DE102015121342B4 - Elektrolyt, negativelektrodenstruktur und verfahren zur herstellung einer festelektrolytgrenzflächen-schicht auf einer oberfläche einer lithiumelektrode - Google Patents
Elektrolyt, negativelektrodenstruktur und verfahren zur herstellung einer festelektrolytgrenzflächen-schicht auf einer oberfläche einer lithiumelektrode Download PDFInfo
- Publication number
- DE102015121342B4 DE102015121342B4 DE102015121342.7A DE102015121342A DE102015121342B4 DE 102015121342 B4 DE102015121342 B4 DE 102015121342B4 DE 102015121342 A DE102015121342 A DE 102015121342A DE 102015121342 B4 DE102015121342 B4 DE 102015121342B4
- Authority
- DE
- Germany
- Prior art keywords
- group
- carbonate
- lithium
- electrolyte
- fluorinated
- Prior art date
- Legal status (The legal status is an assumption and is not a legal conclusion. Google has not performed a legal analysis and makes no representation as to the accuracy of the status listed.)
- Active
Links
Images
Classifications
-
- H—ELECTRICITY
- H01—ELECTRIC ELEMENTS
- H01M—PROCESSES OR MEANS, e.g. BATTERIES, FOR THE DIRECT CONVERSION OF CHEMICAL ENERGY INTO ELECTRICAL ENERGY
- H01M4/00—Electrodes
- H01M4/02—Electrodes composed of, or comprising, active material
- H01M4/04—Processes of manufacture in general
- H01M4/0438—Processes of manufacture in general by electrochemical processing
- H01M4/045—Electrochemical coating; Electrochemical impregnation
- H01M4/0452—Electrochemical coating; Electrochemical impregnation from solutions
-
- H—ELECTRICITY
- H01—ELECTRIC ELEMENTS
- H01M—PROCESSES OR MEANS, e.g. BATTERIES, FOR THE DIRECT CONVERSION OF CHEMICAL ENERGY INTO ELECTRICAL ENERGY
- H01M10/00—Secondary cells; Manufacture thereof
- H01M10/05—Accumulators with non-aqueous electrolyte
- H01M10/056—Accumulators with non-aqueous electrolyte characterised by the materials used as electrolytes, e.g. mixed inorganic/organic electrolytes
- H01M10/0564—Accumulators with non-aqueous electrolyte characterised by the materials used as electrolytes, e.g. mixed inorganic/organic electrolytes the electrolyte being constituted of organic materials only
- H01M10/0566—Liquid materials
- H01M10/0567—Liquid materials characterised by the additives
-
- H—ELECTRICITY
- H01—ELECTRIC ELEMENTS
- H01M—PROCESSES OR MEANS, e.g. BATTERIES, FOR THE DIRECT CONVERSION OF CHEMICAL ENERGY INTO ELECTRICAL ENERGY
- H01M10/00—Secondary cells; Manufacture thereof
- H01M10/05—Accumulators with non-aqueous electrolyte
- H01M10/052—Li-accumulators
-
- H—ELECTRICITY
- H01—ELECTRIC ELEMENTS
- H01M—PROCESSES OR MEANS, e.g. BATTERIES, FOR THE DIRECT CONVERSION OF CHEMICAL ENERGY INTO ELECTRICAL ENERGY
- H01M10/00—Secondary cells; Manufacture thereof
- H01M10/05—Accumulators with non-aqueous electrolyte
- H01M10/052—Li-accumulators
- H01M10/0525—Rocking-chair batteries, i.e. batteries with lithium insertion or intercalation in both electrodes; Lithium-ion batteries
-
- H—ELECTRICITY
- H01—ELECTRIC ELEMENTS
- H01M—PROCESSES OR MEANS, e.g. BATTERIES, FOR THE DIRECT CONVERSION OF CHEMICAL ENERGY INTO ELECTRICAL ENERGY
- H01M10/00—Secondary cells; Manufacture thereof
- H01M10/05—Accumulators with non-aqueous electrolyte
- H01M10/056—Accumulators with non-aqueous electrolyte characterised by the materials used as electrolytes, e.g. mixed inorganic/organic electrolytes
- H01M10/0561—Accumulators with non-aqueous electrolyte characterised by the materials used as electrolytes, e.g. mixed inorganic/organic electrolytes the electrolyte being constituted of inorganic materials only
- H01M10/0562—Solid materials
-
- H—ELECTRICITY
- H01—ELECTRIC ELEMENTS
- H01M—PROCESSES OR MEANS, e.g. BATTERIES, FOR THE DIRECT CONVERSION OF CHEMICAL ENERGY INTO ELECTRICAL ENERGY
- H01M10/00—Secondary cells; Manufacture thereof
- H01M10/05—Accumulators with non-aqueous electrolyte
- H01M10/056—Accumulators with non-aqueous electrolyte characterised by the materials used as electrolytes, e.g. mixed inorganic/organic electrolytes
- H01M10/0564—Accumulators with non-aqueous electrolyte characterised by the materials used as electrolytes, e.g. mixed inorganic/organic electrolytes the electrolyte being constituted of organic materials only
- H01M10/0566—Liquid materials
- H01M10/0568—Liquid materials characterised by the solutes
-
- H—ELECTRICITY
- H01—ELECTRIC ELEMENTS
- H01M—PROCESSES OR MEANS, e.g. BATTERIES, FOR THE DIRECT CONVERSION OF CHEMICAL ENERGY INTO ELECTRICAL ENERGY
- H01M10/00—Secondary cells; Manufacture thereof
- H01M10/05—Accumulators with non-aqueous electrolyte
- H01M10/056—Accumulators with non-aqueous electrolyte characterised by the materials used as electrolytes, e.g. mixed inorganic/organic electrolytes
- H01M10/0564—Accumulators with non-aqueous electrolyte characterised by the materials used as electrolytes, e.g. mixed inorganic/organic electrolytes the electrolyte being constituted of organic materials only
- H01M10/0566—Liquid materials
- H01M10/0569—Liquid materials characterised by the solvents
-
- H—ELECTRICITY
- H01—ELECTRIC ELEMENTS
- H01M—PROCESSES OR MEANS, e.g. BATTERIES, FOR THE DIRECT CONVERSION OF CHEMICAL ENERGY INTO ELECTRICAL ENERGY
- H01M4/00—Electrodes
- H01M4/02—Electrodes composed of, or comprising, active material
- H01M4/13—Electrodes for accumulators with non-aqueous electrolyte, e.g. for lithium-accumulators; Processes of manufacture thereof
- H01M4/134—Electrodes based on metals, Si or alloys
-
- H—ELECTRICITY
- H01—ELECTRIC ELEMENTS
- H01M—PROCESSES OR MEANS, e.g. BATTERIES, FOR THE DIRECT CONVERSION OF CHEMICAL ENERGY INTO ELECTRICAL ENERGY
- H01M4/00—Electrodes
- H01M4/02—Electrodes composed of, or comprising, active material
- H01M4/13—Electrodes for accumulators with non-aqueous electrolyte, e.g. for lithium-accumulators; Processes of manufacture thereof
- H01M4/139—Processes of manufacture
- H01M4/1395—Processes of manufacture of electrodes based on metals, Si or alloys
-
- H—ELECTRICITY
- H01—ELECTRIC ELEMENTS
- H01M—PROCESSES OR MEANS, e.g. BATTERIES, FOR THE DIRECT CONVERSION OF CHEMICAL ENERGY INTO ELECTRICAL ENERGY
- H01M4/00—Electrodes
- H01M4/02—Electrodes composed of, or comprising, active material
- H01M4/36—Selection of substances as active materials, active masses, active liquids
- H01M4/362—Composites
- H01M4/366—Composites as layered products
-
- H—ELECTRICITY
- H01—ELECTRIC ELEMENTS
- H01M—PROCESSES OR MEANS, e.g. BATTERIES, FOR THE DIRECT CONVERSION OF CHEMICAL ENERGY INTO ELECTRICAL ENERGY
- H01M2220/00—Batteries for particular applications
- H01M2220/20—Batteries in motive systems, e.g. vehicle, ship, plane
-
- H—ELECTRICITY
- H01—ELECTRIC ELEMENTS
- H01M—PROCESSES OR MEANS, e.g. BATTERIES, FOR THE DIRECT CONVERSION OF CHEMICAL ENERGY INTO ELECTRICAL ENERGY
- H01M2220/00—Batteries for particular applications
- H01M2220/30—Batteries in portable systems, e.g. mobile phone, laptop
-
- H—ELECTRICITY
- H01—ELECTRIC ELEMENTS
- H01M—PROCESSES OR MEANS, e.g. BATTERIES, FOR THE DIRECT CONVERSION OF CHEMICAL ENERGY INTO ELECTRICAL ENERGY
- H01M2300/00—Electrolytes
- H01M2300/0017—Non-aqueous electrolytes
- H01M2300/0025—Organic electrolyte
- H01M2300/0028—Organic electrolyte characterised by the solvent
-
- H—ELECTRICITY
- H01—ELECTRIC ELEMENTS
- H01M—PROCESSES OR MEANS, e.g. BATTERIES, FOR THE DIRECT CONVERSION OF CHEMICAL ENERGY INTO ELECTRICAL ENERGY
- H01M2300/00—Electrolytes
- H01M2300/0017—Non-aqueous electrolytes
- H01M2300/0025—Organic electrolyte
- H01M2300/0028—Organic electrolyte characterised by the solvent
- H01M2300/0037—Mixture of solvents
-
- Y—GENERAL TAGGING OF NEW TECHNOLOGICAL DEVELOPMENTS; GENERAL TAGGING OF CROSS-SECTIONAL TECHNOLOGIES SPANNING OVER SEVERAL SECTIONS OF THE IPC; TECHNICAL SUBJECTS COVERED BY FORMER USPC CROSS-REFERENCE ART COLLECTIONS [XRACs] AND DIGESTS
- Y02—TECHNOLOGIES OR APPLICATIONS FOR MITIGATION OR ADAPTATION AGAINST CLIMATE CHANGE
- Y02E—REDUCTION OF GREENHOUSE GAS [GHG] EMISSIONS, RELATED TO ENERGY GENERATION, TRANSMISSION OR DISTRIBUTION
- Y02E60/00—Enabling technologies; Technologies with a potential or indirect contribution to GHG emissions mitigation
- Y02E60/10—Energy storage using batteries
Landscapes
- Chemical & Material Sciences (AREA)
- Engineering & Computer Science (AREA)
- General Chemical & Material Sciences (AREA)
- Chemical Kinetics & Catalysis (AREA)
- Electrochemistry (AREA)
- Manufacturing & Machinery (AREA)
- General Physics & Mathematics (AREA)
- Inorganic Chemistry (AREA)
- Condensed Matter Physics & Semiconductors (AREA)
- Physics & Mathematics (AREA)
- Materials Engineering (AREA)
- Composite Materials (AREA)
- Battery Electrode And Active Subsutance (AREA)
- Secondary Cells (AREA)
Abstract
Elektrolyt, umfassend:
ein Lösungsmittel;
ein Lithiumsalz und
ein Additiv, ausgewählt aus der Gruppe bestehend aus einem Silan mit wenigstens einer Si-H-Gruppe, einem fluorierten Methoxysilan, einem fluorierten Chlorsilan und Mischungen davon, wobei das Silan mit wenigstens einer Si-H-Gruppe aus der Gruppe bestehend aus H-Si((CH2)xCH3)2-R-Anion-Li+ und H-Si(CH2)xCH3)2-O-R-AnionLi+ ausgewählt ist,
wobei x im Bereich von 0 bis 2 liegt und R eine beliebige organische Gruppe ist, und in jedem von H-Si((CH2)xCH3)2-R-Anion-Li+ und H-Si((CH2)xCH3)2-O-R-Anion-Li+ das Anion aus der Gruppe bestehend aus PF5-, BF3 - und Fluormalonat(difluor)borat ((F)MDFB-) ausgewählt ist,
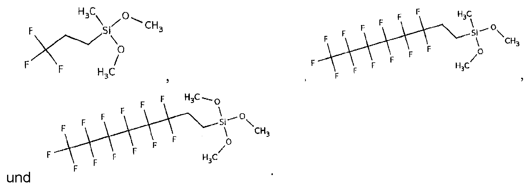
wobei das fluorierte Methoxysilan aus der Gruppe bestehend aus ausgewählt ist, und
wobei das fluorierte Chlorsilan die Formel (CH3)xSiCly-(CH2)m-(CF2)n-CF3 hat, worin x 1 ist und y 2 ist oder x 2 ist und y 1 ist, worin m im Bereich von 0 bis 2 liegt und worin n im Bereich von 1 bis 20 liegt.
