KR101570665B1 - 수해조절장치시스템 - Google Patents
수해조절장치시스템 Download PDFInfo
- Publication number
- KR101570665B1 KR101570665B1 KR1020120096214A KR20120096214A KR101570665B1 KR 101570665 B1 KR101570665 B1 KR 101570665B1 KR 1020120096214 A KR1020120096214 A KR 1020120096214A KR 20120096214 A KR20120096214 A KR 20120096214A KR 101570665 B1 KR101570665 B1 KR 101570665B1
- Authority
- KR
- South Korea
- Prior art keywords
- water
- pump
- pressure
- control system
- valve
- Prior art date
- Legal status (The legal status is an assumption and is not a legal conclusion. Google has not performed a legal analysis and makes no representation as to the accuracy of the status listed.)
- Active
Links
Images
Classifications
-
- G—PHYSICS
- G08—SIGNALLING
- G08B—SIGNALLING OR CALLING SYSTEMS; ORDER TELEGRAPHS; ALARM SYSTEMS
- G08B21/00—Alarms responsive to a single specified undesired or abnormal condition and not otherwise provided for
- G08B21/02—Alarms for ensuring the safety of persons
- G08B21/10—Alarms for ensuring the safety of persons responsive to calamitous events, e.g. tornados or earthquakes
-
- Y—GENERAL TAGGING OF NEW TECHNOLOGICAL DEVELOPMENTS; GENERAL TAGGING OF CROSS-SECTIONAL TECHNOLOGIES SPANNING OVER SEVERAL SECTIONS OF THE IPC; TECHNICAL SUBJECTS COVERED BY FORMER USPC CROSS-REFERENCE ART COLLECTIONS [XRACs] AND DIGESTS
- Y02—TECHNOLOGIES OR APPLICATIONS FOR MITIGATION OR ADAPTATION AGAINST CLIMATE CHANGE
- Y02A—TECHNOLOGIES FOR ADAPTATION TO CLIMATE CHANGE
- Y02A20/00—Water conservation; Efficient water supply; Efficient water use
- Y02A20/40—Protecting water resources
- Y02A20/402—River restoration
-
- Y—GENERAL TAGGING OF NEW TECHNOLOGICAL DEVELOPMENTS; GENERAL TAGGING OF CROSS-SECTIONAL TECHNOLOGIES SPANNING OVER SEVERAL SECTIONS OF THE IPC; TECHNICAL SUBJECTS COVERED BY FORMER USPC CROSS-REFERENCE ART COLLECTIONS [XRACs] AND DIGESTS
- Y02—TECHNOLOGIES OR APPLICATIONS FOR MITIGATION OR ADAPTATION AGAINST CLIMATE CHANGE
- Y02A—TECHNOLOGIES FOR ADAPTATION TO CLIMATE CHANGE
- Y02A50/00—TECHNOLOGIES FOR ADAPTATION TO CLIMATE CHANGE in human health protection, e.g. against extreme weather
Landscapes
- Life Sciences & Earth Sciences (AREA)
- Environmental & Geological Engineering (AREA)
- General Life Sciences & Earth Sciences (AREA)
- Geology (AREA)
- Business, Economics & Management (AREA)
- Emergency Management (AREA)
- Physics & Mathematics (AREA)
- General Physics & Mathematics (AREA)
- Other Liquid Machine Or Engine Such As Wave Power Use (AREA)
Abstract
이러한 본 발명이 해결하고자 하는 기술적 과제는,지구촌 내륙의 산악지대의 산간지역에서 물탱크와 콘크리트댐과 방재수로들로 홍수유량을 제어하면서 소하천 대하천과 해안의 바닷가 지역 등의 설치 위치에 따른 전국토에 설치된 다수개의 여러 산악이 잇달아 길게 뻗치어 줄기를 이룬 지대인 산맥의 산줄기와 산등성이를 따라 죽 이어진 선인 산능선과 산의 생긴 형세인 산세에 따른 태풍, 산불, 황사, 홍수와 가뭄 등의 자연재해로부터 제약을 받지않고 부가적으로 물의 위치에너지를 물의 운동에너지로 전환시켜 지속적으로 수력발전에너지 전력생산을 수행하도록한 수해조절장치 시스템의 산능선 수개의 방재수로와 댐과 펌프와 밸브와 분사장치노즐과 무동력펌프와 케이블카아들로 형성시켜 방제와 방재활동을 효율적으로 한꺼번에 수해조절 수행을 이루도록 마련하고나,동시에 3000m/m 정도의 강수량의 집중호우에도 견고한 방재수로와 댐에 의해 하천제방들이 견딜 수 있도록한 수해조절장치들로구비해 홍수기에는 계곡에 흘러 넘치는 물을 소하천 대하천으로 유입하지 않도록한 수해조절장치들로 수해조절 수행을 이루도록 마련하고나,동시에 수해조절장치시스템에의 수해조절장치에는,산악지형에 따른 높낮이 조절의 다수의 각부능성별 방재수로와 댐에 물을 회전 분산 방류시키면서 물을 저장하여 홍수난류와 와류를 신속하고 효율적으로 완화시켜 산간벽지 하부의 하천제방이 붕괴되지 않으면서 도로와 교량이 유실되지 않도록 마련하고나,동시에 수해조절장치에의,원형물탱크 형태와 동일한 수로댐들은 산사태발생의 사전예방을 마련하고나,동시에 하천수위와 동일한 저지대의 농경지와 근린생활지역과 축산단지와 공업단지로는 침수피해의 물난리를 없도록한 수해조절장치들로 생활오폐수와 축산오폐수와 공업폐수들이 하천에 유입되지 않도록 마련한 1급수질의 수해조절용수를 유지하여 지속적으로 바다로 흘러보내며 가뭄기에는 삼년 정도로 사용하도록한 수해조절용수를 댐과 저장탱크에 저장된 물을 생활용수와 음용수와 농업용수와 수력발전용수와 공업용수의 수해조절용수들로 마련하고나,동시에 방제 및 방재용수의 수자원을 풍족하게 공급하도록한 값싸고 질좋은 1급수질의 수자원을 지속적으로 공급하도록한 수해조절장치로 수해조절을 극대화하여 지구촌에 제공하는 것을 목적으로 구성하는 수해조절장치시스템에 관한 것이다.
Description
상기 수해조절장치시스템의 다목적댐 연간 용수공급능력은 약 109억㎥ 이다. 소양강댐의 저수용량이 29억㎥로 가장 많으나 연간 용수능력은 12억㎥으로, 충주댐의 34억 ㎥보다 적다. 발전시설 용량 규모는 충주댐이 41만kw로 가장 크다.
상기 수해조절장치시스템의 다목적댐은 홍수기에 홍수조절을 통해 물로 인한 재해를 막고, 가뭄때는 물을 안정적으로 방류하여 생활용수와 농업용수, 하천유지용수를 공급하며, 부수적으로 수력전기를 생산해 청정한 동력자원을 제공한다.
이처럼,수해조절장치시스템의 다목적댐은 주요한 사회간접자본 시설임에도 불구하고 최근에는 댐의 감소, 환경에 대한 관심증가, 수몰지역발생과 재산권행사 지장으로 인한 반발 등의 이유로 댐건설을 둘러싼 사회적 여건이 매우 곤란한 상황에 직면해 있다. 이러한 현 시점에서 다목적댐 건설 필요성에 대한 진단과 더불어 효율적인 다목적댐의 안정적인 발전시설용수공급과 홍수조절용수공급물관리 방안에 대해 진지하게 재검토해 볼 필요가 있다.
또한,육상의 종래 재난방지에 사용되는 것은 재난방재물질인 방재수와 방재사에는,상기 방재사를 대체하는 방제물질과 방재물질은 자연황토와 분말황토로서 방재물질을 수송하도록한 수송장비인,소방헬기와 소방차이며 이의 수송장비에의 방재물질 운송도구로 바스켓(42) 사용을 마련하고나,동시에 방재물질이 풍부한 강하천의 방재수로(17) 또는 일정량의 방재수를 보유하는 저수지 또는 연못인 집수정에 일정량의 방화수를 국가재난방지의 화재진화를 하기 위하여 매수회 이동운반하여 수송장비로 방재활동을 진행하여 이때에 초기진화가 이루어지면 천만다행인 것이고 일주일 이상 진화활동이 진행되면 재난지역으로 선포되는 것이 종래의 기술수준인 바, 이에 재난지역으로 선포되지 않는 방향의 모든 재난을 총칭하는 무재해재난방지 필요성이 부각되면서 재난방지에 대한 개발이 가일층 진행되고 있다.
이하,본 발명에 따른 수해조절장치시스템의 종래 기술에 대해 도면을 참조하여 상세하게 설명하기로 한다.
도 1을 참조하면,본 발명에 따른 종래의 수해조절장치시스템의 일 실시예의 구성을 보여주는 계단식 댐하부의 수력발전소 가동에 따른 디젤 엔진과 발전기 생산전력 장치를 도시한 각개의 압축기와 펌프로 수해조절용수를 공급하기 위한 전동기 펌프의 각개의 설치위치설정에 따른 종래의 수해조절장치시스템의 사시 구성도와,
도 1a를 참조하면,본 발명에 따른 종래의 수해조절장치시스템의 일 실시예의 구성을 보여주는 수력발전기 몸체를 부분적으로 도시한 수력발전소 내부의 프란시스수차, 펠톤수차에 펌프수차 및 터어빈과 가이드베인 내부 조립모형도 및 펌프수차의 설치위치설정에 따른 종래의 수해조절장치시스템의 부분적 측면 구성도로,
도 1 내지 도 1a에 도시한 바와 같이,상기 수해조절장치 시스템에의 해양수력발전기(213) 설비는,상기 수력발전기(213) 내부에서 수압차 발생을 마련하고나,동시에 해양수력발전기 설비에는,기계적 에너지를 만들어 수개의 수차와 터빈(267)을 회전하여 동력 생산을 마련하는 수개의 수차와 터빈(267)과, 상기 수개의 수차와 터빈(267)으로부터 생산되는 상기 동력 전환을 마련하는 수력발전기(213)와 상기 수개의 수차와 터빈(267)과 상기 수력발전기(213) 연결을 마련하는 회전축(198) 상단부에는 회전속도 검출기(214)와 상기 회전속도 검출기(214) 아래로 위치를 마련한 교류발전기와 동력전동기의 계자코일에 전류 공급을 마련하는 직류발전기 여자기(215)가 위치를 마련하고 상기 여자기(215) 하부에는 고리관 깃을 밀어넣는 드러스트 고리관(216)과 상기 드러스트 고리관 하부로 상부 회전축받이(217)가 위치를 마련한 종래의 해양수력발전기(213) 설비들로 수해조절장치시스템이 형성되어 있다.
상기 수해조절장치 시스템에의 해양수력발전기(213) 설비에는 상부 회전축받 이(217) 아래로 회전축받이를 밀어넣는 기기(218)가 위치를 마련하고나,상기 회전축받이를 밀어넣는 기기(218) 하부에는 고정자 코일(219)과 고정자 프레임(220)과 중심부 고정자(221) 위치를 마련하고 상기 중심부고정자(221) 틈새로 전선(71)이 끼워져 있고 상기 중심부 고정자(221) 하부로 팬(195)이 위치를 마련하며 상기 팬(195) 하부에는 제동장치 링(223)과 브레이크용 잭(224)과 저속 회전축받이(225)가 위치를 마련하고 상기 저속 회전축받이(225) 하부로 저속냉각기(222)가 위치를 마련하며 상기 회전축(198) 둘레면을 따라 형성된 회전하는 전자석 회전자 코일과 상기 회전자 코일 둘레면을 따라 설치되는 회전하지 않는 코일 발전기용의 전기자 코일과 상기 회전축(198) 하단부로 위치를 마련하는 수개의 수차와 터빈(267)과 터빈 회전축받이(227)와 케이싱(141)과 베인펌프와 가이드베인(142)과 날개바퀴(228) 들로 마련한 종래의 해양수력발전기(213) 설비들로 해양수력발전기(213) 설비의 수해조절장치시스템들로 형성되어 있다.
상기 수해조절장치 시스템에의 수차의 입력으로 되어 수차발전기를 회전하게 되되, 조정지식 또는 저수지식 발전소인 양수식 발전소의 방식에는 전력수요가 적은 심야 또는 주말의 경부하시에 원자력 발전소로부터 값싼 전력을 이용하여 펌프로 하부 저수지의 물을 상부 저수지에 양수해서 저장해 두었다가 첨두부하시에 펌프수차를 구비하는 종래의 수력발전소(267)이다.
상기 종래의 수해조절장치 시스템에의 수력발전소(267)에는, 상부 저수지에 하천으로부터의 자연유입량이 있고 부족되는 수량만을 하부 저수지로부터 양수하는 혼합식 양수발전소와, 상부 저수지에는 전혀 자연유입량이 없이 양수된 수량만으로써 발전하는 순양수식 발전소(267)의 2가지가 있으되, 양수시 발전이 되도록 전동기펌프 양수시 터어빈수차가 회전축에 부착된 전동발전기에 전력생산하는데 이때, 펌프수차 옆 밸브가 오픈되어야 되는데 이 방식, 역시 입형다단펌프 관제시스템의 전자제어장치와 대동소이하게 이루게되는 설비인데 터어빈(74) 수차 내부에도 노즐홀(20)이 형성되어있다.
이하에서는,상기한 발전소(육상수력발전)의 배경기술을 수력설비와 수력 일반에 수력학으로 분리 구분시켜 당업자들이 본 발명을 보다 더 상세한 설명에 의해 누구나 쉽게 이해할 수 있도록 본 발명의 수력발전소(233) 설비방식을 종전의 기술과 대동소이한 발전설비를 접목 형성된 아래표와 아래그림과 같이 설명한다.
먼저 수해조절장치 시스템에의수력설비 개요에 대해 상세하게 설명하기로 한다.
상기 종래의 수해조절장치 시스템에의 수력발전소(267)에는,수력설비는 유량과 낙차를 이용하는 설비이므로 항상 발전에 필요한 유량을 안전하게 취수하고, 또한 낙차 및 유량의 손실이 가능한 한 적게 되도록 건설되어야 한다. 수력 발전소에서의 수력설비를 그 기능에 따라 분류하면 취수설비, 도수설비, 발전설비 및 방수설비의 4가지로 크게 나누어지지만, 이들의 설비는 지형에 알맞게 설계하고 또 각 설비를 잘 조합시켜서 그 지점이 갖는 수력을 가장 유효하게 활용할 수 있도록 계획하지 않으면 안된다.
각 설비에 사용하는 공작물에는 여러 가지 구조의 것이 있는데 이들을 어떻게 조합 하는가에 따라 발전소의 구성을 분류하면 하도와 같이 된다. 여기서는 수력발전설비의 개요를 수로식 발전소를 대상으로 해서 간단히 살펴보기로 한다.
수력 발전용으로서 하전의 유수를 취수하기 위해서는 하천의 흐름에 거의 직각의 방향으로 물을 막아 주는 설비 - 이것을 취수댐이라고 부른다 - 와 그 바로 상류의 하안에 물을 취수하는 설비 - 이것을 취수구라고 부른다 -를 축조한다.
취수구로부터 취수한 물은 수로를 통하여 발전소 상부에 있는 상수조까지 유도해서 낙차를 얻는다. 이것을 다시 수압관을 거쳐 수차로 보내고 여기서 물이 갖는 위치에너지를 기계적 에너지로 변환해서 발전기로 전기 에너지를 발생한다. 사용하고 난 물은 방수로를 통해서 다시 하천에 방류하게 된다. 이 과정에서 취수구 가까이에 침사지를 만들어 유수 중의 토사를 침전시키고 있다. 또, 상수조에는 여수로를 설치해서 갑자기 부하가 줄어서 수위가 규정값을 넘었을 때 잉여수를 하천에 안전하게 방류하도록 하고 있다. 이들 가운데 취수구 직후부터 상수조 입구까지를 도수로라고 부른다.
도수로에는 그 전체에 압력이 걸리는 압력수로와 유수의 상부가 대기와 접하고 있는 자연유하식의 무압수로의 2가지가 있다. 상수조는 자연유하식에 사용되는 것이며, 압력수로일 경우에는 이 상수조 대신에 조압수조를 사용한다.
한편 조정지나 저수지로부터 취수할 경우에는 이들 못 자체가 침사지의 작용을 겸하기 때문에 침사지를 설치하지 않는다. 또, 댐식 발전소에서는 저수지가 상수조의 작용을 하게 되므로 따로 상수조를 설치하지 않고 있다는 것이었다.
둘째로 발전용 댐에 있어서,
발전용 댐을 우선 그 용도별로 분류하면, 수로식 발전소에 사용되는 간단한 취수댐, 댐 수로식 발전소에서는 상류측의 수위를 높이는 데 사용되는 약간 큰 댐, 그리고 취수용뿐만 아니라 물을 어느 기간 동안 저장하기 위해서 골짜기나 하천을 가로 막아서 조정지라든지 저수지를 만드는 거대한 저수댐 등이 있다(댐식 발전소).
댐을 축조할 때 주의하지 않으면 안 될 주요한 사항을 열거하면 다음과 같다. 먼저 홍수, 그 이외의 외력을 받더라도 안전하게끔 합리적으로 설계되어야 한다는 것이었고 다음의 댐 형식은 지형 및 지질을 고려해서 가장 경제적인 것으로 선정되어야 한다는 것이었으며 선정후 댐의 상류측 수위가 올라가게 됨으로써 - 곧 이것을 배수라 한다 - 입게 되는 피해를 최소한으로 줄여야 한다는 것이었고 그리고 홍수시에도 그 최대유량을 안전하게 방류해서 발전 설비 및 하류의 모든 시설 등에 위험을 미치지 않아야 한다는 것이었다.
발전용 댐의 사용목적에 따른 분류에 의하면 취수댐과 저수댐이 형성된다
먼저 취수댐에 있어,
수로식 발전소에서 취수를 목적으로 한 댐으로서 일반적으로 댐 높이와 폭은 그다지 크지 않은 편이다.
다음은 저수댐에 있어,
댐으로 상류측 수위를 높여서 낙차를 얻음과 동시에 계절적 내지 연간을 통한 수량조절이 가능한 대규모의 것이 사용된다. 조정능력의 크기에 따라 조정지와 저수지로 나뉘어진다는 것은 앞에서 설명한 그대로이다.
발전용 댐의 사용재료에 의한 분류에 의하면 콘크리트댐과 흙댐에 암석댐이 형성된다
첫째로 콘크리트댐에 있어
시멘트, 모래, 자갈을 혼합, 가공한 콘크리트를 소재로 한 댐으로서 안정도가 높기 때문에 현재 가장 많이 사용되고 있다.
둘째로 흙댐에 있어
모래, 자갈, 점토 등을 적당히 혼합해서 축조하는 댐으로서 자재가 현지에서 조달될 경우 경제적이다. 이 형식의 댐은 하도에서 보는 바와 같이 콘크리트댐보다도 상류, 하류 양면의 경사를 완만하게 해서 안정을 유지할 수 있도록 설계하여야 한다.
세번째 암석댐에 있어서,
주로 암석을 축조재료로 한 흙댐과 마찬가지로 현지에서 이러한 암석 재료가 조달될 경우 경제적이다. 이 댐은 흙댐에 비하여 댐을 높게 할 수 있고, 또 안정도도 높지만 가체중량이 크기 때문에 기초를 튼튼히 할 필요가 있다. 이것 역시 흙댐과 마찬가지로 중력댐의 일종이다.
발전용 댐의 역학적인 구조에 따른 분류에 의하면 중력댐에 형성된다.
상기 중력댐은 현재 가장 많이 사용되고 있는 형식으로서, 둑 본체의 자체중량으로 외력에 대하여 안정도를 유지하고 있다. 이 댐은 큰 압력이 기초부분에 걸리기 때문에 설치장소는 견고한 암반이 있는 곳이어야 한다.
중력댐은 주로 콘크리트로 축조되지만 이 밖에 흙을 사용한 흙댐, 암석을 사용한 암석댐도 중력댐의 일종으로 일부 사용되고 있다. 하도는 콘크리트 중력댐의 설명도이다.
세째,수해조절장치 시스템에의 수문의 종류에는,고정댐의 상부에 설치하여 갈수시에는 이것을 폐쇄해서 상류측의 수위를 높여서 취수를 용이하게 하고 홍수시에는 이것을 개방해서 방수시킴으로써 수위가 지나치게 올라가는 것을 방지함과 동시에 댐의 상류측에 퇴적된 토사를 토해 내도록 하는 기능을 지니고 있다. 이것에 사용되는 수문에는 다음과 같은 여러 종류가 있다.
먼저 슬루스 게이트가 사용되었고 이것은 소규모의 댐에 사용되는 가장 간단한 수문으로서 보통 직사각형의 문을 상하로 조작해서 개폐하는 구조로 되어 있다.
다음은 롤러 게이트가 사용되었으며 상기 슬루스 게이트가 대형이 되면 문틀과 문의 접촉 부분의 마찰저항이 커지기 때문에 이 마찰을 줄이기 위하여 여기에 롤러를 사용한 것이다. 수문의 상·하 조작은 보통 와이어로프와 권상기(타구어윈치)를 사용하고 있다.
그 다음은 롤링 게이트가 사용되었고 이에 따라 하도과 같이 강철제의 원통형 게이트를 댐의 정상에 설치하고 이 원통을 회전시키면서 수문을 개폐하는 것이다. 이것은 구조가 견고하여 유수 등의 충격에도 견딜 수 있으므로 취수댐 등에 많이 사용되고 있다.
네째로 수압관로의 설치되는 데에는
일반적으로 상수조(또는 조압수조)로부터 발전소의 수차입구에 이르기까지의 도수관을 수압관이라고 부르며, 이 수압관을 지지하기 위한 공작물 등과 그 이외의 반면을 총칭해서 수압관로라고 부르고 있다.
수압관의 위치는 상수조(또는 조압수조)와 발전소와의 위치에 따라 가능한 한 최단거리의 직선을 택하여야 하며 수압관의 지름은 건설비나 손실수두를 고려하여 관내 유속이 3~5[m/s] 정도가 되게끔 정하고 있다. 그 밖에 수압관수는 수차 1대에 1관이 기본이지만 고낙차의 수량이 적을 경우에는 수차 2대에 1관으로 하는 경우도 있다.
수압관에는 정수두, 서징수두, 수격작용에 의한 압력 등이 내압으로서 작용하므로 관의 두께 t[cm]는 그 부분에 걸리는 최대수압에도 충분히 견딜 수 있는 크기로 결정해 주어야 한다.
지금 수압관의 지름을 D[cm], 최대수압을 P[kg/㎠], 강철재료의 허용응력도(응장력)을 σ[kg/㎠], 관의 접합효율을 η[%], 부식에 대한 여유두께를 ε[cm]라고 하면 관의 두께 t[cm]는 다음 식으로 계산된다.
다음 수차 이후에는 방수로가 사용된다.
이것은 수차로부터 나오는 물을 원래의 하천에 방류하기 위한 수로로서 이것과 하천의 본류가 합류되는 곳을 방수구라고 한다.
방수로의 구조는 앞에서 설명한 수로의 그것과 대체로 같지만 하천의 흐름에 원활하게끔 가능한 한 수심이 깊은 장소를 선정하고 또한 하천의 흐름과 같은 방향으로 방류시키도록 하여야 한다는 것이었다.
이 같이 수력발전의 원리에 대하여 다음 아래의 그림과 아래의 표로 수력일반을 다음과 같이 설명한다.
현재 지구상에 보유되어 있는 에너지자원 중 석탄과 석유 기타의 지하자원에 의한 열에너지는 장차 자원이 고갈될 운명에 있고, 최근 원자력발전의 개발에 크게 기대되고 있으나, 물 에너지는 우주가 존재하는 한 무한이라고 생각할 수 있다.
우리나라에서도 최근 큰 댐을 건설하여 인공적인 저수지를 만들어 홍수의 조절과 발전, 관개 등에 많은 노력을 하고 있다.
또한 물은 압력, 위치의 에너지를 가지고 있으며, 자연계에서는 위치에너지의 형태로서 보유되는 경유가 많다. 이 위치 에너지를 운동 에너지 및 압력 에너지로, 또는 운동 에너지만으로 변화시켜 수차에 작용시키므로 기계적 에너지로 변화시킬 수 있다.
물의 발생동력 P kg·m/sec은 낙차를 Hm, 유량을 Q ㎥/sec, 물의 비중량을 r kg/㎥라고 하면, (P = rHQ kg·m/sec) 이므로 수력동력은 낙차와 유량에 따라서 결정된다. 낙차는 하천이나 수원지의 상태가 결정되면 대체로 일정하고, 유량은 유역과 강우량에 관계된다는 것이었고 여기서 발생하는 출력은 낙차와 수량과의 곱에 비례하므로 우선 발전소 상부의 포장수력에 좌우된다. 또한, 이 때의 출력을 늘리기 위해서는 이들의 물을 1개소에 집중하도록 인공적으로 유수를 바꾸고, 또 큰 낙차를 얻을 수 있는 발전지점을 선정하여야 한다는 것이었으며 지금 사용수량 Q[㎥/s]의 물이 유효낙차 H[m]를 낙하해서 수차에 유입될 경우 수차에 주는 동력 P o[kW]는 (P o = 9.8QH[kW]) 로 되는데 보통 이것을 이론수력이라고 부른다.
이 이론수력은 아래의 그림에서와 같이 수차에의 입력으로 되어 수차, 발전기를 회전하게 된다. 수차출력 P t 및 발전기 출력 P g는 각각 수차효율을 η t, 발전기효율을 η g라고 할 때, (P t = 9.8QHη t [kW]) (P g = 9.8QHη t η g [kW]) 로 표시된다.
(η t),(η g)는 수차, 발전기의 각각의 형식, 용량, 부하의 크기 등에 따라 약간 달라지지만 정격 운전시에 η t = 80 ∼ 90[%], η g = 90 ∼ 97[%] 정도의 값을 가지며, 이 양자의 곱 η = η t η g를 종합효율이라고 한다. 위의 식으로부터 알 수 있는 바와 같이 수력을 유효하게 사용하려면, 어떻게 하면 큰 낙차(H)를 얻고 또 사용수량(Q)을 경제적으로 얻을 수 있는가 하는 것이 문제로 된다. 하천의 하류부를 이용할 경우에는 사용수량을 크게 얻을 수 있으나 그 대신 낙차는 작아지며, 반대로 하천의 상류부에서는 큰 낙차를 얻을 수 있는 대신 사용수량은 일반적으로 감소하게 된다.
[표 1] 수차 및 발전기 효율의 개략 값
다음의 수해조절장치 시스템에의 수력발전소의 종류와 설비에는,수력발전소는 취수방법과 운용방법에 따라 여러 가지로 분류된다. 먼저 취수방법에 의한 분류에는 하도와 같이 댐식 발전소와 수로식 발전소에 댐수로식 발전소와 유역변경식 발전소가 형성되었고 상기 댐식 발전소는 하천을 횡단하는 댐을 축조하여 유수를 막아, 이로 인하여 생기는 낙차를 이용하는 형식이다. 큰 낙차를 이 형식으로 하려면 상당히 높은 댐을 축조하여야 하고, 또 매몰면적도 크므로 경제적인 방법이라고 할 수 없으나, 적성지형 외에도 관개용 또는 홍수조절용 저수지의 낙차를 이용하는 경우가 많으며 대개 저낙차 원동소에 사용된다. 이 댐식은 우리나라 실정에서 볼때 가장 유용한 것이며 장래에도 이 방식의 건설이 매우 중요시 된다. 이와 같이 발전, 관개, 홍수조절용 등의 목적으로 축조되는 댐을 다목적댐이라고 부른다. 또 댐식으로 하면 강우량과 사용수량사이의 불균형에 의하여 상당한 낙차변동을 피할 수 없을 때가 많으며 이와 같은 발전소를 특히 변낙차발전소라고 부르는 수도 있다.
이것은 댐에 저장되는 수량이 풍부할수록 경제적으로도 유리하고, 또 운용면에서도 바람직하므로 우리나라에서는 비교적 경사가 있고 수량이 풍부한 한강계 중·하류부에 이 형식의 발전소를 많이 건설하고 있다.(춘천, 의암, 청평, 팔당, 소양강 발전소 등)
그리고 수로식 발전소는 하천주류에 댐을 축조하여 별도로 작은 구배의 수로 또는 압력수로를 만들어 하천의 급구배 또는 굴곡된 지형을 이용하여 주로 상당한 거리의 수로에 의하여 중낙차나 고낙차를 얻는 경우에 사용된다.
[그림 3]은 이형식이며 물은 취수구, 침사지, 수로 또는 압력수로, 상수조 또는 조압수조, 수문, 수압관, 수차, 방수로의 순서로 흐르게 된다.
침사지를 취수구에 가깝게 만들어 물을 일단 정지시켜, 흙, 모래, 초목 같은 침전물을 제거하여 맑은 물만을 수로에 들어가게 한다. 침사지의 칙면에는 배사로를 만들어 때때로 침전된 흙, 모래 등을 배출시킨다. 수로는 지형에 따라서 개거,
이 방식에서는 건설비가 크게 소요되지 않지만 그 대신 발생전력은 자연유량에 따라 달라지며, 또 이 자연유량도 계절에 따라 변동되기 때문에 부하변화에 응해서 원활한 전력공급을 할 수 없다는 결점이 있다.
우리나라에서는 이 방식의 발전소가 없지만 러시아(시베리아)나 브라질같이 수량이 풍부한 하천에서는 자연유량을 그대로 발전에 이용하는 유입식 발전소를 건설해서 운용하고 있다.
다음의 저수지식 발전소는 계절적인 하천의 유량변화를 조정할 수 있는 대용량의 저수지를 가진 발전소로서, 가령 풍수기에 남는 물을 저수하였다가 갈수기에 방출해서 하천유량을 장기간(보통 1년간)에 걸쳐 유효하게 이용하는 발전소이다.
우리나라의 수계는 유량이 비교적 적기 때문에 저수지식 발전소는 귀한 편이다. 그 중에서도 북한강계의 소양강 발전소와 남한강계의 충주발전소가 다목적댐을 축조해서 저수지식 발전소를 이루고 있다. 유효 저수량을 보면 소양강댐이 약 19억[t], 충주댐이 약 18억[t]이다.
그리고 조정지식 발전소에 있어 저수지를 건설할 수 없을 정도로 유량이 적은 수계에서는 수로의 도중 또는 취수구 앞(댐식일 경우)에 조정지를 설치해서 하천으로부터의 취수량과 발전에 필요한 수량과의 차를 이 조정지에 저수하거나 또는 방출함으로써 수시간 또는 수일간에 걸친 부하변동에 대응할 수 있게 하고 있다. 이 방식은 유입식 발전소와 달라서 하천의 취수량보다도 발전소 최대수량을 상당히 크게 설계할 수 있다는 이점이 있다. 또, 첨두부하를 분담하는 경우가 많아서 그러한 경우에는 이것을 특히 피크(첨두용) 발전소라 부르기도 한다.
네번째 양수식 발전소는 조정지식 또는 저수지식 발전소의 일종으로서 전력수요가 적은 심야 또는 주말 등의 경부하시에 원자력발전소 등의 값싼 전력을 이용하여 펌프로 하부 저수지의 물을 상부저수지에 양수해서 저장해 두었다가 첨두부하시에 이것을 이용하는 발전소이다.
이 방식에는, 상부 저수지에 하천으로부터의 자연 유입량이 있고, 부족되는 수량만을 하부 저수지로부터 양수하는 혼합식 양수 발전소와, 상부 저수지에는 전혀 자연 유입량이 없이 양수된 수량만으로써 발전하는 순양수식 발전소의 2가지가 있다.
현재 우리나라의 양수 발전소는 청평(40만[kW]), 삼랑진(60만[kW]), 무주(60만[kW]), 산청(70만[kW]), 양양(100만[kW]) 등이 있는데 이들은 모두 후자의 순양 수식 발전소이다.
종래의 조력 발전소에 있어서 상기의 조력발전은 바닷물의 간만의 차에 의한 위치 에너지를 전력으로 변환하는 발전소로서 그 설치장소는 가능한 한 간만의 차가 큰 곳이 바람직하다. 곧, 바닷물이 밀물로 밀려 왔을 때 이것을 해안에 건설된 저장지에 유도해서 저장하고, 썰물로 빠져나갈 때 저장지로부터 저장한 바닷물을 바다로 낙하시켜서 양수발전의 경우와 마찬가지로 발전기를 구동해서 발전하는 방식이다.
조력 발전소의 운전 예로서는 최대 13[m]의 간만차를 이용할 수 있다는 프랑스의 랭스 하구에서의 랭스 조력 발전소가 유명하다. 여기서는 최대 13[m], 평균 8.5[m]의 간만차를 이용해서 10,000[kW]× 24기의 240,000[kW]의 발전을 하고 있다. 이 발전방식의 가장 큰 문제점은 입지조건이며, 바닷물의 간만차가 최대 10[m] 정도 이상의 바다가 있고, 이 해안이 저장지의 건설에 적합하다는 조건이 충족되어야 한다.
우리나라에서도 충남의 가로림만을 중심으로 한 몇 군데에서 조력발전 계획을 구상중에 있다. 가로림만은 최대 조석차 7.9[m], 조지 면적 120[㎡], 방조제 길이 2.1[㎞], 시설용량 40만[kW]의 발전소를 건설할 수 있는 매우 유리한 후보지로 알려지고 있다.
참고로 [표 2]는 세계 주요지점에서의 평균조차(간만차)를 나타낸 것이다(여기서는 평균조차 4.6[m] 이상만 수록하였음).
[표 2] 세계 주요지점에서의 평균조차
참고로 [그림 12]에 우리나라의 대부분의 수력 발전소가 집중되어 있는 한강수계에서의 각 발전소 위치도 및 종단도를 정리해서 보인다.
종래의 기술수준의 수력학에 있어서 물의 물리적 성질과 정수력학에 동수력학이 포함되어 본 발명의 해양발전소 설치 조건을 간단히 이루게 한다. 이처럼 물의 물리적 성질에 있어 물의 밀도는 대기압 아래에서는 4[℃]에서 최대로 되고 온도에 따라서 다소 변화하지만 그 변화는 아주 작기 때문에 보통 수력학상의 계산에서는 일정한 무게를 갖는 것으로 취급하여 무방하다. 즉, 물의 중량은 1[g/㎤] 또는 1[t/㎡]이라고 한다.
물에 압력을 가하면 극히 작은 값이지만 체적이 감소한다. 그러나 그 체적의 변화비율, 곧 물의 압축률은 워낙 작아서 상온상압에서는 1기압의 변화에 대하여 약 5×10-5밖에 안 되므로 보통 물을 비압축성이라고 보아도 별문제가 없다.
운동하고 있는 액체내부에서 유속의 차가 있으면 그 상대운동에 저항하는 힘을 발생하게 된다. 이 성질은 점성 또는 내부마찰이라고 불려지며 그 정도는 점성계수로 나타내고 있다는 것이었고,
다음의 정수력학에 있어 아래의 그림과 같이 정지하고 있는 수면으로부터 깊이가 H[m]이고 단면적이 A[㎡]인 수주를 생각한다. 이 수주의 체적은 AH[㎥]인데 이때 물의 단위 체적당 중량을 ω[kg/㎤]라고 하면 이 수주의 전중량은 ωAH[kg]으로 된다. 따라서 수주는 그 밑바닥에서 위로 향해서 작용하는 물의 힘 ω[kg]에 지탱되어서 평형상태에 있게 된다.
즉, W=ωAH[kg]이므로 수주의 밑바닥 부분에서 물이 받는 평균의 힘 p[kg/T㎡는
로 된다. 이 p를 깊이 H[m]에서의 압력의 세기 또는 압력도(pressure intensity)라고 말하며, 전체에 작용하는 수압 P를 전압력 또는 총압이라고 해서 이것과 구별하고 있다.
또, 이 때의 를 압력수두(pressure head]라고 말한다.
압력의 단위로서는 [kg/㎠]또는 [kg/㎡]를 사용한다.
그리고 동수력학에 있어 먼저 연속의 원리에 대하여 다음과 같이 설명한다
동수력학에서는 유체(주로 물)의 운동법칙을 취급한다. 유체의 운동을 크게 나누면 유동과 와동, 그리고 파동으로 된다. 유동을 다시 나누면 유선이 정연하게 기하학적인 선으로 되어 흐트러지지 않고 흐르는 충류와 유선이 서로 엉켜서 혼란한 상태가 되어 흐르는 난류로 된다. 수력 발전소에서 사용하는 유체의 흐름은 일반적으로 난류이다.
일반적으로 관로나 수로 등에 흐르는 물의 양 Q[㎥]는 유수의 단면적 A[㎡]와 평균유속 υ[m/s]와의 곱으로 표시하고 있다.
(Q = A·υ [㎥]) 식 ②
아래의 그림과 같이 관로 등의 고체로 둘러싸인 유수에서 2점 a, b 에서의 단면적을 각각 A 1[㎡], A 2[㎡] 평균 유속을 υ 1[m/s], υ 2[m/s]라고 하면, 단위시간에 지점 a로부터 유입되는 수량은 A 1 B 2[㎥/s], 지점 b로부터 유출되는 수량은 A 2 υ 2[㎥/s]이다.
로부터
가 된다. 이처럼 속도 υ로 흐르고 있는 물은 이상론 H의 높이에 해당하는 수두를 갖는다고 생각해서 이 H(=υ 2/2g)를 속도수두라고 부르고 있다.
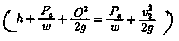
끝으로, 토리첼리의 정리에 대하여 아래의 그림과 같이 설명한다.
아래의 그림과 같이 단면적 ①을 가진 수조에서 하부의 측면에 있는 아주 작은 구멍, 즉 오리피스 ②로부터 분출하는 물의 속도 υ2는 베르누이의 정리에서 P 1과 P 2는 대기압 P a와 같고 (P 1 = P 2 = P a) 수조의 단면적은 분출구의 단면적보다 훨씬 크기 때문에 υ 1는 무시된다. 또, h 1 - h 2 = h인 조건을 윗 식에 대입하면,
(≒0)
으로부터 를 얻는다.
이 관계식을 토리첼리의 정리(Torricelli's theorem)라고 말한다. 실제는 물의 점성, 분출공에서의 마찰손실 등이 있기 때문에 실제의 분출속도 υ 2'는 υ 2보다 약간 작아져서 다음 식으로 표시된다.
전술한 바와 같이 수력발전 종래의 기술에 있어 도수설비와 발전설비(양수)에 방수설비 등은 수력발전의 요건에는 별로 장애가 없는 반면에 취수설비인 댐(680) 또는 취수 댐(680)의 설정이 매우 심각한 수준인데 상기 취수 댐(680) 설정에 따른 인근 주변의 환경영향의 표출되는 제반 문제점(해결되어야 할 사항)은 다음과 같다.
첫째로는 적정한 발전용량을 얻기 위하여 댐의 건설에 따라 발전설비의 발전기 제작 설치보다도 댐 건설에 따른 설치비용과 댐 건설의 소요기간이 발전설비와 상대적으로 격차가 매우 크기 때문이었고,둘째로 취수댐 설치 지역 인근의 환경영향(댐 설치위치 지층의 지반과 지각 변동 사항을 사전에 철저히 확인 고려하지 않은 점 등의 취수댐 설치한 후에는 홍수 가뭄을 조절하는 다목적용이기 보다는 유량의 체류기간이 장기화됨에 따라 조류 내지 유해 적조 대번식이 초래하고 취수량이 많고 적음에 따라 지각변동으로 지진 또는 산사태로 중소도시가 매몰되는 사례가 속출되었으며 그 이외 지역으로는 태양열 발전으로 태양열 발전기 설치 등에 따른 산림을 훼손하는 등의 홍수 가뭄 조절 불능으로 국가 경제발전 저해요인이 원자력 발전의 경우에는 구 소련의 체르노빌 원전의 사고로 방사능 오염 사고 등의 결과를 초래하여 이의 피해는 상당한 것이었다. 한편 화력발전소는 보통 전력의 수요가 많은 대도시 가까운 장소 또는 해안에 건설하게 되어 굴뚝(연돌)에서 분출하는 폐기가스로 인해 생태계의 질서가 와해되고 이런 와중에 자동차가 뿜어내는 매연 등의 분진으로 대기의 오염과 이산화탄소 배출 등의 증가에 따라 지구온난화 현상에 의해 자연재해는 심각한 수준에 도달하게 된 것으로 그에 대한 대책이 바로 본 발명자 수해조절장치시스템에의 무재해 지구촌 해양발전소의 관 레벨 시소형 풍수력 발전기를 해양에 설치함으로써 친환경적 에너지를 무한적 생산으로 인류 고민을 해소하는 방식을 구성한다.
상기 종래의 수해조절장치시스템에의 가역식 펌프수차로 100퍼센트 양수전력에 70퍼센트 발전력이 표출되되, 현재 국내 양수발전소는 청평(40만[KW]), 삼량진(60만[KW]), 무주(60만[KW]), 산청(70만[KW]), 양양(100만[KW])으로 되어 있는데 이들은 모두 후자의 순양수식 발전소(267)로 상기 이들의 방식과는 달리 밑빠진 뚜레박의 뚫린 구멍자체가 분사노즐이 되며 상기 노즐홀(20)인 터어빈(17) 날개홀(20)은 축추력 균형을 유지되도록 한 후 터어빈 날개의 압력을 균형되게 하면서 수차의 회전속도가 조절된다 이에 수력발전기(213)가 프란시스수차(229)와 펠톤수차(230)로 발전에 따른 전력이 생산되는데 친환경 풍력발전기(231)로 각개 탐조등(232)와 전동기모터로 전력을 공급토록하고 해수면 하단에는 조력발전기들이 대형의 부양식독을 연결하여 한쪽이 부상하면 또 다른쪽은 잠수하면서 부침에 따른 수차흐름을 이용하는 것과 레듀샤(35) 내부로 발전기를 구성시켜 육지의 댐수로식과 접목시켜 높이 격차로 인한 에너지 생산이 가능토록한 조력발전기(233) 전력공급이 탐조등(232)에 동력전선으로 연결 구성되는 발전기에도 상기된 펌프가 발전기 하부로 부착되며 발전기 하부 측면에도 밸브가 전개와 전폐되면서 전력을 생산한 후에는 산불방지와 산림보호 및 인명구조용 관노즐 틈새에서 다수의 수막형태로 분출되게 되는 수해조절장치의 본체(1) 내부로 탑재 형성된 소방방재대책용 장비인 수해조절장치시스템 일체로 무재해를 이루게 되는 전력생산용 발전설비와 취수설비와 도수설비와 방수설비의 수해조절장치시스템들로 보호하도록한 것이다.
도 1b를 참조하면,본 발명에 따른 종래의 수해조절장치시스템의 일 실시예의 구성을 보여주는 디젤엔진 외형과 전동기 모터 내부 분해조립 모형을 부분적으로 도시한 디젤엔진 외형도 및 전동기 모터 내부 분해조립 모형 구성도로,
도 1b에 도시한 바와 같이,종래의 수해조절장치 시스템에의 전동기몸체(192)에는, 후드(193)와 스냅링(194)과 팬(195)들로 구비하고나,상기 전동기몸체(192)를 형성하도록한 주물로 제작된 전동기몸체프레임(196)에는 전동기몸체 전방 부라켓트(197)와 중심 회전축(198) 둘레면을 따라 회전자조립(199) 물체와 상기 회전축(198) 중심회전축 전방으로 전방 회전축받이(200)가 위치를 마련하고 전동기몸체프레임(196) 내부로 고정자조립(201) 물체가 형성되고나,동시에 모터 보호용인 주물프레임(202) 외부 측면에는 단자박스(203)와 상기 주물프레임(202) 상단부 상부 몸체 중심 위치로 전동기몸체(192)인 물체를 인양하도록한 인양볼트(204) 결속이 마련되고나,동시에 전동기몸체(192)에는, 전기 마력수에 따라 물체의 중량을 감안해 일정한 치수의 나사탭(167)을 마련하고나,동시에 오링 형태의 인양볼트(204)를 상기 나사탭(167)에 부착 결속시키데 상기 단자박스(203)에도 나사탭을 4개소로 설치한 후에 단자박스카버(205)를 부착하고 상기 회전축(198) 후방에 후방 회전축받이(206)와 후방 보조철판(207)과 공극(208)과 팬 보호용의 팬카버(209)와 회전자 철심(210)들로 결합이 마련되고나,동시에 상기 회전축(198)에 부착되는 크랭크(248)와 상기 크랭크(248)를 연결하는 링크대(249)에 푸레(250)를 상기 회전축(198) 전방 부위에 결합을 마련한 고정핀홀(20)에는,고정핀(가로×세로×높이 치수로 사각형태; 6mm×6mm×6mm에 길이 60mm 치수로 가공된 것,254)을 상기 푸레(250) 중심 가공홀 내부로 고정핀홀(가로×세로×높이×길이; 3mm×3mm×3mm×80mm,20)이 상기 회전축(198) 고정핀홀과 상기 푸레 고정핀홀을 고정핀 치수로 반분씩 가공을 마련하고나,시에 조립시 고정핀홀과 일치시킨후 고정핀(254)을 수공구 푸레나기에 의해 각개의 회전축받이(206)와 푸레는 분해 조립을 마련하고나,동시에 고정자 철심(211)과 고정자 권선(212)은 전동기몸체프레임(196) 내면으로 부착되고 상기 푸레(250)없이 임펠러(143)의 고정핀(254) 가공홀(20)에 부착되도록 형성된 것이 전동기펌프가 마련되며 감속기(251)와 벨트(252)로 피스톤(127) 둘레면으로 다수의 시린더(126)로 부착된 것은 압축기로 분리 구분되어 펌프와 압축기에 형성되는 소방방재대책용 종래의 수해조절장치시스템의 전동기모터장치이다.
도 1b에 도시한 바와 같이,종래의 수해조절장치 시스템에의 전동기몸체(192)에는,압축기와 펌프에 연결되는 전동기의 특징에 대하여 상세한 설명을 한다.
이러한 동력모터제어모듈(106) 몸체의 전동기몸체(192)의 몸체프레임(196) 외벽 둘레면을 따라 상기 전동기몸체 상부로 상기 몸체를 인양하도록한 오링볼트로 된 인양볼트(204)에 상기 몸체 프레임 외벽에는 상기 인양볼트(204)를 끼울 수 있게 나사탭이 형성되어 있으며 터어빈펌프몸체(140)로 형성된 스파이럴케이싱(141)과 가이드베인(142)에 임펠러(143)이 설치되도록 하였고나, 상기 회전축에 부착되는 일체의 물체는 부분적으로 안전적으로 키 펀치형의 고정체 암수키 펀치형으로 이루도록 한 것이었다.
그러나,도 1b에 도시한 바와 같이,종래의 수해조절장치 시스템에의 전동기몸체(192)에는,소방센서펌프 몸체의 내부에 다수의 펌프제어방식의 압력감지는 무접점 압력센서이고, 방화수액 청수(맑은물)로 펌핑수온도(0℃ 또는 70℃)에서 사용되고 흡입, 토출합류관(4) 구경은 50밀리미터, 65밀리미터, 80밀리미터, 100밀리미터, 125밀리미터, 150밀리미터, 200밀리미터, 250밀리미터의 구경으로 흡입합류관(3)과 토출합류관(4)으로 형성되며 흡입측 손실이 많거나 배관이 길거나, 굽음이 있는 경우와 유량변화폭이 큰 경우는 펌프의 흡입구경보다 큰 배관을 사용한다. 여기서 레듀사(35)를 사용하여 펌프규격을 조절하게 되고 플랜지 결합시 고무패킹(32)을 접합부위로 결속된다.
도 1b에 도시한 바와 같이,종래의 수해조절장치 시스템에의 전동기몸체(192)에는,펌프제어시스템(150) 내부로 인버터(47), 인버터 브이오(Vividicon off, 48)에 억세서포인터(AP; Access Point, 49)와 인터넷 망(50)과 부스터 펌프관제서버(51)와 모니터(52)에 부스터 펌프 제어보드(53)와 근거리무선통신안테나(54)에 근거리무선통신장치의 무선제어모듈(55)과 디스플레이(LCD; liquid crystrie, 56)와 전자제어장치인 에이디씨(ADC; advanced developing countrie, 57)에 스위치입력(58)과 전자제어장치인 엠씨유(59)와 전자제어장치인 디이에이씨(DAC; Development Assistance Committee, 60)로 과전류 차단기인 브레이크(61)에 전원부(62)와 디스플레이 화면(63)에 아날로그 입력(64)과 디지털 입력(65)에 각 펌프의 온오프 제어를 위한 스위치인 메인스위치버턴(66)과 보조스위치버턴(67)에 부스터 펌프 디스플레이 입력(콤퓨터 전산망 입력, 68)과 현재 압력값 또는 설정 압력값(압력설정수치) 인식명판(69)에 메모리(70)와 펌프모터작동용의 동력전선(71)과 방재물질 액체 기체, 고체 혼합장비의 공기압축기(80)와 분말소화기(124)와 스프링쿨러헤드(247)와 모바일서비스(SMS;81)와 휴대용 단말기(PDA;82)와 저압차단 밸브(83)와 비상밸브(84)와 감압밸브(85)로 제1압력체크센서(86)와 제2압력체크센서(87)와 전자제어유닛(88)과 다수의 배관라인(89)과 밸브손잡이 핸들(90)과 드렌처헤드(91)와 다수의 압축기(92)로 비상싸이렌(93)과 노즐작동용 파라핀(양초, 100)과 앨피지 개스통(79)과 레듀사 붓싱소켓(97)과 점멸경고등(99)과 일회용개스용기(101)와 감지센서 바이메탈(102)과 방수량 체크용 유량계(106)와 열전대 온도계 스위치(103)와 동력모터제어모듈(106)과 스위치 작동용 추와 감지센서용의 납덩이 추(웨이트; 무게감지용, 248)와 에어호스(109)와 닛플(에어호스 연결장치; 110)과 인명구조용 에어튜우브(130)와 레귤레이트(136)로 타구어윈치(137)와 임펠러(143)와 엔진(226)과 에어리시버 고압저장탱크(145)와 프로펠라펌프(146)와 스큐르펌프(146)와 에어노즐(151)과 맨홀두껑(152)과 해치카버(153)와 방화문(154)에는 자연황토(158) 또는 방재사(159)와 소화전(단구형a, 쌍구형b; 179) 그 이외의 소방방재 대책용 장비의 종래 수해조절장치 시스템에의 수해조절장치 설치위치를 조절을 마련하고 있다.
도 1b에 도시한 바와 같이,종래의 수해조절장치 시스템에의 전동기몸체(192)에는,산업현장 펌프기계실 내부와 외부의 방재물질 배관 내부의 방화수 이동 상태와 펌프작동의 정확한 제어작동을 재차 살펴보는 바와 같이 동도면에 도시된 바와 같이,
마이크로 콤퓨터에 의한 제어와 인버터시스템이 접목된 것으로서 상기 펌프 작동의 주요기능에 있어서,
고기능의 마이크로 콤퓨터를 사용하여 작동 조절되고 급수량 증감에 따라 내장 마이크로 콤퓨터가 펌프 대수 또는 속도를 제어하고 입형다단 펌프(8)와 펌프제어반(2)에 다양한 밸브와 센서류 일체로 볼트에 너트와 와샤를 몽키 스패너로 체결되는 간편 용이한 조립인데 상기 펌프의 제어반에 밸브와 센서 일체는 자기진단기능과 과전류 과부하 보호기능이 내장되어 요일별, 시간별로 다수의 기동압력을 프로그램 운전에 의해 에너지 절감효과를 보게 된다.
이렇게 마이크로 콤퓨터가 펌프를 교대 운전하여 특정 펌프로 부하집중을 방지하여 각 펌프의 수명을 균등히 하고 펌프의 기동 및 정지시 순차적으로 작동하여 시스템 및 배관을 보호하고 압력 맥동현상을 감소하고 단, 유량변화가 심한 경우 압력변동이 심하므로 토출합류관(4)에 감압밸브(85)가 설치된다.
동력모터제어모듈(106) 고장시 고장신고를 출력하고 고장나지 않은 펌프로 건너 뛰어넘어 운전함으로써 급수가 끊어지지 않고 원활하게 작동되고 온(ON), 오프(off) 선택버턴을 사용하여 펌프를 운전교대로 제어하게 되어 보수 및 예비운전으로의 활용이 용이하며 외부 비상신호의 화재발생 또는 휴대용 단말기의 신호감지시 선택된 모든 펌프가 작동되며 온도감지기능을 첨가하여 겨울철 동파 방지되는 것을 사건 예방하고 알람 및 경고의 운전상태가 표시창에 나타나며 오우토(auto) 방식과 수동 방식의 비상운전을 다양하게 운전모드를 가지고 있어 어려운 상황에 유연하게 대응하고 응답성을 높이기 위해 피아이디(Proportional integral Differential) 제어방식이 채택되어 있고 현장에 적합한 피아이디(PID) 계수를 설정되되 단, 유량 변화가 심한 곳에서는 응답속도가 저하되고 소유량 구간 및 체절 운전구간에서 마이크로 콤퓨터의 내부 오우토 연산을 통하여 최적의 운전점을 유지하며 인버터 고장시 대수 제어방식으로 전환이 가능하므로 인버터(47) 고장의 경우에도 대수 제어방식으로 정상적인 운전이 가능하기 위해서는 적정 용량의 압력탱크가 절실하게 필요한 것이다.
상기 압력탱크는 헤드탱크(189)인데 100리터, 200리터, 300리터, 500리터, 750리터, 1000리터, 1500리터, 2000리터 헤드탱크(189)로 각각 구비하며 별도의 발주처의 기종 선택에 따라 주문 제작되는데 상기의 급수가압설비 입형다단 펌프(8)는 전자센서 펌프로써 화재발생시 화재열 감지신호가 펌프기계실 감지신호에 따라 작동하는데 적용범위에 있어서는 아파트 중-대단위 주거지역의 가압, 선박용과 사무용 고층빌딩과 호텔에 병원과 취수장 펌프기계실용의 산업용으로 사용범위가 상당한 것이다.
상기의 산불 방지용 관노즐이동형 소방센서펌프 몸체의 입형다단 펌프(8)는 대용량 급수 가압의 상향식, 하향식의 설비로써 적용액체에는 음용수 및 생활용수, 냉각수, 소방용 스프링쿨러, 섬유질 또는 화학적 기계적으로 청수가 적용되었으며 상기 소방방재 제어장치 펌프작동 상세한 설명으로는(6대 전펌프 사용시) 시간당 580세제곱 평방미터의 최대 용량으로서 최대 양정높이는 160미터로서 펌프대수 2대 또는 6대로 구비되는 최대 사용액체 온도는 섭씨 70˚이며 펌프 최대 주위온도는 섭씨 40˚로 최대 운전압력은 16바아(bAR)로서 흡입압력값이 포함되고 최대 흡입압력은 6바아(bar)이고 모터 회전수는 분당 3500 알피엠(rpm)으로 회전동작이 진행되었고 이하 기계실 내부 또는 외부에 설치되는 고성능 수중펌프(36)의 설치기종의 설명에 있어서는 소비자의 옵션선택으로 주문사양에 따른다.
이 같이 모델기종에 따라, 전원(46)의 전압은 220볼트와, 380볼트(VOLT)가 사용되는데 전선(삼상교류, 71)과 정격출력(5.5kw, 7.5Hp)에 최대 양정 350미터에 매분당 220미터 높이에서 100리터 이상 양정이 이루어졌고 상기 펌프는 농업용수, 분수대와 공업용수에 소방용수로 사용되는 적용범위인데 한편 화염물질과 질식가스(163) 발생시 공기를 공급하는 에어콤프레샤(PISTON AIR COMPESSORS; 80)는 왕복동작의 저속형 작동이므로 피스톤(127)의 링(194)에는 메탈 등의 마모가 적고 따라서, 제품 수명이 긴 견고한 공기압축기(80)로서 장기간 안심하고 사용된 것이다.
한편 불씨와 불꽃을 사전제거를 마련함으로써 화재는 영구히 종식됨을 인지하고 감지됨을 알수 있으며 화재발생시 위급한 상황에서, 속내의 상태로 혼자 현장에서 뒤쳐나오다 보니 미처 탈출못한 가족은 화재로 인한 사상자가 종종 발생되었고 이제는 근린생활주거지 인명구조겸용 침대노즐(172)이 실내와 복도에 항상 설치되어 있으므로,
그렇기 때문에 인명구조요원과 인명구조피요원이 함께 숨을 쉬도록 복수개와 다수의 노즐틈새(15)가 부착되었고 복수개의 노즐틈새로 상기 노즐틈새가 개방하도록 한후에 방사형의 토출분사수 커텐물막(39)이 분출할 수 있게 되어 있고 건물내부에서 이동이 간편하게 분리결합시킨 다중관 구조로 형성된 호스와 배관으로 이루어진다.
도 1b에 도시한 바와 같이,종래의 수해조절장치 시스템에의 전동기몸체(192)에는,최초발화 감지노끈(41) 중간마디에는 파라핀 테이프(177)를 발화감지노끈(41) 중간에 끼워두고 발화되지 않는 비발화물질 철사(178)로 실내내부천정으로 조성된 후로 발화와 동시에 소방활동이 진행되는데에는 재해발생전에는 밀폐형의 고정관노즐인 관노즐 몸체의 관노즐 호스배관 원둘레면을 따라 다수의 관노즐 홀이 형성된 설치위치로 관노즐마개가 고체의 양초로 설치되어 있다가 근접하는 불씨(292)와 불꽃(293)을 감지하면서 근접하는 화재열에 영향을 받아서 밀폐시킨 관노즐 형태가 서서히 표출되면서 호스배관 내부의 방재물질인 기체와 액체로 된 방화수와 방화사 또는 황토는 믹서기(191)에 의해 배관호스로 유입되였고, 최초발화 감지센서인 바이메탈(102)과, 열전대 온도계 스위치(103)에 압력스위치(104)는 솔레노이드밸브(76)와 상기 밸브작동압력스위치(104)는 연결전선(71)으로 전개와 전폐로 이루어지는 파라핀마개 또는 파라핀종이테이프(177)가 다수의 관노즐 홀을 밀폐(전폐)에서 개방(전개)홀로 전환됨으로써 산불진화 및 대형화재현장에 근무자와 진화요원 없이도 그리고 소방차 및 헬리콥터 동원 없이도 초기진화가 이루어지는 것으로 관노즐홀이 평상시에는 밀폐되어 있다가 재해발생시, 발생후 그 즉시 현장에서 즉각 개방시켜 무재해 소방방재 대책용 장비로써 1초 이내로 산정상 부위와 대형건물 옥상의 집수정탱크(34)와 기계실 내부 타구어윈치(137) 일체로 전동기에 부착되는 감속기(251)와 와이어로프에 형성된 소방케이블카아(256)의 센서펌프로 1초 이내로 초기진화를 이루게 하여 종래의 수해조절장치시스템에의 초고압 변전소(690)와 송전선(775)과 송전철탑(776) 수해조절장치들을 보호한다.
도 1c를 참조하면,본 발명에 따른 종래의 수해조절장치시스템의 일 실시예의 구성을 보여주는 입형다단 펌프 운전 방식을 부분적으로 도시한 입형다단 펌프 정단면도 및 정면도와 입형다단 시스템 개념도에 컨트롤 블록 다이아그램(Control Block Diagram)과 비에프모델(BF모델; 속도제어방식, 3PUMP 직입 기동방식의) 실시예의 입형다단 펌프 운전 방식 구성도와,
도 1d를 참조하면,본 발명에 따른 종래의 수해조절장치시스템의 일 실시예의 구성을 보여주는 소방센서펌프 몸체 내부 작동을 부분적으로 도시한 입형다단 펌프의 마이크로콤퓨터를 사용하는 제어방식과 디지털 피아디 제어방식의 인버터시스템에 관제시스템의 무인카메라가 설치되어 분사노즐에서 방화수가 토출되는 인버터시스템과 관제시스템의 장비가 접목 형성된 소방센서펌프 몸체 내부 작동 구성도로,
도 1c 내지 도 1d에 도시한 바와 같이,컨트롤 블럭 다이아그램과 비에프 모델의 입형다단펌프 운전방식에 따라 펌프전원(272)과 제어전원(273) 각개로 분리 구분되면서 상기 제어전원(273)의 비상운전 시킨스(sequence) 회로(274)에는,디시파워스프래이(DC Power Supply) 공급회로(275)와 (M/C) 구동신호 접점출력회로(279)와 출력회로 선단과 접촉된 후 펌프전원(272)의 (M/C) 스위치 접점과 인버터(47) 회로 접점과 각 펌프 비상운전되도록한 접점들로 연결을 마련하고나,동시에제어전원(273)의 디시 파워 공급회로(275)에 의해 마이크로 콘트롤 유니트(276)에는 디아피 스위치 설정회로(277)와 스위치 입력회로(58)가 상기 유니트(276)에 입력 설정을 마련하고나,동시에 엘이이디이 디스플레이(LED DISPLAY)회로(278)와 (M/C) 구동신호접점 출력회로(279)에는 신호를 출력하고 모터과부화 신호입력회로(280)는 상기 유니트(276)와 펌프전원(272) 선단부의 (MCCB+THR)과 (MCCB) 회로접점이 인버터(47) 회로접점과 연결되게끔 설치되며 인버터운전 데이트 입출력회로(281)는 인버터(47) 회로와 마이크로 콘트롤 유니트(276)와 상호 입력, 출력의 회로로 형성되며 토출 압력 트랜스미터어(Transmitter, 284)는 압력감지회로(282)와 연결 후 상기 회로(282)는 다시 상기 유니트(276)에 입력 설정되게 한 후에 흡입/토출 압력 스위치 등의(285)는 외부상태 입력회로(283)를 통한 후 상기 입력회로(283)는 다시 상기 마이크로 콘트롤 유니트(276)에 입력 설정된다.
도 1c 내지 도 1d에 도시한 바와 같이,입형다단펌프(8)는 누구나 쉽게 조작할 있게끔 정확한 구성의 기능에 따른 구성명세서는 다음과 같다.
입형다단펌프 명세서
이러한 입형다단펌프시스템의 제어방식에 대하여 상세한 내용은 다음과 같다.
도 1c 내지 도 1d에 도시한 바와 같이,압력제어방식에 있어서, (아래의 그림1)
시스템의 운전 범위는 모든 펌프의 가동점(Pon)에서부터 최대부하 운전펌프의 가동 정지점 Poff1과 주펌의 운전 정지점 Poff2 사이에 형성된다. 압력제어 방식의 시스템의 Poff2의 운전정지 지점에 도달한 후 180초∼210초(CO-CR), 0∼120초(CO-ER)간의 최소운전후 완전히 정지한다. 인버터제어 방식보다 ΔP의 폭을 좁게 유지할 수는 없지만 1bar정도의 입력변화를 감지함으로 저층의 흡수가압에 주로 이용된다.
도 1c 내지 도 1d에 도시한 바와 같이,주파수 변조제어 장식 있어서,(아래의 그림2)
시스템의 운전 범위는 조정수치 범위를 유지 한다.
각 운전중인 펌프의 유량이 100% 도달시와 가동대기 펌프가 구동 직전의 압력이 가동점 Pon이고 개개의 최대운전 펌프가 정지 직전이 압력이 펌프 정지점 Poff가 된다.
주파수 변조 방식은 △P의 폭을 좁게 유지할 수 있으며 주파수 변조기로 주펌프의 회전속도를 제어함으로서 가동 대기펌프의 가동시 또는 최대 운전펌프의 정지시 발생하는 급격한 압력의 변화를 보상하는 시스템으로 구성된다.
시스템의 가동은 가동점 부근까지 압력이 낮아지면 곧바로 주펌프가 주파수 변조기제어에 의하여 서서히 가동하고 유량의 변화가 없으면 제어기에 의하여 중지되므로 시스템헌팅 (System hunting)에 의한 압력 변동을 제거할 수 있다.
일반적으로 입형다단펌프의 주요기능의 동도면에 도시한 바와 같이 상세한 설명은 다음과 같다.
이때, 한세트 단단 고압의 입형다단펌프(8)는 통상 높이 160미터 정도의 방화수를 급수하는 것으로 낮은곳에서 높은곳으로 급수하기 위한 상향식 가압급수방식의 급수시스템인데 종래의 고압의 입형다단펌프는 각각의 펌프를 온·오프 구동제어하는 스텝구동방식에서 인버터(47)를 이용하여 가변속 구동제어하는 인버터 구동방식으로 변하는 추세이다. 이러한 고압의 입형다단펌프의 구동을 효율적으로 제어하기 위한 제어시스템이 고압의 입형다단펌프(8)는 동도면에 도시한 바와 같이 탑재되는 고압의 소방방재펌프시스템이 실제로 산업현장에서 적용되며 상기. 펌프(8)는 애드벌룬(77) 하부로 너높게 높낮이 조절 후 계단식으로 160미터 간격으로 수해조절장치시스템의 고성능 수중펌프(36)가 다수개로 다단입류형으로 연결한다.
도 1c 내지 도 1d에 도시한 바와 같이,이러한 기존의 고압의 입형다단펌프시스템,(고압의 입형다단펌프 + 제어시스템)에 있어서,
첫째; 대부분은 오프라인상에서 독립적으로 감시되고 제어되기 때문에 근무자 또는 작업자의 접근이 어렵고 위험한 곳에서는 고압의 입형다단펌프의 운용에 대한 부담이 가중된다.
둘째; 스위치버턴을 사용하는 관계로 시인성 및 조작성이 떨어진다.
셋째; 여러곳에 분산되어 있을 경우에 전체를 관리하기 위한 시스템의 적용이 어렵다.
네째; 다수의 고압의 입형다단펌프(8) 제어시스템(150)을 제작하고 설치하는데 있어서, 구동테스트 및 초기값 설정, 프로그램의 초기화를 위해 수해조절장치시스템의 각각 독립적인 작업을 하므로 시간 및 비용이 많이 소요된다.
상기 문제점을 해결하기 위한 몇가지 종래기술에 있어서,
첫째; 공중전화망을 이용한 고압의 입형다단펌프 원격관제시스템 및 그 방법에서는 공중전화망을 이용하여 제어장치의 이상발생시에 경보신호를 중앙관제서버로 전송하여 원격에서 관제하도록 하고 다수의 펌프장치를 관제하는 것을 특징으로 하는 것인 반면에 관노즐 산업현장 외부로 50미터 거리 간격으로 전신주 설치 위치와 동일한 거리의 무인카메라(184)가 야간에도 불꽃과 불기둥을 감지토록 구축하되 수해조절장치시스템의 단, 시간별로 지속적으로 기체와 액체를 공급하므로 인해 고가의 센서 설치 없이도 무방한 것이다.
둘째; 순환 급수장치의 통신수단을 갖는 모터 일체형인라인 고압상향식에서는 다수의 이웃하는 고압상향식이 유무선 통신부를 구비하여 제어시스템(150)으로 연동제어가 가능한 것을 특징으로 하되 상기한 애드벌룬(77)과 비행선(78) 내부로 핼륨(176)기체가 흡입구와 배기구로 복수개의 호스로 이루게 되어 소방센서펌프몸체 수해조절장치시스템의 하중을 분산한다.
세째; "가압급수운용관리시스템"에서는 인터넷망(50)을 이용하여 가압장 급수 운용설비의 운용상태를 파악하기 위한 것으로서, 인터넷망(50)을 통해 전송된 가압장의 급수운용설비에 대한 운용상태를 데이트 베이스화 하여 정보를 제공하는 관리서브시스템을 두고 원격지에서 인터넷 기능이 내장된 휴대용 무선통신단말기(82)를 이용하여 운용상태 파악을 마련하고나,동시에 휴대용 무선통신단말기(82)를 통해 모니터(52)로 다양한 서비스를 제공하도록한 고압의 입형다단펌프 근거리 관제시스템인데 무선망을 통해 애드혹(Ad-hoc)이나 인프라 스트릭쳐 형태로 수해조절장치시스템의 쉽게 네트워크 구축을 마련한다.
도 1c 내지 도 1d에 도시한 바와 같이,이에 기계실 내부로 설치되는 고압의 입형다단펌프(8)에는 전동기 모터가 구비되고 이의 모터에 동력전선을 설치한 후 전기공급으로 모터가 일정하게 회전하여 피스톤(127)에 의하여 왕복작동, 작동으로 대단히 높은 압력을 발생하는 전동기 모터를 고압의 입형다단펌프라 칭하고 이의 모터는 엔진모듈과 동등하며 기계치차인 펌프모듈과 결합되며 입형다단펌프 내부에는 임펠러(143) 내의 유체흐름을 균일하도록 하고, 임펠러(143)로부터 유출된 물의 마찰, 와류등으로 인한 수해조절장치시스템의 손실을 줄여 토출구로 안내하도록 제작된다.
이에 따라 작동제어장치로 통제실과 기계실 내부로 동력전선, 감지센서용 전선과, 전자제어용의 전선배열로 구비되어 모니터(52)와 전원부(62)로 과전류차단기용 브레이크(61)와 메인스위치버턴(66)으로 이어지고 스위치버턴은 각각 "작동-온" "작동-오프"로 제어장치와 연결되는 펌프몸체의 외부로 형성된 격리밸브(5)와, 일정하게 감압되는 레귤레이터(136)에 펌프내부 역류방지 역지밸브(6)와, 저압차단밸브(83)에 비상밸브(84)와 압력체크센서 등의 각개로 전자제어장치와 다수의 밸브에 다수의 펌프로 형성된 전자제어유닛(88) 장비에는 다수의 스위치버턴으로 설치하고, 상기 유닛의 인버터브이오(48)와 고압상향식 펌프 관제 서버(51)의 입형다단펌프 제어보드(53)와 동력전원 공급장치인 전원(46)에 근거리 무선통신안테나(54)와 근거리 무선통신제어모듈(55)로서 이상의 통신수단의 휴대용 무선단말기(82) 또는 공중전화 연락망과 연결 구비하는 전자제어장치는 입형다단펌프 제어박스(2) 내부로 설치되는 것이고, 휴대용 무선통신단말기로 억세서 포인트(49)에 무선으로 신호를 전송하면 전자제어장치 모듈에서 수신하여 통제실의 내부의 "스위치버턴-온" 하면 모니터(52)의 디스플레이 화면(63)이 통제실에서 육안으로 식별할 수 있게 설치한 후 기계실 내부에 있는 전자제어장치에 속하는 통신장비 및 입형다단펌프 전후좌우의 격리밸브(5)와 역류방지용 역지밸브(6)에 저압차단 밸브(83)와 비상밸브(84)에 감압밸브(85) 그 외의 전자제어 기능의 솔레노이드 밸브(76)와 공기 압축기(80)에 분사노즐과 방재배관라인(89)에 집수정(34)으로 연결하는 유무선 통신장치와 전자제어장치를 포함하여 이루어지는 방재물질인 기체와 액체의 유동을 단속하고, 일정한 내수압의 방재물질을 다수개의 노즐틈새와 복수개의 노즐틈새 가공홀로 방화수액이 토출 분사수 또는 커텐물막형상으로 다수의 산불과 주거지 옥상에 설치된 장비로 수해조절장치시스템의 화재시 초기진화 및 인명구조용의 소방방재대책용 장비이다.
상기된 바와 같이 입형다단펌프에는 도시기호로 요부위인 관노즐 틈새형 펌프소화기 몸체 내부로 주요기능을 상세히 표기 기재함으로써 누구나 쉽게 화재발생시 화재현장 또는 펌프기계 근처에 근접않고도 펌핑을 하게 되어 잠자다가도(취침시)에도 주민의 고통을 해소시키게 되는 본 발명의 구성에 따른 결과로서 인명구조 및 사전예방에 따라 소방차 소방헬기가 화재현장 도착 전에 1초 이내로 초기진화를 이루게 되는 수해조절장치시스템의 구성이 기술적 특징이 될 수 있다.
도 1e를 참조하면,본 발명에 따른 종래의 수해조절장치시스템의 일 실시예의 구성을 보여주는 공기 압축기와 고정용 공기 압축기 및 투스테이지 스큐르 공기 압축기의 다수의 압축기를 부분적으로 도시한 이동용 공기 압축기와 고정용 공기 압축기 및 투스테이지 스큐르 공기 압축기의 부분적인 사시도 및 지하매설 앙카볼트 고정용의 정단면 구성도와,
도 1f를 참조하면,본 발명에 따른 종래의 수해조절장치시스템의 일 실시예의 구성을 보여주는 유분리탱크가 접착 형성된 스큐르 압축기에 흡입밸브로 분해조립 모형을 부분적으로 도시한 기어드라이븐(Gear Driven,290)과 전동기모터와 연결되는 스큐르 압축기에 흡입밸브로 분해조립 모형 구성와,
도 1g를 참조하면,본 발명에 따른 종래의 수해조절장치시스템의 일 실시예의 구성을 보여주는 내부와 에어드라이어 내부에 부착되는 흡입필터(262)와 에어드라이어(291) 내부로 부착되는 흡입필터를 도시한 사시 구성도로,
도 1e 내지 도 1g에 도시한 바와 같이,상기 종래의 수해조절장치시스템에의 공기압축기(80)에는,방화수 액체의 펌프 동력모터 제어모듈(106)의 모터회전은 공기압축기(80)의 동력모터의 회전과 동일하나 감속기(251)에 의해 저속회전으로 크랭크(248)축의 밸런스(334)에 의하여 소음과 진동이 적고 베드 프레임(기계 밑받침대로 칭함, 286)위에 압축기에 형성되는 전동기(192)와 상기 전동기 후미 냉각기(182)와 중간냉각기(170)에 냉각수입구(287)와 유분리탱크(288)에 기어드라이븐(290)이 형성되고 공기탱크(에어리시이버탱크, 145)가 유니트(Unit)화 된다.
상기 도 1e 내지 도 1g에 도시한 바와 같이,상기 종래의 수해조절장치시스템에의 전동기는 간단히 설치하고 있되, 출력(0.75kw, 1.5kw, 2.2kw, 3.7kw, 5.5kw, 7.5kw 11.0(15Hp)kw, 15.0(20Hp)kw)으로는 기종 선택하고, 전기종 실제 사용압력(7.5∼9.9kgf/㎠G)이나 발주처 주문에 따라서 투 스테이지 스큐르 압축기(Two Stage Screw Compressor, 147)가 토출압력(14bar 또는 35bar)이 매분당 23.37㎥ 세제곱 평방미터에 흡입공기가 생산되는 것으로 중간냉각기(170)와 후미냉각기(182) 없이도 압축공기의 온도가 낮게 오일쿨러(oil cooler; 압축기 본체(263)와 유분리탱크(288)의 오일인 윤활유 냉각기, 151)로 통해서만 열이 분산되고 그 이외 규격은 발주처 주문시 사양 검토후 제작은 결정된다.
이러한 도 1e 내지 도 1g에 도시한 바와 같이,상기 종래의 수해조절장치시스템에의 종래 소방헬기 탑재용 바스켓(42)과 봉상식 노즐 소방차에 의한 진화방식에 있어, 소방방재 제어장치는 최첨단 수송장비 소방헬기와 소방차의 엔진(226)과 소방호스(9)와 도로지표면 하단부 방재배관라인(14)과 집수정탱크(34)에 있는 방화수(7)를 입형다단 펌프(8)와 상기 입형다단펌프제어시스템(150) 일체의 장치로 설치되어 있는 취수장 펌프기계실의 공급수를 소방차 몸체의 집수정 탱크(34)로 충전한 후 소방차의 엔진(226)이 재가동됨으로 엔진펌프 작동되면서 방화수는 소방호스를 경유 소방관창 인봉상식 표준관창의 손잡이를 조절하면서 소방방재가 진행중이고 유무선통신에 의한 소방헬기는 수미상의 방화수(7)를 바스켓(42)으로 급착스럽게 방화수를 고공낙하후 방재수로(17)거나 연못 또는 강, 저수지에서 완전 진화될 시기의 수십차례 운송하므로 소방헬기 또는 소방차의 소방방재는 초기 진화에 있어 수준미달에다가 현지주민 또는 진화요원간의 유대가 멀어지고 진화요원이 소방방재중 목숨을 잃거나 화재현장 주민 마찬가지의 입장인데 갈팡질팡, 우왕좌왕하고 설왕설래 또는 최초 화재 발화지점 발화원인을 파악하지 못하는 실정과 소방차량 운행 방해물로서 공급수를 원활하게 살포하지 못하는 실정에 의해 초기진화방식에 종종 오류를 범하게 되는 것이었다
뿐만 아니라,도 1e 내지 도 1g에 도시한 바와 같이,상기 종래의 수해조절장치시스템에의 종래의 소방방재 시스템은 기상조건 악화시, 방재활동이 중단되고 주야간의 진압식별 불능시 불씨(292)와 불꽃(293)은 잠들은 척하면서 방화수(7)는 수증기로 증발되면서 바람따라 어디론가 사라진후 건물내부가 최초 발화지점이면 최초 발화지점 내부로 방재물질과 소방장비로 방화수를 투입해야 됨에도 불구하고 건물 외부에서 집중적으로 방화수를 봉상식으로 부분살포로 건물이 붕괴되고 건물내부 문화보존가치가 훼손되고 질식가스(163)를 흡입하여 사망사고로 이어져서 재난복구의 사고처리과정도 매우 번거롭고도 복잡한 과정을 거쳐야 되는데 이런 종전의 화재발생요인을 다각적으로 재검토 재분석 한후 폭넓은 과학적인 사고력에 의해서 소방차 출동의 현지도착 시간을 감안하고 발화후 시간에 따른 화재의 확산을 정체토록함으로써 대형화재를 신속하고 정확하게 좀더 빠르게 초기진화하기 위해서는 좀더 많이 연속적이고 지속적으로 방재물질인 방화수(7) 및 방화사(159)를 토출분사하도록 한 후 인명구조를 하기 위하여 소방관창 접합부 그리고 발화감지노끈의 적절한 설치위치와 솔레노이드 밸브(76) 및 밸브작동스위치가 감지센서에 의해 작동후 비상 싸이렌이 울리면서 잠자는 청소년, 공부하는 청소년,을 비상대피토록하고 갓난애기, 지체장애 병중의 환자, 거동불능자,를 위해서 인명구조겸용 침대노즐(172)을 비상대기토록 설치위치 선정후 발생현지에 설치토록 함으로써 근린생활주거지의 화재진압의 초기진화 및 인명구조를 하기 위한 본 발명 수해조절장치시스템은 ""주민의 자체 노력에 의해서""주민의 자체 실천에 의하여""대형화재를 축소진압함을"" 특징으로 설치위치를 결정되게 설치한후 재해시 그 즉시 다수의 밀폐된 관노즐을 개방시켜 방화수가 질식가스를 차단하면서 불씨와 불꽃을 사전제거하였기 때문으로 종래의 것과는 현격한 차이가 있는 관노즐인데다가 대형산불, 대형화재로부터 인명구조 및 초기진화를 확실하게 보장하는 소방방재 대책용 장비로써 상기 수해조절장치시스템은 그 기능을 보장하고 있기 때문이다.
한편 도 1e 내지 도 1g에 도시한 바와 같이,상기 종래의 수해조절장치시스템에의 피스톤(127)의 실제 생산되는 공기량은 매분당 138리터 또는 2518리터이고 압축기 회전수(r.p.m)는 660회전 또는 1040회전수이며 직경(Bore)×행정(Stroke)×시린더수(No, of cyl.)에는 (직경 65, 77, 90)×행정(40, 67, 89, 108, 100)×시린더수는 1, 2에 4와 6개이었고 설치용도에 따라 풍부한 기종이 조립된다. 상기된 소방방재 제어장치의 장비는 최첨단의 고도하고도 엄격하고 고도한 기술적 기능이 포함되는 동력펌프인 입형다단 펌프(8)와 고성능 수중펌프(36)와 공기압축기(80)로 기종선택에 따라 펌프제어반, 센서류와 소방노즐에 밸브 일체로 더 나은 기능이 표출되는 반면에 종전의 대형화재 진화방식에 있어 바스켓에 탐재 운반되는 방재물질 방화수(7)는 헬리콥터에 의해서 수미상의 물을 고공 낙하하고 방화수를 운반하기 위하여 왔다 갔다하는 도중에 화재현장에서는 불씨와 불꽃이 잠자는 척 잠잠하다가 투하된 방화수는 수증기로 증발된 후 바람과 함께 되살아나는 현상이 해마다 되풀이 되면서 많은 사람이 재난을 당하여 이와 같은 폐단이 우실지후 우실재개와 동등한 소잃고 외양간 고치고, 빈대벼룩 잡으려다 초가삼간 다 태우고, 불난집에 부채질하고, 불을 보고 뛰어드는 불나방 같아서 본 발명의 인명구조와 초기진화방식과 정반대의 진화방식이 통제실 내부로 화재현장 사정을 무인카메라(씨씨티비; 184)가 전송을 마련함으로써 입형다단펌프 제어시스템(150)의 관제서버(51), 모니터(52)에 화재발생 전후시 장면을 디스플레이하게된 것이었다.
도 1e 내지 도 1g에 도시한 바와 같이,상기 종래의 수해조절장치시스템에의 공기압축기(80)에는, 전자제어유닛(88)에 의해 작동되는 것과,전자제어유닛(88) 없이 감압밸브(85)와 안전밸브(258)들로 제1압력체크센서(86)와 제2압력체크센서(87)와 함께 구비되어 일정한 규격의 치수에 따라 모터설치용 브이벨트(252)와 모터설치용의 푸레(250)와 벨트카버(261)와 공기 흡입필터(262)와 후미냉각기(182)가 마련되었고나,동시에 상기 중간냉각기(170) 탱크에는 냉각수입구(287)로 구비되어 베드프레임(286)의 찬넬베이스 상단으로 공기압축기(80)가 형성되어 분사노즐(방화수노즐, 10)과 함께 공기생산의 수해조절장치시스템을 구성한다.
도 1e 내지 도 1g에 도시한 바와 같이,상기 종래의 수해조절장치시스템에의 공기압축기(80)에는,방화수(7)의 유동에 대한 펌프 운전에 대한 종래의 기술 설명은 생략하고 공기압축기(80)와 송풍기와 팬의 압축기에 대하여 살펴보는 바와 같이 상세한 설명은 다음과 같이 한다.
상기 압축기는 기계에너지를 가스에 전달하여 그 압력과 속도를 높이는 기계이다. 압력상승이 1,000mm(Aq)미만은 팬(fan), 1,000(Aq)이상 1kg/㎠g 미만을 송풍기(blower : 블로우어), 1kg/㎠g 이상을 압축기(Compressor)라 한다는 것이었다.
이렇게,압축기의 종류에는 터어보형과 용적형으로 분리 구분테는 데에는 다음과 같이 설명하되, 동도시된 도면의 실시예의 제작 수리한 것을 참조토록 하였다.
먼저, 터어보 압축기에 대하여 상세한 설명을 다음과 같이 한다.
첫째로는 일반적으로 원심력을 이용하여 압력과 속도 에너지를 얻으므로 원심압축기(Centrifugal Compressor)라 한다고 칭하였든 것이며,
둘째로 왕복동식에 비해 고속이고, 소형이며, 진동·소음·중량·설치 면적이나 마모 또는 마찰손실이 작다라는 것이었으며,
세째로 가스압송은 연속적인 회전에 의하므로 맥동이 없다는 것이었고,
네째에는 대용량에 적합하며, 내부에 윤활유를 쓰지 않으므로 압송유체 중에 기름이 혼입되지 않는다고 하였으며,
다섯째로 원동기에 직접연결하여 감속장치가 필요없다라는 것으로서,
여섯째에는 왕복동식에 비해 제작비가 비싸고, 기계적 접촉부는 베어링(227)부분 뿐이므로 안정하고 마찰이 작지만,
일곱번째는 고압은 축봉장치에 고도의 가공기술을 요한다는 것이었든 바이며.
여덟번째에는 가스의 비중에 의하여 크게 영향을 받으며, 토출압력변화에 의한 용량변화가 크다는 것이었으며,
아홉번째로 용량 조정범위는 비교적 좁고(70∼100%), 어려운 편이다라고 주장하였으며,
열번째에는 운전 중 써어징현상에 대하여 주의해야 할 필요가 있다는 것이었다.
도 1e 내지 도 1g에 도시한 바와 같이,수해조절장치시스템의 왕복압축기에 대하여 상세한 설명은 다음과 같다.
상기 왕복 압축기는 다음과 같이 분류하기도 한다는 것으로써, 상기 압축기는 실린더 배치에 따라 먼저 횡형의 피스톤이 수평으로 왕복운동하는 것과, 다음은 입형의 피스톤이 수직으로 왕복운동하는 것인바 이에 그 다음은 L형의 피스톤이 하나는 수직으로,하나는 수평으로 왕복운동 것이었고 다음의 그리고 V형은 피스톤 축이 V형으로 배치되어 왕복운동것에 뒤이어 W형은 피스톤 축이 W형으로 배치되어 왕복운동것으로서 이어서 대향형은 피스톤이 양측에 서로 맞대어 배치되어저 왕복운동것이었다
첫째 압축방법에 따라서 단동형의 피스톤(127) 한쪽에서만 압축이 행해지는 것과, 복동형으로 피스톤 양쪽에서 압축이 교대로 행해지는 것이었으며
둘째 압축 단수에 따라서 1단형, 2단형에 3단형 …‥, 다단형으로써,
세째로 윤활 방식에 따라 강제 윤활식은 기어펌프(326) 등의 유압펌프 등으로 베어링부에 윤활하는 방식과, 비말 윤활식의 크랭크 회전축의 회전에 의해 베어링부에 윤활유를 튀겨주는 방식의 것으로써,
도 1e 내지 도 1g에 도시한 바와 같이,수해조절장치시스템의 이러한 급유식 외에도 윤활유를 공급해 주지 않는 무급유식이 있다는 것이었다
그 이외에도 설치 방법에 따른 고정식과 이동이 가능한 가반식, 원동기의 동력 연결에 따라 직결식 또는 V벨트(252)·평벨트·기어 감속기(251) 등을 이용한 감속식 등으로 분류하기도 한다는 것이었으며 왕복압축기의 특징은 다음과 같았다.
