KR101957281B1 - Organic light-emitting display device and Measuring method of transistor characteristics of the same - Google Patents
Organic light-emitting display device and Measuring method of transistor characteristics of the same Download PDFInfo
- Publication number
- KR101957281B1 KR101957281B1 KR1020130048508A KR20130048508A KR101957281B1 KR 101957281 B1 KR101957281 B1 KR 101957281B1 KR 1020130048508 A KR1020130048508 A KR 1020130048508A KR 20130048508 A KR20130048508 A KR 20130048508A KR 101957281 B1 KR101957281 B1 KR 101957281B1
- Authority
- KR
- South Korea
- Prior art keywords
- sensing
- voltage
- driving transistor
- data
- transistor
- Prior art date
- Legal status (The legal status is an assumption and is not a legal conclusion. Google has not performed a legal analysis and makes no representation as to the accuracy of the status listed.)
- Active
Links
Images
Classifications
-
- G—PHYSICS
- G09—EDUCATION; CRYPTOGRAPHY; DISPLAY; ADVERTISING; SEALS
- G09G—ARRANGEMENTS OR CIRCUITS FOR CONTROL OF INDICATING DEVICES USING STATIC MEANS TO PRESENT VARIABLE INFORMATION
- G09G3/00—Control arrangements or circuits, of interest only in connection with visual indicators other than cathode-ray tubes
- G09G3/20—Control arrangements or circuits, of interest only in connection with visual indicators other than cathode-ray tubes for presentation of an assembly of a number of characters, e.g. a page, by composing the assembly by combination of individual elements arranged in a matrix no fixed position being assigned to or needed to be assigned to the individual characters or partial characters
- G09G3/22—Control arrangements or circuits, of interest only in connection with visual indicators other than cathode-ray tubes for presentation of an assembly of a number of characters, e.g. a page, by composing the assembly by combination of individual elements arranged in a matrix no fixed position being assigned to or needed to be assigned to the individual characters or partial characters using controlled light sources
- G09G3/30—Control arrangements or circuits, of interest only in connection with visual indicators other than cathode-ray tubes for presentation of an assembly of a number of characters, e.g. a page, by composing the assembly by combination of individual elements arranged in a matrix no fixed position being assigned to or needed to be assigned to the individual characters or partial characters using controlled light sources using electroluminescent panels
- G09G3/32—Control arrangements or circuits, of interest only in connection with visual indicators other than cathode-ray tubes for presentation of an assembly of a number of characters, e.g. a page, by composing the assembly by combination of individual elements arranged in a matrix no fixed position being assigned to or needed to be assigned to the individual characters or partial characters using controlled light sources using electroluminescent panels semiconductive, e.g. using light-emitting diodes [LED]
- G09G3/3208—Control arrangements or circuits, of interest only in connection with visual indicators other than cathode-ray tubes for presentation of an assembly of a number of characters, e.g. a page, by composing the assembly by combination of individual elements arranged in a matrix no fixed position being assigned to or needed to be assigned to the individual characters or partial characters using controlled light sources using electroluminescent panels semiconductive, e.g. using light-emitting diodes [LED] organic, e.g. using organic light-emitting diodes [OLED]
- G09G3/3225—Control arrangements or circuits, of interest only in connection with visual indicators other than cathode-ray tubes for presentation of an assembly of a number of characters, e.g. a page, by composing the assembly by combination of individual elements arranged in a matrix no fixed position being assigned to or needed to be assigned to the individual characters or partial characters using controlled light sources using electroluminescent panels semiconductive, e.g. using light-emitting diodes [LED] organic, e.g. using organic light-emitting diodes [OLED] using an active matrix
- G09G3/3233—Control arrangements or circuits, of interest only in connection with visual indicators other than cathode-ray tubes for presentation of an assembly of a number of characters, e.g. a page, by composing the assembly by combination of individual elements arranged in a matrix no fixed position being assigned to or needed to be assigned to the individual characters or partial characters using controlled light sources using electroluminescent panels semiconductive, e.g. using light-emitting diodes [LED] organic, e.g. using organic light-emitting diodes [OLED] using an active matrix with pixel circuitry controlling the current through the light-emitting element
- G09G3/3241—Control arrangements or circuits, of interest only in connection with visual indicators other than cathode-ray tubes for presentation of an assembly of a number of characters, e.g. a page, by composing the assembly by combination of individual elements arranged in a matrix no fixed position being assigned to or needed to be assigned to the individual characters or partial characters using controlled light sources using electroluminescent panels semiconductive, e.g. using light-emitting diodes [LED] organic, e.g. using organic light-emitting diodes [OLED] using an active matrix with pixel circuitry controlling the current through the light-emitting element the current through the light-emitting element being set using a data current provided by the data driver, e.g. by using a two-transistor current mirror
- G09G3/325—Control arrangements or circuits, of interest only in connection with visual indicators other than cathode-ray tubes for presentation of an assembly of a number of characters, e.g. a page, by composing the assembly by combination of individual elements arranged in a matrix no fixed position being assigned to or needed to be assigned to the individual characters or partial characters using controlled light sources using electroluminescent panels semiconductive, e.g. using light-emitting diodes [LED] organic, e.g. using organic light-emitting diodes [OLED] using an active matrix with pixel circuitry controlling the current through the light-emitting element the current through the light-emitting element being set using a data current provided by the data driver, e.g. by using a two-transistor current mirror the data current flowing through the driving transistor during a setting phase, e.g. by using a switch for connecting the driving transistor to the data driver
-
- H—ELECTRICITY
- H10—SEMICONDUCTOR DEVICES; ELECTRIC SOLID-STATE DEVICES NOT OTHERWISE PROVIDED FOR
- H10K—ORGANIC ELECTRIC SOLID-STATE DEVICES
- H10K71/00—Manufacture or treatment specially adapted for the organic devices covered by this subclass
Landscapes
- Engineering & Computer Science (AREA)
- Physics & Mathematics (AREA)
- Computer Hardware Design (AREA)
- General Physics & Mathematics (AREA)
- Theoretical Computer Science (AREA)
- Manufacturing & Machinery (AREA)
- Electroluminescent Light Sources (AREA)
- Control Of Indicators Other Than Cathode Ray Tubes (AREA)
Abstract
실시 예는 스캔신호에 의해 정의되는 2 이상의 센싱 수평구간으로 구동되는 유기발광 표시장치의 트랜지스터 특성 측정방법에 있어서, 구동 트랜지스터의 게이트 전극에 데이터 전압을 인가하고, 상기 구동 트랜지스터의 소스 전극에 기준전압을 인가하는 단계; 상기 구동 트랜지스터에 흐르는 전류에 의해 기준 라인에 인가되는 상승전압을 센싱 전압으로 샘플링하는 단계; 및 상기 센싱 전압으로 상기 구동 트랜지스터의 문턱전압을 도출하는 단계를 포함하고, 상기 센싱 전압은 2 이상의 센싱 수평구간에서 각각 측정된다.A method of measuring a transistor characteristic of an organic light emitting display device driven by two or more sensing horizontal intervals defined by a scan signal includes the steps of applying a data voltage to a gate electrode of a driving transistor, ; Sampling a rising voltage applied to a reference line by a current flowing in the driving transistor to a sensing voltage; And deriving a threshold voltage of the driving transistor with the sensing voltage, wherein the sensing voltage is measured in two or more sensing horizontal intervals.
Description
실시 예는 유기발광 표시장치에 관한 것이다.An embodiment relates to an organic light emitting display.
실시 예는 유기발광 표시장치의 트랜지스터 특성 측정방법에 관한 것이다.The embodiment relates to a method of measuring transistor characteristics of an organic light emitting display.
정보를 표시하기 위한 표시장치가 널리 개발되고 있다.Display devices for displaying information are widely developed.
표시장치는 액정표시장치, 유기발광 표시장치, 전기영동 표시장치, 전계방출 표시장치, 플라즈마 표시장치를 포함한다.The display device includes a liquid crystal display device, an organic light emitting display device, an electrophoretic display device, a field emission display device, and a plasma display device.
이 중에서, 유기발광 표시장치는 액정표시장치에 비해, 소비 전력이 낮고, 시야각이 넓으며, 더욱 가볍고, 휘도가 높아, 차세대 표시장치로서 각광받고 있다.Among them, the organic light emitting display device is lower in power consumption, wider in viewing angle, lighter in weight, and higher in brightness than the liquid crystal display device, and has attracted attention as a next generation display device.
유기발광 표시장치에 사용되는 박막 트랜지스터는 아몰포스 실리콘을 결정화를 통해 폴리실리콘으로 형성한 반도체층에 의해 이동도를 증가시켜 고속 구동이 가능하게 되었다.The thin film transistor used in the organic light emitting diode display has increased the mobility by the semiconductor layer formed of polysilicon through the crystallization of amorphous silicon, thereby enabling high speed driving.
결정화는 레이저를 이용한 스캔 방식이 널리 이용되고 있다. 이러한 결정화 공정시, 레이저의 파워 불안정으로 인해, 스캔이 지나간 자리를 의미하는 스캔 라인에 형성된 박막 트랜지스터의 문턱 전압이 서로 상이해지게 되어, 각 화소 영역에서의 화질 불균일이 초래되는 문제가 있다.A laser scanning method is widely used for crystallization. In such a crystallization process, the threshold voltages of the thin film transistors formed on the scan lines, which means the scan passes, are different from each other due to the unstable power of the laser, resulting in a problem of uneven image quality in each pixel area.
이러한 문제를 해결하기 위해, 화소 영역에 문턱 전압을 검출하여 박막 트랜지스터의 문턱 전압을 보상하여 주는 기술이 제안되었다.In order to solve such a problem, a technique has been proposed in which a threshold voltage is detected in a pixel region to compensate a threshold voltage of the thin film transistor.
상기 박막 트랜지스터의 문턱 전압을 보상하는 기술은 화소 영역 내의 회로 구성을 통해 보상하는 내부보상 및 데이터 드라이버로 화소 영역의 전류 또는 전압을 전송하여 이를 보상하여 데이터 전압을 인가하는 외부보상방법이 있다.A technique for compensating a threshold voltage of the thin film transistor is an external compensation method for applying a data voltage by transmitting a current or voltage in a pixel region with an internal compensation and a data driver compensating through a circuit configuration in a pixel region and compensating the current or voltage.
