EP0875514A1 - Ascorbic acid derivative and vitamin C preparation containing the same - Google Patents
Ascorbic acid derivative and vitamin C preparation containing the same Download PDFInfo
- Publication number
- EP0875514A1 EP0875514A1 EP98107843A EP98107843A EP0875514A1 EP 0875514 A1 EP0875514 A1 EP 0875514A1 EP 98107843 A EP98107843 A EP 98107843A EP 98107843 A EP98107843 A EP 98107843A EP 0875514 A1 EP0875514 A1 EP 0875514A1
- Authority
- EP
- European Patent Office
- Prior art keywords
- ascorbic acid
- salt
- acid derivative
- group
- ester
- Prior art date
- Legal status (The legal status is an assumption and is not a legal conclusion. Google has not performed a legal analysis and makes no representation as to the accuracy of the status listed.)
- Granted
Links
- CIWBSHSKHKDKBQ-JLAZNSOCSA-N Ascorbic acid Chemical compound OC[C@H](O)[C@H]1OC(=O)C(O)=C1O CIWBSHSKHKDKBQ-JLAZNSOCSA-N 0.000 title claims abstract description 82
- 150000000996 L-ascorbic acids Chemical class 0.000 title claims abstract description 49
- 238000002360 preparation method Methods 0.000 title claims abstract description 31
- ZZZCUOFIHGPKAK-UHFFFAOYSA-N D-erythro-ascorbic acid Natural products OCC1OC(=O)C(O)=C1O ZZZCUOFIHGPKAK-UHFFFAOYSA-N 0.000 title claims abstract description 16
- 229930003268 Vitamin C Natural products 0.000 title claims abstract description 16
- 235000019154 vitamin C Nutrition 0.000 title claims abstract description 16
- 239000011718 vitamin C Substances 0.000 title claims abstract description 16
- 150000003839 salts Chemical class 0.000 claims abstract description 33
- 150000001875 compounds Chemical class 0.000 claims abstract description 28
- 238000000034 method Methods 0.000 claims abstract description 16
- 239000000203 mixture Substances 0.000 claims abstract description 15
- 239000002537 cosmetic Substances 0.000 claims abstract description 13
- 230000008569 process Effects 0.000 claims abstract description 10
- 125000004432 carbon atom Chemical group C* 0.000 claims abstract description 9
- 125000002252 acyl group Chemical group 0.000 claims abstract description 8
- 241001465754 Metazoa Species 0.000 claims abstract description 6
- 239000003905 agrochemical Substances 0.000 claims abstract description 6
- 235000013305 food Nutrition 0.000 claims abstract description 6
- 229940079593 drug Drugs 0.000 claims abstract description 5
- 239000003814 drug Substances 0.000 claims abstract description 5
- -1 fatty acid esters Chemical class 0.000 claims description 29
- 239000000194 fatty acid Substances 0.000 claims description 22
- 235000014113 dietary fatty acids Nutrition 0.000 claims description 20
- 229930195729 fatty acid Natural products 0.000 claims description 20
- 238000006243 chemical reaction Methods 0.000 claims description 12
- 239000003795 chemical substances by application Substances 0.000 claims description 11
- 150000004665 fatty acids Chemical class 0.000 claims description 10
- QAOWNCQODCNURD-UHFFFAOYSA-N sulfuric acid Substances OS(O)(=O)=O QAOWNCQODCNURD-UHFFFAOYSA-N 0.000 claims description 10
- 150000002148 esters Chemical class 0.000 claims description 8
- XEEYBQQBJWHFJM-UHFFFAOYSA-N Iron Chemical compound [Fe] XEEYBQQBJWHFJM-UHFFFAOYSA-N 0.000 claims description 6
- 229910052783 alkali metal Inorganic materials 0.000 claims description 4
- 150000001340 alkali metals Chemical class 0.000 claims description 4
- 229910052784 alkaline earth metal Inorganic materials 0.000 claims description 4
- 150000001342 alkaline earth metals Chemical class 0.000 claims description 4
- HCHKCACWOHOZIP-UHFFFAOYSA-N Zinc Chemical compound [Zn] HCHKCACWOHOZIP-UHFFFAOYSA-N 0.000 claims description 3
- 229910052782 aluminium Inorganic materials 0.000 claims description 3
- XAGFODPZIPBFFR-UHFFFAOYSA-N aluminium Chemical compound [Al] XAGFODPZIPBFFR-UHFFFAOYSA-N 0.000 claims description 3
- 229910052797 bismuth Inorganic materials 0.000 claims description 3
- JCXGWMGPZLAOME-UHFFFAOYSA-N bismuth atom Chemical compound [Bi] JCXGWMGPZLAOME-UHFFFAOYSA-N 0.000 claims description 3
- 229910052742 iron Inorganic materials 0.000 claims description 3
- 229910052725 zinc Inorganic materials 0.000 claims description 3
- 239000011701 zinc Substances 0.000 claims description 3
- 239000004615 ingredient Substances 0.000 claims description 2
- 125000000400 lauroyl group Chemical group O=C([*])C([H])([H])C([H])([H])C([H])([H])C([H])([H])C([H])([H])C([H])([H])C([H])([H])C([H])([H])C([H])([H])C([H])([H])C([H])([H])[H] 0.000 claims description 2
- 229910052751 metal Inorganic materials 0.000 claims description 2
- 239000002184 metal Substances 0.000 claims description 2
- 125000001419 myristoyl group Chemical group O=C([*])C([H])([H])C([H])([H])C([H])([H])C([H])([H])C([H])([H])C([H])([H])C([H])([H])C([H])([H])C([H])([H])C([H])([H])C([H])([H])C([H])([H])C([H])([H])[H] 0.000 claims description 2
- 125000001312 palmitoyl group Chemical group O=C([*])C([H])([H])C([H])([H])C([H])([H])C([H])([H])C([H])([H])C([H])([H])C([H])([H])C([H])([H])C([H])([H])C([H])([H])C([H])([H])C([H])([H])C([H])([H])C([H])([H])C([H])([H])[H] 0.000 claims description 2
- 229940005657 pyrophosphoric acid Drugs 0.000 claims description 2
- 125000003696 stearoyl group Chemical group O=C([*])C([H])([H])C([H])([H])C([H])([H])C([H])([H])C([H])([H])C([H])([H])C([H])([H])C([H])([H])C([H])([H])C([H])([H])C([H])([H])C([H])([H])C([H])([H])C([H])([H])C([H])([H])C([H])([H])C([H])([H])[H] 0.000 claims description 2
- 229940048102 triphosphoric acid Drugs 0.000 claims description 2
- 230000009471 action Effects 0.000 abstract description 7
- 230000004700 cellular uptake Effects 0.000 abstract description 4
- 229960005070 ascorbic acid Drugs 0.000 description 28
- 239000011668 ascorbic acid Substances 0.000 description 20
- 235000010323 ascorbic acid Nutrition 0.000 description 19
- OKKJLVBELUTLKV-MZCSYVLQSA-N Deuterated methanol Chemical compound [2H]OC([2H])([2H])[2H] OKKJLVBELUTLKV-MZCSYVLQSA-N 0.000 description 12
- OKKJLVBELUTLKV-UHFFFAOYSA-N Methanol Chemical compound OC OKKJLVBELUTLKV-UHFFFAOYSA-N 0.000 description 9
- RTZKZFJDLAIYFH-UHFFFAOYSA-N Diethyl ether Chemical compound CCOCC RTZKZFJDLAIYFH-UHFFFAOYSA-N 0.000 description 8
- 239000002211 L-ascorbic acid Substances 0.000 description 8
- ACFGRWJEQJVZTM-LEJBHHMKSA-L Magnesium L-ascorbic acid-2-phosphate Chemical compound [Mg+2].OC[C@H](O)[C@H]1OC(=O)C(OP([O-])([O-])=O)=C1O ACFGRWJEQJVZTM-LEJBHHMKSA-L 0.000 description 8
- 230000001186 cumulative effect Effects 0.000 description 8
- GDQHBHXCKVBPQE-FXAWDEMLSA-N [(2S)-2-hydroxy-2-[(2R)-3-hydroxy-5-oxo-4-phosphonooxy-2H-furan-2-yl]ethyl] hexadecanoate Chemical compound CCCCCCCCCCCCCCCC(=O)OC[C@H](O)[C@H]1OC(=O)C(OP(O)(O)=O)=C1O GDQHBHXCKVBPQE-FXAWDEMLSA-N 0.000 description 7
- 210000004027 cell Anatomy 0.000 description 7
- 230000003834 intracellular effect Effects 0.000 description 7
- IPCSVZSSVZVIGE-UHFFFAOYSA-N n-hexadecanoic acid Natural products CCCCCCCCCCCCCCCC(O)=O IPCSVZSSVZVIGE-UHFFFAOYSA-N 0.000 description 7
- XLYOFNOQVPJJNP-UHFFFAOYSA-N water Substances O XLYOFNOQVPJJNP-UHFFFAOYSA-N 0.000 description 7
- 238000005160 1H NMR spectroscopy Methods 0.000 description 6
- 235000000069 L-ascorbic acid Nutrition 0.000 description 6
- HEMHJVSKTPXQMS-UHFFFAOYSA-M Sodium hydroxide Chemical compound [OH-].[Na+] HEMHJVSKTPXQMS-UHFFFAOYSA-M 0.000 description 6
- 230000000694 effects Effects 0.000 description 6
- 239000002904 solvent Substances 0.000 description 6
- 238000001644 13C nuclear magnetic resonance spectroscopy Methods 0.000 description 5
- MIJPAVRNWPDMOR-ZAFYKAAXSA-N L-ascorbic acid 2-phosphate Chemical compound OC[C@H](O)[C@H]1OC(=O)C(OP(O)(O)=O)=C1O MIJPAVRNWPDMOR-ZAFYKAAXSA-N 0.000 description 5
- 238000002347 injection Methods 0.000 description 5
- 239000007924 injection Substances 0.000 description 5
- 229940070765 laurate Drugs 0.000 description 5
- VLKZOEOYAKHREP-UHFFFAOYSA-N n-Hexane Chemical compound CCCCCC VLKZOEOYAKHREP-UHFFFAOYSA-N 0.000 description 5
- 239000000829 suppository Substances 0.000 description 5
- LYCAIKOWRPUZTN-UHFFFAOYSA-N Ethylene glycol Chemical compound OCCO LYCAIKOWRPUZTN-UHFFFAOYSA-N 0.000 description 4
