KR101572034B1 - 파라메트릭 오디오 코딩 방식들의 포렌식 검출 - Google Patents
파라메트릭 오디오 코딩 방식들의 포렌식 검출 Download PDFInfo
- Publication number
- KR101572034B1 KR101572034B1 KR1020137033678A KR20137033678A KR101572034B1 KR 101572034 B1 KR101572034 B1 KR 101572034B1 KR 1020137033678 A KR1020137033678 A KR 1020137033678A KR 20137033678 A KR20137033678 A KR 20137033678A KR 101572034 B1 KR101572034 B1 KR 101572034B1
- Authority
- KR
- South Korea
- Prior art keywords
- subband signals
- frequency
- audio signal
- coding
- correlation
- Prior art date
- Legal status (The legal status is an assumption and is not a legal conclusion. Google has not performed a legal analysis and makes no representation as to the accuracy of the status listed.)
- Expired - Fee Related
Links
Images
Classifications
-
- G—PHYSICS
- G10—MUSICAL INSTRUMENTS; ACOUSTICS
- G10L—SPEECH ANALYSIS TECHNIQUES OR SPEECH SYNTHESIS; SPEECH RECOGNITION; SPEECH OR VOICE PROCESSING TECHNIQUES; SPEECH OR AUDIO CODING OR DECODING
- G10L19/00—Speech or audio signals analysis-synthesis techniques for redundancy reduction, e.g. in vocoders; Coding or decoding of speech or audio signals, using source filter models or psychoacoustic analysis
- G10L19/04—Speech or audio signals analysis-synthesis techniques for redundancy reduction, e.g. in vocoders; Coding or decoding of speech or audio signals, using source filter models or psychoacoustic analysis using predictive techniques
- G10L19/08—Determination or coding of the excitation function; Determination or coding of the long-term prediction parameters
- G10L19/12—Determination or coding of the excitation function; Determination or coding of the long-term prediction parameters the excitation function being a code excitation, e.g. in code excited linear prediction [CELP] vocoders
-
- G—PHYSICS
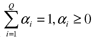
- G10—MUSICAL INSTRUMENTS; ACOUSTICS
- G10L—SPEECH ANALYSIS TECHNIQUES OR SPEECH SYNTHESIS; SPEECH RECOGNITION; SPEECH OR VOICE PROCESSING TECHNIQUES; SPEECH OR AUDIO CODING OR DECODING
- G10L19/00—Speech or audio signals analysis-synthesis techniques for redundancy reduction, e.g. in vocoders; Coding or decoding of speech or audio signals, using source filter models or psychoacoustic analysis
-
- G—PHYSICS
- G10—MUSICAL INSTRUMENTS; ACOUSTICS
- G10L—SPEECH ANALYSIS TECHNIQUES OR SPEECH SYNTHESIS; SPEECH RECOGNITION; SPEECH OR VOICE PROCESSING TECHNIQUES; SPEECH OR AUDIO CODING OR DECODING
- G10L19/00—Speech or audio signals analysis-synthesis techniques for redundancy reduction, e.g. in vocoders; Coding or decoding of speech or audio signals, using source filter models or psychoacoustic analysis
- G10L19/008—Multichannel audio signal coding or decoding using interchannel correlation to reduce redundancy, e.g. joint-stereo, intensity-coding or matrixing
-
- G—PHYSICS
- G10—MUSICAL INSTRUMENTS; ACOUSTICS
- G10L—SPEECH ANALYSIS TECHNIQUES OR SPEECH SYNTHESIS; SPEECH RECOGNITION; SPEECH OR VOICE PROCESSING TECHNIQUES; SPEECH OR AUDIO CODING OR DECODING
- G10L21/00—Speech or voice signal processing techniques to produce another audible or non-audible signal, e.g. visual or tactile, in order to modify its quality or its intelligibility
- G10L21/02—Speech enhancement, e.g. noise reduction or echo cancellation
-
- G—PHYSICS
- G10—MUSICAL INSTRUMENTS; ACOUSTICS
- G10L—SPEECH ANALYSIS TECHNIQUES OR SPEECH SYNTHESIS; SPEECH RECOGNITION; SPEECH OR VOICE PROCESSING TECHNIQUES; SPEECH OR AUDIO CODING OR DECODING
- G10L21/00—Speech or voice signal processing techniques to produce another audible or non-audible signal, e.g. visual or tactile, in order to modify its quality or its intelligibility
- G10L21/02—Speech enhancement, e.g. noise reduction or echo cancellation
- G10L21/038—Speech enhancement, e.g. noise reduction or echo cancellation using band spreading techniques
-
- G—PHYSICS
- G10—MUSICAL INSTRUMENTS; ACOUSTICS
- G10L—SPEECH ANALYSIS TECHNIQUES OR SPEECH SYNTHESIS; SPEECH RECOGNITION; SPEECH OR VOICE PROCESSING TECHNIQUES; SPEECH OR AUDIO CODING OR DECODING
- G10L25/00—Speech or voice analysis techniques not restricted to a single one of groups G10L15/00 - G10L21/00
- G10L25/03—Speech or voice analysis techniques not restricted to a single one of groups G10L15/00 - G10L21/00 characterised by the type of extracted parameters
Landscapes
- Engineering & Computer Science (AREA)
- Physics & Mathematics (AREA)
- Computational Linguistics (AREA)
- Signal Processing (AREA)
- Health & Medical Sciences (AREA)
- Audiology, Speech & Language Pathology (AREA)
- Human Computer Interaction (AREA)
- Acoustics & Sound (AREA)
- Multimedia (AREA)
- Quality & Reliability (AREA)
- Mathematical Physics (AREA)
- Compression, Expansion, Code Conversion, And Decoders (AREA)
Abstract
Description
도 2a 내지 도 2d는 복소 및 위상-한정(phase-only) 데이터에 기초한 예시적인 최대 교차-상관 값들 및 확률 밀도 함수들을 도시하는 도면.
도 3은 상관 기반 분석을 위해 사용될 수 있는 프로토타입 필터들의 예시적인 주파수 응답들을 도시하는 도면.
도 4a 및 도 4b는 상이한 분석 필터 뱅크들을 사용하여 결정되는 예시적인 유사성 매트릭스들 간의 비교를 도시하는 도면.
도 5는 상이한 분석 필터 뱅크들을 사용하여 결정되는 예시적인 최대 교차-상관 값들을 도시하는 도면.
도 6a 내지 도 6c는 상이한 분석 필터 뱅크들을 사용하여 결정되는 예시적인 확률 밀도 함수들을 도시하는 도면.
