KR102262687B1 - Compound and organic electronic device comprising the same - Google Patents
Compound and organic electronic device comprising the same Download PDFInfo
- Publication number
- KR102262687B1 KR102262687B1 KR1020180039633A KR20180039633A KR102262687B1 KR 102262687 B1 KR102262687 B1 KR 102262687B1 KR 1020180039633 A KR1020180039633 A KR 1020180039633A KR 20180039633 A KR20180039633 A KR 20180039633A KR 102262687 B1 KR102262687 B1 KR 102262687B1
- Authority
- KR
- South Korea
- Prior art keywords
- group
- layer
- compound
- present specification
- substituted
- Prior art date
- Legal status (The legal status is an assumption and is not a legal conclusion. Google has not performed a legal analysis and makes no representation as to the accuracy of the status listed.)
- Active
Links
- 150000001875 compounds Chemical class 0.000 title claims abstract description 108
- 239000010410 layer Substances 0.000 claims description 227
- 238000002347 injection Methods 0.000 claims description 51
- 239000007924 injection Substances 0.000 claims description 51
- 239000011368 organic material Substances 0.000 claims description 49
- -1 dimethyl fluorenyl group Chemical group 0.000 claims description 42
- 230000032258 transport Effects 0.000 claims description 35
- 125000003118 aryl group Chemical group 0.000 claims description 33
- 230000000903 blocking effect Effects 0.000 claims description 25
- 230000005525 hole transport Effects 0.000 claims description 24
- 125000001997 phenyl group Chemical group [H]C1=C([H])C([H])=C(*)C([H])=C1[H] 0.000 claims description 23
- 125000004432 carbon atom Chemical group C* 0.000 claims description 22
- 125000000217 alkyl group Chemical group 0.000 claims description 18
- 125000006267 biphenyl group Chemical group 0.000 claims description 18
- 125000001624 naphthyl group Chemical group 0.000 claims description 18
- 125000003983 fluorenyl group Chemical group C1(=CC=CC=2C3=CC=CC=C3CC12)* 0.000 claims description 14
- 238000000034 method Methods 0.000 claims description 13
- TXCDCPKCNAJMEE-UHFFFAOYSA-N dibenzofuran Chemical group C1=CC=C2C3=CC=CC=C3OC2=C1 TXCDCPKCNAJMEE-UHFFFAOYSA-N 0.000 claims description 11
- IYYZUPMFVPLQIF-ALWQSETLSA-N dibenzothiophene Chemical group C1=CC=CC=2[34S]C3=C(C=21)C=CC=C3 IYYZUPMFVPLQIF-ALWQSETLSA-N 0.000 claims description 11
- YJTKZCDBKVTVBY-UHFFFAOYSA-N 1,3-Diphenylbenzene Chemical group C1=CC=CC=C1C1=CC=CC(C=2C=CC=CC=2)=C1 YJTKZCDBKVTVBY-UHFFFAOYSA-N 0.000 claims description 7
- 125000000609 carbazolyl group Chemical group C1(=CC=CC=2C3=CC=CC=C3NC12)* 0.000 claims description 7
- 229910052760 oxygen Inorganic materials 0.000 claims description 6
- 125000000732 arylene group Chemical group 0.000 claims description 5
- 229910052739 hydrogen Inorganic materials 0.000 claims description 5
- 239000001257 hydrogen Substances 0.000 claims description 5
- 229910052717 sulfur Inorganic materials 0.000 claims description 5
- 229910052705 radium Inorganic materials 0.000 claims description 4
- 229910052701 rubidium Inorganic materials 0.000 claims description 4
- 125000004435 hydrogen atom Chemical class [H]* 0.000 claims description 3
- 229910052757 nitrogen Inorganic materials 0.000 claims description 3
- 125000000843 phenylene group Chemical group C1(=C(C=CC=C1)*)* 0.000 claims description 3
- 125000002943 quinolinyl group Chemical group N1=C(C=CC2=CC=CC=C12)* 0.000 claims description 3
- 239000012044 organic layer Substances 0.000 claims description 2
- OAICVXFJPJFONN-UHFFFAOYSA-N Phosphorus Chemical compound [P] OAICVXFJPJFONN-UHFFFAOYSA-N 0.000 claims 2
- 229910052698 phosphorus Inorganic materials 0.000 claims 2
- 239000011574 phosphorus Substances 0.000 claims 2
- 125000004076 pyridyl group Chemical group 0.000 claims 2
- 125000002529 biphenylenyl group Chemical group C1(=CC=CC=2C3=CC=CC=C3C12)* 0.000 claims 1
- 125000001792 phenanthrenyl group Chemical group C1(=CC=CC=2C3=CC=CC=C3C=CC12)* 0.000 claims 1
- 239000000463 material Substances 0.000 description 38
- WYURNTSHIVDZCO-UHFFFAOYSA-N Tetrahydrofuran Chemical compound C1CCOC1 WYURNTSHIVDZCO-UHFFFAOYSA-N 0.000 description 32
- NFHFRUOZVGFOOS-UHFFFAOYSA-N palladium;triphenylphosphane Chemical compound [Pd].C1=CC=CC=C1P(C=1C=CC=CC=1)C1=CC=CC=C1.C1=CC=CC=C1P(C=1C=CC=CC=1)C1=CC=CC=C1.C1=CC=CC=C1P(C=1C=CC=CC=1)C1=CC=CC=C1.C1=CC=CC=C1P(C=1C=CC=CC=1)C1=CC=CC=C1 NFHFRUOZVGFOOS-UHFFFAOYSA-N 0.000 description 28
- WEVYAHXRMPXWCK-UHFFFAOYSA-N Acetonitrile Chemical compound CC#N WEVYAHXRMPXWCK-UHFFFAOYSA-N 0.000 description 21
- 238000004519 manufacturing process Methods 0.000 description 19
- XLYOFNOQVPJJNP-UHFFFAOYSA-N water Substances O XLYOFNOQVPJJNP-UHFFFAOYSA-N 0.000 description 19
- 230000000052 comparative effect Effects 0.000 description 18
- YLQBMQCUIZJEEH-UHFFFAOYSA-N Furan Chemical group C=1C=COC=1 YLQBMQCUIZJEEH-UHFFFAOYSA-N 0.000 description 17
- 239000000543 intermediate Substances 0.000 description 17
- 125000001424 substituent group Chemical group 0.000 description 17
- 125000002496 methyl group Chemical group [H]C([H])([H])* 0.000 description 15
- CSNNHWWHGAXBCP-UHFFFAOYSA-L Magnesium sulfate Chemical compound [Mg+2].[O-][S+2]([O-])([O-])[O-] CSNNHWWHGAXBCP-UHFFFAOYSA-L 0.000 description 14
- 238000010438 heat treatment Methods 0.000 description 14
- 239000012299 nitrogen atmosphere Substances 0.000 description 14
- TYJJADVDDVDEDZ-UHFFFAOYSA-M potassium hydrogencarbonate Chemical compound [K+].OC([O-])=O TYJJADVDDVDEDZ-UHFFFAOYSA-M 0.000 description 14
- 238000003756 stirring Methods 0.000 description 14
- 125000001072 heteroaryl group Chemical group 0.000 description 13
- VZSRBBMJRBPUNF-UHFFFAOYSA-N 2-(2,3-dihydro-1H-inden-2-ylamino)-N-[3-oxo-3-(2,4,6,7-tetrahydrotriazolo[4,5-c]pyridin-5-yl)propyl]pyrimidine-5-carboxamide Chemical compound C1C(CC2=CC=CC=C12)NC1=NC=C(C=N1)C(=O)NCCC(N1CC2=C(CC1)NN=N2)=O VZSRBBMJRBPUNF-UHFFFAOYSA-N 0.000 description 12
- 239000000758 substrate Substances 0.000 description 12
- 125000001495 ethyl group Chemical group [H]C([H])([H])C([H])([H])* 0.000 description 11
- 125000001449 isopropyl group Chemical group [H]C([H])([H])C([H])(*)C([H])([H])[H] 0.000 description 11
- 125000001436 propyl group Chemical group [H]C([*])([H])C([H])([H])C([H])([H])[H] 0.000 description 11
- XEKOWRVHYACXOJ-UHFFFAOYSA-N Ethyl acetate Chemical compound CCOC(C)=O XEKOWRVHYACXOJ-UHFFFAOYSA-N 0.000 description 9
- 238000000151 deposition Methods 0.000 description 9
- 125000000999 tert-butyl group Chemical group [H]C([H])([H])C(*)(C([H])([H])[H])C([H])([H])[H] 0.000 description 9
- 229910052782 aluminium Inorganic materials 0.000 description 8
- XAGFODPZIPBFFR-UHFFFAOYSA-N aluminium Chemical compound [Al] XAGFODPZIPBFFR-UHFFFAOYSA-N 0.000 description 8
- 229940125904 compound 1 Drugs 0.000 description 8
- CSCPPACGZOOCGX-UHFFFAOYSA-N Acetone Chemical compound CC(C)=O CSCPPACGZOOCGX-UHFFFAOYSA-N 0.000 description 7
- 229910052751 metal Inorganic materials 0.000 description 7
- 239000002184 metal Substances 0.000 description 7
- 125000000753 cycloalkyl group Chemical group 0.000 description 6
- 125000003808 silyl group Chemical group [H][Si]([H])([H])[*] 0.000 description 6
- 239000000126 substance Substances 0.000 description 6
- 150000004982 aromatic amines Chemical class 0.000 description 5
- 239000012153 distilled water Substances 0.000 description 5
- 125000005843 halogen group Chemical group 0.000 description 5
- PQXKHYXIUOZZFA-UHFFFAOYSA-M lithium fluoride Chemical compound [Li+].[F-] PQXKHYXIUOZZFA-UHFFFAOYSA-M 0.000 description 5
- UJOBWOGCFQCDNV-UHFFFAOYSA-N 9H-carbazole Chemical compound C1=CC=C2C3=CC=CC=C3NC2=C1 UJOBWOGCFQCDNV-UHFFFAOYSA-N 0.000 description 4
- UFHFLCQGNIYNRP-UHFFFAOYSA-N Hydrogen Chemical compound [H][H] UFHFLCQGNIYNRP-UHFFFAOYSA-N 0.000 description 4
- AFCARXCZXQIEQB-UHFFFAOYSA-N N-[3-oxo-3-(2,4,6,7-tetrahydrotriazolo[4,5-c]pyridin-5-yl)propyl]-2-[[3-(trifluoromethoxy)phenyl]methylamino]pyrimidine-5-carboxamide Chemical compound O=C(CCNC(=O)C=1C=NC(=NC=1)NCC1=CC(=CC=C1)OC(F)(F)F)N1CC2=C(CC1)NN=N2 AFCARXCZXQIEQB-UHFFFAOYSA-N 0.000 description 4
- XLOMVQKBTHCTTD-UHFFFAOYSA-N Zinc monoxide Chemical compound [Zn]=O XLOMVQKBTHCTTD-UHFFFAOYSA-N 0.000 description 4
- 125000005264 aryl amine group Chemical group 0.000 description 4
- 150000001716 carbazoles Chemical group 0.000 description 4
- 230000008021 deposition Effects 0.000 description 4
- 239000002019 doping agent Substances 0.000 description 4
- 230000000694 effects Effects 0.000 description 4
- 239000007772 electrode material Substances 0.000 description 4
- MPQXHAGKBWFSNV-UHFFFAOYSA-N oxidophosphanium Chemical group [PH3]=O MPQXHAGKBWFSNV-UHFFFAOYSA-N 0.000 description 4
- JYEUMXHLPRZUAT-UHFFFAOYSA-N 1,2,3-triazine Chemical group C1=CN=NN=C1 JYEUMXHLPRZUAT-UHFFFAOYSA-N 0.000 description 3
- YLZOPXRUQYQQID-UHFFFAOYSA-N 3-(2,4,6,7-tetrahydrotriazolo[4,5-c]pyridin-5-yl)-1-[4-[2-[[3-(trifluoromethoxy)phenyl]methylamino]pyrimidin-5-yl]piperazin-1-yl]propan-1-one Chemical compound N1N=NC=2CN(CCC=21)CCC(=O)N1CCN(CC1)C=1C=NC(=NC=1)NCC1=CC(=CC=C1)OC(F)(F)F YLZOPXRUQYQQID-UHFFFAOYSA-N 0.000 description 3
- UFHFLCQGNIYNRP-VVKOMZTBSA-N Dideuterium Chemical compound [2H][2H] UFHFLCQGNIYNRP-VVKOMZTBSA-N 0.000 description 3
- KFZMGEQAYNKOFK-UHFFFAOYSA-N Isopropanol Chemical compound CC(C)O KFZMGEQAYNKOFK-UHFFFAOYSA-N 0.000 description 3
- OKKJLVBELUTLKV-UHFFFAOYSA-N Methanol Chemical compound OC OKKJLVBELUTLKV-UHFFFAOYSA-N 0.000 description 3
- JUJWROOIHBZHMG-UHFFFAOYSA-N Pyridine Chemical group C1=CC=NC=C1 JUJWROOIHBZHMG-UHFFFAOYSA-N 0.000 description 3
- BQCADISMDOOEFD-UHFFFAOYSA-N Silver Chemical compound [Ag] BQCADISMDOOEFD-UHFFFAOYSA-N 0.000 description 3
- YTPLMLYBLZKORZ-UHFFFAOYSA-N Thiophene Chemical group C=1C=CSC=1 YTPLMLYBLZKORZ-UHFFFAOYSA-N 0.000 description 3
- 239000000956 alloy Substances 0.000 description 3
- 229910045601 alloy Inorganic materials 0.000 description 3
- IOJUPLGTWVMSFF-UHFFFAOYSA-N benzothiazole Chemical group C1=CC=C2SC=NC2=C1 IOJUPLGTWVMSFF-UHFFFAOYSA-N 0.000 description 3
- 125000000484 butyl group Chemical group [H]C([*])([H])C([H])([H])C([H])([H])C([H])([H])[H] 0.000 description 3
- 238000000576 coating method Methods 0.000 description 3
- 229940125782 compound 2 Drugs 0.000 description 3
- 229920001940 conductive polymer Polymers 0.000 description 3
- 150000004696 coordination complex Chemical class 0.000 description 3
- 125000004122 cyclic group Chemical group 0.000 description 3
- 125000005549 heteroarylene group Chemical group 0.000 description 3
- 238000004770 highest occupied molecular orbital Methods 0.000 description 3
- RAXXELZNTBOGNW-UHFFFAOYSA-N imidazole Natural products C1=CNC=N1 RAXXELZNTBOGNW-UHFFFAOYSA-N 0.000 description 3
- IMKMFBIYHXBKRX-UHFFFAOYSA-M lithium;quinoline-2-carboxylate Chemical compound [Li+].C1=CC=CC2=NC(C(=O)[O-])=CC=C21 IMKMFBIYHXBKRX-UHFFFAOYSA-M 0.000 description 3
- 125000005561 phenanthryl group Chemical group 0.000 description 3
- 125000000714 pyrimidinyl group Chemical group 0.000 description 3
- 229910052710 silicon Inorganic materials 0.000 description 3
- 229910052709 silver Inorganic materials 0.000 description 3
- 239000004332 silver Substances 0.000 description 3
- TVIVIEFSHFOWTE-UHFFFAOYSA-K tri(quinolin-8-yloxy)alumane Chemical compound [Al+3].C1=CN=C2C([O-])=CC=CC2=C1.C1=CN=C2C([O-])=CC=CC2=C1.C1=CN=C2C([O-])=CC=CC2=C1 TVIVIEFSHFOWTE-UHFFFAOYSA-K 0.000 description 3
- 238000005406 washing Methods 0.000 description 3
- SZUVGFMDDVSKSI-WIFOCOSTSA-N (1s,2s,3s,5r)-1-(carboxymethyl)-3,5-bis[(4-phenoxyphenyl)methyl-propylcarbamoyl]cyclopentane-1,2-dicarboxylic acid Chemical compound O=C([C@@H]1[C@@H]([C@](CC(O)=O)([C@H](C(=O)N(CCC)CC=2C=CC(OC=3C=CC=CC=3)=CC=2)C1)C(O)=O)C(O)=O)N(CCC)CC(C=C1)=CC=C1OC1=CC=CC=C1 SZUVGFMDDVSKSI-WIFOCOSTSA-N 0.000 description 2
- GHYOCDFICYLMRF-UTIIJYGPSA-N (2S,3R)-N-[(2S)-3-(cyclopenten-1-yl)-1-[(2R)-2-methyloxiran-2-yl]-1-oxopropan-2-yl]-3-hydroxy-3-(4-methoxyphenyl)-2-[[(2S)-2-[(2-morpholin-4-ylacetyl)amino]propanoyl]amino]propanamide Chemical compound C1(=CCCC1)C[C@@H](C(=O)[C@@]1(OC1)C)NC([C@H]([C@@H](C1=CC=C(C=C1)OC)O)NC([C@H](C)NC(CN1CCOCC1)=O)=O)=O GHYOCDFICYLMRF-UTIIJYGPSA-N 0.000 description 2
- QFLWZFQWSBQYPS-AWRAUJHKSA-N (3S)-3-[[(2S)-2-[[(2S)-2-[5-[(3aS,6aR)-2-oxo-1,3,3a,4,6,6a-hexahydrothieno[3,4-d]imidazol-4-yl]pentanoylamino]-3-methylbutanoyl]amino]-3-(4-hydroxyphenyl)propanoyl]amino]-4-[1-bis(4-chlorophenoxy)phosphorylbutylamino]-4-oxobutanoic acid Chemical compound CCCC(NC(=O)[C@H](CC(O)=O)NC(=O)[C@H](Cc1ccc(O)cc1)NC(=O)[C@@H](NC(=O)CCCCC1SC[C@@H]2NC(=O)N[C@H]12)C(C)C)P(=O)(Oc1ccc(Cl)cc1)Oc1ccc(Cl)cc1 QFLWZFQWSBQYPS-AWRAUJHKSA-N 0.000 description 2
- 125000000008 (C1-C10) alkyl group Chemical group 0.000 description 2
- BCMCBBGGLRIHSE-UHFFFAOYSA-N 1,3-benzoxazole Chemical compound C1=CC=C2OC=NC2=C1 BCMCBBGGLRIHSE-UHFFFAOYSA-N 0.000 description 2
- UNILWMWFPHPYOR-KXEYIPSPSA-M 1-[6-[2-[3-[3-[3-[2-[2-[3-[[2-[2-[[(2r)-1-[[2-[[(2r)-1-[3-[2-[2-[3-[[2-(2-amino-2-oxoethoxy)acetyl]amino]propoxy]ethoxy]ethoxy]propylamino]-3-hydroxy-1-oxopropan-2-yl]amino]-2-oxoethyl]amino]-3-[(2r)-2,3-di(hexadecanoyloxy)propyl]sulfanyl-1-oxopropan-2-yl Chemical compound O=C1C(SCCC(=O)NCCCOCCOCCOCCCNC(=O)COCC(=O)N[C@@H](CSC[C@@H](COC(=O)CCCCCCCCCCCCCCC)OC(=O)CCCCCCCCCCCCCCC)C(=O)NCC(=O)N[C@H](CO)C(=O)NCCCOCCOCCOCCCNC(=O)COCC(N)=O)CC(=O)N1CCNC(=O)CCCCCN\1C2=CC=C(S([O-])(=O)=O)C=C2CC/1=C/C=C/C=C/C1=[N+](CC)C2=CC=C(S([O-])(=O)=O)C=C2C1 UNILWMWFPHPYOR-KXEYIPSPSA-M 0.000 description 2
- OYPRJOBELJOOCE-UHFFFAOYSA-N Calcium Chemical compound [Ca] OYPRJOBELJOOCE-UHFFFAOYSA-N 0.000 description 2
- GYHNNYVSQQEPJS-UHFFFAOYSA-N Gallium Chemical compound [Ga] GYHNNYVSQQEPJS-UHFFFAOYSA-N 0.000 description 2
- SIKJAQJRHWYJAI-UHFFFAOYSA-N Indole Chemical compound C1=CC=C2NC=CC2=C1 SIKJAQJRHWYJAI-UHFFFAOYSA-N 0.000 description 2
- WHXSMMKQMYFTQS-UHFFFAOYSA-N Lithium Chemical compound [Li] WHXSMMKQMYFTQS-UHFFFAOYSA-N 0.000 description 2
- KYQCOXFCLRTKLS-UHFFFAOYSA-N Pyrazine Chemical compound C1=CN=CC=N1 KYQCOXFCLRTKLS-UHFFFAOYSA-N 0.000 description 2
- 239000007983 Tris buffer Substances 0.000 description 2
- HCHKCACWOHOZIP-UHFFFAOYSA-N Zinc Chemical compound [Zn] HCHKCACWOHOZIP-UHFFFAOYSA-N 0.000 description 2
- 239000010405 anode material Substances 0.000 description 2
- MWPLVEDNUUSJAV-UHFFFAOYSA-N anthracene Chemical compound C1=CC=CC2=CC3=CC=CC=C3C=C21 MWPLVEDNUUSJAV-UHFFFAOYSA-N 0.000 description 2
- 125000004429 atom Chemical group 0.000 description 2
- 230000015572 biosynthetic process Effects 0.000 description 2
- 229910052791 calcium Inorganic materials 0.000 description 2
- 239000011575 calcium Substances 0.000 description 2
- 239000010406 cathode material Substances 0.000 description 2
- WDECIBYCCFPHNR-UHFFFAOYSA-N chrysene Chemical compound C1=CC=CC2=CC=C3C4=CC=CC=C4C=CC3=C21 WDECIBYCCFPHNR-UHFFFAOYSA-N 0.000 description 2
- 229940125773 compound 10 Drugs 0.000 description 2
- 229940125797 compound 12 Drugs 0.000 description 2
- 229940126543 compound 14 Drugs 0.000 description 2
- 229940126214 compound 3 Drugs 0.000 description 2
- 229940125898 compound 5 Drugs 0.000 description 2
- 239000003599 detergent Substances 0.000 description 2
- 239000010408 film Substances 0.000 description 2
- GVEPBJHOBDJJJI-UHFFFAOYSA-N fluoranthrene Natural products C1=CC(C2=CC=CC=C22)=C3C2=CC=CC3=C1 GVEPBJHOBDJJJI-UHFFFAOYSA-N 0.000 description 2
- 229910052733 gallium Inorganic materials 0.000 description 2
- 125000005842 heteroatom Chemical group 0.000 description 2
- 125000000623 heterocyclic group Chemical group 0.000 description 2
- AMGQUBHHOARCQH-UHFFFAOYSA-N indium;oxotin Chemical compound [In].[Sn]=O AMGQUBHHOARCQH-UHFFFAOYSA-N 0.000 description 2
- AWJUIBRHMBBTKR-UHFFFAOYSA-N isoquinoline Chemical compound C1=NC=CC2=CC=CC=C21 AWJUIBRHMBBTKR-UHFFFAOYSA-N 0.000 description 2
- ZLVXBBHTMQJRSX-VMGNSXQWSA-N jdtic Chemical compound C1([C@]2(C)CCN(C[C@@H]2C)C[C@H](C(C)C)NC(=O)[C@@H]2NCC3=CC(O)=CC=C3C2)=CC=CC(O)=C1 ZLVXBBHTMQJRSX-VMGNSXQWSA-N 0.000 description 2
- 229910052744 lithium Inorganic materials 0.000 description 2
- 229910044991 metal oxide Inorganic materials 0.000 description 2
- 150000004706 metal oxides Chemical class 0.000 description 2
- 150000002739 metals Chemical class 0.000 description 2
- VNWKTOKETHGBQD-UHFFFAOYSA-N methane Chemical compound C VNWKTOKETHGBQD-UHFFFAOYSA-N 0.000 description 2
- 125000002950 monocyclic group Chemical group 0.000 description 2
- WCPAKWJPBJAGKN-UHFFFAOYSA-N oxadiazole Chemical group C1=CON=N1 WCPAKWJPBJAGKN-UHFFFAOYSA-N 0.000 description 2
- 125000002080 perylenyl group Chemical group C1(=CC=C2C=CC=C3C4=CC=CC5=CC=CC(C1=C23)=C45)* 0.000 description 2
- 238000005240 physical vapour deposition Methods 0.000 description 2
- BASFCYQUMIYNBI-UHFFFAOYSA-N platinum Chemical compound [Pt] BASFCYQUMIYNBI-UHFFFAOYSA-N 0.000 description 2
- 229920000553 poly(phenylenevinylene) Polymers 0.000 description 2
- 229920000767 polyaniline Polymers 0.000 description 2
- 125000003367 polycyclic group Chemical group 0.000 description 2
- 238000002360 preparation method Methods 0.000 description 2
- BBEAQIROQSPTKN-UHFFFAOYSA-N pyrene Chemical compound C1=CC=C2C=CC3=CC=CC4=CC=C1C2=C43 BBEAQIROQSPTKN-UHFFFAOYSA-N 0.000 description 2
- 229910052711 selenium Inorganic materials 0.000 description 2
