JP2005209766A - Method for producing hafnium-containing oxide film - Google Patents
Method for producing hafnium-containing oxide film Download PDFInfo
- Publication number
- JP2005209766A JP2005209766A JP2004012741A JP2004012741A JP2005209766A JP 2005209766 A JP2005209766 A JP 2005209766A JP 2004012741 A JP2004012741 A JP 2004012741A JP 2004012741 A JP2004012741 A JP 2004012741A JP 2005209766 A JP2005209766 A JP 2005209766A
- Authority
- JP
- Japan
- Prior art keywords
- compound
- hafnium
- organic
- film
- nitrogen source
- Prior art date
- Legal status (The legal status is an assumption and is not a legal conclusion. Google has not performed a legal analysis and makes no representation as to the accuracy of the status listed.)
- Pending
Links
Images
Landscapes
- Chemical Vapour Deposition (AREA)
- Formation Of Insulating Films (AREA)
Abstract
【課題】緻密でかつ密着性に優れた膜が得られるハフニウム含有酸化膜の製造方法を提供する。
【解決手段】有機ハフニウム化合物を気化室26に供給して有機ハフニウム化合物を気化させ、気化させた有機ハフニウム化合物を成膜室10に供給して熱分解させるとともに、成膜室10に酸素源を供給して有機ハフニウム化合物の熱分解物と酸素源とを反応させることにより成膜室10内に保持された基材13表面にハフニウム含有酸化膜を成膜する有機金属化学気相成長法による製造方法の改良であり、その特徴ある構成は、気化室26内又は成膜室10内のいずれか一方又はその双方に窒素源を更に供給し、有機ハフニウム化合物及び窒素源の供給割合を体積比で有機ハフニウム化合物:窒素源=1:500〜2500の範囲内とするところにある。
【選択図】図1Provided is a method for producing a hafnium-containing oxide film from which a dense film having excellent adhesion can be obtained.
An organic hafnium compound is supplied to a vaporization chamber to vaporize the organic hafnium compound, and the vaporized organic hafnium compound is supplied to a film formation chamber to be thermally decomposed, and an oxygen source is supplied to the film formation chamber. Manufacture by metal organic chemical vapor deposition method in which a hafnium-containing oxide film is formed on the surface of the substrate 13 held in the film forming chamber 10 by reacting the thermal decomposition product of the organic hafnium compound with an oxygen source. This is an improvement of the method, and its characteristic configuration is that a nitrogen source is further supplied to one or both of the vaporization chamber 26 and the film formation chamber 10, and the supply ratio of the organic hafnium compound and the nitrogen source is expressed by volume ratio. Organic hafnium compound: Nitrogen source = 1: 500 to 2500.
[Selection] Figure 1
Description
本発明は、有機金属化学気相成長法(Metal Organic Chemical Vapor Deposition、以下、MOCVD法という。)により成膜されるHfO2膜、Hf-Si-O膜及びHf-Si-O-N膜等のハフニウム含有酸化膜の製造方法に関するものである。 The present invention relates to an HfO 2 film, an Hf—Si—O film, an Hf—Si—O—N film, etc. formed by metal organic chemical vapor deposition (hereinafter referred to as MOCVD method). The present invention relates to a method for producing a hafnium-containing oxide film.
高誘電体ゲート絶縁膜としてシリコン酸化膜が使用されているが、近年LSIの高集積化に伴って、シリコン酸化膜の薄膜化が進んでいる。膜厚が100nm以下の薄さとなった薄膜にはトンネル電流が流れて絶縁効果が低下してしまうため、シリコン酸化膜でのこれ以上の薄膜化は限界となっている。
そのためシリコン酸化膜に代わるゲート絶縁膜が要望されており、候補としてハフニウム含有酸化膜、具体的にはHfO2膜、Hf-Si-O膜やHf-Si-O-N膜のようなハフニウム酸化膜や、ハフニウムシリコン複合酸化物膜が注目されている。これらハフニウム含有酸化膜の製造方法としては、スパッタリング、イオンプレーティング、塗布熱分解、ゾルゲル等のMOD(Metal Organic Deposition)が挙げられるが、上記製造方法に比べて組成制御性、段差被覆性に優れること、半導体製造プロセスとの整合性等の面からMOCVD法が最適な膜製造プロセスとして検討されている。
MOCVD法を用いてハフニウム酸化膜を製造する一般的な方法として、有機ハフニウム化合物をキャリアガスにより分解反応炉に供給し、同時に反応ガスとして酸素を分解反応炉に供給してハフニウムを含有する酸化膜を基板上に形成することが開示されている。(例えば、特許文献1参照。)。
Therefore, there is a demand for a gate insulating film that replaces the silicon oxide film. As a candidate, a hafnium-containing oxide film, specifically, a hafnium oxide film such as an HfO 2 film, an Hf—Si—O film, or an Hf—Si—O—N film is used. A film and a hafnium silicon composite oxide film are attracting attention. Examples of the method for producing these hafnium-containing oxide films include MOD (Metal Organic Deposition) such as sputtering, ion plating, coating pyrolysis, sol-gel, etc., but are superior in composition controllability and step coverage as compared with the above production methods. In view of consistency with the semiconductor manufacturing process, the MOCVD method has been studied as an optimum film manufacturing process.
As a general method of manufacturing a hafnium oxide film using the MOCVD method, an organic hafnium compound is supplied to a decomposition reaction furnace with a carrier gas, and oxygen is simultaneously supplied to the decomposition reaction furnace as a reaction gas to contain hafnium. Forming on a substrate. (For example, refer to Patent Document 1).
しかし、上記特許文献1に示されるような一般的なMOCVD法を用いた製造方法で得られたハフニウム酸化膜は、膜表面粗さが大きく、また十分な密着性が得られていない問題があった。後に続くデバイス工程においてこれらの問題を起因として製品歩留まりが低下するおそれがあった。 However, the hafnium oxide film obtained by the manufacturing method using a general MOCVD method as disclosed in Patent Document 1 has a problem that the film surface roughness is large and sufficient adhesion is not obtained. It was. In the subsequent device process, the product yield may be reduced due to these problems.
本発明の目的は、緻密でかつ密着性に優れた膜が得られるハフニウム含有酸化膜の製造方法を提供することにある。 An object of the present invention is to provide a method for producing a hafnium-containing oxide film from which a dense film having excellent adhesion can be obtained.
請求項1に係る発明は、有機ハフニウム化合物を気化室に供給して有機ハフニウム化合物を気化させ、気化させた有機ハフニウム化合物を成膜室に供給して熱分解させるとともに、成膜室に酸素源を供給して有機ハフニウム化合物の熱分解物と酸素源とを反応させることにより成膜室内に保持された基材表面にハフニウム含有酸化膜を成膜する有機金属化学気相成長法によるハフニウム含有酸化膜の製造方法の改良である。その特徴ある構成は、気化室内又は成膜室内のいずれか一方又はその双方に窒素源を更に供給し、有機ハフニウム化合物及び窒素源の供給割合を体積比で有機ハフニウム化合物:窒素源=1:500〜2500の範囲内とするところにある。
請求項1に係る製造方法では、気化室内又は成膜室内のいずれか一方又はその双方に上記割合で窒素源を更に供給することにより、この窒素源が熱分解を起こして窒素源中のNで結合が切断されて活性種が形成される。活性種は基板表面を覆うように修飾して種付けしやすいものを形成する。その上を有機ハフニウム化合物の分子が近づくことによって、基板表面に修飾した活性種はそこから遊離するため、緻密でかつ密着性に優れた膜を形成することができる。
According to the first aspect of the present invention, an organic hafnium compound is supplied to a vaporization chamber to vaporize the organic hafnium compound, and the vaporized organic hafnium compound is supplied to the film formation chamber for thermal decomposition, and an oxygen source is supplied to the film formation chamber. To form a hafnium-containing oxide film on the surface of the substrate held in the film-forming chamber by reacting the thermal decomposition product of the organic hafnium compound with an oxygen source to cause hafnium-containing oxidation by metal organic chemical vapor deposition It is an improvement of the manufacturing method of the film. The characteristic configuration is that a nitrogen source is further supplied to one or both of the vaporization chamber and the film formation chamber, and the supply ratio of the organic hafnium compound and the nitrogen source is organic hafnium compound: nitrogen source = 1: 500 in volume ratio. It is in the range of -2500.
In the manufacturing method according to claim 1, by further supplying a nitrogen source at the above ratio to one or both of the vaporization chamber and the film formation chamber, the nitrogen source undergoes thermal decomposition, and N in the nitrogen source The bond is broken to form an active species. The active species is modified so as to cover the substrate surface to form a species that is easy to seed. As the organic hafnium compound molecules approach the active species, the active species modified on the surface of the substrate are released therefrom, so that a dense film with excellent adhesion can be formed.
請求項2に係る発明は、請求項1に係る発明であって、有機ハフニウム化合物が次の式(1)で示される金属アルコキシド化合物、次の式(2)で示されるシクロペンタジエニル系化合物、次の式(3)で示されるβジケトンを含む化合物、ハロゲン化物及び次の式(4)で示されるβジケトンを含む化合物からなる群より選ばれた1種又は2種以上を含む製造方法である。
Hf(O-R1)4 ……(1)
但し、R1は炭素数1〜5の直鎖又は分岐状アルキル基である。
The invention according to claim 2 is the invention according to claim 1, wherein the organic hafnium compound is a metal alkoxide compound represented by the following formula (1), and a cyclopentadienyl compound represented by the following formula (2): And a production method comprising one or more selected from the group consisting of a compound containing a β-diketone represented by the following formula (3), a halide and a compound containing a β-diketone represented by the following formula (4): It is.
Hf (O-R 1 ) 4 (1)
However, R 1 is a straight-chain or branched alkyl group having 1 to 5 carbon atoms.
Hf(R2Cp)nX(4-n) ……(2)
但し、R2は水素又は炭素数1〜4の直鎖又は分岐状アルキル基であり、Cpはシクロペンタジエニル基であり、XはF、Cl、Br又はIであり、nは1〜4の整数を示す。
Hf (R 2 Cp) n X (4-n) (2)
However, R 2 is a straight-chain or branched alkyl group having 1 to 4 carbon hydrogen or carbon, Cp is a cyclopentadienyl group, X is F, Cl, Br or I, n is 1 to 4 Indicates an integer.
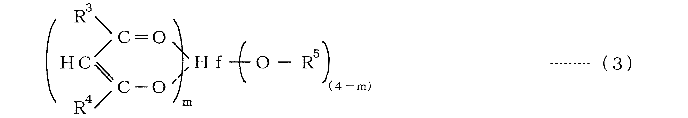
但し、R3、R4又はR5は炭素数1〜4の直鎖又は分岐状アルキル基であり、mは1〜4の整数を示し、R3、R4及びR5はそれぞれ同一でも一部又は全部が異なっていてもよい。 However, R 3, R 4 or R 5 is a straight-chain or branched alkyl group having 1 to 4 carbon atoms, m represents an integer of 1-4, R 3, R 4 and R 5 one is also in each identical Parts or all may be different.
但し、R6、R7、R8、R9又はR10は水素又は炭素数1〜4の直鎖又は分岐状アルキル基であり、pは1〜3の整数を示し、R6、R7、R8、R9及びR10はそれぞれ同一でも一部又は全部が異なっていてもよい。 However, R < 6 >, R < 7 >, R < 8 >, R < 9 > or R < 10 > is hydrogen or a C1-C4 linear or branched alkyl group, p shows the integer of 1-3, R < 6 >, R <7> , R 8 , R 9 and R 10 may be the same or partly or wholly different.
