KR20150124443A - 유기 일렉트로루미네센스 소자 - Google Patents
유기 일렉트로루미네센스 소자 Download PDFInfo
- Publication number
- KR20150124443A KR20150124443A KR1020157021140A KR20157021140A KR20150124443A KR 20150124443 A KR20150124443 A KR 20150124443A KR 1020157021140 A KR1020157021140 A KR 1020157021140A KR 20157021140 A KR20157021140 A KR 20157021140A KR 20150124443 A KR20150124443 A KR 20150124443A
- Authority
- KR
- South Korea
- Prior art keywords
- group
- substituted
- carbon atoms
- substituent
- unsubstituted
- Prior art date
- Legal status (The legal status is an assumption and is not a legal conclusion. Google has not performed a legal analysis and makes no representation as to the accuracy of the status listed.)
- Granted
Links
- 0 C*C(C)=C[C@@](C)(*)C=CC=C(*)N(c1ccccc1)c1ccccc1 Chemical compound C*C(C)=C[C@@](C)(*)C=CC=C(*)N(c1ccccc1)c1ccccc1 0.000 description 11
- IIHBYKFQYFPMBV-UHFFFAOYSA-N c(cc1)ccc1-c1nc(-c2cccc(-c3c(cccc4)c4c(-c4ccccc4)c4c3cccc4)c2)nc(-c(cc2c3c4ccnc3)ccc2[n]4-c2ccccc2)c1 Chemical compound c(cc1)ccc1-c1nc(-c2cccc(-c3c(cccc4)c4c(-c4ccccc4)c4c3cccc4)c2)nc(-c(cc2c3c4ccnc3)ccc2[n]4-c2ccccc2)c1 IIHBYKFQYFPMBV-UHFFFAOYSA-N 0.000 description 1
Images
Classifications
-
- C—CHEMISTRY; METALLURGY
- C09—DYES; PAINTS; POLISHES; NATURAL RESINS; ADHESIVES; COMPOSITIONS NOT OTHERWISE PROVIDED FOR; APPLICATIONS OF MATERIALS NOT OTHERWISE PROVIDED FOR
- C09K—MATERIALS FOR MISCELLANEOUS APPLICATIONS, NOT PROVIDED FOR ELSEWHERE
- C09K11/00—Luminescent, e.g. electroluminescent, chemiluminescent materials
- C09K11/06—Luminescent, e.g. electroluminescent, chemiluminescent materials containing organic luminescent materials
-
- H—ELECTRICITY
- H10—SEMICONDUCTOR DEVICES; ELECTRIC SOLID-STATE DEVICES NOT OTHERWISE PROVIDED FOR
- H10K—ORGANIC ELECTRIC SOLID-STATE DEVICES
- H10K85/00—Organic materials used in the body or electrodes of devices covered by this subclass
- H10K85/60—Organic compounds having low molecular weight
- H10K85/615—Polycyclic condensed aromatic hydrocarbons, e.g. anthracene
-
- C—CHEMISTRY; METALLURGY
- C07—ORGANIC CHEMISTRY
- C07C—ACYCLIC OR CARBOCYCLIC COMPOUNDS
- C07C211/00—Compounds containing amino groups bound to a carbon skeleton
- C07C211/43—Compounds containing amino groups bound to a carbon skeleton having amino groups bound to carbon atoms of six-membered aromatic rings of the carbon skeleton
- C07C211/54—Compounds containing amino groups bound to a carbon skeleton having amino groups bound to carbon atoms of six-membered aromatic rings of the carbon skeleton having amino groups bound to two or three six-membered aromatic rings
-
- C—CHEMISTRY; METALLURGY
- C07—ORGANIC CHEMISTRY
- C07D—HETEROCYCLIC COMPOUNDS
- C07D209/00—Heterocyclic compounds containing five-membered rings, condensed with other rings, with one nitrogen atom as the only ring hetero atom
- C07D209/02—Heterocyclic compounds containing five-membered rings, condensed with other rings, with one nitrogen atom as the only ring hetero atom condensed with one carbocyclic ring
- C07D209/04—Indoles; Hydrogenated indoles
- C07D209/08—Indoles; Hydrogenated indoles with only hydrogen atoms or radicals containing only hydrogen and carbon atoms, directly attached to carbon atoms of the hetero ring
-
- C—CHEMISTRY; METALLURGY
- C07—ORGANIC CHEMISTRY
- C07D—HETEROCYCLIC COMPOUNDS
- C07D209/00—Heterocyclic compounds containing five-membered rings, condensed with other rings, with one nitrogen atom as the only ring hetero atom
- C07D209/56—Ring systems containing three or more rings
- C07D209/80—[b, c]- or [b, d]-condensed
- C07D209/82—Carbazoles; Hydrogenated carbazoles
- C07D209/86—Carbazoles; Hydrogenated carbazoles with only hydrogen atoms, hydrocarbon or substituted hydrocarbon radicals, directly attached to carbon atoms of the ring system
-
- C—CHEMISTRY; METALLURGY
- C07—ORGANIC CHEMISTRY
- C07D—HETEROCYCLIC COMPOUNDS
- C07D401/00—Heterocyclic compounds containing two or more hetero rings, having nitrogen atoms as the only ring hetero atoms, at least one ring being a six-membered ring with only one nitrogen atom
- C07D401/02—Heterocyclic compounds containing two or more hetero rings, having nitrogen atoms as the only ring hetero atoms, at least one ring being a six-membered ring with only one nitrogen atom containing two hetero rings
- C07D401/10—Heterocyclic compounds containing two or more hetero rings, having nitrogen atoms as the only ring hetero atoms, at least one ring being a six-membered ring with only one nitrogen atom containing two hetero rings linked by a carbon chain containing aromatic rings
-
- C—CHEMISTRY; METALLURGY
- C07—ORGANIC CHEMISTRY
- C07D—HETEROCYCLIC COMPOUNDS
- C07D401/00—Heterocyclic compounds containing two or more hetero rings, having nitrogen atoms as the only ring hetero atoms, at least one ring being a six-membered ring with only one nitrogen atom
- C07D401/14—Heterocyclic compounds containing two or more hetero rings, having nitrogen atoms as the only ring hetero atoms, at least one ring being a six-membered ring with only one nitrogen atom containing three or more hetero rings
-
- C—CHEMISTRY; METALLURGY
- C07—ORGANIC CHEMISTRY
- C07D—HETEROCYCLIC COMPOUNDS
- C07D471/00—Heterocyclic compounds containing nitrogen atoms as the only ring hetero atoms in the condensed system, at least one ring being a six-membered ring with one nitrogen atom, not provided for by groups C07D451/00 - C07D463/00
- C07D471/02—Heterocyclic compounds containing nitrogen atoms as the only ring hetero atoms in the condensed system, at least one ring being a six-membered ring with one nitrogen atom, not provided for by groups C07D451/00 - C07D463/00 in which the condensed system contains two hetero rings
- C07D471/04—Ortho-condensed systems
-
- H01L51/0059—
-
- H01L51/5056—
-