첫째로, 용적형으로 일정량의 정량이 압축된다는 것이었고,
둘째로는 왕복운동이 단속적으로 맥동이 있다는 것이었으며,
세째로 저속이며, 단단으로도 고압을 얻을 수 있다는 것으로써,
네째에는 흡입·토출밸브가 꼭 필요하고, 작동부분이 많으므로 진동·소음 및 밸브의 고장 우려가 있다고 주장하였으며,
다섯째로 외형과 중량이 크고, 설치 면적을 많이 차지하며, 견고한 기초를 필요로 한다는 것으로써,
여섯째에는 전반적으로 효율이 높으며, 용량 조절 폭이 넓고(0∼100%), 용량조절이 용이하다는 것이었으며,
일곱번째로 기체의 비중에 크게 영향을 받지 않으며, 토출 압력 변화에 의한 용량변화가 적다는 것이었고
여덟번째에는 시린더(126)에 피스톤(127)인 운동을 할 때 기밀과 마찰 저항을 줄이게 하기 위하여 유막을 형성하는 윤활유를 공급해 주어야 하므로 오일이 토출가스 중에 혼입해 들어갈 우려가 있다는 것이었다.
도 1e 내지 도 1g에 도시한 바와 같이,수해조절장치시스템의 회전형 압축기(Rotary Compressor)의 상세한 설명에 있어서,
상기 용적형 압축기의 일종으로 왕복운동 대신 회전운동을 하는 피스톤이나 날개에 의해 압축기 이루어지는 것으로 이 회전운동을 하는 것의 형태에 따라 루츠형, 베인이 고정된 고정익형(Stationary blade type)과 회전하는 회전익형(Rotary blade type) 등으로 분류하기도 한다. 나사(Screw : 스크류)형 압축기도 회전형의 일종이지만 다음 별개의 항목에서 그 특징을 살펴보았다.
먼저 동작이 단순하므로 부품의 수가 적고, 간단하다는 것이었고,
다음으로는 회전운동이므로 진동이 적다는 것이었으며,
세번째는 케이싱 마찰부에 정밀도 및 내 마모성이 요구되며, 소음이 있으며, 간극효율을 좋게하기 위해서는 윤활을 필요로 한다는 것이었고,
네번째는 효율이 높고, 고압축비를 얻을 수 있으며, 대용량의 것으로 제작이 가능하다는 점이었으며,
다섯번째는 압축된 토출량이 대략 일정하며 부하의 변동에 따른 토출량 증감이 없고, 토출량은 압축비의 저하없이 회전속도에 비례한다는 것이었다.
도 1e 내지 도 1g에 도시한 바와 같이,수해조절장치시스템의 나사 압축기(Screw Compressor : 스크류 압축기, 147)의 상세한 설명에 있어서,
용적형 압축기의 일종으로써 대용량의 회전식 압축기로 고속(15,000r·p·m에 이른다)용의 무급유 압축기로 개발한 것인데 최근들어 상당한 관심을 모으고 있다는 것이었고,그 원리는 케이싱 내에 암·수 한쌍의 로우터가 맞물려 돌아가면서 연속적으로 압축을 한다. 두 로우터와 케이싱 간에는 윤활유를 사용하지 않아도 되는 특징을 갖고 있으나 간극의 누설·효율 등을 좋게하기 위해 윤활유를 사용하기도 한다. 그 주요 특징은 다음과 같다.
먼저 용적형으로써 무급유식으로 개발되었으나 급유식도 있다는 것이었고,
이에 두 로우터는 회전운동으로 진동이나 맥동이 없고 연속 송출된다는 것으로써,
이에 따라 가볍고, 진동·발열·고장·설치면적이 작으며, 고속으로 중용량에서 대용량에 적합하다는 것이며,
이 같이 토출압력변화에 의한 용량변화가 적고, 기체의 비중에 약간 영향을 받는다는 것이었고,
일반적으로 효율이 작고, 용량조정이 곤란하며 용량조정폭(70∼100%)도 작다는 것이었므로, 이같은 소음이 있으므로 소음 방지대책을 필요로 한다는 것이었다.
도 1e 내지 도 1g에 도시한 바와 같이,수해조절장치시스템의 그 이외의 용도에 따른 왕복식의 전용압축기(263)의 상세한 설명에 있어서,
먼저 산소 압축기의 산소 압축기에는 윤활유를 쓸 수 없으므로 물(또는 10% 이하의 묽은 글리세린)을 윤활유로 사용하거나 무급유식의 압축기를 사용한다. 물을 윤활유로 사용할 때에는 크롬을 입힌 U형 패킹(크롬피)이나 화이버 또는 테프론 등의 피스톤링을 사용하며 누설이 되지 않게 하고 실린더에서 누설된 산소나 물이 크랭크실에 들어가지 않게 피스톤봉의 하방에는 칼라를 설치한다. 금속재료는 산화되어 녹이 스는 것을 막게 하기 위해 피스톤 봉은 불수강으로 선택하고 밸브는 포금 또는 불수강을, 피스톤·실린더·밸브 박스는 포금제를 사용한다는 것으로서,
불수강이란 스테인레스 강(강에 크롬과 니켈을 합금한 것)을 말한다는 것이었고,
이의 포금에 있어서, 구리와 주석의 합금인 청동의 일종으로 그 중에서도 구리(Cu)90%와 주석(Sn)10%로 된 것을 말하는데, 강도와 연성이 크고 내식성·내마모성이 우수하며 과거에 주로 포신을 만드는 데에서 유래하여 포금(Gun metal)이라 부르게 되었다는 것이었으며,
무급유 압축기는 카아본링이나 테프론링을 사용하거나 라비린스 피스톤식 또는 다이어후렘식의 압축기를 사용하여 윤활유없이 압축을 실시한다는 것이었다.
다음으로 아세틸렌 압축기의 아세틸렌 가스는 폭발 범위가 대단히 넓은 가연성가스이며, 동이나 동합금·은·수은 등과 접촉하여 폭발성화합물질을 생성하고, 산소와 같은 조연성가스의 도움이 없이도 가압하면 자기분해 폭발을 한다. 따라서, 압축기에는 62%를 초과하는 동의 합금이나 수은마노미터 또는 은 등의 사용을 피해야 하며, 각단의 압축비는 3이하의 낮은 값으로 저속회전 (보통 100r·p·m내외)의 왕복동식 압축기를 주로 사용한다는 것이었고,
상기 압축기는 충분한 냉각(보통 수중에서 작동시키고, 냉각수 온도는 20℃이하를 유지)을 필요로 하며 기밀한 구조로 격리된 방폭모터와 연결하고, 충전시는 온도 여하에도 불구하고 25kg/㎠ 이상으로 압력을 올리지 말아야 하며 온도 여하에도 불구하고 25kg/㎤의 압력으로 압축할 때에는 일산화탄소·질소·에틸렌·메탄 등의 희석제를 첨가하도록 되어 있다는 것이었다.
도 1e 내지 도 1g에 도시한 바와 같이,수해조절장치시스템의 상기된 압축기의 주요특성에 있어서,상기 왕복식 압축기의 흡입·토출밸브의 기능 및 구비조건으로 먼저 흡입·토출밸브의 기능에 왕복식 압축기에서는 흡입·토출밸브가 꼭 필요한데 작동여하에 따라 효율이나 압축기의 수명에 크게 영향을 준다. 내연기관처럼 버섯형태를 갖기보다는 통상링처럼 얇은 판(0.8∼4.0mm정도)의 윤형 형태를 갖고 있다. 이 윤형밸브판은 니켈·크롬의 합금강으로 가급적 가벼워야 좋다는 것이었고.
이 밸브와 접촉하는 밸브시트는 고급주철로 만들며, 고압용은 단강제로 한다. 밸브판을 누르고 있는 스프링은 스프링 강으로 만드는데, 너무 강하면 동력의 손실이 있고 너무 약하면 밸브판이 진동하고 가스를 역류시켜 토출량을 감소시키게 된다는 것이었다
그리고 밸브의 구비 조건에 있어서 이처럼 개폐가 확실하여 폐쇄나 개방이 지연되지 않고, 작동이 양호할 것이어야 하고, 이 같이 유체의 충분한 통과면적을 가지고 유체 저항이 적을 것이어야 하며 또한 파손이 적은 것일 것과, 운전중 분해하는 경우가 없을 것이어야 하는 것이었다
한편 왕복 압축기의 용량 제어방법에 있어서, 이런 연속적으로 조절을 행하는 방법에는 흡입 주밸브의 폐쇄에 의한 방법과, 바이패스 밸브에 의해 흡입측으로 가스를 되돌리는 방법에 타임드 밸브에 의해 제어시키는 방법과 회전수를 변경하는 방법인 것이었다
또는 단계적으로 조절을 행하는 방법으로서, 이런 클리어런스 밸브에 의해 체적효율을 낮추는 방법과, 흡입밸브를 개방하여 실제의 가스흡입을 못하게 줄이는 방법(언로더 법)인 것이었다.
그리고 흡입 주밸브 폐쇄는 흡입 측 주밸브의 열림을 조절하는 것으로 흡입 측 압력이 떨어져 토출 온도가 올라가고. 대기압에서 흡입하는 경우는 흡입압력이 대기압 이하로 진공화하여 죠인트부에서 공기를 흡입할 위험이 있으므로 대형에서는 거의 쓰지 않고, 소형의 공기 압축기에서나 쓰인다는 것이었다.
한편 바이패스는 중간 단이나 마지막 단에서 압축된 기체를 되돌려 흡입측으로 복귀시키는 방법으로 간단하게 0∼100%까지 연속적으로 조절할 수 있으나 동력손실이 크므로 대용량의 조절은 다른 조절장치와 조합하여 미량 조절에 주로 쓰인다는 것이었고
또한 타임드 밸브는 흡입밸브의 폐쇄시기를 스프링의 탄성에 의해 강제적으로 지연시켜 흡입한 가스를 역류시킴으로써 조절하는 것으로 마치 행정거리가 조절되는 것과 같은 효과를 얻는데 동력 손실이 적고, 역류 시간을 자유롭게 조절 선택할 수 있는 이점이 있다는 것이었으며,
이렇게 회전수 가감은 회전수를 변화시켜 용량을 조절해도 왕복식에서는 압력변화가 거의 없으나 맥동주기가 길게 된다는 것으로써
클리어런스 밸브는 시린더(126)의 일부에 클리어런스 박스를 설치하고 스톱밸브(301)로 시린더(126)와의 연결을 개폐 조절하여 간극 용적이 변화하고 체적효율이 가감되는 방식으로 클리어런스 박스에 폐쇄된 가스는 재 압축되어 토출가스의 온도를 상승시키므로 클리어런스 박스의 용량이 클 때에는 충분한 냉각수가 흐르도록 워터자켓을 설치하여야 한다. 동력손실이 없으나 연속적으로 조정되지 않으므로 바이패스 방식과 조합하는 예가 많다는 것이었으며,
마지막에는 흡입밸브 개방으로 흡입밸브를 강제적으로 개방하여 압축을 행하지 않도록 하는 것으로 수동 외에도 유압이나 공기압 등의 동력으로 조작한다. 수개 이상의 시린더 중 일부 시린더만 작동할 수 있으므로 '일부 시린더를 놀리는 방법'이라 표현하기도 하며, 일명 '언로더법'이라 한다. 동력 손실이 없고 간단한 구조이지만 단계적으로 조정이 이루어지므로 단독으로 설치하는 외에 클리어런스밸브나 바이패스 방식과 조합하여 사용하기도 한다는 것이었다.
도 1e 내지 도 1g에 도시한 바와 같이,수해조절장치시스템의 터어보 압축기의 용량제어 방법에 있어서,
첫째로 회전수의 변경에 의한 방법은 회전속도와는 다음 관계를 갖는다 것이었고
(Q∝N;토출량은 속도의 1승에 비례)
(H∝N2;압력은 속도의 2승에 비례)
(KW∝N3;동력은 속도의 3승에 비례)
압축비가 큰 다단의 경우에는 이 관계가 성립되지 않지만 가장 현실적이고 경제적인 방법이다는 것이었다
다음의 토출밸브에 의한 조정은 토출관에 설치된 밸브의 열림을 조정함으로써 압송량을 조절하는 방법으로 가장 일반적으로 사용된다는 것이었으며
세번째의 흡입밸브에 의한 조정은 흡입관에 설치된 밸브의 열림을 조정함으로써 압송량을 조절하는 방법으로 대기압을 흡입하는 공기압축기에 널리 사용된다. 흡입밸브로 조정하는 것이 축동력이 절약되고, 서어징 한계량도 감소한다는 것이었고,
일반적으로 냉동기를 다루는 안전관리자들은 터어보 압축기는 흡입 및 토출밸브가 없는 것으로 알고 있는데, 여기서 터어보 압축기는 포괄적인 의미에서 터어보 압축기를 다루었으므로 흡입. 토출측의 '댐퍼'도 흡입·토출측의 밸브와 같은 역할을 하므로 흡입·토출 밸브로 본다는 것이었다
또한 베인 콘트롤에 의한 조정은 압축기의 임펠러 입구에 방사선상으로 놓인 가이드 베인의 각도를 조정함으로써 임펠러의 각도가 바뀌고 특성 곡선을 변화시킬 수 있다. 이것은 흡입밸브에 의한 조정보다도 축동력이 절약되고, 서어징 한계량도 보다 소량까지 조절할 수 있다는 것이었고 그 이외의 바이패스에 의한 조정은 서어징 한계에서 소량영역으로 운전하는 경우에 토출관로의 도중에 바이패스 관로를 설치하고 토출량의 일부를 흡입측에 되돌리거나 대기중에 방출시키는 방법으로 토출온도는 높아진 상태이므로 흡입측에 되돌릴 때에는 바이패스 관로에 냉각기를 설치할 필요가 있다는 것이었다
이렇게, 왕복 압축기 냉각시 얻을 수 있는 효과에는 먼저 체적효율이 증가된다는 것이었고 다음은 압축효율이 증가되어 동력이 감소된다는 것이었으며 그 다음은 윤활기능이 향상되고 적당한 점도가 유지된다는 것이었고 네번째는 윤활유의 열화나 탄화를 막는다는 것으로서 종국에는 피스톤링 축수부 등 습품부품의 수명을 유지시킨다는 것이었다.
만일, 왕복식의 다단 압축기에서 중간 냉각기의 자켓에 냉각수량이 감소된다면 다음과 같은 현상이 생긴다는 것이었다.
첫째; 실린더 내의 가스온도가 상승된다는 것이었고,
둘째는; 흡입 가스량의 감소로 체적효율이 저하된다는 것이었으므로,
세째는; 압축효율이 감소되어 동력이 증가된다는 것이었고,
네째는; 그 단이나 그 뒷단의 압력이 상승된다는 것이었다.
이러하듯이 윤활유는 압축기 몸체 내부에서 하는 역할이 무엇인가 하는 의문점을 해소토록 다음과 같이 설명한다
먼저 윤활의 목적에 있어서,
첫째로 활동부에 유막을 형성하여 마찰저항을 줄이고, 운전을 원활하게 한다.
둘째에는 유막을 형성하여 가스의 누설을 방지한다.
세째로 활동부의 마찰열을 제거하여 기계효율을 높인다.
네번째는 과열 압축을 방지하고, 기계수명을 연장시킨다는 것이었고 결국에는 방청효과를 지닌다는 것이었다.
도 1e 내지 도 1g에 도시한 바와 같이,수해조절장치시스템의 윤활유의 구비 조건에 대하여 설명한다
첫째; 화학적으로 안정하여 사용가스와 반응하지 않을 것이었고
둘째; 인화점이 높을 것과
세째; 점도가 적당하고, 항유화성이 클 것이이며 다섯째; 정제도가 높아 잔류탄소가 적을 것이어야 하며
네째; 수분 및 산 등의 불순물이 적을 것이어 하고 여섯째; 열 안정성이 좋아 쉽게 열분해하지 않을 것이어 한다는 것이었다
도 1e 내지 도 1g에 도시한 바와 같이,수해조절장치시스템의 각 가스 전용의 윤활제에 대하여 설명한다.
먼저 공기 압축기는 양질의 광유(고급디젤 엔진유)에 있어서,
공기 압축기의 내부 윤활유는 재생유 이외의 것으로서 잔류탄소의 질량이 전질량의 1% 이하로 인화점이 200℃이상되고 170℃의 온도에서 8시간 이상 교반해도 분해하지 아니하는 것, 또는 잔류탄소의 질량이 전 질량의 1%를 초과하고 1.5% 이하로 인화점이 230℃ 이상되고 170℃의 온도에서 12시간 이상 교반해도 분해하지 아니하는 것이어야 한다는 것이었으며
둘째로 산소 압축기는 물 또는 10% 이하의 묽은 글리세린 윤활유로 기름이나 농후한 글리세린은 사용할 수 없다. 산소는 강한 조연성 가스로 산소와 기름이 혼합하면 압축시 연소폭발하기 때문이다는 것이었으므
세째 염소 압축기의 진한 황산은 염소 가스의 압축기에는 윤활제로 보통 진한 황산을 사용하는데, 진한 황산은 염소가스의 건조제 역할도 한다는 것이었다.
네째 아세틸렌 압축기에 양질의 광유로 항 유화성이 높은 것을 사용한다는 것이었고
다섯째 수소 압축기는 양질의 광유로 점도가 높은 것을 사용한다는 것이었으므로 메틸 클로라이드(염화메탄)압축기는 화이트유로 사용한다는 것으로서 이산화황(아황산)가스 압축기는 화이트유나 정제된 용제 터어빈유 가스에 침윤되지 않고 수분이 없는 것이어야 한다고 수해조절장치시스템의 압축기를 구성하는 것이었다.
도 1h를 참조하면,본 발명에 따른 종래의 수해조절장치시스템의 일 실시예의 구성을 보여주는 옥외소화전인 쌍구포탄형 지상식 소화전과 배설형·소화전의 지하식 단구소화전(179a)과, 지하식 쌍구소화전(179b)의 도로지표면(GU) 하단부(GLD) 상부 지하식 소화전 박스 쇠덥개인 맨홀을 부분적으로 도시한 정단면이며, 오토소화전(161)과 옥내 소화전상자(160) 내부의 소화기 부속품과 소화전 상자의 정면도이고, 연결송수관의 송수구(168)와 방수구 소방대전용 소화전(169)에 소화전인 채수구(179) 정면도와 사시도이며, 옥내 소화전 배관방식의(a) 대규모 소화전 설비와, (b) 소규모 소화전 설비를 부분적 측면을 도시한 수해조절장치시스템의 부분 측면 구성도로,
도 1h에 도시한 바와 같이,수해조절장치시스템의 한편 종래의 소방방재 제어장치는 동도면에 도시한 바와 같이 도로지표면 상단부(GLU) 상단부에 위치하는 입형다단 펌프 기계실에는 소방센서펌프 몸체 내부의 펌프제어시스템(150)의 펌프제어반(Control Assy; 2) 후미의 기계실 바닥 상단부(GLU)로 펌프 하단부 베드 프레임(286) 상부 측면 전방에는 흡입합류관(3)과 토출합류관(4)으로 펌프 좌측 우측에 각각 펌프 내부 격리밸브인 격리밸브(5)와 펌프 내부 역류방지용 역지밸브(6)가 조립되는 입형다단 펌프(8)로 상기 펌프(8)는 기계실 바닥 베드프레임(286)의 상부 펌프 제어박스 상단에는 제어박스 운반할 수 있게 갈고리 러그(21)와 샤클(22)을 결합시키고 볼트(24), 너트(25), 와샤(26)로 베드프레임과 펌프제어박스(2) 및 펌프 결속 조립 연결부속으로 설치하고 상기 제어박스(2) 도어에는 힌지(정첩, 27)로 부착후 펌프 결합용의 플랜지(28)에는 카플링(29)과 배관연결부 속으로 마개플랜지 연결한 후 소방호스에 결합할 수 있도록 카플링 암나사산 몸체(30)와 카플링 수나사산 몸체(31)로 정밀 가공후 각기 연결되고 연결부위는 고무패킹(32)이 표준형 규격의 봉상식 소방관창의 소방호스에 카플링에 결합된 후 노즐호스 장비거치대(33)에 소방장비가 적재되고 소방호스 길이는 15미터로 규격화 되어 있으므로 소방호스 사용압력은 1평방 센치미터당 13킬로그램 이상과 13킬로그램의 소방호스가 카플링에 접합하여 실제로 현장에서 사용되는데 펌프작동시 100미터 수직으로 양정(상향급수식을 칭함)시에는 소방호스 내부의 내수압이 16바아인즉은 소방호스 사용압력이 1평방센치미터당 16킬로그램으로 사용압력 부하가 발생되므로 1000미터를 양정시에는 160바아의 사용압력부하가 발생되므로 이때 펌프 내부 임펠러가 공회전하면서 방화수는 펌프 내부에서 흡입된 위치의 흡입구로 역류하게 되어 문제가 발생하는데 이런 어려운 기술적인 사항을 해소시킨 것이 호스마디로 연결되는 수해조절장치시스템의 소방관노즐(10) 및 고성능 수중펌프(36)인 것이다.
도 1h에 도시한 바와 같이,종래에는,수해조절장치시스템의 도로지표면(GLL) 하단의 도로지표면하단부(GLD) 집수정탱크(34), 후방의 방재수로(17)에서 소방정(40)의 맨홀두껑(152)을 개방한 후 소방차가 화재현장에 소방요원이 도로에 방치물(차량) 주차로 인해 소방차 출동이 지연중 상호 유무선통신기로 교신후 소방헬기는 엔진(226) 가동으로 프로펠러(146) 작동후 현지 도착한 후에 지표면상단부(GLU) 대형건물인 빌딩(333) 상단에서 바스켓(42)을 작동시켜 방화수를 고공낙하 투하를 지표면 상단 소방차 및 소방요원과 함께 수해조절장치시스템의 진화활동을 종전에는 진행하고 있는 것이었다,
도 1h에 도시한 바와 같이,이렇게 종래 진화방식의 수해조절장치시스템의 방재물질 공급방식에는 소방차가 소방정(40)에 방화수(7) 충전되는 산업현장의 취수장 펌프의 방화수 공급라인의 건물 상부 벽면 소화전(179) 또는 도로지표면의 맨홀뚜껑(152)을 개방후 맨홀 내부 지하매설밸브를 개방시켜 접속구 카플링을 연결후 재충전 후로 화재진압을 진행하는데 이때 배관연결은 연결부속엘보 또는 티이엘보(44)로 연결되고 연결배관 중간 마디로 밸브로 접합연결하여 지중매설되어 있는데 상기 밸브는 배관 파손시 비상밸브(84)로 구비되고 입형다단 펌프 제어시스템의 동력전원 공급장치 전원(46)의 공급전원(단상 220V, 60Hz, 삼상 380V, 60Hz, 사상 440V, 60Hz)이 전선(71)으로 제어반에 공급되며 입형다단 펌프 제어방식에는 대수제어(Step제어)의 속도제어(Inveter제어)로 방화수 공급이 이루어지고 입형다단펌프(8)는 입형다단펌프(8)로 펌프대수 2세트, 3세트와 4세트에 5세트와 6세트로 당업자의 주문에 따라 수해조절장치시스템의 사양이 선택되는 것이었다.
도 1i를 참조하면,본 발명에 따른 종래의 수해조절장치시스템의 일 실시예의 구성을 보여주는 스프링클러 설비와 트랜처헤드의 스프링클러헤드(111) 사시도와 진동경보장치(300)의 사시도에 스프링클러 설비의 배관계통을 도시한 수해조절장치시스템의 부분 측면 구성도로,
도 1i에 도시한 바와 같이,종래의 수해조절장치시스템의 소방방재 제어장치에는,스프링클러 설비와 트랜처헤드의 스프링클러헤드(111)와 진동경보장치(300)들로 수해조절장치시스템의 연결구조로 종래 수해조절장치시스템의 소방방재제어장치들로 결합 형성되어있다.
도 1j를 참조하면,본 발명에 따른 종래의 수해조절장치시스템의 일 실시예의 구성을 보여주는 왕복펌프인 피스톤펌프(127)의 작동방식을 측면 도시한 부분측면도 및 플런저펌프(148)를 부분적 측면으로 플런저(253) 작동방식을 도시한 부분적 작동도이고, 회전운동펌프의 블류우트펌프(311)와 터어빈펌프(140)의 측면을 도시한 부분적 측면도이며 오수펌프(309)의 설치상태를 측면 도시한 수해조절장치시스템의 운전 측면 방식 구성도로,
도 1j에 도시한 바와 같이,종래의 수해조절장치시스템의 다양한 펌프의 종류에는,건축 설계에 사용되는 펌프를 대별하면 왕복동 펌프와 회전 운동 펌프(퓨갈 펌프)가 있다는 것이었다.한편 다양한 펌프의 종류에 있어서,왕복 펌프의 상세한 설명을 동도면에 도시한 바와 같이, 왕복펌프 내부에는 퍼올림밸브(320)와 빨아올림밸브(321)가 형성되어 있고 수면하단부(WLD)에는 후드밸브(312)로 각개로 부착되며 시린더(126) 몸체 내부로 피스톤(127) 또는 플런저(253)가 회전축(198)에 부착되어 있는 것이었다.
도 1j에 도시한 바와 같이,종래의 수해조절장치시스템의 다양한 펌프의 종류에는,상기 왕복 펌프에는 피스톤(127) 펌프(piston pump,127) 프런저 펌프(plunger pump)에 워어싱톤 펌프(worthington pump)등이 있다. 피스톤 펌프는 송수압에 파동이 크고 수량의 조절도 곤란하여 양수량이 적어 양정이 큰 경우에 적합하다는 것이었으며,플런저 펌프(148)는 플런저(253) 주위로부터의 누설이 적고 물 그외 액체용 고압 펌프에 사용되고 있으며 워싱톤 펌프는, 증기 기관에 펌프가 직결되어 있어 고압 보일러의 급수 펌프 등에 적합하다는 것이었다.
도 1j에 도시한 바와 같이,종래의 수해조절장치시스템의 다양한 펌프의 종류에는, 회전 운동 펌프에 있어서 동도면에 도시한 바와 같이 상기 회전 운동 펌프에는 센튜리 퓨우걸 펌프(308) 터어빈 펌프에 치차 펌프 등이 있다. 왕복 펌프에 비하여 다음과 같은 이점이 있으므로 일반적으로 널리 사용되고 있다는 것이며 이에 대하여 상세한 설명은 다음과 같다.
첫째 경량 소형이며 고속 운전에 적당하고 모우터에 직결된다. 운전 성능도 우수하다는 것이며,둘째 진동과 소음이 적고 장치도 간단하며 송수압에 파동이 없어 수량의 조절도 용이하다라는 것이었다.
도 1j에 도시한 바와 같이,종래의 수해조절장치시스템의 다양한 펌프의 종류에는,센튜리 퓨우걸 펌프(centrifugl pump,308)는 주로 15m 내외의 낮은 양정의 펌프로서 사용되고 시동하는데 있어 펌프내에 프라밍하여 임펠러(143)를 회전, 원심력에 의하여 양수한다는 것이었다.
도 1j에 도시한 바와 같이,종래의 수해조절장치시스템의 다양한 펌프의 종류에는,터어빈 펌프(Turtine pump,140)는 센튜리 퓨우걸 펌프(308)의 임펠러(143) 외축에 가이드 베인(guide uane)을 장치하고 있어 물의 흐름을 조절하여 20m이상의 높은 양수에 사용되며 현재 가장 많이 사용되고 있다는 것이며 회전운동 펌프를 시동 할 때의 조작 순서 실시예는 다음과 같다는 것이었다. 먼저 베어링(227)에 기름을 치고 원활한 회전이 되게 한다는 것이었고 다음은 펌프의 분출 밸브를 반드시 잠근다. (왕복동 펌프는 열어 놓고 시동한다)라고 했으며 그 다음은 시동 전에 펌프 내부에 물을 가득히 붓는다.네번째 분출변을 잠근채 모우터의 스위치를 넣는다는 것이었고, 다섯번째 시동후 압력계를 보고 압력이 소정의 압력까지 오르면 분출 밸브를 서서히 연다는 것이었고, 여섯번째 전류계를 보아 소정의 암페어 이상이면 분출구의 밸브를 조절 양수량을 가감한다는 것이었다.
도 1j에 도시한 바와 같이,종래의 수해조절장치시스템의 다양한 펌프의 종류에는, 디이프 웰 펌프(deep well pump)의 상세한 설명으로는 상기 펌프는 깊은 우물물을 퍼 올리는데 사용하는 펌프로 다음과 같은 종류가 있다는 것이었으며 먼저 보어호울 펌프(borehole pump)는 수직형 터어빈 펌프로서 임펠러와 스트레이너는 물 속에 있고 모우터는 깡 위에 있어 이 2개를 긴 축으로 연결하여 운전한다라는 것이었으며,도 1j에 도시한 바와 같이,종래의 수해조절장치시스템의 다양한 펌프의 종류에는, 수중 모우터 펌프는 수직형 터어빈 펌프 밑에 모우터를 직결하여, 양수하며 모우터와 터어빈은 수중에서 작동한다는 것이었고 이러한 펌프는 고성능 수중펌프(36)와 대동소이하다.
그 다음에는 제트 펌프(Jet pump, 157)는 지상에 설치한 터어빈 펌프에 연결된 흡입관과 압력관을 우물 속에 세운다. 터어빈에서 압력수의 일부를 압력관을 통하여 물 속에 있는 제트에 보내어 고속으로 벤튜리관에 분사시킨다. 이때 벤튜리관은 압력이 낮아져 우물물을 흡입하고 흡입된 물을 압력수와 같이 흡입관으로 올라가 터어빈펌프(140)로 배출된다.
이 펌프의 제트는 보조 펌프의 역할을 하여 우물 물을 센튜리 퓨우걸 펌프(308)의 흡수 가능 범위(6∼7m)까지 끌어 올리므로 빨아 올리는 높이 25m까지의 디이프 웰 용에 사용할 수 있다.는 것이었다.
종래의 수해조절장치시스템의 다양한 펌프의 종류에는,오수 펌프(하수 펌프, 309)에 대하여 동도면에 도시한 바와 같이 수면하단부(WLD)에는 양수구(313) 상부로 오수펌프(309)가 형성되었고 상기펌프(309) 수면부(WLL)로 플로우트(315)와 오수통 상부로 토출구(270)와 전동기(192) 몸체 하부로 플랙스블 카프링(317)과 드러스트보울(316)에 상기 보울(316) 좌측에는 플로우트 스위치(318)가 부착되었다.
상기 오수 펌프(309)는 가옥의 오수등 오물찌거기등의 고형물이나, 유지, 천 등이 섞인 물을 배제할 때 건축 설비용으로는 지층의 오수 또는 정화조의 정화수를 공공 하수관까지 양정 할 때에 사용된다는 것이었으며 동도시된 도면에 따라 그 설치 상태를 나타낸다. 이 펌프도 회전운동 펌프에 속하나 정수 펌프와 임펠러의 구조가 다소 달라 둥글게 하여 고형물이 걸리지 않게 되어 있으며 임펠러의 수도 1 또는 2배로 하고 스파이럴 케이싱(310)도 충분히 넓게하여 고형물이 막히지 않게 되어 있다는 것이었다.
도 1j에 도시한 바와 같이,종래의 수해조절장치시스템의 다양한 펌프의 종류에는,큰 고형물이 함유되어 있지 않은 오수의 경우에는 임펠러의 수가 4개 또는 6개의 것도 사용된다. 동도시된 바 있는 도면과 같이 모우터는 지상에 설치하고 펌프는 오수통 속의 수중에 잠기게 하여 오수는 분출관을 통하여 양정된다.종래의 수해조절장치시스템의 다양한 펌프의 종류에의 펌프는, 플로우트로트 스위치(318)에 의하여 오토 운전 된다는 것이었다.
도 1k를 참조하면,본 발명에 따른 종래의 수해조절장치시스템의 일 실시예의 구성을 보여주는 조정밸브(459) 일체와 배관부속품의 수전류형의 일반형 수도꼭지(496)를 도시한 수해조절장치시스템의 조정밸브(459) 일체와 배관부속품의 수전류형의 일반형 수도꼭지(496)의 구성도로,
도 1k에 도시한 바와 같이,종래의 수해조절장치시스템의 조정 밸브(459)에는 감압밸브(460)와 안전밸브(472)에 온도조절밸브(477)와 오우토급수기(478)에 공기빼기 밸브(481)로 분류되어 구성되는데에는 상기 감압 밸브(460)는 고압 배관과 저압 배관의 사이에 설치하여 밸브의 리프트를 적당한 장치에 의하여 제동, 고압측의 압력의 변화와 증기 소비량 변화에 관계없이 저압측의 압력을 거의 일정하게 유지하는 밸브이다.
도 1k에 도시한 바와 같이,종래의 수해조절장치시스템의 밸브의 행동은 대개 벨로스, 다이어프램(463) 또는 피스톤(127)과 같은 것으로 작동을 수행하고나,동시에 고저압의 압력비는 2 : 1 이내로 하고 육 이것을 초과할 때에는 2 조의 감압 밸브(460)를 직렬로 사용하여 2 단 감압을 하는 것이 더 좋다. 구조는 일반으로 동도면에 도시한 바와 같이 조정스프링(468), 다이어프램(463), 파이로트 밸브(464), 피스톤(127), 메인밸브(466), 등으로 구성되어 있다.
도 1k에 도시한 바와 같이,종래의 수해조절장치시스템의 파이로토 작동식 감압밸브(자력식, 461)에는 2차측 감지구멍(462)과 다이어프램(463)에 파이로트밸브(464)와 피스톤(127)과 메인밸브(466)에 메인밸브 스프링(467)이 부착되며 오우토압력조절밸브(469)에는 나사형(½∼1½인치) 오우토 압력조절밸브(470a)와 플랜지형(2∼6인치) 압력조절밸브(471b)로 분류하고나,동시에 이러한 안전밸브(472)에는 스프링식 안전밸브(473)와 리리이프식 안전밸브(474)에 증기용 포프스프링식 안전밸브(475)와 포프식 안전밸브(476)로 분리 구분된다.
이렇게,유체의 폐지 기구는 글로우브 밸브(419)와 같으며 글로우브 밸브(419)는 외력에 의하여 개폐를 하지만, 안전 밸브는 외력 대신에 스프링의 힘이나 밸브 스템의 중량과 지렛대의 추에 의하여 개폐를 마련하고나,동시에 안전 밸브는 보일러 등 압력 용기와 그 밖에 고압 유체를 취급하는 배관에 설치하여 관 또는 용기내의 압력이 규정 한도에 달하면 내부 에너지를 오토식으로 외부로 방출하여 용기 안의 압력을 항상 안전한 수준으로 유지하는 밸브이다.
보일러와 같은 축적 에너지가 큰 압력 용기에는 반드시 부착하게 되어 있는 안전 장치이다. 안전 밸브의 일종으로 릴리이프 밸브가 있다. 이것은 압력 유체가 흐르는 배관의 판로에 직접 연결하여 사용하는 밸브로서 관속의 압력을 일정하게 조정함과 동시에 경보의 목적에도 사용된다.
밸브의 성능은 분출 압력과 분출 정지시의 압력, 분출시의 압력차, 분출 용량의 정확도로 정해진다. 밸브가 열려 증기를 분출할 때 그 입구측 압력을 분출 압력, 밸브가 닫혀 증기의 유출이 정지 되었을 때 그 입구측 압력을 분출 정지 압력, 분출 압력과 분출 정지 압력의 차이를 분출차 압력이라 한다.
한편 온도조절 밸브(477)로는 오토 온도 조절밸브(477)와 동일한 구성인데 액체의 온도를 조절하기 위한 것으로 온도의 변화에 매우 민감한 밸로우즈의 작용에 의하여 개폐되어, 가열 증기 또는 냉각수의 유량을 오토식으로 조절하는 오토 제어밸브이다. 열 교환기나 중유 가열기 등에 사용된다.
또한 오토 급수기(479)에도 오토수준조정기(480)가 별도로 형성되는데 오토 급수기(479)와 상기 조정기(480)는 오토 급수기 보일러의 수준을 그 최대 효율점에 일정하게 오토식으로 급수하는 것으로 수위차는 언제나 풍요한때에 유도되는 것으로 이것에 의하여 보일러 급수의 부족에 의하여 일어나는 위험을 방지하는 것이다.
도 1k에 도시한 바와 같이,종래의 수해조절장치시스템의 조정밸브(459)에 포함하는 공기빼기밸브(481)에는 오토공기배기밸브 열동형(증기용, 482)과 오토공기배기밸브 바켓트형(온수형, 483)으로 분리되는데 상기 열동형 오토공기배기밸브(가로×세로; 53mm×56mm, 482) 치수와 상기 바켓트형배기밸브(가로×세로; 53mm×68mm, 483) 치수인데 상기 공기용의 공기 빼기밸브는 열등형 또는 열동 플로우트 양용형이 있으며 온수용 공기 빼기 밸브를 플로우트식을 채용하고 있으며 동체는 청동제 벨로우스는 청동제, 플루우트는 황동제, 버키트는 청동판으로 사용하고 있다.
도 1k에 도시한 바와 같이,종래의 수해조절장치시스템의 냉매 배관용 밸브(484)에는 냉매스톱밸브(485)에 속하는 팩드밸브(486)와 팩레스밸브(벨로우즈형, 487)에 팩레스밸브(다이어프램형, 488)가 냉매스톱밸브(485)로 형성되고 팽창밸브(489)에는 다이어후렘형 팽창밸브(490)와 벨로우스형 팽창밸브(491)로 형성되되, 부자밸브(492)와 압력조정밸브(냉매용, 493)에 전자밸브(494)와 오토급수밸브(미도시) 일체로 냉매배관용 밸브(484)로 형성된다.
상기한 냉매스톱밸브(485)에 포함하는 팩드밸브(486)와 상기 벨로우즈형의 팩레스밸브(487)와 다이어프램형의 팩레스밸브(488) 일체의 냉매스톱밸브(485)는 앞에서 설명한 글로우브 밸브와 같은 모양의 밸브와 밸브 시이트의 구조를 가지는 것으로 밸브측의 동체 관통부에서 냉매의 새는 것을 방지하기 위해 석면 패킹 등으로 다진 그랜드 패킹형(폰넷트형)과 벨로우스에 의하여 축이 봉해진 팩레스형이나 다이어 프램으로 축이 봉해진 다이어 프램형이 있으며,벨로우스, 다이어 프램에 의하여 지름이 큰 것은 제작할 수 없으므로 그랜드 형은 모든 축 덥게 (본네트, 캡) 을 가지며 최근에는 거의 팩시이트형으로 되어 있어 벨로우스, 팩레스 또는 패킹 조임물(팩킹)의 교환이나 밸브 개방시의 샘을 방지하도록 구성되어있다.
재료는 동체가 큰것은 포금제, 또는 주철제, 작은 구경의 것은 거의 포금제이며 밸브 스테라이트, 밸브 시이트는 네루넬메탈 등이 사용되고 있다.
도 1k에 도시한 바와 같이,종래의 수해조절장치시스템의 밸브의 재질은 마모를 방지하기 위하여 밸브 시이트의 재질보다 굳은 것을 사용을 마련하고나,동시에 팽창 밸브(489)는 다이어후렘형 팽창밸브(490)과 벨로우스형 팽창밸브(491)로 분리 구분 후 형성되는데 상기 팽창 밸브(489)에는 수동형 팽창 밸브 접압 팽창 밸브, 열동형 팽창밸브의 3종류가 있다.
수동형 팽창 밸브는 수동으로 냉매유로의 유효 면적을 조절함에 따라 냉매 유량을 가감하는 것이지만 오늘날에는 1 부를 제외하고는 거의 사용되지 않는다.
정압식 팽창 밸브는 가정용 냉장고와 같은 작은 용량의 것에 사용되는 것으로 증발기 내의 압력을 일정하게 유지하여 동작한다.
열동형 팽창 밸브는 오늘날 더욱 널리 사용되며, 액냉매가 증발기를 나올 때 완전히 증발하여 가스화되어 있게 동작하는 기구로 되어 있으며 직접 팽창식의 증발기에 사용되며 재질은 어느 형식의 동체이든 포금제 밸브는 스테인리스제, 밸브 시이트는 모넬메탈제. 벨로우스는 인청동제이다.
도 1k에 도시한 바와 같이,종래의 수해조절장치시스템의 부자 밸브(492)가 구성되는데에는 상기 부자밸브(492)의 플로우트 밸브(float valve)는 만액식 증발기에 사용하는 밸브이며, 증발기 속의 액면을 일정하게 조절하는 저압측 부자 밸브이다. 상기 밸브는 증발기 속의 냉매 액의 양에 따라 열리고 닫히며 구조는 플로우트와 아암은 황동제 서어지 챔버(surge chamber)는 주철 또는 강판제로 되어 있다. 니이들 밸브는 스테인리스, 밸브 시이트는 황동을 사용한다. 플로우트 밸브에는 이 밖에 고압측의 냉매량을 조정하는 고압 플로우트 밸브로 구성되어있다.
도 1k에 도시한 바와 같이,종래의 수해조절장치시스템의 냉매용 압력 조정 밸브(493)의 구성에의,압력 조정 밸브(493)는 증발기 중의 부하에는 관계없이 증발기에서 증발한 냉매의 온도를 일정하게 유지하기 위하여 사용되는 것으로 증발기 중의 압력을 가지게 함에 따라 목적 달성을 하도록한 하나의 압축기에 여러개의 증발기가 사용되며 또한 각 증발기의 증발 온도가 다를 때 유효하도록한 수해조절장치시스템의 냉매용 압력 조정 밸브(493)들로 구성되어있다.
도 1k에 도시한 바와 같이,종래의 수해조절장치시스템의 전자 밸브(494)의 구성에의 전자 밸브(494)는 밸브의 개폐를 전자석의 작용으로 조작을 마련하는 밸브이며 이것은 글로우브 밸브에 전자 코일을 부착한 것으로서 코일에 전류가 흐르면 전자석에 의하여 니이들 밸브가 달린 플런저가 위로 이동하여 밸브가 열리고 전류가 흐르지 않으면 플런저가 중력에 의해 아래로 떨어지므로써 밸브가 닫힌다. 팽창 밸브 바로 앞에 설치하여 압축기가 정지하고 있을 때는 냉매액이 증발기 속으로 유입하는 것을 방지를 마련하고나,동시에 오토 급수밸브(495)에는,냉동기의 콘덴서의 출구쪽(냉각수의 배출구쪽)에 취부하는 것으로 압축기의 부하의 변동에 대응하여 오토식으로 응축기에 대한 급수량을 가감하는데 사용되며 윗부분에 다이어프램 또는 벨로우스가 설치되어 압축기의 고압 가스 압력에 의하여 밸브를 상하시키는 기구로 종래의 수해조절장치시스템으로 구성되어있다.
도 1k에 도시한 바와 같이,종래의 수해조절장치시스템의 배관부속품인 수전류형의 수전인 일반형 수도꼭지(수전, 496) 내부에는 상기 꼭지(496)의 몸통(529)과 패킹상자(530)에 패킹누르게(531)와 꼭지대(532)에 핸들(533)과 디스크(534)와 디스크패킹(535)에 내수, 내식성의 패킹(536)과 내노화성 물건의 패킹(537)에 패킹받이(538)가 분해 결합 조립된다.
이에 급수 급탕관의 끝에 직결하여 탕과 물의 흐름을 개폐하는 장치를 수전이라 하며 수전의 재질은 일반으로 청동 주물, 황동 주물로 만들며 일반적으로 니켈 또는 크롬 도금을 하여 사용한다.
일반용 수전의 구조와 부품명은 동도면에 도시한 바와 같으며 일반적으로 사용되는 건축 설비용, 수전류를 그림으로 나타내었고 상기 수도꼭지 명세표는 다음과 같다.
일반형 수도 꼭지 명세표
건물 내부에 형성되는 일반형 수도꼭지(496)는 다수개로 이음소켓부위로 소방방재배관 펌프소화기로 소화활동이 진행된다.
도 1k에 도시한 바와 같이,종래의 수해조절장치시스템의 수전류의 지수전의 형성되는데에는 다음과 같이 설명한다.
지수전에는 갑 지수전과 을 지수전의 2 종류가 있다. 갑 지수전은 급수 장치의 일부 수량을 조절하거나 개폐하는데 쓰이며 일반으로 하이 탱크 급수 수직 상향관, 샤워 수직 상향관, 상층 수직 상향관의 중간에 자유롭게 개폐 할 수 있는 위치에 설치한다. 관과의 접합 방법에는 강관용 나사 이음 방식과 연관 동관용 납땜 방식이 구성되어있다.
을 지수전은 갑 지수전 과는 달리 공도와 부지 경계 지점의 땅속 수도 분기관에 설치하여 급수 장치 전체의 통수를 제한하는데 사용되는데 지수전(497)이 표기 기재되어 있다.
지수전은 보통 지수전 박스로 보호되어 있으며 급수관의 누수등 특별한 경우를 제외 하고는 마음대로 개폐하지 않는다.
구조는 동도면에 도시한 바와 같이 플러그 식으로 90˚ 회전하면 물이 흐르고 반대로 90˚ 회전하면 물의 흐름이 멎도록 구성되어있다.
도 1k에 도시한 바와 같이,종래의 수해조절장치시스템의 분수전(corporation stop; 코프레이션 스톱, 498)에 있어서,공도에 매설되어 있는 급수 소관에서 40mm 이하의 급수관을 분기할 때 쓰이는 수전이며 분수전의 지름은 13, 16, 20, 25mm 까지 있다. 주철관 또는 석면 시멘트관의 급수 소관에 직접 접속하거나 또는 분수 새들을 사용하여 부착한다. 분수전은 불 단수식 천공기인 물을 끊지 않고 수도관에 구멍을 뚫는 기계를 사용하여 급수 소관의 물을 멈추게 하지 않고 설치할 수 있다.
도 1l을 참조하면,본 발명에 따른 종래의 수해조절장치시스템의 일 실시예의 구성을 보여주는 펌프구동중의 주요문제에 있어 그에 대한 대책으로 소방방재라인을 구성시킨 산속 계곡 정상 부위의 펌프구동중의 요부확대 단면을 도시한 수해조절장치시스템 펌프구동중의 구성도로,
도 1l에 도시한 바와 같이,종래의 수해조절장치시스템의 펌프 구동중의 주요문제에는,이런 축방향의 드러스트 하중(axial thrust, 373)인 축추력은 원심펌프에서만 일어나는 것으로 임펠러를 회전시켰을 때 임펠러와 연결된 축(shaft:샤프트)을 유체압력이 흡입측으로 미는 힘이 작용하는 것을 칭하고 이 때에 발전펌프 수차(264)와, 펠톤수차(230) 터어빈(267) 내부 날개에도 소수의 개 가공홀(20) 틈새(15) 노즐(10)이 형성된다. 상기 축방향 드러스트 하중(373)에는 임펠러(143) 전면에 작용하는 압력(374)과 임펠러 뒷면에 작용하는 압력(375)은 회전축의 드러스트 하중(373)은 발전소의 발전기(213)와 동일하다.
도 1l에 도시한 바와 같이,종래의 수해조절장치시스템의 펌프 구동중의 주요문제에의,그 대책에 있어서,먼저 밸런스 호올(blance hole:균형공,376)은 임펠러 보스 측의 회전축 가까이에 구멍을 내어 임펠러 앞뒤가 압력의 균형을 유지하도록한 수해조절장치시스템을 마련한다.
상기 밸런스 호올(376)에는 흡입압력(377) 부위로 전면 웨어링 링(380)에 밸런스 구멍(379)이 형성되고 배면압력(378) 부위에는 배면베어링 링(382)이 형성 구분되며 결합되어 토출압력(381)을 이루게 되는 요부위 구성이다.
다음의 밸런스 파이프(blance pipe, 균형관, 383)는 임펠러 뒷 부분의 압력이 더 높으므로 파이프로 흡입측에 연결하여 압력의 균형이 유지되도록 마련하며,
그 다음의 뒷 날개 설치는 임펠러의 뒷편에 작은 날개를 만들어 임펠러와 함께 회전하여 압력의 균형을 유지하도록 한다. 그러나 이 뒷날개가 크면 드러스트가 역으로 생기는 수도 있다. 또, 이 뒷날개는 모래 등의 고형물이 임펠러 뒤의 시일부분에 침입하지 못하게 하는 역할도 하므로 고형물이 섞인 유체에서는 이 방법을 많이 채택아며 상기 방법의 뒷날개(384)에는 뒷날개(384) 설치로 인한 압력분포와 임펠러(385)에는 뒷날개에 의한 압력감소를 축봉절개면 우측 빗금으로 압력감소상태 도시를 마련하였다.
도 1l에 도시한 바와 같이,종래의 수해조절장치시스템의 펌프 구동중 주요문제에는,다단펌프의 임펠러 배치(386)는 양 흡입펌프나 고압의 다단 짝 수의 임펠러 반을 반대방향으로 하여 드러스트 하중 상쇄를 마련하고나,동시에 밸런스 디스크는 다단 고압펌프의 최종단 뒤에 '밸런스 디스크'라 하는 소형의 원판날개에 고압수는 밸런스 파이프(383)로 흡입측에 되돌리며 요부위의 레이디얼 하중(radial thrust : 반경 방향 하중)은 회전축(198)의 중심이 완전하지 못하였을 때 회전축(198)이 좌우로 진동하고, 이를 받침 축수부에 힘으로 나타내는 것을 칭한다.
도 1l에 도시한 바와같이,종래의 수해조절장치시스템의 펌프 구동중 주요문제에는,캐비테이션인 공동현상에 대하여 그에 대한 대비책의 상세한 설명은 다음과 같다.
펌프의 운전 중 그 액중 온도안에서의 증기압보다 압력이 낮은 (즉, 그 온도에서의 액체가 기화되는 압력 이하로 저하하는)부분이 생기는 경우 그 부분이 기화하여 기포를 발생하거나 공동화하는 현상으로 기체의 증가에 따라 흡입능력은 점차 작아지고 결국은 흡입능력이 없어져 공전하게 되어 기계적 사고를 불러 일으킨다.
흡입측의 저압부에서 생긴 기포는 토출측의 고압부에 들어가면 단번에 붕괴되고, 이때 고압이 생성되어 독특한 소음을 내며, 진동하게 되고, 금속이 침식하게 되며, 결국은 운전불능이 되고 만다.
이런 침식(Erosion)은 액중의 토사나 슬러리 등에 의해 물리적으로 마멸되는 현상이며, 이에 반해 해수·산·알칼리·그 외의 부식성 액에 의하거나 전위차에 의한 화학적 침해현상은 부식(Corrosion)이라 하며 침식과 부식이 중복되어 일어나는 손멸현상을 괴식이라 한다.
도 1l에 도시한 바와 같이,종래의 수해조절장치시스템의 펌프 구동중의 주요문제에의,그 대책에 있어서, 동도면에 도시한 바와 같이 한쪽 흡입임펠러(143a)를 양쪽 흡입임펠러(143b)로 형성된 후 유효흡입양정(NPSH : Net Positive Suction Head)을 계산하여 펌프의 형식, 회전수와 흡입조건 등을 결정한다.
다음으로 계획된 유량이나 양정뿐아니라 예상되는 운전범위에 대한 흡입양정의 검토를 행한다. 즉, 펌프를 가급적 액면 가까이에 설치하여 흡입양정을 작게하거나 수직축 펌프를 채택한다.
그 다음에는 흡입 배관은 손실이 작도록 관경을 크게 하거나 굽힘이 적게 하며, 굽힘 반지름을 크게 한다. 또, 배관은 낡은 금속보다는 새것으로, 금속제보다는 플라스틱의 염화비닐제 등으로 하는 것이 마찰저항을 줄여준다.
이 같이 흡입관 말단부의 여과기(스트레이너)는 액 통과 면적을 크게 잡고, 막힘이 적도록 한다.
이렇게 계획 이상의 토출량, 회전수 이상으로 올리지 말고, 양수량을 감소시킬 것. 양 흡입펌프나 두대의 펌프를 병열 운전하는 것도 좋다.
이때 온도나 점도가 큰 액에서는 특히 주의해야 한다. 만일 캐비테이션 발생하에서 운전시킬 수 밖에 없는 경우는 스테인레스강으로 캐비테이션에 강한 재료를 쓴다.
도 1l에 도시한 바와 같이,종래의 수해조절장치시스템의 펌프 구동중의 주요문제에는,펌프의 수격작용인 워터햄머(389)에 대하여 그에 대한 대비책을 상세한 구성에 관한 설명은 다음과 같다.
펌프로 양수하던 중 정전 등으로 급격히 펌프가 멈추게 되거나, 유량 조절밸브를 급격히 폐쇄시키거나 하는 등 어떠한 원인으로 유체의 속도가 급격히 변화하게 될 때 관로 내의 액은 대단히 큰 압력변화를 갖는데, 이 현상을 수격작용이라 한다.
수격작용에 의해 큰 소음이나 진동이 발생하고, 심하면 관이 파열되기도 하는데, 대용량의 긴 관로에서 심하다.
도 1l에 도시한 바와 같이,종래의 수해조절장치시스템의 펌프 구동중의 주요문제에는,그 대책에 있어서 다음의 각 펌프는 미도시한 바와 같이 다음과 같이 설명한다.
먼저 펌프에 플라이휘일(Fly Wheel)을 설치(즉, 회전체의 관성모우멘트를 크게)해서 펌프의 동력이 끊겨 도 급격히 회전이 떨어지지 않도록 한다.
그 후 배관에 공기실(Air chamber : 에어체임버)이나 원웨이-써지탱크(One way-Surge tank)를 설치하여 압력 상승시 공기가 완충역할을 하도록 하여 고압발생을 막는다.
그 후로는 수격작용이 예상되는 토출관로 내의 유속은 가급적 느리게 선택하되,
단 유속은 1 m/s정도가 좋다고 한다.
그러므로 수주분리가 발생할 염려가 있는 부분에서는 공기 밸브를 설치하여 부압이 되면 오토식으로 공기를 흡입하여 이를 방지시킨다.
상기 펌프의 수격작용(389)에 대하여 그에 대한 또 다른 대비책으로서,
도 1l에 도시한 바와 같이,종래의 수해조절장치시스템의 펌프 구동중의 주요문제에는,운전 중의 펌프가 정전 등에 의해 동력을 상실했을 때를 예로들어 설명하면 다음과 같다.
먼저 펌프의 회전부나 임펠러 및 관로 속의 유체는 모두 펌프의 운동에 의해 운동을 계속 유지하려는 '관성'을 갖고 있다.
둘째로 그런데, 동력이 끊기게 되면 펌프의 회전이 급속이 떨어져 양수량이나 유속은 현저하게 떨어지게 되는데, 토출관 속의 유체는 지금까지와 같은 유속으로 계속 관성에 의해 흐르고 있으므로 펌프쪽으로 일부의 유체가 끌려가 펌프의 토출구 가까운 그 중간 부분은 '수주분리'라 하는 압력저하(진공화)현상이 생기게 된다.
세째로 이윽고, 펌프는 정지하게 되고, 토출관의 유체도 정지하게 된다.
네째로 다음에, 토출관의 액은 역류하게 되고, 둘째에서 저하된 압력이 이번에는 상승하여 충격적인 압력을 형성하며 즉, 정지된 펌프로 역류된 물이 역회전시키려 하면 펌프의 토출측에 붙은 첵크(Check Valve : 역류방지 밸브)가 닫혀버리므로 대단한 고압이 되어버리고 만다.
이때 둘째와 같은 저압(외부보다 낮은 이러한 압력을 부압)으로 외부로부터 붕괴되거나, 네째와 같은 고압으로 파열하며 또, 그렇게까지 되지는 않더라도 큰 소음이나 진동을 발생하며 상기 동도면에 동도시된 바와 같이 수격작용에 대해서 수주분리(387)와 수주결합(388)으로 분리구분되는 구성작용인 것이다.
이런 수주분리는 유속이 급히 저하하였을 때 입상관의 상부일 수록 압력강하가 심해져 그 곳에서의 부압이 그 액의 증기압 이하가 되고나,극단적으로 표현한다면 진공화되면서 액이 분리하는 현상으로 수주분리가 일어난 경우 다음 순간에는 분리된 액이 다시 결합하므로 순간적으로 충격적인 큰 압력이 생겨 파이프를 파괴시킬 수도 있다.
이 같이 토출구에는 서서히 폐쇄되는 첵크밸브(스모렌 스키 첵크밸브)를 설치하여 역류와 압력의 상승을 막는다.
그리고 토출관로의 첵크밸브 외측에는 자동 압력조절 밸브를 설치하여 압력상승시 오토식으로 압력이 상승된 유체를 밖으로 도피시키고, 일정 시간 후 오토식으로 서서히 닫히도록 한다.
도 1l에 도시한 바와 같이,종래의 수해조절장치시스템의 펌프 구동중의 주요문제에는,펌프의 써어징에 대하여 상세한 설명은 다음과 같다.
써어징 현상은 캐비테이션과 동일하게 주기적인 부하변동을 주지 않는데도 일종의 자려 진동이 발생하여 주기적으로 압력 또는 양정이나 토출량이 변동하는 현상으로 그 주기는 싸이클 정도인데,
반면에 캐비테이션은 그 주기가 600∼25.000 사이클에 이른다.
이것은 펌프 자체의 특성뿐아니라 배관계 전체의 특성에 따라 일어나는 것으로 터어보 압축기에서는 가끔 문제가 되지만 펌프는 비압축성이므로 발생 가능성은 희박하다.
그러나 증발하기 쉬운 액이나 유량조절밸브가 펌프와 떨어진 곳에 설치된 경우로 보일러의 급수펌프따위에서는 주의해야 할 필요가 있다.
도 1l에 도시한 바와 같이,종래의 수해조절장치시스템의 펌프 구동중 주요문제에는,참고적으로 부언한다면 써어징현상은 다음의 세 가지 조건을 갖춘 경우 일어난다고 실험 결과로 알려져 있다.
첫째로 펌프의(H·Q: 양정, 토출량)곡선이 산 형으로 그 사용점이 그 정상(우상특성)부분일 것과.둘째로 토출 배관 중에 수조나 공기실이 있을 것과.세째로 토출량 조절 밸브가 둘째의 공기실이나 수조의 하부(토출측)에 있을 것과,
단, 이 수조나 공기실은 일부러 부착한 것 외에도 관로 중에 기체가 체류하는 부분을 포함한다.
이러한 해양발전기 펌프의 선정의 명확한 설명은 다음과 같다.
먼저 사용목적에 따라 기종을 선정한다는 것인데,첫째로 소용량 고양정의 점성펌프는 주거지 단독주택용으로 보장적합되어,둘째로 대용량 저양정의 볼류트 펌프는, 케이블카식 소방방재용 및 논 밭 방제용으로 사용적합되되,셋째로 대용량 고양정의 다단 볼류트 펌프는 산불방지용 또는 홍수 가뭄 조절용으로 합당되고,네째로 대용량 아주 낮은 양정의 혼류펌프, 축류펌프는 산의 각부능선의 소방방재 및 계절별 곤충방제용으로 적합되며,다섯째로 고압시는 플런저 펌프와 피스톤 펌프로 오대양 육대주의 관료량 공사 댐수로식 수력발전용으로 보장적합한 것이고,여섯째로 흡입 양정 큰 경우는 액중펌프, 제트펌프와 피스톤 펌프로 오대양 육대주 연결하는 해양구조물 공사시 적합하게 선택을마련하고나,일곱째는 별도 수액에는 화학펌프(Chemical Pump : 케미칼 펌프)를 이용하는 것인데 유해 적조 대번식 차단용에 적합한 것이다.
도 1l에 도시한 바와 같이,종래의 수해조절장치시스템의 펌프 구동중의 주요문제에는,상기의 다음 세부 사항을 결정에 따라서,먼저 흡입 양정(석션헤드 : Suction Head)에 대하여 결정되는데에는 첫째로 수원이 무엇인가에 따라 흡입양정은 최대한 짧게(수원 가까이에 낮게 펌프를 설치) 하며 유체가 관로에서 갖는 손실인 파이프로스가 작게하기 위하여 굵은 관경으로 저항이 적도록 큰 밸브나 스트레이너를 선택하며 구부림은 적게 엘보우보다는 밴드로(그것도 구부림 반경이 큰 것으로) 매끈한 내면의 관 선택을 마련하고나,둘째로 온도가 높은 유체일수록 흡입능력은 저하하므로 주의한다.실시예 구성에 따라 물은 80℃이상 될 때는 흡입할 수 없게 된다.세째로 고점도 액일수록 흡입능력은 크게 저하하므로 주의한다.요부위 점도는 온도에 따라 크게 변화하므로 온도와 연결지어 생각한다.네째로 무리하게 흡입을 하면 평상시의 양수량에 비해 현저하게 양수량이 감소한다.
도 1l에 도시한 바와 같이,종래의 수해조절장치시스템의 펌프 구동중의 주요문제에는, 펌프의 제 조건 중 흡입양정은 뭐니해도 적게 잡는 것이 가장 좋다.
다음은 토출 양정(데리버리 헤드 ; Delivery Head)에는,그 다음은 토출량(양수량) : 단위 시간 당의 유량과,네번째 회전수 (R.P.M : Revolution per Minute) : 매분당 회전수와,다섯번째 동력원에,여섯번째 액성은 액의 비중·온도·농도·점도·유독성·폭발성·슬러리의 함유 정도 등이다.
종래의 수해조절장치시스템의펌프기종 선정에 따른 펌프의 계산에 대하여 다음과 같이 설명한다.
도 1l에 도시한 바와 같이,종래의 수해조절장치시스템의 펌프 구동중의 주요문제에는,먼저 펌프의 구동 동력에 있어서,
동력은 () 상기한 바와 같이 계산을 공식에 따라 진행된다.
일반적으로, 펌프를 구동하기 위한 원동기는 구동축동력보다 10∼15%정도 큰 것으로 설정한다.
다음의 전양정(토탈 헤드 : Total Head)은 실양정외에 속도수두, 관로 및 밸브의 마찰손실 수두를 더한 것으로 다음 식으로 표시된다.
(H=ha+hv+hf)
만일의 경우에는, 펌프의 토출구·흡입구의 구경이 같다면 양쪽에서의 속도 수두는 같은 값이므로 0이 되고, 펌프가 빨아올릴 때(흡입 정압이-)진공계를 사용한다면 다음 식으로도 된다.전양정은 압력계의 값과 진공계의 값을 합한 것과 같다는 것이 된다.
도 1l에 도시한 바와 같이,종래의 수해조절장치시스템의 펌프 구동중의 주요문제에는, 펌프 회전수와의 관계에 있어서,먼저 토출량은 회전수와 비례하여 어느 펌프라도 토출량이 변화한다.단, 왕복펌프는 회전수가 가장 적어도 액을 토출할 수 있으며, 점성 펌프는 어느 정도 회전수가 올라가지 않으면 양수할 수 없고, 원심펌프는 그 중간이다. 또, 왕복펌프는 회전수 변화에 따라 토출압력이 큰 변화없이 토출량 조절이 가능한데, 지나치게 고속으로 증가시키면 밸브의 동작이 이를 따르지 못하게 되거나 액이 미처 따라 올라오지 못해 캐비테이션이 발생할 수 있다. 대체로 표준 회전수의 10%정도 증가가 무난하며, 액의 점도나 비중이 클 때에는 그 회전수 상한치를 더 줄여야 한다.
다음의 양정은 원심펌프나 점성펌프는 회전수의 2승에 비례하며, 왕복펌프나 회전펌프는 회전수에 비례하여 변화하게 되지만,단, 원심펌프나 점성펌프는 최소한 어느 정도의 회전수를 요구하므로 회전수를 감소할 수록 2승에 꼭 비례하지 않고 현저하게 양정이 감소한다. 그 다음의 소요동력은 원심펌프나 점성펌프는 회전수의 3승에 비례하며, 왕복펌프나 기어펌프는 회전수의 2승에 비례하여 변화한다. 만일의 경우에는, 회전수 토출량을 일정하게 하면 전양정의 변화에 따라 운전시의 소요동력은 증감된다. 이렇게 일반적으로 원심펌프와 점성펌프는 회전수변화가 20% 이내일 때 다음 관계가 대체로 일정하므로 비례법칙이라 하여 편리하게 이를 이용하기도 한다. (회전수N→N')
이래서 효율은 변함이 없다.
도 1l에 도시한 바와 같이,종래의 수해조절장치시스템의 펌프 구동중의 주요문제에는, 펌프의 축봉장치 구성에 따른 실시예를 다음과 같이 설명한다.
시일(Seal)은 밀봉장치의 총칭으로 운동부분의 밀봉에 사용되는 것은 패킹(Packing), 고정부분에 사용되는 것은 가스켓(Gasket)이라 일반적으로 부른다. 이 축봉장치에는 원리상으로 크게 나누었을 때 누출량을 적게하는 방법과 0으로 하는 방법이 있는데, 이들을 모두 들 수는 없으므로 다음과 같이 주로 쓰이는 것만 알아보되 단, 본 발명자가 실제 산업현장에서 개보수시 상기 패킹을 사용하여 파라핀을 녹여 사용한 바 이에 대한 것은 매우 바람직하였다.
도 1l에 도시한 바와 같이,종래의 수해조절장치시스템의 펌프 구동중의 주요문제에는, 글랜드 패킹(Gland Packing, 155)설치에 있어서,
콘벤셔널 패킹(Conventional Packing)이라고도 하며, 축봉장치로서 가장 오래전부터 사용되어 왔고, 현재도 널리쓰이는 방식인데, 글랜드 패킹(155)으로서는 액 누설을 완전히 막을 수 없으므로 액이 약간 누설해도 무방한 경우에 사용한다.
도 1l에 도시한 바와 같이,종래의 수해조절장치시스템의 펌프 구동중의 주요문제에는, 글랜드패킹의 종류에 있어서,첫째로 표준형 글랜드패킹은 목면이나 목면에 그리이스(grease)를 함침시킨 패킹재를 사용한 보편적인 패킹 방식인데,둘째로 액을 주입한 랜턴링 부착 패킹(155)은 가장 많이 사용하는 형식으로 스터핑 박스의 중앙에 랜턴링을 설치하고 그 양쪽에 대략 같은 수의 패킹을 삽입하고 이 랜턴링에 액을 주입하도록한 방식이며,세째는 2중 글랜드 패킹은 보통의 글랜드 패킹(155)을 2중으로 하여 고압이나 유해한 액의 누설을 줄이게 하기 위한 방식인 것인데되, 표준형 글랜드패킹(344)과 주액 랜턴링 부착패킹(346)에 2중 그랜드형 패킹(348)의 종류로 구분되어 각개의 펌프의 축봉장치로 이루게되는 펌프소화기 요부위 구성이며,네째로 드로틀 부시(298) 부착 패킹(349)은 슬러리를 함유한 액이 패킹 내에 들어오지 않게 축봉부의 속에 드로틀 부시를 설치한 방식이며,다섯째 워터 자켓부착 패킹(353)은 고온의 액에 있어서 패킹의 재질이 열화하거나 눌어붙는 것을 막게하기 위하여 패킹 외부에 냉각실을 설치하여 냉각수를 순환시키는 방식인데 슬리이브 내면 냉각병용 워터 재킷부착 패킹(353) 구성에는 슬리이브의 내부 냉각실(354)과 보조 글랜드(355)에 누설액의 냉각실(356)로 축봉장치 둘레면을 따라 이루게 되고 워터 재킷부착 패킹(353)의 구조에는 냉각수 출구(350)와 냉각수입구(352) 상부로 봉수(351)가 부착된다.
도 1l에 도시한 바와 같이,종래의 수해조절장치시스템의 펌프 구동중의 주요문제에의, 글랜드 패킹 재료의 재질에는,첫째로 소프트 패킹(Soft Packing)은 비금속 재료로 제작된 패킹으로 아스베스트(asbest : 석면)·고무·목면·마 등의 섬유와 테프론(teflon)등의 합성수지 섬유를 주원료로 흑연·그리이스 등을 함침시킨 것이며,둘째로 세미 메탈릭 패킹(Semi Metallic Packing)은 고온·고압·고속에 사용하기 위하여 석면 등에 동·납·알루미늄 등 금속의 선이나 박판·분말 등을 혼합해 흑연·수지·유지 등을 첨가해 짜거나 성형한 것으로(즉, 섬유와 연질의 금속을 조합) 소프트에 비하여 누설이 적다는 것인데,세째로 메탈릭 패킹(Metallic Packing)은 납·주석·알루미늄 등의 선이나 박판에 광유나 윤활제를 함침시켜 성형한 것으로 대체로 스파이럴(Spiral)형태이다. 이것은 유체가 침투하지 않아 누설이 적으며, 열전달이 좋아 열을 쉽게 외부로 방출시켜 고압 유체의 패킹재로서 좋지만 내진성이 부족하고 과열 우려가 있으므로 냉각구조로 한다.
도 1l에 도시한 바와 같이,종래의 수해조절장치시스템의 펌프 구동중의 주요문제에는, 글랜드 패킹의 취급에 있어서,글랜드 패킹(155) 짜는 방법(357)에는 여덟가닥짜기(358)와 봉지짜기(359)에 격자짜기(360)로 취급된다.
먼저 글랜드 패킹에서는 완전히 누설을 막을 수 없고, 극히 소량 새는 것이 좋은데, 그 이유는 다음과 같다.처음에는 새는 액이 축과 패킹의 윤활작용을 하여 저항을 줄여주며,두번째로 마모에 의한 발열을 줄이고, 세번째는 축의 표면을 상하지 않게 해준다. 일단 축의 표면이 상하게 되면 아무리 새 패킹으로 교환하여도 소용이 없다. 다음은 글랜드 패킹의 재질이나 구조상 구비하여야 할 조건은 다음과 같다. 첫째로 유체에 대하여 화학적으로 안정된 재질일 것. 상대방의 금속을 부식시키지 않을 것과.둘째로 유체가 침투하지 않는 치밀한 것과.세째로 활동부 마찰에 의한 마모가 적고, 마찰계수가 작을 것과. 네째로 기계에 장착이 용이할 것이다.
그 다음은 글랜드 패킹(155)을 끼울 때에는 둥글거나 네모난 단면형상으로 길게 짜여져 있으므로 샤프트에 둥글게 말아 하나씩 잘라 겹쳐 넣는다. 자를 때에는 비스듬히 자르고, 절단면이 일치하지 않게 넣으며, 패킹을 겹친 두께는 최소한 샤프트 직경의 2배이상, 줄 수로는 세 줄 이상 넣는 것이 좋다. 이외에도 최근에는 테프론계의 솜을 조금씩 손으로 비틀어 뜯어 넣거나 분말상태로 되어 밀어넣는 것 도 있다.
그 후로는 글랜드를 너무 조여 누설을 없애려 하면 우선 일시적으로 누설이 정지하나 마찰 때문에 기계적 동력이 증가하고, 발열과 열전도가 맞지 않아 마모를 일으키므로 다시 누설이 일어나게 된다.
도 1l에 도시한 바와 같이,종래의 수해조절장치시스템의 펌프 구동중의 주요문제에는,매커니컬 시일(Mechanical Seal, 156)의 제작에는 동도면에 도시된 바와 같이 상기 메커니컬 시일(156)에는 플래싱구멍(361)에 O링(362)과 스프링(186)이 축봉상부 위치로 형성되고 상기 축봉 하부로 스톱터(363)에 중동링(364)과 밀봉단면(365) 좌측으로 시이트링(366)과 피동링(367)으로 형성된 후 글랜드 패킹은 원통 내면에서의 밀봉작용으로 누설을 방지하는데 반하여 메커니컬 시일은 원통 단면에서의 밀봉 작용으로 누설이 절대로 없거나 근소한 양만 누설된다. 메커니컬 시일(156)은 1885년경 이탈리아의 선등록에 의해 알려진 후 전후 급격한 발전을 보였다. 메커니컬 시일(156)은 회전축에 수직한 두 평면을 정밀하게 다듬질하고 마주 접촉시켜 한쪽을 회전시키면 이 두면 사이에는 액이 스며들 여유가 없으므로 완전히 시일할 수 있다. 이때에 두 면을 항상 일정한 힘으로 접촉시키기 위하여 스프링을 사용하거나 유체의 압력·고무 등의 탄성재료·벨로우즈·자력을 구비하여 접촉압력을 얻는다.
도 1l에 도시한 바와 같이,종래의 수해조절장치시스템의 펌프 구동중의 주요문제에는, 메커니컬 시일 방식의 장점은,첫째로 누설을 거의 완벽하게 막을 수 있다. 둘째로 위험한 액·귀중한 액·별도의 액에 사용할 수 있다. 세째로 기계적인 마찰 저항이 적어 손실 동력이 적고, 효율이 높다. 네째로 회전축이 글랜드 패킹같이 시일작용에 관계하지 않으므로 회전축의 마모가 없다.
도 1l에 도시한 바와 같이,종래의 수해조절장치시스템의 펌프 구동중의 주요문제에는, 메커니컬 시일 방식의 단점은,첫째로 다듬질이 대단히 정밀해야 하고, 재질은 엄선해야 하므로 가격이 매우 비싸진다. 둘째로 구조가 복잡하여 교환이나 조립이 힘들다. 세째는 재질에 따라 각별히 주의하지 않으면 홈이나 가는 금 또는 균열이 생긴다. 네째로 이물의 혼입을 절대 피해야 한다. 다섯째로 냉각수를 통하지 않으면 곧 눌어붙는다. 여섯째는 글랜드 패킹처럼 도중에 클램핑을 더해줄 수 없고, 일단 교환하거나 랩핑작업을 하여 다시 짜 맞추어야만 한다. 일곱째로 펌프의 동력을 잘 연결하여 진동을 없애지 않으면 시일의 수명을 단축한다. 단점이 대단히 많으나 현재로서는 가장 뛰어난 시일방식이다, 따라서, 단점을 잘 알아 이를 피할 수 있게 하는 것이 주요하다.
도 1l에 도시한 바와 같이,종래의 수해조절장치시스템의 펌프 구동중의 주요문제에는, 메커니컬 시일의 종류는 세트 형식에 따라 인사이드 형·아웃사이드형, 시일 형식에 따라 싱글 시일형·더블 시일형 면압 밸런스 형식에 따라 언밸런스형·밸런스형을 들 수 있다.
첫째로 인사이드(inside, 내장)형은 고정환이 펌프측에 있는 방식으로 일반적으로 사용되는 방식이다. 둘째로 아웃사이드(outside, 외장)형은 회전환이 펌프측에 있는 방식으로 구조재·스프링 재가 액의 내식성에 문제가 있을 때, 점성계수가 100cp를 초과하는 고점도액일 때 저 응고점의 액일 때, 스터핑박스 내부가 고 진공일 때 통상 이용된다. 세째는 싱글 시일(single mechanical seal)형은 습동면이 하나로 밀봉된 일반적인 방식이다. 네째로 더블시일(double mechanical seal)형은 습동면이 두 개인 방식으로 유독액이나 인화성이 강한 액일 때, 보온·보냉이 필요할 때, 누설되면 응고하는 액일 때, 내부가 고진공이거나 기체를 시일할 때 이용되며 고온이나 저온의 액 또는 메커니컬 시일의 단점인 슬러리를 함유한 액에 대해서도 유효하다. 다섯째는 언 밸런스(unblance)형은 펌프 내의 압력이 그대로 시일의 습동면에 걸리는 시일 방식으로 일반적으로 사용된다. 액압은 4kg/㎠이하(제품에 따라 차이가 있는데 윤활성이 좋은 액은 약 7kg/㎠ 이하, 윤활성이 나쁜 액은 2.5kg/㎠이하)가 무난하다. 여섯째는 밸런스(blance)형은 펌프 내의 압력이 클 경우 시일의 습동면에 그대로 압력이 걸리지 않게 만든 방식으로 하이드로 카본이거나 내압이 4∼5kg/ ㎠이상일때, LPG. 액화가스와 같이 저비점의 액체에 사용된다.
이처럼 보통의 메커니컬시일에 있어서는 습동면의 회전링을 밀어 붙이는 것은 스프링인데, 여기에 액 내압이 가해지면 밀봉단면의 접촉력을 더하여 누설을 방지하게 된다. 그러나 접촉압력이 지나치게 높아지게 되면 습동면의 마모가 촉진되므로 내압이 높을 때에는 이 압력을 밸런스시켜 접촉압력을 조정하도록 설계한다.
도 1l에 도시한 바와 같이,종래의 수해조절장치시스템의 펌프 구동중의 주요문제에는, 냉각 및 윤활은 취급액의 열이나 습동면의 마찰열로 온도가 상승하면 재료가 마모·부식되거나 패킹이 눌어붙게되므로 이를 억제하기 위하여 다음과 같은 기본방식을 이용하여 냉각 및 윤활 기능을 갖도록 하는데에는 동도면에 도시한 바와 같이 매커니컬시일의 냉각방식(391)에는 축봉부(390) 상부로 퀀칭(268)과 쿠울링(367)에 플래싱 구멍(361)으로 형성되는데에는 첫째로 플러싱(flusing)은 가장 많이 행하는 방법으로 축봉부의 고압측 액체가 있는 곳에 외부에서 액체를 주입·추출하여 시일의 온도를 적당히 유지하는 방법으로 밀봉단면의 기화를 방지하여 윤활을 좋게하고, 불순물이 축봉부에 쌓이는 것을 막아주기도 한다. 둘째로 퀀칭(quenching은 축봉부의 고압측 유체가 없는 부분에는 시일의 밀봉 단면에 냉각액이 접하도록 주입시키는 방법으로 휘발성의 유체나 공기에 접하면 결정물을 만들어 마모를 촉진 시키는 유체, 유해한 유체 등을 취급할 경우 새어나온 유체를 씻어내어 희석 회수한다. 또, 밀봉단면과 공기를 격리시켜 산화를 막는 작용도 한다. 실시예를들면(LPG)등을 취급할 경우 누설되면 곧 가스화하므로 시일면 외측에 이 냉각수를 흘려 보내어 씻어버릴 수 있게 한다. 세째로 쿨링(Cooling은 시일의 밀봉 단면이 아닌 그 외주를 냉각시키는 방법으로 퀀칭보다 냉각효과는 낮으나 대기측에의 누설방지가 필요없고, 냉각수의 순도 등에 주의하지 않아도 되는 이점도 있다.
도 1l에 도시한 바와 같이,펌프 구동중의 주요문제에는, 메카니컬 시일의 재질에 있어서, 시일의 재질은 밀봉된 액의 종류, 온도, 압력, 이물의 존재 여부, 속도, 누설의 허용정도 등에 따라 달라지지만 일반에게 표준으로 알려진 것으로 스테인레스강과 카이본 그래파이트의 조합이다. 카아본 그래파이트는 자기 윤활성이 있고, 금속과 융착하지 않으며, 마찰이 작고, 약품에 강하다. 스테인레스 강 외에도 스테라이트·세라믹·초경합금을 덧붙이거나 열처리한 것을 쓰는데, 충분한 내식성·내마모성을 필요로 한다.
메카니컬 시일의 재질을 조합하는 실시예는 다음과 같다.
도 1l에 도시한 바와 같이,종래의 수해조절장치시스템의 펌프 구동중의 주요문제에는, 펌프의 진동에 따른 대비 수단에 있어서,펌프의 진동은 대단히 많은 여러 요인이 하나 또는 여럿으로 중첩되어 있는데, 이를 대별하면 다음과 같다.
도 1l에 도시한 바와 같이,종래의 수해조절장치시스템의 펌프 구동중의 주요문제에는, 수력적 진동에 따라첫째로 캐비테이션에 의한 진동 : 600∼25,000사이클 정도의 주기가 빠른 진동과 소음을 가져온다. 둘째는 써어징 현상에 의한 진동 : 캐비테이션은 토출량이 많을 때 일어나는데 반해 써어징은 토출량이 적을 때 발생할 뿐 아니라 그 주기도 10∼0.1싸이클 정도의 긴 주기를 갖는다. 세째로 워터 햄머(수격작용)에 의한 진동. 네째로 펌프 내 흐름의 언밸런스에 의한 진동들이 발생한다.
도 1l에 도시한 바와 같이,종래의 수해조절장치시스템의 펌프 구동중의 주요문제에는, 기계적 진동에 의한 첫째는 회전체의 언밸런스에 의한 진동과 둘째로 위험속도에 의한 진동은 축의 회전속도가 그 회전체의 고유 진동수와 공진할 때 일으키는 격심한 진동을 일으키는데 이때의 회전속도를 위험속도(Crital Speed)라 한다. 세째는 고체 마찰에 기인하는 진동은 일종의 자려 진동으로 회전축에 윤활유가 부족하거나 베어링이나 부시·링의 활동부가 접촉할 때 일어난다. 네째로 베어링의 유압에 의한 진동은 회전축이 위험속도의 약 2배 이상되는 각속도로 회전할 때 베어링부의 유압 때문에 발생한 진동으로 보통속도의 펌프에서는 그리 흔하지 않으며, 베어링 압력을 높이거나 회전을 줄여 방지할 수 있다 다섯째는 펌프의 고유 진동수에 의한 진동은 수직축 펌프에서 특히 문제가 된다. 여섯째로 센터링 불량에 의한 진동은 센터링불량에 의한 경우는 대단히 그 요인이 많고 중요하므로 운전에 신중히 검토하지 않으면 안된다. 일곱째는 원동기에 기인하는 진동과 여덟째로 기초가 약하기 때문에 일어나는 진동이다.
도 1l에 도시한 바와 같이,종래의 수해조절장치시스템의 펌프 구동중의 주요문제에는, 디젤엔진(226)의 용도별 출력정의 대하여 첫째로 상용이라 함은 주전원 대체용으로 발전기에 적용되는 출력(ISO 8528 PRP 상당)을 칭하고 둘째로 비상용이라 함은 주전원 이상시 한시적으로 사용되는 비상 발전기에 적용되는 출력(ISO 8528 ESP 상당)을 칭하되 엔진모델이 형성되는데에는 냉각팬(195)과 시린더(126)와 푸레(250)에 브이벨트(V velt, 252)와 플라이휠(268)로 조립부착된다. 동도면에 도시한 바와 같이 상기 엔진은 상기 아래의 표와 같이 출력허용오차는 ±5%이며 엔진(226) 제원에 대하여 명세서에 대한 설명은 아래의 엔진제원 명세서 표기와 같다.
<엔진제원 명세서>
압축기의 취급에 관한 주의사항에 대하여 상세한 설명을 다음과 같이 한다.
도 1l에 도시한 바와 같이,종래의 수해조절장치시스템의 펌프 구동중의 주요문제에는, 일반적인 주의사항에 있어서, 첫째로 압축기는 항상 청결을 유지하고, 주위는 정리·정돈을 철저히 해 둔다. 둘째로 압축기의 가동을 정리한 휴무시기로 단 기간 정지시 1 일에 1 회 정도는 잠간동안이라도 공운전을 해 본다. 그러나 장 기간 정지때, 분해 소제하여 마모·파손부 또는 윤활유는 새 것으로 교환하고 냉각수는 모두 빼내고 (Drain : 드레인), 방청 조치를 해 둔다. 세째로 각 축수부는 기회가 있을 때마다 점검하여 조정해 둔다. 네째로 밸브·압력계·조정기·여과기 등은 정기점검 및 일상 점검으로 고장을 미연에 방지한다. 다섯째로 냉각수는 깨끗한 물을 사용하며, 냉각관은 6 월이나 1 년마다 분해하여 수증기등으로 세정하고 무게가 10%이상 감소 되어 있다면 그만큼 부식또는 마모된 것이므로 새것과 교환한다. 여섯째로 각 부의 가스 누설에 항상 주의하고, 독성이나 가연성은 검지기로 미량이라도 알아내 적당한 조치를 취해야 한다. 일곱째로 오일은 메이커의 도움을 받아 적절한 것으로 선택한다. 여덟째는 만일 이상이 있으면 즉시 운전을 중지하고 메이커에 통보하여 수리를 의뢰한다.
도 1l에 도시한 바와 같이,종래의 수해조절장치시스템의 펌프 구동중의 주요문제에는,시동시의 주의사항에 있어서, 먼저 볼트·너트 그 외의 나사들은 잘 조여져 있는가 충분히 점검 확인한다. 다음은 크랭크 케이스 등에는 규정량의 윤활유를 채우고 윤활상태를 확인한다. 세번째 냉각수를 통수하고 냉각수의 순환여부를 확인해 본다. 다음은 압력계·압력조절밸브·드레인 밸브등을 모두 열어서 압력 지시의 이상 유무를 확인한다. 그 다음은 소형 압축기는 손으로 무부하 상태에서 회전시켜 보고, 전동기가 연결 된 것은 스위치를 단속 후 손으로 넣어 보면서 실린더내에 이물질 등이 끼지 않았는가 확인해 본다. 여섯번째 흡입 밸브는 닫혀 있고, 바이패스 밸브나 드레인 밸브가 열린 상태로 스위치를 넣는다. 다음은 정규회전이 되면 1 단에서부터 다음단으로 드레인 밸브 그리고 바이패스 밸브를 잠그며 동시에 흡입 밸브를 개방시킨다. 끝으로 각 단의 압력·윤활유·온도·소음·진동 누설에 대하여 주의 한다.
