[go: up one dir, main page]

DE10315377A1 - New carbonyl-substituted carbocyclic or heterocyclic compounds, are factor Xa and factor VIIa inhibitors useful e.g. for treating thrombosis, myocardial infarction, arteriosclerosis, inflammation or tumors - Google Patents

New carbonyl-substituted carbocyclic or heterocyclic compounds, are factor Xa and factor VIIa inhibitors useful e.g. for treating thrombosis, myocardial infarction, arteriosclerosis, inflammation or tumors Download PDF

Info

Publication number
DE10315377A1
DE10315377A1 DE10315377A DE10315377A DE10315377A1 DE 10315377 A1 DE10315377 A1 DE 10315377A1 DE 10315377 A DE10315377 A DE 10315377A DE 10315377 A DE10315377 A DE 10315377A DE 10315377 A1 DE10315377 A1 DE 10315377A1
Authority
DE
Germany
Prior art keywords
amide
phenyl
dicarboxylic acid
oxo
chlorophenyl
Prior art date
Legal status (The legal status is an assumption and is not a legal conclusion. Google has not performed a legal analysis and makes no representation as to the accuracy of the status listed.)
Withdrawn
Application number
DE10315377A
Other languages
German (de)
Inventor
Christos Dr. Tsaklakidis
Dieter Dr. Dorsch
Werner Dr. Mederski
Bertram Dr. Cezanne
Johannes Dr. Gleitz
Current Assignee (The listed assignees may be inaccurate. Google has not performed a legal analysis and makes no representation or warranty as to the accuracy of the list.)
Merck Patent GmbH
Original Assignee
Merck Patent GmbH
Priority date (The priority date is an assumption and is not a legal conclusion. Google has not performed a legal analysis and makes no representation as to the accuracy of the date listed.)
Filing date
Publication date
Application filed by Merck Patent GmbH filed Critical Merck Patent GmbH
Priority to DE10315377A priority Critical patent/DE10315377A1/en
Priority to DE10329457A priority patent/DE10329457A1/en
Priority to AU2004226278A priority patent/AU2004226278B2/en
Priority to AT04718299T priority patent/ATE430139T1/en
Priority to BRPI0408420-9A priority patent/BRPI0408420A/en
Priority to MXPA05010444A priority patent/MXPA05010444A/en
Priority to ES04718299T priority patent/ES2325077T3/en
Priority to KR1020057018638A priority patent/KR20050118708A/en
Priority to CA2521069A priority patent/CA2521069C/en
Priority to DE502004009440T priority patent/DE502004009440D1/en
Priority to JP2006504581A priority patent/JP4705015B2/en
Priority to UAA200510222A priority patent/UA85676C2/en
Priority to RU2005133870/04A priority patent/RU2337099C2/en
Priority to PL377633A priority patent/PL377633A1/en
Priority to NZ543366A priority patent/NZ543366A/en
Priority to US10/551,557 priority patent/US7906516B2/en
Priority to EP04718299A priority patent/EP1720844B1/en
Priority to CNA2004800093547A priority patent/CN1771237A/en
Priority to PCT/EP2004/002350 priority patent/WO2004087646A2/en
Priority to DE502004003688T priority patent/DE502004003688D1/en
Priority to CNA2004800093744A priority patent/CN1771248A/en
Priority to CNA2004800094639A priority patent/CN1771249A/en
Priority to AU2004226281A priority patent/AU2004226281B2/en
Priority to EP04718641A priority patent/EP1608645B1/en
Priority to CA2520894A priority patent/CA2520894C/en
Priority to US10/551,670 priority patent/US7504500B2/en
Priority to US10/551,559 priority patent/US7557102B2/en
Priority to MXPA05010445A priority patent/MXPA05010445A/en
Priority to AT04718641T priority patent/ATE361296T1/en
Priority to JP2006504602A priority patent/JP4634369B2/en
Priority to EP04718646A priority patent/EP1608646B1/en
Priority to DE502004004294T priority patent/DE502004004294D1/en
Priority to AT04718646T priority patent/ATE366732T1/en
Priority to KR1020057018640A priority patent/KR20050118709A/en
Priority to PL377864A priority patent/PL377864A1/en
Priority to BRPI0408888-3A priority patent/BRPI0408888A/en
Priority to MXPA05010433A priority patent/MXPA05010433A/en
Priority to ES04718646T priority patent/ES2287708T3/en
Priority to KR1020057018641A priority patent/KR20050109617A/en
Priority to CA2520893A priority patent/CA2520893C/en
Priority to RU2005133869/04A priority patent/RU2005133869A/en
Priority to PCT/EP2004/002407 priority patent/WO2004087696A1/en
Priority to ES04718641T priority patent/ES2285444T3/en
Priority to JP2006504604A priority patent/JP4624982B2/en
Priority to PCT/EP2004/002405 priority patent/WO2004087695A1/en
Priority to BRPI0408444-6A priority patent/BRPI0408444A/en
Priority to AU2004226280A priority patent/AU2004226280B2/en
Priority to PL377138A priority patent/PL377138A1/en
Priority to TW093108890A priority patent/TW200512200A/en
Priority to MYPI20041185A priority patent/MY140031A/en
Priority to TW093108904A priority patent/TW200500339A/en
Priority to CL200400720A priority patent/CL2004000720A1/en
Priority to ARP040101115A priority patent/AR043833A1/en
Priority to PE2004000349A priority patent/PE20050395A1/en
Priority to ARP040101114A priority patent/AR043832A1/en
Priority to ARP040101113A priority patent/AR043831A1/en
Priority to CL2004000719A priority patent/CL2004000719A1/en
Priority to PE2004000350A priority patent/PE20050015A1/en
Publication of DE10315377A1 publication Critical patent/DE10315377A1/en
Priority to IL171214A priority patent/IL171214A/en
Priority to CO05099907A priority patent/CO5660267A2/en
Priority to EC2005006131A priority patent/ECSP056131A/en
Priority to ZA200508891A priority patent/ZA200508891B/en
Priority to ZA200508889A priority patent/ZA200508889B/en
Priority to ZA200508888A priority patent/ZA200508888B/en
Priority to US12/817,314 priority patent/US8129373B2/en
Withdrawn legal-status Critical Current

Links

Classifications

    • CCHEMISTRY; METALLURGY
    • C07ORGANIC CHEMISTRY
    • C07DHETEROCYCLIC COMPOUNDS
    • C07D401/00Heterocyclic compounds containing two or more hetero rings, having nitrogen atoms as the only ring hetero atoms, at least one ring being a six-membered ring with only one nitrogen atom
    • C07D401/02Heterocyclic compounds containing two or more hetero rings, having nitrogen atoms as the only ring hetero atoms, at least one ring being a six-membered ring with only one nitrogen atom containing two hetero rings
    • C07D401/12Heterocyclic compounds containing two or more hetero rings, having nitrogen atoms as the only ring hetero atoms, at least one ring being a six-membered ring with only one nitrogen atom containing two hetero rings linked by a chain containing hetero atoms as chain links
    • AHUMAN NECESSITIES
    • A61MEDICAL OR VETERINARY SCIENCE; HYGIENE
    • A61PSPECIFIC THERAPEUTIC ACTIVITY OF CHEMICAL COMPOUNDS OR MEDICINAL PREPARATIONS
    • A61P25/00Drugs for disorders of the nervous system
    • A61P25/06Antimigraine agents
    • AHUMAN NECESSITIES
    • A61MEDICAL OR VETERINARY SCIENCE; HYGIENE
    • A61PSPECIFIC THERAPEUTIC ACTIVITY OF CHEMICAL COMPOUNDS OR MEDICINAL PREPARATIONS
    • A61P29/00Non-central analgesic, antipyretic or antiinflammatory agents, e.g. antirheumatic agents; Non-steroidal antiinflammatory drugs [NSAID]
    • AHUMAN NECESSITIES
    • A61MEDICAL OR VETERINARY SCIENCE; HYGIENE
    • A61PSPECIFIC THERAPEUTIC ACTIVITY OF CHEMICAL COMPOUNDS OR MEDICINAL PREPARATIONS
    • A61P35/00Antineoplastic agents
    • AHUMAN NECESSITIES
    • A61MEDICAL OR VETERINARY SCIENCE; HYGIENE
    • A61PSPECIFIC THERAPEUTIC ACTIVITY OF CHEMICAL COMPOUNDS OR MEDICINAL PREPARATIONS
    • A61P7/00Drugs for disorders of the blood or the extracellular fluid
    • A61P7/02Antithrombotic agents; Anticoagulants; Platelet aggregation inhibitors
    • AHUMAN NECESSITIES
    • A61MEDICAL OR VETERINARY SCIENCE; HYGIENE
    • A61PSPECIFIC THERAPEUTIC ACTIVITY OF CHEMICAL COMPOUNDS OR MEDICINAL PREPARATIONS
    • A61P9/00Drugs for disorders of the cardiovascular system
    • A61P9/10Drugs for disorders of the cardiovascular system for treating ischaemic or atherosclerotic diseases, e.g. antianginal drugs, coronary vasodilators, drugs for myocardial infarction, retinopathy, cerebrovascula insufficiency, renal arteriosclerosis
    • CCHEMISTRY; METALLURGY
    • C07ORGANIC CHEMISTRY
    • C07DHETEROCYCLIC COMPOUNDS
    • C07D207/00Heterocyclic compounds containing five-membered rings not condensed with other rings, with one nitrogen atom as the only ring hetero atom
    • C07D207/02Heterocyclic compounds containing five-membered rings not condensed with other rings, with one nitrogen atom as the only ring hetero atom with only hydrogen or carbon atoms directly attached to the ring nitrogen atom
    • C07D207/04Heterocyclic compounds containing five-membered rings not condensed with other rings, with one nitrogen atom as the only ring hetero atom with only hydrogen or carbon atoms directly attached to the ring nitrogen atom having no double bonds between ring members or between ring members and non-ring members
    • C07D207/10Heterocyclic compounds containing five-membered rings not condensed with other rings, with one nitrogen atom as the only ring hetero atom with only hydrogen or carbon atoms directly attached to the ring nitrogen atom having no double bonds between ring members or between ring members and non-ring members with hetero atoms or with carbon atoms having three bonds to hetero atoms with at the most one bond to halogen, e.g. ester or nitrile radicals, directly attached to ring carbon atoms
    • C07D207/16Carbon atoms having three bonds to hetero atoms with at the most one bond to halogen, e.g. ester or nitrile radicals
    • CCHEMISTRY; METALLURGY
    • C07ORGANIC CHEMISTRY
    • C07DHETEROCYCLIC COMPOUNDS
    • C07D265/00Heterocyclic compounds containing six-membered rings having one nitrogen atom and one oxygen atom as the only ring hetero atoms
    • C07D265/281,4-Oxazines; Hydrogenated 1,4-oxazines
    • C07D265/301,4-Oxazines; Hydrogenated 1,4-oxazines not condensed with other rings
    • C07D265/321,4-Oxazines; Hydrogenated 1,4-oxazines not condensed with other rings with oxygen atoms directly attached to ring carbon atoms
    • CCHEMISTRY; METALLURGY
    • C07ORGANIC CHEMISTRY
    • C07DHETEROCYCLIC COMPOUNDS
    • C07D401/00Heterocyclic compounds containing two or more hetero rings, having nitrogen atoms as the only ring hetero atoms, at least one ring being a six-membered ring with only one nitrogen atom
    • C07D401/14Heterocyclic compounds containing two or more hetero rings, having nitrogen atoms as the only ring hetero atoms, at least one ring being a six-membered ring with only one nitrogen atom containing three or more hetero rings
    • CCHEMISTRY; METALLURGY
    • C07ORGANIC CHEMISTRY
    • C07DHETEROCYCLIC COMPOUNDS
    • C07D403/00Heterocyclic compounds containing two or more hetero rings, having nitrogen atoms as the only ring hetero atoms, not provided for by group C07D401/00
    • C07D403/02Heterocyclic compounds containing two or more hetero rings, having nitrogen atoms as the only ring hetero atoms, not provided for by group C07D401/00 containing two hetero rings
    • C07D403/12Heterocyclic compounds containing two or more hetero rings, having nitrogen atoms as the only ring hetero atoms, not provided for by group C07D401/00 containing two hetero rings linked by a chain containing hetero atoms as chain links
    • CCHEMISTRY; METALLURGY
    • C07ORGANIC CHEMISTRY
    • C07DHETEROCYCLIC COMPOUNDS
    • C07D405/00Heterocyclic compounds containing both one or more hetero rings having oxygen atoms as the only ring hetero atoms, and one or more rings having nitrogen as the only ring hetero atom
    • C07D405/02Heterocyclic compounds containing both one or more hetero rings having oxygen atoms as the only ring hetero atoms, and one or more rings having nitrogen as the only ring hetero atom containing two hetero rings
    • C07D405/12Heterocyclic compounds containing both one or more hetero rings having oxygen atoms as the only ring hetero atoms, and one or more rings having nitrogen as the only ring hetero atom containing two hetero rings linked by a chain containing hetero atoms as chain links
    • CCHEMISTRY; METALLURGY
    • C07ORGANIC CHEMISTRY
    • C07DHETEROCYCLIC COMPOUNDS
    • C07D413/00Heterocyclic compounds containing two or more hetero rings, at least one ring having nitrogen and oxygen atoms as the only ring hetero atoms
    • C07D413/02Heterocyclic compounds containing two or more hetero rings, at least one ring having nitrogen and oxygen atoms as the only ring hetero atoms containing two hetero rings
    • C07D413/12Heterocyclic compounds containing two or more hetero rings, at least one ring having nitrogen and oxygen atoms as the only ring hetero atoms containing two hetero rings linked by a chain containing hetero atoms as chain links
    • CCHEMISTRY; METALLURGY
    • C07ORGANIC CHEMISTRY
    • C07DHETEROCYCLIC COMPOUNDS
    • C07D413/00Heterocyclic compounds containing two or more hetero rings, at least one ring having nitrogen and oxygen atoms as the only ring hetero atoms
    • C07D413/14Heterocyclic compounds containing two or more hetero rings, at least one ring having nitrogen and oxygen atoms as the only ring hetero atoms containing three or more hetero rings
    • CCHEMISTRY; METALLURGY
    • C07ORGANIC CHEMISTRY
    • C07DHETEROCYCLIC COMPOUNDS
    • C07D417/00Heterocyclic compounds containing two or more hetero rings, at least one ring having nitrogen and sulfur atoms as the only ring hetero atoms, not provided for by group C07D415/00
    • C07D417/02Heterocyclic compounds containing two or more hetero rings, at least one ring having nitrogen and sulfur atoms as the only ring hetero atoms, not provided for by group C07D415/00 containing two hetero rings
    • C07D417/12Heterocyclic compounds containing two or more hetero rings, at least one ring having nitrogen and sulfur atoms as the only ring hetero atoms, not provided for by group C07D415/00 containing two hetero rings linked by a chain containing hetero atoms as chain links

Landscapes

  • Chemical & Material Sciences (AREA)
  • Organic Chemistry (AREA)
  • Health & Medical Sciences (AREA)
  • Life Sciences & Earth Sciences (AREA)
  • General Health & Medical Sciences (AREA)
  • Veterinary Medicine (AREA)
  • Public Health (AREA)
  • Animal Behavior & Ethology (AREA)
  • Chemical Kinetics & Catalysis (AREA)
  • General Chemical & Material Sciences (AREA)
  • Medicinal Chemistry (AREA)
  • Nuclear Medicine, Radiotherapy & Molecular Imaging (AREA)
  • Pharmacology & Pharmacy (AREA)
  • Bioinformatics & Cheminformatics (AREA)
  • Engineering & Computer Science (AREA)
  • Pain & Pain Management (AREA)
  • Heart & Thoracic Surgery (AREA)
  • Vascular Medicine (AREA)
  • Cardiology (AREA)
  • Diabetes (AREA)
  • Hematology (AREA)
  • Urology & Nephrology (AREA)
  • Biomedical Technology (AREA)
  • Neurology (AREA)
  • Neurosurgery (AREA)
  • Rheumatology (AREA)
  • Pharmaceuticals Containing Other Organic And Inorganic Compounds (AREA)
  • Plural Heterocyclic Compounds (AREA)
  • Acyclic And Carbocyclic Compounds In Medicinal Compositions (AREA)

Abstract

Carbonyl-substituted carbocyclic or heterocyclic compounds (I), having a side-chain terminated by a substituted carbocyclic or heterocyclic group, are new. Also new are related pyrrolidine-carboxylic acid derivatives (IA) and cyclopentane-carboxylic acid derivatives (IB); and new intermediates (I-1) and (I-2). Carbonyl compounds of formula (I) and their derivatives, solvates and stereoisomers (including mixtures in all proportions) are new. [Image] R 1>, R 2>H, =O, A, ethynyl, OR 3>, N(R 3>) 2, NO 2, CN, N 3; or R 1> + R 2>group completing a bicyclic or spiro-cyclic 3-7 membered carbocycle or heterocycle with 0-3 N, O and/or S atoms; Q : -(C(R 4>) 2) n-; R 3>H, A, CH 2CCH, CH 2CCMe, CH 2CH(OH)CH 2OH, CH 2CH(OH)CH 2NH 2, CH 2CH(OH)CH 2-Het', -Q-Ar', -Q-Het', -Q-cycloalkyl, -Q-COOA or -Q-N(R 4>) 2; R 4>H or A; W : N, CR 3> or sp 2>-hybridized C; E : group completing a 3-7 membered carbocycle or heterocycle; D : mono- or bicyclic aromatic carbocycle or heterocycle, optionally substituted; G : Q, -Q-NR 3>-, -Q-O-, -Q-S- or -(C(R 4>)=C(R 4>)) n-; X : -Q-CONR 3>-Q-, -Q-NR 3>CO-Q-, -Q-NR 3>-Q-, -Q-O-Q-, -Q-CO-Q- or -Q-COO-Q-; Y : alkylene, cycloalkylene, Het-diyl or Ar-diyl; T : mono- or bicyclic saturated or unsaturated carbocycle or heterocycle, optionally substituted; A : 1-10C alkyl, optionally having 1 or 2 CH 2 groups replaced by O, S or CH=CH and os by 1-7 F; Ar, Ar' : phenyl, naphthyl or biphenylyl (all optionally substituted) and; Het, Het' : mono- or bicyclic saturated, unsaturated or aromatic optionally substituted heterocycle; n : 0-2; o : 1-3. Independent claims are included for: (a) the preparation of (I); (b) the following new pyrrolidine-carboxylic acid derivatives (IA) and their derivatives, solvates and stereoisomers (including mixtures in all proportions): (2R,4R)-4-hydroxy-pyrrolidine-1,2-dicarboxylic acid 1-((4-chlorophenyl)-amide) 2-(1'-methyl-(1,4')-bipiperidin-4-yl)-amide); (2R,4R)-4-hydroxy-pyrrolidine-1,2-dicarboxylic acid 1-((4-chlorophenyl)-amide) 2-((3,4,5,6-tetrahydro-2H-(1,4')-bipyridin-4-yl)-amide); (2R,4R)-4-ethoxy-pyrrolidine-1,2-dicarboxylic acid 1-((4-chlorophenyl)-amide) 2-((3,4,5,6-tetrahydro-2H-(1,4')-bipyridin-4-yl)-amide); (2R,4R)-4-hydroxy-2-(4-pyridin-4-yl-piperazine-1-carbonyl)-pyrrolidine-1-carboxylic acid (4-chlorophenyl)-amide; (2R,4R)-4-hydroxy-2-(4-(2-methoxyphenyl)-piperazine-1-carbonyl)-pyrrolidine-1-carboxylic acid (4-chlorophenyl)-amide; (2R,4R)-2-(4-(4-fluorophenyl)-piperazine-1-carbonyl)-4-hydroxy-pyrrolidine-1-carboxylic acid (4-chlorophenyl)-amide; (2R,4R)-4-hydroxy-2-(4-hydroxy-4-(4-methoxyphenyl)-piperidine-1-carbonyl)-pyrrolidine-1-carboxylic acid (4-chlorophenyl)-amide; (2R,4R)-4-hydroxy-2-(4-pyridin-2-yl)-piperazine-1-carbonyl)-pyrrolidine-1-carboxylic acid (4-chlorophenyl)-amide; (2R,4R)-2-(4-(4-ethyl-piperazin-1-yl)-piperidine-1-carbonyl)-4-hydroxy-pyrrolidine-1-carboxylic acid (4-chlorophenyl)-amide; (2R,4R)-2-(4-(4,6-diethyl-pyrimidin-2-yl)-piperazine-1-carbonyl)-4-hydroxy-pyrrolidine-1-carboxylic acid (4-chlorophenyl)-amide; (2R,4R)-4-hydroxy-2-(4-(1-methyl-piperidin-4-yl)-piperazine-1-carbonyl)-pyrrolidine-1-carboxylic acid (4-chlorophenyl)-amide; (2R,4R)-4-hydroxy-pyrrolidine-1,2-dicarboxylic acid 1-((4-chlorophenyl)-amide) 2-((2-(2-dimethylamino-ethoxy)-4-morpholin-4-yl)-phenyl)-amide); (2R,4R)-4-hydroxy-pyrrolidine-1,2-dicarboxylic acid 1-((4-chlorophenyl)-amide) 2-((2-ethoxy-4-morpholin-4-yl-phenyl)-amide); and (c) (2R,4R)-4-hydroxy-pyrrolidine-1,2-dicarboxylic acid 1-((4-chlorophenyl)-amide) 2-((4-morpholin-4-yl-2-propoxy-phenyl)-amide); (d) the following new cyclopentane-carboxylic acid derivatives (IB) and their derivatives, solvates and stereoisomers (including mixtures in all proportions): (rac.)-2-(3-(4-chlorophenyl)-ureido)-cyclopentane-carboxylic acid (4-(3-oxo-morpholin-4-yl)-phenyl)-amide; and (rac.)-2-(3-(4-chlorophenyl)-ureido)-cyclopentane-carboxylic acid (3-methyl-4-(3-oxo-morpholin-4-yl)-phenyl)-amide; and (e) new intermediates of formulae (I-1), and (I-2) and their isomers and salts [Image] D 1>phenyl, pyridyl, thienyl, imidazolyl or furyl, substituted by halo; R 1> 1>H, OH, 1-6C alkoxy or ethynyl; R 2> 1>H, OH, 1-6C alkoxy or 1-6C alkyl; E 1>, W 1>groups together completing a pyrrolidine-1,2-diyl, piperidine-1,2-diyl or oxazolidine-3,4- or 3,5-diyl ring; G 1>(CH 2) n, (CH 2) nNH, CH=CH or CH=CHCH=CH; R 1> 2>H, =O, COOR 3> 2>, OH; R 2>H, =O, OH, OA' or 1-6C alkyl; or R 1> + R 2>a spiro-bonded membered carbocycle; R 3> 2>H or A'; Y 2>1,3- or 1,4-phenylene (os); T 2>heterocycle substituted by 1 or 2 =O; and A' : 1-6C alkyl. The full definitions are given in the DEFINITIONS (Full Definitions) field. ACTIVITY : Thrombolytic; anticoagulant; cardiant; antiarteriosclerotic; antiinflammatory; cerebroprotective; antianginal; vasotropic; antimigraine; cytostatic; antiarthritic; antidiabetic. MECHANISM OF ACTION : Factor Xa inhibitor; factor VIIa inhibitor. (I) may also inhibit serine proteases such as factor IXa and thrombin. In receptor affinity assays, (R)-pyrrolidine-1,2-dicarboxylic acid 1-(4-chlorophenyl)-amide) 2-((4-(3-oxo-morpholin-4-yl)-phenyl)-amide (Ia) had IC 5 0 18 nM for factor Xa and 23 nM for factor VIIa.

Description

Die Erfindung betrifft Verbindungen der Formel I

Figure 00010001
worin
R1, R2 jeweils unabhängig voneinander H, =O, Hal, A, Ethinyl, OR3, N(R3)2, NO2, CN, N3, COOR3, CON(R3)2, -[C(R4)2]n-Ar, -[C(R4)2]n-Het, -[C(R4)2]n-Cycloalkyl, -OCOR3, NR3COA oder NR3SO2A,
R1 und R2 zusammen auch einen bicyclisch oder spirocyclisch gebundenen 3- bis 7-gliedrigen Carbo- oder Heterocyclus mit 0 bis 3 N-, O- und/oder S-Atomen,
R3 H, A, -[C(R4)2]n-Ar', -[C(R4)2]n-Het', -[C(R4)2]n-Cycloalkyl,
R4 H oder A,
W N, CR3, oder ein sp2 hybridisiertes C-Atom,
E zusammen mit W einen 3- bis 7-gliedrigen gesättigten carbocyclischen oder heterocyclischen Ring mit 0 bis 3 N-, 0 bis 2 O- und/oder 0 bis 2 S-Atomen,
der eine Doppelbindung enthalten kann,
D einen ein- oder zweikernigen unsubstituierten oder ein- oder mehrfach durch Hal, A, OR3, N(R3)2, NO2, CN, COOR3 oder CON(R3)2 substituierten aromatischen Carbo- oder Heterocyclus mit 0 bis 4 N-, O- und/oder S-Atomen,
G -[C(R4)2]n-, -[C(R4)2]nNR3-, -[C(R4)2]nO- oder -[C(R4)2]nS-,
X -[C(R4)2]nCONR3[C(R4)2]n-, -[C(R4)2]nNR3CO[C(R4)2]n-, -[C(R4)2]nNR3[C(R4)2]n- oder -[C(R4)2]nO[C(R4)2]n-,
Y Alkylen, Cycloalkylen, Het-diyl oder Ar-diyl,
T einen ein- oder zweikernigen gesättigten oder ungesättigten Carbo- oder Heterocyclus mit 0 bis 4 N-, O- und/oder S-Atomen, der ein- oder zweifach durch =O, =S, =NR3, =N-CN, =N-NO2, =NOR3, =NCOR3, =NCOOR3, =NOCOR3 substituiert ist und ferner ein-, zwei- oder dreifach durch R3, Hal, A, -[C(R4)2]n-Ar, -[C(R4)2]n-Het, -[C(R4)2]n-Cycloalkyl, OR3, N(R3)2, NO2, CN, COOR3, CON(R3)2, NR3COA, NR3CON(R3)2, NR3SO2A, COR3, SO2NR3 und/oder S(O)nA substituiert sein kann,
A unverzweigtes oder verzweigtes Alkyl mit 1–10 C-Atomen, worin eine oder zwei CH2-Gruppen durch O- oder S-Atome und/oder durch -CH=CH-Gruppen und/oder auch 1–7 H-Atome durch F ersetzt sein können,
Ar unsubstituiertes oder ein-, zwei- oder dreifach durch Hal, A, OR3, N(R3)2, NO2, CN, COOR3, CON(R3)2, NR3COA, NR3CON(R3)2, NR3SO2A, COR3, SO2N(R3)2, S(O)nA, -[C(R4)2]n-OOOR3 Oder -O[C(R4)2]o-OOOR3 substituiertes Phenyl, Naphthyl oder Biphenyl,
Ar' unsubstituiertes oder ein-, zwei- oder dreifach durch Hal, A, OR4, N(R4)2, NO2, CN, COOR4, CON(R4)2, NR4COA, NR4CON(R4)2, NR4SO2A, COR4, SO2N(R4)2, S(O)nA, -[C(R4)2]n-OOOR4 oder -O[C(R4)2]o-OOOR4 substituiertes Phenyl, Naphthyl oder Biphenyl,
Het einen ein- oder zweikernigen gesättigten, ungesättigten oder aromatischen Heterocyclus mit 1 bis 4 N-, O- und/oder S-Atomen, der unsubstituiert oder ein-, zwei- oder dreifach durch Hal, A, -[C(R4)2]n-Ar, -[C(R4)2]n-Het', -[C(R4)2]n-Cycloalkyl, OR3, N(R3)2, NR3CON(R3)2, NO2, CN, -[C(R4)2]n-COOR3, -[C(R4)2]n-CON(R3)2, NR3COA, NR3SO2A, COR3, SO2NR3, S(O)mA und/oder Carbonylsauerstoff substituiert sein kann,
Het' einen ein- oder zweikernigen gesättigten, ungesättigten oder aromatischen Heterocyclus mit 1 bis 4 N-, O- und/oder S- Atomen, der unsubstituiert oder ein- oder zweifach durch Carbonylsauerstoff, =S, =N(R4)2, Hal, A, OR4, N(R4)2, NO2, CN, COOR4, CON(R4)2, NR4COA, NR4CON(R4)2, NR4SO2A, COR4, SO2NR4 und/oder S(O)nA substituiert sein kann,
Hal F, Cl, Br oder I,
n 0, 1 oder 2,
o 1, 2 oder 3
bedeuten,
sowie ihre pharmazeutisch verwendbaren Derivate, Solvate und Stereoisomere, einschließlich deren Mischungen in allen Verhältnissen.The invention relates to compounds of the formula I.
Figure 00010001
wherein
R 1 , R 2 each independently of one another H, = O, Hal, A, ethynyl, OR 3 , N (R 3 ) 2 , NO 2 , CN, N 3 , COOR 3 , CON (R 3 ) 2 , - [C (R 4 ) 2 ] n -Ar, - [C (R 4 ) 2 ] n -Het, - [C (R 4 ) 2 ] n -cycloalkyl, -OCOR 3 , NR 3 COA or NR 3 SO 2 A,
R 1 and R 2 together also form a bicyclically or spirocyclically bonded 3- to 7-membered carbo- or heterocycle with 0 to 3 N, O and / or S atoms,
R 3 H, A, - [C (R 4 ) 2 ] n -Ar ', - [C (R 4 ) 2 ] n -Het', - [C (R 4 ) 2 ] n -cycloalkyl,
R 4 H or A,
WN, CR 3 , or an sp 2 hybridized carbon atom,
E together with W is a 3- to 7-membered saturated carbocyclic or heterocyclic ring with 0 to 3 N, 0 to 2 O and / or 0 to 2 S atoms,
which can contain a double bond,
D is a mono- or dinuclear unsubstituted or mono- or polysubstituted by Hal, A, OR 3 , N (R 3 ) 2 , NO 2 , CN, COOR 3 or CON (R 3 ) 2 aromatic carbo or heterocycle with 0 to 4 N, O and / or S atoms,
G - [C (R 4 ) 2 ] n -, - [C (R 4 ) 2 ] n NR 3 -, - [C (R 4 ) 2 ] n O- or - [C (R 4 ) 2 ] n S-,
X - [C (R 4 ) 2 ] n CONR 3 [C (R 4 ) 2 ] n -, - [C (R 4 ) 2 ] n NR 3 CO [C (R 4 ) 2 ] n -, - [ C (R 4 ) 2 ] n NR 3 [C (R 4 ) 2 ] n - or - [C (R 4 ) 2 ] n O [C (R 4 ) 2 ] n -,
Y alkylene, cycloalkylene, het-diyl or ar-diyl,
T is a mono- or dinuclear saturated or unsaturated carbo- or heterocycle with 0 to 4 N, O and / or S atoms, which is mono- or disubstituted by = O, = S, = NR 3 , = N-CN, = N-NO 2 , = NOR 3 , = NCOR 3 , = NCOOR 3 , = NOCOR 3 and is further substituted one, two or three times by R 3 , Hal, A, - [C (R 4 ) 2 ] n -Ar, - [C (R 4 ) 2 ] n -Het, - [C (R 4 ) 2 ] n -cycloalkyl, OR 3 , N (R 3 ) 2 , NO 2 , CN, COOR 3 , CON (R 3 ) 2 , NR 3 COA, NR 3 CON (R 3 ) 2 , NR 3 SO 2 A, COR 3 , SO 2 NR 3 and / or S (O) n A can be substituted,
A unbranched or branched alkyl having 1-10 C atoms, wherein one or two CH 2 groups by O or S atoms and / or by -CH = CH groups and / or also 1-7 H atoms by F can be replaced
Ar unsubstituted or single, double or triple by Hal, A, OR 3 , N (R 3 ) 2 , NO 2 , CN, COOR 3 , CON (R 3 ) 2 , NR 3 COA, NR 3 CON (R 3 ) 2 , NR 3 SO 2 A, COR 3 , SO 2 N (R 3 ) 2 , S (O) n A, - [C (R 4 ) 2 ] n -OOOR 3 Or -O [C (R 4 ) 2 ] o -OOOR 3 substituted phenyl, naphthyl or biphenyl,
Ar 'unsubstituted or single, double or triple by Hal, A, OR 4 , N (R 4 ) 2 , NO 2 , CN, COOR 4 , CON (R 4 ) 2 , NR 4 COA, NR 4 CON (R 4 ) 2 , NR 4 SO 2 A, COR 4 , SO 2 N (R 4 ) 2 , S (O) n A, - [C (R 4 ) 2 ] n -OOOR 4 or -O [C (R 4 ) 2 ] o -OOOR 4 substituted phenyl, naphthyl or biphenyl,
Het is a mono- or dinuclear saturated, unsaturated or aromatic heterocycle with 1 to 4 N, O and / or S atoms, which is unsubstituted or mono-, di- or triple by Hal, A, - [C (R 4 ) 2 ] n -Ar, - [C (R 4 ) 2 ] n -Het ', - [C (R 4 ) 2 ] n -cycloalkyl, OR 3 , N (R 3 ) 2 , NR 3 CON (R 3 ) 2 , NO 2 , CN, - [C (R 4 ) 2 ] n -COOR 3 , - [C (R 4 ) 2 ] n -CON (R 3 ) 2 , NR 3 COA, NR 3 SO 2 A, COR 3 , SO 2 NR 3 , S (O) m A and / or carbonyl oxygen can be substituted,
Het 'a mono- or dinuclear saturated, unsaturated or aromatic heterocycle with 1 to 4 N, O and / or S atoms, which is unsubstituted or mono- or disubstituted by carbonyl oxygen, = S, = N (R 4 ) 2 , Hal, A, OR 4 , N (R 4 ) 2 , NO 2 , CN, COOR 4 , CON (R 4 ) 2 , NR 4 COA, NR 4 CON (R 4 ) 2 , NR 4 SO 2 A, COR 4 , SO 2 NR 4 and / or S (O) n A can be substituted,
Hal F, Cl, Br or I,
n 0, 1 or 2,
o 1, 2 or 3
mean,
as well as their pharmaceutically usable derivatives, solvates and stereoisomers, including their mixtures in all ratios.

Der Erfindung lag die Aufgabe zugrunde, neue Verbindungen mit wertvollen Eigenschaften aufzufinden, insbesondere solche, die zur Herstellung von Arzneimitteln verwendet werden können.The Invention was based on the task of creating new compounds with valuable Find properties, especially those that are used to manufacture of drugs can be used.

Es wurde gefunden, daß die Verbindungen der Formel I und ihre Salze bei guter Verträglichkeit sehr wertvolle pharmakologische Eigenschaften besitzen. Insbesondere zeigen sie Faktor Xa inhibierende Eigenschaften und können daher zur Bekämpfung und Verhütung von thromboembolischen Erkrankungen wie Thrombose, myocardialem Infarkt, Arteriosklerose, Entzündungen, Apoplexie, Angina pectoris, Restenose nach Angioplastie und Claudicatio intermittens eingesetzt werden.It has been found that the compounds of the formula I and their salts are very tolerable possess valuable pharmacological properties. In particular, they show factor Xa inhibitory properties and can therefore be used to combat and prevent thromboembolic disorders such as thrombosis, myocardial infarction, arteriosclerosis, inflammation, apoplexy, angina pectoris, restenosis after angioplasty and intermittent claudication.

Die erfindungsgemäßen Verbindungen der Formel I können weiterhin Inhibitoren der Gerinnungsfaktoren Faktor VIIa, Faktor IXa und Thrombin der Blutgerinnungskaskade sein.The compounds of the invention of formula I can further inhibitors of the coagulation factors factor VIIa, factor IXa and thrombin of the blood coagulation cascade.

Aromatische Amidinderivate mit antithrombotischer Wirkung sind z.B. aus der EP 0 540 051 B1 , WO 98/28269, WO 00/71508, WO 00/71511, WO 00/71493, WO 00/71507, WO 00/71509, WO 00/71512, WO 00/71515 oder WO 00/71516 bekannt. Cyclische Guanidine zur Behandlung thromboembolischer Erkrankungen sind z.B. in der WO 97/08165 beschrieben.Aromatic amidine derivatives with antithrombotic activity are, for example, from the EP 0 540 051 B1 , WO 98/28269, WO 00/71508, WO 00/71511, WO 00/71493, WO 00/71507, WO 00/71509, WO 00/71512, WO 00/71515 or WO 00/71516. Cyclic guanidines for the treatment of thromboembolic disorders are described, for example, in WO 97/08165.

Aromatische Heterocyclen mit Faktor Xa inhibitorischer Aktivität sind z.B. aus der WO 96/10022 bekannt. Substituierte N-[(Aminoiminomethyl)-phenylalkyl]-azaheterocyclylamide als Faktor Xa Inhibitoren sind in WO 96/40679 beschrieben.aromatic Heterocycles with factor Xa inhibitory activity are e.g. known from WO 96/10022. Substituted N - [(aminoiminomethyl) phenylalkyl] azaheterocyclylamides as factor Xa inhibitors are described in WO 96/40679.

Andere Carbonsäureamidderivate sind aus WO 02/48099 und WO 02/57236 bekannt, andere Pyrrolidinderivate sind in WO 02/100830 beschrieben.Other carboxamide are known from WO 02/48099 and WO 02/57236, other pyrrolidine derivatives are described in WO 02/100830.

Der antithrombotische und antikoagulierende Effekt der erfindungsgemäßen Verbindungen wird auf die inhibierende Wirkung gegenüber der aktivierten Gerinnungsprotease, bekannt unter dem Namen Faktor Xa, oder auf die Hemmung anderer aktivierter Serinproteasen wie Faktor VIIa, Faktor IXa oder Thrombin zurückgeführt.The antithrombotic and anticoagulant effect of the compounds according to the invention the inhibitory effect on the activated coagulation protease, known as Factor Xa, or to inhibit others activated serine proteases such as factor VIIa, factor IXa or thrombin recycled.

Faktor Xa ist eine der Proteasen, die in den komplexen Vorgang der Blutgerinnung involviert ist. Faktor Xa katalysiert die Umwandlung von Prothrombin in Thrombin. Thrombin spaltet Fibrinogen in Fibrinmonomere, die nach Quervernetzung elementar zur Thrombusbildung beitragen. Eine Aktivierung von Thrombin kann zum Auftreten von thromboembolischen Erkrankungen führen. Eine Hemmung von Thrombin kann jedoch die in die Thrombusbildung involvierte Fibrinbildung inhibieren.factor Xa is one of the proteases involved in the complex process of blood clotting is involved. Factor Xa catalyzes the conversion of prothrombin in thrombin. Thrombin cleaves fibrinogen into fibrin monomers that after cross-linking make an elementary contribution to thrombus formation. A Activation of thrombin can lead to the occurrence of thromboembolic Lead diseases. Inhibition of thrombin can, however, result in thrombus formation inhibit fibrin formation involved.

Die Messung der Inhibierung von Thrombin kann z.B. nach der Methode von G. F. Cousins et al. in Circulation 1996, 94, 1705–1712 erfolgen.The Measurement of the inhibition of thrombin can e.g. according to the method by G.F. Cousins et al. in Circulation 1996, 94, 1705-1712.

Eine Inhibierung des Faktors Xa kann somit verhindern, daß Thrombin gebildet wird.A Inhibition of factor Xa can thus prevent thrombin is formed.

Die erfindungsgemäßen Verbindungen der Formel I sowie ihre Salze greifen durch Inhibierung des Faktors Xa in den Blutgerinnungsprozeß ein und hemmen so die Entstehung von Thromben.The compounds of the invention of formula I and their salts take effect by inhibiting the factor Xa in the blood clotting process and thus inhibit the formation of thrombi.

Die Inhibierung des Faktors Xa durch die erfindungsgemäßen Verbindungen und die Messung der antikoagulierenden und antithrombotischen Aktivität kann nach üblichen in vitro- oder in vivo-Methoden ermittelt werden. Ein geeignetes Verfahren wird z.B. von J. Hauptmann et al. in Thrombosis and Haemostasis 1990, 63, 220–223 beschrieben.The Inhibition of factor Xa by the compounds according to the invention and measurement of anticoagulant and antithrombotic activity can be done according to usual in vitro or in vivo methods be determined. A suitable method is e.g. by J. Hauptmann et al. in Thrombosis and Haemostasis 1990, 63, 220-223.

Die Messung der Inhibierung von Faktor Xa kann z.B. nach der Methode von T. Hara et al. in Thromb. Haemostas. 1994, 71, 314–319 erfolgen.The Measurement of the inhibition of factor Xa can e.g. according to the method by T. Hara et al. in thromb. Haemostas. 1994, 71, 314-319.

Der Gerinnungsfaktor VIIa initiiert nach Bindung an Tissue Faktor den extrinsischen Teil der Gerinnungskaskade und trägt zur Aktivierung des Faktors X zu Faktor Xa bei. Eine Inhibierung von Faktor VIIa verhindert somit die Entstehung des Faktors Xa und damit eine nachfolgende Thrombinbildung.The Coagulation factor VIIa initiates the after binding to tissue factor extrinsic part of the coagulation cascade and helps activate the factor X to factor Xa. Inhibition of factor VIIa prevented thus the emergence of factor Xa and thus a subsequent one Thrombin formation.

Die Inhibierung des Faktors VIIa durch die erfindungsgemäßen Verbindungen und die Messung der antikoagulierenden und antithrombotischen Aktivität kann nach üblichen in vitro- oder in vivo-Methoden ermittelt werden. Ein übliches Verfahren zur Messung der Inhibierung von Faktor VIIa wird z.B. von H. F. Ronning et al. in Thrombosis Research 1996, 84, 73–81 beschrieben.The Inhibition of factor VIIa by the compounds according to the invention and measurement of anticoagulant and antithrombotic activity can be done according to usual in vitro or in vivo methods be determined. A common one A method for measuring the inhibition of factor VIIa is e.g. by H. F. Ronning et al. in Thrombosis Research 1996, 84, 73-81.

Der Gerinnungsfaktor IXa wird in der intrinsischen Gerinnungskaskade generiert und ist ebenfalls an der Aktivierung von Faktor X zu Faktor Xa beteiligt. Eine Inhibierung von Faktor IXa kann daher auf andere Weise verhindern, daß Faktor Xa gebildet wird.The Coagulation factor IXa is in the intrinsic coagulation cascade generated and is also in the activation of factor X to factor Xa involved. Inhibition of factor IXa can therefore be done in other ways prevent factor Xa is formed.

Die Inhibierung von Faktor IXa durch die erfindungsgemäßen Verbindungen und die Messung der antikoagulierenden und antithrombotischen Aktivität kann nach üblichen in vitro- oder in vivo-Methoden ermittelt werden. Ein geeignetes Verfahren wird z.B. von J. Chang et al. in Journal of Biological Chemistry 1998, 273, 12089–12094 beschrieben.The Inhibition of factor IXa by the compounds according to the invention and measurement of anticoagulant and antithrombotic activity can be done according to usual in vitro or in vivo methods be determined. A suitable method is e.g. by J. Chang et al. in Journal of Biological Chemistry 1998, 273, 12089-12094.

Die erfindungsgemäßen Verbindungen können weiterhin zur Behandlung von Tumoren, Tumorerkrankungen und/oder Tumormetastasen verwendet werden.The compounds of the invention can continue to treat tumors, tumor diseases and / or Tumor metastases are used.

Ein Zusammenhang zwischen dem Tissuefaktor TF/Faktor VIIa und der Entwicklung verschiedener Krebsarten wurde von T. Taniguchi und N.R.Lemoine in Biomed. Health Res. (2000), 41 (Molecular Pathogenesis of Pancreatic Cancer), 57–59, aufgezeigt.On Relationship between the tissue factor TF / factor VIIa and the development of various types of cancer was developed by T. Taniguchi and N.R. Lemoine in Biomed. Health Res. (2000), 41 (Molecular Pathogenesis of Pancreatic Cancer), 57-59, demonstrated.

Die im nachfolgenden aufgeführten Publikationen beschreiben eine antitumorale Wirkung von TF-VII und Faktor Xa Inhibitoren bei verschiedenen Tumorarten:
K.M. Donnelly et al. in Thromb. Haemost. 1998; 79: 1041–1047;
E.G. Fischer et al. in J. Clin. Invest. 104: 1213–1221 (1999);
B.M. Mueller et al. in J. Clin. Invest. 101: 1372–1378 (1998);
M.E. Bromberg et al. in Thromb. Haemost. 1999; 82: 88–92
The publications listed below describe an anti-tumor effect of TF-VII and factor Xa inhibitors in various types of tumor:
KM Donnelly et al. in thromb. Haemost. 1998; 79: 1041-1047;
EG Fischer et al. in J. Clin. Invest. 104: 1213-1221 (1999);
BM Mueller et al. in J. Clin. Invest. 101: 1372-1378 (1998);
ME Bromberg et al. in thromb. Haemost. 1999; 82: 88-92

Die Verbindungen der Formel I können als Arzneimittelwirkstoffe in der Human- und Veterinärmedizin eingesetzt werden, insbesondere zur Behandlung und Verhütung von thromboembolischen Erkrankungen wie Thrombose, myocardialem Infarkt, Arteriosklerose, Entzündungen, Apoplexie, Angina pectoris, Restenose nach Angioplastie, Claudicatio intermittens, venöse Thrombose, pulmonale Embolie, arterielle Thrombose, myocardiale Ischämie, instabile Angina und auf Thrombose basierender Schlaganfall.The Compounds of formula I can used as active pharmaceutical ingredients in human and veterinary medicine be used, especially for the treatment and prevention of thromboembolic Diseases such as thrombosis, myocardial infarction, arteriosclerosis, inflammation, Apoplexy, angina pectoris, restenosis after angioplasty, claudication intermittent, venous Thrombosis, pulmonary embolism, arterial thrombosis, myocardial ischemia, unstable angina and thrombosis-based stroke.

Die erfindungsgemäßen Verbindungen werden auch zur Behandlung oder Prophylaxe von atherosklerotischen Erkrankungen wie koronarer arterieller Erkrankung, cerebraler arterieller Erkrankung oder peripherer arterieller Erkrankung eingesetzt.The compounds of the invention are also used to treat or prevent atherosclerotic Diseases such as coronary arterial disease, cerebral arterial Disease or peripheral arterial disease.

Die Verbindungen werden auch in Kombination mit anderen Thrombolytika bei myocardialem Infarkt eingesetzt, ferner zur Prophylaxe zur Reocclusion nach Thrombolyse, percutaner transluminaler Angioplastie (PTCA) und koronaren Bypass-Operationen.The Compounds are also used in combination with other thrombolytics used for myocardial infarction, also for prophylaxis for reocclusion after thrombolysis, percutaneous transluminal angioplasty (PTCA) and coronary artery bypass surgery.

Die erfindungsgemäßen Verbindungen werden ferner verwendet zur Prävention von Rethrombose in der Mikrochirurgie, ferner als Antikoagulantien im Zusammenhang mit künstlichen Organen oder in der Hämodialyse.The compounds of the invention are also used for prevention of rethrombosis in microsurgery, also as anticoagulants related to artificial Organs or in hemodialysis.

