KR20180027230A - Compound and organic light emitting device comprising the same - Google Patents
Compound and organic light emitting device comprising the same Download PDFInfo
- Publication number
- KR20180027230A KR20180027230A KR1020160114567A KR20160114567A KR20180027230A KR 20180027230 A KR20180027230 A KR 20180027230A KR 1020160114567 A KR1020160114567 A KR 1020160114567A KR 20160114567 A KR20160114567 A KR 20160114567A KR 20180027230 A KR20180027230 A KR 20180027230A
- Authority
- KR
- South Korea
- Prior art keywords
- group
- substituted
- unsubstituted
- compound
- light emitting
- Prior art date
- Legal status (The legal status is an assumption and is not a legal conclusion. Google has not performed a legal analysis and makes no representation as to the accuracy of the status listed.)
- Granted
Links
- 0 *(C1C2C=CCC1)c(cc1)c2cc1N(C(CC1)=CC2=C1C(C=CCC1)=C1C2(C(CC=CC1)C1C1CCC23)C2=CC=CC3c2c1cccc2)c(cc1)ccc1-c1ccccc1 Chemical compound *(C1C2C=CCC1)c(cc1)c2cc1N(C(CC1)=CC2=C1C(C=CCC1)=C1C2(C(CC=CC1)C1C1CCC23)C2=CC=CC3c2c1cccc2)c(cc1)ccc1-c1ccccc1 0.000 description 49
- AXVRZVIZICVRFZ-UHFFFAOYSA-N C(CC1C2(C3C4=CC=CC3)c3cccc(N(C(CC56)C=CC5OC5C6C=CCC5)c(cc5)ccc5C5=CC=CCC5)c3-c3ccccc23)CC=C1N4c1ccccc1 Chemical compound C(CC1C2(C3C4=CC=CC3)c3cccc(N(C(CC56)C=CC5OC5C6C=CCC5)c(cc5)ccc5C5=CC=CCC5)c3-c3ccccc23)CC=C1N4c1ccccc1 AXVRZVIZICVRFZ-UHFFFAOYSA-N 0.000 description 1
- YUXODFAUGGDRDM-UHFFFAOYSA-N C(CC=CC1)C1N(C1C2CC=CC1)C1=CC=CCC1C21c2cc(N(c3ccc4[o]c(C=CCC5)c5c4c3)C3=CCC(C4C=CC=CC4)C=C3)ccc2C2=C1CCC=C2 Chemical compound C(CC=CC1)C1N(C1C2CC=CC1)C1=CC=CCC1C21c2cc(N(c3ccc4[o]c(C=CCC5)c5c4c3)C3=CCC(C4C=CC=CC4)C=C3)ccc2C2=C1CCC=C2 YUXODFAUGGDRDM-UHFFFAOYSA-N 0.000 description 1
- UNHGQISXYUOETC-UHFFFAOYSA-N C(CC=CC1C(C2C=C3)C=C3N(C3C=CC(C4C=CC=CC4)=CC3)C(CC3)=CC4=C3OC3C=CC=CC43)C1C21c2ccccc2N(C2C=CC=CC2)c2c1cccc2 Chemical compound C(CC=CC1C(C2C=C3)C=C3N(C3C=CC(C4C=CC=CC4)=CC3)C(CC3)=CC4=C3OC3C=CC=CC43)C1C21c2ccccc2N(C2C=CC=CC2)c2c1cccc2 UNHGQISXYUOETC-UHFFFAOYSA-N 0.000 description 1
- OMKLVKUXSUVXKK-UHFFFAOYSA-N C1C=CC(C2C=CC=CC2N(C(C2)C=CC3=C2C2C=CC=CC2C3(C2C3=CC=CC2)c2ccccc2N3c2ccccc2)c(cc2)cc3c2[s]c2ccccc32)=CC1 Chemical compound C1C=CC(C2C=CC=CC2N(C(C2)C=CC3=C2C2C=CC=CC2C3(C2C3=CC=CC2)c2ccccc2N3c2ccccc2)c(cc2)cc3c2[s]c2ccccc32)=CC1 OMKLVKUXSUVXKK-UHFFFAOYSA-N 0.000 description 1
- FUMVRWDCJVNTLB-UHFFFAOYSA-N CC(C(C(CC1)Cc2c1[o]c1c2CCC=C1)C(CCC1C2=C3CCCC2)=CC1C31c2ccccc2-[n]2c3c1cccc3c1c2cccc1)C1C=CCCC1c1ccccc1 Chemical compound CC(C(C(CC1)Cc2c1[o]c1c2CCC=C1)C(CCC1C2=C3CCCC2)=CC1C31c2ccccc2-[n]2c3c1cccc3c1c2cccc1)C1C=CCCC1c1ccccc1 FUMVRWDCJVNTLB-UHFFFAOYSA-N 0.000 description 1
- IXRGRBPHTALYMB-UHFFFAOYSA-N CC(C(CC1C=CC=CC1c1ccccc1)C(CC1)=Cc2c1[s]c1c2C=CCC1)C(C=CC1C23c(cccc4c5c6CCC=C5)c4[n]6C4=CC=CCC24)=CC1C1=C3C=CCC1 Chemical compound CC(C(CC1C=CC=CC1c1ccccc1)C(CC1)=Cc2c1[s]c1c2C=CCC1)C(C=CC1C23c(cccc4c5c6CCC=C5)c4[n]6C4=CC=CCC24)=CC1C1=C3C=CCC1 IXRGRBPHTALYMB-UHFFFAOYSA-N 0.000 description 1
- IQIACDQBZRZWKF-UHFFFAOYSA-N CC(C(c1c(C2C=CCCC2C2(C3=CC=CCC33)c4c5[n]3c(cccc3)c3c5ccc4)c2ccc1)c(cccc1)c1-c1ccccc1)C(C=C1)=CC2C1OC1C=CCCC21 Chemical compound CC(C(c1c(C2C=CCCC2C2(C3=CC=CCC33)c4c5[n]3c(cccc3)c3c5ccc4)c2ccc1)c(cccc1)c1-c1ccccc1)C(C=C1)=CC2C1OC1C=CCCC21 IQIACDQBZRZWKF-UHFFFAOYSA-N 0.000 description 1
- QYFLPVMDVSWHGL-UHFFFAOYSA-N C[BrH]c(cc12)ccc1-c1ccccc1C2(c1ccc2)c(cccc3)c3-[n]3c1c2c1c3cccc1 Chemical compound C[BrH]c(cc12)ccc1-c1ccccc1C2(c1ccc2)c(cccc3)c3-[n]3c1c2c1c3cccc1 QYFLPVMDVSWHGL-UHFFFAOYSA-N 0.000 description 1
- ZZCGSYPTYQWQAO-UHFFFAOYSA-N c(cc1)ccc1-c(cc1)ccc1N(c(cc1)ccc1-c(cc1)cc2c1[o]c1ccccc21)c(cc1)cc2c1-c1ccccc1C2(c1ccc2)c3ccccc3-[n]3c1c2c1c3cccc1 Chemical compound c(cc1)ccc1-c(cc1)ccc1N(c(cc1)ccc1-c(cc1)cc2c1[o]c1ccccc21)c(cc1)cc2c1-c1ccccc1C2(c1ccc2)c3ccccc3-[n]3c1c2c1c3cccc1 ZZCGSYPTYQWQAO-UHFFFAOYSA-N 0.000 description 1
- HQMMEUXIRTZOCS-UHFFFAOYSA-N c(cc1)ccc1-c(cc1)ccc1Nc(cc1)ccc1-c1ccc2[o]c(cccc3)c3c2c1 Chemical compound c(cc1)ccc1-c(cc1)ccc1Nc(cc1)ccc1-c1ccc2[o]c(cccc3)c3c2c1 HQMMEUXIRTZOCS-UHFFFAOYSA-N 0.000 description 1
Images
Classifications
-
- C—CHEMISTRY; METALLURGY
- C07—ORGANIC CHEMISTRY
- C07D—HETEROCYCLIC COMPOUNDS
- C07D209/00—Heterocyclic compounds containing five-membered rings, condensed with other rings, with one nitrogen atom as the only ring hetero atom
- C07D209/56—Ring systems containing three or more rings
- C07D209/80—[b, c]- or [b, d]-condensed
- C07D209/82—Carbazoles; Hydrogenated carbazoles
- C07D209/88—Carbazoles; Hydrogenated carbazoles with hetero atoms or with carbon atoms having three bonds to hetero atoms with at the most one bond to halogen, e.g. ester or nitrile radicals, directly attached to carbon atoms of the ring system
-
- C—CHEMISTRY; METALLURGY
- C07—ORGANIC CHEMISTRY
- C07D—HETEROCYCLIC COMPOUNDS
- C07D221/00—Heterocyclic compounds containing six-membered rings having one nitrogen atom as the only ring hetero atom, not provided for by groups C07D211/00 - C07D219/00
- C07D221/02—Heterocyclic compounds containing six-membered rings having one nitrogen atom as the only ring hetero atom, not provided for by groups C07D211/00 - C07D219/00 condensed with carbocyclic rings or ring systems
- C07D221/04—Ortho- or peri-condensed ring systems
- C07D221/18—Ring systems of four or more rings
-
- C—CHEMISTRY; METALLURGY
- C07—ORGANIC CHEMISTRY
- C07D—HETEROCYCLIC COMPOUNDS
- C07D209/00—Heterocyclic compounds containing five-membered rings, condensed with other rings, with one nitrogen atom as the only ring hetero atom
- C07D209/56—Ring systems containing three or more rings
- C07D209/80—[b, c]- or [b, d]-condensed
- C07D209/82—Carbazoles; Hydrogenated carbazoles
- C07D209/86—Carbazoles; Hydrogenated carbazoles with only hydrogen atoms, hydrocarbon or substituted hydrocarbon radicals, directly attached to carbon atoms of the ring system
-
- C—CHEMISTRY; METALLURGY
- C07—ORGANIC CHEMISTRY
- C07D—HETEROCYCLIC COMPOUNDS
- C07D307/00—Heterocyclic compounds containing five-membered rings having one oxygen atom as the only ring hetero atom
- C07D307/77—Heterocyclic compounds containing five-membered rings having one oxygen atom as the only ring hetero atom ortho- or peri-condensed with carbocyclic rings or ring systems
- C07D307/91—Dibenzofurans; Hydrogenated dibenzofurans
-
- C—CHEMISTRY; METALLURGY
- C07—ORGANIC CHEMISTRY
- C07D—HETEROCYCLIC COMPOUNDS
- C07D333/00—Heterocyclic compounds containing five-membered rings having one sulfur atom as the only ring hetero atom
- C07D333/50—Heterocyclic compounds containing five-membered rings having one sulfur atom as the only ring hetero atom condensed with carbocyclic rings or ring systems
- C07D333/76—Dibenzothiophenes
-
- C—CHEMISTRY; METALLURGY
- C07—ORGANIC CHEMISTRY
- C07D—HETEROCYCLIC COMPOUNDS
- C07D405/00—Heterocyclic compounds containing both one or more hetero rings having oxygen atoms as the only ring hetero atoms, and one or more rings having nitrogen as the only ring hetero atom
- C07D405/02—Heterocyclic compounds containing both one or more hetero rings having oxygen atoms as the only ring hetero atoms, and one or more rings having nitrogen as the only ring hetero atom containing two hetero rings
- C07D405/12—Heterocyclic compounds containing both one or more hetero rings having oxygen atoms as the only ring hetero atoms, and one or more rings having nitrogen as the only ring hetero atom containing two hetero rings linked by a chain containing hetero atoms as chain links
-
- C—CHEMISTRY; METALLURGY
- C07—ORGANIC CHEMISTRY
- C07D—HETEROCYCLIC COMPOUNDS
- C07D409/00—Heterocyclic compounds containing two or more hetero rings, at least one ring having sulfur atoms as the only ring hetero atoms
- C07D409/02—Heterocyclic compounds containing two or more hetero rings, at least one ring having sulfur atoms as the only ring hetero atoms containing two hetero rings
- C07D409/12—Heterocyclic compounds containing two or more hetero rings, at least one ring having sulfur atoms as the only ring hetero atoms containing two hetero rings linked by a chain containing hetero atoms as chain links
-
- C—CHEMISTRY; METALLURGY
- C07—ORGANIC CHEMISTRY
- C07D—HETEROCYCLIC COMPOUNDS
- C07D471/00—Heterocyclic compounds containing nitrogen atoms as the only ring hetero atoms in the condensed system, at least one ring being a six-membered ring with one nitrogen atom, not provided for by groups C07D451/00 - C07D463/00
- C07D471/02—Heterocyclic compounds containing nitrogen atoms as the only ring hetero atoms in the condensed system, at least one ring being a six-membered ring with one nitrogen atom, not provided for by groups C07D451/00 - C07D463/00 in which the condensed system contains two hetero rings
- C07D471/06—Peri-condensed systems
-
- C—CHEMISTRY; METALLURGY
- C07—ORGANIC CHEMISTRY
- C07D—HETEROCYCLIC COMPOUNDS
- C07D471/00—Heterocyclic compounds containing nitrogen atoms as the only ring hetero atoms in the condensed system, at least one ring being a six-membered ring with one nitrogen atom, not provided for by groups C07D451/00 - C07D463/00
- C07D471/02—Heterocyclic compounds containing nitrogen atoms as the only ring hetero atoms in the condensed system, at least one ring being a six-membered ring with one nitrogen atom, not provided for by groups C07D451/00 - C07D463/00 in which the condensed system contains two hetero rings
- C07D471/10—Spiro-condensed systems
-
- C—CHEMISTRY; METALLURGY
- C09—DYES; PAINTS; POLISHES; NATURAL RESINS; ADHESIVES; COMPOSITIONS NOT OTHERWISE PROVIDED FOR; APPLICATIONS OF MATERIALS NOT OTHERWISE PROVIDED FOR
- C09K—MATERIALS FOR MISCELLANEOUS APPLICATIONS, NOT PROVIDED FOR ELSEWHERE
- C09K11/00—Luminescent, e.g. electroluminescent, chemiluminescent materials
- C09K11/06—Luminescent, e.g. electroluminescent, chemiluminescent materials containing organic luminescent materials
-
- H01L51/0072—
-
- H01L51/5096—
-
- H—ELECTRICITY
- H10—SEMICONDUCTOR DEVICES; ELECTRIC SOLID-STATE DEVICES NOT OTHERWISE PROVIDED FOR
- H10K—ORGANIC ELECTRIC SOLID-STATE DEVICES
- H10K50/00—Organic light-emitting devices
- H10K50/10—OLEDs or polymer light-emitting diodes [PLED]
- H10K50/18—Carrier blocking layers
- H10K50/181—Electron blocking layers
-
- H—ELECTRICITY
- H10—SEMICONDUCTOR DEVICES; ELECTRIC SOLID-STATE DEVICES NOT OTHERWISE PROVIDED FOR
- H10K—ORGANIC ELECTRIC SOLID-STATE DEVICES
- H10K85/00—Organic materials used in the body or electrodes of devices covered by this subclass
- H10K85/60—Organic compounds having low molecular weight
- H10K85/615—Polycyclic condensed aromatic hydrocarbons, e.g. anthracene
-
- H—ELECTRICITY
- H10—SEMICONDUCTOR DEVICES; ELECTRIC SOLID-STATE DEVICES NOT OTHERWISE PROVIDED FOR
- H10K—ORGANIC ELECTRIC SOLID-STATE DEVICES
- H10K85/00—Organic materials used in the body or electrodes of devices covered by this subclass
- H10K85/60—Organic compounds having low molecular weight
- H10K85/615—Polycyclic condensed aromatic hydrocarbons, e.g. anthracene
- H10K85/626—Polycyclic condensed aromatic hydrocarbons, e.g. anthracene containing more than one polycyclic condensed aromatic rings, e.g. bis-anthracene
-
- H—ELECTRICITY
- H10—SEMICONDUCTOR DEVICES; ELECTRIC SOLID-STATE DEVICES NOT OTHERWISE PROVIDED FOR
- H10K—ORGANIC ELECTRIC SOLID-STATE DEVICES
- H10K85/00—Organic materials used in the body or electrodes of devices covered by this subclass
- H10K85/60—Organic compounds having low molecular weight
- H10K85/631—Amine compounds having at least two aryl rest on at least one amine-nitrogen atom, e.g. triphenylamine
- H10K85/633—Amine compounds having at least two aryl rest on at least one amine-nitrogen atom, e.g. triphenylamine comprising polycyclic condensed aromatic hydrocarbons as substituents on the nitrogen atom
-
- H—ELECTRICITY
- H10—SEMICONDUCTOR DEVICES; ELECTRIC SOLID-STATE DEVICES NOT OTHERWISE PROVIDED FOR
- H10K—ORGANIC ELECTRIC SOLID-STATE DEVICES
- H10K85/00—Organic materials used in the body or electrodes of devices covered by this subclass
- H10K85/60—Organic compounds having low molecular weight
- H10K85/631—Amine compounds having at least two aryl rest on at least one amine-nitrogen atom, e.g. triphenylamine
- H10K85/636—Amine compounds having at least two aryl rest on at least one amine-nitrogen atom, e.g. triphenylamine comprising heteroaromatic hydrocarbons as substituents on the nitrogen atom
-
- H—ELECTRICITY
- H10—SEMICONDUCTOR DEVICES; ELECTRIC SOLID-STATE DEVICES NOT OTHERWISE PROVIDED FOR
- H10K—ORGANIC ELECTRIC SOLID-STATE DEVICES
- H10K85/00—Organic materials used in the body or electrodes of devices covered by this subclass
- H10K85/60—Organic compounds having low molecular weight
- H10K85/649—Aromatic compounds comprising a hetero atom
- H10K85/657—Polycyclic condensed heteroaromatic hydrocarbons
- H10K85/6572—Polycyclic condensed heteroaromatic hydrocarbons comprising only nitrogen in the heteroaromatic polycondensed ring system, e.g. phenanthroline or carbazole
-
- H—ELECTRICITY
- H10—SEMICONDUCTOR DEVICES; ELECTRIC SOLID-STATE DEVICES NOT OTHERWISE PROVIDED FOR
- H10K—ORGANIC ELECTRIC SOLID-STATE DEVICES
- H10K85/00—Organic materials used in the body or electrodes of devices covered by this subclass
- H10K85/60—Organic compounds having low molecular weight
- H10K85/649—Aromatic compounds comprising a hetero atom
- H10K85/657—Polycyclic condensed heteroaromatic hydrocarbons
- H10K85/6574—Polycyclic condensed heteroaromatic hydrocarbons comprising only oxygen in the heteroaromatic polycondensed ring system, e.g. cumarine dyes
-
- H—ELECTRICITY
- H10—SEMICONDUCTOR DEVICES; ELECTRIC SOLID-STATE DEVICES NOT OTHERWISE PROVIDED FOR
- H10K—ORGANIC ELECTRIC SOLID-STATE DEVICES
- H10K85/00—Organic materials used in the body or electrodes of devices covered by this subclass
- H10K85/60—Organic compounds having low molecular weight
- H10K85/649—Aromatic compounds comprising a hetero atom
- H10K85/657—Polycyclic condensed heteroaromatic hydrocarbons
- H10K85/6576—Polycyclic condensed heteroaromatic hydrocarbons comprising only sulfur in the heteroaromatic polycondensed ring system, e.g. benzothiophene
-
- C—CHEMISTRY; METALLURGY
- C09—DYES; PAINTS; POLISHES; NATURAL RESINS; ADHESIVES; COMPOSITIONS NOT OTHERWISE PROVIDED FOR; APPLICATIONS OF MATERIALS NOT OTHERWISE PROVIDED FOR
- C09K—MATERIALS FOR MISCELLANEOUS APPLICATIONS, NOT PROVIDED FOR ELSEWHERE
- C09K2211/00—Chemical nature of organic luminescent or tenebrescent compounds
- C09K2211/10—Non-macromolecular compounds
- C09K2211/1003—Carbocyclic compounds
- C09K2211/1011—Condensed systems
-
- C—CHEMISTRY; METALLURGY
- C09—DYES; PAINTS; POLISHES; NATURAL RESINS; ADHESIVES; COMPOSITIONS NOT OTHERWISE PROVIDED FOR; APPLICATIONS OF MATERIALS NOT OTHERWISE PROVIDED FOR
- C09K—MATERIALS FOR MISCELLANEOUS APPLICATIONS, NOT PROVIDED FOR ELSEWHERE
- C09K2211/00—Chemical nature of organic luminescent or tenebrescent compounds
- C09K2211/10—Non-macromolecular compounds
- C09K2211/1003—Carbocyclic compounds
- C09K2211/1014—Carbocyclic compounds bridged by heteroatoms, e.g. N, P, Si or B
Landscapes
- Chemical & Material Sciences (AREA)
- Organic Chemistry (AREA)
- Physics & Mathematics (AREA)
- Engineering & Computer Science (AREA)
- Materials Engineering (AREA)
- Spectroscopy & Molecular Physics (AREA)
- Optics & Photonics (AREA)
- Electroluminescent Light Sources (AREA)
Abstract
본 명세서는 화합물 및 이를 포함한 유기발광소자를 제공한다. The present invention provides a compound and an organic light emitting device including the same.
