KR102217268B1 - 신규한 화합물 및 이를 이용한 유기 발광 소자 - Google Patents
신규한 화합물 및 이를 이용한 유기 발광 소자 Download PDFInfo
- Publication number
- KR102217268B1 KR102217268B1 KR1020190051621A KR20190051621A KR102217268B1 KR 102217268 B1 KR102217268 B1 KR 102217268B1 KR 1020190051621 A KR1020190051621 A KR 1020190051621A KR 20190051621 A KR20190051621 A KR 20190051621A KR 102217268 B1 KR102217268 B1 KR 102217268B1
- Authority
- KR
- South Korea
- Prior art keywords
- group
- compound
- layer
- formula
- emitting device
- Prior art date
- Legal status (The legal status is an assumption and is not a legal conclusion. Google has not performed a legal analysis and makes no representation as to the accuracy of the status listed.)
- Active
Links
- KCUDUMOMLQZZTG-UHFFFAOYSA-N C(C1)C=CC=C1c1nc(-c2ccccc2)nc(-c2cccc(-c3cccc(-c4cc(-c5ccccc5C5(c6ccc7)c8cccc9ccc7c6c89)c5cc4)c3)c2)n1 Chemical compound C(C1)C=CC=C1c1nc(-c2ccccc2)nc(-c2cccc(-c3cccc(-c4cc(-c5ccccc5C5(c6ccc7)c8cccc9ccc7c6c89)c5cc4)c3)c2)n1 KCUDUMOMLQZZTG-UHFFFAOYSA-N 0.000 description 2
- UULBYJFXUOCCMJ-UHFFFAOYSA-N c(cc1)ccc1-[n](c(cccc1)c1c1c2)c1ccc2-c(cc1)cc(c2c3cccc2)c1[n]3-c(cc1)cc(C2(c3ccc4)c5cccc6c5c3c4cc6)c1-c1c2cccc1 Chemical compound c(cc1)ccc1-[n](c(cccc1)c1c1c2)c1ccc2-c(cc1)cc(c2c3cccc2)c1[n]3-c(cc1)cc(C2(c3ccc4)c5cccc6c5c3c4cc6)c1-c1c2cccc1 UULBYJFXUOCCMJ-UHFFFAOYSA-N 0.000 description 2
- GTHSCNSTRGYNGB-UHFFFAOYSA-N c(cc1)ccc1-[n](c(cccc1)c1c1c2)c1ccc2-c(cc1)cc2c1c(cccc1)c1[n]2-c(cc1)cc(C2(c3ccc4)c5cccc6ccc4c3c56)c1-c1c2cccc1 Chemical compound c(cc1)ccc1-[n](c(cccc1)c1c1c2)c1ccc2-c(cc1)cc2c1c(cccc1)c1[n]2-c(cc1)cc(C2(c3ccc4)c5cccc6ccc4c3c56)c1-c1c2cccc1 GTHSCNSTRGYNGB-UHFFFAOYSA-N 0.000 description 2
- WDBWHDVKRHFGTO-UHFFFAOYSA-N c(cc1)ccc1-[n]1c(cc(cc2)-c(cc3)cc4c3c(cccc3)c3[n]4-c(cc3)cc4c3-c3ccccc3C4(c3ccc4)c5cccc6ccc4c3c56)c2c2ccccc12 Chemical compound c(cc1)ccc1-[n]1c(cc(cc2)-c(cc3)cc4c3c(cccc3)c3[n]4-c(cc3)cc4c3-c3ccccc3C4(c3ccc4)c5cccc6ccc4c3c56)c2c2ccccc12 WDBWHDVKRHFGTO-UHFFFAOYSA-N 0.000 description 2
- AXQQJBMPKIJFBM-UHFFFAOYSA-N c(cc1)ccc1-[n]1c2cc(-c(cc3c4c5cccc4)ccc3[n]5-c(cc3)cc4c3-c3ccccc3C4(c3ccc4)c5cccc6ccc4c3c56)ccc2c2ccccc12 Chemical compound c(cc1)ccc1-[n]1c2cc(-c(cc3c4c5cccc4)ccc3[n]5-c(cc3)cc4c3-c3ccccc3C4(c3ccc4)c5cccc6ccc4c3c56)ccc2c2ccccc12 AXQQJBMPKIJFBM-UHFFFAOYSA-N 0.000 description 2
- MKMVZRUNLOATIW-UHFFFAOYSA-N c(cc1)ccc1-c(cc1)ccc1-c1c(cccc2)c2nc(-c(cc2)cc3c2-c2ccccc2C3(c2ccc3)c4cccc5ccc3c2c45)n1 Chemical compound c(cc1)ccc1-c(cc1)ccc1-c1c(cccc2)c2nc(-c(cc2)cc3c2-c2ccccc2C3(c2ccc3)c4cccc5ccc3c2c45)n1 MKMVZRUNLOATIW-UHFFFAOYSA-N 0.000 description 2
- WMGKFABBNRVWFD-UHFFFAOYSA-N c(cc1)ccc1-c(cc1)ccc1-c1c(cccc2)c2nc(-c(cccc23)c2-c2ccccc2C3(c2ccc3)c4cccc5ccc3c2c45)n1 Chemical compound c(cc1)ccc1-c(cc1)ccc1-c1c(cccc2)c2nc(-c(cccc23)c2-c2ccccc2C3(c2ccc3)c4cccc5ccc3c2c45)n1 WMGKFABBNRVWFD-UHFFFAOYSA-N 0.000 description 2
- QKBMVQWBAJNZSG-UHFFFAOYSA-N c(cc1)ccc1-c(cc1)ccc1-c1nc(-c2cc(-c3c(C4(c5ccc6)c7cccc8c7c5c6cc8)cccc3)c4cc2)nc2ccccc12 Chemical compound c(cc1)ccc1-c(cc1)ccc1-c1nc(-c2cc(-c3c(C4(c5ccc6)c7cccc8c7c5c6cc8)cccc3)c4cc2)nc2ccccc12 QKBMVQWBAJNZSG-UHFFFAOYSA-N 0.000 description 2
- IXFUIJVLHYMVTR-UHFFFAOYSA-N c(cc1)ccc1-c(cc1)ccc1C1=NC(c(cccc23)c2-c2ccccc2C3(c2ccc3)c4cccc5ccc3c2c45)=NC2c(cccc3)c3OC12 Chemical compound c(cc1)ccc1-c(cc1)ccc1C1=NC(c(cccc23)c2-c2ccccc2C3(c2ccc3)c4cccc5ccc3c2c45)=NC2c(cccc3)c3OC12 IXFUIJVLHYMVTR-UHFFFAOYSA-N 0.000 description 2
- KPQUJVYRXQCCQB-UHFFFAOYSA-N c(cc1)ccc1-c1cc(-c(cc2)cc3c2-c2ccccc2C3(c2ccc3)c4cccc5ccc3c2c45)nc(-c2ccccc2)n1 Chemical compound c(cc1)ccc1-c1cc(-c(cc2)cc3c2-c2ccccc2C3(c2ccc3)c4cccc5ccc3c2c45)nc(-c2ccccc2)n1 KPQUJVYRXQCCQB-UHFFFAOYSA-N 0.000 description 2
- FXZWFMVYWUIISO-UHFFFAOYSA-N c(cc1)ccc1-c1cc(-c2cc(-c3ccccc3C3(c4ccc5)c6cccc7c6c4c5cc7)c3cc2)nc(-c2ccccc2)n1 Chemical compound c(cc1)ccc1-c1cc(-c2cc(-c3ccccc3C3(c4ccc5)c6cccc7c6c4c5cc7)c3cc2)nc(-c2ccccc2)n1 FXZWFMVYWUIISO-UHFFFAOYSA-N 0.000 description 2
- MPTWXROOHLNXFM-UHFFFAOYSA-N c(cc1)ccc1-c1cc(-c2cccc3c2-c2ccccc2C3(c2ccc3)c4cccc5ccc3c2c45)nc(-c2ccccc2)n1 Chemical compound c(cc1)ccc1-c1cc(-c2cccc3c2-c2ccccc2C3(c2ccc3)c4cccc5ccc3c2c45)nc(-c2ccccc2)n1 MPTWXROOHLNXFM-UHFFFAOYSA-N 0.000 description 2
- TYKNKBOPJYNWOZ-UHFFFAOYSA-N c(cc1)ccc1-c1cc(-c2ccccc2)nc(-c(cccc23)c2-c2ccccc2C3(c2ccc3)c4cccc5ccc3c2c45)n1 Chemical compound c(cc1)ccc1-c1cc(-c2ccccc2)nc(-c(cccc23)c2-c2ccccc2C3(c2ccc3)c4cccc5ccc3c2c45)n1 TYKNKBOPJYNWOZ-UHFFFAOYSA-N 0.000 description 2
- OFUJSYGWYGURFL-UHFFFAOYSA-N c(cc1)ccc1-c1cc(C2=NC(c(cc3)cc(C4(c5ccc6)c7cccc8ccc6c5c78)c3-c3c4cccc3)=NC3c(cccc4)c4OC23)ccc1 Chemical compound c(cc1)ccc1-c1cc(C2=NC(c(cc3)cc(C4(c5ccc6)c7cccc8ccc6c5c78)c3-c3c4cccc3)=NC3c(cccc4)c4OC23)ccc1 OFUJSYGWYGURFL-UHFFFAOYSA-N 0.000 description 2
- FVMKOTAEJNRGCQ-UHFFFAOYSA-N c(cc1)ccc1-c1cc(C2=NC(c(cccc34)c3-c3ccccc3C4(c3ccc4)c5cccc6c5c3c4cc6)=NC3c(cccc4)c4OC23)ccc1 Chemical compound c(cc1)ccc1-c1cc(C2=NC(c(cccc34)c3-c3ccccc3C4(c3ccc4)c5cccc6c5c3c4cc6)=NC3c(cccc4)c4OC23)ccc1 FVMKOTAEJNRGCQ-UHFFFAOYSA-N 0.000 description 2
- DOHMONTUOWBWBB-UHFFFAOYSA-N c(cc1)ccc1-c1cccc(C2=NC(c3cc(-c4ccccc4C4(c5ccc6)c7cccc8ccc6c5c78)c4cc3)=NC3c4ccccc4OC23)c1 Chemical compound c(cc1)ccc1-c1cccc(C2=NC(c3cc(-c4ccccc4C4(c5ccc6)c7cccc8ccc6c5c78)c4cc3)=NC3c4ccccc4OC23)c1 DOHMONTUOWBWBB-UHFFFAOYSA-N 0.000 description 2
- AXGQYMDFULHOOF-UHFFFAOYSA-N c(cc1)ccc1-c1nc(-c(cc2)cc(C3(c4ccc5)c6cccc7ccc5c4c67)c2-c2c3cccc2)nc(-c2ccccc2)c1 Chemical compound c(cc1)ccc1-c1nc(-c(cc2)cc(C3(c4ccc5)c6cccc7ccc5c4c67)c2-c2c3cccc2)nc(-c2ccccc2)c1 AXGQYMDFULHOOF-UHFFFAOYSA-N 0.000 description 2