- VEXZGXHMUGYJMC-UHFFFAOYSA-N Hydrochloric acid Chemical compound Cl VEXZGXHMUGYJMC-UHFFFAOYSA-N 0.000 description 4
- 235000021314 Palmitic acid Nutrition 0.000 description 4
- NBIIXXVUZAFLBC-UHFFFAOYSA-N Phosphoric acid Chemical group OP(O)(O)=O NBIIXXVUZAFLBC-UHFFFAOYSA-N 0.000 description 4
- 230000037396 body weight Effects 0.000 description 4
- 239000007788 liquid Substances 0.000 description 4
- 238000004519 manufacturing process Methods 0.000 description 4
- WQEPLUUGTLDZJY-UHFFFAOYSA-N n-Pentadecanoic acid Natural products CCCCCCCCCCCCCCC(O)=O WQEPLUUGTLDZJY-UHFFFAOYSA-N 0.000 description 4
- 239000011734 sodium Substances 0.000 description 4
- PEDCQBHIVMGVHV-UHFFFAOYSA-N Glycerine Chemical compound OCC(O)CO PEDCQBHIVMGVHV-UHFFFAOYSA-N 0.000 description 3
- KWYUFKZDYYNOTN-UHFFFAOYSA-M Potassium hydroxide Chemical compound [OH-].[K+] KWYUFKZDYYNOTN-UHFFFAOYSA-M 0.000 description 3
- 238000012258 culturing Methods 0.000 description 3
- HYHGLHONPBPZGJ-YCWPWOODSA-L disodium;[(2r)-2-[(1s)-1,2-dihydroxyethyl]-3-hydroxy-5-oxo-2h-furan-4-yl] phosphate Chemical compound [Na+].[Na+].OC[C@H](O)[C@H]1OC(=O)C(OP(O)([O-])=O)=C1[O-] HYHGLHONPBPZGJ-YCWPWOODSA-L 0.000 description 3
- 125000002887 hydroxy group Chemical group [H]O* 0.000 description 3
- 239000006210 lotion Substances 0.000 description 3
- 239000000843 powder Substances 0.000 description 3
- 239000000047 product Substances 0.000 description 3
- 239000008213 purified water Substances 0.000 description 3
- 239000002884 skin cream Substances 0.000 description 3
- 239000007787 solid Substances 0.000 description 3
- 239000000243 solution Substances 0.000 description 3
- 239000007858 starting material Substances 0.000 description 3
- YYGNTYWPHWGJRM-UHFFFAOYSA-N (6E,10E,14E,18E)-2,6,10,15,19,23-hexamethyltetracosa-2,6,10,14,18,22-hexaene Chemical compound CC(C)=CCCC(C)=CCCC(C)=CCCC=C(C)CCC=C(C)CCC=C(C)C YYGNTYWPHWGJRM-UHFFFAOYSA-N 0.000 description 2
- QGZKDVFQNNGYKY-UHFFFAOYSA-N Ammonia Chemical compound N QGZKDVFQNNGYKY-UHFFFAOYSA-N 0.000 description 2
- KFZMGEQAYNKOFK-UHFFFAOYSA-N Isopropanol Chemical compound CC(C)O KFZMGEQAYNKOFK-UHFFFAOYSA-N 0.000 description 2
- XUMBMVFBXHLACL-UHFFFAOYSA-N Melanin Chemical compound O=C1C(=O)C(C2=CNC3=C(C(C(=O)C4=C32)=O)C)=C2C4=CNC2=C1C XUMBMVFBXHLACL-UHFFFAOYSA-N 0.000 description 2
- HPEUJPJOZXNMSJ-UHFFFAOYSA-N Methyl stearate Chemical compound CCCCCCCCCCCCCCCCCC(=O)OC HPEUJPJOZXNMSJ-UHFFFAOYSA-N 0.000 description 2
- 229920003171 Poly (ethylene oxide) Polymers 0.000 description 2
- 229920002472 Starch Polymers 0.000 description 2
- BHEOSNUKNHRBNM-UHFFFAOYSA-N Tetramethylsqualene Natural products CC(=C)C(C)CCC(=C)C(C)CCC(C)=CCCC=C(C)CCC(C)C(=C)CCC(C)C(C)=C BHEOSNUKNHRBNM-UHFFFAOYSA-N 0.000 description 2
- 125000000217 alkyl group Chemical group 0.000 description 2
- 239000002585 base Substances 0.000 description 2
- 230000015572 biosynthetic process Effects 0.000 description 2
- 239000002775 capsule Substances 0.000 description 2
- 239000001913 cellulose Substances 0.000 description 2
- 229920002678 cellulose Polymers 0.000 description 2
- OSASVXMJTNOKOY-UHFFFAOYSA-N chlorobutanol Chemical compound CC(C)(O)C(Cl)(Cl)Cl OSASVXMJTNOKOY-UHFFFAOYSA-N 0.000 description 2
- PRAKJMSDJKAYCZ-UHFFFAOYSA-N dodecahydrosqualene Natural products CC(C)CCCC(C)CCCC(C)CCCCC(C)CCCC(C)CCCC(C)C PRAKJMSDJKAYCZ-UHFFFAOYSA-N 0.000 description 2
- BXWNKGSJHAJOGX-UHFFFAOYSA-N hexadecan-1-ol Chemical compound CCCCCCCCCCCCCCCCO BXWNKGSJHAJOGX-UHFFFAOYSA-N 0.000 description 2
- 238000004128 high performance liquid chromatography Methods 0.000 description 2
- WGCNASOHLSPBMP-UHFFFAOYSA-N hydroxyacetaldehyde Natural products OCC=O WGCNASOHLSPBMP-UHFFFAOYSA-N 0.000 description 2
- 238000001727 in vivo Methods 0.000 description 2
- 238000002955 isolation Methods 0.000 description 2
- HQKMJHAJHXVSDF-UHFFFAOYSA-L magnesium stearate Chemical compound [Mg+2].CCCCCCCCCCCCCCCCCC([O-])=O.CCCCCCCCCCCCCCCCCC([O-])=O HQKMJHAJHXVSDF-UHFFFAOYSA-L 0.000 description 2
- 239000011259 mixed solution Substances 0.000 description 2
- GLDOVTGHNKAZLK-UHFFFAOYSA-N octadecan-1-ol Chemical compound CCCCCCCCCCCCCCCCCCO GLDOVTGHNKAZLK-UHFFFAOYSA-N 0.000 description 2
- 239000002674 ointment Substances 0.000 description 2
- 238000007911 parenteral administration Methods 0.000 description 2
- 239000008194 pharmaceutical composition Substances 0.000 description 2
- 239000000546 pharmaceutical excipient Substances 0.000 description 2
- 150000003014 phosphoric acid esters Chemical class 0.000 description 2
- 239000002244 precipitate Substances 0.000 description 2
- 238000000746 purification Methods 0.000 description 2
- 230000035484 reaction time Effects 0.000 description 2
- 229940031439 squalene Drugs 0.000 description 2
- TUHBEKDERLKLEC-UHFFFAOYSA-N squalene Natural products CC(=CCCC(=CCCC(=CCCC=C(/C)CCC=C(/C)CC=C(C)C)C)C)C TUHBEKDERLKLEC-UHFFFAOYSA-N 0.000 description 2
- 239000008107 starch Substances 0.000 description 2
- 235000019698 starch Nutrition 0.000 description 2
- 238000003756 stirring Methods 0.000 description 2
- 239000003826 tablet Substances 0.000 description 2
- 238000012360 testing method Methods 0.000 description 2
- 239000002562 thickening agent Substances 0.000 description 2
- 229940099259 vaseline Drugs 0.000 description 2
- 238000005406 washing Methods 0.000 description 2
- 239000001993 wax Substances 0.000 description 2
- FDCJDKXCCYFOCV-UHFFFAOYSA-N 1-hexadecoxyhexadecane Chemical compound CCCCCCCCCCCCCCCCOCCCCCCCCCCCCCCCC FDCJDKXCCYFOCV-UHFFFAOYSA-N 0.000 description 1
- YQTCQNIPQMJNTI-UHFFFAOYSA-N 2,2-dimethylpropan-1-one Chemical group CC(C)(C)[C]=O YQTCQNIPQMJNTI-UHFFFAOYSA-N 0.000 description 1
- HZAXFHJVJLSVMW-UHFFFAOYSA-N 2-Aminoethan-1-ol Chemical compound NCCO HZAXFHJVJLSVMW-UHFFFAOYSA-N 0.000 description 1
- 125000005274 4-hydroxybenzoic acid group Chemical class 0.000 description 1
- OYPRJOBELJOOCE-UHFFFAOYSA-N Calcium Chemical compound [Ca] OYPRJOBELJOOCE-UHFFFAOYSA-N 0.000 description 1
- 102000008186 Collagen Human genes 0.000 description 1
- 108010035532 Collagen Proteins 0.000 description 1
- FBPFZTCFMRRESA-KVTDHHQDSA-N D-Mannitol Chemical compound OC[C@@H](O)[C@@H](O)[C@H](O)[C@H](O)CO FBPFZTCFMRRESA-KVTDHHQDSA-N 0.000 description 1
- 239000011627 DL-alpha-tocopherol Substances 0.000 description 1
- 235000001815 DL-alpha-tocopherol Nutrition 0.000 description 1
- XBPCUCUWBYBCDP-UHFFFAOYSA-N Dicyclohexylamine Chemical compound C1CCCCC1NC1CCCCC1 XBPCUCUWBYBCDP-UHFFFAOYSA-N 0.000 description 1
- 108090000790 Enzymes Proteins 0.000 description 1
- 102000004190 Enzymes Human genes 0.000 description 1
- 108090000371 Esterases Proteins 0.000 description 1
- DGAQECJNVWCQMB-PUAWFVPOSA-M Ilexoside XXIX Chemical compound C[C@@H]1CC[C@@]2(CC[C@@]3(C(=CC[C@H]4[C@]3(CC[C@@H]5[C@@]4(CC[C@@H](C5(C)C)OS(=O)(=O)[O-])C)C)[C@@H]2[C@]1(C)O)C)C(=O)O[C@H]6[C@@H]([C@H]([C@@H]([C@H](O6)CO)O)O)O.[Na+] DGAQECJNVWCQMB-PUAWFVPOSA-M 0.000 description 1
- QAQJMLQRFWZOBN-LAUBAEHRSA-N L-ascorbyl-6-palmitate Chemical compound CCCCCCCCCCCCCCCC(=O)OC[C@H](O)[C@H]1OC(=O)C(O)=C1O QAQJMLQRFWZOBN-LAUBAEHRSA-N 0.000 description 1
- GUBGYTABKSRVRQ-QKKXKWKRSA-N Lactose Natural products OC[C@H]1O[C@@H](O[C@H]2[C@H](O)[C@@H](O)C(O)O[C@@H]2CO)[C@H](O)[C@@H](O)[C@H]1O GUBGYTABKSRVRQ-QKKXKWKRSA-N 0.000 description 1
- 239000005639 Lauric acid Substances 0.000 description 1
- 108090001060 Lipase Proteins 0.000 description 1
- 102000004882 Lipase Human genes 0.000 description 1
- 239000004367 Lipase Substances 0.000 description 1
- FYYHWMGAXLPEAU-UHFFFAOYSA-N Magnesium Chemical compound [Mg] FYYHWMGAXLPEAU-UHFFFAOYSA-N 0.000 description 1
- 229930195725 Mannitol Natural products 0.000 description 1
- 235000021360 Myristic acid Nutrition 0.000 description 1
- TUNFSRHWOTWDNC-UHFFFAOYSA-N Myristic acid Natural products CCCCCCCCCCCCCC(O)=O TUNFSRHWOTWDNC-UHFFFAOYSA-N 0.000 description 1
- 238000005481 NMR spectroscopy Methods 0.000 description 1
- 241000475481 Nebula Species 0.000 description 1
- 206010028980 Neoplasm Diseases 0.000 description 1