Description
본 명세서는 화합물 및 이를 포함하는 유기 발광 소자에 관한 것이다.BACKGROUND OF THE
유기발광소자는 2개의 전극 사이에 유기박막을 배치시킨 구조를 가지고 있다. 이와 같은 구조의 유기발광소자에 전압이 인가되면, 2개의 전극으로부터 주입된 전자와 정공이 유기박막에서 결합하여 쌍을 이룬 후 소멸하면서 빛을 발하게 된다. 상기 유기박막은 필요에 따라 단층 또는 다층으로 구성될 수 있다. The organic light emitting device has a structure in which an organic thin film is disposed between two electrodes. When a voltage is applied to the organic light emitting device having such a structure, electrons and holes injected from the two electrodes couple to each other in the organic thin film and form a pair, which then extinguishes and emits light. The organic thin film may be composed of a single layer or a multilayer, if necessary.
유기박막의 재료는 필요에 따라 발광 기능을 가질 수 있다. 예컨대, 유기박막 재료로는 그 자체가 단독으로 발광층을 구성할 수 있는 화합물이 사용될 수도 있고, 또는 호스트-도펀트계 발광층의 호스트 또는 도펀트 역할을 할 수 있는 화합물이 사용될 수도 있다. 그 외에도, 유기박막의 재료로서, 정공주입, 정공수송, 전자블록킹, 정공블록킹, 전자수송 또는 전자주입 등의 역할을 수행할 수 있는 화합물이 사용될 수도 있다.The material of the organic thin film may have a light emitting function as needed. For example, as the organic thin film material, a compound capable of forming a light emitting layer by itself may be used, or a compound capable of serving as a host or a dopant of a host-dopant light emitting layer may be used. In addition, as the material of the organic thin film, a compound capable of performing a role such as hole injection, hole transport, electron blocking, hole blocking, electron transport or electron injection may be used.
유기발광소자의 성능, 수명 또는 효율을 향상시키기 위하여, 유기박막의 재료의 개발이 지속적으로 요구되고 있다.In order to improve the performance, life or efficiency of an organic light emitting device, development of materials for organic thin films is continuously required.
본 명세서는 화합물 및 이를 포함하는 유기 발광 소자를 제공한다.The present invention provides a compound and an organic light emitting device comprising the same.
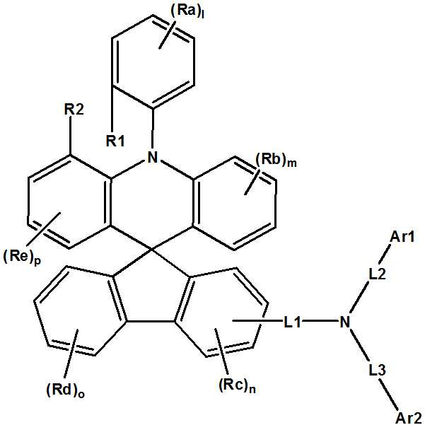
본 명세서의 일 실시상태는 하기 화학식 1로 표시되는 화합물을 제공한다.An embodiment of the present invention provides a compound represented by the following formula (1).
[화학식 1][Chemical Formula 1]
화학식 1에 있어서, R1 및 R2는 서로 같거나 상이하며, 각각 독립적으로 수소 또는 중수소 이거나, R1 과 R2가 서로 결합하여 고리를 형성할 수 있고, In formula (1), R1 and R2 are the same or different and each independently hydrogen or deuterium, R1 and R2 may be bonded to each other to form a ring,
Ra, Rb, Rc, Rd 및 Re는 서로 같거나 상이하며, 각각 독립적으로 수소; 중수소; 할로겐기; 시아노기; 치환 또는 비치환된 알킬기; 치환 또는 비치환된 시클로알킬기; 치환 또는 비치환된 알콕시기; 치환 또는 비치환된 아릴기; 또는 치환 또는 비치환된 헤테로고리기이며, Ra, Rb, Rc, Rd and Re are the same or different and each independently hydrogen; heavy hydrogen; A halogen group; Cyano; A substituted or unsubstituted alkyl group; A substituted or unsubstituted cycloalkyl group; A substituted or unsubstituted alkoxy group; A substituted or unsubstituted aryl group; Or a substituted or unsubstituted heterocyclic group,
l, m 및 o 는 각각 0 내지 4의 정수이고, n 및 p는 각각 0 내지 3의 정수이며, l 내지 p가 2 이상인 경우, 괄호안의 치환기는 서로 같거나 상이하고,l, m and o are each an integer of 0 to 4, n and p are each an integer of 0 to 3, and when 1 to p is 2 or more, the substituents in parentheses are the same or different,
L1 내지 L3은 서로 같거나 상이하며, 각각 독립적으로 직접결합; 또는 치환 또는 비치환된 아릴렌기이며,L1 to L3 are the same or different and are each independently a direct bond; Or a substituted or unsubstituted arylene group,
Ar1은 치환 또는 비치환된 디벤조티오펜기; 치환 또는 비치환된 디벤조퓨란기; 치환 또는 비치환된 카바졸기; 치환 또는 비치환된 플루오렌기; 또는 치환 또는 비치환된 트리페닐렌기이고,Ar 1 is a substituted or unsubstituted dibenzothiophene group; A substituted or unsubstituted dibenzofurane group; A substituted or unsubstituted carbazole group; A substituted or unsubstituted fluorene group; Or a substituted or unsubstituted triphenylene group,
Ar2는 치환 또는 비치환된 페닐기; 치환 또는 비치환된 나프틸기; 치환 또는 비치환된 바이페닐기; 치환 또는 비치환된 디벤조티오펜기; 치환 또는 비치환된 디벤조퓨란기; 또는 치환 또는 비치환된 플루오렌기이며, Ar2 is a substituted or unsubstituted phenyl group; A substituted or unsubstituted naphthyl group; A substituted or unsubstituted biphenyl group; A substituted or unsubstituted dibenzothiophene group; A substituted or unsubstituted dibenzofurane group; Or a substituted or unsubstituted fluorene group,
단, Ar1이 치환 또는 비치환된 플루오렌기인 경우, Ar2는 치환 또는 비치환된 디벤조티오펜기; 치환 또는 비치환된 디벤조퓨란기; 및 치환 또는 비치환된 플루오렌기 중에서 선택된다. Provided that when Ar1 is a substituted or unsubstituted fluorene group, Ar2 is a substituted or unsubstituted dibenzothiophene group; A substituted or unsubstituted dibenzofurane group; And a substituted or unsubstituted fluorene group.
또한, 본 출원은 제1 전극; 상기 제1 전극과 대향하여 구비된 제2 전극; 및 상기 제1 전극과 상기 제2 전극 사이에 구비된 1층 이상의 유기물층을 포함하는 유기 발광 소자로서, 상기 유기물층 중 1 층 이상은 전술한 화합물을 포함하는 것인 유기 발광 소자를 제공한다.The present application also includes a first electrode; A second electrode facing the first electrode; And at least one organic compound layer disposed between the first electrode and the second electrode, wherein at least one of the organic compound layers includes the compound described above.
본 출원의 일 실시상태에 따른 화합물은 유기 발광 소자에 사용되어, 유기 발광 소자의 구동전압을 낮추고, 광효율을 향상시키며, 화합물의 열적 안정성에 의하여 소자의 수명 특성을 향상시킬 수 있다. The compound according to one embodiment of the present application is used in an organic light emitting device to lower the driving voltage of the organic light emitting device, improve the light efficiency, and improve the lifetime characteristics of the device by the thermal stability of the compound.
도 1은 기판(1), 양극(2), 발광층(3), 음극(4)이 순차적으로 적층된 유기 발광 소자의 예를 도시한 것이다.
도 2는 기판 (1), 양극(2), 정공주입층(5), 정공수송층(6), 발광층(3), 전자수송층(7) 및 음극(4)이 순차적으로 적층된 유기 발광 소자의 예를 도시한 것이다.1 shows an example of an organic light emitting device in which a
2 shows an organic light emitting device in which a
이하, 본 명세서에 대하여 더욱 상세하게 설명한다.Hereinafter, the present invention will be described in more detail.
본 명세서는 상기 화학식 1로 표시되는 화합물을 제공한다.The present invention provides a compound represented by the above formula (1).
본 명세서에서 치환기의 예시들은 아래에서 설명하나, 이에 한정되는 것은 아니다. Examples of substituents herein are described below, but are not limited thereto.
상기 "치환"이라는 용어는 화합물의 탄소 원자에 결합된 수소 원자가 다른 치환기로 바뀌는 것을 의미하며, 치환되는 위치는 수소 원자가 치환되는 위치 즉, 치환기가 치환 가능한 위치라면 한정하지 않으며, 2 이상 치환되는 경우, 2 이상의 치환기는 서로 동일하거나 상이할 수 있다.The term "substituted" means that the hydrogen atom bonded to the carbon atom of the compound is replaced with another substituent, and the substituted position is not limited as long as the substituent is a substitutable position, , Two or more substituents may be the same as or different from each other.
본 명세서에서 "치환 또는 비치환된" 이라는 용어는 중수소; 할로겐기; 시아노기; 알킬기; 시클로알킬기; 알케닐기; 알콕시기; 아릴기; 및 헤테로고리기로 이루어진 군에서 선택된 1 또는 2 이상의 치환기로 치환되었거나 상기 예시된 치환기 중 2 이상의 치환기가 연결된 치환기로 치환되거나, 또는 어떠한 치환기도 갖지 않는 것을 의미한다. 예컨대, "2 이상의 치환기가 연결된 치환기"는 바이페닐기일 수 있다. 즉, 바이페닐기는 아릴기일 수도 있고, 2개의 페닐기가 연결된 치환기로 해석될 수 있다. As used herein, the term " substituted or unsubstituted " A halogen group; Cyano; An alkyl group; A cycloalkyl group; An alkenyl group; An alkoxy group; An aryl group; And a heterocyclic group, or that two or more of the substituents in the above-exemplified substituents are substituted with a substituent to which they are linked, or have no substituent. For example, "a substituent to which at least two substituents are connected" may be a biphenyl group. That is, the biphenyl group may be an aryl group, and may be interpreted as a substituent in which two phenyl groups are connected.
본 명세서에 있어서, 할로겐기의 예로는 불소, 염소, 브롬 또는 요오드가 있다. In the present specification, examples of the halogen group include fluorine, chlorine, bromine or iodine.
본 명세서에 있어서, 상기 알킬기는 직쇄 또는 분지쇄일 수 있고, 탄소수는 특별히 한정되지 않으나 1 내지 50인 것이 바람직하다. 구체적인 예로는 메틸, 에틸, 프로필, n-프로필, 이소프로필, 부틸, n-부틸, 이소부틸, tert-부틸, sec-부틸, 1-메틸-부틸, 1-에틸-부틸, 펜틸, n-펜틸, 이소펜틸, 네오펜틸, tert-펜틸, 헥실, n-헥실, 1-메틸펜틸, 2-메틸펜틸, 4-메틸-2-펜틸, 3,3-디메틸부틸, 2-에틸부틸, 헵틸, n-헵틸, 1-메틸헥실, 시클로펜틸메틸, 시클로헥실메틸, 옥틸, n-옥틸, tert-옥틸, 1-메틸헵틸, 2-에틸헥실, 2-프로필펜틸, n-노닐, 2,2-디메틸헵틸, 1-에틸-프로필, 1,1-디메틸-프로필, 이소헥실, 2-메틸펜틸, 4-메틸헥실, 5-메틸헥실 등이 있으나, 이들에 한정되지 않는다.In the present specification, the alkyl group may be linear or branched, and the number of carbon atoms is not particularly limited, but is preferably 1 to 50. Specific examples include methyl, ethyl, propyl, n-propyl, isopropyl, butyl, n-butyl, isobutyl, tert-butyl, sec- N-pentyl, 3-dimethylbutyl, 2-ethylbutyl, heptyl, n-hexyl, Cyclohexylmethyl, octyl, n-octyl, tert-octyl, 1-methylheptyl, 2-ethylhexyl, 2-propylpentyl, n-nonyl, 2,2-dimethyl Heptyl, 1-ethyl-propyl, 1,1-dimethyl-propyl, isohexyl, 2-methylpentyl, 4-methylhexyl, 5-methylhexyl and the like.
본 명세서에 있어서, 시클로알킬기는 특별히 한정되지 않으나, 탄소수 3 내지 60인 것이 바람직하며, 구체적으로 시클로프로필, 시클로부틸, 시클로펜틸, 3-메틸시클로펜틸, 2,3-디메틸시클로펜틸, 시클로헥실, 3-메틸시클로헥실, 4-메틸시클로헥실, 2,3-디메틸시클로헥실, 3,4,5-트리메틸시클로헥실, 4-tert-부틸시클로헥실, 시클로헵틸, 시클로옥틸 등이 있으나, 이에 한정되지 않는다. In the present specification, the cycloalkyl group is not particularly limited, but preferably has 3 to 60 carbon atoms, and specifically includes cyclopropyl, cyclobutyl, cyclopentyl, 3-methylcyclopentyl, 2,3-dimethylcyclopentyl, cyclohexyl, But are not limited to, 3-methylcyclohexyl, 4-methylcyclohexyl, 2,3-dimethylcyclohexyl, 3,4,5-trimethylcyclohexyl, 4-tert- butylcyclohexyl, cycloheptyl, Do not.
본 명세서에 있어서, 상기 알콕시기는 직쇄, 분지쇄 또는 고리쇄일 수 있다. 알콕시기의 탄소수는 특별히 한정되지 않으나, 탄소수 1 내지 20인 것이 바람직하다. 구체적으로, 메톡시, 에톡시, n-프로폭시, 이소프로폭시, i-프로필옥시, n-부톡시, 이소부톡시, tert-부톡시, sec-부톡시, n-펜틸옥시, 네오펜틸옥시, 이소펜틸옥시, n-헥실옥시, 3,3-디메틸부틸옥시, 2-에틸부틸옥시, n-옥틸옥시, n-노닐옥시, n-데실옥시, 벤질옥시, p-메틸벤질옥시 등이 될 수 있으나, 이에 한정되는 것은 아니다.In the present specification, the alkoxy group may be linear, branched or cyclic. The number of carbon atoms of the alkoxy group is not particularly limited, but is preferably 1 to 20 carbon atoms. Specific examples include methoxy, ethoxy, n-propoxy, isopropoxy, i-propyloxy, n-butoxy, isobutoxy, tert-butoxy, sec-butoxy, n-pentyloxy, neopentyloxy, N-hexyloxy, n-hexyloxy, 3,3-dimethylbutyloxy, 2-ethylbutyloxy, n-octyloxy, n-nonyloxy, n-decyloxy, benzyloxy, But is not limited thereto.
본 명세서에 있어서, 상기 알케닐기는 직쇄 또는 분지쇄일 수 있고, 탄소수는 특별히 한정되지 않으나, 2 내지 40인 것이 바람직하다. 구체적인 예로는 비닐, 1-프로페닐, 이소프로페닐, 1-부테닐, 2-부테닐, 3-부테닐, 1-펜테닐, 2-펜테닐, 3-펜테닐, 3-메틸-1-부테닐, 1,3-부타디에닐, 알릴, 1-페닐비닐-1-일, 2-페닐비닐-1-일, 2,2-디페닐비닐-1-일, 2-페닐-2-(나프틸-1-일)비닐-1-일, 2,2-비스(디페닐-1-일)비닐-1-일, 스틸베닐기, 스티레닐기 등이 있으나 이들에 한정되지 않는다.In the present specification, the alkenyl group may be straight-chain or branched, and the number of carbon atoms is not particularly limited, but is preferably 2 to 40. Specific examples include vinyl, 1-propenyl, isopropenyl, 1-butenyl, 2-butenyl, 3-butenyl, 1-pentenyl, Butenyl, allyl, 1-phenylvinyl-1-yl, 2-phenylvinyl-1-yl, (Diphenyl-1-yl) vinyl-1-yl, stilbenyl, stilenyl, and the like.
본 명세서에서 상기 아릴기가 단환식 아릴기인 경우 탄소수는 특별히 한정되지 않으나, 탄소수 6 내지 25인 것이 바람직하다. 구체적으로 단환식 아릴기로는 페닐기, 바이페닐기, 터페닐기 등이 될 수 있으나, 이에 한정되는 것은 아니다. In the present specification, when the aryl group is a monocyclic aryl group, the number of carbon atoms is not particularly limited, but is preferably 6 to 25 carbon atoms. Specific examples of the monocyclic aryl group include a phenyl group, a biphenyl group, a terphenyl group, and the like, but are not limited thereto.
상기 아릴기가 다환식 아릴기인 경우 탄소수는 특별히 한정되지 않으나. 탄소수 10 내지 24인 것이 바람직하다. 구체적으로 다환식 아릴기로는 나프틸기, 안트라센기, 페난트릴기, 파이레닐기, 페릴레닐기, 크라이세닐기, 플루오렌기 등이 될 수 있으나, 이에 한정되는 것은 아니다.When the aryl group is a polycyclic aryl group, the number of carbon atoms is not particularly limited. And preferably has 10 to 24 carbon atoms. Specific examples of the polycyclic aryl group include, but are not limited to, a naphthyl group, an anthracene group, a phenanthryl group, a pyrenyl group, a perylenyl group, a klycenyl group and a fluorene group.