- H01L51/5064—
-
- H01L51/5072—
-
- H—ELECTRICITY
- H10—SEMICONDUCTOR DEVICES; ELECTRIC SOLID-STATE DEVICES NOT OTHERWISE PROVIDED FOR
- H10K—ORGANIC ELECTRIC SOLID-STATE DEVICES
- H10K50/00—Organic light-emitting devices
- H10K50/10—OLEDs or polymer light-emitting diodes [PLED]
- H10K50/14—Carrier transporting layers
- H10K50/15—Hole transporting layers
- H10K50/156—Hole transporting layers comprising a multilayered structure
-
- H—ELECTRICITY
- H10—SEMICONDUCTOR DEVICES; ELECTRIC SOLID-STATE DEVICES NOT OTHERWISE PROVIDED FOR
- H10K—ORGANIC ELECTRIC SOLID-STATE DEVICES
- H10K85/00—Organic materials used in the body or electrodes of devices covered by this subclass
- H10K85/60—Organic compounds having low molecular weight
- H10K85/615—Polycyclic condensed aromatic hydrocarbons, e.g. anthracene
- H10K85/626—Polycyclic condensed aromatic hydrocarbons, e.g. anthracene containing more than one polycyclic condensed aromatic rings, e.g. bis-anthracene
-
- H—ELECTRICITY
- H10—SEMICONDUCTOR DEVICES; ELECTRIC SOLID-STATE DEVICES NOT OTHERWISE PROVIDED FOR
- H10K—ORGANIC ELECTRIC SOLID-STATE DEVICES
- H10K85/00—Organic materials used in the body or electrodes of devices covered by this subclass
- H10K85/60—Organic compounds having low molecular weight
- H10K85/631—Amine compounds having at least two aryl rest on at least one amine-nitrogen atom, e.g. triphenylamine
-
- H—ELECTRICITY
- H10—SEMICONDUCTOR DEVICES; ELECTRIC SOLID-STATE DEVICES NOT OTHERWISE PROVIDED FOR
- H10K—ORGANIC ELECTRIC SOLID-STATE DEVICES
- H10K85/00—Organic materials used in the body or electrodes of devices covered by this subclass
- H10K85/60—Organic compounds having low molecular weight
- H10K85/631—Amine compounds having at least two aryl rest on at least one amine-nitrogen atom, e.g. triphenylamine
- H10K85/633—Amine compounds having at least two aryl rest on at least one amine-nitrogen atom, e.g. triphenylamine comprising polycyclic condensed aromatic hydrocarbons as substituents on the nitrogen atom
-
- H—ELECTRICITY
- H10—SEMICONDUCTOR DEVICES; ELECTRIC SOLID-STATE DEVICES NOT OTHERWISE PROVIDED FOR
- H10K—ORGANIC ELECTRIC SOLID-STATE DEVICES
- H10K85/00—Organic materials used in the body or electrodes of devices covered by this subclass
- H10K85/60—Organic compounds having low molecular weight
- H10K85/631—Amine compounds having at least two aryl rest on at least one amine-nitrogen atom, e.g. triphenylamine
- H10K85/636—Amine compounds having at least two aryl rest on at least one amine-nitrogen atom, e.g. triphenylamine comprising heteroaromatic hydrocarbons as substituents on the nitrogen atom
-
- H—ELECTRICITY
- H10—SEMICONDUCTOR DEVICES; ELECTRIC SOLID-STATE DEVICES NOT OTHERWISE PROVIDED FOR
- H10K—ORGANIC ELECTRIC SOLID-STATE DEVICES
- H10K85/00—Organic materials used in the body or electrodes of devices covered by this subclass
- H10K85/60—Organic compounds having low molecular weight
- H10K85/649—Aromatic compounds comprising a hetero atom
- H10K85/654—Aromatic compounds comprising a hetero atom comprising only nitrogen as heteroatom
-
- H—ELECTRICITY
- H10—SEMICONDUCTOR DEVICES; ELECTRIC SOLID-STATE DEVICES NOT OTHERWISE PROVIDED FOR
- H10K—ORGANIC ELECTRIC SOLID-STATE DEVICES
- H10K85/00—Organic materials used in the body or electrodes of devices covered by this subclass
- H10K85/60—Organic compounds having low molecular weight
- H10K85/649—Aromatic compounds comprising a hetero atom
- H10K85/657—Polycyclic condensed heteroaromatic hydrocarbons
- H10K85/6572—Polycyclic condensed heteroaromatic hydrocarbons comprising only nitrogen in the heteroaromatic polycondensed ring system, e.g. phenanthroline or carbazole
-
- H—ELECTRICITY
- H01—ELECTRIC ELEMENTS
- H01L—SEMICONDUCTOR DEVICES NOT COVERED BY CLASS H10
- H01L2924/00—Indexing scheme for arrangements or methods for connecting or disconnecting semiconductor or solid-state bodies as covered by H01L24/00
- H01L2924/10—Details of semiconductor or other solid state devices to be connected
- H01L2924/11—Device type
- H01L2924/12—Passive devices, e.g. 2 terminal devices
- H01L2924/1204—Optical Diode
- H01L2924/12044—OLED
-
- H—ELECTRICITY
- H10—SEMICONDUCTOR DEVICES; ELECTRIC SOLID-STATE DEVICES NOT OTHERWISE PROVIDED FOR
- H10K—ORGANIC ELECTRIC SOLID-STATE DEVICES
- H10K50/00—Organic light-emitting devices
- H10K50/10—OLEDs or polymer light-emitting diodes [PLED]
- H10K50/14—Carrier transporting layers
- H10K50/16—Electron transporting layers
-
- H—ELECTRICITY
- H10—SEMICONDUCTOR DEVICES; ELECTRIC SOLID-STATE DEVICES NOT OTHERWISE PROVIDED FOR
- H10K—ORGANIC ELECTRIC SOLID-STATE DEVICES
- H10K50/00—Organic light-emitting devices
- H10K50/10—OLEDs or polymer light-emitting diodes [PLED]
- H10K50/18—Carrier blocking layers
-
- H—ELECTRICITY
- H10—SEMICONDUCTOR DEVICES; ELECTRIC SOLID-STATE DEVICES NOT OTHERWISE PROVIDED FOR
- H10K—ORGANIC ELECTRIC SOLID-STATE DEVICES
- H10K50/00—Organic light-emitting devices
- H10K50/10—OLEDs or polymer light-emitting diodes [PLED]
- H10K50/18—Carrier blocking layers
- H10K50/181—Electron blocking layers
Landscapes
- Chemical & Material Sciences (AREA)
- Organic Chemistry (AREA)
- Physics & Mathematics (AREA)
- Engineering & Computer Science (AREA)
- Materials Engineering (AREA)
- Spectroscopy & Molecular Physics (AREA)
- Optics & Photonics (AREA)
- Electroluminescent Light Sources (AREA)
- Plural Heterocyclic Compounds (AREA)
- Nitrogen Condensed Heterocyclic Rings (AREA)
- Indole Compounds (AREA)
- Organic Low-Molecular-Weight Compounds And Preparation Thereof (AREA)
- Low-Molecular Organic Synthesis Reactions Using Catalysts (AREA)
Abstract
적어도 양극, 정공 주입층, 제 1 정공 수송층, 제 2 정공 수송층, 발광층, 전자 수송층 및 음극을 이 순서로 가지는 유기 EL 소자에 있어서, 상기 제 2 정공 수송층이 하기 일반식(1)로 표시되는 아릴 아민 화합물을 함유하는 것을 특징으로 하는 유기 일렉트로루미네센스 소자.