도 7은 패치 검출을 위해 사용되는 예시적인 왜곡된 유사성 매트릭스들을 도시하는 도면.
도 8은 표 1의 코딩 조건 6에 따른 HE-AAC 재-인코딩된 데이터에 대한 예시적인 유사성 매트릭스를 도시하는 도면.
도 9는 SPX와의 DD+ 인코딩된 데이터에 대한 예시적인 유사성 매트릭스를 도시하는 도면.
도 10a 및 도 10b는 파라메트릭 스테레오 및 커플링 검출을 위해 사용되는 예시적인 위상 차 그래프들을 도시하는 도면.
| 비트레이트 | 코덱(들) | |
| 64kb/s | HE-AACv1(HQ) | |
| 64kb/s | HE-AACv1(LP) | |
| 48kb/s | HE-AACv1(HQ) | |
| 48kb/s | HE-AACv1(LP) | |
| 32kb/s | HE-AACv2 | |
| 64kb/s+192kb/s | HE-AACv1(HQ)+AAC-LC | |
| 48kb/s+192kb/s | HE-AACv1(HQ)+AAC-LC | |
| 32kb/s+192kb/s | HE-AACv2+AAC-LC | |
| 192kb/s | AAC-LC | |
| 0 | 96kb/s | AAC-LC |
| 1 | 128kb/s | DD+(SPX 없음, 커플링 없음) |
| 2 | 128kb/s | DD+(SPX 있음) |
| 3 | 128kb/s | DD+(커플링 있음) |
Claims (38)
- 오디오 신호의 코딩 이력에서 주파수 확장 코딩을 검출하기 위한 방법에 있어서:
저 및 고 주파수 서브대역들을 포함하는 대응하는 복수의 서브대역들에서의 복수의 서브대역 신호들을 제공하는 단계로서, 상기 복수의 서브대역 신호들은 상기 오디오 신호의 시간/주파수 도메인 표현에 대응하는, 상기 복수의 서브대역 신호들을 제공하는 단계;
상기 저 주파수 서브대역들에 속한 서브대역 신호들의 그룹과 상기 고 주파수 서브대역들에 속한 서브대역 신호들의 그룹 간의 관계도를 결정하는 단계로서, 상기 관계도는 상기 복수의 서브대역 신호들에 기초하여 결정되고,
상기 관계도를 결정하는 단계는 상기 복수의 서브대역 신호들 사이의 교차-상관 값들의 세트를 결정하는 단계를 포함하고,
제 1 및 제 2 서브대역 신호 사이의 상관 값을 결정하는 단계는 제로 시간 지연에서 상기 제 1 및 제 2 서브대역 신호들의 대응하는 샘플들의 곱들의 시간에 따른 평균을 결정하는 단계를 포함하는, 상기 관계도를 결정하는 단계; 및
상기 관계도가 관계 임계치보다 큰 경우, 주파수 확장 코딩 이력을 결정하는 단계를 포함하는, 오디오 신호의 코딩 이력에서 주파수 확장 코딩을 검출하기 위한 방법. - 제 1 항에 있어서,
상기 복수의 서브대역 신호들은,
복소수 값 의사 직교 미러 필터 뱅크(a complex valued pseudo quadrature mirror filter bank);
수정된 이산 코사인 변환;
수정된 이산 사인 변환
이산 푸리에 변환
변조된 랩핑된 변환(modulated lapped transform);
복소 변조된 랩핑된 변환(complex modulated lapped transform); 또는
고속 푸리에 변환, 중 하나를 사용하여 발생되는, 오디오 신호의 코딩 이력에서 주파수 확장 코딩을 검출하기 위한 방법. - 제 1 항 또는 제 2 항에 있어서,
상기 복수의 서브대역 신호들은 복수의 필터들을 포함하는 필터 뱅크를 사용하여 발생되고, 각 필터는 각각의 필터의 저지대역 내에 있는 주파수들에 대한 미리 결정된 롤-오프 임계치를 초과하는 롤-오프를 갖는, 오디오 신호의 코딩 이력에서 주파수 확장 코딩을 검출하기 위한 방법. - 제 3 항에 있어서,
상기 복수의 필터들의 상기 필터들은 M 개의 필터 계수들을 포함하고, M은 검출될 상기 주파수 확장 코딩에 의해 사용된 필터 계수들의 수보다 큰, 오디오 신호의 코딩 이력에서 주파수 확장 코딩을 검출하기 위한 방법. - 제 1 항 또는 제 2 항에 있어서,
상기 오디오 신호는 복수의 오디오 채널들을 포함하고;
상기 방법은 다운믹싱된 시간 도메인 오디오 신호를 결정하기 위해 상기 복수의 오디오 채널들을 다운믹싱하는 단계를 포함하고;
상기 복수의 서브대역 신호들은 상기 다운믹싱된 시간 도메인 오디오 신호로부터 발생되는, 오디오 신호의 코딩 이력에서 주파수 확장 코딩을 검출하기 위한 방법. - 제 1 항 또는 제 2 항에 있어서,
상기 오디오 신호의 최대 주파수를 결정하는 단계를 추가로 포함하고;
상기 복수의 서브대역 신호들은 단지 상기 최대 주파수에서의 또는 그 아래에서의 주파수들만을 포함하는, 오디오 신호의 코딩 이력에서 주파수 확장 코딩을 검출하기 위한 방법. - 제 6 항에 있어서,
상기 최대 주파수를 결정하는 단계는,
상기 주파수 도메인에서 상기 오디오 신호의 파워 스펙트럼을 분석하는 단계; 및
상기 최대 주파수보다 큰 모든 주파수들에 대해, 상기 파워 스펙트럼이 파워 임계치 아래에 있도록 상기 최대 주파수를 결정하는 단계를 포함하는, 오디오 신호의 코딩 이력에서 주파수 확장 코딩을 검출하기 위한 방법. - 제 1 항 또는 제 2 항에 있어서,
상기 복수의 서브대역 신호들은 각각 복수의 위상 신호들 및 대응하는 복수의 크기 신호들을 포함하는 복수의 복소 서브대역 신호들이고;
상기 관계도는 상기 복수의 크기 신호들에 기초하지 않고 상기 복수의 위상 신호들에 기초하여 결정되는, 오디오 신호의 코딩 이력에서 주파수 확장 코딩을 검출하기 위한 방법. - 제 1 항 또는 제 2 항에 있어서,
상기 관계도를 결정하는 단계는 상기 저 주파수 서브대역들에서의 서브대역 신호들의 그룹으로부터 발생된 상기 고 주파수 서브대역들에서의 서브대역 신호들의 그룹을 결정하는 단계를 포함하는, 오디오 신호의 코딩 이력에서 주파수 확장 코딩을 검출하기 위한 방법. - 제 1 항 또는 제 2 항에 있어서,
상기 복수의 서브대역 신호들은 K개의 서브대역 신호들을 포함하고;
상기 교차-상관 값들의 세트는 상기 복수의 서브대역 신호들과 상이한 서브대역 신호들의 모든 조합들에 대응하는 (K-1)! 교차-상관 값들을 포함하는, 오디오 신호의 코딩 이력에서 주파수 확장 코딩을 검출하기 위한 방법. - 제 1 항 또는 제 2 항에 있어서,
상기 주파수 확장 코딩 이력을 결정하는 단계는 상기 교차-상관 값들의 세트로부터의 적어도 하나의 최대 교차-상관 값이 상기 관계 임계치를 초과하는 것을 결정하는 단계를 포함하는, 오디오 신호의 코딩 이력에서 주파수 확장 코딩을 검출하기 위한 방법. - 제 10 항에 있어서,
상기 교차-상관 값들의 세트는 임의의 값들을 갖는 주 대각선을 갖는 대칭적인 K×K 상관 매트릭스(410)로 배열되는, 오디오 신호의 코딩 이력에서 주파수 확장 코딩을 검출하기 위한 방법. - 제 12 항에 있어서,
상기 상관 매트릭스(410)에서 로컬 최대 교차-상관 값들의 하나 이상의 대각선들을 강조하기 위해서 선 향상(line enhancement)을 상기 상관 매트릭스(410)에 적용하는 단계를 추가로 포함하는, 오디오 신호의 코딩 이력에서 주파수 확장 코딩을 검출하기 위한 방법. - 제 14 항에 있어서,
상기 주파수 확장 코딩 이력을 결정하는 단계는, 상기 주 대각선을 제외하고, 상기 향상된 상관 매트릭스로부터 적어도 하나의 최대 교차-상관 값이 상기 관계 임계치를 초과하는 것을 결정하는 단계를 포함하는, 오디오 신호의 코딩 이력에서 주파수 확장 코딩을 검출하기 위한 방법. - 제 12 항에 있어서,
