CN115894520A - 一种大环k-ras g12c抑制剂及其制备方法和在药学上的应用 - Google Patents
一种大环k-ras g12c抑制剂及其制备方法和在药学上的应用 Download PDFInfo
- Publication number
- CN115894520A CN115894520A CN202210217410.6A CN202210217410A CN115894520A CN 115894520 A CN115894520 A CN 115894520A CN 202210217410 A CN202210217410 A CN 202210217410A CN 115894520 A CN115894520 A CN 115894520A
- Authority
- CN
- China
- Prior art keywords
- alkyl
- deuterium
- substituted
- halogen
- membered
- Prior art date
- Legal status (The legal status is an assumption and is not a legal conclusion. Google has not performed a legal analysis and makes no representation as to the accuracy of the status listed.)
- Pending
Links
Landscapes
- Pharmaceuticals Containing Other Organic And Inorganic Compounds (AREA)
Abstract
本发明涉及一种大环K‑RAS G12C抑制剂及其制备方法和在药学上的应用。本发明系列化合物可广泛应用于制备治疗至少部分由K‑RAS G12C突变介导的癌症或肿瘤的药物,特别是治疗肺部、肝胆、胃肠道、血液系统、皮肤、骨、泌尿生殖道、神经系统、妇科性和肾上腺相关恶性肿瘤或癌症的药物,有望开发成新一代K‑RAS G12C抑制剂药物。
Description
技术领域
本发明属于药物合成领域,具体涉及一种大环K-RAS G12C抑制剂及其制备方法和在药学上的应用。
背景技术
RAS基因家族包含HRAS,KRAS和NRAS,它们作为癌基因在癌症中经常发生突变。20-30%的人类肿瘤中有突变的RAS蛋白。活化的RAS蛋白导致癌细胞的恶性表型,包括细胞生长和程序性细胞死亡的失调,侵袭性和新血管生成的增加。由于其对GTP/GDP的高亲和力和缺乏清晰的结合口袋,靶向RAS蛋白药物的开发进展较慢。
在正常情况下,RAS蛋白起分子开关的作用,在GDP结合的无活性状态和GTP结合的激活状态之间交替。在外源性生长因子刺激后,经鸟嘌呤核苷酸交换因子(GEFs)的促进,RAS蛋白从无活性的GDP结合形式转变为激活态的GTP结合形式,能够结合并激活下游信号通路。随后,凭借其固有的GTPase活性和GTPase激活/加速蛋白(GAP)的帮助,RAS恢复为无活性的GDP结合形式。
12、13或61位密码子的错义突变导致RAS的异常激活。这些突变延长了RAS蛋白停留在GTP结合状态的时间,从而导致下游信号通路的持续性激活。K-RAS是人类癌症中RAS家族中最常见的突变亚型,包括胰腺癌(71%),小肠癌(35%),结肠癌(35%),胆道癌(26%),子宫内膜癌(17%)和肺癌(19%)。就突变位点而言,G12D/G12V/G12C/G13D是胰腺癌,肺癌和大肠癌中K-RAS的最常见的突变类型。
由于该蛋白缺乏明显的口袋,因此对K-RAS的抑制剂研发充满挑战性。最近的研究发现在K-RAS与GDP结合状态中存在一个之前未被发现的口袋。基于这些新发现,靶向密码子12位突变半胱氨酸的共价结合抑制剂成为K-RAS抑制剂的研发热点。之前,突变的K-RAS被认为锁定在GTP结合的激活状态。但是,后来发现G12C突变仍具有相对较高的GTP水解活性水平,因此更容易受到与GDP结合K-RAS的共价抑制剂的影响。最近,几种靶向K-RAS G12C突变的共价抑制剂先后进入早期临床试验。
发明内容
本申请的发明人经过广泛而深入地研究,首次研发出一种大环K-RAS G12C抑制剂,并提供了其制备方法和在药学上的应用,本发明系列化合物具有对K-RAS酶学和细胞活性具有很强的抑制作用,可广泛应用于制备治疗至少部分由K-RAS G12C突变介导的癌症或肿瘤的药物,特别是治疗肺部、肝胆、胃肠道、血液系统、皮肤、骨、泌尿生殖道、神经系统、妇科性和肾上腺相关恶性肿瘤或癌症的药物,有望开发成新一代K-RAS G12C抑制剂药物。
本发明第一方面提供一种式(I)化合物、其立体异构体或其药学上可接受盐:
其中,X为C(R7)或N;L选自-CR8=CR9-、-C(R10R11)-C(R12R13)-、-N(R14)-C(O)-、-N(R15)-C(R16R17)-和-O-C(R18R19)-;
R1选自氢、氘、卤素、氰基、羟基、C1-4烷基、C2-4链烯基、C2-4链炔基、卤取代C1-4烷基、氘取代C1-4烷基、C1-4烷氧基、卤取代C1-4烷氧基、氘取代C1-4烷氧基、C3-6环烷基、4-6元杂环基、苯基、4-6元杂芳基、乙酰胺基和-SF5;
