JP2023049580A - polycyclic aromatic compounds - Google Patents
polycyclic aromatic compounds Download PDFInfo
- Publication number
- JP2023049580A JP2023049580A JP2021159388A JP2021159388A JP2023049580A JP 2023049580 A JP2023049580 A JP 2023049580A JP 2021159388 A JP2021159388 A JP 2021159388A JP 2021159388 A JP2021159388 A JP 2021159388A JP 2023049580 A JP2023049580 A JP 2023049580A
- Authority
- JP
- Japan
- Prior art keywords
- ring
- substituted
- layer
- polycyclic aromatic
- unsubstituted
- Prior art date
- Legal status (The legal status is an assumption and is not a legal conclusion. Google has not performed a legal analysis and makes no representation as to the accuracy of the status listed.)
- Pending
Links
Images
Classifications
-
- C—CHEMISTRY; METALLURGY
- C07—ORGANIC CHEMISTRY
- C07F—ACYCLIC, CARBOCYCLIC OR HETEROCYCLIC COMPOUNDS CONTAINING ELEMENTS OTHER THAN CARBON, HYDROGEN, HALOGEN, OXYGEN, NITROGEN, SULFUR, SELENIUM OR TELLURIUM
- C07F5/00—Compounds containing elements of Groups 3 or 13 of the Periodic Table
- C07F5/02—Boron compounds
-
- C—CHEMISTRY; METALLURGY
- C09—DYES; PAINTS; POLISHES; NATURAL RESINS; ADHESIVES; COMPOSITIONS NOT OTHERWISE PROVIDED FOR; APPLICATIONS OF MATERIALS NOT OTHERWISE PROVIDED FOR
- C09K—MATERIALS FOR MISCELLANEOUS APPLICATIONS, NOT PROVIDED FOR ELSEWHERE
- C09K11/00—Luminescent, e.g. electroluminescent, chemiluminescent materials
- C09K11/06—Luminescent, e.g. electroluminescent, chemiluminescent materials containing organic luminescent materials
-
- H—ELECTRICITY
- H10—SEMICONDUCTOR DEVICES; ELECTRIC SOLID-STATE DEVICES NOT OTHERWISE PROVIDED FOR
- H10K—ORGANIC ELECTRIC SOLID-STATE DEVICES
- H10K50/00—Organic light-emitting devices
- H10K50/10—OLEDs or polymer light-emitting diodes [PLED]
- H10K50/11—OLEDs or polymer light-emitting diodes [PLED] characterised by the electroluminescent [EL] layers
- H10K50/12—OLEDs or polymer light-emitting diodes [PLED] characterised by the electroluminescent [EL] layers comprising dopants
-
- H—ELECTRICITY
- H10—SEMICONDUCTOR DEVICES; ELECTRIC SOLID-STATE DEVICES NOT OTHERWISE PROVIDED FOR
- H10K—ORGANIC ELECTRIC SOLID-STATE DEVICES
- H10K50/00—Organic light-emitting devices
- H10K50/10—OLEDs or polymer light-emitting diodes [PLED]
- H10K50/14—Carrier transporting layers
- H10K50/15—Hole transporting layers
-
- H—ELECTRICITY
- H10—SEMICONDUCTOR DEVICES; ELECTRIC SOLID-STATE DEVICES NOT OTHERWISE PROVIDED FOR
- H10K—ORGANIC ELECTRIC SOLID-STATE DEVICES
- H10K50/00—Organic light-emitting devices
- H10K50/10—OLEDs or polymer light-emitting diodes [PLED]
- H10K50/14—Carrier transporting layers
- H10K50/16—Electron transporting layers
-
- H—ELECTRICITY
- H10—SEMICONDUCTOR DEVICES; ELECTRIC SOLID-STATE DEVICES NOT OTHERWISE PROVIDED FOR
- H10K—ORGANIC ELECTRIC SOLID-STATE DEVICES
- H10K85/00—Organic materials used in the body or electrodes of devices covered by this subclass
- H10K85/60—Organic compounds having low molecular weight
- H10K85/658—Organoboranes
-
- Y—GENERAL TAGGING OF NEW TECHNOLOGICAL DEVELOPMENTS; GENERAL TAGGING OF CROSS-SECTIONAL TECHNOLOGIES SPANNING OVER SEVERAL SECTIONS OF THE IPC; TECHNICAL SUBJECTS COVERED BY FORMER USPC CROSS-REFERENCE ART COLLECTIONS [XRACs] AND DIGESTS
- Y02—TECHNOLOGIES OR APPLICATIONS FOR MITIGATION OR ADAPTATION AGAINST CLIMATE CHANGE
- Y02E—REDUCTION OF GREENHOUSE GAS [GHG] EMISSIONS, RELATED TO ENERGY GENERATION, TRANSMISSION OR DISTRIBUTION
- Y02E10/00—Energy generation through renewable energy sources
- Y02E10/50—Photovoltaic [PV] energy
- Y02E10/549—Organic PV cells
Landscapes
- Chemical & Material Sciences (AREA)
- Physics & Mathematics (AREA)
- Optics & Photonics (AREA)
- Organic Chemistry (AREA)
- Engineering & Computer Science (AREA)
- Materials Engineering (AREA)
- Spectroscopy & Molecular Physics (AREA)
- Electroluminescent Light Sources (AREA)
- Led Devices (AREA)
- Inorganic Chemistry (AREA)
Abstract
Description
本発明は、多環芳香族化合物、これを用いた有機電界発光素子、有機電界効果トランジスタおよび有機薄膜太陽電池などの有機デバイス、並びに、表示装置および照明装置に関する。 TECHNICAL FIELD The present invention relates to a polycyclic aromatic compound, an organic device using the same, such as an organic electroluminescent device, an organic field effect transistor, and an organic thin film solar cell, as well as a display device and a lighting device.
従来、電界発光する発光素子を用いた表示装置は、省電力化や薄型化が可能なことから、種々研究され、さらに、有機材料から成る有機電界発光素子は、軽量化や大型化が容易なことから活発に検討されてきた。特に、光の三原色の1つである青色や緑色などの発光特性を有する有機材料の開発、および正孔、電子などの電荷輸送能(半導体や超電導体となる可能性を有する)を備えた有機材料の開発については、高分子化合物、低分子化合物を問わずこれまで活発に研究されてきた。 Conventionally, display devices using light-emitting elements that emit electroluminescence have been studied in various ways because they can be reduced in power consumption and thickness. Further, organic electroluminescence elements made of organic materials can be easily reduced in weight and increased in size. has been actively investigated. In particular, the development of organic materials that emit light in one of the three primary colors of light, such as blue and green, and the ability to transport electrons and holes (potentially becoming semiconductors and superconductors). The development of materials has been actively researched, regardless of whether they are high-molecular compounds or low-molecular-weight compounds.
有機EL素子は、陽極および陰極からなる一対の電極と、当該一対の電極間に配置され、有機化合物を含む一層または複数の層とからなる構造を有する。有機化合物を含む層には、発光層や、正孔、電子などの電荷を輸送または注入する電荷輸送/注入層などがあるが、これらの層に適当な種々の有機材料が開発されている。 An organic EL element has a structure comprising a pair of electrodes consisting of an anode and a cathode, and one or more layers interposed between the pair of electrodes and containing an organic compound. Layers containing organic compounds include light-emitting layers and charge transport/injection layers that transport or inject charges such as holes and electrons. Various organic materials suitable for these layers have been developed.
発光層用の発光材料としては、現在、蛍光材料、燐光材料、熱活性型遅延蛍光(TADF)材料の3種類が利用されている。例えば、蛍光材料ではアザボリン誘導体を改良した材料などが報告されており(特許文献1)、燐光材料では多座配位子を有する貴金属錯体などが開発されており(特許文献2)、熱活性型遅延蛍光(TADF)材料ではカルバゾニトリル化合物などが開発されている(非特許文献1)。 Currently, three types of luminescent materials are used for the luminescent layer: fluorescent materials, phosphorescent materials, and thermally activated delayed fluorescence (TADF) materials. For example, fluorescent materials such as improved azaborine derivatives have been reported (Patent Document 1), and phosphorescent materials such as noble metal complexes having multidentate ligands have been developed (Patent Document 2). Carbazonitrile compounds and the like have been developed as delayed fluorescence (TADF) materials (Non-Patent Document 1).
いずれの材料を用いた素子も、効率の低下につながる発光層または周辺層からのエネルギーの漏れを防ぐため高い最低励起一重項エネルギーまたは最低励起三重項エネルギーを持つ材料が発光層の隣接層またはホストに用いられる。 In devices using either material, a material with a high lowest excited singlet energy or lowest excited triplet energy is used in the adjacent layer of the emitting layer or the host layer to prevent energy leakage from the emitting layer or surrounding layers, which leads to a decrease in efficiency. used for
上述するように、有機EL素子に用いられる材料としては種々のものが開発されているが、有機EL素子用材料の選択肢を増やすために、従来のものとは異なる化合物からなる材料の開発が望まれている。また、特許文献1では、ホウ素を含む多環芳香族化合物とそれを用いた有機EL素子が報告されているが、更に素子特性を向上させるべく、発光効率および素子寿命を向上させることができる発光層用材料および周辺層用材料が求められている。
As described above, various materials have been developed for use in organic EL devices. However, in order to increase options for organic EL device materials, it is desirable to develop materials that are composed of compounds that are different from conventional materials. It is rare. In addition,
本発明者らは、上記課題を解決するため鋭意検討した結果、新規な多環芳香族化合物の製造に成功し、さらに高い一重項エネルギーと三重項エネルギーを有する材料としてこの化合物が有効であることを見出した。そして、例えばこのような多環芳香族化合物をホスト材料または発光層に隣接する層の材料とし、それよりも小さな三重項エネルギーを有する化合物をドーパント材料とした発光層を一対の電極間に配置して有機EL素子を構成することにより、優れた有機EL素子が得られることを見出し、本発明を完成させた。すなわち本発明は、以下のような多環芳香族化合物、さらには以下のような多環芳香族化合物を含む有機デバイス用材料等を提供する。 As a result of intensive studies to solve the above problems, the present inventors succeeded in producing a novel polycyclic aromatic compound, and found that this compound is effective as a material having higher singlet energy and triplet energy. I found Then, for example, such a polycyclic aromatic compound is used as a host material or a material of a layer adjacent to the light emitting layer, and a compound having a smaller triplet energy than that is used as a dopant material. A light emitting layer is arranged between a pair of electrodes. The present inventors have found that an excellent organic EL device can be obtained by constructing an organic EL device by using That is, the present invention provides the following polycyclic aromatic compounds, organic device materials, etc. containing the following polycyclic aromatic compounds.
<1> 下記式(1)で表される構造単位の1つまたは2つ以上からなる構造を有する多環芳香族化合物;
式(1)中、
A環、B環およびC環は、それぞれ独立して、置換もしくは無置換のアリール環または置換もしくは無置換のヘテロアリール環であり、
Yは、>B-、>P-、>P(=O)-または>P(=S)-であり、
Xは、>C(-RX1)-、>N-または>Si(-RX3)-であり、
RX1およびRX3は、それぞれ独立して、水素、置換もしくは無置換のアリール、置換もしくは無置換のヘテロアリール、置換もしくは無置換のアルキルまたは置換もしくは無置換のシクロアルキルであり、
Zは、>C(-RZ1)2、>N-RZ2、>O、>Si(-RZ3)2または>Sであり、
RZ1、RZ2およびRZ3は、それぞれ独立して、水素、置換もしくは無置換のアリール、置換もしくは無置換のヘテロアリール、置換もしくは無置換のアルキルまたは置換もしくは無置換のシクロアルキルであるか、結合している元素とB環またはC環とともに環を形成しており、ただし、2つのRZ1は互いに結合していてもよく、および2つのRZ3は互いに結合していてもよく、
Lは、A環とYとを連結する最短の原子数が1~4の連結基であり、
Lは連結基または単結合により前記A環と結合していてもよく、
前記構造における少なくとも1つの水素は、重水素、シアノまたはハロゲンで置き換えられていてもよい。
In formula (1),
A ring, B ring and C ring are each independently a substituted or unsubstituted aryl ring or a substituted or unsubstituted heteroaryl ring,
Y is >B-, >P-, >P(=O)- or >P(=S)-;
X is >C(-R x1 )-, >N- or >Si(-R x3 )-,
R X1 and R X3 are each independently hydrogen, substituted or unsubstituted aryl, substituted or unsubstituted heteroaryl, substituted or unsubstituted alkyl or substituted or unsubstituted cycloalkyl;
Z is >C(-R Z1 ) 2 , >N-R Z2 , >O, >Si(-R Z3 ) 2 or >S;
R Z1 , R Z2 and R Z3 are each independently hydrogen, substituted or unsubstituted aryl, substituted or unsubstituted heteroaryl, substituted or unsubstituted alkyl or substituted or unsubstituted cycloalkyl; forming a ring together with the bonding element and the B ring or C ring, with the proviso that two R Z1 may be bonded to each other and two R Z3 may be bonded to each other;
L is a linking group having the shortest number of atoms of 1 to 4 linking the A ring and Y,
L may be bonded to the A ring via a linking group or a single bond,
At least one hydrogen in the structure may be replaced with deuterium, cyano or halogen.
<2> 前記構造が式(1)で表される構造単位の1つからなる<1>に記載の多環芳香族化合物。
<3> A環、B環およびC環が、いずれも置換または無置換のベンゼン環である<1>または<2>に記載の多環芳香族化合物。
<2> The polycyclic aromatic compound according to <1>, wherein the structure comprises one structural unit represented by formula (1).
<3> The polycyclic aromatic compound according to <1> or <2>, wherein ring A, ring B and ring C are all substituted or unsubstituted benzene rings.
<4> Lが、>C(-RL1)2、>N-RL2、>O、>Si(-RL3)2、>S、>C=CRL1
2、>C=NRL2、>C=O、>C=S、-φ-、-φ-C(-RL1)2-、-φ-N(-RL2)-、-φ-O-、-φ-Si(-RL3)2-、-φ-S-、-φ-C(=CRL1
2)-、-φ-C(=NRL2)-、-φ-C(=O)-または-φ-C(=S)-であり、
RL1、RL2およびRL3は、それぞれ独立して、水素、置換もしくは無置換のアリール、置換もしくは無置換のヘテロアリール、置換もしくは無置換のアルキルまたは置換もしくは無置換のシクロアルキルであり、同一の元素に結合する2つのRL1またはRL3はそれぞれ互いに結合していてもよく、RL1の少なくとも1つ、RL2、およびRL3の少なくとも1つはそれぞれ連結基または単結合によりA環またはφの少なくとも1つと結合していてもよく、
φは、置換もしくは無置換のアリーレンまたは置換もしくは無置換のヘテロアリーレンであり、前記アリーレンおよび前記ヘテロアリーレンはいずれも隣接する2つの環構成原子に結合手を有する、
<1>~<3>のいずれかに記載の多環芳香族化合物。
<4> L is >C(-R L1 ) 2 , >NR L2 , >O, >Si(-R L3 ) 2 , >S, >C=CR L1 2 , >C=NR L2 , > C=O, >C=S, -φ-, -φ-C(-R L1 ) 2 -, -φ-N(-R L2 )-, -φ-O-, -φ-Si(-R L3 ) 2 -, -φ-S-, -φ-C (=CR L1 2 )-, -φ-C (=NR L2 )-, -φ-C (=O)- or -φ-C (=S ) - and
R L1 , R L2 and R L3 are each independently hydrogen, substituted or unsubstituted aryl, substituted or unsubstituted heteroaryl, substituted or unsubstituted alkyl or substituted or unsubstituted cycloalkyl, and are the same may be bonded to each other , and at least one of R L1 , R L2 , and at least one of R L3 are each linked by a linking group or a single bond to ring A or may be bound to at least one of φ,
φ is a substituted or unsubstituted arylene or a substituted or unsubstituted heteroarylene, and the arylene and the heteroarylene both have bonds to two adjacent ring-constituting atoms;
The polycyclic aromatic compound according to any one of <1> to <3>.
<5> Lが>N-RL2である<4>に記載の多環芳香族化合物。
<6> Lが1,2-フェニレンである<4>に記載の多環芳香族化合物。
<7> Xが>N-であり、
Zが>N-RZ2、>O、または>Sである
<1>~<6>のいずれかに記載の多環芳香族化合物。
<8> YがBである<1>~<7>のいずれかに記載の多環芳香族化合物。
<5> The polycyclic aromatic compound according to <4>, wherein L is >NR L2 .
<6> The polycyclic aromatic compound according to <4>, wherein L is 1,2-phenylene.
<7> X is >N-,
The polycyclic aromatic compound according to any one of <1> to <6>, wherein Z is >NR Z2 , >O, or >S.
<8> The polycyclic aromatic compound according to any one of <1> to <7>, wherein Y is B.
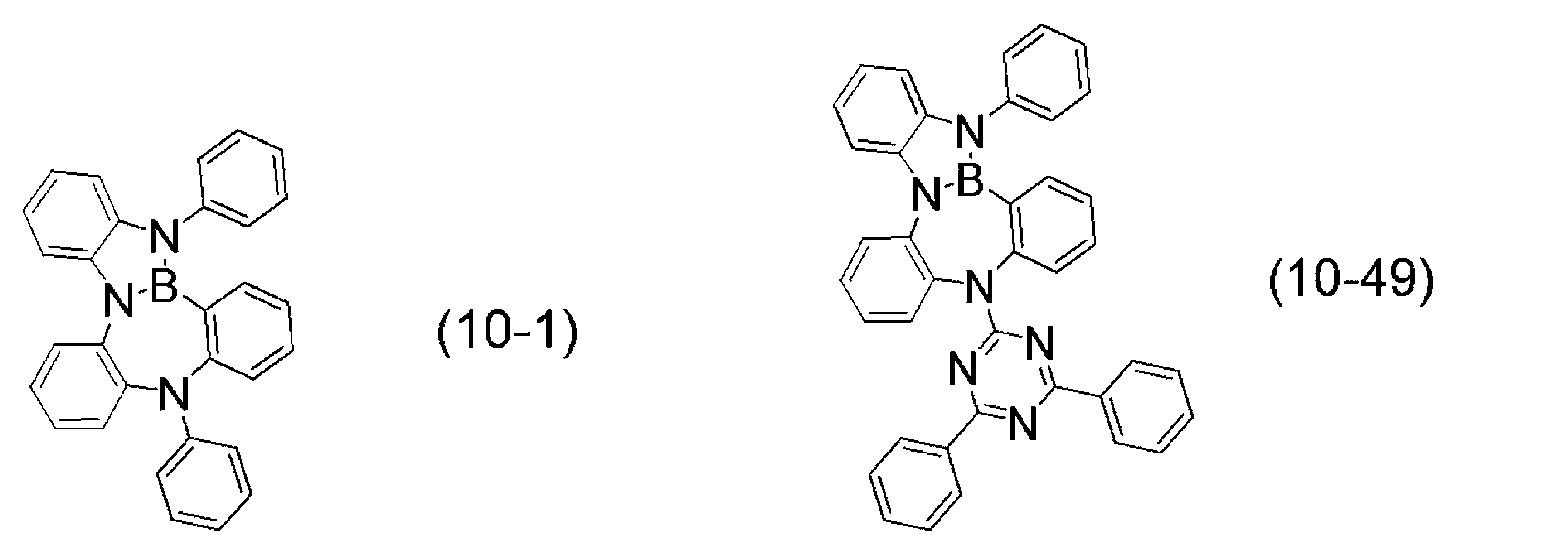
<9> 下記式のいずれかで表される、<1>に記載の多環芳香族化合物。
<10> 下記式で表される、<1>に記載の多環芳香族化合物。
<11> <1>~<10>のいずれかに記載の多環芳香族化合物を含有する、有機デバイス用材料。
<12> 陽極および陰極からなる一対の電極と該一対の電極間に配置される有機層とを有し、前記有機層が<1>~<10>のいずれかに記載の多環芳香族化合物を含有する、有機電界発光素子。
<13> 前記有機層が発光層である、<12>に記載の有機電界発光素子。
<14> 前記発光層が、ホスト材料としての前記多環芳香族化合物と、ドーパント材料とを含む、<13>に記載の有機電界発光素子。
<15> 前記有機層が電子輸送層である、<12>に記載の有機電界発光素子。
<16> 前記有機層が正孔輸送層である、<12>に記載の有機電界発光素子。
<17> <12>~<16>のいずれかに記載の有機電界発光素子を備えた表示装置または照明装置。
<11> An organic device material containing the polycyclic aromatic compound according to any one of <1> to <10>.
<12> The polycyclic aromatic compound according to any one of <1> to <10>, which has a pair of electrodes consisting of an anode and a cathode and an organic layer disposed between the pair of electrodes, wherein the organic layer is <1> to <10>. An organic electroluminescence device containing
<13> The organic electroluminescence device according to <12>, wherein the organic layer is a light-emitting layer.
<14> The organic electroluminescence device according to <13>, wherein the light-emitting layer contains the polycyclic aromatic compound as a host material and a dopant material.
<15> The organic electroluminescence device according to <12>, wherein the organic layer is an electron transport layer.
<16> The organic electroluminescence device according to <12>, wherein the organic layer is a hole transport layer.
<17> A display device or lighting device comprising the organic electroluminescence device according to any one of <12> to <16>.
本発明の好ましい態様によれば、新規な多環芳香族化合物を例えば発光層におけるホスト材料、ホスト材料の一成分または発光層へ隣接する層の成分として用いた有機EL素子を作製することで、量子効率や素子寿命が優れた有機EL素子を提供することができる。 According to a preferred embodiment of the present invention, by preparing an organic EL device using the novel polycyclic aromatic compound as, for example, a host material in the light-emitting layer, one component of the host material, or a component of a layer adjacent to the light-emitting layer, An organic EL device excellent in quantum efficiency and device life can be provided.
以下において、本発明について詳細に説明する。以下に記載する構成要件の説明は、代表的な実施形態や具体例に基づいてなされることがあるが、本発明はそのような実施形態に限定されるものではない。なお、本明細書において「~」を用いて表される数値範囲は「~」前後に記載される数値を下限値および上限値として含む範囲を意味する。
本明細書において、構造式の説明において「水素原子(H)」を「水素」ということがある。同様に「炭素原子(C)」を「炭素」ということがある。
本明細書において、「隣接する基」というときは、構造式中で隣接する2つの原子(共有結合で直接結合する2つの原子)にそれぞれ結合している2つの基を意味する。
The present invention will be described in detail below. Although the constituent elements described below may be described based on representative embodiments and specific examples, the present invention is not limited to such embodiments. In the present specification, a numerical range represented by "-" means a range including the numerical values described before and after "-" as lower and upper limits.
In this specification, "hydrogen atom (H)" may be referred to as "hydrogen" in the description of structural formulas. Similarly, "carbon atom (C)" may be referred to as "carbon".
As used herein, the term "adjacent groups" means two groups respectively bonded to two adjacent atoms (two atoms directly bonded by covalent bonds) in the structural formula.
本明細書において「Me」はメチル、「Et」はエチル、「nBu」はn-ブチル(ノルマルブチル)、「tBu」はt-ブチル(ターシャリーブチル)、「iBu」はイソブチル、「secBu」はセカンダリーブチル、「nPr」はn-プロピル(ノルマルプロピル)、「iPr」はイソプロピル、「tAm」はt-アミル、「2EH」は2-エチルヘキシル、「tOct」はt-オクチル、「Ph」はフェニル、「Mes」はメシチル(2,4,6-トリメチルフェニル)、「Tf」はトリフルオロメタンスルホニル、「TMS」はトリメチルシリル、「D」は重水素を表す。
本明細書において、有機電界発光素子を有機EL素子ということがある。
In the present specification, "Me" is methyl, "Et" is ethyl, "nBu" is n-butyl (normal butyl), "tBu" is t-butyl (tertiary butyl), "iBu" is isobutyl, and "secBu" is secondary butyl, "nPr" is n-propyl (normal propyl), "iPr" is isopropyl, "tAm" is t-amyl, "2EH" is 2-ethylhexyl, "tOct" is t-octyl, "Ph" is Phenyl, "Mes" for mesityl (2,4,6-trimethylphenyl), "Tf" for trifluoromethanesulfonyl, "TMS" for trimethylsilyl, and "D" for deuterium.
In this specification, the organic electroluminescence device is sometimes referred to as an organic EL device.
本明細書において化学構造や置換基を炭素数で表すことがあるが、化学構造に置換基が置換した場合や、置換基にさらに置換基が置換した場合などにおける炭素数は、化学構造や置換基それぞれの炭素数を意味し、化学構造と置換基の合計の炭素数や、置換基と置換基の合計の炭素数を意味するものではない。例えば、「炭素数Xの置換基Aで置換された炭素数Yの置換基B」とは、「炭素数Yの置換基B」に「炭素数Xの置換基A」が置換することを意味し、炭素数Yは置換基Aおよび置換基Bの合計の炭素数ではない。また例えば、「置換基Aで置換された炭素数Yの置換基B」とは、「炭素数Yの置換基B」に「(炭素数限定がない)置換基A」が置換することを意味し、炭素数Yは置換基Aおよび置換基Bの合計の炭素数ではない。 In this specification, chemical structures and substituents are sometimes represented by the number of carbon atoms. It refers to the number of carbon atoms in each group and does not refer to the total number of carbon atoms in the chemical structure and substituents, or the total number of carbon atoms in the substituent and substituents. For example, “substituent B having Y carbon atoms and substituted with substituent A having X carbon atoms” means that “substituent B having Y carbon atoms” is substituted with “substituent A having X carbon atoms”. However, the carbon number Y is not the total carbon number of the substituents A and B. Further, for example, “substituent B having Y carbon atoms and substituted with substituent A” means that “substituent B having Y carbon atoms” is substituted with “substituent A (with no carbon number limitation)”. However, the carbon number Y is not the total carbon number of the substituents A and B.
本明細書において、置換基は、さらなる置換基で置換されていることがある。例えば、特定の置換基に関して、「置換もしくは無置換の」と説明がされることがある。これはその特定の置換基が少なくとも1つのさらなる置換基で置換されているか、または置換されていないことを意味する。同様の意味で「置換されていてもよい」ということもある。本明細書において、このときの上記特定の置換基を「第1の置換基」、上記のさらなる置換基を「第2の置換基」ということがある。 Substituents herein may be substituted with additional substituents. For example, a particular substituent may be described as "substituted or unsubstituted." This means that the particular substituent may or may not be substituted with at least one further substituent. In the same sense, it may be said to be "optionally substituted". In the present specification, the specific substituent at this time may be referred to as the "first substituent", and the additional substituent may be referred to as the "second substituent".
1.本発明の多環芳香族化合物
本発明の多環芳香族化合物は式(1)で表される構造単位の1つまたは2つ以上からなる構造を有する多環芳香族化合物である。
1. Polycyclic Aromatic Compound of the Present Invention The polycyclic aromatic compound of the present invention is a polycyclic aromatic compound having a structure consisting of one or more structural units represented by formula (1).
本発明者らは、芳香族環をホウ素、リン、酸素、窒素、硫黄などのヘテロ元素で連結した本発明の多環芳香族化合物が、大きなHOMO-LUMOギャップ(薄膜におけるバンドギャップEg)と高い三重項エネルギーを有することを見出した。これは、ヘテロ元素を含む6員環は芳香族性が低いため、共役系の拡張に伴うHOMO-LUMOギャップの減少が抑制されること、分子内の歪みを利用し共役系の拡張を抑制することで大きなHOMO-LUMOギャップを得られることが原因となっていると考えられる。 The present inventors have found that the polycyclic aromatic compounds of the present invention, in which aromatic rings are linked by heteroatoms such as boron, phosphorus, oxygen, nitrogen, and sulfur, have a large HOMO-LUMO gap (bandgap Eg in thin films) and high It was found to have triplet energy. This is because the 6-membered ring containing a heteroatom has low aromaticity, which suppresses the reduction of the HOMO-LUMO gap accompanying the extension of the conjugated system, and suppresses the extension of the conjugated system by utilizing the strain in the molecule. It is considered that the reason for this is that a large HOMO-LUMO gap can be obtained.
また、本発明に係るヘテロ元素を含有する多環芳香族化合物は、高い三重項エネルギーを有する材料として、燐光有機EL素子や熱活性型遅延蛍光を利用した有機EL素子のホスト化合物、発光層に隣接する電子阻止層(電子ブロッキング層)や正孔阻止層(正孔ブロッキング層)、電子輸送層や正孔輸送層としても有用である。さらに、これらの多環芳香族化合物は、置換基の導入により、HOMOとLUMOのエネルギーを任意に動かすことができるため、イオン化ポテンシャルや電子親和力を周辺材料に応じて最適化することが可能である。 In addition, the polycyclic aromatic compound containing a hetero element according to the present invention can be used as a material having high triplet energy in host compounds and light-emitting layers of phosphorescent organic EL devices and organic EL devices utilizing thermally activated delayed fluorescence. It is also useful as an adjacent electron-blocking layer (electron-blocking layer), hole-blocking layer (hole-blocking layer), electron-transporting layer, or hole-transporting layer. In addition, these polycyclic aromatic compounds can arbitrarily move the HOMO and LUMO energies by introducing substituents, so it is possible to optimize the ionization potential and electron affinity according to the surrounding materials. .
<式(1)で表される構造単位の環構造>
式(1)において円内の「A」~「C」は円で示される環構造を示す符号である。
<Ring Structure of Structural Unit Represented by Formula (1)>
In formula (1), "A" to "C" within the circle are symbols indicating the ring structure indicated by the circle.
A環、B環およびC環は、それぞれ独立して、置換もしくは無置換のアリール環または置換もしくは無置換のヘテロアリール環である。A環~C環はいずれも、その構造中のアリール環またはヘテロアリール環の環上で互いに隣接する2つの炭素に結合手を有する2価の基を形成している。 A ring, B ring and C ring are each independently a substituted or unsubstituted aryl ring or a substituted or unsubstituted heteroaryl ring. All of A-ring to C-ring form a divalent group having bonds at two carbon atoms adjacent to each other on the aryl or heteroaryl ring in the structure.
式(1)で表される構造単位のA環、B環およびC環における置換もしくは無置換のアリール環または置換もしくは無置換のヘテロアリール環において、「置換もしくは無置換の(置換または無置換の)」というときの置換基としては後述の置換基群Zより選択される少なくとも1つの置換基が好ましい。 In the substituted or unsubstituted aryl ring or substituted or unsubstituted heteroaryl ring in the A ring, B ring and C ring of the structural unit represented by formula (1), "substituted or unsubstituted (substituted or unsubstituted )” is preferably at least one substituent selected from the group of substituents Z described later.
本発明の多環芳香族化合物は、分子内に、A環における2つの炭素、X、YおよびLから形成される第1の「含XY環構造」ならびにB環における2つの炭素、ZおよびC環における2つの炭素から形成される第2の「含XY環構造」を有する。第2の「含XY環構造」は7員環である。また、本発明の化合物は、縮合された第1の「含XY環構造」および第2の「含XY環構造」で形成される「縮合二環構造」を有する。 The polycyclic aromatic compound of the present invention contains, in the molecule, a first "XY-containing ring structure" formed from two carbons in the A ring, X, Y and L, and two carbons in the B ring, Z and C It has a second "XY-containing ring structure" formed from two carbons in the ring. The second "XY ring-containing structure" is a 7-membered ring. In addition, the compound of the present invention has a "fused bicyclic structure" formed by a first "XY ring-containing structure" and a second "XY ring-containing structure" which are condensed.
ここで、「含XY環構造」とは、式(1)では、XおよびYを含んで形成される環構造であり、「第1の含XY環構造」は、A環においてそれぞれXおよびLに結合する互いにo位にある2つの炭素、X、YならびにLから形成され、「第2の含XY環構造」は、B環においてそれぞれXおよびZに結合する互いにo位にある2つの炭素、C環においてそれぞれYおよびZに結合する互いにo位にある2つの炭素、X、YならびにZから形成される。同様に式(2)においても、「含XY環構造」とは、XおよびYを含んで形成される環構造であり、「第1の含XY環構造」は、a環における互いにo位にある2つの炭素、X、YおよびLから形成され、「第2の含XY環構造」は、b環における互いにo位にある2つの炭素、c環における互いにo位にある2つの炭素、X、YおよびZから形成される。 Here, the "XY ring structure" is a ring structure formed containing X and Y in formula (1), and the "first XY ring structure" is X and L in the A ring, respectively. A "second XY-containing ring structure" is formed from two carbons o to each other, X, Y, and L, which are bonded to X and Z, respectively, in the B ring. , is formed from two carbons, X, Y and Z, in o-positions to each other that are attached to Y and Z, respectively, in the C ring. Similarly, in formula (2), the "XY-containing ring structure" is a ring structure formed by containing X and Y, and the "first XY-containing ring structure" Formed from one two carbons, X, Y and L, a "second XY-containing ring structure" includes two carbons o to each other in the b ring, two carbons o to each other in the c ring, X , Y and Z.
ここで、「縮合二環構造」とは、式(1)では、YおよびXを含んで構成される2つの飽和炭化水素環である「第1の含XY環構造」および「第2の含XY環構造」が縮合した構造を意味する。この「縮合二環構造」はさらにいずれかの環において、A環~C環と結合を共有する。すなわち、A環~C環は上記「縮合二環構造」と縮合している。このように本発明の多環芳香族化合物は、少なくとも5つの環が縮合した多環構造を有する。 Here, the “condensed bicyclic structure” means two saturated hydrocarbon rings composed of Y and X in formula (1), the “first XY-containing ring structure” and the “second XY ring structure” means a condensed structure. This “condensed bicyclic structure” further shares a bond with rings A to C in any one of the rings. That is, rings A to C are condensed with the above "condensed bicyclic structure". Thus, the polycyclic aromatic compound of the present invention has a polycyclic structure in which at least five rings are condensed.
例えばA環~C環はそれぞれ独立して「縮合二環構造と結合を共有する6員環」、すなわち、縮合二環構造に縮合した6員(好ましくはベンゼン環c)、を有していることができる。また、「(A環である)アリール環またはヘテロアリール環がこの6員環を有する」とは、この6員環だけでA環が形成されるか、または、この6員環を含むようにこの6員環にさらに他の環などが縮合してA環が形成されることを意味する。言い換えれば、ここで言う「6員環を有する(A環である)アリール環またはヘテロアリール環」とは、A環の全部または一部を構成する6員環が、縮合二環構造に縮合していることを意味する。「B環」、「C環」についても同様の説明が当てはまり、また「5員環」についても同様の説明が当てはまる。 For example, each of the A to C rings independently has a "6-membered ring sharing a bond with the condensed bicyclic structure", that is, a 6-membered (preferably benzene ring c) condensed to the condensed bicyclic structure. be able to. Further, "the aryl ring or heteroaryl ring (which is the A ring) has this 6-membered ring" means that the A ring is formed only by this 6-membered ring, or that the 6-membered ring is included. It means that the A ring is formed by further condensing another ring and the like to this 6-membered ring. In other words, the “aryl ring or heteroaryl ring having a 6-membered ring (which is the A ring)” as used herein means that the 6-membered ring constituting all or part of the A ring is condensed into a condensed bicyclic structure. means that The same description applies to the "B ring" and "C ring", and the same description applies to the "5-membered ring".
式(1)のA環~C環がいずれも縮合二環構造に縮合したベンゼン環を有する構造は下記式(2)で示すことができ、式(2)で表される構造単位は式(1)で表される構造単位の好ましい一例である。 A structure having a benzene ring condensed to a condensed bicyclic structure in which all of the A to C rings of formula (1) are represented by the following formula (2), and the structural unit represented by formula (2) is represented by the formula ( It is a preferred example of the structural unit represented by 1).
式(1)におけるA環、B環およびC環は、それぞれ、式(2)におけるa環とその置換基Ra、b環とその置換基Rbおよびc環とその置換基Rcに対応する。上述のように、式(2)は、式(1)のA環~C環として、上記縮合二環構造と直接縮合する環として6員環を有する構造に対応する。6員環を「有する」というのは、後述するように、例えば6員環であるa環に対して、その4つの置換基Raのうちの隣接する基同士が結合して環を形成して、6員環であるa環にさらに他の環が縮合したものがA環に対応する場合があるからである。このような意味で、式(1)の各環を大文字のA~Cで表したのに対して、式(2)の各環を小文字のa~cで表した。 Ring A, ring B and ring C in formula (1) respectively correspond to ring a and its substituent R a , ring b and its substituent R b and ring c and its substituent R c in formula (2). do. As described above, formula (2) corresponds to a structure having a 6-membered ring as a ring directly condensed with the above condensed bicyclic structure as rings A to C of formula (1). "Having" a 6-membered ring means that, as described later, for example, adjacent groups among the four substituents R a are bonded to form a ring with respect to the a ring which is a 6-membered ring. This is because, in some cases, a six-membered a-ring to which another ring is condensed corresponds to the A-ring. In this sense, the rings of Formula (1) are represented by capital letters A to C, while the rings of Formula (2) are represented by lower case letters a to c.
式(2)におけるRa、RbおよびRcはそれぞれ独立して水素または置換基である。この置換基としては、後述の置換基群Zより選択される少なくとも1つの置換基があげられる。 R a , R b and R c in formula (2) are each independently hydrogen or a substituent. This substituent includes at least one substituent selected from the group Z of substituents described below.
式(2)におけるa環、b環およびc環のそれぞれの置換基Ra、RbおよびRcのうちの隣接する基同士が結合して、それぞれa環、b環およびc環と共に、アリール環またはヘテロアリール環を形成していてもよく、形成された環は、後述の置換基群Zより選択される少なくとも1つの置換基で置換されていてもよい。 Adjacent groups among substituents R a , R b and R c on rings a, b and c in formula (2) are bonded together to form an aryl A ring or a heteroaryl ring may be formed, and the formed ring may be substituted with at least one substituent selected from the substituent group Z described below.
したがって、式(2)の多環芳香族化合物は、a環~c環における置換基の相互の結合形態によって、例えば、下記式(2-fr)に示すように、化合物を構成する環構造が変化する。下記式中のA'環およびB'環は、式(1)におけるそれぞれA環およびB環に対応する。なお、c環も同様に変化し得る。
上記式(2-fr)中のA'環は、式(2)で説明すれば、複数の置換基Raのうちの隣接する基同士が結合して、a環と共に形成したアリール環またはヘテロアリール環を示す(a環に他の環構造が縮合してできた縮合環ともいえる)。同様に、B'環は、複数の置換基Rbのうちの隣接する基同士が結合して、b環と共に形成したアリール環またはヘテロアリール環を示す(b環に他の環構造が縮合してできた縮合環ともいえる)。 The A' ring in the above formula (2-fr) is an aryl ring or hetero ring formed together with the a ring by bonding adjacent groups among a plurality of substituents R a as described in formula (2). It represents an aryl ring (it can also be said to be a condensed ring formed by condensing another ring structure to the a ring). Similarly, the B' ring represents an aryl ring or heteroaryl ring formed together with the b ring by bonding adjacent groups among the multiple substituents R b (the b ring is fused with another ring structure). It can be said that it is a condensed ring formed by
上記式(2-fr)は、a環またはb環であるベンゼン環に対して、例えば、ベンゼン環、インドール環、ピロール環、ベンゾフラン環、またはベンゾチオフェン環などが縮合して形成されたA'環またはB'環を有し、形成された縮合環A'または縮合環A'は、それぞれ、ナフタレン環、カルバゾール環、インドール環、ジベンゾフラン環、またはジベンゾチオフェン環などである。 The above formula (2-fr) is A′ formed by condensing a benzene ring, for example, a benzene ring, an indole ring, a pyrrole ring, a benzofuran ring, or a benzothiophene ring, to the benzene ring which is the a ring or the b ring. The condensed ring A' or condensed ring A' formed with ring or B' ring is naphthalene ring, carbazole ring, indole ring, dibenzofuran ring, or dibenzothiophene ring, respectively.