- 229910019142 PO4 Inorganic materials 0.000 description 1
- 108700019535 Phosphoprotein Phosphatases Proteins 0.000 description 1
- 102000045595 Phosphoprotein Phosphatases Human genes 0.000 description 1
- 108090000608 Phosphoric Monoester Hydrolases Proteins 0.000 description 1
- 102000004160 Phosphoric Monoester Hydrolases Human genes 0.000 description 1
- 229920001214 Polysorbate 60 Polymers 0.000 description 1
- ZLMJMSJWJFRBEC-UHFFFAOYSA-N Potassium Chemical compound [K] ZLMJMSJWJFRBEC-UHFFFAOYSA-N 0.000 description 1
- NWGKJDSIEKMTRX-AAZCQSIUSA-N Sorbitan monooleate Chemical compound CCCCCCCC\C=C/CCCCCCCC(=O)OC[C@@H](O)[C@H]1OC[C@H](O)[C@H]1O NWGKJDSIEKMTRX-AAZCQSIUSA-N 0.000 description 1
- 235000021355 Stearic acid Nutrition 0.000 description 1
- CZMRCDWAGMRECN-UGDNZRGBSA-N Sucrose Chemical compound O[C@H]1[C@H](O)[C@@H](CO)O[C@@]1(CO)O[C@@H]1[C@H](O)[C@@H](O)[C@H](O)[C@@H](CO)O1 CZMRCDWAGMRECN-UGDNZRGBSA-N 0.000 description 1
- 229930006000 Sucrose Natural products 0.000 description 1
- GSEJCLTVZPLZKY-UHFFFAOYSA-N Triethanolamine Chemical compound OCCN(CCO)CCO GSEJCLTVZPLZKY-UHFFFAOYSA-N 0.000 description 1
- 241000209140 Triticum Species 0.000 description 1
- 235000021307 Triticum Nutrition 0.000 description 1
- 102000004142 Trypsin Human genes 0.000 description 1
- 108090000631 Trypsin Proteins 0.000 description 1
- TUYRNAGGIJZRNM-LBHUVFDKSA-N [(2s)-2-[(2r)-4-hexadecanoyloxy-3-hydroxy-5-oxo-2h-furan-2-yl]-2-hydroxyethyl] hexadecanoate Chemical compound CCCCCCCCCCCCCCCC(=O)OC[C@H](O)[C@H]1OC(=O)C(OC(=O)CCCCCCCCCCCCCCC)=C1O TUYRNAGGIJZRNM-LBHUVFDKSA-N 0.000 description 1
- 230000001133 acceleration Effects 0.000 description 1
- 239000002253 acid Substances 0.000 description 1
- 230000032683 aging Effects 0.000 description 1
- 150000001298 alcohols Chemical class 0.000 description 1
- 125000005907 alkyl ester group Chemical group 0.000 description 1
- OENHQHLEOONYIE-UKMVMLAPSA-N all-trans beta-carotene Natural products CC=1CCCC(C)(C)C=1/C=C/C(/C)=C/C=C/C(/C)=C/C=C/C=C(C)C=CC=C(C)C=CC1=C(C)CCCC1(C)C OENHQHLEOONYIE-UKMVMLAPSA-N 0.000 description 1
- 229910000147 aluminium phosphate Inorganic materials 0.000 description 1
- 229910021529 ammonia Inorganic materials 0.000 description 1
- 239000003708 ampul Substances 0.000 description 1
- 230000002421 anti-septic effect Effects 0.000 description 1
- 239000002257 antimetastatic agent Substances 0.000 description 1
- 239000007864 aqueous solution Substances 0.000 description 1
- 239000007900 aqueous suspension Substances 0.000 description 1
- QVGXLLKOCUKJST-UHFFFAOYSA-N atomic oxygen Chemical compound [O] QVGXLLKOCUKJST-UHFFFAOYSA-N 0.000 description 1
- 229960000686 benzalkonium chloride Drugs 0.000 description 1
- CADWTSSKOVRVJC-UHFFFAOYSA-N benzyl(dimethyl)azanium;chloride Chemical compound [Cl-].C[NH+](C)CC1=CC=CC=C1 CADWTSSKOVRVJC-UHFFFAOYSA-N 0.000 description 1
- 235000013734 beta-carotene Nutrition 0.000 description 1
- TUPZEYHYWIEDIH-WAIFQNFQSA-N beta-carotene Natural products CC(=C/C=C/C=C(C)/C=C/C=C(C)/C=C/C1=C(C)CCCC1(C)C)C=CC=C(/C)C=CC2=CCCCC2(C)C TUPZEYHYWIEDIH-WAIFQNFQSA-N 0.000 description 1
- 239000011648 beta-carotene Substances 0.000 description 1
- 229960002747 betacarotene Drugs 0.000 description 1
- 210000000481 breast Anatomy 0.000 description 1
- 229910052791 calcium Inorganic materials 0.000 description 1
- 239000011575 calcium Substances 0.000 description 1
- AXCZMVOFGPJBDE-UHFFFAOYSA-L calcium dihydroxide Chemical compound [OH-].[OH-].[Ca+2] AXCZMVOFGPJBDE-UHFFFAOYSA-L 0.000 description 1
- 239000000920 calcium hydroxide Substances 0.000 description 1
- 229910001861 calcium hydroxide Inorganic materials 0.000 description 1
- 201000011510 cancer Diseases 0.000 description 1
- BVKZGUZCCUSVTD-UHFFFAOYSA-N carbonic acid Chemical compound OC(O)=O BVKZGUZCCUSVTD-UHFFFAOYSA-N 0.000 description 1
- 239000003054 catalyst Substances 0.000 description 1
- 150000001768 cations Chemical class 0.000 description 1
- 210000000170 cell membrane Anatomy 0.000 description 1
- 206010008118 cerebral infarction Diseases 0.000 description 1
- 208000026106 cerebrovascular disease Diseases 0.000 description 1
- 229960000541 cetyl alcohol Drugs 0.000 description 1
- 239000003153 chemical reaction reagent Substances 0.000 description 1
- 229960004926 chlorobutanol Drugs 0.000 description 1
- 229920001436 collagen Polymers 0.000 description 1
- 238000004440 column chromatography Methods 0.000 description 1
- GVJHHUAWPYXKBD-UHFFFAOYSA-N d-alpha-tocopherol Natural products OC1=C(C)C(C)=C2OC(CCCC(C)CCCC(C)CCCC(C)C)(C)CCC2=C1C GVJHHUAWPYXKBD-UHFFFAOYSA-N 0.000 description 1
- 230000002950 deficient Effects 0.000 description 1
- ZBCBWPMODOFKDW-UHFFFAOYSA-N diethanolamine Chemical compound OCCNCCO ZBCBWPMODOFKDW-UHFFFAOYSA-N 0.000 description 1
- 208000037265 diseases, disorders, signs and symptoms Diseases 0.000 description 1
- 208000035475 disorder Diseases 0.000 description 1
- 238000004090 dissolution Methods 0.000 description 1
- 238000004821 distillation Methods 0.000 description 1
- 239000000839 emulsion Substances 0.000 description 1
- 150000002083 enediols Chemical group 0.000 description 1
- 210000005175 epidermal keratinocyte Anatomy 0.000 description 1
- CAMHHLOGFDZBBG-UHFFFAOYSA-N epoxidized methyl oleate Natural products CCCCCCCCC1OC1CCCCCCCC(=O)OC CAMHHLOGFDZBBG-UHFFFAOYSA-N 0.000 description 1
- 125000004494 ethyl ester group Chemical group 0.000 description 1
- 125000001495 ethyl group Chemical group [H]C([H])([H])C([H])([H])* 0.000 description 1
- 238000002474 experimental method Methods 0.000 description 1
- 239000000284 extract Substances 0.000 description 1
- 238000000605 extraction Methods 0.000 description 1
- 235000013312 flour Nutrition 0.000 description 1
- 239000008187 granular material Substances 0.000 description 1
- 229930195733 hydrocarbon Natural products 0.000 description 1
- 150000002430 hydrocarbons Chemical class 0.000 description 1
- 229910052739 hydrogen Inorganic materials 0.000 description 1
- 239000001257 hydrogen Substances 0.000 description 1
- 125000004435 hydrogen atom Chemical group [H]* 0.000 description 1
- 239000005457 ice water Substances 0.000 description 1
- 230000036737 immune function Effects 0.000 description 1
- 230000005764 inhibitory process Effects 0.000 description 1
- 238000011835 investigation Methods 0.000 description 1
- 239000008101 lactose Substances 0.000 description 1
- 235000019421 lipase Nutrition 0.000 description 1
- 230000003859 lipid peroxidation Effects 0.000 description 1
- 244000144972 livestock Species 0.000 description 1
- 229910052749 magnesium Inorganic materials 0.000 description 1
- 239000011777 magnesium Substances 0.000 description 1
- VTHJTEIRLNZDEV-UHFFFAOYSA-L magnesium dihydroxide Chemical compound [OH-].[OH-].[Mg+2] VTHJTEIRLNZDEV-UHFFFAOYSA-L 0.000 description 1
- 239000000347 magnesium hydroxide Substances 0.000 description 1
- 229910001862 magnesium hydroxide Inorganic materials 0.000 description 1
- 239000000395 magnesium oxide Substances 0.000 description 1
- CPLXHLVBOLITMK-UHFFFAOYSA-N magnesium oxide Inorganic materials [Mg]=O CPLXHLVBOLITMK-UHFFFAOYSA-N 0.000 description 1
- 235000019359 magnesium stearate Nutrition 0.000 description 1
- AXZKOIWUVFPNLO-UHFFFAOYSA-N magnesium;oxygen(2-) Chemical compound [O-2].[Mg+2] AXZKOIWUVFPNLO-UHFFFAOYSA-N 0.000 description 1
- 239000000594 mannitol Substances 0.000 description 1
- 235000010355 mannitol Nutrition 0.000 description 1
- 239000000463 material Substances 0.000 description 1
- 150000004702 methyl esters Chemical class 0.000 description 1
- 235000010270 methyl p-hydroxybenzoate Nutrition 0.000 description 1
- 239000004292 methyl p-hydroxybenzoate Substances 0.000 description 1
- POULHZVOKOAJMA-UHFFFAOYSA-N methyl undecanoic acid Natural products CCCCCCCCCCCC(O)=O POULHZVOKOAJMA-UHFFFAOYSA-N 0.000 description 1
- LXCFILQKKLGQFO-UHFFFAOYSA-N methylparaben Chemical compound COC(=O)C1=CC=C(O)C=C1 LXCFILQKKLGQFO-UHFFFAOYSA-N 0.000 description 1
- 239000013081 microcrystal Substances 0.000 description 1
- 238000002156 mixing Methods 0.000 description 1