상기 전압을 이용한 외부보상방법은 화소 영역내의 전압을 측정하여 상기 박막 트랜지스터에 흐르는 전류를 검출하고, 이를 통해 I-V곡선을 도출하고, 이로써 상기 박막 트랜지스터의 문턱 전압과 이동도를 측정한다.In the external compensation method using the voltage, a voltage in the pixel region is measured to detect a current flowing through the thin film transistor, thereby obtaining an I-V curve, thereby measuring a threshold voltage and a mobility of the thin film transistor.
상기 박막 트랜지스터에 흐르는 전류를 검출하기 위해서는 2점 이상에서의 전압검출이 필요하다. 고계조의 경우 상기 화소 영역내의 전압의 상승시간이 짧고, 상기 아날로그 전압값을 디지털 값으로 변환하는데 시간이 소비되므로, 정확한 측정이 힘든 문제가 있다.In order to detect the current flowing through the thin film transistor, it is necessary to detect the voltage at two or more points. In the case of a high gradation, since the rise time of the voltage within the pixel region is short and time is consumed to convert the analog voltage value into a digital value, accurate measurement is difficult.
실시 예는 고계조에서 구동 트랜지스터의 문턱 전압을 정확히 측정할 수 있는 유기발광 표시장치를 제공한다.The embodiment provides an organic light emitting display device capable of accurately measuring a threshold voltage of a driving transistor at a high gradation.
실시 예는 드라이버 IC의 크기를 줄일 수 있는 유기발광 표시장치의 트랜지스터 특성 측정방법을 제공한다.The embodiment provides a method for measuring the transistor characteristics of an organic light emitting display capable of reducing the size of a driver IC.
실시 예는 스캔신호에 의해 정의되는 2 이상의 센싱 수평구간으로 구동되는 유기발광 표시장치의 트랜지스터 특성 측정방법에 있어서, 구동 트랜지스터의 게이트 전극에 데이터 전압을 인가하고, 상기 구동 트랜지스터의 소스 전극에 기준전압을 인가하는 단계; 상기 구동 트랜지스터에 흐르는 전류에 의해 기준 라인에 인가되는 상승전압을 센싱 전압으로 샘플링하는 단계; 및 상기 센싱 전압으로 상기 구동 트랜지스터의 문턱전압을 도출하는 단계를 포함하고, 상기 센싱 전압은 2 이상의 센싱 수평구간에서 각각 측정된다.A method of measuring a transistor characteristic of an organic light emitting display device driven by two or more sensing horizontal intervals defined by a scan signal includes the steps of applying a data voltage to a gate electrode of a driving transistor, ; Sampling a rising voltage applied to a reference line by a current flowing in the driving transistor to a sensing voltage; And deriving a threshold voltage of the driving transistor with the sensing voltage, wherein the sensing voltage is measured in two or more sensing horizontal intervals.
실시 예에 따른 유기발광 표시장치는, 다수의 구동 트랜지스터를 포함하는 유기발광 패널; 상기 유기발광 패널에 적어도 2이상의 구간에 스캔 신호를 인가하는 스캔 드라이버; 및 상기 유기발광 패널에 데이터 전압을 인가하고, 상기 구동 트랜지스터의 소스전극과 연결되는 제1 노드 전압을 센싱 전압으로 측정하여 상기 구동 트랜지스터의 문턱 전압을 검출하는 데이터 드라이버를 포함하고, 상기 데이터 드라이버는 스캔 신호에 의해 정의되는 서로 다른 2 이상의 센싱 수평구간에서 각각 측정된 상기 센싱 전압으로 상기 구동 트랜지스터의 문턱 전압을 검출한다.An organic light emitting display according to an embodiment includes: an organic light emitting panel including a plurality of driving transistors; A scan driver for applying a scan signal to at least two sections of the organic light emitting panel; And a data driver for applying a data voltage to the organic light emitting panel and measuring a threshold voltage of the driving transistor by measuring a first node voltage connected to a source electrode of the driving transistor as a sensing voltage, The threshold voltage of the driving transistor is detected with the sensing voltage measured in two or more different sensing horizontal intervals defined by the scan signal.
실시 예에 따른 유기발광 표시장치는, 다른 센싱 수평구간동안 측정된 전압으로 문턱 전압을 계산하여, 고계조가 인가되는 경우에도 정확한 문턱 전압을 측정할 수 있다.The organic light emitting display according to the embodiment can measure the threshold voltage with a voltage measured during another sensing horizontal interval and can accurately measure the threshold voltage even when a high gray scale is applied.
실시 예에 따른 유기발광 표시장치의 트랜지스터 특성 측정방법은, 센싱 전압 측정을 통해 구동 전류를 도출하고 이를 통해 문턱 전압을 계산하여, 드라이버 IC의 크기를 줄일 수 있다.The method of measuring the transistor characteristics of the organic light emitting display according to the embodiment can reduce the size of the driver IC by deriving the driving current through the sensing voltage measurement and calculating the threshold voltage through the sensing voltage measurement.
도 1은 제1 실시 예에 따른 유기발광 표시장치를 나타낸 블록도이다.
도 2는 제1 실시 예에 따른 유기발광 표시장치의 유기발광 패널 및 데이터 드라이버의 일부를 나타낸 회로도이다.
도 3은 제1 실시 예에 따른 유기발광 표시장치에 인가되는 신호를 나타내는 파형도이다.
도 4는 제1 실시 예에 따른 신호에 의한 유기발광 패널 및 데이터 드라이버의 연결관계를 나타내는 회로도이다.
도 5는 제2 실시 예에 따른 유기발광 표시장치에 인가되는 신호를 나타내는 파형도이다.
도 6은 초기화 구간에서의 유기발광 패널 및 데이터 드라이버의 연결관계를 나타낸 도면이다.1 is a block diagram illustrating an organic light emitting display according to a first embodiment of the present invention.
2 is a circuit diagram showing a part of an OLED panel and a data driver of the OLED display according to the first embodiment.
3 is a waveform diagram showing a signal applied to the OLED display according to the first embodiment.
4 is a circuit diagram showing a connection relationship between an organic light emitting panel and a data driver according to a signal according to the first embodiment.
5 is a waveform diagram showing a signal applied to the OLED display according to the second embodiment.
6 is a diagram illustrating a connection relationship between the organic light emitting panel and the data driver in the initialization period.
실시 예는 스캔신호에 의해 정의되는 2 이상의 센싱 수평구간으로 구동되는 유기발광 표시장치의 트랜지스터 특성 측정방법에 있어서, 구동 트랜지스터의 게이트 전극에 데이터 전압을 인가하고, 상기 구동 트랜지스터의 소스 전극에 기준전압을 인가하는 단계; 상기 구동 트랜지스터에 흐르는 전류에 의해 기준 라인에 인가되는 상승전압을 센싱 전압으로 샘플링하는 단계; 및 상기 센싱 전압으로 상기 구동 트랜지스터의 문턱전압을 도출하는 단계를 포함하고, 상기 센싱 전압은 2 이상의 센싱 수평구간에서 각각 측정된다.A method of measuring a transistor characteristic of an organic light emitting display device driven by two or more sensing horizontal intervals defined by a scan signal includes the steps of applying a data voltage to a gate electrode of a driving transistor, ; Sampling a rising voltage applied to a reference line by a current flowing in the driving transistor to a sensing voltage; And deriving a threshold voltage of the driving transistor with the sensing voltage, wherein the sensing voltage is measured in two or more sensing horizontal intervals.
상기 구동 트랜지스터의 게이트 전극에 데이터 전압을 인가하고, 구동 트랜지스터의 소스 전극에 기준전압을 인가하는 단계는, 상기 구동 트랜지스터의 게이트 전극에 상기 데이터 전압 인가 후 상기 구동 트랜지스터의 게이트 전극을 플로팅 시키는 단계를 더 포함할 수 있다.Applying a data voltage to a gate electrode of the driving transistor and applying a reference voltage to a source electrode of the driving transistor comprises floating the gate electrode of the driving transistor after applying the data voltage to the gate electrode of the driving transistor .
상기 2 이상의 센싱 수평구간은 제1 센싱 수평구간 및 제2 센싱 수평구간을 포함하고, 상기 센싱 전압은 상기 제1 센싱 수평구간에서 측정된 제1 센싱 전압 및 상기 제2 센싱 수평구간에서 측정된 제2 센싱 전압을 포함할 수 있다.Wherein the at least two sensing horizontal sections include a first sensing horizontal section and a second sensing horizontal section, and the sensing voltage includes a first sensing voltage measured in the first sensing horizontal section and a second sensing horizontal section measured in the second sensing horizontal section. 2 < / RTI > sensing voltage.
상기 제1 센싱 전압 및 상기 제2 센싱 전압으로 상기 구동 트랜지스터에 흐르는 구동전류를 측정하고, 상기 구동 전류로 상기 구동 트랜지스터의 문턱전압을 도출할 수 있다.The driving current flowing through the driving transistor may be measured by the first sensing voltage and the second sensing voltage, and the threshold voltage of the driving transistor may be derived from the driving current.
상기 구동 트랜지스터의 게이트 전극에 데이터 전압을 인가 전 상기 구동 트랜지스터의 게이트 전극에 초기화 전압을 인가하는 단계를 더 포함할 수 있다.And applying an initialization voltage to a gate electrode of the driving transistor before applying a data voltage to the gate electrode of the driving transistor.
상기 초기화 전압은 상기 기준전압과 동일한 레벨을 가질 수 있다.The initialization voltage may have the same level as the reference voltage.
실시 예에 따른 유기발광 표시장치는, 다수의 구동 트랜지스터를 포함하는 유기발광 패널; 상기 유기발광 패널에 적어도 2이상의 구간에 스캔 신호를 인가하는 스캔 드라이버; 및 상기 유기발광 패널에 데이터 전압을 인가하고, 상기 구동 트랜지스터의 소스전극과 연결되는 제1 노드 전압을 센싱 전압으로 측정하여 상기 구동 트랜지스터의 문턱 전압을 검출하는 데이터 드라이버를 포함하고, 상기 데이터 드라이버는 스캔 신호에 의해 정의되는 서로 다른 2 이상의 센싱 수평구간에서 각각 측정된 상기 센싱 전압으로 상기 구동 트랜지스터의 문턱 전압을 검출한다.An organic light emitting display according to an embodiment includes: an organic light emitting panel including a plurality of driving transistors; A scan driver for applying a scan signal to at least two sections of the organic light emitting panel; And a data driver for applying a data voltage to the organic light emitting panel and measuring a threshold voltage of the driving transistor by measuring a first node voltage connected to a source electrode of the driving transistor as a sensing voltage, The threshold voltage of the driving transistor is detected with the sensing voltage measured in two or more different sensing horizontal intervals defined by the scan signal.