請求項3に係る発明は、請求項1に係る発明であって、窒素源がNR11R12H及びR13N=NR14からなる群より選ばれた1種又は2種以上を含む製造方法である。
但し、R11、R12、R13又はR14は水素、炭素数1〜6の直鎖又は分岐状アルキル基であり、R11とR12はそれぞれ同一でも異なっていてもよく、R13とR14はそれぞれ同一でも異なっていてもよい。
The invention according to claim 3 is the method according to claim 1, wherein the nitrogen source includes one or more selected from the group consisting of NR 11 R 12 H and R 13 N = NR 14. It is.
However, R 11, R 12, R 13 or R 14 is hydrogen, straight-chain or branched alkyl group having 1 to 6 carbon atoms, may be R 11 and R 12 are not the same as or different from each other, and R 13 R 14 may be the same or different.
請求項4に係る発明は、請求項1に係る発明であって、有機シリコン化合物を更に供給してハフニウムシリコン複合酸化物膜を形成する製造方法である。
請求項4に係る製造方法では、有機シリコン化合物を更に供給することで、ハフニウムシリコン複合酸化物膜、具体的にはHf-Si-O膜やHf-Si-O-N膜を緻密でかつ密着性に優れた膜として形成することができる。
The invention according to claim 4 is the invention according to claim 1, wherein a hafnium silicon composite oxide film is formed by further supplying an organic silicon compound.
In the manufacturing method according to claim 4, by further supplying an organic silicon compound, the hafnium silicon composite oxide film, specifically, the Hf—Si—O film or the Hf—Si—O—N film is densely and closely adhered. It can be formed as a film having excellent properties.
請求項5に係る発明は、請求項4に係る発明であって、有機シリコン化合物が次の式(5)で示される製造方法である。
(R15R16N)qSiH(4-q) ……(5)
但し、R15、R16は炭素数1〜4の直鎖又は分岐状アルキル基であり、R15とR16は互いに同一でも異なっていてもよく、qは1〜4の整数である。
The invention according to claim 5 is the manufacturing method according to claim 4, wherein the organic silicon compound is represented by the following formula (5).
(R 15 R 16 N) q SiH (4-q) (5)
However, R < 15 >, R < 16 > is a C1-C4 linear or branched alkyl group, R <15> and R < 16 > may mutually be same or different, and q is an integer of 1-4.
請求項6に係る発明は、請求項5に係る発明であって、有機シリコン化合物が(Et2N)4Si、(Et2N)3SiH、(Et2N)2SiH2、(Me2N)4Si、(Me2N)3SiH及び(Me2N)2SiH2である製造方法である。
但し、Etはエチル基、Meはメチル基である。
The invention according to claim 6 is the invention according to claim 5, wherein the organic silicon compound is (Et 2 N) 4 Si, (Et 2 N) 3 SiH, (Et 2 N) 2 SiH 2 , (Me 2). N) 4 Si, (Me 2 N) 3 SiH and (Me 2 N) 2 SiH 2 .
However, Et is an ethyl group and Me is a methyl group.
請求項7に係る発明は、請求項4に係る発明であって、有機シリコン化合物が次の式(6)で示される製造方法である。
(R17R18N)sR19 (4-s)Si-Si(R20R21N)tR22 (4-t) ……(6)
但し、R17、R18、R20又はR21は炭素数1〜4の直鎖又は分岐状アルキル基であり、R17とR18、R20とR21は互いに同一でも異なっていてもよく、R19及びR22は水素又は1〜4の直鎖又は分岐状アルキル基であり、s及びtは1〜4の整数である。
The invention according to claim 7 is the invention according to claim 4, wherein the organic silicon compound is a production method represented by the following formula (6).
(R 17 R 18 N) s R 19 (4-s) Si—Si (R 20 R 21 N) t R 22 (4-t) (6)
R 17 , R 18 , R 20 or R 21 is a linear or branched alkyl group having 1 to 4 carbon atoms, and R 17 and R 18 , R 20 and R 21 may be the same or different from each other. , R 19 and R 22 are hydrogen or 1 to 4 linear or branched alkyl groups, and s and t are integers of 1 to 4.
請求項8に係る発明は、請求項7に係る発明であって、有機シリコン化合物が[(Et2N)2HSi-]2、[(Et2N)2MeSi-]2、[(Me2N)2HSi-]2及び[(Me2N)2MeSi-]2である製造方法である。
但し、Etはエチル基、Meはメチル基である。
The invention according to claim 8 is the invention according to claim 7, wherein the organosilicon compound is [(Et 2 N) 2 HSi—] 2 , [(Et 2 N) 2 MeSi—] 2 , [(Me 2 N) 2 HSi—] 2 and [(Me 2 N) 2 MeSi—] 2 .
However, Et is an ethyl group and Me is a methyl group.
請求項9に係る発明は、請求項4に係る発明であって、有機シリコン化合物がSi(O-R23)4である製造方法である。
但し、R23は炭素数1〜4の直鎖又は分岐状アルキル基である。
The invention according to claim 9 is the manufacturing method according to claim 4, wherein the organic silicon compound is Si (O—R 23 ) 4 .
However, R 23 is a straight-chain or branched alkyl group having 1 to 4 carbon atoms.
以上述べたように、本発明のハフニウム含有酸化膜の製造方法は、有機ハフニウム化合物を気化室に供給して有機ハフニウム化合物を気化させ、気化させた有機ハフニウム化合物を成膜室に供給して熱分解させるとともに、成膜室に酸素源を供給して有機ハフニウム化合物の熱分解物と酸素源とを反応させることにより成膜室内に保持された基材表面にハフニウム含有酸化膜を成膜する方法の改良であり、気化室内又は成膜室内のいずれか一方又はその双方に窒素源を更に供給し、有機ハフニウム化合物及び窒素源の供給割合を体積比で有機ハフニウム化合物:窒素源=1:500〜2500の範囲内とすることにより、この窒素源が熱分解を起こして窒素源中のNで結合が切断されて活性種が形成され、活性種は基板表面を覆うように修飾して種付けしやすいものを形成する。その上を有機ハフニウム化合物の分子が近づくことによって、基板表面に修飾した活性種はそこから遊離するため、緻密でかつ密着性に優れた膜を形成することができる。 As described above, the method for producing a hafnium-containing oxide film according to the present invention supplies an organic hafnium compound to a vaporization chamber to vaporize the organic hafnium compound, and supplies the vaporized organic hafnium compound to the film formation chamber to heat. A method of forming a hafnium-containing oxide film on the surface of a substrate held in a film formation chamber by decomposing and supplying an oxygen source to the film formation chamber to react a thermal decomposition product of an organic hafnium compound with the oxygen source The nitrogen source is further supplied to one or both of the vaporization chamber and the film formation chamber, and the supply ratio of the organic hafnium compound and the nitrogen source is organic hafnium compound: nitrogen source = 1: 500 to volume ratio. By making it within the range of 2500, this nitrogen source undergoes thermal decomposition, and the bond is broken by N in the nitrogen source to form an active species, and the active species is modified to cover the substrate surface. To form what is easy seeded Te. When the organic hafnium compound molecules approach the substrate, the active species modified on the substrate surface is released therefrom, so that a dense film having excellent adhesion can be formed.
次に本発明を実施するための最良の形態を図面に基づいて説明する。
本発明のMOCVD法によるハフニウム含有酸化膜の製造方法は、有機ハフニウム化合物を気化室に供給して有機ハフニウム化合物を気化させ、気化させた有機ハフニウム化合物を成膜室に供給して熱分解させるとともに、成膜室に酸素源を供給して有機ハフニウム化合物の熱分解物と酸素源とを反応させることにより成膜室内に保持された基材表面にハフニウム含有酸化膜を成膜する方法の改良である。その特徴ある構成は、気化室内又は成膜室内のいずれか一方又はその双方に窒素源を更に供給し、有機ハフニウム化合物及び窒素源の供給割合を体積比で有機ハフニウム化合物:窒素源=1:500〜2500の範囲内とするところにある。気化室内又は成膜室内のいずれか一方又はその双方に上記供給割合で窒素源を更に供給することにより、この窒素源が熱分解を起こして窒素源中のNで結合が切断されて活性種が形成される。活性種は基板表面を覆うように修飾して種付けしやすいものを形成する。その上を有機ハフニウム化合物の分子が近づくことによって、基板表面に修飾した活性種はそこから遊離するため、緻密でかつ密着性に優れた膜を形成することができる。
Next, the best mode for carrying out the present invention will be described with reference to the drawings.
The method for producing a hafnium-containing oxide film by the MOCVD method of the present invention supplies an organic hafnium compound to a vaporizing chamber to vaporize the organic hafnium compound, and supplies the vaporized organic hafnium compound to the film forming chamber for thermal decomposition. By improving the method of forming a hafnium-containing oxide film on the surface of the substrate held in the film forming chamber by supplying an oxygen source to the film forming chamber and reacting the thermal decomposition product of the organic hafnium compound with the oxygen source. is there. The characteristic configuration is that a nitrogen source is further supplied to one or both of the vaporization chamber and the film formation chamber, and the supply ratio of the organic hafnium compound and the nitrogen source is organic hafnium compound: nitrogen source = 1: 500 in volume ratio. It is in the range of -2500. By further supplying a nitrogen source at one or both of the vaporization chamber and the film formation chamber at the above supply rate, this nitrogen source undergoes thermal decomposition, and the bonds are cut by N in the nitrogen source, so that the active species are removed. It is formed. The active species is modified so as to cover the substrate surface to form a species that is easy to seed. When the organic hafnium compound molecules approach the substrate, the active species modified on the substrate surface is released therefrom, so that a dense film having excellent adhesion can be formed.
供給割合は、有機ハフニウム化合物及び窒素源の供給割合を体積比で有機ハフニウム化合物:窒素源=1:500〜2500の範囲内となるように供給する。供給割合が1:500未満では、窒素源を起因とする活性種が十分に形成されないため、得られるハフニウム含有酸化膜が剥離し易い不具合を生じ、供給割合が1:2500を越えると、窒素源を起因とする活性種が供給過多となるため、得られるハフニウム含有酸化膜表面が不均一になる不具合を生じる。好ましい供給割合は1:1000〜1500であり、特に好ましい供給割合は1:1250〜1500である。 The supply ratio is such that the supply ratio of the organic hafnium compound and the nitrogen source is in the range of organic hafnium compound: nitrogen source = 1: 500 to 2500 in volume ratio. When the supply ratio is less than 1: 500, active species due to the nitrogen source are not sufficiently formed, so that the resulting hafnium-containing oxide film is liable to be peeled off. When the supply ratio exceeds 1: 2500, the nitrogen source As a result, excessively supplied active species are caused, resulting in a nonuniform surface of the obtained hafnium-containing oxide film. A preferred feed ratio is 1: 1.000 to 1500, and a particularly preferred feed ratio is 1: 1250-1500.
本発明の製造方法において、特に好適な有機ハフニウム化合物には、次の式(1)で示される金属アルコキシド化合物、次の式(2)で示されるシクロペンタジエニル系化合物、次の式(3)で示されるβジケトンを含む化合物、ハロゲン化物及び次の式(4)で示されるβジケトンを含む化合物からなる群より選ばれた1種又は2種以上が含まれる。 In the production method of the present invention, particularly suitable organic hafnium compounds include metal alkoxide compounds represented by the following formula (1), cyclopentadienyl compounds represented by the following formula (2), and the following formula (3 1) or 2 or more types selected from the group consisting of a compound containing a β-diketone represented by formula (4), a halide, and a compound containing a β-diketone represented by the following formula (4).
Hf(O-R1)4 ……(1)
但し、R1は炭素数1〜5の直鎖又は分岐状アルキル基である。
Hf (O-R 1 ) 4 (1)
However, R 1 is a straight-chain or branched alkyl group having 1 to 5 carbon atoms.
