JP7083993B2 - Ultrasound imaging system and ultrasound imaging equipment - Google Patents
Ultrasound imaging system and ultrasound imaging equipment Download PDFInfo
- Publication number
- JP7083993B2 JP7083993B2 JP2018075813A JP2018075813A JP7083993B2 JP 7083993 B2 JP7083993 B2 JP 7083993B2 JP 2018075813 A JP2018075813 A JP 2018075813A JP 2018075813 A JP2018075813 A JP 2018075813A JP 7083993 B2 JP7083993 B2 JP 7083993B2
- Authority
- JP
- Japan
- Prior art keywords
- image
- ultrasonic
- puncture needle
- shear wave
- ultrasonic image
- Prior art date
- Legal status (The legal status is an assumption and is not a legal conclusion. Google has not performed a legal analysis and makes no representation as to the accuracy of the status listed.)
- Active
Links
Images
Landscapes
- Ultra Sonic Daignosis Equipment (AREA)
Description
本発明は人体を含む生体物の被検体に穿刺針を穿刺して施療を行う際に使用して、超音波映像ないしこれに基づく情報を取得する超音波映像装置、並びに、当該超音波映像装置を備えた超音波映像システムに関する。 The present invention is used when puncturing a subject of a living body including a human body with a puncture needle to perform treatment, and obtains an ultrasonic image or information based on the ultrasonic image, and the ultrasonic image device. Regarding an ultrasonic imaging system equipped with.
抗がん剤など薬剤の体内への連続投与、経口摂取ができない患者への栄養補給など、長い期間の間、穿刺針を中心静脈(主に上大静脈と下大静脈)に留置する中心静脈留置(中心静脈カテーテル)が行われる場合があるが、この手技に関して医療事故が少なからず発生している。このため超音波ガイド下での穿刺(超音波ガイド法)が推奨されているものの、超音波ガイド下であっても依然として医療事故が発生する場合がある。 Central venous catheter in which a puncture needle is placed in the central vein (mainly superior vena cava and inferior vena cava) for a long period of time, such as continuous administration of drugs such as anticancer drugs into the body and nutritional supplementation for patients who cannot take orally. Indwelling (central venous catheter) may be performed, but there are not a few medical accidents related to this procedure. For this reason, although ultrasonic-guided puncture (ultrasound-guided method) is recommended, medical accidents may still occur even under ultrasonic-guided treatment.
この理由として、留置針を静脈内に正しく留置することが難しいことが挙げられる。これは、留置針自体が非常に細く、超音波画像の輝度が十分に得られない、或いは、超音波画像は2次元画像であるので、留置針の一部が超音波画像面に達するまで留置針の位置がわからず盲目状態で穿刺を行わなければならない、という問題があるためである。 The reason for this is that it is difficult to properly place the indwelling needle in the vein. This is because the indwelling needle itself is very thin and the brightness of the ultrasonic image cannot be sufficiently obtained, or since the ultrasonic image is a two-dimensional image, it is indwelled until a part of the indwelling needle reaches the ultrasonic image surface. This is because there is a problem that the position of the needle is unknown and the puncture must be performed in a blind state.
これらの穿刺における問題を解決し、安全、正確に穿刺を行うには、穿刺の対象となる血管の位置に対して3次元的に穿刺針の位置を把握し、正確に穿刺針を血管に導く穿刺施療のナビゲーションシステムが必要になる。 In order to solve these problems in puncture and perform puncture safely and accurately, the position of the puncture needle is grasped three-dimensionally with respect to the position of the blood vessel to be punctured, and the puncture needle is accurately guided to the blood vessel. A navigation system for puncture treatment is required.
このようなナビゲーションシステムにおいても、使える技術は2次元の超音波映像を応用したものになるが、2次元の超音波映像において、いかに穿刺針の3次元での位置を計測し可視化するか、さらに通常の超音波映像では超音波反射強度が低いために穿刺針が見えづらいという課題に対して、いかに穿刺針をコントラスト高く明瞭に可視化するか、が必要になる。 Even in such a navigation system, the technology that can be used will be the application of two-dimensional ultrasonic images, but how to measure and visualize the three-dimensional position of the puncture needle in two-dimensional ultrasonic images, and further. To solve the problem that the puncture needle is difficult to see due to the low ultrasonic reflection intensity in ordinary ultrasonic images, it is necessary to clearly visualize the puncture needle with high contrast.
また穿刺用のナビゲーションシステムであるので、実時間に近い時間で穿刺針の可視化が行えるものでなければならない。 In addition, since it is a navigation system for puncture, it must be able to visualize the puncture needle in a time close to real time.
上記穿刺用のナビゲーションシステムに関し、例えば、特許文献1には、被検体に対し超音波接触子によって超音波を3次元状にスキャンし、このスキャンにより検出された被採取部の組織を、前記被検体内に2重構造の穿刺針を挿入してその外針から内針を突出させることにより前記被採取部に差し込んで採取するもので、前記超音波のスキャンデータに基づいて前記被採取部の画像、及び前記被検体内に挿入される穿刺針の画像を生成する画像生成手段と、この画像生成手段により生成された前記被採取部の画像、及び前記穿刺針の画像を表示する表示手段を具備するものが開示される(特許文献1参照)。前記穿刺針には微小振動を付与する励振器が設置され、この励振器により振動される穿刺針のドプラ効果の影響を受けたエコー信号をプローブが受信することにより、穿刺針の外針から突出する内針の動きが認識されるようになっている。
Regarding the navigation system for puncture, for example, in
ここで前記画像生成手段は、前記穿刺針の内針が前記被採取部に差し込まれる直前において、仮に前記内針が前記外針から突出されたとしたら前記被採取部から採取されることが期待される組織を前記表示手段に画像として表示させるものである。同文献によれば、被採取部の組織の採取に先立ち、表示手段を見るだけで被採取部のどこの部位が採取できるのかを予測することができ、所望する組織を確実に採取することができる、とされる。 Here, the image generating means is expected to be collected from the collected portion if the inner needle is projected from the outer needle immediately before the inner needle of the puncture needle is inserted into the collected portion. The tissue is displayed as an image on the display means. According to the same document, prior to the collection of the tissue of the collected part, it is possible to predict which part of the collected part can be collected only by looking at the display means, and it is possible to surely collect the desired tissue. It is said that it can be done.
また、例えば特許文献2には、振動する穿刺針からの超音波エコーのドプラ信号に基づいて前記穿刺針の画像を生成する超音波撮像方法であって、1音線当たり2回の超音波送受信で得たパケット長が2のエコー信号に関するMTI処理により前記ドップラ信号を求めることを特徴とする超音波撮像方法が開示される(特許文献2参照)。
Further, for example,
これは、1音線当たり2回の超音波送受信で得たパケット長が2のエコー信号間でMTI処理を行なってドプラシフトを求めるものである。同文献によれば、1音線当たり最小限の超音波送受信回数でドプラシフトが求まり、撮像が高速化し、また、撮像視野が広がる、とされる。 In this method, MTI processing is performed between echo signals having a packet length of 2 obtained by transmitting and receiving ultrasonic waves twice per sound line to obtain a Doppler shift. According to the same document, the Doppler shift can be obtained with the minimum number of ultrasonic transmission / receptions per sound line, the imaging speed is increased, and the imaging field of view is widened.
上記特許文献1に開示されている技術においては、針生検を行なう場合、プローブを被検体に接触させて超音波を3次元的にスキャンし、病変部の画像(3D画像)が見つかったら、モニターの画像を見ながら穿刺針を挿入し、モニターに映し出された穿刺針の先端部が病変部の近傍に到達したら、3D画像に加えて、穿刺針が挿入される面、さらにこの面に直交する二方向の面の断層画像をそれぞれモニターに表示し、さらに、仮に穿刺針のガンボタンが押圧操作されて内針が外針から突出した場合に採取が期待される病変部の組織を画像表示する。医者はこれらの画像を見て、所望する組織の採取が期待できるか否かを判断する。
In the technique disclosed in
しかし、穿刺針が超音波映像面上にないときに穿刺針の三次元位置の予測を行うには高度な予測処理が必要であり、簡易な計算機の構成をもって実時間とのタイミングのずれのないように三次元位置を計測処理することが困難であった。 However, advanced prediction processing is required to predict the three-dimensional position of the puncture needle when the puncture needle is not on the ultrasonic image plane, and there is no timing deviation from the real time with a simple computer configuration. It was difficult to measure and process the three-dimensional position.
また、上記特許文献2に開示されている技術は、穿刺針の加振で生じる超音波ドプラ信号を得て、穿刺針の位置の計測や可視化を行うものであるが、この方法では、穿刺針が超音波映像面に達していない時には計測が不可能になるため、穿刺針の可視画像による施療を確実に行うことができなかった。
Further, the technique disclosed in
そこで本発明は、被検体内に穿刺した穿刺針の位置を簡易な構成をもって実時間に近いタイミングで可視化することができ、穿刺針を被検体内に適正に留置するなど、穿刺針の被検体内の可視画像による施療を確実に行うことを可能とする超音波映像システム、及び超音波映像装置を提供することを課題とする。 Therefore, according to the present invention, the position of the puncture needle punctured in the subject can be visualized at a timing close to real time with a simple configuration, and the puncture needle is properly placed in the subject. It is an object of the present invention to provide an ultrasonic imaging system and an ultrasonic imaging device capable of reliably performing treatment using a visible image inside.
上記課題に鑑みて、本発明においては、以下の手段を講じるものとしている。但し以下において構成の名称に続けて記載する数字乃至アルファベットは、図面の理解のために便宜的に付した符号であり、これによって構成の概念ないし形状、構造を限定する趣旨ではない。 In view of the above problems, the following measures shall be taken in the present invention. However, the numbers or alphabets described below after the name of the configuration are symbols added for convenience in understanding the drawings, and are not intended to limit the concept, shape, or structure of the configuration.
すなわち、本発明に係る超音波映像システムは、
被検体O内へ穿刺可能な穿刺針22と、
穿刺針22を加振する加振装置1と、
面状に連なる所定範囲の超音波映像面Iへの送受信により、当該超音波映像面Iの二次元の超音波映像を取得する超音波プローブ3と、
前記穿刺針22の加振によるせん断波の速度像を、前記超音波映像面I上の超音波映像として出力する超音波映像装置4と、を備えた超音波映像システムであって、
前記超音波映像面I上の超音波映像において、
加振された穿刺針22のせん断波像IPが、せん断波の伝播速度を示す領域幅Wの像として二次元表示されるものであり、
当該せん断波像IPにおける、穿刺針22の軸と直交する方向の領域幅Wは、
超音波映像面Iと穿刺針22との距離dに一次相関することを特徴とする。
That is, the ultrasonic imaging system according to the present invention is
A
A vibrating
An
An ultrasonic image system including an
In the ultrasonic image on the ultrasonic image surface I,
The shear wave image IP of the
In the shear wave image IP, the region width W in the direction orthogonal to the axis of the
It is characterized in that it has a first-order correlation with the distance d between the ultrasonic image plane I and the
また、前記いずれかに記載の超音波映像システムは、
前記超音波映像面I上の超音波映像において、
穿刺針22のせん断波像IPにおける、穿刺針22の軸と直交する方向の領域幅Wが、
下記式として示されることが好ましい。
In the ultrasonic image on the ultrasonic image surface I,
In the shear wave image IP of the
It is preferably expressed as the following formula.