상기 유기발광 패널은 상기 제1 노드에 기준전압을 공급하는 기준전압 라인을 더 포함하고, 상기 기준전압 라인은 상기 제1 노드 및 상기 데이터 드라이버와 전기적으로 연결될 수 있다.The organic luminescent panel may further include a reference voltage line for supplying a reference voltage to the first node, and the reference voltage line may be electrically connected to the first node and the data driver.
상기 센싱 전압은 상기 기준전압 라인을 통해 상기 데이터 드라이버로 전달될 수 있다.The sensing voltage may be transferred to the data driver via the reference voltage line.
상기 데이터 드라이버는 센싱 신호에 의해 상기 데이터 라인 또는 상기 기준 전압 라인과 전기적으로 연결될 수 있다.The data driver may be electrically connected to the data line or the reference voltage line by a sensing signal.
상기 데이터 드라이버는, 상기 데이터 라인에 데이터 전압을 인가하기 위한 DAC; 및 상기 기준전압 라인의 센싱 전압을 검출하기 위한 ADC를 포함할 수 있다.The data driver comprising: a DAC for applying a data voltage to the data line; And an ADC for detecting a sensing voltage of the reference voltage line.
상기 데이터 라인은 상기 구동 트랜지스터의 게이트 전극과 연결되는 제2 노드로 상기 데이터 전압을 인가하고, 상기 제1 노드와 제2 노드 사이에는 스토리지 커패시터가 형성될 수 있다.The data line applies the data voltage to a second node connected to a gate electrode of the driving transistor, and a storage capacitor may be formed between the first node and the second node.
상기 데이터 드라이버는 상기 제2 노드에 데이터 전압 인가 전 초기화 전압을 상기 제2 노드로 인가하여 상기 스토리지 커패시터를 초기화할 수 있다.The data driver may initialize the storage capacitor by applying an initialization voltage to the second node before applying a data voltage to the second node.
상기 초기화 전압은 상기 기준전압과 동일한 레벨을 가질 수 있다.The initialization voltage may have the same level as the reference voltage.
상기 2 이상의 센싱 수평구간은 제1 센싱 수평구간 및 제2 센싱 수평구간을 포함하고, 상기 센싱 전압은 상기 제1 센싱 수평구간에서 측정된 제1 센싱 전압 및 상기 제2 센싱 수평구간에서 측정된 제2 센싱 전압을 포함할 수 있다.Wherein the at least two sensing horizontal sections include a first sensing horizontal section and a second sensing horizontal section, and the sensing voltage includes a first sensing voltage measured in the first sensing horizontal section and a second sensing horizontal section measured in the second sensing horizontal section. 2 < / RTI > sensing voltage.
상기 제1 센싱 전압 및 상기 제2 센싱 전압으로 상기 구동 트랜지스터에 흐르는 구동전류를 측정하고, 상기 구동 전류로 상기 구동 트랜지스터의 문턱전압을 도출할 수 있다.The driving current flowing through the driving transistor may be measured by the first sensing voltage and the second sensing voltage, and the threshold voltage of the driving transistor may be derived from the driving current.
도 1은 제1 실시 예에 따른 유기발광 표시장치를 나타낸 블록도이다.1 is a block diagram illustrating an organic light emitting display according to a first embodiment of the present invention.
도 1을 참조하면 실시 예에 따른 유기발광 표시장치는 유기발광 패널(10), 제어부(20), 스캔 드라이버(30) 및 데이터 드라이버(40)를 포함할 수 있다.Referring to FIG. 1, an organic light emitting diode display according to an exemplary embodiment of the present invention includes an
상기 제어부(20)는 외부로부터 비디오 데이터(RGB), 수평동기신호(Hsync), 수직동기신호(Vsync), 이네이블 신호(Enable)를 입력받아 상기 스캔 드라이버(30)를 구동하기 위한 스캔 제어신호(SCS) 및 상기 데이터 드라이버(40)를 구동하기 위한 데이터 제어신호(DCS)를 발생한다. 상기 제어부(20)는 상기 스캔 제어신호(SCS)를 상기 스캔 드라이버(30)로 공급하고, 상기 비디오 데이터(RGB) 및 상기 데이터 제어신호(DCS)를 상기 데이터 드라이버(40)로 공급한다.The
상기 스캔 제어신호(SCS)는 게이트 스타트 펄스(GSP), 게이트 쉬프트 클럭(GSC) 및 게이트 출력이네이블(GOE) 신호를 포함할 수 있다.The scan control signal SCS may include a gate start pulse GSP, a gate shift clock GSC, and a gate output signal GOE.
상기 데이터 제어신호(DCS)는 소스 쉬프트 클럭(SSC), 소스 스타트 펄스(SSP), 극성 제어신호(POL) 및 소스 출력 이네이블(SOE) 신호를 포함할 수 있다.The data control signal DCS may include a source shift clock SSC, a source start pulse SSP, a polarity control signal POL, and a source output enable (SOE) signal.
상기 스캔 드라이버(30)는 상기 스캔 제어신호(SCS)를 이용하여 스캔신호(Scan) 및 센싱 신호(Sen)를 발생한다. 상기 스캔 드라이버(30)는 상기 스캔신호(Scan) 및 센싱 신호(Sen)를 상기 유기발광 패널(10)로 인가할 수 있다.The
상기 스캔신호(Scan)는 제1 스캔신호(Scan1) 및 제2 스캔신호(Scan2)를 포함할 수 있다. 상기 센싱 신호(Sen)는 제1 센싱 신호(Sen1), 제2 센싱 신호(Sen2) 및 제3 센싱 신호(Sen3)를 포함할 수 있다.The scan signal Scan may include a first scan signal Scan1 and a second scan signal Scan2. The sensing signal Sen may include a first sensing signal Sen1, a second sensing signal Sen2, and a third sensing signal Sen3.
상기 데이터 드라이버(40)는 상기 비디오 데이터(RGB) 및 데이터 제어신호(DCS)를 이용하여 데이터 전압(Vdata)을 발생한다. 상기 데이터 드라이버(50)는 상기 데이터 전압(Vdata)을 상기 유기발광 패널(10)로 인가할 수 있다.The
상기 유기발광 패널(10)은 상기 스캔 드라이버(30)로부터의 상기 센싱 신호(Sen)에 응답하여 센싱전압(Vsen)을 검출하여 상기 데이터 드라이버(40)로 전달할 수 있다. 상기 데이터 드라이버(40)는 상기 센싱 전압(Vsen)을 이용하여 박막 트랜지스터에 흐르는 전류를 검출하고, 이를 이용해, 상기 박막 트랜지스터의 문턱 전압 및 이동도를 검출하여, 메모리(미도시)에 저장한다. 상기 데이터 드라이버(40)는 상기 메모리(미도시)에 저장된 상기 문턱 전압 및 이동도를 이용하여, 구동시 상기 문턱전압을 보상할 수 있다.The organic
도 2는 제1 실시 예에 따른 유기발광 표시장치의 유기발광 패널 및 데이터 드라이버의 일부를 나타낸 회로도이다.2 is a circuit diagram showing a part of an OLED panel and a data driver of the OLED display according to the first embodiment.
도 2를 참조하면, 제1 실시 예에 따른 유기발광 표시장치는 유기발광 패널(10) 및 데이터 드라이버(40)를 포함할 수 있다.Referring to FIG. 2, the OLED display according to the first embodiment may include an
상기 유기발광 패널(10)에는 다수의 제1 스캔라인(Scan1), 다수의 제2 스캔라인(Scan2), 다수의 데이터 라인(DL1) 및 다수의 기준전압 라인(RL)이 형성될 수 있다.A plurality of first scan lines Scan1, a plurality of second scan lines Scan2, a plurality of data lines DL1 and a plurality of reference voltage lines RL may be formed in the organic
상기 다수의 제1 스캔라인(Scan1)과 상기 다수의 데이터 라인(DL)에 의해 화소 영역이 정의될 수 있다. 상기 다수의 제1 스캔라인(Scan1)은 상기 다수의 제2 스캔라인(Scan2)과 평행하는 방향으로 형성되고, 상기 다수의 데이터 라인(DL) 및 다수의 기준전압 라인(RL)은 상기 다수의 제1 스캔라인(Scan1)과 교차하는 방향으로 형성될 수 있다.A pixel region may be defined by the plurality of first scan lines (Scan1) and the plurality of data lines (DL). The plurality of first scan lines Scan1 are formed in a direction parallel to the plurality of second scan lines Scan2 and the plurality of data lines DL and the plurality of reference voltage lines RL are formed in a direction parallel to the plurality of second scan lines Scan2. May be formed in a direction crossing the first scan line (Scan1).
상기 유기발광 패널(10)은 다수의 화소 영역으로 구성되나 도면에서는 하나의 화소 영역을 예를 들어 설명한다.Although the organic
상기 화소 영역에는 제1 트랜지스터(TR1), 제2 트랜지스터(TR2), 제3 트랜지스터(TR3), 스토리지 커패시터(Cst) 및 유기발광 소자(OLED)가 형성될 수 있다.The first transistor TR1, the second transistor TR2, the third transistor TR3, the storage capacitor Cst, and the organic light emitting diode OLED may be formed in the pixel region.
상기 제1 트랜지스터(TR1)의 게이트 전극은 상기 제1 스캔라인(Scan1)과 전기적으로 연결될 수 있고, 상기 제1 트랜지스터(TR2)의 소스 전극은 상기 데이터 라인(DL)과 전기적으로 연결될 수 있고, 상기 제1 트랜지스터(TR1)의 드레인 전극은 제1 노드(N1)와 전기적으로 연결될 수 있다.A gate electrode of the first transistor TR1 may be electrically connected to the first scan line Scan1 and a source electrode of the first transistor TR2 may be electrically connected to the data line DL, The drain electrode of the first transistor TR1 may be electrically connected to the first node N1.
상기 제2 트랜지스터(TR2)의 게이트 전극은 상기 제2 스캔라인(Scan2)과 전기적으로 연결될 수 있고, 상기 제2 트랜지스터(TR2)의 소스 전극은 상기 기준전압 라인(RL)과 전기적으로 연결될 수 있고, 상기 제2 트랜지스터(TR2)의 드레인 전극은 제2 노드(N2)와 전기적으로 연결될 수 있다.A gate electrode of the second transistor TR2 may be electrically connected to the second scan line Scan2 and a source electrode of the second transistor TR2 may be electrically connected to the reference voltage line RL And the drain electrode of the second transistor TR2 may be electrically connected to the second node N2.