- 239000000243 solution Substances 0.000 description 2
- 125000001973 tert-pentyl group Chemical group [H]C([H])([H])C([H])([H])C(*)(C([H])([H])[H])C([H])([H])[H] 0.000 description 2
- 239000010409 thin film Substances 0.000 description 2
- 150000003852 triazoles Chemical group 0.000 description 2
- 229910052725 zinc Inorganic materials 0.000 description 2
- 239000011701 zinc Substances 0.000 description 2
- 239000011787 zinc oxide Substances 0.000 description 2
- UWRZIZXBOLBCON-VOTSOKGWSA-N (e)-2-phenylethenamine Chemical compound N\C=C\C1=CC=CC=C1 UWRZIZXBOLBCON-VOTSOKGWSA-N 0.000 description 1
- KOFLVDBWRHFSAB-UHFFFAOYSA-N 1,2,4,5-tetrahydro-1-(phenylmethyl)-5,9b(1',2')-benzeno-9bh-benz(g)indol-3(3ah)-one Chemical compound C1C(C=2C3=CC=CC=2)C2=CC=CC=C2C23C1C(=O)CN2CC1=CC=CC=C1 KOFLVDBWRHFSAB-UHFFFAOYSA-N 0.000 description 1
- IANQTJSKSUMEQM-UHFFFAOYSA-N 1-benzofuran Chemical group C1=CC=C2OC=CC2=C1 IANQTJSKSUMEQM-UHFFFAOYSA-N 0.000 description 1
- FCEHBMOGCRZNNI-UHFFFAOYSA-N 1-benzothiophene Chemical group C1=CC=C2SC=CC2=C1 FCEHBMOGCRZNNI-UHFFFAOYSA-N 0.000 description 1
- 125000006218 1-ethylbutyl group Chemical group [H]C([H])([H])C([H])([H])C([H])([H])C([H])(*)C([H])([H])C([H])([H])[H] 0.000 description 1
- MYKQKWIPLZEVOW-UHFFFAOYSA-N 11h-benzo[a]carbazole Chemical group C1=CC2=CC=CC=C2C2=C1C1=CC=CC=C1N2 MYKQKWIPLZEVOW-UHFFFAOYSA-N 0.000 description 1
- HYZJCKYKOHLVJF-UHFFFAOYSA-N 1H-benzimidazole Chemical compound C1=CC=C2NC=NC2=C1 HYZJCKYKOHLVJF-UHFFFAOYSA-N 0.000 description 1
- 125000006176 2-ethylbutyl group Chemical group [H]C([H])([H])C([H])([H])C([H])(C([H])([H])*)C([H])([H])C([H])([H])[H] 0.000 description 1
- 125000005916 2-methylpentyl group Chemical group 0.000 description 1
- DMEVMYSQZPJFOK-UHFFFAOYSA-N 3,4,5,6,9,10-hexazatetracyclo[12.4.0.02,7.08,13]octadeca-1(18),2(7),3,5,8(13),9,11,14,16-nonaene Chemical group N1=NN=C2C3=CC=CC=C3C3=CC=NN=C3C2=N1 DMEVMYSQZPJFOK-UHFFFAOYSA-N 0.000 description 1
- DDTHMESPCBONDT-UHFFFAOYSA-N 4-(4-oxocyclohexa-2,5-dien-1-ylidene)cyclohexa-2,5-dien-1-one Chemical compound C1=CC(=O)C=CC1=C1C=CC(=O)C=C1 DDTHMESPCBONDT-UHFFFAOYSA-N 0.000 description 1
- 125000004920 4-methyl-2-pentyl group Chemical group CC(CC(C)*)C 0.000 description 1
- DEXFNLNNUZKHNO-UHFFFAOYSA-N 6-[3-[4-[2-(2,3-dihydro-1H-inden-2-ylamino)pyrimidin-5-yl]piperidin-1-yl]-3-oxopropyl]-3H-1,3-benzoxazol-2-one Chemical compound C1C(CC2=CC=CC=C12)NC1=NC=C(C=N1)C1CCN(CC1)C(CCC1=CC2=C(NC(O2)=O)C=C1)=O DEXFNLNNUZKHNO-UHFFFAOYSA-N 0.000 description 1
- NJBMMMJOXRZENQ-UHFFFAOYSA-N 6H-pyrrolo[2,3-f]quinoline Chemical compound c1cc2ccc3[nH]cccc3c2n1 NJBMMMJOXRZENQ-UHFFFAOYSA-N 0.000 description 1
- ZCYVEMRRCGMTRW-UHFFFAOYSA-N 7553-56-2 Chemical compound [I] ZCYVEMRRCGMTRW-UHFFFAOYSA-N 0.000 description 1
- 239000005725 8-Hydroxyquinoline Substances 0.000 description 1
- KPXWJZVFWZHULA-UHFFFAOYSA-N 9h-indeno[2,1-d]pyrimidine Chemical compound N1=CN=C2CC3=CC=CC=C3C2=C1 KPXWJZVFWZHULA-UHFFFAOYSA-N 0.000 description 1
- ROFVEXUMMXZLPA-UHFFFAOYSA-N Bipyridyl Chemical group N1=CC=CC=C1C1=CC=CC=N1 ROFVEXUMMXZLPA-UHFFFAOYSA-N 0.000 description 1
- ZOXJGFHDIHLPTG-UHFFFAOYSA-N Boron Chemical compound [B] ZOXJGFHDIHLPTG-UHFFFAOYSA-N 0.000 description 1
- WKBOTKDWSSQWDR-UHFFFAOYSA-N Bromine atom Chemical compound [Br] WKBOTKDWSSQWDR-UHFFFAOYSA-N 0.000 description 1
- LOSDTEFOHDQODD-UHFFFAOYSA-N CC(C)(c(cc1)c(-c2ccc3)c4c1ccc1c4C=CCC1)c2c3-c1nc(-c2ccccc2)nc(-c(cc2C3C=CC=CC33)ccc2N3c2ccccc2)n1 Chemical compound CC(C)(c(cc1)c(-c2ccc3)c4c1ccc1c4C=CCC1)c2c3-c1nc(-c2ccccc2)nc(-c(cc2C3C=CC=CC33)ccc2N3c2ccccc2)n1 LOSDTEFOHDQODD-UHFFFAOYSA-N 0.000 description 1
- HWYUXAJNAKGSRJ-UHFFFAOYSA-N CC(C)(c1ccc(ccc2c3cccc2)c3c1-c1ccc2)c1c2-c1nc(-c2ccccc2)nc(-c2ccc(c3ccccc3[s]3)c3c2)n1 Chemical compound CC(C)(c1ccc(ccc2c3cccc2)c3c1-c1ccc2)c1c2-c1nc(-c2ccccc2)nc(-c2ccc(c3ccccc3[s]3)c3c2)n1 HWYUXAJNAKGSRJ-UHFFFAOYSA-N 0.000 description 1
- LXOOBAZWXFRHEP-UHFFFAOYSA-N CC(C)(c1ccc(ccc2ccccc22)c2c1-c1ccc2)c1c2-c1nc(-c2ccccc2)nc(-c(cc2)cc3c2c(cccc2)c2[n]3-c2ccccc2)n1 Chemical compound CC(C)(c1ccc(ccc2ccccc22)c2c1-c1ccc2)c1c2-c1nc(-c2ccccc2)nc(-c(cc2)cc3c2c(cccc2)c2[n]3-c2ccccc2)n1 LXOOBAZWXFRHEP-UHFFFAOYSA-N 0.000 description 1
- MUSLFUVKAGMEGK-UHFFFAOYSA-N CC1(C)c(c(-c2cc(-c3cc(-c4ccccc4)cc(-c4ccccc4)n3)ccc2)ccc2)c2-c2c3c(cccc4)c4ccc3ccc12 Chemical compound CC1(C)c(c(-c2cc(-c3cc(-c4ccccc4)cc(-c4ccccc4)n3)ccc2)ccc2)c2-c2c3c(cccc4)c4ccc3ccc12 MUSLFUVKAGMEGK-UHFFFAOYSA-N 0.000 description 1
- XXJHFJXFEAZURI-UHFFFAOYSA-N CC1(C)c(c(-c2nc(-c(cc3)ccc3-c3ccccc3)nc(-c(cc3)ccc3-c3ccccc3)n2)ccc2)c2-c2c3c4ccccc4ccc3ccc12 Chemical compound CC1(C)c(c(-c2nc(-c(cc3)ccc3-c3ccccc3)nc(-c(cc3)ccc3-c3ccccc3)n2)ccc2)c2-c2c3c4ccccc4ccc3ccc12 XXJHFJXFEAZURI-UHFFFAOYSA-N 0.000 description 1
- SAYKCZINDFUCHX-UHFFFAOYSA-N CC1(C)c(c(-c2nc(-c(cc3)ccc3-c3ccccc3)nc(-c3ccccc3)n2)ccc2)c2-c2c3c4ccccc4ccc3ccc12 Chemical compound CC1(C)c(c(-c2nc(-c(cc3)ccc3-c3ccccc3)nc(-c3ccccc3)n2)ccc2)c2-c2c3c4ccccc4ccc3ccc12 SAYKCZINDFUCHX-UHFFFAOYSA-N 0.000 description 1
- LDEKEPTTYKGDDW-UHFFFAOYSA-N CC1(C)c(c(-c2nc(-c3ccccc3)nc(-c3cc(-c4ccccc4)ccc3)n2)ccc2)c2-c2c3c4ccccc4ccc3ccc12 Chemical compound CC1(C)c(c(-c2nc(-c3ccccc3)nc(-c3cc(-c4ccccc4)ccc3)n2)ccc2)c2-c2c3c4ccccc4ccc3ccc12 LDEKEPTTYKGDDW-UHFFFAOYSA-N 0.000 description 1
- KELSVYUDICVAJD-UHFFFAOYSA-N CC1(C)c(c(-c2nc(-c3ccccc3)nc(-c3ccccc3)n2)ccc2)c2-c2c1ccc1c2c(cccc2)c2cc1 Chemical compound CC1(C)c(c(-c2nc(-c3ccccc3)nc(-c3ccccc3)n2)ccc2)c2-c2c1ccc1c2c(cccc2)c2cc1 KELSVYUDICVAJD-UHFFFAOYSA-N 0.000 description 1
- BESIACUBEMGXHZ-UHFFFAOYSA-N CC1(C)c2cc(-c3nc(-c4c(C(C)(C)c5ccc(ccc6c7cccc6)c7c5-5)c-5ccc4)nc(-c4ccccc4)n3)ccc2-c2c1cccc2 Chemical compound CC1(C)c2cc(-c3nc(-c4c(C(C)(C)c5ccc(ccc6c7cccc6)c7c5-5)c-5ccc4)nc(-c4ccccc4)n3)ccc2-c2c1cccc2 BESIACUBEMGXHZ-UHFFFAOYSA-N 0.000 description 1
- ZAMOUSCENKQFHK-UHFFFAOYSA-N Chlorine atom Chemical compound [Cl] ZAMOUSCENKQFHK-UHFFFAOYSA-N 0.000 description 1
- VYZAMTAEIAYCRO-UHFFFAOYSA-N Chromium Chemical compound [Cr] VYZAMTAEIAYCRO-UHFFFAOYSA-N 0.000 description 1
- RYGMFSIKBFXOCR-UHFFFAOYSA-N Copper Chemical compound [Cu] RYGMFSIKBFXOCR-UHFFFAOYSA-N 0.000 description 1
- YZCKVEUIGOORGS-OUBTZVSYSA-N Deuterium Chemical compound [2H] YZCKVEUIGOORGS-OUBTZVSYSA-N 0.000 description 1
- PXGOKWXKJXAPGV-UHFFFAOYSA-N Fluorine Chemical compound FF PXGOKWXKJXAPGV-UHFFFAOYSA-N 0.000 description 1
- 229910052688 Gadolinium Inorganic materials 0.000 description 1
- DGAQECJNVWCQMB-PUAWFVPOSA-M Ilexoside XXIX Chemical compound C[C@@H]1CC[C@@]2(CC[C@@]3(C(=CC[C@H]4[C@]3(CC[C@@H]5[C@@]4(CC[C@@H](C5(C)C)OS(=O)(=O)[O-])C)C)[C@@H]2[C@]1(C)O)C)C(=O)O[C@H]6[C@@H]([C@H]([C@@H]([C@H](O6)CO)O)O)O.[Na+] DGAQECJNVWCQMB-PUAWFVPOSA-M 0.000 description 1
- FYYHWMGAXLPEAU-UHFFFAOYSA-N Magnesium Chemical compound [Mg] FYYHWMGAXLPEAU-UHFFFAOYSA-N 0.000 description 1
- ZCQWOFVYLHDMMC-UHFFFAOYSA-N Oxazole Chemical compound C1=COC=N1 ZCQWOFVYLHDMMC-UHFFFAOYSA-N 0.000 description 1
- YXLXNENXOJSQEI-UHFFFAOYSA-L Oxine-copper Chemical compound [Cu+2].C1=CN=C2C([O-])=CC=CC2=C1.C1=CN=C2C([O-])=CC=CC2=C1 YXLXNENXOJSQEI-UHFFFAOYSA-L 0.000 description 1
- PCNDJXKNXGMECE-UHFFFAOYSA-N Phenazine Natural products C1=CC=CC2=NC3=CC=CC=C3N=C21 PCNDJXKNXGMECE-UHFFFAOYSA-N 0.000 description 1
- 229920001609 Poly(3,4-ethylenedioxythiophene) Polymers 0.000 description 1
- ZLMJMSJWJFRBEC-UHFFFAOYSA-N Potassium Chemical compound [K] ZLMJMSJWJFRBEC-UHFFFAOYSA-N 0.000 description 1
- NRCMAYZCPIVABH-UHFFFAOYSA-N Quinacridone Chemical compound N1C2=CC=CC=C2C(=O)C2=C1C=C1C(=O)C3=CC=CC=C3NC1=C2 NRCMAYZCPIVABH-UHFFFAOYSA-N 0.000 description 1
- 229910052772 Samarium Inorganic materials 0.000 description 1
- 229910006404 SnO 2 Inorganic materials 0.000 description 1
- FZWLAAWBMGSTSO-UHFFFAOYSA-N Thiazole Chemical group C1=CSC=N1 FZWLAAWBMGSTSO-UHFFFAOYSA-N 0.000 description 1
- ATJFFYVFTNAWJD-UHFFFAOYSA-N Tin Chemical compound [Sn] ATJFFYVFTNAWJD-UHFFFAOYSA-N 0.000 description 1
- RTAQQCXQSZGOHL-UHFFFAOYSA-N Titanium Chemical compound [Ti] RTAQQCXQSZGOHL-UHFFFAOYSA-N 0.000 description 1
- 229910052769 Ytterbium Inorganic materials 0.000 description 1
- DGEZNRSVGBDHLK-UHFFFAOYSA-N [1,10]phenanthroline Chemical group C1=CN=C2C3=NC=CC=C3C=CC2=C1 DGEZNRSVGBDHLK-UHFFFAOYSA-N 0.000 description 1
- DZBUGLKDJFMEHC-UHFFFAOYSA-N acridine Chemical group C1=CC=CC2=CC3=CC=CC=C3N=C21 DZBUGLKDJFMEHC-UHFFFAOYSA-N 0.000 description 1
- 125000003342 alkenyl group Chemical group 0.000 description 1
- 125000003545 alkoxy group Chemical group 0.000 description 1
- AZDRQVAHHNSJOQ-UHFFFAOYSA-N alumane Chemical class [AlH3] AZDRQVAHHNSJOQ-UHFFFAOYSA-N 0.000 description 1
- 125000003277 amino group Chemical group 0.000 description 1
- 150000001454 anthracenes Chemical class 0.000 description 1
- 125000002178 anthracenyl group Chemical group C1(=CC=CC2=CC3=CC=CC=C3C=C12)* 0.000 description 1
- PYKYMHQGRFAEBM-UHFFFAOYSA-N anthraquinone Natural products CCC(=O)c1c(O)c2C(=O)C3C(C=CC=C3O)C(=O)c2cc1CC(=O)OC PYKYMHQGRFAEBM-UHFFFAOYSA-N 0.000 description 1
- 150000004056 anthraquinones Chemical class 0.000 description 1
- RJGDLRCDCYRQOQ-UHFFFAOYSA-N anthrone Chemical compound C1=CC=C2C(=O)C3=CC=CC=C3CC2=C1 RJGDLRCDCYRQOQ-UHFFFAOYSA-N 0.000 description 1
- 125000003609 aryl vinyl group Chemical group 0.000 description 1
- QVGXLLKOCUKJST-UHFFFAOYSA-N atomic oxygen Chemical compound [O] QVGXLLKOCUKJST-UHFFFAOYSA-N 0.000 description 1
- 229910052788 barium Inorganic materials 0.000 description 1
- DSAJWYNOEDNPEQ-UHFFFAOYSA-N barium atom Chemical compound [Ba] DSAJWYNOEDNPEQ-UHFFFAOYSA-N 0.000 description 1
- 150000001556 benzimidazoles Chemical class 0.000 description 1
- GQVWHWAWLPCBHB-UHFFFAOYSA-L beryllium;benzo[h]quinolin-10-olate Chemical compound [Be+2].C1=CC=NC2=C3C([O-])=CC=CC3=CC=C21.C1=CC=NC2=C3C([O-])=CC=CC3=CC=C21 GQVWHWAWLPCBHB-UHFFFAOYSA-L 0.000 description 1
- 150000001616 biphenylenes Chemical group 0.000 description 1
- UFVXQDWNSAGPHN-UHFFFAOYSA-K bis[(2-methylquinolin-8-yl)oxy]-(4-phenylphenoxy)alumane Chemical compound [Al+3].C1=CC=C([O-])C2=NC(C)=CC=C21.C1=CC=C([O-])C2=NC(C)=CC=C21.C1=CC([O-])=CC=C1C1=CC=CC=C1 UFVXQDWNSAGPHN-UHFFFAOYSA-K 0.000 description 1
- 229920001400 block copolymer Polymers 0.000 description 1
- 229910052796 boron Inorganic materials 0.000 description 1
- GDTBXPJZTBHREO-UHFFFAOYSA-N bromine Substances BrBr GDTBXPJZTBHREO-UHFFFAOYSA-N 0.000 description 1
- 229910052794 bromium Inorganic materials 0.000 description 1
- 229910052792 caesium Inorganic materials 0.000 description 1
- TVFDJXOCXUVLDH-UHFFFAOYSA-N caesium atom Chemical compound [Cs] TVFDJXOCXUVLDH-UHFFFAOYSA-N 0.000 description 1
- 229910052799 carbon Inorganic materials 0.000 description 1
- 238000006243 chemical reaction Methods 0.000 description 1
- 239000000460 chlorine Substances 0.000 description 1
- 229910052801 chlorine Inorganic materials 0.000 description 1
- XOYLJNJLGBYDTH-UHFFFAOYSA-M chlorogallium Chemical compound [Ga]Cl XOYLJNJLGBYDTH-UHFFFAOYSA-M 0.000 description 1
- 229910052804 chromium Inorganic materials 0.000 description 1
- 239000011651 chromium Substances 0.000 description 1
- 125000002676 chrysenyl group Chemical group C1(=CC=CC=2C3=CC=C4C=CC=CC4=C3C=CC12)* 0.000 description 1
- 238000004140 cleaning Methods 0.000 description 1
- 239000011248 coating agent Substances 0.000 description 1
- 229910052802 copper Inorganic materials 0.000 description 1
- 239000010949 copper Substances 0.000 description 1
- 125000001995 cyclobutyl group Chemical group [H]C1([H])C([H])([H])C([H])(*)C1([H])[H] 0.000 description 1
- 125000000582 cycloheptyl group Chemical group [H]C1([H])C([H])([H])C([H])([H])C([H])([H])C([H])(*)C([H])([H])C1([H])[H] 0.000 description 1
- 125000000113 cyclohexyl group Chemical group [H]C1([H])C([H])([H])C([H])([H])C([H])(*)C([H])([H])C1([H])[H] 0.000 description 1
- 125000004210 cyclohexylmethyl group Chemical group [H]C([H])(*)C1([H])C([H])([H])C([H])([H])C([H])([H])C([H])([H])C1([H])[H] 0.000 description 1
- 125000000640 cyclooctyl group Chemical group [H]C1([H])C([H])([H])C([H])([H])C([H])([H])C([H])(*)C([H])([H])C([H])([H])C1([H])[H] 0.000 description 1
- 125000001511 cyclopentyl group Chemical group [H]C1([H])C([H])([H])C([H])([H])C([H])(*)C1([H])[H] 0.000 description 1
- 125000004851 cyclopentylmethyl group Chemical group C1(CCCC1)C* 0.000 description 1
- 125000001559 cyclopropyl group Chemical group [H]C1([H])C([H])([H])C1([H])* 0.000 description 1
- 229910052805 deuterium Inorganic materials 0.000 description 1
- 150000004826 dibenzofurans Chemical class 0.000 description 1
- 238000003618 dip coating Methods 0.000 description 1
- 230000008020 evaporation Effects 0.000 description 1
- 238000001704 evaporation Methods 0.000 description 1
- 150000002219 fluoranthenes Chemical class 0.000 description 1
- YLQWCDOCJODRMT-UHFFFAOYSA-N fluoren-9-one Chemical compound C1=CC=C2C(=O)C3=CC=CC=C3C2=C1 YLQWCDOCJODRMT-UHFFFAOYSA-N 0.000 description 1
- 125000005567 fluorenylene group Chemical group 0.000 description 1
- 229910052731 fluorine Inorganic materials 0.000 description 1
- 239000011737 fluorine Substances 0.000 description 1
- 150000002240 furans Chemical class 0.000 description 1
- UIWYJDYFSGRHKR-UHFFFAOYSA-N gadolinium atom Chemical compound [Gd] UIWYJDYFSGRHKR-UHFFFAOYSA-N 0.000 description 1
- 239000011521 glass Substances 0.000 description 1
- PCHJSUWPFVWCPO-UHFFFAOYSA-N gold Chemical compound [Au] PCHJSUWPFVWCPO-UHFFFAOYSA-N 0.000 description 1
- 229910052737 gold Inorganic materials 0.000 description 1
- 239000010931 gold Substances 0.000 description 1
- 230000005283 ground state Effects 0.000 description 1
- 125000003187 heptyl group Chemical group [H]C([*])([H])C([H])([H])C([H])([H])C([H])([H])C([H])([H])C([H])([H])C([H])([H])[H] 0.000 description 1
- 125000004051 hexyl group Chemical group [H]C([H])([H])C([H])([H])C([H])([H])C([H])([H])C([H])([H])C([H])([H])* 0.000 description 1
- 125000002883 imidazolyl group Chemical group 0.000 description 1
- 229910052738 indium Inorganic materials 0.000 description 1
- APFVFJFRJDLVQX-UHFFFAOYSA-N indium atom Chemical compound [In] APFVFJFRJDLVQX-UHFFFAOYSA-N 0.000 description 1
- 229910003437 indium oxide Inorganic materials 0.000 description 1
- PJXISJQVUVHSOJ-UHFFFAOYSA-N indium(iii) oxide Chemical compound [O-2].[O-2].[O-2].[In+3].[In+3] PJXISJQVUVHSOJ-UHFFFAOYSA-N 0.000 description 1
- PZOUSPYUWWUPPK-UHFFFAOYSA-N indole Natural products CC1=CC=CC2=C1C=CN2 PZOUSPYUWWUPPK-UHFFFAOYSA-N 0.000 description 1
- RKJUIXBNRJVNHR-UHFFFAOYSA-N indolenine Natural products C1=CC=C2CC=NC2=C1 RKJUIXBNRJVNHR-UHFFFAOYSA-N 0.000 description 1
- 238000007641 inkjet printing Methods 0.000 description 1
- 239000011630 iodine Substances 0.000 description 1
- 229910052740 iodine Inorganic materials 0.000 description 1
- 229910052741 iridium Inorganic materials 0.000 description 1
- GKOZUEZYRPOHIO-UHFFFAOYSA-N iridium atom Chemical compound [Ir] GKOZUEZYRPOHIO-UHFFFAOYSA-N 0.000 description 1
- 125000000959 isobutyl group Chemical group [H]C([H])([H])C([H])(C([H])([H])[H])C([H])([H])* 0.000 description 1
- 125000004491 isohexyl group Chemical group C(CCC(C)C)* 0.000 description 1
- 125000001972 isopentyl group Chemical group [H]C([H])([H])C([H])(C([H])([H])[H])C([H])([H])C([H])([H])* 0.000 description 1
- 125000000842 isoxazolyl group Chemical group 0.000 description 1
- 229910052749 magnesium Inorganic materials 0.000 description 1
- 239000011777 magnesium Substances 0.000 description 1
- XNUVVHVFAAQPQY-UHFFFAOYSA-L manganese(2+) quinolin-8-olate Chemical compound N1=CC=CC2=CC=CC(=C12)[O-].[Mn+2].N1=CC=CC2=CC=CC(=C12)[O-] XNUVVHVFAAQPQY-UHFFFAOYSA-L 0.000 description 1
- 238000012986 modification Methods 0.000 description 1
- 230000004048 modification Effects 0.000 description 1
- 125000004108 n-butyl group Chemical group [H]C([H])([H])C([H])([H])C([H])([H])C([H])([H])* 0.000 description 1
- 125000001280 n-hexyl group Chemical group C(CCCCC)* 0.000 description 1
- 125000000740 n-pentyl group Chemical group [H]C([H])([H])C([H])([H])C([H])([H])C([H])([H])C([H])([H])* 0.000 description 1
- 125000004123 n-propyl group Chemical group [H]C([H])([H])C([H])([H])C([H])([H])* 0.000 description 1
- 150000002790 naphthalenes Chemical class 0.000 description 1
- 125000004957 naphthylene group Chemical group 0.000 description 1
- 125000001971 neopentyl group Chemical group [H]C([*])([H])C(C([H])([H])[H])(C([H])([H])[H])C([H])([H])[H] 0.000 description 1
- 125000002560 nitrile group Chemical group 0.000 description 1
- QJGQUHMNIGDVPM-UHFFFAOYSA-N nitrogen group Chemical group [N] QJGQUHMNIGDVPM-UHFFFAOYSA-N 0.000 description 1
- 125000002347 octyl group Chemical group [H]C([*])([H])C([H])([H])C([H])([H])C([H])([H])C([H])([H])C([H])([H])C([H])([H])C([H])([H])[H] 0.000 description 1
- 150000004866 oxadiazoles Chemical class 0.000 description 1
- 125000001715 oxadiazolyl group Chemical group 0.000 description 1
- 125000002971 oxazolyl group Chemical group 0.000 description 1
- 239000001301 oxygen Substances 0.000 description 1
- 229960003540 oxyquinoline Drugs 0.000 description 1
- 150000002964 pentacenes Chemical class 0.000 description 1
- 125000003538 pentan-3-yl group Chemical group [H]C([H])([H])C([H])([H])C([H])(*)C([H])([H])C([H])([H])[H] 0.000 description 1