- KVEGVMDUXPXWDQ-UHFFFAOYSA-N c(cc1)ccc1-c1nc(-c(cc2)cc3c2c(cccc2)c2[n]3-c2ccccc2)nc(-c(cc2)cc(C3(c4ccc5)c6cccc7ccc5c4c67)c2-c2c3cccc2)n1 Chemical compound c(cc1)ccc1-c1nc(-c(cc2)cc3c2c(cccc2)c2[n]3-c2ccccc2)nc(-c(cc2)cc(C3(c4ccc5)c6cccc7ccc5c4c67)c2-c2c3cccc2)n1 KVEGVMDUXPXWDQ-UHFFFAOYSA-N 0.000 description 2
- XDOZHBPLPVKPGA-UHFFFAOYSA-N c(cc1)ccc1-c1nc(-c(cc2)ccc2-c2cc(-c3ccccc3C3(c4ccc5)c6cccc7ccc5c4c67)c3cc2)nc(-c(cc2)cc3c2c2ccccc2[n]3-c2ccccc2)n1 Chemical compound c(cc1)ccc1-c1nc(-c(cc2)ccc2-c2cc(-c3ccccc3C3(c4ccc5)c6cccc7ccc5c4c67)c3cc2)nc(-c(cc2)cc3c2c2ccccc2[n]3-c2ccccc2)n1 XDOZHBPLPVKPGA-UHFFFAOYSA-N 0.000 description 2
- KNFKNEAAXMLWTQ-UHFFFAOYSA-N c(cc1)ccc1-c1nc(-c(cccc2)c2-c2cccc(C3(c4ccc5)c6cccc7ccc5c4c67)c2-c2c3cccc2)nc(-c2ccccc2)n1 Chemical compound c(cc1)ccc1-c1nc(-c(cccc2)c2-c2cccc(C3(c4ccc5)c6cccc7ccc5c4c67)c2-c2c3cccc2)nc(-c2ccccc2)n1 KNFKNEAAXMLWTQ-UHFFFAOYSA-N 0.000 description 2
- VADGECVJHACYPT-UHFFFAOYSA-N c(cc1)ccc1-c1nc(-c(cccc23)c2-c2ccccc2C3(c2ccc3)c4cccc5ccc3c2c45)nc(-c(cc2)cc3c2c2ccccc2[n]3-c2ccccc2)n1 Chemical compound c(cc1)ccc1-c1nc(-c(cccc23)c2-c2ccccc2C3(c2ccc3)c4cccc5ccc3c2c45)nc(-c(cc2)cc3c2c2ccccc2[n]3-c2ccccc2)n1 VADGECVJHACYPT-UHFFFAOYSA-N 0.000 description 2
- YBRGJARSILSFAF-UHFFFAOYSA-N c(cc1)ccc1-c1nc(-c2cc(-c3cccc(-c(cc4)cc5c4-c4ccccc4C5(c4ccc5)c6cccc7ccc5c4c67)c3)ccc2)nc(-c2ccccc2)n1 Chemical compound c(cc1)ccc1-c1nc(-c2cc(-c3cccc(-c(cc4)cc5c4-c4ccccc4C5(c4ccc5)c6cccc7ccc5c4c67)c3)ccc2)nc(-c2ccccc2)n1 YBRGJARSILSFAF-UHFFFAOYSA-N 0.000 description 2
- LCKDANZTIFBOHM-UHFFFAOYSA-N c(cc1)ccc1-c1nc(-c2cc(-c3ccccc3C3(c4ccc5)c6cccc7c6c4c5cc7)c3cc2)nc(-c(cc2)cc3c2c2ccccc2[n]3-c2ccccc2)n1 Chemical compound c(cc1)ccc1-c1nc(-c2cc(-c3ccccc3C3(c4ccc5)c6cccc7c6c4c5cc7)c3cc2)nc(-c(cc2)cc3c2c2ccccc2[n]3-c2ccccc2)n1 LCKDANZTIFBOHM-UHFFFAOYSA-N 0.000 description 2
- CZGNGYHVJQNRFP-UHFFFAOYSA-N c(cc1)ccc1-c1nc(-c2ccc(C(c3ccccc3-3)(c4ccc5)c6cccc7ccc5c4c67)c-3c2)nc(-c2ccccc2)c1 Chemical compound c(cc1)ccc1-c1nc(-c2ccc(C(c3ccccc3-3)(c4ccc5)c6cccc7ccc5c4c67)c-3c2)nc(-c2ccccc2)c1 CZGNGYHVJQNRFP-UHFFFAOYSA-N 0.000 description 2
- OCZPEQCDQMQYOE-UHFFFAOYSA-N c(cc1)ccc1-c1nc(-c2ccc(c(cccc3)c3[n]3-c4ccccc4)c3c2)nc(-c(cc2)ccc2-c(cc2)cc3c2-c2ccccc2C3(c2ccc3)c4cccc5c4c2c3cc5)n1 Chemical compound c(cc1)ccc1-c1nc(-c2ccc(c(cccc3)c3[n]3-c4ccccc4)c3c2)nc(-c(cc2)ccc2-c(cc2)cc3c2-c2ccccc2C3(c2ccc3)c4cccc5c4c2c3cc5)n1 OCZPEQCDQMQYOE-UHFFFAOYSA-N 0.000 description 2
- HOQMZYGPEOLHHT-UHFFFAOYSA-N c(cc1)ccc1-c1nc(-c2cccc3c2c(cccc2)c2[n]3-c(cccc23)c2-c2ccccc2C32c3cccc4c3c3c2cccc3cc4)nc(-c2ccccc2)n1 Chemical compound c(cc1)ccc1-c1nc(-c2cccc3c2c(cccc2)c2[n]3-c(cccc23)c2-c2ccccc2C32c3cccc4c3c3c2cccc3cc4)nc(-c2ccccc2)n1 HOQMZYGPEOLHHT-UHFFFAOYSA-N 0.000 description 2
- DVMTXYRNDGOMIQ-UHFFFAOYSA-N c(cc1)ccc1-c1nc(-c2cccc3c2c(cccc2)c2[n]3-c2cc(-c3c(C4(c5ccc6)c7cccc8ccc6c5c78)cccc3)c4cc2)nc(-c2ccccc2)n1 Chemical compound c(cc1)ccc1-c1nc(-c2cccc3c2c(cccc2)c2[n]3-c2cc(-c3c(C4(c5ccc6)c7cccc8ccc6c5c78)cccc3)c4cc2)nc(-c2ccccc2)n1 DVMTXYRNDGOMIQ-UHFFFAOYSA-N 0.000 description 2
- SUDOPGCPKJBHNZ-UHFFFAOYSA-N c(cc1)ccc1-c1nc(-c2ccccc2)nc(-c(cc2)cc(c3c4cccc3)c2[n]4-c(cccc23)c2-c2ccccc2C3(c2c3c(cc4)ccc2)c2c3c4ccc2)n1 Chemical compound c(cc1)ccc1-c1nc(-c2ccccc2)nc(-c(cc2)cc(c3c4cccc3)c2[n]4-c(cccc23)c2-c2ccccc2C3(c2c3c(cc4)ccc2)c2c3c4ccc2)n1 SUDOPGCPKJBHNZ-UHFFFAOYSA-N 0.000 description 2
- WJRJNMGKKREDMG-UHFFFAOYSA-N c(cc1)ccc1-c1nc(-c2ccccc2)nc(-c(cc2)cc(c3c4cccc3)c2[n]4-c2ccc(C(c3c-4cccc3)(c3ccc5)c6cccc7ccc5c3c67)c-4c2)n1 Chemical compound c(cc1)ccc1-c1nc(-c2ccccc2)nc(-c(cc2)cc(c3c4cccc3)c2[n]4-c2ccc(C(c3c-4cccc3)(c3ccc5)c6cccc7ccc5c3c67)c-4c2)n1 WJRJNMGKKREDMG-UHFFFAOYSA-N 0.000 description 2
- ZVHFTAIASDQYCS-UHFFFAOYSA-N c(cc1)ccc1-c1nc(-c2ccccc2)nc(-c(cc2)cc3c2c(cccc2)c2[n]3-c2ccc(C(c3ccccc3-3)(c4ccc5)c6cccc7ccc5c4c67)c-3c2)n1 Chemical compound c(cc1)ccc1-c1nc(-c2ccccc2)nc(-c(cc2)cc3c2c(cccc2)c2[n]3-c2ccc(C(c3ccccc3-3)(c4ccc5)c6cccc7ccc5c4c67)c-3c2)n1 ZVHFTAIASDQYCS-UHFFFAOYSA-N 0.000 description 2
- FZLJIKTWRGOCQW-UHFFFAOYSA-N c(cc1)ccc1-c1nc(-c2ccccc2)nc(-c(cc2)cc3c2c(cccc2)c2[n]3-c2cccc(C3(c4ccc5)c6cccc7ccc5c4c67)c2-c2c3cccc2)n1 Chemical compound c(cc1)ccc1-c1nc(-c2ccccc2)nc(-c(cc2)cc3c2c(cccc2)c2[n]3-c2cccc(C3(c4ccc5)c6cccc7ccc5c4c67)c2-c2c3cccc2)n1 FZLJIKTWRGOCQW-UHFFFAOYSA-N 0.000 description 2
- JLPVWOFYMYVFAM-UHFFFAOYSA-N c(cc1)ccc1-c1nc(-c2ccccc2)nc(-c2cc(-c3cccc(-c(cccc45)c4-c4ccccc4C5(c4ccc5)c6cccc7ccc5c4c67)c3)ccc2)n1 Chemical compound c(cc1)ccc1-c1nc(-c2ccccc2)nc(-c2cc(-c3cccc(-c(cccc45)c4-c4ccccc4C5(c4ccc5)c6cccc7ccc5c4c67)c3)ccc2)n1 JLPVWOFYMYVFAM-UHFFFAOYSA-N 0.000 description 2
- YFVSGYRCGUSUEG-UHFFFAOYSA-N c(cc1C(c2ccc3)(c4ccc5)c6cccc7c6c4c5cc7)ccc1-c2c3-c1nc(-c2cc(cccc3)c3cc2)c(cccc2)c2n1 Chemical compound c(cc1C(c2ccc3)(c4ccc5)c6cccc7c6c4c5cc7)ccc1-c2c3-c1nc(-c2cc(cccc3)c3cc2)c(cccc2)c2n1 YFVSGYRCGUSUEG-UHFFFAOYSA-N 0.000 description 2
- BJEVICKWURINDC-UHFFFAOYSA-N c(cc1C2(c3ccc4)c5cccc6ccc4c3c56)ccc1-c(cc1)c2cc1-c1nc(-c2cc(cccc3)c3cc2)c(cccc2)c2n1 Chemical compound c(cc1C2(c3ccc4)c5cccc6ccc4c3c56)ccc1-c(cc1)c2cc1-c1nc(-c2cc(cccc3)c3cc2)c(cccc2)c2n1 BJEVICKWURINDC-UHFFFAOYSA-N 0.000 description 2
- FIVWNCKOMMNYEB-UHFFFAOYSA-N c(cc1C2(c3ccc4)c5cccc6ccc4c3c56)ccc1-c1c2ccc(-c2nc3ccccc3c(-c3cc4ccccc4cc3)n2)c1 Chemical compound c(cc1C2(c3ccc4)c5cccc6ccc4c3c56)ccc1-c1c2ccc(-c2nc3ccccc3c(-c3cc4ccccc4cc3)n2)c1 FIVWNCKOMMNYEB-UHFFFAOYSA-N 0.000 description 2
