KR100717511B1 - Polymer for semiconductor fine gap fill and composition using same - Google Patents
Polymer for semiconductor fine gap fill and composition using same Download PDFInfo
- Publication number
- KR100717511B1 KR100717511B1 KR1020050104325A KR20050104325A KR100717511B1 KR 100717511 B1 KR100717511 B1 KR 100717511B1 KR 1020050104325 A KR1020050104325 A KR 1020050104325A KR 20050104325 A KR20050104325 A KR 20050104325A KR 100717511 B1 KR100717511 B1 KR 100717511B1
- Authority
- KR
- South Korea
- Prior art keywords
- gap fill
- semiconductor fine
- fine gap
- polymer
- composition
- Prior art date
- Legal status (The legal status is an assumption and is not a legal conclusion. Google has not performed a legal analysis and makes no representation as to the accuracy of the status listed.)
- Expired - Fee Related
Links
Classifications
-
- C—CHEMISTRY; METALLURGY
- C08—ORGANIC MACROMOLECULAR COMPOUNDS; THEIR PREPARATION OR CHEMICAL WORKING-UP; COMPOSITIONS BASED THEREON
- C08F—MACROMOLECULAR COMPOUNDS OBTAINED BY REACTIONS ONLY INVOLVING CARBON-TO-CARBON UNSATURATED BONDS
- C08F220/00—Copolymers of compounds having one or more unsaturated aliphatic radicals, each having only one carbon-to-carbon double bond, and only one being terminated by only one carboxyl radical or a salt, anhydride ester, amide, imide or nitrile thereof
- C08F220/02—Monocarboxylic acids having less than ten carbon atoms; Derivatives thereof
- C08F220/04—Acids; Metal salts or ammonium salts thereof
- C08F220/06—Acrylic acid; Methacrylic acid; Metal salts or ammonium salts thereof
-
- C—CHEMISTRY; METALLURGY
- C08—ORGANIC MACROMOLECULAR COMPOUNDS; THEIR PREPARATION OR CHEMICAL WORKING-UP; COMPOSITIONS BASED THEREON
- C08F—MACROMOLECULAR COMPOUNDS OBTAINED BY REACTIONS ONLY INVOLVING CARBON-TO-CARBON UNSATURATED BONDS
- C08F220/00—Copolymers of compounds having one or more unsaturated aliphatic radicals, each having only one carbon-to-carbon double bond, and only one being terminated by only one carboxyl radical or a salt, anhydride ester, amide, imide or nitrile thereof
- C08F220/02—Monocarboxylic acids having less than ten carbon atoms; Derivatives thereof
- C08F220/10—Esters
- C08F220/12—Esters of monohydric alcohols or phenols
- C08F220/16—Esters of monohydric alcohols or phenols of phenols or of alcohols containing two or more carbon atoms
- C08F220/18—Esters of monohydric alcohols or phenols of phenols or of alcohols containing two or more carbon atoms with acrylic or methacrylic acids
-
- C—CHEMISTRY; METALLURGY
- C08—ORGANIC MACROMOLECULAR COMPOUNDS; THEIR PREPARATION OR CHEMICAL WORKING-UP; COMPOSITIONS BASED THEREON
- C08F—MACROMOLECULAR COMPOUNDS OBTAINED BY REACTIONS ONLY INVOLVING CARBON-TO-CARBON UNSATURATED BONDS
- C08F220/00—Copolymers of compounds having one or more unsaturated aliphatic radicals, each having only one carbon-to-carbon double bond, and only one being terminated by only one carboxyl radical or a salt, anhydride ester, amide, imide or nitrile thereof
- C08F220/02—Monocarboxylic acids having less than ten carbon atoms; Derivatives thereof
- C08F220/10—Esters
- C08F220/26—Esters containing oxygen in addition to the carboxy oxygen
- C08F220/28—Esters containing oxygen in addition to the carboxy oxygen containing no aromatic rings in the alcohol moiety
- C08F220/281—Esters containing oxygen in addition to the carboxy oxygen containing no aromatic rings in the alcohol moiety and containing only one oxygen, e.g. furfuryl (meth)acrylate or 2-methoxyethyl (meth)acrylate
-
- C—CHEMISTRY; METALLURGY
- C08—ORGANIC MACROMOLECULAR COMPOUNDS; THEIR PREPARATION OR CHEMICAL WORKING-UP; COMPOSITIONS BASED THEREON
- C08F—MACROMOLECULAR COMPOUNDS OBTAINED BY REACTIONS ONLY INVOLVING CARBON-TO-CARBON UNSATURATED BONDS
- C08F220/00—Copolymers of compounds having one or more unsaturated aliphatic radicals, each having only one carbon-to-carbon double bond, and only one being terminated by only one carboxyl radical or a salt, anhydride ester, amide, imide or nitrile thereof
- C08F220/02—Monocarboxylic acids having less than ten carbon atoms; Derivatives thereof
- C08F220/10—Esters
- C08F220/26—Esters containing oxygen in addition to the carboxy oxygen
- C08F220/32—Esters containing oxygen in addition to the carboxy oxygen containing epoxy radicals
-
- C—CHEMISTRY; METALLURGY
- C08—ORGANIC MACROMOLECULAR COMPOUNDS; THEIR PREPARATION OR CHEMICAL WORKING-UP; COMPOSITIONS BASED THEREON
- C08K—Use of inorganic or non-macromolecular organic substances as compounding ingredients
- C08K5/00—Use of organic ingredients
- C08K5/0008—Organic ingredients according to more than one of the "one dot" groups of C08K5/01 - C08K5/59
- C08K5/0025—Crosslinking or vulcanising agents; including accelerators
-
- C—CHEMISTRY; METALLURGY
- C08—ORGANIC MACROMOLECULAR COMPOUNDS; THEIR PREPARATION OR CHEMICAL WORKING-UP; COMPOSITIONS BASED THEREON
- C08K—Use of inorganic or non-macromolecular organic substances as compounding ingredients
- C08K5/00—Use of organic ingredients
- C08K5/04—Oxygen-containing compounds
- C08K5/15—Heterocyclic compounds having oxygen in the ring
- C08K5/151—Heterocyclic compounds having oxygen in the ring having one oxygen atom in the ring
- C08K5/1515—Three-membered rings
-
- C—CHEMISTRY; METALLURGY
- C08—ORGANIC MACROMOLECULAR COMPOUNDS; THEIR PREPARATION OR CHEMICAL WORKING-UP; COMPOSITIONS BASED THEREON
- C08K—Use of inorganic or non-macromolecular organic substances as compounding ingredients
- C08K5/00—Use of organic ingredients
- C08K5/16—Nitrogen-containing compounds
- C08K5/17—Amines; Quaternary ammonium compounds
-
- C—CHEMISTRY; METALLURGY
- C08—ORGANIC MACROMOLECULAR COMPOUNDS; THEIR PREPARATION OR CHEMICAL WORKING-UP; COMPOSITIONS BASED THEREON
- C08K—Use of inorganic or non-macromolecular organic substances as compounding ingredients
- C08K5/00—Use of organic ingredients
- C08K5/16—Nitrogen-containing compounds
- C08K5/21—Urea; Derivatives thereof, e.g. biuret
-
- C—CHEMISTRY; METALLURGY
- C08—ORGANIC MACROMOLECULAR COMPOUNDS; THEIR PREPARATION OR CHEMICAL WORKING-UP; COMPOSITIONS BASED THEREON
- C08K—Use of inorganic or non-macromolecular organic substances as compounding ingredients
- C08K5/00—Use of organic ingredients
- C08K5/16—Nitrogen-containing compounds
- C08K5/34—Heterocyclic compounds having nitrogen in the ring
- C08K5/3467—Heterocyclic compounds having nitrogen in the ring having more than two nitrogen atoms in the ring
- C08K5/3477—Six-membered rings
- C08K5/3492—Triazines
- C08K5/34922—Melamine; Derivatives thereof
-
- C—CHEMISTRY; METALLURGY
- C08—ORGANIC MACROMOLECULAR COMPOUNDS; THEIR PREPARATION OR CHEMICAL WORKING-UP; COMPOSITIONS BASED THEREON
- C08L—COMPOSITIONS OF MACROMOLECULAR COMPOUNDS
- C08L33/00—Compositions of homopolymers or copolymers of compounds having one or more unsaturated aliphatic radicals, each having only one carbon-to-carbon double bond, and only one being terminated by only one carboxyl radical, or of salts, anhydrides, esters, amides, imides or nitriles thereof; Compositions of derivatives of such polymers
- C08L33/04—Homopolymers or copolymers of esters
- C08L33/06—Homopolymers or copolymers of esters of esters containing only carbon, hydrogen and oxygen, which oxygen atoms are present only as part of the carboxyl radical
- C08L33/08—Homopolymers or copolymers of acrylic acid esters
-
- H10W20/098—
Landscapes
- Chemical & Material Sciences (AREA)
- Health & Medical Sciences (AREA)
- Chemical Kinetics & Catalysis (AREA)
- Medicinal Chemistry (AREA)
- Polymers & Plastics (AREA)
- Organic Chemistry (AREA)
- Compositions Of Macromolecular Compounds (AREA)
Abstract
본 발명은 반도체 미세 갭 필 중합체에 관한 것으로서, 본 발명에 의하여 직경이 100nm 이하이며, 높이/직경으로 나타나는 아스팩트비가 1 이상인 홀을 갖는 반도체 기판에 일반적인 스핀코팅 방법으로 공기 보이드(void) 등의 결함없이 완전한 갭 필(Gap-Fill)이 가능하며, 알칼리 수용액(현상액이라고 함)에 의해 원하는 두께만큼 막을 녹여 낼 수 있으며, 베이킹에 의한 경화 후에는 이소프로필 알코올(IPA) 및 플라즈마 에칭에 강한 내성을 가지며, 에싱(Ashing) 처리에 의해서 빠르게 홀 내부에서 제거될 수 있는 조성물을 제공한다.BACKGROUND OF THE INVENTION 1. Field of the Invention The present invention relates to a semiconductor fine gap fill polymer, wherein air voids and the like are commonly used in a spin coating method for semiconductor substrates having a diameter of 100 nm or less and a hole having an aspect ratio of 1 or more in terms of height / diameter. Complete gap fill is possible without defects, and the film can be melted to a desired thickness by an aqueous alkali solution (called developer), and is resistant to isopropyl alcohol (IPA) and plasma etching after curing by baking. It provides a composition that can be removed quickly inside the hole by ashing treatment.