每个R2各自独立地选自氢、氘、卤素、氰基、羟基、C1-4烷基、卤取代C1-4烷基、氘取代C1-4烷基、C1-4烷氧基、卤取代C1-4烷氧基、氘取代C1-4烷氧基、C3-6环烷基、4-6元杂环基、苯基、4-6元杂芳基、乙酰胺基和-SF5;
R3选自氢、氘、卤素、氰基、硝基、叠氮基、C1-10烷基、C2-10链烯基、C2-10链炔基、C3-12环烷基、3-12元杂环基、C5-10芳基、5-10元杂芳基、-C0-8烷基-SF5、-C0-8烷基-S(O)rR20、-C0-8烷基-O-R21、-C0-8烷基-C(O)OR21、-C0-8烷基-C(O)R22、-C0-8烷基-O-C(O)R22、-C0-8烷基-NR23R24、-C0-8烷基-C(=NR23)R22、-C0-8烷基-N(R23)-C(=NR24)R22、-C0-8烷基-C(O)NR23R24和-C0-8烷基-N(R23)-C(O)R22,上述基团任选进一步被一个或多个选自氘、卤素、氰基、硝基、叠氮基、C1-10烷基、卤取代C1-10烷基、氘取代C1-10烷基、C2-10链烯基、C2-10链炔基、C3-12环烷基、3-12元杂环基、C5-10芳基、5-10元杂芳基、=O、-C0-8烷基-SF5、-C0-8烷基-S(O)rR20、-C0-8烷基-O-R21、-C0-8烷基-C(O)OR21、-C0-8烷基-C(O)R22、-C0-8烷基-O-C(O)R22、-C0-8烷基-NR23R24、-C0-8烷基-C(=NR23)R22、-C0-8烷基-N(R23)-C(=NR24)R22、-C0-8烷基-C(O)NR23R24和-C0-8烷基-N(R23)-C(O)R22的取代基所取代;
每个R4各自独立地选自氢、氘、卤素、氰基、羟基、-SF5、C1-4烷基、C2-4链烯基、C2-4链炔基、C1-4烷氧基、C3-6环烷基、4-6元杂环基、氰基取代C1-4烷基、羟基取代C1-4烷基、卤取代C1-4烷基和氘取代C1-4烷基,或者,当m≥2时,两个R4与其相连的部分一起形成C3-12环烷基或3-12元杂环基;
R5和R6各自独立地选自氢、氘、卤素、氰基、C1-4烷基、卤取代C1-4烷基、氘取代C1-4烷基、C3-6环烷基、4-6元杂环基和二C1-4烷基氨基甲基;
R7选自氢、氘、卤素、氰基、硝基、叠氮基、C1-10烷基、C2-10链烯基、C2-10链炔基、C3-12环烷基、3-12元杂环基、C5-10芳基、5-10元杂芳基、-C0-8烷基-SF5、-C0-8烷基-S(O)rR20、-C0-8烷基-O-R21、-C0-8烷基-C(O)OR21、-C0-8烷基-C(O)R22、-C0-8烷基-O-C(O)R22、-C0-8烷基-NR23R24、-C0-8烷基-C(=NR23)R22、-C0-8烷基-N(R23)-C(=NR24)R22、-C0-8烷基-C(O)NR23R24和-C0-8烷基-N(R23)-C(O)R22,上述基团任选进一步被一个或多个选自氘、卤素、氰基、硝基、叠氮基、C1-10烷基、卤取代C1-10烷基、氘取代C1-10烷基、C2-10链烯基、C2-10链炔基、C3-12环烷基、3-12元杂环基、C5-10芳基、5-10元杂芳基、=O、-C0-8烷基-SF5、-C0-8烷基-S(O)rR20、-C0-8烷基-O-R21、-C0-8烷基-C(O)OR21、-C0-8烷基-C(O)R22、-C0-8烷基-O-C(O)R22、-C0-8烷基-NR23R24、-C0-8烷基-C(=NR23)R22、-C0-8烷基-N(R23)-C(=NR24)R22、-C0-8烷基-C(O)NR23R24和-C0-8烷基-N(R23)-C(O)R22的取代基所取代;
R8和R9各自独立地选自氢、氘、卤素、氰基、C1-10烷基、C3-12环烷基、4-12元杂环基和-C1-4烷基-NR23R24,上述基团任选进一步被一个或多个选自氘、卤素、氰基、羟基、C1-10烷基、卤取代C1-10烷基、氘取代C1-10烷基、C2-10链烯基、C2-10链炔基、C3-12环烷基、3-12元杂环基、C5-10芳基、5-10元杂芳基、=O、-SF5、-S(O)rR20、-O-R21、-C(O)OR21、-C(O)R22、-O-C(O)R22、-NR23R24、-C(=NR23)R22、-N(R23)-C(=NR24)R22、-C(O)NR23R24和-N(R23)-C(O)R22的取代基所取代;
R10、R11、R12、R13、R16、R17、R18和R19各自独立地选自氢、氘、卤素、氰基、硝基、叠氮基、C1-10烷基、C2-10链烯基、C2-10链炔基、C3-12环烷基、3-12元杂环基、C5-10芳基、5-10元杂芳基、-SF5、-S(O)rR20、-O-R21、-C(O)OR21、-C(O)R22、-O-C(O)R22、-NR23R24、-C(=NR23)R22、-N(R23)-C(=NR24)R22、-C(O)NR23R24和-N(R23)-C(O)R22,或者,R10和R11、R12和R13、R16和R17、R18和R19与其直接相连的碳原子一起形成C(O)、3-12元环烷基或3-12元杂环基,上述基团任选进一步被一个或多个选自氘、卤素、氰基、硝基、叠氮基、C1-10烷基、卤取代C1-10烷基、氘取代C1-10烷基、C2-10链烯基、C2-10链炔基、C3-12环烷基、3-12元杂环基、C5-10芳基、5-10元杂芳基、=O、-SF5、-S(O)rR20、-O-R21、-C(O)OR21、-C(O)R22、-O-C(O)R22、-NR23R24、-C(=NR23)R22、-N(R23)-C(=NR24)R22、-C(O)NR23R24和-N(R23)-C(O)R22的取代基所取代;