[화 1]
Description
도 2는, 본 발명 실시예 4의 화합물(1-2)의 1H-NMR 차트 도이다.
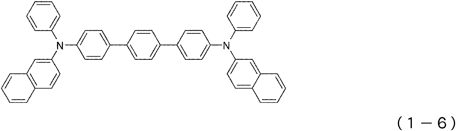
도 3은, 본 발명 실시예 5의 화합물(1-6)의 1H-NMR 차트 도이다.
도 4는, 본 발명 실시예 6의 화합물(1-21)의 1H-NMR 차트 도이다.
도 5는, 본 발명 실시예 7의 화합물(1-22)의 1H-NMR 차트 도이다.
도 6은, 본 발명 실시예 8의 화합물(1-3)의 1H-NMR 차트 도이다.
도 7은, 본 발명 실시예 9의 화합물(1-5)의 1H-NMR 차트 도이다.
도 8은, 본 발명 실시예 10의 화합물(1-23)의 1H-NMR 차트 도이다.
도 9는, 본 발명 실시예 11의 화합물(1-24)의 1H-NMR 차트 도이다.
도 10은, 본 발명 실시예 12의 화합물(1-25)의 1H-NMR 차트 도이다.
도 11은, 본 발명 실시예 13의 화합물(1-26)의 1H-NMR 차트 도이다.
도 12는, 본 발명 실시예 16의 화합물(4c-1)의 1H-NMR 차트 도이다.
도 13은, 본 발명 실시예 17의 화합물(4c-6)의 1H-NMR 차트 도이다.
도 14는, 본 발명 실시예 18의 화합물(4c-13)의 1H-NMR 차트 도이다.
도 15는, 본 발명 실시예 19의 화합물(4c-19)의 1H-NMR 차트 도이다.
도 16은, 본 발명 실시예 20의 화합물(4c-28)의 1H-NMR 차트 도이다.
도 17은, 실시예 23~41, 비교예 1~4의 유기 EL 소자 구성을 나타낸 도이다.
2. 투명 양극
3. 정공 주입층
4. 제 1 정공 수송층
5. 제 2 정공 수송층
6. 발광층
7. 전자 수송층
8. 전자 주입층
9. 음극
Claims (9)
- 적어도 양극, 정공 주입층, 제 1 정공 수송층, 제 2 정공 수송층, 발광층, 전자 수송층 및 음극을 이 순서로 가지는 유기 일렉트로루미네센스 소자에 있어서, 상기 제 2 정공 수송층이 하기 일반식(1)로 표시되는 아릴 아민 화합물을 함유하는 것을 특징으로 하는 유기 일렉트로루미네센스 소자.
[화 1]
(식 중, R1~R4는 중수소 원자, 불소 원자, 염소 원자, 시아노기, 니트로기, 치환기를 가지고 있어도 좋은 탄소 원자수 1 내지 6의 직쇄상 혹은 분기상의 알킬기, 치환기를 가지고 있어도 좋은 탄소 원자수 5 내지 10의 시클로알킬기, 치환기를 가지고 있어도 좋은 탄소 원자수 2 내지 6의 직쇄상 혹은 분기상의 알케닐기, 치환기를 가지고 있어도 좋은 탄소 원자수 1 내지 6의 직쇄상 혹은 분기상의 알킬옥시기, 치환기를 가지고 있어도 좋은 탄소 원자수 5 내지 10의 시클로알킬옥시기, 치환 혹은 무치환의 방향족 탄화수소기, 치환 혹은 무치환의 방향족 복소환기, 치환 혹은 무치환의 축합 다환 방향족기, 또는 치환 혹은 무치환의 아릴옥시기를 표시한다. r1~r4는 동일해도 달라도 좋고, 0 또는 1~5의 정수를 표시한다. r1~r4가 2~5의 정수인 경우, 동일한 벤젠환에 복수개 결합하는 R1~R4는 서로 동일해도 달라도 좋고, 단결합, 치환 혹은 무치환의 메틸렌기, 산소 원자 또는 황 원자를 사이에 두고 서로 결합하여 환을 형성해도 좋다.) - 제 1 항에 있어서,
상기 제 1 정공 수송층이 분자 중에 트리페닐아민 구조를 3개~6개, 단결합 또는 헤테로 원자를 포함하지 않는 2가의 기로 연결한 구조를 가지는 아릴 아민 화합물을 함유하는 것을 특징으로 하는, 유기 일렉트로루미네센스 소자. - 제 2 항에 있어서,
상기 분자 중에 트리페닐아민 구조를 3개~6개, 단결합 또는 헤테로 원자를 포함하지 않는 2가의 기로 연결한 구조를 가지는 아릴 아민 화합물이, 하기 일반식(2)로 표시되는, 분자 중에 트리페닐아민 구조를 4개 가지는 아릴 아민 화합물인, 유기 일렉트로루미네센스 소자.