로컬 최대 교차-상관 값들의 하나 이상의 대각선들을 검출하기 위해 상기 상관 매트릭스를 분석하는 단계를 추가로 포함하고,
로컬 최대 교차-상관 값들의 하나의 대각선은 상기 상관 매트릭스의 상기 주 대각선 상에 놓이지 않고;
로컬 최대 교차-상관 값들의 하나의 대각선은 하나보다 많은 로컬 최대 교차-상관 값을 포함하고, 상기 하나보다 많은 로컬 최대 교차-상관 값들 각각은 최소 상관 임계치를 초과하고;
상기 하나보다 많은 로컬 최대 교차-상관 값들은 상기 상관 매트릭스의 상기 주 대각선에 평행한 대각선 방식으로 배열되고;
상기 상관 매트릭스의 소정의 행에서의 상기 하나보다 많은 로컬 최대 교차-상관 값들 각각에 대해, 동일한 행 및 바로 인접한 왼쪽 열에서의 교차-상관 값은 최소 상관 임계치에 또는 그 아래에 있고 및/또는 동일한 행 및 바로 인접한 오른쪽 열에서의 교차-상관 값은 상기 최소 상관 임계치에 또는 그 아래에 있는, 오디오 신호의 코딩 이력에서 주파수 확장 코딩을 검출하기 위한 방법. - 제 16 항에 있어서,
로컬 최대 교차-상관 값들의 2개보다 많은 대각선들은 상기 주 대각선 위에 또는 아래에서 검출되고; 상기 상관 매트릭스의 행은 소스 서브대역을 나타내고 상기 상관 매트릭스의 열은 타겟 서브대역을 나타내고;
상기 방법은,
상기 상관 매트릭스의 동일한 소스 서브대역에 대해 로컬 최대 교차-상관 값들을 갖는 적어도 2개의 리던던트 대각선들을 검출하는 단계; 및
복수의 소스 서브대역들로부터 복수의 타겟 서브대역들로의 복사-업 패치(copy-up patch)로서 상기 적어도 2개의 리던던트 대각선들 중에서 상기 각각의 최저 타겟 서브대역들을 갖는 상기 대각선을 식별하는 단계를 추가로 포함하는, 오디오 신호의 코딩 이력에서 주파수 확장 코딩을 검출하기 위한 방법. - 제 16 항에 있어서,
검출된 대각선의 시작 및/또는 끝에서의 상기 검출된 대각선의 로컬 최대 교차-상관 값들이 블러링 임계치 미만인 것을 검출하는 단계;
상기 변환 단계의 파라미터들을 복수의 주파수 확장 코딩 방식들에 사용되는 변환 단계들의 파라미터들과 비교하는 단계; 및
상기 비교 단계에 기초하여, 상기 복수의 주파수 확장 코딩 방식들 중에서 상기 오디오 신호에 적용된 상기 주파수 확장 코딩 방식을 결정하는 단계를 추가로 포함하는, 오디오 신호의 코딩 이력에서 주파수 확장 코딩을 검출하기 위한 방법. - 제 1 항 또는 제 2 항에 있어서,
상기 교차-상관 값들의 세트로부터의 최대 교차-상관 값이 디코딩 모드 임계치 아래에 있는지 아니면 위에 있는지를 결정함으로써, 상기 오디오 신호에 적용된 주파수 확장 코딩 방식의 디코딩 모드를 검출하는 단계를 추가로 포함하는, 오디오 신호의 코딩 이력에서 주파수 확장 코딩을 검출하기 위한 방법. - 제 1 항 또는 제 2 항에 있어서,
상기 오디오 신호는 제 1 및 제 2 채널을 포함하는 멀티-채널 신호이고, 상기 방법은,
상기 제 1 및 상기 제 2 채널을 상기 주파수 도메인으로 변환함으로써, 복수의 제 1 서브대역 신호들 및 복수의 제 2 서브대역 신호들을 생성하는 단계로서, 상기 제 1 및 상기 제 2 서브대역 신호들은 복소수 값이고 각각 제 1 및 제 2 위상 신호들을 포함하는, 상기 생성 단계; 및
대응하는 제 1 및 제 2 서브대역 신호들의 차로서 복수의 위상 차 서브대역 신호들을 결정하는 단계를 추가로 포함하는, 오디오 신호의 코딩 이력에서 주파수 확장 코딩을 검출하기 위한 방법. - 제 20 항에 있어서,
복수의 위상 차 값들을 결정하는 단계로서, 각 위상 차 값은 상기 대응하는 위상 차 서브대역 신호의 샘플들의 시간에 따른 평균으로서 결정되는, 상기 결정 단계; 및
상기 복수의 위상 차 값들 내에서 주기적 구조를 검출함으로써, 상기 오디오 신호의 상기 코딩 이력에서 파라메트릭 스테레오 인코딩을 검출하는 단계를 추가로 포함하는, 오디오 신호의 코딩 이력에서 주파수 확장 코딩을 검출하기 위한 방법. - 제 21 항에 있어서,
상기 주기적 구조는 포지티브 및 네거티브 위상 차 값들 사이에서의 인접 서브대역들의 위상 차 값들의 진동을 포함하고; 진동하는 위상 차 값들의 크기는 진동 임계치를 초과하는, 오디오 신호의 코딩 이력에서 주파수 확장 코딩을 검출하기 위한 방법. - 제 20 항에 있어서,
각 위상 차 서브대역 신호에 대해서, 위상 차 임계치보다 작은 위상 차를 갖는 샘플들의 부분을 결정하는 단계; 및
상기 부분이 상기 고 주파수 서브대역들에서의 서브대역 신호들에 대한 부분 임계치를 초과하는 것을 검출함으로써, 상기 오디오 신호의 상기 코딩 이력에서 상기 제 1 및 상기 제 2 채널의 커플링을 검출하는 단계를 추가로 포함하는, 오디오 신호의 코딩 이력에서 주파수 확장 코딩을 검출하기 위한 방법. - 오디오 신호의 코딩 이력에서 파라메트릭 오디오 코딩 툴의 사용을 검출하기 위한 방법으로서, 상기 오디오 신호는 제 1 및 제 2 채널을 포함하는 멀티-채널 신호인, 상기 방법에 있어서:
복수의 제 1 서브대역 신호들 및 복수의 제 2 서브대역 신호들을 제공하는 단계로서, 상기 복수의 제 1 서브대역 신호들은 상기 멀티-채널 신호의 상기 제 1 채널의 시간/주파수 도메인 표현에 대응하고; 상기 복수의 제 2 서브대역 신호들은 상기 멀티-채널 신호의 상기 제 2 채널의 시간/주파수 도메인 표현에 대응하고; 상기 복수의 제 1 및 제 2 서브대역 신호들은 복소수 값이고 각각 복수의 제 1 및 제 2 위상 신호들을 포함하는, 상기 제공 단계;
상기 복수의 제 1 및 제 2 위상 신호들로부터 복수의 위상 차 서브대역 신호들을 결정하는 단계로서, 각각의 위상 차 서브대역 신호는 대응하는 제 1 및 제 2 위상 신호들 사이의 차를 나타내는, 상기 복수의 위상 차 서브대역 신호들을 결정하는 단계; 및
상기 복수의 위상 차 서브대역 신호들로부터 상기 오디오 신호의 상기 코딩 이력에서 파라메트릭 오디오 코딩 툴의 사용을 검출하는 단계를 포함하는, 오디오 신호의 코딩 이력에서 파라메트릭 오디오 코딩 툴의 사용을 검출하기 위한 방법. - 제 24 항에 있어서,
복수의 위상 차 값들을 결정하는 단계로서, 각 위상 차 값은 상기 대응하는 위상 차 서브대역 신호의 샘플들의 시간에 따른 평균으로서 결정되는, 상기 복수의 위상 차 값들을 결정하는 단계; 및
상기 복수의 위상 차 값들 내에서 주기적 구조를 검출함으로써, 상기 오디오 신호의 상기 코딩 이력에서 파라메트릭 스테레오 인코딩을 검출하는 단계를 추가로 포함하는, 오디오 신호의 코딩 이력에서 파라메트릭 오디오 코딩 툴의 사용을 검출하기 위한 방법. - 제 24 항 또는 제 25 항에 있어서,
각각의 위상 차 서브대역 신호에 대해, 위상 차 임계치보다 작은 위상 차를 갖는 샘플들의 부분을 결정하는 단계; 및
상기 부분이 교차 주파수보다 높은 주파수들에서 서브대역 신호들에 대한 부분 임계치를 초과하는 것을 검출함으로써, 상기 오디오 신호의 상기 코딩 이력에서 상기 제 1 및 제 2 채널의 커플링을 검출하는 단계를 추가로 포함하는, 오디오 신호의 코딩 이력에서 파라메트릭 오디오 코딩 툴의 사용을 검출하기 위한 방법. - 오디오 신호의 코딩 이력에서 주파수 확장 코딩을 검출하기 위한 방법에 있어서:
저 및 고 주파수 서브대역들을 포함하는 대응하는 복수의 서브대역들에서의 복수의 서브대역 신호들을 제공하는 단계로서, 상기 복수의 서브대역 신호들은 상기 오디오 신호의 시간/주파수 도메인 표현에 대응하는, 상기 복수의 서브대역 신호들을 제공하는 단계;
상기 저 주파수 서브대역들에 속한 서브대역 신호들의 그룹과 상기 고 주파수 서브대역들에 속한 서브대역 신호들의 그룹 간의 관계도를 결정하는 단계로서, 상기 관계도는 상기 복수의 서브대역 신호들에 기초하여 결정되고,
상기 관계도를 결정하는 단계는:
주파수 확장 코딩 이력을 갖는 트레이닝 오디오 신호들로부터 유도되는 트레이닝 벡터들의 세트로부터 결정되는 확률 모델을 제공하는 단계로서, 상기 확률 모델은 상기 복수의 고 주파수 서브대역들 및 상기 저 주파수 서브대역들이 미치는 벡터 공간에서의 벡터들 간의 확률 관계를 기술하는, 상기 확률 모델을 제공하는 단계,
상기 저 주파수 서브대역들에서의 상기 서브대역 신호들이 주어졌을 때, 상기 고 주파수 서브대역들에서의 상기 복수의 서브대역 신호들의 추정치를 제공하는 단계로서, 상기 추정치는 상기 확률 모델에 기초하여 결정되는, 상기 복수의 서브대역 신호들의 추정치를 제공하는 단계, 및
상기 고 주파수 서브대역들에서의 상기 복수의 서브대역 신호들이 주어졌을의 추정치 및 상기 고 주파수 서브대역들에서의 상기 복수의 서브대역 신호들로부터 유도되는 추정 에러에 기초하여 관계도를 결정하는 단계를 포함하는, 상기 관계도를 결정하는 단계; 및
상기 관계도가 관계 임계치보다 큰 경우, 주파수 확장 코딩 이력을 결정하는 단계를 포함하는, 오디오 신호의 코딩 이력에서 주파수 확장 코딩을 검출하기 위한 방법. - 제 27 항에 있어서,
상기 확률 모델은 상기 복수의 서브대역들 및 상기 저 주파수 서브대역들이 미치는 벡터 공간에서의 벡터들 간의 확률 관계를 기술하고;
상기 복수의 서브대역 신호들의 추정치는, 상기 저 주파수 서브대역들에서의 상기 서브대역 신호들이 주어졌을 때, 제공되고;
상기 관계도는 상기 복수의 서브대역 신호들의 추정치 및 상기 복수의 서브대역 신호들로부터 유도된 추정 에러에 기초하여 결정되는, 오디오 신호의 코딩 이력에서 주파수 확장 코딩을 검출하기 위한 방법. - 제 28 항에 있어서,
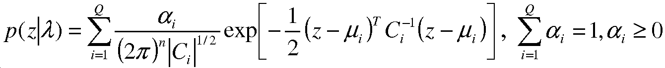
상기 확률 모델은 가우시안 혼합 모델인, 오디오 신호의 코딩 이력에서 주파수 확장 코딩을 검출하기 위한 방법. - 제 29 항에 있어서,
상기 확률 모델은 복수의 혼합 성분들을 포함하고, 각 혼합 성분은 상기 벡터 공간에서의 평균 벡터(μ) 및 상기 벡터 공간에서의 공분산 매트릭스(C)를 갖는, 오디오 신호의 코딩 이력에서 주파수 확장 코딩을 검출하기 위한 방법. - 제 30 항에 있어서,
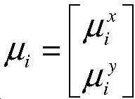
i번째 혼합 성분의 평균 벡터(μi)는 상기 벡터 공간에서 클러스터의 중심을 나타내고;
상기 i번째 혼합 성분의 상기 공분산 매트릭스(Ci)는 상기 벡터 공간에서의 상이한 차원들 간의 상관을 나타내는, 오디오 신호의 코딩 이력에서 주파수 확장 코딩을 검출하기 위한 방법. - 제 31 항에 있어서,
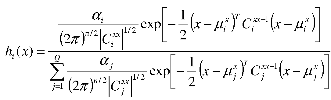
상기 추정치는 다음과 같이 결정될 수도 있고,
여기서, 는, 상기 저 주파수 서브대역들에서의 상기 서브대역 신호들(x)이 주어졌을 때, 상기 복수의 서브대역 신호들(y)의 상기 추정치이고, hi (x)는, 상기 서브대역 신호들(x)이 주어졌을 때, 상기 가우시안 혼합 모델의 상기 i번째 혼합 성분의 관련성을 나타내고, 는 상기 복수의 서브대역들의 서브공간에 대응하는 상기 평균 벡터(μi)의 성분이고, 는 상기 저 주파수 서브대역들의 서브공간에 대응하는 상기 평균 벡터(μi)의 성분이고, Q는 상기 가우시안 혼합 모델의 성분들의 수이고, 및 는 상기 공분산 매트릭스(Ci )로부터의 서브-매트릭스들인, 오디오 신호의 코딩 이력에서 주파수 확장 코딩을 검출하기 위한 방법. - 삭제
- 컴퓨팅 디바이스 상에서 수행될 때, 처리기 상에서 실행되도록 및 제 1 항, 제 2 항, 제 24 항, 제 25 항, 또는 제 27 항 내지 제 33 항 중 어느 한 항에 따른 방법의 단계들을 수행하도록 적응되는 소프트웨어 프로그램을 포함하는, 저장 매체.
- 컴퓨터상에서 실행될 때, 제 1 항, 제 2 항, 제 24 항, 제 25 항, 또는 제 27 항 내지 제 33 항 중 어느 한 항에 따른 방법을 수행하기 위한 실행 가능 명령들을 포함하는 컴퓨터 프로그램이 기록된, 컴퓨터 판독가능 기록 매체.
- 삭제
- 삭제
Applications Claiming Priority (3)
| Application Number | Priority Date | Filing Date | Title |
|---|---|---|---|
| US201161488122P | 2011-05-19 | 2011-05-19 | |
| US61/488,122 | 2011-05-19 | ||
| PCT/US2012/035785 WO2012158333A1 (en) | 2011-05-19 | 2012-04-30 | Forensic detection of parametric audio coding schemes |
Publications (2)
| Publication Number | Publication Date |
|---|---|
| KR20140023389A KR20140023389A (ko) | 2014-02-26 |
| KR101572034B1 true KR101572034B1 (ko) | 2015-11-26 |
Family
ID=46149720
Family Applications (1)
| Application Number | Title | Priority Date | Filing Date |
|---|---|---|---|
| KR1020137033678A Expired - Fee Related KR101572034B1 (ko) | 2011-05-19 | 2012-04-30 | 파라메트릭 오디오 코딩 방식들의 포렌식 검출 |
Country Status (6)
| Country | Link |
|---|---|
| US (1) | US9117440B2 (ko) |
| EP (1) | EP2710588B1 (ko) |
| JP (1) | JP5714180B2 (ko) |
| KR (1) | KR101572034B1 (ko) |
| CN (1) | CN103548077B (ko) |
| WO (1) | WO2012158333A1 (ko) |
Families Citing this family (34)
| Publication number | Priority date | Publication date | Assignee | Title |
|---|---|---|---|---|
| ES2549953T3 (es) * | 2012-08-27 | 2015-11-03 | Fraunhofer-Gesellschaft zur Förderung der angewandten Forschung e.V. | Aparato y método para la reproducción de una señal de audio, aparato y método para la generación de una señal de audio codificada, programa de ordenador y señal de audio codificada |
