KR101631361B1 - Light based interferometer system - Google Patents
Light based interferometer system Download PDFInfo
- Publication number
- KR101631361B1 KR101631361B1 KR1020130143028A KR20130143028A KR101631361B1 KR 101631361 B1 KR101631361 B1 KR 101631361B1 KR 1020130143028 A KR1020130143028 A KR 1020130143028A KR 20130143028 A KR20130143028 A KR 20130143028A KR 101631361 B1 KR101631361 B1 KR 101631361B1
- Authority
- KR
- South Korea
- Prior art keywords
- optical fiber
- optical
- micro
- temperature
- temperature sensitive
- Prior art date
- Legal status (The legal status is an assumption and is not a legal conclusion. Google has not performed a legal analysis and makes no representation as to the accuracy of the status listed.)
- Expired - Fee Related
Links
Images
Classifications
-
- G—PHYSICS
- G01—MEASURING; TESTING
- G01B—MEASURING LENGTH, THICKNESS OR SIMILAR LINEAR DIMENSIONS; MEASURING ANGLES; MEASURING AREAS; MEASURING IRREGULARITIES OF SURFACES OR CONTOURS
- G01B9/00—Measuring instruments characterised by the use of optical techniques
- G01B9/02—Interferometers
Landscapes
- Physics & Mathematics (AREA)
- General Physics & Mathematics (AREA)
- Length Measuring Devices By Optical Means (AREA)
- Instruments For Measurement Of Length By Optical Means (AREA)
- Measuring Temperature Or Quantity Of Heat (AREA)
Abstract
본 발명의 실시예에 따른 광섬유 기반 간섭계 시스템은, 광섬유로 빛을 도파시키는 광원; 광섬유에서 일구간을 형성하는 마이크로 광섬유; 마이크로 광섬유를 외측에서 감싸며, 음의 열광학계수를 가짐으로써 온도 민감도를 억제하는 온도 민감도 억제 물질; 및 광섬유에 연결되어 간섭무늬를 측정하는 간섭무늬 측정부;를 포함할 수 있다. 본 발명의 실시예에 따르면, 온도 민감도 억제 물질이 감지 부문에 구비됨으로써 온도 변화에 영향을 받지 않고 변형도 및 압력 등의 물리량을 정확하게 측정할 수 있을 뿐만 아니라 광 손실을 줄일 수 있다.An optical fiber based interferometer system according to an embodiment of the present invention includes: a light source for guiding light to an optical fiber; A micro optical fiber forming a section in an optical fiber; A temperature sensitive inhibiting material which surrounds the micro optical fiber from outside and suppresses the temperature sensitivity by having a negative thermodynamic coefficient; And an interference fringe measuring unit connected to the optical fiber to measure the interference fringe. According to the embodiment of the present invention, since the temperature sensitive suppressing material is provided in the sensing section, it is possible to accurately measure the physical quantity such as the strain and the pressure without being affected by the temperature change, and reduce the optical loss.
Description
광 기반 간섭계 시스템이 개시된다. 보다 상세하게는, 온도 변화에 영향을 받지 않고 변형도 및 압력 등의 물리량을 정확하게 측정할 수 있을 뿐만 아니라 광 손실을 줄일 수 있는 광 기반 간섭계 시스템이 개시된다.
A light based interferometer system is disclosed. More specifically, a light-based interferometer system capable of accurately measuring physical quantities such as strain and pressure as well as optical loss without being affected by temperature changes is disclosed.
광섬유 및 광도파로 기반 간섭계는 각종 건물과 교량, 비행기, 선박, 우주선 등의 실시간 변형도, 압력, 비틀림 등의 정확한 물리량 계측 분야에 널리 사용되고 있다. 특히, 이러한 간섭계는 전자기적 방해에 무관하고 구조물에 삽입하기 쉬우며 민감도가 높기 때문에 앞으로 화학가스 감지나 바이오 물질 감지 분야에서도 반도체 기반 센서를 대신할 차세대 계측 시스템으로 각광받고 있다.Optical fiber and optical waveguide-based interferometers are widely used in real-time deformations of various buildings, bridges, airplanes, ships, spacecraft, and accurate physical quantities such as pressure and twist. In particular, since the interferometer is independent of electromagnetic disturbance, it is easy to insert into a structure and has a high sensitivity, it is being watched as a next generation measurement system to replace a semiconductor-based sensor in the field of chemical gas detection and biomaterial detection.
기존의 광섬유 및 광도파로 간섭계의 온도 민감도 억제 기술은 광자결정 광섬유나 편광 유지 광자결정 광섬유 등 한가지 물질, 예를 들면 실리카로 이루어진 특수 광섬유를 사용하는 방법, 신호처리를 통해 온도 민감도를 보정해 주는 방법, 다른 종류의 광소자를 병렬로 연결해 온도와 측정하려는 물리량을 동시에 측정 하는 방법들이 사용되었다.Conventional temperature sensitivity suppression techniques for optical fiber and optical waveguide interferometers are based on the use of a single material such as a photonic crystal fiber or a polarization maintaining photonic crystal fiber, for example, a special optical fiber made of silica, a method for correcting temperature sensitivity through signal processing , And other types of optical elements are connected in parallel to measure the temperature and the physical quantity to be measured simultaneously.
그런데, 종래의 광자결정 광섬유나 편광 유지 광자결정 광섬유 등을 사용하는 간섭계의 경우, 특수 광섬유를 사용하기 때문에 생산 비용이 높고, 손실이 크며, 다른 종류의 광섬유를 붙여서 만들기 때문에 외부 충격에 약하다는 단점이 있다. However, in the case of an interferometer using a conventional photonic crystal fiber or a polarization-maintaining photonic crystal optical fiber, since a special optical fiber is used, the production cost is high, the loss is large, and since the optical fiber is bonded with other kinds of optical fibers, .
또한 신호처리를 통해 온도 민감도를 보정해 주는 방법이나 병렬로 연결 해 동시 측정을 하는 방법은 복잡한 시스템이 요구되고 이에 따른 시스템의 크기가 커진다는 한계도 있다.
In addition, there are limitations in that a method for correcting the temperature sensitivity through signal processing or a method for performing simultaneous measurement by connecting in parallel requires a complicated system and a system size increases accordingly.
본 발명의 실시예에 따른 목적은, 온도 민감도 억제 물질이 감지 부문에 구비됨으로써 온도 변화에 영향을 받지 않고 변형도 및 압력 등의 물리량을 정확하게 측정할 수 있을 뿐만 아니라 광 손실을 줄일 수 있는 광 기반 간섭계 시스템을 제공하는 것이다.An object of an embodiment of the present invention is to provide a temperature sensing device capable of precisely measuring physical quantities such as strain and pressure without being affected by a temperature change by providing a temperature sensitive inhibiting material in a sensing section, To provide an interferometer system.
