KR102276260B1 - Microcapsule for rechargeable lithium battery, separator layer for rechargeable lithium battery, electrod for rechargeable lithium battery, electrod active material layer for rechargeable lithium battery, rechargeable lithium battery - Google Patents
Microcapsule for rechargeable lithium battery, separator layer for rechargeable lithium battery, electrod for rechargeable lithium battery, electrod active material layer for rechargeable lithium battery, rechargeable lithium battery Download PDFInfo
- Publication number
- KR102276260B1 KR102276260B1 KR1020140172507A KR20140172507A KR102276260B1 KR 102276260 B1 KR102276260 B1 KR 102276260B1 KR 1020140172507 A KR1020140172507 A KR 1020140172507A KR 20140172507 A KR20140172507 A KR 20140172507A KR 102276260 B1 KR102276260 B1 KR 102276260B1
- Authority
- KR
- South Korea
- Prior art keywords
- secondary battery
- microcapsule
- separator
- active material
- production example
- Prior art date
- Legal status (The legal status is an assumption and is not a legal conclusion. Google has not performed a legal analysis and makes no representation as to the accuracy of the status listed.)
- Active
Links
Images
Classifications
-
- H—ELECTRICITY
- H01—ELECTRIC ELEMENTS
- H01M—PROCESSES OR MEANS, e.g. BATTERIES, FOR THE DIRECT CONVERSION OF CHEMICAL ENERGY INTO ELECTRICAL ENERGY
- H01M50/00—Constructional details or processes of manufacture of the non-active parts of electrochemical cells other than fuel cells, e.g. hybrid cells
- H01M50/40—Separators; Membranes; Diaphragms; Spacing elements inside cells
- H01M50/409—Separators, membranes or diaphragms characterised by the material
- H01M50/411—Organic material
- H01M50/414—Synthetic resins, e.g. thermoplastics or thermosetting resins
-
- H—ELECTRICITY
- H01—ELECTRIC ELEMENTS
- H01M—PROCESSES OR MEANS, e.g. BATTERIES, FOR THE DIRECT CONVERSION OF CHEMICAL ENERGY INTO ELECTRICAL ENERGY
- H01M10/00—Secondary cells; Manufacture thereof
- H01M10/05—Accumulators with non-aqueous electrolyte
- H01M10/052—Li-accumulators
-
- H—ELECTRICITY
- H01—ELECTRIC ELEMENTS
- H01M—PROCESSES OR MEANS, e.g. BATTERIES, FOR THE DIRECT CONVERSION OF CHEMICAL ENERGY INTO ELECTRICAL ENERGY
- H01M4/00—Electrodes
- H01M4/02—Electrodes composed of, or comprising, active material
- H01M4/13—Electrodes for accumulators with non-aqueous electrolyte, e.g. for lithium-accumulators; Processes of manufacture thereof
-
- H—ELECTRICITY
- H01—ELECTRIC ELEMENTS
- H01M—PROCESSES OR MEANS, e.g. BATTERIES, FOR THE DIRECT CONVERSION OF CHEMICAL ENERGY INTO ELECTRICAL ENERGY
- H01M50/00—Constructional details or processes of manufacture of the non-active parts of electrochemical cells other than fuel cells, e.g. hybrid cells
- H01M50/40—Separators; Membranes; Diaphragms; Spacing elements inside cells
- H01M50/409—Separators, membranes or diaphragms characterised by the material
- H01M50/443—Particulate material
-
- H—ELECTRICITY
- H01—ELECTRIC ELEMENTS
- H01M—PROCESSES OR MEANS, e.g. BATTERIES, FOR THE DIRECT CONVERSION OF CHEMICAL ENERGY INTO ELECTRICAL ENERGY
- H01M50/00—Constructional details or processes of manufacture of the non-active parts of electrochemical cells other than fuel cells, e.g. hybrid cells
- H01M50/40—Separators; Membranes; Diaphragms; Spacing elements inside cells
- H01M50/409—Separators, membranes or diaphragms characterised by the material
- H01M50/449—Separators, membranes or diaphragms characterised by the material having a layered structure
-
- H—ELECTRICITY
- H01—ELECTRIC ELEMENTS
- H01M—PROCESSES OR MEANS, e.g. BATTERIES, FOR THE DIRECT CONVERSION OF CHEMICAL ENERGY INTO ELECTRICAL ENERGY
- H01M50/00—Constructional details or processes of manufacture of the non-active parts of electrochemical cells other than fuel cells, e.g. hybrid cells
- H01M50/40—Separators; Membranes; Diaphragms; Spacing elements inside cells
- H01M50/489—Separators, membranes, diaphragms or spacing elements inside the cells, characterised by their physical properties, e.g. swelling degree, hydrophilicity or shut down properties
-
- Y—GENERAL TAGGING OF NEW TECHNOLOGICAL DEVELOPMENTS; GENERAL TAGGING OF CROSS-SECTIONAL TECHNOLOGIES SPANNING OVER SEVERAL SECTIONS OF THE IPC; TECHNICAL SUBJECTS COVERED BY FORMER USPC CROSS-REFERENCE ART COLLECTIONS [XRACs] AND DIGESTS
- Y02—TECHNOLOGIES OR APPLICATIONS FOR MITIGATION OR ADAPTATION AGAINST CLIMATE CHANGE
- Y02E—REDUCTION OF GREENHOUSE GAS [GHG] EMISSIONS, RELATED TO ENERGY GENERATION, TRANSMISSION OR DISTRIBUTION
- Y02E60/00—Enabling technologies; Technologies with a potential or indirect contribution to GHG emissions mitigation
- Y02E60/10—Energy storage using batteries
Landscapes
- Chemical & Material Sciences (AREA)
- Chemical Kinetics & Catalysis (AREA)
- Electrochemistry (AREA)
- General Chemical & Material Sciences (AREA)
- Engineering & Computer Science (AREA)
- Materials Engineering (AREA)
- Manufacturing & Machinery (AREA)
- Battery Electrode And Active Subsutance (AREA)
- Cell Separators (AREA)
Abstract
발포성 모노머의 중합체를 포함하는 코어부, 및 상기 코어부를 덮고 비수전해질 이차전지 내에서의 안정성이 상기 코어부보다 높은 쉘부를 포함하는 리튬 이차 전지용 마이크로캡슐을 제공한다.Provided is a microcapsule for a lithium secondary battery comprising a core part comprising a polymer of a foaming monomer, and a shell part covering the core part and having higher stability in the non-aqueous electrolyte secondary battery than the core part.
Description
리튬 이차 전지용 마이크로캡슐, 이를 포함하는 리튬 이차 전지용 세퍼레이터, 리튬 이차 전지용 전극, 리튬 이차 전지용 전극 활물질층 및 리튬 이차 전지에 관한 것이다. It relates to a microcapsule for a lithium secondary battery, a separator for a lithium secondary battery including the same, an electrode for a lithium secondary battery, an electrode active material layer for a lithium secondary battery, and a lithium secondary battery.
예를 들면, 특개 2007-273127호 공보에 개시된 바와 같이, 내열성의 유기섬유를 이용한 부직포에, 열팽창하는 것이 가능한 열팽창성 마이크로캡슐을 함유시킴으로써 내부 단락 등에 의한 급격한 발열 반응이 일어난 경우에도, 세퍼레이터의 절연성이 소실하는 것을 억제할 수 있는 비수계 이차전지를 제공할 수 있는 것이 알려져 있다. 열팽성 마이크로캡슐은 폴리스티렌이나 폴리올레핀(폴리에틸렌이나 폴리프로필렌 등)으로 제작되는 것이 많다. For example, as disclosed in Japanese Patent Application Laid-Open No. 2007-273127, by containing thermally expandable microcapsules capable of thermal expansion in a nonwoven fabric using heat-resistant organic fibers, even when a rapid exothermic reaction due to an internal short circuit or the like occurs, the insulation of the separator It is known that a non-aqueous secondary battery capable of suppressing the loss can be provided. Thermally expandable microcapsules are often made of polystyrene or polyolefin (such as polyethylene or polypropylene).
그러나, 종래의 열팽창성 마이크로캡슐은 입자 직경이 크다는 문제가 있었다. 이 때문에, 열팽창성 마이크로캡슐을 전극 또는 세퍼레이터 상에 배치한 리튬이온(lithium ion)이차전지는 막 두께가 증가한다는 문제가 있었다. However, conventional thermally expandable microcapsules have a problem that the particle diameter is large. For this reason, a lithium ion secondary battery in which thermally expansible microcapsules are disposed on an electrode or a separator has a problem in that the film thickness is increased.
또한, 폴리스티렌제의 열팽창성 마이크로캡슐은 전해액에 용해하기 쉽기 때문에, 전지 용도로의 적용이 곤란했다. 한편, 폴리에틸렌이나 폴리프로필렌 등의 폴리올레핀은 내전해액성의 관점에서는 문제 없지만, 발포제와 폴리올레핀을 용융 혼련후, 압출 성형에 의해 제작되기 때문에, 서브 미크론(Sub-micron)이하의 미립자를 제작하는 것이 어렵다는 문제가 있었다. Further, the thermally expansible microcapsules made of polystyrene are easily soluble in an electrolyte solution, and therefore, application to batteries has been difficult. On the other hand, polyolefins such as polyethylene and polypropylene have no problem in terms of electrolyte resistance, but since they are produced by extrusion molding after melt-kneading a foaming agent and polyolefin, it is difficult to produce sub-micron particles. there was
따라서, 본 발명은 상기 문제에 감안해서 이루어진 것으로, 본 발명이 목적으로 하는 바는 비수전해질 이차전지를 박막화하고, 비수전해질 이차전지 내에서 안정적으로 존재하고, 동시에, 비수전해질 이차전지의 이상 발열시에 전극간의 절연을 확보하는 것이 가능한, 신규 동시에 개량된 비수전해질 이차전지용 마이크로캡슐, 비수전해질 이차전지용 세퍼레이터, 비수전해질 이차전지용 전극, 비수전해질 이차전지용 전극활물질층, 및 비수전해질 이차전지를 제공함에 있다.Therefore, the present invention has been made in view of the above problems, and an object of the present invention is to thin a non-aqueous electrolyte secondary battery, stably exist in the non-aqueous electrolyte secondary battery, and at the same time, when abnormal heat generation of the non-aqueous electrolyte secondary battery To provide a novel and simultaneously improved microcapsule for a nonaqueous electrolyte secondary battery, a separator for a nonaqueous electrolyte secondary battery, an electrode for a nonaqueous electrolyte secondary battery, an electrode active material layer for a nonaqueous electrolyte secondary battery, and a nonaqueous electrolyte secondary battery capable of ensuring insulation between electrodes .
일 구현예에 따르면, 발포성 모노머의 중합체를 포함하는 코어부, 및According to one embodiment, a core portion comprising a polymer of a foamable monomer, and
상기 코어부를 덮고 비수전해질 이차전지 내에서의 안정성이 상기 코어부 보다 높은 쉘부를 포함하는 리튬 이차 전지용 마이크로캡슐을 제공한다.Provided is a microcapsule for a lithium secondary battery covering the core part and including a shell part having higher stability in the non-aqueous electrolyte secondary battery than the core part.
상기 발포성 모노머는 디아조 화합물을 포함할 수 있다.The foamable monomer may include a diazo compound.
상기 디아조 화합물은 하기 화학식 Ⅰ로 표시될 수 있다.The diazo compound may be represented by the following formula (I).
[화학식 Ⅰ][Formula Ⅰ]
상기 화학식 Ⅰ에서,In the above formula (I),
R1은 수소 원자 또는 메틸기이고,R1 is a hydrogen atom or a methyl group,
R2는 수소 원자 또는 C1 내지 C6의 알킬기이고,R2 is a hydrogen atom or a C1 to C6 alkyl group,
R3은 수소 원자 또는 C1 내지 C6의 알킬기이고,R3 is a hydrogen atom or a C1 to C6 alkyl group,
R4는 수소 원자, 메틸기, 아크릴기, 메타크릴기 또는 글리시딜기이고,R4 is a hydrogen atom, a methyl group, an acryl group, a methacryl group or a glycidyl group,
X는 직접 결합 또는 C1 내지 C6의 알킬렌기이다.X is a direct bond or a C1 to C6 alkylene group.
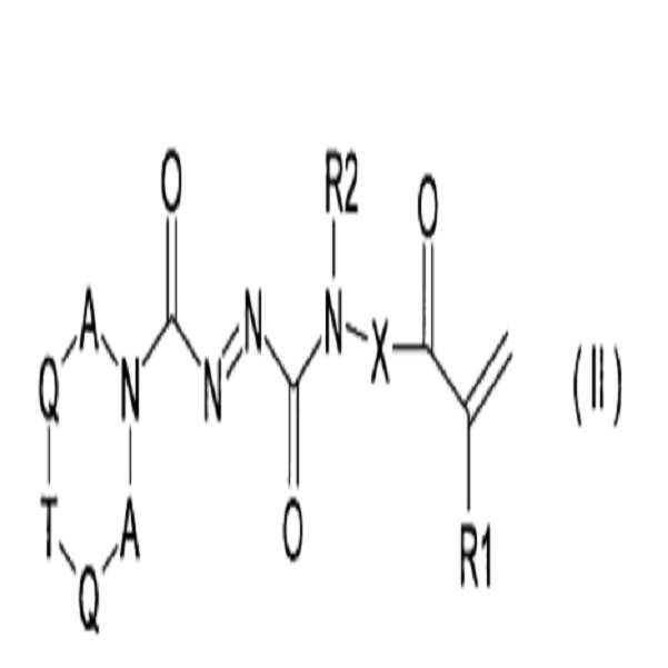
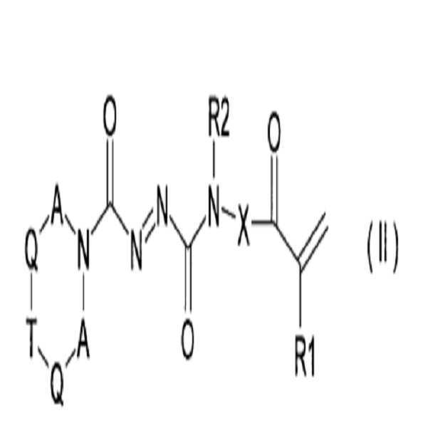
상기 디아조 화합물은 하기 화학식 Ⅱ로 표시될 수 있다.The diazo compound may be represented by the following Chemical Formula II.
[화학식 Ⅱ][Formula II]
상기 화학식 Ⅱ에서, In the above formula (II),
R1은 수소 원자 또는 메틸기이고,R1 is a hydrogen atom or a methyl group,
R2는 수소 원자 또는 C1 내지 C6의 알킬기이고,R2 is a hydrogen atom or a C1 to C6 alkyl group,
A는 메틸렌기 또는 카르보닐기이고,A is a methylene group or a carbonyl group,
Q는 메틸렌기 또는 메틴기이고,Q is a methylene group or a methine group,
T는 직접 결합, 이중 결합, 메틸렌기, 산소, 또는 NH기이다.T is a direct bond, a double bond, a methylene group, oxygen, or an NH group.
상기 리튬 이차 전지용 마이크로캡슐의 발포 온도가 120℃ 이상 250℃ 이하일 수 있다.The foaming temperature of the microcapsule for a lithium secondary battery may be 120 °C or more and 250 °C or less.
상기 리튬 이차 전지용 마이크로캡슐의 평균 입경이 0.05 ㎛ 내지 0.5 ㎛일 수 있다.The average particle diameter of the microcapsules for a lithium secondary battery may be 0.05 μm to 0.5 μm.
