KR20070065888A - 염증성 장질환을 치료하기 위한(z)-2-시아노-3-하이드록시-부트-2-엔산-(4'-트리플루오로메틸페닐)-아미드의 용도 - Google Patents
염증성 장질환을 치료하기 위한(z)-2-시아노-3-하이드록시-부트-2-엔산-(4'-트리플루오로메틸페닐)-아미드의 용도 Download PDFInfo
- Publication number
- KR20070065888A KR20070065888A KR1020077008909A KR20077008909A KR20070065888A KR 20070065888 A KR20070065888 A KR 20070065888A KR 1020077008909 A KR1020077008909 A KR 1020077008909A KR 20077008909 A KR20077008909 A KR 20077008909A KR 20070065888 A KR20070065888 A KR 20070065888A
- Authority
- KR
- South Korea
- Prior art keywords
- acid
- inflammatory bowel
- bowel disease
- disease
- hydroxy
- Prior art date
- Legal status (The legal status is an assumption and is not a legal conclusion. Google has not performed a legal analysis and makes no representation as to the accuracy of the status listed.)
- Withdrawn
Links
- 208000022559 Inflammatory bowel disease Diseases 0.000 title claims abstract description 30
- UTNUDOFZCWSZMS-UHFFFAOYSA-N 2-cyano-3-hydroxy-n-[4-(trifluoromethyl)phenyl]but-2-enamide Chemical compound CC(O)=C(C#N)C(=O)NC1=CC=C(C(F)(F)F)C=C1 UTNUDOFZCWSZMS-UHFFFAOYSA-N 0.000 title 1
- 206010009900 Colitis ulcerative Diseases 0.000 claims abstract description 8
- 208000011231 Crohn disease Diseases 0.000 claims abstract description 8
- 201000006704 Ulcerative Colitis Diseases 0.000 claims abstract description 8
- 150000001875 compounds Chemical class 0.000 claims description 27
- 238000000034 method Methods 0.000 claims description 20
- 150000003839 salts Chemical class 0.000 claims description 18
- 206010058838 Enterocolitis infectious Diseases 0.000 claims description 4
- 208000027139 infectious colitis Diseases 0.000 claims description 4
- 239000003937 drug carrier Substances 0.000 claims description 3
- 208000027138 indeterminate colitis Diseases 0.000 claims description 2
- 208000024891 symptom Diseases 0.000 abstract description 8
- UTNUDOFZCWSZMS-YFHOEESVSA-N teriflunomide Chemical compound C\C(O)=C(/C#N)C(=O)NC1=CC=C(C(F)(F)F)C=C1 UTNUDOFZCWSZMS-YFHOEESVSA-N 0.000 description 17
- 201000010099 disease Diseases 0.000 description 14
- 208000037265 diseases, disorders, signs and symptoms Diseases 0.000 description 14
- 229960000331 teriflunomide Drugs 0.000 description 13
- 241001465754 Metazoa Species 0.000 description 11
- 238000011282 treatment Methods 0.000 description 10
- 201000006417 multiple sclerosis Diseases 0.000 description 9
- 201000002491 encephalomyelitis Diseases 0.000 description 8
- 210000000278 spinal cord Anatomy 0.000 description 8
- 239000003814 drug Substances 0.000 description 7
- XLYOFNOQVPJJNP-UHFFFAOYSA-N water Substances O XLYOFNOQVPJJNP-UHFFFAOYSA-N 0.000 description 7
- 241000700159 Rattus Species 0.000 description 6
- 239000002253 acid Substances 0.000 description 6
- 229940079593 drug Drugs 0.000 description 6
- 206010061218 Inflammation Diseases 0.000 description 5
- 239000002585 base Substances 0.000 description 5
- 206010009887 colitis Diseases 0.000 description 5
- 230000004054 inflammatory process Effects 0.000 description 5
- OVOJUAKDTOOXRF-UHFFFAOYSA-N 2,4-dinitrobenzenesulfonic acid Chemical compound OS(=O)(=O)C1=CC=C([N+]([O-])=O)C=C1[N+]([O-])=O OVOJUAKDTOOXRF-UHFFFAOYSA-N 0.000 description 4
- CIWBSHSKHKDKBQ-JLAZNSOCSA-N Ascorbic acid Chemical compound OC[C@H](O)[C@H]1OC(=O)C(O)=C1O CIWBSHSKHKDKBQ-JLAZNSOCSA-N 0.000 description 4
- 241000699670 Mus sp. Species 0.000 description 4
- FAPWRFPIFSIZLT-UHFFFAOYSA-M Sodium chloride Chemical compound [Na+].[Cl-] FAPWRFPIFSIZLT-UHFFFAOYSA-M 0.000 description 4
- 210000001744 T-lymphocyte Anatomy 0.000 description 4
- 239000000427 antigen Substances 0.000 description 4
- 102000036639 antigens Human genes 0.000 description 4
- 108091007433 antigens Proteins 0.000 description 4
- 230000037396 body weight Effects 0.000 description 4
- 239000003795 chemical substances by application Substances 0.000 description 4
- 208000014793 distal colitis Diseases 0.000 description 4
- 239000002552 dosage form Substances 0.000 description 4
- 230000000694 effects Effects 0.000 description 4
- 239000000243 solution Substances 0.000 description 4
- GWGBNENHEGYJSN-UHFFFAOYSA-N 2,4-dinitrobenzenesulfonic acid;hydrate Chemical compound O.OS(=O)(=O)C1=CC=C([N+]([O-])=O)C=C1[N+]([O-])=O GWGBNENHEGYJSN-UHFFFAOYSA-N 0.000 description 3
- QTBSBXVTEAMEQO-UHFFFAOYSA-N Acetic acid Chemical compound CC(O)=O QTBSBXVTEAMEQO-UHFFFAOYSA-N 0.000 description 3
- WEVYAHXRMPXWCK-UHFFFAOYSA-N Acetonitrile Chemical compound CC#N WEVYAHXRMPXWCK-UHFFFAOYSA-N 0.000 description 3
- 208000032116 Autoimmune Experimental Encephalomyelitis Diseases 0.000 description 3
- WVDDGKGOMKODPV-UHFFFAOYSA-N Benzyl alcohol Chemical compound OCC1=CC=CC=C1 WVDDGKGOMKODPV-UHFFFAOYSA-N 0.000 description 3
- LFQSCWFLJHTTHZ-UHFFFAOYSA-N Ethanol Chemical compound CCO LFQSCWFLJHTTHZ-UHFFFAOYSA-N 0.000 description 3
- 208000032843 Hemorrhage Diseases 0.000 description 3
- PIWKPBJCKXDKJR-UHFFFAOYSA-N Isoflurane Chemical compound FC(F)OC(Cl)C(F)(F)F PIWKPBJCKXDKJR-UHFFFAOYSA-N 0.000 description 3
- OFOBLEOULBTSOW-UHFFFAOYSA-N Malonic acid Chemical compound OC(=O)CC(O)=O OFOBLEOULBTSOW-UHFFFAOYSA-N 0.000 description 3
- DNIAPMSPPWPWGF-UHFFFAOYSA-N Propylene glycol Chemical compound CC(O)CO DNIAPMSPPWPWGF-UHFFFAOYSA-N 0.000 description 3
- 230000015572 biosynthetic process Effects 0.000 description 3
- 208000034158 bleeding Diseases 0.000 description 3
- 230000000740 bleeding effect Effects 0.000 description 3
- 230000001684 chronic effect Effects 0.000 description 3
- KRKNYBCHXYNGOX-UHFFFAOYSA-N citric acid Chemical compound OC(=O)CC(O)(C(O)=O)CC(O)=O KRKNYBCHXYNGOX-UHFFFAOYSA-N 0.000 description 3
- 210000001072 colon Anatomy 0.000 description 3
- 238000011081 inoculation Methods 0.000 description 3
- 210000002429 large intestine Anatomy 0.000 description 3
- VHOGYURTWQBHIL-UHFFFAOYSA-N leflunomide Chemical compound O1N=CC(C(=O)NC=2C=CC(=CC=2)C(F)(F)F)=C1C VHOGYURTWQBHIL-UHFFFAOYSA-N 0.000 description 3
- 229960000681 leflunomide Drugs 0.000 description 3
- 239000000203 mixture Substances 0.000 description 3
- 210000004877 mucosa Anatomy 0.000 description 3
- 231100000252 nontoxic Toxicity 0.000 description 3
- 230000003000 nontoxic effect Effects 0.000 description 3
- -1 oral Chemical class 0.000 description 3
- 229920001223 polyethylene glycol Polymers 0.000 description 3
- 230000002269 spontaneous effect Effects 0.000 description 3
- 239000000126 substance Substances 0.000 description 3
- 238000001356 surgical procedure Methods 0.000 description 3
- 239000003981 vehicle Substances 0.000 description 3
- 208000004998 Abdominal Pain Diseases 0.000 description 2
- QGZKDVFQNNGYKY-UHFFFAOYSA-N Ammonia Chemical compound N QGZKDVFQNNGYKY-UHFFFAOYSA-N 0.000 description 2
- 208000023275 Autoimmune disease Diseases 0.000 description 2
- 241000700199 Cavia porcellus Species 0.000 description 2
- 102000004190 Enzymes Human genes 0.000 description 2
- 108090000790 Enzymes Proteins 0.000 description 2
- VZCYOOQTPOCHFL-OWOJBTEDSA-N Fumaric acid Chemical compound OC(=O)\C=C\C(O)=O VZCYOOQTPOCHFL-OWOJBTEDSA-N 0.000 description 2
- PEDCQBHIVMGVHV-UHFFFAOYSA-N Glycerine Chemical compound OCC(O)CO PEDCQBHIVMGVHV-UHFFFAOYSA-N 0.000 description 2
- AEMRFAOFKBGASW-UHFFFAOYSA-N Glycolic acid Chemical compound OCC(O)=O AEMRFAOFKBGASW-UHFFFAOYSA-N 0.000 description 2
- VEXZGXHMUGYJMC-UHFFFAOYSA-N Hydrochloric acid Chemical compound Cl VEXZGXHMUGYJMC-UHFFFAOYSA-N 0.000 description 2
- AFVFQIVMOAPDHO-UHFFFAOYSA-N Methanesulfonic acid Chemical compound CS(O)(=O)=O AFVFQIVMOAPDHO-UHFFFAOYSA-N 0.000 description 2
- BAVYZALUXZFZLV-UHFFFAOYSA-N Methylamine Chemical compound NC BAVYZALUXZFZLV-UHFFFAOYSA-N 0.000 description 2
- 241000187479 Mycobacterium tuberculosis Species 0.000 description 2
- 102000047918 Myelin Basic Human genes 0.000 description 2
- 101710107068 Myelin basic protein Proteins 0.000 description 2
- NBIIXXVUZAFLBC-UHFFFAOYSA-N Phosphoric acid Chemical compound OP(O)(O)=O NBIIXXVUZAFLBC-UHFFFAOYSA-N 0.000 description 2
- 239000002202 Polyethylene glycol Substances 0.000 description 2
- LCTONWCANYUPML-UHFFFAOYSA-N Pyruvic acid Chemical compound CC(=O)C(O)=O LCTONWCANYUPML-UHFFFAOYSA-N 0.000 description 2
- QAOWNCQODCNURD-UHFFFAOYSA-N Sulfuric acid Chemical compound OS(O)(=O)=O QAOWNCQODCNURD-UHFFFAOYSA-N 0.000 description 2
- 208000018359 Systemic autoimmune disease Diseases 0.000 description 2
- WYURNTSHIVDZCO-UHFFFAOYSA-N Tetrahydrofuran Chemical compound C1CCOC1 WYURNTSHIVDZCO-UHFFFAOYSA-N 0.000 description 2
- 208000025865 Ulcer Diseases 0.000 description 2