또한 본 발명의 실시예에 따른 다른 목적은, 외부로부터의 충격 등에 우수한 내구성을 가지면서도 실리카를 사용하기 때문에 시스템 구축에 소요되는 비용을 줄일 수 있는 광 기반 간섭계 시스템을 제공하는 것이다.
Another object of the present invention is to provide a light-based interferometer system capable of reducing the cost of constructing a system because it uses silica while having excellent durability against impact from the outside.
본 발명의 실시예에 따른 광섬유 기반 간섭계 시스템은, 광섬유로 빛을 도파시키는 광원; 상기 광섬유에서 일구간을 형성하는 마이크로 광섬유; 상기 마이크로 광섬유를 외측에서 감싸며, 음의 열광학계수를 가짐으로써 온도 민감도를 억제하는 온도 민감도 억제 물질; 및 상기 광섬유에 연결되어 간섭무늬를 측정하는 간섭무늬 측정부;를 포함할 수 있으며, 이러한 구성에 의해서, 온도 민감도 억제 물질이 감지 부문에 구비됨으로써 온도 변화에 영향을 받지 않고 변형도 및 압력 등의 물리량을 정확하게 측정할 수 있을 뿐만 아니라 광 손실을 줄일 수 있다.An optical fiber based interferometer system according to an embodiment of the present invention includes: a light source for guiding light to an optical fiber; A micro optical fiber forming a section of the optical fiber; A temperature sensitive suppressing material that surrounds the micro optical fiber from outside and suppresses temperature sensitivity by having a negative thermoluminescence coefficient; And an interference fringe measuring unit connected to the optical fiber to measure an interference fringe. According to this configuration, since the temperature sensitive suppressing substance is provided in the sensing unit, Not only can the physical quantity be accurately measured but also the optical loss can be reduced.
일측에 따르면, 상기 마이크로 광섬유 및 상기 온도 민감도 억제 물질을 보호하기 위해 외부에서 감싸는 보호 셀을 더 포함할 수 있다.According to one aspect, the micro-optical fiber and the temperature-sensitive suppressing material may further include an externally surrounding protective cell.
일측에 따르면, 상기 마이크로 광섬유가 개재된 감지 부문의 직경 조절을 통해 변화되는 빛의 유효굴절률에 대한 광 경로 변화율과, 열팽창에 의한 광 경로 변화율을 상쇄시킴으로써 온도 민감도를 억제할 수 있다.According to one aspect of the present invention, the temperature sensitivity can be suppressed by canceling out the optical path change rate with respect to the effective refractive index of the light and the optical path change rate due to the thermal expansion, which are changed through the diameter control of the sensing unit in which the micro optical fiber is interposed.
일측에 따르면, 상기 온도 민감도 억제 물질의 열광학계수의 변화에 기인한 광 경로 변화율과 열팽창에 의한 광 경로 변화율을 상쇄시켜 온도 민감도를 억제할 수 있다.According to one aspect of the present invention, the temperature sensitivity can be suppressed by canceling out the optical path change rate due to the change of the thermodynamic coefficient of the temperature sensitive material and the optical path change rate due to the thermal expansion.
일측에 따르면, 상기 온도 민감도 억제 물질은 인덱스 매칭 오일(Index matching oil), 테프론(Teflon), 로우 인덱스 에폭시(Low index epoxy), 폴리머(Polymer)를 포함하는 물질 중 어느 하나의 물질로 제조 가능하다.According to one aspect, the temperature sensitivity suppressing material may be made of any one of materials including index matching oil, Teflon, low index epoxy, and polymer .
일측에 따르면, 상기 광섬유는 두 갈래로 갈라진 후 모이며 갈라지는 부분 및 모이는 부분에 각각 광 커플러가 결합되고, 상기 마이크로 광섬유는 상기 광 커플러에 의해 두 갈래로 갈라진 상기 광섬유 중 하나의 갈래에서 감지 부문으로 마련되고, 상기 광섬유 중 다른 하나의 갈래는 기준 부문으로 마련될 수 있다.According to one aspect of the present invention, the optical fiber is divided into two bifurcations, and an optical coupler is coupled to each of the split portion and the gathered portion, and the micro optical fiber is divided into one of two bifurcated optical fibers by the optical coupler And the other of the optical fibers may be provided as a reference section.
일측에 따르면, 상기 간섭무늬 측정부에서 측정되는 상기 간섭무늬의 소광비를 향상시키기 위해 상기 기준 부문에 편광 제어기 또는 광 감쇄기가 장착 가능하다.According to one aspect, a polarization controller or an optical attenuator can be installed in the reference section to improve the extinction ratio of the interference fringes measured by the interference fringe measuring section.
한편, 본 발명의 실시예에 따른 광 도파로 기반 간섭계 시스템은, 상기 빛을 커플링시키는 커넥터에 의해 상기 광섬유와 연결되는 광 도파로; 상기 광 도파로의 일부분을 외측에서 감싸며, 음의 열광학계수를 가짐으로써 온도 민감도를 억제하는 온도 민감도 억제 물질; 및 상기 광 도파로와 커넥터에 의해 연결되는 광섬유의 단부에 구비되어, 간섭무늬를 측정하는 간섭무늬 측정부;를 포함하며, 이러한 구성에 의해서, 온도 민감도 억제 물질이 감지 부문에 구비됨으로써 온도 변화에 영향을 받지 않고 변형도 및 압력 등의 물리량을 정확하게 측정할 수 있을 뿐만 아니라 광 손실을 줄일 수 있다.Meanwhile, an optical waveguide-based interferometer system according to an embodiment of the present invention includes: an optical waveguide connected to the optical fiber by a connector coupling the light; A temperature sensitive suppressing material that surrounds a part of the optical waveguide from outside and suppresses temperature sensitivity by having a negative thermoluminescence coefficient; And an interference fringe measuring unit provided at an end of the optical fiber connected to the optical waveguide and the connector for measuring an interference fringe. According to this configuration, since the temperature sensitive suppressing substance is provided in the sensing unit, It is possible to accurately measure physical quantities such as the degree of deformation and pressure and reduce optical loss.
일측에 따르면, 상기 온도 민감도 억제 물질이 결합된 상기 광 도파로에 형성되는 감지 부문의 직경 조절을 통해 변화되는 빛의 유효굴절률에 대한 광 경로 변화율과, 열팽창에 의한 광 경로 변화율을 상쇄시킴으로써 온도 민감도를 억제하거나, 상기 온도 민감도 억제 물질의 열광학계수의 변화에 기인한 광 경로 변화율과 열팽창에 의한 광 경로 변화율을 상쇄시켜 온도 민감도를 억제할 수 있다.According to one aspect of the present invention, the optical path change rate to the effective refractive index of the light, which is changed through the diameter control of the sensing section formed in the optical waveguide to which the temperature sensitive suppression material is coupled, and the temperature sensitivity Or the temperature sensitivity can be suppressed by canceling out the optical path change rate due to the change of the thermodynamic coefficient of the temperature sensitive inhibiting material and the optical path change rate due to the thermal expansion.