본 명세서에 있어서, 상기 플루오렌기는 치환될 수 있으며, 인접한 치환기들이 서로 결합하여 고리를 형성할 수 있다.In the present specification, the fluorene group may be substituted, and adjacent substituents may be bonded to each other to form a ring.
상기 플루오레닐기가 치환되는 경우, , , , 등이 될 수 있으나, 이에 한정되는 것은 아니다.When the fluorenyl group is substituted, , , , And the like, but the present invention is not limited thereto.
본 명세서에 있어서, 헤테로고리기는 탄소가 아닌 원자, 이종원자를 1 이상 포함하는 것으로서, 구체적으로 상기 이종 원자는 O, N, Se, Si 및 S 등으로 이루어진 군에서 선택되는 원자를 1 이상 포함할 수 있다. 헤테로고리기의 탄소수는 특별히 한정되지 않으나, 탄소수 2 내지 60인 것이 바람직하다. 헤테로고리기의 예로는 티오펜기, 퓨란기, 피롤기, 이미다졸기, 티아졸기, 옥사졸기, 옥사디아졸기, 트리아졸기, 피리딘기, 비피리딘기, 피리미딘기, 트리아진기, 아크리딜기, 하이드로아크리딜기(예컨대, ), 피리다지닐기, 피라지닐기, 퀴놀린기, 퀴나졸린기, 퀴녹살리닐기, 프탈라지닐기, 피리도피리미디닐기, 피리도피라지닐기, 피라지노피라지닐기, 이소퀴놀리닐기, 인돌기, 카바졸기, 벤즈옥사졸기, 벤즈이미다졸기, 벤조티아졸기, 벤조카바졸기, 디벤조카바졸기, 벤조티오펜기, 디벤조티오펜기, 벤조퓨란기, 디벤조퓨란기; 벤조실롤기; 디벤조실롤기; 페난트롤리닐기(phenanthrolinyl group), 티아졸릴기, 이소옥사졸릴기, 옥사디아졸릴기, 티아디아졸릴기, 벤조티아졸릴기, 페노티아지닐기, 페노옥사지닐기, 및 이들의 축합구조 등이 있으나, 이들에만 한정되는 것은 아니다. 이외에도 헤테로고리기의 예로서, 술포닐기를 포함하는 헤테로고리 구조, 예컨대, , 등이 있다.In the present specification, the heterocyclic group includes at least one non-carbon atom and at least one hetero atom. Specifically, the hetero atom may include at least one atom selected from the group consisting of O, N, Se, Si, and S have. The number of carbon atoms of the heterocyclic group is not particularly limited, but is preferably 2 to 60 carbon atoms. Examples of the heterocyclic group include a thiophene group, a furan group, a pyrrolyl group, an imidazole group, a thiazole group, an oxazole group, an oxadiazole group, a triazole group, a pyridine group, a bipyridine group, a pyrimidine group, , Hydroacridyl groups (e.g., ), A pyridazinyl group, a pyrazinyl group, a quinoline group, a quinazoline group, a quinoxalinyl group, a phthalazinyl group, a pyridopyrimidinyl group, a pyridopyrimidinyl group, a pyrazinopyrazinyl group, an isoquinolinyl group, An indole group, a carbazole group, a benzoxazole group, a benzimidazole group, a benzothiazole group, a benzocarbazole group, a dibenzocarbazole group, a benzothiophene group, a dibenzothiophene group, a benzofurane group, a dibenzofurane group; Benzosyl group; Dibenzosilyl groups; A phenanthrolinyl group, a thiazolyl group, an isoxazolyl group, an oxadiazolyl group, a thiadiazolyl group, a benzothiazolyl group, a phenothiazinyl group, a phenoxazinyl group, and condensation structures thereof , But are not limited thereto. In addition, examples of the heterocyclic group include a heterocyclic structure including a sulfonyl group, , .
본 명세서에 있어서, 아릴렌은 2가기인 것을 제외하고는 전술한 아릴기에 관한 설명이 적용될 수 있다.In the present specification, the description of the aryl group described above can be applied except that arylene is a divalent group.
본 명세서에 있어서, 헤테로아릴렌은 2가기인 것을 제외하고는 전술한 헤테로고리기에 관한 설명이 적용될 수 있다.In the present specification, the description of the above-mentioned heterocyclic group can be applied except that the heteroarylene is a divalent group.
본 명세서의 일 실시상태에 있어서, 상기 Ra, Rb, Rc, Rd 및 Re 서로 같거나 상이하며, 각각 독립적으로 수소 또는 중수소이다. In one embodiment of the present invention, Ra, Rb, Rc, Rd and Re are the same or different, and each independently hydrogen or deuterium.
본 명세서의 일 실시상태에 있어서, 상기 Ra, Rb, Rc, Rd 및 Re는 수소이다. In one embodiment of the present specification, Ra, Rb, Rc, Rd, and Re are hydrogen.
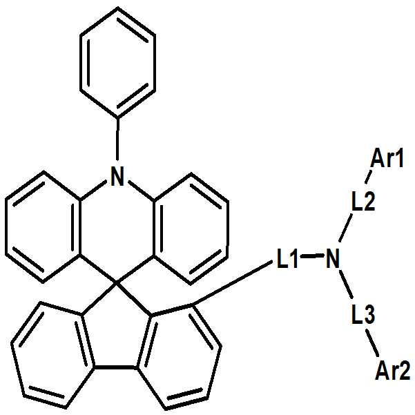
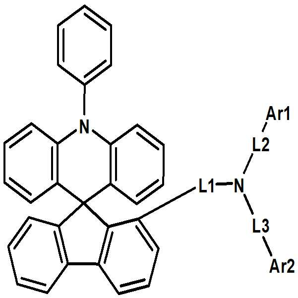
본 명세서의 일 실시상태에 있어서, 상기 화학식 1은 하기 화학식 2 또는 3으로 나타낼 수 있다.In one embodiment of the present invention, the formula (1) may be represented by the following formula (2) or (3).
[화학식 2](2)
[화학식 3](3)
상기 화학식 2 및 3에 있어서, L1 내지 L3, Ar1 및 Ar2는 화학식 1에서의 정의와 같다. In Formulas (2) and (3), L1 to L3, Ar1 and Ar2 are as defined in Formula (1).
본 명세서의 일 실시상태에 있어서, 상기 화학식 1은 하기 화학식 2-1 내지 2-4 및 3-1 내지 3-4 중 어느 하나로 나타낼 수 있다.In one embodiment of the present invention, the
[화학식 2-1][Formula 2-1]
[화학식 2-2][Formula 2-2]
[화학식 2-3][Formula 2-3]
[화학식 2-4][Chemical Formula 2-4]
[화학식 3-1][Formula 3-1]
[화학식 3-2][Formula 3-2]
[화학식 3-3][Formula 3-3]
[화학식 3-4][Chemical Formula 3-4]
상기 화학식 2-1 내지 2-4 및 3-1 내지 3-4에서, L1 내지 L3, Ar1 및 Ar2는 화학식 1에서의 정의와 같다. In Formulas (2-1) to (2-4) and (3-1) to (3-4), L1 to L3, Ar1 and Ar2 are as defined in Formula (1).
본 명세서의 일 실시상태에 있어서, L1 내지 L3은 서로 같거나 상이하며, 각각 독립적으로 직접결합; 치환 또는 비치환된 페닐렌기; 치환 또는 비치환된 바이페닐릴렌기; 치환 또는 비치환된 나프탈렌기; 또는 치환 또는 비치환된 플루오레닐렌기이다.In one embodiment of the present invention, L1 to L3 are the same or different from each other, and each independently is a direct bond; A substituted or unsubstituted phenylene group; A substituted or unsubstituted biphenylene group; A substituted or unsubstituted naphthalene group; Or a substituted or unsubstituted fluorenylene group.
본 명세서의 일 실시상태에 있어서, L1 은 직접결합이다. In one embodiment of the present disclosure, L1 is a direct bond.
본 명세서의 일 실시상태에 있어서, L2 및 L3은 서로 같거나 상이하며, 각각 독립적으로 직접결합; 치환 또는 비치환된 페닐렌기; 치환 또는 비치환된 바이페닐릴렌기; 치환 또는 비치환된 나프탈렌기; 또는 치환 또는 비치환된 플루오레닐렌기이다.In one embodiment of the present specification, L2 and L3 are the same or different and are each independently a direct bond; A substituted or unsubstituted phenylene group; A substituted or unsubstituted biphenylene group; A substituted or unsubstituted naphthalene group; Or a substituted or unsubstituted fluorenylene group.
본 명세서의 일 실시상태에 있어서, L2 및 L3은 서로 같거나 상이하며, 각각 독립적으로 직접결합; 또는 치환 또는 비치환된 페닐렌기이다.In one embodiment of the present specification, L2 and L3 are the same or different and are each independently a direct bond; Or a substituted or unsubstituted phenylene group.
본 명세서의 일 실시상태에 있어서, Ar1은 알킬기 또는 아릴기로 치환 또는 비치환된 디벤조티오펜기; 알킬기 또는 아릴기로 치환 또는 비치환된 디벤조퓨란기; 알킬기 또는 아릴기로 치환 또는 비치환된 카바졸기; 알킬기 또는 아릴기로 치환 또는 비치환된 플루오렌기; 또는 알킬기 또는 아릴기로 치환 또는 비치환된 트리페닐렌기이다.In one embodiment of the present specification,
본 명세서의 일 실시상태에 있어서, Ar1은 디벤조티오펜기; 디벤조퓨란기; 페닐기로 치환 또는 비치환된 카바졸기; 메틸기 또는 페닐기로 치환 또는 비치환된 플루오렌기; 스피로바이플루오렌기; 또는 트리페닐렌기이다.In one embodiment of the present specification, Ar1 is a dibenzothiophene group; A dibenzofurane group; A carbazole group substituted or unsubstituted with a phenyl group; A fluorene group substituted or unsubstituted with a methyl group or a phenyl group; A spirobifluorene group; Or a triphenylene group.
본 명세서의 일 실시상태에 있어서, Ar2는 알킬기 또는 아릴기로 치환 또는 비치환된 페닐기; 알킬기 또는 아릴기로 치환 또는 비치환된 나프틸기; 알킬기 또는 아릴기로 치환 또는 비치환된 바이페닐기; 알킬기 또는 아릴기로 치환 또는 비치환된 디벤조티오펜기; 알킬기 또는 아릴기로 치환 또는 비치환된 디벤조퓨란기; 또는 알킬기 또는 아릴기로 치환 또는 비치환된 플루오렌기이다.In one embodiment of the present specification, Ar2 represents a phenyl group substituted or unsubstituted with an alkyl group or an aryl group; A naphthyl group substituted or unsubstituted with an alkyl group or an aryl group; A biphenyl group substituted or unsubstituted with an alkyl group or an aryl group; A dibenzothiophene group substituted or unsubstituted with an alkyl group or an aryl group; A dibenzofurane group substituted or unsubstituted with an alkyl group or an aryl group; Or a fluorene group substituted or unsubstituted with an alkyl group or an aryl group.
본 명세서의 일 실시상태에 있어서, Ar2는 페닐기; 나프틸기; 바이페닐기; 디벤조티오펜기; 디벤조퓨란기; 메틸기 또는 페닐기로 치환 또는 비치환된 플루오렌기; 또는 스피로바이플루오렌기이다.In one embodiment of the present specification, Ar2 represents a phenyl group; Naphthyl group; A biphenyl group; A dibenzothiophene group; A dibenzofurane group; A fluorene group substituted or unsubstituted with a methyl group or a phenyl group; Or a spirobifluorene group.
본 명세서의 일 실시상태에 있어서, -L2-Ar1은 하기 구조식들 중에서 선택된다. In one embodiment of the present disclosure, -L2-Ar1 is selected from among the following structures:
상기 구조식에서 점선은 화학식 1과 결합하는 부분을 의미한다.In the above formula, a dotted line means a moiety bonded to the formula (1).
본 명세서의 일 실시상태에 있어서, -L3-Ar2는 하기 구조식들 중에서 선택된다. In one embodiment of the present disclosure, -L3-Ar2 is selected from the following formulas.
상기 구조식에서 점선은 화학식 1과 결합하는 부분을 의미한다.In the above formula, a dotted line means a moiety bonded to the formula (1).
본 명세서의 일 실시상태에 있어서, 상기 화학식 1에서 N(L2-Ar1)(L3-Ar2)은 하기 구조식들 중에서 선택된다.In one embodiment of the present invention, N (L2-Ar1) (L3-Ar2) in
본 명세서의 일 실시상태에 있어서, 상기 화학식 1은 하기 구조식들 중에서 선택된다.In one embodiment of the present disclosure,
본 출원의 일 실시 상태에 따른 화합물은 후술하는 제조방법으로 제조될 수 있다.The compound according to one embodiment of the present application can be produced by a production method described below.
예컨대상기 화학식 1의 화합물은 하기 반응식 1 내지 3과 같이 코어구조가 제조될 수 있다. 치환기는 당기술분야에 알려져 있는 방법에 의하여 결합될 수 있으며, 치환기의 종류, 위치 또는 개수는 당기술분야에 알려져 있는 기술에 따라 변경될 수 있다.For example, the compound of
[반응식 1][Reaction Scheme 1]
[반응식 2][Reaction Scheme 2]
[반응식 3][Reaction Scheme 3]
또한, 본 명세서는 상기 전술한 화합물을 포함하는 유기 발광 소자를 제공한다. The present invention also provides an organic light emitting device comprising the above-described compound.
본 출원의 일 실시상태에 있어서, 제1 전극; 상기 제1 전극과 대향하여 구비된 제2 전극; 및 상기 제1 전극과 상기 제2 전극 사이에 구비된 1층 이상의 유기물층을 포함하는 유기 발광 소자로서, 상기 유기물층 중 1 층 이상은 상기 화합물을 포함하는 것인 유기 발광 소자를 제공한다. In one embodiment of the present application, the first electrode; A second electrode facing the first electrode; And at least one organic compound layer disposed between the first electrode and the second electrode, wherein at least one of the organic compound layers includes the compound.
본 명세서에서 어떤 부재가 다른 부재 "상에" 위치하고 있다고 할 때, 이는 어떤 부재가 다른 부재에 접해 있는 경우뿐 아니라 두 부재 사이에 또 다른 부재가 존재하는 경우도 포함한다.When a member is referred to herein as being "on " another member, it includes not only a member in contact with another member but also another member between the two members.
본 명세서에서 어떤 부분이 어떤 구성요소를 "포함" 한다고 할 때, 이는 특별히 반대되는 기재가 없는 한 다른 구성요소를 제외하는 것이 아니라 다른 구성 요소를 더 포함할 수 있는 것을 의미한다. Whenever a component is referred to as "comprising ", it is understood that it may include other components as well, without departing from the other components unless specifically stated otherwise.
본 출원의 유기 발광 소자의 유기물층은 단층 구조로 이루어질 수도 있으나, 2층 이상의 유기물층이 적층된 다층 구조로 이루어질 수 있다. 예컨대, 본 발명의 유기 발광 소자의 대표 적인 예로서, 유기 발광 소자는 유기물층으로서 정공주입층, 정공수송층, 발광층, 전자수송층, 전자주입층 등을 포함하는 구조를 가질 수 있다. 그러나 유기 발광 소자의 구조는 이에 한정되지 않고 더 적은 수의 유기층을 포함할 수 있다.The organic material layer of the organic light emitting device of the present application may have a single layer structure, but may have a multilayer structure in which two or more organic material layers are stacked. For example, as a typical example of the organic light emitting device of the present invention, the organic light emitting device may have a structure including a hole injecting layer, a hole transporting layer, a light emitting layer, an electron transporting layer, and an electron injecting layer as organic layers. However, the structure of the organic light emitting device is not limited thereto and may include a smaller number of organic layers.
본 출원의 일 실시상태에 있어서, 상기 유기물층은 발광층을 포함하고, 상기 발광층은 상기 화합물을 포함한다. In one embodiment of the present application, the organic layer includes a light emitting layer, and the light emitting layer includes the compound.
본 출원의 일 실시상태에 있어서, 상기 유기물층은 정공주입층 또는 정공수송층을 포함하고, 상기 정공주입층 또는 정공수송층은 상기 화합물을 포함한다. In one embodiment of the present application, the organic layer includes a hole injection layer or a hole transport layer, and the hole injection layer or the hole transport layer includes the compound.
또 하나의 실시상태에 있어서, 상기 유기물층은 발광층을 포함하고, 상기 발광층은 상기 화합물을 포함한다. In another embodiment, the organic layer includes a light emitting layer, and the light emitting layer includes the compound.
본 출원의 일 실시상태에 있어서, 상기 유기물층은 전자수송층 또는 전자주입층을 포함하고, 상기 전자수송층 또는 전자주입층은 상기 화합물을 포함한다. In one embodiment of the present application, the organic material layer includes an electron transporting layer or an electron injecting layer, and the electron transporting layer or the electron injecting layer includes the above compound.
본 출원의 일 실시상태에 있어서, 상기 유기물층은 전자저지층 또는 정공저지층을 포함하고, 상기 전자저지층 또는 정공저지층은 상기 화합물을 포함한다. In one embodiment of the present application, the organic layer includes an electron blocking layer or a hole blocking layer, and the electron blocking layer or the hole blocking layer includes the compound.
본 출원의 일 실시상태에 있어서, 상기 유기물층은 전자저지층을 포함하고, 상기 전자저지층은 상기 화합물을 포함한다. In one embodiment of the present application, the organic layer includes an electron blocking layer, and the electron blocking layer includes the compound.
본 출원의 일 실시상태에 있어서, 상기 유기 발광 소자는 제1 전극; 상기 제1 전극과 대향하여 구비된 제2 전극; 및 상기 제1 전극과 상기 제2 전극 사이에 구비된 발광층; 상기 발광층과 상기 제1 전극 사이, 또는 상기 발광층과 상기 제2 전극 사이에 구비된 2층 이상의 유기물층을 포함하고, 상기 2층 이상의 유기물층 중 적어도 하나는 상기 화합물을 포함한다. In one embodiment of the present application, the organic light emitting device includes a first electrode; A second electrode facing the first electrode; And a light emitting layer provided between the first electrode and the second electrode; At least one of the two or more organic layers includes two or more organic layers disposed between the light emitting layer and the first electrode or between the light emitting layer and the second electrode.
본 출원의 일 실시상태에 있어서, 상기 2층 이상의 유기물층은 전자수송층, 전자주입층, 전자 수송과 전자주입을 동시에 하는 층 및 정공저지층으로 이루어진 군에서 2 이상이 선택될 수 있다.In one embodiment of the present application, the two or more organic layers may be selected from the group consisting of an electron transport layer, an electron injection layer, a layer that simultaneously transports electrons and electrons, and a hole blocking layer.