前記超音波映像装置は、穿刺針の加振によるせん断波の伝播像を、超音波映像面上の第二の超音波映像として出力し得ることが好ましい。なおこの場合、せん断波の速度像を、超音波映像面上の第一の超音波映像として、第一の超音波映像と第二の超音波映像とを組み合わせるか選択して出力することもできる。 It is preferable that the ultrasonic imaging device can output a propagation image of a shear wave due to the vibration of the puncture needle as a second ultrasonic image on the ultrasonic imaging surface. In this case, the velocity image of the shear wave can be output by selecting whether to combine the first ultrasonic image and the second ultrasonic image as the first ultrasonic image on the ultrasonic image surface. ..
穿刺針の加振によってせん断波が超音波映像面まで伝播することで、超音波プローブの受信超音波が位相変化する。この受信超音波の位相変化を相関処理したドプラ画像から、せん断波の波面の伝播を示す画像、すなわち、せん断波の伝播像が得られる。せん断波の伝播像は、例えば後述の図10の映像化例に示すように、受信超音波の位相変化に対応する特定のチャートに従って色彩又は濃淡を変化させたグラフィック像で表示することができる。 The shear wave propagates to the ultrasonic image plane due to the vibration of the puncture needle, so that the received ultrasonic wave of the ultrasonic probe changes its phase. From the Doppler image obtained by correlating the phase change of the received ultrasonic wave, an image showing the propagation of the wave surface of the shear wave, that is, a propagation image of the shear wave can be obtained. The propagation image of the shear wave can be displayed as a graphic image in which the color or the shade is changed according to a specific chart corresponding to the phase change of the received ultrasonic wave, for example, as shown in the visualization example of FIG. 10 described later.
超音波映像装置は、当該せん断波の伝播像を、前記せん断波の速度像の表示から切り替えた、第二の超音波映像として出力することができる(図10参照)。また、当該せん断波の伝播像を、前記せん断波の速度像の表示と並列した対照映像として出力することもできる(図11参照)。また、当該せん断波の伝播像を、前記せん断波の速度像の表示と重畳させた重畳映像として出力することもできる。 The ultrasonic imaging device can output the propagation image of the shear wave as a second ultrasonic image switched from the display of the velocity image of the shear wave (see FIG. 10). Further, the propagation image of the shear wave can be output as a control image in parallel with the display of the velocity image of the shear wave (see FIG. 11). Further, the propagation image of the shear wave can be output as a superimposed image superimposed on the display of the velocity image of the shear wave.
前記超音波映像面I上の超音波映像において、
前記せん断波の速度像が、
せん断波の伝播速度に対応する特定のチャートに従って色彩又は濃淡を変化させたグラフィック像によって二次元表示されることが好ましい。
例えば後述の図9の各図や、図12の右端図が本手段の表示形態例に該当する。
In the ultrasonic image on the ultrasonic image surface I,
The velocity image of the shear wave
It is preferably displayed two-dimensionally by a graphic image in which colors or shades are changed according to a specific chart corresponding to the propagation velocity of the shear wave.
For example, each figure of FIG. 9 described later and the rightmost view of FIG. 12 correspond to an example of the display form of the present means.
また、前記いずれかに記載の超音波映像システムは、
前記超音波映像面I上の超音波映像において、
加振された穿刺針22のせん断波像IPが二次元像として表示されると共に、
当該せん断波像IPにおける、穿刺針の軸と直交する方向の特定位置の領域幅Wの長さが、表示長さに対応する特定のチャートに従って、超音波映像と重ねて、或いは超音波映像の近傍に数値表示されることが好ましい。
In addition, the ultrasonic imaging system described in any of the above is
In the ultrasonic image on the ultrasonic image surface I,
The shear wave image IP of the
In the shear wave image IP, the length of the region width W at a specific position in the direction orthogonal to the axis of the puncture needle is superimposed on the ultrasonic image or in the ultrasonic image according to the specific chart corresponding to the display length. It is preferable that the numerical value is displayed in the vicinity.
例えば後述の図13、図14の各右端のマークの横の数字を、超音波映像内のせん断波像IPのマークの部分の幅Wの太さの数値又は幅Wの太さを速度に変換した数値に代えて表示した変形の形態が、本手段の表示形態例に該当する。 For example, the numerical value next to the mark at the right end of FIGS. 13 and 14 described later is converted into the numerical value of the width W of the mark portion of the shear wave image IP in the ultrasonic image or the thickness of the width W converted into the velocity. The modified form displayed in place of the numerical value corresponds to the display form example of the present means.
また、前記いずれかに記載の超音波映像システムは、
前記超音波映像面I上の超音波映像において、
加振された穿刺針22のせん断波像IPが二次元像として表示されると共に、
当該せん断波像IPにおける、穿刺針の軸と直交する方向の領域幅Wが、表示長さに対応する特定のチャートに従って複数の区分域に区分され、区分域に応じた識別画像が、せん断波像IPの二次元表示に重ねて表示されることが好ましい。
In addition, the ultrasonic imaging system described in any of the above is
In the ultrasonic image on the ultrasonic image surface I,
The shear wave image IP of the
In the shear wave image IP, the region width W in the direction orthogonal to the axis of the puncture needle is divided into a plurality of division regions according to a specific chart corresponding to the display length, and the identification image corresponding to the division region is the shear wave. It is preferable that the image IP is superimposed on the two-dimensional display.
例えば後述の図13や図14の形態が、本手段の表示形態例に該当する。具体的には図13の一重丸、二重丸、三重丸のマークが、区分域に応じた識別画像に該当し、図14の各色に塗りつぶされた丸のマークが、区分域に応じた識別画像に該当する。また、図13、図14それぞれの右のマーク説明欄が特定のチャートに該当する。 For example, the forms of FIGS. 13 and 14 described later correspond to the display form examples of the present means. Specifically, the single circle, double circle, and triple circle marks in FIG. 13 correspond to the identification image according to the division area, and the circle marks filled in each color in FIG. 14 correspond to the identification image according to the division area. Corresponds to. Further, the mark explanation column on the right of each of FIGS. 13 and 14 corresponds to a specific chart.
また、前記いずれかに記載の超音波映像システムは、
穿刺針22の加振によるせん断波の速度像に基づいて音又は光又は振動のうち少なくともいずれかからなる報知手段を出力する報知装置(S/VG/HM)をさらに備えた超音波映像システムであり、
当該報知装置(S/VG/HM)は、
加振された穿刺針22のせん断波像IPにおける、穿刺針の軸と直交する方向の領域幅Wが、表示長さに対応する特定のチャートに従って複数の区分域に区分され、区分域に応じた報知手段を区別して発することが好ましい。
In addition, the ultrasonic imaging system described in any of the above is
An ultrasonic imaging system further equipped with a notification device (S / VG / HM) that outputs a notification means consisting of sound, light, or vibration based on a velocity image of a shear wave due to the vibration of the
The notification device (S / VG / HM) is
In the shear wave image IP of the
例えば後述の図1の形態が、本手段の構成例に該当する。具体的には図1に示すスピーカS,眼鏡型の仮想画像表示グラスVG,携帯端末HMのいずれかを選択して又はこれら一つ以上を組み合わせた超音波映像システムが該当する。これらスピーカS,眼鏡型の仮想画像表示グラスVG,携帯端末HMは、音又は光の出力やその出力量の変化によって、穿刺針の位置関係を使用者に報知する報知手段として使用することができる。 For example, the form of FIG. 1 described later corresponds to a configuration example of this means. Specifically, an ultrasonic image system in which one of the speaker S shown in FIG. 1, the eyeglass-type virtual image display glass VG, and the mobile terminal HM is selected or a combination of one or more thereof is applicable. These speaker S, eyeglass-type virtual image display glass VG, and mobile terminal HM can be used as a notification means for notifying the user of the positional relationship of the puncture needle by changing the output of sound or light and the amount of the output. ..
また、本発明に係る超音波映像装置は、
被検体内へ穿刺可能な穿刺針22と、
穿刺針を加振する加振装置1と、
面状に連なる所定範囲の超音波映像面Iへの送受信によって当該超音波映像面Iの二次元の超音波映像を取得する超音波プローブ3と、に接続されて、
前記いずれかの超音波映像システムを構成するものであって、
前記穿刺針22の加振によるせん断波の速度像を、前記超音波映像面I上の超音波映像として出力するものであり、
前記超音波映像面I上の超音波映像において、
加振された穿刺針22のせん断波像IPを、せん断波の伝播速度を示す領域幅Wの像とした二次元表示として出力するものであり、
当該せん断波像IPにおける、穿刺針の軸と直交する方向の領域幅Wは、
超音波映像面Iと穿刺針22との距離dに一次相関することを特徴とする。
Further, the ultrasonic imaging device according to the present invention is
A
A vibrating
It is connected to an
It constitutes any of the above-mentioned ultrasonic imaging systems and constitutes.
The velocity image of the shear wave due to the vibration of the
In the ultrasonic image on the ultrasonic image surface I,
The shear wave image IP of the
In the shear wave image IP, the region width W in the direction orthogonal to the axis of the puncture needle is
It is characterized in that it has a first-order correlation with the distance d between the ultrasonic image plane I and the
例えば後述の図1の符号4に示す構成、或いは、符号4及びM/S/HM/VGのいずれかを組み合わせた構成が、本発明に係る超音波映像装置の構成例に該当する。
For example, the configuration shown by
本発明は上記手段を講じることで、被検体内に穿刺した穿刺針の位置を簡易な構成をもって実時間に近いタイミングで可視化することができ、穿刺針による施療を確実に行うことを可能とする超音波映像システム、及び超音波映像装置を提供するものとなった。 According to the present invention, by taking the above means, the position of the puncture needle punctured in the subject can be visualized at a timing close to the real time with a simple configuration, and the treatment with the puncture needle can be reliably performed. It has become a provider of ultrasonic imaging systems and ultrasonic imaging devices.
以下、本発明に係る超音波映像システム、超音波映像装置、及び覚醒度算出方法の実施の形態を図面に基づいて説明する。但し以下において構成の名称に続けて記載する数字乃至アルファベットは、図面の理解のために便宜的に付した符号であり、これによって構成の概念ないし形状、構造を限定する趣旨ではない。 Hereinafter, embodiments of an ultrasonic imaging system, an ultrasonic imaging device, and an arousal degree calculation method according to the present invention will be described with reference to the drawings. However, the numbers or alphabets described below after the name of the configuration are symbols added for convenience in understanding the drawings, and are not intended to limit the concept, shape, or structure of the configuration.