다른 일 구현예에 따르면, 세퍼레이터, 및 상기 세퍼레이터 위에 위치하는 마이크로캡슐층을 포함하고, 상기 마이크로캡슐층에는 상술한 마이크로캡슐이 분산되어 있는 리튬 이차 전지용 세퍼레이터층을 제공한다.According to another embodiment, there is provided a separator layer for a lithium secondary battery comprising a separator and a microcapsule layer positioned on the separator, wherein the microcapsules are dispersed in the microcapsule layer.
상기 세퍼레이터는 내열성 세퍼레이터일 수 있다.The separator may be a heat-resistant separator.
상기 세퍼레이터는 부직포, 아미드계 화합물, 또는 이들의 조합을 포함할 수 있다.The separator may include a nonwoven fabric, an amide-based compound, or a combination thereof.
또 다른 일 구현예에 따르면, 전극 활물질층, 및 상기 전극 활물질층 위에 위치하는 마이크로캡슐층을 포함하고, 상기 마이크로캡슐층에는 상술한 마이크로캡슐이 분산되어 있는 리튬 이차 전지용 전극을 제공한다. According to another embodiment, there is provided an electrode for a lithium secondary battery comprising an electrode active material layer, and a microcapsule layer positioned on the electrode active material layer, wherein the microcapsules are dispersed in the microcapsule layer.
또 다른 일 구현예에 따르면, 전극 활물질, 및 상술한 마이크로캡슐을 포함하는 리튬 이차 전지용 전극 활물질층을 제공한다.According to another embodiment, there is provided an electrode active material layer for a lithium secondary battery comprising an electrode active material and the microcapsules described above.
또 다른 일 구현예에 따르면, 양극 및 음극을 포함하고, 발포성 모노머의 중합체를 포함하는 코어부, 및 상기 코어부를 덮고 비수전해질 이차전지 내에서의 안정성이 상기 코어부 보다 높은 쉘부를 포함하는 리튬 이차 전지용 마이크로캡슐이 상기 양극 또는 음극의 극판 위에 존재하는 리튬 이차 전지용 전극 조립체를 제공한다.According to another embodiment, a lithium secondary comprising a core part including a positive electrode and a negative electrode, comprising a polymer of a foamable monomer, and a shell part covering the core part and having higher stability in the nonaqueous electrolyte secondary battery than the core part It provides an electrode assembly for a lithium secondary battery in which the battery microcapsule is present on the electrode plate of the positive electrode or the negative electrode.
또 다른 일 구현예에 따르면, 상술한 세퍼레이터 층을 포함하는 리튬 이차 전지를 제공한다.According to another embodiment, a lithium secondary battery including the above-described separator layer is provided.
또 다른 일 구현예에 따르면, 상술한 리튬 이차 전지용 전극을 포함하는 리튬 이차 전지를 제공한다.According to another embodiment, there is provided a lithium secondary battery including the above-described electrode for a lithium secondary battery.
또 다른 일 구현예에 따르면, 상술한 리튬 이차 전지용 전극 활물질층을 포함하는 리튬 이차 전지를 제공한다.According to another embodiment, there is provided a lithium secondary battery including the electrode active material layer for a lithium secondary battery described above.
또 다른 일 구현예에 따르면, 상술한 리튬 이차 전지용 전극 조립체를 포함하는 리튬 이차 전지를 제공한다.According to another embodiment, there is provided a lithium secondary battery including the above-described electrode assembly for a lithium secondary battery.
이상 설명한 바와 같이 본 발명에 의한 마이크로캡슐은 비수전해질 이차전지를 박막화하고, 비수전해질 이차전지 내에서 안정적으로 존재하고, 동시에, 비수전해질 이차전지의 이상 발열시에 전극간의 절연을 확보할 수 있다.As described above, the microcapsule according to the present invention thins the non-aqueous electrolyte secondary battery and stably exists in the non-aqueous electrolyte secondary battery, and at the same time, it is possible to secure the insulation between the electrodes during abnormal heat generation of the non-aqueous electrolyte secondary battery.
도 1은 본 발명의 제1 구현예에 따른 리튬이온 이차전지의 구성을 나타내는 측단면도이다.
도 2는 제2 구현예에 따른 리튬이온 이차전지의 구성을 나타내는 측단면도이다.
도 3은 제3 구현예에 따른 리튬이온 이차전지의 구성을 나타내는 측단면도이다.1 is a side cross-sectional view showing the configuration of a lithium ion secondary battery according to a first embodiment of the present invention.
2 is a side cross-sectional view showing the configuration of a lithium ion secondary battery according to the second embodiment.
3 is a side cross-sectional view showing the configuration of a lithium ion secondary battery according to the third embodiment.
이하, 본 발명의 구현예를 상세히 설명하기로 한다. 다만, 이는 예시로서 제시되는 것으로, 이에 의해 본 발명이 제한되지는 않으며 본 발명은 후술할 청구범위의 범주에 의해 정의될 뿐이다. Hereinafter, embodiments of the present invention will be described in detail. However, this is provided as an example, and the present invention is not limited thereto, and the present invention is only defined by the scope of the claims to be described later.
한편, 본 명세서 및 도면에 있어서, 실질적으로 동일한 기능 구성을 갖는 구성 요소에 대해서는 동일한 부호가 부여되는 것에 의해 중복 설명을 생략한다.In addition, in this specification and drawings, the same code|symbol is attached|subjected to the component which has substantially the same functional structure, and the duplicate description is abbreviate|omitted.
(제1 구현예)(First embodiment)
(리튬이온 이차전지의 구성)(Composition of lithium ion secondary battery)
먼저, 도 1에 따라, 제1 구현예에 따른 리튬이온 이차전지(10)의 구성에 대하여 설명한다. First, the configuration of the lithium ion
리튬이온 이차전지(10)는 양극(20)과, 음극(30)과, 세퍼레이터층(40)을 구비한다. 리튬이온 이차전지(10)의 충전 도달 전압(산화 환원 전위)은 예를 들면 4.3V (vs.Li/Li +)이상 5.0V이하, 특히 4.5V 이상 5.0V 이하가 된다. 리튬이온 이차전지(10)의 형태는 특별히 한정되지 않는다. 다시 말해, 리튬이온 이차전지(10)는 원통형, 각형, 라미네이트(laminate)형, 버튼(button)형 등의 어떠한 것이어도 된다. The lithium ion
양극(20)은 집전체(21)과, 양극 활물질층(22)을 구비한다. 집전체(21)은 도전체라면 어떤 것이라도 양호하고, 예를 들면, 알루미늄(aluminium), 스테인리스강(stainless), 및 니켈 도금(nickel coated)강 등으로 구성된다.The
양극 활물질층(22)은 적어도 양극 활물질을 포함하고, 도전제와, 결착제를 추가로 포함하고 있어도 된다. 양극 활물질은 예를 들면 리튬을 포함하는 고용체 산화물이지만, 전기 화학적으로 리튬이온을 흡장 및 방출 할 수 있는 물질이라면 특별히 제한 되지 않는다. 고용체 산화물은 예를 들면, Li a Mn x Co y Ni z O 2 (1.150≤a≤ 1.430, 0.45≤x≤ 0.6, 0.10≤y≤ 0.15, 0.20≤z≤ 0.28), LiMn xCo y Ni z O 2 (0.3≤x≤ 0.85, 0.10≤y≤ 0.3, 0.10≤z≤ 0.3), LiMn 1.5 Ni 0.5 O 4이 된다. The positive electrode
도전제는 예를 들면 케첸 블랙(Ketjenblack), 아세틸렌 블랙(acetylene black) 등의 카본블랙, 천연흑연, 인조흑연 등이지만, 양극의 도전성을 높이기 위한 것이라면 특별히 제한 되지 않는다.The conductive agent is, for example, carbon black such as Ketjenblack and acetylene black, natural graphite, artificial graphite, and the like, but is not particularly limited as long as it is intended to increase the conductivity of the anode.
결착제는 예를 들면 폴리 불화 비닐리덴(polyvinylidene fluoride), 에틸렌프로필렌 디엔(ethylene-propylene-diene)삼원공중합체, 스티렌 부타디엔 고무(Styrene-butadiene rubber), 아크릴로니트릴 부타디엔 고무(acrylonitrile-butadiene rubber), 플루오르 고무(fluororubber), 폴리 아세트산 비닐(polyvinyl acetate), 폴리메틸 메타크릴레이트(polymethylmethacrylate), 폴리에틸렌(polyethylene), 니트로셀룰로오스(cellulose nitrate)등이지만, 양극 활물질 및 도전제를 집전체(21)위로 결착 시킬 수 있는 것이라면, 특별히 제한되지 않는다. 양극 활물질층(22)은 예를 들면, 이하의 제조법에 의해 제작된다. 다시 말해, 먼저, 양극 활물질, 도전제, 및 결착제를 건식혼합 함으로써 양극합제를 제작한다. 이어, 양극합제를 적당한 유기 용매에 분산시킴으로써 양극합제 슬러리(slurry)을 형성하고, 이 양극합제 슬러리를 집전체(21) 위로 도포하고, 건조, 압연함으로써 양극 활물질층이 형성된다. The binder is, for example, polyvinylidene fluoride, ethylene-propylene-diene terpolymer, styrene-butadiene rubber, acrylonitrile-butadiene rubber. , fluororubber, polyvinyl acetate, polymethylmethacrylate, polyethylene, nitrocellulose, etc., but the positive electrode active material and the conductive agent are placed on the
음극(30)은 집전체(31)과, 음극 활물질층(32)을 포함한다. 집전체(31)은 도전체라면 어떤 것이라도 양호하고, 예를 들면, 알루미늄, 스테인리스강, 및 니켈 도금강 등으로 구성된다. 음극 활물질층(32)은 리튬이온 이차전지의 음극 활물질층으로서 사용되는 것이라면, 어떠한 것이어도 된다. 예를 들면, 음극 활물질층(32)은 음극 활물질을 포함하고, 결착제를 추가로 포함하고 있어도 된다. 음극 활물질은 예를 들면, 흑연 활물질(인조흑연, 천연흑연, 인조흑연과 천연흑연과의 혼합물, 인조흑연을 피복한 천연흑연 등), 규소 또는 주석 또는 그것들의 산화물의 미립자와 흑연 활물질과의 혼합물, 규소 또는 주석의 미립자, 규소 또는 주석을 기본재료로 한 합금, 및 Li4Ti5O12 등의 산화 티탄계 화합물 등을 생각할 수 있다. 규소의 산화물은 SiOx(0≤x≤2)로 표시된다. 음극 활물질로는 이들 이외에, 예를 들면 금속 리튬 등을 들 수 있다. 결착제는 양극 활물질층(22)을 구성하는 결착제와 같은 것이기도 하다. 양극 활물질과 결착제와의 질량비는 특별히 제한 되지 않고, 종래의 리튬이온 이차전지에서 채용되는 질량비가 본 구현예에서도 적용 가능하다. The
음극 활물질층(32)은 예를 들면, 이하의 제조법에 의해 제작된다. 다시 말해, 먼저, 음극 활물질, 및 결착제를 건식혼합 함으로써 음극합제를 제작한다. 이어, 음극합제를 적당한 용매에 분산시킴으로써 음극합제 슬러리(slurry)을 형성하고, 이 음극합제 슬러리를 집전체(31) 위로 도포하고, 건조, 압연 함으로써 음극 활물질층(32)이 형성된다. The negative electrode
세퍼레이터층(40)은 세퍼레이터(40a)와, 마이크로캡슐층(40b, 40c)과, 비수전해액을 포함한다. 세퍼레이터는 특별히 제한 되지 않고, 리튬이온 이차전지의 세퍼레이터로서 사용되는 것이라면, 어떠한 것이어도 된다. 세퍼레이터로는 우수한 고율방전 성능을 나타내는 다공막이나 부직포 등을, 단독 혹은 병용하는 것이 바람직하다. 세퍼레이터를 구성하는 수지로는 예를 들면 폴리에틸렌(polyethylene), 폴리프로필렌(polypropylene)등으로 대표되는 폴리올레핀(polyolefin)계 수지, 폴리에틸렌 테레프탈레이트(Polyethylene terephthalate), 폴리부틸렌 테레프탈레이트(polybutylene terephthalate)등으로 대표되는 폴리에스테르(Polyester)계 수지, PVDF, 불화 비닐리덴(VDF)-헥사플루오로 프로필렌(HFP)공중합체, 불화 비닐리덴-퍼플루오로 비닐에테르(par fluorovinyl ether)공중합체, 불화 비닐리덴-테트라플루오로에틸렌(tetrafluoroethylene)공중합체, 불화 비닐리덴-트리플루오로 에틸렌(trifluoroethylene)공중합체, 불화 비닐리덴-플루오로 에틸렌(fluoroethylene)공중합체, 불화 비닐리덴-헥사플루오로 아세톤(hexafluoroacetone)공중합체, 불화 비닐리덴-에틸렌(ethylene)공중합체, 불화 비닐리덴-프로필렌(propylene)공중합체, 불화 비닐리덴-트리플루오로 프로필렌(trifluoro propylene)공중합체, 불화 비닐리덴-테트라플루오로에틸렌(tetrafluoroethylene)-헥사플루오로 프로필렌(hexafluoropropylene)공중합체, 불화 비닐리덴-에틸렌(ethylene)-테트라플루오로에틸렌(tetrafluoroethylene)공중합체 등을 들 수 있다. 상기 세퍼레이터는 내열성 세퍼레이터일 수 있고, 예컨대 부직포, 아미드계 화합물, 또는 이들의 조합을 포함할 수 있다. The
마이크로캡슐층(40b)는 세퍼레이터(40a)의 표면 중, 양극 활물질층(22)에 대향하는 면 위에 형성된다. 마이크로캡슐층(40c)는 세퍼레이터(40a)의 표면 중, 음극 활물질층(32)에 대향하는 면 위에 형성된다. 마이크로캡슐층(40b, 40c)는 마이크로캡슐과, 결착제를 포함한다. The
마이크로캡슐은 코어쉘형의 열팽창성 마이크로캡슐이 되어 있고, 코어부와, 쉘부를 가진다. 코어부는 발포성 모노머의 중합체를 포함한다. 따라서, 코어부가 열팽창의 기능을 가진다. 발포성 모노머는 가열되었을 때에 발포하는 수지라면 특별히 제한 없이 사용할 수 있지만, 휘발성의 낮은 것이 바람직하다. 휘발성이 높은 발포성 모노머를 포함하는 마이크로캡슐을 전해액에 투입했을 경우, 휘발성의 성분이 전해액 중에 용출 할 가능성이 있기 때문이다. The microcapsule is a core-shell type thermally expansible microcapsule, and has a core portion and a shell portion. The core portion comprises a polymer of foamable monomers. Therefore, the core part has a function of thermal expansion. The foamable monomer can be used without particular limitation as long as it is a resin that foams when heated, but a low volatility monomer is preferable. This is because, when microcapsules containing a highly volatile foaming monomer are put into the electrolyte, volatile components may elute into the electrolyte.