- 230000004913 activation Effects 0.000 description 2
- 230000001154 acute effect Effects 0.000 description 2
- 208000007502 anemia Diseases 0.000 description 2
- 230000003110 anti-inflammatory effect Effects 0.000 description 2
- 235000010323 ascorbic acid Nutrition 0.000 description 2
- 239000011668 ascorbic acid Substances 0.000 description 2
- 229960005070 ascorbic acid Drugs 0.000 description 2
- LMEKQMALGUDUQG-UHFFFAOYSA-N azathioprine Chemical compound CN1C=NC([N+]([O-])=O)=C1SC1=NC=NC2=C1NC=N2 LMEKQMALGUDUQG-UHFFFAOYSA-N 0.000 description 2
- 229960002170 azathioprine Drugs 0.000 description 2
- WPYMKLBDIGXBTP-UHFFFAOYSA-N benzoic acid Chemical compound OC(=O)C1=CC=CC=C1 WPYMKLBDIGXBTP-UHFFFAOYSA-N 0.000 description 2
- 208000027503 bloody stool Diseases 0.000 description 2
- 210000004556 brain Anatomy 0.000 description 2
- 239000002775 capsule Substances 0.000 description 2
- 230000008859 change Effects 0.000 description 2
- 239000003085 diluting agent Substances 0.000 description 2
- 235000003599 food sweetener Nutrition 0.000 description 2
- 238000009472 formulation Methods 0.000 description 2
- 210000001035 gastrointestinal tract Anatomy 0.000 description 2
- 208000035861 hematochezia Diseases 0.000 description 2
- 238000002649 immunization Methods 0.000 description 2
- 230000003053 immunization Effects 0.000 description 2
- 239000003018 immunosuppressive agent Substances 0.000 description 2
- 230000000968 intestinal effect Effects 0.000 description 2
- SUMDYPCJJOFFON-UHFFFAOYSA-N isethionic acid Chemical compound OCCS(O)(=O)=O SUMDYPCJJOFFON-UHFFFAOYSA-N 0.000 description 2
- 229960002725 isoflurane Drugs 0.000 description 2
- JVTAAEKCZFNVCJ-UHFFFAOYSA-N lactic acid Chemical compound CC(O)C(O)=O JVTAAEKCZFNVCJ-UHFFFAOYSA-N 0.000 description 2
- HQKMJHAJHXVSDF-UHFFFAOYSA-L magnesium stearate Chemical compound [Mg+2].CCCCCCCCCCCCCCCCCC([O-])=O.CCCCCCCCCCCCCCCCCC([O-])=O HQKMJHAJHXVSDF-UHFFFAOYSA-L 0.000 description 2
- 230000001404 mediated effect Effects 0.000 description 2
- GLVAUDGFNGKCSF-UHFFFAOYSA-N mercaptopurine Chemical compound S=C1NC=NC2=C1NC=N2 GLVAUDGFNGKCSF-UHFFFAOYSA-N 0.000 description 2
- KBOPZPXVLCULAV-UHFFFAOYSA-N mesalamine Chemical compound NC1=CC=C(O)C(C(O)=O)=C1 KBOPZPXVLCULAV-UHFFFAOYSA-N 0.000 description 2
- OSWPMRLSEDHDFF-UHFFFAOYSA-N methyl salicylate Chemical compound COC(=O)C1=CC=CC=C1O OSWPMRLSEDHDFF-UHFFFAOYSA-N 0.000 description 2
- 150000007522 mineralic acids Chemical class 0.000 description 2
- 239000003921 oil Substances 0.000 description 2
- 150000007524 organic acids Chemical class 0.000 description 2
- 239000000546 pharmaceutical excipient Substances 0.000 description 2
- 239000012071 phase Substances 0.000 description 2
- 238000011084 recovery Methods 0.000 description 2
- 230000029058 respiratory gaseous exchange Effects 0.000 description 2
- YGSDEFSMJLZEOE-UHFFFAOYSA-N salicylic acid Chemical compound OC(=O)C1=CC=CC=C1O YGSDEFSMJLZEOE-UHFFFAOYSA-N 0.000 description 2
- 239000002904 solvent Substances 0.000 description 2
- 235000000346 sugar Nutrition 0.000 description 2
- 239000013589 supplement Substances 0.000 description 2
- 239000000725 suspension Substances 0.000 description 2
- 239000003765 sweetening agent Substances 0.000 description 2
- 238000003786 synthesis reaction Methods 0.000 description 2
- 239000006188 syrup Substances 0.000 description 2
- 235000020357 syrup Nutrition 0.000 description 2
- 230000009885 systemic effect Effects 0.000 description 2
- 230000001225 therapeutic effect Effects 0.000 description 2
- JOXIMZWYDAKGHI-UHFFFAOYSA-N toluene-4-sulfonic acid Chemical compound CC1=CC=C(S(O)(=O)=O)C=C1 JOXIMZWYDAKGHI-UHFFFAOYSA-N 0.000 description 2
- VZCYOOQTPOCHFL-UHFFFAOYSA-N trans-butenedioic acid Natural products OC(=O)C=CC(O)=O VZCYOOQTPOCHFL-UHFFFAOYSA-N 0.000 description 2
- GETQZCLCWQTVFV-UHFFFAOYSA-N trimethylamine Chemical compound CN(C)C GETQZCLCWQTVFV-UHFFFAOYSA-N 0.000 description 2
- 231100000397 ulcer Toxicity 0.000 description 2
- 208000016261 weight loss Diseases 0.000 description 2
- 230000004580 weight loss Effects 0.000 description 2
- BJEPYKJPYRNKOW-REOHCLBHSA-N (S)-malic acid Chemical compound OC(=O)[C@@H](O)CC(O)=O BJEPYKJPYRNKOW-REOHCLBHSA-N 0.000 description 1
- UWYVPFMHMJIBHE-OWOJBTEDSA-N (e)-2-hydroxybut-2-enedioic acid Chemical compound OC(=O)\C=C(\O)C(O)=O UWYVPFMHMJIBHE-OWOJBTEDSA-N 0.000 description 1
- WBYWAXJHAXSJNI-VOTSOKGWSA-M .beta-Phenylacrylic acid Natural products [O-]C(=O)\C=C\C1=CC=CC=C1 WBYWAXJHAXSJNI-VOTSOKGWSA-M 0.000 description 1
- RTBFRGCFXZNCOE-UHFFFAOYSA-N 1-methylsulfonylpiperidin-4-one Chemical compound CS(=O)(=O)N1CCC(=O)CC1 RTBFRGCFXZNCOE-UHFFFAOYSA-N 0.000 description 1
- KISWVXRQTGLFGD-UHFFFAOYSA-N 2-[[2-[[6-amino-2-[[2-[[2-[[5-amino-2-[[2-[[1-[2-[[6-amino-2-[(2,5-diamino-5-oxopentanoyl)amino]hexanoyl]amino]-5-(diaminomethylideneamino)pentanoyl]pyrrolidine-2-carbonyl]amino]-3-hydroxypropanoyl]amino]-5-oxopentanoyl]amino]-5-(diaminomethylideneamino)p Chemical compound C1CCN(C(=O)C(CCCN=C(N)N)NC(=O)C(CCCCN)NC(=O)C(N)CCC(N)=O)C1C(=O)NC(CO)C(=O)NC(CCC(N)=O)C(=O)NC(CCCN=C(N)N)C(=O)NC(CO)C(=O)NC(CCCCN)C(=O)NC(C(=O)NC(CC(C)C)C(O)=O)CC1=CC=C(O)C=C1 KISWVXRQTGLFGD-UHFFFAOYSA-N 0.000 description 1
- ZHBYCCVSWKWSMR-UHFFFAOYSA-N 2-hydroperoxybenzoic acid Chemical compound OOC1=CC=CC=C1C(O)=O ZHBYCCVSWKWSMR-UHFFFAOYSA-N 0.000 description 1
- BSKHPKMHTQYZBB-UHFFFAOYSA-N 2-methylpyridine Chemical compound CC1=CC=CC=N1 BSKHPKMHTQYZBB-UHFFFAOYSA-N 0.000 description 1
- PKRSYEPBQPFNRB-UHFFFAOYSA-N 2-phenoxybenzoic acid Chemical compound OC(=O)C1=CC=CC=C1OC1=CC=CC=C1 PKRSYEPBQPFNRB-UHFFFAOYSA-N 0.000 description 1
- WLJVXDMOQOGPHL-PPJXEINESA-N 2-phenylacetic acid Chemical compound O[14C](=O)CC1=CC=CC=C1 WLJVXDMOQOGPHL-PPJXEINESA-N 0.000 description 1
- BMYNFMYTOJXKLE-UHFFFAOYSA-N 3-azaniumyl-2-hydroxypropanoate Chemical compound NCC(O)C(O)=O BMYNFMYTOJXKLE-UHFFFAOYSA-N 0.000 description 1
- ODGIMMLDVSWADK-UHFFFAOYSA-N 4-trifluoromethylaniline Chemical compound NC1=CC=C(C(F)(F)F)C=C1 ODGIMMLDVSWADK-UHFFFAOYSA-N 0.000 description 1
- HBAQYPYDRFILMT-UHFFFAOYSA-N 8-[3-(1-cyclopropylpyrazol-4-yl)-1H-pyrazolo[4,3-d]pyrimidin-5-yl]-3-methyl-3,8-diazabicyclo[3.2.1]octan-2-one Chemical class C1(CC1)N1N=CC(=C1)C1=NNC2=C1N=C(N=C2)N1C2C(N(CC1CC2)C)=O HBAQYPYDRFILMT-UHFFFAOYSA-N 0.000 description 1
- 208000006678 Abdominal Neoplasms Diseases 0.000 description 1
- 206010002091 Anaesthesia Diseases 0.000 description 1
- 241000416162 Astragalus gummifer Species 0.000 description 1
- 206010003591 Ataxia Diseases 0.000 description 1
- 239000005711 Benzoic acid Substances 0.000 description 1
- 241000588807 Bordetella Species 0.000 description 1
- 241000588832 Bordetella pertussis Species 0.000 description 1
- OYPRJOBELJOOCE-UHFFFAOYSA-N Calcium Chemical compound [Ca] OYPRJOBELJOOCE-UHFFFAOYSA-N 0.000 description 1
- 241000282472 Canis lupus familiaris Species 0.000 description 1
- 241000700198 Cavia Species 0.000 description 1
- WBYWAXJHAXSJNI-SREVYHEPSA-N Cinnamic acid Chemical compound OC(=O)\C=C/C1=CC=CC=C1 WBYWAXJHAXSJNI-SREVYHEPSA-N 0.000 description 1
- KRKNYBCHXYNGOX-UHFFFAOYSA-K Citrate Chemical compound [O-]C(=O)CC(O)(CC([O-])=O)C([O-])=O KRKNYBCHXYNGOX-UHFFFAOYSA-K 0.000 description 1
- 229920002261 Corn starch Polymers 0.000 description 1
- 239000000055 Corticotropin-Releasing Hormone Substances 0.000 description 1
- PMATZTZNYRCHOR-CGLBZJNRSA-N Cyclosporin A Chemical compound CC[C@@H]1NC(=O)[C@H]([C@H](O)[C@H](C)C\C=C\C)N(C)C(=O)[C@H](C(C)C)N(C)C(=O)[C@H](CC(C)C)N(C)C(=O)[C@H](CC(C)C)N(C)C(=O)[C@@H](C)NC(=O)[C@H](C)NC(=O)[C@H](CC(C)C)N(C)C(=O)[C@H](C(C)C)NC(=O)[C@H](CC(C)C)N(C)C(=O)CN(C)C1=O PMATZTZNYRCHOR-CGLBZJNRSA-N 0.000 description 1
- 229930105110 Cyclosporin A Natural products 0.000 description 1
- 108010036949 Cyclosporine Proteins 0.000 description 1
- 101710088194 Dehydrogenase Proteins 0.000 description 1
- FEWJPZIEWOKRBE-JCYAYHJZSA-N Dextrotartaric acid Chemical compound OC(=O)[C@H](O)[C@@H](O)C(O)=O FEWJPZIEWOKRBE-JCYAYHJZSA-N 0.000 description 1
- 206010012735 Diarrhoea Diseases 0.000 description 1
- KCXVZYZYPLLWCC-UHFFFAOYSA-N EDTA Chemical compound OC(=O)CN(CC(O)=O)CCN(CC(O)=O)CC(O)=O KCXVZYZYPLLWCC-UHFFFAOYSA-N 0.000 description 1
- 208000010201 Exanthema Diseases 0.000 description 1
- 208000034347 Faecal incontinence Diseases 0.000 description 1
- 241000282326 Felis catus Species 0.000 description 1
- 206010016654 Fibrosis Diseases 0.000 description 1
- 206010017577 Gait disturbance Diseases 0.000 description 1
- 108010010803 Gelatin Proteins 0.000 description 1