R14和R15各自独立地选自氢、氘、羟基、C1-10烷基、C3-12环烷基、3-12元杂环基、C5-10芳基、5-10元杂芳基、-C(O)OR21、-C(O)R22和-C(O)NR23R24,上述基团任选进一步被一个或多个选自氘、卤素、氰基、硝基、叠氮基、C1-10烷基、C2-10链烯基、C2-10链炔基、卤取代C1-10烷基、氘取代C1-10烷基、C3-12环烷基、3-12元杂环基、C5-10芳基、5-10元杂芳基、=O、-C0-8烷基-SF5、-C0-8烷基-S(O)rR20、-C0-8烷基-O-R21、-C0-8烷基-C(O)OR21、-C0-8烷基-C(O)R22、-C0-8烷基-O-C(O)R22、-C0-8烷基-NR23R24、-C0-8烷基-C(=NR23)R22、-C0-8烷基-N(R23)-C(=NR24)R22、-C0-8烷基-C(O)NR23R24和-C0-8烷基-N(R23)-C(O)R22的取代基所取代;
每个R20独立地选自氢、氘、羟基、C1-10烷基、C2-10链烯基、C3-12环烷基、3-12元杂环基、C6-10芳基、5-10元杂芳基和-NR23R24,上述基团独立地任选进一步被一个或多个选自氘、卤素、羟基、=O、C1-10烷基、C1-10烷氧基、C3-12环烷基、C3-12环烷氧基、3-12元杂环基、3-12元杂环氧基、C6-10芳基、C6-10芳氧基、5-10元杂芳基、5-10元杂芳氧基和-NR23R24的取代基所取代;
每个R21独立地选自氢、氘、C1-10烷基、C2-10链烯基、C3-12环烷基、3-12元杂环基、C6-10芳基和5-10元杂芳基,上述基团独立地任选进一步被一个或多个选自氘、卤素、羟基、=O、氰基、C1-10烷基、C1-10烷氧基、C3-12环烷基、C3-12环烷氧基、3-12元杂环基、3-12元杂环氧基、C6-10芳基、C6-10芳氧基、5-10元杂芳基、5-10元杂芳氧基和-NR23R24的取代基所取代;
每个R22选自氢、氘、羟基、C1-10烷基、C1-10烷氧基、C2-10链烯基、C2-10链炔基、C3-12环烷基、C3-12环烷氧基、3-12元杂环基、3-12元杂环氧基、C6-10芳基、C6-10芳氧基、5-10元杂芳基、5-10元杂芳氧基和-NR23R24,上述基团独立地任选进一步被一个或多个选自氘、卤素、羟基、氰基、C1-10烷基、C1-10烷氧基、C3-12环烷基、C3-12环烷氧基、3-12元杂环基、3-12元杂环氧基、C6-10芳基、C6-10芳氧基、5-10元杂芳基、5-10元杂芳氧基和-NR23R24的取代基所取代;
每个R23和R24各自独立地选自氢、氘、羟基、C1-10烷基、C2-10链烯基、C2-10链炔基、C3-12环烷基、3-12元杂环基、C6-10芳基、5-10元杂芳基、亚磺酰基、磺酰基、甲磺酰基、异丙磺酰基、环丙基磺酰基、对甲苯磺酰基、氨基磺酰基、二甲氨基磺酰基、氨基、单C1-10烷基氨基、二C1-10烷基氨基和C1-10烷酰基,上述基团独立地任选进一步被一个或多个选自氘、卤素、羟基、C1-10烷基、C2-10链烯基、C2-10链炔基、卤取代C1-10烷基、氘取代C1-10烷基、C1-10烷氧基、C3-12环烷基、C3-12环烷氧基、3-12元杂环基、3-12元杂环氧基、C6-10芳基、C6-10芳氧基、5-10元杂芳基、5-10元杂芳氧基、氨基、单C1-10烷基氨基、二C1-10烷基氨基和C1-10烷酰基的取代基所取代,
或者,R23和R24与其直接相连的氮原子一起形成4-10元杂环基或5-10元杂芳基,所述4-10元杂环基或5-10元杂芳基任选进一步被一个或多个选自氘、卤素、羟基、C1-10烷基、C2-10链烯基、C2-10链炔基、卤取代C1-10烷基、氘取代C1-10烷基、C1-10烷氧基、C3-12环烷基、C3-12环烷氧基、3-12元杂环基、3-12元杂环氧基、C6-10芳基、C6-10芳氧基、5-10元杂芳基、5-10元杂芳氧基、氨基、单C1-10烷基氨基、二C1-10烷基氨基和C1-10烷酰基的取代基所取代;
m为0、1、2、3或4;
n为0、1、2、3或4;
每个r各自独立地为0、1或2。
作为优选的方案,所述的式(I)化合物、其立体异构体或其药学上可接受盐中R10、R11、R12、R13、R16、R17、R18和R19各自独立地选自氢、氘、卤素、氰基、C1-4烷基、C2-4链烯基、C2-4链炔基、C3-6环烷基、3-6元杂环基、C5-8芳基、5-8元杂芳基、-SF5、-S(O)rR20、-O-R21、-C(O)OR21、-C(O)R22、-O-C(O)R22、-NR23R24、-C(O)NR23R24和-N(R23)-C(O)R22,或者,R10和R11、R12和R13、R16和R17、R18和R19与其直接相连的碳原子一起形成C(O)、3-6元环烷基或3-6元杂环基,上述基团任选进一步被一个或多个选自氘、卤素、氰基、C1-4烷基、卤取代C1-4烷基、氘取代C1-4烷基、C2-4链烯基、C2-4链炔基、C3-6环烷基、3-6元杂环基、C5-8芳基、5-8元杂芳基、=O、-SF5、-S(O)rR20、-O-R21、-C(O)OR21、-C(O)R22、-O-C(O)R22、-NR23R24、-C(O)NR23R24和-N(R23)-C(O)R22的取代基所取代;