발포성 모노머는 120℃~250℃의 사이에서 발포하는 것이 바람직하다. 리튬이온 이차전지(10)는 이 온도범위 내의 온도까지 급격하게 발열할 가능성이 있기 때문이다. 발포성 모노머는 바람직하게는 디아조 화합물을Ⅰ 포함한다. 디아조 화합물은 가열됨으로써 분해된다. 그리고, 디아조 화합물은 분해 생성물인 질소 가스에 의해 발포한다. 디아조 화합물은 바람직하게는 이하의 화학식 Ⅰ 또는 화학식 Ⅱ로 표시되는 구조를 갖는 것이 바람직하다. It is preferable to foam a foamable monomer between 120 degreeC - 250 degreeC. This is because the lithium ion
[화학식 Ⅰ][Formula Ⅰ]
(상기 화학식 Ⅰ에서,(In Formula I,
R1은 수소 원자 또는 메틸기이고,R1 is a hydrogen atom or a methyl group,
R2는 수소 원자 또는 C1 내지 C6의 알킬기이고,R2 is a hydrogen atom or a C1 to C6 alkyl group,
R3은 수소 원자 또는 C1 내지 C6의 알킬기이고,R3 is a hydrogen atom or a C1 to C6 alkyl group,
R4는 수소 원자, 메틸기, 아크릴기, 메타크릴기 또는 글리시딜기이고,R4 is a hydrogen atom, a methyl group, an acryl group, a methacryl group or a glycidyl group,
X는 직접 결합 또는 C1 내지 C6의 알킬렌기이다.)X is a direct bond or a C1 to C6 alkylene group.)
[화학식 Ⅱ][Formula II]
(상기 화학식 Ⅱ에서, (In Formula II,
R1은 수소 원자 또는 메틸기이고,R1 is a hydrogen atom or a methyl group,
R2는 수소 원자 또는 C1 내지 C6의 알킬기이고,R2 is a hydrogen atom or a C1 to C6 alkyl group,
A는 메틸렌기 또는 카르보닐기이고,A is a methylene group or a carbonyl group,
Q는 메틸렌기 또는 메틴기이고,Q is a methylene group or a methine group,
T는 직접 결합, 이중 결합, 메틸렌기, 산소, 또는 NH기이다.)T is a direct bond, a double bond, a methylene group, oxygen, or an NH group.)
코어부는 특히 디아조 화합물의 중합체로 구성될 경우, 전극 활물질과 반응하기 쉽고, 동시에, 전해액에 팽윤되기 쉽다. 따라서, 코어부만을 전해액에 투입했을 경우, 코어부는 전극과 반응하고, 전해액으로 팽윤된다. 그 결과, 리튬이온 이차전지(10)의 내부저항의 증대, 사이클 수명의 저하와 같은 문제가 생길 수 있다. In particular, when the core portion is composed of a polymer of a diazo compound, it tends to react with the electrode active material and, at the same time, tends to swell in the electrolyte solution. Therefore, when only the core part is injected|thrown-in to electrolyte solution, the core part reacts with an electrode and swells with electrolyte solution. As a result, problems such as an increase in the internal resistance of the lithium ion
따라서, 본 구현예에서는 코어부를 쉘부로 덮는다. 쉘부는 코어부보다도 리튬이온 이차전지(10) 안에서의 안정성이 높다. 구체적으로는 쉘부는 코어부보다도 전해액에 팽윤되기 어렵다. 또, 쉘부는 코어부보다도 전극 활물질과 반응하기 어렵다. 쉘부를 구성하는 재료로는 예를 들면, 아크릴로니트릴과 아크릴산과의 공중합체 등을 들 수 있다. Therefore, in this embodiment, the core part is covered with the shell part. The shell part has higher stability in the lithium ion
마이크로캡슐의 평균 입경은 0.05 내지 0.5 ㎛이다. 여기에서, 평균 입경은 마이크로캡슐을 구로 간주했을 때의 직경의 D50값이다. 평균 입경은 예를 들면, 레이저 회절산란식 입자직경 입도 분포 측정 장치 (예를 들면, 니키소 주식 회사(Nikkiso Co., Ltd.) 제조 Microtrac MT3000) 평균 입경이 0.05 ㎛을 밑돌면, 마이크로캡슐이 열팽창해도 충분한 크기가 되지 않고, 그 결과, 리튬이온 이차전지(10)의 이상 발열 시에 전극간의 절연을 확보할 수 없는 가능성이 있다. 한편, 마이크로캡슐의 평균 입경이 0.5 ㎛보다 커지면, 리튬이온 이차전지(10)이 두꺼워지고, 동시에, 내부저항이 상승한다. The average particle diameter of the microcapsules is 0.05 to 0.5 μm. Here, the average particle diameter is the D50 value of the diameter when the microcapsule is regarded as a sphere. The average particle diameter is, for example, a laser diffraction scattering particle diameter particle size distribution measuring device (for example, Microtrac MT3000 manufactured by Nikkiso Co., Ltd.) When the average particle diameter is less than 0.05 µm, the microcapsules thermally expand Even if it does not become a sufficient magnitude|size, as a result, there is a possibility that the insulation between electrodes cannot be ensured at the time of abnormal heat_generation|fever of the lithium ion
결착제는 마이크로캡슐끼리를 결착시키는 동시에, 마이크로캡슐층(40b, 40c)를 세퍼레이터(40a)에 고정한다. 결착제는 리튬이온 이차전지(10)의 결착제로서 사용되는 것이라면 특별히 제한은 없고, 예를 들면 카르복시메틸셀룰로오스(CMC) 등을 들 수 있다. The binder binds the microcapsules together and fixes the microcapsule layers 40b and 40c to the
마이크로캡슐층(40b, 40c)는 마이크로캡슐 및 결착제를 포함하는 슬러리를 세퍼레이터(40a) 위로 도포하고, 건조 함으로써 제작된다. 한편, 리튬이온 이차전지(10)는 마이크로캡슐층(40b, 40c) 중 어느 하나를 소유하지 않고 있어도 좋다 (변형예). The microcapsule layers 40b and 40c are prepared by coating a slurry containing microcapsules and a binder on the
상술한 마이크로캡슐은 비수전해질 이차전지를 박막화하고, 비수전해질 이차전지내에서 안정적으로 존재하고, 동시에, 비수전해질 이차전지의 이상 발열시에 전극간의 절연을 확보 할 수 있다. 또한, 마이크로캡슐은 비수전해질 이차전지의 이상 발열시에 세퍼레이터의 열수축을 억제 할 수 있다. The above-mentioned microcapsules thin the nonaqueous electrolyte secondary battery and stably exist in the nonaqueous electrolyte secondary battery, and at the same time, it is possible to secure insulation between electrodes in the case of abnormal heat generation of the nonaqueous electrolyte secondary battery. In addition, the microcapsule can suppress the thermal contraction of the separator during abnormal heat generation of the non-aqueous electrolyte secondary battery.
비수전해액은 종래부터 리튬 이차전지에 이용되는 비수전해액과 동일한 것을 특별히 한정없이 사용 할 수 있다. 비수전해액은 비수용매에 전해질염을 함유시킨 조성을 가진다. 비수용매로는 예를 들면, 프로필렌 카보네이트(propylene carbonate), 에틸렌 카보네이트(ethylene carbonate), 부틸렌 카보네이트(ethylene carbonate), 클로로 에틸렌 카보네이트(chloroethylene carbonate), 비닐렌 카보네이트(vinylene carbonate) 등의 환형탄산 에스테르(ester)류;γ-부티로락톤(butyrolactone), γ-발레로 락톤(valerolactone) 등의 환형 에스테르류; 디메틸 카보네이트(dimethyl carbonate), 디에틸카보네이트(diethyl carbonate), 에틸 메틸 카보네이트(ethyl methyl carbonate) 등의 쇄상 카보네이트류;포름산 메틸(methyl formate), 아세트산 메틸(methyl acetate), 부티르산 메틸(butyric acid methyl) 등의 쇄상 에스테르류;테트라하이드로푸란(Tetrahydrofuran) 또는 그 유도체;1,3-디옥산(dioxane), 1,4-디옥산(dioxane), 1,2-디메톡시 에탄(dimethoxyethane), 1,4-디부톡시에탄(dibutoxyethane), 메틸 디글라임(methyl diglyme) 등의 에테르(ether)류;아세토니트릴(acetonitrile), 벤조니트릴(benzonitrile) 등의 니트릴(nitrile)류;디옥솔란(Dioxolane) 또는 그 유도체;에틸렌 설파이드(ethylene sulfide), 설포란(sulfolane), 술톤(sultone) 또는 그 유도체 등의 단독 또는 그것들 2종 이상의 혼합물 등을 들 수 있지만, 이들에 한정되지 않는다. As the non-aqueous electrolyte, the same non-aqueous electrolyte used in the conventional lithium secondary battery may be used without particular limitation. The non-aqueous electrolyte has a composition in which an electrolyte salt is contained in a non-aqueous solvent. Examples of the non-aqueous solvent include cyclic carbonate esters such as propylene carbonate, ethylene carbonate, butylene carbonate, chloroethylene carbonate, and vinylene carbonate. (ester); cyclic esters such as γ-butyrolactone and γ-valerolactone; Chain carbonates such as dimethyl carbonate, diethyl carbonate, and ethyl methyl carbonate; methyl formate, methyl acetate, butyric acid methyl chain esters such as; Tetrahydrofuran or a derivative thereof; 1,3-dioxane, 1,4-dioxane, 1,2-dimethoxyethane, 1,4 -Ethers such as dibutoxyethane and methyl diglyme; nitriles such as acetonitrile and benzonitrile; Dioxolane or its derivatives ; ethylene sulfide (ethylene sulfide), sulfolane (sulfolane), sultone (sultone) or a derivative thereof alone or a mixture of two or more thereof, but is not limited thereto.
또, 전해질염으로는 예를 들면, LiClO 4, LiBF 4, LiAsF 6, LiPF 6,LiPF 6-x (C n F 2n+1) x [ 단, 1 <x <6,n=1or2], LiSCN, LiBr, LⅡ, Li 2 SO 4,Li 2 B 10 Cl 10,NaClO 4,NaI, NaSCN, NaBr, KClO 4,KSCN 등의 리튬(Li), 나트륨(Na) 또는 칼륨(K)의 1종을 포함하는 무기 이온 염, LiCF 3 SO 3 ,LiN(CF 3 SO 2 ) 2 ,LiN(C 2 F 5 SO 2 ) 2 ,LiN(CF 3 SO 2 )(C 4 F 9 SO2 ),LiC(CF 3 SO 2 ) 3 ,LiC(C 2 F 5 SO 2 ) 3 ,(CH 3 ) 4 NBF 4,(CH 3 ) 4 NBr,(C 2 H 5 ) 4 NClO 4 ,(C 2 H 5 ) 4 NI,(C 3 H 7 )4 NBr,(n-C 4 H 9 ) 4 NClO 4 ,(n-C 4 H 9 ) 4 NI,(C 2 H 5 ) 4 N-maleate,(C 2 H 5 ) 4 N-benzoate,(C 2 H 5 ) 4 N -phtalate, 스테아릴 술폰산 리튬(stearyl sulfonic acid lithium), 옥틸 술폰산 리튬(octyl sulfonic acid), 도데킬벤젠술폰산 리튬(dodecyl benzene sulphonic acid) 등의 유기 이온 염 등을 들 수 있고, 이들 이온성 화합물을 단독, 혹은 2종류 이상 혼합해서 이용하는 것이 가능하다. 한편, 전해질염의 농도는 종래의 리튬 이차전지에서 사용되는 비수전해액 과 동일하면 되며, 특별히 제한은 없다. 본 구현예에서는 적당한 리튬 화합물(전해질염)을 0.8 내지 1.5mol/L정도의 농도로 함유시킨 비수전해액을 사용 할 수 있다. Further, as the electrolyte salt, for example, LiClO 4 , LiBF 4 , LiAsF 6 , LiPF 6 , LiPF 6-x (C n F 2n+1) x [provided that 1 <x <6, n=1or2], LiSCN , LiBr, LII, Li 2 SO 4, Li 2
한편, 비수전해액에는 각종 첨가제를 첨가 할 수도 있다. 이러한 첨가제로는 음극작용 첨가제, 양극작용 첨가제, 에스테르계의 첨가제, 탄산 에스테르계의 첨가제, 황산 에스테르계의 첨가제, 인산 에스테르계의 첨가제, 붕산 에스테르계의 첨가제, 산무수물계의 첨가제, 및 전해질계의 첨가제 등을 들 수 있다. 이들 중에서 어느 1종류를 비수전해액에 첨가 할 수도 있고, 복수 종류의 첨가제를 비수전해액에 첨가 할 수도 있다.Meanwhile, various additives may be added to the non-aqueous electrolyte. Such additives include anode action additives, anode action additives, ester additives, carbonate ester additives, sulfuric acid ester additives, phosphoric acid ester additives, boric acid ester additives, acid anhydride additives, and electrolytes. of additives. Any one of these may be added to the non-aqueous electrolyte, or a plurality of types of additives may be added to the non-aqueous electrolyte.