本発明の超音波映像システムの構成は、図1ないし図3(実施例1)に示すように、
被検体内へ穿刺可能な穿刺針22と、
穿刺針を加振する加振装置1と、
面状に連なる所定範囲の超音波映像面Iへの送受信により、当該超音波映像面Iの二次元の超音波映像を取得する超音波プローブ3と、
前記穿刺針22の加振によるせん断波の速度像を、前記超音波映像面I上の超音波映像として出力する超音波映像装置4と、出力された超音波映像を画像表示する表示装置Mとを備える。
The configuration of the ultrasonic imaging system of the present invention is as shown in FIGS. 1 to 3 (Example 1).
A
A vibrating
An
An
このうち表示装置Mは、出力された超音波映像を画像表示する画像表示部を備える。出力された超音波映像を記憶装置に連続的に記憶し、記憶された順に超音波映像をオンタイムで動画表示するものでもよい。出力された超音波映像は、超音波映像面におけるせん断波の速度像であるが、当該速度像には穿刺針のせん断波像IPが含まれており、このうち穿刺針のせん断波像の領域の幅Wが特定可能に表示される。なお、「領域幅が特定可能に表示される」とは、例えば後述の図13(第8例)、図14(第9例)のように、領域幅の大きさが、識別画像(複数種類のアイコン)又は色の変化によって区分表示されること、或いは、幅の大きさを特定できるようにチャートバーが併記されたり、画像上の幅のサイズ(ピクセル量)を数値化した値が併表示されたりすることが含まれる。 Of these, the display device M includes an image display unit that displays an image of the output ultrasonic image. The output ultrasonic image may be continuously stored in the storage device, and the ultrasonic image may be displayed as an on-time moving image in the order of storage. The output ultrasonic image is a velocity image of the shear wave on the ultrasonic image plane, and the velocity image includes the shear wave image IP of the puncture needle, of which the region of the shear wave image of the puncture needle is included. The width W of is displayed so as to be identifiable. In addition, "the area width is identifiablely displayed" means that the size of the area width is an identification image (multiple types) as shown in FIGS. 13 (8th example) and 14 (9th example) described later. (Icon) or it is displayed separately according to the change in color, a chart bar is also written so that the size of the width can be specified, and the value obtained by quantifying the size of the width (pixel amount) on the image is also displayed. It includes being done.
また、上記せん断波像の領域の幅Wは、針軸と直交する方向の幅をいう。例えば図3の超音波映像面I中の破線で示す方向の幅、或いは、図4ないし図5のZ軸方向の幅が、針軸と直交する方向の幅である。また、図9及び図10の下図群のそれぞれにおいては左上から右下へ向かって斜め方向のせん断波像が示されるところ、このせん断波像の斜め方向軸と直交する方向の幅が、針軸と直交する方向の幅となる。なお、図9及び図10の上図群のそれぞれにおいては画角内の縦方向、横方向のいずれもが、針軸と直交する方向の幅となる。 Further, the width W of the region of the shear wave image means the width in the direction orthogonal to the needle axis. For example, the width in the direction shown by the broken line in the ultrasonic image plane I of FIG. 3, or the width in the Z-axis direction of FIGS. 4 to 5, is the width in the direction orthogonal to the needle axis. Further, in each of the lower figure groups of FIGS. 9 and 10, an oblique shear wave image is shown from the upper left to the lower right, and the width of the shear wave image in the direction orthogonal to the oblique axis is the needle axis. It is the width in the direction orthogonal to. In each of the upper figure groups of FIGS. 9 and 10, both the vertical direction and the horizontal direction within the angle of view have the width in the direction orthogonal to the needle axis.
[構成の詳述]
穿刺針22は、被検体である被検体内へ穿刺可能な針管からなり、針器具2の一構成をなす。針器具2は例えば、器具本体のシリンジと、針管である穿刺針22内に薬液を注入する押し子21とを備える(図1)。また他の形態(実施例2)として、図6に示すように、カテーテル22Kを備えてこの先から穿刺針22が突出する構成とすることができる。また、穿刺針22の先部22Tは穿刺を容易にするための斜め方向のカット端からなる。さらに、針器具2のシリンジ又は押し子21には、発振装置1と導線接続された励振部13が固定される。励振部13は、所定の振幅で穿刺針22を加振させることで、被検体Oの内部に穿刺した穿刺針22から被検体Oの生体内部にせん断波を励起させる。
[Details of configuration]
The
加振装置1は、穿刺針を所定の周波数で加振する。加振の周波数は穿刺針22の針管の長さに応じて設定される。具体的には例えば図6(実施例2)に示すように、生体内部に伝播させるせん断波の周波数を決める発振器11、発振量を増幅させる増幅器12、並びに、穿刺針22に間接的に接続されて穿刺針22を励振する励振部13を含むものとしてもよい。被検体O内の穿刺針22の加振によって、被検体Oの生体組織内をせん断波が伝播する。このせん断波は、穿刺針22の各位置から、穿刺針22の針軸を中心とした、針軸と直交する方向へ伝播する(図2,3,4参照)。
The
超音波プローブ3は、プローブ測定面3Fの先側へ平面状又は曲面状に連なる所定範囲の超音波映像面Iの二次元の超音波映像を取得する。例えば、図6(実施例2)に示すように、固定クリップ3C等によって超音波プローブ3を保持することで、プローブ測定面3Fを被検体Oに押し当てた状態とし、この状態で、プローブ測定面3Fの近傍内部に備えられた複数の超音波探触子によって、被検体O内へ超音波を発受信することで、超音波探触を行う。
The
但し、複数の超音波探触子の発受信方向は面状に連なる範囲に重畳的に設定されている。穿刺針22の加振によって被検体Oの生体組織内にはせん断波が伝播するところ、前記穿刺針22の加振中に超音波プローブ3によって超音波探触することで、被検体Oの生体組織内の一測定面である超音波映像面Iにおける、せん断波の撮像画像が取得される。このせん断波の撮像画像は連続的又は断続的に取得され、有線又は無線の送信手段によって超音波映像装置へ送信される。
However, the generation / reception directions of the plurality of ultrasonic probes are set to be superimposed on the range in which they are connected in a plane. A shear wave propagates in the biological tissue of the subject O due to the vibration of the
超音波映像装置4は、超音波プローブ3で受信したせん断波の撮像画像を、前記超音波映像面I上の超音波映像として出力する。超音波プローブで受信した超音波信号から超音波画像を表示時刻と取得時刻のずれが無いようにオンタイムで再生出力する。
The
また、この超音波映像装置4は例えば、図6(実施例2)に示すように、カラーフロー画像(CFI)システム41、超音波画像からせん断波の波面の伝播像ないし速度像を記憶する記憶装置42、及び、波面マップないし速度マップを再構成するマッピング装置43を選択式に備えたものとしてもよい。
Further, as shown in FIG. 6 (Example 2), for example, the
但し、せん断波の伝播像ないし速度像を得る方法として、前記カラーフロー画像(CFI)システム41に加えて、或いは前記カラーフロー画像(CFI)システム41に変えて、せん断波の伝播による受信超音波の振幅や位相の変化を相関処理して得ても良いし、超音波ドプラ周波数シフト信号から生体組織内部の変位計測を行って得てもよいし、またカラードプラ画像からせん断波の速度像及び伝播像を得るCD SWI法を用いてもよい。
However, as a method of obtaining a propagation image or a velocity image of a shear wave, in addition to the color flow image (CFI)
表示装置Mは、出力された超音波映像を二次元的に画像表示する画像表示部を備える。出力された超音波映像を記憶装置に連続的に記憶し、記憶された順に超音波映像をオンタイムで動画表示するものでもよいし、静止画を並べて又は重ねて表示するものでもよい。 The display device M includes an image display unit that displays the output ultrasonic image in two dimensions. The output ultrasonic image may be continuously stored in the storage device, and the ultrasonic image may be displayed as an on-time moving image in the order of storage, or the still images may be displayed side by side or superimposed.
出力された超音波映像には、超音波映像面におけるせん断波の速度像と、穿刺針のせん断波像IPが含まれており、このうち穿刺針のせん断波像の領域幅(針軸と直交する方向、すなわちY軸方向の幅を言う。)の大きさを特定可能に表示することが好ましい。 The output ultrasonic image includes a shear wave velocity image on the ultrasonic image plane and a shear wave image IP of the puncture needle, of which the region width of the shear wave image of the puncture needle (perpendicular to the needle axis). It is preferable to display the size in the direction of shearing, that is, the width in the Y-axis direction so as to be identifiable.
但し、「領域幅の大きさを特定可能に表示する」とは、例えば後述の図13(第8例)、図14(第9例)のように、幅の大きさを識別画像(複数種類のアイコン)又は色の変化によって区分表示すること、或いは、幅の大きさを特定できるようにチャートバーを併記したり、画像上の領域幅を数値化して当該数値を併表示したりすることが含まれる。 However, "displaying the size of the area width so that it can be specified" means, for example, as shown in FIGS. 13 (8th example) and 14 (9th example) described later, the width size is identified as an identification image (multiple types). (Icon) or display by color change, or add a chart bar so that the size of the width can be specified, or digitize the area width on the image and display the value together. included.
またさらに、必要に応じて、図1(実施例1)に示すように、さらに、前記穿刺針22の加振によるせん断波の撮像画像に基づいて音又は光又は振動のうち少なくともいずれかからなる報知手段を出力する報知装置(S/VG/HM)を選択的に備えるものとしてもよい。
Further, if necessary, as shown in FIG. 1 (Example 1), the
〔実施例2の構成〕
図6に本発明の有効性を確認するための基礎実験系(実施例2)の構成を示す。この構成においては、被検体Oの生体模擬ファントムとしてこんにゃくを用い、当該生体模擬ファントム(被検体O)の表面に超音波プローブ3のプローブ検知面3Fを押し当てた状態とし、固定クリップ3Cによって超音波プローブ3を固定している(図6)。
[Structure of Example 2]
FIG. 6 shows the configuration of a basic experimental system (Example 2) for confirming the effectiveness of the present invention. In this configuration, konjac is used as the biological simulation phantom of the subject O, the
針器具2のシリンジ部に加振装置1の励振部13を装着し、針器具2のカテーテル部22Kの先側に突出した穿刺針22を、生体模擬ファントム内に挿入する。加振装置1によって針器具2を励振することで、穿刺針22から生体模擬ファントムの被検体組織内にせん断波が放射される。
The
超音波プローブ3で受信した超音波信号は超音波映像面Iにおけるせん断波の撮像画像のデータとして取得され、超音波映像装置4に入力される。超音波映像装置4には、撮像画像をカラー画像としてデータ化するカラーフロー画像システム41と、当該データ化した画像データを記憶する記憶装置42と、記憶した画像データを出力画像として再構成するマッピング装置43と、からなる処理装置が備えられる。これらの処理装置によって、表示装置Mにてカラードプラ画像が連続的に再生される。
The ultrasonic signal received by the
この実験では、せん断波の再生のために、ビデオキャプチャデバイスを用いてカラードプラ画像をPC内に取り込み、CD SWI(Color Doppler Shear Wave Imaging)法でせん断波の伝播像及びせん断波の速度像を再構成している。 In this experiment, a color Doppler image was captured in a PC using a video capture device for shear wave reproduction, and a shear wave propagation image and a shear wave velocity image were obtained by the CD SWI (Color Copper Shear Wave Imaging) method. Reconstructing.
