1)O[C@H]3C[C@H]4[C@@H]5CC=C6C[C@H](CC[C@@H]6[C@H]5CC[C@]4(C)[C@H]3[C@@H]2C)O[C@@H]7O[C@H](CO)[C@@H](O)[C@H](O)[C@H]7O[C@@H]8O[C@@H](C)[C@H](O)[C@@H](O)[C@H]8O WTCQDJNZRIUPHG-FATUNNNVSA-N 0.000 description 2
- 230000001681 protective effect Effects 0.000 description 2
- 125000000714 pyrimidinyl group Chemical group 0.000 description 2
- MQUFAARYGOUYEV-UAWZMHPWSA-N quillaic acid Chemical compound C1C[C@H](O)[C@@](C)(C=O)[C@@H]2CC[C@@]3(C)[C@]4(C)C[C@@H](O)[C@@]5(C(O)=O)CCC(C)(C)C[C@H]5C4=CC[C@@H]3[C@]21C MQUFAARYGOUYEV-UAWZMHPWSA-N 0.000 description 2
- 125000002294 quinazolinyl group Chemical group N1=C(N=CC2=CC=CC=C12)* 0.000 description 2
- 230000002829 reductive effect Effects 0.000 description 2
- 230000002787 reinforcement Effects 0.000 description 2
- 230000003014 reinforcing effect Effects 0.000 description 2
- 239000002151 riboflavin Substances 0.000 description 2
- 229910052710 silicon Inorganic materials 0.000 description 2
- 239000010703 silicon Substances 0.000 description 2
- 208000000587 small cell lung carcinoma Diseases 0.000 description 2
- GEHJYWRUCIMESM-UHFFFAOYSA-L sodium sulfite Chemical compound [Na+].[Na+].[O-]S([O-])=O GEHJYWRUCIMESM-UHFFFAOYSA-L 0.000 description 2
- 235000019698 starch Nutrition 0.000 description 2
- 238000007920 subcutaneous administration Methods 0.000 description 2
- 238000006467 substitution reaction Methods 0.000 description 2
- 150000008163 sugars Chemical class 0.000 description 2
- 239000006188 syrup Substances 0.000 description 2
- 235000020357 syrup Nutrition 0.000 description 2
- 230000009885 systemic effect Effects 0.000 description 2
- LMBFAGIMSUYTBN-MPZNNTNKSA-N teixobactin Chemical compound C([C@H](C(=O)N[C@@H]([C@@H](C)CC)C(=O)N[C@@H](CO)C(=O)N[C@H](CCC(N)=O)C(=O)N[C@H]([C@@H](C)CC)C(=O)N[C@@H]([C@@H](C)CC)C(=O)N[C@@H](CO)C(=O)N[C@H]1C(N[C@@H](C)C(=O)N[C@@H](C[C@@H]2NC(=N)NC2)C(=O)N[C@H](C(=O)O[C@H]1C)[C@@H](C)CC)=O)NC)C1=CC=CC=C1 LMBFAGIMSUYTBN-MPZNNTNKSA-N 0.000 description 2
- 125000000999 tert-butyl group Chemical group [H]C([H])([H])C(*)(C([H])([H])[H])C([H])([H])[H] 0.000 description 2
- ILMRJRBKQSSXGY-UHFFFAOYSA-N tert-butyl(dimethyl)silicon Chemical group C[Si](C)C(C)(C)C ILMRJRBKQSSXGY-UHFFFAOYSA-N 0.000 description 2
- 125000003718 tetrahydrofuranyl group Chemical group 0.000 description 2
- JOXIMZWYDAKGHI-UHFFFAOYSA-N toluene-4-sulfonic acid Chemical compound CC1=CC=C(S(O)(=O)=O)C=C1 JOXIMZWYDAKGHI-UHFFFAOYSA-N 0.000 description 2
- 235000010487 tragacanth Nutrition 0.000 description 2
- 239000000196 tragacanth Substances 0.000 description 2
- 229940116362 tragacanth Drugs 0.000 description 2
- RIOQSEWOXXDEQQ-UHFFFAOYSA-N triphenylphosphine Chemical compound C1=CC=CC=C1P(C=1C=CC=CC=1)C1=CC=CC=C1 RIOQSEWOXXDEQQ-UHFFFAOYSA-N 0.000 description 2
- NQPDZGIKBAWPEJ-UHFFFAOYSA-N valeric acid Chemical class CCCCC(O)=O NQPDZGIKBAWPEJ-UHFFFAOYSA-N 0.000 description 2
- 239000003981 vehicle Substances 0.000 description 2
- 239000000080 wetting agent Substances 0.000 description 2
- LSPHULWDVZXLIL-UHFFFAOYSA-N (+/-)-Camphoric acid Chemical class CC1(C)C(C(O)=O)CCC1(C)C(O)=O LSPHULWDVZXLIL-UHFFFAOYSA-N 0.000 description 1
- OUKYRKPPQMHVGV-UHFFFAOYSA-N (1,1,1-trichloro-2-methylpropan-2-yl)carbamic acid Chemical compound ClC(Cl)(Cl)C(C)(C)NC(O)=O OUKYRKPPQMHVGV-UHFFFAOYSA-N 0.000 description 1
- RFEZEFZASMKNBJ-UHFFFAOYSA-N (1,1-dibromo-2-methylpropan-2-yl)carbamic acid Chemical compound BrC(Br)C(C)(C)NC(O)=O RFEZEFZASMKNBJ-UHFFFAOYSA-N 0.000 description 1
- QIJRTFXNRTXDIP-UHFFFAOYSA-N (1-carboxy-2-sulfanylethyl)azanium;chloride;hydrate Chemical compound O.Cl.SCC(N)C(O)=O QIJRTFXNRTXDIP-UHFFFAOYSA-N 0.000 description 1
- CWFVVFCJMSNFBP-UHFFFAOYSA-N (1-cyano-2-methylpropan-2-yl)carbamic acid Chemical compound N#CCC(C)(C)NC(O)=O CWFVVFCJMSNFBP-UHFFFAOYSA-N 0.000 description 1
- NFGNJOKCNDHFHB-UHFFFAOYSA-N (2,4,6-trimethylphenyl)methylcarbamic acid Chemical compound CC1=CC(C)=C(CNC(O)=O)C(C)=C1 NFGNJOKCNDHFHB-UHFFFAOYSA-N 0.000 description 1
- GWFMCAZZUXHMRM-UHFFFAOYSA-N (2,4,6-tritert-butylphenyl)carbamic acid Chemical compound CC(C)(C)C1=CC(C(C)(C)C)=C(NC(O)=O)C(C(C)(C)C)=C1 GWFMCAZZUXHMRM-UHFFFAOYSA-N 0.000 description 1
- LZZRHUUMSXNYBI-UHFFFAOYSA-N (2,4-dichlorophenyl)methyl carbamate Chemical compound NC(=O)OCC1=CC=C(Cl)C=C1Cl LZZRHUUMSXNYBI-UHFFFAOYSA-N 0.000 description 1
- ATADHTZBPXRTKR-XAHCXIQSSA-N (2R,3S,4R)-2-(hydroxymethyl)-6-methylsulfonyl-3,4-dihydro-2H-pyran-3,4-diol Chemical compound S(=O)(=O)(C)C=1O[C@@H]([C@H]([C@@H](C=1)O)O)CO ATADHTZBPXRTKR-XAHCXIQSSA-N 0.000 description 1
- PIGTXFOGKFOFTO-FVFWYJKVSA-N (2S,3S,4S,5R,6R)-6-[[(3S,4S,4aR,6aR,6bS,8R,8aR,12aS,14aR,14bR)-8a-carboxy-4-formyl-8-hydroxy-4,6a,6b,11,11,14b-hexamethyl-1,2,3,4a,5,6,7,8,9,10,12,12a,14,14a-tetradecahydropicen-3-yl]oxy]-3,4,5-trihydroxyoxane-2-carboxylic acid Chemical compound O([C@H]1CC[C@]2(C)[C@H]3CC=C4[C@@]([C@@]3(CC[C@H]2[C@@]1(C=O)C)C)(C)C[C@@H](O)[C@]1(CCC(C[C@H]14)(C)C)C(O)=O)[C@@H]1O[C@H](C(O)=O)[C@@H](O)[C@H](O)[C@H]1O PIGTXFOGKFOFTO-FVFWYJKVSA-N 0.000 description 1
- BNRKZHXOBMEUGK-NRBMBCGPSA-N (2r,3r,4r,5r,6s)-6-methyloxane-2,3,4,5-tetrol;hydrate Chemical compound O.C[C@@H]1O[C@@H](O)[C@H](O)[C@H](O)[C@H]1O BNRKZHXOBMEUGK-NRBMBCGPSA-N 0.000 description 1
- JNYAEWCLZODPBN-JGWLITMVSA-N (2r,3r,4s)-2-[(1r)-1,2-dihydroxyethyl]oxolane-3,4-diol Chemical class OC[C@@H](O)[C@H]1OC[C@H](O)[C@H]1O JNYAEWCLZODPBN-JGWLITMVSA-N 0.000 description 1
- HBMPTLRLIMPVIH-VAMGGRTRSA-N (2s,3r,4r)-3-azido-4-phenylmethoxy-2-(phenylmethoxymethyl)-3,4-dihydro-2h-pyran Chemical compound C([C@@H]1[C@@H]([C@@H](C=CO1)OCC=1C=CC=CC=1)N=[N+]=[N-])OCC1=CC=CC=C1 HBMPTLRLIMPVIH-VAMGGRTRSA-N 0.000 description 1
- ZGCXBEZHDLUWPW-VWCXZNQNSA-N (2s,3s,4s,5r,6r)-6-[[(3s,4s,4ar,6ar,6bs,8r,8ar,12as,14ar,14br)-8a-[(2s,3r,4s,5r,6r)-5-[(3s,5s,6s)-5-[(3s,5s,6s)-5-[(2r,3r,4r,5s)-3,4-dihydroxy-5-(hydroxymethyl)oxolan-2-yl]oxy-3-hydroxy-6-methyloctanoyl]oxy-3-hydroxy-6-methyloctanoyl]oxy-3-[(2s,3r,4s,5r,6 Chemical group O([C@H]1[C@H](O)[C@H](O[C@H]([C@@H]1O[C@H]1[C@@H]([C@@H](O)[C@@H](O)[C@@H](CO)O1)O)O[C@H]1CC[C@]2(C)[C@H]3CC=C4[C@@H]5CC(C)(C)CC[C@@]5([C@@H](C[C@@]4(C)[C@]3(C)CC[C@H]2[C@@]1(C=O)C)O)C(=O)O[C@@H]1O[C@H](C)[C@@H]([C@@H]([C@H]1O[C@H]1[C@@H]([C@H](O)[C@@H](O[C@H]2[C@@H]([C@@H](O[C@H]3[C@@H]([C@@H](O)[C@H](O)CO3)O)[C@H](O)CO2)O)[C@H](C)O1)O)O)OC(=O)C[C@@H](O)C[C@H](OC(=O)C[C@@H](O)C[C@@H]([C@@H](C)CC)O[C@H]1[C@@H]([C@@H](O)[C@H](CO)O1)O)[C@@H](C)CC)C(O)=O)[C@@H]1OC[C@@H](O)[C@H](O)[C@H]1O ZGCXBEZHDLUWPW-VWCXZNQNSA-N 0.000 description 1
- WMRLMOBINDQAOE-UHFFFAOYSA-N (3-nitrophenyl)carbamic acid Chemical compound OC(=O)NC1=CC=CC([N+]([O-])=O)=C1 WMRLMOBINDQAOE-UHFFFAOYSA-N 0.000 description 1
- WTKQMHWYSBWUBE-UHFFFAOYSA-N (3-nitropyridin-2-yl) thiohypochlorite Chemical compound [O-][N+](=O)C1=CC=CN=C1SCl WTKQMHWYSBWUBE-UHFFFAOYSA-N 0.000 description 1
- HIIOEWGKFCWTJU-UHFFFAOYSA-N (4-chlorophenyl)methyl carbamate Chemical compound NC(=O)OCC1=CC=C(Cl)C=C1 HIIOEWGKFCWTJU-UHFFFAOYSA-N 0.000 description 1
- NULWVEYYQSYAHP-UHFFFAOYSA-N (4-cyanophenyl)methyl carbamate Chemical class NC(=O)OCC1=CC=C(C#N)C=C1 NULWVEYYQSYAHP-UHFFFAOYSA-N 0.000 description 1
- IERCGNSLWQVTPC-UHFFFAOYSA-N (4-decoxyphenyl)methyl carbamate Chemical class CCCCCCCCCCOC1=CC=C(COC(N)=O)C=C1 IERCGNSLWQVTPC-UHFFFAOYSA-N 0.000 description 1
- HVLVVLDGZLLRBJ-UHFFFAOYSA-N (4-methoxyphenyl)methylcarbamic acid Chemical compound COC1=CC=C(CNC(O)=O)C=C1 HVLVVLDGZLLRBJ-UHFFFAOYSA-N 0.000 description 1
- OSQOGASVZHDGKF-UHFFFAOYSA-N (4-methylsulfanylphenyl)carbamic acid Chemical compound CSC1=CC=C(NC(O)=O)C=C1 OSQOGASVZHDGKF-UHFFFAOYSA-N 0.000 description 1
- QHFKWIKCUHNXAU-UHFFFAOYSA-N (4-nitrophenyl) carbamate Chemical compound NC(=O)OC1=CC=C([N+]([O-])=O)C=C1 QHFKWIKCUHNXAU-UHFFFAOYSA-N 0.000 description 1
- 125000006570 (C5-C6) heteroaryl group Chemical group 0.000 description 1
- 125000006569 (C5-C6) heterocyclic group Chemical group 0.000 description 1
- HEVMDQBCAHEHDY-UHFFFAOYSA-N (Dimethoxymethyl)benzene Chemical compound COC(OC)C1=CC=CC=C1 HEVMDQBCAHEHDY-UHFFFAOYSA-N 0.000 description 1
- GVJHHUAWPYXKBD-IEOSBIPESA-N (R)-alpha-Tocopherol Natural products OC1=C(C)C(C)=C2O[C@@](CCC[C@H](C)CCC[C@H](C)CCCC(C)C)(C)CCC2=C1C GVJHHUAWPYXKBD-IEOSBIPESA-N 0.000 description 1
- BJEPYKJPYRNKOW-REOHCLBHSA-N (S)-malic acid Chemical compound OC(=O)[C@@H](O)CC(O)=O BJEPYKJPYRNKOW-REOHCLBHSA-N 0.000 description 1
- RASLWNGTMHFPIQ-AATRIKPKSA-N (e)-3-(2-nitrophenyl)prop-2-enamide Chemical compound NC(=O)\C=C\C1=CC=CC=C1[N+]([O-])=O RASLWNGTMHFPIQ-AATRIKPKSA-N 0.000 description 1
- SJUAOCARXAKPKI-UHFFFAOYSA-N 1,2-benzoxazol-5-ylmethylcarbamic acid Chemical compound OC(=O)NCC1=CC=C2ON=CC2=C1 SJUAOCARXAKPKI-UHFFFAOYSA-N 0.000 description 1
- 150000000185 1,3-diols Chemical class 0.000 description 1
- VAYTZRYEBVHVLE-UHFFFAOYSA-N 1,3-dioxol-2-one Chemical compound O=C1OC=CO1 VAYTZRYEBVHVLE-UHFFFAOYSA-N 0.000 description 1
- FJANNOJSTOGZHK-UHFFFAOYSA-N 1-adamantyl carbamate Chemical compound C1C(C2)CC3CC2CC1(OC(=O)N)C3 FJANNOJSTOGZHK-UHFFFAOYSA-N 0.000 description 1
- SDECXXBYBNYSDK-UHFFFAOYSA-N 1-cyclopropylethylcarbamic acid Chemical compound OC(=O)NC(C)C1CC1 SDECXXBYBNYSDK-UHFFFAOYSA-N 0.000 description 1
- LDMOEFOXLIZJOW-UHFFFAOYSA-N 1-dodecanesulfonic acid Chemical class CCCCCCCCCCCCS(O)(=O)=O LDMOEFOXLIZJOW-UHFFFAOYSA-N 0.000 description 1
- HOQAPVYOGBLGOC-UHFFFAOYSA-N 1-ethyl-9h-carbazole Chemical compound C12=CC=CC=C2NC2=C1C=CC=C2CC HOQAPVYOGBLGOC-UHFFFAOYSA-N 0.000 description 1
- OWEGMIWEEQEYGQ-UHFFFAOYSA-N 100676-05-9 Natural products OC1C(O)C(O)C(CO)OC1OCC1C(O)C(O)C(O)C(OC2C(OC(O)C(O)C2O)CO)O1 OWEGMIWEEQEYGQ-UHFFFAOYSA-N 0.000 description 1
- UPQQXPKAYZYUKO-UHFFFAOYSA-N 2,2,2-trichloroacetamide Chemical compound OC(=N)C(Cl)(Cl)Cl UPQQXPKAYZYUKO-UHFFFAOYSA-N 0.000 description 1
- QPLJYAKLSCXZSF-UHFFFAOYSA-N 2,2,2-trichloroethyl carbamate Chemical compound NC(=O)OCC(Cl)(Cl)Cl QPLJYAKLSCXZSF-UHFFFAOYSA-N 0.000 description 1
- 125000000453 2,2,2-trichloroethyl group Chemical group [H]C([H])(*)C(Cl)(Cl)Cl 0.000 description 1
- XNMOEWPBTNQAQB-UHFFFAOYSA-N 2,2,5,7,8-pentamethyl-3,4-dihydrochromene-6-sulfonamide Chemical compound C1CC(C)(C)OC2=C1C(C)=C(S(N)(=O)=O)C(C)=C2C XNMOEWPBTNQAQB-UHFFFAOYSA-N 0.000 description 1
- XIWJWOXOJAWUSO-UHFFFAOYSA-N 2,2-dichloro-2-(4-methylphenoxy)acetic acid Chemical compound CC1=CC=C(OC(Cl)(Cl)C(O)=O)C=C1 XIWJWOXOJAWUSO-UHFFFAOYSA-N 0.000 description 1
- PXVUDLXXKGSXHH-UHFFFAOYSA-N 2,4,6-trimethoxybenzenesulfonamide Chemical compound COC1=CC(OC)=C(S(N)(=O)=O)C(OC)=C1 PXVUDLXXKGSXHH-UHFFFAOYSA-N 0.000 description 1
- YECJUZIGFPJWGQ-UHFFFAOYSA-N 2,4,6-trimethylbenzenesulfonamide Chemical compound CC1=CC(C)=C(S(N)(=O)=O)C(C)=C1 YECJUZIGFPJWGQ-UHFFFAOYSA-N 0.000 description 1
- FFFIRKXTFQCCKJ-UHFFFAOYSA-M 2,4,6-trimethylbenzoate Chemical compound CC1=CC(C)=C(C([O-])=O)C(C)=C1 FFFIRKXTFQCCKJ-UHFFFAOYSA-M 0.000 description 1
- YJRISODHEYGPEL-UHFFFAOYSA-N 2,6-dimethoxy-4-methylbenzenesulfonamide Chemical compound COC1=CC(C)=CC(OC)=C1S(N)(=O)=O YJRISODHEYGPEL-UHFFFAOYSA-N 0.000 description 1
- AJOGMCIATUBFAT-UHFFFAOYSA-N 2-(1-adamantyl)propan-2-ylcarbamic acid Chemical compound C1C(C2)CC3CC2CC1(C(C)(NC(O)=O)C)C3 AJOGMCIATUBFAT-UHFFFAOYSA-N 0.000 description 1
- DVCVYHFEWYAJCP-UHFFFAOYSA-N 2-(2-nitrophenoxy)acetamide Chemical compound NC(=O)COC1=CC=CC=C1[N+]([O-])=O DVCVYHFEWYAJCP-UHFFFAOYSA-N 0.000 description 1
- PUAQLLVFLMYYJJ-UHFFFAOYSA-N 2-aminopropiophenone Chemical class CC(N)C(=O)C1=CC=CC=C1 PUAQLLVFLMYYJJ-UHFFFAOYSA-N 0.000 description 1
- ASJSAQIRZKANQN-CRCLSJGQSA-N 2-deoxy-D-ribose Chemical compound OC[C@@H](O)[C@@H](O)CC=O ASJSAQIRZKANQN-CRCLSJGQSA-N 0.000 description 1
- SHHKMWMIKILKQW-UHFFFAOYSA-N 2-formylbenzenesulfonic acid Chemical compound OS(=O)(=O)C1=CC=CC=C1C=O SHHKMWMIKILKQW-UHFFFAOYSA-N 0.000 description 1
- CJNZAXGUTKBIHP-UHFFFAOYSA-M 2-iodobenzoate Chemical compound [O-]C(=O)C1=CC=CC=C1I CJNZAXGUTKBIHP-UHFFFAOYSA-M 0.000 description 1
- UYCIUCIKUGYNBR-UHFFFAOYSA-N 2-iodoethyl carbamate Chemical compound NC(=O)OCCI UYCIUCIKUGYNBR-UHFFFAOYSA-N 0.000 description 1
- XWKFPIODWVPXLX-UHFFFAOYSA-N 2-methyl-5-methylpyridine Natural products CC1=CC=C(C)N=C1 XWKFPIODWVPXLX-UHFFFAOYSA-N 0.000 description 1
- BRUZQRBVNRKLJG-UHFFFAOYSA-N 2-methylpropyl carbamate Chemical compound CC(C)COC(N)=O BRUZQRBVNRKLJG-UHFFFAOYSA-N 0.000 description 1
- DSNHGLDULDKABS-UHFFFAOYSA-N 2-methylsulfanylethylcarbamic acid Chemical compound CSCCNC(O)=O DSNHGLDULDKABS-UHFFFAOYSA-N 0.000 description 1
- 229940080296 2-naphthalenesulfonate Drugs 0.000 description 1
- GNDKYAWHEKZHPJ-UHFFFAOYSA-N 2-nitrobenzenesulfonimidic acid Chemical compound NS(=O)(=O)C1=CC=CC=C1[N+]([O-])=O GNDKYAWHEKZHPJ-UHFFFAOYSA-N 0.000 description 1