式(2-fr)のより具体的な例を以下に示す。
上記式(2-fr-ex)は、それぞれ式(2-fr)の具体例であり、式(2)および式(2)のa環における隣接する2つのRaが結合して、a環(ベンゼン環)と共に、アリール環(ナフタレン環)が形成され、b環における隣接する2つのRbが結合して、b環(ベンゼン環)と共に、ヘテロアリール環(ジベンゾフラン環)が形成された例である。形成された環はいずれも上述した縮合二環構造と結合を共有する6員環(ベンゼン環aまたはb)を有している。アリール環A’およびB’(式(1)のA環およびB環)への任意の置換基は、RaおよびRbの他にn個のRでも示しており、nの下限は0であり、nの上限は置換可能な最大数(4)である。なお、これらの説明は上述した具体例以外のあらゆる形態、例えばc環が変化した場合や他のアリール環やヘテロアリール環が形成された場合にも同様に適用できる。 The above formula (2-fr-ex) is a specific example of formula (2-fr), and two adjacent R a in the a ring of formula (2) and formula (2) are bonded to form the a ring An example in which an aryl ring (naphthalene ring) is formed together with (benzene ring), and two adjacent R b in the b ring are bonded to form a heteroaryl ring (dibenzofuran ring) together with the b ring (benzene ring) is. All of the formed rings have a 6-membered ring (benzene ring a or b) sharing a bond with the condensed bicyclic structure described above. Optional substituents on the aryl rings A' and B' (rings A and B of formula (1)) are represented by n R's in addition to R a and R b , and the lower limit of n is 0. , and the upper limit of n is the maximum number of possible replacements (4). These explanations can be similarly applied to all forms other than the above-described specific examples, such as cases where the c ring is changed or other aryl rings or heteroaryl rings are formed.
式(2)で表される構造単位におけるa環、b環、c環中の任意の「-C(-R)=」(ここでRは、Ra、RbまたはRcである)が「-N=」に置き換わった式で表される構造単位も、式(1)で表される構造単位の好ましい例としてあげられる。式(2)のa~c環(ベンゼン環)における「-C(-R)=」が「-N=」に置き換わった環の例としては、ピリジン環、ピリミジン環、ピリダジン環、ピラジン環、その他の含窒素ヘテロアリール環があげられる。式(2)のa環部分が含窒素ヘテロアリール環である例を以下に示す。 Any “—C(—R)=” (wherein R is R a , R b or R c ) in the a ring, b ring, and c ring in the structural unit represented by formula (2) is A structural unit represented by a formula in which "--N=" is substituted is also given as a preferred example of the structural unit represented by formula (1). Examples of rings in which "-C(-R)=" in the a to c rings (benzene ring) of formula (2) are replaced with "-N=" include pyridine ring, pyrimidine ring, pyridazine ring, pyrazine ring, Other nitrogen-containing heteroaryl rings are mentioned. Examples in which the a-ring portion of formula (2) is a nitrogen-containing heteroaryl ring are shown below.
また、a環、b環、c環(ベンゼン環)における「-C(-R)=」が「-N=」に置き換わった環に存在する隣接する基(隣接するRa、隣接するRbまたは隣接するRc)がが結合して上記環と共にヘテロアリール環(上記式中ではキノリン環)を形成した構造も好ましい。形成された環がさらに置換されていてもよい(下記ではn個のRで示す)。ことは、上述したとおりである。式(2)のa環部分が上記の環である例を以下に示す。 In addition, adjacent groups (adjacent R a , adjacent R b Alternatively, a structure in which adjacent R c ) bonds to form a heteroaryl ring (quinoline ring in the above formula) together with the above ring is also preferred. The formed ring may be further substituted (indicated by n R's below). This is as described above. Examples in which the a-ring portion of formula (2) is the above ring are shown below.
その他、以下例があげられる。
式(2)のa環のその他の箇所が「-N=」に置き換わった場合や、b環またはc環が変化した場合についても同じである。 The same applies to the case where other parts of the a-ring in formula (2) are replaced with "-N=", or the case where the b-ring or c-ring is changed.
式(2)で表される構造単位におけるa~c環中の任意の「-C(-R)=C(-R)-」(ここでRは、Ra、RbおよびRcである)が、「-N(-R)-」、「-O-」、「-S-」、「-C(-R)2-」、「-Si(-R)2-」、または「-Se-」に置き換わった式で表される構造単位も、式(1)で表される構造単位の好ましい例としてあげられる。式(2)のa~c環(ベンゼン環)における「-C(-R)=C(-R)-」が、「-N(-R)-」、「-O-」、「-S-」、「-C(-R)2-」、「-Si(-R)2-」、または「-Se-」に置き換わった環の例としては、ピロール環、フラン環、チオフェン環、その他の含窒素・酸素・硫黄ヘテロアリール環(5員環)やアリール環(5員環)があげられる。前記「-N(-R)-」のR、「-C(-R)2-」のR、および「-Si(-R)2-」のRは、水素、アリール、ヘテロアリール、アルキル、またはシクロアルキルであり、当該Rにおける少なくとも1つの水素は、アルキルまたはシクロアルキルで置換されていてもよい。
式(2)のa環部分が上記の環である例を以下に示す。
Any "-C(-R)=C(-R)-" (wherein R is R a , R b and R c in the a to c rings in the structural unit represented by formula (2) ) is "-N(-R)-", "-O-", "-S-", "-C(-R) 2- ", "-Si(-R) 2- ", or "- A structural unit represented by a formula substituted with "Se-" is also mentioned as a preferred example of the structural unit represented by formula (1). "-C(-R)=C(-R)-" in the a to c rings (benzene ring) of formula (2) is "-N(-R)-", "-O-", "-S -", "-C(-R) 2 -", "-Si(-R) 2 -" or the ring substituted for "-Se-" include pyrrole ring, furan ring, thiophene ring, etc. nitrogen-containing/oxygen/sulfur heteroaryl ring (5-membered ring) and aryl ring (5-membered ring) of R of "-N(-R)-", R of "-C(-R) 2 -" and R of "-Si(-R) 2 -" are hydrogen, aryl, heteroaryl, alkyl, or cycloalkyl, wherein at least one hydrogen in said R is optionally substituted with alkyl or cycloalkyl.
Examples in which the a-ring portion of formula (2) is the above ring are shown below.
また、a~c環(ベンゼン環)における「-C(-R)=C(-R)-」が、「-N(-R)-」、「-O-」、「-S-」、「-C(-R)2-」、「-Si(-R)2-」、または「-Se-」に置き換わった環に存在する隣接する基(隣接するRa、隣接するRbまたは隣接するRc)が結合して上記環と共にヘテロアリール環(インドール環、ベンゾフラン環、またはベンゾチオフェン環などの環)を形成した構造も好ましい。
式(2)のa環部分がこのような環である例を以下に示す。
Further, "-C(-R)=C(-R)-" in the a to c rings (benzene ring) is "-N(-R)-", "-O-", "-S-", Adjacent groups (adjacent R a , adjacent R b or A structure in which R c ) is bonded to form a heteroaryl ring (a ring such as an indole ring, a benzofuran ring, or a benzothiophene ring) together with the above ring is also preferred.
Examples in which the a-ring portion of formula (2) is such a ring are shown below.
その他、以下の例があげられる。
式(2)のa環のその他の箇所が「-N(-R)-」、「-O-」、「-S-」、「-C(-R)2-」、「-Si(-R)2-」、または「-Se-」に置き換わった場合や、b環およびc環が変化した場合についても同じである。 Other parts of the a ring of formula (2) are "-N(-R)-", "-O-", "-S-", "-C(-R) 2 -", "-Si(- The same applies to the case where it is replaced with R) 2 -" or "--Se--" and the case where the b-ring and c-ring are changed.
<Lの説明>
Lは、2価の連結基であり、2つの結合位置の間の最短の原子数が1~4である。すなわち、式(1)中で、LはA環とYとを連結する最短の原子数が1~4の連結基である。したがって、上記の第1の含XY環構造の環を構成する原子数は5~8である。上記のA環とYとを連結する最短の原子数は、好ましくは1~3であり、さらに好ましくは1または2である。
<Description of L>
L is a divalent linking group, and the shortest number of atoms between two bonding positions is 1-4. That is, in formula (1), L is a linking group having the shortest number of atoms of 1 to 4 linking the A ring and Y. Therefore, the number of atoms constituting the ring of the first XY ring-containing structure is 5 to 8. The shortest number of atoms connecting the A ring and Y is preferably 1 to 3, more preferably 1 or 2.
Lは、好ましくは>C(-RL1)2、>N-RL2、>O、>Si(-RL3)2、>S、>C=CRL1 2、>C=NRL2、>C=O、>C=S、-φ-、-φ-C(-RL1)2-、-φ-N(-RL2)-、-φ-O-、-φ-Si(-RL3)2-、-φ-S-、-φ-C(=CRL1 2)-、-φ-C(=NRL2)-、-φ-C(=O)-および-φ-C(=S)-である。なお、上記はそれぞれいずれか一方の結合手でA環に結合し他方の結合手でYに結合するが、いずれの結合手でいずれに結合していてもよい。ここで、RL1、RL2、RL3は、それぞれ独立して、水素、置換もしくは無置換のアリール、置換もしくは無置換のヘテロアリール、置換もしくは無置換のアルキルまたは置換もしくは無置換のシクロアルキルであり、同一の元素に結合する2つのRL1またはRL3はそれぞれ互いに結合していてもよく、RL1の少なくとも1つ、RL2、およびRL3の少なくとも1つはそれぞれ連結基または単結合によりA環またはφの少なくとも1つと結合していてもよい。φは、置換もしくは無置換のアリーレンまたは置換もしくは無置換のヘテロアリーレンであり、φは隣接する2つの環構成原子を結合位置とする。 L is preferably >C(-R L1 ) 2 , >NR L2 , >O, >Si(-R L3 ) 2 , >S, >C=CR L1 2 , >C=NR L2 , >C =O, >C=S, -φ-, -φ-C(-R L1 ) 2 -, -φ-N(-R L2 )-, -φ-O-, -φ-Si(-R L3 ) 2 -, -φ-S-, -φ-C (=CR L1 2 )-, -φ-C (=NR L2 )-, -φ-C (=O)- and -φ-C (=S) -. In addition, although each of the above is bonded to ring A with one of the bonds and is bonded to ring Y with the other bond, any of the bonds may be bonded to either. Here, R L1 , R L2 and R L3 are each independently hydrogen, substituted or unsubstituted aryl, substituted or unsubstituted heteroaryl, substituted or unsubstituted alkyl or substituted or unsubstituted cycloalkyl. and two R L1 or R L3 that are bonded to the same element may be bonded to each other, and at least one of R L1 , R L2 and at least one of R L3 are each linked by a linking group or a single bond. It may be bonded to at least one of the A ring and φ. φ is substituted or unsubstituted arylene or substituted or unsubstituted heteroarylene, and φ has two adjacent ring-constituting atoms as bonding positions.
Lは、>N-RL2、>O、>S、-φ-、-φ-N(-RL2)-、-φ-O-または-φ-S-が好ましく、式(2)において、Lが>N-RL2、>O、>S、-φ-、-φ-N(-RL1)-、-φ-O-または-φ-S-である構造は、それぞれ、式(2-a)、式(2-x)、式(2-t)、式(2-f)、式(2-af)、式(2-xf)、式(2-tf)、式(2-fa)、式(2-fx)および式(2-ft)で表される。 L is preferably >N-R L2 , >O, >S, -φ-, -φ-N(-R L2 )-, -φ-O- or -φ-S-, and in formula (2), Structures where L is >N-R L2 , >O, >S, -φ-, -φ-N(-R L1 )-, -φ-O- or -φ-S- are represented by formula (2 -a), formula (2-x), formula (2-t), formula (2-f), formula (2-af), formula (2-xf), formula (2-tf), formula (2- fa), formula (2-fx) and formula (2-ft).
L中におけるφは、置換もしくは無置換のアリーレンまたは置換もしくは無置換のヘテロアリーレンである。φ中の上記アリーレンおよびヘテロアリーレンはいずれも隣接する2つの環構成原子に結合手を有する。
φの定義において「置換もしくは無置換」というときの置換基としては、後述の置換基群Zより選択される少なくとも1つの置換基が好ましい。
φ in L is substituted or unsubstituted arylene or substituted or unsubstituted heteroarylene. Each of the above arylene and heteroarylene in φ has a bond on two adjacent ring-constituting atoms.
As the substituent when "substituted or unsubstituted" is used in the definition of φ, at least one substituent selected from the substituent group Z described below is preferable.
φは、無置換のアリーレンまたは無置換のヘテロアリーレンであることが好ましく、無置換の1,2-フェニレンであることがより好ましい。φが無置換のアリーレンまたは無置換のヘテロアリーレンである式(2)で表される構造単位の例を以下に示す。 φ is preferably unsubstituted arylene or unsubstituted heteroarylene, more preferably unsubstituted 1,2-phenylene. Examples of structural units represented by formula (2) in which φ is unsubstituted arylene or unsubstituted heteroarylene are shown below.
<Yの説明>
Yは、それぞれ独立して、>B-、>P-、>P(=O)-、>P(=S)-、>Al-、>Ga-、>As-、>C(-R)-、>Si(-R)-、または>Ge(-R)-であり、前記>C(-R)-のR、>Si(-R)-のR、および>Ge(-R)-のRは、それぞれ独立して、置換されてもよいアリール、置換されてもよいヘテロアリール、置換されてもよいアルキル、または置換されてもよいシクロアルキルである。なお、Yは1つの原子に結合手を3つ有する部分構造を示し、例えば、>P(=O)-、>P(=S)-で示されるそれぞれ3つの結合手はP(リン原子)にある。Yとしては、>B-、>P-、>P(=O)-、または>P(=S)-が好ましく、>B-がより好ましい。
<Description of Y>
Y is each independently >B-, >P-, >P(=O)-, >P(=S)-, >Al-, >Ga-, >As-, >C(-R) -, >Si(-R)-, or >Ge(-R)-, wherein R of >C(-R)-, R of >Si(-R)-, and >Ge(-R)- each R is independently optionally substituted aryl, optionally substituted heteroaryl, optionally substituted alkyl, or optionally substituted cycloalkyl. In addition, Y represents a partial structure having three bonds on one atom, for example, >P (= O) -, > P (= S) - Each of the three bonds indicated by P (phosphorus atom) It is in. Y is preferably >B-, >P-, >P(=O)-, or >P(=S)-, more preferably >B-.
<Xの説明>
式(1)におけるXは、それぞれ独立して、>N-、>C(-RX1)または>Si(-RX3)であり、RX1およびRX3は、それぞれ独立して、水素、置換もしくは無置換のアリール、置換もしくは無置換のヘテロアリール、置換もしくは無置換のアルキル、または置換もしくは無置換のシクロアルキルである。RX1およびRX3の定義において「置換もしくは無置換」というときの置換基としては、後述の置換基群Zより選択される少なくとも1つの置換基があげられる。
<Description of X>
Each X in formula (1) is independently >N-, >C(-R x1 ) or >Si(-R x3 ), and R x1 and R x3 are each independently hydrogen, substituted or unsubstituted aryl, substituted or unsubstituted heteroaryl, substituted or unsubstituted alkyl, or substituted or unsubstituted cycloalkyl. Substituents referred to as "substituted or unsubstituted" in the definition of R X1 and R X3 include at least one substituent selected from the group of substituents Z described below.
Xとしては、>N-または>C(-RX1)が好ましく、>N-がより好ましい。 X is preferably >N- or >C(-R X1 ), more preferably >N-.
<Zの説明>
式(1)におけるZは、>C(-RZ1)2、>N-RZ2、>O、>Si(-RZ3)2または>Sである。ここで、RZ1、RZ2、RZ3は、それぞれ独立して、水素、置換もしくは無置換のアリール、置換もしくは無置換のヘテロアリール、置換もしくは無置換のアルキルまたは置換もしくは無置換のシクロアルキルであるか、結合している元素とB環またはC環の環とともに環を形成している。ただし、2つのRZ1および2つのRZ3はそれぞれ互いに結合していてもよい。RZ1、RZ2、RZ3が、結合している元素(C,NまたはSi)とB環またはC環の環とともに環を形成している構造としては、上記の基のいずれか(特に置換もしくは無置換のアリール、置換もしくは無置換のヘテロアリール)であるRZ1、RZ2、RZ3結合基(連結基または単結合)によりB環またはC環と結合した構造があげられる。
<Description of Z>
Z in formula (1) is >C(-R Z1 ) 2 , >N-R Z2 , >O, >Si(-R Z3 ) 2 or >S. Here, R Z1 , R Z2 and R Z3 are each independently hydrogen, substituted or unsubstituted aryl, substituted or unsubstituted heteroaryl, substituted or unsubstituted alkyl or substituted or unsubstituted cycloalkyl. or forms a ring with the bonding element and the ring of B ring or C ring. However, two R Z1 and two R Z3 may be bonded to each other. The structure in which R Z1 , R Z2 , and R Z3 form a ring together with the bonding element (C, N or Si) and the B ring or C ring includes any of the above groups (especially substituted or unsubstituted aryl, substituted or unsubstituted heteroaryl), which are R Z1 , R Z2 , R Z3 bonding groups (linking groups or single bonds) to the B ring or C ring.
連結基としては、-CH2-CH2-、-CHR-CHR-、-CR2-CR2-、-CH=CH-、-CR=CR-、-C≡C-、-N(-R)-、-O-、-S-、-C(-R)2-、-Si(-R)2-、または-Se-があげられる。なお、前記-CHR-CHR-のR、-CR2-CR2-のR、-CR=CR-のR、-N(-R)-のR、-C(-R)2-のR、および-Si(-R)2-のRは、それぞれ独立して、水素、アリール、ヘテロアリール、アルキル、アルケニル、アルキニル、またはシクロアルキルであり、当該Rにおける少なくとも1つの水素は、アルキルまたはシクロアルキルで置換されていてもよい。また、隣接する2つのR同士が環を形成し、シクロアルキレン、アリーレン、およびヘテロアリーレンを形成していてもよい。 Linking groups include -CH 2 -CH 2 -, -CHR-CHR-, -CR 2 -CR 2 -, -CH=CH-, -CR=CR-, -C≡C-, -N(-R )-, -O-, -S-, -C(-R) 2 -, -Si(-R) 2 -, or -Se-. In addition, R of -CHR-CHR-, R of -CR 2 -CR 2 -, R of -CR=CR-, R of -N(-R)-, R of -C(-R) 2 -, and -Si(-R) 2 - are each independently hydrogen, aryl, heteroaryl, alkyl, alkenyl, alkynyl, or cycloalkyl, and at least one hydrogen in said R is alkyl or cycloalkyl may be substituted with Also, two adjacent R's may form a ring to form cycloalkylene, arylene, and heteroarylene.
結合基としては、単結合、連結基としての-CR=CR-、-N(-R)-、-O-、-S-、-C(-R)2-、-Si(-R)2-、および-Se-が好ましく、単結合、連結基としての-CR=CR-、-N(-R)-、-O-、-S-、および-C(-R)2-がより好ましく、単結合、連結基としての-CR=CR-、-N(-R)-、-O-、および-S-がさらに好ましく、単結合が最も好ましい。 As a linking group, a single bond, -CR=CR-, -N(-R)-, -O-, -S-, -C(-R) 2 -, and -Si(-R) 2 as a linking group -, and -Se- are preferred, and single bonds, -CR=CR-, -N(-R)-, -O-, -S- and -C(-R) 2 - as linking groups are more preferred. , a single bond, and -CR=CR-, -N(-R)-, -O-, and -S- as linking groups are more preferred, and a single bond is most preferred.
RZ2およびRZ3がB環またはC環と結合する位置は、結合可能な位置であれば特に限定されないが、Z結合位置(1位)を基準としてオルト(2位)の位置に結合していることが好ましい。 The position where R Z2 and R Z3 are bonded to the B ring or C ring is not particularly limited as long as it is a bondable position. preferably.
ベンゼン環であるB環またはC環に>N-RZ2のRZ2が結合した具体例を以下に示す。 Specific examples in which R Z2 of >N—R Z2 is bonded to ring B or C, which is a benzene ring, are shown below.
Zは>N-RZ2、>O、または>Sであることが好ましい。 Z is preferably >NR Z2 , >O, or >S.
<環同士の結合>
式(1)において互いに単結合で直接結合している2つの環および共通の1つの原子に結合している2つの環は、それぞれ、さらに追加の単結合または連結基(これらをまとめて結合基ともいう)により結合していてもよい。具体的には、以下の構造があげられる。
・A環とB環とが結合基によりX以外でさらに結合している。(A環とB環とはX中の共通の原子に結合している。)
・LがA環に直接結合する-φ-を含むときにφとA環とが追加の結合基により結合している。
・LがYに直接結合する-φ-を含むときにφとC環とが追加の結合基により結合している。
・LがA環に直接結合する-N(-RL1)-を含むときにRL1(RL1は置換もしくは無置換のアリール、置換もしくは無置換のヘテロアリール、置換もしくは無置換のアルキルまたは置換もしくは無置換のシクロアルキル)とA環とが追加の結合基により結合している。
・Lが-φ-N(-RL1)-であるときのφとRL1(RL1は置換もしくは無置換のアリール、置換もしくは無置換のヘテロアリール、置換もしくは無置換のアルキルまたは置換もしくは無置換のシクロアルキル)とが追加の結合基により結合している。
<Bond between rings>
Two rings that are directly bonded to each other by a single bond and two rings that are bonded to a common atom in formula (1) each further have an additional single bond or a linking group (collectively, a linking group (Also called). Specifically, the following structures are mentioned.
- The A ring and the B ring are further bonded by a bonding group other than X. (The A and B rings are bonded to a common atom in X.)
- φ and the A ring are linked by an additional linking group when L contains -φ- which is directly attached to the A ring.
- When L contains -φ- which is directly bonded to Y, φ and the C ring are linked by an additional linking group.
・When L contains -N(-R L1 )- directly bonded to the A ring, R L1 (R L1 is substituted or unsubstituted aryl, substituted or unsubstituted heteroaryl, substituted or unsubstituted alkyl or substituted or unsubstituted cycloalkyl) and the A ring are linked by an additional linking group.
φ and R L1 when L is -φ-N(-R L1 )- (R L1 is substituted or unsubstituted aryl, substituted or unsubstituted heteroaryl, substituted or unsubstituted alkyl or substituted or unsubstituted substituted cycloalkyl) is attached by an additional linking group.
例えば、式(2)においてはXに結合する炭素原子に隣接する炭素原子に結合するRaおよびRbが互いに結合して単結合または連結基を形成していてもよい。また式(2)においてZに結合する炭素原子に隣接する炭素原子に結合するRbおよびRcが互いに結合して単結合または連結基を形成していてもよい。 For example, in formula (2), R a and R b bonded to the carbon atom adjacent to the carbon atom bonded to X may bond to each other to form a single bond or a linking group. In formula (2), R b and R c bonded to the carbon atom adjacent to the carbon atom bonded to Z may be bonded to each other to form a single bond or a linking group.
また、式(2-a)および式(2-af)においては、a環およびφ環が追加の結合基により結合していてもよい。式(2-af)、式(2-xf)および式(2-tf)においては、c環およびφ環が追加の結合基により結合していてもよい。式(2-fa)、式(2-fx)および式(2-ft)においてはRL1が置換もしくは無置換のアリール、置換もしくは無置換のヘテロアリール、置換もしくは無置換のアルキルまたは置換もしくは無置換のシクロアルキルであるとき、RL1およびφ環が追加の結合基により結合していてもよい。式(2-f)、式(2-fa)、式(2-fx)および式(2-ft)におけるa環およびφ環は追加の結合基により結合していてもよい。 Further, in formulas (2-a) and (2-af), the a ring and the φ ring may be linked by an additional linking group. In formula (2-af), formula (2-xf) and formula (2-tf), c-ring and φ-ring may be bonded by an additional bonding group. In formula (2-fa), formula (2-fx) and formula (2-ft), R L1 is substituted or unsubstituted aryl, substituted or unsubstituted heteroaryl, substituted or unsubstituted alkyl or substituted or unsubstituted When it is a substituted cycloalkyl, the R L1 and φ ring may be attached by an additional linking group. The a-ring and φ-ring in formula (2-f), formula (2-fa), formula (2-fx) and formula (2-ft) may be linked by an additional linking group.
連結基としては、-CH2-CH2-、-CHR-CHR-、-CR2-CR2-、-CH=CH-、-CR=CR-、-C≡C-、-N(-R)-、-O-、-S-、-C(-R)2-、-Si(-R)2-、または-Se-があげられる。なお、前記-CHR-CHR-のR、-CR2-CR2-のR、-CR=CR-のR、-N(-R)-のR、-C(-R)2-のR、および-Si(-R)2-のRは、それぞれ独立して、水素、アリール、ヘテロアリール、アルキル、アルケニル、アルキニル、またはシクロアルキルであり、当該Rにおける少なくとも1つの水素は、アルキルまたはシクロアルキルで置換されていてもよい。また、隣接する2つのR同士が環を形成し、シクロアルキレン、アリーレン、およびヘテロアリーレンを形成していてもよい。 Linking groups include -CH 2 -CH 2 -, -CHR-CHR-, -CR 2 -CR 2 -, -CH=CH-, -CR=CR-, -C≡C-, -N(-R )-, -O-, -S-, -C(-R) 2 -, -Si(-R) 2 -, or -Se-. In addition, R of -CHR-CHR-, R of -CR 2 -CR 2 -, R of -CR=CR-, R of -N(-R)-, R of -C(-R) 2 -, and -Si(-R) 2 - are each independently hydrogen, aryl, heteroaryl, alkyl, alkenyl, alkynyl, or cycloalkyl, and at least one hydrogen in said R is alkyl or cycloalkyl may be substituted with Also, two adjacent R's may form a ring to form cycloalkylene, arylene, and heteroarylene.
結合基としては、単結合、連結基としての-CR=CR-、-N(-R)-、-O-、-S-、-C(-R)2-、-Si(-R)2-、および-Se-が好ましく、単結合、連結基としての-CR=CR-、-N(-R)-、-O-、-S-、および-C(-R)2-がより好ましく、単結合、連結基としての-CR=CR-、-N(-R)-、-O-、および-S-がさらに好ましく、単結合が最も好ましい。 As a linking group, a single bond, -CR=CR-, -N(-R)-, -O-, -S-, -C(-R) 2 -, and -Si(-R) 2 as a linking group -, and -Se- are preferred, and single bonds, -CR=CR-, -N(-R)-, -O-, -S- and -C(-R) 2 - as linking groups are more preferred. , a single bond, and -CR=CR-, -N(-R)-, -O-, and -S- as linking groups are more preferred, and a single bond is most preferred.
結合基により2つの環が結合する位置は、結合可能な位置であれば特に限定されないが、最も隣接する位置で結合することが好ましく、例えばNを介して結合する2つの環においては各環における「N」の結合位置(1位)を基準としてオルト(2位)の位置同士でさらに結合していることが好ましい(式(1)の構造式を参照)。 The position where the two rings are bonded by the bonding group is not particularly limited as long as it is a bondable position, but it is preferable to bond at the most adjacent position. It is preferable that the ortho (2-position) positions are further bonded to each other based on the bonding position (1-position) of "N" (see the structural formula of formula (1)).
<同一の原子に結合する2つの基が互いに結合する場合>
>C(-RZ1)2、>Si(-RZ3)2、-C(-R)2-、-Si(-R)2-などにおける同一の原子に結合する2つの基(2つのRZ1、2つのRZ3、その他の2つのR)はそれぞれ互いに結合して環を形成していてもよい。単結合または連結基(これらをまとめて結合基ともいう)により結合していればよく、連結基としては、-CH2-CH2-、-CHR-CHR-、-CR2-CR2-、-CH=CH-、-CR=CR-、-C≡C-、-N(-R)-、-O-、-S-、-C(-R)2-、-Si(-R)2-、または-Se-があげられ、例えば以下の構造があげられる。なお、前記-CHR-CHR-のR、-CR2-CR2-のR、-CR=CR-のR、-N(-R)-のR、-C(-R)2-のR、および-Si(-R)2-のRは、それぞれ独立して、水素、アルキルもしくはシクロアルキルで置換されていてもよいアリール、アルキルもしくはシクロアルキルで置換されていてもよいヘテロアリール、シクロアルキルで置換されていてもよいアルキル、アルキルもしくはシクロアルキルで置換されていてもよいアルケニル、アルキルもしくはシクロアルキルで置換されていてもよいアルキニル、またはアルキルもしくはシクロアルキルで置換されていてもよいシクロアルキルである。また、隣接する2つのR同士が環を形成し、シクロアルキレン、アリーレン、およびヘテロアリーレンを形成していてもよい。
<When two groups bonded to the same atom are bonded to each other>
>C(-R Z1 ) 2 , >Si(-R Z3 ) 2 , -C(-R) 2 -, Z1 , two R Z3 , and the other two R) may combine with each other to form a ring. It is sufficient that they are linked by a single bond or a linking group (collectively referred to as a linking group), and the linking group includes -CH 2 -CH 2 -, -CHR-CHR-, -CR 2 -CR 2 -, -CH=CH-, -CR=CR-, -C≡C-, -N(-R)-, -O-, -S-, -C(-R) 2 -, -Si(-R) 2 -, or -Se-, such as the following structures. In addition, R of -CHR-CHR-, R of -CR 2 -CR 2 -, R of -CR=CR-, R of -N(-R)-, R of -C(-R) 2 -, and -Si(-R) 2 - are each independently hydrogen, aryl optionally substituted with alkyl or cycloalkyl, heteroaryl optionally substituted with alkyl or cycloalkyl, or cycloalkyl optionally substituted alkyl, alkenyl optionally substituted with alkyl or cycloalkyl, alkynyl optionally substituted with alkyl or cycloalkyl, or cycloalkyl optionally substituted with alkyl or cycloalkyl . Also, two adjacent R's may form a ring to form cycloalkylene, arylene, and heteroarylene.
結合基としては、単結合、連結基としての-CR=CR-、-N(-R)-、-O-、-S-、-C(-R)2-、-Si(-R)2-、および-Se-が好ましく、単結合、連結基としての-CR=CR-、-N(-R)-、-O-、-S-、および-C(-R)2-がより好ましく、単結合、連結基としての-CR=CR-、-N(-R)-、-O-、および-S-がさらに好ましく、単結合が最も好ましい。 As a linking group, a single bond, -CR=CR-, -N(-R)-, -O-, -S-, -C(-R) 2 -, and -Si(-R) 2 as a linking group -, and -Se- are preferred, and single bonds, -CR=CR-, -N(-R)-, -O-, -S- and -C(-R) 2 - as linking groups are more preferred. , a single bond, and -CR=CR-, -N(-R)-, -O-, and -S- as linking groups are more preferred, and a single bond is most preferred.
結合基により2つのRが結合する位置は、結合可能な位置であれば特に限定されないが、最も隣接する位置で結合することが好ましく、例えば2つの基がフェニルである場合、フェニルにおける「C」や「Si」の結合位置(1位)を基準としてオルト(2位)の位置同士で結合することが好ましい(上記構造式を参照)。 The position where the two R are bonded by the bonding group is not particularly limited as long as it is a bondable position, but it is preferable to bond at the most adjacent position. For example, when the two groups are phenyl, "C" in phenyl It is preferable to bond at the ortho (2-position) positions with respect to the bonding position (1-position) of or "Si" (see the structural formula above).
<環および置換基の具体的な説明>
本明細書において記載する環および置換基の詳細について以下で説明する。
<Specific Description of Ring and Substituent>
Details of the rings and substituents described herein are set forth below.
「アリール環」は、例えば炭素数6~30のアリール環であり、好ましくは、炭素数6~20のアリール環、炭素数6~16のアリール環、炭素数6~12のアリール環、または炭素数6~10のアリール環などである。
The “aryl ring” is, for example, an aryl ring having 6 to 30 carbon atoms, preferably an aryl ring having 6 to 20 carbon atoms, an aryl ring having 6 to 16 carbon atoms, an aryl ring having 6 to 12 carbon atoms, or an aryl ring having 6 to 12 carbon atoms. Examples include aryl rings of
具体的な「アリール環」は、例えば、単環系であるベンゼン環、縮合二環系であるナフタレン環、縮合三環系である、アセナフチレン環、フルオレン環、フェナレン環、もしくはフェナントレン環、アントラセン環、縮合四環系である、トリフェニレン環、ピレン環、もしくはナフタセン環、または、縮合五環系であるペリレン環もしくはペンタセン環などである。 A specific “aryl ring” is, for example, a monocyclic benzene ring, a condensed bicyclic naphthalene ring, a condensed tricyclic acenaphthylene ring, fluorene ring, phenalene ring, phenanthrene ring, or anthracene ring. , condensed tetracyclic ring system such as triphenylene ring, pyrene ring or naphthacene ring, or condensed pentacyclic ring system such as perylene ring or pentacene ring.
「ヘテロアリール環」は、例えば炭素数2~30のヘテロアリール環であり、好ましくは、炭素数2~25のヘテロアリール環、炭素数2~20のヘテロアリール環、炭素数2~15のヘテロアリール環、または炭素数2~10のヘテロアリール環などである。また、「ヘテロアリール環」は、例えば環構成原子として炭素以外に酸素、硫黄、および窒素から選ばれるヘテロ原子を1~5個含有する複素環などである。 The "heteroaryl ring" is, for example, a heteroaryl ring having 2 to 30 carbon atoms, preferably a heteroaryl ring having 2 to 25 carbon atoms, a heteroaryl ring having 2 to 20 carbon atoms, a heteroaryl ring having 2 to 15 carbon atoms, and a heteroaryl ring having 2 to 15 carbon atoms. An aryl ring, a heteroaryl ring having 2 to 10 carbon atoms, or the like. Further, the “heteroaryl ring” is, for example, a heterocyclic ring containing 1 to 5 heteroatoms selected from oxygen, sulfur and nitrogen in addition to carbon as ring-constituting atoms.
具体的な「ヘテロアリール環」は、例えば、ピロール環、オキサゾール環、イソオキサゾール環、チアゾール環、イソチアゾール環、イミダゾール環、オキサジアゾール環、チアジアゾール環、トリアゾール環、テトラゾール環、ピラゾール環、ピリジン環、ピリミジン環、ピリダジン環、ピラジン環、トリアジン環、インドール環、イソインドール環、1H-インダゾール環、ベンゾイミダゾール環、ベンゾオキサゾール環、ベンゾチアゾール環、1H-ベンゾトリアゾール環、キノリン環、イソキノリン環、シンノリン環、キナゾリン環、キノキサリン環、フェナントロリン環、フタラジン環、ナフチリジン環、プリン環、プテリジン環、カルバゾール環、アクリジン環、フェノキサチイン環、フェノキサジン環、フェノチアジン環、フェナジン環、フェナザシリン環、インドリジン環、フラン環、ベンゾフラン環、イソベンゾフラン環、ジベンゾフラン環、ナフトベンゾフラン環、チオフェン環、ベンゾチオフェン環、イソベンゾチオフェン環、ジベンゾチオフェン環、ナフトベンゾチオフェン環、ベンゾホスホール環、ジベンゾホスホール環、ベンゾホスホールオキシド環、ジベンゾホスホールオキシド環、フラザン環、チアントレン環、インドロカルバゾール環、ベンゾインドロカルバゾール環、ジベンゾインドロカルバゾール環、イミダゾリン環、またはオキサゾリン環などである。 Specific "heteroaryl rings" include, for example, pyrrole ring, oxazole ring, isoxazole ring, thiazole ring, isothiazole ring, imidazole ring, oxadiazole ring, thiadiazole ring, triazole ring, tetrazole ring, pyrazole ring, pyridine ring, pyrimidine ring, pyridazine ring, pyrazine ring, triazine ring, indole ring, isoindole ring, 1H-indazole ring, benzimidazole ring, benzoxazole ring, benzothiazole ring, 1H-benzotriazole ring, quinoline ring, isoquinoline ring, cinnoline ring, quinazoline ring, quinoxaline ring, phenanthroline ring, phthalazine ring, naphthyridine ring, purine ring, pteridine ring, carbazole ring, acridine ring, phenoxathiine ring, phenoxazine ring, phenothiazine ring, phenazine ring, phenazacillin ring, indolizine ring, furan ring, benzofuran ring, isobenzofuran ring, dibenzofuran ring, naphthobenzofuran ring, thiophene ring, benzothiophene ring, isobenzothiophene ring, dibenzothiophene ring, naphthobenzothiophene ring, benzophosphole ring, dibenzophosphole ring, benzophosphole oxide ring, dibenzophosphole oxide ring, furazane ring, thianthrene ring, indolocarbazole ring, benzoindolocarbazole ring, dibenzoindolocarbazole ring, imidazoline ring, oxazoline ring and the like.
本明細書において置換基群Zは、
アリール、ヘテロアリール、アルキルおよびシクロアルキルからなる群より選択される少なくとも1つの基で置換されていてもよいアリール、
アリール、ヘテロアリール、アルキルおよびシクロアルキルからなる群より選択される少なくとも1つの基で置換されていてもよいヘテロアリール、
アリール、ヘテロアリール、アルキルおよびシクロアルキルからなる群より選択される少なくとも1つの基で置換されていてもよいジアリールアミノ(2つのアリールは互いに連結基を介して結合していてもよい)、
アリール、ヘテロアリール、アルキルおよびシクロアルキルからなる群より選択される少なくとも1つの基で置換されていてもよいジヘテロアリールアミノ(2つのヘテロアリールは互いに連結基を介して結合していてもよい)、
アリール、ヘテロアリール、アルキルおよびシクロアルキルからなる群より選択される少なくとも1つの基で置換されていてもよいアリールヘテロアリールアミノ(アリールとヘテロアリールとは互いに連結基を介して結合していてもよい)、
アリール、ヘテロアリール、アルキルおよびシクロアルキルからなる群より選択される少なくとも1つの基で置換されていてもよいジアリールボリル(2つのアリールは単結合または連結基を介して結合していてもよい)、
アリール、ヘテロアリールおよびシクロアルキルからなる群より選択される少なくとも1つの基で置換されていてもよいアルキル、
アリール、ヘテロアリール、アルキルおよびシクロアルキルからなる群より選択される少なくとも1つの基で置換されていてもよいシクロアルキル、
アリール、ヘテロアリールおよびシクロアルキルからなる群より選択される少なくとも1つの基で置換されていてもよいアルコキシ、
アリール、ヘテロアリール、アルキルおよびシクロアルキルからなる群より選択される少なくとも1つの基で置換されていてもよいアリールオキシ、ならびに
置換シリルからなる。
置換基群Zの各基における第2置換基であるアリールは、さらにアリール、ヘテロアリール、アルキル、またはシクロアルキルで置換されていてもよい、同様に、第2置換基であるヘテロアリールはアリール、ヘテロアリール、アルキル、またはシクロアルキルで置換されていてもよい。
In the present specification, the substituent group Z is
aryl optionally substituted with at least one group selected from the group consisting of aryl, heteroaryl, alkyl and cycloalkyl;
heteroaryl optionally substituted with at least one group selected from the group consisting of aryl, heteroaryl, alkyl and cycloalkyl;
diarylamino optionally substituted with at least one group selected from the group consisting of aryl, heteroaryl, alkyl and cycloalkyl (the two aryls may be bonded to each other via a linking group);
diheteroarylamino optionally substituted with at least one group selected from the group consisting of aryl, heteroaryl, alkyl and cycloalkyl (two heteroaryls may be bonded to each other via a linking group) ,
arylheteroarylamino optionally substituted with at least one group selected from the group consisting of aryl, heteroaryl, alkyl and cycloalkyl (aryl and heteroaryl may be ),
diarylboryl optionally substituted with at least one group selected from the group consisting of aryl, heteroaryl, alkyl and cycloalkyl (the two aryls may be bonded via a single bond or a linking group);
alkyl optionally substituted with at least one group selected from the group consisting of aryl, heteroaryl and cycloalkyl;
cycloalkyl optionally substituted with at least one group selected from the group consisting of aryl, heteroaryl, alkyl and cycloalkyl;
alkoxy optionally substituted with at least one group selected from the group consisting of aryl, heteroaryl and cycloalkyl;
It consists of aryloxy optionally substituted with at least one group selected from the group consisting of aryl, heteroaryl, alkyl and cycloalkyl, and substituted silyl.