- 238000012986 modification Methods 0.000 description 1
- 230000004048 modification Effects 0.000 description 1
- GOQYKNQRPGWPLP-UHFFFAOYSA-N n-heptadecyl alcohol Natural products CCCCCCCCCCCCCCCCCO GOQYKNQRPGWPLP-UHFFFAOYSA-N 0.000 description 1
- 229920001206 natural gum Polymers 0.000 description 1
- 238000006386 neutralization reaction Methods 0.000 description 1
- 230000003472 neutralizing effect Effects 0.000 description 1
- OQCDKBAXFALNLD-UHFFFAOYSA-N octadecanoic acid Natural products CCCCCCCC(C)CCCCCCCCC(O)=O OQCDKBAXFALNLD-UHFFFAOYSA-N 0.000 description 1
- 235000014593 oils and fats Nutrition 0.000 description 1
- 229940054534 ophthalmic solution Drugs 0.000 description 1
- 239000002997 ophthalmic solution Substances 0.000 description 1
- 229910052760 oxygen Inorganic materials 0.000 description 1
- 239000001301 oxygen Substances 0.000 description 1
- 239000003002 pH adjusting agent Substances 0.000 description 1
- 239000008188 pellet Substances 0.000 description 1
- 239000000825 pharmaceutical preparation Substances 0.000 description 1
- 239000010452 phosphate Substances 0.000 description 1
- 239000006187 pill Substances 0.000 description 1
- 239000011505 plaster Substances 0.000 description 1
- 229920000642 polymer Polymers 0.000 description 1
- 229910052700 potassium Inorganic materials 0.000 description 1
- 239000011591 potassium Substances 0.000 description 1
- 244000144977 poultry Species 0.000 description 1
- 150000003138 primary alcohols Chemical class 0.000 description 1
- 125000006239 protecting group Chemical group 0.000 description 1
- 239000011541 reaction mixture Substances 0.000 description 1
- 238000004366 reverse phase liquid chromatography Methods 0.000 description 1
- 239000012266 salt solution Substances 0.000 description 1
- 238000005185 salting out Methods 0.000 description 1
- UQDJGEHQDNVPGU-UHFFFAOYSA-N serine phosphoethanolamine Chemical compound [NH3+]CCOP([O-])(=O)OCC([NH3+])C([O-])=O UQDJGEHQDNVPGU-UHFFFAOYSA-N 0.000 description 1
- 229910052708 sodium Inorganic materials 0.000 description 1
- 239000001509 sodium citrate Substances 0.000 description 1
- NLJMYIDDQXHKNR-UHFFFAOYSA-K sodium citrate Chemical compound O.O.[Na+].[Na+].[Na+].[O-]C(=O)CC(O)(CC([O-])=O)C([O-])=O NLJMYIDDQXHKNR-UHFFFAOYSA-K 0.000 description 1
- BTURAGWYSMTVOW-UHFFFAOYSA-M sodium dodecanoate Chemical compound [Na+].CCCCCCCCCCCC([O-])=O BTURAGWYSMTVOW-UHFFFAOYSA-M 0.000 description 1
- 229940082004 sodium laurate Drugs 0.000 description 1
- GRONZTPUWOOUFQ-UHFFFAOYSA-M sodium;methanol;hydroxide Chemical compound [OH-].[Na+].OC GRONZTPUWOOUFQ-UHFFFAOYSA-M 0.000 description 1
- 238000000638 solvent extraction Methods 0.000 description 1
- 239000008117 stearic acid Substances 0.000 description 1
- 238000003860 storage Methods 0.000 description 1
- 239000000126 substance Substances 0.000 description 1
- 239000005720 sucrose Substances 0.000 description 1
- 239000004094 surface-active agent Substances 0.000 description 1
- 239000000725 suspension Substances 0.000 description 1
- 239000006188 syrup Substances 0.000 description 1
- 235000020357 syrup Nutrition 0.000 description 1
- AOBORMOPSGHCAX-DGHZZKTQSA-N tocofersolan Chemical compound OCCOC(=O)CCC(=O)OC1=C(C)C(C)=C2O[C@](CCC[C@H](C)CCC[C@H](C)CCCC(C)C)(C)CCC2=C1C AOBORMOPSGHCAX-DGHZZKTQSA-N 0.000 description 1
- 229960000984 tocofersolan Drugs 0.000 description 1
- 230000009466 transformation Effects 0.000 description 1
- 239000012588 trypsin Substances 0.000 description 1
- 229940120293 vaginal suppository Drugs 0.000 description 1
- 239000006216 vaginal suppository Substances 0.000 description 1
- 229940088594 vitamin Drugs 0.000 description 1
- 229930003231 vitamin Natural products 0.000 description 1
- 235000013343 vitamin Nutrition 0.000 description 1
- 239000011782 vitamin Substances 0.000 description 1
- OENHQHLEOONYIE-JLTXGRSLSA-N β-Carotene Chemical compound CC=1CCCC(C)(C)C=1\C=C\C(\C)=C\C=C\C(\C)=C\C=C\C=C(/C)\C=C\C=C(/C)\C=C\C1=C(C)CCCC1(C)C OENHQHLEOONYIE-JLTXGRSLSA-N 0.000 description 1
Classifications
-
- C—CHEMISTRY; METALLURGY
- C07—ORGANIC CHEMISTRY
- C07F—ACYCLIC, CARBOCYCLIC OR HETEROCYCLIC COMPOUNDS CONTAINING ELEMENTS OTHER THAN CARBON, HYDROGEN, HALOGEN, OXYGEN, NITROGEN, SULFUR, SELENIUM OR TELLURIUM
- C07F9/00—Compounds containing elements of Groups 5 or 15 of the Periodic Table
- C07F9/02—Phosphorus compounds
- C07F9/547—Heterocyclic compounds, e.g. containing phosphorus as a ring hetero atom
- C07F9/655—Heterocyclic compounds, e.g. containing phosphorus as a ring hetero atom having oxygen atoms, with or without sulfur, selenium, or tellurium atoms, as the only ring hetero atoms
- C07F9/65515—Heterocyclic compounds, e.g. containing phosphorus as a ring hetero atom having oxygen atoms, with or without sulfur, selenium, or tellurium atoms, as the only ring hetero atoms the oxygen atom being part of a five-membered ring
-
- A—HUMAN NECESSITIES
- A61—MEDICAL OR VETERINARY SCIENCE; HYGIENE
- A61K—PREPARATIONS FOR MEDICAL, DENTAL OR TOILETRY PURPOSES
- A61K8/00—Cosmetics or similar toiletry preparations
- A61K8/18—Cosmetics or similar toiletry preparations characterised by the composition
- A61K8/30—Cosmetics or similar toiletry preparations characterised by the composition containing organic compounds
- A61K8/67—Vitamins
- A61K8/676—Ascorbic acid, i.e. vitamin C
-
- A—HUMAN NECESSITIES
- A61—MEDICAL OR VETERINARY SCIENCE; HYGIENE
- A61Q—SPECIFIC USE OF COSMETICS OR SIMILAR TOILETRY PREPARATIONS
- A61Q19/00—Preparations for care of the skin
-
- A—HUMAN NECESSITIES
- A61—MEDICAL OR VETERINARY SCIENCE; HYGIENE
- A61K—PREPARATIONS FOR MEDICAL, DENTAL OR TOILETRY PURPOSES
- A61K2800/00—Properties of cosmetic compositions or active ingredients thereof or formulation aids used therein and process related aspects
- A61K2800/40—Chemical, physico-chemical or functional or structural properties of particular ingredients
- A61K2800/52—Stabilizers
Definitions
- the present invention relates to a novel ascorbic acid derivative, a vitamin C preparation containing the same and a composition containing the same, such as a cosmetic preparation.
- the present invention also relates to a novel process for producing the ascorbic acid derivative.
- ascorbic acid The effects of ascorbic acid include the inhibition of lipid peroxidation, acceleration of collagen formation, retardation of melanin formation, enhancement of immune functions and the like.
- ascorbic acid has hitherto been used in the fields of medical preparations, agricultural chemicals, animal drugs, foods, feeds, cosmetic preparations and the like.
- ascorbic acid has poor aging stability and poor liposolubility. Accordingly, the cumulative amount thereof in cells after permeating through the cell membrane is limited, and the physiological actions of vitamin C cannot be achieved to a satisfactory extent.
- JP-A-58-222078 proposes a 6-O-alkanoyl-ascorbic acid-2- or -3-phosphoric acid ester as a novel compound having increased stability and an appropriate solubility in lipoid.
- the alkanoyl group thereof has less than eleven carbon atoms, and only a pivaloyl group is disclosed as an example thereof.
- the compound of the present invention cannot be obtained by the production process disclosed in JP-A-58-222078.
- the novel compound disclosed therein does not have both sufficiently improved stability and liposolubility.
- JP-A-61-152613 describes a cosmetic material containing a 6-O-higher acylascorbic acid-2-phosphoric acid ester.
- this patent publication first, transformation into a sulfuric acid ester but not into a phosphoric acid ester is described; second, the ascorbic acid derivative thus obtained is not identified; and third, the results of the working examples thereof are closely similar to those of the working examples of JP-A-61-151107 where the same experiment is performed except for using a 6-O-higher acylascorbic acid-2-sulfuric acid ester. Taking these facts into account, it can be concluded that the ascorbic acid derivative used in JP-A-51-152613 neither discloses nor suggests a 6-O-higher acylascorbic acid-2-phosphate.