도 1l에 도시한 바와 같이,종래의 수해조절장치시스템의 펌프 구동중의 주요문제에는, 운전 중의 주의사항에 있어서, 각 단위 압력·누설·진동·온도·이상소음·냉각수의 통수량이나 온도·윤활유의 온도나 압력 및 전동기의 부하 적정 여부등을 확인하며 끊임없이 주의를 기울인다. 특히 온도나 압력의 이상 상승이나 저하에 주의하며, 누설이 있다고 운전중에 보울트를 조이거나 망치질 하는 것은 삼가한다.
이를 세분하면 다음과 같다. 먼저 왕복식 압축기의 취급에 대하여 첫째로 압력계의 눈금과 각단의 흡입·토출가스 온도의 이상 유무와 둘째로 베어링 온도의 변화 및 이상 상승유무와 세째로 냉각수 온도의 변화를 주시하고, 필요시 수량을 조절한다. 네째로 실린더 주유기의 송유 상황을 주시하고 유량을 조절하거나 주유기에 기름을 보급한다. 다섯째로 외부 유량이나 유압의 변화 상태를 충분히 점검 확인한다. 여섯째로 피스톤로드 패킹의 누설과 온도상승 여부를 충분히 점검 확인한다. 일곱째로 드레인의 색이 급히 검게 되지 않는가의 여부를 충분히 점검 확인한다. 여덟째로 각 부의 발생음이나 진동이 정상과 다른 점은 없는지를 충분히 점검 확인한다. 아홉째로 안전 밸브·드레인 밸브 등의 밸브류 또는 플렌지 죠인트·기타 타이트면에서의 가스누설은 없는지를 충분히 점검 확인한다.
도 1l에 도시한 바와 같이,종래의 수해조절장치시스템의 펌프 구동중의 주요문제에는,전력의 소비량에 이상은 없는지를 충분히 점검 확인한다. 끝으로 자동장치·감시계기 작동의 이상유무를 충분히 점검 확인한다.다음은 터어보 압축기의 취급에 대하여 첫째로 베어링 윤활유의 급유압력이나 복귀된 기름의 온도를 충분히 점검 확인한다. 둘째로 축봉용 급유 압력이나 복귀된 기름의 온도 또는 차압이나 누설유량을 충분히 점검 확인한다. 세째로 본체·베어링·증속기어등 각 부의 진동 여부를 충분히 점검 확인한다. 네째로 축수온도의 이상유무를 충분히 점검 확인한다. 다섯째로 냉각수 온도의 변화를 주시하고, 필요시는 수량을 조절한다. 여섯째로 배관계의 밸브 또는 후렌지 이음과 타이트면에서의 가스누설은 없는점과, 전력 소비량의 이상은 없는점과,자동장치와 감시계기 작동의 이상유무를 충분히 점검 확인한다.
도 1l에 도시한 바와 같이,종래의 수해조절장치시스템의 펌프 구동중의 주요문제에는, 정지시의 주의사항에 있어서, 첫째로 전동기의 스위치를 끊고 흡입 밸브를 닫는다. 둘째로 압력 강하를 확인한 후 토출밸브를 닫는데, 정지할 때 까지의 이상음이나 진동발생을 관찰 한다. 다음은 냉각수 밸브를 닫아 냉각수의 공급을 끊고 워터자켓(water jacket)이나 냉각관 내의 물을 전부 드레인 시킨다. 그 외 응축수 또는 기름을 충분히 배출시킨다.
도 1l에 도시한 바와 같이,종래의 수해조절장치시스템의 펌프 구동중의 주요문제에는,분해·점검시의 주의사항에 있어서, 첫째로 분해 점검시 기계가 작동치 않도록 동력원과 확실히 끊어놓는다. 둘째로 내부의 가스가 독성이나 가연성이라면 완전히 불활성가스로 치환한 후 검사나 점검에 들어가며 타설비나 탱크로 통하는 배관을 확실히 차단되어 있어야 한다. 다음은 분해 작업에 들어 간다면 각단의 압력이 없음을 확인한 후 펌프 구동을 마련한다. 끝으로 실린더 헤드를 분해시 보울트는 마주보는 상대편의 순서대로 교대하면서 마지막의 상대적으로 위치한 두개까지 서서히 풀어나가면서,물론 수해조절장치시스템의 펌프 구동중의 이상이 없음을 확인하고는 이 마지막 두개도 마저 푼다.
도 1m을 참조하면,본 발명에 따른 종래의 수해조절장치시스템의 일 실시예의 구성을 보여주는 소방펌프와 공기 압축기에 형성되는 다수개의 밸브를 도시한 수해조절장치시스템 다수개의 밸브의 사시 구성도로,
도 1m에 도시한 바와 같이,수해조절장치시스템의 밸브장치 구성에 따른 실시예를 다음과 같이 설명한다
증기 또는 물등의 유체·유량을 제어하는 것으로 슬루우스 밸브 (sluice valve), 스톱 밸브 (stop valve), 글로우브 밸브 (glove valve), 앵글 밸브 (angle valve), 첵 밸브 (check valve), 리듀싱 밸브 (reduching valve), 콕 (cock) 등이 사용 목적에 따라서 구비된다.
도 1m에 도시한 바와 같이,[표2-1]에 밸브의 구성을, <표2-2>에 밸브의 분류, 그리고 <표2-3>에 밸브의 (KS) 규격 일람표를 나타낸다.
도 1m에 도시한 바와 같이,수해조절장치시스템의 <표2-1> 밸브의 구성에는,
도 1m에 도시한 바와 같이,수해조절장치시스템의 <표2-2> 밸브의 분류에는,
도 1m에 도시한 바와 같이,수해조절장치시스템의 <표2-3> 밸브 KS 규격 일람표에는,
도 1m에 도시한 바와 같이,수해조절장치시스템의 슬루우스 밸브장치에 대하여 상세한 설명을 다음과 같이 설명한다.
상기한 밸브를 나사봉에 의하여 파이프의 횡단면과 평행하게 개폐하는 것으로 게이트 밸브(296)라고도 한다. 완전히 밸브를 열면 유체 흐름의 저항이 다른 밸브에 비하여 아주 적다. 밸브실 내에는 유체가 남지 않으며 구경은 통상 50mm 또는 1,000mm 정도이고 대형은 동력으로 조작을 한다. 그러나 값이 비싸며 밸브의 개폐에 시간이 걸리는 결점이 있다. 그러므로 발전소의 수도관, 상수도의 수도관과 같이 지름이 크고 자주 밸브를 개폐할 필요가 없을 때 사용되는데 슬로우브 밸브(403)에 형성된 각개의 부속품이 부착되는데 아래의 상기 슬로우브 밸브(403)의 명세표를 참조토록 하며 동도면에 도시한 바와 같이 상기 밸브(403)는 밸브몸통(404)에 밸브덮개(405)와 슬로우스 밸브(406)에 패킹누르게(407)와 패킹누르게 너트(408)에 밸브대(409)와 핸들(410) 및 핸들너트(411)와 패킹(412)이 부착된다.
도 1m에 도시한 바와 같이,수해조절장치시스템의 슬로우브 밸브의 명세표에는,
상기 슬루우스 밸브의 종류에는 디스크의 구조에 따라 웨지 게이트 밸브, 패럴렐 슬라이드 밸브, 더블 디스크 게이트 밸브, 제수 밸브등이 있다.
도 1m에 도시한 바와 같이,수해조절장치시스템의 첫째로 웨지 게이트 밸브(413)의 장치구성에 있어서,웨지(wedge) 게이트 밸브(413)는 단체 밸브(414)와 플렉시블 밸브(415)로 나뉜다.단체형은 동도면에 도시한 바와 같은 쇄기 모양의 밸브로서 쐐기의 각도는 통상 6˚ 내지 8˚이나 청동 소형 밸브는 쐐기 각도는 8˚로 정해져 있다.
플렉시블 밸브(415)는 동도면에 도시한 바와 같이 중앙에 홈이 파져 있어 고온 배관 등에서 열에 의한 밸브 시이트에 미치는 영향을 플렉시블을 구비하여 흡수하게 되어 있다.
도 1m에 도시한 바와 같이,수해조절장치시스템의 둘째로 패럴렐 슬라이드 밸브(416)의 장치구성에 있어서,패럴렐 슬라이드 밸브는 평행한 두 개의 밸브 몸체 사이에 스프링을 삽입하여 유체의 압력에 의해 밸브가 밸브 시이트에 압착하게 되어 있다.
동도면에 도시한 바와 같이 밸브 몸체와 디스크 사이에 사이짬이 있어 밸브 측면의 마찰이 적고 열팽창의 영향을 받지 않아 밸브의 개폐가 용이하다.
밸브 디스크와 밸브 시이트는 슬라이드하여 작동하므로 밸브시이트는 경질금속을 사용한다. 이 밸브는 수직으로 달면 고온 고압에 적합하다.
도 1m에 도시한 바와 같이,수해조절장치시스템의 더블 디스크 게이트 밸브(417)의 장치구성에 있어서,쐐기형 밸브는 마찰 저항 및 열 팽창으로 인한 밸브 시이트의 변형으로 완전한 개폐가 곤란하다. 이것을 방지하기 위한 밸브 몸체를 둘로 나누어 밸브 스텝의 추력에 의해서 밸브 디스크를 넓혀 밸브 시이트에 압착시키는 밸브이다.
웨지 케이트 밸브(413)와 패럴렐 게이트 밸브(416)의 장점을 채택한 구조로서 온도 및 압력에 의한 변형에 대한 영향을 비교적 적게 받는다.
도 1m에 도시한 바와 같이,수해조절장치시스템의 스톱 밸브(418)의 장치구성에 있어 상세한 설명은 다음과 같다.
유체가 흐르는 방향에 따라 입구와 출구가 일직선상에 있는 것을 글로우브 밸브라 하고 또 입구와 출구가 직각인 것을 앵글 밸브라고 한다. 파이프의 연결 방법을 나사 조임 이음과 플랜지 이음 방식이 있고 재료는 소형의 중압용일 때는 청동 고온 고압용에는 단조강으로 하고 대형의 것은 주철 주강 등으로 한다. 그리고 밸브의 개폐 구면은 평면 시이트, 원뿔 시이트, 구면 시이트, 스텃(stud) 시이트가 있으며 유체의 흐름에 대하여 저항 손실이 크고 사수역에 먼지가 모이기 쉬운 결점이 있다. 이것은 양정(lift)이 적고 밸브 개폐가 빠르면 밸브와 밸브 시이트(valve seat)의 제작이 쉬우므로 값이 싸서 밸브 종류 중에서 가장 널리 사용되고 있다.
밸브와 밸브 스템(stem)이 패킹 글랜드에 의해 접속되어 있는 것과 밸브와 로드가 통체로 되어있는 것이있다.
Y형 글로우브(419)는 글로우브 밸브와 같은 용도에 쓰이며 저항을 감소시키기 위한 목적으로 밸브통을 중심선에 대해 45˚ 내지 60˚ 경사시킨 것이다.
앵글 밸브(420)는 글로우브 밸브(419)와 기능은 같으나 유체의 흐르는 방향을 직각으로 바꿀 때 사용한다.
니이들 밸브는 유량 제어에 쓰이는 15∼16mm의 원뿔 모양의 침이며, 극히 유량이 적으나 고압일 때 유량을 조금씩 가감하는데 사용되되, 밸브의 명세표를 참조토록 하되, 동도면에 도시한 바와 같이 밸브몸통(421)에 덮게(본네트, 422)와 디스크(423)와 덮개붙임밸브시이트(424)에 밸브대(425)와 밸브누르개(426) 핸들(427)과 덮개끼움링(428)에 패킹누르게 링(429)과 패킹누르게(430)에 나사끼움형(431)과 덮게보울트(432)에 패킹누르개보울트(433)와 핀(434)에 덮개보울트용 너트(435)와 핸들너트(437)에 멈춤나사(438) 와셔(439)와 패킹(440)에 가스킷(441)이 부착되는 슬로우스 밸브 장치이다.
도 1m에 도시한 바와 같이,수해조절장치시스템의 밸브의 명세표 (플랜지형 글로우브 밸브와 앵글 밸브)
도 1m에 도시한 바와 같이,수해조절장치시스템의 콕(cock)에는 콕 1형(443)과 콕 2형(444)으로 분류되며 콕 1형(443)에는 청동나사 넣기 메인콕(445)과 주철플랜지형 글랜드형(446)에 청동나사 넣기 글랜드 콕(447)이 형성되며 상기 콕 2형(444)은 삼방콕(448)과 사방콕(449)에 핸들콕(450)으로 형성되되 단, 유체를 직선상으로 흐르게 하고 콕을 1/4 회전시키면 완전히 통로가 열리므로 개폐가 빠르다. 주철과 청동제가 많으며 작은 지름의 저압용은 배수구에 사용된다.
콕은 2 방향 콕의 한 방향 흐름과 3 방향 콕의 두 방향 흐름으로 유출시키는 것 등이 있다.메인 콕은 (a) 동도면에 도시한 바와 같이 플러그(458)의 밑을 너트로 죄고, 글랜드 콕은 (b), (c)와 같이 패킹으로 눌러 플러그가 빠지지 않게 마련되어 있다.
도 1m에 도시한 바와 같이,수해조절장치시스템의 첵 밸브(Check Valve, 451)에는 스윙형 첵 밸브(452)와 리프트형 첵 밸브(453)로 분류되어 유체의 흐름이 한쪽 방향으로 역류를 하면 오토식으로 밸브가 닫혀지게 할 때 사용하며 스윙형 (swing type)과 리프트형 (lift type)이 있다.
도 1m에 도시한 바와 같이,수해조절장치시스템의 스윙형 첵밸브(452)는 동도면에 도시한 바와같이 핀(457)을 축으로 회전하여 개폐되므로 유수에 대한 마찰 저항이 리프트형보다 적고 수평 수직 어느 배관에도 사용할 수 있다.
도 1m에 도시한 바와 같이,수해조절장치시스템의 리프트형 첵 밸브(453)는 글로우브 밸브와 같은 밸브 시이트의 구조로서 동도면에 도시한 바와 같이 유체의 압력에 의해 밸브가 수직으로 올라가게 되어 있다. 밸브의 리프트는 지름의 ¼ 정도이며 흐름에 대한 마찰 저항이 크다. 2 조 이상 수평 밸브에만 사용되는데 첵 밸브(451)가 형성되는데는 몸통(454)과 덮게(455)에 디스크(456)와 디스크핀(457)과 플러그(458)가 부착된다.
도 1m에 도시한 바와 같이,수해조절장치시스템의 첵의 명세표에는,
이 밖에 리프트형 첵 밸브(453) 내에 날개가 달려 충격을 완화시키는 스모렌스키형이 있다.
첵 밸브는 유체가 일정한 방향으로만 흐르게 되어 있으므로 설치 할 때 유체의 흐르는 방향에 주의하여야 하며 10A 또는 15A의 것은 청동 나사 이음형, 50A 또는 200A의 것은 수해조절장치시스템의 주철 또는 주강 플랜지형으로 구성되어있다.
도 1n을 참조하면,본 발명에 따른 종래의 수해조절장치시스템의 일 실시예의 구성을 보여주는 각개의 밸브를 고정시키는 관고정금속(504)의 터언버클부지지밴드(505)와 지지밴드(506)에 로울러부지지밴드(507)와 수직관 매몰용밴드(508)에 철재안경밴드(509)와 바닥밴드(510)를 도시한 수해조절장치시스템 밸브를 고정시키는 관고정금속(504)의 구성도로,
도 1n에 도시한 바와 같이,수해조절장치시스템의 보올 탭(499)에는,물 탱크에 물을 공급하는 데 사용하는 부자식 밸브로서 지레 끝에 동제 또는 합성 수지제의 공이 달려 있어 물탱크 속의 물이
일정한 수위까지 도달하면 공의 부력에 의해 밸브가 오우토식으로 닫혀 항상 물탱크 속에 일정량의 물을 저장하게 되어 있다. 이 보올 탭은 소구경용과 대구경용이 있고 형식에 따라 단식과 복식이 있다.
도 1n에 도시한 바와 같이,수해조절장치시스템의 스트레이너(392)에는 나사이음형 Y형 스트레이너(501)와 U형 스트레이너(502)에 V형 스트레이너(503)가 형성되되, 스트레이너는 증기, 물, 기름등의 배관에 사용되며 관내의 오물을 제거하는 목적으로 사용된다. 일반으로 2 B이하는 보금제 나사 조임형이고 2½B이상은 주철제 플랜지형이 사용된다.
도 1n에 도시한 바와 같이,수해조절장치시스템의 스트레이너(392)에는 형상에 따라 Y형, U형, V형, 등이 있다.이렇게 Y형 스트레이너(501)에는,45˚ 경사진 Y형의 본체에 원통형 금속망을 넣은 것으로 유체에 대한 저항을 적게하기 위하여 유체는 망의 안쪽에서 바깥쪽으로 흐르게 되어 있으며 밑 부분에 플러그를 설치하여 불순물을 제거하도록 구성되어있다.
금속망의 개구 면적은 호칭 지름 단면적의 약 3 배이고 망의 교환이 용이하게 되어 있다.
한편 U형 스트레이너(502)에 있어서는,주철제의 본체 안에 여과망을 설치한 둥근통을 수직으로 넣은 것으로 유체는 망의 안 쪽에서 바깥 쪽으로 흐른다. 구조상 유체는 직각으로 흐름의 방향이 바뀌므로 Y형 스트레이너에 비하여 유체에 대한 저항은 크나 보수, 점검이 용이하며 주로 오일 스트레이너가 많다.
도 1n에 도시한 바와 같이,수해조절장치시스템의 V형 스트레이너(503)를 설치되는데에는 상기 V형 스트레이너(503)는 동도면에 도시한 바와 같이 주철제의 본체 속에 금속망을 V자 모양으로 넣은 것으로 유체가 이 망을 통과하여 오물이 여과되나 구조상 유체는 스트레이너 속을 직선적으로 흐르므로 Y형이나 U형에 비해 유속에 대한 저항이 적으며 여과망의 교환이나 점검이 편리하다.
도 1n에 도시한 바와 같이,수해조절장치시스템의 배관 부속품의 트랩(511)에는 앵글형 열동식트랩(522)과 스트레이트 열동식트랩(523)과 버키트트랩(524)과 상향식 버키트트랩(525)과 하향식 트랩(526)과 플로우트트랩(527)과 임펄스 증기트랩(528)들로 구비하고나,동시에 상기 증기 트랩은 방열기 또는 증기관 속에 생긴 응축수 및 공기를 증기로 부터 분리하여 증기는 통과시키지 않고 응축수만 환수관으로 배출하는 장치이다. 일반적으로 증기관의 끝이나 방열기 환수구 또는 응축수가 모이는 곳에 설치한다. 증기 트랩의 종류에는 열동식 트랩, 버키트 트랩, 플로우트 트랩, 임펄스 증기 트랩(528) 등이 있고 작동 압력, 배출량 등에 따라 용도가 달라진다.
상기 열동식 트랩(523)은 사용 압력에 따라 저압용과 고압용이 있으며 형식에 따라 앵글형과 스트레이트형으로 구분할 수 있다.
상기 트랩은 실폰 트랩이라고도 하며 벨로우즈는 인청동의 박판으로 만들어 내부에 휘발성이 높은 액체(에텔)를 채운 것으로 방열기의 출구쪽에 설치한다.
벨로우즈의 주위에 증기가 오면 에텔이 증발하여 팽창하므로 벨로우즈가 늘어나 밸브를 닫는다. 드레인(301)이나 공기가 고이면 온도가 내려가 벨로우즈가 수축하여 밸브를 연다. 내압력은 낮아서 1 kg/㎠ 이하의 방열기가 파이프 끝 트랩에 사용되며 또한 공기를 통과 시키므로 에어 리터언 (air retern) 방식이나 진공 환수관 방식의 증기 배관에 사용된다.
도 1n에 도시한 바와 같이,수해조절장치시스템의 버키트 트랩의 종류에 있어서,상기 트랩은 버키트의 부력에 의해 밸브를 개폐하여 간헐적으로 응축수를 배제하는 구조로 되어 있고 버키트의 부력은 증기 압력에 의하여 조작되므로 증기관과 환수관의 압력차가 있어야 하며 압력차가 1 kg/㎠일 때 이론상 10.33m까지 응축수를 수직으로 밀어 올려 배출할 수 있으나 실제로는 8 m이하이다. 또 압력차가 충분하지 못한 저압 증기관에서는 응축수의 배출이 완전히 이루어지지 않는다.
버키트 트랩은 고압 중압의 증기관에 적합하며 환수관을 트랩보다 윗쪽에 배관할 수도 있으며 버키트의 위치에 따라 상향식과 하향식이 있다.
도 1n에 도시한 바와 같이,수해조절장치시스템의 상향식 버키트 트랩(525)으로는,상기는 오픈트랩(open trap)이라고도 하며 트랩에 응축수가 들어오면 처음에는 버키트 바깥쪽(A)에 괴고 버키트 (B)는 그 부력으로 떠올라 밸브 (C)를 닫는다. 응축수가 서서히 충만하여 넘쳐 버키트 속으로 흘러 들어가면 버키트가 무거워져 부력을 잃고 가라 앉아 밸브 (C)가 열린다. 밸브가 열리면 응축수는 버키트 속의 수면에 작용하는 증기의 압력에 의해서 배출된다.
도 1n에 도시한 바와 같이,수해조절장치시스템의 하향식 버키트 트랩(526)의 형식에 있어서,이 형식은 버키트의 위치가 상향식에 비하여 거꾸로 놓여 있으며 트랩 아래로부터 증기 및 응축수가 들어오면 버키트는 증기로 가득차서 부력을 받아 위로 떠오르고 밸브가 닫힌다. 버키트 속의 증기는 응축수가 고임에 따라서 버키트 상부의 작은 구멍으로 배출되고 증기가 배출되면 버키트는 부력을 잃어 자중으로 하강하여 밸브가 열리고 응축수와 공기가 배출된다. 배출이 끝나면 버키트에 다시 증기가 차고 부력을 받아 밸브가 닫힌다.
도 1n에 도시한 바와 같이,수해조절장치시스템의 플로우트 트랩(527)의 형식으로는,상기 플로우트 트랩(527)은 일명 다량(多量) 트랩이라고도 하며 플로우트의 부력을 이용하여 밸브를 개폐한다. 사용 압력은 저압, 중압(4 kg/㎠ 정도)의 공기가열기, 열 교환기 등에서 다량의 응축수를 처리할 때 사용되며 공기를 배출할 수 없으므로 필요할 때에는 열동식을 병용하여 상부 공기 배출관을 통해 온도가 낮은 공기를 배출할 수 있도록 유도한다.
도 1n에 도시한 바와 같이,수해조절장치시스템의 임펄스 증기트랩 (impulse steam trap, 528)의 구성에 있어서,상기 임펄스 증기 트랩(528)은 실린더 속의 온도 변화에 따라 연속적으로 밸브가 개폐하며 구조가 극히 간단하고 취급하는 드레인의 양에 비하여 소형이다. 공기를 배출할 수 있고 고압, 중압, 저압 어느 것에나 사용할 수 있으나 결점으로는 증기가 다소 새는 점이다. 구조는 동도면에 도시한 바와 같이 원반 모양의 밸브 로드와 디스크 시이트로 구성되어 있다.
상기와 같이 배수 트랩 (미도시) 에 있어서,상기 배수 트랩은 하수관 속에서 발생한 가스가 배수관을 통해 기구 배수구에서 실내로 역류하는 것을 방지하는 수동식 방취 기구로서 재질은 주철제, 청동제 황동제 및 도기제 등이 있다.
도 1n에 도시한 바와 같이,수해조절장치시스템의 배수 트랩 구조는 배수 장치의 일부에 물이 고이게하고 물은 자유로이 통과하되 공기나 가스의 유통을 차단한다. 트랩 봉수의 깊이는 50∼100mm로 하고 50mm보다 낮으면 가스나 공기가 통할 염려가 있으며 100mm보다 깊이면 배수 할 때 자기 세척력이 약해져서 트랩의 바닥에 찌꺼기가 고여 막히는 원인이 된다.
배수 트랩은 구조상 관 트랩과 박스 트랩으로 크게 나눌 수 있다.
이처럼, 수직 배관 지지 금속에 있어서,수직 파이프가 바닥을 관통하는 경우에는 바닥에 슬리이브를 넣어 파이프의 신축을 자유로이 하고 트랜스버어스 스윙을 방지하기 위해 층이 높은 도중에 지지금속을 설치하여 둔다. 지지 간격에 관해서는 차후 설명하기로 한다.
이러한,고정 금속의 관고정금속(504)에는 터언버클부 지지밴드(505)와 지지밴드(506)에 로울러 지지밴드(507)와 수직관 매몰용 밴드(508)에 철재 안경밴드(509)와 바닥밴드(510)등의 종래의 수해조절장치시스템들로 형성되어있다.
도 1o를 참조하면,본 발명에 따른 종래의 수해조절장치시스템의 일 실시예의 구성을 보여주는 각 용적식 각개 펌프종류별 왕복펌프의 플런저펌프(148) 사시도 및 다이어후렘 펌프(144)의 작동방식과 윙펌프(327) 작동방식을 도시한 작동도이며, 로우터리 펌프(337) 내부와 외치기어펌프(326) 그외의 로우터리펌프 회전자(338)를 부분적 작동방식을 도시한 수해조절장치시스템 각 용적식 각개 펌프종류의 작동 구성도로,
도 1o에 도시한 바와 같이,종래의 수해조절장치시스템의 기어 펌프(326)에 있어서,상기 기어 펌프(326) 송출압력 35∼175kgf/cm2, 용량 5∼300ℓ/min 정도의 기어 펌프(326)가 현재 제작 시판되고 있다.기어 펌프는 구조가 간단하고 신뢰도가 높으며, 운전, 보수가 용이하고 비교적 염가이므로 널리 보급되어 있다.기어 펌프(모우터)는 외접 기어 펌프(external gear pump)와 내접 기어 펌프(internal gear pump)로 나누어진다.외접 기어 펌프는 사용하는 기어형에 따라 스퍼어(spur), 헬리컬(helical) 및 헬링보온(herringbone) 기어 펌프로 분류할 수 있다.
상기 외접 기어 펌프(326a) 대하여 동도면에 도시한 바와 같이 상세한 설명에는 그림 2-27에 외접 기어 펌프(external gear pump)의 한 단면을 예시하여 놓았다.
도 1o에 도시한 바와 같이,종래의 수해조절장치시스템의 기어 펌프(326)에는,1조의 기어와 이것을 내장하는 기어케이스, 4개의 축수, 기어측판 등이 주요 부품이고, 부품수가 다른 펌프에 비해서 적은 것이 특징이며 기어 펌프는 출입구에 밸브가 필요하지 않으므로 사용유의 점도가 높더라도, 오토 밸브를 갖는 왕복펌프와는 달리, 고속운전이 가능하고, 기어의 정도, 기어형을 적절히 선정하면 공동현상이나 이상소음과 같은 장해 없이 70∼80% 정도의 펌프효율을 용이하게 얻을 수 있다. 기어 펌프는 구동기어가 변동기어를 구동시켜가면서 서로 맞물고 회전할 때 펌핑작용이 일어난다. 기어가 서로 맞물고 돌아갈 때 두 기어의 이가 접촉하는 부분은 선 접촉이므로 입구측(저압력)과 출구측(고압력)을 차단시키며 기어의 이가 입구측에서 서로 떼어질 때 흡입실의 용적이 한 개의 이가 점유한 용적만큼 증대되기 때문에 약간의 진공상태로 되어 유압유를 빨아올린다. 빨아올린 유압유는 기어 치곡과 케이싱 외주 사이에 끼어 송출실로 압송되며 송출실에서 이가 서로 맞물 때, 송출실 용적은 이가 서로 맞물 때 배제되는 용적만큼 감소되어 수해조절장치시스템의 기어 펌프(326)에의 유압유는 송출실로부터 송출구로 압출된다.
도 1o에 도시한 바와 같이,종래의 수해조절장치시스템의 기어 펌프(326)에는, 내접 기어 펌프(326b)에 대하여 아래의 그림과 같이 내접 기어 펌프(internal gear pump)도 외접 기어 펌프와 비슷하게 운전되며 내접 기어 펌프는 그림 2-28과 같이 펌프 중심을 회전 중심으로 회전하는 바깥기어, 펌프 중심으로부터 편심 되어 바깥기어와 접해서 회전하는 안기어와 초생달 모양의 스페이서(crescern-shaped spacer)로 구성되어 있고나, 내측기어가 구동기어가 되어 바깥기어를 회전시키면 내외기어 치곡과 스페이서 양쪽면 사이에 유폐된 유압유는 기어의 회전과 더불어 흡입실로부터 송출실로 압송되며 그림에는 흡입구(269)와 송출구(270)가 케이싱의 외주에 직접 뚫려 있는 것 같이 그려 놓았지만, 실제 내접 기어 펌프의 입출구는 두 기어가 맞무는 내접점과 스페이서 끝단 사이에 걸쳐 초생달을 반으로 잘라 놓은 모양으로 길쭉하게 펌프측판(end plate)에 뚫려 있다. 내측기어가 바깥기어에 내접하면서 바깥기어를 구동하면 내접점에서 송출실(고압실)과 흡입실(저압실)은 차단되고 흡입실에서 내외기어가 서로 떨어지면서 곡부용적은 점차 커진다. 이로 인하여 흡입실의 압력은 진공이 되어 유압유를 흡입한다. 흡인된 유압유는 스페이서의 양쪽면과 내외기어의 곡부 사이에 끼어 송출실로 이송된다. 송출실에서는 기어가 회전함에 따라 내외기어의 이가 서로 맞물게 되어 곡부용적이 점차 작아져 유압유가 송출구(270)로 압송된다. 내접 기어 펌프는 치형이 마모되면 외접 기어 펌프에 비하여 급속한 효율저하가 일어난다.
도 1o에 도시한 바와 같이,종래의 수해조절장치시스템의 기어 펌프(326)에는,기어 펌프는 소형, 경량이며 저렴한 것이 장점이고, 또 가혹한 운전상태(분진에 의한 오염, 유온의 상승, 과부하)에 대해서 견딜 수가 있으므로, 특히 건설기계, 산업차량, 농업기계 등에서의 유압구동에 적당하며 유온의 한계는 공작기계에 사용될 경우는 65℃ 정도까지이나, 건설기계 등에서는 80℃, 단시간이면 100℃ 정도까지 사용된다. 적당한 기름의 점도는 30∼80cst이다.
치형이 표준 인벌류트 치형인 기어 펌프에 대하여 이론 토출량은
도 1o에 도시한 바와 같이,종래의 수해조절장치시스템의 베인 펌프(vane pump, 142)에는,베인 펌프를 구성하는 기본요소는 흡입구, 송출구, 구동회전자, 베인, 캠링 그리고 케이싱이다. 베인은 회전자에 파 놓은 홈 안에서 유동하면서 캠링의 형상에 따라 베인과 캠링의 회전자에 둘러싸인 밀폐공간을 변화시킨다. 밀폐공간이 증가하는 동안 흡입구에서 흡입되고 회전자의 회전에 따라 전환점을 지나면서 다시 밀폐공간이 감소되면서 토출된다. 일반산업용으로서 송출압력 1단 70kgf/cm2, 2단 140kgf/cm2, 용량 4ℓ/min∼280ℓ/min의 베인 펌프가 보통 제작 시판되고 있다. 최근에 와서는 고속고압으로서 1단 150kgf/cm2∼140kgf/cm2의 펌프가 출현되고 있다.
베인 펌프는 고정용량과 가변용량형 그리고 압력평형과 불평형식으로 분류되어진다. 현재 제작되고 있는 베인 펌프는 다음과 같은 형식이 있다.
첫째로 평형형 베인 펌프(142a)와,
둘째로 불평형형 베인 펌프(142b)에
세째로 정용량형 베인 펌프(142a)와
네째로 가변용량형 베인 펌프(142b)인데
평형형 베인 펌프와 불평형형 베인 펌프란 펌프축이 받는 축 하중이 역학적으로 평형이냐 또는 불평형이냐를 두고 구분한 경우이다. 또한 정용량형 펌프냐 가변용량형 펌프냐의 구별은 운전중 토출량을 변화시키는 기능의 여부이다. 따라서 기구학적으로 볼 때 평형형 베인 펌프는 정용량형 펌프에 해당되고 불평형형 베인 펌프는 가변용량형 펌프에 해당하게 된다.
상기한 베인 펌프 그 이외의 베인 펌프에의 2단 펌프에는,1단 베인 펌프 두 개를 직렬로 연결하고 1단의 펌프 토출유를 2단째의 흡입구에 넣어 2배의 고압을 발생케 하지만 유량의 변화는 없다. 이 펌프는 2개의 베인 펌프를 사용함으로서 부하분배 밸브를 사용하여 각단의 부하가 같은 비율로 분배되게 한다.
다음의 2중 펌프에는,대형과 중형, 또는 중형과 소형의 펌프 두 개를 1개의 몸체 내에 병렬로 연결하여 한 개의 구동축으로 회전하여 두 개의 유압원을 얻고자 할 때 사용된다.
그리고,복합 펌프에는,두 개 이상의 펌프를 동일 축으로 구동하며 릴리프 밸브, 무부하 밸브, 체크 밸브 등 회로에 필요한 밸브 설치를 마련한다.
베인 펌프의 이론토출량은, 불평형형(Q=2πDeWn) (2.12) 평형형<Q=4πDeWn=4eWn(πD-bz)>
위 식에서 b는 베인의 두께, D는 캠링의 직경, e는 편심량, z는 베인의 개수, W는 베인의 폭이다.
한편 베인 펌프의 장점과 단점에 있어서는,
먼저 베인 펌프의 장점에는
첫째는 베인 펌프는 다른 펌프에 비하여 송출압력의 맥동이 적다.
둘째로 펌프의 구동동력에 비하여 소형이다.
세째는 베인의 선단이 마모되어도 압력저하가 생기지 않는다.
끝으로 비교적 고장이 적고 보수가 용이하다.
또한: 베인 펌프의 단점에 있어서는,
첫째로 베인, 회전자, 캠링이 서로 접촉 활동하므로 공작정도가 놓아야 하고, 양질의 재료를 선정할 필요가 있다.
둘째는 기름의 점도, 청정도 등에 세심한 주의를 요한다.
부품수가 많다.
도 1o에 도시한 바와 같이,종래의 수해조절장치시스템의 플런저 펌프(148)에는,플런저인 피스톤의 왕복운동에 의하여 펌핑작용을 하는 펌프로서 고압펌프에 적합하다. 플런저 펌프는 플런저의 왕복운동방향과 구동회전방향과의 상대관계에 따라 액셜형과 레이디얼형으로 크게 나누어진다. 이러한 유형의 펌프 또는 모우터를 로우터리(rotaty) 펌프(337)라고도 말한다. 크랭크식 피스톤 펌프는 피스톤의 운동으로 분류하면 일종의 레이디얼형으로 생각할 수 있으나 구조상 다른 펌프와 상당한 차이가 있으므로 하나의 독립된 형식으로 분류해서 생각한다.
상기된 펌프의 종류 및 특성에 대하여 상세한 설명에 따른 바람직한 실시예에 의해 조성된 용적식 펌프 내부의 전폐위치와 전개위치를 명확히 설정된 펌프의 보장된 기능에 있어서, 일정량의 유체를 마치 삽질과 동일하게 유체를 송출하는 방식이다.
이에 왕복펌프의 피스톤이나 플런저 등을 이용하여 정량의 액체를 빨아올려 밀어올림으로서 송출하는 것으로 다음과 같은 특징이 있다.
첫째로 소형으로도 고압을 얻을 수 있고, 고점도의 작은 유량에 유효하다는 것이며,둘째로 송액 작용이 단속적이므로 맥동이 있으되, 이를 줄이게 하기 위하여 회전속도를 일정하게 하기 위한 플라이휘일(Fly wheel)을 달거나 공기실(Air Chamber : 에어 체임버, 402) 또는 고압시는 맥동방지기(Accumulator : 어큐뮤레이터)등을 부착한다는 것이고,셋째로 1행정(Stroke : 스트로우크)의 토출량이 일정하므로 정량을 토출하여 송출할 수 있다는 것이다.
다음으로 회전수를 변화시켜도 토출압력의 변화는 원심펌프같이 심하지 않다는 것으로 반드시 흡입·토출밸브가 있어 부품이 많아지게 되며, 밸브의 고장은 치명적이다는 것이며 동력의 회전운동을 왕복운동으로 변환하기 위한 기구로 크랭크방식이나 엑센방식 등을 필요로 하게 되어 부품이 복잡해지거나 진동의 원인이 될 수 있다는 것이다.
도 1o에 도시한 바와 같이,종래의 수해조절장치시스템의 왕복펌프의 종류에는 다음과 같은 것이 있다.첫째로 피스톤 펌프는 피스톤에 시일라인(패킹)과 밸브가 붙어 있다는 점이고,둘째로 플런저 펌프는 피스톤식 펌프와 다른 점은 시일라인이 펌프 본체에 고정되어 왕복운동을 하는 플런저에는 붙어있지 않다. 따라서, 플런저(253)형은 패킹교환이 용이하고, 대단히 높은 고압을 얻을 수 있게 된다는 사실이다.
상기의 펌프는 대형건물 옥상위치의 기계실 내부 옥상 집수정탱크(34)에 다양한 전동기에 감속기(251) 모터(192)에 타구어윈치(137)의 와이어로프(19)에 엘리베이트(미도시)가 건물 상단과 하단을 스위치버턴으로 눌려주면 작동됨과 같이 소방방재배관라인(168) 라인의 방재수(7)를 펌프소화기 몸체내부의 장비 일체로 일기예보와 상관없이 전천후 소화활동을 마련한 황토(158)와 방화사(159)를 다이어 후렘 펌프(144)로도 산과 도로에 화재시 소방활동된다.
도 1o에 도시한 바와 같이,종래의 수해조절장치시스템의 다이어 후렘 펌프(diaphram pump : 막펌프, 144)는 유체나 진흙탕이나 모래 등을 많이 함유한 물도 펌프질을 할 수 있는데, 고무막 또는 테프론막(538)을 상하로 움직여 흡입과 토출이 이루어진다. 그 특징으로서는 상기 펌프(144) 상면에는 크랭크(248)와 링크대(249)가 고무막(538) 상부에 형성되어 슬러리(입자)를 함유한 유체 등에도 쉽게 마모되거나 폐쇄되지 않는다는 점이 산불의 초기진화의 예방에 구성된다. 그러므로 그랜드 패킹이 없이도 완전히 누설 방지될 수 있어 화학약제나 유해한 유체에 유효하다는 점이 화재 그 이외의 재난에 대비하여 무재해 무재난의 재난방지용에 적합하다.
도 1o에 도시한 바와 같이,종래의 수해조절장치시스템의 윙펌프(깃 펌프)는 핸들을 좌우로 움직여 두 개의 방에서 흡입·토출이 각 각 이루어지도록 되어 있는 간단한 펌프로 벽 따위에 쉽게 장착할 수 있어 드럼통의 유류를 옮기거나 선박의 밑에 고인 물을 퍼내거나 할 때 많이 사용된다.
첫째로 최초의 프라이밍에 의해 펌프 내에서 임펠러가 잠길 정도로 액이 차 있다는 사실과,둘째로 운전의 개시로(A 실)의 액은 (B 실)로 이동하여 (A 실)은 진공화되어 나비형 첵크밸브가 열리고 흡입구 내의 공기가 (A 실)로 들어온다는 것이고,세째로 B 실로 이동된 액은 (C 실)을 지나 재 유입구로부터 다시 임펠러로 들어가며, (A 실)의 공기는 액과 혼입되어 임펠러에 흡입되고 (B 실)을 지나 윗쪽의 공기와 액 분리실에서 분리되어 토출관으로 나간다는 사실인데,네째에는 이것을 반복하는 동안 흡입관 내의 공기는 점차 토출관(270),(14)으로 배출되어 흡입관(269),(14) 속으로 액이 흡입되기 시작한다는 사실이며,다섯째는 마침내 공기가 모두 배출되면 (A·B·C)실에는 모두 액이 차서 통로가 된다. 만일 운전을 정지하게 되면 흡입관 내의 액이 수원을 향해 떨어지게 되지만 나비형 첵크밸브(6)가 닫혀 펌프 내에는 다음번 운전 기동시에 필요한 액 정도는 남기게 된다는 전개와 전폐로 형성되는 펌프내부의 장치인 것이다.
그 다음의 프로펠러 펌프(Propeller Pump)는 대구경·대용량의 비교적 저양정에 이용한다. 프로펠러 펌프에는 크게 다음 두 종류를 들 수 있는데 동도면에 도시한 바와 같이
먼저 축류 펌프(Axial flow Pump, 342)는 프로펠러의 양력으로 축 방향에 대해 평행으로 흡입·토출된다는 것이고
둘째로 혼류 펌프(Mixed flow Pump, 342)는 사류 펌프라고도 하며, 볼류트 펌프와 축류펌프(341)의 중간형으로 흡입된 유체는 축방향에 대해 평행하지만 토출되는 유체는 축방향에 비스듬한 각도를 갖고 토출된다. (즉, 볼류트 펌프와 같은 원심력과 축류펌프와 같은 양력이 동시에 작용된다.)
세번째로 점성 펌프(마찰펌프, 343)는 일명 '작은 폭포'라는 뜻의 캐스 케이드(Cascade)펌프 또는 웨스코 펌프·와류 펌프라는 이름으로 불려진다.
컵의 물을 식히기 위해 숟가락으로 저었을 때 물이 따라 회전하는 것을 볼 수 있는데, 이것이 이 펌프의 원리이다. 외관으로 보았을 때 흡입구가 임펠러 중심부에 있지 않고 임펠러의 외부에 있어 한 눈으로도 구별할 수 있다. 이 펌프의 특징에 있어서,
첫째로 소형으로 볼류트 펌프보다 양수 능력이 크고, 쉽게 고압을 얻을 수 있다.
둘째로 유량은 볼류트 펌프보다 적으므로 소유량 고양정에 좋다.
세째로 간단하게 프라이밍(자흡)할 수 있고, 가정의 양수용은 이 방식이 대단히 많다.
도 1o에 도시한 바와 같이,종래의 수해조절장치시스템의 그 이외의 펌프로는,
먼저 분사 펌프(Jet Pump : 제트펌프, 325)는 노즐을 통해 고속으로 분사된 유체에 의해 흡입된 유체가 펌프를 통해 토출된다. 그 특징으로서는
첫째로 소음이 없다. 둘째로 공사가 간단하다. 세째로 흡입양정이 크다. 네째로 토출된 액을 일부 되돌리므로 효율은 좋지 않다. 다섯째는 액 중의 이물질이 있으면 마모되기 쉽다. 다음의 기포 펌프(Ail lift : 에어리프트)로 이 방식은 펌프가 없이 압축기로 압축공기를 양수관(89)의 아래쪽에서 구멍으로 분출시켜 수면을 올리는 방법이다.그 다음의 수격 펌프(무동력펌프 : Hydraulic Ram ; 393)로 이 방식은 펌프나 압축기가 없이 유체의 위치에너지를 이용한 것으로 영국의(Whit Hurst)가 고안하여 프랑스의(Montgolfier)가 배수 밸브의 개폐로 오토 양수되도록 하였다는 사실인데 동도면에 도시한 바와 같이 수면(WLL) 아래에는 스트레이너(여과기, 392)의 흡입배관(14)를 통과하는 방화수는 제트펌프(325)의 흡입구(269) 중간지점의 배관(14) 부위로 되돌림관(370)과 노즐(10)로 형성되는데에 고수위 위치의 옹달샘 또는 계곡물을 집수정에 방화수를 가득 채워지게되면 볼탑스위치(104)가 상승하면서 감지노끈(41)에 매달려 있든 마개밸브가 오픈되면서 저수위 집수정탱크로 유입되면서 상기 저수위 집수정탱크에서는 고압이 발생된다. 상기한 소방관노즐(10)은 플렉시블 호스(190)를 사용하여 산불방지용 또는 건물 옥외 옥내로 상기 관노즐(10)을 관노즐 설치거리를 1미터 또는 3미터 거리로 다수개로 연결시켜 내부화재 발생시에 사용되는 플렉시블고압호스(190)는 와이어와 고무제에 헝겊꺼즈로 유압기에 의해 형성된다
사실인 즉, 높은 위치의 물을 흘려보내다가 급격히 폐쇄시킬 때 고압이 발생하는 워터 햄머(Water Hammer : 수격작용, 389)를 이용한 것으로 낙차의 50배 정도까지도 양수할 수 있도록 되었기 때문인데 상기의 수압펌프는 펌프가 없이도 수원을 확보하고 있는 경사지에서 유효하며, 다음과 같은 특징을 갖고 있다.
첫째로 형상 낙차만 있으면 양수가 가능하므로 매우 경제적이다.
둘째는 고장이 없고, 수명이 반 영구적이며 이의 수격작용과 대동소이한 것이 마노매턴형레밸 소방관노즐의 호스로 높낮이 조절이 가능하도록 집수정탱크(34)의 구조를 개선하여 상기 탱크(34)의 밸브로 형성된 양수관(89)은 프라스틱 유량관으로 형성되며 상기 형상낙차에 의해 수력설비 뿐만 아니고 낙동강 퇴적토를 준설하게 되는 친환경의 경제적 손실을 사전예방하는 계기로 환경개선사업에 선택할 수 있다.
상기 수해조절장치의 본체(1)의 내부로 구성하는 수해조절장치는 상기된 수격 펌프(393) 작동방식에 대하여 더욱 상세하게는 유체의 이동상태를 다음과 같이 설명한다.
상기 수해조절장치의 본체(1)의 내부로 구성하는 수해조절장치는 상기된, 이중관노즐 몸체(B)의 내부로 다수의 개 펌프인 입형다단펌프(8)와, 고성능 수중펌프(36)에 펌프수차(37)와 터어빈수차(74)에 피스톤(127) 왕복의 압축기(80)와 플런저(253) 형태의 플런저 펌프(148)와 터어빈펌프(140)와 다이어후렘(144)과 다수의 압축기 일체는 펌프 또는 압축기 몸체인 스파이럴 케이싱(141) 내부에 가이드베인(142)인 안내날개가 볼류트 펌프(volute pump)에는 부착되지 않는데 상기 케이싱(141) 펌프 내부에 임펠러(143)로 형성된 일정량의 혼합된 물질을 흡입구(168)와 토출구(169)로 각개의 개구부와 위치이동이 다르게 설정된 것을 감지되되 상기 임펠러(143)이 전동기 몸체(192)인 동력모터 회전체 중심축인 회전축(198)에 부착된다. 상기 임펠러(143) 또는 다이어후렘 펌프(144)와 프로펠라 펌프(146)에 스큐르 펌프(147) 몸체 내부로 각각의 펌프 명칭에 따른 펌프의 축봉 장치가 구성되는데 전술된 바와 같이 글랜드 패킹(155)과 매커니컬 시일(156)이 냉각 및 윤활기능을 갖도록 퀀칭과 쿨링과 플러싱으로부터 냉각방식의 수해조절장치들로 형성된다.
도 1o에 도시한 바와 같이,종래의 수해조절장치시스템의 저수위 집수정탱크(34) 상부로 고압보울탱크(303)는 축구공 또는 뻥튀기 압력기구형으로 상기 탱크(34) 측면에는 스프링(186)식 안전밸브(473)로 형성되고 한국공업규격 KSD 4103 스테인레스주강품(HSC; KS기호, H-Steel S-Stainless C-Casting)으로 상기 탱크(303)의 재질로 제작된 후 설치되되, 상기 탱크 하부로 책 밸브(역류방지밸브; 나비형, 453) 교체하기 쉽도록 플랜지 분리 결합형(TYPE;타입)으로 샘, 계곡물이 흘러내리는 산골짜기의 일정한 경사각도(16)와 높이 낙차에 따라 산정상부의 수조탱크(295)에 방화수를 떨구지 않도록 하여 소방호스 연결마디로 파라핀 노즐마개(100)를 다수의개 설치하여 누구나 쉽게 설치할 수 있도록 되는데 상기 탱크(303)의 부피 체적은 산의 크기에 따라 치수는 변경된다.
도 1o에 도시한 바와 같이,종래의 수해조절장치시스템의 보울탱크(303) 외측에는 (탱크수평중심선) 하단부로 반 엘보(45°각도, 44) 소켓이 양수관(89)에 부착되며 상기 유체를 도입관(191)으로 흘려보내면 유속으로 개폐밸브가 닫히고, 개폐밸브가 닫히면 급격히 압력이 상승(Water Hammer)하여 나비형 밸브가 열리며 그 압력으로 토출되어 유체를 양수하고, 압력상승이 없어지면 나비형밸브는 닫히지만 압력탱크 내의 공기압력으로 유체를 계속 양수할 수 있으며, 개폐밸브 앞의 압력이 내려가면 개폐밸브는 스프링(186) 힘으로 열려서 다시 유체는 도입관으로 흘러 들어와 위와 같은 동작을 반복하여 계속 양수할 수 있게 되는데 이의 방식으로 산불진화는 1초 이내로 상기 유체의 이동에 따라 수격펌프(393) 작동방식에 의해 이루게 된 사실로 인지한다.
네번째의 액중펌프에 대하여 상세한 설명을 다음과 같이 한다.
상기 수해조절장치의 본체(1)의 내부로 구성하는 수해조절장치는 별개의 항으로 액중 펌프를 구분할 필요는 없지만 최근들어 대단한 관심을 가지고, 그 이용도가 늘어가고 있으므로 따로 구분해 보았다. 이 액중펌프는 펌프 자체가 액중에서 회전한다는 점이 독특하다.
액 속에서 작동시키기 위한 밀봉방법만 제외하면 다른 펌프와 같으며 그 종류로는 액중 캐스케이드 펌프, 액중 볼류트펌프, 액중 터어빈 펌프, 액중 혼류 펌프 등이 있다는 사실이 종전의 고성능 수중펌프(36)와 대동소이한 펌프이다.
상기한 바와 같이 각개의 원동기와 압축기에 전동기로 연결과 분리과정에 기종 선택에 대하여 소방방재대책용 장비로써 화재유형별로, 발화물질에 따라서 명확하게 전술된 바와 같이 1초인 눈깜짝 하는 순간에 발생되는 화재로 인한 그에 대한 피해는 이루 말로써 형언할 수도 없는 없기 때문에 화재는 최초 발생지 사전예방 수준이 가장 적합하게 선택되어야 한다.
상기 수해조절장치의 본체(1)의 내부로 구성하는 수해조절장치는 종전의 산불진화장비인 수송장비가 출동되지 않도록한 무재해를 이루게 되는 소방방재대책용의 관노즐 몸체 내부의 다수의 관노즐의 노즐홀이 사용되는 소형의 비상용 엔진(226) 주변에는 산속의 병충해 구제장비와 구제물질인 자연황토(158)와 상기 황토(158)를 방화수(7)와 방화자(159)가 혼합된 물을 펌프질할 수 있게끔 고무제나 테프론 등의 막을 상하로 작동시켜 흡입 토출이 이루게 되는 다이어 후렘 펌프(144)인 일명 막펌프(144)의 펌프제어시스템(150)의 종전의 장비일체가 구비되어 파라핀 테이프없는 관노즐로 육상의 병충해를 소멸 또는 번식을 차단토록 구성되되, 엔진(226)의 내부가 설명하기에는 복잡하고 번거롭기 때문에 상기 엔진(226)과 대체하는 물질로 구성되되, 단 엔진구조에 대하여 도면에 제시한 후 구성토록 함.
도 1o에 도시한 바와 같이,종래의 수해조절장치시스템의 로우터리형 펌프는 왕복운동 부분의 질량이 극히 작던가, 또는 전혀 왕복운동 부분이 없으므로 고속운전(보통 3000∼4000rmp, 큰 것은 15,000rpm 이상)이 가능하다. 그러므로 비교적 소형으로 고압 고성능의 펌프가 얻어진다. 다수의 플런저를 갖는 펌프를 고속 운전하므로 송출유의 맥동이 극히 적고, 진동도 적기 때문에 비교적 원활한 운전이 가능하다. 또한 기구상 가변용량형이 쉽게 얻어질 수 있다.
도 1o에 도시한 바와 같이,종래의 수해조절장치시스템의 플런저의 지름이 비교적 작고, 행정도 작으며 공작정도도 얻기 쉬우므로 높은 용적효율의 펌프를 얻을 수 있다. 그러므로 현재 시판되고 있는 플런저 펌프는 송출압력 700∼350kgf/cm2, 송출량 10∼50ℓ/min, 효율 80∼90%의 것이 보통이다.
또 크랭크식의 피스톤 펌프는 종래에는 저속대형의 것이 많았으나 근래에는 고속회전, 고압, 소 송출량의 것이 개발되어 소형, 고효율, 구조가 간단한 특징 때문에 일반 산업용 및 특수용도로 널리 사용되고 있다.
도 1o에 도시한 바와 같이,종래의 수해조절장치시스템의 액셜형 플런저 펌프(148a)에 있어서는,상기 펌프 구조와 특징에는 플런저가 축심을 중심으로 하는 원주상에 축심과 평행하게 배열된 실린더 블록(cylinder block)에 삽입되어, 축심과 구동축과의 경각 혹은 사판 등의 기구에 의하여 왕복운동을 해서 펌핑작용을 하는 펌프로서 사축식(bent axis pump)과 사판식(swash plate pump)으로 크게 나눈다.
그림 2-31는 사판식 액셜 피스톤 펌프의 단면과 구조도를 도시한 것으로 실린더 블록은 구동축과 스플라인(spline)으로 결합되어 있으며 구동축의 회전에 따라 실린더 내의 피스톤이 사판과 함께 회전하게 된다.
도 1o에 도시한 바와 같이,종래의 수해조절장치시스템의 사판식은 사축식에 비하여 구조가 간단하고 부품수가 적기 때문에 소형 경량이며 가격이 저렴하고 구조상 회전중량이 축 주위에 집중되어 있으므로 종래의 수해조절장치시스템의 고속회전에 적합하여 설치면적이 좁은 건설차량이나 하역 운반기계 수해조절장치시스템의 수해조절장치에 많이 사용되고 있다.
도 1o에 도시한 바와 같이,종래의 수해조절장치시스템의 사판식은 사축식에 비하여 구조가 간단하고 부품수가 적기 때문에 소형 경량이며 가격이 저렴하고 구조상 회전중량이 축 주위에 집중되어 있으므로 고속회전에 적합하여 설치면적이 좁은 건설차량이나 하역 운반기계의 수해조절장치에 많이 사용되고 있다.
도 1p를 참조하면,본 발명에 따른 종래의 수해조절장치시스템의 일 실시예의 구성을 보여주는 각 터어빈펌프(140)를 도시한 사시도이며, 프라이밍(339)과 자흡식펌프(340) 사시도에 프로펠러펌프(146)의 축류펌프(341)와 혼류펌프(342) 작동도이고, 점성펌프(343) 사시도에 점성펌프와 그 임펠러 사시도에 그 펌프 작동방식을 측면 도시한 수해조절장치시스템 펌프 작동방식의 측면 작동 구성도로,
도 1p에 도시한 바와 같이,수해조절장치시스템의 회전펌프(Rotary pump) 로우터리 펌프(357)는 용적식 펌프의 하나로 펌프 본체 속의 회전자가 회전할 때 본체(케이싱)와 회전자와의 사이로 유체가 밀려가 토출된다. 이 회전펌프를 원심력을 이용한 원심펌프와 혼돈하지 않도록한 그 특징으로서는 첫째로 왕복 펌프같은 흡입토출 밸브가 없고,연속 토출되어 맥동이 적다. 둘째로 고압 토출이 가능하다는 점과, 세째로 점성이 있어 유체에 좋다.(유류, 유지류, 타르, 피치, 도료 등)는 것이다. 이때, 점도가 클수록 회전수가 적고 큰 동력의 것을 선택한다. 고압의 경우는 안전밸브를 꼭 설치하고, 점도가 없는 액은 원심펌프가 좋다는 것이 감지된다.
도 1p에 도시한 바와 같이,수해조절장치시스템의 기어펌프(gear pump)는 여러 형태의 기어를 두 개 맞물려 기어가 열릴 때 흡입, 닫힐 때 토출되도록 한 펌프인데 그 특징으로서는 첫째로 고점도액의 이송에 적합하다는 것이고 둘째로 고압용에 적합하고, 토출압력이 바뀌어도 토출량은 크게 변하지 않는다는 점이며, 세째로 원심펌프같이 액이 심하게 교반되지 않는다는 사실과 네째로 구조가 간단하고, 분해·소제나 세척이 용이하다는 것이며 다섯째는 입자를 함유한 액에 의해 마모가 촉진되므로 단단한 입자를 함유한 액에는 사용할 수 없다는 사실이다.
도 1p에 도시한 바와 같이,수해조절장치시스템의 평기어(스퍼어 기어)는 구조가 간단하고, 가공이 용이하고, 가격이 싸서 많이 사용되고 있으나 소음·진동이 있고, 베어링의 손상 우려가 있으며, 내구력이 약하다.
이에 비해 비틀림 경사를 준 헬리컬 기어나 헬리컬의 추력 (축 방향으로 밀리는 힘)을 상쇄시키기 위한 더블 헬리컬 기어는 가공이 힘들고, 가격이 비싸지만 소음이나 진동은 없다.
도 1p에 도시한 바와 같이,수해조절장치시스템의 기어의 형상에 따라 외치 기어펌프(External Gear Pump, 326a)와 내치 기어펌프(Internal Gear Pump, 326b)로 분류하기도 한다.한편 기어펌프(326)의 치형에 의한 봉입과 공동현상에 따른 참고사항은 다음과 같이 설명한다
인벌류트 기어는 기어가 서로 맞물릴 때 두 점이 접촉되므로 그 사이에 들어간 액은 나갈데가 없고 심하게 압축되어 매우 높은 고압을 형성한다. 이를 봉입이라 하는데, 이로 인해 펌프 회전에 큰 장애가 되어 축동력의 증대, 베어링의 파손·소음·진동의 원인이 된다. 반대로 기어가 서로 맞물렸던 것이 열릴 때 두 점에서 접촉되어 있으면 기어의 두 점 밖에 있던 액이 들어가지 못하고 두 점 사이의 공간에서는 매우 큰 진공의 마이너스 압력을 형성하고, 한 점이라도 접촉이 떨어지면 순식간에 밖의 액이 침입하여 붕괴되면서 커다란 소음을 내며, 기포를 발생시키고 진동을 일으켜 펌프의 내구력을 현저하게 저하시킨다. 이를 공동현상이라 한다.
도 1p에 도시한 바와 같이,수해조절장치시스템의 이런 공동현상을 막기 위해서는 첫째로 두 개의 기어를 헬리컬 기어로 만든다 것이고 둘째로 기어의 잇수를 서로 한 개 엇갈리게 한다는 점이며 세째는 펌프의 케이싱 안쪽에 릴리이프 홈을 내어 액이 유입 또는 유출하도록 하여 고압이나 저압이 형성되지 않게 한다는 사실이다.
도 1p에 도시한 바와 같이,수해조절장치시스템의 그 외 편심 펌프(벤 펌프)와 나사펌프스크류 펌프,147)는 나사모양이 뱀처럼 비틀려 있어 스네이크 펌프(Snake Pump)라는 표현을 쓰기도 하는데, 교반이나 맥동이 없고, 자흡작용을 할 수 있어 화학공업의 안료·그리스·아세테이트 등의 운반이나 식품공업의 버터·어육 등의 이송에 쓰인다는 사실이다.
도 1p에 도시한 바와 같이,수해조절장치시스템의 비용적식 펌프에 있어서, 동도시된 도면을 참조토록 하되,임펠러나 프로펠러 등과 같은 날개를 회전시켜 원심력이나 양력 등을 얻어 연속적으로 송출하는 방식인데 먼저,원심펌프는 비오는 날 받친 우산을 빙빙돌리면 원심력에 의해 빗방울은 우산 살을 따라 포물선을 그리며 비산되는 것을 볼 수 있는데 이것이 원심펌프의 작동방식이다. 이때 우산 살같은 것이 '임펠러'라 하는 것으로 임펠러의 중심에 흡입구가 있어 임펠러 회전에 의해 생긴 원심력으로 유체는 에너지를 갖게되어 바깥쪽으로 밀려나가고 중심부는 진공에 가까워지게 되면 대기의 압력이 유체를 펌프 흡입구로 밀어 올리고 역시 임펠러의 회전에 의한 원심력으로 연속적으로 토출되게 된다.
도 1p에 도시한 바와 같이,수해조절장치시스템의 상기 펌프(8) 종류에는 터어빈 펌프(Turbine Pump, 140)로 회전하는 임펠러의 주위에 고정된 안내날개(Guide Vane : 가이드 밴 또는 디퓨서<Diffuser>라 한다)와,
"볼류트 펌프(Volute Pump)는 안내날개(Guide Vane : 가이드 밴 또는 베인.142)가 없다. 그리고 종전에는 소방헬기와 소방차로 엔진발전기에 의해 수송장비가 동원되었지만 이제는 소방헬기와 소방차가 동원되지 않고도 A화재에 속하는 대형화재를 1초 이내로 제어할 수 있도록 열기구인 애드벌룬(77)과 비행선(78)으로 관노즐이동형 소방센서펌프몸체의 내부에 다수의 소화물질을 열기구에 탑재시켜 지속적으로 발화물체에 공기를 차단시켜 초기진화에 인명구조를 할 수 있도록 하는데에는 공기보다 가벼운 기체인 핼륨(176)을 상기의 열기구에 주입시키도록 된 후에는 수직상승되는데 애드벌룬(77) 열기구에는 몽골피에의 열기구(586)와 블량샤르의 열기구(587)에 켈리의 열기구(588)로 구분되면서 열기구 내부로 토오치 또는 버너(175)로 불꽃(293)을 발생시켜 열기구 내부의 공기를 데워서 공기보다 가벼워지면 열기구는 상공으로 올라간다. 이 점을 감안해서 애드벌룬(77)과 비행선(78) 하부로 인명구조용 바스켓(42)과 상기 바스켓(42) 하부로 다중관노즐로 연료가스와 소방방재물질을 이송시켜 소방노즐(10)로 펌핑후 방출되어 화재는 1초 이내로 냉각작용과 질식작용이 진행되어 발화 그 이전상태로 복구되도록한 본 발명 바램이다.
도 1p에 도시한 바와 같이,수해조절장치시스템의 상기 터빈 펌프의 이 안내날개는 펌프의 임펠러로부터 받은 속도에너지를 쉽게 압력에너지로 바꾸게 하기 위한 것으로 인해 구조가 복잡해지고, 부품이 많아지며, 가격이 비싸지게 된다. 최근에는 볼류트 펌프를 다단화시킨 좋은 성능의 펌프를 만들 수 있게 되어 특이한 경우 이외에는 볼류트로 사용하는 예가 더 많다.
도 1p에 도시한 바와 같이,수해조절장치시스템의 상기 다단 펌프는 임펠러의 수를 두 개 이상으로 하여 펌프의 능력을 향상시키기 위한 것을 다단 펌프라 하는데 주의할 것은 아무리 단수가 증가된다고 해도 토출 능력은 좋아지지만 흡입 양정은 증가되지 않는다고 하는 사실이다.
도 1p에 도시한 바와 같이,수해조절장치시스템의 펌프의 흡입측이 진공화됨에 따라 대기압이 흡입관을 통해 펌프로 유체를 밀어 올리는 것이므로 대기압에 의한 액주 높이만이 흡입양정이 되기 때문이다.
상기된 임펠러(143)와 양수량(또는 양정)과의 관계는 세 가지로 분류하는데에는,첫째로 임펠러가 고속 회전할수록 커진다는 사실과 둘째로 임펠러의 회전수가 동일하면 직경이 클수록 커진다는 것으로 세째로 임펠러의 회전수가 동일하면 임펠러의 두께가 두꺼울수록 커진다는 사실이다.
그러나 임펠러의 두께를 무작정 두껍게 할 수 없으므로 임펠러의 등을 맞대고 양쪽에서 흡입할 수 있는 양흡입방식을 채택하며 이것은 캐비테이션의 방지효과도 갖는다.
다음의 프라이밍(339)과 자흡식 펌프(340)의 전개와 전폐에 대하여,펌프 운전시 펌프 내에 액이 충만되지 않으면 공회전하여 펌프질을 할 수 없다.
따라서 기동시 펌프 내에 액을 충만해 주어야만 하는데 이 작업을 프라이밍(priming)이라 한다. 펌프를 정지하였다가 매회 기동시 프라이밍을 실시하는 것은 귀찮은 일이므로 최초만 프라이밍을 실시하면 다음 번에는 별도의 프라이밍이 필요없는 펌프를 자흡식펌프(340)라 칭하며 그 예로 자흡식 볼류트 펌프의 수해조절장치시스템 작동들로 구성되어있다.
도 1q를 참조하면,본 발명에 따른 종래의 수해조절장치시스템의 일 실시예의 구성을 보여주는 집수정탱크로 연결된 레벨스위치(541)와 하이레벨 알람(542)에 베이컴페일루어알람(543)과 스어멀 릴레이 알람(544)에 알람 리셋트 버턴(545)과 로워 레벨 스위치(546)들로 소방센서펌프 몸체 내부 유공압과 센서기술 적용 작동 방식을 도시한 수해조절장치시스템 유공압과 센서기술 적용 작동 방식의 구성도로,
도 1r을 참조하면,본 발명에 따른 종래의 수해조절장치시스템의 일 실시예의 구성을 보여주는 집수정탱크로 연결된 레벨스위치(541)와 하이레벨 알람(542)에 베이컴페일루어알람(543)과 스어멀 릴레이 알람(544)에 알람 리셋트 버턴(545)과 로워 레벨 스위치(546)들로 소방센서펌프 몸체 내부 유공압과 센서기술 적용 작동 방식을 도시한 수해조절장치시스템 유공압과 센서기술 적용 작동 방식의 구성도와,
도 1s를 참조하면,본 발명에 따른 종래의 수해조절장치시스템의 일 실시예의 구성을 보여주는 집수정탱크로 연결된 레벨스위치(541)와 하이레벨 알람(542)에 베이컴페일루어알람(543)과 스어멀 릴레이 알람(544)에 알람 리셋트 버턴(545)과 로워 레벨 스위치(546)들로 소방센서펌프 몸체 내부 유공압과 센서기술 적용 작동 방식을 도시한 수해조절장치시스템 유공압과 센서기술 적용 작동 방식의 구성도와,
도 1t를 참조하면,본 발명에 따른 종래의 수해조절장치시스템의 일 실시예의 구성을 보여주는 집수정탱크로 연결된 레벨스위치(541)와 하이레벨 알람(542)에 베이컴페일루어알람(543)과 스어멀 릴레이 알람(544)에 알람 리셋트 버턴(545)과 로워 레벨 스위치(546)들로 소방센서펌프 몸체 내부 유공압과 센서기술 적용 작동 방식을 도시한 수해조절장치시스템 유공압과 센서기술 적용 작동 방식의 구성도로,
도 1q 내지 도 1t에 도시한 바와 같이,종래의 수해조절장치시스템의 윤활유는 실험에 의하여 다음 식을 이용한다는 것이었다. 아래의 별표란을 참고한다.
윤활유의 점검에 대하여 상세한 설명은 다음과 같이 한다.
첫째로 윤활유의 선택은 메이커의 도움을 받아 적당한 것을 선택한다는 것이었고
둘째 윤활유 질 변화에 대하여 통상 운전 개시후 1,000시간, 그 후는 2,000시간마다 인화점·불순물·점도·산성도(산가) 등을 분석하고 허용치에 들어있지 않으면 교체하도록 한다는 것이었으므로
세째로 베어링이나 기타 축봉부의 급유압력·급유온도·축봉용 오일의 차압이나 복귀된 오일의 온도 또는 누설 유량을 항상 점검하여 기록하고 돌연한 사고로 운전이 정지되지 않도록 관리하지 않으면 안된다는 것이었는데 상기와 같이 종래의 기술수준으로 형성된 본 발명의 기술배경을 실시예에 따라서 취사선택하도록한 당업자나 본 발명자의 궁금증을 해소하도록 본 발명 수해조절장치시스템을 구성한다.
도 1q 내지 도 1t에 도시한 바와 같이,종래의 수해조절장치시스템의 전기전도 스프링재를 사용한 스냅 동작 기구부, 전기회로의 개폐를 안전하게 유지하는 접점부, 회로 접속을 용이하게 하는 단자부, 형상 변화가 작고 절연 성능이 우수한 플라스틱 하우징부로 형성되어 있다. 단자는 통상 3개가 있고 COM(Common: 공통 단자), NC(Normally Close contact: b접점 단자), NO(Normally Open contact: a접점 단자) 접점으로 형성되어 있다.
도 1q 내지 도 1t에 도시한 바와 같이,종래의 수해조절장치시스템의 마이크로 스위치(580)의 동작 특성에 대하여 아래표와 같이 설명한다
마이크로 스위치(580)에서 가장 주요한 기구는 스냅 액션 기구이다. 스냅 액션이란 스위치의 접점이 액추에이터의 움직임과 관계없이, 어떤 위치에서 다른 위치로 빨리 반전하는 것을 의미한다. 사용되고 있는 스냅 액션 기구는 판 스프링 방식과 코일 스프링 방식이 있다. 고감도, 고정밀도의 특성에는 판 스프링 방식이 많이 사용된다.
이는 사무용 기기나 가전제품과 같은 좁은 공간에서 스위칭 하고자 할 때 주래의 기술수준과는 현격한 차이의 재난방재시스템으로 구비하는 특징들로 이러한 출입문의 개폐 여부 또는 가공물의 존재 유무를 감지하는 마이크로 스위치(580)와 리밋 스위치(183)가 작동되려면 물체와의 접촉이 필요하며 이러한 센서를 기계적 작동 방식의 접촉식 센서라 한다. 이들 스위치 사이의 서로 다른 점은 구조와 용도면에 약간의 차이가 있다. 마이크로 스위치는 비교적 소형으로 성형품 케이스에 접점기구를 내장하고 밀봉되지 않은 구조로서 주로 계측장치나 소형기계장치의 검출기용으로 사용한다. 리밋 스위치는 견고한 다이캐스트 케이스에 마이크로 스위치를 내장한 것으로 밀봉되어 방수, 방청의 구조로 내구성이 요구되는 장소나 외력으로부터 기계적 보호가 필요한 생산 설비와 공장 오토식 설비 등에 사용된다. 따라서 리밋 스위치(183)를 봉입형 마이크로 스위치라고도 한다.
도 1q 내지 도 1t에 도시한 바와 같이,종래의 수해조절장치시스템의 마이크로 스위치(580)에 있어서,마이크로(micro) 스위치는 리밋 스위치의 한 종류로서 리밋 스위치 중에서 아주 소형인 것을 칭한다. 마이크로 스위치는 조작 및 제어에 중요한 구성요소로서 널리 사용되며 작은 형상에도 불구하고 큰 전력을 스위칭 할 수 있는 요소이다. 마이크로 스위치는 규정된 힘으로 직접 조작하여 접점의 떨어지는 속도가 조작 속도와 관계없이 스위칭을 반복한다. 또한 특정의 동작 특성을 충실히 반복하는 높은 반복 정밀도를 가지며, 작은 힘이나 움직임에도 스위치가 동작하므로 정밀 스냅 액션(snap action) 스위치 또는 센시티브 스위치라고도 불리고 있다.
도 1q 내지 도 1t에 도시한 바와 같이,종래의 수해조절장치시스템의 마이크로 스위치의 구조에 있어 아래그림과 같이 설명한다
마이크로 스위치(580)의 구조는 외력을 내부 기구에 전달하는 액추에이터부,로 이용된다. 마이크로 스위치의 반복 정밀도는 0.01∼0.1mm 정도이나 보다 고정밀도인 것도 있다.검출용 스위치에는,마이크로 스위치의 스위칭 주파수는 1분에 약 60∼400회 정도의 스위칭 동작을 한다. 수명은 약 100만회 정도이나 사용 환경에 따라 차이가 있다. 마이크로 스위치의 장·단점은 다음과 같다.
먼저 장점으로는,첫째는 소형이고 대용량의 전력을 개폐할 수 있다. 그리고 정밀 스냅 액션 기구를 사용하여 반복 정밀도가 높다. 세번째는 응차의 움직임이 있으므로 진동, 충격에 강하다. 다음은 액추에이터에 따른 기종이 다양하여 선택 범위가 넓다. 끝으로 기능 대비 경제성 높다.
이런 단점에는,먼저 금속 접점을 사용하여 접점 바운스나 채터링이 있는 것도 있다.그리고 전자 부품과 같은 고체화 소장에 비해서 수명이 짧다고나,응력 집중형이기 때문이다. 세번째로 동작, 복귀시에 소음 발생이 장점이 되기도 한다.네번째는 전자회로와 같은 드라이 서킷 회로에서는 개폐 능력에 한계가 있다.또한 구조적으로 완전 밀폐가 아니므로 사용 환경제약인 폭발성 환경이 발생한다.
도 1q 내지 도 1t에 도시한 바와 같이,종래의 수해조절장치시스템의 납 단자 기종에서 단자부는 완전 밀폐가 아니기 때문에 작업성에 주의가 요망된다.
<표2-10 마이크로 스위치의 기술 자료명세서>
도 1q 내지 도 1t에 도시한 바와 같이,종래의 수해조절장치시스템의 리밋 스위치(183)의 상세한 구성은 아래그림과 같이 설명한다,
기계식 센서의 가장 대표적인 물체 검출용 ON/OFF 센서 중의 하나가 리밋 스위치(limit switch;183)와 마이크로 스위치이다. 이들은 외부의 작용에 의해 전기적 접점이 변환되는 동작을 갖는다. 접점의 수명은 약 1000만회 정도에 이른다. 접점부의 허용 전류는 외관에 비해 상대적으로 큰 전력까지 스위칭이 가능하다. 또한 스냅 동작 기구에 의해 1∼15ms 범위의 빠른 스위칭 타임을 갖는다. 사용시 스위치의 보호 구조가 사용 장소의 환경에 적합한지 확인하여야 한다.
도 1q 내지 도 1t에 도시한 바와 같이,종래의 수해조절장치시스템의 보호 회로에 있어서,리밋 스위치(580)와 마이크로 스위치(183)의 접점은 유한한 수명을 갖는다. 특히, 유도 작용을 이용한 장치에 공급 중이던 전원을 차단하면 자장이 감소되고, 그 결과 전원 전압의 수배에 해당하는 압력은 물질이 인접하는 각 부분에 서로 미치는 힘의 크기를 나타내는 양이며, 단위는 면적당에 작용하는 면과 법선 방향의 힘으로 정의한다. 물질의 상태 기체, 액체, 고체 중에서 고체는 기체와 액체에서의 성질과 다르다. 고체 내에서는 압력에 따른 유동이 없으므로 힘의 방향성이 보존된다. 즉, 압력은 방향성을 지니고 있어, 한 점에서의 압력도 방향에 따라 크게 다르다. 고체와는 대조적으로 p기체, 액체와 같은 유체는 힘의 치우침에 따라 유동하므로, 압력은 방향성이 없고 어떤 점에서 어느 방향의 면에 대해서도 같은 크기의 압력이 작용한다. 따라서 한 점에 대해 하나의 압력값이 결정된다. 이러한 유체의 등방적 성질을 발견한 파스칼(B. Pascal : 1623∼1662)의 이름을 따라 파스칼의 원리라 한다. SI 단위계에서 압력의 단위로 사용하는 파스칼 Pa(=N·m-2)는 그의 이름을 딴 것이다.
또한 압력의 측정은 유체의 상태를 아는데 있어 온도와 함께 주요한 요소로, 이의 측정으로부터 힘이나 무게 등을 유추하게 된다. 압력을 나타내기 위한 단위에는 여러 가지가 사용되고 있으나, 압력의 종류, 범위, 측정 대상, 교정 수단 등에 따라 종래의 수해조절장치시스템의 수해조절장치가 결정된다.
도 1q 내지 도 1t에 도시한 바와 같이,종래의 수해조절장치시스템의 절대 압력 센서에 의해 상세한 설명은 아래그림과 같이 설명한다
절대 압력 센서는 기준 압력을 진공(p=OPa)으로 하는 매체의 절대 압력을 측정하는 것이다. 따라서 절대 압력 센서는 진공을 이루고 있는 공간에 게이지가 설치되어 있다. 이 게이지는 얇은 다이어프램으로 구성되어 측정하고자 하는 압력에 따라 변형이 가해진다. 진공을 이루는 공간은 절대 진공을 형성할 수 없으며 기준압력으로 약 0.1Pa를 사용한다. 이는 대기압의 백만 분의 일 정도에 해당한다.
도 1q 내지 도 1t에 도시한 바와 같이,종래의 수해조절장치시스템의 상대 압력 센서에 의한 설명은 아래그림과 같다.
이런 상대 압력 센서는 Pamb로 주어지는 대기압을 기준으로 하는 차등 압력을 측정하는 것이다. 대기압이라 함은 일정한 값이 아니라 지형적, 기상적 변화에 따라 변하는 압력이다. 상대 압력 센서를 세분하면 양의 압력 센서와 음의 압력을 측정하는 진공 센서로 나눌 수 있다.
도 1q 내지 도 1t에 도시한 바와 같이,종래의 수해조절장치시스템의 차등 압력 센서에는,차등 압력 센서는 측정 원리에서 상대 압력 센서와 크게 다르지 않다. 이는 주어진 두 압력 사이에 나타나는 차등 압력을 측정하는 것이다.
이렇게 다이어프램식 압력 스위치(104)는 아래그림과 같이 설명한다
도 1q 내지 도 1t에 도시한 바와 같이,종래의 수해조절장치시스템의 다이어프램식 압력 스위치는 스프링의 반발력에 의해 현재의 상태를 유지하급하는 압력의 차와 스프링의 장력에 의해 결정된다.
이 차등 압력 스위치는 다음의 3가지 기능으로 사용할 수 있다.
먼저 압력 스위치에는,P1을 이용하여 0.25∼8bar까지 작동되는 압력 스위치로 사용.그리고 진공 스위치는,P2를 이용하여 -0.25∼-1bar 범위를 검출하는 진공 압력 스위치로 사용.다음의 차등 압력 스위치는,P1과 P2를 모두 이용하며 검출 범위는 -1∼8bar 사이에서 조절 가능하다. 스위칭 차등 압력은 스프링으로 조절하며, 히스터리시스의 영향을 고려하여 P1의 압력이 P2의 압력 보다 0.25bar 이상이 되도록 한다.
도 1q 내지 도 1t에 도시한 바와 같이,종래의 수해조절장치시스템의화재열 온도 감지 센서에 대하여 아래표와 같이 설명한다.
온도라는 것은 원자 또는 분자가 갖고 있는 운동 또는 진동 에너지의 크기를 나타내는 것으로 이 에너지가 열이다. 즉, 온도는 물리적 상태량의 일종이지만 이것을 직접 계측할 수는 없고, 변위, 압력, 저항, 전압, 주파수 등의 다른 물리량으로 변환하여 계측하여야 한다. 보통의 재료나 전자 소자는 온도에 따라 전기 특성이 변화하기 때문에 모두 온도 센서가 될 수 있는 것이지만, 검출 온도 영역, 정밀도, 온도 특성, 신뢰성, 양산성, 가격 등의 면에서 사용 목적에 알맞은 것이 사용되고 있다.
온도의 계측은 온도 센서를 측정 대상물과 열적으로 접촉시켜 양자의 온도를 같게(열평형상태) 하는 접촉식 계측이 있다. 이 방법은 센서 자체가 측정 대상 온도를 견디며 소정의 동작을 해야 한다. 반면에 센서와 대상물을 접촉시키지 않고 열방사를 이용한 비접촉식 계측이 있다. 이때의 센서는 가시 또는 적외 광의 방사검출기이고 센서 자체의 온도와 측정 대상물의 온도와는 관계가 없다.
<표 2-11 접촉 방식과 비접촉 방식>
도 1q 내지 도 1t에 도시한 바와 같이,종래의 수해조절장치시스템의 상기한 바와 같이 센서의 구성에 있어서 아래그림과 같이 설명한다
온도 변화에 따라 전기저항이 크게 변화하는 반도체 감온 소자를 서미스터(thermistor)라 한다. 특히 온도에 대하여 안정적이고 온도 특성의 재현성이 좋은 것을 서미스터 온도센서로 사용된다. 사용되고 있는 대부분의 서미스터는 세라믹 서미스터로 기본 특성에 의해서 분류하면 온도가 상승함에 따라 전기저항이 지수함수적으로 감소하는 부(-)의 온도계수를 갖는 NTC(negative temperature coefficient) 서미스터, 반대로 비직선적으로 현저하게 저항이 증가하고 전체로서 정(+)의 온도계수를 갖는 PTC(positive temperature coefficient) 서미스터, 또는 NTC와 동일 특성을 갖지만 어떤 온도 경제에서 전기저항이 갑자기 감소하는 급변 서미스터 CTR(critical temperature resistor)의 3가지가 있다. 단순히 서미스터라고 부를 때는 NTC 서미스터를 가르키는 경우가 많다. PTC, CTR은 넓은 온도 범위의 온도 센서로서는 사용할 수 없으나 온도가 특정한 온도(저항이 급변하는 온도)를 초과하는가의 여부를검출하는 데에 사용하면 편리하다. 예를 들면 PTC에 전류를 흘리면 발열하고 급변 온도를 초과하면 저항이 크게 되어 전류가 감소해서 발열하지 않게 되므로 전자 보온밥솥에 부착하여 내부 온도를 일정하게 유지하거나 건조기나 드라이어(drier)에 부착해서 온도 스위치를 동작시킬 수 있다.
도 1q 내지 도 1t에 도시한 바와 같이,종래의 수해조절장치시스템의 먼저 엔티씨(NTC) 서미스터에 있어서,부의 온도계수를 가지고 연속적으로 전기저항이 변화하는 서미스터로서, NTC라고 약칭되기도 한다. 현재 많이 사용되고 있는 것은 서미스터 정수가 2000∼5000K 정도이고, 사용할 수 있는 온도 범위는 300℃ 정도까지이다.
서미스터는 본래 100℃ 이상의 온도에서 소결한 것이기 때문에 사용방법에 잘못이 없으면 충분히 장기간 안정된 특성을 유지한다. 그러나 모든 물질에 경년 변화가 있듯이 영구히 변화하지 않는 것은 아니다. 다음 그림 14-2에서는 100℃에서 사용한 경우의 안정도를 1로 했을 때의 상대값을 나타낸 것으로 고온이 될수록 안정도가 저하하고 있는 것을 알 수가 있다. 이것은 서미스터의 재료, 소결 조건에 따라 달라지지만 100℃ 정도의 저온에서 사용할 때는 이 원인에 의한 변화는 무시할 수 있다. 만일 저온도에서 변화가 있다면 외형의 손상으로 수분이나 용제 등이 침입한 것이라고 생각된다.
도 1q 내지 도 1t에 도시한 바와 같이,종래의 수해조절장치시스템의 다음의 피티씨(PTC) 서미스터에 있어서,피티씨(PTC) 서미스터는 그 구조가 간단하기 때문에 전류 제한 소자(휴즈 기능 소자), 정온도 발열체, 가전제품의 온도 센서로 사용되고 있다. 즉, 초기에 대전류가 흐리고 그 후에 감소하여 미소 전류로 억제되는 성질을 이용 온도 상승이 빠른 발열체로 또는 회로의 과대전류 방지용, 초기에만 대전류를 필요로 하는 컬러 TV의 자기 소거용, 신뢰성이 높은 모터 기동용 무접점 스위치용 등이 있다. 사용시 소자에 인가하는 전압이 어떤 값을 넘으면 전압의 증가와 함께 전류도 증가하여 종국에는 브레이크 다운에 이르게 된다. 따라서 파괴 전압을 고려 정격 사용 전압에 대한 안전 여유를 두어야 한다.
열전대의 분류는 종류 기호, 허용차의 등급, 소선의 선지름, 보호관 바깥 지름의 길이(보호관이 있는 경우), 보호관 재질, 명칭(보호관이 있는 경우, 보호관있는 열전대)에 따른다.
예 ● : K클래스 1 1.00mm 열전대
예 ● : J클래스 2 0.05mm 6 550mm 자기 보호관이 있는 열전대
도 1q 내지 도 1t에 도시한 바와 같이,종래의 수해조절장치시스템의 그리고 열전대의 종류에는,열전대를 구성하는 소선은 고온에 접촉하므로 다음의 조건을 만족하여야 한다.
첫째는 열기전력이 클 것. 둘째로 온도-열기전력 특성의 분산이 작을 것과, 세째는 열기전력 특성이 연속적이고 직선적일 것. 넷째는 열적, 화학적, 기계적으로 안정할 것. 그리고 경시변화가 적을 것과, 끝으로 가공이 쉽고 가격이 저렴할 것.