The second substituent aryl in each group of the substituent group Z may be further substituted with aryl, heteroaryl, alkyl, or cycloalkyl. Similarly, the second substituent heteroaryl is aryl, It may be optionally substituted with heteroaryl, alkyl, or cycloalkyl.
本明細書において、「アリール」は、例えば炭素数6~30のアリールであり、好ましくは、炭素数6~20のアリール、炭素数6~16のアリール、炭素数6~12のアリール、または炭素数6~10のアリールなどである。
As used herein, "aryl" is, for example, aryl having 6 to 30 carbon atoms, preferably aryl having 6 to 20 carbon atoms, aryl having 6 to 16 carbon atoms, aryl having 6 to 12 carbon atoms, or Aryl of
具体的な「アリール」は、例えば、単環系であるフェニル、二環系であるビフェニリル(2-ビフェニリル、3-ビフェニリル、もしくは4-ビフェニリル)、縮合二環系であるナフチル(1-ナフチルもしくは2-ナフチル)、三環系であるテルフェニリル(m-テルフェニル-2'-イル、m-テルフェニル-4'-イル、m-テルフェニル-5'-イル、o-テルフェニル-3'-イル、o-テルフェニル-4'-イル、p-テルフェニル-2'-イル、m-テルフェニル-2-イル、m-テルフェニル-3-イル、m-テルフェニル-4-イル、o-テルフェニル-2-イル、o-テルフェニル-3-イル、o-テルフェニル-4-イル、p-テルフェニル-2-イル、p-テルフェニル-3-イル、もしくはp-テルフェニル-4-イル)、縮合三環系である、アセナフチレン-(1-、3-、4-、もしくは5-)イル、フルオレン-(1-、2-、3-、4-、もしくは9-)イル、フェナレン-(1-もしくは2-)イル、フェナントレン-(1-、2-、3-、4-、もしくは9-)イル、もしくはアントラセン-(1-、2-、もしくは9-)イル、四環系であるクアテルフェニリル(5'-フェニル-m-テルフェニル-2-イル、5'-フェニル-m-テルフェニル-3-イル、5'-フェニル-m-テルフェニル-4-イル、もしくはm-クアテルフェニル)、縮合四環系である、トリフェニレン-(1-もしくは2-)イル、ピレン-(1-、2-、もしくは4-)イル、もしくはナフタセン-(1-、2-、もしくは5-)イル、または、縮合五環系である、ペリレン-(1-、2-、もしくは3-)イル、もしくはペンタセン-(1-、2-、5-、もしくは6-)イルなどである。その他、スピロフルオレンの1価の基などがあげられる。 A specific “aryl” is, for example, a monocyclic phenyl, a bicyclic biphenylyl (2-biphenylyl, 3-biphenylyl, or 4-biphenylyl), a condensed bicyclic naphthyl (1-naphthyl or 2-naphthyl), tricyclic terphenylyl (m-terphenyl-2′-yl, m-terphenyl-4′-yl, m-terphenyl-5′-yl, o-terphenyl-3′- yl, o-terphenyl-4′-yl, p-terphenyl-2′-yl, m-terphenyl-2-yl, m-terphenyl-3-yl, m-terphenyl-4-yl, o -terphenyl-2-yl, o-terphenyl-3-yl, o-terphenyl-4-yl, p-terphenyl-2-yl, p-terphenyl-3-yl, or p-terphenyl- 4-yl), acenaphthylene-(1-, 3-, 4-, or 5-)yl, fluorene-(1-, 2-, 3-, 4-, or 9-)yl, which is a fused tricyclic system , phenalen-(1- or 2-)yl, phenanthrene-(1-, 2-, 3-, 4-, or 9-)yl, or anthracen-(1-, 2-, or 9-)yl, tetra The ring system quaterphenylyl (5′-phenyl-m-terphenyl-2-yl, 5′-phenyl-m-terphenyl-3-yl, 5′-phenyl-m-terphenyl-4-yl , or m-quaterphenyl), a fused tetracyclic ring system, triphenylene-(1- or 2-)yl, pyren-(1-, 2-, or 4-)yl, or naphthacene-(1-, 2 -, or 5-)yl, or perylene-(1-, 2-, or 3-)yl, or pentacene-(1-, 2-, 5-, or 6-)yl, which is a fused five-ring system and so on. Other examples include a monovalent group of spirofluorene.
なお、第2置換基としてのアリールには、当該アリールが、フェニルなどのアリール(具体例は上述した基)、メチルなどのアルキル(具体例は後述する基)、およびシクロヘキシルもしくはアダマンチルなどのシクロアルキル(具体例は後述する基)からなる群より選択される少なくとも1つの基で置換された構造も含まれる。
その一例としては、第2置換基としてのフルオレニルの9位が、フェニルなどのアリール、メチルなどのアルキル、またはシクロヘキシルもしくはアダマンチルなどのシクロアルキルで置換された基があげられる。
The aryl as the second substituent includes aryl such as phenyl (specific examples are the groups described above), alkyl such as methyl (specific examples are groups described later), and cycloalkyl such as cyclohexyl or adamantyl. Structures substituted with at least one group selected from the group consisting of (specific examples are groups described later) are also included.
An example thereof is a group in which the 9-position of fluorenyl as the second substituent is substituted with aryl such as phenyl, alkyl such as methyl, or cycloalkyl such as cyclohexyl or adamantyl.
「アリーレン」は、例えば炭素数6~30のアリーレンであり、好ましくは、炭素数6~20のアリーレン、炭素数6~16のアリーレン、炭素数6~12のアリーレン、または炭素数6~10のアリーレンなどである。
具体的な「アリーレン」は、例えば、上述した「アリール」(1価の基)から1つの水素を除いた2価の基があげられる。
"Arylene" is, for example, arylene having 6 to 30 carbon atoms, preferably arylene having 6 to 20 carbon atoms, arylene having 6 to 16 carbon atoms, arylene having 6 to 12 carbon atoms, or arylene having 6 to 10 carbon atoms. Arylene and others.
A specific “arylene” is, for example, a divalent group obtained by removing one hydrogen from the above-mentioned “aryl” (monovalent group).
「ヘテロアリール」は、例えば炭素数2~30のヘテロアリールであり、好ましくは、炭素数2~25のヘテロアリール、炭素数2~20のヘテロアリール、炭素数2~15のヘテロアリール、または炭素数2~10のヘテロアリールなどである。「ヘテロアリール」は、環構成原子として炭素以外に酸素、硫黄、および窒素等から選ばれるヘテロ原子を、1個以上、好ましくは1~5個含有する。
“Heteroaryl” is, for example, heteroaryl having 2 to 30 carbon atoms, preferably heteroaryl having 2 to 25 carbon atoms, heteroaryl having 2 to 20 carbon atoms, heteroaryl having 2 to 15 carbon atoms, or carbon Heteroaryl of
具体的な「ヘテロアリール」としては、例えば、ピロリル、オキサゾリル、イソオキサゾリル、チアゾリル、イソチアゾリル、イミダゾリル、オキサジアゾリル、チアジアゾリル、トリアゾリル、テトラゾリル、ピラゾリル、ピリジル、ピリミジニル、ピリダジニル、ピラジニル、トリアジニル、インドリル、イソインドリル、1H-インダゾリル、ベンゾイミダゾリル、ベンゾオキサゾリル、ベンゾチアゾリル、1H-ベンゾトリアゾリル、キノリニル、イソキノリニル、シンノリニル、キナゾリニル、キノキサリニル、フェナントロリニル、フタラジニル、ナフチリジニル、プリニル、プテリジニル、カルバゾリル、アクリジニル、フェノキサチイニル、フェノキサジニル、フェノチアジニル、フェナジニル、フェナザシリニル、インドリジニル、フラニル、ベンゾフラニル、イソベンゾフラニル、ジベンゾフラニル、ナフトベンゾフラニル、チエニル、ベンゾチエニル、イソベンゾチエニル、ジベンゾチエニル、ナフトベンゾチエニル、ベンゾホスホリル、ジベンゾホスホリル、ベンゾホスホールオキシド環の1価の基、ジベンゾホスホールオキシド環の1価の基、フラザニル、チアントレニル、インドロカルバゾリル、ベンゾインドロカルバゾリル、ジベンゾインドロカルバゾリル、イミダゾリニル、またはオキサゾリニルなどである。その他、スピロ[フルオレン-9、9’-キサンテン]の1価の基、スピロビ[シラフルオレン]の1価の基、ベンゾセレフェンの1価の基があげられる。 Specific examples of "heteroaryl" include pyrrolyl, oxazolyl, isoxazolyl, thiazolyl, isothiazolyl, imidazolyl, oxadiazolyl, thiadiazolyl, triazolyl, tetrazolyl, pyrazolyl, pyridyl, pyrimidinyl, pyridazinyl, pyrazinyl, triazinyl, indolyl, isoindolyl, 1H- indazolyl, benzimidazolyl, benzoxazolyl, benzothiazolyl, 1H-benzotriazolyl, quinolinyl, isoquinolinyl, cinnolinyl, quinazolinyl, quinoxalinyl, phenanthrolinyl, phthalazinyl, napthyridinyl, purinyl, pteridinyl, carbazolyl, acridinyl, phenoxathiinyl, phenoxazinyl, phenothiazinyl, phenazinyl, phenazacilinyl, indolizinyl, furanyl, benzofuranyl, isobenzofuranyl, dibenzofuranyl, naphthobenzofuranyl, thienyl, benzothienyl, isobenzothienyl, dibenzothienyl, naphthobenzothienyl, benzophosphoryl, dibenzophosphoryl , a monovalent group of a benzophosphole oxide ring, a monovalent group of a dibenzophosphole oxide ring, furazanyl, thianthrenyl, indolocarbazolyl, benzoindolocarbazolyl, dibenzoindolocarbazolyl, imidazolinyl, or oxazolinyl and so on. Other examples include a spiro[fluorene-9,9'-xanthene] monovalent group, a spirobi[silafluorene] monovalent group, and a benzoselephene monovalent group.
なお、第2置換基としてのヘテロアリールには、当該ヘテロアリールが、フェニルなどのアリール(具体例は上述した基)、メチルなどのアルキル(具体例は後述する基)およびシクロヘキシルもしくはアダマンチルなどのシクロアルキル(具体例は後述する基)からなる群より選択される少なくとも1つの基で置換された構造も含まれる。
その一例としては、第2置換基としてのカルバゾリルの9位が、フェニルなどのアリール、メチルなどのアルキル、またはシクロヘキシルもしくはアダマンチルなどのシクロアルキルで置換された基があげられる。また、ピリジル、ピリミジニル、トリアジニル、カルバゾリルなどの含窒素ヘテロアリールがさらにフェニルまたはビフェニリルなどで置換された基も第2置換基としてのヘテロアリールに含まれる。
The heteroaryl as the second substituent includes aryl such as phenyl (specific examples are the groups described above), alkyl such as methyl (specific examples are groups described later), and cyclohexyl or adamantyl. Structures substituted with at least one group selected from the group consisting of alkyl (specific examples are groups described later) are also included.
Examples thereof include groups in which the 9-position of carbazolyl as the second substituent is substituted with aryl such as phenyl, alkyl such as methyl, or cycloalkyl such as cyclohexyl or adamantyl. In addition, groups in which nitrogen-containing heteroaryl such as pyridyl, pyrimidinyl, triazinyl and carbazolyl are further substituted with phenyl or biphenylyl are also included in heteroaryl as the second substituent.
「ヘテロアリーレン」は、例えば炭素数2~30のヘテロアリーレンであり、好ましくは、炭素数2~25のヘテロアリーレン、炭素数2~20のヘテロアリーレン、炭素数2~15のヘテロアリーレン、または炭素数2~10のヘテロアリーレンなどである。また、「ヘテロアリーレン」は、例えば環構成原子として炭素以外に酸素、硫黄、および窒素から選ばれるヘテロ原子を1~5個含有する複素環などの2価の基である。
具体的な「ヘテロアリーレン」は、例えば、上述した「ヘテロアリール」(1価の基)から1つの水素を除いた2価の基があげられる。
"Heteroarylene" is, for example, heteroarylene having 2 to 30 carbon atoms, preferably heteroarylene having 2 to 25 carbon atoms, heteroarylene having 2 to 20 carbon atoms, heteroarylene having 2 to 15 carbon atoms, or carbon Heteroarylene of
A specific “heteroarylene” is, for example, a divalent group obtained by removing one hydrogen from the above-mentioned “heteroaryl” (monovalent group).
「ジアリールアミノ」は、2つのアリールが置換したアミノであり、このアリールの詳細については上述した「アリール」の説明を引用できる。
「ジヘテロアリールアミノ」は、2つのヘテロアリールが置換したアミノであり、このヘテロアリールの詳細については上述した「ヘテロアリール」の説明を引用できる。
「アリールヘテロアリールアミノ」は、アリールおよびヘテロアリールが置換したアミノであり、このアリールおよびヘテロアリールの詳細については上述した「アリール」および「ヘテロアリール」の説明を引用できる。
"Diarylamino" is amino substituted with two aryls, and the above description of "aryl" can be referred to for details of this aryl.
"Diheteroarylamino" is amino substituted with two heteroaryls, and the above description of "heteroaryl" can be referred to for details of this heteroaryl.
"Arylheteroarylamino" is amino substituted with aryl and heteroaryl, and the details of this aryl and heteroaryl can be referred to the above description of "aryl" and "heteroaryl".
第1の置換基としてのジアリールアミノにおける2つのアリールは互いに連結基を介して結合していてもよく、第1の置換基としてのジヘテロアリールアミノにおける2つのヘテロアリールは互いに連結基を介して結合していてもよく、第1の置換基としてのアリールヘテロアリールアミノのアリールとヘテロアリールは互いに連結基を介して結合していてもよい。ここで、「連結基を介して結合」という記載は、下記に示すように例えばジフェニルアミノの2つのフェニルが連結基で結合を形成することを表す。またこの説明はアリールやヘテロアリールで形成された、ジヘテロアリールアミノおよびアリールヘテロアリールアミノについても適応される。 Two aryls in the diarylamino as the first substituent may be bonded to each other via a linking group, and two heteroaryls in the diheteroarylamino as the first substituent may be bonded to each other via a linking group. The aryl and heteroaryl of the arylheteroarylamino as the first substituent may be bonded to each other via a linking group. Here, the description "bonded via a linking group" means that two phenyls such as diphenylamino form a bond via the linking group as shown below. This explanation also applies to diheteroarylamino and arylheteroarylamino formed by aryl and heteroaryl.
連結基としては具体的には、>O、>N-RX、>C(-RX)2、>Si(-RX)2、>S、>CO、>CS、>SO、>SO2、および>Seがあげられる。RXはそれぞれ独立してアルキル、シクロアルキル、アリールまたはヘテロアリールであり、これらはアルキル、シクロアルキル、アリールまたはヘテロアリールで置換されていてもよい。また>C(-RX)2、>Si(-RX)2、におけるRXは、単結合または連結基XYを介して結合して環を形成してもよい。XYとしては>O、>N-RY、>C(-RY)2、>Si(-RY)2、>S、>CO、>CS、>SO、>SO2、および>Seがあげられ、RYはそれぞれ独立してアルキル、シクロアルキル、アリールまたはヘテロアリールであり、これらはアルキル、シクロアルキル、アリールまたはヘテロアリールで置換されていてもよい。ただし、XYが>C(-RY)2および>Si(-RY)2の場合には、2つのRYは結合してさらに環を形成することはない。さらに連結基としては、アルケニレンもあげられる。該アルケニレンの任意の水素はそれぞれ独立してRXで置換されていてもよく、RXはそれぞれ独立してアルキル、シクロアルキル、置換シリル、アリールおよびヘテロアリールであり、これらはアルキル、シクロアルキル、置換シリル、アリールで置換されていてもよい。 Specific examples of the linking groups include >O, >N—R x , >C(—R x ) 2 , >Si(—R x ) 2 , >S, >CO, >CS, >SO, >SO 2 , and >Se. Each R X is independently alkyl, cycloalkyl, aryl or heteroaryl, which may be substituted with alkyl, cycloalkyl, aryl or heteroaryl. In addition, R X in >C(-R X ) 2 and >Si(-R X ) 2 may be bonded via a single bond or a linking group X Y to form a ring. X Y is >O, >N-R Y , >C(-R Y ) 2 , >Si(-R Y ) 2 , >S, >CO, >CS, >SO, >SO 2 , and >Se and each R Y is independently alkyl, cycloalkyl, aryl or heteroaryl, which may be substituted with alkyl, cycloalkyl, aryl or heteroaryl. However, when X Y is >C(-R Y ) 2 and >Si(-R Y ) 2 , the two R Y do not combine to form a further ring. Further examples of linking groups include alkenylene. Any hydrogen of said alkenylene may each independently be substituted with R X , each R X being independently alkyl, cycloalkyl, substituted silyl, aryl and heteroaryl, which are alkyl, cycloalkyl, It may be substituted with substituted silyl or aryl.
なお、本明細書で単に「ジアリールアミノ」、「ジヘテロアリールアミノ」または「アリールヘテロアリールアミノ」と記載されている場合は、特に断りがない限りは、それぞれ「ジアリールアミノの2つのアリールは互いに連結基を介して結合していてもよい」、「前記ジヘテロアリールアミノの2つのヘテロアリールは互いに連結基を介して結合していてもよい」および「前記アリールヘテロアリールアミノのアリールとヘテロアリールは互いに連結基を介して結合していてもよい」という説明が加わっているものであるとする。 In the present specification, when simply described as "diarylamino", "diheteroarylamino" or "arylheteroarylamino", unless otherwise specified, "the two aryls of diarylamino are may be bonded via a linking group", "two heteroaryls of the diheteroarylamino may be bonded to each other via a linking group", and "the aryl and heteroaryl of the arylheteroarylamino may be bonded to each other via a linking group".
「ジアリールボリル」は、2つのアリールが置換したボリルであり、このアリールの詳細については上述した「アリール」の説明を引用できる。また、この2つのアリールは、単結合または連結基(例えば、-CH=CH-、-CR=CR-、-C≡C-、>N-R、>O、>S、>C(-R)2、>Si(-R)2、または>Se)を介して結合していてもよい。ここで、前記-CR=CR-のR、>N-RのR、>C(-R)2のR、および>Si(-R)のRは、アリール、ヘテロアリール、ジアリールアミノ、アルキル、アルケニル、アルキニル、シクロアルキル、アルコキシ、またはアリールオキシであり、当該Rにおける少なくとも1つの水素は、さらにアリール、ヘテロアリール、アルキル、アルケニル、アルキニル、またはシクロアルキルで置換されていてもよい。また、隣接する2つのR同士が環を形成し、シクロアルキレン、アリーレン、およびヘテロアリーレンを形成していてもよい。ここで列挙した置換基の詳細については、上述した「アリール」、「アリーレン」、「ヘテロアリール」、「ヘテロアリーレン」、および「ジアリールアミノ」の説明、ならびに、後述する「アルキル」、「アルケニル」、「アルキニル」、「シクロアルキル」、「シクロアルキレン」、「アルコキシ」、および「アリールオキシ」の説明を引用できる。また、本明細書で単に「ジアリールボリル」と記載されている場合は、特に断りがない限りは、「ジアリールボリルの2つのアリールは互いに単結合または連結基を介して結合していてもよい」という説明が加わっているものであるとする。 "Diarylboryl" is boryl substituted with two aryls, and the above description of "aryl" can be referred to for details of this aryl. The two aryls may also be a single bond or a linking group (e.g., -CH=CH-, -CR=CR-, -C≡C-, >NR, >O, >S, >C(-R ) 2 , >Si(-R) 2 , or >Se). Here, R of -CR=CR-, R of >NR, R of >C(-R) 2 and R of >Si(-R) are aryl, heteroaryl, diarylamino, alkyl, alkenyl, alkynyl, cycloalkyl, alkoxy, or aryloxy, and at least one hydrogen in said R may be further substituted with aryl, heteroaryl, alkyl, alkenyl, alkynyl, or cycloalkyl. Also, two adjacent R's may form a ring to form cycloalkylene, arylene, and heteroarylene. For details of the substituents listed here, see the description of "aryl", "arylene", "heteroaryl", "heteroarylene" and "diarylamino" above, and "alkyl" and "alkenyl" below. , “alkynyl”, “cycloalkyl”, “cycloalkylene”, “alkoxy” and “aryloxy” descriptions can be cited. In addition, when simply described as "diarylboryl" in this specification, unless otherwise specified, "two aryls of diarylboryl may be bonded to each other via a single bond or a linking group." It is assumed that the explanation is added.
「アルキル」は、直鎖および分岐鎖のいずれでもよく、例えば炭素数1~24の直鎖アルキルまたは炭素数3~24の分岐鎖アルキルであり、好ましくは、炭素数1~18のアルキル(炭素数3~18の分岐鎖アルキル)、炭素数1~12のアルキル(炭素数3~12の分岐鎖アルキル)、炭素数1~6のアルキル(炭素数3~6の分岐鎖アルキル)、炭素数1~5のアルキル(炭素数3~5の分岐鎖アルキル)、炭素数1~4のアルキル(炭素数3~4の分岐鎖アルキル)などである。
"Alkyl" may be either straight-chain or branched-chain, for example straight-chain alkyl having 1 to 24 carbon atoms or branched-chain alkyl having 3 to 24 carbon atoms, preferably alkyl having 1 to 18 carbon atoms ( 3 to 18 branched chain alkyl),
具体的な「アルキル」は、例えば、メチル、エチル、n-プロピル、イソプロピル、1-エチル-1-メチルプロピル、1,1-ジエチルプロピル、1,1,2-トリメチルプロピル、1,1,2,2-テトラメチルプロピル、1-エチル-1,2,2-トリメチルプロピル、n-ブチル、イソブチル、s-ブチル、t-ブチル、2-エチルブチル、1,1-ジメチルブチル、3,3-ジメチルブチル、1,1-ジエチルブチル、1-エチル-1-メチルブチル、1-プロピル-1-メチルブチル、1,1,3-トリメチルブチル、1-エチル-1,3-ジメチルブチル、n-ペンチル、イソペンチル、ネオペンチル、t-ペンチル(t-アミル)、1-メチルペンチル、2-プロピルペンチル、1,1-ジメチルペンチル、1-エチル-1-メチルペンチル、1-プロピル-1-メチルペンチル、1-ブチル-1-メチルペンチル、1,1,4-トリメチルペンチル、n-ヘキシル、1-メチルヘキシル、2-エチルヘキシル、1,1-ジメチルヘキシル、1-エチル-1-メチルヘキシル、1,1,5-トリメチルヘキシル、3,5,5-トリメチルヘキシル、n-ヘプチル、1-メチルヘプチル、1-ヘキシルヘプチル、1,1-ジメチルヘプチル、2,2-ジメチルヘプチル、2,6-ジメチル-4-ヘプチル、n-オクチル、t-オクチル(1,1,3,3-テトラメチルブチル)、1,1-ジメチルオクチル、n-ノニル、n-デシル、1-メチルデシル、n-ウンデシル、n-ドデシル、n-トリデシル、n-テトラデシル、n-ペンタデシル、n-ヘキサデシル、n-ヘプタデシル、n-オクタデシル、またはn-エイコシルなどである。 Specific "alkyl" include, for example, methyl, ethyl, n-propyl, isopropyl, 1-ethyl-1-methylpropyl, 1,1-diethylpropyl, 1,1,2-trimethylpropyl, 1,1,2 , 2-tetramethylpropyl, 1-ethyl-1,2,2-trimethylpropyl, n-butyl, isobutyl, s-butyl, t-butyl, 2-ethylbutyl, 1,1-dimethylbutyl, 3,3-dimethyl Butyl, 1,1-diethylbutyl, 1-ethyl-1-methylbutyl, 1-propyl-1-methylbutyl, 1,1,3-trimethylbutyl, 1-ethyl-1,3-dimethylbutyl, n-pentyl, isopentyl , neopentyl, t-pentyl (t-amyl), 1-methylpentyl, 2-propylpentyl, 1,1-dimethylpentyl, 1-ethyl-1-methylpentyl, 1-propyl-1-methylpentyl, 1-butyl -1-methylpentyl, 1,1,4-trimethylpentyl, n-hexyl, 1-methylhexyl, 2-ethylhexyl, 1,1-dimethylhexyl, 1-ethyl-1-methylhexyl, 1,1,5- trimethylhexyl, 3,5,5-trimethylhexyl, n-heptyl, 1-methylheptyl, 1-hexylheptyl, 1,1-dimethylheptyl, 2,2-dimethylheptyl, 2,6-dimethyl-4-heptyl, n-octyl, t-octyl (1,1,3,3-tetramethylbutyl), 1,1-dimethyloctyl, n-nonyl, n-decyl, 1-methyldecyl, n-undecyl, n-dodecyl, n- tridecyl, n-tetradecyl, n-pentadecyl, n-hexadecyl, n-heptadecyl, n-octadecyl, n-eicosyl, and the like.
「アルケニル」については、上述した「アルキル」の説明を参考にすることができ、「アルキル」の構造中のC-C単結合をC=C二重結合に置換した基であり、1つだけでなく2つ以上の単結合が二重結合に置換された基(アルカジエン-イルやアルカントリエン-イルとも呼ばれる)も含める。 For "alkenyl", the above description of "alkyl" can be referred to. Also includes groups in which two or more single bonds are substituted with double bonds (also called alkadien-yl or alkanetrien-yl).
「アルキニル」については、上述した「アルキル」の説明を参考にすることができ、「アルキル」の構造中のC-C単結合をC≡C三重結合に置換した基であり、1つだけでなく2つ以上の単結合が三重結合に置換された基(アルカジイン-イルやアルカントリイン-イルとも呼ばれる)も含める。 For "alkynyl", the above description of "alkyl" can be referred to. Also included are groups in which two or more single bonds are replaced by triple bonds (also called alkadiyn-yl or alkanetriin-yl).
「シクロアルキル」は、例えば炭素数3~24のシクロアルキルであり、好ましくは、炭素数3~20のシクロアルキル、炭素数3~16のシクロアルキル、炭素数3~14のシクロアルキル、炭素数3~12のシクロアルキル、炭素数5~10のシクロアルキル、炭素数5~8のシクロアルキル、炭素数5~6のシクロアルキル、または炭素数5のシクロアルキルなどである。 "Cycloalkyl" is, for example, cycloalkyl having 3 to 24 carbon atoms, preferably cycloalkyl having 3 to 20 carbon atoms, cycloalkyl having 3 to 16 carbon atoms, cycloalkyl having 3 to 14 carbon atoms, and cycloalkyl having 3 to 14 carbon atoms. cycloalkyl having 3 to 12 carbon atoms, cycloalkyl having 5 to 10 carbon atoms, cycloalkyl having 5 to 8 carbon atoms, cycloalkyl having 5 to 6 carbon atoms, cycloalkyl having 5 carbon atoms, and the like.
具体的な「シクロアルキル」は、例えば、シクロプロピル、シクロブチル、シクロペンチル、シクロヘキシル、シクロヘプチル、シクロオクチル、シクロノニル、シクロデシル、もしくはこれらの炭素数1~5や炭素数1~4のアルキル(特にメチル)置換体、ノルボルネニル、ビシクロ[1.1.0]ブチル、ビシクロ[1.1.1]ペンチル、ビシクロ[2.1.0]ペンチル、ビシクロ[2.1.1]ヘキシル、ビシクロ[3.1.0]ヘキシル、ビシクロ[2.2.1]ヘプチル、ビシクロ[2.2.2]オクチル、アダマンチル、ジアマンチル、デカヒドロナフタレニル、またはデカヒドロアズレニルなどである。 Specific "cycloalkyl" includes, for example, cyclopropyl, cyclobutyl, cyclopentyl, cyclohexyl, cycloheptyl, cyclooctyl, cyclononyl, cyclodecyl, or alkyls having 1 to 5 carbon atoms or 1 to 4 carbon atoms (especially methyl). substituted, norbornenyl, bicyclo[1.1.0]butyl, bicyclo[1.1.1]pentyl, bicyclo[2.1.0]pentyl, bicyclo[2.1.1]hexyl, bicyclo[3.1 .0]hexyl, bicyclo[2.2.1]heptyl, bicyclo[2.2.2]octyl, adamantyl, diamantyl, decahydronaphthalenyl, or decahydroazulenyl.
「シクロアルキレン」は、例えば炭素数3~24のシクロアルキレンであり、好ましくは、炭素数3~20のシクロアルキレン、炭素数3~16のシクロアルキレン、炭素数3~14のシクロアルキレン、炭素数3~12のシクロアルキレン、炭素数5~10のシクロアルキレン、炭素数5~8のシクロアルキレン、炭素数5~6のシクロアルキレン、または炭素数5のシクロアルキレンなどである。
具体的な「シクロアルキレン」は、例えば、上述した「シクロアルキル」(1価の基)から1つの水素を除いた2価の基があげられる。
"Cycloalkylene" is, for example, cycloalkylene having 3 to 24 carbon atoms, preferably cycloalkylene having 3 to 20 carbon atoms, cycloalkylene having 3 to 16 carbon atoms, cycloalkylene having 3 to 14 carbon atoms, and cycloalkylene having 3 to 14 carbon atoms. cycloalkylene having 3 to 12 carbon atoms, cycloalkylene having 5 to 10 carbon atoms, cycloalkylene having 5 to 8 carbon atoms, cycloalkylene having 5 to 6 carbon atoms, cycloalkylene having 5 carbon atoms, and the like.
A specific “cycloalkylene” is, for example, a divalent group obtained by removing one hydrogen from the above-mentioned “cycloalkyl” (monovalent group).
「アルコキシ」は、「Alk-O-(Alkはアルキル)」で表される基であり、このアルキルの詳細については上述した「アルキル」の説明を引用できる。 "Alkoxy" is a group represented by "Alk-O- (Alk is alkyl)", and for details of this alkyl, the above description of "alkyl" can be cited.
「アリールオキシ」は、「Ar-O-(Arはアリール)」で表される基であり、このアリールの詳細については上述した「アリール」の説明を引用できる。 "Aryloxy" is a group represented by "Ar--O-- (Ar is aryl)", and for details of this aryl, the above description of "aryl" can be cited.
「置換シリル」は、例えば、アリール、アルキル、およびシクロアルキルの少なくとも1つで置換されたシリルであり、好ましくは、トリアリールシリル、トリアルキルシリル、トリシクロアルキルシリル、ジアルキルシクロアルキルシリル、またはアルキルジシクロアルキルシリルである。 "Substituted silyl" is, for example, silyl substituted with at least one of aryl, alkyl, and cycloalkyl, preferably triarylsilyl, trialkylsilyl, tricycloalkylsilyl, dialkylcycloalkylsilyl, or alkyl It is a dicycloalkylsilyl.
「トリアリールシリル」は、3つのアリールで置換されたシリル基であり、このアリールの詳細については上述した「アリール」の説明を引用できる。
具体的な「トリアリールシリル」は、例えば、トリフェニルシリル、ジフェニルモノナフチルシリル、モノフェニルジナフチルシリル、またはトリナフチルシリルなどである。
"Triarylsilyl" is a silyl group substituted with three aryls, and the above description of "aryl" can be referred to for details of this aryl.
A specific "triarylsilyl" is, for example, triphenylsilyl, diphenylmononaphthylsilyl, monophenyldinaphthylsilyl, or trinaphthylsilyl.
「トリアルキルシリル」は、3つのアルキルで置換されたシリル基であり、このアルキルの詳細については上述した「アルキル」の説明を引用できる。
具体的な「トリアルキルシリル」は、例えば、トリメチルシリル、トリエチルシリル、トリn-プロピルシリル、トリイソプロピルシリル、トリn-ブチルシリル、トリイソブチルシリル、トリs-ブチルシリル、トリt-ブチルシリル、エチルジメチルシリル、n-プロピルジメチルシリル、イソプロピルジメチルシリル、n-ブチルジメチルシリル、イソブチルジメチルシリル、s-ブチルジメチルシリル、t-ブチルジメチルシリル、メチルジエチルシリル、n-プロピルジエチルシリル、イソプロピルジエチルシリル、n-ブチルジエチルシリル、s-ブチルジエチルシリル、t-ブチルジエチルシリル、メチルジn-プロピルシリル、エチルジn-プロピルシリル、n-ブチルジn-プロピルシリル、s-ブチルジn-プロピルシリル、t-ブチルジn-プロピルシリル、メチルジイソプロピルシリル、エチルジイソプロピルシリル、n-ブチルジイソプロピルシリル、s-ブチルジイソプロピルシリル、またはt-ブチルジイソプロピルシリルなどである。
"Trialkylsilyl" is a silyl group substituted with three alkyls, and for details of this alkyl, the above description of "alkyl" can be cited.
Specific "trialkylsilyl" includes, for example, trimethylsilyl, triethylsilyl, tri-n-propylsilyl, triisopropylsilyl, tri-n-butylsilyl, triisobutylsilyl, tri-s-butylsilyl, tri-t-butylsilyl, ethyldimethylsilyl, n-propyldimethylsilyl, isopropyldimethylsilyl, n-butyldimethylsilyl, isobutyldimethylsilyl, s-butyldimethylsilyl, t-butyldimethylsilyl, methyldiethylsilyl, n-propyldiethylsilyl, isopropyldiethylsilyl, n-butyldiethyl silyl, s-butyldiethylsilyl, t-butyldiethylsilyl, methyldi-n-propylsilyl, ethyldi-n-propylsilyl, n-butyldi-n-propylsilyl, s-butyldi-n-propylsilyl, t-butyldi-n-propylsilyl, methyldiisopropylsilyl, ethyldiisopropylsilyl, n-butyldiisopropylsilyl, s-butyldiisopropylsilyl, t-butyldiisopropylsilyl, and the like.
「トリシクロアルキルシリル」は、3つのシクロアルキルで置換されたシリル基であり、このシクロアルキルの詳細については上述した「シクロアルキル」の説明を引用できる。
具体的な「トリシクロアルキルシリル」は、例えば、トリシクロペンチルシリルまたはトリシクロヘキシルシリルなどである。
"Tricycloalkylsilyl" is a silyl group substituted with three cycloalkyls, and for details of this cycloalkyl, the above description of "cycloalkyl" can be cited.
A specific "tricycloalkylsilyl" is, for example, tricyclopentylsilyl or tricyclohexylsilyl.
「ジアルキルシクロアルキルシリル」は、2つのアルキルおよび1つのシクロアルキルで置換されたシリル基であり、このアルキルおよびシクロアルキルの詳細については上述した「アルキル」および「シクロアルキル」の説明を引用できる。 A "dialkylcycloalkylsilyl" is a silyl group substituted with two alkyls and one cycloalkyl, and the details of the alkyl and cycloalkyl can be referred to the above explanations of "alkyl" and "cycloalkyl".
「アルキルジシクロアルキルシリル」は、1つのアルキルおよび2つのシクロアルキルで置換されたシリル基であり、このアルキルおよびシクロアルキルの詳細については上述した「アルキル」および「シクロアルキル」の説明を引用できる。 "Alkyldicycloalkylsilyl" is a silyl group substituted with one alkyl and two cycloalkyls, and the details of this alkyl and cycloalkyl can be referred to the above explanations of "alkyl" and "cycloalkyl" .
式(1)で表される構造単位の1つまたは2つ以上からなる構造を有する多環芳香族化合物の用途に応じて上記構造単位が有する置換基を選択するとよい。好ましくは、メチル、t-ブチル、アダマンチル、フェニル、o-トリル、ナフチル、ビフェニリル、ターフェニル、ジフェニルアミノ、カルバゾリル、ジベンゾフラニル、ジベンゾチオフェニル、3,5-ジ-カルバゾリルフェニル、カルバゾリル置換フェニル、ピリジル、フェニル置換ピリジル、ビピリジル、ピペリジニル、フェニル置換ピペリジニル、ピラジニル、フェニル置換ピラジニル、トリアジニル、3,5-ジフェニル-トリアジニル、ビフェニル置換トリアジニル、カルバゾリル置換トリアジニル、シアノである。式(1)で表される構造単位の1つまたは2つ以上からなる構造を有する多環芳香族化合物を正孔輸送層または正孔輸送性ホストとして用いるときは、置換基はジフェニルアミノ、カルバゾリル、ジベンゾフラニル、ジベンゾチオフェニル、3,5-ジ-カルバゾリルフェニル、カルバゾリル置換フェニルがより好ましい。電子輸送層または電子輸送性ホストとして用いるときは、置換基はピリジル、フェニル置換ピリジル、ビピリジル、ピペリジニル、フェニル置換ピペリジニル、ピラジニル、フェニル置換ピラジニル、トリアジニル、3,5-ジフェニル-トリアジニル、ビフェニル置換トリアジニル、カルバゾリル置換トリアジニル、シアノが好ましい。ホスト材料として用いるときは、置換基はフェニル、ナフチル、ビフェニリル、ターフェニル、ジフェニルアミノ、カルバゾリル、ジベンゾフラニル、ジベンゾチオフェニル、3,5-ジ-カルバゾリルフェニル、カルバゾリル置換フェニル、ピリジル、フェニル置換ピリジル、ビピリジル、ピペリジニル、フェニル置換ピペリジニル、ピラジニル、フェニル置換ピラジニル、トリアジニル、3,5-ジフェニル-トリアジニル、ビフェニル置換トリアジニル、カルバゾリル置換トリアジニルが好ましい。 The substituents of the above structural units may be selected according to the use of the polycyclic aromatic compound having a structure consisting of one or more structural units represented by formula (1). Preferably methyl, t-butyl, adamantyl, phenyl, o-tolyl, naphthyl, biphenylyl, terphenyl, diphenylamino, carbazolyl, dibenzofuranyl, dibenzothiophenyl, 3,5-di-carbazolylphenyl, carbazolyl-substituted phenyl, pyridyl, phenyl-substituted pyridyl, bipyridyl, piperidinyl, phenyl-substituted piperidinyl, pyrazinyl, phenyl-substituted pyrazinyl, triazinyl, 3,5-diphenyl-triazinyl, biphenyl-substituted triazinyl, carbazolyl-substituted triazinyl, cyano. When a polycyclic aromatic compound having a structure consisting of one or more structural units represented by formula (1) is used as a hole-transporting layer or a hole-transporting host, the substituents are diphenylamino and carbazolyl. , dibenzofuranyl, dibenzothiophenyl, 3,5-di-carbazolylphenyl, carbazolyl-substituted phenyl are more preferred. When used as an electron-transporting layer or electron-transporting host, the substituents are pyridyl, phenyl-substituted pyridyl, bipyridyl, piperidinyl, phenyl-substituted piperidinyl, pyrazinyl, phenyl-substituted pyrazinyl, triazinyl, 3,5-diphenyl-triazinyl, biphenyl-substituted triazinyl, Carbazolyl-substituted triazinyl, cyano is preferred. When used as host materials, the substituents are phenyl, naphthyl, biphenylyl, terphenyl, diphenylamino, carbazolyl, dibenzofuranyl, dibenzothiophenyl, 3,5-di-carbazolylphenyl, carbazolyl-substituted phenyl, pyridyl, phenyl Substituted pyridyl, bipyridyl, piperidinyl, phenyl-substituted piperidinyl, pyrazinyl, phenyl-substituted pyrazinyl, triazinyl, 3,5-diphenyl-triazinyl, biphenyl-substituted triazinyl, carbazolyl-substituted triazinyl are preferred.