- EP 0339486 and German Patent Publication DE4000397A1 propose compounds such as 6-O-octadecanoyl-2-(O*,O*-diethylphosphoryl)-ascorbic acid.
- these compounds are intended to capture active oxygen, and the ethyl group or the like remains bonded to the phosphoric acid group. Therefore, these compounds have deficient stability, are hardly susceptible to the action of phosphatase, and are not easily biotransformed into ascorbic acid.
- the present inventors have conducted extensive investigations. As a result, it has been found that the ascorbic acid derivative of the present invention, described below, is a stable compound having an appropriate liposolubility and which is transformed into ascorbic acid with an enzyme in vivo. Also, the compound of the present invention can increase intracellular cumulative amounts because its uptake into cells is facilitated and can effectively provide the physiological action of vitamin C. The present invention has been achieved based on the above findings.
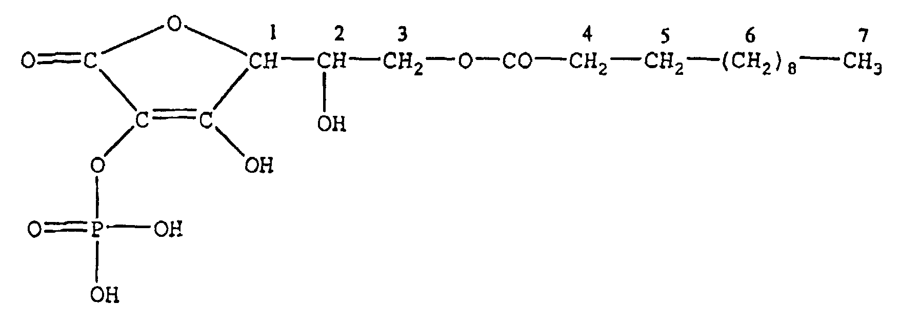
- the ascorbic acid derivative of the present invention is a compound represented by the following formula (1) or a salt thereof: wherein R represents an acyl group and n is 0, 1 or 2.
- R represents an acyl group and n is 0, 1 or 2.
- This compound is stable and difficultly oxidized because the 2-position is esterified. Furthermore, this is a monoester of a higher fatty acid having 11 or more carbon atoms, preferably from 12 to 28 carbon atoms. Therefore, the compound can have appropriate liposolubility and facilitated cellular uptake.
- the compound of the present invention is easily biotransformed into ascorbic acid.
- an ascorbic acid-2-phosphate (3) and/or a salt thereof is reacted with (4) which is at least one of a fatty acid, an ester thereof and a salt thereof to produce an ascorbic acid-2-phosphate-6-fatty acid ester (2) or a salt thereof.
- This reaction is preferably conducted in the presence of a condensing agent.
- a condensing agent For example, when sulfuric acid is used as the condensing agent, concentrated sulfuric acid, an ascorbic acid-2-phosphate and a fatty acid or an ester or salt thereof are mixed and reacted.
- the fatty acid ester (wherein in formula (4), R' is an alkyl group) is preferably a lower alkyl ester such as a methyl ester or an ethyl ester.
- the starting materials may be used in equimolar amounts. However, as long as no problems occur during purification or isolation, one part may be present in slight excess.
- the reaction time and the reaction temperature vary depending on whether the fatty acid is a free acid, an ester or a salt, or the kind and the amount of the condensing agent. However, the reaction time is generally from 1 to 120 hours, preferably from 10 to 60 hours, and the reaction temperature is generally from 5 to 70°C, preferably from 15 to 30°C.
- the amount of water carried over from the starting materials or catalyst into the reaction solution is suitably 10% or less, preferably 2% or less.
- the sulfuric acid as the condensing agent may be used concurrently as the solvent, or the solvent may be selected from other solvents which can dissolve the starting materials.
- the purification or isolation may be performed using a known method such as solvent extraction, washing, salting out or column chromatography.
- the ester or salt thus obtained may be isolated or purified by ether extraction or hexane washing. If desired, the ester or salt thus obtained may further be isolated or purified by reverse phase chromatography or the like.
- the salt of the compound represented by formula (2) can be obtained as a salt with the corresponding base by neutralizing the ascorbic acid-2-phosphate-6-higher fatty acid ester thus obtained with an appropriate base (e.g., sodium hydroxide, potassium hydroxide, magnesium hydroxide, calcium hydroxide, ammonia, monoethanolamine, diethanolamine, triethanolamine, dicyclohexylamine), for example, in a solvent capable of dissolution, such as water or methanol.
- an appropriate base e.g., sodium hydroxide, potassium hydroxide, magnesium hydroxide, calcium hydroxide, ammonia, monoethanolamine, diethanolamine, triethanolamine, dicyclohexylamine
- the salt include alkali metals, alkaline earth metals, aluminum, iron, zinc and bismuth. Of these, alkali metals such as sodium and potassium, and alkaline earth metals such as calcium and magnesium are more preferred.
- alkali metals such as sodium and potassium
- alkaline earth metals such as calcium and magnesium are more preferred.
- group at the 3- or 4-position may be protected by a conventionally known group which can be easily transformed to a hydroxyl group, and the present invention includes compounds having such a protective group.
- This reaction can be applied not only to the production of the 6-O-higher fatty acid ester of an ascorbic acid-2-phosphate of the present invention, but also to the production of 6-O-lower fatty acid esters thereof.
- the ascorbic acid derivative of the present invention exhibits vitamin C activity having both remarkably improved stability and liposolubility as compared with conventionally known ascorbic acid derivatives. Accordingly, vitamin C can be supplied from a preparation having incorporated therein the ascorbic acid derivative of the present invention. Furthermore, when the ascorbic acid derivative of the present invention is blended in a medical preparation, agricultural chemical, food, feed or cosmetic preparation, vitamin C can be effectively supplied.
- the ascorbic acid derivatives of the present invention may be used in various medical preparations, for example, as an anti-arhythmic agent, an anti-cerebral infarction agent or an anti-disorder improving agent. These derivatives may be administered orally or parenterally in the form of conventionally used pharmaceutical formulations including, for example, tablets, capsules, liquid preparations or injections.
- the dosing level depends on the subject to be treated and the manner of administration, but is usually preferably about 0.05 mg/kg to 100 mg/kg body weight, more preferably about 0.5 mg/kg to 25 mg/kg body weight per day for oral administration, and preferably about 1 mg/kg to 10 mg/kg body weight for parenteral administration, and preferably about 0.05 mg/kg to 10 mg/kg body weight per day when administered by injection.
- the ascorbic acid derivatives of the present invention are also useful as a cancer metastasis inhibitor and in a pharmaceutical preparation or composition thereof, the ascorbic acid derivative as an active component is generally contained in an amount of from 0.01 to 100% by weight.
- compositions for peroral administration farther include a tablet, pill, granule, powder, capsule, syrup, emulsion, suspension and nebula.
- These compositions can be produced by a known method using a carrier or excipient such as lactose, starch, sucrose or magnesium stearate.
- parenteral administration for example, an injection, a suppository, a plaster, an ophthalmic solution or a preparation for external application may be used.
- the injection is usually filled in an appropriate ampule.
- the suppository includes an endorectal suppository and a vaginal suppository.
- the preparation for external application includes an ointment, a nasal administration agent and a peroral administration agent.
- the composition of the present invention can be formed into a solid, semisolid or liquid solvent thereof according to a known method.
- the composition of the present invention is processed into a powder composition as such or after adding and mixing thereto an excipient (e.g., glycol, mannitol, starch, microcrystal, cellulose) or a thickener (e.g., natural gum, cellulose derivative, acryl polymer).
- an excipient e.g., glycol, mannitol, starch, microcrystal, cellulose
- a thickener e.g., natural gum, cellulose derivative, acryl polymer
- the liquid can be formed as an oily or aqueous suspension.
- an aqueous or oily gel or an ointment is preferred.
- a pH adjusting agent e.g., carbonic acid, phosphoric acid, hydrochloric acid, sodium hydroxide
- an antiseptic e.g., para-hydroxybenzoic acid esters, chlorobutanol, benzalkonium chloride
- the composition of the present invention may be formed into an oily or aqueous solid, semisolid or liquid suppository according to a known method.
- the ascorbic acid derivatives of the present invention may be blended in various cosmetic preparations as suppliers of vitamin C. Such cosmetic preparations may preferably be used for skin-makeup in the form of a skin-cream, pack or milky lotion.
- the ascorbic acid derivatives of the present invention may be blended preferably in a range of 0.05 to 5 weight% of the cosmetic preparation.
- Components which are generally used in cosmetic preparations may be blended in cosmetic preparations together with the ascorbic acid derivatives, so long as the effect of the present invention is obtained, Such components include oils and fats, waxes, hydrocarbons, fatty acids, alcohols, synthetic esters, surface active agents, thickening agents, inorganic chemicals, vitamins, perfumaries and water.
- the L-form is preferred in view of its vitamin C activity.
- the higher fatty acid ester at the 6-position is preferably a lauric acid ester, a myristic acid ester, a palmitic acid ester or a stearic acid ester.
- the L-ascorbic acid-2-phosphate-6-palmitate of the present invention was added to purified water to a concentration of 2 mM, and magnesium oxide was gradually added thereto while stirring to effect neutralization (pH: about 8). As a result, L-ascorbic acid-2-phosphate-6-palmitate magnesium salt was obtained.
- the L-ascorbic acid-2-phosphate-6-palimitate of the present invention was dissolved in methanol to a concentration of 20 mM, and the same volume of a 60 mM sodium hydroxide methanol solution was mixed therewith while stirring. The mixed solution was filtered and the precipitate was collected, washed with a small amount of methanol and dried under reduced pressure to obtain L-ascorbic acid-2-phosphate-6-palmitate sodium salt as a powder product.
- the ascorbic acid derivative of the present invention thus has a stability similar to L-ascorbic acid-2-phosphate magnesium salt.
- the cells thus collected were washed with Hank's equilibrium salt solution, pulverized in an ultrasonic homogenizer, filtered through a Mol-cut II (UFP1LCC) (trade name, produced by Nippon Milipore KK) and analyzed by HPLC through a column Shodex Asahipak NH2P-50 4E (trade name, produced by Showa Denko KK)
- UFP1LCC Mol-cut II
- HPLC a Mol-cut II
- Shodex Asahipak NH2P-50 4E trade name, produced by Showa Denko KK
- the amount of ascorbic acid and derivatives thereof was measured to determine the intracellular cumulative amount.
- As a control culturing was performed in the same manner as above except for not adding ascorbic acid or a derivative thereof, and the ascorbic acid was quantitatively determined.
- the L-ascorbic acid-2-phosphate-6-fatty acid esters or salts thereof thus used were prepared by or in accordance with the methods described in the respective Examples.