- 125000001147 pentyl group Chemical group C(CCCC)* 0.000 description 1
- FVDOBFPYBSDRKH-UHFFFAOYSA-N perylene-3,4,9,10-tetracarboxylic acid Chemical compound C=12C3=CC=C(C(O)=O)C2=C(C(O)=O)C=CC=1C1=CC=C(C(O)=O)C2=C1C3=CC=C2C(=O)O FVDOBFPYBSDRKH-UHFFFAOYSA-N 0.000 description 1
- CSHWQDPOILHKBI-UHFFFAOYSA-N peryrene Natural products C1=CC(C2=CC=CC=3C2=C2C=CC=3)=C3C2=CC=CC3=C1 CSHWQDPOILHKBI-UHFFFAOYSA-N 0.000 description 1
- 150000002987 phenanthrenes Chemical class 0.000 description 1
- 150000005041 phenanthrolines Chemical class 0.000 description 1
- ASUOLLHGALPRFK-UHFFFAOYSA-N phenylphosphonoylbenzene Chemical group C=1C=CC=CC=1P(=O)C1=CC=CC=C1 ASUOLLHGALPRFK-UHFFFAOYSA-N 0.000 description 1
- 108091008695 photoreceptors Proteins 0.000 description 1
- LFSXCDWNBUNEEM-UHFFFAOYSA-N phthalazine Chemical group C1=NN=CC2=CC=CC=C21 LFSXCDWNBUNEEM-UHFFFAOYSA-N 0.000 description 1
- 229910052697 platinum Inorganic materials 0.000 description 1
- 229920002098 polyfluorene Polymers 0.000 description 1
- 229920000642 polymer Polymers 0.000 description 1
- 229920000128 polypyrrole Polymers 0.000 description 1
- 229920000123 polythiophene Polymers 0.000 description 1
- 150000004032 porphyrins Chemical class 0.000 description 1
- 229910052700 potassium Inorganic materials 0.000 description 1
- 239000011591 potassium Substances 0.000 description 1
- 125000001042 pteridinyl group Chemical group N1=C(N=CC2=NC=CN=C12)* 0.000 description 1
- FQOBINBWTPHVEO-UHFFFAOYSA-N pyrazino[2,3-b]pyrazine Chemical compound N1=CC=NC2=NC=CN=C21 FQOBINBWTPHVEO-UHFFFAOYSA-N 0.000 description 1
- 125000003373 pyrazinyl group Chemical group 0.000 description 1
- 150000003220 pyrenes Chemical class 0.000 description 1
- 125000001725 pyrenyl group Chemical group 0.000 description 1
- PBMFSQRYOILNGV-UHFFFAOYSA-N pyridazine Chemical group C1=CC=NN=C1 PBMFSQRYOILNGV-UHFFFAOYSA-N 0.000 description 1
- BWESROVQGZSBRX-UHFFFAOYSA-N pyrido[3,2-d]pyrimidine Chemical group C1=NC=NC2=CC=CN=C21 BWESROVQGZSBRX-UHFFFAOYSA-N 0.000 description 1
- 229940083082 pyrimidine derivative acting on arteriolar smooth muscle Drugs 0.000 description 1
- 150000003230 pyrimidines Chemical class 0.000 description 1
- 125000000168 pyrrolyl group Chemical group 0.000 description 1
- 125000002294 quinazolinyl group Chemical group N1=C(N=CC2=CC=CC=C12)* 0.000 description 1
- MCJGNVYPOGVAJF-UHFFFAOYSA-N quinolin-8-ol Chemical compound C1=CN=C2C(O)=CC=CC2=C1 MCJGNVYPOGVAJF-UHFFFAOYSA-N 0.000 description 1
- 125000001567 quinoxalinyl group Chemical group N1=C(C=NC2=CC=CC=C12)* 0.000 description 1
- 150000003254 radicals Chemical class 0.000 description 1
- 239000000376 reactant Substances 0.000 description 1
- YYMBJDOZVAITBP-UHFFFAOYSA-N rubrene Chemical compound C1=CC=CC=C1C(C1=C(C=2C=CC=CC=2)C2=CC=CC=C2C(C=2C=CC=CC=2)=C11)=C(C=CC=C2)C2=C1C1=CC=CC=C1 YYMBJDOZVAITBP-UHFFFAOYSA-N 0.000 description 1
- KZUNJOHGWZRPMI-UHFFFAOYSA-N samarium atom Chemical compound [Sm] KZUNJOHGWZRPMI-UHFFFAOYSA-N 0.000 description 1
- 238000007650 screen-printing Methods 0.000 description 1
- 125000002914 sec-butyl group Chemical group [H]C([H])([H])C([H])([H])C([H])(*)C([H])([H])[H] 0.000 description 1
- 125000003548 sec-pentyl group Chemical group [H]C([H])([H])C([H])([H])C([H])([H])C([H])(*)C([H])([H])[H] 0.000 description 1
- 239000002356 single layer Substances 0.000 description 1
- 229910052708 sodium Inorganic materials 0.000 description 1
- 239000011734 sodium Substances 0.000 description 1
- 239000002904 solvent Substances 0.000 description 1
- 238000004528 spin coating Methods 0.000 description 1
- 150000003413 spiro compounds Chemical class 0.000 description 1
- 238000005507 spraying Methods 0.000 description 1
- 238000004544 sputter deposition Methods 0.000 description 1
- 239000007858 starting material Substances 0.000 description 1
- 125000005504 styryl group Chemical group 0.000 description 1
- 238000006467 substitution reaction Methods 0.000 description 1
- 238000003786 synthesis reaction Methods 0.000 description 1
- 229940042055 systemic antimycotics triazole derivative Drugs 0.000 description 1
- 238000010345 tape casting Methods 0.000 description 1
- 125000006836 terphenylene group Chemical group 0.000 description 1
- MDDUHVRJJAFRAU-YZNNVMRBSA-N tert-butyl-[(1r,3s,5z)-3-[tert-butyl(dimethyl)silyl]oxy-5-(2-diphenylphosphorylethylidene)-4-methylidenecyclohexyl]oxy-dimethylsilane Chemical compound C1[C@@H](O[Si](C)(C)C(C)(C)C)C[C@H](O[Si](C)(C)C(C)(C)C)C(=C)\C1=C/CP(=O)(C=1C=CC=CC=1)C1=CC=CC=C1 MDDUHVRJJAFRAU-YZNNVMRBSA-N 0.000 description 1
- 125000001113 thiadiazolyl group Chemical group 0.000 description 1
- 125000000335 thiazolyl group Chemical group 0.000 description 1
- 229930192474 thiophene Natural products 0.000 description 1
- IBBLKSWSCDAPIF-UHFFFAOYSA-N thiopyran Chemical compound S1C=CC=C=C1 IBBLKSWSCDAPIF-UHFFFAOYSA-N 0.000 description 1
- 229910052718 tin Inorganic materials 0.000 description 1
- 229910052719 titanium Inorganic materials 0.000 description 1
- 239000010936 titanium Substances 0.000 description 1
- KWQNQSDKCINQQP-UHFFFAOYSA-K tri(quinolin-8-yloxy)gallane Chemical compound C1=CN=C2C(O[Ga](OC=3C4=NC=CC=C4C=CC=3)OC=3C4=NC=CC=C4C=CC=3)=CC=CC2=C1 KWQNQSDKCINQQP-UHFFFAOYSA-K 0.000 description 1
- 125000000026 trimethylsilyl group Chemical group [H]C([H])([H])[Si]([*])(C([H])([H])[H])C([H])([H])[H] 0.000 description 1
- 238000004506 ultrasonic cleaning Methods 0.000 description 1
- 238000001771 vacuum deposition Methods 0.000 description 1
- 229910052720 vanadium Inorganic materials 0.000 description 1
- GPPXJZIENCGNKB-UHFFFAOYSA-N vanadium Chemical compound [V]#[V] GPPXJZIENCGNKB-UHFFFAOYSA-N 0.000 description 1
- NAWDYIZEMPQZHO-UHFFFAOYSA-N ytterbium Chemical compound [Yb] NAWDYIZEMPQZHO-UHFFFAOYSA-N 0.000 description 1
- 229910052727 yttrium Inorganic materials 0.000 description 1
- VWQVUPCCIRVNHF-UHFFFAOYSA-N yttrium atom Chemical compound [Y] VWQVUPCCIRVNHF-UHFFFAOYSA-N 0.000 description 1
- YVTHLONGBIQYBO-UHFFFAOYSA-N zinc indium(3+) oxygen(2-) Chemical compound [O--].[Zn++].[In+3] YVTHLONGBIQYBO-UHFFFAOYSA-N 0.000 description 1
- HTPBWAPZAJWXKY-UHFFFAOYSA-L zinc;quinolin-8-olate Chemical compound [Zn+2].C1=CN=C2C([O-])=CC=CC2=C1.C1=CN=C2C([O-])=CC=CC2=C1 HTPBWAPZAJWXKY-UHFFFAOYSA-L 0.000 description 1
Images
Classifications
-
- C—CHEMISTRY; METALLURGY
- C07—ORGANIC CHEMISTRY
- C07D—HETEROCYCLIC COMPOUNDS
- C07D213/00—Heterocyclic compounds containing six-membered rings, not condensed with other rings, with one nitrogen atom as the only ring hetero atom and three or more double bonds between ring members or between ring members and non-ring members
- C07D213/02—Heterocyclic compounds containing six-membered rings, not condensed with other rings, with one nitrogen atom as the only ring hetero atom and three or more double bonds between ring members or between ring members and non-ring members having three double bonds between ring members or between ring members and non-ring members
-
- H—ELECTRICITY
- H10—SEMICONDUCTOR DEVICES; ELECTRIC SOLID-STATE DEVICES NOT OTHERWISE PROVIDED FOR
- H10K—ORGANIC ELECTRIC SOLID-STATE DEVICES
- H10K50/00—Organic light-emitting devices
-
- C—CHEMISTRY; METALLURGY
- C07—ORGANIC CHEMISTRY
- C07D—HETEROCYCLIC COMPOUNDS
- C07D239/00—Heterocyclic compounds containing 1,3-diazine or hydrogenated 1,3-diazine rings
- C07D239/02—Heterocyclic compounds containing 1,3-diazine or hydrogenated 1,3-diazine rings not condensed with other rings
- C07D239/24—Heterocyclic compounds containing 1,3-diazine or hydrogenated 1,3-diazine rings not condensed with other rings having three or more double bonds between ring members or between ring members and non-ring members
- C07D239/26—Heterocyclic compounds containing 1,3-diazine or hydrogenated 1,3-diazine rings not condensed with other rings having three or more double bonds between ring members or between ring members and non-ring members with only hydrogen atoms, hydrocarbon or substituted hydrocarbon radicals, directly attached to ring carbon atoms
-
- C—CHEMISTRY; METALLURGY
- C07—ORGANIC CHEMISTRY
- C07D—HETEROCYCLIC COMPOUNDS
- C07D251/00—Heterocyclic compounds containing 1,3,5-triazine rings
- C07D251/02—Heterocyclic compounds containing 1,3,5-triazine rings not condensed with other rings
- C07D251/12—Heterocyclic compounds containing 1,3,5-triazine rings not condensed with other rings having three double bonds between ring members or between ring members and non-ring members
- C07D251/14—Heterocyclic compounds containing 1,3,5-triazine rings not condensed with other rings having three double bonds between ring members or between ring members and non-ring members with hydrogen or carbon atoms directly attached to at least one ring carbon atom
- C07D251/24—Heterocyclic compounds containing 1,3,5-triazine rings not condensed with other rings having three double bonds between ring members or between ring members and non-ring members with hydrogen or carbon atoms directly attached to at least one ring carbon atom to three ring carbon atoms
-
- C—CHEMISTRY; METALLURGY
- C09—DYES; PAINTS; POLISHES; NATURAL RESINS; ADHESIVES; COMPOSITIONS NOT OTHERWISE PROVIDED FOR; APPLICATIONS OF MATERIALS NOT OTHERWISE PROVIDED FOR
- C09K—MATERIALS FOR MISCELLANEOUS APPLICATIONS, NOT PROVIDED FOR ELSEWHERE
- C09K11/00—Luminescent, e.g. electroluminescent, chemiluminescent materials
- C09K11/06—Luminescent, e.g. electroluminescent, chemiluminescent materials containing organic luminescent materials
-
- H01L51/0055—
-
- H01L51/0067—
-
- H01L51/5012—
-
- H—ELECTRICITY
- H10—SEMICONDUCTOR DEVICES; ELECTRIC SOLID-STATE DEVICES NOT OTHERWISE PROVIDED FOR
- H10K—ORGANIC ELECTRIC SOLID-STATE DEVICES
- H10K85/00—Organic materials used in the body or electrodes of devices covered by this subclass
- H10K85/60—Organic compounds having low molecular weight
- H10K85/615—Polycyclic condensed aromatic hydrocarbons, e.g. anthracene
- H10K85/623—Polycyclic condensed aromatic hydrocarbons, e.g. anthracene containing five rings, e.g. pentacene
-
- H—ELECTRICITY
- H10—SEMICONDUCTOR DEVICES; ELECTRIC SOLID-STATE DEVICES NOT OTHERWISE PROVIDED FOR
- H10K—ORGANIC ELECTRIC SOLID-STATE DEVICES
- H10K85/00—Organic materials used in the body or electrodes of devices covered by this subclass
- H10K85/60—Organic compounds having low molecular weight
- H10K85/649—Aromatic compounds comprising a hetero atom
- H10K85/654—Aromatic compounds comprising a hetero atom comprising only nitrogen as heteroatom
-
- C—CHEMISTRY; METALLURGY
- C09—DYES; PAINTS; POLISHES; NATURAL RESINS; ADHESIVES; COMPOSITIONS NOT OTHERWISE PROVIDED FOR; APPLICATIONS OF MATERIALS NOT OTHERWISE PROVIDED FOR
- C09K—MATERIALS FOR MISCELLANEOUS APPLICATIONS, NOT PROVIDED FOR ELSEWHERE
- C09K2211/00—Chemical nature of organic luminescent or tenebrescent compounds
- C09K2211/10—Non-macromolecular compounds
- C09K2211/1018—Heterocyclic compounds
- C09K2211/1025—Heterocyclic compounds characterised by ligands
- C09K2211/1029—Heterocyclic compounds characterised by ligands containing one nitrogen atom as the heteroatom
-
- C—CHEMISTRY; METALLURGY
- C09—DYES; PAINTS; POLISHES; NATURAL RESINS; ADHESIVES; COMPOSITIONS NOT OTHERWISE PROVIDED FOR; APPLICATIONS OF MATERIALS NOT OTHERWISE PROVIDED FOR
- C09K—MATERIALS FOR MISCELLANEOUS APPLICATIONS, NOT PROVIDED FOR ELSEWHERE
- C09K2211/00—Chemical nature of organic luminescent or tenebrescent compounds
- C09K2211/10—Non-macromolecular compounds
- C09K2211/1018—Heterocyclic compounds
- C09K2211/1025—Heterocyclic compounds characterised by ligands
- C09K2211/1044—Heterocyclic compounds characterised by ligands containing two nitrogen atoms as heteroatoms
-
- C—CHEMISTRY; METALLURGY
- C09—DYES; PAINTS; POLISHES; NATURAL RESINS; ADHESIVES; COMPOSITIONS NOT OTHERWISE PROVIDED FOR; APPLICATIONS OF MATERIALS NOT OTHERWISE PROVIDED FOR
- C09K—MATERIALS FOR MISCELLANEOUS APPLICATIONS, NOT PROVIDED FOR ELSEWHERE
- C09K2211/00—Chemical nature of organic luminescent or tenebrescent compounds
- C09K2211/10—Non-macromolecular compounds
- C09K2211/1018—Heterocyclic compounds
- C09K2211/1025—Heterocyclic compounds characterised by ligands
- C09K2211/1059—Heterocyclic compounds characterised by ligands containing three nitrogen atoms as heteroatoms
-
- H—ELECTRICITY
- H10—SEMICONDUCTOR DEVICES; ELECTRIC SOLID-STATE DEVICES NOT OTHERWISE PROVIDED FOR
- H10K—ORGANIC ELECTRIC SOLID-STATE DEVICES
- H10K50/00—Organic light-emitting devices
- H10K50/10—OLEDs or polymer light-emitting diodes [PLED]
- H10K50/11—OLEDs or polymer light-emitting diodes [PLED] characterised by the electroluminescent [EL] layers
Landscapes
- Chemical & Material Sciences (AREA)
- Organic Chemistry (AREA)
- Physics & Mathematics (AREA)
- Engineering & Computer Science (AREA)
- Materials Engineering (AREA)
- Optics & Photonics (AREA)
- Spectroscopy & Molecular Physics (AREA)
- Electroluminescent Light Sources (AREA)
Abstract
본 명세서는 화학식 1로 표시되는 화합물 및 이를 포함하는 유기 전자 소자에 관한 것이다. The present specification relates to a compound represented by Formula 1 and an organic electronic device including the same.
Description
본 명세서는 화합물 및 이를 포함하는 유기 전자 소자에 관한 것이다. The present specification relates to a compound and an organic electronic device comprising the same.
유기 전자 소자의 대표적인 예로는 유기 발광 소자가 있다. 일반적으로 유기 발광 현상이란 유기 물질을 이용하여 전기에너지를 빛에너지로 전환시켜주는 현상을 말한다. 유기 발광 현상을 이용하는 유기 발광 소자는 통상 양극과 음극 및 이 사이에 유기물층을 포함하는 구조를 가진다. 여기서 유기물층은 유기 발광 소자의 효율과 안정성을 높이기 위하여 각기 다른 물질로 구성된 다층의 구조로 이루어진 경우가 많으며, 예컨대 정공 주입층, 정공 수송층, 발광층, 전자 수송층, 전자 주입층 등으로 이루어 질 수 있다. 이러한 유기 발광 소자의 구조에서 두 전극 사이에 전압을 걸어주게 되면 양극에서는 정공이, 음극에서는 전자가 유기물층에 주입되게 되고, 주입된 정공과 전자가 만났을 때 엑시톤(exciton)이 형성되며, 이 엑시톤이 다시 바닥상태로 떨어질 때 빛이 나게 된다. A typical example of the organic electronic device is an organic light emitting device. In general, the organic light emitting phenomenon refers to a phenomenon in which electric energy is converted into light energy using an organic material. An organic light emitting device using an organic light emitting phenomenon has a structure including an anode and a cathode and an organic material layer therebetween. Here, the organic material layer is often formed of a multi-layered structure composed of different materials in order to increase the efficiency and stability of the organic light emitting device, and may include, for example, a hole injection layer, a hole transport layer, a light emitting layer, an electron transport layer, an electron injection layer, and the like. In the structure of the organic light emitting device, when a voltage is applied between the two electrodes, holes are injected into the organic material layer from the anode and electrons from the cathode are injected into the organic material layer. When the injected holes and electrons meet, excitons are formed, and the excitons When it falls back to the ground state, it lights up.
상기와 같은 유기 발광 소자를 위한 새로운 재료의 개발이 계속 요구되고 있다. The development of new materials for the organic light emitting device as described above is continuously required.
본 명세서는 화합물 및 이를 포함하는 유기 전자 소자를 제공하고자 한다.An object of the present specification is to provide a compound and an organic electronic device including the same.
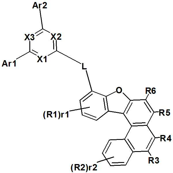
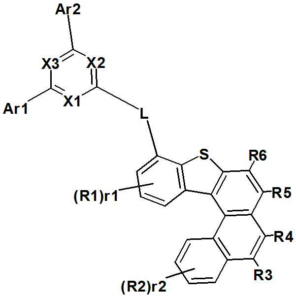
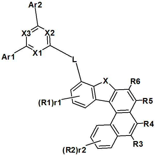
본 명세서는 하기 화학식 1로 표시되는 화합물을 제공한다.The present specification provides a compound represented by the following formula (1).
[화학식 1][Formula 1]
상기 화학식 1에 있어서,In Formula 1,
X는 O, S, CRaRb 또는 SO2이고, X is O, S, CRaRb or SO 2 ,
X1 내지 X3 중 적어도 하나는 N이고, 나머지는 각각 독립적으로 N 또는 CR이며,At least one of X1 to X3 is N, the rest are each independently N or CR,
L은 직접결합; 치환 또는 비치환된 아릴렌기; 또는 치환 또는 비치환된 헤테로아릴렌기이고,L is a direct bond; a substituted or unsubstituted arylene group; Or a substituted or unsubstituted heteroarylene group,
Ar1 및 Ar2는 서로 같거나 상이하고, 각각 독립적으로 치환 또는 비치환된 아릴기; 또는 치환 또는 비치환된 헤테로아릴기이며,Ar1 and Ar2 are the same as or different from each other, and each independently a substituted or unsubstituted aryl group; Or a substituted or unsubstituted heteroaryl group,
Ra 및 Rb는 서로 같거나 상이하고, 각각 독립적으로 치환 또는 비치환된 알킬기; 치환 또는 비치환된 아릴기; 또는 치환 또는 비치환된 헤테로아릴기이거나, 서로 결합하여 고리를 형성할 수 있고,Ra and Rb are the same as or different from each other, and are each independently a substituted or unsubstituted alkyl group; a substituted or unsubstituted aryl group; Or a substituted or unsubstituted heteroaryl group, may be bonded to each other to form a ring,
R 및 R1 내지 R6은 서로 같거나 상이하고, 각각 독립적으로 수소; 중수소; 할로겐기; 치환 또는 비치환된 알킬기; 치환 또는 비치환된 시클로알킬기; 치환 또는 비치환된 실릴기; 치환 또는 비치환된 포스핀옥사이드기; 치환 또는 비치환된 아릴기; 또는 치환 또는 비치환된 헤테로아릴기이며,R and R1 to R6 are the same as or different from each other, and each independently hydrogen; heavy hydrogen; halogen group; a substituted or unsubstituted alkyl group; a substituted or unsubstituted cycloalkyl group; a substituted or unsubstituted silyl group; a substituted or unsubstituted phosphine oxide group; a substituted or unsubstituted aryl group; Or a substituted or unsubstituted heteroaryl group,
r1은 1 내지 3의 정수이고,r1 is an integer from 1 to 3,
r2는 1 내지 4의 정수이며,r2 is an integer from 1 to 4,
상기 r1 및 r2가 각각 2 이상일 때, 2 이상의 R1 및 R2는 각각 서로 같거나 상이하다.When r1 and r2 are each 2 or more, two or more R1 and R2 are the same as or different from each other, respectively.
