KR20140063300A - 유기 발광 소자 - Google Patents
유기 발광 소자 Download PDFInfo
- Publication number
- KR20140063300A KR20140063300A KR1020120130507A KR20120130507A KR20140063300A KR 20140063300 A KR20140063300 A KR 20140063300A KR 1020120130507 A KR1020120130507 A KR 1020120130507A KR 20120130507 A KR20120130507 A KR 20120130507A KR 20140063300 A KR20140063300 A KR 20140063300A
- Authority
- KR
- South Korea
- Prior art keywords
- group
- substituted
- layer
- carbon atoms
- unsubstituted
- Prior art date
- Legal status (The legal status is an assumption and is not a legal conclusion. Google has not performed a legal analysis and makes no representation as to the accuracy of the status listed.)
- Withdrawn
Links
- 150000001875 compounds Chemical class 0.000 claims abstract description 91
- 239000010410 layer Substances 0.000 claims description 184
- 125000004432 carbon atom Chemical group C* 0.000 claims description 95
- -1 anthracene compound Chemical class 0.000 claims description 63
- 239000000463 material Substances 0.000 claims description 51
- 238000000034 method Methods 0.000 claims description 51
- 125000003118 aryl group Chemical group 0.000 claims description 36
- 125000000217 alkyl group Chemical group 0.000 claims description 32
- 125000003367 polycyclic group Chemical group 0.000 claims description 30
- 239000002346 layers by function Substances 0.000 claims description 23
- YMWUJEATGCHHMB-UHFFFAOYSA-N Dichloromethane Chemical compound ClCCl YMWUJEATGCHHMB-UHFFFAOYSA-N 0.000 claims description 22
- 239000012044 organic layer Substances 0.000 claims description 22
- 125000004093 cyano group Chemical group *C#N 0.000 claims description 20
- 239000002019 doping agent Substances 0.000 claims description 20
- 125000004435 hydrogen atom Chemical group [H]* 0.000 claims description 16
- 125000005843 halogen group Chemical group 0.000 claims description 13
- 125000002887 hydroxy group Chemical group [H]O* 0.000 claims description 13
- 125000000449 nitro group Chemical group [O-][N+](*)=O 0.000 claims description 13
- 125000003178 carboxy group Chemical group [H]OC(*)=O 0.000 claims description 12
- 125000001072 heteroaryl group Chemical group 0.000 claims description 12
- YZCKVEUIGOORGS-OUBTZVSYSA-N Deuterium Chemical compound [2H] YZCKVEUIGOORGS-OUBTZVSYSA-N 0.000 claims description 11
- MWPLVEDNUUSJAV-UHFFFAOYSA-N anthracene Natural products C1=CC=CC2=CC3=CC=CC=C3C=C21 MWPLVEDNUUSJAV-UHFFFAOYSA-N 0.000 claims description 11
- 229910052805 deuterium Inorganic materials 0.000 claims description 8
- 125000005549 heteroarylene group Chemical group 0.000 claims description 6
- 125000000732 arylene group Chemical group 0.000 claims description 5
- 229910052799 carbon Inorganic materials 0.000 claims description 5
- 150000004696 coordination complex Chemical class 0.000 claims description 5
- 125000005647 linker group Chemical group 0.000 claims description 4
- 229910044991 metal oxide Inorganic materials 0.000 claims description 4
- 150000004706 metal oxides Chemical group 0.000 claims description 4
- 150000004059 quinone derivatives Chemical group 0.000 claims description 4
- 239000010409 thin film Substances 0.000 claims description 4
- OKTJSMMVPCPJKN-UHFFFAOYSA-N Carbon Chemical compound [C] OKTJSMMVPCPJKN-UHFFFAOYSA-N 0.000 claims description 3
- 229910052736 halogen Inorganic materials 0.000 claims description 3
- 150000002367 halogens Chemical group 0.000 claims description 3
- 125000003837 (C1-C20) alkyl group Chemical group 0.000 claims description 2
- 238000002347 injection Methods 0.000 description 40
- 239000007924 injection Substances 0.000 description 40
- 230000015572 biosynthetic process Effects 0.000 description 35
- 238000003786 synthesis reaction Methods 0.000 description 28
- 125000001424 substituent group Chemical group 0.000 description 27
- 230000005525 hole transport Effects 0.000 description 20
- GHYOCDFICYLMRF-UTIIJYGPSA-N (2S,3R)-N-[(2S)-3-(cyclopenten-1-yl)-1-[(2R)-2-methyloxiran-2-yl]-1-oxopropan-2-yl]-3-hydroxy-3-(4-methoxyphenyl)-2-[[(2S)-2-[(2-morpholin-4-ylacetyl)amino]propanoyl]amino]propanamide Chemical compound C1(=CCCC1)C[C@@H](C(=O)[C@@]1(OC1)C)NC([C@H]([C@@H](C1=CC=C(C=C1)OC)O)NC([C@H](C)NC(CN1CCOCC1)=O)=O)=O GHYOCDFICYLMRF-UTIIJYGPSA-N 0.000 description 16
- 229940125797 compound 12 Drugs 0.000 description 16
- 150000003839 salts Chemical class 0.000 description 15
- 125000001997 phenyl group Chemical group [H]C1=C([H])C([H])=C(*)C([H])=C1[H] 0.000 description 13
- 238000001771 vacuum deposition Methods 0.000 description 13
- OAKJQQAXSVQMHS-UHFFFAOYSA-N Hydrazine Chemical compound NN OAKJQQAXSVQMHS-UHFFFAOYSA-N 0.000 description 12
- 125000001624 naphthyl group Chemical group 0.000 description 11
- 229910052757 nitrogen Inorganic materials 0.000 description 11
- 239000000758 substrate Substances 0.000 description 10
- 125000005428 anthryl group Chemical group [H]C1=C([H])C([H])=C2C([H])=C3C(*)=C([H])C([H])=C([H])C3=C([H])C2=C1[H] 0.000 description 9
- 230000000903 blocking effect Effects 0.000 description 9
- 238000006243 chemical reaction Methods 0.000 description 9
- 238000004528 spin coating Methods 0.000 description 9
- CSNNHWWHGAXBCP-UHFFFAOYSA-L Magnesium sulfate Chemical compound [Mg+2].[O-][S+2]([O-])([O-])[O-] CSNNHWWHGAXBCP-UHFFFAOYSA-L 0.000 description 8
- KDLHZDBZIXYQEI-UHFFFAOYSA-N Palladium Chemical compound [Pd] KDLHZDBZIXYQEI-UHFFFAOYSA-N 0.000 description 8
- NBIIXXVUZAFLBC-UHFFFAOYSA-N Phosphoric acid Chemical compound OP(O)(O)=O NBIIXXVUZAFLBC-UHFFFAOYSA-N 0.000 description 8
- 239000000872 buffer Substances 0.000 description 8
- 239000000243 solution Substances 0.000 description 8
- OPFJDXRVMFKJJO-ZHHKINOHSA-N N-{[3-(2-benzamido-4-methyl-1,3-thiazol-5-yl)-pyrazol-5-yl]carbonyl}-G-dR-G-dD-dD-dD-NH2 Chemical compound S1C(C=2NN=C(C=2)C(=O)NCC(=O)N[C@H](CCCN=C(N)N)C(=O)NCC(=O)N[C@H](CC(O)=O)C(=O)N[C@H](CC(O)=O)C(=O)N[C@H](CC(O)=O)C(N)=O)=C(C)N=C1NC(=O)C1=CC=CC=C1 OPFJDXRVMFKJJO-ZHHKINOHSA-N 0.000 description 7
- 230000000052 comparative effect Effects 0.000 description 7
- 229940126086 compound 21 Drugs 0.000 description 7
- 238000000151 deposition Methods 0.000 description 7
- 125000003983 fluorenyl group Chemical group C1(=CC=CC=2C3=CC=CC=C3CC12)* 0.000 description 7
- 239000002904 solvent Substances 0.000 description 7
- 125000000008 (C1-C10) alkyl group Chemical group 0.000 description 6
- DQAZPZIYEOGZAF-UHFFFAOYSA-N 4-ethyl-n-[4-(3-ethynylanilino)-7-methoxyquinazolin-6-yl]piperazine-1-carboxamide Chemical compound C1CN(CC)CCN1C(=O)NC(C(=CC1=NC=N2)OC)=CC1=C2NC1=CC=CC(C#C)=C1 DQAZPZIYEOGZAF-UHFFFAOYSA-N 0.000 description 6
- PCLIMKBDDGJMGD-UHFFFAOYSA-N N-bromosuccinimide Chemical compound BrN1C(=O)CCC1=O PCLIMKBDDGJMGD-UHFFFAOYSA-N 0.000 description 6
- 125000003277 amino group Chemical group 0.000 description 6
- 125000003739 carbamimidoyl group Chemical group C(N)(=N)* 0.000 description 6
- 238000000576 coating method Methods 0.000 description 6
- 150000007857 hydrazones Chemical class 0.000 description 6
- RTZKZFJDLAIYFH-UHFFFAOYSA-N Diethyl ether Chemical compound CCOCC RTZKZFJDLAIYFH-UHFFFAOYSA-N 0.000 description 5
- 238000005266 casting Methods 0.000 description 5
- 239000011248 coating agent Substances 0.000 description 5
- 230000008021 deposition Effects 0.000 description 5
- 125000001725 pyrenyl group Chemical group 0.000 description 5
- 125000000542 sulfonic acid group Chemical group 0.000 description 5
- XLYOFNOQVPJJNP-UHFFFAOYSA-N water Substances O XLYOFNOQVPJJNP-UHFFFAOYSA-N 0.000 description 5
- UDQTXCHQKHIQMH-KYGLGHNPSA-N (3ar,5s,6s,7r,7ar)-5-(difluoromethyl)-2-(ethylamino)-5,6,7,7a-tetrahydro-3ah-pyrano[3,2-d][1,3]thiazole-6,7-diol Chemical compound S1C(NCC)=N[C@H]2[C@@H]1O[C@H](C(F)F)[C@@H](O)[C@@H]2O UDQTXCHQKHIQMH-KYGLGHNPSA-N 0.000 description 4
- YQOLEILXOBUDMU-KRWDZBQOSA-N (4R)-5-[(6-bromo-3-methyl-2-pyrrolidin-1-ylquinoline-4-carbonyl)amino]-4-(2-chlorophenyl)pentanoic acid Chemical compound CC1=C(C2=C(C=CC(=C2)Br)N=C1N3CCCC3)C(=O)NC[C@H](CCC(=O)O)C4=CC=CC=C4Cl YQOLEILXOBUDMU-KRWDZBQOSA-N 0.000 description 4
- LFOIDLOIBZFWDO-UHFFFAOYSA-N 2-methoxy-6-[6-methoxy-4-[(3-phenylmethoxyphenyl)methoxy]-1-benzofuran-2-yl]imidazo[2,1-b][1,3,4]thiadiazole Chemical compound N1=C2SC(OC)=NN2C=C1C(OC1=CC(OC)=C2)=CC1=C2OCC(C=1)=CC=CC=1OCC1=CC=CC=C1 LFOIDLOIBZFWDO-UHFFFAOYSA-N 0.000 description 4
- HCCNBKFJYUWLEX-UHFFFAOYSA-N 7-(6-methoxypyridin-3-yl)-1-(2-propoxyethyl)-3-(pyrazin-2-ylmethylamino)pyrido[3,4-b]pyrazin-2-one Chemical compound O=C1N(CCOCCC)C2=CC(C=3C=NC(OC)=CC=3)=NC=C2N=C1NCC1=CN=CC=N1 HCCNBKFJYUWLEX-UHFFFAOYSA-N 0.000 description 4
- 125000003342 alkenyl group Chemical group 0.000 description 4
- 229910000147 aluminium phosphate Inorganic materials 0.000 description 4
- 125000005110 aryl thio group Chemical group 0.000 description 4
- 125000004104 aryloxy group Chemical group 0.000 description 4
- 239000011575 calcium Substances 0.000 description 4
- 229940125936 compound 42 Drugs 0.000 description 4
- 229940125844 compound 46 Drugs 0.000 description 4
- 229940126545 compound 53 Drugs 0.000 description 4
- 125000001495 ethyl group Chemical group [H]C([H])([H])C([H])([H])* 0.000 description 4
- 239000011777 magnesium Substances 0.000 description 4
- 229910052943 magnesium sulfate Inorganic materials 0.000 description 4
- 235000019341 magnesium sulphate Nutrition 0.000 description 4
- 229910052751 metal Inorganic materials 0.000 description 4
- 239000002184 metal Substances 0.000 description 4
- 125000002496 methyl group Chemical group [H]C([H])([H])* 0.000 description 4
- 239000000203 mixture Substances 0.000 description 4
- QIQXTHQIDYTFRH-UHFFFAOYSA-N octadecanoic acid Chemical compound CCCCCCCCCCCCCCCCCC(O)=O QIQXTHQIDYTFRH-UHFFFAOYSA-N 0.000 description 4
- 125000001436 propyl group Chemical group [H]C([*])([H])C([H])([H])C([H])([H])[H] 0.000 description 4
- 238000010898 silica gel chromatography Methods 0.000 description 4
- 239000000126 substance Substances 0.000 description 4
- UAOUIVVJBYDFKD-XKCDOFEDSA-N (1R,9R,10S,11R,12R,15S,18S,21R)-10,11,21-trihydroxy-8,8-dimethyl-14-methylidene-4-(prop-2-enylamino)-20-oxa-5-thia-3-azahexacyclo[9.7.2.112,15.01,9.02,6.012,18]henicosa-2(6),3-dien-13-one Chemical compound C([C@@H]1[C@@H](O)[C@@]23C(C1=C)=O)C[C@H]2[C@]12C(N=C(NCC=C)S4)=C4CC(C)(C)[C@H]1[C@H](O)[C@]3(O)OC2 UAOUIVVJBYDFKD-XKCDOFEDSA-N 0.000 description 3
- 125000000027 (C1-C10) alkoxy group Chemical group 0.000 description 3
- MAGFQRLKWCCTQJ-UHFFFAOYSA-M 4-ethenylbenzenesulfonate Chemical compound [O-]S(=O)(=O)C1=CC=C(C=C)C=C1 MAGFQRLKWCCTQJ-UHFFFAOYSA-M 0.000 description 3
- KFZMGEQAYNKOFK-UHFFFAOYSA-N Isopropanol Chemical compound CC(C)O KFZMGEQAYNKOFK-UHFFFAOYSA-N 0.000 description 3
- YXFVVABEGXRONW-UHFFFAOYSA-N Toluene Chemical compound CC1=CC=CC=C1 YXFVVABEGXRONW-UHFFFAOYSA-N 0.000 description 3
- 125000003545 alkoxy group Chemical group 0.000 description 3
- 125000000304 alkynyl group Chemical group 0.000 description 3
- 125000006267 biphenyl group Chemical group 0.000 description 3
- 239000011521 glass Substances 0.000 description 3
- 125000001449 isopropyl group Chemical group [H]C([H])([H])C([H])(*)C([H])([H])[H] 0.000 description 3
- VLKZOEOYAKHREP-UHFFFAOYSA-N n-Hexane Chemical compound CCCCCC VLKZOEOYAKHREP-UHFFFAOYSA-N 0.000 description 3
- 150000002894 organic compounds Chemical class 0.000 description 3
- 229910052760 oxygen Inorganic materials 0.000 description 3
- 229910052763 palladium Inorganic materials 0.000 description 3
- 125000001792 phenanthrenyl group Chemical group C1(=CC=CC=2C3=CC=CC=C3C=CC12)* 0.000 description 3
- 229920000767 polyaniline Polymers 0.000 description 3
- 125000004076 pyridyl group Chemical group 0.000 description 3
- 229910052717 sulfur Inorganic materials 0.000 description 3
- TVIVIEFSHFOWTE-UHFFFAOYSA-K tri(quinolin-8-yloxy)alumane Chemical compound [Al+3].C1=CN=C2C([O-])=CC=CC2=C1.C1=CN=C2C([O-])=CC=CC2=C1.C1=CN=C2C([O-])=CC=CC2=C1 TVIVIEFSHFOWTE-UHFFFAOYSA-K 0.000 description 3
- 125000006746 (C1-C60) alkoxy group Chemical group 0.000 description 2
- 125000006745 (C2-C60) alkynyl group Chemical group 0.000 description 2
- KOFLVDBWRHFSAB-UHFFFAOYSA-N 1,2,4,5-tetrahydro-1-(phenylmethyl)-5,9b(1',2')-benzeno-9bh-benz(g)indol-3(3ah)-one Chemical compound C1C(C=2C3=CC=CC=2)C2=CC=CC=C2C23C1C(=O)CN2CC1=CC=CC=C1 KOFLVDBWRHFSAB-UHFFFAOYSA-N 0.000 description 2
- UHXOHPVVEHBKKT-UHFFFAOYSA-N 1-(2,2-diphenylethenyl)-4-[4-(2,2-diphenylethenyl)phenyl]benzene Chemical compound C=1C=C(C=2C=CC(C=C(C=3C=CC=CC=3)C=3C=CC=CC=3)=CC=2)C=CC=1C=C(C=1C=CC=CC=1)C1=CC=CC=C1 UHXOHPVVEHBKKT-UHFFFAOYSA-N 0.000 description 2
- WBIQQQGBSDOWNP-UHFFFAOYSA-N 2-dodecylbenzenesulfonic acid Chemical compound CCCCCCCCCCCCC1=CC=CC=C1S(O)(=O)=O WBIQQQGBSDOWNP-UHFFFAOYSA-N 0.000 description 2
- VQGHOUODWALEFC-UHFFFAOYSA-N 2-phenylpyridine Chemical group C1=CC=CC=C1C1=CC=CC=N1 VQGHOUODWALEFC-UHFFFAOYSA-N 0.000 description 2
- VIZUPBYFLORCRA-UHFFFAOYSA-N 9,10-dinaphthalen-2-ylanthracene Chemical compound C12=CC=CC=C2C(C2=CC3=CC=CC=C3C=C2)=C(C=CC=C2)C2=C1C1=CC=C(C=CC=C2)C2=C1 VIZUPBYFLORCRA-UHFFFAOYSA-N 0.000 description 2
- VFUDMQLBKNMONU-UHFFFAOYSA-N 9-[4-(4-carbazol-9-ylphenyl)phenyl]carbazole Chemical compound C12=CC=CC=C2C2=CC=CC=C2N1C1=CC=C(C=2C=CC(=CC=2)N2C3=CC=CC=C3C3=CC=CC=C32)C=C1 VFUDMQLBKNMONU-UHFFFAOYSA-N 0.000 description 2
- 229910001148 Al-Li alloy Inorganic materials 0.000 description 2
- IJGRMHOSHXDMSA-UHFFFAOYSA-N Atomic nitrogen Chemical compound N#N IJGRMHOSHXDMSA-UHFFFAOYSA-N 0.000 description 2
- OYPRJOBELJOOCE-UHFFFAOYSA-N Calcium Chemical compound [Ca] OYPRJOBELJOOCE-UHFFFAOYSA-N 0.000 description 2
- UEXCJVNBTNXOEH-UHFFFAOYSA-N Ethynylbenzene Chemical group C#CC1=CC=CC=C1 UEXCJVNBTNXOEH-UHFFFAOYSA-N 0.000 description 2
- UFHFLCQGNIYNRP-UHFFFAOYSA-N Hydrogen Chemical compound [H][H] UFHFLCQGNIYNRP-UHFFFAOYSA-N 0.000 description 2
- FYYHWMGAXLPEAU-UHFFFAOYSA-N Magnesium Chemical compound [Mg] FYYHWMGAXLPEAU-UHFFFAOYSA-N 0.000 description 2
- XQVWYOYUZDUNRW-UHFFFAOYSA-N N-Phenyl-1-naphthylamine Chemical compound C=1C=CC2=CC=CC=C2C=1NC1=CC=CC=C1 XQVWYOYUZDUNRW-UHFFFAOYSA-N 0.000 description 2
- 229920001609 Poly(3,4-ethylenedioxythiophene) Polymers 0.000 description 2
- VYPSYNLAJGMNEJ-UHFFFAOYSA-N Silicium dioxide Chemical compound O=[Si]=O VYPSYNLAJGMNEJ-UHFFFAOYSA-N 0.000 description 2
- FAPWRFPIFSIZLT-UHFFFAOYSA-M Sodium chloride Chemical compound [Na+].[Cl-] FAPWRFPIFSIZLT-UHFFFAOYSA-M 0.000 description 2