갭 필(Gap-Fill), 용해속도(Dissolution Rate), 스핀코팅, 반도체 Gap-Fill, Dissolution Rate, Spin Coating, Semiconductor
Description
본 발명은 반도체 미세 갭 필용 중합체 및 이를 이용한 조성물에 관한 것이다. 본 발명의 반도체 미세 갭 필용 코팅 조성물은 아래의 특성을 갖는 것이 중요하다. (1) 일반적인 스핀코팅에 의해 높이/직경으로 나타나는 아스팩트비가 1 이상이며 직경이 100 nm 이하인 홀을 완전히 충진 가능하며 기판을 일정한 두께로 평탄화할 수 있을 것, (2) 홀 중에 충전된 상기 막에 공기 보이드나 틈이 존재하지 않을 것, (3) 기판상의 홀의 조밀 여부와 상관없이 코팅 후 막의 두께가 일정할 것, (4) 상기의 평탄화된 막은 현상액 속에서 일정한 녹는 속도(Dissolution Rate)값을 가져, 원하는 두께만큼 상기 막을 녹여낼 수 있을 것, (5) 열 경화 후에는 60~70 ℃ 이소프로필 알코올(IPA) 세정에 의해 두께가 변하지 않을 것, (6) 열 경화 후에는 플라즈마 에칭에 강한 내성을 가질 것, (7) 에싱(Ashing) 처리에 의해서는 홀 내부에 잔유물이 전혀 남지 않고 빠른 제거가 가능할 것 등 위 일곱 가지 특징을 더욱 만족하는 반도체 미세 갭 필용 조성물이 필요하다.The present invention relates to a polymer for semiconductor fine gap fill and a composition using the same. It is important that the coating composition for semiconductor fine gap fill of this invention has the following characteristics. (1) It is possible to completely fill a hole having an aspect ratio of 1 or more and a diameter of 100 nm or less by a general spin coating, and to planarize the substrate to a certain thickness. (2) The film filled in the hole. No voids or gaps in the air, (3) the thickness of the film after coating is constant regardless of the density of holes on the substrate, and (4) the flattening film has a constant dissolution rate in the developer. To be able to dissolve the film to a desired thickness, (5) after thermal curing, the thickness does not change by 60 to 70 ° C. isopropyl alcohol (IPA) cleaning, and (6) after thermal curing to plasma etching. The composition for semiconductor microgap fill, which satisfies the above seven characteristics, is required to have strong resistance, and (7) ashing treatment to leave no residues inside the hole at all and to quickly remove it. need.
종래에는 반도체 미세 갭 필을 위하여 플라즈마강화(Plasma Enhanced)CVD 방 법을 이용하여 실리콘 옥사이드를 증착한 후 화학적 기계적 연마나 옥사이드 엣치백(Etch-Back) 프로세스 의해 원하는 두께 만큼 옥사이드 층을 제거하였다. 그러나 이러한 공정은 홀(hole)이나 트렌치(trench)의 직경이 100 nm 이하로 작아지면서 옥사이드 증착 시 홀 내부에 공기 보이드나 틈 등의 결함이 발생하게 되었다. 이러한 옥사이드 증착 시의 결함 발생을 해결하기 위해서는 ALD(Atomic layer Deposition) 장비를 도입하여야 하나, 장비가 매우 고가이고 옥사이드 증착 속도가 느려 생산성(throughput)이 감소하는 등의 문제점이 있었다.Conventionally, silicon oxide is deposited by using a plasma enhanced CVD method for semiconductor fine gap fill, and the oxide layer is removed to a desired thickness by chemical mechanical polishing or an oxide etch-back process. However, in this process, as the diameter of holes or trenches is reduced to 100 nm or less, defects such as air voids and gaps are generated in the holes during oxide deposition. In order to solve such defects during oxide deposition, ALD (Atomic layer Deposition) equipment should be introduced, but there is a problem that the productivity is reduced because the equipment is very expensive and the oxide deposition rate is slow.
그러므로, 본 발명에 의하면 상기 종래 기술들의 문제점을 극복하여 베이킹에 의한 경화 후에는 이소프로필 알코올(IPA) 및 플라즈마 에칭에 강한 내성을 가지며, 에싱(Ashing) 처리에 의해서 빠르게 홀 내부에서 제거가 가능한 반도체 미세 갭 필용 중합체 및 이를 이용한 조성물을 제공하는 것을 기술적 과제로 한다. Therefore, the present invention overcomes the problems of the prior art and has a strong resistance to isopropyl alcohol (IPA) and plasma etching after curing by baking, and can be quickly removed from the inside of the hole by ashing. It is a technical problem to provide a fine gap fill polymer and a composition using the same.
본 발명은 하기 화학식 1과 하기 화학식 2를 구조단위로서 포함하는 것을 특징으로 하는 반도체 미세 갭 필(Gap-Fill)용 중합체를 제공한다.The present invention provides a polymer for semiconductor fine gap fill (Gap-Fill) comprising the following general formula (1) and (2) as structural units.
[화학식 1][Formula 1]
(상기 식에서, Ra는 수소 또는 메틸기를 나타내고, R1은 탄소수 1~12의 알킬기, 치환된 또는 비치환된 방향족환기, 탄소수 3~10의 사이클로알킬기 또는 벤질기이며, X는 수소 또는 비닐기이며, m은 0 내지 10이다.) (Wherein Ra represents hydrogen or a methyl group, R 1 is an alkyl group having 1 to 12 carbon atoms, a substituted or unsubstituted aromatic ring group, a cycloalkyl group or benzyl group having 3 to 10 carbon atoms, X is hydrogen or a vinyl group, m is 0 to 10.)
[화학식 2][Formula 2]
(상기 식에서, Rb는 수소 또는 메틸기를 나타낸다.) (Wherein Rb represents hydrogen or a methyl group)
상기 화학식 1의 구조단위를 30~95 몰%, 상기 화학식 2의 구조단위를 5~70 몰% 포함하는 것을 특징으로 한다.30 to 95 mole% of the structural unit of Formula 1, and 5 to 70 mole% of the structural unit of Formula 2.
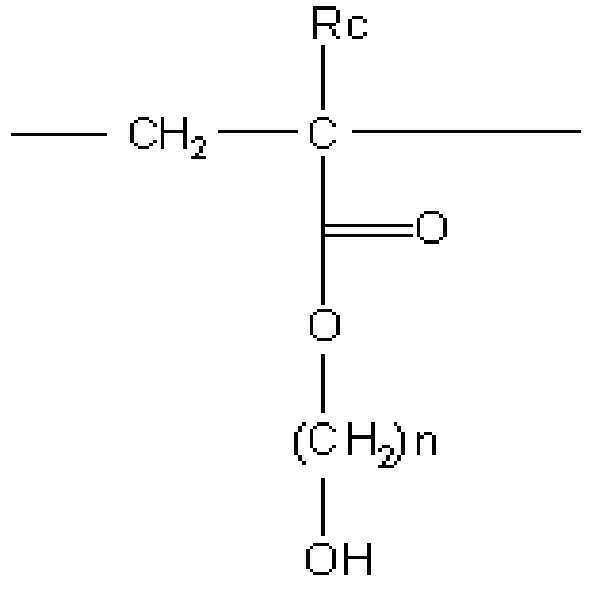
또한 본 발명은 하기 화학식 3의 구조단위를 더 포함하는 것을 특징으로 하는 반도체 미세 갭 필용 중합체를 제공한다.In another aspect, the present invention provides a polymer for a semiconductor fine gap fill, characterized in that it further comprises a structural unit of the formula (3).
[화학식 3][Formula 3]
(상기 식에서, Rc는 수소 또는 메틸기를 나타내고, n은 1 내지 10이다.)(Wherein Rc represents hydrogen or a methyl group and n is 1 to 10)
상기 화학식 3의 구조단위를 1~50 몰% 포함하는 것을 특징으로 한다.It is characterized by containing 1 to 50 mol% of the structural unit of the formula (3).
상기 반도체 미세 갭 필용 중합체는 2000~30000의 중량평균 분자량을 가지는 것을 특징으로 한다.The semiconductor fine gap fill polymer is characterized by having a weight average molecular weight of 2000 ~ 30000.
상기 반도체 미세 갭 필용 중합체는 4000~15000의 중량평균 분자량을 가지는 것을 특징으로 한다.The semiconductor fine gap fill polymer is characterized by having a weight average molecular weight of 4000 ~ 15000.
본 발명에서는 상기 반도체 미세 갭 필용 중합체, 가교제, 산 촉매, 및 유기용매를 포함하여 구성되는 것을 특징으로 하는 반도체 미세 갭 필용 조성물이 제공된다.In the present invention, there is provided a composition for semiconductor fine gap fill, comprising the polymer for semiconductor fine gap fill, a crosslinking agent, an acid catalyst, and an organic solvent.
상기 가교제는 멜라민계, 치환요소계, 에폭시기를 함유한 폴리머계 및 이들로부터 유도된 화합물인 것을 특징으로 한다.The crosslinking agent is characterized in that the melamine-based, substituted urea-based, the polymer containing an epoxy group and the compound derived from them.