R14和R15各自独立地选自氢、氘、羟基、C1-4烷基、C3-6环烷基、3-6元杂环基、C5-8芳基、5-8元杂芳基、-C(O)OR21、-C(O)R22和-C(O)NR23R24,上述基团任选进一步被一个或多个选自氘、卤素、氰基、硝基、叠氮基、C1-4烷基、C2-4链烯基、C2-4链炔基、卤取代C1-4烷基、氘取代C1-4烷基、C3-6环烷基、3-6元杂环基、C5-8芳基、5-8元杂芳基、=O、-C0-4烷基-SF5、-C0-4烷基-S(O)rR20、-C0-4烷基-O-R21、-C0-4烷基-C(O)OR21、-C0-4烷基-C(O)R22、-C0-4烷基-O-C(O)R22、-C0-4烷基-NR23R24、-C0-4烷基-C(=NR23)R22、-C0-4烷基-N(R23)-C(=NR24)R22、-C0-4烷基-C(O)NR23R24和-C0-4烷基-N(R23)-C(O)R22的取代基所取代;
其中,R20、R21、R22、R23、R24、r如式(I)化合物所述。
作为优选的方案,所述的式(I)化合物、其立体异构体或其药学上可接受盐中R8和R9各自独立地选自氢、氘、卤素、氰基、C1-4烷基、C3-6环烷基、4-6元杂环基和-C1-4烷基-NR23R24,上述基团任选进一步被一个或多个选自氘、卤素、氰基、羟基、C1-4烷基、卤取代C1-4烷基、氘取代C1-4烷基、C2-4链烯基、C2-4链炔基、C3-6环烷基、3-6元杂环基、C5-8芳基、5-8元杂芳基、=O、-SF5、-S(O)rR20、-O-R21、-C(O)OR21、-C(O)R22、-O-C(O)R22、-NR23R24、-C(O)NR23R24和-N(R23)-C(O)R22的取代基所取代;
其中,R20、R21、R22、R23、R24、r如式(I)化合物所述。
作为优选的方案,所述的式(I)化合物、其立体异构体或其药学上可接受盐中R7选自氢、氘、卤素、氰基、C1-4烷基、C2-4链烯基、C2-4链炔基、C3-6环烷基、3-6元杂环基、C5-8芳基、5-8元杂芳基、-SF5、-S(O)rR20、-O-R21、-C(O)OR21、-C(O)R22、-O-C(O)R22、-NR23R24、-C(=NR23)R22、-N(R23)-C(=NR24)R22、-C(O)NR23R24和-N(R23)-C(O)R22,上述基团任选进一步被一个或多个选自氘、卤素、氰基、C1-4烷基、卤取代C1-4烷基、氘取代C1-4烷基、C2-4链烯基、C2-4链炔基、C3-6环烷基、3-6元杂环基、C5-8芳基、5-8元杂芳基、=O、-SF5、-S(O)rR20、-O-R21、-C(O)OR21、-C(O)R22、-O-C(O)R22、-NR23R24、-C(=NR23)R22、-N(R23)-C(=NR24)R22、-C(O)NR23R24和-N(R23)-C(O)R22的取代基所取代;
其中,R20、R21、R22、R23、R24、r如式(I)化合物所述。
作为优选的方案,所述的式(I)化合物、其立体异构体或其药学上可接受盐中R3选自氢、氘、卤素、氰基、C1-4烷基、C2-4链烯基、C2-4链炔基、C3-6环烷基、3-6元杂环基、C5-8芳基、5-8元杂芳基、-SF5、-S(O)rR20、-O-R21、-C(O)OR21、-C(O)R22、-O-C(O)R22、-NR23R24、-C(=NR23)R22、-N(R23)-C(=NR24)R22、-C(O)NR23R24和-N(R23)-C(O)R22,上述基团任选进一步被一个或多个选自氘、卤素、氰基、C1-4烷基、卤取代C1-4烷基、氘取代C1-4烷基、C2-4链烯基、C2-4链炔基、C3-6环烷基、3-6元杂环基、C5-8芳基、5-8元杂芳基、=O、-SF5、-S(O)rR20、-O-R21、-C(O)OR21、-C(O)R22、-O-C(O)R22、-NR23R24、-C(=NR23)R22、-N(R23)-C(=NR24)R22、-C(O)NR23R24和-N(R23)-C(O)R22的取代基所取代;
其中,R20、R21、R22、R23、R24、r如式(I)化合物所述。
作为优选的方案,所述的式(I)化合物、其立体异构体或其药学上可接受盐中R1选自氢、氘、氟、氯、氰基、羟基、乙烯基、乙炔基、C1-4烷基、卤取代C1-4烷基、氘取代C1-4烷基、C1-4烷氧基、卤取代C1-4烷氧基、氘取代C1-4烷氧基、环丙基、乙酰胺基和-SF5。
作为优选的方案,所述的式(I)化合物、其立体异构体或其药学上可接受盐中每个R2各自独立地选自氢、氘、氟、氯、氰基、羟基、C1-4烷基、卤取代C1-4烷基、氘取代C1-4烷基、C1-4烷氧基、卤取代C1-4烷氧基、氘取代C1-4烷氧基、环丙基、乙酰胺基和-SF5。