- WQZGKKKJIJFFOK-GASJEMHNSA-N Glucose Natural products OC[C@H]1OC(O)[C@H](O)[C@@H](O)[C@@H]1O WQZGKKKJIJFFOK-GASJEMHNSA-N 0.000 description 1
- 206010018691 Granuloma Diseases 0.000 description 1
- DGAQECJNVWCQMB-PUAWFVPOSA-M Ilexoside XXIX Chemical compound C[C@@H]1CC[C@@]2(CC[C@@]3(C(=CC[C@H]4[C@]3(CC[C@@H]5[C@@]4(CC[C@@H](C5(C)C)OS(=O)(=O)[O-])C)C)[C@@H]2[C@]1(C)O)C)C(=O)O[C@H]6[C@@H]([C@H]([C@@H]([C@H](O6)CO)O)O)O.[Na+] DGAQECJNVWCQMB-PUAWFVPOSA-M 0.000 description 1
- FBOZXECLQNJBKD-ZDUSSCGKSA-N L-methotrexate Chemical compound C=1N=C2N=C(N)N=C(N)C2=NC=1CN(C)C1=CC=C(C(=O)N[C@@H](CCC(O)=O)C(O)=O)C=C1 FBOZXECLQNJBKD-ZDUSSCGKSA-N 0.000 description 1
- GUBGYTABKSRVRQ-QKKXKWKRSA-N Lactose Natural products OC[C@H]1O[C@@H](O[C@H]2[C@H](O)[C@@H](O)C(O)O[C@@H]2CO)[C@H](O)[C@@H](O)[C@H]1O GUBGYTABKSRVRQ-QKKXKWKRSA-N 0.000 description 1
- 239000004166 Lanolin Substances 0.000 description 1
- FYYHWMGAXLPEAU-UHFFFAOYSA-N Magnesium Chemical compound [Mg] FYYHWMGAXLPEAU-UHFFFAOYSA-N 0.000 description 1
- 244000246386 Mentha pulegium Species 0.000 description 1
- 235000016257 Mentha pulegium Nutrition 0.000 description 1
- 235000004357 Mentha x piperita Nutrition 0.000 description 1
- 229920000168 Microcrystalline cellulose Polymers 0.000 description 1
- 241001049988 Mycobacterium tuberculosis H37Ra Species 0.000 description 1
- 206010028813 Nausea Diseases 0.000 description 1
- 229910019142 PO4 Inorganic materials 0.000 description 1
- 206010033799 Paralysis Diseases 0.000 description 1
- 206010033885 Paraparesis Diseases 0.000 description 1
- 206010033892 Paraplegia Diseases 0.000 description 1
- 208000031481 Pathologic Constriction Diseases 0.000 description 1
- 239000004264 Petrolatum Substances 0.000 description 1
- ZLMJMSJWJFRBEC-UHFFFAOYSA-N Potassium Chemical compound [K] ZLMJMSJWJFRBEC-UHFFFAOYSA-N 0.000 description 1
- 241000288906 Primates Species 0.000 description 1
- 101000901084 Rattus norvegicus Acid-sensing ion channel 4 Proteins 0.000 description 1
- 241000283984 Rodentia Species 0.000 description 1
- 241000220317 Rosa Species 0.000 description 1
- 206010070834 Sensitisation Diseases 0.000 description 1
- 229920001800 Shellac Polymers 0.000 description 1
- VYPSYNLAJGMNEJ-UHFFFAOYSA-N Silicium dioxide Chemical compound O=[Si]=O VYPSYNLAJGMNEJ-UHFFFAOYSA-N 0.000 description 1
- DWAQJAXMDSEUJJ-UHFFFAOYSA-M Sodium bisulfite Chemical compound [Na+].OS([O-])=O DWAQJAXMDSEUJJ-UHFFFAOYSA-M 0.000 description 1
- 229920002472 Starch Polymers 0.000 description 1
- KDYFGRWQOYBRFD-UHFFFAOYSA-N Succinic acid Natural products OC(=O)CCC(O)=O KDYFGRWQOYBRFD-UHFFFAOYSA-N 0.000 description 1
- 229930006000 Sucrose Natural products 0.000 description 1
- CZMRCDWAGMRECN-UGDNZRGBSA-N Sucrose Chemical compound O[C@H]1[C@H](O)[C@@H](CO)O[C@@]1(CO)O[C@@H]1[C@H](O)[C@@H](O)[C@H](O)[C@@H](CO)O1 CZMRCDWAGMRECN-UGDNZRGBSA-N 0.000 description 1
- FEWJPZIEWOKRBE-UHFFFAOYSA-N Tartaric acid Natural products [H+].[H+].[O-]C(=O)C(O)C(O)C([O-])=O FEWJPZIEWOKRBE-UHFFFAOYSA-N 0.000 description 1
- 229920001615 Tragacanth Polymers 0.000 description 1
- 206010046543 Urinary incontinence Diseases 0.000 description 1
- 206010047700 Vomiting Diseases 0.000 description 1
- 208000027418 Wounds and injury Diseases 0.000 description 1
- 230000005856 abnormality Effects 0.000 description 1
- 150000001242 acetic acid derivatives Chemical class 0.000 description 1
- WETWJCDKMRHUPV-UHFFFAOYSA-N acetyl chloride Chemical compound CC(Cl)=O WETWJCDKMRHUPV-UHFFFAOYSA-N 0.000 description 1
- 239000012346 acetyl chloride Substances 0.000 description 1
- 150000007513 acids Chemical class 0.000 description 1
- 230000009471 action Effects 0.000 description 1
- 239000002671 adjuvant Substances 0.000 description 1
- 150000001298 alcohols Chemical class 0.000 description 1
- 239000000783 alginic acid Substances 0.000 description 1
- 235000010443 alginic acid Nutrition 0.000 description 1
- 229920000615 alginic acid Polymers 0.000 description 1
- 229960001126 alginic acid Drugs 0.000 description 1
- 150000004781 alginic acids Chemical class 0.000 description 1
- 125000001931 aliphatic group Chemical group 0.000 description 1
- 229910000272 alkali metal oxide Inorganic materials 0.000 description 1
- 150000001340 alkali metals Chemical class 0.000 description 1
- 229910001860 alkaline earth metal hydroxide Inorganic materials 0.000 description 1
- 239000013566 allergen Substances 0.000 description 1
- BJEPYKJPYRNKOW-UHFFFAOYSA-N alpha-hydroxysuccinic acid Natural products OC(=O)C(O)CC(O)=O BJEPYKJPYRNKOW-UHFFFAOYSA-N 0.000 description 1
- 229910000147 aluminium phosphate Inorganic materials 0.000 description 1
- 150000001412 amines Chemical class 0.000 description 1
- 229910021529 ammonia Inorganic materials 0.000 description 1
- 230000037005 anaesthesia Effects 0.000 description 1
- 239000003994 anesthetic gas Substances 0.000 description 1
- JFCQEDHGNNZCLN-UHFFFAOYSA-N anhydrous glutaric acid Natural products OC(=O)CCCC(O)=O JFCQEDHGNNZCLN-UHFFFAOYSA-N 0.000 description 1
- 150000003931 anilides Chemical class 0.000 description 1
- 238000010171 animal model Methods 0.000 description 1
- 239000003242 anti bacterial agent Substances 0.000 description 1
- 229940124599 anti-inflammatory drug Drugs 0.000 description 1
- 230000001028 anti-proliverative effect Effects 0.000 description 1
- 239000003963 antioxidant agent Substances 0.000 description 1
- 235000006708 antioxidants Nutrition 0.000 description 1
- 239000003435 antirheumatic agent Substances 0.000 description 1
- 210000000436 anus Anatomy 0.000 description 1
- 230000004596 appetite loss Effects 0.000 description 1
- 239000008346 aqueous phase Substances 0.000 description 1
- 206010003246 arthritis Diseases 0.000 description 1
- 125000003118 aryl group Chemical group 0.000 description 1
- 201000009385 autoimmune disease of the nervous system Diseases 0.000 description 1
- 230000006472 autoimmune response Effects 0.000 description 1
- RQPZNWPYLFFXCP-UHFFFAOYSA-L barium dihydroxide Chemical class [OH-].[OH-].[Ba+2] RQPZNWPYLFFXCP-UHFFFAOYSA-L 0.000 description 1
- 235000013871 bee wax Nutrition 0.000 description 1
- 239000012166 beeswax Substances 0.000 description 1
- 230000003542 behavioural effect Effects 0.000 description 1
- 235000010233 benzoic acid Nutrition 0.000 description 1
- 235000019445 benzyl alcohol Nutrition 0.000 description 1
- WQZGKKKJIJFFOK-VFUOTHLCSA-N beta-D-glucose Chemical compound OC[C@H]1O[C@@H](O)[C@H](O)[C@@H](O)[C@@H]1O WQZGKKKJIJFFOK-VFUOTHLCSA-N 0.000 description 1
- 239000011230 binding agent Substances 0.000 description 1
- 230000000975 bioactive effect Effects 0.000 description 1
- 210000004369 blood Anatomy 0.000 description 1
- 239000008280 blood Substances 0.000 description 1
- 239000000872 buffer Substances 0.000 description 1
- 244000309464 bull Species 0.000 description 1
- KDYFGRWQOYBRFD-NUQCWPJISA-N butanedioic acid Chemical compound O[14C](=O)CC[14C](O)=O KDYFGRWQOYBRFD-NUQCWPJISA-N 0.000 description 1
- 229910052791 calcium Inorganic materials 0.000 description 1
- 239000011575 calcium Substances 0.000 description 1
- 210000004027 cell Anatomy 0.000 description 1
- 239000002738 chelating agent Substances 0.000 description 1
- 235000015218 chewing gum Nutrition 0.000 description 1
- 208000021735 chronic enteritis Diseases 0.000 description 1
- 208000017760 chronic graft versus host disease Diseases 0.000 description 1
- 208000037976 chronic inflammation Diseases 0.000 description 1
- 230000006020 chronic inflammation Effects 0.000 description 1
- 229960001265 ciclosporin Drugs 0.000 description 1
- 235000013985 cinnamic acid Nutrition 0.000 description 1
- 229930016911 cinnamic acid Natural products 0.000 description 1
- 235000015165 citric acid Nutrition 0.000 description 1
- 238000000576 coating method Methods 0.000 description 1
- 229940075614 colloidal silicon dioxide Drugs 0.000 description 1
- 238000004040 coloring Methods 0.000 description 1
- 239000008120 corn starch Substances 0.000 description 1
- 239000003246 corticosteroid Substances 0.000 description 1
- 229960001334 corticosteroids Drugs 0.000 description 1