반도체 미세 갭 필용 조성물 중 상기 가교제는 상기 반도체 미세 갭 필용 중합체 100 중량부 당 0.1 내지 30 중량부 포함되는 것을 특징으로 한다.The crosslinking agent in the composition for a semiconductor fine gap fill is characterized in that it contains 0.1 to 30 parts by weight per 100 parts by weight of the polymer for semiconductor fine gap fill.
상기 산 촉매는 무기산(mineral acid), 술폰산(sulfonic acid), 옥살산(oxalic acid), 말레산(maleic acid), 핵사믹시클로헥실술폰산(hexamic cyclohexylsulfonic acid), 프탈산(phthalic acid) 중 선택된 어느 하나 이상의 산인 것을 특징으로 한다.The acid catalyst is at least one selected from mineral acid, sulfonic acid, sulfonic acid, oxalic acid, maleic acid, hexamic cyclohexylsulfonic acid, and phthalic acid. It is characterized by being an acid.
반도체 미세 갭 필용 조성물 중 상기 산 촉매는 상기 반도체 미세 갭 필용 중합체 100 중량부 당 0.01 내지 10 중량부 포함되는 것을 특징으로 한다.The acid catalyst in the composition for a semiconductor fine gap fill is characterized in that it comprises 0.01 to 10 parts by weight per 100 parts by weight of the polymer for semiconductor fine gap fill.
상기 유기용매는 디에틸렌글리콜모노메틸에테르, 디에틸렌글리콜디에틸에테르, 에틸-3-에톡시프로피오네이트, 메틸-3-메톡시 프로피오네이트, 사이클로펜타논, 사이클로헥사논, 프로필렌글리콜 메틸 에테르 아세테이트, 에틸 락테이트, 시클로펜타논, 히드록시초산에틸 등으로 이루어진 군으로부터 선택된 하나 이상의 용매인 것을 특징으로 한다.The organic solvent is diethylene glycol monomethyl ether, diethylene glycol diethyl ether, ethyl-3-ethoxy propionate, methyl-3-methoxy propionate, cyclopentanone, cyclohexanone, propylene glycol methyl ether Acetate, ethyl lactate, cyclopentanone, hydroxyethyl acetate and the like.
반도체 미세 갭 필용 조성물 중 상기 유기 용매는 상기 반도체 미세 갭 필용 중합체 100 중량부 당 100 내지 3000 중량부 포함되는 것을 특징으로 한다.The organic solvent in the composition for semiconductor fine gap fill is characterized in that it comprises 100 to 3000 parts by weight per 100 parts by weight of the polymer for semiconductor fine gap fill.
또한 본 발명은 상기 반도체 미세 갭 필용 조성물에 추가로 계면활성제를 함유하는 것을 특징으로 하는 반도체 미세 갭 필 조성물이 제공된다.The present invention also provides a semiconductor fine gap fill composition comprising a surfactant in addition to the composition for semiconductor fine gap fill.
이하 본 발명을 보다 상세히 설명하기로 한다.Hereinafter, the present invention will be described in more detail.
본 발명의 반도체 미세 갭 필용 중합체는 반복단위 중 하이드록실기와 카르복실기의 몰비에 의해 현상액 내에서 용해되는 속도(Dissolution Rate, DR)를 0.5~500 ㎚/s, 바람직하게는 5 ~ 50 ㎚/s만큼 조절할 수 있으며, 에싱(Ashing) 처 리에 의해 홀 내부에 잔유물을 남기지 않고 완전히 제거가 가능한 것을 특징으로 한다. The polymer for semiconductor fine gap fill of the present invention has a dissolution rate (DR) of 0.5 to 500 nm / s, preferably 5 to 50 nm / s, in the developer due to the molar ratio of hydroxyl and carboxyl groups in the repeating unit. As long as it can be adjusted, it can be completely removed without leaving residues inside the hole by ashing.
상기 중합체는 하기 화학식 1과 하기 화학식 2를 구조단위로서 포함하며, 바람직하게는 화학식 1의 구조단위를 30~95 몰%, 화학식 2의 구조단위를 5~70 몰% 포함한다. The polymer includes the following Chemical Formula 1 and Chemical Formula 2 as a structural unit, preferably 30 to 95 mol% of the structural unit of Formula 1, and 5 to 70 mol% of the structural unit of Formula 2.
[화학식 1][Formula 1]
(상기 식에서, Ra는 수소 또는 메틸기를 나타내고, R1은 탄소수 1~12의 알킬기, 치환된 또는 비치환된 방향족환기, 탄소수 3~10의 사이클로알킬기 또는 벤질기이며, X는 수소 또는 비닐기이며, m은 0 내지 10이다.) (Wherein Ra represents hydrogen or a methyl group, R 1 is an alkyl group having 1 to 12 carbon atoms, a substituted or unsubstituted aromatic ring group, a cycloalkyl group or benzyl group having 3 to 10 carbon atoms, X is hydrogen or a vinyl group, m is 0 to 10.)
[화학식 2][Formula 2]
(상기 식에서, Rb는 수소 또는 메틸기를 나타낸다.) (Wherein Rb represents hydrogen or a methyl group)
또한, 상기 중합체는 하기 화학식 3의 구조를 더 포함할 수 있다. 화학식 3의 구조단위는 1~50 몰% 포함하는 것이 바람직하다. In addition, the polymer may further include a structure of Formula 3 below. The structural unit of the formula (3) preferably contains 1 to 50 mol%.
[화학식 3][Formula 3]
(상기 식에서, Rc는 수소 또는 메틸기를 나타내고, n은 1 내지 10이다.)(Wherein Rc represents hydrogen or a methyl group and n is 1 to 10)
상기 중합체의 중량평균분자량(폴리스티렌 환산)은 2000~30000의 범위에 있는 것이 바람직하고, 4000~15000 범위에 있는 것이 보다 바람직하다. 그 이유는 분자량이 너무 낮으면 충분한 경화성이 얻어지지 않으며, 분자량이 너무 높으면 용제 가용성 및 도포 균일성이 저하되기 때문이다. 분자량의 분산도는 1~5의 범위인 것 이 바람직하고, 1.2~3인 것이 보다 바람직하다. It is preferable to exist in the range of 2000-30000, and, as for the weight average molecular weight (polystyrene conversion) of the said polymer, it is more preferable to exist in the range of 4000-15000. The reason for this is that if the molecular weight is too low, sufficient curability cannot be obtained. If the molecular weight is too high, solvent solubility and coating uniformity are lowered. It is preferable that it is the range of 1-5, and, as for the dispersion degree of molecular weight, it is more preferable that it is 1.2-3.
한편, 상기 중합체는 종래 공지된 방법을 사용하여 특별한 제한없이 합성할 수 있으며, 본 발명의 조성물을 구성하는 유기용매와 같은 유기용매 안에서 라디칼 중합 개시제를 사용하여 합성하는 것이 바람직하다. 즉, 상기 중합에 사용하는 유기용매에 특별한 제한은 없지만, 바람직하게는 상술한 본 발명의 조성물을 구성하는 유기용매와 같은 유기용매를 사용하는 것이 좋다. 한편, 중합에 사용되는 유기용매의 양은 유기용매와 상기 중합체의 용액 중 중합체의 농도가 5 내지 50 중량%가 되도록 조절하는 것이 바람직하다. 더욱 바람직하게는 15 내지 40 중량%이다. 상기 용액 중 중합체의 농도가 5 중량% 미만일 경우에는, 중합속도가 느려서 반응하지 않고 남아 있는 모노머가 문제될 수 있으며, 50 중량%를 초과할 경우에는 점도가 너무 높아서 취급이 어렵고, 반응속도의 조절 또한 곤란하게 되는 등의 문제가 발생할 수 있다. On the other hand, the polymer can be synthesized without particular limitation using a conventionally known method, it is preferable to synthesize using a radical polymerization initiator in an organic solvent such as an organic solvent constituting the composition of the present invention. That is, although there is no restriction | limiting in particular in the organic solvent used for the said superposition | polymerization, It is preferable to use the organic solvent like the organic solvent which comprises the composition of this invention mentioned above preferably. On the other hand, the amount of the organic solvent used for the polymerization is preferably adjusted so that the concentration of the polymer in the solution of the organic solvent and the polymer is 5 to 50% by weight. More preferably, it is 15-40 weight%. When the concentration of the polymer in the solution is less than 5% by weight, the polymerization rate is slow, the monomer that remains unreacted may be a problem, and when it exceeds 50% by weight, the viscosity is too high to handle, difficult to control the reaction rate In addition, problems such as difficulty may occur.
상기 자기경화성 공중합체의 중합에 사용하는 중합 개시제로는 열중합 개시제, 광중합 개시제, 산화환원계 개시제 등 공지의 것을 사용할 수 있지만, 취급의 용이성, 반응속도와 분자량 조절을 용이하게 할 수 있다는 측면에서 과산화물계, 아조계 등의 라디칼 중합 개시제를 사용하는 것이 바람직하다. As the polymerization initiator used for the polymerization of the self-curable copolymer, known ones such as thermal polymerization initiators, photopolymerization initiators, and redox initiators can be used, but in terms of ease of handling, reaction rate and molecular weight control can be facilitated. It is preferable to use radical polymerization initiators, such as a peroxide system and an azo system.