- MUAUTBNKPSNTFM-UHFFFAOYSA-N 2-phenylethyl carbamate Chemical compound NC(=O)OCCC1=CC=CC=C1 MUAUTBNKPSNTFM-UHFFFAOYSA-N 0.000 description 1
- 125000003903 2-propenyl group Chemical group [H]C([*])([H])C([H])=C([H])[H] 0.000 description 1
- MZASHBBAFBWNFL-UHFFFAOYSA-N 2-trimethylsilylethanesulfonamide Chemical compound C[Si](C)(C)CCS(N)(=O)=O MZASHBBAFBWNFL-UHFFFAOYSA-N 0.000 description 1
- QWYTUBPAXJYCTH-UHFFFAOYSA-N 2-trimethylsilylethyl carbamate Chemical compound C[Si](C)(C)CCOC(N)=O QWYTUBPAXJYCTH-UHFFFAOYSA-N 0.000 description 1
- GPVOTFQILZVCFP-UHFFFAOYSA-N 2-trityloxyacetic acid Chemical compound C=1C=CC=CC=1C(C=1C=CC=CC=1)(OCC(=O)O)C1=CC=CC=C1 GPVOTFQILZVCFP-UHFFFAOYSA-N 0.000 description 1
- GNWREYFHYLIYJE-UHFFFAOYSA-N 3,4-dihydroxybenzamide Chemical compound NC(=O)C1=CC=C(O)C(O)=C1 GNWREYFHYLIYJE-UHFFFAOYSA-N 0.000 description 1
- IXHADCPJRQNDGG-UHFFFAOYSA-N 3-[bis(2-chloroethyl)amino]-1-(4-phenylphenyl)propan-1-one Chemical compound C1=CC(C(=O)CCN(CCCl)CCCl)=CC=C1C1=CC=CC=C1 IXHADCPJRQNDGG-UHFFFAOYSA-N 0.000 description 1
- SCLGGNBFBLJQFU-UHFFFAOYSA-N 3-aminopropyl acetate Chemical compound CC(=O)OCCCN SCLGGNBFBLJQFU-UHFFFAOYSA-N 0.000 description 1
- BMYNFMYTOJXKLE-UHFFFAOYSA-N 3-azaniumyl-2-hydroxypropanoate Chemical compound NCC(O)C(O)=O BMYNFMYTOJXKLE-UHFFFAOYSA-N 0.000 description 1
- 125000006497 3-methoxybenzyl group Chemical group [H]C1=C([H])C(=C([H])C(OC([H])([H])[H])=C1[H])C([H])([H])* 0.000 description 1
- UVODFYVXDPJZFJ-UHFFFAOYSA-N 3-methyl-3-nitrobutanamide Chemical compound [O-][N+](=O)C(C)(C)CC(N)=O UVODFYVXDPJZFJ-UHFFFAOYSA-N 0.000 description 1
- XMIIGOLPHOKFCH-UHFFFAOYSA-M 3-phenylpropionate Chemical compound [O-]C(=O)CCC1=CC=CC=C1 XMIIGOLPHOKFCH-UHFFFAOYSA-M 0.000 description 1
- MWPYERIXTZZLDE-UHFFFAOYSA-N 4-(4-nitrophenyl)but-3-enylcarbamic acid Chemical compound C1=CC(=CC=C1C=CCCNC(=O)O)[N+](=O)[O-] MWPYERIXTZZLDE-UHFFFAOYSA-N 0.000 description 1
- WAGMYTXJRVPMGW-UHFFFAOYSA-N 4-azidobutanoic acid Chemical compound OC(=O)CCCN=[N+]=[N-] WAGMYTXJRVPMGW-UHFFFAOYSA-N 0.000 description 1
- QPSBONMVNZJUMM-UHFFFAOYSA-N 4-chloro-2-methanimidoylphenol Chemical compound OC1=CC=C(Cl)C=C1C=N QPSBONMVNZJUMM-UHFFFAOYSA-N 0.000 description 1
- XYOXIERJKILWCG-UHFFFAOYSA-N 4-chlorobutanamide Chemical compound NC(=O)CCCCl XYOXIERJKILWCG-UHFFFAOYSA-N 0.000 description 1
- KJYXVWHRKCNYKU-UHFFFAOYSA-N 4-ethyl-hexanoic acid Chemical compound CCC(CC)CCC(O)=O KJYXVWHRKCNYKU-UHFFFAOYSA-N 0.000 description 1
- FJKROLUGYXJWQN-UHFFFAOYSA-N 4-hydroxybenzoic acid Chemical compound OC(=O)C1=CC=C(O)C=C1 FJKROLUGYXJWQN-UHFFFAOYSA-N 0.000 description 1
- ZJJLGMUSGUYZQP-UHFFFAOYSA-N 4-methoxy-2,6-dimethylbenzenesulfonamide Chemical compound COC1=CC(C)=C(S(N)(=O)=O)C(C)=C1 ZJJLGMUSGUYZQP-UHFFFAOYSA-N 0.000 description 1
- FYGQPDOYMGONFR-UHFFFAOYSA-N 4-methoxy-n-(2-methylpropyl)aniline Chemical compound COC1=CC=C(NCC(C)C)C=C1 FYGQPDOYMGONFR-UHFFFAOYSA-N 0.000 description 1
- MSFQEZBRFPAFEX-UHFFFAOYSA-N 4-methoxybenzenesulfonamide Chemical compound COC1=CC=C(S(N)(=O)=O)C=C1 MSFQEZBRFPAFEX-UHFFFAOYSA-N 0.000 description 1
- LUQVCHRDAGWYMG-UHFFFAOYSA-N 4-phenylbenzamide Chemical compound C1=CC(C(=O)N)=CC=C1C1=CC=CC=C1 LUQVCHRDAGWYMG-UHFFFAOYSA-N 0.000 description 1
- NNJMFJSKMRYHSR-UHFFFAOYSA-M 4-phenylbenzoate Chemical compound C1=CC(C(=O)[O-])=CC=C1C1=CC=CC=C1 NNJMFJSKMRYHSR-UHFFFAOYSA-M 0.000 description 1
- 125000002471 4H-quinolizinyl group Chemical group C=1(C=CCN2C=CC=CC12)* 0.000 description 1
- FHVDTGUDJYJELY-UHFFFAOYSA-N 6-{[2-carboxy-4,5-dihydroxy-6-(phosphanyloxy)oxan-3-yl]oxy}-4,5-dihydroxy-3-phosphanyloxane-2-carboxylic acid Chemical class O1C(C(O)=O)C(P)C(O)C(O)C1OC1C(C(O)=O)OC(OP)C(O)C1O FHVDTGUDJYJELY-UHFFFAOYSA-N 0.000 description 1
- QXPJDKVEHRKBOE-UHFFFAOYSA-N 9-phenyl-9h-fluoren-1-amine Chemical compound C1=2C(N)=CC=CC=2C2=CC=CC=C2C1C1=CC=CC=C1 QXPJDKVEHRKBOE-UHFFFAOYSA-N 0.000 description 1
- GDXXYJRQFQZYNL-UHFFFAOYSA-N 9h-fluoren-1-ylmethyl carbamate Chemical compound C1C2=CC=CC=C2C2=C1C(COC(=O)N)=CC=C2 GDXXYJRQFQZYNL-UHFFFAOYSA-N 0.000 description 1
- ZZOKVYOCRSMTSS-UHFFFAOYSA-N 9h-fluoren-9-ylmethyl carbamate Chemical compound C1=CC=C2C(COC(=O)N)C3=CC=CC=C3C2=C1 ZZOKVYOCRSMTSS-UHFFFAOYSA-N 0.000 description 1
- QTBSBXVTEAMEQO-UHFFFAOYSA-M Acetate Chemical compound CC([O-])=O QTBSBXVTEAMEQO-UHFFFAOYSA-M 0.000 description 1
- 108010042708 Acetylmuramyl-Alanyl-Isoglutamine Proteins 0.000 description 1
- NIXOWILDQLNWCW-UHFFFAOYSA-M Acrylate Chemical compound [O-]C(=O)C=C NIXOWILDQLNWCW-UHFFFAOYSA-M 0.000 description 1
- VVJKKWFAADXIJK-UHFFFAOYSA-N Allylamine Chemical compound NCC=C VVJKKWFAADXIJK-UHFFFAOYSA-N 0.000 description 1
- KHBQMWCZKVMBLN-UHFFFAOYSA-N Benzenesulfonamide Chemical compound NS(=O)(=O)C1=CC=CC=C1 KHBQMWCZKVMBLN-UHFFFAOYSA-N 0.000 description 1
- BVKZGUZCCUSVTD-UHFFFAOYSA-M Bicarbonate Chemical compound OC([O-])=O BVKZGUZCCUSVTD-UHFFFAOYSA-M 0.000 description 1
- 235000014698 Brassica juncea var multisecta Nutrition 0.000 description 1
- FERIUCNNQQJTOY-UHFFFAOYSA-M Butyrate Chemical class CCCC([O-])=O FERIUCNNQQJTOY-UHFFFAOYSA-M 0.000 description 1
- FERIUCNNQQJTOY-UHFFFAOYSA-N Butyric acid Chemical class CCCC(O)=O FERIUCNNQQJTOY-UHFFFAOYSA-N 0.000 description 1
- FVCDYBYGHGPUCM-UHFFFAOYSA-N C1=CC(C(C=C1)([N+](=O)[O-])[N+](=O)[O-])S(=O)(=O)N Chemical compound C1=CC(C(C=C1)([N+](=O)[O-])[N+](=O)[O-])S(=O)(=O)N FVCDYBYGHGPUCM-UHFFFAOYSA-N 0.000 description 1
- UUCFLHYPFIGVQS-UHFFFAOYSA-N C1CSC(SC1)CCNC(=O)O Chemical compound C1CSC(SC1)CCNC(=O)O UUCFLHYPFIGVQS-UHFFFAOYSA-N 0.000 description 1
- QWOJMRHUQHTCJG-UHFFFAOYSA-N CC([CH2-])=O Chemical compound CC([CH2-])=O QWOJMRHUQHTCJG-UHFFFAOYSA-N 0.000 description 1
- ZRVIHIHTDPBEDE-UHFFFAOYSA-N CCOBO Chemical class CCOBO ZRVIHIHTDPBEDE-UHFFFAOYSA-N 0.000 description 1
- IYKWPVNCPDXWDC-UHFFFAOYSA-N COC1=CC(CNC(O)=O)=CC(OC)=C1 Chemical compound COC1=CC(CNC(O)=O)=CC(OC)=C1 IYKWPVNCPDXWDC-UHFFFAOYSA-N 0.000 description 1
- DCERHCFNWRGHLK-UHFFFAOYSA-N C[Si](C)C Chemical compound C[Si](C)C DCERHCFNWRGHLK-UHFFFAOYSA-N 0.000 description 1
- OYPRJOBELJOOCE-UHFFFAOYSA-N Calcium Chemical compound [Ca] OYPRJOBELJOOCE-UHFFFAOYSA-N 0.000 description 1
- 239000004215 Carbon black (E152) Substances 0.000 description 1
- KRKNYBCHXYNGOX-UHFFFAOYSA-K Citrate Chemical class [O-]C(=O)CC(O)(CC([O-])=O)C([O-])=O KRKNYBCHXYNGOX-UHFFFAOYSA-K 0.000 description 1
- 229920002261 Corn starch Polymers 0.000 description 1
- GUBGYTABKSRVRQ-CUHNMECISA-N D-Cellobiose Chemical compound O[C@@H]1[C@@H](O)[C@H](O)[C@@H](CO)O[C@H]1O[C@@H]1[C@@H](CO)OC(O)[C@H](O)[C@H]1O GUBGYTABKSRVRQ-CUHNMECISA-N 0.000 description 1
- FBPFZTCFMRRESA-KVTDHHQDSA-N D-Mannitol Chemical compound OC[C@@H](O)[C@@H](O)[C@H](O)[C@H](O)CO FBPFZTCFMRRESA-KVTDHHQDSA-N 0.000 description 1
- RGHNJXZEOKUKBD-SQOUGZDYSA-M D-gluconate Chemical class OC[C@@H](O)[C@@H](O)[C@H](O)[C@@H](O)C([O-])=O RGHNJXZEOKUKBD-SQOUGZDYSA-M 0.000 description 1
- WQZGKKKJIJFFOK-QTVWNMPRSA-N D-mannopyranose Chemical compound OC[C@H]1OC(O)[C@@H](O)[C@@H](O)[C@@H]1O WQZGKKKJIJFFOK-QTVWNMPRSA-N 0.000 description 1
- HMFHBZSHGGEWLO-SOOFDHNKSA-N D-ribofuranose Chemical compound OC[C@H]1OC(O)[C@H](O)[C@@H]1O HMFHBZSHGGEWLO-SOOFDHNKSA-N 0.000 description 1
- 229940032046 DTaP vaccine Drugs 0.000 description 1
- YZCKVEUIGOORGS-OUBTZVSYSA-N Deuterium Chemical compound [2H] YZCKVEUIGOORGS-OUBTZVSYSA-N 0.000 description 1
- 206010061818 Disease progression Diseases 0.000 description 1
- 241000196324 Embryophyta Species 0.000 description 1
- 239000001856 Ethyl cellulose Substances 0.000 description 1
- ZZSNKZQZMQGXPY-UHFFFAOYSA-N Ethyl cellulose Chemical compound CCOCC1OC(OC)C(OCC)C(OCC)C1OC1C(O)C(O)C(OC)C(CO)O1 ZZSNKZQZMQGXPY-UHFFFAOYSA-N 0.000 description 1
- PIICEJLVQHRZGT-UHFFFAOYSA-N Ethylenediamine Chemical compound NCCN PIICEJLVQHRZGT-UHFFFAOYSA-N 0.000 description 1
- 229930091371 Fructose Natural products 0.000 description 1
- RFSUNEUAIZKAJO-ARQDHWQXSA-N Fructose Chemical compound OC[C@H]1O[C@](O)(CO)[C@@H](O)[C@@H]1O RFSUNEUAIZKAJO-ARQDHWQXSA-N 0.000 description 1
- 239000005715 Fructose Substances 0.000 description 1
- VZCYOOQTPOCHFL-OWOJBTEDSA-N Fumaric acid Chemical class OC(=O)\C=C\C(O)=O VZCYOOQTPOCHFL-OWOJBTEDSA-N 0.000 description 1
- IAJILQKETJEXLJ-UHFFFAOYSA-N Galacturonsaeure Natural products O=CC(O)C(O)C(O)C(O)C(O)=O IAJILQKETJEXLJ-UHFFFAOYSA-N 0.000 description 1
- 229920002527 Glycogen Polymers 0.000 description 1
- 102000003886 Glycoproteins Human genes 0.000 description 1
- 108090000288 Glycoproteins Proteins 0.000 description 1
- 241000725303 Human immunodeficiency virus Species 0.000 description 1
- 241000713772 Human immunodeficiency virus 1 Species 0.000 description 1
- 241000243251 Hydra Species 0.000 description 1
- DGAQECJNVWCQMB-PUAWFVPOSA-M Ilexoside XXIX Chemical compound C[C@@H]1CC[C@@]2(CC[C@@]3(C(=CC[C@H]4[C@]3(CC[C@@H]5[C@@]4(CC[C@@H](C5(C)C)OS(=O)(=O)[O-])C)C)[C@@H]2[C@]1(C)O)C)C(=O)O[C@H]6[C@@H]([C@H]([C@@H]([C@H](O6)CO)O)O)O.[Na+] DGAQECJNVWCQMB-PUAWFVPOSA-M 0.000 description 1
- 206010061598 Immunodeficiency Diseases 0.000 description 1
- 206010022004 Influenza like illness Diseases 0.000 description 1
- 239000011786 L-ascorbyl-6-palmitate Substances 0.000 description 1
- QAQJMLQRFWZOBN-LAUBAEHRSA-N L-ascorbyl-6-palmitate Chemical compound CCCCCCCCCCCCCCCC(=O)OC[C@H](O)[C@H]1OC(=O)C(O)=C1O QAQJMLQRFWZOBN-LAUBAEHRSA-N 0.000 description 1
- CKLJMWTZIZZHCS-REOHCLBHSA-N L-aspartic acid Chemical class OC(=O)[C@@H](N)CC(O)=O CKLJMWTZIZZHCS-REOHCLBHSA-N 0.000 description 1
- WHXSMMKQMYFTQS-UHFFFAOYSA-N Lithium Chemical compound [Li] WHXSMMKQMYFTQS-UHFFFAOYSA-N 0.000 description 1
- FYYHWMGAXLPEAU-UHFFFAOYSA-N Magnesium Chemical compound [Mg] FYYHWMGAXLPEAU-UHFFFAOYSA-N 0.000 description 1
- CSNNHWWHGAXBCP-UHFFFAOYSA-L Magnesium sulfate Chemical compound [Mg+2].[O-][S+2]([O-])([O-])[O-] CSNNHWWHGAXBCP-UHFFFAOYSA-L 0.000 description 1
- GUBGYTABKSRVRQ-PICCSMPSSA-N Maltose Natural products O[C@@H]1[C@@H](O)[C@H](O)[C@@H](CO)O[C@@H]1O[C@@H]1[C@@H](CO)OC(O)[C@H](O)[C@H]1O GUBGYTABKSRVRQ-PICCSMPSSA-N 0.000 description 1
- 241000124008 Mammalia Species 0.000 description 1
- 229930195725 Mannitol Natural products 0.000 description 1
- 229920000168 Microcrystalline cellulose Polymers 0.000 description 1
- 241001092142 Molina Species 0.000 description 1
- 101100170604 Mus musculus Dmap1 gene Proteins 0.000 description 1
- GXCLVBGFBYZDAG-UHFFFAOYSA-N N-[2-(1H-indol-3-yl)ethyl]-N-methylprop-2-en-1-amine Chemical compound CN(CCC1=CNC2=C1C=CC=C2)CC=C GXCLVBGFBYZDAG-UHFFFAOYSA-N 0.000 description 1
- OVRNDRQMDRJTHS-UHFFFAOYSA-N N-acelyl-D-glucosamine Chemical group CC(=O)NC1C(O)OC(CO)C(O)C1O OVRNDRQMDRJTHS-UHFFFAOYSA-N 0.000 description 1
- XUYPXLNMDZIRQH-LURJTMIESA-N N-acetyl-L-methionine Chemical class CSCC[C@@H](C(O)=O)NC(C)=O XUYPXLNMDZIRQH-LURJTMIESA-N 0.000 description 1
- OVRNDRQMDRJTHS-FMDGEEDCSA-N N-acetyl-beta-D-glucosamine Chemical group CC(=O)N[C@H]1[C@H](O)O[C@H](CO)[C@@H](O)[C@@H]1O OVRNDRQMDRJTHS-FMDGEEDCSA-N 0.000 description 1
- MBLBDJOUHNCFQT-LXGUWJNJSA-N N-acetylglucosamine Chemical group CC(=O)N[C@@H](C=O)[C@@H](O)[C@H](O)[C@H](O)CO MBLBDJOUHNCFQT-LXGUWJNJSA-N 0.000 description 1
- BWLAXHZSGQVYNF-UHFFFAOYSA-N N-phosphaniumyl-N-propan-2-ylcarbamate Chemical compound [PH3+]N(C([O-])=O)C(C)C BWLAXHZSGQVYNF-UHFFFAOYSA-N 0.000 description 1
- 229930193140 Neomycin Natural products 0.000 description 1
- PVNIIMVLHYAWGP-UHFFFAOYSA-N Niacin Chemical compound OC(=O)C1=CC=CN=C1 PVNIIMVLHYAWGP-UHFFFAOYSA-N 0.000 description 1
- 235000019502 Orange oil Nutrition 0.000 description 1
- MUBZPKHOEPUJKR-UHFFFAOYSA-N Oxalic acid Chemical compound OC(=O)C(O)=O MUBZPKHOEPUJKR-UHFFFAOYSA-N 0.000 description 1
- 235000019483 Peanut oil Nutrition 0.000 description 1
- 229920003171 Poly (ethylene oxide) Polymers 0.000 description 1
- 229920002732 Polyanhydride Polymers 0.000 description 1
- ZLMJMSJWJFRBEC-UHFFFAOYSA-N Potassium Chemical compound [K] ZLMJMSJWJFRBEC-UHFFFAOYSA-N 0.000 description 1
- XBDQKXXYIPTUBI-UHFFFAOYSA-M Propionate Chemical compound CCC([O-])=O XBDQKXXYIPTUBI-UHFFFAOYSA-M 0.000 description 1
- MUPFEKGTMRGPLJ-RMMQSMQOSA-N Raffinose Natural products O(C[C@H]1[C@@H](O)[C@H](O)[C@@H](O)[C@@H](O[C@@]2(CO)[C@H](O)[C@@H](O)[C@@H](CO)O2)O1)[C@@H]1[C@H](O)[C@@H](O)[C@@H](O)[C@@H](CO)O1 MUPFEKGTMRGPLJ-RMMQSMQOSA-N 0.000 description 1
- PYMYPHUHKUWMLA-LMVFSUKVSA-N Ribose Natural products OC[C@@H](O)[C@@H](O)[C@@H](O)C=O PYMYPHUHKUWMLA-LMVFSUKVSA-N 0.000 description 1
- 235000019485 Safflower oil Nutrition 0.000 description 1