일측에 따르면, 상기 온도 민감도 억제 물질은 인덱스 매칭 오일, 테프론, 로우 인덱스 에폭시, 폴리머를 포함하는 물질 중 어느 하나의 물질로 제조 가능하다.According to one aspect, the temperature sensitive inhibiting material can be made of any one of materials including index matching oil, Teflon, low index epoxy, polymer.
한편, 본 발명의 실시예에 따른 광섬유 기반 간섭계 시스템은, 광섬유로 빛을 도파시키는 광원; 상기 광섬유에 구비되며, 음의 열광학계수를 가짐으로써 온도 민감도를 억제하는 온도 민감도 억제 물질; 및 상기 광섬유에 연결되어 간섭무늬를 측정하는 간섭무늬 측정부;를 포함할 수 있다.Meanwhile, an optical fiber based interferometer system according to an embodiment of the present invention includes: a light source for guiding light to an optical fiber; A temperature sensitivity suppressing material provided in the optical fiber and suppressing temperature sensitivity by having a negative thermoluminescence coefficient; And an interference fringe measuring unit connected to the optical fiber to measure an interference fringe.
일측에 따르면, 상기 광섬유는 내부 홀을 구비한 중공의 광섬유이며, 상기 내부 홀에 상기 온도 민감도 억제 물질이 충진 가능하다.According to one aspect of the present invention, the optical fiber is a hollow optical fiber having an inner hole, and the temperature sensitivity suppressing material can be filled in the inner hole.
일측에 따르면, 상기 광섬유는 광자 결정 광섬유, 편광 유지 광자 결정 광섬유, 광자 밴드갭 광섬유 중 어느 하나이며, 상기 온도 민감도 억제 물질이 충진 또는 코팅 처리될 수 있다.
According to one aspect, the optical fiber is any one of a photonic crystal fiber, a polarization maintaining photonic crystal fiber, and a photonic band gap optical fiber, and the temperature sensitivity suppressing material may be filled or coated.
본 발명의 실시예에 따르면, 온도 민감도 억제 물질이 감지 부문에 구비됨으로써 온도 변화에 영향을 받지 않고 변형도 및 압력 등의 물리량을 정확하게 측정할 수 있을 뿐만 아니라 광 손실을 줄일 수 있다.According to the embodiment of the present invention, since the temperature sensitive suppressing material is provided in the sensing section, it is possible to accurately measure the physical quantity such as the strain and the pressure without being affected by the temperature change, and reduce the optical loss.
또한 본 발명의 실시예에 따르면, 외부로부터의 충격 등에 우수한 내구성을 가지면서도 실리카를 사용하기 때문에 시스템 구축에 소요되는 비용을 줄일 수 있다.
Further, according to the embodiment of the present invention, since silica is used while having excellent durability against impact from the outside, the cost for constructing the system can be reduced.
도 1은 본 발명의 일 실시예에 따른 광섬유 기반 간섭계 시스템의 구성을 개략적으로 도시한 도면이다.
도 2는 도 1에 도시된 마이크로 광섬유에 온도 민감도 억제 물질 및 보호 셀이 결합된 상태를 도시한 도면이다.
도 3은 온도 변화에 따른 광섬유 기반 간섭계 시스템의 광 경로 변화를 나타낸 그래프이다.
도 4는 간섭계 시스템의 간편화를 위해 획득된 간섭무늬를 푸리에 변환한 결과를 나타낸 그래프이다.
도 5는 온도 변화에 따른 푸리에 변환된 공간 주파수 변환 그래프이다.
도 6은 본 발명의 다른 실시예에 따른 광 도파로 기반 간섭계 시스템의 개략적인 구성을 도시한 도면이다.
도 7은 도 6에서 감지 부문을 감싸는 온도 민감도 억제 물질의 구성을 개략적으로 도시한 도면이다.1 is a schematic view illustrating a configuration of an optical fiber based interferometer system according to an embodiment of the present invention.
2 is a view showing a state where the temperature sensitive suppressing material and the protection cell are coupled to the micro optical fiber shown in FIG.
FIG. 3 is a graph showing the optical path change of the optical fiber based interferometer system according to the temperature change.
FIG. 4 is a graph showing a result of Fourier transform of the obtained interference fringes for simplification of the interferometer system.
5 is a Fourier transformed spatial frequency transformation graph with temperature variation.
FIG. 6 is a diagram illustrating a schematic configuration of an optical waveguide-based interferometer system according to another embodiment of the present invention.
FIG. 7 is a view schematically showing the configuration of a temperature sensitivity suppressing material surrounding the sensing unit in FIG.
이하, 첨부 도면을 참조하여 본 발명의 실시예에 따른 구성 및 적용에 관하여 상세히 설명한다. 이하의 설명은 특허 청구 가능한 본 발명의 여러 태양(aspects) 중 하나이며, 하기의 기술(description)은 본 발명에 대한 상세한 기술(detailed description)의 일부를 이룬다. Hereinafter, configurations and applications according to embodiments of the present invention will be described in detail with reference to the accompanying drawings. DETAILED DESCRIPTION OF THE INVENTION The following description is one of many aspects of the claimed invention and the following description forms part of a detailed description of the present invention.
다만, 본 발명을 설명함에 있어서, 공지된 기능 혹은 구성에 관한 구체적인 설명은 본 발명의 요지를 명료하게 하기 ㅍ위하여 생략하기로 한다.In the following description, well-known functions or constructions are not described in detail to avoid unnecessarily obscuring the subject matter of the present invention.
도 1은 본 발명의 일 실시예에 따른 광섬유 기반 간섭계 시스템의 구성을 개략적으로 도시한 도면이고, 도 2는 도 1에 도시된 마이크로 광섬유에 온도 민감도 억제 물질 및 보호 셀이 결합된 상태를 도시한 도면이다.FIG. 1 is a view schematically showing a configuration of an optical fiber based interferometer system according to an embodiment of the present invention. FIG. 2 shows a state where a temperature sensitive suppressing material and a protective cell are coupled to the micro optical fiber shown in FIG. 1 FIG.
도 1을 참조하면, 본 발명의 일 실시예에 따른 광섬유 기반 간섭계 시스템(100)은, 광섬유(111)로 빛을 도파시키는 광원(110)과, 광원(110)으로부터 광섬유(111)로 도파된 빛을 두 갈래로 나누어주는 광 커플러(120)와, 갈라진 광섬유(111)의 두 갈래 중 하나의 갈래에 개재되는 마이크로 광섬유(130)와, 마이크로 광섬유(130)를 외측에서 감싸며 음의 열광학계수를 가짐으로써 온도 민감도를 억제하는 온도 민감도 억제 물질(150)과, 두 갈래로 갈라진 광섬유(111)가 다시 모아지는 부분에 결합되어 빛을 다시 모으는 광 커플러(120)와, 모아진 광섬유(111)의 단부에 구비되어 간섭무늬를 측정하는 간섭무늬 측정부(140)를 포함할 수 있다.Referring to FIG. 1, an optical fiber based
이러한 구성에 의해서, 온도 변화에 영향을 받지 않고 변형도 및 압력 등의 물리량을 측정할 수 있어 정확도를 향상시킬 수 있고 광 손실 등을 줄일 수 있다.With such a configuration, it is possible to measure the physical quantity such as the deformation degree and the pressure without being affected by the temperature change, thereby improving the accuracy and reducing the optical loss.