또한, 본 명세서는 제1 전극; 상기 제1 전극과 대향하여 구비된 제2 전극; 및 상기 제1 전극과 상기 제2 전극 사이에 구비된 1층 이상의 유기물층을 포함하는 유기 전자 소자로서, 상기 유기물층 중 1층 이상은 상기 화합물을 포함하는 것인 유기 전자 소자를 제공한다.In addition, the present specification is a first electrode; a second electrode provided to face the first electrode; and at least one organic material layer provided between the first electrode and the second electrode, wherein at least one of the organic material layers includes the compound.
본 명세서의 일 실시상태에 따른 화합물은 유기 발광 소자를 비롯한 유기 전자 소자에 사용되어, 유기 전기 소자의 구동전압을 낮출 수 있다.The compound according to an exemplary embodiment of the present specification may be used in an organic electronic device including an organic light emitting device to lower the driving voltage of the organic electric device.
또한, 본 명세서의 일 실시상태에 따른 화합물은 유기 발광 소자를 비롯한 유기 전자 소자에 사용되어, 광효율을 향상시킬 수 있다. In addition, the compound according to an exemplary embodiment of the present specification may be used in an organic electronic device including an organic light emitting device to improve light efficiency.
또한, 본 명세서의 일 실시상태에 따른 화합물은 유기 발광 소자를 비롯한 유기 전자 소자에 사용되어, 화합물의 열적 안정성에 의하여 소자의 수명 특성을 향상시킬 수 있다. In addition, the compound according to an exemplary embodiment of the present specification may be used in an organic electronic device including an organic light emitting device to improve the lifespan characteristics of the device by thermal stability of the compound.
도 1 내지 도 3은 본 명세서의 일 실시상태에 따른 유기 발광 소자의 예를 각각 도시한 것이다.1 to 3 each show an example of an organic light emitting device according to an exemplary embodiment of the present specification.
이하, 본 명세서에 대하여 더욱 상세하게 설명한다.Hereinafter, the present specification will be described in more detail.
본 명세서는 상기 화학식 1로 표시되는 화합물을 제공한다.The present specification provides a compound represented by Formula 1 above.
본 명세서에서 치환기의 예시들은 아래에서 설명하나, 이에 한정되는 것은 아니다. Examples of substituents in the present specification are described below, but are not limited thereto.
본 명세서에 있어서, 는 연결되는 부위를 의미한다.In this specification, means the part to be connected.
상기 "치환"이라는 용어는 화합물의 탄소 원자에 결합된 수소 원자가 다른 치환기로 바뀌는 것을 의미하며, 치환되는 위치는 수소 원자가 치환되는 위치 즉, 치환기가 치환 가능한 위치라면 한정하지 않으며, 2 이상 치환되는 경우, 2 이상의 치환기는 서로 동일하거나 상이할 수 있다.The term "substitution" means that a hydrogen atom bonded to a carbon atom of a compound is replaced with another substituent, and the position to be substituted is not limited as long as the position at which the hydrogen atom is substituted, that is, a position where the substituent is substitutable, is not limited, and when two or more , two or more substituents may be the same as or different from each other.
본 명세서에서 "치환 또는 비치환된" 이라는 용어는 중수소; 할로겐기; 니트릴기; 알킬기; 시클로알킬기; 아민기; 실릴기; 포스핀옥사이드기; 아릴기; 및 N, O, S, Se 및 Si 원자 중 1개 이상을 포함하는 헤테로아릴기로 이루어진 군에서 선택된 1 또는 2 이상의 치환기로 치환되었거나 상기 예시된 치환기 중 2 이상의 치환기가 연결된 치환기로 치환되거나, 또는 어떠한 치환기도 갖지 않는 것을 의미한다. As used herein, the term "substituted or unsubstituted" refers to deuterium; halogen group; nitrile group; an alkyl group; cycloalkyl group; amine group; silyl group; phosphine oxide group; aryl group; and one or more substituents selected from the group consisting of a heteroaryl group containing at least one of N, O, S, Se and Si atoms, or is substituted with a substituent to which two or more of the above exemplified substituents are linked, or any It means that it does not have a substituent.
본 명세서에 있어서, 할로겐기의 예로는 불소, 염소, 브롬, 또는 요오드가 있다. In the present specification, examples of the halogen group include fluorine, chlorine, bromine, or iodine.
본 명세서에 있어서, 알킬기는 직쇄 또는 분지쇄일 수 있고, 탄소수는 특별히 한정되지 않으나 1 내지 50인 것이 바람직하고, 1 내지 30이 더욱 바람직하다. 구체적인 예로는 메틸, 에틸, 프로필, n-프로필, 이소프로필, 부틸, n-부틸, 이소부틸, tert-부틸, sec-부틸, 1-메틸-부틸, 1-에틸-부틸, 펜틸, n-펜틸, 이소펜틸, 네오펜틸, tert-펜틸, 헥실, n-헥실, 1-메틸펜틸, 2-메틸펜틸, 4-메틸-2-펜틸, 3,3-디메틸부틸, 2-에틸부틸, 헵틸, n-헵틸, 1-메틸헥실, 시클로펜틸메틸, 시클로헥실메틸, 옥틸, n-옥틸, tert-옥틸, 1-메틸헵틸, 2-에틸헥실, 2-프로필펜틸, n-노닐, 2,2-디메틸헵틸, 1-에틸-프로필, 1,1-디메틸-프로필, 이소헥실, 4-메틸헥실, 5-메틸헥실 등이 있으나, 이에 한정되는 것은 아니다. In the present specification, the alkyl group may be linear or branched, and the number of carbon atoms is not particularly limited, but is preferably 1 to 50, more preferably 1 to 30. Specific examples include methyl, ethyl, propyl, n-propyl, isopropyl, butyl, n-butyl, isobutyl, tert-butyl, sec-butyl, 1-methyl-butyl, 1-ethyl-butyl, pentyl, n-pentyl , isopentyl, neopentyl, tert-pentyl, hexyl, n-hexyl, 1-methylpentyl, 2-methylpentyl, 4-methyl-2-pentyl, 3,3-dimethylbutyl, 2-ethylbutyl, heptyl, n -Heptyl, 1-methylhexyl, cyclopentylmethyl, cyclohexylmethyl, octyl, n-octyl, tert-octyl, 1-methylheptyl, 2-ethylhexyl, 2-propylpentyl, n-nonyl, 2,2-dimethyl heptyl, 1-ethyl-propyl, 1,1-dimethyl-propyl, isohexyl, 4-methylhexyl, 5-methylhexyl, and the like.
본 명세서에 있어서, 시클로알킬기는 특별히 한정되지 않으나, 탄소수 3 내지 60인 것이 바람직하며, 3 내지 30이 더욱 바람직하다. 구체적으로, 시클로프로필, 시클로부틸, 시클로펜틸, 3-메틸시클로펜틸, 2,3-디메틸시클로펜틸, 시클로헥실, 3-메틸시클로헥실, 4-메틸시클로헥실, 2,3-디메틸시클로헥실, 3,4,5-트리메틸시클로헥실, 4-tert-부틸시클로헥실, 시클로헵틸, 시클로옥틸 등이 있으나, 이에 한정되는 것은 아니다.In the present specification, the cycloalkyl group is not particularly limited, but preferably has 3 to 60 carbon atoms, more preferably 3 to 30 carbon atoms. Specifically, cyclopropyl, cyclobutyl, cyclopentyl, 3-methylcyclopentyl, 2,3-dimethylcyclopentyl, cyclohexyl, 3-methylcyclohexyl, 4-methylcyclohexyl, 2,3-dimethylcyclohexyl, 3 ,4,5-trimethylcyclohexyl, 4-tert-butylcyclohexyl, cycloheptyl, cyclooctyl, and the like, but is not limited thereto.
본 명세서에 있어서, 실릴기는 Si를 포함하고 상기 Si 원자가 라디칼로서 직접 연결되는 치환기이며, -SiR201R202R203로 표시되고, R201 내지 R203은 서로 같거나 상이하며, 각각 독립적으로 수소; 중수소; 할로겐기; 알킬기; 알케닐기; 알콕시기; 시클로알킬기; 아릴기; 및 헤테로고리기 중 적어도 하나로 이루어진 치환기일 수 있다. 실릴기의 구체적인 예로는 트리메틸실릴기, 트리에틸실릴기, t-부틸디메틸실릴기, 비닐디메틸실릴기, 프로필디메틸실릴기, 트리페닐실릴기, 디페닐실릴기, 페닐실릴기 등이 있으나, 이에 한정되는 것은 아니다.In the present specification, the silyl group includes Si and is a substituent directly connected to the Si atom as a radical, and is represented by -SiR 201 R 202 R 203 , R 201 to R 203 are the same as or different from each other, and each independently hydrogen; heavy hydrogen; halogen group; an alkyl group; alkenyl group; alkoxy group; cycloalkyl group; aryl group; And it may be a substituent consisting of at least one of a heterocyclic group. Specific examples of the silyl group include a trimethylsilyl group, a triethylsilyl group, a t-butyldimethylsilyl group, a vinyldimethylsilyl group, a propyldimethylsilyl group, a triphenylsilyl group, a diphenylsilyl group, a phenylsilyl group, and the like. It is not limited.
본 명세서에서 아릴기가 단환식 아릴기인 경우 탄소수는 특별히 한정되지 않으나, 탄소수 6 내지 50인 것이 바람직하고, 6 내지 30이 더욱 바람직하다. 구체적으로, 단환식 아릴기로는 페닐기, 비페닐기, 터페닐기, 쿼터페닐기 등이 될 수 있으나, 이에 한정되는 것은 아니다. In the present specification, when the aryl group is a monocyclic aryl group, the number of carbon atoms is not particularly limited, but preferably 6 to 50 carbon atoms, more preferably 6 to 30 carbon atoms. Specifically, the monocyclic aryl group may be a phenyl group, a biphenyl group, a terphenyl group, a quaterphenyl group, and the like, but is not limited thereto.
상기 아릴기가 다환식 아릴기인 경우 탄소수는 특별히 한정되지 않으나. 탄소수 10 내지 50인 것이 바람직하고, 10 내지 30이 더욱 바람직하다. 구체적으로, 다환식 아릴기로는 나프틸기, 안트라세닐기, 페난트릴기, 파이레닐기, 페릴레닐기, 트리페닐기, 크라이세닐기, 플루오레닐기 등이 될 수 있으나, 이에 한정되는 것은 아니다.When the aryl group is a polycyclic aryl group, the number of carbon atoms is not particularly limited. It is preferable that it is C10-50, and 10-30 are more preferable. Specifically, the polycyclic aryl group may be a naphthyl group, an anthracenyl group, a phenanthryl group, a pyrenyl group, a perylenyl group, a triphenyl group, a chrysenyl group, a fluorenyl group, and the like, but is not limited thereto.
본 명세서에 있어서, 상기 플루오레닐기는 치환될 수 있으며, 인접한 치환기들이 서로 결합하여 고리를 형성할 수 있다.In the present specification, the fluorenyl group may be substituted, and adjacent substituents may combine with each other to form a ring.
상기 플루오레닐기가 치환되는 경우, , ,, ,,등이 될 수 있으나, 이에 한정되는 것은 아니다.When the fluorenyl group is substituted, , , , , , and the like, but is not limited thereto.
본 명세서에 있어서, 헤테로아릴기는 이종원자로 N, O, S, Si 및 Se 중 1개 이상을 포함하는 것으로서, 탄소수는 특별히 한정되지 않으나 탄소수 2 내지 60인 것이 바람직하고, 2 내지 30인 것이 더욱 바람직하다. 헤테로아릴기의 예로는, 티오펜기, 퓨란기, 피롤기, 이미다졸기, 티아졸기, 옥사졸기, 옥사디아졸기, 트리아졸기, 피리딘기, 비피리딘기, 피리미딘기, 트리아진기, 아크리딘기, 피리다진기, 피라진기, 퀴놀린기, 퀴나졸린기, 퀴녹살린기, 프탈라진기(phthalazine), 프테리딘기(pteridine), 피리도 피리미딘기(pyrido pyrimidine), 피리도 피라진기(pyrido pyrazine), 피라지노 피라진기(pyrazino pyrazine), 이소퀴놀린기, 인돌기, 피리도 인돌기(pyrido indole), 인데노 피리미딘(5H-indeno pyrimidine), 카바졸기, 벤즈옥사졸기, 벤즈이미다졸기, 벤조티아졸기, 벤조카바졸기, 벤조티오펜기, 디벤조티오펜기, 벤조퓨란기, 디벤조퓨란기, 페난쓰롤린기(phenanthroline), 티아졸릴기, 이소옥사졸릴기, 옥사디아졸릴기 및 티아디아졸릴기 등이 있으나, 이들에만 한정되는 것은 아니다.In the present specification, the heteroaryl group includes at least one of N, O, S, Si and Se as a heteroatom, and the number of carbon atoms is not particularly limited, but preferably has 2 to 60 carbon atoms, more preferably 2 to 30 carbon atoms. Do. Examples of the heteroaryl group include a thiophene group, a furan group, a pyrrole group, an imidazole group, a thiazole group, an oxazole group, an oxadiazole group, a triazole group, a pyridine group, a bipyridine group, a pyrimidine group, a triazine group, acri Din group, pyridazine group, pyrazine group, quinoline group, quinazoline group, quinoxaline group, phthalazine group, pteridine group, pyrido pyrimidine group, pyrido group pyrazine), pyrazino pyrazine, isoquinoline, indole, pyrido indole, indeno pyrimidine, carbazole, benzoxazole, benzimidazole , benzothiazole group, benzocarbazole group, benzothiophene group, dibenzothiophene group, benzofuran group, dibenzofuran group, phenanthroline group, thiazolyl group, isoxazolyl group, oxadiazolyl group and and a thiadiazolyl group, but is not limited thereto.
본 명세서에 있어서, 포스핀옥사이드기는 구체적으로 디페닐포스핀옥사이드기, 디나프틸포스핀옥사이드 등이 있으나, 이에 한정되는 것은 아니다. In the present specification, the phosphine oxide group specifically includes a diphenylphosphine oxide group, dinaphthyl phosphine oxide, and the like, but is not limited thereto.
본 명세서에 있어서, 아릴렌기는 아릴기에 결합 위치가 두 개 있는 것 즉 2가기를 의미한다. 이들은 각각 2가기인 것을 제외하고는 전술한 아릴기의 설명이 적용될 수 있다.In the present specification, the arylene group means that the aryl group has two bonding positions, that is, a divalent group. Except that each of these is a divalent group, the description of the aryl group described above may be applied.
본 명세서에 있어서, 헤테로아릴렌기는 헤테로아릴기에 결합 위치가 두 개 있는 것 즉 2가기를 의미한다. 이들은 각각 2가기인 것을 제외하고는 전술한 헤테로아릴기의 설명이 적용될 수 있다.In the present specification, the heteroarylene group means that the heteroaryl group has two bonding positions, that is, a divalent group. Except that each of these is a divalent group, the description of the heteroaryl group described above may be applied.
본 명세서의 일 실시상태에 있어서, X는 O, S, CRaRb 또는 SO2이다.In an exemplary embodiment of the present specification, X is O, S, CRaRb or SO 2 Is .
본 명세서의 일 실시상태에 있어서, X는 O이다.In one embodiment of the present specification, X is O.
본 명세서의 일 실시상태에 있어서, X는 S이다.In one embodiment of the present specification, X is S.
본 명세서의 일 실시상태에 있어서, X는 CRaRb이다.In an exemplary embodiment of the present specification, X is CRaRb.
본 명세서의 일 실시상태에 있어서, X는 SO2이다.In an exemplary embodiment of the present specification, X is SO 2 .
본 명세서의 일 실시상태에 있어서, X1 내지 X3 중 적어도 하나는 N이고, 나머지는 각각 독립적으로 N 또는 CR이다.In the exemplary embodiment of the present specification, at least one of X1 to X3 is N, and the others are each independently N or CR.
본 명세서의 일 실시상태에 있어서, X1은 N이다. In an exemplary embodiment of the present specification, X1 is N.
본 명세서의 일 실시상태에 있어서, X2는 N이다.In one embodiment of the present specification, X2 is N.
본 명세서의 일 실시상태에 있어서, X3은 N이다.In one embodiment of the present specification, X3 is N.
본 명세서의 일 실시상태에 있어서, X1 및 X2는 각각 N이다.In one embodiment of the present specification, X1 and X2 are each N.
본 명세서의 일 실시상태에 있어서, X1 및 X3은 각각 N이다.In one embodiment of the present specification, X1 and X3 are each N.
본 명세서의 일 실시상태에 있어서, X1 내지 X3은 각각 N이다.In one embodiment of the present specification, X1 to X3 are each N.
본 명세서의 일 실시상태에 있어서, L은 직접결합; 치환 또는 비치환된 아릴렌기; 또는 치환 또는 비치환된 헤테로아릴렌기이다.In one embodiment of the present specification, L is a direct bond; a substituted or unsubstituted arylene group; Or a substituted or unsubstituted heteroarylene group.
본 명세서의 일 실시상태에 있어서, L은 직접결합이다.In one embodiment of the present specification, L is a direct bond.
본 명세서의 일 실시상태에 있어서, L은 치환 또는 비치환된 탄소수 6 내지 30의 아릴렌기이다.In an exemplary embodiment of the present specification, L is a substituted or unsubstituted arylene group having 6 to 30 carbon atoms.
본 명세서의 일 실시상태에 있어서, L은 치환 또는 비치환된 페닐렌기, 치환 또는 비치환된 비페닐렌기, 치환 또는 비치환된 터페닐렌기, 치환 또는 비치환된 나프틸렌기, 또는 치환 또는 비치환된 플루오레닐렌기이다. In an exemplary embodiment of the present specification, L is a substituted or unsubstituted phenylene group, a substituted or unsubstituted biphenylene group, a substituted or unsubstituted terphenylene group, a substituted or unsubstituted naphthylene group, or a substituted or unsubstituted It is a cyclic fluorenylene group.
본 명세서의 일 실시상태에 있어서, L은 페닐렌기이다.In an exemplary embodiment of the present specification, L is a phenylene group.
본 명세서의 일 실시상태에 있어서, Ar1 및 Ar2는 서로 같거나 상이하고, 각각 독립적으로 치환 또는 비치환된 아릴기; 또는 치환 또는 비치환된 헤테로아릴기이다. In an exemplary embodiment of the present specification, Ar1 and Ar2 are the same as or different from each other, and each independently a substituted or unsubstituted aryl group; Or a substituted or unsubstituted heteroaryl group.
본 명세서의 일 실시상태에 있어서, Ar1은 치환 또는 비치환된 탄소수 6 내지 30의 아릴기이다. In an exemplary embodiment of the present specification, Ar1 is a substituted or unsubstituted aryl group having 6 to 30 carbon atoms.
본 명세서의 일 실시상태에 있어서, Ar1은 치환 또는 비치환된 페닐기, 치환 또는 비치환된 비페닐기, 치환 또는 비치환된 나프틸기, 치환 또는 비치환된 터페닐기, 치환 또는 비치환된 트리페닐기, 치환 또는 비치환되 페난트릴기, 또는 치환 또는 비치환된 플루오레닐기이다. In an exemplary embodiment of the present specification, Ar1 is a substituted or unsubstituted phenyl group, a substituted or unsubstituted biphenyl group, a substituted or unsubstituted naphthyl group, a substituted or unsubstituted terphenyl group, a substituted or unsubstituted triphenyl group, a substituted or unsubstituted phenanthryl group, or a substituted or unsubstituted fluorenyl group.
본 명세서의 일 실시상태에 있어서, Ar1은 알킬기로 치환 또는 비치환된 페닐기이다.In an exemplary embodiment of the present specification, Ar1 is a phenyl group unsubstituted or substituted with an alkyl group.
본 명세서의 일 실시상태에 있어서, Ar1은 메틸기, 에틸기, 프로필기, 이소프로필기, 또는 tert-부틸기로 치환 또는 비치환된 페닐기이다.In an exemplary embodiment of the present specification, Ar1 is a phenyl group unsubstituted or substituted with a methyl group, an ethyl group, a propyl group, an isopropyl group, or a tert-butyl group.
본 명세서의 일 실시상태에 있어서, Ar1은 페닐기이다. In an exemplary embodiment of the present specification, Ar1 is a phenyl group.
본 명세서의 일 실시상태에 있어서, Ar1은 알킬기로 치환 또는 비치환된비페닐기이다.In an exemplary embodiment of the present specification, Ar1 is a biphenyl group unsubstituted or substituted with an alkyl group.
본 명세서의 일 실시상태에 있어서, Ar1은 메틸기, 에틸기, 프로필기, 이소프로필기, 또는 tert-부틸기로 치환 또는 비치환된 비페닐기이다.In an exemplary embodiment of the present specification, Ar1 is a biphenyl group unsubstituted or substituted with a methyl group, an ethyl group, a propyl group, an isopropyl group, or a tert-butyl group.
본 명세서의 일 실시상태에 있어서, Ar1은 비페닐기이다.In an exemplary embodiment of the present specification, Ar1 is a biphenyl group.
본 명세서의 일 실시상태에 있어서, Ar1은 알킬기로 치환 또는 비치환된나프틸기이다.In an exemplary embodiment of the present specification, Ar1 is a naphthyl group unsubstituted or substituted with an alkyl group.
본 명세서의 일 실시상태에 있어서, Ar1은 메틸기, 에틸기, 프로필기, 이소프로필기, 또는 tert-부틸기로 치환 또는 비치환된 나프틸기이다.In an exemplary embodiment of the present specification, Ar1 is a naphthyl group unsubstituted or substituted with a methyl group, an ethyl group, a propyl group, an isopropyl group, or a tert-butyl group.
본 명세서의 일 실시상태에 있어서, Ar1은 나프틸기이다.In an exemplary embodiment of the present specification, Ar1 is a naphthyl group.
본 명세서의 일 실시상태에 있어서, Ar1은 알킬기로 치환 또는 비치환된 플루오레닐기이다.In an exemplary embodiment of the present specification, Ar1 is a fluorenyl group unsubstituted or substituted with an alkyl group.
본 명세서의 일 실시상태에 있어서, Ar1은 메틸기, 에틸기, 프로필기, 이소프로필기, 또는 tert-부틸기로 치환 또는 비치환된 플루오레닐기이다.In an exemplary embodiment of the present specification, Ar1 is a fluorenyl group unsubstituted or substituted with a methyl group, an ethyl group, a propyl group, an isopropyl group, or a tert-butyl group.
본 명세서의 일 실시상태에 있어서, Ar1은 메틸기로 치환 또는 비치환된 플루오레닐기이다. In an exemplary embodiment of the present specification, Ar1 is a fluorenyl group unsubstituted or substituted with a methyl group.
본 명세서의 일 실시상태에 있어서, Ar1은 디메틸플루오레닐기이다.In an exemplary embodiment of the present specification, Ar1 is a dimethyl fluorenyl group.
본 명세서의 일 실시상태에 있어서, Ar1은 치환 또는 비치환된 탄소수 6 내지 30의 헤테로아릴기이다.In an exemplary embodiment of the present specification, Ar1 is a substituted or unsubstituted heteroaryl group having 6 to 30 carbon atoms.
본 명세서의 일 실시상태에 있어서, Ar1은 치환 또는 비치환된 카바졸기, 치환 또는 비치환된 디벤조퓨란기, 치환 또는 비치환되 디벤조티오펜기, 치환 또는 비치환된 피리딘기, 치환 또는 비치환되 피리미딘기, 또는 치환 또는 비치환된 트리아진기이다. In an exemplary embodiment of the present specification, Ar1 is a substituted or unsubstituted carbazole group, a substituted or unsubstituted dibenzofuran group, a substituted or unsubstituted dibenzothiophene group, a substituted or unsubstituted pyridine group, a substituted or unsubstituted It is a cyclic pyrimidine group, or a substituted or unsubstituted triazine group.
본 명세서의 일 실시상태에 있어서, Ar1은 아릴기로 치환 또는 비치환된디벤조퓨란기이다. In an exemplary embodiment of the present specification, Ar1 is a dibenzofuran group unsubstituted or substituted with an aryl group.
본 명세서의 일 실시상태에 있어서, Ar1은 페닐기, 비페닐기, 또는 나프틸기로 치환 또는 비치환된 디벤조퓨란기이다.In an exemplary embodiment of the present specification, Ar1 is a dibenzofuran group unsubstituted or substituted with a phenyl group, a biphenyl group, or a naphthyl group.
본 명세서의 일 실시상태에 있어서, Ar1은 디벤조퓨란기이다.In an exemplary embodiment of the present specification, Ar1 is a dibenzofuran group.
본 명세서의 일 실시상태에 있어서, Ar1은 아릴기로 치환 또는 비치환된디벤조티오펜기이다. In an exemplary embodiment of the present specification, Ar1 is a dibenzothiophene group unsubstituted or substituted with an aryl group.