[화 2]
(식 중, R5~R16은 중수소 원자, 불소 원자, 염소 원자, 시아노기, 니트로기, 치환기를 가지고 있어도 좋은 탄소 원자수 1 내지 6의 직쇄상 혹은 분기상의 알킬기, 치환기를 가지고 있어도 좋은 탄소 원자수 5 내지 10의 시클로알킬기, 치환기를 가지고 있어도 좋은 탄소 원자수 2 내지 6의 직쇄상 혹은 분기상의 알케닐기, 치환기를 가지고 있어도 좋은 탄소 원자수 1 내지 6의 직쇄상 혹은 분기상의 알킬옥시기, 치환기를 가지고 있어도 좋은 탄소 원자수 5 내지 10의 시클로알킬옥시기, 치환 혹은 무치환의 방향족 탄화수소기, 치환 혹은 무치환의 방향족 복소환기, 치환 혹은 무치환의 축합 다환 방향족기, 또는 치환 혹은 무치환의 아릴옥시기를 표시한다. r5~r16은 동일해도 달라도 좋고, r5, r6, r9, r12, r15, r16은 0 또는 1~5의 정수를 표시하며, r7, r8, r10, r11, r13, r14는 0 또는 1~4의 정수를 표시한다. r5, r6, r9, r12, r15, r16이 2~5의 정수인 경우, 또는, r7, r8, r10, r11, r13, r14가 2~4의 정수인 경우, 동일한 벤젠환에 복수개 결합하는 R5~R16은 서로 동일해도 달라도 좋고, 단결합, 치환 혹은 무치환의 메틸렌기, 산소 원자 또는 황 원자를 사이에 두고 서로 결합하여 환을 형성해도 좋다. A1, A2, A3는 동일해도 달라도 좋고, 하기 구조식(B)~(G)로 나타내는 2가의 기, 또는 단결합을 표시한다.)
[화 3]
(식 중, n1은 1~3의 정수를 표시한다.)
[화 4]
[화 5]
[화 6]
[화 7]
[화 8]
- 제 1 항에 있어서,
상기 제 1 정공 수송층이 분자 중에 트리페닐아민 구조를 2개, 단결합 또는 헤테로 원자를 포함하지 않는 2가의 기로 연결한 구조를 가지는 아릴 아민 화합물을 함유하는 것을 특징으로 하는 유기 일렉트로루미네센스 소자. - 제 4 항에 있어서,
상기 분자 중에 트리페닐아민 구조를 2개, 단결합 또는 헤테로 원자를 포함하지 않는 2가의 기로 연결한 구조를 가지는 아릴 아민 화합물이, 하기 일반식(3)으로 표시되는 아릴 아민 화합물인, 유기 일렉트로루미네센스 소자.
[화 9]
(식 중, R17~R22는 중수소 원자, 불소 원자, 염소 원자, 시아노기, 니트로기, 치환기를 가지고 있어도 좋은 탄소 원자수 1 내지 6의 직쇄상 혹은 분기상의 알킬기, 치환기를 가지고 있어도 좋은 탄소 원자수 5 내지 10의 시클로알킬기, 치환기를 가지고 있어도 좋은 탄소 원자수 2 내지 6의 직쇄상 혹은 분기상의 알케닐기, 치환기를 가지고 있어도 좋은 탄소 원자수 1 내지 6의 직쇄상 혹은 분기상의 알킬옥시기, 치환기를 가지고 있어도 좋은 탄소 원자수 5 내지 10의 시클로알킬옥시기, 치환 혹은 무치환의 방향족 탄화수소기, 치환 혹은 무치환의 방향족 복소환기, 치환 혹은 무치환의 축합 다환 방향족기, 또는 치환 혹은 무치환의 아릴옥시기를 표시한다. r17~r22는 동일해도 달라도 좋고, r17, r18, r21, r22는 0 또는 1~5의 정수를 표시하며, r19, r20은 0 또는 1~4의 정수를 표시한다. r17, r18, r21, r22가 2~5의 정수인 경우, 또는, r19, r20이 2~4의 정수인 경우, 동일한 벤젠환에 복수개 결합하는 R17~R22는 서로 동일해도 달라도 좋고, 단결합, 치환 혹은 무치환의 메틸렌기, 산소 원자 또는 황 원자를 사이에 두고 서로 결합하여 환을 형성해도 좋다. A4는 하기 구조식(C)~(G)로 나타내는 2가의 기, 또는 단결합을 표시한다.)
[화 10]
[화 11]
[화 12]
[화 13]
[화 14]
- 제 1 항에 있어서,
상기 전자 수송층이 하기 일반식(4)로 표시되는 안트라센 환 구조를 가지는 화합물을 함유하는 것을 특징으로 하는, 유기 일렉트로루미네센스 소자.
[화 15]
(식 중, A5는 치환 혹은 무치환의 방향족 탄화수소의 2가의 기, 치환 혹은 무치환의 방향족 복소환의 2가의 기, 치환 혹은 무치환의 축합 다환 방향족의 2가의 기, 또는 단결합을 표시하고, B는 치환 혹은 무치환의 방향족 복소환기를 표시하며, C는 치환 혹은 무치환의 방향족 탄화수소기, 치환 혹은 무치환의 방향족 복소환기, 또는 치환 혹은 무치환의 축합 다환 방향족기를 표시하고, D는 서로 동일해도 달라도 좋고, 수소 원자, 중수소 원자, 불소 원자, 염소 원자, 시아노기, 트리플루오로메틸기, 탄소 원자수 1 내지 6의 직쇄상 혹은 분기상의 알킬기, 치환 혹은 무치환의 방향족 탄화수소기, 치환 혹은 무치환의 방향족 복소환기, 또는 치환 혹은 무치환의 축합 다환 방향족기를 표시하며, p, q는, p와 q의 합이 9가 되는 관계를 유지하면서, p는 7 또는 8을 표시하고, q는 1 또는 2를 표시한다.) - 제 6 항에 있어서,
상기 안트라센 환 구조를 가지는 화합물이, 하기 일반식(4a)로 표시되는 안트라센 환 구조를 가지는 화합물인 유기 일렉트로루미네센스 소자.