각각의 구성에 대해 설명하면, 먼저 본 실시예의 광원(110)은 자발 방출 광원으로 마련될 수 있다. 다만, 광원(110)의 종류가 이에 한정되는 것은 아니며, 예를 들면, 백색 광원(White light source), 초광대역 슈퍼컨티뉴엄 광원(Broadband supercontinuum light source), 고휘도 발광소자 (SLD, Super Luminescent Diode), LED 및 레이저 중 적어도 어느 하나로 마련될 수 있음은 당연하다.To describe each configuration, the
본 실시예의 광 커플러(120)는, 광섬유(111)가 두 갈래로 갈라지는 부분 및 다시 모아지는 부분에 각각 마련됨으로써 빛을 양 갈래의 광섬유(113, 115)로 보낼 수 있고 다시 빛을 모을 수 있다. 이러한 광 커플러(120)는 간섭무늬의 소광비를 좋게 하기 위하여 5대 5의 비율로 마련될 수 있다. 다만, 이에 한정되는 것은 아니며, 예를 들면, 7:3, 8:2, 9:1 등으로 마련될 수 있음은 당연하다.The
한편 본 실시예의 광섬유(111)는 단일모드 광섬유로 마련될 수 있다. 단일모드 광섬유는 코어의 지름이 극단적으로 작기 때문에 빛의 전파 모드는 하나가 되고 따라서 출력 파장이 보다 정확해질 수 있다. 그러나 광섬유(111)의 종류가 이에 한정되는 것은 아니며, 편광 유지 광섬유, 광자 밴드갭 광섬유, 중공 광섬유, 광자 결정 광섬유 등의 광섬유, 편광 유지 광자 결정 광섬유 및 분산 보상 광섬유 중 어느 하나가 적용되어도 무방하다.Meanwhile, the
본 실시예의 간섭무늬 측정부(140)는 광 스펙트럼 측정을 통해 간섭무늬를 측정하는 광 스펙트럼 분석기로 마련될 수 있다. 다만, 이에 한정되는 것은 아니며, 분광기(Spectrometer) 또는 광 검출기(Photo detector) 등으로 마련될 수 있음은 당연하다.The interference
한편, 전술한 것처럼 광섬유(111)는 두 갈래로 갈라지는데 그 중 한 갈래의 광섬유(113)에는 감지를 위한 감지 부문으로 적용되는 마이크로 광섬유(130)가 개재되고 다른 한 갈래의 광섬유(115)는 기준 부문으로 적용될 수 있다.As described above, the
도 2를 참조하면, 마이크로 광섬유(130)는 연결된 광섬유(111)에 비해 작은 직경을 가지며, 외측에는 온도 민감도 억제 물질(150)이 둘러싸이고 또 그 외측에는 마이크로 광섬유(130) 및 온도 민감도 억제 물질(150)을 보호하기 위한 보호 셀(160)이 결합될 수 있다.2, the
따라서, 가령 외부로부터 충격이 가해지더라도 우수한 내구성을 가질 수 있고 아울러 실리카 기반으로 제조되기 때문에 제조 비용이 저렴하며 작고 간단한 구조로 간섭계 시스템(100)을 구현할 수 있다.Therefore, the
여기서, 온도 민감도 억제 물질(150)은 음의 열광학계수를 가짐으로써 온도 민감도를 억제할 수 있는데, 그 재질로는 인덱스 매칭 오일(Index matching oil), 테프론(Teflon), 로우 인덱스 에폭시(Low index epoxy), 폴리머(Polymer)를 포함하는 물질 중 어느 하나의 물질이 사용될 수 있다. 다만 이에 한정되는 것은 아니다.Here, the temperature
한편, 기준 부문을 형성하는 다른 한 갈래의 광섬유(113)에는, 도시하지는 않았지만, 편광 제어기 또는 광 감쇄기가 장착 가능하여 간섭무늬 측정부(140)에서 측정되는 상기 간섭무늬의 소광비를 향상시킬 수 있다.On the other hand, although not shown, a polarization controller or an optical attenuator can be attached to the other
이러한 구성에 의해서, 마이크로 광섬유(130)가 개재된 감지 부문의 직경 조절을 통해 변화되는 빛의 유효굴절률에 대한 광 경로 변화율과, 열팽창에 의한 광 경로 변화율을 상쇄시킴으로써 온도 민감도를 억제할 수 있다.With this configuration, the temperature sensitivity can be suppressed by canceling out the optical path change rate with respect to the effective refractive index of the light and the optical path change rate due to the thermal expansion, which are changed through the diameter control of the sensing section in which the
또는, 온도 민감도 억제 물질(150)의 열광학계수의 변화에 기인한 광 경로 변화율과 열팽창에 의한 광 경로 변화율을 상쇄시켜 온도 민감도를 억제할 수도 있다.Alternatively, the temperature sensitivity may be suppressed by offsetting the optical path change rate due to the change in the thermoelectric coefficient number of the temperature
이하에서는, 상기의 구성을 갖는 광섬유 기반 간섭계 시스템(100)을 이용해 간섭무늬를 측정하는 과정에 대해서 설명하기로 한다.Hereinafter, the process of measuring the interference fringe using the optical fiber based
먼저, 본 실시예의 간섭계 시스템(100)에 열이 가해지면 감지 부문을 형성하는 마이크로 광섬유(130) 부분과 기준 부문을 형성하는 광섬유(115) 사이에 광 경로 차이가 발생하고 이를 통해 간섭무늬를 측정할 수 있다. 간섭무늬의 파장 간격(Δλ)은 다음의 식 1로 표현할 수 있다.First, when heat is applied to the
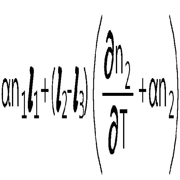
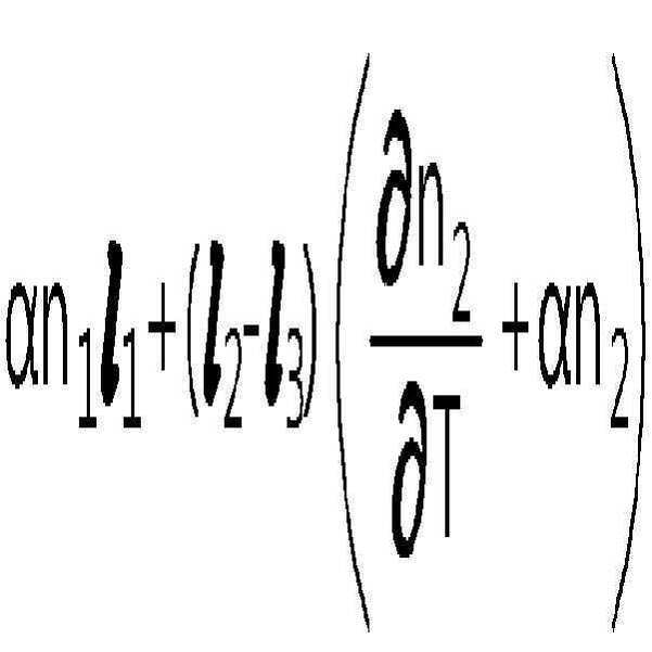
......식 1 Equation 1
여기서, n1, n2, n3는 각각 마이크로 광섬유(130) 부분의 굴절률, 감지 부문을 형성하는 광섬유(113)의 굴절률, 기준 부문을 형성하는 광섬유(115)의 굴절률을 나타내며, l은 광섬유(111)의 길이를 의미하고, λ는 파장을 나타낸다. Herein, n1, n2 and n3 represent the refractive index of the portion of the
간섭계 시스템(100) 주변의 온도가 증가하면 광섬유(111)의 굴절률의 길이가 증가하기 때문에 양 단의 광경로 차이(Δξ)가 커지고 간섭무늬의 파장 간격은 상대적으로 작아지게 된다. 이러한 온도의 영향을 억제하기 위해 마이크로 광섬유(130) 위에 음의 열광학계수를 갖는 온도 민감도 억제 물질(150)을 코팅한다. 온도에 따라 변화되는 파장 간격(Δλ)은 다음의 식 2로 표현할 수 있다.As the temperature around the
......식 2Equation 2
여기서, nambient는 온도 민감도 억제 물질(150)의 굴절률, σambient는 온도 민감도 억제 물질(150)의 열광학계수, α는 실리카의 열팽창계수를 나타낸다. 음의 열광학계수를 가지는 온도 민감도 억제 물질(150)을 코팅하면 위 식 2의 이 음의 값을 가지게 된다. 또한 마이크로 광섬유(130)의 직경을 조절하면 마이크로 광섬유(130) 주변으로 퍼지는 소산장의 크기를 조절할 수 있기 때문에 소산장의 크기에 의해 결정되는 (δn1/δnambient)의 값을 조절해 줄 수 있다. 따라서 식 2의 과 의 값이 같아지도록 직경을 최적화 하면 온도 변화에 대한 파장 간격의 변화를 상쇄시킬 수 있다. 즉 온도 변화에 영향이 없는 간섭계 시스템(100)을 구축할 수 있는 것이다.Where n ambient is the index of refraction of the temperature