| TWI546799B (zh) | 2013-04-05 | 2016-08-21 | 杜比國際公司 | 音頻編碼器及解碼器 |
| KR102243688B1 (ko) | 2013-04-05 | 2021-04-27 | 돌비 인터네셔널 에이비 | 인터리브된 파형 코딩을 위한 오디오 인코더 및 디코더 |
| EP2830051A3 (en) | 2013-07-22 | 2015-03-04 | Fraunhofer-Gesellschaft zur Förderung der angewandten Forschung e.V. | Audio encoder, audio decoder, methods and computer program using jointly encoded residual signals |
| EP2830064A1 (en) | 2013-07-22 | 2015-01-28 | Fraunhofer-Gesellschaft zur Förderung der angewandten Forschung e.V. | Apparatus and method for decoding and encoding an audio signal using adaptive spectral tile selection |
| CN105637584B (zh) | 2013-09-12 | 2020-03-03 | 杜比国际公司 | 基于qmf的处理数据的时间对齐 |
| ES2932422T3 (es) | 2013-09-17 | 2023-01-19 | Wilus Inst Standards & Tech Inc | Método y aparato para procesar señales multimedia |
| WO2015060654A1 (ko) | 2013-10-22 | 2015-04-30 | 한국전자통신연구원 | 오디오 신호의 필터 생성 방법 및 이를 위한 파라메터화 장치 |
| JP6151866B2 (ja) | 2013-12-23 | 2017-06-21 | ウィルス インスティテュート オブ スタンダーズ アンド テクノロジー インコーポレイティド | オーディオ信号のフィルタ生成方法およびそのためのパラメータ化装置 |
| CN108600935B (zh) | 2014-03-19 | 2020-11-03 | 韦勒斯标准与技术协会公司 | 音频信号处理方法和设备 |
| US9542955B2 (en) * | 2014-03-31 | 2017-01-10 | Qualcomm Incorporated | High-band signal coding using multiple sub-bands |
| KR101856540B1 (ko) | 2014-04-02 | 2018-05-11 | 주식회사 윌러스표준기술연구소 | 오디오 신호 처리 방법 및 장치 |
| US9306606B2 (en) * | 2014-06-10 | 2016-04-05 | The Boeing Company | Nonlinear filtering using polyphase filter banks |
| EP2963646A1 (en) * | 2014-07-01 | 2016-01-06 | Fraunhofer-Gesellschaft zur Förderung der angewandten Forschung e.V. | Decoder and method for decoding an audio signal, encoder and method for encoding an audio signal |
| EP2963948A1 (en) * | 2014-07-02 | 2016-01-06 | Thomson Licensing | Method and apparatus for encoding/decoding of directions of dominant directional signals within subbands of a HOA signal representation |
| TWI758146B (zh) * | 2015-03-13 | 2022-03-11 | 瑞典商杜比國際公司 | 解碼具有增強頻譜帶複製元資料在至少一填充元素中的音訊位元流 |
| EP3271918B1 (en) | 2015-04-30 | 2019-03-13 | Huawei Technologies Co., Ltd. | Audio signal processing apparatuses and methods |
| EP3223279B1 (en) * | 2016-03-21 | 2019-01-09 | Nxp B.V. | A speech signal processing circuit |
| CN106097317A (zh) * | 2016-06-02 | 2016-11-09 | 南京康尼机电股份有限公司 | 一种基于离散余弦相位信息的多光斑检测和定位方法 |
| CN107731238B (zh) | 2016-08-10 | 2021-07-16 | 华为技术有限公司 | 多声道信号的编码方法和编码器 |
| CN115719592A (zh) * | 2016-08-15 | 2023-02-28 | 中兴通讯股份有限公司 | 一种语音信息处理方法和装置 |
| US10803119B2 (en) * | 2017-01-02 | 2020-10-13 | Gracenote, Inc. | Automated cover song identification |
| EP3382704A1 (en) | 2017-03-31 | 2018-10-03 | Fraunhofer-Gesellschaft zur Förderung der angewandten Forschung e.V. | Apparatus and method for determining a predetermined characteristic related to a spectral enhancement processing of an audio signal |
| US10733998B2 (en) * | 2017-10-25 | 2020-08-04 | The Nielsen Company (Us), Llc | Methods, apparatus and articles of manufacture to identify sources of network streaming services |
| US10629213B2 (en) | 2017-10-25 | 2020-04-21 | The Nielsen Company (Us), Llc | Methods and apparatus to perform windowed sliding transforms |
| US11049507B2 (en) | 2017-10-25 | 2021-06-29 | Gracenote, Inc. | Methods, apparatus, and articles of manufacture to identify sources of network streaming services |
| US10740889B2 (en) * | 2017-12-29 | 2020-08-11 | Huizhou China Star Optoelectronics Technology Co., Ltd. | Method and system for detection of in-panel mura based on hough transform and gaussian fitting |