- JHYLKGDXMUDNEO-UHFFFAOYSA-N [Mg].[In] Chemical compound [Mg].[In] JHYLKGDXMUDNEO-UHFFFAOYSA-N 0.000 description 2
- 125000005037 alkyl phenyl group Chemical group 0.000 description 2
- 229910052782 aluminium Inorganic materials 0.000 description 2
- XAGFODPZIPBFFR-UHFFFAOYSA-N aluminium Chemical compound [Al] XAGFODPZIPBFFR-UHFFFAOYSA-N 0.000 description 2
- 125000001797 benzyl group Chemical group [H]C1=C([H])C([H])=C(C([H])=C1[H])C([H])([H])* 0.000 description 2
- 229910052791 calcium Inorganic materials 0.000 description 2
- 125000000609 carbazolyl group Chemical group C1(=CC=CC=2C3=CC=CC=C3NC12)* 0.000 description 2
- 125000000753 cycloalkyl group Chemical group 0.000 description 2
- 229940060296 dodecylbenzenesulfonic acid Drugs 0.000 description 2
- 239000007772 electrode material Substances 0.000 description 2
- 125000004051 hexyl group Chemical group [H]C([H])([H])C([H])([H])C([H])([H])C([H])([H])C([H])([H])C([H])([H])* 0.000 description 2
- 229910052739 hydrogen Inorganic materials 0.000 description 2
- 239000001257 hydrogen Substances 0.000 description 2
- IMKMFBIYHXBKRX-UHFFFAOYSA-M lithium;quinoline-2-carboxylate Chemical compound [Li+].C1=CC=CC2=NC(C(=O)[O-])=CC=C21 IMKMFBIYHXBKRX-UHFFFAOYSA-M 0.000 description 2
- 229910052749 magnesium Inorganic materials 0.000 description 2
- 239000011159 matrix material Substances 0.000 description 2
- 238000012986 modification Methods 0.000 description 2
- 230000004048 modification Effects 0.000 description 2
- IBHBKWKFFTZAHE-UHFFFAOYSA-N n-[4-[4-(n-naphthalen-1-ylanilino)phenyl]phenyl]-n-phenylnaphthalen-1-amine Chemical compound C1=CC=CC=C1N(C=1C2=CC=CC=C2C=CC=1)C1=CC=C(C=2C=CC(=CC=2)N(C=2C=CC=CC=2)C=2C3=CC=CC=C3C=CC=2)C=C1 IBHBKWKFFTZAHE-UHFFFAOYSA-N 0.000 description 2
- 125000004957 naphthylene group Chemical group 0.000 description 2
- 125000006574 non-aromatic ring group Chemical group 0.000 description 2
- NFHFRUOZVGFOOS-UHFFFAOYSA-N palladium;triphenylphosphane Chemical compound [Pd].C1=CC=CC=C1P(C=1C=CC=CC=1)C1=CC=CC=C1.C1=CC=CC=C1P(C=1C=CC=CC=1)C1=CC=CC=C1.C1=CC=CC=C1P(C=1C=CC=CC=1)C1=CC=CC=C1.C1=CC=CC=C1P(C=1C=CC=CC=1)C1=CC=CC=C1 NFHFRUOZVGFOOS-UHFFFAOYSA-N 0.000 description 2
- 125000001147 pentyl group Chemical group C(CCCC)* 0.000 description 2
- 125000005560 phenanthrenylene group Chemical group 0.000 description 2
- 125000000843 phenylene group Chemical group C1(=C(C=CC=C1)*)* 0.000 description 2
- 229910052698 phosphorus Inorganic materials 0.000 description 2
- 229920003227 poly(N-vinyl carbazole) Polymers 0.000 description 2
- 239000002244 precipitate Substances 0.000 description 2
- BBEAQIROQSPTKN-UHFFFAOYSA-N pyrene Chemical compound C1=CC=C2C=CC3=CC=CC4=CC=C1C2=C43 BBEAQIROQSPTKN-UHFFFAOYSA-N 0.000 description 2
- 125000005548 pyrenylene group Chemical group 0.000 description 2
- 125000002914 sec-butyl group Chemical group [H]C([H])([H])C([H])([H])C([H])(*)C([H])([H])[H] 0.000 description 2
- 239000002356 single layer Substances 0.000 description 2
- 125000000547 substituted alkyl group Chemical group 0.000 description 2
- PCCVSPMFGIFTHU-UHFFFAOYSA-N tetracyanoquinodimethane Chemical compound N#CC(C#N)=C1C=CC(=C(C#N)C#N)C=C1 PCCVSPMFGIFTHU-UHFFFAOYSA-N 0.000 description 2
- 125000004169 (C1-C6) alkyl group Chemical group 0.000 description 1
- 125000006743 (C1-C60) alkyl group Chemical group 0.000 description 1
- 125000006744 (C2-C60) alkenyl group Chemical group 0.000 description 1
- 125000006818 (C3-C60) cycloalkyl group Chemical group 0.000 description 1
- MIOPJNTWMNEORI-GMSGAONNSA-N (S)-camphorsulfonic acid Chemical compound C1C[C@@]2(CS(O)(=O)=O)C(=O)C[C@@H]1C2(C)C MIOPJNTWMNEORI-GMSGAONNSA-N 0.000 description 1
- 0 *c1cc(cc2)c3c4c2cc(*N(*)[Al])cc4CCc3c1 Chemical compound *c1cc(cc2)c3c4c2cc(*N(*)[Al])cc4CCc3c1 0.000 description 1
- 229940005561 1,4-benzoquinone Drugs 0.000 description 1
- 125000001478 1-chloroethyl group Chemical group [H]C([H])([H])C([H])(Cl)* 0.000 description 1
- MCZUXEWWARACSP-UHFFFAOYSA-N 1-ethynylnaphthalene Chemical group C1=CC=C2C(C#C)=CC=CC2=C1 MCZUXEWWARACSP-UHFFFAOYSA-N 0.000 description 1
- 125000004066 1-hydroxyethyl group Chemical group [H]OC([H])([*])C([H])([H])[H] 0.000 description 1
- IYZMXHQDXZKNCY-UHFFFAOYSA-N 1-n,1-n-diphenyl-4-n,4-n-bis[4-(n-phenylanilino)phenyl]benzene-1,4-diamine Chemical compound C1=CC=CC=C1N(C=1C=CC(=CC=1)N(C=1C=CC(=CC=1)N(C=1C=CC=CC=1)C=1C=CC=CC=1)C=1C=CC(=CC=1)N(C=1C=CC=CC=1)C=1C=CC=CC=1)C1=CC=CC=C1 IYZMXHQDXZKNCY-UHFFFAOYSA-N 0.000 description 1
- SPDPTFAJSFKAMT-UHFFFAOYSA-N 1-n-[4-[4-(n-[4-(3-methyl-n-(3-methylphenyl)anilino)phenyl]anilino)phenyl]phenyl]-4-n,4-n-bis(3-methylphenyl)-1-n-phenylbenzene-1,4-diamine Chemical compound CC1=CC=CC(N(C=2C=CC(=CC=2)N(C=2C=CC=CC=2)C=2C=CC(=CC=2)C=2C=CC(=CC=2)N(C=2C=CC=CC=2)C=2C=CC(=CC=2)N(C=2C=C(C)C=CC=2)C=2C=C(C)C=CC=2)C=2C=C(C)C=CC=2)=C1 SPDPTFAJSFKAMT-UHFFFAOYSA-N 0.000 description 1
- 125000004343 1-phenylethyl group Chemical group [H]C1=C([H])C([H])=C(C([H])=C1[H])C([H])(*)C([H])([H])[H] 0.000 description 1
- HZNVUJQVZSTENZ-UHFFFAOYSA-N 2,3-dichloro-5,6-dicyano-1,4-benzoquinone Chemical compound ClC1=C(Cl)C(=O)C(C#N)=C(C#N)C1=O HZNVUJQVZSTENZ-UHFFFAOYSA-N 0.000 description 1
- GEQBRULPNIVQPP-UHFFFAOYSA-N 2-[3,5-bis(1-phenylbenzimidazol-2-yl)phenyl]-1-phenylbenzimidazole Chemical compound C1=CC=CC=C1N1C2=CC=CC=C2N=C1C1=CC(C=2N(C3=CC=CC=C3N=2)C=2C=CC=CC=2)=CC(C=2N(C3=CC=CC=C3N=2)C=2C=CC=CC=2)=C1 GEQBRULPNIVQPP-UHFFFAOYSA-N 0.000 description 1
- 125000000022 2-aminoethyl group Chemical group [H]C([*])([H])C([H])([H])N([H])[H] 0.000 description 1
- 125000006280 2-bromobenzyl group Chemical group [H]C1=C([H])C(Br)=C(C([H])=C1[H])C([H])([H])* 0.000 description 1
- 125000006282 2-chlorobenzyl group Chemical group [H]C1=C([H])C(Cl)=C(C([H])=C1[H])C([H])([H])* 0.000 description 1
- 125000004198 2-fluorophenyl group Chemical group [H]C1=C([H])C(F)=C(*)C([H])=C1[H] 0.000 description 1
- 125000006290 2-hydroxybenzyl group Chemical group [H]OC1=C(C([H])=C([H])C([H])=C1[H])C([H])([H])* 0.000 description 1
- 125000000954 2-hydroxyethyl group Chemical group [H]C([*])([H])C([H])([H])O[H] 0.000 description 1
- 125000006481 2-iodobenzyl group Chemical group [H]C1=C([H])C(I)=C(C([H])=C1[H])C([H])([H])* 0.000 description 1
- 125000006179 2-methyl benzyl group Chemical group [H]C1=C([H])C(=C(C([H])=C1[H])C([H])([H])*)C([H])([H])[H] 0.000 description 1
- WLPATYNQCGVFFH-UHFFFAOYSA-N 2-phenylbenzonitrile Chemical group N#CC1=CC=CC=C1C1=CC=CC=C1 WLPATYNQCGVFFH-UHFFFAOYSA-N 0.000 description 1
- 125000000094 2-phenylethyl group Chemical group [H]C1=C([H])C([H])=C(C([H])=C1[H])C([H])([H])C([H])([H])* 0.000 description 1
- PPWNCLVNXGCGAF-UHFFFAOYSA-N 3,3-dimethylbut-1-yne Chemical group CC(C)(C)C#C PPWNCLVNXGCGAF-UHFFFAOYSA-N 0.000 description 1
- 125000003852 3-chlorobenzyl group Chemical group [H]C1=C([H])C(=C([H])C(Cl)=C1[H])C([H])([H])* 0.000 description 1
- 125000004180 3-fluorophenyl group Chemical group [H]C1=C([H])C(*)=C([H])C(F)=C1[H] 0.000 description 1
- 125000006482 3-iodobenzyl group Chemical group [H]C1=C([H])C(=C([H])C(I)=C1[H])C([H])([H])* 0.000 description 1
- USCSRAJGJYMJFZ-UHFFFAOYSA-N 3-methyl-1-butyne Chemical group CC(C)C#C USCSRAJGJYMJFZ-UHFFFAOYSA-N 0.000 description 1
- MECCSFDHAVAAAW-UHFFFAOYSA-N 4,4,5,5-tetramethyl-2-propan-2-yl-1,3,2-dioxaborolane Chemical compound CC(C)B1OC(C)(C)C(C)(C)O1 MECCSFDHAVAAAW-UHFFFAOYSA-N 0.000 description 1
- FDRNXKXKFNHNCA-UHFFFAOYSA-N 4-(4-anilinophenyl)-n-phenylaniline Chemical compound C=1C=C(C=2C=CC(NC=3C=CC=CC=3)=CC=2)C=CC=1NC1=CC=CC=C1 FDRNXKXKFNHNCA-UHFFFAOYSA-N 0.000 description 1
- AWXGSYPUMWKTBR-UHFFFAOYSA-N 4-carbazol-9-yl-n,n-bis(4-carbazol-9-ylphenyl)aniline Chemical compound C12=CC=CC=C2C2=CC=CC=C2N1C1=CC=C(N(C=2C=CC(=CC=2)N2C3=CC=CC=C3C3=CC=CC=C32)C=2C=CC(=CC=2)N2C3=CC=CC=C3C3=CC=CC=C32)C=C1 AWXGSYPUMWKTBR-UHFFFAOYSA-N 0.000 description 1
- 125000006283 4-chlorobenzyl group Chemical group [H]C1=C([H])C(=C([H])C([H])=C1Cl)C([H])([H])* 0.000 description 1
- 125000001255 4-fluorophenyl group Chemical group [H]C1=C([H])C(*)=C([H])C([H])=C1F 0.000 description 1
- 125000003143 4-hydroxybenzyl group Chemical group [H]C([*])([H])C1=C([H])C([H])=C(O[H])C([H])=C1[H] 0.000 description 1
- 125000006483 4-iodobenzyl group Chemical group [H]C1=C([H])C(=C([H])C([H])=C1I)C([H])([H])* 0.000 description 1
- OSQXTXTYKAEHQV-WXUKJITCSA-N 4-methyl-n-[4-[(e)-2-[4-[4-[(e)-2-[4-(4-methyl-n-(4-methylphenyl)anilino)phenyl]ethenyl]phenyl]phenyl]ethenyl]phenyl]-n-(4-methylphenyl)aniline Chemical compound C1=CC(C)=CC=C1N(C=1C=CC(\C=C\C=2C=CC(=CC=2)C=2C=CC(\C=C\C=3C=CC(=CC=3)N(C=3C=CC(C)=CC=3)C=3C=CC(C)=CC=3)=CC=2)=CC=1)C1=CC=C(C)C=C1 OSQXTXTYKAEHQV-WXUKJITCSA-N 0.000 description 1
- DIVZFUBWFAOMCW-UHFFFAOYSA-N 4-n-(3-methylphenyl)-1-n,1-n-bis[4-(n-(3-methylphenyl)anilino)phenyl]-4-n-phenylbenzene-1,4-diamine Chemical compound CC1=CC=CC(N(C=2C=CC=CC=2)C=2C=CC(=CC=2)N(C=2C=CC(=CC=2)N(C=2C=CC=CC=2)C=2C=C(C)C=CC=2)C=2C=CC(=CC=2)N(C=2C=CC=CC=2)C=2C=C(C)C=CC=2)=C1 DIVZFUBWFAOMCW-UHFFFAOYSA-N 0.000 description 1
- WXAIEIRYBSKHDP-UHFFFAOYSA-N 4-phenyl-n-(4-phenylphenyl)-n-[4-[4-(4-phenyl-n-(4-phenylphenyl)anilino)phenyl]phenyl]aniline Chemical compound C1=CC=CC=C1C1=CC=C(N(C=2C=CC(=CC=2)C=2C=CC=CC=2)C=2C=CC(=CC=2)C=2C=CC(=CC=2)N(C=2C=CC(=CC=2)C=2C=CC=CC=2)C=2C=CC(=CC=2)C=2C=CC=CC=2)C=C1 WXAIEIRYBSKHDP-UHFFFAOYSA-N 0.000 description 1
- VIJYEGDOKCKUOL-UHFFFAOYSA-N 9-phenylcarbazole Chemical compound C1=CC=CC=C1N1C2=CC=CC=C2C2=CC=CC=C21 VIJYEGDOKCKUOL-UHFFFAOYSA-N 0.000 description 1
- 229920001621 AMOLED Polymers 0.000 description 1
- OOAOSAZLKLMTAX-UHFFFAOYSA-N C(C)(C)(C)C=1C=CC2=C(C3=CC=CC=C3C(=C2C1)C1=CC2=CC=CC=C2C=C1)C1=CC2=CC=CC=C2C=C1.C1(=CC=CC=C1)N1C=NC2=C1C=CC=C2 Chemical compound C(C)(C)(C)C=1C=CC2=C(C3=CC=CC=C3C(=C2C1)C1=CC2=CC=CC=C2C=C1)C1=CC2=CC=CC=C2C=C1.C1(=CC=CC=C1)N1C=NC2=C1C=CC=C2 OOAOSAZLKLMTAX-UHFFFAOYSA-N 0.000 description 1
- 125000003860 C1-C20 alkoxy group Chemical group 0.000 description 1
- KESRRRLHHXXBRW-UHFFFAOYSA-N C1=CC=NC2=C3C(O)=CC=CC3=CC=C21 Chemical compound C1=CC=NC2=C3C(O)=CC=CC3=CC=C21 KESRRRLHHXXBRW-UHFFFAOYSA-N 0.000 description 1
- 101000837344 Homo sapiens T-cell leukemia translocation-altered gene protein Proteins 0.000 description 1
- 229910018068 Li 2 O Inorganic materials 0.000 description 1
- WHXSMMKQMYFTQS-UHFFFAOYSA-N Lithium Chemical compound [Li] WHXSMMKQMYFTQS-UHFFFAOYSA-N 0.000 description 1
- ZMXDDKWLCZADIW-UHFFFAOYSA-N N,N-Dimethylformamide Chemical compound CN(C)C=O ZMXDDKWLCZADIW-UHFFFAOYSA-N 0.000 description 1
- 101100030361 Neurospora crassa (strain ATCC 24698 / 74-OR23-1A / CBS 708.71 / DSM 1257 / FGSC 987) pph-3 gene Proteins 0.000 description 1
- CBENFWSGALASAD-UHFFFAOYSA-N Ozone Chemical compound [O-][O+]=O CBENFWSGALASAD-UHFFFAOYSA-N 0.000 description 1
- OAICVXFJPJFONN-UHFFFAOYSA-N Phosphorus Chemical compound [P] OAICVXFJPJFONN-UHFFFAOYSA-N 0.000 description 1
- 229910006404 SnO 2 Inorganic materials 0.000 description 1
- 102100028692 T-cell leukemia translocation-altered gene protein Human genes 0.000 description 1
- 239000007983 Tris buffer Substances 0.000 description 1
- XLOMVQKBTHCTTD-UHFFFAOYSA-N Zinc monoxide Chemical compound [Zn]=O XLOMVQKBTHCTTD-UHFFFAOYSA-N 0.000 description 1
- 229910001508 alkali metal halide Inorganic materials 0.000 description 1
- 150000008045 alkali metal halides Chemical class 0.000 description 1
- 125000004453 alkoxycarbonyl group Chemical group 0.000 description 1
- 229910045601 alloy Inorganic materials 0.000 description 1
- 239000000956 alloy Substances 0.000 description 1
- HSFWRNGVRCDJHI-UHFFFAOYSA-N alpha-acetylene Natural products C#C HSFWRNGVRCDJHI-UHFFFAOYSA-N 0.000 description 1
- 125000004202 aminomethyl group Chemical group [H]N([H])C([H])([H])* 0.000 description 1
- 125000002178 anthracenyl group Chemical group C1(=CC=CC2=CC3=CC=CC=C3C=C12)* 0.000 description 1
- 229940027991 antiseptic and disinfectant quinoline derivative Drugs 0.000 description 1
- 150000004982 aromatic amines Chemical class 0.000 description 1
- 125000003710 aryl alkyl group Chemical group 0.000 description 1
- QVQLCTNNEUAWMS-UHFFFAOYSA-N barium oxide Inorganic materials [Ba]=O QVQLCTNNEUAWMS-UHFFFAOYSA-N 0.000 description 1
- 125000003236 benzoyl group Chemical group [H]C1=C([H])C([H])=C(C([H])=C1[H])C(*)=O 0.000 description 1
- 229910052790 beryllium Inorganic materials 0.000 description 1
- ATBAMAFKBVZNFJ-UHFFFAOYSA-N beryllium atom Chemical compound [Be] ATBAMAFKBVZNFJ-UHFFFAOYSA-N 0.000 description 1
- 235000010290 biphenyl Nutrition 0.000 description 1
- 239000004305 biphenyl Substances 0.000 description 1
- JRXXLCKWQFKACW-UHFFFAOYSA-N biphenylacetylene Chemical group C1=CC=CC=C1C#CC1=CC=CC=C1 JRXXLCKWQFKACW-UHFFFAOYSA-N 0.000 description 1
- 125000006278 bromobenzyl group Chemical group 0.000 description 1
- 125000004369 butenyl group Chemical group C(=CCC)* 0.000 description 1
- 125000004106 butoxy group Chemical group [*]OC([H])([H])C([H])([H])C(C([H])([H])[H])([H])[H] 0.000 description 1
- 125000000484 butyl group Chemical group [H]C([*])([H])C([H])([H])C([H])([H])C([H])([H])[H] 0.000 description 1
- XJHCXCQVJFPJIK-UHFFFAOYSA-M caesium fluoride Inorganic materials [F-].[Cs+] XJHCXCQVJFPJIK-UHFFFAOYSA-M 0.000 description 1
- 150000001716 carbazoles Chemical class 0.000 description 1
- 239000000969 carrier Substances 0.000 description 1
- 125000004218 chloromethyl group Chemical group [H]C([H])(Cl)* 0.000 description 1
- 125000002676 chrysenyl group Chemical group C1(=CC=CC=2C3=CC=C4C=CC=CC4=C3C=CC12)* 0.000 description 1
- 238000004040 coloring Methods 0.000 description 1
- 125000003336 coronenyl group Chemical group C1(=CC2=CC=C3C=CC4=CC=C5C=CC6=CC=C1C1=C6C5=C4C3=C21)* 0.000 description 1
- 238000002425 crystallisation Methods 0.000 description 1
- 230000008025 crystallization Effects 0.000 description 1
- 125000004802 cyanophenyl group Chemical group 0.000 description 1
- 125000006165 cyclic alkyl group Chemical group 0.000 description 1
- 150000001975 deuterium Chemical group 0.000 description 1
- 125000004188 dichlorophenyl group Chemical group 0.000 description 1
- 239000012153 distilled water Substances 0.000 description 1
- 125000001301 ethoxy group Chemical group [H]C([H])([H])C([H])([H])O* 0.000 description 1
- 125000002534 ethynyl group Chemical group [H]C#C* 0.000 description 1
- 230000005281 excited state Effects 0.000 description 1
- GVEPBJHOBDJJJI-UHFFFAOYSA-N fluoranthrene Natural products C1=CC(C2=CC=CC=C22)=C3C2=CC=CC3=C1 GVEPBJHOBDJJJI-UHFFFAOYSA-N 0.000 description 1