(리튬이온 이차전지의 제조 방법) (Manufacturing method of lithium ion secondary battery)
그 다음에, 리튬이온 이차전지(10)의 제조 방법에 대하여 설명한다. 양극(20)은 아래와 같이 제작된다. 먼저, 양극 활물질, 도전제, 및 결착제를 혼합한 것을, 용매 (예를 들면 N-메틸-2-피롤리돈)에 분산시킴으로써 슬러리를 형성한다. 이어서, 슬러리를 집전체(21) 위로 형성 (예를 들면 도포)하고, 건조시킴으로써, 양극 활물질층(22)을 형성한다. 한편, 도포의 방법은 특별히 한정되지 않는다. 도포의 방법으로는 예를 들면, 나이프 코터(knife coater)법, 그라비아 코터(gravure coater)법 등이 생각된다. 이하의 각 도포 공정도 동일한 방법에 의해 행하여 진다. 이어서, 프레스(press)기에 의해 양극 활물질층(22)을 프레스 한다. 이에 따라, 양극(20)이 제작된다. Next, the manufacturing method of the lithium ion
음극(30)도, 양극(20)과 동일하게 제작된다. 먼저, 음극 활물질, 및 결착제를 혼합한 것을, 용매 (예를 들면 N-메틸-2-피롤리돈, 물)에 분산시킴으로써 슬러리를 형성한다. 이어서, 슬러리를 집전체(31)위로 형성 (예를 들면 도포)하고, 건조시킴으로써, 음극 활물질층(32)을 형성한다. 이어서, 프레스기에 의해 음극 활물질층(32)을 프레스 한다. 이에 따라, 음극(30)이 제작된다. The
마이크로캡슐층(40b, 40c)는 이하의 방법에 의해 제작된다. 다시 말해, 마이크로캡슐 및 결착제를 혼합한 것을 용매 (예를 들면 물)에 분산시킴으로써 슬러리를 형성한다. 이어서, 슬러리를 세퍼레이터(40a)의 양면에 도포, 건조한다. 이에 따라, 마이크로캡슐층(40b, 40c)가 제작된다. The microcapsule layers 40b and 40c are manufactured by the following method. In other words, a slurry is formed by dispersing a mixture of microcapsules and a binder in a solvent (for example, water). Then, the slurry is coated on both sides of the
이어서, 마이크로캡슐층(40b, 40c)가 형성된 세퍼레이터(40a)를 양극(20) 및 음극(30) 사이에 두는 것으로, 전극 구조체를 제작한다. 이어서, 전극 구조체를 원하는 형태 (예를 들면, 원통형, 각형, 라미네이트형, 버튼형 등)에 가공하고, 해당 형태의 용기에 삽입한다. 이어서, 해당 용기내에 상기 조성의 전해액을 주입하는 것으로, 세퍼레이터내의 각 기공에 전해액을 함침시킨다. 이에 따라, 리튬이온 이차전지가 제작된다.Next, by placing the
(제2 구현예) (Second embodiment)
(리튬이온 이차전지의 구성) (Composition of lithium ion secondary battery)
그 다음에, 도 2에 따라, 제2 구현예에 따른 리튬이온 이차전지(10a)의 구성을 설명한다. 제1 변형예에 따른 리튬이온 이차전지(10a)도, 양극(20), 음극(30), 및 세퍼레이터층(40)을 구비한다. Next, the configuration of the lithium ion
양극(20)은 집전체(21)과, 양극 활물질층(22)과, 마이크로캡슐층(23)을 구비한다. 집전체(21) 및 양극 활물질층(22)은 제1 구현예와 동일하다. 마이크로캡슐층(23)은 양극 활물질층(22)의 표면, 즉 세퍼레이터층(40)에 접촉하는 면위로 설치된다. 마이크로캡슐층(23)자체의 구성은 제1 구현예와 동일하다. The
음극(30)은 집전체(31)과, 음극 활물질층(32)과, 마이크로캡슐층 33을 구비한다. 집전체(31) 및 음극 활물질층(32)은 제1 구현예와 동일하다. 마이크로캡슐층 33은 음극 활물질층(32)의 표면, 즉 세퍼레이터층(40)에 접촉하는 면 위로 설치된다. 마이크로캡슐층 (33) 자체의 구성은 제1 구현예와 동일하다. 리튬이온 이차전지(10a)는 마이크로캡슐층 (22, 32) 중, 어느 하나를 소유하지 않고 있어도 된다. 마이크로캡슐층 (22, 23)은 양극 활물질층(22) 또는 음극 활물질층 (23)의 표면에 제1 구현예에서 설명한 슬러리를 도포, 건조하는 것으로 제작된다. The
세퍼레이터층(40)은 세퍼레이터와, 비수전해액을 가진다. 세퍼레이터 및 비수전해질은 제1 구현예와 동일하다. 다시 말해, 리튬이온 이차전지(10a)는 각 전극에 마이크로캡슐층이 형성되는 점에서 제1 구현예와 상이하다. The
(리튬이온 이차전지의 제조 방법) (Manufacturing method of lithium ion secondary battery)
제2 구현예에 따른 리튬이온 이차전지(10a)의 제조 방법은 제1 구현예와 거의 동일하다. 양극(20)은 아래와 같이 제작된다. 먼저, 제1 구현예와 동일한 방법에 의해 양극 활물질층(22)을 제작한다. 한편, 마이크로캡슐 및 결착제를 혼합한 것을 용매 (예를 들면 물)에 분산시킴으로써 슬러리를 형성한다. 이어서, 슬러리를 양극 활물질층(22)위로 도포, 건조한다. 이에 따라, 마이크로캡슐층(23)이 제작된다.The manufacturing method of the lithium ion
음극(30)도 동일한 방법에 의해 제작된다. 먼저, 제1 구현예와 동일한 방법에 의해 음극 활물질층(32)을 제작한다. 한편, 마이크로캡슐 및 결착제를 혼합한 것을 용매 (예를 들면 물)에 분산시킴으로써 슬러리를 형성한다. 이어서, 슬러리를 음극 활물질층(32) 위로 도포, 건조한다. 이에 따라, 마이크로캡슐층 33이 제작된다. 이어서, 세퍼레이터(40a)를 양극(20) 및 음극(30) 사이에 두는 것으로, 전극 구조체를 제작한다. 그 후는 제1 구현예와 동일하게 처리하여, 리튬이온 이차전지(10a)가 제작된다. The
(제3 구현예) (3rd embodiment)
(리튬이온 이차전지의 구성) (Composition of lithium ion secondary battery)
그 다음에, 도 3에 따라, 제3 구현예에 따른 리튬이온 이차전지(10a)의 구성을 설명한다. 제1 변형예에 따른 리튬이온 이차전지(10b)도, 양극(20), 음극(30), 및 세퍼레이터층(40)을 구비한다. Next, the configuration of the lithium ion
양극(20)은 제1 구현예와 동일하며, 세퍼레이터(40)는 제2 구현예와 동일하다. 음극(30)은 집전체(31)과, 음극 활물질층(32a)를 구비한다. 집전체(31)은 제1 구현예와 동일하다. The
음극 활물질층(32a)는 음극 활물질 및 마이크로캡슐을 포함하고, 결착제를 추가로 포함하고 있어도 된다. 다시 말해, 제3 구현예에서는 음극 활물질층(32a) 내에 마이크로캡슐이 혼입된다. 각 재료는 제1 구현예와 동일하다. The negative electrode
(리튬이온 이차전지의 제조 방법) (Manufacturing method of lithium ion secondary battery)
제3 구현예에 따른 리튬이온 이차전지(10b)의 제조 방법은 제1 구현예와 거의 동일하다. 양극(20)은 제1 구현예와 같은 처리에 의해 제작된다. 음극(30)은 이하의 처리에 의해 제작된다. 다시 말해, 음극 활물질, 및 결착제를 혼합한 것을, 용매 (예를 들면 N-메틸-2-피롤리돈, 물)에 분산시킴으로써 슬러리를 형성한다. 이어서, 슬러리를 집전체(31)위로 형성 (예를 들면 도포)하고, 건조시킴으로써, 음극 활물질층(32)을 형성한다. 이어서, 프레스기에 의해 음극 활물질층(32)을 프레스 한다. 이에 따라, 음극(30)이 제작된다. 그 후는 제2 구현예와 같은 처리에 의해 리튬이온 이차전지(10b)가 제작된다. 제3 구현예에 의하면, 마이크로캡슐층을 형성하는 번거로움을 생략할 수 있다. The manufacturing method of the lithium ion
한편, 제1 내지 제3 구현예를 임의로 조합해도 된다. 예를 들면, 제2 또는 제3 구현예의 세퍼레이터층(40)을 제1 구현예의 세퍼레이터층(40)로 바꿔도 된다. 또, 제1 또는 제2 구현예의 음극(30)을 제3 구현예의 음극(30)으로 치환해도 된다.
Meanwhile, the first to third embodiments may be arbitrarily combined. For example, the
이하에서는 본 발명의 구체적인 실시예들을 제시한다. 다만, 하기에 기재된 실시예들은 본 발명을 구체적으로 예시하거나 설명하기 위한 것에 불과하며, 이로서 본 발명이 제한되어서는 아니된다. 또한, 여기에 기재되지 않은 내용은 이 기술 분야에서 숙련된 자이면 충분히 기술적으로 유추할 수 있는 것이므로 그 설명을 생략한다.Hereinafter, specific embodiments of the present invention are presented. However, the examples described below are only for specifically illustrating or explaining the present invention, and the present invention is not limited thereto. In addition, since the content not described here can be sufficiently technically inferred by a person skilled in the art, the description thereof will be omitted.
(발포성 모노머의 합성예 1) (Synthesis Example 1 of Effervescent Monomer)
먼저, 본 실시예에서 사용한 발포성 모노머의 합성예를 설명한다. 합성예 1에서는 이하의 방법에 의해 발포성 모노머로서 N-모노아크릴 아조디카본아미드를 합성했다. First, the synthesis example of the foaming monomer used in this Example is demonstrated. In Synthesis Example 1, N-monoacryl azodicarbonamide was synthesized as a foaming monomer by the following method.
냉각관, 온도계, 및 적하 깔때기를 장착한 1리터의 3구 플라스크에 질소 분위기 하에서 아조디카본아미드50g (0.43mol,1당량), 무수N, N-디메틸포름아미드(dimethylformamide, DMF) 500g, 무수 피리딘500g (6.32mol,14.7당량)을 더하고, 이들 혼합액을 마그네틱 교반기에서 교반하면서 얼음욕으로 5℃로 냉각 했다. 50 g (0.43 mol, 1 equivalent) of azodicarbonamide, 500 g of anhydrous N, N-dimethylformamide (DMF), 500 g of anhydrous N, N-dimethylformamide (DMF), in a 1-liter 3-neck flask equipped with a cooling tube, thermometer, and dropping funnel under nitrogen atmosphere. 500 g (6.32 mol, 14.7 equivalents) of pyridine was added, and the mixture was cooled to 5°C with an ice bath while stirring with a magnetic stirrer.
이어, 적하 깔때기에 아크릴산 클로라이드39g (0.43mol, 1.0당량)을 더하고, 혼합액의 온도를 30?이하로 유지하면서 해당 혼합액에 아크릴산 클로라이드를 적하했다. 적하 종료후, 얼음 욕을 오일배스에 교환하고, 혼합액을 40?로 2시간, 가열 교반했다. 이어서, 반응액을 실온에 냉각 후, 반응액을 1000ml의 물에 쏟아 교반했다. 이 용액을 3000ml의 분액 깔때기로 옮기고, 아세트산 에틸300ml로 3회 추출했다. 모든 유기층을 모으고, 수집물을 물 500ml로 2회, 포화 식염수 300ml로 1회 세정후, 무수황산 마그네슘을 더해 건조했다. 건조후의 수집물로부터 흡인 여과로 무수황산 마그네슘을 제거한 뒤, 로터리 증발기(욕조 온도40 ℃)로 농축했다. 농축물을 한층 더 진공건조기 (40 ℃/133Pa)로 6시간 건조했다. 이에 따라, N-모노아크릴 아조디카본아미드55g (수율75%)을 얻었다. Then, 39 g (0.43 mol, 1.0 equivalent) of acrylic acid chloride was added to the dropping funnel, and acrylic acid chloride was added dropwise to the mixed solution while maintaining the temperature of the mixed solution at 30°C or less. After completion of the dropwise addition, the ice bath was replaced with an oil bath, and the mixture was heated and stirred at 40°C for 2 hours. Then, after cooling the reaction solution to room temperature, the reaction solution was poured into 1000 ml of water and stirred. This solution was transferred to a 3000 ml separatory funnel, and extracted three times with 300 ml of ethyl acetate. All organic layers were collected, and the collected material was washed twice with 500 ml of water and once with 300 ml of saturated brine, and dried by adding anhydrous magnesium sulfate. Anhydrous magnesium sulfate was removed from the dried collection by suction filtration, and then concentrated by a rotary evaporator (bath temperature: 40°C). The concentrate was further dried with a vacuum dryer (40 DEG C/133 Pa) for 6 hours. Thus, 55 g of N-monoacryl azodicarbonamide (yield 75%) was obtained.
(발포성 모노머의 합성예 2) (Synthesis Example 2 of Effervescent Monomer)
아크릴산 클로라이드 대신 메타아크릴산 클로라이드(Methacrylic acid chloride) 45g (0.43mol, 1.0당량)을 이용한 이외는 발포성 모노머 합성예 1과 같은 처리를 행했다. 이에 따라,N-모노아크릴 아조디카본아미드(N-Monoacrylic azodicarbonamide) 58g (수율73%)을 얻었다. Except for using 45 g (0.43 mol, 1.0 equivalent) of methacrylic acid chloride instead of acrylic acid chloride, the same treatment as in Synthesis Example 1 of the foaming monomer was performed. Accordingly, 58 g (yield 73%) of N-monoacrylic azodicarbonamide was obtained.
(발포성 모노머의 합성예 3) (Synthesis Example 3 of Effervescent Monomer)
아크릴산 클로라이드(acrylic acid chloride)을 80g (0.88mol, 2.05당량) 이용한 이외는 발포성 모노머 합성예 1과 같은 처리를 행했다. Except for using 80 g (0.88 mol, 2.05 equivalent) of acrylic acid chloride, the same treatment as in Synthesis Example 1 of the foaming monomer was performed.
이에 따라, N, N'-디아크릴 아조디카본아미드(N, N'-diacrylic azodicarbonamide) 78g (수율81%)을 얻었다. Accordingly, 78 g (yield 81%) of N,N'-diacrylic azodicarbonamide was obtained.
(발포성 모노머의 합성예 4) (Synthesis Example 4 of Effervescent Monomer)
아크릴산 클로라이드 대신 메타아크릴산 클로라이드 92.3g (0.88mol, 2.05당량)을 이용한 이외는 발포성 모노머 합성예 4과 같은 처리를 행했다. 이에 따라, N, N'-디메타크릴 아조디카본아미드(N, N'-dimethacrylic azodicarbonamide) 85g (수율78%)을 얻었다.The same treatment as in Synthesis Example 4 of the foaming monomer was performed except that 92.3 g (0.88 mol, 2.05 equivalent) of methacrylic acid chloride was used instead of the acrylic acid chloride. Accordingly, 85 g (yield 78%) of N,N'-dimethacrylic azodicarbonamide was obtained.
(마이크로캡슐의 합성예 1) (Synthesis Example 1 of microcapsules)
그 다음에, 본 실시예에서 사용한 마이크로캡슐의 합성예를 설명한다. 합성예 1에서는 이하의 처리에 의해 평균 입경 98nm의 마이크로캡슐을 제작했다. 교반기, 온도계, 냉각 관, 송액 펌프(pump)을 장착한 0.5리터의 3구 플라스크(Flask)에, 물 240g, 계면활성제로서 도데킬벤젠술폰산 나트륨(sodium dodecylbenzenesulfonate (SDBS)) 300mg (0.861mmol, 마이크로캡슐의 모노머 총 질량에 대하여 0.001질량부 (외수, 外數)을 더하는 것으로 제1 혼합액을 제작했다.Next, a synthesis example of the microcapsules used in this example will be described. In Synthesis Example 1, microcapsules having an average particle diameter of 98 nm were produced by the following treatment. In a 0.5 liter 3-neck flask equipped with a stirrer, thermometer, cooling tube, and a liquid pump, 240 g of water, sodium dodecylbenzenesulfonate (SDBS) as a surfactant 300 mg (0.861 mmol, micro The 1st liquid mixture was produced by adding 0.001 mass part (external water, external water) with respect to the monomer gross mass of a capsule.
이어, 3구 플라스크내를 다이어프램 펌프(Diaphragm pump)에서 2600Pa로 감압후, 질소로 상압으로 되돌리는 조작을 3회 반복하는 것으로, 제1 혼합액의 용존산소를 제거했다. 이어, 플라스크내를 질소분위기로 유지하며, 제1 혼합액을 교반하면서 오일배스(oil bath)에서 플라스크내의 온도가 65도가 되게 가열후, 과황산 암모늄(ammonium) 0.102g (0.447mmol, 마이크로캡슐의 모노머 총 질량의 몰(mol)수에 대하여 0.05몰%(외수))을 제1 혼합액에 더했다. 과황산 암모늄을 더한 직후로부터, N-모노아크릴 아조디카본아미드(합성예1) 15g (88.2mmol, 마이크로캡슐의 모노머 총 질량에 대하여 25.0질량부), 아크릴로니트릴(Acrylonitrile) (와코준야쿠 사(Wako Pure Chemical Industries, Ltd.) 제조) 15g (282.7mmol, 마이크로캡슐의 모노머 총 질량에 대하여 25.0질량부), 아크릴산 부틸(butyl acrylate) (와코준야쿠사 제조) 3g (23.4mmol, 마이크로캡슐의 모노머 총 질량에 대하여 5.0질량부)의 혼합물 (제2 혼합액)을 송액 펌프에서 1시간 걸쳐서 제1 혼합액에 적하하는 것으로, 각 모노머를 유화 중합시켰다. 이에 따라, 마이크로캡슐의 코어부를 합성했다. Next, the dissolved oxygen in the first mixed solution was removed by repeating the operation of reducing the pressure in the three-necked flask to 2600 Pa with a diaphragm pump and returning it to normal pressure with nitrogen three times. Then, maintaining the inside of the flask in a nitrogen atmosphere, and heating the temperature in the flask to 65 degrees in an oil bath while stirring the first mixture, 0.102 g of ammonium persulfate (0.447 mmol, microcapsule monomer) 0.05 mol% (external water)) with respect to the number of moles (mol) of the total mass was added to the first liquid mixture. Immediately after adding ammonium persulfate, 15 g of N-monoacryl azodicarbonamide (Synthesis Example 1) (88.2 mmol, 25.0 parts by mass relative to the total mass of the monomer of the microcapsule), acrylonitrile (Wako Pure Chemical Industries, Ltd.) (manufactured by Wako Pure Chemical Industries, Ltd.) 15 g (282.7 mmol, 25.0 parts by mass based on the total mass of the monomer of the microcapsule), butyl acrylate (manufactured by Wako Pure Chemical Industries, Ltd.) 3 g (23.4 mmol, the monomer of the microcapsule) Each monomer was emulsion-polymerized by dripping the mixture (2nd liquid mixture) of 5.0 mass parts with respect to the total mass to the 1st liquid mixture over 1 hour with a liquid feeding pump. Accordingly, the core portion of the microcapsule was synthesized.