- IDLFZVILOHSSID-OVLDLUHVSA-N corticotropin Chemical compound C([C@@H](C(=O)N[C@@H](CO)C(=O)N[C@@H](CCSC)C(=O)N[C@@H](CCC(O)=O)C(=O)N[C@@H](CC=1NC=NC=1)C(=O)N[C@@H](CC=1C=CC=CC=1)C(=O)N[C@@H](CCCNC(N)=N)C(=O)N[C@@H](CC=1C2=CC=CC=C2NC=1)C(=O)NCC(=O)N[C@@H](CCCCN)C(=O)N1[C@@H](CCC1)C(=O)N[C@@H](C(C)C)C(=O)NCC(=O)N[C@@H](CCCCN)C(=O)N[C@@H](CCCCN)C(=O)N[C@@H](CCCNC(N)=N)C(=O)N[C@@H](CCCNC(N)=N)C(=O)N1[C@@H](CCC1)C(=O)N[C@@H](C(C)C)C(=O)N[C@@H](CCCCN)C(=O)N[C@@H](C(C)C)C(=O)N[C@@H](CC=1C=CC(O)=CC=1)C(=O)N1[C@@H](CCC1)C(=O)N[C@@H](CC(N)=O)C(=O)NCC(=O)N[C@@H](C)C(=O)N[C@@H](CCC(O)=O)C(=O)N[C@@H](CC(O)=O)C(=O)N[C@@H](CCC(O)=O)C(=O)N[C@@H](CO)C(=O)N[C@@H](C)C(=O)N[C@@H](CCC(O)=O)C(=O)N[C@@H](C)C(=O)N[C@@H](CC=1C=CC=CC=1)C(=O)N1[C@@H](CCC1)C(=O)N[C@@H](CC(C)C)C(=O)N[C@@H](CCC(O)=O)C(=O)N[C@@H](CC=1C=CC=CC=1)C(O)=O)NC(=O)[C@@H](N)CO)C1=CC=C(O)C=C1 IDLFZVILOHSSID-OVLDLUHVSA-N 0.000 description 1
- 229960000258 corticotropin Drugs 0.000 description 1
- 238000011461 current therapy Methods 0.000 description 1
- 229930182912 cyclosporin Natural products 0.000 description 1
- 230000006378 damage Effects 0.000 description 1
- UREBDLICKHMUKA-CXSFZGCWSA-N dexamethasone Chemical compound C1CC2=CC(=O)C=C[C@]2(C)[C@]2(F)[C@@H]1[C@@H]1C[C@@H](C)[C@@](C(=O)CO)(O)[C@@]1(C)C[C@@H]2O UREBDLICKHMUKA-CXSFZGCWSA-N 0.000 description 1
- 229960003957 dexamethasone Drugs 0.000 description 1
- 239000008121 dextrose Substances 0.000 description 1
- BNIILDVGGAEEIG-UHFFFAOYSA-L disodium hydrogen phosphate Chemical compound [Na+].[Na+].OP([O-])([O-])=O BNIILDVGGAEEIG-UHFFFAOYSA-L 0.000 description 1
- 239000002270 dispersing agent Substances 0.000 description 1
- 208000002173 dizziness Diseases 0.000 description 1
- 206010013663 drug dependence Diseases 0.000 description 1
- 239000000975 dye Substances 0.000 description 1
- 229960001484 edetic acid Drugs 0.000 description 1
- 239000003995 emulsifying agent Substances 0.000 description 1
- 230000001804 emulsifying effect Effects 0.000 description 1
- 239000002702 enteric coating Substances 0.000 description 1
- 238000009505 enteric coating Methods 0.000 description 1
- 230000003628 erosive effect Effects 0.000 description 1
- 150000002148 esters Chemical class 0.000 description 1
- ZIUSEGSNTOUIPT-UHFFFAOYSA-N ethyl 2-cyanoacetate Chemical compound CCOC(=O)CC#N ZIUSEGSNTOUIPT-UHFFFAOYSA-N 0.000 description 1
- 201000005884 exanthem Diseases 0.000 description 1
- 238000002474 experimental method Methods 0.000 description 1
- 239000010685 fatty oil Substances 0.000 description 1
- 210000003608 fece Anatomy 0.000 description 1
- 230000004761 fibrosis Effects 0.000 description 1
- 210000003194 forelimb Anatomy 0.000 description 1
- 239000003205 fragrance Substances 0.000 description 1
- 239000012458 free base Substances 0.000 description 1
- 239000001530 fumaric acid Substances 0.000 description 1
- 235000011087 fumaric acid Nutrition 0.000 description 1
- 230000005021 gait Effects 0.000 description 1
- 230000002496 gastric effect Effects 0.000 description 1
- 239000000499 gel Substances 0.000 description 1
- 239000008273 gelatin Substances 0.000 description 1
- 229920000159 gelatin Polymers 0.000 description 1
- 235000019322 gelatine Nutrition 0.000 description 1
- 235000011852 gelatine desserts Nutrition 0.000 description 1
- 239000011521 glass Substances 0.000 description 1
- 235000011187 glycerol Nutrition 0.000 description 1
- 229940093915 gynecological organic acid Drugs 0.000 description 1
- 238000010438 heat treatment Methods 0.000 description 1
- 210000000548 hind-foot Anatomy 0.000 description 1
- 235000001050 hortel pimenta Nutrition 0.000 description 1
- 210000002865 immune cell Anatomy 0.000 description 1
- 229940125721 immunosuppressive agent Drugs 0.000 description 1
- 229940124589 immunosuppressive drug Drugs 0.000 description 1
- 230000001771 impaired effect Effects 0.000 description 1
- 230000006698 induction Effects 0.000 description 1
- 230000001939 inductive effect Effects 0.000 description 1
- 238000001802 infusion Methods 0.000 description 1
- 239000007924 injection Substances 0.000 description 1
- 238000002347 injection Methods 0.000 description 1
- 208000014674 injury Diseases 0.000 description 1
- 150000007529 inorganic bases Chemical class 0.000 description 1
- 208000028774 intestinal disease Diseases 0.000 description 1
- 208000003243 intestinal obstruction Diseases 0.000 description 1
- 238000007918 intramuscular administration Methods 0.000 description 1
- 238000001990 intravenous administration Methods 0.000 description 1
- 230000009545 invasion Effects 0.000 description 1
- 239000004310 lactic acid Substances 0.000 description 1
- 235000014655 lactic acid Nutrition 0.000 description 1
- 239000008101 lactose Substances 0.000 description 1
- 229940039717 lanolin Drugs 0.000 description 1
- 235000019388 lanolin Nutrition 0.000 description 1
- 230000003902 lesion Effects 0.000 description 1
- 201000002364 leukopenia Diseases 0.000 description 1
- 231100001022 leukopenia Toxicity 0.000 description 1
- 238000011694 lewis rat Methods 0.000 description 1
- XMGQYMWWDOXHJM-UHFFFAOYSA-N limonene Chemical compound CC(=C)C1CCC(C)=CC1 XMGQYMWWDOXHJM-UHFFFAOYSA-N 0.000 description 1
- 239000007788 liquid Substances 0.000 description 1
- 230000033001 locomotion Effects 0.000 description 1
- 208000019017 loss of appetite Diseases 0.000 description 1
- 235000021266 loss of appetite Nutrition 0.000 description 1
- 210000003141 lower extremity Anatomy 0.000 description 1
- 239000000314 lubricant Substances 0.000 description 1
- 206010025135 lupus erythematosus Diseases 0.000 description 1
- 229910052749 magnesium Inorganic materials 0.000 description 1
- 239000011777 magnesium Substances 0.000 description 1
- 235000019359 magnesium stearate Nutrition 0.000 description 1
- 206010025482 malaise Diseases 0.000 description 1
- VZCYOOQTPOCHFL-UPHRSURJSA-N maleic acid Chemical compound OC(=O)\C=C/C(O)=O VZCYOOQTPOCHFL-UPHRSURJSA-N 0.000 description 1
- 239000011976 maleic acid Substances 0.000 description 1
- 239000001630 malic acid Substances 0.000 description 1
- 235000011090 malic acid Nutrition 0.000 description 1
- 239000000463 material Substances 0.000 description 1
- 238000002844 melting Methods 0.000 description 1
- 230000008018 melting Effects 0.000 description 1
- 210000004379 membrane Anatomy 0.000 description 1
- 239000012528 membrane Substances 0.000 description 1
- 229960001428 mercaptopurine Drugs 0.000 description 1
- 229960004963 mesalazine Drugs 0.000 description 1
- 210000000713 mesentery Anatomy 0.000 description 1
- 239000002207 metabolite Substances 0.000 description 1
- 229910052751 metal Inorganic materials 0.000 description 1
- 239000002184 metal Substances 0.000 description 1
- 229940098779 methanesulfonic acid Drugs 0.000 description 1
- 229960000485 methotrexate Drugs 0.000 description 1
- 235000010270 methyl p-hydroxybenzoate Nutrition 0.000 description 1
- WBYWAXJHAXSJNI-UHFFFAOYSA-N methyl p-hydroxycinnamate Natural products OC(=O)C=CC1=CC=CC=C1 WBYWAXJHAXSJNI-UHFFFAOYSA-N 0.000 description 1
- 229960001047 methyl salicylate Drugs 0.000 description 1
- 229940016286 microcrystalline cellulose Drugs 0.000 description 1
- 235000019813 microcrystalline cellulose Nutrition 0.000 description 1
- 239000008108 microcrystalline cellulose Substances 0.000 description 1
- 230000003278 mimic effect Effects 0.000 description 1
- 239000002480 mineral oil Substances 0.000 description 1
- 235000010446 mineral oil Nutrition 0.000 description 1
- 230000007659 motor function Effects 0.000 description 1
- 230000008693 nausea Effects 0.000 description 1
- 239000002547 new drug Substances 0.000 description 1
- 239000000346 nonvolatile oil Substances 0.000 description 1
- 239000002674 ointment Substances 0.000 description 1
- 239000007968 orange flavor Substances 0.000 description 1
- 235000005985 organic acids Nutrition 0.000 description 1
- 150000007530 organic bases Chemical class 0.000 description 1
- 239000003960 organic solvent Substances 0.000 description 1
- FJKROLUGYXJWQN-UHFFFAOYSA-N papa-hydroxy-benzoic acid Natural products OC(=O)C1=CC=C(O)C=C1 FJKROLUGYXJWQN-UHFFFAOYSA-N 0.000 description 1
- 238000007911 parenteral administration Methods 0.000 description 1
- 230000007310 pathophysiology Effects 0.000 description 1
- 206010034674 peritonitis Diseases 0.000 description 1
- 229940066842 petrolatum Drugs 0.000 description 1
- 235000019271 petrolatum Nutrition 0.000 description 1
- 239000008194 pharmaceutical composition Substances 0.000 description 1
- 235000021317 phosphate Nutrition 0.000 description 1
- 150000003013 phosphoric acid derivatives Chemical class 0.000 description 1
- 239000002504 physiological saline solution Substances 0.000 description 1
- 239000006187 pill Substances 0.000 description 1
- 229910052700 potassium Inorganic materials 0.000 description 1
- 239000011591 potassium Substances 0.000 description 1