- JVZRCNQLWOELDU-UHFFFAOYSA-N gamma-Phenylpyridine Natural products C1=CC=CC=C1C1=CC=NC=C1 JVZRCNQLWOELDU-UHFFFAOYSA-N 0.000 description 1
- ZXQYGBMAQZUVMI-GCMPRSNUSA-N gamma-cyhalothrin Chemical compound CC1(C)[C@@H](\C=C(/Cl)C(F)(F)F)[C@H]1C(=O)O[C@H](C#N)C1=CC=CC(OC=2C=CC=CC=2)=C1 ZXQYGBMAQZUVMI-GCMPRSNUSA-N 0.000 description 1
- 230000009477 glass transition Effects 0.000 description 1
- 230000005283 ground state Effects 0.000 description 1
- 238000010438 heat treatment Methods 0.000 description 1
- RBTKNAXYKSUFRK-UHFFFAOYSA-N heliogen blue Chemical compound [Cu].[N-]1C2=C(C=CC=C3)C3=C1N=C([N-]1)C3=CC=CC=C3C1=NC([N-]1)=C(C=CC=C3)C3=C1N=C([N-]1)C3=CC=CC=C3C1=N2 RBTKNAXYKSUFRK-UHFFFAOYSA-N 0.000 description 1
- 125000003824 heptacenyl group Chemical group C1(=CC=CC2=CC3=CC4=CC5=CC6=CC7=CC=CC=C7C=C6C=C5C=C4C=C3C=C12)* 0.000 description 1
- 125000003187 heptyl group Chemical group [H]C([*])([H])C([H])([H])C([H])([H])C([H])([H])C([H])([H])C([H])([H])C([H])([H])[H] 0.000 description 1
- 125000005842 heteroatom Chemical group 0.000 description 1
- 125000001633 hexacenyl group Chemical group C1(=CC=CC2=CC3=CC4=CC5=CC6=CC=CC=C6C=C5C=C4C=C3C=C12)* 0.000 description 1
- 238000004896 high resolution mass spectrometry Methods 0.000 description 1
- 150000002431 hydrogen Chemical class 0.000 description 1
- 125000006289 hydroxybenzyl group Chemical group 0.000 description 1
- 125000004029 hydroxymethyl group Chemical group [H]OC([H])([H])* 0.000 description 1
- 125000002883 imidazolyl group Chemical group 0.000 description 1
- AMGQUBHHOARCQH-UHFFFAOYSA-N indium;oxotin Chemical compound [In].[Sn]=O AMGQUBHHOARCQH-UHFFFAOYSA-N 0.000 description 1
- 125000001041 indolyl group Chemical group 0.000 description 1
- 125000000959 isobutyl group Chemical group [H]C([H])([H])C([H])(C([H])([H])[H])C([H])([H])* 0.000 description 1
- 125000001972 isopentyl group Chemical group [H]C([H])([H])C([H])(C([H])([H])[H])C([H])([H])C([H])([H])* 0.000 description 1
- 125000002183 isoquinolinyl group Chemical group C1(=NC=CC2=CC=CC=C12)* 0.000 description 1
- 229910052744 lithium Inorganic materials 0.000 description 1
- DLEDOFVPSDKWEF-UHFFFAOYSA-N lithium butane Chemical compound [Li+].CCC[CH2-] DLEDOFVPSDKWEF-UHFFFAOYSA-N 0.000 description 1
- PQXKHYXIUOZZFA-UHFFFAOYSA-M lithium fluoride Inorganic materials [Li+].[F-] PQXKHYXIUOZZFA-UHFFFAOYSA-M 0.000 description 1
- 125000000040 m-tolyl group Chemical group [H]C1=C([H])C(*)=C([H])C(=C1[H])C([H])([H])[H] 0.000 description 1
- 238000004519 manufacturing process Methods 0.000 description 1
- 125000000956 methoxy group Chemical group [H]C([H])([H])O* 0.000 description 1
- 125000001570 methylene group Chemical group [H]C([H])([*:1])[*:2] 0.000 description 1
- 239000011259 mixed solution Substances 0.000 description 1
- 229910000476 molybdenum oxide Inorganic materials 0.000 description 1
- MZRVEZGGRBJDDB-UHFFFAOYSA-N n-Butyllithium Substances [Li]CCCC MZRVEZGGRBJDDB-UHFFFAOYSA-N 0.000 description 1
- 125000004108 n-butyl group Chemical group [H]C([H])([H])C([H])([H])C([H])([H])C([H])([H])* 0.000 description 1
- 125000003136 n-heptyl group Chemical group [H]C([H])([H])C([H])([H])C([H])([H])C([H])([H])C([H])([H])C([H])([H])C([H])([H])* 0.000 description 1
- 125000001280 n-hexyl group Chemical group C(CCCCC)* 0.000 description 1
- BWMWHPFEZIXUNP-UHFFFAOYSA-N n-phenylphenanthren-9-amine Chemical compound C=1C2=CC=CC=C2C2=CC=CC=C2C=1NC1=CC=CC=C1 BWMWHPFEZIXUNP-UHFFFAOYSA-N 0.000 description 1
- KPTRDYONBVUWPD-UHFFFAOYSA-N naphthalen-2-ylboronic acid Chemical compound C1=CC=CC2=CC(B(O)O)=CC=C21 KPTRDYONBVUWPD-UHFFFAOYSA-N 0.000 description 1
- 125000004923 naphthylmethyl group Chemical group C1(=CC=CC2=CC=CC=C12)C* 0.000 description 1
- 125000005029 naphthylthio group Chemical group C1(=CC=CC2=CC=CC=C12)S* 0.000 description 1
- QGLKJKCYBOYXKC-UHFFFAOYSA-N nonaoxidotritungsten Chemical compound O=[W]1(=O)O[W](=O)(=O)O[W](=O)(=O)O1 QGLKJKCYBOYXKC-UHFFFAOYSA-N 0.000 description 1
- CTQNGGLPUBDAKN-UHFFFAOYSA-N o-dimethylbenzene Natural products CC1=CC=CC=C1C CTQNGGLPUBDAKN-UHFFFAOYSA-N 0.000 description 1
- 125000002347 octyl group Chemical group [H]C([*])([H])C([H])([H])C([H])([H])C([H])([H])C([H])([H])C([H])([H])C([H])([H])C([H])([H])[H] 0.000 description 1
- 230000003287 optical effect Effects 0.000 description 1
- 150000004866 oxadiazoles Chemical class 0.000 description 1
- 125000001715 oxadiazolyl group Chemical group 0.000 description 1
- 125000002971 oxazolyl group Chemical group 0.000 description 1
- PQQKPALAQIIWST-UHFFFAOYSA-N oxomolybdenum Chemical compound [Mo]=O PQQKPALAQIIWST-UHFFFAOYSA-N 0.000 description 1
- 125000001037 p-tolyl group Chemical group [H]C1=C([H])C(=C([H])C([H])=C1*)C([H])([H])[H] 0.000 description 1
- 125000003933 pentacenyl group Chemical group C1(=CC=CC2=CC3=CC4=CC5=CC=CC=C5C=C4C=C3C=C12)* 0.000 description 1
- JQQSUOJIMKJQHS-UHFFFAOYSA-N pentaphenyl group Chemical group C1=CC=CC2=CC3=CC=C4C=C5C=CC=CC5=CC4=C3C=C12 JQQSUOJIMKJQHS-UHFFFAOYSA-N 0.000 description 1
- 125000004115 pentoxy group Chemical group [*]OC([H])([H])C([H])([H])C([H])([H])C(C([H])([H])[H])([H])[H] 0.000 description 1
- 125000002080 perylenyl group Chemical group C1(=CC=C2C=CC=C3C4=CC=CC5=CC=CC(C1=C23)=C45)* 0.000 description 1
- 150000005041 phenanthrolines Chemical class 0.000 description 1
- 125000005561 phenanthryl group Chemical group 0.000 description 1
- 125000000951 phenoxy group Chemical group [H]C1=C([H])C([H])=C(O*)C([H])=C1[H] 0.000 description 1
- ZUOUZKKEUPVFJK-UHFFFAOYSA-N phenylbenzene Natural products C1=CC=CC=C1C1=CC=CC=C1 ZUOUZKKEUPVFJK-UHFFFAOYSA-N 0.000 description 1
- 239000011574 phosphorus Substances 0.000 description 1
- 125000001388 picenyl group Chemical group C1(=CC=CC2=CC=C3C4=CC=C5C=CC=CC5=C4C=CC3=C21)* 0.000 description 1
- 229920003023 plastic Polymers 0.000 description 1
- 125000004368 propenyl group Chemical group C(=CC)* 0.000 description 1
- 125000002572 propoxy group Chemical group [*]OC([H])([H])C(C([H])([H])[H])([H])[H] 0.000 description 1
- QQONPFPTGQHPMA-UHFFFAOYSA-N propylene Natural products CC=C QQONPFPTGQHPMA-UHFFFAOYSA-N 0.000 description 1
- 125000004805 propylene group Chemical group [H]C([H])([H])C([H])([*:1])C([H])([H])[*:2] 0.000 description 1
- 125000003226 pyrazolyl group Chemical group 0.000 description 1
- 125000002098 pyridazinyl group Chemical group 0.000 description 1
- 125000000714 pyrimidinyl group Chemical group 0.000 description 1
- 150000003248 quinolines Chemical class 0.000 description 1
- 125000002943 quinolinyl group Chemical group N1=C(C=CC2=CC=CC=C12)* 0.000 description 1
- 239000002994 raw material Substances 0.000 description 1
- 239000011541 reaction mixture Substances 0.000 description 1
- 239000011780 sodium chloride Substances 0.000 description 1
- MFRIHAYPQRLWNB-UHFFFAOYSA-N sodium tert-butoxide Chemical compound [Na+].CC(C)(C)[O-] MFRIHAYPQRLWNB-UHFFFAOYSA-N 0.000 description 1
- 238000009987 spinning Methods 0.000 description 1
- 238000004544 sputter deposition Methods 0.000 description 1
- 238000003756 stirring Methods 0.000 description 1
- 125000005504 styryl group Chemical group 0.000 description 1
- 238000006467 substitution reaction Methods 0.000 description 1
- 229940042055 systemic antimycotics triazole derivative Drugs 0.000 description 1
- 125000000999 tert-butyl group Chemical group [H]C([H])([H])C(*)(C([H])([H])[H])C([H])([H])[H] 0.000 description 1
- 125000003831 tetrazolyl group Chemical group 0.000 description 1
- 125000000335 thiazolyl group Chemical group 0.000 description 1
- RMVRSNDYEFQCLF-UHFFFAOYSA-N thiophenol Chemical group SC1=CC=CC=C1 RMVRSNDYEFQCLF-UHFFFAOYSA-N 0.000 description 1
- XOLBLPGZBRYERU-UHFFFAOYSA-N tin dioxide Chemical compound O=[Sn]=O XOLBLPGZBRYERU-UHFFFAOYSA-N 0.000 description 1
- 229910001887 tin oxide Inorganic materials 0.000 description 1
- 125000001425 triazolyl group Chemical group 0.000 description 1
- ODHXBMXNKOYIBV-UHFFFAOYSA-N triphenylamine Chemical compound C1=CC=CC=C1N(C=1C=CC=CC=1)C1=CC=CC=C1 ODHXBMXNKOYIBV-UHFFFAOYSA-N 0.000 description 1
- 125000005580 triphenylene group Chemical group 0.000 description 1
- 229910001930 tungsten oxide Inorganic materials 0.000 description 1
- 125000000391 vinyl group Chemical group [H]C([*])=C([H])[H] 0.000 description 1
- YVTHLONGBIQYBO-UHFFFAOYSA-N zinc indium(3+) oxygen(2-) Chemical compound [O--].[Zn++].[In+3] YVTHLONGBIQYBO-UHFFFAOYSA-N 0.000 description 1
Images
Classifications
-
- H—ELECTRICITY
- H10—SEMICONDUCTOR DEVICES; ELECTRIC SOLID-STATE DEVICES NOT OTHERWISE PROVIDED FOR
- H10K—ORGANIC ELECTRIC SOLID-STATE DEVICES
- H10K85/00—Organic materials used in the body or electrodes of devices covered by this subclass
- H10K85/60—Organic compounds having low molecular weight
- H10K85/615—Polycyclic condensed aromatic hydrocarbons, e.g. anthracene
- H10K85/622—Polycyclic condensed aromatic hydrocarbons, e.g. anthracene containing four rings, e.g. pyrene
-
- C—CHEMISTRY; METALLURGY
- C07—ORGANIC CHEMISTRY
- C07C—ACYCLIC OR CARBOCYCLIC COMPOUNDS
- C07C15/00—Cyclic hydrocarbons containing only six-membered aromatic rings as cyclic parts
- C07C15/20—Polycyclic condensed hydrocarbons
- C07C15/38—Polycyclic condensed hydrocarbons containing four rings
-
- H—ELECTRICITY
- H10—SEMICONDUCTOR DEVICES; ELECTRIC SOLID-STATE DEVICES NOT OTHERWISE PROVIDED FOR
- H10K—ORGANIC ELECTRIC SOLID-STATE DEVICES
- H10K85/00—Organic materials used in the body or electrodes of devices covered by this subclass
- H10K85/30—Coordination compounds
-
- H—ELECTRICITY
- H10—SEMICONDUCTOR DEVICES; ELECTRIC SOLID-STATE DEVICES NOT OTHERWISE PROVIDED FOR
- H10K—ORGANIC ELECTRIC SOLID-STATE DEVICES
- H10K85/00—Organic materials used in the body or electrodes of devices covered by this subclass
- H10K85/40—Organosilicon compounds, e.g. TIPS pentacene
-
- H—ELECTRICITY
- H10—SEMICONDUCTOR DEVICES; ELECTRIC SOLID-STATE DEVICES NOT OTHERWISE PROVIDED FOR
- H10K—ORGANIC ELECTRIC SOLID-STATE DEVICES
- H10K85/00—Organic materials used in the body or electrodes of devices covered by this subclass
- H10K85/60—Organic compounds having low molecular weight
- H10K85/615—Polycyclic condensed aromatic hydrocarbons, e.g. anthracene
-
- H—ELECTRICITY
- H10—SEMICONDUCTOR DEVICES; ELECTRIC SOLID-STATE DEVICES NOT OTHERWISE PROVIDED FOR
- H10K—ORGANIC ELECTRIC SOLID-STATE DEVICES
- H10K85/00—Organic materials used in the body or electrodes of devices covered by this subclass
- H10K85/60—Organic compounds having low molecular weight
- H10K85/631—Amine compounds having at least two aryl rest on at least one amine-nitrogen atom, e.g. triphenylamine
-
- H—ELECTRICITY
- H10—SEMICONDUCTOR DEVICES; ELECTRIC SOLID-STATE DEVICES NOT OTHERWISE PROVIDED FOR
- H10K—ORGANIC ELECTRIC SOLID-STATE DEVICES
- H10K85/00—Organic materials used in the body or electrodes of devices covered by this subclass
- H10K85/60—Organic compounds having low molecular weight
- H10K85/631—Amine compounds having at least two aryl rest on at least one amine-nitrogen atom, e.g. triphenylamine
- H10K85/633—Amine compounds having at least two aryl rest on at least one amine-nitrogen atom, e.g. triphenylamine comprising polycyclic condensed aromatic hydrocarbons as substituents on the nitrogen atom
-
- H—ELECTRICITY
- H10—SEMICONDUCTOR DEVICES; ELECTRIC SOLID-STATE DEVICES NOT OTHERWISE PROVIDED FOR
- H10K—ORGANIC ELECTRIC SOLID-STATE DEVICES
- H10K85/00—Organic materials used in the body or electrodes of devices covered by this subclass
- H10K85/60—Organic compounds having low molecular weight
- H10K85/649—Aromatic compounds comprising a hetero atom
-
- H—ELECTRICITY
- H10—SEMICONDUCTOR DEVICES; ELECTRIC SOLID-STATE DEVICES NOT OTHERWISE PROVIDED FOR
- H10K—ORGANIC ELECTRIC SOLID-STATE DEVICES
- H10K85/00—Organic materials used in the body or electrodes of devices covered by this subclass
- H10K85/60—Organic compounds having low molecular weight
- H10K85/649—Aromatic compounds comprising a hetero atom
- H10K85/654—Aromatic compounds comprising a hetero atom comprising only nitrogen as heteroatom
-
- H—ELECTRICITY
- H10—SEMICONDUCTOR DEVICES; ELECTRIC SOLID-STATE DEVICES NOT OTHERWISE PROVIDED FOR
- H10K—ORGANIC ELECTRIC SOLID-STATE DEVICES
- H10K85/00—Organic materials used in the body or electrodes of devices covered by this subclass
- H10K85/60—Organic compounds having low molecular weight
- H10K85/649—Aromatic compounds comprising a hetero atom
- H10K85/657—Polycyclic condensed heteroaromatic hydrocarbons
- H10K85/6572—Polycyclic condensed heteroaromatic hydrocarbons comprising only nitrogen in the heteroaromatic polycondensed ring system, e.g. phenanthroline or carbazole
-
- C—CHEMISTRY; METALLURGY
- C07—ORGANIC CHEMISTRY
- C07C—ACYCLIC OR CARBOCYCLIC COMPOUNDS
- C07C2603/00—Systems containing at least three condensed rings
- C07C2603/02—Ortho- or ortho- and peri-condensed systems
- C07C2603/40—Ortho- or ortho- and peri-condensed systems containing four condensed rings
- C07C2603/42—Ortho- or ortho- and peri-condensed systems containing four condensed rings containing only six-membered rings
- C07C2603/50—Pyrenes; Hydrogenated pyrenes
-
- H—ELECTRICITY
- H10—SEMICONDUCTOR DEVICES; ELECTRIC SOLID-STATE DEVICES NOT OTHERWISE PROVIDED FOR
- H10K—ORGANIC ELECTRIC SOLID-STATE DEVICES
- H10K2101/00—Properties of the organic materials covered by group H10K85/00
- H10K2101/10—Triplet emission
-
- H—ELECTRICITY
- H10—SEMICONDUCTOR DEVICES; ELECTRIC SOLID-STATE DEVICES NOT OTHERWISE PROVIDED FOR
- H10K—ORGANIC ELECTRIC SOLID-STATE DEVICES
- H10K50/00—Organic light-emitting devices
- H10K50/10—OLEDs or polymer light-emitting diodes [PLED]
- H10K50/11—OLEDs or polymer light-emitting diodes [PLED] characterised by the electroluminescent [EL] layers
-
- H—ELECTRICITY
- H10—SEMICONDUCTOR DEVICES; ELECTRIC SOLID-STATE DEVICES NOT OTHERWISE PROVIDED FOR
- H10K—ORGANIC ELECTRIC SOLID-STATE DEVICES
- H10K50/00—Organic light-emitting devices
- H10K50/10—OLEDs or polymer light-emitting diodes [PLED]
- H10K50/14—Carrier transporting layers
- H10K50/15—Hole transporting layers
Landscapes
- Chemical & Material Sciences (AREA)
- Engineering & Computer Science (AREA)
- Materials Engineering (AREA)
- Physics & Mathematics (AREA)
- Spectroscopy & Molecular Physics (AREA)
- Organic Chemistry (AREA)
- Inorganic Chemistry (AREA)
- Electroluminescent Light Sources (AREA)
Abstract
Description
화학식 1의 화합물을 포함하는 유기 발광 소자에 관한 것이다.