계속해서 아크릴로니트릴(와코준야쿠사 제조) 25g (471.2mmol, 마이크로캡슐의 모노머 총 질량에 대하여 41.7질량부), 아크릴산(와코준야쿠사 제조) 2g (27.8mmol, 마이크로캡슐의 모노머 총 질량에 대하여 3.3질량부)의 혼합물을 송액 펌프에서 1시간 걸쳐서 코어부의 분산액에 적하하는 것으로, 코어부의 표면상에서 모노머를 유화 중합시켰다. 이에 따라, 코어부의 표면에 쉘부를 형성했다. 적하 종료후, 마이크로캡슐 분산액을 또한 1시간 교반을 계속한 뒤, 마이크로캡슐 분산액의 온도를 80 ℃로 온도 상승해서 1시간 교반을 계속했다. 마이크로캡슐 분산액을 실온에 냉각 한 후, 100 메쉬(mesh)의 필터로 마이크로캡슐 분산액을 여과하는 것으로, 응집물을 제외했다. 이에 따라, 마이크로캡슐 분산액을 얻었다. 마이크로캡슐 분산액을 알루미늄 팬(Aluminium pan)에 약1ml 재어, 160도로 가열한 핫플레이트(hot plate)상에서 15분간 건조 시키고, 잔사 중량으로부터 불휘발분을 산출한 바, 마이크로캡슐 분산액의 총 질량에 대하여 19.6질량%(수율 98%)이었다. 또, 레이저 회절산란식 입자직경 입도 분포 측정 장치(니키소 주식 회사 제조 Microtrac MT3000)을 이용해서 마이크로캡슐의 평균 입경(D50)을 측정한 바 98nm이었다. Subsequently, 25 g of acrylonitrile (manufactured by Wako Pure Chemical Industries, Ltd.) (471.2 mmol, 41.7 parts by mass relative to the total mass of the monomer of the microcapsule), 2 g of acrylic acid (manufactured by Wako Pure Chemical Industries, Ltd.) (27.8 mmol, 3.3 with respect to the total mass of the monomer of the microcapsule) parts by mass) was added dropwise to the dispersion liquid of the core part with a liquid feeding pump over 1 hour, whereby the monomer was emulsion-polymerized on the surface of the core part. Thereby, the shell part was formed on the surface of the core part. After completion of the dropwise addition, the microcapsule dispersion was stirred for another 1 hour, and then the temperature of the microcapsule dispersion was raised to 80 DEG C and stirring was continued for 1 hour. After cooling the microcapsule dispersion to room temperature, the microcapsule dispersion was filtered with a 100 mesh filter, and aggregates were excluded. Thus, a microcapsule dispersion was obtained. About 1 ml of the microcapsule dispersion was measured in an aluminum pan and dried for 15 minutes on a hot plate heated to 160 degrees. The non-volatile content was calculated from the weight of the residue, 19.6 based on the total mass of the microcapsule dispersion. It was mass % (yield 98%). Further, the average particle diameter (D50) of the microcapsules was measured using a laser diffraction scattering particle diameter particle size distribution analyzer (Microtrac MT3000 manufactured by Nikiso Corporation) and found to be 98 nm.
(마이크로캡슐의 합성예 2) (Synthesis Example 2 of microcapsules)
도데킬벤젠술폰산 나트륨150mg (0.43mmol, 마이크로캡슐의 모노머 총 질량에 대하여 0.0025질량부 (외수))을 이용한 이외는 마이크로캡슐의 합성예 1과 같은 처리를 행했다. 이에 따라, 합성예 2에 따른 마이크로캡슐을 얻었다. 불휘발분은 19.5질량%(수율 98%)이었다. 또, 평균 입경은 150nm이었다. The same treatment as in Synthesis Example 1 of the microcapsules was performed except that 150 mg of sodium dodecylbenzenesulfonate (0.43 mmol, 0.0025 parts by mass (external water) relative to the total mass of the monomers of the microcapsules) was used. Accordingly, microcapsules according to Synthesis Example 2 were obtained. The nonvolatile matter was 19.5 mass % (yield 98%). Moreover, the average particle diameter was 150 nm.
(마이크로캡슐의 합성예 3) (Synthesis Example 3 of microcapsules)
물 190g, 도데킬벤젠술폰산 나트륨60mg (0.17mmol, 모노머 총 질량에 대하여 0.001질량부 (외수))을 이용한 이외는 마이크로캡슐의 합성예 1과 같은 처리를 행했다. 이에 따라, 합성예 3에 따른 마이크로캡슐을 얻었다. 불휘발분은 23.7질량%(수율 99%)이었다. 또, 마이크로캡슐의 평균 입경은 300nm이었다. The same treatment as in Synthesis Example 1 of the microcapsules was performed except for using 190 g of water and 60 mg of sodium dodecylbenzenesulfonate (0.17 mmol, 0.001 parts by mass relative to the total mass of the monomer (external water)). Accordingly, microcapsules according to Synthesis Example 3 were obtained. The nonvolatile matter was 23.7 mass % (yield 99%). In addition, the average particle diameter of the microcapsules was 300 nm.
(마이크로캡슐의 합성예 4) (Synthesis Example 4 of microcapsules)
N-모노아크릴 아조디카본아미드 대신 N-모노메타크릴 아조디카본아미드(발포성 모노머의 합성예 2) 30g (162.9mmol, 마이크로캡슐의 모노머 총 질량에 대하여 50.0질량부)을 이용한 이외는 마이크로캡슐의 합성예 1과 같은 처리를 행했다. 이에 따라, 합성예 4에 따른 마이크로캡슐을 얻었다. 불휘발분은 19.5질량%(수율 98%)이었다. 또, 마이크로캡슐의 평균 입경은 100nm이었다. Except for using 30 g (162.9 mmol, 50.0 parts by mass relative to the total mass of the monomer of the microcapsule) of N-monomethacrylic azodicarbonamide (Synthesis Example 2 of the foaming monomer) instead of N-monoacryl azodicarbonamide, the microcapsules were The same treatment as in Synthesis Example 1 was performed. Accordingly, microcapsules according to Synthesis Example 4 were obtained. The nonvolatile matter was 19.5 mass % (yield 98%). In addition, the average particle diameter of the microcapsules was 100 nm.
(마이크로캡슐의 합성예 5) (Synthesis Example 5 of microcapsules)
N-모노아크릴 아조디카본아미드 대신 N-모노메타크릴 아조디카본아미드(발포성 모노머의 합성예 2) 30g (162.9mmol, 마이크로캡슐의 모노머 총 질량에 대하여 50.0질량부), 도데킬벤젠술폰산 나트륨150mg (0.43mmol, 마이크로캡슐의 모노머 총 질량에 대하여 0.0025질량부 (외수))을 이용한 이외는 마이크로캡슐의 합성예 1과 같은 처리를 행했다. 이에 따라, 합성예 5에 따른 마이크로캡슐을 얻었다. 불휘발분은 19.5질량%(수율 98%)이었다. 또, 마이크로캡슐의 평균 입경은 160nm이었다. Instead of N-monoacryl azodicarbonamide, N-monomethacrylic azodicarbonamide (Synthesis Example 2 of effervescent monomer) 30 g (162.9 mmol, 50.0 parts by mass based on the total mass of the monomer of the microcapsule), sodium dodecylbenzenesulfonate 150 mg The same treatment as in Synthesis Example 1 of the microcapsules was performed except that (0.43 mmol, 0.0025 parts by mass (external water) relative to the total mass of the monomer of the microcapsules) was used. Accordingly, microcapsules according to Synthesis Example 5 were obtained. The nonvolatile matter was 19.5 mass % (yield 98%). In addition, the average particle diameter of the microcapsules was 160 nm.
(마이크로캡슐의 합성예 6) (Synthesis Example 6 of microcapsules)
물 190g를 사용하고, N-모노아크릴 아조디카본아미드 대신 N-모노메타크릴 아조디카본아미드(발포성 모노머 합성예2) 30g (162.9mmol, 마이크로캡슐의 모노머 총 질량에 대하여 50.0질량부)을 사용하고, 도데킬벤젠술폰산 나트륨60mg (0.17mmol, 마이크로캡슐의 모노머 총 질량에 대하여 0.001질량부 (외수))을 이용한 이외는 마이크로캡슐의 합성예 1과 같은 처리를 행했다. 이에 따라, 합성예 6에 따른 마이크로캡슐을 얻었다. 불휘발분은 23.5질량%(수율 98%)이었다. 또, 마이크로캡슐의 평균 입경은 305nm이었다. 190 g of water was used, and 30 g (162.9 mmol, 50.0 parts by mass based on the total mass of the monomer of the microcapsule) was used instead of N-monoacryl azodicarbonamide. and 60 mg of sodium dodecylbenzenesulfonate (0.17 mmol, 0.001 parts by mass (external water) relative to the total mass of the monomer of the microcapsule) was used, and the same treatment as in Synthesis Example 1 of the microcapsule was performed. Accordingly, microcapsules according to Synthesis Example 6 were obtained. The nonvolatile matter was 23.5 mass % (yield 98%). In addition, the average particle diameter of the microcapsules was 305 nm.
(마이크로캡슐의 합성예 7) (Synthesis Example 7 of microcapsules)
N-모노아크릴 아조디카본아미드 대신 N, N'-디아크릴 아조디카본아미드(발포성 모노머의 합성예 3) 30g (133.8mmol, 마이크로캡슐의 모노머 총 질량에 대하여 50.0질량부)을 사용하고, 도데킬벤젠술폰산 나트륨150mg (0.43mmol, 마이크로캡슐의 모노머 총 질량에 대하여 0.0025질량부 (외수))을 이용한 이외는 마이크로캡슐의 합성예 1과 같은 처리를 행했다. 이에 따라, 합성예 7에 따른 마이크로캡슐을 얻었다. 불휘발분은 19.5질량%(수율 98%)이었다. 또, 마이크로캡슐의 평균 입경은 110nm이었다. Instead of N-monoacryl azodicarbonamide, 30 g (133.8 mmol, 50.0 parts by mass relative to the total mass of the monomer of the microcapsule) of N,N'-diaryl azodicarbonamide (Synthesis Example 3 of the foaming monomer) was used, and dode The same treatment as in Synthesis Example 1 of the microcapsules was performed except that 150 mg of sodium methylbenzenesulfonate (0.43 mmol, 0.0025 parts by mass (external water) relative to the total mass of the monomers of the microcapsules) was used. Accordingly, microcapsules according to Synthesis Example 7 were obtained. The nonvolatile matter was 19.5 mass % (yield 98%). In addition, the average particle diameter of the microcapsules was 110 nm.
(마이크로캡슐의 합성예 8) (Synthesis Example 8 of microcapsules)
N-모노아크릴 아조디카본아미드 대신 N, N'-디메타아크릴 아조디카본아미드(발포성 모노머의 합성예 4) 30g (118.9mmol, 마이크로캡슐의 모노머 총 질량에 대하여 50.0질량부)을 사용하고, 도데킬벤젠술폰산 나트륨150mg (0.43mmol, 모노머 총 질량에 대하여 0.0025질량부 (외수))을 이용한 이외는 마이크로캡슐의 합성예 1과 같은 처리를 행했다. 이에 따라, 합성예 8에 따른 마이크로캡슐을 얻었다. 불휘발분은 19.6질량%(수율 98%)이었다. 또, 마이크로캡슐의 평균 입경은 105nm이었다. Instead of N-monoacryl azodicarbonamide, N,N'-dimethacryl azodicarbonamide (Synthesis Example 4 of foaming monomer) 30 g (118.9 mmol, 50.0 parts by mass based on the total mass of the monomer of the microcapsule) was used, The same treatment as in Synthesis Example 1 of the microcapsule was performed except that 150 mg of sodium dodecylbenzenesulfonate (0.43 mmol, 0.0025 parts by mass relative to the total mass of the monomer (external water)) was used. Accordingly, microcapsules according to Synthesis Example 8 were obtained. The nonvolatile matter was 19.6 mass % (yield 98%). In addition, the average particle diameter of the microcapsules was 105 nm.
(음극합제 슬러리의 제작예 1)(Preparation example 1 of negative electrode mixture slurry)
그 다음에, 음극합제 슬러리의 제작예에 대하여 설명한다. Next, an example of the preparation of the negative electrode mixture slurry will be described.
인조흑연 95질량%, 아세틸렌 블랙(acetylene black) 2질량%, 스티렌 부타디엔 공중합체(SBR) 2질량%, 카르복시메틸셀룰로오스(CMC) 1질량%을 혼합하고, 또한 점도 조정을 위해서 물을 첨가하는 것으로 음극합제 슬러리를 제작했다. 한편, 음극합제 슬러리(slurry) 중의 불휘발분은 슬러리의 총 질량에 대하여 48질량%이었다. By mixing 95 mass % of artificial graphite, 2 mass % of acetylene black, 2 mass % of styrene butadiene copolymer (SBR), and 1 mass % of carboxymethyl cellulose (CMC), and adding water for viscosity adjustment A negative electrode mixture slurry was prepared. On the other hand, the non-volatile content in the negative electrode mixture slurry was 48 mass % with respect to the total mass of the slurry.
(음극합제 슬러리의 제작예 2) (Production Example 2 of negative electrode mixture slurry)
인조흑연 95질량%, 아세틸렌 블랙2질량%, 스티렌 부타디엔 공중합체(SBR) 1질량%, 카르복시메틸셀룰로오스(CMC) 1질량%, 마이크로캡슐의 합성예 1로 제작된 마이크로캡슐 분산액을 고형분 환산으로 1질량% 혼합하는 것으로 음극합제를 제작했다. 이어, 음극합제에 점도조정을 위해서 물을 첨가하는 것으로, 음극합제 슬러리를 제작했다. 한편, 음극합제 슬러리 중의 불휘발분은 슬러리의 총 질량에 대하여 48질량%이었다. Synthetic graphite 95 mass %, acetylene black 2 mass %, styrene butadiene copolymer (SBR) 1 mass %, carboxymethyl cellulose (CMC) 1 mass %, microcapsule dispersion prepared in Synthesis Example 1 of microcapsule 1 in terms of solid content A negative electrode mixture was produced by mixing in mass %. Next, by adding water to the negative electrode mixture for viscosity adjustment, a negative electrode mixture slurry was prepared. On the other hand, the nonvolatile matter in the negative electrode mixture slurry was 48 mass % with respect to the total mass of the slurry.