Die Verbindungen finden ferner Verwendung bei der Reinigung von Kathetern und medizinischen Hilfsmitteln bei Patienten in vivo, oder als Antikoagulantien zur Konservierung von Blut, Plasma und anderen Blutprodukten in vitro. Die erfindungsgemäßen Verbindungen finden weiterhin Verwendung bei solchen Erkrankungen, bei denen die Blutkoagulation entscheidend zum Erkrankungsverlauf beiträgt oder eine Quelle der sekundären Pathologie darstellt, wie z.B. bei Krebs einschließlich Metastasis, entzündlichen Erkrankungen einschließlich Arthritis, sowie Diabetes.The Compounds are also used in the cleaning of catheters and medical aids in patients in vivo, or as anticoagulants for the preservation of blood, plasma and other blood products in vitro. The compounds of the invention continue to be used for diseases in which blood coagulation contributes significantly to the course of the disease or a source of secondary Represents pathology, e.g. cancer, including metastasis, inflammatory Diseases including Arthritis, as well as diabetes.

Die erfindungsgemäßen Verbindungen finden weiterhin Verwendung zur Behandlung von Migräne (F.Morales-Asin et al., Headache, 40, 2000, 45-47).The compounds of the invention continue to be used to treat migraines (F.Morales-Asin et al., Headache, 40, 2000, 45-47).

Bei der Behandlung der beschriebenen Erkrankungen werden die erfindungsgemäßen Verbindungen auch in Kombination mit anderen thrombolytisch wirksamen Verbindungen eingesetzt, wie z.B. mit dem "tissue plasminogen activator" t-PA, modifiziertem t-PA, Streptokinase oder Urokinase. Die erfindungsgemäßen Verbindungen werden mit den anderen genannten Substanzen entweder gleichzeitig oder vorher oder nachher gegeben.at the compounds of the invention are also used to treat the diseases described in combination with other thrombolytically active compounds used, e.g. with the "tissue plasminogen activator "t-PA, modified t-PA, streptokinase or urokinase. The compounds of the invention are either simultaneously with the other substances mentioned or given before or after.

Besonders bevorzugt ist die gleichzeitige Gabe mit Aspirin, um ein Neuauftreten der Thrombenbildung zu verhindern.Especially preference is given to concomitant administration with aspirin in order to prevent recurrence to prevent thrombus formation.

Die erfindungsgemäßen Verbindungen werden auch verwendet in Kombination mit Blutplättchen-Glycoprotein-Rezeptor (IIb/IIIa)-Antagonisten, die die Blutplättchenaggregation inhibieren.The compounds of the invention are also used in combination with platelet glycoprotein receptor (IIb / IIIa) antagonists, which is the platelet aggregation inhibit.

Gegenstand der Erfindung sind die Verbindungen der Formel I und ihre Salze sowie ein Verfahren zur Herstellung von Verbindungen der Formel I nach den Ansprüchen 1–16 sowie ihrer pharmazeutisch verwendbaren Derivate, Solvate und Stereoisomere, dadurch gekennzeichnet, daß man

  • a) zur Herstellung von Verbindungen der Formel I, worin W N und G NH bedeuten, eine Verbindung der Formel II
    Figure 00080001
    worin R1, R2, E, X, Y und T die in Anspruch 1 angegebene Bedeutung haben, und W N bedeutet, mit einer Verbindung der Formel III D-N=C=O IIIworin D die in Anspruch 1 angegebene Bedeutung hat, umsetzt, oder
  • b) zur Herstellung von Verbindungen der Formel I, worin X -[C(R4)2]nCONR3[C(R4)2]n- bedeutet, eine Verbindung der Formel IV HNR3-[C(R4)2]n-Y-T IV worin R3, n, Y und T die in Anspruch 1 angegebene Bedeutung haben, mit einer Verbindung der Formel V
    Figure 00090001
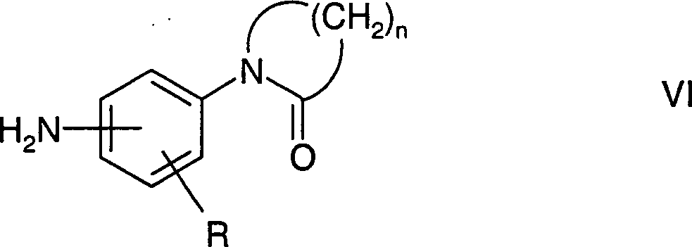
    worin L Cl, Br, I oder eine freie oder reaktionsfähig funktionell abgewandelte OH-Gruppe bedeutet und R1, R2, R4, D, E, G, W und n die in Anspruch 1 angegebene Bedeutung haben, umsetzt, oder
  • c) zur Herstellung von Verbindungen der Formel I, worin W N bedeutet, eine Verbindung der Formel II
    Figure 00100001
    worin R1, R2, E, X, Y und T die in Anspruch 1 angegebene Bedeutung haben, und W N bedeutet, mit einer Verbindung der Formel VI D-G-CO-L VIworin D und G die in Anspruch 1 angegebene Bedeutung haben und L Cl, Br, I oder eine freie oder reaktionsfähig funktionell abgewandelte OH-Gruppe bedeutet, umsetzt, und/oder eine Base oder Säure der Formel I in eines ihrer Salze umwandelt.
The invention relates to the compounds of the formula I and their salts and to a process for Preparation of compounds of formula I according to claims 1-16 and their pharmaceutically usable derivatives, solvates and stereoisomers, characterized in that
  • a) for the preparation of compounds of the formula I in which WN and G are NH, a compound of the formula II
    Figure 00080001
    wherein R 1 , R 2 , E, X, Y and T have the meaning given in claim 1, and WN means, with a compound of formula III DN = C = O III wherein D has the meaning given in claim 1, or
  • b) for the preparation of compounds of the formula I in which X is - [C (R 4 ) 2 ] n CONR 3 [C (R 4 ) 2 ] n -, a compound of the formula IV HNR 3 - [C (R 4 ) 2 ] n -YT IV wherein R 3 , n, Y and T have the meaning given in claim 1, with a compound of formula V.
    Figure 00090001
    wherein L is Cl, Br, I or a free or reactively functionally modified OH group and R 1 , R 2 , R 4 , D, E, G, W and n have the meaning given in claim 1, or
  • c) for the preparation of compounds of the formula I in which W is N, a compound of the formula II
    Figure 00100001
    wherein R 1 , R 2 , E, X, Y and T have the meaning given in claim 1, and WN means, with a compound of formula VI DG-CO-L VI wherein D and G have the meaning given in claim 1 and L is Cl, Br, I or a free or reactive functionally modified OH group, and / or converts a base or acid of the formula I into one of its salts.

Gegenstand der Erfindung sind auch die optisch aktiven Formen (Stereoisomeren), die Enantiomeren, die Racemate, die Diastereomeren sowie die Hydrate und Solvate dieser Verbindungen. Unter Solvate der Verbindungen werden Anlagerungen von inerten Lösungsmittelmolekülen an die Verbindungen verstanden, die sich aufgrund ihrer gegenseitigen Anziehungskraft ausbilden. Solvate sind z.B. Mono- oder Dihydrate oder Alkoholate.object of the invention are also the optically active forms (stereoisomers), the enantiomers, the racemates, the diastereomers and the hydrates and solvates of these compounds. Taking solvate of the compounds will add inert solvent molecules to the Connections understood that are due to their mutual attraction form. Solvates are e.g. Mono- or dihydrates or alcoholates.

Unter pharmazeutisch verwendbaren Derivaten versteht man z.B. die Salze der erfindungsgemäßen Verbindungen als auch sogenannte Prodrug-Verbindungen.Under pharmaceutically usable derivatives are understood e.g. the salts of the compounds of the invention as well as so-called prodrug compounds.

Unter Prodrug-Derivaten versteht man mit z. B. Alkyl- oder Acylgruppen, Zuckern oder Oligopeptiden abgewandelte Verbindungen der Formel I, die im Organismus rasch zu den wirksamen erfindungsgemäßen Verbindungen gespalten werden.Under Prodrug derivatives are understood with z. B. alkyl or acyl groups, Compounds of the formula modified by sugars or oligopeptides I, which in the organism quickly become the active compounds according to the invention be split.

Hierzu gehören auch bioabbaubare Polymerderivate der erfindungsgemäßen Verbindungen, wie dies z. B. in Int. J. Pharm. 115, 61–67 (1995) beschrieben ist.For this belong also biodegradable polymer derivatives of the compounds according to the invention, like this B. in Int. J. Pharm. 115, 61-67 (1995).

Gegenstand der Erfindung sind auch Mischungen der erfindungsgemäßen Verbindungen der Formel I, z.B. Gemische zweier Diastereomerer z.B. im Verhältnis 1:1, 1:2, 1:3, 1:4, 1:5, 1:10, 1:100 oder 1:1000.object The invention also relates to mixtures of the compounds according to the invention of formula I, e.g. Mixtures of two diastereomers e.g. in a ratio of 1: 1, 1: 2, 1: 3, 1: 4, 1: 5, 1:10, 1: 100 or 1: 1000.

Besonders bevorzugt handelt es sich dabei um Mischungen stereoisomerer Verbindungen.Especially these are preferably mixtures of stereoisomeric compounds.

Für alle Reste, die mehrfach auftreten, wie z.B. A, gilt, daß deren Bedeutungen unabhängig voneinander sind.For all leftovers, that occur multiple times, e.g. A, their meanings are independent of each other are.

Vor- und nachstehend haben die Reste bzw. Parameter D, E, G, W, X, Y, T, R1 und R2 die bei der Formel I angegebenen Bedeutungen, falls nicht ausdrücklich etwas anderes angegeben ist.Above and below, the radicals or parameters D, E, G, W, X, Y, T, R 1 and R 2 have the meanings given in formula I, unless expressly stated otherwise.

A bedeutet Alkyl, ist unverzweigt (linear) oder verzweigt, und hat 1, 2, 3, 4, 5, 6, 7, 8, 9 oder 10 C-Atome. A bedeutet vorzugsweise Methyl, weiterhin Ethyl, Propyl, Isopropyl, Butyl, Isobutyl, sek.-Butyl oder tert.-Butyl, ferner auch Pentyl, 1-, 2- oder 3-Methylbutyl, 1,1- , 1,2- oder 2,2-Dimethylpropyl, 1-Ethylpropyl, Hexyl, 1- , 2- , 3- oder 4-Methylpentyl, 1,1-, 1,2-, 1,3-, 2,2- , 2,3- oder 3,3-Dimethylbutyl, 1- oder 2-Ethylbutyl, 1-Ethyl-1-methylpropyl, 1-Ethyl-2-methylpropyl, 1,1,2- oder 1,2,2-Trimethylpropyl, weiter bevorzugt z.B. Trifluormethyl.A means alkyl, is unbranched (linear) or branched, and has 1, 2, 3, 4, 5, 6, 7, 8, 9 or 10 carbon atoms. A preferably means Methyl, furthermore ethyl, propyl, isopropyl, butyl, isobutyl, sec-butyl or tert-butyl, also pentyl, 1-, 2- or 3-methylbutyl, 1,1-, 1,2- or 2,2-dimethylpropyl, 1-ethylpropyl, hexyl, 1-, 2-, 3- or 4-methylpentyl, 1,1-, 1,2-, 1,3-, 2,2-, 2,3- or 3,3-dimethylbutyl, 1- or 2-ethylbutyl, 1-ethyl-1-methylpropyl, 1-ethyl-2-methylpropyl, 1,1,2- or 1,2,2-trimethylpropyl preferably e.g. Trifluoromethyl.

A bedeutet ganz besonders bevorzugt Alkyl mit 1, 2, 3, 4, 5 oder 6 C-Atomen, vorzugsweise Methyl, Ethyl, Propyl, Isopropyl, Butyl, Isobutyl, sek.-Butyl, tert.-Butyl, Pentyl, Hexyl, Trifluormethyl, Pentafluorethyl oder 1,1,1-Trifluorethyl.A means very particularly preferably alkyl with 1, 2, 3, 4, 5 or 6 C atoms, preferably Methyl, ethyl, propyl, isopropyl, butyl, isobutyl, sec-butyl, tert-butyl, Pentyl, hexyl, trifluoromethyl, pentafluoroethyl or 1,1,1-trifluoroethyl.

Cycloalkyl bedeutet vorzugsweise Cyclopropyl, Cyclobutyl, Cylopentyl, Cyclohexyl oder Cycloheptyl.cycloalkyl preferably means cyclopropyl, cyclobutyl, cyclopentyl, cyclohexyl or cycloheptyl.

Alkylen bedeutet vorzugsweise Methylen, Ethylen, Propylen, Butylen, Pentylen oder Hexylen, ferner verzweigtes Alkylen.alkylene preferably means methylene, ethylene, propylene, butylene, pentylene or hexylene, furthermore branched alkylene.

R1 und R2 bedeuten, jeweils unabhängig voneinander, vorzugsweise z.B. H, =O, COOR3, OH, OA, NH2, Alkyl mit 1, 2, 3, 4, 5 oder 6 C-Atomen, N3, Ethinyl, Vinyl, Allyloxy, NHCOA oder NHSO2A.R 1 and R 2 each, independently of one another, preferably, for example, H, = O, COOR 3 , OH, OA, NH 2 , alkyl having 1, 2, 3, 4, 5 or 6 carbon atoms, N 3 , ethynyl, Vinyl, allyloxy, NHCOA or NHSO 2 A.

R1 bedeutet bevorzugt H, =O, COOR3, wie z.B. COOA, OH, OA, NH2, Alkyl mit 1, 2, 3, 4, 5 oder 6 C-Atomen, N3, Ethinyl, Vinyl, Allyloxy, -OCOR3, wie z.B. Methylcarbonyloxy, NHCOA, wie z.B. Acetamino, oder NHSO2A, wie z.B. Methylsulfonylamino.R 1 preferably denotes H, = O, COOR 3 , such as COOA, OH, OA, NH 2 , alkyl having 1, 2, 3, 4, 5 or 6 carbon atoms, N 3 , ethynyl, vinyl, allyloxy, OCOR 3 , such as methylcarbonyloxy, NHCOA, such as acetamino, or NHSO 2 A, such as methylsulfonylamino.

R2 bedeutet vorzugsweise H, =O, OH, OA, wie z.B. Methoxy, oder Alkyl mit 1, 2, 3, 4, 5 oder 6 C-Atomen.R 2 is preferably H, = O, OH, OA, such as methoxy, or alkyl having 1, 2, 3, 4, 5 or 6 carbon atoms.

R1 und R2 bedeuten zusammen auch einen an das

Figure 00120001
-Ringsystem spirocyclisch oder bicyclisch gebundenen (ankondensierten) 3- bis 6-gliedrigen Carbo- oder Heterocyclus mit 0 bis 3 N-, O- und/oder S-Atomen.R 1 and R 2 together also mean one to that
Figure 00120001
-Ring system spirocyclically or bicyclically bonded (fused) 3- to 6-membered carbo- or heterocycle with 0 to 3 N, O and / or S atoms.

Dabei bedeutet der 3- bis 6-gliedrige Carbo- oder Heterocyclus z.B. Phenyl, Cyclopropyl, Cyclobutyl, Cyclopentyl, Cyclohexyl, Pyridyl, Imidazolyl, Piperidinyl oder 1,3-Dioxolanyl.there means the 3- to 6-membered carbo- or heterocycle e.g. phenyl, Cyclopropyl, cyclobutyl, cyclopentyl, cyclohexyl, pyridyl, imidazolyl, Piperidinyl or 1,3-dioxolanyl.

R1 und R2 bedeuten zusammen insbesondere einen an das

Figure 00130001
-Ringsystem spirocyclisch gebundenen 3- bis 6-gliedrigen Carbocyclus. Dabei bedeutet der 3- bis 6-gliedrige Carbocyclus bevorzugt Cyclopropyl, Cyclobutyl, Cyclopentyl oder Cyclohexyl.R 1 and R 2 together mean in particular one to the
Figure 00130001
-Ring system spirocyclically bound 3- to 6-membered carbocycle. The 3- to 6-membered carbocycle preferably means cyclopropyl, cyclobutyl, cyclopentyl or cyclohexyl.

R3 bedeutet vorzugsweise H oder A, ferner auch Phenyl oder Benzyl.R 3 is preferably H or A, and also phenyl or benzyl.

R4 bedeutet vorzugsweise N oder A, ganz besonders bevorzugt H. COR2, COR3 bzw. COR4 bedeutet z.B. CHO oder -COA.R 4 preferably denotes N or A, very particularly preferably H. COR 2 , COR 3 or COR 4 means, for example, CHO or -COA.

-COA (Acyl) bedeutet vorzugsweise Acetyl, Propionyl, ferner auch Butyryl, Pentanoyl, Hexanoyl oder z.B. Benzoyl.--COA (Acyl) preferably means acetyl, propionyl, and also butyryl, Pentanoyl, hexanoyl or e.g. Benzoyl.

Hal bedeutet vorzugsweise F, Cl oder Br, aber auch I.Hal preferably denotes F, Cl or Br, but also I.

Ar bedeutet z.B. Phenyl, o-, m- oder p-Tolyl, o-, m- oder p-Ethylphenyl, o-, m- oder p-Propylphenyl, o-, m- oder p-Isopropylphenyl, o-, m- oder p-tert.-Butylphenyl, o-, m- oder p-Hydroxyphenyl, o-, m- oder p-Nitrophenyl, o-, m- oder p-Aminophenyl, o-, m- oder p-(N-Methylamino)-phenyl, o-, m- oder p-(N-Methylaminocarbonyl)-phenyl, o-, m- oder p-Acetamidophenyl, o-, m- oder p-Methoxyphenyl, o-, m- oder p-Ethoxyphenyl, o-, m- oder p-Ethoxycarbonylphenyl, o-, m- oder p-(N,N-Dimethylamino)-phenyl, o-, m- oder p-(N,N-Dimethylaminocarbonyl)-phenyl, o-, m- oder p-(N-Ethylamino)-phenyl, o-, m- oder p-(N,N-Diethylamino)-phenyl, o-, m- oder p-Fluorphenyl, o-, m- oder p-Bromphenyl, o-, m- oder p-Chlorphenyl, o-, m- oder p-(Methylsulfonamido)-phenyl, o-, m- oder p-(Methylsulfonyl)-phenyl, weiter bevorzugt 2,3-, 2,4-, 2,5-, 2,6-, 3,4- oder 3,5-Difluorphenyl, 2,3-, 2,4-, 2,5-, 2,6-, 3,4- oder 3,5-Dichlorphenyl, 2,3-, 2,4-, 2,5-, 2,6-, 3,4- oder 3,5-Dibromphenyl, 2,4- oder 2,5-Dinitrophenyl, 2,5- oder 3,4-Dimethoxyphenyl, 3-Nitro-4-chlorphenyl, 3-Amino-4-chlor-, 2-Amino-3-chlor-, 2-Amino-4-chlor-, 2-Amino-5-chlor- oder 2-Amino-6-chlorphenyl, 2-Nitro-4-N,N-dimethylamino- oder 3-Nitro-4-N,N-dimethylaminophenyl, 2,3-Diaminophenyl, 2,3,4-, 2,3,5-, 2,3,6-, 2,4,6- oder 3,4,5-Trichlorphenyl, 2,4,6-Trimethoxyphenyl, 2-Hydroxy-3,5-dichlorphenyl, p-Iodphenyl, 3,6-Dichlor-4- aminophenyl, 4-Fluor-3-chlorphenyl, 2-Fluor-4-bromphenyl, 2,5-Difluor-4-bromphenyl, 3-Brom-6-methoxyphenyl, 3-Chlor-6-methoxyphenyl, 3-Chlor-4-acetamidophenyl, 3-Fluor-4-methoxyphenyl, 3-Amino-6-methylphenyl, 3-Chlor-4-acetamidophenyl oder 2,5-Dimethyl-4-chlorphenyl.Ar means e.g. Phenyl, o-, m- or p-tolyl, o-, m- or p-ethylphenyl, o-, m- or p-propylphenyl, o-, m- or p-isopropylphenyl, o-, m- or p-tert-butylphenyl, o-, m- or p-hydroxyphenyl, o-, m- or p-nitrophenyl, o-, m- or p-aminophenyl, o-, m- or p- (N-methylamino) phenyl, o-, m- or p- (N-methylaminocarbonyl) phenyl, o-, m- or p-acetamidophenyl, o-, m- or p-methoxyphenyl, o-, m- or p-ethoxyphenyl, o-, m- or p-ethoxycarbonylphenyl, o-, m- or p- (N, N-dimethylamino) phenyl, o-, m- or p- (N, N-dimethylaminocarbonyl) phenyl, o-, m- or p- (N-ethylamino) phenyl, o-, m- or p- (N, N-diethylamino) phenyl, o-, m- or p-fluorophenyl, o-, m- or p-bromophenyl, o-, m- or p-chlorophenyl, o-, m- or p- (methylsulfonamido) phenyl, o-, m- or p- (methylsulfonyl) phenyl, more preferably 2,3-, 2,4-, 2,5-, 2,6-, 3,4- or 3,5-difluorophenyl, 2,3-, 2,4-, 2,5-, 2,6-, 3,4- or 3,5-dichlorophenyl, 2,3-, 2,4-, 2,5-, 2,6-, 3,4- or 3,5-dibromophenyl, 2,4- or 2,5-dinitrophenyl, 2,5- or 3,4-dimethoxyphenyl, 3-nitro-4-chlorophenyl, 3-amino-4-chloro, 2-amino-3-chloro, 2-amino-4-chloro, 2-amino-5-chloro or 2-amino-6-chlorophenyl, 2-nitro-4-N, N-dimethylamino- or 3-nitro-4-N, N-dimethylaminophenyl, 2,3-diaminophenyl, 2,3,4-, 2,3,5-, 2,3,6-, 2,4,6- or 3,4,5-trichlorophenyl, 2,4,6-trimethoxyphenyl, 2-hydroxy-3,5-dichlorophenyl, p-iodophenyl, 3,6-dichloro-4-aminophenyl, 4-fluoro-3-chlorophenyl, 2-fluoro-4-bromophenyl, 2,5-difluoro-4-bromophenyl, 3-bromo-6-methoxyphenyl, 3-chloro-6-methoxyphenyl, 3-chloro-4-acetamidophenyl, 3-fluoro-4-methoxyphenyl, 3-amino-6-methylphenyl, 3-chloro-4-acetamidophenyl or 2,5-dimethyl-4-chlorophenyl.

Ar bedeutet vorzugsweise z.B. unsubstituiertes oder ein-, zwei- oder dreifach durch Hal, A, OR2, SO2A, COOR2 oder CN substituiertes Phenyl. Ar bedeutet insbesondere bevorzugt z.B. unsubstituiertes oder ein- oder zweifach durch Hal, A, OA, SO2A, SO2NH2, COOR2 oder CN substituiertes Phenyl, wie z.B. Phenyl, 2-Methylsulfonylphenyl, 2-Aminosulfonylphenyl, 2-, 3- oder 4-Chlorphenyl, 4-Methylphenyl, 4-Bromphenyl, 3-Fluor-4-methoxyphenyl, 4-Trifluormethoxyphenyl, 4-Ethoxyphenyl, 2-Methoxyphenyl, 3-Cyanphenyl oder 4-Ethoxycarbonylphenyl.Ar preferably means, for example, phenyl which is unsubstituted or mono-, di- or trisubstituted by Hal, A, OR 2 , SO 2 A, COOR 2 or CN. Ar particularly preferably denotes, for example, phenyl which is unsubstituted or mono- or disubstituted by Hal, A, OA, SO 2 A, SO 2 NH 2 , COOR 2 or CN, such as phenyl, 2-methylsulfonylphenyl, 2-aminosulfonylphenyl, 2-, 3 - or 4-chlorophenyl, 4-methylphenyl, 4-bromophenyl, 3-fluoro-4-methoxyphenyl, 4-trifluoromethoxyphenyl, 4-ethoxyphenyl, 2-methoxyphenyl, 3-cyanophenyl or 4-ethoxycarbonylphenyl.

Ganz besonders bevorzugt bedeutet Ar unsubstituiertes Phenyl, 4-Chlorphenyl oder 2-Methylsulfonylphenyl.All Ar particularly preferably denotes unsubstituted phenyl, 4-chlorophenyl or 2-methylsulfonylphenyl.

Y bedeutet vorzugsweise Het-diyl oder Ar-diyl, besonders bevorzugt unsubstituiertes oder einfach durch A, OA, Cl oder F substituiertes 1,4-Phenylen, ferner auch Pyridin-diyl, vorzugsweise Pyridin-2,5-diyl oder Piperidin-diyl.Y preferably means Het-diyl or Ar-diyl, particularly preferably unsubstituted or simply substituted by A, OA, Cl or F. 1,4-phenylene, further also pyridine diyl, preferably pyridine-2,5-diyl or piperidine diyl.

Y bedeutet insbesondere unsubstituiertes oder einfach durch Methyl, Trifluormethyl, Ethyl, Propyl, Cl oder F substituiertes 1,3- oder 1,4-Phenylen.Y means in particular unsubstituted or simply by methyl, Trifluoromethyl, ethyl, propyl, Cl or F substituted 1,3- or 1,4-phenylene.

Het bedeutet z.B. 2- oder 3-Furyl, 2- oder 3-Thienyl, 1-, 2- oder 3-Pyrrolyl, 1-, 2, 4- oder 5-Imidazolyl, 1-, 3-, 4- oder 5-Pyrazolyl, 2-, 4- oder 5-Oxazolyl, 3-, 4- oder 5-Isoxazolyl, 2-, 4- oder 5-Thiazolyl, 3-, 4- oder 5-Isothiazolyl, 2-, 3- oder 4-Pyridyl, 2-, 4-, 5- oder 6-Pyrimidinyl, weiterhin bevorzugt 1,2,3-Triazol-1-, -4- oder -5-yl, 1,2,4-Triazol-1-, -3- oder 5-yl, 1- oder 5-Tetrazolyl, 1,2,3-Oxadiazol-4- oder -5-yl, 1,2,4-Oxadiazol-3- oder – 5-yl, 1,3,4-Thiadiazol-2- oder -5-yl, 1,2,4-Thiadiazol-3- oder -5-yl, 1,2,3-Thiadiazol-4- oder -5-yl, 3- oder 4-Pyridazinyl, Pyrazinyl, 1-, 2-, 3-, 4-, 5-, 6- oder 7-Indolyl, 4- oder 5-Isoindolyl, 1-, 2-, 4- oder 5-Benzimidazolyl, 1-, 3-, 4-, 5-, 6- oder 7-Benzopyrazolyl, 2-, 4-, 5-, 6- oder 7-Benzoxazolyl, 3-, 4-, 5-, 6- oder 7-Benzisoxazolyl, 2-, 4-, 5-, 6- oder 7-Benzothiazolyl, 2-, 4-, 5-, 6- oder 7-Benzisothiazolyl, 4-, 5-, 6- oder 7-Benz-2,1,3-oxadiazolyl, 2-, 3-, 4-, 5-, 6-, 7- oder 8-Chinolyl, 1-, 3-, 4-, 5-, 6-, 7- oder 8-Isochinolyl, 3-, 4-, 5-, 6-, 7- oder 8-Cinnolinyl, 2-, 4-, 5-, 6-, 7- oder 8-Chinazolinyl, 5- oder 6-Chinoxalinyl, 2-, 3-, 5-, 6-, 7- oder 8-2H-Benzo[1,4]oxazinyl, weiter bevorzugt 1,3-Benzodioxol-5-yl, 1,4-Benzodioxan-6-yl, 2,1,3-Benzothiadiazol-4- oder -5-yl oder 2,1,3-Benzoxadiazol-5-yl.Het means e.g. 2- or 3-furyl, 2- or 3-thienyl, 1-, 2- or 3-pyrrolyl, 1-, 2, 4- or 5-imidazolyl, 1-, 3-, 4- or 5-pyrazolyl, 2-, 4- or 5-oxazolyl, 3-, 4- or 5-isoxazolyl, 2-, 4- or 5-thiazolyl, 3-, 4- or 5-isothiazolyl, 2-, 3- or 4-pyridyl, 2-, 4-, 5- or 6-pyrimidinyl, further preferred 1,2,3-triazol-1-, -4- or -5-yl, 1,2,4-triazol-1-, -3- or 5-yl, 1- or 5-tetrazolyl, 1,2,3-oxadiazol-4- or -5-yl, 1,2,4-oxadiazol-3- or - 5-yl, 1,3,4-thiadiazol-2- or -5-yl, 1,2,4-thiadiazol-3- or -5-yl, 1,2,3-thiadiazol-4- or -5-yl, 3- or 4-pyridazinyl, pyrazinyl, 1-, 2-, 3-, 4-, 5-, 6- or 7-indolyl, 4- or 5-isoindolyl, 1-, 2-, 4- or 5-benzimidazolyl, 1-, 3-, 4-, 5-, 6- or 7-benzopyrazolyl, 2-, 4-, 5-, 6- or 7-benzoxazolyl, 3-, 4-, 5-, 6- or 7-benzisoxazolyl, 2-, 4-, 5-, 6- or 7-benzothiazolyl, 2-, 4-, 5-, 6- or 7-benzisothiazolyl, 4-, 5-, 6- or 7-benz-2,1,3-oxadiazolyl, 2-, 3-, 4-, 5-, 6-, 7- or 8-quinolyl, 1-, 3-, 4-, 5-, 6-, 7- or 8-isoquinolyl, 3-, 4-, 5-, 6-, 7- or 8-cinnolinyl, 2-, 4-, 5-, 6-, 7- or 8-quinazolinyl, 5- or 6-quinoxalinyl, 2-, 3-, 5-, 6-, 7- or 8-2H-benzo [1,4] oxazinyl, more preferably 1,3-benzodioxol-5-yl, 1,4-benzodioxan-6-yl, 2,1,3-benzothiadiazol-4- or -5-yl or 2,1,3-benzoxadiazol-5-yl.

Die heterocyclischen Reste können auch teilweise oder vollständig hydriert sein.The heterocyclic radicals can also partially or completely be hydrated.

Het kann also z. B. auch bedeuten 2,3-Dihydro-2-, -3-, -4- oder -5-furyl, 2,5-Dihydro-2-, -3-, -4- oder 5-furyl, Tetrahydro-2- oder -3-furyl, 1,3-Dioxolan-4-yl, Tetrahydro-2- oder -3-thienyl, 2,3-Dihydro-1-, -2-, -3-, -4- oder -5-pyrrolyl, 2,5-Dihydro-1-, -2-, -3-, -4- oder -5-pyrrolyl, 1-, 2- oder 3-Pyrrolidinyl, Tetrahydro-1-, -2- oder -4-imidazolyl, 2,3-Dihydro-1-, -2-, -3-, -4- oder -5-pyrazolyl, Tetrahydro-1-, -3- oder -4-pyrazolyl, 1,4-Dihydro-1-, -2-, -3- oder -4-pyridyl, 1,2,3,4-Tetrahydro-1-, -2-, -3-, -4-, -5- oder -6-pyridyl, 1-, 2-, 3- oder 4-Piperidinyl, 2-, 3- oder 4-Morpholinyl, Tetrahydro-2-, -3- oder – 4-pyranyl, 1,4-Dioxanyl, 1,3-Dioxan-2-, -4- oder -5-yl, Hexahydro-1-, -3- oder -4-pyridazinyl, Hexahydro-1-, -2-, -4- oder -5-pyrimidinyl, 1-, 2- oder 3-Piperazinyl, 1,2,3,4-Tetrahydro-1-, -2-, -3-, -4-, -5-, -6-, -7- oder -8-chinolyl, 1,2,3,4-Tetrahydro-1-, -2-, -3-, -4-, -5-, -6-, -7- oder -8-isochinolyl, 2-, 3-, 5-, 6-, 7- oder 8- 3,4-Dihydro-2N-benzo[1,4]oxazinyl, weiter bevorzugt 2,3-Methylendioxyphenyl, 3,4-Methylendioxyphenyl, 2,3-Ethylendioxyphenyl, 3,4-Ethylendioxyphenyl, 3,4-(Difluormethylendioxy)phenyl, 2,3-Dihydrobenzofuran-5- oder 6-yl, 2,3-(2-Oxo-methylendioxy)-phenyl oder auch 3,4-Dihydro-2H-1,5-benzodioxepin-6- oder -7-yl, ferner bevorzugt 2,3-Dihydrobenzofuranyl oder 2,3-Dihydro-2-oxo-furanyl.Het So can e.g. B. also mean 2,3-dihydro-2-, -3-, -4- or -5-furyl, 2,5-dihydro-2-, -3-, -4- or 5-furyl, tetrahydro-2- or -3-furyl, 1,3-dioxolan-4-yl, tetrahydro-2- or -3-thienyl, 2,3-dihydro-1-, -2-, -3-, -4- or -5-pyrrolyl, 2,5-dihydro-1-, -2-, -3-, -4- or -5-pyrrolyl, 1-, 2- or 3-pyrrolidinyl, Tetrahydro-1-, -2- or -4-imidazolyl, 2,3-dihydro-1-, -2-, -3-, -4- or -5-pyrazolyl, tetrahydro-1-, -3- or -4-pyrazolyl, 1,4-dihydro-1-, -2-, -3- or -4-pyridyl, 1,2,3,4-tetrahydro-1-, -2-, -3-, -4-, -5- or -6-pyridyl, 1-, 2-, 3- or 4-piperidinyl, 2-, 3- or 4-morpholinyl, tetrahydro-2-, -3- or - 4-pyranyl, 1,4-dioxanyl, 1,3-dioxan-2-, -4- or -5-yl, hexahydro-1-, -3- or -4-pyridazinyl, Hexahydro-1-, -2-, -4- or -5-pyrimidinyl, 1-, 2- or 3-piperazinyl, 1,2,3,4-tetrahydro-1-, -2-, -3-, -4-, -5-, -6-, -7- or -8-quinolyl, 1,2,3,4-tetrahydro-1-, -2-, -3-, -4-, -5-, -6-, -7- or -8-isoquinolyl, 2-, 3-, 5-, 6-, 7- or 8- 3,4-dihydro-2N-benzo [1,4] oxazinyl, more preferably 2,3-methylenedioxyphenyl, 3,4-methylenedioxyphenyl, 2,3-ethylenedioxyphenyl, 3,4-ethylenedioxyphenyl, 3,4- (difluoromethylenedioxy) phenyl, 2,3-dihydrobenzofuran-5- or 6-yl, 2,3- (2-oxo-methylenedioxy) phenyl or 3,4-dihydro-2H-1,5-benzodioxepin-6- or -7-yl, further preferably 2,3-dihydrobenzofuranyl or 2,3-dihydro-2-oxo-furanyl.

Het' bedeutet vorzugsweise z.B. 2- oder 3-Furyl, 2- oder 3-Thienyl, 1-, 2- oder 3-Pyrrolyl, 1-, 2, 4- oder 5-Imidazolyl, 1-, 3-, 4- oder 5-Pyrazolyl, 2-, 4- oder 5-Oxazolyl, 3-, 4- oder 5-Isoxazolyl, 2-, 4- oder 5-Thiazolyl, 3-, 4- oder 5-Isothiazolyl, 2-, 3- oder 4-Pyridyl, 2-, 4-, 5- oder 6-Pyrimidinyl, weiterhin bevorzugt 1,2,3-Triazol-1-, -4- oder -5-yl, 1,2,4-Triazol-1-, -3- oder 5-yl, 1-oder 5-Tetrazolyl, 1,2,3-Oxadiazol-4- oder -5-yl, 1,2,4-Oxadiazol-3- oder – 5-yl, 1,3,4-Thiadiazol-2- oder -5-yl, 1,2,4-Thiadiazol-3- oder -5-yl, 1,2,3-Thiadiazol-4- oder -5-yl, 3- oder 4-Pyridazinyl, Pyrazinyl, 1-, 2-, 3-, 4-, 5-, 6- oder 7-Indolyl, 4- oder 5-Isoindolyl, 1-, 2-, 4- oder 5-Benzimidazolyl, 1-, 3-, 4-, 5-, 6- oder 7-Benzopyrazolyl, 2-, 4-, 5-, 6- oder 7-Benzoxazolyl, 3-, 4-, 5-, 6- oder 7- Benzisoxazolyl, 2-, 4-, 5-, 6- oder 7-Benzothiazolyl, 2-, 4-, 5-, 6- oder 7-Benzisothiazolyl, 4-, 5-, 6- oder 7-Benz-2,1,3-oxadiazolyl, 2-, 3-, 4-, 5-, 6-, 7- oder 8-Chinolyl, 1-, 3-, 4-, 5-, 6-, 7- oder 8-Isochinolyl, 3-, 4-, 5-, 6-, 7- oder 8-Cinnolinyl, 2-, 4-, 5-, 6-, 7- oder 8-Chinazolinyl, 5- oder 6-Chinoxalinyl, 2-, 3-, 5-, 6-, 7- oder 8-2H-Benzo[1,4]oxazinyl, weiter bevorzugt 1,3-Benzodioxol-5-yl, 1,4-Benzodioxan-6-yl, 2,1,3-Benzothiadiazol-4- oder -5-yl oder 2,1,3-Benzoxadiazol-5-yl.Het 'preferably means e.g. 2- or 3-furyl, 2- or 3-thienyl, 1-, 2- or 3-pyrrolyl, 1-, 2, 4- or 5-imidazolyl, 1-, 3-, 4- or 5-pyrazolyl, 2-, 4- or 5-oxazolyl, 3-, 4- or 5-isoxazolyl, 2-, 4- or 5-thiazolyl, 3-, 4- or 5-isothiazolyl, 2-, 3- or 4-pyridyl, 2-, 4-, 5- or 6-pyrimidinyl, further preferably 1,2,3-triazol-1-, -4- or -5-yl, 1,2,4-triazol-1-, -3- or 5-yl, 1-or 5-tetrazolyl, 1,2,3-oxadiazol-4- or -5-yl, 1,2,4-oxadiazol-3- or - 5-yl, 1,3,4-thiadiazol-2- or -5-yl, 1,2,4-thiadiazol-3- or -5-yl, 1,2,3-thiadiazol-4- or -5-yl, 3- or 4-pyridazinyl, pyrazinyl, 1-, 2-, 3-, 4-, 5-, 6- or 7-indolyl, 4- or 5-isoindolyl, 1-, 2-, 4- or 5-benzimidazolyl, 1-, 3-, 4-, 5-, 6- or 7-benzopyrazolyl, 2-, 4-, 5-, 6- or 7-benzoxazolyl, 3-, 4-, 5-, 6- or 7-benzisoxazolyl, 2-, 4-, 5-, 6- or 7-benzothiazolyl, 2-, 4-, 5-, 6- or 7-benzisothiazolyl, 4-, 5-, 6- or 7-benz-2,1,3-oxadiazolyl, 2-, 3-, 4-, 5-, 6-, 7- or 8-quinolyl, 1-, 3-, 4-, 5-, 6-, 7- or 8-isoquinolyl, 3-, 4-, 5-, 6-, 7- or 8-cinnolinyl, 2-, 4-, 5-, 6-, 7- or 8-quinazolinyl, 5- or 6-quinoxalinyl, 2-, 3-, 5-, 6-, 7- or 8-2H-benzo [1,4] oxazinyl, more preferably 1,3-benzodioxol-5-yl, 1,4-benzodioxan-6-yl, 2,1,3-benzothiadiazol-4- or -5-yl or 2,1,3-benzoxadiazol-5-yl.

Die heterocyclischen Reste können auch teilweise oder vollständig hydriert sein.The heterocyclic radicals can also partially or completely be hydrated.

Het' kann also z. B. auch bedeuten 2,3-Dihydro-2-, -3-, -4- oder -5-furyl, 2,5-Dihydro-2-, -3-, -4- oder 5-furyl, Tetrahydro-2- oder -3-furyl, 1,3-Dioxolan-4-yl, Tetrahydro-2- oder -3-thienyl, 2,3-Dihydro-1-, -2-, -3-, -4- oder -5-pyrrolyl, 2,5-Dihydro-1-, -2-, -3-, -4- oder -5-pyrrolyl, 1-, 2- oder 3-Pyrrolidinyl, Tetrahydro-1-, -2- oder -4-imidazolyl, 2,3-Dihydro-1-, -2-, -3-, -4- oder -5-pyrazolyl, Tetrahydro-1-, -3- oder -4-pyrazolyl, 1,4-Dihydro-1-, -2-, -3- oder -4-pyridyl, 1,2,3,4-Tetrahydro-1-, -2-, -3-, -4-, -5- oder -6-pyridyl, 1-, 2-, 3- oder 4-Piperidinyl, 2-, 3- oder 4-Morpholinyl, Tetrahydro-2-, -3- oder – 4-pyranyl, 1,4-Dioxanyl, 1,3-Dioxan-2-, -4- oder -5-yl, Hexahydro-1-, -3- oder -4-pyridazinyl, Hexahydro-1-, -2-, -4- oder -5-pyrimidinyl, 1-, 2- oder 3-Piperazinyl, 1,2,3,4-Tetrahydro-1-, -2-, -3-, -4-, -5-, -6-, -7- oder -8-chinolyl, 1,2,3,4-Tetrahydro-1-,-2-,-3-, -4-, -5-, -6-, -7- oder -8-isochinolyl, 2-, 3-, 5-, 6-, 7- oder 8- 3,4-Dihydro-2H-benzo[1,4]oxazinyl, weiter bevorzugt 2,3-Methylendioxyphenyl, 3,4-Methylendioxyphenyl, 2,3-Ethylendioxyphenyl, 3,4-Ethylendioxyphenyl, 3,4-(Difluormethylendioxy)phenyl, 2,3-Dihydro benzofuran-5- oder 6-yl, 2,3-(2-Oxo-methylendioxy)-phenyl oder auch 3,4-Dihydro-2H-1,5-benzodioxepin-6- oder -7-yl, ferner bevorzugt 2,3-Dihydrobenzofuranyl oder 2,3-Dihydro-2-oxo-furanyl.Het 'can thus B. also mean 2,3-dihydro-2-, -3-, -4- or -5-furyl, 2,5-dihydro-2-, -3-, -4- or 5-furyl, tetrahydro-2- or -3-furyl, 1,3-dioxolan-4-yl, Tetrahydro-2- or -3-thienyl, 2,3-dihydro-1-, -2-, -3-, -4- or -5-pyrrolyl, 2,5-dihydro-1-, -2-, -3-, -4- or -5-pyrrolyl, 1-, 2- or 3-pyrrolidinyl, tetrahydro-1-, -2- or -4-imidazolyl, 2,3-dihydro-1-, -2-, -3-, -4- or -5-pyrazolyl, Tetrahydro-1-, -3- or -4-pyrazolyl, 1,4-dihydro-1-, -2-, -3- or -4-pyridyl, 1,2,3,4-tetrahydro-1-, -2-, -3-, -4-, -5- or -6-pyridyl, 1-, 2-, 3- or 4-piperidinyl, 2-, 3- or 4-morpholinyl, tetrahydro-2-, -3- or - 4-pyranyl, 1,4-dioxanyl, 1,3-dioxan-2-, -4- or -5-yl, hexahydro-1-, -3- or -4-pyridazinyl, Hexahydro-1-, -2-, -4- or -5-pyrimidinyl, 1-, 2- or 3-piperazinyl, 1,2,3,4-tetrahydro-1-, -2-, -3-, -4-, -5-, -6-, -7- or -8-quinolyl, 1,2,3,4-tetrahydro-1 -, - 2 -, - 3-, -4-, -5-, -6-, -7- or -8-isoquinolyl, 2-, 3-, 5-, 6-, 7- or 8- 3,4-dihydro-2H-benzo [1,4] oxazinyl, more preferably 2,3-methylenedioxyphenyl, 3,4-methylenedioxyphenyl, 2,3-ethylenedioxyphenyl, 3,4-ethylenedioxyphenyl, 3,4- (difluoromethylene dioxy) phenyl, 2,3-dihydro benzofuran-5- or 6-yl, 2,3- (2-oxo-methylenedioxy) phenyl or 3,4-dihydro-2H-1,5-benzodioxepin-6- or -7-yl, further preferably 2,3-dihydrobenzofuranyl or 2,3-dihydro-2-oxo-furanyl.

T bedeutet vorzugsweise einen ein- oder zweikernigen gesättigten oder ungesättigten Heterocyclus mit 1 bis 2 N- und/oder O-Atomen, der ein- oder zweifach durch =O, =S, =NR2, =N-CN, =N-NO2, =NOR2, =NCOR2, =NCOOR2 oder =NOCOR2 substituiert ist und ferner ein- oder zweifach durch Hal oder A substituiert sein kann.T preferably denotes a mononuclear or dinuclear saturated or unsaturated heterocycle having 1 to 2 N and / or O atoms, which is represented once or twice by = O, = S, = NR 2 , = N-CN, = N-NO 2 , = NOR 2 , = NCOR 2 , = NCOOR 2 or = NOCOR 2 , and can also be substituted once or twice by Hal or A.

T bedeutet in einer weiteren Ausführungsform vorzugsweise z.B. 2-Iminopiperidin-1-yl, 2-Imino-pyrrolidin-1-yl, 2-Imino-1H-pyridin-1-yl, 3-Iminomorpholin-4-yl, 4-Imino-1H-pyridin-1-yl, 2,6-Diimino-piperidinl-yl, 2-Iminopiperazin-1-yl, 2,6-Diimino-piperazin-1-yl, 2,5-Diimino-pyrrolidin-1-yl, 2-Imino-1,3-oxazolidin-3-yl, 3-Imino-2H-pyridazin-2-yl, 2-Imino-azepan-1-yl, 2-Hydroxy-6-Imino-piperazin-1-yl oder 2-Methoxy-6-imino-piperazin-1-yl.T means in a further embodiment preferably e.g. 2-iminopiperidin-1-yl, 2-imino-pyrrolidin-1-yl, 2-imino-1H-pyridin-1-yl, 3-iminomorpholin-4-yl, 4-imino-1H-pyridin-1-yl, 2,6-diimino-piperidinl-yl, 2-iminopiperazin-1-yl, 2,6-diimino-piperazin-1-yl, 2,5-diimino-pyrrolidin-1-yl, 2-imino-1,3-oxazolidin-3-yl, 3-imino-2H-pyridazin-2-yl, 2-imino-azepan-1-yl, 2-hydroxy-6-imino-piperazin-1-yl or 2-methoxy-6-imino-piperazin-1-yl.

T bedeutet insbesondere einen ein- oder zweikernigen gesättigten oder ungesättigten Heterocyclus mit 1 bis 2 N- und/oder O-Atomen, der ein- oder zweifach durch =O, =S oder =NH substituiert ist.T means in particular a one- or two-core saturated or unsaturated Heterocycle with 1 to 2 N and / or O atoms, one or two times = O, = S or = NH is substituted.