유기 발광 소자(organic light emitting diode)는 자발광형 소자로서 시야각이 넓고 콘트라스트가 우수할 뿐만 아니라, 응답시간이 빠르며, 휘도, 구동전압 및 응답속도 특성이 우수하고 다색화가 가능하다는 장점을 가지고 있다.
일반적인 유기 발광 소자는 기판 상부에 애노드가 형성되어 있고, 이 애노드 상부에 정공수송층, 발광층, 전자수송층 및 캐소드가 순차적으로 형성되어 있는 구조를 가질 수 있다. 여기에서 정공수송층, 발광층 및 전자수송층은 유기화합물로 이루어진 유기 박막들이다.
상술한 바와 같은 구조를 갖는 유기 발광 소자의 구동 원리는 다음과 같다.
상기 애노드 및 캐소드간에 전압을 인가하면, 애노드로부터 주입된 정공은 정공수송층을 경유하여 발광층으로 이동하고, 캐소드로부터 주입된 전자는 전자수송층을 경유하여 발광층으로 이동한다. 상기 정공 및 전자와 같은 캐리어들은 발광층 영역에서 재결합하여 엑시톤(exiton)을 생성한다. 이 엑시톤이 여기 상태에서 기저상태로 변하면서 광이 생성된다.
종래의 유기 단분자 물질에 비하여 우수한 전기적인 안정성, 높은 전하 수송 능력 또는 발광 능력을 가지며 유리 전이 온도가 높고 결정화를 방지할 수 있는 재료에 대한 요구가 계속 있다.
본 발명의 일 구현예에 따른 화합물을 유기 발광 재료로 사용함으로써 고색순도, 고효율, 장수명의 유기 발광 소자를 제공하는 것이다.
본 발명의 일 측면에 따라, 제 1 전극; 제 2 전극; 및 상기 제 1 전극 및 제 2 전극 사이에 개재된 유기층을 구비한 유기 발광 소자로서, 상기 유기층이 발광층 및/또는 정공 수송층을 포함하며, 상기 발광층 및/또는 정공 수송층이 하기 화학식 1로 표시되는 화합물을 포함하는 유기 발광 소자가 제공된다:
<화학식 1>
상기 화학식 1 중,
R은 -CN, 할로겐, -SiR1R2R3, -OR1, -SR1, -PR1R2, 치환 또는 비치환의 탄소수 1 내지 60의 알킬기, 치환 또는 비치환의 탄소수 3 내지 60의 헤테로아릴기, 치환 또는 비치환의 탄소수 6 내지 60의 아릴기, 또는 치환 또는 비치환의 탄소수 6 내지 60의 축합다환기를 나타내고,
상기 R1 내지 R3은 각각 독립적으로 치환 또는 비치환된 탄소수 1 내지 30의 알킬기, 치환 또는 비치환의 탄소수 6 내지 30의 아릴기, 또는 치환 또는 비치환의 탄소수 6 내지 30의 축합다환기를 나타내고,
Ar1 및 Ar2는 각각 독립적으로 치환 또는 비치환된 탄소수 5 내지 60의 아릴기, 치환 또는 비치환된 탄소수 4 내지 60의 헤테로아릴기, 또는 치환 또는 비치환된 탄소수 6 내지 60의 축합 다환기를 나타내며,
X 는 직접결합, 치환 또는 비치환된 탄소수 5 내지 60의 아릴렌기, 치환 또는 비치환된 탄소수 4 내지 60의 헤테로아릴렌기, 치환 또는 비치환된 탄소수 6 내지 60의 축합 다환기, 또는 상기 아릴렌기, 헤테로아릴렌기 또는 축합 다환기가 2 이상 연결된 2가의 연결기를 나타낸다.
본 발명의 다른 측면에 따라, 상기 유기 발광 소자를 구비하고, 상기 유기 발광 소자의 제 1 전극이 박막 트랜지스터의 소스 전극 또는 드레인 전극과 전기적으로 연결된 평판 표시 장치가 제공된다.
본 발명의 일 구현예에 따른 화학식 1의 화합물을 포함하는 유기 발광 소자는 고효율, 고휘도, 장수명 등을 보인다.
도 1은 일 구현예를 따르는 유기 발광 소자의 구조를 개략적으로 나타낸 도면이다.
본 발명의 일 측면에 따른 유기 발광 소자는 제 1 전극; 제 2 전극; 및 상기 제 1 전극 및 제 2 전극 사이에 개재된 유기층을 구비하며, 상기 유기층은 발광층 및/또는 정공 수송층을 포함하며, 상기 발광층 및/또는 정공 수송층은 하기 화학식 1로 표시되는 화합물을 포함한다:
<화학식 1>
상기 화학식 1 중,
R은 -CN, 할로겐, -SiR1R2R3, -OR1, -SR1, -PR1R2, 치환 또는 비치환의 탄소수 1 내지 60의 알킬기, 치환 또는 비치환의 탄소수 3 내지 60의 헤테로아릴기, 치환 또는 비치환의 탄소수 6 내지 60의 아릴기, 또는 치환 또는 비치환의 탄소수 6 내지 60의 축합다환기를 나타내고,
상기 R1 내지 R3은 각각 독립적으로 치환 또는 비치환된 탄소수 1 내지 30의 알킬기, 치환 또는 비치환의 탄소수 6 내지 30의 아릴기, 또는 치환 또는 비치환의 탄소수 6 내지 30의 축합다환기를 나타내고,
Ar1 및 Ar2는 각각 독립적으로 치환 또는 비치환된 탄소수 5 내지 60의 아릴기, 치환 또는 비치환된 탄소수 4 내지 60의 헤테로아릴기, 또는 치환 또는 비치환된 탄소수 6 내지 60의 축합 다환기를 나타내며,
X 는 직접결합, 치환 또는 비치환된 탄소수 5 내지 60의 아릴렌기, 치환 또는 비치환된 탄소수 4 내지 60의 헤테로아릴렌기, 치환 또는 비치환된 탄소수 6 내지 60의 축합 다환기, 또는 상기 아릴렌기, 헤테로아릴렌기 또는 축합 다환기가 2 이상 연결된 2가의 연결기를 나타낸다.
본 발명에 일 구현에 따른 화학식 1의 화합물은 예를 들어 청색 도펀트 또는 정공 수송 재료로서 유용하며, 이를 포함하는 OLED 소자는 고효율, 장수명 특성을 나타낸다.
상기 화학식 1의 화합물에 대해 좀 더 구체적으로 서술한다.
본 발명의 일 구현예에 따르면, 상기 화학식 1 식 중, R은 하기 화학식 2a 내지 2f 중 어느 하나일 수 있다.
상기 화학식 2a 내지 2f 중,
Q1은 각각 독립적으로 -C(R30)(R31)-, -N(R32)- 또는 -Si(R33)(R34)- 로 표시되는 연결기들이고;
Z1 및 R30 내지 R34는 각각 독립적으로, 수소 원자, 중수소, 치환 또는 비치환된 탄소수 1 내지 20의 알킬기, 치환 또는 비치환된 탄소수 5 내지 20의 아릴기, 치환 또는 비치환된 탄소수 3 내지 20의 헤테로아릴기, 치환 또는 비치환된 탄소수 6 내지 20의 축합 다환기, 할로겐기, 시아노기, 니트로기, 하이드록시기 또는 카르복시기이고;
상기 R1 내지 R3은 각각 독립적으로 치환 또는 비치환된 탄소수 1 내지 30의 알킬기, 치환 또는 비치환의 탄소수 6 내지 30의 아릴기, 또는 치환 또는 비치환의 탄소수 6 내지 30의 축합다환기를 나타내고;
p는 1 내지 9의 정수이고; *는 결합을 나타낸다.
본 발명의 다른 일 구현예에 따르면, 상기 화학식 2d 중, R30 및 R31은 선택적으로 연결되어 고리를 형성할 수 있다.
본 발명의 또 다른 일 구현예에 따르면, 상기 화학식 1 식 중, Ar1 및 Ar2는 각각 독립적으로 화학식 3a 내지 3e 중 어느 하나일 수 있다.
상기 화학식 3a 내지 3e 중,
Q2는 -C(R30)(R31)-, -N(R32)- 또는 -Si(R33)(R34)-로 표시되는 연결기들이고;
Z1 및 R30 내지 R34는 서로 독립적으로, 수소 원자, 중수소, -SiR1R2R3, 치환 또는 비치환된 탄소수 1 내지 20의 알킬기, 치환 또는 비치환된 탄소수 5 내지 20의 아릴기, 치환 또는 비치환된 탄소수 3 내지 20의 헤테로아릴기, 치환 또는 비치환된 탄소수 6 내지 20의 축합 다환기, 할로겐기, 시아노기, 니트로기, 하이드록시기 또는 카르복시기이고;
상기 R1 내지 R3은 각각 독립적으로 치환 또는 비치환된 탄소수 1 내지 30의 알킬기, 치환 또는 비치환의 탄소수 6 내지 30의 아릴기, 또는 치환 또는 비치환의 탄소수 6 내지 30의 축합다환기를 나타내고;
p는 1 내지 9의 정수이고; *는 결합을 나타낸다.
본 발명의 또다른 일 구현예에 따르면, 상기 화학식 3c 중, R30 및 R31은 선택적으로 연결되어 고리를 형성할 수 있다.
본 발명의 또다른 일 구현예에 따르면, 상기 화학식 1 중, X는 단일 결합, 또는 화학식 4a 내지 4d 중 어느 하나일 수 있다:
상기 화학식 4a 내지 4d 중,
Q3는 -C(R30)(R31)- , -S-, 또는 -O-로 표시되는 연결기들이고;
Z1, R30 및 R31은 서로 독립적으로, 수소 원자, 중수소, 치환 또는 비치환된 탄소수 1 내지 20의 알킬기, 치환 또는 비치환된 탄소수 5 내지 20의 아릴기, 치환 또는 비치환된 탄소수 3 내지 20의 헤테로아릴기, 치환 또는 비치환된 탄소수 6 내지 20의 축합 다환기, 할로겐기, 시아노기, 니트로기, 하이드록시기 또는 카르복시기를 나타내고;
p는 1 내지 4의 정수이고; *는 결합을 나타낸다.
이하, 본 명세서에서 사용되는 치환기들 중 대표적인 치환기의 정의를 살펴보면 다음과 같다 (치환기를 한정하는 탄소 수는 비제한적인 것으로서 치환기의 특성을 제한하지는 않으며, 본 명세서에서 정의하지 않은 치환기는 당업자에게 일반적으로 인식되는 바로서 정의된다).
비치환된 탄소수 1 내지 60의 알킬기는 선형 및 분지형일 수 있으며, 이의 비제한적인 예로는 메틸, 에틸, 프로필, 이소부틸, sec-부틸, 펜틸, iso-아밀, 헥실, 헵틸, 옥틸, 노나닐, 도데실 등을 들 수 있고, 상기 알킬기 중 하나 이상의 수소 원자는 중수소 원자, 할로겐 원자, 히드록시기, 니트로기, 시아노기, 아미노기, 아미디노기, 히드라진, 히드라존, 카르복실기나 그의 염, 술폰산기나 그의 염, 인산이나 그의 염, 또는 탄소수 1 내지 10의 알킬기, 탄소수 1 내지 10의 알콕시기, 탄소수 2 내지 10의 알케닐기, 탄소수 2 내지 10의 알키닐기, 탄소수 6 내지 16의 아릴기, 또는 탄소수 4 내지 16의 헤테로아릴기로 치환될 수 있다(이하 본 명세서에서 치환기가 치환된 경우의 치환은 알킬기가 치환된 경우의 치환기로 마찬가지로 치환가능하다).
비치환된 탄소수 2 내지 60의 알케닐기는 상기 비치환된 알킬기의 중간이나 맨 끝단에 하나 이상의 탄소 이중결합을 함유하고 있는 것을 의미한다. 예로서는 에테닐, 프로페닐, 부테닐 등이 있다. 이들 비치환된 알케닐기 중 적어도 하나 이상의 수소원자는 상술한 치환된 알킬기의 경우와 마찬가지의 치환기로 치환가능하다.
비치환된 탄소수 2 내지 60의 알키닐기는 상기 정의된 바와 같은 알킬기의 중간이나 맨 끝단에 하나 이상의 탄소 삼중결합을 함유하고 있는 것을 의미한다. 예로서는 아세틸렌, 프로필렌, 페닐아세틸렌, 나프틸아세틸렌, 이소프로필아세틸렌, t-부틸아세틸렌, 디페닐아세틸렌 등이 있다. 이들 알키닐기 중 적어도 하나 이상의 수소원자는 상술한 치환된 알킬기의 경우와 마찬가지의 치환기로 치환가능하다.
비치환된 탄소수 3 내지 60의 사이클로알킬기는 탄소 수 3 내지 60의 고리 형태의 알킬기를 의미하며, 상기 사이클로알킬기 중 하나 이상의 수소 원자는 상술한 탄소수 1 내지 60의 알킬기의 치환기와 동일한 치환기로 치환 가능하다.
탄소수 1 내지 60의 비치환된 알콕시기란 -OA(여기서, A는 상술한 바와 같은 비치환된 탄소수 1 내지 60의 알킬기임)의 구조를 갖는 그룹으로서, 이의 비제한적인 예로서, 메톡시, 에톡시, 프로폭시, 이소프로필옥시, 부톡시, 펜톡시, 등을 들 수 있다. 이들 알콕시기 중 적어도 하나 이상의 수소원자는 상술한 알킬기의 경우와 마찬가지의 치환기로 치환가능하다.
탄소수 7 내지 60의 아르알킬기는 아릴기에 알킬기가 연결된 치환기를 의미하며, 치환 또는 비치환된 아르알킬기의 예로서는, 벤질기, 1-페닐에틸기, 2-페닐에틸기, 1-페닐아이소프로필기, 2-페닐아이소프로필기, 페닐-t-뷰틸기, α-나프틸메틸기, 1-α-나프틸에틸기, 2-α-나프틸에틸기, 1-α-나프틸아이소프로필기, 2-α-나프틸아이소프로필기, β-나프틸메틸기, 1-β-나프틸에틸기, 2-β-나프틸에틸기, 1-β-나프틸아이소프로필기, 2-β-나프틸아이소프로필기, 1-피롤릴메틸기, 2-(1-피롤릴)에틸기, p-메틸벤질기, m-메틸벤질기, o-메틸벤질기, p-클로로벤질기, m-클로로벤질기, o-클로로벤질기, p-브로모벤질기, m-브로모벤질기, o-브로모벤질기, p-아이오도벤질기, m-아이오도벤질기, o-아이오도벤질기, p-하이드록시벤질기, m-하이드록시벤질기, o-하이드록시벤질기, p-아미노벤질기, m-아미노벤질기, o-아미노벤질기, p-나이트로벤질기, m-나이트로벤질기, o-나이트로벤질기, p-사이아노벤질기, m-사이아노벤질기, o-사이아노벤질기, 1-하이드록시-2-페닐아이소프로필기, 1-클로로-2-페닐아이소프로필기 등을 들 수 있다.
탄소수 1 내지 60의 알콕시카보닐기는 알콕시카보닐기는 -COOZ로 표시되며, Z의 예로서는 메틸기, 에틸기, 프로필기, 아이소프로필기, n-뷰틸기, s-뷰틸기, 아이소뷰틸기, t-뷰틸기, n-펜틸기, n-헥실기, n-헵틸기, n-옥틸기, 하이드록시메틸기, 1-하이드록시에틸기, 2-하이드록시에틸기, 2-하이드록시아이소뷰틸기, 1,2-다이하이드록시에틸기, 1,3-다이하이드록시아이소프로필기, 2,3-다이하이드록시-t-뷰틸기, 1,2,3-트라이하이드록시프로필기, 클로로메틸기, 1-클로로에틸기, 2-클로로에틸기, 2-클로로아이소뷰틸기, 1,2-다이클로로에틸기, 1,3-다이클로로아이소프로필기, 2,3-다이클로로-t-뷰틸기, 1,2,3-트라이클로로프로필기, 브로모메틸기, 1-브로모에틸기, 2-브로모에틸기, 2-브로모아이소뷰틸기, 1,2-다이브로모에틸기, 1,3-다이브로모아이소프로필기, 2,3-다이브로모-t-뷰틸기, 1,2,3-트라이브로모프로필기, 아이오도메틸기, 1-아이오도에틸기, 2-아이오도에틸기, 2-아이오도아이소뷰틸기, 1,2-다이아이오도에틸기, 1,3-다이아이오도아이소프로필기, 2,3-다이아이오도-t-뷰틸기, 1,2,3-트라이아이오도프로필기, 아미노메틸기, 1-아미노에틸기, 2-아미노에틸기, 2-아미노아이소뷰틸기, 1,2-다이아미노에틸기, 1,3-다이아미노아이소프로필기, 2,3-다이아미노-t-뷰틸기, 1,2,3-트라이아미노프로필기, 사이아노메틸기, 1-사이아노에틸기, 2-사이아노에틸기, 2-사이아노아이소뷰틸기, 1,2-다이사이아노에틸기, 1,3-다이사이아노아이소프로필기, 2,3-다이사이아노-t-뷰틸기, 1,2,3-트라이사이아노프로필기, 나이트로메틸기, 1-나이트로에틸기, 2-나이트로에틸기, 2-나이트로아이소뷰틸기, 1,2-다이나이트로에틸기, 1,3-다이나이트로아이소프로필기, 2,3-다이나이트로-t-뷰틸기, 1,2,3-트라이나이트로프로필기 등을 들 수 있다.
비치환된 탄소수 6 내지 60의 아릴기는 하나 이상의 고리를 포함하는 카보사이클 방향족 시스템을 의미하며, 2 이상의 고리를 가질 수 경우, 서로 융합되거나, 단일 결합 등을 통하여 연결될 수 있다. 아릴이라는 용어는 페닐, 나프틸, 안트라세닐과 같은 방향족 시스템을 포함한다. 또한, 상기 아릴기 중 하나 이상의 수소 원자는 상술한 탄소수 1 내지 60의 알킬기의 치환기와 동일한 치환기로 치환 가능하다.
치환 또는 비치환된 탄소수 6 내지 60의 아릴기의 예로는 페닐기, 탄소수 1 내지 10의 알킬페닐기(예를 들면, 에틸페닐기), 할로페닐기(예를 들면, o-, m- 및 p-플루오로페닐기, 디클로로페닐기), 시아노페닐기, 디시아노페닐기, 트리플루오로메톡시페닐기, 비페닐기, 할로비페닐기, 시아노비페닐기, 탄소수 1 내지 10의 알킬비페닐기, 탄소수 1 내지 10의 알콕시비페닐기, o-, m-, 및 p-토릴기, o-, m- 및 p-쿠메닐기, 메시틸기, 페녹시페닐기, (α,α-디메틸벤젠)페닐기, (N,N'-디메틸)아미노페닐기, (N,N'-디페닐)아미노페닐기, 펜타레닐기, 인데닐기, 나프틸기, 할로나프틸기(예를 들면, 플루오로나프틸기), 탄소수 1 내지 10의 알킬나프틸기(예를 들면, 메틸나프틸기), 탄소수 1 내지 10의 알콕시나프틸기(예를 들면, 메톡시나프틸기), 시아노나프틸기, 안트라세닐기, 아즈레닐기, 헵타레닐기, 아세나프틸레닐기, 페나레닐기, 플루오레닐기, 안트라퀴놀일기, 메틸안트릴기, 페난트릴기, 트리페닐렌기, 피레닐기, 크리세닐기, 에틸-크리세닐기, 피세닐기, 페릴레닐기, 클로로페릴레닐기, 펜타페닐기, 펜타세닐기, 테트라페닐레닐기, 헥사페닐기, 헥사세닐기, 루비세닐기, 코로네릴기, 트리나프틸레닐기, 헵타페닐기, 헵타세닐기, 피란트레닐기, 오바레닐기 등을 들 수 있다.