- RGDJCYRXKJVXKD-UHFFFAOYSA-N Saponin 3 Natural products COC(=O)C1(C)CCC2(CCC3(C)C(=CCC4C5(C)CCC(OC6OC(CO)C(O)C(O)C6OC7OC(CO)C(O)C(O)C7O)C(C)(C)C5CCC34C)C2C1)C(=O)O RGDJCYRXKJVXKD-UHFFFAOYSA-N 0.000 description 1
- DBMJMQXJHONAFJ-UHFFFAOYSA-M Sodium laurylsulphate Chemical compound [Na+].CCCCCCCCCCCCOS([O-])(=O)=O DBMJMQXJHONAFJ-UHFFFAOYSA-M 0.000 description 1
- UQZIYBXSHAGNOE-USOSMYMVSA-N Stachyose Natural products O(C[C@H]1[C@@H](O)[C@H](O)[C@H](O)[C@@H](O[C@@]2(CO)[C@H](O)[C@@H](O)[C@@H](CO)O2)O1)[C@@H]1[C@H](O)[C@@H](O)[C@@H](O)[C@H](CO[C@@H]2[C@@H](O)[C@@H](O)[C@@H](O)[C@H](CO)O2)O1 UQZIYBXSHAGNOE-USOSMYMVSA-N 0.000 description 1
- 229910000831 Steel Inorganic materials 0.000 description 1
- FEWJPZIEWOKRBE-UHFFFAOYSA-N Tartaric acid Natural products [H+].[H+].[O-]C(=O)C(O)C(O)C([O-])=O FEWJPZIEWOKRBE-UHFFFAOYSA-N 0.000 description 1
- 229940032047 Tdap vaccine Drugs 0.000 description 1
- 239000004809 Teflon Substances 0.000 description 1
- 229920006362 Teflon® Polymers 0.000 description 1
- ZMZDMBWJUHKJPS-UHFFFAOYSA-M Thiocyanate anion Chemical compound [S-]C#N ZMZDMBWJUHKJPS-UHFFFAOYSA-M 0.000 description 1
- DTQVDTLACAAQTR-UHFFFAOYSA-M Trifluoroacetate Chemical compound [O-]C(=O)C(F)(F)F DTQVDTLACAAQTR-UHFFFAOYSA-M 0.000 description 1
- YZCKVEUIGOORGS-NJFSPNSNSA-N Tritium Chemical compound [3H] YZCKVEUIGOORGS-NJFSPNSNSA-N 0.000 description 1
- 229920004890 Triton X-100 Polymers 0.000 description 1
- MUPFEKGTMRGPLJ-UHFFFAOYSA-N UNPD196149 Natural products OC1C(O)C(CO)OC1(CO)OC1C(O)C(O)C(O)C(COC2C(C(O)C(O)C(CO)O2)O)O1 MUPFEKGTMRGPLJ-UHFFFAOYSA-N 0.000 description 1
- OGVXSZCQSZECHL-QRVBRYPASA-N [(2R,3S,4R)-4-benzoyloxy-3-methylsulfonyloxy-3,4-dihydro-2H-pyran-2-yl]methyl benzoate Chemical compound C(C1=CC=CC=C1)(=O)O[C@@H]1C=CO[C@@H]([C@H]1OS(=O)(=O)C)COC(C1=CC=CC=C1)=O OGVXSZCQSZECHL-QRVBRYPASA-N 0.000 description 1
- ZJRQHWIBKDAKNL-KZNAEPCWSA-N [(2s,3r,4r)-3-azido-4-benzoyloxy-3,4-dihydro-2h-pyran-2-yl]methyl benzoate Chemical compound C([C@@H]1[C@@H]([C@@H](C=CO1)OC(=O)C=1C=CC=CC=1)N=[N+]=[N-])OC(=O)C1=CC=CC=C1 ZJRQHWIBKDAKNL-KZNAEPCWSA-N 0.000 description 1
- LXKLUWFIBVXFGX-QPJJXVBHSA-N [(e)-3-phenylprop-2-enyl] carbamate Chemical compound NC(=O)OC\C=C\C1=CC=CC=C1 LXKLUWFIBVXFGX-QPJJXVBHSA-N 0.000 description 1
- ILZHMKAXBGEIIA-UHFFFAOYSA-N [2,4-bis(methylsulfanyl)phenyl]carbamic acid Chemical compound CSC1=CC=C(NC(O)=O)C(SC)=C1 ILZHMKAXBGEIIA-UHFFFAOYSA-N 0.000 description 1
- OJUHIDQVEFLXSE-UHFFFAOYSA-N [2-(4-methoxyphenyl)-2-oxoethyl] carbamate Chemical compound COC1=CC=C(C(=O)COC(N)=O)C=C1 OJUHIDQVEFLXSE-UHFFFAOYSA-N 0.000 description 1
- WHFDFYJBSORWIP-UHFFFAOYSA-N [nitro(phenyl)methyl] hydrogen carbonate Chemical compound OC(=O)OC([N+]([O-])=O)C1=CC=CC=C1 WHFDFYJBSORWIP-UHFFFAOYSA-N 0.000 description 1
- 229940022663 acetate Drugs 0.000 description 1
- DPXJVFZANSGRMM-UHFFFAOYSA-N acetic acid;2,3,4,5,6-pentahydroxyhexanal;sodium Chemical compound [Na].CC(O)=O.OCC(O)C(O)C(O)C(O)C=O DPXJVFZANSGRMM-UHFFFAOYSA-N 0.000 description 1
- GCPWJFKTWGFEHH-UHFFFAOYSA-N acetoacetamide Chemical compound CC(=O)CC(N)=O GCPWJFKTWGFEHH-UHFFFAOYSA-N 0.000 description 1
- 125000000641 acridinyl group Chemical group C1(=CC=CC2=NC3=CC=CC=C3C=C12)* 0.000 description 1
- 230000004913 activation Effects 0.000 description 1
- 230000010933 acylation Effects 0.000 description 1
- 230000033289 adaptive immune response Effects 0.000 description 1
- WNLRTRBMVRJNCN-UHFFFAOYSA-L adipate(2-) Chemical class [O-]C(=O)CCCCC([O-])=O WNLRTRBMVRJNCN-UHFFFAOYSA-L 0.000 description 1
- 150000001298 alcohols Chemical class 0.000 description 1
- 150000001299 aldehydes Chemical class 0.000 description 1
- 229940072056 alginate Drugs 0.000 description 1
- 239000000783 alginic acid Substances 0.000 description 1
- 229960001126 alginic acid Drugs 0.000 description 1
- 150000004781 alginic acids Chemical class 0.000 description 1
- 239000003513 alkali Substances 0.000 description 1
- 229910052783 alkali metal Inorganic materials 0.000 description 1
- 150000001340 alkali metals Chemical class 0.000 description 1
- 150000001342 alkaline earth metals Chemical class 0.000 description 1
- 125000003342 alkenyl group Chemical group 0.000 description 1
- 150000008055 alkyl aryl sulfonates Chemical class 0.000 description 1
- 125000006177 alkyl benzyl group Chemical group 0.000 description 1
- 150000008052 alkyl sulfonates Chemical class 0.000 description 1
- BHELZAPQIKSEDF-UHFFFAOYSA-N allyl bromide Chemical compound BrCC=C BHELZAPQIKSEDF-UHFFFAOYSA-N 0.000 description 1
- 229940087168 alpha tocopherol Drugs 0.000 description 1
- HMFHBZSHGGEWLO-UHFFFAOYSA-N alpha-D-Furanose-Ribose Natural products OCC1OC(O)C(O)C1O HMFHBZSHGGEWLO-UHFFFAOYSA-N 0.000 description 1
- WQZGKKKJIJFFOK-PHYPRBDBSA-N alpha-D-galactose Chemical compound OC[C@H]1O[C@H](O)[C@H](O)[C@@H](O)[C@H]1O WQZGKKKJIJFFOK-PHYPRBDBSA-N 0.000 description 1
- 125000000266 alpha-aminoacyl group Chemical group 0.000 description 1
- AWUCVROLDVIAJX-UHFFFAOYSA-N alpha-glycerophosphate Chemical class OCC(O)COP(O)(O)=O AWUCVROLDVIAJX-UHFFFAOYSA-N 0.000 description 1
- BJEPYKJPYRNKOW-UHFFFAOYSA-N alpha-hydroxysuccinic acid Natural products OC(=O)C(O)CC(O)=O BJEPYKJPYRNKOW-UHFFFAOYSA-N 0.000 description 1
- WNROFYMDJYEPJX-UHFFFAOYSA-K aluminium hydroxide Chemical compound [OH-].[OH-].[OH-].[Al+3] WNROFYMDJYEPJX-UHFFFAOYSA-K 0.000 description 1
- 229940024545 aluminum hydroxide Drugs 0.000 description 1
- 229940024546 aluminum hydroxide gel Drugs 0.000 description 1
- SMYKVLBUSSNXMV-UHFFFAOYSA-K aluminum;trihydroxide;hydrate Chemical compound O.[OH-].[OH-].[OH-].[Al+3] SMYKVLBUSSNXMV-UHFFFAOYSA-K 0.000 description 1
- 238000004458 analytical method Methods 0.000 description 1
- 238000010171 animal model Methods 0.000 description 1
- DQEFBVRIBYYPLE-UHFFFAOYSA-N anthracen-9-ylmethyl carbamate Chemical compound C1=CC=C2C(COC(=O)N)=C(C=CC=C3)C3=CC2=C1 DQEFBVRIBYYPLE-UHFFFAOYSA-N 0.000 description 1
- FKFZOFZWJNHJDE-UHFFFAOYSA-N anthracene-9-sulfonamide Chemical compound C1=CC=C2C(S(=O)(=O)N)=C(C=CC=C3)C3=CC2=C1 FKFZOFZWJNHJDE-UHFFFAOYSA-N 0.000 description 1
- 239000003242 anti bacterial agent Substances 0.000 description 1
- 230000000844 anti-bacterial effect Effects 0.000 description 1
- 230000001093 anti-cancer Effects 0.000 description 1
- 230000003466 anti-cipated effect Effects 0.000 description 1
- 230000000845 anti-microbial effect Effects 0.000 description 1
- 230000000840 anti-viral effect Effects 0.000 description 1
- 230000005875 antibody response Effects 0.000 description 1
- 239000003429 antifungal agent Substances 0.000 description 1
- 229940121375 antifungal agent Drugs 0.000 description 1
- 239000002246 antineoplastic agent Substances 0.000 description 1
- 239000008365 aqueous carrier Substances 0.000 description 1
- PYMYPHUHKUWMLA-WDCZJNDASA-N arabinose Chemical compound OC[C@@H](O)[C@@H](O)[C@H](O)C=O PYMYPHUHKUWMLA-WDCZJNDASA-N 0.000 description 1
- 238000003491 array Methods 0.000 description 1
- 229910052785 arsenic Inorganic materials 0.000 description 1
- 125000005160 aryl oxy alkyl group Chemical group 0.000 description 1
- 229940072107 ascorbate Drugs 0.000 description 1
- 229960005070 ascorbic acid Drugs 0.000 description 1
- 235000010385 ascorbyl palmitate Nutrition 0.000 description 1
- 229940009098 aspartate Drugs 0.000 description 1
- 238000003556 assay Methods 0.000 description 1
- 238000011914 asymmetric synthesis Methods 0.000 description 1
- 230000003190 augmentative effect Effects 0.000 description 1
- 235000021053 average weight gain Nutrition 0.000 description 1
- 150000001540 azides Chemical class 0.000 description 1
- 230000001580 bacterial effect Effects 0.000 description 1
- 239000000440 bentonite Substances 0.000 description 1
- 229910000278 bentonite Inorganic materials 0.000 description 1
- SVPXDRXYRYOSEX-UHFFFAOYSA-N bentoquatam Chemical compound O.O=[Si]=O.O=[Al]O[Al]=O SVPXDRXYRYOSEX-UHFFFAOYSA-N 0.000 description 1
- WDODWFPDZYSKIA-UHFFFAOYSA-N benzeneselenol Chemical class [SeH]C1=CC=CC=C1 WDODWFPDZYSKIA-UHFFFAOYSA-N 0.000 description 1
- SRSXLGNVWSONIS-UHFFFAOYSA-M benzenesulfonate Chemical class [O-]S(=O)(=O)C1=CC=CC=C1 SRSXLGNVWSONIS-UHFFFAOYSA-M 0.000 description 1
- 229940077388 benzenesulfonate Drugs 0.000 description 1
- 125000003785 benzimidazolyl group Chemical group N1=C(NC2=C1C=CC=C2)* 0.000 description 1
- 229940050390 benzoate Drugs 0.000 description 1
- 125000000499 benzofuranyl group Chemical group O1C(=CC2=C1C=CC=C2)* 0.000 description 1
- WPYMKLBDIGXBTP-UHFFFAOYSA-N benzoic acid Chemical class OC(=O)C1=CC=CC=C1 WPYMKLBDIGXBTP-UHFFFAOYSA-N 0.000 description 1
- 125000001164 benzothiazolyl group Chemical group S1C(=NC2=C1C=CC=C2)* 0.000 description 1
- 125000004196 benzothienyl group Chemical group S1C(=CC2=C1C=CC=C2)* 0.000 description 1
- PASDCCFISLVPSO-UHFFFAOYSA-N benzoyl chloride Chemical compound ClC(=O)C1=CC=CC=C1 PASDCCFISLVPSO-UHFFFAOYSA-N 0.000 description 1
- GUBGYTABKSRVRQ-QUYVBRFLSA-N beta-maltose Chemical compound OC[C@H]1O[C@H](O[C@H]2[C@H](O)[C@@H](O)[C@H](O)O[C@@H]2CO)[C@H](O)[C@@H](O)[C@@H]1O GUBGYTABKSRVRQ-QUYVBRFLSA-N 0.000 description 1
- XMIIGOLPHOKFCH-UHFFFAOYSA-N beta-phenylpropanoic acid Natural products OC(=O)CCC1=CC=CC=C1 XMIIGOLPHOKFCH-UHFFFAOYSA-N 0.000 description 1
- 125000002618 bicyclic heterocycle group Chemical group 0.000 description 1
- 238000004166 bioassay Methods 0.000 description 1
- 230000004071 biological effect Effects 0.000 description 1
- 125000000319 biphenyl-4-yl group Chemical group [H]C1=C([H])C([H])=C([H])C([H])=C1C1=C([H])C([H])=C([*])C([H])=C1[H] 0.000 description 1
- JKJWYKGYGWOAHT-UHFFFAOYSA-N bis(prop-2-enyl) carbonate Chemical compound C=CCOC(=O)OCC=C JKJWYKGYGWOAHT-UHFFFAOYSA-N 0.000 description 1
- 238000004061 bleaching Methods 0.000 description 1
- 239000007844 bleaching agent Substances 0.000 description 1
- 230000000740 bleeding effect Effects 0.000 description 1
- 210000004369 blood Anatomy 0.000 description 1
- 239000008280 blood Substances 0.000 description 1
- 125000001626 borono group Chemical group [H]OB([*])O[H] 0.000 description 1
- 244000275904 brauner Senf Species 0.000 description 1
- 229910052794 bromium Inorganic materials 0.000 description 1
- 239000000872 buffer Substances 0.000 description 1
- 239000007853 buffer solution Substances 0.000 description 1
- 125000000484 butyl group Chemical group [H]C([*])([H])C([H])([H])C([H])([H])C([H])([H])[H] 0.000 description 1
- 235000019282 butylated hydroxyanisole Nutrition 0.000 description 1
- 239000011575 calcium Substances 0.000 description 1
- 229910052791 calcium Inorganic materials 0.000 description 1
- FATUQANACHZLRT-KMRXSBRUSA-L calcium glucoheptonate Chemical class [Ca+2].OC[C@@H](O)[C@@H](O)[C@H](O)[C@@H](O)C(O)C([O-])=O.OC[C@@H](O)[C@@H](O)[C@H](O)[C@@H](O)C(O)C([O-])=O FATUQANACHZLRT-KMRXSBRUSA-L 0.000 description 1
- 239000010495 camellia oil Substances 0.000 description 1
- MIOPJNTWMNEORI-UHFFFAOYSA-N camphorsulfonic acid Chemical class C1CC2(CS(O)(=O)=O)C(=O)CC1C2(C)C MIOPJNTWMNEORI-UHFFFAOYSA-N 0.000 description 1
- 125000000609 carbazolyl group Chemical group C1(=CC=CC=2C3=CC=CC=C3NC12)* 0.000 description 1
- 125000005587 carbonate group Chemical group 0.000 description 1
- 239000001768 carboxy methyl cellulose Substances 0.000 description 1
- 150000007942 carboxylates Chemical class 0.000 description 1
- 238000004517 catalytic hydrocracking Methods 0.000 description 1
- 150000001768 cations Chemical class 0.000 description 1
- 230000001413 cellular effect Effects 0.000 description 1
- 229920002301 cellulose acetate Polymers 0.000 description 1
- 210000003169 central nervous system Anatomy 0.000 description 1
- 239000002738 chelating agent Substances 0.000 description 1
- 229910052729 chemical element Inorganic materials 0.000 description 1
- 229910052801 chlorine Inorganic materials 0.000 description 1
- VXIVSQZSERGHQP-UHFFFAOYSA-N chloroacetamide Chemical compound NC(=O)CCl VXIVSQZSERGHQP-UHFFFAOYSA-N 0.000 description 1
- FOCAUTSVDIKZOP-UHFFFAOYSA-M chloroacetate Chemical compound [O-]C(=O)CCl FOCAUTSVDIKZOP-UHFFFAOYSA-M 0.000 description 1
- 229940089960 chloroacetate Drugs 0.000 description 1
- 229960004926 chlorobutanol Drugs 0.000 description 1
- 235000012000 cholesterol Nutrition 0.000 description 1
- 125000003016 chromanyl group Chemical group O1C(CCC2=CC=CC=C12)* 0.000 description 1
- 239000011248 coating agent Substances 0.000 description 1
- 229940110456 cocoa butter Drugs 0.000 description 1
- 235000019868 cocoa butter Nutrition 0.000 description 1
- 239000003086 colorant Substances 0.000 description 1
- 238000007796 conventional method Methods 0.000 description 1
- 238000001816 cooling Methods 0.000 description 1