상기 제3 트랜지스터(TR3)의 게이트 전극은 상기 제1 노드(N1)와 전기적으로 연결되고, 상기 제3 트랜지스터(TR3)의 소스 전극은 상기 제2 노드(N2)와 전기적으로 연결되고, 상기 제3 트랜지스터(TR3)의 드레인 전극에는 고전위 전원전압(Vdd)이 공급될 수 있다.A gate electrode of the third transistor TR3 is electrically connected to the first node N1, a source electrode of the third transistor TR3 is electrically connected to the second node N2, And the high potential power supply voltage Vdd may be supplied to the drain electrode of the third transistor TR3.
상기 제1 트랜지스터(TR1) 및 제2 트랜지스터(TR2)는 신호전달을 위한 스위칭 트랜지스터일 수 있고, 제3 트랜지스터(T3)는 상기 유기발광 소자(OLED)를 구동하기 위한 구동 전류를 생성하여 주는 구동 트랜지스터일 수 있다.The first transistor TR1 and the second transistor TR2 may be switching transistors for signal transmission and the third transistor T3 may be a driving transistor for generating a driving current for driving the organic light emitting diode OLED. Transistor.
상기 스토리지 커패시터(Cst)의 일단은 상기 제1 노드(N1)와 전기적으로 연결되고, 상기 스토리지 커패시터(Cst)의 타단은 상기 제2 노드(N2)와 전기적으로 연결될 수 있다.One end of the storage capacitor Cst may be electrically connected to the first node N1 and the other end of the storage capacitor Cst may be electrically connected to the second node N2.
상기 스토리지 커패시터(Cst)는 데이터 전압(Vdata)을 한 프레임 동안 유지시켜주는 역할을 할 수 있다.The storage capacitor Cst may maintain the data voltage Vdata for one frame.
상기 유기발광 소자(OLED)의 일단은 상기 제2 노드(N2)와 전기적으로 연결되고, 상기 유기발광 소자(OLED)의 타단에는 저전위 전원전압(Vss)이 공급될 수 있다.One end of the organic light emitting diode OLED may be electrically connected to the second node N2 and a low potential power supply voltage Vss may be supplied to the other end of the organic light emitting diode OLED.
상기 유기발광 소자(OLED)는 광을 생성하는 부재로서, 구동 전류의 세기에 따라 서로 상이한 휘도를 갖는 광이 생성될 수 있다.The organic light emitting diode (OLED) is a member for generating light, and light having different brightness may be generated depending on the intensity of the driving current.
상기 유기발광 소자(OLED)는 적색 광을 생성하는 적색 유기발광 소자(OLED), 녹색 광을 생성하는 녹색 유기발광 소자(OLED) 및 청색 광을 생성하는 청색 유기발광 소자(OLED)를 포함할 수 있다.The organic light emitting diode OLED may include a red organic light emitting diode OLED for generating red light, a green organic light emitting diode OLED for generating green light, and a blue organic light emitting diode OLED for generating blue light. have.
상기 기준전압 라인(RL)은 라인 커패시턴스를 포함할 수 있다. 상기 기준전압 라인(RL)의 라인 커패시턴스를 기준전압 라인 커패시터(Cref)로 등가화 하여 도시하였다.The reference voltage line RL may include a line capacitance. The line capacitance of the reference voltage line RL is shown as equivalent to the reference voltage line capacitor Cref.
상기 유기발광 패널(10)에는 제1 내지 제3 센싱 라인(Sen1 내지 Sen3) 및 제1 내지 제3 센싱 트랜지스터(TRa 내지 TRc)가 더 형성될 수 있다.The organic
상기 제1 센싱 트랜지스터(TRa)는 상기 제3 센싱라인(Sen3)의 온오프 제어에 의해 기준전압을 상기 기준전압 라인(RL)으로 공급할 수 있다.The first sensing transistor TRa may supply a reference voltage to the reference voltage line RL by on / off control of the third sensing line Sen3.
상기 제2 센싱 트랜지스터(TRb)는 상기 제2 센싱라인(Sen2)의 온오프 제어에 의해 상기 기준전압 라인(RL)과 상기 데이터 라인(DL)을 전기적으로 연결할 수 있다.The second sensing transistor TRb may electrically connect the reference voltage line RL and the data line DL by on / off control of the second sensing line Sen2.
상기 제3 센싱 트랜지스터(TRc)는 상기 제1 센싱라인(Sen1)의 온오프 제어에 의해 상기 데이터 드라이버(40)와 상기 데이터 라인(DL)을 전기적으로 연결할 수 있다.The third sensing transistor TRc may electrically connect the
상기 데이터 드라이버(40)는 DAC, ADC, 제1 스위치(SW1) 및 제2 스위치(SW2)를 포함할 수 있다.The
상기 DAC(Digital to Analog Converter)는 상기 제어부(20)로부터의 비디오 데이터(RGB)를 아날로그 데이터 전압(Vdata)으로 변환하여 상기 데이터 라인(DL)으로 공급할 수 있다.The digital to analog converter DAC converts the video data RGB from the
상기 ADC(Analog to Digital Converter)는 상기 유기발광 패널(10)로부터 센싱전압(Vsen)을 공급받아 이를 샘플링하여 디지털 값인 센싱 데이터로 변환할 수 있다.The analog to digital converter (ADC) receives the sensing voltage (Vsen) from the organic
상기 데이터 드라이버(40)는 상기 센싱 데이터를 이용해 상기 제3 트랜지스터(TR3)에 흐르는 전류를 검출하고, 이를 이용해, 상기 제3 트랜지스터(TR3)의 문턱 전압 및 이동도를 검출하여, 상기 메모리(미도시)에 저장한다. 상기 데이터 드라이버(40)는 상기 메모리(미도시)에 저장된 상기 문턱 전압 및 이동도를 이용하여, 구동시 상기 문턱전압을 보상할 수 있다.The
상기 제1 스위치(SW1)는 상기 DAC와 상기 데이터 라인(DL) 사이에 연결되어 상기 데이터 전압(Vdata)의 인가를 제어할 수 있다.The first switch SW1 may be connected between the DAC and the data line DL to control application of the data voltage Vdata.
상기 제2 스위치(SW2)는 상기 ADC와 상기 데이터 라인(DL) 사이에 연결되어 상기 센싱전압(Vsen)의 센싱을 제어할 수 있다.The second switch SW2 may be connected between the ADC and the data line DL to control the sensing of the sensing voltage Vsen.
도 3은 제1 실시 예에 따른 유기발광 표시장치에 인가되는 신호를 나타내는 파형도이고, 도 4는 제1 실시 예에 따른 신호에 의한 유기발광 패널 및 데이터 드라이버의 연결관계를 나타내는 회로도이다.FIG. 3 is a waveform diagram showing a signal applied to the organic light emitting display according to the first embodiment, and FIG. 4 is a circuit diagram showing a connection relationship between the organic light emitting panel and the data driver according to the signal according to the first embodiment.
도 3 및 도 4를 참조하면, 제1 실시 예에 따른 유기발광 표시장치는 2 이상의 센싱 수평구간(H)으로 구동될 수 있다.Referring to FIGS. 3 and 4, the organic light emitting diode display according to the first embodiment may be driven in at least two sensing horizontal intervals H.
예를 들어, 상기 제1 실시 예에 따른 유기발광 표시장치는 2 구간의 센싱 수평구간(H)으로 구동될 수 있다. 상기 제1 실시 예에 따른 유기발광 표시장치는 제1 센싱 수평구간(H1) 및 제2 센싱 수평구간(H2)으로 구동될 수 있다.For example, the organic light emitting display according to the first embodiment may be driven in a sensing horizontal interval H of two periods. The organic light emitting display according to the first embodiment may be driven by a first sensing horizontal interval H1 and a second sensing horizontal interval H2.
상기 각각의 센싱 수평구간은 상기 스캔신호(Scan)의 주기로 정의될 수 있다. 상기 제1 센싱 수평구간(H1)은 상기 제1 스캔 신호(Scan)의 주기에 의해 정의될 수 있다. 상기 제1 센싱 수평구간(H1)은 상기 제1 스캔 신호(Scan)가 하이 레벨로 인가되는 시간에 동기하여 시작되고, 상기 제2 센싱 수평구간(H2)은 상기 제1 스캔 신호(Scan)가 하이 레벨로 인가되는 시간에 동기하여 시작될 수 있다.Each of the sensing horizontal intervals may be defined as a period of the scan signal Scan. The first sensing horizontal interval H1 may be defined by a period of the first scan signal Scan. The first sensing horizontal interval H1 starts in synchronism with a time when the first scan signal Scan is applied at a high level and the second sensing horizontal interval H2 starts when the first scan signal Scan is Can be started in synchronization with the time that is applied to the high level.
상기 제1 센싱 수평구간(H1) 및 제2 센싱 수평구간(H2)은 각각 제1 내지 제4 구간(D1 내지 D4)을 포함할 수 있다.The first sensing horizontal interval H1 and the second sensing horizontal interval H2 may include first through fourth intervals D1 through D4, respectively.
도 4a는 제1 구간(D1)에서의 유기발광 패널(10) 및 데이터 드라이버(40)의 연결관계를 나타낸 도면이다.4A is a diagram showing a connection relationship between the organic
상기 제1 구간(D1)에서 상기 제1 스위치(SW1)에는 하이 레벨의 신호가 인가되고, 상기 제2 스위치(SW2)에는 로우 레벨의 신호가 인가될 수 있다.A high level signal may be applied to the first switch SW1 and a low level signal may be applied to the second switch SW2 in the first period D1.
또한, 상기 제1 구간(D1)에서 제1 센싱 라인(Sen1)에는 하이 레벨의 제1 센싱신호가 인가되고, 제2 센싱 라인(Sen2)에는 로우 레벨의 제2 센싱 신호가 인가되고, 상기 제3 센싱 라인(Sen3)에는 하이 레벨의 제3 센싱 신호가 인가될 수 있다.In the first period D1, a first sensing signal of a high level is applied to the first sensing line Sen1, a second sensing signal of a low level is applied to the second sensing line Sen2, 3 sensing line Sen3, a high-level third sensing signal may be applied.
또한, 상기 제1 구간(D1)에서 상기 제1 스캔 라인(Scan1) 및 제2 스캔 라인(Scan2)에는 하이 레벨의 스캔신호가 인가될 수 있다.In addition, a high level scan signal may be applied to the first scan line Scan1 and the second scan line Scan2 in the first period D1.