[화 16]
(식 중, A5는 치환 혹은 무치환의 방향족 탄화수소의 2가의 기, 치환 혹은 무치환의 방향족 복소환의 2가의 기, 치환 혹은 무치환의 축합 다환 방향족의 2가의 기, 또는 단결합을 표시하고, Ar1, Ar2, Ar3는 서로 동일해도 달라도 좋으며, 치환 혹은 무치환의 방향족 탄화수소기, 치환 혹은 무치환의 방향족 복소환기, 또는 치환 혹은 무치환의 축합 다환 방향족기를 표시한다. R23~R29는 서로 동일해도 달라도 좋고, 수소 원자, 중수소 원자, 불소 원자, 염소 원자, 시아노기, 니트로기, 치환기를 가지고 있어도 좋은 탄소 원자수 1 내지 6의 직쇄상 혹은 분기상의 알킬기, 치환기를 가지고 있어도 좋은 탄소 원자수 5 내지 10의 시클로알킬기, 치환기를 가지고 있어도 좋은 탄소 원자수 2 내지 6의 직쇄상 혹은 분기상의 알케닐기, 치환기를 가지고 있어도 좋은 탄소 원자수 1 내지 6의 직쇄상 혹은 분기상의 알킬옥시기, 치환기를 가지고 있어도 좋은 탄소 원자수 5 내지 10의 시클로알킬옥시기, 치환 혹은 무치환의 방향족 탄화수소기, 치환 혹은 무치환의 방향족 복소환기, 치환 혹은 무치환의 축합 다환 방향족기, 또는 치환 혹은 무치환의 아릴옥시기로서, 단결합, 치환 혹은 무치환의 메틸렌기, 산소 원자, 또는 황 원자를 사이에 두고 서로 결합하여 환을 형성해도 좋다. X1, X2, X3, X4는 탄소 원자 또는 질소 원자를 표시하고, X1, X2, X3, X4 중 어느 하나만이 질소 원자인 것으로 하며, 이 경우 질소 원자는 R23~R26의 수소 원자 또는 치환기를 가지지 않는 것으로 한다.) - 제 6 항에 있어서,
상기 안트라센 환 구조를 가지는 화합물이, 하기 일반식(4c)로 표시되는 안트라센 환 구조를 가지는 화합물인, 유기 일렉트로루미네센스 소자.
[화 18]
(식 중, A5는 치환 혹은 무치환의 방향족 탄화수소, 치환 혹은 무치환의 방향족 복소환 또는 치환 혹은 무치환의 축합 다환 방향족의 2가의 기, 또는 단결합을 표시하고, Ar7, Ar8, Ar9는 서로 동일해도 달라도 좋으며, 치환 혹은 무치환의 방향족 탄화수소기, 치환 혹은 무치환의 방향족 복소환기, 또는 치환 혹은 무치환의 축합 다환 방향족기를 표시하고, R30은 수소 원자, 중수소 원자, 불소 원자, 염소 원자, 시아노기, 니트로기, 치환기를 가지고 있어도 좋은 탄소 원자수 1 내지 6의 직쇄상 혹은 분기상의 알킬기, 치환기를 가지고 있어도 좋은 탄소 원자수 5 내지 10의 시클로알킬기, 치환기를 가지고 있어도 좋은 탄소 원자수 2 내지 6의 직쇄상 혹은 분기상의 알케닐기, 치환기를 가지고 있어도 좋은 탄소 원자수 1 내지 6의 직쇄상 혹은 분기상의 알킬옥시기, 치환기를 가지고 있어도 좋은 탄소 원자수 5 내지 10의 시클로알킬옥시기, 치환 혹은 무치환의 방향족 탄화수소기, 치환 혹은 무치환의 방향족 복소환기, 치환 혹은 무치환의 축합 다환 방향족기, 또는 치환 혹은 무치환의 아릴옥시기를 표시한다.)
Applications Claiming Priority (5)
| Application Number | Priority Date | Filing Date | Title |
|---|---|---|---|
| JP2013032763 | 2013-02-22 | ||
| JPJP-P-2013-032763 | 2013-02-22 | ||
| JPJP-P-2013-165765 | 2013-08-09 | ||
| JP2013165765 | 2013-08-09 | ||
| PCT/JP2014/000924 WO2014129201A1 (ja) | 2013-02-22 | 2014-02-21 | 有機エレクトロルミネッセンス素子 |
Publications (2)
| Publication Number | Publication Date |
|---|---|
| KR20150124443A true KR20150124443A (ko) | 2015-11-05 |
| KR102300867B1 KR102300867B1 (ko) | 2021-09-09 |
Family
ID=51390998
Family Applications (1)
| Application Number | Title | Priority Date | Filing Date |
|---|---|---|---|
| KR1020157021140A Active KR102300867B1 (ko) | 2013-02-22 | 2014-02-21 | 유기 일렉트로루미네센스 소자 |
Country Status (7)
| Country | Link |
|---|---|
| US (1) | US20150380657A1 (ko) |
| EP (1) | EP2960958B1 (ko) |
| JP (1) | JP6329937B2 (ko) |
| KR (1) | KR102300867B1 (ko) |
| CN (2) | CN107963972B (ko) |
| TW (1) | TWI627259B (ko) |
| WO (1) | WO2014129201A1 (ko) |
Cited By (2)
| Publication number | Priority date | Publication date | Assignee | Title |
|---|---|---|---|---|
| KR20170127099A (ko) * | 2016-05-10 | 2017-11-21 | 삼성디스플레이 주식회사 | 유기 발광 소자 |
| US11980088B2 (en) | 2020-07-20 | 2024-05-07 | Samsung Display Co., Ltd. | Organic electroluminescence device and amine compound for organic electroluminescence device |
Families Citing this family (28)
| Publication number | Priority date | Publication date | Assignee | Title |
|---|---|---|---|---|
| CN111205270B (zh) * | 2014-06-11 | 2023-04-28 | 保土谷化学工业株式会社 | 嘧啶衍生物和有机电致发光器件 |
| US20170117481A1 (en) * | 2014-06-26 | 2017-04-27 | Hodogaya Chemical Co., Ltd. | Organic electroluminescent device |
| EP3002797B1 (en) | 2014-09-30 | 2020-04-29 | Novaled GmbH | A light emitting organic device and an active OLED display |
| WO2016076384A1 (ja) * | 2014-11-14 | 2016-05-19 | 保土谷化学工業株式会社 | 有機エレクトロルミネッセンス素子 |
| WO2016079944A1 (ja) * | 2014-11-18 | 2016-05-26 | 保土谷化学工業株式会社 | 有機エレクトロルミネッセンス素子 |
| JP6675321B2 (ja) * | 2014-12-05 | 2020-04-01 | 保土谷化学工業株式会社 | 有機エレクトロルミネッセンス素子 |
| US10497876B2 (en) | 2014-12-24 | 2019-12-03 | Hodogaya Chemical Co., Ltd. | Organic electroluminescent device |
| KR102533039B1 (ko) * | 2015-01-06 | 2023-05-15 | 호도가야 가가쿠 고교 가부시키가이샤 | 유기 일렉트로루미네선스 소자 |
| JP6731352B2 (ja) * | 2015-01-07 | 2020-07-29 | 保土谷化学工業株式会社 | 有機エレクトロルミネッセンス素子 |
| EP3244465B1 (en) * | 2015-01-08 | 2022-04-20 | Hodogaya Chemical Co., Ltd. | Organic electroluminescent element |
| EP3244463B1 (en) * | 2015-01-08 | 2020-07-22 | Hodogaya Chemical Co., Ltd. | Organic electroluminescent device |
| EP3051604B1 (en) * | 2015-01-30 | 2017-10-11 | Samsung Display Co., Ltd. | Organic light-emitting device |