본 발명에서 사용 가능한 과산화물계 중합개시제의 예로는 메틸에틸케톤퍼옥사이드, 시클로헥사논퍼옥사이드, 메틸시클로헥사논퍼옥사이드, 아세틸아세톤퍼옥사이드, 1,1-비스(tert-부틸퍼옥시)3,3,5-트리메틸시클로헥산, 1,1-비스(tert-부틸퍼옥시)시클로헥산, 1,1-비스(tert-헥실퍼옥시)3,3,5-트리메틸시클로헥산, 1,1-비 스(tert-헥실퍼옥시)시클로헥산, 1,1-비스(tert-부틸퍼옥시)시클로도데칸, 이소부틸퍼옥사이드, 라우로일퍼옥사이드, 호박산퍼옥사이드, 3,5,5-트리메틸헥사노일퍼옥사이드, 벤조일퍼옥사이드 옥타노일퍼옥사이드, 스테아로일퍼옥사이드, 디이소프로필퍼옥시디카보네이트, 디노말프로필퍼옥시디카보네이트, 디-2-에틸헥실퍼옥시디카보네이트, 디-2-에톡시에틸퍼옥시디카보네이트, 디-2-메톡시부틸퍼옥시디카보네이트, 비스-(4-tert-부틸시클로헥실)퍼옥시디카보네이트, (α,α-비스-네오데카노일퍼옥시)디이소프로필벤젠, 퍼옥시네오데칸산큐밀에스테르, 퍼옥시네오데칸산옥틸에스테르, 퍼옥시네오데칸산헥실에스테르, 퍼옥시네오데칸산-tert-부틸에스테르, 퍼옥시피바린산-tert-헥실에스테르, 퍼옥시피바린산-tert-부틸에스테르, 2,5-디메틸-2,5-비스(2-에틸헥사노일퍼옥시)헥산, 1,1,3,3-테트라메틸부틸퍼옥시-2-에틸헥사노에이트, 퍼옥시-2-에틸헥산산-tert-헥실에스테르, 퍼옥시-2-에틸헥산산-tert-부틸에스테르, 퍼옥시-2-에틸헥산산-tert-부틸에스테르, 퍼옥시-3-메틸프로피온산-tert-부틸에스테르, 퍼옥시라우린산-tert-부틸에스테르, tert-부틸퍼옥시-3,5,5-트리메틸헥사노에이트, tert-헥실퍼옥시이소프로필모노카보네이트, tert-부틸퍼옥시이소프로필카보네이트, 2,5-디메틸-2,5-비스(벤조일퍼옥시)헥산, 과초산-tert-부틸에스테르, 과안식향산-tert-헥실에스테르, 과안식향산-tert-부틸에스테르 등을 들 수 있다. 또한, 상술한 과산화물계 중합개시제에 환원제를 첨가해서 산화-환원 개시제로 사용할 수도 있다. Examples of peroxide-based polymerization initiators usable in the present invention include methyl ethyl ketone peroxide, cyclohexanone peroxide, methylcyclohexanone peroxide, acetylacetone peroxide, 1,1-bis (tert-butylperoxy) 3,3, 5-trimethylcyclohexane, 1,1-bis (tert-butylperoxy) cyclohexane, 1,1-bis (tert-hexylperoxy) 3,3,5-trimethylcyclohexane, 1,1-bis ( tert-hexylperoxy) cyclohexane, 1,1-bis (tert-butylperoxy) cyclododecane, isobutyl peroxide, lauroyl peroxide, succinate peroxide, 3,5,5-trimethylhexanoyl peroxide , Benzoyl peroxide octanoyl peroxide, stearoyl peroxide, diisopropyl peroxy dicarbonate, dinormal propyl peroxy dicarbonate, di-2-ethylhexyl peroxy dicarbonate, di-2-ethoxyethyl peroxy dicarbonate, di -2-methoxybutyl peroxydicarbonate, bis- (4-ter t-butylcyclohexyl) peroxydicarbonate, (α, α-bis-neodecanoylperoxy) diisopropylbenzene, peroxy neodecanoic acid cumyl ester, peroxy neodecanoic acid octyl ester, peroxy neodecanoic acid hexyl Ester, peroxy neodecanoic acid-tert-butyl ester, peroxy pivalic acid-tert-hexyl ester, peroxy pivalic acid-tert-butyl ester, 2, 5- dimethyl-2, 5-bis (2-ethylhexanoyl Peroxy) hexane, 1,1,3,3-tetramethylbutylperoxy-2-ethylhexanoate, peroxy-2-ethylhexanoic acid-tert-hexylester, peroxy-2-ethylhexanoic acid-tert -Butyl ester, peroxy-2-ethylhexanoic acid-tert-butyl ester, peroxy-3-methylpropionic acid-tert-butyl ester, peroxylauric acid-tert-butyl ester, tert-butylperoxy-3, 5,5-trimethylhexanoate, tert-hexylperoxyisopropylmonocarbonate, tert-butylperoxyisopropylcarbonate, 2,5-dimethyl-2,5-bis (benzoyl Oxy) there may be mentioned hexane, and ethyl -tert- butyl ester, and -tert- acid hexyl ester, and acid -tert- butyl ester and the like. In addition, a reducing agent may be added to the peroxide-based polymerization initiator described above and used as an oxidation-reduction initiator.
본 발명에서 사용 가능한 아조계 중합개시제의 예로는 1,1-아조비스(시클로헥산-1-카보니트릴), 2,2'-아조비스(2-메틸-부티로니트릴), 2,2'-아조비스부티로니 트릴, 2,2'-아조비스(2,4-디메틸-발레로니트릴), 2,2'-아조비스(2,4-디메틸-4-메톡시발레로니트릴), 2,2'-아조비스(2-아미지노-프로판)염산염, 2,2'-아조비스[2-(5-메틸-2-이미다졸린-2-일)프로판]염산염, 2,2'-아조비스[2-(2-이미다졸린-2-일)프로판]염산염, 2,2'-아조비스[2-(5-메틸-2-이미다졸린-2-일)프로판], 2,2'-아조비스2-메틸-N-(1,1-비스(2-히드록시메틸)-2-히드록시에틸]프로피온아미드, 2,2'-아조비스[2-메틸-N-(2-히드록시에틸)프로피온아미드], 2,2'-아조비스(2-메틸-프로피온아미드)2수염, 4,4'-아조비스(4-시아노-결초산), 2,2'-아조비스(2-히드록시메틸프로피오니트릴), 2,2'-아조비스(2-메틸프로피온산)디메틸에스테르(디메틸-2,2'-아조비스(2-메틸프로피오네이트)), 시아노―2―프로필아조포름아미드 등을 들 수 있다. Examples of azo polymerization initiators usable in the present invention include 1,1-azobis (cyclohexane-1-carbonitrile), 2,2'-azobis (2-methyl-butyronitrile), and 2,2'- Azobisbutyronitrile, 2,2'-azobis (2,4-dimethyl-valeronitrile), 2,2'-azobis (2,4-dimethyl-4-methoxyvaleronitrile), 2, 2'-azobis (2-amijino-propane) hydrochloride, 2,2'-azobis [2- (5-methyl-2-imidazolin-2-yl) propane] hydrochloride, 2,2'-azo Bis [2- (2-imidazolin-2-yl) propane] hydrochloride, 2,2'-azobis [2- (5-methyl-2-imidazolin-2-yl) propane], 2,2 '-Azobis2-methyl-N- (1,1-bis (2-hydroxymethyl) -2-hydroxyethyl] propionamide, 2,2'-azobis [2-methyl-N- (2- Hydroxyethyl) propionamide], 2,2'-azobis (2-methyl-propionamide) dihydrate, 4,4'-azobis (4-cyano-acetic acid), 2,2'-azobis (2-hydroxymethylpropionitrile), 2,2'-azobis (2-methylpropionic acid) dimethyl ester ( There may be mentioned methyl-2,2'-azobis (2-methylpropionate)), cyano-2-propyl-azo-formamide and the like.
또한, 상술한 과산화물계 중합 개시제, 아조계 중합 개시제는 여러 종을 혼합하여 사용할 수 있으며, 이외에 상기 자기경화성 공중합체의 중합단계에서 바람직한 분자량 범위를 달성하기 위해 연쇄이동제, 연쇄정지제, 중합촉진제 등의 공지의 분자량 조절제를 첨가할 수도 있다. 그 예로 메르캅토프로피온산, 메르캅토프로피온산에스테르, 치오글리콜, 치오글리세린, 도데실메르캅탄, α-메틸스티렌다이머 등을 들 수 있다. In addition, the above-described peroxide-based polymerization initiator, azo-based polymerization initiator may be used by mixing a variety of species, in addition to the chain transfer agent, chain stop agent, polymerization accelerator, etc. in order to achieve the desired molecular weight range in the polymerization step of the self-curable copolymer The well-known molecular weight regulator of can also be added. Examples thereof include mercaptopropionic acid, mercaptopropionic acid ester, thioglycol, thioglycerine, dodecyl mercaptan, α-methylstyrene dimer and the like.
그리고, 본 발명에 따르는 상기 반도체 미세 갭 필 중합체의 제조에 있어서, 반응 온도는 50~120℃에서 중합반응을 수행하는 것이 바람직하다. In addition, in the preparation of the semiconductor fine gap fill polymer according to the present invention, the reaction temperature is preferably carried out the polymerization reaction at 50 ~ 120 ℃.
또한, 본 발명은 상기 반도체 미세 갭 필 중합체, 가교제, 산 촉매 및 유기용매를 포함하여 구성되는 반도체 미세 갭 필 조성물을 제공한다. The present invention also provides a semiconductor fine gap fill composition comprising the semiconductor fine gap fill polymer, a crosslinking agent, an acid catalyst, and an organic solvent.