ein Lösungsmittel;
ein Lithiumsalz und
ein Additiv, ausgewählt aus der Gruppe bestehend aus einem Silan mit wenigstens einer Si-H-Gruppe, einem fluorierten Methoxysilan, einem fluorierten Chlorsilan und Mischungen davon, wobei das Silan mit wenigstens einer Si-H-Gruppe aus der Gruppe bestehend aus H-Si((CH2)xCH3)2-R-Anion-Li+ und H-Si(CH2)xCH3)2-O-R-AnionLi+ ausgewählt ist,
wobei x im Bereich von 0 bis 2 liegt und R eine beliebige organische Gruppe ist, und in jedem von H-Si((CH2)xCH3)2-R-Anion-Li+ und H-Si((CH2)xCH3)2-O-R-Anion-Li+ das Anion aus der Gruppe bestehend aus PF5-, BF3 - und Fluormalonat(difluor)borat ((F)MDFB-) ausgewählt ist,
wobei das fluorierte Methoxysilan aus der Gruppe bestehend aus
wobei das fluorierte Chlorsilan die Formel (CH3)xSiCly-(CH2)m-(CF2)n-CF3 hat, worin x 1 ist und y 2 ist oder x 2 ist und y 1 ist, worin m im Bereich von 0 bis 2 liegt und worin n im Bereich von 1 bis 20 liegt.
Description
- HINTERGRUND
- Sekundäre oder wiederaufladbare Lithiumionen-Batterien oder Lithium-Schwefel-Batterien werden oft in vielen stationären und tragbaren Geräten verwendet, zum Beispiel in denen, denen man in der Konsumentenelektronik-, Automobil- und Luft- und Raumfahrt-Industrie begegnet. Die Lithiumklasse der Batterien hat aus verschiedenen Gründen Popularität erlangt; diese umfassen eine relativ hohe Energiedichte, ein allgemeines Nichtauftreten eines Memory-Effektes, wenn man Vergleiche mit anderen Arten wiederaufladbarer Batterien anstellt, einen relativ niedrigen inneren Widerstand und eine niedrige Selbstentladungsrate, wenn sie nicht im Gebrauch sind. Die Fähigkeit von Lithiumbatterien, eine wiederholte Energiezyklisierung über ihre Gebrauchsdauer durchzumachen, macht sie zu einer attraktiven und zuverlässigen Energiequelle. Solche und vergleichbare Elektrolyte, Negativelektrodenstrukturen und/oder Verfahren zur Herstellung einer Festelektrolytgrenzflächen (SEI)-Schicht auf einer Oberfläche einer Lithiumelektrode sind zum Beispiel in
DE 100 27 626 A1 , ,JP H08 - 321 311 A DE 10 2006 025 471 A1 ,US 2014 / 0 342 244 A1 ,US 2013 / 0 136 997 A1 ,CN 1 02 924 495 A und einem Artikel vom W.-K. Shin1 beschrieben. - 1 Shin, W.-K. [et.al.]: Trifluoropropyltrimethoxysilane as an Electrolyte Additive to Enhance the Cycling Performances of Lithium-Ion Cells. Journal of the Korean Electrochemical Society, 17, 2014, S. 156-163, ISSN: 2288-9000.
- ZUSAMMENFASSUNG
- Der vorliegenden Erfindung liegt die Aufgabe zugrunde, ein verbesserter Elektrolyt, eine verbesserte Negativelektrodenstruktur und ein verbessertes Verfahren zur Herstellung einer Festelektrolytgrenzflächen (SEI)-Schicht auf einer Oberfläche einer Lithiumelektrode zur Verfügung zu stellen.
- Diese Aufgabe wird gelöst durch die Gegenstände der unabhängigen Patentansprüche. Vorteilhafte Ausführungsformen der vorliegenden Erfindung sind in den abhängigen Ansprüchen beschrieben.
- Ein Beispielelektrolyt umfasst ein Lösungsmittel, ein Lithiumsalz und ein Additiv, das aus der Gruppe, bestehend aus einem Silan mit wenigstens einer Si-H-Gruppe; einem fluorierten Methoxysilan; einem fluorierten Fluorsilan und Mischungen davon, ausgewählt ist, wobei das Silan mit wenigstens einer Si-H-Gruppe aus der Gruppe bestehend aus H-Si((CH2)xCH3)2-R-Anion-Li+ und H-Si(CH2)xCH3)2-O-R-Anion-Li+ ausgewählt ist,
wobei x im Bereich von 0 bis 2 liegt und R eine beliebige organische Gruppe ist, und in jedem von H-Si((CH2)xCH3)2-R-Anion-Li+ und H-Si((CH2)xCH3)2-O-R-Anion-Li+ das Anion aus der Gruppe bestehend aus PF5 -, BF3 - und Fluormalonat(difluor)borat ((F)MDFB-) ausgewählt ist, wobei das fluorierte Methoxysilan aus der Gruppe bestehend aus ausgewählt ist, und
wobei das fluorierte Chlorsilan die Formel (CH3)xSiCly-(CH2)m-(CF2)n-CF3 hat, worin x 1 ist und y 2 ist oder x 2 ist und y 1 ist, worin m im Bereich von 0 bis 2 liegt und worin n im Bereich von 1 bis 20 liegt. - Der Elektrolyt kann in einem Verfahren zur Herstellung einer Festelektrolytgrenzflächen (SEI)-Schicht auf einer Oberfläche einer Lithiumelektrode verwendet wer) den. Nach dem Verfahren kann eine Negativelektrodenstruktur gebildet werden.
- KURZE BESCHREIBUNG DER ZEICHNUNG
- Merkmale von Beispielen der vorliegenden Offenbarung werden anhand der folgenden detaillierten Beschreibung und der Zeichnung klar werden.
-
1 ist ein Diagramm, das die Coulomb-Effizienz von einer Vergleichsbeispielzelle und zwei unterschiedlichen Beispielzellen, die unterschiedliche Elektrolyte, die hierin offenbart werden, umfassen, zeigt. - DETAILLIERTE BESCHREIBUNG
- Lithium-basierte Batterien arbeiten im Allgemeinen, indem Lithiumionen reversibel zwischen einer Negativelektrode (manchmal Anode genannt) und einer Positivelektrode (manchmal Kathode genannt) fließen. Die Negativelektrode und die Positivelektrode befinden sich auf gegenüberliegenden Seiten eines porösen Polymerseparators, der mit einer Elektrolytlösung, die zum Leiten der Lithiumionen geeignet ist, durchtränkt ist. Während einer Ladung werden Lithiumionen in die Negativelektrode eingesetzt (z. B. interkaliert, legiert usw.), und während einer Entladung werden Lithiumionen aus der Negativelektrode extrahiert. Jede der Elektroden ist auch mit entsprechenden Stromkollektoren verbunden, die durch einen unterbrechbaren äußeren Stromkreis verbunden sind, der erlaubt, dass ein elektrischer Strom zwischen der Negativelektrode und der Positivelektrode fließt. Beispiele für Lithiummetall-basierte Batterien umfassen die, die eine Lithiummetall-Negativelektrode haben. Die Lithiummetall-Negativelektrode kann mit einer Schwefel-basierten Positivelektrode in einer Lithium-Schwefel-Batterie oder mit einer traditionellen Lithium-basierten Positivelektrode (z. B. LiCoO2, LiFePO4, Li(NixMnyCoz)O2 (NMC) usw,) in einem Beispiel einer Lithiumionen-Batterie gekuppelt sein.
- Symmetrische elektrochemische Lithium-Lithium (Li-Li)-Zellen können verwendet werden, um die Coulomb-Effizienz des Lithiummetalls zu prüfen. Es wurde gefunden, dass das Lithiummetall in der symmetrischen Li-Li-Zelle eine Coulomb-Effizienz von etwa 99 % hat, wenn ein traditioneller LiNO3-basierter Elektrolyt verwendet wird. Die Effizienz ist relativ niedrig. Außerdem wird eine Lithiummetall-basierte Batterie ein Zyklusleben von unter 200 Zyklen haben, wenn das Negativzu-Positiv-Kapazitätsverhältnis (N/P) gleich 2 ist, und zwar zum Teil infolge des schnellen Verlustes von aktiven Lithiumionen an der Lithiummetallseite der Batterie. Um den Verlust an aktivem Lithium während der Zyklisierung zu bekämpfen, können in den Elektroden große Mengen an Lithium verwendet werden. Allerdings fügt zusätzliches Lithium zusätzliches Material zu der Batterie hinzu und somit steigt das Gewicht, steigen die Kosten usw.
- In den hierin offenbarten Beispielen wird eine Negativelektrodenstruktur gebildet, die eine Festelektrolytgrenzflächen (SEI)-Schicht umfasst, welche auf einer Oberfläche einer Lithium-Negativelektrode gebildet ist. Die Verwendung dieser Negativelektrodenstruktur verbessert die Coulomb-Effizienz des Lithiummetalls effektiv.
- Die SEI-Schicht wird aus einem Additiv gebildet, das in einer Elektrolytlösung vorliegt. Da das Additiv in der Elektrolytlösung vorliegt, wird die SEI in situ gebildet, wenn das Lithiummetall mit dem Elektrolyten in Kontakt gebracht wird. Die Bildung der SEI-Schicht kann innerhalb einer elektrochemischen Zelle stattfinden. Wie hierin verwendet, kann sich die elektrochemische Zelle auf eine beliebige der vorher genannten Lithiummetall-basierten Batterien beziehen. Andere Techniken, die keine Verwendung einer elektrochemischen Zelle erfordern, können auch eingesetzt werden, um die SEI-Schicht zu bilden. Dies beruht auf der Tatsache, dass die chemische Reaktion zwischen dem Additiv (den Additiven) und dem Lithiummetall selbst in Abwesenheit einer angelegten Spannung erfolgt. Beispiele der Negativelektrodenstruktur, die durch Techniken gebildet wird, die keine elektrochemische Zelle involvieren, können dann in ein Beispiel der Lithiummetall-basierten Batterie eingebaut werden.
- Die hierin offenbarten Additive sind Additive auf Siliciumbasis, die eine starke Wechselwirkung mit Lithiummetall-Negativelektroden haben. Ohne eine Bindung an eine Theorie einzugehen, wird angenommen, dass das Silicium-basierte Additiv dazu tendiert, ein Si-O-Si-basiertes Oligomer oder Polymer (d. h. die SEI-Schicht) auf der Oberfläche der Lithiummetall-Negativelektrode zu bilden. Das Si-O-Si-basierte Oligomer oder Polymer ist flexibel genug, um die riesige Volumenänderung von Lithium während einer Zyklisierung aufzunehmen. Zum Beispiel hält Si eine etwa 350 %-Volumenänderung zwischen Si und Li3,75Si aus, während Li eine unendliche Volumenänderung aushält, wenn das gesamte Li aus dem Stromkollektor abgestreift worden ist. Mit anderen Worten, reines Li-Metall hat ein Volumen, und wenn es entladen wird, ist es nicht mehr fest, sodass der Prozentwert der Volumenänderung (Vol_final - Vol_initial) / Vol final) unendlich ist. Der Si-O-Si-Bindungswinkel kann sich mit einer Energiebarriere von nur 0,3 kcal/mol von 140 zu 180 ändern (die typische Wasserstoffbindung ist > 5 kcal/mol, und die typische chemische Bindung > 100 kcal/mol), was die Si-O-Si-basierten Oligomere/Polymere ausreichend flexibel macht, um die große Volumenschwankung auszuhalten. So können die hierin offenbarten Silicium-basierten Additive und die daraus gebildet SEI-Schicht gegenüber anderem Elektrolytadditiv und SEI-Schichten überlegen sein.