- the 6-O-pivaloyl-L-ascorbic acid-3-phosphate was prepared by the method described in JP-B-3-55470.
- the 2-O-D-glucopyranosil-L-ascorbic acid was extracted from UV White (trade name, produced by Shiseido Co., Ltd.).
- Other reagents used herein were commercially available products.
- the derivatives of the present invention can yield an ascorbic acid intracellular cumulative amount equal to or greater than that attained when ascorbic acid or a conventional ascorbic acid derivative (for example, ascorbic acid-2-phosphate magnesium salt) is used, with a very low concentration (1/10 or less as compared with conventional derivatives).
- Skin Cream squalene 5.0 wt% cetyl alcohol 1.5 polyoxyethylene (20) sorbitan monostearate 2.0 polyoxyethylene (20) cetyl ether 1.5 vaseline 6.0 1,3-buylene glycol 7.5 L-Ascorbic acid 2-phosphate-6-palmitate 4.5 sodium citrate 0.5 methyl p-hydroxybenzoate 0.2 perfumary 0.01 purified water remainder
- This mixture was stirred at 80°C and then cooled to produce a skin-cream.
- This mixture was stirred at 70°C and then cooled to produce a milky lotion.
- the novel ascorbic acid derivative of the present invention has facilitated cellular uptake, and can increase the ascorbic acid intracellular cumulative concentration with a small dose.
- vitamin C can be effectively supplied and its action can be easily brought about.
Landscapes
- Health & Medical Sciences (AREA)
- Life Sciences & Earth Sciences (AREA)
- Chemical & Material Sciences (AREA)
- General Health & Medical Sciences (AREA)
- Animal Behavior & Ethology (AREA)
- Organic Chemistry (AREA)
- Public Health (AREA)
- Veterinary Medicine (AREA)
- Birds (AREA)
- Biochemistry (AREA)
- Molecular Biology (AREA)
- Epidemiology (AREA)
- Dermatology (AREA)
- Cosmetics (AREA)
- Pharmaceuticals Containing Other Organic And Inorganic Compounds (AREA)
- Furan Compounds (AREA)
- Fodder In General (AREA)
- Coloring Foods And Improving Nutritive Qualities (AREA)
- Agricultural Chemicals And Associated Chemicals (AREA)
Abstract
Description
| Ascorbic Acid (derivative) | Stability (%) |
| L-ascorbic acid-2-phosphate-6-palmitate magnesium salt | 98 |
| L-ascorbic acid-2-phosphate magnesium salt | 97 |
| Ascorbic Acid (Derivative) and Addition Amount | Intracellular Cumulative Amount Pmole/cell | |
| L-Ascorbic acid 2-phosphate-6-palmitate | 2 µM | 0.0042 |
| L-Ascorbic acid 2-phosphate-6-palmitate sodium salt | 2 µM | 0.0040 |
| L-Ascorbic acid 2-phosphate-6-laurate | 2 µM | 0.0042 |
| L-Ascorbic acid 2-phosphate-6-laurate magnesium salt | 2 µM | 0.0033 |
| L-Ascorbic acid 2-phosphate-6-stearate | 2 µM | 0.0034 |
| L-Ascorbic acid | 2 µM | <0.0002 |
| L-Ascorbic acid | 50 µM | 0.0003 |
| L-Ascorbic acid-2-phosphate sodium salt | 2 µM | <0.0002 |
| L-Ascorbic acid-2-phosphate magnesium salt | 2 µM | <0.0002 |
| L-Ascorbic acid 2-phosphate magnesium salt | 50 µM | 0.0022 |
| 6-O-Pivaloyl-L-ascorbic acid-3-phosphate | 2 µM | 0.0005 |
| L-Ascorbic acid-2-phosphate sodium salt | 2 µM | <0.0003 |
| 2-O-D-Glucopyronosil-L-ascorbic acid | 2 µM | <0.0002 |
| L-Ascorbic acid-6-palmitate | 2 µM | 0.0009 |
| L-Ascorbic acid-2,6-dipalmitate | 2 µM | <0.0002 |
| Not added | 0.0000 |
| Skin Cream: | |
| squalene | 5.0 wt% |
| cetyl alcohol | 1.5 |
| polyoxyethylene (20) sorbitan monostearate | 2.0 |
| polyoxyethylene (20) cetyl ether | 1.5 |
| vaseline | 6.0 |
| 1,3-buylene glycol | 7.5 |
| L-Ascorbic acid 2-phosphate-6-palmitate | 4.5 |
| sodium citrate | 0.5 |
| methyl p-hydroxybenzoate | 0.2 |
| perfumary | 0.01 |
| purified water | remainder |
| Milky Lotion: | |
| squalene | 3.0 wt% |
| vaseline | 2.0 |
| microcrystaline wax | 1.0 |
| stearyl alcohol | 0.5 |
| dl-α-tocopherol | 1.0 |
| sorbitan fatty acid ester | 1.5 |
| polyoxyethylene (20) sorbitan monooleic acid ester | 2.0 |
| glycerol | 5.0 |
| L-Ascorbic acid 2-phosphate-6-laurate | 1.5 |
| perfumary | 0.01 |
| purified water | remainder |
Claims (10)
- The ascorbic acid derivative as claimed in claim 1, wherein n is 0.
- The ascorbic acid derivative as claimed in claim 1, wherein R in formula (1) is selected from the group consisting of a lauroyl group, a myristoyl group, a palmitoyl group and a stearoyl group.
- The ascorbic acid derivative as claimed in claim 1, wherein the salt is a salt of a metal selected from the group consisting of alkali metals, alkaline earth metals, aluminum, iron, zinc and bismuth.
- A process for producing an ascorbic acid derivative according to claim 1 or a salt thereof, which comprises reacting an ascorbic acid-2-phosphoric acid ester or 2-pyrophosphoric acid ester or 2-triphosphoric acid ester and/or a salt thereof with at least one compound selected from fatty acids, fatty acid esters and salts thereof.
- The process for producing an ascorbic acid derivative according to claim 5, which comprises reacting an ascorbic acid-2-phosphoric acid ester and/or a salt thereof with at least one of a fatty acid, an ester thereof and a salt thereof to produce a compound according to claim 2.
- The process for producing an ascorbic acid derivative according to claim 5 or 6, wherein said reaction is performed in the presence of a condensing agent.
- The process for producing an ascorbic acid derivative according to claim 5 or 6, wherein said reaction is performed in the presence of concentrated sulfuric acid.
- A vitamin C preparation containing as an effective ingredient the ascorbic acid derivative according to any one of the claims 1 to 4.
- A cosmetic preparation, agricultural chemical preparation, medical preparation, animal drug preparation, food or feed composition containing the ascorbic acid derivative according to any one of the claims 1 to 4.
Applications Claiming Priority (3)
| Application Number | Priority Date | Filing Date | Title |
|---|---|---|---|
| JP11309297 | 1997-04-30 | ||
| JP9113092A JPH10298174A (en) | 1997-04-30 | 1997-04-30 | Ascorbic acid derivative and vitamin c agent containing the same |
| JP113092/97 | 1997-04-30 |
Publications (2)
| Publication Number | Publication Date |
|---|---|
| EP0875514A1 true EP0875514A1 (en) | 1998-11-04 |
| EP0875514B1 EP0875514B1 (en) | 2003-06-25 |
Family
ID=14603288
Family Applications (1)
| Application Number | Title | Priority Date | Filing Date |
|---|---|---|---|
| EP98107843A Expired - Lifetime EP0875514B1 (en) | 1997-04-30 | 1998-04-29 | A process for producing an ascorbic acid derivative |
Country Status (5)
| Country | Link |
|---|---|
| EP (1) | EP0875514B1 (en) |
| JP (1) | JPH10298174A (en) |
| AT (1) | ATE243702T1 (en) |
| DE (1) | DE69815750T2 (en) |
| ES (1) | ES2201368T3 (en) |
Cited By (18)
| Publication number | Priority date | Publication date | Assignee | Title |
|---|---|---|---|---|
| EP1072252A3 (en) * | 1999-07-17 | 2001-02-28 | Beiersdorf AG | Use of cosmetic or dermatologic compositions for stabilising ascorbic acid and/or its derivatives |
| WO2001064245A1 (en) * | 2000-02-29 | 2001-09-07 | Showa Denko K.K. | Immune enhancement compositions and use thereof |
| FR2807320A1 (en) * | 2000-04-10 | 2001-10-12 | Oreal | USE OF ASCORBIC ACID DERIVATIVES TO INCREASE THE SYNTHESIS OF EPIDERMIC CRERAMIDES |
| EP1074242A3 (en) * | 1999-08-04 | 2002-04-03 | Beiersdorf Aktiengesellschaft | Use of cosmetic or dermatological compositions for stabilising ascorbic acid and/or ascorbyl compounds |
| WO2003057707A1 (en) * | 2001-12-28 | 2003-07-17 | Suntory Limited | 2-o-( -d-glucopyranosyl)ascorbic acid, process for its production, and foods and cosmetics containing compositions comprising it |
| US6635253B2 (en) | 2000-02-29 | 2003-10-21 | Showa Denko Kabushiki Kaisha | Composition for enhancing immunological effects |
| WO2003086384A1 (en) * | 2002-04-12 | 2003-10-23 | Showa Denko K. K. | Stabilized ascorbic acid derivatives |
| EP1666484A4 (en) * | 2004-03-25 | 2006-09-20 | Toyo Beauty Co Ltd | ASCORBIC ACID DERIVATIVES AND COSMETICS FOR SKIN BLEACHING |
| WO2007019932A1 (en) * | 2005-08-15 | 2007-02-22 | Unilever N.V. | Food product and fortification system therefor |
| EP2037873A2 (en) * | 2006-06-27 | 2009-03-25 | Showa Denko K.K. | Dermatological anti-wrinkle agent |
| WO2013021105A2 (en) | 2011-08-11 | 2013-02-14 | Ascorbix Sarl | Novel derivatives of furanones and pharmaceutical composition containing same |
| EP2035443A4 (en) * | 2006-06-22 | 2013-02-20 | Peptron Co Ltd | STABILIZED VITAMIN C DERIVATIVES COMPRISING A PEPTIDE MOLECULE, METHOD FOR THEIR SYNTHESIS AND COMPOSITION INCLUDING THE SAME |
| WO2012153825A3 (en) * | 2011-05-12 | 2013-08-01 | Showa Denko K.K. | Skin external preparation and method of producing same |
| WO2012169345A3 (en) * | 2011-06-09 | 2013-09-06 | Showa Denko K.K. | External skin preparation and production method of same |
| US8647681B2 (en) | 2001-06-01 | 2014-02-11 | Mars, Inc. | Skin diet |
| GB2519972A (en) * | 2013-11-01 | 2015-05-13 | Innospec Ltd | Detergent compositions |