또한 이를 통해 간섭계 시스템(100)의 간편화를 위해 획득된 간섭무늬를 푸리에 변환함으로써 하나의 피크를 갖는 그래프를 얻을 수 있고 이 피크를 측정함으로써 변형도 및 압력 등의 물리량을 온도에 무관하게 측정할 수 있다. In order to simplify the
도 3을 참조하면, 온도 변화에 따른 광섬유 기반 간섭계 시스템의 광 경로 변화를 알 수 있다. 도 3의 그래프를 통해, 온도 민감도 억제 물질(150)의 보상 효과에 의해 광 경로가 변하지 않음을 확인할 수 있다.Referring to FIG. 3, the optical path change of the optical fiber based interferometer system according to the temperature change can be seen. 3, it can be confirmed that the optical path is not changed by the compensation effect of the temperature
한편, 도 4는 간섭계 시스템의 간편화를 위해 획득된 간섭무늬를 푸리에 변환한 결과를 나타낸 그래프인데, 본 실시예의 경우 온도 변화에 대한 간섭무늬의 파장 간격의 변화가 거의 없기 때문에 푸리에 변환된 그래프 역시 같은 값을 갖는 것을 확인할 수 있다.Meanwhile, FIG. 4 is a graph showing the result of Fourier transform of the obtained interference fringes for simplification of the interferometer system. In this embodiment, since there is almost no change in the wavelength interval of the interference fringes with respect to the temperature variation, Value. ≪ / RTI >
또한 도 5는 온도 변화에 따른 푸리에 변환된 공간 주파수 변환 그래프인데, 본 실시예의 경우 온도 민감도 억제 물질(150)로 인해 광 경로 차이가 변하지 않기 때문에 푸리에 변환을 한 공간 주파수 역시 변화가 없음을 파악할 수 있다.5 is a Fourier-transformed spatial frequency conversion graph according to a temperature change. In the present embodiment, since the optical path difference does not change due to the temperature
이와 같이 본 발명의 일 실시예에 따르면, 온도 민감도 억제 물질(150)이 감지 부문에 형성된 마이크로 광섬유(130)를 감쌈으로써 온도 변화에 영향을 받지 않고 변형도 및 압력 등의 물리량을 정확하게 측정할 수 있을 뿐만 아니라 광 손실을 줄일 수 있고, 아울러 외부로부터의 충격 등에 우수한 내구성을 가지면서도 실리카를 사용하기 때문에 시스템 구축에 소요되는 비용을 줄일 수 있는 장점이 있다.As described above, according to the embodiment of the present invention, the temperature sensitive inhibiting
한편, 이하에서는 본 발명의 다른 실시예에 따른 광 도파로 기판 간섭계 시스템(100)에 대해 설명하되 전술한 일 실시예의 광섬유 기반 간섭계 시스템(100)과 실질적으로 동일한 부분에 대해서는 그 설명을 생략하기로 한다.Hereinafter, the optical waveguide
이들 도면에 도시된 바와 같이, 본 발명의 다른 실시예에 따른 광 도파로 기반 간섭계 시스템(200)은, 광섬유로 빛을 도파시키는 광원(210)과, 빛을 커플링시키는 커넥터(미도시)에 의해 광섬유(211)와 연결되는 광 도파로(213)와, 광 도파로(213)의 일구간을 외측에서 감싸며 음의 열광학계수를 가짐으로써 온도 민감도를 억제하는 온도 민감도 억제 물질(250)과, 광 도파로(213)와 커넥터에 의해 연결되는 광섬유(211)의 단부에 구비되어 간섭무늬를 측정하는 간섭무늬 측정부(240)를 포함할 수 있다.As shown in these drawings, the optical waveguide-based
본 실시예에서, 광 도파로(213)는 커넥터로부터 두 갈래로 갈라지고 다시 다른 커넥터에서 모아지는 구조를 갖는다. 한 갈래의 광 도파로(213)의 일부분에 온도 민감도 억제 물질(250)이 코팅되고, 다른 한 갈래의 광 도파로(213)는 기준 부문으로 적용될 수 있다. In this embodiment, the
이를 통해, 감지 부문의 직경 조절을 통해 변화되는 빛의 유효굴절률에 대한 광 경로 변화율과, 열팽창에 의한 광 경로 변화율을 상쇄시킴으로써 온도 민감도를 억제할 수 있다. 또는, 온도 민감도 억제 물질(250)의 열광학계수의 변화에 기인한 광 경로 변화율과 열팽창에 의한 광 경로 변화율을 상쇄시켜 온도 민감도를 억제할 수도 있다.Through this, the temperature sensitivity can be suppressed by canceling the optical path change rate with respect to the effective refractive index of light, which is changed through the diameter control of the sensing section, and the optical path change rate due to thermal expansion. Alternatively, the temperature sensitivity may be suppressed by offsetting the optical path change rate due to the change in the thermoelectric coefficient number of the temperature
한편 이러한 구성을 갖는 광 도파로 기반 간섭계 시스템(200)의 온도 민감도 보상 원리 그리고 그 원리에 따른 실험 결과는 전술한 일 실시예의 간섭계 시스템(100, 도 1 참조)과 실질적으로 대응되므로 이에 대한 설명은 생략하기로 한다.Meanwhile, since the temperature sensitivity compensation principle of the optical waveguide based
전술한 일 실시예에서는 주변 광섬유의 직경에 비해 상대적으로 얇은 마이크로 광섬유(130)에 온도 민감도 억제 물질(150)이 코팅 처리되는 경우에 대해서 설명하였으나, 이에 한정되는 것은 아니다.In the above-described embodiment, the case where the temperature sensitive suppressing
예를 들면, 감지 부문을 형성하는 광섬유의 일구간이 내부 홀을 갖는 중공의 중공 광섬유로 마련되고, 내부 홀에 온도 민감도 억제 물질이 충진됨으로써 전술한 온도 보상 원리에 의해 주변 온도에 영향을 받지 않고 변형도 또는 압력과 같은 물리량을 측정할 수 있음은 당연하다.For example, one section of the optical fiber forming the sensing section is provided with a hollow hollow optical fiber having an inner hole, and the inner hole is filled with the temperature sensitivity suppressing material, thereby being not affected by the ambient temperature It is of course possible to measure physical quantities such as strain or pressure.