- CHKVPAROMQMJNQ-UHFFFAOYSA-M potassium bisulfate Chemical compound [K+].OS([O-])(=O)=O CHKVPAROMQMJNQ-UHFFFAOYSA-M 0.000 description 1
- 229910000343 potassium bisulfate Inorganic materials 0.000 description 1
- 238000002360 preparation method Methods 0.000 description 1
- 239000003755 preservative agent Substances 0.000 description 1
- 239000000047 product Substances 0.000 description 1
- 150000003230 pyrimidines Chemical class 0.000 description 1
- 229940107700 pyruvic acid Drugs 0.000 description 1
- 150000003254 radicals Chemical group 0.000 description 1
- 206010037844 rash Diseases 0.000 description 1
- 230000000306 recurrent effect Effects 0.000 description 1
- 230000009467 reduction Effects 0.000 description 1
- 238000011808 rodent model Methods 0.000 description 1
- CVHZOJJKTDOEJC-UHFFFAOYSA-N saccharin Chemical compound C1=CC=C2C(=O)NS(=O)(=O)C2=C1 CVHZOJJKTDOEJC-UHFFFAOYSA-N 0.000 description 1
- 229940081974 saccharin Drugs 0.000 description 1
- 235000019204 saccharin Nutrition 0.000 description 1
- 239000000901 saccharin and its Na,K and Ca salt Substances 0.000 description 1
- 229960004889 salicylic acid Drugs 0.000 description 1
- 230000008313 sensitization Effects 0.000 description 1
- 238000000926 separation method Methods 0.000 description 1
- ZLGIYFNHBLSMPS-ATJNOEHPSA-N shellac Chemical compound OCCCCCC(O)C(O)CCCCCCCC(O)=O.C1C23[C@H](C(O)=O)CCC2[C@](C)(CO)[C@@H]1C(C(O)=O)=C[C@@H]3O ZLGIYFNHBLSMPS-ATJNOEHPSA-N 0.000 description 1
- 239000004208 shellac Substances 0.000 description 1
- 229940113147 shellac Drugs 0.000 description 1
- 235000013874 shellac Nutrition 0.000 description 1
- 231100000046 skin rash Toxicity 0.000 description 1
- 239000011734 sodium Substances 0.000 description 1
- 229910052708 sodium Inorganic materials 0.000 description 1
- 239000011780 sodium chloride Substances 0.000 description 1
- 235000010267 sodium hydrogen sulphite Nutrition 0.000 description 1
- 241000894007 species Species 0.000 description 1
- 239000003381 stabilizer Substances 0.000 description 1
- 239000008107 starch Substances 0.000 description 1
- 235000019698 starch Nutrition 0.000 description 1
- 238000007920 subcutaneous administration Methods 0.000 description 1
- 208000011117 substance-related disease Diseases 0.000 description 1
- 239000005720 sucrose Substances 0.000 description 1
- 150000008163 sugars Chemical class 0.000 description 1
- 150000003460 sulfonic acids Chemical class 0.000 description 1
- 238000001308 synthesis method Methods 0.000 description 1
- 230000002194 synthesizing effect Effects 0.000 description 1
- 239000011975 tartaric acid Substances 0.000 description 1
- 235000002906 tartaric acid Nutrition 0.000 description 1
- YLQBMQCUIZJEEH-UHFFFAOYSA-N tetrahydrofuran Natural products C=1C=COC=1 YLQBMQCUIZJEEH-UHFFFAOYSA-N 0.000 description 1
- 210000001519 tissue Anatomy 0.000 description 1
- 239000008181 tonicity modifier Substances 0.000 description 1
- 230000000699 topical effect Effects 0.000 description 1
- 235000010487 tragacanth Nutrition 0.000 description 1
- 239000000196 tragacanth Substances 0.000 description 1
- 229940116362 tragacanth Drugs 0.000 description 1
- 150000003628 tricarboxylic acids Chemical class 0.000 description 1
- 208000025086 undetermined colitis Diseases 0.000 description 1
- 235000012431 wafers Nutrition 0.000 description 1
- 239000008215 water for injection Substances 0.000 description 1
Images
Classifications
-
- A—HUMAN NECESSITIES
- A61—MEDICAL OR VETERINARY SCIENCE; HYGIENE
- A61K—PREPARATIONS FOR MEDICAL, DENTAL OR TOILETRY PURPOSES
- A61K31/00—Medicinal preparations containing organic active ingredients
- A61K31/16—Amides, e.g. hydroxamic acids
- A61K31/165—Amides, e.g. hydroxamic acids having aromatic rings, e.g. colchicine, atenolol, progabide
- A61K31/167—Amides, e.g. hydroxamic acids having aromatic rings, e.g. colchicine, atenolol, progabide having the nitrogen of a carboxamide group directly attached to the aromatic ring, e.g. lidocaine, paracetamol
-
- A—HUMAN NECESSITIES
- A61—MEDICAL OR VETERINARY SCIENCE; HYGIENE
- A61K—PREPARATIONS FOR MEDICAL, DENTAL OR TOILETRY PURPOSES
- A61K31/00—Medicinal preparations containing organic active ingredients
- A61K31/16—Amides, e.g. hydroxamic acids
- A61K31/165—Amides, e.g. hydroxamic acids having aromatic rings, e.g. colchicine, atenolol, progabide
-
- A—HUMAN NECESSITIES
- A61—MEDICAL OR VETERINARY SCIENCE; HYGIENE
- A61K—PREPARATIONS FOR MEDICAL, DENTAL OR TOILETRY PURPOSES
- A61K31/00—Medicinal preparations containing organic active ingredients
- A61K31/275—Nitriles; Isonitriles
- A61K31/277—Nitriles; Isonitriles having a ring, e.g. verapamil
-
- A—HUMAN NECESSITIES
- A61—MEDICAL OR VETERINARY SCIENCE; HYGIENE
- A61P—SPECIFIC THERAPEUTIC ACTIVITY OF CHEMICAL COMPOUNDS OR MEDICINAL PREPARATIONS
- A61P1/00—Drugs for disorders of the alimentary tract or the digestive system
-
- A—HUMAN NECESSITIES
- A61—MEDICAL OR VETERINARY SCIENCE; HYGIENE
- A61P—SPECIFIC THERAPEUTIC ACTIVITY OF CHEMICAL COMPOUNDS OR MEDICINAL PREPARATIONS
- A61P1/00—Drugs for disorders of the alimentary tract or the digestive system
- A61P1/04—Drugs for disorders of the alimentary tract or the digestive system for ulcers, gastritis or reflux esophagitis, e.g. antacids, inhibitors of acid secretion, mucosal protectants
-
- A—HUMAN NECESSITIES
- A61—MEDICAL OR VETERINARY SCIENCE; HYGIENE
- A61P—SPECIFIC THERAPEUTIC ACTIVITY OF CHEMICAL COMPOUNDS OR MEDICINAL PREPARATIONS
- A61P29/00—Non-central analgesic, antipyretic or antiinflammatory agents, e.g. antirheumatic agents; Non-steroidal antiinflammatory drugs [NSAID]
Landscapes
- Health & Medical Sciences (AREA)
- Life Sciences & Earth Sciences (AREA)
- Veterinary Medicine (AREA)
- Chemical & Material Sciences (AREA)
- Public Health (AREA)
- Medicinal Chemistry (AREA)
- General Health & Medical Sciences (AREA)
- Animal Behavior & Ethology (AREA)
- Pharmacology & Pharmacy (AREA)
- Epidemiology (AREA)
- General Chemical & Material Sciences (AREA)
- Organic Chemistry (AREA)
- Nuclear Medicine, Radiotherapy & Molecular Imaging (AREA)
- Chemical Kinetics & Catalysis (AREA)
- Engineering & Computer Science (AREA)
- Bioinformatics & Cheminformatics (AREA)
- Pain & Pain Management (AREA)
- Rheumatology (AREA)
- Acyclic And Carbocyclic Compounds In Medicinal Compositions (AREA)
- Pharmaceuticals Containing Other Organic And Inorganic Compounds (AREA)
- Organic Low-Molecular-Weight Compounds And Preparation Thereof (AREA)
Abstract
Description
본 발명은 염증성 장질환을 치료하는 방법에 관한 것이다. 특히, 본 발명은 통상적으로 테리플루노마이드로 알려져 있는 (Z)-2-시아노-3-하이드록시-부트-2-엔산-(4'-트리플루오로메틸페닐)-아미드를 사용한 염증성 장질환의 치료에 관한 것이다.
(Z)-2-시아노-3-하이드록시-부트-2-엔산-(4'-트리플루오로메틸페닐)-아미드(테리플루노마이드)는 하기 화학식 I로 표시되는 구조를 갖는다:
이것은 화학식 Ⅱ로 표시되는 구조를 갖는 것으로서 통상적으로 레플루노마이드로 알려져 있는 질환-변형성 항류마티스 약물 5-메틸이속사졸-4-카복실릭-(4-트리플루오로메틸)-아닐리드의 활성 대사산물이다. 레플루노마이드는 최초로 1978년 5월 2일에 허여된 미국 특허 제4,087,535호에 일반적으로 기술되어 있으며, 1981년 8월 18일에 허여된 미국 특허 제4,284,786호에 구체적으로 기술되어 있는데, 여기에서 화합물이 다발성 경화증의 치료를 위해서 사용될 수 있다고 기술되어 있다. 또한, 아자티오프린에 내성을 갖지 않는 소수의 환자에게서 크론병(Crohn's disease)을 치료하기 위한 레플루노마이드의 성공적인 사용이 문헌[참조: Prajapati, D.N., 등, 2001, American Journal of Gastroenterology, 96(9): S305]에 기술되었다. 전술한 특허들은 둘 다 그대로 본 발명에 참고로 포함된다.
만성적인 이식편 대 숙주(graft-versus-host) 질환을 치료하는데 있어서의 (Z)-2-시아노-3-하이드록시-부트-2-엔산-(4'-트리플루오로메틸페닐)-아미드(테리플루노마이드, 화학식 I)의 사용은 1990년 10월 23일에 허여된 미국 특허 제4,965,276호에 기술되어 있다. 1997년 10월 21일에 허여된 미국 특허 제5,459,163호 및 1997년 10월 21일에 허여된 미국 특허 제5,679,709호는 자가면역질환, 특히 홍반성 루푸스를 치료하는데 유용한 조성물을 기술하고 있다. 전술한 특허들은 둘 다 그대로 본 발명에 참고로 포함된다. 테리플루노마이드는 광범위한 종류의 면역세포 및 세포주들에 대한 항증식성 효과[참조: Cherwinski H. M., 등, J. Pharmacol. Exp. Ther. 1995;272:460-8; Prakash A., 등, Drugs 1999;58(6):1137-66; Bartlett R. R. 등, Agent Action 1991;32(1-2):10-21] 및 염증의 동물 모델에서 항염증 활성[참조: Huang, W-H. 등. Chem. Pharm. Bull., 2003, 51(3): 313-314 및 2004년 4월 6일 허여된 미국 특허 제6,716,411호]을 발생시키는 것으로 나타났다. 추가로, 이것은 피리미딘의 합성에 필수적인 효소인 효소 디하이드로오에이트 데하이드로게나제를 억제한다(Bruneau J-M, 등, Biochem. J. 1998; 36:299-303).
염증성 장질환(IBD)은 위장관의 다양한 부분에서 만성적 염증을 특징적으로 나타내는 미지의 병인론의 일련의 관련된 장질환을 나타내기 위해서 사용되는 일반적 용어이다. IBD의 대표적인 것은 크론병, 궤양성 대장염, 미확정성 대장염(indeterminate colitis), 및 감염성 대장염이다.
크론병은 미지의 병인론의 특발성 만성 장염이다. 이 질환은 20대에서 양 성별의 사람에게서 가장 빈번하게 나타나며, 만성적으로 된다. 이것은 섬유증 또는 궤양이 있는 육아종성 병변이며, 입에서 항문까지의 전체 소화관 내에 존재할 수 있다. 크론병의 임상적 증상은 복통, 전신적 권태감, 설사, 하혈 및 잠재출혈 양성(occult bleeding positive), 체온상승, 체중 감소, 빈혈, 장폐쇄증, 복부종양 및 복막염이다.
궤양성 대장염은 점막을 공격하여 종종 미란(erosion) 또는 궤양을 형성하는 대장의 미만성 비특이적(diffuse nonspecific) 염증의 설명할 수 없는 질환이다. 병변은 주로 점막 밑에 존재한다. 이 질환의 임상적 증상은 점성 혈변, 복통, 혈변, 물 같은 변, 체온상승, 식욕상실, 오심(nausea) 및 구토이다. 또한, 궤양성 대장염은 관절염, 대장의 협착 및 다량의 출혈과 같은 문제를 수반할 수 있지만, 이들의 발생빈도는 크지 않다.