- Beispiele des Additivs umfassen ein Silan mit wenigstens einer Si-H-Gruppe, ein fluoriertes Methoxysilan, ein fluoriertes Chlorsilan oder Kombinationen davon.
- Beispiele für das Silan mit wenigstens einer Si-H-Gruppe umfassen H-Si((CH2)xCH3)2-R-Anion-Li+ und H-Si(CH2)xCH3)2-O-R-Anion-Li+. In jeder dieser Formeln liegt x im Bereich von 0 bis 2 und ist R eine beliebige organische Gruppe. Als R kann auch eine beliebige organische Gruppe, die -Si, -C oder F umfasst, verwendet werden. Ein Beispiel einer organischen Gruppe, die eine geeignete R-Gruppe ist, umfasst H-Si((CH2)xCH3)2-CH2-CH2-. Ein Beispiel des Additivs mit dieser R-Gruppe ist 1,1,4,4-Tetramethyldisilethan mit der Struktur:
-
- In diesen zwei Beispielen liegt x im Bereich von 0 bis 2 (wie vorher erwähnt), und R kann eine beliebige der vorher beschriebenen Gruppen sein. Ein Beispiel für R kann -(CH2)2-Si((CH2)xCH3)2- sein.
-
-
- Wie oben erwähnt wurde, ist das Additiv (sind die Additive) in einem Elektrolyten enthalten. Das Additiv kann in jeder beliebigen Menge enthalten sein. Als Beispiel kann das Additiv in einer Menge im Bereich von etwa 0,1 Gew.-% bis etwa 10 Gew.-% der gesamten Gewichts-% des Elektrolyten enthalten sein.
- Der Elektrolyt kann auch ein Lösungsmittel und ein Lithiumsalz umfassen. Wenn die SEI-Schicht außerhalb der elektrochemischen Zelle gebildet werden soll, kann das Elektrolytlösungsmittel aus 1,3-Dioxolan (DOL oder DIOX), Dimethoxyethan (DME), Tetrahydrofuran, 2-Methyltetrahydrofuran, 1,2-Diethoxyethan, Ethoxymethoxyethan, Tetramethylenglycoldimethylether (TEGDME), Polyethylenglycoldimethylether (PEGDME), cyclischen Carbonaten (Ethylencarbonat (EC), Propylencarbonat, Butylencarbonat, Fluorethylencarbonat), linearen Carbonaten (Dimethylcarbonat (DMC), Diethylcarbonat (DEC), Ethylmethylcarbonat (EMC)), aliphatischen Carbonsäureestern (Methylformiat, Methylacetat, Methylpropionat), γ-Lactonen (γ-Butyrolacton, γ-Valerolacton) und Gemischen davon ausgewählt werden.
- Wenn die SEI-Schicht innerhalb der elektrochemischen Zelle gebildet werden soll, kann die Auswahl des Lösungsmittels abhängig vom Typ der elektrochemischen Zelle, die verwendet wird, variieren. Wenn die Zelle eine symmetrische elektrochemische Li-Li-Zelle ist, kann ein beliebiges der vorstehend aufgelisteten Lösungsmittel eingesetzt werden. Wenn die Zelle eine elektrochemische Li-S-Zelle ist, kann das Lösungsmittel aus 1,3-Dioxolan (DOL), Dimethoxyethan (DME), Tetrahydrofuran, 2-Methyltetrahydrofuran, 1,2-Diethoxyethan, Ethoxymethoxyethan, Tetraethylenglycoldimethylether (TEGDME), Polyethylenglycoldimethylether (PEGDME) und Gemischen davon ausgewählt werden. Wenn die Zelle eine Lithiumionen-Batterie ist, kann das Elektrolytlösungsmittel aus cyclischen Carbonaten (Ethylencarbonat (EC), Propylencarbonat, Butylencarbonat, Fluorethylencarbonat), linearen Carbonaten (Dimethylcarbonat (DMC), Diethylcarbonat (DEC), Ethylmethylcarbonat (EMC)), aliphatischen Carbonsäureestern (Methylformiat, Methylacetat, Methylpropionat), γ-Lactonen (γ-Butyrolacton, γ-Valerolacton), Kettenstrukturethern (1,2-Dimethoxyethan, 1,2-Diethoxyethan, Ethoxymethoxyethan), cyclischen Ethern (Tetrahydrofuran, 2-Methyltetrahydrofuran) und Gemischen davon ausgewählt werden.
- Beispiele des Lithiumsalzes umfassen LiClO4, LiAlCl4, Lil, LiBr, LiSCN, LiBF4, LiB(C6H5)4, LiAsF6, LiCF3SO3, LiN(FSO2)2 (LIFSI), LiN(CF3SO2)2 (LITSFI oder Lithium-bis(trifluormethylsulfonyl)imid), LiPF6, LiB(C2O4)2 (LiBOB), LiBF2(C2O4) (LiODFB), LiPF3(C2F5)3 (LiFAP), LiPF4(CF3)2, LiPF4(C2O4) (LiFOP), LiPF3(CF3)3, LiSO3CF3, LiNO3 und Gemische davon. In einem Beispiel ist die Konzentration des Salzes in dem Elektrolyten etwa 1 mol/L.
- Die Elektrode, auf der die SEI gebildet wird, ist eine Lithiummetallelektrode. Ein Beispiel der Lithiummetallelektrode ist Lithiumfolie.
- Um die SEI-Schicht auf dem Lithiummetall außerhalb der elektrochemischen Zelle zu bilden, kann ein beliebiges Beispiel des hierin offenbarten Elektrolyten hergestellt werden und dann kann das Lithiummetall dem Elektrolyten ausgesetzt werden. Wenn die SEI-Schicht außerhalb der elektrochemischen Zelle auf dem Lithiummetall gebildet wird, ist zu verstehen, dass das Lithiumsalz aus dem Elektrolyten ausgeschlossen sein kann. Das Aussetzen des Lithiummetalls gegenüber dem Elektrolyten kann durch Tauchbeschichtung oder eine andere geeignete Beschichtungstechnik erreicht werden. Das Lithiummetall ist hoch-reaktiv und ist mit einer Schicht aus LiOH beschichtet. Das H-Atom des LiOH kann mit verschiedenen Gruppen, die an dem Si des Additivs befestigt sein können, reagieren, sodass das Additiv an das Lithium bindet. Beispielsweise kann das -H mit H-Si unter Bildung von H2 reagieren und das Si wird sich an das Li binden; das -H kann mit CH3O-Si unter Bildung von Methanol reagieren, und das Si wird an das Li binden, oder das -H kann mit Cl-Si unter Bildung von HCl reagieren, und das Si wird an das Li binden. Die Bindungen bzw. Befestigungen können durch die Sauerstoffatome erfolgen. So wechselwirken das Lithiummetall und das Additiv stark (selbst ohne Anlegung einer Spannung), um die SEI-Schicht auf der Oberfläche des Lithiummetalls zu bilden. In diesem Beispiel kann das Lithiummetall für eine Zeit, die ausreichend ist, damit die chemische Reaktion zwischen dem Additiv und den Gruppen an der Oberfläche des Metalls stattfindet, dem Elektrolyten ausgesetzt werden. Als Beispiel kann die Zeit des Aussetzens im Bereich von etwa 2 Sekunden bis etwa 1 Woche liegen.
- Die Lithiummetallstruktur, die durch die vorher beschriebene Technik (d. h. außerhalb der elektrochemischen Zelle) gebildet wurde, umfasst das Lithiummetall und die darauf ausgebildete SEI-Schicht. Wenn die Bildung der SEI-Schicht beendet ist, kann das Lithiummetall, das die SEI-Schicht darauf ausgebildet hat, gespült werden, um restliche Elektrolytlösung zu entfernen. Dieses Verfahren bildet die Negativelektrodenstruktur, die anschließend als die Negativelektrode in einem beliebigen Beispiel der Lithiummetallbatterie eingesetzt werden kann.
- In der Lithiummetallbatterie kann die Negativelektrodenstruktur, die durch die vorher beschriebene Technik gebildet wurde, mit einem negativseitigen Stromkollektor gekoppelt werden und mit einer traditionellen Lithium-basierten Positivelektrode (z. B. LiCoO2, NMC, LiFePO4 usw.) oder mit einer Schwefel-basierten Positivelektrode oder mit einer Positivelektrode aus mesoporösem Kohlenstoff (die einen Metallkatalysator enthält) verwendet werden. Es ist zu verstehen, dass, da die SEI-Schicht bereits gebildet ist, der in diesen bestimmten Beispielen verwendete Elektrolyt der elektrochemischen Zelle/Batterie das Additiv in dem Elektrolyten haben kann oder nicht.
- Um die SEI-Schicht auf dem Lithiummetall in situ in einer elektrochemischen Zelle zu bilden, wird eine beliebige geeignete elektrochemische Zelle, die Lithiummetall als die Negativelektrode umfasst, verwendet. In dem Herstellungsverfahren für die elektrochemische Zelle wird das Si-Additiv, das hierin offenbart wird, direkt zu den anderen Elektrolytkomponenten (d. h. Lösungsmittel und Lithiumsalz) gegeben und wird in die Zelle (z. B. eine Li-LiFePO4-Zelle, eine Li-S-Zelle usw.) injiziert.
- Infolge der hoch-reaktiven Natur des Lithiummetalls wird sich die SEI in situ in der Zelle auf der Oberfläche der Lithiummetall-Negativelektrode bilden, selbst in Abwesenheit einer angelegten Spannung oder Last. Während des Zell/Batterie-Zyklus reagiert das Additiv mit dem Lithium an der freiliegenden Oberfläche (den freiliegenden Oberflächen) der Lithiumelektrode, um weiter ein Beispiel der SEI-Schicht zu bilden. Ohne an eine Theorie gebunden zu sein, wird angenommen, dass in diesem Beispiel die Siliciumatome des Additivs an das Lithiummetall durch das Sauerstoffatom (aus LiOH) an der Lithiumelektrode gebunden werden, nachdem die Wasserstoffatome mit Gruppen an dem Additiv reagiert haben, wie es hierin beschrieben ist.