- 235000005687 corn oil Nutrition 0.000 description 1
- 239000002285 corn oil Substances 0.000 description 1
- 239000008120 corn starch Substances 0.000 description 1
- 235000012343 cottonseed oil Nutrition 0.000 description 1
- 239000002385 cottonseed oil Substances 0.000 description 1
- 230000008878 coupling Effects 0.000 description 1
- 238000010168 coupling process Methods 0.000 description 1
- 238000005859 coupling reaction Methods 0.000 description 1
- 150000005676 cyclic carbonates Chemical class 0.000 description 1
- 125000000392 cycloalkenyl group Chemical group 0.000 description 1
- LWABFMLTBBNLTA-UHFFFAOYSA-N cyclobutyl carbamate Chemical class NC(=O)OC1CCC1 LWABFMLTBBNLTA-UHFFFAOYSA-N 0.000 description 1
- NNGAQKAUYDTUQR-UHFFFAOYSA-N cyclohexanimine Chemical compound N=C1CCCCC1 NNGAQKAUYDTUQR-UHFFFAOYSA-N 0.000 description 1
- AUELWJRRASQDKI-UHFFFAOYSA-N cyclohexyl carbamate Chemical class NC(=O)OC1CCCCC1 AUELWJRRASQDKI-UHFFFAOYSA-N 0.000 description 1
- FNIATMYXUPOJRW-UHFFFAOYSA-N cyclohexylidene Chemical group [C]1CCCCC1 FNIATMYXUPOJRW-UHFFFAOYSA-N 0.000 description 1
- BALGDZWGNCXXES-UHFFFAOYSA-N cyclopentane;propanoic acid Chemical class CCC(O)=O.C1CCCC1 BALGDZWGNCXXES-UHFFFAOYSA-N 0.000 description 1
- JMFVWNKPLURQMI-UHFFFAOYSA-N cyclopentyl carbamate Chemical class NC(=O)OC1CCCC1 JMFVWNKPLURQMI-UHFFFAOYSA-N 0.000 description 1
- PWAPCRSSMCLZHG-UHFFFAOYSA-N cyclopentylidene Chemical group [C]1CCCC1 PWAPCRSSMCLZHG-UHFFFAOYSA-N 0.000 description 1
- UWYRVVJXSNXVAI-UHFFFAOYSA-N cyclopropylmethyl carbamate Chemical class NC(=O)OCC1CC1 UWYRVVJXSNXVAI-UHFFFAOYSA-N 0.000 description 1
- 229960001305 cysteine hydrochloride Drugs 0.000 description 1
- 210000000805 cytoplasm Anatomy 0.000 description 1
- 210000001151 cytotoxic T lymphocyte Anatomy 0.000 description 1
- 231100000135 cytotoxicity Toxicity 0.000 description 1
- 230000003013 cytotoxicity Effects 0.000 description 1
- 238000000354 decomposition reaction Methods 0.000 description 1
- 230000003247 decreasing effect Effects 0.000 description 1
- 238000007872 degassing Methods 0.000 description 1
- 230000002939 deleterious effect Effects 0.000 description 1
- 230000001419 dependent effect Effects 0.000 description 1
- 238000009795 derivation Methods 0.000 description 1
- 238000005828 desilylation reaction Methods 0.000 description 1
- 229910052805 deuterium Inorganic materials 0.000 description 1
- LWPIKYIJCHLEIP-UHFFFAOYSA-N dibromomethyl benzoate Chemical compound BrC(Br)OC(=O)C1=CC=CC=C1 LWPIKYIJCHLEIP-UHFFFAOYSA-N 0.000 description 1
- 229940120124 dichloroacetate Drugs 0.000 description 1
- JXTHNDFMNIQAHM-UHFFFAOYSA-N dichloroacetic acid Chemical compound OC(=O)C(Cl)Cl JXTHNDFMNIQAHM-UHFFFAOYSA-N 0.000 description 1
- ZBCBWPMODOFKDW-UHFFFAOYSA-N diethanolamine Chemical compound OCCNCCO ZBCBWPMODOFKDW-UHFFFAOYSA-N 0.000 description 1
- HPNMFZURTQLUMO-UHFFFAOYSA-N diethylamine Chemical compound CCNCC HPNMFZURTQLUMO-UHFFFAOYSA-N 0.000 description 1
- UGMCXQCYOVCMTB-UHFFFAOYSA-K dihydroxy(stearato)aluminium Chemical compound CCCCCCCCCCCCCCCCCC(=O)O[Al](O)O UGMCXQCYOVCMTB-UHFFFAOYSA-K 0.000 description 1
- 125000000118 dimethyl group Chemical group [H]C([H])([H])* 0.000 description 1
- YWWZCHLUQSHMCL-UHFFFAOYSA-N diphenyl diselenide Chemical compound C=1C=CC=CC=1[Se][Se]C1=CC=CC=C1 YWWZCHLUQSHMCL-UHFFFAOYSA-N 0.000 description 1
- SXZIXHOMFPUIRK-UHFFFAOYSA-N diphenylmethanimine Chemical compound C=1C=CC=CC=1C(=N)C1=CC=CC=C1 SXZIXHOMFPUIRK-UHFFFAOYSA-N 0.000 description 1
- 125000005982 diphenylmethyl group Chemical group [H]C1=C([H])C([H])=C(C([H])=C1[H])C([H])(*)C1=C([H])C([H])=C([H])C([H])=C1[H] 0.000 description 1
- 231100000676 disease causative agent Toxicity 0.000 description 1
- 230000005750 disease progression Effects 0.000 description 1
- 208000035475 disorder Diseases 0.000 description 1
- 239000002270 dispersing agent Substances 0.000 description 1
- MOTZDAYCYVMXPC-UHFFFAOYSA-N dodecyl hydrogen sulfate Chemical compound CCCCCCCCCCCCOS(O)(=O)=O MOTZDAYCYVMXPC-UHFFFAOYSA-N 0.000 description 1
- 229940043264 dodecyl sulfate Drugs 0.000 description 1
- 238000001035 drying Methods 0.000 description 1
- 239000000839 emulsion Substances 0.000 description 1
- 238000003821 enantio-separation Methods 0.000 description 1
- 230000032050 esterification Effects 0.000 description 1
- 238000005886 esterification reaction Methods 0.000 description 1
- CCIVGXIOQKPBKL-UHFFFAOYSA-M ethanesulfonate Chemical class CCS([O-])(=O)=O CCIVGXIOQKPBKL-UHFFFAOYSA-M 0.000 description 1
- BEFDCLMNVWHSGT-UHFFFAOYSA-N ethenylcyclopentane Chemical compound C=CC1CCCC1 BEFDCLMNVWHSGT-UHFFFAOYSA-N 0.000 description 1
- 235000019325 ethyl cellulose Nutrition 0.000 description 1
- 229920001249 ethyl cellulose Polymers 0.000 description 1
- 125000001495 ethyl group Chemical group [H]C([H])([H])C([H])([H])* 0.000 description 1
- 238000001704 evaporation Methods 0.000 description 1
- 230000008020 evaporation Effects 0.000 description 1
- 230000029142 excretion Effects 0.000 description 1
- 239000002360 explosive Substances 0.000 description 1
- 150000002190 fatty acyls Chemical group 0.000 description 1
- 239000000945 filler Substances 0.000 description 1
- 239000000796 flavoring agent Substances 0.000 description 1
- 239000011737 fluorine Substances 0.000 description 1
- 125000001153 fluoro group Chemical group F* 0.000 description 1
- 239000011888 foil Substances 0.000 description 1
- 235000003599 food sweetener Nutrition 0.000 description 1
- 238000004108 freeze drying Methods 0.000 description 1
- 239000003517 fume Substances 0.000 description 1
- JDFMACVFWGNZER-UHFFFAOYSA-N furan-2-ylmethylcarbamic acid Chemical compound OC(=O)NCC1=CC=CO1 JDFMACVFWGNZER-UHFFFAOYSA-N 0.000 description 1
- 125000002541 furyl group Chemical group 0.000 description 1
- 239000007789 gas Substances 0.000 description 1
- 229940050410 gluconate Drugs 0.000 description 1
- 229940097043 glucuronic acid Drugs 0.000 description 1
- 229940096919 glycogen Drugs 0.000 description 1
- 150000002334 glycols Chemical class 0.000 description 1
- 150000004820 halides Chemical class 0.000 description 1
- 125000001188 haloalkyl group Chemical group 0.000 description 1
- 210000002443 helper t lymphocyte Anatomy 0.000 description 1
- SPSXSWRZQFPVTJ-ZQQKUFEYSA-N hepatitis b vaccine Chemical compound C([C@H](NC(=O)[C@H]([C@@H](C)O)NC(=O)[C@H]([C@@H](C)O)NC(=O)[C@H](CO)NC(=O)[C@H](CC(N)=O)NC(=O)[C@H](CC=1C2=CC=CC=C2NC=1)NC(=O)[C@H](CCC(N)=O)NC(=O)[C@@H](N)CCSC)C(=O)N[C@@H](CC1N=CN=C1)C(=O)N[C@@H](CCC(N)=O)C(=O)N[C@@H]([C@@H](C)O)C(=O)N[C@@H](CC(C)C)C(=O)N[C@@H](CCC(N)=O)C(=O)N[C@@H](CC(O)=O)C(=O)N1[C@@H](CCC1)C(=O)N[C@@H](CCCNC(N)=N)C(=O)N[C@@H](C(C)C)C(=O)OC(=O)CNC(=O)CNC(=O)[C@H](C)NC(=O)[C@H]1N(CCC1)C(=O)[C@H](CC=1C=CC=CC=1)NC(=O)[C@H](CC=1C=CC(O)=CC=1)NC(=O)[C@H](CC(C)C)NC(=O)CNC(=O)[C@@H](N)CCCNC(N)=N)C1=CC=CC=C1 SPSXSWRZQFPVTJ-ZQQKUFEYSA-N 0.000 description 1
- 229940124736 hepatitis-B vaccine Drugs 0.000 description 1
- MNWFXJYAOYHMED-UHFFFAOYSA-N heptanoic acid Chemical class CCCCCCC(O)=O MNWFXJYAOYHMED-UHFFFAOYSA-N 0.000 description 1
- 125000004415 heterocyclylalkyl group Chemical group 0.000 description 1
- IPCSVZSSVZVIGE-UHFFFAOYSA-M hexadecanoate Chemical compound CCCCCCCCCCCCCCCC([O-])=O IPCSVZSSVZVIGE-UHFFFAOYSA-M 0.000 description 1
- FUZZWVXGSFPDMH-UHFFFAOYSA-N hexanoic acid Chemical class CCCCCC(O)=O FUZZWVXGSFPDMH-UHFFFAOYSA-N 0.000 description 1
- 150000002402 hexoses Chemical class 0.000 description 1
- 230000036571 hydration Effects 0.000 description 1
- 238000006703 hydration reaction Methods 0.000 description 1
- XMBWDFGMSWQBCA-UHFFFAOYSA-N hydrogen iodide Chemical class I XMBWDFGMSWQBCA-UHFFFAOYSA-N 0.000 description 1
- ZMZDMBWJUHKJPS-UHFFFAOYSA-N hydrogen thiocyanate Natural products SC#N ZMZDMBWJUHKJPS-UHFFFAOYSA-N 0.000 description 1
- QAOWNCQODCNURD-UHFFFAOYSA-M hydrogensulfate Chemical class OS([O-])(=O)=O QAOWNCQODCNURD-UHFFFAOYSA-M 0.000 description 1
- 229940071870 hydroiodic acid Drugs 0.000 description 1
- 125000002883 imidazolyl group Chemical group 0.000 description 1
- 230000001900 immune effect Effects 0.000 description 1
- 210000000987 immune system Anatomy 0.000 description 1
- 239000000568 immunological adjuvant Substances 0.000 description 1
- 239000002955 immunomodulating agent Substances 0.000 description 1
- 229960001438 immunostimulant agent Drugs 0.000 description 1
- 239000003022 immunostimulating agent Substances 0.000 description 1
- 238000011065 in-situ storage Methods 0.000 description 1
- 125000003392 indanyl group Chemical group C1(CCC2=CC=CC=C12)* 0.000 description 1
- 125000003453 indazolyl group Chemical group N1N=C(C2=C1C=CC=C2)* 0.000 description 1
- 229910052738 indium Inorganic materials 0.000 description 1
- 125000003387 indolinyl group Chemical group N1(CCC2=CC=CC=C12)* 0.000 description 1
- 125000003406 indolizinyl group Chemical group C=1(C=CN2C=CC=CC12)* 0.000 description 1
- 125000001041 indolyl group Chemical group 0.000 description 1
- 230000006698 induction Effects 0.000 description 1
- 238000001802 infusion Methods 0.000 description 1
- 239000004615 ingredient Substances 0.000 description 1
- 230000005764 inhibitory process Effects 0.000 description 1
- 230000000977 initiatory effect Effects 0.000 description 1
- 239000007972 injectable composition Substances 0.000 description 1
- 229940124508 injectable medicine Drugs 0.000 description 1
- 150000007529 inorganic bases Chemical class 0.000 description 1
- 230000000968 intestinal effect Effects 0.000 description 1
- 238000001361 intraarterial administration Methods 0.000 description 1
- 238000007918 intramuscular administration Methods 0.000 description 1
- 238000010255 intramuscular injection Methods 0.000 description 1
- 239000007927 intramuscular injection Substances 0.000 description 1
- 238000007912 intraperitoneal administration Methods 0.000 description 1
- 238000007913 intrathecal administration Methods 0.000 description 1
- 238000001990 intravenous administration Methods 0.000 description 1
- 229910052740 iodine Inorganic materials 0.000 description 1
- 238000005342 ion exchange Methods 0.000 description 1
- 150000002500 ions Chemical class 0.000 description 1
- 125000000959 isobutyl group Chemical group [H]C([H])([H])C([H])(C([H])([H])[H])C([H])([H])* 0.000 description 1
- 125000000904 isoindolyl group Chemical group C=1(NC=C2C=CC=CC12)* 0.000 description 1
- QRXWMOHMRWLFEY-UHFFFAOYSA-N isoniazide Chemical compound NNC(=O)C1=CC=NC=C1 QRXWMOHMRWLFEY-UHFFFAOYSA-N 0.000 description 1
- 125000001449 isopropyl group Chemical group [H]C([H])([H])C([H])(*)C([H])([H])[H] 0.000 description 1
- 125000005956 isoquinolyl group Chemical group 0.000 description 1
- 125000001786 isothiazolyl group Chemical group 0.000 description 1
- 239000007951 isotonicity adjuster Substances 0.000 description 1
- 125000000842 isoxazolyl group Chemical group 0.000 description 1
- 150000002576 ketones Chemical class 0.000 description 1
- 231100001231 less toxic Toxicity 0.000 description 1
- 230000000670 limiting effect Effects 0.000 description 1
- 150000002632 lipids Chemical class 0.000 description 1
- 239000002502 liposome Substances 0.000 description 1
- 239000006194 liquid suspension Substances 0.000 description 1
- 229910052744 lithium Inorganic materials 0.000 description 1
- 210000004185 liver Anatomy 0.000 description 1
- 230000007774 longterm Effects 0.000 description 1
- 239000000314 lubricant Substances 0.000 description 1
- 210000002540 macrophage Anatomy 0.000 description 1
- 239000011777 magnesium Substances 0.000 description 1
- 229910052749 magnesium Inorganic materials 0.000 description 1
- VTHJTEIRLNZDEV-UHFFFAOYSA-L magnesium dihydroxide Chemical compound [OH-].[OH-].[Mg+2] VTHJTEIRLNZDEV-UHFFFAOYSA-L 0.000 description 1
- 239000000347 magnesium hydroxide Substances 0.000 description 1
- 229910001862 magnesium hydroxide Inorganic materials 0.000 description 1
- 235000019359 magnesium stearate Nutrition 0.000 description 1
- 238000012423 maintenance Methods 0.000 description 1
- 239000001630 malic acid Substances 0.000 description 1
- 235000011090 malic acid Nutrition 0.000 description 1
- 235000010355 mannitol Nutrition 0.000 description 1
- 239000000594 mannitol Substances 0.000 description 1
- 238000004949 mass spectrometry Methods 0.000 description 1
- 230000004060 metabolic process Effects 0.000 description 1
- HNQIVZYLYMDVSB-UHFFFAOYSA-N methanesulfonimidic acid Chemical compound CS(N)(=O)=O HNQIVZYLYMDVSB-UHFFFAOYSA-N 0.000 description 1
- QARBMVPHQWIHKH-UHFFFAOYSA-N methanesulfonyl chloride Chemical compound CS(Cl)(=O)=O QARBMVPHQWIHKH-UHFFFAOYSA-N 0.000 description 1