현재 널리 사용되고 있는 열전대로 구성 재료에 따라 B, R, S, K, E, J, T의 7종류로 규격화되어 있다. 다음의 표 2-13은 열전대의 구성에 따른 사용온도 범위와 특징을 보여준다.
도 1q 내지 도 1t에 도시한 바와 같이,종래의 수해조절장치시스템의 상기한 열전대 바이메탈(Bimetal, 102) 화재열 감지센서에 대하여 상세한 설명은 다음과 같다.
형광등에 보면 점등전구가 끼워져 있는데 이것이 못쓰게 되어 교체 할 때 버리지 말고, 전구의 유리를 깨어 내고 성냥불을 가까이해 보면 U자 형태가 조금 펴지는 것을 쉽게 관찰할 수 있다. 성냥불을 끄면 다시 원상으로 회복 된다.
이것은 열팽창이 큰 금속과 작은 금속을 서로 접합하여 열팽창이 작은 쪽으로 휘기 때문이다. 이러한 것을 '바이메탈' 이라고 한다.
전기밥솥, 전기 다리미, 가스밥솥, 가스온수기, 냉장고의 온도조절기 등이 모두 이런것을 이용한 것이다.
<표 2-13 열전대 사용온도 범위와 특징>
한편 열전대는 측온 접점이나 소선이 피측온물, 분위기 등에 직접 접촉하지 않도록 보호하기 위한 보호관의 사용에 따라 그림 2-23과 같은 종류가 있어 필요에 따라 선택할 수 있다.
도 1q 내지 도 1t에 도시한 바와 같이,종래의 수해조절장치시스템의 그림(a)는 물체 표면의 온도가 비교적 낮은 경우에 측정할 수 있고, (b)는 보호관이 있는 경우로 실험실 등에서는 소선만 사용하는 경우도 있으나 공업용에서는 기계적 강도, 내열성, 내식성 등의 목적 때문에 보호관에 넣어 사용한다. 보호관이 있는 열전대는 단자, 보호관, 열전대 소선으로 구성되어 있다. 보호관에는 스테인리스 등을 사용한 금속 보호관과 알루미늄자기 등의 비금속 보호관이 있다. 또한 고온이나 환경조건이 나쁜 곳에서도 사용하도록 (c)와 같이, 금속관(금속 시스)속에 열전대 소선을 넣고 그 주위에 절연물을 단단하게 채우고 열전대 소선간 및 금속 시스와 열전대간을 절연함과 동시에 소선을 기밀상태로 해서 부식과 열화를 방지한 시스형이 있다. 이것은 보호관이 있는 열전대에 비해 응답이 빠르고 내열성이나 내진성이 우수하며, 어느 정도의 굽힘도 가능하다. 외형 치수는 0.2∼8mm 정도의 것이 있으며 피측정체에 납땜해서 사용할 수도 있다.
도 1q 내지 도 1t에 도시한 바와 같이,종래의 수해조절장치시스템의 세번째 보상 도선에 있어서 아래그림과 같이 설명한다.
열전대를 이용 온도를 측정하는 데는 열전대를 계기에 직접 접속하는 것이 이상적이나, 측정점과 계기 사이의 거리가 먼 경우 열전대 소선을 계기까지 연장하면 가격이 높아지게 된다. 따라서 열전대와 동일하거나 유사한 특성을 가진 도선을 이용한다. 이 도선을 보상 도선이라 한다. 보상 도선은 상온을 포함한 상당한 온도범위에서 조합하여 사용하는 열전대와 거의 동일한 열기전력 특성을 가지고, 열전대와 기준 접점 사이를 이것에 의해 접속하고, 열전대의 접속 부분과 기준 접점의 온도차를 보상하기 위하여 사용하는 한 쌍의 도체에 절연을 하도록 한다. 열전대와 보상 도선의 접속은 열전대의 +각을 보상 도선의 +쪽 심선에, 열전대의 -각을 보상 도선의 -쪽 심선에 접속하여야 한다.
도 1q 내지 도 1t에 도시한 바와 같이,종래의 수해조절장치시스템의 이상으로 용어의 정의에 대하여 먼저 열전대는 열기전력을 발생할 목적으로 2종류의 도체 한 끝을 전기적으로 접속한 것. 다음은 열전대 소선에는 열전대의 양끝이 되는 금속선 또는 합금선과 세째로 측온 접점은 열전대의 소선을 접합한 접점으로 온도를 측정하는 위치에 놓여진 것과, 기준 접점은 열전대와 도선, 보상 도선과 도선의 접속점을 일정한 온도(예, 빙점)로 유지하도록 한 것이어야 되고 이와 같이 보호관은 측온 접점이나 소선이 피측온물, 분위기 등에 직접 접촉하지 않도록 보호하기 위하여 붙이는 관이어야 되며 이에 보상 도선은 상온을 포함한 상당한 온도 범위에서 조합하여 사용하는 열전대와 거의 동일한 열기전력 특성을 가지고, 열전대의 접속 부분과 기준 접점의 온도차를 보상하기 위하여 사용하는 한 쌍의 도체로서 이 같이 기준 열기전력은 기준 접점이 0일 때, 측온 접점의 온도에 대응하여 가상의 열전대(기준 열전대)가 발생하는 정해진 열기전력이어야 된다.
도 1q 내지 도 1t에 도시한 바와 같이,종래의 수해조절장치시스템의 그러므로 측온 저항체는 접촉식 온도 센서 가운데서 열전쌍이나 서미스터와 함께 널리 사용되고 있는데, 그 중 백금 측온 저항체는 가장 안정하며 온도 범위가 넓어, 높은 정확도가 요구되는 온도계측에 많이 사용된다. 일반적으로 금속은 온도에 거의 비례하여 전기저항이 증가하는 이른바 양(+)의 온도계수를 가지고 있으며, 금속의 순도가 높을수록 이 온도계수는 커진다. 측온 저항체로는 백금, 니켈, 구리 등의 순금속을 사용하며, 표준온도계나 공업계측에 널리 이용되고 있는 것은 고순도(99.999% 이상)의 백금선이다.
그림 2-25(a)는 금속 저항의 온도 변화를 0℃의 저항을 1로 했을 때의 비를 나타낸 것이다. 즉, 백금의 저항은 0℃에서 100.0Ω이고, 100℃에서 139.16Ω이므로 백금의 저항의 온도계수는 0.39%/℃가 된다. 순금속의 비저항은 매우 작기 때문에 가늘고 긴 금속선을 사용하여 저항치를 높이고, 보호관을 이용 기계적, 화학적으로 보호하는 구조를 갖추고 있다. 그림 2-26는 백금선을 마이카로 감고 보호관을 씌운 구조이다.
도 1q 내지 도 1t에 도시한 바와 같이,종래의 수해조절장치시스템의 첫째로 백금 측온 저항체에는 아래표와 같이 설명한다
실용화되어 있는 센서 중에서 가장 안정하며 온도 범위가 넓으며 높은 정확도가 요구되는 온도 계측에 많이 사용된다. 단점으로는 저항 소자의 구조가 복잡하여 형상이 크고 응답이 느리며 기계적 충격이나 진동에 약하다.
도 1q 내지 도 1t에 도시한 바와 같이,종래의 수해조절장치시스템의 둘째로 구리 측온 저항체에 있어서,백금 다음으로 순도가 높고 저렴하며 온도 특성의 분산이 적은 안정된 소자이다. 그러나 구리는 고유저항이 작고 형상이 크며 고온에서 산화하기 쉽고 사용온도 범위가 좁다.
도 1q 내지 도 1t에 도시한 바와 같이,종래의 수해조절장치시스템의 세째로 니켈 측온 저항체에는 백금에 비해 저렴하고 저항계수가 크다는 장점이 있으나, 340℃ 부근에서 온도계수의 변곡점이 발견된다. 또한 불순물에 의한 온도 저항값 특성이 분산되고, 호환성 있는 니켈선을 얻기가 어렵다.
도 1q 내지 도 1t에 도시한 바와 같이,종래의 수해조절장치시스템의 네째로 백금-코발트 측온 저항체에 있어서,미량의 코발트 0.5%를 포함한 것으로 극저온용으로 저항값 및 저항 온도계수가 백금보다 크다.
<표 2-14 측온 저항체의 종류와 특징>
도 1q 내지 도 1t에 도시한 바와 같이,종래의 수해조절장치시스템의 상기한 건설차량 또는 운반기계로 사용되는 시린더 또는 실린더(126) 내부에 형성되는 축봉부에는 각개의 시일(156)이 아래그림과 같이 부착되는데에는 상기 시린더(126) 전방의 고압(HYDRAUUC)의 펌프와 고압호스(190)와 카플링(29)과 각 밸브장치 로크랭크(248)와 상기 크랭크(248)에 연결 장치로 사용되는 링크대(249)로 조립되어 상기는 중장비 건설 기계로 사용된다.
한편 수송장비에 탑재된 분사노즐 및 노즐호스 그리고 소방케이블카(256) 수송장비엔진(226)에 의한 고성능 수중펌프(36)를 사용하여 밭두렁 논두렁으로 방화수를 방재수로와 집수정에 투입하여 화재발생전 확고한 진화 방재를 이루는 구성이다.
여기서 늦은감이 있지만 "방재" 및 "방제"의 용어의 정의를 파악한 후 설명을 진행토록 함인데 본 발명의 풍수력발전기가 설치된 오대양 육대주에는 무재해가 완성됨과 동시에 상기 전력(685)을 항구적으로 공급할 수 있는 펌핑과 연결된 분사 장치이다.
도 1q 내지 도 1t에 도시한 바와 같이,종래의 수해조절장치시스템의 일반적으로 건설기계 일체와 유압 회전실린더(620)에 유압실린더 또는 유압작키(623)와 유압실린더용 도어(잠수함 후미 또는 자동차 탑재용 선박 선체 선수 선미 중간부위에 형성된 문짝, 624)에는, 유압실린더(623)가 많이 사용되는데, 특히 로봇의 관절 마디로 많이 사용하며 상기의 실린더(620)는 회전시에 사용하고 유압실린더(623)는 물체를 밀고 당기는데 사용 적합하다. 상기한 유압실린더 몸체는 피스톤(127)과 분해 결합을 하게 되며 상기 피스톤(127) 몸체와 상기 실린더에는 압축기능을 발휘하도록 로드앤드피스톤시일(822)에 피스톤시일(823)과 부프시일(824)에 웨어링(825)과 스라이드링(826)에 디유부시(DU Bush, 827)와 오링(O-RING, 828)과 로드시일(829)에 벡업시일(Back up seal, 830)과, 로드시일&벡업시일(831)에 다스트시일(832)과 핀다스트시일(833)에 다스트위프시일(834)과 부프링(835)에 피스톤링(836)과 다스트링(837) 등의 고무제로 피스톤(127) 둘레면과 실린더(126) 내부로 형성된다.
상기한 실린더 몸체는 유압펌프와 재결합 분리 가능하게 연결장치 부분품인 고압용배관(14)과 레듀사(35)와 엘보 또는 티이엘보(44)에 플랜지(28)를 구비하여 압력릴리이프식 안전밸브(474)와 유압호스(190)에 결합된 카플링(29)의 암수 나사산 결합 등이 있는데 유압의 개요와 유압의 용도에 유압의 특징으로 분리하여 다음과 같이 설명한다.
도 1q 내지 도 1t에 도시한 바와 같이,종래의 수해조절장치시스템의 먼저 유압의 정의에 대하여,유압(hydraulics)이란 동력을 이용한 유압 펌프에 의하여 기계적 에너지를 유체의 압력에너지로 변화시켜 유압유에 저장하게 하며 이를 제어밸브에 의해서 압력(힘의 제어), 유량(속도의 제어), 방향전환(방향의 제어)의 3가지 기본제어 요소를 목적에 따라 조합하여 유압실린더나 유압모터 등의 작동기(actuator)를 통하여 다시 기계적 에너지로 전환하는 장치 또는 방식을 의미한다.
도 1q 내지 도 1t에 도시한 바와 같이,종래의 수해조절장치시스템의 다음은 유압의 역사적 배경에 있어서,과학의 발전에 따라 자연의 에너지를 동력으로 사용하면서 동력을 유효하게 전달하고 경제적으로 활용하기 위한 유체동력기술은 1653년에(파스칼)의 법칙이 발견되면서 개발이 시작되었다. 1850년 영국에서 산업 혁명이 일어날 무렵에 영국에서 유체동력 회사가 생겼다. 이 회사에서는 7000마력 상당의 펌프 시설을 갖추고 유압동력을 각 사용자에게 공급해 주었고 공급선은 120km 정도이고 이 동력을 이용해서 기계를 동작시키고 있는 예로서 콜리세움 극장의 회전무대, 타워브리지(Tower Bridge)의 개폐, 영국기계학회 건물 정문의 개폐등 이었다.
1900년대에 와서는 전기가 동력화 됨으로서 유체동력의 이용이 쇠퇴하였으며 전력은 장거리 동력 전달에 있어서 유체동력 보다 우수하지만 장거리 수송이 없는 단일체 내의 동력전달에 있어서는 유체동력이 출력 대 중량의 비가 전력보다 우수하므로 1900년 후반부터 이용이 급속적으로 증가하였다.
도 1q 내지 도 1t에 도시한 바와 같이,종래의 수해조절장치시스템의 이러한 유압의 용도에 있어서,상기 유압은 앞으로 응용범위가 대단히 넓어지겠으나 주된 용도를 알아보면 직선 운동이나 회전운동 그리고 큰 힘이 필요한 곳이나 속도를 바꾸는 경우 등에 주로 사용한다. 유압설비는 이동식과 고정식으로 크게 나눌 수 있다.
도 1q 내지 도 1t에 도시한 바와 같이,종래의 수해조절장치시스템의 먼저 이동식 유압(mobile hydraulics)에 있어서,이동식 유압장비는 바퀴나 체인을 이용하여 이동이 가능한 장비이고 이동식 유압장비에서 밸브는 주로 수동으로 작동된다.
첫째로 건설기계는 굴삭기와 트럭에 크레인과 불도저에 로더 등이다. 다음은 운반기계로는 자동차의 파워핸들과 토크컨버터와 청소차에 콘크리트믹서트럭과 포크 리프트 등에 사용되며 그 다음의 선박 갑판기계는 원치와 조타기로 이용되고 네째로 비행기에는 각종 비행기의 조종장치와 착륙바퀴 구동장치 등이었고 다음의 하역기계는 상하역 크레인과 승강기의 콘베어장치 등이며 농기계로도 사용한다.
도 1q 내지 도 1t에 도시한 바와 같이,종래의 수해조절장치시스템의 다음의 고정식 유압(stationary hydraulics)에 있어 아래그림과 같이 설명한다.
상기 고정식 유압장비는 한 장소에 견고하게 설치되어 가동되는 장비를 의미하며, 주로 전기신호, 즉 솔레노이드 밸브(76)에 의하여 작동되는데 상기의 공작기계는 자동조정선반에 다축드릴과 트랜스퍼머신 등이었고 철강기계로는 시어링과 권선기에 사용되었는데 그 다음 금속기계는 주조기로 사용하였고 그리고 합성수지기계에는 사출과 압출기로도 사용하며 한편 목공기계로 핫프레스와 목재 이송차로 이용되고 제본·인쇄기계에 제단기와 옵셋인쇄에 윤전기로도 이용하였고 그 이외로는 소각로와 레저시설에 로켓트와 로봇 등에 사용된 것이었다.
도 1q 내지 도 1t에 도시한 바와 같이,종래의 수해조절장치시스템의 상기한 유압의 특징에 있어서,먼저 유압의 장점으로는 상기 시스템(system)의 크기에 비해 큰 힘을 발생하며 정확한 위치제어가 가능하고 큰 부하 상태에서의 시동 가능하여 부하와 무관한 정밀한 운동에 그리고 정숙한 작동과 반전으로 뛰어난 제어(힘, 방향, 속도) 및 조절성과 뛰어난 열방출성을 감지할 수 있다는 것이다.
도 1q 내지 도 1t에 도시한 바와 같이,종래의 수해조절장치시스템의 이러한 유압의 단점에 있어,폐유에 의한 주변 환경의 오염에 이물질에 민감하여 고압사용으로 인한 위험성과 온도변화에 따른 작업조건의 변화로 낮은 효율 등이다.
도 1q 내지 도 1t에 도시한 바와 같이,종래의 수해조절장치시스템의 유압장치의 구성에 있어서,상기 유압시스템은 먼저 동력공급과 제어와 출력 부분으로 나누어질 수 있다. 동력공급 부분은 시스템에 유량을 공급하며, 가장 주요한 부품은 원동기와 펌프이다. 원동기는 펌프를 구동하는데 필요한 기계적인 동력을 제공하는 장치이다. 산업 시스템에서는 이 장치로서 일반적으로 전동기가 사용되며, 굴삭기나 농기계와 같은 차량의 경우에 원동기는 자동차의 엔진이다. 펌프는 원동기로부터 기계적 동력을 얻어서 이를 압력을 지닌 유체의 유동으로 변환시키는 역할을 한다.
상기한 유압 시스템의 출력 장치로는 액추에이터(actuator)와 부하(load)가 포함된다. 액추에이터는 유체의 동력을 기계적 동력으로 변환시켜 부하를 움직이는 역할을 한다. 액추에이터는 직선운동을 하는 실린더(선형 액추에이터)일 수도 있고, 또는 회전운동을 생성하는 유압 모터(회전 액추에이터)일 수도 있다.
도 1q 내지 도 1t에 도시한 바와 같이,종래의 수해조절장치시스템의 이에 제어장치는 유압 시스템의 중간에 위치하고 있으며 부품으로는 방향제어 밸브, 압력제어 밸브, 그리고 유량제어 밸브가 포함된다. 예를 들면 실린더가 전진하거나 후퇴하는 것과 같이 유체 흐름의 방향제어에 의해 액추에이터의 운동방향을 조절할 수 있다.(파스칼)의 법칙에서 서술했던 바와 같이, 유체의 압력을 제어하는 것은 출력의 힘을 조절하는 것이 된다. 또 유량을 제어하는 것은 액추에이터의 운동속도를 조절하는 것이다.
도 1q 내지 도 1t에 도시한 바와 같이,종래의 수해조절장치시스템의 먼저 압력원부의 형성에 있어서,필요량의 오일을 모아두는 탱크, 탱크로부터 오일을 퍼내서 회로 내로 보내는 유압 펌프와 동력원을 보호하기 위한 안전밸브 등으로 구성되고 있으나 이 부분도 장치 고유의 필요성에 맞추어 여러 종류의 기기가 사용된 펌프로 기어와 베인에 피스톤 펌프로 전동기와 탱크에 릴리프 밸브와(Shut-off) 밸브에 압력게이지와(Heat-exchange) 온도계에 휠터로 흡입라인에 압력라인과 복귀라인 등에 형성되었고,
도 1q 내지 도 1t에 도시한 바와 같이,종래의 수해조절장치시스템의 다음의 제어부는 아래표와 같이 설명한다.
오일의 압력을 조절하는 압력제어밸브, 오일의 흐르는 방향을 전환하고 작동기의 작동방향을 전환하는 방향전환밸브, 작동속도를 조정하는 유량조절밸브 등이 구성요소로 되어 있는데 압력제어 밸브는 릴리프 밸브와 감압 밸브에 시퀀스 밸브와 무부하 밸브에 카운터 밸런스 밸브이며 방향제어 밸브로는 2/2와 3/2에 4/2와 4/3에 5/2-way 밸브이고 유량제어 밸브에는 오리피스와 스로틀(작동속도를 조절)로 형성한다.
<표 1-1 유압장치의 구성>
이처럼 작동부는 직선운동과 회전운동에 요동운동으로 하표와 같이 설명한다
{직선운동 : cylinder(직선적으로 누르거나 끌거나 한다.)}
{회전운동 : motor(중량물을 와이어로프로 말아 올린다.)}
{요동운동 : 요동 motor(일정각을 회전)}
<표 1-2 유압장치 내의 동력과 압력유>
도 1q 내지 도 1t에 도시한 바와 같이,종래의 수해조절장치시스템의 주요한 물리량과 단위의 물리량에 질량과 힘에 압력과 동력의 단위는 하표와 같이 상세한 설명은 다음과 같다. 첫째로 물리량에 있어서,물리량이란 물체의 특성, 즉 측정할 수 있는 상태나 과정이다. 예를 들면 속도(속력), 압력, 시간, 온도는 물리량이고 색은 물리량이 아니다. 길이는 Meter(m)로 질량은 Kilogram(kg)으로 시간은 Second(s)로 온도는 Kelvin(K) 혹은 Celsius(℃)로 표준화 되었고 유압에서 중요한 물리량 즉 힘, 면적, 유량, 량, 압력, 속도 등은 위의 기본단위에서 유도할 수 있다. SI는 kg을 질량의 단위로써 정의한다.
종래의 수해조절장치시스템 둘째로 질량에 있어서는,질량은 일반적으로 무게라는 용어와 같이 사용한다. 지구상에서 1kg의 무게를 갖고 있는 정육면체 강재는 1kg의 질량을 가진다.
종래의 수해조절장치시스템 세째로 힘에 있어서는,질량은 중력 가속도에 관계없이 자체적인 성질을 갖고 있는 질량단위를 설명하는데 있어서, 힘의 단위는 중력 가속도와 관련되어 결정된다. (Newton,1643-1729)법칙에서 힘 = 질량×가속도(F=m×α), 힘 = kg×m/s2 이것을 간단하게 Newton[N]이라 한다. 1N = 1kg·m/s2
종래의 수해조절장치시스템 네째로 압력에 있어서는,압력이란 "물체의 단위면적에 가해지는 힘의 크기"이며 그 단위로는 지금까지 미터법 공학단위인 [kgf/cm2]나 [kgf/m2]가 주로 사용되었으나 앞으로는 SI단위인 [N/m2], 즉 Pa(Pascal이라고 읽는다)을 써야 할 것이다.
압력의 값은 일반적으로 대기압과 비교를 한다.
종래의 수해조절장치시스템의 대기압(atomospheric pressure)은,
지구를 둘러싼 공기를 대기라 하고 그 대기에 의하여 누르는 압력을 대기압이라 한다.
종래의 수해조절장치시스템의 표준대기압에는,
1atm = 760mmHg(수온주 높이) = 10332kgf/m2 = 1.0332kgf/cm2
= 10.332mAq(물의 높이) = 101325N/m2 = 1.01325bar
다음의 게이지 압력(gauge pressure)은,게이지에 의하여 측정된 압력이며 국소 대기압을 기준으로 하여 측정한 압력이다. 그리고 절대 압력(absolute pressure)은,완전진공을 기준으로 하여 측정한 압력이다.
종래의 수해조절장치시스템의 동력에 있어서는,일이란 소비된 에너지의 양으로 정의되고, 가해진 힘과 힘 때문에 이동한 거리와의 곱으로 계산된다(W = F·S). 만약 어떤 물체를 40m 이동하는데 300N의 힘이 필요했다고 하자. 이 경우 한 일은 W = 300N·40m = 1200N·m[J]이다. 그러나 일이라는 개념만으로는 알 수 없는 것이 물체를 얼마나 빨리 이동하였는가 이다. 이 일은 10초 아니면 5초만에 행해졌는가? 즉 동력(power)은 에너지가 얼마나 빨리 소모되었는가를 고려하는 것이다. 한 일을 일이 행해진 시간으로 나눔으로써 동력에 대한 식을 구하게 된다.
만약 일이 N·m이고 시간이 초(s)라고 하면, 동력은 N·m/s로 될 것이다. 일반적으로 동력의 기호로는 대문자로 P를 사용하는 반면, 소문자 p는 압력의 기호로 사용된다. 위 식에서 s/t를 속도 υ로 바꾸어 넣으면 다음과 같이 된다.
만약 힘이 N이고 속도가 m/s라면, 동력의 단위는 N·m/s가 된다. 동력은 마력(horse power; hp)으로도 표현한다. 이 두 가지 단위 사이에서 변환 관계는 다음과 같다.
단위간의 변화 관계를 방정식에 적용했기 때문에 위 식에서 힘은 N, 속도는 m/s로 단위 사용을 제한한다. 다른 어떤 단위로도 사용하면 안 된다. 단위간의 변환 관계를 미리 고려하여 만들어진 이러한 방정식은 편리함 때문에 산업현장에서 많이 사용된다.
국제단위계에서 동력은 조함단위로서 와트(Watt ; W)를 사용하고 있다. W는 크기가 작은 단위이므로 일반적으로 킬로와트(kW)로 표현한다. 적합한 변환인수(1kW = 1000W)를 식 (1.2)에 넣으면 국제단위계에서 사용하는 다음 식이 얻어진다.
위 식에서 계산한 값의 단위가 킬로와트(kW)임을 나타내기 위해 kW란 기호를 사용하였다. 식 (1.3)에서 적용되는 단위는 F(힘)는 N,υ(속도)는 m/s이다.
이처럼 유압기계에서 사용되는 간단한 유체역학의 연속방정식에 베르누이 방정식과 유체의 정역학에 파스칼의 원리와 압력전달의 원리에 유체의 유동과 마찰의 흐름을 아래 그림과 같이 상세히 설명한다. 먼저 연속 방정식에 있어서는,
연속 방정식은 질량 불변의 법칙을 유체의 흐름에 적용한 것으로, 폐곡선의 관로 속 유체는 도중에 생성되거나 소멸되지 않는 것을 뜻한다.
그림 1-6에 나타낸 관로 속의 흐름을 정상류(steady state flow)라 생각하고 유체는 압축성을 고려하지 않을 때, 이 관에 직교하는 임의의 단면 ①과 ②를 설정하고 그 단면에서의 평균유속을 각각 υ1 υ2, 단면적을 A 1 A 2, 밀도를 ρ 1 ρ 2라 한다.이때 단위 시간당 각 단면을 흐르는 유체의 양은 질량 불변의 법칙에 따라 같지 않으면 안 된다.즉 질량을 m 이라 하면 이 되어야 한다.
여기서 은 임의의 점에 있어서 관로를 지나는 질량 유량(mass flowrate)이다. 그림에서 ①지점을 단위시간에 통과하는 질량은 ρ 1, A 1, υ 1이므로 위의 식은 다음과 같이 된다. 여기서 유체가 비압축성인 경우에는 ρ = Const.이므로 으로 된다.
이 Q를 유량이라 하고 관로 속을 지나는 유체의 유량은 어느 단면에 있어서나 일정하다는 것을 나타낸다. 즉 유압에서는 유량이란 "단위 시간에 이동하는 액체의 양"을 말하며 토출량으로 표현하고 있다.
유량은 통상적으로 기호 Q로 표시하고 단위는 ℓ/min. cc/sec 등으로 표시한다. 또한 유속은 "단위 시간에 이동하는 유체의 거리"를 말하는 것으로 위 식으로부터 가 되고 단위로 m/s로 표시된다.
종래의 수해조절장치시스템의 베르누이 방정식에 있어서는,베르누이 방정식은 비압축성 유체의 전체 에너지에 대한 관계를 설명하고 있다. 유압유는 거의 비압축성이므로 베르누이 방정식은 유압시스템에 사용할 수 있다. 유체의 에너지는 세 가지 형태로 나타낸다.위체 에너지(높이와 주역으로 인함) = W·h 다음의 압력 에너지(압력으로 인함) = W· 그 다음의 운동 에너지(속도로 인함) = W·
여기서,
위의 세 가지 에너지 항의 단위는 모두 N·m이다. 만약 어떤 시스템에 외부로부터 에너지가 들어오거나 빠져나가는 경우가 없다면, 임의의 두 점에서의 에너지는 모두 같아야만 한다. 이를 식으로 나타내면 다음과 같다.
각 항에 W가 공통으로 있으므로 이를 나누면 다음 식이 얻어진다.
이것이 베르누이 방정식이다. 이는 단위 중량당 유체가 포함하는 에너지를 모두 표현하고 있다. 세 가지 에너지 중에서 한 개만이라도 증가하면 나머지 두 가지 에너지 중에서 한 가지 또는 두 가지의 에너지가 감소하여 세 가지 에너지의 합이 동일하도록 균형을 이룬다.
종래의 수해조절장치시스템의 유체의 정역학은 아래 그림과 같이 유체 정역학의 압력은 용기의 모양에 관계없이 수두에 비례한다. 따라서 유체의 비중량과 수두의 곱으로 나타낼 수 있다.
p = rh (1.6)
종래의 수해조절장치시스템의 파스칼의 방식에는,밀폐된 용기에서 어떤 힘(사람의 힘, 기계의 힘 또는 자중에 의한 힘)에 의하여 유체에 압력이 가했을 경우 이 유체에 가한 압력은 모든 방향에서 똑같은 크기로 다른 물체에 전달된다. 이 원리를 처음으로 밝혀낸 사람이 파스칼이라서 "파스칼의 원리"라고 하며 유공압 기기에 이 원리를 많이 사용하고 있다.
이에 정지하고 있는 액체가 서로 맞닿아 있는 면에 미치는 압력은 맞닿아 있는 면과 수직으로 작용한다. 그리고 정지하고 있는 액체의 한 점에서 작용하는 압력의 크기는 모든 방향에 대하여 같다. 이처럼 밀폐된 용기 내에 정지하고 있는 액체의 일부에 가해진 압력은 모든 부분에 같은 세기로 동시에 전달된다. 이를 파스칼의 방식이라고 한다.
그림 1-9와 같이 밀폐된 용기에 액체를 넣고 위에서 힘(F)을 가하면, 액체는 압축하여도 체적은 줄지 않는 성질이 있으므로 액체는 위에서 누르는 힘에 대항하려는 힘이 생긴다. 이를 반력이라고 하며, 이와 같은 액체의 반력을 압력(p)이라고 한다.
용기 내의 압력은 힘 F를 피스톤의 면적 A로 나눈 것이다.
그 다음의 압력 전달의 원리는
그림 1-10은 압력 전달의 원리를 설명한 것이다. 그림에서와 같이 실린더 안에 액체를 채우고 피스톤 단면적 A 1, A 2에 F 1 및 F 2의 힘이 가해졌을 때 이들 힘 때문에 액체 중에는 어떤 압력이 발생한다. 여기서 피스톤과 실린더 사이에 마찰은 없고 이 부분으로부터 누설도 없으며, 또한 전달에 의한 에너지 손실도 없다고 하면, 두 개의 실린더 내에 발생하는 압력은 다음식으로 나타낼 수 있다.
단, 실린더 내 액체의 높이 차에 의한 압력의 차이는 p값에 비해 매우 작으므로 무시할 수 있다. 위의 식으로부터 가 얻어진다. 즉 힘은 피스톤의 단면적에 비례한다. A 2에 비해 A 1이 작으므로 F1에 비해 충분히 큰 힘 F 2가 얻어진다. 유압 프레스나 수압기가 이 방식을 사용한 것이다.
종래의 수해조절장치시스템의 실시예의 유압 증강장치에는,
표면적이 다른 두 개의 피스톤을 로드에 의해 연결한다. 만약 압력 p 1을 피스톤 면적 A 1에 작용시키면 힘 F 1이 로드를 통하여 작은 피스톤으로 전달되고 이 힘이 단면적 A 1에 작용하므로 압력 p 2는 증압 된다.마찰손실의 무등식은 다음과 같다.
압력증강 장치에서 압력은 피스톤의 면적에 반비례한다.
종래의 수해조절장치시스템의 유체의 유동에는,유체 유동의 모든 경계면이 고체면으로 이루어진 유동을 일반적으로 내부유동(internal flow)이라고 한다. 이러한 유동은 크게 층류유동과 난류유동으로 대별한다. 층류유동은 점성력이 관성력보다 지배적인 유동으로 레이놀즈수가 작은 즉, 속도의 크기가 작은 유동이면서 점성유동인 경우 뉴톤의 점성법칙을 잘 만족시키는 유동이며, 난류유동은 역으로 관성력이 점성력보다 지배적인 유동으로 레이놀즈수가 큰 즉, 속도의 크기가 큰 유동이다. 일반적으로 유압장치에서의 유동은 층류유동인 경우가 많다.
종래의 수해조절장치시스템의 마찰과 흐름에는,유압 에너지는 배관을 통하여 이송될 때는 손실이 따른다. 마찰은 유체 자신과 배관의 내벽에 의해 발생되고 열을 발생한다. 유압 에너지가 열에너지로 전환한다. 유압 에너지의 손실은 유압유체의 압력손실을 말한다. 유압유체는 유압설비 내의 모든 구조물에서 압력손실이 있다. 이 손실은 흐름 매체의 마찰에 의한 것이다.
열에너지로 변화하는 구조물에서의 압력손실은 때때로 고의적으로 발생되는 경우가 있다.구조물에서 열 발생을 일으키는 압력손실은 바람직하지 않다. 작동중에 있는 모든 유압유체는 유압기기 내의 구조물에 의해 가열된다. 만약 배관 내의 유체가 화살표방향으로 작용하면 흐름의 방향으로 나타나는 압력은 점점 감소한다.
이렇게 유압펌프는 유압펌프개요와 토출량과 압력의 관계에 펌프의 동력과 효율로 분리하여 아래표와 같이 설명한다.
종래의 수해조절장치시스템의 유압펌프에는,원동기로부터 공급받은 기계적 에너지를 유압 에너지로 변환시켜 유압유의 유압 에너지 수준을 높임으로써 유압계통에 에너지를 가해주는 기기를 유압 펌프라 말한다.
펌프는 터보형(비용적식) 펌프(turbo pump or nonpositive displacement pump)와 용적형 펌프(positive displacement pump)로 분류한다. 비용적식 펌프란 유폐되지 않은 상태에서 에너지의 전환이 일어나는 펌프로서 원심 펌프, 사류 펌프, 축류 펌프, 분사형 펌프 등이 있으며 토출량과 압력사이에 일정한 관계가 있어 토출량이 증가하면 토출압력은 감소된다. 용적식 펌프란 펌프의 축이 한번 회전할 때마다 일정한 량을 토출하는 펌프로서 토출량이 부하압력에 관계없이 일정하고 부하압력에 따라 토출압력이 정해지므로 부하가 과대해지면 압력이 상승해서 펌프가 파괴될 위험이 있다.
유압계통은 유압 펌프가 펌프작업을 함으로써 탱크 내에 있는 저에너지의 유압유를 흡입하여 이것에 에너지를 가하고, 다시 밀폐된 작동부에 높은 에너지의 유압유를 보내어 작동부(실린더, 모우터)를 통해서 외부에 일을 하고, 유압유는 저에너지로 되어 탱크로 다시 되돌아오는 계통으로 구성된다. 펌프작업으로 유압유에 가해진 일과 에너지에는, 일 = (힘)×(변위) = (압력)×(넓이)×(변위) = (압력)×(배제체적)와 같이 된다. 단위시간에 가해진 일, 즉 공률 또는 동력은 과 같이 된다.
다음은 토출량과 압력의 관계에 있어 아래표와 같이 설명한다.
<표 2-1 유압 펌프의 분류>
유압 펌프의 토출량은 입력축을 1회전시킬 때 토출구로부터 내보내진 작동유의 체적으로 나타난다.
예를 들면 32cc/rev라면, 1회전당 토출량이 32cc라는 것이다.
유압 펌프에는 그 속도 이하로 구동한 경우에는 소정의 토출량을 유지할 수 없는 「최저회전속도」가 있다. 또 속도 이상으로 회전시킬 경우, 극단으로 수명이 단축되고, 파손하는 일도 있는 「최고회전속도」가 정해져 있다. 이 최저와 최고회전속도의 범위 내라면 임의의 속도로 유압 펌프를 구동할 수 있는 것이고 회전속도에 비례해서 토출구로부터 내보내진 작동유의 유량은 커진다.
32cc/rev의 유압 펌프를 1500rpm(1분당 1500회전의 속도)으로 구동한 경우 토출구에서 나오는 유량은 32cc의 1500배, 즉 '48,000cc를 1분간에 흘린다.'라는 의미의 48,000cc/min(48ℓ/min)가 된다.
즉 1500rpm에 놓인 이 유압 펌프의 토출량은 48ℓ/min라고 표시한다.
토출구에서 압력이 5kgf/cm2 정도로 대단히 낮은 경우에는 실제로 측정한 토출량과 계산에서 구해진 토출량(이론 토출량)이 상당한 근사치가 된다. 한편, 유압 펌프에는 토출구의 압력이 수치 이상으로 높아지면 내부 누설이 많아지고 수명도 현저히 짧아진다는 의미를 갖는 「최고사용압력」이 정해져 있다. 유압 펌프의 내부에는 금속면과 금속면의 접촉부가 여러 개 있어서 그 부분을 윤활하게 하기 위한 작동유가 필요하다. 내부 누설은 이 목적이 이용되기 때문에 뺄 수가 없다.
그래서 이 내부 누설은 토출구의 압력이 높아짐에 따라서(거의 비례하여) 커지고, 최고사용 압력에서는 이론 토출량의 5%에서 10%의 누설량이 된다. 이것은 최고사용압력에서 실제로 이용할 수 있는 토출량이 이론 토출량의 95%에서 90%인 것을 의미한다.
어느 압력에서 실제로 이용할 수 있는 토출량이 이론 토출량의 몇 퍼센트인가를 나타내는 수치를 용적효율이라고 부른다. 통상 단순히 용적효율이라고 할 때 에는 최고사용압력에서의 용적효율을 나타내는 것이 많다. 내부 누설이 이론 토출량의 5%인 경우, 바꿔 말하면 실제로 측정한 토출량이 이론 토출량의 95%인 경우 (그 압력에 있어서) 용적효율은 95%라고 표시된다.
종래의 수해조절장치시스템의 펌프의 동력과 효율에 있어서는,유압 펌프의 흡입압력을 p s[kgf/cm2], 토출압력을 p d[kgf/cm2]라고 하고, 토출유량을 R[m3/s]라 하면 펌프가 발생하는 펌프동력(유체에 유효하게 전달되는 마력) L p는 다음과 같이 구할 수 있다.
(L p = pQ[kgf m/s]) (2.1)
여기서 p = p d - p s는 펌프의 출구와 입구의 압력차이나 보통 p s는 대기압으로 p = p d로 생각한다. 출력단위를 kW나 ps로 표시하면,
이다. 또 p의 단위가 kgf/cm2이고 Q의 단위가 ℓ/min일 때 펌프동력은,
펌프 속의 누설손실이 없다고 가정하였을 때 펌프가 유압유에 준 이론동력(액체동력) L th는,
(L th = pQ th [kgf m/s]) (2.4)
여기서 pkgf/cm2는 펌프 토출압력이고 Q th[m3/s]는 이론 토출량이다. 원동기로부터 펌프축에 전달되는 동력(축동력)을 L s라고 하면,
여기서 ω[l/s]는 각속도이며, T th[kgf/cm2]는 펌프를 회전시키는 데에 필요한 토크(torque)이고, N[rpm]은 회전수이다. 펌프는 원동기로부터 축을 통하여 받은 에너지의 전부를 유압유에 주는 것이 아니고 일부는 손실로 소멸되고 나머지의 에너지만 유압유가 가지고 나간다. 그러므로 펌프가 축을 통하여 받은 에너지를 얼마만큼 유용한 에너지로 전환시켰는가의 정도를 나타내는 척도로서 효율을 정의한다.
여기서 η는 펌프의 전 효율이다.
이러한 유압 액추에이터는 아래표와 아래그림과 같이 설명한다.
유압 액추에이터는 압유에 의해 출력축의 왕복운동 혹은 회전운동을 발생시켜 기계적 일을 하는 유압기기의 총칭으로, 유압모터(축의 회전운동), 유압실린더(축의 직선운동) 및 요동 액추에이터(축의 한정된 회전운동)의 3종류로 나눈다.
<표 4-1 유압 액추에이터의 종류>
종래의 수해조절장치시스템의 유압모터에는,유압모터는 압유의 에너지를 회전운동으로 전환시키는 장치이다. 원리적으로는 유압 펌프의 흡입측으로 압유를 공급하면 유압모터가 되지만 효율이 좋지 않는 등의 다소의 차이가 있다. 또한 펌프는 일정방향으로만 회전하는 것이 보통이지만 유압모터는 정역 어느 방향으로도 회전하는 것이 가능하다.유압모터의 특징을 동일한 회전운동을 하는 교류 전동모터와 비교하여 보면 다음과 같다.
종래의 수해조절장치시스템의 회전수의 무단변속, 정역회전의 변환이 대단히 간단하고 시동 정지도 대단히 쉽다.
종래의 수해조절장치시스템의 관성이 적어 추종성이 좋고, 응답이 빠르다. 따라서 자동제어의 조작부, 서보기구의 요소 등에 적당하다.
종래의 수해조절장치시스템의 동일 마력당의 크기가 전동기에 비해 훨씬 작다.
이와 같은 장점이 있지만 유압장치 자체가 전동기로 구동시키기 때문에 그 용도가 제한되고 있다.
유압모터의 형식에는 모터를 1회전 시키는데 필요한 유량이 일정한 것과 변화되는 것이 있다. 전자를 정용량형 유압모터, 후자를 가변용량형 유압모터라고 한다.
종래의 수해조절장치시스템의 기어모터의 구조는, 기어 펌프와 거의 같으며 공급된 압유(壓油)가 치면(齒面)에 작용하여 토크를 발생시켜 출력축을 회전시킨다. 기어는 일반적으로 평기어가 이용되며 타 모터에 비교하여 구조가 간단하고, 소형 경량이다. 그러나 구조상 가변용량형 모터로 제작하기는 곤란하고 100rpm 이하의 저속에서는 토크 출력 및 회전속도의 맥동이 커져서 사용할 수 없다는 것이 단점이다. 기어모터의 전효율은 70∼80[%] 정도이고 회전속도는 1000∼3000rpm 정도이다.
종래의 수해조절장치시스템의 베인모터는,구조면에서 베인 펌프와 동일하며 공급압력이 일정할 때 출력토크가 일정, 역전가능, 무단 변속가능, 가혹한 운전 가능, 등등의 장점이 있다.
최고 사용압력 70bar, 동력 5∼30ps, 회전수 200∼1800rpm 정도의 것이 많다. 최저 200rpm이라고 하는 속도 한계는 출력토크의 변동이 적다. 일반적으로 저압이라든가 저속에서는 효율이 나쁘고, 토크의 변동이 증대되는 단점도 있다.
종래의 수해조절장치시스템의 피스톤 모터에는,피스톤 모터는 흔히 플런저 모터(plunger motor) 또는 회전 피스톤 모터라고도 부른다. 피스톤 펌프와 구조가 거의 같고 종류는 액셜형(axial type)과 레이디얼형(radial type)이 있다. 액셜 피스톤 모터에는 사축식과 사판식이 있다.
종래의 수해조절장치시스템의 레이디얼 피스톤 모터는 몇 개 또는 10여 개의 피스톤이 축에 방사상으로 배열되어 반경방향으로 왕복운동하면서 축을 회전시키는 형식이다. 이것에는 실린더 블록의 편심 또는 편심캠을 써서 피스톤이 받는 압유에 의한 힘을 토크로 변환하는 편심식과 다엽캠을 써서 1회전에 대한 수회의 피스톤 왕복운동에 의해 토크를 발생시키는 다행정식으로 분류된다.
피스톤 모터는 피스톤 펌프와 같이 정용량형(fixed displacement type)과 가변용량형(variable displacement type)이 각 형식마다 있다.
종래의 수해조절장치시스템의 유압모터의 출력 및 효율에는,모터에 유입되는 압유의 압력을 p 1[kgf/cm2], 유출되는 압유의 압력을 p 2[kgf/cm2]라 하고 공급압유의 유량을 Q[cm3/min]라고 할 때 유압모터에 유입되는 동력은 다음과 같이 계산된다.
출력은 토르크와 각속도에 의하여 계산된다.
여기서 n는 모터 출력측 회전수[rpm], T는 모터 출력측에서 부하에 전달되는 토르크[kgf·m]이다. 따라서 입력과 출력의 관계에서 모터의 효율을 계산하면
유압모터의 크기는 1회전 당에 필요한 압유의 량 q(cm3/revolution)으로 표시한다. 따라서 모터의 내부 누설이 없다는 가정 하에서 Q = q×n o , 또 λ = 100% 즉 손실이 없는 것으로 하고 귀환기름의 압력을 0으로 보면(p 1 = p)
위 식으로부터
따라서 토르크 효율은 가 된다.
위 식에서 n o는 모터 내부 누설이 없다는 가정 하에서의 회전수이며 T o는 압력 p의 압유가 발생할 수 있는 최대 토르크 또는 이론 토르크라고 한다.
종래의 수해조절장치시스템의 유압모터의 장단점에의,장점으로는 전동기에 비해 쉽게 급속 정지시킬 수 있으며 광범위한 무단변속을 얻을 수 있다는 점과 소형이고 가볍고 강력한 힘을 얻을 수 있다는 것이고 내폭성이 우수하여 고속 추종성이 좋다는 것이며, 시동, 정지, 역전, 변속 등을 가변용량형 펌프나 교축 밸브의 뜻이며 유량을 개량하는 밸브인 미터링에 의해서 간단히 제어할 수 있다는 점이고, 과부하에 대한 안전장치나 브레이크가 용이하며 종이나 전선에 쓰이는 권선기와 같은 토르크 제어 기계에 편리하다는 점들이다.
도 1q 내지 도 1t에 도시한 바와 같이,종래의 수해조절장치시스템의 특장점으로는,높은 기동(Torque)로 최강의 힘을 발휘하고 별도의 설계로 경량화 및 과열방지 실현되며 종전에는 토목, 건축공사에 터널 공사 중 또는 지하철 공사와 상·하수도 공사에 사용되고 있다.
(고성능 수중펌프(36)에 관한 명세표와 그림)
도 1q 내지 도 1t에 도시한 바와 같이,종래의 수해조절장치시스템의 소방센서펌프장치에 관한 상세한 구성 설명에 있어서, 대형화재 초기진화 및 인명구조를 위한 소방 방재 시스템은 근린생활 단독건물옥외, 옥내의 상수도배관(14) 수도꼭지용 급수밸브(495) 손잡이핸들(533), 중간부위연결접합부에, 엘보소켓붓싱나사부속티이엘보(44)를 부착한후 방화수방우량 체크용의 유량계(105) 부위로 방화수 제어장치 밸브로 설치구성되어야하고 상기 방화수 제어장치밸브라함은 필요에 따라서 주택 옥내, 옥외로 발생되는 화재발생시 거주구 옥내 옥외로 구분하여 설치하고 상수도 배관(14)은 노즐호스로도 화재감지센서 감지용의 구멍난 호스(9)에 파라핀(100) 마개가 형성되어 호스 내부의 내수압에 해당되는 상수도 수압으로도 화재방지가 가능한 것이 포함하는 구성인데 여기에도 기체공급용 에어와 불연성가스(164)가 통과하면서 방화수는 발화물질이 설치배치되는 곳에는 파라핀 마개용 분사호스 노즐이 전진배치되어 불씨(292)와 불꽃(293)의 발화를 억제하고 이와동시에 최초발화 지점을 감지하는 최초발화 감지노끈(41)이 노즐몸체(B)상단으로 발화물질인 건물목재기둥 동서남북 실내 모서리와 천정바닥으로 여러곳에 수해조절장치시스템의 소방센서펌프장치를 부착한다.
도 1u를 참조하면,본 발명에 따른 종래의 수해조절장치시스템의 일 실시예의 구성을 보여주는 유공압 실린더에 부착되는 다수개의 솔레노이드밸브 작동조립을 도시한 실시예의 구성도와 검출용 스위치 일체의 구성에 따른 센서의 구성에 의한 유공압과 센서기술 적용방식 구성도로,
도 1u에 도시한 바와 같이,종래의 수해조절장치시스템의 이같은 관의 신축에 대하여 관의 이동을 방지하는 것이 목적이며 건물에 견고하게 취부한다. 고정 금속의 모양은 고정 장소에 적합한 모양으로 제작해야 한다.
수해조절장치시스템의 패킹 성질과 용도에는,상기 패킹은 접합부로 부터의 새는 것을 방지하기 위하여 사용하는 것으로 일반적으로 가스켓트라한다. 가스켓트(32)는 두 플랜지의 사이에 끼어 그 조임너트의 조이는 힘에 의하여 압축되어 플랜지에 밀착하여 새는 것을 방지하는 것이다. 이때 가스켓트는 약간 탄성을 가지고 있어야 한다. 그 이유는 어떤 원인으로 보울트가 늘어 났을 때 가스켓트(32)에 탄성이 없으면 즉시 새기 때문이다.
도 1u에 도시한 바와 같이,종래의 수해조절장치시스템의 배관용 가스켓트는 선정할 때 고려해야 할 점은 다음과 같다.먼저 관내 물체의 물리적 성질을 고려 되어야 되며 이에 온도, 압력, 가스체와 액체의 구분, 밀도, 점도등이며 다음은 관내 물체의 화학적 성질이 고려 되어야 되고 이 같은 화학 성분과 안정도, 부식성, 용해 능력, 휘발성, 인화성과 폭발성에 견딜수 있도록 고려해야한다.
도 1u에 도시한 바와 같이,종래의 수해조절장치시스템의 기계적 성질에는, 교환의 난이, 진동의 유무, 내압과 외압의 정도, 이상의 조건을 모두 검토한 후에 총합적으로 가장 적합한 가스켓트 재료를 선정해야 한다. 가스켓트 재료의 종류로서는 다음의 6 종류로 구분할 수 있다. 첫째는 고무류와 그 가공품이고 둘째는 식물 섬유 제품이며 세번째는 동물 섬유 제품이다. 네번째는 광물 섬유 제품이며 다섯번째는 합성 수지 제품이다.
도 1u에 도시한 바와 같이,종래의 수해조절장치시스템의 고무류와 그 가공품에 있어서,상기 고무류는 그 탄성이 크고 약품에 침식되지 않으므로 가스켓트 재료로서 널리 사용되고 있다. 강도를 필요로 할 때에는 천(헝겊꺼즈)을 섞은 고무 또는 금속망을 섞는 가스켓트가 사용된다.
도 1u에 도시한 바와 같이,종래의 수해조절장치시스템의 천연고무의 선택에 있어서,상기 고무의 특징은 탄성이 매우크고 흡수성이 없으며 연한 산이나 알칼리에는 잘 침식되지 않으나 내열성이 나쁘므로 100℃이상의 고온을 취급하는 배관에는 사용할 수 없다. 또 -55℃에서 경화 변질 한다. 천연 고무의 가장 큰 결점은 내유성이 나쁜 점이며 따라서 일반 냉수, 배수와 공기 배관 등에는 사용할 수 있으나, 기름, 증기, 온수와 냉매배관 등에는 사용할 수 없다. (이하 설명생략함)
엘리베이터 기계실의 설치되는 압력센서와 유공압센서에 배치되는 본 구성의 1초 이내로 초기진화 및 인명구조가 이루어지게 케이블카아(256)에 탑재되는 펌프소화기 일체의 설명되지 못한 부분을 그림과 함께 상세한 구성이 진행된다.
에어솔레노이드밸브(76) 제품의 사용전 주의사항에 대하여 다음과 같이 설명한다.
상기한 주의표지판에 따른
유체의 사용 조건에 대하여 상세한 설명에 있어서,
첫째로 필터는 5㎛ 이상의 여과정도를 가진 필터를 설치하여야 되며 이같이 드레인이 많은 경우는 밸브를 처음 사용할 때 공압기기의 작동 불량이 될수 있으며 또한 주위환경의 오염도 되므로 드레인 관리에 충분히 유의하여야 된다.
드레인 관리가 곤란한 경우 오우토 드레인 부착필터를 사용하면 편리하여 공기압축기에서 발생하는 카본 타르가 많은 경우는 밸브 내부에 다량으로 부착되어 동작불능이 되는 경우가 있으므로 카본 타르가 적게 발생되는 공기압축기를 사용하되 오일 미스트 세퍼레이타가 사용된다.
그 이외의 사용 유체의 조건에 대하여는 공압기기 메이커의 압축공기 청정화시스템을 참작한다.
다음은 급유에 대하여 상세한 설명에 있어서,초기 윤활이 되어 있으므로 무급유로 사용하여도 무방하나 다만 꼭 급유가 필요한 경우 터빈유 1종(ISO VG32)을 사용하되 급유를 사용도중에 중단 시킬 경우 초기 윤활제의 소실로 인하여 작동 불량을 초래할 경우가 있으므로 급유는 필히 연속해야 사용된다.특히 스핀들유는 사용하지 않도록 한다.그 다음의 누설전압에 대하여 다음과 같이 설명한다.
종래의 수해조절장치시스템의 전원 차단시 누설전류 등에 의해 양단에 남은 누설전압의 크기는 3% 이하로 억제하여야 되며, 접점보호에 C-R소자를 사용할 경우 C-R 소자를 통해 흘러들어오는 누설전류에 의해 누설전압이 증가하는 경우가 있으니 주의한다.
특히, 무접점 릴레이에서는 보호회로가 내장되어 있는 경우가 있으므로 주의하여야 한다. 네째로 저온 사용에 대하여 상세한 설명에 있어서, 온도 -10℃ 까지 사용이 가능하지만 드레인(301) 수분 등의 고화 또는 동결에 유의하여야 되며,동결 등이 우려되는 경우는 에어 드라이어를 설치하여 사용한다.
다음은 순시통전에 대하여 상세한 설명에 있어서, 더블솔레노이드형을 순시통전에 의해 사용할 경우 통전시간을 0.1초 이상 되도록 한다. 상기한 바와 같이 주의 표지판의 설명에 따른 사용전의 솔레노이드밸브의 주의사항이다.
종래의 수해조절장치시스템의 경고표지판에 따른 공압기기 선정 및 취급시 상세한 설명에 있어서, 첫째는 공압기기의 올바른 선정 및 결정은 전문적인 지식과 경험을 갖춘 기능인이 설계 또는 사양을 결정후 취급하도록 하여야 되며 공압기기의 사용은 충분한 지식과 경험이 있는 기능인이 취급하되 압축공기는 잘못 취급하면 대단히 위험하기 때문에 유지 보수 등은 충분한 지식과 경험을 갖춘 기능인이 책임지고 취급한다.
그리고 안전장치 확인후 공기압 기기를 조작하여 주시고 분해시 시스템의 초기 조건 및 압축공기가 완전히 배기되었는지 확인후 분해 조립하되 압축공기가 분기되지 않는 상태에서 유지 보수시 기계장치의 오동작으로 인해 인체에 상해를 끼칠 수 있으므로 반드시 지켜야 된다.
이 같이 일반적인 사용조건이 아닌 별도의 조건이나 압축공기외 가스 및 그외의 인체에 유해한 유체를 제어시 제작시공 문의 하신후 협의하여 공압기기를 선정 사용하되 그외 각별히 안전이 요구되는 경우에도 제작사로 문의하여 위험요소를 제거한다.
그러므로 공압기기를 사용하기 전에는 당업자는 주문하는 사양이 맞는지 한번더 확인한 후에 배관전 배관내의 청소나 그 외의 세정을 충분히 하여 관내에 이물질 및 절삭유 그 이외의 먼지등이 들어가지 않도록 주의하되
종래의 수해조절장치시스템의 테프론 테이프를 사용하는 경우 나사의 1.5∼2산 정도 남기고 감아주면 된다.
이 같이 중간정지형 밸브를 사용하는 경우 밸브(76)와 시린더(126) 사이의 배관에 누설이 없도록 주의하고 정밀한 위치제어의 경우 공기의 물리적인 특성인 압축성 및 미세한 누설로 인하여 정밀한 중간 정지가 되지 않는 경우가 있으므로 긴 시간의 중간정지가 필요한 경우 제작사로 문의하여 애로사항을 해소하되
종래의 수해조절장치시스템의 배관시 무리한 힘으로 조이거나, 적정 토오크로 조이지 않을 경우 사용중 장치의 오동작으로 인한 인체에 손상이 올 수 있으므로 다음의 적정 토오크로 배관 설치되도록 하여야 된다.
종래의 수해조절장치시스템의 사용환경에 대하여 더욱더 상세한 설명으로는,부식성 가스, 화학약품용액, 해수, 빗물, 수증기 등이 있는 장소에의 설치 사용은 피하여 설치하되 수분, 기름 등이 일시적으로 있는 장소에 설치할 경우 보호 카바 등의 대책을 세워서 설치하고 먼지 등이 많은 경우는 밸브의 배기포트에 소음기 등을 부착하여 먼지등이 들어가지 않도록 하여야 되며 폭발성이 있는 환경에서 사용하지 않아야 되며 직사광선을 피하여 열원이 있는 환경에서 복사열을 차단하여 주도록 하여 진동 및 충격이 있는 장소에서의 사용은 피하고 사양을 반드시 감안하여 설치한다.
상기한 바와 같이 종래의 수해조절장치시스템의 솔레노이드밸브(76)는 기종이 다양하게 많기 때문에 5포트 솔레노이드밸브 (5PORT SOLENOID VALVE)는 밸브몸체(557)와 카버(558)에 스폴(SPOOL, 559)과 스폴패킹(560)에 안내 파이로트 (PILOT, 561)에 코일(562)이 2 위치 싱글(569)에서는 상기 코일(562) 좌측 부위로 부착되며, 2 위치 더블(570) 역시도 밸브몸체(557)의 좌측, 우측에 각개로 코일 좌측과 우측으로 부착되어 2 위치 싱글(569)과 2 위치 더블(570)로 표준생산제품으로 형성되는데 상기 표준생산제품 이외로 주문생산제품에는 3 위치 센터 크로지드 (Center Closed, 577)와 3 위치 센터 프레스르 (Center Pressure, 578)에 3 위치 센터 익조오스트(Center Exhaust, 579)로 다양한 구조로 상기 생산제품을 표시기호로 일반적으로 동도면에 기재된 바와 같이 싱글(S; SINGLE, 575)과 더블(D; Double, 576)은 표준생산제품으로 분리 구분되면 에이취(H; Center Closed, 577)와 아이(I; Center Pressure, 578)에 제이(J; Center Exhaust, 579)는 표시기호로 상기한 주문생산제품으로 분리구분되는데 특히 제이(579) 품목은 화재발생시 닥터벤츄레이션의 흡입구, 토출구의 환기장치의 파이어댐퍼 개페장치기구로서 시린더(126) 전방에 에어호스(109)와 연결되어 건물 또는 그이외 산업체 및 해상선박 내부에 널리 사용된다
종래의 수해조절장치시스템에의 매니폴드 시스템의 매니폴드 형식에는 5-포터 파일로트 타잎(PORT PILOT Type; M5, V8; 인치단위)의 (DMQF 100-MOO-S) 및 (DMQF100-MOO-L)의 형식을 취하는데 다음의 명세서로 설명한다.
각개의 솔레노이드 밸브 명세서
상기한 밸브(76)에서는 취부형식으로는 직접배관형 (581)과 베이스 배관형(밸브시이트, 582)의 취부형식으로 형성되며 동작방식으로 도시기호로 표기되었고 전원접속방식에는 중앙수직형(LL, 571)과 수직형(L, 572)에 수평형(M, 573)으로 분리되며, 입력전압에는 디시(DC, 직류 12V)와 디시(DC, 직류 24V)가 코일(562) 몸체로 스위치 온(ON)-시 개폐(밸브) 되고 스위치 오프(off)-시 전폐된다 이렇게 솔레노이드 밸브 몸체(557)에 부착되는 일체의 부속의 흡입구와 토출구에는 나사탭 및 가공홀 치수는 다음과 같이 설명한다 (거리치수 설명은 생략함)
아래의 각 치수의 나사탭에는 에어호스 결속구 유니온 카플링(567)과 유니온 카플링(몸체결속, 568) 암수나사산이 가공되는 일체의 가공홀(20)은 다음과 같다.
이렇게 종래의 수해조절장치시스템의 펌프소화기 몸체 내부의 입형다단펌프(8)와 집수정탱크(34) 내부에는 소방방재라인의 방수구(169)와 상기 방수구(169) 하단부로 송수구(168)와 상기 송수구(168)와 방수구(169)의 중간부위로 맨홀뚜껑(152) 상부의 플로우트(315)와 상기 맨홀 하부에 플로우트(315)로 방화수위 감지센서 역할로 방화수를 집수정 내부로 일정량을 채워지게끔 상기 맨홀(152) 상하로 부착되는데에는 상기의 플로우트(315)는 탱크 외벽의 가공홀(20) 주위 네곳으로 플로우트(315)와 결합 분리되는 루우버 카버(550)와 플로이트 인셔어트 스위치(551)로 형성되도록 상기 루우버카버(550) 몸체의 사각플랜지(28)로 결합된 후 상기 탱크 외벽 가공홀(20) 끼워서 플랜지 가공홀 네곳에 결속후 너트(25)를 채운후 수공구 몽키 스패너를 사용하여 결합 분리된다. 한편 상기한 바와 같이 동도면에 도시된 바와 같이 지표면(GLL) 상부로 베드프레임(286) 상단부 집수정탱크(34) 외부에는 베드프레임(286) 상단부로 센튜리푸우걸 펌프(308) 좌측에는 정지밸브(114)와 상기 밸브(114) 좌측에는 방수구(169) 각개는 플랜지(28)로 상기 펌프(308) 상부 티이엘보(44) 부착펌프(259)는 오토밸브(259)로 타임머 또는 레벨 스위치(541)와 하이레벨 알람(542)에 베이컴 페일루어 알람(543)과 스어멀릴레이 알람(544) 및 알람 리셋트버턴(545)과 탱크 내부 낮은 위치의 로워레밸 스위치(546)가 펌프제어보드(53) 내부와 외부로 설치된다.
종래의 수해조절장치시스템의 센튜리푸우걸 펌프(308) 몸체는 모터(192)의 중심축(198)인 샤프트(198)가 상기 펌프(308) 몸체인 케이싱(141) 내부에 임펠러(143) 날개에는 가이드 베인(142)이 종전의 펌프구동 요부위와 대동소이하게 부착되며 케이싱(141) 중심선에 위치하는 연결축(198) 둘레면에는 축봉장치의 매커니커시일(156)과 격벽(372)에 밸런스구멍(376)이 형성되어 매커니컬시일의 냉각방식(391)은 대동소이하게 축봉부(390)가 구성되는데 상기 펌프제어보드(53)의 제어박스는 입형다단펌프 제어보드(53) 기능은 대동소이 하되, 방수량 체크용 유량계(105)와 과대압력방지 스위치(108)가 방수구(169) 라인배관 상부의 정지밸브(114)의 라인배관(168)에 별도의 티이엘보(44)로 형성된 배관라인 센서로 표출되면서 인지되어 감지된다.
종래의 수해조절장치시스템의 입형다단펌프 및 제어시스템 개념의 압력탱크(189)와 집수정탱크(34)와 제어부 인버터(47)로 상호 연결되는데 이때 제어부 인버터(47)와 집수정 탱크(34)의 연관된 라인 관계는 방화수를 흡입할 때 흡입구(269)에서는 공운전 방지장치(271)와 각 펌프의 역지밸브를 인버터(47)에서 전폐와 전개를 제어할 수 있도록 되게끔 형성된 후 상기 역지밸브(6) 선반부 일체의 각 펌프(8)와 전방의 각 밸브(5)인 격리밸브(Isolating Vavle, Ballo-2 Butterfly, 5) 전방에 설치위치가 명확하게 설정된 후에는 압력탱크(189)와 제어부 인버터(47)는 토출합류관(4) 라인에 토출압력 체크센서인 제1압력 체크센서(86)와 제2압력 체크센서(87) 일체에 과대압력 방지 스위치(108)로 일정량 방화수압을 제어하면서 토출구(270)인 분사노즐인 다수의 소방노즐(10)로 화재를 1초 이내로 각개 A화재를 냉각작용과 질식작용이 되도록 믹서기(73)에 황토(158)를 주입시켜 케이블카아(256)로 일반 화재에 속하는 대형산불과 주거지 근린생활지역의 화재 예방을 최우선으로 목적하는 소방 케이블카아(256)의 형성은 각개의 높고 낮은 산봉우리와 높낮이 차이있는 다수개의 건물 각개로 상호 와이로프로 복수개의 소방호스(9)는 안전 그물망(열십자형 또는 우물정자형의 와이어로프가 포함되는 그물망의 호스, 401) 형식의 호스(9)로 이루게 되는 구성이 기술적 특징이다.
이하에서는,본 발명 수해조절장치시스템의 댐 수로 건설에 사용되는 건설기계에 대해 다음과 같이 상세하게 설명하기로 한다.
다시 말해 건설기계(Construction machinery)라 함은 건설공사를 수단으로 사용되는 모든 기계의 총칭이다. 즉 원동기(Prime mover)로부터 얻은 동력을 이용하여 굴착, 운반, 견인 등에 사용되는 건설장비 및 중기류를 말하는데 이의 장비종류에 따라 상기한 건설기계로 본 발명이 이루지게 되는데 이의 건설기계는 아래의표와 아래의 그림으로 다음과 같이 상세한 설명을 하기로한다.
건설기계의 범위에 대하여 상세한 설명에 있어 건설기계 관리법에 의한 범위는 다음과 같다.
수해조절장치시스템의 댐 수로 건설에 사용되는 건설기계의 분류에 있어서 다음과 같이 상세한 설명을 하기로한다.
먼저 굴착기계에 있어서는, 불도저(855)와 스크레이퍼(859)에 엑스카베이터(856)와 루터로 분리되고 다음은 기초공사용 기계인데 파일 드라이버(882)와 디젤 파일해머(883)에 증기해머(884)로 분리되며 그 다음의 크레인(기중기, 861)에는 유압크레인(885)과 타워크레인(886)에 크롤러크레인(887)과 트럭크레인(888)으로 분리되고나,네번째 적재기계에 있어 로더(857)인데 셔블 로더(857a)와 팰 로더(857b)에 페이 로더(857c)로 분리하고 다음의 정지기계에는 모터 그레이더(864)로 분리한 후 다짐기계에 있어 머캐덤 롤러(889)와 탠덤 롤러(890)에 탬핑 롤러(891)와 타이어 롤러(892)로 분리되며 다음의 포장기계에는 콘크리트 피니셔(866)에 아스팔트 피니셔(871)와 아스팔트 디스트리뷰터(871a)에 콘크리트 배칭 플랜트(865)와 아스팔트 믹싱 플랜트(870)에 골재 살포기(873)로 분리한 후 운반기계는 덤프트럭(860)과 트랙터(893) 및 트레일러(894)와 지게차(858)에 컨베이어(633)로 분리하고 준설기계에 있어서는 준설선(879)으로서 그에 대한 범위에는 펌프 준설선(879a)과 버킷 준설선(879b)에 디퍼 준설선(879c) 그래브 준설선(879d)으로 분리시킨 후 별도의 주요 건설기계에는 천공기(876)에 쇄석기(874)와 공기 압축기(875)로 분리되어서 바지선 본체(591) 갑판데크 상단부에서 형성시켜 굴착, 운반, 견인 등에 사용하는 방식과 심해저에 수중조명(843)등과 무인카메라(184)를 부착한 후 엔진발전기(226)는 각개의 건설기계 몸체에서 격리시켜 무인작동방식의 모니터(52) 작동방식이 선택된다.
수해조절장치시스템의 댐 수로 건설에 사용되는 건설기계에는,아래 그림과 같이 건설기계의 더욱 상세한 설명에 있어 각개의 순서별 정의는 다음과 같다.
수해조절장치시스템의 댐 수로 건설에 사용되는 건설기계는 먼저 트랙터(Tractor)의 전면부에 배토판(스트레이트형, 앵글형 등)을 장착하고 후면에 리퍼(Ripper), 루터(Rooter) 등 부수장치를 부착하여 흙, 암반 등을 깎아 밀어내는 토공용 건설기계이다.
즉, 건설기계의 가장 기본이 되는 토공기계로서 불(황소) + 도저(쉬게 하는 기계)의 복합용어로서 황소를 노동으로부터 해방시킬 정도로 힘이 센 밀어내는 작업을 하는 기계이다.
용도에 있어서 아래표와 같이 설명한다.
일반사항으로는 도저의 규격 표시는 자중(ton 또는 kg)으로 표시 즉 자체중량으로 표시한다.
그리고 도저의 경제적인 작업거리는 10∼100 m이며 별도로 두 대의 도저로 삽 맞대기작업시 거리는 100m 이내로 하되
도저의 3대 작업은 아래표와 같으며
도저의 동력전달순서에 있어 아래표와 같고
수해조절장치시스템의 댐 수로 건설에 사용되는 건설기계 도저의 작업량 산출에 있어 아래그림과 아래표와 같이 설명한다.
1) 시간당 작업량 :
단, q : 토공판 용량(m3) f : 토량환산계수
E : 작업효율(%) C m : 1회 사이클시간(min)
① 블레이드 (토공판)용량 :
여기서. Q : 블레이드 용량(m3)
B : 블레이드 폭(m)
H : 블레이드 높이(m)
② 1회 사이클시간
(단. L : 작업거리(m). V 1 : 전진속도(min). V 2 : 후진속도(m/min). t : 기어변환시간(min))
수해조절장치시스템의 댐 수로 건설에 사용되는 건설기계 견인력의 상세한 설명은 다음과 같다.
여기서,(μ : 마찰계수)
(W : 차량 중량(kg))
견인마력(H)
단,
수해조절장치시스템의 댐 수로 건설에 사용되는 건설기계 도저의 분류에 있어서 아래그림과 아래표로 설명한다.
첫째로 주행장치에 의한 분류(=접지압을 고려한 분류)에는 아래그림과 아래표와 같이 무한궤도식이 사용되는 크롤러형 도저와 휠형 도저로 분리한다.
무한궤도식(Crawler type) : 접지면적이 넓고, 접지압력이 적어 나쁜 지형에서도 강력한 굴착능력을 가지며, 등판능력이 좋다. 습지용 트래슈를 사용하면 접지압이 낮아서 습지작업에 아주 적합하며, 트랙이 잠길 수 있는 깊이까지는 수중작업이 용이하다.
타이어식(Wheel type : 차륜식) : 접지면적이 크고, 접지압력이 커서 습지, 사지에의 작업이 불가능하지만 무한궤도식보다는 기동성, 이동성이 양호하며 평탄지면이나 포장도로에서 작업하기에 효과적이다.
둘째로 작업장치에 의한 분류에 있어 스트레이트 도저와 틸트 도저에 앵글 도저로 분리한다.
먼저 스트레이트 도저(Straight dozer)는 통상적으로 도저라 하며 삽을 변경할 수 없으며, 삽날(배토판)의 상부를 10°씩 경사지게 조작하며 직선 절토, 송토 작업에 사용 블레이드(Blade)의 상·하 작동에 유압실린더를 이용하여 자체중량으로 강력한 힘을 내어 굴착하는 기계인데 피치조정으로 전·후방 10°씩 삽의 변화각을 주어 굴토력을 조정할 수 있다.
수해조절장치시스템의 댐 수로 건설에 사용되는 앵글 도저(Angle dozer)는,
삽날이 길고 낮으며, 삽날의 위치를 좌우로 필요한 각도(20°∼30°)만큼 변경하여 사용 틸트 도저와 스트레이트 도저의 역할을 할 수 있으며, 신설 도로 작업시 산허리를 깎아 한쪽으로 배토하는데 적합하고나,동시에 앵글 도저의 용도에는 경사지 배토작업, 절토작업, 제설작업, 측면 매몰작업, 도랑매립작업, 파이프 매설작업, 굳은땅 측면 자르기작업들로 마련하고나,동시에 틸트 도저(Tilt dozer)는,삽날의 각도를 수평면을 기준으로 하여 좌·우로 각각 15cm 정도 경사를 지어 작업을 마련하고나,동시에 틸트 도저의 용도에는 언땅, 굳은 땅, 옆도랑 굴착, 바위돌 굴리기, V형 배수로작업 등에 수해조절장치시스템의 댐 수로 건설에 사용한다.
세번째로 부수장치(Attachment)에 의한 분류에 있어서는 레이크 도저와 힌지 도저에 트리 도저와 하이드릭리퍼에 푸시 도저와 티나 도저에 U 도저로 세분화 되어 있다.
수해조절장치시스템의 댐 수로 건설에 사용되는 레이크 도저Rake dozer)는,
삽날 대신에 레이크형(쇠고랑 모양)의 부수장치를 부착한 도저이며 용도는 농지 개간 및 도로공사 시 암석 골라내기, 잡목이나 나무뿌리 뽑기, 댐건설 공사 시큰 돌 운반에 적합. 굳은 땅 파헤치기에 사용된다.
수해조절장치시스템의 댐 수로 건설에 사용되는 트리 도저는, 개간과 정지작업에 적합하고 힌지 도저는 제토, 제설작업, 토사 운반에 적합하며 리퍼(Ripper)에는 지반이 단단하고 견고하여 굴착이 곤란한 경우 사용되었으며 불도저의 토공판으로 굴착이 곤란한 경우나 발파가 곤란한 암석 또는 옥석류의 제거, 아스팔트 포장 파괴 등에 사용한다.
수해조절장치시스템의 댐 수로 건설에 사용되는 푸시 도저(Push dozer)는 스크레이퍼 작업시 견인력을 주기 위해 스크레이퍼를 뒤에서 밀어주는 역할을 마련하고나, 터나 도저는 저압의 고무 타이어식 도저로 무한궤도식보다 고속이고, 운반 토량의 증가가 가능하다. 또한 이동이 쉽고 포장에 해를 주지 않는 것이 장점이며,한편 U도저는 블레이드가 U형으로 되어 있기 때문에 옆으로 넘치는 것이 적다.
수해조절장치시스템의 댐 수로 건설에 사용되는 불도저의 어태치먼트에 있어서,불도저는 토공장치 대신에 여러 가지 어태치먼트(Attachment : 부속장치)를 부착하여 작업할 수 있다.
먼저,스트레이트 레이크 도저(Straight rake dozer)는 스트레이트 도저에 삽 대신 레이크(rake)를 부착하여 뿌리 뽑기. 암석의 굴착 전용으로 사용하며 다음의 백호(Back hoe)는 파이프 전선의 매설구. 배수구 굴착용으로 이용되었고 다음 유압 리퍼(Hydraulic ripper)는 굳고 단단한 지반에서 블레이드(Blade)로는 굴착이 곤란한 지반이나 포장의 분쇄, 뿌리뽑기, 암석긁기 등에 사용되었으며 토잉 윈치(Towing winch)는 중량물 목재 등의 견인작업에 사용하고 스노 플라우(Snow plow)는 제설작업용으로 스킷 로더(Skit loader)는 목재, 펌프 등의 둥근 물체 적재 운반용에 그리고 크레인 훅(Crane hook)는 중량물의 적재. 적하, 운반용으로 로크 버킷(Rock bucket)은 암석의 적재 전용되었고 셔블(Shovel)은 굴착(산이나 절벽 굴착)에 사용되는 것이었다.
수해조절장치시스템의 댐 수로 건설에 사용되는 개요에는,불도저보다 운반거리가 크며 일명 캐리올(Carry all)이라고하며,대량 토공작업을 위한 기계로서 굴착, 적재, 운반, 부설, 다짐 등 5가지 작업을 일괄하여 연속작업 가능하고,모터스크레이퍼는 차량식 트랙터와 스크레이터를 조합하여 자주 능력을 갖게 한 것으로 자신이 동력을 가지고 있다는 것이 다르다.
수해조절장치시스템의 댐 수로 건설에 사용되는 용도 및 규격의 용도에서는,많은 토량을 굴착(굴삭)운반할 수 있으며 무른 토사나 토괴로 된 평탄한 지형의 지표면을 얇게 깍는 작업. 토사. 절토. 적재. 운반. 성토작업을 할 수 있으며 주용도는 토사운반작업이다. → 밀어서는 운반하지 못한다.
규격에서는,볼(Bowl)의 평적(적재)용량을 m3으로 표시하며,
동력전달순서에는,
다음의 스크레이퍼의 분류에 있어 상세한 설명을 아래표와 아래그림으로 설명한다
[견인식 스크레이퍼와 동력식 스크레이퍼 비교]
수해조절장치시스템의 댐 수로 건설에 사용되는 스크레이퍼의 주요 구성부분 및 역할 볼(Bowl)은,토사를 운반하는 용기로서 스크레이퍼의 중심부를 이루며 진행방향의 아래면에 삽날(Cutting edge)을 붙여 전진하면서 조작장치로 볼을 굴삭면에 자중으로 밀어 굴삭, 적재한다.
수해조절장치시스템의 댐 수로 건설에 사용되는 에이프런(Apron)은,볼의 전면에 설치하며 볼의 토사가 흘러 내리지 않도록 하는 역할을 하며, 적재 및 사토시에는 위로 올리게 한다.
수해조절장치시스템의 댐 수로 건설에 사용되는 이젝터(Ejector)는,
일명 테일 게이트라 하며 볼의 뒷면에 위치하고 볼내의 토사를 밀어내는 역할 및 토사를 적재할 수 있도록 넓은 공간을 만드는 일을 한다.
수해조절장치시스템의 댐 수로 건설에 사용되는 요크(Yoke)는,볼과 트랙터를 결합해 주는 부재이다.
수해조절장치시스템의 댐 수로 건설에 사용되는 스크레이퍼의 작업량(피견인식 스크레이퍼)에는,여기서, Q : 볼 1회 흙운반 적재량
f : 토량환산계수
E : 스크레이퍼의 작업효율
C m : 사이클시간
수해조절장치시스템의 댐 수로 건설에 사용되는 그레이더는, 토목공사에 사용하는 것으로 주로 정지작업을 하며 균토판(삽날 : 블레이드)을 장치하여 지표를 긁어 땅을 고르는 장비와,토공기계의 대패라 불리우는 장비로서 지면을 매끈하게 다듬어 끝맺음을 할 때 사용하는 장비이며 용도 및 규격의 용도에는,
성능 표시는 삽날(블레이드)의 길이로 표시하며, 동력전달순서에는,
수해조절장치시스템의 댐 수로 건설에 사용되는 모터 그레이더의 주차 브레이크는 변속기어의 하부축을 잡아주며 외부 수축식이며,동력전달순서에는,
블레이드의 추진각도와 절삭각도에 있어 아래표와 아래그림과 같이 설명한다.
추진각도에는,그레이드 중심선과 블레이드가 이루는 각으로 단단한 땅에는 작게, 정지작업 시에는 70∼90°정도로 작업하며,절삭각도의 절삭지면에 대하여 블레이드 절삭날이 기울어져 있는 각도로 절삭작업시에는 작게. 정지작업시에는 크게 잡는다.
그레이더 본체와 배토판과의 각도를 조절하여 흙을 옆으로 밀어낼 때 45∼60°정도로 하고 끝마무리에서는 90°정도로 한다.
블레이드 용량은,
단. Q : 블레이드 용량(m3) B : 블레이드 폭(m) H : 블레이드 높이(m)
조향장치의 최소 회전반경
(단. L : 축거리. γ : 킹핀. α : 외측 바퀴각 )
수해조절장치시스템의 댐 수로 건설에 사용되는 차등기구가 없는 이유는,작업성질상 직진성을 좋게 하여 다듬질 정밀도를 높이고, 능률을 올리기 위해서이다.
수해조절장치시스템의 댐 수로 건설에 사용되는 셔블계 굴착기는 가장 오래전부터 사용한 적재기계로서 굴착기계로 사용하는 것 외에 프런트 어태치먼트(Front attachment)를 설치하여 많은 작업을 할 수 있는 다목적기계이다.
셔블 또는 크레인을 기본형으로 하고, 각종 부속장치의 교환에 의하여 여러가지 굴삭작업과 크레인 작업을 하는 기계로서 상부회전체는 360°선회가 가능하다.
수해조절장치시스템의 댐 수로 건설에 사용되는 굴삭기의 구조에 대하여 다음과 같이 설명한다.
주요 3대 구성요소에 있어서,
굴삭기의 외부구조와 굴삭기의 분류에 있어서,주행장치에 따른 분류에 의하면 크롤러형과 휠형에 트럭탑재형으로 분리한다.먼저 크롤러형은 견인력이 크고 협소한 장소에서의 작업이 용이하며, 습지, 사지, 활지의 운행이 용이하고 안정성이 아주 좋다.그리고 포장도로 운행이 곤란하고 주행속도가 3.2 km/hr로 느리다.다음의 휠형은 포장도로와 교량 등의 운행이 좋고 작업장의 이동이 용이한 형식으로 주행속도는 40 km/hr 정도이고 작업능률은 크롤러형보다 30∼35 % 높다.
트럭 탑재형은 주행속도가 60 km/hr정도로 기동성은 좋으나 작업능률이 나쁘다.
조작방법에 따른 분류에 있어 수동식과 유압식에 공기식과 전기식으로 분리한다
수해조절장치시스템의 댐 수로 건설에 사용되는 크기에 의한 분류에 있어서, 소형과 중형에 대형으로 분리하며 소형은 철도, 트레일러 등의 수송에 임하여 둥글게 적재할 수 있는 일단의 한계로서 기체중량 20t 이하의 것을 말하며 바켓 용량 0.6 m3 이하의 셔블과 중형은 바켓용량 3 m3 크레인 조상능력 10 t 정도까지이며 대형은 중형 이상의 기체 중량의 것이 된다.
수해조절장치시스템의 댐 수로 건설에 사용되는 굴삭기의 성능 표시 방법은 백호, 파워셔블, 드래그 라인, 클램셸 버킷(Bucket)의 용량(m)으로 표시하고 어스 드릴은 굴착구경으로 표시하며 파일 드라이버는 해머의 중량으로 표시되고 크레인은 최대 권상하중을 (ton)으로 표시한다.
그리고 셔블, 백호, 드래그 라인, 클램셸의 작업량 산정식은 아래와 같다.
단.
수해조절장치시스템의 댐 수로 건설에 사용되는 프런트 어태치먼트(Front attachment)의 종류에 있어서,백 호(Back hoe)는 작업위치보다 낮은 굴착에 쓰이고 하천, 건축의 기초 굴착에 사용된다. (도랑파기) 기계보다 낮은 쪽을 굴삭한다. 기계보다 높은 곳에 있는 운반장비에 적재가 가능하다. 주로 좁은 위치를 굴삭한다. 상기 백호는 대형산불 예방용 방재 및 방제 배관라인 설치공사에 적합하다.
그리고 파워 셔블(Power shovel)은 원형으로 작업위치보다 높은 굴착에 적합하며 산. 절벽 굴착에 쓰인다. (삽)
또한 유압셔블의 특징인 기계로프식과 비교시에 의하면,첫째는 구조가 간단하다. 둘째는 프론트의 교환과 주행이 쉽다. 세째로 보수 및 운전조작이 쉽다. 모든 면에서 기계로프식 보다 우수하다는 것이었다.
수해조절장치시스템의 댐 수로 건설에 사용되는 드래그 라인(Drag line)의 긁어파기에는 먼저 작업반경이 크며 수중굴착에도 용이하다.는 것이었으며 다음은 지면보다 낮은 곳을 넓게 굴삭하는데 사용되었고 그 다음에는 하천의 사리채취에도 사용되며 단단하게 다져진 토질이나 자갈채취에는 적합하지 않다는 것이었다.
수해조절장치시스템의 댐 수로 건설에 사용되는 어스 드릴(Earth drill)은 무소음으로 대구경의 깊은 구멍을 굴착하여 현장 박기조정에 사용된다는 것이고 본 발명의 교각 설치에 적합하다.
다음의 크레인(Crane)은 중량물의 하역, 높은 건축공사에 쓰인다. 즉, 버킷 대신 훅(Hook)을 장치하고, 중량물을 들어올리는 기계이다.
그리고 파일 드라이버(Pile driver)는 항타용 기구로서 콘크리트 말뚝이나 시트파일을 박는데 쓰인다. (기둥박기)로 교각 설치용에 적합하다.
또한 클램셸(Clamshell)은 수중 굴착, 폭발작업 등 일정장소의 굴착에 적합하다. (조개장치)는 것이었고 지반 밑의 좁은 장소에서 깊게 수직굴삭에 사용되는 것이며 망간단괴 재취용에 적합하다. 자갈, 모래, 흙 등을 굴삭하여 덤프트럭에 적재하는데 많이 사용데 단단한 지반의 굴삭에는 적합하지 않다는 것이었다.
수해조절장치시스템의 댐 수로 건설에 사용되는 트렌처는 도랑을 파기 위하여 사용하는 기계로 적합하다 것이다.
수해조절장치시스템의 댐 수로 건설에 사용되는 굴삭기의 작업범위로는 최대 굴삭깊이는 버킷투스의 선단을 최저위치로 내린 경우 지표면에서 버킷투스의 선단까지의 길이로서 최대 굴삭반경(=최대작업반경)은 선회할 때 그리는 원의 중심에서 버킷투스의 최대 수평거리이고 최대 덤프높이는 최대 지상고이었다.
그리고 스키머(Skimmer)의 구조 및 기능에는 선회대에 달린 붐을 따라 버킷이 체인의 힘으로 이동되면서 지표를 얇게 깎는 건설장비인데 좁은 장소에서 얇은 굴착에 적당한 것이고 이의 용도에 있어서 대형기계로는 작업이 곤란한 협소한 장소에서 얇은 굴착에 사용한다는 것이었다.
한편 리퍼와 루터(Ripper, Rooter)의 구조 및 기능에 있어 지반이 단단하고 견고하여 굴착이 곤란한 경우에 사용되며 대형 불도저의 뒤에 부착하여 자체의 중량으로 발톱날(2∼3개)을 이용하여 단단한 지반을 긁어 파헤치는데 적당하다는 것이었으며 이의 용도에 있어서 나무뿌리 파헤치기, 아스팔트나 콘크리트 포장 파헤치기와 암석 또는 옥석류의 제거에 굳은 땅 파헤치기에 사용되는 것이었다.