| EP3255692B1 (en) | 2015-02-03 | 2023-07-05 | Hodogaya Chemical Co., Ltd. | Organic electroluminescent element |
| KR20170137795A (ko) * | 2015-04-10 | 2017-12-13 | 호도가야 가가쿠 고교 가부시키가이샤 | 유기 일렉트로 루미네센스 소자 |
| US10326079B2 (en) | 2015-04-27 | 2019-06-18 | Hodogaya Chemical Co., Ltd. | Organic electroluminescent device |
| KR101857518B1 (ko) * | 2015-05-08 | 2018-05-15 | 머티어리얼사이언스 주식회사 | 유기전계발광소자 |
| JP2016213469A (ja) * | 2015-05-11 | 2016-12-15 | 保土谷化学工業株式会社 | 有機エレクトロルミネッセンス素子 |
| WO2017026727A1 (ko) * | 2015-08-07 | 2017-02-16 | 머티어리얼사이언스 주식회사 | 유기전계발광소자 |
| KR102651208B1 (ko) * | 2015-09-25 | 2024-03-25 | 호도가야 가가쿠 고교 가부시키가이샤 | 유기 전계발광 소자 |
| EP3370272A4 (en) * | 2015-10-29 | 2019-07-10 | Hodogaya Chemical Co., Ltd. | Organic electroluminescent device |
| US20180351101A1 (en) * | 2015-11-17 | 2018-12-06 | Hodogaya Chemical Co., Ltd. | Organic electroluminescent devices |
| CN108369994B (zh) * | 2015-12-08 | 2020-05-19 | 保土谷化学工业株式会社 | 有机电致发光元件 |
| US11944004B2 (en) * | 2016-02-12 | 2024-03-26 | Hodogaya Chemical Co., Ltd. | Organic electroluminescence element |
| KR102636244B1 (ko) * | 2016-03-30 | 2024-02-15 | 삼성디스플레이 주식회사 | 유기 전계 발광 소자 |
| JP2017204492A (ja) * | 2016-05-09 | 2017-11-16 | 保土谷化学工業株式会社 | 有機エレクトロルミネッセンス素子 |
| EP3664173B1 (en) * | 2017-08-04 | 2023-11-29 | Hodogaya Chemical Co., Ltd. | Organic electroluminescence element containing compound having benzoazole ring structure |
| CN111470984B (zh) * | 2020-04-16 | 2022-12-13 | 苏州欧谱科显示科技有限公司 | 一种空穴传输材料及其制备方法和应用 |
| KR20230103320A (ko) * | 2021-12-31 | 2023-07-07 | 엘지디스플레이 주식회사 | 전계발광 표시장치 |
Citations (16)
| Publication number | Priority date | Publication date | Assignee | Title |
|---|---|---|---|---|
| JPS4943840B1 (ko) | 1970-12-25 | 1974-11-25 | ||
| JPH07126615A (ja) | 1993-11-01 | 1995-05-16 | Matsushita Electric Ind Co Ltd | 電界発光素子 |
| JPH0848656A (ja) | 1994-02-08 | 1996-02-20 | Tdk Corp | 有機el素子用化合物および有機el素子 |
| WO2003060956A2 (en) | 2002-01-18 | 2003-07-24 | Lg Chem, Ltd. | New material for transporting electrons and organic electroluminescent display using the same |
| JP2005108804A (ja) | 2003-05-27 | 2005-04-21 | Denso Corp | 有機el素子およびその製造方法 |
| WO2005115970A1 (ja) | 2004-05-25 | 2005-12-08 | Hodogaya Chemical Co., Ltd. | p-ターフェニル化合物および該化合物を用いた電子写真用感光体 |
| JP2006151979A (ja) | 2004-11-29 | 2006-06-15 | Samsung Sdi Co Ltd | フェニルカルバゾール系化合物とその製造方法及び有機電界発光素子 |
| WO2008062636A1 (fr) | 2006-11-24 | 2008-05-29 | Idemitsu Kosan Co., Ltd. | Dérivé d'amine aromatique et élément électroluminescent organique utilisant celui-ci |
| JP2009299049A (ja) * | 2008-05-16 | 2009-12-24 | Semiconductor Energy Lab Co Ltd | 組成物、薄膜の作製方法、及び発光素子の作製方法 |
| KR20110018195A (ko) * | 2009-08-17 | 2011-02-23 | 에스에프씨 주식회사 | 안트라센 유도체 및 이를 포함하는 유기전계발광소자 |
| KR20110018311A (ko) * | 2008-05-16 | 2011-02-23 | 호도가야 가가쿠 고교 가부시키가이샤 | 유기 전계 발광 소자 |
| WO2011059000A1 (ja) | 2009-11-12 | 2011-05-19 | 保土谷化学工業株式会社 | 置換されたアントラセン環構造とピリドインドール環構造を有する化合物および有機エレクトロルミネッセンス素子 |
| KR20120112672A (ko) * | 2010-01-26 | 2012-10-11 | 호도가야 가가쿠 고교 가부시키가이샤 | 트리페닐아민 구조를 가지는 화합물 및 유기 일렉트로 루미네센스 소자 |
| KR20130007162A (ko) * | 2011-06-29 | 2013-01-18 | 삼성디스플레이 주식회사 | 신규한 헤테로고리 화합물 및 이를 포함한 유기발광 소자 |
| US20130060157A1 (en) | 2011-09-07 | 2013-03-07 | John W. Beard | Oxygen facemask with capnography monitoring ports |
| JP3194657U (ja) | 2014-09-19 | 2014-12-04 | 恵美子 青柳 | 温熱首巻 |
Family Cites Families (13)
| Publication number | Priority date | Publication date | Assignee | Title |
|---|---|---|---|---|
| JPH10265773A (ja) * | 1997-03-24 | 1998-10-06 | Toyo Ink Mfg Co Ltd | 有機エレクトロルミネッセンス素子用正孔注入材料およびそれを使用した有機エレクトロルミネッセンス素子 |
| JP4667926B2 (ja) * | 2005-03-30 | 2011-04-13 | 出光興産株式会社 | 芳香族アミン誘導体及びそれを用いた有機エレクトロルミネッセンス素子 |
| JP2007186461A (ja) * | 2006-01-13 | 2007-07-26 | Idemitsu Kosan Co Ltd | 芳香族アミン誘導体及びそれを用いた有機エレクトロルミネッセンス素子 |
| KR101453109B1 (ko) * | 2006-04-26 | 2014-10-27 | 이데미쓰 고산 가부시키가이샤 | 방향족 아민 유도체 및 그들을 이용한 유기 전기 발광 소자 |
| TWI481308B (zh) * | 2007-09-27 | 2015-04-11 | Semiconductor Energy Lab | 發光元件,發光裝置,與電子設備 |
| KR101068224B1 (ko) | 2008-02-05 | 2011-09-28 | 에스에프씨 주식회사 | 안트라센 유도체 및 이를 포함하는 유기전계발광소자 |
| KR100922759B1 (ko) * | 2008-02-26 | 2009-10-21 | 삼성모바일디스플레이주식회사 | 유기 발광 소자 |