- RMIODHQZRUFFFF-UHFFFAOYSA-M methoxyacetate Chemical compound COCC([O-])=O RMIODHQZRUFFFF-UHFFFAOYSA-M 0.000 description 1
- NYEBKUUITGFJAK-UHFFFAOYSA-N methylsulfanylmethanethioic s-acid Chemical compound CSC(O)=S NYEBKUUITGFJAK-UHFFFAOYSA-N 0.000 description 1
- 230000000813 microbial effect Effects 0.000 description 1
- 235000019813 microcrystalline cellulose Nutrition 0.000 description 1
- 239000008108 microcrystalline cellulose Substances 0.000 description 1
- 229940016286 microcrystalline cellulose Drugs 0.000 description 1
- 239000002480 mineral oil Substances 0.000 description 1
- 235000010446 mineral oil Nutrition 0.000 description 1
- 230000004048 modification Effects 0.000 description 1
- 238000012986 modification Methods 0.000 description 1
- 125000002757 morpholinyl group Chemical group 0.000 description 1
- BSOQXXWZTUDTEL-ZUYCGGNHSA-N muramyl dipeptide Chemical compound OC(=O)CC[C@H](C(N)=O)NC(=O)[C@H](C)NC(=O)[C@@H](C)O[C@H]1[C@H](O)[C@@H](CO)O[C@@H](O)[C@@H]1NC(C)=O BSOQXXWZTUDTEL-ZUYCGGNHSA-N 0.000 description 1
- MEPIGJGXDFBYLW-UHFFFAOYSA-N n-(2,4,6-trimethyl-3-pyridin-2-ylphenyl)methanimine Chemical compound CC1=C(N=C)C(C)=CC(C)=C1C1=CC=CC=N1 MEPIGJGXDFBYLW-UHFFFAOYSA-N 0.000 description 1
- YFMDQGBZHKBTQR-UHFFFAOYSA-N n-(2-phosphaniumylethyl)carbamate Chemical compound [O-]C(=O)NCC[PH3+] YFMDQGBZHKBTQR-UHFFFAOYSA-N 0.000 description 1
- BAYDZXVPEQFLCZ-UHFFFAOYSA-N n-(2-trimethylsilylethoxy)methanamine Chemical compound CNOCC[Si](C)(C)C BAYDZXVPEQFLCZ-UHFFFAOYSA-N 0.000 description 1
- YNTOKMNHRPSGFU-UHFFFAOYSA-N n-Propyl carbamate Chemical compound CCCOC(N)=O YNTOKMNHRPSGFU-UHFFFAOYSA-N 0.000 description 1
- 229950006780 n-acetylglucosamine Drugs 0.000 description 1
- KVBGVZZKJNLNJU-UHFFFAOYSA-M naphthalene-2-sulfonate Chemical compound C1=CC=CC2=CC(S(=O)(=O)[O-])=CC=C21 KVBGVZZKJNLNJU-UHFFFAOYSA-M 0.000 description 1
- 125000001624 naphthyl group Chemical group 0.000 description 1
- 125000004593 naphthyridinyl group Chemical group N1=C(C=CC2=CC=CN=C12)* 0.000 description 1
- 229960004927 neomycin Drugs 0.000 description 1
- 229940000041 nervous system drug Drugs 0.000 description 1
- 235000001968 nicotinic acid Nutrition 0.000 description 1
- 239000011664 nicotinic acid Substances 0.000 description 1
- 125000006574 non-aromatic ring group Chemical group 0.000 description 1
- 239000007764 o/w emulsion Substances 0.000 description 1
- QIQXTHQIDYTFRH-UHFFFAOYSA-N octadecanoic acid Chemical compound CCCCCCCCCCCCCCCCCC(O)=O QIQXTHQIDYTFRH-UHFFFAOYSA-N 0.000 description 1
- 229940049964 oleate Drugs 0.000 description 1
- ZQPPMHVWECSIRJ-KTKRTIGZSA-M oleate Chemical compound CCCCCCCC\C=C/CCCCCCCC([O-])=O ZQPPMHVWECSIRJ-KTKRTIGZSA-M 0.000 description 1
- 239000010502 orange oil Substances 0.000 description 1
- 150000007530 organic bases Chemical class 0.000 description 1
- 150000002895 organic esters Chemical class 0.000 description 1
- 229960005030 other vaccine in atc Drugs 0.000 description 1
- 125000001715 oxadiazolyl group Chemical group 0.000 description 1
- 125000002971 oxazolyl group Chemical group 0.000 description 1
- 125000003854 p-chlorophenyl group Chemical group [H]C1=C([H])C(*)=C([H])C([H])=C1Cl 0.000 description 1
- 125000006503 p-nitrobenzyl group Chemical group [H]C1=C([H])C(=C([H])C([H])=C1[N+]([O-])=O)C([H])([H])* 0.000 description 1
- 229910052763 palladium Inorganic materials 0.000 description 1
- 238000007911 parenteral administration Methods 0.000 description 1
- 239000002245 particle Substances 0.000 description 1
- 239000000312 peanut oil Substances 0.000 description 1
- 239000002304 perfume Substances 0.000 description 1
- 230000000737 periodic effect Effects 0.000 description 1
- JRKICGRDRMAZLK-UHFFFAOYSA-L peroxydisulfate Chemical compound [O-]S(=O)(=O)OOS([O-])(=O)=O JRKICGRDRMAZLK-UHFFFAOYSA-L 0.000 description 1
- 229940066827 pertussis vaccine Drugs 0.000 description 1
- 239000000825 pharmaceutical preparation Substances 0.000 description 1
- 230000000144 pharmacologic effect Effects 0.000 description 1
- 125000001791 phenazinyl group Chemical group C1(=CC=CC2=NC3=CC=CC=C3N=C12)* 0.000 description 1
- 125000001484 phenothiazinyl group Chemical group C1(=CC=CC=2SC3=CC=CC=C3NC12)* 0.000 description 1
- DKTXXUNXVCHYDO-UHFFFAOYSA-N phenoxyborinic acid Chemical class OBOC1=CC=CC=C1 DKTXXUNXVCHYDO-UHFFFAOYSA-N 0.000 description 1
- BSCCSDNZEIHXOK-UHFFFAOYSA-N phenyl carbamate Chemical compound NC(=O)OC1=CC=CC=C1 BSCCSDNZEIHXOK-UHFFFAOYSA-N 0.000 description 1
- FAQJJMHZNSSFSM-UHFFFAOYSA-N phenylglyoxylic acid Chemical compound OC(=O)C(=O)C1=CC=CC=C1 FAQJJMHZNSSFSM-UHFFFAOYSA-N 0.000 description 1
- ABOYDMHGKWRPFD-UHFFFAOYSA-N phenylmethanesulfonamide Chemical compound NS(=O)(=O)CC1=CC=CC=C1 ABOYDMHGKWRPFD-UHFFFAOYSA-N 0.000 description 1
- NIXKBAZVOQAHGC-UHFFFAOYSA-N phenylmethanesulfonic acid Chemical compound OS(=O)(=O)CC1=CC=CC=C1 NIXKBAZVOQAHGC-UHFFFAOYSA-N 0.000 description 1
- AFDMODCXODAXLC-UHFFFAOYSA-N phenylmethanimine Chemical compound N=CC1=CC=CC=C1 AFDMODCXODAXLC-UHFFFAOYSA-N 0.000 description 1
- 125000005545 phthalimidyl group Chemical group 0.000 description 1
- 230000004962 physiological condition Effects 0.000 description 1
- 230000035479 physiological effects, processes and functions Effects 0.000 description 1
- 125000003386 piperidinyl group Chemical group 0.000 description 1
- IUGYQRQAERSCNH-UHFFFAOYSA-M pivalate Chemical compound CC(C)(C)C([O-])=O IUGYQRQAERSCNH-UHFFFAOYSA-M 0.000 description 1
- 229950010765 pivalate Drugs 0.000 description 1
- 229920000515 polycarbonate Polymers 0.000 description 1
- 239000004417 polycarbonate Substances 0.000 description 1
- 229920000728 polyester Polymers 0.000 description 1
- 229920000642 polymer Polymers 0.000 description 1
- 239000011591 potassium Substances 0.000 description 1
- 229910052700 potassium Inorganic materials 0.000 description 1
- 235000015497 potassium bicarbonate Nutrition 0.000 description 1
- 229910000028 potassium bicarbonate Inorganic materials 0.000 description 1
- 239000011736 potassium bicarbonate Substances 0.000 description 1
- TYJJADVDDVDEDZ-UHFFFAOYSA-M potassium hydrogencarbonate Chemical compound [K+].OC([O-])=O TYJJADVDDVDEDZ-UHFFFAOYSA-M 0.000 description 1
- 229920001592 potato starch Polymers 0.000 description 1
- 230000002265 prevention Effects 0.000 description 1
- OCAAZRFBJBEVPS-UHFFFAOYSA-N prop-2-enyl carbamate Chemical compound NC(=O)OCC=C OCAAZRFBJBEVPS-UHFFFAOYSA-N 0.000 description 1
- 239000000473 propyl gallate Substances 0.000 description 1
- 235000010388 propyl gallate Nutrition 0.000 description 1
- 229940075579 propyl gallate Drugs 0.000 description 1
- 125000001436 propyl group Chemical group [H]C([*])([H])C([H])([H])C([H])([H])[H] 0.000 description 1
- 230000001012 protector Effects 0.000 description 1
- 235000018102 proteins Nutrition 0.000 description 1
- 102000004169 proteins and genes Human genes 0.000 description 1
- 108090000623 proteins and genes Proteins 0.000 description 1
- 125000001042 pteridinyl group Chemical group N1=C(N=CC2=NC=CN=C12)* 0.000 description 1
- 230000005180 public health Effects 0.000 description 1
- 125000003373 pyrazinyl group Chemical group 0.000 description 1
- 125000003226 pyrazolyl group Chemical group 0.000 description 1
- 125000002098 pyridazinyl group Chemical group 0.000 description 1
- NAIYPGDHZPNRBP-UHFFFAOYSA-N pyridin-2-yl n-methylcarbamate Chemical compound CNC(=O)OC1=CC=CC=N1 NAIYPGDHZPNRBP-UHFFFAOYSA-N 0.000 description 1
- IIRGGKVAUUIFEO-UHFFFAOYSA-N pyridin-4-ylmethylcarbamic acid Chemical compound OC(=O)NCC1=CC=NC=C1 IIRGGKVAUUIFEO-UHFFFAOYSA-N 0.000 description 1
- 125000001422 pyrrolinyl group Chemical group 0.000 description 1
- 230000000171 quenching effect Effects 0.000 description 1
- 125000005493 quinolyl group Chemical group 0.000 description 1
- MUPFEKGTMRGPLJ-ZQSKZDJDSA-N raffinose Chemical compound O[C@H]1[C@H](O)[C@@H](CO)O[C@@]1(CO)O[C@@H]1[C@H](O)[C@@H](O)[C@H](O)[C@@H](CO[C@@H]2[C@@H]([C@@H](O)[C@@H](O)[C@@H](CO)O2)O)O1 MUPFEKGTMRGPLJ-ZQSKZDJDSA-N 0.000 description 1
- 238000011084 recovery Methods 0.000 description 1
- 239000012744 reinforcing agent Substances 0.000 description 1
- YBKWIGSMABMNJZ-UHFFFAOYSA-N s-(2,3,4,5,6-pentachlorophenyl)thiohydroxylamine Chemical compound NSC1=C(Cl)C(Cl)=C(Cl)C(Cl)=C1Cl YBKWIGSMABMNJZ-UHFFFAOYSA-N 0.000 description 1
- RTKRAORYZUBVGQ-UHFFFAOYSA-N s-(2,4-dinitrophenyl)thiohydroxylamine Chemical compound NSC1=CC=C([N+]([O-])=O)C=C1[N+]([O-])=O RTKRAORYZUBVGQ-UHFFFAOYSA-N 0.000 description 1
- LOFZYSZWOLKUGE-UHFFFAOYSA-N s-benzyl carbamothioate Chemical compound NC(=O)SCC1=CC=CC=C1 LOFZYSZWOLKUGE-UHFFFAOYSA-N 0.000 description 1
- 239000005336 safety glass Substances 0.000 description 1
- 235000005713 safflower oil Nutrition 0.000 description 1
- 239000003813 safflower oil Substances 0.000 description 1
- BPELEZSCHIEMAE-UHFFFAOYSA-N salicylaldehyde imine Chemical compound OC1=CC=CC=C1C=N BPELEZSCHIEMAE-UHFFFAOYSA-N 0.000 description 1
- 239000000523 sample Substances 0.000 description 1
- 229930000044 secondary metabolite Natural products 0.000 description 1
- 229940065287 selenium compound Drugs 0.000 description 1
- 150000003343 selenium compounds Chemical class 0.000 description 1
- 230000009919 sequestration Effects 0.000 description 1
- 230000000405 serological effect Effects 0.000 description 1
- 210000002966 serum Anatomy 0.000 description 1
- 239000008159 sesame oil Substances 0.000 description 1
- 235000011803 sesame oil Nutrition 0.000 description 1
- 238000006884 silylation reaction Methods 0.000 description 1
- 239000000779 smoke Substances 0.000 description 1
- AWUCVROLDVIAJX-GSVOUGTGSA-N sn-glycerol 3-phosphate Chemical class OC[C@@H](O)COP(O)(O)=O AWUCVROLDVIAJX-GSVOUGTGSA-N 0.000 description 1
- 229910052708 sodium Inorganic materials 0.000 description 1
- WBHQBSYUUJJSRZ-UHFFFAOYSA-M sodium bisulfate Chemical compound [Na+].OS([O-])(=O)=O WBHQBSYUUJJSRZ-UHFFFAOYSA-M 0.000 description 1
- 229910000342 sodium bisulfate Inorganic materials 0.000 description 1
- 229940100996 sodium bisulfate Drugs 0.000 description 1
- 235000019812 sodium carboxymethyl cellulose Nutrition 0.000 description 1
- 229920001027 sodium carboxymethylcellulose Polymers 0.000 description 1
- 239000011780 sodium chloride Substances 0.000 description 1
- HRZFUMHJMZEROT-UHFFFAOYSA-L sodium disulfite Chemical compound [Na+].[Na+].[O-]S(=O)S([O-])(=O)=O HRZFUMHJMZEROT-UHFFFAOYSA-L 0.000 description 1
- 235000019333 sodium laurylsulphate Nutrition 0.000 description 1
- 229940001584 sodium metabisulfite Drugs 0.000 description 1
- 235000010262 sodium metabisulphite Nutrition 0.000 description 1
- 229940001482 sodium sulfite Drugs 0.000 description 1
- 235000010265 sodium sulphite Nutrition 0.000 description 1
- 239000008247 solid mixture Substances 0.000 description 1
- 235000010199 sorbic acid Nutrition 0.000 description 1
- 239000004334 sorbic acid Substances 0.000 description 1
- 229940075582 sorbic acid Drugs 0.000 description 1
- 239000003549 soybean oil Substances 0.000 description 1
- 235000012424 soybean oil Nutrition 0.000 description 1
- 229930185156 spinosyn Natural products 0.000 description 1
- UQZIYBXSHAGNOE-XNSRJBNMSA-N stachyose Chemical compound O[C@H]1[C@H](O)[C@@H](CO)O[C@@]1(CO)O[C@@H]1[C@H](O)[C@@H](O)[C@H](O)[C@@H](CO[C@@H]2[C@@H]([C@@H](O)[C@@H](O)[C@@H](CO[C@@H]3[C@@H]([C@@H](O)[C@@H](O)[C@@H](CO)O3)O)O2)O)O1 UQZIYBXSHAGNOE-XNSRJBNMSA-N 0.000 description 1
- 239000008107 starch Substances 0.000 description 1
- 230000003068 static effect Effects 0.000 description 1
- 239000010959 steel Substances 0.000 description 1
- 150000003431 steroids Chemical class 0.000 description 1
- 230000004936 stimulating effect Effects 0.000 description 1
- 238000010254 subcutaneous injection Methods 0.000 description 1
- 239000007929 subcutaneous injection Substances 0.000 description 1
- 239000000758 substrate Substances 0.000 description 1
- BDHFUVZGWQCTTF-UHFFFAOYSA-M sulfonate Chemical compound [O-]S(=O)=O BDHFUVZGWQCTTF-UHFFFAOYSA-M 0.000 description 1
- 239000000829 suppository Substances 0.000 description 1
- 239000004094 surface-active agent Substances 0.000 description 1
- 239000000375 suspending agent Substances 0.000 description 1
- 239000003765 sweetening agent Substances 0.000 description 1
- 238000007910 systemic administration Methods 0.000 description 1
- 231100000057 systemic toxicity Toxicity 0.000 description 1
- 239000000454 talc Substances 0.000 description 1
- 229910052623 talc Inorganic materials 0.000 description 1