- 0 *1C(c2ccccc2)=NC(c2ccc(c3ccccc3[n]3-c4ccccc4)c3c2)=NC1c(cc1)ccc1-c(cccc12)c1-c1ccccc1C2(c1ccc2)c3cccc4ccc2c1c34 Chemical compound *1C(c2ccccc2)=NC(c2ccc(c3ccccc3[n]3-c4ccccc4)c3c2)=NC1c(cc1)ccc1-c(cccc12)c1-c1ccccc1C2(c1ccc2)c3cccc4ccc2c1c34 0.000 description 1
- YDDMCDJAPQERAD-UHFFFAOYSA-N CN1C(c2cc(-c3ccccc3C3(c4ccc5)c6cccc7ccc5c4c67)c3cc2)=NC(c2ccccc2)=NC1c1c2[o]c3ccccc3c2ccc1 Chemical compound CN1C(c2cc(-c3ccccc3C3(c4ccc5)c6cccc7ccc5c4c67)c3cc2)=NC(c2ccccc2)=NC1c1c2[o]c3ccccc3c2ccc1 YDDMCDJAPQERAD-UHFFFAOYSA-N 0.000 description 1
- YUWPUDSZZJLUPI-UHFFFAOYSA-N Fc(cc1)ccc1-c1cc(-c(cc2)ccc2-c2cc(-c3ccccc3C3(c4ccc5)c6cccc7ccc5c4c67)c3cc2)nc(-c(cc2)ccc2-c2ccccc2)n1 Chemical compound Fc(cc1)ccc1-c1cc(-c(cc2)ccc2-c2cc(-c3ccccc3C3(c4ccc5)c6cccc7ccc5c4c67)c3cc2)nc(-c(cc2)ccc2-c2ccccc2)n1 YUWPUDSZZJLUPI-UHFFFAOYSA-N 0.000 description 1
- IZYQYWHHPQRWFX-UHFFFAOYSA-N OB(c1cccc(-c2nc(-c3ccccc3)nc(-c3ccccc3)n2)c1)O Chemical compound OB(c1cccc(-c2nc(-c3ccccc3)nc(-c3ccccc3)n2)c1)O IZYQYWHHPQRWFX-UHFFFAOYSA-N 0.000 description 1
- BMVLMBZNBVNYRB-UHFFFAOYSA-N c(cc1)cc(C2(c3ccc4)c5cccc6ccc4c3c56)c1-c(cc1)c2cc1-[n]1c(ccc(-c2ccc3[o]c4ccccc4c3c2)c2)c2c2ccccc12 Chemical compound c(cc1)cc(C2(c3ccc4)c5cccc6ccc4c3c56)c1-c(cc1)c2cc1-[n]1c(ccc(-c2ccc3[o]c4ccccc4c3c2)c2)c2c2ccccc12 BMVLMBZNBVNYRB-UHFFFAOYSA-N 0.000 description 1
- DXBJRIHEKVNELX-UHFFFAOYSA-N c(cc1)cc(C2(c3ccc4)c5cccc6ccc4c3c56)c1-c(cc1)c2cc1-[n]1c(ccc(-c2ccc3[s]c4ccccc4c3c2)c2)c2c2c1cccc2 Chemical compound c(cc1)cc(C2(c3ccc4)c5cccc6ccc4c3c56)c1-c(cc1)c2cc1-[n]1c(ccc(-c2ccc3[s]c4ccccc4c3c2)c2)c2c2c1cccc2 DXBJRIHEKVNELX-UHFFFAOYSA-N 0.000 description 1
- NTQMRTVSXKDNBR-UHFFFAOYSA-N c(cc1)cc2c1OC1C(c3cc(cccc4)c4cc3)=NC(c3cc(-c4ccccc4C4(c5ccc6)c7cccc8ccc6c5c78)c4cc3)=NC21 Chemical compound c(cc1)cc2c1OC1C(c3cc(cccc4)c4cc3)=NC(c3cc(-c4ccccc4C4(c5ccc6)c7cccc8ccc6c5c78)c4cc3)=NC21 NTQMRTVSXKDNBR-UHFFFAOYSA-N 0.000 description 1
- JJKRMBCSNRRXHW-UHFFFAOYSA-N c(cc1)ccc1-c(cc1)ccc1-c1nc(-c(cccc2)c2-c2cc(-c3ccccc3C3(c4ccc5)c6cccc7c6c4c5cc7)c3cc2)nc(-c2ccccc2)n1 Chemical compound c(cc1)ccc1-c(cc1)ccc1-c1nc(-c(cccc2)c2-c2cc(-c3ccccc3C3(c4ccc5)c6cccc7c6c4c5cc7)c3cc2)nc(-c2ccccc2)n1 JJKRMBCSNRRXHW-UHFFFAOYSA-N 0.000 description 1
- LOSCPEXSWYEDMB-UHFFFAOYSA-N c(cc1)ccc1-c(cc1)ccc1-c1nc(-c(cccc2)c2-c2cccc(C3(c4ccc5)c6cccc7ccc5c4c67)c2-c2c3cccc2)nc(-c2ccccc2)n1 Chemical compound c(cc1)ccc1-c(cc1)ccc1-c1nc(-c(cccc2)c2-c2cccc(C3(c4ccc5)c6cccc7ccc5c4c67)c2-c2c3cccc2)nc(-c2ccccc2)n1 LOSCPEXSWYEDMB-UHFFFAOYSA-N 0.000 description 1
- HSFKDHKMZZLDHZ-UHFFFAOYSA-N c(cc1)ccc1-c(cc1)ccc1-c1nc(-c2cc(-c3cc(-c4ccc5-c6ccccc6C(c6ccc7)(c8cccc9ccc7c6c89)c5c4)ccc3)ccc2)nc(-c2ccccc2)n1 Chemical compound c(cc1)ccc1-c(cc1)ccc1-c1nc(-c2cc(-c3cc(-c4ccc5-c6ccccc6C(c6ccc7)(c8cccc9ccc7c6c89)c5c4)ccc3)ccc2)nc(-c2ccccc2)n1 HSFKDHKMZZLDHZ-UHFFFAOYSA-N 0.000 description 1
- CWKWITDHGMCMPL-UHFFFAOYSA-N c(cc1)ccc1-c(cc1)ccc1-c1nc(-c2ccccc2)nc(-c(cccc2)c2-c2ccc3-c4ccccc4C(c4ccc5)(c6cccc7ccc5c4c67)c3c2)n1 Chemical compound c(cc1)ccc1-c(cc1)ccc1-c1nc(-c2ccccc2)nc(-c(cccc2)c2-c2ccc3-c4ccccc4C(c4ccc5)(c6cccc7ccc5c4c67)c3c2)n1 CWKWITDHGMCMPL-UHFFFAOYSA-N 0.000 description 1
- DZJQAMFZQRMYIS-UHFFFAOYSA-N c(cc1)ccc1-c(cc1)ccc1-c1nc(-c2ccccc2)nc(-c2cc(-c3cccc(-c(cccc45)c4-c4ccccc4C5(c4ccc5)c6cccc7ccc5c4c67)c3)ccc2)n1 Chemical compound c(cc1)ccc1-c(cc1)ccc1-c1nc(-c2ccccc2)nc(-c2cc(-c3cccc(-c(cccc45)c4-c4ccccc4C5(c4ccc5)c6cccc7ccc5c4c67)c3)ccc2)n1 DZJQAMFZQRMYIS-UHFFFAOYSA-N 0.000 description 1
- HOHFLDVKOKLTNK-UHFFFAOYSA-N c(cc1)ccc1-c(cc1)ccc1-c1nc(-c2ccccc2)nc(-c2cc(-c3cccc(-c4cc(-c5ccccc5C5(c6ccc7)c8cccc9ccc7c6c89)c5cc4)c3)ccc2)n1 Chemical compound c(cc1)ccc1-c(cc1)ccc1-c1nc(-c2ccccc2)nc(-c2cc(-c3cccc(-c4cc(-c5ccccc5C5(c6ccc7)c8cccc9ccc7c6c89)c5cc4)c3)ccc2)n1 HOHFLDVKOKLTNK-UHFFFAOYSA-N 0.000 description 1
- UXYKCFHXEQCKNZ-UHFFFAOYSA-N c(cc1)ccc1-c(cc1)ccc1C1=NC(c(cc2)cc3c2-c2ccccc2C3(c2ccc3)c4cccc5ccc3c2c45)=NC2c(cccc3)c3OC12 Chemical compound c(cc1)ccc1-c(cc1)ccc1C1=NC(c(cc2)cc3c2-c2ccccc2C3(c2ccc3)c4cccc5ccc3c2c45)=NC2c(cccc3)c3OC12 UXYKCFHXEQCKNZ-UHFFFAOYSA-N 0.000 description 1
- CZUKNUCJOMYUHJ-UHFFFAOYSA-N c(cc1)ccc1-c(cc1)ccc1C1=NC(c2ccc(C(c3ccccc3-3)(c4ccc5)c6cccc7ccc5c4c67)c-3c2)=NC2c3ccccc3OC12 Chemical compound c(cc1)ccc1-c(cc1)ccc1C1=NC(c2ccc(C(c3ccccc3-3)(c4ccc5)c6cccc7ccc5c4c67)c-3c2)=NC2c3ccccc3OC12 CZUKNUCJOMYUHJ-UHFFFAOYSA-N 0.000 description 1
- IGRVUJKSDSXVST-UHFFFAOYSA-N c(cc1)ccc1-c1cc(-c2nc(-c(cccc3)c3-c(cccc34)c3-c3ccccc3C4(c3ccc4)c5cccc6ccc4c3c56)nc(-c3ccccc3)n2)ccc1 Chemical compound c(cc1)ccc1-c1cc(-c2nc(-c(cccc3)c3-c(cccc34)c3-c3ccccc3C4(c3ccc4)c5cccc6ccc4c3c56)nc(-c3ccccc3)n2)ccc1 IGRVUJKSDSXVST-UHFFFAOYSA-N 0.000 description 1
- BEXFPXPZEYWESF-UHFFFAOYSA-N c(cc1)ccc1-c1cc(-c2nc(-c3cc(-c4cc(-c5ccc6-c7ccccc7C(c7ccc8)(c9cccc%10ccc8c7c9%10)c6c5)ccc4)ccc3)nc(-c3ccccc3)n2)ccc1 Chemical compound c(cc1)ccc1-c1cc(-c2nc(-c3cc(-c4cc(-c5ccc6-c7ccccc7C(c7ccc8)(c9cccc%10ccc8c7c9%10)c6c5)ccc4)ccc3)nc(-c3ccccc3)n2)ccc1 BEXFPXPZEYWESF-UHFFFAOYSA-N 0.000 description 1
- FXSCQXZSYWEDHC-UHFFFAOYSA-N c(cc1)ccc1-c1cc(-c2nc(-c3ccccc3)nc(-c3cc(-c4cccc(-c(cccc56)c5-c5ccccc5C6(c5ccc6)c7cccc8ccc6c5c78)c4)ccc3)n2)ccc1 Chemical compound c(cc1)ccc1-c1cc(-c2nc(-c3ccccc3)nc(-c3cc(-c4cccc(-c(cccc56)c5-c5ccccc5C6(c5ccc6)c7cccc8ccc6c5c78)c4)ccc3)n2)ccc1 FXSCQXZSYWEDHC-UHFFFAOYSA-N 0.000 description 1