Hf(R2Cp)nX(4-n) ……(2)
但し、R2は水素又は炭素数1〜4の直鎖又は分岐状アルキル基であり、Cpはシクロペンタジエニル基であり、XはF、Cl、Br又はIであり、nは1〜4の整数を示す。
Hf (R 2 Cp) n X (4-n) (2)
However, R 2 is a straight-chain or branched alkyl group having 1 to 4 carbon hydrogen or carbon, Cp is a cyclopentadienyl group, X is F, Cl, Br or I, n is 1 to 4 Indicates an integer.
但し、R3、R4又はR5は炭素数1〜4の直鎖又は分岐状アルキル基であり、mは1〜4の整数を示し、R3、R4及びR5はそれぞれ同一でも一部又は全部が異なっていてもよい。 However, R 3, R 4 or R 5 is a straight-chain or branched alkyl group having 1 to 4 carbon atoms, m represents an integer of 1-4, R 3, R 4 and R 5 one is also in each identical Parts or all may be different.
但し、R6、R7、R8、R9又はR10は水素又は炭素数1〜4の直鎖又は分岐状アルキル基であり、pは1〜3の整数を示し、R6、R7、R8、R9及びR10はそれぞれ同一でも一部又は全部が異なっていてもよい。 However, R < 6 >, R < 7 >, R < 8 >, R < 9 > or R < 10 > is hydrogen or a C1-C4 linear or branched alkyl group, p shows the integer of 1-3, R < 6 >, R <7> , R 8 , R 9 and R 10 may be the same or partly or wholly different.
上記式(1)で示される金属アルコキシド化合物中のR1を炭素数1〜5の直鎖又は分岐状アルキル基に規定したのは、炭素数が6以上のアルキル基であると、基板との反応性が高くなりすぎてしまい、基板相互作用が弱くなって剥離性を生じたり、粒径が揃わないため表面が不均一になる不具合を生じるためである。
上記式(1)で示される金属アルコキシド化合物の一部を例示すると、Hf(O-Me)4、Hf(O-Et)4、Hf(O-nPr)4、Hf(O-iPr)4、Hf(O-nBu)4、Hf(O-iBu)4、Hf(O-sBu)4、Hf(O-tBu)4、Hf(O-nPet)4、Hf(O-iPet)4、Hf(O-tPet)4等が挙げられる。
The reason why R 1 in the metal alkoxide compound represented by the above formula (1) is defined as a linear or branched alkyl group having 1 to 5 carbon atoms is an alkyl group having 6 or more carbon atoms, This is because the reactivity becomes too high, the substrate interaction becomes weak and the peelability is generated, or the particle size is not uniform and the surface becomes uneven.
Examples of the metal alkoxide compound represented by the above formula (1) are Hf (O-Me) 4 , Hf (O-Et) 4 , Hf (O-nPr) 4 , Hf (O-iPr) 4 , Hf (O-nBu) 4 , Hf (O-iBu) 4 , Hf (O-sBu) 4 , Hf (O-tBu) 4 , Hf (O-nPet) 4 , Hf (O-iPet) 4 , Hf ( O-tPet) 4 and the like.
上記式(2)で示されるシクロペンタジエニル系化合物中のR2を炭素数1〜4の直鎖又は分岐状アルキル基に規定したのは、炭素数が5以上のアルキル基であると、基板との反応性が高くなりすぎてしまい、基板相互作用が弱くなって剥離性を生じたり、粒径が揃わないため表面が不均一になる不具合を生じるためである。
上記式(2)で示されるシクロペンタジエニル系化合物の一部を例示すると、Hf(Cp)4、Hf(MeCp)4、Hf(EtCp)4、Hf(nPrCp)4、Hf(iPrCp)4、Hf(nBuCp)4、Hf(iBuCp)4、Hf(sBuCp)4、Hf(tBuCp)4、Hf(Cp)Cl3、Hf(MeCp)Cl3、Hf(EtCp)Cl3、Hf(nPrCp)Cl3、Hf(iPrCp)Cl3、Hf(nBuCp)Cl3、Hf(iBuCp)Cl3、Hf(sBuCp)Cl3、Hf(tBuCp)Cl3、Hf(Cp)2Cl2、Hf(MeCp)2Cl2、Hf(EtCp)2Cl2、Hf(nPrCp)2Cl2、Hf(iPrCp)2Cl2、Hf(nBuCp)2Cl2、Hf(iBuCp)2Cl2、Hf(sBuCp)2Cl2、Hf(tBuCp)2Cl2、Hf(Cp)3Cl、Hf(MeCp)3Cl、Hf(EtCp)3Cl、Hf(nPrCp)3Cl、Hf(iPrCp)3Cl、Hf(nBuCp)3Cl、Hf(iBuCp)3Cl、Hf(sBuCp)3Cl、Hf(tBuCp)3Cl等が挙げられる。
The reason why R 2 in the cyclopentadienyl compound represented by the above formula (2) is defined as a linear or branched alkyl group having 1 to 4 carbon atoms is an alkyl group having 5 or more carbon atoms, This is because the reactivity with the substrate becomes too high, and the substrate interaction becomes weak, causing releasability, and the particle size is not uniform, so that the surface becomes uneven.
Examples of the cyclopentadienyl compound represented by the above formula (2) are Hf (Cp) 4 , Hf (MeCp) 4 , Hf (EtCp) 4 , Hf (nPrCp) 4 , Hf (iPrCp) 4 , Hf (nBuCp) 4 , Hf (iBuCp) 4 , Hf (sBuCp) 4 , Hf (tBuCp) 4 , Hf (Cp) Cl 3 , Hf (MeCp) Cl 3 , Hf (EtCp) Cl 3 , Hf (nPrCp) Cl 3 , Hf (iPrCp) Cl 3 , Hf (nBuCp) Cl 3 , Hf (iBuCp) Cl 3 , Hf (sBuCp) Cl 3 , Hf (tBuCp) Cl 3 , Hf (Cp) 2 Cl 2 , Hf (MeCp) 2 Cl 2 , Hf (EtCp) 2 Cl 2 , Hf (nPrCp) 2 Cl 2 , Hf (iPrCp) 2 Cl 2 , Hf (nBuCp) 2 Cl 2 , Hf (iBuCp) 2 Cl 2 , Hf (sBuCp) 2 Cl 2, Hf (tBuCp) 2 Cl 2, Hf (Cp) 3 C , Hf (MeCp) 3 Cl, Hf (EtCp) 3 Cl, Hf (nPrCp) 3 Cl, Hf (iPrCp) 3 Cl, Hf (nBuCp) 3 Cl, Hf (iBuCp) 3 Cl, Hf (sBuCp) 3 Cl, Hf (tBuCp) 3 Cl and the like can be mentioned.
上記式(3)で示されるβジケトンを含む化合物中のR3、R4、R5を炭素数1〜4の直鎖又は分岐状アルキル基に規定したのは、炭素数が5以上のアルキル基であると、基板との反応性が高くなりすぎてしまい、基板相互作用が弱くなって剥離性を生じたり、粒径が揃わないため表面が不均一になる不具合を生じるためである。
上記式(3)で示されるβジケトンを含む化合物の一部を例示すると、Hf(HD)4、Hf(DMHD)4、Hf(DMND)4、Hf(DMDD)4、Hf(DPM)4、Hf(DMHD)3(O-Me)、Hf(DPM)3(O-Me)、Hf(DMHD)2(O-Me)2、Hf(DPM)2(O-Me)2、Hf(DMHD)(O-Me)3、Hf(DPM)(O-Me)3、Hf(DMHD)3(O-Et)、Hf(DPM)3(O-Et)、Hf(DMHD)2(O-Et)2、Hf(DPM)2(O-Et)2、Hf(DMHD)(O-Et)3、Hf(DPM)(O-Et)3、Hf(DMHD)3(O-nPr)、Hf(DPM)3(O-nPr)、Hf(DMHD)2(O-nPr)2、Hf(DPM)2(O-nPr)2、Hf(DMHD)(O-nPr)3、Hf(DPM)(O-nPr)3、Hf(DMHD)3(O-iPr)、Hf(DPM)3(O-iPr)、Hf(DMHD)2(O-iPr)2、Hf(DPM)2(O-iPr)2、Hf(DMHD)(O-iPr)3、Hf(DPM)(O-iPr)3、Hf(DMHD)3(O-nBu)、Hf(DPM)3(O-nBu)、Hf(DMHD)2(O-nBu)2、Hf(DPM)2(O-nBu)2、Hf(DMHD)(O-nBu)3、Hf(DPM)(O-nBu)3、Hf(DMHD)3(O-iBu)、Hf(DPM)3(O-iBu)、Hf(DMHD)2(O-iBu)2、Hf(DPM)2(O-iBu)2、Hf(DMHD)(O-iBu)3、Hf(DPM)(O-iBu)3、Hf(DMHD)3(O-tBu)、Hf(DPM)3(O-tBu)、Hf(DMHD)2(O-tBu)2、Hf(DPM)2(O-tBu)2、Hf(DMHD)(O-tBu)3、Hf(DPM)(O-tBu)3等が挙げられる。ハロゲン化物を例示すると、HfF4、HfCl4、HfBr4、HfI4が挙げられる。
R 3 , R 4 , and R 5 in the compound containing a β-diketone represented by the above formula (3) are defined as a linear or branched alkyl group having 1 to 4 carbon atoms. If it is a group, the reactivity with the substrate becomes too high, the substrate interaction becomes weak, causing releasability, and the particle size is not uniform, so that the surface becomes uneven.
Examples of a compound containing a β-diketone represented by the above formula (3) include Hf (HD) 4 , Hf (DMHD) 4 , Hf (DMND) 4 , Hf (DMDD) 4 , Hf (DPM) 4 , Hf (DMHD) 3 (O-Me), Hf (DPM) 3 (O-Me), Hf (DMHD) 2 (O-Me) 2 , Hf (DPM) 2 (O-Me) 2 , Hf (DMHD) (O-Me) 3 , Hf (DPM) (O-Me) 3 , Hf (DMHD) 3 (O-Et), Hf (DPM) 3 (O-Et), Hf (DMHD) 2 (O-Et) 2 , Hf (DPM) 2 (O-Et) 2 , Hf (DMHD) (O-Et) 3 , Hf (DPM) (O-Et) 3 , Hf (DMHD) 3 (O-nPr), Hf (DPM) ) 3 (O-nPr), Hf (DMHD) 2 (O-nPr) 2 , Hf (DPM) 2 (O-nPr) 2 , Hf (DMHD) (O-nPr) 3 , Hf (DPM) (O− nPr) 3, Hf (DMHD) 3 (O-iPr), Hf (DPM) 3 (O-iPr), Hf (D HD) 2 (O-iPr) 2, Hf (DPM) 2 (O-iPr) 2, Hf (DMHD) (O-iPr) 3, Hf (DPM) (O-iPr) 3, Hf (DMHD) 3 ( O-nBu), Hf (DPM) 3 (O-nBu), Hf (DMHD) 2 (O-nBu) 2 , Hf (DPM) 2 (O-nBu) 2 , Hf (DMHD) (O-nBu) 3 Hf (DPM) (O-nBu) 3 , Hf (DMHD) 3 (O-iBu), Hf (DPM) 3 (O-iBu), Hf (DMHD) 2 (O-iBu) 2 , Hf (DPM) 2 (O-iBu) 2 , Hf (DMHD) (O-iBu) 3 , Hf (DPM) (O-iBu) 3 , Hf (DMHD) 3 (O-tBu), Hf (DPM) 3 (O-tBu ), Hf (DMHD) 2 (O-tBu) 2 , Hf (DPM) 2 (O-tBu) 2 , Hf (DMHD) (O-tBu) 3 , Hf (DPM) (O-tBu) 3, etc. It is done. To illustrate halides include HfF 4, HfCl 4, HfBr 4 , HfI 4.