- 235000002906 tartaric acid Nutrition 0.000 description 1
- 239000011975 tartaric acid Substances 0.000 description 1
- 229940095064 tartrate Drugs 0.000 description 1
- XBXCNNQPRYLIDE-UHFFFAOYSA-N tert-butylcarbamic acid Chemical compound CC(C)(C)NC(O)=O XBXCNNQPRYLIDE-UHFFFAOYSA-N 0.000 description 1
- 238000012360 testing method Methods 0.000 description 1
- FPGGTKZVZWFYPV-UHFFFAOYSA-M tetrabutylammonium fluoride Chemical compound [F-].CCCC[N+](CCCC)(CCCC)CCCC FPGGTKZVZWFYPV-UHFFFAOYSA-M 0.000 description 1
- 125000001712 tetrahydronaphthyl group Chemical group C1(CCCC2=CC=CC=C12)* 0.000 description 1
- 125000003507 tetrahydrothiofenyl group Chemical group 0.000 description 1
- 125000003831 tetrazolyl group Chemical group 0.000 description 1
- 238000010257 thawing Methods 0.000 description 1
- 229940124597 therapeutic agent Drugs 0.000 description 1
- 230000004797 therapeutic response Effects 0.000 description 1
- 125000001113 thiadiazolyl group Chemical group 0.000 description 1
- 125000005308 thiazepinyl group Chemical group S1N=C(C=CC=C1)* 0.000 description 1
- 125000000335 thiazolyl group Chemical group 0.000 description 1
- 125000001544 thienyl group Chemical group 0.000 description 1
- UIERETOOQGIECD-ONEGZZNKSA-N tiglic acid Chemical compound C\C=C(/C)C(O)=O UIERETOOQGIECD-ONEGZZNKSA-N 0.000 description 1
- AOBORMOPSGHCAX-DGHZZKTQSA-N tocofersolan Chemical compound OCCOC(=O)CCC(=O)OC1=C(C)C(C)=C2O[C@](CCC[C@H](C)CCC[C@H](C)CCCC(C)C)(C)CCC2=C1C AOBORMOPSGHCAX-DGHZZKTQSA-N 0.000 description 1
- 229960000984 tocofersolan Drugs 0.000 description 1
- LMYRWZFENFIFIT-UHFFFAOYSA-N toluene-4-sulfonamide Chemical compound CC1=CC=C(S(N)(=O)=O)C=C1 LMYRWZFENFIFIT-UHFFFAOYSA-N 0.000 description 1
- 238000011200 topical administration Methods 0.000 description 1
- 231100000027 toxicology Toxicity 0.000 description 1
- 239000003053 toxin Substances 0.000 description 1
- 231100000765 toxin Toxicity 0.000 description 1
- 125000001425 triazolyl group Chemical group 0.000 description 1
- 229940066528 trichloroacetate Drugs 0.000 description 1
- YNJBWRMUSHSURL-UHFFFAOYSA-N trichloroacetic acid Chemical compound OC(=O)C(Cl)(Cl)Cl YNJBWRMUSHSURL-UHFFFAOYSA-N 0.000 description 1
- KAKQVSNHTBLJCH-UHFFFAOYSA-N trifluoromethanesulfonimidic acid Chemical compound NS(=O)(=O)C(F)(F)F KAKQVSNHTBLJCH-UHFFFAOYSA-N 0.000 description 1
- 125000002023 trifluoromethyl group Chemical group FC(F)(F)* 0.000 description 1
- 125000000026 trimethylsilyl group Chemical group [H]C([H])([H])[Si]([*])(C([H])([H])[H])C([H])([H])[H] 0.000 description 1
- BZVJOYBTLHNRDW-UHFFFAOYSA-N triphenylmethanamine Chemical compound C=1C=CC=CC=1C(C=1C=CC=CC=1)(N)C1=CC=CC=C1 BZVJOYBTLHNRDW-UHFFFAOYSA-N 0.000 description 1
- LENZDBCJOHFCAS-UHFFFAOYSA-N tris Chemical compound OCC(N)(CO)CO LENZDBCJOHFCAS-UHFFFAOYSA-N 0.000 description 1
- 229910052722 tritium Inorganic materials 0.000 description 1
- 125000002221 trityl group Chemical group [H]C1=C([H])C([H])=C([H])C([H])=C1C([*])(C1=C(C(=C(C(=C1[H])[H])[H])[H])[H])C1=C([H])C([H])=C([H])C([H])=C1[H] 0.000 description 1
- ZDPHROOEEOARMN-UHFFFAOYSA-N undecanoic acid Chemical compound CCCCCCCCCCC(O)=O ZDPHROOEEOARMN-UHFFFAOYSA-N 0.000 description 1
- 235000015112 vegetable and seed oil Nutrition 0.000 description 1
- 239000008158 vegetable oil Substances 0.000 description 1
- LVLANIHJQRZTPY-UHFFFAOYSA-N vinyl carbamate Chemical compound NC(=O)OC=C LVLANIHJQRZTPY-UHFFFAOYSA-N 0.000 description 1
- 230000003612 virological effect Effects 0.000 description 1
- 239000003039 volatile agent Substances 0.000 description 1
- 238000005303 weighing Methods 0.000 description 1
- 238000010626 work up procedure Methods 0.000 description 1
- 239000002076 α-tocopherol Substances 0.000 description 1
- 235000004835 α-tocopherol Nutrition 0.000 description 1
Images
Classifications
-
- C—CHEMISTRY; METALLURGY
- C07—ORGANIC CHEMISTRY
- C07H—SUGARS; DERIVATIVES THEREOF; NUCLEOSIDES; NUCLEOTIDES; NUCLEIC ACIDS
- C07H1/00—Processes for the preparation of sugar derivatives
-
- C—CHEMISTRY; METALLURGY
- C07—ORGANIC CHEMISTRY
- C07H—SUGARS; DERIVATIVES THEREOF; NUCLEOSIDES; NUCLEOTIDES; NUCLEIC ACIDS
- C07H13/00—Compounds containing saccharide radicals esterified by carbonic acid or derivatives thereof, or by organic acids, e.g. phosphonic acids
- C07H13/02—Compounds containing saccharide radicals esterified by carbonic acid or derivatives thereof, or by organic acids, e.g. phosphonic acids by carboxylic acids
- C07H13/08—Compounds containing saccharide radicals esterified by carbonic acid or derivatives thereof, or by organic acids, e.g. phosphonic acids by carboxylic acids having the esterifying carboxyl radicals directly attached to carbocyclic rings
-
- A—HUMAN NECESSITIES
- A61—MEDICAL OR VETERINARY SCIENCE; HYGIENE
- A61K—PREPARATIONS FOR MEDICAL, DENTAL OR TOILETRY PURPOSES
- A61K31/00—Medicinal preparations containing organic active ingredients
- A61K31/70—Carbohydrates; Sugars; Derivatives thereof
- A61K31/7024—Esters of saccharides
-
- A—HUMAN NECESSITIES
- A61—MEDICAL OR VETERINARY SCIENCE; HYGIENE
- A61K—PREPARATIONS FOR MEDICAL, DENTAL OR TOILETRY PURPOSES
- A61K39/00—Medicinal preparations containing antigens or antibodies
- A61K39/02—Bacterial antigens
- A61K39/08—Clostridium, e.g. Clostridium tetani
-
- A—HUMAN NECESSITIES
- A61—MEDICAL OR VETERINARY SCIENCE; HYGIENE
- A61K—PREPARATIONS FOR MEDICAL, DENTAL OR TOILETRY PURPOSES
- A61K39/00—Medicinal preparations containing antigens or antibodies
- A61K39/02—Bacterial antigens
- A61K39/099—Bordetella
-
- A—HUMAN NECESSITIES
- A61—MEDICAL OR VETERINARY SCIENCE; HYGIENE
- A61K—PREPARATIONS FOR MEDICAL, DENTAL OR TOILETRY PURPOSES
- A61K39/00—Medicinal preparations containing antigens or antibodies
- A61K39/39—Medicinal preparations containing antigens or antibodies characterised by the immunostimulating additives, e.g. chemical adjuvants
-
- A—HUMAN NECESSITIES
- A61—MEDICAL OR VETERINARY SCIENCE; HYGIENE
- A61P—SPECIFIC THERAPEUTIC ACTIVITY OF CHEMICAL COMPOUNDS OR MEDICINAL PREPARATIONS
- A61P31/00—Antiinfectives, i.e. antibiotics, antiseptics, chemotherapeutics
- A61P31/04—Antibacterial agents
-
- A—HUMAN NECESSITIES
- A61—MEDICAL OR VETERINARY SCIENCE; HYGIENE
- A61P—SPECIFIC THERAPEUTIC ACTIVITY OF CHEMICAL COMPOUNDS OR MEDICINAL PREPARATIONS
- A61P31/00—Antiinfectives, i.e. antibiotics, antiseptics, chemotherapeutics
- A61P31/12—Antivirals
-
- A—HUMAN NECESSITIES
- A61—MEDICAL OR VETERINARY SCIENCE; HYGIENE
- A61P—SPECIFIC THERAPEUTIC ACTIVITY OF CHEMICAL COMPOUNDS OR MEDICINAL PREPARATIONS
- A61P31/00—Antiinfectives, i.e. antibiotics, antiseptics, chemotherapeutics
- A61P31/12—Antivirals
- A61P31/20—Antivirals for DNA viruses
-
- C—CHEMISTRY; METALLURGY
- C07—ORGANIC CHEMISTRY
- C07H—SUGARS; DERIVATIVES THEREOF; NUCLEOSIDES; NUCLEOTIDES; NUCLEIC ACIDS
- C07H13/00—Compounds containing saccharide radicals esterified by carbonic acid or derivatives thereof, or by organic acids, e.g. phosphonic acids
- C07H13/02—Compounds containing saccharide radicals esterified by carbonic acid or derivatives thereof, or by organic acids, e.g. phosphonic acids by carboxylic acids
- C07H13/04—Compounds containing saccharide radicals esterified by carbonic acid or derivatives thereof, or by organic acids, e.g. phosphonic acids by carboxylic acids having the esterifying carboxyl radicals attached to acyclic carbon atoms
-
- C—CHEMISTRY; METALLURGY
- C07—ORGANIC CHEMISTRY
- C07H—SUGARS; DERIVATIVES THEREOF; NUCLEOSIDES; NUCLEOTIDES; NUCLEIC ACIDS
- C07H13/00—Compounds containing saccharide radicals esterified by carbonic acid or derivatives thereof, or by organic acids, e.g. phosphonic acids
- C07H13/02—Compounds containing saccharide radicals esterified by carbonic acid or derivatives thereof, or by organic acids, e.g. phosphonic acids by carboxylic acids
- C07H13/04—Compounds containing saccharide radicals esterified by carbonic acid or derivatives thereof, or by organic acids, e.g. phosphonic acids by carboxylic acids having the esterifying carboxyl radicals attached to acyclic carbon atoms
- C07H13/06—Fatty acids
-
- C—CHEMISTRY; METALLURGY
- C07—ORGANIC CHEMISTRY
- C07H—SUGARS; DERIVATIVES THEREOF; NUCLEOSIDES; NUCLEOTIDES; NUCLEIC ACIDS
- C07H15/00—Compounds containing hydrocarbon or substituted hydrocarbon radicals directly attached to hetero atoms of saccharide radicals
- C07H15/20—Carbocyclic rings
- C07H15/24—Condensed ring systems having three or more rings
-
- C—CHEMISTRY; METALLURGY
- C07—ORGANIC CHEMISTRY
- C07J—STEROIDS
- C07J63/00—Steroids in which the cyclopenta(a)hydrophenanthrene skeleton has been modified by expansion of only one ring by one or two atoms
- C07J63/008—Expansion of ring D by one atom, e.g. D homo steroids
-
- A—HUMAN NECESSITIES
- A61—MEDICAL OR VETERINARY SCIENCE; HYGIENE
- A61K—PREPARATIONS FOR MEDICAL, DENTAL OR TOILETRY PURPOSES
- A61K39/00—Medicinal preparations containing antigens or antibodies
- A61K39/02—Bacterial antigens
- A61K2039/10—Brucella; Bordetella, e.g. Bordetella pertussis; Not used, see subgroups
-
- A—HUMAN NECESSITIES
- A61—MEDICAL OR VETERINARY SCIENCE; HYGIENE
- A61K—PREPARATIONS FOR MEDICAL, DENTAL OR TOILETRY PURPOSES
- A61K39/00—Medicinal preparations containing antigens or antibodies
- A61K2039/555—Medicinal preparations containing antigens or antibodies characterised by a specific combination antigen/adjuvant
- A61K2039/55511—Organic adjuvants
- A61K2039/55577—Saponins; Quil A; QS21; ISCOMS
-
- A—HUMAN NECESSITIES
- A61—MEDICAL OR VETERINARY SCIENCE; HYGIENE
- A61K—PREPARATIONS FOR MEDICAL, DENTAL OR TOILETRY PURPOSES
- A61K39/00—Medicinal preparations containing antigens or antibodies
- A61K2039/555—Medicinal preparations containing antigens or antibodies characterised by a specific combination antigen/adjuvant
- A61K2039/55511—Organic adjuvants
- A61K2039/55583—Polysaccharides
-
- Y—GENERAL TAGGING OF NEW TECHNOLOGICAL DEVELOPMENTS; GENERAL TAGGING OF CROSS-SECTIONAL TECHNOLOGIES SPANNING OVER SEVERAL SECTIONS OF THE IPC; TECHNICAL SUBJECTS COVERED BY FORMER USPC CROSS-REFERENCE ART COLLECTIONS [XRACs] AND DIGESTS
- Y02—TECHNOLOGIES OR APPLICATIONS FOR MITIGATION OR ADAPTATION AGAINST CLIMATE CHANGE
- Y02A—TECHNOLOGIES FOR ADAPTATION TO CLIMATE CHANGE
- Y02A50/00—TECHNOLOGIES FOR ADAPTATION TO CLIMATE CHANGE in human health protection, e.g. against extreme weather
- Y02A50/30—Against vector-borne diseases, e.g. mosquito-borne, fly-borne, tick-borne or waterborne diseases whose impact is exacerbated by climate change
Landscapes
- Health & Medical Sciences (AREA)
- Chemical & Material Sciences (AREA)
- Life Sciences & Earth Sciences (AREA)
- Organic Chemistry (AREA)
- General Health & Medical Sciences (AREA)
- Molecular Biology (AREA)
- Veterinary Medicine (AREA)
- Pharmacology & Pharmacy (AREA)
- Animal Behavior & Ethology (AREA)
- Public Health (AREA)
- Medicinal Chemistry (AREA)
- Engineering & Computer Science (AREA)
- Biotechnology (AREA)
- Biochemistry (AREA)
- Genetics & Genomics (AREA)
- Epidemiology (AREA)
- General Chemical & Material Sciences (AREA)
- Chemical Kinetics & Catalysis (AREA)
- Microbiology (AREA)
- Mycology (AREA)
- Immunology (AREA)
- Communicable Diseases (AREA)
- Oncology (AREA)
- Nuclear Medicine, Radiotherapy & Molecular Imaging (AREA)
- Virology (AREA)
- Pharmaceuticals Containing Other Organic And Inorganic Compounds (AREA)
- Steroid Compounds (AREA)
- Medicines Containing Antibodies Or Antigens For Use As Internal Diagnostic Agents (AREA)
- Saccharide Compounds (AREA)
- Medicines Containing Plant Substances (AREA)
- Medicinal Preparation (AREA)
Abstract
Description
도 2는 합성 QS-21(SQS-21) 또는 화합물 I-4(TiterQuil-1-0-5-5 / TQL-13)와 조합하여 고용량 또는 저용량의 Prevnar-13 또는 Lym2-CRM197 접합체의 면역원성(immunogenicity)을 나타내는 데이터를 도시한다.
도 3은 Adacel 단독(Adacel alone) 또는 화합물 I-4(TiterQuil-1-0-5-5 / TQL-1055) 또는 QS-21(Pharm / tox 연구)과 조합한 것의 면역원성을 나타내는 데이터를 도시한다.
도 4는 Engerix-B 단독 또는 10, 30, 100 또는 300 mcg의 화합물 I-4(TiterQuil-1-0-5-5 / TQL-1055)와 조합한 것의 면역원성을 나타내는 데이터를 도시한다.
도 5는 2μM, 5μM 및 20μM에서의 QS-21 및 20μM, 100μM 및 200μM에서의 화합물 I-4(TiterQuil-1-0-5-5 / TQL-1055)의 용혈 활성(hemolytic activity)을 나타내는 데이터를 도시한다. %용혈 활성은 Triton-X100 / SDS 용출 대조군의 %로 보고됨.
도 6은 화합물 I-4(TiterQuil-1-0-5-5 / TQL-1055)의 총 합성에 사용된 중간체를 수득하기위한 하나의 합성 경로를 나타낸다.
도 7은 화합물 I-4(TiterQuil-1-0-5-5 / TQL-1055)의 총 합성에 사용된 중간체를 수득하기위한 하나의 합성 경로를 나타낸다.
도 8은 화합물 I-4(TiterQuil-1-0-5-5 / TQL-1055)를 수득하기위한 총 합성을 도시한다. 이 도면에서 "반정제된 수피 추출물(Semi-purified Bark extract)"은 Quillaja saponaria (Quil-A, Accurate Chemical and Scientific Corporation, Westbury, NY에서 상업적으로 구입가능)로부터의 반정제 추출물이다.
Claims (25)
- 화학식 I의 화합물 또는 이의 약학적으로 허용가능한 염.