作为优选的方案,所述的式(I)化合物、其立体异构体或其药学上可接受盐中每个R4各自独立地选自氢、氘、卤素、氰基、羟基、-SF5、C1-4烷基、C2-4链炔基、C1-4烷氧基、C3-6环烷基、4-6元杂环基、氰基取代C1-4烷基、羟基取代C1-4烷基、卤取代C1-4烷基和氘取代C1-4烷基。
作为优选的方案,所述的式(I)化合物、其立体异构体或其药学上可接受盐中R5和R6各自独立地选自氢、氘、氟、氯、氰基、甲基、乙基、异丙基、环丙基和二甲基氨基甲基。
作为进一步优选的方案,所述的式(I)化合物、其立体异构体或其药学上可接受盐中式(I)化合物具有如下式(Ⅱ)化合物结构:
其中,X为CH或N,L为-CR8=CR9-或-C(R10R11)-C(R12R13)-;
R1选自氢、氘、氟、氯、氰基、羟基、乙炔基、甲基、乙基、异丙基、甲氧基、乙氧基、异丙氧基、环丙基、乙酰胺基和-SF5;
R2选自氢、氘、氟、氯、氰基、羟基、甲基、乙基、异丙基、甲氧基、乙氧基、异丙氧基、环丙基、乙酰胺基和-SF5;
R3选自氢、氘、卤素、氰基、C1-4烷基、卤取代C1-4烷基、氘取代C1-4烷基、C1-4烷氧基、卤取代C1-4烷氧基、氘取代C1-4烷氧基、C2-4链烯基、C2-4链炔基、C3-6环烷基、3-6元杂环基、C5-8芳基、5-8元杂芳基、二C1-4烷基氨基甲基和-SF5;
R4a、R4b、R4c各自独立地选自氢、氘、卤素、氰基、甲基、环丙基、氰甲基、羟基甲基、三氟甲基、三氘甲基、二氟甲基和二氘甲基;
R8和R9各自独立地选自氢、氘、氟、氰基、甲基、乙基、异丙基和环丙基;
R10、R11、R12和R13各自独立地选自氢、氘、卤素、氰基、C1-4烷基、C2-4链烯基、C2-4链炔基、C3-6环烷基、3-6元杂环基、C5-8芳基、5-8元杂芳基、-SF5、-S(O)rR20、-O-R21、-C(O)OR21、-C(O)R22、-O-C(O)R22、-NR23R24、-C(O)NR23R24和-N(R23)-C(O)R22,或者,R10和R11、R12和R13与其直接相连的碳原子一起形成C(O)、3-6元环烷基或3-6元杂环基,上述基团任选进一步被一个或多个选自氘、卤素、氰基、C1-4烷基、卤取代C1-4烷基、氘取代C1-4烷基、C2-4链烯基、C2-4链炔基、C3-6环烷基、3-6元杂环基、C5-8芳基、5-8元杂芳基、=O、-SF5、-S(O)rR20、-O-R21、-C(O)OR21、-C(O)R22、-O-C(O)R22、-NR23R24、-C(O)NR23R24和-N(R23)-C(O)R22的取代基所取代;
其中,R20、R21、R22、R23、R24、r如式(I)化合物所述。
作为更进一步优选的方案,所述的式(I)化合物、其立体异构体或其药学上可接受盐中式(I)化合物具有如下式(Ⅲ)化合物结构:
其中,L为-CH=CH-或-C(R10R11)-C(R12R13)-;
R1选自氢、氘、氟、氯、氰基、甲基、甲氧基、环丙基和-SF5;
R2选自氢、氘、氟、氯、氰基、甲基、甲氧基、环丙基和-SF5;
R3选自氢、氘、氟、氯、氰基、甲基、乙基、异丙基、三氟甲基、三氘甲基、甲氧基、三氟甲氧基、三氘甲氧基、环丙基、环丁基、环丁氧基和-SF5;
R10、R11、R12和R13各自独立地选自氢、氘、卤素、氰基、C1-4烷基、C3-6环烷基、3-6元杂环基、5-8元杂芳基、-O-R21、-C(O)OR21、-C(O)R22、-O-C(O)R22和-NR23R24,或者,R10和R11、R12和R13与其直接相连的碳原子一起形成C(O)、3-6元环烷基或3-6元杂环基,上述基团任选进一步被一个或多个选自氘、卤素、氰基、C1-4烷基、卤取代C1-4烷基、氘取代C1-4烷基、C2-4链炔基、C3-6环烷基、3-6元杂环基、C5-8芳基、5-8元杂芳基、=O、-SF5、-S(O)rR20、-O-R21、-C(O)OR21、-C(O)R22、-O-C(O)R22、-NR23R24、-C(O)NR23R24和-N(R23)-C(O)R22的取代基所取代;
每个R20独立地选自氢、氘、羟基、C1-4烷基、C2-4链烯基、C3-6环烷基、3-6元杂环基、C6-8芳基、5-8元杂芳基和-NR23R24,上述基团独立地任选进一步被一个或多个选自氘、卤素、羟基、氨基、=O、C1-4烷基、C1-4烷氧基、C3-6环烷基、C3-6环烷氧基、3-6元杂环基和3-6元杂环氧基的取代基所取代;
每个R21独立地选自氢、氘、C1-4烷基、C2-4链烯基、C3-6环烷基、3-6元杂环基、C6-8芳基和5-8元杂芳基,上述基团独立地任选进一步被一个或多个选自氘、卤素、羟基、氨基、=O、氰基、C1-4烷基、C1-4烷氧基、C3-6环烷基、C3-6环烷氧基、3-6元杂环基和3-6元杂环氧基的取代基所取代;
每个R22选自氢、氘、羟基、C1-4烷基、C1-4烷氧基、C2-4链烯基、C2-4链炔基、C3-6环烷基、C3-6环烷氧基、3-6元杂环基、3-6元杂环氧基、C6-8芳基、C6-8芳氧基、5-8元杂芳基、5-8元杂芳氧基和-NR23R24,上述基团独立地任选进一步被一个或多个选自氘、卤素、羟基、氨基、氰基、C1-4烷基、C1-4烷氧基、C3-6环烷基、C3-6环烷氧基、3-6元杂环基和3-6元杂环氧基的取代基所取代;