본 명세서의 일 실시상태에 있어서, Ar1은 페닐기, 비페닐기, 또는 나프틸기로 치환 또는 비치환된 디벤조티오펜기이다.In an exemplary embodiment of the present specification, Ar1 is a dibenzothiophene group unsubstituted or substituted with a phenyl group, a biphenyl group, or a naphthyl group.
본 명세서의 일 실시상태에 있어서, Ar1은 디벤조티오펜기이다.In an exemplary embodiment of the present specification, Ar1 is a dibenzothiophene group.
본 명세서의 일 실시상태에 있어서, Ar1은 아릴기로 치환 또는 비치환된카바졸기이다. In an exemplary embodiment of the present specification, Ar1 is a carbazole group unsubstituted or substituted with an aryl group.
본 명세서의 일 실시상태에 있어서, Ar1은 페닐기, 비페닐기, 또는 나프틸기로 치환 또는 비치환된 카바졸기이다.In an exemplary embodiment of the present specification, Ar1 is a carbazole group unsubstituted or substituted with a phenyl group, a biphenyl group, or a naphthyl group.
본 명세서의 일 실시상태에 있어서, Ar1은 페닐기로 치환된 카바졸기이다.In an exemplary embodiment of the present specification, Ar1 is a carbazole group substituted with a phenyl group.
본 명세서의 일 실시상태에 있어서, Ar2는 치환 또는 비치환된 탄소수 6 내지 30의 아릴기이다. In an exemplary embodiment of the present specification, Ar2 is a substituted or unsubstituted C6-C30 aryl group.
본 명세서의 일 실시상태에 있어서, Ar2는 치환 또는 비치환된 페닐기, 치환 또는 비치환된 비페닐기, 치환 또는 비치환된 나프틸기, 치환 또는 비치환된 터페닐기, 치환 또는 비치환된 트리페닐기, 치환 또는 비치환되 페난트릴기, 또는 치환 또는 비치환된 플루오레닐기이다. In an exemplary embodiment of the present specification, Ar2 is a substituted or unsubstituted phenyl group, a substituted or unsubstituted biphenyl group, a substituted or unsubstituted naphthyl group, a substituted or unsubstituted terphenyl group, a substituted or unsubstituted triphenyl group, a substituted or unsubstituted phenanthryl group, or a substituted or unsubstituted fluorenyl group.
본 명세서의 일 실시상태에 있어서, Ar2는 알킬기로 치환 또는 비치환된 페닐기이다.In an exemplary embodiment of the present specification, Ar2 is a phenyl group unsubstituted or substituted with an alkyl group.
본 명세서의 일 실시상태에 있어서, Ar2는 메틸기, 에틸기, 프로필기, 이소프로필기, 또는 tert-부틸기로 치환 또는 비치환된 페닐기이다.In an exemplary embodiment of the present specification, Ar2 is a phenyl group unsubstituted or substituted with a methyl group, an ethyl group, a propyl group, an isopropyl group, or a tert-butyl group.
본 명세서의 일 실시상태에 있어서, Ar2는 페닐기이다. In an exemplary embodiment of the present specification, Ar2 is a phenyl group.
본 명세서의 일 실시상태에 있어서, Ar2는 알킬기로 치환 또는 비치환된비페닐기이다.In an exemplary embodiment of the present specification, Ar2 is a biphenyl group unsubstituted or substituted with an alkyl group.
본 명세서의 일 실시상태에 있어서, Ar2는 메틸기, 에틸기, 프로필기, 이소프로필기, 또는 tert-부틸기로 치환 또는 비치환된 비페닐기이다.In an exemplary embodiment of the present specification, Ar2 is a biphenyl group unsubstituted or substituted with a methyl group, an ethyl group, a propyl group, an isopropyl group, or a tert-butyl group.
본 명세서의 일 실시상태에 있어서, Ar2는 비페닐기이다.In an exemplary embodiment of the present specification, Ar2 is a biphenyl group.
본 명세서의 일 실시상태에 있어서, Ar2는 알킬기로 치환 또는 비치환된나프틸기이다.In an exemplary embodiment of the present specification, Ar2 is a naphthyl group unsubstituted or substituted with an alkyl group.
본 명세서의 일 실시상태에 있어서, Ar2는 메틸기, 에틸기, 프로필기, 이소프로필기, 또는 tert-부틸기로 치환 또는 비치환된 나프틸기이다.In an exemplary embodiment of the present specification, Ar2 is a naphthyl group unsubstituted or substituted with a methyl group, an ethyl group, a propyl group, an isopropyl group, or a tert-butyl group.
본 명세서의 일 실시상태에 있어서, Ar2는 나프틸기이다.In an exemplary embodiment of the present specification, Ar2 is a naphthyl group.
본 명세서의 일 실시상태에 있어서, Ar2는 알킬기로 치환 또는 비치환된 플루오레닐기이다.In an exemplary embodiment of the present specification, Ar2 is a fluorenyl group unsubstituted or substituted with an alkyl group.
본 명세서의 일 실시상태에 있어서, Ar2는 메틸기, 에틸기, 프로필기, 이소프로필기, 또는 tert-부틸기로 치환 또는 비치환된 플루오레닐기이다.In an exemplary embodiment of the present specification, Ar2 is a fluorenyl group unsubstituted or substituted with a methyl group, an ethyl group, a propyl group, an isopropyl group, or a tert-butyl group.
본 명세서의 일 실시상태에 있어서, Ar2는 메틸기로 치환 또는 비치환된 플루오레닐기이다. In an exemplary embodiment of the present specification, Ar2 is a fluorenyl group unsubstituted or substituted with a methyl group.
본 명세서의 일 실시상태에 있어서, Ar2는 디메틸플루오레닐기이다.In an exemplary embodiment of the present specification, Ar2 is a dimethyl fluorenyl group.
본 명세서의 일 실시상태에 있어서, Ar2는 치환 또는 비치환된 탄소수 6 내지 30의 헤테로아릴기이다.In an exemplary embodiment of the present specification, Ar2 is a substituted or unsubstituted heteroaryl group having 6 to 30 carbon atoms.
본 명세서의 일 실시상태에 있어서, Ar2는 치환 또는 비치환된 카바졸기, 치환 또는 비치환된 디벤조퓨란기, 치환 또는 비치환되 디벤조티오펜기, 치환 또는 비치환된 피리딘기, 치환 또는 비치환되 피리미딘기, 또는 치환 또는 비치환된 트리아진기이다. In an exemplary embodiment of the present specification, Ar2 is a substituted or unsubstituted carbazole group, a substituted or unsubstituted dibenzofuran group, a substituted or unsubstituted dibenzothiophene group, a substituted or unsubstituted pyridine group, a substituted or unsubstituted It is a cyclic pyrimidine group, or a substituted or unsubstituted triazine group.
본 명세서의 일 실시상태에 있어서, Ar2는 아릴기로 치환 또는 비치환된디벤조퓨란기이다. In an exemplary embodiment of the present specification, Ar2 is a dibenzofuran group unsubstituted or substituted with an aryl group.
본 명세서의 일 실시상태에 있어서, Ar2는 페닐기, 비페닐기, 또는 나프틸기로 치환 또는 비치환된 디벤조퓨란기이다.In an exemplary embodiment of the present specification, Ar2 is a dibenzofuran group unsubstituted or substituted with a phenyl group, a biphenyl group, or a naphthyl group.
본 명세서의 일 실시상태에 있어서, Ar2는 디벤조퓨란기이다.In an exemplary embodiment of the present specification, Ar2 is a dibenzofuran group.
본 명세서의 일 실시상태에 있어서, Ar2는 아릴기로 치환 또는 비치환된디벤조티오펜기이다. In an exemplary embodiment of the present specification, Ar2 is a dibenzothiophene group unsubstituted or substituted with an aryl group.
본 명세서의 일 실시상태에 있어서, Ar2는 페닐기, 비페닐기, 또는 나프틸기로 치환 또는 비치환된 디벤조티오펜기이다.In an exemplary embodiment of the present specification, Ar2 is a dibenzothiophene group unsubstituted or substituted with a phenyl group, a biphenyl group, or a naphthyl group.
본 명세서의 일 실시상태에 있어서, Ar2는 디벤조티오펜기이다.In an exemplary embodiment of the present specification, Ar2 is a dibenzothiophene group.
본 명세서의 일 실시상태에 있어서, Ar2는 아릴기로 치환 또는 비치환된카바졸기이다. In an exemplary embodiment of the present specification, Ar2 is a carbazole group unsubstituted or substituted with an aryl group.
본 명세서의 일 실시상태에 있어서, Ar2는 페닐기, 비페닐기, 또는 나프틸기로 치환 또는 비치환된 카바졸기이다.In an exemplary embodiment of the present specification, Ar2 is a carbazole group unsubstituted or substituted with a phenyl group, a biphenyl group, or a naphthyl group.
본 명세서의 일 실시상태에 있어서, Ar2는 페닐기로 치환된 카바졸기이다.In an exemplary embodiment of the present specification, Ar2 is a carbazole group substituted with a phenyl group.
본 명세서의 일 실시상태에 있어서, 상기 Ar1 또는 Ar2는 하기 구조 중에서 선택되는 어느 하나일 수 있다. In an exemplary embodiment of the present specification, Ar1 or Ar2 may be any one selected from the following structures.
본 명세서의 일 실시상태에 있어서, 상기 Ar1 또는 Ar2는 하기 구조 중에서 선택되는 어느 하나일 수 있다. In the exemplary embodiment of the present specification, Ar1 or Ar2 may be any one selected from the following structures.
본 명세서의 일 실시상태에 있어서, Ra 및 Rb는 서로 같거나 상이하고, 각각 독립적으로 치환 또는 비치환된 알킬기; 치환 또는 비치환된 아릴기; 또는 치환 또는 비치환된 헤테로아릴기이다.In an exemplary embodiment of the present specification, Ra and Rb are the same as or different from each other, and each independently a substituted or unsubstituted alkyl group; a substituted or unsubstituted aryl group; Or a substituted or unsubstituted heteroaryl group.
본 명세서의 일 실시상태에 있어서, Ra는 치환 또는 비치환된 탄소수 1 내지 10의 알킬기이다.In an exemplary embodiment of the present specification, Ra is a substituted or unsubstituted C 1 to C 10 alkyl group.
본 명세서의 일 실시상태에 있어서, Ra는 치환 또는 비치환된 메틸기, 치환 또는 비치환된 에틸기, 치환 또는 비치환된 프로필기, 치환 또는 비치환된 이소프로필기, 또는 치환 또는 비치환된 tert-부틸기이다.In an exemplary embodiment of the present specification, Ra is a substituted or unsubstituted methyl group, a substituted or unsubstituted ethyl group, a substituted or unsubstituted propyl group, a substituted or unsubstituted isopropyl group, or a substituted or unsubstituted tert- It is a butyl group.
본 명세서의 일 실시상태에 있어서, Ra는 메틸기이다.In an exemplary embodiment of the present specification, Ra is a methyl group.
본 명세서의 일 실시상태에 있어서, Ra는 치환 또는 비치환된 탄소수 6 내지 30의 아릴기이다. In an exemplary embodiment of the present specification, Ra is a substituted or unsubstituted aryl group having 6 to 30 carbon atoms.
본 명세서의 일 실시상태에 있어서, Ra는 치환 또는 비치환된 페닐기, 치환 또는 비치환된 비페닐기, 치환 또는 비치환된 나프틸기, 또는 치환 또는 비치환된 플루오레닐기이다. In an exemplary embodiment of the present specification, Ra is a substituted or unsubstituted phenyl group, a substituted or unsubstituted biphenyl group, a substituted or unsubstituted naphthyl group, or a substituted or unsubstituted fluorenyl group.
본 명세서의 일 실시상태에 있어서, Ra는 페닐기이다. In an exemplary embodiment of the present specification, Ra is a phenyl group.
본 명세서의 일 실시상태에 있어서, Rb는 치환 또는 비치환된 탄소수 1 내지 10의 알킬기이다.In an exemplary embodiment of the present specification, Rb is a substituted or unsubstituted C 1 to C 10 alkyl group.
본 명세서의 일 실시상태에 있어서, Rb는 치환 또는 비치환된 메틸기, 치환 또는 비치환된 에틸기, 치환 또는 비치환된 프로필기, 치환 또는 비치환된 이소프로필기, 또는 치환 또는 비치환된 tert-부틸기이다.In an exemplary embodiment of the present specification, Rb is a substituted or unsubstituted methyl group, a substituted or unsubstituted ethyl group, a substituted or unsubstituted propyl group, a substituted or unsubstituted isopropyl group, or a substituted or unsubstituted tert- It is a butyl group.
본 명세서의 일 실시상태에 있어서, Rb는 메틸기이다.In an exemplary embodiment of the present specification, Rb is a methyl group.
본 명세서의 일 실시상태에 있어서, Rb는 치환 또는 비치환된 탄소수 6 내지 30의 아릴기이다. In an exemplary embodiment of the present specification, Rb is a substituted or unsubstituted C6-C30 aryl group.
본 명세서의 일 실시상태에 있어서, Rb는 치환 또는 비치환된 페닐기, 치환 또는 비치환된 비페닐기, 치환 또는 비치환된 나프틸기, 또는 치환 또는 비치환된 플루오레닐기이다. In an exemplary embodiment of the present specification, Rb is a substituted or unsubstituted phenyl group, a substituted or unsubstituted biphenyl group, a substituted or unsubstituted naphthyl group, or a substituted or unsubstituted fluorenyl group.
본 명세서의 일 실시상태에 있어서, Rb는 페닐기이다. In an exemplary embodiment of the present specification, Rb is a phenyl group.
본 명세서의 일 실시상태에 있어서, Ra 및 Rb는 서로 결합하여 고리를 형성할 수 있다. In an exemplary embodiment of the present specification, Ra and Rb may be bonded to each other to form a ring.
본 명세서의 일 실시상태에 있어서, R 및 R1 내지 R6은 서로 같거나 상이하고, 각각 독립적으로 수소; 중수소; 할로겐기; 치환 또는 비치환된 알킬기; 치환 또는 비치환된 시클로알킬기; 치환 또는 비치환된 실릴기; 치환 또는 비치환된 포스핀옥사이드기; 치환 또는 비치환된 아릴기; 또는 치환 또는 비치환된 헤테로아릴기이다.In an exemplary embodiment of the present specification, R and R1 to R6 are the same as or different from each other, and each independently hydrogen; heavy hydrogen; halogen group; a substituted or unsubstituted alkyl group; a substituted or unsubstituted cycloalkyl group; a substituted or unsubstituted silyl group; a substituted or unsubstituted phosphine oxide group; a substituted or unsubstituted aryl group; Or a substituted or unsubstituted heteroaryl group.
본 명세서의 일 실시상태에 있어서, r1은 1 내지 3의 정수이며, r2는 1 내지 4의 정수이고, 상기 r1 및 r2가 각각 2 이상일 때, 2 이상의 R1 및 R2는 각각 서로 같거나 상이하다.In an exemplary embodiment of the present specification, r1 is an integer of 1 to 3, r2 is an integer of 1 to 4, and when r1 and r2 are each 2 or more, two or more R1 and R2 are the same as or different from each other.
본 명세서의 일 실시상태에 있어서, R 및 R1 내지 R6은 각각 수소이다. In an exemplary embodiment of the present specification, R and R1 to R6 are each hydrogen.
본 명세서의 일 실시상태에 있어서, 상기 화학식 1은 하기 화학식 2 내지 5 중 어느 하나로 표시될 수 있다. In the exemplary embodiment of the present specification, Chemical Formula 1 may be represented by any one of Chemical Formulas 2 to 5 below.
[화학식 2][Formula 2]
[화학식 3][Formula 3]
[화학식 4][Formula 4]
[화학식 5][Formula 5]
상기 화학식 2 내지 5에 있어서, In Formulas 2 to 5,
X1 내지 X3, L, Ar1, Ar2, Ra, Rb, R1 내지 R6, r1 및 r2에 대한 정의는 상기 화학식 1에서 정의한 바와 같다. X1 to X3, L, Ar1, Ar2, Ra, Rb, R1 to R6, r1 and r2 are the same as defined in Formula 1 above.
본 명세서의 일 실시상태에 있어서, 상기 화학식 4는 하기 화학식 4-1 내지 4-3 중 어느 하나로 표시될 수 있다. In an exemplary embodiment of the present specification, Chemical Formula 4 may be represented by any one of the following Chemical Formulas 4-1 to 4-3.
[화학식 4-1][Formula 4-1]
[화학식 4-2][Formula 4-2]
[화학식 4-3][Formula 4-3]
상기 화학식 4-1 내지 4-3에 있어서, In Formulas 4-1 to 4-3,
X1 내지 X3, L, Ar1, Ar2, R1 내지 R6, r1 및 r2에 대한 정의는 상기 화학식 1에서 정의한 바와 같다. X1 to X3, L, Ar1, Ar2, R1 to R6, r1 and r2 are the same as defined in Formula 1 above.
본 명세서의 일 실시상태에 있어서, 상기 화학식 1로 표시되는 화합물은 하기 화합물 중에서 선택되는 어느 하나이다.In an exemplary embodiment of the present specification, the compound represented by Formula 1 is any one selected from the following compounds.
본 명세서의 일 실시상태에 따른 화합물은 후술하는 제조 방법으로 제조될 수 있다. 후술하는 제조예들에서는 대표적인 예시들을 기재하지만, 필요에 따라, 치환기를 추가하거나 제외할 수 있으며, 치환기의 위치를 변경할 수 있다. 또한, 당기술분야에 알려져 있는 기술을 기초로, 출발물질, 반응물질, 반응 조건 등을 변경할 수 있다. The compound according to an exemplary embodiment of the present specification may be prepared by a manufacturing method described below. In the following preparations, representative examples are described, but if necessary, a substituent may be added or excluded, and the position of the substituent may be changed. In addition, based on techniques known in the art, starting materials, reactants, reaction conditions, etc. can be changed.
예컨대, 상기 화학식 1로 표시되는 화합물은 하기 일반식 1 및 2와 같이 코어 구조가 제조될 수 있다. 치환기는 당기술분야에 알려져 있는 방법에 의하여 결합될 수 있으며, 치환기의 종류, 위치 또는 개수는 당기술분야에 알려져 있는 기술에 따라 변경될 수 있다. 하기 일반식 1 및 2와 같이 치환기를 결합시킬 수 있으나, 이에 한정되는 것은 아니다.For example, the compound represented by Formula 1 may have a core structure as shown in Formulas 1 and 2 below. Substituents may be combined by methods known in the art, and the type, position or number of substituents may be changed according to techniques known in the art. A substituent may be bonded as shown in the following general formulas 1 and 2, but is not limited thereto.
[일반식 1][General formula 1]
[일반식 2][General Formula 2]
상기 일반식 1 및 2에 있어서, X, X1 내지 X3, L, Ar1 및 Ar2에 대한 정의는 상기 화학식 1에서 정의한 바와 동일하다. In Formulas 1 and 2, the definitions of X, X1 to X3, L, Ar1 and Ar2 are the same as defined in Formula 1 above.
또한, 본 명세서는 상기 전술한 화합물을 포함하는 유기 전자 소자를 제공한다.In addition, the present specification provides an organic electronic device including the above-described compound.
본 명세서의 일 실시상태에 있어서, 제1 전극; 상기 제1 전극과 대향하여 구비된 제2 전극; 및 상기 제1 전극과 상기 제2 전극 사이에 구비된 1층 이상의 유기물층을 포함하는 유기 전자 소자로서, 상기 유기물층 중 1 층 이상은 상기 화합물을 포함하는 것인 유기 전자 소자를 제공한다. In one embodiment of the present specification, the first electrode; a second electrode provided to face the first electrode; and at least one organic material layer provided between the first electrode and the second electrode, wherein at least one of the organic material layers includes the compound.
본 명세서에서 어떤 부재가 다른 부재 "상에" 위치하고 있다고 할 때, 이는 어떤 부재가 다른 부재에 접해 있는 경우뿐 아니라 두 부재 사이에 또 다른 부재가 존재하는 경우도 포함한다.In the present specification, when a member is said to be located “on” another member, this includes not only a case in which a member is in contact with another member but also a case in which another member exists between the two members.
본 명세서에서 어떤 부분이 어떤 구성요소를 "포함" 한다고 할 때, 이는 특별히 반대되는 기재가 없는 한 다른 구성요소를 제외하는 것이 아니라 다른 구성 요소를 더 포함할 수 있는 것을 의미한다. In the present specification, when a part "includes" a certain component, this means that other components may be further included, rather than excluding other components, unless otherwise stated.
본 명세서의 유기 전자 소자의 유기물층은 단층 구조로 이루어질 수도 있으나, 2층 이상의 유기물층이 적층된 다층 구조로 이루어질 수 있다. 예컨대, 본 명세서의 유기 전자 소자의 대표적인 예로서, 유기 발광 소자는 유기물층으로서 정공 주입층, 정공 수송층, 발광층, 전자 수송층, 전자 주입층, 전자 차단층, 정공 차단층 등을 포함하는 구조를 가질 수 있다. 그러나 유기 전자 소자의 구조는 이에 한정되지 않고 더 적은 수의 유기층을 포함할 수 있다.The organic material layer of the organic electronic device of the present specification may have a single-layer structure, but may have a multi-layer structure in which two or more organic material layers are stacked. For example, as a representative example of the organic electronic device of the present specification, the organic light emitting device may have a structure including a hole injection layer, a hole transport layer, a light emitting layer, an electron transport layer, an electron injection layer, an electron blocking layer, a hole blocking layer, etc. as an organic material layer. have. However, the structure of the organic electronic device is not limited thereto and may include a smaller number of organic layers.
본 명세서의 일 실시상태에 있어서, 상기 유기물층은 발광층을 포함하고, 상기 발광층은 상기 화학식 1로 표시되는 화합물을 포함한다. In the exemplary embodiment of the present specification, the organic material layer includes a light emitting layer, and the light emitting layer includes a compound represented by Formula 1 above.
본 명세서의 일 실시상태에 있어서, 상기 유기물층은 발광층을 포함하고, 상기 발광층은 상기 화학식 1로 표시되는 화합물을 발광층의 호스트로서 포함한다.In an exemplary embodiment of the present specification, the organic material layer includes an emission layer, and the emission layer includes the compound represented by Formula 1 as a host of the emission layer.
본 명세서의 일 실시상태에 있어서, 상기 유기물층은 정공 주입층 또는 정공 수송층을 포함하고, 상기 정공 주입층 또는 정공 수송층은 상기 화학식 1로 표시되는 화합물을 포함한다. In the exemplary embodiment of the present specification, the organic material layer includes a hole injection layer or a hole transport layer, and the hole injection layer or the hole transport layer includes the compound represented by Formula 1 above.
본 명세서의 일 실시상태에 있어서, 상기 유기물층은 전자 주입층, 전자 수송층 또는 전자 주입 및 수송을 동시에 하는 층을 포함하고, 상기 전자 주입층, 전자 수송층 또는 전자 주입 및 수송을 동시에 하는 층은 상기 화학식 1로 표시되는 화합물을 포함한다. In an exemplary embodiment of the present specification, the organic material layer includes an electron injection layer, an electron transport layer, or a layer that simultaneously injects and transports electrons, and the electron injection layer, the electron transport layer, or a layer that simultaneously injects and transports electrons is the formula The compound represented by 1 is included.
본 명세서의 일 실시상태에 있어서, 상기 유기물층은 전자 차단층을 포함하고, 상기 전자 차단층은 상기 화학식 1로 표시되는 화합물을 포함한다. In an exemplary embodiment of the present specification, the organic material layer includes an electron blocking layer, and the electron blocking layer includes a compound represented by Formula 1 above.
본 명세서의 일 실시상태에 있어서, 상기 유기물층은 정공 차단층을 포함하고, 상기 정공 차단층은 상기 화학식 1로 표시되는 화합물을 포함한다. In an exemplary embodiment of the present specification, the organic material layer includes a hole blocking layer, and the hole blocking layer includes a compound represented by Formula 1 above.
본 명세서의 일 실시상태에 있어서, 상기 유기 발광 소자는 정공 주입층, 정공 수송층. 발광층, 전자 수송층, 전자 주입층, 정공 차단층 및 전자 차단층으로 이루어진 군에서 선택되는 1층 또는 2층 이상을 더 포함한다.In an exemplary embodiment of the present specification, the organic light emitting device includes a hole injection layer and a hole transport layer. It further includes one or more layers selected from the group consisting of a light emitting layer, an electron transport layer, an electron injection layer, a hole blocking layer, and an electron blocking layer.
본 명세서의 일 실시상태에 있어서, 상기 유기 전자 소자는 유기 발광소자, 유기 인광 소자, 유기 태양 전지, 유기 감광체(OPC) 및 유기 트랜지스터로 이루어진 군으로부터 선택될 수 있다.In the exemplary embodiment of the present specification, the organic electronic device may be selected from the group consisting of an organic light emitting device, an organic phosphorescent device, an organic solar cell, an organic photoconductor (OPC), and an organic transistor.