[超音波映像システムの動作原理]
上記超音波映像システムは、例えば図2、図3、図6のように被検体内に穿刺した穿刺針22を発振器11によって加振すると共に、被検体O表面であって穿刺針付近から超音波プローブ3によって被検体O内に超音波を送受信して使用する。
[Operating principle of ultrasonic imaging system]
In the ultrasonic imaging system, for example, as shown in FIGS. 2, 3, and 6, the
被検体O内に穿刺した穿刺針22自体から機械的振動波であるせん断波が放射されると、せん断波は被検体Oの生体組織内を伝播する(図2及び図3の符号SWを参照、或いは図6の符号SW1を参照)。せん断波の伝播速度の映像を超音波プローブから送信される超音波で測定し、せん断波の伝播像(本発明において「せん断波の波面の伝播を表す画像」を言う。)やせん断波の速度像(本発明において「せん断波の伝播速度の画像」を言う。)を再生することで、超音波映像装置4によって穿刺針の位置の3次元的位置の可視化を行う。
When a shear wave, which is a mechanical vibration wave, is radiated from the
なお、せん断波の速度像、ないし、せん断波の伝播像を得る方法として、せん断波の伝播による受信超音波の振幅や位相の変化を相関処理して得ても良いし、超音波ドプラ周波数シフト信号から生体組織内部の変位計測を行って得てもよいし、またカラードプラ画像からせん断波の伝播像及びせん断波の速度像を得るCD SWI法を用いてもよい。 As a method of obtaining a shear wave velocity image or a shear wave propagation image, a change in the amplitude or phase of the received ultrasonic wave due to the shear wave propagation may be correlated and obtained, or an ultrasonic Doppler frequency shift may be obtained. The displacement inside the living tissue may be measured from the signal, or the CD SWI method may be used to obtain a propagation image of the shear wave and a velocity image of the shear wave from the color Doppler image.
超音波映像装置4は、穿刺針自体を加振し、穿刺針から放射されるせん断波を超音波映像装置とそれに付帯するせん断波の伝播像と速度像を再生する装置で画像化する。せん断波の速度は、図2,図3に示すように、穿刺針自体が超音波映像面上になくても、穿刺針22のせん断波像IPの領域の幅Wとして示される。
The
超音波映像の撮像画面に表れるせん断波の速度像においては、速度の高い部分としてせん断波像IPが視覚化されるところ、このせん断波像IPの領域幅Wは、図4と図5に比較して示すように、穿刺針と超音波映像面との距離に応じて変化する。具体的には、図4に示すように、穿刺針と超音波映像面との距離が比較的小さいd1のときはせん断波像IPの領域幅Wは比較的細く表示される。 In the velocity image of the shear wave appearing on the image pickup screen of the ultrasonic image, the shear wave image IP is visualized as a high velocity portion, and the region width W of this shear wave image IP is compared with FIGS. 4 and 5. As shown in the above, it changes according to the distance between the puncture needle and the ultrasonic image plane. Specifically, as shown in FIG. 4, when the distance between the puncture needle and the ultrasonic image plane is d1, the region width W of the shear wave image IP is displayed relatively thin.
その一方、図5に示すように、穿刺針と超音波映像面との距離が比較的大きいd2となったとき、せん断波像IPの領域幅Wは比較的太く表示される。このせん断波像IPの領域幅Wの増減量は、理論上、前記距離dの増減量と一定の相関関係にある。このため、予め、速度の高い部分の幅Wと穿刺針-超音波映像面間の距離との関係を実験的に求めておくと、速度の高い部分の幅から穿刺針までの距離が測定できる。 On the other hand, as shown in FIG. 5, when the distance between the puncture needle and the ultrasonic image plane is d2, the region width W of the shear wave image IP is displayed relatively thick. The amount of increase / decrease in the region width W of the shear wave image IP theoretically has a certain correlation with the amount of increase / decrease in the distance d. Therefore, if the relationship between the width W of the high-speed portion and the distance between the puncture needle and the ultrasonic image plane is experimentally obtained in advance, the distance from the width of the high-speed portion to the puncture needle can be measured. ..
せん断波の速度像には、穿刺針22のせん断波像が、超音波映像面を形成する平面(図4、図5におけるx-z平面)内の速度の高い部分として表示される。このせん断波像は、超音波映像面Iにおける穿刺針22の2次元的な位置情報を示すものである。
In the shear wave velocity image, the shear wave image of the
よって、上記穿刺針22の2次元的な位置情報と、上記の穿刺針-超音波映像面間の距離dの情報とを併せて表示することで、穿刺針の3次元的な位置を可視化することができる。この可視化は、三次元的な立体的画像の処理を行う必要がないため、簡易な処理装置であってもオンタイムで表示することが容易である。
Therefore, by displaying the two-dimensional position information of the
[使用状態例]
超音波映像装置の第一及び第二の使用状態として、それぞれ図2及び図3に示すように、被検体O内の静脈Vに向かって穿刺針を穿刺させ、その近傍の被検体Oの表面から超音波プローブ3によって超音波映像Iを取得する例が挙げられる。
[Usage status example]
As the first and second usage states of the ultrasonic imaging device, as shown in FIGS. 2 and 3, a puncture needle is punctured toward the vein V in the subject O, and the surface of the subject O in the vicinity thereof is punctured. There is an example of acquiring an ultrasonic image I by an
但し図2、図3に示す各使用状態例のように、穿刺針が超音波映像面に達していない状態であっても穿刺針と超音波映像面との距離情報を含む二次元映像を得ることができる。例えば図2に示す第一の使用状態例のように、穿刺針の穿刺目標とする静脈Vが超音波映像面Iの片面寄り(面上以外の位置)となるように超音波プローブを設置し、静脈Vのせん断波像と穿刺針のせん断波像が共に超音波映像面Iに表示された状態とすることで、穿刺途中の状態の二次元映像を得ることができる。この二次元映像においては、各せん断波像の領域幅Wが超音波映像面Iまでの距離情報となっている。特に、静脈Vのせん断波像に基づいて、超音波映像面Iと静脈Vとの距離を数値又は色変化又は識別画像で併表示しておき、さらに超音波映像面Iと穿刺針の先端との距離を表示すると、静脈Vと穿刺針との位置関係を容易に把握することができる。
また例えば図3に示す第二の使用状態例のように、穿刺針の穿刺目標とする静脈Vが超音波映像面Iの面上となるように超音波プローブを設置し、穿刺針の進行方向が超音波映像面Iへ向かうように斜めに穿刺することで、静脈Vと穿刺針22の先端との角度や距離を、せん断波像IP全体の領域幅Wの変化度合と、先端IPSの領域幅Wのゼロに近づく度合いとによって直感的に把握することができる。
However, as in each usage state example shown in FIGS. 2 and 3, a two-dimensional image including the distance information between the puncture needle and the ultrasonic image surface is obtained even when the puncture needle does not reach the ultrasonic image surface. be able to. For example, as in the first usage example shown in FIG. 2, an ultrasonic probe is installed so that the vein V, which is the puncture target of the puncture needle, is closer to one side of the ultrasonic image plane I (a position other than the plane). By setting both the shear wave image of the vein V and the shear wave image of the puncture needle to be displayed on the ultrasonic image plane I, a two-dimensional image of the state during the puncture can be obtained. In this two-dimensional image, the region width W of each shear wave image is the distance information to the ultrasonic image plane I. In particular, based on the shear wave image of the vein V, the distance between the ultrasonic image surface I and the vein V is displayed together as a numerical value, a color change, or an identification image, and further, the ultrasonic image surface I and the tip of the puncture needle are displayed together. By displaying the distance of, the positional relationship between the vein V and the puncture needle can be easily grasped.
Further, for example, as in the second usage state example shown in FIG. 3, an ultrasonic probe is installed so that the vein V, which is the puncture target of the puncture needle, is on the surface of the ultrasonic image plane I, and the traveling direction of the puncture needle. By puncturing diagonally toward the ultrasonic image plane I, the angle and distance between the vein V and the tip of the
穿刺針22の振動による超音波波面SWは超音波映像面I上に超音波の速度像として二次元表示され、当該二次元画像には穿刺針22のせん断波像IPが含まれて表示される。せん断波像IPの先端IPSは所定の領域幅Wで表示されており、この領域幅Wは超音波映像面Iと穿刺針22の先端22Tとの距離dを示すものとなっている。
The ultrasonic wave surface SW due to the vibration of the piercing
具体的には、図2に示す第一の使用状態では、せん断波像IPの軸方向の各位置における領域幅Wの相違によって、超音波映像面Iと穿刺針22との距離d並びに超音波映像面Iと静脈V(穿刺目標)との距離を確認し、目的とする穿刺位置との距離乃至角度を、せん断波像IPの領域幅Wによって確認しながら穿刺針を進行させることができる。
Specifically, in the first use state shown in FIG. 2, the distance d between the ultrasonic image plane I and the
また図3に示す第二の使用状態では、超音波映像面Iと穿刺針22との距離dを確認し、目的とする穿刺位置となる静脈V上に超音波映像面Iを設定してから穿刺針22を進行させる。このとき、せん断波像IPの先端IPSの領域幅Wがほぼなくなるとき、穿刺針22の先端22Tが丁度超音波映像面I上にあることを意味する。これにより、領域幅Wの大きさによって穿刺針の先端22Tと超音波映像面の距離を正確に確認しながら穿刺針を進行させることができる。
Further, in the second use state shown in FIG. 3, after confirming the distance d between the ultrasonic image surface I and the
超音波映像装置4によって取得される超音波映像には、図4又は図5の各右図に示すように、穿刺針22の加振によるせん断波のせん断波像IPが含まれる。このせん断波のせん断波像IPは、図4又は図5に対照表示するように、穿刺針と超音波映像面との距離によって、せん断波像IPにおける、穿刺針の軸と直交する方向の領域幅Wが、せん断波の伝播速度を示す長さの指標として二次元表示される。
The ultrasonic image acquired by the
すなわち、せん断波像IPにおける、穿刺針の軸と直交する方向の領域幅Wは、図4のように超音波映像面Iと穿刺針22との距離dが近いときには比較的細く表示される一方、図4の状態から図5のように超音波映像面Iと穿刺針22との距離dが離れたときにはその距離変化に応じて比較的太く表示される。このせん断波像IPにおける領域幅W(穿刺針の軸と直交する方向を幅方向と規定した場合の幅の大きさ)は、下記シミュレーション及び理論により、超音波映像面Iと穿刺針22との距離dに対して一次相関して変化する。
That is, in the shear wave image IP, the region width W in the direction orthogonal to the axis of the puncture needle is displayed relatively thin when the distance d between the ultrasonic image plane I and the
[穿刺針の3次元位置の可視化の理論]
穿刺針自身を加振することで穿刺針からせん断波が放射され、せん断波の速度像を示す超音波映像面には穿刺針のせん断波像IPが伝播速度の高い部分の幅の像として投影される。この伝播速度の高い部分の幅は超音波映像面と穿刺針との距離を示すものとなっており、以下に示すように、超音波映像面に投影されたせん断波の速度像に基づいて、超音波映像面に対する穿刺針の3次元位置を可視化することができる。
[Theory of visualization of 3D position of puncture needle]
Shear waves are radiated from the puncture needle by vibrating the puncture needle itself, and the shear wave image IP of the puncture needle is projected as an image of the width of the part with high propagation speed on the ultrasonic image plane showing the velocity image of the shear wave. Will be done. The width of the portion having a high propagation velocity indicates the distance between the ultrasonic image plane and the puncture needle, and as shown below, based on the velocity image of the shear wave projected on the ultrasonic image plane, The three-dimensional position of the puncture needle with respect to the ultrasonic image plane can be visualized.