본 출원의 일 실시상태에 있어서, 상기 유기물층은 2층 이상의 전자수송층을 포함하고, 상기 2층 이상의 전자수송층 중 적어도 하나는 상기 화합물을 포함한다. 구체적으로 본 명세서의 일 실시상태에 있어서, 상기 화합물은 상기 2층 이상의 전자수송층 중 1층에 포함될 수도 있으며, 각각의 2층 이상의 전자수송층에 포함될 수 있다. In one embodiment of the present application, the organic material layer includes two or more electron transporting layers, and at least one of the two or more electron transporting layers includes the above compound. Specifically, in one embodiment of the present specification, the compound may be contained in one of the two or more electron transporting layers, and may be included in each of two or more electron transporting layers.
또한, 본 출원의 일 실시상태에 있어서, 상기 화합물이 상기 각각의 2층 이상의 전자수송층에 포함되는 경우, 상기 화합물을 제외한 다른 재료들은 서로 동일하거나 상이할 수 있다.In the embodiment of the present application, when the compound is contained in each of the two or more electron transporting layers, the materials other than the above compounds may be the same or different from each other.
본 출원의 일 실시상태에 있어서, 상기 유기물층은 상기 화합물을 포함하는 유기물층 이외에 아릴아미노기, 카바졸릴기 또는 벤조카바졸릴기를 포함하는 화합물을 포함하는 정공주입층 또는 정공수송층을 더 포함한다. In one embodiment of the present application, the organic layer further includes a hole injection layer or a hole transport layer containing a compound containing an arylamino group, a carbazolyl group or a benzocarbazolyl group in addition to the organic compound layer containing the compound.
본 명세서의 일 실시상태에 따르면, 상기 유기물층은 발광층을 포함하고, 상기 발광층은 하기 화학식 A-1로 표시되는 화합물을 포함한다.According to one embodiment of the present invention, the organic layer includes a light emitting layer, and the light emitting layer includes a compound represented by the following formula (A-1).
[화학식 A-1][A-1]
상기 화학식 A-1에 있어서, In the above formula (A-1)
q는 1 이상의 정수이고,q is an integer of 1 or more,
Ar3는 치환 또는 비치환된 1가 이상의 벤조플루오렌기; 치환 또는 비치환된 1가 이상의 플루오란텐기; 치환 또는 비치환된 1가 이상의 파이렌기; 또는 치환 또는 비치환된 1가 이상의 크라이센기이고,Ar3 is a substituted or unsubstituted monovalent or more benzofluorene group; A substituted or unsubstituted monovalent or more fluoranthene group; A substituted or unsubstituted monovalent or higher valent phenylene group; Or a substituted or unsubstituted monovalent or more chrysene group,
L4는 직접결합; 치환 또는 비치환된 아릴렌기; 또는 치환 또는 비치환된 헤테로아릴렌기이며,L4 is a direct bond; A substituted or unsubstituted arylene group; Or a substituted or unsubstituted heteroarylene group,
Ar4 및 Ar5는 서로 같거나 상이하고, 각각 독립적으로 치환 또는 비치환된 아릴기; 치환 또는 비치환된 실릴기; 치환 또는 비치환된 게르마늄기; 치환 또는 비치환된 알킬기; 치환 또는 비치환된 아릴알킬기; 또는 치환 또는 비치환된 헤테로고리기이거나, 서로 결합하여 치환 또는 비치환된 고리를 형성할 수 있으며,
q가 2 이상인 경우, 2 이상의 괄호 안의 구조는 서로 같거나 상이하다.When q is 2 or more, the structures in parentheses two or more are the same or different from each other.
본 명세서의 일 실시상태에 따르면, 상기 유기물층은 발광층을 포함하고, 상기 발광층은 상기 화학식 A-1로 표시되는 화합물을 발광층의 도펀트로서 포함한다.According to one embodiment of the present invention, the organic layer includes a light emitting layer, and the light emitting layer includes the compound represented by the above formula (A-1) as a dopant in the light emitting layer.
본 명세서의 일 실시상태에 따르면, 상기 L4는 직접결합이다.According to one embodiment of the present disclosure, L4 is a direct bond.
본 명세서의 일 실시상태에 따르면, 상기 q은 2 이다.According to one embodiment of the present disclosure, q is 2.
본 명세서의 일 실시상태에 있어서, 상기 Ar3는 중수소, 알킬기, 시클로 알킬기 또는 아릴기로 치환 또는 비치환된 2가의 파이렌기이다.In one embodiment of the present invention, Ar3 is a divalent pyylene group substituted or unsubstituted with deuterium, an alkyl group, a cycloalkyl group, or an aryl group.
본 명세서의 일 실시상태에 있어서, 상기 Ar3는 중수소, 메틸기, 에틸기 또는 tert-부틸기로 치환 또는 비치환된 2가의 파이렌기이다.In one embodiment of the present specification, Ar3 is a divalent pyylene group substituted or unsubstituted with a deuterium, a methyl group, an ethyl group or a tert-butyl group.
본 명세서의 일 실시상태에 따르면, 상기 Ar4 및 Ar5는 서로 같거나 상이하고, 각각 독립적으로 치환 또는 비치환된 탄소수 6 내지 30의 아릴기; 또는 치환 또는 비치환된 탄소수 2 내지 30의 헤테로고리기이다.According to one embodiment of the present invention,
본 명세서의 일 실시상태에 따르면, 상기 Ar4 및 Ar5는 서로 같거나 상이하고, 각각 독립적으로 알킬기로 치환 또는 비치환된 아릴기; 또는 헤테로고리기이다.According to one embodiment of the present invention, Ar4 and Ar5 are the same or different and each independently represents an aryl group substituted or unsubstituted with an alkyl group; Or a heterocyclic group.
본 명세서의 일 실시상태에 따르면, Ar4 및 Ar5는 서로 같거나 상이하고 각각 독립적으로 tert-부틸기로 치환 또는 비치환된 페닐기; 디벤조퓨란기; 또는 디벤조티오펜기이다.According to one embodiment of the present invention, Ar4 and Ar5 are the same or different and are each independently a phenyl group substituted or unsubstituted with a tert-butyl group; A dibenzofurane group; Or a dibenzothiophene group.
본 명세서의 일 실시상태에 따르면, Ar4 및 Ar5는 서로 같거나 상이하고 각각 독립적으로 tert-부틸기로 치환 또는 비치환된 페닐기; 또는 디벤조퓨란기이다.According to one embodiment of the present invention, Ar4 and Ar5 are the same or different and are each independently a phenyl group substituted or unsubstituted with a tert-butyl group; Or a dibenzofurane group.
본 명세서의 일 실시상태에 따르면, 상기 화학식 A-1는 하기 화합물로 표시된다.According to one embodiment of the present disclosure, the formula (A-1) is represented by the following compound.
본 명세서의 일 실시상태에 따르면, 상기 유기물층은 발광층을 포함하고, 상기 발광층은 하기 화학식 A-2로 표시되는 화합물을 포함한다.According to one embodiment of the present invention, the organic layer includes a light emitting layer, and the light emitting layer includes a compound represented by the following formula (A-2).
[화학식 A-2][A-2]
상기 화학식 A-2에 있어서,In the above formula (A-2)
Ar6 및 Ar7은 서로 같거나 상이하고, 각각 독립적으로 치환 또는 비치환된 단환의 아릴기; 또는 치환 또는 비치환된 다환의 아릴기이고,Ar6 and Ar7 are the same or different and each independently represents a substituted or unsubstituted monocyclic aryl group; Or a substituted or unsubstituted polycyclic aryl group,
G1 내지 G8은 서로 같거나 상이하고, 각각 독립적으로 수소; 치환 또는 비치환된 단환의 아릴기; 또는 치환 또는 비치환된 다환의 아릴기이다.G1 to G8 are the same or different from each other, and each independently hydrogen; A substituted or unsubstituted monocyclic aryl group; Or a substituted or unsubstituted polycyclic aryl group.
본 명세서의 일 실시상태에 따르면, 상기 유기물층은 발광층을 포함하고, 상기 발광층은 상기 화학식 A-2로 표시되는 화합물을 발광층의 호스트로서 포함한다.According to one embodiment of the present invention, the organic layer includes a light emitting layer, and the light emitting layer includes the compound represented by the above formula (A-2) as a host of the light emitting layer.
본 명세서의 일 실시상태에 따르면, 상기 Ar6 및 Ar7은 서로 같거나 상이하고, 각각 독립적으로 치환 또는 비치환된 다환의 아릴기이다.According to one embodiment of the present invention, Ar6 and Ar7 are the same or different and each independently a substituted or unsubstituted polycyclic aryl group.
본 명세서의 일 실시상태에 따르면, 상기 Ar6 및 Ar7은 서로 같거나 상이하고, 각각 독립적으로 치환 또는 비치환된 탄소수 10 내지 30의 다환의 아릴기이다.According to one embodiment of the present invention, Ar6 and Ar7 are the same or different and each independently a substituted or unsubstituted polycyclic aryl group having 10 to 30 carbon atoms.
본 명세서의 일 실시상태에 따르면, 상기 Ar6 및 Ar7은 서로 같거나 상이하고, 각각 독립적으로 치환 또는 비치환된 나프틸기이다.According to one embodiment of the present invention, Ar6 and Ar7 are the same or different and each independently a substituted or unsubstituted naphthyl group.
본 명세서의 일 실시상태에 따르면, 상기 Ar6 및 Ar7은 서로 같거나 상이하고, 각각 독립적으로 치환 또는 비치환된 1-나프틸기 또는 2-나프틸기이다.According to one embodiment of the present invention, Ar6 and Ar7 are the same or different and are each independently a substituted or unsubstituted 1-naphthyl group or 2-naphthyl group.
본 명세서의 일 실시상태에 따르면, 상기 Ar6은 1-나프틸기이고, Ar7은 2-나프틸기이다.According to one embodiment of the present invention, Ar6 is a 1-naphthyl group, and Ar7 is a 2-naphthyl group.
본 명세서의 일 실시상태에 따르면, 상기 G1 내지 G8은 수소이다.According to one embodiment of the present invention, G1 to G8 are hydrogen.
본 명세서의 일 실시상태에 따르면, 상기 화학식 A-2는 하기 화합물 중에서 선택된다.According to one embodiment of the present disclosure, the formula (A-2) is selected from the following compounds.
본 명세서의 일 실시상태에 따르면, 상기 유기물층은 발광층을 포함하고, 상기 발광층은 상기 화학식 A-1로 표시되는 화합물을 발광층의 도펀트로서 포함하며, 상기 화학식 A-2로 표시되는 화합물을 발광층의 호스트로서 포함한다.According to one embodiment of the present invention, the organic layer includes a light emitting layer, and the light emitting layer includes the compound represented by the formula A-1 as a dopant of the light emitting layer, and the compound represented by the formula A- .
또 하나의 실시상태에 있어서, 유기 발광 소자는 기판 상에 양극, 1층 이상의 유기물층 및 음극이 순차적으로 적층된 구조(normal type)의 유기 발광 소자일 수 있다. In another embodiment, the organic light emitting device may be a normal type organic light emitting device in which an anode, at least one organic layer, and a cathode are sequentially stacked on a substrate.
또 하나의 실시상태에 있어서, 유기 발광 소자는 기판 상에 음극, 1층 이상의 유기물층 및 양극이 순차적으로 적층된 역방향 구조(inverted type)의 유기 발광 소자일 수 있다. In another embodiment, the organic light emitting device may be an inverted type organic light emitting device in which a cathode, at least one organic compound layer, and an anode are sequentially stacked on a substrate.
예컨대, 본 출원의 일 실시상태에 따른 유기 발광 소자의 구조는 도 1 및 2에 예시되어 있다. For example, the structure of an organic light emitting device according to one embodiment of the present application is illustrated in Figs. 1 and 2. Fig.
도 1은 기판(1), 양극(2), 발광층(3), 음극(4)이 순차적으로 적층된 유기 발광 소자의 구조가 예시되어 있다. 이와 같은 구조에 있어서, 상기 화합물은 상기 발광층(3)에 포함될 수 있다. 1 shows a structure of an organic light emitting device in which a
도 2는 기판 (1), 양극(2), 정공주입층(5), 정공수송층(6), 발광층(3), 전자수송층(7) 및 음극(4)이 순차적으로 적층된 유기 발광 소자의 구조가 예시되어 있다. 이와 같은 구조에 있어서 상기 화합물은 상기 정공주입층(5), 정공 수송층(6), 발광층(3) 및 전자 수송층(7) 중 1층 이상에 포함될 수 있다. 2 shows an organic light emitting device in which a
이와 같은 구조에 있어서, 상기 화합물은 상기 정공주입층, 정공수송층, 발광층 및 전자수송층 중 1층 이상에 포함될 수 있다. In such a structure, the compound may be contained in at least one of the hole injecting layer, the hole transporting layer, the light emitting layer, and the electron transporting layer.
본 출원의 유기 발광 소자는 유기물층 중 1층 이상이 본 출원의 화합물, 즉 상기 화합물을 포함하는 것을 제외하고는 당 기술분야에 알려져 있는 재료와 방법으로 제조될 수 있다.The organic light emitting device of the present application may be manufactured by materials and methods known in the art, except that one or more of the organic layers include the compound of the present application, i.e., the compound.
상기 유기 발광 소자가 복수개의 유기물층을 포함하는 경우, 상기 유기물층은 동일한 물질 또는 다른 물질로 형성될 수 있다. When the organic light emitting diode includes a plurality of organic layers, the organic layers may be formed of the same material or different materials.
본 출원의 유기 발광 소자는 유기물층 중 1층 이상이 상기 화합물, 즉 상기 화학식 1로 표시되는 화합물을 포함하는 것을 제외하고는 당 기술분야에 알려져 있는 재료와 방법으로 제조될 수 있다. The organic light emitting device of the present application can be produced by materials and methods known in the art, except that one or more of the organic layers include the above compound, that is, the compound represented by the above formula (1).
예컨대, 본 출원의 유기 발광 소자는 기판 상에 제1 전극, 유기물층 및 제2 전극을 순차적으로 적층시킴으로써 제조할 수 있다. 이 때 스퍼터링법(sputtering)이나 전자빔 증발법(e-beam evaporation)과 같은 PVD(physical Vapor Deposition)방법을 이용하여, 기판 상에 금속 또는 전도성을 가지는 금속 산화물 또는 이들의 합금을 증착시켜 양극을 형성하고, 그 위에 정공 주입층, 정공 수송층, 발광층 및 전자 수송층을 포함하는 유기물층을 형성한 후, 그 위에 음극으로 사용할 수 있는 물질을 증착시킴으로써 제조될 수 있다. 이와 같은 방법 외에도, 기판 상에 음극 물질부터 유기물층, 양극 물질을 차례로 증착시켜 유기 발광 소자를 만들 수 있다. For example, the organic light emitting device of the present application can be manufactured by sequentially laminating a first electrode, an organic material layer, and a second electrode on a substrate. At this time, by using a PVD (physical vapor deposition) method such as a sputtering method or an e-beam evaporation method, a metal or a metal oxide having conductivity or an alloy thereof is deposited on the substrate to form a positive electrode Forming an organic material layer including a hole injecting layer, a hole transporting layer, a light emitting layer and an electron transporting layer thereon, and depositing a material usable as a cathode thereon. In addition to such a method, an organic light emitting device can be formed by sequentially depositing a cathode material, an organic material layer, and a cathode material on a substrate.
또한, 상기 화학식 1의 화합물은 유기 발광 소자의 제조시 진공 증착법 뿐만 아니라 용액 도포법에 의하여 유기물층으로 형성될 수 있다. 여기서, 용액 도포법이라 함은 스핀 코팅, 딥코팅, 닥터 블레이딩, 잉크젯프린팅, 스크린 프린팅, 스프레이법, 롤 코팅 등을 의미하지만, 이들만으로 한정되는 것은 아니다.In addition, the compound of
이와 같은 방법 외에도, 기판 상에 음극 물질로부터 유기물층, 양극 물질을 차례로 증착시켜 유기 발광 소자를 만들 수도 있다 (국제 특허 출원 공개 제 2003/012890호). 다만, 제조 방법이 이에 한정되는 것은 아니다. In addition to such a method, an organic light emitting device may be fabricated by sequentially depositing an organic material layer and a cathode material on a substrate from a cathode material (International Patent Application Publication No. 2003/012890). However, the manufacturing method is not limited thereto.
본 출원의 일 실시상태에 있어서, 상기 제1 전극은 양극이고, 상기 제2 전극은 음극이다. In one embodiment of the present application, the first electrode is an anode and the second electrode is a cathode.
또 하나의 실시상태에 있어서, 상기 제1 전극은 음극이고, 상기 제2 전극은 양극이다. In another embodiment, the first electrode is a cathode and the second electrode is a cathode.
상기 양극 물질로는 통상 유기물층으로 정공 주입이 원활할 수 있도록 일함수가 큰 물질이 바람직하다. 본 발명에서 사용될 수 있는 양극 물질의 구체적인 예로는 바나듐, 크롬, 구리, 아연, 금과 같은 금속 또는 이들의 합금; 아연 산화물, 인듐 산화물, 인듐주석 산화물(ITO), 인듐아연 산화물(IZO)과 같은 금속 산화물; ZnO:Al 또는 SnO2 : Sb와 같은 금속과 산화물의 조합; 폴리(3-메틸티오펜), 폴리[3,4-(에틸렌-1,2-디옥시)티오펜](PEDOT), 폴리피롤 및 폴리아닐린과 같은 전도성 고분자 등이 있으나, 이들에만 한정되는 것은 아니다. As the anode material, a material having a large work function is preferably used so that hole injection can be smoothly conducted into the organic material layer. Specific examples of the cathode material that can be used in the present invention include metals such as vanadium, chromium, copper, zinc, and gold, or alloys thereof; Metal oxides such as zinc oxide, indium oxide, indium tin oxide (ITO), and indium zinc oxide (IZO); ZnO: Al or SnO 2: a combination of a metal and an oxide such as Sb; Conductive polymers such as poly (3-methylthiophene), poly [3,4- (ethylene-1,2-dioxy) thiophene] (PEDOT), polypyrrole and polyaniline.
상기 음극 물질로는 통상 유기물층으로 전자 주입이 용이하도록 일함수가 작은 물질인 것이 바람직하다. 음극 물질의 구체적인 예로는 마그네슘, 칼슘, 나트륨, 칼륨, 티타늄, 인듐, 이트륨, 리튬, 가돌리늄, 알루미늄, 은, 주석 및 납과 같은 금속 또는 이들의 합금; LiF/Al 또는 LiO2/Al과 같은 다층 구조 물질 등이 있으나, 이들에만 한정되는 것은 아니다. The negative electrode material is preferably a material having a small work function to facilitate electron injection into the organic material layer. Specific examples of the negative electrode material include metals such as magnesium, calcium, sodium, potassium, titanium, indium, yttrium, lithium, gadolinium, aluminum, silver, tin and lead or alloys thereof; Layer structure materials such as LiF / Al or LiO 2 / Al, but are not limited thereto.