탄소수 3 내지 60의 비치환된 헤테로아릴기는 N, O, P 또는 S 중에서 선택된 1, 2 또는 3개의 헤테로원자를 포함하고, 2 이상의 고리를 가질 경우, 이들은 서로 융합되거나, 단일 결합 등을 통하여 연결될 수 있다. 비치환된 탄소수 4 내지 60의 헤테로아릴기의 예에는, 피라졸일기, 이미다졸일기, 옥사졸일기, 티아졸일기, 트리아졸일기, 테트라졸일기, 옥사디아졸일기, 피리디닐기, 피리다지닐기, 피리미디닐기, 트리아지닐기, 카바졸일기, 인돌일기, 퀴놀리닐기, 이소퀴놀리닐기, 디벤조싸이오펜기 등을 들 수 있다. 또한 상기 헤테로아릴기 중 하나 이상의 수소 원자는 상술한 탄소수 1 내지 60의 알킬기의 치환기와 동일한 치환기로 치환 가능하다.
탄소수 6 내지 60의 비치환된 아릴옥시기란 -OA1으로 표시되는 그룹으로서, 이 때 A1은 상기 탄소수 6 내지 60의 아릴기다. 상기 아릴옥시기의 예로는 페녹시기 등을 들 수 있다. 상기 아릴 옥시기 중 하나 이상의 수소 원자는 상술한 탄소수 1 내지 60의 알킬기의 치환기와 동일한 치환기로 치환 가능하다.
탄소수 6 내지 60의 비치환된 아릴싸이오기는 -SA1으로 표시되는 그룹으로서, 이 때 A1은 상기 탄소수 6 내지 60의 아릴기다. 상기 아릴싸이오기의 예로는 벤젠싸이오기, 나프틸싸이오기 등을 들 수 있다. 상기 아릴싸이오기 중 하나 이상의 수소 원자는 상술한 탄소수 1 내지 60의 알킬기의 치환기와 동일한 치환기로 치환 가능하다.
비치환된 탄소수 6 내지 60의 축합 다환기란, 하나 이상의 방향족 고리 및 하나 이상의 비방향족 고리가 서로 융합된 2 이상의 고리를 포함한 치환기 또는 고리내에 불포화기를 가지나 공액 구조를 가지지 못하는 치환기를 가리키는 것으로서, 상기 축합 다환기는 전체적으로는 방향성을 가지지 못한다는 점에서 아릴기 또는 헤테로아릴기와 구별된다.
N, O 또는 S를 포함하는 축합다환기란 N, O 또는 S를 포함하며, 하나 이상의 방향족 고리 및 하나 이상의 비방향족 고리가 서로 융합된 2 이상의 고리를 포함한 치환기 또는 고리내에 불포화기를 가지나 공액 구조를 가지지 못하는 치환기를 가리키는 것으로서, 상기 축합 다환기는 전체적으로는 방향성을 가지지 못하는 화합물을 의미한다.
상기 축합 다환기 또는 N, O 또는 S를 포함하는 축합다환기 중 하나 이상의 수소 원자는 상술한 탄소수 1 내지 60의 알킬기의 치환기와 동일한 치환기로 치환 가능하다.
본 발명의 상기 화학식 1로 표현되는 화합물의 구체적인 예로서, 하기 화합물들을 들 수 있으나, 이에 제한되지는 않는다.
본 발명의 일구현예에 따른 유기 발광 소자의 상기 유기층은 정공 주입층, 정공 수송층, 정공 주입 기능 및 정공 수송 기능을 동시에 갖는 기능층(이하, "H-기능층(H-functional layer)"이라 함), 버퍼층, 전자 저지층, 발광층, 정공 저지층, 전자 수송층, 전자 주입층 및 전자 수송 기능 및 전자 주입 기능을 동시에 갖는 기능층(이하, ?-기능층(E-functional layer)"이라 함) 중 적어도 하나를 포함할 수 있다.
보다 구체적으로 상기 유기층은 예를 들어 발광층 또는 정공 수송층일 수 있다. 특히 예를 들어 상기 유기층은 청색 발광층일 수 있다.
본 발명의 일 구현예에 따르면, 상기 유기 발광 소자는 전자 주입층 , 전자 수송층, 발광층, 정공 주입층, 정공 수송층, 또는 정공 주입 및 정공 수송기능을 동시에 갖는 기능층을 포함하고, 상기 전자 주입층, 전자 수송층, 또는 전자 주입 및 전자 수송기능을 동시에 갖는 기능층은 본 발명의 일 구현예에 따른 전자 주입 능력 및/또는 전자 수송 능력을 가지는 화합물을 포함하며, 상기 발광층은 본 발명의 일 구현예에 따른 화합물 및; 안트라센계 화합물, 아릴아민계 화합물 또는 스티릴계 화합물;을 포함할 수 있다.
본 발명의 다른 일 구현예에 따르면, 상기 유기 발광 소자는 전자 주입층, 전자 수송층, 발광층, 정공 주입층, 정공 수송층, 또는 정공 주입 및 정공 수송기능을 동시에 갖는 기능층을 포함하고, 상기 발광층의 적색층, 녹색층, 청색층 또는 흰색층의 어느 한 층은 인광 화합물을 포함할 수 있으며, 상기 정공 주입층, 정공 수송층, 또는 정공 주입 기능 및 정공 수송 기능을 동시에 갖는 기능층은 전하 생성 물질을 포함할 수 있다. 한편, 상기 전하 생성 물질은 p-도펀트이고, 상기 p-도펀트는 퀴논 유도체, 금속 산화물 또는 시아노기-함유 화합물일 수 있다.
본 발명의 또다른 일 구현예에 따르면, 상기 유기층은 전자 수송층을 포함하고, 상기 전자 수송층은 전자 수송성 유기 화합물 및 금속 착체를 포함할 수 있다. 상기 금속 착제는 Li 착제일 수 있다.
본 명세서 중 "유기층"은 유기 발광 소자 중 제1전극과 제2전극 사이에 개재된 단일 및/또는 복수의 층을 가리키는 용어이다.
도 1은 본 발명의 일 구현예를 따르는 유기 발광 소자의 단면도를 개략적으로 도시한 것이다. 이하, 도 1을 참조하여 본 발명의 일 구현예를 따르는 유기 발광 소자의 구조 및 제조 방법을 설명하면 다음과 같다.
기판(미도시)으로는, 통상적인 유기 발광 소자에서 사용되는 기판을 사용할 수 있는데, 기계적 강도, 열적 안정성, 투명성, 표면 평활성, 취급용이성 및 방수성이 우수한 유리 기판 또는 투명 플라스틱 기판을 사용할 수 있다.
상기 제1전극은 기판 상부에 제1전극용 물질을 증착법 또는 스퍼터링법 등을 이용하여 제공함으로써 형성될 수 있다. 상기 제1전극이 애노드일 경우, 정공 주입이 용이하도록 제1전극용 물질은 높은 일함수를 갖는 물질 중에서 선택될 수 있다. 상기 제1전극은 반사형 전극 또는 투과형 전극일 수 있다. 제1전극용 물질로는 투명하고 전도성이 우수한 산화인듐주석(ITO), 산화인듐아연(IZO), 산화주석(SnO2), 산화아연(ZnO) 등을 이용할 수 있다. 또는, 마그네슘(Mg), 알루미늄(Al), 알루미늄-리튬(Al-Li), 칼슘(Ca), 마그네슘-인듐(Mg-In), 마그네슘-은(Mg-Ag)등을 이용하면, 상기 제1전극을 반사형 전극으로 형성할 수도 있다.
상기 제1전극은 단일층 또는 2 이상의 다층 구조를 가질 수 있다. 예를 들어, 상기 제1전극은 ITO/Ag/ITO의 3층 구조를 가질 수 있으나, 이에 한정되는 것은 아니다.
상기 제1전극 상부로는 유기층이 구비되어 있다.
상기 유기층은 정공 주입층, 정공 수송층, 버퍼층(미도시), 발광층, 전자 수송층 또는 전자 주입층 등을 포함할 수 있다.
정공 주입층(HIL)은 상기 제1전극 상부에 진공증착법, 스핀코팅법, 캐스트법, LB법 등과 같은 다양한 방법을 이용하여 형성될 수 있다.
진공 증착법에 의하여 정공 주입층을 형성하는 경우, 그 증착 조건은 정공 주입층의 재료로서 사용하는 화합물, 목적으로 하는 정공 주입층의 구조 및 열적 특성 등에 따라 다르지만, 예를 들면, 증착온도 약 100 내지 약 500℃, 진공도 약 10-8 내지 약 10-3torr, 증착 속도 약 0.01 내지 약 100Å/sec의 범위에서 선택될 수 있으며, 이에 한정되는 것은 아니다.
스핀 코팅법에 의하여 정공 주입층을 형성하는 경우, 그 코팅 조건은 정공주입층의 재료로서 사용하는 화합물, 목적하는 하는 정공 주입층의 구조 및 열적 특성에 따라 상이하지만, 약 2000rpm 내지 약 5000rpm의 코팅 속도, 코팅 후 용매 제거를 위한 열처리 온도는 약 80℃ 내지 200℃의 온도 범위에서 선택될 수 있으며, 이에 한정되는 것은 아니다.
정공 주입 물질로는 공지된 정공 주입 물질을 사용할 수 있는데, 공지된 정공 주입 물질로는, 예를 들면, N,N'-디페닐-N,N'-비스-[4-(페닐-m-톨일-아미노)-페닐]-비페닐-4,4'-디아민(N,N'-diphenyl-N,N'-bis-[4-(phenyl-m-tolyl-amino)-phenyl]-biphenyl-4,4'-diamine: DNTPD), 구리프탈로시아닌 등의 프탈로시아닌 화합물, m-MTDATA [4,4',4''-tris (3-methylphenylphenylamino) triphenylamine], NPB(N,N'-디(1-나프틸)-N,N'-디페닐벤지딘(N,N'-di(1-naphthyl)-N,N'-diphenylbenzidine)), TDATA, 2-TNATA, Pani/DBSA (Polyaniline/Dodecylbenzenesulfonic acid:폴리아닐린/도데실벤젠술폰산), PEDOT/PSS(Poly(3,4-ethylenedioxythiophene)/Poly(4-styrenesulfonate):폴리(3,4-에틸렌디옥시티오펜)/폴리(4-스티렌술포네이트)), Pani/CSA (Polyaniline/Camphor sulfonicacid:폴리아닐린/캠퍼술폰산) 또는 PANI/PSS (Polyaniline)/Poly(4-styrenesulfonate):폴리아닐린)/폴리(4-스티렌술포네이트))등을 사용할 수 있으나, 이에 한정되는 것은 아니다:
상기 정공 주입층의 두께는 약 100Å 내지 약 10000Å, 예를 들면, 약 100Å 내지 약 1000Å일 수 있다. 상기 정공 주입층의 두께가 전술한 바와 같은 범위를 만족할 경우, 실질적인 구동 전압의 상승없이 만족스러운 정도의 정공 주입 특성을 얻을 수 있다.
다음으로 상기 정공 주입층 상부에 진공증착법, 스핀코팅법, 캐스트법, LB법 등과 같은 다양한 방법을 이용하여 정공 수송층(HTL)을 형성할 수 있다. 진공 증착법 및 스핀 팅법에 의하여 정공 수송층을 형성하는 경우, 그 증착 조건 및 코팅조건은 사용하는 화합물에 따라 다르지만, 일반적으로 정공 주입층의 형성과 거의 동일한 조건범위 중에서 선택될 수 있다.
정공 수송 물질로는 본 발명의 일 구현예에 따른 화합물 또는 공지된 정공 수송 물질을 사용할 수 있다. 공지된 정공 수송 재료로는, 예를 들어, N-페닐카바졸, 폴리비닐카바졸 등의 카바졸 유도체, N,N'-비스(3-메틸페닐)-N,N'-디페닐-[1,1-비페닐]-4,4'-디아민(TPD), TCTA(4,4',4"-트리스(N-카바졸일)트리페닐아민(4,4',4"-tris(N-carbazolyl)triphenylamine)), NPB(N,N'-디(1-나프틸)-N,N'-디페닐벤지딘(N,N'-di(1-naphthyl)-N,N'-diphenylbenzidine)) 등을 들 수 있으나, 이에 한정되는 것은 아니다.
상기 정공 수송층의 두께는 약 50Å 내지 약 2000Å, 예를 들면 약 100Å 내지 약 1500Å일 수 있다. 상기 정공 수송층의 두께가 전술한 바와 같은 범위를 만족할 경우, 실질적인 구동 전압 상승없이 만족스러운 정도의 정공 수송 특성을 얻을 수 있다.
상기 H-기능성(정공 수송 기능을 동시에 갖는 기능층)에는 상술한 바와 같은 정공 주입층 물질 및 정공 수송층 물질 중에서 1 이상의 물질이 포함될 수 있으며, 상기 H-기능층의 두께는 약 500Å 내지 약 10000Å, 예를 들면, 약 100Å 내지 약 1000Å일 수 있다. 상기 H-기능층의 두께가 전술한 바와 같은 범위를 만족할 경우, 실질적인 구동 전압의 상승없이 만족스러운 정도의 정공 주입 및 수성 특성을 얻을 수 있다.
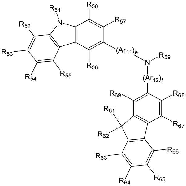
한편, 상기 정공 주입층, 정공 수송층 및 H-기능층 중 적어도 한 층은 하기 화학식 300으로 표시되는 화합물 및 하기 화학식 350으로 표시되는 화합물 중 하나 이상을 포함할 수 있다:
<화학식 300>
<화학식 350>
상기 화학식 300 및 350 중, Ar11, Ar12, Ar21 및 Ar22는 서로 독립적으로, 치환 또는 비치환된 C5-C60아릴렌기이다.
상기 화학식 300 중, 상기 e 및 f는 서로 독립적으로 0 내지 5의 정수, 또는 0, 1 또는 2일 수 있다. 예를 들어, 상기 e는 1이고, f는 0일 수 있으나, 이에 한정되는 것은 아니다.
상기 화학식 300 및 350 중, R51 내지 R58, R61 내지 R69 및 R71 및 R72는 서로 독립적으로, 수소, 중수소, 할로겐 원자, 히드록실기, 시아노기, 니트로기, 아미노기, 아미디노기, 히드라진, 히드라존, 카르복실기나 이의 염, 술폰산기나 이의 염, 인산이나 이의 염, 치환 또는 비치환된 C1-C60알킬기, 치환 또는 비치환된 C2-C60알케닐기, 치환 또는 비치환된 C2-C60알키닐기, 치환 또는 비치환된 C1-C60알콕시기, 치환 또는 비치환된 C3-C60시클로알킬기, 치환 또는 비치환된 C5-C60아릴기, 치환 또는 비치환된 C5-C60아릴옥시기, 또는 치환 또는 비치환된 C5-C60아릴싸이오기일 수 있다. 예를 들어, 상기 R51 내지 R58, R61 내지 R69 및 R71 및 R72은 서로 독립적으로, 수소; 중수소; 할로겐 원자; 히드록실기; 시아노기; 니트로기; 아미노기; 아미디노기; 히드라진; 히드라존; 카르복실기나 이의 염; 술폰산기나 이의 염; 인산이나 이의 염; C1-C10알킬기(예를 들면, 메틸기, 에틸기, 프로필기, 부틸기, 펜틸기, 헥실기 등); C1-C10알콕시기(예를 들면, 메톡시기, 에톡시기, 프로폭시기, 부톡시기, 펜톡시기 등); 중수소, 할로겐 원자, 히드록실기, 시아노기, 니트로기, 아미노기, 아미디노기, 히드라진, 히드라존, 카르복실기나 이의 염, 술폰산기나 이의 염 및 인산이나 이의 염 중 하나 이상으로 치환된 C1-C10알킬기 및 C1-C10알콕시기; 페닐기; 나프틸기; 안트릴기; 플루오레닐기; 파이레닐기; 중수소, 할로겐 원자, 히드록실기, 시아노기, 니트로기, 아미노기, 아미디노기, 히드라진, 히드라존, 카르복실기나 이의 염, 술폰산기나 이의 염, 인산이나 이의 염, C1-C10알킬기 및 C1-C10알콕시기 중 하나 이상으로 치환된 페닐기, 나프틸기, 안트릴기, 플루오레닐기 및 파이레닐기; 중 하나일 수 있으나, 이에 한정되는 것은 아니다.
상기 화학식 300 중, R59는, 페닐기; 나프틸기; 안트릴기; 바이페닐기; 피리딜기; 및 중수소, 할로겐 원자, 히드록실기, 시아노기, 니트로기, 아미노기, 아미디노기, 히드라진, 히드라존, 카르복실기나 이의 염, 술폰산기나 이의 염, 인산이나 이의 염, 치환 또는 비치환된 C1-C20알킬기, 및 치환 또는 비치환된 C1-C20알콕시기 중 하나 이상으로 치환된 페닐기, 나프틸기, 안트릴기, 바이페닐기 및 피리딜기; 중 하나일 수 있다.
일 구현예에 따르면, 상기 화학식 300으로 표시되는 화합물은 하기 화학식 300A로 표시될 수 있으나, 이에 한정되는 것은 아니다:
<화학식 300A>
상기 화학식 300A 중, R51, R60, R61 및 R59에 대한 상세한 설명은 상술한 바를 참조한다.
예를 들어, 상기 정공 주입층, 정공 수송층 및 H-기능층 중 적어도 한 층은 하기 화합물 301 내지 320 중 하나 이상을 포함할 수 있으나, 이에 한정되는 것은 아니다:
상기 정공 주입층, 정공 수송층 및 H-기능층 중 적어도 하나는, 상술한 바와 같은 공지된 정공 주입 물질, 공지된 정공 수송 물질 및/또는 정공 주입 기능 및 정공 수송 기능을 동시에 갖는 물질 외에, 막의 도전성 등을 향상시키기 위하여 전하-생성 물질을 더 포함할 수 있다.
상기 전하-생성 물질은 예를 들면, p-도펀트일 수 있다. 상기 p-도펀트는 퀴논 유도체, 금속 산화물 및 시아노기-함유 화합물 중 하나일 수 있으나, 이에 한정되는 것은 아니다. 예를 들어, 상기 p-도펀트의 비제한적인 예로는, 테트라사이아노퀴논다이메테인(TCNQ) 및 2,3,5,6-테트라플루오로-테트라사이아노-1,4-벤조퀴논다이메테인(F4-CTNQ) 등과 같은 퀴논 유도체; 텅스텐 산화물 및 몰리브덴 산화물 등과 같은 금속 산화물; 및 하기 화합물 200 등과 같은 시아노기-함유 화합물 등을 들 수 있으나, 이에 한정되는 것은 아니다.
<화합물 200> <F4-CTNQ>
상기 정공 주입층, 상기 정공 수송층 또는 상기 H-기능층이 상기 전하-생성 물질을 더 포함할 경우, 상기 전하-생성 물질은 정공 주입층, 상기 정공 수송층 또는 상기 H-기능층 중에 균일하게(homogeneous) 분산되거나, 또는 불균일하게 분포될 수 있는 등, 다양한 변형이 가능하다.
상기 정공 주입층, 정공 수송층 및 H-기능층 중 적어도 하나와 상기 발광층 사이에는 버퍼층이 개재될 수 있다. 상기 버퍼층은 발광층에서 방출되는 광의 파장에 따른 광학적 공진 거리를 보상하여 효율을 증가시키는 역할을 수 있다. 상기 버퍼층은 공지된 정공 주입 재료, 정공 수송 재료를 포함할 수 있다. 또는, 상기 버퍼층은 버퍼층 하부에 형성된 상기 정공 주입층, 정공 수송층 및 H-기능층에 포함된 물질 중 하나와 동일한 물질을 포함할 수 있다.
이어서, 정공 수송층, H-기능층 또는 버퍼층 상부에 진공 증착법, 스핀 코팅법, 캐스트법, LB법 등과 같은 방법을 이용하여 발광층(EML)을 형성할 수 있다. 진공증착법 및 스핀코팅법에 의해 발광층을 형성하는 경우, 그 증착조건은 사용하는 화합물에 따라 다르지만, 일반적으로 정공주입층의 형성과 거의 동일한 조건범위 중에서 선택될 수 있다.
상기 발광층은 호스트를 포함할 수 있다.
상기 호스트로서, 본 발명의 일 구현예에 따른 화학식 1의 화합물 또는 공지의 Alq3, CBP(4,4'-N,N'-디카바졸-비페닐), PVK(폴리(n-비닐카바졸)), 9,10-디(나프탈렌-2-일)안트라센(ADN), TCTA, TPBI(1,3,5-트리스(N-페닐벤즈이미다졸-2-일)벤젠(1,3,5-tris(N-phenylbenzimidazole-2-yl)benzene)), TBADN(3-tert-부틸-9,10-디(나프트-2-일) 안트라센), E3, DSA(디스티릴아릴렌), dmCBP(하기 화학식 참조), 하기 화합물 501 내지 509 등을 사용할 수 있으나, 이에 한정되는 것은 아니다.