수해조절장치시스템의 댐 수로 건설에 사용되는 크레인(기중기,861)의 개요에 따라 기중기라 부르며 중량물의 들어올리기와 내리기, 다른 작업장치를 이용하여 파쇄작업, 폐철 수집과 건축공사 등에 많이 사용 토목건설공사에 사용되는 토사, 석재, 기자재 등의 이동, 운반을 목적으로 차체 전면에 훅, 클램셸, 드래그 라인 등 전부장치를 설치하여 다목적으로 사용되는데에는 구조 및 명칭은 아래표와 아래그림과 같이 설명하며 수해조절장치시스템의 댐 수로 건설에 사용되는 건설기계의 기본 주요 3부 명칭에는,
수해조절장치시스템의 댐 수로 건설에 사용되는 건설기계의 구조 및 명칭에는 훅 그 이외 아래그림에 기재한 바와 같다.
수해조절장치시스템의 댐 수로 건설에 사용되는 건설기계의 규격(성능)표시방법으로는 최대 권상하중을 톤(ton)으로 표시하는데 크레인의 7가지 기본동작은 아래와 같다.
상기와 같이 수해조절장치시스템의 댐 수로 건설에 사용되는 건설기계의 크레인의 6개 전부장치(작업장치)에는 먼저 크레인(갈쿠리 : Hook)은 일반적인 기중작업, 화물의 적재 및 적하작업 등에 사용되며 클램셸(조개 : Clamshell)은 토사 적재작업, 수직 굴토작업, 오물 제거작업, 수중굴착, 호퍼작업 및 깊은 구멍파기 작업에 적합하였으며 셔블(삽 : Shovel)은 토사 굴토, 경사면의 굴토, 차량의 토사 적재, 도로의 기초공사에 적합하고 드래그 라인(긁어파기 : Drag line)은 제방 구축작업, 배수로 구축작업, 평면 굴토 및 수중작업 차량에 토사를 적재시 적합하며 트렌치호(도랑파기 : Trench hoe)는 배수로 작업, 매몰작업, 굴토작업, 채굴작업, 송유관매설작업에 적합하였고 파일 드라이버(기둥박기 : Pile driver)는 건물 기초공사 작업시 기둥박기 작업, 교량의 교주 항타작업 등에 사용되는 것으로서 상기 6개의 크레인은 수력발전소 몸체를 조립하는데 주요 장비이다.
수해조절장치시스템의 댐 수로 건설에 사용되는 건설기계의 붐(Boom)의 운전각도는 아래와 같다.
최소 제한각은 20°(단, 백호는 최소 제한각을 제한받지 않음)에 최대 제한각은 78°이며 최대 안전각은 66°30'로서 보통 작업각도는 45∼65°이다. 그리고 크레인(기중기)작업시 물체의 무게가 무거울수록 붐(Boom)의 길이는 짧게 하고 각도는 크게 한다.
수해조절장치시스템의 댐 수로 건설에 사용되는 건설기계의 크레인 분류에는 크롤러식과 트럭식으로 구분하는데 주행장치에 의한 분류는 아래표와 같다.
수해조절장치시스템의 댐 수로 건설에 사용되는 건설기계의 크레인 사용용도별 종류에 있어 다음과 같이 분리된다.
드래그 크레인(Drag crane)의 기능은 접지압이 크며, 연약 지반에서는 작업이 불가능하나 기동성이 좋다 것이고 용도는 고층건물의 철골 조립, 자재의 적재 운반, 항만 하역작업 등에 사용되었다.
타워 크레인(Tower crane)의 구조 및 기능은 높은 탑위에 짧은 지브나 해머 헤드식 트러스를 장치한 크레인이었고.
용도에는 높이를 필요로 하는 고층빌딩이나 건축현장에 많이 사용되었으며 유압 크레인(Hydraulic crane)의 구조 및 기능은 유압으로 하여 장치를 조작하는 이동 크레인으로서 붐(Boom)은 보통 5∼10m까지 신축가능하고 권상하중은 보통 3∼10ton이다는 것이고 용도는 항만 하역공사, 토목공사, 전주작업, 중량물의 권상작업 등에 사용되었고.
케이블 크레인(Cable crane)의 구조 및 기능은 양끝을 타워(Tower)에 굵은 케이블을 쳐서 트롤리를 달아 올리는 방식이며 용도는 댐(Dam)공사시 콘크리트나 자재 운반용으로 사용되었다.
데릭 크레인(Derrick crane)은 주요 구성 부위로 상기 데릭 크레인의 구조 및 기능은 철골제 마스트의 밑부분에서 비스듬히 붐(Boom)을 세워 블록을 지나 와이어 로프로 매단 중량물을 윈치로 감아올려 옮기는 기계이며 용도는 철골의 조립, 기초공사, 교량의 가설작업 등에 사용되고 종류로는 다음과 같었다.
가이 데릭은 재료빔에 대해 짐을 매다는 능력이나 작업반경이 크고 조립해체가 용이하며 하역작업. 중량물의 이동. 철골 조립작업 등에 사용된다 그리고 3각 데릭은 좁은 장소나 빌딩의 옥상작업에 알맞으며 기초가 없어도 되고, 차륜에 설치한 경우는 이동이 용이하므로 파일 해머작업, 교량가설, 항만 하역 등에 사용되는 것이었다.
수해조절장치시스템의 댐 수로 건설에 사용되는 건설기계의 트랙터 크레인(Tractor crane)은 먼저 셔블계 굴착기의 상부체에 크레인을 부착한 것으로 휠식과 크롤러식이 있다. 다음의 아웃리거는 안전성을 유지해 주고 타이어에 하중을 받는 것을 방지하여 타이어 및 스프링 등 하중으로 인하여 마모 파손되는 것을 방지해 주는 역할을 한다.
수해조절장치시스템의 댐 수로 건설에 사용되는 건설기계의 크레인 천정 주행 크레인(=문형크레인)은,천정에 주행 레일을 설치하여 이동하도록 한 크레인이며 보통 콘크리트 빔(Beam)의 제작 및 가공현장 등에 사용되는데 고정형은 공장, 창고 등에서 적재작업에 사용한다. 하지만 건설공사에는 사용하지 않는다. 그리고 주행형은 건설공사에 많이 사용한다.이같이, 체인 블록(Chain block, 648)은 보통 하역용으로서 최대 15ton까지 인력으로 끌어올릴 수 있다.
기중기의 권상, 권하 작업시의 안전장치는 브레이크와 제한스위치이다.
수해조절장치시스템의 댐 수로 건설에 사용되는 건설기계의 크레인 해상크레인은 교량의 대형 강구조물의 운송 및 가설. 초대형 시설물의 운송 및 설치, 해상 구조물 운송 및 설치에 사용되는데 드레그 크레인과 타워 크레인에 유압 크레인과 케이블 크레인 및 클램셸 부착물을 가진 크레인이 포함된다.
수해조절장치시스템의 댐 수로 건설에 사용되는 건설기계의 로더의 개요에 있어서는,일명 적재기라 하며 트랙터 본체 전면에 셔블(Shovel)장치를 하여 건설공사에서 자갈, 모래, 흙 등을 퍼서 덤프(Dump)차에 적재하는 것이 주용도인 건설장비이며 첫째 규격(성능)표시방법으로는 표준 버킷(Bucket)용량을 m3로 표시한다.
수해조절장치시스템의 댐 수로 건설에 사용되는 건설기계의 크레인 로더의 분류에 있어서,먼저 주행방법에 의한 분류로서 크롤러형 로더(Crawler type loader)(장궤식=무한궤도식=크롤러식=셔블 로더)는 크롤러 트랙터 앞에 버킷(Bucket)을 설치하여 험악한 늪지나 모래땅에서 작업을 수행할 수 있으며 수중작업이 가능함이며 휠형 로더(Wheel type loader)(차륜식=타이어식=휠식 로더)는 휠형 트랙터 앞에 버킷(Bucket)을 설치한 것으로 평탄한 작업장에서 기동성이 우수하고 작업 수행능력이 크며 포장한 도로에서 작업 용이하고 반무한 궤도식 로더는 전, 후륜의 한쪽을 무한궤도식으로 하고, 다른 한쪽에는 타이어를 장착한 것으로 무한궤도식과 차륜식의 단점을 보완한 기종이다.그리고 레일식 로더는 레일 위를 주행할 수 있는 장치로서 터널이나 갱내에서 적재 작업을 한다.
수해조절장치시스템의 댐 수로 건설에 사용되는 건설기계의 크레인 적하방식에 의한 분류 아래와 같다.
한편 로더의 상차 적재방법 아래와 같다.
수해조절장치시스템의 댐 수로 건설에 사용되는 건설기계의 크레인 그 이외의 로더에는,머크 로더(Muk loader)로서 터널공사에서 많이 사용하며 굴착공사에서 폭파된 토석 등을 운반차에 적재하는데 사용되며 페이 로더(Pay loader)는 덤프트럭에 토사를 적재하는데 사용하며 가급적 서서히 운행해야 하고 무부하 운전시 버킷(Bucket)을 올려서는 안된다는 것이었다.
수해조절장치시스템의 댐 수로 건설에 사용되는 건설기계의 크레인 레일식 슬랙 로더는 터널이나 갱도 등의 굴삭작업에서 폭파된 슬래그를 운반차에 적재하는 전용 중기이며 그리고 연속식 로더에는 개더링 암 로더로 각종 터널, 택지 조성, 석회석 채굴 등에 사용되었으며 스크루 엑스카베이터는 시가지의 지하 굴삭공사, 공장 또는 배안에서의 토사 적재작업에 사용되는 것이었고, 버킷 휠 엑스카베이터가 사용되었고 다음의 벨트로더가 사용되는 것이었다.
수해조절장치시스템의 댐 수로 건설에 사용되는 건설기계의 크레인 스키드 로더는 갱도나 터널에서 작업하기에 알맞은 적재기계로서 작업량 산정식은 아래와 같다.
여기서
수해조절장치시스템의 댐 수로 건설에 사용되는 건설기계의 크레인 덤프 트럭의 종류에는 다음과 같이 리어(Rear)덤프트럭은 짐칸을 뒤쪽으로 기울게 하여 짐을 부리는 트럭으로 토목공사에서 가장 많이 사용하고 있으며 사이드(Side)덤프트럭은 짐칸을 옆쪽으로 기울게 하여 짐을 부리는 트럭이고 보텀(Bottom)덤프트럭은 지브의 밑부분이 열려서 짐을 아래로 부릴 수 있는 것으로 트레일러 덤프차에 많이 사용되고 3방 열림 덤프트럭은 3방향으로 짐을 부릴 수 있는 트럭인 것이다.
수해조절장치시스템의 댐 수로 건설에 사용되는 건설기계의 크레인 덤프 트럭의 작업량 계산식은 아래표에 아래그림과 같다.
트럭의 소요 대수 계산 :
트럭작업량 계산 :
여기서,
수해조절장치시스템의 댐 수로 건설에 사용되는 건설기계의 크레인 덤프 트럭의 주행저항에는 회전저항과 구배저항에 구동력의 계산식이 있다.
회전저항(Wr)은 표시하고
구배저항은(Wg)은 상기와 같었고
구동력(Ws)은 상기와 같았다
여기서
다음의 덤프터(Dumptor)는 단거리 운반의 특수 비포장 도로용 트럭으로 협소한 작업장에서 작업 가능하며 그리고 기관차는 다음과 같이 운반거리가 1 km 이상인 경우에 사용하며 터널공사 방조제의 토운공사에 이용되었고 크기는 견인력을 표시하는 자중(ton)으로 표시된다.
또한 트랙터 및 트레일러는 중량물이나 장착물 및 건설기계(불도저, 롤러등)를 적재한 피견인 트레일러를 트랙터에 의하여 운반하는 기계이며 트랙터의 주행장치는 크롤러식. 반크롤러식, 차륜식으로 구분한다.
수해조절장치시스템의 댐 수로 건설에 사용되는 건설기계의 크레인 삭도(Rope way)는 산간 양쪽에 철탑을 세우고 케이블을 연결한 후 60 m 마다 운반기를 배치하여 화물을 운반하는 기계로서 지형 및 도로조건 등에 제약을 받지 않는다는 점과 고장이 적으며 비교적 장거리 운반에 용이하다는 것이었다. 그리고 댐공사 등에서 골재 및 시멘트 등의 재료운반에 사용된다.
☞ 이같이 왜건(Wagon)은 모터 스크레이퍼와 비슷하나 자력으로 흙깔기를 할 수 없고 싣기기계로부터 적재한 토사를 운반하는 기계이며 트랙터 드로운 왜건은 트랙터에 의해 견인되며. 앞. 뒤 끝에 차축과 바퀴를 붙인 것으로서 풀(full) 트레일러라고도 한다.
수해조절장치시스템의 댐 수로 건설에 사용되는 건설기계의 크레인 지게차(포크리프트 : Forklift)의 개요로서 화물을 들어 올리거나 내리는 장비이며, 자동차와 공통되는 점이 많은 장비로서 창고나 부두 옥내외에서 널리 사용되는 장비. 즉, 경화물의 단거리 운반 및 적재와 적하작업에 효과적이며 규격표시는 들어 올릴 수 있는 용량을 톤(ton)으로 표시(1톤 이상 중기)하고 이에 대한 특징으로는 조종석에 설치되어 있는 틸트 레버는 마스터를 앞으로 5∼6°(전경각이라 함), 뒤로 10∼12°(후경각이라 함)기울일 수 있고 높이는 최대 4500mm, 최소 3000mm(최대 양고라함)움직일 수 있다.
최소 반경이 매우 적다. (65∼75°안쪽 바퀴의 조향각도)
유압피스톤의 압력은 110∼130 kgf/cm2가 된다.
전륜 구동, 후륜 환향식으로 되어 있다.
☞ 지게차의 스티어링 장치 : 후륜환향식 유압으로 작동하는 마스터 뭉치가 설치되어 있다. (유압 70∼130 kgf/cm2)
운행시 포크는 지상으로부터 150∼200mm 정도 올리고 운행한다.
운행거리 250m 이내가 효율적이다.
앞바퀴는 직접 프레임에 설치하며 뒷바퀴는 소형에서는 현가 스프링이 없으나 대형은 현가 스프링을 사용하는 것도있다.
수해조절장치시스템의 댐 수로 건설에 사용되는 건설기계의 크레인 조종방법에는 효율적인 운반거리의 운반거리는 250m이내 작업에 적합하며 주행중 포크의 높이는 하물을 적재하여 운반시 포크의 높이는 150∼200mm정도 올리고 주행한다는 것이고 경사지 운반은 경사지 적하물 운반시 포크부(전면부)가 윗부분으로 향하고 후진하여 서행한다는 것이었다.
수해조절장치시스템의 댐 수로 건설에 사용되는 건설기계의 크레인 컨베이어(Conveyor, 633)의 개요로서 자재 및 콘크리트 등의 운송에 주로 사용되며 설비가 용이하고 경제적이므로 많이 사용되며 종류에 있어서,대형 컨베이어는 모래, 흙, 자갈, 쇄석 등의 운송에 사용한다는 것이고 스크류(Screw) 컨베이어는 모래, 시멘트, 콘크리트 운반 등에 사용한다는 것이며 벨트(Belt) 컨베이어는 흙, 쇄석, 골재 운반에 가장 널리 사용한다는 것이었고 ☞ 크기 : ton·m 포터블(Portable) 컨베이어는 모래자갈의 운반 및 채취에 사용한다는 것이었다.
수해조절장치시스템의 댐 수로 건설에 사용되는 건설기계의 크레인 특장 운반차에는 부정지 주행차와 유니모그에 호이스팅으로 아래와 같이 설명한다.
부정지 주행차는 진흙, 모래, 요철 등의 악조건에서 운반작업이 가능한 차륜식 전륜 구동차인데 유니 모그(Uni mog)는 농업용, 토목, 제설, 도로 유지관리 등 여러 분야에 널리 사용할 수 있는 차량이고 호이스팅은 중량물을 달아 올려 운반하는 기계이다.
수해조절장치시스템의 댐 수로 건설에 사용되는 건설기계의 크레인 롤러 개요로는 전압장치를 가진 자주적인 것으로 2개 이상의 매끈한 드럼롤러를 바퀴로 하는 다짐용 기계로 전압기계라고도 하며 주로 도로, 제방, 비행장, 활주로 등의 공사의 마지막 작업으로 노면을 다져주는 건설장비이다.
상기 롤러 규격 표시에는 롤러의 중량을 톤(ton)으로 표시하며 롤러의 규격이 8∼15톤(ton)인 경우에는 자체 중량이 8ton이고 벨러스트(부가 하중)를 7ton까지 적재한다. 그리고 롤러의 종류에 있어 전압식에 충격식과 가압방식의 진동식으로 분리한다.
수해조절장치시스템의 댐 수로 건설에 사용되는 건설기계의 크레인 요부위 부가하중(Ballast : 중량추)은 롤러자체의 무게로 전압능력이 작을 때 부가하중을 실어서 전압능력을 높이는 것을 부가하중이라 한다. 자중의 2배 이상으로 추가시킬 수 있다. 부가하중은 철, 물, 모래 등을 이용하는데 타이어 롤러는 물탱크에 필요한 만큼 주입하고, 머캐덤, 탠덤, 탬핑롤러 등은 바퀴에 부가하중을 주입하여 전압능력을 높인다.
그리고 가압방식에 의한 분류에 있어 전압식 다짐기계는 로드 롤러, 타이어 롤러, 탬핑 롤러로 분리되며 충격식 다짐기계는 래머, 탬퍼로 분리되고 진동식 다짐기계는 진동 롤러, 소일 콤팩터로 분리되었다.
수해조절장치시스템의 댐 수로 건설에 사용되는 건설기계의 크레인 롤러의 종류 및 특징에 의한 정적 압력에 의한 롤러는 롤러의 정적 자중에 의하여 노면을 다지는 것이고 그리고 머캐덤 롤러(Machadam roller)의 용도는 쇄석(자갈)기층, 노상, 노반, 아스팔트 포장시 초기 다짐에 적합하고 특징은 커브(Curve) 선회시 원활한 선회를 위하여 내륜의 속도를 감속시킬 수 있는 차동장치로 사용한다.
☞ 차동기어로 뒤차축의 중앙부에 장착되어 커브를 돌때 양쪽바퀴를 서로 다른 속도로 주행시키는 장치이다.
수해조절장치시스템의 댐 수로 건설에 사용되는 건설기계의 크레인 탠덤 롤러(Tandem roller)의 용도는 찰흙, 점성토 등의 다짐에 적당하고 두꺼운 흙을 다지거나 아스팔트 포장의 끝마무리 작업에 사용되고 동력전달순서는 엔진→메인클러치→변속기→전, 후진기→차동장치→종감속장치→후륜순서로 진행되며 특징은 쇄석 다짐에는 사용할 수 없으며, 구동드럼에 중유 주입 평활한 철재 원통형륜으로 2축 탠덤과 3축 탠덤이 있다. 또한, 전·후륜의 조작을 따로 하여 다짐 폭을 넓힐 수 있다는 것이다.
또한 탬핑 롤러(Tamping roller)의 용도는 토질이 연약한 곳을 다지는데 사용. 댐의 축대공사와 제방, 도로, 비행장 등이며 종류는 푸트 롤러, 턴 푸트 롤러, 테이프 푸트 롤러이고 특징은 강제의 원통륜에 다수의 돌기 형태의 구조물을 붙여 회전하므로서 다짐한다는 것이다.
수해조절장치시스템의 댐 수로 건설에 사용되는 건설기계의 크레인 타이어 롤러(Tire roller)의 개요는 탠덤 롤러의 철재 바퀴 대신에 타이어를 부착한 것으로 피견인식과 자주식이 있다는 것이고 용도는 비행장 활주로, 고속도로 아스팔트 포장시 노면을 일정한 압력으로 다지는데 사용하며 타이어의 공기압력은 1.5∼10kg/cm2이며 특징은 주행속도가 매우 크다는 것이었다.
수해조절장치시스템의 댐 수로 건설에 사용되는 건설기계의 크레인 원심력에 의한 롤러는 자중에 원심력을 이용하여 노면을 다지는 것이고 진동 롤러는 기진기로 다짐바퀴를 진동시켜 다지는 기계로 쇄석, 자갈, 흙, 아스팔트, 콘크리트 등의 다짐에 적합하며 규격표시방법은 전장비의 중량인 것이다.이같이 충격식 다짐기계는 자유 낙하 충격을 다지기에 사용되며 래머(Rammer)는 소형 내연기관의 2행정 사이클기관 몸체에 다짐용 푸트를 단것이고 탬퍼(Tamper)는 가솔린기관의 폭발력을 토크로 바꾼 후 크랭크축의 왕복운동으로 변화시켜 스프링의 탄성체를 통해 다짐판에 전하는 구조로 되어 있으며 좁은 장소와 도로의 노견 다지기에 적합하다.
수해조절장치시스템의 댐 수로 건설에 사용되는 건설기계의 소일콤팩터 소형가솔린엔진을 이용하여 진동을 일으키는 장치와 평판진동체가 조합된 다짐기계로서 자주식과 인력에 의한 이동식이 있다는 것이다 이처럼 중량에 비해 다짐효과가 크다는 것이고 사질토에 적합하다는 것이며 점성토에는 부적당하다는 것이었다.
수해조절장치시스템의 댐 수로 건설에 사용되는 건설기계의 롤러 다짐폭으로 1회 통과에 다져지는 폭(최대나비)에 의한 선압인데 바퀴의 접지 중량을 그 바퀴의 폭으로 나눈 값(kg/cm)이다.
수해조절장치시스템의 댐 수로 건설에 사용되는 건설기계의 소일 스태빌라이저(Soil stabilizer, 864)는 흙땜. 도로. 비행장 공사 등에 경제적인 다짐 안정공법으로 사용되며 실작업에서 각종 작업을 1개 기종으로 한번에 끝낼 수 있는 안정처리 시공기계이다. 이에 노상, 노반재료를 정확하게 현장에 투입한다는 것이며 자기 자신이 굴착하고 분쇄작업을 한다는 것이고 전체 재료를 균일하게 혼합한다는 것이었다.
수해조절장치시스템의 댐 수로 건설에 사용되는 건설기계의 콘크리트 포장기계의 종류는 콘크리트배칭 플랜트(865)와 콘크리트 믹서의 콘크리트 믹서트럭(868)에 콘크리트 펌프(869)와 콘크리트 피니셔(866)에 콘크리트 스프레더(867)로 분류된다.
이에 콘크리트 제조기계로 콘크리트배칭 플랜트(Concrete plant, 865)의 개요는 골재 저장통, 개량장치 및 혼합장치를 가지고 있고 원동기가 달린 것으로서 각 재료를 소정의 배합률로 콘크리트를 제조 생산하는 장치이고 종류는 정치식, 가반식, 트로리식, 탑재중층식이 있으며 규격표시는 시간당 생산량을 톤으로 표시(ton/hr)하게 된다.
수해조절장치시스템의 댐 수로 건설에 사용되는 건설기계의 콘크리트 믹서의 아래 그림과 같이 모래, 자갈, 시멘트, 물 등을 혼합(Mixer)하여 공사현장에서 효과적으로 작업하기 위한 기계인데 건식(Dryness type)은 시멘트 및 골재를 계량하여 투입하고, 주행도중 물을 가하여 혼합하면서 목적지(공사 현장)에 운송하며 혼합(Mixer)할 때의 구동은 유압에 의해서 이루어진다. 그리고 습식(Wetness type)은 완전히 혼합된 생콘크리트 혼합물을 교반하면서 운송하는 것으로 "에 지테이터"라고도 한다.규격표시는 1회 혼합할 수 있는 콘크리트 생산량(m3)으로 표시한다.
수해조절장치시스템의 댐 수로 건설에 사용되는 건설기계의 콘크리트 운반기계의 콘크리트 믹서 트럭 개요에 있어 자갈, 모래, 시멘트, 물을 혼합하여 건축공사시에 효과적으로 작업하는 기계이며 건식믹서는 시멘트나 골재를 투입하고 물을 가하여 혼합하면서 목적지에 수송하며 습식믹서는 완전히 혼합된 생콘크리트 혼합물을 교반하면서 수송하는데 규격표시는 용기내에서 1회 혼합할 수 있는 생산량(m3)으로 표시한다.
수해조절장치시스템의 댐 수로 건설에 사용되는 건설기계의 콘크리트 펌프(869)의 개요는 터널 속 교량 또는 건물속에서와 같이 제한된 공간에서 콘크리트를 운반할 때에 편리하며 펌프는 기계식과 액압식이 있다는 것이며 이동 설치가 간단하고 설치장소에 특별한 제한이 없다.는 것이고 유압 또는 유압 병용식으로 충격이나 진동이 적으며 취급이 간단하고 보수 점검이 용이하고 경제적이다는 것이었고 고층건물 및 장거리 콘크리트 이송에 사용된다는 것으로 아래그림과 같이 설명한다.
위 그림의 종류에는 이동식과 기계식에 액압식과 트럭 적재식인데 다이어프램식은 고층건물(100m이상)에 사용하며 규격표시는 시간당 배송능력(m3/hr)으로 표시되고 피스톤식 콘크리트 펌프의 구성요소는 콘크리트 주입 호퍼, 흡입 및 토출밸브, 피스톤, 실린더로 형성된다.
그리고 콘크리트 타설 기계에는 콘크리트 피니셔(Concrete finisher, 866)의 개요는 콘크리트를 포설한 다음 고르고, 다짐하는 마무리 작업기계로서 먼저, 포설기로서 포설하고, 진동기로 다지고, 그 뒤를 피니셔가 횡단방향으로 움직이면서 콘크리트 슬래브면을 마감작업을 한다는 것으로 아래 그림과 같이 설명한다.
위 그림의 용도로는 기계각부의 부하가 적다.는 것이고 구조가 간단하고 기계의 마모 및 소음이 적다.는 것으로 콘크리트 피니셔는 표면의 앞, 뒤 고르기 진동 등을 하면서 포장표면을 끝낸다.는 것이며 규격표시는 시공할 수 있는 표준폭(m)으로 표시한다.
콘크리트 스프레더(Concrete spreader, 867)의 개요는 포장노반에 살포 된 생콘크리트를 균일하게 부설하는 포장기계이며 용도는 콘크리트 피니셔 앞을 주행하면서 트럭믹서나 덤프트럭으로부터 콘크리트를 받아 운반하고 깔고, 다지는 기계이고 규격표시는 시공할 수 있는 표준폭(m)으로 표시되었고 종류는 블레드형, 스크루형과 박스형으로 분류한다.
수해조절장치시스템의 댐 수로 건설에 사용되는 건설기계의 아스팔트 포장기계의 종류는 아스팔트 믹싱 플랜트(870)에 아스팔트 피니셔(871)와 아스팔트 살포기(872)에 아스팔트 커버와 아스팔트 스프레이로 분리된다.
아스팔트 믹싱 플랜트(870)의 개요는 골재 공급장치, 건조 가열장치, 믹서 아스팔트 공급장치를 가진 것으로 원동기를 부착한 이동식의 것은 도로포장공사뿐만 아니라 공항, 항만공사 등에 사용되는 아스팔트 혼합재를 제조하는 기계 및 그 설비이며 배기 집진장치는 건조기 드럼내에서 발생된 수증기, 먼지, 연소가스 또는 진동스크린에서 발생된 분진 등을 이용하여 원심분리 청정시키는 장치이고 규격표시는 아스팔트 혼합재(아스콘)의 시간당 생산량(ton/hr)으로 표시한다.
이의 종류에 있어 계량, 혼합방법은 배치식과 연속식으로 형성되며 설치방법은 정치식. 가반식인데 조작방법은 전자동식과 반자동식에 수동식으로서 용도는 골재건조와 아스팔트 혼합에 아스팔트 가열 등이며 구성은 피드 호퍼와 골재건조장치에 배기집진장치와 핫엘리베이터에 진동 스크린과 믹서와 아스팔트 캐틀에 계량장치로 형성되었다.
수해조절장치시스템의 댐 수로 건설에 사용되는 건설기계의 아스팔트 피니셔(Asphalt finisher, 871)의 개요는 정리 및 사상장치를 가진 것으로 아스팔트 혼합공장에서 자갈 모래를 160℃이상 끓여서 혼합골재를 도로상에서 일정한 규격의 두께로 깔아주는 장비이며 용도는 비행장 활주로와 고속도로의 아스팔트 포장공사에서 아스팔트 살포, 고르기, 다지기 등에서 사용되며 규격표시는 최대 포장나비(m) 및 포장능력(ton/hr)으로 표시되었고 아스팔트 피니셔(871)의 기구에 있어 스크리드는 노면에 살포된 혼합재를 매끈하게 다듬질하는 판이며 리빙 호퍼는 장비의 정면에 5톤 이상의 호퍼가 설치되어 덤프트럭으로 운반된 혼합재(아스팔트)를 저장하는 용기이고 피더는 호퍼 바닥에 설치되어 혼합재를 스프레딩 스크루로 보내는 일을 한다는 것이며 범퍼는 스크리드 전면에 설치되어 노면에 살포된 혼합재를 요구하는 두께로 포장면을 다져주는 일을 한다는 것인데 아래그림과 같다.
수해조절장치시스템의 댐 수로 건설에 사용되는 건설기계의 아스팔트 살포기(Asphalt distributor, 872)의 개요는 아스팔트를 끓여서 최초로 도로 표면에 뿌리는 장비. 즉, 아스팔트를 노면에 뿜게 하는 살포기인 데 종류는 자주식, 기어펌프식에 용액가압식과 탑재식으로 되었고 규격표시는 최대 살포나비(m) 및 탱크 용량(m3)으로 표시하며 아래그림과 같이 설명한다.
아스팔트 커버는 고속도로용으로서 아스팔트 혼합재를 연속적으로 까는 건설장비이며 아스팔트 스프레이는 아스팔트, 아스팔트 유제와 타르 등을 오일버너에 의하여 가열용해하며 노면에 가압 살포하는 장비이다.
수해조절장치시스템의 댐 수로 건설에 사용되는 건설기계의 노상 안정기(Stabilizer)의 개요는 기체가 노상을 진행하면서 각종 작업을 하며 결합제, 물 등을 첨가 혼합하여 표면 고르기, 조여 굳힘 등을 하는 장비이고 규격 표시는 유체탱크의 용량(m3)으로 표시하며 특징으로 작업능률이 양호하고 기동성이 우수하며 스프레이어의 효율이 좋다는 것이었고 땅을 파는 깊이 조정이 용이함이고 아래 그림과 같이 설명한다.
수해조절장치시스템의 댐 수로 건설에 사용되는 건설기계의 준설선의 개요는 물속의 흙을 파내는 작업을 하는 장비로 항만공사에서 항로. 선유장. 하천. 수로 등의 수심증가 및 수심유지를 위하여 공유 수면의 매립과 암벽, 방파제 등 축항공사의 기초공사까지 작업하는데 준설선의 분류에는 형식에 의한 분류와 능력에의 분류하여 구분하고나,형식에 의한 분류에 있어서,
으로 비자항식인 것으로 능력에 의한 분류에 있어 전동식과 디젤식에 증기 터빈식과 가스 터빈식으로 구분되었다.
수해조절장치시스템의 댐 수로 건설에 사용되는 건설기계의 준설선의 구조 및 용도에 있어 펌프(Pump) 준설선(879a)은 아래그림과 같다.
수해조절장치시스템의 댐 수로 건설에 사용되는 건설기계의 준설선 구조 및 용도는 배송관의 설치가 곤란하거나 배송거리가 장거리인 경우 저양정 펌프선을 이용하여 토사를 토운선으로 수송하거나 흙과 물을 같이 빨아 올리는 장비로 항만 준설 또는 매립공사에 사용하며, 작업 시 선체이동 범위 각도는 70∼90°이다.
그리고 규격 표시는 구동엔진의 정격 출력(PS)으로 표시된다 이의 특징으로는 아래표와 같다.
한편 버킷(Bucket) 준설선(879b)의 구조 및 용도는 해저의 토사를 버킷 컨베이어를 사용하여 연속적으로 토사를 퍼올리는 방식으로 준설된 토사는 토운선에 의하여 수송하며 대규모의 항로나 정박지의 준설작업에 사용하고나,종류는 연속식과 단속식이 있으며 연속식을 많이 사용되며 규격표시는 주 엔진의 연속 정격 출력(PS)으로 표시되었으며 아래그림과 같이 설명한다.
수해조절장치시스템의 댐 수로 건설에 사용되는 건설기계의 준설선 위그림과의 특징으로 아래표와 같다.
수해조절장치시스템의 댐 수로 건설에 사용되는 건설기계의 디퍼준설선(879c)의 구조 및 용도는 굴착력이 강하고 견고한 지반이나 깨어진 암석을 준설하는데 사용하며 규격표시는 버킷의 용량(m3)으로 표시하였고 이의 특징은 아래표와 아래그림으로 설명한다.
수해조절장치시스템의 댐 수로 건설에 사용되는 건설기계의 그래브(Grab) 준설선(879d)의 구조 및 용도는 선박위의 클램셸을 장치하여 특수한 기중기에 의하여 준설하는 장비로서 소규모의 항로나 정박지의 준설작업에 사용되었으며 규격표시는 그래브 버킷 평적 용량(m3)으로 표시하고 이의 특징으로는 아래표의 아래그림과 같이 설명한다.
수해조절장치시스템의 댐 수로 건설에 사용되는 건설기계의 준설선 기초공사용 기계(항타 및 항발기, 877) 분류하는데 디젤 파일 해머(Diesel pile hammer, 883)는 아래그림과 같이 설명되며 이의 개요는 2사이클 디젤엔진의 폭발력을 이용하여 항타하는 기계로서 동일 크기의 진동해머, 증기해머보다 2배정도 항타속도가 빠르다는 것이며 이의 방식은 기동장치에 의하여 램을 올렸다가 낙하시켰을 때의 분사장치가 작용, 앤빌의 오목면에 연료가 분사되어 램이 앤빌을 타격하는 순간 폭발함으로서 이 때의 폭발력과 램의 타격력이 말뚝에 전달되고 램은 반발력에 의하여 다시 위로 튀어 올라가게 되며 이때에 배기 및 흡입작용도 이루어지고 다시 낙하, 타격, 폭발을 되풀이하게 되므로 연속 항타작업이 가능하다.는 것이고 이의 구조는 실린더에 실린더 속을 오르내리는 램과 실린더 하부에 삽입된 앤빌에 연료펌프와 연료분사장치에 기동장치 등으로 구성되며, 실린더 냉각용 물 탱크 등이 장치되어 있었고 상기의 디젤파일해머(883) 몸체의 좌측에는 리드(896)에 기동장치(903)가 부착되었고, 상기 기동장치(903) 우측 상부에는 실린더(126)의 하부로 램(895)과 연료탱크(902)에 캠(901)의 하부에 연료펌프(900)와 상기 펌프(900) 하부로 헬밋(899)이 형성되었고 상기 헬밋(899) 하면에 파일(899)을 부착하여 파일작업이 진행되며 이의 규격표시는 램(ram)의 중량(ton)으로 표시된다는 것이었고 이의 용도에는 나무, 콘크리트, 강관 파일을 박는데 사용되며 이의 특징은 아래표와 아래 그림과 같다.
수해조절장치시스템의 댐 수로 건설에 사용되는 건설기계의 준설선 기둥해머(=기둥 파일 해머)의 이의 개요는 실린더 안에 증기 또는 압축공기를 보내 피스톤의 상하운동을 연속적으로 반복시켜 피스톤 로드 하단에 있는 램(ram)으로 기둥(Pile)을 박는 기계이며 기둥해머의 종류에는 증기해머에 이의 개요는 증기의 팽창에너지를 이용하여 피스톤을 동작시켜 항타하는 기계로 규격표시는 피스톤 중량(ton)으로 표시하며 이의 특징으로 구조가 복잡하고, 정비와 보수가 어려우며 유지비가 많이 든다.는 점이었고 경량이 단단하고, 밀도가 높은 흙속에 말뚝을 박을 때 사용되며 리드(Lead)에 안내되며 단동식과 복동식이 있다.는 점이다. 그리고 진동해머의 개요는 진동력에 의해 항타 또는 뽑기작업을 하며 진동수는 1분에 500회 이상이며 규격표시는 모터의 출력(kW) 및 기진력(ton)으로 표시하였고 드롭해머는 금속제 블록을 와이어로프로 들어 올렸다가 파일의 머리에 낙하시켜 그 타격력으로 파일을 박는 것이었고 기초공사용 기계 중 원거리에서 소량시공에 있어 동일조건일 경우 설비비, 운전경비를 적게 하고자 할 때 적합하였다 이의 장비의 장단점 아래와 같다
수해조절장치시스템의 댐 수로 건설에 사용되는 건설기계의 첫째의 장점에는 운전 및 해머조작이 간단하다는 것이었고 설비규모가 작아 소요경비가 적게 든다.는 점이었으며 낙하높이의 조정으로 타격에너지의 증가가 가능하다는 것이었다.
둘째로 단점에 있어 파일박는 속도가 느리다는 것이었으며 파일을 파손시킬 위험이 있다.는 점이었고 이에 작업시의 진동으로 주위 건물에 피해를 주기 쉽다.는 점이었고 수중 작업이 불가능하다는 점이었다.
수해조절장치시스템의 댐 수로 건설에 사용되는 건설기계의 파일 드라이버(Pile driver, 882)는 아래 그림과 같이 설명한다.
상기 파일 드라이버(882) 몸체의 리드(896) 상부에는 어댑터(906)와 붐전핀(904)에 와이어로프(19)와 도루레(135) 크레인붐(651)에 형성되었고 크레인 전면의 캐드워크(905)가 부착되었다. 상기 파일 드라이버(882)는 바지선 본체(591) 상단 갑판데크에 탑재후 갑판데크 작업위치에 장비를 고정시켜 파일(898) 작업이 진행된다.
이에 디젤해머에 증기해머와 진동해머에 드롭해머 등을 총칭하는 것으로 파일을 박을 때에는 드롭해머나 디젤해머 등을 사용하며 그 작업장치를 크레인 붐에 설치하는 장비인데 참고할 사항은 아래표와 아래 그림과 같다.
상기 파일(898)은 심해저 하부의 기초 기둥부위로 고정해지용의 앙카파일(898)을 부착시켜 교각용의 새들 형틀(617)로 콘크리트 교각을 해저 상부로 설치가 용이하게 작업 진행한다.
수해조절장치시스템의 댐 수로 건설에 사용되는 건설기계의 공기 압축기(875)는 아래 그림과 같이 설명한다.
이의 개요는 대기 중에 있는 공기를 흡입압축하여 압축공기를 만들며, 고압의 상태로 만들어 각종 건설공사에 다목적용으로 사용하는 기계로서 구동장치와 압축장치 및 그 밖의 부속품으로 구성되어 있다. 여기서, 구동장치는 압축기를 작동시키는 동력을 공급하는 가솔린 또는 디젤기관이다. 또한, 건설공사에는 주로 체적형 압축기가 쓰인다는 것이었고,이의 용도로 채석작업은 착암기를 이용하여 바위에 구멍뚫기, 분활작업 등을 한다.는 것이었으며 점토굴착 작업은 물속에 찌든 찐득한 점토에 굳은 땅위 연암 등을 삽장치나 굴착기로 굴착한다.는 것이고 파괴작업은 브레이크로 콘크리트, 아스팔트를 파괴한다는 점등이다.
이에 콘크리트 진동작업과 벌목작업에 페인팅작업과 타이어 공기주입 및 장비세척 등이며 건설공기압축기는 대용량인 것이다.
수해조절장치시스템의 댐 수로 건설에 사용되는 건설기계의 이의 종류에 있어 압축기 구별 분류하고 왕복형 압축기(피스톤식)에 베인형 압축기와 로터형 압축기에 스크루형 압축기와 원심(터보형) 압축기로 분리되며 용도별 분류에 있어 정치식은 일정한 장소에 고정시켜 사용되면, 주로 대규모 공사에 이용된다는 것이고 가반식은 압축기를 간단히 이동시켜가면서 사용할 수 있게 되어 있다는 것이다.
수해조절장치시스템의 댐 수로 건설에 사용되는 건설기계의 압축공기 생산과정은 다음과 같이 설명한다
에어 크리너→저압실린더→중간냉각기→고압실린더→공기 탱크에 압축공기의 저장을 구성한다.
이의 규격표시는 매분당 공기 토출량(m3/min)으로 표시. 즉, 실공기량으로 표시하며 210 c·f·m은 분당 210 입방 피트 압축공기 생산(ft3/min)으로 표기한다.
이에 공기 압축기의 부품에는 피스톤과 실린더와 흡입 및 배기밸브에 압력조정밸브로 이루어진다.이의 주요 부분의 기능(역할)은 아래표와 같이 설명한다.
수해조절장치시스템의 댐 수로 건설에 사용되는 건설기계의 천공기(Boring equipment ; 착암기와 같다, 876)의 상세한 설명은 아래 그림과 같다
이의 개요는 암석이나 지면에 구멍을 뚫는 기계로서 공기 압축기나 유압에 의해 작동된다는 것인데 타격식은 칼날의 충격에너지에 의하여 굴착되며, 굴착속도는 빠르나 그 깊이가 낮다는 단점이 있다. 대부분 압축공기를 이용하며, 이 압축공기로 충격용로드(rod)를 작동하게 하여 그 충격력으로 암석을 부수는 것으로서 구조가 간단하고, 취급도 쉬우며 압축공기의 조작도 쉬워서 많이 사용된다.는 점이였고 회전식은 구멍속에서 회전하는 칼날로 굴삭하며, 굴착속도는 느리나 그 깊이가 깊다.
이의 규격 표시로 크롤러식은 착암기의 중량 및 분당 공기 소비량(m3/min) 표기기재하였고 크롤러 점보식은 프랫트롤 단수와 착암기 대수(단×대)로 표시되며 이에 실드 굴진식은 사용 설비 동력(kW)으로 표시되고 터널 굴진기는 최대 굴착치수(mm)로 표시되었다.
이의 종류에 있어 싱커는 방음장치가 달린 최신형 착암기로서 암석의 구멍뚫기, 각종의 팽치커트, 갱도의 반하향 작업에 적합하다. 즉, 인력으로 조작할 수 있는 소형으로 공기의 힘으로 작동하며, 피스톤의 상·하작동으로 로드에 가격력을 전달하여 삭공하는 기계이며 드리프터는 강력한 천공기로서 넓은 절단면의 굴진작업, 채석작업, 댐굴착시의 큰 구멍을 뚫는데 적합하다. 수동 또는 자동이송장치에 의하여 적당한 추압을 비트에 주어 구멍을 뚫으며, 이 피드장치에는 체인식과 스크루식이 있다는 것이었으며 스토퍼는 수평에서 하늘을 향해 구멍을 뚫는 기계로서 절삭 수직 갱상향 채굴에 적합하다는 것이다.
수해조절장치시스템의 댐 수로 건설에 사용되는 건설기계의 브레이커는 콘크리트 도로의 파쇄 개수, 건조물 및 튼튼한 기초물 파괴 등에 사용되며 공기소비량이 적으면서 강력한 파쇄력을 갖고 있다. 주로 유압 백호 굴삭기에 부착하여 사용한다는 것이며 이에 록크래커는 화약을 사용할 수 없는 장소에서 암석이나 콘크리트 등을 유압으로 파쇄하는 장비이다.
수해조절장치시스템의 댐 수로 건설에 사용되는 건설기계의 핸드 해머는 좁은 곳에서 굴진작업과 2차 파쇄작업에 효과적이며 방음장치가 붙어 있어 사용하기 쉽다. 잭해머라고도 하며, 인력으로 이동, 조작이 가능한 소형의 착암기로서 주로 하향으로 구멍을 뚫는데 사용한다.
그 이외로 래그 드릴에 보링 머신과 크롤러 드릴에 왜건 드릴과 픽 해머 등이 있다.
수해조절장치시스템의 댐 수로 건설에 사용되는 건설기계의 쇄석기(874)의 이의 개요는 도로 및 콘크리트 공사에서 골재기층 다짐용에 사용한다. 다음은 원석을 부수어서 작게 만드는 기계로서 쇄석을 만들어 공급하는 기능을 가지고 있으며 모든 쇄석 작업에 사용되며 주로 골재생산에 사용된다는 점인데 향후 이의 기계로 해저채굴광석을 1단은 선별과정을 거치게 된다.
이같이 쇄석기의 종류에는 1차, 2차, 3차 쇄석기로 분리시키는데 1차 쇄석기의 각부명칭의 설명은 아래 그림과 같이 설명한다.
수해조절장치시스템의 댐 수로 건설에 사용되는 건설기계의 조 크러셔(Jaw crusher)는 압축력에 의하여 파쇄되는 기계로서 양측에 있는 조(Jaw) 사이에 암석이 투입되어 물려들어가면 양쪽 중 한 측은 고정되어 있고, 다른 측은 가동하여 이때의 가격압력에 파쇄되어 석재는 자기중력과 밀어내는 힘에 의하여 토출방향으로 내려오게 된다. 이와 같은 조(Jaw)는 강력한 힘으로 어떠한 경질 암석류도 파쇄할 수 있는 구조로 제작되어 있다.
위 그림과 같이 자이레토리 크러셔(Gyratory crusher)는 주철 또는 강철제로서 프레임 하부 편심축과 구동기어로 구성되어 있으며, 상부에는 cone형상의 파쇄실이 있다. 파쇄부에는 연직 강제축에 경강의 파쇄헤드부가 있어 회전하면서 1차 분쇄되며, 그 다음에 최후의 파쇄실 밑으로 배출되는 크러셔이다. 이 크러셔는 조(Jaw)크러셔에 비하여 진동이 적으며 연속적인 파쇄를 할 수 있는 장점이 있으며 기계의 위쪽을 투입구로 밑쪽을 토출구로 되어 있어 원석투입호퍼를 설치하여 덤프트럭에 그대로 적재할 수 있는 장점이 있다. 압축력에 의해 파쇄된다는 것이며 수해조절장치시스템의 댐 수로 건설에 사용되는 건설기계의 임팩트 크러셔와해머 크러셔(Hammer mill crusher)는 한 개의 회전축에 많은 디스크를 달고, 그 주위에는 장방형의 해머를 힌지에 매달아 급속회전을 시키면 돌은 타격하게 되어 이때의 타격력으로 파쇄되는 것이다.
수해조절장치시스템의 댐 수로 건설에 사용되는 건설기계의 2차 쇄석기의 콘 크러셔(Con crusher)는 짧은 수직형 주축위에 우산 모양을 콘맨틀헤드를 달아 이의 폄심운동에 의하여 프레임에 장치한 콘커브볼 사이에 돌이 물리고, 다시 이의 하강석을 파쇄하게 된다. 이는 충격작용에 의하여 파쇄되므로 그 구조가 약간 복잡하며, 파쇄석이 그대로 흘러내리는 슬립(Slip)은 거의 없어 상대적으로 파쇄비가 매우 큰 특징이 있다. 충격력과 압축력을 이용한다. 자이레토리 크러셔에 비하여 콘이 짧고, 공급구 치수가 작으며 출구 간격 치수가 최대 치수의 쇄석으로 규격품을 생산 할 수 있는 장점이 있다. 일정한 세골재의 대량생산에 적합하다는 것이다.
수해조절장치시스템의 댐 수로 건설에 사용되는 건설기계의 해머 밀 크러셔(Hammer crusher)에의 더블 롤 크러셔(Double roll crusher)는 2개의 경강제롤이 별개의 수평축에 고정되어 있고, 그 간격도 자유스럽게 조절할 수 있다. 이 롤은 평행으로 설치되어 있으나 회전은 각기 반대방향으로 회전하게 하여 그 사이에 암석을 물리게 함으로서 이 롤 사이를 통과하면서 파쇄된다. 이 롤은 압축파쇄, 배출의 주기능을 가지며 포장용 골재 생산에 많이 사용한다.
수해조절장치시스템의 댐 수로 건설에 사용되는 건설기계의 3차 쇄석기(874)의 로드 밀(Rod mill)은 5mm 이하의 잔골재를 생산하는 것이었고 볼 밀(Ball mill)은 로드밀과 볼밀은 파쇄된 돌을 다시 가는 골재로 생산하기위한 기계로서 강제의 원형 드럼 속에 짧은 환봉제의 로드를 넣고, 이 속에 가는 골재를 물과 함께 연속적으로 공급하여 드럼을 회전시키면서 타격되어 분쇄된 다음 흘러나오게 되는 것으로 비교적 입도가 균일하며, 이때의 물이 적으면 곱게 파쇄되며, 물이 많으면 입도의 거칠기 정도가 크다. 물이 있는 밀은 습식이고, 물이 없는 것은 건식이나 일반적으로 습식이 많다. 볼 밀은 로드밀의 로드 대신 강볼을 원통내에 넣고 회전하여 세골재를 얻게 한 것이 다를 뿐이다.
수해조절장치시스템의 댐 수로 건설에 사용되는 건설기계의 이의 규격표시는 시간당 쇄석능력을 톤(ton)으로 표시[T·P·H(ton per hour)]하는 것이다.
상기한 바와 같이 건설기계 각개의 장비는 수해조절장치의 본체(1)의 내부로 해양에서도 바지선선체(591) 상단에서 엔진발전기(226)의 동력전원(46)으로 해양터널 교통장치의 완성전 시기로 한시적으로 사용할 수 있게 한다.
이하,수해조절장치시스템의 댐 수로 건설에 사용되는 방화수(7)인 급수의 수원과 수질에 대하여 상세한 설명에 있어서,
하천수나 호수와 같이 지표 위에 노출되어 있는 물을 지표수라 하고 우물과 같이 지하에 잠겨 있는 물을 지하수라 한다. 급수의 수원으로는 하천수와 우물 물이 많이 사용된다는 것이었다.
이에 우물 물은 평균 온도가 16∼17℃로서 계절의 변화에 따른 수온의 차가 적어 냉방이나, 공업 용수에 적합하고 수질이 좋은 것은 음료수로 사용된다는 것이었으며,하천수는 수량이 풍부하므로 정화하여 대도시의 상수도 물로 많이 사용한다. 수도물은 겨울에는 3∼8℃ 여름에는 25∼28℃로서 계절에 따라 수온의 변화가 심하기 때문에 사진 현상,그 이외는 별도의 공업용에는 적합하지 않다는 것이었고,수질은 물에 포함되어 있는 유해물과 병균등에 따라 탁도, 색, 맛, 냄새 등이 다르므로 이를 검사하여 허용 함유량을 초과하는 경우에는 사용을 금하고 있다. 병균은 질병을 발병시키는 요인이 되며 유해물은 기준치를 초과한 광물질로서 요리와 세탁물에 나쁜 영향을 준다는 것이며,물의 경도는 물 속에 포함된 탄산칼슘 등의 광물질의 함유량을 기준으로 표시한다. 즉 탄산 칼슘이 물 속에 100만분의 1이 포함되어 있을때 이것을 1(p.p.m; part per milion)이라 한다. 음료수는 90∼110(p.p.m)이 적합하고 300(p.p.m)을 초과하여 서도 안된다. 또한 물은 경도에 따라 연수와 경수로 나뉘며 90 p.p.m 이하의 물을 연수(110 p.p.m) 이상의 물을 경수라 한다는 것이었다.
수해조절장치시스템의 댐 수로 건설에 사용되는 펌프(pump) 몸체에 대하여 다음과 같이 설명하기로 한다.
상기 펌프의 양수는 흡입관내를 진공하여 하여 빨아 올리는 작용과 물을 뿜어 내는 관내를 눌러서 올리는 작용에 의하여 행해진다. 빨아 올리는 작용은 진공에 의한 것이므로 대기압에 상당한 수두. 즉 표준 기압하에서는 10.33m 이상 빨아 올릴 수는 없다. 그러나 이 10.33m는 이론상의 빨아올리는 높이이며 실제로는 수중에 함유되어 있는 공기나 물 자체의 증발에 의하여 완전한 진공은 되지 못하며 또한 빨아 올리는 관 내의 저항손실 등에 의하여 이론상의 빨아 올리는 높이의 2/3정도 즉 약 7m 정도에 불과하다. 따라서 펌프의 설치 높이(빠라올림 양정)은 최저 수면에서 7m 이내의 곳이 아니면 안된다. 이 높이는 낮을수록 좋다는 겄이었다.
국내 수자원의 원천인 강수량은 세계평균보다 1.6배 많으나 인구의 과밀화로 1인당 강수량은 세계평균의 1/6정도에 불과하다.또한, 국토의 65%가 산악지형이며, 지역별 강수량 편차가 심하고, 홍수기에는 강수량이 저지대의 강하천에 편중되어 있어서 물이용 측면에서 매우 불리한 입장이다.
따라서 수자원의 계절적 불균형을 줄이고, 인구가 집중되어 있는 도시지역을 중심으로 늘어나는 용수 수요에 대처하기 위해서는 안정적인 용수 확보가 필수적이다.
한편, 다목적댐은 수자원 확보를 위한 중요한 사회간접자본 시설이나 건설에 10년 이상 소요되므로 사전에 준비하지 않으면 물부족으로 인한 사회적 비용이 크게 늘어나 경제발전에 걸림돌이 될 수 있다.
이하에서는,수해조절장치시스템의 댐 수로 건설에 사용되는 댐의 효과적인 홍수피해 대책에 대해 상세하게 다음과 같이 설명하기로 한다.
국내 수자원 총량 중 홍수기에 유출되는 양은 43% 정도로 이같이 엄청난 분량의 물을 가둬 하류 홍수피해 저감을 마련하고나,발전시설용수를 저장하였다가 필요할 때 사용할 수 있게 하는 댐시설은 우리나라와 같은 동남아 몬순 기후 지역에서 사용되고 있는 대표적인 치수 시설이다.
또한, 최근 우리나라 수자원 특성상 연중 비의 양은 많아지고 있는 반면에 비가 내리는 일수는 적어지고 있는 등 대규모 집중호우가 자주 발생하고 있으며 하천제방과 병행하기 위한 수단이다.
특히, 대규모 집중호우로 인해 산사태가 발생되고 계곡물은 난류와 와류로 넘쳐 하천제방과 철도교량이 파괴되고 농경지와 근린생활지역에 도로가 침수되며 농공단지 오·폐수 정화시설들이 침수되면서 홍수는 오염된 물로 정체하면서 강으로 바다로 흘러가는 현상과, 인명과 재산피해는 천문학적 수치로서 지난해 태국의 대홍수는 국토의 1/3이상을 삼켜 복구에 33조원이 소요될 것으로 예측하며, 아프리카의 지속되고 있는 가뭄, 호주의 반복되는 가뭄과 홍수, 파키스탄의 80년만의 대홍수 등 전 인류가 수해에 대비생존의 위협이 심각한 수준이다.
또한, 무엇보다도 현재 대부분 강이나 하천에서 홍수와 가뭄을 조절하기 위해 형성된 댐과 수문수중보 등에는 자연생태계 환경복원화를 위해 보완, 수정, 해야될 실정이다.
상기 수해조절장치의 본체(1) 내부의 낙동강 하구뚝과 영산강 하구뚝에는 물금 취수장의 염수유입차단과 농경지 염수유입차단 목적을 마련한 개설된 수문(293)에는 해양의 어패류들이 보금자리에서 산란을 하지 못하고 상선이나 어선들이 통행을 하지 못하여 주민들의 불편사항이 상당하고 이 뿐만 아니라, 강물의 수질이 3급수 내지 4급수로 하락하는 추세로 상수원 취수장 지역으로까지 조류가 발생하여 악취를 풍겨 대하천 중간 도시로 중류와 상류에는 공업지대들이 밀집되어 있어서 강물오염이 가속적으로 증대하는 실정이므로 오염된 물로 상수원의 음용수로 공급하니까 고도화된 정수시설과, 정수재료 활성탄 등이 많이 소요되여 상수원수의 생산원가가 상승하여 이의 피해는 주민들이 부담하는 실정이므로 이에 대한 대책방법 수해조절장치시스템의 여건 조성이 절실히 필요하다.
상기 앞서의 유해적조 발생원인과 태풍의 발생원인에 따른 대책을 상술한 바와 같이 무엇보다 시급한 것은 발등에 불이 붙어 있는 상태로 고통받는 부분인 화재로부터의 발생과 이에 대한 원인을 규명키로 한다.
종전의 최초발화 원인물질에는 라이터스파크, 성냥불과 촛불에(방화범의 소행에 따른 발화)와 낙석끼리 부싯돌의 마찰 또는 낙엽마찰과 번개불 등의 원인에 의하여 불꽃, 불씨와 불기둥으로 발화 후 잿더미 화염물질 발생으로 대형화재로 이어지고 이와 동시에 대형화재는 상가건물, 목조건물에 빌딩의 공공건물로 A화재의 종류에 속하는 범위의 화재진압을 1초 이내로 통신장비와 함께 불씨와 불꽃과 불기둥이 확산되지 않고 인명손상이 없도록 대형화재 발생 범위를 각 개의 발화현장에서 다수의 개 다중관노즐의 전폐위치와 개폐위치를 정확히 설정하는 것이 초기진화를 보장하며 인명구조를 보장하도록 마련하기 위하여 수해조절장치시스템의 무재해 지구촌의 소방방재대책을 아래와 같이 설정된 것이다
상기 수해조절장치의 본체(1)의 내부로 구성하는 수해조절장치에는 상기한 A화재의 건물등의 보통화재는 목재(산림)과 종이에 이불(섬유)등의 일반 가연소물의 화재가 높고 낮은산과, 밭두렁 논두렁의 가시덤불, 잔디와, 잡목과 낙엽등에 인화 확대되는 사례이고 건물내부 밀폐공간 화재발생시의 대처요령을 본 발명의 구성에서 설명토록 하되 화재의 사전예방이 최선책으로서 대형건물 옥상 부위의 기계실과 산정상 부위에는 거미집형의 케이블카아로 탄산가스와 황토분말을 발화현장에 방화수와 혼합시켜 화재의 안전영역을 이탈되지 않도록 1초 이내에 불연성 가스로 연소물을 에워싸 공기의 공급을 차단토록 질식작용과 물을 끼얹고 황토뻘물을 발화체에 8겹으로 옷을 입히는(황토페인팅과) 능선별의 방재수로에 자연늪지 조성이 형성된 일정한 간격 50m로 인명구조가 간단히 이루어지게 되었다.
발화요인은 다양한 것으로써 이하,생략하며 이렇게, 발화물질에 발화를 억제하도록 방재물질과 발화물질은 적대적인 상관관계를 해지하고, 죽마지우의 교분관계로 유지하도록 전폐위치를 정확히 설정되며 대형화재는 근린생활의 방대하고도 넓은 영역에서 사전예고없이 발생되는것으로 한정되고 밀폐된 공간 내부 외부에서 발생의 빈도의 다변화로 인해,상기 기술된바 있는 발화 원인제공물질과 이의 물질을 발화억제력으로 동원되는 방재소방장비의 수해조절장치시스템에는 다양한 관노즐홀이 다수의 산과 들로 건물내,외부로 전반적으로 위치 설치함에 인명을 구조함과 동시에 수동적인 방재 방식과 능동적인 방재 수단을 포함하여 이루도록 감지센서 겸용의 파라핀 센서형 관노즐의 파라핀 마개로 다수의 관노즐홀이 형성된 위치에 마련한 수해조절장치시스템의 이중관구조 물탱크 외부로 관노즐을 설치될 수 있다.
이러한 종래기술의 문제를 개선하기 위하여 고안된 것으로,수해조절장치시스템의 최초 화재발생지의 발화물질과 방재물질이 죽마지우의 밀접한 교분관계가 유지되면서 화재발생전, 후, 발생시 인터넷 관제시스템의 통신장비 일체와 입형다단펌프와 펌프전자 제어장치와 고성능 수중펌프와 공기압축기와 공기저장탱크와 와이어로프와 소방케이블카아 몸체에 형성되는 소방방재대책용품의 애드벌룬 비행선이 포함되는 설비일체로 기체와 액체 또는 고체의 방재물질을 혼합시켜 신속하고 정확하게 배관노즐이 화재발생전에는 고체로된 노즐마개로 유지하고 화재발생시 액체로 변화되면서 배관노즐이 방사선 형식의 노즐틈새와 일직선 틈새가 칸막이식으로 형성된 틈새노즐로 방화수가 복수개의 방사선 형상 커텐물막과 다수개의 일자형 일직선 형상 커텐물막으로 분리 방출 또는 분출후 화재발생시 발생되는 죽음의 가스 다이옥신과 화염물질로부터 신체와 생명에는 아무 이상없도록 다수개의 재난에 따른 대형산불 및 대형화재로부터 1초 이내에 진화하고 인명구조를 우선 순위로 해결하고 그 후에는 홍수와 가뭄에 대비하였고, 산사태 및 도로유실을 사전 예방에 철저히 완벽한 대책을 마련하였으며, 다수의 재난을 그때에 그 즉시 해소시키게끔 되어 있고 위기상황을 침착하게 극복함으로써 지구촌의 육상의 재난방지를 하기 위한 안전 제어장치 시설물 제조설치방식과 인명구조수단의 장비 일체로 소방방재노즐에 설치되는 파라핀 센서노즐마개로 산과 건물에 설치되어 화재방지목적 그 이외의 재난을 대비하여 지구촌에는 재해가 없도록 규격화로 형성된 무재해 소방방재대책용품의 관노즐이동형 소방센서펌프를 해양에 설치되는데에는 바지선선체(591) 하면에 오대양 육대주에 형성된 해양터널 교통장치(941)의 블록탱크(598) 내부의 전동차(771) 구간의 정거장에도 수해조절장치시스템의 화재유형의 소방장비가 설치된다.
이에 발화물질에는 미세섬유먼지 및 발화누적물질, 전선 상단부 미세발화먼지, 전선피복, 산업현장 내부로 전기용접으로 인한 불똥 및 스파르타. 산소절단으로 인한 불똥 및 스파르타, 원유 또는 화학물질, 종이류, 활성화 액체 오일, 활성화 고체 발화물질, 일회용 개스용기로 다수의 최초 발화 원인 물질인 낙뢰, 가스라이터, 구동바퀴 마찰로 발생되는 스파크 발생으로 다수의 발화물질로 재난발생되고, 해상재난에서는,해상선박인 유조선(797)의 암초 및 파도의 마찰로 또는 선박끼리 충돌에 의한 선체외부의 펑크 및 크랙 또는 철판 부식으로 선체내부로 선체외부의 바닷물인 해수유입으로 해수면(SLL)에서 해수면 하단부(SLD)로 침몰되면서 선체내부의 탑재물인 선박탑재용 원유 또는 화학물질(168)을 해수면(SLL) 하단부(SLD)로 해수면상단부(SLU)로 분출하여 재난발생되어 방제작업을 해수면에서 또는 육지바닷가에서 방제활동을 위하여 수많은 인원을 동원하고 이와 함께 오염물질 제거작업에 동원되는 흡착포, 이루 말로 표현할수 없을 지경의 종래의 기술수준인바 본 발명의 기술수준은 상기 방제활동이란 단어는 아예 제거되는 또는 제외되는 수준으로서 눈덩이 같이 불어가는 재난피해를 아예 없애주는 이에 대한 대책방법 수해조절장치시스템의 여건 조성이 절실히 필요하다.
종전의 대형화재는 근린생활 주거지역의 사정에 따라서, 소방차 출동이 지연되는 관계로서 작은 불씨가 확산 확대하여 불기둥이 크게되면서 대형화재로써 그 결과는 재앙을 초래하는 종래기술을 이루고 있다. 이렇게 근린생활구역의 방대한 지역 여러 곳에서 통상적으로 생산지 공장, 시장통으로 소방차의 진입에 상당한 애로사항이 발생되고 이러한 연유로 화재발생현장에는 건물하단에서 발화되여 상단으로 유독한 질식 가스 화염물질이 비상통로 일방통로 상층으로 주거지 호실에 가스가 침투하여 사전예고없이 발생되는 화재로 인하여 취침시에 발생할시에는 가스질식사고로 인하여 대형참사로 이어지는 안타까운 상황이란 점에서 이를 해소하고자 인명구조용 커텐칸막이형 물막과 일직선형의 복수개의 노즐틈새로 분출되는 다수의 물막이 대형참사를 사전방지할 수 있게 된다.
상기한 바와같이 통상적으로 종전의 화재발생 후 소방차 출동되어 소방차 전용 소방관창으로 방화수와 방화사를 살포함에 있어서, 불기둥 중심부를 먼저 살포함으로 인하여 이러한 방식의 화재진압은 불난집에 부채질 함과 동일한 수준이었다. 본 발명의 대형화재초기진화 및 인명구조를 하기 위한 무재해펌프소화기의 장비는 종래기술과는 현격하게 구별되게 소방노즐을 표준소방관창규격에 사용되는 소방호스 호칭별 규격에 따라 사용되게 노즐몸체(B)는 기본1형과 기본2형으로 형성되도록 접합부 노즐에 정확히 표준규격화로 조성된다.
위와 같이, 수해조절 장치는 강이나 소하천에만 치중되어서는 아니되기 때문이다.
그렇기 때문에, 본 발명 물의 위치에너지를 이용한 수해조절장치 시스템은 전 인류가 만년지대계로 맑은 물을 사용하여 저장 비축할 수 있도록 수해조절, 처리방법 및 설비를 제공하는데 있어서, 산맥의 지형지세를 잘 이용하도록한 방재수로와,산골짜기에 설치되는 저수지 수로댐에 산림녹화 및 산불방지, 생태환경복원사업 등의 문제점들을 취합하여 해소시킬 수 있다는 점 등의 물부족 국가에서 물풍족 국가로 전환한다는 점에서 본 발명은 종래기술의 수해조절장치시스템의 수준과는 현격한 차이이다.
그렇기 때문에, 본 발명자 의해 국내에 발명등록특허 제0546221호는 등록된 다용도 계단식 조절맨홀의 삼칠 계단식으로 차량의 통행에 따른 도로교통흐름의 방해와 작업자의 목숨을 잃을뻔한 위험을 해소토록 안전맨홀의 설치위치에서 감쪽하는 순간 감쪽같이 도로지표면과 동일하게 레벨을 균등하게 설치한 후 맨홀뚜껑 하단부로 또다른 장치물인 발명등록특허제10-0650936호의 인수공 맨홀 빗장걸이 장금장치로서 지중선로 관계자외는 함부로 들어가지 못하도록 제작되었고 이때에 장금장치의 열쇠삽입구가 녹이 슬고 아무나 열고 인수공 맨홀에 들락날락하여 국가의 통신보안에 큰 장애가 유발되어 이점을 해소하고자 열쇠삽입구에 파라핀액체를 투입시켜 3분동안 파라핀 액체에서 3분후에는 파라핀이 고체가 되면서 열쇠삽입구에는 녹이 슬지 않을 뿐만 아니라 고체상태에서는 열쇠를 삽입할 수 없도록 장치가 되었기 때문에 원리를 모르면 열쇠전문가(가칭 금고털이 범인)도 맨홀 내부로 근접하지 못하도록 되었고, 이때에 통신선로이거나 지중선로(전기 전선 지하 매설물)에서 전기합선으로 매시껍은 유독가스와 함께 뿜어내는 질식가스로 어느지점 어디서 발화되었는지 위치 식별을 할 수도 없고 진화요원이 진화도 못할 지경에 본 발명의 전개노즐로 지중선로의 맨홀가스 노출부위 전방과 후방으로 이산화탄소와 하론가스를 방화수액과 함께 지중선로에 투입함으로 해서 초기진화를 이루어내고 다치는 사람없이 발화현장에 접근하지 않고도 이중관 구조로 형성된 상기 다용도 계단식 조절맨홀형틀과 맨홀뚜껑 유동공간 틈새로 관노즐의 설치위치로 정확하게 방재물질을 투입함으로서 국내에 출원된 출원번호 10-2009-0088090호는 관노즐이동형 소방센서펌프는 소방방재용 장비로써 종전의 소방장비의 센서와는 저온감지효율이 성냥불과 촛불정도의 감지속도로 매우 빠르게 감지하는 것으로서 종전의 것과는 현격한 차이로 상기 출원번호 명세서(342 페이지 분량)을 참조하게 되면 본 발명 수해조절장치시스템 기술을 이해하는데 많은 도움이 표출되게 된다.
그리고 본 발명인이 국내에 출원되어 있는 출원번호 10-2007-0099575호는 오대양 육대주의 육지와 해양으로 연결되는 교량의 높낮이 조절되는 무재해 교량 부침형 터넬독몸체 내부에 유해적조, 대형산불에 황사와 태풍에 홍수가뭄과, 산사태로 지진해일의 영향을 받지 않도록 명확히 재해발생지 재해를 원천봉쇄차단하는 장비인데 상기 재해가 없도록 무재해 소방방재 대책용품의 관노즐이 적도적선의 위도에 남극과 북극을 횡단하는 거리의 치수는 92500km이고 상기 치수의 20배로 관노즐 몸체로 형성되어야만이 무재해 지구촌의 자연적 재해를 일소하면서 인위적 재난인 전쟁과 테레가 없는 평화로운 지구촌의 행복한 삶을 보장받기 위해서도 상기한 관 노즐홀이 다공가변형으로 전개와 전폐할 수 있게 그 기능을 보장받도록 하고 있다.
이러한 본 발명의 기술수준은 상기 방제활동이란 단어는 아예 제거되는 또는 제외되는 수준으로서 눈덩이 같이 불어나는 재난피해를 아예 없애주는 것으로서 종래의 기술수준과는 현격한 차이의 재난방지시스템으로 구비되는 특징이자 본 발명의 목적으로 이루어지는데에는 종전의 건설장비 및 중기류인 건설기계를 본 발명에 형성시켜 지구촌의 경제불황과 향후 3년 이내로 국가채무상환액을 청산할 수 있는 정치, 경제, 문화, 과학, 환경분야의 미래 청사진이 포함되는 미래지향적인 해양발전소 몸체 내부의 제작 설치가 기술적 특징으로 본 발명 수해조절장치 시스템은 서울지역에 거주하는 주민들이 수도꼭지만 틀면 설악산이나 지리산 물을 음용할 수 있고 부산지역에 거주하는 주민들도 마찬가지로 수도꼭지만 틀면 설악산이나 지리산 물을 음용할 수 있도록 하고 더 나아가서 평화통일이 이루어지는 그날의 이전이라도 평양주민이 설악산이나 지리산 물을 음용하고 남한주민이 백두산이나 묘향산 물을 음용할 수 있는 등의 서로 인정을 베풀면서 삶의 질의 향상시킬 수 있는 수해조절장치시스템의 여건 조성이 절실히 필요하다.
또한, 태풍의 피해는 인적, 물적, 천문학적 수치로 국가경제에 미치는 영향이 크기 때문에 기상청의 일기예보 따라서 신속하게 전국민적 협동심을 발휘하여야 한다 그 실례로서 추수기를 앞두고 과수원 등에 낙과피해로 농부들의 고충은 가일층 증가되므로 낙과로 인한 피해가 없도록한 기상청 일기예보가 발령되면 과수원의 과일 등은 전국민적 자원봉사로 태풍이 오기전에 과일 등을 수확하여 냉동창고 등에 보관을 해 둠으로써, 수해피해를 줄일 수 있는 방안으로써, 이같은 수해에 대처하는 수해조절장치시스템의 방안들이 절실히 필요하다.
이러한 본 발명이 해결하고자 하는 기술적 과제는,지구촌 내륙의 산악지대의 산간지역에서 물탱크와 콘크리트댐과 방재수로들로 홍수유량을 제어하면서 소하천 대하천과 해안의 바닷가 지역 등의 설치 위치에 따른 전국토에 설치된 다수개의 여러 산악이 잇달아 길게 뻗치어 줄기를 이룬 지대인 산맥의 산줄기와 산등성이를 따라 죽 이어진 선인 산능선과 산의 생긴 형세인 산세에 따른 태풍, 산불, 황사, 홍수와 가뭄 등의 자연재해로부터 제약을 받지않고 부양식독을 강 하구둑 댐 수문에 투입하여 어도터널 설치와 산사태 방지에 자연생태계 복원과 자유로운 선박통행에 해양매립 수해조절장치로 수해조절 수행을 구성하는 여러 종류의 무재해 자연환경복구 수해조절장치의 특성 및 수해 극복의 신뢰성을 향상시킬 수 있는 부가적으로 물의 위치에너지를 물의 운동에너지로 전환시켜 지속적으로 수력발전에너지 전력생산을 수행하도록한 수해조절장치 시스템의 산능선 수개의 방재수로와 댐과 펌프와 밸브와 분사장치노즐과 무동력펌프와 케이블카아들로 형성시켜 방제와 방재활동을 효율적으로 한꺼번에 수해조절 수행을 이루도록 마련하고나,동시에 3000m/m 정도의 강수량의 집중호우에도 견고한 방재수로와 댐에 의해 하천제방들이 견딜 수 있도록한 수해조절장치들로구비해 홍수기에는 계곡에 흘러 넘치는 물을 소하천 대하천으로 유입하지 않도록한 수해조절장치들로 수해조절 수행을 이루도록 마련하고나,동시에 수해조절장치시스템에의 수해조절장치에는,산악지형에 따른 높낮이 조절의 다수의 각부능성별 방재수로와 댐에 물을 회전 분산 방류시키면서 물을 저장하여 홍수난류와 와류를 신속하고 효율적으로 완화시켜 산간벽지 하부의 하천제방이 붕괴되지 않으면서 도로와 교량이 유실되지 않도록 마련하고나,동시에 수해조절장치에의,원형물탱크 형태와 동일한 수로댐들은 산사태발생의 사전예방을 마련하고나,동시에 하천수위와 동일한 저지대의 농경지와 근린생활지역과 축산단지와 공업단지로는 침수피해의 물난리를 없도록한 수해조절장치들로 생활오폐수와 축산오폐수와 공업폐수들이 하천에 유입되지 않도록 마련한 1급수질의 수해조절용수를 유지하여 지속적으로 바다로 흘러보내며 가뭄기에는 삼년 정도로 사용하도록한 수해조절용수를 댐과 저장탱크에 저장된 물을 생활용수와 음용수와 농업용수와 수력발전용수와 공업용수의 수해조절용수들로 마련하고나,동시에 방제 및 방재용수의 수자원을 풍족하게 공급하도록한 값싸고 질좋은 1급수질의 수자원을 지속적으로 공급하도록 마련한 바지선 선체의 부양식독 수해조절장치들로 수해조절을 극대화하여 구성하는 수해조절장치시스템을 지구촌에 제공하는 것을 목적으로 한다.
또한, 본 발명은 기상청의 장기적 일기예보에 따라 홍수 가뭄 주위보, 폭염 경보 발령 그 이외의 계절별로 발생하는 대형산불과 황사 및 폭염, 유해적·조류 등의 자연재해를 극복하도록한 페인트 수준과 동등한 황토혼합물을 혼합한 기존의 다목적댐과 신설된 다목적댐 몸체 둘레면에 다수개의 집수정탱크 및 이중관 구조블록탱크를 계절의 기온변화에 대비하여 히팅보온장치 설치를 마련하고 가두리 양식장에 물이얼지 않도록한 히팅보온장치들을 더 신설하여 사용하도록 마련하고나,해안선의 해안가 주변으로 방파제 겸용의 가두리 양식장 역할의 저장탱크를 더 설치하며 가뭄기에는 강하천의 조류발생전 밸브 개방을 구비해 황토혼합물 살포를 마련하고 해양의 유해적조발생전 후 시 예방활동을 바닷가에서 선박없이도 황토혼합물을 지속적으로 살포하여 재해예방을 극대화하도록한 댐과 펌프와 밸브와 분사장치노즐과 무동력펌프와 케이블카아들로 형성시켜 방제와 방재활동을 효율적으로 한꺼번에 수해조절 수행을 이루도록 마련한 바지선 선체의 부양식독 수해조절장치들로 수해조절을 극대화하여 구성하는 수해조절장치시스템을 지구촌에 제공하는 것을 다른 목적으로 한다.
또한, 본 발명은 산맥의 산악지형에 따른 여러가지 댐수로 설비에 저장된 물의 위치에너지를 운동에너지로 전환시켜 수력발전을 일으키는 수력발전설비를 이용하여 비용이 적게드는 값싼 에너지를 생산증대 함으로써, 화력발전의 값비싼 석유, 석탄 연료에 대체하는 수자원 연료로 환경오염문제를 해소하도록한 수력발전설비와 기존의 강하천의 댐 수문에 대체하여 상수원 취수장 염수유입차단 물막장치 신설을 마련하고 강하천 중간과 중간댐과 수중보에 여러가지 어도 터널장치를 재설치를 마련함으로써, 해양생물들이 강으로 이동하여 계곡의 하천등지에서 안정적으로 어패류들이 산란을 마음껏 하도록한 어도터널장치와 강하천 바닥의 지질수준을 개선하여 자연생태계 질서와 균형을 복구하여 생태계 복원활동을 극대화 하도록한 산림녹화사업을 병행하여 지속적으로 발전시키게 되는 수해조절장치 시스템을 제공하는 것을 또 다른 목적으로 한다.
산정상에 위치하는 원형형태의 물탱크(292) 또는 콘크리트댐(680); 상기 물탱크(292)와 콘크리트댐(680)에 연결되는 복수개의 밸브(409)와 복수개의 배관(14) 또는 소방호스(9); 상기 배관(14) 또는 소방호스(9)의 일부에 위치하는 소방노즐;및 소방용 펌프(45)와 콘크리트댐(680)에는 수문(293)과 수로(294);를 포함하여 형성하며; 산정상 아래 계곡에 위치하는 수개의 콘크리트댐(680)에 수문(293)과 수로(294)들이 능선별로 위치하며 강하천에 연결되는 소하천 상류 골짜기까지 어도터널(672)이 위치하며;
상기 콘크리트댐(680)에 연결되는 복수개의 방재수로(17)에는 홍수기나 집중호우시 빗물과 황토혼합물을 저장해 둠으로써,유해적조 발생주의보가 기상청에서 발령되면 밸브(409)를 개방하여 방제수를 대량으로 방출하여 유해적조발생을 차단시키고, 홍수기에 댐(680)의 수문(293)을 열어 수로(294)를 통해 자연수를 이동시키고 홍수를 조절하여 물로 인한 재해를 방지하고,가뭄기, 전국토 전지역에 물 공급을 안정적으로 방류하여 생활용수와 농업용수 및 공업용수등은 배관(14)으로 땅에 매설하거나 도로 상부로 자동차가 통행할 수 있는 위치에 설치 후 물을 공급시키되,하천유지용수는 수로(294)를 통해서 물의 공급을 적절하게 유지하며 부수적으로 여러지역 수력발전소에 위치하는 수력발전기(213)로 전기를 생산해서 취수댐(680)의 물을 양수할 수 있는 취수장의 동력펌프(304)에 전기를 선 공급하여 취수댐(680)에 물을 양수하고 취수댐(680)에 저장된 물을 취수댐에 형성된 밸브(409)를 개방하면서 배관과 호스(9)에 연결된 다수개의 노즐(10)로 산림전역에 분출하여 산불과 황사와 폭염등의 자연재해로부터 피해를 사전에 방지하며,
상기 수력발전기(213)는,
상기 수력발전소(233) 상부로 위치하는 압력탱크인 헤드탱크(189)와 상기 헤드탱크(189) 전방의 흡입구(269)에는 수압관인 도입관(191)이 헤드탱크(189)와 연결구조를 갖추고 수력발전소(233) 상부와 헤드탱크(189) 후방의 토출구(270)로 다수개의 도입관(191)이 수력발전소(233) 내부로 위치하는 각개의 수력발전기(213) 몸체의 하부로 터빈(267)의 펌프수차(264)와 프란시스수차(229)에 펠톤수차(230)들로 전방의 흡입구(269)와 연결구조로 물이 갖는 위치에너지를 운동에너지로 전기에너지를 발생하는 수력발전기(213)로 전기에너지를 발생하는 전력들로 전력공급이 이루어지면서 동시에 해수면 상단부(SLU) 수해조절장치와 해수면 하단부(SLD) 각개로 위치하는 해양에서는 해류의 유속 변환이 마련된 헤드탱크(189) 전방의 흡입구(269)에는 레듀사 형태로 마련된 물이 갖는 운동에너지를 기계적에너지로 변환해서 수력 발전기(213)로 전기 에너지를 발생하는 해양 수력발전소 부양식독(593,594,595)의 내부연결구조물 일측에 수해조절장치의 본체(1) 내부로 해양수력발전기(213) 설비를 포함하고,
상기 해양수력발전기(213) 설비는, 상기 수력발전기(213) 내부에서 수압차를 발생시켜 기계적 에너지를 만들어 수개의 수차와 터빈(267)을 회전하여 동력을 생산하는 수개의 수차와 터빈(267)과, 상기 수개의 수차와 터빈(267)으로부터 생산되는 상기 동력을 젼환하는 수력발전기(213)와 상기 수개의 수차와 터빈(267)과 상기 수력발전기(213)를 연결하는 회전축(198) 상단부에는 회전속도 검출기(214) 아래로 교류발전기 및 동력전동기의 계자코일에 전류를 공급하는 직류발전기 여자기(215)가 위치하고 상기 여자기(215) 하부에는 고리관 깃을 밀어넣는 드러스트 고리관(216)에 상기 드러스트 고리관 하부로 상부 회전축받이(217)가 위치하며 상기상부 회전축받이(217) 아래로 회전축받이를 밀어넣는 기기(218)가 위치하고 상기 회전축받이(217)를 밀어넣는 기기(218) 하부에는 고정자 코일(219)과 고정자 프레임(220)에 중심부고정자(221)가 위치하고,상기 중심부고정자(221) 틈새로 전선(71)이 끼워져 있고 상기 중심부고정자(221) 하부로 팬(195)이 위치하며,상기 팬(195) 하부에는 제동장치 링(223)과 브레이크용 잭(224)에 저속회전축받이(225)가 위치하고,상기 저속회전축받이(225) 하부로 저속냉각기(222)가 위치하며,상기 회전 축(198) 둘레면을 따라 형성된 회전하는 전자석 회전자 코일과 상기 회전자 코일 둘레면을 따라 설치되는 회전하지 않는 코일 발전기용의 전기자 코일과 상기 회전축(198) 하단부로 위치하는 수개의 수차와 터빈(267)에 터빈 회전축받이(227)와 케이싱(141)에 베인펌프와 가이드베인(142)과 날개바퀴(228) 일체로 해양수력발전소 부양식독(593,594,595)의 내부연결구조물 일측에 형성된 해양수력발전기(213) 연결구조물 어도터널을 해양에 고정시키는 이중관 구조 해양터널 교통장치(941)와,상기 해양수력발전소 부양식독(593,594,595)의 내부연결구조물 일측에 형성된 어도터널(672)과 각부능선 각개의 콘크리트댐(680)에는 어도터널(672)이 삽입되는 관통로가 수해조절장치의 본체(1) 내부로 어패류 산란장들을 포함하고,
상기 어패류 산란장은,
상기 다수개의 콘크리트 댐(680)과 댐수문(293)에 수로(294) 및 어도터 널(672)이 위치하는 산정상 아래 계곡의 샘 하부로 형성된 하천의 산란 면적지를 해양생물들의 산란장으로 연못과 습지를 갖추면서 어도터널(672)에는 생활용과 공업용에 농업축산 오폐수 유입방지용 오폐수 물탱크(292)를 포함하고,
상기 수해조절장치의 어도터널(672)은,
하천상류 골짜기까지 어도터널(672)에 연결된 강하류와 해양으로 다수개의 지하수 시추공(936)에서 분출하는 지하수를 각개의 산정상 아래 각부능선에 위치하는 수개의 콘크리트댐(680)들은 수해조절 홍수기에는 집중호우 빗물과 황토혼합물을 해안 바닷가의 방제수 저장 물탱크(292)와 콘크리트댐(680)에 저장을 하도록 방제수를 마련하면서 동시에 어도터널(672) 중심부 내부로는 연못과 습지 아래로 댐의 수위와 저장수계 범위로는 사람들이 통행할 수 있으면서 어패류가 통행할 수 있는 통행로 위치 안내용 반사경(804)과 조명등(806)을 갖추면서 상기 어도터널(672) 중심부 내부배관 위치로는 사람들과 어패류 통행로를 마련하면서 동시에 어도터널 중심부 외부 배관 위치로는 지속적으로 수해조절용수 공급을 산란장 위치로 이동이 마련된 수해조절장치의 본체(1) 내부로 형성하고,
상기 수해조절장치의 하천과 해양의 유해적조 번식 차단용 수해조절장치는, 가뭄기에 유해적조 발생주의보가 기상청에서 발령 전 후 시에 상기 물탱 크(292)에 형성된 밸브(409)를 개방하여 빗물과 황토혼합물의 방제수를 대량으로 방출하는 어도터널(672)들로 유해적조 번식 차단을 마련하면서 상기 수해조절이 장기화되는 가뭄기를 대비하여 각부능선의 콘크리트댐(680)에 저장된 황토혼합물과 해안가에 위치하는 물탱크(292)와 방제댐(680)에 저장된 황토혼합물에는 점도 5% 수준의 우뭇가사리(934)를 끊인 후 믹서(73)로 혼합 후 해양에 유해적조 대번식 차단용으로 우뭇가사리(934)를 유해적조 접착제용으로 구비해 하천과 해양의 유해적조 번식 차단용으로 살포를 마련하면서 동시에 상기 물탱크(292)와 방제댐(680) 내부로 계절 온도변화에 대응하여 냉각장치(816)와 가열장치(815) 시설들을 마련하면서 가뭄기에는 콘크리트댐(680)의 수문(293) 개방용 타구어윈치(137)를 갖추면서 동시에 수로(294)를 통해 지하수와 수해조절용수를 배관(14) 및 소방용펌프(45)로 이동시키고 홍수를 조절하여 물로 인한 재해 방지를 갖추면서 상기 콘크리트댐에는 수문(293) 개폐용으로 구비된 와이어로프(19)와 타구어윈치(137) 작동용 수해조절장치를 포함하고,
상기 수해조절 가뭄기에는 전국토 전 지역에 안정적으로 공급을 하기 위해 수해조절장치로 수해조절용수를 방류하여 생활용수와 농업용수에 공업용수들은, 배관(14)으로 땅에 매설하면서 동시에 도로 상부로 자동차 통행할 수 있는 위치에 설치 후 물을 공급시키면서 동시에 하천유지용수는 수로(294)를 통해서 물의 공급 조절용으로 동력펌프(304)를 구비해 물의 위치에너지를 구비하는 수해조절장치의 급수수질 개선장치와 건설기계들로 마련되면서 수해조절장치의 본체(1) 내부로 유량의 흐름을 조절하는 어도터널(672)과 각 콘크리트댐(680)의 외주면을 따라 일정한 경사각도로 회전하면서 복수개의 방재수로(17)들로 연결 형성된 각 콘크리트 댐(680) 설치로 산사태방지에 자연생태계 복원과 자유로운 선박통행과 건설기계들을 포함하는 것을 특징한다.