每个R23和R24各自独立地选自氢、氘、羟基、C1-4烷基、C2-4链烯基、C2-4链炔基、C3-6环烷基、3-6元杂环基、C6-8芳基、5-8元杂芳基、亚磺酰基、磺酰基、甲磺酰基、异丙磺酰基、环丙基磺酰基、对甲苯磺酰基、氨基磺酰基、二甲氨基磺酰基、氨基、单C1-4烷基氨基、二C1-4烷基氨基和C1-4烷酰基,上述基团独立地任选进一步被一个或多个选自氘、卤素、羟基、C1-4烷基、C2-4链烯基、C2-4链炔基、卤取代C1-4烷基、氘取代C1-4烷基、C1-4烷氧基、C3-6环烷基、C3-6环烷氧基、3-6元杂环基、3-6元杂环氧基、C6-8芳基、C6-8芳氧基、5-8元杂芳基、5-8元杂芳氧基、氨基、单C1-4烷基氨基、二C1-4烷基氨基和C1-4烷酰基的取代基所取代,
或者,R23和R24与其直接相连的氮原子一起形成4-6元杂环基或5-8元杂芳基,所述4-6元杂环基或5-8元杂芳基任选进一步被一个或多个选自氘、卤素、羟基、C1-4烷基、C2-4链烯基、C2-4链炔基、卤取代C1-4烷基、氘取代C1-4烷基、C1-4烷氧基、C3-6环烷基、C3-6环烷氧基、3-6元杂环基、3-6元杂环氧基、C6-8芳基、C6-8芳氧基、5-8元杂芳基、5-8元杂芳氧基、氨基、单C1-4烷基氨基、二C1-4烷基氨基和C1-4烷酰基的取代基所取代;
每个r各自独立地为0、1或2。
作为更进一步优选的方案,所述的式(I)化合物、其立体异构体或其药学上可接受盐中,L为-CH=CH-或-C(R10R11)-C(R12R13)-;
R1选自氢、氘、氟、氯、氰基、甲基、甲氧基和环丙基;
R2选自氢、氘、氟、氯、氰基、甲基、甲氧基和环丙基;
R3选自氢、氘、氟、氯、氰基、甲基、乙基、异丙基、三氟甲基、三氘甲基、甲氧基、三氟甲氧基、三氘甲氧基、环丙基、环丁基和环丁氧基;
R10为氢;
R11选自氢、氘、氟、氯、溴、氰基、甲基、乙基、丙基、丁基、异丙基、异丁基、环丙基、环丁基、氧杂环丁基、氮杂环丁基、氧杂环戊基、氮杂环戊基、-O-R21、-C(O)OR21、-C(O)R22和-O-C(O)R22,上述基团任选进一步被一个或多个选自氘、卤素、氰基、C1-4烷基、卤取代C1-4烷基、氘取代C1-4烷基、C2-4链炔基、C3-6环烷基、3-6元杂环基、C5-8芳基、5-8元杂芳基、=O、-SF5、-O-R21、-C(O)OR21、-C(O)R22和-O-C(O)R22的取代基所取代;
R12为氢;
R13选自氢、氘、氟、氯、溴、氰基、甲基、乙基、丙基、丁基、异丙基、异丁基、环丙基、环丁基、氧杂环丁基、氮杂环丁基、氧杂环戊基、氮杂环戊基、-O-R21、-C(O)OR21、-C(O)R22和-O-C(O)R22,上述基团任选进一步被一个或多个选自氘、氟、氯、溴、氰基、C1-4烷基、卤取代C1-4烷基、氘取代C1-4烷基、C2-4链炔基、C3-6环烷基、3-6元杂环基、C5-8芳基、5-8元杂芳基、=O、-SF5、-O-R21、-C(O)OR21、-C(O)R22和-O-C(O)R22的取代基所取代;
每个R21独立地选自氢、氘、甲基、乙基、丙基、丁基、异丙基、异丁基、乙烯基、环丙基、环丁基、氧杂环丁基、氮杂环丁基、氧杂环戊基、氮杂环戊基和苯基,上述基团独立地任选进一步被一个或多个选自氘、氟、氯、溴、羟基、氨基、=O、氰基、C1-4烷基、C1-4烷氧基、C3-6环烷基、C3-6环烷氧基、3-6元杂环基和3-6元杂环氧基的取代基所取代;
每个R22选自氢、氘、羟基、甲基、乙基、丙基、丁基、异丙基、异丁基、甲氧基、乙氧基、丙氧基、乙烯基、乙炔基、环丙基、环丁基、环丙氧基、环丁氧基、氧杂环丁基、氮杂环丁基、氧杂环戊基、氮杂环戊基和苯基,上述基团独立地任选进一步被一个或多个选自氘、氟、氯、溴、羟基、氨基、氰基、C1-4烷基、C1-4烷氧基、C3-6环烷基、C3-6环烷氧基、3-6元杂环基和3-6元杂环氧基的取代基所取代。
作为最优选的方案,所述的式(I)化合物、其立体异构体或其药学上可接受盐,包括但不限于如下化合物:
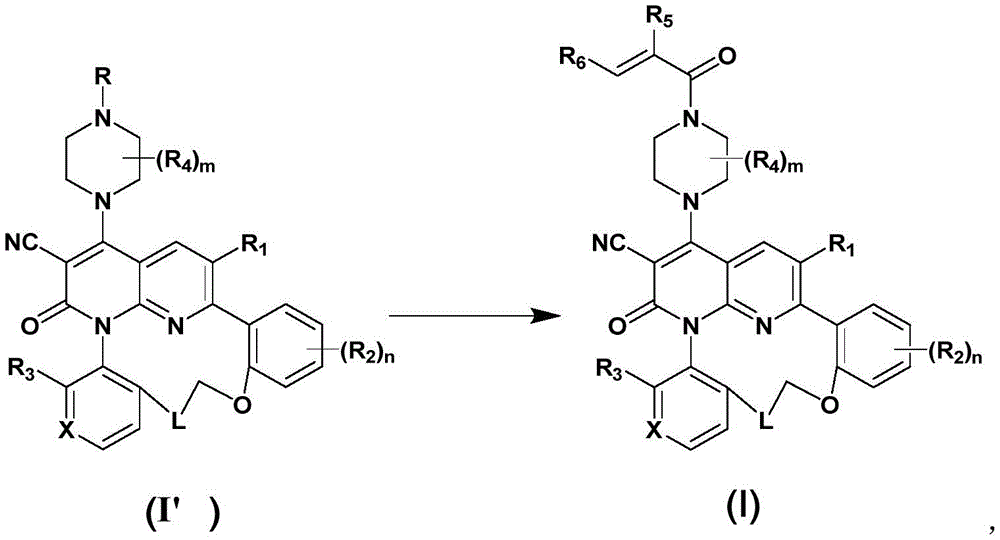
本发明第二方面提供式(I)化合物、其立体异构体或其药学上可接受盐的制备方法,包括如下步骤:式(I')化合物经反应得到式(I)化合物,反应式如下:
其中,R为H或氨基保护基,优选的,所述氨基保护基为叔丁氧羰基;R1、R2、R3、R4、R5、R6、L、X、m和n如式(I)化合物所述。
本发明第三方面提供一种药物组合物,其包括前述的式(I)化合物、其立体异构体或其药学上可接受盐及可药用的载体。
本发明第四方面提供一种前述式(I)化合物、其立体异构体或其药学上可接受盐或前述药物组合物的用途,用于制备治疗至少部分由K-RAS G12C突变介导的肿瘤或癌症的药物。
作为优选的方案,所述的癌症或肿瘤选自肺部恶性肿瘤或癌症、肝胆恶性肿瘤或癌症、胃肠道恶性肿瘤或癌症、血液系统恶性肿瘤或癌症、肉瘤、皮肤恶性肿瘤或癌症、骨恶性肿瘤或癌症、泌尿生殖道恶性肿瘤或癌症、神经系统恶性肿瘤或癌症、妇科性恶性肿瘤或癌症和肾上腺恶性肿瘤或癌症。