| EP2875729A4 (en) * | 2012-07-20 | 2016-03-09 | Nippon Soda Co | Drug composition for reducing stress on plants |
| CN113662882A (en) * | 2021-10-09 | 2021-11-19 | 上海新高姿化妆品有限公司 | Whitening, spot-fading and tightening essence and preparation method thereof |
Families Citing this family (10)
| Publication number | Priority date | Publication date | Assignee | Title |
|---|---|---|---|---|
| JP2005187465A (en) * | 2003-12-04 | 2005-07-14 | Showa Denko Kk | Emulsified skin care preparation for external use containing salt of higher fatty acid ester of ascorbic acid-2-phosphoric acid ester, method for producing the same, and method for stabilizing the salt of ester |
| JP4495748B2 (en) * | 2006-09-29 | 2010-07-07 | 株式会社ファンケル | L-ascorbic acid-2-phosphate-6-fatty acid lyophilized preparation and cosmetics |
| BR112012005247A2 (en) * | 2009-09-14 | 2019-09-24 | Univ Hokkaido Nat Univ Corp | antifitoviral agent |
| JP5552386B2 (en) * | 2010-07-09 | 2014-07-16 | 株式会社ファンケル | L-ascorbic acid-2-phosphate-6-fatty acid lyophilized preparation and cosmetics |
| JP5856766B2 (en) * | 2011-06-24 | 2016-02-10 | 昭和電工株式会社 | External preparation for skin and method for producing the same |
| JP2013091620A (en) * | 2011-10-26 | 2013-05-16 | Fancl Corp | Water-in-oil type emulsion composition |
| JP5869296B2 (en) * | 2011-10-26 | 2016-02-24 | 株式会社ファンケル | Water-in-oil emulsion composition |
| JP6265550B2 (en) * | 2012-12-20 | 2018-01-24 | 昭和電工株式会社 | Ascorbic acid derivative composition and method for producing the same, ascorbic acid derivative solution, and external preparation for skin |
| JP6209855B2 (en) * | 2013-05-16 | 2017-10-11 | 日油株式会社 | Skin cosmetics |
| JP7376064B2 (en) * | 2019-07-19 | 2023-11-08 | ピアス株式会社 | Carbonylation inhibitor of epidermal proteins |
Citations (4)
| Publication number | Priority date | Publication date | Assignee | Title |
|---|---|---|---|---|
| JPS58222078A (en) * | 1982-06-17 | 1983-12-23 | Santen Pharmaceut Co Ltd | Ascorbic acid derivative |
| JPS61152613A (en) * | 1984-12-26 | 1986-07-11 | Kanebo Ltd | Skin cosmetic |
| EP0339486A2 (en) * | 1988-04-25 | 1989-11-02 | Takeda Chemical Industries, Ltd. | Ester of ascorbic acid 2-phosphate |
| EP0436936A2 (en) * | 1990-01-09 | 1991-07-17 | Hoechst Aktiengesellschaft | Lipid selective anti-oxidants, their production and use |
-
1997
- 1997-04-30 JP JP9113092A patent/JPH10298174A/en active Pending
-
1998
- 1998-04-29 EP EP98107843A patent/EP0875514B1/en not_active Expired - Lifetime
- 1998-04-29 DE DE69815750T patent/DE69815750T2/en not_active Expired - Lifetime
- 1998-04-29 ES ES98107843T patent/ES2201368T3/en not_active Expired - Lifetime
- 1998-04-29 AT AT98107843T patent/ATE243702T1/en not_active IP Right Cessation
Patent Citations (4)
| Publication number | Priority date | Publication date | Assignee | Title |
|---|---|---|---|---|
| JPS58222078A (en) * | 1982-06-17 | 1983-12-23 | Santen Pharmaceut Co Ltd | Ascorbic acid derivative |
| JPS61152613A (en) * | 1984-12-26 | 1986-07-11 | Kanebo Ltd | Skin cosmetic |
| EP0339486A2 (en) * | 1988-04-25 | 1989-11-02 | Takeda Chemical Industries, Ltd. | Ester of ascorbic acid 2-phosphate |
| EP0436936A2 (en) * | 1990-01-09 | 1991-07-17 | Hoechst Aktiengesellschaft | Lipid selective anti-oxidants, their production and use |
Non-Patent Citations (2)
| Title |
|---|
| CHEMICAL ABSTRACTS, vol. 100, no. 21, 21 May 1984, Columbus, Ohio, US; abstract no. 175214, "Ascorbic acid derivatives" XP002073275 * |
| CHEMICAL ABSTRACTS, vol. 105, no. 24, 15 December 1986, Columbus, Ohio, US; abstract no. 213939, MOTOI T: "Skin cosmetics containing ascorbic acid derivatives" XP002073274 * |
Cited By (31)
| Publication number | Priority date | Publication date | Assignee | Title |
|---|---|---|---|---|
| EP1072252A3 (en) * | 1999-07-17 | 2001-02-28 | Beiersdorf AG | Use of cosmetic or dermatologic compositions for stabilising ascorbic acid and/or its derivatives |
| EP1074242A3 (en) * | 1999-08-04 | 2002-04-03 | Beiersdorf Aktiengesellschaft | Use of cosmetic or dermatological compositions for stabilising ascorbic acid and/or ascorbyl compounds |
| WO2001064245A1 (en) * | 2000-02-29 | 2001-09-07 | Showa Denko K.K. | Immune enhancement compositions and use thereof |
| US6635253B2 (en) | 2000-02-29 | 2003-10-21 | Showa Denko Kabushiki Kaisha | Composition for enhancing immunological effects |
| FR2807320A1 (en) * | 2000-04-10 | 2001-10-12 | Oreal | USE OF ASCORBIC ACID DERIVATIVES TO INCREASE THE SYNTHESIS OF EPIDERMIC CRERAMIDES |
| EP1145710A1 (en) * | 2000-04-10 | 2001-10-17 | L'oreal | Use of ascorbic acid derivatives for increasing epidermal ceramides synthesis |
| US8647681B2 (en) | 2001-06-01 | 2014-02-11 | Mars, Inc. | Skin diet |
| US7566698B2 (en) | 2001-12-28 | 2009-07-28 | Suntory Holdings Limited | 2-O-(β-D-glucopyranosyl) ascorbic acid, process for its production, and foods and cosmetics containing compositions comprising it |
| WO2003057707A1 (en) * | 2001-12-28 | 2003-07-17 | Suntory Limited | 2-o-( -d-glucopyranosyl)ascorbic acid, process for its production, and foods and cosmetics containing compositions comprising it |
| KR101147947B1 (en) * | 2001-12-28 | 2012-05-29 | 산토리 홀딩스 가부시키가이샤 | 2?O?(β?D?GLUCOPYRANOSYL)ASCORBIC ACID, PROCESS FOR ITS PRODUCTION, AND FOODS AND COSMETICS CONTAINING COMPOSITIONS COMPRISING IT |
| US8017587B2 (en) | 2001-12-28 | 2011-09-13 | Suntory Holdings Limited | 2-O- (β-D-glucopyranosyl) ascorbic acid, process for its production, and foods and cosmetics containing compositions comprising it |
| US7943583B2 (en) | 2001-12-28 | 2011-05-17 | Suntory Holdings Limited | 2-O-(β-D-glucopyranosyl) ascorbic acid, process for its production, and foods cosmetics containing compositions comprising it |
| WO2003086384A1 (en) * | 2002-04-12 | 2003-10-23 | Showa Denko K. K. | Stabilized ascorbic acid derivatives |
| US7223775B2 (en) | 2002-04-12 | 2007-05-29 | Showa Denko K.K. | Stabilized ascorbic acid derivatives |
| CN1297266C (en) * | 2002-04-12 | 2007-01-31 | 昭和电工株式会社 | Stabilized ascorbic acid derivatives |
| EP1666484A4 (en) * | 2004-03-25 | 2006-09-20 | Toyo Beauty Co Ltd | ASCORBIC ACID DERIVATIVES AND COSMETICS FOR SKIN BLEACHING |
| US7282597B2 (en) | 2004-03-25 | 2007-10-16 | Toyo Beauty Co., Ltd. | Ascorbic acid derivatives and skin-whitening cosmetics |
| US7569211B2 (en) | 2004-03-25 | 2009-08-04 | Toyo Beauty Co., Ltd. | Ascorbic acid derivatives and skin-whitening cosmetics |
| WO2007019932A1 (en) * | 2005-08-15 | 2007-02-22 | Unilever N.V. | Food product and fortification system therefor |
| US8829044B2 (en) | 2006-06-22 | 2014-09-09 | Peotron Co. Ltd. | Stabilized vitamin C derivatives having a peptide molecule, preparation method thereof, and composition containing the same |
| EP2035443A4 (en) * | 2006-06-22 | 2013-02-20 | Peptron Co Ltd | STABILIZED VITAMIN C DERIVATIVES COMPRISING A PEPTIDE MOLECULE, METHOD FOR THEIR SYNTHESIS AND COMPOSITION INCLUDING THE SAME |
| EP2037873A2 (en) * | 2006-06-27 | 2009-03-25 | Showa Denko K.K. | Dermatological anti-wrinkle agent |
| WO2012153825A3 (en) * | 2011-05-12 | 2013-08-01 | Showa Denko K.K. | Skin external preparation and method of producing same |
| US9180079B2 (en) | 2011-05-12 | 2015-11-10 | Showa Denko K.K. | Skin external preparation and method of producing same |
| WO2012169345A3 (en) * | 2011-06-09 | 2013-09-06 | Showa Denko K.K. | External skin preparation and production method of same |
| WO2013021105A2 (en) | 2011-08-11 | 2013-02-14 | Ascorbix Sarl | Novel derivatives of furanones and pharmaceutical composition containing same |
| EP2875729A4 (en) * | 2012-07-20 | 2016-03-09 | Nippon Soda Co | Drug composition for reducing stress on plants |
| US9345243B2 (en) | 2012-07-20 | 2016-05-24 | Nippon Soda Co., Ltd. | Chemicals composition for reducing stress on plant |
| GB2519972A (en) * | 2013-11-01 | 2015-05-13 | Innospec Ltd | Detergent compositions |
| US9981933B2 (en) | 2013-11-01 | 2018-05-29 | Innospec Limited | Detergent compositions |
| CN113662882A (en) * | 2021-10-09 | 2021-11-19 | 上海新高姿化妆品有限公司 | Whitening, spot-fading and tightening essence and preparation method thereof |
Also Published As
| Publication number | Publication date |
|---|---|
| DE69815750T2 (en) | 2004-04-29 |
| ES2201368T3 (en) | 2004-03-16 |
| DE69815750D1 (en) | 2003-07-31 |
| ATE243702T1 (en) | 2003-07-15 |
| JPH10298174A (en) | 1998-11-10 |
| EP0875514B1 (en) | 2003-06-25 |
Similar Documents
| Publication | Publication Date | Title |
|---|---|---|
| EP0875514A1 (en) | Ascorbic acid derivative and vitamin C preparation containing the same | |
| EP0236120A2 (en) | Mixed phosphoric diesters, preparation thereof, and use thereof as antiinflammatory agents | |
| US7569211B2 (en) | Ascorbic acid derivatives and skin-whitening cosmetics | |