상기 정공 주입층은 전극으로부터 정공을 주입하는 층으로, 정공 주입 물질로는 정공을 수송하는 능력을 가져 양극에서의 정공 주입효과, 발광층 또는 발광재료에 대하여 우수한 정공 주입 효과를 갖고, 발광층에서 생성된 여기자의 전자주입층 또는 전자주입재료에의 이동을 방지하며, 또한, 박막 형성 능력이 우수한 화합물이 바람직하다. 정공 주입 물질의 HOMO(highest occupied molecular orbital)가 양극 물질의 일함수와 주변 유기물층의 HOMO 사이인 것이 바람직하다. 정공 주입 물질의 구체적인 예로는 금속 포피린(porphyrin), 올리고티오펜, 아릴아민 계열의 유기물, 헥사니트릴헥사아자트리페닐렌 계열의 유기물, 퀴나크리돈(quinacridone)계열의 유기물, 페릴렌(perylene) 계열의 유기물, 안트라퀴논 및 폴리아닐린과 폴리티오펜 계열의 전도성 고분자 등이 있으나, 이들에만 한정 되는 것은 아니다. The hole injecting layer is a layer for injecting holes from an electrode. The hole injecting material has a hole injecting effect, and has a hole injecting effect on the light emitting layer or a light emitting material. A compound which prevents the migration of excitons to the electron injecting layer or the electron injecting material and is also excellent in the thin film forming ability is preferable. It is preferable that the highest occupied molecular orbital (HOMO) of the hole injecting material be between the work function of the anode material and the HOMO of the surrounding organic layer. Specific examples of the hole injecting material include metal porphyrin, oligothiophene, arylamine-based organic materials, hexanitrile hexaazatriphenylene-based organic materials, quinacridone-based organic materials, and perylene- , Anthraquinone, polyaniline and polythiophene-based conductive polymers, but the present invention is not limited thereto.
상기 정공수송층은 정공주입층으로부터 정공을 수취하여 발광층까지 정공을 수송하는 층으로, 정공 수송 물질로는 양극이나 정공 주입층으로부터 정공을 수송받아 발광층으로 옮겨줄 수 있는 물질로 정공에 대한 이동성이 큰 물질이 적합하다. 구체적인 예로는 아릴아민 계열의 유기물, 전도성 고분자, 및 공액 부분과 비공액 부분이 함께 있는 블록 공중합체 등이 있으나, 이들에만 한정되는 것은 아니다. The hole transport layer is a layer that transports holes from the hole injection layer to the light emitting layer. The hole transport material is a material capable of transporting holes from the anode or the hole injection layer to the light emitting layer. The material is suitable. Specific examples include arylamine-based organic materials, conductive polymers, and block copolymers having a conjugated portion and a non-conjugated portion together, but are not limited thereto.
상기 발광 물질로는 정공 수송층과 전자 수송층으로부터 정공과 전자를 각각 수송받아 결합시킴으로써 가시광선 영역의 빛을 낼 수 있는 물질로서, 형광이나 인광에 대한 양자 효율이 좋은 물질이 바람직하다. 구체적인 예로는 8-히드록시-퀴놀린 알루미늄 착물(Alq3); 카르바졸 계열 화합물; 이량체화 스티릴(dimerized styryl) 화합물; BAlq; 10-히드록시벤조 퀴놀린-금속 화합물; 벤족사졸, 벤즈티아졸 및 벤즈이미다졸 계열의 화합물; 폴리(p-페닐렌비닐렌)(PPV) 계열의 고분자; 스피로(spiro) 화합물; 폴리플루오렌, 루브렌 등이 있으나, 이들에만 한정되는 것은 아니다. The light emitting material is preferably a material capable of emitting light in the visible light region by transporting and receiving holes and electrons from the hole transporting layer and the electron transporting layer, respectively, and having good quantum efficiency for fluorescence or phosphorescence. Specific examples include 8-hydroxy-quinoline aluminum complex (Alq 3 ); Carbazole-based compounds; Dimerized styryl compounds; BAlq; 10-hydroxybenzoquinoline-metal compounds; Compounds of the benzoxazole, benzothiazole and benzimidazole series; Polymers of poly (p-phenylenevinylene) (PPV) series; Spiro compounds; Polyfluorene, rubrene, and the like, but are not limited thereto.
상기 발광층은 호스트 재료 및 도펀트 재료를 포함할 수 있다. 호스트 재료는 축합 방향족환 유도체 또는 헤테로환 함유 화합물 등이 있다. 구체적으로 축합 방향족환 유도체로는 안트라센 유도체, 피렌 유도체, 나프탈렌 유도체, 펜타센 유도체, 페난트렌 화합물, 플루오란텐 화합물 등이 있고, 헤테로환 함유 화합물로는 화합물, 디벤조퓨란 유도체, 래더형 퓨란 화합물, 피리미딘 유도체 등이 있으나, 이에 한정되지 않는다. The light emitting layer may include a host material and a dopant material. The host material is a condensed aromatic ring derivative or a heterocyclic compound. Specific examples of the condensed aromatic ring derivatives include anthracene derivatives, pyrene derivatives, naphthalene derivatives, pentacene derivatives, phenanthrene compounds, and fluoranthene compounds. Examples of heterocycle-containing compounds include compounds, dibenzofuran derivatives, ladder furan compounds , Pyrimidine derivatives, and the like, but are not limited thereto.
상기 전자 수송층은 전자주입층으로부터 전자를 수취하여 발광층까지 전자를 수송하는 층으로, 전자 수송 물질로는 음극으로부터 전자를 잘 주입 받아 발광층으로 옮겨줄 수 있는 물질로서, 전자에 대한 이동성이 큰 물질이 적합하다. 구체적인 예로는 8-히드록시퀴놀린의 Al착물; Alq3를 포함한 착물; 유기 라디칼 화합물; 히드록시플라본-금속 착물 등이 있으나, 이들에만 한정되는 것은 아니다. 전자 수송층은 종래기술에 따라 사용된 바와 같이 임의의 원하는 캐소드 물질과 함께 사용할 수 있다. 특히, 적절한 캐소드 물질의 예는 낮은 일함수를 가지고 알루미늄층 또는 실버층이 뒤따르는 통상적인 물질이다. 구체적으로 세슘, 바륨, 칼슘, 이테르븀 및 사마륨이고, 각 경우 알루미늄 층 또는 실버층이 뒤따른다.The electron transporting layer is a layer that receives electrons from the electron injecting layer and transports electrons to the light emitting layer. The electron transporting material is a material capable of transferring electrons from the cathode well to the light emitting layer. Suitable. Specific examples include an Al complex of 8-hydroxyquinoline; Complexes containing Alq 3 ; Organic radical compounds; Hydroxyflavone-metal complexes, and the like, but are not limited thereto. The electron transporting layer can be used with any desired cathode material as used according to the prior art. In particular, an example of a suitable cathode material is a conventional material with a low work function followed by an aluminum layer or silver layer. Specifically cesium, barium, calcium, ytterbium and samarium, in each case followed by an aluminum layer or a silver layer.
상기 전자주입층은 전극으로부터 전자를 주입하는 층으로, 전자를 수송하는 능력을 갖고, 음극으로부터의 전자주입 효과, 발광층 또는 발광 재료에 대하여 우수한 전자주입 효과를 가지며, 발광층에서 생성된 여기자의 정공 주입층에의 이동을 방지하고, 또한, 박막형성능력이 우수한 화합물이 바람직하다. 구체적으로는 플루오레논, 안트라퀴노다이메탄, 다이페노퀴논, 티오피란 다이옥사이드, 옥사졸, 옥사다이아졸, 트리아졸, 이미다졸, 페릴렌테트라카복실산, 프레오레닐리덴 메탄, 안트론 등과 그들의 유도체, 금속 착체 화합물 및 함질소 5원환 유도체 등이 있으나, 이에 한정되지 않는다. The electron injection layer is a layer for injecting electrons from the electrode. The electron injection layer has the ability to transport electrons, has an electron injection effect from the cathode, and has an excellent electron injection effect with respect to the light emitting layer or the light emitting material. A compound which prevents migration to a layer and is excellent in a thin film forming ability is preferable. Specific examples thereof include fluorenone, anthraquinodimethane, diphenoquinone, thiopyran dioxide, oxazole, oxadiazole, triazole, imidazole, perylenetetracarboxylic acid, preorenylidene methane, A complex compound and a nitrogen-containing five-membered ring derivative, but are not limited thereto.
상기 금속 착체 화합물로서는 8-하이드록시퀴놀리나토 리튬, 비스(8-하이드록시퀴놀리나토)아연, 비스(8-하이드록시퀴놀리나토)구리, 비스(8-하이드록시퀴놀리나토)망간, 트리스(8-하이드록시퀴놀리나토)알루미늄, 트리스(2-메틸-8-하이드록시퀴놀리나토)알루미늄, 트리스(8-하이드록시퀴놀리나토)갈륨, 비스(10-하이드록시벤조[h]퀴놀리나토)베릴륨, 비스(10-하이드록시벤조[h]퀴놀리나토)아연, 비스(2-메틸-8-퀴놀리나토)클로로갈륨, 비스(2-메틸-8-퀴놀리나토)(o-크레졸라토)갈륨, 비스(2-메틸-8-퀴놀리나토)(1-나프톨라토)알루미늄, 비스(2-메틸-8-퀴놀리나토)(2-나프톨라토)갈륨 등이 있으나, 이에 한정되지 않는다.Examples of the metal complex compound include 8-hydroxyquinolinato lithium, bis (8-hydroxyquinolinato) zinc, bis (8-hydroxyquinolinato) copper, bis (8- Tris (8-hydroxyquinolinato) aluminum, tris (2-methyl-8-hydroxyquinolinato) aluminum, tris (8- hydroxyquinolinato) gallium, bis (10- Quinolinato) beryllium, bis (10-hydroxybenzo [h] quinolinato) zinc, bis (2-methyl-8- quinolinato) chlorogallium, bis (2-methyl-8-quinolinato) (2-naphtholato) gallium, and the like, But is not limited thereto.
상기 정공저지층은 정공의 음극 도달을 저지하는 층으로, 일반적으로 정공주입층과 동일한 조건으로 형성될 수 있다. 구체적으로 옥사디아졸 유도체나 트리아졸 유도체, 페난트롤린 유도체, BCP, 알루미늄 착물 (aluminum complex) 등이 있으나, 이에 한정되지 않는다. The hole blocking layer prevents holes from reaching the cathode, and may be formed under the same conditions as those of the hole injecting layer. Specific examples thereof include, but are not limited to, oxadiazole derivatives, triazole derivatives, phenanthroline derivatives, BCP, aluminum complexes and the like.
본 명세서에 따른 유기 발광 소자는 사용되는 재료에 따라 전면 발광형, 후면 발광형 또는 양면 발광형일 수 있다.The organic light emitting device according to the present invention may be of a top emission type, a back emission type, or a both-side emission type, depending on the material used.
상기 화학식 1로 표시되는 화합물 및 이를 포함하는 유기 발광 소자의 제조는 이하 실시예에서 구체적으로 설명한다. 그러나 하기 실시예는 본 명세서를 예시하기 위한 것이며, 본 명세서의 범위가 이들에 의하여 한정되는 것은 아니다.The preparation of the compound represented by
<< 합성예Synthetic example 1> 1>
<< 제조예Manufacturing example 1> 1>
1) 하기 화합물 1의 화합물 합성One) Synthesis of Compound (1)
[화합물 1] [Compound 1]
질소 분위기에서 500ml 둥근 바닥 플라스크에 화합물 A (6.5g, 13.42mmol), N-(4-(디벤조[b,d]퓨란-4-일)페닐)-[1,1'-비페닐]-4-아민 (5.80g, 14.09mmol)을 크실렌 160ml에 완전히 녹인 후 소듐 tert-부톡사이드(NaOtBu)(1.55g, 16.10mmol)을 첨가하고, 비스(트리-tert-부틸포스핀) 팔라듐(0) (Pd(t-Bu3P2))(0.07g, 0.13mmol)을 넣은 후 5 시간 동안 가열 교반하였다. 상온으로 온도를 낮추고 여과하여 염(base)을 제거한 후 에 크실렌을 감압농축 시키고 에틸아세테이트 250ml로 재결정하여 상기 화합물 1 (8.46g, 수율: 77%)를 제조하였다. Compound (A) (6.5 g, 13.42 mmol), N- (4- (dibenzo [b, d] furan-4-yl) phenyl) - [1,1'- 4-amine (5.80g, 14.09mmol), and then completely dissolved in 160ml of xylene was added sodium tert- butoxide (NaOtBu) (1.55g, 16.10mmol) and bis (tri - tert - butylphosphine) palladium (0) (Pd (t-Bu 3 P 2 )) (0.07 g, 0.13 mmol) was added thereto, followed by heating and stirring for 5 hours. The temperature was lowered to room temperature, and the base was removed by filtration. The xylene was concentrated under reduced pressure and recrystallized from ethyl acetate (250 ml) to obtain Compound 1 (8.46 g, yield: 77%).
MS[M+H]+= 815MS [M + H] < + > = 815
<< 제조예Manufacturing example 2> 2>
1)
하기 화합물 2 의 화합물 합성One)
Synthesis of
[화합물 2] [Compound 2]
질소 분위기에서 500ml 둥근 바닥 플라스크에 화합물 B (6.5g, 13.36mmol), N-(4-(디벤조[b,d]퓨란-4-일)페닐)-[1,1'-비페닐]-4-아민 (5.77g, 14.03mmol)을 크실렌 160ml에 완전히 녹인 후 소듐 tert-부톡사이드(1.54g, 16.04mmol)을 첨가하고, 비스(트리-tert-부틸포스핀) 팔라듐(0) (0.07g, 0.13mmol)을 넣은 후 3 시간 동안 가열 교반하였다. 상온으로 온도를 낮추고 여과하여 염을 제거한 후 에 크실렌을 감압농축 시키고 에틸아세테이트 200ml로 재결정하여 상기 화합물 2 (7.16g, 수율: 66%)를 제조하였다. To a 500 ml round bottom flask in a nitrogen atmosphere was added compound B (6.5 g, 13.36 mmol), N- (4- (dibenzo [b, d] furan- 4-amine (5.77 g, 14.03 mmol) was dissolved in 160 ml of xylene and sodium tert-butoxide (1.54 g, 16.04 mmol) was added and bis (tri- tert-butylphosphine) palladium , 0.13 mmol) were added, and the mixture was heated and stirred for 3 hours. After the temperature was lowered to room temperature and the salts were removed by filtration, the xylene was concentrated under reduced pressure and recrystallized from ethyl acetate (200 ml) to give Compound 2 (7.16 g, yield: 66%).
MS[M+H]+= 817MS [M + H] < + > = 817
<< 제조예Manufacturing example 3> 3>
1)
하기 화합물 3 의 화합물 합성One)
Synthesis of
[화합물 3] [Compound 3]
질소 분위기에서 500ml 둥근 바닥 플라스크에 화합물 A (5.0g, 10.28mmol), N-(4-(디벤조[b,d]퓨란-4-일)페닐)-9,9-디메틸-9H-플루오렌-2-아민 (4.87g, 10.79mmol)을 크실렌 120ml에 완전히 녹인 후 소듐 tert-부톡사이드(1.19g, 12.34mmol)을 첨가하고, 비스(트리-tert-부틸포스핀) 팔라듐(0) (0.05g, 0.10mmol)을 넣은 후 4 시간 동안 가열 교반하였다. 상온으로 온도를 낮추고 여과하여 염을 제거한 후 에 크실렌을 감압농축 시키고 에틸아세테이트 300ml로 재결정하여 상기 화합물 3 (7.08g, 수율: 81%)를 제조하였다. Compound A (5.0 g, 10.28 mmol), N- (4- (dibenzo [b, d] furan-4-yl) phenyl) -9,9-dimethyl-9H-fluorene (Tert-butylphosphine) palladium (0) (0.05%) was added to a solution of the compound of Example 1 (2.9 g, 10.79 mmol) g, 0.10 mmol), and the mixture was heated with stirring for 4 hours. After the temperature was lowered to room temperature and the salts were removed by filtration, the xylene was concentrated under reduced pressure and recrystallized from ethyl acetate (300 ml) to give Compound 3 (7.08 g, yield: 81%).
MS[M+H]+= 855MS [M + H] < + > = 855
<< 제조예Manufacturing example 4> 4>
1) 하기 화합물 4 의 화합물 합성One) Synthesis of Compound (4)
[화합물 4] [Compound 4]
질소 분위기에서 500ml 둥근 바닥 플라스크에 화합물 B (5.0g, 10.28mmol), N-(4-(디벤조[b,d]퓨란-4-일)페닐)-9,9-디메틸-9H-플루오렌-2-아민 (4.87g, 10.79mmol)을 크실렌 120ml에 완전히 녹인 후 소듐 tert-부톡사이드(1.19g, 12.34mmol)을 첨가하고, 비스(트리-tert-부틸포스핀) 팔라듐(0) (0.05g, 0.10mmol)을 넣은 후 4 시간 동안 가열 교반하였다. 상온으로 온도를 낮추고 여과하여 염을 제거한 후 에 크실렌을 감압농축 시키고 에틸아세테이트 300ml로 재결정하여 상기 화합물 4 (6.37g, 수율: 72%)를 제조하였다. (5.0 g, 10.28 mmol), N- (4- (dibenzo [b, d] furan-4-yl) phenyl) -9,9-dimethyl-9H-fluorene in a 500 ml round- (Tert-butylphosphine) palladium (0) (0.05%) was added to a solution of the compound of Example 1 (2.9 g, 10.79 mmol) g, 0.10 mmol), and the mixture was heated with stirring for 4 hours. After the temperature was lowered to room temperature and the salts were removed by filtration, the xylene was concentrated under reduced pressure and recrystallized from ethyl acetate (300 ml) to obtain Compound 4 (6.37 g, yield: 72%).
MS[M+H]+= 857MS [M + H] < + > = 857
<< 제조예Manufacturing example 5> 5>
1)
하기 화합물 5 의 화합물 합성One)
Synthesis of
[화합물 5] [Compound 5]
질소 분위기에서 500ml 둥근 바닥 플라스크에 화합물 A (6.5g, 13.42mmol), N-(4-(디벤조[b,d]퓨란-2-일)페닐)-[1,1'-비페닐]-4-아민 (5.80g, 14.09mmol)을 크실렌 160ml에 완전히 녹인 후 소듐 tert-부톡사이드(1.55g, 16.10mmol)을 첨가하고, 비스(트리-tert-부틸포스핀) 팔라듐(0) (0.07g, 0.13mmol)을 넣은 후 4 시간 동안 가열 교반하였다. 상온으로 온도를 낮추고 여과하여 염을 제거한 후에 크실렌을 감압농축 시키고 에틸아세테이트 260ml로 재결정하여 상기 화합물 5 (7.58g, 수율: 70%)를 제조하였다. Compound (A) (6.5 g, 13.42 mmol), N- (4- (dibenzo [b, d] furan-2-yl) phenyl- [1,1'- biphenyl] - 4-amine (5.80 g, 14.09 mmol) was completely dissolved in 160 ml of xylene, sodium tert-butoxide (1.55 g, 16.10 mmol) was added and bis (tri- tert- butylphosphine) palladium , 0.13 mmol), and the mixture was heated and stirred for 4 hours. The temperature was lowered to room temperature, and the salt was removed by filtration. The xylene was concentrated under reduced pressure and recrystallized from ethyl acetate (260 ml) to prepare the above compound 5 (7.58 g, yield: 70%).