광섬유의 종류는 중공 광섬유로 한정되는 것은 아니며, 예를 들면, 광자 결정 광섬유, 편광 유지 광자 결정 광섬유, 광자 밴드갭 광섬유 등이 적용될 수 있으며, 온도 민감도 억제 물질은 코팅 또는 충진 등의 방법에 의해 광섬유에 구비될 수 있을 것이다.For example, a photonic crystal fiber, a polarization-maintaining photonic crystal fiber, a photonic bandgap optical fiber, or the like can be applied as the kind of the optical fiber, and the temperature sensitive material can be applied to the optical fiber As shown in FIG.
한편, 본 발명은 기재된 실시예에 한정되는 것이 아니고, 본 발명의 사상 및 범위를 벗어나지 않고 다양하게 수정 및 변형할 수 있음은 이 기술의 분야에서 통상의 지식을 가진 자에게 자명하다. 따라서 그러한 수정예 또는 변형예들은 본 발명의 특허청구범위에 속한다 하여야 할 것이다.
It will be apparent to those skilled in the art that various modifications and variations can be made in the present invention without departing from the spirit and scope of the invention. Accordingly, such modifications or variations are intended to fall within the scope of the appended claims.
100 : 광섬유 기반 간섭계 시스템
110 : 광원
111 : 광섬유
130 : 마이크로 광섬유
140 : 간섭무늬 측정부
150 : 온도 민감도 억제 물질
160 : 보호 셀100: Fiber-based interferometer system
110: Light source
111: Optical fiber
130: Micro optical fiber
140: interference fringe measuring unit
150: Temperature Sensitivity Inhibiting Substance
160: Protection cell
Claims (13)
상기 광섬유에서 일구간을 형성하는 마이크로 광섬유;
상기 마이크로 광섬유를 외측에서 감싸며, 음의 열광학계수를 가짐으로써 온도 민감도를 억제하는 온도 민감도 억제 물질;
상기 광섬유에 연결되어 간섭무늬를 측정하는 간섭무늬 측정부; 및
상기 마이크로 광섬유 및 상기 온도 민감도 억제 물질을 보호하기 위해 외부에서 감싸는 보호 셀;
를 포함하며,
상기 마이크로 광섬유가 개재된 감지 부문의 직경 조절을 통해 변화되는 빛의 유효굴절률에 대한 광 경로 변화율과, 열팽창에 의한 광 경로 변화율을 상쇄시킴으로써 온도 민감도를 억제하거나,
상기 온도 민감도 억제 물질의 열광학계수의 변화에 기인한 광 경로 변화율과 열팽창에 의한 광 경로 변화율을 상쇄시켜 온도 민감도를 억제하고,
상기 광섬유는 두 갈래로 갈라진 후 모이며 갈라지는 부분 및 모이는 부분에 각각 광 커플러가 결합되고,
상기 마이크로 광섬유는 상기 광 커플러에 의해 두 갈래로 갈라진 상기 광섬유 중 하나의 갈래에서 감지 부문으로 마련되고, 상기 광섬유 중 다른 하나의 갈래는 기준 부문으로 마련되고,
열이 가해지는 경우 상기 감지 부문과 상기 기준 부문 사이에 발생되는 광 경로 차이를 통해 간섭무늬의 파장 간격(Δλ)을 에 의해 측정하고,
상기 마이크로 광섬유의 직경 최적화에 의해 온도 변화에 대한 파장 간격의 변화를 상쇄시키기 위해 와 의 값을 동일하게 하는, 광섬유 기반 간섭계 시스템.
(상기 식에서, n1, n2, n3는 각각 마이크로 광섬유 부분의 굴절률, 감지 부문을 형성하는 광섬유의 굴절률, 기준 부문을 형성하는 광섬유의 굴절률을 나타내며, l은 광섬유의 길이를 의미하고, λ는 파장을 나타내고, nambient는 온도 민감도 억제 물질의 굴절률, σambient는 온도 민감도 억제 물질의 열광학계수, α는 실리카의 열팽창계수를 나타냄)
A light source for guiding light to an optical fiber;
A micro optical fiber forming a section of the optical fiber;
A temperature sensitive suppressing material that surrounds the micro optical fiber from outside and suppresses temperature sensitivity by having a negative thermoluminescence coefficient;
An interference fringe measuring unit connected to the optical fiber to measure an interference fringe; And
A protective cell surrounding the micro-optical fiber and the temperature sensitivity suppressing material to protect the micro-optical fiber and the temperature sensitivity suppressing material;
/ RTI >
It is possible to suppress the temperature sensitivity by offsetting the optical path change rate with respect to the effective refractive index of the changed light and the optical path change rate due to the thermal expansion through the diameter control of the sensing section in which the micro-
The temperature sensitivity is suppressed by offsetting the optical path change rate due to the change of the thermoacoustic coefficient of the temperature sensitive inhibiting material and the optical path change rate due to the thermal expansion,
The optical fiber is divided into two bifurcations, and the optical coupler is coupled to the split portion and the gathered portion, respectively,
Wherein the micro-optical fiber is provided as a sensing section in one of the bifurcated optical fibers by the optical coupler, the other of the optical fibers is provided as a reference section,
(?) Of the interference fringes through the optical path difference generated between the sensing section and the reference section when heat is applied Lt; / RTI >
To optimize the diameter of the micro-optical fiber to compensate for the change in wavelength interval to temperature change Wow Of the interferometer system.