상기 제1 스위치(SW1)에 하이 레벨의 신호가 인가되어 상기 제1 스위치(SW1)는 단락되고, 상기 제2 스위치(SW2)에 로우 레벨의 신호가 인가되어 상기 제2 스위치(SW2)는 개방될 수 있다.A high level signal is applied to the first switch SW1 so that the first switch SW1 is shorted and a low level signal is applied to the second switch SW2 so that the second switch SW2 is opened .
상기 제1 센싱 라인(Sen1)에 하이 레벨의 제1 센싱 신호가 인가되어 상기 제3 센싱 트랜지스터(TRc)는 단락되고, 상기 제2 센싱 라인(Sen2)에 로우 레벨의 제2 센싱 신호가 인가되어 상기 제2 센싱 트랜지스터(TRb)는 개방되며, 상기 제3 센싱 라인(Sen3)에 하이 레벨의 제3 센싱 신호가 인가되어 상기 제1 센싱 트랜지스터(Tra)는 단락될 수 있다.A first sensing signal of a high level is applied to the first sensing line Sen1 so that the third sensing transistor TRc is short-circuited and a second sensing signal of a low level is applied to the second sensing line Sen2 The second sensing transistor TRb is opened and a third sensing signal of a high level is applied to the third sensing line Sen3 so that the first sensing transistor Tra may be short-circuited.
상기 제1 스캔 라인(Scan1)에 하이 레벨의 제1 스캔 신호가 인가되어 상기 제1 트랜지스터(TR1)는 단락되고, 상기 제2 스캔 라인(Scan2)에 하이 레벨의 제2 스캔 신호가 인가되어 상기 제2 트랜지스터(TR2)는 단락될 수 있다.A first scan signal having a high level is applied to the first scan line Scan1 so that the first transistor TR1 is shorted and a second scan signal having a high level is applied to the second scan line Scan2, The second transistor TR2 may be short-circuited.
상기 제1 스위치(SW1) 및 상기 제3 센싱 트랜지스터(TRc)가 단락되어 상기 DAC와 상기 데이터 라인(DL)이 전기적으로 연결되고, 상기 데이터 전압(Vdata)이 상기 데이터 라인(DL)을 통과하여 상기 제1 노드(N1)로 인가될 수 있다. 상기 제1 노드(N1)에 인가된 상기 데이터 전압(Vdata)은 상기 제3 트랜지스터(TR3)의 게이트 전극으로 인가될 수 있다.The first switch SW1 and the third sensing transistor TRc are short-circuited so that the DAC and the data line DL are electrically connected and the data voltage Vdata passes through the data line DL And may be applied to the first node N1. The data voltage Vdata applied to the first node N1 may be applied to the gate electrode of the third transistor TR3.
상기 제1 센싱 트랜지스터(TRa) 및 제2 트랜지스터(TR2)가 단락되어, 상기 기준전압(Vref)은 상기 기준전압 라인(RL)을 통해 상기 제2 노드(N2)로 인가될 수 있다. 상기 제2 노드(N2)에 인가된 상기 기준전압(Vref)은 상기 제3 트랜지스터(TR3)의 소스 전극으로 인가될 수 있다.The first sensing transistor TRa and the second transistor TR2 are short-circuited and the reference voltage Vref may be applied to the second node N2 through the reference voltage line RL. The reference voltage Vref applied to the second node N2 may be applied to the source electrode of the third transistor TR3.
상기 제1 노드(N1)와 제2 노드(N2) 사이에 연결된 스토리지 커패시터(Cst)에는 상기 데이터 전압(Vdata)와 상기 기준전압(Vref)의 차에 해당하는 전압이 충전될 수 있다.The storage capacitor Cst connected between the first node N1 and the second node N2 may be charged with a voltage corresponding to the difference between the data voltage Vdata and the reference voltage Vref.
도 4b는 제2 구간(D2)에서의 유기발광 패널(10) 및 데이터 드라이버(40)의 연결관계를 나타낸 도면이다.FIG. 4B is a diagram illustrating a connection relationship between the
상기 제2 구간(D2)에서 상기 제1 스위치(SW1)에는 로우 레벨의 신호가 인가되고, 상기 제2 스위치(SW2)에는 하이 레벨의 신호가 인가될 수 있다.A low level signal may be applied to the first switch SW1 and a high level signal may be applied to the second switch SW2 in the second period D2.
또한, 상기 제1 구간(D1)에서 하이 레벨의 제1 스캔 신호가 인가되었던 제1 스캔 라인(Scan1)에 로우 레벨의 제1 스캔 신호가 인가될 수 있다.Also, a first scan signal of a low level may be applied to the first scan line Scan1 to which the first scan signal of high level is applied in the first period D1.
상기 제2 스위치(SW2)에 하이 레벨의 신호가 인가되어 상기 데이터 라인(DL)은 상기 데이터 드라이버(40)의 ADC와 전기적으로 연결될 수 있다.A high level signal may be applied to the second switch SW2 so that the data line DL may be electrically connected to the ADC of the
상기 제1 스캔 라인(Scan1)에 로우 레벨의 제1 스캔 신호가 인가되어 상기 제1 트랜지스터(TR1)는 개방될 수 있다.A first scan signal of a low level may be applied to the first scan line Scan1 so that the first transistor TR1 may be opened.
상기 제1 트랜지스터(TR1)가 개방됨으로써, 상기 제3 트랜지스터(TR3)의 게이트 전극이 플로팅 상태가 되어 상기 제3 트랜지스터(TR3)가 정전류원으로 작동한다.When the first transistor TR1 is opened, the gate electrode of the third transistor TR3 becomes a floating state, and the third transistor TR3 operates as a constant current source.
즉, 상기 제3 트랜지스터(TR3)의 게이트 전극과 소스 전극 사이에는 상기 스토리지 커패시터(Cst)에 충전되었던 정전압이 인가되고, 이에 따라 상기 제3 트랜지스터(TR3)는 일정한 크기의 전류를 소스 전극을 통해 상기 제2 노드(N2) 방향으로 출력한다.That is, a constant voltage charged in the storage capacitor Cst is applied between the gate electrode and the source electrode of the third transistor TR3, so that the third transistor TR3 supplies a constant current through the source electrode To the second node N2.
이 때, 상기 제1 센싱 트랜지스터(TRa)는 단락되어 상기 기준전압(Vref)이 상기 기준전압 라인(RL)을 통해 상기 제2 노드(N2)와 연결되어 있으므로, 상기 기준전압 라인 커패시터(Cref)에는 전하가 충전되지 않는다.At this time, since the first sensing transistor TRa is short-circuited and the reference voltage Vref is connected to the second node N2 through the reference voltage line RL, the reference voltage line capacitor Cref, The charge is not charged.
도 4c는 제3 구간(D3)에서의 유기발광 패널(10) 및 데이터 드라이버(40)의 연결관계를 나타낸 도면이다.4C is a diagram showing a connection relationship between the organic
상기 제3 구간(D3)에서 상기 제1 센싱 라인(Sen1)에는 로우 레벨의 제1 센싱 신호가 인가되고, 상기 제2 센싱 라인(Sen2)에는 하이 레벨의 제2 센싱 신호가 인가되며, 상기 제3 센싱 라인(Sen3)에는 로우 레벨의 제3 센싱 신호가 인가될 수 있다.A low level first sensing signal is applied to the first sensing line Sen1 in the third period D3 and a second sensing signal is applied to the second sensing line Sen2, 3 sensing line Sen3 may be applied with a third sensing signal of a low level.
상기 제1 센싱 라인(Sen1)에 로우 레벨의 제1 센싱 신호가 인가되어 상기 제3 센싱 트랜지스터(TRc)는 개방되고, 상기 제2 센싱 라인(Sen2)에 하이 레벨의 제2 센싱 신호가 인가되어 상기 제2 센싱 트랜지스터(TRb)는 단락되며, 상기 제3 센싱 라인(Sen3)에 로우 레벨의 제3 센싱 신호가 인가되어 상기 제1 센싱 트랜지스터(TRa)는 개방될 수 있다.A low level first sensing signal is applied to the first sensing line Sen1 to open the third sensing transistor TRc and a second sensing signal of a high level is applied to the second sensing line Sen2 The second sensing transistor TRb is short-circuited and a low-level third sensing signal is applied to the third sensing line Sen3 so that the first sensing transistor TRa can be opened.
상기 제1 센싱 트랜지스터(TRa)의 개방에 의해 상기 기준전압 라인에는 기준전압이 인가되지 않는다. 또한, 상기 제3 센싱 트랜지스터(TRc)의 개방에 의해 상기 데이터 라인(DL)은 상기 데이터 드라이버(40)와 전기적으로 연결되지 않고, 상기 제2 센싱 트랜지스터(TRb)의 단락에 의해 상기 기준전압 라인(RL)이 상기 데이터 드라이버(40)와 전기적으로 연결될 수 있다.The reference voltage is not applied to the reference voltage line by opening the first sensing transistor TRa. The data line DL is not electrically connected to the
상기 기준전압 라인(RL2)은 단락된 제2 스위치(SW2)를 통해 상기 데이터 드라이버(40)의 ADC와 전기적으로 연결될 수 있다.The reference voltage line RL2 may be electrically connected to the ADC of the
상기 제3 트랜지스터(TR3)는 상기 스토리지 커패시터(Cst)에 저장된 전압에 의해 구동전류를 생성하고, 사이 구동전류는 단락된 제2 트랜지스터(TR2)를 통해 기준전압 라인(RL)으로 인가되거, 상기 기준전압 라인 커패시터(Cref)에는 전하가 축적된다. 상기 기준전압 라인 커패시터(Cref)에 충전되는 전하에 의해 상기 ADC에 공급되는 센싱전압(Vsen)은 선형적으로 상승한다.The third transistor TR3 generates a driving current by the voltage stored in the storage capacitor Cst and the driving current is applied to the reference voltage line RL via the shorted second transistor TR2, Charge is accumulated in the reference voltage line capacitor (Cref). The sensing voltage Vsen supplied to the ADC by the charge charged in the reference voltage line capacitor Cref linearly increases.