- HPUPYKJARJWEDZ-UHFFFAOYSA-N c(cc1)ccc1-c1cccc(-c2nc(-c3ccccc3)nc(-c3cc(-c4cccc(-c5cc(-c6ccccc6C6(c7ccc8)c9cccc%10ccc8c7c9%10)c6cc5)c4)ccc3)n2)c1 Chemical compound c(cc1)ccc1-c1cccc(-c2nc(-c3ccccc3)nc(-c3cc(-c4cccc(-c5cc(-c6ccccc6C6(c7ccc8)c9cccc%10ccc8c7c9%10)c6cc5)c4)ccc3)n2)c1 HPUPYKJARJWEDZ-UHFFFAOYSA-N 0.000 description 1
- PMKNQBLECHSCIA-UHFFFAOYSA-N c(cc1)ccc1-c1nc(-c(cc2)cc(c3c4cccc3)c2[n]4-c2ccccc2)nc(-c(cc2)cc3c2-c2ccccc2C3(c2ccc3)c4cccc5ccc3c2c45)n1 Chemical compound c(cc1)ccc1-c1nc(-c(cc2)cc(c3c4cccc3)c2[n]4-c2ccccc2)nc(-c(cc2)cc3c2-c2ccccc2C3(c2ccc3)c4cccc5ccc3c2c45)n1 PMKNQBLECHSCIA-UHFFFAOYSA-N 0.000 description 1
- SJXNULDURAQLIS-UHFFFAOYSA-N c(cc1)ccc1-c1nc(-c(cc2)cc3c2[o]c2c3cccc2)nc(-c(cc2)ccc2-c(cc2)cc3c2-c2ccccc2C3(c2ccc3)c4cccc5c4c2c3cc5)n1 Chemical compound c(cc1)ccc1-c1nc(-c(cc2)cc3c2[o]c2c3cccc2)nc(-c(cc2)ccc2-c(cc2)cc3c2-c2ccccc2C3(c2ccc3)c4cccc5c4c2c3cc5)n1 SJXNULDURAQLIS-UHFFFAOYSA-N 0.000 description 1
- IPEJYOSWMHOGSO-UHFFFAOYSA-N c(cc1)ccc1-c1nc(-c(cc2)cc3c2[s]c2ccccc32)nc(-c(cc2)ccc2-c(cc2)cc3c2-c2ccccc2C3(c2ccc3)c4cccc5c4c2c3cc5)n1 Chemical compound c(cc1)ccc1-c1nc(-c(cc2)cc3c2[s]c2ccccc32)nc(-c(cc2)ccc2-c(cc2)cc3c2-c2ccccc2C3(c2ccc3)c4cccc5c4c2c3cc5)n1 IPEJYOSWMHOGSO-UHFFFAOYSA-N 0.000 description 1
- XHOVNXNLPLEKMU-UHFFFAOYSA-N c(cc1)ccc1-c1nc(-c(cc2)ccc2-c(cccc23)c2-c2ccccc2C3(c2ccc3)c4cccc5c4c2c3cc5)nc(-c(cc2)cc3c2[o]c2ccccc32)n1 Chemical compound c(cc1)ccc1-c1nc(-c(cc2)ccc2-c(cccc23)c2-c2ccccc2C3(c2ccc3)c4cccc5c4c2c3cc5)nc(-c(cc2)cc3c2[o]c2ccccc32)n1 XHOVNXNLPLEKMU-UHFFFAOYSA-N 0.000 description 1
- GAOLVXXUHKVCKG-UHFFFAOYSA-N c(cc1)ccc1-c1nc(-c(cc2)ccc2-c(cccc23)c2-c2ccccc2C3(c2ccc3)c4cccc5c4c2c3cc5)nc(-c(cc2)cc3c2c(cccc2)c2[n]3-c2ccccc2)n1 Chemical compound c(cc1)ccc1-c1nc(-c(cc2)ccc2-c(cccc23)c2-c2ccccc2C3(c2ccc3)c4cccc5c4c2c3cc5)nc(-c(cc2)cc3c2c(cccc2)c2[n]3-c2ccccc2)n1 GAOLVXXUHKVCKG-UHFFFAOYSA-N 0.000 description 1
- HBZUAGZPKKUESA-UHFFFAOYSA-N c(cc1)ccc1-c1nc(-c(cc2)ccc2-c(cccc23)c2-c2ccccc2C3(c2ccc3)c4cccc5ccc3c2c45)nc(-c(cc2)cc3c2[s]c2c3cccc2)n1 Chemical compound c(cc1)ccc1-c1nc(-c(cc2)ccc2-c(cccc23)c2-c2ccccc2C3(c2ccc3)c4cccc5ccc3c2c45)nc(-c(cc2)cc3c2[s]c2c3cccc2)n1 HBZUAGZPKKUESA-UHFFFAOYSA-N 0.000 description 1
- OCEANXPNGFVLAP-UHFFFAOYSA-N c(cc1)ccc1-c1nc(-c(cc2)ccc2-c(cccc23)c2-c2ccccc2C3(c2ccc3)c4cccc5ccc3c2c45)nc(-c2cccc3c2[o]c2c3cccc2)n1 Chemical compound c(cc1)ccc1-c1nc(-c(cc2)ccc2-c(cccc23)c2-c2ccccc2C3(c2ccc3)c4cccc5ccc3c2c45)nc(-c2cccc3c2[o]c2c3cccc2)n1 OCEANXPNGFVLAP-UHFFFAOYSA-N 0.000 description 1
- ZZQFTOTXZIKRSM-UHFFFAOYSA-N c(cc1)ccc1-c1nc(-c(cc2)ccc2-c2cc(-c3ccccc3C3(c4ccc5)c6cccc7ccc5c4c67)c3cc2)nc(-c2c3[o]c4ccccc4c3ccc2)n1 Chemical compound c(cc1)ccc1-c1nc(-c(cc2)ccc2-c2cc(-c3ccccc3C3(c4ccc5)c6cccc7ccc5c4c67)c3cc2)nc(-c2c3[o]c4ccccc4c3ccc2)n1 ZZQFTOTXZIKRSM-UHFFFAOYSA-N 0.000 description 1
- YJTABXKWHXTUTI-UHFFFAOYSA-N c(cc1)ccc1-c1nc(-c(cc2)ccc2-c2cc(-c3ccccc3C3(c4ccc5)c6cccc7ccc5c4c67)c3cc2)nc(-c2ccc3[s]c4ccccc4c3c2)n1 Chemical compound c(cc1)ccc1-c1nc(-c(cc2)ccc2-c2cc(-c3ccccc3C3(c4ccc5)c6cccc7ccc5c4c67)c3cc2)nc(-c2ccc3[s]c4ccccc4c3c2)n1 YJTABXKWHXTUTI-UHFFFAOYSA-N 0.000 description 1
- BPVVUZYVKMYTOY-UHFFFAOYSA-N c(cc1)ccc1-c1nc(-c(cc2)ccc2-c2ccc(C(c3ccccc3-3)(c4ccc5)c6cccc7c6c4c5cc7)c-3c2)nc(-c(cc2)cc3c2[o]c2ccccc32)n1 Chemical compound c(cc1)ccc1-c1nc(-c(cc2)ccc2-c2ccc(C(c3ccccc3-3)(c4ccc5)c6cccc7c6c4c5cc7)c-3c2)nc(-c(cc2)cc3c2[o]c2ccccc32)n1 BPVVUZYVKMYTOY-UHFFFAOYSA-N 0.000 description 1
- DPNSVMDDFQEDAH-UHFFFAOYSA-N c(cc1)ccc1-c1nc(-c(cccc23)c2-c2ccccc2C3(c2ccc3)c4cccc5ccc3c2c45)nc(-c2cccc3c2[o]c2c3cccc2)n1 Chemical compound c(cc1)ccc1-c1nc(-c(cccc23)c2-c2ccccc2C3(c2ccc3)c4cccc5ccc3c2c45)nc(-c2cccc3c2[o]c2c3cccc2)n1 DPNSVMDDFQEDAH-UHFFFAOYSA-N 0.000 description 1
- QTGDNNUOIKQWDX-UHFFFAOYSA-N c(cc1)ccc1-c1nc(-c(cccc23)c2-c2ccccc2C3(c2ccc3)c4cccc5ccc3c2c45)nc(-c2cccc3c2[s]c2c3cccc2)n1 Chemical compound c(cc1)ccc1-c1nc(-c(cccc23)c2-c2ccccc2C3(c2ccc3)c4cccc5ccc3c2c45)nc(-c2cccc3c2[s]c2c3cccc2)n1 QTGDNNUOIKQWDX-UHFFFAOYSA-N 0.000 description 1
- XRNAPZNOLYKJRY-UHFFFAOYSA-N c(cc1)ccc1-c1nc(-c2cc(-c3ccccc3C3(c4ccc5)c6cccc7ccc5c4c67)c3cc2)nc(-c(cc2)cc(c3ccccc33)c2[n]3-c2ccccc2)n1 Chemical compound c(cc1)ccc1-c1nc(-c2cc(-c3ccccc3C3(c4ccc5)c6cccc7ccc5c4c67)c3cc2)nc(-c(cc2)cc(c3ccccc33)c2[n]3-c2ccccc2)n1 XRNAPZNOLYKJRY-UHFFFAOYSA-N 0.000 description 1
- PWYUZKAWVLTDJW-UHFFFAOYSA-N c(cc1)ccc1-c1nc(-c2cc(-c3ccccc3C3(c4ccc5)c6cccc7ccc5c4c67)c3cc2)nc(-c2c3[s]c(cccc4)c4c3ccc2)n1 Chemical compound c(cc1)ccc1-c1nc(-c2cc(-c3ccccc3C3(c4ccc5)c6cccc7ccc5c4c67)c3cc2)nc(-c2c3[s]c(cccc4)c4c3ccc2)n1 PWYUZKAWVLTDJW-UHFFFAOYSA-N 0.000 description 1
- DIOCGQBJHRCBEB-UHFFFAOYSA-N c(cc1)ccc1-c1nc(-c2cccc3c2[o]c2c3cccc2)nc(-c(cc2)cc3c2-c2ccccc2C3(c2ccc3)c4cccc5ccc3c2c45)n1 Chemical compound c(cc1)ccc1-c1nc(-c2cccc3c2[o]c2c3cccc2)nc(-c(cc2)cc3c2-c2ccccc2C3(c2ccc3)c4cccc5ccc3c2c45)n1 DIOCGQBJHRCBEB-UHFFFAOYSA-N 0.000 description 1
- QTKAVWHITOIBAP-UHFFFAOYSA-N c(cc1)ccc1-c1nc(-c2cccc3c2[o]c2ccccc32)nc(-c(cc2)ccc2-c(cc2)cc(C3(c4ccc5)c6cccc7ccc5c4c67)c2-c2c3cccc2)n1 Chemical compound c(cc1)ccc1-c1nc(-c2cccc3c2[o]c2ccccc32)nc(-c(cc2)ccc2-c(cc2)cc(C3(c4ccc5)c6cccc7ccc5c4c67)c2-c2c3cccc2)n1 QTKAVWHITOIBAP-UHFFFAOYSA-N 0.000 description 1
- PVKPVEIXXVXRBS-UHFFFAOYSA-N c(cc1)ccc1-c1nc(-c2cccc3c2[s]c2c3cccc2)nc(-c(cc2)cc3c2-c2ccccc2C3(c2ccc3)c4cccc5ccc3c2c45)n1 Chemical compound c(cc1)ccc1-c1nc(-c2cccc3c2[s]c2c3cccc2)nc(-c(cc2)cc3c2-c2ccccc2C3(c2ccc3)c4cccc5ccc3c2c45)n1 PVKPVEIXXVXRBS-UHFFFAOYSA-N 0.000 description 1