이하에서는 유기 발광 소자에 대하여 예시한다.Hereinafter, an organic light emitting device is exemplified.
본 명세서의 일 실시상태에 있어서, 상기 유기 발광 소자는 제1 전극; 상기 제1 전극과 대향하여 구비된 제2 전극; 상기 제1 전극과 상기 제2 전극 사이에 구비된 발광층; 및 상기 발광층과 상기 제1 전극 사이, 또는 상기 발광층과 상기 제2 전극 사이에 구비된 2층 이상의 유기물층을 포함하고, 상기 2층 이상의 유기물층 중 적어도 하나는 상기 화학식 1로 표시되는 화합물을 포함한다. In an exemplary embodiment of the present specification, the organic light emitting device includes a first electrode; a second electrode provided to face the first electrode; a light emitting layer provided between the first electrode and the second electrode; and two or more organic material layers provided between the light emitting layer and the first electrode or between the light emitting layer and the second electrode, wherein at least one of the two or more organic material layers includes a compound represented by Formula 1 above.
본 명세서의 일 실시상태에 있어서, 상기 2층 이상의 유기물층은 발광층, 정공 수송층, 정공 주입층, 정공 수송과 정공 주입을 동시에 하는 층 및 전자 차단층으로 이루어진 군에서 2 이상이 선택될 수 있다.In an exemplary embodiment of the present specification, the two or more organic material layers may be selected from the group consisting of a light emitting layer, a hole transport layer, a hole injection layer, a layer for simultaneously transporting and injecting holes, and an electron blocking layer.
본 명세서의 일 실시상태에 있어서, 상기 유기물층은 2층 이상의 전자 수 송층을 포함하고, 상기 2층 이상의 전자 수송층 중 적어도 하나는 상기 화학식 1로 표시되는 화합물을 포함한다. 구체적으로 본 명세서의 일 실시상태에 있어서, 상기 화학식 1로 표시되는 화합물은 상기 2층 이상의 전자 수송층 중 1층에 포함될 수도 있으며, 각각의 2층 이상의 전자 수송층에 포함될 수 있다. In the exemplary embodiment of the present specification, the organic material layer includes two or more electron transport layers, and at least one of the two or more electron transport layers includes the compound represented by Formula 1 above. Specifically, in an exemplary embodiment of the present specification, the compound represented by Formula 1 may be included in one of the two or more electron transport layers, and may be included in each of the two or more electron transport layers.
또한, 본 명세서의 일 실시상태에 있어서, 상기 화학식 1로 표시되는 화합물이 상기 각각의 2층 이상의 전자 수송층에 포함되는 경우, 상기 화학식 1로 표시되는 화합물을 제외한 다른 재료들은 서로 동일하거나 상이할 수 있다.In addition, in an exemplary embodiment of the present specification, when the compound represented by Formula 1 is included in each of the two or more electron transport layers, materials other than the compound represented by Formula 1 may be the same or different from each other. have.
상기 화학식 1로 표시되는 화합물을 포함하는 유기물층이 전자 수송층인 경우, 상기 전자 수송층은 n형 도펀트를 더 포함할 수 있다. 상기 n형 도펀트는 당 기술분야에 알려져 있는 것들을 사용할 수 있으며, 예컨대 금속 또는 금속착체를 사용할 수 있다. 예를 들어, 상기 화학식 1로 표시되는 화합물을 포함하는 전자 수송층은 LiQ(Lithium Quinolate)를 더 포함할 수 있다.When the organic material layer including the compound represented by Formula 1 is an electron transport layer, the electron transport layer may further include an n-type dopant. As the n-type dopant, those known in the art may be used, for example, a metal or a metal complex may be used. For example, the electron transport layer including the compound represented by Formula 1 may further include lithium quinolate (LiQ).
본 명세서의 일 실시상태에 있어서, 상기 유기물층은 2층 이상의 정공수 송층을 포함하고, 상기 2층 이상의 정공 수송층 중 적어도 하나는 상기 화학식 1로 표시되는 화합물을 포함한다. 구체적으로, 본 명세서의 일 실시상태에 있어서, 상기 화학식 1로 표시되는 화합물은 상기 2층 이상의 정공 수송층 중 1층에 포함될 수도 있으며, 각각의 2층 이상의 정공 수송층에 포함될 수 있다. In the exemplary embodiment of the present specification, the organic material layer includes two or more hole transport layers, and at least one of the two or more hole transport layers includes the compound represented by Formula 1 above. Specifically, in an exemplary embodiment of the present specification, the compound represented by Formula 1 may be included in one of the two or more hole transport layers, and may be included in each of the two or more hole transport layers.
또한, 본 명세서의 일 실시상태에 있어서, 상기 화학식 1로 표시되는 화합물이 상기 각각의 2층 이상의 정공 수송층에 포함되는 경우, 상기 화학식 1로 표시되는 화합물을 제외한 다른 재료들은 서로 동일하거나 상이할 수 있다.In addition, in an exemplary embodiment of the present specification, when the compound represented by Formula 1 is included in each of the two or more hole transport layers, materials other than the compound represented by Formula 1 may be the same or different from each other. have.
본 명세서의 일 실시상태에 있어서, 상기 유기물층은 상기 화학식 1로 표시되는 화합물을 포함하는 유기물층 이외에 아릴아민기, 카바졸릴기 또는 벤조카바졸릴기를 포함하는 화합물을 포함하는 정공 주입층 또는 정공 수송층을 더 포함할 수 있다.In an exemplary embodiment of the present specification, the organic material layer includes a hole injection layer or a hole transport layer containing a compound including an arylamine group, a carbazolyl group or a benzocarbazolyl group in addition to the organic material layer including the compound represented by Formula 1 may include
본 명세서의 일 실시상태에 있어서, 상기 제1 전극은 애노드 또는 캐소드이다.In one embodiment of the present specification, the first electrode is an anode or a cathode.
본 명세서의 일 실시상태에 있어서, 상기 제2 전극은 캐소드 또는 애노드이다. In one embodiment of the present specification, the second electrode is a cathode or an anode.
본 명세서의 일 실시상태에 있어서, 상기 유기 발광 소자는 기판 상에 애노드, 1층 이상의 유기물층 및 캐소드가 순차적으로 적층된 구조(normal type)의 유기 발광 소자일 수 있다. In the exemplary embodiment of the present specification, the organic light emitting device may be a normal type organic light emitting device in which an anode, one or more organic material layers, and a cathode are sequentially stacked on a substrate.
본 명세서의 일 실시상태에 있어서, 상기 유기 발광 소자는 기판 상에 캐소드, 1층 이상의 유기물층 및 애노드이 순차적으로 적층된 역방향 구조(inverted type)의 유기 발광 소자일 수 있다.In an exemplary embodiment of the present specification, the organic light emitting device may be an inverted type organic light emitting device in which a cathode, one or more organic material layers, and an anode are sequentially stacked on a substrate.
예컨대, 본 명세서의 일 실시상태에 따른 유기 발광 소자의 구조가 도 1 내지 3에 예시되어 있다. 상기 도 1 내지 도 3은 유기 발광 소자를 예시한 것이며 이에 한정되는 것은 아니다. For example, the structure of the organic light emitting device according to an exemplary embodiment of the present specification is illustrated in FIGS. 1 to 3 . 1 to 3 illustrate an organic light emitting device, but is not limited thereto.
도 1에는 기판(101) 위에 제1 전극(102), 발광층(106) 및 제2 전극(110)이 순차적으로 적층된 유기 발광 소자의 구조가 예시되어 있다. 1 illustrates a structure of an organic light emitting device in which a
도 2에는 기판(101) 위에 제1 전극(102), 정공 주입층(103), 정공 수송층(104), 발광층(106), 제2 전극(110)이 순차적으로 적층된 유기 발광 소자의 구조가 예시되어 있다.2 shows a structure of an organic light emitting device in which a
도 3에는 기판(101) 위에 제1 전극(102), 정공 주입층(103), 정공 수송층(104), 전자 차단층(105), 발광층(106), 정공 차단층(107), 전자 수송층(108), 전자 주입층(109), 제2 전극(110)이 순차적으로 적층된 유기 발광 소자의 구조가 예시되어 있다. 3 shows a
본 명세서의 유기 발광 소자는 유기물층 중 1층 이상이 상기 화합물, 즉 상기 화학식 1로 표시되는 화합물을 포함하는 것을 제외하고는 당 기술분야에 알려져 있는 재료와 방법으로 제조될 수 있다. The organic light emitting device of the present specification may be manufactured using materials and methods known in the art, except that at least one layer of the organic material layer includes the compound, that is, the compound represented by Formula 1 above.
상기 유기 발광 소자가 복수개의 유기물층을 포함하는 경우, 상기 유기물층은 동일한 물질 또는 다른 물질로 형성될 수 있다. When the organic light emitting device includes a plurality of organic material layers, the organic material layers may be formed of the same material or different materials.
예컨대, 본 명세서의 유기 발광 소자는 기판 상에 제1 전극, 유기물층 및 제2 전극을 순차적으로 적층시킴으로써 제조할 수 있다. 이 때, 스퍼터링법(sputtering)이나 전자빔 증발법(e-beam evaporation)과 같은 PVD(physical Vapor Deposition)방법을 이용하여, 기판 상에 금속 또는 전도성을 가지는 금속 산화물 또는 이들의 합금을 증착시켜 양극을 형성하고, 그 위에 정공 주입층, 정공 수송층, 발광층 및 전자 수송층을 포함하는 유기물층을 형성한 후, 그 위에 캐소드로 사용할 수 있는 물질을 증착시킴으로써 제조될 수 있다. 이와 같은 방법 외에도, 기판 상에 캐소드 물질, 유기물층 및 애노드 물질을 차례로 증착시켜 유기 발광 소자를 제조할 수 있다. For example, the organic light emitting device of the present specification may be manufactured by sequentially stacking a first electrode, an organic material layer, and a second electrode on a substrate. At this time, by using a PVD (physical vapor deposition) method such as sputtering or e-beam evaporation, a metal or conductive metal oxide or an alloy thereof is deposited on a substrate to form an anode. It can be prepared by forming an organic material layer including a hole injection layer, a hole transport layer, a light emitting layer and an electron transport layer thereon, and then depositing a material that can be used as a cathode thereon. In addition to this method, an organic light emitting device may be manufactured by sequentially depositing a cathode material, an organic material layer, and an anode material on a substrate.
또한, 상기 화학식 1로 표시되는 화합물은 유기 발광 소자의 제조시 진공 증착법 뿐만 아니라 용액 도포법에 의하여 유기물층으로 형성될 수 있다. 여기서, 용액 도포법이라 함은 스핀 코팅, 딥코팅, 닥터 블레이딩, 잉크젯프린팅, 스크린 프린팅, 스프레이법, 롤 코팅 등을 의미하나, 이에 한정되는 것은 아니다. In addition, the compound represented by Formula 1 may be formed into an organic material layer by a solution coating method as well as a vacuum deposition method when manufacturing an organic light emitting device. Here, the solution coating method refers to spin coating, dip coating, doctor blading, inkjet printing, screen printing, spraying, roll coating, and the like, but is not limited thereto.
이와 같은 방법 외에도, 기판 상에 음극 물질로부터 유기물층, 양극 물질을 차례로 증착시켜 유기 발광 소자를 만들 수도 있다 (국제 특허 출원 공개 제 2003/012890호). 다만, 제조 방법이 이에 한정되는 것은 아니다. In addition to this method, an organic light emitting device may be manufactured by sequentially depositing an organic material layer and an anode material from a cathode material on a substrate (International Patent Application Laid-Open No. 2003/012890). However, the manufacturing method is not limited thereto.
본 명세서의 일 실시상태에 있어서, 상기 제1 전극은 애노드이고, 상기 제2 전극은 캐소드이다. In the exemplary embodiment of the present specification, the first electrode is an anode, and the second electrode is a cathode.
또 하나의 실시상태에 있어서, 상기 제1 전극은 캐소드이고, 상기 제2 전극은 애노드이다. In another exemplary embodiment, the first electrode is a cathode, and the second electrode is an anode.
상기 제1 전극 물질로는 통상 유기물층으로 정공 주입이 원활할 수 있도록 일함수가 큰 물질이 바람직하다. 예를 들어, 바나듐, 크롬, 구리, 아연, 금과 같은 금속 또는 이들의 합금; 아연 산화물, 인듐 산화물, 인듐주석 산화물(ITO), 인듐아연 산화물(IZO)과 같은 금속 산화물; ZnO:Al 또는 SnO2 : Sb와 같은 금속과 산화물의 조합; 폴리(3-메틸티오펜), 폴리[3,4-(에틸렌-1,2-디옥시)티오펜](PEDOT), 폴리피롤 및 폴리아닐린과 같은 전도성 고분자 등이 있으나, 이에 한정되는 것은 아니다. As the material for the first electrode, a material having a large work function is generally preferred so that holes can be smoothly injected into the organic material layer. For example, metals such as vanadium, chromium, copper, zinc, gold, or alloys thereof; metal oxides such as zinc oxide, indium oxide, indium tin oxide (ITO), and indium zinc oxide (IZO); ZnO:Al or SnO 2 : a combination of a metal such as Sb and an oxide; Conductive polymers such as poly(3-methylthiophene), poly[3,4-(ethylene-1,2-dioxy)thiophene](PEDOT), polypyrrole, and polyaniline, but are not limited thereto.
상기 제2 전극 물질로는 통상 유기물층으로 전자 주입이 용이하도록 일함수가 작은 물질인 것이 바람직하다. 예를 들어, 마그네슘, 칼슘, 나트륨, 칼륨, 티타늄, 인듐, 이트륨, 리튬, 가돌리늄, 알루미늄, 은, 주석 및 납과 같은 금속 또는 이들의 합금; LiF/Al 또는 LiO2/Al과 같은 다층 구조 물질 등이 있으나, 이에 한정되는 것은 아니다.The second electrode material is preferably a material having a small work function to facilitate electron injection into the organic material layer. metals or alloys thereof such as, for example, magnesium, calcium, sodium, potassium, titanium, indium, yttrium, lithium, gadolinium, aluminum, silver, tin and lead; A multi-layered material such as LiF/Al or LiO 2 /Al, but is not limited thereto.
상기 발광층은 호스트 재료 및 도펀트 재료를 포함할 수 있다. 호스트 재료는 축합 방향족환 유도체 또는 헤테로환 함유 화합물 등이 있다. 구체적으로, 축합 방향족환 유도체로는 안트라센 유도체, 피렌 유도체, 나프탈렌 유도체, 펜타센 유도체, 페난트렌 화합물, 플루오란텐 화합물 등이 있고, 헤테로환 함유 화합물로는 디벤조퓨란 유도체, 래더형 퓨란 화합물, 피리미딘 유도체 등이 있으나, 이에 한정되는 것은 아니다. The emission layer may include a host material and a dopant material. The host material includes a condensed aromatic ring derivative or a compound containing a hetero ring. Specifically, condensed aromatic ring derivatives include anthracene derivatives, pyrene derivatives, naphthalene derivatives, pentacene derivatives, phenanthrene compounds, fluoranthene compounds, and the like, and heterocyclic-containing compounds include dibenzofuran derivatives, ladder-type furan compounds, and pyrimidine derivatives, but is not limited thereto.
상기 도펀트 재료로는 방향족 아민 유도체, 스트릴아민 화합물, 붕소 착체, 플루오란텐 화합물, 금속 착체 등이 있다. 구체적으로, 방향족 아민 유도체로는 치환 또는 비치환된 아릴아민기를 갖는 축합 방향족환 유도체로서, 아릴아민기를 갖는 피렌, 안트라센, 크리센, 페리플란텐 등이 있다. 또한, 스티릴아민 화합물은 치환 또는 비치환된 아릴아민에 적어도 1개의 아릴비닐기가 치환되어 있는 화합물로, 아릴기, 실릴기, 알킬기, 시클로알킬기 및 아릴아민기로 이루어진 군에서 1 또는 2 이상 선택되는 치환기가 치환 또는 비치환된다. 구체적으로 스티릴아민, 스티릴디아민, 스티릴트리아민, 스티릴테트라아민 등이 있으나, 이에 한정되지 않는다. 또한, 금속 착체로는 이리듐 착체, 백금 착체 등이 있으나, 이에 한정되는 것은 아니다. Examples of the dopant material include an aromatic amine derivative, a strylamine compound, a boron complex, a fluoranthene compound, and a metal complex. Specifically, the aromatic amine derivative is a condensed aromatic ring derivative having a substituted or unsubstituted arylamine group, and includes pyrene, anthracene, chrysene, periplanthene, and the like, having an arylamine group. In addition, the styrylamine compound is a compound in which at least one arylvinyl group is substituted with a substituted or unsubstituted arylamine, and one or two or more selected from the group consisting of an aryl group, a silyl group, an alkyl group, a cycloalkyl group, and an arylamine group A substituent is substituted or unsubstituted. Specifically, there are styrylamine, styryldiamine, styryltriamine, styryltetraamine, and the like, but is not limited thereto. In addition, the metal complex includes an iridium complex, a platinum complex, and the like, but is not limited thereto.
본 명세서에서, 상기 화학식 1로 표시되는 화합물이 발광층 이외의 유기물층에 포함되거나, 추가의 발광층이 구비되는 경우, 상기 발광층의 발광 물질로는 정공 수송층과 전자 수송층으로부터 정공과 전자를 각각 수송 받아 결합시킴으로써 가시광선 영역의 빛을 낼 수 있는 물질로서, 형광이나 인광에 대한 양자 효율이 좋은 물질이 바람직하다. 예를 들어, 8-히드록시-퀴놀린 알루미늄 착물(Alq3); 카르바졸 계열 화합물; 이량체화 스티릴(dimerized styryl) 화합물; BAlq; 10-히드록시벤조 퀴놀린-금속 화합물; 벤족사졸, 벤즈티아졸 및 벤즈이미다졸 계열의 화합물; 폴리(p-페닐렌비닐렌)(PPV) 계열의 고분자; 스피로(spiro) 화합물; 폴리플루오렌; 및 루브렌 등이 있으나, 이에 한정되는 것은 아니다.In the present specification, when the compound represented by Formula 1 is included in an organic material layer other than the light emitting layer or an additional light emitting layer is provided, as a light emitting material of the light emitting layer, holes and electrons are transported from the hole transport layer and the electron transport layer, respectively. As a material capable of emitting light in the visible light region, a material having good quantum efficiency for fluorescence or phosphorescence is preferable. For example, 8-hydroxy-quinoline aluminum complex (Alq3); carbazole-based compounds; dimerized styryl compounds; BAlq; 10-hydroxybenzo quinoline-metal compounds; compounds of the benzoxazole, benzthiazole and benzimidazole series; Poly(p-phenylenevinylene) (PPV)-based polymers; spiro compounds; polyfluorene; and rubrene, but is not limited thereto.
상기 정공 주입층은 전극으로부터 정공을 주입하는 층이다. 정공 주입 물질은 정공을 수송하는 능력을 가져 제1 전극에서의 정공 주입 효과 및 발광층 또는 발광 재료에 대하여 우수한 정공 주입 효과를 갖는 것이 바람직하다. 또한, 발광층에서 생성된 여기자의 전자 주입층 또는 전자 주입 재료에의 이동을 방지할 수 있는 능력이 우수한 물질이 바람직하다. 또한, 박막 형성 능력이 우수한 물질이 바람직하다. 또한, 정공 주입 물질의 HOMO(highest occupied molecular orbital)가 제1 전극 물질의 일함수와 주변 유기물층의 HOMO 사이인 것이 바람직하다. 정공 주입 물질의 구체적인 예로는, 금속 포피린(porphyrin), 올리고티오펜, 아릴아민 계열의 유기물; 헥사니트릴헥사아자트리페닐렌 계열의 유기물; 퀴나크리돈(quinacridone)계열의 유기물; 페릴렌(perylene) 계열의 유기물; 안트라퀴논, 폴리아닐린과 같은 폴리티오펜 계열의 전도성 고분자 등이 있으나, 이에 한정 되는 것은 아니다. The hole injection layer is a layer for injecting holes from the electrode. It is preferable that the hole injection material has the ability to transport holes and thus has a hole injection effect at the first electrode and an excellent hole injection effect on the light emitting layer or the light emitting material. Also, a material excellent in the ability to prevent movement of excitons generated in the light emitting layer to the electron injection layer or the electron injection material is preferable. In addition, a material excellent in the ability to form a thin film is preferable. In addition, it is preferable that the highest occupied molecular orbital (HOMO) of the hole injection material is between the work function of the first electrode material and the HOMO of the surrounding organic material layer. Specific examples of the hole injection material include metal porphyrin, oligothiophene, arylamine-based organic material; hexanitrile hexaazatriphenylene-based organic substances; quinacridone-based organic substances; perylene-based organic materials; There are polythiophene-based conductive polymers such as anthraquinone and polyaniline, but is not limited thereto.
상기 정공 수송층은 정공 주입층으로부터 정공을 수취하여 발광층까지 정공을 수송하는 층이다. 정공 수송 물질로는 제1 전극이나 정공 주입층으로부터 정공을 수송받아 발광층으로 옮겨줄 수 있는 물질로 정공에 대한 이동성이 큰 물질이 바람직하다. 구체적인 예로는, 아릴아민 계열의 유기물, 전도성 고분자, 및 공액 부분과 비공액 부분이 함께 있는 블록 공중합체 등이 있으나, 이에 한정되는 것은 아니다.The hole transport layer is a layer that receives holes from the hole injection layer and transports the holes to the light emitting layer. The hole transport material is a material capable of transporting holes from the first electrode or the hole injection layer to the light emitting layer, and a material having high hole mobility is preferable. Specific examples include, but are not limited to, an arylamine-based organic material, a conductive polymer, and a block copolymer having a conjugated portion and a non-conjugated portion together.
상기 전자 수송층은 전자 주입층으로부터 전자를 수취하여 발광층까지 전자를 수송하는 층이다. 전자 수송 물질로는 제2 전극으로부터 전자를 잘 주입 받아 발광층으로 옮겨줄 수 있는 물질로서, 전자에 대한 이동성이 큰 물질이 바람직하다. 구체적인 예로는, 8-히드록시퀴놀린의 Al착물; Alq3를 포함한 착물; 유기 라디칼 화합물; 히드록시플라본-금속 착물 등이 있으나, 이에 한정되는 것은 아니다. 전자 수송층은 종래기술에 따라 사용된 바와 같이, 임의의 원하는 제1 전극 물질과 함께 사용할 수 있다. 특히, 적절한 제1 전극 물질은 낮은 일함수를 가지며, 알루미늄층 또는 실버층이 뒤따르는 통상적인 물질이다. 구체적으로, 세슘, 바륨, 칼슘, 이테르븀 및 사마륨 등이 있고, 각 경우 알루미늄층 또는 실버층이 뒤따른다.The electron transport layer is a layer that receives electrons from the electron injection layer and transports electrons to the light emitting layer. The electron transport material is a material capable of well injecting electrons from the second electrode and transferring them to the light emitting layer, and a material having high electron mobility is preferable. Specific examples include an Al complex of 8-hydroxyquinoline; complexes comprising Alq3; organic radical compounds; hydroxyflavone-metal complexes, and the like, but are not limited thereto. The electron transport layer may be used with any desired first electrode material, as used in accordance with the prior art. In particular, suitable first electrode materials are conventional materials having a low work function, followed by a layer of aluminum or silver. Specifically, there are cesium, barium, calcium, ytterbium, samarium, and the like, followed by an aluminum layer or a silver layer in each case.
상기 전자 주입층은 전극으로부터 전자를 주입하는 층이다. 전자 주입물로는 전자를 수송하는 능력이 우수하고, 제2 전극으로부터의 전자 주입 효과, 발광층 또는 발광 재료에 대하여 우수한 전자주입 효과를 갖는 것이 바람직하다. 또한, 발광층에서 생성된 여기자가 정공 주입층으로 이동하는 것을 방지하고, 박막 형성 능력이 우수한 물질이 바람직하다. 구체적으로는, 플루오레논, 안트라퀴노다이메탄, 다이페노퀴논, 티오피란 다이옥사이드, 옥사졸, 옥사다이아졸, 트리아졸, 이미다졸, 페릴렌테트라카복실산, 프레오레닐리덴 메탄, 안트론 등과 그들의 유도체, 금속 착체 화합물 및 함질소 5원환 유도체 등이 있으나, 이에 한정되는 것은 아니다. The electron injection layer is a layer that injects electrons from the electrode. It is preferable that the electron injection material has excellent electron transporting ability and has excellent electron injection effect from the second electrode and electron injection effect with respect to the light emitting layer or the light emitting material. In addition, a material that prevents excitons generated in the light emitting layer from moving to the hole injection layer and has excellent thin film formation ability is preferable. Specifically, fluorenone, anthraquinodimethane, diphenoquinone, thiopyran dioxide, oxazole, oxadiazole, triazole, imidazole, perylene tetracarboxylic acid, preorenylidene methane, anthrone, etc. derivatives thereof; metal complex compounds and nitrogen-containing 5-membered ring derivatives, but are not limited thereto.