상기 ADC는 제1 시간(t1)에 상승하는 상기 센싱 전압(Vsen)을 샘플링할 수 있다. 상기 ADC는 상기 제1 시간(t1)의 센싱 전압(Vsen)을 샘플링하여 이를 디지털값인 제1 센싱값(V1)으로 변환하여 메모리에 저장할 수 있다.The ADC may sample the sensing voltage Vsen rising at a first time t1. The ADC may sample the sensing voltage Vsen of the first time t1 and convert it into a first sensing value V1, which is a digital value, and store the same in a memory.
도면에서는 상기 제3 구간(D3)의 시작점에서 상기 제1 센싱 신호(Sen1) 및 제3 센싱 신호(Sen3)가 로우 레벨로 전환되는 시점과 상기 제2 센싱 신호(Sen2)가 하이 레벨로 전환되는 시점을 동일 시점으로 도시하였으나, 상기 제3 센싱 신호(Sen3)는 상기 제1 센싱 신호(Sen1) 및 제2 센싱 신호(Sen2)의 전환 후 일정시간 경과 후 로우 레벨로 전환될 수 있다.In the figure, at a time point when the first sensing signal Sen1 and the third sensing signal Sen3 are switched to the low level at the start point of the third section D3 and when the second sensing signal Sen2 is switched to the high level The third sensing signal Sen3 may be switched to a low level after a predetermined time elapses after the switching of the first sensing signal Sen1 and the second sensing signal Sen2.
즉, 상기 제3 구간(D3)의 시작점에서 상기 제2 센싱 트랜지스터(TRb)의 단락 및 상기 제3 센싱 트랜지스터(TRc)의 개방 후 일정시간 경과 후 상기 제1 센싱 트랜지스터(TRa)가 개방될 수 있다.That is, the first sensing transistor TRa may be opened after a lapse of a short time after the opening of the third sensing transistor TRc and a short-circuit of the second sensing transistor TRb at the start point of the third section D3 have.
상기 제2 센싱 트랜지스터(TRb) 및 상기 제3 센싱 트랜지스터(TRc)가 스위칭 되더라도, 상기 기준전압(Vref)을 상기 기준전압 라인(RL)으로 짧은 시간인가하여, 상기 제2 센싱 트랜지스터(TRb) 및 상기 제3 센싱 트랜지스터(TRc)의 스위칭에 의한 노이즈를 차단할 수 있다.The reference voltage Vref is applied to the reference voltage line RL for a short time even if the second sensing transistor TRb and the third sensing transistor TRc are switched and the second sensing transistor TRb and / The noise due to the switching of the third sensing transistor TRc can be blocked.
도 4d는 제4 구간(D4)에서의 유기발광 패널(10) 및 데이터 드라이버(40)의 연결관계를 나타낸 도면이다.4D is a diagram showing a connection relationship between the organic
상기 제4 구간(D4)에서 상기 제1 센싱 라인(Sen1)에는 하이 레벨의 제1 센싱 신호가 인가되고, 상기 제2 센싱 라인(Sen2)에는 로우 레벨의 제2 센싱 신호가 인가되며, 상기 제3 센싱 라인(Sen3)에는 하이 레벨의 제3 센싱 신호가 인가될 수 있다.A first sensing signal of a high level is applied to the first sensing line Sen1 and a second sensing signal of a low level is applied to the second sensing line Sen2 in the fourth period D4, 3 sensing line Sen3, a high-level third sensing signal may be applied.
상기 제1 스캔라인(Scan1)에는 로우 레벨의 제1 스캔신호가 인가되고, 상기 제2 스캔라인(Scan2)에는 로우 레벨의 제2 스캔신호가 인가될 수 있다.A low level first scan signal may be applied to the first scan line Scan1 and a second scan signal may be applied to the second scan line Scan2.
상기 제1 센싱 라인(Sen1)에 하이 레벨의 제1 센싱 신호가 인가되어 상기 제3 센싱 트랜지스터(TRc)는 단락되고, 상기 제2 센싱 라인(Sen2)에 로우 레벨의 제2 센싱 신호가 인가되어 상기 제2 센싱 트랜지스터(TRb)는 개방되며, 상기 제3 센싱 라인(Sen3)에 하이 레벨의 제3 센싱 신호가 인가되어 상기 제1 센싱 트랜지스터(Tra)는 단락될 수 있다.A first sensing signal of a high level is applied to the first sensing line Sen1 so that the third sensing transistor TRc is short-circuited and a second sensing signal of a low level is applied to the second sensing line Sen2 The second sensing transistor TRb is opened and a third sensing signal of a high level is applied to the third sensing line Sen3 so that the first sensing transistor Tra may be short-circuited.
상기 제1 스캔 라인(Scan1)에 로우 레벨의 제1 스캔 신호가 인가되어 상기 제1 트랜지스터(TR1)는 개방되고, 상기 제2 스캔 라인(Scan2)에 로우 레벨의 제2 스캔 신호가 인가되어 상기 제2 트랜지스터(TR2)는 개방될 수 있다.A first scan signal of a low level is applied to the first scan line Scan1 so that the first transistor TR1 is opened and a second scan signal of a low level is applied to the second scan line Scan2, The second transistor TR2 can be opened.
상기 제1 센싱 트랜지스터(TRa)가 단락되어 상기 기준전압 라인(Vref)에 기준전압(Vref)이 인가되어 상기 기준전압 라인(Vref)이 초기화될 수 있다. 다시 말해, 상기 기준전압 라인 커패시터(Cref)의 일단에 기준전압이 인가되어, 상기 기준전압 라인 커패시터(Cref)에 충전되어 있던 전하가 방전된다.The first sensing transistor TRa is short-circuited and a reference voltage Vref is applied to the reference voltage line Vref to initialize the reference voltage line Vref. In other words, a reference voltage is applied to one end of the reference voltage line capacitor (Cref), and the charge charged in the reference voltage line capacitor (Cref) is discharged.
상기 제2 스위치(SW2)에 로우 레벨의 신호가 인가되어 상기 제2 스위치(SW2)가 개방된다. 상기 제1 및 제2 스위치(SW1, SW2)가 개방되어 상기 데이터 라인(DL)는 상기 데이터 드라이버(40)와 연결되지 않고, 상기 제2 스위치(SW2)가 개방되어 상기 ADC에는 센싱 전압이 인가되지 않는다. 이로써 제1 센싱 수평구간(H1)이 종료된다.A low level signal is applied to the second switch SW2 to open the second switch SW2. The first and second switches SW1 and SW2 are opened so that the data line DL is not connected to the
상기 제2 센싱 수평구간(H2)에서의 상기 유기발광 표시장치는 상기 제1 센싱 수평구간(H1)에서의 유기발광 표시장치와 동일하게 구동된다.The OLED display in the second sensing horizontal interval H2 is driven in the same manner as the OLED display in the first sensing horizontal interval H1.
다만, 제3 구간(D3)에서 ADC는 제2 시간(t2)에 상승하는 상기 센싱 전압(Vsen)을 샘플링할 수 있다. 상기 ADC는 상기 제2 시간(t2)의 센싱 전압(Vsen)을 샘플링하여 이를 디지털 값이 제2 센싱값(V2)으로 변환하여 메모리에 저장할 수 있다.However, in the third period D3, the ADC can sample the sensing voltage Vsen rising at the second time t2. The ADC may sample the sensing voltage Vsen of the second time t2 and convert the digital value to a second sensing value V2 and store the same in the memory.
상기 제2 시간(t2)은 상기 제1 시간(t1)과 다른 시간일 수 있다. 상기 제2 시간(t2)은 상기 제3 구간(D3)의 시작 시간을 기준으로 상기 제1 시간(t1)과 다른 시간일 수 있다.The second time t2 may be different from the first time t1. The second time t2 may be different from the first time t1 on the basis of the start time of the third period D3.
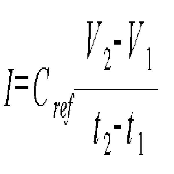
상기 데이터 드라이버(40)는 상기 제1 센싱값(V1) 및 상기 제2 센싱값(V2)으로 하기 수학식 1에 의해 상기 제3 트랜지스터(TR3)에 흐르는 전류를 계산할 수 있다.The
상기 데이터 드라이버(40)는 상기 제3 트랜지스터(TR3)에 흐르는 전류 및 상기 데이터 전압(Vdata)에 의해 상기 제3 트랜지스터(TR3)의 문턱 전압 및 이동도를 산출할 수 있고, 상기 제3 트랜지스터(TR3)의 문턱 전압 및 이동도를 메모리(미도시)에 저장하여, 구동시 상기 문턱전압을 보상하여 구동할 수 있다. The
상기 데이터 드라이버(40)는 각각 다른 수평구간에서 제1 센싱 값(V1) 및 제2 센싱 값(V2)을 샘플링하여, 하나의 ADC를 이용하여 상기 제3 트랜지스터(TR3)의 전류를 도출할 수 있어, 상기 데이터 드라이버(40)의 크기를 줄일 수 있다. 또한, 서로 다른 수평구간에서 제1 센싱 값(V1) 및 제2 센싱 값을 샘플링할 수 있어, 고계조의 경우에도 하나의 ADC로 상기 제3 트랜지스터(TR3)의 전류의 도출이 가능하여 상기 제3 트랜지스터(TR3)의 문턱전압의 정확한 산출이 가능한 장점이 있다.The
도 5는 제2 실시 예에 따른 유기발광 표시장치에 인가되는 신호를 나타내는 파형도이다.5 is a waveform diagram showing a signal applied to the OLED display according to the second embodiment.
제2 실시 예에 따른 유기발광 표시장치는 제1 실시 예와 비교하여 제1 구간 전에 유기발광 패널을 초기화하는 구간을 더 포함하는 것 이외에는 동일하다. 따라서, 제2 실시 예를 설명함에 있어서 제1 실시 예와 동일한 부분에 대해서는 동일한 도면번호를 부여하고 상세한 설명을 생략한다.The OLED display according to the second embodiment is the same as the OLED display according to the first embodiment except that it further includes a section for initializing the OLED panel before the first section. Therefore, in describing the second embodiment, the same reference numerals are given to the same parts as those of the first embodiment, and detailed description is omitted.
제2 실시 예에 따른 유기발광 표시장치는 각각의 센싱 수평구간에서 제1 구간(D1) 이전에 초기화 구간(D0)을 포함할 수 있다.The OLED display according to the second embodiment may include an initialization period D0 before the first interval D1 in each sensing horizontal interval.