- NJBGESHPMGXJHE-UHFFFAOYSA-N c(cc1)ccc1-c1nc(-c2cccc3c2[s]c2c3cccc2)nc(-c(cc2)ccc2-c(cc2)cc(C3(c4ccc5)c6cccc7ccc5c4c67)c2-c2c3cccc2)n1 Chemical compound c(cc1)ccc1-c1nc(-c2cccc3c2[s]c2c3cccc2)nc(-c(cc2)ccc2-c(cc2)cc(C3(c4ccc5)c6cccc7ccc5c4c67)c2-c2c3cccc2)n1 NJBGESHPMGXJHE-UHFFFAOYSA-N 0.000 description 1
- ZOGMODAWICILME-UHFFFAOYSA-N c(cc1)ccc1C1=NC(c(cc2)cc3c2-c2ccccc2C3(c2ccc3)c4cccc5ccc3c2c45)=NC2c(cccc3)c3OC12 Chemical compound c(cc1)ccc1C1=NC(c(cc2)cc3c2-c2ccccc2C3(c2ccc3)c4cccc5ccc3c2c45)=NC2c(cccc3)c3OC12 ZOGMODAWICILME-UHFFFAOYSA-N 0.000 description 1
- LIHXXQAGVAMHFR-UHFFFAOYSA-N c(cc1)ccc1C1=NC(c(cccc23)c2-c2ccccc2C3(c2ccc3)c4cccc5ccc3c2c45)=NC2c(cccc3)c3OC12 Chemical compound c(cc1)ccc1C1=NC(c(cccc23)c2-c2ccccc2C3(c2ccc3)c4cccc5ccc3c2c45)=NC2c(cccc3)c3OC12 LIHXXQAGVAMHFR-UHFFFAOYSA-N 0.000 description 1
- HGDJHIKKDSYLAF-UHFFFAOYSA-N c(cc1)ccc1C1=NC(c2ccc(C(c3ccccc3-3)(c4ccc5)c6cccc7c6c4c5cc7)c-3c2)=NC2c(cccc3)c3OC12 Chemical compound c(cc1)ccc1C1=NC(c2ccc(C(c3ccccc3-3)(c4ccc5)c6cccc7c6c4c5cc7)c-3c2)=NC2c(cccc3)c3OC12 HGDJHIKKDSYLAF-UHFFFAOYSA-N 0.000 description 1
- NSMRISXYHIJQRF-UHFFFAOYSA-N c1ccc2OC3C(c4cc(cccc5)c5cc4)=NC(c(cc4)cc5c4-c4ccccc4C5(c4ccc5)c6cccc7ccc5c4c67)=NC3c2c1 Chemical compound c1ccc2OC3C(c4cc(cccc5)c5cc4)=NC(c(cc4)cc5c4-c4ccccc4C5(c4ccc5)c6cccc7ccc5c4c67)=NC3c2c1 NSMRISXYHIJQRF-UHFFFAOYSA-N 0.000 description 1
- CKVVGWUCBSXDDN-UHFFFAOYSA-N c1ccc2OC3C(c4cc(cccc5)c5cc4)=NC(c(cccc45)c4-c4ccccc4C5(c4ccc5)c6cccc7ccc5c4c67)=NC3c2c1 Chemical compound c1ccc2OC3C(c4cc(cccc5)c5cc4)=NC(c(cccc45)c4-c4ccccc4C5(c4ccc5)c6cccc7ccc5c4c67)=NC3c2c1 CKVVGWUCBSXDDN-UHFFFAOYSA-N 0.000 description 1
Images
Classifications
-
- C—CHEMISTRY; METALLURGY
- C07—ORGANIC CHEMISTRY
- C07D—HETEROCYCLIC COMPOUNDS
- C07D251/00—Heterocyclic compounds containing 1,3,5-triazine rings
- C07D251/02—Heterocyclic compounds containing 1,3,5-triazine rings not condensed with other rings
- C07D251/12—Heterocyclic compounds containing 1,3,5-triazine rings not condensed with other rings having three double bonds between ring members or between ring members and non-ring members
- C07D251/14—Heterocyclic compounds containing 1,3,5-triazine rings not condensed with other rings having three double bonds between ring members or between ring members and non-ring members with hydrogen or carbon atoms directly attached to at least one ring carbon atom
- C07D251/24—Heterocyclic compounds containing 1,3,5-triazine rings not condensed with other rings having three double bonds between ring members or between ring members and non-ring members with hydrogen or carbon atoms directly attached to at least one ring carbon atom to three ring carbon atoms
-
- C—CHEMISTRY; METALLURGY
- C07—ORGANIC CHEMISTRY
- C07D—HETEROCYCLIC COMPOUNDS
- C07D213/00—Heterocyclic compounds containing six-membered rings, not condensed with other rings, with one nitrogen atom as the only ring hetero atom and three or more double bonds between ring members or between ring members and non-ring members
- C07D213/02—Heterocyclic compounds containing six-membered rings, not condensed with other rings, with one nitrogen atom as the only ring hetero atom and three or more double bonds between ring members or between ring members and non-ring members having three double bonds between ring members or between ring members and non-ring members
- C07D213/04—Heterocyclic compounds containing six-membered rings, not condensed with other rings, with one nitrogen atom as the only ring hetero atom and three or more double bonds between ring members or between ring members and non-ring members having three double bonds between ring members or between ring members and non-ring members having no bond between the ring nitrogen atom and a non-ring member or having only hydrogen or carbon atoms directly attached to the ring nitrogen atom
- C07D213/06—Heterocyclic compounds containing six-membered rings, not condensed with other rings, with one nitrogen atom as the only ring hetero atom and three or more double bonds between ring members or between ring members and non-ring members having three double bonds between ring members or between ring members and non-ring members having no bond between the ring nitrogen atom and a non-ring member or having only hydrogen or carbon atoms directly attached to the ring nitrogen atom containing only hydrogen and carbon atoms in addition to the ring nitrogen atom
-
- C—CHEMISTRY; METALLURGY
- C07—ORGANIC CHEMISTRY
- C07C—ACYCLIC OR CARBOCYCLIC COMPOUNDS
- C07C13/00—Cyclic hydrocarbons containing rings other than, or in addition to, six-membered aromatic rings
- C07C13/28—Polycyclic hydrocarbons or acyclic hydrocarbon derivatives thereof
- C07C13/32—Polycyclic hydrocarbons or acyclic hydrocarbon derivatives thereof with condensed rings
- C07C13/72—Spiro hydrocarbons
-
- C—CHEMISTRY; METALLURGY
- C07—ORGANIC CHEMISTRY
- C07D—HETEROCYCLIC COMPOUNDS
- C07D209/00—Heterocyclic compounds containing five-membered rings, condensed with other rings, with one nitrogen atom as the only ring hetero atom
- C07D209/56—Ring systems containing three or more rings
- C07D209/80—[b, c]- or [b, d]-condensed
- C07D209/82—Carbazoles; Hydrogenated carbazoles
- C07D209/86—Carbazoles; Hydrogenated carbazoles with only hydrogen atoms, hydrocarbon or substituted hydrocarbon radicals, directly attached to carbon atoms of the ring system
-
- C—CHEMISTRY; METALLURGY
- C07—ORGANIC CHEMISTRY
- C07D—HETEROCYCLIC COMPOUNDS
- C07D239/00—Heterocyclic compounds containing 1,3-diazine or hydrogenated 1,3-diazine rings