作为进一步优选的方案,所述肺部恶性肿瘤或癌症选自支气管癌(鳞状细胞癌、未分化的小细胞、未分化的大细胞或腺癌)、非小细胞肺癌、支气管癌、支气管腺瘤、肉瘤、淋巴瘤、软骨性错构瘤或间皮瘤;所述肝胆恶性肿瘤或癌症选自肝癌、胆管癌、肝母细胞瘤、血管肉瘤、肝细胞腺瘤、血管瘤、胆囊癌、壶腹癌或胆管癌;所述胃肠道恶性肿瘤或癌症选自食道恶性肿瘤或癌症(鳞状细胞癌、腺癌、平滑肌肉瘤或淋巴瘤)、胃恶性肿瘤或癌症(癌、淋巴瘤或平滑肌肉瘤)、胰腺恶性肿瘤或癌症(导管腺癌、胰岛素瘤、胰高血糖素瘤、胃泌素瘤、类癌瘤、葡萄膜瘤)、小肠(腺癌、淋巴瘤、类癌、卡波西氏肉瘤、平滑肌瘤、血管瘤、脂肪瘤、神经纤维瘤、纤维瘤)、大肠癌恶性肿瘤或癌症(腺癌、腺瘤、腺瘤、管状腺瘤)或平滑肌瘤;所述血液系统恶性肿瘤或癌症选自急性或慢性骨髓白血病、急性淋巴细胞白血病、慢性淋巴细胞性白血病、骨髓增生性疾病、多发性骨髓瘤、骨髓增生异常综合症、霍奇金病或非霍奇金淋巴瘤;所述肉瘤选自血管肉瘤、纤维肉瘤、横纹肌肉瘤、脂肪肉瘤、粘液瘤、横纹肌瘤、纤维瘤、脂肪瘤或畸胎瘤;所述皮肤恶性肿瘤或癌症选自恶性黑色素瘤、基底细胞癌、鳞状细胞癌、卡波济肉瘤、痣痣、增生痣、脂肪瘤、血管瘤、皮肤纤维瘤、瘢痕瘤或牛皮癣;所述骨恶性肿瘤或癌症选自成骨肉瘤、纤维肉瘤、恶性纤维组织细胞瘤、软骨肉瘤、尤因氏肉瘤、恶性淋巴瘤、多发性骨髓瘤、恶性巨细胞瘤脊索瘤、骨软骨瘤、良性软骨瘤、软骨母细胞瘤、软骨粘膜纤维瘤、类骨质骨瘤或巨细胞瘤;所述泌尿生殖道恶性肿瘤或癌症选自肾脏恶性肿瘤或癌症(腺癌、威尔姆氏肿瘤或肾母细胞瘤)、淋巴瘤、白血病、膀胱或尿道恶性肿瘤或癌症(鳞状细胞癌、移行细胞癌或腺癌)、前列腺恶性肿瘤或癌症(腺癌或肉瘤)、睾丸恶性肿瘤或癌症(血癌、畸胎瘤、胚胎癌或畸胎瘤)、绒癌、肉瘤、间质细胞癌、纤维瘤、纤维腺瘤、腺瘤样瘤或脂肪瘤;所述神经系统恶性肿瘤或癌症选自骨瘤、血管瘤、肉芽肿、黄瘤、变形性骨炎、脑膜瘤、脑膜肉瘤、胶质瘤病、星形细胞瘤、髓母细胞瘤、神经胶质瘤、室管膜瘤、生殖器瘤、多形胶质母细胞瘤、少突胶质细胞瘤、神经鞘瘤、视网膜母细胞瘤、先天性肿瘤、脊髓神经纤维瘤、脑膜瘤、神经胶质瘤或肉瘤;所述妇科性恶性肿瘤或癌症选自子宫内膜癌(浆液性囊腺癌、粘液性囊腺癌或未分类癌)、颗粒-鞘细胞瘤、睾丸间质细胞瘤、肌膜异常瘤、恶性畸胎瘤、鳞状上皮癌、纤维上皮癌、腺上皮癌、黑色素瘤、透明细胞癌、鳞状细胞癌、葡萄状肉瘤或输卵管癌;所述肾上腺恶性肿瘤或癌症选自神经母细胞瘤。
本发明第五方面提供一种前述式(I)化合物、其立体异构体或其药学上可接受盐,或前述药物组合物用作治疗至少部分由K-RAS G12C突变介导的肿瘤或癌症的药物。
本发明第六方面提供一种预防和/或治疗至少部分由K-RAS G12C突变介导的肿瘤或癌症的方法,包括对患者施用式(I)化合物、其立体异构体或其药学上可接受盐,或前述药物组合物。
具体实施方式
本申请的发明人经过广泛而深入地研究,首次研发出一种大环K-RAS G12C抑制剂,并提供了其制备方法和在药学上的应用。本发明系列化合物具有对K-RAS酶学和细胞活性具有很强的抑制作用,可广泛应用于制备治疗至少部分由K-RAS G12C突变介导的癌症或肿瘤的药物,特别是治疗肺部、肝胆、胃肠道、血液系统、皮肤、骨、泌尿生殖道、神经系统、妇科性和肾上腺相关恶性肿瘤或癌症的药物,有望开发成新一代K-RAS G12C抑制剂药物。在此基础上,完成了本发明。
详细说明:除非有相反陈述或特别说明,下列用在说明书和权利要求书中的术语具有下述含义。
“烷基”指直链或含支链的饱和脂族烃基团,优选包括1至10个或1至6个碳原子或1至4个碳原子的直链烷基和含支链烷基,包括但不限于甲基、乙基、正丙基、异丙基、正丁基、异丁基、叔丁基、仲丁基、正戊基、1,1-二甲基丙基、1,2-二甲基丙基、2,2-二甲基丙基、1-乙基丙基、2-甲基丁基、3-甲基丁基、正己基、1-乙基-2-甲基丙基、1,1,2-三甲基丙基、1,1-二甲基丁基、1,2-二甲基丁基、2,2-二甲基丁基、1,3-二甲基丁基、2-乙基丁基、2-甲基戊基、3-甲基戊基、4-甲基戊基、2,3-二甲基丁基、正庚基、2-甲基己基、3-甲基己基、4-甲基己基、5-甲基己基、2,3-二甲基戊基、2,4-二甲基戊基、2,2-二甲基戊基、3,3-二甲基戊基、2-乙基戊基、3-乙基戊基、正辛基、2,3-二甲基己基、2,4-二甲基己基、2,5-二甲基己基、2,2-二甲基己基、3,3-二甲基己基、4,4-二甲基己基、2-乙基己基、3-乙基己基、4-乙基己基、2-甲基-2-乙基戊基、2-甲基-3-乙基戊基或其各种支链异构体等。“C1-10烷基”指包括1至10个碳原子的直链烷基和含支链烷基,“C1-8烷基”指包括1至8个碳原子的直链烷基和含支链烷基,“C0-8烷基”是指0至8个碳原子的直链烷基和含支链烷基,“C1-4烷基”指包括1至4个碳原子的直链烷基和含支链烷基,“C0烷基”是指碳原子个数为0。
烷基可以是任选取代的或未取代的,当被取代时,取代基优选为一个或多个(优选1、2、3或4个)以下基团,独立地选自氘、卤素、氰基、硝基、叠氮基、C1-10烷基、C1-10烷氧基、C2-10链烯基、C2-10链炔基、卤取代C1-10烷基、卤取代C1-10烷氧基、氘取代C1-10烷基、氘取代C1-10烷氧基、C3-10环烷基、C3-10环烷氧基、3-10元杂环基、3-10元杂环氧基、C5-10芳基、C5-10芳氧基、5-10元杂芳基、5-10元杂芳氧基、=O、-SF5、-C0-8烷基-S(O)rR20、-C0-8烷基-O-R21、-C0-8烷基-C(O)OR21、-C0-8烷基-C(O)R22、-C0-8烷基-O-C(O)R22、-C0-8烷基-NR23R24、-C0-8烷基-C(=NR23)R22、-C0-8烷基-N(R23)-C(=NR24)R22、-C0-8烷基-C(O)NR23R24和-C0-8烷基-N(R23)-C(O)R22的取代基所取代。