상기 금속 착체 화합물로는 8-하이드록시퀴놀리나토 리튬, 비스(8-하이드록시퀴놀리나토)아연, 비스(8-하이드록시퀴놀리나토)구리, 비스(8-하이드록시퀴놀리나토)망간, 트리스(8-하이드록시퀴놀리나토)알루미늄, 트리스(2-메틸-8-하이드록시퀴놀리나토)알루미늄, 트리스(8-하이드록시퀴놀리나토)갈륨, 비스(10-하이드록시벤조[h]퀴놀리나토)베릴륨, 비스(10-하이드록시벤조[h]퀴놀리나토)아연, 비스(2-메틸-8-퀴놀리나토)클로로갈륨, 비스(2-메틸-8-퀴놀리나토)(o-크레졸라토)갈륨, 비스(2-메틸-8-퀴놀리나토)(1-나프톨라토)알루미늄, 비스(2-메틸-8-퀴놀리나토)(2-나프톨라토)갈륨 등이 있으나, 이에 한정되는 것은 아니다.Examples of the metal complex compound include 8-hydroxyquinolinato lithium, bis(8-hydroxyquinolinato)zinc, bis(8-hydroxyquinolinato)copper, and bis(8-hydroxyquinolinato)manganese. , tris(8-hydroxyquinolinato)aluminum, tris(2-methyl-8-hydroxyquinolinato)aluminum, tris(8-hydroxyquinolinato)gallium, bis(10-hydroxybenzo[h ]quinolinato)beryllium, bis(10-hydroxybenzo[h]quinolinato)zinc, bis(2-methyl-8-quinolinato)chlorogallium, bis(2-methyl-8-quinolinato) (o-crezolato)gallium, bis(2-methyl-8-quinolinato)(1-naphtolato)aluminum, bis(2-methyl-8-quinolinato)(2-naphtolato)gallium, etc. , but is not limited thereto.
상기 전자 차단층은 정공 주입층으로부터 주입된 정공이 발광층을 지나 전자 주입층으로 진입하는 것을 방지하여 소자의 수명과 효율을 향상시킬 수 있는 층이다. 공지된 재료는 제한 없이 사용 가능하며, 발광층과 정공 주입층 사이에, 또는 발광층과 정공 주입 및 정공 수송을 동시에 하는 층 사이에 형성될 수 있다. The electron blocking layer is a layer capable of improving the lifetime and efficiency of the device by preventing holes injected from the hole injection layer from entering the electron injection layer through the light emitting layer. A known material can be used without limitation, and may be formed between the light emitting layer and the hole injection layer, or between the light emitting layer and the layer that simultaneously injects and transports holes.
상기 정공 차단층은 정공의 제2 전극으로 도달을 저지하는 층으로, 일반적으로 정공 주입층과 동일한 조건으로 형성될 수 있다. 구체적으로, 옥사디아졸 유도체나 트리아졸 유도체, 페난트롤린 유도체, 알루미늄 착물 (aluminum complex) 등이 있으나, 이에 한정되는 것은 아니다. The hole blocking layer is a layer that blocks the holes from reaching the second electrode, and may be generally formed under the same conditions as the hole injection layer. Specifically, there are oxadiazole derivatives, triazole derivatives, phenanthroline derivatives, aluminum complexes, and the like, but is not limited thereto.
본 명세서에 따른 유기 발광 소자는 사용되는 재료에 따라 전면 발광형, 후면 발광형 또는 양면 발광형일 수 있다.The organic light emitting device according to the present specification may be a top emission type, a back emission type, or a double side emission type depending on the material used.
본 명세서의 일 실시상태에 있어서, 상기 화학식 1로 표시되는 화합물은 유기 발광 소자 외에도 유기 태양 전지 또는 유기 트랜지스터에 포함될 수 있다.In an exemplary embodiment of the present specification, the compound represented by Formula 1 may be included in an organic solar cell or an organic transistor in addition to the organic light emitting device.
본 명세서에 따른 화합물은 유기 인광 소자, 유기 태양 전지, 유기 감광체, 유기 트랜지스터 등을 비롯한 유기 전자 소자에서도 유기 발광 소자에 적용되는 것과 유사한 원리로 작용할 수 있다. 예컨대, 상기 유기 태양 전지는 음극, 양극 및 상기 음극과 양극 사이에 구비된 광활성층을 포함하는 구조일 수 있고, 상기 광활성층은 상기 화합물을 포함할 수 있다.The compound according to the present specification may act on a principle similar to that applied to an organic light emitting device in an organic electronic device including an organic phosphorescent device, an organic solar cell, an organic photoreceptor, and an organic transistor. For example, the organic solar cell may have a structure including a negative electrode, a positive electrode, and a photoactive layer provided between the negative electrode and the positive electrode, and the photoactive layer may include the compound.
이하, 본 명세서를 구체적으로 설명하기 위해 실시예 및 비교예 등을 들어 상세하게 설명하기로 한다. 그러나, 본 명세서에 따른 실시예 및 비교예는 여러 가지 다른 형태로 변형될 수 있으며, 본 명세서의 범위가 아래에서 상술하는 실시예 및 비교예에 한정되는 것으로 해석되지 않는다. 본 명세서의 실시예 및 비교예는 당업계에서 평균적인 지식을 가진 자에게 본 명세서를 보다 완전하게 설명하기 위해 제공되는 것이다.Hereinafter, in order to describe the present specification in detail, it will be described in detail with reference to Examples and Comparative Examples. However, the Examples and Comparative Examples according to the present specification may be modified in various other forms, and the scope of the present specification is not to be construed as being limited to the Examples and Comparative Examples described in detail below. Examples and comparative examples of the present specification are provided to more completely explain the present specification to those of ordinary skill in the art.
<< 제조예manufacturing example >>
<< 제조예manufacturing example 1> - 중간체 합성 1> - Intermediate synthesis
상기 일반식 1 및 2의 제조 방법을 이용하여 하기 중간체 A 내지 E 및 중간체 A-1 내지 E-1을 제조하였다. The following intermediates A to E and intermediates A-1 to E-1 were prepared using the preparation methods of Formulas 1 and 2 above.
<< 제조예manufacturing example 2> 2>
질소 분위기에서 500ml 둥근 바닥 플라스크에 중간체 A-1 (5.12g, 10.71mmol) 및 화합물 a-1 (4.35g, 12.32mmol)을 테트라하이드로퓨란 280ml에 완전히 녹인 후 2M 탄산칼륨수용액(140ml)을 첨가했다. 테트라키스-(트리페닐포스핀)팔라듐(0.37g, 0.32mmol)을 넣은 후 5 시간 동안 가열 교반 하였다. 상온으로 온도를 낮추고 물 층을 제거하고 무수황산마그네슘으로 건조한 후, 감압농축 시키고 테트라하이드로퓨란 160ml로 재결정하여 화합물 1 (5.23g, 69%)을 제조하였다. MS[M+H]+= 576Intermediate A-1 (5.12 g, 10.71 mmol) and compound a-1 (4.35 g, 12.32 mmol) were completely dissolved in 280 ml of tetrahydrofuran in a 500 ml round bottom flask in a nitrogen atmosphere, and 2M aqueous potassium carbonate solution (140 ml) was added. . Tetrakis-(triphenylphosphine)palladium (0.37g, 0.32mmol) was added, followed by heating and stirring for 5 hours. The temperature was lowered to room temperature, the water layer was removed, dried over anhydrous magnesium sulfate, concentrated under reduced pressure, and recrystallized from 160 ml of tetrahydrofuran to prepare Compound 1 (5.23 g, 69%). MS[M+H] + = 576
<< 제조예manufacturing example 3> 3>
질소 분위기에서 500ml 둥근 바닥 플라스크에 중간체 A-1 (4.67g, 9.77mmol) 및 화합물 a-2 (3.97g, 11.24mmol)를 테트라하이드로퓨란 200ml에 완전히 녹인 후 2M 탄산칼륨수용액(100ml)을 첨가했다. 테트라키스-(트리페닐포스핀)팔라듐(0.34g, 0.29mmol)을 넣은 후 3 시간 동안 가열 교반 하였다. 상온으로 온도를 낮추고 물 층을 제거하고 무수황산마그네슘으로 건조한 후, 감압농축 시키고 에틸아세테이트 220ml로 재결정하여 화합물 2 (4.19g, 61%)를 제조하였다. MS[M+H]+= 576Intermediate A-1 (4.67 g, 9.77 mmol) and compound a-2 (3.97 g, 11.24 mmol) were completely dissolved in 200 ml of tetrahydrofuran in a 500 ml round bottom flask in a nitrogen atmosphere, and 2M aqueous potassium carbonate solution (100 ml) was added. . Tetrakis-(triphenylphosphine)palladium (0.34g, 0.29mmol) was added, followed by heating and stirring for 3 hours. The temperature was lowered to room temperature, the water layer was removed, dried over anhydrous magnesium sulfate, concentrated under reduced pressure, and recrystallized from 220 ml of ethyl acetate to prepare Compound 2 (4.19 g, 61%). MS[M+H] + = 576
<< 제조예manufacturing example 4> 4>
질소 분위기에서 500ml 둥근 바닥 플라스크에 중간체 A-1 (5.36g, 13.14mmol) 및 화합물 a-3 (4.55g, 12.90mmol)을 테트라하이드로퓨란 220ml에 완전히 녹인 후 2M 탄산칼륨수용액(110ml)을 첨가했다. 테트라키스-(트리페닐포스핀)팔라듐(0.39g, 0.34mmol)을 넣은 후 4 시간 동안 가열 교반 하였다. 상온으로 온도를 낮추고 물 층을 제거하고 무수황산마그네슘으로 건조한 후, 감압농축 시키고 아세톤 280ml로 재결정하여 화합물 3 (4.64g, 58%)을 제조하였다. MS[M+H]+= 575Intermediate A-1 (5.36 g, 13.14 mmol) and compound a-3 (4.55 g, 12.90 mmol) were completely dissolved in 220 ml of tetrahydrofuran in a 500 ml round bottom flask in a nitrogen atmosphere, and 2M aqueous potassium carbonate solution (110 ml) was added. . Tetrakis-(triphenylphosphine)palladium (0.39g, 0.34mmol) was added, followed by heating and stirring for 4 hours. The temperature was lowered to room temperature, the water layer was removed, dried over anhydrous magnesium sulfate, concentrated under reduced pressure, and recrystallized with 280 ml of acetone to prepare compound 3 (4.64 g, 58%). MS[M+H] + = 575
<< 제조예manufacturing example 5> 5>
질소 분위기에서 500ml 둥근 바닥 플라스크에 중간체 A-1 (5.29g, 11.07mmol) 및 화합물 a-4 (4.49g, 12.73mmol)을 테트라하이드로퓨란 240ml에 완전히 녹인 후 2M 탄산칼륨수용액(120ml)을 첨가했다. 테트라키스-(트리페닐포스핀)팔라듐(0.38g, 0.33mmol)을 넣은 후 5 시간 동안 가열 교반 하였다. 상온으로 온도를 낮추고 물 층을 제거하고 무수황산마그네슘으로 건조한 후, 감압농축 시키고 아세톤 220ml로 재결정하여 화합물 4 (3.97g, 51%)를 제조하였다. MS[M+H]+= 574Intermediate A-1 (5.29 g, 11.07 mmol) and compound a-4 (4.49 g, 12.73 mmol) were completely dissolved in 240 ml of tetrahydrofuran in a 500 ml round bottom flask in a nitrogen atmosphere, and 2M aqueous potassium carbonate solution (120 ml) was added. . Tetrakis-(triphenylphosphine)palladium (0.38g, 0.33mmol) was added, followed by heating and stirring for 5 hours. The temperature was lowered to room temperature, the water layer was removed, dried over anhydrous magnesium sulfate, concentrated under reduced pressure, and recrystallized with 220 ml of acetone to prepare compound 4 (3.97 g, 51%). MS[M+H] + = 574
<< 제조예manufacturing example 6> 6>
질소 분위기에서 500ml 둥근 바닥 플라스크에 중간체 B-1 (6.13g, 12.82mmol) 및 화합물 a-1 (5.21g, 14.75mmol)을 테트라하이드로퓨란 260ml에 완전히 녹인 후 2M 탄산칼륨수용액(130ml)을 첨가했다. 테트라키스-(트리페닐포스핀)팔라듐(0.44g, 0.38mmol)을 넣은 후 4 시간 동안 가열 교반 하였다. 상온으로 온도를 낮추고 물 층을 제거하고 무수황산마그네슘으로 건조한 후, 감압농축 시키고 에틸아세테이트 210ml로 재결정하여 화합물 5 (6.85g, 75%)를 제조하였다. MS[M+H]+= 592Intermediate B-1 (6.13 g, 12.82 mmol) and compound a-1 (5.21 g, 14.75 mmol) were completely dissolved in 260 ml of tetrahydrofuran in a 500 ml round bottom flask in a nitrogen atmosphere, and 2M aqueous potassium carbonate solution (130 ml) was added. . Tetrakis-(triphenylphosphine)palladium (0.44g, 0.38mmol) was added, followed by heating and stirring for 4 hours. The temperature was lowered to room temperature, the water layer was removed, dried over anhydrous magnesium sulfate, concentrated under reduced pressure, and recrystallized from 210 ml of ethyl acetate to prepare compound 5 (6.85 g, 75%). MS[M+H] + = 592
<< 제조예manufacturing example 7> 7>
질소 분위기에서 500ml 둥근 바닥 플라스크에 중간체 C-1 (5.36g, 11.21mmol) 및 화합물 a-2 (4.55g, 12.90mmol)을 테트라하이드로퓨란 240ml에 완전히 녹인 후 2M 탄산칼륨수용액(120ml)을 첨가했다. 테트라키스-(트리페닐포스핀)팔라듐(0.39g, 0.34mmol)을 넣은 후 4 시간 동안 가열 교반 하였다. 상온으로 온도를 낮추고 물 층을 제거하고 무수황산마그네슘으로 건조한 후, 감압농축 시키고 에틸아세테이트 220ml로 재결정하여 화합물 6 (4.56g, 57%)을 제조하였다. MS[M+H]+= 624Intermediate C-1 (5.36 g, 11.21 mmol) and compound a-2 (4.55 g, 12.90 mmol) were completely dissolved in 240 ml of tetrahydrofuran in a 500 ml round bottom flask in a nitrogen atmosphere, and 2M aqueous potassium carbonate solution (120 ml) was added. . Tetrakis-(triphenylphosphine)palladium (0.39g, 0.34mmol) was added, followed by heating and stirring for 4 hours. The temperature was lowered to room temperature, the water layer was removed, dried over anhydrous magnesium sulfate, concentrated under reduced pressure, and recrystallized from 220 ml of ethyl acetate to prepare compound 6 (4.56 g, 57%). MS[M+H] + = 624
<< 제조예manufacturing example 8> 8>
질소 분위기에서 500ml 둥근 바닥 플라스크에 중간체 A-1 (7.19g, 13.66mmol) 및 화합물 a-5 (4.26g, 12.42mmol)을 테트라하이드로퓨란 200ml에 완전히 녹인 후 2M 탄산칼륨수용액(100ml)을 첨가했다. 테트라키스-(트리페닐포스핀)팔라듐(0.43g, 3755mmol)을 넣은 후 4 시간 동안 가열 교반 하였다. 상온으로 온도를 낮추고 물 층을 제거하고 무수황산마그네슘으로 건조한 후, 감압농축 시키고 아세트니트릴 220ml로 재결정하여 화합물 7 (6.37g, 72%)을 제조하였다. MS[M+H]+= 650Intermediate A-1 (7.19 g, 13.66 mmol) and compound a-5 (4.26 g, 12.42 mmol) were completely dissolved in 200 ml of tetrahydrofuran in a 500 ml round bottom flask in a nitrogen atmosphere, and 2M aqueous potassium carbonate solution (100 ml) was added. . Tetrakis-(triphenylphosphine)palladium (0.43g, 3755mmol) was added, followed by heating and stirring for 4 hours. The temperature was lowered to room temperature, the water layer was removed, dried over anhydrous magnesium sulfate, concentrated under reduced pressure, and recrystallized from 220 ml of acetonitrile to prepare compound 7 (6.37 g, 72%). MS[M+H] + = 650
<< 제조예manufacturing example 9> 9>
질소 분위기에서 500ml 둥근 바닥 플라스크에 중간체 D (7.88g, 14.98mmol) 및 화합물 a-6 (4.67g, 13.62mmol)을 테트라하이드로퓨란 200ml에 완전히 녹인 후 2M 탄산칼륨수용액(100ml)을 첨가했다. 테트라키스-(트리페닐포스핀)팔라듐(0.47g, 0.41mmol)을 넣은 후 5 시간 동안 가열 교반 하였다. 상온으로 온도를 낮추고 물 층을 제거하고 무수황산마그네슘으로 건조한 후, 감압농축 시키고 아세트니트릴 230ml로 재결정하여 화합물 8 (5.89g, 61%)을 제조하였다. MS[M+H]+= 740Intermediate D (7.88 g, 14.98 mmol) and compound a-6 (4.67 g, 13.62 mmol) were completely dissolved in 200 ml of tetrahydrofuran in a 500 ml round bottom flask in a nitrogen atmosphere, and 2M aqueous potassium carbonate solution (100 ml) was added. Tetrakis-(triphenylphosphine)palladium (0.47g, 0.41mmol) was added, followed by heating and stirring for 5 hours. The temperature was lowered to room temperature, the water layer was removed, dried over anhydrous magnesium sulfate, concentrated under reduced pressure, and recrystallized from 230 ml of acetonitrile to prepare compound 8 (5.89 g, 61%). MS[M+H] + = 740
<< 제조예manufacturing example 10> 10>
질소 분위기에서 500ml 둥근 바닥 플라스크에 중간체 D (8.30g, 15.78mmol) 및 화합물 a-7 (4.92g, 14.34mmol)을 테트라하이드로퓨란 260ml에 완전히 녹인 후 2M 탄산칼륨수용액(130ml)을 첨가했다. 테트라키스-(트리페닐포스핀)팔라듐(0.50g, 0.43mmol)을 넣은 후 6 시간 동안 가열 교반 하였다. 상온으로 온도를 낮추고 물 층을 제거하고 무수황산마그네슘으로 건조한 후, 감압농축 시키고 아세트니트릴 230ml로 재결정하여 화합물 9 (6.23g, 61%)를 제조하였다. MS[M+H]+= 756Intermediate D (8.30 g, 15.78 mmol) and compound a-7 (4.92 g, 14.34 mmol) were completely dissolved in 260 ml of tetrahydrofuran in a 500 ml round bottom flask in a nitrogen atmosphere, and 2M aqueous potassium carbonate solution (130 ml) was added. Tetrakis-(triphenylphosphine)palladium (0.50g, 0.43mmol) was added, followed by heating and stirring for 6 hours. The temperature was lowered to room temperature, the water layer was removed, dried over anhydrous magnesium sulfate, concentrated under reduced pressure, and recrystallized from 230 ml of acetonitrile to prepare compound 9 (6.23 g, 61%). MS[M+H] + = 756
<< 제조예manufacturing example 11> 11>
질소 분위기에서 500ml 둥근 바닥 플라스크에 중간체 E (7.73g, 14.70mmol) 및 화합물 a-8 (4.77g, 13.36mmol)을 테트라하이드로퓨란 280ml에 완전히 녹인 후 2M 탄산칼륨수용액(140ml)을 첨가했다. 테트라키스-(트리페닐포스핀)팔라듐(0.64g, 0.55mmol)을 넣은 후 4 시간 동안 가열 교반 하였다. 상온으로 온도를 낮추고 물 층을 제거하고 무수황산마그네슘으로 건조한 후, 감압농축 시키고 아세트니트릴 250ml로 재결정하여 화합물 10 (5.14g, 54%)을 제조하였다. MS[M+H]+= 813Intermediate E (7.73 g, 14.70 mmol) and compound a-8 (4.77 g, 13.36 mmol) were completely dissolved in 280 ml of tetrahydrofuran in a 500 ml round bottom flask in a nitrogen atmosphere, and 2M aqueous potassium carbonate solution (140 ml) was added. Tetrakis-(triphenylphosphine)palladium (0.64g, 0.55mmol) was added thereto, followed by heating and stirring for 4 hours. The temperature was lowered to room temperature, the water layer was removed, dried over anhydrous magnesium sulfate, concentrated under reduced pressure, and recrystallized from 250 ml of acetonitrile to prepare compound 10 (5.14 g, 54%). MS[M+H] + = 813
<< 제조예manufacturing example 12> 12>
질소 분위기에서 500ml 둥근 바닥 플라스크에 중간체 A (9.70g, 18.44mmol) 및 화합물 a-9 (4.51g, 16.77mmol)을 테트라하이드로퓨란 200ml에 완전히 녹인 후 2M 탄산칼륨수용액(100ml)을 첨가했다. 테트라키스-(트리페닐포스핀)팔라듐(0.58g, 0.50mmol)을 넣은 후 3 시간 동안 가열 교반 하였다. 상온으로 온도를 낮추고 물 층을 제거하고 무수황산마그네슘으로 건조한 후, 감압농축 시키고 아세트니트릴 180ml로 재결정하여 화합물 11 (7.03g, 66%)을 제조하였다. MS[M+H]+= 502Intermediate A (9.70 g, 18.44 mmol) and compound a-9 (4.51 g, 16.77 mmol) were completely dissolved in 200 ml of tetrahydrofuran in a 500 ml round bottom flask in a nitrogen atmosphere, and 2M aqueous potassium carbonate solution (100 ml) was added. Tetrakis-(triphenylphosphine)palladium (0.58g, 0.50mmol) was added, followed by heating and stirring for 3 hours. The temperature was lowered to room temperature, the water layer was removed, dried over anhydrous magnesium sulfate, concentrated under reduced pressure, and recrystallized from 180 ml of acetonitrile to prepare compound 11 (7.03 g, 66%). MS[M+H] + = 502
<< 제조예manufacturing example 13> 13>
질소 분위기에서 500ml 둥근 바닥 플라스크에 중간체 A-1 (6.47g, 12.30mmol) 및 화합물 a-10 (4.17g, 11.18mmol)을 테트라하이드로퓨란 200ml에 완전히 녹인 후 2M 탄산칼륨수용액(100ml)을 첨가했다. 테트라키스-(트리페닐포스핀)팔라듐(0.39g, 0.30mmol)을 넣은 후 3 시간 동안 가열 교반 하였다. 상온으로 온도를 낮추고 물 층을 제거하고 무수황산마그네슘으로 건조한 후, 감압농축 시키고 아세트니트릴 210ml로 재결정하여 화합물 12 (5.19g, 63%)를 제조하였다. MS[M+H]+= 652Intermediate A-1 (6.47 g, 12.30 mmol) and compound a-10 (4.17 g, 11.18 mmol) were completely dissolved in 200 ml of tetrahydrofuran in a 500 ml round bottom flask in a nitrogen atmosphere, and 2M aqueous potassium carbonate solution (100 ml) was added. . Tetrakis-(triphenylphosphine)palladium (0.39g, 0.30mmol) was added, followed by heating and stirring for 3 hours. The temperature was lowered to room temperature, the water layer was removed, dried over anhydrous magnesium sulfate, concentrated under reduced pressure, and recrystallized from 210 ml of acetonitrile to prepare compound 12 (5.19 g, 63%). MS[M+H] + = 652
<< 제조예manufacturing example 14> 14>
질소 분위기에서 500ml 둥근 바닥 플라스크에 중간체 B (7.29g, 13.85mmol) 및 화합물 a-11 (5.44g, 12.59mmol)을 테트라하이드로퓨란 200ml에 완전히 녹인 후 2M 탄산칼륨수용액(100ml)을 첨가했다. 테트라키스-(트리페닐포스핀)팔라듐(0.44g, 0.38mmol)을 넣은 후 4 시간 동안 가열 교반 하였다. 상온으로 온도를 낮추고 물 층을 제거하고 무수황산마그네슘으로 건조한 후, 감압농축 시키고 아세트니트릴 230ml로 재결정하여 화합물 13 (7.16g, 71%)을 제조하였다. MS[M+H]+= 616Intermediate B (7.29 g, 13.85 mmol) and compound a-11 (5.44 g, 12.59 mmol) were completely dissolved in 200 ml of tetrahydrofuran in a 500 ml round bottom flask in a nitrogen atmosphere, and 2M aqueous potassium carbonate solution (100 ml) was added. Tetrakis-(triphenylphosphine)palladium (0.44g, 0.38mmol) was added, followed by heating and stirring for 4 hours. The temperature was lowered to room temperature, the water layer was removed, dried over anhydrous magnesium sulfate, concentrated under reduced pressure, and recrystallized from 230 ml of acetonitrile to prepare compound 13 (7.16 g, 71%). MS[M+H] + = 616
<< 제조예manufacturing example 15> 15>
질소 분위기에서 500ml 둥근 바닥 플라스크에 중간체 A (4.96g, 10.38mmol) 및 화합물 a-12 (5.12g, 11.93mmol)을 테트라하이드로퓨란 240ml에 완전히 녹인 후 2M 탄산칼륨수용액(120ml)을 첨가했다. 테트라키스-(트리페닐포스핀)팔라듐(0.36g, 0.31mmol)을 넣은 후 3 시간 동안 가열 교반 하였다. 상온으로 온도를 낮추고 물 층을 제거하고 무수황산마그네슘으로 건조한 후, 감압농축 시키고 테트라하이드로퓨란 210ml로 재결정하여 화합물 14 (6.34g, 78%)를 제조하였다. MS[M+H]+= 628Intermediate A (4.96 g, 10.38 mmol) and compound a-12 (5.12 g, 11.93 mmol) were completely dissolved in 240 ml of tetrahydrofuran in a 500 ml round bottom flask in a nitrogen atmosphere, and 2M aqueous potassium carbonate solution (120 ml) was added. Tetrakis-(triphenylphosphine)palladium (0.36g, 0.31mmol) was added, followed by heating and stirring for 3 hours. The temperature was lowered to room temperature, the water layer was removed, dried over anhydrous magnesium sulfate, concentrated under reduced pressure, and recrystallized from 210 ml of tetrahydrofuran to prepare compound 14 (6.34 g, 78%). MS[M+H] + = 628
<< 실시예Example >>
<< 실시예Example 1-1> 1-1>
ITO(indium tin oxide)가 1,000Å의 두께로 박막 코팅된 유리 기판을 세제를 녹인 증류수에 넣고 초음파로 세척하였다. 이때, 세제로는 피셔사(Fischer Co.) 제품을 사용하였으며, 증류수로는 밀러포어사(Millipore Co.) 제품의 필터(Filter)로 2차로 걸러진 증류수를 사용하였다. ITO를 30분간 세척한 후 증류수로 2회 반복하여 초음파 세척을 10분간 진행하였다. 증류수 세척이 끝난 후, 이소프로필알콜, 아세톤, 메탄올의 용제로 초음파 세척을 하고 건조시킨 후 플라즈마 세정기로 수송시켰다. 또한, 산소 플라즈마를 이용하여 상기 기판을 5분간 세정한 후 진공 증착기로 기판을 수송시켰다.A glass substrate coated with indium tin oxide (ITO) to a thickness of 1,000 Å was placed in distilled water in which detergent was dissolved and washed with ultrasonic waves. At this time, a product manufactured by Fischer Co. was used as the detergent, and distilled water that was secondarily filtered with a filter manufactured by Millipore Co. was used as the distilled water. After washing ITO for 30 minutes, ultrasonic cleaning was performed for 10 minutes by repeating twice with distilled water. After washing with distilled water, ultrasonic washing was performed with a solvent of isopropyl alcohol, acetone, and methanol, dried, and then transported to a plasma cleaner. In addition, after cleaning the substrate for 5 minutes using oxygen plasma, the substrate was transported to a vacuum evaporator.