(第一挿入モデル:長軸での穿刺針の挿入モデル)
穿刺針と超音波映像面との位置関係を規定した長軸での穿刺針の第一挿入モデルを図7に示す。穿刺針は図に対して垂直方向にあり、半径r0の穿刺針の針軸から距離dだけ離れた位置に超音波映像面があるとする。
(First insertion model: Insertion model of puncture needle on the long axis)
FIG. 7 shows a first insertion model of the puncture needle on the long axis that defines the positional relationship between the puncture needle and the ultrasonic image plane. It is assumed that the puncture needle is in the direction perpendicular to the drawing, and the ultrasonic image plane is located at a position separated by a distance d from the needle axis of the puncture needle having a radius r0 .
(穿刺針の3次元位置推定の理論)
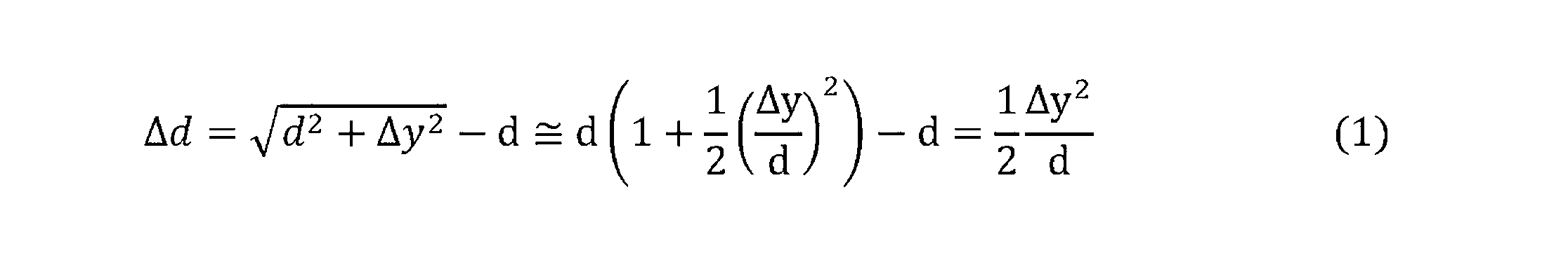
図8に第一挿入モデルの定式化のための変数の定義を示す。図8において、超音波映像面I上の点PからΔyだけ離れた点Qにおける距離差Δdは、下記数式2として示される。
FIG. 8 shows the definition of variables for the formulation of the first insertion model. In FIG. 8, the distance difference Δd at the point Q separated from the point P on the ultrasonic image plane I by Δy is shown by the following
今、半径r0の穿刺針22の中心から、せん断波が球面状に伝播しているとすると、点Pに対する点Qのせん断波の位相差Φは、下記数式3として示される。
ここで、kTはせん断波の波数であり、下記数式4として示される。
また、
λT:媒質における、せん断波の波長
vT:媒質における、せん断波の伝播速度
fb:せん断波の周波数
である。
again,
λ T : Wavelength of the shear wave in the medium v T : Propagation velocity of the shear wave in the medium f b : Frequency of the shear wave.
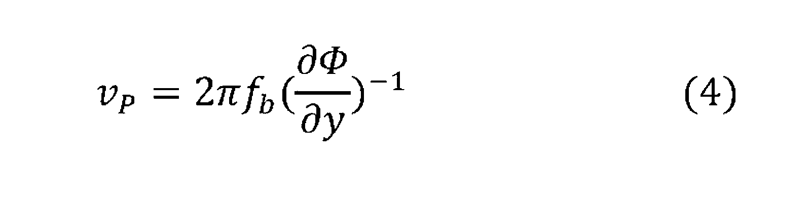
点Qにおける位相差Φのために超音波の映像面のy軸方向には、この位相変化によるせん断波の伝播が生じているように見える。このみかけ(偽り)のせん断波の伝播速度vPは下記数式5として示される。
前記数式3すなわち(2)式より、∂Φ/∂y=(kTΔy)/dであることを考慮すると、みかけ(偽り)のせん断波の伝播速度vPはまた、下記数式6すなわち(5)式として示される。
数式6すなわち(5)式に、前記数式4すなわち(3)式を代入すると、みかけ(偽り)のせん断波の伝播速度vPは、下記数式7すなわち(6)式として示される。
数式7すなわち(6)式より、穿刺針と映像面との距離dが大きいほど超音波映像面のy軸上に現れるみかけ(偽り)の伝播速度vPは、媒質の実際の伝播速度vTに対して高くなる。
From
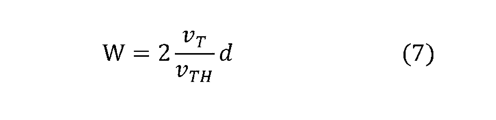
いま、超音波映像面上で、せん断波の伝播速度(みかけの伝播速度)がvP>vTHとなるy軸方向の幅Wを考える。W=2Δy、vP=vTHとおくと、数式7すなわち(6)式より、幅Wは以下数式8すなわち(7)式のように示される。
いま、VTHとして
つまり、VTH以上の伝播速度を示す領域の幅Wを測定することにより、下記数式11すなわち(10)式:
穿刺針の半径はr0であるので、映像面から穿刺針の針端までの距離deは、下記数式12すなわち(11)式:
この方法を用いると、穿刺針22が超音波映像面I上になくても、穿刺針22から超音波映像面Iまでの距離dがせん断波の速度像から把握できることになる。また、上記理論における幅Wは、せん断波の入射方向における穿刺針22のせん断波像IPの幅であるが、穿刺針22が超音波映像面Iとほぼ直交する方向から挿入されるとき(図9の上図、図10の上図)も考慮して、穿刺針の針軸と直交する方向を幅方向と規定したときの領域幅W、と一般化される。
By using this method, even if the
表示装置Mに出力される超音波映像のグラフィック化例(第1例)として、図9に、せん断波の速度像のシミュレーション結果を示す。超音波映像面に対して短軸方向に穿刺針が挿入された場合のせん断波の速度像を図9の上部分に、超音波映像面に対して長軸方向に穿刺針が挿入された場合のせん断波の速度像を図9の下部分に、それぞれ示す。どちらの場合も、穿刺針が超音波映像面に達していなくても、その位置が可視化できているだけでなく超音波映像面と穿刺針の距離が速度の高い部分の幅の違いとして映像化できており、この結果は本発明により穿刺針の3次元位置の可視化ができることを示している。 As a graphic example (first example) of the ultrasonic image output to the display device M, FIG. 9 shows the simulation result of the velocity image of the shear wave. The velocity image of the shear wave when the puncture needle is inserted in the short axis direction with respect to the ultrasonic image plane is shown in the upper part of FIG. 9, and the puncture needle is inserted in the long axis direction with respect to the ultrasonic image plane. The velocity images of the shear waves in FIG. 9 are shown in the lower part of FIG. 9, respectively. In either case, even if the puncture needle does not reach the ultrasonic image surface, not only the position can be visualized, but also the distance between the ultrasonic image surface and the puncture needle is visualized as the difference in the width of the high-speed part. This result shows that the three-dimensional position of the puncture needle can be visualized by the present invention.
前記第1例とは異なる超音波映像のグラフィック化例(第2例)として、図10に、せん断波の伝播像(せん断波の波面の伝播像)のシミュレーション結果を示す。この図10は、せん断波の伝播による位相変化を示す画像であるが、この画像からも穿刺針から放射されるせん断波の波面が表され、この波面の様子からせん断波の波源である穿刺針の位置が判別できる。超音波映像として、前記せん断波の速度像と共に(同一画像内に重畳して或いは別画像として並列して)、このせん断波の伝播像を示すものとしてもよい。 As a graphic example (second example) of an ultrasonic image different from the first example, FIG. 10 shows a simulation result of a shear wave propagation image (a propagation image of a shear wave wave surface). FIG. 10 is an image showing the phase change due to the propagation of the shear wave. This image also shows the wave surface of the shear wave radiated from the piercing needle, and the appearance of this wave surface shows the piercing needle which is the wave source of the shear wave. The position of can be determined. The ultrasonic image may show the propagation image of the shear wave together with the velocity image of the shear wave (superimposed in the same image or in parallel as another image).
生体模擬ファントムとしてこんにゃくを用い、穿刺針に加振器を装着し、穿刺針からファントム内にせん断波が放射される。超音波プローブで受信した超音波信号は汎用の超音波映像装置に入力され、カラードプラ画像が再生される。この実験では、せん断波の再生のためにCD SWI(Color Doppler Shear Wave Imaging)法を用いている。具体的には、カラードプラ画像を、ビデオキャプチャデバイスを用いてPC内に取り込み、CD SWI法でせん断波の伝播像およびせん断波の速度像を再構成する。 Konjac is used as a biological simulation phantom, a shaker is attached to the puncture needle, and a shear wave is radiated from the puncture needle into the phantom. The ultrasonic signal received by the ultrasonic probe is input to a general-purpose ultrasonic imaging device, and a color Doppler image is reproduced. In this experiment, the CD SWI (Color Dropler Shear Wave Imaging) method is used for the reproduction of shear waves. Specifically, a color Doppler image is captured in a PC using a video capture device, and a shear wave propagation image and a shear wave velocity image are reconstructed by the CD SWI method.