IBD에 대한 현재의 치료법에는 항염증성 약물, 면역억제성 약물 및 수술이 포함된다. 생물활성 5-아미노-살리실산(5-ASA) 잔기를 갖는 설파살라진 및 관련된 약물은 중등도의 IBD 중상을 제어하고, 경쾌(remission)를 유지시키기 위해서 광범하게 사용된다. 중증의 염증은 종종 코르티코스테로이드 및 때때로 ACTH에 의해서, 또는 6-머캅토퓨린, 아자티오프린, 사이클로스포린 및 메토트렉세이트와 같은 면역억제제에 의해서 치료된다. 중증의 만성 IBD에 대한 가장 통상적인 수술 치료방법은 장절제술, 및 궁극적으로는 궤양성 대장염에 대해서만 완전한 완치법인 결장조루술(colostomy)이다.
오심, 현기증, 혈액화학에서의 변화(빈혈 및 백혈구감소증을 포함), 피부 발진 및 약물 의존성을 포함하는 심각한 부작용이 IBD에 대해 통상적으로 처방되는 약물과 연관되며, 수술 치료법은 종종 환자의 일상생활을 완전히 변화시키는 근치적(radical) 방법이다. 명백히, 현재의 치료법과 연관된 일부의 부작용 부담이 없이 IBD를 치료하기 위한 신규의 약제에 대한 필요성이 있다.
테리플루노마이드 자체는 다발성 경화증의 임상전 모델에서 효능을 나타내었으며, 다발성 경화증(MS)의 치료를 위한 임상실험 중에 있다. MS[참조: R.A. Adams, M.V. Victor 및 A.H. Ropper 편집가, Principles of Neurology, McGraw-Hill, New York, 1997, 페이지 903-921.] 및 IBD[참조: D.K. Poldosky, N. Eng. J. Med., 347, 6: 417-429] 질병의 병태생리학은 실질적으로, 테리플루노마이드에 의해서 이의 활성화가 변조되는 T-림프구를 통해서 매개된다. 또한, MS와 염증성 장질환이 부분적으로 중복됨을 시사하는 몇 가지 증거가 있다[참조: Purrman J 등. J. Clin. Gastroenterol. 1992, 14, 1: 43-46 및 Kimura K. Mayo Clin. Proc. 2000, 75, 8: 802-806].
테리플루노마이드의 투여 후에, 다량의 테리플루노마이드는 장관강(intestinal lumen) 내로 들어간다. 이것은 장간 재순환에 기인하거나, 장점막을 통해서 일어날 수 있다. 따라서, 장점막은 비교적 다량의 테리플루노마이드에 노출되며, 치료학적 효과는 전신적 자가면역질환을 치료하는데 필요한 양보다 더 작은 양에서 획득될 수 있다. GI 점막의 통합성(integrity)에서의 변화는 국소 노출의 추가의 증진을 제공할 수 있다. 따라서, 전신적 질환을 치료하는 용량에서 조차도 우수한 테리플루노마이드의 양호한 안전성 프로필과 함께 상기한 설명을 기초로 하고, 위장관 부작용의 낮은 가능성과 연결하여 테리플루노마이드는 크론병, 궤양성 대장염, 미확정성 대장염, 및 감염성 대장염을 포함하는 IBD의 치료를 위한 잠재적으로 유용한 약물이 된다.
발명의 요약
본 발명은 염증성 장질환을 치료하기 위한 치료학적 유효량의 화학식 I의 화합물 또는 이의 약제학적으로 허용되는 염을 투여함으로써 환자의 염증성 장질환을 치료하는 방법이다:
화학식 I
발명의 상세한 설명
여기에서 사용된 용어는 본 명세서에서 정의된 의미를 갖는다.
a)"약제학적으로 허용되는 염"은 본 발명의 화합물에 의해서 만들어질 수 있는 산부가염 또는 염기부가염을 의미한다.
"약제학적으로 허용되는 산부가염"은 화학식 I로 표시되는 염기 화합물의 임의의 비독성 유기 또는 무기 산부가염이다. 적합한 염을 형성하는 무기산의 예로는 염산, 브롬화수소산, 황산 및 인산, 및 소듐 모노하이드로젠 오르토포스페이트 및 포타슘 하이드로젠 설페이트와 같은 산 금속염이 포함된다. 적합한 염을 형성하는 유기산의 예로는 모노-, 디- 및 트리-카복실산이 포함된다. 이러한 산의 예는 예를 들어, 아세트산, 글리콜산, 락트산, 피루브산, 말론산, 석신산, 글루타르산, 푸마르산, 말산, 타르타르산, 시트르산, 아스코르브산, 말레산, 하이드록시말레산, 벤조산, 하이드록시벤조산, 페닐아세트산, 신남산, 살리실산, 2-페녹시벤조산, p-톨루엔설폰산, 및 메탄설폰산 및 2-하이드록시에탄설폰산과 같은 설폰산이다. 모노- 또는 디-산 염이 형성될 수 있으며, 이러한 염은 수화된 형태 또는 실질적으로 무수물 형태로 존재할 수 있다. 일반적으로, 이들 화합물의 산부가염은 물 및 다양한 친수성 유기용매에 더욱 가용성이며, 이들의 유리 염기 형태에 비해서 일반적으로 더 높은 융점을 나타낸다.
"약제학적으로 허용되는 염기 부가염"은 화학식 I의 화합물의 비독성 유기 또는 무기 염기부가염을 의미한다. 이의 예는 나트륨, 칼륨, 칼슘, 마그네슘 또는 바륨 수산화물과 같은 알칼리 금속 또는 알칼리-토금속 수산화물; 암모니아, 및 메틸아민, 트리메틸아민 및 피콜린과 같은 지방족, 지환족 또는 방향족 유기 아민이다. 적절한 염의 선택은 에스테르가 가수분해되지 않도록 하기 위해서 중요할 수 있다. 적절한 염에 대한 선택 기준은 본 기술 분야에서 숙련된 전문가에게 공지된 것이다.
b) "환자"는 예를 들어, 쥐, 생쥐, 개, 고양이, 기니아 피그, 및 사람과 같은 영장류와 같은 온혈동물을 의미한다.
c) "치료하다" 또는 "치료하는"은 증상을 완화시키거나, 일시적이거나 영구적인 기준으로 증상의 원인을 제거하거나, 또는 증상의 발현 및 지정된 질병 또는 상태의 진행을 방지하거나 느리게 하는 것을 포함하는 모든 치료를 의미하지만, 이들로만 제한되지 않는다.
d) "치료학적 유효량"은 지정된 질병 또는 상태를 치료하는데 효과적인 화합물의 양을 의미한다.
e) "약제학적으로 허용되는 담체"는 약제학적 조성물, 즉 환자에게 투여할 수 있는 투약형의 형성을 가능하게 하기 위하여 본 발명의 화합물과 혼합되는 비독성 용매, 분산제, 부형제, 보조제 또는 이 밖의 물질이다. 이러한 담체의 한 가지 예는 비경구 투여에 일반적으로 사용되는 약제학적으로 허용되는 오일이다.
f) "입체이성질체"는 이들의 원자의 공간적 배향만이 상이한 개개 분자들의 모든 이성질체에 대한 일반적 용어이다. 이것에는 거울상 이성질체(enantiomer), 기하(시스/트랜스) 이성질체, 및 서로에 대해서 거울상이 아닌, 하나 이상의 키랄 중심을 갖는 화합물들의 이성질체(부분입체이성질체)가 포함된다.
g) "레플루노마이드"는 5-메틸이속사졸-4-카복실릭-(4-트리플루오로메틸)-아닐리드에 대한 일반명이다.
h) "테리플루노마이드"는 (Z)-2-시아노-3-하이드록시-부트-2-엔산-(4'-트리플루오로메틸페닐)-아미드의 일반명이다.
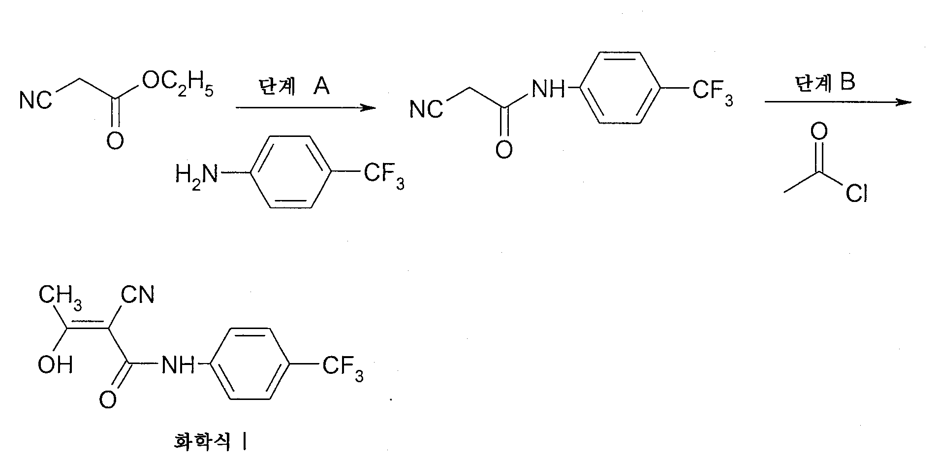
화학식 I의 화합물의 합성방법은 밝혀져 있으며, 본 기술분야에서 숙련된 전문가에게 잘 알려진 방법들에 의해서 수행된다. 예를 들어, 1996년 4월 2일에 허여된 미국 특허 제5,504,084호 및 1999년 11월 23일에 허여된 미국 특허 제5,990,141호는 합성방법을 기술하고 있다. 전술한 특허들은 본 발명에 참고로 포함된다. 미국 특허 제5,990,141호에 기술된 바와 같은 한 가지 합성방법은 반응식 1에 설명되어 있다.
반응식 1의 단계 A에서는, 시판되는 시아노아세트산 에틸 에스테르를 상승된 온도에서 시판되는 4-트리플루오로메틸아닐린 이 자체와 반응시켜 시아노아세트-(4-트리플루오로메틸)아닐리드를 수득한다. 단계 B에서는, 단계 A로부터의 생성물을 테트라하이드로푸란에 용해시키고, 아세토니트릴 중의 NaH와 반응시킨 후에 아세틸 클로라이드와 반응시켜 화학식 I의 화합물을 생성시킨다.
따라서, 본 발명의 실시에 따라 치료학적 유효량의 화학식 I의 화합물, 이의 입체이성질체, 또는 이의 약제학적으로 허용되는 염을 임의로 약제학적으로 허용되는 담체와 조합하여 염증성 장질환이 있는 환자에게 투여하는 것을 포함하는, 염증성 장질환을 치료하는 방법이 기술된다.
화학식 I
본 발명의 방법의 또 다른 양태에서, 상기한 염증성 장질환은 크론병이다.
본 발명의 방법의 추가의 양태에서, 상기한 염증성 장질환은 궤양성 대장염이다.
본 발명의 방법의 또 다른 양태에서, 상기한 염증성 장질환은 미확정성 대장염이다.
본 발명의 방법의 또 다른 추가의 양태에서, 상기한 염증성 장질환은 감염성 대장염이다.
본 발명의 방법의 추가의 양태에서, 상기한 화합물의 치료학적 유효량은 전신적 자가면역질환을 치료하는데 필요한 양보다 적은 양이다.
본 발명의 방법의 또 다른 양태에서, 상기한 화합물의 치료학적 유효량은 약 10 mg/kg/일 미만인 양이다.
본 발명의 방법의 또 다른 양태에서, 상기한 화합물의 치료학적 유효량은 1.0 mg/kg/일 미만 내지는 약 10 mg/kg/일의 양이다.
상술한 상태를 앓고 있는 환자를 치료하는 경우에, 화학식 I의 화합물은 경구, 설하, 구강(buccally), 피하, 근육내, 정맥내, 경피, 비내, 직장, 국소 등을 포함하여, 화합물을 치료학적 유효량에서 생체 이용 가능하도록 만드는 어떤 형태나 모드로도 투여될 수 있다. 제제를 제조하는 기술분야에서 숙련된 전문가는 치료할 상태 또는 질환을 위해서 선택된 화합물의 개별적인 특징, 질환의 단계, 환자의 상태 및 이 밖의 관련된 환경에 따라서 적절한 투여의 형태 및 모드를 결정할 수 있다. 예를 들어, 본 발명에 참고로 포함된 문헌[Remington's Pharmaceutical Sciences, 18판, Mack Publishing Co. (1990)]을 참고로 한다.