- In dem Beispiel der Lithiumionen-Batterie, das hierin offenbart ist, ist die Negativelektrode Lithiummetall und kann die Lithium-basierte Positivelektrode ein beliebiges Lithium-basiertes Aktivmaterial sein, das in genügender Weise eine Lithium-Insertion und -Deinsertion mit Aluminium oder einem anderen geeigneten Stromkollektor, der als der positive Pol der Lithiumionen-Batterie fungiert, durchmachen kann. Eine gängige Klasse von bekannten Lithium-basierten Aktivmaterialien, die für dieses Beispiel der Positivelektrode geeignet ist, umfasst geschichtete Lithiumübergangsmetalloxide. Beispielsweise kann das Lithium-basierte Aktivmaterial LiNiO2, Spinell-Lithiummanganoxid (LiMn2O4), Lithiumkobaltoxid (LiCoO2), ein Mangannickeloxid-Spinell [Li(Mn1,5Ni0,5)O2] oder ein Nickelmangankobalt-Schichtoxid (mit der allgemeinen Formel xLi2MnO3 · (1-x)LiMO2, worin M aus Ni, Mn und/oder Co in einem beliebigen Verhältnis besteht), sein. Ein spezifisches Beispiel für das Nickelmangankobalt-Schichtoxid umfasst (xLi2MnO3· (1-x)Li(Ni1/3Mn1/3Co1/3)O2). Andere geeignete Lithium-basierte Aktivmaterialien umfassen Li(Ni1/3Mn1/3Co1/3)O2, Lix+yMn2-yO4 (LMO, 0 < x < 1 und 0 < y < 0,1) oder ein Lithiumeisenpolyanionoxid, zum Beispiel Lithiumeisenphosphat (LiFePO4) oder Lithiumeisenfluorphosphat (Li2FePO4F), oder eine Lithiumreiche Schichtstruktur. Noch andere Lithium-basierte Aktivmaterialien können verwendet werden, zum Beispiel LiNi1-xCo1-yMx+yO2 oder LiMn1,5-xNi0,5-yMx+yO4 (M besteht aus Al, Ti, Cr und/oder Mg in einem beliebigen Verhältnis), stabilisierter Lithiummanganoxid-Spinell (LixMn2-yMyO4, worin M aus Al, Ti, Cr und/oder Mg in einem beliebigen Verhältnis besteht), Lithiumnickelkobaltaluminiumoxid (z. B. LiNi0,8Co0,15Al0,05O2 oder NCA), Aluminium-stabilisierter Lithiummanganoxid-Spinell (z. B. LixAl0,05Mn0,95O2), Lithiumvanadiumoxid (LiV2O5), LiMSiO4 (worin M aus Co, Fe und/oder Mn in einem beliebigen Verhältnis besteht) und jedes andere Hochenergie-Nickelmangankobalt-Material (HE-NMC, NMC oder LiNiMn-CoO2). Mit „ein beliebiges Verhältnis“ ist gemeint, dass jedes Element in einer beliebigen Menge vorliegen kann. So könnte in einigen Beispielen M Al mit oder ohne Cr, Ti und/oder Mg oder eine beliebige andere Kombination der aufgelisteten Elemente sein. In einem anderen Beispiel können Anion-Substitutionen in dem Gitter jedes Beispiels des Lithium-Übergangsmetall-basierten Aktivmaterial durchgeführt sein, um die Kristallstruktur zu stabilisieren. Beispielsweise kann ein O-Atom durch ein F-Atom ersetzt sein.
- In dem hierin offenbarten Beispiel der Lithium-Schwefel-Batterie ist die Negativelektrode Lithiummetall und ist die Schwefel-basierte Positivelektrode ein Schwefel-Kohlenstoff-Verbundmaterial. In einem Beispiel ist das Gewichtsverhältnis von S zu C in der Positivelektrode im Bereich von 1:9 bis 8:1.
- Es ist zu verstehen, dass eine beliebige der hierin offenbarten Positivelektroden auch Bindemittelmaterialien und leitende Füllstoffe umfassen kann. Das Bindemittelmaterial kann verwendet werden, um das Positivelektroden-Aktivmaterial zusammenzuhalten. Beispiele des Bindemittelmaterials umfassen Polyvinylidenfluorid (PVdF), Polyethylenoxid (PEO), einen Ethylen-Propylen-Dienmonomer (EPDM)-Kautschuk, Carboxymethylcellulose (CMC), Styrol-Butadien-Kautschuk (SBR), Styrol-Butadien-Kautschuk-Carboxymethyl-cellulose (SBR-CMC), Polyacrylsäure (PAA), vernetztes Polyacrylsäure-Poly-ethylenimin, Polyimid oder jedes anderes geeignete Bindemittelmaterial. Bei-spiele für noch andere geeignete Bindemittel umfassen Polyvinylalkohol (PVA), Natriumalginat oder andere wasserlösliche Bindemittel. Das leitfähige Füllstoff-material kann ein leitfähiges Kohlenstoffmaterial sein. Das leitfähige Kohlenstoffmaterial kann ein Kohlenstoff mit hoher spezifischer Oberfläche, zum Beispiel Acetylenschwarz (z. B. SUPER P®, leitfähiger Ruß von TIMCAL), sein. Das leitfähige Füllstoffmaterial kann eingeschlossen sein, um eine Elektronenleitung zwischen dem Aktivmaterial und dem positivseitigen Stromkollektor sicherzustellen.
- Die Lithiummetall-Negativelektrode wird mit einem negativseitigen Stromkollektor (z. B. Kupfer) gekoppelt, und die geeignete Positivelektrode für die bestimmte elektrochemische Zelle, die verwendet wird, wird mit einem positivseitigen Stromkollektor (z. B. Aluminium) gekoppelt.
- Der Separator, der die Lithiummetall-Negativelektrode und die Positivelektrode trennt, kann ein beliebiger geeigneter poröser Polymerseparator sein. Der poröse Polymerseparator kann zum Beispiel aus einem Polyolefin gebildet sein. Das Polyolefin kann ein Homopolymer (abgeleitet von einem einzelnen Monomerbestandteil) oder ein Heteropolymer (abgeleitet von mehr als einem Monomerbestandteil) sein und kann entweder linear oder verzweigt sein. Wenn ein Heteropolymer, das von zwei Monomerbestandteilen abgeleitet ist, verwendet wird, kann das Polyolefin jede Copolymer-Kettenanordnung annehmen, einschließlich solcher eines Blockcopolymers oder eines Randomcopolymers. Dasselbe gilt, wenn das Polyolefin ein Heteropolymer ist, das von mehr als zwei Monomerbestandteilen abgeleitet ist. Zum Beispiel kann das Polyolefin Polyethylen (PE), Polypropylen (PP), eine Mischung von PE und PP oder mehrschichtig strukturierte poröse Filme von PE und/oder PP sein. Im Handel verfügbare poröse Separatoren 16 umfassen Einzelschicht-Polypropylen-Membranen, zum Beispiel CELGARD® 2400 und CELGARD 2500 von Celgard, LLC (Charlotte, NC). Es ist einzusehen, dass der poröse Separator beschichtet oder behandelt oder unbeschichtet oder unbehandelt sein kann. Beispielsweise kann der poröse Separator beschichtet sein oder eine Sur-factant-Behandlung daran haben oder nicht.
- In anderen Beispielen kann der poröse Separator aus einem anderen Polymer gebildet sein, das aus Polyethylenterephthalat (PET), Polyvinylidenfluorid (PVdF), Polyamiden (Nylon), Polyurethanen, Polycarbonaten, Polyestern, Polyetheretherketonen (PEEK), Polyethersulfonen (PES), Polyimiden (PI), Polyamid-imiden, Polyethern, Polyoxymethylen (z. B. Acetal), Polybutylenterephthalat, Polyethylennaphthenat, Polybuten, Polyolefin-Copolymeren, Acrylonitril-Butadien-Styrol-Copolymeren (ABS), Polystyrol-Copolymeren, Polymethylmethacrylat (PMMA), Polyvinylchlorid (PVC), Polysiloxan-Polymeren (z. B. Polydimethylsiloxan (PDMS)), Polybenzimidazol (PBI), Polybenzoxazol (PBO), Polyphenylenen (z. B. PARMAX™ (Mississippi Polymer Technologies, Inc., Bay Saint Louis, Mississippi)), Polyarylenetherketonen, Polyperfluorcyclobutanen, Polytetrafluorethylen (PTFE), Polyvinylidenfluorid-Copolymeren und -Terpolymeren, Polyvinylidenchlorid, Polyvinylfluorid, flüssigkristallinen Polymeren (z. B. VECTRAN™ (Hoechst AG, Deutschland) und ZENITE® (DuPont, Wilmington, DE)), Polyaramiden, Polyphenylenoxid und/oder Kombinationen davon ausgewählt ist. Es wird angenommen, dass ein anderes Beispiel eines flüssigkristallinen Polymers, das für den porösen Separator eingesetzt werden kann, Poly(p-hydroxybenzoesäure) ist. In noch einem anderen Beispiel kann der poröse Separator aus einer Kombination des Polyolefins (z. B. PE und/oder PP) und eines oder mehreren der anderen oben aufgelisteten Polymeren ausgewählt sein.
- Der poröse Separator kann eine einzelne Schicht sein oder kann ein mehrschichtiges (z. B. zweischichtiges, dreischichtiges usw.) Laminat sein, welches durch ein Trocken- oder Nassverfahren hergestellt wurde. Der poröse Separator wirkt als ein elektrischer Isolator (verhindert das Auftreten eines Kurzschlusses), als mechanischer Träger und als eine Sperre zur Verhinderung eines physikalischen Kontaktes zwischen den zwei Elektroden. Der poröse Separator stellt auch den Durchgang von Lithiumionen durch die Elektrolytlösung, die seine Poren füllt, sicher.
- In der elektrochemischen Zelle/Batterie sind die Lithiummetall-Negativelektrode, die Positivelektrode und der poröse Separator mit dem hierin offenbarten Elektrolyten, der das Additiv, das Lithiumsalz und das Lösungsmittel, das für den Typ einer Zelle/Batterie geeignet ist, durchtränkt.
- Die Batterie/elektrochemische Zelle umfasst auch einen äußeren Stromkreis und eine Last. Das Anlegen der Last an die elektrochemische Zelle schließt den äußeren Stromkreis und verbindet die Negativelektrode und die Positivelektrode. Der geschlossene äußere Stromkreis ermöglicht, dass eine Arbeitsspannung durch die elektrochemische Zelle angelegt wird.
- Nach dem anfänglichen Aussetzen der Elektroden gegenüber dem Elektrolyten kann das Additiv beginnen, mit der Lithiummetall-Negativelektrode unter Bildung der SEI-Schicht zu reagieren. Die hierin offenbarte SEI-Schicht ist eine Schutzschicht dahingehend, dass sie die Lithiummetall-Negativelektrode vor zusätzlichen Reaktionen mit dem Elektrolyten schützt. Die SEI-Schicht weist auch Einheitlichkeit (in Zusammensetzung und Dicke) und Adhäsion an der Lithiummetall-Negativelektrode auf.
- Um die vorliegende Erfindung weiter zu veranschaulichen, wird hierin ein Beispiel angeführt. Es ist zu verstehen, dass dieses Beispiel zu Erläuterungszwecken angeführt wird und nicht als beschränkend für den Umfang der vorliegenden Offenbarung aufgebaut ist.
- BEISPIEL
- Es wurden symmetrische Li-Li-Zellen mit Lithiumfolien-Gegen- und Kupfer-Arbeitselektroden durch Plattieren von 1 mAh Li auf Cu hergestellt. Eine Vergleichszelle umfasste einen Vergleichselektrolyten, der 0,4 MLiTFSI und 0,6 M LiNO3 in DME/ DIOX (Volumenverhältnis 1:1) umfasste. Eine erste Beispielzelle umfasste einen ersten Beispielelektrolyten, der 0,4 M LiTFSI und 0,6 M LiNO3 in DME/DIOX (Volumenverhältnis 1:1) und 1 % 3,3,3-Trifluorpropylmethyldimethoxysilan
umfasste. Eine zweite Beispielzelle umfasste einen zweiten Beispielelektrolyten, der 0,4 M LiTFSI und 0,6 M LiNO3 in DME/DIOX (Volumenverhältnis 1:1) und 1 % eines mit Silylhydrid verwandten Additivs, wie in dem Schema aufgelistet, umfasste: - Die Testbedingungen für die Vergleichs- und Beispielzellen waren: Raumtemperatur; Strom = 250 µA; Fläche = 1,23 cm2; elektrische Ladung = 1 mAh und 100 % Entladungstiefe (depth of discharge, DOD). Die Resultate für Coulomb-Effizienz sind in
1 gezeigt. In1 stellt die Y-Achse, markiert mit CE, die Coulomb-Effizienz (x 100 = Prozentwert) dar, und stellt die X-Achse, markiert mit „#“ die Zykluszahl dar. Wie in1 dargestellt ist, hatte die Vergleichszelle (mit „3“ markiert) über 35 Zyklen eine Zyklisierungseffizienz von etwa 98 % bis etwa 99 %. Dagegen war mit Zusatz von 3,3,3-Trifluorpropylmethyldimethoxysilan (erste Beispielzelle, mit „1“ markiert) die Zyklisierungseffizienz auf etwa 99,6 % erhöht und die Zykluslebensdauer war auf etwa 50 Zyklen verlängert. Darüber hinaus wurde mit Zusatz des mit Silylhydrid verwandten Additivs (zweite Beispielzelle, mit „2“ markiert) die Zyklisierungseffizienz auf etwa 99 % erhöht und die Zyklisierungslebensdauer wurde auf 90 Zyklen ausgedehnt. - Es ist zu verstehen, dass die hierin angegebenen Bereiche den angegebenen Bereich und jeden Wert oder Unterwert innerhalb des angegebenen Bereichs umfassen. Beispielsweise sollte ein Bereich von etwa 0,1 Gew.-% bis etwa 10 Gew.-% so interpretiert werden, dass er nicht nur einzelne Werte wie zum Beispiel 1,25 Gew.-%, 5 Gew.-% usw., und Unterbereiche, zum Beispiel etwa 2 Gew.-% bis etwa 8,5 Gew.-% usw., umfasst. Wenn darüber hinaus „etwa“ verwendet wird, um einen Wert zu beschreiben, so bedeutet dies, dass geringere Schwankungen (bis zu +/- 10 %) von dem angegebenen Wert mit umfasst werden.