[カテーテル部の影響の検証]
図6に示す基礎実験系(実施例2の構成)の穿刺針22は、針管とその周囲にある留置用のカテーテル22Kとからなり、針管を振動させてもカテーテル部の振動振幅は針管部に比べて一般に小さい。このカテーテル部の振動振幅について、本方法による映像化にどの程度の影響があるかを解析したシミュレーション結果を図11に示す。モデルとして、カテーテル部は針管部の変位振幅に対して0.5倍とし、カテーテル部から突き出した針管部の長さLを1.5mmとした。図5の左半面に記載した図が超音波映像面上に穿刺針がある場合で、L=0.0mm(針管とカテーテルに長さの違いがない場合)と比較した。この結果を見ると、穿刺針22の先端22Tの部分においてはL=0.0mmの場合もL=1.5mmの場合もほぼ同じ結果を示しており、この結果からカテーテル部の影響は無視できることが分かる。
[Verification of the effect of the catheter part]
The
[表示画像の加工例]
実施例2の基礎実験系の構成(図6)を用いて、被検体に対して超音波プローブを固定して定位の超音波映像面を規定し、当該超音波映像面と交差して向かう斜めの針軸で穿刺針(24G静脈留置針)を挿入し、これにより得られる穿刺針の二次元表示画像の加工例(左から順に第3例~第7例)を図12に示す。図12の上図は、d=0.0mmに設定し、図12の下図は、d=1.0mmに設定した。左から順に、第3例はCFI(Color Flow Imaging)によるカラー表示画像である。第4例は第3例の画像をせん断波の位相図として示すオンタイム(動画)による表示画像であり、第5例は第3例の画像をせん断波の伝播図として示すオンタイム(動画)による表示画像である。第6例は第3例の画像をせん断波の伝播方向図として色区分してグラデーション表示した表示画像であり、第7例は第3例の画像をせん断波の速度図(伝播速度図)として色区分してグラデーション表示した表示画像である。このうち第5例は、穿刺針の加振によるせん断波の伝播像を、第二の超音波映像としてオンタイム(動画方式)で出力した例である。また前記第7例は、せん断波の速度像を、せん断波の伝播速度に対応する特定のチャートに従って色彩又は濃淡を変化させたグラフィック像によって二次元表示した例である。
[Example of processing display image]
Using the configuration of the basic experimental system of Example 2 (FIG. 6), an ultrasonic probe is fixed to the subject to define a stereotactic ultrasonic image plane, and the ultrasonic image plane is obliquely directed toward the subject. FIG. 12 shows an example of processing (3rd to 7th examples in order from the left) of a two-dimensional display image of the puncture needle obtained by inserting a puncture needle (24G vein indwelling needle) with the needle shaft of the above. The upper figure of FIG. 12 is set to d = 0.0 mm, and the lower figure of FIG. 12 is set to d = 1.0 mm. From left to right, the third example is a color display image by CFI (Color Flow Imaging). The fourth example is an on-time (moving image) display image showing the image of the third example as a phase diagram of the shear wave, and the fifth example is an on-time (moving image) showing the image of the third example as a propagation diagram of the shear wave. It is a display image by. The sixth example is a display image in which the image of the third example is color-coded and displayed in gradation as a propagation direction diagram of the shear wave, and the seventh example is a display image in which the image of the third example is used as a shear wave velocity diagram (propagation velocity diagram). It is a display image that is color-coded and displayed in gradation. Of these, the fifth example is an example in which the propagation image of the shear wave due to the vibration of the puncture needle is output as a second ultrasonic image on time (moving method). Further, the seventh example is an example in which the velocity image of the shear wave is displayed two-dimensionally by a graphic image in which the color or the shade is changed according to a specific chart corresponding to the propagation velocity of the shear wave.
実施例2の基礎実験系の構成(図6)を用いて、超音波映像面と交差する針軸で穿刺針を挿入し、これにより得られる穿刺針の表示の第8例、第9例を図13、図14に示す。図13の第8例の表示方式では、穿刺針22の先端22Tを示すせん断波像IPの先端IPSに、超音波映像面からの距離に応じて異なるパターンのアイコン画像を重ねて描画している。この図において左図は超音波映像面から穿刺針の距離が小さい場合、右図は比較的離れている場合の表示例である。
Using the configuration of the basic experimental system of Example 2 (FIG. 6), the puncture needle is inserted at the needle axis intersecting the ultrasonic image plane, and the eighth and ninth examples of the display of the puncture needle obtained by this are inserted. 13 and 14 are shown. In the display method of the eighth example of FIG. 13, icon images having different patterns depending on the distance from the ultrasonic image plane are superimposed and drawn on the tip IPS of the shear wave image IP showing the
この超音波映像は、加振された穿刺針22のせん断波像IPが二次元像として表示されると共に、当該せん断波像IPにおける、穿刺針の軸と直交する方向の領域幅Wを、表示長さに対応する特定のチャートに従って複数の区分域に区分し、区分域に応じて、一重丸、二重丸、三重丸の各識別画像のうちのいずれかを、せん断波像IPの二次元表示に重ねて表示するものである。
In this ultrasonic image, the shear wave image IP of the
また図14は図13と異なる表示方式であり、超音波映像面から穿刺針の距離に応じて、せん断波像IPの先端IPSの部分のパターン画像内の塗りつぶし色と画像の枠部の線種を変える例である。この図においても左図は超音波映像面から穿刺針の距離が小さい場合、右図は比較的離れている場合の表示例である。 Further, FIG. 14 is a display method different from that of FIG. 13, and the fill color in the pattern image of the tip IPS portion of the shear wave image IP and the line type of the frame portion of the image are shown according to the distance from the ultrasonic image plane to the puncture needle. This is an example of changing. Also in this figure, the left figure is a display example when the distance of the puncture needle from the ultrasonic image plane is small, and the right figure is a display example when the distance is relatively large.
この超音波映像は、加振された穿刺針22のせん断波像IPが二次元像として表示されると共に、当該せん断波像IPにおける、穿刺針の軸と直交する方向の領域幅Wを、表示長さに対応する特定のチャートに従って複数の区分域に区分し、区分域に応じて、青色、黄色、赤色の各識別画像のうちのいずれかを、せん断波像IPの二次元表示に重ねて透過してカラー表示するものである。
In this ultrasonic image, the shear wave image IP of the
なお、これらの表示とともに、超音波映像面から穿刺針の距離に応じて、音の周波数、リズム、強弱などを変えて音を画像と同時に出力し、検査者が視覚と聴覚で穿刺針の位置を知ることも可能である。この場合、例えば図1に示すスピーカS,眼鏡型の仮想画像表示グラスVG,携帯端末HMのいずれかを選択して又はこれら一つ以上を組み合わせて報知装置として使用することができる。 Along with these displays, the sound is output at the same time as the image by changing the frequency, rhythm, intensity, etc. of the sound according to the distance of the puncture needle from the ultrasonic image surface, and the examiner visually and auditorily positions the puncture needle. It is also possible to know. In this case, for example, any one of the speaker S shown in FIG. 1, the eyeglass-type virtual image display glass VG, and the mobile terminal HM can be selected, or one or more of these can be used as a notification device in combination.
これら報知装置(S/VG/HM)は、加振された穿刺針22のせん断波像IPにおける、穿刺針の軸と直交する方向の領域幅Wが、表示長さに対応する特定のチャートに従って複数の区分域に区分され、区分域に応じた報知手段を音の周波数の違い、リズムの違い、音量の違いのいずれかによって区別して発する。これにより、穿刺針と超音波映像面までの距離を音の周波数の違い、リズムの違い、音量の違いで施療者或いはその補助者に画像とともに伝えることができる。
In these notification devices (S / VG / HM), the region width W in the direction orthogonal to the axis of the puncture needle in the shear wave image IP of the
上記実施の形態に係る超音波映像システムによれば、簡易な二次元画像処理を行う二次元プローブを用いていながら、穿刺針と超音波映像面との距離を示すことで、実質的に三次元的な針の位置を表示することができる。これにより、穿刺針の位置及び進行方向を画像によってオンタイムで直感的に視認することができ、針を安全、確実に必要な患部位置へと導くことのできる穿刺施療のナビゲーションシステム又はその表示装置となる。 According to the ultrasonic image system according to the above embodiment, by showing the distance between the puncture needle and the ultrasonic image surface while using a two-dimensional probe that performs simple two-dimensional image processing, it is substantially three-dimensional. The position of the target needle can be displayed. As a result, the position and traveling direction of the puncture needle can be intuitively visually recognized on-time by an image, and the puncture treatment navigation system or its display device can safely and surely guide the needle to the required affected area position. Will be.
また、せん断波の速度像よりせん断波の波源、つまり穿刺針の位置が可視化できるものとなった。すなわち、穿刺針を加振し、せん断波の速度像を得た時に、速度像の幅から2次元超音波映像面と穿刺針の距離がわかるのであるが、ここで距離が小さければ小さいほど、せん断波の速度が高くなる部分の幅は非常に細くなり、可視化がしづらくなる。本発明ではこれを避けるために、せん断波の速度像だけでなく、せん断波の伝播像をも使うこととした。ここで、せん断波の波面をせん断波の速度像と一緒に表示することで、特に穿刺針が超音波映像面に近く、せん断波の速度像の幅が狭くなる時に、穿刺針の位置の可視化が容易となった。 In addition, the source of the shear wave, that is, the position of the puncture needle can be visualized from the velocity image of the shear wave. That is, when the puncture needle is vibrated and a velocity image of the shear wave is obtained, the distance between the two-dimensional ultrasonic image plane and the puncture needle can be known from the width of the velocity image. The width of the part where the velocity of the shear wave is high becomes very narrow, and it becomes difficult to visualize. In the present invention, in order to avoid this, not only the velocity image of the shear wave but also the propagation image of the shear wave is used. Here, by displaying the wave surface of the shear wave together with the velocity image of the shear wave, the position of the puncture needle can be visualized especially when the puncture needle is close to the ultrasonic image plane and the width of the velocity image of the shear wave becomes narrow. Has become easier.
また本発明では、せん断波の速度像より、超音波映像面内での穿刺針の2次元的位置とともに、速度の高い部分の幅すなわち領域幅から超音波映像面と穿刺針の距離が測定できる。これにより2次元のせん断波の速度像から穿刺針の位置の3次元的な位置計測が簡易な構成で可視化されるようになった。 Further, in the present invention, the distance between the ultrasonic image plane and the puncture needle can be measured from the velocity image of the shear wave, as well as the two-dimensional position of the puncture needle in the ultrasonic image plane and the width of the high velocity portion, that is, the region width. .. As a result, the three-dimensional position measurement of the position of the puncture needle can be visualized with a simple configuration from the velocity image of the two-dimensional shear wave.