상기와 같이 준비된 ITO 투명 전극 위에 하기 화합물 HI1 및 하기 화합물 HI2의 화합물을 98:2(몰비)의 비가 되도록 100Å의 두께로 열 진공 증착하여 정공 주입층을 형성하였다. 상기 정공 주입층 위에 하기 화합물 HT1을 1,150Å의 두께로 진공 증착하여 정공 수송층을 형성하였다. 이어서, 상기 정공 수송층 위에 막 두께 50Å으로 하기 화합물 EB1을 진공 증착하여 전자 차단층을 형성하였다. 이어서, 상기 전자 차단층 위에 막 두께 200Å으로 하기 화합물 BH 및 하기 화합물 BD를 50:1의 중량비로 진공 증착하여 발광층을 형성하였다. 상기 발광층 위에 막 두께 50Å으로 상기에서 제조한 화합물 1을 진공 증착하여 정공 차단층을 형성하였다. 이어서, 상기 정공 차단층 위에 하기 화합물 ET1과 하기 화합물 LiQ를 1:1의 중량비로 진공증착하여 30Å의 두께로 전자 주입 및 수송층을 형성하였다. 상기 전자 주입 및 수송층 위에 순차적으로 12Å두께로 리튬플로라이드(LiF)와 1,000Å 두께로 알루미늄을 증착하여 캐소드을 형성하였다. On the ITO transparent electrode prepared as described above, the compound of the compound HI1 and the compound HI2 below was thermally vacuum deposited to a thickness of 100 Å in a ratio of 98:2 (molar ratio) to form a hole injection layer. On the hole injection layer, the following compound HT1 was vacuum-deposited to a thickness of 1,150 Å to form a hole transport layer. Then, the following compound EB1 was vacuum-deposited to a thickness of 50 Å on the hole transport layer to form an electron blocking layer. Then, the following compound BH and the following compound BD were vacuum-deposited in a weight ratio of 50:1 to a film thickness of 200 Å on the electron blocking layer to form an emission layer. A hole blocking layer was formed by vacuum-depositing the compound 1 prepared above to a film thickness of 50 Å on the light emitting layer. Then, on the hole blocking layer, the following compound ET1 and the following compound LiQ were vacuum-deposited in a weight ratio of 1:1 to form an electron injection and transport layer to a thickness of 30 Å. A cathode was formed by sequentially depositing lithium fluoride (LiF) to a thickness of 12 Å and aluminum to a thickness of 1,000 Å on the electron injection and transport layer.
상기의 과정에서 유기물의 증착속도는 0.4 내지 0.7Å/sec를 유지하였고, 음극의 리튬플로라이드는 0.3Å/sec, 알루미늄은 2Å/sec의 증착 속도를 유지하였으며, 증착시 진공도는 2 X 10-7 내지 5 X 10-6 torr를 유지하여, 유기 발광 소자를 제작하였다.In the above process, the deposition rate of organic material was maintained at 0.4 to 0.7 Å/sec, the deposition rate of lithium fluoride of the negative electrode was maintained at 0.3 Å/sec, and the deposition rate of aluminum was maintained at 2 Å/sec, and the vacuum degree during deposition was 2 X 10 - By maintaining 7 to 5 X 10 -6 torr, an organic light emitting device was manufactured.
<< 실시예Example 1-2 내지 1-5> 1-2 to 1-5>
상기 실시예 1-1에서 화합물 1 대신 하기 표 1에 기재된 화합물을 사용한 것을 제외하고, 상기 실시예 1-1과 동일한 방법으로 유기 발광 소자를 제작하였다.An organic light emitting diode was manufactured in the same manner as in Example 1-1, except that the compound shown in Table 1 was used instead of Compound 1 in Example 1-1.
<< 비교예comparative example 1-1 및 1-1 and 비교예comparative example 1-2> 1-2>
상기 실시예 1-1에서 화합물 1 대신 하기 화합물 HB2 및 HB3을 사용한 것을 제외하고, 상기 실시예 1-1과 동일한 방법으로 유기 발광 소자를 제작하였다.An organic light emitting diode was manufactured in the same manner as in Example 1-1, except that the following compounds HB2 and HB3 were used instead of Compound 1 in Example 1-1.
상기 실시예 1-1 내지 1-5, 비교예 1-1 및 비교예 1-2에 의해 제작된 유기 발광 소자를 20 mA/cm2의 전류밀도에서 구동 전압, 효율 및 색좌표를 측정하였고, 20mA/cm2의 전류밀도에서 초기 휘도 대비 95%가 되는 시간(T95)을 측정하였다. 그 결과를 하기 표 1에 나타내었다.Driving voltage, efficiency, and color coordinates were measured for the organic light emitting devices manufactured in Examples 1-1 to 1-5, Comparative Examples 1-1 and 1-2 at a current density of 20 mA/cm 2 , and 20 mA At a current density of /cm 2 , the time (T95) to 95% of the initial luminance was measured. The results are shown in Table 1 below.
(정공 차단층)compound
(hole blocking layer)
(V@20mA
/cm2)Voltage
(V@20mA
/cm 2 )
(cd/A@20mA
/cm2)efficiency
(cd/A@20mA
/cm 2 )
(x,y)color coordinates
(x,y)
T95
(hr)
T95
(hr)
상기 표 1에서 보는 바와 같이, 본 명세서의 화학식 1로 표시되는 화합물을 정공 차단층으로 사용하여 제조된 유기 발광 소자의 경우, 비교예 1-1 및 비교예 1-2에 비하여, 효율, 구동 전압 및/또는 안정성 면에서 우수한 특성을 나타내는 것을 알 수 있다. 특히, 본 명세서의 화학식 1로 표시되는 화합물을 사용한 실시예 1-1 내지 1-5는 비교예 1-1 및 비교예 1-2에 비하여, 수명 특성이 우수한 것을 알 수 있다. As shown in Table 1, in the case of an organic light emitting device manufactured by using the compound represented by Formula 1 of the present specification as a hole blocking layer, compared to Comparative Examples 1-1 and 1-2, the efficiency and driving voltage And/or it can be seen that exhibit excellent properties in terms of stability. In particular, it can be seen that Examples 1-1 to 1-5 using the compound represented by Formula 1 of the present specification have superior lifespan characteristics compared to Comparative Examples 1-1 and 1-2.
<< 실시예Example 2-1 내지 2-11> 2-1 to 2-11>
상기 실시예 1-1에서 화합물 1 대신 하기 화합물 HB1을 사용하고, 화합물 ET1 대신 하기 표 2에 기재된 화합물을 사용한 것을 제외하고, 상기 실시예 1-1과 동일한 방법으로 유기 발광 소자를 제작하였다.An organic light emitting diode was manufactured in the same manner as in Example 1-1, except that the following compound HB1 was used instead of the compound 1 in Example 1-1, and the compound shown in Table 2 was used instead of the compound ET1.
<< 비교예comparative example 2-1 및 2-1 and 비교예comparative example 2-2> 2-2>
상기 실시예 1-1에서 화합물 1 대신 상기 화합물 HB1을 사용하고, 화합물 ET1 대신 하기 화합물 ET2 및 ET3을 사용한 것을 제외하고, 상기 실시예 1-1과 동일한 방법으로 유기 발광 소자를 제작하였다.An organic light emitting diode was manufactured in the same manner as in Example 1-1, except that Compound HB1 was used instead of Compound 1 in Example 1-1, and the following compounds ET2 and ET3 were used instead of Compound ET1.
상기 실시예 2-1 내지 2-11, 비교예 2-1 및 비교예 2-2에 의해 제작된 유기 발광 소자를 20 mA/cm2의 전류밀도에서 구동 전압, 효율 및 색좌표를 측정하였고, 20mA/cm2의 전류밀도에서 초기 휘도 대비 95%가 되는 시간(T95)을 측정하였다. 그 결과를 하기 표 2에 나타내었다.The organic light emitting devices manufactured by Examples 2-1 to 2-11, Comparative Examples 2-1 and 2-2 were measured for driving voltage, efficiency and color coordinates at a current density of 20 mA/cm 2 , and 20 mA At a current density of /cm 2 , the time (T95) to 95% of the initial luminance was measured. The results are shown in Table 2 below.
(전자 주입 및 수송층)compound
(electron injection and transport layer)
(V@20mA
/cm2)Voltage
(V@20mA
/cm 2 )
(cd/A@20mA
/cm2)efficiency
(cd/A@20mA
/cm 2 )
(x,y)color coordinates
(x,y)
T95
(hr)
T95
(hr)
상기 표 2에서 보는 바와 같이, 본 명세서의 화학식 1로 표시되는 화합물을 전자 주입 및 수송층으로 사용하여 제조된 유기 발광 소자의 경우, 비교예 2-1 및 비교예 2-2에 비하여, 효율, 구동 전압 및/또는 안정성 면에서 우수한 특성을 나타내는 것을 알 수 있다. 특히, 본 명세서의 화학식 1로 표시되는 화합물을 사용한 실시예 2-1 내지 2-11은 비교예 2-1 및 비교예 2-2에 비하여, 수명 특성이 우수한 것을 알 수 있다. As shown in Table 2, in the case of an organic light emitting device manufactured by using the compound represented by Formula 1 of the present specification as an electron injection and transport layer, compared to Comparative Examples 2-1 and 2-2, efficiency, driving It can be seen that excellent characteristics in terms of voltage and/or stability are exhibited. In particular, it can be seen that Examples 2-1 to 2-11 using the compound represented by Formula 1 of the present specification have superior lifespan characteristics compared to Comparative Examples 2-1 and 2-2.
이상을 통해, 본 명세서의 바람직한 실시예에 대하여 설명하였으나, 본 발명은 이에 한정되는 것이 아니고 특허 청구 범위 및 발명의 상세한 설명의 범위 안에서 여러 가지로 변형하여 실시하는 것이 가능하며, 이 또한 발명의 범주에 속한다.Through the above, the preferred embodiments of the present specification have been described, but the present invention is not limited thereto, and various modifications can be made within the scope of the claims and detailed description of the invention, and this is also the scope of the invention belongs to
101: 기판
102: 제1 전극
103: 정공 주입층
104: 정공 수송층
105: 전자 차단층
106: 발광층
107: 정공 차단층
108: 전자 수송층
109: 전자 주입층
110: 제2 전극101: substrate
102: first electrode
103: hole injection layer
104: hole transport layer
105: electron blocking layer
106: light emitting layer
107: hole blocking layer
108: electron transport layer
109: electron injection layer
110: second electrode
Claims (11)
[화학식 1]
상기 화학식 1에 있어서,
X는 O, S, CRaRb 또는 SO2이고,
X1 내지 X3 중 적어도 하나는 N이고, 나머지는 각각 독립적으로 N 또는 CR이며,
L은 직접결합; 또는 탄소수 6 내지 30의 아릴렌기이고,
Ar1 및 Ar2는 서로 같거나 상이하고, 각각 독립적으로 탄소수 1 내지 10의 알킬기 또는 퀴놀린기로 치환 또는 비치환된 탄소수 6 내지 30의 아릴기; 디벤조퓨란기; 디벤조티오펜기; 탄소수 6 내지 30의 아릴기로 치환 또는 비치환된 카바졸기; 또는 피리딜기이며,
Ra 및 Rb는 서로 같거나 상이하고, 각각 독립적으로 탄소수 1 내지 10의 알킬기; 또는 탄소수 6 내지 30의 아릴기이거나, 서로 결합하여 플루오렌 고리를 형성할 수 있고,
R 및 R1 내지 R6은 수소이며,
r1은 1 내지 3의 정수이고,
r2는 1 내지 4의 정수이다.A compound represented by the following formula (1):
[Formula 1]
In Formula 1,
X is O, S, CRaRb or SO 2 ,
At least one of X1 to X3 is N, the rest are each independently N or CR,
L is a direct bond; or an arylene group having 6 to 30 carbon atoms,
Ar1 and Ar2 are the same as or different from each other, and are each independently an aryl group having 6 to 30 carbon atoms substituted or unsubstituted with an alkyl group having 1 to 10 carbon atoms or a quinoline group; dibenzofuran group; dibenzothiophene group; a carbazole group unsubstituted or substituted with an aryl group having 6 to 30 carbon atoms; or a pyridyl group,
Ra and Rb are the same as or different from each other, and each independently an alkyl group having 1 to 10 carbon atoms; or an aryl group having 6 to 30 carbon atoms, or may combine with each other to form a fluorene ring,
R and R1 to R6 are hydrogen,
r1 is an integer from 1 to 3,
r2 is an integer from 1 to 4.
[화학식 2]
[화학식 3]
[화학식 4]
[화학식 5]
상기 화학식 2 내지 5에 있어서,
X1 내지 X3, L, Ar1, Ar2, Ra, Rb, R1 내지 R6, r1 및 r2에 대한 정의는 상기 화학식 1에서 정의한 바와 같다. The compound according to claim 1, wherein Formula 1 is represented by any one of Formulas 2 to 5:
[Formula 2]
[Formula 3]
[Formula 4]
[Formula 5]
In Formulas 2 to 5,
X1 to X3, L, Ar1, Ar2, Ra, Rb, R1 to R6, r1 and r2 are the same as defined in Formula 1 above.
.The compound according to claim 1, wherein the compound represented by Formula 1 is any one selected from the following compounds:
.
The method according to claim 6, wherein the organic electronic device further comprises one or more layers selected from the group consisting of a light emitting layer, a hole injection layer, a hole transport layer, an electron injection layer, an electron transport layer, an electron blocking layer, and a hole blocking layer Phosphorus organic electronic device.
Priority Applications (3)
| Application Number | Priority Date | Filing Date | Title |
|---|---|---|---|
| KR1020180039633A KR102262687B1 (en) | 2018-04-05 | 2018-04-05 | Compound and organic electronic device comprising the same |
| CN201980006249.4A CN111448184B (en) | 2018-04-05 | 2019-04-04 | Compounds and organic electronic devices containing the same |
| PCT/KR2019/003983 WO2019194594A1 (en) | 2018-04-05 | 2019-04-04 | Compound and organic electronic device comprising same |
Applications Claiming Priority (1)
| Application Number | Priority Date | Filing Date | Title |
|---|---|---|---|
| KR1020180039633A KR102262687B1 (en) | 2018-04-05 | 2018-04-05 | Compound and organic electronic device comprising the same |
Publications (2)
| Publication Number | Publication Date |
|---|---|
| KR20190116686A KR20190116686A (en) | 2019-10-15 |
| KR102262687B1 true KR102262687B1 (en) | 2021-06-08 |
Family
ID=68100848
Family Applications (1)
| Application Number | Title | Priority Date | Filing Date |
|---|---|---|---|
| KR1020180039633A Active KR102262687B1 (en) | 2018-04-05 | 2018-04-05 | Compound and organic electronic device comprising the same |
Country Status (3)
| Country | Link |
|---|---|
| KR (1) | KR102262687B1 (en) |
| CN (1) | CN111448184B (en) |
| WO (1) | WO2019194594A1 (en) |
Families Citing this family (5)
| Publication number | Priority date | Publication date | Assignee | Title |
|---|---|---|---|---|
| KR102638577B1 (en) | 2018-11-15 | 2024-02-20 | 덕산네오룩스 주식회사 | Compound for organic electronic element, organic electronic element using the same, and an electronic device thereof |
| KR102906150B1 (en) * | 2019-12-16 | 2025-12-31 | 듀폰스페셜티머터리얼스코리아 유한회사 | Organic electroluminescent compound, a plurality of host materials, and organic electroluminescent device comprising the same |
| CN113013365A (en) * | 2019-12-20 | 2021-06-22 | 罗门哈斯电子材料韩国有限公司 | Multiple host materials and organic electroluminescent device comprising same |
| CN113429302B (en) * | 2021-08-27 | 2022-05-03 | 北京八亿时空液晶科技股份有限公司 | A naphthofluorene derivative, light-emitting material, light-emitting element and consumer product |
| US20250163035A1 (en) * | 2022-02-09 | 2025-05-22 | Merck Patent Gmbh | Materials for organic electroluminescent devices |
Family Cites Families (7)
| Publication number | Priority date | Publication date | Assignee | Title |
|---|---|---|---|---|
| DE10135513B4 (en) | 2001-07-20 | 2005-02-24 | Novaled Gmbh | Light-emitting component with organic layers |
| WO2017065419A1 (en) * | 2015-10-13 | 2017-04-20 | Rohm And Haas Electronic Materials Korea Ltd. | Organic electroluminescent compounds and organic electroluminescent device comprising the same |
| KR102292768B1 (en) * | 2015-10-13 | 2021-08-25 | 롬엔드하스전자재료코리아유한회사 | Organic Electroluminescent Compounds and Organic Electroluminescent Devices Comprising the Same |
| KR20180024306A (en) * | 2016-08-29 | 2018-03-08 | 에스에프씨 주식회사 | Novel organic compounds and organic light-emitting diode therewith |
| KR102547468B1 (en) * | 2016-09-13 | 2023-06-27 | 롬엔드하스전자재료코리아유한회사 | Organic Electroluminescent Device Comprising an Electron Buffer Layer and an Electron Transport Layer |
| KR102642183B1 (en) * | 2016-09-20 | 2024-02-29 | 에스에프씨 주식회사 | Novel organic compounds and organic light-emitting diode therewith |
| KR102455656B1 (en) * | 2016-09-22 | 2022-10-19 | 롬엔드하스전자재료코리아유한회사 | Organic Electroluminescent Device Comprising an Electron Buffer Layer and an Electron Transport Layer |
-
2018
- 2018-04-05 KR KR1020180039633A patent/KR102262687B1/en active Active
-
2019
- 2019-04-04 CN CN201980006249.4A patent/CN111448184B/en active Active
- 2019-04-04 WO PCT/KR2019/003983 patent/WO2019194594A1/en not_active Ceased
Also Published As
| Publication number | Publication date |
|---|---|
| KR20190116686A (en) | 2019-10-15 |
| CN111448184B (en) | 2023-12-19 |
| WO2019194594A1 (en) | 2019-10-10 |
| CN111448184A (en) | 2020-07-24 |
Similar Documents
| Publication | Publication Date | Title |
|---|---|---|
| KR102209929B1 (en) | Organic light emitting device | |
| KR102027030B1 (en) | Organic light emitting device | |
| KR20200050893A (en) | Compound and organic light emitting device comprising the same | |
| KR102262687B1 (en) | Compound and organic electronic device comprising the same | |
| KR102093535B1 (en) | Compound and organic light emitting device containing the same | |
| KR20190098079A (en) | Heterocyclic compound and organic light emitting device comprising the same | |
| KR101968213B1 (en) | Heterocyclic compound and organic light emitting device comprising the same | |
| KR20200144482A (en) | Novel compound and organic light emitting device comprising the same | |
| KR102103620B1 (en) | Compound and organic light emitting device comprising the same | |
| KR20210062293A (en) | Heterocyclic compound and organic light emitting device comprising same | |
| KR101904669B1 (en) | Compound and organic light emitting device comprising the same | |
| KR102209924B1 (en) | Compound and organic light emitting device comprising same | |
| KR102274880B1 (en) | Compound and organic electronic device comprising the same | |
| KR102280866B1 (en) | Heterocyclic compound and organic light emitting device comprising the same | |
| KR20210101364A (en) | Compound and organic light emitting device comprising the same | |
| KR102500431B1 (en) | Compound and organic light emitting device comprising the same | |
| KR102057302B1 (en) | Novel hetero-cyclic compound and organic light emitting device comprising the same | |
| KR102227046B1 (en) | Compound and organic light emitting device comprising same | |
| KR20210100979A (en) | Compound and organic light emitting device comprising the same | |
| KR20190130515A (en) | Compound and organic light emitting device comprising the same | |
| KR102235993B1 (en) | Compound and organic electronic device comprising the same | |
| KR102201553B1 (en) | Compound and organic light emitting device comprising the same | |
| KR102209931B1 (en) | Compound and organic light emitting device comprising the same | |
| KR102028242B1 (en) | Compound and organic electronic device comprising the same | |
| KR20220001019A (en) | Hetero-cyclic compound and organic light emitting device comprising the same |
Legal Events
| Date | Code | Title | Description |
|---|---|---|---|
| PA0109 | Patent application |
Patent event code: PA01091R01D Comment text: Patent Application Patent event date: 20180405 |
|
| A201 | Request for examination | ||
| PA0201 | Request for examination |
Patent event code: PA02012R01D Patent event date: 20190626 Comment text: Request for Examination of Application Patent event code: PA02011R01I Patent event date: 20180405 Comment text: Patent Application |
|
| PG1501 | Laying open of application | ||
| E902 | Notification of reason for refusal | ||
| PE0902 | Notice of grounds for rejection |
Comment text: Notification of reason for refusal Patent event date: 20201126 Patent event code: PE09021S01D |
|
| E701 | Decision to grant or registration of patent right | ||
| PE0701 | Decision of registration |
Patent event code: PE07011S01D Comment text: Decision to Grant Registration Patent event date: 20210528 |
|
| GRNT | Written decision to grant | ||
| PR0701 | Registration of establishment |
Comment text: Registration of Establishment Patent event date: 20210603 Patent event code: PR07011E01D |
|
| PR1002 | Payment of registration fee |
Payment date: 20210603 End annual number: 3 Start annual number: 1 |
|
| PG1601 | Publication of registration | ||
| PR1001 | Payment of annual fee |
Payment date: 20240320 Start annual number: 4 End annual number: 4 |
















































