- Eine Bezugnahme in der Beschreibung auf „ein Beispiel“, „ein weiteres Beispiel“ bzw. „ein anderes Beispiel“, „ein Beispiel“, usw. bedeutet, dass ein bestimmtes Element (z. B. Merkmal, Struktur und/oder Charakteristikum), das in Verbindung mit dem Beispiel beschrieben wird, in wenigstens einem hierin beschriebenen Beispiel enthalten ist und in anderen Beispielen vorliegen kann oder nicht. Außerdem ist einzusehen, dass die beschriebenen Elemente für ein beliebiges Beispiel in einer geeigneten Art in den verschiedenen Beispielen kombiniert werden können, es sei denn, der Kontext gibt klar etwas anderes vor.
- Bei der Beschreibung und Beanspruchung der hierin offenbarten Beispiele umfassen die Singularformen „ein“, „eine“ und „der“, „die“ bzw. „das“ auch Pluralangaben, es sei denn, der Kontext gibt klar etwas anderes vor.
Claims (9)
- Elektrolyt, umfassend: ein Lösungsmittel; ein Lithiumsalz und ein Additiv, ausgewählt aus der Gruppe bestehend aus einem Silan mit wenigstens einer Si-H-Gruppe, einem fluorierten Methoxysilan, einem fluorierten Chlorsilan und Mischungen davon, wobei das Silan mit wenigstens einer Si-H-Gruppe aus der Gruppe bestehend aus H-Si((CH2)xCH3)2-R-Anion-Li+ und H-Si(CH2)xCH3)2-O-R-AnionLi+ ausgewählt ist, wobei x im Bereich von 0 bis 2 liegt und R eine beliebige organische Gruppe ist, und in jedem von H-Si((CH2)xCH3)2-R-Anion-Li+ und H-Si((CH2)xCH3)2-O-R-Anion-Li+ das Anion aus der Gruppe bestehend aus PF5-, BF3 - und Fluormalonat(difluor)borat ((F)MDFB-) ausgewählt ist, wobei das fluorierte Methoxysilan aus der Gruppe bestehend aus
ausgewählt ist, und wobei das fluorierte Chlorsilan die Formel (CH3)xSiCly-(CH2)m-(CF2)n-CF3 hat, worin x 1 ist und y 2 ist oder x 2 ist und y 1 ist, worin m im Bereich von 0 bis 2 liegt und worin n im Bereich von 1 bis 20 liegt. - Elektrolyt nach
Anspruch 1 , wobei: das Lösungsmittel aus der Gruppe, bestehend aus Ethylencarbonat, Propylencarbonat, Butylencarbonat, Fluorethylencarbonat, Dimethylcarbonat, Diethylcarbonat, Ethylmethylcarbonat, Methylformiat, Methylacetat, Methylpropionat, γ-Butyrolacton, γ-Valerolacton, 1,2-Dimethoxyethan, 1,2-Diethoxyethan, Ethoxymethoxyethan, Tetrahydrofuran, 2-Methyltetrahydrofuran, 1,3-Dioxolan, Dimethoxyethan, Tetrahydrofuran, 2-Methyltetrahydrofuran, 1,2-Diethoxyethan, Ethoxymethoxyethan, Tetraethylenglycoldimethylether (TEGDME), Polyethylenglycoldimethylether (PEGDME) und Gemischen davon, ausgewählt ist und das Lithiumsalz aus der Gruppe bestehend aus Lithium-bis(trifluormethylsulfonyl)imid (LiN(CF3SO2)2 oder LiTFSI), LiNO3, LiPF6, LiBF4, Lil, LiBr, LiSCN, LiClO4, LiAlCl4, LiB(C2O4)2 (LiBOB), LiB(C6H5)4, LiBF2(C2O4) (LiODFB), LiN(SO2F)2, (LiFSI), LiPF3(C2F5)3 (LiFAP), LiPF4(CF3)2, LiPF4(C2O4) (LiFOP), LiPF3(CF3)3, LiSO3CF3, LiCF3SO3, LiAsF6 und Gemischen davon ausgewählt ist. - Negativelektrodenstruktur, umfassend: eine Negativelektrode, die Lithium als ein Aktivmaterial umfasst, und eine Festelektrolytgrenzflächen (SEI)-Schicht, die auf einer Oberfläche der Negativelektrode ausgebildet ist, wobei die SEI-Schicht aus einem Silan mit wenigstens einer Si-H-Gruppe, einem fluorierten Methoxysilan, einem fluorierten Chlorsilan und Gemischen davon gebildet ist, wobei das Silan mit wenigstens einer Si-H-Gruppe aus der Gruppe bestehend aus H-Si((CH2)xCH3)2-R-Anion-Li+ und H-Si(CH2)xCH3)2-O-R-AnionLi+ ausgewählt ist, wobei x im Bereich von 0 bis 2 liegt und R eine beliebige organische Gruppe ist, und in jedem von H-Si((CH2)xCH3)2-R-Anion-Li+ und H-Si((CH2)xCH3)2-O-R-Anion-Li+ das Anion aus der Gruppe bestehend aus PF5-, BF3 - und Fluormalonat(difluor)borat ((F)MDFB-) ausgewählt ist, wobei das fluorierte Methoxysilan aus der Gruppe bestehend aus
ausgewählt ist, und wobei das fluorierte Chlorsilan die Formel (CH3)xSiCly-(CH2)m-(CF2)n-CF3 hat, worin x 1 ist und y 2 ist oder x 2 ist und y 1 ist, worin m im Bereich von 0 bis 2 liegt und worin n im Bereich von 1 bis 20 liegt. - Negativelektrodenstruktur nach
Anspruch 4 , wobei das fluorierte Chlorsilan die Formel (CH3)xSiCly-(CH2)m-(CF2)n-CF3 hat, worin x 1 ist und y 2 ist oder x 2 ist und y 1 ist, wobei m im Bereich von 0 bis 2 liegt und wobei n im Bereich von 1 bis 20 liegt, und wobei das fluorierte Chlorsilan aus der Gruppe bestehend aus: ausgewählt ist. - Verfahren zur Herstellung einer Festelektrolytgrenzflächen (SEI)-Schicht auf einer Oberfläche einer Lithiumelektrode, wobei das Verfahren umfasst: Aussetzen der Lithiumelektrode gegenüber einem Elektrolyten, welcher umfasst: ein Lösungsmittel; ein Lithiumsalz und ein Additiv ausgewählt aus der Gruppe bestehend aus einem Silan mit wenigstens einer Si-H-Gruppe, einem fluorierten Methoxysilan, einem fluorierten Chlorsilan und Gemischen davon; wobei die Lithiumelektrode gegenüber dem Elektrolyten in einer elektrochemischen Zelle ausgesetzt wird, und, wobei das Verfahren außerdem Anlegen einer Spannung an die elektrochemische Zelle umfasst, wobei das Silan mit wenigstens einer Si-H-Gruppe aus der Gruppe bestehend aus H-Si((CH2)xCH3)2-R-Anion-Li+ und H-Si(CH2)xCH3)2-O-R-AnionLi+ ausgewählt ist, wobei x im Bereich von 0 bis 2 liegt und R eine beliebige organische Gruppe ist, und in jedem von H-Si((CH2)xCH3)2-R-Anion-Li+ und H-Si((CH2)xCH3)2-O-R-Anion-Li+ das Anion aus der Gruppe bestehend aus PF5-, BF3 - und Fluormalonat(difluor)borat ((F)MDFB-) ausgewählt ist, wobei das fluorierte Methoxysilan aus der Gruppe bestehend aus
ausgewählt ist, und wobei das fluorierte Chlorsilan die Formel (CH3)xSiCly-(CH2)m-(CF2)n-CF3 hat, worin x 1 ist und y 2 ist oder x 2 ist und y 1 ist, worin m im Bereich von 0 bis 2 liegt und worin n im Bereich von 1 bis 20 liegt. - Verfahren nach
Anspruch 6 , wobei die elektrochemische Zelle eine symmetrische elektrochemische Li-Li-Zelle ist und das Elektrolytlösungsmittel aus der Gruppe bestehend aus 1,3-Dioxolan (DOL oder DIOX), Dimethoxyethan (DME), Tetrahydrofuran, 2-Methyltetrahydrofuran, 1,2-Diethoxyethan, Ethoxymethoxyethan, Tetraethylenglycoldimethylether (TEGDME), Polyethylenglycoldimethylether (PEGDME), Ethylencarbonat (EC), Propylencarbonat, Butylencarbonat, Fluorethylencarbonat, Dimethylcarbonat (DMC), Diethylcarbonat (DEC), Ethylmethylcarbonat (EMC), Methylformiat, Methylacetat, Methylpropionat, γ-Butyrolacton, γ-Valerolacton und Gemischen davon ausgewählt wird, oder wobei die elektrochemische Zelle eine elektrochemische Li-S-Zelle ist und das Elektrolytlösungsmittel aus der Gruppe bestehend aus 1,3-Dioxolan (DOL), Dimethoxyethan (DME), Tetrahydrofuran, 2-Methyltetrahydrofuran, 1,2-Diethoxyethan, Ethoxymethoxyethan, Tetraethylenglycoldimethylether (TEGDME), Polyethylenglycoldimethylether (PEGDME) und Gemischen davon ausgewählt wird oder wobei die elektrochemische Zelle eine Lithiumionen-Batterie ist und das Elektrolytlösungsmittel aus der Gruppe bestehend aus Ethylencarbonat (EC), Propylencarbonat, Butylencarbonat, Fluorethylencarbonat, Dimethylcarbonat (DMC), Diethylcarbonat (DEC), Ethylmethylcarbonat (EMC), Methylformiat, Methylacetat, Methylpropionat, γ-Butyrolacton, γ-Valerolacton, 1,2-Dimethoxyethan, 1,2-Diethoxyethan, Ethoxymethoxyethan, Tetrahydrofuran, 2-Methyltetrahydrofuran und Gemischen davon ausgewählt wird. - Verfahren nach
Anspruch 6 , wobei die Lithiumelektrode dem Elektrolyten außerhalb einer elektrochemischen Zelle ausgesetzt wird, und, wobei das Elektrolytlösungsmittel aus der Gruppe bestehend aus 1,3-Dioxolan (DOL oder DIOX), Dimethoxyethan (DME), Tetrahydroduran, 2-Methyltetrahydrofuran, 1,2-Diethoxyethan, Ethoxymethoxyethan, Tetraethylenglycoldimethylether (TEGDME), Polyethylenglycoldimethylether (PEGDME), Ethylencarbonat (EC), Propylendarbonat, Butylencarbonat, Fluorethylencarbonat, Dimethylcarbonat (DMC), Diethylcarbonat (DEC), Ethylmethylcarbonat (EMC), Methylformiat, Methylacetat, Methylpropionat, γ-Butyrolacton, γ-Valerolacton und Gemischen davon ausgewählt wird. - Verfahren nach
Anspruch 6 , wobei das Lithiumsalz aus der Gruppe bestehend aus LiClO4, LiAlCl4, Lil, LiBr, LiSCN, LiBF4, LiB(C6H5)4, LiAsF6, LiCF3SO3, LiN(FSO2)2 (LIFSI), LiN(CF3SO2)2 (LITFSI oder Lithiumbis(trifluormethylsulfonyl)imid), LiPF6, LiB(C2O4)2 (LiBOB), LiBF2(C2O4), (LiODFB), LiPF3(C2F5)3 (LiFAP), LiPF4(CF3)2, LiPF4(C2O4) (LiFOP), LiPF3(CF3)3, LiSO3CF3, LiNO3 und Gemischen davon ausgewählt wird.