| CN108074238B (zh) * | 2017-12-29 | 2020-07-24 | 惠州市华星光电技术有限公司 | 基于霍夫变换及高斯拟合的面内mura检测方法及检测系统 |
| US12205348B2 (en) | 2018-08-02 | 2025-01-21 | Veritone, Inc. | Neural network orchestration |
| CN109584890A (zh) * | 2018-12-18 | 2019-04-05 | 中央电视台 | 音频水印嵌入、提取、电视节目互动方法及装置 |
| GB2582749A (en) * | 2019-03-28 | 2020-10-07 | Nokia Technologies Oy | Determination of the significance of spatial audio parameters and associated encoding |
| CN113409804B (zh) * | 2020-12-22 | 2024-08-09 | 声耕智能科技(西安)研究院有限公司 | 一种基于变张成广义子空间的多通道频域语音增强算法 |
| US11568884B2 (en) * | 2021-05-24 | 2023-01-31 | Invictumtech, Inc. | Analysis filter bank and computing procedure thereof, audio frequency shifting system, and audio frequency shifting procedure |
| CN115116469B (zh) * | 2022-05-25 | 2024-03-15 | 腾讯科技(深圳)有限公司 | 特征表示的提取方法、装置、设备、介质及程序产品 |
Family Cites Families (43)
| Publication number | Priority date | Publication date | Assignee | Title |
|---|---|---|---|---|
| KR0149759B1 (ko) | 1995-11-20 | 1998-11-02 | 김광호 | 디지탈신호 처리칩을 이용한 디티엠프 검출기 및 구현방법 |
| DE10000934C1 (de) * | 2000-01-12 | 2001-09-27 | Fraunhofer Ges Forschung | Vorrichtung und Verfahren zum Bestimmen eines Codierungs-Blockrasters eines decodierten Signals |
| JP3511502B2 (ja) | 2000-09-05 | 2004-03-29 | インターナショナル・ビジネス・マシーンズ・コーポレーション | データ加工検出システム、付加情報埋め込み装置、付加情報検出装置、デジタルコンテンツ、音楽コンテンツ処理装置、付加データ埋め込み方法、コンテンツ加工検出方法、記憶媒体及びプログラム伝送装置 |
| SE0004163D0 (sv) | 2000-11-14 | 2000-11-14 | Coding Technologies Sweden Ab | Enhancing perceptual performance of high frequency reconstruction coding methods by adaptive filtering |
| SE0004818D0 (sv) | 2000-12-22 | 2000-12-22 | Coding Technologies Sweden Ab | Enhancing source coding systems by adaptive transposition |
| US7469206B2 (en) | 2001-11-29 | 2008-12-23 | Coding Technologies Ab | Methods for improving high frequency reconstruction |
| EP1318611A1 (en) * | 2001-12-06 | 2003-06-11 | Deutsche Thomson-Brandt Gmbh | Method for retrieving a sensitive criterion for quantized spectra detection |
| US7240001B2 (en) * | 2001-12-14 | 2007-07-03 | Microsoft Corporation | Quality improvement techniques in an audio encoder |
| US20040002856A1 (en) * | 2002-03-08 | 2004-01-01 | Udaya Bhaskar | Multi-rate frequency domain interpolative speech CODEC system |
| KR100462615B1 (ko) | 2002-07-11 | 2004-12-20 | 삼성전자주식회사 | 적은 계산량으로 고주파수 성분을 복원하는 오디오 디코딩방법 및 장치 |
| BRPI0311601B8 (pt) | 2002-07-19 | 2018-02-14 | Matsushita Electric Industrial Co Ltd | "aparelho e método decodificador de áudio" |
| SE0202770D0 (sv) | 2002-09-18 | 2002-09-18 | Coding Technologies Sweden Ab | Method for reduction of aliasing introduces by spectral envelope adjustment in real-valued filterbanks |
| WO2004093494A1 (en) | 2003-04-17 | 2004-10-28 | Koninklijke Philips Electronics N.V. | Audio signal generation |
| AU2003222397A1 (en) * | 2003-04-30 | 2004-11-23 | Nokia Corporation | Support of a multichannel audio extension |
| EP1672618B1 (en) | 2003-10-07 | 2010-12-15 | Panasonic Corporation | Method for deciding time boundary for encoding spectrum envelope and frequency resolution |
| CN1918634A (zh) | 2004-02-16 | 2007-02-21 | 皇家飞利浦电子股份有限公司 | 代码转换器以及用于其的代码转换方法 |
| TWI393121B (zh) | 2004-08-25 | 2013-04-11 | 杜比實驗室特許公司 | 處理一組n個聲音信號之方法與裝置及與其相關聯之電腦程式 |
| SE0402652D0 (sv) | 2004-11-02 | 2004-11-02 | Coding Tech Ab | Methods for improved performance of prediction based multi- channel reconstruction |
| KR100657916B1 (ko) * | 2004-12-01 | 2006-12-14 | 삼성전자주식회사 | 주파수 대역간의 유사도를 이용한 오디오 신호 처리 장치및 방법 |
| WO2006075563A1 (ja) | 2005-01-11 | 2006-07-20 | Nec Corporation | オーディオ符号化装置、オーディオ符号化方法およびオーディオ符号化プログラム |