T bedeutet besonders bevorzugt ein- oder zweifach durch =O oder =NH substituiertes Piperidin-1-yl, Pyrrolidin-1-yl, Pyridin-1-yl, Morpholin-4-yl, Piperazin-1-yl, 1,3-Oxazolidin-3-yl, Pyridazin-2-yl, Pyrazin-1-yl, Azepan-1-yl oder 2-Aza-bicyclo[2.2.2]-octan-2-yl.T means particularly preferably one or two times by = O or = NH substituted piperidin-1-yl, pyrrolidin-1-yl, pyridin-1-yl, morpholin-4-yl, Piperazin-1-yl, 1,3-oxazolidin-3-yl, pyridazin-2-yl, pyrazin-1-yl, azepan-1-yl or 2-aza-bicyclo [2.2.2] octan-2-yl.

D bedeutet vorzugsweise einfach durch Hal substituiertes Phenyl, Thienyl, Pyridyl, Furyl, Thiazolyl, Pyrrolyl oder Imidazolyl, besonders bevorzugt einfach durch Hal substituiertes Phenyl, Pyridyl oder Thienyl.D is preferably phenyl or thienyl which is monosubstituted by Hal, Pyridyl, furyl, thiazolyl, pyrrolyl or imidazolyl, particularly preferred phenyl, pyridyl or thienyl substituted simply by Hal.

Der Rest

Figure 00180001
bedeutet vorzugsweise Pyrrolidin-1,2-diyl, Piperidin-1,2-diyl, Oxazolidin-3,4- oder 3,5-diyl, Thiazolidin-3,4-diyl, 2,5-Dihydro-1H-pyrrol-1,5-diyl, [1,3]-Dioxolan-4,5-diyl, [1,3]-Oxazinan-3,4-diyl, Piperazin-1,4-diyl, Tetrahydrofuran-3,4-diyl oder Azetidin-1,2-diyl.The rest
Figure 00180001
preferably means pyrrolidine-1,2-diyl, piperidine-1,2-diyl, oxazolidine-3,4- or 3,5-diyl, thiazolidine-3,4-diyl, 2,5-dihydro-1H-pyrrole-1 , 5-diyl, [1,3] -dioxolane-4,5-diyl, [1,3] -oxazinane-3,4-diyl, piperazine-1,4-diyl, tetrahydrofuran-3,4-diyl or azetidine -1,2-diyl.

Die Verbindungen der Formel I können ein oder mehrere chirale Zentren besitzen und daher in verschiedenen stereoisomeren Formen vorkommen. Die Formel I umschließt alle diese Formen.The Compounds of formula I can have one or more chiral centers and therefore in different stereoisomeric forms occur. Formula I encompasses everyone these shapes.

Dementsprechend sind Gegenstand der Erfindung insbesondere diejenigen Verbindungen der Formel I, in denen mindestens einer der genannten Reste eine der vorstehend angegebenen bevorzugten Bedeutungen hat. Einige bevorzugte Gruppen von Verbindungen können durch die folgenden Teilformeln Ia bis In ausgedrückt werden, die der Formel I entsprechen und worin die nicht näher bezeichneten Reste die bei der Formel I angegebene Bedeutung haben, worin jedoch
in Ia D einen ein- oder zweikernigen unsubstituierten oder ein- oder zweifach durch Hal substituierten aromatischen Carbo- oder Heterocyclus mit 0 bis 4 N-, O- und/oder S-Atomen,
bedeutet;
in Ib D ein- oder zweifach durch Hal substituiertes Phenyl, Pyridyl oder Thienyl
bedeutet;
in Ic R1, R2 jeweils unabhängig voneinander H, =O, COOR3, OH, OA, NH2, Alkyl mit 1, 2, 3, 4, 5 oder 6 C-Atomen, N3, Ethinyl, Vinyl, Allyloxy, -OCOR3, NHCOA oder NHSO2A,
bedeuten;
in Id G (CH2)n oder (CH2)nNH- bedeutet;
in Ie X -[C(R4)2]nCONR3[C(R4)2]n- bedeutet;
in If X CONH bedeutet,
in Ig Y Ar-diyl bedeutet,
in Ih Y unsubstituiertes oder ein- oder zweifach durch Methyl, Ethyl, Propyl, Cl oder F substituiertes 1,3- oder 1,4-Phenylen bedeutet;
in Ii T einen ein- oder zweikernigen gesättigten oder ungesättigten Heterocyclus mit 1 bis 2 N- und/oder O-Atomen, der ein- oder zweifach durch Carbonylsauerstoff substituiert ist, bedeutet;
in Ij T ein- oder zweifach durch Carbonylsauerstoff substituiertes Piperidin-1-yl, Pyrrolidin-1-yl, 1H-Pyridin-1-yl, Morpholin-4-yl, Piperazin-1-yl, 1,3-Oxazolidin-3-yl, 2H-Pyridazin-2-yl, Pyrazin-1-yl, Azepan-1-yl, 2-Azabicyclo[2.2.2]-octan-2-yl, bedeutet;
in Ik Ar unsubstituiertes oder ein- oder zweifach durch Hal, A, OA, SO2A, COOR2, SO2NH2 oder CN substituiertes Phenyl bedeutet;
in II D einen ein- oder zweikernigen unsubstituierten oder ein- oder zweifach durch Hal substituierten aromatischen Carbo- oder Heterocyclus mit 0 bis 4 N-, O- und/oder S-Atomen,
R1, R2 jeweils unabhängig voneinander H, =O, COOR3, OH, OA, NH2, Alkyl mit 1, 2, 3, 4, 5 oder 6 C-Atomen, N3, Ethinyl, Vinyl, Allyloxy, -OCOR3, NHCOA oder NHSO2A,
R1 und R2 zusammen auch einen spirocyclisch gebundenen 3- bis 6-gliedrigen Carbocyclus,
R3 H oder A,
R4 H oder A,
W N, CR3, oder ein sp2 hybridisiertes C-Atom,
E zusammen mit W einen 3- bis 7-gliedrigen gesättigten carbocyclischen oder heterocyclischen Ring mit 0 bis 3 N-, O bis 2 O- und/oder 0 bis 2 S-Atomen, der eine Doppelbindung enthalten kann,
G (CH2)n oder (CH2)nNH-,
X -[C(R4)2]nCONR3[C(R4)2]n-,
Y Ar-diyl,
Ar unsubstituiertes oder ein- oder zweifach durch Hal, A, OA, SO2A, COOR2, SO2NH2 oder CN substituiertes Phenyl,
T einen ein- oder zweikernigen gesättigten oder ungesättigten Heterocyclus mit 1 bis 2 N- und/oder O-Atomen, der ein- oder zweifach durch Carbonylsauerstoff substituiert ist,
A unverzweigtes oder verzweigtes Alkyl mit 1–10 C-Atomen und worin 1–7 H-Atome durch F ersetzt sein können,
Hal F, Cl, Br oder I,
n 0, 1 oder 2, bedeuten;
in Im D ein- oder zweifach durch Hal substituiertes Phenyl, Pyridyl oder Thienyl,
R1, R2 jeweils unabhängig voneinander H, =O, COOR3, OH, OA, NH2, Alkyl mit 1, 2, 3, 4, 5 oder 6 C-Atomen, N3, Ethinyl, Vinyl, Allyloxy, -OCOR3, NHCOA oder NHSO2A,
R1 und R2 zusammen auch einen spirocyclisch gebundenen 3- bis 6-gliedrigen Carbocyclus,
R3 H oder A,
R4 H oder A,
W N, CR3, oder ein sp2 hybridisiertes C-Atom,
E zusammen mit W einen 3- bis 7-gliedrigen gesättigten carbocyclischen oder heterocyclischen Ring mit 0 bis 3 N-, 0 bis 2 O- und/oder 0 bis 2 S-Atomen, der eine Doppelbindung enthalten kann,
G (CH2)n oder (CH2)nNH-,
X CONH,
Y unsubstituiertes oder ein- oder zweifach durch Methyl, Trifluormethyl, Ethyl, Propyl, Cl oder F substituiertes 1,3- oder 1,4-Phenylen,
T ein- oder zweifach durch Carbonylsauerstoff substituiertes Piperidin-1-yl, Pyrrolidin-1-yl, 1H-Pyridin-1-yl, Morpholin-4-yl, Piperazin-1-yl, 1,3-Oxazolidin-3-yl, 2H-Pyridazin-2-yl, Pyrazin-1-yl, Azepan-1-yl, 2-Azabicyclo[2.2.2]-octan-2-yl,
A unverzweigtes oder verzweigtes Alkyl mit 1–10 C-Atomen und worin 1–7 H-Atome durch F ersetzt sein können,
Hal F, Cl, Br oder I,
n 0, 1 oder 2,
bedeuten;
in In D ein- oder zweifach durch Hal substituiertes Phenyl, Pyridyl oder Thienyl,
R1 H, =O, COOR3, OH, OA, NH2, Alkyl mit 1, 2, 3, 4, 5 oder 6 C-Atomen, N3, Ethinyl, Vinyl, Allyoxy, -OCOR3, NHCOA oder NHSO2A,
R2 H, =O, OH, OA oder Alkyl mit 1, 2, 3, 4, 5 oder 6 C-Atomen,
R1 und R2 zusammen auch einen spirocyclisch gebundenen 3- bis 6-gliedrigen Carbocyclus,
R3 N oder A,
R4 H oder A,

Figure 00220001
Pyrrolidin-1,2-diyl, Piperidin-1,2-diyl, Oxazolidin-3,4- oder 3,5-diyl, Thiazolidin-3,4-diyl, 2,5-Dihydro-1H-pyrrol-1,5-diyl, [1,3]-Dioxolan-4,5-diyl, [1,3]-Oxazinan-3,4-diyl, Piperazin-1,4-diyl, Tetrahydrofuran-3,4-diyl oder Azetidin-1,2-diyl,
G (CH2)n oder (CH2)nNH-,
X CONH,
Y unsubstituiertes oder ein- oder zweifach durch Methyl, Trifluormethyl, Ethyl, Propyl, Cl oder F substituiertes 1,3- oder 1,4-Phenylen,
T ein- oder zweifach durch Carbonylsauerstoff substituiertes Piperidin-1-yl, Pyrrolidin-1-yl, 1H-Pyridin-1-yl, Morpholin-4-yl, Piperazin-1-yl, 1,3-Oxazolidin-3-yl, 2H-Pyridazin-2-yl, Pyrazin-1-yl, Azepan-1-yl, 2-Azabicyclo[2.2.2]-octan-2-yl,
A unverzweigtes oder verzweigtes Alkyl mit 1–10 C-Atomen und worin 1–7 H-Atome durch F ersetzt sein können,
Hal F, Cl, Br oder I,
n 0, 1 oder 2,
bedeuten,
sowie ihre pharmazeutisch verwendbaren Derivate, Solvate und Stereoisomere, einschließlich deren Mischungen in allen Verhältnissen.Accordingly, the invention relates in particular to those compounds of the formula I in which at least one of the radicals mentioned has one of the preferred meanings indicated above. Some preferred groups of compounds can be expressed by the following sub-formulas Ia to In, which correspond to the formula I and in which the radicals not specified have the meaning given for the formula I, but in which
in Ia D a mono- or dinuclear unsubstituted or mono- or disubstituted aromatic halo or heterocycle with 0 to 4 N, O and / or S atoms,
means;
in Ib D phenyl, pyridyl or thienyl substituted once or twice by Hal
means;
in Ic R 1 , R 2 each independently of one another H, = O, COOR 3 , OH, OA, NH 2 , alkyl having 1, 2, 3, 4, 5 or 6 carbon atoms, N 3 , ethynyl, vinyl, allyloxy , -OCOR 3 , NHCOA or NHSO 2 A,
mean;
in Id G denotes (CH 2 ) n or (CH 2 ) n NH-;
in Ie X - [C (R 4 ) 2 ] n CONR 3 [C (R 4 ) 2 ] n -;
in If X means CONH
in Ig Y means Ar-diyl
in Ih Y is 1,3- or 1,4-phenylene which is unsubstituted or mono- or disubstituted by methyl, ethyl, propyl, Cl or F;
in Ii T is a mononuclear or dinuclear saturated or unsaturated heterocycle having 1 to 2 N and / or O atoms, which is mono- or disubstituted by carbonyl oxygen;
piperidin-1-yl, pyrrolidin-1-yl, 1H-pyridin-1-yl, morpholin-4-yl, piperazin-1-yl, 1,3-oxazolidin-3- in Ij T mono- or disubstituted by carbonyl oxygen yl, 2H-pyridazin-2-yl, pyrazin-1-yl, azepan-1-yl, 2-azabicyclo [2.2.2] octan-2-yl;
in Ik Ar is phenyl which is unsubstituted or mono- or disubstituted by Hal, A, OA, SO 2 A, COOR 2 , SO 2 NH 2 or CN;
in II D a mono- or dinuclear unsubstituted or mono- or doubly substituted by Hal aromatic carbo- or heterocycle with 0 to 4 N, O and / or S atoms,
R 1 , R 2 each independently of one another H, = O, COOR 3 , OH, OA, NH 2 , alkyl having 1, 2, 3, 4, 5 or 6 carbon atoms, N 3 , ethynyl, vinyl, allyloxy, OCOR 3 , NHCOA or NHSO 2 A,
R 1 and R 2 together also form a spirocyclically bonded 3- to 6-membered carbocycle,
R 3 H or A,
R 4 H or A,
WN, CR 3 , or an sp 2 hybridized carbon atom,
E together with W is a 3- to 7-membered saturated carbocyclic or heterocyclic ring with 0 to 3 N, O to 2 O and / or 0 to 2 S atoms, which may contain a double bond,
G (CH 2 ) n or (CH 2 ) n NH-,
X - [C (R 4 ) 2 ] n CONR 3 [C (R 4 ) 2 ] n -,
Y ar-diyl,
Ar is phenyl which is unsubstituted or mono- or disubstituted by Hal, A, OA, SO 2 A, COOR 2 , SO 2 NH 2 or CN,
T is a mono- or dinuclear saturated or unsaturated heterocycle with 1 to 2 N and / or O atoms, which is mono- or disubstituted by carbonyl oxygen,
A unbranched or branched alkyl having 1-10 C atoms and in which 1-7 H atoms can be replaced by F,
Hal F, Cl, Br or I,
n represents 0, 1 or 2;
in Im D phenyl, pyridyl or thienyl substituted once or twice by Hal,
R 1 , R 2 each independently of one another H, = O, COOR 3 , OH, OA, NH 2 , alkyl having 1, 2, 3, 4, 5 or 6 carbon atoms, N 3 , ethynyl, vinyl, allyloxy, OCOR 3 , NHCOA or NHSO 2 A,
R 1 and R 2 together also form a spirocyclically bonded 3- to 6-membered carbocycle,
R 3 H or A,
R 4 H or A,
WN, CR 3 , or an sp 2 hybridized carbon atom,
E together with W is a 3- to 7-membered saturated carbocyclic or heterocyclic ring with 0 to 3 N, 0 to 2 O and / or 0 to 2 S atoms, which may contain a double bond,
G (CH 2 ) n or (CH 2 ) n NH-,
X CONH,
Y 1,3- or 1,4-phenylene which is unsubstituted or mono- or disubstituted by methyl, trifluoromethyl, ethyl, propyl, Cl or F,
T piperidin-1-yl, pyrrolidin-1-yl, 1H-pyridin-1-yl, morpholin-4-yl, piperazin-1-yl, 1,3-oxazolidin-3-yl, mono- or disubstituted by carbonyl oxygen, 2H-pyridazin-2-yl, pyrazin-1-yl, azepan-1-yl, 2-azabicyclo [2.2.2] octan-2-yl,
A unbranched or branched alkyl having 1-10 C atoms and in which 1-7 H atoms can be replaced by F,
Hal F, Cl, Br or I,
n 0, 1 or 2,
mean;
in In D phenyl, pyridyl or thienyl mono- or disubstituted by Hal,
R 1 H, = O, COOR 3 , OH, OA, NH 2 , alkyl having 1, 2, 3, 4, 5 or 6 carbon atoms, N 3 , ethynyl, vinyl, allyoxy, -OCOR 3 , NHCOA or NHSO 2 A,
R 2 H, = O, OH, OA or alkyl having 1, 2, 3, 4, 5 or 6 carbon atoms,
R 1 and R 2 together also form a spirocyclically bonded 3- to 6-membered carbocycle,
R 3 N or A,
R 4 H or A,
Figure 00220001
Pyrrolidine-1,2-diyl, piperidine-1,2-diyl, oxazolidine-3,4- or 3,5-diyl, thiazolidine-3,4-diyl, 2,5-dihydro-1H-pyrrole-1,5 -diyl, [1,3] -dioxolane-4,5-diyl, [1,3] -oxazinane-3,4-diyl, piperazine-1,4-diyl, tetrahydrofuran-3,4-diyl or azetidine-1 , 2-diyl,
G (CH 2 ) n or (CH 2 ) n NH-,
X CONH,
Y is unsubstituted or mono- or disubstituted by methyl, trifluoromethyl, ethyl, propyl, Cl or F. 1,3- or 1,4-phenylene,
T piperidin-1-yl, pyrrolidin-1-yl, 1H-pyridin-1-yl, morpholin-4-yl, piperazin-1-yl, 1,3-oxazolidin-3-yl, mono- or disubstituted by carbonyl oxygen, 2H-pyridazin-2-yl, pyrazin-1-yl, azepan-1-yl, 2-azabicyclo [2.2.2] octan-2-yl,
A unbranched or branched alkyl having 1-10 C atoms and in which 1-7 H atoms can be replaced by F,
Hal F, Cl, Br or I,
n 0, 1 or 2,
mean,
as well as their pharmaceutically usable derivatives, solvates and stereoisomers, including their mixtures in all ratios.

Die Verbindungen der Formel I und auch die Ausgangsstoffe zu ihrer Herstellung werden im übrigen nach an sich bekannten Methoden hergestellt, wie sie in der Literatur (z.B. in den Standardwerken wie Houben-Weyl, Methoden der organischen Chemie, Georg-Thieme-Verlag, Stuttgart) beschrieben sind, und zwar unter Reaktionsbedingungen, die für die genannten Umsetzungen bekannt und geeignet sind. Dabei kann man auch von an sich bekannten, hier nicht näher erwähnten Varianten Gebrauch machen.The Compounds of formula I and also the starting materials for their preparation will be followed by the rest known methods prepared as in the literature (e.g. in the standard works such as Houben-Weyl, methods of organic Chemie, Georg-Thieme-Verlag, Stuttgart) are described under Reaction conditions for the implementations mentioned are known and suitable. It can one also makes use of variants which are known per se and are not mentioned here in greater detail.

Die Ausgangsstoffe können, falls erwünscht, auch in situ gebildet werden, so daß man sie aus dem Reaktionsgemisch nicht isoliert, sondern sofort weiter zu den Verbindungen der Formel I umsetzt.The Starting materials can if desired, also be formed in situ so that they can be removed from the reaction mixture not isolated, but immediately to the compounds of the formula I implemented.

Die Ausgangsverbindungen der Formeln II, III, IV, V, VI sind in der Regel bekannt. Sind sie neu, so können sie aber nach an sich bekannten Methoden hergestellt werden.The Starting compounds of the formulas II, III, IV, V, VI are in the Usually known. If they are new, however, they can in themselves known methods are produced.

Verbindungen der Formel I können vorzugsweise erhalten werden, indem man Verbindungen der Formel II mit Verbindungen der Formel III umsetzt.links of formula I can preferably obtained by using compounds of formula II is reacted with compounds of the formula III.

Die Umsetzung erfolgt in der Regel in einem inerten Lösungsmittel, in Gegenwart eines säurebindenden Mittels vorzugsweise eines Alkali- oder Erdalkalimetall-hydroxids, -carbonats oder -bicarbonats oder eines anderen Salzes einer schwachen Säure der Alkali- oder Erdalkalimetalle, vorzugsweise des Kaliums, Natriums, Calciums oder Cäsiums. Auch der Zusatz einer organischen Base wie Triethylamin, Dimethylanilin, Pyridin oder Chinolin oder eines Überschusses der Phenolkomponente der Formel II bzw. des Alkylierungsderivates der Formel III kann günstig sein. Die Reaktionszeit liegt je nach den angewendeten Bedingungen zwischen einigen Minuten und 14 Tagen, die Reaktionstemperatur zwischen etwa 0° und 150°, normalerweise zwischen 20° und 130°.The The reaction is usually carried out in an inert solvent, in the presence of an acid-binding With preferably an alkali or alkaline earth metal hydroxide, carbonate or bicarbonate or another salt of a weak Acidity of Alkali or alkaline earth metals, preferably potassium, sodium, Calcium or cesium. The addition of an organic base such as triethylamine, dimethylaniline, Pyridine or quinoline or an excess of the phenolic component of the formula II or the alkylation derivative of the formula III Cheap his. The response time depends on the conditions used between a few minutes and 14 days, the reaction temperature between about 0 ° and 150 °, normally between 20 ° and 130 °.

Als inerte Lösungsmittel eignen sich z.B. Kohlenwasserstoffe wie Hexan, Petrolether, Benzol, Toluol oder Xylol; chlorierte Kohlenwasserstoffe wie Trichlorethylen, 1,2-Dichlorethan, Tetrachlorkohlenstoff, Chloroform oder Dichlormethan; Alkohole wie Methanol, Ethanol, Isopropanol, n-Propanol, n-Butanol oder tert.-Butanol; Ether wie Diethylether, Diisopropylether, Tetrahydrofuran (THF) oder Dioxan; Glykolether wie Ethylenglykolmonomethyl- oder -monoethylether (Methylglykol oder Ethylglykol), Ethylenglykoldimethylether (Diglyme); Ketone wie Aceton oder Butanon; Amide wie Acetamid, Dimethylacetamid oder Dimethylformamid (DMF); Nitrile wie Acetonitril; Sulfoxide wie Dimethylsulfoxid (DMSO); Schwefelkohlenstoff; Carbonsäuren wie Ameisensäure oder Essigsäure; Nitroverbindungen wie Nitromethan oder Nitrobenzol; Ester wie Ethylacetat oder Gemische der genannten Lösungsmittel.As inert solvents are e.g. Hydrocarbons such as hexane, petroleum ether, benzene, Toluene or xylene; chlorinated hydrocarbons such as trichlorethylene, 1,2-dichloroethane, carbon tetrachloride, chloroform or dichloromethane; Alcohols such as methanol, ethanol, isopropanol, n-propanol, n-butanol or tert-butanol; Ethers such as diethyl ether, diisopropyl ether, tetrahydrofuran (THF) or dioxane; Glycol ethers such as ethylene glycol monomethyl or -monoethyl ether (methyl glycol or ethyl glycol), ethylene glycol dimethyl ether (Diglyme); Ketones such as acetone or butanone; Amides such as acetamide, dimethylacetamide or dimethylformamide (DMF); Nitriles such as acetonitrile; sulfoxides such as dimethyl sulfoxide (DMSO); Carbon disulphide; Carboxylic acids like formic acid or acetic acid; Nitro compounds such as nitromethane or nitrobenzene; Esters such as ethyl acetate or mixtures of the solvents mentioned.

Verbindungen der Formel I können weiter vorzugsweise erhalten werden, indem man Verbindungen der Formel IV mit Verbindungen der Formel V umsetzt.links of formula I can more preferably obtained by using compounds of Formula IV reacted with compounds of formula V.

Die Umsetzung erfolgt in der Regel in einem inerten Lösungsmittel und unter Bedingungen wie oben angegeben.The The reaction is usually carried out in an inert solvent and under conditions as stated above.

In den Verbindungen der Formel V bedeutet L vorzugsweise Cl, Br, I oder eine freie oder eine reaktionsfähig abgewandelte OH-Gruppe wie z.B. ein aktivierter Ester, ein Imidazolid oder Alkylsulfonyloxy mit 1–6 C-Atomen (bevorzugt Methylsulfonyloxy oder Trifluormethylsulfonyloxy) oder Arylsulfonyloxy mit 6–10 C-Atomen (bevorzugt Phenyl- oder p-Tolylsulfonyloxy).In the compounds of formula V are preferably L, Cl, Br, I. or a free or a reactively modified OH group such as. an activated ester, an imidazolide or alkylsulfonyloxy with 1–6 carbon atoms (preferably methylsulfonyloxy or trifluoromethylsulfonyloxy) or Arylsulfonyloxy with 6-10 C atoms (preferably phenyl or p-tolylsulfonyloxy).

Derartige Reste zur Aktivierung der Carboxygruppe in typischen Acylierungsreaktionen sind in der Literatur (z.B. in den Standardwerken wie Houben-Weyl, Methoden der organischen Chemie, Georg-Thieme-Verlag, Stuttgart;) beschrieben.such Residues to activate the carboxy group in typical acylation reactions are in the literature (e.g. in standard works such as Houben-Weyl, Methods of organic chemistry, Georg-Thieme-Verlag, Stuttgart;).

Aktivierte Ester werden zweckmäßig in situ gebildet, z. B. durch Zusatz von HOBt oder N-Hydroxysuccinimid.activated Esters are conveniently in situ formed, e.g. B. by adding HOBt or N-hydroxysuccinimide.

Die Umsetzung erfolgt in der Regel in einem inerten Lösungsmittel, in Gegenwart eines säurebindenden Mittels vorzugsweise einer organischen Base wie DIPEA, Triethylamin, Dimethylanilin, Pyridin oder Chinolin oder eines Überschusses der Carboxykomponente der Formel V.The The reaction is usually carried out in an inert solvent, in the presence of an acid-binding By means of preferably an organic base such as DIPEA, triethylamine, Dimethylaniline, pyridine or quinoline or an excess the carboxy component of formula V.

Auch der Zusatz eines Alkali- oder Erdalkalimetall-hydroxids, -carbonats oder -bicarbonats oder eines anderen Salzes einer schwachen Säure der Alkali- oder Erdalkalimetalle, vorzugsweise des Kaliums, Natriums, Calciums oder Cäsiums kann günstig sein.Also the addition of an alkali or alkaline earth metal hydroxide, carbonate or bicarbonate or other salt of a weak acid Alkali or alkaline earth metals, preferably potassium, sodium, Calcium or cesium can be cheap his.

Die Reaktionszeit liegt je nach den angewendeten Bedingungen zwischen einigen Minuten und 14 Tagen, die Reaktionstemperatur zwischen etwa –30° und 140°, normalerweise zwischen –10° und 90°, insbesondere zwischen etwa 0° und etwa 70°.The Response time is between depending on the conditions used a few minutes and 14 days, the reaction temperature between about -30 ° and 140 °, normally between -10 ° and 90 °, in particular between about 0 ° and about 70 °.

Als inerte Lösungsmittel eignen sich die oben genannten.As inert solvents the above are suitable.

Verbindungen der Formel I können weiter vorzugsweise erhalten werden, indem man Verbindungen der Formel II mit Verbindungen der Formel VI umsetzt.links of formula I can more preferably obtained by using compounds of Formula II reacted with compounds of formula VI.

Die Umsetzung erfolgt in der Regel in einem inerten Lösungsmittel und unter Bedingungen wie oben angegeben.The The reaction is usually carried out in an inert solvent and under conditions as stated above.

In den Verbindungen der Formel VI bedeutet L vorzugsweise Cl, Br, I oder eine freie oder eine reaktionsfähig abgewandelte OH-Gruppe wie z.B. ein aktivierter Ester, ein Imidazolid oder Alkylsulfonyloxy mit 1–6 C-Atomen (bevorzugt Methylsulfonyloxy oder Trifluormethylsulfonyloxy) oder Arylsulfonyloxy mit 6–10 C-Atomen (bevorzugt Phenyl- oder p-Tolylsulfonyloxy).In the compounds of the formula VI preferably denote Cl, Br, I. or a free or a reactively modified OH group such as. an activated ester, an imidazolide or alkylsulfonyloxy with 1–6 carbon atoms (preferably methylsulfonyloxy or trifluoromethylsulfonyloxy) or Arylsulfonyloxy with 6-10 C atoms (preferably phenyl or p-tolylsulfonyloxy).

Verbindungen der Formel I können weiterhin vorzugsweise erhalten werden, indem man eine Verbindung der Formel D-NH2, worin D die in Anspruch 1 angegebene Bedeutung hat, mit einem Chloroformiatderivat, z.B. 4-Nitrophenylchlorformiat zu einem intermediären Carbamat umsetzt, und dieses anschließend mit einer Verbindung der Formel II umsetzt. Dies geschieht unter Bedingungen wie oben beschrieben.Compounds of the formula I can furthermore preferably be obtained by reacting a compound of the formula D-NH 2 , in which D has the meaning given in claim 1, with a chloroformate derivative, for example 4-nitrophenyl chloroformate, to an intermediate carbamate, and then reacting this with a Reacts compound of formula II. This is done under conditions as described above.

Verbindungen der Formel I können ferner erhalten werden, indem man Verbindungen der Formel I aus einem ihrer funktionellen Derivate durch Behandeln mit einem solvolysierenden oder hydrogenolysierenden Mittel in Freiheit setzt.links of formula I can can also be obtained by preparing compounds of the formula I from a their functional derivatives by treatment with a solvolysing or hydrogenolysing agents.

Bevorzugte Ausgangsstoffe für die Solvolyse bzw. Hydrogenolyse sind solche, die sonst der Formel I entsprechen, aber anstelle einer oder mehrerer freier Amino- und/oder Hydroxygruppen entsprechende geschützte Amino- und/oder Hydroxygruppen enthalten, vorzugsweise solche, die anstelle eines H-Atoms, das mit einem N-Atom verbunden ist, eine Aminoschutzgruppe tragen, insbesondere solche, die anstelle einer HN-Gruppe eine R'-N-Gruppe tragen, worin R' eine Aminoschutzgruppe bedeutet, und/oder solche, die anstelle des H-Atoms einer Hydroxygruppe eine Hydroxyschutzgruppe tragen, z.B. solche, die der Formel I entsprechen, jedoch anstelle einer Gruppe -COOH eine Gruppe -COOR'' tragen, worin R'' eine Hydroxyschutzgruppe bedeutet.preferred Starting materials for Solvolysis or hydrogenolysis are those which otherwise have the formula I correspond, but instead of one or more free amino and / or Protected amino and / or hydroxyl groups corresponding to hydroxyl groups contain, preferably those that instead of an H atom, with connected to an N atom, carry an amino protecting group, in particular those which carry an R'-N group instead of an HN group, where R 'is an amino protecting group means, and / or those instead of the H atom of a hydroxy group carry a hydroxy protecting group, e.g. those corresponding to formula I but instead of a group -COOH carry a group -COOR ", in which R" is a Hydroxy protecting group means.

Es können auch mehrere – gleiche oder verschiedene – geschützte Amino- und/oder Hydroxygruppen im Molekül des Ausgangsstoffes vorhanden sein. Falls die vorhandenen Schutzgruppen voneinander verschieden sind, können sie in vielen Fällen selektiv abgespalten werden.It can also several - the same or various - protected amino and / or hydroxy groups in the molecule of the starting material. If the existing protective groups are different from each other them in many cases be split off selectively.

Der Ausdruck "Aminoschutzgruppe" ist allgemein bekannt und bezieht sich auf Gruppen, die geeignet sind, eine Aminogruppe vor chemischen Umsetzungen zu schützen (zu blockieren), die aber leicht entfernbar sind, nachdem die gewünschte chemische Reaktion an anderen Stellen des Moleküls durchgeführt worden ist. Typisch für solche Gruppen sind insbesondere unsubstituierte oder substituierte Acyl-, Aryl-, Aralkoxymethyl- oder Aralkylgruppen. Da die Aminoschutzgruppen nach der gewünschten Reaktion (oder Reaktionsfolge) entfernt werden, ist ihre Art und Größe im übrigen nicht kritisch; bevorzugt werden jedoch solche mit 1–20, insbesondere 1–8 C-Atomen. Der Ausdruck "Acylgruppe" ist im Zusammenhang mit dem vorliegenden Verfahren in weitestem Sinne aufzufassen. Er umschließt von aliphatischen, araliphatischen, aromatischen oder heterocyclischen Carbonsäuren oder Sulfonsäuren abgeleitete Acylgruppen sowie insbesondere Alkoxycarbonyl-, Aryloxycarbonyl- und vor allem Aralkoxycarbonylgruppen. Beispiele für derartige Acylgruppen sind Alkanoyl wie Acetyl, Propionyl, Butyryl; Aralkanoyl wie Phenylacetyl; Aroyl wie Benzoyl oder Toluyl; Aryloxyalkanoyl wie POA; Alkoxycarbonyl wie Methoxycarbonyl, Ethoxycarbonyl, 2,2,2-Trichlorethoxycarbonyl, BOC (tert.-Butyloxycarbonyl), 2-Iodethoxycarbonyl; Aralkyloxycarbonyl wie CBZ ("Carbobenzoxy"), 4-Methoxybenzyloxycarbonyl, FMOC; Arylsulfonyl wie Mtr. Bevorzugte Aminoschutzgruppen sind BOG und Mtr, ferner CBZ, Fmoc, Benzyl und Acetyl.The term "amino protecting group" is generally known and refers to groups which are suitable for protecting (blocking) an amino group from chemical reactions, but which are easily removable after the desired chemical reaction has been carried out at other locations in the molecule. Unsubstituted or substituted acyl, aryl, aralkoxymethyl or aralkyl groups are particularly typical of such groups. Since the amino protective groups are removed after the desired reaction (or sequence of reactions), their type and size is otherwise not critical; however, preference is given to those having 1-20, in particular 1-8, carbon atoms. The expression "acyl group" is to be understood in the broadest sense in connection with the present process. It encompasses acyl groups derived from aliphatic, araliphatic, aromatic or heterocyclic carboxylic acids or sulfonic acids, and in particular alkoxycarbonyl, aryloxycarbonyl and especially aralkoxycarbonyl groups. Examples of such acyl groups are alkanoyl such as Acetyl, propionyl, butyryl; Aralkanoyl such as phenylacetyl; Aroyl such as benzoyl or toluyl; Aryloxyalkanoyl such as POA; Alkoxycarbonyl such as methoxycarbonyl, ethoxycarbonyl, 2,2,2-trichloroethoxycarbonyl, BOC (tert-butyloxycarbonyl), 2-iodoethoxycarbonyl; Aralkyloxycarbonyl such as CBZ ("carbobenzoxy"), 4-methoxybenzyloxycarbonyl, FMOC; Arylsulfonyl such as Mtr. Preferred amino protecting groups are BOG and Mtr, furthermore CBZ, Fmoc, benzyl and acetyl.

Der Ausdruck "Hydroxyschutzgruppe" ist ebenfalls allgemein bekannt und bezieht sich auf Gruppen, die geeignet sind, eine Hydroxygruppe vor chemischen Umsetzungen zu schützen, die aber leicht entfernbar sind, nachdem die gewünschte chemische Reaktion an anderen Stellen des Moleküls durchgeführt worden ist. Typisch für solche Gruppen sind die oben genannten unsubstituierten oder substituierten Aryl-, Aralkyl- oder Acylgruppen, ferner auch Alkylgruppen. Die Natur und Größe der Hydroxyschutzgruppen ist nicht kritisch, da sie nach der gewünschten chemischen Reaktion oder Reaktionsfolge wieder entfernt werden; bevorzugt sind Gruppen mit 1–20, insbesondere 1–10 C-Atomen. Beispiele für Hydroxyschutzgruppen sind u.a. Benzyl, 4-Methoxybenzyl, p-Nitrobenzoyl, p- Toluolsulfonyl, tert.-Butyl und Acetyl, wobei Benzyl und tert.-Butyl besonders bevorzugt sind.The The term "hydroxy protecting group" is also general known and refers to groups that are suitable, a hydroxy group to protect against chemical reactions, which are easily removable, after the desired one chemical reaction has been carried out elsewhere in the molecule. Typical of such Groups are the unsubstituted or substituted above Aryl, aralkyl or acyl groups, and also alkyl groups. The Nature and size of the hydroxy protecting groups is not critical as it follows the desired chemical reaction or reaction sequence are removed again; groups are preferred with 1–20, especially 1-10 C-atoms. examples for Hydroxy protecting groups include Benzyl, 4-methoxybenzyl, p-nitrobenzoyl, p-toluenesulfonyl, tert-butyl and acetyl, with benzyl and tert-butyl being particularly preferred are.

Das In-Freiheit-Setzen der Verbindungen der Formel I aus ihren funktionellen Derivaten gelingt – je nach der benutzten Schutzgruppe – z. B. mit starken Säuren, zweckmäßig mit TFA oder Perchlorsäure, aber auch mit anderen starken anorganischen Säuren wie Salzsäure oder Schwefelsäure, starken organischen Carbonsäuren wie Trichloressigsäure oder Sulfonsäuren wie Benzol- oder p-Toluolsulfonsäure. Die Anwesenheit eines zusätzlichen inerten Lösungsmittels ist möglich, aber nicht immer erforderlich. Als inerte Lösungsmittel eignen sich vorzugsweise organische, beispielsweise Carbonsäuren wie Essigsäure, Ether wie Tetrahydrofuran oder Dioxan, Amide wie DMF, halogenierte Kohlenwasserstoffe wie Dichlormethan, ferner auch Alkohole wie Methanol, Ethanol oder Isopropanol, sowie Wasser. Ferner kommen Gemische der vorgenannten Lösungsmittel in Frage. TFA wird vorzugsweise im Überschuß ohne Zusatz eines weiteren Lösungsmittels verwendet, Perchlorsäure in Form eines Gemisches aus Essigsäure und 70 %iger Perchlorsäure im Verhältnis 9:1. Die Reaktionstemperaturen für die Spaltung liegen zweckmäßig zwischen etwa 0 und etwa 50°, vorzugsweise arbeitet man zwischen 15 und 30° (Raumtemperatur).The Liberation of the compounds of formula I from their functional Derivatives succeed - depending on the protecting group used - e.g. B. with strong acids, expediently with TFA or perchloric acid, but also with other strong inorganic acids such as hydrochloric acid or Sulfuric acid, strong organic carboxylic acids like trichloroacetic acid or sulfonic acids such as benzene or p-toluenesulfonic acid. The presence of an additional inert solvent is possible, but not always required. Suitable inert solvents are preferably organic, for example carboxylic acids such as acetic acid, ether such as tetrahydrofuran or dioxane, amides such as DMF, halogenated hydrocarbons such as dichloromethane, also alcohols such as methanol, ethanol or Isopropanol, and water. Mixtures of the aforementioned also come solvent in question. TFA is preferably in excess without the addition of another solvent used perchloric acid in the form of a mixture of acetic acid and 70% perchloric acid in a ratio of 9: 1. The reaction temperatures for the split is conveniently between about 0 and about 50 °, preferably one works between 15 and 30 ° (room temperature).

Die Gruppen BOC, OBut und Mtr können z. B. bevorzugt mit TFA in Dichlormethan oder mit etwa 3 bis 5n HCl in Dioxan bei 15–30° abgespalten werden, die FMOC-Gruppe mit einer etwa 5- bis 50 %igen Lösung von Dimethylamin, Diethylamin oder Piperidin in DMF bei 15–30°.The Groups BOC, OBut and Mtr can z. B. preferably with TFA in dichloromethane or with about 3 to 5n HCl cleaved in dioxane at 15-30 ° be the FMOC group with an approximately 5 to 50% solution of Dimethylamine, diethylamine or piperidine in DMF at 15-30 °.

Hydrogenolytisch entfernbare Schutzgruppen (z. B. CBZ, Benzyl oder die Freisetzung der Amidinogruppe aus ihrem Oxadiazolderivat)) können z. B. durch Behandeln mit Wasserstoff in Gegenwart eines Katalysators (z. B. eines Edelmetallkatalysators wie Palladium, zweckmäßig auf einem Träger wie Kohle) abgespalten werden. Als Lösungsmittel eignen sich dabei die oben angegebenen, insbesondere z. B. Alkohole wie Methanol oder Ethanol oder Amide wie DMF. Die Hydrogenolyse wird in der Regel bei Temperaturen zwischen etwa 0 und 100° und Drucken zwischen etwa 1 und 200 bar, bevorzugt bei 20–30° und 1–10 bar durchgeführt. Eine Hydrogenolyse der CBZ-Gruppe gelingt z. B. gut an 5 bis 10 %igem Pd/C in Methanol oder mit Ammomiumformiat (anstelle von Wasserstoff) an Pd/C in Methanol/DMF bei 20–30°.hydrogenolytically removable protecting groups (e.g. CBZ, benzyl or the release the amidino group from their oxadiazole derivative)) can, for. B. by treatment with hydrogen in the presence of a catalyst (e.g. a noble metal catalyst like palladium a carrier like coal) can be split off. Suitable solvents are the above, especially z. B. alcohols such as methanol or Ethanol or amides such as DMF. Hydrogenolysis is usually done at temperatures between approximately 0 and 100 ° and pressures between approximately 1 and 200 bar, preferably at 20-30 ° and 1-10 bar carried out. A Hydrogenolysis of the CBZ group succeeds e.g. B. good at 5 to 10% Pd / C in methanol or with ammonium formate (instead of hydrogen) on Pd / C in methanol / DMF at 20-30 °.

Als inerte Lösungsmittel eignen sich z.B. Kohlenwasserstoffe wie Hexan, Petrolether, Benzol, Toluol oder Xylol; chlorierte Kohlenwasserstoffe wie Trichlorethylen, 1,2-Dichlorethan, Tetrachlorkohlenstoff, Trifluormethylbenzol, Chloroform oder Dichlormethan; Alkohole wie Methanol, Ethanol, Isopropanol, n-Propanol, n-Butanol oder tert.-Butanol; Ether wie Diethylether, Diisopropylether, Tetrahydrofuran (THF) oder Dioxan; Glykolether wie Ethylenglykolmonomethyl- oder -monoethylether (Methylglykol oder Ethylglykol), Ethylenglykoldimethylether (Diglyme); Ketone wie Aceton oder Butanon; Amide wie Acetamid, Dimethylacetamid, N-Methylpyrrolidon (NMP) oder Dimethylformamid (DMF); Nitrile wie Acetonitril; Sulfoxide wie Dimethylsulfoxid (DMSO); Schwefelkohlenstoff; Carbonsäuren wie Ameisensäure oder Essigsäure; Nitroverbindungen wie Nitromethan oder Nitrobenzol; Ester wie Ethylacetat oder Gemische der genannten Lösungsmittel.As inert solvents are e.g. Hydrocarbons such as hexane, petroleum ether, benzene, Toluene or xylene; chlorinated hydrocarbons such as trichlorethylene, 1,2-dichloroethane, carbon tetrachloride, trifluoromethylbenzene, chloroform or dichloromethane; Alcohols such as methanol, ethanol, isopropanol, n-propanol, n-butanol or tert-butanol; Ethers such as diethyl ether, Diisopropyl ether, tetrahydrofuran (THF) or dioxane; glycol ethers such as ethylene glycol monomethyl or monoethyl ether (methyl glycol or ethyl glycol), ethylene glycol dimethyl ether (diglyme); ketones such as acetone or butanone; Amides such as acetamide, dimethylacetamide, N-methylpyrrolidone (NMP) or dimethylformamide (DMF); Nitriles such as acetonitrile; sulfoxides such as dimethyl sulfoxide (DMSO); Carbon disulphide; Carboxylic acids like formic acid or acetic acid; Nitro compounds such as nitromethane or nitrobenzene; Esters such as ethyl acetate or mixtures of the solvents mentioned.

Ester können z.B. mit Essigsäure oder mit NaOH oder KOH in Wasser, Wasser-THF oder Wasser-Dioxan bei Temperaturen zwischen 0 und 100° verseift werden.ester can e.g. with acetic acid or with NaOH or KOH in water, water-THF or water-dioxane are saponified at temperatures between 0 and 100 °.

Ferner kann man freie Aminogruppen in üblicher Weise mit einem Säurechlorid oder -anhydrid acylieren oder mit einem unsubstituierten oder substituierten Alkylhalogenid alkylieren, oder mit CH3-C(=NH)-OEt umsetzen, zweckmäßig in einem inerten Lösungsmittel wie Dichlormethan oder THF und/oder in Gegenwart einer Base wie Triethylamin oder Pyridin bei Temperaturen zwischen –60 und +30°.Furthermore, free amino groups can be acylated in the usual way with an acid chloride or anhydride or alkylated with an unsubstituted or substituted alkyl halide, or reacted with CH 3 -C (= NH) -OEt, advantageously in an inert solvent such as dichloromethane or THF and / or in the presence of a base such as triethylamine or pyridine at temperatures between -60 and + 30 °.

Eine Base der Formel I kann mit einer Säure in das zugehörige Säureadditionssalz übergeführt werden, beispielsweise durch Umsetzung äquivalenter Mengen der Base und der Säure in einem inerten Lösungsmittel wie Ethanol und anschließendes Eindampfen. Für diese Umsetzung kommen insbesondere Säuren in Frage, die physiologisch unbedenkliche Salze liefern. So können anorganische Säuren verwendet werden, z.B. Schwefelsäure, Salpetersäure, Halogenwasserstoffsäuren wie Chlorwasserstoffsäure oder Bromwasserstoffsäure, Phosphorsäuren wie Orthophosphorsäure, Sulfaminsäure, ferner organische Säuren, insbesondere aliphatische, alicyclische, araliphatische, aromatische oder heterocyclische ein- oder mehrbasige Carbon-, Sulfon- oder Schwefelsäuren, z.B. Ameisensäure, Essigsäure, Propionsäure, Pivalinsäure, Diethylessigsäure, Malonsäure, Bernsteinsäure, Pimelinsäure, Fumarsäure, Maleinsäure, Milchsäure, Weinsäure, Äpfelsäure, Citronensäure, Gluconsäure, Ascorbinsäure, Nicotinsäure, Isonicotinsäure, Methan- oder Ethansulfonsäure, Ethandisulfonsäure, 2-Hydroxyethansulfonsäure, Benzolsulfonsäure, p-Toluolsulfonsäure, Naphthalin-mono- und -disulfonsäuren, Laurylschwefelsäure. Salze mit physiologisch nicht unbedenklichen Säuren, z.B. Pikrate, können zur Isolierung und/oder Aufreinigung der Verbindungen der Formel I verwendet werden.A Base of the formula I can be converted into the associated acid addition salt using an acid, for example, by implementing equivalents Amounts of the base and acid in an inert solvent like ethanol and subsequent Evaporation. For this implementation comes in particular acids that are physiological deliver safe salts. So inorganic acids can be used e.g. Sulfuric acid, Nitric acid, Hydrogen halides like hydrochloric acid or hydrobromic acid, phosphoric like orthophosphoric acid, sulfamic, also organic acids, in particular aliphatic, alicyclic, araliphatic, aromatic or heterocyclic mono- or polybasic carbon, sulfone or sulfuric acids, e.g. formic acid, Acetic acid, propionic acid, pivalic, Diethyl acetic acid, malonic acid, succinic acid, pimelic acid, fumaric acid, maleic acid, lactic acid, tartaric acid, malic acid, citric acid, gluconic acid, ascorbic acid, nicotinic acid, isonicotinic acid, methane or ethanesulfonic acid, ethanedisulfonic, 2-hydroxyethanesulfonic acid, benzenesulfonic, p-toluenesulfonic acid, naphthalene mono- and disulfonic acids, Lauryl sulfuric acid. Salts with physiologically unacceptable acids, e.g. Picrates, can be used Isolation and / or purification of the compounds of formula I used become.