다르게는,상기 수해조절장치의 강하류와 해양의 지하수 공급은,
해양발전소 부양식독의 바지선(933) 갑판데크 상면으로 위치가 형성된 건설기계 항타 및 항발기(877)에 파일드라이버(882)와 디젤 파일해머(883)에 증기해 머(884)와 원유시추용 드릴링머신(908)을 해양발전소 부양식독의 바지선(933) 갑판데크에 탑재하여 강하류와 해양으로 다수개의 지하수 시추공(936)을 굴착한 건설기계를 포함하고;
상기 수해조절장치의 어도터널을 해양에 고정시키는 연결축에 형성된 해양터널교통장치(941)와 해양수력발전소 부양식독(593,594,595)의 내부연결구조물 이중구조 블록탱크(598)는, 고장력의 철판(597) 재질로 구비된 내부블록탱크(596)와 외부블록탱크(599)들로 이중구조 블록탱크(598)의 조립을 마련하면서 동시에 이중구조 블록탱크(598)는 블록 탱크용 제1 보조형강(600)에 블록탱크용 제2 보조철판(601)과 스냅홀(602)과 휴대용 러그 연결축 결합용 볼트(603)와 러그 연결축 결합분해 너트(604)와 수직격 벽(605)과 러그 결합용 핀 연결축(606)과 휴대용 러그(607)와 휴대용 러그핀(608)과 수평격벽(609)과 격벽맨홀(610)과 러그힌지소켓(613)과 대형플랜지(614)와 대형플랜지 접속연결구 접합부위 가공홀(615)과 계류장치용 작키베드(616)와 이중관 구조 탱크교각 건설용 부교식 새들형틀(617)과 가이드레일(618) 요부위 장비와 수해조절장치 해양터널교통장치(941)와 해양수력발전소 부양식독(593,594,595)의 내부연결구조물 다수개의 지하수 시추공(936)들로 어도터널(672)을 해양에 고정시키는 연결축을 포함하고;
상기 다수개의 지하수 시추공(936)을 육지와 해양 위치로 갖추면서 양수장의 펌프와 배관과 호스로 구비하여 시추공(936)에서 분출하는 지하수를 정화된 바닷물과 함께 양식장의 수조탱크에 공급이 마련된 유해적조 대번식 차단 사전예방용 황토혼합물과 유해적조접착제용 우뭇가사리(934)를 갖추어 하천과 해양의 유해적조 번식 차단용으로 살포를 마련하면서 대하천 중간 도시지역의 중류와 상류지역의 공업용 오폐수 유입을 차단하는 오폐수 유입방지용 오폐수 물탱크(292)가 구비된 수해조절장치로 오폐수 유입을 완전 차단하면서 동시에 대하천 제방 외부로 위치하는 하수종말처리장에서는 정수된 물의 유입을 갖춘 정화시설과 하수관거 건설공사 건설기계들로 마련된 수해조절용수 역류와 순환을 형성하는 어도터널(672)이 구비된 수해조절용수의 수질 개선장치들로 수해 극복을 이루지게 수해조절장치의 본체(1) 내부로 구성된다.
이러한 본 발명이 해결하고자 하는 기술적 과제는,지구촌 내륙의 산악지대의 산간지역에서 물탱크와 콘크리트댐과 방재수로들로 홍수유량을 제어하면서 소하천 대하천과 해안의 바닷가 지역 등의 설치 위치에 따른 전국토에 설치된 다수개의 여러 산악이 잇달아 길게 뻗치어 줄기를 이룬 지대인 산맥의 산줄기와 산등성이를 따라 죽 이어진 선인 산능선과 산의 생긴 형세인 산세에 따른 태풍, 산불, 황사, 홍수와 가뭄 등의 자연재해로부터 제약을 받지않고 부양식독을 강 하구둑 댐 수문에 투입하여 어도터널 설치와 산사태 방지에 자연생태계 복원과 자유로운 선박통행에 해양매립 수해조절장치로 수해조절 수행을 구성하는 여러 종류의 무재해 자연환경복구 수해조절장치의 특성 및 수해 극복의 신뢰성을 향상시킬 수 있는 부가적으로 물의 위치에너지를 물의 운동에너지로 전환시켜 지속적으로 수력발전에너지 전력생산을 수행하도록한 수해조절장치 시스템의 산능선 수개의 방재수로와 댐과 펌프와 밸브와 분사장치노즐과 무동력펌프와 케이블카아들로 형성시켜 방제와 방재활동을 효율적으로 한꺼번에 수해조절 수행을 이루도록 마련하고나,동시에 3000m/m 정도의 강수량의 집중호우에도 견고한 방재수로와 댐에 의해 하천제방들이 견딜 수 있도록한 수해조절장치들로구비해 홍수기에는 계곡에 흘러 넘치는 물을 소하천 대하천으로 유입하지 않도록한 수해조절장치들로 수해조절 수행을 이루도록 마련하고나,동시에 수해조절장치시스템에의 수해조절장치에는,산악지형에 따른 높낮이 조절의 다수의 각부능성별 방재수로와 댐에 물을 회전 분산 방류시키면서 물을 저장하여 홍수난류와 와류를 신속하고 효율적으로 완화시켜 산간벽지 하부의 하천제방이 붕괴되지 않으면서 도로와 교량이 유실되지 않도록 마련하고나,동시에 수해조절장치에의,원형물탱크 형태와 동일한 수로댐들은 산사태발생의 사전예방을 마련하고나,동시에 하천수위와 동일한 저지대의 농경지와 근린생활지역과 축산단지와 공업단지로는 침수피해의 물난리를 없도록한 수해조절장치들로 생활오폐수와 축산오폐수와 공업폐수들이 하천에 유입되지 않도록 마련한 1급수질의 수해조절용수를 유지하여 지속적으로 바다로 흘러보내며 가뭄기에는 삼년 정도로 사용하도록한 수해조절용수를 댐과 저장탱크에 저장된 물을 생활용수와 음용수와 농업용수와 수력발전용수와 공업용수의 수해조절용수들로 마련하고나,동시에 방제 및 방재용수의 수자원을 풍족하게 공급하도록한 값싸고 질좋은 1급수질의 수자원을 지속적으로 공급하도록 마련한 바지선 선체의 부양식독 수해조절장치들로 수해조절을 극대화하여 구성하는 수해조절장치시스템을 지구촌에 제공하는 효과를 볼 수 있게 될것이며,
또한, 본 발명은 산맥의 산악지형에 따른 여러가지 댐수로 설비에 저장된 물의 위치에너지를 운동에너지로 전환시켜 수력발전을 일으키는 수력발전설비를 이용하여 비용이 적게드는 값싼 에너지를 생산증대 함으로써, 화력발전의 값비싼 석유, 석탄 연료에 대체하는 수자원 연료로 환경오염문제를 해소하도록한 수력발전설비와 기존의 강하천의 댐 수문에 대체하여 상수원 취수장 염수유입차단 물막장치 신설을 마련하고 강하천 중간과 중간댐과 수중보에 여러가지 어도 터널장치를 재설치를 마련함으로써, 해양생물들이 강으로 이동하여 계곡의 하천등지에서 안정적으로 어패류들이 마음껏 산란을 하도록한 어도터널장치와 강하천 바닥의 지질수준을 개선하여 자연생태계 질서와 균형을 복구하여 생태계 복원활동을 극대화 하도록한 산림녹화사업을 병행하여 지속적으로 발전하도록한 댐과 펌프와 밸브와 분사장치노즐과 무동력펌프와 케이블카아들로 형성시켜 방제와 방재활동을 효율적으로 한꺼번에 수해조절 수행을 이루도록 마련한 바지선 선체의 부양식독 수해조절장치들로 수해조절을 극대화하여 구성하는 수해조절장치시스템을 지구촌에 제공하는 효과를 볼 수 있게 될것이고,
또한, 더 나아가서, 본 발명은 청년실업난 해소와 일자리 창출로 국가경제발전과 4대강 살리기 사업 및 세계 4대 어장 살리기 환경개선사업에도 획기적으로 기여할 수 있게 될 것이다.
[도 1a]는 본 발명에 따른 종래의 수해조절장치시스템의 일 실시예의 구성을 보여주는 수력발전기 몸체를 부분적으로 도시한 수력발전소 내부의 프란시스수차, 펠톤수차에 펌프수차 및 터어빈과 가이드베인 내부 조립모형도 및 펌프수차의 설치위치설정에 따른 종래의 수해조절장치시스템의 부분적 측면 구성도.
[도 1b]는 본 발명에 따른 종래의 수해조절장치시스템의 일 실시예의 구성을 보여주는 디젤엔진 외형과 전동기 모터 내부 분해조립 모형을 부분적으로 도시한 디젤엔진 외형도 및 전동기 모터 내부 분해조립 모형도.
[도 1c]는 본 발명에 따른 종래의 수해조절장치시스템의 일 실시예의 구성을 보여주는 입형다단 펌프 운전 방식을 부분적으로 도시한 입형다단 펌프 정단면도 및 정면도와 입형다단 시스템 개념도에 컨트롤 블록 다이아그램(Control Block Diagram)과 비에프모델(BF모델; 속도제어방식, 3PUMP 직입 기동방식의) 실시예의 입형다단 펌프 운전 방식 구성도.
[도 1d]는 본 발명에 따른 종래의 수해조절장치시스템의 일 실시예의 구성을 보여주는 소방센서펌프 몸체 내부 작동을 부분적으로 도시한 입형다단 펌프의 마이크로콤퓨터를 사용하는 제어방식과 디지털 피아디 제어방식의 인버터시스템에 관제시스템의 무인카메라가 설치되어 분사노즐에서 방화수가 토출되는 인버터시스템과 관제시스템의 장비가 접목 형성된 소방센서펌프 몸체 내부 작동 구성도.
[도 1e]는 본 발명에 따른 종래의 수해조절장치시스템의 일 실시예의 구성을 보여주는 공기 압축기와 고정용 공기 압축기 및 투스테이지 스큐르 공기 압축기의 다수의 압축기를 부분적으로 도시한 이동용 공기 압축기와 고정용 공기 압축기 및 투스테이지 스큐르 공기 압축기의 부분적인 사시도 및 지하매설 앙카볼트 고정용의 정단면 구성도.
[도 1f]는 본 발명에 따른 종래의 수해조절장치시스템의 일 실시예의 구성을 보여주는 유분리탱크가 접착 형성된 스큐르 압축기에 흡입밸브로 분해조립 모형을 부분적으로 도시한 기어드라이븐(Gear Driven,290)과 전동기모터와 연결되는 스큐르 압축기에 흡입밸브로 분해조립 모형 구성도.
[도 1g]는 본 발명에 따른 종래의 수해조절장치시스템의 일 실시예의 구성을 보여주는 아프트쿨러 내부와 에어드라이어 내부에 부착되는 흡입필터(262)와 에어드라이어(291) 내부로 부착되는 흡입필터를 도시한 사시 구성도이다.
[도 1h]는 본 발명에 따른 종래의 수해조절장치시스템의 일 실시예의 구성을 보여주는 옥외소화전인 쌍구포탄형 지상식 소화전과 배설형·소화전의 지하식 단구소화전(179a)과, 지하식 쌍구소화전(179b)의 도로지표면(GU) 하단부(GLD) 상부 지하식 소화전 박스 쇠덥개인 맨홀을 부분적으로 도시한 정단면이며, 오토소화전(161)과 옥내 소화전상자(160) 내부의 소화기 부속품과 소화전 상자의 정면도이고, 연결송수관의 송수구(168)와 방수구 소방대전용 소화전(169)에 소화전인 채수구(179) 정면도와 사시도이며, 옥내 소화전 배관방식의(a) 대규모 소화전 설비와, (b) 소규모 소화전 설비를 부분적 측면을 도시한 수해조절장치시스템의 부분 측면 구성도.
[도 1i]는 본 발명에 따른 종래의 수해조절장치시스템의 일 실시예의 구성을 보여주는 스프링클러 설비와 트랜처헤드의 스프링클러헤드(111) 사시도와 진동경보장치(300)의 사시도에 스프링클러 설비의 배관계통을 도시한 수해조절장치시스템의 부분 측면 구성도.
[도 1j]는 본 발명에 따른 종래의 수해조절장치시스템의 일 실시예의 구성을 보여주는 왕복펌프인 피스톤펌프(127)의 작동방식을 측면 도시한 부분측면도 및 플런저펌프(148)를 부분적 측면으로 플런저(253) 작동방식을 도시한 부분적 작동도이고, 회전운동펌프의 블류우트펌프(311)와 터어빈펌프(140)의 측면을 도시한 부분적 측면도이며 오수펌프(309)의 설치상태를 측면 도시한 수해조절장치시스템의 운전 측면 방식 구성도.
[도 1k]은 본 발명에 따른 종래의 수해조절장치시스템의 일 실시예의 구성을 보여주는 조정밸브(459) 일체와 배관부속품의 수전류형의 일반형 수도꼭지(496)를 도시한 수해조절장치시스템의 조정밸브(459) 일체와 배관부속품의 수전류형의 일반형 수도꼭지(496)의 구성도.
[도 1l]은 본 발명에 따른 종래의 수해조절장치시스템의 일 실시예의 구성을 보여주는 펌프구동중의 주요문제에 있어 그에 대한 대책으로 소방방재라인을 구성시킨 산속 계곡 정상 부위의 펌프구동중의 요부확대 단면을 도시한 수해조절장치시스템 펌프구동중의 구성도.
[도 1m]은 본 발명에 따른 종래의 수해조절장치시스템의 일 실시예의 구성을 보여주는 소방펌프와 공기 압축기에 형성되는 다수개의 밸브를 도시한 수해조절장치시스템 다수개의 밸브의 사시 구성도.
[도 1n]은 본 발명에 따른 종래의 수해조절장치시스템의 일 실시예의 구성을 보여주는 각개의 밸브를 고정시키는 관고정금속(504)의 터언버클부지지밴드(505)와 지지밴드(506)에 로울러부지지밴드(507)와 수직관 매몰용밴드(508)에 철재안경밴드(509)와 바닥밴드(510)를 도시한 수해조절장치시스템 밸브를 고정시키는 관고정금속(504)의 구성도.
[도 1o]는 본 발명에 따른 종래의 수해조절장치시스템의 일 실시예의 구성을 보여주는 각 용적식 각개 펌프종류별 왕복펌프의 플런저펌프(148) 사시도 및 다이어후렘 펌프(144)의 작동방식과 윙펌프(327) 작동방식을 도시한 작동도이며, 로우터리 펌프(337) 내부와 외치기어펌프(326) 그외의 로우터리펌프 회전자(338)를 부분적 작동방식을 도시한 수해조절장치시스템 각 용적식 각개 펌프종류의 작동 구성도.
[도 1p]는 본 발명에 따른 종래의 수해조절장치시스템의 일 실시예의 구성을 보여주는 각 터어빈펌프(140)를 도시한 사시도이며, 프라이밍(339)과 자흡식펌프(340) 사시도에 프로펠러펌프(146)의 축류펌프(341)와 혼류펌프(342) 작동도이고, 점성펌프(343) 사시도에 점성펌프와 그 임펠러 사시도에 그 펌프 작동방식을 측면 도시한 수해조절장치시스템 펌프 작동방식의 측면 작동 구성도.
[도 1q]는 본 발명에 따른 종래의 수해조절장치시스템의 일 실시예의 구성을 보여주는 집수정탱크로 연결된 레벨스위치(541)와 하이레벨 알람(542)에 베이컴페일루어알람(543)과 스어멀 릴레이 알람(544)에 알람 리셋트 버턴(545)과 로워 레벨 스위치(546)들로 소방센서펌프 몸체 내부 유공압과 센서기술 적용 작동 방식을 도시한 수해조절장치시스템 유공압과 센서기술 적용 작동 방식의 구성도.
[도 1r]는 본 발명에 따른 종래의 수해조절장치시스템의 일 실시예의 구성을 보여주는 집수정탱크로 연결된 레벨스위치(541)와 하이레벨 알람(542)에 베이컴페일루어알람(543)과 스어멀 릴레이 알람(544)에 알람 리셋트 버턴(545)과 로워 레벨 스위치(546)들로 소방센서펌프 몸체 내부 유공압과 센서기술 적용 작동 방식을 도시한 수해조절장치시스템 유공압과 센서기술 적용 작동 방식의 구성도.
[도 1s]는 본 발명에 따른 종래의 수해조절장치시스템의 일 실시예의 구성을 보여주는 집수정탱크로 연결된 레벨스위치(541)와 하이레벨 알람(542)에 베이컴페일루어알람(543)과 스어멀 릴레이 알람(544)에 알람 리셋트 버턴(545)과 로워 레벨 스위치(546)들로 소방센서펌프 몸체 내부 유공압과 센서기술 적용 작동 방식을 도시한 수해조절장치시스템 유공압과 센서기술 적용 작동 방식의 구성도.
[도 1t]는 본 발명에 따른 종래의 수해조절장치시스템의 일 실시예의 구성을 보여주는 집수정탱크로 연결된 레벨스위치(541)와 하이레벨 알람(542)에 베이컴페일루어알람(543)과 스어멀 릴레이 알람(544)에 알람 리셋트 버턴(545)과 로워 레벨 스위치(546)들로 소방센서펌프 몸체 내부 유공압과 센서기술 적용 작동 방식을 도시한 수해조절장치시스템 유공압과 센서기술 적용 작동 방식의 구성도.
[도 1u]는 본 발명에 따른 종래의 수해조절장치시스템의 일 실시예의 구성을 보여주는 유공압 실린더에 부착되는 다수개의 솔레노이드밸브 작동조립을 도시한 실시예의 구성도와 검출용 스위치 일체의 구성에 따른 센서의 구성에 의한 유공압과 센서기술 적용방식 구성도.
도 1a 내지 도 1u 각각은 종래의 본 발명 수해조절장치시스템의 일 실시예의 구성을 보여주는 재난 예방 방식 종래의 수해조절장치시스템의 구성도.
도 2는 본 발명에 따른 수해조절장치시스템의 일 실시예의 구성을 보여주는 산의 각부 능선에 위치를 마련하는 계단식댐 수로 사시 구성도.
도 3은 본 발명에 따른 수해조절장치시스템의 일 실시예의 구성을 보여주는 산의 각부 능선에 위치를 마련하는 계단식 댐 수로 측면 구성도.
도 4는 본 발명에 따른 수해조절장치시스템의 일 실시예의 구성을 보여주는 산의 각부 능선에 위치를 마련하는 계단식 댐 수로 단면 구성도.
도 5는 본 발명에 따른 수해조절장치시스템의 일 실시예의 구성을 보여주는 수해조절용수 저장이동 조절을 마련하는 어도터널을 해양에 고정시키는 연결축 이중관구조 해양터널교통장치(941)에 해양수력발전소 부양식독(593,594,595)들로 마련된 수해조절장치시스템을 도시한 본 발명을 대표하는 사시 구성도.
[도 5a]는 본 발명에 따른 수해조절장치시스템의 일 실시예의 구성을 보여주는 해양발전소몸체 부양식독(593,594,595)들로 선체의 배관블록용 강재철판 밴딩방식과, 용접접합 기본방식을 이중관구조의 해양터널교통장치 철구조물 정면 측면을 도시한 수해조절장치시스템의 부분적 상세 구성도 및 오대양 육대주의 무재해 관교량 강관 제조공정 구성도.
[도 5b]는 본 발명에 따른 수해조절장치시스템의 일 실시예의 구성을 보여주는 수해조절설비 물 저장을 조절하는 이중관구조 어도터널을 해양에 고정시키는 연결축 해양터널교통장치(941)에 해양수력발전소 부양식독(593,594,595)들로 마련된 수해조절설비 조립방법을 도시한 해양수력발전소 부양식독(593,594,595) 수해조절장치시스템의 시공방법 조립 구성도.
[도 5c]은 본 발명에 따른 수해조절장치시스템의 일 실시예의 구성을 보여주는 수해조절설비 물 저장을 조절하는 이중관구조 어도터널을 해양에 고정시키는 연결축 해양터널교통장치(941)에 해양수력발전소 부양식독(593,594,595)들로 마련된 수해조절설비 조립방법을 도시한 해양수력발전소 부양식독(593,594,595) 수해조절장치시스템의 시공방법 조립 구성도.
[도 5d]는 본 발명에 따른 수해조절장치시스템의 일 실시예의 구성을 보여주는 수해조절설비 물 저장을 조절하는 이중관구조 어도터널을 해양에 고정시키는 연결축 해양터널교통장치(941)에 해양수력발전소 부양식독(593,594,595)들로 마련된 수해조절설비조립방법을 도시한 해양수력발전소 부양식독(593,594,595) 수해조절장치시스템의 시공방법 조립 구성도.
[도 5e]는 본 발명에 따른 수해조절장치시스템의 일 실시예의 구성을 보여주는 해양발전소 몸체 인근 산봉우리와 각개의 빌딩 건물 옥상에 감속기(251)와 전동기몸체(192)로 구축된 엘리베이터 기계실 타구어윈치(137)에 와이어로프(19)를 철탑(116) 상부로 구동바퀴로라(135)에 부착시킨후 케이블카아(256)에 소방센서펌프 일체의 소방방재 대책용품을 탑재시켜 1초 이내로 초기진화를 이루도록 소방방재라인을 구비한 산속 계곡 정상 부위와 바닷가 주변의 소방방재라인이 구축된 본 발명 수해조절장치시스템의 사시 구성도.
[도 5f]는 본 발명에 따른 수해조절장치시스템의 일 실시예의 구성을 보여주는 해양발전소 몸체 인근 산봉우리와 각개의 빌딩 건물 옥상에 감속기(251)와 전동기몸체(192)로 구축된 엘리베이터 기계실 타구어윈치(137)에 와이어로프(19)를 철탑(116) 상부로 구동바퀴로라(135)에 부착시킨후 케이블카아(256)에 소방센서펌프 일체의 소방방재 대책용품을 탑재시켜 1초 이내로 초기진화를 이루도록 산불과 황사와 산사태방지에 폭염의 자연재해로부터 피해를 사전에 방지하는 수해조절설비로 유량의 흐름을 조절하는 어도터널(672)설치와 자연생태계 복원과 자유로운 선박통행에 해양매립과 계단식 콘크리트댐 시공방법을 도시한 수해조절장치시스템의 이중관 구조 소방호스 및 이중관 구조 분사노즐 조립제작 과정 구성도.
[도 5g]는 본 발명에 따른 수해조절장치시스템의 일 실시예의 구성을 보여주는 애드벌룬과 비행선의 작용방식을 도시한 대기권 내부의 태풍 및 일기예보에 따른 작동도이며 건물 내외부의 분사노즐 및 침대노즐 설치 후 1초 이내로 초기진화를 이루게 되는 수해조절장치시스템의 종류별 화재 및 재난 예방 방식 구성도.
[도 5h]는 본 발명에 따른 수해조절장치시스템의 일 실시예의 구성을 보여주는 애드벌룬과 비행선의 작용방식을 도시한 것으로 대기권 내부의 태풍 및 일기예보에 따른 작동도이며 건물 내외부의 분사노즐 및 침대노즐 설치 후 1초 이내로 초기진화를 이루게 되는 수해조절장치시스템의 종류별 화재 및 재난 예방 방식 구성도.
[도 5i]는 본 발명에 따른 수해조절장치시스템의 일 실시예의 구성을 보여주는 산불발생시 1초 이내로 초기진화를 이루게 되는 수해조절장치시스템의 집수정탱크 및 그에 대체하는 마노매턴형 레벨 균형관 노즐 설치 방식의 삼칠계단식 펌프 소화기 화재예방 방식 구성도.
[도 5j]는 본 발명에 따른 수해조절장치시스템의 일 실시예의 구성을 보여주는 산불발생시 1초 이내로 초기진화를 이루게 되는 수해조절장치시스템의 집수정탱크 및 그에 대체하는 마노매턴형 레벨 균형관 노즐 설치 방식의 삼칠계단식 펌프 소화기 화재예방 방식 구성도.
[도 5k]는 본 발명에 따른 수해조절장치시스템의 일 실시예의 구성을 보여주는 산불예방을 간단히 이루게 되는 수해조절장치시스템의 계단식 무동력 수격펌프(393)의 관노즐 집수정탱크 설치에 따른 탄산가스 소화기 설치 방식 구성도.
[도 5l]은 본 발명에 따른 수해조절장치시스템의 일 실시예의 구성을 보여주는 산불예방을 간단히 이루게 되는 수해조절장치시스템의 계단식 무동력 수격펌프(393)의 관노즐 집수정탱크 설치에 따른 탄산가스 소화기 설치 방식 구성도.
[도 5m]은 본 발명에 따른 수해조절장치시스템의 일 실시예의 구성을 보여주는 애드벌룬과 비행선의 작용방식을 도시한 것으로 대기권 내부의 태풍 및 일기예보에 따른 작동도이며 건물 내외부의 분사노즐 및 침대노즐 설치 후 1초 이내로 초기진화를 이루게 되는 수해조절장치시스템의 종류별 화재 및 재난 예방 방식 구성도.
[도 5a], [도 5m]...각각은 본 발명 구성에 의한 일실시예를 예시한 구성도이다.
먼저, 본 발명의 수해조절장치시스템 중 재질 선택에 있어서,발전장치 탑재용 지주탱크(590)와 내부 블록탱크(596)와 외부 블록탱크(599) 각개의 탱크 내벽과 외벽으로 휴대용 러그 결합용 핀 연결축(길이×직경∮;800mm×∮300mm, 600)과 휴대용 러그(철판뚜께×가로×세로;150mm×800×1600, 607)와 상기 휴대용 러그 결합용 핀 연결축(606)을 접속을 마련하고,상기 접속 핀 연결축 가공홀(직경∮30mm; 20)에는 휴대용 러그 핀(길이××핀몸체직경∮;500×2×10∮mm) 접속을 마련하고나,동시에 연결축(606) 끝단부위로 나사산 가공을 마련한 후 휴대용 러그 연결축 결합분해 너트(604)로 바지선의 결합해지를 마련하고나,동시에 예인선(636)에 이송된 이중구조블록탱크(598)는,해상해적 소탕작전 겸용 반잠수 작업선(637)에 탑재되는 밴드지그대(621)에 의해 조립되는 지주탱크 상단의 바지선선체(가로×세로×높이×철판두께;600M×800M×40M×18mm,591)와 지주탱크 하단의 바지선선체는 관교량 규격(가로×세로×4곳 모서리 직경×뚜께×제작단위;15M×15M×π15M×24mm×1Km, 592)과 동일하며 지주탱크(590)와 내부 블록탱크(596)의 둘레면으로 구성되는 외부 블록탱크(596) 각개로 결합 형성된 소형의 해양발전소 부양식독(가로×세로×높이;600M×800M×800M, 593)과 중형의 해양발전소 부양식독(가로×세로×높이;2Km×3.2Km×2Km, 594)과 대형의 해양발전소 부양식독(가로×세로×높이;10Km×10Km×10Km,595)들로 해양수심에 따라 작동을 마련하고나,동시에 휴대용 러그핀(608)이 휴대용 러그 결합용 핀 연결축(606)의 가공홀에서 볼트너트로 체결을 마련하고나,동시에 휴대용 러그핀(606)이 이탈되지 않도록한 핀 꺾기 방식으로 해양발전소 부양식독의 설치를 마련하고 지주탱크 하단의 바지선선체(592)의 받침대 조절기구 작키베드(619)와 코아드릴(직경 350Ø 또는 400Ø로 된 홀캇팅 굴착드릴,917) 장치가 탑재 형성된 해양발전소의 관레벨 시소형 풍수력발전기 침몰방지와 부침장치에 따라 해상에서 제조 조립을 마련하고나,동시에 지주탱크 상단의 바지선선체(591)와 상단과 하단의 갑판데크 갑판데크 상단, 하단의 탑재 형성되는 일체의 구성작동 장치인 노즐구멍 지름 3mm 또는 5mm 노즐수량 70개소 7마디로 된 방사선 형식의 틈새와 490여개 노즐구멍이 구비된 장치노즐인 분사노즐(10)과 배관노즐 몸체(B) 내부에 소방호스 내수압이 소유되는 방화수에 의해 타격된 분사노즐 틈새로 토출분사수(38)와 커텐물막(39)이 토출되면서 다수개로 타오르는 불기둥을 감쪽하는 순간에 소멸제거하도록한 상기 다수의 분사노즐은 재해지역부터 원천 봉쇄차단을 마련하고나,동시에 산정상에 위치를 마련하는 원형형태의 물탱크(292)는 녹슬지 않는 스텐이나 프라스틱재질 선택을 마련하며,30,000㎘ 용량의 물을 저장하는 탱크(292)들로 구비하고나,상기 물탱크(292) 몸체는 이중관 구조의 블록탱크(598)들로 형성되어 내부블록탱크(596)에는 물(7)을 저장시키고 상기의 물(7)이 겨울철에는 얼지 않도록한 외부블록탱크(599) 외벽으로는 보온재(814)가 부착되며 내부블록탱크(596)와 외부블록탱크(599) 중간에는 가열장치(815)인 전열기구가 형성되며 냉각장치(816)인 에어컨 기구들로 공기보온용의 히터팬(Hit FAN, 642)과 쿨링팬(Cooling FAN, 641)들로 더 마련하고나,동시에 상기한 물탱크(292)는 산정상에서 분리 해체가 가능하도록한 휴대용 방식에 따른 물탱크(292)에는 용접공정이 배제된 탱크 하단부위 밑바닥의 고장력의철판(597)인 마개철판(625)과 탱크 상단부위 뚜껑 마개철판(625)들은 부착하지 아니하는 것으로써 상기 물탱크(292) 하단부위로 콘크리트 기초바닥 두께를 60cm 갖추면서 이때, 거푸집 형틀과 동일한 내부블록탱크(가로×세로×두께; 1.5m×1m×3mm)의 규격을 기준으로 설정한 다수의 스텐판을 원형탱크 형태로 볼트(24)와 너트(25)와 거푸집 형틀로 가공된 각각의 스텐판의 가공홀(20)에는, 수공구로 접합전에 가스켓트(32)를 각각의 스텐판 원통형태로 결합시킨 내부블록탱크(596)와 외부블록탱크(599)를 기초바닥철근 상부로 고정시킨 후 모래와 자갈과 세멘트(931)를 건설기계 콘크리트 배칭플랜트(865)와 콘크리트 피니셔(866)와 콘크리트 스프레더(867)로 혼합을 마련하고나,동시에 콘크리트 믹서트럭(868)으로 운반 후 콘크리트 펌프(869)로 물탱크(292) 기초를 콘크리트 매트로 형성하도록한 물의 위치에너지를 구비한 수해조절 장치겸용 수력발전용의 수해조절장치시스템에 합당하게 구성하였다.
본 발명의 수해조절장치시스템은 도 1 내지 도 5에 도시한 바와 같이 상기의 목적을 달성하기 위한 기술적 사상으로서의 본 발명은,수해조절장치 시스템에 있어서,
산정상에 위치하는 원형형태의 물탱크(292) 또는 콘크리트댐(680); 상기 물탱크(292)와 콘크리트댐(680)에 연결되는 복수개의 밸브(409)와 복수개의 배관(14) 또는 소방호스(9); 상기 배관(14) 또는 소방호스(9)의 일부에 위치하는 소방노즐;및 소방용 펌프(45)와 콘크리트댐(680)에는 수문(293)과 수로(294);를 포함하여 형성하며; 산정상 아래 계곡에 위치하는 수개의 콘크리트댐(680)에 수문(293)과 수로(294)들이 능선별로 위치하며 강하천에 연결되는 소하천 상류 골짜기까지 어도터널(672)이 위치하며;
상기 콘크리트댐(680)에 연결되는 복수개의 방재수로(17)에는 홍수기나 집중호우시 빗물과 황토혼합물을 저장해 둠으로써,유해적조 발생주의보가 기상청에서 발령되면 밸브(409)를 개방하여 방제수를 대량으로 방출하여 유해적조발생을 차단시키고, 홍수기에 댐(680)의 수문(293)을 열어 수로(294)를 통해 자연수를 이동시키고 홍수를 조절하여 물로 인한 재해를 방지하고,가뭄기, 전국토 전지역에 물 공급을 안정적으로 방류하여 생활용수와 농업용수 및 공업용수등은 배관(14)으로 땅에 매설하거나 도로 상부로 자동차가 통행할 수 있는 위치에 설치 후 물을 공급시키되,하천유지용수는 수로(294)를 통해서 물의 공급을 적절하게 유지하며 부수적으로 여러지역 수력발전소에 위치하는 수력발전기(213)로 전기를 생산해서 취수댐(680)의 물을 양수할 수 있는 취수장의 동력펌프(304)에 전기를 선 공급하여 취수댐(680)에 물을 양수하고 취수댐(680)에 저장된 물을 취수댐에 형성된 밸브(409)를 개방하면서 배관과 호스(9)에 연결된 다수개의 노즐(10)로 산림전역에 분출하여 산불과 황사와 폭염등의 자연재해로부터 피해를 사전에 방지하며,
상기 수력발전기(213)는,
상기 수력발전소(233) 상부로 위치하는 압력탱크인 헤드탱크(189)와 상기 헤드탱크(189) 전방의 흡입구(269)에는 수압관인 도입관(191)이 헤드탱크(189)와 연결구조를 갖추고 수력발전소(233) 상부와 헤드탱크(189) 후방의 토출구(270)로 다수개의 도입관(191)이 수력발전소(233) 내부로 위치하는 각개의 수력발전기(213) 몸체의 하부로 터빈(267)의 펌프수차(264)와 프란시스수차(229)에 펠톤수차(230)들로 전방의 흡입구(269)와 연결구조로 물이 갖는 위치에너지를 운동에너지로 전기에너지를 발생하는 수력발전기(213)로 전기에너지를 발생하는 전력들로 전력공급이 이루어지면서 동시에 해수면 상단부(SLU) 수해조절장치와 해수면 하단부(SLD) 각개로 위치하는 해양에서는 해류의 유속 변환이 마련된 헤드탱크(189) 전방의 흡입구(269)에는 레듀사 형태로 마련된 물이 갖는 운동에너지를 기계적에너지로 변환해서 수력 발전기(213)로 전기 에너지를 발생하는 해양 수력발전소 부양식독(593,594,595)의 내부연결구조물 일측에 수해조절장치의 본체(1) 내부로 해양수력발전기(213) 설비를 포함하고,
상기 해양수력발전기(213) 설비는, 상기 수력발전기(213) 내부에서 수압차를 발생시켜 기계적 에너지를 만들어 수개의 수차와 터빈(267)을 회전하여 동력을 생산하는 수개의 수차와 터빈(267)과, 상기 수개의 수차와 터빈(267)으로부터 생산되는 상기 동력을 젼환하는 수력발전기(213)와 상기 수개의 수차와 터빈(267)과 상기 수력발전기(213)를 연결하는 회전축(198) 상단부에는 회전속도 검출기(214) 아래로 교류발전기 및 동력전동기의 계자코일에 전류를 공급하는 직류발전기 여자기(215)가 위치하고 상기 여자기(215) 하부에는 고리관 깃을 밀어넣는 드러스트 고리관(216)에 상기 드러스트 고리관 하부로 상부 회전축받이(217)가 위치하며 상기상부 회전축받이(217) 아래로 회전축받이를 밀어넣는 기기(218)가 위치하고 상기 회전축받이(217)를 밀어넣는 기기(218) 하부에는 고정자 코일(219)과 고정자 프레임(220)에 중심부고정자(221)가 위치하고,상기 중심부고정자(221) 틈새로 전선(71)이 끼워져 있고 상기 중심부고정자(221) 하부로 팬(195)이 위치하며,상기 팬(195) 하부에는 제동장치 링(223)과 브레이크용 잭(224)에 저속회전축받이(225)가 위치하고,상기 저속회전축받이(225) 하부로 저속냉각기(222)가 위치하며,상기 회전축(198) 둘레면을 따라 형성된 회전하는 전자석 회전자 코일과 상기 회전자 코일 둘레면을 따라 설치되는 회전하지 않는 코일 발전기용의 전기자 코일과 상기 회전축(198) 하단부로 위치하는 수개의 수차와 터빈(267)에 터빈 회전축받이(227)와 케이싱(141)에 베인펌프와 가이드베인(142)과 날개바퀴(228) 일체로 해양수력발전소 부양식독(593,594,595)의 내부연결구조물 일측에 형성된 해양수력발전기(213) 연결구조물 어도터널을 해양에 고정시키는 이중관 구조 해양터널 교통장치(941)와,상기 해양수력발전소 부양식독(593,594,595)의 내부연결구조물 일측에 형성된 어도터널(672)과 각부능선 각개의 콘크리트댐(680)에는 어도터널(672)이 삽입되는 관통로가 수해조절장치의 본체(1) 내부로 어패류 산란장들을 포함하고,
상기 어패류 산란장은,
상기 다수개의 콘크리트 댐(680)과 댐수문(293)에 수로(294) 및 어도터 널(672)이 위치하는 산정상 아래 계곡의 샘 하부로 형성된 하천의 산란 면적지를 해양생물들의 산란장으로 연못과 습지를 갖추면서 어도터널(672)에는 생활용과 공업용에 농업축산 오폐수 유입방지용 오폐수 물탱크(292)를 포함하고,
상기 수해조절장치의 어도터널(672)은,
하천상류 골짜기까지 어도터널(672)에 연결된 강하류와 해양으로 다수개의 지하수 시추공(936)에서 분출하는 지하수를 각개의 산정상 아래 각부능선에 위치하는 수개의 콘크리트댐(680)들은 수해조절 홍수기에는 집중호우 빗물과 황토혼합물을 해안 바닷가의 방제수 저장 물탱크(292)와 콘크리트댐(680)에 저장을 하도록 방제수를 마련하면서 동시에 어도터널(672) 중심부 내부로는 연못과 습지 아래로 댐의 수위와 저장수계 범위로는 사람들이 통행할 수 있으면서 어패류가 통행할 수 있는 통행로 위치 안내용 반사경(804)과 조명등(806)을 갖추면서 상기 어도터널(672) 중심부 내부배관 위치로는 사람들과 어패류 통행로를 마련하면서 동시에 어도터널 중심부 외부 배관 위치로는 지속적으로 수해조절용수 공급을 산란장 위치로 이동이 마련된 수해조절장치의 본체(1) 내부로 형성하고,
상기 수해조절장치의 하천과 해양의 유해적조 번식 차단용 수해조절장치는, 가뭄기에 유해적조 발생주의보가 기상청에서 발령 전 후 시에 상기 물탱 크(292)에 형성된 밸브(409)를 개방하여 빗물과 황토혼합물의 방제수를 대량으로 방출하는 어도터널(672)들로 유해적조 번식 차단을 마련하면서 상기 수해조절이 장기화되는 가뭄기를 대비하여 각부능선의 콘크리트댐(680)에 저장된 황토혼합물과 해안가에 위치하는 물탱크(292)와 방제댐(680)에 저장된 황토혼합물에는 점도 5% 수준의 우뭇가사리(934)를 끊인 후 믹서(73)로 혼합 후 해양에 유해적조 대번식 차단용으로 우뭇가사리(934)를 유해적조 접착제용으로 구비해 하천과 해양의 유해적조 번식 차단용으로 살포를 마련하면서 동시에 상기 물탱크(292)와 방제댐(680) 내부로 계절 온도변화에 대응하여 냉각장치(816)와 가열장치(815) 시설들을 마련하면서 가뭄기에는 콘크리트댐(680)의 수문(293) 개방용 타구어윈치(137)를 갖추면서 동시에 수로(294)를 통해 지하수와 수해조절용수를 배관(14) 및 소방용펌프(45)로 이동시키고 홍수를 조절하여 물로 인한 재해 방지를 갖추면서 상기 콘크리트댐에는 수문(293) 개폐용으로 구비된 와이어로프(19)와 타구어윈치(137) 작동용 수해조절장치를 포함하고,
상기 수해조절 가뭄기에는 전국토 전 지역에 안정적으로 공급을 하기 위해 수해조절장치로 수해조절용수를 방류하여 생활용수와 농업용수에 공업용수들은, 배관(14)으로 땅에 매설하면서 동시에 도로 상부로 자동차 통행할 수 있는 위치에 설치 후 물을 공급시키면서 동시에 하천유지용수는 수로(294)를 통해서 물의 공급 조절용으로 동력펌프(304)를 구비해 물의 위치에너지를 구비하는 수해조절장치의 급수수질 개선장치와 건설기계들로 마련되면서 수해조절장치의 본체(1) 내부로 유량의 흐름을 조절하는 어도터널(672)과 각 콘크리트댐(680)의 외주면을 따라 일정한 경사각도로 회전하면서 복수개의 방재수로(17)들로 연결 형성된 각 콘크리트 댐(680) 설치로 산사태방지에 자연생태계 복원과 자유로운 선박통행과 건설기계들을 포함하여 구성한다.
바람직하게는,상기 수해조절장치의 강하류와 해양의 지하수 공급은, 해양발전소 부양식독의 바지선(933) 갑판데크 상면으로 위치가 형성된 건설기계 항타 및 항발기(877)에 파일드라이버(882)와 디젤 파일해머(883)에 증기해머(884)와 원유시추용 드릴링머신(908)을 해양발전소 부양식독의 바지선(933) 갑판데크에 탑재하여 강하류와 해양으로 다수개의 지하수 시추공(936)을 굴착한 건설기계를 포함하고;
상기 수해조절장치의 어도터널을 해양에 고정시키는 연결축에 형성된 해양터널교통장치(941)와 해양수력발전소 부양식독(593,594,595)의 내부연결구조물 이중구조 블록탱크(598)는, 고장력의 철판(597) 재질로 구비된 내부블록탱크(596)와 외부블록탱크(599)들로 이중구조 블록탱크(598)의 조립을 마련하면서 동시에 이중구조 블록탱크(598)는 블록 탱크용 제1 보조형강(600)에 블록탱크용 제2 보조철판(601)과 스냅홀(602)과 휴대용 러그 연결축 결합용 볼트(603)와 러그 연결축 결합분해 너트(604)와 수직격 벽(605)과 러그 결합용 핀 연결축(606)과 휴대용 러그(607)와 휴대용 러그핀(608)과 수평격벽(609)과 격벽맨홀(610)과 러그힌지소켓(613)과 대형플랜지(614)와 대형플랜지 접속연결구 접합부위 가공홀(615)과 계류장치용 작키베드(616)와 이중관 구조 탱크교각 건설용 부교식 새들형틀(617)과 가이드레일(618) 요부위 장비와 수해조절장치 해양터널교통장치(941)와 해양수력발전소 부양식독(593,594,595)의 내부연결구조물 다수개의 지하수 시추공(936)들로 어도터널(672)을 해양에 고정시키는 연결축을 포함하고;
상기 다수개의 지하수 시추공(936)을 육지와 해양 위치로 갖추면서 양수장의 펌프와 배관과 호스로 구비하여 시추공(936)에서 분출하는 지하수를 정화된 바닷물과 함께 양식장의 수조탱크에 공급이 마련된 유해적조 대번식 차단 사전예방용 황토혼합물과 유해적조접착제용 우뭇가사리(934)를 갖추어 하천과 해양의 유해적조 번식 차단용으로 살포를 마련하면서 대하천 중간 도시지역의 중류와 상류지역의 공업용 오폐수 유입을 차단하는 오폐수 유입방지용 오폐수 물탱크(292)가 구비된 수해조절장치로 오폐수 유입을 완전 차단하면서 동시에 대하천 제방 외부로 위치하는 하수종말처리장에서는 정수된 물의 유입을 갖춘 정화시설과 하수관거 건설공사 건설기계들로 마련된 수해조절용수 역류와 순환을 형성하는 어도터널(672)이 구비된 수해조절용수의 수질 개선장치들로 수해 극복을 이루지게 수해조절장치의 본체(1) 내부로 구성되는 것이 본 발명 수해조절장치시스템이 기술적 요지이다.
이하,본 발명 수해조절장치시스템은 도 2 내지 도 5에 도시한 바와같이 첨부한 도면들을 참조하여 본 발명의 실시예들을 상세한 설명하기로 한다.
도 2를 참조하면,본 발명에 따른 수해조절장치시스템의 일 실시예의 구성을 보여주는 산의 각부 능선에 위치를 마련하는 계단식댐 수로 사시 구성도이며,도 3을 참조하면,본 발명에 따른 수해조절장치시스템의 일 실시예의 구성을 보여주는 산의 각부 능선에 위치를 마련하는 계단식 댐 수로 측면 구성도이고,도 4를 참조하면,본 발명에 따른 수해조절장치시스템의 일 실시예의 구성을 보여주는 산의 각부 능선에 위치를 마련하는 계단식 댐 수로 단면 구성도로,
도 2 내지 도 4에 도시한 바와같이,상기 수해조절장치의 본체(1) 내부의 백두대간에는 고속도로, 국도, 지방도, 임업도로, 군사도로 등 다양한 용도의 포장도로와 비포장도로가 개설되어 백두대간의 주요 산줄기가 절단되었고 생태계의 단절을 초래하고나,동시에 백두대간에는 72개의 도로가 평균 9km 간격으로 관통을 마련하고나,동시에 백두대간에는 야생동물과 식물의 주요 서식처의 훼손방지를 마련하고나,동시에 절단된 도로상부로 교량(937) 개설을 마련하고 교량(937) 상부와 하부로 방재수로(17)를 더 설치하여 단절된 생태계 복원용 생태통로가 수해조절장치의 본체(1) 내부로 더 형성된다.
도 2 내지 도 4에 도시한 바와같이,낙동강 하구뚝과 영산강 하구뚝 수문은 항시 열어두거나 수문(293) 철거를 마련하고나,동시에 수해조절 지하수는,제방뚝 내부로 강바닥 하부의 불투성 암반과 변성암 위의 대수층의 지하수를 강수면 위로 대량으로 퍼올리거나 분출하도록 마련한 건설기계들로 구비해 해양심층수를 오염된 강바닥에 대량 방출하도록 마련한 다수개의 굴착기인 건설기계들이 바지선에 탑재되어 지하 천공공사를 마련하고나,동시에 수해조절 지하수는,이중관 구조의 블록배관 수로를 설치하여 펌프와 분사노즐들이 강바닥에 위치를 마련하여 다수개의 분출수는 방파제 역할을 마련하고나,동시에 바지선에 탑재한 건설기계들로 강하구 염수유입 차단을 마련하고나,동시에 1급수 수질의 수해조절용 지하수의 보전과 생태계 환경복원을 마련한 수해조절장치의 본체(1) 내부로 건설기계와 바지선(933)과 펌프와 노즐들이 더 형성됨이 바람직하다.
도 2 내지 도 4에 도시한 바와같이,상기 수해조절장치의 본체(1)의 내부로 댐(680)과 수로(294)의 건설공사 전에는 댐(680)과 수로(294)의 현지 설정위치에 따라 환경영향평가 타당성 평가조사를 마련하고나,동시에 수해조절 설계는, 측량기구로 설계의 마감을 마련하고나,동시에 콘크리트댐(680)의 재료를 마련하는 철근과 모래와 자갈과 세멘트의 재료 산출을 마련하고나,동시에 콘크리트댐(680)과는 상반되는 돌과 흙을 구비하는 자연댐과 수로공사 선택을 마련하고나,동시에 수해조절장치의 본체(1)의 내부로 수해조절 공정의 건설기계와 케이블카아(256)와 벌목기계가 산사태발생 예상지역과 산사태발생 지역에는 사전에 지질조사를 완료하여 재료량 산출에 따라 축대보강 보수작업의 재난방지공사가 이루지게 지질조사 측정기구들이 댐공사장 인근에 더 형성된다.
도 2 내지 도 4에 도시한 바와같이,상기 수해조절장치의 본체(1)의 내부로 폭염으로 인해 가두리 양식장의 수온 상승이 하기전에 어패류의 떼죽음을 면하도록한 유해적조발생 방지를 수해조절장치로 마련하고나,동시에 수해조절장치로 어패류를 바지선(933)으로 옮겨싣어 냉각장치(816) 시설을 갖춘 양식장으로 이동을 마련하는 유해적조 대비책의 방법의 포함한 수해조절장치시스템의 수해조절장치들로 수해조절의 유해적조발생 방지가 형성되는 것이 바람직하다.
도 2 내지 도 4에 도시한 바와같이,상기 수해조절장치의 본체(1)의 내부로 상기 냉각장치(816)를 대체 마련하는 해양의 해저 지하의 심층수를 공급하도록한 바지선(933) 갑판데크 상면으로 건설기계인 항타 및 항발기(877)와 파일드라이버(882)와 디젤파일해머(883)와 증기해머(884)와 원유시추용 드릴링머신(908) 탑재를 마련하여 강하류와 해양으로 다수개의 심층수 시추공(936) 굴착을 마련하고나,동시에 상기 심층수시추공(936)에서는 양수장의 펌프와 배관과 호스를 구비해 심층수를 정화된 바닷물과 함께 양식장의 수조탱크에 심층수 공급을 마련하는 수해조절이 수해조절장치시스템의 수해조절장치들로 형성된다.
도 2 내지 도 4에 도시한 바와같이,상기 수해조절장치의 본체(1)의 내부로 산정상 아래로 위치를 마련하는 각부 능선별 취수댐(680)의 물을 취수구로부터 취수한 물은 수로(294)를 통하여 수력발전소(233) 상부에 위치하는 상수조까지 유도해서 낙차를 마련하고나,동시에 취수댐(680)의 물은 다시 수압관을 거쳐 펌프수차(264)와 프란시스수차(229)와 펠톤수차(230)들로 구비해 물이 갖는 위치에너지를 기계적에너지로 변환을 마련하고나,동시에 수력발전기(213)로 전기에너지 발생을 마련하는 수해조절장치시스템에의 수력발전소의 수력발전기(213)들로 형성된다.
도 2 내지 도 4에 도시한 바와같이,상기 수해조절장치의 본체(1)의 내부로 동력모터인 전동기몸체(192)는 후드(193)와 스냅링(194)과 팬(195)과 전동기몸체 프레임(196)과 전동기몸체 전방 보조철판(197)과 회전축(198)과 회전자조립(199)과 전방 회전축받이(200)과 고정자조립(201)과 모터보호용의 주물프레임(202)과 단자박스(203)와 인양볼트(204)와 단자박스카버(205)와 후방 회전축받이(206)와 후방 보조철판(207)과 공극(208)과 팬 보호카버(209)와 회전자철심(210)과 고정자철심(211)과 고정자권선(212) 연결구조와 전동기몸체(192)의 회전축(198) 끝단부로 임펠러(143)가 부착되어 동력펌프(304)와 연결구조를 마련한 수해조절장치시스템의 원동기들로 수해조절장치가 형성된다.
도 2 내지 도 4에 도시한 바와같이,상기 수해조절장치의 본체(1)의 내부로 구성하는 건설기계에는,해양의 내부에 다수개의 교각겸용지주탱크(590)와 상기 교각겸용지주탱크(590) 상단의 바지선선체(591)와 상기 지주탱크(590) 하단의 바지선선체(592)를 조립 해체하도록한 소형의 해양발전소 부양식독(593)과 중형의 해양발전소 부양식독(594)과 대형의 해양발전소 부양식독(595)을 해양의 심해저에 고정을 마련하는 수해조절장치의 본체(1)의 내부로 요부위 장비로 마련한 물의 위치에너지를 구비한 수해조절장치들로 구성되어있다.
그렇기 때문에,수해조절장치의 본체(1)의 내부로 구성하는 해양발전소와 해양터널교통장치(941)에는 소방방재장치 부속품인 철판결합용 지그대 쇄기(185)가 건물내부와 외부로 부착되는 일정한 규격의 보강철판(165)과 갈고리(13)와 갈고리 훅크(21) 부착용 가공홀(20)들로 마련하고나,동시에 와이어로프(19)와 스프링(186)과 러그(21)와 지그대 또는 지그(22)와 샤클(23)과 볼트(24)와 너트(25)와 와샤(26)와 힌지(27)와 타구어윈치(137)와 레버블럭(123)과 체인(189)과 에어튜우브(188)로 대형건물 옥상의 기계실 철탑(116)과 산정상의 철탑(116)과 비상발전기(124)를 포함한 재난방재의 방재장비로 이루어지는 육해상에서의 발생되는 재난방재시스템의 소방방재 대책용 장비들로 구비해 수해조절 방화수를 더 멀리, 더 빠르게 더 많이 더 높은 곳에서 방재물질을 방출하도록한 설치위치 보장을 마련하고나,동시에 고압입형다단펌프(8)의 전개와 전폐 위치를 설정되게 마련된 밸브장비들로 포함한 지구촌의 해양발전소와 해양터널교통장치(941)에도 수해조절장치의 본체(1)의 내부로 수해조절장치 설치를 마련한 것이다.
도 2 내지 도 4에 도시한 바와같이,상기 수해조절장치의 본체(1)의 내부로 구성하는 화재 발생시 최초로 불씨와 불꽃(293)에 따라 바스켓(42) 또는 비닐팩(43)은 지표면 상단부 상단에 낙하되고 이에 따라 밸브상단의 감지센서인 제어장치가 화재감지하고 밸브가 개방되어 일정한 수압력을 방재배관에 보유하고 일정한 수압을 보유하는 방화수는 방재배관에 개방된 밸브를 통과하여 화재발생지역의 다수의 분사노즐(10)을 마련하고나,동시에 분사노즐(10)은 내수압의 일정한 수압에 의해 분사노즐(10)의 토출분사를 마련하고나,동시에 분사노즐(10)은 기계실 내부의 고압의 입형다단펌프 후미하단에는 방재배관(89)이 구비되고 배관라인 최초 출발지역인 헤드탱크(189)의 접합연결부위 비상밸브(84)와 수압감지조절 감압 밸브(85)에 부착되는 감지센서인 제1압력체크센서(86)가 입형다단펌프 제어박스 내부 제어보드(53)로 연결되고 펌프는 재차 가동을 하여 일정한 기준의 수압 유지를 진행한 후 펌프작동은 일시 중단을 마련하고나,동시에 방재배관라인(89)에는 상수도 배관라인(89)과 동일한 기계실 바닥표면(MFG) 일정한 거리로 수해조절장치의 본체(1)의 내부로 구성하는 수해조절장치의 수압감지조절 감압 밸브(85)로 구축한다.
도 2 내지 도 4에 도시한 바와같이,상기 수해조절장치의 본체(1)의 내부로 구성하는 펌프(8)의 보호카바 내부의 임펠러(143) 주위로 흡입구 주변에는 좌측, 우측부위로 압력 흡입, 토출배관(3),(4)이 결합된 것을 헤드탱크(189)라 칭하고, 상기 헤드탱크(189)에는 대단히 높은 고압의 상태로 방화수 수압이 상승하고나,동시에 헤드탱크의 방화수 수압에는,8리터 용량, 16바아(Bar)에서 견딜수 있도록한 압력으로 압축 저장되고 일정한 압력에 도달되면 헤드탱크 전방부위인 펌프 흡입구 또는 펌프 토출구 후미로 각각의 일정한 규격의 대형의 배관(14)에는 배관연결부속인 엘보와 티이엘보(44)들로 구비되는 고압력에 견딜수있도록한 재질을 포함한 수해조절장치의 본체(1)의 내부로 구성하는 수해조절장치의 설치위치를 정확히 설정되게 한다.
도 5를 참조하면,본 발명에 따른 수해조절장치시스템의 일 실시예의 구성을 보여주는 수해조절용수 저장이동 조절을 마련하는 어도터널을 해양에 고정시키는 연결축 이중관구조 해양터널교통장치에 해양수력발전소 부양식독들로 마련된 수해조절장치시스템을 도시한 본 발명을 대표하는 사시 구성도로,도 5a를 참조하면,본 발명에 따른 수해조절장치시스템의 일 실시예의 구성을 보여주는 해양발전소 부양식독(593,594,595)들로 선체의 배관블록용 강재철판 밴딩방식과, 용접접합 기본방식을 이중관구조의 해양터널교통장치 철구조물 정면 측면을 도시한 수해조절장치시스템의 부분적 상세 구성도 및 오대양 육대주의 무재해 관교량 강관 제조공정 구성도와,도 5b를 참조하면,본 발명에 따른 수해조절장치시스템의 일 실시예의 구성을 보여주는 수해조절설비 물 저장을 조절하는 어도터널을 해양에 고정시키는 연결축 이중관구조 해양터널교통장치(941)에 해양수력발전소 부양식독(593,594,595)들로 마련된 수해조절설비 조립방법을 도시한 해양수력발전소 부양식독(593,594,595) 수해조절장치시스템의 시공방법 조립 구성도와,도 5c를 참조하면,본 발명에 따른 수해조절장치시스템의 일 실시예의 구성을 보여주는 수해조절설비 물 저장을 조절하는 어도터널을 해양에 고정시키는 연결축 이중관구조 해양터널교통장치(941)에 해양수력발전소 부양식독(593,594,595)들로 마련된 수해조절설비 조립방법을 도시한 해양수력발전소 부양식독(593,594,595) 수해조절장치시스템의 시공방법 조립 구성도와,도 5d를 참조하면,본 발명에 따른 수해조절장치시스템의 일 실시예의 구성을 보여주는 수해조절설비 물 저장을 조절하는 어도터널을 해양에 고정시키는 연결축 이중관구조 해양터널교통장치(941)에 해양수력발전소 부양식독(593,594,595)들로 마련된 수해조절장치의 조립방법을 도시한 해양수력발전소 부양식독(593,594,595) 수해조절장치시스템의 시공방법 조립 구성도로,
도 5 내지 도 5d에 도시한 바와같이,수해조절장치시스템의 수해조절장치는,폭서와, 태풍과 지진발생전에 해일과 산사태의 발생에 따라 피해축소방식으로 구비한 재난방지 에이취빔(149)과 산 도로절개지의 삼칠 계단식 와이어로프 안전그물망(401)들로 설치를 마련하고나,동시에 해상에서 발생되는 풍랑파도로 부터 해상선박 침몰방지를 마련한 해상선박 탑재용 수해조절장치 일체와,인명구조용 에어튜우브(130)와,구명정(188)과,인명구조용 바스켓(42)과,인명구조겸용 침대노즐(172)과 방화사(159)와, 에어보관 비닐튜우브로 구비해 재난방지설비를 포함하는 가스폭발시 방화사로 구비한 모래주머니 방벽과, 육지해상 연결을 마련하는 해저 배관선로 일체와,재난방지를 마련한 방재제어장치들로 마련하고나,동시에 수해조절장치는,미래의 기계문명의 꽃을 피우도록한 철광석 망간단괴(909) 채집하도록한 굴착채집용 뜰채그물(910)과, 르메틱의 흡입채취기계(911)와, 해저광물 재취로봇(912)과, 뜰채 바스켓과, 탐색장비용 탐조등과 수중조명등과 감지센서 일체로 구비해 해양발전소의 바지선선체(591) 상단과 하단으로 탑재 구성작용장치인 수해조절장치시스템의 수해조절장치가 구성되어있다.
도 5 내지 도 5d에 도시한 바와같이,수해조절장치시스템의 수해조절장치는,상기 수해조절장치의 격리밸브(5) 전방에 구비되는 제1압력체크센서(86) 수해조절장치와;상기 수해조절장치의 역지밸브(6) 일체로 구비되는 제2압력체크센서(87)와;상기 격리밸브(5)를 기준으로 상기 격리밸브(5)의 전방과 후방을 연결하여 우회하도록한 구비되는 소방방재배관라인(168) 수해조절장치와;상기 우회 방재배관라인(168)에서 상기 격리밸브(5)와는 반대로 개폐작동하도록 구비한 비상밸브(84)와;상기 제1압력체크센서(86)와 상기 제2압력체크센서(86)로부터의 압력값을 체크하여 상기 비상밸브(84)의 작동을 제어하는 전자제어유닛(88) 일체와;상기 입형다단 펌프 하단부 도로 지표면 상단의 흡입합류관(3) 플랜지(28) 연결 접합부위의 솔레노이드밸브(76)와 펌프 기계실 외부에 마련한 집수정탱크(34)에 구비되는 방화수는, 방화수 수위감지센서로 방재수량들이 감지되며,노즐호스(9) 내부로 구비되는 에어호스(109)와, 에어호스(109) 연결하도록한 암수관계의 소켓 에어닛플(110)과, 해상선박 재난발생전후시 인명구조를 마련하도록한 애드벌룬(77)과, 비행선(78)을 해수면 상단부 상단으로 계류를 마련한 수해조절장치시스템의 선박갑판상단 비상엔진발전기(226) 가동을 수해조절장치들로 구성되어있다.
도 5 내지 도 5d에 도시한 바와같이,수해조절장치시스템의 수해조절장치는,동력전원을 공기압축기(80)와 동력모터제어모듈(106)에 공급된 후 공기압축기(80) 작동으로 생성되는 공기를 에어리시이버 고압저장탱크(145) 내부로 일정한 압력의 공기가 저장되도록 재난발생전에 에어리시버고압저장탱크(145) 내부에는 일정하게 공기압이 유지되면서 재난발생시 방재용 공기배관라인(181) 비상밸브(84)가 오픈되면서 선체 내부로 공기를 불어 넣고 선체외부의 배관프레임에 부착되어 있는 다수개의 콘테이너 크기의 에어튜우브(130)에 공기가 저장되면서 동시에 인명구조를 마련한 선체갑판 상단의 애드벌룬(77)이 해수면 상단부 상단으로 부상되면서 애드벌룬(77) 하단의 인명구조용 바스켓(42)에 재난선박의 선원 탑승자 일체로 구조확인을 마련하고나,동시에 지구촌의 육지와 해상의 재난방지를 마련한 안전제어장치 시설물 제조설치방식과 인명구조수단 일체로 분사식 노즐에 부착을 마련하고나,동시에 분사식노즐 조절용 파라핀(100)이 해상선박에도 구비되어 화재방지와 재난을 대비하여 구성하는 수해조절장치시스템에의 수해조절장치의 분사식노즐 조절 전자제어펌프 소방방재 제어장치 제공을 마련하고나,동시에 수해조절장치는,관노즐 이동형 소방방재 펌프를 포함한 해양발전소 내부의 전력 공급을 마련하기 때문이다.
도 5 내지 도 5d에 도시한 바와같이,수해조절장치시스템의 수해조절장치는, 앙카와 앙카체인을 대체하도록한 원유시추용 드릴링 머신의 코아드릴(917)로 해저지표면 바닥 굴착을 마련하고나,동시에 상기 부양식독이 안착작업 기간 중 안전정박을 위하여 앙카볼트(133)는 영구적인 고착을 마련하고나,동시에 오대양 육대주를 횡단하는 해양터널 교통장치(941)의 교각을 마련하고나,동시에 바지선선체가 해저 지표면 바닥에서 정박하도록한 계류장치들로 구성하고나,동시에 바지선선체 정박해지시에는 교각기둥 하부에 부착된 작키베드와 쇄기크랭크(846)의 지그대쇄기(185)가 유압기로 압축해지를 마련하고나,동시에 바지선선체인 부양식독을 정박해지하도록한 부양식독 내부의 내수압 조절장치들로 작동을 마련하면서 동시에 수해조절장치시스템의 수해조절장치 해양터널 교통장치(941)와 부양식독들은,중력과 부력에 따라 잠수와 물위로 부상하는 방식을 포함한 수해조절장치시스템에의 수해조절장치들로 구성되어있다.
도 5 내지 도 5d에 도시한 바와같이,수해조절장치시스템의 수해조절장치는,해양의 해수면에서 해저 천연가스(922)와 원유(841)에너지 자원을 생산하도록 마련한 원유시추용의 드릴링 머신(908)과 상기 머신(908)을 원유시추봉 연결작동을 마련한 파이프랙(854)의 상기 파이프랙(854)에 결합분리되는 코아드릴(917) 장비들로 마련하고나,동시에 분사노즐몸체(B)에는 밀폐된 분사노즐을 개방시킨 전자제어장치의 밸브 후미의 배관호스 및 배관라인의 배관몸체(B) 둘레면을 따라 일직선 틈새(15)와 원형 형태의 틈새(15) 가공홀(20)인 노즐직경이 5밀리미터 내지 10밀리미터로 조정되는 490개의 노즐과, 플랜지 접합부 8개소의 틈새 노즐로 액체와 기체로된 방재물질들을 함께 공급을 마련하고나,동시에 소방호스 마디로 연결되는 분사노즐과 소방호스(9) 내부로 형성되는 호스 연결마디에 연결구성되는 에어노즐을 볼트와 너트로 분리결합을 마련하고 와샤로 플랜지 접합부 틈새노즐 조정을 마련한 분사노즐몸체(B) 내부와,소방호스(9)의 내수압을 보유한 방재물질을 방출한 분사노즐(10) 틈새(15)로는,토출분사수(38)와 컨텐물막(39)이 다수개의 불기둥을 쓰러지도록 마련하고나,동시에 토출분사수(38)와 컨텐물막(39)들은,모여드는 유해적조 미생물(921)과 조류 대번식 억제를 마련하고나,동시에 토출분사수(38)와 컨텐물막(39)들은,해상상공의 찬공기 덩어리인 수직하강 기류를 해수면 10킬로미터 상공의 제트기류에 수직하강 기류를 되돌려서 태풍이 육지로 접근을 못하도록한 수해조절장치시스템의 수해조절설비들로 감쪽하는 순간에 감쪽같이 태풍 소멸제거를 마련하는 방식을 포함한 수해조절장치시스템에의 수해조절장치들로 구성되어있다.
도 5 내지 도 5d에 도시한 바와같이,수해조절장치시스템의 수해조절장치는,상기 토출분사수(38)와 컨텐물막(39)들은,화재와, 유해적조와 태풍을 소멸제거시키는 장면의 영상을 무인카메라(184)로 구비해 화재와,유해적조와 태풍을 소멸제거시키는 장면의 영상의 전송을 마련하고나,동시에 고압의 공기압축기(80)와 입형다단 펌프(8)의 관제시스템(150) 관제서버(51)의 연산을 통해 모니터에 점수를 디스플레이하도록 형성된 분사식 노즐조절용 마이크로 전자제어 펌프와,에어호스(109)와 에어노즐(923)들로 공기압축기(80)와 쿨링장치와 함께 탑재를 마련하고나,동시에 수해조절장치는,해저수심 10킬로미터에서도 선박과 바지선 침몰방지의 부침장치들로 마련한 해양환경산업의 해양개발종합장비 해양발전소의 부양식독과, 시소형 풍수력 발전기의 수해조절wkdcl들로 1km 거리로 1000000kw/h 발전 용량의 발전기들이 다수개로 형성되어 92,500개소 해양발전소에서의 생산전력들이 변압기(96)의 전력 조절로 수해조절장치시스템의 수해조절장치들로 구비해 수해조절장치의 본체(1) 내부로 공급된다.
그렇기 때문에, 상기 수해조절장치의 본체(1) 내부로 해저수심 10킬로미터에서도 바지선선체가 침몰되지 않도록한 부양식독의 제조설비에는 상기 관제서버(51)의 콤퓨터 전산기에 고장력의 철판(597)을 일정한 치수로 용접 이음의 기본 방식과 동일하게 용접하도록한 용접 개선면을 구비하고나,동시에 부양식독설비는,인장강도와 중력과 부력에 견딜수 있도록한 바지선선체인 부양식독은 설계된 메모리를 수중산소절단과 수중레이져작동 전산기에 입력을 마련하고나,동시에 전산제어기는,작동스위치 버턴-온 상태에서 수중산소 절단기와 수중레이져 절단기로 절단을 마련하고나,동시에 고장력의 철판(597) 절단에는,3롤 밴딩(749)과 포스트밴딩(750) 기계로 밴딩 공정을 경유하면서 동시에 용접(713)이음의 기본방식에 따라 가용접(751)을 마련하고나,동시에 부양식독설비의 본 용접(713)에는,배관(14)과 이중구조블록탱크(598)가 500미터 표준길이 단위로 제조된 이중구조블록탱크(598)는 지주탱크(590)와, 상기 지주탱크(590) 상단의 바지선선체(591)와, 지주탱크 하단의 바지선선체(592)와,상기 지주탱크 지지를 마련하는 내부 블록탱크(596)와 상기 탱크(596) 둘레면에 따라 외부 블록탱크 내부에 결합한 이중구조블록탱크(598) 결합을 마련하는 블록 탱크용 제1 보조형강(600)과 블록탱크용 제2 보조철판(601)과 스냅홀(602)과 휴대용 러그 연결축 결합용 볼트(603)와 휴대용 러그 연결축 결합분해 너트(604)와 수직격벽(605)과 휴대용 러그 결합용 핀 연결축(606)과 휴대용 러그 (607)와 휴대용 러그핀(608)과 수평격벽(609)과 격벽맨홀(610)과 맨홀뚜껑(152)과 해치카버(153)와 대형플랜지(614)와 이중관 구조탱크인 교각건설용 부교식 새들 형틀(617)과 가이드레일(618)과 반잠수 작업선(637)과 상기 반잠수 작업선(637)에 탑재되는 밴드지그대(621)와 블록철탑(116)과 이중구조블록탱크(598) 결합용 휴대용 러그 결합용 핀 연결축(606)과 휴대용 러그핀(608)과 러그 힌지소켓(613)과, 블록탱크 결합용 보조철판(165)과 블록탱크 연결용 부분품 일체를 육지의 중공업 분야 산업체에서 마련하고나,동시에 해양발전소에서의 생산전력(685)을 해양발전소 내부의 다수개의 발전기와 다수개의 변압기(96)들로 구비해 수해조절장치의 본체(1) 내부로 수해조절장치들로 전력 조절후 수해조절의 전력을 공급한다.
도 5 내지 도 5d에 도시한 바와같이,수해조절장치시스템의 수해조절장치는, 예인선(에어타구어보트, 636)들로 이송전 이중구조블록탱크의 용접결함의 이상유무 확인을 마련하고나,동시에 해양발전소 수해조절장치는,수정작업 완료를 마련하며 동시에 예인선(636)으로 해상조립 현장에 해양발전소 수해조절장치 이동을 마련하고나,동시에 이중구조블록탱크(598)는 반잠수 작업선(637)의 밴드지그대(621)로 조립작업으로 조립연결된 탱크블록의 부분품들로 마련하고나,동시에 이중구조블록탱크(598)는 소형의 해양발전소 부양식독(593)과 중형의 해양발전소 부양식독(594)과 대형의 해양발전소 부양식독(595)들로 마련하고나,동시에 해양발전소 수해조절장치는 오대양 육대주를 연결시키는 교량과 교각들로 연결을 마련한 이중구조블록탱크(598)로 구비해 수해조절장치시스템의 해양터널 교통장치(941) 수해조절장치들로 연결 구성되어있다.
도 5 내지 도 5d에 도시한 바와같이,수해조절장치시스템의 수해조절설비에의 상기 예인선(636)에 탑재를 마련하는 부이깃대 고무풍선(628)과, 잠수위치 확인 밧줄용 로프(629) 탑재를 마련하고나,동시에 수해조절설비에의 부양식독에는,로프매듭 갈고리(630)로 맨나중에 잠수되는 이중구조블록탱크(598) 부위로 상기 부이깃대 고무풍선(628)을 메달아 구성시킨뒤 상기 이중구조블록탱크(598) 외부로 부착되는 공기주입구 상태와 전자제어장치 밸브 작동상태와 에어호스(109)와 펌프호스 상태 점검을 마련하고나,동시에 수해조절설비에의 부양식독의 잠수와 부양식독의 부상기능의 점검을 마련하고나,동시에 부양식독의 안전작업을 마련하도록한 반잠수 작업선(637)은 밴드지그대(621)와 유압실린더 작키(623)로 이중구조블록탱크(598) 연결을 마련하면서 동시에 지주탱크 상단의 바지선선체(591)가 해수면(SLL) 선상에 보일때까지 부양식독을 각개의 이중구조블록탱크(598)에 마련한 밸러스트 버터플라이 밸브(622)와 유압실린더용 도어(624)와 유압실린더용 해치카버(153) 각개로 예인선(636)에 연결을 마련하고나,동시에 부양식독조립에는,토출펌프로 블록탱크 단위 내부의 물을 탱크외부로 퍼내면서 해상 화물선 선박의 정박을 마련하면서 동시에 등변산 형강(149)과 파이프로 마련한 블록철탑(116)을 비상용의 계단(631)과 승강기 앨리베이트(632)는 블록단위별로 운송을 마련하고나,동시에 부양식독조립에는,지주탱크 상단의 바지선선체 상단부 갑판데크에서 눕혀 조립을 마련하면서 천정크레인과 기중기(861) 탑재를 마련한 지주탱크 하단 바지선선체(592)에는 고장력의 스테인레스 철판(597)들로 구비해 작업공간 확보를 마련한 갑판데크들로 부양식독조립을 마련하고나,동시에 해수면 상단부(SLU)의 지주탱크 상단의 바지선선체 갑판데크 상단 중심부 상단에는,블록철탑(116) 내부로 비상용의 계단과, 승강기 앨리베이트와, 블록단위 러그 연결축 결합용 볼트와 러그 연결축 결합용 분해 너트로 블록단위 블록철답(116) 결합을 마련하고나,동시에 상기 비상계단(631)과 승강기 앨리베이트(632)와 계류탑에는 비행선 계류장 위치를 마련하고나,동시에 블록철답(116) 정상에는 천둥번개 발생시 벼락의 피해 방지를 마련한 철탑(116) 정상에 끝이 뾰족한 금속체 막대기인 피뢰침(500)을 마련하고나,동시에 상기 피뢰침(500)의 하단부에는 기상관측장비의 애드벌룬(77)과 라디오존데(134)와 통신장비 수해조절장치시스템의 수해조절장치 부양식독들로 연결하여 일기정보 교환을 마련한다.
도 5 내지 도 5d에 도시한 바와같이,수해조절장치시스템의 수해조절장치는, 상기 기상관측장비 하부에는 파일렛이 승선하는 바스켓(42) 내부로 무인승선용 무인카메라(184)와,상기 애드벌룬(77)이 상부와 하부로 위치조절을 마련한 버너붐(920) 설치를 마련하고나,동시에 연료공급호스(694)로 연료가스 공급을 마련한 소방호스(9) 내부로 연료공급호스(694) 설치를 마련하고나,동시에 소방방재호스(9) 보호용 연결선 와이어 로프(19)와 샤클(23)과 러그(21)로 공기보다 가벼운 기체운송수단의 연료공급호스(694)가 방재 소방호스(9) 내부로 접속되면서 입형다단 펌프(8)와 급수차단 밸브 후미 소방정(40)과 공기압축기(80)에서 생성되는 에어리시이버탱크(145)와 공기저장탱크 연결 각개로 연결을 마련하고나,동시에 지주탱크 상단의 바지선선체 블록철탑(116) 우측으로 유해가스 버너붐(920)과 고압저장탱크인 에어리시버탱크(145)와 대형수력발전기 몸체(213) 내부의 각개의 수차발전기와 운송장치시스템의 비이오피스키드(918)와, 천연가스(922)와 원유(841)채취시 보관저장탱크와,상기 저장탱크로부터 유해가스분리저장탱크와 원유채취전 굴착시 유해가스 발생시의 긴급상황시에는,플렉시블 고압호스(190)가 부착된 집진기(794)로 긴급 복구를 마련하고나,동시에 통신장비 수해조절장치시스템의 수해조절장치 부양식독들로 연결하여 해저 작업장 상태의 정보교환을 마련한다.
도 5 내지 도 5d에 도시한 바와같이,수해조절장치시스템의 수해조절장치는,원유(841) 채집생산을 원유시추용의 드릴링머신(908) 기계선반대를 마련하고나,동시에 원유시추공 설비에는,황토(158)와 세멘트(924)로 시추공간을 되메우도록한 황토(158)와 시멘트(924)를 혼합시키는 장비인 믹서(73)와, 블록철탑(116) 좌측으로 헬기정류장(619)과 선원 작업실과 통제실과 선원 주거지의 선실과 기계실들로 마련하고나,동시에 안전통제실 좌측으로는 인공위성(611)과 우주로켓(612) 발사를 마련한 인공위성발사대(643)와 갑판데크 외벽으로는,선박 정박을 마련한 계류장치 볼라드(638)와,상기 인공위성발사대(643) 내부로 인공위성(611)과 우주로켓(612)이 배치 형성하면서 동시에 통신장비 수해조절장치시스템의 수해조절장치 부양식독들로 연결하여 해양에서의 작업장 상태의 정보교환을 마련한다.
도 5 내지 도 5d에 도시한 바와같이,수해조절장치시스템의 수해조절장치는, 부양식독들로 유해적조대번식 사전 예방을 마련한 공기압축기(80)와,그물식 에어호스(109)로 연결한 에어노즐(923)로 해저에 설치를 마련하고나,동시에 원유시추용의 드릴링머신(908)과,상기 드릴링머신(908) 룸에서는 원유시추봉 연결 회전작동을 하도록한 작은톱니가 구르는 톱니받침의 파이프랙(854)은, 드릴링머신(908) 기계선반대에 이동하도록한 천정크레인(861)에는,와이어로프(19)의 크레인붐(651) 샤클로 운반을 마련하고나,동시에 부양식독에는,타구어윈치(137) 결속을 마련한 드릴머신(908) 선반 상단부에 길이 15미터의 파이프랙(854)들은 원유시추봉 연결을 하도록 대기 상태를 마련하고나,동시에 부양식독에는,해저수심이 10킬로미터 지역 해저의 지주탱크(590) 하단의 바지선선체 중심위치 지주탱크 보텀 바닥의 굴착 기계실까지 원유시추봉에 결합분리를 마련하고나,동시에 코아드릴(917) 수해조절장치시스템의 수해조절장치 부양식독들로 연결하여 해양에서의 작업장 상태의 정보교환을 풍수력발전기의 생산전력들로 마련한다.
도 5 내지 도 5d에 도시한 바와같이,수해조절장치시스템의 수해조절장치는, 해수면 하단부(SLD) 바지선선체(592) 외벽에는 격벽맨홀(610)과 맨홀뚜껑(152)과 해치카버(153)와 유압회전실린더(620)와 작키(623)들로 수해조절장치 부양식독들로 마련하고나,동시에 부양식독에는,상기 격벽맨홀(610)과 해치카버(153) 공간으로는 해저광물채취 로봇(912)과 자동공압식 밸브운송장치(916)와 흡입채취기계(911)와 광물채집 뚜레박(924)과 어족자원 뜰채그물(910)의 와이어로프(19)와 로프(131)들로 마련하고나,동시에 심해저 탐색장비는,이동출입을 마련하고나,동시에 해저광물자원 망간단괴(909)와 그 이외의 해저광물과 천연가스(922)와 원유(841) 채집을 심해저 탐색장비들로 마련하고나,동시에 어족자원 시각적 몰이용인 탐조등(232)과, 해저탐사용 렌즈유리(반사경,804)와,수중조명등(843)이 해수면 하단부 지주탱크(592)와 상기 탱크(592)하단의 바지선 몸체 외벽 둘레면에 마련하고나,동시에 해양발전소에는,해저유속에 따라 발전전력을 생산하는 펌프수차(264)들로 구비해 발전생산 전력들은 수해조절장치 부양식독들로 구성되어있다.
도 5 내지 도 5d에 도시한 바와같이,수해조절장치시스템의 수해조절장치는,바지선선체 해수면 상단의 갑판데크 상부에 발전기 몸체 설비를 마련하고나,동시에 상기 발전기 몸체 내부의 회전축(198)은 길게 연결되며 동력전선으로 연결 형성되면서 전력을 변전소로 공급을 마련하고나,동시에 바지선선체에는,외부 블록탱크 외벽 둘레면에는 항해 선박충돌 피해방지용 고무로 마련한 에어튜우브(130)와, 선체 펑크시 원유(841)유출 방지용의 고무로 마련한 이중비닐텐트(43)와 나팔 깔대기 형식으로 마련한 흡착기계 전기자석 마그넷 이중비닐텐트(43)와 마개철판(625) 대체장비 그 이외의 안전치공구와,풍랑파도에도 견딜수있도록 마련한 계류장치 앙카와 앙카용체인(640)과 앙카볼트(133)들로 마련하고나,동시에 바지선선체에는,동력모터 작동용의 시동스위치-온시 밸브 오픈되고 시동스위치-오프시 밸브 차단되는 제1압력감지센서(86)와 제2압력감지센서(87)와 흡기계인 진공펌프로 펌핑되어 배관라인으로 해수면 상단의 바지선선체 갑판데크 상단에 채집 운반되는 망간단괴(909)와, 해상해적을 접근을 못하도록 마련한 와이어로프(19) 마련된 그물망(400)과 배관노즐 프레임들로 탑재를 마련하고나,동시에 바지선선체에는,육지에서 제작된 후 예인선(636)과 선박들로 이동을 마련하고나,동시에 해양발전소는,수해조절장치 부양식독들로 해수면(SLL) 선상에서 이중구조블록탱크(598) 단위의 결합부위로 반잠수 작업선(637) 탑재로 구성된다.
도 5 내지 도 5d에 도시한 바와같이,수해조절장치시스템의 수해조절장치는, 부양식독 조립에는,유압실린더 작키(623)와 유압회전실린더(620)에 부착된 밴드지그대(621)와 수공구 햄머와 렌치가 구비되어 대형플랜지 결합볼팅 작업을 마련하고나,동시에 부양식독 조립에는,부양식독 연결 조립후 토출펌프와 공기압축기(80)가 가동되면서 블록탱크내부 공기압력 조절과 수압조절을 마련하고나,동시에 육안의 감지로 부양식독 잠수와 부상을 반복을 마련하면서 블록탱크 연결부위인 휴대용 러그(607) 가공홀(615)에는 휴대용 러그 결합용 핀 연결축(606)에 끼우고 휴대용 러그 연결축 결합용 볼트(603)와 휴대용 러그 연결축 결합분해 너트(604)로 결속을 마련하고나,동시에 휴대용 러그핀(608)을 볼트 나사산 끝단부위 가공홀에 끼워 핀 마디부분으로 휴대용 러그핀(608)을 꺾어서 너트로 고정결합을 마련하고나,동시에 부양식독 제조수단으로 제조완성 후 시운전 탑재장치들로 시동스위치 보턴-온 상태로 각개의 발전기 생산전력을 산업분야별원유시추사업장인 드릴링머신(908) 기계실과 철광석 채집기계실과 고압입형다단펌프(8) 기계실로 생산전력 공급을 마련하고나,동시에 부양식독 조립에는,오대양 육대주 연결을 마련한 교각의 앙카링을 영구적으로 고정을 마련하고나,동시에 해저의 볼팅작업 수행을 마련한 결합 분해용 볼트(603) 나사산 중심 부위에 인양볼트(204)용의 나사탭(167) 가공을 마련하고나,동시에 해양발전소는,수해조절장치 부양식독들로 해수면(SLL) 선상에서 이중구조블록탱크(598) 단위의 결합부위로 반잠수 작업선(637) 탑재로 구성된다.
도 5 내지 도 5d에 도시한 바와같이,수해조절장치시스템의 수해조절장치는, 부양식독 조립에의,인양볼트(204)용 나사탭(167)에는,파라핀(100)으로 나사탭에 밀봉시켜 녹방지를 마련하고 인양볼트(204) 공간으로 로프와 와이어로프 결속후 해수면 선상 길이만큼 로프 끝마디로 부이깃대 고무풍선(629)을 메달아 고정을 마련하고나,동시에 부양식독 조립에의, 너트(604) 분해결합을 마련한 교량과 교각들로 연결한 이중구조 블록탱크 라인에 해저배선을 형성시켜 육지로 인적과 물적보급을 마련하고나,동시에 부양식독과 선체에의 화재 발생시와 유해적조 발생전과 태풍 발생전에는,펌프와 공기압축기(80) 가동으로 해수면 상공과 해저에는 열십자형의 플렉시블고압호스(190)로 공기 공급을 마련하고나,동시에 펌프배관라인 호스 내부의 내수압의 방재수는, 노즐 틈새로 토출분사수와 방사형의 커텐물막으로 토출되면서 물산맥을 마련하고나,동시에 부양식독의 토출분사수와 방사형의 커텐물막은 작동이 마련하고나,동시에 태풍의 위력을 제압하고 지구온난화가 방지되면서 유해적조와 대동소이한 핵폭탄제조 당사국 다툼의 당업자들을 화해무드로 전환을 마련하고나,동시에 위기경제 극복을 마련하고나,동시에 국제사회분쟁 해소를 마련한 인터넷망(50)의 정보교환 통신수단과 접목된 컴퓨터시스템의 인공위성(611)의 무선장치 레이더와 무인카메라(184)들로 전송을 마련한 정보제공들이 포함한 수해조절장치시스템의 수해조절장치 해양발전소는,부양식독들로 구비해 해수면(SLL) 선상에서 이중구조블록탱크(598) 단위의 결합부위로 반잠수 작업선(637) 탑재로 구성된다.