(음극합제 슬러리의 제작예 3 내지 9) (Preparation examples 3 to 9 of negative electrode mixture slurry)
마이크로캡슐의 합성예 2 내지 8로 제작된 마이크로캡슐 분산액을 사용한 이외는 모두 음극합제 슬러리의 제작예 2과 동일하게 처리하여, 제작예 3 내지 9에 따른 음극합제 슬러리를 제작했다. Except for using the microcapsule dispersion prepared in Synthesis Examples 2 to 8 of the microcapsules, all were treated in the same manner as in Production Example 2 of the negative electrode mixture slurry to prepare negative electrode mixture slurries according to Preparation Examples 3 to 9.
(음극 제작예1) (Cathode Production Example 1)
그 다음에, 음극의 제작예에 대하여 설명한다. 건조 후의 합제 도포량 (면 밀도)이 9.55mg/cm2이 되도록 바 코터(Bar coater)의 갭(gap)을 조정했다. 이어서, 이 바 코터에 의해 제작예 1로 작성된 음극합제 슬러리를 구리박(집전체,10 ㎛)에 균일하게 도포했다. 이어서, 음극합제 슬러리를 80 ℃로 설정한 송풍형 건조기로 15분 건조했다. 이어, 건조 후의 음극합제를 롤 프레스(roll press)기에 의해 합제밀도가 1.65g/cm3이 되게 프레스 했다. 이어, 음극합제를 150 ℃로 6시간 진공건조하는 것으로, 음극 집전체와 음극 활물질층으로 이루어지는 시트(sheet)형의 음극을 제작했다. 이 음극은 제1 구현예에 대응한다. Next, a manufacturing example of the negative electrode will be described. The gap of the bar coater was adjusted so that the mixture application amount (area density) after drying was set to 9.55 mg/cm 2 . Next, the negative electrode mixture slurry prepared in Production Example 1 was uniformly applied to a copper foil (current collector, 10 µm) with this bar coater. Next, the negative electrode mixture slurry was dried for 15 minutes with a blow dryer set at 80°C. Then, the negative electrode mixture after drying was pressed by a roll press machine so that the density of the mixture was 1.65 g/cm 3 . Then, the negative electrode mixture was vacuum dried at 150° C. for 6 hours to prepare a sheet-type negative electrode comprising a negative electrode current collector and a negative electrode active material layer. This negative electrode corresponds to the first embodiment.
(음극 제작예2) (Cathode Production Example 2)
마이크로캡슐의 합성예 1로 제작된 마이크로캡슐 분산액 100질량부와 카르복시메틸셀룰로오스 1질량% 수용액(카르복시메틸셀룰로오스를 수용액의 총 질량에 대하여 1질량% 포함하는 것. 이하 동일함) 25질량부와의 혼합액을 제작했다. 이어, 이 혼합액을, 음극 제작예 1로 제작한 시트 형의 음극에, 건조 후의 도포층의 두께가 2 ㎛이 되도록 조정한 바 코터로 도포 후, 80 ℃의 송풍 건조기로 15분 건조했다. 이어, 도포층을 80℃로 6시간 진공건조하는 것으로, 음극 집전체, 음극 활물질층, 및 마이크로캡슐층으로 이루어지는 시트 형의 음극을 제작했다. 이 음극은 제2 구현예에 대응한다. 100 parts by mass of the microcapsule dispersion prepared in Synthesis Example 1 of microcapsules and 25 parts by mass of a 1 mass % aqueous solution of carboxymethyl cellulose (containing 1 mass % of carboxymethyl cellulose with respect to the total mass of the aqueous solution. The same applies hereinafter) A mixed solution was prepared. Next, this mixed solution was applied to the sheet-shaped negative electrode produced in Negative Electrode Production Example 1 with a bar coater adjusted so that the thickness of the coating layer after drying was 2 μm, and then dried with a blow dryer at 80° C. for 15 minutes. Then, the coating layer was vacuum dried at 80° C. for 6 hours to prepare a sheet-shaped negative electrode comprising a negative electrode current collector, a negative electrode active material layer, and a microcapsule layer. This negative electrode corresponds to the second embodiment.
(음극 제작예3 내지 9) (Cathode Production Examples 3 to 9)
마이크로캡슐의 합성예 2 내지 8로 제작된 마이크로캡슐 분산액을 이용한 이외는 음극 제작예 2과 같은 처리를 행했다. 이에 따라, 음극제작예 3 내지 9에 따른 음극을 제작했다. 이들 음극도 제2 구현예에 대응한다. The same treatment as in Example 2 of the negative electrode was performed except that the microcapsule dispersions prepared in Synthesis Examples 2 to 8 of the microcapsules were used. Accordingly, negative electrodes according to negative electrode preparation examples 3 to 9 were prepared. These negative electrodes also correspond to the second embodiment.
(음극 제작예10 내지 17) (Cathode Production Examples 10 to 17)
음극합제 슬러리 제작예 2 내지 9로 제작된 슬러리를 이용한 것 외에는 음극 제작예 1과 동일하게 처리하여, 음극 제작예 10 내지 17에 따른 음극을 제작했다. 이들 음극은 제3 구현예에 대응한다. Negative electrode mixture slurry Preparation Examples 2 to 9, except for using the slurry prepared in the negative electrode Preparation Example 1 was processed in the same manner to prepare a negative electrode according to the negative electrode Preparation Examples 10 to 17. These negative electrodes correspond to the third embodiment.
(양극합제 슬러리 제작예) (Example of production of positive electrode mixture slurry)
그 다음에, 양극합제 슬러리의 제작예에 대하여 설명한다. 고용체 산화물Li 1.20 Mn 0.55 Co 0.10 Ni 0.15 O 296질량%, 케첸 블랙(Ketjenblack) 2질량%, 폴리 불화 비닐리덴(PVDF) 2질량%을 N-메틸-2-피롤리돈에 분산시킴으로써, 양극합제 슬러리를 형성했다. 한편, 양극합제 슬러리 중의 불휘발분은 50질량%이었다. Next, an example of the preparation of the positive electrode mixture slurry will be described. By dispersing 296 mass % of solid solution oxide Li 1.20 Mn 0.55 Co 0.10 Ni 0.15 O, 2 mass % of Ketjenblack, and 2 mass % of polyvinylidene fluoride (PVDF) in N-methyl-2-pyrrolidone, a positive electrode mixture A slurry was formed. On the other hand, the non-volatile content in the positive electrode mixture slurry was 50 mass %.
(양극 제작예1) (Anode Production Example 1)
그 다음에, 양극 제작예에 대하여 설명한다. 건조 후의 합제도포량 (면 밀도)이 22.7mg/cm2가 되도록 바 코터의 갭을 조정했다. 이어, 이 바 코터에 의해 양극합제 슬러리를 집전체인 알루미늄 집전박위로 도포하고, 건조시킴으로써, 양극 활물질층을 제작했다. 건조 후의 양극합제를 롤 프레스기에 의해 합제밀도가 3.9g/cm3이 되도록 프레스 했다. 이어, 양극합제를 80℃로 6시간 진공건조하는 것으로, 양극 집전체와 양극 활물질층으로 이루어지는 시트 형의 양극을 제작했다. 이 양극은 제1 구현예에 대응한다. Next, a positive electrode fabrication example will be described. The gap of the bar coater was adjusted so that the mixture coating amount (area density) after drying was 22.7 mg/cm 2 . Next, the positive electrode mixture slurry was applied onto an aluminum current collector foil serving as a current collector by this bar coater and dried to prepare a positive electrode active material layer. The dried positive electrode mixture was pressed with a roll press so that the mixture density was 3.9 g/cm 3 . Then, the positive electrode mixture was vacuum dried at 80° C. for 6 hours to prepare a sheet-shaped positive electrode comprising a positive electrode current collector and a positive electrode active material layer. This anode corresponds to the first embodiment.
(양극 제작예2) (Anode Production Example 2)
마이크로캡슐 합성예 1로 제작한 마이크로캡슐 분산액 100질량부와 카르복시메틸셀룰로오스 1질량% 수용액 25질량부의 혼합액을 제작했다. 이어, 이 혼합액을, 양극 제작예 1로 제작한 시트 형의 양극에, 건조 후의 도포층의 두께가 2 ㎛이 되도록 조정한 바 코터로 도포후, 80 ℃의 송풍 건조기로 15분 건조했다. 이어, 도포층을 80℃로 6시간 진공 건조하는 것으로, 양극집전체, 양극 활물질층, 및 마이크로캡슐층으로 이루어지는 시트 형의 양극을 제작했다. 이 양극은 제2 구현예에 대응한다. A mixed solution of 100 parts by mass of the microcapsule dispersion prepared in Microcapsule Synthesis Example 1 and 25 parts by mass of a 1 mass % carboxymethyl cellulose aqueous solution was prepared. Next, this mixed solution was applied to the sheet-shaped positive electrode produced in the positive electrode production example 1 with a bar coater adjusted so that the thickness of the coating layer after drying was 2 μm, and then dried with a blow dryer at 80° C. for 15 minutes. Then, the coating layer was vacuum dried at 80° C. for 6 hours to prepare a sheet-shaped positive electrode comprising a positive electrode current collector, a positive electrode active material layer, and a microcapsule layer. This anode corresponds to the second embodiment.
(양극 제작예3 내지 9) (Anode Production Examples 3 to 9)
마이크로캡슐 합성예 2 내지 8로 제작된 마이크로캡슐 분산액을 이용한 이외는 모두 양극 제작예 2과 동일하게 처리하여, 양극 제작예 3 내지 9에 따른 양극을 제작했다. 이들 양극은 제2 구현예에 대응한다. Except for using the microcapsule dispersion prepared in Microcapsule Synthesis Examples 2 to 8, all were treated in the same manner as in Positive Electrode Preparation Example 2 to prepare positive electrodes according to positive electrode Preparation Examples 3 to 9. These anodes correspond to the second embodiment.
(세퍼레이터 제작예1) (Separator Production Example 1)
두께 16 ㎛의 폴리에틸렌 다공질막을 준비했다. 또, 건조후의 폴리에틸렌 다공질막 전체의 막 두께가 18 ㎛ (도포층의 두께가 양면 합계로 2 ㎛이 됨)가 되도록, 도포기의 갭을 조정했다. 또, 마이크로캡슐 합성예 1로 제작된 마이크로캡슐 분산액 100질량부와 카르복시메틸셀룰로오스 1% 수용액 25질량부의 혼합액을 제작했다. 이어, 상기의 도포기를 이용하고, 혼합액을 폴리에틸렌 다공질막의 양면에 도포, 건조(건조로 온도80℃) 했다. 이어 도포층을 80 ℃로 6시간 진공건조하는 것으로, 양면에 마이크로캡슐층을 갖는 폴리에틸렌 다공질막 세퍼레이터를 제작했다. 이 세퍼레이터는 제1 구현예에 대응한다. A polyethylene porous membrane having a thickness of 16 µm was prepared. Moreover, the gap of the applicator was adjusted so that the film thickness of the whole polyethylene porous film|membrane after drying might be set to 18 micrometers (the thickness of an application layer becomes 2 micrometers in both surfaces total). Further, a mixed solution of 100 parts by mass of the microcapsule dispersion prepared in Microcapsule Synthesis Example 1 and 25 parts by mass of a 1% carboxymethylcellulose aqueous solution was prepared. Next, using the above applicator, the mixture was applied to both surfaces of the polyethylene porous membrane and dried (drying furnace temperature: 80°C). Then, the coating layer was vacuum-dried at 80° C. for 6 hours to prepare a polyethylene porous membrane separator having microcapsule layers on both surfaces. This separator corresponds to the first embodiment.
(세퍼레이터 제작예2 내지 8) (Separator Preparation Examples 2 to 8)
마이크로캡슐 합성예 2 내지 8로 제작된 마이크로캡슐 분산액을 이용한 이외는 세퍼레이터 제작예 1과 동일하게 처리하여, 세퍼레이터 제작예 2 내지 8에 따른 세퍼레이터를 제작했다. 이들 세퍼레이터도 제1 구현예에 대응한다. Separators according to Separator Production Examples 2 to 8 were prepared in the same manner as in Separator Production Example 1 except that the microcapsule dispersions prepared in Microcapsule Synthesis Examples 2 to 8 were used. These separators also correspond to the first embodiment.
(세퍼레이터 제작예9) (Separator Production Example 9)
두께 16 ㎛의 폴리에틸렌 다공질막을 준비했다. 또, 건조 후의 폴리에틸렌 다공질막 전체의 막 두께가 18 ㎛ (도포층의 두께가 2 ㎛이 된다)가 되도록, 도포기의 갭을 조정했다. 또, 마이크로캡슐 합성예 1로 제작된 마이크로캡슐 분산액 100질량부와 카르복시메틸셀룰로오스1% 수용액 25질량부의 혼합액을 제작했다. 이어, 상기의 도포기를 이용하고, 혼합액을 폴리에틸렌 다공질막의 한쪽면에 도포하고, 80 ℃의 송풍 건조기로 15분 건조했다. 이어 도포층을 80℃로 6시간 진공건조하는 것으로, 한쪽면에 마이크로캡슐층을 갖는 폴리에틸렌 다공질막 세퍼레이터를 제작했다. 이 세퍼레이터는 제1 구현예의 변형예에 대응한다. A polyethylene porous membrane having a thickness of 16 µm was prepared. Moreover, the gap of the applicator was adjusted so that the film thickness of the whole polyethylene porous membrane after drying might be set to 18 micrometers (the thickness of an application layer becomes 2 micrometers). Further, a mixed solution of 100 parts by mass of the microcapsule dispersion prepared in Microcapsule Synthesis Example 1 and 25 parts by mass of a 1% carboxymethylcellulose aqueous solution was prepared. Next, using the above-mentioned applicator, the mixed solution was applied to one side of the polyethylene porous membrane, and dried for 15 minutes with a blow dryer at 80°C. Then, the coating layer was vacuum-dried at 80° C. for 6 hours to prepare a polyethylene porous membrane separator having a microcapsule layer on one side. This separator corresponds to a modification of the first embodiment.
(세퍼레이터 제작예 10, 11) (Separator Production Examples 10 and 11)
마이크로캡슐 합성예 2, 3로 제작된 마이크로캡슐 분산액을 이용한 이외는 세퍼레이터 제작예 9과 동일하게 처리하여, 세퍼레이터 제작예 10, 11에 따른 세퍼레이터를 제작했다. 이들 세퍼레이터도 제1 구현예의 변형예에 대응한다. Separators according to Separator Production Examples 10 and 11 were prepared in the same manner as in Separator Production Example 9 except that the microcapsule dispersions prepared in Microcapsule Synthesis Examples 2 and 3 were used. These separators also correspond to modifications of the first embodiment.