도 6은 초기화 구간(D0)에서의 유기발광 패널(10) 및 데이터 드라이버(40)의 연결관계를 나타낸 도면이다.6 is a diagram showing a connection relationship between the organic
도 5 및 도 6을 참조하면, 상기 초기화 구간(D0)은 상기 제1 구간(D1)과 동일하게 상기 유기발광 패널(10) 및 데이터 드라이버(40)가 연결되고, 상기 데이터 라인(DL)에 초기화 전압(Vini)이 공급될 수 있다.5 and 6, the organic
상기 초기화 구간(D0)에서 상기 제1 스위치(SW1)에는 하이 레벨의 신호가 인가되고, 상기 제2 스위치(SW2)에는 로우 레벨의 신호가 인가될 수 있다.A high level signal may be applied to the first switch SW1 and a low level signal may be applied to the second switch SW2 in the initialization period D0.
또한, 상기 제1 구간(D1)에서 제1 센싱 라인(Sen1)에는 하이 레벨의 제1 센싱신호가 인가되고, 제2 센싱 라인(Sen2)에는 로우 레벨의 제2 센싱 신호가 인가되고, 상기 제3 센싱 라인(Sen3)에는 하이 레벨의 제3 센싱 신호가 인가될 수 있다.In the first period D1, a first sensing signal of a high level is applied to the first sensing line Sen1, a second sensing signal of a low level is applied to the second sensing line Sen2, 3 sensing line Sen3, a high-level third sensing signal may be applied.
또한, 상기 제1 구간(D1)에서 상기 제1 스캔 라인(Scan1) 및 제2 스캔 라인(Scan2)에는 하이 레벨의 스캔신호가 인가될 수 있다.In addition, a high level scan signal may be applied to the first scan line Scan1 and the second scan line Scan2 in the first period D1.
상기 제1 스위치(SW1)에 하이 레벨의 신호가 인가되어 상기 제1 스위치(SW1)는 단락되고, 상기 제2 스위치(SW2)에 로우 레벨의 신호가 인가되어 상기 제2 스위치(SW2)는 개방될 수 있다.A high level signal is applied to the first switch SW1 so that the first switch SW1 is shorted and a low level signal is applied to the second switch SW2 so that the second switch SW2 is opened .
상기 제1 센싱 라인(Sen1)에 하이 레벨의 제1 센싱 신호가 인가되어 상기 제3 센싱 트랜지스터(TRc)는 단락되고, 상기 제2 센싱 라인(Sen2)에 로우 레벨의 제2 센싱 신호가 인가되어 상기 제2 센싱 트랜지스터(TRb)는 개방되며, 상기 제3 센싱 라인(Sen3)에 하이 레벨의 제3 센싱 신호가 인가되어 상기 제1 센싱 트랜지스터(Tra)는 단락될 수 있다.A first sensing signal of a high level is applied to the first sensing line Sen1 so that the third sensing transistor TRc is short-circuited and a second sensing signal of a low level is applied to the second sensing line Sen2 The second sensing transistor TRb is opened and a third sensing signal of a high level is applied to the third sensing line Sen3 so that the first sensing transistor Tra may be short-circuited.
상기 제1 스캔 라인(Scan1)에 하이 레벨의 제1 스캔 신호가 인가되어 상기 제1 트랜지스터(TR1)는 단락되고, 상기 제2 스캔 라인(Scan2)에 하이 레벨의 제2 스캔 신호가 인가되어 상기 제2 트랜지스터(TR2)는 단락될 수 있다.A first scan signal having a high level is applied to the first scan line Scan1 so that the first transistor TR1 is shorted and a second scan signal having a high level is applied to the second scan line Scan2, The second transistor TR2 may be short-circuited.
상기 제1 스위치(SW1) 및 상기 제3 센싱 트랜지스터(TRc)가 단락되어 상기 DAC와 상기 데이터 라인(DL)이 전기적으로 연결되고, 상기 초기화 전압(Vini) 이 상기 데이터 라인(DL)을 통과하여 상기 제1 노드(N1)로 인가될 수 있다. 상기 제1 노드(N1)에 인가된 상기 초기화 전압(Vini) 은 상기 제3 트랜지스터(TR3)의 게이트 전극으로 인가될 수 있다.The first switch SW1 and the third sensing transistor TRc are short-circuited so that the DAC and the data line DL are electrically connected and the initialization voltage Vini passes through the data line DL And may be applied to the first node N1. The initialization voltage Vini applied to the first node N1 may be applied to the gate electrode of the third transistor TR3.
상기 제1 센싱 트랜지스터(TRa) 및 제2 트랜지스터(TR2)가 단락되어, 상기 기준전압(Vref)은 상기 기준전압 라인(RL)을 통해 상기 제2 노드(N2)로 인가될 수 있다. 상기 제2 노드(N2)에 인가된 상기 기준전압(Vref)은 상기 제3 트랜지스터(TR3)의 소스 전극으로 인가될 수 있다.The first sensing transistor TRa and the second transistor TR2 are short-circuited and the reference voltage Vref may be applied to the second node N2 through the reference voltage line RL. The reference voltage Vref applied to the second node N2 may be applied to the source electrode of the third transistor TR3.
상기 초기화 전압(Vini)은 상기 기준전압(Vref)과 동일한 레벨의 전압일 수 있다. 상기 초기화 전압(Vini)은 블랙을 나타내는 데이터에 대응하는 전압일 수 있다.The initialization voltage Vini may be the same level as the reference voltage Vref. The initialization voltage Vini may be a voltage corresponding to data representing black.
상기 제1 노드(N1)에 초기화 전압(Vini)이 인가되고, 상기 제2 노드(N2)에 상기 초기화 전압(Vini)과 동일한 기준전압(Vref)이 인가되면, 상기 스토리지 커패시터(Cst)의 양단은 동일한 전위를 가져, 상기 스토리지 커패시터(Cst)는 초기화될 수 있다.When the initialization voltage Vini is applied to the first node N1 and the reference voltage Vref equal to the initialization voltage Vini is applied to the second node N2, both ends of the storage capacitor Cst The storage capacitor Cst can be initialized.
제2 실시 예에 의한 초기화 구간(D0)에 의해 상기 유기발광 패널(10)의 초기화가 가능하고, 이에 따라, 이전 센싱 수평구간의 전압이 이후 센싱 수평 구간의 전압에 영향을 미치지 않아, 상기 제3 트랜지스터(TR3)의 문턱 전압의 정확한 검출이 가능하다. 이를 통해, 표시품질을 향상시킬 수 있다.It is possible to initialize the organic
10: 유기발광 패널 20: 제어부
30: 스캔 드라이버 40: 데이터 드라이버10: organic light emitting panel 20:
30: scan driver 40: data driver
Claims (16)
구동 트랜지스터의 게이트 전극에 데이터 전압을 인가하고, 상기 구동 트랜지스터의 소스 전극에 기준전압을 인가하는 단계;
상기 구동 트랜지스터에 흐르는 전류에 의해 기준 라인에 인가되는 상승전압을 센싱 전압으로 샘플링하는 단계; 및
상기 센싱 전압으로 상기 구동 트랜지스터의 문턱전압을 도출하는 단계를 포함하고,
상기 센싱 전압은 서로 다른 2 이상의 센싱 수평구간에서 각각 측정되는 유기발광 표시장치의 트랜지스터 특성 측정방법.
A method of measuring a transistor characteristic of an organic light emitting display device driven by two or more sensing horizontal intervals defined by a scan signal,
Applying a data voltage to a gate electrode of a driving transistor and applying a reference voltage to a source electrode of the driving transistor;
Sampling a rising voltage applied to a reference line by a current flowing in the driving transistor to a sensing voltage; And
And deriving a threshold voltage of the driving transistor with the sensing voltage,
Wherein the sensing voltage is measured in at least two sensing horizontal intervals different from each other.
상기 구동 트랜지스터의 게이트 전극에 데이터 전압을 인가하고, 구동 트랜지스터의 소스 전극에 기준전압을 인가하는 단계는,
상기 구동 트랜지스터의 게이트 전극에 상기 데이터 전압 인가 후 상기 구동 트랜지스터의 게이트 전극을 플로팅 시키는 단계를 더 포함하는 유기발광 표시장치의 트랜지스터 특성 측정방법.The method according to claim 1,
Applying a data voltage to a gate electrode of the driving transistor and applying a reference voltage to a source electrode of the driving transistor,
And floating the gate electrode of the driving transistor after applying the data voltage to the gate electrode of the driving transistor.
상기 2 이상의 센싱 수평구간은 제1 센싱 수평구간 및 제2 센싱 수평구간을 포함하고,
상기 센싱 전압은 상기 제1 센싱 수평구간에서 측정된 제1 센싱 전압 및 상기 제2 센싱 수평구간에서 측정된 제2 센싱 전압을 포함하는 유기발광 표시장치의 트랜지스터 특성 측정방법.The method according to claim 1,
Wherein the at least two sensing horizontal sections include a first sensing horizontal section and a second sensing horizontal section,
Wherein the sensing voltage includes a first sensing voltage measured in the first sensing horizontal interval and a second sensing voltage measured in the second sensing horizontal interval.
상기 제1 센싱 전압 및 상기 제2 센싱 전압으로 상기 구동 트랜지스터에 흐르는 구동전류를 측정하고,
상기 구동 전류로 상기 구동 트랜지스터의 문턱전압을 도출하는 유기발광 표시장치의 트랜지스터 특성 측정방법.The method of claim 3,
Measuring a driving current flowing through the driving transistor with the first sensing voltage and the second sensing voltage,
And deriving a threshold voltage of the driving transistor with the driving current.
상기 구동 트랜지스터의 게이트 전극에 데이터 전압을 인가 전 상기 구동 트랜지스터의 게이트 전극에 초기화 전압을 인가하는 단계를 더 포함하는 유기발광 표시장치의 트랜지스터 특성 측정방법. The method according to claim 1,
And applying an initialization voltage to a gate electrode of the driving transistor before applying a data voltage to the gate electrode of the driving transistor.
상기 초기화 전압은 상기 기준전압과 동일한 레벨을 가지는 유기발광 표시장치의 트랜지스터 특성 측정방법.6. The method of claim 5,
Wherein the initialization voltage has the same level as the reference voltage.