上記式(4)で示されるβジケトンを含む化合物中のR6、R7、R8、R9、R10を炭素数1〜4の直鎖又は分岐状アルキル基に規定したのは、炭素数が5以上のアルキル基であると、基板との反応性が高くなりすぎてしまい、基板相互作用が弱くなって剥離性を生じたり、粒径が揃わないため表面が不均一になる不具合を生じるためである。
上記式(4)で示されるβジケトンを含む化合物の一部を例示すると、Hf(DMHD)(O-C(Me)H-O-Me)3、Hf(DMHD)(O-C(Me)(Et)-O-Me)3、Hf(DMHD)(O-C(Me)(iPr)-O-Me)3、Hf(DMHD)(O-C(tBu)2-O-Me)3、Hf(DMHD)2(O-C(Me)H-O-Me)2、Hf(DMHD)2(O-C(Me)(Et)-O-Me)2、Hf(DMHD)2(O-C(Me)(iPr)-O-Me)2、Hf(DMHD)2(O-C(tBu)2-O-Me)2、Hf(DMHD)3(O-C(Me)H-O-Me)、Hf(DMHD)3(O-C(Me)(Et)-O-Me)、Hf(DMHD)3(O-C(Me)(iPr)-O-Me)、Hf(DMHD)3(O-C(tBu)2-O-Me)、Hf(DPM)(O-C(Me)H-O-Me)3、Hf(DPM)(O-C(Me)(Et)-O-Me)3、Hf(DPM)(O-C(Me)(iPr)-O-Me)3、Hf(DPM)(O-C(tBu)2-O-Me)3、Hf(DPM)2(O-C(Me)H-O-Me)2、Hf(DPM)2(O-C(Me)(Et)-O-Me)2、Hf(DPM)2(O-C(Me)(iPr)-O-Me)2、Hf(DPM)2(O-C(tBu)2-O-Me)2、Hf(DPM)3(O-C(Me)H-O-Me)、Hf(DPM)3(O-C(Me)(Et)-O-Me)、Hf(DPM)3(O-C(Me)(iPr)-O-Me)、Hf(DPM)3(O-C(tBu)2-O-Me)等が挙げられる。
R 6 , R 7 , R 8 , R 9 , and R 10 in the compound containing a β-diketone represented by the above formula (4) are defined as a linear or branched alkyl group having 1 to 4 carbon atoms. If the number of alkyl groups is 5 or more, the reactivity with the substrate becomes too high, and the substrate interaction becomes weak and peelability occurs, or the particle size is not uniform and the surface becomes uneven. This is because it occurs.
Examples of a part of a compound containing a β-diketone represented by the above formula (4) include Hf (DMHD) (O—C (Me) H—O—Me) 3 , Hf (DMHD) (O—C (Me) (Et) -O-Me) 3 , Hf (DMHD) (O—C (Me) (iPr) -O-Me) 3 , Hf (DMHD) (O—C (tBu) 2 —O-Me) 3 , Hf (DMHD) 2 (O—C (Me) H—O—Me) 2 , Hf (DMHD) 2 (O—C (Me) (Et) —O—Me) 2 , Hf (DMHD) 2 (O— C (Me) (iPr) -O-Me) 2 , Hf (DMHD) 2 (O—C (tBu) 2 —O-Me) 2 , Hf (DMHD) 3 (O—C (Me) H—O— Me), Hf (DMHD) 3 (O—C (Me) (Et) —O—Me), Hf (DMHD) 3 (O—C (Me) (iPr) —O—Me), Hf (DMHD) 3 (O—C (tBu) 2 —O—Me), Hf (DPM) (O—C (Me) H—O—Me) 3 , Hf (DPM) (O—C (Me) (Et) —O— Me) 3 , Hf (DPM) (O—C (Me) (iPr) —O) -Me) 3 , Hf (DPM) (O-C (tBu) 2 -O-Me) 3 , Hf (DPM) 2 (O-C (Me) H-O-Me) 2 , Hf (DPM) 2 ( O—C (Me) (Et) —O—Me) 2 , Hf (DPM) 2 (O—C (Me) (iPr) —O—Me) 2 , Hf (DPM) 2 (O—C (tBu) 2 -O-Me) 2 , Hf (DPM) 3 (O-C (Me) H-O-Me), Hf (DPM) 3 (O-C (Me) (Et) -O-Me), Hf ( DPM) 3 (O—C (Me) (iPr) —O—Me), Hf (DPM) 3 (O—C (tBu) 2 —O—Me), and the like.
本発明の製造方法において、特に好適な酸素源としては、O2ガス、O3ガス等が挙げられる。
本発明の製造方法において、特に好適な窒素源としては、NR11R12H及びR13N=NR14からなる群より選ばれた1種又は2種以上が含まれる。但し、R11、R12、R13又はR14は水素、炭素数1〜6の直鎖又は分岐状アルキル基であり、R11とR12はそれぞれ同一でも異なっていてもよく、R13とR14はそれぞれ同一でも異なっていてもよい。
In the production method of the present invention, particularly suitable oxygen sources include O 2 gas and O 3 gas.
In the production method of the present invention, particularly suitable nitrogen sources include one or more selected from the group consisting of NR 11 R 12 H and R 13 N═NR 14 . However, R 11, R 12, R 13 or R 14 is hydrogen, straight-chain or branched alkyl group having 1 to 6 carbon atoms, may be R 11 and R 12 are not the same as or different from each other, and R 13 R 14 may be the same or different.
NR11R12H中のR11及びR12を炭素数1〜6の直鎖又は分岐状アルキル基に規定したのは、炭素数が7以上のアルキル基であると、基板との反応性が高くなりすぎてしまい、基板相互作用が弱くなって剥離性を生じたり、粒径が揃わないため表面が不均一になる不具合を生じるためである。
NR11R12Hの化合物の一部を例示すると、NH3、N(Me)2H、N(Et)2H、N(nPr)2H、N(iPr)2H、N(nBu)2H、N(iBu)2H、N(sBu)2H、N(tBu)2H、N(nPet)2H、N(iPet)2H、N(tPet)2H、N(nHex)2H、N(Me)H2、N(Et)H2、N(Me)(Et)H、N(iPr)H2、N(Me)(iPr)H、N(Et)(iPr)H、N(tBu)H2、N(Me)(tBu)H、N(Et)(tBu)H、N(iPr)(tBu)H、N(iPet)H2、N(Me)(iPet)H、N(Et)(iPet)H、N(iPr)(iPet)H、N(tBu)(iPet)H、N(nHex)H2、N(Me)(nHex)H、N(Et)(nHex)H、N(iPr)(nHex)H、N(tBu)(nHex)H、N(iPet)(nHex)H、N(tPet)(nHex)H等が挙げられる。
The reason why R 11 and R 12 in NR 11 R 12 H are defined as a linear or branched alkyl group having 1 to 6 carbon atoms is that the alkyl group having 7 or more carbon atoms has reactivity with the substrate. This is because it becomes too high and the substrate interaction is weakened to cause releasability, or the surface is not uniform because the particle size is not uniform.
Some examples of NR 11 R 12 H compounds are NH 3 , N (Me) 2 H, N (Et) 2 H, N (nPr) 2 H, N (iPr) 2 H, N (nBu) 2 H, N (iBu) 2 H, N (sBu) 2 H, N (tBu) 2 H, N (nPet) 2 H, N (iPet) 2 H, N (tPet) 2 H, N (nHex) 2 H N (Me) H 2 , N (Et) H 2 , N (Me) (Et) H, N (iPr) H 2 , N (Me) (iPr) H, N (Et) (iPr) H, N (tBu) H 2 , N (Me) (tBu) H, N (Et) (tBu) H, N (iPr) (tBu) H, N (iPet) H 2 , N (Me) (iPet) H, N (Et) (iPet) H, N (iPr) (iPet) H, N (tBu) (iPet) H, N (nHex) H 2 , N (Me) (nHex) H, N (Et) (nHex) H N (iPr) (nHex) H, N (tBu) (nHex) H, N (iPet) (nHex) H, N (tPet) (nHex) H, etc. It is below.
R13N=NR14中のR13及びR14を炭素数1〜6の直鎖又は分岐状アルキル基に規定したのは、炭素数が7以上のアルキル基であると、基板との反応性が高くなりすぎてしまい、基板相互作用が弱くなって剥離性を生じたり、粒径が揃わないため表面が不均一になる不具合を生じるためである。
R13N=NR14の化合物の一部を例示すると、HN=NH、HN=NMe、HN=NEt、HN=N(iPr)、HN=N(tBu)、HN=N(iPet)、HN=N(nHex)、MeN=NMe、MeN=NEt、MeN=N(iPr)、MeN=N(tBu)、MeN=N(iPet)、MeN=N(nHex)、EtN=NEt、EtN=N(iPr)、EtN=N(tBu)、EtN=N(iPet)、EtN=N(nHex)、(iPr)N=N(iPr)、(iPr)N=N(tBu)、(iPr)N=N(iPet)、(iPr)N=N(nHex)、(tBu)N=N(tBu)、(tBu)N=N(nPet)、(tBu)N=N(iPet)、(tBu)N=N(tPet)、(tBu)N=N(nHex)、(iPet)N=N(iPet)、(iPet)N=N(tPet)、(iPet)N=N(nHex)、(nHex)N=N(nHex)等が挙げられる。
The reason why R 13 and R 14 in R 13 N = NR 14 are defined as a linear or branched alkyl group having 1 to 6 carbon atoms is that the alkyl group having 7 or more carbon atoms is reactive with the substrate. This is because the film becomes too high, and the substrate interaction becomes weak to cause peelability, and the particle size is not uniform, resulting in a problem that the surface becomes non-uniform.
Some examples of compounds of R 13 N═NR 14 are HN = NH, HN = NMe, HN = NEt, HN = N (iPr), HN = N (tBu), HN = N (iPet), HN = N (nHex), MeN = NMe, MeN = NEt, MeN = N (iPr), MeN = N (tBu), MeN = N (iPet), MeN = N (nHex), EtN = NEt, EtN = N (iPr ), EtN = N (tBu), EtN = N (iPet), EtN = N (nHex), (iPr) N = N (iPr), (iPr) N = N (tBu), (iPr) N = N ( iPet), (iPr) N = N (nHex), (tBu) N = N (tBu), (tBu) N = N (nPet), (tBu) N = N (iPet), (tBu) N = N ( tPet), (tBu) N = N (nHex), (iPet) N = N (iPet), (iPet) N = N (tPet), (iPet) N = N (nHex), (nHex) N = N ( nHex) and the like.
また、本発明の製造方法において、有機シリコン化合物を更に供給することでSi-O-Hf薄膜のようなハフニウムシリコン複合酸化物膜を形成することができる。
好適な有機シリコン化合物の一般式は、次の式(5)で示される。
(R15R16N)qSiH(4-q) ……(5)
上記式(5)のR15、R16は炭素数1〜4の直鎖又は分岐状アルキル基であり、R15とR16は互いに同一でも異なっていてもよく、qは1〜4の整数である。R15、R16のアルキル基としては、Me基、Et基、Pr基、Bu基等が挙げられる。上記一般式(5)で示される有機シリコン化合物としては、(Et2N)4Si、(Et2N)3SiH、(Et2N)2SiH2、(Me2N)4Si、(Me2N)3SiH及び(Me2N)2SiH2が挙げられる。また、有機シリコン化合物は、次の式(6)で示される化合物としてもよい。
(R17R18N)sR19 (4-s)Si-Si(R20R21N)tR22 (4-t) ……(6)
上記式(6)のR17、R18、R20又はR21は炭素数1〜4の直鎖又は分岐状アルキル基であり、R17とR18、R20とR21は互いに同一でも異なっていてもよく、R19及びR22は水素又は1〜4の直鎖又は分岐状アルキル基であり、s及びtは1〜4の整数である。R17、R18、R20又はR21のアルキル基としては、Me基、Et基、Pr基、Bu基等が挙げられる。R19及びR22のアルキル基としては、Me基、Et基、Pr基、Bu基等が挙げられる。上記一般式(6)で示される有機シリコン化合物としては、[(Et2N)2HSi-]2、[(Et2N)2MeSi-]2、[(Me2N)2HSi-]2及び[(Me2N)2MeSi-]2が挙げられる。更に、有機シリコン化合物は、Si(O-R23)4で示される化合物としてもよい。上記式中、R23は炭素数1〜4の直鎖又は分岐状アルキル基である。上記一般式Si(O-R23)4で示される有機シリコン化合物としては、Si(O-Me)4、Si(O-Et)4、Si(O-nPr)4、Si(O-iPr)4、Si(O-nBu)4、Si(O-iBu)4、Si(O-tBu)4が挙げられる。
In the manufacturing method of the present invention, a hafnium silicon composite oxide film such as a Si—O—Hf thin film can be formed by further supplying an organic silicon compound.