| KR101194902B1 (ko) | 2005-02-24 | 2012-10-25 | 파나소닉 주식회사 | 데이터 재생장치 |
| KR100818268B1 (ko) | 2005-04-14 | 2008-04-02 | 삼성전자주식회사 | 오디오 데이터 부호화 및 복호화 장치와 방법 |
| CN101288117B (zh) | 2005-10-12 | 2014-07-16 | 三星电子株式会社 | 对音频数据和扩展数据进行编码/解码的方法和设备 |
| US8194754B2 (en) | 2005-10-13 | 2012-06-05 | Lg Electronics Inc. | Method for processing a signal and apparatus for processing a signal |
| AU2006300102B2 (en) | 2005-10-13 | 2010-09-16 | Lg Electronics Inc. | Method and apparatus for signal processing |
| KR100717058B1 (ko) | 2005-11-28 | 2007-05-14 | 삼성전자주식회사 | 고주파 성분 복원 방법 및 그 장치 |
| CN101140759B (zh) * | 2006-09-08 | 2010-05-12 | 华为技术有限公司 | 语音或音频信号的带宽扩展方法及系统 |
| US8036903B2 (en) | 2006-10-18 | 2011-10-11 | Fraunhofer-Gesellschaft Zur Foerderung Der Angewandten Forschung E.V. | Analysis filterbank, synthesis filterbank, encoder, de-coder, mixer and conferencing system |
| US20080243518A1 (en) | 2006-11-16 | 2008-10-02 | Alexey Oraevsky | System And Method For Compressing And Reconstructing Audio Files |
| JP4967618B2 (ja) | 2006-11-24 | 2012-07-04 | 富士通株式会社 | 復号化装置および復号化方法 |
| JP5377974B2 (ja) | 2006-11-30 | 2013-12-25 | パナソニック株式会社 | 信号処理装置 |
| US8015368B2 (en) | 2007-04-20 | 2011-09-06 | Siport, Inc. | Processor extensions for accelerating spectral band replication |
| CA2704807A1 (en) | 2007-11-06 | 2009-05-14 | Nokia Corporation | Audio coding apparatus and method thereof |
| CN101868821B (zh) * | 2007-11-21 | 2015-09-23 | Lg电子株式会社 | 用于处理信号的方法和装置 |
| CN101471072B (zh) | 2007-12-27 | 2012-01-25 | 华为技术有限公司 | 高频重建方法、编码装置和解码装置 |
| ATE518224T1 (de) * | 2008-01-04 | 2011-08-15 | Dolby Int Ab | Audiokodierer und -dekodierer |
| EP2301028B1 (en) | 2008-07-11 | 2012-12-05 | Fraunhofer-Gesellschaft zur Förderung der angewandten Forschung e.V. | An apparatus and a method for calculating a number of spectral envelopes |
| MX2011000372A (es) | 2008-07-11 | 2011-05-19 | Fraunhofer Ges Forschung | Sintetizador de señales de audio y codificador de señales de audio. |
| CN101836253B (zh) | 2008-07-11 | 2012-06-13 | 弗劳恩霍夫应用研究促进协会 | 一种使用频谱倾斜控制成帧技术来计算带宽扩展数据的装置及方法 |
| WO2010028292A1 (en) * | 2008-09-06 | 2010-03-11 | Huawei Technologies Co., Ltd. | Adaptive frequency prediction |
| EP2224433B1 (en) | 2008-09-25 | 2020-05-27 | Lg Electronics Inc. | An apparatus for processing an audio signal and method thereof |
| BRPI0917762B1 (pt) | 2008-12-15 | 2020-09-29 | Fraunhofer-Gesellschaft zur Förderung der angewandten Forschung e.V | Codificador de áudio e decodificador de extensão de largura de banda |
| JP5232121B2 (ja) * | 2009-10-02 | 2013-07-10 | 株式会社東芝 | 信号処理装置 |
-
2012
- 2012-04-30 KR KR1020137033678A patent/KR101572034B1/ko not_active Expired - Fee Related
- 2012-04-30 JP JP2014511380A patent/JP5714180B2/ja not_active Expired - Fee Related
- 2012-04-30 WO PCT/US2012/035785 patent/WO2012158333A1/en not_active Ceased
- 2012-04-30 CN CN201280024357.2A patent/CN103548077B/zh not_active Expired - Fee Related
- 2012-04-30 US US14/116,113 patent/US9117440B2/en not_active Expired - Fee Related
- 2012-04-30 EP EP12723553.9A patent/EP2710588B1/en not_active Not-in-force
Also Published As
| Publication number | Publication date |
|---|---|
| EP2710588A1 (en) | 2014-03-26 |
| WO2012158333A1 (en) | 2012-11-22 |
| JP5714180B2 (ja) | 2015-05-07 |
| JP2014513819A (ja) | 2014-06-05 |
| US9117440B2 (en) | 2015-08-25 |
| CN103548077A (zh) | 2014-01-29 |
| KR20140023389A (ko) | 2014-02-26 |
| EP2710588B1 (en) | 2015-09-09 |
| CN103548077B (zh) | 2016-02-10 |
| US20140088978A1 (en) | 2014-03-27 |
Similar Documents
| Publication | Publication Date | Title |
|---|---|---|
| KR101572034B1 (ko) | 파라메트릭 오디오 코딩 방식들의 포렌식 검출 | |