Andererseits können Verbindungen der Formel I mit Basen (z.B. Natrium- oder Kaliumhydroxid oder -carbonat) in die entsprechenden Metall-, insbesondere Alkalimetall- oder Erdalkalimetall-, oder in die entsprechenden Ammoniumsalze umgewandelt werden.on the other hand can Compounds of formula I with bases (e.g. sodium or potassium hydroxide or carbonate) in the corresponding metal, especially alkali metal or alkaline earth metal, or in the corresponding ammonium salts being transformed.

Auch physiologisch unbedenkliche organische Basen, wie z.B. Ethanolamin können verwendet werden.Also physiologically harmless organic bases, e.g. ethanolamine can be used.

Gegenstand der Erfindung sind auch die Zwischenverbindungen der

Figure 00310001
worin
D ein- oder zweifach durch Hal substituiertes Phenyl, Pyridyl oder Thienyl,
R1 H, OH, OA, Alkyl mit 1, 2, 3, 4, 5 oder 6 C-Atomen oder Ethinyl,
R2 N, OH, OA oder Alkyl mit 1, 2, 3, 4, 5 oder 6 C-Atomen,
Figure 00310002
Pyrrolidin-1,2-diyl, Piperidin-1,2-diyl, Oxazolidin-3,4- oder 3,5-diyl,
G (CH2)n oder (CH2)nNH-,
X COOH,
A Alkyl mit 1, 2, 3, 4, 5 oder 6 C-Atomen,
Hal F, Cl, Br oder I,
n 0, 1 oder 2,
bedeuten, sowie deren Isomere und Salze.The invention also relates to the interconnections of
Figure 00310001
wherein
D phenyl, pyridyl or thienyl substituted once or twice by Hal,
R 1 is H, OH, OA, alkyl having 1, 2, 3, 4, 5 or 6 carbon atoms or ethynyl,
R 2 is N, OH, OA or alkyl having 1, 2, 3, 4, 5 or 6 carbon atoms,
Figure 00310002
Pyrrolidine-1,2-diyl, piperidine-1,2-diyl, oxazolidine-3,4- or 3,5-diyl,
G (CH 2 ) n or (CH 2 ) n NH-,
X COOH,
A alkyl having 1, 2, 3, 4, 5 or 6 carbon atoms,
Hal F, Cl, Br or I,
n 0, 1 or 2,
mean, and their isomers and salts.

Besonders bevorzugt sind Verbindungen ausgewählt aus der Gruppe
3-(4-Chlorphenylcarbamoyl)-oxazolidin-4-carbonsäure,
3-(5-Chlorthiophen-2-carbonyl)-oxazolidin-5-carbonsäure,
sowie deren Isomere und Salze.
Compounds selected from the group are particularly preferred
3- (4-chlorophenylcarbamoyl) oxazolidin-4-carboxylic acid,
3- (5-Chloro-thiophene-2-carbonyl) oxazolidin-5-carboxylic acid,
and their isomers and salts.

Die Verbindungen sind beschrieben in Beispiel 2.The Compounds are described in Example 2.

Gegenstand der Erfindung sind weiterhin die Verbindungen
(2R,4S)-BOC-4-Ethinyl-4-hydroxy-pyrrolidin-2-carbonsäure,
(2R,4R)-BOC-4-Ethinyl-4-hydroxy-pyrrolidin-2-carbonsäure,
(2R,4S)-BOC-4-Ethinyl-4-hydroxy-pyrrolidin-2-carbonsäure-alkylester,
(2R,4R)-BOC-4-Ethinyl-4-hydroxy-pyrrolidin-2-carbonsäure-alkylester,
wobei alkyl 1, 2, 3, 4, 5 oder 6 C-Atome hat,
sowie deren Isomere und Salze.
The invention further relates to the compounds
(2R, 4S) -BOC-4-ethynyl-4-hydroxy-pyrrolidine-2-carboxylic acid,
(2R, 4R) -BOC-4-ethynyl-4-hydroxy-pyrrolidine-2-carboxylic acid,
(2R, 4S) -BOC-4-ethynyl-4-hydroxy-pyrrolidine-2-carboxylic acid alkyl esters,
(2R, 4R) -BOC-4-ethynyl-4-hydroxy-pyrrolidine-2-carboxylic acid alkyl esters,
where alkyl has 1, 2, 3, 4, 5 or 6 carbon atoms,
and their isomers and salts.

Die Herstellung ist in Beispiel 8a beschrieben.The Preparation is described in Example 8a.

Gegenstand der Erfindung sind auch die Zwischenverbindungen der Formel I-2

Figure 00320001
worin
R1 H, COOR3, OH, OA, NH2, Alkyl mit 1, 2, 3, 4, 5 oder 6 C-Atomen, N3, Ethinyl, Vinyl, Allyoxy, -OCOR3, NHCOA oder NHSO2A,
R2 H, OH, OA oder Alkyl mit 1, 2, 3, 4, 5 oder 6 C-Atomen,
R1 und R2 zusammen auch einen spirocyclisch gebundenen 3- bis 6-gliedrigen Carbocyclus,
R3 H oder A,
Figure 00320002
Pyrrolidin-1,2-diyl, Piperidin-1,2-diyl, Oxazolidin-3,4- oder 3,5-diyl,
G (CH2)n oder (CH2)nNH-,
X CONH,
Y unsubstituiertes oder ein- oder zweifach durch Methyl, Trifluormethyl, Ethyl, Propyl, Cl oder F substituiertes 1,3- oder 1,4-Phenylen,
T ein- oder zweifach durch Carbonylsauerstoff substituiertes Piperidin-1-yl, Pyrrolidin-1-yl, 1H-Pyridin-1-yl, Morpholin-4-yl, Piperazin-1-yl, 1,3-Oxazolidin-3-yl, 2H-Pyridazin-2-yl, Pyrazin-1-yl, Azepan-1-yl, 2-Aza-bicyclo[2.2.2]-octan-2-yl,
A Alkyl mit 1, 2, 3, 4, 5 oder 6 C-Atomen,
Hal F, Cl, Br oder I,
n 0, 1 oder 2,
bedeuten, sowie deren Isomere und Salze.The invention also relates to the intermediate compounds of the formula I-2
Figure 00320001
wherein
R 1 H, COOR 3 , OH, OA, NH 2 , alkyl having 1, 2, 3, 4, 5 or 6 carbon atoms, N 3 , ethynyl, vinyl, allyoxy, -OCOR 3 , NHCOA or NHSO 2 A,
R 2 is H, OH, OA or alkyl having 1, 2, 3, 4, 5 or 6 carbon atoms,
R 1 and R 2 together also form a spirocyclically bonded 3- to 6-membered carbocycle,
R 3 H or A,
Figure 00320002
Pyrrolidine-1,2-diyl, piperidine-1,2-diyl, oxazolidine-3,4- or 3,5-diyl,
G (CH 2 ) n or (CH 2 ) n NH-,
X CONH,
Y 1,3- or 1,4-phenylene which is unsubstituted or mono- or disubstituted by methyl, trifluoromethyl, ethyl, propyl, Cl or F,
T piperidin-1-yl, pyrrolidin-1-yl, 1H-pyridin-1-yl, morpholin-4-yl, piperazin-1-yl, 1,3-oxazolidin-3-yl, mono- or disubstituted by carbonyl oxygen, 2H-pyridazin-2-yl, pyrazin-1-yl, azepan-1-yl, 2-aza-bicyclo [2.2.2] octan-2-yl,
A alkyl having 1, 2, 3, 4, 5 or 6 carbon atoms,
Hal F, Cl, Br or I,
n 0, 1 or 2,
mean, and their isomers and salts.

Gegenstand der Erfindung sind insbesondere auch die Zwischenverbindungen der Formel I-2a,

Figure 00330001
worin
R1 H, COOR3, OH, OA, NH2, Alkyl mit 1, 2, 3, 4, 5 oder 6 C-Atomen, N3, Ethinyl, Vinyl, Allyloxy, -OCOR3, NHCOA oder NHSO2A,
R2 N, OH, OA oder Alkyl mit 1, 2, 3, 4, 5 oder 6 C-Atomen,
R3 H oder A,
Figure 00330002
Pyrrolidin-1,2-diyl,
G (CH2)n oder (CH2)nNH-,
X CONH,
Y unsubstituiertes oder ein- oder zweifach durch Methyl, Trifluormethyl, Ethyl, Propyl, Cl oder F substituiertes 1,3- oder 1,4-Phenylen,
T ein- oder zweifach durch Carbonylsauerstoff substituiertes Piperidin-1-yl, Pyrrolidin-1-yl, 1H-Pyridin-1-yl, Morpholin-4-yl, Piperazin-1-yl, 1,3-Oxazolidin-3-yl, 2H-Pyridazin-2-yl, Pyrazin-1-yl, Azepan-1-yl, 2-Aza-bicyclo[2.2.2]-octan-2-yl,
A Alkyl mit 1, 2, 3, 4, 5 oder 6 C-Atomen,
Hal F, Cl, Br oder I,
n 0, 1 oder 2,
bedeuten, sowie deren Isomere und Salze.The invention also relates in particular to the intermediate compounds of the formula I-2a,
Figure 00330001
wherein
R 1 H, COOR 3 , OH, OA, NH 2 , alkyl having 1, 2, 3, 4, 5 or 6 carbon atoms, N 3 , ethynyl, vinyl, allyloxy, -OCOR 3 , NHCOA or NHSO 2 A,
R 2 is N, OH, OA or alkyl having 1, 2, 3, 4, 5 or 6 carbon atoms,
R 3 H or A,
Figure 00330002
Pyrrolidin-1,2-diyl,
G (CH 2 ) n or (CH 2 ) n NH-,
X CONH,
Y 1,3- or 1,4-phenylene which is unsubstituted or mono- or disubstituted by methyl, trifluoromethyl, ethyl, propyl, Cl or F,
T piperidin-1-yl, pyrrolidin-1-yl, 1H-pyridin-1-yl, morpholin-4-yl, piperazin-1-yl, 1,3-oxazolidin-3-yl, mono- or disubstituted by carbonyl oxygen, 2H-pyridazin-2-yl, pyrazin-1-yl, azepan-1-yl, 2-aza-bicyclo [2.2.2] octan-2-yl,
A alkyl having 1, 2, 3, 4, 5 or 6 carbon atoms,
Hal F, Cl, Br or I,
n 0, 1 or 2,
mean, and their isomers and salts.

Besonders bevorzugt sind die Verbindungen ausgewählt aus der Gruppe
(S)-Pyrrolidin-2-carbonsäure-N-[4-(3-oxo-morpholin-4-yl)-phenyl]-amid,
(R)-Pyrrolidin-2-carbonsäure-N-[4-(3-oxo-morpholin-4-yl)-phenyl]-amid,
(2R,4R)-4-Hydroxy-pyrrolidin-2-carbonsäure-N-[4-(3-oxo-morpholin-4-yl)phenyl]-amid,
4-Hydroxy-pyrrolidin-2-carbonsäure-N-[4-(3-oxo-morpholin-4-yl)-phenyl]amid,
(R)-4,4-Dimethoxy-pyrrolidin-2-carbonsäure-N-(4-(3-oxo-morpholin-4-yl)phenyl]-amid,
(2R,4R)-4-Methoxy-pyrrolidin-2-carbonsäure-N-[4-(3-oxo-morpholin-4-yl)phenyl]-amid,
sowie deren Isomere und Salze.
The compounds are particularly preferably selected from the group
(S) -pyrrolidine-2-carboxylic acid-N- [4- (3-oxo-morpholin-4-yl) -phenyl] -amide,
(R) -pyrrolidine-2-carboxylic acid-N- [4- (3-oxo-morpholin-4-yl) -phenyl] -amide,
(2R, 4R) -4-Hydroxy-pyrrolidine-2-carboxylic acid-N- [4- (3-oxo-morpholin-4-yl) phenyl] -amide,
4-Hydroxy-pyrrolidine-2-carboxylic acid-N- [4- (3-oxo-morpholin-4-yl) phenyl] amide,
(R) -4,4-dimethoxy-pyrrolidine-2-carboxylic acid-N- (4- (3-oxo-morpholin-4-yl) phenyl] -amide,
(2R, 4R) -4-Methoxy-pyrrolidine-2-carboxylic acid-N- [4- (3-oxo-morpholin-4-yl) phenyl] -amide,
and their isomers and salts.

Die Herstellung ist beschrieben z.B. in Beispiel 1 und 7.The Manufacturing is described e.g. in Examples 1 and 7.

Erfindungsgemäße Verbindungen der Formel I können aufgrund ihrer Molekülstruktur chiral sein und können dementsprechend in verschiedenen enantiomeren Formen auftreten. Sie können daher in racemischer oder in optisch aktiver Form vorliegen.Compounds according to the invention of formula I can because of their molecular structure be and can be chiral accordingly occur in different enantiomeric forms. You can therefore present in racemic or optically active form.

Da sich die pharmazeutische Wirksamkeit der Racemate bzw. der Stereoisomeren der erfindungsgemäßen Verbindungen unterscheiden kann, kann es wünschenswert sein, die Enantiomere zu verwenden. In diesen Fällen kann das Endprodukt oder aber bereits die Zwischenprodukte in enantiomere Verbindungen, durch dem Fachmann bekannte chemische oder physikalische Maßnahmen, aufgetrennt oder bereits als solche bei der Synthese eingesetzt werden.There the pharmaceutical effectiveness of the racemates or the stereoisomers of the compounds of the invention can distinguish it may be desirable be to use the enantiomers. In these cases, the final product or but already the intermediates in enantiomeric compounds chemical or physical measures known to the person skilled in the art, separated or already used as such in the synthesis become.

Im Falle racemischer Amine werden aus dem Gemisch durch Umsetzung mit einem optisch aktiven Trennmittel Diastereomere gebildet. Als Trennmittel eignen sich z.B. optisch aktiven Säuren, wie die R- und S-Formen von Weinsäure, Diacetylweinsäure, Dibenzoylweinsäure, Mandelsäure, Äpfelsäure, Milchsäure, geeignet N-geschützte Aminosäuren (z.B. N-Benzoylprolin oder N-Benzolsulfonylprolin) oder die verschiedenen optisch aktiven Camphersulfonsäuren. Vorteilhaft ist auch eine chromatographische Enantiomerentrennung mit Hilfe eines optisch aktiven Trennmittels (z.B. Dinitrobenzoylphenylglycin, Cellulosetriacetat oder andere Derivate von Kohlenhydraten oder auf Kieselgel fixierte chiral derivatisierte Methacrylatpolymere). Als Laufmittel eignen sich hierfür wäßrige oder alkoholische Lösungsmittelgemische wie z.B. Hexan/Isopropanol/Acetonitril z.B. im Verhältnis 82:15:3.in the In the case of racemic amines, the mixture is reacted with an optically active release agent diastereomers formed. As a release agent are e.g. optically active acids, such as the R and S forms of tartaric acid, diacetyl tartaric dibenzoyltartaric, Mandelic acid, malic acid, lactic acid, are suitable N-protected amino acids (e.g. N-benzoylproline or N-benzenesulfonylproline) or the different optically active camphorsulfonic acids. A chromatographic separation of enantiomers with is also advantageous With the help of an optically active release agent (e.g. dinitrobenzoylphenylglycine, Cellulose triacetate or other derivatives of carbohydrates or chiral derivatized methacrylate polymers fixed on silica gel). Suitable solvents for this are watery or alcoholic solvent mixtures such as. Hexane / isopropanol / acetonitrile e.g. in the ratio 82: 15: 3.

Gegenstand der Erfindung ist ferner die Verwendung der Verbindungen der Formel I und/oder ihrer physiologisch unbedenklichen Salze zur Herstellung eines Arzneimittels (pharmazeutische Zubereitung), insbesondere auf nicht-chemischem Wege. Hierbei können sie zusammen mit mindestens einem festen, flüssigen und/oder halbflüssigen Träger- oder Hilfsstoff und gegebenenfalls in Kombination mit einem oder mehreren weiteren Wirkstoffen in eine geeignete Dosierungsform gebracht werden.object the invention is furthermore the use of the compounds of the formula I and / or their physiologically acceptable salts for the preparation a drug (pharmaceutical preparation), in particular in a non-chemical way. You can do this together with at least a solid, liquid and / or semi-fluid Carrier- or auxiliary and optionally in combination with an or several other active ingredients brought into a suitable dosage form become.

Gegenstand der Erfindung sind ferner Arzneimittel, enthaltend mindestens eine Verbindung der Formel I und/oder ihre pharmazeutisch verwendbaren Derivate, Solvate und Stereoisomere, einschließlich deren Mischungen in allen Verhältnissen, sowie gegebenenfalls Träger- und/oder Hilfsstoffe.object The invention furthermore comprises medicaments containing at least one Compound of the formula I and / or its pharmaceutically usable derivatives, Solvates and stereoisomers, including their mixtures in all conditions as well as, if applicable, and / or auxiliary substances.

Diese Zubereitungen können als Arzneimittel in der Human- oder Veterinärmedizin verwendet werden. Als Trägerstoffe kommen organische oder anorganische Substanzen in Frage, die sich für die enterale (z.B. orale), parenterale oder topische Applikation eignen und mit den neuen Verbindungen nicht reagieren, beispielsweise Wasser, pflanzliche Öle, Benzylalkohole, Alkylenglykole, Polyethylenglykole, Glycerintriacetat, Gelatine, Kohlehydrate wie Lactose oder Stärke, Magnesiumstearat, Talk, Vaseline. Zur oralen Anwendung dienen insbesondere Tabletten, Pillen, Dragees, Kapseln, Pulver, Granulate, Sirupe, Säfte oder Tropfen, zur rektalen Anwendung Suppositorien, zur parenteralen Anwendung Lösungen, vorzugsweise ölige oder wässrige Lösungen, ferner Suspensionen, Emulsionen oder Implantate, für die topische Anwendung Salben, Cremes oder Puder oder auch als Nasenspray. Die neuen Verbindungen können auch lyophilisiert und die erhaltenen Lyophilisate z.B. zur Herstellung von Injektionspräparaten verwendet werden. Die angegebenen Zubereitungen können sterilisiert sein und/oder Hilfsstoffe wie Gleit-, Konservierungs-, Stabilisierungs- und/oder Netzmittel, Emulgatoren, Salze zur Beeinflussung des osmotischen Druckes, Puffersubstanzen, Farb-, Geschmacks- und/oder mehrere weitere Wirkstoffe enthalten, z.B. ein oder mehrere Vitamine.These preparations can be used as pharmaceuticals in human or veterinary medicine. Suitable carriers are organic or inorganic substances which are suitable for enteral (e.g. oral), parenteral or topical application and do not react with the new compounds, for example water, vegetable oils, benzyl alcohols, alkylene glycols, polyethylene glycols, glycerol triacetate, gelatin, carbohydrates such as lactose or starch, magnesium stearate, talc, petroleum jelly. Tablets, pills, dragees, capsules, powders, granules, syrups, juices or drops are used in particular for oral use, suppositories for rectal use, solutions, preferably oily or aqueous solutions, furthermore suspensions, emulsions or implants for topical use for parenteral use Ointments, creams or powder or as a nasal spray. The new compounds can also be lyophilized and the ones obtained Lyophilisates can be used, for example, for the production of injection preparations. The specified preparations can be sterilized and / or contain auxiliaries such as lubricants, preservatives, stabilizers and / or wetting agents, emulsifiers, salts for influencing the osmotic pressure, buffer substances, colors, flavors and / or several other active ingredients, for example a or more vitamins.

Die Verbindungen der Formel I und ihre physiologisch unbedenklichen Salze können bei der Bekämpfung und Verhütung von thromboembolischen Erkrankungen wie Thrombose, myocardialem Infarkt, Arteriosklerose, Entzündungen, Apoplexie, Angina pectoris, Restenose nach Angioplastie, Claudicatio intermittens, Migräne, Tumoren, Tumorerkrankungen und/oder Tumormetastasen verwendet werden.The Compounds of formula I and their physiologically acceptable Salts can in fighting and contraception of thromboembolic disorders such as thrombosis, myocardial Infarction, arteriosclerosis, inflammation, Apoplexy, angina pectoris, restenosis after angioplasty, claudication intermittens, migraines, Tumors, tumor diseases and / or tumor metastases are used.

Dabei werden die erfindungsgemäßen Substanzen in der Regel vorzugsweise in Dosierungen zwischen etwa 1 und 500 mg, insbesondere zwischen 5 und 100 mg pro Dosierungseinheit verabreicht. Die tägliche Dosierung liegt vorzugsweise zwischen etwa 0,02 und 10 mg/kg Körpergewicht. Die spezielle Dosis für jeden Patienten hängt jedoch von den verschiedensten Faktoren ab, beispielsweise von der Wirksamkeit der eingesetzten speziellen Verbindung, vom Alter, Körpergewicht, allgemeinen Gesundheitszustand, Geschlecht, von der Kost, vom Verabreichungszeitpunkt und -weg, von der Ausscheidungsgeschwindigkeit, Arzneistoffkombination und Schwere der jeweiligen Erkrankung, welcher die Therapie gilt. Die orale Applikation ist bevorzugt.there become the substances according to the invention usually preferably in dosages between about 1 and 500 mg, in particular between 5 and 100 mg administered per dosage unit. The daily Dosage is preferably between about 0.02 and 10 mg / kg body weight. The special dose for everyone Patient hangs but depending on a variety of factors, such as the Effectiveness of the special compound used, age, body weight, general state of health, gender, on the diet, on the time of administration and route, from the rate of excretion, drug combination and severity of the disease to which the therapy applies. Oral application is preferred.

Gegenstand der Erfindung sind ferner Arzneimittel enthaltend mindestens eine Verbindung der Formel I und/oder ihre pharmazeutisch verwendbaren Derivate, Solvate und Stereoisomere, einschließlich deren Mischungen in allen Verhältnissen, und mindestens einen weiteren Arzneimittelwirkstoff.object The invention also includes medicaments containing at least one Compound of formula I and / or their pharmaceutically usable Derivatives, solvates and stereoisomers, including their mixtures in all conditions and at least one other drug ingredient.

Gegenstand der Erfindung ist auch ein Set (Kit), bestehend aus getrennten Packungen von

  • (a) einer wirksamen Menge an einer Verbindung der Formel I und/oder ihrer pharmazeutisch verwendbaren Derivate, Solvate und Stereoisomere, einschließlich deren Mischungen in allen Verhältnissen, und
  • (b) einer wirksamen Menge eines weiteren Arzneimittelwirkstoffs.
The invention also relates to a set (kit) consisting of separate packs of
  • (a) an effective amount of a compound of formula I and / or its pharmaceutically acceptable derivatives, solvates and stereoisomers, including their mixtures in all proportions, and
  • (b) an effective amount of another drug ingredient.

Das Set enthält geeignete Behälter, wie Schachteln oder Kartons, individuelle Flaschen, Beutel oder Ampullen. Das Set kann z.B. separate Ampullen enthalten, in denen jeweils eine wirksame Menge an einer Verbindung der Formel I und/oder ihrer pharmazeutisch verwendbaren Derivate, Solvate und Stereoisomere, einschließlich deren Mischungen in allen Verhältnissen, und einer wirksamen Menge eines weiteren Arzneimittelwirkstoffs gelöst oder in lyophilisierter Form vorliegt.The Set contains suitable containers, such as boxes or boxes, individual bottles, bags or ampoules. The set can e.g. contain separate ampoules, each in an effective amount of a compound of formula I and / or its pharmaceutically acceptable derivatives, solvates and stereoisomers, including their Mixtures in all proportions, and an effective amount of another active pharmaceutical ingredient or is in lyophilized form.

Gegenstand der Erfindung ist ferner die Verwendung von Verbindungen der Formel I und/oder ihrer pharmazeutisch verwendbaren Derivate, Solvate und Stereoisomere, einschließlich deren Mischungen in allen Verhältnissen, zur Herstellung eines Arzneimittels zur Behandlung von Thrombosen, myocardialem Infarkt, Arteriosklerose, Entzündungen, Apoplexie, Angina pectoris, Restenose nach Angioplastie, Claudicatio intermittens, Migräne, Tumoren, Tumorerkrankungen und/oder Tumormetastasen, in Kombination mit mindestens einem weiteren Arzneimittelwirkstoff.object the invention is also the use of compounds of the formula I and / or their pharmaceutically usable derivatives, solvates and Stereoisomers, including their mixtures in all proportions, for the manufacture of a medicament for the treatment of thrombosis, myocardial infarction, arteriosclerosis, inflammation, apoplexy, angina pectoris, restenosis after angioplasty, intermittent claudication, Migraine, Tumors, tumor diseases and / or tumor metastases, in combination with at least one other active pharmaceutical ingredient.

Vor- und nachstehend sind alle Temperaturen in °C angegeben. In den nachfolgenden Beispielen bedeutet "übliche Aufarbeitung": Man gibt, falls erforderlich, Wasser hinzu, stellt, falls erforderlich, je nach Konstitution des Endprodukts auf pH-Werte zwischen 2 und 10 ein, extrahiert mit Ethylacetat oder Dichlormethan, trennt ab, trocknet die organische Phase über Natriumsulfat, dampft ein und reinigt durch Chromatographie an Kieselgel und/oder durch Kristallisation. Rf-Werte an Kieselgel; Laufmittel:
Ethylacetat/Methanol 9:1.
Massenspektrometrie (MS): EI (Elektronenstoß-Ionisation) M+
FAB (Fast Atom Bombardment) (M+H)+
ESI (Electrospray Ionization) (M+H)+ (wenn nichts anderes angegeben)
All temperatures above and below are given in ° C. In the examples below, "customary work-up" means: if necessary, water is added, and if necessary, depending on the constitution of the end product, the pH is adjusted to between 2 and 10, extracted with ethyl acetate or dichloromethane, and the mixture is dried and dried organic phase over sodium sulfate, evaporates and purifies by chromatography on silica gel and / or by crystallization. Rf values on silica gel; Eluent:
Ethyl acetate / methanol 9: 1.
Mass spectrometry (MS): EI (electron impact ionization) M +
FAB (Fast Atom Bombardment) (M + H) +
ESI (Electrospray Ionization) (M + H) + (unless otherwise stated)

Beispiel 1example 1

Die Herstellung von (R)-Pyrrolidin-1,2-dicarbonsäure-1-[(4-chlor-phenyl)-amid]-2-{[4-(3-oxo-morpholin-4-yl)-phenyl]-amid} ("A1") erfolgt analog nachstehendem Schema:

Figure 00390001

  • 1.1 Eine Lösung von 1.0 g (5.2 mMol) 4-(4-Amino-phenyl)-morpholin-3-on in 25 ml Dimethylformamid wird nacheinander mit 0.8 g (5.2 mMol) 1-Hydroxybenzotriazolhydrat, 1.12 g (5.2 mMol) D-Boc-Prolin, 2 g (10.4 mMol) N-(3-Dimethylaminopropyl)-N'-ethylcarbodümidhydrochlorid (DAPECI) und 1.26 ml N-Methylmorpholin versetzt und die so erhaltene Lösung 12 Stunden bei Raumtemperatur gerührt. Anschließend wird die Reaktionslösung im Vakuum zu Trockne eingedampft, der Rückstand in 10 ml 5%ige Natriumhydrogencarbonatlösung aufgenommen und die Natriumhydrogebcarbonatlösung zwei mal mit je 10 ml Essigsäureethylester extrahiert. Nach dem Trocknen der vereinigten organischen Phasen über Natriumsulfat und Abziehen des Lösungsmittels wird der feste Rückstand mit 20 ml Diethylether verrieben. Man erhält so 1.4 g 2-[4-(3-Oxo-morpholin-4-yl)-phenylcarbamoyl]-pyrrolidin-1-carbonsäure-tert.-butylester als weißes Pulver; ESI 390.
  • 1.2 Eine Lösung von 1.4 g (3.60 mMol) 2-[4-(3-Oxo-morpholin-4-yl)-phenylcarbamoyl]-pyrrolidin-1-carbonsäure-tert-butylester in 20 ml Dioxan wird mit 40 ml 4N Salzsäure in Dioxan versetzt und 12 Stunden bei Raumtemperatur gerührt. Anschließend wird der ausgefallene Niederschlag abgesaugt und nacheinander mit je 10 ml Dioxan und Diethylether gewaschen und im Vakuum getrocknet. Man erhält so 1.1 g Pyrrolidin-2-carbonsäure-N-[4-(3-oxo-morpholin-4-yl)-phenyl]-amid-Hydrochlorid als weißes Pulver; ESI 290.
  • 1.3 Eine Lösung von 200 mg (0.61 mMol) Pyrrolidin-2-carbonsäure-N-[4-(3-oxo-morpholin-4-yl)-phenyl]-amid-Hydrochlorid und 1 ml Triethylamin in 5 ml Methylenchlorid wird mit 95 mg (0.61 mMol) 4-Chlorphenylisocyanat versetzt und die Reaktionslösung zwei Stunden bei Raumtemperatur gerührt. Anschließend wird die Reaktionslösung mit je 5 ml 1 N Salzsäure und Wasser gewaschen und die Methylenchloridlösung über Natriumsulfat getrocknet. Nach Abziehen des Lösungsmittels im Vakuum wird das Rohprodukt aus Ethanol/Diethylether umkristallisiert. Man erhält so 120 mg der Titelverbindung ("A1") als weißes Pulver; ESI 443; F. 227.6°.
The preparation of (R) -pyrrolidine-1,2-dicarboxylic acid 1 - [(4-chlorophenyl) amide] -2 - {[4- (3-oxo-morpholin-4-yl) phenyl] - amid} ("A1") follows the following scheme:
Figure 00390001
  • 1.1 A solution of 1.0 g (5.2 mmol) of 4- (4-aminophenyl) morpholin-3-one in 25 ml of dimethylformamide is successively mixed with 0.8 g (5.2 mmol) of 1-hydroxybenzotriazole hydrate, 1.12 g (5.2 mmol) of D- Boc-proline, 2 g (10.4 mmol) of N- (3-dimethylaminopropyl) -N'-ethylcarbodiimide hydrochloride (DAPECI) and 1.26 ml of N-methylmorpholine were added and the solution thus obtained was stirred at room temperature for 12 hours. The reaction solution is then evaporated to dryness in vacuo, the residue is taken up in 10 ml of 5% sodium hydrogen carbonate solution and the sodium hydrogen carbonate solution is extracted twice with 10 ml of ethyl acetate each time. After the combined organic phases have been dried over sodium sulfate and the solvent has been stripped off, the solid residue is triturated with 20 ml of diethyl ether. This gives 1.4 g of tert-butyl 2- [4- (3-oxomorpholin-4-yl) phenylcarbamoyl] pyrrolidine-1-carboxylate as a white powder; ESI 390.
  • 1.2 A solution of 1.4 g (3.60 mmol) of 2- [4- (3-oxomorpholin-4-yl) phenylcarbamoyl] pyrrolidin-1-carboxylic acid tert-butyl ester in 20 ml of dioxane is mixed with 40 ml of 4N hydrochloric acid in Dioxane was added and the mixture was stirred at room temperature for 12 hours. The precipitate which has precipitated is then filtered off with suction and washed in succession with 10 ml of dioxane and diethyl ether and dried in vacuo. 1.1 g of pyrrolidine-2-carboxylic acid N- [4- (3-oxomorpholin-4-yl) phenyl] amide hydrochloride are thus obtained as a white powder; ESI 290.
  • 1.3 A solution of 200 mg (0.61 mmol) of pyrrolidine-2-carboxylic acid N- [4- (3-oxomorpholin-4-yl) phenyl] amide hydrochloride and 1 ml of triethylamine in 5 ml of methylene chloride is mixed with 95 mg (0.61 mmol) of 4-chlorophenyl isocyanate were added and the reaction solution was stirred at room temperature for two hours. The reaction solution is then washed with 5 ml of 1N hydrochloric acid and water, and the methylene chloride solution is dried over sodium sulfate. After the solvent has been stripped off in vacuo, the crude product is recrystallized from ethanol / diethyl ether. 120 mg of the title compound ("A1") are thus obtained as a white powder; ESI 443; F. 227.6 °.

Analog erhält man die nachstehenden Verbindungen
(R)-Pyrrolidin-1,2-dicarbonsäure-1-[(4-chlor-phenyl)-amid]-2-{[3-methyl-4-(3-oxo-morpholin-4-yl)-phenyl]-amid}, ESI 457; F. 147° (Zersetzung);
(R)-Pyrrolidin-1,2-dicarbonsäure-1-[(4-chlor-phenyl)-amid]-2-{[3-fluor-4-(3-oxo-morpholin-4-yl)-phenyl]-amid}, ESI 461; F. 155°;
(R)-Pyrrolidin-1,2-dicarbonsäure-1-[(4-chlor-phenyl)-amid]-2-{[2-fluor-4-(3-oxo-morpholin-4-yl)-phenyl]-amid}, ESI 461;
(R)-Pyrrolidin-1,2-dicarbonsäure-1-[(4-chlor-phenyl)-amid]-2-{[3-trifluormethyl-4-(3-oxo-morpholin-4-yl)-phenyl]-amid}, ESI 511; F. 147°;
(R)-Piperidin-1,2-dicarbonsäure-1-[(4-chlor-phenyl)-amid]-2-{[3-methyl-4-(3-oxo-morpholin-4-yl)-phenyl]-amid}, ESI 471; F. 140°;
(R)-Pyrrolidin-1,2-dicarbonsäure-1-[(4-chlor-phenyl)-amid]-2-{[4-(2-oxo-2H-pyridin-1-yl)-phenyl]-amid},
(R)-Pyrrolidin-1,2-dicarbonsäure-1-[(4-chlor-phenyl)-amid]-2-{[4-(2-oxo-2H-pyrazin-1-yl)-phenyl]-amid}.
(R)-2,5-Dihydro-pyrrol-1,2-dicarbonsäure-1-[(4-chlor-phenyl)-amid]-2-{[4-(3-oxo-morpholin-4-yl)-phenyl]-amid}.
The following compounds are obtained analogously
(R) -pyrrolidine-1,2-dicarboxylic acid 1 - [(4-chloro-phenyl) -amide] 2 - {[3-methyl-4- (3-oxo-morpholin-4-yl) phenyl] -amide}, ESI 457; F. 147 ° (decomposition);
(R) -pyrrolidine-1,2-dicarboxylic acid 1 - [(4-chloro-phenyl) -amide] 2 - {[3-fluoro-4- (3-oxo-morpholin-4-yl) phenyl] -amide}, ESI 461; F. 155 °;
(R) -pyrrolidine-1,2-dicarboxylic acid 1 - [(4-chloro-phenyl) -amide] 2 - {[2-fluoro-4- (3-oxo-morpholin-4-yl) phenyl] -amide}, ESI 461;
(R) -pyrrolidine-1,2-dicarboxylic acid 1 - [(4-chloro-phenyl) -amide] 2 - {[3-trifluoromethyl-4- (3-oxo-morpholin-4-yl) phenyl] -amide}, ESI 511; F. 147 °;
(R) -Piperidine-1,2-dicarboxylic acid 1 - [(4-chloro-phenyl) -amide] 2 - {[3-methyl-4- (3-oxo-morpholin-4-yl) phenyl] -amide}, ESI 471; F. 140 °;
(R) -pyrrolidine-1,2-dicarboxylic acid 1 - [(4-chloro-phenyl) -amide] 2 - {[4- (2-oxo-2H-pyridin-1-yl) -phenyl] -amide },
(R) -pyrrolidine-1,2-dicarboxylic acid 1 - [(4-chloro-phenyl) -amide] 2 - {[4- (2-oxo-2H-pyrazin-1-yl) -phenyl] -amide }.
(R) -2,5-dihydro-pyrrole-1,2-dicarboxylic acid 1 - [(4-chloro-phenyl) -amide] 2 - {[4- (3-oxo-morpholin-4-yl) - phenyl] -amide}.

Beispiel 1aExample 1a

(R)-1-(5-Chlor-thiophen-2-carbonyl)-pyrrolidin-2-carbonsäure-N-[4-(3-oxo-morpholin-4-yl)-phenyl]-amid ("AB1")(R) -1- (5-chloro-thiophene-2-carbonyl) pyrrolidin-2-carboxylic acid N- [4- (3-oxomorpholin-4-yl) phenyl] amide ("AB1")

Eine Lösung von 1.35 g (4.66 mmol) Pyrrolidin-2-carbonsäure-[4-(3-oxo-morpholin-4-yl)-phenyl]-amid in 30 ml Dimethylformamid wird nacheinander mit 0.71 g (4.66 mmol) 1-Hydroxybenzotriazolhydrat, 0.76 g (4.66 mmol) 5-Chlor-thiophencarbonsäure, 1.79 g (9.33 mmol) N-(3-Dimethylaminopropyl)-N'-ethylcarbodümidhydrochlorid (DAPECI) und 1.13 ml N-Methylmorpholin versetzt und die so erhaltene Lösung 12 Stunden bei Raumtemperatur gerührt. Anschließend wird die Reaktionslösung im Vakuum zu Trockne eingedampft, der Rückstand in 10 ml 5%ige Natriumhydrogencarbonatlösung aufgenommen und die Natriumhydrogencarbonatlösung zweimal mit je 10 ml Essigsäureethylester extrahiert. Nach dem Trocknen der vereinigten organischen Phasen über Natriumsulfat und Abziehen des Lösungsmittels wird der feste Rückstand mit 20 ml Diethylether verrieben. Man erhält so 1.2 g (59.4%) "AB1 ", ESI 434; F. 195°.A solution of 1.35 g (4.66 mmol) of pyrrolidin-2-carboxylic acid- [4- (3-oxo-morpholin-4-yl) -phenyl] -amide in 30 ml of dimethylformamide is added successively with 0.71 g (4.66 mmol) of 1-hydroxybenzotriazole hydrate , 0.76 g (4.66 mmol) of 5-chloro-thiophenecarboxylic acid, 1.79 g (9.33 mmol) of N- (3-dimethylaminopropyl) -N'-ethylcarbodiimide hydrochloride (DAPECI) and 1.13 ml of N-methylmorpholine were added and the solution thus obtained was stirred for 12 hours at room temperature. The reaction solution is then evaporated to dryness in vacuo, the residue is taken up in 10 ml of 5% sodium hydrogen carbonate solution and the sodium hydrogen carbonate solution is extracted twice with 10 ml of ethyl acetate each time. After the combined organic phases have been dried over sodium sulfate and the solvent has been stripped off, the solid residue is triturated with 20 ml of diethyl ether. 1.2 g (59.4%) of "AB1", ESI 434; F. 195 °.

Analog erhält man die Verbindung
(R)-1-(5-Chlor-thiophen-2-carbonyl)-pyrrolidin-2-carbonsäure-N-[3-methyl-4-(3-oxo-morpholin-4-yl)-phenyl]-amid, ESI 448; F. 113° (Zersetzung).
The connection is obtained analogously
(R) -1- (5-chloro-thiophene-2-carbonyl) -pyrrolidine-2-carboxylic acid-N- [3-methyl-4- (3-oxo-morpholin-4-yl) -phenyl] -amide, ESI 448; F. 113 ° (decomposition).

Beispiel 2Example 2

Die Herstellung von (R)-Oxazolidin-3,4-dicarbonsäure-3-[(4-chlorphenyl)-amid]-4-{[4-(3-oxo-morpholin-4-yl)-phenyl]-amid} ("A2") erfolgt analog nachstehendem Schema:

Figure 00420001

  • 2.1 Eine Lösung von 2.10 g (20.0 mmol) D-Serin in 10 ml 1 N wässriger Natronlauge wird mit 1.49 ml (20.0 mmol) 37%iger wässriger Formaldehydlösung versetzt. Die entstandene Lösung wird 18 Stunden bei 5 °C belassen. Die Lösung wird auf 80 °C erhitzt, 6.14 g (40 mmol) 4-Chlorphenylisocyanat zugegeben und eine Stunde bei dieser Temperatur gerührt. Man lässt abkühlen und filtriert den entstandenen Niederschlag ab. Das Filtrat wird mit 1 N HCl angesäuert und der entstandene Niederschlag abfiltriert und getrocknet: (R)-3-(4-Chlorphenylcarbamoyl)-oxazolidin-4-carbonsäure als farbloser Feststoff; ESI 271.
  • 2.2 Eine Lösung von 541 mg (2.00 mmol) (R)-3-(4-Chlorphenylcarbamoyl)-oxazolidin-4-carbonsäure und 384 mg (2.00 mmol) 4-(4-Amino-phenyl)-morpholin-3-on in 4 ml Dimethylformamid (DMF) wird mit 498 mg (2.60 mmol) N-(3-Dimethylaminopropyl)-N'-ethylcarbodiimidhydrochlorid (DAPECI) versetzt und 18 Stunden bei Raumtemperatur gerührt. Das Reaktionsgemisch wird auf gesättigte Natriumhydrogencarbonatlösung gegeben und der entstandene Niederschlag abfiltriert: (R)- Oxazolidin-3,4-dicarbonsäure-3-[(4-chlor-phenyl)-amid]-4-{[4-(3-oxo-morpholin-4-yl)-phenyl]-amid} ("A2") als farbloser Feststoff; ESI 461.
The preparation of (R) -oxazolidine-3,4-dicarboxylic acid 3 - [(4-chlorophenyl) amide] -4 - {[4- (3-oxo-morpholin-4-yl) phenyl] amide} ("A2") follows the following scheme:
Figure 00420001
  • 2.1 A solution of 2.10 g (20.0 mmol) of D-serine in 10 ml of 1 N aqueous sodium hydroxide solution is mixed with 1.49 ml (20.0 mmol) of 37% aqueous formaldehyde solution. The resulting solution is left at 5 ° C for 18 hours. The solution is heated to 80 ° C., 6.14 g (40 mmol) of 4-chlorophenyl isocyanate are added and the mixture is stirred at this temperature for one hour. The mixture is allowed to cool and the precipitate formed is filtered off. The filtrate is acidified with 1N HCl and the precipitate formed is filtered off and dried: (R) -3- (4-chlorophenylcarbamoyl) oxazolidine-4-carboxylic acid as a colorless solid; ESI 271.
  • 2.2 A solution of 541 mg (2.00 mmol) of (R) -3- (4-chlorophenylcarbamoyl) oxazolidine-4-carboxylic acid and 384 mg (2.00 mmol) of 4- (4-aminophenyl) morpholin-3-one in 4 ml of dimethylformamide (DMF) is mixed with 498 mg (2.60 mmol) of N- (3-dimethylaminopropyl) -N'-ethylcarbodiimide hydrochloride (DAPECI) and stirred for 18 hours at room temperature. The reaction mixture is poured onto saturated sodium bicarbonate solution and the precipitate formed is filtered off: (R) - oxazolidine-3,4-dicarboxylic acid 3 - [(4-chlorophenyl) amide] -4 - {[4- (3-oxo- morpholin-4-yl) phenyl] amide} ("A2") as a colorless solid; ESI 461.

Analog erhält man die nachstehenden Verbindungen
(R)-Oxazolidin-3,4-dicarbonsäure-3-[(4-chlor-phenyl)-amid]-4-{(3-methyl-4-(3-oxo-morpholin-4-yl)-phenyl]-amid}, ESI 459;
(4R,5S)-5-Methyl-oxazolidin-3,4-dicarbonsäure-3-[(4-chlor-phenyl)-amid]-4-{[4-(3-oxo-morpholin-4-yl)-phenyl]-amid}, ESI 459;
(4R,5S)-5-Methyl-oxazolidin-3,4-dicarbonsäure-3-[(4-chlor-phenyl)-amid-4-{[3-methyl-4-(3-oxo-morpholin-4-yl)-phenyl]-amid}, ESI 473;
(R)-Oxazolidin-3,4-dicarbonsäure-3-[(4-chlor-phenyl)-amid]-4-{[4-(2-oxo-2H-pyridin-1-yl)-phenyl]-amid}, ESI 439;
(4R,5S)-S-Methyl-oxazolidin-3,4-dicarbonsäure-3-[(4-chlor-phenyl)-amid]-4-{(4-(2-oxo-2H-pyridin-1-yl)-phenyl]-amid}, ESI 453;
(4R,5S)-S-Methyl-oxazolidin-3,4-dicarbonsäure-3-[(4-chlor-phenyl)-amid]-4-{[3-Fluor-4-(3-oxo-morpholin-4-yl)-phenyl]-amid}, ESI 477;
(4R,5S)-5-Methyl-oxazolidin-3,4-dicarbonsäure-3-[(4-chlor-phenyl)-amid]-4-{[3-chlor-4-(3-oxo-morpholin-4-yl)-phenyl]-amid}, ESI 477;
(4R,5R)-5-Methyl-oxazolidin-3,4-dicarbonsäure-3-[(4-chlor-phenyl)-amid]-4-{[3-methyl-4-(3-oxo-morpholin-4-yl)-phenyl]-amid}, ESI 473;
(4R,5S)-5-Methyl-oxazolidin-3,4-dicarbonsäure-3-[(4-chlor-phenyl)-amid]-4-{[4-(2-oxo-2H-pyrazin-1-yl)-phenyl]-amid}, ESI 454;
(R)-Oxazolidin-3,4-dicarbonsäure-3-[(4-chlor-phenyl)-amid]-4-{[4-(2-oxo-2H-pyrazin-1-yl)-phenyl]-amid}, ESI 440;
(R)-Oxazolidin-3,4-dicarbonsäure-3-[(4-chlor-phenyl)-amid]-4-{[3-chlor-4-(2-oxo-2H-pyridin-1-yl)-phenyl]-amid}, ESI 473.
The following compounds are obtained analogously
(R) -oxazolidine-3,4-dicarboxylic acid 3 - [(4-chloro-phenyl) -amide] -4 - {(3-methyl-4- (3-oxo-morpholin-4-yl) phenyl] -amide}, ESI 459;
(4R, 5S) -5-methyl-oxazolidine-3,4-dicarboxylic acid 3 - [(4-chloro-phenyl) -amide] -4 - {[4- (3-oxo-morpholin-4-yl) - phenyl] amide}, ESI 459;
(4R, 5S) -5-methyl-oxazolidine-3,4-dicarboxylic acid 3 - [(4-chloro-phenyl) -amide, 4 - {[3-methyl-4- (3-oxo-morpholin-4- yl) -phenyl] -amide}, ESI 473;
(R) -oxazolidine-3,4-dicarboxylic acid 3 - [(4-chloro-phenyl) -amide] -4 - {[4- (2-oxo-2H-pyridin-1-yl) -phenyl] -amide }, ESI 439;
(4R, 5S) -S-methyl-oxazolidine-3,4-dicarboxylic acid 3 - [(4-chloro-phenyl) -amide] -4 - {(4- (2-oxo-2H-pyridin-1-yl ) -phenyl] -amide}, ESI 453;
(4R, 5S) -S-methyl-oxazolidine-3,4-dicarboxylic acid 3 - [(4-chloro-phenyl) -amide] -4 - {[3-fluoro-4- (3-oxo-morpholin-4 -yl) -phenyl] -amide}, ESI 477;
(4R, 5S) -5-methyl-oxazolidine-3,4-dicarboxylic acid 3 - [(4-chloro-phenyl) -amide] -4 - {[3-chloro-4- (3-oxo-morpholin-4 -yl) -phenyl] -amide}, ESI 477;
(4R, 5R) -5-methyl-oxazolidine-3,4-dicarboxylic acid 3 - [(4-chloro-phenyl) -amide] -4 - {[3-methyl-4- (3-oxo-morpholin-4 -yl) -phenyl] -amide}, ESI 473;
(4R, 5S) -5-methyl-oxazolidine-3,4-dicarboxylic acid 3 - [(4-chloro-phenyl) -amide] -4 - {[4- (2-oxo-2H-pyrazin-1-yl ) -phenyl] -amide}, ESI 454;
(R) -oxazolidine-3,4-dicarboxylic acid 3 - [(4-chloro-phenyl) -amide] -4 - {[4- (2-oxo-2H-pyrazin-1-yl) -phenyl] -amide }, ESI 440;
(R) -oxazolidine-3,4-dicarboxylic acid 3 - [(4-chloro-phenyl) -amide] -4 - {[3-chloro-4- (2-oxo-2H-pyridin-1-yl) - phenyl] amide}, ESI 473.