- C07D239/02—Heterocyclic compounds containing 1,3-diazine or hydrogenated 1,3-diazine rings not condensed with other rings
- C07D239/24—Heterocyclic compounds containing 1,3-diazine or hydrogenated 1,3-diazine rings not condensed with other rings having three or more double bonds between ring members or between ring members and non-ring members
- C07D239/26—Heterocyclic compounds containing 1,3-diazine or hydrogenated 1,3-diazine rings not condensed with other rings having three or more double bonds between ring members or between ring members and non-ring members with only hydrogen atoms, hydrocarbon or substituted hydrocarbon radicals, directly attached to ring carbon atoms
-
- C—CHEMISTRY; METALLURGY
- C07—ORGANIC CHEMISTRY
- C07D—HETEROCYCLIC COMPOUNDS
- C07D239/00—Heterocyclic compounds containing 1,3-diazine or hydrogenated 1,3-diazine rings
- C07D239/70—Heterocyclic compounds containing 1,3-diazine or hydrogenated 1,3-diazine rings condensed with carbocyclic rings or ring systems
- C07D239/72—Quinazolines; Hydrogenated quinazolines
- C07D239/74—Quinazolines; Hydrogenated quinazolines with only hydrogen atoms, hydrocarbon or substituted hydrocarbon radicals, attached to ring carbon atoms of the hetero ring
-
- C—CHEMISTRY; METALLURGY
- C07—ORGANIC CHEMISTRY
- C07D—HETEROCYCLIC COMPOUNDS
- C07D403/00—Heterocyclic compounds containing two or more hetero rings, having nitrogen atoms as the only ring hetero atoms, not provided for by group C07D401/00
- C07D403/02—Heterocyclic compounds containing two or more hetero rings, having nitrogen atoms as the only ring hetero atoms, not provided for by group C07D401/00 containing two hetero rings
- C07D403/04—Heterocyclic compounds containing two or more hetero rings, having nitrogen atoms as the only ring hetero atoms, not provided for by group C07D401/00 containing two hetero rings directly linked by a ring-member-to-ring-member bond
-
- C—CHEMISTRY; METALLURGY
- C07—ORGANIC CHEMISTRY
- C07D—HETEROCYCLIC COMPOUNDS
- C07D405/00—Heterocyclic compounds containing both one or more hetero rings having oxygen atoms as the only ring hetero atoms, and one or more rings having nitrogen as the only ring hetero atom
- C07D405/02—Heterocyclic compounds containing both one or more hetero rings having oxygen atoms as the only ring hetero atoms, and one or more rings having nitrogen as the only ring hetero atom containing two hetero rings
- C07D405/04—Heterocyclic compounds containing both one or more hetero rings having oxygen atoms as the only ring hetero atoms, and one or more rings having nitrogen as the only ring hetero atom containing two hetero rings directly linked by a ring-member-to-ring-member bond
-
- C—CHEMISTRY; METALLURGY
- C07—ORGANIC CHEMISTRY
- C07D—HETEROCYCLIC COMPOUNDS
- C07D409/00—Heterocyclic compounds containing two or more hetero rings, at least one ring having sulfur atoms as the only ring hetero atoms
- C07D409/02—Heterocyclic compounds containing two or more hetero rings, at least one ring having sulfur atoms as the only ring hetero atoms containing two hetero rings
- C07D409/04—Heterocyclic compounds containing two or more hetero rings, at least one ring having sulfur atoms as the only ring hetero atoms containing two hetero rings directly linked by a ring-member-to-ring-member bond
-
- C—CHEMISTRY; METALLURGY
- C07—ORGANIC CHEMISTRY
- C07D—HETEROCYCLIC COMPOUNDS
- C07D491/00—Heterocyclic compounds containing in the condensed ring system both one or more rings having oxygen atoms as the only ring hetero atoms and one or more rings having nitrogen atoms as the only ring hetero atoms, not provided for by groups C07D451/00 - C07D459/00, C07D463/00, C07D477/00 or C07D489/00
- C07D491/02—Heterocyclic compounds containing in the condensed ring system both one or more rings having oxygen atoms as the only ring hetero atoms and one or more rings having nitrogen atoms as the only ring hetero atoms, not provided for by groups C07D451/00 - C07D459/00, C07D463/00, C07D477/00 or C07D489/00 in which the condensed system contains two hetero rings
- C07D491/04—Ortho-condensed systems
- C07D491/044—Ortho-condensed systems with only one oxygen atom as ring hetero atom in the oxygen-containing ring
- C07D491/048—Ortho-condensed systems with only one oxygen atom as ring hetero atom in the oxygen-containing ring the oxygen-containing ring being five-membered
-
- H01L51/0067—
-
- H01L51/50—
-
- H—ELECTRICITY
- H10—SEMICONDUCTOR DEVICES; ELECTRIC SOLID-STATE DEVICES NOT OTHERWISE PROVIDED FOR
- H10K—ORGANIC ELECTRIC SOLID-STATE DEVICES
- H10K85/00—Organic materials used in the body or electrodes of devices covered by this subclass
- H10K85/60—Organic compounds having low molecular weight
- H10K85/615—Polycyclic condensed aromatic hydrocarbons, e.g. anthracene
- H10K85/624—Polycyclic condensed aromatic hydrocarbons, e.g. anthracene containing six or more rings
-
- H—ELECTRICITY
- H10—SEMICONDUCTOR DEVICES; ELECTRIC SOLID-STATE DEVICES NOT OTHERWISE PROVIDED FOR
- H10K—ORGANIC ELECTRIC SOLID-STATE DEVICES
- H10K85/00—Organic materials used in the body or electrodes of devices covered by this subclass
- H10K85/60—Organic compounds having low molecular weight
- H10K85/615—Polycyclic condensed aromatic hydrocarbons, e.g. anthracene
- H10K85/626—Polycyclic condensed aromatic hydrocarbons, e.g. anthracene containing more than one polycyclic condensed aromatic rings, e.g. bis-anthracene
-
- H—ELECTRICITY