| US8716698B2 (en) * | 2008-06-11 | 2014-05-06 | Hodogaya Chemical Co., Ltd. | Organic electroluminescent device containing arylamine compound and bipyridyl compound |
| KR101132635B1 (ko) | 2008-08-26 | 2012-04-03 | 에스에프씨 주식회사 | 피렌계 화합물 및 이를 이용한 유기전계발광소자 |
| KR101135541B1 (ko) * | 2010-04-01 | 2012-04-13 | 삼성모바일디스플레이주식회사 | 유기 발광 장치 |
| US9349964B2 (en) * | 2010-12-24 | 2016-05-24 | Lg Chem, Ltd. | Organic light emitting diode and manufacturing method thereof |
| KR102013399B1 (ko) | 2011-11-29 | 2019-08-22 | 에스에프씨 주식회사 | 안트라센 유도체 및 이를 포함하는 유기전계발광소자 |
| DE102012007795B3 (de) * | 2012-04-20 | 2013-02-21 | Novaled Ag | Aromatische Amin-Terphenyl-Verbindungen und Verwendung derselben in organischen halbleitenden Bauelementen |
-
2014
- 2014-02-21 EP EP14754850.7A patent/EP2960958B1/en not_active Not-in-force
- 2014-02-21 CN CN201711318619.7A patent/CN107963972B/zh active Active
- 2014-02-21 WO PCT/JP2014/000924 patent/WO2014129201A1/ja not_active Ceased
- 2014-02-21 CN CN201480010004.6A patent/CN105074948B/zh active Active
- 2014-02-21 KR KR1020157021140A patent/KR102300867B1/ko active Active
- 2014-02-21 US US14/767,427 patent/US20150380657A1/en not_active Abandoned
- 2014-02-21 JP JP2015501344A patent/JP6329937B2/ja active Active
- 2014-02-24 TW TW103106080A patent/TWI627259B/zh active
Patent Citations (17)
| Publication number | Priority date | Publication date | Assignee | Title |
|---|---|---|---|---|
| JPS4943840B1 (ko) | 1970-12-25 | 1974-11-25 | ||
| JPH07126615A (ja) | 1993-11-01 | 1995-05-16 | Matsushita Electric Ind Co Ltd | 電界発光素子 |
| JPH0848656A (ja) | 1994-02-08 | 1996-02-20 | Tdk Corp | 有機el素子用化合物および有機el素子 |
| WO2003060956A2 (en) | 2002-01-18 | 2003-07-24 | Lg Chem, Ltd. | New material for transporting electrons and organic electroluminescent display using the same |
| JP2005108804A (ja) | 2003-05-27 | 2005-04-21 | Denso Corp | 有機el素子およびその製造方法 |
| WO2005115970A1 (ja) | 2004-05-25 | 2005-12-08 | Hodogaya Chemical Co., Ltd. | p-ターフェニル化合物および該化合物を用いた電子写真用感光体 |
| JP2006151979A (ja) | 2004-11-29 | 2006-06-15 | Samsung Sdi Co Ltd | フェニルカルバゾール系化合物とその製造方法及び有機電界発光素子 |
| WO2008062636A1 (fr) | 2006-11-24 | 2008-05-29 | Idemitsu Kosan Co., Ltd. | Dérivé d'amine aromatique et élément électroluminescent organique utilisant celui-ci |
| JP2009299049A (ja) * | 2008-05-16 | 2009-12-24 | Semiconductor Energy Lab Co Ltd | 組成物、薄膜の作製方法、及び発光素子の作製方法 |
| KR20110018311A (ko) * | 2008-05-16 | 2011-02-23 | 호도가야 가가쿠 고교 가부시키가이샤 | 유기 전계 발광 소자 |
| KR20110018195A (ko) * | 2009-08-17 | 2011-02-23 | 에스에프씨 주식회사 | 안트라센 유도체 및 이를 포함하는 유기전계발광소자 |
| WO2011059000A1 (ja) | 2009-11-12 | 2011-05-19 | 保土谷化学工業株式会社 | 置換されたアントラセン環構造とピリドインドール環構造を有する化合物および有機エレクトロルミネッセンス素子 |
| KR20120104204A (ko) * | 2009-11-12 | 2012-09-20 | 호도가야 가가쿠 고교 가부시키가이샤 | 치환된 안트라센환 구조와 피리도인돌환 구조를 갖는 화합물 및 유기 전계 발광 소자 |
| KR20120112672A (ko) * | 2010-01-26 | 2012-10-11 | 호도가야 가가쿠 고교 가부시키가이샤 | 트리페닐아민 구조를 가지는 화합물 및 유기 일렉트로 루미네센스 소자 |
| KR20130007162A (ko) * | 2011-06-29 | 2013-01-18 | 삼성디스플레이 주식회사 | 신규한 헤테로고리 화합물 및 이를 포함한 유기발광 소자 |
| US20130060157A1 (en) | 2011-09-07 | 2013-03-07 | John W. Beard | Oxygen facemask with capnography monitoring ports |
| JP3194657U (ja) | 2014-09-19 | 2014-12-04 | 恵美子 青柳 | 温熱首巻 |
Non-Patent Citations (4)
| Title |
|---|
| Appl.Phys.Let., 98, 083302(2011) |
| 유기 EL 토론회 제3회 예회 예고집 13~14 페이지(2006) |
| 응용 물리학회 제9회 강습회 예고집 23~31 페이지(2001) |
| 응용 물리학회 제9회 강습회 예고집 55~61 페이지(2001) |
Cited By (2)
| Publication number | Priority date | Publication date | Assignee | Title |
|---|---|---|---|---|
| KR20170127099A (ko) * | 2016-05-10 | 2017-11-21 | 삼성디스플레이 주식회사 | 유기 발광 소자 |
| US11980088B2 (en) | 2020-07-20 | 2024-05-07 | Samsung Display Co., Ltd. | Organic electroluminescence device and amine compound for organic electroluminescence device |
Also Published As
| Publication number | Publication date |
|---|---|
| JP6329937B2 (ja) | 2018-05-23 |
| CN105074948A (zh) | 2015-11-18 |
| TWI627259B (zh) | 2018-06-21 |
| EP2960958A1 (en) | 2015-12-30 |
| TW201437328A (zh) | 2014-10-01 |
| JPWO2014129201A1 (ja) | 2017-02-02 |
| KR102300867B1 (ko) | 2021-09-09 |
| CN105074948B (zh) | 2017-12-26 |
| WO2014129201A1 (ja) | 2014-08-28 |
| EP2960958A4 (en) | 2016-09-21 |
| CN107963972A (zh) | 2018-04-27 |