| CN100466471C (zh) | 信号的光谱包络调整装置以及方法 | |
| RU2536679C2 (ru) | Передатчик сигнала активации с деформацией по времени, кодер звукового сигнала, способ преобразования сигнала активации с деформацией по времени, способ кодирования звукового сигнала и компьютерные программы | |
| EP2207169B1 (en) | Audio decoding with filling of spectral holes | |
| RU2733533C1 (ru) | Устройство и способы для обработки аудиосигнала | |
| EP3343560B1 (en) | Audio coding device and audio coding method | |
| KR102380487B1 (ko) | 오디오 신호 디코더에서의 개선된 주파수 대역 확장 | |
| KR20080059279A (ko) | 오디오 압축 | |
| CN110832581A (zh) | 用于使用瞬态位置检测后处理音频信号的装置 | |
| KR100970446B1 (ko) | 주파수 확장을 위한 가변 잡음레벨 결정 장치 및 그 방법 | |
| JP6790114B2 (ja) | 音声スペクトログラムに基づく構造テンソルを使用して位相情報を復元することによるエンコーディング | |
| US7707030B2 (en) | Device and method for generating a complex spectral representation of a discrete-time signal | |
| CN107221334B (zh) | 一种音频带宽扩展的方法及扩展装置 | |
| CN110709926A (zh) | 用于使用基于预测的整形后处理音频信号的装置和方法 | |
| CA3081781A1 (en) | Temporal noise shaping | |
| RU2409874C2 (ru) | Сжатие звуковых сигналов | |
| Scagliola et al. | High-rate data-hiding robust to linear filtering for colored hosts |
Legal Events
| Date | Code | Title | Description |
|---|---|---|---|
| A201 | Request for examination | ||
| E13-X000 | Pre-grant limitation requested |
St.27 status event code: A-2-3-E10-E13-lim-X000 |
|
| P11-X000 | Amendment of application requested |
St.27 status event code: A-2-2-P10-P11-nap-X000 |
|
| P13-X000 | Application amended |
St.27 status event code: A-2-2-P10-P13-nap-X000 |
|
| PA0105 | International application |
St.27 status event code: A-0-1-A10-A15-nap-PA0105 |
|
| PA0201 | Request for examination |
St.27 status event code: A-1-2-D10-D11-exm-PA0201 |
|
| PG1501 | Laying open of application |
St.27 status event code: A-1-1-Q10-Q12-nap-PG1501 |
|
| E902 | Notification of reason for refusal | ||
| PE0902 | Notice of grounds for rejection |
St.27 status event code: A-1-2-D10-D21-exm-PE0902 |
|
| P11-X000 | Amendment of application requested |
St.27 status event code: A-2-2-P10-P11-nap-X000 |
|
| P13-X000 | Application amended |
St.27 status event code: A-2-2-P10-P13-nap-X000 |
|
| E701 | Decision to grant or registration of patent right | ||
| PE0701 | Decision of registration |
St.27 status event code: A-1-2-D10-D22-exm-PE0701 |
|
| GRNT | Written decision to grant | ||
| PR0701 | Registration of establishment |
St.27 status event code: A-2-4-F10-F11-exm-PR0701 |
|
| PR1002 | Payment of registration fee |
St.27 status event code: A-2-2-U10-U12-oth-PR1002 Fee payment year number: 1 |
|
| PG1601 | Publication of registration |
St.27 status event code: A-4-4-Q10-Q13-nap-PG1601 |
|
| R18-X000 | Changes to party contact information recorded |
St.27 status event code: A-5-5-R10-R18-oth-X000 |
|
| LAPS | Lapse due to unpaid annual fee | ||
| PC1903 | Unpaid annual fee |
St.27 status event code: A-4-4-U10-U13-oth-PC1903 Not in force date: 20181121 Payment event data comment text: Termination Category : DEFAULT_OF_REGISTRATION_FEE |
|
| PC1903 | Unpaid annual fee |
St.27 status event code: N-4-6-H10-H13-oth-PC1903 Ip right cessation event data comment text: Termination Category : DEFAULT_OF_REGISTRATION_FEE Not in force date: 20181121 |
|
| R18-X000 | Changes to party contact information recorded |
St.27 status event code: A-5-5-R10-R18-oth-X000 |
|
| R18-X000 | Changes to party contact information recorded |
St.27 status event code: A-5-5-R10-R18-oth-X000 |
|
| R18-X000 | Changes to party contact information recorded |
St.27 status event code: A-5-5-R10-R18-oth-X000 |