特に、穿刺針が超音波映像面になくても、加振している穿刺針の影響を受けて、せん断波の速度像から3次元計測ができるという特徴を有する。すなわち本発明では、穿刺針が超音波映像面上にないときにも詳細な3次元位置計測を行うために高度な予測処理が不要であり、簡易な計算機の構成をもって実時間とのタイミングのずれのないように計測処理することができる。 In particular, even if the puncture needle is not on the ultrasonic image plane, it is affected by the vibrating puncture needle, and has a feature that three-dimensional measurement can be performed from the velocity image of the shear wave. That is, in the present invention, advanced prediction processing is not required to perform detailed three-dimensional position measurement even when the puncture needle is not on the ultrasonic image plane, and the timing deviation from the real time is provided by a simple computer configuration. It is possible to measure and process so that there is no such thing.
上記及び各図のシミュレーション及び基礎実験により、本発明の従来法に対する有効性が明らかになった。これにより、医療事故を生じやすい穿刺において、3次元的な穿刺針の把握が可能になり、より安全で、正確な穿刺が可能になることが効果として挙げられる。 The above and the simulations and basic experiments in each figure have revealed the effectiveness of the present invention with respect to the conventional method. This makes it possible to grasp the three-dimensional puncture needle in punctures that are prone to medical accidents, and it is possible to perform safer and more accurate punctures as an effect.
尤も、3次元での穿刺針の位置計測と可視化を行う場合、超音波映像面と穿刺針の距離が小さければ小さいほど、せん断波の速度が高くなる部分の幅は非常に細くなり、画像として可視しづらくなる。これを避けるため、せん断波の速度像だけでなく、せん断波の伝播像を画面上に同時に併表示できるようにした。波面をせん断波の速度像と一緒に表示することで、特に穿刺針が超音波映像面に近く、せん断波の速度像の幅(領域幅)が小さくなるときにも、穿刺針の三次元位置の可視化が容易となった。 However, when measuring and visualizing the position of the puncture needle in three dimensions, the smaller the distance between the ultrasonic image plane and the puncture needle, the narrower the width of the part where the speed of the shear wave increases, and the image becomes It becomes difficult to see. In order to avoid this, not only the velocity image of the shear wave but also the propagation image of the shear wave can be displayed simultaneously on the screen. By displaying the wave surface together with the velocity image of the shear wave, the three-dimensional position of the puncture needle is particularly close to the ultrasonic image plane and the width (region width) of the velocity image of the shear wave becomes small. Has become easier to visualize.
また、せん断波の速度像の幅(領域幅)を数値表示し、或いはチャートによる区分に基づいた識別画像を表示するようにしてもよい。この場合でも、3次元での穿刺針の可視化が容易となる。 Further, the width (region width) of the velocity image of the shear wave may be displayed numerically, or the identification image based on the classification by the chart may be displayed. Even in this case, the visualization of the puncture needle in three dimensions becomes easy.
その他、本システムの他の適用例を以下イ)ロ)ハ)に示す。
イ)プラスチックカニューレ型穿刺針による穿刺における穿刺針の3次元ナビゲーション
ロ)カテラン針による膝蓋腔や肋膜からの採液時、膝関節や肘関節への穿刺による造影剤注入時、仙骨麻酔等体内の深部への穿刺の針の3次元ナビゲーション
ハ)スパイナル針による脊髄液採取時、局所麻酔時の針の3次元ナビゲーション
In addition, other application examples of this system are shown in a) b) c) below.
B) Three-dimensional navigation of the puncture needle in puncture with a plastic cannula type puncture needle b) When collecting fluid from the patellar cavity or choroid with a cateran needle, when injecting a contrast agent by puncturing the knee joint or elbow joint, in the body such as sacral anesthesia Three-dimensional navigation of the needle for deep puncture c) Three-dimensional navigation of the needle during spinal fluid collection and local anesthesia with a spinal needle
以上、本発明の実施の形態を詳細に説明したが、前述までの説明はあらゆる点において本発明の例示に過ぎない。本発明の範囲を逸脱することなく、種々の改良や変更を行うことができることは言うまでもない。 Although the embodiments of the present invention have been described in detail above, the above description is merely an example of the present invention in all respects. Needless to say, various improvements and changes can be made without departing from the scope of the present invention.
例えば、穿刺針自体を加振し、せん断波を生体組織内に放射する形態のほか、穿刺針への加振は、穿刺針に加振器を装着してもよいし、或いは、施療者の指に装着する形式の指装着型加振器で穿刺針を触ることで、振動を穿刺針に伝達してもよい。 For example, in addition to the form in which the puncture needle itself is vibrated and the shear wave is radiated into the living tissue, the puncture needle may be vibrated by attaching a shaker to the puncture needle, or by the practitioner. The vibration may be transmitted to the puncture needle by touching the puncture needle with a finger-mounted type exciter that is worn on the finger.
他に例えば、せん断波の速度像を再生する方法は、CD SWI法でもよいし、他の方法、たとえば相関法(画像内の2点で受信超音波の振幅ないし位相の変化を記録し、この相関をとることで、せん断波の速度を測る方法)や、変位計測法(受信超音波ドプラ信号から生体内組織の微小変位を求め、2点で測定した変位の相関をとることでせん断波の速度を測定する方法)でも良い。 Alternatively, for example, the method of reproducing the velocity image of the shear wave may be the CD SWI method, or another method, for example, the correlation method (the change in the amplitude or phase of the received ultrasonic wave is recorded at two points in the image, and this method is used. By taking the correlation, the speed of the shear wave is measured) and the displacement measurement method (the minute displacement of the tissue in the living body is obtained from the received ultrasonic Doppler signal), and the displacement measured at two points is correlated to the shear wave. Method of measuring speed) may be used.
1 加振装置
22 穿刺針
3 超音波プローブ
4 超音波映像装置
I 超音波映像面
IP せん断波像
W せん断波像の領域幅
d、d1、d2 超音波映像面と穿刺針との距離
S、VG、HM 報知装置
SW 波面
IPS せん断波像の先端
1
Claims (8)
穿刺針を加振する加振装置と、
面状に連なる所定範囲の超音波映像面への送受信により、当該超音波映像面の二次元の超音波映像を取得する超音波プローブと、
前記穿刺針の加振によるせん断波の速度像を、前記超音波映像面上の超音波映像として出力する超音波映像装置と、を備えた超音波映像システムであって、
前記超音波映像面上の超音波映像において、
穿刺針のせん断波像が、せん断波の伝播速度を示す領域幅の像として二次元表示されるものであり、
当該せん断波像における、穿刺針の軸と直交する方向の領域幅は、
超音波映像面と穿刺針との距離に一次相関することを特徴とする超音波映像システム。 A puncture needle that can puncture the subject and
A vibration device that vibrates the puncture needle and
An ultrasonic probe that acquires a two-dimensional ultrasonic image of the ultrasonic image surface by transmitting and receiving to and from a predetermined range of ultrasonic image surfaces that are connected in a plane.
An ultrasonic image system including an ultrasonic image device that outputs a velocity image of a shear wave due to vibration of the puncture needle as an ultrasonic image on the ultrasonic image surface.
In the ultrasonic image on the ultrasonic image surface,
The shear wave image of the puncture needle is displayed two-dimensionally as an image of the region width showing the propagation velocity of the shear wave.
In the shear wave image, the area width in the direction orthogonal to the axis of the puncture needle is
An ultrasonic imaging system characterized in that it has a first-order correlation with the distance between the ultrasonic imaging surface and the puncture needle.
穿刺針のせん断波像における、穿刺針の軸と直交する方向の領域幅Wが、下記式として示される請求項1に記載の超音波映像システム。
W=2VT/VTH・d
但し、d:超音波映像面と穿刺針との距離であり、VT:せん断波の実際の伝播速度であり、VTH:超音波映像面上に表れるみかけの伝播速度に対する閾値であり、W:閾値VTHを超えるみかけの伝播速度を有する領域幅である。 In the ultrasonic image on the ultrasonic image surface,
The ultrasonic imaging system according to claim 1, wherein the region width W in the direction orthogonal to the axis of the puncture needle in the shear wave image of the puncture needle is represented by the following equation.
W = 2V T / V TH · d
However, d: the distance between the ultrasonic image plane and the puncture needle, VT: the actual propagation speed of the shear wave, VTH : the threshold value for the apparent propagation speed appearing on the ultrasonic image plane, W. : Region width having an apparent propagation velocity exceeding the threshold VTH .
穿刺針の加振によるせん断波の伝播像を、超音波映像面上の第二の超音波映像として出力し得る、請求項1又は2に記載の超音波映像システム。 The ultrasonic imaging device is
The ultrasonic image system according to claim 1 or 2, which can output a propagation image of a shear wave due to vibration of a piercing needle as a second ultrasonic image on an ultrasonic image surface.
前記せん断波の速度像が、せん断波の伝播速度に対応する特定のチャートに従って色彩又は濃淡を変化させたグラフィック像によって二次元表示される、請求項1、2、又は3のいずれか1項に記載の超音波映像システム。 In the ultrasonic image on the ultrasonic image surface,
In any one of claims 1, 2 or 3, the shear wave velocity image is displayed two-dimensionally by a graphic image in which the color or the shade is changed according to a specific chart corresponding to the shear wave propagation velocity. The described ultrasound imaging system.
穿刺針のせん断波像が二次元像として表示されると共に、
当該せん断波像における、穿刺針の軸と直交する方向の領域幅が、表示長さに対応する特定のチャートに従って数値表示される、請求項1、2、3、又は4のいずれか1項に記載の超音波映像システム。 In the ultrasonic image on the ultrasonic image surface,
The shear wave image of the puncture needle is displayed as a two-dimensional image, and
In any one of claims 1, 2, 3, or 4, the region width in the shear wave image in the direction orthogonal to the axis of the puncture needle is numerically displayed according to a specific chart corresponding to the display length. The described ultrasound imaging system.
穿刺針のせん断波像が二次元像として表示されると共に、
当該せん断波像における、穿刺針の軸と直交する方向の領域幅が、表示長さに対応する特定のチャートに従って複数の区分域に区分され、区分域に応じた識別画像が、せん断波像の二次元表示に重ねて表示される、請求項1、2、3、又は4のいずれか1項に記載の超音波映像システム。 In the ultrasonic image on the ultrasonic image surface,
The shear wave image of the puncture needle is displayed as a two-dimensional image, and
In the shear wave image, the region width in the direction orthogonal to the axis of the puncture needle is divided into a plurality of division regions according to a specific chart corresponding to the display length, and the identification image corresponding to the division region is the shear wave image. The ultrasonic imaging system according to any one of claims 1, 2, 3, or 4, which is displayed overlaid on a two-dimensional display.