Applications Claiming Priority (4)
| Application Number | Priority Date | Filing Date | Title |
|---|---|---|---|
| US201462090192P | 2014-12-10 | 2014-12-10 | |
| US62/090,192 | 2014-12-10 | ||
| US14/954,181 | 2015-11-30 | ||
| US14/954,181 US10312501B2 (en) | 2014-12-10 | 2015-11-30 | Electrolyte and negative electrode structure |
Publications (2)
| Publication Number | Publication Date |
|---|---|
| DE102015121342A1 DE102015121342A1 (de) | 2016-06-16 |
| DE102015121342B4 true DE102015121342B4 (de) | 2023-10-26 |
Family
ID=56082521
Family Applications (1)
| Application Number | Title | Priority Date | Filing Date |
|---|---|---|---|
| DE102015121342.7A Active DE102015121342B4 (de) | 2014-12-10 | 2015-12-08 | Elektrolyt, negativelektrodenstruktur und verfahren zur herstellung einer festelektrolytgrenzflächen-schicht auf einer oberfläche einer lithiumelektrode |
Country Status (3)
| Country | Link |
|---|---|
| US (1) | US10312501B2 (de) |
| CN (1) | CN105703006B (de) |
| DE (1) | DE102015121342B4 (de) |
Families Citing this family (63)
| Publication number | Priority date | Publication date | Assignee | Title |
|---|---|---|---|---|
| US10062898B2 (en) | 2013-07-10 | 2018-08-28 | GM Global Technology Operations LLC | Surface coating method and method for improving electrochemical performance of an electrode for a lithium based battery |
| US10084204B2 (en) | 2014-07-21 | 2018-09-25 | GM Global Technology Operations LLC | Electrolyte solution and sulfur-based or selenium-based batteries including the electrolyte solution |
| US10312501B2 (en) | 2014-12-10 | 2019-06-04 | GM Global Technology Operations LLC | Electrolyte and negative electrode structure |
| US20160172710A1 (en) | 2014-12-10 | 2016-06-16 | The Regents Of The University Of California | Electrolyte and negative electrode structure |
| US10367201B2 (en) | 2016-03-30 | 2019-07-30 | GM Global Technology Operations LLC | Negative electrode including a polymeric single-ion conductor coating |
| CN107591564A (zh) * | 2016-07-06 | 2018-01-16 | 宁德时代新能源科技股份有限公司 | 电解液及锂离子电池 |
| CN107732299A (zh) * | 2016-08-12 | 2018-02-23 | 宁德时代新能源科技股份有限公司 | 电解液及二次电池 |
| WO2018139808A1 (ko) * | 2017-01-26 | 2018-08-02 | 주식회사 엘지화학 | 리튬 이차전지용 비수전해액 및 이를 포함하는 리튬 이차전지 |
| KR102112207B1 (ko) * | 2017-01-26 | 2020-05-19 | 주식회사 엘지화학 | 리튬 이차전지용 비수전해액 및 이를 포함하는 리튬 이차전지 |
| JP6662802B2 (ja) * | 2017-02-27 | 2020-03-11 | 国立大学法人北陸先端科学技術大学院大学 | 酸化物全固体電池 |
| US10680281B2 (en) | 2017-04-06 | 2020-06-09 | GM Global Technology Operations LLC | Sulfide and oxy-sulfide glass and glass-ceramic films for batteries incorporating metallic anodes |
| CN107293780B (zh) * | 2017-06-01 | 2019-08-02 | 北京理工大学 | 一种锂电池用基于离子液体的准固态电解质及其制备方法 |
| CN109148961A (zh) * | 2017-06-28 | 2019-01-04 | 松下知识产权经营株式会社 | 锂二次电池 |
| US10608249B2 (en) | 2017-08-01 | 2020-03-31 | GM Global Technology Operations LLC | Conformal coating of lithium anode via vapor deposition for rechargeable lithium ion batteries |
| KR102479725B1 (ko) * | 2017-08-03 | 2022-12-21 | 삼성에스디아이 주식회사 | 리튬 전지용 전해액 및 이를 포함하는 리튬 전지 |
| US10566652B2 (en) | 2017-08-15 | 2020-02-18 | GM Global Technology Operations LLC | Lithium metal battery with hybrid electrolyte system |
| US10707530B2 (en) | 2017-08-15 | 2020-07-07 | GM Global Technology Operations LLC | Carbonate-based electrolyte system improving or supporting efficiency of electrochemical cells having lithium-containing anodes |
| US10511049B2 (en) | 2017-08-15 | 2019-12-17 | GM Global Technology Operations LLC | Electrolyte system including alkali metal bis(fluorosulfonyl)imide and dimethyoxyethane for improving anodic stability of electrochemical cells |
| US10497927B2 (en) | 2017-08-31 | 2019-12-03 | GM Global Technology Operations LLC | Methods of applying self-forming artificial solid electrolyte interface (SEI) layer to stabilize cycle stability of electrodes in lithium batteries |
| US11183714B2 (en) | 2017-09-20 | 2021-11-23 | GM Global Technology Operations LLC | Hybrid metal-organic framework separators for electrochemical cells |
| US11114696B2 (en) | 2017-12-28 | 2021-09-07 | GM Global Technology Operations LLC | Electrolyte system for lithium-chalcogen batteries |
| DE102018201274A1 (de) | 2018-01-29 | 2019-08-01 | Robert Bosch Gmbh | Aktivmaterial mit kovalent gebundener Solid-Electrolyte-Interphase |
| US11196045B2 (en) | 2018-02-01 | 2021-12-07 | GM Global Technology Operations LLC | Plasma pretreatment on current collectors for thin film lithium metallization |
| US10903478B2 (en) | 2018-04-06 | 2021-01-26 | GM Global Technology Operations LLC | Protective coating for lithium-containing electrode and methods of making the same |
| US10673046B2 (en) | 2018-04-13 | 2020-06-02 | GM Global Technology Operations LLC | Separator for lithium metal based batteries |
| US10608241B2 (en) | 2018-04-17 | 2020-03-31 | GM Global Technology Operations LLC | Methods of preparing lithium metal anodes |
| US11063248B2 (en) | 2018-05-24 | 2021-07-13 | GM Global Technology Operations LLC | Protective coating for lithium-containing electrode and methods of making the same |
| US10749214B2 (en) | 2018-05-30 | 2020-08-18 | GM Global Technology Operations LLC | Sulfide and oxy-sulfide glass and glass-ceramic solid state electrolytes for electrochemical cells |
| KR102244917B1 (ko) * | 2018-07-30 | 2021-04-27 | 주식회사 엘지화학 | 리튬 전극 및 이를 포함하는 리튬 이차전지 |
| CN109088102A (zh) * | 2018-09-25 | 2018-12-25 | 桑德集团有限公司 | 一种锂电池电解液及包含该电解液的电池 |
| US11239459B2 (en) | 2018-10-18 | 2022-02-01 | GM Global Technology Operations LLC | Low-expansion composite electrodes for all-solid-state batteries |
| US11075371B2 (en) | 2018-12-21 | 2021-07-27 | GM Global Technology Operations LLC | Negative electrode for secondary lithium metal battery and method of making |
| US11430994B2 (en) | 2018-12-28 | 2022-08-30 | GM Global Technology Operations LLC | Protective coatings for lithium metal electrodes |
| US11217781B2 (en) | 2019-04-08 | 2022-01-04 | GM Global Technology Operations LLC | Methods for manufacturing electrodes including fluoropolymer-based solid electrolyte interface layers |
| US11165052B2 (en) | 2019-07-17 | 2021-11-02 | GM Global Technology Operations LLC | Lithium alloy-based electrodes for electrochemical cells and methods for making the same |
| US11094996B2 (en) | 2019-09-18 | 2021-08-17 | GM Global Technology Operations LLC | Additive to ceramic ion conducting material to mitigate the resistive effect of surface carbonates and hydroxides |
| US11515538B2 (en) | 2019-10-11 | 2022-11-29 | GM Global Technology Operations LLC | In-situ polymerization to protect lithium metal electrodes |
| US11404698B2 (en) | 2019-10-30 | 2022-08-02 | GM Global Technology Operations LLC | Liquid metal interfacial layers for solid electrolytes and methods thereof |
| US11735725B2 (en) | 2019-11-27 | 2023-08-22 | GM Global Technology Operations LLC | Ceramic coating for lithium or sodium metal electrodes |
| US11984599B2 (en) | 2019-11-27 | 2024-05-14 | GM Global Technology Operations LLC | Electrode components with laser induced surface modified current collectors and methods of making the same |
| US11522221B2 (en) | 2019-12-23 | 2022-12-06 | GM Global Technology Operations LLC | Gelation reagent for forming gel electrolyte and methods relating thereto |
| US11342549B2 (en) | 2020-01-15 | 2022-05-24 | GM Global Technology Operations LLC | Method for forming sulfur-containing electrode using salt additive |
| US20230343934A1 (en) * | 2020-02-06 | 2023-10-26 | Bar-Ilan University | Method for Production of LixSiyOz Coatings Using a Single Source for Li And Si and Resultant Coated Products |
| US11557758B2 (en) | 2020-04-30 | 2023-01-17 | GM Global Technology Operations LLC | Solvent-free dry powder process to incorporate ceramic particles into electrochemical cell components |
| US11600825B2 (en) | 2020-07-30 | 2023-03-07 | GM Global Technology Operations LLC | Positive electrode for secondary lithium metal battery and method of making |
| US11688882B2 (en) | 2020-10-30 | 2023-06-27 | GM Global Technology Operations LLC | Electrolytes and separators for lithium metal batteries |
| US12021221B2 (en) | 2020-11-13 | 2024-06-25 | GM Global Technology Operations LLC | Electrode architecture for fast charging |
| US11728470B2 (en) | 2020-12-21 | 2023-08-15 | GM Global Technology Operations LLC | Lithium metal negative electrode and method of manufacturing the same |
| US11682787B2 (en) | 2020-12-21 | 2023-06-20 | GM Global Technology Operations LLC | Lithium battery including composite particles with flame retardant material carried by particulate host material |
| US11600814B2 (en) | 2021-01-26 | 2023-03-07 | GM Global Technology Operations LLC | Nickel-containing positive electrode slurries having reduced or eliminated gelation and high-energy-density positive electrodes for electrochemical cells |
| US11637321B2 (en) | 2021-01-26 | 2023-04-25 | GM Global Technology Operations LLC | Ternary salts electrolyte for a phospho-olivine positive electrode |
| US12148897B2 (en) | 2021-01-28 | 2024-11-19 | GM Global Technology Operations LLC | Electrochemical cell monitoring assembly |
| US11637324B2 (en) | 2021-02-11 | 2023-04-25 | GM Global Technology Operations LLC | Lithium ion battery electrolytes and electrochemical cells including the same |
| US11784349B2 (en) | 2021-04-01 | 2023-10-10 | GM Global Technology Operations LLC | Lithium metal battery electrolytes and electrochemical cells including the same |
| US11728490B2 (en) | 2021-04-22 | 2023-08-15 | GM Global Technology Operations LLC | Current collectors having surface structures for controlling formation of solid-electrolyte interface layers |
| US11955639B2 (en) | 2021-05-04 | 2024-04-09 | GM Global Technology Operations LLC | Composite interlayer for lithium metal based solid state batteries and the method of making the same |
| US11799083B2 (en) | 2021-08-26 | 2023-10-24 | GM Global Technology Operations LLC | Lithiation additive for a positive electrode |