LにおけるRL1、RL2およびRL3は、それぞれ独立して、水素、置換もしくは無置換のアリール、置換もしくは無置換のヘテロアリール、置換もしくは無置換のアルキルまたは置換もしくは無置換のシクロアルキルである。また、ZにおけるRZ1、RZ2およびRZ3は、それぞれ独立して、水素、置換もしくは無置換のアリール、置換もしくは無置換のヘテロアリール、置換もしくは無置換のアルキルまたは置換もしくは無置換のシクロアルキルである。RL1、RL2、RL3、RZ1、RZ2、RZ3において、「置換もしくは無置換の」というときの置換基としては、アリール(アリール、ヘテロアリールで置換されていてもよい)、ヘテロアリール(アリール、ヘテロアリールで置換されていてもよい)、アルキル、シクロアルキル、または以下のいずれかの式で表される置換基などがあげられる。 R L1 , R L2 and R L3 in L are each independently hydrogen, substituted or unsubstituted aryl, substituted or unsubstituted heteroaryl, substituted or unsubstituted alkyl or substituted or unsubstituted cycloalkyl . R Z1 , R Z2 and R Z3 in Z are each independently hydrogen, substituted or unsubstituted aryl, substituted or unsubstituted heteroaryl, substituted or unsubstituted alkyl or substituted or unsubstituted cycloalkyl is. In R L1 , R L2 , R L3 , R Z1 , R Z2 and R Z3 , the substituents referred to as “substituted or unsubstituted” include aryl (optionally substituted with aryl, heteroaryl), hetero Examples include aryl (optionally substituted with aryl or heteroaryl), alkyl, cycloalkyl, or substituents represented by any of the following formulas.
<構造単位の1つまたは2つ以上からなる構造>
本発明の多環芳香族化合物は式(1)で表される構造単位の1つまたは2つ以上からなる構造を有する多環芳香族化合物である。上記構造単位の1つからなる構造を有する多環芳香族化合物は、式(1)で表される構造単位として上記で説明した式で表される多環芳香族化合物である。式(1)で表される構造単位の2つ以上からなる構造を有する多環芳香族化合物としては、式(1)で表される構造単位として上記で説明した式で表される多環芳香族化合物の多量体に該当する化合物である。多量体は、2~6量体が好ましく、2~3量体がより好ましく、2量体が特に好ましい。多量体は、1つの化合物の中に上記単位構造を複数有する形態であればよく、上記構造単位に含まれる任意の環(A環、B環またはC環)を複数の単位構造で共有するようにして結合した形態であってもよく、また、上記単位構造に含まれる任意の環(A環、B環またはC環)同士が縮合するようにして結合した形態であればよい。また、上記単位構造が単結合、炭素数1~3のアルキレン、フェニレン、ナフチレンなどの連結基で複数結合した形態であってもよい。これらのうち、環を共有するようにして結合した形態が好ましい。
<Structure Consisting of One or Two or More Structural Units>
The polycyclic aromatic compound of the present invention is a polycyclic aromatic compound having a structure consisting of one or more structural units represented by formula (1). A polycyclic aromatic compound having a structure consisting of one of the above structural units is a polycyclic aromatic compound represented by the formula explained above as the structural unit represented by formula (1). As the polycyclic aromatic compound having a structure consisting of two or more structural units represented by formula (1), polycyclic aromatic compounds represented by the above-described formulas as structural units represented by formula (1) It is a compound corresponding to multimers of group compounds. The multimer is preferably a 2- to 6-mer, more preferably a 2- to 3-mer, and particularly preferably a dimer. The multimer may be in a form having a plurality of the above unit structures in one compound, and any ring (A ring, B ring or C ring) contained in the above structural unit may be shared by a plurality of unit structures. It may be in a form in which any rings (A ring, B ring or C ring) included in the unit structure are condensed and bonded. In addition, the above unit structure may be in a form in which a plurality of units are bonded by a single bond, a linking group such as alkylene having 1 to 3 carbon atoms, phenylene, naphthylene, or the like. Among these, preferred is a form in which the ring is shared.
<重水素、シアノ、またはハロゲンによる置換の説明>
本発明の多環芳香族化合物における少なくとも1つの水素は、重水素、シアノ、またはハロゲンで置き換えられていてもよい。ハロゲンは、フッ素、塩素、臭素、またはヨウ素であり、フッ素、塩素、または臭素が好ましく、フッ素または塩素がより好ましい。
<Description of Substitution with Deuterium, Cyano, or Halogen>
At least one hydrogen in the polycyclic aromatic compounds of the present invention may be replaced with deuterium, cyano, or halogen. Halogen is fluorine, chlorine, bromine or iodine, preferably fluorine, chlorine or bromine, more preferably fluorine or chlorine.
<本発明の多環芳香族化合物の具体例>
本発明の多環芳香族化合物具体例として、下記構造式のいずれかで表される化合物があげられる。
Specific examples of the polycyclic aromatic compound of the present invention include compounds represented by any of the following structural formulas.
上記構造式中のベンゼン環は、それぞれ独立して、炭素数6~16のアリール、炭素数2~20のヘテロアリール、ジアリールアミノ(ただしアリールは炭素数6~10のアリール)、ジアリールボリル(ただしアリールは炭素数6~10のアリールであり、2つのアリールは単結合または連結基により結合していてもよい)、炭素数1~12のアルキル、または炭素数3~16のシクロアルキルで置換されていてもよく、当該置換基は、炭素数1~5のアルキルおよび炭素数5~10のシクロアルキルからなる群より選択される少なくとも1つの置換基で置換されていてもよく、
上記構造式で表される化合物における少なくとも1つの水素は、重水素、シアノ、またはハロゲンで置き換えられていてもよい。
The benzene rings in the above structural formulas are each independently aryl having 6 to 16 carbon atoms, heteroaryl having 2 to 20 carbon atoms, diarylamino (where aryl is aryl having 6 to 10 carbon atoms), diarylboryl (wherein aryl is aryl having 6 to 10 carbon atoms), Aryl is an aryl having 6 to 10 carbon atoms, and two aryl may be linked by a single bond or a linking group), alkyl having 1 to 12 carbon atoms, or cycloalkyl having 3 to 16 carbon atoms. may be substituted with at least one substituent selected from the group consisting of alkyl having 1 to 5 carbon atoms and cycloalkyl having 5 to 10 carbon atoms,
At least one hydrogen in the compound represented by the above structural formula may be replaced with deuterium, cyano, or halogen.
多環芳香族化合物のさらに具体的な例としては、以下の構造式で表される化合物があげられる。 More specific examples of polycyclic aromatic compounds include compounds represented by the following structural formulas.
2.多環芳香族化合物の製造方法
本発明の多環芳香族化合物は、基本的には、まずA環、B環およびC環を結合基(X、Y、ZまたはLを含む基)で結合させることで中間体を製造し(第1反応)、その後に、環化反応で最終生成物を製造することができる(第2反応)。
2. Method for Producing a Polycyclic Aromatic Compound The polycyclic aromatic compound of the present invention is basically prepared by first combining rings A, B and C with a linking group (a group containing X, Y, Z or L). to produce an intermediate (first reaction), followed by a cyclization reaction to produce the final product (second reaction).
第1反応では、例えばエーテル化反応であれば、求核置換反応、ウルマン反応といった一般的反応が利用でき、アミノ化反応で有ればブッフバルト-ハートウィッグ反応といった一般的反応が利用できる。また、第2反応では、Cadogan環化反応、タンデムヘテロフリーデルクラフツ反応等が利用できる。 In the first reaction, for example, general reactions such as nucleophilic substitution reaction and Ullmann reaction can be used for the etherification reaction, and general reactions such as the Buchwald-Hartwig reaction can be used for the amination reaction. Moreover, in the second reaction, a Cadogan cyclization reaction, a tandem hetero Friedel-Crafts reaction, or the like can be used.
第2反応は、下記スキーム(1)~(4)に示すような4ケースの環化反応がある。ただし、下記スキーム(1)~(4)において、環化反応に利用される、A環、B環、C環、L、X、YおよびZに結合した脱離基などの置換基は省略されている。 The second reaction includes four cyclization reactions shown in schemes (1) to (4) below. However, in the following schemes (1) to (4), substituents such as leaving groups attached to the A ring, B ring, C ring, L, X, Y and Z that are used in the cyclization reaction are omitted. ing.
以下、上記ケースに対して、A環、B環およびC環がベンゼン環である化合物(a)、(b)、(c)、(d)、(e)、(f)、(g)、(h)、(i)および化合物(j)を例として環化反応の製造方法を説明する。 Hereinafter, for the above case, compounds (a), (b), (c), (d), (e), (f), (g), in which the A ring, B ring and C ring are benzene rings, The preparation method for the cyclization reaction will be described using (h), (i) and compound (j) as examples.
ケース1の例として、スキーム(5)、スキーム(6)およびスキーム(7)とに記述の方法がある。
スキーム(5)においては、PPh3またはP(OEt)3を用い、ニトロフェニルを有する中間体を還元的に環化し、Cadogan環化反応させることで、7員環を有する中間体を合成することができる。その後、銅触媒もしくはパラジウム触媒などを用い、得られた7員環を有する中間体がハロゲン化アリール化合物とクロスカップリング反応させ、目的物を得ることができる。 In scheme (5), a nitrophenyl-bearing intermediate is reductively cyclized using PPh 3 or P(OEt) 3 , followed by Cadogan cyclization to synthesize an intermediate having a seven-membered ring. can be done. Then, using a copper catalyst, a palladium catalyst, or the like, the resulting intermediate having a 7-membered ring is subjected to a cross-coupling reaction with a halogenated aryl compound to obtain the desired product.
スキーム(6)においては、銅触媒もしくはパラジウム触媒などを用い、分子内クロスカップリング反応させ、目的物を得ることができる。 In scheme (6), a target product can be obtained by intramolecular cross-coupling reaction using a copper catalyst, a palladium catalyst, or the like.
上記スキーム(5)、(6)においては、銅触媒を用いる場合には、銅粉、酸化銅またはハロゲン化銅などが用いられる。使用される塩基は炭酸セシウム、炭酸カリウム、炭酸ナトリウム、炭酸カルシウム、炭酸マグネシウム、炭酸水素ナトリウム、リン酸三カリウム、水素化ナトリウムなどであり、反応促進剤はクラウンエーテル(例えば、18-クラウン-6-エーテル)、ポリエチレングリコール(PEG)、ポリエチレングリコールジアルキルエーテル(PEGDM)などがあげられる。そして、反応溶媒にはN,N-ジメチルホルムアミド、ニトロベンゼン、ジメチルスルホキシド、ジクロロベンゼン、o-ジクロロベンゼン、キノリンなどが用いられる。反応温度は160~250℃であるが、基質の反応性が低い場合にはオートクレーブなどを用いてより高温の反応を行ってもよい。 In schemes (5) and (6) above, when a copper catalyst is used, copper powder, copper oxide, copper halide, or the like is used. The base used is cesium carbonate, potassium carbonate, sodium carbonate, calcium carbonate, magnesium carbonate, sodium hydrogen carbonate, tripotassium phosphate, sodium hydride, etc., and the reaction accelerator is crown ether (e.g., 18-crown-6 -ether), polyethylene glycol (PEG), polyethylene glycol dialkyl ether (PEGDM), and the like. As a reaction solvent, N,N-dimethylformamide, nitrobenzene, dimethylsulfoxide, dichlorobenzene, o-dichlorobenzene, quinoline and the like are used. The reaction temperature is 160 to 250° C., but if the reactivity of the substrate is low, the reaction may be carried out at a higher temperature using an autoclave or the like.
パラジウム触媒を用いる場合には、酢酸パラジウム、塩化パラジウム、臭化パラジウム、トリス(ジベンジリデンアセトン)二パラジウム(0)、トリス(ジベンジリデンアセトン)二パラジウムクロロホルム錯体(0)、テトラキス(トリフェニルホスフィン)パラジウム(0)、[1,1’-ビス(ジフェニルホスフィノ)フェロセン]パラジウム(II)ジクロリトジクロロメタン錯体(1:1)などが用いられる。使用される塩基は炭酸リチウム、炭酸ナトリウム、炭酸カリウム、炭酸ルビジウム、炭酸セシウム、炭酸水素ナトリウム、水素化ナトリウム、アルコキシカリウム(例えば、メトキシカリウム、エトキシカリウム、ノルマルプロポキシカリウム、イソプロポキシカリウム、n-ブトキシカリウムおよびtert-ブトキシカリウムなど)アルコキシナトリウム(例えば、メトキシナトリウム、エトキシナトリウム、ノルマルプロポキシナトリウム、イソプロポキシナトリウム、n-ブトキシナトリウムおよびtert-ブトキシナトリウムなど)があげられる。反応促進剤は2,2’-(ジフェニルホスフィノ)-1,1’-ビナフチル、1,1’-(ジフェニルホスフィノ)フェロセン、ジシクロヘキシルホスフィノビフェニル、ジ-tert-ブチルホスフィノビフェニル、トリ(tert-ブチル)ホスフィン、1-(N,N-ジメチルアミノメチル)-2-(ジ-tert-ブチルホスフィノ)フェロセン、1-(N,N-ジブチルアミノメチル)-2-(ジ-tert-ブチルホスフィノ)フェロセン、1-(メトキシメチル)-2-(ジ-tert-ブチルホスフィノ)フェロセン、1,1’-ビス(ジ-tert-ブチルホスフィノ)フェロセン、2,2’-ビス(ジ-tert-ブチルホスフィノ)-1,1’-ビナフチル、2-メトキシ-2’-(ジ-tert-ブチルホスフィノ)-1,1’-ビナフチルなどが使用される。そして、反応溶媒にはベンゼン、トルエン、キシレン、メシチレンなどの芳香族炭化水素溶媒が用いられる。溶媒は単独で用いてもよく、混合溶媒として用いてもよい。反応温度は通常50~200℃の範囲で実施されるが、より好ましくは80~140℃である。 When using a palladium catalyst, palladium acetate, palladium chloride, palladium bromide, tris(dibenzylideneacetone)dipalladium (0), tris(dibenzylideneacetone)dipalladium chloroform complex (0), tetrakis(triphenylphosphine) Palladium(0), [1,1′-bis(diphenylphosphino)ferrocene]palladium(II) dichloritodichloromethane complex (1:1), and the like are used. The bases used are lithium carbonate, sodium carbonate, potassium carbonate, rubidium carbonate, cesium carbonate, sodium hydrogen carbonate, sodium hydride, potassium alkoxy (e.g. potassium methoxy, potassium ethoxy, potassium normal propoxy, potassium isopropoxy, n-butoxy potassium and tert-butoxypotassium) and alkoxysodium (eg, methoxysodium, ethoxysodium, normal propoxysodium, isopropoxysodium, n-butoxysodium and tert-butoxysodium). Reaction accelerators include 2,2'-(diphenylphosphino)-1,1'-binaphthyl, 1,1'-(diphenylphosphino)ferrocene, dicyclohexylphosphinobiphenyl, di-tert-butylphosphinobiphenyl, tri( tert-butyl)phosphine, 1-(N,N-dimethylaminomethyl)-2-(di-tert-butylphosphino)ferrocene, 1-(N,N-dibutylaminomethyl)-2-(di-tert- butylphosphino)ferrocene, 1-(methoxymethyl)-2-(di-tert-butylphosphino)ferrocene, 1,1′-bis(di-tert-butylphosphino)ferrocene, 2,2′-bis( Di-tert-butylphosphino)-1,1'-binaphthyl, 2-methoxy-2'-(di-tert-butylphosphino)-1,1'-binaphthyl and the like are used. Aromatic hydrocarbon solvents such as benzene, toluene, xylene and mesitylene are used as reaction solvents. A single solvent may be used, or a mixed solvent may be used. The reaction temperature is generally 50 to 200°C, preferably 80 to 140°C.
スキーム(7)においては、塩基を用い、無触媒もしくは銅触媒の存在下で、分子内のカップリング反応させることで、目的物を得られることができる。銅触媒を用いる場合には、銅粉、酸化銅またはハロゲン化銅などが用いられる。使用される塩基は炭酸セシウム、炭酸カリウム、炭酸ナトリウム、炭酸カルシウム、炭酸マグネシウム、炭酸水素ナトリウム、リン酸三カリウム、水素化ナトリウムなどである。そして、反応溶媒にはN,N-ジメチルホルムアミド、ニトロベンゼン、ジメチルスルホキシド、N-メチル-2-ピロリドン、ジクロロベンゼン、o-ジクロロベンゼン、キノリンなどが用いられる。反応温度は160~250℃であるが、基質の反応性が低い場合にはオートクレーブなどを用いてより高温の反応を行ってもよい。 In scheme (7), the desired product can be obtained by intramolecular coupling reaction using a base in the absence of a catalyst or in the presence of a copper catalyst. When using a copper catalyst, copper powder, copper oxide, copper halide, or the like is used. Bases used include cesium carbonate, potassium carbonate, sodium carbonate, calcium carbonate, magnesium carbonate, sodium hydrogen carbonate, tripotassium phosphate, sodium hydride and the like. As a reaction solvent, N,N-dimethylformamide, nitrobenzene, dimethylsulfoxide, N-methyl-2-pyrrolidone, dichlorobenzene, o-dichlorobenzene, quinoline and the like are used. The reaction temperature is 160 to 250° C., but if the reactivity of the substrate is low, the reaction may be carried out at a higher temperature using an autoclave or the like.
ケース2の例として、スキーム(8)、スキーム(9)、スキーム(10)およびスキーム(11)に記述の方法がある。
上記スキーム(8)およびスキーム(9)においては、触媒を用いる場合には、スルホン酸誘導体、ジアザビシクロ誘導体、スルホン酸基を持つ固体酸などが用いられる。 In schemes (8) and (9) above, when a catalyst is used, a sulfonic acid derivative, a diazabicyclo derivative, a solid acid having a sulfonic acid group, or the like is used.
スルホン酸誘導体としては、例えば、スルホン酸、メタンスルホン酸、エタンスルホン酸、トリフルオロメタンスルホン酸、パラトルエンスルホン酸などがあげられる。 Examples of sulfonic acid derivatives include sulfonic acid, methanesulfonic acid, ethanesulfonic acid, trifluoromethanesulfonic acid, and p-toluenesulfonic acid.
ジアザビシクロ誘導体としては、例えば、ジアザビシクロウンデセン(DBU)、ジアザビシクロノネン(DBN)、1,4-ジアザビシクロ[2.2.2]オクタン(DABCO)などがあげられる。 Examples of diazabicyclo derivatives include diazabicycloundecene (DBU), diazabicyclononene (DBN), 1,4-diazabicyclo[2.2.2]octane (DABCO) and the like.
具体的なスルホン酸基を持つ固体酸としては、シグマアルドリッチジャパン合同会社製のポリスチレン系スルホン酸イオン交換樹脂、例えば、AMBERLYST 15(H)、AMBERLYST 16(H)、AMBERLYST 36(H)、AMBERLITE IR120(H)、AMBERJET 1200(H)、DOWEX 15W×2、DOWEX 15W×4、DOWEX 15W×8など、テイカ株式会社製のシリカゲル系スルホン酸固定酸触媒、例えば、テイカキュア-6、テイカキュア-10、テイカキュア-15などがあげられる。 Specific solid acids having sulfonic acid groups include polystyrene-based sulfonic acid ion exchange resins manufactured by Sigma-Aldrich Japan LLC, such as AMBERLYST 15 (H), AMBERLYST 16 (H), AMBERLYST 36 (H), and AMBERLITE IR120. (H), AMBERJET 1200 (H), DOWEX 15W × 2, DOWEX 15W × 4, DOWEX 15W × 8, etc. Silica gel-based sulfonic acid fixed acid catalyst manufactured by Teika Co., Ltd., such as Teikacure-6, Teikacure-10, Teikacure -15 and the like.
反応溶媒にはトルエン、キシレン、o-キシレン、p-キシレン、m-キシレン、1,2,3-トリメチルベンゼン、1,2,4-トリメチルベンゼン、1,3,5-トリメチルベンゼンなどが用いられる。溶媒は単独で用いてもよく、混合溶媒として用いてもよい。反応温度は通常100~200℃の範囲で実施される。本反応が脱水反応であるため、Dean-Stark trapを取り付けた装置を使用するのは望ましい。 Toluene, xylene, o-xylene, p-xylene, m-xylene, 1,2,3-trimethylbenzene, 1,2,4-trimethylbenzene, 1,3,5-trimethylbenzene and the like are used as the reaction solvent. . A single solvent may be used, or a mixed solvent may be used. The reaction temperature is usually in the range of 100-200°C. Since this reaction is a dehydration reaction, it is desirable to use an apparatus equipped with a Dean-Stark trap.
上記スキーム(10)およびスキーム(11)においては、塩基としては、例えば、N,N-ジイソプロピルエチルアミン、トリエチルアミン、2,2,6,6-テトラメチルピペリジン、1,2,2,6,6-ペンタメチルピペリジン、N,N-ジメチルアニリン、N,N-ジメチルトルイジン、2,6-ルチジンなどがあげられる。 In schemes (10) and (11) above, examples of the base include N,N-diisopropylethylamine, triethylamine, 2,2,6,6-tetramethylpiperidine, 1,2,2,6,6- pentamethylpiperidine, N,N-dimethylaniline, N,N-dimethyltoluidine, 2,6-lutidine and the like.
反応溶媒にはo-ジクロロベンゼン、クロロベンゼン、キシレン、o-キシレン、p-キシレン、m-キシレン、1,2,3-トリメチルベンゼン、1,2,4-トリメチルベンゼン、1,3,5-トリメチルベンゼンなどが用いられる。溶媒は単独で用いてもよく、混合溶媒として用いてもよい。反応温度は通常120~220℃の範囲で実施される。 Reaction solvents include o-dichlorobenzene, chlorobenzene, xylene, o-xylene, p-xylene, m-xylene, 1,2,3-trimethylbenzene, 1,2,4-trimethylbenzene, 1,3,5-trimethyl Benzene etc. are used. A single solvent may be used, or a mixed solvent may be used. The reaction temperature is usually in the range of 120-220°C.
上記スキーム(12)およびスキーム(13)においては、塩基としては、例えば、ピリジン、N,N-ジイソプロピルエチルアミン、トリエチルアミン、2,2,6,6-テトラメチルピペリジン、1,2,2,6,6-ペンタメチルピペリジン、N,N-ジメチルアニリン、N,N-ジメチルトルイジン、2,6-ルチジンなどがあげられる。 In schemes (12) and (13) above, examples of bases include pyridine, N,N-diisopropylethylamine, triethylamine, 2,2,6,6-tetramethylpiperidine, 1,2,2,6, 6-pentamethylpiperidine, N,N-dimethylaniline, N,N-dimethyltoluidine, 2,6-lutidine and the like.
反応溶媒には、トルエン、キシレン、o-キシレン、p-キシレン、m-キシレン、1,2,3-トリメチルベンゼン、1,2,4-トリメチルベンゼン、1,3,5-トリメチルベンゼンなどが用いられる。溶媒は単独で用いてもよく、混合溶媒として用いてもよい。反応温度は通常0~180℃の範囲で実施される。 Examples of reaction solvents include toluene, xylene, o-xylene, p-xylene, m-xylene, 1,2,3-trimethylbenzene, 1,2,4-trimethylbenzene and 1,3,5-trimethylbenzene. be done. A single solvent may be used, or a mixed solvent may be used. The reaction temperature is usually in the range of 0 to 180°C.
ケース3の例として、スキーム(14)およびスキーム(15)に記述の方法がある。
Examples of
上記スキーム(14)およびスキーム(15)においては、銅触媒を用いる場合には、銅粉、酸化銅またはハロゲン化銅などが用いられる。使用される塩基は炭酸セシウム、炭酸カリウム、炭酸ナトリウム、炭酸カルシウム、炭酸マグネシウム、炭酸水素ナトリウム、リン酸三カリウム、水素化ナトリウムなどであり、反応促進剤はクラウンエーテル(例えば、18-クラウン-6-エーテル)、ポリエチレングリコール(PEG)、ポリエチレングリコールジアルキルエーテル(PEGDM)などがあげられる。そして、反応溶媒にはN,N-ジメチルホルムアミド、ニトロベンゼン、ジメチルスルホキシド、N-メチル-2-ピロリドン、ジクロロベンゼン、o-ジクロロベンゼン、キノリンなどが用いられる。反応温度は160~250℃であるが、基質の反応性が低い場合にはオートクレーブなどを用いてより高温の反応を行ってもよい。 In schemes (14) and (15) above, when a copper catalyst is used, copper powder, copper oxide, copper halide, or the like is used. The base used is cesium carbonate, potassium carbonate, sodium carbonate, calcium carbonate, magnesium carbonate, sodium hydrogen carbonate, tripotassium phosphate, sodium hydride, etc., and the reaction accelerator is crown ether (e.g., 18-crown-6 -ether), polyethylene glycol (PEG), polyethylene glycol dialkyl ether (PEGDM), and the like. As a reaction solvent, N,N-dimethylformamide, nitrobenzene, dimethylsulfoxide, N-methyl-2-pyrrolidone, dichlorobenzene, o-dichlorobenzene, quinoline and the like are used. The reaction temperature is 160 to 250° C., but if the reactivity of the substrate is low, the reaction may be carried out at a higher temperature using an autoclave or the like.
パラジウム触媒を用いる場合には、酢酸パラジウム、塩化パラジウム、臭化パラジウム、トリス(ジベンジリデンアセトン)二パラジウム(0)、トリス(ジベンジリデンアセトン)二パラジウムクロロホルム錯体(0)、テトラキス(トリフェニルホスフィン)パラジウム(0)、[1,1’-ビス(ジフェニルホスフィノ)フェロセン]パラジウム(II)ジクロリトジクロロメタン錯体(1:1)などが用いられる。使用される塩基は炭酸リチウム、炭酸ナトリウム、炭酸カリウム、炭酸ルビジウム、炭酸セシウム、炭酸水素ナトリウム、水素化ナトリウム、アルコキシカリウム(例えば、メトキシカリウム、エトキシカリウム、ノルマルプロポキシカリウム、イソプロポキシカリウム、n-ブトキシカリウムおよびtert-ブトキシカリウムなど)アルコキシナトリウム(例えば、メトキシナトリウム、エトキシナトリウム、ノルマルプロポキシナトリウム、イソプロポキシナトリウム、n-ブトキシナトリウムおよびtert-ブトキシナトリウムなど)があげられる。反応促進剤は2,2’-(ジフェニルホスフィノ)-1,1’-ビナフチル、1,1’-(ジフェニルホスフィノ)フェロセン、ジシクロヘキシルホスフィノビフェニル、ジ-tert-ブチルホスフィノビフェニル、トリ(tert-ブチル)ホスフィン、1-(N,N-ジメチルアミノメチル)-2-(ジ-tert-ブチルホスフィノ)フェロセン、1-(N,N-ジブチルアミノメチル)-2-(ジ-tert-ブチルホスフィノ)フェロセン、1-(メトキシメチル)-2-(ジ-tert-ブチルホスフィノ)フェロセン、1,1’-ビス(ジ-tert-ブチルホスフィノ)フェロセン、2,2’-ビス(ジ-tert-ブチルホスフィノ)-1,1’-ビナフチル、2-メトキシ-2’-(ジ-tert-ブチルホスフィノ)-1,1’-ビナフチルなどが使用される。そして、反応溶媒にはベンゼン、トルエン、キシレン、メシチレンなどの芳香族炭化水素溶媒が用いられる。溶媒は単独で用いてもよく、混合溶媒として用いてもよい。反応温度は通常50~200℃の範囲で実施されるが、より好ましくは80~140℃である。 When using a palladium catalyst, palladium acetate, palladium chloride, palladium bromide, tris(dibenzylideneacetone)dipalladium (0), tris(dibenzylideneacetone)dipalladium chloroform complex (0), tetrakis(triphenylphosphine) Palladium(0), [1,1′-bis(diphenylphosphino)ferrocene]palladium(II) dichloritodichloromethane complex (1:1), and the like are used. The bases used are lithium carbonate, sodium carbonate, potassium carbonate, rubidium carbonate, cesium carbonate, sodium hydrogen carbonate, sodium hydride, potassium alkoxy (e.g. potassium methoxy, potassium ethoxy, potassium normal propoxy, potassium isopropoxy, n-butoxy potassium and tert-butoxypotassium) and alkoxysodium (eg, methoxysodium, ethoxysodium, normal propoxysodium, isopropoxysodium, n-butoxysodium and tert-butoxysodium). Reaction accelerators include 2,2'-(diphenylphosphino)-1,1'-binaphthyl, 1,1'-(diphenylphosphino)ferrocene, dicyclohexylphosphinobiphenyl, di-tert-butylphosphinobiphenyl, tri( tert-butyl)phosphine, 1-(N,N-dimethylaminomethyl)-2-(di-tert-butylphosphino)ferrocene, 1-(N,N-dibutylaminomethyl)-2-(di-tert- butylphosphino)ferrocene, 1-(methoxymethyl)-2-(di-tert-butylphosphino)ferrocene, 1,1′-bis(di-tert-butylphosphino)ferrocene, 2,2′-bis( Di-tert-butylphosphino)-1,1'-binaphthyl, 2-methoxy-2'-(di-tert-butylphosphino)-1,1'-binaphthyl and the like are used. Aromatic hydrocarbon solvents such as benzene, toluene, xylene and mesitylene are used as reaction solvents. A single solvent may be used, or a mixed solvent may be used. The reaction temperature is generally 50 to 200°C, preferably 80 to 140°C.
ケース4の例として、スキーム(16)およびスキーム(17)に記述の方法がある。
An example of
スキーム(16)では、n-ブチルリチウム、sec-ブチルリチウムまたはt-ブチルリチウムなどの脱プロトン化剤により脱プロトンした後、三塩化ホウ素もしくは三臭化ホウ素などを加え、リチウム-ホウ素の金属交換を行った後、AlCl3などのルイス酸と2,2,6,6-テトラメチルピペリジン(TMP)などのブレンステッド塩基を加えることで、Friedel-Crafts型反応させ、目的物を得ることができる。 In scheme (16), after deprotonation with a deprotonating agent such as n-butyllithium, sec-butyllithium or t-butyllithium, boron trichloride or boron tribromide is added to effect lithium-boron metal exchange. After performing, a Lewis acid such as AlCl 3 and a Bronsted base such as 2,2,6,6-tetramethylpiperidine (TMP) are added to cause a Friedel-Crafts type reaction to obtain the desired product. .
スキーム(17)では、n-ブチルリチウム、sec-ブチルリチウムまたはt-ブチルリチウムなどの脱プロトン化剤により脱プロトンした後、リン導入剤、硫黄の順に添加し、最後にAlCl3などのルイス酸およびN,N-ジイソプロピルエチルアミンなどのブレンステッド塩基を加えることで、Friedel-Crafts型反応させ、リンスルフィドである化合物を得ることができる。また、得られたリンスルフィド化合物をm-クロロ過安息香酸(m-CPBA)で処理することでリンオキサイドである化合物を得ることができる。更に、このリンオキサイド化合物をトリエチルホスフィン(PEt3)で処理することで環状ホスフィンである化合物を得ることができる。 In scheme (17), after deprotonation with a deprotonating agent such as n-butyllithium, sec-butyllithium or t-butyllithium, a phosphorus introducing agent, sulfur are added in that order, and finally a Lewis acid such as AlCl 3 is added. and by adding a Bronsted base such as N,N-diisopropylethylamine, a Friedel-Crafts type reaction can be performed to obtain a compound that is a phosphorus sulfide. Further, a phosphorus oxide compound can be obtained by treating the obtained phosphorus sulfide compound with m-chloroperbenzoic acid (m-CPBA). Furthermore, a compound that is a cyclic phosphine can be obtained by treating this phosphorus oxide compound with triethylphosphine (PEt 3 ).
スキーム(16)およびスキーム(17)においては、脱プロトン化剤としては、n-BuLiの他に、MeLi、s-BuLi、t-BuLi、PhLiなどのアルキルリチウム、MeMgBr、EtMgBr、n-BuMgBrなどのグリニャール試薬、またはNaH、KHなどのアルカリ金属水素化物などが用いられる。 In schemes (16) and (17), the deprotonating agent includes, in addition to n-BuLi, alkyllithiums such as MeLi, s-BuLi, t-BuLi and PhLi, MeMgBr, EtMgBr and n-BuMgBr. or alkali metal hydrides such as NaH and KH.
ルイス酸としては、AlCl3、AlBr3、BF3・OEt2、BCl3、BBr3、GaCl3、GaBr3、InCl3、InBr3、In(OTf)3、SnCl4、SnBr4、AgOTf、Sc(OTf)3、ZnCl2、ZnBr2、Zn(OTf)2、MgCl2、MgBr2、Mg(OTf)2などが用いられる。 Lewis acids include AlCl3 , AlBr3 , BF3.OEt2 , BCl3 , BBr3 , GaCl3 , GaBr3 , InCl3 , InBr3 , In(OTf) 3 , SnCl4 , SnBr4 , AgOTf, Sc (OTf) 3 , ZnCl 2 , ZnBr 2 , Zn(OTf) 2 , MgCl 2 , MgBr 2 , Mg(OTf) 2 and the like are used.
ブレンステッド塩基としては、N,N-ジイソプロピルエチルアミン、2,2,6,6-テトラメチルピペリジン、1,2,2,6,6-ペンタメチルピペリジン、2,4,6-コリジン、2,6-ルチジン、トリエチルアミン、トリイソブチルアミンなどが用いられる。 Bronsted bases include N,N-diisopropylethylamine, 2,2,6,6-tetramethylpiperidine, 1,2,2,6,6-pentamethylpiperidine, 2,4,6-collidine, 2,6 -Lutidine, triethylamine, triisobutylamine, etc. are used.
溶媒としては、無水ジエチルエーテル、無水THF、無水ジブチルエーテルなどの無水エーテル系溶媒か、ベンゼン、トルエン、キシレン、メシチレンなどの芳香族炭化水素系溶媒か、クロロベンゼン、1,2-ジクロロベンゼンなどの芳香族ハロゲン化物系溶媒が用いられる。 Solvents include anhydrous ether solvents such as anhydrous diethyl ether, anhydrous THF and anhydrous dibutyl ether; aromatic hydrocarbon solvents such as benzene, toluene, xylene and mesitylene; aromatic solvents such as chlorobenzene and 1,2-dichlorobenzene. group halide-based solvents are used.
スキーム(17)において、リン導入剤としては、PF3、PCl3、PBr3、PI3などのハロゲン化物、P(OMe)3、P(OEt)3、P(O-nPr)3、P(O-iPr)3、P(O-nBu)3、P(O-iBu)3、P(O-secBu)3、P(O-t-Bu)3などのアルコキシ誘導体、P(OPh)3、P(O-ナフチル)3などのアリールオキシ誘導体、P(OAc)3、P(O-トリフルオロアセチル)3、P(O-プロピオニル)3、P(O-ブチリル)3、P(O-ベンゾイル)3などのアシルオキシ誘導体、PCl(NMe2)2、PCl(NEt2)2、PCl(NPr2)2、PCl(NBu2)2、PBr(NMe2)2、PBr(NEt2)2、PBr(NPr2)2、PBr(NBu2)2などのハロアミノ誘導体があげられる。 In scheme (17), phosphorus introduction agents include halides such as PF 3 , PCl 3 , PBr 3 and PI 3 , P(OMe) 3 , P(OEt) 3 , P(O-nPr) 3 , P( Alkoxy derivatives such as O-iPr) 3 , P(O-nBu) 3 , P(O-iBu) 3 , P(O-secBu) 3 , P(Ot-Bu) 3 , P(OPh) 3 , Aryloxy derivatives such as P(O-naphthyl) 3 , P(OAc) 3 , P(O-trifluoroacetyl) 3 , P(O-propionyl) 3 , P(O-butyryl) 3 , P(O-benzoyl ) 3 , PCl( NMe2 ) 2 , PCl(NEt2) 2 , PCl ( NPr2 ) 2 , PCl( NBu2 ) 2 , PBr( NMe2 ) 2 , PBr( NEt2 ) 2 , PBr Haloamino derivatives such as (NPr 2 ) 2 and PBr(NBu 2 ) 2 can be mentioned.
上述のスキーム(5)~(17)が本発明の多環芳香族化合物の代表化合物の製造方法であり、その他の化合物も、この類似方法で合成することができる。また、本発明の多環芳香族化合物には、少なくとも一部の水素が重水素、シアノ、またはハロゲンで置換されている化合物も含まれるが、このような化合物などは所望の位置が重水素化、シアノ化、フッ素化または塩素化などのハロゲン化された原料を用いることで、上記と同様に製造することができる。 Schemes (5) to (17) above are methods for producing representative compounds of the polycyclic aromatic compounds of the present invention, and other compounds can be synthesized by similar methods. The polycyclic aromatic compounds of the present invention also include compounds in which at least a portion of the hydrogens are replaced with deuterium, cyano, or halogen, such compounds being deuterated at desired positions. , cyanated, fluorinated or chlorinated starting materials can be used in analogy to the above.
3.有機デバイス
本発明に係る多環芳香族化合物は、有機デバイス用材料として用いることができる。有機デバイスとしては、例えば、有機電界発光素子、有機電界効果トランジスタまたは有機薄膜太陽電池などがあげられる。
3. Organic Device The polycyclic aromatic compound according to the present invention can be used as a material for organic devices. Organic devices include, for example, organic electroluminescence devices, organic field effect transistors, organic thin film solar cells, and the like.
3-1.有機電界発光素子
以下に、本実施形態に係る有機EL素子について図面に基づいて詳細に説明する。図1は、本実施形態に係る有機EL素子を示す概略断面図である。
3-1. Organic Electroluminescence Device Hereinafter, the organic EL device according to the present embodiment will be described in detail with reference to the drawings. FIG. 1 is a schematic cross-sectional view showing an organic EL element according to this embodiment.
<有機電界発光素子の構造>
図1に示された有機EL素子100は、基板101と、基板101上に設けられた陽極102と、陽極102の上に設けられた正孔注入層103と、正孔注入層103の上に設けられた正孔輸送層104と、正孔輸送層104の上に設けられた発光層105と、発光層105の上に設けられた電子輸送層106と、電子輸送層106の上に設けられた電子注入層107と、電子注入層107の上に設けられた陰極108とを有する。
<Structure of Organic Electroluminescent Device>
The
なお、有機EL素子100は、作製順序を逆にして、例えば、基板101と、基板101上に設けられた陰極108と、陰極108の上に設けられた電子注入層107と、電子注入層107の上に設けられた電子輸送層106と、電子輸送層106の上に設けられた発光層105と、発光層105の上に設けられた正孔輸送層104と、正孔輸送層104の上に設けられた正孔注入層103と、正孔注入層103の上に設けられた陽極102とを有する構成としてもよい。
Note that the
上記各層すべてがなくてはならないわけではなく、最小構成単位を陽極102と発光層105と陰極108とからなる構成として、正孔注入層103、正孔輸送層104、電子輸送層106、電子注入層107は任意に設けられる層である。また、上記各層は、それぞれ単一層からなってもよいし、複数層からなってもよい。
All of the above layers are not indispensable, and the minimum structural unit is composed of the anode 102, the light emitting layer 105, and the
有機EL素子を構成する層の態様としては、上述する「基板/陽極/正孔注入層/正孔輸送層/発光層/電子輸送層/電子注入層/陰極」の構成態様の他に、「基板/陽極/正孔輸送層/発光層/電子輸送層/電子注入層/陰極」、「基板/陽極/正孔注入層/発光層/電子輸送層/電子注入層/陰極」、「基板/陽極/正孔注入層/正孔輸送層/発光層/電子注入層/陰極」、「基板/陽極/正孔注入層/正孔輸送層/発光層/電子輸送層/陰極」、「基板/陽極/発光層/電子輸送層/電子注入層/陰極」、「基板/陽極/正孔輸送層/発光層/電子注入層/陰極」、「基板/陽極/正孔輸送層/発光層/電子輸送層/陰極」、「基板/陽極/正孔注入層/発光層/電子注入層/陰極」、「基板/陽極/正孔注入層/発光層/電子輸送層/陰極」、「基板/陽極/発光層/電子輸送層/陰極」、「基板/陽極/発光層/電子注入層/陰極」の構成態様であってもよい。 In addition to the configuration of the above-described "substrate/anode/hole injection layer/hole transport layer/light-emitting layer/electron transport layer/electron injection layer/cathode", the layers constituting the organic EL element may include " substrate/anode/hole-transporting layer/luminescent layer/electron-transporting layer/electron-injecting layer/cathode”, “substrate/anode/hole-injecting layer/luminescent layer/electron-transporting layer/electron-injecting layer/cathode”, “substrate/ Anode/Hole Injection Layer/Hole Transport Layer/Light Emitting Layer/Electron Injection Layer/Cathode", "Substrate/Anode/Hole Injection Layer/Hole Transport Layer/Light Emitting Layer/Electron Transport Layer/Cathode", "Substrate/ Anode/light emitting layer/electron transport layer/electron injection layer/cathode", "substrate/anode/hole transport layer/light emitting layer/electron injection layer/cathode", "substrate/anode/hole transport layer/light emitting layer/electron transport layer/cathode", "substrate/anode/hole injection layer/light emitting layer/electron injection layer/cathode", "substrate/anode/hole injection layer/light emitting layer/electron transport layer/cathode", "substrate/anode /Emitting layer/Electron transporting layer/Cathode" or "Substrate/Anode/Emitting layer/Electron injection layer/Cathode".