본 발명의 화합물은 예를 들어, 정제, 트로치(troche), 캅셀제, 엘릭서, 현탁제, 용액, 시럽, 웨이퍼(wafers), 츄잉검 등의 형태로 경구적으로 투여될 수 있으며, 하나 또는 그 이상의 다음의 보조제를 함유할 수 있고: 미세결정성 셀룰로즈, 트라가칸트(tragacanth) 고무 또는 젤라틴과 같은 결합제; 전분 또는 락토오즈와 같은 부형제; 알긴산, 프리모젤(Primogel), 옥수수 전분 등과 같은 붕해제(disintegrating agents); 마그네슘 스테아레이트 또는 스테로텍스(Sterotex)와 같은 윤활제; 콜로이드성 실리콘 디옥사이드와 같은 활택제(glidants); 또한, 슈크로즈 또는 사카린과 같은 감미제, 또는 페퍼민트, 메틸 살리실레이트 또는 오렌지향과 같은 방향제가 첨가될 수 있다. 단위투약형이 캅셀제인 경우에, 이것은 상기한 유형의 물질 이외에도 폴리에틸렌 글리콜 또는 지방유와 같은 액체 담체를 함유할 수도 있다. 이 밖의 다른 단위투약형은 단위투약형의 물리적 형태를 변화시키는 이 밖의 다른 다양한 물질을, 예를 들어, 코팅제로 함유할 수 있다. 따라서, 정제 또는 환제는 당, 쉘락 또는 이 밖의 다른 장용성 코팅제(enteric coating agents)에 의해서 코팅될 수 있다. 시럽제는 본 발명의 화합물 이외에도 감미제로서 슈크 로즈 및 특정의 보존제, 염료 및 착색제 및 향료를 함유할 수 있다.
본 발명의 화학식 I의 화합물은 또한, 국소적으로 투여될 수도 있으며, 이렇게 투여하는 경우에 담체는 적합하게는 용액, 연고 또는 겔 기제를 포함할 수 있다. 이 기제는 예를 들어, 바셀린, 라놀린, 폴리에틸렌 글리콜, 밀랍, 광유, 물 및 알코올과 같은 희석제, 및 유화제 및 안정화제 중의 하나 또는 그 이상을 포함할 수 있다.
용액 또는 현탁제는 또한 다음의 보조제 중의 하나 또는 그 이상을 포함할 수도 있다: 주사용 물, 식염수 용액, 고정유, 폴리에틸렌 글리콜, 글리세린, 프로필렌 글리콜 또는 이 밖의 다른 합성용매와 같은 멸균 희석제; 벤질알콜 또는 메틸 파라벤과 같은 항균제; 아스코르빈산 또는 소듐 비설파이트와 같은 항산화제; 에틸렌 디아민테트라아세트산과 같은 킬레이트화제; 아세테이트, 시트레이트 또는 포스페이트와 같은 완충제; 및 염화나트륨 또는 덱스트로즈와 같은 긴장성(tonicity) 조정제. 비경구용 제제는 앰플, 일회용 주사기 또는 수회 투약 용량 바이알 내에 넣을 수 있다.
화학식 I의 화합물이 치료학적으로 작용하는 이의 능력을 나타내는 투약량 범위는 이의 중증도, 환자, 제제, 환자가 앓고 있는 이 밖의 다른 기저 질환(underlying disease) 상태, 및 환자에게 동시에 투여될 수 있는 이 밖의 다른 약제에 따라서 달라질 수 있다. 일반적으로, 화학식 I의 화합물은 약 0.001 mg/환자의 체중 kg/일 내지 약 100 mg/환자의 체중 kg/일의 투약량에서 이들의 치료학적 활성을 나타낼 수 있다.
본 명세서에 기술된 모든 문헌들은 본 발명에 온전히 참고로 포함된다.
도 1은 쥐의 실험적 알레르기성 뇌척수염(EAE)에서의 증상에 대해 3가지 상이한 용량으로 경구적으로(p.o.) 투여된 경우의 테리플루노마이드의 효과를 비이클(vehicle) 및 덱사메타존과 비교하여 나타낸 것이다.
하기의 실시예는 본 발명을 더 설명하기 위해서 제시된 것이다. 그러나, 이것이 본 발명을 어떤 식으로든 제한하는 것으로 해석되지는 않아야 한다.
실시예 1
쥐의 실험적 알레르기성 뇌척수염(쥐의 EAE)
본 실시예는 MS와 연관된 뇌 및 척수의 염증인 T-세포 관련된 자가면역질환을 연구하는 방법을 설명한다(참조: Bolton, C. Multr. Scler. 1995; 1(3); 143-9).
실험적 알러지성 뇌척수염(EAE)은 전체 척수 균질물 또는 이의 성분(마이엘린 기본 단백질)에 의해서 감작(sensitization)시킨 후에 감수성 동물에서 나타나는 신경계의 T-세포-매개된 자가면역질환이다. EAE 설치류 모델은 MS 환자에게서 관찰되는 뇌 및 척수의 염증을 연구하기에 적절한 도구이다. 설치류에서, 전체 척수 또는 마이엘린 기본 단백질과 같은 척수 성분의 주사는 T-림프구의 활성화를 기 본으로 하는 자가면역반응을 유도한다. 임상적 질환은 온화한 보행장애 및 꼬리 이완증(tail atony)부터 마비 및 사망으로 끝나는 범위의 행동이상의 광범한 스펙트럼으로 관찰되는 것으로서 일반적으로 접종한 지 약 8-10일 후에 나타나게 된다. 일반적으로 체중 감소가 일어난다. 생존하는 동물들에서, 대부분의 동작 기능의 다양한 회복이 수반되는 자발적 회복이 발생한다. 종, 알레르기 항원(allergen), 및 사용된 방법에 따라서, EAE 모델에 의해서 시험한 동물은 단일회(급성 EAE) 또는 수회(만성적 재발성 EAE) 공격을 겪을 수 있다. 몇 가지 치료 패러다임이 사용될 수 있다: 면역화시키기 전에, 비증후적 기간 중에, 또는 임상적 질환 중에 선택된 약물 또는 치료를 투여할 수 있다.
동물:
암컷 루이스(Lewis) 쥐, 160-220g(Charles River)
항원:
전체 기니아 피그 척수(Harlan Biosciences).
완전 프로인트 보조액 H37 Ra [1mg/ml 마이코박테리움 튜버큘로시 스(Mycobacterium Tuberculosis) H37 Ra](Difco).
추가의 항원:
마이코박테리움 튜버큘로시스(Difco).
보르데텔라 퍼튜시스(Bordetella Pertussis) [가열 살균] (Difco).
항원 제제: (약 720마리의 동물에 대한 것임)
1. 동결된 기니아 피그 척수 5 g의 무게를 단다.
2. 5g의 척수를 환저 원심분리관 내의 5 ml 0.9% 식염수(1g/ml)에 첨가한다.
3. 조직이 완전히 붕괴될 때까지(약 5분) 티슈-테크(Tissue-tech)를 사용하여 얼음 상에 균질화시킨다.
4. 200 mg 마이코박테리움 튜버큘로시스(20 mg/ml 완전 프로인트 보조액 H37 Ra)가 보충된 10 ml 완전 프로인트 보조액을 첨가한다.
5. 균질물/보조액을 18 게이지 유화 니들(emulsifying needle)이 장착된 10 ml 주사기 내로 흡인함으로써 균질물/보조액을 튜브로부터 추출한다.
6. 이것이 니들을 통해서 계속해서 통과하기 어렵게 될 때까지(약 5분 {여기에서는 오일상과 수성상 사이에서 분리는 없어야 한다}) 두 개의 30 ml 유리 주사기 사이에서 유화시킨다.
7. 즉시 사용하거나, 또는 필요할 때까지(30분 이하) 얼음 상에서 유지시킨다(동결시키지는 않음).
프로토콜
1. 암컷 루이스 쥐(Charles River)는 사료와 물을 자유롭게 먹도록 하고, 실험에 사용하기 전에 최소 3일을 순응시켜야 한다.
2. 체중 160 및 220 g의 쥐를 우선 2-5분 동안, 5% 이소플루란(Aerrane, Fort Dodge), 30% O2, 70% N2O로 유도한다.
3. 그 후, 쥐를 순환수 가열 블랭킷(circulating water heating blanket; Gaymar)(배면을 위로 한다) 상에 놓고, 마취가스의 자발적인 호흡을 위해서 노즈콘(nose cone) 내에 배치시킨다. 이소플루란을 2%로 감소시킨다.
4. 항원 또는 생리식염수를 뒷발의 복면 내로 2회 피하주사(각각 0.1 ml 씩)한다.
5. 동물을 노즈콘으로부터 꺼내어 무게를 재고, 번호를 매긴다.
6. 쥐를 마취로부터 깨도록 하고, 각각의 우리에 넣는다.
7. 동물들의 EAE 유도의 징후에 대해서 매일 관찰한다(이하의 판단기준 참조).
단계 0 정상
단계 1 비정상적인 보행 및 꼬리 이완증
단계 2 하나 또는 두 개의 뒷다리의 경증이지만 확실한 허약함
단계 3 하나 또는 두 개의 뒷다리의 중증의 허약함 또는 경증의 운동실조
단계 4 중증의 대부전마비(paraparesis) 및 최소의 뒷다리 운동
단계 5 뒷다리의 운동이 없고, 대마비(paraplegia)
단계 6 자발적인 운동이 없고 호흡이 손상된 빈사상태.
증가된 정도의 앞다리 침습 및 요실금 및 변실금이 또한 일 어날 수도 있다.
단계 7 사망
치료는 면역화시킨 후 10일째에 시작하였다. 이 모델에서 질환의 증상은 일반적으로 접종한 지 10-11일 후에 나타나기 때문에, 이 시점이 MS의 급성 에피소드의 초기상을 나타내는 것으로 간주될 수 있다. 치료 시작의 이러한 지연은 약물을 접종 시에, 또는 그 전에도 투여하는 전통적으로 사용되는 프로토콜보다 임상적 상황을 더 근접하게 모사하는 것으로 판단된다[참조: Teitelbaum D. 등, Proc Natl Acad Sci USA 1999; 96: 3842-3847 및 Brod S. A., 등, Ann Neurol 2000; 47: 127-131].
쥐에서의 EAE의 증상에 대한 다양한 용량의 테리플루노마이드의 효과를 도 1에 나타내었다. 덱사메타존은 비교를 위해서 도면에 포함되어 있다.
실시예 2
2,4-
디니트로벤젠설폰산
(
DNBS
) 유도된
원위
대장염(
Distal
Colitis)
본 실시예는 2,4-디니트로벤젠설폰산(DNBS) 유도된 원위 대장염의 모델(염증성 장질환의 모델)을 사용하여 본 발명의 한 가지 화합물의 항염증 활성을 설명하는 것이다.
24시간 동안 단식시킨 3마리의 수컷 또는 암컷 쥐의 그룹을 사용한다. DNBS(2,4-디니트로벤젠설폰산, 0.5 ml 에탄올 30% 중의 30 mg)를 대장내 점적주입한 후에 카눌라를 통해서 공기(2 ml)를 온화하게 주입하여 용액이 대장 내에 확실 히 유지되도록 함으로써 원위 대장염을 유도한다. 시험물질은 DNBS를 점적주입하기 24시간 및 2시간 전에 PO(30 mg/kg)로 투여한다. 그 후, 동물에게 매 24시간 마다 연속 5일 동안 투여한다. 화합물 투여 패턴으로서 대조군에 비이클 만을 제공한다. 시험화합물의 마지막 용량을 투여한 지 24시간 후에 동물을 희생시키고, 각각의 대장을 절제하여 무게를 잰다. 동물 대장 중량과 체중 사이의 비교를 통한 백분율로부터 대장-대-체중 중량비를 수득한다. 비이클 처리된 대조군에 대비하여 대장-대-체중 중량비에서 30% 또는 그 이상(.+-.30%)의 감소는 유의적인 것으로 간주되었다[참조: C.M. Hogaboam 등, Eur. J. Pharmacol. 309:261 (1996)].