Beispiel 2aExample 2a

Analog Beispiel 2 erhält man, ausgehend von Clonidin

Figure 00440001
die nachstehende Verbindung
4-Oxa-6-aza-spiro[2.4]heptan-6,7-dicarbonsäure-6-[(4-chlorphenyl)-amid]-7-{[4-(3-oxo-morpholin-4-yl)-phenyl]-amid}
Figure 00440002
Analogously to Example 2, starting from clonidine
Figure 00440001
the link below
4-oxa-6-aza-spiro [2.4] heptane-6,7-dicarboxylic acid 6 - [(4-chlorophenyl) -amide] -7 - {[4- (3-oxo-morpholin-4-yl) - phenyl] -amide}
Figure 00440002

Beispiel 3Example 3

Die Herstellung von (S)-Thiazolidin-3,4-dicarbonsäure-3-[(4-chlorphenyl)-amid]-4-{[4-(3-oxo-morpholin-4-yl)-phenyl]-amid} ("A3") und (S)-1,1-Dioxo-1λ6-thiazolidin-3,4-dicarbonsäure-3-[(4-chlor-phenyl)-amid]4-{[4-(3-oxo-morpholin-4-yl)-phenyl]-amid} ("A4") erfolgt analog nachstehendem Schema:

Figure 00440003

  • 3.1 Eine Lösung von 4.54 g (54.0 mmol) Natriumhydrogencarbonat und 3.60 g (27.0 mmol) 2-(S)-Thiazolidin-4-carbonsäure in 50 ml Wasser wird auf 80° C erhitzt und 8.46 g (54.0 mmol) 4-Chlorphenylisocyanat zugegeben. Das Reaktionsgemisch wird 1 Stunde bei dieser Temperatur gerührt. Man lässt abkühlen und filtriert den entstandenen Niederschlag ab. Das Filtrat wird mit 1 N HCl angesäuert und der entstandene Niederschlag abfiltriert und getrocknet: (S)-3-(4-Chlorphenylcarbamoyl)thiazolidin-4-carbonsäure als farbloser Feststoff; ESI 287.
  • 3.2 Eine Lösung von 573 mg (2.00 mmol) (S)-3-(4-Chlorphenylcarbamoyl)-thiazolidin-4-carbonsäure und 384 mg (2.00 mmol) 4-(4-Amino-phenyl)-morpholin-3-on in 4 ml Dimethylformamid (DMF) wird mit 498 mg (2.60 mmol) N-(3-Dimethylaminopropyl)-N-ethylcarbodiimidhydrochlorid (DAPECI) versetzt und 18 Stunden bei Raumtemperatur gerührt. Das Reaktionsgemisch wird auf gesättigte Natriumhydrogencarbonatlösung gegeben und der entstandene Niederschlag abfiltriert: (S)-Thiazolidin-3,4-dicarbonsäure-3-[(4-chlorphenyl)-amid]-4-{[4-(3-oxo-morpholin-4-yl)-phenyl]-amid} ("A3") als farbloser Feststoff; ESI 461.
  • 3.3 Eine Suspension von 450 mg (0.976 mmol) "A3" in 50 ml Methanol wird mit einer Lösung von 1.9 g Oxon in 30 ml Wasser versetzt und das Reaktionsgemisch 24 Stunden bei Raumtemperatur gerührt. Das Reaktionsgemisch wird auf Wasser gegeben und der entstandene Niederschlag abfiltriert und getrocknet: (S)-1,1-Dioxo-1λ6-thiazolidin-3,4-dicarbonsäure-3-[(4-chlorphenyl)-amid]-4-{[4-(3-oxo-morpholin-4-yl)-phenyl]-amid} ("A4") als farbloser Feststoff; ESI 493.
The Preparation of (S) -Thiazolidin-3,4-dicarboxylic Acid-3 - [(4-chlorophenyl) -amide] -4 - {[4- (3-oxo-morpholin-4-yl) -phenyl] -amide} ("A3") and (S) -1,1-dioxo-1λ 6 -thiazolidine-3,4-dicarboxylic acid 3 - [(4-chlorophenyl) amide] 4 - {[4- (3-oxo -morpholin-4-yl) -phenyl] -amide} ("A4") is carried out analogously to the following scheme:
Figure 00440003
  • 3.1 A solution of 4.54 g (54.0 mmol) sodium hydrogen carbonate and 3.60 g (27.0 mmol) 2- (S) -Thiazolidin-4-carboxylic acid in 50 ml water is heated to 80 ° C and 8.46 g (54.0 mmol) 4-chlorophenyl isocyanate are added , The reaction mixture is stirred at this temperature for 1 hour. Allow to cool and filters the precipitate formed. The filtrate is acidified with 1N HCl and the precipitate formed is filtered off and dried: (S) -3- (4-chlorophenylcarbamoyl) thiazolidine-4-carboxylic acid as a colorless solid; ESI 287.
  • 3.2 A solution of 573 mg (2.00 mmol) of (S) -3- (4-chlorophenylcarbamoyl) thiazolidine-4-carboxylic acid and 384 mg (2.00 mmol) of 4- (4-aminophenyl) morpholin-3-one in 4 ml of dimethylformamide (DMF) is mixed with 498 mg (2.60 mmol) of N- (3-dimethylaminopropyl) -N-ethylcarbodiimide hydrochloride (DAPECI) and stirred for 18 hours at room temperature. The reaction mixture is poured onto saturated sodium bicarbonate solution and the precipitate formed is filtered off: (S) -Thiazolidin-3,4-dicarboxylic acid 3 - [(4-chlorophenyl) -amide] -4 - {[4- (3-oxo-morpholine- 4-yl) -phenyl] -amide} ("A3") as a colorless solid; ESI 461.
  • 3.3 A suspension of 450 mg (0.976 mmol) of "A3" in 50 ml of methanol is mixed with a solution of 1.9 g of oxone in 30 ml of water and the reaction mixture is stirred for 24 hours at room temperature. The reaction mixture is poured into water and the precipitate formed is filtered off and dried: (S) -1,1-dioxo-1λ 6 -thiazolidine-3,4-dicarboxylic acid 3 - [(4-chlorophenyl) amide] -4- { [4- (3-oxomorpholin-4-yl) phenyl] amide} ("A4") as a colorless solid; ESI 493.

Analog erhält man die nachstehenden Verbindungen
(S)-Thiazolidin-3,4-dicarbonsäure-3-[(4-chlor-phenyl)-amid]-4-{[3-methyl-4-(3-oxo-morpholin-4-yl)-phenyl]-amid}, ESI 475;
(S)-1,1-Dioxo-1λ6-thiazolidin-3,4-dicarbonsäure-3-[(4-chlor-phenyl)-amid] 4-{[3-methyl-4-(3-oxo-morpholin-4-yl)-phenyl]-amid}, ESI 507;
(R)-Thiazolidin-3,4-dicarbonsäure-3-[(4-chlor-phenyl)-amid]-4-{[4-(2-oxo-2H-pyridin-1-yl)-phenyl]-amid}, ESI 455.
The following compounds are obtained analogously
(S) -thiazolidine-3,4-dicarboxylic acid 3 - [(4-chloro-phenyl) -amide] -4 - {[3-methyl-4- (3-oxo-morpholin-4-yl) phenyl] -amide}, ESI 475;
(S) -1,1-Dioxo-1λ 6 -thiazolidine-3,4-dicarboxylic acid-3 - [(4-chlorophenyl) amide] 4 - {[3-methyl-4- (3-oxomorpholine -4-yl) phenyl] amide}, ESI 507;
(R) -thiazolidine-3,4-dicarboxylic acid 3 - [(4-chloro-phenyl) -amide] -4 - {[4- (2-oxo-2H-pyridin-1-yl) -phenyl] -amide }, ESI 455.

Beispiel 4Example 4

Die Herstellung von 3-(5-Chlorthiophen-2-carbonyl)-oxazolidin-5-carbonsäure-[4-(3-oxo-morpholin-4-yl)-phenyl]-amid ("A5") erfolgt analog nachstehendem Schema:

Figure 00460001

  • 4.1 Eine Lösung von 2.00 g (19.0 mmol) DL-Isoserin in 10 ml 1 N wässriger Natronlauge wird mit 1.48 ml (19.9 mmol) 37%iger wässriger Formaldehydlösung versetzt. Die entstandene Lösung wird 18 Stunden bei 5 °C belassen. Zu dieser Lösung wird bei einer Innentemperatur von 0 – 5 °C eine Lösung von 3.46 g (19.1 mmol) 5-Chlorthiophencarbonylchlorid in 10 ml Aceton zugetropft. Während des Zutropfens wird durch Zugabe von festem Natriumhydrogencarbonat der pH auf einen Wert über 7 gehalten. Nach beendeter Zugabe lässt man auf Raumtemperatur erwärmen, gibt Wasser zu und extrahiert mit tert.-Butylmethylether. Die wässrige Phase wird mit 1N HCl angesäuert und mit tert.-Butylmethylether extrahiert. Diese organische Phase wird über Natriumsulfat getrocknet und eingedampft: 3-(5-Chlorthiophen-2-carbonyl)-oxazolidin-5-carbonsäure als farbloser Feststoff; ESI 262.
  • 4.2 Eine Lösung von 500 mg (1.91 mmol) 3-(5-Chlorthiophen-2-carbonyl)-oxazolidin-5-carbonsäure und 367 mg (1.91 mmol) 4-(4-Amino-phenyl)-morpholin-3-on in 5 ml Dimethylformamid (DMF) wird mit 479 mg (2.50 mmol) N-(3-Dimethylaminopropyl)-N'-ethylcarbodiimid-hydrochlorid (DAPECI) versetzt und 18 Stunden bei Raumtemperatur gerührt. Das Reaktionsgemisch wird auf gesättigte Natriumhydrogencarbonatlösung gegeben und der entstandene Niederschlag abfiltriert: 3-(5-Chlorthiophen-2-carbonyl)-oxazolidin-5-carbonsäure-[4-(3-oxo-morpholin-4-yl)-phenyl]-amid ("A5") als farbloser Feststoff; ESI 436.
3- (5-Chlorothiophene-2-carbonyl) oxazolidin-5-carboxylic acid [4- (3-oxomorpholin-4-yl) phenyl] amide ("A5") is prepared analogously to the following scheme:
Figure 00460001
  • 4.1 A solution of 2.00 g (19.0 mmol) of DL-isoserine in 10 ml of 1 N aqueous sodium hydroxide solution is mixed with 1.48 ml (19.9 mmol) of 37% aqueous formaldehyde solution. The resulting solution is left at 5 ° C for 18 hours. A solution of 3.46 g (19.1 mmol) of 5-chlorothiophene carbonyl chloride in 10 ml of acetone is added dropwise to this solution at an internal temperature of 0-5 ° C. During the dropping, the pH is kept above 7 by adding solid sodium hydrogen carbonate. When the addition is complete, the mixture is allowed to warm to room temperature, water is added and the mixture is extracted with tert-butyl methyl ether. The aqueous phase is acidified with 1N HCl and extracted with tert-butyl methyl ether. This organic phase is dried over sodium sulfate and evaporated: 3- (5-chlorothiophene-2-carbonyl) oxazolidine-5-carboxylic acid as a colorless solid; ESI 262.
  • 4.2 A solution of 500 mg (1.91 mmol) of 3- (5-chlorothiophene-2-carbonyl) oxazolidine-5-carboxylic acid and 367 mg (1.91 mmol) of 4- (4-aminophenyl) morpholin-3-one in 5 ml of dimethylformamide (DMF) is mixed with 479 mg (2.50 mmol) of N- (3-dimethylaminopropyl) -N'-ethylcarbodiimide hydrochloride (DAPECI) and stirred for 18 hours at room temperature. The reaction mixture is poured onto saturated sodium bicarbonate solution and the precipitate formed is filtered off: 3- (5-chlorothiophene-2-carbonyl) oxazolidin-5-carboxylic acid [4- (3-oxomorpholin-4-yl) phenyl] amide ("A5") as a colorless solid; ESI 436.

Analog erhält man die nachstehenden Verbindungen
3-(5-Chlorthiophen-2-carbonyl)-oxazolidin-5-carbonsäure-[3-methyl-4-(3-oxo-morpholin-4-yl)-phenyl]-amid, ESI 450;
3-(5-Chlorthiophen-2-carbonyl)-oxazolidin-5-carbonsäure-[4-(2-oxo-2H-pyridin-1-yl)-phenyl]-amid, ESI 430.
The following compounds are obtained analogously
3- (5-Chloro-thiophene-2-carbonyl) oxazolidin-5-carboxylic acid [3-methyl-4- (3-oxo-morpholin-4-yl) -phenyl] -amide, ESI 450;
3- (5-Chlorothiophene-2-carbonyl) oxazolidine-5-carboxylic acid- [4- (2-oxo-2H-pyridin-1-yl) phenyl] amide, ESI 430.

Beispiel 5Example 5

Die Herstellung von (2R,4R)-4-Hydroxypyrrolidin-1,2-dicarbonsäure-1-[(5-chlorpyridin-2-yl)-amid]-2-{[4-(2-oxo-2H-pyridin-1-yl)-phenyl]-amid} ("A6") erfolgt analog nachstehendem Schema:

Figure 00480001
The preparation of (2R, 4R) -4-hydroxypyrrolidin-1,2-dicarboxylic acid 1 - [(5-chloropyridin-2-yl) -amide] -2 - {[4- (2-oxo-2H-pyridine- 1-yl) -phenyl] -amide} ("A6") is carried out analogously to the following scheme:
Figure 00480001

Zu einer Lösung von 570 mg (4.43 mmol) 2-Amino-5-chlorpyridin und 0.73 ml (9.0 mmol) Pyridin in 50 ml Dichlormethan werden 894 mg (4.43 mmol) 4-Nitrophenylchlorformiat gegeben und 1 Stunde bei Raumtemperatur gerührt. Zu der enstandenen Suspension werden 1.49 g (4.43 mmol) (2R,4R)-4-Hydroxy-2-[4-(2-oxo-2H-pyridin-1-yl)-phenylcarbamoyl]-pyrrolidinium-chlorid und 1.5 ml (9.0 mmol) N-Ethyldiisopropylamin gegeben und das Reaktionsgemisch 18 Stunden bei Raumtemperatur gerührt. Das Reaktionsgemisch wird eingedampft und der Rückstand an einer Kieselgelsäule mit Dichlormethan/Methanol 95:5 als Laufmittel chromatographiert: (2R,4R)-4-Hydroxypyrrolidin-1,2-dicarbonsäure-1-[(5-chlorpyridin-2-yl)-amid]-2-{[4-(2-oxo-2H-pyridin-1-yl)-phenyl]-amid} ("A6") als farbloser Feststoff, ESI 454.To a solution 570 mg (4.43 mmol) of 2-amino-5-chloropyridine and 0.73 ml (9.0 mmol) Pyridine in 50 ml dichloromethane are 894 mg (4.43 mmol) 4-nitrophenyl chloroformate given and stirred for 1 hour at room temperature. The resulting suspension 1.49 g (4.43 mmol) of (2R, 4R) -4-hydroxy-2- [4- (2-oxo-2H-pyridin-1-yl) phenylcarbamoyl] pyrrolidinium chloride and 1.5 ml (9.0 mmol) of N-ethyldiisopropylamine and the reaction mixture Stirred for 18 hours at room temperature. The reaction mixture is evaporated and the residue on a silica gel column Chromatographed with dichloromethane / methanol 95: 5 as the eluent: (2R, 4R) -4-hydroxypyrrolidine-1,2-dicarboxylic acid 1 - [(5-chloropyridin-2-yl) -amide] 2 - {[4- (2-oxo-2H-pyridin-1-yl ) -phenyl] -amide} ("A6") as a colorless solid, ESI 454.

Analog werden die nachstehenden Verbindungen erhalten
(2R,4R)-4-Hydroxypyrrolidin-1,2-dicarbonsäure-1-[(5-chlorpyridin-2-yl)-amid]-2-{[4-(3-oxo-morpholin-4-yl)-phenyl]-amid}, ESI 460;
(2R,4R)-4-Hydroxypyrrolidin-1,2-dicarbonsäure-1-[(5-chlorpyridin-2-yl)-amid]-2-{[4-(2-oxo-2H-pyrazin-1-yl)-phenyl]-amid}, ESI 455;
(2R,4R)-4-Hydroxypyrrolidin-1,2-dicarbonsäure-1-[(5-chlorpyridin-2-yl)-amid]-2-{[3-fluor-4-(2-oxo-2H-pyridin-1-yl)-phenyl]-amid}, ESI 472;
(R)-4,4-Dimethoxypyrrolidin-1,2-dicarbonsäure-1-[(5-chlorpyridin-2-yl)-amid]-2-{[4-(2-oxo-2H-pyridin-1-yl)-phenyl]-amid}, ESI 498;
(R)-4,4-Dimethoxypyrrolidin-1,2-dicarbonsäure-1-[(5-chlorpyridin-2-yl)-amid]-2-{[4-(3-oxo-morpholin-4-yl)-phenyl]-amid}, ESI 504;
(2R,4R)-4-Hydroxypyrrolidin-1,2-dicarbonsäure-1-[(6-chlorpyridin-3-yl)-amid]-2-{[4-(2-oxo-2H-pyridin-1-yl)-phenyl]-amid}, ESI 454;
(2R,4R)-4-Hydroxypyrrolidin-1,2-dicarbonsäure-1-[(6-chlorpyridin-3-yl)-amid]-2-{[4-(2-oxo-2H-pyrazin-1-yl)-phenyl]-amid}, ESI 455.
The following compounds are obtained analogously
(2R, 4R) -4-hydroxypyrrolidine-1,2-dicarboxylic acid 1 - [(5-chloropyridin-2-yl) -amide] 2 - {[4- (3-oxo-morpholin-4-yl) - phenyl] amide}, ESI 460;
(2R, 4R) -4-hydroxypyrrolidine-1,2-dicarboxylic acid 1 - [(5-chloropyridin-2-yl) -amide] 2 - {[4- (2-oxo-2H-pyrazin-1-yl ) -phenyl] -amide}, ESI 455;
(2R, 4R) -4-hydroxypyrrolidine-1,2-dicarboxylic acid 1 - [(5-chloropyridin-2-yl) -amide] 2 - {[3-fluoro-4- (2-oxo-2H-pyridin -1-yl) phenyl] amide}, ESI 472;
(R) -4,4-dimethoxypyrrolidine-1,2-dicarboxylic acid 1 - [(5-chloropyridin-2-yl) -amide] 2 - {[4- (2-oxo-2H-pyridin-1-yl ) -phenyl] -amide}, ESI 498;
(R) -4,4-dimethoxypyrrolidine-1,2-dicarboxylic acid 1 - [(5-chloropyridin-2-yl) -amide] 2 - {[4- (3-oxo-morpholin-4-yl) - phenyl] amide}, ESI 504;
(2R, 4R) -4-hydroxypyrrolidine-1,2-dicarboxylic acid 1 - [(6-chloropyridin-3-yl) -amide] 2 - {[4- (2-oxo-2H-pyridin-1-yl ) -phenyl] -amide}, ESI 454;
(2R, 4R) -4-hydroxypyrrolidine-1,2-dicarboxylic acid 1 - [(6-chloropyridin-3-yl) -amide] 2 - {[4- (2-oxo-2H-pyrazin-1-yl ) -phenyl] -amide}, ESI 455.

Beispiel 6Example 6

Die Herstellung von (R)-4,4-Dimethoxy-pyrrolidin-1,2-dicarbonsäure-1-[(4-chlorphenyl)-amid]-2-{[4-(2-oxo-2H-pyridin-1-yl)-phenyl]-amid} ("A7") erfolgt analog nachstehendem Schema:

Figure 00490001

  • 6.1 Zu einer auf 0 °C gehaltenen Mischung von 22 ml Pyridin und 50 ml Dichlormethan werden 12.2 g (122 mmol) Chrom(VI)-oxid gegeben und bei gleicher Temperatur 30 min gerührt. Man lässt die Lösung auf Raumtemperatur erwärmen und tropft innerhalb von 5 min eine Lösung von 5.00 g cis-Boc-4-Hydroxy-D-prolin in 80 ml Dichlormethan zu. Nach 1 Stunde Rühren bei Raumtemperatur wird die Lösung filtriert und das Filtrat eingedampft. Der Rückstand wird zwischen 1 N HCl und tert.-Butylmethylether verteilt. Die organische Phase wird über Natriumsulfat getrocknet, eingedampft und aus Diethylether/Petrolether umkristallisiert: Boc-4-Keto-D-prolin als farbloser Feststoff; ESI 130.
  • 6.2 Eine Suspension von 459 mg (2.00 mmol) Boc-4-Keto-D-prolin und 372 mg (2.00 mmol) 1-(4-Amino-phenyl)-1H-pyridin-2-on in 25 ml Toluol wird mit 742 mg (3.00 mmol) Ethyl-2-ethyox-1,2-dihydrochinolin-1-carboxylat (EEDQ) versetzt und 18 Stunden bei Raumtemperatur gerührt. Es werden 200 ml tert.-Butylmethylether zugegeben und der entstandene Niederschlag abfiltriert. Zum Filtrat werden 200 ml Petrolether gegeben und der so entstandene Niederschlag abfiltriert: (R)-4-Oxo-2-[4-(2-oxo-2H-pyridin-1-yl)-phenylcarbamoyl]-pyrrolidin-1-carbonsäure-tert.-butylester als bräunlicher Feststoff; ESI 398.
  • 6.3 Eine Suspension von 400 mg (1.01 mmol) (R)-4-Oxo-2-[4-(2-oxo-2H-pyridin-1-yl)-phenylcarbamoyl]-pyrrolidin-1-carbonsäure-tert.-butylester in 5 ml 4 N HCl in Dioxan wird mit 10 ml Methanol versetzt und eine Stunde bei Raumtemperatur gerührt. Das Reaktionsgemisch wird eingedampft: (R)-4,4-Dimethoxy-2-[4-(2-oxo-2H-pyridin-1-yl)-phenylcarbamoyl]-pyrrolidinium-chlorid als bräunlicher Feststoff; ESI 344.
  • 6.4 Eine Lösung von 250 mg (0.658 mmol) (R)-4,4-Dimethoxy-2-[4-(2-oxo-2H-pyridin-1-yl)-phenylcarbamoyl]-pyrrolidinium-chlorid in 10 ml Dichlormethan wird mit 0.12 ml Triethylamin und 127 mg (0.830 mmol) 4-Chlorphenylisocyanat versetzt. Nach einer Stunde Rühren bei Raumtemperatur wird das Reaktionsgemisch eingedampft und der Rückstand an einer Kieselgelsäule mit Dichlormethan/Methanol 95:5 als Laufmittel chromatographiert: (R)-4,4-Dimethoxy-pyrrolidin-1,2- dicarbonsäure-1-[(4-chlorphenyl)-amid]-2-{[4-(2-oxo-2H-pyridin-1-yl)-phenyl]-amid} ("A7") als farbloser Feststoff; ESI 497.
The preparation of (R) -4,4-dimethoxypyrrolidine-1,2-dicarboxylic acid 1 - [(4-chlorophenyl) amide] -2 - {[4- (2-oxo-2H-pyridine-1- yl) -phenyl] -amide} ("A7") is carried out analogously to the following scheme:
Figure 00490001
  • 6.1 12.2 g (122 mmol) of chromium (VI) oxide are added to a mixture of 22 ml of pyridine and 50 ml of dichloromethane kept at 0 ° C. and the mixture is stirred at the same temperature for 30 min. The solution is allowed to warm to room temperature and a solution of 5.00 g of cis-Boc-4-hydroxy-D-proline in 80 ml of dichloromethane is added dropwise within 5 minutes. After stirring for 1 hour at room temperature, the solution is filtered and the filtrate is evaporated. The residue is partitioned between 1N HCl and tert-butyl methyl ether. The organic phase is dried over sodium sulfate, evaporated and recrystallized from diethyl ether / petroleum ether: Boc-4-keto-D-proline as a colorless solid; ESI 130.
  • 6.2 A suspension of 459 mg (2.00 mmol) Boc-4-keto-D-prolin and 372 mg (2.00 mmol) 1- (4-aminophenyl) -1H-pyridin-2-one in 25 ml toluene is mixed with 742 mg (3.00 mmol) of ethyl 2-ethyox-1,2-dihydroquinoline-1-carboxylate (EEDQ) were added and the mixture was stirred at room temperature for 18 hours. 200 ml of tert-butyl methyl ether are added and the precipitate formed is filtered off. 200 ml of petroleum ether are added to the filtrate and the resulting precipitate is filtered off: (R) -4-oxo-2- [4- (2-oxo-2H-pyridin-1-yl) -phenylcarbamoyl] -pyrrolidine-1-carboxylic acid- tert-butyl ester as a brownish solid; ESI 398.
  • 6.3 A suspension of 400 mg (1.01 mmol) of (R) -4-oxo-2- [4- (2-oxo-2H-pyridin-1-yl) phenylcarbamoyl] pyrrolidine-1-carboxylic acid tert-butyl ester in 5 ml of 4N HCl in dioxane, 10 ml of methanol are added and the mixture is stirred at room temperature for one hour. The reaction mixture is evaporated: (R) -4,4-dimethoxy-2- [4- (2-oxo-2H-pyridin-1-yl) phenylcarbamoyl] pyrrolidinium chloride as a brownish solid; ESI 344.
  • 6.4 A solution of 250 mg (0.658 mmol) of (R) -4,4-dimethoxy-2- [4- (2-oxo-2H-pyridin-1-yl) phenylcarbamoyl] pyrrolidinium chloride in 10 ml dichloromethane 0.12 ml of triethylamine and 127 mg (0.830 mmol) of 4-chlorophenyl isocyanate were added. After stirring for one hour at room temperature, the reaction mixture is evaporated and the residue is chromatographed on a silica gel column using dichloromethane / methanol 95: 5 as the eluent: (R) -4,4-dimethoxy-pyrrolidine-1,2-dicarboxylic acid 1 - [(4 -chlorophenyl) amide] -2 - {[4- (2-oxo-2H-pyridin-1-yl) phenyl] amide} ("A7") as a colorless solid; ESI 497.

Beispiel 7Example 7

Die Herstellung von (2R,4R)-4-Hydroxy-pyrrolidin-1,2-dicarbonsäure-1-[(4-chlor-phenyl)-amid]-2-{[4-(3-oxo-morpholin-4-yl)-phenyl]-amid} ("A8") erfolgt analog nachstehendem Schema:

Figure 00510001

  • 7.1 Eine Suspension von 15 g (64.86 mmol) cis-N-BOC-4-hydroxy-D-Prolin und 12.47 g (64.86 mmol 1-(4-Amino-phenyl)-1H-pyridin-2-on in 250 ml Toluol wird mit 16 g (12.86 mmol) Ethyl-2-ethoxy-1,2-dihydrochinolin-1-carboxylat (EEDQ) versetzt und 18 Stunden bei Raumtemperatur gerührt. Anschliessend wird das ausgefallene Produkt abfiltriert, nacheinander mit je 50 ml Toluol und Diethylether gewaschen und im Exsikkator getrocknet. Man erhält so 24.5 g (93.2%) (2R,4R)-4-Hydroxy-2-[4-(3-oxo-morpholin-4-yl)-phenylcarbamoyl]-pyrrolidin-1-carbonsäure-ter.t-butylester als grau-weisses Pulver. ESI 406.
  • 7.2 Eine Lösung von 15 g (37 mmol) (2R,4R)-4-Hydroxy-2-[4-(3-oxo-morpholin-4-yl)-phenylcarbamoyl]-pyrrolidin-1-carbonsäure-tert.-butylester in 200 ml Dioxan wird mit 300 ml 4N Salzsäure in Dioxan versetzt und 12 Stunden bei Raumtemperatur gerührt. Anschliessend wird der ausgefallene Niederschlag abfiltriert, mit je 50 ml Dioxan und Diethylether gewaschen und im Exsikkator getrocknet. Man erhält so 12.64 g (100%) (2R,4R)-4-Hydroxy-pyrrolidin-2-carbonsäure [4-(3-oxo-morpholin-4-yl)-phenyl]-amid-Hydrochlorid als weißes Pulver. ESI 306.
  • 7.3 12.64 g (36.98 mmol) (2R,4R)-4-Hydroxy-pyrrolidin-2-carbonsäure-[4-(3-oxo-morpholin-4-yl)-phenyl]-amid-Hydrochlorid werden in 1200 ml Dichlomethan suspendiert und unter Eisbadkühlung mit 5.4 ml Triethylamin versetzt. Zu der Mischung tropft man anschließend die Lösung von 5.96 g (38.83 mmol) 4-Chlorphenylisocyanat in 100 ml Dichlometrhan bei 2 °C innerhalb 1.5 Stunden zu, und läßt dann die Reaktionslösung noch weitere 30 min unter Eiskühlung rühren. Danach wird die Dichlormethanlösung nacheinander mit je 100 ml 1 N Salzsäure und Wasser gewaschen und über Natriumsulfat getrocknet. Nach Abfiltrieren des Trockenmittels und Einengen der Methylenchloridlösung auf 1/3 des ursprünglichen Volumens am Rotationsverdampfer wird das ausgefallene Produkt abfiltriert, mit 50 ml Petrolether gewaschen und im Exsikkator getrocknet. Man erhält so 14.6 g (86%) (2R,4R)-4-Hydroxy-pyrrolidin-1,2-dicarbonsäure-1-[(4-chlor-phenyl)-amid]-2-{[4-(3-oxo-morpholin-4-yl)-phenyl]-amid} ("A8") als weisses Pulver, ESI 459; F. 216°.
The preparation of (2R, 4R) -4-hydroxy-pyrrolidine-1,2-dicarboxylic acid 1 - [(4-chlorophenyl) amide] -2 - {[4- (3-oxo-morpholine-4- yl) -phenyl] -amide} ("A8") is carried out analogously to the following scheme:
Figure 00510001
  • 7.1 A suspension of 15 g (64.86 mmol) of cis-N-BOC-4-hydroxy-D-proline and 12.47 g (64.86 mmol of 1- (4-aminophenyl) -1H-pyridin-2-one in 250 ml of toluene 16 g (12.86 mmol) of ethyl 2-ethoxy-1,2-dihydroquinoline-1-carboxylate (EEDQ) are added and the mixture is stirred at room temperature for 18 hours, after which the precipitated product is filtered off and washed in succession with 50 ml of toluene and diethyl ether and dried in a desiccator to give 24.5 g (93.2%) of (2R, 4R) -4-hydroxy-2- [4- (3-oxomorpholin-4-yl) phenylcarbamoyl] pyrrolidine-1-carboxylic acid ter.t-butyl ester as gray-white powder ESI 406.
  • 7.2 A solution of 15 g (37 mmol) of (2R, 4R) -4-hydroxy-2- [4- (3-oxomorpholin-4-yl) phenylcarbamoyl] pyrrolidine-1-carboxylic acid tert-butyl ester in 200 ml of dioxane, 300 ml of 4N hydrochloric acid in dioxane are added and the mixture is stirred at room temperature for 12 hours. The precipitate is then filtered off, washed with 50 ml of dioxane and diethyl ether and dried in a desiccator. This gives 12.64 g (100%) of (2R, 4R) -4-hydroxy-pyrrolidin-2-carboxylic acid [4- (3-oxomorpholin-4-yl) phenyl] amide hydrochloride as a white powder. ESI 306.
  • 7.3 12.64 g (36.98 mmol) (2R, 4R) -4-hydroxy-pyrrolidin-2-carboxylic acid- [4- (3-oxomorpholin-4-yl) phenyl] amide hydrochloride are suspended in 1200 ml dichloromethane and 5.4 ml of triethylamine are added while cooling with an ice bath. The solution of 5.96 g (38.83 mmol) of 4-chlorophenyl isocyanate in 100 ml of dichlometrane is then added dropwise to the mixture at 2 ° C. in the course of 1.5 hours, and the reaction solution is then stirred for a further 30 minutes while cooling with ice. The dichloromethane solution is then washed successively with 100 ml of 1N hydrochloric acid and water and dried over sodium sulfate. After filtering off the drying agent and concentrating the methylene chloride solution to 1/3 of the original volume on a rotary evaporator, the precipitated product is filtered off, washed with 50 ml of petroleum ether and dried in a desiccator. This gives 14.6 g (86%) (2R, 4R) -4-hydroxy-pyrrolidine-1,2-dicarboxylic acid 1 - [(4-chlorophenyl) amide] -2 - {[4- (3- oxo-morpholin-4-yl) phenyl] amide} ("A8") as a white powder, ESI 459; F. 216 °.

Analog werden die nachstehenden Verbindungen erhalten
(2R,4R)-4-Hydroxy-pyrrolidin-1,2-dicarbonsäure-1-[(4-chlor-phenyl)-amid]-2-{[3-methyl-4-(3-oxo-morpholin-4-yl)-phenyl]-amid}, ESI 473; F. 250°;
(2R,4R)-4-Hydroxy-pyrrolidin-1,2-dicarbonsäure-1-[(4-chlor-phenyl)-amid]-2-{[4-(2-oxo-2H-pyridin-1-yl)-phenyl]-amid}, ESI 453; F. 160°;
(2R,4R)-4-Hydroxy-pyrrolidin-1,2-dicarbonsäure-1-[(4-chlor-phenyl)-amid]-2-{[2-fluor-4-(3-oxo-morpholin-4-yl)-phenyl]-amid}, ESI 477; F. 135°;
(2R,4R)-4-Hydroxy-pyrrolidin-1,2-dicarbonsäure-1-[(4-chlor-phenyl)-amid]-2-{[4-(2-oxo-pyrazin-1-yl)-phenyl]-amid}, ESI 454;
(2R,4R)-4-Hydroxy-pyrrolidin-1,2-dicarbonsäure-1-[(4-chlor-phenyl)-amid]-2-{[3-fluor-4-(2-oxo-2H-pyridin-1-yl)-phenyl]-amid}, ES1471;
(2R,3R)-3-Hydroxy-pyrrolidin-1,2-dicarbonsäure-1-[(4-chlor-phenyl)-amid]-2-{[3-fluor-4-(3-oxo-morpholin-4-yl)-phenyl]-amid},
(2R,3S)-3-Hydroxy-pyrrolidin-1,2-dicarbonsäure-1-[(4-chlor-phenyl)-amid]-2-{[3-fluor-4-(3-oxo-morpholin-4-yl)-phenyl]-amid}.
The following compounds are obtained analogously
(2R, 4R) -4-Hydroxy-pyrrolidine-1,2-dicarboxylic acid 1 - [(4-chloro-phenyl) -amide] 2 - {[3-methyl-4- (3-oxo-morpholin-4 -yl) -phenyl] -amide}, ESI 473; F. 250 °;
(2R, 4R) -4-Hydroxy-pyrrolidine-1,2-dicarboxylic acid 1 - [(4-chloro-phenyl) -amide] 2 - {[4- (2-oxo-2H-pyridin-1-yl ) -phenyl] -amide}, ESI 453; F. 160 °;
(2R, 4R) -4-Hydroxy-pyrrolidine-1,2-dicarboxylic acid 1 - [(4-chloro-phenyl) -amide] 2 - {[2-fluoro-4- (3-oxo-morpholin-4 -yl) -phenyl] -amide}, ESI 477; F. 135 °;
(2R, 4R) -4-Hydroxy-pyrrolidine-1,2-dicarboxylic acid 1 - [(4-chloro-phenyl) -amide] 2 - {[4- (2-oxo-pyrazin-1-yl) - phenyl] amide}, ESI 454;
(2R, 4R) -4-Hydroxy-pyrrolidine-1,2-dicarboxylic acid 1 - [(4-chloro-phenyl) -amide] 2 - {[3-fluoro-4- (2-oxo-2H-pyridin -1-yl) phenyl] amide}, ES1471;
(2R, 3R) -3-hydroxy-pyrrolidine-1,2-dicarboxylic acid 1 - [(4-chloro-phenyl) -amide] 2 - {[3-fluoro-4- (3-oxo-morpholin-4 -yl) -phenyl] -amide},
(2R, 3S) -3-Hydroxy-pyrrolidine-1,2-dicarboxylic acid 1 - [(4-chloro-phenyl) -amide] 2 - {[3-fluoro-4- (3-oxo-morpholin-4 yl) phenyl] amide}.

Beispiel 8Example 8

Die Herstellung von (2R,4S)-4-Hydroxy-pyrrolidin-1,2-dicarbonsäure-1-[(4-chlor-phenyl)-amid]-2-{[4-(3-oxo-morpholin-4-yl)-phenyl]-amid} erfolgt analog nachstehendem Schema:

Figure 00530001

  • 8.1 Zu einer Lösung von 7.0 g (7.26 mmol) (2R,4R)-4-Hydroxy-2-[4-(3-oxo-morpholin-4-yl)-phenylcarbamoyl]-pyrrolidin-1-carbonsäure-tert.-butylester, 5.77 g (34.5 mmol) p-Nitrobenzoesäure und 9.18 g (35 mmol) Triphenylphosphin in 350 ml Tetrahydrofuran tropft man bei 0 °C unter Stickstoff 5.51 ml (35 mmol) Azodicarbonsäurediethylester (DEAD) zu. Anschliessend lässt man die Reaktionsmischung 12 Stunden bei Raumtemperatur rühren, dampft sie im Vakuum zur Trockne ein, versetzt den Rückstand mit 20 ml Methylenchlorid, wäscht die Methylenchloridlösung nacheinander mit je 10 ml gesättigter Kochsalzlösung und Wasser und trocknet sie über Natriumsulfat. Nach Abfiltrieren des Trockenmittels und Abziehen des Lösungsmittels am Rotationsverdampfer wird der Rückstand mit 30 ml Diethylether verrieben. Man erhält so 8.5 g (88.8%) (2R,4S)-4-(4-Nitro-benzoyloxy)-2-[4-(3-oxo-morpholin-4-yl)-phenylcarbamoyl]-pyrrolidin-1-carbonsäure-ter.t-butylester als leicht gelbe Kristalle, ESI 555.
  • 8.2 Analog zu Beispiel 7 erhält man aus (2R,4S)-4-(4-Nitro-benzoyloxy)-2-[4-(3-oxo-morpholin-4-yl)-phenylcarbamoyl]-pyrrolidin-1-carbonsäure-tert.-butylester die Verbindung 4-Nitro-benzoesäure(3S,5R)-1-(4-chlor-phenylcarbamoyl)-5-[4-(3-oxo-morpholin-4-yl)-phenylcarbamoyl]-pyrrolidin-3-ylester als gelbliche Kristalle, ESI 608.
  • 8.3 Die Lösung von 50 mg (0.082 mmol) 4-Nitro-benzoesäure (3S,5R)-1-(4-chlor-phenylcarbamoyl)-5-[4-(3-oxo-morpholin-4-yl)-phenylcarbamoyl]-pyrrolidin-3-ylester in 2 ml Methanol wird unter Eiskühlung mit 0.075 ml 1N Natronlauge versetzt und die Reaktionsmischung 15 min. gerührt. Der ausgefallene Niederschlag wird abfiltriert und mit 2 ml Methanol gewaschen und getrocknet. Man erhält so 35 mg (93%) (2R,4S)-4-Hydroxy-pyrrolidin-1,2-dicarbonsäure-1-[(4-chlor-phenyl)-amid]-2-{[4-(3-oxo-morpholin-4-yl)-phenyl]-amid} als farblose Kristalle, ESI 459, F. 243° (Zersetzung).
The preparation of (2R, 4S) -4-hydroxy-pyrrolidine-1,2-dicarboxylic acid 1 - [(4-chlorophenyl) amide] -2 - {[4- (3-oxo-morpholine-4- yl) -phenyl] -amide} is carried out analogously to the following scheme:
Figure 00530001
  • 8.1 To a solution of 7.0 g (7.26 mmol) of (2R, 4R) -4-hydroxy-2- [4- (3-oxomorpholin-4-yl) phenylcarbamoyl] pyrrolidine-1-carboxylic acid tert-. butyl ester, 5.77 g (34.5 mmol) p-nitrobenzoic acid and 9.18 g (35 mmol) triphenylphosphine in 350 ml tetrahydrofuran are added dropwise at 0 ° C under nitrogen 5.51 ml (35 mmol) diethyl azodicarboxylate (DEAD). The reaction mixture is then left to stir at room temperature for 12 hours, is evaporated to the dry state in a vacuum, 20 ml of methylene chloride are added to the residue, the methylene chloride solution is washed successively with 10 ml of saturated sodium chloride solution and water and dried over sodium sulfate. After filtering off the drying agent and stripping off the solvent on a rotary evaporator, the residue is triturated with 30 ml of diethyl ether. 8.5 g (88.8%) of (2R, 4S) -4- (4-nitro-benzoyloxy) -2- [4- (3-oxomorpholin-4-yl) phenylcarbamoyl] pyrrolidine-1-carboxylic acid are thus obtained -ter.t-butyl ester as light yellow crystals, ESI 555.
  • 8.2 Analogously to Example 7, (2R, 4S) -4- (4-nitro-benzoyloxy) -2- [4- (3-oxo-morpholin-4-yl) phenylcarbamoyl] pyrrolidine-1-carboxylic acid is obtained from tert-Butyl ester the compound 4-nitro-benzoic acid (3S, 5R) -1- (4-chlorophenylcarbamoyl) -5- [4- (3-oxomorpholin-4-yl) phenylcarbamoyl] pyrrolidin-3 -ylester as yellowish crystals, ESI 608.
  • 8.3 The solution of 50 mg (0.082 mmol) 4-nitro-benzoic acid (3S, 5R) -1- (4-chlorophenylcarbamoyl) -5- [4- (3-oxomorpholin-4-yl) phenylcarbamoyl] -pyrrolidin-3-yl ester in 2 ml of methanol is mixed with ice cooling with 0.075 ml of 1N sodium hydroxide solution and the reaction mixture for 15 min. touched. The precipitate is filtered off and washed with 2 ml of methanol and dried. This gives 35 mg (93%) (2R, 4S) -4-hydroxy-pyrrolidine-1,2-dicarboxylic acid 1 - [(4-chlorophenyl) amide] -2 - {[4- (3- oxo-morpholin-4-yl) -phenyl] -amide} as colorless crystals, ESI 459, mp 243 ° (decomposition).

Analog erhält man
(2S,4R)-4-Hydroxy-pyrrolidin-1,2-dicarbonsäure-1-[(4-chlor-phenyl)-amid]-2-{[4-(3-oxo-morpholin-4-yl)-phenyl]-amid}, ESI 459; F. 253°;
3,4-Dihydroxy-pyrrolidin-1,2-dicarbonsäure-1-[(4-chlor-phenyl)-amid]-2-{[4-(3-oxo-morpholin-4-yl)-phenyl]-amid}.
You get analog
(2S, 4R) -4-Hydroxy-pyrrolidine-1,2-dicarboxylic acid 1 - [(4-chloro-phenyl) -amide] 2 - {[4- (3-oxo-morpholin-4-yl) - phenyl] amide}, ESI 459; F. 253 °;
3,4-dihydroxy-pyrrolidine-1,2-dicarboxylic acid 1 - [(4-chloro-phenyl) -amide] 2 - {[4- (3-oxo-morpholin-4-yl) -phenyl] -amide }.