有機EL素子はさらに電子阻止層(電子ブロッキング層)および正孔阻止層(正孔ブロッキング層)から選択されるいずれかまたは双方を有していてもよい。電子阻止層は発光層より浅いLUMOおよび発光層または正孔輸送層と近いHOMOとを有し、発光層と正孔輸送層の間に配置される。電子が発光層内に留まり正孔輸送層へ漏れ出ないために、正孔輸送層の劣化による短寿命化と再結合効率低下による効率の低下を防ぐことができる。正孔阻止層は発光層より深いHOMOおよび発光層または正孔輸送層と近いLUMOとを有し、発光層と電子輸送層の間に配置される。正孔が発光層内に留まり電子輸送層へ漏れ出ないために、電子輸送層の劣化による短寿命化と再結合効率低下による効率の低下を防ぐことができる。正孔注入・輸送層が電子阻止層を兼ねていてもよい。電子注入・輸送層が正孔阻止層を兼ねていてもよい。 The organic EL device may further have either or both of an electron blocking layer (electron blocking layer) and a hole blocking layer (hole blocking layer). The electron-blocking layer has a LUMO shallower than the light-emitting layer and a HOMO close to the light-emitting layer or the hole-transporting layer, and is positioned between the light-emitting layer and the hole-transporting layer. Since the electrons remain in the light-emitting layer and do not leak to the hole transport layer, it is possible to prevent a decrease in efficiency due to a decrease in recombination efficiency and a shortened lifetime due to deterioration of the hole transport layer. The hole-blocking layer has a HOMO deeper than the light-emitting layer and a LUMO close to the light-emitting layer or hole-transporting layer and is positioned between the light-emitting layer and the electron-transporting layer. Since the holes remain in the light-emitting layer and do not leak out to the electron transport layer, it is possible to prevent shortening of life due to deterioration of the electron transport layer and decrease in efficiency due to decrease in recombination efficiency. The hole injection/transport layer may also serve as the electron blocking layer. The electron injection/transport layer may also serve as the hole blocking layer.
有機EL素子はさらに高T1層を有していてもよい。高T1層は、発光層に用いられるホスト化合物、アシスティングドーパント化合物またはエミッティングドーパント化合物より高いT1を有し、発光層と正孔輸送層の間および/または発光層と電子阻止層の間に配置される。T1エネルギーの値は素子の発光機構により異なるが、ホストに用いられる化合物より高いT1を有する。発光層の周囲に高T1層を有することで、三重項エネルギーを閉じ込め、通常蛍光分子では発光につながらない三重項エネルギーを一重項エネルギーへと変換し、高い効率を得ることができる。正孔注入・輸送層または電子阻止層が高T1層を兼ねていてもよい。電子注入・輸送層または正孔阻止層が高T1層を兼ねていてもよい。 The organic EL device may also have a high T1 layer. A high T1 layer has a higher T1 than the host compound, assisting dopant compound or emitting dopant compound used in the emissive layer and is between the emissive layer and the hole transport layer and/or between the emissive layer and the electron blocking layer. placed. Although the value of T1 energy differs depending on the emission mechanism of the device, it has a higher T1 than the compound used as the host. Having a high T1 layer around the light-emitting layer confines the triplet energy and converts the triplet energy, which normally does not lead to light emission with fluorescent molecules, into singlet energy, resulting in high efficiency. A hole injection/transport layer or an electron blocking layer may also serve as the high T1 layer. The electron injection/transport layer or the hole blocking layer may also serve as the high T1 layer.
本発明の多環芳香族化合物は、有機電界発光素子用材料として用いることが好ましい。一般に、ドナー構造を有する化合物は発光層における正孔輸送性ホスト材料および正孔輸送層に使用することができ、アクセプター構造を有する化合物は電子輸送層性ホスト材料および電子輸送層に使用することができ、ドナー構造およびアクセプター構造を共に有する化合物は正孔輸送層、発光層におけるホストおよび電子輸送層のいずれにも使用することができる。ドナー構造およびアクセプター構造は、例えば、Advanced Functional Materials 2020, 2008332などを参考にすることができる。より具体的には、ドナー構造は、トリアリールアミン構造およびカルバゾール構造があげられ、アクセプター構造は、トリアジン構造、ピリミジン構造およびピリジン構造があげられる。本発明に係る多環芳香族化合物は有している部分構造に応じて、発光層におけるホスト材料、正孔輸送層材料、電子輸送層材料等として用いることができる。 The polycyclic aromatic compound of the present invention is preferably used as a material for organic electroluminescence devices. In general, a compound having a donor structure can be used for the hole-transporting host material and the hole-transporting layer in the light-emitting layer, and a compound having an acceptor structure can be used for the electron-transporting layered host material and the electron-transporting layer. A compound having both a donor structure and an acceptor structure can be used for both the hole-transporting layer, the host in the light-emitting layer, and the electron-transporting layer. Donor structures and acceptor structures can be referred to, for example, Advanced Functional Materials 2020, 2008332 and the like. More specifically, the donor structure includes triarylamine structure and carbazole structure, and the acceptor structure includes triazine structure, pyrimidine structure and pyridine structure. The polycyclic aromatic compound according to the present invention can be used as a host material, hole-transporting layer material, electron-transporting layer material, etc. in the light-emitting layer, depending on the partial structure it has.
<有機電界発光素子における基板>
基板101は、有機EL素子100の支持体であり、通常、石英、ガラス、金属、プラスチックなどが用いられる。基板101は、目的に応じて板状、フィルム状、またはシート状に形成され、例えば、ガラス板、金属板、金属箔、プラスチックフィルム、プラスチックシートなどが用いられる。なかでも、ガラス板、および、ポリエステル、ポリメタクリレート、ポリカーボネート、ポリスルホンなどの透明な合成樹脂製の板が好ましい。ガラス基板であれば、ソーダライムガラスや無アルカリガラスなどが用いられ、また、厚みも機械的強度を保つのに十分な厚みがあればよい。また、基板101には、ガスバリア性を高めるために、少なくとも片面に緻密なシリコン酸化膜などのガスバリア膜を設けてもよく、特にガスバリア性が低い合成樹脂製の板、フィルムまたはシートを基板101として用いる場合にはガスバリア膜を設けるのが好ましい。
<Substrate in Organic Electroluminescent Device>
A substrate 101 is a support for the
<有機電界発光素子における陽極>
陽極102は、発光層105へ正孔を注入する役割を果たす。なお、陽極102と発光層105との間に正孔注入層103および正孔輸送層104の少なくとも1つの層が設けられている場合には、これらを介して発光層105へ正孔を注入することになる。
<Anode in Organic Electroluminescent Device>
Anode 102 serves to inject holes into light-emitting layer 105 . When at least one of the hole injection layer 103 and the hole transport layer 104 is provided between the anode 102 and the light emitting layer 105, holes are injected into the light emitting layer 105 through these layers. It will be.
陽極102を形成する材料としては、無機化合物および有機化合物があげられる。無機化合物としては、例えば、金属(アルミニウム、金、銀、ニッケル、パラジウム、クロムなど)、金属酸化物(インジウムの酸化物、スズの酸化物、インジウム-スズ酸化物(ITO)、インジウム-亜鉛酸化物(IZO)など)、ハロゲン化金属(ヨウ化銅など)、硫化銅、カーボンブラック、ITOガラスやネサガラスなどがあげられる。有機化合物としては、例えば、ポリ(3-メチルチオフェン)などのポリチオフェン、ポリピロール、ポリアニリンなどの導電性ポリマーなどがあげられる。その他、有機EL素子の陽極として用いられている物質の中から適宜選択して用いることができる。 Materials for forming the anode 102 include inorganic compounds and organic compounds. Examples of inorganic compounds include metals (aluminum, gold, silver, nickel, palladium, chromium, etc.), metal oxides (indium oxide, tin oxide, indium-tin oxide (ITO), indium-zinc oxide metal (IZO), etc.), metal halides (copper iodide, etc.), copper sulfide, carbon black, ITO glass, Nesa glass, and the like. Examples of organic compounds include polythiophenes such as poly(3-methylthiophene), and conductive polymers such as polypyrrole and polyaniline. In addition, it can be used by appropriately selecting from materials used as anodes of organic EL elements.
<有機電界発光素子における正孔注入層、正孔輸送層>
正孔注入層103は、陽極102から移動してくる正孔を、効率よく発光層105内または正孔輸送層104内に注入する役割を果たす。正孔輸送層104は、陽極102から注入された正孔または陽極102から正孔注入層103を介して注入された正孔を、効率よく発光層105に輸送する役割を果たす。正孔注入層103および正孔輸送層104は、それぞれ、正孔注入・輸送材料の一種または二種以上を積層または混合により形成される。また、正孔注入・輸送材料に塩化鉄(III)のような無機塩を添加して層を形成してもよい。
<Hole Injection Layer and Hole Transport Layer in Organic Electroluminescent Device>
The hole-injecting layer 103 plays a role of efficiently injecting holes moving from the anode 102 into the light-emitting layer 105 or the hole-transporting layer 104 . The hole transport layer 104 plays a role of efficiently transporting holes injected from the anode 102 or holes injected from the anode 102 through the hole injection layer 103 to the light emitting layer 105 . The hole injection layer 103 and the hole transport layer 104 are each formed by stacking or mixing one or more kinds of hole injection/transport materials. Also, an inorganic salt such as iron (III) chloride may be added to the hole injection/transport material to form the layer.
正孔注入・輸送性物質としては電界を与えられた電極間において正極からの正孔を効率よく注入・輸送することが必要で、正孔注入効率が高く、注入された正孔を効率よく輸送することが望ましい。そのためにはイオン化ポテンシャルが小さく、しかも正孔移動度が大きく、さらに安定性に優れ、トラップとなる不純物が製造時および使用時に発生しにくい物質であることが好ましい。正孔輸送層用の材料として、本発明の多環芳香族化合物を用いることも好ましい。 As a hole-injecting/transporting substance, it is necessary to efficiently inject and transport holes from the positive electrode between electrodes to which an electric field is applied. It is desirable to For this purpose, it is preferable that the ionization potential is low, the hole mobility is high, the stability is excellent, and impurities that become traps are less likely to occur during manufacture and use. It is also preferable to use the polycyclic aromatic compound of the present invention as a material for the hole transport layer.
正孔注入層103および正孔輸送層104を形成する材料としては、光導電材料において、正孔の電荷輸送材料として従来から慣用されている化合物、p型半導体、有機EL素子の正孔注入層および正孔輸送層に使用されている公知の化合物の中から任意の化合物を選択して用いることができる。それらの具体例は、カルバゾール誘導体(N-フェニルカルバゾール、ポリビニルカルバゾールなど)、ビス(N-アリールカルバゾール)またはビス(N-アルキルカルバゾール)などのビスカルバゾール誘導体、トリアリールアミン誘導体(芳香族第3級アミノを主鎖または側鎖に持つポリマー、1,1-ビス(4-ジ-p-トリルアミノフェニル)シクロヘキサン、N,N'-ジフェニル-N,N'-ジ(3-メチルフェニル)-4,4'-ジアミノビフェニル、N,N'-ジフェニル-N,N'-ジナフチル-4,4'-ジアミノビフェニル、N,N'-ジフェニル-N,N'-ジ(3-メチルフェニル)-4,4'-ジフェニル-1,1'-ジアミン、N,N'-ジナフチル-N,N'-ジフェニル-4,4'-ジフェニル-1,1'-ジアミン、N4,N4'-ジフェニル-N4,N4'-ビス(9-フェニル-9H-カルバゾール-3-イル)-[1,1'-ビフェニル]-4,4'-ジアミン、N4,N4,N4',N4'-テトラ[1,1'-ビフェニル]-4-イル)-[1,1'-ビフェニル]-4,4'-ジアミン、4,4',4"-トリス(3-メチルフェニル(フェニル)アミノ)トリフェニルアミンなどのトリフェニルアミン誘導体、スターバーストアミン誘導体など)、スチルベン誘導体、フタロシアニン誘導体(無金属、銅フタロシアニンなど)、ピラゾリン誘導体、ヒドラゾン系化合物、ベンゾフラン誘導体やチオフェン誘導体、オキサジアゾール誘導体、キノキサリン誘導体(例えば、1,4,5,8,9,12-ヘキサアザトリフェニレン-2,3,6,7,10,11-ヘキサカルボニトリルなど)、ポルフィリン誘導体などの複素環化合物、ポリシランなどである。ポリマー系では前記単量体を側鎖に有するポリカーボネートやスチレン誘導体、ポリビニルカルバゾールおよびポリシランなどが好ましいが、発光素子の作製に必要な薄膜を形成し、陽極から正孔が注入できて、さらに正孔を輸送できる化合物であれば特に限定されない。 Materials for forming the hole injection layer 103 and the hole transport layer 104 include compounds conventionally used as charge transport materials for holes in photoconductive materials, p-type semiconductors, and hole injection layers of organic EL devices. Any compound can be selected and used from known compounds used for the hole transport layer. Specific examples thereof include carbazole derivatives (N-phenylcarbazole, polyvinylcarbazole, etc.), biscarbazole derivatives such as bis(N-arylcarbazole) or bis(N-alkylcarbazole), triarylamine derivatives (aromatic tertiary Polymers with amino in the main or side chain, 1,1-bis(4-di-p-tolylaminophenyl)cyclohexane, N,N'-diphenyl-N,N'-di(3-methylphenyl)-4 ,4'-diaminobiphenyl, N,N'-diphenyl-N,N'-dinaphthyl-4,4'-diaminobiphenyl, N,N'-diphenyl-N,N'-di(3-methylphenyl)-4 ,4′-diphenyl-1,1′-diamine, N,N′-dinaphthyl-N,N′-diphenyl-4,4′-diphenyl-1,1′-diamine, N 4 ,N 4 ′ -diphenyl- N 4 ,N 4′ -bis(9-phenyl-9H-carbazol-3-yl)-[1,1′-biphenyl]-4,4′-diamine, N 4 ,N 4 ,N 4′ ,N 4 ' -tetra[1,1'-biphenyl]-4-yl)-[1,1'-biphenyl]-4,4'-diamine, 4,4',4"-tris(3-methylphenyl(phenyl) triphenylamine derivatives such as amino)triphenylamine, starburst amine derivatives, etc.), stilbene derivatives, phthalocyanine derivatives (metal-free, copper phthalocyanine, etc.), pyrazoline derivatives, hydrazone compounds, benzofuran derivatives, thiophene derivatives, oxadiazole derivatives , quinoxaline derivatives (e.g., 1,4,5,8,9,12-hexaazatriphenylene-2,3,6,7,10,11-hexacarbonitrile, etc.), heterocyclic compounds such as porphyrin derivatives, polysilanes, etc. Polycarbonate, styrene derivatives, polyvinylcarbazole, polysilane and the like having the above-mentioned monomers in the side chains are preferable for polymer systems, but a thin film necessary for manufacturing a light-emitting device can be formed and holes can be injected from the anode. Further, the compound is not particularly limited as long as it is a compound capable of transporting holes.
また、有機半導体の導電性は、そのドーピングにより、強い影響を受けることも知られている。このような有機半導体マトリックス物質は、電子供与性の良好な化合物、または、電子受容性の良好な化合物から構成されている。電子供与物質のドーピングのために、テトラシアノキノンジメタン(TCNQ)または2,3,5,6-テトラフルオロテトラシアノ-1,4-ベンゾキノンジメタン(F4TCNQ)などの強い電子受容体が知られている(例えば、文献「M.Pfeiffer,A.Beyer,T.Fritz,K.Leo,Appl.Phys.Lett.,73(22),3202-3204(1998)」および文献「J.Blochwitz,M.Pfeiffer,T.Fritz,K.Leo,Appl.Phys.Lett.,73(6),729-731(1998)」を参照)。これらは、電子供与型ベース物質(正孔輸送物質)における電子移動プロセスによって、いわゆる正孔を生成する。正孔の数および移動度によって、ベース物質の伝導性が、かなり大きく変化する。正孔輸送特性を有するマトリックス物質としては、例えばベンジジン誘導体(TPDなど)またはスターバーストアミン誘導体(TDATAなど)、または、特定の金属フタロシアニン(特に、亜鉛フタロシアニン(ZnPc)など)が知られている(特開2005-167175号公報)。 It is also known that the conductivity of organic semiconductors is strongly influenced by their doping. Such an organic semiconductor matrix material is composed of a compound with good electron-donating property or a compound with good electron-accepting property. Strong electron acceptors such as tetracyanoquinonedimethane (TCNQ) or 2,3,5,6-tetrafluorotetracyano-1,4-benzoquinonedimethane (F4TCNQ) are known for doping electron donors. (For example, M. Pfeiffer, A. Beyer, T. Fritz, K. Leo, Appl. Phys. Lett., 73(22), 3202-3204 (1998)” and the literature “J. Pfeiffer, T. Fritz, K. Leo, Appl. Phys. Lett., 73(6), 729-731 (1998)"). They generate so-called holes by an electron transfer process in an electron donating base material (hole transport material). The conductivity of the base material varies considerably depending on the number and mobility of holes. As matrix materials with hole-transport properties, for example, benzidine derivatives (such as TPD) or starburst amine derivatives (such as TDATA), or certain metal phthalocyanines (especially zinc phthalocyanine (ZnPc), etc.) are known ( Japanese Patent Application Laid-Open No. 2005-167175).
上述した正孔注入層用材料および正孔輸送層用材料は、これらに反応性置換基が置換した反応性化合物をモノマーとして高分子化させた高分子化合物、もしくはその高分子架橋体、または、主鎖型高分子と前記反応性化合物とを反応させたペンダント型高分子化合物、もしくはそのペンダント型高分子架橋体としても、正孔層用材料に用いることができる。 The hole injection layer material and the hole transport layer material described above are polymer compounds obtained by polymerizing a reactive compound having a reactive substituent substituted thereon as a monomer, or a polymer crosslinked product thereof, or A pendant-type polymer compound obtained by reacting a main chain-type polymer with the reactive compound or a pendant-type polymer crosslinked product thereof can also be used as a hole layer material.
<有機電界発光素子における発光層>
発光層105は、電界を与えられた電極間において、陽極102から注入された正孔と、陰極108から注入された電子とを再結合させることにより発光する層である。発光層105を形成する材料としては、正孔と電子との再結合によって励起されて発光する化合物(発光性化合物)であればよく、安定な薄膜形状を形成することができ、かつ、固体状態で強い発光(蛍光)効率を示す化合物であることが好ましい。本発明の多環芳香族化合物は発光層用の材料として用いることも好ましい。
<Light Emitting Layer in Organic Electroluminescent Device>
The light-emitting layer 105 is a layer that emits light by recombining holes injected from the anode 102 and electrons injected from the
発光層は単一層でも複数層からなってもどちらでもよく、それぞれ発光層用材料(ホスト材料、ドーパント材料)により形成される。ホスト材料とドーパント材料は、それぞれ一種類であっても、複数の組み合わせであっても、いずれでもよい。ドーパント材料はホスト材料の全体に含まれていても、部分的に含まれていても、いずれであってもよい。ドーピング方法としては、ホスト材料との共蒸着法によって形成することができるが、ホスト材料と予め混合してから同時に蒸着したり、有機溶媒と共にホスト材料と予め混合してから湿式成膜法により製膜したりしてもよい。 The light-emitting layer may be a single layer or a plurality of layers, each of which is formed of a light-emitting layer material (host material, dopant material). The host material and the dopant material may be of one kind, or may be a combination of a plurality of them. The dopant material may be included entirely or partially in the host material. As a doping method, it can be formed by a co-evaporation method with the host material. It may be filmed.
ホスト材料の使用量はホスト材料の種類によって異なり、そのホスト材料の特性に合わせて決めればよい。ホスト材料の使用量の目安は、好ましくは発光層用材料全質量に対し50~99.999質量%であり、より好ましくは80~99.95質量%であり、さらに好ましくは90~99.9質量%である。 The amount of host material to be used varies depending on the type of host material, and may be determined according to the properties of the host material. A guideline for the amount of the host material used is preferably 50 to 99.999% by mass, more preferably 80 to 99.95% by mass, and still more preferably 90 to 99.9% by mass with respect to the total mass of the material for the light-emitting layer. % by mass.
ドーパント材料の使用量はドーパント材料の種類によって異なり、そのドーパント材料の特性に合わせて決めればよい。ドーパント材料の使用量の目安は、好ましくは発光層用材料全質量に対し0.001~50質量%であり、より好ましくは0.05~20質量%であり、さらに好ましくは0.1~10質量%である。上記の範囲であれば、例えば、濃度消光現象を防止できるという点で好ましい。また、耐久性の観点から、ドーパント材料の水素原子は一部または全部が重水素化されていることも好ましい。 The amount of dopant material used varies depending on the type of dopant material, and may be determined according to the properties of the dopant material. A guideline for the amount of the dopant material used is preferably 0.001 to 50% by mass, more preferably 0.05 to 20% by mass, and still more preferably 0.1 to 10% by mass with respect to the total mass of the material for the light-emitting layer. % by mass. The above range is preferable in that, for example, the phenomenon of concentration quenching can be prevented. From the viewpoint of durability, it is also preferable that some or all of the hydrogen atoms in the dopant material are deuterated.
ドーパント材料としては、エミッティングドーパントとアシスティングドーパント材料とを用いてもよい。アシスティングドーパント材料としては熱活性型遅延蛍光材料を用いることが好ましい。アシスティングドーパント材料を用いた有機電界発光素子においては、エミッティングドーパント材料の使用量は低濃度である方が濃度消光現象を防止できるという点で好ましい。アシスティングドーパント材料の使用量が高濃度である方が熱活性型遅延蛍光機構の効率の点からは好ましい。さらには、熱活性型遅延蛍光アシスティングドーパント材料を用いた有機電界発光素子においては、アシスティングドーパント材料の熱活性型遅延蛍光機構の効率の点からは、アシスティングドーパント材料の使用量に比べてエミッティングドーパント材料の使用量が低濃度である方が好ましい。 As the dopant material, an emitting dopant and an assisting dopant material may be used. A thermally activated delayed fluorescence material is preferably used as the assisting dopant material. In an organic electroluminescence device using an assisting dopant material, it is preferable to use a low concentration of the emitting dopant material in order to prevent the concentration quenching phenomenon. A higher concentration of the assisting dopant material is preferable from the viewpoint of the efficiency of the thermally activated delayed fluorescence mechanism. Furthermore, in an organic electroluminescence device using a thermally activated delayed fluorescence assisting dopant material, the efficiency of the thermally activated delayed fluorescence mechanism of the assisting dopant material is lower than the amount of the assisting dopant material used. It is preferred that the amount of emitting dopant material used is low.
アシスティングドーパント材料が使用される場合における、ホスト材料、アシスティングドーパント材料およびエミッティングドーパント材料の使用量の目安は、それぞれ、発光層用材料全質量に対し40~99質量%、59~1質量%および20~0.001質量%であり、好ましくは、それぞれ、60~95質量、39~5質量%および10~0.01質量%であり、より好ましくは、70~90質量、29~10質量%および5~0.05質量%である。 When the assisting dopant material is used, the amounts of the host material, the assisting dopant material and the emitting dopant material are 40 to 99% by mass and 59 to 1% by mass, respectively, based on the total mass of the material for the light-emitting layer. % and 20 to 0.001% by mass, preferably 60 to 95% by mass, 39 to 5% by mass and 10 to 0.01% by mass, more preferably 70 to 90% by mass, and 29 to 10% by mass, respectively. % by weight and 5 to 0.05% by weight.
<ホスト材料>
ホスト材料としては、以前から発光体として知られていたアントラセンやピレンなどの縮合環誘導体、ビススチリルアントラセン誘導体やジスチリルベンゼン誘導体などのビススチリル誘導体、テトラフェニルブタジエン誘導体、シクロペンタジエン誘導体、フルオレン誘導体、ベンゾフルオレン誘導体、N-フェニルカルバゾール誘導体、カルバゾニトリル誘導体などがあげられる。
<Host material>
Host materials include condensed ring derivatives such as anthracene and pyrene, bisstyryl anthracene derivatives and distyrylbenzene derivatives, tetraphenylbutadiene derivatives, cyclopentadiene derivatives, fluorene derivatives, benzo Examples include fluorene derivatives, N-phenylcarbazole derivatives, carbazonitrile derivatives and the like.
ホスト材料の三重項エネルギーは、発光層内でのTADFの発生を阻害せず促進させる観点から、発光層内において最も高い三重項エネルギーを有するドーパントまたはアシスティングドーパントの三重項エネルギーに比べて高い方が好ましく、具体的には、ホスト材料の三重項エネルギーは、0.01eV以上が好ましく、0.03eV以上がより好ましく、0.1eV以上がさらに好ましい。また、ホスト材料にTADF活性な化合物を用いてもよい。 The triplet energy of the host material is higher than the triplet energy of the dopant having the highest triplet energy in the light-emitting layer or the assisting dopant, from the viewpoint of promoting the generation of TADF in the light-emitting layer without inhibiting it. Specifically, the triplet energy of the host material is preferably 0.01 eV or higher, more preferably 0.03 eV or higher, and still more preferably 0.1 eV or higher. A TADF-active compound may also be used as the host material.
ホスト材料は、一種類であっても、複数の組み合わせであってもよい。複数の組み合わせである場合、正孔輸送性ホスト材料と電子輸送性ホスト材料との組み合わせであることが好ましい。 The host material may be of one type or a combination of multiple types. In the case of a combination of a plurality of materials, it is preferably a combination of a hole-transporting host material and an electron-transporting host material.
本発明の多環芳香族化合物はホスト材料として好ましく用いることができる。本発明の多環芳香族化合物は単独で用いても、正孔輸送性ホスト材料として用いても、電子輸送性ホスト材料として用いてもよい。 The polycyclic aromatic compound of the present invention can be preferably used as a host material. The polycyclic aromatic compound of the present invention may be used alone, as a hole-transporting host material, or as an electron-transporting host material.
[正孔輸送性ホスト材料(HH)]
好ましい正孔輸送性ホスト材料(HH)の例としては、本発明の多環芳香族化合物のほか、式(HH-1)で表される化合物および式(HH-1)で表される部分構造を有する化合物をあげることができる。
[Hole-transporting host material (HH)]
Examples of preferred hole-transporting host materials (HH) include the polycyclic aromatic compound of the present invention, the compound represented by formula (HH-1), and the partial structure represented by formula (HH-1). can be mentioned.
式(HH-1)において、
Qは、>O、>S、または、>N-Aであり、
式(HH-1)における2つのフェニルそれぞれにおけるQの結合する炭素原子の隣の1つの炭素原子は、互いに、Lで結合していてもよく、
Lは、単結合、>O、>Sまたは>C(-A)2であり、
Aは、水素原子、アリール、ヘテロアリール、ジアリールアミノ、アルキル、シクロアルキル、アルコキシまたはアリールオキシであり、>C(-A)2における2つのAは互いに結合して、アリール、ヘテロアリール、シクロアルキルを形成してよい。
In formula (HH-1),
Q is >O, >S, or >NA;
one carbon atom next to the carbon atom to which Q is bonded in each of the two phenyls in formula (HH-1) may be bonded to each other with L;
L is a single bond, >O, >S or >C(-A) 2 ;
A is a hydrogen atom, aryl, heteroaryl, diarylamino , alkyl, cycloalkyl, alkoxy or aryloxy; may be formed.
正孔輸送性ホスト材料が式(HH-1)で表される構造を部分構造として含むとき、この部分構造1を1つ含むものであってもよいが2つ以上含むことも好ましい。2つ以上含む場合、その2つ以上の部分構造は互いに同じであっても異なっていてもよい。2つ以上の部分構造は互いに単結合で結合していてもよく、部分構造に含まれる任意の環を共有するようにして結合していてもよく、部分構造に含まれる任意の環同士が縮合するようにして結合していてもよい。部分構造はさらに、アリール、ヘテロアリール、ジアリールアミノ、またはアリールオキシから選択される置換基を有していてもよい。
When the hole-transporting host material contains a structure represented by formula (HH-1) as a partial structure, it may contain one
正孔輸送性ホスト材料は、トリアリールアミン構造、カルバゾール環、ジベンゾフラン環、およびジベンゾチオフェン環、およびフェノキサジンもしくはフェノチアジンを含む縮合多環からなる群より選択される1つ以上の部分構造を含む化合物であることが好ましい。正孔輸送性ホスト材料はこのような部分構造1を1つ含むものであってもよいが2つ以上含むことも好ましい。2つ以上含む場合、その2つ以上の部分構造は互いに同じであっても異なっていてもよい。
The hole-transporting host material is a compound containing one or more partial structures selected from the group consisting of a condensed polycyclic ring including a triarylamine structure, a carbazole ring, a dibenzofuran ring, a dibenzothiophene ring, and phenoxazine or phenothiazine. is preferably The hole-transporting host material may contain one such
正孔輸送性ホスト材料の具体例としては、以下の化合物をあげることができる。
上記のうち、HH-1-1、HH-1-2、HH-1-4~HH-1-12、HH-1-17、HH-1-18、HH-1-20~HH-1-24、HH-1-82、HH-1-84~HH-1-89、HH-1-91、HH-1-92およびHH-1-106~HH-1-108が好ましい。 Of the above, HH-1-1, HH-1-2, HH-1-4 to HH-1-12, HH-1-17, HH-1-18, HH-1-20 to HH-1- 24, HH-1-82, HH-1-84 to HH-1-89, HH-1-91, HH-1-92 and HH-1-106 to HH-1-108 are preferred.
[電子輸送性ホスト材料(EH)]
電子輸送性ホスト材料(EH)の例としては、本発明の多環芳香族化合物のほか、式(EH-1)で表される化合物、および式(EH-1)で表される部分構造を有する化合物をあげることができる。
Examples of the electron-transporting host material (EH) include the polycyclic aromatic compound of the present invention, the compound represented by formula (EH-1), and the partial structure represented by formula (EH-1). compounds having
式(EH-1)において、
Jは、それぞれ独立して、=C(-A)-または=N-であり、少なくとも3つのJは=C(-A)-であり、
Zは、-O-、-S-、-C(=O)-、-P(=O)(-A)-、-P(=S)(-A)-、-N(-A)-、-B(-A)-または-S(=O)2-であり、
Zの結合する炭素原子の隣のJとZの結合するAとは、互いに、Lで結合していてもよく、
Lは、単結合、>O、>Sまたは>C(-A)2であり、
Aは、水素、アリール、ヘテロアリール、ジアリールアミノ、アルキル、シクロアルキル、トリアリールシリル、アルコキシまたはアリールオキシであり、>C(-A)2における2つのAは互いに結合して、アリール、ヘテロアリール、シクロアルキルを形成してよく、
すべてのJが、=C(-A)-であるとき、AまたはZのいずれかひとつがヘテロ原子を有する。
In formula (EH-1),
each J is independently =C(-A)- or =N-, and at least three Js are =C(-A)-;
Z is -O-, -S-, -C(=O)-, -P(=O)(-A)-, -P(=S)(-A)-, -N(-A)- , -B(-A)- or -S(=O) 2 -,
J next to the carbon atom to which Z is bonded and A to which Z is bonded may be bonded to each other with L,
L is a single bond, >O, >S or >C(-A) 2 ;
A is hydrogen, aryl, heteroaryl, diarylamino , alkyl, cycloalkyl, triarylsilyl, alkoxy or aryloxy; , may form a cycloalkyl,
When all J are =C(-A)-, either one of A or Z has a heteroatom.
式(EH-1)におけるAで示される、アリール、ヘテロアリール、ジアリールアミノ、アルキル、シクロアルキル、トリアリールシリル、アルコキシまたはアリールオキシについては式(HH-1)におけるAの説明を参照することができる。式(EH-1)における2つのAが互いに結合して、アリール、ヘテロアリール、シクロアルキルを形成するときのアリール、ヘテロアリール、シクロアルキルについても式(HH-1)における説明を参照することができる。 For aryl, heteroaryl, diarylamino, alkyl, cycloalkyl, triarylsilyl, alkoxy or aryloxy represented by A in formula (EH-1), refer to the description of A in formula (HH-1). can. For aryl, heteroaryl, and cycloalkyl when two A's in formula (EH-1) are bonded together to form aryl, heteroaryl, and cycloalkyl, refer to the description in formula (HH-1). can.
電子輸送性ホスト材料が式(EH-1)で表される構造を部分構造として含むとき、この部分構造を1つ含むものであってもよいが2つ以上含むことも好ましい。2つ以上含む場合、その2つ以上の部分構造は互いに同じであっても異なっていてもよい。2つ以上の部分構造は互いに単結合で結合していてもよく、部分構造に含まれる任意の環を共有するようにして結合していてもよく、部分構造に含まれる任意の環同士が縮合するようにして結合していてもよい。部分構造はさらに、アリール、ヘテロアリール、ジアリールアミノ、またはアリールオキシから選択される置換基を有していてもよい。 When the electron-transporting host material contains the structure represented by Formula (EH-1) as a partial structure, it may contain one partial structure, but preferably contains two or more partial structures. When two or more are included, the two or more partial structures may be the same or different. Two or more partial structures may be bonded to each other with a single bond, or may be bonded so as to share any rings contained in the partial structures, and any rings contained in the partial structures may be fused to each other. may be combined in such a way that The substructure may further have substituents selected from aryl, heteroaryl, diarylamino, or aryloxy.
電子輸送性ホスト材料の具体例としては、以下の化合物をあげることができる。
電子輸送性ホスト材料(式(EH-1)で表される部分構造を有する化合物)の別の好ましい例として、下記式(EH-1b)で表される多環芳香族化合物、または下記式(EH-1b)で表される構造を複数有する多環芳香族化合物の多量体をあげることができる。
式(EH-1b)において、
R1、R2、R3、R4およびR5(以降、「R1等」ともいう)は、それぞれ独立して、水素または置換基群Zより選択される置換基である。
式(EH-1b)において、X1およびX2は、それぞれ独立して、>N-R(アミン性窒素)、>O、>C(-R)2、>Sまたは>Seであり、X1およびX2が共に>C(-R)2になることはなく、
前記>N-Rおよび>C(-R)2におけるRは、それぞれ独立して、水素または置換基群Zより選択される置換基であり、さらに、アリール、ヘテロアリール、アルキルまたはシクロアルキル(以上、第2置換基)で置換されていてもよく、前記>N-Rおよび>C(-R)2のRはそれぞれ独立して連結基または単結合により前記a環、b環およびc環の少なくとも1つの環と結合していてもよい。
Y1、Y2、Y3、Y4、Y5およびY6(以降、「Y1等」ともいう)は、それぞれ独立して、=C(-R)-または=N-(ピリジン性窒素)であり、少なくとも1つは=N-(ピリジン性窒素)であり、
前記=C(-R)-におけるRは、それぞれ独立して、水素または置換基群Zより選択される置換基である。
前記R1、R2、R3、R4およびR5、ならびに、前記Y1~Y6としての=C(-R)-のRのうちの隣接する基同士が結合してa環、b環およびc環の少なくとも1つの環と共にアリール環またはヘテロアリール環を形成していてもよく、形成された環は置換基群Zより選択される少なくとも1つの基で置換されていてもよい。
式(EH-1b)で表される化合物および構造における少なくとも1つの水素は、シアノ、ハロゲンまたは重水素で置き換えられていてもよい。
In formula (EH-1b),
R 1 , R 2 , R 3 , R 4 and R 5 (hereinafter also referred to as “R 1 etc.”) are each independently hydrogen or a substituent selected from Substituent Group Z;
In formula (EH-1b), X 1 and X 2 are each independently >NR (amine nitrogen), >O, >C(-R) 2 , >S or >Se; 1 and X 2 cannot both be >C(-R) 2 ,
Each R in >N--R and >C(--R) 2 is independently hydrogen or a substituent selected from substituent group Z, and furthermore, aryl, heteroaryl, alkyl or cycloalkyl ( , a second substituent), and the Rs of the above-mentioned >NR and >C(-R) 2 are each independently connected to the above-mentioned a-ring, b-ring and c-ring by a linking group or a single bond. It may be attached to at least one ring.
Y 1 , Y 2 , Y 3 , Y 4 , Y 5 and Y 6 (hereinafter also referred to as “Y 1 etc.”) are each independently =C(-R)- or =N- (pyridinic nitrogen ) and at least one is =N- (pyridinic nitrogen);
Each R in the =C(-R)- is independently hydrogen or a substituent selected from the group Z of substituents.
Adjacent groups among R 1 , R 2 , R 3 , R 4 and R 5 , and R of ═C(—R)— as Y 1 to Y 6 are bonded to form a ring, b An aryl ring or a heteroaryl ring may be formed together with the ring and at least one ring of the c ring, and the formed ring may be substituted with at least one group selected from the substituent group Z.
At least one hydrogen in the compounds and structures represented by formula (EH-1b) may be replaced with cyano, halogen or deuterium.
式(EH-1b)において、R1、R2、R3、R4およびR5はいずれも水素であるか、または、R3およびR4がいずれも水素であり、かつR1、R2およびR5からなる群より選択されるいずれか1つ以上が水素以外の置換基であり、その他が水素であることが好ましい。置換基としては、アルキル、アルキルもしくはヘテロアリールで置換されていてもよいアリール、アルキルもしくはアリールで置換されていてもよいヘテロアリール、またはアルキルもしくはアリールで置換されていてもよいジアリールアミノが好ましい。このとき、アルキルとしては、炭素数1~6のアルキル(メチル、t-ブチルなど)が好ましく、アリールとしてはフェニルまたはビフェニルが好ましく、ヘテロアリールとしては、トリアジニル、カルバゾリル(2-カルバゾリル、3-カルバゾリル、9-カルバゾリルなど)、ピリミジニル、ピリジニル、ジベンゾフラニルまたはジベンゾチエニルが好ましい。具体例としては、フェニル、ビフェニル、ジフェニルトリアジニル、カルバゾリルトリアジニル、モノフェニルピリミジニル、ジフェニルピリミジニル、カルバゾリルトリアジニル、ピリジニル、ジベンゾフラニルおよびジベンゾチエニルがあげられる。 In formula (EH-1b), R 1 , R 2 , R 3 , R 4 and R 5 are all hydrogen, or both R 3 and R 4 are hydrogen and R 1 , R 2 and R 5 are substituents other than hydrogen, and the others are preferably hydrogen. Preferred substituents are alkyl, aryl optionally substituted with alkyl or heteroaryl, heteroaryl optionally substituted with alkyl or aryl, or diarylamino optionally substituted with alkyl or aryl. At this time, alkyl is preferably alkyl having 1 to 6 carbon atoms (methyl, t-butyl, etc.), aryl is preferably phenyl or biphenyl, and heteroaryl is triazinyl, carbazolyl (2-carbazolyl, 3-carbazolyl , 9-carbazolyl, etc.), pyrimidinyl, pyridinyl, dibenzofuranyl or dibenzothienyl are preferred. Specific examples include phenyl, biphenyl, diphenyltriazinyl, carbazolyltriazinyl, monophenylpyrimidinyl, diphenylpyrimidinyl, carbazolyltriazinyl, pyridinyl, dibenzofuranyl and dibenzothienyl.