| US20150380657A1 (en) | 2015-12-31 |
| CN107963972B (zh) | 2021-09-03 |
| EP2960958B1 (en) | 2018-10-31 |
Similar Documents
| Publication | Publication Date | Title |
|---|---|---|
| KR102300867B1 (ko) | 유기 일렉트로루미네센스 소자 | |
| KR102493763B1 (ko) | 유기 일렉트로루미네선스 소자 | |
| KR102355739B1 (ko) | 유기 일렉트로루미네센스 소자 | |
| KR101975611B1 (ko) | 인돌로카르바졸 고리 구조를 갖는 화합물 및 유기 일렉트로루미네선스 소자 | |
| KR102356301B1 (ko) | 유기 일렉트로 루미네센스 소자 | |
| KR102425263B1 (ko) | 유기 일렉트로루미네선스 소자 | |
| KR102205133B1 (ko) | 유기 일렉트로루미네센스 소자 | |
| KR102440766B1 (ko) | 유기 일렉트로루미네센스 소자 | |
| KR20180075559A (ko) | 유기 일렉트로루미네선스 소자 | |
| KR20180102113A (ko) | 유기 일렉트로루미네선스 소자 | |
| TWI750355B (zh) | 有機電致發光元件 | |
| KR20200057731A (ko) | 유기 일렉트로 루미네선스 소자 | |
| TWI822914B (zh) | 唑環構造之化合物及有機電致發光元件 | |
| KR20220146425A (ko) | 아릴아민 화합물 및 그것을 사용하는 전자 기기 | |
| KR20230088341A (ko) | 아릴아민 화합물, 유기 일렉트로 루미네선스 소자, 및 전자 기기 | |
| JP2014074073A (ja) | 新規なチエノインドール誘導体及び該誘導体を用いた有機エレクトロルミネッセンス素子 | |
| KR20220086562A (ko) | 유기 일렉트로루미네센스 소자 | |
| KR102316844B1 (ko) | 유기 일렉트로 루미네센스 소자 | |
| KR20230042440A (ko) | 유기 일렉트로루미네선스 소자 | |
| KR20220018474A (ko) | 벤조트리아졸 고리 구조를 갖는 화합물 및 유기 일렉트로 루미네선스 소자 | |
| KR20250169488A (ko) | 아릴아민 화합물, 유기 일렉트로루미네선스 소자 및 전자 기기 | |
| KR20220130673A (ko) | 아릴아민 화합물 및 유기 일렉트로루미네센스 소자 |
Legal Events
| Date | Code | Title | Description |
|---|---|---|---|
| PA0105 | International application |
St.27 status event code: A-0-1-A10-A15-nap-PA0105 |
|
| PG1501 | Laying open of application |
St.27 status event code: A-1-1-Q10-Q12-nap-PG1501 |
|
| G170 | Re-publication after modification of scope of protection [patent] | ||
| PG1701 | Publication of correction |
St.27 status event code: A-3-3-P10-P19-oth-PG1701 Patent document republication publication date: 20160112 Republication note text: Request for Correction Notice (Document Request) Gazette number: 1020150124443 Gazette reference publication date: 20151105 |
|
| P22-X000 | Classification modified |
St.27 status event code: A-2-2-P10-P22-nap-X000 |
|
| A201 | Request for examination | ||
| PA0201 | Request for examination |
St.27 status event code: A-1-2-D10-D11-exm-PA0201 |
|
| E902 | Notification of reason for refusal | ||
| PE0902 | Notice of grounds for rejection |
St.27 status event code: A-1-2-D10-D21-exm-PE0902 |
|
| P11-X000 | Amendment of application requested |
St.27 status event code: A-2-2-P10-P11-nap-X000 |
|
| P13-X000 | Application amended |
St.27 status event code: A-2-2-P10-P13-nap-X000 |
|
| E90F | Notification of reason for final refusal | ||
| PE0902 | Notice of grounds for rejection |
St.27 status event code: A-1-2-D10-D21-exm-PE0902 |
|
| E13-X000 | Pre-grant limitation requested |
St.27 status event code: A-2-3-E10-E13-lim-X000 |
|
| P11-X000 | Amendment of application requested |
St.27 status event code: A-2-2-P10-P11-nap-X000 |
|
| P13-X000 | Application amended |
St.27 status event code: A-2-2-P10-P13-nap-X000 |
|
| E701 | Decision to grant or registration of patent right | ||
| PE0701 | Decision of registration |
St.27 status event code: A-1-2-D10-D22-exm-PE0701 |
|
| GRNT | Written decision to grant | ||
| PR0701 | Registration of establishment |
St.27 status event code: A-2-4-F10-F11-exm-PR0701 |
|
| PR1002 | Payment of registration fee |
St.27 status event code: A-2-2-U10-U12-oth-PR1002 Fee payment year number: 1 |
|
| PG1601 | Publication of registration |
St.27 status event code: A-4-4-Q10-Q13-nap-PG1601 |
|
| R18-X000 | Changes to party contact information recorded |
St.27 status event code: A-5-5-R10-R18-oth-X000 |
|
| P22-X000 | Classification modified |
St.27 status event code: A-4-4-P10-P22-nap-X000 |
|
| P22-X000 | Classification modified |
St.27 status event code: A-4-4-P10-P22-nap-X000 |
|
| P22-X000 | Classification modified |
St.27 status event code: A-4-4-P10-P22-nap-X000 |
|
| PR1001 | Payment of annual fee |
St.27 status event code: A-4-4-U10-U11-oth-PR1001 Fee payment year number: 4 |
|
| P22-X000 | Classification modified |
St.27 status event code: A-4-4-P10-P22-nap-X000 |



































































































































































