상기 유기발광 패널에 적어도 2이상의 구간에 스캔 신호를 인가하는 스캔 드라이버; 및
상기 유기발광 패널에 데이터 전압을 인가하고, 상기 구동 트랜지스터의 소스전극과 연결되는 제2 노드에 인가되는 전압을 센싱 전압으로 측정하여 상기 구동 트랜지스터의 문턱 전압을 검출하는 데이터 드라이버를 포함하고,
상기 데이터 드라이버는 스캔 신호에 의해 정의되는 서로 다른 2 이상의 센싱 수평구간에서 각각 측정된 상기 센싱 전압으로 상기 구동 트랜지스터의 문턱 전압을 검출하는 유기발광 표시장치.An organic light emitting panel including a plurality of driving transistors;
A scan driver for applying a scan signal to at least two sections of the organic light emitting panel; And
And a data driver for applying a data voltage to the organic light emitting panel and measuring a voltage applied to a second node connected to a source electrode of the driving transistor as a sensing voltage to detect a threshold voltage of the driving transistor,
Wherein the data driver detects a threshold voltage of the driving transistor with the sensing voltage measured in two or more different sensing horizontal intervals defined by a scan signal.
상기 유기발광 패널은 상기 제2 노드에 기준전압을 공급하는 기준전압 라인 및 상기 구동 트랜지스터의 게이트전극과 연결되는 제1 노드에 데이터 전압을 인가하는 데이터 라인을 더 포함하고,
상기 기준전압 라인은 상기 제2 노드 및 상기 데이터 드라이버와 전기적으로 연결되는 유기발광 표시장치.8. The method of claim 7,
Wherein the organic light emitting panel further comprises a reference voltage line for supplying a reference voltage to the second node and a data line for applying a data voltage to a first node connected to a gate electrode of the driving transistor,
Wherein the reference voltage line is electrically connected to the second node and the data driver.
상기 센싱 전압은 상기 기준전압 라인을 통해 상기 데이터 드라이버로 전달되는 유기발광 표시장치.9. The method of claim 8,
And the sensing voltage is transmitted to the data driver through the reference voltage line.
상기 데이터 드라이버는 센싱 신호에 의해 상기 데이터 라인 또는 상기 기준 전압 라인과 전기적으로 연결되는 유기발광 표시장치.9. The method of claim 8,
And the data driver is electrically connected to the data line or the reference voltage line by a sensing signal.
상기 데이터 드라이버는,
상기 데이터 라인에 데이터 전압을 인가하기 위한 DAC; 및
상기 기준전압 라인의 센싱 전압을 검출하기 위한 ADC를 포함하는 유기발광 표시장치.9. The method of claim 8,
The data driver includes:
A DAC for applying a data voltage to the data line; And
And an ADC for detecting a sensing voltage of the reference voltage line.
상기 제1 노드와 상기 제2 노드 사이에는 스토리지 커패시터가 형성되는 유기발광 표시장치.9. The method of claim 8,
And a storage capacitor is formed between the first node and the second node.
상기 데이터 드라이버는 상기 제1 노드에 데이터 전압 인가 전 초기화 전압을 상기 제1 노드로 인가하여 상기 스토리지 커패시터를 초기화하는 유기발광 표시장치.13. The method of claim 12,
Wherein the data driver applies initialization voltage to the first node to initialize the storage capacitor to the first node.
상기 초기화 전압은 상기 기준전압과 동일한 레벨을 가지는 유기발광 표시장치.14. The method of claim 13,
Wherein the initialization voltage has the same level as the reference voltage.
상기 2 이상의 센싱 수평구간은 제1 센싱 수평구간 및 제2 센싱 수평구간을 포함하고,
상기 센싱 전압은 상기 제1 센싱 수평구간에서 측정된 제1 센싱 전압 및 상기 제2 센싱 수평구간에서 측정된 제2 센싱 전압을 포함하는 유기발광 표시장치.8. The method of claim 7,
Wherein the at least two sensing horizontal sections include a first sensing horizontal section and a second sensing horizontal section,
Wherein the sensing voltage includes a first sensing voltage measured in the first sensing horizontal interval and a second sensing voltage measured in the second sensing horizontal interval.
상기 제1 센싱 전압 및 상기 제2 센싱 전압으로 상기 구동 트랜지스터에 흐르는 구동전류를 측정하고,
상기 구동 전류로 상기 구동 트랜지스터의 문턱전압을 도출하는 유기발광 표시장치.16. The method of claim 15,
Measuring a driving current flowing through the driving transistor with the first sensing voltage and the second sensing voltage,
And derives a threshold voltage of the driving transistor with the driving current.
Priority Applications (1)
| Application Number | Priority Date | Filing Date | Title |
|---|---|---|---|
| KR1020130048508A KR101957281B1 (en) | 2013-04-30 | 2013-04-30 | Organic light-emitting display device and Measuring method of transistor characteristics of the same |
Applications Claiming Priority (1)
| Application Number | Priority Date | Filing Date | Title |
|---|---|---|---|
| KR1020130048508A KR101957281B1 (en) | 2013-04-30 | 2013-04-30 | Organic light-emitting display device and Measuring method of transistor characteristics of the same |
Publications (2)
| Publication Number | Publication Date |
|---|---|
| KR20140130310A KR20140130310A (en) | 2014-11-10 |
| KR101957281B1 true KR101957281B1 (en) | 2019-03-13 |
Family
ID=52452272
Family Applications (1)
| Application Number | Title | Priority Date | Filing Date |
|---|---|---|---|
| KR1020130048508A Active KR101957281B1 (en) | 2013-04-30 | 2013-04-30 | Organic light-emitting display device and Measuring method of transistor characteristics of the same |
Country Status (1)
| Country | Link |
|---|---|
| KR (1) | KR101957281B1 (en) |
Families Citing this family (3)
| Publication number | Priority date | Publication date | Assignee | Title |
|---|---|---|---|---|
| KR102450549B1 (en) * | 2015-10-30 | 2022-10-05 | 엘지디스플레이 주식회사 | Organic light emitting display panel, organic light emitting display device, and the method for driving the organic light emitting display device |
| KR102537112B1 (en) * | 2015-12-30 | 2023-05-26 | 엘지디스플레이 주식회사 | Gate signal control module, gate signal control method and organic light emitting display device |
| KR102526232B1 (en) * | 2015-12-31 | 2023-04-26 | 엘지디스플레이 주식회사 | Organic light emitting display panel, organic light emitting display device, and the method for driving the organic light emitting display device |
Family Cites Families (2)
| Publication number | Priority date | Publication date | Assignee | Title |
|---|---|---|---|---|
| KR20120076215A (en) * | 2010-12-29 | 2012-07-09 | 엘지디스플레이 주식회사 | Organic light emitting display device |
| KR101908513B1 (en) * | 2011-08-30 | 2018-10-17 | 엘지디스플레이 주식회사 | Organic light emitting diode display device for sensing pixel current and method for sensing pixel current thereof |
-
2013
- 2013-04-30 KR KR1020130048508A patent/KR101957281B1/en active Active
Also Published As
| Publication number | Publication date |
|---|---|
| KR20140130310A (en) | 2014-11-10 |
Similar Documents
| Publication | Publication Date | Title |
|---|---|---|
| US9135862B2 (en) | Organic light emitting display device and method for operating the same | |
| KR102643806B1 (en) | Organic Light-Emitting Diode driving characteristic detection circuit AND ORGANIC LIGHT-EMMITTING DISPLAY | |
| CN103050083B (en) | Oganic light-emitting display device | |
| US9041705B2 (en) | Organic light emitting display device | |
| KR101995218B1 (en) | Organic light-emitting display device | |
| US9679516B2 (en) | Organic light emitting display and method for driving the same | |
| CN103077662B (en) | Organic light-emitting display device | |
| CN108091299A (en) | Display device | |
| KR20160070642A (en) | Organic light emitting diode display device | |
| KR102084711B1 (en) | Display deviceand driving method thereof | |
| US11610549B2 (en) | Pixel driving circuit and driving method therefor, display panel and display device | |
| KR20170060219A (en) | Organic light emitting display | |
| KR102414311B1 (en) | Organic light emitting display device and method for controlling luminance of the organic light emitting display device | |
| KR102753464B1 (en) | Display apparatus | |
| US10504435B2 (en) | Pixel and an organic light-emitting display apparatus | |
| KR20180036855A (en) | Organic light emitting display panel, organic light emitting display device, source driver ic, operating method of the source driver ic, and driving method of the organic light emitting display device | |
| CN115527497A (en) | Organic light emitting display device and driving method thereof | |
| KR101957281B1 (en) | Organic light-emitting display device and Measuring method of transistor characteristics of the same | |
| KR102281007B1 (en) | Organic Light Emitting Display Device | |
| KR101535822B1 (en) | Light emitting display and method for driving the same | |
| KR20150033903A (en) | Organic light emitting diode display device and driving method the same | |
| KR102017673B1 (en) | Organic light-emitting display device and Apparatus for compensating the same | |
| KR101929790B1 (en) | Measuring method of transistor characteristics of Organic light-emitting display device | |
| KR101747730B1 (en) | Organic light emitting diode display device | |
| KR101901354B1 (en) | Organic light emitting diode display device |
Legal Events
| Date | Code | Title | Description |
|---|---|---|---|
| PA0109 | Patent application |
Patent event code: PA01091R01D Comment text: Patent Application Patent event date: 20130430 |
|
| PG1501 | Laying open of application | ||
| A201 | Request for examination | ||
| PA0201 | Request for examination |
Patent event code: PA02012R01D Patent event date: 20180105 Comment text: Request for Examination of Application Patent event code: PA02011R01I Patent event date: 20130430 Comment text: Patent Application |
|
| E902 | Notification of reason for refusal | ||
| PE0902 | Notice of grounds for rejection |
Comment text: Notification of reason for refusal Patent event date: 20181222 Patent event code: PE09021S01D |
|
| E701 | Decision to grant or registration of patent right | ||
| PE0701 | Decision of registration |
Patent event code: PE07011S01D Comment text: Decision to Grant Registration Patent event date: 20190228 |
|
| GRNT | Written decision to grant | ||
| PR0701 | Registration of establishment |
Comment text: Registration of Establishment Patent event date: 20190306 Patent event code: PR07011E01D |
|
| PR1002 | Payment of registration fee |
Payment date: 20190306 End annual number: 3 Start annual number: 1 |
|
| PG1601 | Publication of registration | ||
| PR1001 | Payment of annual fee |
Payment date: 20220210 Start annual number: 4 End annual number: 4 |
|
| PR1001 | Payment of annual fee |
Payment date: 20230215 Start annual number: 5 End annual number: 5 |
|
| PR1001 | Payment of annual fee |
Payment date: 20240215 Start annual number: 6 End annual number: 6 |
|
| PR1001 | Payment of annual fee |
Payment date: 20250218 Start annual number: 7 End annual number: 7 |