Y1等は、それぞれ独立して、=C(-R)-または=N-であり、少なくとも1つは=N-である。Y1~Y6のいずれが=N-であってもよい。好ましくは、Y1およびY6が=N-(a環がピリミジン環)、Y1またはY6が=N-(a環がピリジン環)、Y2およびY5が=N-(b環およびc環がピリジン環)、Y3およびY4が=N-(b環およびc環がピリジン環)、Y2~Y5が=N-(b環およびc環がピリミジン環)、Y1、Y3、Y4およびY6が=N-(a環がピリミジン環、b環およびc環がピリジン環)、Y1、Y2、Y5およびY6が=N-(a環がピリミジン環、b環およびc環がピリジン環)、Y1~Y6が=N-(a環、b環およびc環がピリミジン環)、Y2またはY5が=N-(b環またはc環がピリジン環)である。 Y 1 etc. are each independently =C(-R)- or =N- and at least one is =N-. Any of Y 1 to Y 6 may be =N-. Preferably, Y 1 and Y 6 are =N- (a ring is a pyrimidine ring), Y 1 or Y 6 is =N- (a ring is a pyridine ring), Y 2 and Y 5 are =N- (b ring and ring c is a pyridine ring), Y 3 and Y 4 are =N- (rings b and c are pyridine rings), Y 2 to Y 5 are =N- (rings b and c are pyrimidine rings), Y 1 , Y 3 , Y 4 and Y 6 are =N- (ring a is a pyrimidine ring, rings b and c are pyridine rings), Y 1 , Y 2 , Y 5 and Y 6 are =N- (ring a is a pyrimidine ring , rings b and c are pyridine rings), Y 1 to Y 6 are =N- (rings a, b and c are pyrimidine rings), Y 2 or Y 5 is =N- (rings b and c are pyridine ring).
また、以上の=N-の配置関係に加えて、X1およびX2が>Oであることが好ましく、下記式のいずれかで表される部分構造を含む多環芳香族化合物が好ましい。
特に、式(EH-1b-N1)で表される部分構造を含む多環芳香族化合物は、Nがない構造と比べ、高いES1、高いET1、小さいΔES1T1を有する。
式(EH-1b)で表される多環芳香族化合物の具体例を以下に示す。
In particular, the polycyclic aromatic compound containing the partial structure represented by formula (EH-1b-N1) has a higher E S1 , a higher E T1 and a smaller ΔE S1T1 than the structure without N.
Specific examples of the polycyclic aromatic compound represented by formula (EH-1b) are shown below.
上記のうち、EH-1-1~EH-1-4、EH-1-10、EH-1-21~EH-1-25、EH-1-32、EH-1-33、EH-1-51~EH-1-59、EH-1-61、EH-1-66、EH-1-68、EH-1-71、EH-1-72、EH-1-90、EH-1-100、EH-1-101、EH-1-104,EH-1-115、EH-1-117、EH-1-120、EH-1-122、EH-1-123、EH-1-127~EH-1-130が好ましい。 Among the above, EH-1-1 to EH-1-4, EH-1-10, EH-1-21 to EH-1-25, EH-1-32, EH-1-33, EH-1- 51 to EH-1-59, EH-1-61, EH-1-66, EH-1-68, EH-1-71, EH-1-72, EH-1-90, EH-1-100, EH-1-101, EH-1-104, EH-1-115, EH-1-117, EH-1-120, EH-1-122, EH-1-123, EH-1-127 to EH- 1-130 is preferred.
[正孔輸送性ホスト材料および電子輸送性ホスト材料の組み合わせ]
正孔輸送性ホスト材料および電子輸送性ホスト材料の組み合わせは、正孔輸送性ホスト材料、電子輸送性ホスト材料およびドーパント材料のHOMO、LUMOおよび励起三重項エネルギーによって選択される。
HOMOおよびLUMOに関しては、正孔輸送性ホスト材料のHOMO(HH)が電子輸送性ホスト材料のHOMO(EH)より浅く、電子輸送性ホスト材料のLUMO(EH)が正孔輸送性ホスト材料のLUMO(HH)より深い組み合わせを選び、より具体的には、HOMO(HH)がHOMO(EH)より0.10eV以上浅く、LUMO(HH)がHOMO(EH)より0.10eV以上深い組み合わせが好ましく、HOMO(HH)がHOMO(EH)より0.20eV以上浅く、LUMO(HH)がHOMO(EH)より0.20eV以上深い組み合わせがより好ましく、HOMO(HH)がHOMO(EH)より0.25eV以上浅く、LUMO(HH)がHOMO(EH)より0.25eV以上深い組み合わせがさらに好ましい。
[Combination of hole-transporting host material and electron-transporting host material]
The combination of hole-transporting host material and electron-transporting host material is selected according to the HOMO, LUMO and excited triplet energies of the hole-transporting host material, the electron-transporting host material and the dopant material.
Regarding HOMO and LUMO, the HOMO (HH) of the hole-transporting host material is shallower than the HOMO (EH) of the electron-transporting host material, and the LUMO (EH) of the electron-transporting host material is shallower than the LUMO of the hole-transporting host material. A combination deeper than (HH) is selected, more specifically, a combination in which HOMO (HH) is shallower than HOMO (EH) by 0.10 eV or more and LUMO (HH) is deeper than HOMO (EH) by 0.10 eV or more is preferable, A combination in which HOMO (HH) is 0.20 eV or more shallower than HOMO (EH) and LUMO (HH) is 0.20 eV or more deeper than HOMO (EH) is more preferable, and HOMO (HH) is 0.25 eV or more than HOMO (EH). A shallow combination in which LUMO (HH) is deeper than HOMO (EH) by 0.25 eV or more is more preferable.
正孔輸送性ホスト材料および電子輸送性ホスト材料はエキサイプレックス(exciplex)と呼ばれる会合体を形成する組み合わせであってもよい。エキサイプレックスは、比較的深いLUMO準位をもつ材料と、浅いHOMO準位をもつ材料間との間で形成しやすいことが一般に知られている。正孔輸送性ホスト材料および電子輸送性ホスト材料の相互作用、具体的にはエキサイプレックスを形成しているか否かは、正孔輸送性ホスト材料および電子輸送性ホスト材料のみからなる単層膜を発光層の形成条件と同様にして形成して発光スペクトル(蛍光、りん光スペクトル)を測定し、得られた発光スペクトルを、正孔輸送性ホスト材料および電子輸送性ホスト材料それぞれが単独で示す発光スペクトルとを比較することで判断できる。正孔輸送性ホスト材料および電子輸送性ホスト材料を含む混合膜のスペクトルが、正孔輸送性ホスト材料の膜のスペクトル、および電子輸送性ホスト材料の膜のスペクトルのいずれとも異なる発光波長を示すことにより判断することができる。具体的には、スペクトルのピーク波長が10nm以上異なっていることを指標にすればよい。 The hole-transporting host material and the electron-transporting host material may be a combination that forms an aggregate called an exciplex. It is generally known that an exciplex is likely to form between a material with a relatively deep LUMO level and a material with a shallow HOMO level. Interaction between a hole-transporting host material and an electron-transporting host material, specifically whether or not an exciplex is formed, can be determined by using a single-layer film consisting of only a hole-transporting host material and an electron-transporting host material. Emission spectra (fluorescence and phosphorescence spectra) are measured by forming under the same conditions as those for forming the light-emitting layer, and the obtained emission spectra are the light emitted by the hole-transporting host material and the electron-transporting host material independently. It can be judged by comparing with the spectrum. The spectrum of the mixed film containing the hole-transporting host material and the electron-transporting host material exhibits an emission wavelength different from the spectrum of the film of the hole-transporting host material and the spectrum of the film of the electron-transporting host material. can be determined by Specifically, a difference of 10 nm or more in the peak wavelengths of the spectra may be used as an index.
エキサイプレックスを形成しない正孔輸送性ホスト材料および電子輸送性ホスト材料の組み合わせの具体例としては以下の組み合わせをあげることができる。前記のHOMO、LUMOおよび励起三重項エネルギーの物性値を満たすために、正孔輸送性ホスト材料においては、カルバゾール、ジベンゾフラン、ジベンゾチオフェン、トリアリールアミン、インデロカルバゾールおよびベンゾオキサジノフェノキサジンを部分構造として有する化合物が好ましく、カルバゾール、ジベンゾフランおよびジベンゾチオフェンを部分構造として有する化合物がより好ましく、カルバゾールを部分構造として有する化合物がさらに好ましい。同様に、電子輸送性ホスト材料においては、ピリジン、トリアジン、ホスフィンオキシド、ベンゾフロピリジンおよびジベンゾオキサシリンを部分構造として有する化合物が好ましく、トリアジン、ホスフィンオキシド、ベンゾフロピリジンおよびジベンゾオキサシリンを部分構造として有する化合物がより好ましく、トリアジンを有する化合物がさらに好ましい。 Specific examples of combinations of hole-transporting host materials and electron-transporting host materials that do not form exciplexes include the following combinations. In order to satisfy the physical property values of HOMO, LUMO and excited triplet energy, the hole-transporting host material has partial structures of carbazole, dibenzofuran, dibenzothiophene, triarylamine, inderocarbazole and benzoxazinophenoxazine. is preferred, compounds having carbazole, dibenzofuran and dibenzothiophene as partial structures are more preferred, and compounds having carbazole as a partial structure are even more preferred. Similarly, in the electron-transporting host material, compounds having pyridine, triazine, phosphine oxide, benzofuropyridine and dibenzooxacillin as partial structures are preferred, and compounds having triazine, phosphine oxide, benzofuropyridine and dibenzooxacillin as partial structures. is more preferred, and triazine-bearing compounds are even more preferred.
より具体的には、正孔輸送性ホスト材料は、HH-1-1、HH-1-2、HH-1-4~HH-1-12、HH-1-17、HH-1-18、HH-1-20~HH-1-24、HH-1-82、HH-1-84~HH-1-89、HH-1-91、HH-1-92およびHH-1-106~HH-1-108からなる群より選択されることが好ましく、電子輸送性ホスト材料は、EH-1-1~EH-1-4、EH-1-10、EH-1-21~EH-1-25、EH-1-32、EH-1-33、EH-1-51~EH-1-59、EH-1-61、EH-1-71、EH-1-72、EH-1-90、EH-1-100、EH-1-101、EH-1-104、EH-1-117、EH-1-120、EH-1-122、EH-1-123、およびEH-1-127~EH-1-130からなる群より選択されることが好ましい。組み合わせとして好ましい例としては、化合物HH-1-1および化合物EH-1-22、化合物HH-1-1および化合物EH-1-23、化合物HH-1-1および化合物EH-1-24、化合物HH-1-2および化合物EH-1-22、化合物HH-1-2および化合物EH-1-23、化合物HH-1-2および化合物EH-1-24、または化合物HH-1-1および化合物EH-1-128があげられる。 More specifically, the hole-transporting host material is HH-1-1, HH-1-2, HH-1-4 to HH-1-12, HH-1-17, HH-1-18, HH-1-20 to HH-1-24, HH-1-82, HH-1-84 to HH-1-89, HH-1-91, HH-1-92 and HH-1-106 to HH- 1-108, and the electron-transporting host material is EH-1-1 to EH-1-4, EH-1-10, EH-1-21 to EH-1-25 , EH-1-32, EH-1-33, EH-1-51 to EH-1-59, EH-1-61, EH-1-71, EH-1-72, EH-1-90, EH -1-100, EH-1-101, EH-1-104, EH-1-117, EH-1-120, EH-1-122, EH-1-123, and EH-1-127 to EH- It is preferably selected from the group consisting of 1-130. Preferred examples of combinations include compound HH-1-1 and compound EH-1-22, compound HH-1-1 and compound EH-1-23, compound HH-1-1 and compound EH-1-24, compound HH-1-2 and compound EH-1-22, compound HH-1-2 and compound EH-1-23, compound HH-1-2 and compound EH-1-24, or compound HH-1-1 and compound and EH-1-128.
エキサイプレックスを形成する正孔輸送性ホスト材料および電子輸送性ホスト材料の組み合わせの具体例としては以下の組み合わせをあげることができる。前記、HOMO、LUMOおよび励起三重項エネルギーの物性値を満たすために、正孔輸送性ホスト材料においては、カルバゾール、トリアリールアミン、インデロカルバゾールおよびベンゾオキサジノフェノキサジンを部分構造として有する化合物が好ましく、トリアリールアミン、インデロカルバゾールおよびベンゾオキサジノフェノキサジンを部分構造として有する化合物がより好ましく、トリアリールアミンを部分構造として有する化合物がさらに好ましい。同様に、電子輸送性ホスト材料においては、ピリジン、トリアジン、ホスフィンオキシドおよびベンゾフロピリジンを部分構造として有する化合物が好ましく、トリアジン、ホスフィンオキシド、ベンゾフロピリジンおよびジベンゾオキサシリンを部分構造として有する化合物がより好ましく、ホスフィンオキシドおよびトリアジンを有する化合物がさらに好ましい。 Specific examples of combinations of hole-transporting host materials and electron-transporting host materials that form an exciplex include the following combinations. Compounds having carbazole, triarylamine, inderocarbazole and benzoxazinophenoxazine as a partial structure are preferred as the hole-transporting host material in order to satisfy the physical property values of HOMO, LUMO and excited triplet energy. , triarylamine, inderocarbazole and benzoxazinophenoxazine as partial structures are more preferred, and compounds having triarylamine as a partial structure are even more preferred. Similarly, in the electron-transporting host material, compounds having pyridine, triazine, phosphine oxide and benzofuropyridine as partial structures are preferred, and compounds having triazine, phosphine oxide, benzofuropyridine and dibenzoxacillin as partial structures are more preferred. , phosphine oxides and triazines are more preferred.
より具体的には、正孔輸送性ホスト材料は、HH-1-1、HH-1-2、HH-1-11、HH-1-12、HH-1-17、HH-1-18、HH-1-23およびHH-1-24からなる群より選択されることが好ましく、電子輸送性ホスト材料は、EH-1-1~EH-1-4、EH-1-21~EH-1-25、EH-1-51~EH-1-57、EH-1-59、EH-1-66、EH-1-68、EH-1-90、EH-1-100、EH-1-101、EH-1-104、EH-1-117、EH-1-120、EH-1-122、EH-1-123、およびEH-1-127~EH-1-130からなる群より選択されることが好ましい。組み合わせとして好ましい例としては、化合物HH-1-1および化合物EH-1-21、化合物HH-1-2および化合物EH-1-21、化合物HH-1-12および化合物EH-1-117、化合物HH-1-1および化合物EH-1-130、化合物HH-1-33および化合物EH-1-117、化合物HH-1-48および化合物EH-1-117または化合物HH-1-49および化合物EH-1-117があげられる。 More specifically, the hole-transporting host material is HH-1-1, HH-1-2, HH-1-11, HH-1-12, HH-1-17, HH-1-18, Preferably selected from the group consisting of HH-1-23 and HH-1-24, the electron-transporting host material is EH-1-1 to EH-1-4, EH-1-21 to EH-1 -25, EH-1-51 to EH-1-57, EH-1-59, EH-1-66, EH-1-68, EH-1-90, EH-1-100, EH-1-101 , EH-1-104, EH-1-117, EH-1-120, EH-1-122, EH-1-123, and EH-1-127 to EH-1-130 is preferred. Preferred examples of combinations include compound HH-1-1 and compound EH-1-21, compound HH-1-2 and compound EH-1-21, compound HH-1-12 and compound EH-1-117, compound HH-1-1 and compound EH-1-130, compound HH-1-33 and compound EH-1-117, compound HH-1-48 and compound EH-1-117 or compound HH-1-49 and compound EH -1-117 can be mentioned.
その他、具体的な正孔輸送性ホスト材料と電子輸送性ホスト材料との組み合わせについては、Organic Electronics 66(2019)227-24、Advanced.Functional Materals 25(2015)361-366.、Advanced Materials 26(2014)4730-4734.、ACS Applied Materials and Interfaces 8(2016)32984-32991.、ACS Applied Materals and Interfaces 2016,8,9806-9810、ACS Applied Materials and Interfaces 2016,8,32984-32991、Journal of Materials Chemisty C,2018,6,8784-8792、Angewante Chemie International Edition.2018,57,12380-12384、Advanced Functional Materials,24,2014,3970,Advanced Materials,26,2014,5684,および、Synthetic Metals,201,2015,49などの記載を参照することができる。 For other specific combinations of hole-transporting host materials and electron-transporting host materials, see Organic Electronics 66 (2019) 227-24, Advanced. Functional Materials 25 (2015) 361-366. , Advanced Materials 26 (2014) 4730-4734. , ACS Applied Materials and Interfaces 8 (2016) 32984-32991. 、ACS Applied Materals and Interfaces 2016,8,9806-9810、ACS Applied Materials and Interfaces 2016,8,32984-32991、Journal of Materials Chemisty C,2018,6,8784-8792、Angewante Chemie International Edition. 2018, 57, 12380-12384, Advanced Functional Materials, 24, 2014, 3970, Advanced Materials, 26, 2014, 5684, and Synthetic Metals, 201, 2015, 49.
<ドーパント材料>
ドーパント材料としては、既知の化合物を用いることができ、所望の発光色に応じて様々な材料の中から選択することができる。具体的には、例えば、フェナンスレン、アントラセン、ピレン、テトラセン、ペンタセン、ペリレン、ナフトピレン、ジベンゾピレン、ルブレンおよびクリセンなどの縮合環誘導体、ベンゾオキサゾール誘導体、ベンゾチアゾール誘導体、ベンゾイミダゾール誘導体、ベンゾトリアゾール誘導体、オキサゾール誘導体、オキサジアゾール誘導体、チアゾール誘導体、イミダゾール誘導体、チアジアゾール誘導体、トリアゾール誘導体、ピラゾリン誘導体、スチルベン誘導体、チオフェン誘導体、テトラフェニルブタジエン誘導体、シクロペンタジエン誘導体、ビススチリルアントラセン誘導体やジスチリルベンゼン誘導体などのビススチリル誘導体(特開平1-245087号公報)、ビススチリルアリーレン誘導体(特開平2-247278号公報)、ジアザインダセン誘導体、フラン誘導体、ベンゾフラン誘導体、フェニルイソベンゾフラン、ジメシチルイソベンゾフラン、ジ(2-メチルフェニル)イソベンゾフラン、ジ(2-トリフルオロメチルフェニル)イソベンゾフラン、フェニルイソベンゾフランなどのイソベンゾフラン誘導体、ジベンゾフラン誘導体、7-ジアルキルアミノクマリン誘導体、7-ピペリジノクマリン誘導体、7-ヒドロキシクマリン誘導体、7-メトキシクマリン誘導体、7-アセトキシクマリン誘導体、3-ベンゾチアゾリルクマリン誘導体、3-ベンゾイミダゾリルクマリン誘導体、3-ベンゾオキサゾリルクマリン誘導体などのクマリン誘導体、ジシアノメチレンピラン誘導体、ジシアノメチレンチオピラン誘導体、ポリメチン誘導体、シアニン誘導体、オキソベンゾアントラセン誘導体、キサンテン誘導体、ローダミン誘導体、フルオレセイン誘導体、ピリリウム誘導体、カルボスチリル誘導体、アクリジン誘導体、オキサジン誘導体、フェニレンオキサイド誘導体、キナクリドン誘導体、キナゾリン誘導体、ピロロピリジン誘導体、フロピリジン誘導体、1,2,5-チアジアゾロピレン誘導体、ピロメテン誘導体、ペリノン誘導体、ピロロピロール誘導体、スクアリリウム誘導体、ビオラントロン誘導体、フェナジン誘導体、アクリドン誘導体、デアザフラビン誘導体、フルオレン誘導体およびベンゾフルオレン誘導体などがあげられる。
<Dopant material>
Known compounds can be used as the dopant material, and can be selected from various materials depending on the desired emission color. Specifically, for example, phenanthrene, anthracene, pyrene, tetracene, pentacene, perylene, naphthopyrene, dibenzopyrene, rubrene and chrysene condensed ring derivatives, benzoxazole derivatives, benzothiazole derivatives, benzimidazole derivatives, benzotriazole derivatives, oxazole derivatives, oxadiazole derivatives, thiazole derivatives, imidazole derivatives, thiadiazole derivatives, triazole derivatives, pyrazoline derivatives, stilbene derivatives, thiophene derivatives, tetraphenylbutadiene derivatives, cyclopentadiene derivatives, bisstyryl derivatives such as bisstyrylanthracene derivatives and distyrylbenzene derivatives (JP-A-1-245087), bisstyrylarylene derivatives (JP-A-2-247278), diazaindacene derivatives, furan derivatives, benzofuran derivatives, phenylisobenzofuran, dimesitylisobenzofuran, di(2-methylphenyl) isobenzofuran derivatives such as isobenzofuran, di(2-trifluoromethylphenyl)isobenzofuran, phenylisobenzofuran, dibenzofuran derivatives, 7-dialkylaminocoumarin derivatives, 7-piperidinocoumarin derivatives, 7-hydroxycoumarin derivatives, 7- Coumarin derivatives such as methoxycoumarin derivatives, 7-acetoxycoumarin derivatives, 3-benzothiazolylcoumarin derivatives, 3-benzimidazolylcoumarin derivatives, 3-benzoxazolylcoumarin derivatives, dicyanomethylenepyran derivatives, dicyanomethylenethiopyran derivatives, polymethine derivatives, cyanine derivatives, oxobenzoanthracene derivatives, xanthene derivatives, rhodamine derivatives, fluorescein derivatives, pyrylium derivatives, carbostyryl derivatives, acridine derivatives, oxazine derivatives, phenylene oxide derivatives, quinacridone derivatives, quinazoline derivatives, pyrrolopyridine derivatives, furopyridine derivatives, 1 , 2,5-thiadiazolopyrene derivatives, pyrromethene derivatives, perinone derivatives, pyrrolopyrrole derivatives, squarylium derivatives, violanthrone derivatives, phenazine derivatives, acridone derivatives, deazaflavin derivatives, fluorene derivatives and benzofluorene derivatives.
発光層においては、本発明の多環芳香族化合物を、ホスト材料として用いるとともに、ドーパント材料として、りん光材料またはTADF材料(熱活性型遅延蛍光体)を用いることが好ましい。 In the light-emitting layer, it is preferable to use the polycyclic aromatic compound of the present invention as a host material and use a phosphorescent material or a TADF material (thermally activated delayed phosphor) as a dopant material.
[りん光材料]
りん光材料は金属原子による分子内スピン-軌道相互作用(重原子効果)を利用し、三重項からの発光を得る。このようなりん光材料としては、例えば、発光性金属錯体を用いることができる。発光性金属錯体としては、例えば下記式(B-1)および下記式(B-2)で表される化合物があげられる。
[Phosphorescent material]
Phosphorescent materials utilize intramolecular spin-orbital interactions (heavy atom effect) by metal atoms to obtain emission from triplets. As such a phosphorescent material, for example, a luminescent metal complex can be used. Examples of the luminescent metal complex include compounds represented by the following formulas (B-1) and (B-2).
式(B-1)において、Mは、Ir、Pt、Au、Eu、Ru、Re、AgおよびCuからなる群から選択される少なくとも1種であり、nは1~3の整数であり、「X-Y」はそれぞれ独立して二座の配位子である。
式(B-2)において、Mは、Pt、ReおよびCuからなる群から選択される少なくとも1種であり、「W-X-Y-Z」は四座の配位子である。
式(B-1)において、効率と寿命の観点から、MはIrが好ましく、nは3が好ましい。
式(B-2)において、効率と寿命の観点からMはPtが好ましい。
式(B-1)における配位子(X-Y)は、以下からなる群から選択された少なくとも1つの配位子を有する。式(B-2)における配位子(W-X-Y-Z)配位子は、以下からなる群から選択される少なくとも1つの配位子を一部として有する。
In formula (B-1), M is at least one selected from the group consisting of Ir, Pt, Au, Eu, Ru, Re, Ag and Cu; n is an integer of 1 to 3; XY" is each independently a bidentate ligand.
In formula (B-2), M is at least one selected from the group consisting of Pt, Re and Cu, and "WXYZ" is a tetradentate ligand.
In formula (B-1), M is preferably Ir and n is preferably 3 from the viewpoint of efficiency and life.
In formula (B-2), M is preferably Pt from the viewpoint of efficiency and life.
The ligand (XY) in formula (B-1) has at least one ligand selected from the group consisting of: The ligand (WXYZ) in formula (B-2) has as a part thereof at least one ligand selected from the group consisting of the following.
式中、
---において中心金属Mと結合し、
Yは、それぞれ独立して、BRe、NRe、PRe、O、S、Se、C=O、S=O、SO2、CReRf、SiReRf、またはGeReRfであり
環における芳香族炭素C-Hは、それぞれ独立して、Nに置換されてもよく、
ReおよびRfは、任意に縮合または結合して環を形成してもよく、
Ra、Rb、Rc、およびRdは、それぞれ独立して、無置換または1~置換可能な最大数まで置換してもよく、
Ra、Rb、Rc、Rd、Re、およびRfが、それぞれ独立して、水素、重水素、ハロゲン化物、アルキル、シクロアルキル、ヘテロアルキル、アルコキシ、アリールオキシ、アミノ、シリル、アルケニル、シクロアルケニル、ヘテロアルケニル、アリール、ヘテロアリール、ニトリル、イソニトリル、スルファニル、または、これらの組み合わせであり、
ただし、Ra、Rb、Rc、およびRdにおける任意の2つの隣接する置換基が縮合または結合して環を形成するか、または多座リガンドを形成してもよい。
During the ceremony,
--- is bound to the central metal M,
Y is each independently BR e , NR e , PR e , O, S, Se, C=O, S=O, SO2, CR e R f , SiRe R f , or GeRe R f each aromatic carbon C-H in the ring may be independently substituted with N,
R e and R f may optionally be fused or joined to form a ring;
R a , R b , R c , and R d are each independently unsubstituted or optionally substituted from 1 to the maximum possible number of substitutions;
R a , R b , R c , R d , R e , and R f are each independently hydrogen, deuterium, halide, alkyl, cycloalkyl, heteroalkyl, alkoxy, aryloxy, amino, silyl, alkenyl, cycloalkenyl, heteroalkenyl, aryl, heteroaryl, nitrile, isonitrile, sulfanyl, or combinations thereof;
However, any two adjacent substituents in R a , R b , R c , and R d may be fused or joined to form a ring or to form a multidentate ligand.
式(B-1)で表される化合物としては、例えば、Ir(ppy)3、Ir(ppy)2(acac)、Ir(mppy)3、Ir(PPy)2(m-bppy)、BtpIr(acac)、Ir(btp)2(acac)、Ir(2-phq)3、Hex-Ir(phq)3、Ir(fbi)2(acac)、fac-Tris(2-(3-p-xylyl)phenyl)pyridine iridium(III)、Eu(dbm)3(Phen)、Ir(piq)3、Ir(piq)2(acac)、Ir(Fliq)2(acac)、Ir(Flq)2(acac)、Ru(dtb-bpy)3・2(PF6)、Ir(2-phq)3、Ir(BT)2(acac)、Ir(DMP)3、Ir(Mphq)3IR(phq)2tpy、fac-Ir(ppy)2Pc、Ir(dp)PQ2、Ir(Dpm)(Piq)2、Hex-Ir(piq)2(acac)、Hex-Ir(piq)3、Ir(dmpq)3、Ir(dmpq)2(acac)、FPQIrpicなどがあげられる。 Examples of compounds represented by formula (B-1) include Ir(ppy) 3 , Ir(ppy) 2 (acac), Ir(mppy) 3 , Ir(PPy) 2 (m-bppy), BtpIr ( acac), Ir(btp) 2 (acac), Ir(2-phq) 3 , Hex-Ir(phq) 3 , Ir(fbi) 2 (acac), fac-Tris(2-(3-p-xylyl) phenyl)pyridine iridium (III), Eu(dbm) 3 (Phen), Ir(piq) 3 , Ir(piq) 2 (acac), Ir(Fliq) 2 (acac), Ir(FIq) 2 (acac), Ru(dtb-bpy) 3 2(PF 6 ), Ir(2-phq) 3 , Ir(BT) 2 (acac), Ir(DMP) 3 , Ir(Mphq) 3 IR(phq) 2 tpy, fac -Ir(ppy) 2Pc , Ir(dp) PQ2 , Ir(Dpm)(Piq) 2 , Hex-Ir(piq) 2 (acac), Hex-Ir(piq) 3 , Ir(dmpq) 3 , Ir (dmpq) 2 (acac), FPQIrpic, and the like.
式(B-1)で表される化合物としては、他には、例えば下記式があげられる。
また、特開2006-089398号公報、特開2006-080419号公報、特開2005-298483号公報、特開2005-097263号公報、および特開2004-111379号公報、米国特許出願公開第2019/0051845号明細書などに記載されたイリジウム錯体、または、Advanced Materials, 26: 7116-7121、NPG Asia Materials 13, 53 (2021)、Applied Physics Letters, 117, 253301 (2020)、Light-Emitting Diode - An Outlook On the Empirical Features and Its Recent Technological Advancements, Chapter 5に記載された白金錯体を用いてもよい。
In addition, JP 2006-089398, JP 2006-080419, JP 2005-298483, JP 2005-097263, and JP 2004-111379, US Patent Application Publication No. 2019/ 0051845, etc., or Advanced Materials, 26: 7116-7121, NPG Asia Materials 13, 53 (2021), Applied Physics Letters, 117, 253301 (2020), Light-Emitting Diode - An The platinum complexes described in Outlook On the Empirical Features and Its Recent Technological Advancements,
[TADF材料(熱活性型遅延蛍光体)]
ドーパント材料としては、国際公開第2015/102118号、国際公開第2018/212169号、国際公開第2020/162600号等に記載のホウ素を含む多環芳香族化合物を用いることも好ましい。ホウ素原子を有する多環芳香族化合物は蛍光体であっても、TADF材料(熱活性型遅延蛍光体)であってもよい。ホウ素原子を有する多環芳香族化合物は青色発光化合物であることが好ましい。
[TADF material (thermally activated delayed phosphor)]
As the dopant material, it is also preferable to use the boron-containing polycyclic aromatic compounds described in WO 2015/102118, WO 2018/212169, WO 2020/162600, and the like. A polycyclic aromatic compound having boron atoms may be a phosphor or a TADF material (thermally activated delayed phosphor). The polycyclic aromatic compound having boron atoms is preferably a blue light-emitting compound.
励起一重項状態と励起三重項状態のエネルギー差を小さくすることで、通常は遷移確率が低い励起三重項状態から励起一重項状態への逆項間交差を高効率で生じさせることで、一重項からの発光(熱活性型遅延蛍光、TADF)が発現する。通常の蛍光発光では電流励起により生じた75%の三重項励起子は熱失活経路を通るため蛍光として取り出すことはできない。一方、TADFでは全ての励起子を蛍光発光に利用することができ、高効率な有機EL素子が実現できる。 By reducing the energy difference between the excited singlet state and the excited triplet state, the reverse intersystem crossing from the excited triplet state, which normally has a low transition probability, to the excited singlet state can be generated with high efficiency. luminescence (thermally activated delayed fluorescence, TADF) is expressed. In normal fluorescence emission, 75% of triplet excitons generated by current excitation pass through the thermal deactivation pathway and cannot be extracted as fluorescence. On the other hand, in TADF, all excitons can be used for fluorescence emission, and a highly efficient organic EL device can be realized.
ホウ素を含む多環芳香族化合物の好ましい例として、下記式(12)、(13)または(14)で表される化合物をあげることができる。
A環、B環、C環およびD環は、それぞれ独立して、置換もしくは無置換のアリール環または置換もしくは無置換のヘテロアリール環であり、
YはB(ホウ素)であり、
X1、X2、X3およびX4は、それぞれ独立して、>O、>N-R、>Sまたは>Seであり、前記>N-RのRは、置換もしくは無置換のアリール、置換もしくは無置換のヘテロアリールまたは置換もしくは無置換のアルキルであり、また、前記>N-RのRは連結基または単結合により前記A環、B環、C環および/またはD環と結合していてもよく、
R1およびR2は、それぞれ独立して、水素、炭素数1~6のアルキル、炭素数6~12のアリール、炭素数2~15のヘテロアリールまたはジアリールアミノ(ただしアリールは炭素数6~12のアリール)であり、
Z1およびZ2は、それぞれ独立して、置換基群Zより選択される置換基であり、Z1は連結基または単結合で前記A環と結合してもよく、Z2は連結基または単結合で前記C環と結合してもよく、そして、
式(12)で表される化合物における少なくとも1つの水素はシアノ、ハロゲンまたは重水素で置き換えられていてもよい。
A ring, B ring, C ring and D ring are each independently a substituted or unsubstituted aryl ring or a substituted or unsubstituted heteroaryl ring,
Y is B (boron);
X 1 , X 2 , X 3 and X 4 are each independently >O, >NR, >S or >Se, and R in >NR is substituted or unsubstituted aryl; substituted or unsubstituted heteroaryl or substituted or unsubstituted alkyl, and R in >NR is bonded to the A ring, B ring, C ring and/or D ring through a linking group or a single bond; may be
R 1 and R 2 are each independently hydrogen, alkyl having 1 to 6 carbon atoms, aryl having 6 to 12 carbon atoms, heteroaryl or diarylamino having 2 to 15 carbon atoms (wherein aryl is
Z 1 and Z 2 are each independently a substituent selected from the substituent group Z, Z 1 may be a linking group or a single bond to the A ring, Z 2 is a linking group or may be attached to the C ring with a single bond, and
At least one hydrogen in the compound represented by formula (12) may be replaced with cyano, halogen or deuterium.
式(12)のA環、B環、C環およびD環における、アリール環またはヘテロアリール環が置換されているときの置換基およびZ1、Z2としては、置換基群Zより選択される置換基があげられる。 The substituents and Z 1 and Z 2 when the aryl ring or heteroaryl ring in the A ring, B ring, C ring and D ring of formula (12) are substituted are selected from the substituent group Z Substituents can be mentioned.
式(12)におけるX1、X2、X3およびX4は、それぞれ独立して、>O、>N-R、>Sまたは>Seであり、前記>N-RのRは、それぞれ独立して、炭素数6~12のアリール、炭素数2~15のヘテロアリール、炭素数3~12のシクロアルキルまたは炭素数1~6のアルキルである。ここでのアリール、ヘテロアリール、シクロアルキルまたはアルキルとしては、上記の各置換基の説明を引用できる。
式(12)で表される化合物においては、高いTADF性の観点から、Z1およびZ2が置換基を有してもよいジフェニルアミノまたは置換基を有してもよいN-カルバゾリルであることが好ましく、置換基を有してもよいジフェニルアミノであることがより好ましい。置換基を有してもよいジフェニルアミノとしては、無置換のジフェニルアミノまたは少なくとも一つの炭素数1~4のアルキルを有するジフェニルアミノであることが好ましく、無置換のジフェニルアミノまたはNに対してm位またはo位に少なくとも一つメチルを有するジフェニルアミノがより好ましい。合成の容易さおよび発光波長の観点から、A環、B環、C環およびD環におけるアリール環またはヘテロアリール環はZ1およびZ2以外は置換を有していないか、炭素数1~6のアルキルのみをその他の置換基として有していることが好ましく、Z1およびZ2以外は置換を有していないことがより好ましい。
式(12)で表される化合物の例を以下に示す。
X 1 , X 2 , X 3 and X 4 in formula (12) are each independently >O, >NR, >S or >Se, and R in >NR is each independently aryl having 6 to 12 carbon atoms, heteroaryl having 2 to 15 carbon atoms, cycloalkyl having 3 to 12 carbon atoms or alkyl having 1 to 6 carbon atoms. As for aryl, heteroaryl, cycloalkyl or alkyl here, the description of each of the above substituents can be cited.
In the compound represented by formula (12), from the viewpoint of high TADF properties, Z 1 and Z 2 are optionally substituted diphenylamino or optionally substituted N-carbazolyl. is preferred, and diphenylamino, which may have a substituent, is more preferred. The diphenylamino which may have a substituent is preferably unsubstituted diphenylamino or diphenylamino having at least one alkyl of 1 to 4 carbon atoms, and is preferably unsubstituted diphenylamino or m Diphenylamino with at least one methyl in the or o-position is more preferred. From the viewpoint of ease of synthesis and emission wavelength, the aryl or heteroaryl rings other than Z 1 and Z 2 in the A, B, C and D rings are unsubstituted or have 1 to 6 carbon atoms. as other substituents, and it is more preferable that Z 1 and Z 2 are not substituted.
Examples of compounds represented by formula (12) are shown below.
式(13)および式(14)中、
A11環、A21環、A31環、B11環、B21環、C11環、およびC31環は、それぞれ独立して、置換もしくは無置換のアリール環または置換もしくは無置換のヘテロアリール環であり、
Y11、Y21、Y31はB(ホウ素)であり、
X11、X12、X21、X22、X31、およびX32は、それぞれ独立して、>O、>N-R、>Sまたは>Seであり、前記>N-RのRは、置換もしくは無置換のアリール、置換もしくは無置換のヘテロアリールまたは置換もしくは無置換のアルキルであり、また、前記>N-RのRは連結基または単結合によりA11環、A21環、A31環、B11環、B21環、C11環、および/またはC31環と結合していてもよく、
式(13)および(14)で表される化合物における少なくとも1つの水素はシアノ、ハロゲンまたは重水素で置き換えられていてもよい。
In formulas (13) and (14),
A 11 ring, A 21 ring, A 31 ring, B 11 ring, B 21 ring, C 11 ring and C 31 ring are each independently a substituted or unsubstituted aryl ring or a substituted or unsubstituted heteroaryl is a ring,
Y 11 , Y 21 and Y 31 are B (boron),
X 11 , X 12 , X 21 , X 22 , X 31 and X 32 are each independently >O, >NR, >S or >Se, and R in >NR is substituted or unsubstituted aryl, substituted or unsubstituted heteroaryl or substituted or unsubstituted alkyl, and R in >NR is a linking group or a single bond to form A 11 ring, A 21 ring, A 31 ring, B 11 ring, B 21 ring, C 11 ring, and/or C 31 ring;
At least one hydrogen in the compounds represented by formulas (13) and (14) may be replaced with cyano, halogen or deuterium.
式(13)および式(14)のA11環、A21環、A31環、B11環、B21環、C11環、およびC31における、アリール環またはヘテロアリール環が置換されているときの置換基およびZ1、Z2としては、置換基群Zより選択される置換基があげられる。 the aryl or heteroaryl ring in A 11 ring, A 21 ring, A 31 ring, B 11 ring, B 21 ring, C 11 ring, and C 31 of formula (13) and formula (14) is substituted Substituents selected from the substituent group Z can be mentioned as the substituents when and Z 1 and Z 2 .
式(13)および式(14)におけるX11、X12、X21、X22、X31、およびX32は、それぞれ独立して、>O、>N-R、>Sまたは>Seであり、前記>N-RのRは、それぞれ独立して、炭素数6~12のアリール、炭素数2~15のヘテロアリール、炭素数3~12のシクロアルキルまたは炭素数1~6のアルキルである。 X 11 , X 12 , X 21 , X 22 , X 31 , and X 32 in formulas (13) and (14) are each independently >O, >NR, >S, or >Se; , the Rs in the above >NR are each independently aryl having 6 to 12 carbon atoms, heteroaryl having 2 to 15 carbon atoms, cycloalkyl having 3 to 12 carbon atoms or alkyl having 1 to 6 carbon atoms. .