본 발명의 반도체 미세 갭 필 조성물에 포함되는 가교제는 본 발명의 조성물을 가열 또는 소성했을 경우 상기 중합체와 가교반응을 일으키는 것이 바람직하고, 이러한 가교제로는 멜라민계, 치환요소계, 에폭시기를 함유한 폴리머계 및 이들로부터 유도된 화합물 등을 들 수 있다. 예를 들어, 적어도 2개의 가교형성 관능기를 갖는 화합물, 예를 들어 디비닐벤젠, 디비닐술폰, 트리아크릴포르말, 글리올살이나 다가알콜의 아크릴산에스테르 또는 메타크릴산에스테르나 멜라민, 요소, 벤조구아나민, 글리콜우릴의 아미노기의 적어도 2개가 메틸올기 또는 저급 알콕시메틸기로 치환된 것이 바람직하다. 그 중에서도 특히 테트라메톡시메틸글리콜우릴, 또는 헥사메톡시메틸멜라민이 바람직하다. The crosslinking agent included in the semiconductor fine gap fill composition of the present invention preferably causes a crosslinking reaction with the polymer when the composition of the present invention is heated or calcined. Such crosslinking agents include polymers containing melamine, substituted urea, and epoxy groups. And compounds derived from them. For example, a compound having at least two crosslinking functional groups, for example, divinylbenzene, divinylsulfone, triacylformal, acrylate or methacrylic acid ester of glycerol or polyalcohol or melamine, urea, benzogua It is preferable that at least two of the amino groups of namin and glycoluril are substituted with a methylol group or a lower alkoxymethyl group. Especially, tetramethoxymethylglycoluril or hexamethoxymethylmelamine is preferable.
가교제의 첨가량은 용액점도나 요구되는 막형상 등에 따라 변동하나, 상기 반도체 미세 갭 필용 중합체 100 중량부 당 0.1~30 중량부, 바람직하게는 1~20 중량부, 더 바람직하게는 5~ 15 중량부이다. The amount of the crosslinking agent added varies depending on the viscosity of the solution or the required film shape, but is 0.1 to 30 parts by weight, preferably 1 to 20 parts by weight, more preferably 5 to 15 parts by weight, per 100 parts by weight of the semiconductor fine gap fill polymer. to be.
상기 반도체 미세 갭 필 조성물에 있어서, 산 촉매로는 무기산(mineral acid), 술폰산(sulfonic acid), 옥살산(oxalic acid), 말레산(maleic acid), 핵사믹시클로헥실술폰산(hexamic cyclohexylsulfonic acid), 프탈산(phthalic acid) 중 선택된 어느 하나 이상의, 열에 의해 경화를 촉진하는 산을 사용할 수 있다. 특히, 파라-톨루엔술폰산, 트리풀루오로메탄술폰산, 피리디늄 파라-톨루엔술폰산, 그리고 하기 화학식 4의 구조를 가지는 화합물들을 사용하는 것이 바람직하다. 이러한 산 촉매는 단독 또는 2 종 이상 조합해서 사용해도 된다.In the semiconductor fine gap fill composition, as an acid catalyst, mineral acid, sulfonic acid, oxalic acid, maleic acid, hexamic cyclohexylsulfonic acid, phthalic acid Any one or more selected from (phthalic acid) may be used an acid which promotes curing by heat. In particular, it is preferable to use para-toluenesulfonic acid, tripulolomethanesulfonic acid, pyridinium para-toluenesulfonic acid, and compounds having the structure of formula (4). You may use these acid catalysts individually or in combination of 2 or more types.
[화학식 4][Formula 4]
, , , , , , , ,
, ,
상기 산 촉매는 상기 중합체와 가교제 사이에서 일어나는 가교 반응을 활성화시키기 위한 촉매로써, 상기 산 촉매를 포함하는 조성물을 웨이퍼 상에 도포한 후, 베이크 등의 열공정을 수행하면 상기 산 촉매로부터 산이 발생되고, 이렇게 발생된 산의 존재 하에 상기와 같은 가교 반응이 일어나서 이소프로필 알코올(IPA) 세정 및 플라즈마 에칭 공정에 강한 내성을 가지게 된다The acid catalyst is a catalyst for activating a crosslinking reaction occurring between the polymer and the crosslinking agent. After the composition including the acid catalyst is applied onto a wafer, an acid is generated from the acid catalyst by performing a thermal process such as baking. In the presence of the acid generated in this way, the crosslinking reaction occurs as described above, and thus has strong resistance to isopropyl alcohol (IPA) cleaning and plasma etching process.
상기 산 촉매 함유량은 상기 반도체 미세 갭 필용 중합체 100 중량부 당 0.01~10 중량부, 바람직하게는 0.05~5 중량부의 범위에서 선택된다. 이 산 촉매의 양이 너무 적으면 가교 결합 후에도 이소프로필 알코올에 용해될 가능성이 있고, 양이 너무 많으면 저장 안정성이 저하될 수 있다. The acid catalyst content is selected in the range of 0.01 to 10 parts by weight, preferably 0.05 to 5 parts by weight, per 100 parts by weight of the polymer for semiconductor fine gap fill. If the amount of the acid catalyst is too small, it may be dissolved in isopropyl alcohol even after crosslinking, and if the amount is too large, the storage stability may be lowered.
또한, 반도체 미세 갭 필 조성물에 사용되는 유기용매로는 통상의 유기용매를 사용할 수 있으며, 디에틸렌글리콜모노메틸에테르, 디에틸렌글리콜디에틸에테르, 에틸-3-에톡시 프로피오네이트, 메틸-3-메톡시 프로피오네이트, 사이클로펜타논, 사이클로헥사논, 프로필렌글리콜 모노메틸 에테르 아세테이트, 프로필렌글리콜 디메틸 에테르 아세테이트, 에틸 락테이트, 시클로펜타논, 히드록시초산에틸 등으로 이루어진 군으로부터 선택된 것을 사용하는 것이 바람직하다. 이들 유기용매는 단독으로, 또는 2종 이상의 조합으로도 사용할 수 있다. 상기 용매의 양은 코팅 두께를 얻기 위해 반응에 사용되는 반도체용 갭 필용 중합체 100 중량부 당 100 내지 3000 중량부를 사용하는 것이 바람직하다. In addition, as the organic solvent used in the semiconductor fine gap fill composition, a conventional organic solvent can be used, and diethylene glycol monomethyl ether, diethylene glycol diethyl ether, ethyl-3-ethoxy propionate, methyl-3 Methoxy propionate, cyclopentanone, cyclohexanone, propylene glycol monomethyl ether acetate, propylene glycol dimethyl ether acetate, ethyl lactate, cyclopentanone, hydroxyethyl acetate, etc. desirable. These organic solvents can be used individually or in combination of 2 or more types. The amount of the solvent is preferably 100 to 3000 parts by weight per 100 parts by weight of the polymer for semiconductor gap fill used in the reaction to obtain a coating thickness.
한편, 본 발명의 반도체용 갭 필용 조성물에서는 상술한 중합체, 가교제, 산 촉매, 유기용매에 부가해서 분산성, 막 두께 균일성 및 반도체 미세 갭 필 특성을 향상시키기 위하여 계면활성제를 첨가할 수 있다. 계면활성제로는, 폴리옥시에틸렌라우릴에테르, 폴리옥시에틸렌스테아릴에테르, 폴리옥시에틸렌세틸에테르, 폴리옥시에틸렌올레일에테르 등의 폴리옥시에틸렌알킬에테르류, 폴리옥시에틸렌노닐페놀에테르 등의 폴리옥시에틸렌알킬알릴에테르류, 폴리옥시에틸렌·폴리옥시프로필렌블럭코폴리머류, 솔비탄모노라우레이트, 솔비탄모노팔미테이트, 솔비탄모노스테아레이트, 솔비탄모노올레이에트, 폴리옥시에틸렌솔비탄모노스테아레이트, 폴리옥시에틸렌솔비탄트리올레이에이트, 폴리옥시에틸렌솔비탄트리스테아레이트 등의 폴리옥시에틸렌솔비탄지방산 에스테르 등의 노니온계 계면활성제, 에프톱EF301, EF303, EF352((주)토켐프로덕츠 제조), 메가팩F171, F173(다이닛폰잉크(주) 제조), 프로라드FC430, FC431(스미토모쓰리엠(주) 제조), 아사히가드AG710, 샤프론S-382, SC101, SC102, SC103, SC104, SC105, SC106(아사히가라스(주) 제조) 등의 불소계 계면활성 제, 오르가노실록산폴리머KP341(신에쯔카가쿠고교(주) 제조) 등을 들 수 있다. 이들의 계면활성제는 본 발명의 전 고체분합계량 100 중량부 당 0.001~5 중량부의 비율로 첨가하는 것이 바람직하다. 이들 계면활성제는 단독으로 첨가해도 되고, 또한 2종 이상의 조합으로 첨가할 수 있다. On the other hand, in the composition for a gap fill for semiconductors of this invention, surfactant can be added in order to improve dispersibility, film thickness uniformity, and semiconductor fine gap fill property in addition to the polymer, crosslinking agent, acid catalyst, and organic solvent which were mentioned above. As surfactant, Polyoxy, such as polyoxyethylene alkyl ethers, such as polyoxyethylene lauryl ether, polyoxyethylene stearyl ether, polyoxyethylene cetyl ether, polyoxyethylene oleyl ether, and polyoxyethylene nonyl phenol ether Ethylene alkyl allyl ethers, polyoxyethylene polyoxypropylene block copolymers, sorbitan monolaurate, sorbitan monopalmitate, sorbitan monostearate, sorbitan monooleate, polyoxyethylene sorbitan monostearate Nonionic surfactants such as polyoxyethylene sorbitan fatty acid esters such as polyoxyethylene sorbitan trioleate and polyoxyethylene sorbitan tristearate, F-top EF301, EF303, EF352 (manufactured by Tochem Products Co., Ltd.), Mega Pack F171, F173 (manufactured by Dainippon Ink, Inc.), Prorad FC430, FC431 (manufactured by Sumitomo 3M Corporation), Asahi Guard AG710, Sharp Fluorine-based surfactants such as Ron S-382, SC101, SC102, SC103, SC104, SC105, SC106 (manufactured by Asahi Glass Co., Ltd.), organosiloxane polymer KP341 (manufactured by Shin-Etsu Chemical Co., Ltd.), etc. Can be mentioned. These surfactants are preferably added at a ratio of 0.001 to 5 parts by weight per 100 parts by weight of the total solid fractionation weight of the present invention. These surfactants may be added alone or in combination of two or more kinds.