Beispiel 8aExample 8a

Die Herstellung von (2R,4S)-4-Ethinyl-4-hydroxy-pyrrolidin-1,2-dicarbonsäure-1-[(4-chlor-phenyl)-amid]-2-{[4-(3-oxo-morpholin-4-yl)-phenyl]-amid} erfolgt analog nachstehendem Schema:

Figure 00550001
The preparation of (2R, 4S) -4-ethynyl-4-hydroxy-pyrrolidine-1,2-dicarboxylic acid 1 - [(4-chlorophenyl) amide] -2 - {[4- (3-oxo- morpholin-4-yl) phenyl] amide} is carried out analogously to the following scheme:
Figure 00550001

Beispiel 9Example 9

Die Herstellung von (2R,4S)-4-Azido-pyrrolidin-1,2-dicarbonsäure-1-[(4-chlor-phenyl)-amid]-2-{[4-(3-oxo-morpholin-4-yl)-phenyl]-amid} ("A9") und (2R,4S)-4-Amino-pyrrolidin-1,2-dicarbonsäure-1-[(4-chlor-phenyl)-amid]-2-{[4-(3-oxo-morpholin-4-yl)-phenyl]-amid} ("A10") erfolgt analog nachstehendem Schema:

Figure 00560001

  • 9.1 Eine Lösung von 4.5 g (11.1 mmol) (2R,4R)-4-Hydroxy-2-[4-(3-oxo-morpholin-4-yl)-phenylcarbamoyl]-pyrrolidin-1-carbonsäure-tert.-butylester in 20 ml Pyridin wird unter Eiskühlung mit 1.3 ml (16.65 mmol) Methansulfonsäurechlorid tropfenweise versetzt und die Reaktionslösung bei Raumtemperatur 12 Stunden gerührt. Anschließend wird das Pyridin im Vakuum abgezogen, der Rückstand mit 10 ml gesättigter Citronensäurelösung versetzt und die saure Lösung zweimal mit je 10 ml Methylenchlorid extrahiert. Die vereinigten organischen Phasen werden nun mit 10 ml gesättigter Kochsalzlösung gewaschen und über Natriumsulfat getrocknet. Nach Abfiltrieren des Trockenmittels und Abziehen des Lösungsmittels erhält man 5.4 g (100%) (2R,4R)-4-Methansulfonyloxy-2- [4-(3-oxo-morpholin-4-yl)-phenylcarbamoyl]-pyrrolidin-1-carbonsäure-tert.-butylester als gelbes Öl, ESI 484.
  • 9.2 Eine Mischung von 5.4 g (11.7 mmol) (2R,4R)-4-Methansulfonyloxy-2-[4-(3-oxo-morpholin-4-yl)-phenylcarbamoyl]-pyrrolidin-1-carbonsäure-tert.-butylester und 3.69 g (56.8 mmol) Natriumazid in 50 ml Dimethylformamid (DMF) wird 12 Stunden bei 60 °C gerührt. Anschließend wird von Unlöslichem abfiltriert und das Filtrat im Vakuum zu Trockne eingedampft. Der Rückstand wird dann mit 20 ml Wasser gelöst und die wässrige Lösung zweimal mit je 10 ml Methylenchlorid extrahiert. Die vereinigten Methylenchloridextrakte werden schließlich einmal mit 10 ml gesättigter Kochsalzlösung gewaschen und über Natriumsulfat getrocknet. Nach Abfiltrieren des Trockenmittels und Abziehen des Lösungsmittels erhält man 4.8 g (100%) (2R,4S)-4-Azido-2-[4-(3-oxo-morpholin-4-yl)-phenylcarbamoyl]-pyrrolidin-1-carbonsäure-tert.-butylester als leicht gelbe Kristalle, ESI 431.
  • 9.3 Analog zu Beispiel 7 erhält man aus (2R,4S)-4-Azido-2-[4-(3-oxo-morpholin-4-yl)-phenylcarbamoyl]-pyrrolidin-1-carbonsäure-tert.-butylester die Verbindung (2R,4S)-4-Azido-pyrrolidin-1,2-dicarbonsäure-1-[(4-chlor-phenyl)-amid]2-{[4-(3-oxo-morpholin-4-yl)-phenyl]-amid} ("A9") als weißes Pulver, ESI 459, F. 145°.
  • 9.4 Eine Lösung von 25 mg (0.052 mmol) "A9" und 20.46 mg (0.08 mmol) Triphenylphosphin in einer Mischung aus 0.5 ml Tetrahydrofuran und 0.5 ml Wasser wird 12 Stunden bei Raumtemperatur gerührt. Anschließend wird nach Abfiltrieren des ausgefallenen Triphenylphosphinoxids das Filtrat zu Trockne eingeengt und der Rückstand mittels präparativer HPLC (Acetonitril/Wasser/0.1 % Trifluoressigsäure) gereinigt. Man erhält so 12 mg (40%) (2R,4S)-4-Amino-pyrrolidin-1,2-dicarbonsäure- 1-[(4-chlor-phenyl)-amid]-2-{[4-(3-oxo-morpholin-4-yl)-phenyl]-amid} ("10") als farblose Kristalle, ESI 458.
The preparation of (2R, 4S) -4-azido-pyrrolidin-1,2-dicarboxylic acid 1 - [(4-chlorophenyl) amide] -2 - {[4- (3-oxo-morpholine-4- yl) -phenyl] -amide} ("A9") and (2R, 4S) -4-aminopyrrolidine-1,2-dicarboxylic acid 1 - [(4-chlorophenyl) amide] -2 - {[ 4- (3-oxo-morpholin-4-yl) phenyl] amide} ("A10") is carried out analogously to the following scheme:
Figure 00560001
  • 9.1 A solution of 4.5 g (11.1 mmol) (2R, 4R) -4-hydroxy-2- [4- (3-oxo-morpholin-4-yl) phenylcarbamo yl] -pyrrolidine-1-carboxylic acid tert-butyl ester in 20 ml of pyridine is added dropwise with ice cooling with 1.3 ml (16.65 mmol) of methanesulfonic acid chloride and the reaction solution is stirred at room temperature for 12 hours. The pyridine is then stripped off in vacuo, 10 ml of saturated citric acid solution are added to the residue and the acidic solution is extracted twice with 10 ml of methylene chloride each time. The combined organic phases are then washed with 10 ml of saturated sodium chloride solution and dried over sodium sulfate. After filtering off the drying agent and stripping off the solvent, 5.4 g (100%) of (2R, 4R) -4-methanesulfonyloxy-2- [4- (3-oxomorpholin-4-yl) phenylcarbamoyl] pyrrolidin-1- are obtained. carboxylic acid tert-butyl ester as a yellow oil, ESI 484.
  • 9.2 A mixture of 5.4 g (11.7 mmol) of (2R, 4R) -4-methanesulfonyloxy-2- [4- (3-oxo-morpholin-4-yl) phenylcarbamoyl] pyrrolidine-1-carboxylic acid tert-butyl ester and 3.69 g (56.8 mmol) sodium azide in 50 ml dimethylformamide (DMF) is stirred for 12 hours at 60 ° C. Then insoluble matter is filtered off and the filtrate is evaporated to dryness in vacuo. The residue is then dissolved in 20 ml of water and the aqueous solution extracted twice with 10 ml of methylene chloride. The combined methylene chloride extracts are finally washed once with 10 ml of saturated saline and dried over sodium sulfate. After filtering off the drying agent and stripping off the solvent, 4.8 g (100%) (2R, 4S) -4-azido-2- [4- (3-oxomorpholin-4-yl) phenylcarbamoyl] pyrrolidin-1- are obtained. carboxylic acid tert-butyl ester as light yellow crystals, ESI 431.
  • 9.3 Analogously to Example 7, the compound is obtained from (2R, 4S) -4-azido-2- [4- (3-oxomorpholin-4-yl) phenylcarbamoyl] pyrrolidin-1-carboxylic acid tert-butyl ester (2R, 4S) -4-azido-pyrrolidine-1,2-dicarboxylic acid 1 - [(4-chloro-phenyl) -amide] 2 - {[4- (3-oxo-morpholin-4-yl) -phenyl ] -amide} ("A9") as a white powder, ESI 459, mp 145 °.
  • 9.4 A solution of 25 mg (0.052 mmol) "A9" and 20.46 mg (0.08 mmol) triphenylphosphine in a mixture of 0.5 ml tetrahydrofuran and 0.5 ml water is stirred for 12 hours at room temperature. After filtering off the precipitated triphenylphosphine oxide, the filtrate is evaporated to dryness and the residue is purified by preparative HPLC (acetonitrile / water / 0.1% trifluoroacetic acid). This gives 12 mg (40%) (2R, 4S) -4-aminopyrrolidine-1,2-dicarboxylic acid 1 - [(4-chlorophenyl) amide] -2 - {[4- (3- oxo-morpholin-4-yl) phenyl] amide} ("10") as colorless crystals, ESI 458.

Analog erhält man die Verbindungen
(2R,4R)-4-Azido-pyrrolidin-1,2-dicarbonsäure-1-[(4-chlor-phenyl)-amid]-2-{[4-(3-oxo-morpholin-4-yl)-phenyl]-amid} und
(2R,4R)-4-Amino-pyrrolidin-1,2-dicarbonsäure-1-[(4-chlor-phenyl)-amid]-2-{[4-(3-oxo-morpholin-4-yl)-phenyl]-amid}.
The connections are obtained analogously
(2R, 4R) -4-Azido-pyrrolidine-1,2-dicarboxylic acid 1 - [(4-chloro-phenyl) -amide] 2 - {[4- (3-oxo-morpholin-4-yl) - phenyl] -amide} and
(2R, 4R) -4-Amino-pyrrolidine-1,2-dicarboxylic acid 1 - [(4-chloro-phenyl) -amide] 2 - {[4- (3-oxo-morpholin-4-yl) - phenyl] -amide}.

Aus den 4-Aminoverbindungen erhält man durchOut the 4-amino compounds one through

  • a) Umsetzung mit Acetylchlorid die Verbindungen (2R,4S)-4-Acetamino-pyrrolidin-1,2-dicarbonsäure-1-[(4-chlor-phenyl)-amid]-2-{[4-(3-oxo-morpholin-4-yl)-phenyl]-amid} und (2R,4R)-4-Acetamino-pyrrolidin-1,2-dicarbonsäure-1-[(4-chlor-phenyl)-amid]-2-{[4-(3-oxo-morpholin-4-yl)-phenyl]-amid};a) reaction with acetyl chloride the compounds (2R, 4S) -4-acetamido-pyrrolidine-1,2-dicarboxylic acid 1 - [(4-chloro-phenyl) -amide] 2 - {[4- (3-oxo-morpholin-4-yl) - phenyl] -amide} and (2R, 4R) -4-acetamido-pyrrolidine-1,2-dicarboxylic acid 1 - [(4-chloro-phenyl) -amide] 2 - {[4- (3-oxo-morpholin-4-yl) - phenyl] -amide};
  • b) Umsetzung mit Mesylchlorid die Verbindungen die Verbindungen (2R,4S)-4-Methylsulfonylamino-pyrrolidin-1,2-dicarbonsäure-1-[(4-chlor-phenyl)-amid]-2-{[4-(3-oxo-morpholin-4-yl)-phenyl]-amid} und (2R,4R)-4-Methylsulfonylamino-pyrrolidin-1,2-dicarbonsäure-1-[(4-chlor-phenyl)-amid]-2-{[4-(3-oxo-morpholin-4-yl)-phenyl]-amid}.b) reaction with mesyl chloride the compounds the compounds (2R, 4S) -4-methylsulfonylamino-pyrrolidine-1,2-dicarboxylic acid 1 - [(4-chloro-phenyl) -amide] 2 - {[4- (3-oxo-morpholin-4-yl) - phenyl] -amide} and (2R, 4R) -4-methylsulfonylamino-pyrrolidine-1,2-dicarboxylic acid 1 - [(4-chloro-phenyl) -amide] 2 - {[4- (3-oxo-morpholin-4-yl) - phenyl] -amide}.

Beispiel 10Example 10

Die Herstellung von (2R,4R)-4-Methoxy-pyrrolidin-1,2-dicarbonsäure-1-[(4-chlor-phenyl)-amid]-2-{[4-(3-oxo-morpholin-4-yl)-phenyl]-amid} ("A11") erfolgt analog nachstehendem Schema:

Figure 00590001

  • 10.1 Eine Mischung von 1 g (4.32 mmol) cis-N-BOC-4-Hydroxy-D-prolin und 3.31 g (14.27 mmol) Silberoxid in 15 ml Aceton wird unter Stickstoff mit 0.94 ml (15.1 mmol) Methyliodid versetzt und die Reaktionsmischung 48 Stunden bei Raumtemperatur gerührt. Anschliessend wird der Niederschlag abfiltriert und das Filtrat im Vakuum zur Trockne eingeengt. Man erhält so 1 g (89.2%) cis-N-BOC-4-Methoxy-D-prolin-methylester als farbloses Öl, das ohne weitere Reinigung weiter umgesetzt wird, ESI 260.
  • 10.2 Eine Lösung von 1 g (3.85 mmol) cis-N-BOC-4-Methoxy-D-prolin-methylester in 75 ml Tetrahydrofuran (THF) wird mit 25 ml Methanol, 25 ml Wasser und 0.28 g (11.57 mmol) Lithiumhydroxid versetzt und die Reaktionslösung 5 Stunden bei Raumtemperatur gerührt. Anschließend wird das Methanol und das THF am Rotationsverdampfer abgezogen und die wässrige Lösung nach einmaligem Ausschütteln mit 10 ml Methylenchlorid mittels gesättigter Citronensäurelösung auf pH 2 angesäuert und die saure Lösung zweimal mit je 10 ml Methylenchlorid extrahiert. Nach Trocknen der vereinigten organischen Phasen über Natriumsulfat und Abziehen des Lösungsmittels erhält man 0.5 g (53%) cis-N-BOC-4-Methoxy-D-prolin als helles Öl, das allmählich kristallisiert, ESI 246.
  • 10.3 Analog zu Beispiel 7 erhält man aus cis-N-BOC-4-Methoxy-D-prolin die Verbindung (2R,4R)-4-Methoxy-pyrrolidin-1,2-dicarbonsäure-1-[(4-chlor-phenyl)-amid]-2-{[4-(3-oxo-morpholin-4-yl)-phenyl]-amid} ("A11") als weisses Pulver, ESI 473, F. 133°.
The preparation of (2R, 4R) -4-methoxy-pyrrolidine-1,2-dicarboxylic acid 1 - [(4-chlorophenyl) amide] -2 - {[4- (3-oxo-morpholine-4- yl) -phenyl] -amide} ("A11") is carried out analogously to the following scheme:
Figure 00590001
  • 10.1 A mixture of 1 g (4.32 mmol) of cis-N-BOC-4-hydroxy-D-proline and 3.31 g (14.27 mmol) of silver oxide in 15 ml of acetone is mixed with 0.94 ml (15.1 mmol) of methyl iodide under nitrogen and the reaction mixture Stirred for 48 hours at room temperature. The precipitate is then filtered off and the filtrate is evaporated to dryness in vacuo. This gives 1 g (89.2%) of cis-N-BOC-4-methoxy-D-proline methyl ester as a colorless oil, which is reacted further without further purification, ESI 260.
  • 10.2 A solution of 1 g (3.85 mmol) of cis-N-BOC-4-methoxy-D-proline methyl ester in 75 ml of tetrahydrofuran (THF) is mixed with 25 ml of methanol, 25 ml of water and 0.28 g (11.57 mmol) of lithium hydroxide and the reaction solution was stirred at room temperature for 5 hours. The methanol and the THF are then drawn off on a rotary evaporator and the aqueous solution is acidified to pH 2 using saturated citric acid solution after shaking once with 10 ml of methylene chloride and the acidic solution is extracted twice with 10 ml of methylene chloride each time. After drying the combined organic phases over sodium sulfate and stripping off the solvent, 0.5 g (53%) of cis-N-BOC-4-methoxy-D-proline is obtained as a light oil which gradually crystallizes, ESI 246.
  • 10.3 Analogously to Example 7, the compound (2R, 4R) -4-methoxy-pyrrolidine-1,2-dicarboxylic acid-1 - [(4-chlorophenyl) is obtained from cis-N-BOC-4-methoxy-D-proline ) -amide] -2 - {[4- (3-oxo-morpholin-4-yl) -phenyl] -amide} ("A11") as a white powder, ESI 473, mp 133 °.

Analog erhält man die nachstehenden Verbindungen
(2R,4R)-4-Ethoxy-pyrrolidin-1,2-dicarbonsäure-1-[(4-chlor-phenyl)-amid]-2-{[4-(3-oxo-morpholin-4-yl)-phenyl]-amid},
(2R,4R)-4-Propoxy-pyrrolidin-1,2-dicarbonsäure-1-[(4-chlor-phenyl)-amid]-2-{[4-(3-oxo-morpholin-4-yl)-phenyl]-amid},
(2R,4R)-4-Allyloxy-pyrrolidin-1,2-dicarbonsäure-1-[(4-chlor-phenyl)-amid]-2-{[4-(3-oxo-morpholin-4-yl)-phenyl]-amid}.
The following compounds are obtained analogously
(2R, 4R) -4-Ethoxy-pyrrolidine-1,2-dicarboxylic acid 1 - [(4-chloro-phenyl) -amide] 2 - {[4- (3-oxo-morpholin-4-yl) - phenyl] -amide},
(2R, 4R) -4-Propoxy-pyrrolidine-1,2-dicarboxylic acid 1 - [(4-chloro-phenyl) -amide] 2 - {[4- (3-oxo-morpholin-4-yl) - phenyl] -amide},
(2R, 4R) -4-allyloxy-pyrrolidine-1,2-dicarboxylic acid 1 - [(4-chloro-phenyl) -amide] 2 - {[4- (3-oxo-morpholin-4-yl) - phenyl] -amide}.

Beispiel 11Example 11

Die Herstellung von Isobuttersäure-(3R,5R)-1-(4-chlor-phenyl-carbamoyl)-5-[4-(3-oxo-morpholin-4-yl)-phenylcarbamoyl]-pyrrolidin-3-yl-ester ("A12") erfolgt analog nachstehendem Schema:

Figure 00600001
The preparation of isobutyric acid (3R, 5R) -1- (4-chlorophenylcarbamoyl) -5- [4- (3-oxomorpholin-4-yl) phenylcarbamoyl] pyrrolidin-3-yl ester ("A12") follows the following scheme:
Figure 00600001

Eine Lösung von 0.2 g (0.44 mmol) "A8" und 0.146 ml Isobuttersäureanhydrid in 1 ml Pyridin wird 12 Stunden bei Raumtemperatur gerührt. Anschließend wird die Reaktionsmischung mit 10 ml Essigsäureethylester versetzt und die Essigsäureethylester-Lösung nacheinander mit je 5 ml 1N Salzsäure und gesättigter Kochsalzlösung gewaschen und über Natriumsulfat getrocknet. Nach Abfiltrieren des Trockenmittels und Abziehen des Lösungsmittels erhält man 183 mg (79.3%) Isobuttersäure-(3R,5R)-1-(4-chlor-phenyl-carbamoyl)-5-[4-(3-oxo-morpholin-4-yl)-phenylcarbamoyl]-pyrrolidin-3-yl-ester ("12") als weisse Kristalle, ESI 529, F. 129°.A solution 0.2 g (0.44 mmol) of "A8" and 0.146 ml of isobutyric anhydride in 1 ml of pyridine is stirred for 12 hours at room temperature. Then will the reaction mixture is mixed with 10 ml of ethyl acetate and the ethyl acetate solution one after the other with 5 ml 1N hydrochloric acid each and saturated saline and washed over sodium sulfate dried. After filtering off the desiccant and removing the solvent receives 183 mg (79.3%) of isobutyric acid (3R, 5R) -1- (4-chlorophenylcarbamoyl) -5- [4- (3-oxomorpholin-4-yl) phenylcarbamoyl] pyrrolidin-3 yl ester ("12") as white crystals, ESI 529, F. 129 °.

Analog erhält man die nachstehenden Verbindungen
Propionsäure-(3R,5R)-1-(4-chlor-phenyl-carbamoyl)-5-[4-(3-oxo-morpholin-4-yl)-phenylcarbamoyl]-pyrrolidin-3-yl-ester, ESI 515;
Essigsäure-(3R,5R)-1-(4-chlor-phenyl-carbamoyl)-5-[4-(3-oxo-morpholin-4-yl)-phenylcarbamoyl]-pyrrolidin-3-yl-ester, ESI 501, F. 148°.
The following compounds are obtained analogously
Propionic acid- (3R, 5R) -1- (4-chlorophenylcarbamoyl) -5- [4- (3-oxomorpholin-4-yl) phenylcarbamoyl] pyrrolidin-3-yl ester, ESI 515 ;
Acetic acid (3R, 5R) -1- (4-chlorophenylcarbamoyl) -5- [4- (3-oxomorpholin-4-yl) phenylcarbamoyl] pyrrolidin-3-yl ester, ESI 501 , F. 148 °.

Beispiel 12Example 12

Die Herstellung von [1,3]Dioxolan-4,5-dicarbonsäure-4-[(4-chlorphenyl)-amid]-5-{[4-(3-oxo-morpholin-4-yl)-phenyl]-amid} erfolgt analog nachstehendem Schema:

Figure 00610001
The preparation of [1,3] dioxolane-4,5-dicarboxylic acid 4 - [(4-chlorophenyl) amide] -5 - {[4- (3-oxomorpholin-4-yl) phenyl] amide } is carried out according to the following scheme:
Figure 00610001

Analog erhält man die nachstehenden Verbindungen
[1,3]Dioxolan-4,5-dicarbonsäure-4-[(4-chlorphenyl)-amid]-5-{[3-methyl-4-(3-oxo-morpholin-4-yl)-phenyl]-amid},
[1,3]Dioxolan-4,5-dicarbonsäure-4-[(4-chlorphenyl)-amid]-5-{[4-(2-oxo-2H-pyridin-1-yl)-phenyl]-amid},
[1,3]Dioxolan-2,2-dimethyl-4,5-dicarbonsäure-4-[(4-chlorphenyl)-amid]-5-{(4-(3-oxo-morpholin-4-yl)-phenyl]-amid},
[1,3]Dioxolan-2,2-dimethyl-4,5-dicarbonsäure-4-[(4-chlorphenyl)-amid]-5-{[3-methyl-4-(3-oxo-morpholin-4-yl)-phenyl]-amid},
[1,3]Dioxolan-2,2-dimethyl-4,5-dicarbonsäure-4-[(4-chlorphenyl)-amid]-5-{[4-(2-oxo-1H-pyridin-1-yl)-phenyl]-amid}.
The following compounds are obtained analogously
[1,3] dioxolane-4,5-dicarboxylic acid 4 - [(4-chlorophenyl) -amide] 5 - {[3-methyl-4- (3-oxo-morpholin-4-yl) phenyl] - amide},
[1,3] dioxolane-4,5-dicarboxylic acid 4 - [(4-chlorophenyl) -amide] 5 - {[4- (2-oxo-2H-pyridin-1-yl) -phenyl] -amide} .
[1,3] dioxolane-2,2-dimethyl-4,5-dicarboxylic acid 4 - [(4-chlorophenyl) -amide] 5 - {(4- (3-oxo-morpholin-4-yl) -phenyl ] amide}
[1,3] dioxolane-2,2-dimethyl-4,5-dicarboxylic acid 4 - [(4-chlorophenyl) -amide] 5 - {[3-methyl-4- (3-oxo-morpholin-4- yl) -phenyl] -amide},
[1,3] dioxolane-2,2-dimethyl-4,5-dicarboxylic acid 4 - [(4-chlorophenyl) -amide] 5 - {[4- (2-oxo-1H-pyridin-1-yl) phenyl] amide}.

Beispiel 13Example 13

Analog Beispiel 7 erhält man durch Umsetzung von 1-BOC-piperazin-2-carbonsäure-[4-(3-oxo-morpholin-4-yl)-phenyl]-amid mit 4-Chlorphenylisocyanat die Verbindung
1-BOC-piperazin-l,2-dicarbonsäure-1-[4-chlorphenyl)-amid]-2-{[4-(3-oxo-morpholin-4-yl)-phenyl]-amid}

Figure 00620001
Analogously to Example 7, the compound is obtained by reacting 1-BOC-piperazin-2-carboxylic acid- [4- (3-oxomorpholin-4-yl) phenyl] amide with 4-chlorophenyl isocyanate
1-BOC-piperazine-l, 2-dicarboxylic acid 1- [4-chlorophenyl) -amide] 2 - {[4- (3-oxo-morpholin-4-yl) -phenyl] -amide}
Figure 00620001

Durch Abspaltung der BOC-Gruppe erhält man Piperazin-1,2-dicarbonsäure-1-[4-chlorphenyl)-amid]-2-{[4-(3-oxo-morpholin-4-yl)-phenyl]-amid}.By Spin-off of the BOC group received to make piperazin-1,2-dicarboxylic acid 1- [4-chlorophenyl) amide] -2 - {[4- (3-oxomorpholin-4-yl) phenyl] amide}.

Analog erhält man durch Umsetzung von 4-Chlorphenylisocyanat mit [1,3]Oxazinan-4-carbonsäure-[4-(3-oxo-morpholin-4-yl)-phenyl]-amid die Verbindung
[1,3]Oxazinan-3,4-dicarbonsäure-1-[4-chlorphenyl)-amid]-2-{[4-(3-oxo-morpholin-4-yl)-phenyl]-amid}.
The compound is obtained analogously by reacting 4-chlorophenyl isocyanate with [1,3] oxazinan-4-carboxylic acid [4- (3-oxomorpholin-4-yl) phenyl] amide
[1,3] oxazinane-3,4-dicarboxylic acid 1- [4-chlorophenyl) -amide] 2 - {[4- (3-oxo-morpholin-4-yl) -phenyl] -amide}.

14. Beispiele zur Herstellung von Zwischenverbindungen14. Examples of production of interconnections

  • 14.1 Nach folgendem Schema lassen sich alle Verbindungen der folgenden Formel VI (mit R = H oder Methyl; n = 3, 4 oder 5) synthetisieren.
    Figure 00630001
    Z.B. Synthese von 1-(4-Amino-2-methylphenyl)-piperidin-2-on:
    Figure 00630002
    14.1 All compounds of the following formula VI (with R = H or methyl; n = 3, 4 or 5) can be synthesized according to the following scheme.
    Figure 00630001
    For example synthesis of 1- (4-amino-2-methylphenyl) piperidin-2-one:
    Figure 00630002
  • 14.2 Synthese des Phenylpiperidonbausteins ohne Methylgruppe:
    Figure 00640001
    Die Herstellung von 1-(4-Amino-2-methyl-phenyl)-piperidin-2-on erfolgt z.B. wie nachfolgend angegeben:
    Figure 00640002
    14.2 Synthesis of the phenylpiperidone building block without methyl group:
    Figure 00640001
    1- (4-Amino-2-methylphenyl) piperidin-2-one is prepared, for example, as follows:
    Figure 00640002
  • 14.3 1-(4-Amino-phenyl)-1H-pyrazin-2-on
    Figure 00640003
    14.3 1- (4-aminophenyl) -1H-pyrazin-2-one
    Figure 00640003
  • 14.4 1-(4-Amino-2,5-dimethyl-phenyl)-piperidin-2-on
    Figure 00650001
    14.4 1- (4-Amino-2,5-dimethylphenyl) piperidin-2-one
    Figure 00650001
  • 14.5 1-(4-Amino-3-methyl-phenyl)-piperidin-2-on
    Figure 00650002
    14.5 1- (4-Amino-3-methylphenyl) piperidin-2-one
    Figure 00650002
  • 14.6 1-(5-Amino-pyridin-2-yl)-piperidin-2-on
    Figure 00650003
    14.6 1- (5-aminopyridin-2-yl) piperidin-2-one
    Figure 00650003
  • 14.7 1-(4-Aminomethyl-phenyl)-piperidin-2-on
    Figure 00660001
    14.7 1- (4-aminomethylphenyl) piperidin-2-one
    Figure 00660001
  • 14.8 2-(4-Amino-phenyl)-2-aza-bicyclo[2.2.2]octan-3-on
    Figure 00660002
    14.8 2- (4-aminophenyl) -2-aza-bicyclo [2.2.2] octan-3-one
    Figure 00660002
  • 14.9 1-(3-Amino-6-ethyl-phenyl)-pyrrolidin-2-on
    Figure 00670001
    14.9 1- (3-Amino-6-ethylphenyl) pyrrolidin-2-one
    Figure 00670001
  • 14.10 2-(4-Amino-2-trifluormethyl-phenyl)-2-aza-bicyclo[2.2.2]octan-3-on
    Figure 00670002
    14.10 2- (4-Amino-2-trifluoromethyl-phenyl) -2-aza-bicyclo [2.2.2] octan-3-one
    Figure 00670002
  • 14.11 1-(4-Amino-3-chlor-phenyl)-pyrrolidin-2-on
    Figure 00680001
    14.11 1- (4-Amino-3-chlorophenyl) pyrrolidin-2-one
    Figure 00680001
  • 14.12 1-(4-Amino-2-trifluormethyl-phenyl)-piperidin-2-on
    Figure 00680002
    14.12 1- (4-Amino-2-trifluoromethylphenyl) piperidin-2-one
    Figure 00680002
  • 14.13 3-(4-Amino-2-methyl-phenyl)-[1,3]oxazinan-2-on
    Figure 00690001
    14.13 3- (4-Amino-2-methylphenyl) - [1,3] oxazinan-2-one
    Figure 00690001
  • 14.14 4-(4-Amino-phenyl)-morpholin-3-on
    Figure 00690002
    14.14 4- (4-aminophenyl) morpholin-3-one
    Figure 00690002
  • 14.15 1-(4-Amino-phenyl)-pyridin-2-on
    Figure 00690003
    14.15 1- (4-aminophenyl) pyridin-2-one
    Figure 00690003
  • 14.16 1-(4-Amino-2-methyl-phenyl)-piperidin-2-on
    Figure 00700001
    14.16 1- (4-Amino-2-methylphenyl) piperidin-2-one
    Figure 00700001
  • 14.17 1-(4-Amino-phenyl)-1H-pyridin-4-on
    Figure 00700002
    14.17 1- (4-aminophenyl) -1H-pyridin-4-one
    Figure 00700002
  • 14.18 1-(4-Amino-phenyl)-4-tert.-butyloxycarbonyl-piperazin-2-on
    Figure 00700003
    14.18 1- (4-aminophenyl) -4-tert-butyloxycarbonyl-piperazin-2-one
    Figure 00700003
  • 14.19 1-(3-Aminophenyl)-piperidin-2-on
    Figure 00710001
    14.19 1- (3-aminophenyl) piperidin-2-one
    Figure 00710001
  • 14.20 1-(4-Amino-phenyl)-2-caprolactam
    Figure 00710002
    14.20 1- (4-aminophenyl) -2-caprolactam
    Figure 00710002
  • 14.21 1-(4-Amino-3-fluor-phenyl)-piperidin-2-on
    Figure 00710003
    14.21 1- (4-Amino-3-fluorophenyl) piperidin-2-one
    Figure 00710003
  • 14.22 1-(4-Amino-2-fluor-phenyl)-piperidin-2-on
    Figure 00720001
    14.22 1- (4-Amino-2-fluorophenyl) piperidin-2-one
    Figure 00720001
  • 14.23 1-(4-Amino-2-fluor)-2-caprolactam
    Figure 00720002
    14.23 1- (4-Amino-2-fluoro) -2-caprolactam
    Figure 00720002

Pharmakologische Datenpharmacological Data

Affinität zu Rezeptoren Tabelle 1

Figure 00730001
Affinity for receptors Table 1
Figure 00730001

Die nachfolgenden Beispiele betreffen pharmazeutische Zubereitungen:The The following examples relate to pharmaceutical preparations:

Beispiel A: InjektionsgläserExample A: Injection glasses

Eine Lösung von 100 g eines Wirkstoffes der Formel I und 5 g Dinatriumhydrogenphosphat wird in 3 l zweifach destilliertem Wasser mit 2 n Salzsäure auf pH 6,5 eingestellt, steril filtriert, in Injektionsgläser abgefüllt, unter sterilen Bedingungen lyophilisiert und steril verschlossen. Jedes Injektionsglas enthält 5 mg Wirkstoff.A solution of 100 g of an active ingredient of the formula I and 5 g of disodium hydrogen phosphate is in 3 l of double distilled water with 2 N hydrochloric acid pH adjusted 6.5, sterile filtered, filled into injection glasses, under sterile conditions lyophilized and sealed sterile. each Contains injection glass 5 mg of active ingredient.

Beispiel B: SuppositorienExample B: Suppositories

Man schmilzt ein Gemisch von 20 g eines Wirkstoffes der Formel I mit 100 g Sojalecithin und 1400 g Kakaobutter, gießt in Formen und läßt erkalten. Jedes Suppositorium enthält 20 mg Wirkstoff.you melts a mixture of 20 g of an active ingredient of the formula I. 100 g soy lecithin and 1400 g cocoa butter, pour into molds and let cool. Each suppository contains 20 mg of active ingredient.

Beispiel C: LösungExample C: solution

Man bereitet eine Lösung aus 1 g eines Wirkstoffes der Formel I, 9,38 g NaH2PO4·2 H2O, 28,48 g Na2HPO4·12 H2O und 0,1 g Benzalkoniumchlorid in 940 ml zweifach destilliertem Wasser. Man stellt auf pH 6,8 ein, füllt auf 1 l auf und sterilisiert durch Bestrahlung. Diese Lösung kann in Form von Augentropfen verwendet werden.A solution of 1 g of an active ingredient is prepared of the formula I, 9.38 g of NaH 2 PO 4 · 2 H 2 O, 28.48 g Na 2 HPO 4 · 12 H 2 O and 0.1 g of benzalkonium chloride in 940 ml of double- distilled water. It is adjusted to pH 6.8, made up to 1 l and sterilized by irradiation. This solution can be used in the form of eye drops.

Beispiel D: SalbeExample D: ointment

Man mischt 500 mg eines Wirkstoffes der Formel I mit 99,5 g Vaseline unter aseptischen Bedingungen.you mixes 500 mg of an active ingredient of formula I with 99.5 g of petroleum jelly under aseptic conditions.

Beispiel E: TablettenExample E: tablets

Ein Gemisch von 1 kg Wirkstoff der Formel I, 4 kg Lactose, 1,2 kg Kartoffelstärke, 0,2 kg Talk und 0,1 kg Magnesiumstearat wird in üblicher Weise zu Tabletten verpreßt, derart, daß jede Tablette 10 mg Wirkstoff enthält.On Mixture of 1 kg of active ingredient of the formula I, 4 kg of lactose, 1.2 kg of potato starch, 0.2 kg of talc and 0.1 kg of magnesium stearate become tablets in the usual way pressed, such that each Tablet contains 10 mg of active ingredient.

Beispiel F: DrageesExample F: coated tablets

Analog Beispiel E werden Tabletten gepreßt, die anschließend in üblicher Weise mit einem Überzug aus Saccharose, Kartoffelstärke, Talk, Tragant und Farbstoff überzogen werden.Analogous Example E tablets are pressed, which are then in the usual Show off with a cover Sucrose, potato starch, Talc, tragacanth and dye coated become.

Beispiel G: KapselnExample G: capsules

2 kg Wirkstoff der Formel I werden in üblicher Weise in Hartgelatinekapseln gefüllt, so daß jede Kapsel 20 mg des Wirkstoffs enthält.2 kg of active ingredient of formula I are in the usual way in hard gelatin capsules filled, so that each Capsule contains 20 mg of the active ingredient.

Beispiel H: AmpullenExample H: ampoules

Eine Lösung von 1 kg Wirkstoff der Formel I in 60 l zweifach destilliertem Wasser wird steril filtriert, in Ampullen abgefüllt, unter sterilen Bedingungen lyophilisiert und steril verschlossen. Jede Ampulle enthält 10 mg Wirkstoff.A solution of 1 kg of active ingredient of the formula I in 60 l of double-distilled water is sterile filtered, filled into ampoules, under sterile conditions lyophilized and sealed sterile. Each ampoule contains 10 mg Active ingredient.

Claims (30)