A general formula of a suitable organosilicon compound is represented by the following formula (5).
(R 15 R 16 N) q SiH (4-q) (5)
R 15 and R 16 in the above formula (5) are linear or branched alkyl groups having 1 to 4 carbon atoms, R 15 and R 16 may be the same or different, and q is an integer of 1 to 4. It is. Examples of the alkyl group for R 15 and R 16 include a Me group, an Et group, a Pr group, and a Bu group. Examples of the organic silicon compound represented by the general formula (5) include (Et 2 N) 4 Si, (Et 2 N) 3 SiH, (Et 2 N) 2 SiH 2 , (Me 2 N) 4 Si, (Me 2 N) 3 SiH and (Me 2 N) 2 SiH 2 . The organosilicon compound may be a compound represented by the following formula (6).
(R 17 R 18 N) s R 19 (4-s) Si—Si (R 20 R 21 N) t R 22 (4-t) (6)
R 17 , R 18 , R 20 or R 21 in the formula (6) is a linear or branched alkyl group having 1 to 4 carbon atoms, and R 17 and R 18 , R 20 and R 21 are the same or different from each other. R 19 and R 22 are hydrogen or 1 to 4 linear or branched alkyl groups, and s and t are integers of 1 to 4. Examples of the alkyl group for R 17 , R 18 , R 20 or R 21 include a Me group, an Et group, a Pr group, and a Bu group. Examples of the alkyl group for R 19 and R 22 include a Me group, an Et group, a Pr group, and a Bu group. Examples of the organic silicon compound represented by the general formula (6) include [(Et 2 N) 2 HSi—] 2 , [(Et 2 N) 2 MeSi—] 2 , [(Me 2 N) 2 HSi—] 2. And [(Me 2 N) 2 MeSi-] 2 . Furthermore, the organic silicon compound may be a compound represented by Si (O—R 23 ) 4 . In the above formula, R 23 is a linear or branched alkyl group having 1 to 4 carbon atoms. Examples of the organic silicon compound represented by the general formula Si (O—R 23 ) 4 include Si (O—Me) 4 , Si (O—Et) 4 , Si (O—nPr) 4 , and Si (O—iPr). 4 , Si (O-nBu) 4 , Si (O-iBu) 4 , and Si (O-tBu) 4 .
また、本発明の製造方法では、前述した有機ハフニウム化合物や有機シリコン化合物を所定の割合で有機溶媒に溶解して溶液原料としてもよい。有機溶媒に溶解することで有機ハフニウム化合物や有機シリコン化合物をより安定して気化室や成膜室まで送込むことができるため、結果としてMOCVDにおける薄膜の成長速度が促進される。有機溶媒としてはTHF、メチルTHF、n-オクタン、イソオクタン、ヘキサン、シクロヘキサン、メチルシクロヘキサン、エチルシクロヘキサン、ピリジン、ルチジン、酢酸ブチル、酢酸アミル、酢酸メチル及び酢酸エチルからなる群より選ばれた1種又は2種以上の溶媒が挙げられる。また、本発明の製造方法では、前述した有機ハフニウム化合物と窒素源とを、所定の割合で混合して混合原料溶液としてもよい。混合原料溶液とすることで高速成膜が可能となる。 In the production method of the present invention, the organic hafnium compound or the organic silicon compound described above may be dissolved in an organic solvent at a predetermined ratio to obtain a solution raw material. By dissolving in an organic solvent, an organic hafnium compound or an organic silicon compound can be more stably sent to a vaporization chamber or a film formation chamber, and as a result, the growth rate of a thin film in MOCVD is promoted. As the organic solvent, one selected from the group consisting of THF, methyl THF, n-octane, isooctane, hexane, cyclohexane, methylcyclohexane, ethylcyclohexane, pyridine, lutidine, butyl acetate, amyl acetate, methyl acetate and ethyl acetate or Two or more solvents can be mentioned. In the production method of the present invention, the organic hafnium compound and the nitrogen source described above may be mixed at a predetermined ratio to obtain a mixed raw material solution. High-speed film formation is possible by using a mixed raw material solution.
次に、有機ハフニウム化合物を有機溶媒に溶解した溶液原料を用いて溶液気化CVD法によりHfO2薄膜を成膜する例を説明する。溶液気化CVD法とは、各溶液を加熱された気化器に供給し、ここで各溶液原料を瞬時に気化させ、成膜室に送って基材上に成膜する方法である。
図1に示すように、MOCVD装置は、成膜室10と蒸気発生装置11を備える。成膜室10の内部にはヒータ12が設けられ、ヒータ12上には基板13が保持される。この成膜室10の内部は圧力センサー14、コールドトラップ15及びニードルバルブ16を備える配管17により真空引きされる。成膜室10にはニードルバルブ36、ガス流量調節装置34を介して酸素源供給管37が接続される。蒸気発生装置11は原料容器18を備え、この原料容器18は本発明の溶液原料を貯蔵して密閉される。原料容器18にはガス流量調節装置19を介して第1キャリアガス供給管21が接続され、また原料容器18には供給管22が接続される。供給管22にはニードルバルブ23及び溶液流量調節装置24が設けられ、供給管22は気化器26に接続される。気化器26にはニードルバルブ39、ガス流量調節装置38を介して窒素源供給管41が接続される。気化器26にはニードルバルブ31、ガス流量調節装置28を介して第2キャリアガス供給管29が接続される。気化器26は更に配管27により成膜室10に接続される。また気化器26には、ガスドレイン32及びドレイン33がそれぞれ接続される。
この装置では、N2、He、Ar等の不活性ガスからなる第1キャリアガスが第1キャリアガス供給管21から原料容器18内に供給され、原料容器18に供給されたキャリアガス圧により原料容器18に貯蔵されている溶液原料を供給管22を介して気化器26に搬送する。また窒素源供給管41から気化器26内に窒素源が供給される。気化器26で気化されて蒸気となった有機ハフニウム化合物と窒素源は、更に第2キャリアガス供給管28から気化器26へ供給された第2キャリアガスにより配管27を経て成膜室10内に供給される。成膜室10内において、窒素源の蒸気は熱分解して活性種を形成し、この活性種が基板表面に修飾する。また有機ハフニウム化合物の蒸気が熱分解して、酸素源供給管37から成膜室10内に供給された酸素源と反応することにより、HfO2が生成する。生成したHfO2が加熱された基板13上に近づくと、基板表面に修飾した活性種はそこから遊離し、遊離した箇所からHfO2が堆積し始めるため、緻密でかつ密着性の高いHfO2薄膜が得られる。
Next, an example of forming an HfO 2 thin film by a solution vaporization CVD method using a solution raw material in which an organic hafnium compound is dissolved in an organic solvent will be described. The solution vaporization CVD method is a method in which each solution is supplied to a heated vaporizer, where each solution raw material is instantaneously vaporized and sent to a film formation chamber to form a film on a substrate.
As shown in FIG. 1, the MOCVD apparatus includes a
In this apparatus, a first carrier gas made of an inert gas such as N 2 , He, or Ar is supplied from the first carrier
また、図2に示すように、窒素源供給管41を成膜室10に接続し、窒素源を成膜室10内に直接供給するような構成としてもよい。
Further, as shown in FIG. 2, the nitrogen
次に本発明の実施例を比較例とともに詳しく説明する。
<実施例1>
先ず、有機ハフニウム化合物としてHf(O-tBu)4を用意し、この有機ハフニウム化合物を有機溶媒(THF)に溶解して1.0mol/Lの溶液原料を調製した。また、窒素源としてNH3を、酸素源としてO2をそれぞれ用意した。
次いで、シリコン基板を用意し、この基板を図1に示すMOCVD装置の成膜室10内に設置した。次に、基板13の温度を500℃に、気化室26内の温度を70℃に、成膜室10内の圧力を約1.33×103Pa(10Torr)にそれぞれ設定した。また成膜室10内に供給する酸素源を100ccmの供給量となるように調節した。次に、第1キャリアガスとしてArガスを原料容器18内に供給して有機ハフニウム化合物溶液原料の供給量が0.05ccmとなるように気化室26に供給した。また、窒素源の供給量が62.5ccmとなるように調節して気化室26に供給した。更に第2キャリアガスを気化室26に供給して気化室26内で気化された有機ハフニウム化合物溶液原料と窒素源とを成膜室10内に供給して基板13表面に酸化ハフニウムを形成した。成膜時間が30分となったときに基板13を成膜室10より取出し、所定の厚さの酸化ハフニウム薄膜が形成されたシリコン基板を得た。
Next, examples of the present invention will be described in detail together with comparative examples.
<Example 1>
First, Hf (O-tBu) 4 was prepared as an organic hafnium compound, and the organic hafnium compound was dissolved in an organic solvent (THF) to prepare a 1.0 mol / L solution raw material. Further, NH 3 was prepared as a nitrogen source, and O 2 was prepared as an oxygen source.
Next, a silicon substrate was prepared, and this substrate was placed in the
<実施例2>
有機ハフニウム化合物としてHf(O-iPr)4を用い、窒素源としてN(Me)2Hを用い、この窒素源供給量を50ccmとした以外は実施例1と同様にして酸化ハフニウム薄膜が形成されたシリコン基板を得た。
<実施例3>
有機ハフニウム化合物としてHf(Cp)4を用い、窒素源としてN(Me)(Et)Hを用い、この窒素源供給量を25ccmとした以外は実施例1と同様にして酸化ハフニウム薄膜が形成されたシリコン基板を得た。
<実施例4>
有機ハフニウム化合物としてHf(Cp)Cl3を用い、窒素源としてHN=NHを用い、この窒素源供給量を100ccmとした以外は実施例1と同様にして酸化ハフニウム薄膜が形成されたシリコン基板を得た。
<実施例5>
有機ハフニウム化合物としてHf(MeCp)2Br2を用い、窒素源としてMeN=NMeを用い、この窒素源供給量を75ccmとした以外は実施例1と同様にして酸化ハフニウム薄膜が形成されたシリコン基板を得た。
<Example 2>
A hafnium oxide thin film was formed in the same manner as in Example 1 except that Hf (O-iPr) 4 was used as the organic hafnium compound, N (Me) 2 H was used as the nitrogen source, and the nitrogen source supply amount was 50 ccm. A silicon substrate was obtained.
<Example 3>
A hafnium oxide thin film was formed in the same manner as in Example 1 except that Hf (Cp) 4 was used as the organic hafnium compound, N (Me) (Et) H was used as the nitrogen source, and the supply amount of this nitrogen source was 25 ccm. A silicon substrate was obtained.
<Example 4>
A silicon substrate on which a hafnium oxide thin film was formed in the same manner as in Example 1 except that Hf (Cp) Cl 3 was used as the organic hafnium compound, HN = NH was used as the nitrogen source, and the nitrogen source supply amount was 100 ccm. Obtained.