MS[M+H]+= 815MS [M + H] < + > = 815
<< 제조예Manufacturing example 6> 6>
1)
하기 화합물 6 의 화합물 합성One)
Synthesis of
[화합물 6] [Compound 6]
질소 분위기에서 500ml 둥근 바닥 플라스크에 화합물 B (6.5g, 13.36mmol), N-(4-(디벤조[b,d]퓨란-2-일)페닐)-[1,1'-비페닐]-4-아민 (5.77g, 14.03mmol)을 크실렌 160ml에 완전히 녹인 후 소듐 tert-부톡사이드(1.54g, 16.04mmol)을 첨가하고, 비스(트리-tert-부틸포스핀) 팔라듐(0) (0.07g, 0.13mmol)을 넣은 후 2 시간 동안 가열 교반하였다. 상온으로 온도를 낮추고 여과하여 염을 제거한 후 에 크실렌을 감압농축 시키고 에틸아세테이트 230ml로 재결정하여 상기 화합물 6 (6.82g, 수율: 62%)를 제조하였다. To a 500 ml round-bottom flask in a nitrogen atmosphere was added compound B (6.5 g, 13.36 mmol), N- (4- (dibenzo [b, d] furan-2-yl) 4-amine (5.77 g, 14.03 mmol) was dissolved in 160 ml of xylene and sodium tert-butoxide (1.54 g, 16.04 mmol) was added and bis (tri- tert-butylphosphine) palladium , 0.13 mmol) were added thereto, followed by heating and stirring for 2 hours. After the temperature was lowered to room temperature and the salts were removed by filtration, the xylene was concentrated under reduced pressure and recrystallized from ethyl acetate (230 ml) to obtain Compound 6 (6.82 g, yield: 62%).
MS[M+H]+= 817MS [M + H] < + > = 817
<< 제조예Manufacturing example 7> 7>
1)
하기 화합물 7의 화합물 합성One)
Synthesis of
[화합물 7] [Compound 7]
질소 분위기에서 500ml 둥근 바닥 플라스크에 화합물 A (5.0g, 10.28mmol), N-(4-(디벤조[b,d]퓨란-2-일)페닐)-9,9-디메틸-9H-플루오렌-2-아민 (4.87g, 10.79mmol)을 크실렌 120ml에 완전히 녹인 후 소듐 tert-부톡사이드(1.19g, 12.34mmol)을 첨가하고, 비스(트리-tert-부틸포스핀) 팔라듐(0) (0.05g, 0.10mmol)을 넣은 후 3 시간 동안 가열 교반하였다. 상온으로 온도를 낮추고 여과하여 염을 제거한 후 에 크실렌을 감압농축 시키고 에틸아세테이트 220ml로 재결정하여 상기 화합물 7 (7.08g, 수율: 81%)를 제조하였다. Compound A (5.0 g, 10.28 mmol), N- (4- (dibenzo [b, d] furan-2-yl) phenyl) -9,9-dimethyl-9H-fluorene (Tert-butylphosphine) palladium (0) (0.05%) was added to a solution of the compound of Example 1 (2.9 g, 10.79 mmol) g, 0.10 mmol), and the mixture was heated and stirred for 3 hours. After the temperature was lowered to room temperature and the salts were removed by filtration, the xylene was concentrated under reduced pressure and recrystallized from ethyl acetate (220 ml) to obtain Compound 7 (7.08 g, yield: 81%).
MS[M+H]+= 855MS [M + H] < + > = 855
<< 제조예Manufacturing example 8> 8>
1) 하기 화합물 8 의 화합물 합성One) Synthesis of Compound 8 below
[화합물 8] [Compound 8]
질소 분위기에서 500ml 둥근 바닥 플라스크에 화합물 B (5.0g, 10.28mmol), N-(4-(디벤조[b,d]퓨란-2-일)페닐)-9,9-디메틸-9H-플루오렌-2-아민 (4.87g, 10.79mmol)을 크실렌 120ml에 완전히 녹인 후 소듐 tert-부톡사이드(1.19g, 12.34mmol)을 첨가하고, 비스(트리-tert-부틸포스핀) 팔라듐(0) (0.05g, 0.10mmol)을 넣은 후 3 시간 동안 가열 교반하였다. 상온으로 온도를 낮추고 여과하여 염을 제거한 후 에 크실렌을 감압농축 시키고 에틸아세테이트 200ml로 재결정하여 상기 화합물 8 (5.76g, 수율: 65%)를 제조하였다. (5.0 g, 10.28 mmol), N- (4- (dibenzo [b, d] furan-2-yl) phenyl) -9,9-dimethyl-9H-fluorene in a 500 ml round- (Tert-butylphosphine) palladium (0) (0.05%) was added to a solution of the compound of Example 1 (2.9 g, 10.79 mmol) g, 0.10 mmol), and the mixture was heated and stirred for 3 hours. After the temperature was lowered to room temperature and the salts were removed by filtration, the xylene was concentrated under reduced pressure and recrystallized from ethyl acetate (200 ml) to obtain the above compound 8 (5.76 g, yield 65%).
MS[M+H]+= 857MS [M + H] < + > = 857
<< 제조예Manufacturing example 9> 하기 화합물 9 내지 16의 제조 Preparation of the following compounds 9 to 16
1) 하기 화합물 9 내지 16의 합성One) Synthesis of the following compounds 9 to 16
제조예 1 내지 8에서 화합물 A, B 대신 화합물 C, D을 사용한 것을 제외하고 상기 화합물 1 내지 8을 제조하는 방법과 동일한 방법으로 상기 화합물 9 내지 16을 제조하였다. The compounds 9 to 16 were prepared in the same manner as in the preparation of the
<< 제조예Manufacturing example 10> 하기 화합물 17 내지 24의 제조 Preparation of the following compounds 17 to 24
1) 하기 화합물 17 내지 24의 합성One) Synthesis of the following compounds 17 to 24
제조예 1 내지 8에서 화합물 A, B 대신 화합물 E, F을 사용한 것을 제외하고 상기 화합물 1 내지 8을 제조하는 방법과 동일한 방법으로 상기 화합물 17 내지 24를 제조하였다. The compounds 17 to 24 were prepared in the same manner as in the preparation of the
<< 제조예Manufacturing example 11> 11>
1) 하기 화합물 25 의 화합물 합성One) Synthesis of the following compound 25
[화합물 25] [Compound 25]
질소 분위기에서 500ml 둥근 바닥 플라스크에 화합물 A (6.5g, 13.40mmol), N-(4-(디벤조[b,d]디오펜-2-일)페닐)-[1,1'-비페닐]-4-아민 (6.01g, 14.07mmol)을 크실렌 210ml에 완전히 녹인 후 소듐 tert-부톡사이드(1.55g, 16.08mmol)을 첨가하고, 비스(트리-tert-부틸포스핀) 팔라듐(0) (0.07g, 0.13mmol)을 넣은 후 5 시간 동안 가열 교반하였다. 상온으로 온도를 낮추고 여과하여 염을 제거한 후 에 크실렌을 감압농축 시키고 에틸아세테이트 290ml로 재결정하여 상기 화합물 25 (8.26g, 수율: 74%)를 제조하였다. Compound A (6.5 g, 13.40 mmol), N- (4- (dibenzo [b, d] diphen-2-yl) phenyl) - [1,1'- biphenyl] - 4-amine (6.01 g, 14.07 mmol) was completely dissolved in 210 ml of xylene, sodium tert-butoxide (1.55 g, 16.08 mmol) was added and bis (tri- tert-butylphosphine) palladium , 0.13 mmol) were added, and the mixture was heated and stirred for 5 hours. After the temperature was lowered to room temperature and the salts were removed by filtration, the xylene was concentrated under reduced pressure and recrystallized from ethyl acetate (290 ml) to obtain Compound 25 (8.26 g, yield: 74%).
MS[M+H]+= 831MS [M + H] < + > = 831
<< 제조예Manufacturing example 12> 12>
1) 하기 화합물 26 의 화합물 합성One) Synthesis of Compound 26
[화합물 26] [Compound 26]
질소 분위기에서 500ml 둥근 바닥 플라스크에 화합물 B (6.5g, 13.40mmol), N-(4-(디벤조[b,d]티오펜-2-일)페닐)-[1,1'-비페닐]-4-아민 (6.01g, 14.07mmol)을 크실렌 180ml에 완전히 녹인 후 소듐 tert-부톡사이드(1.55g, 16.08mmol)을 첨가하고, 비스(트리-tert-부틸포스핀) 팔라듐(0) (0.07g, 0.13mmol)을 넣은 후 3 시간 동안 가열 교반하였다. 상온으로 온도를 낮추고 여과하여 염을 제거한 후 에 크실렌을 감압농축 시키고 에틸아세테이트 280ml로 재결정하여 상기 화합물 26 (7.79g, 수율: 70%)를 제조하였다. To a 500 ml round bottom flask in a nitrogen atmosphere was added a solution of compound B (6.5 g, 13.40 mmol), N- (4- (dibenzo [b, d] thiophen-2-yl) phenyl) - [ -4-amine (6.01 g, 14.07 mmol) was completely dissolved in 180 ml of xylene, sodium tert-butoxide (1.55 g, 16.08 mmol) was added and bis (tri- tert- butylphosphine) palladium g, 0.13 mmol), and the mixture was heated with stirring for 3 hours. After the temperature was lowered to room temperature and the salts were removed by filtration, the xylene was concentrated under reduced pressure and recrystallized from ethyl acetate (280 ml) to obtain Compound 26 (7.79 g, yield: 70%).
MS[M+H]+= 833MS [M + H] < + > = 833
<< 제조예Manufacturing example 13> 13>
1) 하기 화합물 27 의 화합물 합성One) Synthesis of Compound (27)
[화합물 27] [Compound 27]
질소 분위기에서 500ml 둥근 바닥 플라스크에 화합물 A (5.0g, 10.28mmol), N-(4-(디벤조[b,d]퓨란-2-일)페닐)-9,9-디메틸-9H-플루오렌-2-아민 (5.06g, 10.82mmol)을 크실렌 120ml에 완전히 녹인 후 소듐 tert-부톡사이드(1.19g, 12.34mmol)을 첨가하고, 비스(트리-tert-부틸포스핀) 팔라듐(0) (0.05g, 0.10mmol)을 넣은 후 3 시간 동안 가열 교반하였다. 상온으로 온도를 낮추고 여과하여 염을 제거한 후 에 크실렌을 감압농축 시키고 에틸아세테이트 220ml로 재결정하여 상기 화합물 27 (6.22g, 수율: 69%)를 제조하였다. Compound A (5.0 g, 10.28 mmol), N- (4- (dibenzo [b, d] furan-2-yl) phenyl) -9,9-dimethyl-9H-fluorene (Tert-butylphosphine) palladium (0) (0.05) (0.05 g, 10.82 mmol) was dissolved in 120 ml of xylene and sodium tert-butoxide (1.19 g, 12.34 mmol) g, 0.10 mmol), and the mixture was heated and stirred for 3 hours. After the temperature was lowered to room temperature and the salts were removed by filtration, the xylene was concentrated under reduced pressure and recrystallized from ethyl acetate (220 ml) to give Compound 27 (6.22 g, yield 69%).
MS[M+H]+= 871MS [M + H] < + > = 871
<< 제조예Manufacturing example 14> 14>
1) 하기 화합물 28 의 화합물 합성One) Synthesis of Compound 28
[화합물 28] [Compound 28]
질소 분위기에서 500ml 둥근 바닥 플라스크에 화합물 B (5.0g, 10.31mmol), N-(4-(디벤조[b,d]티오펜-2-일)페닐)-9,9-디메틸-9H-플루오렌-2-아민 (5.06g, 10.82mmol)을 크실렌 150ml에 완전히 녹인 후 소듐 tert-부톡사이드(1.19g, 12.37mmol)을 첨가하고, 비스(트리-tert-부틸포스핀) 팔라듐(0) (0.05g, 0.10mmol)을 넣은 후 5 시간 동안 가열 교반하였다. 상온으로 온도를 낮추고 여과하여 염을 제거한 후 에 크실렌을 감압농축 시키고 에틸아세테이트 230ml로 재결정하여 상기 화합물 28 (7.19g, 수율: 80%)를 제조하였다. (5.0 g, 10.31 mmol), N- (4- (dibenzo [b, d] thiophen-2-yl) phenyl) -9,9-dimethyl-9H- Amine (5.06 g, 10.82 mmol) was dissolved in 150 ml of xylene, sodium tert-butoxide (1.19 g, 12.37 mmol) was added and bis (tri- tert-butylphosphine) palladium 0.05 g, 0.10 mmol), and the mixture was heated with stirring for 5 hours. After the temperature was lowered to room temperature and the salts were removed by filtration, the xylene was concentrated under reduced pressure and recrystallized from ethyl acetate (230 ml) to obtain the compound 28 (7.19 g, yield: 80%).
MS[M+H]+= 873MS [M + H] < + > = 873
<< 제조예Manufacturing example 15> 15>
1) 하기 화합물 29 의 화합물 합성One) Synthesis of the compound of the following compound 29
[화합물 29] [Compound 29]
질소 분위기에서 500ml 둥근 바닥 플라스크에 화합물 A (8.0g, 16.52mmol), 비스(9,9-디메틸-9H-플루오렌-2-일)아민 (6.95g, 17.34mmol)을 크실렌 180ml에 완전히 녹인 후 소듐 tert-부톡사이드(1.90g, 19.82mmol)을 첨가하고, 비스(트리-tert-부틸포스핀) 팔라듐(0) (0.08g, 0.17mmol)을 넣은 후 6 시간 동안 가열 교반하였다. 상온으로 온도를 낮추고 여과하여 염을 제거한 후 에 크실렌을 감압농축 시키고 에틸아세테이트 260ml로 재결정하여 상기 화합물 29 (9.16g, 수율: 79%)를 제조하였다. Compound A (8.0 g, 16.52 mmol) and bis (9,9-dimethyl-9H-fluoren-2-yl) amine (6.95 g, 17.34 mmol) were completely dissolved in 180 ml of xylene in a 500 ml round- (Tert-butylphosphine) palladium (0) (0.08 g, 0.17 mmol) was added thereto, followed by heating and stirring for 6 hours. After the temperature was lowered to room temperature and the salts were removed by filtration, the xylene was concentrated under reduced pressure and recrystallized from ethyl acetate (260 ml) to obtain the above compound 29 (9.16 g, yield: 79%).
MS[M+H]+= 805MS [M + H] < + > = 805
<< 제조예Manufacturing example 16> 16>
1) 하기 화합물 30 의 화합물 합성One) Synthesis of Compound 30 below
[화합물 30] [Compound 30]
질소 분위기에서 500ml 둥근 바닥 플라스크에 화합물 B (7.0g, 14.39mmol), 비스(9,9-디메틸-9H-플루오렌-2-일)아민 (6.06g, 15.11mmol)을 크실렌 160ml에 완전히 녹인 후 소듐 tert-부톡사이드(1.66g, 17.27mmol)을 첨가하고, 비스(트리-tert-부틸포스핀) 팔라듐(0) (0.07g, 0.14mmol)을 넣은 후 4 시간 동안 가열 교반하였다. 상온으로 온도를 낮추고 여과하여 염을 제거한 후 에 크실렌을 감압농축 시키고 에틸아세테이트 210ml로 재결정하여 상기 화합물 30 (7.48g, 수율: 64%)를 제조하였다. Compound (B) (7.0 g, 14.39 mmol) and bis (9,9-dimethyl-9H-fluoren-2-yl) amine (6.06 g, 15.11 mmol) were completely dissolved in 160 ml of xylene in a 500 ml round- (Tert-butylphosphine) palladium (0) (0.07 g, 0.14 mmol) was added thereto, followed by heating and stirring for 4 hours. After the temperature was lowered to room temperature and the salts were removed by filtration, the xylene was concentrated under reduced pressure and recrystallized from 210 ml of ethyl acetate to obtain Compound 30 (7.48 g, yield: 64%).
MS[M+H]+= 807MS [M + H] < + > = 807
<< 실험예Experimental Example 1> 1>
ITO(indium tin oxide)가 1,000Å의 두께로 박막 코팅된 유리 기판을 세제를 녹인 증류수에 넣고 초음파로 세척하였다. 이 때, 세제로는 피셔사(Fischer Co.) 제품을 사용하였으며, 증류수로는 밀러포어사(Millipore Co.) 제품의 필터(Filter)로 2차로 걸러진 증류수를 사용하였다. ITO를 30분간 세척한 후 증류수로 2회 반복하여 초음파 세척을 10분간 진행하였다. 증류수 세척이 끝난 후, 이소프로필알콜, 아세톤, 메탄올의 용제로 초음파 세척을 하고 건조시킨 후 플라즈마 세정기로 수송시켰다. 또한, 산소 플라즈마를 이용하여 상기 기판을 5분간 세정한 후 진공 증착기로 기판을 수송시켰다.The glass substrate coated with ITO (indium tin oxide) thin film with a thickness of 1,000 Å was immersed in distilled water containing detergent and washed with ultrasonic waves. In this case, Fischer Co. was used as a detergent, and distilled water filtered by a filter of Millipore Co. was used as distilled water. The ITO was washed for 30 minutes and then washed twice with distilled water and ultrasonically cleaned for 10 minutes. After the distilled water was washed, it was ultrasonically washed with a solvent of isopropyl alcohol, acetone, and methanol, dried, and then transported to a plasma cleaner. Further, the substrate was cleaned using oxygen plasma for 5 minutes, and then the substrate was transported by a vacuum evaporator.
이렇게 준비된 ITO 투명 전극 위에 하기 화학식의 헥사니트릴 헥사아자트리페닐렌 (hexaazatriphenylene; HAT)를 500Å의 두께로 열 진공 증착하여 정공 주입층을 형성하였다. On this ITO transparent electrode, hexanitrile hexaazatriphenylene (HAT) of the following chemical formula was thermally vacuum deposited to a thickness of 500 Å to form a hole injection layer.
[HAT][LINE]
상기 정공 주입층 위에 정공을 수송하는 물질인 하기 화합물 N4,N4,N4',N4'-테트라([1,1'-비페닐]-4-일)-[1,1'-비페닐]-4,4'-디아민 (HTL)(300Å)를 진공 증착하여 정공 수송층을 형성하였다. The following compounds N4, N4, N4 ', N4'-tetra ([1,1'-biphenyl] -4-yl) - [1,1'- 4,4'-diamine (HTL) (300 ANGSTROM) was vacuum-deposited to form a hole transport layer.
[HTL][HTL]
이어서, 상기 정공 수송층 위에 막 두께 100Å으로 전자를 억제하는 물질인 하기 화합물 EBL 를 진공 증착하여 전자 저지층을 형성하였다.Subsequently, an electron blocking layer was formed on the hole transport layer by vacuum evaporation of the following compound EBL, which is a substance suppressing electrons, to a thickness of 100 ANGSTROM.