이하 실시예 및 비교예를 통하여 본 발명을 보다 상세하게 설명하고자 하나, 하기의 실시예는 설명의 목적을 위한 것으로 본 발명을 제한하기 위한 것이 아니다. Hereinafter, the present invention will be described in more detail with reference to Examples and Comparative Examples, but the following Examples are provided for the purpose of explanation and are not intended to limit the present invention.
[실시예 1]Example 1
1. 고분자 화합물 (A)의 합성(MAA 10.5%)1. Synthesis of Polymer Compound (A) (MAA 10.5%)
환류냉각기와 교반기를 갖춘 1000㎖ 플라스크에 프로필렌글리콜모노메틸에테르 아세테이트 501.4g을 투입한 후, 교반하면서 반응온도를 80℃까지 상승시켰다. 반응온도를 80℃로 유지하고, 교반하면서 상기 플라스크 내부에 벤질 메타아크릴레이트 152g, 2-히드록시 에틸 메타아크릴레이트 43.7g, 메타크릴산 22.96g 및 디메틸-2,2'-아조비스(2-메틸프로피오네이트)40.5g의 혼합물을 적하, 투입하였다. 상기 혼합물을 모두 적하한 후, 반응온도를 120℃ 이하로 유지하고, 교반하면서 10시간 이내로 반응시켜, 투명한 고분자용액 (A)를 얻었다. 이 용액을 겔투과크로마토그래피(Gel Permission Chromatography : 이하, "GPC")법으로 측정한 결과, 폴리스티렌환산 중량평균분자량은 7,100, 수평균 분자량은 2,900이었다.501.4 g of propylene glycol monomethyl ether acetate was added to a 1000 ml flask equipped with a reflux condenser and a stirrer, and then the reaction temperature was raised to 80 ° C while stirring. The reaction temperature was maintained at 80 ° C. and 152 g of benzyl methacrylate, 43.7 g of 2-hydroxyethyl methacrylate, 22.96 g of methacrylic acid and dimethyl-2,2′-azobis (2- A mixture of 40.5 g of methyl propionate) was added dropwise, and after dropping all the mixtures, the reaction temperature was maintained at 120 ° C. or lower, and reacted within 10 hours while stirring to obtain a transparent polymer solution (A). The solution was measured by Gel Permeation Chromatography (hereinafter referred to as "GPC") method. As a result, the polystyrene reduced weight average molecular weight was 7,100 and the number average molecular weight was 2,900.
2. 반도체 미세 갭 필용 조성물의 제조2. Preparation of Composition for Semiconductor Fine Gap Fill
상기 얻어진 고분자 용액 (A) 83g에 멜라민계 수지 (Cymel 303LF, 美 Cytec社 제품) 2.88g, 파라-톨루엔술폰산 피리딘염 0.04g, 계면활성제(스미토모 3M 社 제품;frorard FC-430) 0.28g 및 프로필렌글리콜모노메틸에테르아세테이트 10.05g을 첨가하고, 충분히 교반, 용해시킨 후 여과하여 목적하는 반도체 미세 갭 필용 조성물 (D)를 얻었다.To 83 g of the obtained polymer solution (A), 2.88 g of melamine-based resin (Cymel 303LF, manufactured by Cytec, USA), 0.04 g of para-toluenesulfonic acid pyridine salt, 0.28 g of a surfactant (manufactured by Sumitomo 3M; frorard FC-430), and propylene 10.05 g of glycol monomethyl ether acetate was added, sufficiently stirred and dissolved, followed by filtration to obtain the desired composition for semiconductor fine gap fill (D).
[실시예 2]Example 2
1. 고분자 화합물 (B)의 합성 (MAA 11%)1. Synthesis of Polymer Compound (B) (MAA 11%)
상기 실시예 1의 고분자 화합물 (A)와 같은 방법으로 벤질 메타아크릴레이트 150.9g, 2-히드록시 에틸 메타아크릴레이트 43.7g, 메타크릴산 24.1g 및 디메틸-2,2'-아조비스(2-메틸프로피오네이트)40.5g을 투입하여 합성한다. 합성 후 용액을 겔투과크로마토그래피(Gel Permission Chromatography : 이하, "GPC")법으로 측정한 결과, 폴리스티렌환산 중량평균분자량은 7,000, 수평균 분자량은 2,900이었다.150.9 g of benzyl methacrylate, 43.7 g of 2-hydroxyethyl methacrylate, 24.1 g of methacrylic acid and dimethyl-2,2'-azobis (2- 40.5 g of methyl propionate) was synthesized After the synthesis, the solution was measured by Gel Permeation Chromatography ("GPC") method. As a result, the polystyrene reduced weight average molecular weight was 7,000 and the number average molecular weight 2,900.
2. 고분자 화합물 (C)의 합성 (MAA 11.5%)2. Synthesis of Polymer Compound (C) (MAA 11.5%)
상기 실시예 1의 고분자 화합물 (A)와 같은 방법으로 벤질 메타아크릴레이트 149.8g, 2-히드록시 에틸 메타아크릴레이트 43.7g, 메타크릴산 25.1g, 디메틸-2,2'-아조비스(2-메틸프로피오네이트)40.5g을 투입하여 합성한다. 합성후 용액 을 겔투과크로마토그래피(Gel Permission Chromatography : 이하, "GPC")법으로 측정한 결과, 폴리스티렌환산 중량평균분자량은 7,000, 수평균 분자량은 2,900이었다.149.8 g of benzyl methacrylate, 43.7 g of 2-hydroxyethyl methacrylate, 25.1 g of methacrylic acid, and dimethyl-2,2'-azobis (2- in the same manner as in the polymer compound (A) of Example 1; 40.5 g of methyl propionate) was synthesized After the synthesis, the solution was measured by Gel Permeation Chromatography (GPC) method. The weight average molecular weight was 7,000 and the number average molecular weight was 2,900.
3. 반도체 미세 갭 필용 조성물의 제조3. Preparation of Semiconductor Fine Gap Fill Composition
상기 얻어진 고분자 화합물 (A) 42g 및 고분자 화합물 (B) 42g, 멜라민계 수지 (Cymel 303LF, 美 Cytec社 제품) 2.88g, 파라-톨루엔술폰산 피리딘염 (美 Aldrich社) 0.04g, 계면활성제(스미토모 3M 社 제품;frorard FC-430) 0.28g 및 프로필렌글리콜모노메틸에테르아세테이트 10.05g을 첨가하고, 충분히 교반, 용해시킨 후 여과하여 목적하는 반도체 미세 갭 필용 조성물 (E)를 얻었다.42 g of the obtained polymer compound (A) and 42 g of the polymer compound (B), 2.88 g of melamine-based resin (Cymel 303LF, manufactured by Cytec, USA), 0.04 g of para-toluenesulfonic acid pyridine salt (Aldrich, USA), and a surfactant (Sumitomo 3M) 0.28 g of frorard FC-430) and 10.05 g of propylene glycol monomethyl ether acetate were added, sufficiently stirred and dissolved, followed by filtration to obtain the desired composition for semiconductor fine gap fill (E).
[실시예 3]Example 3
1. 반도체 미세 갭 필용 조성물의 제조1. Preparation of the composition for semiconductor fine gap fill
상기 고분자 화합물 (B) 83g, 멜라민계 수지 (Cymel 303LF, 美 Cytec社 제품) 2.88g, 파라-톨루엔술폰산 피리딘염 (美 Aldrich社) 0.04g, 계면활성제(스미토모 3M 社 제품;frorard FC-430) 0.28g 및 프로필렌글리콜모노메틸에테르아세테이트 10.05g을 첨가하고, 충분히 교반, 용해시킨 후 여과하여 목적하는 반도체 미세 갭 필용 조성물 (F)를 얻었다.83 g of the polymer compound (B), 2.88 g of melamine-based resin (Cymel 303LF, manufactured by Cytec Co., Ltd.), 0.04 g of para-toluene sulfonic acid pyridine salt (Aldrich Co., Ltd.), surfactant (manufactured by Sumitomo 3M; frorard FC-430) 0.28 g and 10.05 g of propylene glycol monomethyl ether acetate were added, sufficiently stirred and dissolved, followed by filtration to obtain the desired composition for semiconductor fine gap fill (F).
[실시예 4]Example 4
1. 반도체 미세 갭 필용 조성물의 제조1. Preparation of the composition for semiconductor fine gap fill
상기 고분자 화합물 (B) 42g, 고분자용액 (C) 42g, 멜라민계 수지 (Cymel 303LF, 美 Cytec社 제품) 2.88g, 파라-톨루엔술폰산 피리딘염 (美 Aldrich社) 0.04g, 계면활성제(스미토모 3M 社 제품;frorard FC-430) 0.28g 및 프로필렌글리콜모노메틸에테르아세테이트 10.05g을 첨가하고, 충분히 교반, 용해시킨 후 여과하여 목적하는 반도체 미세 갭 필용 조성물 (G)를 얻었다.42 g of the polymer compound (B), 42 g of the polymer solution (C), 2.88 g of melamine-based resin (Cymel 303LF, manufactured by Cytec, USA), 0.04 g of para-toluene sulfonic acid pyridine salt (Aldrich, USA), and a surfactant (Sumitomo 3M Co., Ltd.) Product; frorard FC-430) 0.28 g and 10.05 g of propylene glycol monomethyl ether acetate were added, sufficiently stirred and dissolved, followed by filtration to obtain the desired composition for semiconductor fine gap fill (G).