(I)
여기서,
는 단일 또는 이중 결합이고;
W는 ―CHO이고;
V는 ―OH이고;
Y는 ―O―이고;
여기서 Z는 하기 구조를 갖는 탄수화물 도메인이고:
,
여기서:
R1은 독립적으로 H 또는
이고;
R2는 NHR4이고;
R3는 CH2OH이고; 및
R4는 -T-Rz, -C(O)-T-Rz, -NH-T-Rz, -O-T-Rz, -S-T-Rz, -C(O)NH-T-Rz, C(O)O-T-Rz, C(O)S-T-Rz, C(O)NH-T-O-T-Rz, -O-T-Rz, -T-O-T-Rz, -T-S-T-Rz, 또는
여기서:
X는 ―O―, ―NR―, 또는 T-Rz이고;
T는 공유 결합 또는 2가 C1-26 포화 또는 불포화, 직쇄형 또는 분지형의 지방족 또는 헤테로지방족 쇄이고; 및
Rz는 수소, 할로겐, ―OR, ―ORx, ―OR1', ―SR, NR2, ―C(O)OR, ―C(O)R, -NHC(O)R, -NHC(O)OR, NC(O)OR, 또는 아실, 아릴알킬, 헤테로아릴알킬, C1-6 지방족, 6-10-원 아릴, 질소, 산소 또는 황에서 독립적으로 선택된 1-4개의 헤테로원자를 갖는 5-10원 헤테로아릴, 질소, 산소 및 황으로 이루어진 군으로부터 독립적으로 선택된 1-2개의 헤테로원자를 갖는 4-7-원 헤테로시클릴에서 선택된 임의로 치환된 기이고;
Rx는 독립적으로 수소, 또는 알킬 에테르, 벤질 에테르, 실릴 에테르, 아세탈, 케탈, 에스테르, 카르바메이트 및 카르보네이트로 이루어진 군으로부터 선택된 산소 보호기이고;
R은 독립적으로 수소, 또는 아실, 아릴알킬, 6-10-원 아릴, C1-6 지방족, 또는 질소, 산소 및 황으로 이루어진 군으로부터 독립적으로 선택된 1-2개의 헤테로원자를 갖는 C1-6 헤테로지방족에서 선택된 임의로 치환된 기이거나, 또는:
동일한 질소 원자상의 2개의 R은 질소 원자와 함께 취해져 질소, 산소 및 황으로 이루어진 군으로부터 독립적으로 선택된 1-2개의 헤테로원자를 갖는 4-7-원 헤테로시클릭 고리를 형성하고;
R1'은 Rx 또는 하기 구조를 갖는 탄수화물 도메인이고:
여기서:
a, b 및 c 각각의 존재(occurrence)는 독립적으로 0, 1 또는 2이고;
d는 1-5의 정수이고, 여기서 각각의 d 괄호 구조는 동일하거나 상이할 수 있고; 단, 상기 d 괄호 구조는 푸라노스 또는 피라노스 잔기(moiety)를 나타내고, b와 c의 합은 1 또는 2이고;
R0는 수소; 알킬 에테르, 벤질 에테르, 실릴 에테르, 아세탈, 케탈, 에스테르, 카르바메이트 및 카르보네이트로 이루어진 군으로부터 선택된 산소 보호기; 또는 아실, C1-10 지방족, C1-6 헤테로지방족, 6-10-원 아릴, 아릴알킬, 질소, 산소 또는 황에서 독립적으로 선택된 1-4개의 헤테로원자를 갖는 5-10원 헤테로아릴, 질소, 산소 및 황으로 이루어진 군으로부터 독립적으로 선택된 1-2개의 헤테로원자를 갖는 4-7원 헤테로시클릴로 구성된 군으로부터 선택된 임의로 치환된 잔기이고;
Ra, Rb, Rc, 및 Rd의 각 존재는 독립적으로 수소, 할로겐, OH, OR, ORx, NR2, NHCOR, 또는 아실, C1-10 지방족, C1-6 헤테로지방족, 6-10-원 아릴, 아릴알킬, 질소, 산소, 황으로부터 독립적으로 선택된 1-4개의 헤테로원자를 갖는 5-10-원 헤테로아릴, 질소, 산소 및 황으로 이루어진 군으로부터 독립적으로 선택된 1-2개의 헤테로원자를 갖는 4-7-원 헤테로시클릴에서 선택된 임의로 치환된 기이다. - 하기의 단계들을 포함하는 제1항에 의한 화합물을 합성하는 방법.
(a) 화학식 III의 화합물을 제공하는 단계:
(III)
여기서:
는 단일 또는 이중 결합이고;
Y′는 수소, 할로겐, 알킬, 아릴, OR, ORy, OH, NR2, NR3 +, NHR, NH2, SR, 또는 NROR이고;
W는 ―CHO이고;
V는 ―OH이고;
Ry는 ―OH, 또는 에스테르, 아미드, 및 히드라지드로 이루어진 군으로부터 선택된 카르복실 보호기이고;
R의 각 존재는 독립적으로 수소, 또는 아실, 아릴알킬, 6-10-원 아릴, C1-12 지방족, 또는 질소, 산소 및 황으로 이루어진 군으로부터 독립적으로 선택된 1-2개의 헤테로원자를 갖는 C1-12 헤테로지방족에서 선택된 임의로 치환된 기이고;
Rx의 각 존재는 독립적으로 수소, 또는 알킬 에테르, 벤질 에테르, 실릴 에테르, 아세탈, 케탈, 에스테르, 및 카르보네이트로 이루어진 군으로부터 선택된 산소 보호기이고;
(b) 화학식 III의 상기 화합물을 적합한 조건하에 화학식 V의 화합물로 처리하는 단계:
LG-Z
(V)
여기서:
Z는 하기 구조를 갖는 탄수화물 도메인이고:
,
여기서:
R1은 독립적으로 H 또는
이고;
R2는 NHR4이고;
R3는 CH2OH이고; 및
R4는 -T-Rz, -C(O)-T-Rz, -NH-T-Rz, -O-T-Rz, -S-T-Rz, -C(O)NH-T-Rz, C(O)O-T-Rz, C(O)S-T-Rz, C(O)NH-T-O-T-Rz, -O-T-Rz, -T-O-T-Rz, -T-S-T-Rz, 또는
이고,
여기서:
X는 ―O―, ―NR―, 또는 T-Rz이고;
T는 공유 결합 또는 2가 C1-26 포화 또는 불포화, 직쇄형 또는 분지형의 지방족 또는 헤테로지방족 쇄이고;
Rz는 수소, 할로겐, ―OR, ―ORx, ―OR1', ―SR, NR2, ―C(O)OR, ―C(O)R, -NHC(O)R, -NHC(O)OR, NC(O)OR, 또는 아실, 아릴알킬, 헤테로아릴알킬, C1-6 지방족, 6-10-원 아릴, 질소, 산소 또는 황에서 독립적으로 선택된 1-4개의 헤테로원자를 갖는 5-10원 헤테로아릴, 질소, 산소 및 황으로 이루어진 군으로부터 독립적으로 선택된 1-2개의 헤테로원자를 갖는 4-7-원 헤테로시클릴에서 선택된 임의로 치환된 기이고;
R의 각 존재는 독립적으로 수소, 또는 아실, 아릴알킬, 6-10-원 아릴, C1-12 지방족, 또는 질소, 산소 및 황으로 이루어진 군으로부터 독립적으로 선택된 1-2개의 헤테로원자를 갖는 C1-12 헤테로지방족에서 선택된 임의로 치환된 기이고;
Rx의 각 존재는 독립적으로 수소, 또는 알킬 에테르, 벤질 에테르, 실릴 에테르, 아세탈, 케탈, 에스테르, 및 카르보네이트로 이루어진 군으로부터 선택된 산소 보호기이고;
R1'은 Rx 또는 하기 구조를 갖는 탄수화물 도메인이고:
여기서:
a, b 및 c 각각의 존재는 독립적으로 0, 1 또는 2이고;
d는 1-5의 정수이고, 여기서 각각의 d 괄호 구조는 동일하거나 상이할 수 있고; 단, 상기 d 괄호 구조는 푸라노스 또는 피라노스 잔기를 나타내고, b와 c의 합은 1 또는 2이고;
R0는 수소; 알킬 에테르, 벤질 에테르, 실릴 에테르, 아세탈, 케탈, 에스테르, 카르바메이트 및 카르보네이트로 이루어진 군으로부터 선택된 산소 보호기; 또는 아실, C1-10 지방족, C1-6 헤테로지방족, 6-10-원 아릴, 아릴알킬, 질소, 산소 또는 황에서 독립적으로 선택된 1-4개의 헤테로원자를 갖는 5-10원 헤테로아릴, 질소, 산소 및 황으로 이루어진 군으로부터 독립적으로 선택된 1-2개의 헤테로원자를 갖는 4-7원 헤테로시클릴로 구성된 군으로부터 선택된 임의로 치환된 잔기이고;
Ra, Rb, Rc, 및 Rd의 각 존재는 독립적으로 수소, 할로겐, OH, OR, ORx, NR2, NHCOR, 또는 아실, C1-10 지방족, C1-6 헤테로지방족, 6-10-원 아릴, 아릴알킬, 질소, 산소, 황으로부터 독립적으로 선택된 1-4개의 헤테로원자를 갖는 5-10-원 헤테로아릴, 질소, 산소 및 황으로 이루어진 군으로부터 독립적으로 선택된 1-2개의 헤테로원자를 갖는 4-7-원 헤테로시클릴에서 선택된 임의로 치환된 기이고;
(c) 여기 기재된 바와 같은 화학식 I의 화합물을 수득하는 단계. - 하기 단계들을 포함하는 제1항에 의한 화합물 또는 이의 중간체의 합성 방법.
(a) 화학식 III의 화합물을 제공하는 단계:
(III)
여기서:
는 단일 또는 이중 결합이고;
Y′는 수소, 할로겐, 알킬, 아릴, OR, ORy, OH, NR2, NR3 +, NHR, NH2, SR, 또는 NROR이고;
W는 ―CHO이고;
V는 ―OH이고;
Ry는 ―OH, 또는 에스테르, 아미드, 및 히드라지드로 이루어진 군으로부터 선택된 카르복실 보호기이고;
R의 각 존재는 독립적으로 수소, 또는 아실, 아릴알킬, 6-10-원 아릴, C1-12 지방족, 또는 질소, 산소 및 황으로 이루어진 군으로부터 독립적으로 선택된 1-2개의 헤테로원자를 갖는 C1-12 헤테로지방족에서 선택된 임의로 치환된 기이고;
Rx의 각 존재는 독립적으로 수소, 또는 알킬 에테르, 벤질 에테르, 실릴 에테르, 아세탈, 케탈, 에스테르, 및 카르보네이트로 이루어진 군으로부터 선택된 산소 보호기이고;
(b) 화학식 III의 상기 화합물을 화학식 X의 화합물과 반응시키는 단계:
(X)
여기서:
RH는 할로겐이고;
R2는 수소, N3, NH2, 할로겐, OH, OR, OC(O)R4, OC(O)OR4, OC(O)NHR4, OC(O)NRR4, OC(O)SR4, NHC(O)R4, NRC(O)R4, NHC(O)OR4, NHC(O)NHR4, NHC(O)NRR4, NHR4, N(R4)2, NHR4, NRR4, N3, 또는 C1-10 지방족, C1-6 헤테로지방족, 6-10-원 아릴, 아릴알킬, 질소, 산소 및 황으로 이루어진 군으로부터 독립적으로 선택된 1-4개의 헤테로원자를 갖는 5-10원 헤테로아릴, 질소, 산소 및 황으로 이루어진 군으로부터 독립적으로 선택된 1-2개의 헤테로원자를 갖는 4-7-원 헤테로시클릴에서 선택된 임의로 치환된 기이고;
R4는 -T-Rz, -C(O)-T-Rz, -NH-T-Rz, -O-T-Rz, -S-T-Rz, -C(O)NH-T-Rz, C(O)O-T-Rz, C(O)S-T-Rz, C(O)NH-T-O-T-Rz, -O-T-Rz, -T-O-T-Rz, -T-S-T-Rz, 또는
이고,
여기서:
X는 ―O―, ―NR―, 또는 T-Rz이고;
T는 공유 결합 또는 2가 C1-26 포화 또는 불포화, 직쇄형 또는 분지형의 지방족 또는 헤테로지방족 쇄이고;
Rz는 수소, 할로겐, ―OR, ―ORx, ―OR1', ―SR, NR2, ―C(O)OR, ―C(O)R, -NHC(O)R, -NHC(O)OR, NC(O)OR, 또는 아실, 아릴알킬, 헤테로아릴알킬, C1-6 지방족, 6-10-원 아릴, 질소, 산소 또는 황에서 독립적으로 선택된 1-4개의 헤테로원자를 갖는 5-10원 헤테로아릴, 질소, 산소 및 황으로 이루어진 군으로부터 독립적으로 선택된 1-2개의 헤테로원자를 갖는 4-7-원 헤테로시클릴에서 선택된 임의로 치환된 기이고;
R의 각 존재는 독립적으로 수소, 또는 아실, 아릴알킬, 6-10-원 아릴, C1-12 지방족, 또는 질소, 산소 및 황으로 이루어진 군으로부터 독립적으로 선택된 1-2개의 헤테로원자를 갖는 C1-12 헤테로지방족에서 선택된 임의로 치환된 기이고;
Rx의 각 존재는 독립적으로 수소, 또는 알킬 에테르, 벤질 에테르, 실릴 에테르, 아세탈, 케탈, 에스테르, 및 카르보네이트로 이루어진 군으로부터 선택된 산소 보호기이고;
R1'은 Rx 또는 하기 구조를 갖는 탄수화물 도메인이고:
여기서:
a, b 및 c 각각의 존재는 독립적으로 0, 1 또는 2이고;
d는 1-5의 정수이고, 여기서 각각의 d 괄호 구조는 동일하거나 상이할 수 있고; 단, 상기 d 괄호 구조는 푸라노스 또는 피라노스 잔기를 나타내고, b와 c의 합은 1 또는 2이고;
R0는 수소; 알킬 에테르, 벤질 에테르, 실릴 에테르, 아세탈, 케탈, 에스테르, 카르바메이트 및 카르보네이트로 이루어진 군으로부터 선택된 산소 보호기; 또는 아실, C1-10 지방족, C1-6 헤테로지방족, 6-10-원 아릴, 아릴알킬, 질소, 산소 또는 황에서 독립적으로 선택된 1-4개의 헤테로원자를 갖는 5-10원 헤테로아릴, 질소, 산소 및 황으로 이루어진 군으로부터 독립적으로 선택된 1-2개의 헤테로원자를 갖는 4-7원 헤테로시클릴로 구성된 군으로부터 선택된 임의로 치환된 잔기이고;
Ra, Rb, Rc, 및 Rd의 각 존재는 독립적으로 수소, 할로겐, OH, OR, ORx, NR2, NHCOR, 또는 아실, C1-10 지방족, C1-6 헤테로지방족, 6-10-원 아릴, 아릴알킬, 질소, 산소, 황으로부터 독립적으로 선택된 1-4개의 헤테로원자를 갖는 5-10-원 헤테로아릴, 질소, 산소 및 황으로 이루어진 군으로부터 독립적으로 선택된 1-2개의 헤테로원자를 갖는 4-7-원 헤테로시클릴에서 선택된 임의로 치환된 기이다. - 제6항에 있어서, 하기 단계를 더 포함하는 방법.
(c) 단계 (b)의 생성물 또는 단계 (b)의 생성물을 R4-OH로 변형시킨 후에 수득된 화합물을 반응시키는 단계. - 제8항에 있어서,
R4-OH는 HO-C(O)-(CH2)10-C(O)-ORx이고, 여기서 Rx는 독립적으로 수소, 또는 알킬 에테르, 벤질 에테르, 실릴 에테르, 아세탈, 케탈, 에스테르, 카르바메이트 및 카르보네이트로 이루어진 군에서 선택된 산소 보호기인 방법. - 제9항에 있어서,
Rx는 H인 방법. - 제9항에 있어서,
Rx는 Bn인 방법. - 제1항에 의한 화합물, 및 B형 간염(Hepatitis B), 폐렴구균(pneumococcus), 디프테리아(diphtheria), 파상풍(tetanus), 백일해(pertussis), 또는 B. burgdorferi, B. garinii, B. afzelli 및 B. japonica와 같은 보렐리아 속(genus Borrelia)의 밀접하게 관련된 스피로헤타(spirochetes)를 포함하여 라임 병(Lyme disease)으로 이루어진 군에서 선택된 질병을 야기하는 박테리아 또는 바이러스와 관련된 면역학적으로 유효한 양의 항원을 포함하는 약학적 조성물.
- 제2항에 의한 화합물, 및 B형 간염(Hepatitis B), 폐렴구균(pneumococcus), 디프테리아(diphtheria), 파상풍(tetanus), 백일해(pertussis), 또는 B. burgdorferi, B. garinii, B. afzelli 및 B. japonica와 같은 보렐리아 속(genus Borrelia)의 밀접하게 관련된 스피로헤타(spirochetes)를 포함하여 라임 병(Lyme disease)으로 이루어진 군에서 선택된 질병을 야기하는 박테리아 또는 바이러스와 관련된 면역학적으로 유효한 양의 항원을 포함하는 약학적 조성물.
- 제3항에 의한 화합물, 및 B형 간염(Hepatitis B), 폐렴구균(pneumococcus), 디프테리아(diphtheria), 파상풍(tetanus), 백일해(pertussis), 또는 B. burgdorferi, B. garinii, B. afzelli 및 B. japonica와 같은 보렐리아 속(genus Borrelia)의 밀접하게 관련된 스피로헤타(spirochetes)를 포함하여 라임 병(Lyme disease)으로 이루어진 군에서 선택된 질병을 야기하는 박테리아 또는 바이러스와 관련된 면역학적으로 유효한 양의 항원을 포함하는 약학적 조성물.
- 제4항에 의한 화합물 및 B형 간염 바이러스(Hepatitis B virus)와 관련된 면역학적 유효량의 항원을 포함하는 약학적 조성물.
- 제4항에 의한 화합물 및 폐렴구균 박테리움(pneumococcus bacterium)과 관련된 면역학적 유효량의 항원을 포함하는 약학적 조성물.
- 제4항에 의한 화합물 및 코리네박테리움 디프테리아 박테리움(Corynebacterium diphtheria bacterium)과 관련된 면역학적 유효량의 항원을 포함하는 약학적 조성물.
- 제4항에 의한 화합물 및 클로스트리디움 테타니 박테리움(Clostridium tetani bacterium)과 관련된 면역학적 유효량의 항원을 포함하는 약학적 조성물.
- 제4항에 의한 화합물 및 보르데텔라 퍼투시스 박테리움(Bordetella pertussis bacterium)과 관련된 면역학적 유효량의 항원을 포함하는 약학적 조성물.
- 제4항에 의한 화합물, 및 라임 병(Lyme disease) 또는 B. burgdorferi, B. garinii, B. afzelli, 및 B. japonica로 이루어진 군에서 선택된 보렐리아 속(genus Borrelia)의 스피로헤타(spirochetes)를 야기하는 박테리움과 관련된 면역학적으로 유효한 양의 항원을 포함하는 약학적 조성물.
- 제1항에 의한 화합물을 수득하는 방법에 있어서,
제1항에 의한 화합물 및 제2물질을 제공하는 단계; 및
이어서 제2물질의 적어도 일부를 제거함으로써 제1항의 화합물을 정제하는 단계를 포함하는 방법. - 제2항에 의한 화합물을 수득하는 방법에 있어서,
제2항에 의한 화합물 및 제2물질을 제공하는 단계; 및
이어서 제2물질의 적어도 일부를 제거함으로써 제2항의 화합물을 정제하는 단계를 포함하는 방법. - 제3항에 의한 화합물을 수득하는 방법에 있어서,
제3항에 의한 화합물 및 제2물질을 제공하는 단계; 및
이어서 제2물질의 적어도 일부를 제거함으로써 제3항의 화합물을 정제하는 단계를 포함하는 방법. - 제4항에 의한 화합물을 수득하는 방법에 있어서,
제4항에 의한 화합물 및 제2물질을 제공하는 단계; 및
이어서 제2물질의 적어도 일부를 제거함으로써 제4항의 화합물을 정제하는 단계를 포함하는 방법.