Verbindungen der Formel I
Figure 00760001
worin R1, R2 jeweils unabhängig voneinander H, =O, Hal, A, Ethinyl, OR3, N(R3)2, NO2, CN, N3, COOR3, CON(R3)2, -[C(R4)2]n-Ar, -[C(R4)2]n-Het, -[C(R4)2]n-Cycloalkyl, -OCOR3, -OCON(R3)2, NR3COA oder NR3SO2A, R1 und R2 zusammen auch einen bicyclisch oder spirocyclisch gebundenen 3- bis 7-gliedrigen Carbo- oder Heterocyclus mit 0 bis 3 N-, O- und/oder S-Atomen, R3 H, A, -[C(R4)2]n-Ar', -[C(R4)2]n-Het', -[C(R4)2]n-Cycloalkyl, R4 H oder A, W N, CR3, oder ein sp2 hybridisiertes C-Atom, E zusammen mit W einen 3- bis 7-gliedrigen gesättigten carbocyclischen oder heterocyclischen Ring mit 0 bis 3 N-, 0 bis 2 O- und/oder 0 bis 2 S-Atomen, der eine Doppelbindung enthalten kann, D einen ein- oder zweikernigen unsubstituierten oder ein- oder mehrfach durch Hal, A, OR3, N(R3)2, NO2, CN, COOR3 oder CON(R3)2 substituierten aromatischen Carbo- oder Heterocyclus mit 0 bis 4 N-, O- und/oder S-Atomen, G -[C(R4)2]n-, -[C(R4)2]nNR3-, -[C(R4)2]nO- oder -[C(R4)2]nS-, X -[C(R4)2]nCONR3[C(R4)2]n-, -[C(R4)2]nNR3CO[C(R4)2]n-, -[C(R4)2]nNR3[C(R4)2]n- oder -[C(R4)2]nO[C(R4)2]n-, Y Alkylen, Cycloalkylen, Het-diyl oder Ar-diyl, T einen ein- oder zweikernigen gesättigten oder ungesättigten Carbo- oder Heterocyclus mit 0 bis 4 N-, O- und/oder S-Atomen, der ein- oder zweifach durch =O, =S, =NR3, =N-CN, =N-NO2, =NOR3, =NCOR3, =NCOOR3, =NOCOR3 substituiert ist und ferner ein-, zwei- oder dreifach durch R3, Hal, A, -[C(R4)2]n-Ar, -[C(R4)2]n-Het, -[C(R4)2]n-Cycloalkyl, OR3, N(R3)2, NO2, CN, COOR3, CON(R3)2, NR3COA, NR3CON(R3)2, NR3SO2A, COR3, SO2NR3 und/oder S(O)nA substituiert sein kann, A unverzweigtes oder verzweigtes Alkyl mit 1–10 C-Atomen, worin eine oder zwei CH2-Gruppen durch Ooder S-Atome und/oder durch -CH=CH-Gruppen und/oder auch 1–7 H-Atome durch F ersetzt sein können, Ar unsubstituiertes oder ein-, zwei- oder dreifach durch Hal, A, OR3, N(R3)2, NO2, CN, COOR3, CON(R3)2, NR3COA, NR3CON(R3)2, NR3SO2A, COR3, SO2N(R3)2, S(O)nA, -[C(R4)2]n-COOR3 oder -O[C(R4)2]o-COOR3 substituiertes Phenyl, Naphthyl oder Biphenyl, Ar' unsubstituiertes oder ein-, zwei- oder dreifach durch Hal, A, OR4, N(R4)2, NO2, CN, COOR4, CON(R4)2, NR4COA, NR4CON(R4)2, NR4SO2A, COR4, SO2N(R4)2, S(O)nA, -[C(R4)2]n-COOR4 Oder -O[C(R4)2]o-COOR4 substituiertes Phenyl, Naphthyl oder Biphenyl, Het einen ein- oder zweikernigen gesättigten, ungesättigten oder aromatischen Heterocyclus mit 1 bis 4 N-, Ound/oder S-Atomen, der unsubstituiert oder ein-, zwei- oder dreifach durch Hal, A, -[C(R4)2]n-Ar, -[C(R4)2]n-Het', -[C(R4)2]n-Cycloalkyl, OR3, N(R3)2, NR3CON(R3)2, NO2, CN, -[C(R4)2]n-COOR3, -[C(R4)2]n-CON(R3)2, NR3COA, NR3SO2A, COR3, SO2NR3, S(O)mA und/oder Carbonylsauerstoff substituiert sein kann, Het' einen ein- oder zweikernigen gesättigten, ungesättigten oder aromatischen Heterocyclus mit 1 bis 4 N-, Ound/oder S-Atomen, der unsubstituiert oder ein- oder zweifach durch Carbonylsauerstoff, =S, =N(R4)2, Hal, A, OR4, N(R4)2, NO2, CN, COOR4, CON(R4)2, NR4COA, NR4CON(R4)2, NR4SO2A, COR4, SO2NR4 und/oder S(O)nA substituiert sein kann, Hal F, Cl, Br oder I, n 0, 1 oder 2, o 1, 2 oder 3 bedeuten, sowie ihre pharmazeutisch verwendbaren Derivate, Solvate und Stereoisomere, einschließlich deren Mischungen in allen Verhältnissen.
Compounds of formula I.
Figure 00760001
wherein R 1 , R 2 each independently of one another H, = O, Hal, A, ethynyl, OR 3 , N (R 3 ) 2 , NO 2 , CN, N 3 , COOR 3 , CON (R 3 ) 2 , - [C (R 4 ) 2 ] n -Ar, - [C (R 4 ) 2 ] n -Het, - [C (R 4 ) 2 ] n -cycloalkyl, -OCOR 3 , -OCON (R 3 ) 2 , NR 3 COA or NR 3 SO 2 A, R 1 and R 2 together also form a bicyclically or spirocyclically bonded 3- to 7-membered carbo- or heterocycle with 0 to 3 N, O and / or S atoms, R 3 H, A, - [C (R 4 ) 2 ] n -Ar ', - [C (R 4 ) 2 ] n -Het', - [C (R 4 ) 2 ] n -cycloalkyl, R 4 H or A, WN, CR 3 , or an sp 2 hybridized C atom, E together with W form a 3- to 7-membered saturated carbocyclic or heterocyclic ring with 0 to 3 N, 0 to 2 O and / or 0 to 2 S atoms, which can contain a double bond, D a mono- or dinuclear unsubstituted or mono- or polysubstituted by Hal, A, OR 3 , N (R 3 ) 2 , NO 2 , CN, COOR 3 or CON (R 3 ) 2 substituted aromatic carbo- or heterocycle with 0 to 4 N, O and / or S atoms, G - [C (R 4 ) 2 ] n -, - [C (R 4 ) 2 ] n NR 3 -, - [C (R 4 ) 2 ] n O- or - [C (R 4 ) 2 ] n S-, X - [C (R 4 ) 2 ] n CONR 3 [C (R 4 ) 2 ] n -, - [C (R 4 ) 2 ] n NO 3 CO [C (R 4 ) 2 ] n -, - [C (R 4 ) 2 ] n NR 3 [C (R 4 ) 2 ] n - or - [C (R 4 ) 2 ] n O [C ( R 4 ) 2 ] n -, Y alkylene, cycloalkylene, het-diyl or Ar-diyl, T is a mono- or dinuclear saturated or unsaturated carbo- or heterocycle with 0 to 4 N, O and / or S atoms, which is substituted once or twice by = O, = S, = NR 3 , = N-CN, = N-NO 2 , = NOR 3 , = NCOR 3 , = NCOOR 3 , = NOCOR 3 and also one or two - or triple by R 3 , Hal, A, - [C (R 4 ) 2 ] n -Ar, - [C (R 4 ) 2 ] n -Het, - [C (R 4 ) 2 ] n -cycloalkyl, OR 3 , N (R 3 ) 2 , NO 2 , CN, COOR 3 , CON (R 3 ) 2 , NR 3 COA, NR 3 CON (R 3 ) 2 , NR 3 SO 2 A, COR 3 , SO 2 NR 3 and / or S (O) n A can be substituted, A unbranched or branched alkyl having 1-10 C atoms, in which one or two CH 2 groups by O or S atoms and / or by -CH = CH groups and / or 1-7 H atoms can be replaced by F, Ar unsubstituted or mono-, bi- or triple by Hal, A, OR 3 , N (R 3 ) 2 , NO 2 , CN, COOR 3 , CON (R 3 ) 2 , N R 3 COA, NR 3 CON (R 3 ) 2 , NR 3 SO 2 A, COR 3 , SO 2 N (R 3 ) 2 , S (O) n A, - [C (R 4 ) 2 ] n -COOR 3 or -O [C (R 4 ) 2 ] o -COOR 3 substituted phenyl, naphthyl or biphenyl, Ar 'unsubstituted or one, two or three times by Hal, A, OR 4 , N (R 4 ) 2 , NO 2 , CN, COOR 4 , CON (R 4 ) 2 , NR 4 COA, NR 4 CON (R 4 ) 2 , NR 4 SO 2 A, COR 4 , SO 2 N (R 4 ) 2 , S (O) n A, - [C (R 4 ) 2 ] n -COOR 4 or -O [C (R 4 ) 2 ] o -COOR 4 substituted phenyl, naphthyl or biphenyl, has a mono- or dinuclear saturated, unsaturated or aromatic heterocycle with 1 to 4 N, O and / or S atoms, which are unsubstituted or mono-, di- or triple by Hal, A, - [C (R 4 ) 2 ] n -Ar, - [C (R 4 ) 2 ] n -Het ', - [C (R 4 ) 2 ] n -cycloalkyl, OR 3 , N (R 3 ) 2 , NR 3 CON (R 3 ) 2 , NO 2 , CN, - [C (R 4 ) 2 ] n -COOR 3 , - [C (R 4 ) 2 ] n -CON (R 3 ) 2 , NR 3 COA, NR 3 SO 2 A, COR 3 , SO 2 NR 3 , S (O) m A and / or carbonyl oxygen can be substituted, Het 'a mono- or dinuclear saturated, un saturated or aromatic heterocycle with 1 to 4 N, O and / or S atoms, which is unsubstituted or mono- or disubstituted by carbonyl oxygen, = S, = N (R 4 ) 2 , Hal, A, OR 4 , N (R 4 ) 2 , NO 2 , CN, COOR 4 , CON (R 4 ) 2 , NR 4 COA, NR 4 CON (R 4 ) 2 , NR 4 SO 2 A, COR 4 , SO 2 NR 4 and / or S (O ) n A can be substituted, mean Hal F, Cl, Br or I, n is 0, 1 or 2, o 1, 2 or 3, and their pharmaceutically usable derivatives, solvates and stereoisomers, including their mixtures in all ratios.
Verbindungen nach Anspruch 1, worin D einen ein- oder zweikernigen unsubstituierten oder ein- oder zweifach durch Hal substituierten aromatischen Carbo- oder Heterocyclus mit 0 bis 4 N-, O- und/oder S-Atomen, bedeutet, sowie ihre pharmazeutisch verwendbaren Derivate, Solvate und Stereoisomere, einschließlich deren Mischungen in allen Verhältnissen.Compounds according to claim 1, wherein D one single or binuclear unsubstituted or single or double Hal substituted aromatic carbo- or heterocycle with 0 to 4 N, O and / or S atoms, means as well as theirs pharmaceutically usable derivatives, solvates and stereoisomers, including their mixtures in all proportions. Verbindungen nach Anspruch 1 oder 2, worin D ein- oder zweifach durch Hal substituiertes Phenyl, Pyridyl oder Thienyl bedeutet, sowie ihre pharmazeutisch verwendbaren Derivate, Solvate und Stereoisomere, einschließlich deren Mischungen in allen Verhältnissen.Compounds according to claim 1 or 2, wherein D phenyl, pyridyl or monosubstituted or substituted by Hal Thienyl means as well as their pharmaceutically usable derivatives, Solvates and stereoisomers, including their mixtures in all Conditions. Verbindungen gemäß einem oder mehreren der Ansprüche 1–3, worin R1, R2 jeweils unabhängig voneinander N, =O, COOR3, OH, OA, NH2, Alkyl mit 1, 2, 3, 4, 5 oder 6 C-Atomen, N3, Ethinyl, Vinyl, Allyloxy, -OCOR3, NHCOA oder NHSO2A, bedeuten, sowie ihre pharmazeutisch verwendbaren Derivate, Solvate und Stereoisomere, einschließlich deren Mischungen in allen Verhältnissen.Compounds according to one or more of claims 1-3, wherein R 1 , R 2 each independently of one another N, = O, COOR 3 , OH, OA, NH 2 , alkyl with 1, 2, 3, 4, 5 or 6 C- Atoms, N 3 , ethynyl, vinyl, allyloxy, -OCOR 3 , NHCOA or NHSO 2 A, mean, and their pharmaceutically usable derivatives, solvates and stereoisomers, including their mixtures conditions in all circumstances. Verbindungen gemäß einem oder mehreren der Ansprüche 1–4, worin G (CH2)n oder (CH2)nNH bedeutet, sowie ihre pharmazeutisch verwendbaren Derivate, Solvate und Stereoisomere, einschließlich deren Mischungen in allen Verhältnissen.Compounds according to one or more of claims 1-4, wherein G is (CH 2 ) n or (CH 2 ) n NH, and their pharmaceutically usable derivatives, solvates and stereoisomers, including their mixtures in all ratios. Verbindungen gemäß einem oder mehreren der Ansprüche 1–5, worin X -[C(R4)2]nCONR3[C(R4)2]n- bedeutet, sowie ihre pharmazeutisch verwendbaren Derivate, Solvate und Stereoisomere, einschließlich deren Mischungen in allen Verhältnissen.Compounds according to one or more of claims 1-5, wherein X is - [C (R 4 ) 2 ] n CONR 3 [C (R 4 ) 2 ] n -, and their pharmaceutically usable derivatives, solvates and stereoisomers, including mixtures thereof in all circumstances. Verbindungen gemäß einem oder mehreren der Ansprüche 1–6, worin X CONH bedeutet, sowie ihre pharmazeutisch verwendbaren Derivate, Solvate und Stereoisomere, einschließlich deren Mischungen in allen Verhältnissen.Connections according to one or more of the claims 1-6, wherein X CONH means as well as their pharmaceutically usable derivatives, Solvates and stereoisomers, including their mixtures in all Conditions. Verbindungen gemäß einem oder mehreren der Ansprüche 1–7, worin Y Ar-diyl bedeutet, sowie ihre pharmazeutisch verwendbaren Derivate, Solvate und Stereoisomere, einschließlich deren Mischungen in allen Verhältnissen.Connections according to one or more of the claims 1-7, wherein Y Ar-diyl means as well as their pharmaceutically usable derivatives, Solvates and stereoisomers, including their mixtures in all Conditions. Verbindungen nach den Ansprüchen 1–8, worin Y unsubstituiertes oder ein- oder zweifach durch Methyl, Trifluormethyl, Ethyl, Propyl, Cl oder F substituiertes 1,3- oder 1,4-Phenylen bedeutet, sowie ihre pharmazeutisch verwendbaren Derivate, Solvate und Stereoisomere, einschließlich deren Mischungen in allen Verhältnissen.Compounds according to claims 1-8, wherein Y unsubstituted or one or two times by methyl, trifluoromethyl, ethyl, propyl, Cl or F substituted 1,3- or 1,4-phenylene means as well as their pharmaceutically usable Derivatives, solvates and stereoisomers, including their mixtures in all Conditions. Verbindungen gemäß einem oder mehreren der Ansprüche 1–9, worin T einen ein- oder zweikernigen gesättigten oder ungesättigten Heterocyclus mit 1 bis 2 N- und/oder O-Atomen, der ein- oder zweifach durch Carbonylsauerstoff substituiert ist, bedeutet, sowie ihre pharmazeutisch verwendbaren Derivate, Solvate und Stereoisomere, einschließlich deren Mischungen in allen Verhältnissen.Connections according to one or more of the claims 1-9, wherein T a one- or two-core saturated or unsaturated Heterocycle with 1 to 2 N and / or O atoms, one or two is substituted by carbonyl oxygen, means such as their pharmaceutically usable derivatives, solvates and stereoisomers, including their mixtures in all proportions. Verbindungen gemäß einem oder mehreren der Ansprüche 1–10, worin T ein- oder zweifach durch Carbonylsauerstoff substituiertes Piperidin-1-yl, Pyrrolidin-1-yl, 1H-Pyridin-1-yl, Morpholin-4-yl, Piperazin-1-yl, 1,3-Oxazolidin-3-yl, 2H-Pyridazin-2-yl, Pyrazin-1-yl, Azepan-1-yl, 2-Aza-bicyclo[2.2.2]-octan-2-yl, bedeutet, sowie ihre pharmazeutisch verwendbaren Derivate, Solvate und Stereoisomere, einschließlich deren Mischungen in allen Verhältnissen.Connections according to one or more of the claims 1-10, wherein T mono- or disubstituted by carbonyl oxygen Piperidin-1-yl, pyrrolidin-1-yl, 1H-pyridin-1-yl, morpholin-4-yl, Piperazin-1-yl, 1,3-oxazolidin-3-yl, 2H-pyridazin-2-yl, pyrazin-1-yl, azepan-1-yl, 2-aza-bicyclo [2.2.2] octan-2-yl, means as well as theirs pharmaceutically usable derivatives, solvates and stereoisomers, including their mixtures in all proportions. Verbindungen gemäß einem oder mehreren der Ansprüche 1–11, worin Ar unsubstituiertes oder ein- oder zweifach durch Hal, A, OA, SO2A, COOR2, SO2NH2 oder CN substituiertes Phenyl, bedeutet, sowie ihre pharmazeutisch verwendbaren Derivate, Solvate und Stereoisomere, einschließlich deren Mischungen in allen Verhältnissen.Compounds according to one or more of claims 1-11, in which Ar is phenyl which is unsubstituted or mono- or disubstituted by Hal, A, OA, SO 2 A, COOR 2 , SO 2 NH 2 or CN, and their pharmaceutically usable derivatives, Solvates and stereoisomers, including their mixtures in all proportions. Verbindungen gemäß einem oder mehreren der Ansprüche 1–12, worin D einen ein- oder zweikernigen unsubstituierten oder ein- oder zweifach durch Hal substituierten aromatischen Carbo- oder Heterocyclus mit 0 bis 4 N-, O- und/oder S-Atomen, R1, R2 jeweils unabhängig voneinander N, =O, COOR3, OH, OA, NH2, Alkyl mit 1, 2, 3, 4, 5 oder 6 C-Atomen, N3, Ethinyl, Vinyl, Allyloxy, -OCOR3, NHCOA oder NHSO2A, R1 und R2 zusammen auch einen spirocyclisch gebundenen 3- bis 6-gliedrigen Carbocyclus, R3 H oder A, R4 H oder A, W N, CR3, oder ein sp2 hybridisiertes C-Atom, E zusammen mit W einen 3- bis 7-gliedrigen gesättigten carbocyclischen oder heterocyclischen Ring mit 0 bis 3 N-, 0 bis 2 O- und/oder 0 bis 2 S-Atomen, der eine Doppelbindung enthalten kann, G (CH2)n oder (CH2)nNH-, X -[C(R4)2]nCONR3[C(R4)2]n-, Y Ar-diyl, Ar unsubstituiertes oder ein- oder zweifach durch Hal, A, OA, SO2A, COOR2, SO2NH2 oder CN substituiertes Phenyl, T einen ein- oder zweikernigen gesättigten oder ungesättigten Heterocyclus mit 1 bis 2 N- und/oder O-Atomen, der ein- oder zweifach durch Carbonylsauerstoff substituiert ist, A unverzweigtes oder verzweigtes Alkyl mit 1–10 C-Atomen und worin 1–7 H-Atome durch F ersetzt sein können, Hal F, Cl, Br oder I, n 0, 1 oder 2, bedeuten, sowie ihre pharmazeutisch verwendbaren Derivate, Solvate und Stereoisomere, einschließlich deren Mischungen in allen Verhältnissen.Compounds according to one or more of claims 1-12, wherein D is a mono- or dinuclear unsubstituted or mono- or disubstituted by Hal aromatic carbo- or heterocycle with 0 to 4 N, O and / or S atoms, R 1 , R 2 each independently of one another N, = O, COOR 3 , OH, OA, NH 2 , alkyl having 1, 2, 3, 4, 5 or 6 carbon atoms, N 3 , ethynyl, vinyl, allyloxy, -OCOR 3 , NHCOA or NHSO 2 A, R 1 and R 2 together also form a spirocyclically bonded 3- to 6-membered carbocycle, R 3 H or A, R 4 H or A, WN, CR 3 , or an sp 2 hybridized carbon atom . E together with W is a 3- to 7-membered saturated carbocyclic or heterocyclic ring with 0 to 3 N, 0 to 2 O and / or 0 to 2 S atoms, which can contain a double bond, G (CH 2 ) n or (CH 2 ) n NH-, X - [C (R 4 ) 2 ] n CONR 3 [C (R 4 ) 2 ] n -, Y Ar-diyl, Ar unsubstituted or mono- or disubstituted by Hal, A, OA, SO 2 A, COOR 2 , SO 2 NH 2 or CN substituted phenyl, T is a mono- or dinuclear saturated or unsaturated heterocycle with 1 to 2 N and / or O atoms, which is mono- or disubstituted by carbonyl oxygen , A is unbranched or branched alkyl having 1-10 C atoms and in which 1-7 H atoms can be replaced by F, Hal is F, Cl, Br or I, n is 0, 1 or 2, and their pharmaceutically usable derivatives , Solvates and stereoisomers, including their mixtures in all proportions. Verbindungen gemäß einem oder mehreren der Ansprüche 1–13, worin D ein- oder zweifach durch Hal substituiertes Phenyl, Pyridyl oder Thienyl, R1, R2 jeweils unabhängig voneinander H, =O, COOR3, OH, OA, NH2, Alkyl mit 1, 2, 3, 4, 5 oder 6 C-Atomen, N3, Ethinyl, Vinyl, Allyloxy, -OCOR3, NHCOA oder NHSO2A, R1 und R2 zusammen auch einen spirocyclisch gebundenen 3- bis 6-gliedrigen Carbocyclus, R3 H oder A, R4 H oder A, W N, CR3, oder ein sp2 hybridisiertes C-Atom, E zusammen mit W einen 3- bis 7-gliedrigen gesättigten carbocyclischen oder heterocyclischen Ring mit 0 bis 3 N-, 0 bis 2 O- und/oder 0 bis 2 S-Atomen, der eine Doppelbindung enthalten kann, G (CH2)n Oder (CH2)nNH-, X CONH, Y unsubstituiertes oder ein- oder zweifach durch Methyl, Trifluormethyl, Ethyl, Propyl, Cl oder F substituiertes 1,3- oder 1,4-Phenylen, T ein- oder zweifach durch Carbonylsauerstoff substituiertes Piperidin-1-yl, Pyrrolidin-1-yl, 1H-Pyridin-1-yl, Morpholin-4-yl, Piperazin-1-yl, 1,3-Oxazolidin-3-yl, 2H-Pyridazin-2-yl, Pyrazin-1-yl, Azepan-1-yl, 2-Azabicyclo[2.2.2]-octan-2-yl, A unverzweigtes oder verzweigtes Alkyl mit 1–10 C-Atomen und worin 1–7 H-Atome durch F ersetzt sein können, Hal F, Cl, Br oder I, n 0, 1 oder 2, bedeuten, sowie ihre pharmazeutisch verwendbaren Derivate, Solvate und Stereoisomere, einschließlich deren Mischungen in allen Verhältnissen.Compounds according to one or more of claims 1-13, wherein D is phenyl, pyridyl or thienyl mono- or disubstituted by Hal, R 1 , R 2 each independently of one another H, = O, COOR 3 , OH, OA, NH 2 , alkyl with 1, 2, 3, 4, 5 or 6 carbon atoms, N 3 , ethynyl, vinyl, allyloxy, -OCOR 3 , NHCOA or NHSO 2 A, R 1 and R 2 together also form a spirocyclically bonded 3- to 6- membered carbocycle, R 3 H or A, R 4 H or A, WN, CR 3 , or an sp 2 hybridized C atom, E together with W is a 3- to 7-membered saturated carbocyclic or heterocyclic ring with 0 to 3 N. -, 0 to 2 O and / or 0 to 2 S atoms, which may contain a double bond, G (CH 2 ) n or (CH 2 ) n NH, X CONH, Y unsubstituted or mono- or disubstituted by methyl , Trifluoromethyl, ethyl, propyl, Cl or F substituted 1,3- or 1,4-phenylene, T piperidin-1-yl mono- or disubstituted by carbonyl oxygen, pyrrolidin-1-yl, 1H-pyridin-1-yl, Morpholin-4-yl, piperazin-1-yl, 1,3-oxazolidin-3-yl, 2H-pyridazin-2-yl, pyrazin-1-yl, azepan-1-yl, 2-azabicyclo [2.2.2] octan-2-yl, A unbranched or branched alkyl with 1-10 C atoms and in which 1-7 H atoms can be replaced by F, mean Hal F, Cl, Br or I, n 0, 1 or 2, and their pharmaceutically usable derivatives, solvates and stereoisomers, including their mixtures in all proportions. Verbindungen gemäß einem oder mehreren der Ansprüche 1–14, worin D ein- oder zweifach durch Hal substituiertes Phenyl, Pyridyl oder Thienyl R1 H, =O, COOR3, OH, OA, NH2, Alkyl mit 1, 2, 3, 4, 5 oder 6 C-Atomen, N3, Ethinyl, Vinyl, Allyloxy, -OCOR3, NHCOA oder NHSO2A, R2 H, =O, OH, OA oder Alkyl mit 1, 2, 3, 4, 5 oder 6 C-Atomen, R1 und R2 zusammen auch einen spirocyclisch gebundenen 3- bis 6-gliedrigen Carbocyclus, R3 H oder A, R4 H oder A,
Figure 00840001
Pyrrolidin-1,2-diyl, Piperidin-1,2-diyl, Oxazolidin-3,4-oder 3,5-diyl, Thiazolidin-3,4-diyl, 2,5-Dihydro-1H-pyrrol-1,5-diyl, [1,3]-Dioxolan-4,5-diyl, [1,3]-Oxazinan-3,4-diyl, Piperazin-1,4-diyl, Tetrahydrofuran-3,4-diyl oder Azetidin-1,2-diyl, G (CH2)n oder (CH2)nNH-, X CONH, Y unsubstituiertes oder ein- oder zweifach durch Methyl, Trifluormethyl, Ethyl, Propyl, Cl oder F substituiertes 1,3- oder 1,4-Phenylen, T ein- oder zweifach durch Carbonylsauerstoff substituiertes Piperidin-1-yl, Pyrrolidin-1-yl, 1H-Pyridin-1-yl, Morpholin-4-yl, Piperazin-1-yl, 1,3-Oxazolidin-3-yl, 2H-Pyridazin-2-yl, Pyrazin-1-yl, Azepan-1-yl, 2-Azabicyclo[2.2.2]-octan-2-yl, A unverzweigtes oder verzweigtes Alkyl mit 1–10 C-Atomen und worin 1–7 H-Atome durch F ersetzt sein können, Hal F, Cl, Br oder I, n 0, 1 oder 2, bedeuten, sowie ihre pharmazeutisch verwendbaren Derivate, Solvate und Stereoisomere, einschließlich deren Mischungen in allen Verhältnissen.
Compounds according to one or more of claims 1-14, wherein D is phenyl, pyridyl or thienyl which is mono- or disubstituted by Hal R 1 H, = O, COOR 3 , OH, OA, NH 2 , alkyl having 1, 2, 3, 4, 5 or 6 carbon atoms, N 3 , ethynyl, vinyl, allyloxy, -OCOR 3 , NHCOA or NHSO 2 A, R 2 H, = O, OH, OA or alkyl with 1, 2, 3, 4, 5 or 6 carbon atoms, R 1 and R 2 together also form a spirocyclically bonded 3- to 6-membered carbocycle, R 3 H or A, R 4 H or A,
Figure 00840001
Pyrrolidine-1,2-diyl, piperidine-1,2-diyl, oxazolidine-3,4-or 3,5-diyl, thiazolidine-3,4-diyl, 2,5-dihydro-1H-pyrrole-1,5 -diyl, [1,3] -dioxolane-4,5-diyl, [1,3] -oxazinane-3,4-diyl, piperazine-1,4-diyl, tetrahydrofuran-3,4-diyl or azetidine-1 , 2-diyl, G (CH 2 ) n or (CH 2 ) n NH-, X CONH, Y 1,3- or 1,4-phenylene unsubstituted or mono- or disubstituted by methyl, trifluoromethyl, ethyl, propyl, Cl or F, T mono- or disubstituted by carbonyl oxygen piperidin-1-yl, pyrrolidin-1-yl , 1H-pyridin-1-yl, morpholin-4-yl, piperazin-1-yl, 1,3-oxazolidin-3-yl, 2H-pyridazin-2-yl, pyrazin-1-yl, azepan-1-yl , 2-Azabicyclo [2.2.2] octan-2-yl, A unbranched or branched alkyl having 1-10 C atoms and in which 1-7 H atoms can be replaced by F, Hal F, Cl, Br or I. , n is 0, 1 or 2, and their pharmaceutically usable derivatives, solvates and stereoisomers, including their mixtures in all ratios.
Verbindungen gemäß Anspruch 1 ausgewählt aus der Gruppe (R)-Pyrrolidin-1,2-dicarbonsäure-1-[(4-chlor-phenyl)-amid]-2-{[4-(3-oxo-morpholin-4-yl)-phenyl]-amid}, (R)-Pyrrolidin-1,2-dicarbonsäure-1-[(4-chlor-phenyl)-amid]-2-{[3-methyl-4-(3-oxo-morpholin-4-yl)-phenyl]-amid}, (R)-Pyrrolidin-1,2-dicarbonsäure-1-[(4-chlor-phenyl)-amid]-2-{[3-fluor-4-(3-oxo-morpholin-4-yl)-phenyl]-amid}, (R)-Pyrrolidin-1,2-dicarbonsäure-1-[(4-chlor-phenyl)-amid]-2-{[2-fluor-4-(3-oxo-morpholin-4-yl)-phenyl]-amid}, (R)-Pyrrolidin-1,2-dicarbonsäure-1-[(4-chlor-phenyl)-amid]-2-{[3-trifluormethyl-4-(3-oxo-morpholin-4-yl)-phenyl]-amid}, (R)-Piperidin-1,2-dicarbonsäure-1-[(4-chlor-phenyl)-amid)-2-{[3-methyl-4-(3-oxo-morpholin-4-yl)-phenyl]-amid}, (R)-Pyrrolidin-1,2-dicarbonsäure-1-[(4-chlor-phenyl)-amid]-2-{[4-(2-oxo-2H-pyridin-1-yl)-phenyl]-amid}, (R)-Pyrrolidin-1,2-dicarbonsäure-1-[(4-chlor-phenyl)-amid]-2-{[4-(2-oxo-2H-pyrazin-1-yl)-phenyl]-amid}, (R)-2,5-Dihydro-pyrrol-1,2-dicarbonsäure-1-[(4-chlor-phenyl)amid]-2-{[4-(3-oxo-morpholin-4-yl)-phenyl]-amid}, (R)-1-(5-Chlor-thiophen-2-carbonyl)-pyrrolidin-2-carbonsäure-N-[4-(3-oxo-morpholin-4-yl)-phenyl]-amid, (R)-1-(5-Chlor-thiophen-2-carbonyl)-pyrrolidin-2-carbonsäure-N-[3-methyl-4-(3-oxo-morpholin-4-yl)-phenyl]-amid, (R)-Oxazolidin-3,4-dicarbonsäure-3-[(4-chlor-phenyl)-amid]-4-{[4-(3-oxo-morpholin-4-yl)-phenyl]-amid}, (R)-Oxazolidin-3,4-dicarbonsäure-3-[(4-chlor-phenyl)-amid]-4-{[3-methyl-4-(3-oxo-morpholin-4-yl)-phenyl]-amid}, (4R,5S)-5-Methyl-oxazolidin-3,4-dicarbonsäure-3-[(4-chlor-phenyl)-amid]-4-{[4-(3-oxo-morpholin-4-yl)-phenyl]-amid}, (4R,5S)-5-Methyl-oxazolidin-3,4-dicarbonsäure-3-[(4-chlor-phenyl)-amid-4-{[3-methyl-4-(3-oxo-morpholin-4-yl)-phenyl]-amid}, (R)-Oxazolidin-3,4-dicarbonsäure-3-[(4-chlor-phenyl)-amid]-4-{[4-(2-oxo-2H-pyridin-1-yl)-phenyl]-amid}, (4R,5S)-5-Methyl-oxazolidin-3,4-dicarbonsäure-3-[(4-chlor-phenyl)-amid]-4-{[4-(2-oxo-2H-pyridin-1-yl)-phenyl]-amid}, (4R,5S)-5-Methyl-oxazolidin-3,4-dicarbonsäure-3-[(4-chlor-phenyl)-amid]-4-{[3-fluor-4-(3-oxo-morpholin-4-yl)-phenyl]-amid}, (4R,5S)-S-Methyl-oxazolidin-3,4-dicarbonsäure-3-[(4-chlor-phenyl)-amid]-4-{[3-chlor-4-(3-oxo-morpholin-4-yl)-phenyl]-amid}, (4R,5R)-5-Methyl-oxazolidin-3,4-dicarbonsäure-3-[(4-chlor-phenyl)-amid]-4-{[3-methyl-4-(3-oxo-morpholin-4-yl)-phenyl]-amid}, (4R,5S)-S-Methyl-oxazolidin-3,4-dicarbonsäure-3-[(4-chlor-phenyl)-amid]-4-{[4-(2-oxo-2N-pyrazin-1-yl)-phenyl]-amid}, (R)-Oxazolidin-3,4-dicarbonsäure-3-[(4-chlor-phenyl)-amid]-4-{[4-(2-oxo-2H-pyrazin-1-yl)-phenyl]-amid}, (R)-Oxazolidin-3,4-dicarbonsäure-3-[(4-chlor-phenyl)-amid]-4-{[3-chlor-4-(2-oxo-2H-pyridin-1-yl)-phenyl]-amid}, (S)-Thiazolidin-3,4-dicarbonsäure-3-[(4-chlor-phenyl)-amid]-4-{[4-(3-oxo-morpholin-4-yl)-phenyl]-amid}, (S)-1,1-Dioxo-1λ6-thiazolidin-3,4-dicarbonsäure-3-[(4-chlor-phenyl)-amid] 4-{[4-(3-oxo-morpholin-4-yl)-phenyl]-amid}, (S)-Thiazolidin-3,4-dicarbonsäure-3-[(4-chlor-phenyl)-amid]-4-{[3-methyl-4-(3-oxo-morpholin-4-yl)-phenyl]-amid}, (S)-1,1-Dioxo-1λ6-thiazolidin-3,4-dicarbonsäure-3-[(4-chlor-phenyl)-amid]4-{[3-methyl-4-(3-oxo-morpholin-4-yl)-phenyl]-amid}, (R)-Thiazolidin-3,4-dicarbonsäure-3-[(4-chlor-phenyl)-amid]-4-{[4-(2-oxo-2N-pyridin-1-yl)-phenyl]-amid}, 3-(5-Chlorthiophen-2-carbonyl)-oxazolidin-5-carbonsäure-[4-(3-oxo-morpholin-4-yl)-phenyl]-amid, 3-(5-Chlorthiophen-2-carbonyl)-oxazolidin-5-carbonsäure-[3-methyl-4-(3-oxo-morpholin-4-yl)-phenyl]-amid, 3-(5-Chlorthiophen-2-carbonyl)-oxazolidin-5-carbonsäure-[4-(2-oxo-2H-pyridin-1-yl)-phenyl]-amid, (2R,4R)-4-Hydroxypyrrolidin-1,2-dicarbonsäure-1-[(5-chlorpyridin-2-yl)-amid]-2-{[4-(2-oxo-2H-pyridin-1-yl)-phenyl]-amid}, (2R,4R)-4-Hydroxypyrrolidin-1,2-dicarbonsäure-1-[(5-chlorpyridin-2-yl)-amid]-2-{[4-(3-oxo-morpholin-4-yl)-phenyl]-amid}, (2R,4R)-4-Hydroxypyrrolidin-1,2-dicarbonsäure-1-[(5-chlorpyridin-2-yl)-amid]-2-{[4-(2-oxo-2N-pyrazin-1-yl)-phenyl]-amid}, (2R,4R)-4-Hydroxypyrrolidin-1,2-dicarbonsäure-1-[(5-chlorpyridin-2-yl)-amid]-2-{[3-fluor-4-(2-oxo-2H-pyridin-1-yl)-phenyl]-amid}, (R)-4,4-Dimethoxypyrrolidin-1,2-dicarbonsäure-1-[(5-chlorpyridin-2-yl)-amid]-2-{[4-(2-oxo-2H-pyridin-1-yl)-phenyl]-amid}, (R)-4,4-Dimethoxypyrrolidin-1,2-dicarbonsäure-1-[(5-chlorpyridin-2-yl)-amid]-2-{[4-(3-oxo-morpholin-4-yl)-phenyl]-amid}, (R)-4,4-Dimethoxy-pyrrolidin-1,2-dicarbonsäure-1-[(4-chlorphenyl)-amid]-2-{[4-(2-oxo-2H-pyridin-1-yl)-phenyl]-amid}, (2R,4R)-4-Hydroxy-pyrrolidin-1,2-dicarbonsäure-1-[(4-chlor-phenyl)-amid]-2-{[4-(3-oxo-morpholin-4-yl)-phenyl]-amid}, (2R,4R)-4-Hydroxy-pyrrolidin-1,2-dicarbonsäure-1-[(4-chlor-phenyl)-amid]-2-{[3-methyl-4-(3-oxo-morpholin-4-yl)-phenyl]-amid}, (2R,4R)-4-Hydroxy-pyrrolidin-1,2-dicarbonsäure-1-[(4-chlor-phenyl)-amid]-2-{[4-(2-oxo-2H-pyridin-1-yl)-phenyl]-amid}, (2R,4R)-4-Hydroxy-pyrrolidin-1,2-dicarbonsäure-1-[(4-chlor-phenyl)-amid]-2-{[2-fluor-4-(3-oxo-morpholin-4-yl)-phenyl]-amid}, (2R,4R)-4-Hydroxy-pyrrolidin-1,2-dicarbonsäure-1-[(4-chlor-phenyl)-amid]-2-{[4-(2-oxo-pyrazin-1-yl)-phenyl]-amid}, (2R,4R)-4-Hydroxy-pyrrolidin-1,2-dicarbonsäure-1-[(4-chlor-phenyl)-amid]-2-{[3-fluor-4-(2-oxo-2H-pyridin-1-yl)-phenyl]-amid}, (2R,3R)-3-Hydroxy-pyrrolidin-1,2-dicarbonsäure-1-[(4-chlor-phenyl)-amid]-2-{[3-fluor-4-(3-oxo-morpholin-4-yl)-phenyl]-amid}, (2R,3S)-3-Hydroxy-pyrrolidin-1,2-dicarbonsäure-1-[(4-chlor-phenyl)-amid]-2-{[3-fluor-4-(3-oxo-morpholin-4-yl)-phenyl]-amid}, (2R,4S)-4-Hydroxy-pyrrolidin-1,2-dicarbonsäure-1-[(4-chlor-phenyl)-amid]-2-{[4-(3-oxo-morpholin-4-yl)-phenyl]-amid}, (2S,4R)-4-Hydroxy-pyrrolidin-1,2-dicarbonsäure-1-[(4-chlor-phenyl)-amid]-2-{[4-(3-oxo-morpholin-4-yl)-phenyl]-amid}, 3,4-Dihydroxy-pyrrolidin-1,2-dicarbonsäure-1-[(4-chlor-phenyl)-amid]-2-{[4-(3-oxo-morpholin-4-yl)-phenyl]-amid}, (2R,4S)-4-Azido-pyrrolidin-1,2-dicarbonsäure-1-[(4-chlor-phenyl)-amid]-2-{[4-(3-oxo-morpholin-4-yl)-phenyl]-amid}, (2R,4S)-4-Amino-pyrrolidin-1,2-dicarbonsäure-1-[(4-chlor-phenyl)-amid]-2-{[4-(3-oxo-morpholin-4-yl)-phenyl]-amid}, (2R,4R)-4-Azido-pyrrolidin-1,2-dicarbonsäure-1-[(4-chlor-phenyl)-amid]-2-{[4-(3-oxo-morpholin-4-yl)-phenyl]-amid}, (2R,4R)-4-Amino-pyrrolidin-1,2-dicarbonsäure-1-[(4-chlor-phenyl)-amid]-2-{[4-(3-oxo-morpholin-4-yl)-phenyl]-amid}, (2R,4S)-4-Acetamino-pyrrolidin-1,2-dicarbonsäure-1-[(4-chlor-phenyl)-amid]-2-{[4-(3-oxo-morpholin-4-yl)-phenyl]-amid}, (2R,4R)-4-Acetamino-pyrrolidin-1,2-dicarbonsäure-1-[(4-chlor-phenyl)-amid]-2-{[4-(3-oxo-morpholin-4-yl)-phenyl]-amid}, (2R,4S)-4-Methylsulfonylamino-pyrrolidin-1,2-dicarbonsäure-1-[(4-chlor-phenyl)-amid]-2-{[4-(3-oxo-morpholin-4-yl)-phenyl]-amid}, (2R,4R)-4-Methylsulfonylamino-pyrrolidin-1,2-dicarbonsäure-1-[(4-chlor-phenyl)-amid]-2-{[4-(3-oxo-morpholin-4-yl)-phenyl]-amid}, (2R,4R)-4-Methoxy-pyrrolidin-1,2-dicarbonsäure-1-[(4-chlor-phenyl)-amid]-2-{[4-(3-oxo-morpholin-4-yl)-phenyl]-amid}, (2R,4R)-4-Ethoxy-pyrrolidin-1,2-dicarbonsäure-1-[(4-chlor-phenyl)-amid]-2-{[4-(3-oxo-morpholin-4-yl)-phenyl]-amid}, (2R,4R)-4-Propoxy-pyrrolidin-1,2-dicarbonsäure-1-[(4-chlor-phenyl)-amid]-2-{[4-(3-oxo-morpholin-4-yl)-phenyl]-amid}, (2R,4R)-4-Allyloxy-pyrrolidin-1,2-dicarbonsäure-1-[(4-chlor-phenyl)-amid]-2-{[4-(3-oxo-morpholin-4-yl)-phenyl]-amid}, Isobuttersäure-(3R,5R)-1-(4-chlor-phenyl- carbamoyl)-5-[4-(3-oxo-morpholin-4-yl)-phenylcarbamoyl]-pyrrolidin-3-yl-ester, Propionsäure-(3R,5R)-1-(4-chlor-phenyl-carbamoyl)-5-[4-(3-oxo-morpholin-4-yl)-phenylcarbamoyl]-pyrrolidin-3-yl-ester, Essigsäure-(3R,5R)-1-(4-chlor-phenyl-carbamoyl)-5-[4-(3-oxo-morpholin-4-yl)-phenylcarbamoyl]-pyrrolidin-3-yl-ester, [1,3]Dioxolan-4,5-dicarbonsäure-4-[(4-chlorphenyl)-amid]-5-{[4-(3-oxo-morpholin-4-yl)-phenyl]-amid}, [1,3]Dioxolan-4,5-dicarbonsäure-4-[(4-chlorphenyl)-amid]-5-{[3-methyl-4-(3-oxo-morpholin-4-yl)-phenyl]-amid}, [1,3]Dioxolan-4,5-dicarbonsäure-4-[(4-chlorphenyl)-amid]-5-{[4-(2-oxo-2H-pyridin-1-yl)-phenyl]-amid}, [1,3]Dioxolan-2,2-dimethyl-4,5-dicarbonsäure-4-[(4-chlorphenyl)-amid]-5-{[4-(3-oxo-morpholin-4-yl)-phenyl]-amid}, [1,3]Dioxolan-2,2-dimethyl-4,5-dicarbonsäure-4-[(4-chlorphenyl)-amid]-5-{[3-methyl-4-(3-oxo-morpholin-4-yl)-phenyl]-amid}, [1,3]Dioxolan-2,2-dimethyl-4,5-dicarbonsäure-4-[(4-chlorphenyl)-amid]-5-{[4-(2-oxo-1H-pyridin-1-yl)-phenyl]-amid}, 1-BOC-piperazin-1,2-dicarbonsäure-1-[4-chlorphenyl)-amid]-2-{[4-(3-oxo-morpholin-4-yl)-phenyl]-amid}, Piperazin-1,2-dicarbonsäure-1-[4-chlorphenyl)-amid]-2-{[4-(3-oxo-morpholin-4-yl)-phenyl]-amid}, [1,3]Oxazinan-3,4-dicarbonsäure-1-[4-chlorphenyl)-amid]-2-{[4-(3-oxo-morpholin-4-yl)-phenyl]-amid}, (2R,4S)-4-Ethinyl-4-hydroxy-pyrrolidin-1,2-dicarbonsäure-1-[(4-chlor-phenyl)-amid]-2-{[4-(3-oxo-morpholin-4-yl)-phenyl]-amid}, 4-Oxa-6-aza-spiro[2.4]heptan-6,7-dicarbonsäure-6-[(4-chlorphenyl)-amid]-7-{[4-(3-oxo-morpholin-4-yl)-phenyl]-amid}, (2R,4R)-4-Hydroxypyrrolidin-1,2-dicarbonsäure-1-[(6-chlorpyridin-3-yl)-amid]-2-{[4-(2-oxo-2H-pyridin-1-yl)-phenyl]-amid}, (2R,4R)-4-Hydroxypyrrolidin-1,2-dicarbonsäure-1-[(6-chlorpyridin-3-yl)-amid]-2-{[4-(2-oxo-2H-pyrazin-1-yl)-phenyl]-amid}, sowie ihre pharmazeutisch verwendbaren Derivate, Solvate und Stereoisomere, einschließlich deren Mischungen in allen Verhältnissen.Compounds according to claim 1 selected from the group (R) -pyrrolidine-1,2-dicarboxylic acid 1 - [(4-chlorophenyl) amide] -2 - {[4- (3-oxo-morpholin-4-yl ) -phenyl] -amide}, (R) -pyrrolidine-1,2-dicarboxylic acid 1 - [(4-chlorophenyl) -amide] -2 - {[3-methyl-4- (3-oxomorpholine -4-yl) phenyl] amide}, (R) -pyrrolidine-1,2-dicarboxylic acid 1 - [(4-chlorophenyl) amide] -2 - {[3-fluoro-4- (3rd -oxo-morpholin-4-yl) -phenyl] -amide}, (R) -pyrrolidine-1,2-dicarboxylic acid 1 - [(4-chlorophenyl) -amide] -2 - {[2-fluoro- 4- (3-oxo-morpholin-4-yl) phenyl] amide}, (R) pyrrolidine-1,2-dicarboxylic acid 1 - [(4-chlorophenyl) amide] -2 - {[ 3-trifluoromethyl-4- (3-oxo-morpholin-4-yl) -phenyl] -amide}, (R) -piperidine-1,2-dicarboxylic acid 1 - [(4-chlorophenyl) -amide) - 2 - {[3-methyl-4- (3-oxomorpholin-4-yl) phenyl] amide}, (R) -pyrrolidine-1,2-dicarboxylic acid 1 - [(4-chlorophenyl) -amide] -2 - {[4- (2-oxo-2H-pyridin-1-yl) phenyl] amide}, (R) -pyrrolidine-1,2-dicarboxylic acid 1 - [(4-chloro phenyl) amide] -2 - {[4- (2-oxo-2H-pyrazin-1-yl) phenyl] amide}, (R) -2,5-dihydropyrrole-1,2-dicarboxylic acid - 1 - [(4-chloro-phe nyl) amide] -2 - {[4- (3-oxo-morpholin-4-yl) phenyl] amide}, (R) -1- (5-chloro-thiophene-2-carbonyl) pyrrolidin-2 -carboxylic acid-N- [4- (3-oxomorpholin-4-yl) phenyl] amide, (R) -1- (5-chloro-thiophene-2-carbonyl) pyrrolidine-2-carboxylic acid-N - [3-methyl-4- (3-oxomorpholin-4-yl) phenyl] amide, (R) -oxazolidine-3,4-dicarboxylic acid 3 - [(4-chlorophenyl) amide] -4 - {[4- (3-oxomorpholin-4-yl) phenyl] amide}, (R) -oxazolidine-3,4-dicarboxylic acid 3 - [(4-chlorophenyl) amide] -4 - {[3-methyl-4- (3-oxo-morpholin-4-yl) phenyl] amide}, (4R, 5S) -5-methyl-oxazolidine-3,4-dicarboxylic acid-3- [ (4-chlorophenyl) amide] -4 - {[4- (3-oxomorpholin-4-yl) phenyl] amide}, (4R, 5S) -5-methyloxazolidine-3,4 -dicarboxylic acid-3 - [(4-chlorophenyl) amide-4 - {[3-methyl-4- (3-oxomorpholin-4-yl) phenyl] amide}, (R) -oxazolidine 3,4-dicarboxylic acid 3 - [(4-chlorophenyl) amide] -4 - {[4- (2-oxo-2H-pyridin-1-yl) phenyl] amide}, (4R, 5S ) -5-methyl-oxazolidine-3,4-dicarboxylic acid 3 - [(4-chloro-phenyl) -amide] -4 - {[4- (2-oxo-2H-pyridin-1-yl) phenyl] -amide}, (4R, 5S) -5-methyl-oxazolidine-3,4-dicarboxylic acid - 3 - [(4-chlorophenyl) amide] -4 - {[3-fluoro-4- (3-oxomorpholin-4-yl) phenyl] amide}, (4R, 5S) -S- methyl-oxazolidin-3,4-dicarboxylic acid 3 - [(4-chloro-phenyl) -amide] -4 - {[3-chloro-4- (3-oxo-morpholin-4-yl) -phenyl] -amide }, (4R, 5R) -5-methyl-oxazolidine-3,4-dicarboxylic acid 3 - [(4-chlorophenyl) amide] -4 - {[3-methyl-4- (3-oxomorpholine -4-yl) phenyl] amide}, (4R, 5S) -S-methyl-oxazolidine-3,4-dicarboxylic acid 3 - [(4-chlorophenyl) amide] -4 - {[4- (2-oxo-2N-pyrazin-1-yl) phenyl] amide}, (R) -oxazolidine-3,4-dicarboxylic acid 3 - [(4-chlorophenyl) amide] -4 - {[ 4- (2-oxo-2H-pyrazin-1-yl) phenyl] amide}, (R) -oxazolidine-3,4-dicarboxylic acid 3 - [(4-chlorophenyl) amide] -4- {[3-chloro-4- (2-oxo-2H-pyridin-1-yl) phenyl] amide}, (S) -Thiazolidin-3,4-dicarboxylic acid 3 - [(4-chlorophenyl) -amide] -4 - {[4- (3-oxomorpholin-4-yl) phenyl] amide}, (S) -1,1-dioxo-1λ 6 -thiazolidine-3,4-dicarboxylic acid-3 - [(4-chlorophenyl) amide] 4 - {[4- (3-oxomorpholin-4-yl) phenyl] amide}, (S) -Thiazolidin-3,4-dicarboxylic acid-3- [(4-chloro-phenyl) -amide] -4 - {[3-methyl-4- (3-oxo-morpholin-4-yl) -phenyl] -a mid}, (S) -1,1-Dioxo-1λ 6 -thiazolidine-3,4-dicarboxylic acid 3 - [(4-chlorophenyl) amide] 4 - {[3-methyl-4- (3- oxo-morpholin-4-yl) phenyl] amide}, (R) -Thiazolidin-3,4-dicarboxylic acid 3 - [(4-chlorophenyl) amide] -4 - {[4- (2- oxo-2N-pyridin-1-yl) phenyl] amide}, 3- (5-chlorothiophene-2-carbonyl) oxazolidin-5-carboxylic acid- [4- (3-oxo-morpholin-4-yl) - phenyl] -amide, 3- (5-chlorothiophene-2-carbonyl) oxazolidine-5-carboxylic acid- [3-methyl-4- (3-oxomorpholin-4-yl) phenyl] amide, 3- (5-chlorothiophene-2 -carbonyl) -oxazolidine-5-carboxylic acid- [4- (2-oxo-2H-pyridin-1-yl) phenyl] amide, (2R, 4R) -4-hydroxypyrrolidine-1,2-dicarboxylic acid 1- [(5-chloropyridin-2-yl) amide] -2 - {[4- (2-oxo-2H-pyridin-1-yl) phenyl] amide}, (2R, 4R) -4-hydroxypyrrolidine 1,2-dicarboxylic acid 1 - [(5-chloropyridin-2-yl) amide] -2 - {[4- (3-oxo-morpholin-4-yl) phenyl] amide}, (2R, 4R ) -4-hydroxypyrrolidine-1,2-dicarboxylic acid 1 - [(5-chloropyridin-2-yl) -amide] 2 - {[4- (2-oxo-2H-pyrazin-1-yl) phenyl] -amide}, (2R, 4R) -4-hydroxypyrrolidin-1,2-dicarboxylic acid 1 - [(5-chloropyridin-2-yl) -amide] -2 - {[3-fluoro-4- (2-oxo -2H-pyridin-1-yl) phenyl] amide}, (R) -4,4-dimethoxypyrrolidin-1,2-dicarboxylic acid 1 - [(5-chloropyridin-2-yl) amide] -2- {[4- (2-oxo-2H-pyridin-1-yl) phenyl] amide}, (R) -4,4-dimethoxypyrrolidine-1,2-dicarboxylic acid 1 - [(5-chloropyridine-2- yl) amide] -2 - {[4- (3-oxomorpholin-4-yl) phenyl] amide}, (R) -4,4-dimethoxypyrrolidine-1,2-dicarboxylic acid 1- [( 4-chlorophenyl) amide] -2 - {[4- (2-oxo-2H-pyridin-1-yl) phenyl] amide}, (2R, 4R) -4-hydroxy-pyrrolidine-1,2- dicarboxylic acid 1 - [(4-chlorophenyl) amide] -2 - {[4- (3-oxomorpholin-4-yl) phenyl] amide}, (2R, 4R) -4-hydroxy- pyrrolidine-1,2-dicarboxylic acid 1 - [(4-chloro-phenyl) -amide] 2 - {[3-methyl-4- (3-oxo-morpholin-4-yl) -phenyl] -amide}, (2R, 4R) -4-hydroxy-pyrrolidine-1,2-dicarboxylic acid 1 - [(4-chloro-phenyl) -amide] 2 - {[4- (2-oxo-2H-pyridin-1-yl ) -phenyl] -amide}, (2R, 4R) -4-hydroxy-pyrrolidine-1,2-dicarboxylic acid 1 - [(4-chlorophenyl) amide] -2 - {[2-fluoro-4- (3-oxo-morpholin-4-yl) phenyl] amide}, (2R, 4R) -4-hydroxy-pyrrolidine-1,2-dicarboxylic acid 1 - [(4-chlorophenyl) amide] - 2 - {[4- (2-oxo-pyrazin-1-yl) phenyl] amide}, (2R, 4R) -4-hydroxy-pyrrolidine-1,2-dicarboxylic acid 1 - [(4-chloro phenyl) amide] -2 - {[3-fluoro-4- (2-oxo-2H-pyridin-1-yl) phenyl] amide}, (2R, 3R) -3-hydroxy-pyrrolidin-1, 2-dicarboxylic acid 1 - [(4-chlorophenyl) amide] -2 - {[3-fluoro-4- (3-oxomorpholin-4-yl) phenyl] amide}, (2R, 3S ) -3-hydroxy-pyrrolidine-1,2-dicarboxylic acid 1 - [(4-chloro-phenyl) -amide] 2 - {[3-fluoro-4- (3-oxo-morpholin-4-yl) phenyl] amide}, (2R, 4S) -4-hydroxy-pyrrolidine-1,2-dicarboxylic acid 1 - [(4 -chlorophenyl) amide] -2 - {[4- (3-oxomorpholin-4-yl) phenyl] amide}, (2S, 4R) -4-hydroxy-pyrrolidine-1,2-dicarboxylic acid -1 - [(4-chlorophenyl) amide] -2 - {[4- (3-oxomorpholin-4-yl) phenyl] amide}, 3,4-dihydroxy-pyrrolidine-1,2 -dicarboxylic acid-1 - [(4-chlorophenyl) amide] -2 - {[4- (3-oxomorpholin-4-yl) phenyl] amide}, (2R, 4S) -4-azido -pyrrolidine-1,2-dicarboxylic acid 1 - [(4-chlorophenyl) amide] -2 - {[4- (3-oxomorpholin-4-yl) phenyl] amide}, (2R, 4S) -4-amino-pyrrolidine-1,2-dicarboxylic acid 1 - [(4-chloro-phenyl) -amide] 2 - {[4- (3-oxo-morpholin-4-yl) phenyl] - amide}, (2R, 4R) -4-azido-pyrrolidin-1,2-dicarboxylic acid 1 - [(4-chlorophenyl) amide] -2 - {[4- (3-oxo-morpholine-4- yl) -phenyl] -amide}, (2R, 4R) -4-aminopyrrolidine-1,2-dicarboxylic acid 1 - [(4-chlorophenyl) amide] -2 - {[4- (3- oxo-morpholin-4-yl) phenyl] amide}, (2R, 4S) -4-acetaminopyrrolidine-1,2-dicarboxylic acid 1 - [(4-chlorophenyl) amide] -2- { [4- (3-oxomorpholin-4-yl) phenyl] amide}, (2R, 4R) -4-aceta mino-pyrrolidine-1,2-dicarboxylic acid 1 - [(4-chlorophenyl) amide] -2 - {[4- (3-oxomorpholin-4-yl) phenyl] amide}, (2R , 4S) -4-methylsulfonylamino-pyrrolidine-1,2-dicarboxylic acid 1 - [(4-chloro-phenyl) -amide] 2 - {[4- (3-oxo-morpholin-4-yl) phenyl] -amide}, (2R, 4R) -4-methylsulfonylamino-pyrrolidine-1,2-dicarboxylic acid 1 - [(4-chlorophenyl) amide] -2 - {[4- (3-oxo-morpholine-4 -yl) -phenyl] -amide}, (2R, 4R) -4-methoxy-pyrrolidine-1,2-dicarboxylic acid 1 - [(4-chlorophenyl) amide] -2 - {[4- (3rd -oxo-morpholin-4-yl) -phenyl] -amide}, (2R, 4R) -4-ethoxy-pyrrolidin-1,2-dicarboxylic acid 1 - [(4-chlorophenyl) -amide] -2- {[4- (3-oxo-morpholin-4-yl) phenyl] amide}, (2R, 4R) -4-propoxy-pyrrolidine-1,2-dicarboxylic acid 1 - [(4-chlorophenyl) -amide] 2 - {[4- (3-oxo-morpholin-4-yl) -phenyl] -amide}, (2R, 4R) -4-allyloxy-pyrrolidine-1,2-dicarboxylic acid 1 - [(4-chloro-phenyl) -amide] 2 - {[4- (3-oxo-morpholin-4-yl) - phenyl] -amide}, isobutyric acid- (3R, 5R) -1- (4-chlorophenylcarbamoyl) -5- [4- (3-oxo-morpholin-4-yl) phenylcarbamoyl] pyrrolidin-3- yl ester, propionic acid- (3R, 5R) -1- (4-chlorophenylcarbamoyl) -5- [4- (3-oxomorpholin-4-yl) phenylcarbamoyl] pyrrolidin-3-yl- ester, acetic acid- (3R, 5R) -1- (4-chlorophenylcarbamoyl) -5- [4- (3-oxomorpholin-4-yl) phenylcarbamoyl] pyrrolidin-3-yl ester, [1,3] Dioxolan-4,5-dicarboxylic acid 4 - [(4-chlorophenyl) amide] -5 - {[4- (3-oxomorpholin-4-yl) phenyl] amide}, [ 1,3] dioxolane-4,5-dicarboxylic acid 4 - [(4-chlorophenyl) -amide] 5 - {[3-methyl-4- (3-oxo-morpholin-4-yl) -phenyl] -amide }, [1,3] dioxolane-4,5-dicarboxylic acid 4 - [(4-chlorophenyl) amide] -5 - {[4- (2-oxo-2H-pyridin-1-yl) phenyl] - amide}, [1,3] dioxolan-2,2-dimethyl-4,5-dicarboxylic acid 4 - [(4-chlorophenyl) amide] -5 - {[4- (3-oxo-morpholin-4-yl ) -phenyl] -amide}, [1,3] dioxolane-2,2-dimethyl-4,5-dicarboxylic acid 4 - [(4-chlorophenyl) -amide] -5 - {[3-methyl-4- ( 3-oxo -morpholin-4-yl) phenyl] amide}, [1,3] dioxolane-2,2-dimethyl-4,5-dicarboxylic acid 4 - [(4-chlorophenyl) amide] -5 - {[4th - (2-oxo-1H-pyridin-1-yl) phenyl] amide}, 1-BOC-piperazin-1,2-dicarboxylic acid 1- [4-chlorophenyl) amide] -2 - {[4- (3-oxo-morpholin-4-yl) -phenyl] -amide}, piperazin-1,2-dicarboxylic acid-1- [4-chlorophenyl) -amide] -2 - {[4- (3-oxo-morpholine- 4-yl) phenyl] amide}, [1,3] oxazinane-3,4-dicarboxylic acid 1- [4-chlorophenyl) amide] -2 - {[4- (3-oxomorpholine-4- yl) -phenyl] -amide}, (2R, 4S) -4-ethynyl-4-hydroxy-pyrrolidine-1,2-dicarboxylic acid 1 - [(4-chlorophenyl) amide] -2 - {[4 - (3-oxo-morpholin-4-yl) phenyl] amide}, 4-oxa-6-aza-spiro [2.4] heptane-6,7-dicarboxylic acid 6 - [(4-chlorophenyl) amide] -7 - {[4- (3-oxomorpholin-4-yl) phenyl] amide}, (2R, 4R) -4-hydroxypyrrolidine-1,2-dicarboxylic acid 1 - [(6-chloropyridine-3 -yl) -amide] -2 - {[4- (2-oxo-2H-pyridin-1-yl) phenyl] amide}, (2R, 4R) -4-hydroxypyrrolidine-1,2-dicarboxylic acid-1 - [(6-chloropyridin-3-yl) -amide] -2 - {[4- (2-oxo-2H-pyrazin-1-yl) -phenyl] -amide}, as well as their pharmaceutically usable derivatives, solvates and Stereoisomers, including their mixtures in all proportions. Verfahren zur Herstellung von Verbindungen der Formel I nach den Ansprüchen 1–16 sowie ihrer pharmazeutisch verwendbaren Derivate, Solvate und Stereoisomere, dadurch gekennzeichnet, daß man a) zur Herstellung von Verbindungen der Formel 1, worin W N und G NH bedeuten, eine Verbindung der Formel II
Figure 00900001
worin R1, R2, E, X, Y und T die in Anspruch 1 angegebene Bedeutung haben, und W N bedeutet, mit einer Verbindung der Formel III D-N=C=O IIIworin D die in Anspruch 1 angegebene Bedeutung hat, umsetzt, oder b) zur Herstellung von Verbindungen der Formel I, worin X -[C(R4)2]nCONR3[C(R4)2]n- bedeutet, eine Verbindung der Formel IV HNR3-[C(R4)2]n-Y-T IVworin R3, n, Y und T die in Anspruch 1 angegebene Bedeutung haben, mit einer Verbindung der Formel V
Figure 00910001
worin L Cl, Br, I oder eine freie oder reaktionsfähig funktionell abgewandelte OH-Gruppe bedeutet und R1, R2, R4, D, E, G, W und n die in Anspruch 1 angegebene Bedeutung haben, umsetzt, oder c) zur Herstellung von Verbindungen der Formel I, worin W N bedeutet, eine Verbindung der Formel II
Figure 00920001
worin R1, R2, E, X, Y und T die in Anspruch 1 angegebene Bedeutung haben, und W N bedeutet, mit einer Verbindung der Formel VI D-G-CO-L VIworin D und G die in Anspruch 1 angegebene Bedeutung haben und L Cl, Br, I oder eine freie oder reaktionsfähig funktionell abgewandelte OH-Gruppe bedeutet, umsetzt, und/oder eine Base oder Säure der Formel I in eines ihrer Salze umwandelt.
A process for the preparation of compounds of formula I according to claims 1-16 and their pharmaceutically usable derivatives, solvates and stereoisomers, characterized in that a) for the preparation of compounds of formula 1, in which WN and G are NH, a compound of formula II
Figure 00900001
wherein R 1 , R 2 , E, X, Y and T have the meaning given in claim 1, and WN means, with a compound of formula III DN = C = O III wherein D has the meaning given in claim 1, or b) for the preparation of compounds of the formula I in which X is - [C (R 4 ) 2 ] n CONR 3 [C (R 4 ) 2 ] n - one Compound of formula IV HNR 3 - [C (R 4 ) 2 ] n -YT IV wherein R 3 , n, Y and T have the meaning given in claim 1, with a compound of formula V.
Figure 00910001
wherein L is Cl, Br, I or a free or reactively functionally modified OH group and R 1 , R 2 , R 4 , D, E, G, W and n have the meaning given in Claim 1, or c) for the preparation of compounds of the formula I in which WN is a compound of the formula II
Figure 00920001
wherein R 1 , R 2 , E, X, Y and T have the meaning given in claim 1, and WN means, with a compound of formula VI DG-CO-L VI wherein D and G have the meaning given in claim 1 and L is Cl, Br, I or a free or reactive functionally modified OH group, and / or converts a base or acid of the formula I into one of its salts.
Verbindungen der Formel I nach einem oder mehreren der Ansprüche 1 bis 16 als Inhibitoren des Koagulationsfaktors Xa.Compounds of formula I according to one or more of claims 1 to 16 as inhibitors of the coagulation factor Xa. Verbindungen der Formel I nach einem oder mehreren der Ansprüche 1 bis 16 als Inhibitoren des Koagulationsfaktors VIIa.Compounds of formula I according to one or more of claims 1 to 16 as inhibitors of coagulation factor VIIa. Arzneimittel, enthaltend mindestens eine Verbindung der Formel I nach einem oder mehreren der Ansprüche 1 bis 16 und/oder ihre pharmazeutisch verwendbaren Derivate, Solvate und Stereoisomere, einschließlich deren Mischungen in allen Verhältnissen, sowie gegebenenfalls Träger- und/oder Hilfsstoffe.Medicament containing at least one compound of formula I according to one or more of claims 1 to 16 and / or their pharmaceutically usable derivatives, solvates and stereoisomers, including their mixtures in all proportions, as well as, if applicable, and / or auxiliary substances. Arzneimittel enthaltend mindestens eine Verbindung der Formel I gemäß einem oder mehreren der Ansprüche 1 bis 16 und/oder ihre pharmazeutisch verwendbaren Derivate, Solvate und Stereoisomere, einschließlich deren Mischungen in allen Verhältnissen, und mindestens einen weiteren Arzneimittelwirkstoff.Medicament containing at least one compound of formula I according to one or more of the claims 1 to 16 and / or their pharmaceutically usable derivatives, solvates and stereoisomers, including their mixtures in all proportions, and at least one other drug ingredient. Verwendung von Verbindungen gemäß einem oder mehreren der Ansprüche 1 bis 16 und/oder ihre physiologisch unbedenklichen Salze und Solvate zur Herstellung eines Arzneimittels zur Behandlung von Thrombosen, myocardialem Infarkt, Arteriosklerose, Entzündungen, Apoplexie, Angina pectoris, Restenose nach Angioplastie, Claudicatio intermittens, Migräne, Tumoren, Tumorerkrankungen und/oder Tumormetastasen.Use of compounds according to one or more of claims 1 to 16 and / or their physiologically acceptable salts and solvates for the manufacture of a medicament for the treatment of thrombosis, myocardial infarction, arteriosclerosis, inflammation, apoplexy, angina pectoris, restenosis after angioplasty, intermittent claudication, Migraine, Tumors, tumor diseases and / or tumor metastases. Set (Kit), bestehend aus getrennten Packungen von (a) einer wirksamen Menge an einer Verbindung der Formel I gemäß einem oder mehreren der Ansprüche 1 bis 16 und/oder ihrer pharmazeutisch verwendbaren Derivate, Solvate und Stereoisomere, einschließlich deren Mischungen in allen Verhältnissen, und (b) einer wirksamen Menge eines weiteren Arzneimittelswirkstoffs.Set consisting of separate packs of (A) an effective amount of a compound of formula I according to one or more of the claims 1 to 16 and / or their pharmaceutically usable derivatives, solvates and stereoisomers, including their mixtures in all proportions, and (B) an effective amount of another drug ingredient. Verwendung von Verbindungen der Formel I gemäß einem oder mehreren der Ansprüche 1 bis 16 und/oder ihrer pharmazeutisch verwendbaren Derivate, Solvate und Stereoisomere, einschließlich deren Mischungen in allen Verhältnissen, zur Herstellung eines Arzneimittels zur Behandlung von Thrombosen, myocardialem Infarkt, Arteriosklerose, Entzündungen, Apoplexie, Angina pectoris, Restenose nach Angioplastie, Claudicatio intermittens, Migräne, Tumoren, Tumorerkrankungen und/oder Tumormetastasen, in Kombination mit mindestens einem weiteren Arzneimittelwirkstoff.Use of compounds of formula I according to one or more of the claims 1 to 16 and / or their pharmaceutically usable derivatives, solvates and stereoisomers, including their mixtures in all proportions, to Manufacture of a medicament for the treatment of thrombosis, myocardial Infarction, arteriosclerosis, inflammation, Apoplexy, angina pectoris, restenosis after angioplasty, claudication intermittent, migraines, tumors, Tumor diseases and / or tumor metastases, in combination with at least one other active pharmaceutical ingredient. Zwischenverbindungen der Formel I-1
Figure 00940001
worin D ein- oder zweifach durch Hal substituiertes Phenyl, Pyridyl oder Thienyl, R1 H, OH, OA, Alkyl mit 1, 2, 3, 4, 5 oder 6 C-Atomen oder Ethinyl, R2 H, OH, OA oder Alkyl mit 1, 2, 3, 4, 5 oder 6 C-Atomen,
Figure 00940002
Pyrrolidin-1,2-diyl, Piperidin-1,2-diyl, Oxazolidin-3,4- oder 3,5-diyl, G (CH2)n oder (CH2)nNH-, X COOH, A Alkyl mit 1, 2, 3, 4, 5 oder 6 C-Atomen, Hal F, Cl, Br oder I, n 0, 1 oder 2, bedeuten, sowie deren Isomere und Salze.
Intermediate compounds of formula I-1
Figure 00940001
wherein D is phenyl, pyridyl or thienyl which is mono- or disubstituted by Hal, R 1 H, OH, OA, alkyl having 1, 2, 3, 4, 5 or 6 carbon atoms or ethynyl, R 2 H, OH, OA or Alkyl with 1, 2, 3, 4, 5 or 6 carbon atoms,
Figure 00940002
Pyrrolidine-1,2-diyl, piperidine-1,2-diyl, oxazolidine-3,4- or 3,5-diyl, G (CH 2 ) n or (CH 2 ) n NH-, X COOH, A alkyl with 1, 2, 3, 4, 5 or 6 carbon atoms, Hal F, Cl, Br or I, n 0, 1 or 2, and their isomers and salts.
Verbindungen nach Anspruch 25, ausgewählt aus der Gruppe 3-(4-Chlorphenylcarbamoyl)-oxazolidin-4-carbonsäure, 3-(5-Chlorthiophen-2-carbonyl)-oxazolidin-5-carbonsäure, sowie deren Isomere und Salze.Compounds according to claim 25 selected from the group 3- (4-chlorophenylcarbamoyl) oxazolidin-4-carboxylic acid, 3- (5-Chloro-thiophene-2-carbonyl) oxazolidin-5-carboxylic acid, such as their isomers and salts. Zwischenverbindungen ausgewählt aus der Gruppe (2R,4S)-BOC-4-Ethinyl-4-hydroxy-pyrrolidin-2-carbonsäure, (2R,4R)-BOC-4-Ethinyl-4-hydroxy-pyrrolidin-2-carbonsäure, (2R,4S)-BOC-4-Ethinyl-4-hydroxy-pyrrolidin-2-carbonsäure-alkylester, (2R,4R)-BOC-4-Ethinyl-4-hydroxy-pyrrolidin-2-carbonsäure-alkylester, wobei alkyl 1, 2, 3, 4, 5 oder 6 C-Atome hat, sowie deren Isomere und Salze.Interconnections selected from the group (2R, 4S) -BOC-4-ethynyl-4-hydroxy-pyrrolidine-2-carboxylic acid, (2R, 4R) -BOC-4-ethynyl-4-hydroxy-pyrrolidine-2-carboxylic acid, (2R, 4S) -BOC-4-ethynyl-4-hydroxy-pyrrolidine-2-carboxylic acid alkyl esters, (2R, 4R) -BOC-4-ethynyl-4-hydroxy-pyrrolidine-2-carboxylic acid alkyl esters, in which alkyl has 1, 2, 3, 4, 5 or 6 carbon atoms, and their isomers and salts. Zwischenverbindungen der Formel I-2
Figure 00950001
worin R1 H, COOR3, OH, OA, NH2, Alkyl mit 1, 2, 3, 4, 5 oder 6 C-Atomen, N3, Ethinyl, Vinyl, Allyloxy, -OCOR3, NHCOA oder NHSO2A, R2 H, OH, OA oder Alkyl mit 1, 2, 3, 4, 5 oder 6 C-Atomen, R1 und R2 zusammen auch einen spirocyclisch gebundenen 3- bis 6-gliedrigen Carbocyclus, R3 H oder A,
Figure 00960001
Pyrrolidin-1,2-diyl, Piperidin-1,2-diyl, Oxazolidin-3,4- oder 3,5-diyl, G (CH2)n oder (CH2)nNH-, X CONH, Y unsubstituiertes oder ein- oder zweifach durch Methyl, Trifluormethyl, Ethyl, Propyl, Cl oder F substituiertes 1,3- oder 1,4-Phenylen, T ein- oder zweifach durch Carbonylsauerstoff substituiertes Piperidin-1-yl, Pyrrolidin-1-yl, 1H-Pyridin-1-yl, Morpholin-4-yl, Piperazin-1-yl, 1,3-Oxazolidin-3-yl, 2H-Pyridazin-2-yl, Pyrazin-1-yl, Azepan-1-yl, 2-Aza-bicyclo[2.2.2]-octan-2-yl, A Alkyl mit 1, 2, 3, 4, 5 oder 6 C-Atomen, Hal F, Cl, Br oder I, n 0, 1 oder 2, bedeuten, sowie deren Isomere und Salze.
Intermediate compounds of formula I-2
Figure 00950001
wherein R 1 is H, COOR 3 , OH, OA, NH 2 , alkyl having 1, 2, 3, 4, 5 or 6 carbon atoms, N 3 , ethynyl, vinyl, allyloxy, -OCOR 3 , NHCOA or NHSO 2 A , R 2 H, OH, OA or alkyl having 1, 2, 3, 4, 5 or 6 C atoms, R 1 and R 2 together also a spirocyclically bonded 3- to 6-membered carbocycle, R 3 H or A,
Figure 00960001
Pyrrolidine-1,2-diyl, piperidine-1,2-diyl, oxazolidine-3,4- or 3,5-diyl, G (CH 2 ) n or (CH 2 ) n NH-, X CONH, Y unsubstituted or 1,3- or 1,4-phenylene, mono- or disubstituted by methyl, trifluoromethyl, ethyl, propyl, Cl or F, T piperidin-1-yl, pyrrolidin-1-yl, 1H- mono- or disubstituted by carbonyl oxygen Pyridin-1-yl, morpholin-4-yl, piperazin-1-yl, 1,3-oxazolidin-3-yl, 2H-pyridazin-2-yl, pyrazin-1-yl, azepan-1-yl, 2- Azabicyclo [2.2.2] octan-2-yl, A is alkyl having 1, 2, 3, 4, 5 or 6 carbon atoms, Hal F, Cl, Br or I, n 0, 1 or 2 , and their isomers and salts.
Verbindungen nach Anspruch 28 der Formel I-2a,
Figure 00960002
worin R1 H, COOR3, OH, OA, NH2, Alkyl mit 1, 2, 3, 4, 5 oder 6 C-Atomen, N3, Ethinyl, Vinyl, Allyloxy, -OCOR3, NHCOA oder NHSO2A, R2 H, OH, OA oder Alkyl mit 1, 2, 3, 4, 5 oder 6 C-Atomen, R3 H oder A,
Figure 00970001
Pyrrolidin-1,2-diyl, G (CH2)n oder (CH2)nNH-, X CONH, Y unsubstituiertes oder ein- oder zweifach durch Methyl, Trifluormethyl, Ethyl, Propyl, Cl oder F substituiertes 1,3- oder 1,4-Phenylen, T ein- oder zweifach durch Carbonylsauerstoff substituiertes Piperidin-1-yl, Pyrrolidin-1-yl, 1H-Pyridin-1-yl, Morpholin-4-yl, Piperazin-1-yl, 1,3-Oxazolidin-3-yl, 2H-Pyridazin-2-yl, Pyrazin-1-yl, Azepan-1-yl, 2-Aza-bicyclo[2.2.2]-octan-2-yl, A Alkyl mit 1, 2, 3, 4, 5 oder 6 C-Atomen, Hal F, Cl, Br oder I, n 0, 1 oder 2, bedeuten, sowie deren Isomere und Salze.
Compounds according to Claim 28 of the formula I-2a,
Figure 00960002
wherein R 1 is H, COOR 3 , OH, OA, NH 2 , alkyl having 1, 2, 3, 4, 5 or 6 carbon atoms, N 3 , ethynyl, vinyl, allyloxy, -OCOR 3 , NHCOA or NHSO 2 A , R 2 H, OH, OA or alkyl having 1, 2, 3, 4, 5 or 6 carbon atoms, R 3 H or A,
Figure 00970001
Pyrrolidine-1,2-diyl, G (CH 2 ) n or (CH 2 ) n NH-, X CONH, Y unsubstituted or mono- or disubstituted by methyl, trifluoromethyl, ethyl, propyl, Cl or F 1,3- or 1,4-phenylene, T mono- or disubstituted by carbonyl oxygen, piperidin-1-yl, pyrrolidin-1-yl, 1H-pyridin-1-yl, morpholin-4-yl, piperazin-1-yl, 1,3 -Oxazolidin-3-yl, 2H-pyridazin-2-yl, pyrazin-1-yl, azepan-1-yl, 2-aza-bicyclo [2.2.2] -octan-2-yl, A alkyl with 1, 2 , 3, 4, 5 or 6 carbon atoms, Hal F, Cl, Br or I, n is 0, 1 or 2, and their isomers and salts.
Verbindungen nach Anspruch 29, ausgewählt aus der Gruppe (S)-Pyrrolidin-2-carbonsäure-N-[4-(3-oxo-morpholin-4-yl)-phenyl]-amid, (R)-Pyrrolidin-2-carbonsäure-N-[4-(3-oxo-morpholin-4-yl)-phenyl]-amid, (2R,4R)-4-Hydroxy-pyrrolidin-2-carbonsäure-N-[4-(3-oxo-morpholin-4-yl)-phenyl]-amid, 4-Hydroxy-pyrrolidin-2-carbonsäure-N-[4-(3-oxo-morpholin-4-yl)-phenyl]-amid, (R)-4,4-Dimethoxy-pyrrolidin-2-carbonsäure-N-[4-(3-oxo-morpholin-4-yl)-phenyl]-amid, (2R,4R)-4-Methoxy-pyrrolidin-2-carbonsäure-N-[4-(3-oxo-morpholin-4-yl)-phenyl]-amid, sowie deren Isomere und Salze.Compounds according to claim 29 selected from the group (S) -pyrrolidine-2-carboxylic acid-N- [4- (3-oxo-morpholin-4-yl) -phenyl] -amide, (R) -pyrrolidine-2-carboxylic acid-N- [4- (3-oxo-morpholin-4-yl) -phenyl] -amide, (2R, 4R) -4-Hydroxy-pyrrolidine-2-carboxylic acid-N- [4- (3-oxo-morpholin-4-yl) -phenyl] -amide, 4-Hydroxy-pyrrolidine-2-carboxylic acid-N- [4- (3-oxo-morpholin-4-yl) -phenyl] -amide, (R) -4,4-dimethoxy-pyrrolidine-2-carboxylic acid-N- [4- (3-oxo-morpholin-4-yl) -phenyl] -amide, (2R, 4R) -4-Methoxy-pyrrolidine-2-carboxylic acid-N- [4- (3-oxo-morpholin-4-yl) -phenyl] -amide, such as their isomers and salts.
DE10315377A 2003-04-03 2003-04-03 New carbonyl-substituted carbocyclic or heterocyclic compounds, are factor Xa and factor VIIa inhibitors useful e.g. for treating thrombosis, myocardial infarction, arteriosclerosis, inflammation or tumors Withdrawn DE10315377A1 (en)