| US12015178B2 (en) | 2021-08-27 | 2024-06-18 | GM Global Technology Operations LLC | Battery cell, battery pack, and method of making the same incorporating features that accelerate heat dissipation, improve uniformity of heat distribution, and reduce size |
| US12334561B2 (en) * | 2021-11-12 | 2025-06-17 | GM Global Technology Operations LLC | Lithium metal negative electrode and method of manufacturing the same |
| US12119484B2 (en) | 2021-12-10 | 2024-10-15 | GM Global Technology Operations LLC | Lithium-containing coatings for cathode materials |
| US12506138B2 (en) | 2021-12-11 | 2025-12-23 | GM Global Technology Operations LLC | Surface treatment for lithium metal anodes |
| US12040505B2 (en) | 2022-08-03 | 2024-07-16 | GM Global Technology Operations LLC | Method for manufacturing an interfacial lithium fluoride layer for an electrochemical cell |
| CN120878966B (zh) * | 2025-09-22 | 2026-01-06 | 山东大学 | 一种用于低温锂离子电池的高压、高电化学性能电解液及其制备方法与应用 |
Citations (6)
| Publication number | Priority date | Publication date | Assignee | Title |
|---|---|---|---|---|
| JPH08321311A (ja) | 1995-05-24 | 1996-12-03 | Sanyo Electric Co Ltd | 非水電解液電池 |
| DE10027626A1 (de) | 2000-06-07 | 2001-12-13 | Merck Patent Gmbh | Silanverbindungen als Additive in Elektrolyten für elektrochemischen Zellen |
| DE102006025471A1 (de) | 2005-05-30 | 2007-02-08 | Denso Corp., Kariya | Nicht-wässriger Elektrolyt und Sekundärbatterie mit nicht-wässrigem Elektrolyten unter Verwendung desselben |
| CN102924495A (zh) | 2012-10-15 | 2013-02-13 | 中国科学院广州能源研究所 | 含聚醚链有机卤硅烷及其在非水系锂离子电池电解液中的应用 |
| US20130136997A1 (en) | 2010-07-28 | 2013-05-30 | Lg Chem, Ltd. | Non-aqueous electrolyte for lithium secondary battery and lithium secondary battery comprising the same |
| US20140342244A1 (en) | 2004-02-04 | 2014-11-20 | Silatronix, Inc | Electrolyte including silane for use in electrochemical devices |
Family Cites Families (91)
| Publication number | Priority date | Publication date | Assignee | Title |
|---|---|---|---|---|
| JP3649996B2 (ja) | 2000-05-24 | 2005-05-18 | 三洋電機株式会社 | 非水電解質二次電池用正極活物質 |
| JP4729716B2 (ja) | 2003-02-20 | 2011-07-20 | 三菱化学株式会社 | リチウム二次電池負極及びリチウム二次電池 |
| KR100754258B1 (ko) | 2003-02-20 | 2007-09-03 | 미쓰비시 가가꾸 가부시키가이샤 | 리튬 2 차 전지의 음전극용 활성 재료, 리튬 2 차 전지의 음전극 및 리튬 2 차 전지 |
| US7018607B2 (en) | 2003-06-25 | 2006-03-28 | General Motors Corporation | Cathode material for lithium battery |
| US20050276910A1 (en) | 2004-06-09 | 2005-12-15 | Osram Opto Semiconductors Gmbh | Post processing of films to improve film quality |
| US7330328B2 (en) | 2006-02-17 | 2008-02-12 | Seagate Technology Llc | Random number generation using back electromotive force (BEMF) values |
| JP2008192495A (ja) | 2007-02-06 | 2008-08-21 | Matsushita Electric Ind Co Ltd | 電池の内部短絡評価方法および内部短絡評価装置並びに電池及び電池パックおよびそれらの製造法 |
| JP4364253B2 (ja) | 2007-04-05 | 2009-11-11 | 株式会社東芝 | 配線、電子装置及び電子装置の製造方法 |
| WO2008128554A1 (en) | 2007-04-20 | 2008-10-30 | MAX-PLANCK-Gesellschaft zur Förderung der Wissenschaften e.V. | Highly conductive, transparent carbon films as electrode materials |
| US8828481B2 (en) | 2007-04-23 | 2014-09-09 | Applied Sciences, Inc. | Method of depositing silicon on carbon materials and forming an anode for use in lithium ion batteries |
| US7736805B2 (en) | 2007-05-16 | 2010-06-15 | Gm Global Technology Operations, Inc. | Lithium hydride negative electrode for rechargeable lithium batteries |
| CN101471455A (zh) | 2007-12-28 | 2009-07-01 | 张家港市国泰华荣化工新材料有限公司 | 用于锂离子电池非水电解质中的添加剂及用其制备的非水电解质 |
| US9356281B2 (en) | 2008-05-20 | 2016-05-31 | GM Global Technology Operations LLC | Intercalation electrode based on ordered graphene planes |
| EP2262041A1 (de) | 2009-02-27 | 2010-12-15 | Panasonic Corporation | Negativelektrode für eine sekundärbatterie mit einem wasserfreien elektrolyt und sekundärbatterie mit einem wasserfreien elektrolyt |
| JP5412937B2 (ja) | 2009-04-27 | 2014-02-12 | ソニー株式会社 | 非水電解質組成物及び非水電解質二次電池 |
| US8399138B2 (en) | 2009-10-14 | 2013-03-19 | GM Global Technology Operations LLC | Liquid rechargeable lithium ion battery |
| US8420259B2 (en) | 2009-10-14 | 2013-04-16 | GM Global Technology Operations LLC | Electrodes including an embedded compressible or shape changing component |
| US8148455B2 (en) | 2009-11-20 | 2012-04-03 | GM Global Technology Operations LLC | Hybrid two- and three-component host-guest nanocomposites and method for manufacturing the same |
| US9228249B2 (en) | 2009-11-27 | 2016-01-05 | Nissan Motor Co., Ltd. | Si alloy negative electrode active material for electric device |
| US8568930B2 (en) | 2009-12-18 | 2013-10-29 | GM Global Technology Operations LLC | Lithium ion battery |
| US8785054B2 (en) | 2009-12-18 | 2014-07-22 | GM Global Technology Operations LLC | Lithium ion battery |
| US8101152B1 (en) | 2010-08-18 | 2012-01-24 | GM Global Technology Operations LLC | Sonochemical synthesis of titanium-containing oxides |
| US20120100403A1 (en) | 2010-10-26 | 2012-04-26 | Gm Global Technology Operations, Inc. | Electrolytic cell and method of estimating a state of charge thereof |
| KR101195930B1 (ko) | 2011-01-10 | 2012-10-30 | 주식회사 엘지화학 | 리튬 이차전지용 비수 전해액 및 이를 구비한 리튬 이차전지 |
| US9077038B2 (en) | 2011-01-12 | 2015-07-07 | GM Global Technology Operations LLC | Lithium ion batteries |
| US9023520B2 (en) | 2011-01-12 | 2015-05-05 | GM Global Technology Operations LLC | Lithium ion battery |
| US9153819B2 (en) | 2011-02-27 | 2015-10-06 | GM Global Technology Operations LLC | Negative electrode for a lithium ion battery |
| US9281515B2 (en) | 2011-03-08 | 2016-03-08 | Gholam-Abbas Nazri | Lithium battery with silicon-based anode and silicate-based cathode |
| US20120229096A1 (en) | 2011-03-08 | 2012-09-13 | GM Global Technology Operations LLC | Method of depositing silicon on carbon nanomaterials and forming an anode for use in lithium ion batteries |
| US9362560B2 (en) | 2011-03-08 | 2016-06-07 | GM Global Technology Operations LLC | Silicate cathode for use in lithium ion batteries |
| US20120231321A1 (en) | 2011-03-11 | 2012-09-13 | GM Global Technology Operations LLC | Integral bi-layer separator-electrode construction for lithium-ion batteries |
| US8642201B2 (en) | 2011-03-25 | 2014-02-04 | GM Global Technology Operations LLC | Liquid-metal negative electrode for lithium-ion batteries |
| US8658295B2 (en) | 2011-03-25 | 2014-02-25 | GM Global Technology Operations LLC | Self healing lithium-ion battery negative electrodes, product including same, and methods of making and using same |
| DE102011016468B3 (de) | 2011-04-08 | 2012-02-23 | Heraeus Quarzglas Gmbh & Co. Kg | Poröses Kohlenstofferzeugnis mit Schichtverbundstrucktur, Verfahren für seine Herstellung und Verwendung desselben |
| US8663840B2 (en) | 2011-04-12 | 2014-03-04 | GM Global Technology Operations LLC | Encapsulated sulfur cathode for lithium ion battery |
| US8835056B2 (en) | 2011-05-24 | 2014-09-16 | GM Global Technology Operations LLC | Lithium ion secondary battery electrode and method of forming same |
| US8679680B2 (en) | 2011-06-03 | 2014-03-25 | GM Global Technology Operations LLC | Mitigation of mechanical degradation in lithium battery materials using biconcave electrode particles |
| US20120328927A1 (en) | 2011-06-24 | 2012-12-27 | GM Global Technology Operations LLC | Electrochemical devices and rechargeable lithium ion batteries |
| US9142830B2 (en) | 2011-09-16 | 2015-09-22 | GM Global Technology Operations LLC | Phase separated silicon-tin composite as negative electrode material for lithium-ion batteries |
| US9343732B2 (en) | 2011-09-23 | 2016-05-17 | Samsung Electronics Co., Ltd. | Electrode active material, electrode comprising the same, lithium battery comprising the electrode, and method of preparing the electrode active material |
| US20130099159A1 (en) | 2011-10-25 | 2013-04-25 | GM Global Technology Operations LLC | Production of metal or metalloid nanoparticles |
| US8440350B1 (en) | 2011-11-10 | 2013-05-14 | GM Global Technology Operations LLC | Lithium-ion battery electrodes with shape-memory-alloy current collecting substrates |
| US9362551B2 (en) | 2011-12-20 | 2016-06-07 | GM Global Technology Operations LLC | Reinforced battery electrodes |
| US9583767B2 (en) | 2012-01-05 | 2017-02-28 | GM Global Technology Operations LLC | Methods for making battery electrode systems |
| US9012075B2 (en) | 2012-01-23 | 2015-04-21 | GM Global Technology Operations LLC | Fade-resistant high capacity electrodes for a lithium-ion battery |
| US20130284338A1 (en) | 2012-04-26 | 2013-10-31 | Gm Global Technology Operations Llc. | Self assembly of graphene materials |
| US9362552B2 (en) | 2012-06-01 | 2016-06-07 | GM Global Technology Operations LLC | Lithium ion battery electrode materials and methods of making the same |
| US9350046B2 (en) | 2012-07-18 | 2016-05-24 | GM Global Technology Operations LLC | Physically cross-linked gel electrolyte |
| US9028565B2 (en) | 2012-07-31 | 2015-05-12 | GM Global Technology Operations LLC | Composite separator for use in a lithium ion battery electrochemical cell |
| WO2014022986A1 (en) | 2012-08-08 | 2014-02-13 | GM Global Technology Operations LLC | Composite cathode materials with controlled irreversible capacity loss for lithium ion batteries |
| CN103050667A (zh) | 2012-12-13 | 2013-04-17 | 中南大学 | 一种用于锂硫二次电池的多层次结构复合正极及制备方法 |
| US9123939B2 (en) | 2013-03-14 | 2015-09-01 | GM Global Technology Operations LLC | Anodes including mesoporous hollow silicon particles and a method for synthesizing mesoporous hollow silicon particles |
| US20140272558A1 (en) | 2013-03-14 | 2014-09-18 | GM Global Technology Operations LLC | Electrode for a lithium-based secondary electrochemical device and method of forming same |
| US20140272526A1 (en) | 2013-03-14 | 2014-09-18 | GM Global Technology Operations LLC | Porous separator for a lithium ion battery and a method of making the same |
| US9093705B2 (en) | 2013-03-15 | 2015-07-28 | GM Global Technology Operations LLC | Porous, amorphous lithium storage materials and a method for making the same |
| US8974946B2 (en) | 2013-03-15 | 2015-03-10 | Gm Global Technology Operations | Coating for separator or cathode of lithium—sulfur or silicon—sulfur battery |