(셀 제작예1) (Cell Preparation Example 1)
양극 제작예 1로 제작된 양극을 직경 1.3cm의 원형으로, 음극 제작예 2로 제작된 음극을 직경 1.55cm의 원형으로, 또 세퍼레이터로서 두께 16 ㎛의 폴리에틸렌 다공질막을 직경 1.9cm의 원형으로 각각 절단했다. 이어, 직경 2.0cm의 스테인리스강(stainless)제 코인(coin)외장 용기내에서, 먼저 제작한 직경 1.3cm의 양극, 직경 1.9cm의 세퍼레이터, 직경 1.55cm의 음극, 또 스페이서(spacer)로서 직경 1.5cm의 원형으로 절단한 두께 200 ㎛의 구리 플레이트(plate)을 이 순번으로 겹쳤다. 이어, 용기에 전해액 (1.5M의 LiPF6 에틸렌 카보네이트(EC)/디에틸카보네이트(DEC)/플루오로에틸렌 카보네이트(FEC)=10/70/20 혼합 용액(부피비))을 넘치지 않을 정도로 흘렸다. 이어, 폴리프로필렌제의 패킹(packing)을 개재하고, 스테인리스강제의 캡(cap)을 용기에 씌우고, 코인 전지제작용의 접합기로 용기를 밀봉했다. 이에 따라, 리튬이온 이차전지를 제작했다. Cut the positive electrode prepared in Positive Preparation Example 1 into a circle with a diameter of 1.3 cm, the negative electrode prepared in Preparation Example 2 into a circle with a diameter of 1.55 cm, and as a separator, a porous polyethylene film with a thickness of 16 μm into a circle with a diameter of 1.9 cm. did. Next, in a stainless steel coin outer container having a diameter of 2.0 cm, a positive electrode with a diameter of 1.3 cm, a separator with a diameter of 1.9 cm, a negative electrode with a diameter of 1.55 cm, and a spacer with a diameter of 1.5 as a spacer A copper plate having a thickness of 200 μm cut in a circle of cm was overlapped in this order. Then, the electrolytic solution (1.5 M LiPF6 ethylene carbonate (EC)/diethyl carbonate (DEC)/fluoroethylene carbonate (FEC)=10/70/20 mixed solution (volume ratio)) was poured into the container so as not to overflow. Next, a polypropylene packing was interposed, and a stainless steel cap was put on the container, and the container was sealed with an adhesive for coin battery production. Accordingly, a lithium ion secondary battery was produced.
(셀 제작예 2 내지 38)(Cell Preparation Examples 2 to 38)
표2에 나타낸 양극, 음극, 및 세퍼레이터를 사용한 이외는 셀 제작예 1과 동일하게 처리하여, 셀 제작예 2 내지 38에 따른 리튬이온 이차전지를 제작했다.Lithium ion secondary batteries according to Cell Preparation Examples 2 to 38 were prepared in the same manner as in Cell Preparation Example 1 except that the positive electrode, negative electrode, and separator shown in Table 2 were used.
(발포시험) (foaming test)
다음에, 본 실시예에서 제작된 각 마이크로캡슐이 120℃ 내지 250℃의 사이에서 발포하는 것을 확인하기 위하여, 이하의 발포시험을 행했다. 구체적으로는 세퍼레이터 제작예 1 내지 8에서 제작된 세퍼레이터를 핫플레이트에서 160℃까지 가열하고, 그 온도로 3분간 방치했다. 그 후, 세퍼레이터의 온도를 실온으로 되돌리고, 세퍼레이터의 막 두께를 측정했다. 이어, 측정값으로부터 폴리에틸렌 다공질막의 두께(=16 ㎛)을 줄임으로써, 가열 후의 마이크로캡슐층의 두께(막 두께)을 측정했다. 측정 결과를 표1에 나타낸다. Next, in order to confirm that each of the microcapsules produced in this example foams at a temperature between 120°C and 250°C, the following foaming test was performed. Specifically, the separators produced in Separator Production Examples 1 to 8 were heated to 160°C on a hot plate, and left to stand at that temperature for 3 minutes. Then, the temperature of the separator was returned to room temperature, and the film thickness of the separator was measured. Next, the thickness (film thickness) of the microcapsule layer after heating was measured by reducing the thickness (=16 µm) of the polyethylene porous membrane from the measured value. Table 1 shows the measurement results.
어느 쪽의 마이크로캡슐층도, 160 ℃로 가열함으로써 막 두께가 증가하고 있다. 따라서, 어느 쪽의 마이크로캡슐도 120℃ 내지 250 ℃의 온도 범위내에서 발포하는 것이 확인되었다. In both microcapsule layers, the film thickness is increased by heating to 160°C. Therefore, it was confirmed that both microcapsules foamed within a temperature range of 120°C to 250°C.
(셀 저항치의 평가 방법) (Evaluation method of cell resistance value)
각 제작예로 제작된 리튬이온 이차전지를 25도로 0.1C의 정전류-정전압에서 4.2V, 0.04mA까지 충전한 뒤, 0.1C의 정전류에서 2.5V까지 방전하는 조건으로 1사이클 했다. 이것을 저저항계(쓰루가 전기 주식 회사(Tsuruga Electric Corporation) 제조 MODEL3566)의 교류 4단자법을 이용해서 셀 저항(리튬이온 이차전지의 내부저항)을 측정했다. 또한 리튬이온 이차전지를 핫플레이트에서 160℃로 가열하고, 그 온도로 3분간 방치후, 실온에 냉각하고, 다시 셀 저항을 측정했다. 그 결과를 표2에 나타낸다. The lithium ion secondary battery manufactured in each production example was charged to 4.2V and 0.04mA at a constant current-constant voltage of 0.1C at 25°C, and then one cycle was performed under the condition of discharging to 2.5V at a constant current of 0.1C. The cell resistance (internal resistance of a lithium ion secondary battery) was measured for this using the AC 4-terminal method of the low resistance meter (Tsuruga Electric Corporation MODEL3566). Further, the lithium ion secondary battery was heated to 160°C on a hot plate, left at that temperature for 3 minutes, cooled to room temperature, and the cell resistance was measured again. The results are shown in Table 2.
(가열전)cell resistance
(before heating)
(160℃ 가열후)cell resistance
(After heating at 160℃)
음극 제작예 2 내지 17, 양극 제작예 2 내지 9, 세퍼레이터 제작예 1 내지 11은 본 구현예에 따른 마이크로캡슐을 함유하므로, 본 구현예의 실시예에 상당한다. 또, 제작예 1 내지 38에 따른 리튬이온 이차전지는 양극, 음극, 및 세퍼레이터 중 어느 1종 이상의 구성 요소에 마이크로캡슐이 포함되므로, 본 구현예의 실시예에 상당한다. Negative electrode production examples 2 to 17, positive electrode production examples 2 to 9, and separator production examples 1 to 11 contain the microcapsules according to the present embodiment, and therefore correspond to the examples of this embodiment. In addition, since the lithium ion secondary battery according to Production Examples 1 to 38 includes a microcapsule in any one or more components of the positive electrode, the negative electrode, and the separator, it corresponds to the embodiment of the present embodiment.
표 2에 의하면, 가열전의 리튬이온 이차전지는 모두 내부저항이 낮다. 따라서, 마이크로캡슐은 리튬이온 이차전지내의 반응에 거의 악영향을 끼치지 않고 있다 (예를 들면 코어부가 팽윤되는 등) 는 것을 알 수 있다. 또한, 리튬이온 이차전지를 160 ℃까지 가열하는 것으로 리튬이온 이차전지의 내부저항치가 크게 증가하고 있다. 따라서, 본 실시예의 리튬이온 이차전지는 이상 발열 시에 내부저항이 증대되는 것을 알 수 있다. According to Table 2, all of the lithium ion secondary batteries before heating have low internal resistance. Accordingly, it can be seen that the microcapsules hardly adversely affect the reaction in the lithium ion secondary battery (for example, the core portion swells, etc.). In addition, by heating the lithium ion secondary battery to 160 ℃, the internal resistance of the lithium ion secondary battery is greatly increased. Therefore, it can be seen that the lithium ion secondary battery of the present embodiment increases internal resistance when abnormal heat is generated.
이상에 의해, 제1 내지 제3 구현예에 따른 마이크로캡슐은 리튬이온 이차전지(10, 10a, 10b) 내에서 안정적으로 존재하고, 동시에 이상 발열시에 발포(팽창)한다. 또, 마이크로캡슐의 평균 입경은 0.05 ㎛ 내지 0.5 ㎛로 매우 작다. As described above, the microcapsules according to the first to third embodiments are stably present in the lithium ion
따라서, 마이크로캡슐은 리튬이온 이차전지를 박막화하고, 리튬이온 이차전지 내에서 안정적으로 존재하고, 동시에, 리튬이온 이차전지의 이상 발열시에 전극간의 절연을 확보 할 수 있다. 또한, 마이크로캡슐은 리튬이온 이차전지의 이상 발열 시에 세퍼레이터의 열수축을 억제 할 수 있다. Therefore, the microcapsule thins the lithium ion secondary battery and stably exists in the lithium ion secondary battery, and at the same time, it is possible to secure the insulation between the electrodes during abnormal heat generation of the lithium ion secondary battery. In addition, the microcapsule can suppress the thermal contraction of the separator during abnormal heat generation of the lithium ion secondary battery.
여기에서, 마이크로캡슐의 코어부를 구성하는 발포성 모노머는 디아조 화합물을 포함하고 있어도 되고, 이 경우, 이상 발열 시에 신속하게 발포 할 수 있다. Here, the foamable monomer constituting the core portion of the microcapsule may contain a diazo compound, and in this case, it can foam rapidly during abnormal heat generation.
또, 디아조 화합물은 상기 화학식I 또는 화학식 ∥로 표시되는 구조를 가지고 있을 수도 있고, 이 경우, 이상 발열 시에 신속하게 발포 할 수 있다. In addition, the diazo compound may have a structure represented by the above formula (I) or formula (|), and in this case, it can foam rapidly at the time of abnormal heat generation.
또, 마이크로캡슐은 발포 온도가 120℃이상 250℃이하이므로, 리튬이온 이차전지의 이상 발열시에 의해 확실하게 발포 할 수 있다. In addition, since the foaming temperature of the microcapsule is 120°C or higher and 250°C or lower, it can be reliably foamed by abnormal heat generation of the lithium ion secondary battery.
또한, 일 구현예에 의한 세퍼레이터층을 비수전해질 이차전지에 적용하는 것으로, 비수전해질 이차전지를 박막화하고, 동시에, 비수전해질 이차전지의 이상 발열 시에 전극간의 절연을 확보 할 수 있다. 또한, 마이크로캡슐은 비수전해질 이차전지 내에서 안정적으로 존재하고, 비수전해질 이차전지의 이상 발열 시에 세퍼레이터의 열수축을 억제 할 수 있다. In addition, by applying the separator layer according to one embodiment to the non-aqueous electrolyte secondary battery, the non-aqueous electrolyte secondary battery can be thinned and, at the same time, insulation between the electrodes can be ensured when the non-aqueous electrolyte secondary battery generates abnormal heat. In addition, the microcapsules are stably present in the non-aqueous electrolyte secondary battery, and can suppress thermal contraction of the separator during abnormal heat generation of the non-aqueous electrolyte secondary battery.
또한 다른 일 구현예에 의한 리튬 이차 전지용 전극은 전극 활물질층; 및 상기 전극 활물질층 위에 위치하는 마이크로캡슐층을 포함하고, 상기 마이크로캡슐층은 상기 마이크로캡슐이 분산되어 있으며, 상기 전극을 비수전해질 이차전지에 적용함으로써, 비수전해질 이차전지를 박막화하고, 동시에, 비수전해질 이차전지의 이상 발열 시에 전극간의 절연을 확보 할 수 있다. In addition, an electrode for a lithium secondary battery according to another embodiment includes an electrode active material layer; and a microcapsule layer positioned on the electrode active material layer, wherein the microcapsules are dispersed in the microcapsule layer, and by applying the electrode to the non-aqueous electrolyte secondary battery, the non-aqueous electrolyte secondary battery is thinned, and at the same time, the non-aqueous Insulation between electrodes can be ensured when the electrolyte secondary battery generates abnormal heat.
또한 다른 일 구현예에 의한 리튬 이차 전지용 전극 활물질층을 비수전해질 이차전지에 적용함으로써, 비수전해질 이차전지를 박막화하고, 동시에, 비수전해질 이차전지의 이상 발열 시에 전극간의 절연을 확보 할 수 있다. 또한, 마이크로캡슐은 비수전해질 이차전지 내에서 안정적으로 존재하고, 비수전해질 이차전지의 이상 발열시에 세퍼레이터의 열수축을 억제 할 수 있다. In addition, by applying the electrode active material layer for a lithium secondary battery according to another embodiment to the non-aqueous electrolyte secondary battery, the non-aqueous electrolyte secondary battery is thinned and, at the same time, insulation between the electrodes can be ensured during abnormal heat generation of the non-aqueous electrolyte secondary battery. In addition, the microcapsules are stably present in the non-aqueous electrolyte secondary battery, and can suppress thermal contraction of the separator during abnormal heat generation of the non-aqueous electrolyte secondary battery.
또한 다른 일 구현예에 의한 리튬 이차 전지는 박막화가 가능하고, 동시에, 이상 발열시에 전극간의 절연을 확보 할 수 있다.
In addition, the lithium secondary battery according to another embodiment can be thinned, and at the same time, insulation between electrodes can be ensured when abnormal heat is generated.
이상, 첨부 도면을 참조하면서 본 발명이 바람직한 구현예에 대해서 상세하게 설명했지만, 본 발명은 이러한 예에 한정되지 않는다. As mentioned above, although this invention was demonstrated in detail about preferred embodiment, referring an accompanying drawing, this invention is not limited to this example.
본 발명이 속하는 기술의 분야에 있어서의 통상의 지식을 갖는 자라면, 특허청구의 범위에 기재된 기술적 사상의 범주 내에 있어서, 각종 변경예 또는 수정예에 이를 수 있는 것은 명확해서, 이것들에 대해서도, 당연히 본 발명의 기술적 범위에 속하는 것이라고 이해된다. 예를 들면, 상기 구현예에서는 리튬이온 이차전지에 본 발명을 적용했지만, 다른 비수전해질 이차전지에 적용해도 좋은 것은 물론이다. It is clear that various changes or modifications can be made within the scope of the technical idea described in the claims by those having ordinary knowledge in the field of technology to which the present invention belongs. It is understood to be within the technical scope of the present invention. For example, although the present invention is applied to a lithium ion secondary battery in the above embodiment, it goes without saying that it may be applied to other nonaqueous electrolyte secondary batteries.
10, 10a, 10b 리튬이온 이차전지
20 양극
21 집전체
22 양극 활물질층
23 마이크로캡슐층
30 음극
31 집전체
32 음극 활물질층
33 마이크로캡슐층
40 세퍼레이터층
40a 세퍼레이터
40b, 40c 마이크로캡슐층 10, 10a, 10b lithium ion secondary battery
20 anode
21 current collector
22 cathode active material layer
23 microcapsule layer
30 cathode
31 current collector
32 Anode active material layer
33 microcapsule layer
40 separator layer
40a separator
40b, 40c microcapsule layer
Claims (13)
상기 코어부를 덮고 비수전해질 이차전지 내에서의 안정성이 상기 코어부 보다 높은 쉘부를 포함하는 리튬 이차 전지용 마이크로캡슐로서,
상기 발포성 모노머는 하기 화학식 I로 표시되는 화합물 및 하기 화학식 II로 표시되는 화합물 중 적어도 하나를 포함하는 리튬 이차 전지용 마이크로캡슐:
[화학식Ⅰ]
상기 화학식 Ⅰ에서,
R1은 수소 원자 또는 메틸기이고,
R2는 수소 원자 또는 C1 내지 C6의 알킬기이고,
R3은 수소 원자 또는 C1 내지 C6의 알킬기이고,
R4는 수소 원자, 메틸기, 아크릴기, 메타크릴기 또는 글리시딜기이고,
X는 직접 결합 또는 C1 내지 C6의 알킬렌기이고,
[화학식 Ⅱ]
상기 화학식 Ⅱ에서,
R1은 수소 원자 또는 메틸기이고,
R2는 수소 원자 또는 C1 내지 C6의 알킬기이고,
X는 직접 결합 또는 C1 내지 C6의 알킬렌기이고,
A는 메틸렌기 또는 카르보닐기이고,
Q는 메틸렌기 또는 메틴기이고,
T는 직접 결합, 이중 결합, 메틸렌기, 산소, 또는 NH기이다.a core portion comprising a polymer of a foamable monomer; and
A microcapsule for a lithium secondary battery covering the core part and including a shell part having higher stability in the non-aqueous electrolyte secondary battery than the core part,
The foamable monomer is a microcapsule for a lithium secondary battery comprising at least one of a compound represented by the following formula (I) and a compound represented by the following formula (II):
[Formula I]
In the above formula (I),
R1 is a hydrogen atom or a methyl group,
R2 is a hydrogen atom or a C1 to C6 alkyl group,
R3 is a hydrogen atom or a C1 to C6 alkyl group,
R4 is a hydrogen atom, a methyl group, an acryl group, a methacryl group or a glycidyl group,
X is a direct bond or a C1 to C6 alkylene group,
[Formula II]
In the above formula (II),
R1 is a hydrogen atom or a methyl group,
R2 is a hydrogen atom or a C1 to C6 alkyl group,
X is a direct bond or a C1 to C6 alkylene group,
A is a methylene group or a carbonyl group,
Q is a methylene group or a methine group,
T is a direct bond, a double bond, a methylene group, oxygen, or an NH group.