Priority Applications (65)

Application Number Priority Date Filing Date Title
DE10315377A DE10315377A1 (en) 2003-04-03 2003-04-03 New carbonyl-substituted carbocyclic or heterocyclic compounds, are factor Xa and factor VIIa inhibitors useful e.g. for treating thrombosis, myocardial infarction, arteriosclerosis, inflammation or tumors
DE10329457A DE10329457A1 (en) 2003-04-03 2003-07-01 New 1,2-bis-phenylaminocarbonyl-pyrrolidine derivatives, useful for treating or preventing e.g. thrombosis, myocardial infarct and arteriosclerosis, are inhibitors of coagulation factor Xa
AU2004226278A AU2004226278B2 (en) 2003-04-03 2004-03-08 Pyrrolidino-1,2-dicarboxy-1-(phenylamide)-2-(4-(3-oxo-morpholino-4-yl)-phenylamide) derivatives and related compounds for use as inhibitors of coagulation factor Xa in the treatment of thrombo-embolic diseases
AT04718299T ATE430139T1 (en) 2003-04-03 2004-03-08 PYRROLIDINE-1,2-DICARBONONIC ACID-1-(PHENYLAMIDE)-2-( - (3-OXO-MORPHOLINE-4-YL)-PHENYLAMIDE) DERIVATIVES AND RELATED COMPOUNDS AS INHIBITORS OF COAGULATION FACTOR XA FOR THE TREATMENT OF THROMBOEMBOLIC DISEASES
BRPI0408420-9A BRPI0408420A (en) 2003-04-03 2004-03-08 carbonyl compounds
MXPA05010444A MXPA05010444A (en) 2003-04-03 2004-03-08 Pyrrolidino-1, 2-dicarboxy -1-(phenylamide) -2-(4-(3-oxo- morpholino -4-yl)- phenylamide) derivatives and related compounds for use as inhibitors of coagulation factor xa in the treatment of thrombo-embolic diseases.
ES04718299T ES2325077T3 (en) 2003-04-03 2004-03-08 DERIVATIVES OF 1- (PHENYLAMIDE) -2- (4- (3-OXO-MORFOLIN-4-IL) -PHENYLAMIDE) OF PIRROLIDIN-1,2-DICARBOXYL ACID AND COMPOUNDS COMPARED AS INHIBITORS OF THE XA COAGULATION FACTOR, FOR TROMBOEMBOLIC DISEASE TREATMENT.
KR1020057018638A KR20050118708A (en) 2003-04-03 2004-03-08 Pyrrolidino-1,2-dicarboxy-1-(phenylamide)-2-(4-(3-oxo-morpholino-4-yl)-phenylamide) derivatives and related compounds for use as inhibitors of coagulation factor xa in the treatment of thrombo-embolic diseases
CA2521069A CA2521069C (en) 2003-04-03 2004-03-08 Pyrrolidino-1,2-dicarboxy-1-(phenylamide)-2-(4-(3-oxo-morpholino-4-yl)-phenylamide) derivatives and related compounds for use as inhibitors of coagulation factor xa in the treatment of thrombo-embolic diseases
DE502004009440T DE502004009440D1 (en) 2003-04-03 2004-03-08 PYRROLIDIN-1,2-DICARBOXYLIC ACID 1- (PHENYLAMID) -2- (4- (3-OXO-MORPHOLIN-4-YL) -PHENYLAMIDE) DERIVATIVES AND RELATED COMPOUNDS AS INHIBITORS OF COAGULATION FACTOR XA FOR THE TREATMENT OF THROMBOEMBOLIC ILLNESSES
JP2006504581A JP4705015B2 (en) 2003-04-03 2004-03-08 Carbonyl compounds
UAA200510222A UA85676C2 (en) 2003-04-03 2004-03-08 Carbonyl compounds
RU2005133870/04A RU2337099C2 (en) 2003-04-03 2004-03-08 Carbonyl compounds
PL377633A PL377633A1 (en) 2003-04-03 2004-03-08 Carbonyl compounds
NZ543366A NZ543366A (en) 2003-04-03 2004-03-08 Carbonyl compounds
US10/551,557 US7906516B2 (en) 2003-04-03 2004-03-08 Carbonyl compounds
EP04718299A EP1720844B1 (en) 2003-04-03 2004-03-08 Pyrrolidino-1,2-dicarboxy-1-(phenylamide)-2-(4-(3-oxo-morpholino-4-yl)-phenylamide) derivatives and related compounds for use as inhibitors of coagulation factor xa in the treatment of thrombo-embolic diseases
CNA2004800093547A CN1771237A (en) 2003-04-03 2004-03-08 1-(phenylcarbamoyl)-2-(4-(3-oxo-morpholin-4-yl)-phenylcarbamoyl) as an inhibitor of coagulation factor XA in the treatment of thromboembolic diseases Pyrrolidine derivatives and related compounds
PCT/EP2004/002350 WO2004087646A2 (en) 2003-04-03 2004-03-08 Pyrrolidino-1,2-dicarboxy-1-(phenylamide)-2-(4-(3-oxo-morpholino-4-yl)-phenylamide) derivatives and related compounds for use as inhibitors of coagulation factor xa in the treatment of thrombo-embolic diseases
DE502004003688T DE502004003688D1 (en) 2003-04-03 2004-03-09 PYRAZOLIDINE-1,2-DICARBOXYLIC ACID-1 - ((PHENYL) -AMID) -2 - ((PHENYL) -AMID) DERIVATIVES AS COAGULATION FACTOR XA INHIBITORS FOR THE TREATMENT OF THROMBOSES
CNA2004800093744A CN1771248A (en) 2003-04-03 2004-03-09 Process for preparing 1-N-phenyl-2-N-phenylpyrrolidine-1,2-dicarboxamide derivatives and 1-phenylcarbamoylpyrrolidine-2-carboxylic acid derivatives as intermediates
CNA2004800094639A CN1771249A (en) 2003-04-03 2004-03-09 1-N-phenyl-2-N-phenylpyrrolidine-1,2-dicarboxamide derivatives as coagulation factor Xa inhibitors for the treatment of thrombosis
AU2004226281A AU2004226281B2 (en) 2003-04-03 2004-03-09 Pyrazolidine-1,2-dicarboxyldiphenylamide derivatives as coagulation factor Xa inhibitors for the treatment of thromboses
EP04718641A EP1608645B1 (en) 2003-04-03 2004-03-09 Pyrazolidine-1,2-dicarboxyldiphenylamide derivatives as coagulation factor xa inhibitors for the treatment of thromboses
CA2520894A CA2520894C (en) 2003-04-03 2004-03-09 Pyrazolidine-1,2-dicarboxyldiphenylamide derivatives as coagulation factor xa inhibitors for the treatment of thromboses
US10/551,670 US7504500B2 (en) 2003-04-03 2004-03-09 Method for the production of pyrrolidine-1,2-dicarboxylic acid-1-(phenyl(-amide))-2(phenyl(-amide)) derivatives and 1-(phenylcarbamoyl)-pyrrolidine-2-carboxylic acid derivatives as intermediate products
US10/551,559 US7557102B2 (en) 2003-04-03 2004-03-09 Pyrazolidine-1,2-dicarboxyldiphenylamide derivatives as coagulation factor Xa inhibitors for the treatment of thromboses
MXPA05010445A MXPA05010445A (en) 2003-04-03 2004-03-09 Pyrazolidine-1,2-dicarboxyldiphenylamide derivatives as coagulation factor xa inhibitors for the treatment of thromboses.
AT04718641T ATE361296T1 (en) 2003-04-03 2004-03-09 PYRAZOLIDINE-1,2-DICARBONONIC ACID 1-((PHENYL)-AMID) 2-((PHENYL)-AMID) DERIVATIVES AS COAGULATION FACTOR XA INHIBITORS FOR THE TREATMENT OF THROMBOSIS
JP2006504602A JP4634369B2 (en) 2003-04-03 2004-03-09 Process for producing 1-N- (phenyl) -2-N- (phenyl) pyrrolidine-1,2-dicarboxamide derivative and 1- (phenylcarbamoyl) pyrrolidine-2-carboxylic acid derivative as an intermediate
EP04718646A EP1608646B1 (en) 2003-04-03 2004-03-09 Method for the production of pyrrolidine-1,2-dicarboxylic acid-1-(phenyl(-amide))-2-(phenyl(-amide)) derivatives and 1-(phenylcarbamoyl)-pyrrolidine-2-carboxylic acid derivatives as intermediate products
DE502004004294T DE502004004294D1 (en) 2003-04-03 2004-03-09 METHOD OF PREPARING PYRROLIDIN-1,2-DICARBOXYLIC ACID 1 - (PHENYL (-AMID)) - 2- (PHENYL (-AMID)) DERIVATIVES AND 1- (PHENYLCARBAMOYL) -PYRROLIDIN-2-CARBOXYLIC ACID DERIVATIVES AS INTERMEDIATES
AT04718646T ATE366732T1 (en) 2003-04-03 2004-03-09 METHOD FOR PRODUCING PYRROLIDINE-1,2-DICARBONIC ACID-1-(PHENYL(-AMID))-2-(PHENYL(-AMID)) DERIVATIVES AND 1-(PHENYLCARBAMOYL)-PYRROLIDINE-2-CARBONIC ACID DERIVATIVES AS INTERMEDIATE PRODUCTS
KR1020057018640A KR20050118709A (en) 2003-04-03 2004-03-09 Method for the production of pyrrolidine-1,2-dicarboxylic acid-1-(phenyl(-amide))-2-(phenyl(-amide)) derivatives and 1-(phenylcarbamoyl)-pyrrolidine-2-carboxylic acid derivatives as intermediate products
PL377864A PL377864A1 (en) 2003-04-03 2004-03-09 Pyrazolidine-1,2-dicarboxyldiphenylamide derivatives as coagulation factor xa inhibitors for the treatment of thromboses
BRPI0408888-3A BRPI0408888A (en) 2003-04-03 2004-03-09 Process for the preparation of 1-n- (phenyl) -2-n- (phenyl) pyrrolidine-1,2-dicarboxamide derivatives and 1- (phenylcarbamoyl) pyrrolidine-2-carboxylic acid derivatives as intermediates
MXPA05010433A MXPA05010433A (en) 2003-04-03 2004-03-09 Method for the production of pyrrolidine-1,2-dicarboxylic acid-1-(phenyl(-amide))-2-(phenyl(-amide)) derivatives and 1-(phenylcarbamoyl)-pyrrolidine-2-carboxylic acid derivatives as intermediate products.
ES04718646T ES2287708T3 (en) 2003-04-03 2004-03-09 METHOD FOR THE PRODUCTION OF ACID DERIVATIVES PIRROLIDIN-1,2-DICARBOXILICO-II- (PHENYL (-AMIDA) -2- (PHENYL-AMIDA) AND DERIVATIVES OF ACID 1- (PHENYLCARBAMOIL) -PIRROLIDINE-2-CARBOXYLIC AS INTERMEDIATE PRODUCTS .
KR1020057018641A KR20050109617A (en) 2003-04-03 2004-03-09 Pyrazolidine-1,2-dicarboxyldiphenylamide derivatives as coagulation factor xa inhibitors for the treatment of thromboses
CA2520893A CA2520893C (en) 2003-04-03 2004-03-09 Process for the preparation of 1-n-(phenyl)-2-n-(phenyl)pyrrolidine-1,2-dicarboxamide derivatives and 1-(phenylcarbamoyl)pyrrolidine-2-carboxylic acid derivatives as intermediates
RU2005133869/04A RU2005133869A (en) 2003-04-03 2004-03-09 Derivatives of 1-N- (Phenyl) -2-N- (Phenyl) Pyrazolidin-1, 2-Dicarboxamide as Inhibitors of Coagulation Factor XA for the Treatment of Thrombosis
PCT/EP2004/002407 WO2004087696A1 (en) 2003-04-03 2004-03-09 Pyrazolidine-1,2-dicarboxyldiphenylamide derivatives as coagulation factor xa inhibitors for the treatment of thromboses
ES04718641T ES2285444T3 (en) 2003-04-03 2004-03-09 DERIVATIVES OF 1- (PHENYL) -AMIDA) -2- (PHENYL) -AMIDA) OF PIRAZOLIDIN-1,2-DICARBOXILIC ACID AS INHIBITORS OF COAGULATION FACTOR XA FOR THE TROMBOSIS TREATMENT.
JP2006504604A JP4624982B2 (en) 2003-04-03 2004-03-09 1-N- (phenyl) -2-N- (phenyl) pyrazolidine-1,2-dicarboxamide derivatives as coagulation factor Xa inhibitors for the treatment of thrombosis
PCT/EP2004/002405 WO2004087695A1 (en) 2003-04-03 2004-03-09 Method for the production of pyrrolidine-1,2-dicarboxylic acid-1-(phenyl(-amide))-2-(phenyl(-amide)) derivatives and 1-(phenylcarbamoyl)-pyrrolidine-2-carboxylic acid derivatives as intermediate products
BRPI0408444-6A BRPI0408444A (en) 2003-04-03 2004-03-09 1-n- (phenyl) -2-n- (phenyl) pyrazolidine-1,2-dicarboxamide derivatives as coagulation factor xa inhibitors for the treatment of thrombosis
AU2004226280A AU2004226280B2 (en) 2003-04-03 2004-03-09 Method for the production of pyrrolidine-1,2-dicarboxylic acid-1-(phenyl(-amide))-2-(phenyl(-amide)) derivatives and 1-(phenylcarbamoyl)-pyrrolidine-2-carboxylic acid derivatives as intermediate products
PL377138A PL377138A1 (en) 2003-04-03 2004-03-09 Method for the production of pyrrolidine-1,2-dicarboxylic acid-1-(phenyl(-amide))-2-(phenyl(-amide)) derivatives and 1-(phenylcarbamoyl)-pyrrolidine-2-carboxylic acid derivatives as intermediate products
TW093108890A TW200512200A (en) 2003-04-03 2004-03-31 Carbonyl compounds
MYPI20041185A MY140031A (en) 2003-04-03 2004-03-31 Carbonyl compounds
TW093108904A TW200500339A (en) 2003-04-03 2004-03-31 Pyrrolidine derivatives, and process for the preparation
CL200400720A CL2004000720A1 (en) 2003-04-03 2004-04-02 COMPOUNDS DERIVED FROM PIRAZOLIDINA-1,2-DICARBOXILDIFENILAMIDA, INHIBITORS OF THE COAGULATION FACTORS Xa, VIIa; PREPARATION PROCESS; INTERMEDIARY COMPOUNDS; PHARMACEUTICAL COMPOSITION; PHARMACEUTICAL KIT; AND ITS USE TO TREAT THROMBOSIS, INFAR
ARP040101115A AR043833A1 (en) 2003-04-03 2004-04-02 DERIVATIVES OF 1,2 DIAZOL. METHOD OF PREPARATION AND PHARMACEUTICAL COMPOSITIONS
PE2004000349A PE20050395A1 (en) 2003-04-03 2004-04-02 PROCEDURES FOR THE PREPARATION OF PYRROLIDIN-1,2-DICARBOXYL ACID DERIVATIVES-1- (PHENYL (-AMIDE)) - 2- (PHENYL (-AMIDE)) AND 1- (PHENYLCARBAMOYL) -PYRROLIDIN-2-CARBOXYL ACID AS INHIBITORS OF FACTOR Xa
ARP040101114A AR043832A1 (en) 2003-04-03 2004-04-02 CARBON COMPOUNDS AND THE SAME PREPARATION PROCESS
ARP040101113A AR043831A1 (en) 2003-04-03 2004-04-02 PIRRODILINE DERIVATIVES AND PROCEDURE TO PREPARE THEM
CL2004000719A CL2004000719A1 (en) 2003-04-03 2004-04-02 ACID PREPARATION PROCEDURE PIRROLIDIN-1,2-DICARBOXILICO-1 - [(4-CHLORINE-PHENYL) -AMIDO] -2 {[(3-OXO-MORFOLIN-4-IL) -PHENY] -AMIDE} AND ONE OF THE INTERMEDIARIES USED IN THE PROCEDURE.
PE2004000350A PE20050015A1 (en) 2003-04-03 2004-04-02 DERIVATIVES (3-OXO-MORFOLIN-4-IL) -PHENYLAMIDE AS INHIBITORS OF COAGULATION FACTORS AND INTERMEDIARY COMPOUNDS IN THEIR PREPARATION
IL171214A IL171214A (en) 2003-04-03 2005-09-29 Carbonyl compounds, their preparation and pharmaceutical compositions comprising them
CO05099907A CO5660267A2 (en) 2003-04-03 2005-10-03 CARBON COMPOUNDS
EC2005006131A ECSP056131A (en) 2003-04-03 2005-10-28 CARBON COMPOUNDS
ZA200508891A ZA200508891B (en) 2003-04-03 2005-11-02 Pyrazolidine-1,2-dicarboxyldiphenylamide derivatives as coagulation factor Xa inhibitors for the treatment of thromboses
ZA200508889A ZA200508889B (en) 2003-04-03 2005-11-02 Pyrrolidino-1,2-dicarboxy-1-(phenylamide)-2-(4-(3-oxomorpholino-4-yl)-phenylamide) derivatives and related compounds for use as inhibitors of coagulation factor Xa in the treatment of thrombo-embolic diseases
ZA200508888A ZA200508888B (en) 2003-04-03 2005-11-02 Methods for the production of pyrrolidine-1,2-dicarboxylic acid-1-(phenyl(-amide))-2-(phenyl(-amide)) derivatives and 1-(phenylcarbamoyl)-pyrrolidine-2-carboxylic acid derivatives as intermediate products
US12/817,314 US8129373B2 (en) 2003-04-03 2010-06-17 Carbonyl compounds

Applications Claiming Priority (1)

Application Number Priority Date Filing Date Title
DE10315377A DE10315377A1 (en) 2003-04-03 2003-04-03 New carbonyl-substituted carbocyclic or heterocyclic compounds, are factor Xa and factor VIIa inhibitors useful e.g. for treating thrombosis, myocardial infarction, arteriosclerosis, inflammation or tumors

Publications (1)

Publication Number Publication Date
DE10315377A1 true DE10315377A1 (en) 2004-10-14

Family

ID=32981039

Family Applications (1)

Application Number Title Priority Date Filing Date
DE10315377A Withdrawn DE10315377A1 (en) 2003-04-03 2003-04-03 New carbonyl-substituted carbocyclic or heterocyclic compounds, are factor Xa and factor VIIa inhibitors useful e.g. for treating thrombosis, myocardial infarction, arteriosclerosis, inflammation or tumors

Country Status (4)

Country Link
CN (3) CN1771237A (en)
DE (1) DE10315377A1 (en)
UA (1) UA85676C2 (en)
ZA (3) ZA200508891B (en)

Cited By (8)

* Cited by examiner, † Cited by third party
Publication number Priority date Publication date Assignee Title
WO2006032342A3 (en) * 2004-09-22 2007-01-11 Merck Patent Gmbh Carbonyl compound-containing drug and the use thereof
WO2011025565A1 (en) * 2009-08-31 2011-03-03 Mochida Pharmaceutical Co., Ltd. Morpholinone compounds as factor ixa inhibitors
US8642582B2 (en) 2008-12-05 2014-02-04 Merck Sharp & Dohme Corp. Morpholinone compounds as factor IXa inhibitors
US8987242B2 (en) 2008-12-05 2015-03-24 Merck Sharp & Dohme Corp. Morpholinone compounds as factor IXA inhibitors
US9732080B2 (en) 2006-11-03 2017-08-15 Vertex Pharmaceuticals Incorporated Azaindole derivatives as CFTR modulators
US10071979B2 (en) 2010-04-22 2018-09-11 Vertex Pharmaceuticals Incorporated Process of producing cycloalkylcarboxamido-indole compounds
US10081621B2 (en) 2010-03-25 2018-09-25 Vertex Pharmaceuticals Incorporated Solid forms of (R)-1(2,2-difluorobenzo[D][1,3]dioxol-5-yl)-N-(1-(2,3-dihydroxypropyl)-6-fluoro-2-(1-hydroxy-2-methylpropan-2-yl)-1H-indol-5-yl)cyclopropanecarboxamide
US10206877B2 (en) 2014-04-15 2019-02-19 Vertex Pharmaceuticals Incorporated Pharmaceutical compositions for the treatment of cystic fibrosis transmembrane conductance regulator mediated diseases

Families Citing this family (7)

* Cited by examiner, † Cited by third party
Publication number Priority date Publication date Assignee Title
HK1209747A1 (en) * 2012-07-19 2016-04-08 大日本住友制药株式会社 1-(cycloalkyl-carbonyl)proline derivative
EP3095786A4 (en) * 2014-01-14 2017-10-11 Sumitomo Dainippon Pharma Co., Ltd. Condensed 5-oxazolidinone derivative
CN104974148B (en) * 2014-04-14 2017-11-24 北大方正集团有限公司 The method of one kind synthesis ketone of 4 { 4 [base of 1,3 oxazolidine of (5S) 5 (amino methyl) 2 oxo 3] phenyl } morpholine 3
CN104098497B (en) * 2014-06-17 2016-04-13 王庚禹 A kind of new amides
SG10202003705WA (en) * 2015-10-01 2020-06-29 Biocryst Pharm Inc Human plasma kallikrein inhibitors
CN110240591A (en) * 2018-03-08 2019-09-17 天津药物研究院有限公司 Proline derivative and its preparation method and application
CN115974856B (en) * 2022-12-28 2023-08-11 北京康立生医药技术开发有限公司 Preparation method of drug valmotustat for treating adult T-cell leukemia lymphoma

Cited By (8)

* Cited by examiner, † Cited by third party
Publication number Priority date Publication date Assignee Title
WO2006032342A3 (en) * 2004-09-22 2007-01-11 Merck Patent Gmbh Carbonyl compound-containing drug and the use thereof
US9732080B2 (en) 2006-11-03 2017-08-15 Vertex Pharmaceuticals Incorporated Azaindole derivatives as CFTR modulators
US8642582B2 (en) 2008-12-05 2014-02-04 Merck Sharp & Dohme Corp. Morpholinone compounds as factor IXa inhibitors
US8987242B2 (en) 2008-12-05 2015-03-24 Merck Sharp & Dohme Corp. Morpholinone compounds as factor IXA inhibitors
WO2011025565A1 (en) * 2009-08-31 2011-03-03 Mochida Pharmaceutical Co., Ltd. Morpholinone compounds as factor ixa inhibitors
US10081621B2 (en) 2010-03-25 2018-09-25 Vertex Pharmaceuticals Incorporated Solid forms of (R)-1(2,2-difluorobenzo[D][1,3]dioxol-5-yl)-N-(1-(2,3-dihydroxypropyl)-6-fluoro-2-(1-hydroxy-2-methylpropan-2-yl)-1H-indol-5-yl)cyclopropanecarboxamide
US10071979B2 (en) 2010-04-22 2018-09-11 Vertex Pharmaceuticals Incorporated Process of producing cycloalkylcarboxamido-indole compounds
US10206877B2 (en) 2014-04-15 2019-02-19 Vertex Pharmaceuticals Incorporated Pharmaceutical compositions for the treatment of cystic fibrosis transmembrane conductance regulator mediated diseases

Also Published As

Publication number Publication date
ZA200508891B (en) 2007-03-28
CN1771249A (en) 2006-05-10
CN1771248A (en) 2006-05-10
ZA200508888B (en) 2007-02-28
UA85676C2 (en) 2009-02-25
ZA200508889B (en) 2007-02-28
CN1771237A (en) 2006-05-10

Similar Documents

Publication Publication Date Title
EP1720844B1 (en) Pyrrolidino-1,2-dicarboxy-1-(phenylamide)-2-(4-(3-oxo-morpholino-4-yl)-phenylamide) derivatives and related compounds for use as inhibitors of coagulation factor xa in the treatment of thrombo-embolic diseases
EP1558247B1 (en) Benzimidazole derivatives
EP1633346B1 (en) Pyrrolidin-1, 2- dicarboxylic acid- 1- (4- ethinyl- phenyl) - amid|- 2- (phenyl)- amid| derivative as inhibitors of coagulation factor xa and viia for the treatment of thrombosis
DE102004045796A1 (en) Medicaments containing carbonyl compounds and their use
EP1608645A1 (en) Pyrazolidine-1,2-dicarboxyldiphenylamide derivatives as coagulation factor xa inhibitors for the treatment of thromboses
DE10329457A1 (en) New 1,2-bis-phenylaminocarbonyl-pyrrolidine derivatives, useful for treating or preventing e.g. thrombosis, myocardial infarct and arteriosclerosis, are inhibitors of coagulation factor Xa
DE10112768A1 (en) New heterocyclic-substituted phenyl compounds, are Factor Xa and Factor VIIa inhibitors useful e.g. for treating thrombosis, myocardial infarction, inflammation, restenosis or tumor diseases
DE10315377A1 (en) New carbonyl-substituted carbocyclic or heterocyclic compounds, are factor Xa and factor VIIa inhibitors useful e.g. for treating thrombosis, myocardial infarction, arteriosclerosis, inflammation or tumors
DE10229070A1 (en) Phenyl derivatives 5
EP1562939B1 (en) Carboxamides
EP1441726B1 (en) Derivatives of phenoxy-n-'4-(isothiazolidin-1,1-dioxid-2yl)pheny]-valerian- acid amide and other compounds as inhibitors of the coagulation factor xa in the treatment of thromboembolic diseases and tumors
DE10214832A1 (en) Phenyl derivatives 4
EP1414456B1 (en) Phenyl derivatives as factor xa inhibitors
DE10302500A1 (en) New carboxamide derivatives useful as factor Xa or VIIa inhibitors e.g. for treating thrombosis, myocardial infarction, arteriosclerosis, inflammation, stroke and angina
EP1499591A1 (en) Carboxylic acid amides
DE10247226A1 (en) New heteroaryl-substituted carboxylic acid amide derivatives, useful as factor Xa and factor VIIa inhibitors for e.g. treating thrombosis, myocardial infarction, arteriosclerosis, inflammation or tumors
DE10329295A1 (en) Preparation of pyrrolidine-1,2-dicarboxanilide derivatives for use as factor Xa inhibiting antithrombotic agents, comprises reacting pyrrolidine-2-carboxylic acid with phenyl isocyanate then aniline derivative
DE10236868A1 (en) New (hetero)aryl-substituted carboxamide compounds, are factor Xa and factor VIIa inhibitors useful e.g. for treating thrombosis, myocardial infarction, arteriosclerosis, inflammation or tumors
DE10218974A1 (en) New (hetero)aryl-substituted carboxamide compounds, are factor Xa and factor VIIa inhibitors useful e.g. for treating thrombosis, myocardial infarction, arteriosclerosis, inflammation or tumors
DE10336570A1 (en) New pyrazolidine-1,2-dicarboxamide derivatives, are factor Xa and factor VIIa inhibitors useful e.g. for treating thrombosis, myocardial infarction, arteriosclerosis, inflammation or tumors
EP1399449A1 (en) Carbohydrate derivatives
DE10327428A1 (en) Preparation of pyrrolidine-1,2-dicarboxanilide derivatives for use as factor Xa inhibiting antithrombotic agents, comprises reacting pyrrolidine-2-carboxylic acid with phenyl isocyanate then aniline derivative

Legal Events

Date Code Title Description
8139 Disposal/non-payment of the annual fee