Claims (5)
Applications Claiming Priority (2)
| Application Number | Priority Date | Filing Date | Title |
|---|---|---|---|
| US62025504P | 2004-10-19 | 2004-10-19 | |
| US60/620,255 | 2004-10-19 |
Publications (1)
| Publication Number | Publication Date |
|---|---|
| KR20070065888A true KR20070065888A (ko) | 2007-06-25 |
Family
ID=35636963
Family Applications (1)
| Application Number | Title | Priority Date | Filing Date |
|---|---|---|---|
| KR1020077008909A Withdrawn KR20070065888A (ko) | 2004-10-19 | 2005-10-18 | 염증성 장질환을 치료하기 위한(z)-2-시아노-3-하이드록시-부트-2-엔산-(4'-트리플루오로메틸페닐)-아미드의 용도 |
Country Status (13)
| Country | Link |
|---|---|
| US (1) | US20070197643A1 (ko) |
| EP (1) | EP1804782A1 (ko) |
| JP (1) | JP2008517059A (ko) |
| KR (1) | KR20070065888A (ko) |
| CN (1) | CN101043883A (ko) |
| AU (1) | AU2005295511A1 (ko) |
| BR (1) | BRPI0518205A (ko) |
| CA (1) | CA2584655A1 (ko) |
| IL (1) | IL182591A0 (ko) |
| MX (1) | MX2007004265A (ko) |
| RU (1) | RU2007118691A (ko) |
| SG (1) | SG142305A1 (ko) |
| WO (1) | WO2006044741A1 (ko) |
Families Citing this family (15)
| Publication number | Priority date | Publication date | Assignee | Title |
|---|---|---|---|---|
| AU2006268238A1 (en) | 2005-07-11 | 2007-01-18 | Medtronic Ablation Frontiers Llc | Low power tissue ablation system |
| ES2319596B1 (es) | 2006-12-22 | 2010-02-08 | Laboratorios Almirall S.A. | Nuevos derivados de los acidos amino-nicotinico y amino-isonicotinico. |
| UY31272A1 (es) | 2007-08-10 | 2009-01-30 | Almirall Lab | Nuevos derivados de ácido azabifenilaminobenzoico |
| EP2100881A1 (en) | 2008-03-13 | 2009-09-16 | Laboratorios Almirall, S.A. | Pyrimidyl- or pyridinylaminobenzoic acid derivatives |
| EP2135610A1 (en) | 2008-06-20 | 2009-12-23 | Laboratorios Almirall, S.A. | Combination comprising DHODH inhibitors and methotrexate |
| EP2230232A1 (en) | 2009-03-13 | 2010-09-22 | Almirall, S.A. | Addition salts of tromethamine with azabiphenylaminobenzoic acid derivatives as DHODH inhibitors |
| EP2239256A1 (en) | 2009-03-13 | 2010-10-13 | Almirall, S.A. | Sodium salt of 5-cyclopropyl-2-{[2-(2,6-difluorophenyl)pyrimidin-5-yl]amino}benzoic acid as DHODH inhibitor |
| EP2228367A1 (en) | 2009-03-13 | 2010-09-15 | Almirall, S.A. | Addition salts of amines containing hydroxyl and/or carboxylic groups with amino nicotinic acid derivatives as DHODH inhibitors |
| EP2277515A1 (en) * | 2009-07-10 | 2011-01-26 | Sanofi-Aventis | Use of the combination of teriflunomide and interferon beta for treating multiple sclerosis |
| ES2625731T3 (es) * | 2009-09-18 | 2017-07-20 | Sanofi | Formulaciones de tabletas de la (Z)-(4¿-trifluorometilfenil)-amida del ácido 2-ciano-3-hidroxi-but-2-enoico con estabilidad mejorada |
| EP2314577A1 (en) | 2009-10-16 | 2011-04-27 | Almirall, S.A. | Process for manufacturing 2-[(3,5-difluoro-3'-methoxy-1,1'-biphenyl-4-yl)amino]nicotinic acid |
| US8686048B2 (en) | 2010-05-06 | 2014-04-01 | Rhizen Pharmaceuticals Sa | Immunomodulator and anti-inflammatory compounds |
| WO2012109329A2 (en) | 2011-02-08 | 2012-08-16 | Children's Medical Center Corporation | Methods for treatment of melanoma |
| JOP20190207A1 (ar) * | 2017-03-14 | 2019-09-10 | Actelion Pharmaceuticals Ltd | تركيبة صيدلانية تشتمل على بونيسيمود |
| CN116725998A (zh) * | 2023-07-20 | 2023-09-12 | 中国科学技术大学 | 特立氟胺在抑制nlrp3炎症小体活化中的应用 |
Family Cites Families (6)
| Publication number | Priority date | Publication date | Assignee | Title |
|---|---|---|---|---|
| DE19547648A1 (de) * | 1995-12-20 | 1997-06-26 | Hoechst Ag | Zubereitung, enthaltend High Density Lipoproteine und Crotonsäureamidderivate |
| JP2002512216A (ja) * | 1998-04-17 | 2002-04-23 | パーカー ヒューズ インスティテュート | Btkインヒビターならびにその同定方法および使用方法 |
| GB0005345D0 (en) * | 2000-03-06 | 2000-04-26 | Mathilda & Terence Kennedy Ins | Methods of treating sepsis septic shock and inflammation |
| IL157706A0 (en) * | 2001-03-02 | 2004-03-28 | Medimmune Inc | METHODS OF PREVENTING OR TREATING INFLAMMATORY OR AUTOIMMUNE DISORDERS BY ADMINISTERING INTEGRIN alphav beta3 ANTAGONISTS |
| PT1381356E (pt) * | 2001-04-05 | 2008-07-24 | Aventis Pharma Inc | Utilização de (4' -trifluorometilfenil) - amida do ácido (z) -2- ciano-3-hidroxi-but-2-enóico para tratamento da esclerose múltipla |
| EP1534666A1 (de) * | 2002-09-06 | 2005-06-01 | Schebo Biotech AG | Verbindungen zur modulation des glykolyse-enzym-und/oder transaminase-komplexes |
-
2005
- 2005-10-18 WO PCT/US2005/037161 patent/WO2006044741A1/en not_active Ceased
- 2005-10-18 BR BRPI0518205-0A patent/BRPI0518205A/pt not_active IP Right Cessation
- 2005-10-18 CA CA002584655A patent/CA2584655A1/en not_active Abandoned
- 2005-10-18 AU AU2005295511A patent/AU2005295511A1/en not_active Abandoned
- 2005-10-18 RU RU2007118691/14A patent/RU2007118691A/ru not_active Application Discontinuation
- 2005-10-18 SG SG200802858-1A patent/SG142305A1/en unknown
- 2005-10-18 JP JP2007537944A patent/JP2008517059A/ja not_active Abandoned
- 2005-10-18 CN CNA2005800357982A patent/CN101043883A/zh active Pending
- 2005-10-18 MX MX2007004265A patent/MX2007004265A/es not_active Application Discontinuation
- 2005-10-18 EP EP05812243A patent/EP1804782A1/en not_active Ceased
- 2005-10-18 KR KR1020077008909A patent/KR20070065888A/ko not_active Withdrawn
-
2007
- 2007-03-29 US US11/693,358 patent/US20070197643A1/en not_active Abandoned
- 2007-04-16 IL IL182591A patent/IL182591A0/en unknown
Also Published As
| Publication number | Publication date |
|---|---|
| EP1804782A1 (en) | 2007-07-11 |
| US20070197643A1 (en) | 2007-08-23 |
| SG142305A1 (en) | 2008-05-28 |
| CA2584655A1 (en) | 2006-04-27 |
| JP2008517059A (ja) | 2008-05-22 |
| BRPI0518205A (pt) | 2008-11-04 |
| RU2007118691A (ru) | 2008-11-27 |
| IL182591A0 (en) | 2007-09-20 |
| CN101043883A (zh) | 2007-09-26 |
| AU2005295511A1 (en) | 2006-04-27 |
| MX2007004265A (es) | 2008-03-04 |
| WO2006044741A1 (en) | 2006-04-27 |
Similar Documents
| Publication | Publication Date | Title |
|---|---|---|
| US20070197643A1 (en) | Use of (z)-2-cyano-3-hydroxy-but-2-enoic acid-(4'-trifluoromethylphenyl)-amide for treating inflammatory bowel disease | |
| JP3204510B2 (ja) | 勃起不全の診断および治療 | |
| JP2002537332A (ja) | 内臓痛を予防及び治療するためのガバペンチン誘導体 | |
| ES2305287T3 (es) | Uso de (4'-trifluorometifenil)-amida del acido (z)-ciano-3-hidroxi-but-2-enoico para tratar la esclerosis multiple. | |
| WO2011154496A1 (en) | Treatment of type 1 diabetes | |
| US6794410B2 (en) | Use of (Z)-2-cyano-3-hydroxy-but-2-enoic acid-(4′-trifluoromethylphenyl)-amide for treating multiple sclerosis | |
| KR102489052B1 (ko) | 섬유근육통 또는 섬유근육통의 연관된 기능적 증후군을 예방 또는 치료하기 위한 카바메이트 화합물의 용도 | |
| KR100951540B1 (ko) | 탈수초성 질병 또는 상태 치료용 약제학적 조성물 | |
| KR20130083895A (ko) | 2형 당뇨병의 치료 | |
| WO2000016765A9 (en) | Method and composition for treatment of inflammatory bowel disease | |
| JP2002506449A (ja) | 炎症性疾患の処置用医薬の製造におけるガバ類縁体、たとえばガバペンチンの使用 | |
| KR100851938B1 (ko) | 방광 질환의 치료를 위한 카프-오피에이트 작용제 | |
| KR20070034070A (ko) | 신경병성 통증, 섬유근통 또는 류마티스성 관절염의 치료 | |
| AU2019457560B2 (en) | Compositions and methods for inducing defecation | |
| JP4243701B2 (ja) | ベンズアミド誘導体を有効成分とするリウマチ治療薬 | |
| JP4541148B2 (ja) | 排便機能障害の治療及び/又は予防剤 | |
| CN113015524A (zh) | 氨基甲酸酯化合物和包含其的制剂在预防、缓解或治疗急性应激障碍或创伤后应激障碍中的用途 | |
| HK1106701A (en) | Use of (z)-2-cyano-3-hydroxy-but-2-enoic acid-(4'-trifluoromethylphenyl)-amide for treating inflammatory bowel disease | |
| WO2011126967A1 (en) | Methods and compositions for the treatment of irritable bowel syndrome | |
| CN1649590A (zh) | 包含拉呋替丁的治疗剂 | |
| JP3411595B2 (ja) | フラノン誘導体を含有する医薬組成物 | |
| CN115364100A (zh) | Ly2835219作为线粒体自噬诱导剂的用途 | |
| JP2008239540A (ja) | 子宮内膜症の予防および/または治療剤 | |
| JP2004315497A (ja) | リポポリサッカライドを有効成分とする肛門圧低下外用剤 |
Legal Events
| Date | Code | Title | Description |
|---|---|---|---|
| PA0105 | International application |
Patent event date: 20070419 Patent event code: PA01051R01D Comment text: International Patent Application |
|
| PG1501 | Laying open of application | ||
| PC1203 | Withdrawal of no request for examination | ||
| WITN | Application deemed withdrawn, e.g. because no request for examination was filed or no examination fee was paid |