| US9160036B2 (en) | 2013-03-15 | 2015-10-13 | GM Global Technology Operations LLC | Electrolyte additives for lithium sulfur rechargeable batteries |
| US8999584B2 (en) | 2013-03-15 | 2015-04-07 | GM Global Technology Operations LLC | Method for pre-lithiation of the negative electrode in lithium ion batteries |
| US9537144B2 (en) | 2013-03-15 | 2017-01-03 | GM Global Technology Operations LLC | Single lithium ion conductor as binder in lithium-sulfur or silicon-sulfur battery |
| US20160111721A1 (en) | 2013-05-07 | 2016-04-21 | The Regents Of The University Of California | Voltage-responsive coating for lithium-sulfur battery |
| US10062898B2 (en) | 2013-07-10 | 2018-08-28 | GM Global Technology Operations LLC | Surface coating method and method for improving electrochemical performance of an electrode for a lithium based battery |
| DE102014109441B4 (de) | 2013-07-10 | 2023-10-12 | GM Global Technology Operations LLC (n. d. Ges. d. Staates Delaware) | Oberflächenbeschichtungsverfahren und verfahren zur herstellung einer elektrode für eine lithium-basierte batterie |
| US9412986B2 (en) | 2013-07-31 | 2016-08-09 | GM Global Technology Operations LLC | Porous composite structures for lithium-ion battery separators |
| US20150056493A1 (en) | 2013-08-21 | 2015-02-26 | GM Global Technology Operations LLC | Coated porous separators and coated electrodes for lithium batteries |
| US9742028B2 (en) | 2013-08-21 | 2017-08-22 | GM Global Technology Operations LLC | Flexible membranes and coated electrodes for lithium based batteries |
| CN105765771B (zh) | 2013-08-21 | 2018-11-13 | 通用汽车环球科技运作有限责任公司 | 锂基电池电极 |
| US9373829B2 (en) | 2013-10-11 | 2016-06-21 | GM Global Technology Operations LLC | Porous interlayer for a lithium-sulfur battery |
| KR102163731B1 (ko) * | 2013-11-22 | 2020-10-08 | 삼성전자주식회사 | 리튬 전지용 전해질 및 이를 포함하는 리튬 전지 |
| US9252411B2 (en) | 2013-11-22 | 2016-02-02 | GM Global Technology Operations LLC | Multifunction battery separator |
| US9647254B2 (en) | 2013-12-05 | 2017-05-09 | GM Global Technology Operations LLC | Coated separator and one-step method for preparing the same |
| US20150162602A1 (en) | 2013-12-10 | 2015-06-11 | GM Global Technology Operations LLC | Nanocomposite coatings to obtain high performing silicon anodes |
| US9437871B2 (en) | 2014-02-05 | 2016-09-06 | GM Global Technology Operations LLC | Sulfur based active material for a positive electrode |
| US10128481B2 (en) | 2014-02-18 | 2018-11-13 | GM Global Technology Operations LLC | Lithium-based battery separator and method for making the same |
| US10573879B2 (en) | 2014-02-18 | 2020-02-25 | GM Global Technology Operations LLC | Electrolytes and methods for using the same |
| US9302914B2 (en) | 2014-02-28 | 2016-04-05 | GM Global Technology Operations LLC | Methods for making hollow carbon materials and active materials for electrodes |
| US20150349307A1 (en) | 2014-05-27 | 2015-12-03 | GM Global Technology Operations LLC | Method for preparing a coated lithium battery component |
| US10084204B2 (en) | 2014-07-21 | 2018-09-25 | GM Global Technology Operations LLC | Electrolyte solution and sulfur-based or selenium-based batteries including the electrolyte solution |
| US9979008B2 (en) | 2014-11-14 | 2018-05-22 | GM Global Technology Operations LLC | Methods for making a solid electrolyte interface layer on a surface of an electrode |
| US10312501B2 (en) | 2014-12-10 | 2019-06-04 | GM Global Technology Operations LLC | Electrolyte and negative electrode structure |
| US20160172710A1 (en) | 2014-12-10 | 2016-06-16 | The Regents Of The University Of California | Electrolyte and negative electrode structure |
| US20160172706A1 (en) | 2014-12-10 | 2016-06-16 | GM Global Technology Operations LLC | Electrolyte and electrode structure |
| US10199643B2 (en) | 2014-12-16 | 2019-02-05 | GM Global Technology Operations LLC | Negative electrode for lithium-based batteries |
| US9929435B2 (en) | 2015-02-27 | 2018-03-27 | GM Global Technology Operations LLC | Electrolyte structure for metal batteries |
| US9905847B2 (en) | 2015-11-18 | 2018-02-27 | GM Global Technology Operations LLC | Forming electrode active materials |
| US9985284B2 (en) | 2015-11-18 | 2018-05-29 | GM Global Technology Operations LLC | Forming sulfur-based positive electrode active materials |
| US10629941B2 (en) | 2016-01-22 | 2020-04-21 | GM Global Technology Operations LLC | Making a pouch format cell and attaching a tab to an electrode |
| US9923189B2 (en) | 2016-02-02 | 2018-03-20 | GM Global Technology Operations LLC | Electrophoretic deposition of an electrode for a lithium-based battery |
| US20170271678A1 (en) | 2016-03-15 | 2017-09-21 | GM Global Technology Operations LLC | Primer Surface Coating For High-Performance Silicon-Based Electrodes |
| US10367201B2 (en) | 2016-03-30 | 2019-07-30 | GM Global Technology Operations LLC | Negative electrode including a polymeric single-ion conductor coating |
| US9896763B2 (en) | 2016-05-13 | 2018-02-20 | GM Global Technology Operations LLC | Particle reactor for atomic layer deposition (ALD) and chemical vapor deposition (CVD) processes |
| US10396360B2 (en) | 2016-05-20 | 2019-08-27 | Gm Global Technology Operations Llc. | Polymerization process for forming polymeric ultrathin conformal coatings on electrode materials |
-
2015
- 2015-11-30 US US14/954,181 patent/US10312501B2/en active Active
- 2015-12-08 DE DE102015121342.7A patent/DE102015121342B4/de active Active
- 2015-12-10 CN CN201510910065.4A patent/CN105703006B/zh active Active
Patent Citations (6)
| Publication number | Priority date | Publication date | Assignee | Title |
|---|---|---|---|---|
| JPH08321311A (ja) | 1995-05-24 | 1996-12-03 | Sanyo Electric Co Ltd | 非水電解液電池 |
| DE10027626A1 (de) | 2000-06-07 | 2001-12-13 | Merck Patent Gmbh | Silanverbindungen als Additive in Elektrolyten für elektrochemischen Zellen |
| US20140342244A1 (en) | 2004-02-04 | 2014-11-20 | Silatronix, Inc | Electrolyte including silane for use in electrochemical devices |
| DE102006025471A1 (de) | 2005-05-30 | 2007-02-08 | Denso Corp., Kariya | Nicht-wässriger Elektrolyt und Sekundärbatterie mit nicht-wässrigem Elektrolyten unter Verwendung desselben |
| US20130136997A1 (en) | 2010-07-28 | 2013-05-30 | Lg Chem, Ltd. | Non-aqueous electrolyte for lithium secondary battery and lithium secondary battery comprising the same |
| CN102924495A (zh) | 2012-10-15 | 2013-02-13 | 中国科学院广州能源研究所 | 含聚醚链有机卤硅烷及其在非水系锂离子电池电解液中的应用 |
Non-Patent Citations (2)
| Title |
|---|
| Shin, W.-K. [et.al.]: Trifluoropropyltrimethoxysilane as an Electrolyte Additive to Enhance the Cycling Performances of Lithium-Ion Cells. Journal of the Korean Electrochemical Society, 17, 2014, S. 156-163 |
| Shin, W.-K. [et.al.]: Trifluoropropyltrimethoxysilane as an Electrolyte Additive to Enhance the Cycling Performances of Lithium-Ion Cells. Journal of the Korean Electrochemical Society, 17, 2014, S. 156-163, ISSN: 2288-9000 |
Also Published As
| Publication number | Publication date |
|---|---|
| CN105703006A (zh) | 2016-06-22 |
| CN105703006B (zh) | 2019-02-12 |
| US20160172681A1 (en) | 2016-06-16 |
| DE102015121342A1 (de) | 2016-06-16 |
| US10312501B2 (en) | 2019-06-04 |
Similar Documents
| Publication | Publication Date | Title |
|---|---|---|
| DE102015121342B4 (de) | Elektrolyt, negativelektrodenstruktur und verfahren zur herstellung einer festelektrolytgrenzflächen-schicht auf einer oberfläche einer lithiumelektrode | |
| DE102015119522B4 (de) | Verfahren zur Herstellung einer Festelektrolytgrenzflächenschicht auf einer Oberfläche einer Elektrode | |
| DE102019109226B4 (de) | Modifizierter Separator für eine elektrochemische Zelle auf Lithium-Metallbasis | |
| DE102018119769B4 (de) | Ether-basiertes Elektrolytsystem zur Verbesserung oder Unterstützung der anodischen Stabilität von elektrochemischen Zellen mit Lithium-haltigen Anoden | |
| DE102017126265B4 (de) | Verfahren zum Herstellen einer bimetallischen Folie oder Platte | |
| DE102015121806B4 (de) | Negative Elektrode, Batterien auf Lithiumbasis und Verfahren zum Herstellen eines aktiven Materials einer negativen Elektrode | |
| DE112015000403B4 (de) | Elektrolyte und Verfahren für ihre Verwendung | |
| DE102015121130A1 (de) | Elektrolyt und Elektrodenstruktur | |
| DE102015121310A1 (de) | Elektrolyt und negativelektrodenstruktur | |
| DE102015102090A1 (de) | Elektrolyt und lithium-basierte batterien | |
| DE102021113933A1 (de) | Elektrolyte und separatoren für lithiummetall-batterien | |
| DE102017110902A1 (de) | Ein Polymerisations-Verfahren zur Bildung polymerer ultradünner konformer Beschichtungen auf Elektroden-Materialien | |
| DE102017106524A1 (de) | Negativelektrode einschliesslich einer Polymeren Ein-Ionen-Leiterbeschichtung | |
| DE102017105307A1 (de) | Primer-oberflächenbeschichtung für silicium-basierte hochleistungselektroden | |
| DE102016123898A1 (de) | Lithiumionenbatteriekomponenten | |
| DE102017127614A1 (de) | Beschichtete negative Lithium-Metall-Elektrode | |
| DE102018116493A1 (de) | Elektrolytsystem zur unterdrückung oder minimierung von metallverunreinigungen und dendritbildung in lithium-ionen-batterien | |
| DE102019115873A1 (de) | Schutzbeschichtungen für lithiummetallelektroden | |
| DE102020134460A1 (de) | Elektrolyt für graphithaltige batterie mit hoher energiedichte | |
| DE102019105900A1 (de) | Elektrolytsysteme für siliziumhaltige Elektroden | |
| DE102022126666A1 (de) | Beschichtete separatoren für elektrochemische zellen und verfahren zur bildung derselben | |
| DE102019111559A1 (de) | Silizium-anodenmaterialien | |
| DE102014113894A1 (de) | Lithiumionenbatterie-Separatoren und -Elektroden | |
| DE102021114084A1 (de) | Elektroden und elektrochemische zellen mit einer dendriten-inhibitor-schutzschicht | |
| DE102021101894A1 (de) | Verbund-referenzelektrodensubstrat und diesbezügliche verfahren |
Legal Events
| Date | Code | Title | Description |
|---|---|---|---|
| R012 | Request for examination validly filed | ||
| R016 | Response to examination communication | ||
| R018 | Grant decision by examination section/examining division | ||
| R020 | Patent grant now final |