- H10—SEMICONDUCTOR DEVICES; ELECTRIC SOLID-STATE DEVICES NOT OTHERWISE PROVIDED FOR
- H10K—ORGANIC ELECTRIC SOLID-STATE DEVICES
- H10K85/00—Organic materials used in the body or electrodes of devices covered by this subclass
- H10K85/60—Organic compounds having low molecular weight
- H10K85/649—Aromatic compounds comprising a hetero atom
- H10K85/654—Aromatic compounds comprising a hetero atom comprising only nitrogen as heteroatom
-
- H—ELECTRICITY
- H10—SEMICONDUCTOR DEVICES; ELECTRIC SOLID-STATE DEVICES NOT OTHERWISE PROVIDED FOR
- H10K—ORGANIC ELECTRIC SOLID-STATE DEVICES
- H10K85/00—Organic materials used in the body or electrodes of devices covered by this subclass
- H10K85/60—Organic compounds having low molecular weight
- H10K85/649—Aromatic compounds comprising a hetero atom
- H10K85/657—Polycyclic condensed heteroaromatic hydrocarbons
- H10K85/6572—Polycyclic condensed heteroaromatic hydrocarbons comprising only nitrogen in the heteroaromatic polycondensed ring system, e.g. phenanthroline or carbazole
-
- H—ELECTRICITY
- H10—SEMICONDUCTOR DEVICES; ELECTRIC SOLID-STATE DEVICES NOT OTHERWISE PROVIDED FOR
- H10K—ORGANIC ELECTRIC SOLID-STATE DEVICES
- H10K85/00—Organic materials used in the body or electrodes of devices covered by this subclass
- H10K85/60—Organic compounds having low molecular weight
- H10K85/649—Aromatic compounds comprising a hetero atom
- H10K85/657—Polycyclic condensed heteroaromatic hydrocarbons
- H10K85/6574—Polycyclic condensed heteroaromatic hydrocarbons comprising only oxygen in the heteroaromatic polycondensed ring system, e.g. cumarine dyes
-
- H—ELECTRICITY
- H10—SEMICONDUCTOR DEVICES; ELECTRIC SOLID-STATE DEVICES NOT OTHERWISE PROVIDED FOR
- H10K—ORGANIC ELECTRIC SOLID-STATE DEVICES
- H10K85/00—Organic materials used in the body or electrodes of devices covered by this subclass
- H10K85/60—Organic compounds having low molecular weight
- H10K85/649—Aromatic compounds comprising a hetero atom
- H10K85/657—Polycyclic condensed heteroaromatic hydrocarbons
- H10K85/6576—Polycyclic condensed heteroaromatic hydrocarbons comprising only sulfur in the heteroaromatic polycondensed ring system, e.g. benzothiophene
-
- H—ELECTRICITY
- H10—SEMICONDUCTOR DEVICES; ELECTRIC SOLID-STATE DEVICES NOT OTHERWISE PROVIDED FOR
- H10K—ORGANIC ELECTRIC SOLID-STATE DEVICES
- H10K50/00—Organic light-emitting devices
- H10K50/10—OLEDs or polymer light-emitting diodes [PLED]
- H10K50/18—Carrier blocking layers
-
- H—ELECTRICITY
- H10—SEMICONDUCTOR DEVICES; ELECTRIC SOLID-STATE DEVICES NOT OTHERWISE PROVIDED FOR
- H10K—ORGANIC ELECTRIC SOLID-STATE DEVICES
- H10K77/00—Constructional details of devices covered by this subclass and not covered by groups H10K10/80, H10K30/80, H10K50/80 or H10K59/80
- H10K77/10—Substrates, e.g. flexible substrates
Landscapes
- Chemical & Material Sciences (AREA)
- Organic Chemistry (AREA)
- Physics & Mathematics (AREA)
- Spectroscopy & Molecular Physics (AREA)
- Engineering & Computer Science (AREA)
- Materials Engineering (AREA)
- Electroluminescent Light Sources (AREA)
- Plural Heterocyclic Compounds (AREA)
Abstract
Description
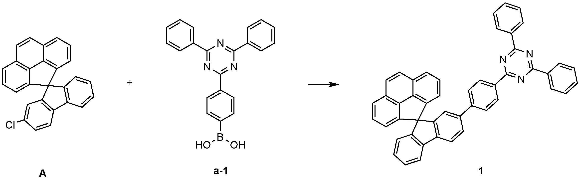
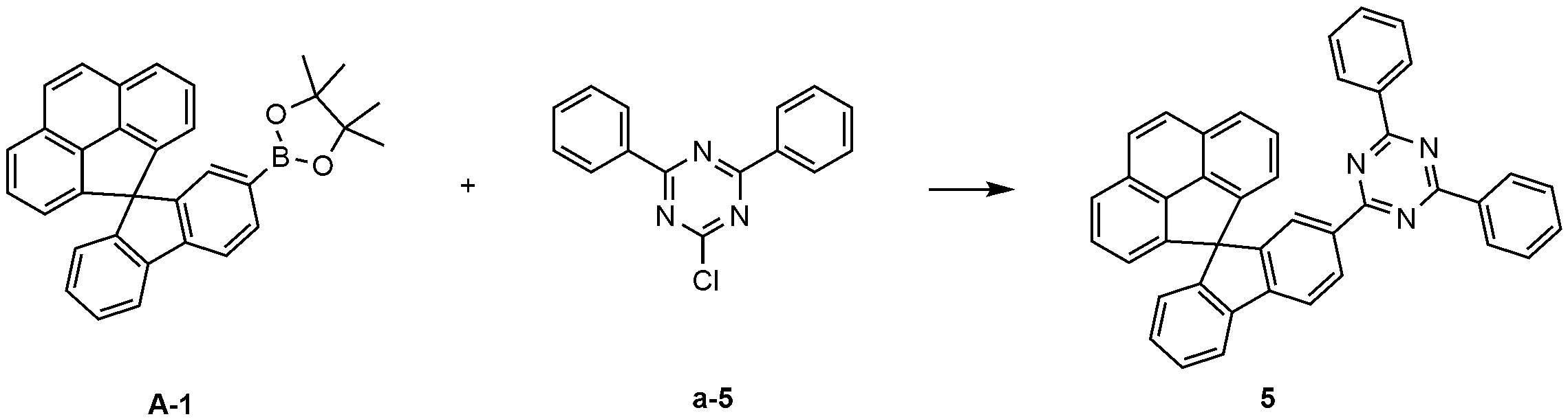
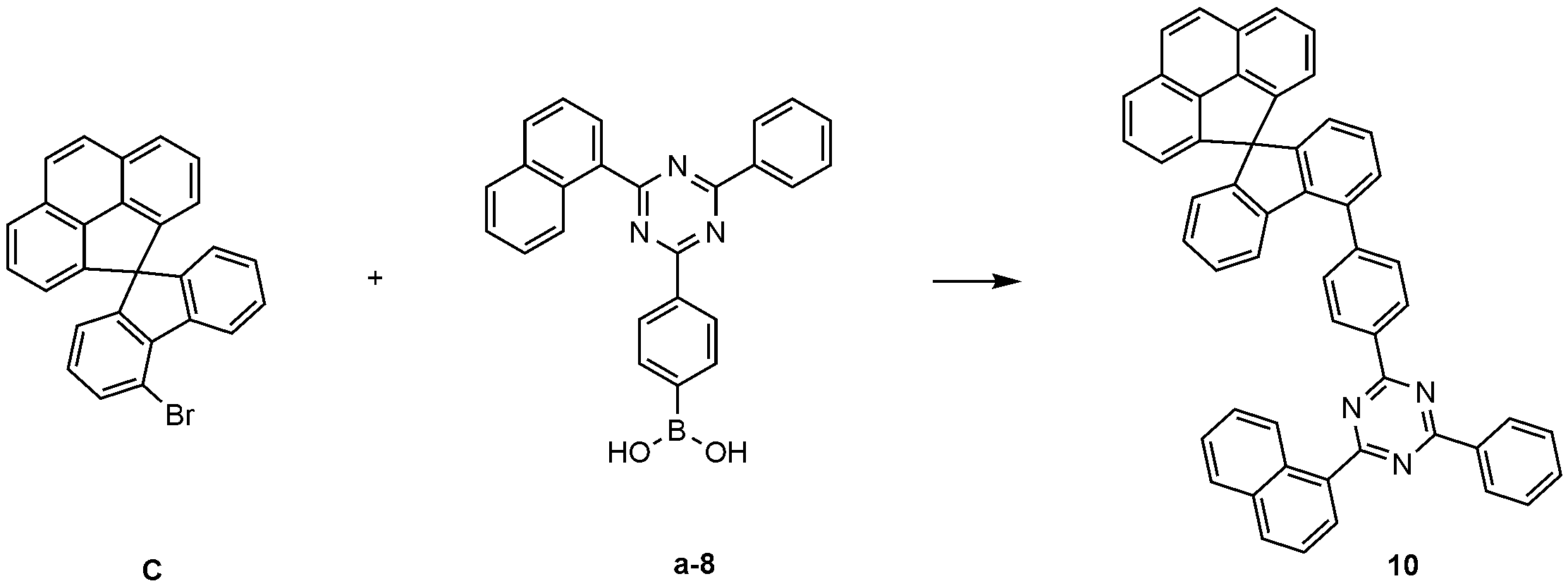
도 2는 기판 (1), 양극(2), 정공주입층(5), 정공수송층(6), 전자억제층(7), 발광층(8), 정공억제층(9), 전자수송층(10), 전자주입층(11) 및 음극(4)로 이루어진 유기 발광 소자의 예를 도시한 것이다.
| 화합물 (정공억제층) |
전압 (V@10mA/cm2) |
효율 (cd/A@10mA/cm2) |
색좌표 (x, y) |
T95 (hr@10mA/cm2) |
|
| 실험예 1 | 화합물 1 | 4.47 | 6.59 | (0.145, 0.042) | 255 |
| 실험예 2 | 화합물 2 | 4.48 | 6.54 | (0.144, 0.045) | 265 |
| 실험예 3 | 화합물 3 | 4.43 | 6.58 | (0.146, 0.046) | 255 |
| 실험예 4 | 화합물 4 | 4.45 | 6.54 | (0.147, 0.047) | 240 |
| 실험예 5 | 화합물 5 | 4.42 | 6.56 | (0.146, 0.044) | 250 |
| 실험예 6 | 화합물 6 | 4.44 | 6.52 | (0.144, 0.045) | 265 |
| 실험예 7 | 화합물 7 | 4.45 | 6.58 | (0.145, 0.046) | 255 |
| 실험예 8 | 화합물 8 | 4.55 | 6.49 | (0.146, 0.047) | 245 |
| 실험예 9 | 화합물 9 | 4.51 | 6.48 | (0.146, 0.046) | 235 |
| 실험예 10 | 화합물 10 | 4.66 | 6.34 | (0.144, 0.045) | 245 |
| 실험예 11 | 화합물 11 | 4.67 | 6.31 | (0.145, 0.046) | 230 |
| 비교실험예 1 | 화합물 HB1 | 6.12 | 2.35 | (0.145, 0.045) | 15 |
| 비교실험예 2 | 화합물 HB2 | 4.98 | 5.23 | (0.146, 0.046) | 180 |
| 비교실험예 3 | 화합물 HB3 | 5.14 | 5.60 | (0.147, 0.044) | 195 |
3: 유기물층 4: 음극
5: 정공주입층 6: 정공수송층
7: 전자억제층 8: 발광층
9: 정공억제층 10: 전자수송층
11: 전자주입층
Claims (10)
- 하기 화학식 1로 표시되는 화합물:
[화학식 1]
상기 화학식 1에서,
L은 단일 결합; 치환 또는 비치환된 C6-60 아릴렌; 또는 치환 또는 비치환된 N, O 및 S로 구성되는 군으로부터 선택되는 어느 하나 이상을 포함하는 C2-60 헤테로아릴렌이고,
Ar은 하기로 구성되는 군으로부터 선택되는 어느 하나이고,
상기에서,
X1 내지 X3는 N, 또는 CH이고, 단 X1 내지 X3 중 적어도 하나는 N이고,
Ar1 및 Ar2는 각각 독립적으로 치환 또는 비치환된 C6-60 아릴; 또는 치환 또는 비치환된 N, O 및 S로 구성되는 군으로부터 선택되는 어느 하나 이상을 포함하는 C2-60 헤테로아릴이고,
X4 및 X5는 N, 또는 CH이고, 단 X4 및 X5 중 적어도 하나는 N이고,
Ar3은 각각 독립적으로 치환 또는 비치환된 C6-60 아릴; 또는 치환 또는 비치환된 N, O 및 S로 구성되는 군으로부터 선택되는 어느 하나 이상을 포함하는 C2-60 헤테로아릴이고,
Y는 N(Ar5), O 또는 S이고,
Ar4는 수소, 치환 또는 비치환된 C6-60 아릴; 또는 치환 또는 비치환된 N, O 및 S로 구성되는 군으로부터 선택되는 어느 하나 이상을 포함하는 C2-60 헤테로아릴이고,
Ar5는 치환 또는 비치환된 C6-60 아릴이고,
단, 하기 화합물은 상기 화학식 1로 표시되는 화합물에서 제외된다:
.
- 제1항에 있어서,
L은, 단일 결합, 페닐렌, 또는 카바졸디일인,
화합물.
- 삭제
- 제1항에 있어서,
Ar1 및 Ar2는 각각 독립적으로 페닐, 비페닐릴, 터페닐릴, 나프틸, 페난쓰레닐, 트리페닐레닐, 디벤조퓨라닐, 디벤조티오페닐, 또는 9-페닐-9H-카바졸릴인,
화합물.
- 제1항에 있어서,
Ar3은 페닐, 비페닐릴, 또는 나프틸인,
화합물.
- 제1항에 있어서,
Ar4는 수소, 페닐, 비페닐릴, 또는 나프틸인,
화합물.
- 제1항에 있어서,
Ar5는 페닐인,
화합물.
- 제1 전극; 상기 제1 전극과 대향하여 구비된 제2 전극; 및 상기 제1 전극과 상기 제2 전극 사이에 구비된 1층 이상의 유기물층을 포함하는 유기 발광 소자로서, 상기 유기물층 중 1층 이상은 제1항 내지 제3항 및 제5항 내지 제9항 중 어느 하나의 항에 따른 화합물을 포함하는 것인, 유기 발광 소자.