[실시예 5]Example 5
1. 반도체 미세 갭 필용 조성물의 제조1. Preparation of the composition for semiconductor fine gap fill
상기 고분자 화합물 (C) 83g, 멜라민계 수지 (Cymel 303LF, 美 Cytec社 제품) 2.88g, 파라-톨루엔술폰산 피리딘염 (美 Aldrich社) 0.04g, 계면활성제(스미토모 3M 社 제품;frorard FC-430) 0.28g 및 프로필렌글리콜모노메틸에테르아세테이트 10.05g을 첨가하고, 충분히 교반, 용해시킨 후 여과하여 목적하는 반도체 미세 갭 필용 조성물 (H)를 얻었다.83 g of the polymer compound (C), 2.88 g of melamine-based resin (Cymel 303LF, manufactured by Cytec, USA), 0.04 g of para-toluenesulfonic acid pyridine salt (Aldrich, USA), surfactant (manufactured by Sumitomo 3M; frorard FC-430) 0.28 g and 10.05 g of propylene glycol monomethyl ether acetate were added, sufficiently stirred and dissolved, followed by filtration to obtain the desired composition for semiconductor fine gap fill (H).
[비교예 1]Comparative Example 1
1. 반도체 미세 갭 필용 조성물의 제조1. Preparation of the composition for semiconductor fine gap fill
페놀 노볼락 수지 PSM-4326(日 Gunei화학) 25g, 멜라민계 수지 (Cymel 303LF, 美 Cytec社 제품) 2.88g, 파라-톨루엔술폰산 피리딘염 (美 Aldrich社) 0.04g, 계면활성제(스미토모 3M 社 제품;frorard FC-430) 0.28g 및 프로필렌글 리콜모노메틸에테르아세테이트 68.05g을 첨가하고, 충분히 교반, 용해시킨 후 여과하여 목적하는 비교용 조성물 (I)를 얻었다.Phenol novolak resin PSM-4326 (Japan Gunei Chemical) 25g, melamine resin (Cymel 303LF, Cytec Co., Ltd.) 2.88g, para-toluenesulfonic acid pyridine salt (Aldrich Co., Ltd.) 0.04g, surfactant (Sumitomo 3M Co., Ltd.) 0.28 g of frorard FC-430 and 68.05 g of propylene glycol monomethyl ether acetate were added, sufficiently stirred and dissolved, followed by filtration to obtain the desired comparative composition (I).
상기한 각 실시예에 있어서의 반도체용 미세 갭 필 조성물에 대해서, 아래의 방법에 의해, 갭 필(Gap-Fill) 특성, 현상액에 의한 용해속도(Dissoluton Rate, DR), IPA 내성, 플라즈마 에칭 내성, 에싱(Ashing)에 의한 제거 성능을 시험하고 그 결과를 표 1에 표시하였다. Regarding the fine gap fill composition for semiconductors in each of the above-described examples, the gap fill characteristics, the dissoluton rate (DR) caused by the developer, the IPA resistance, and the plasma etching resistance were obtained by the following method. The removal performance by ashing was tested and the results are shown in Table 1.
(1) 갭 필 특성(1) gap fill characteristics
직경 80 ㎚이고, 높이가 1700 ㎚인 홀을 갖는 실리콘 패턴 웨이퍼에 동일한 도포 조건에서 스핀 코팅하고 90 ℃에서 1분간 소프트 베이크하여 용매만 휘발시킨 후, 웨이퍼의 단면을 주사전자현미경으로 관찰하였다. 홀에 채워진 상기 조성물이 보이드 등 없이 완전 충진되었는지 확인하였다. After spin-coating a silicon pattern wafer having a hole having a diameter of 80 nm and a height of 1700 nm under the same coating conditions, soft baking at 90 ° C. for 1 minute to volatilize only the solvent, the cross section of the wafer was observed with a scanning electron microscope. It was confirmed that the composition filled in the hole was completely filled without voids or the like.
(2) 용해속도 (DR)(2) dissolution rate (DR)
상기 조성물을 각각 8인치 실리콘 웨이퍼 상에 동일한 도포 조건에서 스핀코팅하고, 90 ℃에서 1분간 소프트 베이크한 후 도포 두께가 약 500 ㎚가 되도록 하였다. 이렇게 코팅된 웨이퍼를 레지스트 디벨로프먼트 시스템(日 Litho Tech Japan 社, RDA-760 시스템)을 이용하여 평균 용해속도를 얻었다. 이때 현상액 농도는 2.38%이고, 현상액 온도는 23.0℃이었다. The compositions were each spin-coated on 8 inch silicon wafer under the same coating conditions, soft baked at 90 ° C. for 1 minute, and the coating thickness was about 500 nm. The wafer thus coated was obtained with an average dissolution rate using a resist development system (RDA-760 system, Litho Tech Japan Co., Ltd.). At this time, the developer concentration was 2.38% and the developer temperature was 23.0 占 폚.
(3) IPA 내성(3) IPA immunity
상기 조성물을 각각 8인치 실리콘 웨이퍼 상에 동일한 도포 조건에서 스핀코팅하고, 220℃에서 1분간 하드 베이크 후 70℃의 이소프로필 알코올(IPA)에 5분간 담근 후 두께 변화를 측정하였다. 이소프로필 알코올에 담그기 전후의 두께 차이가 1% 이내이면 양호, 1% 이상이면 불량으로 평가하였다. The compositions were each spin-coated on 8-inch silicon wafer under the same coating conditions, hard baked at 220 ° C. for 1 minute, and then immersed in isopropyl alcohol (IPA) at 70 ° C. for 5 minutes to measure the change in thickness. If the thickness difference before and after dipping in isopropyl alcohol is within 1%, it was good, and if it was 1% or more, it evaluated as bad.
(4) 산소 플라즈마 에칭 내성(4) oxygen plasma etching resistance
상기 조성물을 각각 8인치 실리콘 웨이퍼 상에 동일한 도포 조건에서 스핀코팅하고, 220℃에서 1분간 하드 베이크 후, 산소 플라즈마 에칭 처리에 의해 코팅 막의 뜯김 유무를 확인하였다. Each of the compositions was spin-coated on an 8-inch silicon wafer under the same coating conditions, and after 1 minute hard bake at 220 ° C., the coating film was checked for tear by oxygen plasma etching.
(5) 산소 에싱(Ashing) 처리 후 잔유물 유무(5) Remaining residue after oxygen ashing treatment
상기 조성물을 각각 아스팩트비가 20이고 폭이 80 ㎚인 홀을 갖는 패턴 웨이퍼에 스핀코팅하고, 90℃에서 소프트 베이크한 후, 상기 현상액을 도포하여 홀 내부를 제외한 영역의 코팅막을 제거한다. 그리고 220℃에서 경화시킨 후 산소 에싱 처리에 의해 홀 내부의 잔유물 유무를 확인하였다. Each of the compositions was spin-coated on a pattern wafer having holes having an aspect ratio of 20 and a width of 80 nm, and soft baked at 90 ° C., and then the developer was applied to remove the coating layer except for the inside of the hole. After curing at 220 ° C., the presence or absence of residues in the holes was confirmed by oxygen ashing.
본 발명의 코팅 조성물을 사용하면, 직경이 100㎚ 이하이며, 높이/직경으로 나타나는 아스팩트비가 1 이상인 홀을 갖는 반도체 기판에 스핀코팅 방법으로 공기 보이드(void) 등의 결함없이 완전한 갭 필(Gap-Fill)이 가능하며, 알칼리 수용액(현상액이라고 함) 의해 원하는 두께만큼 막을 녹여 낼 수 있으며, 베이킹에 의한 경화 후에는 이소프로필 알코올(IPA) 및 플라즈마 에칭에 강한 내성을 가지며, 에싱(Ashing) 처리에 의해서 빠르게 홀 내부에서 제거가 가능하다. When the coating composition of the present invention is used, a complete gap fill (Gap) is performed on a semiconductor substrate having a diameter of 100 nm or less and a hole having an aspect ratio of 1 or more, without defects such as air voids by spin coating. -Fill), the film can be melted to the desired thickness by aqueous alkali solution (called developer), and after curing by baking, it has strong resistance to isopropyl alcohol (IPA) and plasma etching, and ashing treatment. It can be quickly removed from inside the hole.