[EBL][EBL]
이어서, 상기 전자 저지층 위에 막 두께 300Å으로 아래와 같은 BH와 BD를 25:1의 중량비로 진공증착하여 발광층을 형성하였다.Subsequently, BH and BD were vacuum deposited on the electron blocking layer to a thickness of 300 ANGSTROM at a weight ratio of 25: 1 to form a light emitting layer.
[BH][BH]
[BD][BD]
[ET1][ET1]
[LiQ][LiQ]
상기 발광층 위에 상기 화합물 ET1과 상기 화합물 LiQ(Lithium Quinolate)를 1:1의 중량비로 진공증착하여 300Å의 두께로 전자 주입 및 수송층을 형성하였다. 상기 전자 주입 및 수송층 위에 순차적으로 12Å두께로 리튬플로라이드(LiF)와 2,000Å 두께로 알루미늄을 증착하여 음극을 형성하였다. The compound ET1 and the compound LiQ (Lithium Quinolate) were vacuum deposited on the light emitting layer at a weight ratio of 1: 1 to form an electron injection and transport layer having a thickness of 300 Å. Lithium fluoride (LiF) and aluminum were deposited to a thickness of 2000 Å on the electron injecting and transporting layer sequentially to form a cathode.
상기의 과정에서 유기물의 증착속도는 0.4~ 0.7Å/sec를 유지하였고, 음극의 리튬플로라이드는 0.3Å/sec, 알루미늄은 2Å/sec의 증착 속도를 유지하였으며, 증착시 진공도는 2 ⅹ10-7 ~5 ⅹ10-6 torr를 유지하여, 유기 발광 소자를 제작하였다.Was maintained at the deposition rate was 0.4 ~ 0.7Å / sec for organic material in the above process, the lithium fluoride of the cathode was 0.3Å / sec, aluminum is deposited at a rate of 2Å / sec, the degree of vacuum upon
<실험예 1-1><Experimental Example 1-1>
상기 실험예 1에서 EBL 대신 상기 화합물 1 을 사용한 것을 제외하고는 실험예 1과 동일한 방법으로 유기 발광 소자를 제작하였다.An organic light emitting device was fabricated in the same manner as in Experimental Example 1, except that
<실험예 1-2><Experimental Example 1-2>
상기 실험예 1에서 EBL 대신 상기 화합물 2 를 사용한 것을 제외하고는 실험예 1과 동일한 방법으로 유기 발광 소자를 제작하였다.An organic light emitting device was fabricated in the same manner as in Experimental Example 1, except that
<실험예 1-3> <Experimental Example 1-3>
상기 실험예 1에서 EBL 대신 상기 화합물 3 을 사용한 것을 제외하고는 실험예 1과 동일한 방법으로 유기 발광 소자를 제작하였다.An organic light emitting device was fabricated in the same manner as in Experimental Example 1, except that
<실험예 1-4><Experimental Example 1-4>
상기 실험예 1에서 EBL 대신 상기 화합물 4 를 사용한 것을 제외하고는 실험예 1과 동일한 방법으로 유기 발광 소자를 제작하였다.An organic light emitting device was fabricated in the same manner as in Experimental Example 1, except that
<실험예 1-5><Experimental Example 1-5>
상기 실험예 1에서 EBL 대신 상기 화합물 5 를 사용한 것을 제외하고는 실험예 1과 동일한 방법으로 유기 발광 소자를 제작하였다.An organic light emitting device was fabricated in the same manner as in Experimental Example 1, except that
<실험예 1-6><Experimental Example 1-6>
상기 실험예 1에서 EBL 대신 상기 화합물 6 을 사용한 것을 제외하고는 실험예 1과 동일한 방법으로 유기 발광 소자를 제작하였다.An organic light emitting device was fabricated in the same manner as in Experimental Example 1, except that
<실험예 1-7><Experimental Example 1-7>
상기 실험예 1에서 EBL 대신 상기 화합물 7 을 사용한 것을 제외하고는 실험예 1과 동일한 방법으로 유기 발광 소자를 제작하였다.An organic light emitting device was fabricated in the same manner as in Experimental Example 1, except that
<실험예 1-8><Experimental Example 1-8>
상기 실험예 1에서 EBL 대신 상기 화합물 8 을 사용한 것을 제외하고는 실험예 1과 동일한 방법으로 유기 발광 소자를 제작하였다.An organic light emitting device was fabricated in the same manner as in Experimental Example 1, except that Compound 8 was used instead of EBL in Experimental Example 1.
<실험예 1-9> <Experimental Example 1-9>
상기 실험예 1에서 EBL 대신 상기 화합물 9 를 사용한 것을 제외하고는 실험예 1과 동일한 방법으로 유기 발광 소자를 제작하였다.An organic light emitting device was fabricated in the same manner as in Experimental Example 1, except that Compound 9 was used instead of EBL in Experimental Example 1.
<실험예 1-10><Experimental Example 1-10>
상기 실험예 1에서 EBL 대신 상기 화합물 10 을 사용한 것을 제외하고는 실험예 1과 동일한 방법으로 유기 발광 소자를 제작하였다.An organic light emitting device was fabricated in the same manner as in Experimental Example 1, except that Compound 10 was used instead of EBL in Experimental Example 1.
<실험예 1-11><Experimental Example 1-11>
상기 실험예 1에서 EBL 대신 상기 화합물 11 을 사용한 것을 제외하고는 실험예 1과 동일한 방법으로 유기 발광 소자를 제작하였다.An organic light emitting device was fabricated in the same manner as in Experimental Example 1, except that Compound 11 was used instead of EBL in Experimental Example 1.
<실험예 1-12><Experimental Example 1-12>
상기 실험예 1에서 EBL 대신 상기 화합물 12 를 사용한 것을 제외하고는 실험예 1과 동일한 방법으로 유기 발광 소자를 제작하였다.An organic light emitting device was fabricated in the same manner as in Experimental Example 1, except that Compound 12 was used instead of EBL in Experimental Example 1.
<실험예 1-13><Experimental Example 1-13>
상기 실험예 1에서 EBL 대신 상기 화합물 13 을 사용한 것을 제외하고는 실험예 1과 동일한 방법으로 유기 발광 소자를 제작하였다.An organic light emitting device was fabricated in the same manner as in Experimental Example 1, except that Compound 13 was used instead of EBL in Experimental Example 1.
<실험예 1-14><Experimental Example 1-14>
상기 실험예 1에서 EBL 대신 상기 화합물 14를 사용한 것을 제외하고는 실험예 1과 동일한 방법으로 유기 발광 소자를 제작하였다.An organic light emitting device was fabricated in the same manner as in Experimental Example 1, except that Compound 14 was used instead of EBL in Experimental Example 1.
<실험예 1-15><Experimental Example 1-15>
상기 실험예 1에서 EBL 대신 상기 화합물 15 를 사용한 것을 제외하고는 실험예 1과 동일한 방법으로 유기 발광 소자를 제작하였다.An organic light emitting device was fabricated in the same manner as in Experimental Example 1, except that Compound 15 was used instead of EBL in Experimental Example 1.
<실험예 1-16><Experimental Example 1-16>
상기 실험예 1에서 EBL 대신 상기 화합물 16 을 사용한 것을 제외하고는 실험예 1과 동일한 방법으로 유기 발광 소자를 제작하였다.An organic light emitting device was fabricated in the same manner as in Experimental Example 1, except that Compound 16 was used instead of EBL in Experimental Example 1.
<실험예 1-17><Experimental Example 1-17>
상기 실험예 1에서 EBL 대신 상기 화합물 17 을 사용한 것을 제외하고는 실험예 1과 동일한 방법으로 유기 발광 소자를 제작하였다.An organic light emitting device was fabricated in the same manner as in Experimental Example 1, except that Compound 17 was used instead of EBL in Experimental Example 1.
<실험예 1-18><Experimental Example 1-18>
상기 실험예 1에서 EBL 대신 상기 화합물 18 을 사용한 것을 제외하고는 실험예 1과 동일한 방법으로 유기 발광 소자를 제작하였다.An organic light emitting device was fabricated in the same manner as in Experimental Example 1, except that Compound 18 was used instead of EBL in Experimental Example 1.
<실험예 1-19><Experimental Example 1-19>
상기 실험예 1에서 EBL 대신 상기 화합물 19 를 사용한 것을 제외하고는 실험예 1과 동일한 방법으로 유기 발광 소자를 제작하였다.An organic light emitting device was fabricated in the same manner as in Experimental Example 1, except that Compound 19 was used instead of EBL in Experimental Example 1.
<실험예 1-20><Experimental Example 1-20>
상기 실험예 1에서 EBL 대신 상기 화합물 20 을 사용한 것을 제외하고는 실험예 1과 동일한 방법으로 유기 발광 소자를 제작하였다.An organic light emitting device was prepared in the same manner as in Experimental Example 1, except that Compound 20 was used instead of EBL in Experimental Example 1.
<실험예 1-21><Experimental Example 1-21>
상기 실험예 1에서 EBL 대신 상기 화합물 21 을 사용한 것을 제외하고는 실험예 1과 동일한 방법으로 유기 발광 소자를 제작하였다.An organic light emitting device was fabricated in the same manner as in Experimental Example 1, except that Compound 21 was used instead of EBL in Experimental Example 1.
<실험예 1-22><Experimental Example 1-22>
상기 실험예 1에서 EBL 대신 상기 화합물 22 를 사용한 것을 제외하고는 실험예 1과 동일한 방법으로 유기 발광 소자를 제작하였다.An organic light emitting device was fabricated in the same manner as in Experimental Example 1, except that Compound 22 was used instead of EBL in Experimental Example 1.
<실험예 1-23><Experimental Example 1-23>
상기 실험예 1에서 EBL 대신 상기 화합물 23 을 사용한 것을 제외하고는 실험예 1과 동일한 방법으로 유기 발광 소자를 제작하였다.An organic light emitting device was fabricated in the same manner as in Experimental Example 1, except that Compound 23 was used instead of EBL in Experimental Example 1.
<실험예 1-24><Experimental Example 1-24>
상기 실험예 1에서 EBL 대신 상기 화합물 24 를 사용한 것을 제외하고는 실험예 1과 동일한 방법으로 유기 발광 소자를 제작하였다.An organic light emitting device was fabricated in the same manner as in Experimental Example 1, except that Compound 24 was used instead of EBL in Experimental Example 1.
<실험예 1-25><Experimental Example 1-25>
상기 실험예 1에서 EBL 대신 상기 화합물 25 를 사용한 것을 제외하고는 실험예 1과 동일한 방법으로 유기 발광 소자를 제작하였다.An organic light emitting device was fabricated in the same manner as in Experimental Example 1, except that Compound 25 was used instead of EBL in Experimental Example 1.
<실험예 1-26><Experimental Example 1-26>
상기 실험예 1에서 EBL 대신 상기 화합물 26 을 사용한 것을 제외하고는 실험예 1과 동일한 방법으로 유기 발광 소자를 제작하였다.An organic light emitting device was prepared in the same manner as in Experimental Example 1, except that Compound 26 was used instead of EBL in Experimental Example 1.
<실험예 1-27><Experimental Example 1-27>
상기 실험예 1에서 EBL 대신 상기 화합물 27 을 사용한 것을 제외하고는 실험예 1과 동일한 방법으로 유기 발광 소자를 제작하였다.An organic light emitting device was fabricated in the same manner as in Experimental Example 1, except that Compound 27 was used instead of EBL in Experimental Example 1.
<실험예 1-28><Experimental Example 1-28>
상기 실험예 1에서 EBL 대신 상기 화합물 28 을 사용한 것을 제외하고는 실험예 1과 동일한 방법으로 유기 발광 소자를 제작하였다.An organic light emitting device was fabricated in the same manner as in Experimental Example 1, except that Compound 28 was used instead of EBL in Experimental Example 1.
<비교예 1>≪ Comparative Example 1 &
상기 실험예 1에서 EBL 대신 하기 EB1의 화합물을 사용한 것을 제외하고는 상기 실험예 1과 동일한 방법으로 유기 발광 소자를 제작하였다.An organic light emitting device was fabricated in the same manner as in Experimental Example 1, except that the following EB1 compound was used instead of EBL in Experimental Example 1.
[EB1][EB1]
<비교예 2>≪ Comparative Example 2 &
상기 실험예 1에서 EBL 대신 하기 EB2의 화합물을 사용한 것을 제외하고는 상기 실험예 1과 동일한 방법으로 유기 발광 소자를 제작하였다.An organic light emitting device was fabricated in the same manner as in Experimental Example 1, except that the following EB2 compound was used in place of EBL in Experimental Example 1.
[EB2][EB2]
<비교예 3>≪ Comparative Example 3 &
상기 실험예 1에서 EBL 대신 하기 EB3의 화합물을 사용한 것을 제외하고는 상기 실험예 1과 동일한 방법으로 유기 발광 소자를 제작하였다.An organic light emitting device was fabricated in the same manner as in Experimental Example 1, except that the following EB3 compound was used in place of EBL in Experimental Example 1.
[EB3][EB3]
<비교예 4>≪ Comparative Example 4 &
상기 실험예 1에서 EBL 대신 하기 EB4의 화합물을 사용한 것을 제외하고는 상기 실험예 1과 동일한 방법으로 유기 발광 소자를 제작하였다.An organic light emitting device was fabricated in the same manner as in Experimental Example 1, except that the following EB4 compound was used in place of EBL in Experimental Example 1.
[EB4][EB4]
실험예 1 및 실험예 1-1 내지 1-28 및 비교예 1 내지 4 에 의해 제작된 유기 발광 소자에 전류를 인가하였을 때, 전압, 효율, 색좌표 및 수명을 측정하고 그 결과를 하기 [표 1]에 나타내었다. T95은 휘도가 초기휘도(5000nit)에서 95%로 감소되는데 소요되는 시간을 의미한다.The voltage, efficiency, color coordinates, and lifetime were measured when current was applied to the organic light-emitting device manufactured in Experimental Example 1, Experimental Examples 1-1 to 1-28 and Comparative Examples 1 to 4, and the results are shown in Table 1 ]. T95 means the time required for the luminance to decrease from the initial luminance (5000 nits) to 95%.
(전자저지층)compound
(Electronic blocking layer)
(V@10mA/cm2)Voltage
(V @ 10 mA / cm 2 )
(cd/A@10mA/cm2)efficiency
(cd / A @ 10mA / cm 2)
(x,y)Color coordinates
(x, y)
(비교예)Experimental Example 1
(Comparative Example)
상기 표 1에서 보는 바와 같이, 본원 발명의 화합물을 전자저지층으로 사용하여 제조된 유기 발광 소자는 유기 발광 소자의 효율, 구동전압이 우수한 특성을 가진다. 또한 안정성이 뛰어나서 장수명 특성을 나타낸다.As shown in Table 1, the organic light emitting device manufactured using the compound of the present invention as an electron blocking layer has characteristics of excellent efficiency and driving voltage of an organic light emitting device. It also has excellent stability and long life.
실험예 1-1~ 1-28은 Ar1 이 플루오렌기이고, Ar2가 바이페닐인 아민이 치환된 비교예 1보다 수명이 20%이상 높게 측정되었다. 이는 Linear한 바이페닐보다 Ar2가 디벤조퓨란, 디벤조티오펜, 플루오렌기를 가지는 본원 발명의 화합물이 증착될 때 모폴로지(morphology)가 잘 형성되어 안정성 면에서 우수한 것을 알 수 있다.In Experimental Examples 1-1 to 1-28, lifetime was 20% or more higher than that of Comparative Example 1 in which Ar1 is a fluorene group and Ar2 is a biphenyl-amine. It can be seen that morphology is well formed when the compound of the present invention having dibenzofuran, dibenzothiophene, and fluorene groups is deposited rather than linear biphenyl, which is superior in terms of stability.
본 발명의 코어에서 대칭으로 2개의 치환기가 연결된 비교예 2, 3은 수명이 상대적으로 매우 떨어지는 특성을 보였고, 아민이 2개가 연결된 비교예 4는 전압이 매우 높게 측정되었다. 이는 아민이 2개를 가져서 물질의 homo 값이 본원발명의 화합물보다 상대적으로 높아져서 인접한 발광층 물질의 homo 값과의 차이가 벌어져서 베리어(barrier)가 형성되어서 정공(hole)주입이 어려워진 것으로 보인다.Comparative Examples 2 and 3 in which two substituents are symmetrically connected in the core of the present invention showed relatively low life span and Comparative Example 4 in which two amines were connected was measured to have a very high voltage. This is because the homo value of the material is relatively higher than that of the compound of the present invention due to the presence of two amines, which is different from the homo value of the neighboring light emitting layer material, so that a barrier is formed and hole injection becomes difficult.
또한 Ar1이 바이페닐인 경우에 수명측면에서의 강점을 가지고 Ar1가 플루오렌인 경우에 전압측면에서 강점을 가진다. 이는 플루오렌기가 바이페닐기보다 일반적으로 전자가 풍부하고, 전자 이동도(electron mobility)가 상대적으로 뛰어나서 발광층으로 조금 더 빨리 정공을 공급해주는 역할을 하기 때문이다.In the case where Ar1 is biphenyl, it has a strength in terms of life and has a strength in terms of voltage when Ar1 is fluorene. This is because the fluorene group is generally richer in electrons than the biphenyl group, and has relatively high electron mobility, thus serving to supply holes to the light emitting layer a little faster.
상기 표 1의 결과와 같이, 본 발명에 다른 화합물은 전자 차단 능력이 우수하여 유기 발광 소자에 적용 가능함을 확인할 수 있었다. As shown in Table 1, it was confirmed that the compounds of the present invention are excellent in electron blocking ability and applicable to organic light emitting devices.
이상을 통해 본 발명의 바람직한 실시(전자저지층)에 대하여 설명하였지만, 본 발명은 이에 한정되는 것이 아니고 특허청구범위와 발명의 상세한 설명의 범위 안에서 여러 가지로 변형하여 실시하는 것이 가능하고 이 또한 발명의 범주에 속한다.Although the preferred embodiments of the present invention have been described with reference to the accompanying drawings, it should be understood that the present invention is not limited thereto, but can be variously modified and embodied within the scope of the claims and the detailed description of the invention. .