도 5 내지 도 5d에 도시한 바와같이,수해조절장치시스템의 수해조절장치는, 해양발전장치에의,친환경 무공해 에너지 풍차발전기와 수력발전기, 조력발전, 전력생산을 무재해 지구촌으로 공급을 해양터널교통장치 내부전동차(771)로 마련하고나,동시에 해양발전장치는, 해저광물자원 채집을 마련하고 채집 즉시 철광석을 용해하는 용광로에 망간단괴(909) 투입을 마련하고나,동시에 지구촌 각국으로 가공한 철광석과 원유(841)와 무공해천연가스(922) 공급을 마련한 해양터널교통장치와 내부전동차(771)는 해상교역물동량 창고로 구비하며 해상정거장으로서 국제사회 경제발전 협력장치로 설립을 마련하고나,동시에 오대양 육대주 영토와 영해분쟁 해소 를 마련하고나,동시에 모든 군수물자와 폭탄제조 실험을 해상 지정된 곳에 한정적으로 마련하고나,동시에 육지에서는 군수물자보관을 못하도록한 국제사회 평화 유지군의 관리체재로 보존을 마련하고나,동시에 해저자원 매장량 획득성과에 따라 무인카메라(184)를 통해 획득점수가 많은 국가와 개인에게 우승 확인한 후 점수환산모니터(52)에 디스플레이하는 부양식독에 탑재한 수해조절장치들로 마련하고나,동시에 해상 블특정 지역에서 출몰하는 해상해적 소탕소멸 제거방식에는 엔진 프로펠라(146)와 스큐르(147) 날개의 어느것 중 한 부분을 증감시킨 후 엔진작동시 오토(auto) 방식에 따라 해적선박과 함께 해적들이 물속으로 다이빙하도록 선박설비를 마련하고나,동시에 수해조절장치는,화재발생지의 발화물질과 방재물질이 죽마지우의 밀접한 교분관계가 유지를 마련하면서 화재 발생전 발생시 발생후 인터넷 관제시스템의 통신장비와 다수개의 펌프와 펌프전자 제어장치와 고성능 수중펌프(36)와 공기압축기(80)와 공기저장탱크와 와이어로프와 다수의 프레임 이동식의 수송장비인 헬리콥터와 애드벌룬과 비행선을 포함한 수해조절장치 일체로 기체와 액체와 고체의 방재물질 혼합을 배관노즐로 마련하고나,동시에 파라핀 노즐마개(100)는,수해조절장치시스템의 수해조절장치의 화재발생전에는 고체로 노즐마개인 파라핀 노즐마개(100)로 유지하면서 화재발생후 노즐마개(100)는,액체로 전환을 마련하고나,동시에 분사노즐에 마련한 파라핀 노즐마개(100)는,분사노즐 개방을 갖추면서 수해조절장치시스템의 수해조절장치들로 화재발생 차단을 구성한다.
도 5e를 참조하면,본 발명에 따른 수해조절장치시스템의 일 실시예의 구성을 보여주는 해양발전소 몸체 인근 산봉우리와 각개의 빌딩 건물 옥상에 감속기(251)와 전동기몸체(192)로 구축된 엘리베이터 기계실 타구어윈치(137)에 와이어로프(19)를 철탑(116) 상부로 구동바퀴로라(135)에 부착시킨후 케이블카아(256)에 소방센서펌프 일체의 소방방재 대책용품을 탑재시켜 1초 이내로 초기진화를 이루도록 한 소방방재라인을 구비한 산속 계곡 정상 부위와 바닷가 주변의 소방방재라인이 구축된 본 발명 수해조절장치시스템의 사시 구성도로,도 5f를 참조하면,본 발명에 따른 수해조절장치시스템의 일 실시예의 구성을 보여주는 해양발전소 몸체 인근 산봉우리와 각개의 빌딩 건물 옥상에 감속기(251)와 전동기몸체(192)로 구축된 엘리베이터 기계실 타구어윈치(137)에 와이어로프(19)를 철탑(116) 상부로 구동바퀴로라(135)에 부착시킨후 케이블카아(256)에 소방센서펌프 일체의 소방방재 대책용품을 탑재시켜 1초 이내로 초기진화를 이루도록 산불과 황사와 산사태방지에 폭염의 자연재해로부터 피해를 사전에 방지하는 수해조절설비로 유량의 흐름을 조절하는 어도터널(672)설치와 자연생태계 복원과 자유로운 선박통행에 해양매립과 계단식 콘크리트댐 시공방법을 도시한 수해조절장치시스템의 이중관 구조 소방호스 및 이중관 구조 분사노즐 조립제작 과정 구성도와,도 5g를 참조하면,본 발명에 따른 수해조절장치시스템의 일 실시예의 구성을 보여주는 애드벌룬과 비행선의 작용방식을 도시한 대기권 내부의 태풍 및 일기예보에 따른 작동도이며 건물 내외부의 분사노즐 및 침대노즐 설치 후 1초 이내로 초기진화를 이루게 되는 수해조절장치시스템의 종류별 화재 및 재난 예방 방식 구성도와,도 5h를 참조하면,본 발명에 따른 수해조절장치시스템의 일 실시예의 구성을 보여주는 애드벌룬과 비행선의 작용방식을 도시한 것으로 대기권 내부의 태풍 및 일기예보에 따른 작동도이며 건물 내외부의 분사노즐 및 침대노즐 설치 후 1초 이내로 초기진화를 이루게 되는 수해조절장치시스템의 종류별 화재 및 재난 예방 방식 구성도와,도 5i를 참조하면,본 발명에 따른 수해조절장치시스템의 일 실시예의 구성을 보여주는 산불발생시 1초 이내로 초기진화를 이루게 되는 수해조절장치시스템의 집수정탱크 및 그에 대체하는 마노매턴형 레벨 균형관 노즐 설치 방식의 삼칠계단식 펌프 소화기 화재예방 방식 구성도와,도 5j를 참조하면,본 발명에 따른 수해조절장치시스템의 일 실시예의 구성을 보여주는 산불발생시 1초 이내로 초기진화를 이루게 되는 수해조절장치시스템의 집수정탱크 및 그에 대체하는 마노매턴형 레벨 균형관 노즐 설치 방식의 삼칠계단식 펌프 소화기 화재예방 방식 구성도와,도 5k를 참조하면,본 발명에 따른 수해조절장치시스템의 일 실시예의 구성을 보여주는 산불예방을 간단히 이루게 되는 수해조절장치시스템의 계단식 무동력 수격펌프(393)의 관노즐 집수정탱크 설치에 따른 탄산가스 소화기 설치 방식 구성도와,도 5l을 참조하면,본 발명에 따른 수해조절장치시스템의 일 실시예의 구성을 보여주는 산불예방을 간단히 이루게 되는 수해조절장치시스템의 계단식 무동력 수격펌프(393)의 관노즐 집수정탱크 설치에 따른 탄산가스 소화기 설치 방식 구성도와,도 5m을 참조하면,본 발명에 따른 수해조절장치시스템의 일 실시예의 구성을 보여주는 애드벌룬과 비행선의 작용방식을 도시한 것으로 대기권 내부의 태풍 및 일기예보에 따른 작동도이며 건물 내외부의 분사노즐 및 침대노즐 설치 후 1초 이내로 초기진화를 이루게 되는 수해조절장치시스템의 종류별 화재 및 재난 예방 방식 구성도로,
도 5e 내지 도 5m에 도시한 바와같이,상기 수해조절장치의 본체(1)의 내부로 구성하는 소방노즐(10)은 종래의 표준형 소방관창보다 더많은 방수량을 더멀리, 더빠르게 더많이 더높은 곳에서 방재물질 토출을 마련하고나,동시에 방제와 방재를 포함한 방재노즐에는 소형의 배관(14)과 기체와 액체 운반기구들로 방재노즐을 마련하고나,동시에 방재노즐에는 이중복합으로 제조되는 방재호스(9)와 연결하고 고압입형다단펌프(8)의 배관후미로 연결을 마련한 방재노즐(10)과 케이블식 탑재용 방재노즐(10)과 방재호스 연결마디 연결접합부 중간에 설치되는 방재노즐(10)을 마련하고나,동시에 상기 방재노즐(10)은 노즐지지대 프레임(11)과 갈고리(13)와 훅크(18)와 와이어로프(19)와 충격완와용의 스프링(186)과 갈고리 결합용 러그(21)와 안전핀용 샤클(23)과 볼트(24)와 너트(25)와 와샤(26)들로 마개용의 철판(165)과 플랜지(28)를 조립을 마련하고나,동시에 통신수단에의 단말기 휴대폰(82)과 케이블카아(256) 엔진(226)에 의해 고성능 수중펌프(36)와 고압상향식 펌프 제어장치의 시스템을 포함한 수해조절장치의 본체(1)의 내부로 수해조절장치 소방센서펌프 노즐틈새(15)로 분출을 마련하는 다수의 토출분사수(38)와 다수개의 칸막이 일직선 물막과 복수개의 방사선 커텐물막(39)들은 대형화재의 인명구조와 초기진화를 마련하도록한 시스템의 수해조절장치 소방센서펌프들로 수해조절이 형성되는 장비이다.
도 5e 내지 도 5m에 도시한 바와같이,상기 수해조절장치의 본체(1)의 내부로 구성하는 집수정탱크(34) 내부의 내벽 둘레면 저수위로 방화수량 확인을 마련하는 감지센서(104)는 최초발화감지노끈들로 결합연결된 기계실 내부의 고압의 입형다단펌프 제어박스(2)에는 방재수수위를 확인하는 전자제어용 감지센서로 전달을 구비해 펌프작동이 정지되었다가 방재수가 일정한 수위에 도달하면 재차 작동을 마련하고나,동시에 방화수 수위감지센서장치에는 감지노끈(41)과 원형 형태의 보올탭(499)이 지렛대 역할의 가느다란 철사로 집수정 내벽에 부착한 보올탭(499)의 하부로 위치를 마련하고나,동시에 보올탭(499)의 위치변동시에는 펌프작동을 마련하고 수평으로 위치가 고정되는 시기에는 펌프작동 중지를 마련하고나,동시에 볼탭(499)에는 감지노끈(41)으로 결합을 마련하고나,동시에 감지노끈(41)은 동작거리는 90°내지 120°각도로 위치를 마련하고나,동시에 높은산 낮은산의 집수정탱크는 자연을 훼손하지 않도록한 집수정탱크(34)를 이중관구조로 마련한 헨스물막으로도 재해발생전에 설치를 마련하고나,동시에 높낮이 조절을 마련한 공기압축기(80)로 집수정탱크(34) 내부의 물을 전개와 전폐를 마련하여 A화재로 분리된 보통화재를 1초 이내로 초기진화를 마련하는 수해조절장치의 를 포함한 수해조절장치의 본체(1)의 내부로 구성하는 수해조절장치 전자제어용 감지센서 설치를 마련한다.
도 5e 내지 도 5m에 도시한 바와같이,상기 수해조절장치의 본체(1)의 내부로 구성하는 상기 집수정탱크(34) 내부에 위치하는 방수량 흡입구 전방에는 플랜지 접합부위 마개용철판(165)에는 가공홀(20)이 일정한 치수 흡입구 규격에 적합하게 이물질을 걸려주는 필터역할의 여과기능을 구비하고나,동시에 여과된 방재수는 흡입합류관(3)을 통과하면서 동시에 수해조절장치의 본체(1)의 내부로 구성하는 수해조절장치의 격리밸브(5)와 역지밸브(6)를 통과한다.
도 5e 내지 도 5m에 도시한 바와같이,상기 수해조절장치의 본체(1)의 내부로 구성하는 감지센서 일체는 방수량의 유입되는 양을 체크하는 메터기(105)와 방수량 수위 감지를 마련하는 보올탑(104)과 각개의 부분요소에 위치를 마련하는 밸브와 밸브개폐작동을 하도록한 전자제어유닛 설치를 마련하고나,동시에 펌프 흡입구(269) 전방의 배관 상단으로 메터기(105)에는, 펌프 흡입 접합부 플랜지(28) 중간으로 고압의 격리밸브 설치를 마련하고나,동시에 고압차단 격리밸브(5)는 방재수 이송 제어를 마련하는 오토매틱 콘트롤 밸브인 제어조작부로 자력식의 조정밸브와 타력식의 조절밸브들로 구분하여 설치를 마련하고나,동시에 제어조작부 신호에 따라 조작되는 밸브로 구비해 수해조절장치의 본체(1)의 내부로 구성하는 수해조절장치의 솔레노이드밸브(76)와 나비형의 버터플라이밸브(305)와 방재배관라인(89)들로 수해조절장치시스템이 구성된다.
도 5e 내지 도 5m에 도시한 바와같이,상기 수해조절장치의 본체(1)의 내부 감지센서로 구비한 감지노끈(41)은 방대한 지역에 분포배치하는 방재물질 보관용의 바스켓(42)과 이중구조로 마련한 헨스의 천막텐트 비닐팩(43)에 방재물질을 일정한 규격의 바스켓 비닐봉지에 보관 적재한 후 방재물질 담긴부위 상단에 감지노끈들로 결합을 마련하고나,동시에 일정한 거리로 건물구조물과 건물외벽과 내벽 외부 위치로 바스켓(42)을 구비하고나,동시에 소방방재장치는 플랜지 접합부위 방재배관연결부위의 지역단위로 구비하고나,동시에 전자제어용의 감지센서로 위치를 마련하는 타력식의 조절밸브 상단에 위치하는 전자제어용의 감지센서에 감지노끈 연결을 구비하고나,동시에 상기 다수의 천막텐트(43) 모서리 부위로는 상기 감지노끈(41)을 각기 4곳과 8곳으로 고정시켜 상기 노끈 매듭의 설치 위치를 구비해 수해조절장치시스템본체(1)의 내부로 구성하는 수해조절장치의 텐트 고정형 프레임에 매달아 고정을 마련하고나,동시에 수해조절장치의 본체(1)의 내부로 산정상과 산정상의 하부에 설치되는 이동간편한 비닐팩(43) 수조탱크(295)로 설치한다.
도 5e 내지 도 5m에 도시한 바와같이,상기 수해조절장치의 본체(1)의 내부로 구성하는 다수의 재난 중, 산불화재진압에 따른 상기된 소방장비 중 종전의 수송장비를 대체 마련한 애드벌룬과 비행선과 고무로 마련된 에어튜우브와 와이어로프와 고무호스 소방장비들로 대형화재 사전예방을 마련하고나,동시에 취사용 가스불의 개도영역 이탈 방지를 마련한 이중관 구조의 호스와 노즐몸체로 형성된 관노즐 가공홀들로 포함한 지구촌의 해양발전소와 해양터널교통장치(941)에도 수해조절장치의 본체(1)의 내부로 수해조절장치 설치를 마련한 것이다.
도 5e 내지 도 5m에 도시한 바와같이,상기 수해조절장치의 본체(1)의 내부로 구성하는 화재발생시 액체로 변화되면서 배관노즐이 방사선 형식의 노즐틈새(15)와 일직선 틈새(15)가 조성되고 조성된 틈새(15)노즐로 방화수가 복수개의 방사선 형상 커텐물막(39)과 다수개의 일자형 일직선 형상 커텐물막(39)들로 분리 방출 또는 분출후 화재발생시 발생되는 죽음의 가스(163) 다이옥신과 화염물질로부터 생명에는 이상없도록한 수직수평의 커텐물막들로 수해조절을 이루도록한 전자제어장치의 펌프와 밸브들로 육지와 해상에서 발생되는 산불, 황사, 폭설, 폭서, 태풍, 홍수와 가뭄, 산사태의 재난방지와 함께 무재해 지구촌의 소방방재 제어장치로 형성된 분사노즐 조절용 전자제어펌프의 소방방재장치로 에너지파워(전력, 685) 공급을 마련하고나,동시에 부양식독 갑판데크 상단과 하단으로 형성된 해양산업 업종의 오대양 육대주 연결을 마련한 해양터널교통장치(941)의 교각과 교량들로 연결을 마련하고나,동시에 수해조절장치시스템에는,무재해지구촌 해양발전소의 관레벨 시소형 풍수력 발전기들로 발전설비와 도수설비와 취수설비의 취수댐들을 대체하여 마련한 바지선의 집수정 탱크와 무동력 수격펌프(393)들은 수해조절장치의 본체(1)의 내부로 수해조절장치를 설치하여 양수발전을 구성한다.
도 5e 내지 도 5m에 도시한 바와같이,수해조절장치의 본체(1)에는 해수면(SLL) 상부로 지주탱크 상단의 바지선선체(591)의 갑판데크 상단부 10킬로미터 정도의 상공으로 설치된 다수개의 애드벌룬(77) 하면에 파일렛이 승선하는 바스켓(42) 내부로 파일렛 없이 기상관측장비 라디오존데(134)와 기상관측레이다(840)와 무인카메라(184)에 상기 애드벌룬(77)이 상하로 위치 조절하도록한 버너붐(920)이 연료공급호스(694)로 연료가스 공급을 마련하고나,동시에 소방호스(9) 내부로 와이어로프(19)와 함께 연결 형성되면서 소방호스 연결마디로 방재노즐(10)과 함께 상기 바스켓(42) 내부로 무인점화기 스파크라이터(187)가 애드벌룬(77)과 비행선(78)의 기상관측장비를 상공에 체류를 마련하고나,동시에 다수개의 애드벌룬 내부로 뜨거운 공기를 채워지도록한 버너붐(920)은 애드벌룬을 갑판데크 상단의 비행선 계류탑(644)에서 연료가스를 호스 내부로 공급하면서 필요시 차단밸브(83)로 연료공급 차단을 마련하고나,동시에 에어호스(109)와 에어호스 연결장치 닛플(110)로 공기압축기(80)와 연결 형성된 에어리시이버 탱크(145)와 소방호스 내부의 내수압이 유지되도록한 입형다단펌프(8)는 작동을 마련하면서 집수정탱크(34) 외부의 소방정(40)에는 기체와 액체로 마련한 내수압이 고압의 상태인 방재물질들로 마련하고나,동시에 상기 입형다단펌프(8)와 고성능 수중펌프(36)는 소방호스(9) 중간연결부위 100M 간격의 높이로 설치를 마련하고나,동시에 수해조절장치의 본체(1)의 내부로 수해조절장치 무동력의 수격펌프(393)를 삼칠 계단식으로 형성시켜 태풍의상승기류(925)와 하강기류(926) 조절을 마련한다.
도 5e 내지 도 5m에 도시한 바와같이,상기 수해조절장치의 본체(1)의 내부로 구성하는 필터(262)는 연료탱크로부터 공급되는 가스연료에 포함된 이물질들이 여과되도록 구비해 순수한 연료만이 공급하도록 마련한 공기압축기(80) 작동시 공기흡입구에도 이물질 차단을 마련한 필터(262)마개와 오일로 마련한 후미냉각기(182)로 이물질 차단을 마련하고나,동시에 펌프 격리밸브(5)는 스위치버턴을 온(ON)하면 개방되고 오프(off)하면 연료공급 차단을 마련하고나,동시에 레귤레이트(136)는 상기 격리밸브(5)을 통해 유도되는 고압의 연료를 일정한 압력으로 유지되도록 감압을 마련하고나,동시에 저압차단밸브(83)에서는 지나치게 압력이 낮아지게되면 연료공급 차단을 마련하고나,동시에 황토와 시멘트 혼합장비 기계의 믹서(73)는 저압차단밸브(83)를 통해 유입되는 연료와 해저의 천연가스(922)와 원유(841)와 화학물질(930)과 외부의 흡기계인 터어빈 펌프(140)를 통해 유도되는 엔진제어모듈(627)의 레귤레이터(136)측의 연료압력 상태 확인을 마련하고나,동시에 연료공급 상태가 비정상적이면 경고수단을 작동시키면서 연료와 방재물질의 공급 자체가 중단되도록 마련하고나,동시에 지주탱크 상단의 바지선선체(591) 갑판데크 상단부에서는 무재해 지구촌으로 전력에너지 공급을 마련하고나,동시에 일정량의 전력이 변전소의 전력 조절용 변압기(96) 공급조절로 수해조절장치의 본체(1)의 내부로 수해조절장치의 전력에너지들이 공급된다.
도 5e 내지 도 5m에 도시한 바와같이,상기 수해조절장치의 본체(1)의 내부로 구성하는 해양발전소의 친환경 무공해 에너지생산 장치의 풍력발전기(231)와 수차발전기(213)는 기체에너지와 액체에너지인 운동에너지(낙차에 의한 중력)를 프로펠러(146)와 터어빈(267) 장치로 회전에 따라 회전에너지로 전환을 마련하고나,동시에 수차발전기(213)와 조력발전소(233)의 조력발전장치는, 취수설비와 도수설비로 회전식과 접목된 해양발전소 하단부에서 전력생산을 마련하고나,동시에 부양식독선체는 1Km 간격 거리로 오대양 육대주 연결을 마련하고나,동시에 이중구조블록탱크(598) 연결로 형성된 교각과 터널 내부로 설치한 가이드레일(618) 상부로 전동차(771) 운행하도록한 동력전선(71)들로 마련한 송전선(775) 해양터널교통장치(941)을 통해 동력전원 공급을 마련하고나,동시에 지주탱크 상단 바지선선체(591) 갑판데크 중심위치 하부와 지주탱크(590) 중심부 중앙에 위치를 마련한 스위치버턴-온(ON)시 개방하고 스위치-오프(off)시 밸브가 전폐하는 상기 밸브에는 벨레스터 버터플라이 밸브(622)와 솔레노이드 밸브(76)들로 마련하고나,동시에 스위치버턴-온시 도어 오픈되고 스위치버턴-오프시 도어가 전폐하는 유압실린더용 도어(624)는 종전의 잠수함의 안전장치와 대동소이하고 지주탱크 하부에 다수의 지지기둥인 이중구조 외부블록탱크(599)의 바지선선체(592)에는 코아드릴(917)로 해저지표면 굴착을 마련하고나,동시에 상기 코아드릴(917) 장비교체시와 굴착후 해저지표면에는 자연황토(158)로 유해가스 분출방지용 사용을 마련하고나,동시에 원유(841)와 천연가스(922)는,채집 완료후 황토와 세멘트(931)를 믹서한 후 굴착한 빈공간 틈새를 되메워주도록한 안전장비들로 마련하고나,동시에 해치카버(153)에는 수해조절장치의 본체(1)의 내부로 수해조절장치 유압실린더 유압작키(623)와 건설기계의 장비들로 구비해 교각(928) 고정을 마련하고나,동시에 항타와 항발기(877)에 연결한 쇄기크랭크(846)를 구비해 바지선선체(592) 고정을 마련한다.
도 5e 내지 도 5m에 도시한 바와같이,상기 수해조절장치의 본체(1)의 내부로 구성하는 해수면(SLL) 상단의 바지선선체(591) 갑판데크 상부 철탑(116) 좌측으로 마련한 인공위성발사대(643)와 우주로켓발사대(646)가 탑재되어고나,동시에 발사대 내부 중심 좌측우측으로 인공위성(611)과 우주로켓(612)이 탑재 형성됨에 따라 지구촌 인위적 재난의 전쟁과, 테러와 핵실험과 미사일 발사로 불안을 가중하는 국제사회 불안정요인의 정치 경제 군사 문제가 포함되는 일체의 제반사항과 경기침체와 세계경제위기와 실업대란과 자연발생적 재난 모두를 포함하여 위기경제 난국을 극복하고 실업대란을 해소하도록한 강대국간 약소국간의 화해무드를 조성할 목적으로 육지에서는 각 국가간 어떠한 이유와 변명없이 모든 인마살상용 무기 일체는 생산하지 않도록한 수해조절장치시스템의 규범들로 마련하고나,동시에 강대국이거나 약소국이거나 상관없이 상호간 존중되어야 되는 고유한 국가들의 영토 영해를 "내것이다 네것이네"하면서 다툼이 없도록한 다툼의 국가간 국내 사정을 감안해서 우주과학의 발전과 무재해 평화로운 지구촌을 마련하고나,동시에 미래문명을 꽃피우는 바다에서 돛대도 없이 삿대도 없는 이중구조블록탱크(598)가 92500Km의 거리치수로 형성된 해양터널교통장치(941)와 부양식독 갑판데크 상단의 데크선상에서 기계문화 지식정보 교환을 마련하면서 미래문명을 꽃피우도록한 본 발명 수해조절장치시스템은, 관교량 물체를 부력조절 장치로 하중 분산을 마련하고나,동시에 수해조절장치의 본체(1)의 내부로 해양터널교통장치(941)와 부양식독들을 개보수를 마련한 무재해 지구촌 해양발전소의 발전기 탑재가동용과 해양환경산업 경제발전용의 수해조절장치이다.
도 5e 내지 도 5m에 도시한 바와같이,상기 수해조절장치의 본체(1)의 내부로 구성하는 그물형식의 분사노즐은 열십자형태를 T형엘보 형태로 결합한 방재노즐(10)은 해수면 상단으로 소형의 해양발전소 부양식독(593) 갑판데크 상부에서는 길이 15미터로 마련한 소방호스(9)에 열십자 형태의 방재노즐(10)로 결합을 마련하고나,동시에 부양식독(593) 갑판데크 주변의 해수면에 펼친 그물을 마련하고나,동시에 소방정(40)에는 소방호스 연결을 마련하고나, 방재펌프 작동기계실 내부 공기압축기(80) 가동을 에어호스(109)를 통하여 에어리시버탱크(145)로 공기를 공급후 일정량의 압축저장된 방재배관라인의 소방정(40) 밸브 오픈(OPEN)과 클로즈(CLOSE)를 마련하며 갑판데크 주변 펼쳐진 그물의 방재호스(9)에 연결한 열십자 형태의 방재노즐(10)에서는 고압의 공기압력 토출분사를 마련하고나,동시에 해양의 수산물을 유해적조로부터 피해를 입지않도록한 해저의 퇴적물로 유해적조 분산퇴치를 마련하고나,동시에 해양청소기의 장비들로 지속적인 방제활동에는 해양인근 낙동강 하류의 식수취수장의 염수유입 차단을 열십자 형태의 방재노즐(10)들로 마련하고나,동시에 낙동강 하구언의 방제수문은 상하작동용의 수문을 가변형으로 마련한 수문 조절물막들로 항상 개방을 마련함으로써 인체에 해당하는 항문역할을 구비한 생태계 복원이 이루어 구성하는 무재해 지구촌의 수해조절장치의 본체(1) 내부로 분사장치의 수해조절장치는 유해적조 분산퇴치를 마련한다.
도 5e 내지 도 5m에 도시한 바와같이,상기 수해조절장치의 본체(1)의 내부로 구성하는 수해조절장치는 수산물 어패류 보호를 목적으로 하여 초긴급한 상황에서 적용을 마련하고나,동시에 생물이 숨을 마시고 연명하도록한 일련의 조치이며 방제선 하단으로 유해적조 흡입집진기용의 뜰채바스켓(842)들로 유해적조발생전 유해적조대번식 사전제거방법의 수해조절장치에는,와이어로프(19)와 타구어윈치(137)와 결합 연결되어 육지와 도서 지역에서도 수해조절장치를 마련하고나,동시에 불특정지역에서 해상해적이 귀항시 상기 뜰채바스켓(842)과 어족자원 확보용 그물(932)과 와이어로프들로 제작된 그물 사용을 마련하여 해적선의 통행로와 정박하는 길목에서 소형의 해양발전소 부양식독(593)과 평화유지군이 입체적 작전으로 상기 부양식독(593)이 물속에서 잠수해 있다가 해적선 통과시 바지선선체 내부의 물을 펌프로 퍼내면서 공기를 해저의 에어호스라인에서 공급받아 상기 부양식독이 부상을 마련하고나,동시에 해적선은 그물에 걸린 생선과 같이 해적선은 부양식독 그물 내부에서 갈팡질팡 정체되어 평화유지군에게 포획되는 장면을 무인카메라(씨씨티비, 184)로 마련하고나,동시에 전송받은 장면은,매스컴 보도로 전세계로 방영함으로써 향후 해적들은 소멸제거를 마련하고나,동시에 영토분쟁을 야기하는 당업자와 군비축소에 동참않는 당업자 일체로 우주로켓에 탑재시켜 대기권 외부로 퇴출을 마련하고나,동시에 수해조절장치의 본체(1)의 내부로 구성하는 수해조절장치는 육지 내부의 테레와 전쟁시 1일 생활권으로 형성된 해양터널교통장치(941)를 구비하여 1일 내로 전쟁 종료를 수해조절장치로 마련한다.
도 5e 내지 도 5m에 도시한 바와같이,상기 수해조절장치의 본체(1)의 내부로 구성하는 수해조절장치의 태풍을 잠재우는 대형의 해양발전소 부양식독(595) 상단부 다수개의 방재노즐(10)과 노즐틈새(15)에는 자연적인 수압으로도 북극(NP)과 남극(SP) 적도전선(EP)으로 배관연결을 마련하고나,동시에 분사노즐(10)에서는 낙하분사수(38)와 물막(39)들로 토출을 마련하고나,동시에 지주탱크 상단 바지선 선체(591) 갑판데크 측면 다수개의 등변산형강과 소형관으로 형성된 시이소(935) 크레인붐대(붐대길이 최저 15KM 내지 최대길이 20KM 붐대,651) 상부에의 분사노즐(10)로 방재수는 토출분사수(38) 분출을 마련하고나,동시에 태풍을 잠재우는 수해조절장치는,해수면 상단 10km 이상 위치에서 찬공기덩어리 태풍의 씨앗인 수직하강기류(926) 흡입을 마련하고나,동시에 수해조절장치는,호퍼 닥터벤츄레이션(흡입구a, 배출구b ; 585) 부착을 마련하고나,동시에 갑판데크 하부의 붐대(651)에는 붐대 물체의 하중균형을 마련하고나,동시에 크레인붐대 레벨 유지웨이트(107)로 와이어로프(19)와 가이드레일(618)을 구비해 하중균형 조절을 마련하고나,동시에 붐대 최저위치에는 수격펌프인 무동력펌프(393)를 구비해 상기 무동력펌프(393) 상부의 붐대 원둘레면을 따라 다수개의 레듀샤(35)들로 형성된 도입관(191)이 형성된 양수관(89) 설치를 마련하고 상기 양수관 둘레면을 따라 공기배관라인(181)이 닥터벤츄레이션(585) 호퍼와 연결되어 공기압축기(80)와 연결된 히터팬(642)과 쿨링팬(641)들로 생성된 공기압 공급조절로 대류흐름의 조절을 마련하고나,동시에 지구의 온난화 방지와 태풍을 소멸제거 내지 태풍진로를 변경시켜 지구촌의 육지로는 피해 방지를 마련하고나,동시에 해양도시 건설과 국가간의 교통수단의 해저해상 통로와 교량 건설사업의 견인차 역할을 마련하고나,동시에 수해조절장치의 본체(1)의 내부로 구성하는 수해조절장치의 지구촌은 적도 부위의 섬나라 땅은 지구온난화로 인해 이대로 방치함으로써 대재앙이 도래하게 된다는 점에서 함몰되는 섬나라 땅 구재대책으로 수해조절장치를 선택할 수 있다.
도 5e 내지 도 5m에 도시한 바와같이,상기 수해조절장치의 본체(1)의 내부로 구성하는 부양식독에 탑재 형성되는 유해적조 구제장비는 육상 해상의 해양환경보전 대책에 의해 해양환경 보전 인식의 제고로서, 기존의 육지중심에서 해양중심적 환경관리전략 마련을 위한 중장기 종합대책인 해양환경보전 종합계획 수립을 마련하고나,동시에 수해조절장치는 기존의 해양오염 방지를 위한 해양수질 해양생태계 해양자원 관리와 인프라 구축의 유해적조 사전제거 사전예방 관리에 초점을 마련하고나,동시에 수해조절장치는 적극적인 해양보전 종합계획으로 세부실천 계획을 수행하고나,동시에 수해조절장치는 기상예보에 따라 구제장비 각각은 해양청소기 기능과 인공폭포 기능을 구비하면서 비상용 엔진발전기(226)를 장착하지 않고도 무재해 지구촌이 이루어지게 되는 수해조절장치의 본체(1) 내부의 관레벨 시소형 풍수력발전기의 전력공급으로 마련한 적조 구제장비들로 미래지향적이며 친환경적인 해양발전을 위한 연근해 간척과 매립공사에 필요로 하는 매우 주요한 총괄종합 재난방지 목적을 마련하고나,동시에 수해조절장치는 연근해 해양수질 해양생태계 해양환경보전을 위한 해양오염방지를 포함하는 다수의 해상안전구조장치 제조방식을 포함하고나,동시에 수해조절장치는 자연적인 조건을 최대한 활용한 장비로 유해적조 대번식 조건을 마련하고나,동시에 수해조절장치에는 상기 비상용 엔진(226) 발전기에서 생산되는 이의 전력으로 공기압축기(80)를 가동시켜 에어호스(109)에 의해 에어리시이버 탱크(145)로 압축저장을 마련하면서 쿨링팬(641)을 구비하여 에어 흡입필터(262)가 구비된 베드프레임(286) 상단 상기 에어리시이버탱크(145)의 냉각수 입구(287)를 경유한 뒤 후미냉각기(182)의 밸브 개방으로 해저에 플렉시블 고압호스(190)로 마련된 고압호스 연결부속 카플링(29)을 어족자원 확보용의 그물(932)과 동일하게 형성시킨 후 찬공기로 적조대번식 조건을 소멸하는 방재장치들로 마련하고나,동시에 수해조절장치에는 상기한 바와같이 태풍의 월별 평균경로 및 태풍의 이상경로와 태풍의 수직 구조의 하강기류를 대기권 상공으로 되돌리는 태풍진로 변경의 그에 대한 대책을 마련한 아래의 그림과 같이 설명을 하기로 한다.
도 5e 내지 도 5m에 도시한 바와같이,상기 수해조절장치의 본체(1)의 내부로 구성하는 태풍의 발생지역 또는 발생예상지역의 불특정지역 해수면 상단으로 전신주(95) 배열과 같이 연결되는 분사노즐배관으로 닥터벤츄레이션(585) 형태의 삼각형 형식의 낙하분사수 형상과 방사형의 토출분사수(38)커텐물막(39)들로 조성되어서 육상에서의 록키산맥과 안데스산맥과 같이 높고 낮은산의 산불예방용 분사노즐배치들이 배관닥터라인들로 조성되어 높고 낮은 물산과 대등하게 물산은 또 한번의 록키산맥과 안데스산맥과 동일하게 물산맥을 이루어지는 것을 특징으로 마련하고나,동시에 수해조절장치의 태풍을 잠재우는 방재선(933)은 해저의 물속에서 분사노즐과 부이깃대 고무풍선(628)과 에어공급장치들로 구성하면서 지구의 온난화 현상에도 밀접한 관계가 발생됨을 인지하고 아이러니컬한 이론과 실론들로 마련해 소리진동주파수에 따라 적란운과 난층운이 머무는 지구촌의 육지와 해상의 재난발생지역에 꽹과리와 징과 종과 북들로 대체되는 인공폭포 낙하수 굉음으로 바람의 위력에 따라 이동하면서 비구름을 포용하는 방사선형의 밀집형과 분산형으로서 해상상공과 육지상공의 분사수 방출을 천둥번개들로 대체 마련하고나,동시에 수해조절장치에는 소리진동주파수와 소리진동과 파장전달과 함께 나팔관분사수배관틈새(15)로 해수면 상공으로 굉음을 울려서 바람과 함께 사납고 거센 태풍의 발생을 사전에 차단하고 적란운과 난층운이 머무는 상공에는 피뢰침(500)을 애드벌룬(77)과 비행선(78)에 탑재 형성하면서 계류탑(644)의 관제탑 옥상 위의 레이다(840) 관제탑을 낙뢰와 번개로부터 선체 보존을 마련하고나,동시에 수해조절장치에는 평화로운 지구환경보전을 마련하는 인류의 염원들로 이루어지는 수해조절장치의 본체(1)에 탑재 형성되는 무재해 지구촌 수해조절장치의 본체(1) 내부로 구성 작용되는 관레벨 시소 형태 수해조절장치시스템의 방재장치이다.
도 5e 내지 도 5m에 도시한 바와같이,상기 수해조절장치의 본체(1)의 내부로 구성하는 수해조절장치에는 토출분사노즐(10) 틈새(15)로 분출되는 분사수는 노즐형태에 따라서 자연재해를 사전 예방토록 하되 단, 유해적조발생조건을 동시에 차단하기 위한 방식인 것이며, 바람의 위력을 잠재우기 위한 왕복 피스톤식 (80)로 형성된 압축기의 상세 한 설명을 돕기 위해서 상기 공기압축기(80)는 동 도면에 도시한 바와 같이 전자제어유닛(88)에 의해 작동되는 것과, 전자제어유닛(88) 없이 감압밸브(85)와 안전밸브(258)에 의해 제1압력체크센서(86)와 제2압력체크센서(87)와 함께 구비되어 일정한 규격의 치수에 따라 모터설치용 브이벨트(252)에 모터설치용의 푸레(250)와 벨트카버(261) 그리고 에어 흡입필터(262) 후미냉각기(182)가 형성되고, 공기압축기(80)에 중간냉각기(170) 탱크에는 냉각수 입구(287)로 구비되어 베드 프레임(286)의 찬넬베이스 상단으로 형성되며 상기 분사노즐(10)과 함께 공기를 생산하는 장치로 구비되어 인명구조용 에어튜우브(130)와 플렉시블 고압호스(190)에 고압호스 연결부속 카플링(29) 공급수단들로 태풍의 상승기류(925)와 하강기류(926)를 황사 미세먼지와 함께 제어되도록 마련하며 해수면 상단과 하단으로 방재 및 방제를 꽹과리와 징북과 종들로 대체하는 인공폭포수의 굉음은 낙하분사수의 낙하지점에 토출 분사수(38) 틈새를 변경하여 연속적으로 아날로그 시계와 같이 마노매턴 계측기의 호스 내부에 공기조절 피리막이 소리를 내도록 형성된 관악기 색스폰들로 쓰나미 풍랑과 태풍을 사전 예고하여 타종을 마련하고, 연속 타종에 동일한 수준의 인공폭포수 굉음에 따라 쉼없이 토출낙하하는 분사수와 함께 사납고 거센 태풍도 온풍과 순풍으로 전환을 마련하고, 이러한 장면을 무인카메라(씨씨티비,184)로 부양식독 기상관측소로 상기 장면을 전송하되, 레이다(840) 기상관측센터에서는 애드벌룬(77) 하단부 파일렛이 승선하는 바스켓(42) 내부로 무인카메라(184) 및 기상관측장비 라디오존데(134)와 기상관측레이다(840)를 탑재구성시키되,파일렛 승선 인원이 탑재되지 않아야 되며 아래의 그림과 같이(그림 5) 재해 발생지에서부터 방재선(933)의 방재장치 관 레벨의 마노매턴 계측기 형태의 다수개로 형성되어 육지로 태풍이 유입되지 않는다.
도 5e 내지 도 5m에 도시한 바와같이,상기 수해조절장치의 본체(1)의 내부로 구성하는 수해조절장치에는 상기와 같이 태풍을 잠재우는 방재선(933)은, 일자형의 토출분사수(38)와 함께 태풍의 수직구조 해수면 상단 상공으로 10킬로미터 정도의 높이에서 해수면 하단부(SD) 상단의 해수면에 낙하되면서 적란운을 소멸제거되고 방재수는 북극 상단에서 적도지점의 배관라인을 통하여 이송을 마련하고나,동시에 태풍의 수직구조는, 해상에서 펌핑없이 방재수로와 같이 자연방재가 인공폭포와 같이 이루어지고, 이같은 자연방재의 배관라인들로 취수설비가 마련하고나,동시에 도입관(191)은 관 레벨 시소형의 발전용 댐들로 취수설비가 마련하고나,동시에 상기 태풍은 년간 과거 히로시마에 투하된 원폭 개수분량의 일백만개로 추산되는 열에너지 원폭 갯수량의 잠재열을 태평양 대서양으로 해수면에 잠들게 마련하고나,동시에 지구촌의 인류는 재해 재난으로부터 슬픔과 고통이 말끔히 정리되고,이렇게 더 좋은 지구촌 환경개선이 이루어지면서 해수면 상단 상공 10킬로미터의 제트기류로 태풍의 진로를 변경시켜 육지 해상 태풍피해 감소를 수해조절장치들로 구성되어있다.
도 5e 내지 도 5m에 도시한 바와같이,상기 수해조절장치의 본체(1)의 내부로 구성하는 수해조절장치에는 육안으로, 볼 수도 없고 손으로 잡히지도 않는 기체를 공기압과 공기량을 측정하는 계측기와 유량계는 피토우관과 마니모매턴과 결합시킨 후 공기압을 측정하고 아니모매턴 메터기로는 유속과 유량을 정밀하게 측정하는 계산공식과 측정방식은 수은 액주계 대체용의 알콜홀 액주계로 1;1,000,000 mm/wg의 미세한 공기압 측정용이며 향후 첨부하여 자세히 설명을 할 수 있음을 제안을 마련하고나,동시에 상기 마니모매턴 계측기 형태로 부양식독은 지주탱크와 보조지지탱크 내부로 10킬로미터 수심의 공기 배관라인(181)의 수해조절장치들로 구성되어있다.
도 5e 내지 도 5m에 도시한 바와같이,상기 수해조절장치의 본체(1)의 내부로 구성하는 수해조절장치는 화살표로 기체와 바람의 진행방향을 표기 기재토록 하였고 방재배관(14) 틈새(15)를 배관 원둘레 길이에 따라서 일직선 이중형식의 틈새를 구성하면서 동시에 수해조절장치에는 삼각형식의 분사커텐물막으로서 해수면 상단부(SLU) 상단으로 설치되는 지구온난화 현상을 사전예방하는 커텐물막 벤츄레이션 조성이 더 적용선택되는 사항들로 마련하고나,동시에 상기 커텐물막(39)은 방재 제어장치로 제어하는 지구온난화 주원인의 기체물질인 아황산가스와 프레온가스와 이산화탄소(164)와 죽음의 질식가스(163)와 다이옥신들을 해수면에 떨구어지게 하는 수해조절장치이다.
도 5e 내지 도 5m에 도시한 바와같이,상기 수해조절장치의 본체(1)의 내부로 구성하는 수해조절장치에는 해수면 하단부(SLD)에는 남극과 북극을 연결되는 해저의 방재배관과 방재호스로 배관으로서 지구의 생김새 형상으로 지구모형도 경계선 위도와 경도에 일정한 거리로,일정한 규격의 치수로 고압의 입형다단 펌프(8) 없이도 방재수를 이동하는 방식이 포함된 무동력의 수격펌프(393)의 흡입구(269)는 레듀사 형식의 물보자기에는 고무제 또는 테프론 막이 형성된 다이어후렘 펌프(144)와 동일하게 시소형의 입력탱크로 양수된다.
도 5e 내지 도 5m에 도시한 바와같이,상기 수해조절장치의 본체(1)의 내부로 구성하는 수해조절장치에는 상기의 배관들로 구비해 태풍을 잠재우는 방재선(933)의 상단으로 10킬로미터 상공으로 해수는 낙하 분사노즐로 방출되면서 해수면 상승온도를 제어하면서 해수면 상공의 높이에 따라 기온 차이는 커져가는데 100미터 단위 상공으로 약 섭씨 일도의 기온차이가 발생하면서 상공 7킬로미터 정도에서는 약 섭씨 영하(-70℃)의 기온 차이가 발생하고나,상공에서 낙하분사수는 낙하 도중에 액체에서 고체로 변화 과정이 발생되어 이는 곧 하염없이 내리는 빗물이 눈으로 변했다가 온풍을 만남으로 빗물이 되어 낙하되면서 냉풍을 만나면서 눈이 되어 눈이 쌓이면서 설빙을 조성하는 계기들로 발생하여 지구온난화 현상은 수해조절장치들로사라지고 제거됨을 감지한다.
도 5e 내지 도 5m에 도시한 바와같이,상기 수해조절장치의 본체(1)의 내부로 구성하는 수해조절장치에는 해수면 온도 26℃ 이상되는 곳에서 태풍의 발생빈도가 높으므로, 이에 온난화 현상을 축소하는 과제 해결을 해소하는 수단과 방법으로써 제어장치로 구성되어 태풍 및 집중강우현상, 가뭄현상, 사막화현상, 지진해일피해를 사전예방축소로 구비해 방재방식의 전환을 마련하고나,동시에 수해조절장치는 꽃밭에 물을 뿌려주는 물뿌리개와 같이 태풍의 눈 가장자리 원둘레지역 또는 적도전선을 따라서 태풍의 가항반원지역과, 위험반원지역을 분리 구분하면서 재난은 사전발생을 차단 또는 예방방식을 일기예보 관측시스템의 통신장비와 유기적 협조체재로 형성된다.
도 5e 내지 도 5m에 도시한 바와같이,상기 수해조절장치의 본체(1)의 내부로 구성하는 수해조절장치는 논밭에 심어논 볏짚과 같이 지구촌 환경은 더욱 좋아지는 그야말로 더 살기 좋은 세상을 이루기 위하여 이의 장비를 건조하여 배치함은 억조창생의 지름길이며 이렇게 수해조절장치는 육상 해상의 환경발전에 큰 도움으로 폭설 피해도 극소화가 되는 계기이며 상기 태풍을 잠재우는 대책방법에 있어서 공기의 순환을 원할하게 분배하고 차단하기 위해 필요한 장비에는 남극과 북극을 연결짓는 공기흡입 밴츄레이션 연결을 마련하고나,동시에 수해조절장치는 해수면 상단으로 돌출을 마련하고 해수면 하단으로 함몰되게 곡선형식으로 프라스틱 호스배관들로 구성하고 동시에 찬공기, 더운공기는 한 곳에서 어울릴 수 있도록 해상에서 사용 적합한 재질 선택을 마련하고나,동시에 수해조절장치는 해저생물도 바람소리, 새소리를 음미하는 환경조성으로 전환되면서 해상에서의 태풍을 잠재우는 장비는 원유시추선과 같이 취급되어 대등한 수준으로 선급에 등급이 등록되고나,동시에 태풍을 잠재우는 방재선(933)은 공조시스템의 장비들로 마련하고나,동시에 수해조절장치의 방재선 내부에 설치되는 엔진가동에 관한 내부설명은 이하 생략하되,이에 본 발명자는 과거 원유시추선 열척 제작을 마련하고나,동시에 한척의 선박 등급을 확정하는 에이취브이에이씨이시스템의 테스트 요원으로 차출된 후 원유시추선 상단 및 하단을 구석 구석으로 장비를 체크하여 오십여개의 생산부서 담당자에게 결함을 지적하여 외국기술진과 국내기술진의 유대를 돈독히 한 바 있으며 이같은 경험에 따른 본 발명의 장비시스템은 이상유무를 판단을 마련하되 단, 안전에 의한 안전제어수단이 구비된 분사노즐(10)과 노즐호스(9) 연결마디 중간에 설치되는 분사노즐에서 방출되는 공기압과 분사수로 태풍의 씨앗을 사전 제거하는 분사식 노즐조절 전자제어펌프를 수해조절장치시스템의 소방센서 펌프장치에 탑재 형성시키게 되는 시소형의 풍수력발전기로부터 전력을 공급받는 수해조절장치의 장비이다.
도 5e 내지 도 5m에 도시한 바와같이,상기 수해조절장치의 본체(1) 내부로 구성하는 수해조절장치는 급수용 배관(14) 다음으로는 재난방지용의 방재 배관(14)으로 연결되고 이어서 분사노즐 접합부는 배관연결부속 레듀사(35)로 규격을 조절한 배관몸체로 형성된 표준규격의 호칭별 일곱종류 유형별로 "호칭 100×90(241),호칭 90×75(242)와 호칭 75×65(243)에 호칭 65×50(244)로 호칭 50×40(245)에 호칭 40×25"(246)의 규격 순서로 제작 후 설치가 용인하게 분사노즐 몸체를 안테나 형태로 연결을 마련하고나,동시에 분사노즐은 일정한 길이의 배관 마디에 분사노즐 몸체의 배관(14)을 중간으로 1개씩 접합 또는 접속되는 것으로 기계실 바닥표면 배관후미로 연결되는 방재노즐(10)인 것으로 배관(14)과 배관(14)을 접합함에 있어서 플랜지(28)는 호칭별로 구분 제작되어 배관연결 레듀사(35) 다음에 방재노즐 몸체의 배관(14) 그 다음으로 배관연결 레듀사(35) 순서로 결합을 마련하고나,동시에 분리는 역순인데 분사노즐 연결용의 볼트(24)와 너트(25)에 와샤(26)로 방재노즐플랜지(28) 원둘레 내부의 플랜지 접속 가공홀(20)에 접속하고 플랜지(28)와 플랜지(28) 중간부위에 노즐에 걸맞는 노즐 틈새(15)로 조성되는 요부위로 결합되는 상기 노즐몸체(B)는 기본 형태로 구성되어 있다.
도 5e 내지 도 5m에 도시한 바와같이,상기 수해조절장치의 본체(1)의 내부로 구성하는 수해조절장치에는 플랜지와 플랜지 중간부위에 와샤(26)를 0.5밀리미터 또는 5밀리미터로 조절하도록 분해결합이 용이한 볼트 너트를 구비하고나,토출분사수(38)에는 방사선 커텐물막(39)과 일직선 토출분사수에는 토출분사수(38)의 제어장치인 밸브 및 고압의 입형다단펌프(8)의 가동에 의해 방화수를 신속하고 정확하게 더 빨리, 더 많이 연속적이고 지속적으로 노즐틈새(15)로 토출하는 토출분사수(38)는 대형화재의 확산을 방지하고 재난방지를 위한 사전예방의 다목적 다용도 범위에 적용을 마련하고나,동시에 토출분사수 커텐물막 상부로 기상관측시스템의 관측을 위한 다수의 비행선(78)과, 애드벌룬(77)을 지표면 상공으로 띠우고 노즐호스 내부로 에어호스(109)와 연결용 닛플(110)로 공기압축기(80)에서 생성되는 공기를 이송하는 재난방지장비의 사용방식을 포함하는 지구촌 방재장치 장비시스템인 이중구조형식의 관노즐몸체의 내부로 설치되어 더멀리 더높게 방재물질을 방출하도록 설치 위치를 보장하는 수해조절장치의 관노즐이다.
도 5e 내지 도 5m에 도시한 바와같이,상기 수해조절장치의 본체(1)의 내부로 구성하는 수해조절장치는 분사노즐(10) 몸체의 배관(14) 원둘레 주위로 조성되는 노즐 틈새(15)에는 일직선 형태의 다수의 물막 토출분사수(38)로 불씨와 불꽃을 신속하고 정확하게 서서히 진화되어 대형화재를 사전예방하는 지름길로서 잔불씨 진화에는 방재노즐(10) 몸체의 배관길이에 따라 높고 낮은산 주위의 밭두렁 논두렁 그리고 도로 및 인근주택에는 전신주 배열과 같이 배관 원둘에의 2곳에 일직선의 노즐틈새를 조성하고 철판으로 제작하여 크고 작은 배관을 사용하여 작은 배관은 방재수 이송수단으로 적용하고 작은 배관 상단으로 작은 배관보다 조금 더 큰 배관을 반분하여 볼트, 낫트로 일직선의 노즐 틈새(15)를 배관길이 4미터로 하여 배관부속을 접합하여 설치를 마련하고나,동시에 고압의 입형다단펌프(8)에 연결 가동하여 점검한바 두곳에서 토출분사수(38)는 분출되어 재차 틈새(15)를 조절하여 20회를 성능 테스트하였는바, 이에 대한 결론은 매우 바람직 했고,이렇게 제작되는 것은 분사노즐틈새 길이로 구비되는 것으로 삼각형의 커텐물막들로 설치 높이에 따라 설치길이에 의해 기상상태 악화로 눈이 많은 겨울에는 도로가 얼지 않도록 설치를 마련하고나,동시에 소방관 노즐을 형성된 후에는 최전방 국토방위에 열심하는 국군장병 신체적 안정을 도모하고 철책선 근무지 생활환경 삶의 질 향상을 마련하고나,동시에 수해조절장치는 도로지표면 주위로 안개를 제거하면서 도로전방의 시야를 넓혀서 차량운전자 안전운행을 위한 교통차량의 원할한 소통을 마련하고나,동시에 수해조절장치는 농사에 종사하는 농업인을 위하여 비닐하우스 농공단지의 작물을 보호육성하고 비닐하우스 파손을 사전예방하고 또한 비가 많이 오는날에는 계곡의 물을 적정하게 통제역할하는 능선별의 1도의 경사각도(91)의 방재수로(17)와, 가뭄에는 능선별의 1도의 경사각도(91)의 방재수로 및 방재배관 주위로 집수정으로 물을 적정하게 배치보관하고 여름철에는 우박피해를 방지하고 휴양지 모래사장 위로 휴양지 해안선으로 더운날에는 더위를 식혀주고 안개가 많아서 고속도로 주변으로 시야를 가리는 지역에는 복수개의 일직선형의 노즐 틈새에서 방출하는 칸막이식 물막과 찬공기가 함께 분출되는 수단으로 안개 제거되어 교통소통을 원활하게 마련하며 가을철 추수기 참새 메뚜기 근접을 못하게 하여 곡식의 손실을 방지하고 봄철의 황사발생 피해 축소 대형건물 보전을 위하여 일급 철구조물인 대형의 교량관리 보존을 위해서, 광범한 지역에 적용범위로 설치한 후 주권영역 이외로 국제사회의 무재해 지구촌을 이룩하도록한 지구촌 방재장치의 수해조절장치시스템들로 구성되어 있다.
도 5e 내지 도 5m에 도시한 바와같이,상기 수해조절장치의 본체(1)의 내부로 구성하는 수해조절장치에는 방재노즐(10)의 방재호스(9)에 입형다단펌프(8)와 고성능수중펌프(36)에 방재배관(14), 그리고 입형다단펌프 시스템의 휴대용 무선통신단말기(82), 방재물질 수송장비와 관노즐몸체 내부의 작동제어를 위한 스위치 버턴과 기상대 일기예보에 따른 방화수 살포를 위한 고압의 입형다단펌프작동용 스위치 버턴(66)과 입형다단펌프 제어보드(53)와 동력전원공급장치인 전원(46)에는 상기 입형다단펌프 제어박스(2) 내부로 설치하되,동력전선(80)으로 인버터(47)와 전원부(62)로 재연결하고 과전류차단기용 브레이크(61)로 동력전선(80)이 설치한 후 각 펌프의 온오프제어를 위한 스위치 버턴으로 통제실과 기계실 내부에 구비되며 수송장비(73) 승무원과 긴밀한 협력으로 방재장비 사용방식을 선택하고 동도면에 도시한바와 같이 입형다단펌프내부에는 고압차단용 격리밸브(5)와 역류방지의 역지밸브(6)와 비상밸브(84)로 피스톤에 의해 왕복작동하여 설치되는 것과 플런저로 고압차단용의 격리밸브(5)와 역류방지 체크용의 역지밸브(6)로 설치되는 왕복펌프로서 플런저 펌프(148)는 사용하기 무난하여 본 발명에 적합하다.
도 5e 내지 도 5m에 도시한 바와같이,상기 수해조절장치의 본체(1)의 내부로 구성하는 수해조절장치에는 방재노즐은 방재노즐 상단 지지대 프레임(11)과 하단 지지대 프레임(11)과 수직 지지대 프레임(11)들로 분리결합이 가능하게 설치되고나, 분사노즐 갈고리(13)와 갈고리 훅크(18)와 갈고리 훅크 갈고리 프레임(11)과 갈고리 훅크 결합 갈고리 가공홀(20)은 분사노즐과 노즐호스를 보호하도록 형성되고 와이어로프(11)와 와이어로프 매듭 갈고리 가공홀(20)은 분사노즐과 노즐호스를 결속장착하여 보호용으로 사용되어 연결을 마련하고나,동시에 갈고리 러그(21)와 연결갈고리 러그 가공홀(20)과 연결갈고리 안전핀 샤클(23)은 분사노즐과 노즐호스 분해결합을 마련하며 노즐호스 연결에는 방재장비 카플링(29) 내부와 외부로 진화장비 카플링 암나사산 몸체(30)와 방재장비 카플링 숫나사산 몸체(31)가 제작 가공되며 암나사산 내부 중간부위로 카플링 접합 고무패킹(32)이 구비된 후 화재발생 감지센서용의 파라핀마개가 노즐틈새의 패킹(32)을 대체하는 물질로 부착되어 화재발생시 불씨와 불꽃을 제압하는데 종전 소화설비의 제작방식 교체를 마련하고나,동시에 환경을 훼손하지 않는 방향으로 유도하도록한 수해조절장치에의 기술들이 진행된다.
도 5e 내지 도 5m에 도시한 바와같이,상기 수해조절장치의 본체(1)의 내부로 구성하는 수해조절장치에는 애드벌룬(77)과 비행선(78)에는 에어호스(109)와 고압호스(190)를 사용하여 산불 및 대형화재 그 외의 산림보호의 방제용으로 황토(158)를 공기압축기에서 생성되는 공기로 재난방지용으로 항상 압축혼합된 찬공기, 더운공기를 분리구분 후 공기를 공급 사용하고 와이어로프와 프레임으로 고정하는 대체방식들로 마련하여 기상상태에 따라 방재물질을 이중구조로 형성된 펌프소화기 몸체 내부의 장비로 조절하고 통신수단과 소방장비시스템으로 합체형성된 후 연결 작동하는 도미노 방식의 능동적이고 수동적인 방재수단을 수해조절장치에 마련하고나,동시에 방재펌프 후미의 믹서부위는 티이엘보 카플링 가스투입구로서 이산화탄소(174) 가스통(171)을 사용하되 상기 이산화탄소는 분말과 압축액상기체로서 방화수보다 15배의 빠른속도로 진화되어 초기진화의 기능을 보장하며 하론가스(175)에도 가스통(171)을 구축하여 상기 가스 투입구 혼합믹서기(191)로 형성된 고압의 입형다단펌프 후미의 배관라인(89)에 구비하여 통상 포트인젝션 방식을 사용하며 상기의 포트인젝션방식은 인체내부혈관에 주사로 주사액을 투입하는 방식과 대동소이하다.
도 5e 내지 도 5m에 도시한 바와같이,상기 수해조절장치의 본체(1)의 내부로 구성하는 수해조절장치에는 대형화재 불능시 적용되는 것으로 다만 종전의 산업현장에 적용되는 수준의 방식으로 일반적인 추세로서. 방재호스(9) 내부로 상기 방재호스(9)보다 가늘고 적은 에어호스를 방재호스(9) 내부로 설치한 후 연결부속과 함께 다수의 산정상과 다수의 대형건물옥상에 구축된 집수정탱크(34)와 엘리베이터 감속기(251) 모터와 연결을 마련하고나,동시에 이런 수동적인 수단방식을 동원하여 대형화재 초기진화를 위한 수해조절장치의 관노즐이동형 소방센터펌프의 내부에 포함하는 소방장비 방재물질인 이산화탄소와 하론가스를 사용하는 고압의 입형다단펌프 및 통신장비를 구비하는 산업현장 내부 안전통제실과 기계실 내부로 방재물질 공급을 마련하고나,동시에 상기 방재물질 이산화탄소(174)와 하론가스(175)를 대체하는 물질로 자연황토 또는 분말황토(158)로 방재수와 적정한 비율로 혼합하여 사용하되, 상기 방재물질 중 이산화탄소(174)와 하론가스(175)와 자연황토(158)는 헬기에 의해서 분상산포와 액상산포로 병충해 방제를 선박과 헬리콥터로 구제장비로 사용되는 오늘날의 현실인데 이러한 방제활동은 호미로 막을 일을 가래로도 막지 못하는 현상들로 뭐니해도 재난재해는 수해조절장치로 사전예방이 가장 바람직하다.
도 5e 내지 도 5m에 도시한 바와같이,상기 수해조절장치의 본체(1)의 내부로 구성하는 수해조절장치에는 대형산불 및 대형화재는 사전예고에 의해서 발생되지 않음을 인지하고 밤낮구분없이 빈번히 발생되는 돌발사고 발생을 당황하지않고 의연히 대처토록 사전예방에 만반의 노력을 하도록한 관노즐 몸체 내부의 소방방재대책용품의 막펌프인 다이어후렘펌프와 무동력펌프로 1초 이내에 산불진화가 이루도록 수격작용을 구비하여 낙차의 50배정도까지도 양수하도록한 수해조절장치의 수압펌프로 설정하여 설치 위치를 조정한다.
도 5e 내지 도 5m에 도시한 바와같이,상기 수해조절장치의 본체(1)의 내부로 구성하는 수해조절장치는 상기 소방센서펌프몸체의 내부에 다수의 소방정과 소화전에 집수정탱크 및 압력탱크로 형성된 다중관 호스 및 배관노즐에 공기압축기를 구비하여 소방방재 배관라인에 설치되는 전자열감지센서 및 유량제어밸브 일체로 마노매턴레벨호스와, 소방관노즐에 화재감지센서인 감지노끈 파라핀 노즐마개 등에 의해 1초 이내로 토출분사수와 다수의 커텐물막들이 불연성가스와 함께 연소물을 에워싸 공기의 공급을 차단하여 연소를 방지하는 질식작용과, 연소물을 발화점 이하의 온도로 낮추는 냉각작용이 소방호스배관가공홀 틈새부위로 분출되는 흙탕물을 끼얹는 상기 냉각작용 소방방식은 화재발생 초기에 애드벌룬과 비행선 하부의 바스켓에 구호난민을 탑승시켜 소방케이블카아로 안전지역으로 대피를 마련하고 상기 애드벌룬과 비행선은 소방센서펌프 물체의 하중을 분산시켜 상기 펌프몸체의 안전을 보장하고 대형산불 및 대형화재로부터 인명구조 및 초기진화를 국경을 초월하여 설치위치를 명확히 설정되게하여 1차적으로 무동력펌프와 수조탱크와 집수정탱크와 전자센서밸브와 무인카메라와 마노매턴형 소방관노즐 및 소방방재배관라인을 구비해 수해조절장치의 본체(1)의 내부로 수해조절장치시스템의 관노즐 이동형 소방센서펌프를 해양발전소몸체 내부와 외부로 구성된다.
이하, 본 발명 수해조절장치시스템에의 관노즐 이동형 소방센서펌프는 A화재, B화재에 C화재 유형별로 화재예방에 한정되어져서는 아니됨을 본 발명자는 강조한다.
도 5e 내지 도 5m에 도시한 바와같이,상기 수해조절장치의 본체(1)의 내부로 구성하는 수해조절장치에의 소방센서펌프 재질에서는 KSD 3507 일반 배관용 압연강재에 비닐코팅이 되었고 노즐몸체로 연결되는 연결카플링은 KSD 2331 다이 캐스팅용 알루미늄 합금지금과 열에 견디어내는 프라스틱으로된 유량관 또는 KSD 3699 열간 압연스테인레스강대로 하는데 온도 감지 감지센서는 종전의 바이메탈식 또는 부르돈관식으로부터 파라핀센서형으로 대체되어 사용되되, 디젤엔진, 소방펌프에 솔레노이드전자밸브와 그 이외의 표준화된 일반용 호스배관에 그 크기에 따른 이중관 구조형식으로 액체와 기체를 동시에 공급되도록 관노즐의 크기는 소방호스 연결호칭별 일곱종류 유형별로 "관노즐 1형 직경 200mm, 180mm, 150mm, 130mm, 100mm, 80mm, 50mm, 등의 규격순서로 제작후 관노즐 2형 직경(200×180)mm, (180×150)mm, (150×130)mm, (130×100)mm, (100×80)mm, (80×50)mm, (50×25)mm 등의 14개의 형태규격과 호스 연결마디에 결속되는 관노즐과 다수의 일직선형의 틈새가공홀의 관노즐로 형성되어 근린생활지역 구분없이 빌딩 또는 단독주택과 도로시설보호구역 개도영역의 휴전선 근무지로는 다공가변형의 형태와 규격으로 하여 각개 화재의 분류에 속하는 건물등의 보통화재인 목재와 산림과 종이와 이불등의 일반 가연소물의 화재 및 산불 또는 근린생활지역의 대형화재로부터 초기에 진화하고 인명이 다수개의 애드벌룬과 비행선으로 소방방재대책용품으로 구제되되, 다수의 재해재난을 소멸시키도록 수해조절장치를 마련한다.
도 5e 내지 도 5m에 도시한 바와같이,상기 수해조절장치의 본체(1)의 내부로 구성하는 수해조절장치는 연료공급 배관라인과 기체로 된 방재물질 배관라인에 액체로 된 배관라인 일체로 결속한 후,질서정연하게 이중관 구조형식으로 관노즐의 호스와 배관몸체로 형성된 노즐을 칭하는 소방관노즐(10)이 분사노즐몸체 하단부(C)와, 상기 몸체 하단부 상부로 분사노즐 몸체상단부(C)로 분리 가능하게 조립되는 분사노즐몸체(B)로 상기 몸체(B) 상부로 인명구조용 바스켓(가로×세로×높이; 2500mm×2500mm×2000mm로 와이어로프 또는 로프로 형성된 그물망으로 구성함, 42)이 설치되고 상기 바스켓(42) 내부에는 가스연료공급 배관라인으로부터 공급되는 연료를 공급받아 비상시 사용하는 토오치 또는 버너(173)는 애드벌룬(가로×세로×직경; 10M×10M×10M로 원구형식에 이중구조로 형성된 비닐텐트,77) 하부로 부착되며 취사용의 가스버너(173)에는 무인점화기(187)가 설치되면서 와이어로프(19) 또는 로프(131)로 애드벌룬 외부 둘레면을 그물망과 같이 감싸고 로프(131) 마디와 함께 애드벌룬 하부로 결속된 후 애드벌룬(77) 내부로 무인카메라(184)를 탑재시키게 되는데에는 더 높은 위치에서 더 빠르게 더 먼곳의 일기상황을 관측하도록 기상관측장비인 라디오존데(134)가 탑재되며 상기 분사노즐몸체(B) 하부로 입형다단펌프 제어시스템(150)의 일체의 장비인 입형다단펌프(8)와, 방재배관라인(89), 방재수로(17) 이중관 구조의 집수정탱크(34)와, 소방정(40), 연돌개구부(45)와, 전자제어장치 마이크로 컴퓨터 시스템과 통신장비 시스템과 배관내부 유량의 흐름을 단속하는 다수의 밸브와 공기압축기(80)와 발전기(124)와 엔진(144)과 닥터 벤츄레이션에 형성된 에어실린더(138)와 타우어윈치(137)와 인명구조겸용 침대노즐(172)과 소화전(179)과 지그대쇄기(185)와 에어튜우브(188)와 헤드탱크(189)와 고압호스(190)와 철재구조물과 펌프내부 임펠러(143) 그 이외의 발화물질과 질식가스(163)와 불씨와 불꽃과 불기둥이 발생되는 지역 전체를 소방센서펌프몸체라 지칭되었고 수해조절장치의 본체(1)의 내부에 수해조절장치들로 포함되어 형성된다.
도 5e 내지 도 5m에 도시한 바와같이,상기 수해조절장치의 본체(1)의 내부로 구성하는 수해조절장치는 상기 센서펌프의 호스(9)와 노즐몸체(10) 내부에 형성된 다수의 무재해 파라핀 노즐마개(100)와 파라핀 테이프(177)로 밀폐된 다중관 노즐 틈새홀을 개방시킨 화재열감지센서 파라핀이 성냥불과 촛불의 저온감지로 인해 발화물체에 불타오르는 불씨와 불꽃이 쉽게 대형화재로 확산되지 아니하고 인명이 구제되며 초기에 진화되는 만큼 본 발명의 무재해 관노즐이동형 소방센서펌프는 A화재에 적응하는 산알카리 소화기(124b)와 포말 소화기(124b)에 펌프 소화기(124e)의 방재물질로 최초 화재 발생시기인 1초 이내에 간단히 불연성가스(연소하지 않는 가스)로 연소물을 에워싸 공기(산소)의 공급을 차단하여 연소를 방지하는 질식작용과 연소물을 발화점 이하의 온도로 낮추는 냉각작용이 되었으며 호스로 물을 끼얹는 냉각작용으로 초기에 진화되면서 인명이 구제되되, 계절별로 발생되는 대형산불 및 대형화재로부터 인명구조 및 초기진화를 확실히 보장하게 되는 펌프 소화기(124)는 방화수(7)와 황토(158)에 방화사(159)를 믹서(73)로 집수정탱크(34) 내부로 유입시켜 펌프인 막펌프(144)와 공기압축기(80)와 중간냉각기(170) 소방장치의 수해조절장치로 형성한다.
도 5e 내지 도 5m에 도시한 바와같이,상기 수해조절장치의 본체(1)의 내부로 구성하는 수해조절장치는 발화물체(166)가 불타면서 소방관노즐몸체의 내부에 소방호스의 내수압이 보유되어 있는 방화수와 함께 다수의 소화기 내부로 저장되어 있는 불연성가스(164)가 저장되어 있다가 소화기 몸체 외부로 동시에 방출되면서 소방관노즐(10) 틈새(15)로 토출분사수(38)와 커텐물막(39)이 다수개로 불타오르는 불기둥을 감쪽하는 순간에 소멸 제거시키면 화재현장주변에 전신주 높이로 설치된 무인카메라(184)로 이 장면을 전송시켜, 입형다단펌프(8) 관제시스템(150)의 펌프관제서버(51)의 정보감지기능을 통해 모니터(52)에 화재당시상황을 디스플레이 되도록 형성되는 상기 입형다단펌프(8)의 마이크로 컴퓨터 제어의 특징에는 디지털 제어방식과 인버터(47) 속도제어방식과 대수제어방식을 포함하는 수해조절 장치이다.
도 5e 내지 도 5m에 도시한 바와같이,상기 수해조절장치의 본체(1)의 내부로 구성하는 수해조절장치는 펌프몸체의 스파이럴 케이싱(310) 내부에 임펠러(143)로 형성된 일정량의 방재물질을 흡입구로 유입되도록 임펠러(143)는 동력모터 회전중심축인 회전축(198)에 결합되어 회전되면서 유입되는 방화수(7)의 내수압을 압축저장하는 산업현장 기계실 내부 펌프 좌측과 우측의 헤드탱크(189)와 일정량의 방화수(7) 이송장치의 복수개의 소방방재배관라인(168)과 일정한 규격의 산능선별의 방재수로(17)와 상기 방재수로(17)의 일정한 경사각도(16)로 일정한 거리의 간격으로 전진배치되는 이중구조의 집수정탱크(34)와 상기 집수정탱크(34) 내부로 방화수 수위를 감지시킨 감지센서인 보올탭(499)과, 상기 집수정탱크(34) 내부 이물질 유입을 차단시키도록 방화수(7) 흡입구(269) 마개 필터용 플랜지 마개철망(28)과, 스위치버턴-온시 전개되고 스위치버턴-오프시 전폐되는 다수의 솔레노이드 밸브(76)와, 상기 헤드탱크(189) 후미에 방재물질 이산화탄소(164) 및 하론가스(175)가 유입되도록 결속장치의 티이엘보(44)에 카플링(29)과 방재 배관(14) 후미로 유도되면 공급이 차단되는 저압차단밸브(83)와 방재물질 이산화탄소(164)와 자연황토(158)를 혼합하는 믹서(73) 및 동력모터 제어모듈(106)로서 이루어지는 고압의 입형다단펌프(8)로 작동되면서 방화수는 배관연결부속 티이엘보(44)와 레듀사(35)와 플랜지(28)와 연결되는 방재배관(14)을 통과하고 노즐호스(9)에 연결되는 다수개의 배관 원둘레 주위의 틈새(15) 가공홀(20)과 복수개의 플랜지(28) 접합부위의 틈새(15)로 이루어 수해조절장치의 본체(1)의 내부로 구성하는 수해조절장치시스템을 형성한다.
도 5e 내지 도 5m에 도시한 바와같이,상기 수해조절장치의 본체(1)의 내부로 구성하는 수해조절장치의 방화수(7)는 490개의 원형 일자형의 토출분사수(38) 형상 또는 커텐물막(39) 형상들로 구비해 더높게 더높은 위치에서 8개의 수막들이 분출을 마련하고나,동시에 수해조절장치의 애드벌룬(77)과 비행선(78)의 부력에 의해 소방케이블카아(256)의 몸체하중을 분산하여 시설물의 수명을 연장하며 안전이 보장된 후에는 황토혼합물이 관노즐(10)로 분출되며서 지구촌의 산불과, 건물 내부와 외부에 대형화재를 재난발생전 후 시 사전예방되며서 1초 이내로 산불진화를 이루게되는 유체의 이동에 따라 수격펌프(393)인 무동력펌프로 낙차의 50배 정도로 양수하도록 형성되었고 속형으로 피스톤 왕복 동작되는 공기압축기(80)와 중간냉각기(170)와 후미냉각기(182) 없이도 오일냉각기(157)로 열이 분산되는 투스테이지 스큐르 압축기(80)로 연결장치로 결합분리가 가능한 흡입구(269)와 토출구(270)로 마련되는 에어튜우브(730)와 인명구조용의 바스켓(42)과 인명구조겸용의 침대 노즐(172)과 방제용 황토(158) 및 방화사(159)와 에어보관용 비닐튜우브로 설치되는 재난방지를 포함하며 상기의 무동력펌프(393) 내부의 압력탱크(303)에 형성되는 공기압력으로 유체를 이동 가능한 제어작동으로 낙차의 50배로 양수하도록한 역지밸브(6)와 격리밸브(5)로 형성되어 산정상 부위 화재를 간단히 초기진화 이루게되되,해양발전소의 내부에도 다수의 전개와 전폐의 기능이 보장되는 관노즐이동형의 압력제어밸브와 방향제어밸브에 유량제어밸브들로 분류되는 밸브의 계통연결장치 수해조절장치들이 형성된다.
도 5e 내지 도 5m에 도시한 바와같이,상기 수해조절장치의 본체(1)의 내부로 구성하는 수해조절장치는 엘리베이터와 대동소이한 소방케이블카아(256)에 형성 탑재되는 다수의 펌프가 부착되며 타구어윈치(137)는 공기압축기(80)로부터 공급되는 공기를 공급받아서 공기차단밸브를 전개함으로써 공기를 사용하는 타구어윈치(137)가 사용되는데에는 옥상소방운전실(394)과 높고 낮은산(395)의 철탑(116)에는 구동바퀴로라(135)와 타구어윈치 콘트롤박스(53)와 폴저엔코드(396)와 스피드콤멘드(397)와 모터스피드 변속기(398)의 치차와 와이어로프를 감아돌리면서 브레이크 역할의 디스크브레이크(399)가 형성되어 유압의 시린더(126)와 공압의 시린더(126) 및 전동기 모터(192)와 스위치가 수해조절장치들로 형성된다.
도 5e 내지 도 5m에 도시한 바와같이,상기 수해조절장치의 본체(1)의 내부로 구성하는 수해조절장치는 상기의 증기비행선(589)은 인류의 역사상 최초의 비행선들로 증기기관을 싣고 프로펠러를 돌려서 전방으로 운행된 것이며 체펠린(LZ)129 힌텐부르그호 비행선(78)은 전체길이 245m 내부(기체)에는 승객을 700명 승선할 수 있는 정도이기 때문에 소방관노즐과 관노즐 내부 방재물질을 탑재되도록한 다수의 비행선(78)과 애드벌룬(77)들로 불기둥과 회오리 불기둥을 사전제거를 마련하고나,동시에 야간에도 무인소방활동이 전개됨으로 무동력 펌프인 수격펌프(393)의 수격작용(398)이 진행되면서 공기압축기(80)와 연결되어 화재발생시 그 즉시 1초 이내로 진화를 이루도록한 장치가 포함된 수격펌프(393)에 마이크로 기능의 센서가 형성되지 않아도 발전소 몸체 내부로 관노즐이동형 소방센서펌프의 무동력펌프(393)를 계속적으로 사용하도록한 수해조절장치들로 구성되어있다.
도 5e 내지 도 5m에 도시한 바와같이,상기 수해조절장치의 본체(1)의 내부로 구성하는 수해조절장치는 상기한 무동력펌프(393)는 각부능선의 낙차로 인한 공기압력에 의해서 낙차 크기에 따라 다수개의 계단식 무동력 마노매턴 레벨형 소방호스(9)와 소방관노즐(10)에는 관노즐홀(20) 형성되며 수력발전소(267)의 헤드탱크(189)와 대송소이한 장치이다. 상기와 같은 무동력펌프는 다단계단 입류형으로 산정상 지표면 상단부(GLU) 매수 Km 이상 양수를 마련하고나,동시에 소방케이블카아(256)의 타구어윈치(137)로 상기한 헤드탱크(189)와 수조탱크(259)를 이동 설치한 후 소방방재배관라인(189)에 연결하며 해수면 하단부(SLD)와 상단부(SLU)로 발전설비에의 양수로 선택하도록한 수해조절장치들로 구성되어있다.
도 5e 내지 도 5m에 도시한 바와같이,상기 수해조절장치의 본체(1)의 내부로 구성하는 수해조절장치시스템의 수해조절장치에는,냉각작용과 질식작용을 모두 포함시켜 감쪽하는 순간에 감쪽같이 잔류된 불씨 마저도 소멸 제거시키게 되는 데에 이때 1초 이내로 초기 진화를 이루도록한 화재현장 주변에 전신주 상단에 설치된 무인카메라(유무선 통신설비와 메가픽셀 실물화 상기 용줌모듈 VMD1011; 아날로그 영상출력과 디지털 영상출력과 오우토 기능의 수동형으로 오에스디이(OSD) 제어기능에 최대 20배줌으로 프로그래시브 시이엠오에스(CMOS)센서로 구성된 것을 포함시킨 것, 184)로 상기 초기 진화 장면을 전송시켜 입형다단 펌프관제시스템의 펌프제어시스템(150) 일체로 형성되는 펌프관제서버(51)의 정보감지기능을 통해 모니터(52)에 화재현장상황을 디스플레이 되도록 구성하는 해저물체의 형상을 식별하도록한 센서감지기능의 소나(어군탐지기, 907)의 수해조절장치로 형성된 후 발전설비가 이루어진다.
도 5e 내지 도 5m에 도시한 바와같이,상기 수해조절장치의 본체(1)의 내부로 구성하는 수해조절장치는 상기 전동기 모터 회전축(198)의 임펠러 작동에 따라 유입되는 방화수의 내수압이 압축저장되는 산업현장기계실 내부의 펌프 좌측과 우측의 전방에 설치된 부스터펌프제어박스(2) 후미의 흡입합류배관(3)과 토출합류배관(4)이 고압력에 견디도록한 재질로 제작한 것을 메니폴더 또는 헤드탱크(189)라 칭하고 일정량의 방화수 이송을 마련한 방재배관인 상기 헤드탱크 후미로 부터 산꼭대기 능선의 높은 산 정상에서 낮은 산으로 마노매턴형의 프라스틱 비닐코팅 재질로서 직경 350mm의 유량관으로 인력으로 운반 가능한 가볍고 수명이 긴 것으로 선택된 후에 장마철 집중강우로 계곡물이 넘치는 상황에 비상우회 배관라인(89)이 포함되며 상기 배관(14)과, 일정한 규격(가로×세로×높이의 폭×높이; 1M×1M)의 산능별로 방재수로(17)를 일정한 경사각도(16)인 1˚로 빗장장금장치((129)로 뺑글뺑글 앞산 계곡으로부터 출발하여 360˚로 회전시켜서 다시 앞산 계곡으로 설치를 마련하고나,동시에 산정상 산맥을 따라 지나는 소방방재배관라인(168)에는 상기 빗장걸이 장금장치(129) 형태의 방재수로(17)의 집수정탱크(34) 하부 위치에 레듀사(35)와 배관연결부속엘보와 티이엘보(44)로 방재배관라인(168)의 수해조절장치로 연결된다.
도 5e 내지 도 5m에 도시한 바와같이,상기 수해조절장치의 본체(1)의 내부로 구성하는 수해조절장치는 집수정탱크(가로×세로×높이; 10M×10M×1M의 세멘트 콘크리형에 탱크뚜껑덮개가 설치된 것에 한정됨, 34)의 흡입구(269)에는 방재수로(17)와 직결되고 상기 탱크(34) 하부로 연결되는 다수 개의 방재배관라인(168)은 넘치는 계곡물을 끌어당겨서 그에 대한 범람물을 그 즉시 동해 바다, 남해 바다 서해 바다로 제주도의 천지연폭포 정방폭포와 같이 바닷가 해변으로 인공폭포로 흘러 보내게 됨으로써 해양의 유해적조 대번식을 차단소멸 제거하는 계기이며 이때 논밭과 저수지역 침수지역으로는 공기압축기(80)와 다이어후렘 펌프(144)를 동시에 작동시켜 계곡물이 범람되지 않도록 형성되며 이렇게 피해복구를 함에도 불구하고 시간당 150mm 또는 300mm 강수량이 될 때에는 비닐하우스용 이중비닐(43)을 적절하게 방재수로 지역으로 설치시켜 산사태 피해를 축소토록 이중비닐(43)을 방재배관 형식으로 재설치가 되되 단, 이렇게 조치를 함에도 제방뚝이 유실되고 교량이 끊어지고 이쪽저쪽 계곡에는 피서난민이 속출될 지경에는 산 계곡에 고립된 난민 구제를 마련한 철개망태(139)를 계곡에 설치를 마련하고나,동시에 철개망태(가로×세로폭길이; 3M×50M의 와이어로프(19) 그물망 형태로 형성된 것, 139) 내부로 단관 파이프 소형관이 직경 100mm, 길이 10M 이하로 계곡 바닥에 형성시킨 후 단관홀 내부로는 가재, 송사리가 통과되도록 설치한 후 설치된 소형관 상부로 비닐포대(가로×세로; 49kg들이 60mm×1M 방화사 및 황토를 저장시킨 것, 180)를 다수로 설치하고 난 후 상기 비닐포대(180) 상부로 중형관 직경 200mm 길이 7m 이하 규격으로 재차 깔아놓고 난 후에 또다시 상기 중형관 상부로 상기 포대 내부에는 자갈과 모래가 저장시킨 것을 깔고난 후에는 재차 상기 중형관 상부 비닐포대(180) 그 위로 대형관 직경 300mm 이상 길이 5M로 형성시키데되, 각각의 계단층 단위로 그물망 형태의 와이어로프(19)로 형성된 철개망태(139)를 덮어씌운 뒤에 끝이 뾰족한 지그대쇄기(185)와 오링볼트인 인양볼트(204)와 앙카볼트(133)가 설치된 후에는 매듭을 고박시키면서 급류에 힙싸여 떠내려 갈 수 없도록 설치한 재방뚝 겸용으로 인명을 선 구조를 마련하고나,동시에 무재해를 이루게 되는 수해조절장치의 소방방재대책용 장비들로 마련하고나,동시에 상기된 지표면(Ground Level Load; 그라운드레벨로드 약칭된 것이 GLL)과 지표면 상단부(Ground Level Load on the upper; 그라운드레벨로드 언더엎퍼 약칭된 것이 GLU)와 지표면 하단부(GLL 그 뒤로 on the Down이 약칭된 것 GLD)라 약칭한 후 설명이 진행된다.
도 5e 내지 도 5m에 도시한 바와같이,상기 수해조절장치의 본체(1)의 내부로 구성하는 수해조절장치는 계곡 좌측 우측으로는, 산업현장의 5000kg용 천정 크레인 와이어로프(19)과 로프(131)를 계곡 정상(A)지점과 (B)지점에 상기 와이어로프(19)와 로프(131)가 계곡 하단부(C)지점과 (D)지점으로도 갈고리훅크(18)와 샤클(23)로 상기 와이어로프(19)와 로프(131)를 구동바퀴로라(135)로 결속 후 상기 각 지점 각개의 위치에 타구어원치(137)들로 설치를 마련하고나,동시에 케이블카(256)에는 인명구조용 바스켓(42)과 분사노즐(10)이 15m 길이의 소방호스 마디로 연결되어 산 높이 100M 단위로 방화수를 저장시키게끔 이동용 집수정탱크(이중구조로 형성된 물통; 34)와 각개의 펌프가 케이블 카아(256) 내부로 동력전선(71)이 함께 설치된 후 상기 분사노즐 설비는 산의 길이에 따라 각개의 지점으로 복수개로 설치된 후 수해조절장치로 운전을 마련한다.