Claims (14)
Priority Applications (3)
| Application Number | Priority Date | Filing Date | Title |
|---|---|---|---|
| KR1020050104325A KR100717511B1 (en) | 2005-11-02 | 2005-11-02 | Polymer for semiconductor fine gap fill and composition using same |
| JP2006071516A JP4281924B2 (en) | 2005-11-02 | 2006-03-15 | Polymer for semiconductor fine gap filling and coating composition using the same |
| US11/474,231 US7947795B2 (en) | 2005-11-02 | 2006-06-23 | Polymer for filling gaps in semiconductor substrate and coating composition using the same |
Applications Claiming Priority (1)
| Application Number | Priority Date | Filing Date | Title |
|---|---|---|---|
| KR1020050104325A KR100717511B1 (en) | 2005-11-02 | 2005-11-02 | Polymer for semiconductor fine gap fill and composition using same |
Publications (2)
| Publication Number | Publication Date |
|---|---|
| KR20070047504A KR20070047504A (en) | 2007-05-07 |
| KR100717511B1 true KR100717511B1 (en) | 2007-05-11 |
Family
ID=38272362
Family Applications (1)
| Application Number | Title | Priority Date | Filing Date |
|---|---|---|---|
| KR1020050104325A Expired - Fee Related KR100717511B1 (en) | 2005-11-02 | 2005-11-02 | Polymer for semiconductor fine gap fill and composition using same |
Country Status (1)
| Country | Link |
|---|---|
| KR (1) | KR100717511B1 (en) |
Citations (6)
| Publication number | Priority date | Publication date | Assignee | Title |
|---|---|---|---|---|
| EP0297902A2 (en) | 1987-07-02 | 1989-01-04 | Mobil Oil Corporation | Cold sealable terpolymers, their preparation, articles comprising them and their use to effect sealing |
| JPH05107767A (en) * | 1991-10-17 | 1993-04-30 | Tosoh Corp | Coating solution for level difference substrate |
| WO2002005035A1 (en) * | 2000-07-12 | 2002-01-17 | Nissan Chemical Industries, Ltd. | Lithographic gap-filler forming composition |
| EP1535978A1 (en) | 2003-11-28 | 2005-06-01 | Kabushiki Kaisha Toshiba | Polishing cloth and method of manufacturing semiconductor device |
| KR20050103788A (en) * | 2004-04-27 | 2005-11-01 | 주식회사 하이닉스반도체 | Top anti-reflective coating polymer, its preparation method and top anti-reflective coating composition comprising the same |
| KR20050109942A (en) * | 2003-02-21 | 2005-11-22 | 닛산 가가쿠 고교 가부시키 가이샤 | Acrylic polymer containing gap filler forming composition for lithography |
-
2005
- 2005-11-02 KR KR1020050104325A patent/KR100717511B1/en not_active Expired - Fee Related
Patent Citations (6)
| Publication number | Priority date | Publication date | Assignee | Title |
|---|---|---|---|---|
| EP0297902A2 (en) | 1987-07-02 | 1989-01-04 | Mobil Oil Corporation | Cold sealable terpolymers, their preparation, articles comprising them and their use to effect sealing |
| JPH05107767A (en) * | 1991-10-17 | 1993-04-30 | Tosoh Corp | Coating solution for level difference substrate |
| WO2002005035A1 (en) * | 2000-07-12 | 2002-01-17 | Nissan Chemical Industries, Ltd. | Lithographic gap-filler forming composition |
| KR20050109942A (en) * | 2003-02-21 | 2005-11-22 | 닛산 가가쿠 고교 가부시키 가이샤 | Acrylic polymer containing gap filler forming composition for lithography |
| EP1535978A1 (en) | 2003-11-28 | 2005-06-01 | Kabushiki Kaisha Toshiba | Polishing cloth and method of manufacturing semiconductor device |
| KR20050103788A (en) * | 2004-04-27 | 2005-11-01 | 주식회사 하이닉스반도체 | Top anti-reflective coating polymer, its preparation method and top anti-reflective coating composition comprising the same |
Also Published As
| Publication number | Publication date |
|---|---|
| KR20070047504A (en) | 2007-05-07 |
Similar Documents
| Publication | Publication Date | Title |
|---|---|---|
| CN110637256B (en) | Film-forming material for photolithography, film-forming composition for photolithography, underlayer film for photolithography, and pattern forming method | |
| KR102188297B1 (en) | Hardmask | |
| CN103608396B (en) | resin composition | |
| TWI437048B (en) | Silsesquioxane resins | |
| TWI578108B (en) | A composition for forming a lower layer of a barrier agent and a method for producing the same, a pattern forming method, and a resist underlayer film | |
| JP2007246600A (en) | Self-assembled polymer film material, self-assembled pattern, and pattern forming method | |
| JP7415311B2 (en) | Lithography film forming material, lithography film forming composition, lithography underlayer film, and pattern forming method | |
| JP2023010747A (en) | Film-forming material for lithography, film-forming composition for lithography, underlayer film for lithography, and pattern forming method | |
| US8299197B2 (en) | Organosilane polymer with improved gap-filling property for semiconductor device and coating composition using the same | |
| JP4281924B2 (en) | Polymer for semiconductor fine gap filling and coating composition using the same | |
| US8642437B2 (en) | Gap-filling composition with excellent shelf life by end-capping | |
| KR100717511B1 (en) | Polymer for semiconductor fine gap fill and composition using same | |
| KR100722984B1 (en) | Polymer for Semiconductor Fine Gap Fill and Composition for Semiconductor Fine Gap Fill | |
| JP2002265536A (en) | Composition for organic antireflection film and its production method | |
| KR100884264B1 (en) | Nodal separation polymer and composition using the same | |
| JP2010528453A (en) | Compound for gap filling of semiconductor device and coating composition using the compound | |
| KR101700150B1 (en) | New compounds and underlayer film composition used in semiconductor production process using the same | |
| CN102143990B (en) | Compound for filling small gaps in semiconductor device, composition comprising the compound and process for fabricating semiconductor capacitor | |
| KR100930674B1 (en) | Compound for semiconductor coating and fine gap fill, composition comprising same and method for manufacturing semiconductor capacitor using same | |
| JP2005343985A (en) | Resin, coating solution for forming insulating film, and method for manufacturing insulating film | |
| KR101856567B1 (en) | New compounds and underlayer film composition used in semiconductor production process using the same | |
| TW202501154A (en) | Method for manufacturing etching mask pattern and resin composition for forming etching mask pattern | |
| TW202542647A (en) | Photosensitive resin composition, cured product and semiconductor device | |
| TW202511331A (en) | Resin composition for forming etching mask pattern and method for manufacturing etching mask pattern | |
| WO2023190807A1 (en) | Brush material for self-assembled film |
Legal Events
| Date | Code | Title | Description |
|---|---|---|---|
| A201 | Request for examination | ||
| PA0109 | Patent application |
St.27 status event code: A-0-1-A10-A12-nap-PA0109 |
|
| PA0201 | Request for examination |
St.27 status event code: A-1-2-D10-D11-exm-PA0201 |
|
| P11-X000 | Amendment of application requested |
St.27 status event code: A-2-2-P10-P11-nap-X000 |
|
| P13-X000 | Application amended |
St.27 status event code: A-2-2-P10-P13-nap-X000 |
|
| D13-X000 | Search requested |
St.27 status event code: A-1-2-D10-D13-srh-X000 |
|
| D14-X000 | Search report completed |
St.27 status event code: A-1-2-D10-D14-srh-X000 |
|
| E902 | Notification of reason for refusal | ||
| PE0902 | Notice of grounds for rejection |
St.27 status event code: A-1-2-D10-D21-exm-PE0902 |
|
| T11-X000 | Administrative time limit extension requested |
St.27 status event code: U-3-3-T10-T11-oth-X000 |
|
| P11-X000 | Amendment of application requested |
St.27 status event code: A-2-2-P10-P11-nap-X000 |
|
| P13-X000 | Application amended |
St.27 status event code: A-2-2-P10-P13-nap-X000 |
|
| R18-X000 | Changes to party contact information recorded |
St.27 status event code: A-3-3-R10-R18-oth-X000 |
|
| E701 | Decision to grant or registration of patent right | ||
| PE0701 | Decision of registration |
St.27 status event code: A-1-2-D10-D22-exm-PE0701 |
|
| GRNT | Written decision to grant | ||
| PG1501 | Laying open of application |
St.27 status event code: A-1-1-Q10-Q12-nap-PG1501 |
|
| PR0701 | Registration of establishment |
St.27 status event code: A-2-4-F10-F11-exm-PR0701 |
|
| PR1002 | Payment of registration fee |
St.27 status event code: A-2-2-U10-U11-oth-PR1002 Fee payment year number: 1 |
|
| PG1601 | Publication of registration |
St.27 status event code: A-4-4-Q10-Q13-nap-PG1601 |
|
| R17-X000 | Change to representative recorded |
St.27 status event code: A-5-5-R10-R17-oth-X000 |
|
| PR1001 | Payment of annual fee |
St.27 status event code: A-4-4-U10-U11-oth-PR1001 Fee payment year number: 4 |
|
| PR1001 | Payment of annual fee |
St.27 status event code: A-4-4-U10-U11-oth-PR1001 Fee payment year number: 5 |
|
| PR1001 | Payment of annual fee |
St.27 status event code: A-4-4-U10-U11-oth-PR1001 Fee payment year number: 6 |
|
| FPAY | Annual fee payment |
Payment date: 20130313 Year of fee payment: 7 |
|
| PR1001 | Payment of annual fee |
St.27 status event code: A-4-4-U10-U11-oth-PR1001 Fee payment year number: 7 |
|
| PN2301 | Change of applicant |
St.27 status event code: A-5-5-R10-R13-asn-PN2301 St.27 status event code: A-5-5-R10-R11-asn-PN2301 |
|
| FPAY | Annual fee payment |
Payment date: 20140401 Year of fee payment: 8 |
|
| PR1001 | Payment of annual fee |
St.27 status event code: A-4-4-U10-U11-oth-PR1001 Fee payment year number: 8 |
|
| LAPS | Lapse due to unpaid annual fee | ||
| PC1903 | Unpaid annual fee |
St.27 status event code: A-4-4-U10-U13-oth-PC1903 Not in force date: 20150508 Payment event data comment text: Termination Category : DEFAULT_OF_REGISTRATION_FEE |
|
| PC1903 | Unpaid annual fee |
St.27 status event code: N-4-6-H10-H13-oth-PC1903 Ip right cessation event data comment text: Termination Category : DEFAULT_OF_REGISTRATION_FEE Not in force date: 20150508 |
|
| P22-X000 | Classification modified |
St.27 status event code: A-4-4-P10-P22-nap-X000 |
|
| P22-X000 | Classification modified |
St.27 status event code: A-4-4-P10-P22-nap-X000 |
|
| P22-X000 | Classification modified |
St.27 status event code: A-4-4-P10-P22-nap-X000 |