Where n1, n2 and n3 represent the refractive index of the micro optical fiber part, the refractive index of the optical fiber forming the sensing part, the refractive index of the optical fiber forming the reference part, l means the length of the optical fiber, Where n ambient is the refractive index of the temperature sensitive inhibitor, σ ambient is the thermodynamic coefficient of the temperature sensitive inhibitor, and α is the thermal expansion coefficient of the silica)
상기 온도 민감도 억제 물질은 인덱스 매칭 오일(Index matching oil), 테프론(Teflon), 로우 인덱스 에폭시(Low index epoxy), 폴리머(Polymer)를 포함하는 물질 중 어느 하나의 물질로 제조 가능한 광섬유 기반 간섭계 시스템.
The method according to claim 1,
Wherein the temperature sensitive inhibiting material can be manufactured from any one of materials including index matching oil, Teflon, low index epoxy, and polymer.
상기 간섭무늬 측정부에서 측정되는 상기 간섭무늬의 소광비를 향상시키기 위해 상기 기준 부문에 편광 제어기 또는 광 감쇄기가 장착 가능한 광섬유 기반 간섭계 시스템.
The method according to claim 1,
Wherein a polarization controller or an optical attenuator is mountable in the reference section to improve an extinction ratio of the interference fringe measured by the interference fringe measuring section.
Priority Applications (1)
| Application Number | Priority Date | Filing Date | Title |
|---|---|---|---|
| KR1020130143028A KR101631361B1 (en) | 2013-11-22 | 2013-11-22 | Light based interferometer system |
Applications Claiming Priority (1)
| Application Number | Priority Date | Filing Date | Title |
|---|---|---|---|
| KR1020130143028A KR101631361B1 (en) | 2013-11-22 | 2013-11-22 | Light based interferometer system |
Publications (2)
| Publication Number | Publication Date |
|---|---|
| KR20150059436A KR20150059436A (en) | 2015-06-01 |
| KR101631361B1 true KR101631361B1 (en) | 2016-06-16 |
Family
ID=53490529
Family Applications (1)
| Application Number | Title | Priority Date | Filing Date |
|---|---|---|---|
| KR1020130143028A Expired - Fee Related KR101631361B1 (en) | 2013-11-22 | 2013-11-22 | Light based interferometer system |
Country Status (1)
| Country | Link |
|---|---|
| KR (1) | KR101631361B1 (en) |
Cited By (1)
| Publication number | Priority date | Publication date | Assignee | Title |
|---|---|---|---|---|
| KR20240074612A (en) * | 2022-11-21 | 2024-05-28 | 중앙대학교 산학협력단 | Optical delay and optical interferometer with suppressed temperature dependence using polarization-maintaining optical fiber |
Families Citing this family (4)
| Publication number | Priority date | Publication date | Assignee | Title |
|---|---|---|---|---|
| CN111103000A (en) * | 2019-12-06 | 2020-05-05 | 广州大学 | Manufacturing method of sensor packaged by woven glass fiber |
| US12196672B2 (en) | 2020-05-07 | 2025-01-14 | Hand Held Products, Inc. | Apparatuses, systems, and methods for sample testing |
| US12498328B2 (en) | 2020-05-07 | 2025-12-16 | Hand Held Products, Inc. | Apparatuses, systems, and methods for sample testing |
| US11846574B2 (en) | 2020-10-29 | 2023-12-19 | Hand Held Products, Inc. | Apparatuses, systems, and methods for sample capture and extraction |
Citations (2)
| Publication number | Priority date | Publication date | Assignee | Title |
|---|---|---|---|---|
| JP2003043293A (en) | 2001-07-31 | 2003-02-13 | Nippon Sheet Glass Co Ltd | Optical module and method for manufacturing optical module |
| KR100686920B1 (en) | 1998-11-10 | 2007-02-27 | 라이트웨이브 마이크로시스템스 코오포레이션 | Optical devices comprising thermo-optic polymers |
Family Cites Families (2)
| Publication number | Priority date | Publication date | Assignee | Title |
|---|---|---|---|---|
| DE4033357A1 (en) * | 1990-10-19 | 1992-04-23 | Iot Entwicklungsgesellschaft F | SUBSTANCE DETECTOR |
| JPH0764031A (en) * | 1993-08-30 | 1995-03-10 | Nippon Telegr & Teleph Corp <Ntt> | Light modulator |
-
2013
- 2013-11-22 KR KR1020130143028A patent/KR101631361B1/en not_active Expired - Fee Related
Patent Citations (2)
| Publication number | Priority date | Publication date | Assignee | Title |
|---|---|---|---|---|
| KR100686920B1 (en) | 1998-11-10 | 2007-02-27 | 라이트웨이브 마이크로시스템스 코오포레이션 | Optical devices comprising thermo-optic polymers |
| JP2003043293A (en) | 2001-07-31 | 2003-02-13 | Nippon Sheet Glass Co Ltd | Optical module and method for manufacturing optical module |
Cited By (2)
| Publication number | Priority date | Publication date | Assignee | Title |
|---|---|---|---|---|
| KR20240074612A (en) * | 2022-11-21 | 2024-05-28 | 중앙대학교 산학협력단 | Optical delay and optical interferometer with suppressed temperature dependence using polarization-maintaining optical fiber |
| KR102767369B1 (en) * | 2022-11-21 | 2025-02-17 | 중앙대학교 산학협력단 | Optical delay and optical interferometer with suppressed temperature dependence using polarization-maintaining optical fiber |
Also Published As
| Publication number | Publication date |
|---|---|
| KR20150059436A (en) | 2015-06-01 |
Similar Documents
| Publication | Publication Date | Title |
|---|---|---|
| Shi et al. | Environmentally stable Fabry–Pérot-type strain sensor based on hollow-core photonic bandgap fiber | |
| US9019482B2 (en) | Optical device with fiber Bragg grating and narrowband optical source | |
| Li et al. | Simultaneous measurement of air pressure and temperature using fiber-optic cascaded Fabry–Perot interferometer | |
| CN102483499A (en) | Polarization maintaining fiber and optical fiber sensor using same | |
| Liu et al. | Strain measurement at high temperature environment based on Fabry-Perot interferometer cascaded fiber regeneration grating | |
| CN103852191B (en) | The fibre optic temperature sensor that a kind of refractive index is insensitive | |
| Liu et al. | Fiber-optic Mach–Zehnder interferometric sensor for high-sensitivity high temperature measurement | |