<Example 5>
A silicon substrate on which a hafnium oxide thin film was formed in the same manner as in Example 1 except that Hf (MeCp) 2 Br 2 was used as the organic hafnium compound, MeN = NMe was used as the nitrogen source, and the nitrogen source supply amount was 75 ccm. Got.
<実施例6>
有機ハフニウム化合物としてHf(DPM)4を用い、窒素源としてNH3を用い、この窒素源供給量を62.5ccmとした以外は実施例1と同様にして酸化ハフニウム薄膜が形成されたシリコン基板を得た。
<実施例7>
有機ハフニウム化合物としてHf(DMHD)4を用い、窒素源としてN(Me)2Hを用い、この窒素源供給量を75ccmとした以外は実施例1と同様にして酸化ハフニウム薄膜が形成されたシリコン基板を得た。
<実施例8>
有機ハフニウム化合物としてHfCl4を用い、窒素源としてN(Me)(Et)Hを用い、この窒素源供給量を125ccmとした以外は実施例1と同様にして酸化ハフニウム薄膜が形成されたシリコン基板を得た。
<実施例9>
有機ハフニウム化合物としてHf(DPM)2(O-tBu)2を用い、窒素源としてHN=NHを用い、この窒素源供給量を62.5ccmとした以外は実施例1と同様にして酸化ハフニウム薄膜が形成されたシリコン基板を得た。
<実施例10>
有機ハフニウム化合物としてHf(DPM)(O-C(tBu)2-O-Me)3を用い、窒素源としてMeN=NMeを用い、この窒素源供給量を100ccmとした以外は実施例1と同様にして酸化ハフニウム薄膜が形成されたシリコン基板を得た。
<Example 6>
A silicon substrate on which a hafnium oxide thin film was formed in the same manner as in Example 1 except that Hf (DPM) 4 was used as the organic hafnium compound, NH 3 was used as the nitrogen source, and the nitrogen source supply amount was 62.5 ccm. Obtained.
<Example 7>
Silicon on which a hafnium oxide thin film was formed in the same manner as in Example 1 except that Hf (DMHD) 4 was used as the organic hafnium compound, N (Me) 2 H was used as the nitrogen source, and the nitrogen source supply amount was 75 ccm. A substrate was obtained.
<Example 8>
A silicon substrate on which a hafnium oxide thin film was formed in the same manner as in Example 1 except that HfCl 4 was used as the organic hafnium compound, N (Me) (Et) H was used as the nitrogen source, and the nitrogen source supply amount was 125 ccm. Got.
<Example 9>
A hafnium oxide thin film as in Example 1 except that Hf (DPM) 2 (O-tBu) 2 is used as the organic hafnium compound, HN = NH is used as the nitrogen source, and the nitrogen source supply amount is 62.5 ccm. A silicon substrate on which was formed was obtained.
<Example 10>
Example 1 except that Hf (DPM) (O—C (tBu) 2 —O—Me) 3 was used as the organic hafnium compound, MeN = NMe was used as the nitrogen source, and the nitrogen source supply amount was 100 ccm. Thus, a silicon substrate on which a hafnium oxide thin film was formed was obtained.
<比較例1>
有機ハフニウム化合物としてHf(O-tBu)4を用い、窒素源を供給しない以外は実施例1と同様にして酸化ハフニウム薄膜が形成されたシリコン基板を得た。
<比較例2>
有機ハフニウム化合物としてHf(DPM)4を用い、窒素源を供給しない以外は実施例1と同様にして酸化ハフニウム薄膜が形成されたシリコン基板を得た。
<比較例3>
有機ハフニウム化合物としてHf(DMHD)4を用い、窒素源を供給しない以外は実施例1と同様にして酸化ハフニウム薄膜が形成されたシリコン基板を得た。
<比較例4>
有機ハフニウム化合物としてHfCl4を用い、窒素源を供給しない以外は実施例1と同様にして酸化ハフニウム薄膜が形成されたシリコン基板を得た。
<比較例5>
有機ハフニウム化合物としてHf(Me2N)4を用い、窒素源を供給しない以外は実施例1と同様にして酸化ハフニウム薄膜が形成されたシリコン基板を得た。
<Comparative Example 1>
A silicon substrate on which a hafnium oxide thin film was formed was obtained in the same manner as in Example 1 except that Hf (O-tBu) 4 was used as the organic hafnium compound and no nitrogen source was supplied.
<Comparative example 2>
A silicon substrate on which a hafnium oxide thin film was formed was obtained in the same manner as in Example 1 except that Hf (DPM) 4 was used as the organic hafnium compound and no nitrogen source was supplied.
<Comparative Example 3>
A silicon substrate having a hafnium oxide thin film formed thereon was obtained in the same manner as in Example 1 except that Hf (DMHD) 4 was used as the organic hafnium compound and no nitrogen source was supplied.
<Comparative example 4>
A silicon substrate on which a hafnium oxide thin film was formed was obtained in the same manner as in Example 1 except that HfCl 4 was used as the organic hafnium compound and no nitrogen source was supplied.
<Comparative Example 5>
A silicon substrate on which a hafnium oxide thin film was formed was obtained in the same manner as in Example 1 except that Hf (Me 2 N) 4 was used as the organic hafnium compound and no nitrogen source was supplied.
<比較試験1>
実施例1〜10及び比較例1〜5でそれぞれ得られた酸化ハフニウム薄膜が形成されたシリコン基板を用いて密着性を調べるピール試験と、粒子径を調べる平均グレインサイズ試験及び表面粗さを調べるAFMアナライザー試験を行った。
(1)ピール試験
成膜時間が30分の基板の平坦部分に成膜された酸化ハフニウム薄膜について次のようなピール試験を行った。先ず、成膜を終えた酸化ハフニウム薄膜をカッターナイフを用いて所定の大きさに切断して100の切断マス目を作成した。次にマス目を作成した酸化ハフニウム薄膜の上に粘着性セロハンテープを密着させた。続いてこのセロハンテープを薄膜から剥がし、100のマス目に切断された酸化ハフニウム薄膜のうち、セロハンテープにより剥離した数と、基板上に残留した数とをそれぞれ調べた。
(2)平均グレインサイズ試験
成膜を終えた基板上の酸化ハフニウム薄膜をSEM(走査型電子顕微鏡)像から薄膜表面における平均粒子径を測定した。
(3)AFMアナライザー試験
成膜を終えた基板上の酸化ハフニウム薄膜をAFM(原子間力顕微鏡)アナライザーを用いて薄膜表面における表面粗さが一番高いRtopと一番低いRBottomをそれぞれ測定し、RTop/RBottomを計算して得られた数値を表面粗さとした。
<Comparison test 1>
A peel test for examining adhesion using a silicon substrate on which a hafnium oxide thin film obtained in each of Examples 1 to 10 and Comparative Examples 1 to 5 is formed, an average grain size test for examining particle diameter, and a surface roughness are examined. An AFM analyzer test was conducted.
(1) Peel test The following peel test was performed on the hafnium oxide thin film formed on the flat portion of the substrate with a film formation time of 30 minutes. First, the hafnium oxide thin film after film formation was cut into a predetermined size using a cutter knife to create 100 cut squares. Next, an adhesive cellophane tape was adhered to the hafnium oxide thin film having the grids. Subsequently, the cellophane tape was peeled off from the thin film, and the number of the hafnium oxide thin film cut into 100 cells and peeled off with the cellophane tape and the number remaining on the substrate were examined.
(2) Average Grain Size Test The average particle diameter on the thin film surface of the hafnium oxide thin film on the substrate after film formation was measured from an SEM (scanning electron microscope) image.
(3), respectively measuring the surface high roughness most R top and the lowest R Bottom of the thin film surface hafnium oxide thin film on a substrate after an AFM analyzer test deposited using AFM (atomic force microscope) Analyzer The value obtained by calculating R Top / R Bottom was defined as the surface roughness.
<評価>
得られた成膜時間あたりのピール試験、粒子径及び表面粗さの結果を表1にそれぞれ示す。なお、ピール試験は、切断マス目100枚当たりの基板残留数を示す。
<Evaluation>
Table 1 shows the results of the peel test, the particle diameter and the surface roughness obtained per film formation time. The peel test indicates the number of remaining substrates per 100 cut grids.
表1より明らかなように、比較例1〜5により得られた酸化ハフニウム薄膜は、ピール試験では低い数値しか得られず、密着性が若干劣る結果となった。また平均粒子径の数値が総じて高く、更に表面粗さが大きい結果となった。これに対して実施例1〜10により得られた酸化ハフニウム薄膜は、ピール試験において高い数値が得られており、密着性に優れた結果が得られていることが判った。また平均粒子径、表面粗さともに小さい数値を示しており、緻密な膜が得られていることが判った。 As is clear from Table 1, the hafnium oxide thin films obtained in Comparative Examples 1 to 5 obtained only a low numerical value in the peel test, resulting in slightly inferior adhesion. In addition, the average particle size was generally high, and the surface roughness was large. On the other hand, it was found that the hafnium oxide thin films obtained in Examples 1 to 10 had high numerical values in the peel test and had excellent adhesion. Moreover, both the average particle diameter and the surface roughness showed small numerical values, indicating that a dense film was obtained.
<実施例11〜20>
先ず、実施例1〜10と同様に、有機ハフニウム化合物を用意し、1.0mol/Lの溶液原料を調製した。また、実施例1〜10と同様に、窒素源及び酸素源をそれぞれ用意した。更に有機シリコン化合物としてテトラキスジメチルアミノシラン(Si(DMA)4)を用意し、このSi(DMA)4の1.0mol/Lの溶液原料を調製した。
次いで、シリコン基板を用意し、この基板を図3に示すMOCVD装置の成膜室10内に設置した。次に、基板13の温度を600℃に、気化室26内の温度を70℃に、成膜室10内の圧力を約1.33×103Pa(10Torr)にそれぞれ設定した。また成膜室10内に供給する酸素源を100ccmの供給量となるように調節した。次に、第1キャリアガスとしてArガスを第1原料容器18内に供給して有機ハフニウム化合物溶液原料の供給量が0.05ccmとなるように気化室26に供給した。また、窒素源の供給量が次の表2にそれぞれ示す割合となるように調節して気化室26に供給した。また、第2キャリアガスとしてArガスを第2原料容器42内に供給して有機シリコン化合物溶液原料の供給量が0.05ccmとなるように気化室26に供給した。更に第3キャリアガスを気化室26に供給して気化室26内で気化された有機ハフニウム化合物溶液原料と有機シリコン化合物溶液原料と窒素源とを成膜室10内に供給して基板表面にハフニウムシリコン複合酸化物薄膜を形成した。成膜時間が30分となったときに基板13を成膜室10より取出し、所定の厚さのハフニウムシリコン複合酸化物薄膜が形成されたシリコン基板を得た。
<Examples 11 to 20>
First, as in Examples 1 to 10, an organic hafnium compound was prepared, and a 1.0 mol / L solution raw material was prepared. Moreover, the nitrogen source and the oxygen source were prepared similarly to Examples 1-10, respectively. Further, tetrakisdimethylaminosilane (Si (DMA) 4 ) was prepared as an organosilicon compound, and a 1.0 mol / L solution raw material of this Si (DMA) 4 was prepared.