도 5e 내지 도 5m에 도시한 바와같이,상기 수해조절장치의 본체(1)의 내부로 구성하는 수해조절장치는 스위치-온시 개방되고 스위치-오프시 닫히는 격리밸브(5)와 방재수를 일정한 압력으로 감압하는 레귤레이트(136)와 방재수가 일정압력 이하로 유도되면 공급을 차단하는 역류방지 역지밸브(61)와 방재물질 이산화탄소(164)와 자연황토(158) 혼합기(73) 믹서 및 동력모터 제어모듈로서 이루어지는 고압 입형다단 펌프(8)가 작동되어 방재수는 차단밸브 개방으로 통과하고 노즐호스(9)에 연결되는 다수개의 배관(14)은 원둘레 주위의 틈새 가공홀과 복수개의 플랜지 접합부위의 틈새로 내수압이 형성된 방화수들로 일자형의 토출분사수(38) 형상과 커텐물막(39) 형상들로 분출되면서 지구촌에는 산불과 황사와 유해적조와 폭설피해를 재난발생전 후 시 수해조절장치로 사전에 예방한다.
도 5e 내지 도 5m에 도시한 바와같이,상기 수해조절장치의 본체(1)의 내부로 구성하는 수해조절장치는 재난방재시스템의 구비되는 선박침몰방지 및 해상오염방지를 위한 선박 탑재물 보전과 선박안전항해를 위한 선박안전제어장치는 제어장치 부속품인 철판겹합용 지그대 쇄기(185)는 선체 내부와 외부로 부착되는 일정한 규격의 철판과 갈고리(13)와 갈고리 훅크(18) 선체부착용의 가공홀(20)과 와이어로프(19)와 스프링(186)과 러그(21)와 선박침몰방지용의 지그대와 지그(22)와 샤클(23)과 볼트(24)와 너트(25)와 와샤(26)와 힌지(27)와 타구어윈치(137)와 레버블럭(123)과 체인(640)과 에어튜우브(130)들로 구비하여 선박침몰방지용 구급장비 비상용 엔진(226)의 비상발전기를 포함하여 재난방재장비들로 이루어지는 해상에서의 발생되는 재난방재시스템을 포함시킨 수해조절장치의 본체(1) 내부에 탑재 형성된 수해조절장치이다.
도 5e 내지 도 5m에 도시한 바와같이,상기 수해조절장치의 본체(1)의 내부로 구성하는 수해조절장치는 분사노즐은 종래의 표준형 분사노즐보다 더많은 방수량을 더멀리, 더빠르게 더많이 더높은 곳에서 방재물질을 토출되는 것으로 종래의 분사노즐과 현격한 차이이며 다수개의 무동렴 펌프인 수격펌프(393)의 양정거리가 도입관(191)과 취수구와 50배 양수관(89) 양정을 마련하고나,동시에 분사노즐은 소형의 배관(14)들로 방재호스와 연결하고 고압 입형다단 펌프(8)의 배관후미로 연결되는 분사노즐(10)과 수송장비 탑재용 분사노즐(10)과 방재호스 연결마디 연결접합부 중간에 설치되는 분사노즐(10)들로 구비해 노즐 지지대 프레임(11)과 갈고리(13)와 훅크(18)와 와이어로프(19)와 충격완와용의 스프링(186)과 갈고리 결합용 러그(21)와 안전핀용 샤클(29)과 볼트(24)와 너트(25)와 와샤(26)와 마개용의 철망과 플랜지(28)를 구비한 통신용 단말기 휴대폰과 수송장비 엔진과 고성능 수중펌프(36)와 고압 입형다단 펌프 제어장치의 수해조절장치를 포함하여 수해조절이 이루어진다.
도 5e 내지 도 5m에 도시한 바와같이,상기 수해조절장치의 본체(1)의 내부로 구성하는 수해조절장치는 분리가능하게 조립되는 관레별 시소형으로 결합 구성하는 풍수력 발전기에서는 생산된 전력(685) 선공급을 받도록 마련된 장치에는 상기 수개의 발전소에 형성된 초고압 변전소(690)와 1차 변전소(691)를 경유하는 변압기(96)의 전압(684)조절로 전력(685) 선공급을 마련하고나,동시에 대단위공장(698)은 관교량(937) 부양식독 제조공정(705)에서는 소구경 전기저항 용접관 및 에스.알.엠(SRM ⅜∼8INch,706)과 중구경 케이지 성형 전기저항 용접관(739)과 대구경강관(747)과 스파이랄 용접강관(760) 생산제조기기인 3롤밴딩(749)과 포스트밴딩(750)과 원재료 고장력의철판(597) 제조생산공장과 철재빔(149)과 등변산형강(839) 제조공장으로 전력(685) 선공급을 마련하고나,동시에 관교량(937)은 이중구조블록탱크 표준규격들로 마련하고나,동시에 해양발전소의 상기 관교량(937)에는 교각직경 5M로 표준하여 해저수심 1km당 레듀샤(35)형 접합부위로 교각직경을 5M에 1M씩 추가로 직경을 확대하여 반잠수작업선(637) 갑판데크 상부에 형성된 대형플랜지(614)의 상기 플랜지(614) 연결마디를 결합시키는 밴드 지그대(621)와 동일한 1세트 형태의 이중관 구조탱크교각 건설용 부교식 새들 형틀(617)로 분해 결합을 이루도록 관교량(937)을 마련하고나,동시에 상기 부교식 새들 형틀(617) 접합부 맞대칭으로 다양한 형태의 지그(22)를 용접으로 부착한후 상기 지그(22)의 틈새결합 가공홀(615)에의 지그대 쇄기(185)를 링크대(249)에 연결시켜 수개의 지그(22) 가공홀(615)과 수개의 지그대 쇄기(185)가 동시에 분해결합을 이루며 앙카 대체용 쇄기 크랭크(846)와 교각용 레벨 기초용 밑받침대(851)를 상기 부교식 새들 형틀(617) 몸체의 측면과 하면에 형성된 수개의 앙카 대체용 쇄기 크랭크들이 수해조절장치의 본체(1)의 내부로 수해조절장치의 수해조절이 이루어진다.
도 5e 내지 도 5m에 도시한 바와같이,상기 수해조절장치의 본체(1)의 내부로 구성하는 수해조절장치는 상기 장비의 제조공정은 육상의 수력발전 및 풍력발전 장치들로 방재선(933) 상단으로 대형발전기몸체(213)가 설치되어 재난방제선(933) 기능을 위한 동력제공을 마련하고나,동시에 방제선의 분사노즐프레임(11)의 4곳의 높이는 300미터 단위로 발전을 위한 헤드탱크(189)가 설치되어 수압관(191)을 통하여 전해수(7) 이동을 마련하고나,동시에 상기 대형발전기 몸체(213) 내부로 유입되어 토출하는 수해조절장치의 본체(1)의 내부로 수해조절장치로 감지된다.
도 5e 내지 도 5m에 도시한 바와같이,상기 수해조절장치의 본체(1)의 내부로 구성하는 수해조절장치는 상기 발전기 내부 프란시스수차(229)로 전해수(7) 유입낙차에 의하여 회전축이 시계도는 방향으로 회전되며 발전기 내부 물의 흐름의 방향으로 높은 전력(685)을 많이 생산되는 해류의 속도에 의한 조력발전기(800) 설치를 마련하고나,동시에 수해조절장치는 파라핀 테이프(177)와 발화비물질철사(176)로 형성된 후 파라핀 테이프(177)는 발화되어 동시에 감지노끈(41)이 절단되면서 방화수 급수제어장치밸브로 연결되는 감지센서바이메탈(102)과 열전대 온도계 스위치(103)와 솔레노이드밸브(76)에 조성된 솔레노이드 작동온오프스위치버턴(66)과 스위치작동후 비상싸이렌(93)이 소리내도록한 경보장치와 솔레노이드 밸브 스위치 작동용 추(107)가 작동되어 전자제어장치의 솔레노이드밸브(76)가 열림과 동시에 실내 내부의 계단거치용 분사노즐(10)과 벽면거치용분사노즐(10)과 천정거치용분사노즐(10)들로 방화수는 신속하게 보급되어 발화지점의 불씨와 불꽃과 불기둥을 방사선형의 틈새(15)와 일직선형의 틈새(15)로 방화수는 일직선형의 토출분사수(38)와 방사형의 토출분사수커텐물막(39)들로 겹겹이 토출분사하여 불씨와 불꽃과 불기둥을 부드럽게 서서히 신속 정확하게 초기진화되면서 동시에 소방차(402) 출동 현지 도착시간전에 불씨와 불꽃과 불기둥을 사전제거로하는 육지해상재난 발생방지를 위한 지구촌 수해조절장치시스템을 마련하고나,토출분사수(38)와 커텐물막(39) 형상들로는 일기예보 관제시스템의 인터넷망과 육안으로도 식별하도록 마련한 집수정탱크 내부의 물수위감지로 화재열을 온도감지센서로도 직접,간접으로 감지하도록한 수해조절장치들로 구성되어 있다.
도 5e 내지 도 5m에 도시한 바와같이,상기 수해조절장치의 본체(1)의 내부로 구성하는 수해조절장치는 상기 노즐이 구비되지 않은 아주 긴박한 상황으로 확산 전개될시기에는 이불을 말아서 목욕탕 욕탕내로 잠수하는 방법으로 질식가스(163)로부터 탈피하도록한 하수구 배관을 숨구멍으로 마련하여 물호스(9) 사용하는 인명구조수단이 포함된 장치들로 마련하고나,근린생활거주구 화재는 벽면쪽으로 발화물이 위치 배치되는 관계로 전선이 지나는 곳에는 배관의 소방관노즐(10)이 벽면거치용 천정배치용들로 화재열 감지센서 파라핀테이프(177)와 감지노끈(41)이 불타면서 상기 관노즐에서 분출되는 다수개의 수막이 소방방재장치의 수해조절장치로 구성된다.
도 5e 내지 도 5m에 도시한 바와같이,상기 수해조절장치의 본체(1)의 내부로 구성하는 수해조절장치는 대형산불 및 인근 근린생활 주거지 대형화재를 초기진화하고 사전예방에 필요한 안전 통제실을 마련하고나,동시에 다수의 소방케이블카아(256)에는 수송장비탑승 근무자를 보좌하면서 진화명령을 무선으로 교신하고 소방장비배치와 전원공급실과 기계실의 장비를 관리운용하는 장소들로 마련하고나,동시에 일기예보에 따라 봄철에서 다음 봄철까지 건조주의보 발생되는 상황에 따라 무동력펌프인 수격펌프(393)와 입형다단펌프(8)를 가동하여 방화수를 방재배관 후미로 설치되는 분사노즐을 통하여 토출분사를 마련하고나,동시에 공기압축기(80) 가동으로 방재수로(17)와 집수정 탱크(가로×세로×높이; 10M×10M×2M, 34)로 에어노즐(Spray jet type)이 별도로 구성 작동되어 폭우로 인해서 산사태, 도로유실 계곡물범람되어 위험경보발령이 내리면 집수정의 방화수 및 방재수로의 방화수를 억제조절하도록한 통제실 내부에는 인터넷망(50)과 관제서버 왼쪽으로 모니터(52)와 휴대용무선통신단말기(82)들로 구비하고나,동시에 수송장비(73)내의 휴대용무선통신단말기(82)로는 지상근무자와 수송장비 승무원과의 송수신 대화로 부스터 펌프제어와 관제시스템(150)을 운용하는 장비로 대형산불 인근근린지역주거지 대형화재 발생시의 근무자간의 업무가 포함한 소방방재장치의 수해조절장치로 구성된다.
도 5e 내지 도 5m에 도시한 바와같이,상기 수해조절장치의 본체(1)의 내부로 구성하는 수해조절장치는 지상근무자가 공석일때는 수송장비 승무원은 방재장비보관노즐호스장비거치대(33)에 부착된 펌프작동스위치버턴(66)이 전원부(62)로 연결되어 동력전원공급장치인 전원(46)과 연결된후 입형다단 펌프제어박스(2) 내부에는 펌프제어시스템(150)과 입형다단 펌프제어보드(53)들로 연결되어 수송장비 승무원이 방재장비보관노즐호스장비거치대(33)에 보관된 소방케이블카아(256) 수송장비 탑재용 분사노즐(10)을 수송장비 갈고리 훅크(18)로 소방설비거치대에서 분리함과 동시에 수격펌프(393)와 입형다단 펌프(8)가 잠시 순간 가동되도록한 소방방재장치의 수해조절장치로 구성된다.
도 5e 내지 도 5m에 도시한 바와같이,상기 수해조절장치의 본체(1)의 내부로 구성하는 수해조절장치에의 방화수(7)는 방재수로(17) 내부로 산정상 하단부(AD)와 (AE) 지점의 골짜기를 따라서 8부 능선과 5부 능선별로 경사각도(16) 1°의 방재수로(17)는 낮은 방향으로 방화수는 일정한 경사각도(16)를 유지하면서 능선별로 회전하여 (AD)지점과 (AE)지점으로 방화수를 환원 시키며 집수정탱크(34)는 산림자원의 많고적음에 따라 50미터에서 100미터 구간으로 조절하고 규격에 있어서는 대,중,소 단위로 구분하고 집수정탱크(34) 내부에 방화수가 급격히 감소하게되면 그 즉시 화재발생감지기능의 방화수수위감지센서 보올탭(499)과 플로우트(315)에 형성된 플로우트 스위치(318)와 보올탭이 작동된 후 집수정 내부에 물이 채워지되, 물호스와 방화수수위 감지센서와 드레인마개철판과 밸브를 설치한 후 8부 능선 상단의 산정상부위는 산높이에 따라 (U)형과 (W)형의 높은산(a1)에서 낮은산(b1)(c1)부위로 소방방재 배관라인(168)을 형성 후 낮은산(b1)(c1)의 주변 정상은 능선별로 계단식 높이 낙차에 의한 수격작용(389)의 수격펌프(393)를 계단식으로 상기 수격펌프(393) 설치를 마련하고나,동시에 집수정탱크(34)와 방재수로(17)을 조성한 후 능선별 집수정탱크(34) 주변에 위치하는 다수개의 각 펌프로 방화수를 방재수로(17)에 머무름의 반복을 마련하여 방화수를 되돌려 분산시키면서 유량의 흐름을 제어하도록한 방재수로(17)로 계곡의 물 범람을 하지 않도록한 홍수조절기능이 포함하는 구성들로 마련하고나,동시에 상기 화재발생과 동시에 다수의 개울과 늪지조성은 위급한 상황에서는 1초 이내에 인명이 구제되는 효과를 마련하고나,동시에 산림(266) 육성의 필요성에 따라 산불발생전 관노즐 이동형 소방센서펌프 내부로 동반되는 환경 개선 사업을 형성하되,도로지표면(GLL)의 사정으로 방재수로(17)와 집수정탱크(34)는 규격의 특정이 곤란하여 치수는 생략하며 통상 집수정탱크(34) 용적량은 700m3 의 적합한 부피로 세멘트 콘트리트 구조물 또는 철판으로 형성된 구조물에 대체하는 푸라스틱 재질로서 이중비닐 또는 비닐봉지(45)로 기체와 액체로 형성된 방재물질로 산불방지장비의 수해조절장치로 구성한다.
상기한 바와 같이 수해조절장치의 본체(1)의 해양발전소 몸체 내부로 해양환경산업발전을 이루기 위한 우주과학발전용 장비인 인공위성 발사대(643)에 우주로켓 발사대(646)가 국제사회 위계질서에 따라 해양에서 형성된 대형의 해양발전소 부양식독(595) 갑판데크상단부(SDL)에 인공위성(611)과 우주로켓(612)들이 수개로 탑재 형성되는데 상기의 수해조절장치의 본체(1)의 내부로 구성하는 수해조절장치시스템은 국제사회 UN 평화유지군과 UN 과학 위원회원국들이 사양을 선택할 수 있다.
상기한 바와 같이 수해조절장치의 본체(1)의 해양발전소 내부에는 해저유전을 파는 원유시추선의 하반부는 물속에 가라 앉아서 부표구실을 한다는점 등의 종전의 기술수준인데 이렇게 부표역할은 원유시추선에 한정되지 않고 일반선박이 항해도중 풍랑에 의해 난파선 또는 침몰선박이 되기 때문에 해수면하단 100m 지점에는 파도의 영향이 적으므로 부양식독 자체의 하중을 분산시켜 안정되기 때문에 안전도(물체)를 감안해서 일반선박이래도 태풍과 풍랑을 만나서 침몰되지 않으려면 태풍과 풍랑에서 잠깐 물속으로 잠수하게 되는데 이때 수개의 콘테이너(132) 크기의 고무풍선(914)은 에어압축실(402)로 선체에 부착하여 계속적으로 사용하게 된다.
도 5e 내지 도 5m에 도시한 바와같이,상기 수해조절장치의 본체(1)의 내부로 구성하는 수해조절장치는 상기 케이블카아(256)는 높고 낮은산(395)과 해양의 관 교량 터넬(929)과 연결지점에 계속적으로 전력(685) 공급하게 되는데 산정상 산맥의 지표면(GLL) 하단의 각부능선별 일체와 해수욕 해변 인근의 높고 낮은 빌딩 건물 옥상 소방운전실(394) 각개소와 인근 산봉우리 정상 각개소에 상기 카아(256) 작동용 철탑(116)을 세워 조립 후 수공구에 의해 앙카볼트(133)로 철탑(116)을 고정시킨 후 상기 철탑 상부로 수개의 와이어로프(19)로 형성된 구동바퀴로라(135)와 푸레(256)를 설치하고, 상기 철탑(116) 하부로 타구어윈치(137)를 산정상 부위와 빌딩건물옥상 소방운전실(394) 각개소로 설치한 후 상기 케이블카아(256) 하부로 타구어윈치(137)는 발전소(267)의 발전기(213) 또는 엔진발전기(226)로부터 생산되는 동력전원(46)을 수개의 전선으로 연결된 변압기(96)와 전신주(95)의 전원을 공급받아 마이크로제어기능이 형성된 전동기 동력모터(192)와 수개의 압축기에 수개의 전자밸브의 센서감지로 수개의 동력모터(192) 제어모듈(106)로 이루어지고, 상기한 소방케이블카아(256)에는 와이어로프(19)에 부착되는 펌프소화기(124) 일체로 형성된 상기 비닐텐트(43)형 집수정탱크(34)에 소방호스(9) 내부의 방화수(7)의 물체의 하중을 분산시키게되는 소방관노즐(10) 홀(20)과, 인명구조용바스켓(42) 상부의 수개의 애드벌룬(77)에 비행선(78)과 로프(131)로 형성된 수해조절장치의 소방센서펌프로 이루어 형성하며 오대양 육대주의 산업체 및 지구촌 각각의 주택 등에 변전소의 변압기(96)의 전압(684)이 조절된다.
도 5e 내지 도 5m에 도시한 바와같이,상기 수해조절장치의 본체(1)의 내부로 구성하는 수해조절장치는 상기 입형다단펌프(8)와 다이어후렘펌프(144)의 상면에는 상기 펌프(8)의 동력모터(198)가 부착되고 상기 다이어후렘펌프(막펌프, 144)는 고무막 또는 테프론막(538) 상부로 크랭크(248)와 링크대(249)로 형성된 크랭크 손잡이 핸들에 피스톤(127)과 실린더(126)가 부착된 후 공기압축기(80)로 형성된 에어리시이버 저장탱크(145)와 에어호스(109)와 닛플(110)로 형성된 공기배관라인(181)에 인터쿨러(170)와 펌프소화기(124)에 방재물질을 저장 보관하는 가스통(171)을 소방케이블카아(256)에 탑재시킨 후 수해조절장치의 본체(1)의 내부로 무재해 소방방재대책용품으로 결합하는 무재해 소방방재대책용품 수해조절장치의 관노즐이동형 소방센서펌프 일체를 포함하여 무재해 지구촌 해양발전소의 관레벨 시소형 풍수력발전기의 수해조절장치 내부에 형성된다.
도 5e 내지 도 5m에 도시한 바와같이,상기 수해조절장치의 본체(1)의 내부로 구성하는 수해조절장치는 상기 수격펌프(393)는 동력펌프 또는 압축기없이 방화수(유체)의 위치에너지를 이용하여 높은 위치의 물을 흘러보내다가 급격히 패쇄시킬때 고압이 발생하는 워터햄머(수격작용, 389) 방식으로 상기 발전소(267)의 상면에 위치하는 도입관으로 유입된 헤드탱크(189)와 동일하게 위치에너지를 조절하게 형성된 각부능선의 헤드탱크(189) 하면에는 수개의 도입관(191)으로 계곡의 샘 하면의 설치위치 각개로 형성된 수개의 집수정탱크(34)에 도입관을 설치 후 집수정탱크(34) 상면에 형성된 고압보울탱크(303)의 하단과 집수정탱크(34) 상면 접합부의 책밸브(역류방지나비형, 453) 개보수를 간단히 할 수 있게 플랜지(28) 분리 결합형으로 이루게되는데에는 해양에서는 시이소(935) 크레인붐대(651)에 상기 수격펌프(393)는 해수면(SLL) 하부의 크레인붐대(651)에 부착시켜 해수면에서 수격작용(389)으로 해수면 상단부(SLU) 수km 상공으로 양수후 분출되면서 수해조절장치들로 태풍을 잠재우게 된다.
도 5e 내지 도 5m에 도시한 바와같이,상기 수해조절장치의 본체(1)의 내부로 구성하는 수해조절장치는 상기 보울탱크(303) 물체의 수평 중심 하단부로 반엘보(45˚각도, 44) 소켓이 형성된 양수관(89)을 부착한 후 상기의 집수정탱크 상단 아래 도입관(191) 전면의 스프링식 안전밸브(473)로 형성된 무동력의 소방센서펌프몸체로 이루어 형성하는데 상기한 헤드탱크(189)는 해중에서는 레듀샤(35)형 벤튜리튜브식 복수개의 티이엘보(44)로 크레인붐대(651) 단진자운동에 의해 흡입구(269)를 호퍼형태의 수해조절장치들로 단진자운동 속도조절에 따라 양수량이 증감된다.
도 5e 내지 도 5m에 도시한 바와같이,상기 수해조절장치의 본체(1)의 내부로 구성하는 수해조절장치는 고압의 저속형 공기압축기(80)에는 내부냉각기(170)와 후미냉각기(182) 없이도 오일냉각기(151)로 열이 분산되는 투스테이지 스큐르 공기압축기(80) 일체로 형성된 흡입구(269)와 토출구(270)로 연결장치로 결합분리 가능하게 인명구조를 이루도록한 에어튜우브(130)와 침대노즐(172)과 건물 내부 천정 칸막이 커텐물막(39)들로 형성된 수해조절장치의 본체(1) 내부로 무재해 소방방재대책용품의 관노즐 이동형 소방센서펌프의 수해조절장치들로 구비해 무재해 지구촌을 이루도록한 국제사회 평화유지군과 국방정책기관의 주문사양에 따라 본 발명 수해조절장치시스템의 수해조절장치들로 선택을 구성한다.
상술한 바와 같이, 본 발명은 물의 위치에너지를 구비하는 수해조절장치시스템을 제공한다.
본 발명의 기술적 사상은 바람직한 실시예에 따라 구체적으로 기술되었으나, 상기한 실시예는 그 설명을 위한 것이며, 그 제한을 위한 것이 아님을 주지해야 한다. 또한, 본 발명의 기술 범위내에서 다양한 실시예가 가능함을 이해할 수 있을 것이다.
(2)입형다단펌프 제어반의 제어박스,(3)흡입합류관,(4)토출합류관,(5)펌프 격리밸브,(6)펌프 역류방지 역지밸브,(7) 방화수 또는 발전용 물 그리고 전해수,(8) 방재 및 방제펌프 또는 입형다단펌프,(9)노즐호스 또는 소방호스,(10)소방관 노즐,(11)소방노즐 프레임,(12)감지센서,(13)갈고리,(14)배관 또는 노즐배관, (15)틈새,(16)경사각도,(16a)블레이드추진각도,(16b)블레이드절삭각도,(17)방재수로,(18)갈고리훅크,(19)와이어로프,(20)가공 홀,(21)갈고리 러그 또는 휴대용 러그,
(22)지그대 또는 다양한 형태의 지그(""자 "" "" 형태의 지그),(23)샤 클,(24)볼트,(25)너트,(26)와샤,(27)힌지,(28)플랜지 또는 플랜지마개철망,(29)카플링,(30)카플링 암나사산 몸체,(31)카플링 수나사산 몸체,(32)가스켓트 또는 고무패킹,(33)노즐호스장비거치대,(34)집수정탱크,(35)레듀사,(36)고성능수중펌프,(37) 펌프수차,(38)토출분사수,(39)물막 또는 커텐물막,(40)소방정,(41)감지노끈,(42) 바스켓,(43)이중비닐텐트 또는 봉지,(44)엘보 또는 티이엘보,(45)소방용 펌프,(46) 동력 전원 공급장치인 전원,(47)인버터,(48)인버터 브이오,(49)억세스포인터,(50) 인터넷망,(51)입형다단펌프의 관제서버,(52)모니터,(53)펌프제어보드 또는 타구어윈치 조정박스,(54)근거리무선통신안테나,(55)근거리무선통신장치의무선통신제어모듈,(56)디스플레이,(57)전자제어장치 에이 디이 씨,(58)스위치 입력회로, (59)전자제어장치 엠씨유,(60)전자제어장치 디이 에이 씨,(61)과전류차단기용 브레이크, (62) 전원부,(63)디스플레이 화면,(64)아날로그입력,(65)디지털입력,(66)각 펌프의 온 오프 제어용 메인스위치버턴,(67) 보조스위치 버턴,(68)입형다단펌프 디스플레이 입력 또는 컴퓨터 전산망 입력,(69)현재 압력값 또는 설정 압력값 압력설정수치 인식명판,(70)메모리,(71)동력전선,(73)방재물질 혼합기믹서,(74)터어빈수차,(75) 헝겊꺼즈,(76)솔레노이드밸브,(77)애드벌룬,(78)비행선,(79)가스통,(80)공기 압축기,(81)모바일서비스,(82)휴대용단말기,(83)저압차단 밸브,(84)비상 밸브,(85)감압 밸브,(86)제1압력체크센서,(87)제2압력 체크센서,(88)전자제어유닛,(89)방재 배관라인 또는 양수관,(89a)수직 양수 관,(89b)수직 하향 관,(90)볼밸브 핸들,(91)드 렌처헤드,(92)밸브몸체 내부 디스크,(93)비상싸이렌,(94)최초발화원인물질인 스파크 또는 낙뢰,(95)전신주,(96)변압기,(97)레듀사 붓싱 소켓,(99)점멸 경고등, (100)파라핀노즐마개,(101)압력계,(102)감지센서 바이메탈,(103)감지센서용 열전대 온도계 스위치,(104)레벨 또는 압력스위치,(105)방유량 체크용 유량계,(106)전동기제어모듈,(107)밸브스위치작동용 추 또는 크레인 붐대 레벨 유지 웨이트,또는 납덩이 추,(108)과대압력 방지스위치 또는 스위치박스,(109)공기호스,(110)공기호스 연결장치 닛플,(111)스프링 쿨러헤드,(112)반사관,(113)가용금속용 퓨우즈,(114)정지밸브 또는 수도밸브,(115)지하매설관,(116)철탑 또는 블록철탑,(117)부자,(118)부자회로개폐기,(119)벨,(120)경보밸브,(121)시험밸브,(122)고압수도펌프,(123)레버 블럭,(124)소화기(소화기a, 소화기b, 소화기c, 소화기D, 소화기e, 소화기f) (125) 체인,(126)실린더,(127)피스톤 또는 피스톤펌프,(128)소화기 고정용 핀,(129)빗장 장금장치,(130)인명구조용 튜우브,(131)로프,(132)컨테이너,(133)앙카볼트,(134) 라디오존데,(135)구동바퀴 로라 용 도루레,(136)레귤레이트,(137)동체에 감긴 밧줄이나 쇠사슬로 수문개폐 조절장치용 타구어윈치,(138)시린더,(139)철개망태,(140) 터어빈펌프,(141)케싱,(142)베인펌프 또는 가이드베인,(143)임펠러,(144)다이어 후 렘펌프,(145)고압저장탱크,(146)프로펠러펌프 또는 프로펠러,(147)다단식나사 공기 압축기 그리고 나사펌프,(148)플런저펌프,(148b)사축식 플런저펌프,(148c)레이디얼 플런저펌프,(149)철재 빔,(150)방재펌프 제어시스템 또는 관제시스템,(151)오일 냉각기,(152)맨홀덮게,(153)해치카버,(154)방화문,(155)글랜드패킹,(156)매커니컬 시일 또는 각개의 시일,(157)제트펌프,(158)황토,(159)방화사,(160)옥내소화전상자 (161)자동소화전,(162)호스걸이,(163)질식 가스,(164)불연성 가스의 이산화탄소, (165)보강철판,(166)성냥불(a) 또는 발화물체(화재유형별의 A급, B급과 C급으로 분류함),(167)나사탭, (168)송수구 또는 소방방재 배관 라인,(169)방수구,(170)내부냉각기,(171)배기가스,(172)인명구조겸용 침대 노즐,(173)토치 또는 버너,(174)탄산가스,(175)하론 가스,(176) 핼 륨,(177) 발화물질 파라핀테이프,
(178)비 발화물질 철사,(179)소화전(단구형a, 쌍 구 형b),(180) 비닐포대, (181)방재공기배관라인,(182)후미냉각기,(183)리밋스위치 또는 리미트스위치,(184) 무인카메라,(185)지그대 쇄기(끝이 뾰족한 틈새 결합공구),(186)스프링,(187)무인점화기 스파크라이터,(188)구명정,(189)헤드탱크(압력탱크),(190)플렉시블고압호스 또는 유압호스,(191)도입관 또는 수압관,
(192)동력모터 전동기,(193)후드,(194)스냅링,(195)팬,(196)몸체프레임,(197)몸체 전방 보강철판,(198)회전축,(199)회전자조립,(200)전방 회전축받이, (201)고정자조립,(202)모터보호용 주물프레임,(203)단자박스,(204)인양볼트,(205) 단자박스 카버,(206)후방 회전축받이,(207)후방 보강철판,(208)공극,(209)팬 카버 또는 보호 카버,(210)회전자 철심,(211)고정자 철심,(212)고정자 권선,
(213)수력발전기,(214)회전속도 검출기,(215)여자기(교류발전기이거나 동력전동기의 계자 코일에 전류를 공급하는 직류발전기를 칭함),(216)고리 관을 밀어넣는 기기,(217)상부 회전축받이,(218)회전축받이를 밀어넣는 기기,(219)고정자 코일,(220)고정자프레임,(221)중심부고정자,(222)저속냉각기,(223)제동장치 링,(224)제동장치 또는 잭,(225)저속 회전축받이,(226)엔진 발전기,(227)터빈 회전축받이, (228)날개바퀴,(229)프란시스 수차,(230) 펠톤 수차,
(231)조절축, (232)탐조등,(233)수력발전소 또는 해양 수력발전소,(234) 호칭별 노즐 몸체 "호칭 100", (235) 호칭 "90", (236) 호칭 "75", (237) 호칭 "65", (238) 호칭 50, (239) 호칭 "40", (240) 호칭 "25", (241) 호칭 "100×90", (242) 호칭 "90×75" (243) 호칭 "75×65", (248)크랭크,(249)링크대,(250)푸레, (251) 감속기,(252)브이 밸트,(253)플런저,(254)고정핀,(255)타임머,(256)케이블카아, (257)공기밸브,(258)안전밸브,(259)자동밸브,(260)드레인밸브,(261)벨트카버,(262) 흡입필터,(263)압축기본체,(264)수차또는펌프수차,(265)메인밸브,(266)산림,(267) 터빈,(268)플라이휠,(269)취수구 또는 흡입구,(270)방수로 또는 토출구,(271)공 운전 방지장치,(272)펌프전원,(273)제어전원,(274)비상운전회로,(275)직류파워공급회로,(276)마이크로 콘트롤 유니트,(277)디 아이피 스위치설정회로,(278)디스플레이회로,(279) M/C 구동신호 접점출력회로,(280)모터 과부하 신호입력회로,(281)인버터운전 데이트 입출력회로,(282)압력감지회로,(283)외부상태 입력회로,(284)토출 압력 트랜스미터어,(285) 흡입/토출 스위치,(286)베드 프레임,(287)냉각수 입구, (288)유분리탱크,(289)흡입밸브,(290)기어드라이븐,(291)건조기,(292)물탱크,
(293)수문,(293a)데인터 게이트,(293b)롤링 게이트,(293c)설계수위,(293d)수면,(293e)앵커부문 고정부,(293f)고정부,(294)수로 또는 회전수로,(295)수조탱크,(296)게이트밸브,(297)리턴밸브,(298)부시 또는 트로틀부시,(299)드렌처 헤드(a,b,c,d)의 종류,(300)진동경보장치,(301)드레인,(302)역 정지밸브,(303)고압 보울탱크,(304)양수펌프,(305) 버터플라이밸브,(306)중탄산 소다,(307)재 유입구,(308)센튜리 퓨우걸 펌프,(309) 오수펌프,(310)스파이럴 케이싱,(311)블류우트 펌프,(312)후드밸브,(313)양수구, (314)펌프 본체,(315)플로우트,(316)볼 밀어넣기 기기,(317)플랙스블카프링,(318) 플로우트 스위치,(319)뒷날개,(320)퍼올림 밸브,(321)빨아올림 밸브,(322)분출 수면계,(323)실제 양정,(324)분출 양정,(325)제트펌프,(326)기어펌프,(327)윙 펌프, (330)분리 실,(331)마그넷 스위치,(332)목조건물,(333)빌딩 또는 대형건물,(334) 밸런스,(335) 언밸런스,(336)옥내 소화용 펌프,(337)로터리펌프,(338)로터리 회전자,(339)프라이 밍,(340)자흡식 펌프,(341)축류펌프,(342)혼류펌프,(343)점성펌프,
(344) 표준형 글랜드패킹,(345)글랜드,(346)주액랜턴 링 부착패킹,(347)랜턴패킹,(348)2중 글랜드형 패킹,(349)드로틀부시부착패킹,(350)냉각수출구,(351)봉 수,(352)냉각수 입구,(353)슬리이브 내면 냉각병용 워터 재킷부착패킹,(354)슬리 이브의 내부 냉각실,(355)보조 글랜드,(356)누설액의 냉각실,
(357)분배축,(358)여덟가닥짜기,(359)봉지짜기,(360)격자짜기,(361)플래싱 홀,(362)O링,(363)스톱더,(364)중동링,(365)밀봉단면,(366)시이트링,(367)피동링, (368)퀀칭,(369)쿠울링,(370)되돌림 관,(371)핸들,(372)격벽,(373)축 방향의 하중을 밀어넣기 기기,(374)임펠러 전면에 작용하는 압력,(375)임펠러 뒷면에 작용하는 압력,(376)밸런스홀,(377)흡입압력,(378)배면압력,(379)기어,(380)전면웨어링, (381)토출압력,(382)배면 회전축받이 링,(384)뒷날개,(385) 뒷날개 설치로 인한 압력분포와 임펠러,(386)다단펌프의 임펠러 배치,(387)수주분리,(388)수주결합, (389)수격작용,(390)축봉부,(391)매커니컬 시일의 냉각기,(392)스트레이너,(393) 수격펌프,(394)옥상 소방운전실 또는 크레인운전실,(395)높고낮은 산,(396)진동 암호장치,(397)속도조절장치,(398)전동기회전변속기,(399)디스크 제동장치,(400)방파제 겸용 방제탱크,(401)안전그물망(로프그물),(402)공기 압축실,
(403)슬루우브 밸브,(404)밸브몸통,(405)밸브덮개,(406)슬루우스밸브,(407) 패킹누르게,(408)패킹누르게 너트,(409)밸브,(410)핸들,(411)핸들너트,(412)패킹, (413)웨지게이트밸브,(414)단체밸브,(415)플렉시블 밸브,(416)패럴렐 슬라이드 밸브,(417)더블 디스크 게이트밸브,(418)스톱밸브,(419)플랜지형 글로우브밸브, (420)플랜지형 앵글밸브,(421)몸통,(422)덮개(본네트),(423)디스크,(424)덮개붙임밸브 시이트,(425)밸브대,(426)밸브 누르개,(427)핸들,(428)덮개끼움 링,(429)패킹 누르개 링,(430)패킹 누르개,(431)나사 끼움형,(432)덮개 볼트,(433) 패킹 누르개 보울트,(434)핀,(435)덮개 볼트용 너트,(436)패킹 누르개 볼트 용 너트,(437)핸들 너트,(438)멈춤나사,(439)와셔,(440)패킹,(441)가스킷,(442)밸브누르게,(442a)평면 누르게,(442b)원뿔누르게,(442c)구면누르게,(442d)스터트 누르게,(443)콕(cock;1형 (444)콕(2형),(445)청동나사넣기 메인콕,(446)주철플랜지형 글랜드형,(447)청동 나사 넣기 글랜드 콕,(448)삼방콕,(449)사방콕,(450)핸들콕
(451)첵밸브,(452)스윙형 첵밸브,(453)리프트형 첵밸브,(454)첵밸브 몸통, (455),덮게,(456)디스크,(457)디스크핀,(458)플러그,(459)조정밸브,(460)감압밸브, (461)파이로트 작동식 감압밸브(자력식),(462)2차측 감지구멍,(463)다이어프램 (464)파이로트밸브,(465), (466)메인밸브,(467)메인밸브스프링,(468) 조정스프링, (469)자동압력조절밸브,(470)나사형 자동압력조절밸브(a),(471)플랜지형 압력조절밸브(b),(472)안전밸브,(473 스프링식 안전밸브,(474)리리이프식 안전밸브,
(475)증기용 포프스프링식 안전밸브,(476)포프식 안전밸브,(477)온도조절밸브,(478)자동급수기(자동수준조정기),(479)자동급수기(a),(480)자동수준조정기, (481)공기빼기밸브,(482)자동공기 배기밸브 열 동 형(증기용),(483)자동공기 배기밸브 바켓트형(온수형),(484)냉매배관용 밸브,(485)냉매 스톱밸브,(486)팩드밸브, (487)팩레스밸브(벨로우즈형),(488)팩레스밸브(다이어프램형),(489)팽창밸브, (490)다이어후렘형 팽창밸브,(491)벨로우스형 팽창밸브,(492)부자밸브,(493)냉매용 압력조정밸브,(494)전자밸브,(495)자동급수밸브,(496)일반형 수도꼭지(수전),
(497)지수선,(498)분수전,(499)볼탭,(500)피뢰침,(501)나사이음형 Y형 스트레이너 외형도(a) 단면도(b),(502)U형 스트레이너,(503)V형 스트레이너,(504)관 고정 금속,(505)터언버클부 지지밴드,(506)지지밴드,(507)로울러부 지지밴드,(508) 수직관 매몰용 밴드,(509)철재 안경밴드,(510)바닥밴드,(511)트랩,(522)앵글형 열 동식 트랩,(523)스트레이트 열동식트랩,(524)버키트트랩,(525)상향식 버키트 트랩, (526)하향식 버키트트랩,(527)플로우트트랩,(528)임펄스 증기트랩,(529)수도꼭지몸통,(530)패킹상자,(531)패킹 누르게,(532)꼭지대,(533)핸들,(534)디스크,(535)디스크패킹,(536)내수패킹,(537)내 노화성 물건패킹,(538)고무막 또는 테프론 막,
(539)열팽창이 큰 금속,(540)열팽창이 작은 금속,(541)타임머 또는 레벨스위치,(542)하이레벨알람,(543)베이컴페일루어알람,(544)스어멀 릴레이 알람,(545)알람 리셋트 버턴,(546)로워 레벨 스위치,(547)플랩(밸브의 혀),(548)사운드캡, (549)첵노즐,(550)루우버카버,(551)플로이트 인셔어트 스위치,(552)지시눈금스케일,(553)오우버플로워 콘넥션,(554)벤트 파이프 콘넥션,(555)플랜지 콘넥션,(556) 이중비닐 개방형 침(바늘),(557)솔레노이드밸브 몸체,(558)카버,(559)스폴,
(560)스플패킹,(561)파이로트(안내),(562)코일,(563)콘넥터,(564)메니폴드(8" 대유량형),(565)매니폴드,(566)나사볼트,(567)에어호스결속구유니온 카플링,(568)유니온 카플링(몸체결속),(569)2위치싱글,(570)2위치더블,(571)L L; 중앙 수직형,(572)L; 수직형,(573)수평형; M,(574)F; 피팅포함,(575)도시기호 싱글,(576)더블,(577)에이취,(578)아이,(579)제이,(580)마이크로스위치,(581)직접배관형,(582)베이스 배관형,(583)파이어 댐퍼,(584)댐퍼 스핀들,(585)닥터 벤츄레이션(흡입구a, 배출구b),(586) 몽골 피에의 열기구,(587)블량샤르의 열기구,(588)켈리의 열기구,(589)증기비행선,
(590)교각겸용 지주탱크,(591)지주탱크 상단의 바지선 선체,(592)지주탱크 하단의 바지선 선체,(593)소형의 수력발전소 부양식독,(594)중형의 수력발전소 부양식독,(595)대형의 수력발전소 부양식독,(596)이중구조 내부블록탱크,(597)고장력의 철판,(598)이중구조 블록탱크,(599)이중구조 외부블록탱크,(600)블록 탱크용 제1 보조형강,(601)블록탱크용 제2 보조철판,(602)스냅홀,(603)휴대용 러그 연결축 결합용 볼트,(604)휴대용 러그 연결축 결합분해 너트,(605)수직격벽,(606)휴대용 러그 결합용 핀 연결축,(607)휴대용 러그,(608)휴대용 러그핀,(609)수평격벽, (610)격벽맨홀,(611)인공위성,(612)우주로켓,(613)러그힌지소켓,(614)대형플랜지, (615) 대형플랜지 접속연결구 접합부위 가공홀,(616)계류장치용 작키 베드 또는 가공홀 또는 러그 가공홀,또는 장공홀,(617)이중관 구조 탱크교각 건설용 부교식 새들형틀,(618)가이드레일,(619)헬리콥터 정류장,(620)유압회전실린더(로터리 실린더[랙&피니 언 형-NRP]),(621)밴드 지그대,(622)부력조절용버터플라이밸브,(623) 유압실린더 또는 유압 작키,(624)유압실린더용 도어,(625)마개 철판,(626)화력발전소,(627)엔진제어모듈(엔진제어시스템),
(628)부이깃대 고무풍선,(629)밧줄용 로프,(630)로프 매듭 갈고리,(631)비상계단,(632)승강기,(633)콘베이어,(634)선박침몰방지체류선,(635)진공펌프,(636)예인선,(637)반잠수 작업선,(638)볼라드,(639)앙카,(640)앙카용 체인,(641)냉각 팬, (642)공기 보온용의 가열팬,(643)인공위성발사대,(644)계류탑,(645)전기자석 마그넷,(646)우주로켓발사대,(647)헬리콥터,(648)체인블럭,(649)황토와 시멘트 혼합장비 믹서기,(650 애자,(651)크레인 붐 또는 붐 대,(652)크레인붐 걸고리,
(653)비 또는 구름,(654)우물,(655)항상 같은 방향으로만 흐르는 전류인 직류,(656)시소가 오르내릴 때마다 흐름의 방향이 바뀌는 전류인 교류,(657)전류가 근사치로 일정해지도록 하는 안정기,(658)전류의 세기를 여러 가지로 바꾸는 장치 인 슬라이 댁,(659)전류가 잘 흐르지 않는 선인 니크롬선,(660)전구 몸체,(661)베이스,(662)아르곤가스,(663)필라멘트,(664)유리,(665)형광 방전관,(666)점등관, (667)방전,(668)탄소막대,(669)양극(플러스; (+)로 표시함),(670)음극(마이너스; (-)로 표시함),(671)건전지 또는 밧데리,(672)어도터널,(673)조력발전 설비장치 고정대용 시이소 중심축 프레임,(674)한류,(675)난류,(676)베링해협,(677)추코트 반도,(678)하천,(679)제방,(680)댐,(681)교량,(682)웨일스,(683)전류,(684)전압,(685)전력,(686) 출구(전원), (687)입구(전원),(688)감은수(전선코일),(689)파력발전기,(690)초고압변전소,(691) 1차 변전소,(692)송전소 내부 중심에 7가닥의 강철선,(693)54가닥의 알루미늄선, (694)연료호스,(695)송전선 직경,(696)오대양 육대주 횡단철도 변전소,(697)중간 변전소,(698)대단위 공장,(699)중단위 공장,(700)2차 변전소,(701)소단위 공장, (702)가정(태양열 주택이 포함됨),(703)스탭 발판 걸고리,(704)전선 균형용 케인크(초고압 전선 균형 애 자),
(705)해양터널교통장치 관제조공정,(706)소구경 전기저항 용접관 및 SRM(3/8∼8 i n c h O.D),(707)원재료,(708)언 코일링,(709)레벨 링,(710)사이드 트리밍,(711)절단 및 대강연결,(712)성형,(713)용접 및 내외면 비드제거,(714)초음파 및 와류탐상시험,(715)용접부열처리,(716)공냉,(717)수냉,(718)진원성형,(719) 절단,(720)평 평도 시험,(721)구조관,(722)교정,(723)중간적재,(724)유도가열로, (725)에 스 알 엠(S R M),(726)열간절단,(727)면취,(728)수압시험,(729)초음파 또는 와류탐상시험,(730)무게 및 길이측정,(731)육안 및 치수검사,(732)나사,(733) 도유,(734)일반 배관용,(735)아연도금,(736)아연도 강관,(737)보일러 튜브,(738) 냉각대,
(739)중구경 케이지 성형 전기저항 용접관(8∼24 inch O,D),(740)코일마게철판(원재료),(741)사이드 트라밍,(742)케이지성형,(743)송유관,(744)초음파 탐상시험,(745)진원성형,(746)송유관(석유산업용 강관),(747)대구경강관(22-82inch O.D), (748)엣지밀링,(749)3롤 밴딩,(750)포스트밴딩,(751)가용접,(752)내면용접,(753) 백가후징,(754)외면용접,(755)관단싸이징,(756)관단면취,(757)X-선시험,(758)냉간 익스팬딩,(759)마킹,포장,출하,(760)스파이랄 용접 강관(400A∼2600A),(761)언코일 링,(762)구조관 및 강관말뚝,(763)비도복 배관용,(764)외면브라스트크리닝,(765) 내면 브라스트 크리닝,(766)내면도장,(767)1차도장,(768)도장 및 도복,(769)도복 장 강관,(770)초음파 및 X-선검사,(771)해양터널교통장치 내부전동차,(775)송전선, (776)송전철탑,(777)개폐시설,(781)중앙제어실(생산전력 제어실),(782)송전측정실, (783)보일러내부,(784)주전자,(785)바람개비,(786)가스렌지,(787)자석,(791)불(화력),(802)태양,(803)햇빛,(804)반사경,(805)반사경반사각도 조절프레임,(806)조명시설,(809) 풍력발전기,(810)양수,
(811)수해조절부,(812)토사,(813) 계곡, (814) 보온재 (815)가열장치, (816)냉각장치 (817) 소음기, (818)기체·액체분리기,
(819)유압탱크,(820)유압모터,(821)유압펌프,
(822)로드앤드피스톤시일,(823)피스톤시일,(824)부프시일,(825)웨어링,(826)스라이드링,(827)디유부시,(828)오링,(829)로드시일,(830)백업시일,(831)로드시일 &백업시일,(832)다스트시일,(833)핀다스트시일,(834)다스트위프시일,(835)부프링(836)피스톤링,(837)다스트링,(838)물레방아,(839)등변산형강 또는 부등변산형강, (840)기상관측장비레이다,(841)원유(기름),(842)해저광물뜰채바스켓,(843)심해저탐색 수중조명등,(844)버킷 또는 빠레트,(845)심해저 굴착기(스큐르드릴),(846)앙카 대체용 쇄기 크랭크,(847)착암기 또는 네트,(848)엑츄레이트,(849) 해저광물 뜰채용 공기주머니,(850)턴박클,(851)교각용 레벨기초 밑받침대,(852) 고정용 쇄기 받침목,(853) 용접기(Arc 또는 Arj 아아 크 또는 아르곤),(854) 파이프 랙,
(855) 불도저,(856)굴삭기,(857)로더, (858) 지게차,(859)스크레이퍼,(859a)견인식 스크레이퍼,(859b)동력식 스크레이퍼,(859c)에어프런,(859d)이젝트,(859e)볼,(859f)커팅테지,(860)덤프트럭,(860a)트레일러,(861)크레인 또는 기중기,(862)모터그레이더,(863)롤러,(863a)진동 롤러,(863b)소일콤팩터,(864)노상 안전기,
(865)콘크리트배칭플랜트,(866)콘크리트피니셔,(867)콘크리트스프레더,(868)콘크리트믹서트럭,(869)콘크리트펌프,(870)아스팔트 믹싱 플랜트,(871)아스팔트 피니셔,(872)아스팔트살포기,(873)골재 살포기,(874)쇄석기,(875)공기압축기,(876)천공기,(877)항타와 항발기,(878)사리 채취기,(879)준설선,(880)별도의 지정 건설기계,(882)파일드라이버,(882a)붐, (883) 디젤파일 해머, (884)증기해머, (885)유압크레인,(885a)피스톤 모터,(886)타워크레인, (887)드레그 크레인,(888)클램셀 부착물을 가진 크레인,(889)머캐덤롤러,(890)탠덤롤러,(891)탬핑롤러,(892)타이어롤러,(893)트랙터,(894)트레일러,(895)램,(896)리드,(897)냉각수냉크,(898)파일,(899)헬밋,(900) 연료펌프,(901)캠,(902)연료탱크,(903)기동장치,(904)붐전핀,(905)캐드워크,(906) 어댑터,(907)어군탐지기 소나,
(908)원유시추용 드릴링 머신,(909)망간단괴,(910)뜰채그물,(911)흡입 채집기계,(912)해저광물 채취로봇,(913)잠망경,(914)고무풍선,(915)와이어로프 체인, (916)이중구조 배관라인 자동공압식 밸브운송장치,(917)코아드릴,(918)비이오 피 이 스키드,(919)고무타이어,(920)버너 붐,(921)유해적조 미생물,(922)무공해의 천연가스,(923)에어 노즐,(924)광물채집 뚜레박,(925)상승기류,(926)하강기류,(927) 황사미세먼지,(928)교각,(929)양식장,(930)화학물질,(931)시멘트, (932)어족자원 확보용 그물,(933)바지선 또는 방제선,또는 항해선박 ,(934)우뭇가사리,(935)시이 소(지 렛 대),(936)지하수 분출공 또는 시추공,(937)관교량,(938)아노드(전극 판),(939)냉각공기방울, (940)비트,(941)해양터널 교통장치,
도크 선체 갑판 상단부(SDU), 선체 갑판 중심부(SDM), 도크선체갑판하단부(S DL),기계실 바닥표면 상단부(MFGU), 기계실 바닥표면(MFG) 기계실 바닥표면 하단부(MFGL) 밸브 몸체중심선(VBCLorPBCL),방화수수면하단(WLD),방화수수면(WL L),분출수면(WLU),펌프몸체(PB),펌프몸체수직라인(PBVL),펌프몸체 수평 중심라인(PBCL),
적도전선(EL),북극(NP),남극(SP),경도(longitude;ld),위도(latitude;lt로 약칭함),
도로지표면 상단부(G L U), 도로지표면(G L L), 도로지표면 하단부(G L D),
해수면 상단부(S L U) 해수면(S L L) 해수면 하단부(S L D)
기계실 외부(O M R),기계실(M R), 기계실 내부(I M R),
분사노즐 상단부(A), 분사노즐 몸체(B), 분사노즐 하단부(C),
Claims (17)
- 수해조절장치 시스템에 있어서,
산정상에 위치하는 원형형태의 물탱크(292) 또는 콘크리트댐(680); 상기 물탱크(292)와 콘크리트댐(680)에 연결되는 복수개의 밸브(409)와 복수개의 배관(14) 또는 소방호스(9); 상기 배관(14) 또는 소방호스(9)의 일부에 위치하는 소방노즐;및 소방용 펌프(45)와 콘크리트댐(680)에는 수문(293)과 수로(294);를 포함하여 형성하며; 산정상 아래 계곡에 위치하는 수개의 콘크리트댐(680)에 수문(293)과 수로(294)들이 능선별로 위치하며 강하천에 연결되는 소하천 상류 골짜기까지 어도터널(672)이 위치하며;
상기 콘크리트댐(680)에 연결되는 복수개의 방재수로(17)에는 홍수기나 집중호우시 빗물과 황토혼합물을 저장해 둠으로써,유해적조 발생주의보가 기상청에서 발령되면 밸브(409)를 개방하여 방제수를 대량으로 방출하여 유해적조발생을 차단시키고, 홍수기에 댐(680)의 수문(293)을 열어 수로(294)를 통해 자연수를 이동시키고 홍수를 조절하여 물로 인한 재해를 방지하고,가뭄기, 전국토 전지역에 물 공급을 안정적으로 방류하여 생활용수와 농업용수 및 공업용수등은 배관(14)으로 땅에 매설하거나 도로 상부로 자동차가 통행할 수 있는 위치에 설치 후 물을 공급시키되,하천유지용수는 수로(294)를 통해서 물의 공급을 적절하게 유지하며 부수적으로 여러지역 수력발전소에 위치하는 수력발전기(213)로 전기를 생산해서 취수댐(680)의 물을 양수할 수 있는 취수장의 동력펌프(304)에 전기를 선 공급하여 취수댐(680)에 물을 양수하고 취수댐(680)에 저장된 물을 취수댐에 형성된 밸브(409)를 개방하면서 배관과 호스(9)에 연결된 다수개의 노즐(10)로 산림전역에 분출하여 산불과 황사와 폭염등의 자연재해로부터 피해를 사전에 방지하며,
상기 수력발전기(213)는,
상기 수력발전소(233) 상부로 위치하는 압력탱크인 헤드탱크(189)와 상기 헤드탱크(189) 전방의 흡입구(269)에는 수압관인 도입관(191)이 헤드탱크(189)와 연결구조를 갖추고 수력발전소(233) 상부와 헤드탱크(189) 후방의 토출구(270)로 다수개의 도입관(191)이 수력발전소(233) 내부로 위치하는 각개의 수력발전기(213) 몸체의 하부로 터빈(267)의 펌프수차(264)와 프란시스수차(229)에 펠톤수차(230)들로 전방의 흡입구(269)와 연결구조로 물이 갖는 위치에너지를 운동에너지로 전기에너지를 발생하는 수력발전기(213)로 전기에너지를 발생하는 전력들로 전력공급이 이루어지면서 동시에 해수면 상단부(SLU) 수해조절장치와 해수면 하단부(SLD) 각개로 위치하는 해양에서는 해류의 유속 변환이 마련된 헤드탱크(189) 전방의 흡입구(269)에는 레듀사 형태로 마련된 물이 갖는 운동에너지를 기계적에너지로 변환해서 수력 발전기(213)로 전기 에너지를 발생하는 해양 수력발전소 부양식독(593,594,595)의 내부연결구조물 일측에 수해조절장치의 본체(1) 내부로 해양수력발전기(213) 설비를 포함하고,
상기 해양수력발전기(213) 설비는, 상기 수력발전기(213) 내부에서 수압차를 발생시켜 기계적 에너지를 만들어 수개의 수차와 터빈(267)을 회전하여 동력을 생산하는 수개의 수차와 터빈(267)과, 상기 수개의 수차와 터빈(267)으로부터 생산되는 상기 동력을 젼환하는 수력발전기(213)와 상기 수개의 수차와 터빈(267)과 상기 수력발전기(213)를 연결하는 회전축(198) 상단부에는 회전속도 검출기(214) 아래로 교류발전기 및 동력전동기의 계자코일에 전류를 공급하는 직류발전기 여자기(215)가 위치하고 상기 여자기(215) 하부에는 고리관 깃을 밀어넣는 드러스트 고리관(216)에 상기 드러스트 고리관 하부로 상부 회전축받이(217)가 위치하며 상기상부 회전축받이(217) 아래로 회전축받이를 밀어넣는 기기(218)가 위치하고 상기 회전축받이(217)를 밀어넣는 기기(218) 하부에는 고정자 코일(219)과 고정자 프레임(220)에 중심부고정자(221)가 위치하고,상기 중심부고정자(221) 틈새로 전선(71)이 끼워져 있고 상기 중심부고정자(221) 하부로 팬(195)이 위치하며,상기 팬(195) 하부에는 제동장치 링(223)과 브레이크용 잭(224)에 저속회전축받이(225)가 위치하고,상기 저속회전축받이(225) 하부로 저속냉각기(222)가 위치하며,상기 회전 축(198) 둘레면을 따라 형성된 회전하는 전자석 회전자 코일과 상기 회전자 코일 둘레면을 따라 설치되는 회전하지 않는 코일 발전기용의 전기자 코일과 상기 회전축(198) 하단부로 위치하는 수개의 수차와 터빈(267)에 터빈 회전축받이(227)와 케이싱(141)에 베인펌프와 가이드베인(142)과 날개바퀴(228) 일체로 해양수력발전소 부양식독(593,594,595)의 내부연결구조물 일측에 형성된 해양수력발전기(213) 연결구조물 어도터널을 해양에 고정시키는 이중관 구조 해양터널 교통장치(941)와,상기 해양수력발전소 부양식독(593,594,595)의 내부연결구조물 일측에 형성된 어도터널(672)과 각부능선 각개의 콘크리트댐(680)에는 어도터널(672)이 삽입되는 관통로가 수해조절장치의 본체(1) 내부로 어패류 산란장들을 포함하고,
상기 어패류 산란장은,
상기 다수개의 콘크리트 댐(680)과 댐수문(293)에 수로(294) 및 어도터 널(672)이 위치하는 산정상 아래 계곡의 샘 하부로 형성된 하천의 산란 면적지를 해양생물들의 산란장으로 연못과 습지를 갖추면서 어도터널(672)에는 생활용과 공업용에 농업축산 오폐수 유입방지용 오폐수 물탱크(292)를 포함하고,
상기 수해조절장치의 어도터널(672)은,
하천상류 골짜기까지 어도터널(672)에 연결된 강하류와 해양으로 다수개의 지하수 시추공(936)에서 분출하는 지하수를 각개의 산정상 아래 각부능선에 위치하는 수개의 콘크리트댐(680)들은 수해조절 홍수기에는 집중호우 빗물과 황토혼합물을 해안 바닷가의 방제수 저장 물탱크(292)와 콘크리트댐(680)에 저장을 하도록 방제수를 마련하면서 동시에 어도터널(672) 중심부 내부로는 연못과 습지 아래로 댐의 수위와 저장수계 범위로는 사람들이 통행할 수 있으면서 어패류가 통행할 수 있는 통행로 위치 안내용 반사경(804)과 조명등(806)을 갖추면서 상기 어도터널(672) 중심부 내부배관 위치로는 사람들과 어패류 통행로를 마련하면서 동시에 어도터널 중심부 외부 배관 위치로는 지속적으로 수해조절용수 공급을 산란장 위치로 이동이 마련된 수해조절장치의 본체(1) 내부로 형성하고,
상기 수해조절장치의 하천과 해양의 유해적조 번식 차단용 수해조절장치는, 가뭄기에 유해적조 발생주의보가 기상청에서 발령 전 후 시에 상기 물탱 크(292)에 형성된 밸브(409)를 개방하여 빗물과 황토혼합물의 방제수를 대량으로 방출하는 어도터널(672)들로 유해적조 번식 차단을 마련하면서 상기 수해조절이 장기화되는 가뭄기를 대비하여 각부능선의 콘크리트댐(680)에 저장된 황토혼합물과 해안가에 위치하는 물탱크(292)와 방제댐(680)에 저장된 황토혼합물에는 점도 5% 수준의 우뭇가사리(934)를 끊인 후 믹서(73)로 혼합 후 해양에 유해적조 대번식 차단용으로 우뭇가사리(934)를 유해적조 접착제용으로 구비해 하천과 해양의 유해적조 번식 차단용으로 살포를 마련하면서 동시에 상기 물탱크(292)와 방제댐(680) 내부로 계절 온도변화에 대응하여 냉각장치(816)와 가열장치(815) 시설들을 마련하면서 가뭄기에는 콘크리트댐(680)의 수문(293) 개방용 타구어윈치(137)를 갖추면서 동시에 수로(294)를 통해 지하수와 수해조절용수를 배관(14) 및 소방용펌프(45)로 이동시키고 홍수를 조절하여 물로 인한 재해 방지를 갖추면서 상기 콘크리트댐에는 수문(293) 개폐용으로 구비된 와이어로프(19)와 타구어윈치(137) 작동용 수해조절장치를 포함하고,
상기 수해조절 가뭄기에는 전국토 전 지역에 안정적으로 공급을 하기 위해 수해조절장치로 수해조절용수를 방류하여 생활용수와 농업용수에 공업용수들은, 배관(14)으로 땅에 매설하면서 동시에 도로 상부로 자동차 통행할 수 있는 위치에 설치 후 물을 공급시키면서 동시에 하천유지용수는 수로(294)를 통해서 물의 공급 조절용으로 동력펌프(304)를 구비해 물의 위치에너지를 구비하는 수해조절장치의 급수수질 개선장치와 건설기계들로 마련되면서 수해조절장치의 본체(1) 내부로 유량의 흐름을 조절하는 어도터널(672)과 각 콘크리트댐(680)의 외주면을 따라 일정한 경사각도로 회전하면서 복수개의 방재수로(17)들로 연결 형성된 각 콘크리트 댐(680) 설치로 산사태방지에 자연생태계 복원과 자유로운 선박통행과 건설기계들을 포함하는 것을 특징으로 하는 수해조절장치시스템. - 제1항에 있어서,
상기 수해조절장치의 강하류와 해양의 지하수 공급은, 해양발전소 부양식독의 바지선(933) 갑판데크 상면으로 위치가 형성된 건설기계 항타 및 항발기(877)에 파일드라이버(882)와 디젤 파일해머(883)에 증기해머(884)와 원유시추용 드릴링머신(908)을 해양발전소 부양식독의 바지선(933) 갑판데크에 탑재하여 강하류와 해양으로 다수개의 지하수 시추공(936)을 굴착한 건설기계를 포함하고;
상기 수해조절장치의 어도터널을 해양에 고정시키는 연결축에 형성된 해양터널교통장치(941)와 해양수력발전소 부양식독(593,594,595)의 내부연결구조물 이중구조 블록탱크(598)는, 고장력의 철판(597) 재질로 구비된 내부블록탱크(596)와 외부블록탱크(599)들로 이중구조 블록탱크(598)의 조립을 마련하면서 동시에 이중구조 블록탱크(598)는 블록 탱크용 제1 보조형강(600)에 블록탱크용 제2 보조철판(601)과 스냅홀(602)과 휴대용 러그 연결축 결합용 볼트(603)와 러그 연결축 결합분해 너트(604)와 수직격 벽(605)과 러그 결합용 핀 연결축(606)과 휴대용 러그(607)와 휴대용 러그핀(608)과 수평격벽(609)과 격벽맨홀(610)과 러그힌지소켓(613)과 대형플랜지(614)와 대형플랜지 접속연결구 접합부위 가공홀(615)과 계류장치용 작키베드(616)와 이중관 구조 탱크교각 건설용 부교식 새들형틀(617)과 가이드레일(618) 요부위 장비와 수해조절장치 해양터널교통장치(941)와 해양수력발전소 부양식독(593,594,595)의 내부연결구조물 다수개의 지하수 시추공(936)들로 어도터널(672)을 해양에 고정시키는 연결축을 포함하고;
상기 다수개의 지하수 시추공(936)을 육지와 해양 위치로 갖추면서 양수장의 펌프와 배관과 호스로 구비하여 시추공(936)에서 분출하는 지하수를 정화된 바닷물과 함께 양식장의 수조탱크에 공급이 마련된 유해적조 대번식 차단 사전예방용 황토혼합물과 유해적조접착제용 우뭇가사리(934)를 갖추어 하천과 해양의 유해적조 번식 차단용으로 살포를 마련하면서 대하천 중간 도시지역의 중류와 상류지역의 공업용 오폐수 유입을 차단하는 오폐수 유입방지용 오폐수 물탱크(292)가 구비된 수해조절장치로 오폐수 유입을 완전 차단하면서 동시에 대하천 제방 외부로 위치하는 하수종말처리장에서는 정수된 물의 유입을 갖춘 정화시설과 하수관거 건설공사 건설기계들로 마련된 수해조절용수 역류와 순환을 형성하는 어도터널(672)이 구비된 수해조절용수의 수질 개선장치들로 수해 극복을 이루지게 수해조절장치의 본체(1) 내부로 구성되어있는 것을 특징으로 하는 수해조절장치시스템. - 삭제
- 삭제
- 삭제
- 삭제
- 삭제
- 삭제
- 삭제
- 삭제
- 삭제
- 삭제
- 삭제
- 삭제
- 삭제
- 삭제
- 삭제
Priority Applications (1)
| Application Number | Priority Date | Filing Date | Title |
|---|---|---|---|
| KR1020120096214A KR101570665B1 (ko) | 2012-08-30 | 2012-08-30 | 수해조절장치시스템 |
Applications Claiming Priority (1)
| Application Number | Priority Date | Filing Date | Title |
|---|---|---|---|
| KR1020120096214A KR101570665B1 (ko) | 2012-08-30 | 2012-08-30 | 수해조절장치시스템 |
Publications (2)
| Publication Number | Publication Date |
|---|---|
| KR20120112315A KR20120112315A (ko) | 2012-10-11 |
| KR101570665B1 true KR101570665B1 (ko) | 2015-11-30 |
Family
ID=47282543
Family Applications (1)
| Application Number | Title | Priority Date | Filing Date |
|---|---|---|---|
| KR1020120096214A Active KR101570665B1 (ko) | 2012-08-30 | 2012-08-30 | 수해조절장치시스템 |
Country Status (1)
| Country | Link |
|---|---|
| KR (1) | KR101570665B1 (ko) |
Cited By (9)
| Publication number | Priority date | Publication date | Assignee | Title |
|---|---|---|---|---|
| KR20180083280A (ko) | 2018-07-02 | 2018-07-20 | 이우성 | 건설기계를 구비한 수산물 양식장의 분배투입장치 |
| KR20190091589A (ko) | 2018-01-29 | 2019-08-07 | 이우성 | 해양원전용 핵폐기물처리 비등수형 이중구조 원자로설비 |
| KR20200099259A (ko) | 2019-02-14 | 2020-08-24 | 이우성 | 쓰나미방재용 분배투입장치 |
| KR20200100268A (ko) | 2019-02-18 | 2020-08-26 | 이우성 | 산사태방재용 분배투입장치 |
| US11162457B2 (en) | 2017-08-11 | 2021-11-02 | General Electric Company | Turbine fan system and method |
| KR20240021497A (ko) | 2022-08-10 | 2024-02-19 | 이우성 | 침수지역 인명구조와 수해조절용 물탱크 설치방법과 이의 수해조절용장비 |
| WO2024119257A1 (pt) | 2022-12-08 | 2024-06-13 | Metal Técnica Bovenau Ltda | Atuador hidráulico com duplo acionamento pneumático aplicado como acionamento hidráulico para usinas hidrelétricas |
| USD1052795S1 (en) | 2014-08-11 | 2024-11-26 | Juul Labs, Inc. | Vaporizer device with cartridge |
| US12279646B2 (en) | 2014-02-06 | 2025-04-22 | Juul Labs, Inc. | Cartridge of vaporization device systems having unequal transverse cartridge dimensions |
Families Citing this family (38)
| Publication number | Priority date | Publication date | Assignee | Title |
|---|---|---|---|---|
| KR101421197B1 (ko) * | 2013-05-15 | 2014-08-13 | 김혜봉 | 황사 현상에 기반한 녹조 및 적조 발생 예보 방법 및 그 장치 |
| CN104294790A (zh) * | 2014-09-18 | 2015-01-21 | 林连山 | 一种旱涝灾害生态治理方法 |
| KR101799861B1 (ko) | 2015-06-29 | 2017-12-20 | 이우성 | 수해조절용 분배투입장치 |
| WO2017122933A1 (ko) * | 2016-01-12 | 2017-07-20 | 박명수 | 담수보충형 하천 수력발전 시스템 |
| KR20160061931A (ko) | 2016-05-13 | 2016-06-01 | 이우성 | 이중구조 블록탱크 집진기를 구비한 해양원자력수력발전소의 핵폐기물처리용 원자로설비의 분배투입장치 |
| KR20160079738A (ko) * | 2016-06-17 | 2016-07-06 | 이우성 | 매립 체 용 공유지 및 공유수면 매립처리 건설기계의 분배투입장치 |
| KR20160093580A (ko) * | 2016-07-19 | 2016-08-08 | 이우성 | 해양의 어도 터널 교통장치를 구비한 공유수면매립지의 수산개발장치 |
| KR20160101884A (ko) * | 2016-08-08 | 2016-08-26 | 이우성 | 수산물 재배용 수산물 및 공유수면 매립처리 건설기계의 어패류 가공 장 치 |
| KR20160118166A (ko) | 2016-09-21 | 2016-10-11 | 이우성 | 국제사회 상거래용 자유무역 유통의 위조방지 조절화폐 및 상기 화폐를 제조하는 금형 |
| KR20160132349A (ko) | 2016-10-31 | 2016-11-18 | 이우성 | 인명구조침몰방지 선박 및 퍼 블 젯 트 에 대응하는 선박의 제조 |
| KR20170008875A (ko) | 2017-01-04 | 2017-01-24 | 이우성 | 핵폐기물처리용 가압수형 원자로설비 |
| KR20170012495A (ko) | 2017-01-13 | 2017-02-02 | 이우성 | 핵폐기물처리용 고속증식로 원자로설비 |
| KR20170012880A (ko) | 2017-01-16 | 2017-02-03 | 이우성 | 핵폐기물처리용 기체냉각로 원자로설비 |
| KR20170015393A (ko) | 2017-01-19 | 2017-02-08 | 이우성 | 핵폐기물처리용 신형전환로 원자로설비 |
| KR20170015945A (ko) | 2017-01-23 | 2017-02-10 | 이우성 | 핵폐기물처리용 다목적고온가스로 원자로설비 |
| KR20170018860A (ko) | 2017-01-31 | 2017-02-20 | 이우성 | 핵폐기물처리용 비등수형 원자로설비 |
| CN108461257B (zh) * | 2018-01-17 | 2024-04-09 | 国网浙江宁波市鄞州区供电有限公司 | 用于变压器的补油装置 |
| KR20190089483A (ko) | 2018-01-23 | 2019-07-31 | 이우성 | 해양원전용 핵폐기물처리 가압수형 이중구조 원자로설비 |
| CN110754926B (zh) * | 2018-07-27 | 2025-03-04 | 浙江绍兴苏泊尔生活电器有限公司 | 烹饪器具 |
| US12030668B2 (en) | 2020-04-06 | 2024-07-09 | Workhorse Group Inc. | Flying vehicle systems and methods |
| CN112289007B (zh) * | 2020-11-19 | 2025-05-06 | 杭州自动桌信息技术有限公司 | 一种基于gis技术的半潜式山洪预警装置及其预警方法 |
| KR102286657B1 (ko) * | 2020-12-16 | 2021-08-04 | 황대수 | 용수 조절 게이트 |
| CN113155860B (zh) * | 2020-12-17 | 2024-11-15 | 华能澜沧江水电股份有限公司 | 一种基于流态视频监测的过水建筑物结构损伤诊断方法及系统 |
| CN115349591B (zh) * | 2021-05-17 | 2024-01-02 | 宜昌九鼎牧业有限公司 | 一种带有降温除潮功能的猪饲料原料筒仓和方法 |
| CN114707678B (zh) * | 2022-04-15 | 2024-11-26 | 中国铁路设计集团有限公司 | 一种屋面虹吸排水智能监测及运维系统及其方法 |
| CN115162277B (zh) * | 2022-08-22 | 2024-08-09 | 江苏海洋大学 | 一种水利工程规划用导流装置 |
| CN116856361B (zh) * | 2023-03-31 | 2025-09-26 | 中国水利水电建设工程咨询贵阳有限公司 | 一种抽水蓄能电站下水库拦沙排沙结构及其运行方法 |
| KR102580843B1 (ko) * | 2023-04-13 | 2023-09-20 | 주식회사 대헌 | 태양광 발전 및 강재를 이용한 스마트 수력발전 사방댐 |
| CN116697105B (zh) * | 2023-08-01 | 2023-10-03 | 江苏科德生态环保水处理有限公司 | 一种水处理用止回装置 |
| CN117129040B (zh) * | 2023-10-23 | 2024-02-02 | 西安绿环林业技术服务有限责任公司 | 一种自然保护区生态环境监测装置 |
| CN117454724B (zh) * | 2023-12-25 | 2024-03-19 | 南昌工程学院 | 一种通过cfd确定护城河式防洪堤坝几何参数的方法 |
| CN118158965A (zh) * | 2024-01-18 | 2024-06-07 | 浙江工业大学 | 水流驱动兼做冷源的活塞式压缩机空调制冷装置及设计方法 |
| CN117787658B (zh) * | 2024-02-23 | 2024-06-11 | 安徽金海迪尔信息技术有限责任公司 | 一种基于灌区的河水流量异常条件下水资源调度系统 |
| CN118079582B (zh) * | 2024-04-23 | 2024-07-02 | 北票合兴实业有限公司 | 一种用于矿石破碎的多层水雾式除尘装置 |
| CN118654276B (zh) * | 2024-06-24 | 2025-10-31 | 华能国际电力股份有限公司上海石洞口第一电厂 | 低压加热器疏水泵出口调门控制方法、系统、存储介质 |
| CN119588010B (zh) * | 2025-02-07 | 2025-04-18 | 山西鑫海环境治理股份有限公司 | 一种减压蒸馏装置及蒸馏方法 |
| CN120782298A (zh) * | 2025-08-15 | 2025-10-14 | 长江勘测规划设计研究有限责任公司 | 基于灾害链阻断的堰塞湖减灾方法 |
| CN120717332B (zh) * | 2025-08-27 | 2025-11-04 | 南通象往船舶技术服务有限公司 | 一种船舶吊装用隐藏式桁架 |
-
2012
- 2012-08-30 KR KR1020120096214A patent/KR101570665B1/ko active Active
Cited By (9)
| Publication number | Priority date | Publication date | Assignee | Title |
|---|---|---|---|---|
| US12279646B2 (en) | 2014-02-06 | 2025-04-22 | Juul Labs, Inc. | Cartridge of vaporization device systems having unequal transverse cartridge dimensions |
| USD1052795S1 (en) | 2014-08-11 | 2024-11-26 | Juul Labs, Inc. | Vaporizer device with cartridge |
| US11162457B2 (en) | 2017-08-11 | 2021-11-02 | General Electric Company | Turbine fan system and method |
| KR20190091589A (ko) | 2018-01-29 | 2019-08-07 | 이우성 | 해양원전용 핵폐기물처리 비등수형 이중구조 원자로설비 |
| KR20180083280A (ko) | 2018-07-02 | 2018-07-20 | 이우성 | 건설기계를 구비한 수산물 양식장의 분배투입장치 |
| KR20200099259A (ko) | 2019-02-14 | 2020-08-24 | 이우성 | 쓰나미방재용 분배투입장치 |
| KR20200100268A (ko) | 2019-02-18 | 2020-08-26 | 이우성 | 산사태방재용 분배투입장치 |
| KR20240021497A (ko) | 2022-08-10 | 2024-02-19 | 이우성 | 침수지역 인명구조와 수해조절용 물탱크 설치방법과 이의 수해조절용장비 |
| WO2024119257A1 (pt) | 2022-12-08 | 2024-06-13 | Metal Técnica Bovenau Ltda | Atuador hidráulico com duplo acionamento pneumático aplicado como acionamento hidráulico para usinas hidrelétricas |
Also Published As
| Publication number | Publication date |
|---|---|
| KR20120112315A (ko) | 2012-10-11 |
Similar Documents
| Publication | Publication Date | Title |
|---|---|---|
| KR101570665B1 (ko) | 수해조절장치시스템 | |
| KR101799861B1 (ko) | 수해조절용 분배투입장치 | |
| KR20100027087A (ko) | 무재해 지구촌 해양발전소의 관레벨 시소형 풍수력발전기 | |
| KR102733651B1 (ko) | 지하도침수방지 수해조절용장비 | |
| KR20090115096A (ko) | 무재해 소방방재 대책용품의 관노즐이동형 소방센서펌프 | |
| KR20140094482A (ko) | 지구촌 원자력 수력발전소 본체의 여러 종류의 원자로설비 원전가동 대체 핵 폐기물 처리 차폐장치의 원자로 설비용 핵 방사능누출 제어 이중구조 블록탱크 원자로집진기 본체의 분배 투입 장치 | |
| KR20120066690A (ko) | 이중구조 블록배관의 부력을 이용한 해양 터널 교통장치 시스템 | |
| KR20150138126A (ko) | 원자력발전용 핵폐기물처리 이중구조블록탱크집진기 원자력발전소설비의 비등수형원자로설비 | |
| KR20170081589A (ko) | 태풍방재용 분배투입장치 | |
| KR20200099259A (ko) | 쓰나미방재용 분배투입장치 | |
| KR20180017061A (ko) | 수산물 양식용 분배투입장치 | |
| KR20180083280A (ko) | 건설기계를 구비한 수산물 양식장의 분배투입장치 | |
| KR20150138127A (ko) | 원자력 발전용 핵폐기물처리 원자력 발전소 설비의 이중구조 가압수형원자로설비 | |
| KR20140094481A (ko) | 평화 유지형 건설 기계를 구비한 공유 수면 매립처리장치 | |
| KR20200100268A (ko) | 산사태방재용 분배투입장치 | |
| CN104295448A (zh) | 全天候式清洁能源综合发电节能及设施制法 | |
| KR20150138129A (ko) | 원자력발전용 핵폐기물처리 원자력 발전소설비의 이중구조 고속증식로 원자로설비 | |
| KR20150138128A (ko) | 원자력발전용 핵폐기물처리 원자력 발전소설비의 이중구조다목적고온가스 원자로설비 | |
| KR20070106596A (ko) | 해양재난방지 및 해양환경산업발전을 위한 유해적조구제장비 및 종합재난 방지시스템. | |
| KR20160093580A (ko) | 해양의 어도 터널 교통장치를 구비한 공유수면매립지의 수산개발장치 | |
| KR20170043487A (ko) | 금속제련용 용광로 및 건설기계를 구비한 해양제철소 | |
| KR20180019134A (ko) | 해양원전용 핵폐기물처리 이중구조 고속증식로 원자로설비 | |
| KR20150138130A (ko) | 원자력발전용 핵폐기물처리 원자력 발전소설비의 이중구조 신형전환로 원자로설비 | |
| KR20150138131A (ko) | 원자력발전용 핵폐기물처리 원자력 발전소설비의 이중구조 기체냉각로 원자로설비 | |
| KR20160079738A (ko) | 매립 체 용 공유지 및 공유수면 매립처리 건설기계의 분배투입장치 |
Legal Events
| Date | Code | Title | Description |
|---|---|---|---|
| A201 | Request for examination | ||
| PA0109 | Patent application |
St.27 status event code: A-0-1-A10-A12-nap-PA0109 |
|
| PA0201 | Request for examination |
St.27 status event code: A-1-2-D10-D11-exm-PA0201 |
|
| PG1501 | Laying open of application |
St.27 status event code: A-1-1-Q10-Q12-nap-PG1501 |
|
| D13-X000 | Search requested |
St.27 status event code: A-1-2-D10-D13-srh-X000 |
|
| D14-X000 | Search report completed |
St.27 status event code: A-1-2-D10-D14-srh-X000 |
|
| AMND | Amendment | ||
| P11-X000 | Amendment of application requested |
St.27 status event code: A-2-2-P10-P11-nap-X000 |
|
| P13-X000 | Application amended |
St.27 status event code: A-2-2-P10-P13-nap-X000 |
|
| R18-X000 | Changes to party contact information recorded |
St.27 status event code: A-3-3-R10-R18-oth-X000 |
|
| E902 | Notification of reason for refusal | ||
| PE0902 | Notice of grounds for rejection |
St.27 status event code: A-1-2-D10-D21-exm-PE0902 |
|
| T11-X000 | Administrative time limit extension requested |
St.27 status event code: U-3-3-T10-T11-oth-X000 |
|
| AMND | Amendment | ||
| E13-X000 | Pre-grant limitation requested |
St.27 status event code: A-2-3-E10-E13-lim-X000 |
|
| P11-X000 | Amendment of application requested |
St.27 status event code: A-2-2-P10-P11-nap-X000 |
|
| P13-X000 | Application amended |
St.27 status event code: A-2-2-P10-P13-nap-X000 |
|
| E90F | Notification of reason for final refusal | ||
| PE0902 | Notice of grounds for rejection |
St.27 status event code: A-1-2-D10-D21-exm-PE0902 |
|
| T11-X000 | Administrative time limit extension requested |
St.27 status event code: U-3-3-T10-T11-oth-X000 |
|
| R18-X000 | Changes to party contact information recorded |
St.27 status event code: A-3-3-R10-R18-oth-X000 |
|
| T11-X000 | Administrative time limit extension requested |
St.27 status event code: U-3-3-T10-T11-oth-X000 |
|
| AMND | Amendment | ||
| P11-X000 | Amendment of application requested |
St.27 status event code: A-2-2-P10-P11-nap-X000 |
|
| E601 | Decision to refuse application | ||
| E801 | Decision on dismissal of amendment | ||
| PE0601 | Decision on rejection of patent |
St.27 status event code: N-2-6-B10-B15-exm-PE0601 |
|
| PE0801 | Dismissal of amendment |
St.27 status event code: A-2-2-P10-P12-nap-PE0801 |
|
| AMND | Amendment | ||
| E13-X000 | Pre-grant limitation requested |
St.27 status event code: A-2-3-E10-E13-lim-X000 |
|
| P11-X000 | Amendment of application requested |
St.27 status event code: A-2-2-P10-P11-nap-X000 |
|
| P13-X000 | Application amended |
St.27 status event code: A-2-2-P10-P13-nap-X000 |
|
| PX0901 | Re-examination |
St.27 status event code: A-2-3-E10-E12-rex-PX0901 |
|
| PX0701 | Decision of registration after re-examination |
St.27 status event code: A-3-4-F10-F13-rex-PX0701 |
|
| X701 | Decision to grant (after re-examination) | ||
| GRNT | Written decision to grant | ||
| PR0701 | Registration of establishment |
St.27 status event code: A-2-4-F10-F11-exm-PR0701 |
|
| PR1002 | Payment of registration fee |
St.27 status event code: A-2-2-U10-U11-oth-PR1002 Fee payment year number: 1 |
|
| PG1601 | Publication of registration |
St.27 status event code: A-4-4-Q10-Q13-nap-PG1601 |
|
| PN2301 | Change of applicant |
St.27 status event code: A-5-5-R10-R13-asn-PN2301 St.27 status event code: A-5-5-R10-R11-asn-PN2301 |
|
| PR1001 | Payment of annual fee |
St.27 status event code: A-4-4-U10-U11-oth-PR1001 Fee payment year number: 4 |
|
| FPAY | Annual fee payment |
Payment date: 20190916 Year of fee payment: 5 |
|
| PR1001 | Payment of annual fee |
St.27 status event code: A-4-4-U10-U11-oth-PR1001 Fee payment year number: 5 |
|
| PR1001 | Payment of annual fee |
St.27 status event code: A-4-4-U10-U11-oth-PR1001 Fee payment year number: 6 |
|
| PR1001 | Payment of annual fee |
St.27 status event code: A-4-4-U10-U11-oth-PR1001 Fee payment year number: 7 |
|
| R18-X000 | Changes to party contact information recorded |
St.27 status event code: A-5-5-R10-R18-oth-X000 |
|
| PR1001 | Payment of annual fee |
St.27 status event code: A-4-4-U10-U11-oth-PR1001 Fee payment year number: 8 |
|
| PC1903 | Unpaid annual fee |
St.27 status event code: A-4-4-U10-U13-oth-PC1903 Not in force date: 20231117 Payment event data comment text: Termination Category : DEFAULT_OF_REGISTRATION_FEE |
|
| K11-X000 | Ip right revival requested |
St.27 status event code: A-6-4-K10-K11-oth-X000 |
|
| PC1903 | Unpaid annual fee |
St.27 status event code: N-4-6-H10-H13-oth-PC1903 Ip right cessation event data comment text: Termination Category : DEFAULT_OF_REGISTRATION_FEE Not in force date: 20231117 |
|
| PR0401 | Registration of restoration |
St.27 status event code: A-6-4-K10-K13-oth-PR0401 |
|
| PR1001 | Payment of annual fee |
St.27 status event code: A-4-4-U10-U11-oth-PR1001 Fee payment year number: 9 |
|
| PR1001 | Payment of annual fee |
St.27 status event code: A-4-4-U10-U11-oth-PR1001 Fee payment year number: 10 |
|
| R18-X000 | Changes to party contact information recorded |
St.27 status event code: A-5-5-R10-R18-oth-X000 |
































































































































