式(13)または式(14)で表される化合物の例を以下に示す。
<有機電界発光素子における電子注入層、電子輸送層>
電子注入層107は、陰極108から移動してくる電子を、効率よく発光層105内または電子輸送層106内に注入する役割を果たす。電子輸送層106は、陰極108から注入された電子または陰極108から電子注入層107を介して注入された電子を、効率よく発光層105に輸送する役割を果たす。電子輸送層106および電子注入層107は、それぞれ、電子輸送・注入材料の一種または二種以上を積層、混合するか、電子輸送・注入材料と高分子結着剤の混合物により形成される。
<Electron Injection Layer and Electron Transport Layer in Organic Electroluminescent Device>
The electron injection layer 107 plays a role of efficiently injecting electrons moving from the
電子注入・輸送層とは、陰極から電子が注入され、さらに電子を輸送することをつかさどる層であり、電子注入効率が高く、注入された電子を効率よく輸送することが望ましい。そのためには電子親和力が大きく、しかも電子移動度が大きく、さらに安定性に優れ、トラップとなる不純物が製造時および使用時に発生しにくい物質であることが好ましい。しかしながら、正孔と電子の輸送バランスを考えた場合に、陽極からの正孔が再結合せずに陰極側へ流れるのを効率よく阻止できる役割を主に果たす場合には、電子輸送能力がそれ程高くなくても、発光効率を向上させる効果は電子輸送能力が高い材料と同等に有する。したがって、本実施形態における電子注入・輸送層は、正孔の移動を効率よく阻止できる層の機能も含まれてもよい。 The electron injection/transport layer is a layer in which electrons are injected from the cathode and is responsible for transporting the electrons. It is desirable that the electron injection efficiency is high and the injected electrons are efficiently transported. For this purpose, it is preferable to use a substance that has high electron affinity, high electron mobility, excellent stability, and does not easily generate trapping impurities during production and use. However, when considering the transport balance of holes and electrons, if the function mainly plays the role of efficiently preventing holes from the anode from flowing to the cathode side without recombination, the electron transport capacity is not so high. Even if it is not high, the effect of improving the luminous efficiency is equivalent to that of a material with a high electron transport ability. Therefore, the electron injection/transport layer in this embodiment may also have the function of a layer capable of efficiently blocking the movement of holes.
電子輸送層106または電子注入層107を形成する材料(電子輸送材料)としては、光導電材料において電子伝達化合物として従来から慣用されている化合物、有機EL素子の電子注入層および電子輸送層に使用されている公知の化合物の中から任意に選択して用いることができる。本発明の多環芳香族化合物を電子輸送層用の材料として用いることも好ましい。 Materials (electron transport materials) forming the electron transport layer 106 or the electron injection layer 107 include compounds conventionally used as electron transport compounds in photoconductive materials, and those used in the electron injection layer and electron transport layer of organic EL elements. It can be used by arbitrarily selecting from among the known compounds that are known. It is also preferable to use the polycyclic aromatic compound of the present invention as a material for an electron transport layer.
電子輸送層または電子注入層に用いられる材料としては、炭素、水素、酸素、硫黄、ケイ素およびリンの中から選ばれる一種以上の原子で構成される芳香族環または複素芳香族環からなる化合物、ピロール誘導体およびその縮合環誘導体および電子受容性窒素を有する金属錯体の中から選ばれる少なくとも一種を含有することが好ましい。具体的には、ナフタレン、アントラセンなどの縮合環系芳香族環誘導体、4,4'-ビス(ジフェニルエテニル)ビフェニルに代表されるスチリル系芳香族環誘導体、ペリノン誘導体、クマリン誘導体、ナフタルイミド誘導体、アントラキノンやジフェノキノンなどのキノン誘導体、リンオキサイド誘導体、アリールニトリル誘導体およびインドール誘導体などがあげられる。電子受容性窒素を有する金属錯体としては、例えば、ヒドロキシフェニルオキサゾール錯体などのヒドロキシアゾール錯体、アゾメチン錯体、トロポロン金属錯体、フラボノール金属錯体およびベンゾキノリン金属錯体などがあげられる。これらの材料は単独でも用いられるが、異なる材料と混合して使用しても構わない。 Materials used for the electron transport layer or electron injection layer include compounds composed of aromatic rings or heteroaromatic rings composed of one or more atoms selected from carbon, hydrogen, oxygen, sulfur, silicon and phosphorus, It preferably contains at least one selected from pyrrole derivatives, condensed ring derivatives thereof, and metal complexes having electron-accepting nitrogen. Specifically, condensed ring aromatic ring derivatives such as naphthalene and anthracene, styryl aromatic ring derivatives typified by 4,4'-bis(diphenylethenyl)biphenyl, perinone derivatives, coumarin derivatives, and naphthalimide derivatives. , quinone derivatives such as anthraquinone and diphenoquinone, phosphorus oxide derivatives, arylnitrile derivatives and indole derivatives. Examples of metal complexes having electron-accepting nitrogen include hydroxyazole complexes such as hydroxyphenyloxazole complexes, azomethine complexes, tropolone metal complexes, flavonol metal complexes and benzoquinoline metal complexes. These materials may be used alone, but may be used in combination with different materials.
また、他の電子伝達化合物の具体例として、ピリジン誘導体、ナフタレン誘導体、アントラセン誘導体、フェナントロリン誘導体、ペリノン誘導体、クマリン誘導体、ナフタルイミド誘導体、アントラキノン誘導体、ジフェノキノン誘導体、ジフェニルキノン誘導体、ペリレン誘導体、オキサジアゾール誘導体(1,3-ビス[(4-t-ブチルフェニル)1,3,4-オキサジアゾリル]フェニレンなど)、チオフェン誘導体、トリアゾール誘導体(N-ナフチル-2,5-ジフェニル-1,3,4-トリアゾールなど)、チアジアゾール誘導体、オキシン誘導体の金属錯体、キノリノール系金属錯体、キノキサリン誘導体、キノキサリン誘導体のポリマー、ベンザゾール類化合物、ガリウム錯体、ピラゾール誘導体、パーフルオロ化フェニレン誘導体、トリアジン誘導体、ピラジン誘導体、ベンゾキノリン誘導体(2,2'-ビス(ベンゾ[h]キノリン-2-イル)-9,9'-スピロビフルオレンなど)、イミダゾピリジン誘導体、ボラン誘導体、ベンゾイミダゾール誘導体(トリス(N-フェニルベンゾイミダゾール-2-イル)ベンゼンなど)、ベンゾオキサゾール誘導体、ベンゾチアゾール誘導体、キノリン誘導体、テルピリジンなどのオリゴピリジン誘導体、ビピリジン誘導体、テルピリジン誘導体(1,3-ビス(4'-(2,2':6'2"-テルピリジニル))ベンゼンなど)、ナフチリジン誘導体(ビス(1-ナフチル)-4-(1,8-ナフチリジン-2-イル)フェニルホスフィンオキサイドなど)、アルダジン誘導体、カルバゾール誘導体、インドール誘導体、リンオキサイド誘導体、ビススチリル誘導体などがあげられる。 Specific examples of other electron transfer compounds include pyridine derivatives, naphthalene derivatives, anthracene derivatives, phenanthroline derivatives, perinone derivatives, coumarin derivatives, naphthalimide derivatives, anthraquinone derivatives, diphenoquinone derivatives, diphenylquinone derivatives, perylene derivatives, and oxadiazole. derivatives (1,3-bis[(4-t-butylphenyl)1,3,4-oxadiazolyl]phenylene, etc.), thiophene derivatives, triazole derivatives (N-naphthyl-2,5-diphenyl-1,3,4- triazole, etc.), thiadiazole derivatives, metal complexes of oxine derivatives, quinolinol metal complexes, quinoxaline derivatives, polymers of quinoxaline derivatives, benzazole compounds, gallium complexes, pyrazole derivatives, perfluorinated phenylene derivatives, triazine derivatives, pyrazine derivatives, benzoquinoline derivatives (2,2'-bis(benzo[h]quinolin-2-yl)-9,9'-spirobifluorene, etc.), imidazopyridine derivatives, borane derivatives, benzimidazole derivatives (tris(N-phenylbenzimidazole- 2-yl)benzene, etc.), benzoxazole derivatives, benzothiazole derivatives, quinoline derivatives, oligopyridine derivatives such as terpyridine, bipyridine derivatives, terpyridine derivatives (1,3-bis(4′-(2,2′:6′2 "-terpyridinyl)) benzene, etc.), naphthyridine derivatives (bis(1-naphthyl)-4-(1,8-naphthyridin-2-yl)phenylphosphine oxide, etc.), aldazine derivatives, carbazole derivatives, indole derivatives, phosphorus oxide derivatives , and bis-styryl derivatives.
また、電子受容性窒素を有する金属錯体を用いることもでき、例えば、キノリノール系金属錯体やヒドロキシフェニルオキサゾール錯体などのヒドロキシアゾール錯体、アゾメチン錯体、トロポロン金属錯体、フラボノール金属錯体およびベンゾキノリン金属錯体などがあげられる。 Metal complexes having electron-accepting nitrogen can also be used, for example, quinolinol-based metal complexes, hydroxyazole complexes such as hydroxyphenyloxazole complexes, azomethine complexes, tropolone metal complexes, flavonol metal complexes, benzoquinoline metal complexes, and the like. can give.
上述した材料は単独でも用いられるが、異なる材料と混合して使用しても構わない。 Although the above materials can be used alone, they may be used in combination with different materials.
上述した材料の中でも、ボラン誘導体、ピリジン誘導体、フルオランテン誘導体、BO系誘導体、アントラセン誘導体、ベンゾフルオレン誘導体、ホスフィンオキサイド誘導体、ピリミジン誘導体、アリールニトリル誘導体、トリアジン誘導体、ベンゾイミダゾール誘導体、フェナントロリン誘導体、およびキノリノール系金属錯体が好ましい。 Borane derivatives, pyridine derivatives, fluoranthene derivatives, BO-based derivatives, anthracene derivatives, benzofluorene derivatives, phosphine oxide derivatives, pyrimidine derivatives, arylnitrile derivatives, triazine derivatives, benzimidazole derivatives, phenanthroline derivatives, and quinolinol derivatives, among the materials mentioned above. Metal complexes are preferred.
電子輸送層または電子注入層には、さらに、電子輸送層または電子注入層を形成する材料を還元できる物質を含んでいてもよい。この還元性物質は、一定の還元性を有する物質であれば、様々な物質が用いられ、例えば、アルカリ金属、アルカリ土類金属、希土類金属、アルカリ金属の酸化物、アルカリ金属のハロゲン化物、アルカリ土類金属の酸化物、アルカリ土類金属のハロゲン化物、希土類金属の酸化物、希土類金属のハロゲン化物、アルカリ金属の有機錯体、アルカリ土類金属の有機錯体および希土類金属の有機錯体からなる群から選択される少なくとも1つを好適に使用することができる。 The electron-transporting layer or electron-injecting layer may further contain a substance capable of reducing the material forming the electron-transporting layer or electron-injecting layer. Various substances are used as the reducing substance as long as they have a certain reducing property. from the group consisting of earth metal oxides, alkaline earth metal halides, rare earth metal oxides, rare earth metal halides, alkali metal organic complexes, alkaline earth metal organic complexes and rare earth metal organic complexes At least one selected can be preferably used.
好ましい還元性物質としては、Na(仕事関数2.36eV)、K(同2.28eV)、Rb(同2.16eV)またはCs(同1.95eV)などのアルカリ金属や、Ca(同2.9eV)、Sr(同2.0~2.5eV)またはBa(同2.52eV)などのアルカリ土類金属があげられ、仕事関数が2.9eV以下の物質が特に好ましい。これらのうち、より好ましい還元性物質は、K、RbまたはCsのアルカリ金属であり、さらに好ましくはRbまたはCsであり、最も好ましいのはCsである。これらのアルカリ金属は、特に還元能力が高く、電子輸送層または電子注入層を形成する材料への比較的少量の添加により、有機EL素子における発光輝度の向上や長寿命化が図られる。また、仕事関数が2.9eV以下の還元性物質として、これら2種以上のアルカリ金属の組み合わせも好ましく、特に、Csを含んだ組み合わせ、例えば、CsとNa、CsとK、CsとRb、またはCsとNaとKとの組み合わせが好ましい。Csを含むことにより、還元能力を効率的に発揮することができ、電子輸送層または電子注入層を形成する材料への添加により、有機EL素子における発光輝度の向上や長寿命化が図られる。 Preferred reducing substances include alkali metals such as Na (work function 2.36 eV), K (2.28 eV), Rb (2.16 eV) or Cs (1.95 eV), and Ca (2.95 eV). 9 eV), Sr (2.0 to 2.5 eV) or Ba (2.52 eV), and materials with a work function of 2.9 eV or less are particularly preferred. Among these, more preferred reducing substances are alkali metals of K, Rb or Cs, more preferably Rb or Cs, and most preferably Cs. These alkali metals have a particularly high reducing ability, and by adding a relatively small amount to the material forming the electron transport layer or the electron injection layer, it is possible to improve the emission luminance and extend the life of the organic EL device. As a reducing substance having a work function of 2.9 eV or less, a combination of two or more of these alkali metals is also preferable, particularly a combination containing Cs, such as Cs and Na, Cs and K, Cs and Rb, or A combination of Cs, Na and K is preferred. By containing Cs, the reduction ability can be efficiently exhibited, and by addition to the material forming the electron transport layer or the electron injection layer, the luminance of the organic EL device can be improved and the life of the device can be extended.
<有機電界発光素子における陰極>
陰極108は、電子注入層107および電子輸送層106を介して、発光層105に電子を注入する役割を果たす。
<Cathode in Organic Electroluminescent Device>
The
陰極108を形成する材料としては、電子を有機層に効率よく注入できる物質であれば特に限定されないが、陽極102を形成する材料と同様の材料を用いることができる。なかでも、スズ、インジウム、カルシウム、アルミニウム、銀、銅、ニッケル、クロム、金、白金、鉄、亜鉛、リチウム、ナトリウム、カリウム、セシウムおよびマグネシウムなどの金属またはそれらの合金(マグネシウム-銀合金、マグネシウム-インジウム合金、フッ化リチウム/アルミニウムなどのアルミニウム-リチウム合金など)などが好ましい。電子注入効率をあげて素子特性を向上させるためには、リチウム、ナトリウム、カリウム、セシウム、カルシウム、マグネシウムまたはこれら低仕事関数金属を含む合金が有効である。しかしながら、これらの低仕事関数金属は一般に大気中で不安定であることが多い。この点を改善するために、例えば、有機層に微量のリチウム、セシウムやマグネシウムをドーピングして、安定性の高い電極を使用する方法が知られている。その他のドーパントとしては、フッ化リチウム、フッ化セシウム、酸化リチウムおよび酸化セシウムのような無機塩も使用することができる。ただし、これらに限定されない。
The material for forming the
さらに、電極保護のために白金、金、銀、銅、鉄、スズ、アルミニウムおよびインジウムなどの金属、またはこれら金属を用いた合金、そしてシリカ、チタニアおよび窒化ケイ素などの無機物、ポリビニルアルコール、塩化ビニル、炭化水素系高分子化合物などを積層することが、好ましい例としてあげられる。これらの電極の作製法も、抵抗加熱、電子ビーム蒸着、スパッタリング、イオンプレーティングおよびコーティングなど、導通を取ることができれば特に制限されない。 Furthermore, for electrode protection, metals such as platinum, gold, silver, copper, iron, tin, aluminum and indium, or alloys using these metals, inorganic substances such as silica, titania and silicon nitride, polyvinyl alcohol, vinyl chloride A preferable example is lamination of a hydrocarbon-based polymer compound or the like. The method of manufacturing these electrodes is not particularly limited, either by resistance heating, electron beam deposition, sputtering, ion plating, coating, or the like, as long as it can provide electrical continuity.
<有機電界発光素子の作製方法>
有機EL素子を構成する各層は、各層を構成すべき材料を蒸着法、抵抗加熱蒸着、電子ビーム蒸着、スパッタリング、分子積層法、印刷法、スピンコート法またはキャスト法、コーティング法などの方法で薄膜とすることにより、形成することができる。このようにして形成された各層の膜厚については特に限定はなく、材料の性質に応じて適宜設定することができるが、通常2nm~5000nmの範囲である。膜厚は通常、水晶発振式膜厚測定装置などで測定できる。蒸着法を用いて薄膜化する場合、その蒸着条件は、材料の種類、膜の目的とする結晶構造および会合構造などにより異なる。蒸着条件は一般的に、ボート加熱温度+50~+400℃、真空度10-6~10-3Pa、蒸着速度0.01~50nm/秒、基板温度-150~+300℃、膜厚2nm~5μmの範囲で適宜設定することが好ましい。
<Method for producing organic electroluminescent element>
Each layer constituting the organic EL element is formed by depositing a material to constitute each layer into a thin film by a method such as vapor deposition, resistance heating vapor deposition, electron beam vapor deposition, sputtering, molecular lamination, printing, spin coating, casting, or coating. can be formed by The thickness of each layer thus formed is not particularly limited and can be appropriately set according to the properties of the material, but is usually in the range of 2 nm to 5000 nm. The film thickness can usually be measured with a crystal oscillation film thickness measuring device or the like. When thin film formation is performed using a vapor deposition method, the vapor deposition conditions vary depending on the type of material, the desired crystal structure and association structure of the film, and the like. Deposition conditions are generally boat heating temperature +50 to +400°C, degree of
このようにして得られた有機EL素子に直流電圧を印加する場合には、陽極を+、陰極を-の極性として印加すればよく、電圧2~40V程度を印加すると、透明または半透明の電極側(陽極または陰極、および両方)より発光が観測できる。また、この有機EL素子は、パルス電流や交流電流を印加した場合にも発光する。なお、印加する交流の波形は任意でよい。 When a DC voltage is applied to the organic EL device thus obtained, it is sufficient to apply the positive polarity to the positive electrode and the negative polarity to the negative electrode. Light emission can be observed from the side (anode or cathode, and both). Further, this organic EL element emits light even when a pulse current or an alternating current is applied. Note that the AC waveform to be applied may be arbitrary.
次に、有機EL素子を作製する方法の一例として、陽極/正孔注入層/正孔輸送層/ホスト材料とドーパント材料からなる発光層/電子輸送層/電子注入層/陰極からなる有機EL素子の作製法について説明する。 Next, as an example of a method for producing an organic EL device, an organic EL device comprising an anode/hole injection layer/hole transport layer/light-emitting layer comprising a host material and a dopant material/electron transport layer/electron injection layer/cathode. The manufacturing method of is explained.
<蒸着法>
適当な基板上に、陽極材料の薄膜を蒸着法などにより形成させて陽極を作製した後、この陽極上に正孔注入層および正孔輸送層の薄膜を形成させる。この上にホスト材料とドーパント材料を共蒸着し薄膜を形成させて発光層とし、この発光層の上に電子輸送層、電子注入層を形成させ、さらに陰極用物質からなる薄膜を蒸着法などにより形成させて陰極とすることにより、目的の有機EL素子が得られる。なお、上述の有機EL素子の作製においては、作製順序を逆にして、陰極、電子注入層、電子輸送層、発光層、正孔輸送層、正孔注入層、陽極の順に作製することも可能である。
<Deposition method>
A thin film of an anode material is formed on a suitable substrate by a vapor deposition method or the like to prepare an anode, and then a thin film of a hole injection layer and a hole transport layer is formed on the anode. A host material and a dopant material are co-deposited thereon to form a thin film to form a light-emitting layer, an electron-transporting layer and an electron-injecting layer are formed on the light-emitting layer, and a thin film of a cathode material is formed by vapor deposition or the like. A target organic EL element is obtained by forming the material and using it as a cathode. In the production of the organic EL element described above, the order of production can be reversed to produce the cathode, the electron injection layer, the electron transport layer, the light emitting layer, the hole transport layer, the hole injection layer, and the anode in this order. is.
<湿式成膜法>
湿式成膜法は、有機EL素子の各有機層を形成し得る低分子化合物を液状の有機層形成用組成物として準備し、これを用いることによって実施される。この低分子化合物を溶解する適当な有機溶媒がない場合には、当該低分子化合物に反応性置換基を置換させた反応性化合物として溶解性機能を有する他のモノマーや主鎖型高分子と共に高分子化させた高分子化合物などから有機層形成用組成物を準備してもよい。
<Wet film formation method>
The wet film-forming method is carried out by preparing a low-molecular-weight compound capable of forming each organic layer of an organic EL element as a liquid composition for forming an organic layer, and using this. In the absence of a suitable organic solvent for dissolving this low-molecular-weight compound, a reactive compound obtained by substituting a reactive substituent on the low-molecular-weight compound can be used together with other monomers or main-chain polymers that have a solubility function. A composition for forming an organic layer may be prepared from a molecularized polymer compound or the like.
湿式成膜法は、一般的には、基板に有機層形成用組成物を塗布する塗布工程および塗布された有機層形成用組成物から溶媒を取り除く乾燥工程を経ることで塗膜を形成する。上記高分子化合物が架橋性置換基を有する場合(これを架橋性高分子化合物ともいう)には、この乾燥工程によりさらに架橋して高分子架橋体が形成される。塗布工程の違いにより、スピンコーターを用いる方法をスピンコート法、スリットコーターを用いる方法をスリットコート法、版を用いる方法をグラビア、オフセット、リバースオフセット、フレキソ印刷法、インクジェットプリンタを用いる方法をインクジェット法、霧状に吹付ける方法をスプレー法と呼ぶ。乾燥工程には、風乾、加熱、減圧乾燥などの方法がある。乾燥工程は1回のみ行なってもよく、異なる方法や条件を用いて複数回行なってもよい。また、例えば、減圧下での焼成のように、異なる方法を併用してもよい。 In the wet film-forming method, a coating film is generally formed through a coating step of applying an organic layer-forming composition to a substrate and a drying step of removing a solvent from the applied organic layer-forming composition. In the case where the polymer compound has a crosslinkable substituent (also referred to as a crosslinkable polymer compound), the drying step further crosslinks the polymer to form a crosslinked polymer. Depending on the difference in the coating process, the method using a spin coater is called the spin coating method, the method using a slit coater is the slit coating method, the method using a plate is gravure, offset, reverse offset, flexographic printing, and the method using an inkjet printer is the inkjet method. , the method of spraying in the form of a mist is called the spray method. The drying process includes methods such as air drying, heating, and drying under reduced pressure. The drying step may be performed only once, or may be performed multiple times using different methods and conditions. Also, different methods may be used in combination, such as firing under reduced pressure.
湿式成膜法とは溶液を用いた成膜法であり、例えば、一部の印刷法(インクジェット法)、スピンコート法またはキャスト法、コーティング法などである。湿式成膜法は真空蒸着法と異なり高価な真空蒸着装置を用いる必要が無く、大気圧下で成膜することができる。加えて、湿式成膜法は大面積化や連続生産が可能であり、製造コストの低減につながる。 A wet film-forming method is a film-forming method using a solution, and includes, for example, some printing methods (inkjet methods), spin coating methods or casting methods, and coating methods. Unlike the vacuum evaporation method, the wet film formation method does not require the use of an expensive vacuum evaporation apparatus and can form a film under atmospheric pressure. In addition, the wet film formation method enables large-area production and continuous production, leading to a reduction in manufacturing costs.
一方で、真空蒸着法と比較した場合には、湿式成膜法は積層化が難しい場合がある。湿式成膜法を用いて積層膜を作製する場合、上層の組成物による下層の溶解を防ぐ必要があり、溶解性を制御した組成物、下層の架橋および直交溶媒(Orthogonal solvent、互いに溶解し合わない溶媒)などが駆使される。しかしながら、それらの技術を用いても、全ての膜の塗布に湿式成膜法を用いるのは難しい場合がある。 On the other hand, lamination may be difficult with the wet film-forming method when compared with the vacuum deposition method. When preparing a laminated film using a wet film formation method, it is necessary to prevent the dissolution of the lower layer by the composition of the upper layer. solvent) is used. However, even with those techniques, it can be difficult to use wet deposition methods for all film applications.
そこで、一般的には、幾つかの層だけを湿式成膜法を用い、残りを真空蒸着法で有機EL素子を作製するという方法が採用される。 Therefore, in general, a method is adopted in which only some layers are formed by a wet film formation method, and the remaining layers are formed by a vacuum vapor deposition method.
例えば、湿式成膜法を一部適用し有機EL素子を作製する手順を以下に示す。
(手順1)陽極の真空蒸着法による成膜
(手順2)正孔注入層用材料を含む正孔注入層形成用組成物の湿式成膜法による成膜
(手順3)正孔輸送層用材料を含む正孔輸送層形成用組成物の湿式成膜法による成膜
(手順4)ホスト材料とドーパント材料を含む発光層形成用組成物の湿式成膜法による成膜
(手順5)電子輸送層の真空蒸着法による成膜
(手順6)電子注入層の真空蒸着法による成膜
(手順7)陰極の真空蒸着法による成膜
この手順を経ることで、陽極/正孔注入層/正孔輸送層/ホスト材料とドーパント材料からなる発光層/電子輸送層/電子注入層/陰極からなる有機EL素子が得られる。
もちろん、電子輸送層および電子注入層についても、それぞれ電子輸送層用材料および電子注入層用材料を含む層形成用組成物を用いて湿式成膜法により成膜してもよい。その際、下層の発光層の溶解を防ぐ手段、または上記手順とは逆に陰極側から成膜する手段を用いることが好ましい。
For example, the procedure for partially applying the wet film formation method to fabricate an organic EL element is shown below.
(Procedure 1) Film formation of anode by vacuum deposition method (Procedure 2) Film formation of hole injection layer forming composition containing hole injection layer material by wet film formation method (Procedure 3) Hole transport layer material Film formation by a wet film formation method of a composition for forming a hole transport layer containing a host material and a dopant material by a wet film formation method (Procedure 5) Electron transport layer (Procedure 6) Electron injection layer film formation by vacuum vapor deposition method (Procedure 7) Cathode film formation by vacuum vapor deposition method Through this procedure, anode/hole injection layer/hole transport An organic EL device comprising a layer/host material and dopant material comprising a luminescent layer/electron-transporting layer/electron-injecting layer/cathode is obtained.
Of course, the electron-transporting layer and the electron-injecting layer may also be formed by a wet film-forming method using a layer-forming composition containing an electron-transporting layer material and an electron-injecting layer material, respectively. In this case, it is preferable to use a means for preventing dissolution of the lower light-emitting layer or a means for forming a film from the cathode side in reverse to the above procedure.
<その他の成膜法>
有機層形成用組成物の成膜化には、レーザー加熱描画法(LITI)を用いることができる。LITIとは基材に付着させた化合物をレーザーで加熱蒸着する方法で、基材へ塗布される材料に有機層形成用組成物を用いることができる。
<Other film forming methods>
A laser thermal lithography method (LITI) can be used to form a film from the composition for forming an organic layer. LITI is a method in which a compound adhered to a base material is thermally vapor-deposited with a laser, and an organic layer-forming composition can be used as the material applied to the base material.
<任意の工程>
成膜の各工程の前後に、適切な処理工程、洗浄工程および乾燥工程を適宜入れてもよい。処理工程としては、例えば、露光処理、プラズマ表面処理、超音波処理、オゾン処理、適切な溶媒を用いた洗浄処理および加熱処理等があげられる。さらには、バンクを作製する一連の工程もあげられる。
<Optional step>
Appropriate treatment steps, washing steps, and drying steps may be appropriately added before and after each step of film formation. Examples of treatment steps include exposure treatment, plasma surface treatment, ultrasonic treatment, ozone treatment, cleaning treatment using an appropriate solvent, and heat treatment. Furthermore, a series of steps for fabricating a bank can also be mentioned.
バンクの作製にはフォトリソグラフィ技術を用いることができる。フォトリソグラフィの利用可能なバンク材としては、ポジ型レジスト材料およびネガ型レジスト材料を用いることができる。また、インクジェット法、グラビアオフセット印刷、リバースオフセット印刷、スクリーン印刷などのパターン可能な印刷法も用いることができる。その際には永久レジスト材料を用いることもできる。 A photolithography technique can be used to fabricate the bank. Positive resist materials and negative resist materials can be used as bank materials that can be used in photolithography. In addition, patternable printing methods such as ink jet method, gravure offset printing, reverse offset printing, and screen printing can also be used. In that case, a permanent resist material can also be used.
<湿式成膜法に使用される有機層形成用組成物>
有機層形成用組成物は、有機EL素子の各有機層を形成し得る低分子化合物、または当該低分子化合物を高分子化させた高分子化合物を有機溶媒に溶解させて得られる。例えば、発光層形成用組成物は、第1成分として少なくとも1種のドーパント材料である多環芳香族化合物(またはその高分子化合物)と、第2成分として少なくとも1種のホスト材料と、第3成分として少なくとも1種の有機溶媒とを含有する。第1成分は、該組成物から得られる発光層のドーパント成分として機能し、第2成分は発光層のホスト成分として機能する。第3成分は、組成物中の第1成分と第2成分を溶解する溶媒として機能し、塗布時には第3成分自身の制御された蒸発速度により平滑で均一な表面形状を与える。
<Organic Layer Forming Composition Used in Wet Film Forming Method>
The composition for forming an organic layer is obtained by dissolving a low-molecular-weight compound capable of forming each organic layer of an organic EL element or a high-molecular-weight compound obtained by polymerizing the low-molecular-weight compound in an organic solvent. For example, the composition for forming a light-emitting layer includes at least one dopant material polycyclic aromatic compound (or polymer compound thereof) as a first component, at least one host material as a second component, and a third It contains at least one organic solvent as a component. The first component functions as a dopant component for the light-emitting layer obtained from the composition, and the second component functions as a host component for the light-emitting layer. The third component functions as a solvent that dissolves the first and second components in the composition, and provides a smooth and uniform surface profile during application due to the controlled evaporation rate of the third component itself.
<有機溶媒>
有機層形成用組成物は少なくとも一種の有機溶媒を含む。成膜時に有機溶媒の蒸発速度を制御することで、成膜性および塗膜の欠陥の有無、表面粗さ、平滑性を制御および改善することができる。また、インクジェット法を用いた成膜時は、インクジェットヘッドのピンホールでのメニスカス安定性を制御し、吐出性を制御・改善することができる。加えて、膜の乾燥速度および誘導体分子の配向を制御することで、該有機層形成用組成物より得られる有機層を有する有機EL素子の電気特性、発光特性、効率、および寿命を改善することができる。
<Organic solvent>
The composition for forming an organic layer contains at least one kind of organic solvent. By controlling the evaporation rate of the organic solvent during film formation, it is possible to control and improve the film formability, the presence or absence of defects in the coating film, the surface roughness, and the smoothness. In addition, when forming a film using an inkjet method, the stability of the meniscus at the pinhole of the inkjet head can be controlled, and the ejection property can be controlled and improved. In addition, by controlling the drying rate of the film and the orientation of the derivative molecules, the electrical properties, luminescence properties, efficiency and life of the organic EL device having an organic layer obtained from the composition for forming an organic layer are improved. can be done.
有機溶媒は、成膜後に、真空、減圧、加熱などの乾燥工程により塗膜より取り除かれる。加熱を行う場合、塗布成膜性改善の観点からは、溶質の少なくとも1種のガラス転移温度(Tg)+30℃以下で行うことが好ましい。また、残留溶媒の削減の観点からは、溶質の少なくとも1種のガラス転移点(Tg)-30℃以上で加熱することが好ましい。加熱温度が有機溶媒の沸点より低くても膜が薄いために、有機溶媒は十分に取り除かれる。また、異なる温度で複数回乾燥を行ってもよく、複数の乾燥方法を併用してもよい。 After film formation, the organic solvent is removed from the coating film by a drying process such as vacuum, reduced pressure, or heating. When heating is performed, it is preferable to perform the heating at a temperature not higher than the glass transition temperature (Tg) of at least one of the solutes + 30°C from the viewpoint of improving coating film properties. From the viewpoint of reducing residual solvent, it is preferable to heat at least one of the solutes at a glass transition point (Tg) of −30° C. or higher. Even if the heating temperature is lower than the boiling point of the organic solvent, the organic solvent is sufficiently removed because the film is thin. In addition, drying may be performed multiple times at different temperatures, and multiple drying methods may be used in combination.
(2)有機溶媒の具体例
有機層形成用組成物に用いられる有機溶媒としては、アルキルベンゼン系溶媒、フェニルエーテル系溶媒、アルキルエーテル系溶媒、環状ケトン系溶媒、脂肪族ケトン系溶媒、単環性ケトン系溶媒、ジエステル骨格を有する溶媒および含フッ素系溶媒などがあげられるが、それだけに限定されない。また、溶媒は単一で用いてもよく、混合してもよい。
(2) Specific Examples of Organic Solvents Examples of organic solvents used in the composition for forming an organic layer include alkylbenzene solvents, phenyl ether solvents, alkyl ether solvents, cyclic ketone solvents, aliphatic ketone solvents, and monocyclic solvents. Examples include, but are not limited to, ketone solvents, solvents having a diester skeleton, fluorine-containing solvents, and the like. Also, the solvents may be used singly or in combination.
<任意成分>
有機層形成用組成物は、その性質を損なわない範囲で、任意成分を含んでいてもよい。任意成分としては、バインダーおよび界面活性剤等があげられる。
<Optional component>
The composition for forming an organic layer may contain optional components as long as the properties thereof are not impaired. Optional components include binders and surfactants.
<有機層形成用組成物の組成および物性>
有機層形成用組成物における各成分の含有量は、有機層形成用組成物中の各成分の良好な溶解性、保存安定性および成膜性、ならびに、該有機層形成用組成物から得られる塗膜の良質な膜質、また、インクジェット法を用いた場合の良好な吐出性、該組成物を用いて作製された有機層を有する有機EL素子の、良好な電気特性、発光特性、効率、寿命の観点を考慮して決定される。
<Composition and physical properties of composition for forming organic layer>
The content of each component in the organic layer-forming composition is obtained from the good solubility, storage stability, and film-forming properties of each component in the organic layer-forming composition, and the organic layer-forming composition. Good film quality of the coating film, good dischargeability when using the inkjet method, good electrical properties, luminescence properties, efficiency and life of the organic EL element having an organic layer produced using the composition It is determined in consideration of the viewpoint of
有機層形成用組成物は、上述した成分を、公知の方法で攪拌、混合、加熱、冷却、溶解、分散等を適宜選択して行うことによって製造できる。また、調製後に、ろ過、脱ガス(デガスとも言う)、イオン交換処理および不活性ガス置換・封入処理等を適宜選択して行ってもよい。 The composition for forming an organic layer can be produced by appropriately selecting the above-described components by stirring, mixing, heating, cooling, dissolving, dispersing, and the like by a known method. After preparation, filtration, degassing (also referred to as degassing), ion exchange treatment, inert gas replacement/encapsulation treatment, and the like may be appropriately selected and performed.
<有機電界発光素子の応用例>
また、本発明は、有機EL素子を備えた表示装置または有機EL素子を備えた照明装置などにも応用することができる。
有機EL素子を備えた表示装置または照明装置は、本実施形態にかかる有機EL素子と公知の駆動装置とを接続するなど公知の方法によって製造することができ、直流駆動、パルス駆動、交流駆動など公知の駆動方法を適宜用いて駆動することができる。
<Application example of organic electroluminescence device>
The present invention can also be applied to a display device having an organic EL element, a lighting device having an organic EL element, or the like.
A display device or a lighting device including an organic EL element can be manufactured by a known method such as connecting the organic EL element according to the present embodiment and a known driving device, and can be manufactured by direct current driving, pulse driving, alternating current driving, or the like. It can be driven by appropriately using a known driving method.
表示装置としては、例えば、カラーフラットパネルディスプレイなどのパネルディスプレイ、フレキシブルカラー有機電界発光(EL)ディスプレイなどのフレキシブルディスプレイなどがあげられる(例えば、特開平10-335066号公報、特開2003-321546号公報、特開2004-281086号公報など参照)。また、ディスプレイの表示方式としては、例えば、マトリクスおよびセグメント方式などがあげられる。なお、マトリクス表示とセグメント表示は同じパネルの中に共存していてもよい。 Examples of display devices include panel displays such as color flat panel displays, and flexible displays such as flexible color organic electroluminescence (EL) displays (for example, JP-A-10-335066 and JP-A-2003-321546). (See Japanese Patent Laid-Open No. 2004-281086, etc.). Moreover, the display method of the display includes, for example, a matrix method and a segment method. Note that matrix display and segment display may coexist in the same panel.
マトリクスでは、表示のための画素が格子状やモザイク状など二次元的に配置されており、画素の集合で文字や画像を表示する。画素の形状やサイズは用途によって決まる。例えば、パソコン、モニター、テレビの画像および文字表示には、通常一辺が300μm以下の四角形の画素が用いられ、また、表示パネルのような大型ディスプレイの場合は、一辺がmmオーダーの画素を用いることになる。モノクロ表示の場合は、同じ色の画素を配列すればよいが、カラー表示の場合には、赤、緑、青の画素を並べて表示させる。この場合、典型的にはデルタタイプとストライプタイプがある。そして、このマトリクスの駆動方法としては、線順次駆動方法やアクティブマトリックスのどちらでもよい。線順次駆動の方が構造が簡単であるという利点があるが、動作特性を考慮した場合、アクティブマトリックスの方が優れる場合があるので、これも用途によって使い分けることが必要である。 In the matrix, pixels for display are arranged in a two-dimensional pattern such as a grid pattern or a mosaic pattern, and a set of pixels displays characters and images. The shape and size of the pixels are determined by the application. For example, in the image and character display of personal computers, monitors, and televisions, square pixels with a side of 300 μm or less are usually used, and in the case of a large display such as a display panel, a pixel with a side of mm order is used. become. In the case of monochrome display, pixels of the same color may be arranged, but in the case of color display, pixels of red, green, and blue are displayed side by side. In this case, there are typically delta type and stripe type. As a method for driving this matrix, either a line-sequential driving method or an active matrix method may be used. The line-sequential drive has the advantage of being simpler in structure, but considering the operating characteristics, the active matrix may be superior.
セグメント方式(タイプ)では、予め決められた情報を表示するようにパターンを形成し、決められた領域を発光させることになる。例えば、デジタル時計や温度計における時刻や温度表示、オーディオ機器や電磁調理器などの動作状態表示および自動車のパネル表示などがあげられる。 In the segment method (type), a pattern is formed so as to display predetermined information, and a predetermined area is illuminated. Examples include time and temperature displays in digital clocks and thermometers, operating state displays in audio equipment and electromagnetic cookers, and panel displays in automobiles.
照明装置としては、例えば、室内照明などの照明装置、液晶表示装置のバックライトなどがあげられる(例えば、特開2003-257621号公報、特開2003-277741号公報、特開2004-119211号公報など参照)。バックライトは、主に自発光しない表示装置の視認性を向上させる目的に使用され、液晶表示装置、時計、オーディオ装置、自動車パネル、表示板および標識などに使用される。特に、液晶表示装置、中でも薄型化が課題となっているパソコン用途のバックライトとしては、従来方式が蛍光灯や導光板からなっているため薄型化が困難であることを考えると、本実施形態に係る発光素子を用いたバックライトは薄型で軽量が特徴になる。 Examples of lighting devices include lighting devices such as indoor lighting, backlights for liquid crystal display devices, and the like (for example, JP-A-2003-257621, JP-A-2003-277741, JP-A-2004-119211, and the like). etc.). Backlights are mainly used for the purpose of improving the visibility of display devices that do not emit light by themselves, and are used in liquid crystal display devices, clocks, audio devices, automobile panels, display boards, signs, and the like. In particular, as a liquid crystal display device, especially a backlight for a personal computer, for which thinning is a problem, it is difficult to reduce the thickness of the conventional method because it is made of a fluorescent lamp or a light guide plate. The backlight using the light-emitting element according to 1 is characterized by its thinness and light weight.
3-2.その他の有機デバイス
本発明に係る多環芳香族化合物は、上述した有機電界発光素子の他に、有機電界効果トランジスタまたは有機薄膜太陽電池などの作製に用いることができる。
3-2. Other Organic Devices The polycyclic aromatic compound according to the present invention can be used for the production of organic field effect transistors, organic thin film solar cells, etc., in addition to the organic electroluminescence devices described above.
以下、実施例により本発明をさらに具体的に説明していくが、本発明はこれらに限定されない。まず、多環芳香族化合物の合成例について、以下に説明する。 EXAMPLES The present invention will be described in more detail with reference to examples below, but the present invention is not limited to these. First, synthesis examples of polycyclic aromatic compounds are described below.