Next, a silicon substrate was prepared, and this substrate was placed in the
<比較例6>
有機ハフニウム化合物としてHf(O-tBu)4を用い、窒素源を供給しない以外は実施例11と同様にして酸化ハフニウム薄膜が形成されたシリコン基板を得た。
<比較例7>
有機ハフニウム化合物としてHf(DPM)4を用い、窒素源を供給しない以外は実施例11と同様にして酸化ハフニウム薄膜が形成されたシリコン基板を得た。
<比較例8>
有機ハフニウム化合物としてHf(DMHD)4を用い、窒素源を供給しない以外は実施例11と同様にして酸化ハフニウム薄膜が形成されたシリコン基板を得た。
<比較例9>
有機ハフニウム化合物としてHfCl4を用い、窒素源を供給しない以外は実施例11と同様にして酸化ハフニウム薄膜が形成されたシリコン基板を得た。
<比較例10>
有機ハフニウム化合物としてHf(Me2N)4を用い、窒素源を供給しない以外は実施例11と同様にして酸化ハフニウム薄膜が形成されたシリコン基板を得た。
<Comparative Example 6>
A silicon substrate on which a hafnium oxide thin film was formed was obtained in the same manner as in Example 11 except that Hf (O-tBu) 4 was used as the organic hafnium compound and no nitrogen source was supplied.
<Comparative Example 7>
A silicon substrate on which a hafnium oxide thin film was formed was obtained in the same manner as in Example 11 except that Hf (DPM) 4 was used as the organic hafnium compound and no nitrogen source was supplied.
<Comparative Example 8>
A silicon substrate on which a hafnium oxide thin film was formed was obtained in the same manner as in Example 11 except that Hf (DMHD) 4 was used as the organic hafnium compound and no nitrogen source was supplied.
<Comparative Example 9>
A silicon substrate on which a hafnium oxide thin film was formed was obtained in the same manner as in Example 11 except that HfCl 4 was used as the organic hafnium compound and no nitrogen source was supplied.
<Comparative Example 10>
A silicon substrate on which a hafnium oxide thin film was formed was obtained in the same manner as in Example 11 except that Hf (Me 2 N) 4 was used as the organic hafnium compound and no nitrogen source was supplied.
<比較試験2>
実施例11〜20及び比較例6〜10でそれぞれ得られたハフニウムシリコン複合酸化物薄膜が形成されたシリコン基板を用いて密着性を調べるピール試験と、粒子径を調べる平均グレインサイズ試験及び表面粗さを調べるAFMアナライザー試験を行った。
(1)ピール試験
成膜時間が30分の基板の平坦部分に成膜されたハフニウムシリコン複合酸化物薄膜について次のようなピール試験を行った。先ず、成膜を終えたハフニウムシリコン複合酸化物薄膜をカッターナイフを用いて所定の大きさに切断して100の切断マス目を作成した。次にマス目を作成した酸化ハフニウム薄膜の上に粘着性セロハンテープを密着させた。続いてこのセロハンテープを薄膜から剥がし、100のマス目に切断されたハフニウムシリコン複合酸化物薄膜のうち、セロハンテープにより剥離した数と、基板上に残留した数とをそれぞれ調べた。
(2)平均グレインサイズ試験
成膜を終えた基板上のハフニウムシリコン複合酸化物薄膜をSEM(走査型電子顕微鏡)像から薄膜表面における平均粒子径を測定した。
(3)AFMアナライザー試験
成膜を終えた基板上のハフニウムシリコン複合酸化物薄膜をAFM(原子間力顕微鏡)アナライザーを用いて薄膜表面における表面粗さが一番高いRtopと一番低いRBottomをそれぞれ測定し、RTop/RBottomを計算して得られた数値を表面粗さとした。
<Comparison test 2>
A peel test for examining the adhesion using the silicon substrate on which the hafnium silicon composite oxide thin film obtained in each of Examples 11 to 20 and Comparative Examples 6 to 10 was formed, an average grain size test and a surface roughness for examining the particle diameter An AFM analyzer test was conducted to check the thickness.
(1) Peel test The following peel test was performed on the hafnium silicon composite oxide thin film formed on the flat portion of the substrate with a film formation time of 30 minutes. First, the hafnium-silicon composite oxide thin film after film formation was cut into a predetermined size using a cutter knife to create 100 cut squares. Next, an adhesive cellophane tape was adhered to the hafnium oxide thin film having the grids. Subsequently, the cellophane tape was peeled off from the thin film, and the number of the hafnium silicon composite oxide thin film cut into 100 cells and peeled off by the cellophane tape and the number remaining on the substrate were examined.
(2) Average Grain Size Test The average particle size on the thin film surface of the hafnium silicon composite oxide thin film on the substrate after film formation was measured from an SEM (scanning electron microscope) image.
(3) high surface roughness of the film surface hafnium silicon composite oxide thin film on a substrate after an AFM analyzer test deposited using AFM (atomic force microscope) analyzer most R top and the lowest R Bottom Was measured, and the value obtained by calculating R Top / R Bottom was defined as the surface roughness.
<評価>
得られた成膜時間あたりのピール試験、粒子径及び表面粗さの結果を表2にそれぞれ示す。なお、ピール試験は、切断マス目100枚当たりの基板残留数を示す。
<Evaluation>
Table 2 shows the results of the peel test, the particle diameter and the surface roughness obtained per film formation time. The peel test indicates the number of remaining substrates per 100 cut grids.
表2より明らかなように、比較例6〜10により得られた酸化ハフニウム薄膜は、ピール試験では低い数値しか得られず、密着性が若干劣る結果となった。また平均粒子径の数値が総じて高く、更に表面粗さが大きい結果となった。これに対して実施例11〜20により得られた酸化ハフニウム薄膜は、ピール試験において高い数値が得られており、密着性に優れた結果が得られていることが判った。また平均粒子径、表面粗さともに小さい数値を示しており、緻密な膜が得られていることが判った。 As is clear from Table 2, the hafnium oxide thin films obtained in Comparative Examples 6 to 10 were only able to obtain a low numerical value in the peel test, resulting in slightly inferior adhesion. In addition, the average particle size was generally high, and the surface roughness was large. On the other hand, it was found that the hafnium oxide thin films obtained in Examples 11 to 20 had high numerical values in the peel test, and obtained excellent results in adhesion. Moreover, both the average particle diameter and the surface roughness showed small numerical values, indicating that a dense film was obtained.
Claims (9)
気化室内又は成膜室内のいずれか一方又はその双方に窒素源を更に供給し、
前記有機ハフニウム化合物及び前記窒素源の供給割合を体積比で有機ハフニウム化合物:窒素源=1:500〜2500の範囲内とする
ことを特徴とするハフニウム含有酸化膜の製造方法。 An organic hafnium compound is supplied to the vaporization chamber to vaporize the organic hafnium compound, and the vaporized organic hafnium compound is supplied to the film formation chamber for thermal decomposition, and an oxygen source is supplied to the film formation chamber for organic Method for producing hafnium-containing oxide film by metal organic chemical vapor deposition, in which a hafnium-containing oxide film is formed on a substrate surface held in the film-forming chamber by reacting a thermal decomposition product of a hafnium compound with an oxygen source In
A nitrogen source is further supplied to one or both of the vaporization chamber and the deposition chamber;
A method for producing a hafnium-containing oxide film, wherein the supply ratio of the organic hafnium compound and the nitrogen source is within the range of organic hafnium compound: nitrogen source = 1: 500 to 2500 in a volume ratio.
Hf(O-R1)4 ……(1)
但し、R1は炭素数1〜5の直鎖又は分岐状アルキル基である。
Hf(R2Cp)nX(4-n) ……(2)
但し、R2は水素又は炭素数1〜4の直鎖又は分岐状アルキル基であり、Cpはシクロペンタジエニル基であり、XはF、Cl、Br又はIであり、nは1〜4の整数を示す。
Hf (O-R 1 ) 4 (1)
However, R 1 is a straight-chain or branched alkyl group having 1 to 5 carbon atoms.
Hf (R 2 Cp) n X (4-n) (2)
However, R 2 is a straight-chain or branched alkyl group having 1 to 4 carbon hydrogen or carbon, Cp is a cyclopentadienyl group, X is F, Cl, Br or I, n is 1 to 4 Indicates an integer.
但し、R11、R12、R13又はR14は水素、炭素数1〜6の直鎖又は分岐状アルキル基であり、R11とR12はそれぞれ同一でも異なっていてもよく、R13とR14はそれぞれ同一でも異なっていてもよい。 Nitrogen source NR 11 R 12 H and R 13 N = The method of claim 1 further comprising one or more selected from the group consisting of NR 14.
However, R 11, R 12, R 13 or R 14 is hydrogen, straight-chain or branched alkyl group having 1 to 6 carbon atoms, may be R 11 and R 12 are not the same as or different from each other, and R 13 R 14 may be the same or different.
(R15R16N)qSiH(4-q) ……(5)
但し、R15、R16は炭素数1〜4の直鎖又は分岐状アルキル基であり、R15とR16は互いに同一でも異なっていてもよく、qは1〜4の整数である。 The manufacturing method of Claim 4 with which an organosilicon compound is shown by following Formula (5).
(R 15 R 16 N) q SiH (4-q) (5)
However, R < 15 >, R < 16 > is a C1-C4 linear or branched alkyl group, R <15> and R < 16 > may mutually be same or different, and q is an integer of 1-4.
但し、Etはエチル基、Meはメチル基である。 Organosilicon compounds are (Et 2 N) 4 Si, (Et 2 N) 3 SiH, (Et 2 N) 2 SiH 2 , (Me 2 N) 4 Si, (Me 2 N) 3 SiH and (Me 2 N) The manufacturing method according to claim 5, which is 2 SiH 2 .
However, Et is an ethyl group and Me is a methyl group.
(R17R18N)sR19 (4-s)Si-Si(R20R21N)tR22 (4-t) ……(6)
但し、R17、R18、R20又はR21は炭素数1〜4の直鎖又は分岐状アルキル基であり、R17とR18、R20とR21は互いに同一でも異なっていてもよく、R19及びR22は水素又は1〜4の直鎖又は分岐状アルキル基であり、s及びtは1〜4の整数である。 The manufacturing method of Claim 4 with which an organosilicon compound is shown by following Formula (6).
(R 17 R 18 N) s R 19 (4-s) Si—Si (R 20 R 21 N) t R 22 (4-t) (6)
R 17 , R 18 , R 20 or R 21 is a linear or branched alkyl group having 1 to 4 carbon atoms, and R 17 and R 18 , R 20 and R 21 may be the same or different from each other. , R 19 and R 22 are hydrogen or 1 to 4 linear or branched alkyl groups, and s and t are integers of 1 to 4.
但し、Etはエチル基、Meはメチル基である。 The organosilicon compounds are [(Et 2 N) 2 HSi-] 2 , [(Et 2 N) 2 MeSi-] 2 , [(Me 2 N) 2 HSi-] 2 and [(Me 2 N) 2 MeSi-]. The production method according to claim 7, which is 2 .
However, Et is an ethyl group and Me is a methyl group.
但し、R23は炭素数1〜4の直鎖又は分岐状アルキル基である。
The method according to claim 4 , wherein the organosilicon compound is Si (O—R 23 ) 4 .
However, R 23 is a straight-chain or branched alkyl group having 1 to 4 carbon atoms.