| KR20080016948A (en) | Novel triterpenic acid derivatives and external preparations for skin containing the same | |
| FR2706478A1 (en) | Compositions of phenolic derivatives, their preparation and their applications as antioxidants. | |
| EP1408045B1 (en) | Novel galactosylceramide analogs and beta-glucocerebrosidase activators,external skin preparations and method of activating beta-glucocerebrosidase using the analogs | |
| US5468474A (en) | N-acylglutamine derivatives and cosmetic compositions | |
| US6127409A (en) | Ascorbic acid derivative and vitamin C preparation containing the same | |
| US4661519A (en) | Method for dermatological application | |
| EP1553101A1 (en) | N-acetylglucosamine derivatives and use thereof | |
| US20120189566A1 (en) | External preparation containing pantethine phosphate ester | |
| JPH0616532A (en) | Whitening and beautifying agent | |
| JPH1192326A (en) | Skin preparation for external use | |
| JP4991088B2 (en) | Stabilized derivative of ascorbic acid-3-phosphate | |
| EP0422466A1 (en) | Endermic preparation of external application | |
| JPH06227958A (en) | External skin preparation | |
| JP2005119991A (en) | External preparation for skin | |
| JP4011247B2 (en) | Cosmetics | |
| JP4959914B2 (en) | Topical skin preparation | |
| JP4504656B2 (en) | Novel 1,4-benzenediol carboxylic acid ester derivative or salt thereof, method for producing the same, and skin external preparation containing the same | |
| JP2812557B2 (en) | External preparation for skin | |
| JPH107542A (en) | Skin lotion | |
| HK1063473B (en) | Stabilized derivatives of ascorbic acid -3- phosphate | |
| JP2006232769A (en) | Ceramide synthesis promoter | |
| JP2007269682A (en) | Topical skin preparation |
Legal Events
| Date | Code | Title | Description |
|---|---|---|---|
| PUAI | Public reference made under article 153(3) epc to a published international application that has entered the european phase |
Free format text: ORIGINAL CODE: 0009012 |
|
| AK | Designated contracting states |
Kind code of ref document: A1 Designated state(s): AT BE CH CY DE DK ES FI FR GB GR IE IT LI LU MC NL PT SE |
|
| AX | Request for extension of the european patent |
Free format text: AL;LT;LV;MK;RO;SI |
|
| 17P | Request for examination filed |
Effective date: 19990428 |
|
| AKX | Designation fees paid |
Free format text: AT BE CH CY DE DK ES FI FR GB GR IE IT LI LU MC NL PT SE |
|
| 17Q | First examination report despatched |
Effective date: 20010503 |
|
| GRAH | Despatch of communication of intention to grant a patent |
Free format text: ORIGINAL CODE: EPIDOS IGRA |
|
| GRAH | Despatch of communication of intention to grant a patent |
Free format text: ORIGINAL CODE: EPIDOS IGRA |
|
| GRAA | (expected) grant |
Free format text: ORIGINAL CODE: 0009210 |
|
| RTI1 | Title (correction) |
Free format text: A PROCESS FOR PRODUCING AN ASCORBIC ACID DERIVATIVE |
|
| AK | Designated contracting states |
Designated state(s): AT BE CH CY DE DK ES FI FR GB GR IE IT LI LU MC NL PT SE |
|
| PG25 | Lapsed in a contracting state [announced via postgrant information from national office to epo] |
Ref country code: NL Free format text: LAPSE BECAUSE OF FAILURE TO SUBMIT A TRANSLATION OF THE DESCRIPTION OR TO PAY THE FEE WITHIN THE PRESCRIBED TIME-LIMIT Effective date: 20030625 Ref country code: LI Free format text: LAPSE BECAUSE OF FAILURE TO SUBMIT A TRANSLATION OF THE DESCRIPTION OR TO PAY THE FEE WITHIN THE PRESCRIBED TIME-LIMIT Effective date: 20030625 Ref country code: FI Free format text: LAPSE BECAUSE OF FAILURE TO SUBMIT A TRANSLATION OF THE DESCRIPTION OR TO PAY THE FEE WITHIN THE PRESCRIBED TIME-LIMIT Effective date: 20030625 Ref country code: CY Free format text: LAPSE BECAUSE OF FAILURE TO SUBMIT A TRANSLATION OF THE DESCRIPTION OR TO PAY THE FEE WITHIN THE PRESCRIBED TIME-LIMIT Effective date: 20030625 Ref country code: CH Free format text: LAPSE BECAUSE OF FAILURE TO SUBMIT A TRANSLATION OF THE DESCRIPTION OR TO PAY THE FEE WITHIN THE PRESCRIBED TIME-LIMIT Effective date: 20030625 Ref country code: BE Free format text: LAPSE BECAUSE OF FAILURE TO SUBMIT A TRANSLATION OF THE DESCRIPTION OR TO PAY THE FEE WITHIN THE PRESCRIBED TIME-LIMIT Effective date: 20030625 Ref country code: AT Free format text: LAPSE BECAUSE OF FAILURE TO SUBMIT A TRANSLATION OF THE DESCRIPTION OR TO PAY THE FEE WITHIN THE PRESCRIBED TIME-LIMIT Effective date: 20030625 |
|
| REG | Reference to a national code |
Ref country code: GB Ref legal event code: FG4D |
|
| REG | Reference to a national code |
Ref country code: CH Ref legal event code: EP |
|
| REG | Reference to a national code |
Ref country code: IE Ref legal event code: FG4D |
|
| REF | Corresponds to: |
Ref document number: 69815750 Country of ref document: DE Date of ref document: 20030731 Kind code of ref document: P |
|
| PG25 | Lapsed in a contracting state [announced via postgrant information from national office to epo] |
Ref country code: SE Free format text: LAPSE BECAUSE OF FAILURE TO SUBMIT A TRANSLATION OF THE DESCRIPTION OR TO PAY THE FEE WITHIN THE PRESCRIBED TIME-LIMIT Effective date: 20030925 Ref country code: PT Free format text: LAPSE BECAUSE OF FAILURE TO SUBMIT A TRANSLATION OF THE DESCRIPTION OR TO PAY THE FEE WITHIN THE PRESCRIBED TIME-LIMIT Effective date: 20030925 Ref country code: GR Free format text: LAPSE BECAUSE OF FAILURE TO SUBMIT A TRANSLATION OF THE DESCRIPTION OR TO PAY THE FEE WITHIN THE PRESCRIBED TIME-LIMIT Effective date: 20030925 Ref country code: DK Free format text: LAPSE BECAUSE OF FAILURE TO SUBMIT A TRANSLATION OF THE DESCRIPTION OR TO PAY THE FEE WITHIN THE PRESCRIBED TIME-LIMIT Effective date: 20030925 |
|
| NLV1 | Nl: lapsed or annulled due to failure to fulfill the requirements of art. 29p and 29m of the patents act | ||
| REG | Reference to a national code |
Ref country code: CH Ref legal event code: PL |
|
| REG | Reference to a national code |
Ref country code: ES Ref legal event code: FG2A Ref document number: 2201368 Country of ref document: ES Kind code of ref document: T3 |
|
| ET | Fr: translation filed | ||
| PG25 | Lapsed in a contracting state [announced via postgrant information from national office to epo] |
Ref country code: LU Free format text: LAPSE BECAUSE OF NON-PAYMENT OF DUE FEES Effective date: 20040429 Ref country code: IE Free format text: LAPSE BECAUSE OF NON-PAYMENT OF DUE FEES Effective date: 20040429 |
|
| PG25 | Lapsed in a contracting state [announced via postgrant information from national office to epo] |
Ref country code: MC Free format text: LAPSE BECAUSE OF NON-PAYMENT OF DUE FEES Effective date: 20040430 |
|
| PLBE | No opposition filed within time limit |
Free format text: ORIGINAL CODE: 0009261 |
|
| STAA | Information on the status of an ep patent application or granted ep patent |
Free format text: STATUS: NO OPPOSITION FILED WITHIN TIME LIMIT |
|
| 26N | No opposition filed |
Effective date: 20040326 |
|
| REG | Reference to a national code |
Ref country code: IE Ref legal event code: MM4A |
|
| REG | Reference to a national code |
Ref country code: FR Ref legal event code: PLFP Year of fee payment: 19 |
|
| REG | Reference to a national code |
Ref country code: FR Ref legal event code: PLFP Year of fee payment: 20 |
|
| PGFP | Annual fee paid to national office [announced via postgrant information from national office to epo] |
Ref country code: FR Payment date: 20170313 Year of fee payment: 20 |
|
| PGFP | Annual fee paid to national office [announced via postgrant information from national office to epo] |
Ref country code: ES Payment date: 20170316 Year of fee payment: 20 |
|
| PGFP | Annual fee paid to national office [announced via postgrant information from national office to epo] |
Ref country code: GB Payment date: 20170426 Year of fee payment: 20 Ref country code: DE Payment date: 20170426 Year of fee payment: 20 |
|
| PGFP | Annual fee paid to national office [announced via postgrant information from national office to epo] |
Ref country code: IT Payment date: 20170420 Year of fee payment: 20 |
|
| REG | Reference to a national code |
Ref country code: DE Ref legal event code: R071 Ref document number: 69815750 Country of ref document: DE |
|
| REG | Reference to a national code |
Ref country code: GB Ref legal event code: PE20 Expiry date: 20180428 |
|
| PG25 | Lapsed in a contracting state [announced via postgrant information from national office to epo] |
Ref country code: GB Free format text: LAPSE BECAUSE OF EXPIRATION OF PROTECTION Effective date: 20180428 |
|
| REG | Reference to a national code |
Ref country code: ES Ref legal event code: FD2A Effective date: 20220128 |
|
| PG25 | Lapsed in a contracting state [announced via postgrant information from national office to epo] |
Ref country code: ES Free format text: LAPSE BECAUSE OF EXPIRATION OF PROTECTION Effective date: 20180430 |