PVK ADN
또는, 상기 호스트로서, 하기 화학식 400으로 표시되는 안트라센계 화합물을 사용할 수 있다:
<화학식 400>
상기 화학식 400 중, Ar111 및 Ar112는 서로 독립적으로, 치환 또는 비치환된 C5-C60아릴렌기이고; 상기 Ar113 내지 Ar116은 서로 독립적으로, 치환 또는 비치환된 C1-C10알킬기 또는 치환 또는 비치환된 C5-C60아릴기이고; g, h, i 및 j는 서로 독립적으로 0 내지 4의 정수일 수 있다.
예를 들어, 상기 화학식 400 중, Ar111 및 Ar112는 페닐렌기, 나프틸렌기, 페난트레닐렌기 또는 파이레닐렌기; 또는 페닐기, 나프틸기 및 안트릴기 중 하나 이상으로 치환된 페닐렌기, 나프틸렌기, 페난트레닐렌기, 플루오레닐기, 또는 파이레닐렌기일 수 있으나, 이에 한정되는 것은 아니다.
상기 화학식 400 중 g, h, i 및 j는 서로 독립적으로, 0, 1 또는 2일 수 있다.
상기 화학식 400 중, Ar113 내지 Ar116은 서로 독립적으로, 페닐기, 나프틸기 및 안트릴기 중 하나 이상으로 치환된 C1-C10알킬기; 페닐기; 나프틸기; 안트릴기; 파이레닐기; 페난트레닐기; 플루오레닐기; 중수소, 할로겐 원자, 히드록실기, 시아노기, 니트로기, 아미노기, 아미디노기, 히드라진, 히드라존, 카르복실기나 이의 염, 술폰산기나 이의 염, 인산이나 이의 염, C1-C60알킬기, C2-C60알케닐기, C2-C60알키닐기, C1-C60알콕시기, 페닐기, 나프틸기, 안트릴기, 파이레닐기, 페난트레닐기 및 플루오레닐기 중 하나 이상으로 치환된 페닐기, 나프틸기, 안트릴기, 파이레닐기, 페난트레닐기 및 플루오레닐기; 및 중 하나일 수 있으나, 이에 한정되는 것은 아니다.
예를 들어, 상기 화학식 400으로 표시된 안트라센계 화합물은 하기 화합물들 중 하나일 수 있으나, 이에 한정되는 것은 아니다:
또는, 상기 호스트로서, 하기 화학식 401으로 표시되는 안트라센계 화합물을 사용할 수 있다:
<화학식 401>
상기 화학식 401 중 Ar122 내지 Ar125에 대한 상세한 설명은 상기 화학식 400의 Ar113에 대한 설명을 참조한다.
상기 화학식 401 중 Ar126 및 Ar127은 서로 독립적으로, C1-C10알킬기(예를 들면, 메틸기, 에틸기 또는 프로필기)일 수 있다.
상기 화학식 401 중 k 및 l은 서로 독립적으로 0 내지 4의 정수일 수 있다. 예를 들어, 상기 k 및 l은 0, 1 또는 2일 수 있다.
예를 들어, 상기 화학식 401로 표시된 안트라센계 화합물은 하기 화합물들 중 하나일 수 있으나, 이에 한정되는 것은 아니다:
상기 유기 발광 소자가 풀 컬러 유기 발광 소자일 경우, 발광층은 적색 발광층, 녹색 발광층 및 청색 발광층으로 패터닝될 수 있다.
한편, 상기 적색 발광층, 녹색 발광층 및 청색 발광층 중 적어도 하나는 본 발명의 일 구현 예에 따른 화학식 1의 화합물 또는 하기 도펀트를 포함할 수 있다(ppy = 페닐피리딘)
DPAVBi
TBPe
예를 들어, 적색 도펀트로서는 하기 화합물들 사용할 수 있으나, 이에 한정되는 것은 아니다.
예를 들어, 녹색 도펀트로서는 하기 화합물들 사용할 수 있으나, 이에 한정되는 것은 아니다.
한편, 상기 발광층에 포함될 수 있는 도펀트는 후술하는 바와 같은 Pt-착체일 수 있으나, 이에 한정되는 것은 아니다:
또한, 상기 발광층에 포함될 수 있는 도펀트는 후술하는 바와 같은 Os-착체일 수 있으나, 이에 한정되는 것은 아니다:
상기 발광층이 호스트 및 도펀트를 포함할 경우, 도펀트의 함량은 통상적으로 호스트 약 100 중량부를 기준으로 하여 약 0.01 내지 약 15 중량부의 범위에서 선택될 수 있으며, 이에 한정되는 것은 아니다.
상기 발광층의 두께는 약 100Å 내지 약 1000Å, 예를 들면 약 200Å 내지 약 600Å일 수 있다. 상기 발광층의 두께가 전술한 바와 같은 범위를 만족할 경우, 실질적인 구동 전압 상승없이 우수한 발광 특성을 나타낼 수 있다.
다음으로 발광층 상부에 전자 수송층(ETL)을 진공증착법, 또는 스핀코팅법, 캐스트법 등의 다양한 방법을 이용하여 형성한다. 진공증착법 및 스핀코팅법에 의해 전자 수송층을 형성하는 경우, 그 조건은 사용하는 화합물에 따라 다르지만, 일반적으로 정공주입층의 형성과 거의 동일한 조건범위 중에서 선택될 수 있다. 상기 전자 수송층 재료로는 전자주입전극(Cathode)로부터 주입된 전자를 안정하게 수송하는 기능을 하는 것으로서 공지의 전자 수송 물질을 이용할 수 있다. 공지의 전자 수송 물질의 예로는, 퀴놀린 유도체, 특히 트리스(8-퀴놀리노레이트)알루미늄(Alq3), TAZ, Balq, 베릴륨 비스(벤조퀴놀리-10-노에이트)(beryllium bis(benzoquinolin-10-olate: Bebq2), ADN, 화합물 201, 화합물 202 등과 같은 재료를 사용할 수도 있으나, 이에 한정되는 것은 아니다.
<화합물 201> <화합물 202>
BCP
상기 전자 수송층의 두께는 약 100Å 내지 약 1000Å, 예를 들면 약 150Å 내지 약 500Å일 수 있다. 상기 전자 수송층의 두께가 전술한 바와 같은 범위를 만족할 경우, 실질적인 구동 전압 상승없이 만족스러운 정도의 전자 수송 특성을 얻을 수 있다.
또는, 상기 전자 수송층은 공지의 전자 수송성 유기 화합물 외에, 금속-함유 물질을 더 포함할 수 있다.
상기 금속-함유 물질은 Li 착체를 포함할 수 있다. 상기 Li 착체의 비제한적인 예로는, 리튬 퀴놀레이트(LiQ) 또는 하기 화합물 203 등을 들 수 있다:
<화합물 203>
또한 전자 수송층 상부에 음극으로부터 전자의 주입을 용이하게 하는 기능을 가지는 물질인 전자 주입층(EIL)이 적층될 수 있으며 특별히 재료를 제한하지 않는다.
상기 전자 주입층 형성 재료로는 LiF, NaCl, CsF, Li2O, BaO 등과 같은 전자주입층 형성 재료로서 공지된 임의의 물질을 이용할 수 있다. 상기 전자주입층의 증착조건은 사용하는 화합물에 따라 다르지만, 일반적으로 정공 주입층의 형성과 거의 동일한 조건범위 중에서 선택될 수 있다.
상기 전자 주입층의 두께는 약 1Å 내지 약 100Å, 약 3Å 내지 약 90Å일 수 있다. 상기 전자 주입층의 두께가 전술한 바와 같은 범위를 만족할 경우, 실질적인 구동 전압 상승없이 만족스러운 정도의 전자 주입 특성을 얻을 수 있다.
이와 같은 유기층 상부로는 제2전극이 구비되어 있다. 상기 제2전극은 전자 주입 전극인 캐소드(Cathode)일 수 있는데, 이 때, 상기 제2전극 형성용 금속으로는 낮은 일함수를 가지는 금속, 합금, 전기전도성 화합물 및 이들의 혼합물을 사용할 수 있다. 구체적인 예로서는 리튬(Li), 마그네슘(Mg), 알루미늄(Al), 알루미늄-리튬(Al-Li), 칼슘(Ca), 마그네슘-인듐(Mg-In), 마그네슘-은(Mg-Ag)등을 박막으로 형성하여 투과형 전극을 얻을 수 있다. 한편, 전면 발광 소자를 얻기 위하여 ITO, IZO를 이용한 투과형 전극을 형성할 수 있는 등, 다양한 변형이 가능하다.
이상, 상기 유기 발광 소자를 도 1을 참조하여 설명하였으나, 이에 한정되는 것은 아니다.
또한, 발광층에 인광 도펀트를 사용할 경우에는 삼중항 여기자 또는 정공이 전자 수송층으로 확산되는 현상을 방지하기 위하여, 상기 정공 수송층과 발광층 사이 또는 H-기능층과 발광층 사이에에 진공증착법, 스핀코팅법, 캐스트법, LB법 등과 같은 방법을 이용하여 정공 저지층(HBL)을 형성할 수 있다. 진공증착법 및 스핀코팅법에 의해 정공 저지층을 형성하는 경우, 그 조건은 사용하는 화합물에 따라 다르지만, 일반적으로 정공 주입층의 형성과 거의 동일한 조건범위 중에서 될 수 있다. 공지의 정공 저지 재료도 사용할 수 있는데, 이의 예로는, 옥사디아졸 유도체나 트리아졸 유도체, 페난트롤린 유도체 등을 들 수 있다. 예를 들면, 하기와 같은 BCP를 정공 저지층 재료로 사용할 수 있다.
상기 정공 저지층의 두께는 약 20Å 내지 약 1000Å, 예를 들면 약 30Å 내지 약 300Å일 수 있다. 상기 정공저지층의 두께가 전술한 바와 같은 범위를 만족할 경우, 실질적인 구동 전압 상승없이 우수한 정공 저지 특성을 얻을 수 있다.
본 발명을 따르는 유기 발광 소자는 다양한 형태의 평판 표시 장치, 예를 들면 수동 매트릭스 유기 발광 표시 장치 및 능동 매트릭스 유기 발광 표시 장치에 구비될 수 있다. 특히, 능동 매트릭스 유기 발광 표시 장치에 구비되는 경우, 기판 측에 구비된 제 1 전극은 화소 전극으로서 박막 트랜지스터의 소스 전극 또는 드레인 전극와 전기적으로 연결될 수 있다. 또한, 상기 유기 발광 소자는 양면으로 화면을 표시할 수 있는 평판 표시 장치에 구비될 수 있다.
또한 본 발명의 일 구현예에 따른 유기 발광 소자의 유기층은 본 발명의 일 구현에에 따른 화합물을 사용하여 증착 방법으로 형성될 수 있거나, 또는 용액으로 제조된 본 발명의 일 구현에에 따른 화합물을 코팅하는 습식 방법으로도 형성될 수 있다.
이하에서, 합성예 및 실시예를 들어, 본 발명의 일 구현예를 따르는 유기 발광 소자에 대하여 보다 구체적으로 설명하나, 본 발명이 하기의 합성예 및 실시예로 한정되는 것은 아니다.
[실시예]
합성예
1: 화합물 12의 합성
하기 반응식 1에 따라, 화합물 12를 합성하였다:
중간체 1-12의 합성
파이렌 4.04g (20mmol)를 MC 50ml 에 녹인 반응물에 10% 팔라듐 100mg ( 0.2mmol)을 첨가하였다. 상기 반응액을 수소기체 하에서 12 시간 동안 교반한 후, 셀라이트하에서 여과하여 팔라듐 침전물을 여과하고 진공 하에서 용매를 제거하여 중간체 1-12 3.50g (수율 85%)을 얻었다. 생성된 화합물을 MS/FAB를 통하여 확인하였다.
C16H14 : calc. 206.10, found 206.35
중간체 2-12의 합성
NBS(N-Bromosuccinimide, N-브로모숙신이미드) 3.56g(20mmol)을 DMF(Dimethylformamide) 50ml에 완전히 녹인 후 상기 용액에 중간체 1-12 2.06g (10mmol)를 넣고 상온에서 24시간 동안 교반하였다. 상기 반응액을 물 50ml와 디클로로메탄 50ml로 2번 추출하였다. 모아진 유기층을 마그네슘설페이트로 건조하고 용매를 증발하여 얻어진 잔류물을 실리카젤관 크로마토그래피로 분리 정제하여 중간체 2-12 2.51g (수율 69%)를 얻었다. 생성된 화합물을 MS/FAB를 통하여 확인하였다.
C16H12Br2: calc. 361.93, found 362.08
중간체 3-12의 합성
중간체 2-12 3.64g ( 10mmol)와 n-BuLi(1.60M 헥산 용액) 6.25ml (10mmol)을 -78℃ THF에서 3시간 동안 반응시켰다. -78℃에서 상기 반응액에 2-이소프로필보론산 피나콜 에스터 2.04g (12mmol)을 넣고 상온에서 12시간 동안 교반시킨 뒤 1N HCl(aq)(5ml)를 첨가했다. 상기 반응액 중 유기층을 분리하고 남은 물층을 디클로로메탄 100ml로 2번 추출하였다. 모아진 유기층을 마그네슘설페이트로 건조하고 용매를 증발하여 얻어진 잔류물을 실리카젤관 크로마토그래피로 분리 정제하여 중간체 3-12 3.20g (수율 78%)을 얻었다. 생성된 화합물을 MS/FAB를 통하여 확인하였다.
C22H24BBrO2: calc. 410.10, found 410.32
중간체 4-12의 합성
중간체 3-12 4.11g (10 mmol), 2-나프틸보론산 (화합물 A-12) 2.07g (10 mmol), Pd(PPh3)4(테트라키스(트리페닐포스핀)팔라듐) 0.29g (0.25 mmol) 및 K2CO3 0.62g (4.48 mmol) 을 THF/H2O (2/1 부피비) 혼합용액 60ml 에 녹인 후, 70℃에서 5시간 동안 교반하였다. 상기 반응 용액을 실온으로 식힌 후 물 40ml 를 가하고 에틸에테르 50ml 로 3번 추출하였다. 모아진 유기층을 마그네슘설페이트로 건조하고 용매를 증발하여 얻어진 잔류물을 실리카젤관 크로마토그래피로 분리 정제하여 중간체 4-12 3.04g (수율 74 %)을 얻었다. 생성된 화합물은 MS/FAB를 통해 확인하였다.
C26H19Br : calc. 410.06, found 410.15
중간체 5-12의 합성
질소 하에서, 중간체 4-12 2.87g (7.0mmol), 페난트렌-9-일-페닐-아민 1.89g (7mmol), t-BuONa 2.0g(21mmol), Pd2(dba)3 260mg(0.28mmol) 및 P(t-Bu)3 56mg(0.28mmol)을 톨루엔 50mL에 녹인 후 90℃에서 3시간 교반하였다. 상기 반응이 완결된 후, 상온으로 식히고, 이를 증류수와 디에틸에테르 50mL로 3번 추출하였다. 모아진 유기층을 마그네슘설페이트로 건조하고 용매를 증발하여 얻어진 잔류물을 실리카젤관 크로마토그래피로 분리 정제하여 중간체 5-12를 2.81g (수율 67%) 얻었으며 생성된 화합물은 HR-MS를 통해 확인하였다.
C46H33N : calc. 599.26, found 599.45
화합물 12의 합성
중간체 5-12 5.99g (10mmol)를 MC 50ml 에 녹인 반응물에 2,3-디클로로-5,6-디시아노-p-퀴논 2.50g (11mmol)을 첨가하였다. 상기 반응액을 12 시간 동안 교반한 후, 셀라이트하에서 여과하여 팔라듐 침전물을 여과하고 진공 하에서 용매를 제거하여 화합물 12 4.52g (수율 76%)을 얻었다. 생성된 화합물을 MS/FAB를 통하여 확인하였다.
C46H29N : calc. 595.23, found 595.38
화합물 21의 합성
화합물 12 합성시 A-12 대신 A-21을, B-12 대신 B-21을 사용하였다는 점을 제외하고는, 상기 합성예 1과 동일한 방법을 이용하여 화합물 21을 합성하였다. 합성된 화합물은 1H NMR 및 MS/FAB를 통해 확인하였다.
C54H34FN : calc. 715.27, found 716.35
화합물 28의 합성
화합물 12 합성시 A-12 대신 A-28을, B-12 대신 B-28을 사용하였다는 점을 제외하고는, 상기 합성예 1과 동일한 방법을 이용하여 화합물 21을 합성하였다. 합성된 화합물은 1H NMR 및 MS/FAB를 통해 확인하였다.
C54H37NSi : calc. 727.27, found 728.33
화합물 42의 합성
화합물 12 합성시 A-12 대신 A-42을, B-12 대신 B-42를 사용하였다는 점을 제외하고는, 상기 합성예 1과 동일한 방법을 이용하여 화합물 42를 합성하였다. 합성된 화합물은 1H NMR 및 MS/FAB를 통해 확인하였다.
C55H38N2 : calc. 726.30, found 727.42
화합물 46의 합성
화합물 12 합성시 A-12 대신 A-46을, B-12 대신 B-42를 사용하였다는 점을 제외하고는, 상기 합성예 1과 동일한 방법을 이용하여 화합물 46을 합성하였다. 합성된 화합물은 1H NMR 및 MS/FAB를 통해 확인하였다.
C55H38N2 : calc. 726.30, found 727.45
화합물 53의 합성
화합물 12 합성시 A-12 대신 A-53을, B-12 대신 B-53을 사용하였다는 점을 제외하고는, 상기 합성예 1과 동일한 방법을 이용하여 화합물 53을 합성하였다. 합성된 화합물은 1H NMR 및 MS/FAB를 통해 확인하였다.
C54H38N2Si : calc. 742.28, found 743.40
화합물 54의 합성
화합물 12 합성시 A-12 대신 A-54를, B-12 대신 B-54를 사용하였다는 점을 제외하고는, 상기 합성예 1과 동일한 방법을 이용하여 화합물 54를 합성하였다. 합성된 화합물은 1H NMR 및 MS/FAB를 통해 확인하였다.
C56H37NSi : calc. 751.27, found 752.39
화합물 56의 합성
A-12 대신 중간체 4-12를, 중간체 3-12 대신 화합물 C-56을 사용하였다는 점을 제외하고는, 상기 합성예 1의 중간체 4-12 합성방법과 동일한 방법을 이용하여 중간체 5-56을 합성하였다. 화합물 12 합성시 5-12 대신 5-56을 사용하였다는 점을 제외하고는, 상기 합성예 1과 동일한 방법을 이용하여 화합물 56을 합성하였다. 합성된 화합물은 1H NMR 및 MS/FAB를 통해 확인하였다.
C56H45NSi2 : calc. 715.31, found 716.52
화합물 68의 합성
A-12 대신 화합물 A-68 을, 중간체 3-12 대신 화합물 B-68 을 사용하였다는 점을 제외하고는, 상기 합성예 1의 중간체 4-12 합성방법과 동일한 방법을 이용하여 중간체 5-68을 합성하였다. 화합물 12 합성시 5-12 대신 5-68을 사용하였다는 점을 제외하고는, 상기 합성예 1과 동일한 방법을 이용하여 화합물 68을 합성하였다. 합성된 화합물은 1H NMR 및 MS/FAB를 통해 확인하였다.
C59H37N : calc. 759.93, found 760.85
상기 합성경로와 동일한 합성법을 사용하고, 적절한 중간체 물질을 이용하여 추가의 화합물들을 합성하였으며, 하기 표 1에 합성된 화합물들의 1H NMR 및 MS/FAB을 나타내었다.