Applications Claiming Priority (2)
| Application Number | Priority Date | Filing Date | Title |
|---|---|---|---|
| KR20180051361 | 2018-05-03 | ||
| KR1020180051361 | 2018-05-03 |
Publications (2)
| Publication Number | Publication Date |
|---|---|
| KR20190127574A KR20190127574A (ko) | 2019-11-13 |
| KR102217268B1 true KR102217268B1 (ko) | 2021-02-18 |
Family
ID=68386629
Family Applications (1)
| Application Number | Title | Priority Date | Filing Date |
|---|---|---|---|
| KR1020190051621A Active KR102217268B1 (ko) | 2018-05-03 | 2019-05-02 | 신규한 화합물 및 이를 이용한 유기 발광 소자 |
Country Status (7)
| Country | Link |
|---|---|
| US (1) | US11778909B2 (ko) |
| EP (1) | EP3747873B1 (ko) |
| JP (1) | JP7081747B2 (ko) |
| KR (1) | KR102217268B1 (ko) |
| CN (1) | CN111630038B9 (ko) |
| TW (1) | TWI702276B (ko) |
| WO (1) | WO2019212325A1 (ko) |
Families Citing this family (2)
| Publication number | Priority date | Publication date | Assignee | Title |
|---|---|---|---|---|
| CN111943829B (zh) * | 2020-07-27 | 2022-04-15 | 清华大学 | 一种激基复合物及其应用及采用该激基复合物的有机电致发光器件 |
| CN114591257B (zh) * | 2022-03-29 | 2024-06-14 | 京东方科技集团股份有限公司 | 螺环化合物、电子传输材料及发光器件 |
Family Cites Families (11)
| Publication number | Priority date | Publication date | Assignee | Title |
|---|---|---|---|---|
| KR100430549B1 (ko) | 1999-01-27 | 2004-05-10 | 주식회사 엘지화학 | 신규한 착물 및 그의 제조 방법과 이를 이용한 유기 발광 소자 및 그의 제조 방법 |
| DE10135513B4 (de) | 2001-07-20 | 2005-02-24 | Novaled Gmbh | Lichtemittierendes Bauelement mit organischen Schichten |
| KR101338253B1 (ko) * | 2006-06-15 | 2013-12-09 | 삼성디스플레이 주식회사 | 사이클로펜타페난트렌계 화합물 및 이를 이용한 유기 전계발광 소자 |
| KR101453873B1 (ko) | 2007-10-08 | 2014-10-24 | 삼성디스플레이 주식회사 | 사이클로펜타페난트렌계 화합물 및 이를 이용한 유기 발광소자 |
| KR102079249B1 (ko) | 2012-06-12 | 2020-02-20 | 삼성디스플레이 주식회사 | 신규한 유기 발광 소자용 화합물 및 이를 포함한 유기 발광 소자 |
| KR102040871B1 (ko) | 2012-07-11 | 2019-11-06 | 삼성디스플레이 주식회사 | 신규한 유기 발광 소자용 화합물 및 이를 포함한 유기 발광 소자 |
| KR102038969B1 (ko) * | 2013-04-12 | 2019-11-01 | 삼성디스플레이 주식회사 | 유기 화합물 및 이를 포함하는 유기 발광 장치 |
| KR102620119B1 (ko) * | 2016-02-15 | 2024-01-03 | 덕산네오룩스 주식회사 | 유기전기 소자용 화합물, 이를 이용한 유기전기소자 및 그 전자 장치 |
| KR102643057B1 (ko) * | 2016-10-26 | 2024-03-04 | 솔루스첨단소재 주식회사 | 유기 발광 화합물 및 이를 이용한 유기 전계 발광 소자 |
| CN108117511B (zh) | 2016-11-30 | 2022-05-27 | 北京鼎材科技有限公司 | 螺芴环化合物、其用途及采用其的有机电致发光器件 |
| CN108117508A (zh) | 2016-11-30 | 2018-06-05 | 北京鼎材科技有限公司 | 螺芴环化合物、其应用及采用其的空穴传输材料和有机电致发光器件 |
-
2019
- 2019-05-02 US US16/964,723 patent/US11778909B2/en active Active
- 2019-05-02 EP EP19796361.4A patent/EP3747873B1/en active Active
- 2019-05-02 KR KR1020190051621A patent/KR102217268B1/ko active Active
- 2019-05-02 WO PCT/KR2019/005993 patent/WO2019212325A1/ko not_active Ceased
- 2019-05-02 JP JP2020538814A patent/JP7081747B2/ja active Active
- 2019-05-02 TW TW108115252A patent/TWI702276B/zh active
- 2019-05-02 CN CN201980008733.0A patent/CN111630038B9/zh active Active
Also Published As
| Publication number | Publication date |
|---|---|
| EP3747873A1 (en) | 2020-12-09 |
| EP3747873A4 (en) | 2021-04-14 |
| WO2019212325A1 (ko) | 2019-11-07 |
| EP3747873B1 (en) | 2022-09-07 |
| US20200358006A1 (en) | 2020-11-12 |
| JP7081747B2 (ja) | 2022-06-07 |
| CN111630038B9 (zh) | 2024-01-19 |
| JP2021512053A (ja) | 2021-05-13 |
| TW201947011A (zh) | 2019-12-16 |
| KR20190127574A (ko) | 2019-11-13 |
| TWI702276B (zh) | 2020-08-21 |
| CN111630038A (zh) | 2020-09-04 |
| US11778909B2 (en) | 2023-10-03 |
| CN111630038B (zh) | 2023-12-12 |
Similar Documents
| Publication | Publication Date | Title |
|---|---|---|
| KR102235734B1 (ko) | 신규한 화합물 및 이를 포함하는 유기발광 소자 | |
| KR102163070B1 (ko) | 신규한 화합물 및 이를 이용한 유기 발광 소자 | |
| KR102080286B1 (ko) | 신규한 화합물 및 이를 이용한 유기발광 소자 | |
| KR102202593B1 (ko) | 신규한 트리페닐렌 화합물 및 이를 이용한 유기 발광 소자 | |
| KR102465242B1 (ko) | 신규한 화합물 및 이를 이용한 유기 발광 소자 | |
| KR20200144482A (ko) | 신규한 화합물 및 이를 이용한 유기발광 소자 | |
| KR102175713B1 (ko) | 신규한 헤테로 고리 화합물 및 이를 이용한 유기발광 소자 | |
| KR20210031409A (ko) | 신규한 화합물 및 이를 포함하는 유기발광 소자 | |
| KR20210001997A (ko) | 신규한 화합물 및 이를 이용한 유기 발광 소자 | |
| KR20210027978A (ko) | 신규한 화합물 및 이를 포함하는 유기발광 소자 | |
| KR20210058691A (ko) | 신규한 헤테로 고리 화합물 및 이를 이용한 유기발광 소자 | |
| KR20210023773A (ko) | 신규한 화합물 및 이를 이용한 유기 발광 소자 | |
| KR20200143227A (ko) | 신규한 화합물 및 이를 포함하는 유기발광 소자 | |
| KR20200117257A (ko) | 신규한 화합물 및 이를 포함하는 유기발광 소자 | |
| KR102217268B1 (ko) | 신규한 화합물 및 이를 이용한 유기 발광 소자 | |
| KR102838356B1 (ko) | 신규한 화합물 및 이를 포함하는 유기발광 소자 | |
| KR102168068B1 (ko) | 신규한 화합물 및 이를 이용한 유기발광 소자 | |
| KR20210023774A (ko) | 신규한 화합물 및 이를 이용한 유기 발광 소자 | |
| KR20200115159A (ko) | 신규한 화합물 및 이를 포함하는 유기발광 소자 | |
| KR20210052085A (ko) | 신규한 화합물 및 이를 포함하는 유기발광 소자 | |
| KR20210059448A (ko) | 신규한 아민계 화합물 및 이를 이용한 유기발광 소자 | |
| KR20210056078A (ko) | 신규한 화합물 및 이를 포함하는 유기발광 소자 | |
| KR102412131B1 (ko) | 신규한 화합물 및 이를 이용한 유기 발광 소자 | |
| KR102705359B1 (ko) | 신규한 아민계 화합물 및 이를 이용한 유기발광 소자 | |
| KR102251402B1 (ko) | 신규한 화합물 및 이를 이용한 유기발광 소자 |
Legal Events
| Date | Code | Title | Description |
|---|---|---|---|
| PA0109 | Patent application |
St.27 status event code: A-0-1-A10-A12-nap-PA0109 |
|
| A201 | Request for examination | ||
| PA0201 | Request for examination |
St.27 status event code: A-1-2-D10-D11-exm-PA0201 |
|
| R18-X000 | Changes to party contact information recorded |
St.27 status event code: A-3-3-R10-R18-oth-X000 |
|
| PG1501 | Laying open of application |
St.27 status event code: A-1-1-Q10-Q12-nap-PG1501 |
|
| E902 | Notification of reason for refusal | ||
| PE0902 | Notice of grounds for rejection |
St.27 status event code: A-1-2-D10-D21-exm-PE0902 |
|
| E13-X000 | Pre-grant limitation requested |
St.27 status event code: A-2-3-E10-E13-lim-X000 |
|
| P11-X000 | Amendment of application requested |
St.27 status event code: A-2-2-P10-P11-nap-X000 |
|
| P13-X000 | Application amended |
St.27 status event code: A-2-2-P10-P13-nap-X000 |
|
| E701 | Decision to grant or registration of patent right | ||
| PE0701 | Decision of registration |
St.27 status event code: A-1-2-D10-D22-exm-PE0701 |
|
| PR0701 | Registration of establishment |
St.27 status event code: A-2-4-F10-F11-exm-PR0701 |
|
| PR1002 | Payment of registration fee |
St.27 status event code: A-2-2-U10-U11-oth-PR1002 Fee payment year number: 1 |
|
| PG1601 | Publication of registration |
St.27 status event code: A-4-4-Q10-Q13-nap-PG1601 |
|
| P22-X000 | Classification modified |
St.27 status event code: A-4-4-P10-P22-nap-X000 |
|
| P22-X000 | Classification modified |
St.27 status event code: A-4-4-P10-P22-nap-X000 |
|
| PR1001 | Payment of annual fee |
St.27 status event code: A-4-4-U10-U11-oth-PR1001 Fee payment year number: 4 |
|
| PR1001 | Payment of annual fee |
St.27 status event code: A-4-4-U10-U11-oth-PR1001 Fee payment year number: 5 |
|
| PR1001 | Payment of annual fee |
St.27 status event code: A-4-4-U10-U11-oth-PR1001 Fee payment year number: 6 |
|
| U11 | Full renewal or maintenance fee paid |
Free format text: ST27 STATUS EVENT CODE: A-4-4-U10-U11-OTH-PR1001 (AS PROVIDED BY THE NATIONAL OFFICE) Year of fee payment: 6 |





















