Applications Claiming Priority (5)
| Application Number | Priority Date | Filing Date | Title |
|---|---|---|---|
| US201562252296P | 2015-11-06 | 2015-11-06 | |
| US62/252,296 | 2015-11-06 | ||
| US201562268837P | 2015-12-17 | 2015-12-17 | |
| US62/268,837 | 2015-12-17 | ||
| PCT/US2016/060564 WO2017079582A1 (en) | 2015-11-06 | 2016-11-04 | Triterpene saponin analogues |
Publications (1)
| Publication Number | Publication Date |
|---|---|
| KR20180077180A true KR20180077180A (ko) | 2018-07-06 |
Family
ID=58662549
Family Applications (1)
| Application Number | Title | Priority Date | Filing Date |
|---|---|---|---|
| KR1020187012783A Ceased KR20180077180A (ko) | 2015-11-06 | 2016-11-04 | 트리테르펜 사포닌 유사체 |
Country Status (12)
| Country | Link |
|---|---|
| US (5) | US20180327436A1 (ko) |
| EP (2) | EP3370730A4 (ko) |
| JP (3) | JP6900385B2 (ko) |
| KR (1) | KR20180077180A (ko) |
| CN (2) | CN112812143A (ko) |
| AU (1) | AU2016349693B2 (ko) |
| CA (1) | CA3003483C (ko) |
| CL (1) | CL2018001192A1 (ko) |
| IL (3) | IL293848B2 (ko) |
| SG (2) | SG10202012205XA (ko) |
| WO (1) | WO2017079582A1 (ko) |
| ZA (1) | ZA201802891B (ko) |
Families Citing this family (16)
| Publication number | Priority date | Publication date | Assignee | Title |
|---|---|---|---|---|
| SG10202106403QA (en) * | 2014-05-30 | 2021-07-29 | Memorial Sloan Kettering Cancer Center | Minimal saponin analogues, synthesis and use thereof |
| CN112812143A (zh) | 2015-11-06 | 2021-05-18 | 佐剂技术公司 | 三萜皂苷类似物 |
| WO2018191598A1 (en) * | 2017-04-13 | 2018-10-18 | Adjuvance Technologies, Inc. | Triterpene saponin synthesis, intermediates and adjuvant combinations |
| EP3615039A4 (en) * | 2017-04-25 | 2021-01-13 | Adjuvance Technologies, Inc. | TRITERPENIC SAPONIN ANALOGUES |
| CA3061205A1 (en) * | 2017-04-25 | 2018-11-01 | Adjuvance Technologies, Inc. | Triterpene saponin analogues |
| EP3697802A4 (en) * | 2017-10-16 | 2021-11-24 | Adjuvance Technologies, Inc. | TRITERPENIC SAPONIN ANALOGUES |
| US20230128815A1 (en) * | 2020-03-23 | 2023-04-27 | Adjuvance Technologies, Inc. | Adjuvant compounds, salt forms, and formulations |
| EP4153210A4 (en) | 2020-05-19 | 2024-11-13 | Othair Prothena Limited | MULTIPLE EPITOPE VACCINES FOR THE TREATMENT OF ALZHEIMER'S DISEASE |
| JP2023536995A (ja) | 2020-08-07 | 2023-08-30 | オター プロシーナ リミテッド | アルツハイマー病を処置するためのマルチエピトープワクチン |
| WO2023056089A1 (en) | 2021-10-03 | 2023-04-06 | Eisai R&D Management Co., Ltd. | Immunological adjuvant formulations comprising tlr4 agonist e6020 |
| EP4429674A4 (en) * | 2021-11-08 | 2025-10-08 | Adjuvance Tech Inc | ADJUVANT COMPOUNDS AND FORMULATIONS |
| EP4190359A1 (en) | 2021-12-03 | 2023-06-07 | Asociación Centro de Investigación Cooperativa en Biociencias - CIC bioGUNE | Saponin-based adjuvants and vaccines |
| WO2023139145A1 (en) | 2022-01-19 | 2023-07-27 | Asociación Centro De Investigación Cooperativa En Biociencias-Cic Biogune | Saponin-based adjuvants and vaccines |
| CN117106004A (zh) * | 2022-05-17 | 2023-11-24 | 北京科兴中维生物技术有限公司 | 三萜皂苷化合物及其制备方法及应用 |
| WO2024218268A1 (en) | 2023-04-20 | 2024-10-24 | Asociación Centro De Investigación Cooperativa En Biociencias-Cic Biogune | Saponin derivatives as adjuvants and photoaffinity probes |
| WO2024261351A2 (en) | 2024-05-08 | 2024-12-26 | Vaccine Formulation Institute Ch Ltd. | Immunologically active saponin fractions and adjuvant formulations |
Family Cites Families (48)
| Publication number | Priority date | Publication date | Assignee | Title |
|---|---|---|---|---|
| JPS5341202B2 (ko) | 1974-03-12 | 1978-11-01 | ||
| US5231112A (en) | 1984-04-12 | 1993-07-27 | The Liposome Company, Inc. | Compositions containing tris salt of cholesterol hemisuccinate and antifungal |
| US5916588A (en) | 1984-04-12 | 1999-06-29 | The Liposome Company, Inc. | Peptide-containing liposomes, immunogenic liposomes and methods of preparation and use |
| US4769239A (en) | 1984-08-21 | 1988-09-06 | Merck & Co., Inc. | Vaccine against varicella-zoster virus |
| US4684479A (en) | 1985-08-14 | 1987-08-04 | Arrigo Joseph S D | Surfactant mixtures, stable gas-in-liquid emulsions, and methods for the production of such emulsions from said mixtures |
| US6759057B1 (en) | 1986-06-12 | 2004-07-06 | The Liposome Company, Inc. | Methods and compositions using liposome-encapsulated non-steroidal anti-inflammatory drugs |
| IE60901B1 (en) | 1986-08-21 | 1994-08-24 | Vestar Inc | Improved treatment of systemic fungal infections with phospholipid particles encapsulating polyene antifungal antibiotics |
| US6406713B1 (en) | 1987-03-05 | 2002-06-18 | The Liposome Company, Inc. | Methods of preparing low-toxicity drug-lipid complexes |
| US5583112A (en) | 1987-05-29 | 1996-12-10 | Cambridge Biotech Corporation | Saponin-antigen conjugates and the use thereof |
| AU598958B2 (en) | 1987-11-12 | 1990-07-05 | Vestar, Inc. | Improved amphotericin b liposome preparation |
| US5215680A (en) | 1990-07-10 | 1993-06-01 | Cavitation-Control Technology, Inc. | Method for the production of medical-grade lipid-coated microbubbles, paramagnetic labeling of such microbubbles and therapeutic uses of microbubbles |
| DK0651789T4 (da) | 1992-07-17 | 2009-07-27 | Merck & Co Inc | Fremgangsmåde til at forebygge zoster eller lindre varicella-forbundet post-herpetisk neuralgia |
| UA56132C2 (uk) | 1995-04-25 | 2003-05-15 | Смітклайн Бічем Байолоджікалс С.А. | Композиція вакцини (варіанти), спосіб стабілізації qs21 відносно гідролізу (варіанти), спосіб приготування композиції вакцини |
| DE69725747T2 (de) | 1996-08-23 | 2004-07-29 | Sequus Pharmaceuticals, Inc., Menlo Park | Liposome enthaltend cisplatin |
| US6056973A (en) | 1996-10-11 | 2000-05-02 | Sequus Pharmaceuticals, Inc. | Therapeutic liposome composition and method of preparation |
| JP2001503396A (ja) | 1996-10-11 | 2001-03-13 | アルザ コーポレイション | 治療用リポソーム組成物および方法 |
| ES2321769T3 (es) | 1996-10-15 | 2009-06-10 | Transave, Inc. | Liposomas de n-acil fosfatidiletanolamina para el transporte de medicamentos. |
| US6080725A (en) * | 1997-05-20 | 2000-06-27 | Galenica Pharmaceuticals, Inc. | Immunostimulating and vaccine compositions employing saponin analog adjuvants and uses thereof |
| EP1279401B1 (en) | 1997-09-05 | 2008-01-09 | GlaxoSmithKline Biologicals S.A. | Oil in water emulsions containing saponins |
| US6262029B1 (en) * | 1998-08-14 | 2001-07-17 | Galenica Pharmaceuticals, Inc. | Chemically modified saponins and the use thereof as adjuvants |
| AU7085400A (en) | 1999-09-02 | 2001-03-26 | Antigenics, Inc. | Compositions of immunostimulatory polymers and saponin adjuvants and uses thereof |
| GB0401239D0 (en) | 2004-01-21 | 2004-02-25 | Molecularnature Ltd | Adjuvant compositions |
| GB0504436D0 (en) | 2005-03-03 | 2005-04-06 | Glaxosmithkline Biolog Sa | Vaccine |
| TWI457133B (zh) | 2005-12-13 | 2014-10-21 | Glaxosmithkline Biolog Sa | 新穎組合物 |
| GB0700562D0 (en) * | 2007-01-11 | 2007-02-21 | Novartis Vaccines & Diagnostic | Modified Saccharides |
| EA018201B1 (ru) | 2007-05-24 | 2013-06-28 | Глаксосмитклайн Байолоджикалс С.А. | Лиофилизированная антигенная композиция |
| CL2008003808A1 (es) | 2007-12-21 | 2011-03-11 | Glaxosmithkline Biologicals Sa | Componente de vacuna contra la malaria que comprende una particula inmunogena rts,s y/o una particula que se deriva de la proteina cs de una o mas cepas de p. vivax y el antigeno s de la hepatitis b o una particula inmunogena que comprende rts, csv-s y opcionalmente el antigeno s sin fusionar y un agente estabilizante ; y vacuna. |
| JP5706815B2 (ja) | 2008-04-08 | 2015-04-22 | スローン − ケタリング・インスティテュート・フォー・キャンサー・リサーチ | トリテルペンであるサポニン、その合成法および使用 |
| HUE026586T2 (hu) | 2008-04-16 | 2016-06-28 | Glaxosmithkline Biologicals Sa | Vakcina |
| GB0910046D0 (en) | 2009-06-10 | 2009-07-22 | Glaxosmithkline Biolog Sa | Novel compositions |
| BR112012004806B8 (pt) | 2009-09-02 | 2022-10-04 | Novartis Ag | composições imunogênicas que incluem moduladores da atividade de tlr, método para aumento da eficácia da referida composição e uso |
| US20140072622A1 (en) | 2011-05-17 | 2014-03-13 | Glaxosmithkline Biologicals S.A. | Vaccine against streptococcus pneumoniae |
| US20130309273A1 (en) | 2012-05-17 | 2013-11-21 | Kimberly Hassett | Thermostable Vaccine Compositions and Methods of Preparing Same |
| KR102374576B1 (ko) | 2011-05-17 | 2022-03-15 | 솔리제닉스, 인크. | 열안정성 백신 조성물 및 그의 제조방법 |
| WO2014124860A1 (en) | 2013-02-14 | 2014-08-21 | Boehringer Ingelheim International Gmbh | Specific pde4b-inhibitors for the treatment of diabetes mellitus |
| US20150037374A1 (en) | 2013-07-31 | 2015-02-05 | Csl Limited | Anti-tumor compositions and uses thereof |
| SG10202106403QA (en) * | 2014-05-30 | 2021-07-29 | Memorial Sloan Kettering Cancer Center | Minimal saponin analogues, synthesis and use thereof |
| CA2970840A1 (en) | 2014-12-18 | 2016-06-23 | Glaxosmithkline Biologicals S.A. | Vaccine composition comprising truncated varicella zoster virus glycoprotein e antigen |
| CN112812143A (zh) | 2015-11-06 | 2021-05-18 | 佐剂技术公司 | 三萜皂苷类似物 |
| WO2017106836A1 (en) | 2015-12-17 | 2017-06-22 | Memorial Sloan-Kettering Cancer Center | Triterpene saponin variants, methods of synthesis and use thereof |
| GB201621686D0 (en) | 2016-12-20 | 2017-02-01 | Glaxosmithkline Biologicals Sa | Novel methods for inducing an immune response |
| WO2018191598A1 (en) | 2017-04-13 | 2018-10-18 | Adjuvance Technologies, Inc. | Triterpene saponin synthesis, intermediates and adjuvant combinations |
| CA3061205A1 (en) | 2017-04-25 | 2018-11-01 | Adjuvance Technologies, Inc. | Triterpene saponin analogues |
| EP3615039A4 (en) | 2017-04-25 | 2021-01-13 | Adjuvance Technologies, Inc. | TRITERPENIC SAPONIN ANALOGUES |
| CN111315406A (zh) | 2017-09-08 | 2020-06-19 | 传染病研究所 | 包括皂苷的脂质体调配物及其使用方法 |
| EP3697802A4 (en) | 2017-10-16 | 2021-11-24 | Adjuvance Technologies, Inc. | TRITERPENIC SAPONIN ANALOGUES |
| US20190275135A1 (en) | 2018-03-12 | 2019-09-12 | Janssen Pharmaceuticals, Inc | Vaccines against intra-abdominal infections |
| WO2021091997A1 (en) | 2019-11-05 | 2021-05-14 | Adjuvance Technologies, Inc. | Varicella zoster |
-
2016
- 2016-11-04 CN CN202011417416.5A patent/CN112812143A/zh active Pending
- 2016-11-04 JP JP2018543061A patent/JP6900385B2/ja active Active
- 2016-11-04 IL IL293848A patent/IL293848B2/en unknown
- 2016-11-04 CN CN201680078068.9A patent/CN108778289B/zh active Active
- 2016-11-04 IL IL286493A patent/IL286493B/en unknown
- 2016-11-04 EP EP16863057.2A patent/EP3370730A4/en not_active Withdrawn
- 2016-11-04 EP EP21210191.9A patent/EP4001290A1/en active Pending
- 2016-11-04 SG SG10202012205XA patent/SG10202012205XA/en unknown
- 2016-11-04 WO PCT/US2016/060564 patent/WO2017079582A1/en not_active Ceased
- 2016-11-04 SG SG11201803594TA patent/SG11201803594TA/en unknown
- 2016-11-04 CA CA3003483A patent/CA3003483C/en active Active
- 2016-11-04 KR KR1020187012783A patent/KR20180077180A/ko not_active Ceased
- 2016-11-04 AU AU2016349693A patent/AU2016349693B2/en active Active
- 2016-11-04 US US15/774,081 patent/US20180327436A1/en not_active Abandoned
-
2018
- 2018-05-03 CL CL2018001192A patent/CL2018001192A1/es unknown
- 2018-05-03 IL IL259145A patent/IL259145B/en unknown
- 2018-05-03 ZA ZA2018/02891A patent/ZA201802891B/en unknown
-
2020
- 2020-03-23 US US16/827,220 patent/US10906926B2/en active Active
- 2020-08-27 US US17/005,110 patent/US20210002316A1/en not_active Abandoned
-
2021
- 2021-06-16 JP JP2021099839A patent/JP2021152043A/ja active Pending
-
2022
- 2022-11-02 JP JP2022176130A patent/JP2023012519A/ja active Pending
-
2023
- 2023-03-08 US US18/180,421 patent/US12037355B2/en active Active
-
2024
- 2024-06-04 US US18/733,207 patent/US20240327443A1/en active Pending
Also Published As
| Publication number | Publication date |
|---|---|
| US20240327443A1 (en) | 2024-10-03 |
| CL2018001192A1 (es) | 2018-11-23 |
| EP4001290A1 (en) | 2022-05-25 |
| ZA201802891B (en) | 2020-01-29 |
| CN112812143A (zh) | 2021-05-18 |
| WO2017079582A1 (en) | 2017-05-11 |
| IL259145A (en) | 2018-06-28 |
| IL259145B (en) | 2021-09-30 |
| US20180327436A1 (en) | 2018-11-15 |
| SG11201803594TA (en) | 2018-05-30 |
| JP2021152043A (ja) | 2021-09-30 |
| AU2016349693A1 (en) | 2018-05-17 |
| AU2016349693B2 (en) | 2022-08-11 |
| US20230219991A1 (en) | 2023-07-13 |
| CA3003483C (en) | 2022-09-13 |
| US12037355B2 (en) | 2024-07-16 |
| JP6900385B2 (ja) | 2021-07-07 |
| US20200239509A1 (en) | 2020-07-30 |
| IL286493B (en) | 2022-07-01 |
| IL293848B1 (en) | 2024-10-01 |
| CN108778289A (zh) | 2018-11-09 |
| JP2023012519A (ja) | 2023-01-25 |
| IL293848A (en) | 2022-08-01 |
| CA3003483A1 (en) | 2017-05-11 |
| US10906926B2 (en) | 2021-02-02 |
| JP2018537527A (ja) | 2018-12-20 |
| CN108778289B (zh) | 2020-11-17 |
| US20210002316A1 (en) | 2021-01-07 |
| EP3370730A1 (en) | 2018-09-12 |
| IL293848B2 (en) | 2025-02-01 |
| SG10202012205XA (en) | 2021-01-28 |
| EP3370730A4 (en) | 2019-07-31 |
| IL286493A (en) | 2021-10-31 |
Similar Documents
| Publication | Publication Date | Title |
|---|---|---|
| KR20180077180A (ko) | 트리테르펜 사포닌 유사체 | |
| JP5706815B2 (ja) | トリテルペンであるサポニン、その合成法および使用 | |
| KR102706661B1 (ko) | 트리테르펜 사포닌 유사체 | |
| JP7177082B2 (ja) | トリテルペンサポニン類似物 | |
| JP2021152043A5 (ko) | ||
| JP2022169763A (ja) | トリテルペンサポニン合成、中間体及びアジュバントの組み合わせ | |
| HK40042493A (en) | Triterpene saponin analogues | |
| HK40016652A (zh) | 三萜皂苷类似物 | |
| HK40016648A (en) | Triterpene saponin analogues | |
| HK1260769B (en) | Triterpene saponin analogues | |
| HK1260769A1 (en) | Triterpene saponin analogues |
Legal Events
| Date | Code | Title | Description |
|---|---|---|---|
| PA0105 | International application |
Patent event date: 20180503 Patent event code: PA01051R01D Comment text: International Patent Application |
|
| PG1501 | Laying open of application | ||
| PN2301 | Change of applicant |
Patent event date: 20190419 Comment text: Notification of Change of Applicant Patent event code: PN23011R01D |
|
| PA0201 | Request for examination |
Patent event code: PA02012R01D Patent event date: 20210317 Comment text: Request for Examination of Application |
|
| E902 | Notification of reason for refusal | ||
| PE0902 | Notice of grounds for rejection |
Comment text: Notification of reason for refusal Patent event date: 20230927 Patent event code: PE09021S01D |
|
| E601 | Decision to refuse application | ||
| PE0601 | Decision on rejection of patent |
Patent event date: 20240403 Comment text: Decision to Refuse Application Patent event code: PE06012S01D Patent event date: 20230927 Comment text: Notification of reason for refusal Patent event code: PE06011S01I |


















































































































































