표 1에 나타낸 화합물 이외의 다른 화합물들도 위의 합성 경로 및 원료 물질을 참조하여 기술 분야에 숙련된 이들이 그 합성 방법을 용이하게 인식할 수 있다.
| 화합물 | 1H NMR (CDCl3 , 400 MHz) δ | MS/FAB | |
| found | calc. | ||
| 2 | δ= 8.29 (s, 2H), 7.83 (s, 1H), 7.81 (s, 1H), 7.78 (m, 1H), 7.76-7.73 (m, 5H), 7.62 (s, 1H), 7.60 (s, 1H), 7.57-7.53 (m, 7H), 7.18-7.17 (d, 1H), 7.15 (d, 1H) | 546.31 | 545.21 |
| 3 | δ= 8.30 (s, 2H), 8.10-8.08 (ss, 2H), 7.78-7.76 (m, 1H), 7.74-7.72 (ss, 2H), 7.60-7.58 (ss, 1H), 7.42 (s, 2H), 7.36-7.30 (m, 1H), 7.14-7.06 (m, 4H), 6.67-6.63 (m, 2H), 6.48-6.47 (d, 1H), 6.21-6.18 (m, 2H), 1.61 (s, 6H) | 511.35 | 510.21 |
| 4 | δ= 8.59-8.57 (m, 1H), 8.19-8.17 (m, 1H), 8.00-7.96 (m, 3H), 7.83-7.81 (ss, 2H), 7.71-7.66 (m, 3H), 7.59-7.53 (m, 2H), 7.43-7.39 (t, 2H), 7.36 (s, 2H), 7.08-7.05 (m, 2H), 6.65-6.61 (m, 2H), 5.99-5.97 (m, 2H), 0.36 (s, 9H) | 542.55 | 541.22 |
| 8 | δ= 8.37 (s, 2H), 8.24 (s, 1H), 8.02-8.00 (m, 1H), 7.96-7.94 (m, 2H), 7.85-7.82 (ss, 3H), 7.72-7.70 (m, 4H), 7.65-7.60 (m, 4H), 7.55-7.50 (m, 7H), 7.44-7.40 (m, 2H), 7.16-7.13 (dd, 1H), 7.07-7.04 (m, 2H), 6.63-6.60 (m, 1H), 6.07-6.05 (m, 2H) | 666.44 | 665.25 |
| 12 | δ= 8.59-8.57 (m, 1H), 8.37 (s, 2H), 8.24 (m, 1H), 8.19-8.17 (m, 1H), 8.02-7.94 (m, 4H), 7.85-7.82 (ss, 3H), 7.71-7.65 (m, 3H), 7.61-7.51 (m, 5H), 7.43 (t, 1H), 7.36 (s, 2H), 7.08-7.04 (m, 2H), 6.67-6.61 (m, 2H), 5.99-5.97 (m, 2H) | 596.33 | 595.23 |
| 13 | δ= 8.30 (s, 2H), 8.20-8.17 (ss, 2H), 8.12-8.10 (m, 2H), 7.92-7.90 (m, 1H), 7.77-7.74 (m, 2H), 7.71 (s, 2H), 7.69 (s, 2H), 7.51-7.47 (t, 1H), 7.44-7.41 (m, 1H), 7.39-7.37 (m, 2H), 7.36-7.33 (m, 2H), 7.30-7.21 (m, 3H), 7.16-7.13 (m, 1H) | 494.25 | 493.18 |
| 15 | δ= 8.15-8.10 (m, 6H), 8.00-7.97 (dd, 1H), 7.81-7.79 (m, 1H), 7.76 (d, 1H), 7.73 (s, 1H), 7.71 (s, 2H), 7.69 (s, 1H), 7.67 (s, 1H), 7.41-7.37 (m, 2H), 7.36-7.34 (m, 2H), 7.30-7.26 (m, 3H), 7.15-7.09 (m, 3H), 1.57 (s, 6H) | 560.37 | 559.23 |
| 17 | δ= 8.65-8.63 (m, 1H), 8.55-8.53 (m, 1H), 8.40 (s, 2H), 7.93-7.90 (m, 3H), 7.81-7.79 (m, 1H), 7.68-7.50 (m, 8H), 7.18-7.14 (m, 1H), 6.78 (s, 2H), 6.32 (s, 2H), 2.32 (s, 12H) | 602.49 | 601.28 |
| 19 | δ= 8.65-8.63 (m, 1H), 8.55-8.53 (m, 1H), 8.40 (s, 2H), 7.93 (s, 1H), 7.91-7.90 (m, 2H), 7.81-7.71 (m, 3H), 7.67-7.50 (m, 9H), 7.44 (s, 2H), 7.40-7.38 (m, 1H), 7.18-7.13 (m, 2H) | 601.42 | 600.26 |
| 21 | δ= 8.64-8.63 (m, 1H), 8.55-8.53 (m, 1H), 8.40 (s, 2H), 7.93 (s, 1H), 7.90 (m, 2H), 7.81-7.79 (m, 1H), 7.75 (s, 1H), 7.70-7.59 (m, 9H), 7.55-7.50 (m, 6H), 7.44-7.40 (m, 3H), 7.18-7.05 (m, 4H), 6.63-6.60 (m, 1H), 6.07-6.05 (m, 2H) | 716.35 | 715.27 |
| 27 | δ= 9.17 (ss, 1H), 8.84-8.82 (ss, 1H), 8.50-8.48 (m, 1H), 8.16-8.07 (m, 4H), 7.99-7.97 (m, 2H), 7.87-7.82 (m, 3H), 7.54-7.52 (m, 2H), 7.38-7.36 (m, 2H), 7.18-7.14 (m, 3H), 7.05-7.03 (m, 2H), 6.91-6.89 (m, 3H), 6.43 (m, 1H), 5.53 (d, 1H), 4.90 (m, 1H), 3.16 (m, 1H), 0.24 (s, 9H) | 644.40 | 643.27 |
| 28 | δ= 8.11 (s, 2H), 7.78-7.74 (m, 4H), 7.72-7.69 (m, 6H), 7.66-7.64 (m, 2H), 7.59 (s, 2H), 7.57-7.53 (m, 6H), 7.45 (s, 2H), 7.41-7.38 (m, 2H), 7.34-7.30 (m, 6H), 7.26-7.22 (m, 3H), 7.18-7.17 (dd, 2H) | 728.33 | 727.27 |
| 31 | δ= 8.11 (s, 2H), 7.71-7.65 (m, 12H), 7.59-7.57 (ss, 2H), 7.52 (t, 1H), 7.46-7.39 (m, 8H), 7.34-7.30 (m, 6H), 7.26-7.22 (m, 3H), 7.12-7.06 (m, 2H), 6.80 (d, 2H), 6.66-6.62 (m, 1H), 6.27-6.23 (m, 2H) | 780.41. | 779.30 |
| 34 | δ= 8.23-8.20 (m, 1H), 8.14 (s, 2H), 7.83-7.81 (ss, 2H), 7.70-7.67 (m, 2H), 7.62-7.60 (ss, 2H), 7.57-7.55 (m, 2H), 7.50-7.49 (m, 4H), 7.45 (s, 2H), 7.40-7.23 (m, 6H), 7.11-7.06 (m, 2H), 6.71-6.63 (m, 2H), 6.28-6.24 (m, 2H), 0.36-0.34 (s, 9H) | 683.43 | 682.28 |
| 36 | δ= 8.29 (s, 2H), 8.23-8.20 (m, 1H), 7.83-7.81 (ss, 2H), 7.62-7.60 (ss, 2H), 7.51-7.49 (m, 4H), 7.45 (s, 2H), 7.40-7.23 (m, 6H), 7.11-7.06 (m, 2H), 6.71-6.63 (m, 2H), 6.28-6.24 (m, 2H) | 616.35 | 615.27 |
| 38 | δ= 8.49 (s, 2H), 7.92-7.90 (ss, 2H), 7.79-7.74 (m, 7H), 7.69-7.66 (m, 4H), 7.62-7.60 (ss, 2H), 7.57-7.53 (m, 6H), 7.49-7.38 (m, 10H), 7.18-7.15 (dd, 2H) | 698.45 | 697.28 |
| 42 | δ= 8.33 (s, 2H), 8.24-8.20 (m, 2H), 7.84-7.82 (ss, 2H), 7.77-7.75 (m, 2H), 7.72 (s, 1H), 7.62-7.60 (m, 3H), 7.54-7.47 (m, 4H), 7.42 (s, 2H), 7.37-7.27 (m, 4H), 7.21-7.19 (m, 1H), 7.14-7.06 (m, 4H), 6.67-6.63 (m, 2H), 6.48 (d, 1H), 6.21-6.18 (m, 2H), 1.61 (s, 6H) | 727.42 | 726.30 |
| 46 | δ= 8.28 (s, 2H), 8.12-8.10 (m, 2H), 7.83-7.81 (ss, 2H), 7.78-7.76 (m, 1H), 7.62-7.52 (m, 5H), 7.42 (s, 2H), 7.37-7.25 (m, 9H), 7.14-7.06 (m. 4H), 6.67-6.63 (m, 2H), 6.48-6.47 (d, 1H), 6.21-6.18 (m, 2H), 1.61 (s, 6H) | 727.45 | 726.30 |
| 47 | δ= 8.28 (s, 2H), 8.12-8.10 (m, 2H), 7.83-7.81 (ss, 2H), 7.62-7.60 (ss, 2H), 7.55-7.52 (m, 2H), 7.40 (s, 2H), 7.37-7.35 (m, 8H), 7.10-7.05 (m, 2H), 6.66-6.63 (m, 1H), 6.17-6.13 (m, 2H) | 616.44 | 615.27 |
| 50 | δ= 8.20 (s, 2H), 7.91-7.89 (m, 2H), 7.85-7.82 (ss, 2H), 7.74-7.70 (m, 6H), 7.65-7.61 (m, 3H), 7.57-7.50 (m, 6H), 7.44-7.32 (m, 5H), 7.16-7.13 (dd, 1H), 7.07-7.04 (m, 2H), 6.63-6.60 (m, 1H), 6.08-6.05 (m, 2H), 0.50-0.48 (s, 6H) | 748.43 | 747.28 |
| 53 | δ= 8.23-8.20 (m, 3H), 7.91-7.88 (m, 2H), 7.84-7.82 (ss, 2H), 7.74-7.69 (m, 2H), 7.62-7.60 (ss, 2H), 7.57-7.55 (m, 1H), 7.50-7.49 (m, 4H), 7.45 (s, 2H), 7.40-7.23 (m, 8H), 7.11-7.06 (m, 2H), 6.71-6.62 (m, 2H), 6.27-6.24 (m, 2H), 0.50-0.48 (s, 6H) | 743.40 | 742.28 |
| 54 | δ= 8.28 (s, 2H), 7.99-7.95 (m, 2H), 7.84-7.82 (ss, 2H), 7.78-7.68 (m, 4H), 7.63-7.54 (m, 10H), 7.44 (s, 2H), 7.37-7.24 (m, 9H), 7.13-7.06 (m, 3H), 6.66-6.63 (m, 1H), 6.19-6.17 (m, 2H) | 752.39 | 751.27 |
| 56 | δ= 8.37 (s, 2H), 8.24-8.22 (m, 3H), 8.02-7.85 (m, 8H), 7.62-7.58 (m, 1H), 7.53-7.49 (m, 3H), 7.40-7.36 (m, 4H), 6.60-6.56 (m, 6H), 0.25-0.23 (s, 18H) | 716.52 | 715.31 |
| 57 | δ= 8.59-8.57 (m, 1H), 8.47(d, 1H), 8.37 (s, 2H), 8.26-8.24 (m, 3H), 8.21 (d, 1H), 8.19 (s, 2H), 8.00 (s, 2H), 7.97-7.92 (m, 5H), 7.87-7.85 (m, 1H), 7.75-7.67 (m, 2H), 7.61-7.49 (m, 4H), 7.43-7.39 (m, 1H), 7.23-7.19 (m, 3H), 6.92-6.88 (m, 1H), 6.77-6.75 (ss, 1H), 6.58-6.55 (m, 2H) | 672.33 | 671.26 |
| 60 | δ= 8.65 (m, 1H), 8.55-8.53 (m, 3H), 8.40 (s, 2H), 8.22-8.17 (m, 4H), 8.10 (m, 1H), 7.90 (s, 1H), 7.86-7.79 (m, 2H), 7.68-7.59 (m, 7H), 7.53-7.47 (m, 9H), 7.42-7.38 (m, 2H), 7.18-7.14 (m, 1H), 7.09-7.07 (dd, 1H), 6.75-6.71 (m, 4H) | 775.41 | 774.30 |
| 62 | δ= 8.41 (s, 2H), 8.33 (s, 2H), 8.14-8.06 (m, 6H), 8.02-7.93 (m, 8H), 7.86-7.85 (dd, 1H), 7.78-7.76 (m, 1H), 7.72-7.70 (ss, 1H), 7.12-7.04 (m, 5H), 6.94-6.91 (dd, 1H), 6.66-6.63 (m, 2H), 6.33-6.29 (m, 4H) | 752.33 | 751.23 |
| 63 | δ= 8.33 (s, 2H), 8.22 (s, 2H), 8.17-8.08 (m, 5H), 8.02-7.93 (m, 8H), 7.86-7.85 (m, 1H), 7.72-7.70 (ss, 1H), 7.52-7.40 (m, 5H), 7.25-7.21 (t, 1H), 7.06-7.01 (m, 2H), 6.86-6.82 (m, 2H), 6.74-6.72 (m, 1H), 6.65-6.61 (m, 1H), 6.07-6.05 (m, 3H) | 696.36 | 695.26 |
| 64 | δ= 8.42 (s, 2H), 8.33 (s, 2H), 8.14-8.08 (m, 5H), 8.02-7.93 (m, 9H), 7.80-7.78 (d, 1H), 7.71 (m, 2H), 7.09-7.04 (m, 4H), 6.98 (m, 1H), 6.89-6.87 (dd, 1H), 6.66-6.63 (m, 2H), 6.30-6.27 (m, 4H) | 736.45 | 735.26 |
| 68 | δ= 8.03-8.01 (m, 2H), 7.96-7.94 (dd, 1H), 7.90-7.85 (dd, 3H), 7.75-7.71 (m, 2H), 7.64-7.60 (m, 3H), 7.46-7.35 (m, 6H), 7.21-7.10 (m, 6H), 7.07-7.02 (m, 4H), 6.79-6.74 (m, 3H), 6.63-6.59 (m, 3H), 6.04-6.01 (m, 4H) | 760.85 | 759.93 |
| 71 | δ= 8.33 (s, 2H), 8.31 (s, 2H), 8.24-8.21 (m, 2H), 7.98-7.92 (m, 4H), 7.83-7.70 (m, 4H), 7.65-7.62 (m, 2H), 7.51-7.44 (m, 6H), 7.37-7.21 (m, 3H), 7.21-7.19 (m, 1H), 7.08-7.03 (m, 4H), 6.86-6.82 (m, 2H), 6.66-6.63 (m, 2H), 6.16-6.13 (m, 4H) | 763.41 | 762.30 |
| 73 | δ= 8.28 (s, 2H), 8.12-8.10 (m, 4H), 7.86-7.83 (m, 2H), 7.75 (s, 1H), 7.72-7.69 (m, 7H), 7.56-7.52 (m, 2H), 7.35-7.22 (m, 17H) | 702.25 | 701.25 |
실시예
1
애노드는 코닝(corning) 15Ω/cm2 (1200Å) ITO 유리 기판을 50mm x 50mm x 0.7mm크기로 잘라서 이소프로필 알코올과 순수를 이용하여 각 5분 동안 초음파 세정한 후, 30분 동안 자외선을 조사하고 오존에 노출시켜 세정하고 진공증착장치에 이 유리기판을 설치하였다.
상기 기판 상부에 우선 정공주입층으로서 공지의 물질인 2-TNATA를 진공 증착하여 600Å 두께로 형성한 후, 이어서 정공수송성 화합물로서 공지의 물질인 4,4'-비스[N-(1-나프틸)-N-페닐아미노]비페닐(이하, NPB)을 300Å의 두께로 진공 증착하여 정공수송층을 형성하였다.
상기 정공수송층 상부에 청색형광 호스트로 9,10-di-naphthalene-2-yl-anthracene(이하, DNA)과 청색 형광 도펀트로 본 발명의 화합물 12를 중량비 98 : 2로 동시 증착하여 300Å 의 두께로 발광층을 형성하였다.
이어서 상기 발광층 상부에 전자수송층으로 Alq3를 300Å의 두께로 증착한 후, 이 전자수송층 상부에 할로겐화 알칼리금속인 LiF를 전자주입층으로 10Å의 두께로 증착하고, Al를 3000Å(음극 전극)의 두께로 진공 증착하여 LiF/Al 전극을 형성함으로써 유기 전계 발광 소자를 제조 하였다.
이 소자는 전류밀도 50mA/㎠에서 구동전압 V, 발광 휘도 cd/㎡이고, 발광 효율은 cd/A이고 반감 수명(hr @100㎃/㎠)은 시간을 나타내었다.
실시예
2
발광층 형성시 상기 화합물 12 대신 화합물 21을 사용한 것을 제외하고는, 실시예 1과 동일하게 하여 유기 EL 소자를 제작했다.
이 소자는 전류밀도 50mA/㎠에서 구동전압 V, 발광 휘도 cd/㎡이고, 발광 효율은 cd/A이고 반감 수명(hr @100㎃/㎠)은 시간을 나타내었다.
실시예
3
발광층 형성시 상기 화합물 12 대신 화합물 28을 사용한 것을 제외하고는, 실시예 1과 동일하게 하여 유기 EL 소자를 제작했다.
이 소자는 전류밀도 50mA/㎠에서 구동전압 V, 발광 휘도 cd/㎡이고, 발광 효율은 cd/A이고 반감 수명(hr @100㎃/㎠)은 시간을 나타내었다.
실시예
4
정공 수송층 재료로 NPB 대신 화합물 42을 사용한 것을 제외하고는, 실시예 1과 동일하게 하여 유기 EL 소자를 제작했다.
이 소자는 전류밀도 50mA/㎠에서 구동전압 V, 발광 휘도 cd/㎡이고, 발광 효율은 cd/A이고 반감 수명(hr @100㎃/㎠)은 시간을 나타내었다.
실시예
5
정공 수송층 재료로 NPB 대신 대신 화합물 46를 사용한 것을 제외하고는, 실시예 1과 동일하게 하여 유기 EL 소자를 제작했다.
이 소자는 전류밀도 50mA/㎠에서 구동전압 V, 발광 휘도 cd/㎡이고, 발광 효율은 cd/A이고 반감 수명(hr @100㎃/㎠)은 시간을 나타내었다.
실시예
6
정공 수송층 재료로 NPB 대신 화합물 53를 사용한 것을 제외하고는, 실시예 1과 동일하게 하여 유기 EL 소자를 제작했다.
이 소자는 전류밀도 50mA/㎠에서 구동전압 V, 발광 휘도 cd/㎡이고, 발광 효율은 cd/A이고 반감 수명(hr @100㎃/㎠)은 시간을 나타내었다.
실시예
7
발광층 형성시 상기 화합물 12 대신 화합물 54를 사용한 것을 제외하고는, 실시예 1과 동일하게 하여 유기 EL 소자를 제작했다.
이 소자는 전류밀도 50mA/㎠에서 구동전압 V, 발광 휘도 cd/㎡이고, 발광 효율은 cd/A이고 반감 수명(hr @100㎃/㎠)은 시간을 나타내었다.
실시예
8
발광층 형성시 상기 화합물 12 대신 화합물 56를 사용한 것을 제외하고는, 실시예 1과 동일하게 하여 유기 EL 소자를 제작했다.
이 소자는 전류밀도 50mA/㎠에서 구동전압 V, 발광 휘도 cd/㎡이고, 발광 효율은 cd/A이고 반감 수명(hr @100㎃/㎠)은 시간을 나타내었다.
실시예
9
정공 수송층 재료로 NPB 대신 화합물 68을 사용한 것을 제외하고는, 실시예 1과 동일하게 하여 유기 EL 소자를 제작했다.
이 소자는 전류밀도 50mA/㎠에서 구동전압 V, 발광 휘도 cd/㎡이고, 발광 효율은 cd/A이고 반감 수명(hr @100㎃/㎠)은 시간을 나타내었다.
실시예
10
정공 수송층 재료로 NPB 대신 화합물 68을 사용하고, 발광층 형성시 상기 화합물 12 대신 화합물 21을 사용한 것을 제외하고는, 실시예 1과 동일하게 하여 유기 EL 소자를 제작했다.
이 소자는 전류밀도 50mA/㎠에서 구동전압 V, 발광 휘도 cd/㎡이고, 발광 효율은 cd/A이고 반감 수명(hr @100㎃/㎠)은 시간을 나타내었다.
비교예
1
발광층 형성시 상기 화합물 12 대신 DPVBi를 사용한 것을 제외하고는, 실시예 1과 동일하게 하여 유기 EL 소자를 제작했다.
이 소자는 전류밀도 50mA/㎠에서 구동전압 V, 발광 휘도 cd/㎡이고, 발광 효율은 cd/A이고 반감 수명(hr @100㎃/㎠)은 시간을 나타내었다.
비교예
2
발광층 형성시 상기 화합물 12 대신 화합물 (9)-30을 사용한 것을 제외하고는, 실시예 1과 동일하게 하여 유기 EL 소자를 제작했다.
이 소자는 전류밀도 50mA/㎠에서 구동전압 V, 발광 휘도 cd/㎡이고, 발광 효율은 cd/A이고 반감 수명(hr @100㎃/㎠)은 시간을 나타내었다.