발포 온도가 120℃ 이상 250℃ 이하인 리튬 이차 전지용 마이크로캡슐.In claim 1,
Microcapsules for lithium secondary batteries having a foaming temperature of 120°C or higher and 250°C or lower.
평균 입경이 0.05 ㎛ 내지 0.5 ㎛ 인 리튬 이차 전지용 마이크로캡슐.In claim 1,
Microcapsules for lithium secondary batteries having an average particle diameter of 0.05 μm to 0.5 μm.
상기 세퍼레이터 위에 위치하는 마이크로캡슐층을 포함하고,
상기 마이크로캡슐층에는 제1항, 제5항 및 제6항 중 어느 한 항의 마이크로캡슐이 분산되어 있는 리튬 이차 전지용 세퍼레이터층.separator; and
a microcapsule layer positioned on the separator;
A separator layer for a lithium secondary battery in which the microcapsules of any one of claims 1, 5 and 6 are dispersed in the microcapsule layer.
상기 세퍼레이터는 내열성 세퍼레이터인 것인 리튬 이차 전지용 세퍼레이터층.In claim 7,
The separator is a separator layer for a lithium secondary battery that is a heat-resistant separator.
상기 세퍼레이터는 부직포, 아미드계 화합물, 또는 이들의 조합을 포함하는 리튬 이차 전지용 세퍼레이터층.In claim 8,
The separator is a separator layer for a lithium secondary battery comprising a nonwoven fabric, an amide compound, or a combination thereof.
상기 전극 활물질층 위에 위치하는 마이크로캡슐층을 포함하고,
상기 마이크로캡슐층에는 제1항, 제5항 및 제6항 중 어느 한 항의 마이크로캡슐이 분산되어 있는 리튬 이차 전지용 전극.electrode active material layer; and
It includes a microcapsule layer positioned on the electrode active material layer,
An electrode for a lithium secondary battery in which the microcapsules of any one of claims 1, 5 and 6 are dispersed in the microcapsule layer.
제1항, 제5항 및 제6항 중 어느 한 항의 마이크로캡슐
을 포함하는 리튬 이차 전지용 전극 활물질층.electrode active material; and
The microcapsule of any one of claims 1, 5 and 6
An electrode active material layer for a lithium secondary battery comprising a.
제1항, 제5항 및 제6항 중 어느 한 항의 마이크로캡슐이 상기 양극 또는 음극의 극판 위에 존재하는 리튬 이차 전지용 전극 조립체.comprising an anode and a cathode;
The electrode assembly for a lithium secondary battery in which the microcapsule of any one of claims 1, 5 and 6 is present on the electrode plate of the positive electrode or the negative electrode.
Applications Claiming Priority (2)
| Application Number | Priority Date | Filing Date | Title |
|---|---|---|---|
| JP2013253565A JP6372680B2 (en) | 2013-12-06 | 2013-12-06 | Non-aqueous electrolyte secondary battery microcapsule, non-aqueous electrolyte secondary battery separator, non-aqueous electrolyte secondary battery electrode, non-aqueous electrolyte secondary battery electrode active material layer, and non-aqueous electrolyte Secondary battery |
| JPJP-P-2013-253565 | 2013-12-06 |
Publications (2)
| Publication Number | Publication Date |
|---|---|
| KR20150067035A KR20150067035A (en) | 2015-06-17 |
| KR102276260B1 true KR102276260B1 (en) | 2021-07-12 |
Family
ID=53515187
Family Applications (1)
| Application Number | Title | Priority Date | Filing Date |
|---|---|---|---|
| KR1020140172507A Active KR102276260B1 (en) | 2013-12-06 | 2014-12-03 | Microcapsule for rechargeable lithium battery, separator layer for rechargeable lithium battery, electrod for rechargeable lithium battery, electrod active material layer for rechargeable lithium battery, rechargeable lithium battery |
Country Status (2)
| Country | Link |
|---|---|
| JP (1) | JP6372680B2 (en) |
| KR (1) | KR102276260B1 (en) |
Families Citing this family (13)
| Publication number | Priority date | Publication date | Assignee | Title |
|---|---|---|---|---|
| KR102215959B1 (en) * | 2016-11-14 | 2021-02-15 | 상하이 딘호 뉴 머터리얼 테크놀러지 컴퍼니 리미티드 | Multi-layer composite functional diaphragm for lithium-ion battery |
| KR102799567B1 (en) * | 2017-02-13 | 2025-04-22 | 주식회사 엘지에너지솔루션 | Separator, Method for Preparing the Same and Lithium Secondary Battery Comprising the Same |
| CN109148789B (en) * | 2017-06-16 | 2022-05-03 | 宁德时代新能源科技股份有限公司 | Separator, preparation method thereof, and lithium ion battery using the separator |
| US11302923B2 (en) * | 2018-01-30 | 2022-04-12 | Zeon Corporation | Additive for electrochemical device, binder composition for electrochemical device, slurry composition for electrochemical device, electrode for electrochemical device, and electrochemical device |
| JP6879289B2 (en) * | 2018-12-13 | 2021-06-02 | トヨタ自動車株式会社 | Non-aqueous electrolyte secondary battery |
| CN109817867A (en) * | 2018-12-20 | 2019-05-28 | 广州鹏辉能源科技股份有限公司 | A kind of heat sensitive coatings material, thermal sensitivity diaphragm and the preparation method and application thereof |
| CN111697184B (en) * | 2019-03-15 | 2022-05-31 | 华为技术有限公司 | Lithium ion battery diaphragm, preparation method thereof and lithium ion battery |
| WO2021085487A1 (en) * | 2019-10-30 | 2021-05-06 | 富士フイルム株式会社 | Nonaqueous electrolyte secondary battery, separator used for same, and method for producing nonaqueous electrolyte secondary battery |
| CN113451664B (en) * | 2020-03-24 | 2023-01-24 | 东营市海科新源化工有限责任公司 | Thermally-excited active safety mechanism flame-retardant microcapsule, preparation method thereof and lithium ion battery |
| CN114789028B (en) * | 2021-01-25 | 2024-07-12 | 宁德时代新能源科技股份有限公司 | Microencapsulated transition metal ion scavenger, preparation method and diaphragm |
| CN113230577A (en) * | 2021-04-26 | 2021-08-10 | 深圳供电局有限公司 | Lithium ion battery microcapsule fire extinguishing agent and preparation method and application thereof |
| CN114944467B (en) * | 2022-07-01 | 2024-06-25 | 珠海冠宇电池股份有限公司 | A pole piece and a battery including the pole piece |
| CN115172896B (en) * | 2022-07-27 | 2025-08-26 | 厦门理工学院 | A wound lithium-ion battery with flame retardant effect |
Citations (3)
| Publication number | Priority date | Publication date | Assignee | Title |
|---|---|---|---|---|
| JP2003031208A (en) * | 2001-07-10 | 2003-01-31 | Denso Corp | Non-aqueous electrolyte secondary battery |
| JP2003123725A (en) * | 2001-10-15 | 2003-04-25 | Matsushita Electric Ind Co Ltd | Battery manufacturing method |
| JP2007273127A (en) * | 2006-03-30 | 2007-10-18 | Matsushita Electric Ind Co Ltd | Non-aqueous secondary battery |
Family Cites Families (9)
| Publication number | Priority date | Publication date | Assignee | Title |
|---|---|---|---|---|
| JP4530682B2 (en) * | 2004-02-20 | 2010-08-25 | 三洋化成工業株式会社 | Thermally expandable microcapsules |
| JP4686182B2 (en) * | 2004-12-29 | 2011-05-18 | 恵和株式会社 | Battery separator, manufacturing method, and secondary battery |
| JP2008226807A (en) * | 2007-02-14 | 2008-09-25 | Nissan Motor Co Ltd | Nonaqueous electrolyte secondary battery |
| JP2009227923A (en) * | 2008-03-25 | 2009-10-08 | Kyoritsu Kagaku Sangyo Kk | Manufacturing method for article having negative pattern |
| JP5588880B2 (en) * | 2008-12-18 | 2014-09-10 | 株式会社クレハ | Method for producing hollow microsphere and method for producing porous ceramic molded body |
| JP2010265421A (en) * | 2009-05-18 | 2010-11-25 | Eiwa Kasei Kogyo Kk | Micro capsule |
| CN103262305B (en) * | 2010-12-14 | 2015-11-25 | 协立化学产业株式会社 | Battery electrode or separator surface protective agent composition, battery electrode or separator protected by it, and battery with the battery electrode or separator |
| JP2013004305A (en) * | 2011-06-16 | 2013-01-07 | Toyota Motor Corp | Secondary battery |
| JP5991851B2 (en) * | 2012-05-15 | 2016-09-14 | 積水化学工業株式会社 | Thermally expandable microcapsules |
-
2013
- 2013-12-06 JP JP2013253565A patent/JP6372680B2/en active Active
-
2014
- 2014-12-03 KR KR1020140172507A patent/KR102276260B1/en active Active
Patent Citations (3)
| Publication number | Priority date | Publication date | Assignee | Title |
|---|---|---|---|---|
| JP2003031208A (en) * | 2001-07-10 | 2003-01-31 | Denso Corp | Non-aqueous electrolyte secondary battery |
| JP2003123725A (en) * | 2001-10-15 | 2003-04-25 | Matsushita Electric Ind Co Ltd | Battery manufacturing method |
| JP2007273127A (en) * | 2006-03-30 | 2007-10-18 | Matsushita Electric Ind Co Ltd | Non-aqueous secondary battery |
Also Published As
| Publication number | Publication date |
|---|---|
| KR20150067035A (en) | 2015-06-17 |
| JP2015111530A (en) | 2015-06-18 |
| JP6372680B2 (en) | 2018-08-15 |
Similar Documents
| Publication | Publication Date | Title |
|---|---|---|
| KR102276260B1 (en) | Microcapsule for rechargeable lithium battery, separator layer for rechargeable lithium battery, electrod for rechargeable lithium battery, electrod active material layer for rechargeable lithium battery, rechargeable lithium battery | |
| KR102425511B1 (en) | Negative electrode aqueous slurry for rechargeable lithium battery, negative electrode active materials layer including the same and rechargeable lithium battery | |
| KR102407049B1 (en) | Binder for rechargeable battery, separator for rechargeable battery inclduing same, and rechargeable battery including same | |
| JP6813350B2 (en) | Binder for secondary battery, binder resin composition for secondary battery, electrode for secondary battery, and secondary battery | |
| JP4581888B2 (en) | Electrode element manufacturing method and electrochemical element manufacturing method | |
| CN115136377A (en) | Lithium ion secondary battery | |
| US10050246B2 (en) | Binder for rechargeable battery, separator for rechargeable battery including same, and rechargeable battery including same | |
| JP6395371B2 (en) | Negative electrode active material layer for lithium ion secondary battery and lithium ion secondary battery | |
| JPWO2008050599A1 (en) | Electrolyte for lithium ion secondary battery | |
| WO2022141448A1 (en) | Electrochemical device, electronic device and electrochemical device manufacturing method | |
| JP6959010B2 (en) | Negative electrode for non-aqueous electrolyte secondary battery and non-aqueous electrolyte secondary battery | |
| JP2007035769A (en) | Manufacturing method of electrode for electrochemical element and manufacturing method of electrochemical element | |
| JP2016028376A (en) | Binder for secondary batteries, secondary battery separator and secondary battery | |
| KR102253022B1 (en) | Particulate composite for non-aqueous electrolyte rechargeable battery electrolyte secondary battery, electrode for non-aqueous electrolyte rechargeable battery electrolyte secondary battery, and non-aqueous electrolyte rechargeable battery electrolyte secondary battery | |
| CN110392952A (en) | Non-aqueous electrolyte secondary battery | |
| CN114843512A (en) | A positive electrode sheet and lithium ion battery | |
| JP6406813B2 (en) | Negative electrode active material layer for non-aqueous electrolyte secondary battery and non-aqueous electrolyte secondary battery using the same | |
| JP7088969B2 (en) | Lithium ion separator for secondary batteries and lithium ion secondary batteries | |
| CN101425573A (en) | High density lithium ionic cell positive pole, manufacturing method and lithium ionic cell | |
| JP2017126488A (en) | Nonaqueous electrolyte solution for nonaqueous electrolyte secondary battery, and nonaqueous electrolyte secondary battery | |
| KR102273644B1 (en) | Separator for rechargeable lithium battery and rechargeable lithium battery including the same | |
| CN110495043A (en) | Nonaqueous Electrolyte and Nonaqueous Electrolyte Secondary Batteries | |
| KR102290315B1 (en) | Rechargeable lithium battery | |
| JP2023147967A (en) | Endothermic particles for non-aqueous electrolyte secondary batteries and non-aqueous electrolyte secondary batteries | |
| JP2003151557A (en) | Non-aqueous electrolyte battery |
Legal Events
| Date | Code | Title | Description |
|---|---|---|---|
| PA0109 | Patent application |
Patent event code: PA01091R01D Comment text: Patent Application Patent event date: 20141203 |
|
| PG1501 | Laying open of application | ||
| A201 | Request for examination | ||
| PA0201 | Request for examination |
Patent event code: PA02012R01D Patent event date: 20190927 Comment text: Request for Examination of Application Patent event code: PA02011R01I Patent event date: 20141203 Comment text: Patent Application |
|
| E902 | Notification of reason for refusal | ||
| PE0902 | Notice of grounds for rejection |
Comment text: Notification of reason for refusal Patent event date: 20201117 Patent event code: PE09021S01D |
|
| E701 | Decision to grant or registration of patent right | ||
| PE0701 | Decision of registration |
Patent event code: PE07011S01D Comment text: Decision to Grant Registration Patent event date: 20210504 |
|
| GRNT | Written decision to grant | ||
| PR0701 | Registration of establishment |
Comment text: Registration of Establishment Patent event date: 20210706 Patent event code: PR07011E01D |
|
| PR1002 | Payment of registration fee |
Payment date: 20210706 End annual number: 3 Start annual number: 1 |
|
| PG1601 | Publication of registration | ||
| PR1001 | Payment of annual fee |
Payment date: 20240701 Start annual number: 4 End annual number: 4 |
|
| PR1001 | Payment of annual fee |
Payment date: 20250625 Start annual number: 5 End annual number: 5 |