Priority Applications (1)
| Application Number | Priority Date | Filing Date | Title |
|---|---|---|---|
| JP2004012741A JP2005209766A (en) | 2004-01-21 | 2004-01-21 | Method for producing hafnium-containing oxide film |
Applications Claiming Priority (1)
| Application Number | Priority Date | Filing Date | Title |
|---|---|---|---|
| JP2004012741A JP2005209766A (en) | 2004-01-21 | 2004-01-21 | Method for producing hafnium-containing oxide film |
Publications (1)
| Publication Number | Publication Date |
|---|---|
| JP2005209766A true JP2005209766A (en) | 2005-08-04 |
Family
ID=34899033
Family Applications (1)
| Application Number | Title | Priority Date | Filing Date |
|---|---|---|---|
| JP2004012741A Pending JP2005209766A (en) | 2004-01-21 | 2004-01-21 | Method for producing hafnium-containing oxide film |
Country Status (1)
| Country | Link |
|---|---|
| JP (1) | JP2005209766A (en) |
Cited By (11)
| Publication number | Priority date | Publication date | Assignee | Title |
|---|---|---|---|---|
| RU2357320C2 (en) * | 2007-02-22 | 2009-05-27 | Государственное Образовательное Учреждение Высшего Профессионального Образования "Дагестанский Государственный Технический Университет" (Дгту) | Method of making protective films based on hafnium oxide |
| JP2009539237A (en) * | 2006-06-02 | 2009-11-12 | レール・リキード−ソシエテ・アノニム・プール・レテュード・エ・レクスプロワタシオン・デ・プロセデ・ジョルジュ・クロード | Method for forming high-k dielectric films based on novel titanium, zirconium and hafnium precursors and their use in semiconductor manufacturing |
| CN102351891A (en) * | 2011-08-31 | 2012-02-15 | 南京大学 | Method for synthesizing hafnium tetra-tert-butoxide |
| JP2012526919A (en) * | 2009-05-13 | 2012-11-01 | リンデ アクチエンゲゼルシャフト | Solution-based lanthanides and group III precursors for atomic layer deposition |
| US8765220B2 (en) | 2009-11-09 | 2014-07-01 | American Air Liquide, Inc. | Methods of making and deposition methods using hafnium- or zirconium-containing compounds |
| US8853075B2 (en) | 2008-02-27 | 2014-10-07 | L'Air Liquide Société Anonyme pour l'Etude et l'Exploitation des Procédés Georges Claude | Method for forming a titanium-containing layer on a substrate using an atomic layer deposition (ALD) process |
| US9499571B2 (en) | 2014-12-23 | 2016-11-22 | L'Air Liquide, Société Anonyme pour l'Etude et l'Exploitation des Procédés Georges Claude | Germanium- and zirconium-containing compositions for vapor deposition of zirconium-containing films |
| US9663547B2 (en) | 2014-12-23 | 2017-05-30 | L'Air Liquide, Société Anonyme pour l'Etude et l'Exploitation des Procédés Georges Claude | Silicon- and Zirconium-containing compositions for vapor deposition of Zirconium-containing films |
| US10106568B2 (en) | 2016-10-28 | 2018-10-23 | L'Air Liquide, Société Anonyme pour l'Etude et l'Exploitation des Procédés Georges Claude | Hafnium-containing film forming compositions for vapor deposition of hafnium-containing films |
| JP2018188681A (en) * | 2017-04-28 | 2018-11-29 | 株式会社Adeka | Method for producing titanium carbide-containing thin film by atomic layer deposition |
| CN110573652A (en) * | 2017-03-15 | 2019-12-13 | 弗萨姆材料美国有限责任公司 | New formulation for deposition of silicon-doped hafnium oxide as ferroelectric material |
-
2004
- 2004-01-21 JP JP2004012741A patent/JP2005209766A/en active Pending
Cited By (19)
| Publication number | Priority date | Publication date | Assignee | Title |
|---|---|---|---|---|
| JP2009539237A (en) * | 2006-06-02 | 2009-11-12 | レール・リキード−ソシエテ・アノニム・プール・レテュード・エ・レクスプロワタシオン・デ・プロセデ・ジョルジュ・クロード | Method for forming high-k dielectric films based on novel titanium, zirconium and hafnium precursors and their use in semiconductor manufacturing |
| US10217629B2 (en) | 2006-06-02 | 2019-02-26 | L'Air Liquide, Société Anonyme pour l'Etude et l'Exploitation des Procédés Georges Claude | Method of forming dielectric films, new precursors and their use in semiconductor manufacturing |
| US9911590B2 (en) | 2006-06-02 | 2018-03-06 | L'Air Liquide Société Anonyme pour l'Etude et l'Exploitation des Procédés Georges Claude | Methods of forming dielectric films, new precursors and their use in semiconductor manufacturing |
| US8399056B2 (en) | 2006-06-02 | 2013-03-19 | L'Air Liquide, Société Anonyme pour l'Etude et l'Exploitation des Procédés Georges Claude | Method of forming high-k dielectric films based on novel titanium, zirconium, and hafnium precursors and their use for semiconductor manufacturing |
| US8470402B2 (en) | 2006-06-02 | 2013-06-25 | L'Air Liquide, Société Anonyme pour l'Etude et l'Exploitation des Procédés Georges Claude | Method of depositing a metal-containing dielectric film |
| US8668957B2 (en) | 2006-06-02 | 2014-03-11 | L'Air Liquide, Société Anonyme pour l'Etude et l'Exploitation des Procédés Georges Claude | Method of forming dielectric films, new precursors and their use in semiconductor manufacturing |
| US9583335B2 (en) | 2006-06-02 | 2017-02-28 | L'Air Liquide, Société Anonyme pour l'Etude et l'Exploitation des Procédés Georges Claude | Method of forming dielectric films, new precursors and their use in semiconductor manufacturing |
| RU2357320C2 (en) * | 2007-02-22 | 2009-05-27 | Государственное Образовательное Учреждение Высшего Профессионального Образования "Дагестанский Государственный Технический Университет" (Дгту) | Method of making protective films based on hafnium oxide |
| US8853075B2 (en) | 2008-02-27 | 2014-10-07 | L'Air Liquide Société Anonyme pour l'Etude et l'Exploitation des Procédés Georges Claude | Method for forming a titanium-containing layer on a substrate using an atomic layer deposition (ALD) process |
| JP2012526919A (en) * | 2009-05-13 | 2012-11-01 | リンデ アクチエンゲゼルシャフト | Solution-based lanthanides and group III precursors for atomic layer deposition |
| US8765220B2 (en) | 2009-11-09 | 2014-07-01 | American Air Liquide, Inc. | Methods of making and deposition methods using hafnium- or zirconium-containing compounds |
| CN102351891A (en) * | 2011-08-31 | 2012-02-15 | 南京大学 | Method for synthesizing hafnium tetra-tert-butoxide |
| US9499571B2 (en) | 2014-12-23 | 2016-11-22 | L'Air Liquide, Société Anonyme pour l'Etude et l'Exploitation des Procédés Georges Claude | Germanium- and zirconium-containing compositions for vapor deposition of zirconium-containing films |
| US9663547B2 (en) | 2014-12-23 | 2017-05-30 | L'Air Liquide, Société Anonyme pour l'Etude et l'Exploitation des Procédés Georges Claude | Silicon- and Zirconium-containing compositions for vapor deposition of Zirconium-containing films |
| US9868753B2 (en) | 2014-12-23 | 2018-01-16 | L'Air Liquide, Société Anonyme our l'Etude et l'Exploitation des Procédés Georges Claude | Germanium- and zirconium-containing composition for vapor deposition of zirconium-containing films |
| US10106568B2 (en) | 2016-10-28 | 2018-10-23 | L'Air Liquide, Société Anonyme pour l'Etude et l'Exploitation des Procédés Georges Claude | Hafnium-containing film forming compositions for vapor deposition of hafnium-containing films |
| CN110573652A (en) * | 2017-03-15 | 2019-12-13 | 弗萨姆材料美国有限责任公司 | New formulation for deposition of silicon-doped hafnium oxide as ferroelectric material |
| CN110573652B (en) * | 2017-03-15 | 2022-07-22 | 弗萨姆材料美国有限责任公司 | Novel formulations for depositing silicon doped hafnium oxide as ferroelectric material |
| JP2018188681A (en) * | 2017-04-28 | 2018-11-29 | 株式会社Adeka | Method for producing titanium carbide-containing thin film by atomic layer deposition |
Similar Documents
| Publication | Publication Date | Title |
|---|---|---|
| TWI795553B (en) | Method for manufacturing thin film with the use of a raw material for forming thin film by atomic layer deposition method | |
| KR102595199B1 (en) | Niobium precursor compounds, precursor compositions including the same for forming a film, and method of forming niobium-containing films | |
| JP2002114795A (en) | Organometallic compound for chemical vapor deposition, method for producing organometallic compound for chemical vapor deposition, novel metal thin film and method for chemical vapor deposition of novel metal compound thin film | |
| JP2005209766A (en) | Method for producing hafnium-containing oxide film | |
| JP2002212112A (en) | Ruthenium compound for chemical vapor deposition and a method for chemical vapor deposition of ruthenium thin films and ruthenium compound thin films. | |
| TWI826568B (en) | A process for producing a thin film of metallic ruthenium by an atomic layer deposition method | |
| JP2003342732A (en) | Solution raw material for metalorganic chemical vapor deposition containing tantalum complex and tantalum-containing thin film prepared using the same | |
| EP3539973A1 (en) | Compound, starting material for thin film formation, thin film production method, and amidine compound | |
| EP4589047A1 (en) | Precursor for forming yttrium- or scandium-containing thin film, method for forming yttrium- or scandium-containing thin film using same, and semiconductor element including yttrium- or scandium-containing thin film | |
| JP2004067601A (en) | Organic compound for CVD raw material and method for producing metal or metal compound thin film using the organic compound | |
| Baunemann et al. | MOCVD of TaN Using the All‐Nitrogen‐Coordinated Precursors [Ta (NEtMe) 3 (N‐tBu)],[Ta (NEtMe)(N‐tBu){C (N‐iPr) 2 (NEtMe)} 2], and [Ta (NMeEt) 2 (N‐tBu){Me2N‐N (SiMe3)}] | |
| US11999756B2 (en) | Method for producing organometallic compound and thin film fabricated using organometallic compound obtained thereby | |
| KR101770438B1 (en) | Ruthenium complex mixture, method for producing same, composition for forming film, ruthenium-containing film and method for producing same | |
| CN112647059B (en) | A Method for Rapid Growth of NixC Thin Films Using Atomic Layer Deposition | |
| JP4363383B2 (en) | Raw material liquid for metal organic chemical vapor deposition method and method for producing Hf-Si-containing composite oxide film using the raw material liquid | |
| KR102901317B1 (en) | Deposition method of molybdenum-containing thin films and molybdenum-containing thin films manufactured thereby | |
| JP4289141B2 (en) | ORGANIC SILICON COMPOUND, SOLUTION RAW MATERIAL, AND METHOD FOR FORMING SILICON-CONTAINING FILM USING THE COMPOUND | |
| TWI904443B (en) | Thin film precursor compound, method for forming thin film using the same, semiconductor substrate prepared therefrom and semiconductor device | |
| CN112458432B (en) | A method for growing NbxC thin films by atomic layer deposition | |
| JP2005023010A (en) | Organic vanadium compound, solution raw material containing the compound, and method for forming vanadium-containing thin film | |
| JP2005187356A (en) | Organometallic compound, solution raw material thereof, and method for forming metal-containing film using the compound | |
| JP3894016B2 (en) | Solution raw material for metalorganic chemical vapor deposition containing titanium complex and method for producing titanium-containing thin film using the raw material | |
| JP2006100812A (en) | Raw material liquid for metal organic chemical vapor deposition method and method for producing Hf-Si-containing composite oxide film using the raw material liquid | |
| JP6797068B2 (en) | Method for manufacturing titanium carbide-containing thin film by atomic layer deposition method | |
| JP2002114796A (en) | Ruthenium compound for chemical vapor deposition and method for chemical vapor deposition of ruthenium thin film or ruthenium compound thin film |
Legal Events
| Date | Code | Title | Description |
|---|---|---|---|
| A621 | Written request for application examination |
Free format text: JAPANESE INTERMEDIATE CODE: A621 Effective date: 20060331 |
|
| A977 | Report on retrieval |
Effective date: 20060821 Free format text: JAPANESE INTERMEDIATE CODE: A971007 |
|
| A131 | Notification of reasons for refusal |
Free format text: JAPANESE INTERMEDIATE CODE: A131 Effective date: 20080108 |
|
| A02 | Decision of refusal |
Free format text: JAPANESE INTERMEDIATE CODE: A02 Effective date: 20080513 |