(9)-30
비교예
3
발광층 형성시 상기 화합물 12 대신 D-102를 사용한 것을 제외하고는, 실시예 1과 동일하게 하여 유기 EL 소자를 제작했다.
이 소자는 전류밀도 50mA/㎠에서 구동전압 V, 발광 휘도 cd/㎡이고, 발광 효율은 cd/A이고 반감 수명(hr @100㎃/㎠)은 시간을 나타내었다.
D-102
각 실시예의 소자 특성 및 수명 결과를 요약하여 표 2에 나타내었다.
| 정공수송층 또는 도판트 재료 | 구동전압 (V) |
전류밀도 (㎃/㎠) |
휘도 (cd/㎡) |
효율 (cd/A) |
발광색 | 반감수명 (hr @100㎃/㎠) | |
| 실시예 1 | 화합물 12 | 6.84 | 50 | 2,880 | 5.76 | 청색 | 264 hr |
| 실시예 2 | 화합물 21 | 6.70 | 50 | 2,987 | 5.97 | 청색 | 271 hr |
| 실시예 3 | 화합물 28 | 6.85 | 50 | 2,794 | 5.58 | 청색 | 273 hr |
| 실시예 4 | 화합물 42 | 6.22 | 50 | 2,250 | 4.50 | 청색 | 293 hr |
| 실시예 5 | 화합물 46 | 6.31 | 50 | 2,147 | 4.29 | 청색 | 302 hr |
| 살시예 6 | 화합물 53 | 6.35 | 50 | 2,247 | 4.49 | 청색 | 315 hr |
| 실시예 7 | 화합물 54 | 6.73 | 50 | 2,877 | 5.75 | 청색 | 213 hr |
| 실시예 8 | 화합물 56 | 6.81 | 50 | 2,821 | 5.64 | 청색 | 224 hr |
| 실시예 9 | 화합물 68 | 6.18 | 50 | 2,474 | 4.94 | 청색 | 351 hr |
| 실시예 10 | 화합물 68 화합물 21 |
6.15 | 50 | 3,012 | 6.02 | 청색 | 362 hr |
| 비교예 1 | DPVBi | 7.35 | 50 | 2,065 | 4.13 | 청색 | 145 hr |
| 비교예 2 | (9)-30 | 7.65 | 50 | 2,184 | 4.36 | 청색 | 142 hr |
| 비교예 3 | D-102 | 7.25 | 50 | 2,056 | 4.11 | 청색 | 130 hr |
본 발명의 일 구현예에 따른 화학식 1의 구조 화합물들을 유기발광장치에 사용한 결과, 비교예와와 비교해서 구동전압이 낮아졌으며 효율이 향상된 우수한 I-V-L 특성을 나타내었고 특히 수명개선 효과가 탁월하여 실시예의 경우 비교예 대비 수명이 대폭 향상되는 결과를 나타내었다.
본 발명에 대해 상기 합성예 및 실시예를 참고하여 설명하였으나, 이는 예시적인 것에 불과하며, 본 발명에 속하는 기술 분야의 통상의 지식을 가진 자라면 이로부터 다양한 변형 및 균등한 타 실시예가 가능하다는 점을 이해할 것이다. 따라서 본 발명의 진정한 기술적 보호범위는 첨부된 특허청구범위의 기술적 사상에 의해 정해져야 할 것이다.
Claims (20)
- 제 1 전극;
제 2 전극; 및
상기 제 1 전극 및 제 2 전극 사이에 개재된 유기층을 구비한 유기 발광 소자로서,
상기 유기층이 발광층 및/또는 정공 수송층을 포함하며,
상기 발광층 및/또는 정공 수송층이 하기 화학식 1로 표시되는 화합물을 포함하는 유기 발광 소자:
<화학식 1>
상기 화학식 1 중,
R은 -CN, 할로겐, -SiR1R2R3, -OR1, -SR1, -PR1R2, 치환 또는 비치환의 탄소수 1 내지 60의 알킬기, 치환 또는 비치환의 탄소수 3 내지 60의 헤테로아릴기, 치환 또는 비치환의 탄소수 6 내지 60의 아릴기, 또는 치환 또는 비치환의 탄소수 6 내지 60의 축합다환기를 나타내고,
상기 R1 내지 R3은 각각 독립적으로 치환 또는 비치환된 탄소수 1 내지 30의 알킬기, 치환 또는 비치환의 탄소수 6 내지 30의 아릴기, 또는 치환 또는 비치환의 탄소수 6 내지 30의 축합다환기를 나타내고,
Ar1 및 Ar2는 각각 독립적으로 치환 또는 비치환된 탄소수 5 내지 60의 아릴기, 치환 또는 비치환된 탄소수 4 내지 60의 헤테로아릴기, 또는 치환 또는 비치환된 탄소수 6 내지 60의 축합 다환기를 나타내며,
X 는 직접결합, 치환 또는 비치환된 탄소수 5 내지 60의 아릴렌기, 치환 또는 비치환된 탄소수 4 내지 60의 헤테로아릴렌기, 치환 또는 비치환된 탄소수 6 내지 60의 축합 다환기, 또는 상기 아릴렌기, 헤테로아릴렌기 또는 축합 다환기가 2 이상 연결된 2가의 연결기를 나타낸다. - 제 1 항에 있어서,
상기 화학식 1 식 중, R은 하기 화학식 2a 내지 2f 중 어느 하나인 유기 발광 소자:
상기 화학식 2a 내지 2f 중,
Q1은 각각 독립적으로 -C(R30)(R31)-, -N(R32)- 또는 -Si(R33)(R34)- 로 표시되는 연결기들이고;
Z1 및 R30 내지 R34는 각각 독립적으로, 수소 원자, 중수소, 치환 또는 비치환된 탄소수 1 내지 20의 알킬기, 치환 또는 비치환된 탄소수 5 내지 20의 아릴기, 치환 또는 비치환된 탄소수 3 내지 20의 헤테로아릴기, 치환 또는 비치환된 탄소수 6 내지 20의 축합 다환기, 할로겐기, 시아노기, 니트로기, 하이드록시기 또는 카르복시기이고;
상기 R1 내지 R3은 각각 독립적으로 치환 또는 비치환된 탄소수 1 내지 30의 알킬기, 치환 또는 비치환의 탄소수 6 내지 30의 아릴기, 또는 치환 또는 비치환의 탄소수 6 내지 30의 축합다환기를 나타내고;
p는 1 내지 9의 정수이고;
*는 결합을 나타낸다. - 제 2 항에 있어서,
상기 R30 및 R31은 선택적으로 연결되어 고리를 형성하는 유기 발광 소자. - 제 1 항에 있어서,
상기 화학식 1 식 중, Ar1 및 Ar2는 각각 독립적으로 화학식 3a 내지 3e 중 어느 하나인 유기 발광 소자:
상기 화학식 3a 내지 3e 중,
Q2는 -C(R30)(R31)-, -N(R32)- 또는 -Si(R33)(R34)-로 표시되는 연결기들이고;
Z1 및 R30 내지 R34는 서로 독립적으로, 수소 원자, 중수소, -SiR1R2R3, 치환 또는 비치환된 탄소수 1 내지 20의 알킬기, 치환 또는 비치환된 탄소수 5 내지 20의 아릴기, 치환 또는 비치환된 탄소수 3 내지 20의 헤테로아릴기, 치환 또는 비치환된 탄소수 6 내지 20의 축합 다환기, 할로겐기, 시아노기, 니트로기, 하이드록시기 또는 카르복시기이고;
상기 R1 내지 R3은 각각 독립적으로 치환 또는 비치환된 탄소수 1 내지 30의 알킬기, 치환 또는 비치환의 탄소수 6 내지 30의 아릴기, 또는 치환 또는 비치환의 탄소수 6 내지 30의 축합다환기를 나타내고;
p는 1 내지 9의 정수이고;
*는 결합을 나타낸다. - 제 4 항에 있어서,
상기 R30 및 R31은 선택적으로 연결되어 고리를 형성하는 유기 발광 소자. - 제 1 항에 있어서,
상기 화학식 1 식 중, X는 단일 결합, 또는 화학식 4a 내지 4d 중 어느 하나인 유기 발광 소자:
상기 화학식 4a 내지 4d 중,
Q3는 -C(R30)(R31)- , -S-, 또는 -O-로 표시되는 연결기들이고;
Z1, R30 및 R31은 서로 독립적으로, 수소 원자, 중수소, 치환 또는 비치환된 탄소수 1 내지 20의 알킬기, 치환 또는 비치환된 탄소수 5 내지 20의 아릴기, 치환 또는 비치환된 탄소수 3 내지 20의 헤테로아릴기, 치환 또는 비치환된 탄소수 6 내지 20의 축합 다환기, 할로겐기, 시아노기, 니트로기, 하이드록시기 또는 카르복시기를 나타내고;
p는 1 내지 4의 정수이고;
*는 결합을 나타낸다. - 제 1 항에 있어서,
상기 발광층이 청색 발광층인 유기 발광 소자. - 제 1 항에 있어서,
상기 유기 발광 소자가 발광층, 전자 주입층, 전자 수송층, 전자 주입 및 전자 수송기능을 동시에 갖는 기능층, 정공 주입층, 정공 수송층, 또는 정공 주입 및 정공 수송기능을 동시에 갖는 기능층을 포함하고,
상기 발광층은 안트라센계 화합물, 아릴아민계 화합물 또는 스티릴계 화합물을 더 포함하는 유기 발광 소자. - 제 1 항에 있어서,
상기 유기 발광 소자가 발광층, 전자 주입층, 전자 수송층, 전자 주입 및 전자 수송기능을 동시에 갖는 기능층, 정공 주입층, 정공 수송층, 또는 정공 주입 및 정공 수송기능을 동시에 갖는 기능층을 포함하고,
상기 발광층의 적색층, 녹색층, 청색층 또는 흰색층의 어느 한 층은 인광 화합물을 포함하는 유기 발광 소자. - 제 10 항에 있어서,
상기 정공 주입층, 정공 수송층, 또는 정공 주입 기능 및 정공 수송 기능을 동시에 갖는 기능층이 전하 생성 물질을 포함하는 유기 발광 소자. - 제 11 항에 있어서,
상기 전하 생성 물질이 p-도펀트인 유기 발광 소자. - 제 12 항에 있어서,
상기 p-도펀트가 퀴논 유도체인 유기 발광 소자. - 제 12 항에 있어서,
상기 p-도펀트가 금속 산화물인 유기 발광 소자. - 제 12 항에 있어서,
상기 p-도펀트가 시아노기-함유 화합물인 유기 발광 소자. - 제 1 항에 있어서,
상기 유기층이 전자 수송층을 포함하고, 상기 전자 수송층이 금속 착체를 포함하는 유기 발광 소자. - 제 16 항에 있어서,
상기 금속 착체가 Li 착체인 유기 발광 소자. - 제 1 항에 있어서,
상기 유기층이 상기 화학식 1의 화합물을 사용하여 습식 공정으로 형성되는 유기 발광 소자. - 제 1 항의 유기 발광 소자를 구비하고, 상기 유기 발광 소자의 제 1 전극이 박막 트랜지스터의 소스 전극 또는 드레인 전극과 전기적으로 연결된 평판 표시 장치.
Priority Applications (2)
| Application Number | Priority Date | Filing Date | Title |
|---|---|---|---|
| KR1020120130507A KR20140063300A (ko) | 2012-11-16 | 2012-11-16 | 유기 발광 소자 |
| US13/804,196 US20140138633A1 (en) | 2012-11-16 | 2013-03-14 | Organic light-emitting device |
Applications Claiming Priority (1)
| Application Number | Priority Date | Filing Date | Title |
|---|---|---|---|
| KR1020120130507A KR20140063300A (ko) | 2012-11-16 | 2012-11-16 | 유기 발광 소자 |
Publications (1)
| Publication Number | Publication Date |
|---|---|
| KR20140063300A true KR20140063300A (ko) | 2014-05-27 |
Family
ID=50727088
Family Applications (1)
| Application Number | Title | Priority Date | Filing Date |
|---|---|---|---|
| KR1020120130507A Withdrawn KR20140063300A (ko) | 2012-11-16 | 2012-11-16 | 유기 발광 소자 |
Country Status (2)
| Country | Link |
|---|---|
| US (1) | US20140138633A1 (ko) |
| KR (1) | KR20140063300A (ko) |
Cited By (2)
| Publication number | Priority date | Publication date | Assignee | Title |
|---|---|---|---|---|
| KR20160064948A (ko) * | 2014-11-27 | 2016-06-08 | 삼성디스플레이 주식회사 | 모노아민 유도체 및 이를 포함하는 유기 일렉트로루미네센스 소자 |
| KR20200027341A (ko) * | 2018-09-04 | 2020-03-12 | 최돈수 | 유기전자소자용 화합물, 이를 포함하는 유기전자소자 및 유기전자소자를 포함하는 표시장치 |
Families Citing this family (9)
| Publication number | Priority date | Publication date | Assignee | Title |
|---|---|---|---|---|
| US10840454B2 (en) | 2013-06-14 | 2020-11-17 | Samsung Display Co., Ltd. | Organic light-emitting devices |
| KR102052076B1 (ko) * | 2013-06-14 | 2019-12-05 | 삼성디스플레이 주식회사 | 유기 발광 소자 |
| US12193322B2 (en) | 2013-06-14 | 2025-01-07 | Samsung Display Co., Ltd. | Organic light-emitting devices |
| JP6580321B2 (ja) * | 2014-11-27 | 2019-09-25 | 三星ディスプレイ株式會社Samsung Display Co.,Ltd. | モノアミン誘導体、および有機エレクトロルミネッセンス素子 |
| JP2016108290A (ja) * | 2014-12-09 | 2016-06-20 | 三星ディスプレイ株式會社Samsung Display Co.,Ltd. | アミン誘導体、および有機エレクトロルミネッセンス素子 |
| CN111662189A (zh) * | 2019-03-08 | 2020-09-15 | 江苏三月光电科技有限公司 | 一种以含有芘或者氮杂芘的三芳胺为核心的化合物及其应用 |
| CN113248532B (zh) * | 2020-05-30 | 2022-10-21 | 浙江华显光电科技有限公司 | 一种有机化合物及含有该化合物的有机光电元件与应用 |
| US20230008737A1 (en) | 2020-09-30 | 2023-01-12 | Idemitsu Kosan Co.,Ltd. | Compound, material for organic electroluminescent elements, organic electroluminescent element, and electronic device |
| KR20220087894A (ko) * | 2020-12-18 | 2022-06-27 | 삼성전자주식회사 | 유기 발광 소자 |
Family Cites Families (8)
| Publication number | Priority date | Publication date | Assignee | Title |
|---|---|---|---|---|
| EP1604974A4 (en) * | 2003-03-20 | 2007-11-14 | Idemitsu Kosan Co | AROMATIC AMINE DERIVATIVES AND ORGANIC ELECTROLUMINESCENT ELEMENT MADE USING THEREOF |
| EP1624502B1 (en) * | 2004-08-04 | 2015-11-18 | Semiconductor Energy Laboratory Co., Ltd. | Light-emitting element, display device, and electronic appliance |
| KR101209289B1 (ko) * | 2005-04-07 | 2012-12-10 | 삼성디스플레이 주식회사 | 표시 패널과, 이를 구비한 표시 장치 및 구동 방법 |
| WO2007116750A1 (ja) * | 2006-03-30 | 2007-10-18 | Idemitsu Kosan Co., Ltd. | 有機エレクトロルミネッセンス素子用材料、及びこれを用いた有機エレクトロルミネッセンス素子 |
| KR20100070979A (ko) * | 2008-12-18 | 2010-06-28 | 동우 화인켐 주식회사 | 비대칭 구조의 유기전기발광소자용 아릴아민유도체, 그 제조방법, 이를 포함하는 유기전기발광소자용 유기박막재료 및 이를 이용한 유기 전기발광소자 |
| JP2011084717A (ja) * | 2009-09-18 | 2011-04-28 | Toyo Ink Mfg Co Ltd | 有機エレクトロルミネッセンス素子用材料およびその用途 |
| JP5851683B2 (ja) * | 2009-10-14 | 2016-02-03 | 三星ディスプレイ株式會社Samsung Display Co.,Ltd. | 有機発光素子及びその製造方法 |
| KR101094282B1 (ko) * | 2009-12-04 | 2011-12-19 | 삼성모바일디스플레이주식회사 | 유기 발광 장치 |
-
2012
- 2012-11-16 KR KR1020120130507A patent/KR20140063300A/ko not_active Withdrawn
-
2013
- 2013-03-14 US US13/804,196 patent/US20140138633A1/en not_active Abandoned
Cited By (2)
| Publication number | Priority date | Publication date | Assignee | Title |
|---|---|---|---|---|
| KR20160064948A (ko) * | 2014-11-27 | 2016-06-08 | 삼성디스플레이 주식회사 | 모노아민 유도체 및 이를 포함하는 유기 일렉트로루미네센스 소자 |
| KR20200027341A (ko) * | 2018-09-04 | 2020-03-12 | 최돈수 | 유기전자소자용 화합물, 이를 포함하는 유기전자소자 및 유기전자소자를 포함하는 표시장치 |
Also Published As
| Publication number | Publication date |
|---|---|
| US20140138633A1 (en) | 2014-05-22 |
Similar Documents
| Publication | Publication Date | Title |
|---|---|---|
| KR101990553B1 (ko) | 신규한 유기 발광 소자용 화합물 및 이를 포함한 유기 발광 소자 | |
| KR102079249B1 (ko) | 신규한 유기 발광 소자용 화합물 및 이를 포함한 유기 발광 소자 | |
| KR102145885B1 (ko) | 헤테로고리 화합물 및 이를 포함한 유기 발광 소자 | |
| KR102167039B1 (ko) | 화합물 및 이를 포함하는 유기 발광 소자 | |
| KR102096047B1 (ko) | 신규 헤테로고리 화합물 및 이를 포함한 유기 발광 소자 | |
| KR101885699B1 (ko) | 신규한 헤테로고리 화합물 및 이를 포함한 유기 발광 소자 | |
| KR20140063300A (ko) | 유기 발광 소자 | |
| KR20150003564A (ko) | 화합물 및 이를 포함한 유기 발광 소자 | |
| KR20140143630A (ko) | 헤테로고리 화합물 및 이를 포함한 유기 발광 소자 | |
| KR102059939B1 (ko) | 화합물 및 이를 포함한 유기 발광 소자 | |
| KR20150035331A (ko) | 헤테로고리 화합물 및 이를 포함한 유기 발광 소자 | |
| KR20140144064A (ko) | 헤테로고리 화합물 및 이를 포함한 유기 발광 소자 | |
| KR20150039486A (ko) | 화합물 및 이를 포함한 유기 발광 소자 | |
| KR20150025259A (ko) | 화합물 및 이를 포함한 유기 발광 소자 | |
| KR20140016653A (ko) | 화합물을 포함하는 유기 발광 소자 | |
| KR20140050389A (ko) | 화합물 및 이를 포함한 유기 발광 소자 | |
| KR20150104678A (ko) | 화합물 및 이를 포함한 유기 발광 소자 | |
| KR20140083622A (ko) | 아릴아민 화합물 및 이를 포함한 유기 발광 소자 | |
| KR20140050388A (ko) | 화합물 및 이를 포함한 유기 발광 소자 | |
| KR102090702B1 (ko) | 유기 발광 소자 | |
| KR20150018230A (ko) | 헤테로고리 화합물 및 이를 포함한 유기 발광 소자 | |
| EP2769977B1 (en) | Heterocyclic Compound and Organic Light-Emitting Diode including the same | |
| KR102044866B1 (ko) | 헤테로고리 화합물 및 이를 포함한 유기 발광 소자 | |
| CN104693106A (zh) | 化合物、包括该化合物的有机发光装置和显示装置 | |
| KR20140097931A (ko) | 신규 헤테로고리 화합물 및 이를 포함한 유기 발광 소자 |
Legal Events
| Date | Code | Title | Description |
|---|---|---|---|
| PA0109 | Patent application |
Patent event code: PA01091R01D Comment text: Patent Application Patent event date: 20121116 |
|
| PG1501 | Laying open of application | ||
| PC1203 | Withdrawal of no request for examination | ||
| WITN | Application deemed withdrawn, e.g. because no request for examination was filed or no examination fee was paid |






















































