当該報知装置は、
穿刺針のせん断波像における、穿刺針の軸と直交する方向の領域幅が、表示長さに対応する特定のチャートに従って複数の区分域に区分され、区分域に応じた報知手段を区別して発する、請求項1、2、3、4、又は5のいずれか1項に記載の超音波映像システム。 An ultrasonic imaging system further provided with a notification device that outputs a notification means consisting of sound, light, or vibration based on a velocity image of a shear wave due to the vibration of the puncture needle.
The notification device is
In the shear wave image of the puncture needle, the area width in the direction orthogonal to the axis of the puncture needle is divided into a plurality of division areas according to a specific chart corresponding to the display length, and the notification means according to the division area is distinguished and emitted. , The ultrasonic imaging system according to any one of claims 1, 2, 3, 4, or 5.
穿刺針を加振する加振装置と、
面状に連なる所定範囲の超音波映像面への送受信により、当該超音波映像面の二次元の超音波映像を取得する超音波プローブとに接続されて、請求項1~7のいずれか1項に記載の超音波映像システムを構成する超音波映像装置であって、
前記穿刺針の加振によるせん断波の速度像を、前記超音波映像面上の超音波映像として出力するものであり、
前記超音波映像面上の超音波映像において、
穿刺針のせん断波像を、せん断波の伝播速度を示す領域幅の像とした二次元表示として出力するものであり、
当該せん断波像における、穿刺針の軸と直交する方向の領域幅は、
超音波映像面と穿刺針との距離に一次相関することを特徴とする超音波映像装置。 A puncture needle that can puncture the subject and
A vibration device that vibrates the puncture needle and
Any one of claims 1 to 7 is connected to an ultrasonic probe that acquires a two-dimensional ultrasonic image of the ultrasonic image surface by transmitting and receiving to and from a predetermined range of ultrasonic image surfaces connected in a plane. An ultrasonic imaging device constituting the ultrasonic imaging system described in 1.
The velocity image of the shear wave due to the vibration of the puncture needle is output as an ultrasonic image on the ultrasonic image surface.
In the ultrasonic image on the ultrasonic image surface,
The shear wave image of the puncture needle is output as a two-dimensional display as an image of the region width showing the propagation velocity of the shear wave.
In the shear wave image, the area width in the direction orthogonal to the axis of the puncture needle is
An ultrasonic imaging device characterized in that it has a first-order correlation with the distance between the ultrasonic imaging surface and the puncture needle.
Priority Applications (1)
| Application Number | Priority Date | Filing Date | Title |
|---|---|---|---|
| JP2018075813A JP7083993B2 (en) | 2018-04-11 | 2018-04-11 | Ultrasound imaging system and ultrasound imaging equipment |
Applications Claiming Priority (1)
| Application Number | Priority Date | Filing Date | Title |
|---|---|---|---|
| JP2018075813A JP7083993B2 (en) | 2018-04-11 | 2018-04-11 | Ultrasound imaging system and ultrasound imaging equipment |
Publications (2)
| Publication Number | Publication Date |
|---|---|
| JP2019180870A JP2019180870A (en) | 2019-10-24 |
| JP7083993B2 true JP7083993B2 (en) | 2022-06-14 |
Family
ID=68338270
Family Applications (1)
| Application Number | Title | Priority Date | Filing Date |
|---|---|---|---|
| JP2018075813A Active JP7083993B2 (en) | 2018-04-11 | 2018-04-11 | Ultrasound imaging system and ultrasound imaging equipment |
Country Status (1)
| Country | Link |
|---|---|
| JP (1) | JP7083993B2 (en) |
Cited By (1)
| Publication number | Priority date | Publication date | Assignee | Title |
|---|---|---|---|---|
| KR20200071392A (en) * | 2018-12-11 | 2020-06-19 | 삼성메디슨 주식회사 | Ultrasound imaging apparatus, method for controlling the same, and computer program product |
Families Citing this family (1)
| Publication number | Priority date | Publication date | Assignee | Title |
|---|---|---|---|---|
| JP7609363B2 (en) * | 2020-02-29 | 2025-01-07 | 国立大学法人群馬大学 | Ultrasound Imaging Device |
Citations (6)
| Publication number | Priority date | Publication date | Assignee | Title |
|---|---|---|---|---|
| JP2014000260A (en) | 2012-06-19 | 2014-01-09 | Toshiba Corp | Ultrasonic diagnostic device, medical image processor, medical image processing method and medical image processing program |
| JP2015013069A (en) | 2013-07-08 | 2015-01-22 | ジーイー・メディカル・システムズ・グローバル・テクノロジー・カンパニー・エルエルシー | Ultrasonic diagnostic apparatus and control program thereof |
| JP2016047190A (en) | 2014-08-28 | 2016-04-07 | ジーイー・メディカル・システムズ・グローバル・テクノロジー・カンパニー・エルエルシー | Ultrasonic diagnostic device and control program thereof |
| JP2017064183A (en) | 2015-09-30 | 2017-04-06 | 東芝メディカルシステムズ株式会社 | Medical image diagnostic apparatus, medical image processing apparatus, and medical information display control method |
| JP2017148407A (en) | 2016-02-26 | 2017-08-31 | コニカミノルタ株式会社 | Ultrasound diagnostic apparatus and control program |
| WO2018060499A1 (en) | 2016-09-30 | 2018-04-05 | Koninklijke Philips N.V. | Tracking a feature of an interventional device |
Family Cites Families (1)
| Publication number | Priority date | Publication date | Assignee | Title |
|---|---|---|---|---|
| JPH0492647A (en) * | 1990-08-09 | 1992-03-25 | Yokogawa Medical Syst Ltd | Piercing needle holding device for doppler imaging ultrasonic diagnostic device |
-
2018
- 2018-04-11 JP JP2018075813A patent/JP7083993B2/en active Active
Patent Citations (6)
| Publication number | Priority date | Publication date | Assignee | Title |
|---|---|---|---|---|
| JP2014000260A (en) | 2012-06-19 | 2014-01-09 | Toshiba Corp | Ultrasonic diagnostic device, medical image processor, medical image processing method and medical image processing program |
| JP2015013069A (en) | 2013-07-08 | 2015-01-22 | ジーイー・メディカル・システムズ・グローバル・テクノロジー・カンパニー・エルエルシー | Ultrasonic diagnostic apparatus and control program thereof |
| JP2016047190A (en) | 2014-08-28 | 2016-04-07 | ジーイー・メディカル・システムズ・グローバル・テクノロジー・カンパニー・エルエルシー | Ultrasonic diagnostic device and control program thereof |
| JP2017064183A (en) | 2015-09-30 | 2017-04-06 | 東芝メディカルシステムズ株式会社 | Medical image diagnostic apparatus, medical image processing apparatus, and medical information display control method |
| JP2017148407A (en) | 2016-02-26 | 2017-08-31 | コニカミノルタ株式会社 | Ultrasound diagnostic apparatus and control program |
| WO2018060499A1 (en) | 2016-09-30 | 2018-04-05 | Koninklijke Philips N.V. | Tracking a feature of an interventional device |
Cited By (2)
| Publication number | Priority date | Publication date | Assignee | Title |
|---|---|---|---|---|
| KR20200071392A (en) * | 2018-12-11 | 2020-06-19 | 삼성메디슨 주식회사 | Ultrasound imaging apparatus, method for controlling the same, and computer program product |
| KR102747176B1 (en) | 2018-12-11 | 2024-12-27 | 삼성메디슨 주식회사 | Ultrasound imaging apparatus, method for controlling the same, and computer program product |
Also Published As
| Publication number | Publication date |
|---|---|
| JP2019180870A (en) | 2019-10-24 |
Similar Documents
| Publication | Publication Date | Title |
|---|---|---|
| JP6085366B2 (en) | Ultrasound imaging system for image guidance procedure and method of operation thereof | |
| JP4467927B2 (en) | Ultrasonic diagnostic equipment | |
| RU2688316C1 (en) | System and method for penetrating tool tracking | |
| US5967990A (en) | Surgical probe comprising visible markings on an elastic membrane | |
| CN106456135B (en) | medical system | |
| JP6514213B2 (en) | Ultrasonic navigation / tissue characterization combination | |
| EP2147636B1 (en) | Device and method for guiding surgical tools by ultrasonic imaging | |
| US20150173619A1 (en) | Organ mapping system using an optical coherence tomography probe | |
| Xia et al. | Looking beyond the imaging plane: 3D needle tracking with a linear array ultrasound probe | |
| KR101984824B1 (en) | Method and apparatus for analyzing elastography of tissue using ultrasound | |
| JP2021510107A (en) | Three-dimensional imaging and modeling of ultrasound image data | |
| CN116058873A (en) | Interoperation optimization function through Doppler and image-based vessel discrimination | |
| WO2014174305A2 (en) | A method and apparatus for determining the location of a medical instrument with respect to ultrasound imaging, and a medical instrument to facilitate such determination | |
| US20170095226A1 (en) | Ultrasonic diagnostic apparatus and medical image diagnostic apparatus | |
| EP3461402A1 (en) | Interactive display of selected ecg channels | |
| CN102781337A (en) | Imaging apparatus | |
| CN109715054A (en) | The visualization of image object relevant to the instrument in external image | |
| EP4138671A1 (en) | Vascular system visualization | |
| JP2018023610A (en) | Ultrasonic measuring apparatus and control method | |
| JP2009279290A (en) | Medical image diagnostic apparatus | |
| JP7083993B2 (en) | Ultrasound imaging system and ultrasound imaging equipment | |
| CN108135577B (en) | Medical system | |
| JP2021186284A (en) | Ultrasonic imaging apparatus, treatment support system and image display method | |
| US20110196376A1 (en) | Osteo-navigation | |
| CN100473355C (en) | System for introducing a medical instrument into a patient |
Legal Events
| Date | Code | Title | Description |
|---|---|---|---|
| A621 | Written request for application examination |
Free format text: JAPANESE INTERMEDIATE CODE: A621 Effective date: 20210406 |
|
| A977 | Report on retrieval |
Free format text: JAPANESE INTERMEDIATE CODE: A971007 Effective date: 20220324 |
|
| TRDD | Decision of grant or rejection written | ||
| A01 | Written decision to grant a patent or to grant a registration (utility model) |
Free format text: JAPANESE INTERMEDIATE CODE: A01 Effective date: 20220426 |
|
| A61 | First payment of annual fees (during grant procedure) |
Free format text: JAPANESE INTERMEDIATE CODE: A61 Effective date: 20220524 |
|
| R150 | Certificate of patent or registration of utility model |
Ref document number: 7083993 Country of ref document: JP Free format text: JAPANESE INTERMEDIATE CODE: R150 |
|
| R250 | Receipt of annual fees |
Free format text: JAPANESE INTERMEDIATE CODE: R250 |