化合物(10-1)の合成
窒素雰囲気下、1,2-ジブロモベンゼン65g、アニリン77g、ビス(ジベンジリデンアセトン)パラジウム(0)(Pd(dba)2)4.8g、トリ-t-ブチルホスホニウムテトラフルオロほう酸塩(tBu3P-HBF4)4.8g、ナトリウムt-ブトキシド(NaOtBu)79.4gおよびトルエン650mlをフラスコに入れて、撹拌しながら2時間還流した。反応終了後に反応液を室温まで冷却し、水およびトルエンを加え分液した。その後、有機層をシリカゲルショートパスカラム(溶媒:トルエン)で精製した後、シリカゲルカラムクロマトグラフィー(溶媒:トルエン/ヘプタン=1/1)で精製し、中間体化合物N1,N2-ジフェニルベンゼン-1,2-ジアミン63.7gを得た。 Under a nitrogen atmosphere, 65 g of 1,2-dibromobenzene, 77 g of aniline, 4.8 g of bis(dibenzylideneacetone)palladium(0)(Pd(dba) 2 ), tri-t-butylphosphonium tetrafluoroborate (tBu 3 P -HBF 4 ), 79.4 g of sodium t-butoxide (NaOtBu) and 650 ml of toluene were placed in a flask and refluxed for 2 hours while stirring. After completion of the reaction, the reaction solution was cooled to room temperature, water and toluene were added, and the solution was separated. After that, the organic layer was purified with a silica gel short pass column (solvent: toluene) and then purified with silica gel column chromatography (solvent: toluene/heptane=1/1) to give intermediate compound N 1 ,N 2 -diphenylbenzene-. 63.7 g of 1,2-diamine were obtained.
窒素雰囲気下、N1,N2-ジフェニルベンゼン-1,2-ジアミン56g、(2-ニトロフェニルボロン酸43.1g、メタンスルホン酸4.1gおよびトルエン1680mlをDean-Starkトラップ付きのフラスコに入れて、撹拌しながら9時間還流した。反応終了後、反応液を室温まで冷却し、反応液をシリカゲルショートパスカラム(溶媒:トルエン)で精製した後、得られた粗生成物をソルミックス溶剤で洗浄し、中間体化合物2-(2-ニトロフェニル)-1,3-ジフェニル-2,3-ジヒドロ-1H-ベンゾ[d][1,3,2]ジアザボロル48.6gを得た。 Under a nitrogen atmosphere, 56 g of N 1 ,N 2 -diphenylbenzene-1,2-diamine, 43.1 g of 2-nitrophenylboronic acid, 4.1 g of methanesulfonic acid and 1680 ml of toluene were placed in a flask equipped with a Dean-Stark trap. After the reaction was completed, the reaction solution was cooled to room temperature, purified with a silica gel short pass column (solvent: toluene), and the obtained crude product was treated with a Solmix solvent. After washing, 48.6 g of the intermediate compound 2-(2-nitrophenyl)-1,3-diphenyl-2,3-dihydro-1H-benzo[d][1,3,2]diazaborol was obtained.
窒素雰囲気下、2-(2-ニトロフェニル)-1,3-ジフェニル-2,3-ジヒドロ-1H-ベンゾ[d][1,3,2]ジアザボロル36gとトリフェニルホスフィン84.5gおよび1,2,4-トリクロロベンゼン1800mlをフラスコに入れて攪拌し、8時間還流した。反応終了後、溶媒を減圧蒸留で除去し、次いで、シリカゲルカラムクロマトグラフィー(溶媒:トルエン/ヘプタン=1/1)で精製を行い、更に、メタノール溶媒で洗浄して、中間体化合物16-フェニル-10H,16H-ジベンゾ[c,f]ベンゾ[4,5][1,3,2]ジアザボロル[1,2-a][1,5,2]ジアザボレピン3.5gを得た。 Under a nitrogen atmosphere, 36 g of 2-(2-nitrophenyl)-1,3-diphenyl-2,3-dihydro-1H-benzo[d][1,3,2]diazaborol and 84.5 g of triphenylphosphine and 1, 1,800 ml of 2,4-trichlorobenzene was put into a flask, stirred, and refluxed for 8 hours. After completion of the reaction, the solvent was removed by distillation under reduced pressure, followed by purification by silica gel column chromatography (solvent: toluene/heptane = 1/1), further washing with methanol solvent, intermediate compound 16-phenyl- 3.5 g of 10H,16H-dibenzo[c,f]benzo[4,5][1,3,2]diazaborol[1,2-a][1,5,2]diazabolepine are obtained.
窒素雰囲気下、16-フェニル-10H,16H-ジベンゾ[c,f]ベンゾ[4,5][1,3,2]ジアザボロル[1,2-a][1,5,2]ジアザボレピン1.4g、銅0.5g、炭酸カリウム2.0gおよびヨードベンゼン35mlをフラスコに入れて、撹拌しながら6時間還流した。反応終了後、反応液を室温まで冷却し、反応液をシリカゲルショートパスカラム(溶媒:トルエン)で精製した。次いで、シリカゲルカラムクロマトグラフィー(溶媒:トルエン/ヘプタン=1/4)で行った後、メタノールで数回再沈殿を行い、さらに、昇華精製をして、目的化合物(10-1)(0.7g)を得た。 1.4 g of 16-phenyl-10H,16H-dibenzo[c,f]benzo[4,5][1,3,2]diazaborol[1,2-a][1,5,2]diazabolepine under nitrogen atmosphere , 0.5 g of copper, 2.0 g of potassium carbonate and 35 ml of iodobenzene were placed in a flask and refluxed for 6 hours while stirring. After completion of the reaction, the reaction solution was cooled to room temperature and purified with a silica gel short pass column (solvent: toluene). Then, after performing silica gel column chromatography (solvent: toluene/heptane = 1/4), reprecipitation was performed several times with methanol, and further purification by sublimation was performed to obtain the target compound (10-1) (0.7 g ).
MSスペクトルおよびNMR測定により式(10-1)の化合物の構造を確認した。
1H-NMR(CDCl3):δ=7.97(dd,1H)、7.70(d,1H)、7.65(dd,1H)、7.55(d,1H)、7.49~7.42(m,4H)、7.38~7.24(m,4H)、7.15(dd,1H)、7.10~7.01(m,6H)、6.63(t,1H)、6.55(d,2H)
The structure of the compound of formula (10-1) was confirmed by MS spectrum and NMR measurements.
1 H-NMR (CDCl 3 ): δ = 7.97 (dd, 1H), 7.70 (d, 1H), 7.65 (dd, 1H), 7.55 (d, 1H), 7.49 ~7.42 (m, 4H), 7.38 ~ 7.24 (m, 4H), 7.15 (dd, 1H), 7.10 ~ 7.01 (m, 6H), 6.63 (t , 1H), 6.55 (d, 2H)
また、式(10-1)の化合物のガラス転移温度(Tg)は93.7℃であった。
[測定機器:Diamond DSC(PERKIN-ELMER社製);測定条件:冷却速度200℃/Min.、昇温速度10℃/Min.]
The glass transition temperature (Tg) of the compound of formula (10-1) was 93.7°C.
[Measurement equipment: Diamond DSC (manufactured by PERKIN-ELMER); Measurement conditions: cooling rate 200° C./Min.,
化合物(10-49)の合成
窒素雰囲気下、16-フェニル-10H,16H-ジベンゾ[c,f]ベンゾ[4,5][1,3,2]ジアザボロル[1,2-a][1,5,2]ジアザボレピン1.7g、55%の水素化ナトリウム(NaH)1.24gおよびジメチルホルムアミド(DMF)77mlをフラスコに入れて、室温で1時間撹拌した。その後、2-クロロ-4,6-ジフェニル-1,3,5-トリアジン3.8gを加え、更に室温で64時間撹拌した。反応終了後、氷水浴で冷却しながら、徐々に水を添加し、酢酸エチルで抽出した。次いで、有機層の溶媒を減圧留去し得られた粗生成物をNH2シリカゲルカラムクロマトグラフィー(溶媒:トルエン/ヘプタン=1/2(容量比))で精製した後、ソルミックス溶剤で数回再沈殿を行い、さらに、昇華精製をして、目的化合物(10-49)(1.4g)を得た。 1.7 g of 16-phenyl-10H,16H-dibenzo[c,f]benzo[4,5][1,3,2]diazaborol[1,2-a][1,5,2]diazabolepine under nitrogen atmosphere , 1.24 g of 55% sodium hydride (NaH) and 77 ml of dimethylformamide (DMF) were placed in a flask and stirred at room temperature for 1 hour. After that, 3.8 g of 2-chloro-4,6-diphenyl-1,3,5-triazine was added, and the mixture was further stirred at room temperature for 64 hours. After completion of the reaction, water was gradually added while cooling in an ice-water bath, and the mixture was extracted with ethyl acetate. Then, the solvent in the organic layer was distilled off under reduced pressure, and the resulting crude product was purified by NH 2 silica gel column chromatography (solvent: toluene/heptane = 1/2 (volume ratio)), and then washed several times with Solmix solvent. After reprecipitation and sublimation purification, the target compound (10-49) (1.4 g) was obtained.
MSスペクトルおよびNMR測定により式(10-49)の化合物の構造を確認した。
1H-NMR(CDCl3):δ=8.35(d,2H)、8.32(d,2H)、7.97(dd,1H)、7.76~7.74(m,2H)、7.63(d,1H)、7.53~7.33(m,14H)、7.20~7.16(m,2H)、7.07~7.00(m,3H)
The structure of the compound of formula (10-49) was confirmed by MS spectrum and NMR measurements.
1 H-NMR (CDCl 3 ): δ = 8.35 (d, 2H), 8.32 (d, 2H), 7.97 (dd, 1H), 7.76-7.74 (m, 2H) , 7.63 (d, 1H), 7.53-7.33 (m, 14H), 7.20-7.16 (m, 2H), 7.07-7.00 (m, 3H)
化合物(20-1)の合成
窒素雰囲気下、2-ブロモ-N,N-ジフェニルアニリン33.5g、2-アミノビフェニル19.2g、ビス(ジベンジリデンアセトン)パラジウム(0)(Pd(dba)2)1.8g、トリ-t-ブチルホスホニウムテトラフルオロほう酸塩(tBu3P-HBF4)1.8g、ナトリウムt-ブトキシド(NaOtBu)19.9gおよびトルエン302mlをフラスコに入れて、撹拌しながら4時間還流した。反応終了後、反応液を室温まで冷却し、水およびトルエンを加え分液した。その後、有機層をシリカゲルショートパスカラム(溶媒:トルエン)で精製した後、シリカゲルカラムクロマトグラフィー(溶媒:トルエン/ヘプタン=1/2)で精製し、中間体化合物N1-([1,1'-ビフェニル]-2-イル)-N2,N2-ジフェニルベンゼン-1,2-ジアミン(39.9g)を得た。 Under a nitrogen atmosphere, 33.5 g of 2-bromo-N,N-diphenylaniline, 19.2 g of 2-aminobiphenyl, 1.8 g of bis(dibenzylideneacetone)palladium(0)(Pd(dba) 2 ), tri-t 1.8 g of -butylphosphonium tetrafluoroborate (tBu 3 P-HBF 4 ), 19.9 g of sodium t-butoxide (NaOtBu) and 302 ml of toluene were placed in a flask and refluxed for 4 hours with stirring. After completion of the reaction, the reaction solution was cooled to room temperature, water and toluene were added, and the solution was separated. After that, the organic layer was purified with a silica gel short-path column (solvent: toluene), and then purified with silica gel column chromatography (solvent: toluene/heptane=1/2) to obtain the intermediate compound N 1 -([1,1' -biphenyl]-2-yl)-N 2 ,N 2 -diphenylbenzene-1,2-diamine (39.9 g).
窒素雰囲気下、N1-([1,1'-ビフェニル]-2-イル)-N2,N2-ジフェニルベンゼン-1,2-ジアミン16.8gおよびトルエン420mlの入ったフラスコを-70℃まで冷却し、n-ブチルリチウムの2.6Mヘキサン溶液16mlを滴下した。滴下終了後、-70℃で1時間、0℃で1時間撹拌した。その後、再び-70℃まで冷却し、三臭化ホウ素10.2gをヘプタンに溶解させたものを滴下した。次いで、反応液を室温まで昇温し、室温で終夜攪拌した。その後、一旦溶媒を減圧留去した。ここに1,2-ジクロロベンゼン504ml、N,N-ジイソプロピルエチルアミン11.1g、三塩化アルミニウム32.6gを加え、160℃で6時間撹拌した。反応液を室温まで冷却し、酢酸ナトリウム氷水溶液に加えた。トルエンを加えて分液した。有機層をシリカゲルショートパスカラム(溶媒:トルエン)、次いで、シリカゲルカラムクロマトグラフィー(溶媒:トルエン/ヘプタン=1/3(容量比))で精製した。得られた粗生成物をトルエンで溶かして、ソルミックスで数回再沈殿し、更に酢酸エチルから数回再結晶を行った。最後に昇華精製を行い、目的化合物(20-1)(0.5g)を得た。 Under a nitrogen atmosphere, a flask containing 16.8 g of N 1 -([1,1'-biphenyl]-2-yl)-N 2 ,N 2 -diphenylbenzene-1,2-diamine and 420 ml of toluene was heated to -70°C. and 16 ml of a 2.6M hexane solution of n-butyllithium was added dropwise. After the dropwise addition was completed, the mixture was stirred at -70°C for 1 hour and at 0°C for 1 hour. After that, the mixture was cooled to −70° C. again, and a solution obtained by dissolving 10.2 g of boron tribromide in heptane was added dropwise. The reaction solution was then warmed to room temperature and stirred overnight at room temperature. After that, the solvent was once distilled off under reduced pressure. 504 ml of 1,2-dichlorobenzene, 11.1 g of N,N-diisopropylethylamine and 32.6 g of aluminum trichloride were added thereto and stirred at 160° C. for 6 hours. The reaction was cooled to room temperature and added to an ice-water solution of sodium acetate. Toluene was added to separate the layers. The organic layer was purified by silica gel short pass column (solvent: toluene) and then by silica gel column chromatography (solvent: toluene/heptane=1/3 (volume ratio)). The resulting crude product was dissolved in toluene, reprecipitated several times with Solmix, and further recrystallized several times from ethyl acetate. Finally, purification by sublimation was performed to obtain the target compound (20-1) (0.5 g).
MSスペクトルおよびNMR測定により式(20-1)の化合物の構造を確認した。
1H-NMR(CDCl3):δ=8.64(d,1H)、8.58(d,1H)、8.30(d,1H)、7.70(d,2H)、7.63~7.60(m,4H)、7.55~7.48(m,6H)、7.41~7.37(m,2H)、7.27~7.18(m,3H)、7.06(d,1H)
The structure of the compound of formula (20-1) was confirmed by MS spectrum and NMR measurements.
1 H-NMR (CDCl 3 ): δ = 8.64 (d, 1H), 8.58 (d, 1H), 8.30 (d, 1H), 7.70 (d, 2H), 7.63 ~7.60 (m, 4H), 7.55 ~ 7.48 (m, 6H), 7.41 ~ 7.37 (m, 2H), 7.27 ~ 7.18 (m, 3H), 7 .06(d, 1H)
化合物(20-17)の合成
化合物(20-1)の合成において、N1-([1,1'-ビフェニル]-2-イル)-N2,N2-ジフェニルベンゼン-1,2-ジアミン16.8gを化合物(Int-20-17)20.8gに変更した以外同様の手順で目的化合物(20-17)(0.2g)を得た。 In the synthesis of compound (20-1), 16.8 g of N 1 -([1,1′-biphenyl]-2-yl)-N 2 ,N 2 -diphenylbenzene-1,2-diamine was added to compound (Int- The target compound (20-17) (0.2 g) was obtained in the same manner except that 20-17) was changed to 20.8 g.
LC-MSによりm/z=575.2284に目的物である化合物(20-17)を確認した。 The target compound (20-17) was confirmed at m/z=575.2284 by LC-MS.
化合物(10-33)の合成
化合物(10-1)の合成において、ヨードベンゼン35mlを化合物(Int-I-mCP)168gに変更した以外同様の手順で目的化合物(10-33)(2.5g)を得た。 The target compound (10-33) (2.5 g) was obtained in the same manner as in the synthesis of compound (10-1) except that 168 g of compound (Int-I-mCP) was used instead of 35 ml of iodobenzene.
LC-MSによりm/z=765.3060に目的物である化合物(10-33)を確認した。 The target compound (10-33) was confirmed at m/z=765.3060 by LC-MS.
化合物(20-79)の合成
化合物(20-1)の合成において、N1-([1,1'-ビフェニル]-2-イル)-N2,N2-ジフェニルベンゼン-1,2-ジアミン16.8gを化合物(Int-20-79)21.0gに変更した以外同様の手順で目的化合物(20-79)(0.4g)を得た。 In the synthesis of compound (20-1), 16.8 g of N 1 -([1,1′-biphenyl]-2-yl)-N 2 ,N 2 -diphenylbenzene-1,2-diamine was added to compound (Int- The target compound (20-79) (0.4 g) was obtained in the same manner except that 20-79) was changed to 21.0 g.
LC-MSによりm/z=740.2866に目的物である化合物(20-79)を確認した。 The target compound (20-79) was confirmed at m/z=740.2866 by LC-MS.
化合物(10-82)の合成
化合物(10-1)の合成において、ヨードベンゼン35mlを化合物(Int-I-DBF-Trz)190gに変更した以外同様の手順で目的化合物(10-82)(5.1g)を得た。 The target compound (10-82) (5.1 g) was obtained in the same manner as in the synthesis of compound (10-1), except that 190 g of compound (Int-I-DBF-Trz) was used instead of 35 ml of iodobenzene.
LC-MSによりm/z=756.2810に目的物である化合物(10-82)を確認した。 The target compound (10-82) was confirmed at m/z=756.2810 by LC-MS.
原料の化合物を適宜変更することにより、上述した合成例に準じた方法で、本発明の他の多環芳香族化合物を合成することができる。 Other polycyclic aromatic compounds of the present invention can be synthesized by a method according to the synthesis examples described above by appropriately changing the raw material compounds.
次に、本発明の化合物の基礎物性の評価と本発明の化合物を用いた有機EL素子の作製と評価について記載する。ただし、本発明の化合物の適用は以下に示した例に限定されず、各層の膜厚や構成材料は本発明の化合物の基礎物性によって適宜変更することができる。 Next, the evaluation of the basic physical properties of the compound of the present invention and the preparation and evaluation of an organic EL device using the compound of the present invention will be described. However, application of the compound of the present invention is not limited to the examples shown below, and the film thickness and constituent materials of each layer can be appropriately changed according to the basic physical properties of the compound of the present invention.
<蒸着型有機EL素子の評価>
実施例および比較例に係る有機EL素子を作製し、輝度1000cd/m2における、外部量子効率、およびLT50(初期輝度1000cd/m2における電流密度で連続駆動させたときの500cd/m2になるまでの時間)を測定した。
<Evaluation of evaporation type organic EL element>
Organic EL devices according to Examples and Comparative Examples were produced, and the external quantum efficiency at a luminance of 1000 cd/m 2 and LT50 (500 cd/m 2 when continuously driven at a current density at an initial luminance of 1000 cd/m 2 time) was measured.
<比較例RS-1>
スパッタリングにより200nmの厚さに製膜したITOを50nmまで研磨した、26mm×28mm×0.7mmのガラス基板((株)オプトサイエンス製)を透明支持基板とした。この透明支持基板を市販の蒸着装置(昭和真空(株)製)の基板ホルダーに固定し、HAT-CN、HTL-1、TcTa、new-DABNA、ETL-1およびET7をそれぞれ入れたモリブデン製蒸着用ボート、LiFおよびアルミニウムをそれぞれ入れたタングステン製蒸着用ボートを装着した。
<Comparative Example RS-1>
A 26 mm×28 mm×0.7 mm glass substrate (manufactured by OptoScience Co., Ltd.) was used as a transparent support substrate, on which an ITO film having a thickness of 200 nm was formed by sputtering and polished to 50 nm. This transparent supporting substrate was fixed to a substrate holder of a commercially available vapor deposition apparatus (manufactured by Showa Shinku Co., Ltd.), and HAT-CN, HTL-1, TcTa, new-DABNA, ETL-1 and ET7 were respectively put into molybdenum vapor deposition. A tungsten vapor deposition boat containing LiF and aluminum, respectively, was equipped.
透明支持基板のITO膜の上に順次、下記各層を形成した。真空槽を5×10-4Paまで減圧し、まず、HAT-CNを加熱して膜厚5nmになるように蒸着して正孔注入層を形成した。次に、HTL-1を加熱して膜厚90nmになるように蒸着して正孔輸送層1を形成し、さらにTcTaを加熱して膜厚10nmになるように蒸着して正孔輸送層2を形成した。次に、ETL-1とnew-DABNAを同時に加熱して膜厚20nmになるように蒸着して発光層を形成した。ETL-1とnew-DABNAの質量比がおよそ99対1になるように蒸着速度を調節した。次に、ETL-1を加熱して膜厚20nmになるように蒸着して電子輸送層1を形成し、さらにET7を加熱して膜厚10nmになるように蒸着して二層からなる電子輸送層2を形成した。各層の蒸着速度は0.01~1nm/秒であった。その後、LiFを加熱して膜厚1nmになるように0.01~0.1nm/秒の蒸着速度で蒸着し、次いで、アルミニウムを加熱して膜厚100nmになるように蒸着して陰極を形成し、有機EL素子を得た。このとき、アルミニウムの蒸着速度は1~10nm/秒になるように調節した。
The following layers were sequentially formed on the ITO film of the transparent support substrate. The vacuum chamber was evacuated to 5×10 −4 Pa, and HAT-CN was first heated and evaporated to a thickness of 5 nm to form a hole injection layer. Next, HTL-1 is heated and vapor-deposited to a thickness of 90 nm to form a hole-
<実施例および比較例>
比較例の正孔輸送層2、発光層、電子輸送層1を表1に記載の各材料および濃度へ変更して各素子を作製した。なお、表1において、「ホスト1」は正孔輸送性ホスト材料に該当し、「ホスト2」は電子輸送性ホスト材料に該当する。また、各素子の評価結果を表1に示す。
<Examples and Comparative Examples>
Each element was produced by changing the
実施例S-1および実施例S-2に示す通り、本発明の化合物を単一のホストとして利用した有機電界発光素子は比較例RS-1に対して高効率と長寿命が得られた。同様に、実施例D-1~D-5に示す通り、本発明の化合物を2つのホストのいずれかとして利用した有機電界発光素子は比較例RD-1に対して高効率と長寿命が得られた。また、本発明の化合物は深いHOMOまたは浅いLUMO、高いT1エネルギーおよび電荷輸送性を有しているために発光層に隣接する正孔輸送層または電子輸送層として利用することもできる。具体的には、実施例HD-1~HD-3、実施例DE-1、実施例E-1および実施例E-2、および実施例H-1および実施例H-2に示す通り、発光層に隣接する正孔輸送層または電荷輸送層に使用した有機電界発光素子は高効率と長寿命が得られた。さらには、実施例HD-1および実施例DE-1に示す通り、発光層および発光層に隣接する正孔輸送層または電子輸送層いずれか2層に使用した有機電界発光素子は最も高効率と長寿命が得られた。加えて、実施例HD-1~実施例HD-3に示す通り、本発明の化合物は高いT1エネルギーを有しているために、高いT1を有する青色TADFドーパントや青色燐光ドーパントのホストとしても使用することができる。 As shown in Examples S-1 and S-2, the organic electroluminescence device using the compound of the present invention as a single host exhibited higher efficiency and longer life than Comparative Example RS-1. Similarly, as shown in Examples D-1 to D-5, organic electroluminescent devices utilizing the compounds of the present invention as either of the two hosts exhibit higher efficiency and longer lifetime than Comparative Example RD-1. was taken. The compounds of the present invention can also be utilized as a hole-transporting layer or an electron-transporting layer adjacent to the light-emitting layer due to their deep HOMO or shallow LUMO, high T1 energy and charge transport properties. Specifically, as shown in Examples HD-1 to HD-3, Example DE-1, Examples E-1 and E-2, and Examples H-1 and H-2, light emission The organic electroluminescent device used in the hole-transporting layer or charge-transporting layer adjacent to the layer provided high efficiency and long lifetime. Furthermore, as shown in Examples HD-1 and DE-1, the organic electroluminescence element used for the light-emitting layer and either the hole-transporting layer or the electron-transporting layer adjacent to the light-emitting layer has the highest efficiency. A long life was obtained. In addition, as shown in Examples HD-1 to HD-3, the compounds of the present invention have high T1 energies, and thus can be used as hosts for blue TADF dopants and blue phosphorescent dopants with high T1. can do.
表1における化学構造を以下に示す。 The chemical structures in Table 1 are shown below.
<比較例RDT-1>
スパッタリングにより200nmの厚さに製膜したITOを50nmまで研磨した、26mm×28mm×0.7mmのガラス基板((株)オプトサイエンス製)を透明支持基板とする。この透明支持基板を市販の蒸着装置(昭和真空(株)製)の基板ホルダーに固定し、HAT-CN、HTL-1、TcTa、ETL-1、およびET7をそれぞれ入れたモリブデン製蒸着用ボート、LiFおよびアルミニウムをそれぞれ入れたタングステン製蒸着用ボートを装着する。
<Comparative example RDT-1>
A 26 mm×28 mm×0.7 mm glass substrate (manufactured by Optoscience Co., Ltd.) is used as a transparent support substrate. This transparent supporting substrate was fixed to a substrate holder of a commercially available vapor deposition apparatus (manufactured by Showa Shinku Co., Ltd.), and a molybdenum vapor deposition boat containing HAT-CN, HTL-1, TcTa, ETL-1, and ET7, respectively, Equip a tungsten evaporation boat containing LiF and aluminum respectively.
透明支持基板のITO膜の上に順次、下記各層を形成した。真空槽を5×10-4Paまで減圧し、まず、HAT-CNを加熱して膜厚5nmになるように蒸着して正孔注入層を形成する。次に、HTL-1を加熱して膜厚90nmになるように蒸着して正孔輸送層1を形成し、さらにTcTaを加熱して膜厚10nmになるように蒸着して正孔輸送層2を形成する。次に、ETL-1とnew-DABNAを同時に加熱して膜厚20nmになるように蒸着して発光層を形成する。ETL-1とnew-DABNAの質量比がおよそ99対1になるように蒸着速度を調節する。次に、ETL-1を加熱して膜厚20nmになるように蒸着して電子輸送層1を形成し、さらにET7を加熱して膜厚10nmになるように蒸着して電子輸送層2を形成する。各層の蒸着速度は0.01~1nm/秒とする。その後、LiFを加熱して膜厚1nmになるように0.01~0.1nm/秒の蒸着速度で蒸着し、次いで、アルミニウムを加熱して膜厚100nmになるように蒸着して陰極を形成し、有機EL素子を得ることができる。このとき、アルミニウムの蒸着速度は1~10nm/秒になるように調節する。
The following layers were sequentially formed on the ITO film of the transparent support substrate. The vacuum chamber is evacuated to 5×10 −4 Pa, and HAT-CN is first heated and vapor-deposited to a thickness of 5 nm to form a hole injection layer. Next, HTL-1 is heated and vapor-deposited to a thickness of 90 nm to form a hole-
比較例RDT-1の正孔輸送層2、発光層、電子輸送層1を表2に記載の各材料、濃度へ変更して実施例DT-1~4の各素子を作製する。
The hole-transporting
表2に記載の化合物の化学構造を以下に示す。 The chemical structures of the compounds listed in Table 2 are shown below.
以上、本発明に係る化合物の一部について、有機EL素子用材料としての評価を行い、優れた材料であることを示したが、評価を行っていない他の化合物も同じ基本骨格を有し、全体としても類似の構造を有する化合物であり、当業者においては同様に優れた有機EL素子用材料であることを理解できる。 As described above, some of the compounds according to the present invention were evaluated as materials for organic EL devices, and were shown to be excellent materials. They are compounds having a similar structure as a whole and can be understood by those skilled in the art to be similarly excellent materials for organic EL devices.
100 有機電界発光素子
101 基板
102 陽極
103 正孔注入層
104 正孔輸送層
105 発光層
106 電子輸送層
107 電子注入層
108 陰極
REFERENCE SIGNS
Claims (17)
A環、B環およびC環は、それぞれ独立して、置換もしくは無置換のアリール環または置換もしくは無置換のヘテロアリール環であり、
Yは、>B-、>P-、>P(=O)-または>P(=S)-であり、
Xは、>C(-RX1)-、>N-または>Si(-RX3)-であり、
RX1およびRX3は、それぞれ独立して、水素、置換もしくは無置換のアリール、置換もしくは無置換のヘテロアリール、置換もしくは無置換のアルキルまたは置換もしくは無置換のシクロアルキルであり、
Zは、>C(-RZ1)2、>N-RZ2、>O、>Si(-RZ3)2または>Sであり、
RZ1、RZ2およびRZ3は、それぞれ独立して、水素、置換もしくは無置換のアリール、置換もしくは無置換のヘテロアリール、置換もしくは無置換のアルキルまたは置換もしくは無置換のシクロアルキルであるか、結合している元素とB環またはC環とともに環を形成しており、ただし、2つのRZ1は互いに結合していてもよく、および2つのRZ3は互いに結合していてもよく、
Lは、A環とYとを連結する最短の原子数が1~4の連結基であり、
Lは連結基または単結合により前記A環と結合していてもよく、
前記構造における少なくとも1つの水素は、重水素、シアノまたはハロゲンで置き換えられていてもよい。 A polycyclic aromatic compound having a structure consisting of one or more structural units represented by the following formula (1);
A ring, B ring and C ring are each independently a substituted or unsubstituted aryl ring or a substituted or unsubstituted heteroaryl ring,
Y is >B-, >P-, >P(=O)- or >P(=S)-;
X is >C(-R x1 )-, >N- or >Si(-R x3 )-,
R X1 and R X3 are each independently hydrogen, substituted or unsubstituted aryl, substituted or unsubstituted heteroaryl, substituted or unsubstituted alkyl or substituted or unsubstituted cycloalkyl;
Z is >C(-R Z1 ) 2 , >N-R Z2 , >O, >Si(-R Z3 ) 2 or >S;
R Z1 , R Z2 and R Z3 are each independently hydrogen, substituted or unsubstituted aryl, substituted or unsubstituted heteroaryl, substituted or unsubstituted alkyl or substituted or unsubstituted cycloalkyl; forming a ring together with the bonding element and the B ring or C ring, with the proviso that two R Z1 may be bonded to each other and two R Z3 may be bonded to each other;
L is a linking group having the shortest number of atoms of 1 to 4 linking the A ring and Y,
L may be bonded to the A ring via a linking group or a single bond,
At least one hydrogen in the structure may be replaced with deuterium, cyano or halogen.
RL1、RL2およびRL3は、それぞれ独立して、水素、置換もしくは無置換のアリール、置換もしくは無置換のヘテロアリール、置換もしくは無置換のアルキルまたは置換もしくは無置換のシクロアルキルであり、同一の元素に結合する2つのRL1またはRL3はそれぞれ互いに結合していてもよく、RL1の少なくとも1つ、RL2、およびRL3の少なくとも1つはそれぞれ連結基または単結合によりA環またはφの少なくとも1つと結合していてもよく、
φは、置換もしくは無置換のアリーレンまたは置換もしくは無置換のヘテロアリーレンであり、前記アリーレンおよび前記ヘテロアリーレンはいずれも隣接する2つの環構成原子に結合手を有する、
請求項1~3のいずれか一項に記載の多環芳香族化合物。 L is >C(-R L1 ) 2 , >N-R L2 , >O, >Si(-R L3 ) 2 , >S, >C=CR L1 2 , >C=NR L2 , >C=O , >C=S, -φ-, -φ-C(-R L1 ) 2 -, -φ-N(-R L2 )-, -φ-O-, -φ-Si(-R L3 ) 2 - , -φ-S-, -φ-C (=CR L1 2 )-, -φ-C (=NR L2 )-, -φ-C (=O)- or -φ-C (=S)- can be,
R L1 , R L2 and R L3 are each independently hydrogen, substituted or unsubstituted aryl, substituted or unsubstituted heteroaryl, substituted or unsubstituted alkyl or substituted or unsubstituted cycloalkyl, and are the same may be bonded to each other , and at least one of R L1 , R L2 , and at least one of R L3 are each linked by a linking group or a single bond to ring A or may be bound to at least one of φ,
φ is a substituted or unsubstituted arylene or a substituted or unsubstituted heteroarylene, and the arylene and the heteroarylene both have bonds to two adjacent ring-constituting atoms;
The polycyclic aromatic compound according to any one of claims 1-3.
Zが>N-RZ2、>O、または>Sである
請求項1~6のいずれか一項に記載の多環芳香族化合物。 X is >N-;
The polycyclic aromatic compound according to any one of claims 1 to 6, wherein Z is >NR Z2 , >O, or >S.
Priority Applications (3)
| Application Number | Priority Date | Filing Date | Title |
|---|---|---|---|
| JP2021159388A JP2023049580A (en) | 2021-09-29 | 2021-09-29 | polycyclic aromatic compounds |
| KR1020220119816A KR20230046224A (en) | 2021-09-29 | 2022-09-22 | Polycyclic aromatic compound |
| CN202211155260.7A CN115894533A (en) | 2021-09-29 | 2022-09-22 | Polycyclic aromatic compounds, materials for organic devices, organic electroluminescent elements, display devices, and lighting devices |
Applications Claiming Priority (1)
| Application Number | Priority Date | Filing Date | Title |
|---|---|---|---|
| JP2021159388A JP2023049580A (en) | 2021-09-29 | 2021-09-29 | polycyclic aromatic compounds |
Publications (1)
| Publication Number | Publication Date |
|---|---|
| JP2023049580A true JP2023049580A (en) | 2023-04-10 |
Family
ID=85737814
Family Applications (1)
| Application Number | Title | Priority Date | Filing Date |
|---|---|---|---|
| JP2021159388A Pending JP2023049580A (en) | 2021-09-29 | 2021-09-29 | polycyclic aromatic compounds |
Country Status (3)
| Country | Link |
|---|---|
| JP (1) | JP2023049580A (en) |
| KR (1) | KR20230046224A (en) |
| CN (1) | CN115894533A (en) |
Families Citing this family (1)
| Publication number | Priority date | Publication date | Assignee | Title |
|---|---|---|---|---|
| CN119350300B (en) * | 2024-12-25 | 2026-01-13 | 西安瑞联新材料股份有限公司 | Deuterated compound for organic electroluminescent material |
Citations (4)
| Publication number | Priority date | Publication date | Assignee | Title |
|---|---|---|---|---|
| CN108586508A (en) * | 2018-06-26 | 2018-09-28 | 烟台显华光电材料研究院有限公司 | One kind is used as the multi-aromatic ring compound and its light-emitting device of electroluminescent material |
| JP2020533358A (en) * | 2017-09-12 | 2020-11-19 | メルク パテント ゲーエムベーハー | Materials for OLED devices |
| JP2021095342A (en) * | 2019-12-13 | 2021-06-24 | Jnc株式会社 | Polycyclic aromatic compound |
| CN113024567A (en) * | 2019-12-25 | 2021-06-25 | 广州华睿光电材料有限公司 | Polycyclic compound, polymer, mixture, composition and organic electronic device |
Family Cites Families (2)
| Publication number | Priority date | Publication date | Assignee | Title |
|---|---|---|---|---|
| KR102349659B1 (en) | 2013-06-10 | 2022-01-11 | 아리조나 보드 오브 리젠츠 온 비하프 오브 아리조나 스테이트 유니버시티 | Phosphorescent tetradentate metal complexes having modified emission spectra |
| JP6329754B2 (en) | 2013-11-22 | 2018-05-23 | 矢崎総業株式会社 | Parts with fastening members and their mounting methods |
-
2021
- 2021-09-29 JP JP2021159388A patent/JP2023049580A/en active Pending
-
2022
- 2022-09-22 CN CN202211155260.7A patent/CN115894533A/en active Pending
- 2022-09-22 KR KR1020220119816A patent/KR20230046224A/en active Pending
Patent Citations (4)
| Publication number | Priority date | Publication date | Assignee | Title |
|---|---|---|---|---|
| JP2020533358A (en) * | 2017-09-12 | 2020-11-19 | メルク パテント ゲーエムベーハー | Materials for OLED devices |
| CN108586508A (en) * | 2018-06-26 | 2018-09-28 | 烟台显华光电材料研究院有限公司 | One kind is used as the multi-aromatic ring compound and its light-emitting device of electroluminescent material |
| JP2021095342A (en) * | 2019-12-13 | 2021-06-24 | Jnc株式会社 | Polycyclic aromatic compound |
| CN113024567A (en) * | 2019-12-25 | 2021-06-25 | 广州华睿光电材料有限公司 | Polycyclic compound, polymer, mixture, composition and organic electronic device |
Also Published As
| Publication number | Publication date |
|---|---|
| CN115894533A (en) | 2023-04-04 |
| KR20230046224A (en) | 2023-04-05 |
Similar Documents
| Publication | Publication Date | Title |
|---|---|---|
| JP7232448B2 (en) | Organic device material and organic electroluminescence device using the same | |
| JP7717348B2 (en) | Fluorine-substituted polycyclic aromatic compounds | |
| JP7197861B2 (en) | organic electroluminescent device | |
| JP5935199B2 (en) | Polycyclic aromatic compounds | |
| JP7264392B2 (en) | Deuterium-substituted polycyclic aromatic compounds | |
| KR20230063316A (en) | Polycyclic aromatic compound | |
| JP7769504B2 (en) | Polycyclic aromatic compounds | |
| JP7784874B2 (en) | Triazine Compounds | |
| JP2023049580A (en) | polycyclic aromatic compounds | |
| JP2023114978A (en) | organic electroluminescent device | |
| JP2024012832A (en) | Polycyclic aromatic compounds | |
| WO2019239897A1 (en) | Electron transport material or electron injection material containing alkyl-substituted polycyclic aromatic compound | |
| JP2023050087A (en) | polycyclic aromatic compound | |
| KR20240052689A (en) | Polycyclic aromatic compounds | |
| KR20240003718A (en) | Polycyclic aromatic compound | |
| JP2024180282A (en) | Polycyclic aromatic compounds | |
| JP2024155739A (en) | Polycyclic aromatic compounds | |
| JP2025005387A (en) | Polycyclic aromatic compounds | |
| JP2024178904A (en) | Polycyclic aromatic compounds | |
| KR20240165562A (en) | Polycyclic Aromatic Compound | |
| KR20240155785A (en) | Polycyclic aromatic compounds | |
| KR20240052692A (en) | Polycyclic aromatic compounds | |
| JP2024058588A (en) | Polycyclic aromatic compounds | |
| KR20240176066A (en) | Polycyclic aromatic compounds | |
| JP2023059129A (en) | Polycyclic aromatic compound |
Legal Events
| Date | Code | Title | Description |
|---|---|---|---|
| A621 | Written request for application examination |
Free format text: JAPANESE INTERMEDIATE CODE: A621 Effective date: 20240821 |
|
| A977 | Report on retrieval |
Free format text: JAPANESE INTERMEDIATE CODE: A971007 Effective date: 20250724 |
|
| A131 | Notification of reasons for refusal |
Free format text: JAPANESE INTERMEDIATE CODE: A131 Effective date: 20250729 |
|
| A601 | Written request for extension of time |
Free format text: JAPANESE INTERMEDIATE CODE: A601 Effective date: 20251027 |
|
| A521 | Request for written amendment filed |
Free format text: JAPANESE INTERMEDIATE CODE: A523 Effective date: 20251217 |






















































































