1: 기판
2: 양극
3: 발광층
4: 음극
5: 정공주입층
6: 정공수송층
7: 전자수송층 1: substrate
2: anode
3: light emitting layer
4: cathode
5: Hole injection layer
6: hole transport layer
7: Electron transport layer
Claims (13)
[화학식 1]
화학식 1에 있어서, R1 및 R2는 서로 같거나 상이하며, 각각 독립적으로 수소 또는 중수소이거나, R1 과 R2가 서로 결합하여 고리를 형성할 수 있고,
Ra, Rb, Rc, Rd 및 Re는 서로 같거나 상이하며, 각각 독립적으로 수소; 중수소; 할로겐기; 시아노기; 치환 또는 비치환된 알킬기; 치환 또는 비치환된 시클로알킬기; 치환 또는 비치환된 알콕시기; 치환 또는 비치환된 아릴기; 또는 치환 또는 비치환된 헤테로고리기이며,
l, m 및 o 는 각각 0 내지 4의 정수이고, n 및 p는 각각 0 내지 3의 정수이며, l 내지 p가 2 이상인 경우, 괄호안의 치환기는 서로 같거나 상이하고,
L1 내지 L3은 서로 같거나 상이하며, 각각 독립적으로 직접결합; 또는 치환 또는 비치환된 아릴렌기이며,
Ar1은 치환 또는 비치환된 디벤조티오펜기; 치환 또는 비치환된 디벤조퓨란기; 치환 또는 비치환된 카바졸기; 치환 또는 비치환된 플루오렌기; 또는 치환 또는 비치환된 트리페닐렌기이고,
Ar2는 치환 또는 비치환된 페닐기; 치환 또는 비치환된 나프틸기; 치환 또는 비치환된 바이페닐기; 치환 또는 비치환된 디벤조티오펜기; 치환 또는 비치환된 디벤조퓨란기; 또는 치환 또는 비치환된 플루오렌기이며,
단, Ar1이 치환 또는 비치환된 플루오렌기인 경우, Ar2는 치환 또는 비치환된 디벤조티오펜기; 치환 또는 비치환된 디벤조퓨란기; 및 치환 또는 비치환된 플루오렌기 중에서 선택된다. A compound represented by the following formula (1):
[Chemical Formula 1]
In formula (1), R1 and R2 are the same or different and each independently hydrogen or deuterium, R1 and R2 may be bonded to each other to form a ring,
Ra, Rb, Rc, Rd and Re are the same or different and each independently hydrogen; heavy hydrogen; A halogen group; Cyano; A substituted or unsubstituted alkyl group; A substituted or unsubstituted cycloalkyl group; A substituted or unsubstituted alkoxy group; A substituted or unsubstituted aryl group; Or a substituted or unsubstituted heterocyclic group,
l, m and o are each an integer of 0 to 4, n and p are each an integer of 0 to 3, and when 1 to p is 2 or more, the substituents in parentheses are the same or different,
L1 to L3 are the same or different and are each independently a direct bond; Or a substituted or unsubstituted arylene group,
Ar 1 is a substituted or unsubstituted dibenzothiophene group; A substituted or unsubstituted dibenzofurane group; A substituted or unsubstituted carbazole group; A substituted or unsubstituted fluorene group; Or a substituted or unsubstituted triphenylene group,
Ar2 is a substituted or unsubstituted phenyl group; A substituted or unsubstituted naphthyl group; A substituted or unsubstituted biphenyl group; A substituted or unsubstituted dibenzothiophene group; A substituted or unsubstituted dibenzofurane group; Or a substituted or unsubstituted fluorene group,
Provided that when Ar1 is a substituted or unsubstituted fluorene group, Ar2 is a substituted or unsubstituted dibenzothiophene group; A substituted or unsubstituted dibenzofurane group; And a substituted or unsubstituted fluorene group.
[화학식 2]
[화학식 3]
상기 화학식 2 및 3에 있어서, L1 내지 L3, Ar1 및 Ar2는 화학식 1에서의 정의와 같다. The compound according to claim 1, wherein the compound represented by Formula 1 is represented by Formula 2 or 3:
(2)
(3)
In Formulas (2) and (3), L1 to L3, Ar1 and Ar2 are as defined in Formula (1).
[화학식 2-1]
[화학식 2-2]
[화학식 2-3]
[화학식 2-4]
[화학식 3-1]
[화학식 3-2]
[화학식 3-3]
[화학식 3-4]
상기 화학식 2-1 내지 2-4 및 3-1 내지 3-4에서, L1 내지 L3, Ar1 및 Ar2는 화학식 1에서의 정의와 같다. The compound according to claim 1, wherein the compound represented by Formula 1 is represented by any one of the following Formulas (2-1) to (2-4) and (3-1) to (3-4)
[Formula 2-1]
[Formula 2-2]
[Formula 2-3]
[Chemical Formula 2-4]
[Formula 3-1]
[Formula 3-2]
[Formula 3-3]
[Chemical Formula 3-4]
In Formulas (2-1) to (2-4) and (3-1) to (3-4), L1 to L3, Ar1 and Ar2 are as defined in Formula (1).
The compound according to claim 1, wherein N (L2-Ar1) (L3-Ar2) in Formula 1 is selected from the following structural formulas:
2. The compound according to claim 1, wherein said formula (1) is selected from the following structural formulas:
[화학식 A-1]
상기 화학식 A-1에 있어서,
q는 1 이상의 정수이고,
Ar3는 치환 또는 비치환된 1가 이상의 벤조플루오렌기; 치환 또는 비치환된 1가 이상의 플루오란텐기; 치환 또는 비치환된 1가 이상의 파이렌기; 또는 치환 또는 비치환된 1가 이상의 크라이센기이고,
L4는 직접결합; 치환 또는 비치환된 아릴렌기; 또는 치환 또는 비치환된 헤테로아릴렌기이며,
Ar4 및 Ar5는 서로 같거나 상이하고, 각각 독립적으로 치환 또는 비치환된 아릴기; 치환 또는 비치환된 실릴기; 치환 또는 비치환된 게르마늄기; 치환 또는 비치환된 알킬기; 치환 또는 비치환된 아릴알킬기; 또는 치환 또는 비치환된 헤테로고리기이거나, 서로 결합하여 치환 또는 비치환된 고리를 형성할 수 있으며,
q가 2 이상인 경우, 2 이상의 괄호 안의 구조는 서로 같거나 상이하다.[Claim 7] The organic light emitting device of claim 7, wherein the organic layer comprises a light emitting layer, and the light emitting layer comprises a compound represented by the following formula (A-1)
[A-1]
In the above formula (A-1)
q is an integer of 1 or more,
Ar3 is a substituted or unsubstituted monovalent or more benzofluorene group; A substituted or unsubstituted monovalent or more fluoranthene group; A substituted or unsubstituted monovalent or higher valent phenylene group; Or a substituted or unsubstituted monovalent or more chrysene group,
L4 is a direct bond; A substituted or unsubstituted arylene group; Or a substituted or unsubstituted heteroarylene group,
Ar 4 and Ar 5 are the same or different and each independently represents a substituted or unsubstituted aryl group; A substituted or unsubstituted silyl group; A substituted or unsubstituted germanium group; A substituted or unsubstituted alkyl group; A substituted or unsubstituted arylalkyl group; Or a substituted or unsubstituted heterocyclic group or may be bonded to each other to form a substituted or unsubstituted ring,
When q is 2 or more, the structures in parentheses two or more are the same or different from each other.
[화학식 A-2]
상기 화학식 A-2에 있어서,
Ar6 및 Ar7은 서로 같거나 상이하고, 각각 독립적으로 치환 또는 비치환된 단환의 아릴기; 또는 치환 또는 비치환된 다환의 아릴기이고,
G1 내지 G8은 서로 같거나 상이하고, 각각 독립적으로 수소; 치환 또는 비치환된 단환의 아릴기; 또는 치환 또는 비치환된 다환의 아릴기이다.[Claim 7] The organic light emitting device of claim 7, wherein the organic layer comprises a light emitting layer, and the light emitting layer comprises a compound represented by the following formula (A-2)
[A-2]
In the above formula (A-2)
Ar6 and Ar7 are the same or different and each independently represents a substituted or unsubstituted monocyclic aryl group; Or a substituted or unsubstituted polycyclic aryl group,
G1 to G8 are the same or different from each other, and each independently hydrogen; A substituted or unsubstituted monocyclic aryl group; Or a substituted or unsubstituted polycyclic aryl group.
[화학식 A-2]
상기 화학식 A-2에 있어서,
Ar6 및 Ar7은 서로 같거나 상이하고, 각각 독립적으로 치환 또는 비치환된 단환의 아릴기; 또는 치환 또는 비치환된 다환의 아릴기이고,
G1 내지 G8은 서로 같거나 상이하고, 각각 독립적으로 수소; 치환 또는 비치환된 단환의 아릴기; 또는 치환 또는 비치환된 다환의 아릴기이다.
[Claim 11] The organic light emitting device according to claim 9, wherein the light emitting layer comprises a compound represented by the following formula (A-2)
[A-2]
In the above formula (A-2)
Ar6 and Ar7 are the same or different and each independently represents a substituted or unsubstituted monocyclic aryl group; Or a substituted or unsubstituted polycyclic aryl group,
G1 to G8 are the same or different from each other, and each independently hydrogen; A substituted or unsubstituted monocyclic aryl group; Or a substituted or unsubstituted polycyclic aryl group.
Priority Applications (1)
| Application Number | Priority Date | Filing Date | Title |
|---|---|---|---|
| KR1020160114567A KR102103620B1 (en) | 2016-09-06 | 2016-09-06 | Compound and organic light emitting device comprising the same |
Applications Claiming Priority (1)
| Application Number | Priority Date | Filing Date | Title |
|---|---|---|---|
| KR1020160114567A KR102103620B1 (en) | 2016-09-06 | 2016-09-06 | Compound and organic light emitting device comprising the same |
Publications (2)
| Publication Number | Publication Date |
|---|---|
| KR20180027230A true KR20180027230A (en) | 2018-03-14 |
| KR102103620B1 KR102103620B1 (en) | 2020-04-22 |
Family
ID=61660204
Family Applications (1)
| Application Number | Title | Priority Date | Filing Date |
|---|---|---|---|
| KR1020160114567A Active KR102103620B1 (en) | 2016-09-06 | 2016-09-06 | Compound and organic light emitting device comprising the same |
Country Status (1)
| Country | Link |
|---|---|
| KR (1) | KR102103620B1 (en) |
Cited By (5)
| Publication number | Priority date | Publication date | Assignee | Title |
|---|---|---|---|---|
| US20180179206A1 (en) * | 2016-12-28 | 2018-06-28 | Idemitsu Kosan Co., Ltd., | Organic electroluminescence device and electronic device |
| WO2020096326A1 (en) * | 2018-11-06 | 2020-05-14 | 주식회사 엘지화학 | Organic light emitting diode |
| WO2020166875A1 (en) * | 2019-02-15 | 2020-08-20 | 주식회사 엘지화학 | Novel compound and organic light emitting device using same |
| CN112424965A (en) * | 2018-11-06 | 2021-02-26 | 株式会社Lg化学 | Organic light emitting device |
| US11937497B2 (en) | 2018-11-06 | 2024-03-19 | Lg Chem, Ltd. | Organic light-emitting device |
Citations (5)
| Publication number | Priority date | Publication date | Assignee | Title |
|---|---|---|---|---|
| WO2003012890A2 (en) | 2001-07-20 | 2003-02-13 | Novaled Gmbh | Light emitting component with organic layers |
| KR20060051619A (en) * | 2004-09-24 | 2006-05-19 | 주식회사 엘지화학 | New organic light emitting device material and organic light emitting device using the same |
| KR20130078746A (en) * | 2011-12-30 | 2013-07-10 | 제일모직주식회사 | Compound for organic optoelectronic device, organic light emitting diode including the same and display including the organic light emitting diode |
| KR20150030309A (en) * | 2013-09-11 | 2015-03-20 | 엘지디스플레이 주식회사 | Fluorescent compound and Organic light emitting diode device using the same |
| KR20150124677A (en) * | 2014-04-29 | 2015-11-06 | 에스에프씨 주식회사 | An electroluminescent compound and an electroluminescent device comprising the same |
-
2016
- 2016-09-06 KR KR1020160114567A patent/KR102103620B1/en active Active
Patent Citations (6)
| Publication number | Priority date | Publication date | Assignee | Title |
|---|---|---|---|---|
| WO2003012890A2 (en) | 2001-07-20 | 2003-02-13 | Novaled Gmbh | Light emitting component with organic layers |
| KR20060051619A (en) * | 2004-09-24 | 2006-05-19 | 주식회사 엘지화학 | New organic light emitting device material and organic light emitting device using the same |
| KR20060051613A (en) * | 2004-09-24 | 2006-05-19 | 주식회사 엘지화학 | New organic light emitting diode material and organic light emitting diode using the same (6) |
| KR20130078746A (en) * | 2011-12-30 | 2013-07-10 | 제일모직주식회사 | Compound for organic optoelectronic device, organic light emitting diode including the same and display including the organic light emitting diode |
| KR20150030309A (en) * | 2013-09-11 | 2015-03-20 | 엘지디스플레이 주식회사 | Fluorescent compound and Organic light emitting diode device using the same |
| KR20150124677A (en) * | 2014-04-29 | 2015-11-06 | 에스에프씨 주식회사 | An electroluminescent compound and an electroluminescent device comprising the same |
Cited By (7)
| Publication number | Priority date | Publication date | Assignee | Title |
|---|---|---|---|---|
| US20180179206A1 (en) * | 2016-12-28 | 2018-06-28 | Idemitsu Kosan Co., Ltd., | Organic electroluminescence device and electronic device |
| US10941144B2 (en) * | 2016-12-28 | 2021-03-09 | Idemitsu Kosan Co., Ltd. | Organic electroluminescence device and electronic device |
| WO2020096326A1 (en) * | 2018-11-06 | 2020-05-14 | 주식회사 엘지화학 | Organic light emitting diode |
| CN112424965A (en) * | 2018-11-06 | 2021-02-26 | 株式会社Lg化学 | Organic light emitting device |
| US11937497B2 (en) | 2018-11-06 | 2024-03-19 | Lg Chem, Ltd. | Organic light-emitting device |
| WO2020166875A1 (en) * | 2019-02-15 | 2020-08-20 | 주식회사 엘지화학 | Novel compound and organic light emitting device using same |
| KR20200100241A (en) * | 2019-02-15 | 2020-08-26 | 주식회사 엘지화학 | Novel compound and organic light emitting device comprising the same |
Also Published As
| Publication number | Publication date |
|---|---|
| KR102103620B1 (en) | 2020-04-22 |
Similar Documents
| Publication | Publication Date | Title |
|---|---|---|
| KR101593368B1 (en) | Hetero-cyclic compound and organic light emitting diode comprising the same | |
| KR102116161B1 (en) | Nitrogen-containing compound and organic electronic device using the same | |
| KR101877678B1 (en) | Compound and organic light emitting device using the same | |
| KR101883591B1 (en) | Compound and organic electronic device comprising the same | |
| KR102117738B1 (en) | Novel compound and organic light emitting device comprising the same | |
| KR101905970B1 (en) | Compound and organic electronic device comprising the same | |
| KR101872580B1 (en) | Hetero-cyclic compound and organic light emitting device comprising the same | |
| KR101928935B1 (en) | Hetero-cyclic compound and organic light emitting device comprising the same | |
| KR102093535B1 (en) | Compound and organic light emitting device containing the same | |
| KR101922649B1 (en) | Compound and organic light emitting device comprising the same | |
| KR101896151B1 (en) | Compound and organic electronic device using the same | |
| KR20170121691A (en) | Compound and organic electronic device comprising the same | |
| KR20210031396A (en) | Hetero-cyclic compound and organic light emitting device comprising the same | |
| KR20170100452A (en) | Hetero-cyclic compound and organic light emitting device comprising the same | |
| KR102103620B1 (en) | Compound and organic light emitting device comprising the same | |
| KR102244804B1 (en) | Organic light emitting device | |
| KR101920143B1 (en) | Heterocyclic compound and organic light emitting device comprising the same | |
| KR101740858B1 (en) | Compound and organic light emitting device containing the same | |
| KR101928934B1 (en) | Hetero-cyclic compound and organic light emitting device comprising the same | |
| KR102209924B1 (en) | Compound and organic light emitting device comprising same | |
| KR20170121577A (en) | Compound and organic light emitting device containing the same | |
| KR101923622B1 (en) | Compound and organic light emitting device comprising the same | |
| KR101983340B1 (en) | Heterocyclic compound and organic light emitting device using the same | |
| KR101844639B1 (en) | Hetero-cyclic compound and organic light emitting device comprising the same | |
| KR102162607B1 (en) | Compound and organic light emitting device comprising the same |
Legal Events
| Date | Code | Title | Description |
|---|---|---|---|
| PA0109 | Patent application |
St.27 status event code: A-0-1-A10-A12-nap-PA0109 |
|
| PG1501 | Laying open of application |
St.27 status event code: A-1-1-Q10-Q12-nap-PG1501 |
|
| A201 | Request for examination | ||
| PA0201 | Request for examination |
St.27 status event code: A-1-2-D10-D11-exm-PA0201 |
|
| R18-X000 | Changes to party contact information recorded |
St.27 status event code: A-3-3-R10-R18-oth-X000 |
|
| R18-X000 | Changes to party contact information recorded |
St.27 status event code: A-3-3-R10-R18-oth-X000 |
|
| D13-X000 | Search requested |
St.27 status event code: A-1-2-D10-D13-srh-X000 |
|
| D14-X000 | Search report completed |
St.27 status event code: A-1-2-D10-D14-srh-X000 |
|
| R18-X000 | Changes to party contact information recorded |
St.27 status event code: A-3-3-R10-R18-oth-X000 |
|
| E902 | Notification of reason for refusal | ||
| PE0902 | Notice of grounds for rejection |
St.27 status event code: A-1-2-D10-D21-exm-PE0902 |
|
| P11-X000 | Amendment of application requested |
St.27 status event code: A-2-2-P10-P11-nap-X000 |
|
| P13-X000 | Application amended |
St.27 status event code: A-2-2-P10-P13-nap-X000 |
|
| E701 | Decision to grant or registration of patent right | ||
| PE0701 | Decision of registration |
St.27 status event code: A-1-2-D10-D22-exm-PE0701 |
|
| GRNT | Written decision to grant | ||
| PR0701 | Registration of establishment |
St.27 status event code: A-2-4-F10-F11-exm-PR0701 |
|
| PR1002 | Payment of registration fee |
St.27 status event code: A-2-2-U10-U11-oth-PR1002 Fee payment year number: 1 |
|
| PG1601 | Publication of registration |
St.27 status event code: A-4-4-Q10-Q13-nap-PG1601 |
|
| P22-X000 | Classification modified |
St.27 status event code: A-4-4-P10-P22-nap-X000 |
|
| P22-X000 | Classification modified |
St.27 status event code: A-4-4-P10-P22-nap-X000 |
|
| P22-X000 | Classification modified |
St.27 status event code: A-4-4-P10-P22-nap-X000 |
|
| PR1001 | Payment of annual fee |
St.27 status event code: A-4-4-U10-U11-oth-PR1001 Fee payment year number: 4 |
|
| PR1001 | Payment of annual fee |
St.27 status event code: A-4-4-U10-U11-oth-PR1001 Fee payment year number: 5 |
|
| P22-X000 | Classification modified |
St.27 status event code: A-4-4-P10-P22-nap-X000 |



















































































