| KR101209627B1 (en) | Optical fiber sensor system using an optical spectrometer | |
| KR101631361B1 (en) | Light based interferometer system | |
| Zhao et al. | Cascaded fiber MZIs for simultaneous measurement of pressure and temperature | |
| CN105387968B (en) | Fibre cladding surface Bragg grating temperature self-compensating pressure transducers | |
| Zhu et al. | A dual-parameter internally calibrated Fabry-Perot microcavity sensor | |
| CN109781300A (en) | A device and method for simultaneous measurement of temperature and curvature based on optical fiber | |
| EP2614344A1 (en) | Slow-light fiber bragg grating sensor | |
| Feng et al. | Strain and temperature sensor based on fiber Bragg grating cascaded bi-tapered four-core fiber Mach–Zehnder interferometer | |
| Cai et al. | Temperature-insensitive curvature sensor with few-mode-fiber based hybrid structure | |
| He et al. | Simultaneous measurement of strain and temperature using Fabry–Pérot interferometry and antiresonant mechanism in a hollow-core fiber | |
| Liu et al. | Ultrasensitive parallel double-FPIs sensor based on Vernier effect and Type II fiber Bragg grating for simultaneous measurement of high temperature and strain | |
| Dey et al. | Performance of etched silica FBG for simultaneous strain temperature measurement | |
| Qi | A comparison study of the sensing characteristics of FBG and TFBG | |
| CN103148957B (en) | Twin-core photonic crystal fiber-based interferometric temperature sensing method and device | |
| Zhang et al. | High-sensitivity temperature sensor based on two parallel Fabry–Pérot interferometers and Vernier effect | |
| CN106546354A (en) | A kind of superelevation temperature sensor based on FBG | |
| Kashen et al. | The influence of no-core fibre length on the sensitivity Optical fibre Humidity sensor | |
| Hernández-Ambato et al. | Effect of taper waist diameter on the sensitivity of multicore fiber coupler-based temperature and strain sensors |
Legal Events
| Date | Code | Title | Description |
|---|---|---|---|
| PA0109 | Patent application |
St.27 status event code: A-0-1-A10-A12-nap-PA0109 |
|
| PA0201 | Request for examination |
St.27 status event code: A-1-2-D10-D11-exm-PA0201 |
|
| R18-X000 | Changes to party contact information recorded |
St.27 status event code: A-3-3-R10-R18-oth-X000 |
|
| D13-X000 | Search requested |
St.27 status event code: A-1-2-D10-D13-srh-X000 |
|
| D14-X000 | Search report completed |
St.27 status event code: A-1-2-D10-D14-srh-X000 |
|
| PE0902 | Notice of grounds for rejection |
St.27 status event code: A-1-2-D10-D21-exm-PE0902 |
|
| R18-X000 | Changes to party contact information recorded |
St.27 status event code: A-3-3-R10-R18-oth-X000 |
|
| AMND | Amendment | ||
| E13-X000 | Pre-grant limitation requested |
St.27 status event code: A-2-3-E10-E13-lim-X000 |
|
| P11-X000 | Amendment of application requested |
St.27 status event code: A-2-2-P10-P11-nap-X000 |
|
| P13-X000 | Application amended |
St.27 status event code: A-2-2-P10-P13-nap-X000 |
|
| PG1501 | Laying open of application |
St.27 status event code: A-1-1-Q10-Q12-nap-PG1501 |
|
| E902 | Notification of reason for refusal | ||
| PE0902 | Notice of grounds for rejection |
St.27 status event code: A-1-2-D10-D21-exm-PE0902 |
|
| AMND | Amendment | ||
| E13-X000 | Pre-grant limitation requested |
St.27 status event code: A-2-3-E10-E13-lim-X000 |
|
| P11-X000 | Amendment of application requested |
St.27 status event code: A-2-2-P10-P11-nap-X000 |
|
| P13-X000 | Application amended |
St.27 status event code: A-2-2-P10-P13-nap-X000 |
|
| E902 | Notification of reason for refusal | ||
| PE0902 | Notice of grounds for rejection |
St.27 status event code: A-1-2-D10-D21-exm-PE0902 |
|
| AMND | Amendment | ||
| E13-X000 | Pre-grant limitation requested |
St.27 status event code: A-2-3-E10-E13-lim-X000 |
|
| P11-X000 | Amendment of application requested |
St.27 status event code: A-2-2-P10-P11-nap-X000 |
|
| P13-X000 | Application amended |
St.27 status event code: A-2-2-P10-P13-nap-X000 |
|
| E601 | Decision to refuse application | ||
| PE0601 | Decision on rejection of patent |
St.27 status event code: N-2-6-B10-B15-exm-PE0601 |
|
| AMND | Amendment | ||
| E13-X000 | Pre-grant limitation requested |
St.27 status event code: A-2-3-E10-E13-lim-X000 |
|
| P11-X000 | Amendment of application requested |
St.27 status event code: A-2-2-P10-P11-nap-X000 |
|
| P13-X000 | Application amended |
St.27 status event code: A-2-2-P10-P13-nap-X000 |
|
| PX0901 | Re-examination |
St.27 status event code: A-2-3-E10-E12-rex-PX0901 |
|
| PX0701 | Decision of registration after re-examination |
St.27 status event code: A-3-4-F10-F13-rex-PX0701 |
|
| X701 | Decision to grant (after re-examination) | ||
| GRNT | Written decision to grant | ||
| PR0701 | Registration of establishment |
St.27 status event code: A-2-4-F10-F11-exm-PR0701 |
|
| PR1002 | Payment of registration fee |
St.27 status event code: A-2-2-U10-U11-oth-PR1002 Fee payment year number: 1 |
|
| PG1601 | Publication of registration |
St.27 status event code: A-4-4-Q10-Q13-nap-PG1601 |
|
| PC1903 | Unpaid annual fee |
St.27 status event code: A-4-4-U10-U13-oth-PC1903 Not in force date: 20190611 Payment event data comment text: Termination Category : DEFAULT_OF_REGISTRATION_FEE |
|
| R18-X000 | Changes to party contact information recorded |
St.27 status event code: A-5-5-R10-R18-oth-X000 |
|
| R18-X000 | Changes to party contact information recorded |
St.27 status event code: A-5-5-R10-R18-oth-X000 |
|
| PC1903 | Unpaid annual fee |
St.27 status event code: N-4-6-H10-H13-oth-PC1903 Ip right cessation event data comment text: Termination Category : DEFAULT_OF_REGISTRATION_FEE Not in force date: 20190611 |