“环烷基”或“碳环”指饱和或部分不饱和单环或多环环状烃取代基,所述部分不饱和环状烃是指环状烃可以含有一个或多个(优选1、2或3个)双键,但没有一个环具有完全共轭的π电子系统,环烷基分为单环环烷基、多环环烷基,优选包括3至10个或3至8个或3至6个碳原子的环烷基,例如,“C3-10环烷基”指包括3至10个碳原子的环烷基,“C3-8环烷基”指包括3至8个碳原子的环烷基,“C3-6环烷基”指包括3至6个碳原子的环烷基,其中:
单环环烷基包括但不限于环丙基、环丁基、环戊基、环戊烯基、环己基、环己烯基、环己二烯基、环庚基、环庚三烯基、环辛基等。
多环环烷基包括螺环、稠环和桥环的环烷基。“螺环烷基”指单环之间共用一个碳原子(称螺原子)的多环基团,这些可以含有一个或多个(优选1、2或3个)双键,但没有一个环具有完全共轭的π电子系统。根据环与环之间共用螺原子的数目将螺环烷基分为单螺环烷基、双螺环烷基或多螺环烷基,螺环烷基包括但不限于:
“稠环烷基”指系统中的每个环与体系中的其他环共享毗邻的一对碳原子的全碳多环基团,其中一个或多个环可以含有一个或多个(优选1、2或3个)双键,但没有一个环具有完全共轭的π电子系统。根据组成环的数目可以分为双环、三环、四环或多环稠环烷基,稠环烷基包括但不限于:
“桥环烷基”指任意两个环共用两个不直接连接的碳原子的全碳多环基团,这些可以含有一个或多个(优选1、2或3个)双键,但没有一个环具有完全共轭的π电子系统。根据组成环的数目可以分为双环、三环、四环或多环桥环烷基,桥环烷基包括但不限于:
所述环烷基环可以稠合于芳基、杂芳基或杂环烷基环上,其中与母体结构连接在一起的环为环烷基,包括但不限于茚满基、四氢萘基、苯并环庚烷基等。
环烷基可以是任选取代的或未取代的,当被取代时,取代基优选为一个或多个(优选1、2、3或4个)以下基团,独立地选自氘、卤素、氰基、硝基、叠氮基、C1-10烷基、C2-10链烯基、C2-10链炔基、卤取代C1-10烷基、氘取代C1-10烷基、C3-10环烷基、3-10元杂环基、C5-10芳基、5-10元杂芳基、=O、-SF5、-C0-8烷基-S(O)rR20、-C0-8烷基-O-R21、-C0-8烷基-C(O)OR21、-C0-8烷基-C(O)R22、-C0-8烷基-O-C(O)R22、-C0-8烷基-NR23R24、-C0-8烷基-C(=NR23)R22、-C0-8烷基-N(R23)-C(=NR24)R22、-C0-8烷基-C(O)NR23R24和-C0-8烷基-N(R23)-C(O)R22的取代基所取代。
“杂环基”或“杂环”指饱和或部分不饱和单环或多环环状烃取代基,所述部分不饱和环状烃是指环状烃可以含有一个或多个(优选1、2或3个)双键,但没有一个环具有完全共轭的π电子系统,杂环基其中一个或多个(优选1、2、3或4个)环原子选自氮、氧、S(O)(=NH)或S(O)r(其中r是整数0、1、2)的杂原子,但不包括-O-O-、-O-S-和-S-S-的环部分,其余环原子为碳,优选包括3至10个或3至8个或3至6个环原子的杂环基,例如,“3-6元杂环基”指包含3至6个环原子的环基,“4-6元杂环基”指包含4至6个环原子的环基,“3-10元杂环基”指包含3至10个环原子的环基。
单环杂环基包括但不限于吡咯烷基、哌啶基、哌嗪基、吗啉基、硫代吗啉基、高哌嗪基等。
多环杂环基包括螺环、稠环和桥环的杂环基。“螺杂环基”指单环之间共用一个原子(称螺原子)的多环杂环基团,其中一个或多个(优选1、2、3或4个)环原子选自氮、氧、S(O)(=NH)或S(O)r(其中r是整数0、1、2)的杂原子,其余环原子为碳。这些可以含有一个或多个双键(优选1、2或3个),但没有一个环具有完全共轭的π电子系统。根据环与环之间共用螺原子的数目将螺杂环基分为单螺杂环基、双螺杂环基或多螺杂环基。螺杂环基包括但不限于:
“稠杂环基”指系统中的每个环与体系中的其他环共享毗邻的一对原子的多环杂环基团,一个或多个(优选1、2、3或4个)环可以含有一个或多个(优选1、2或3个)双键,但没有一个环具有完全共轭的π电子系统,其中一个或多个(优选1、2、3或4个)环原子选自氮、氧、S(O)(=NH)或S(O)r(其中r是整数0、1、2)的杂原子,其余环原子为碳。根据组成环的数目可以分为双环、三环、四环或多环稠杂环烷基,稠杂环基包括但不限于:
“桥杂环基”指任意两个环共用两个不直接连接的原子的多环杂环基团,这些可以含有一个或多个(优选1、2或3个)双键,但没有一个环具有完全共轭的π电子系统,其中一个或多个(优选1、2、3或4个)环原子选自氮、氧、S(O)(=NH)或S(O)r(其中r是整数0、1、2)的杂原子,其余环原子为碳。根据组成环的数目可以分为双环、三环、四环或多环桥杂环基,桥杂环基包括但不限于:
所述杂环基环可以稠合于芳基、杂芳基或环烷基环上,其中与母体结构连接在一起的环为杂环基,包括但不限于:
杂环基可以是任选取代的或未取代的,当被取代时,取代基优选为一个或多个(优选1、2、3或4个)以下基团,独立地选自氘、卤素、氰基、硝基、叠氮基、C1-10烷基、C1-10烷氧基、C2-10链烯基、C2-10链炔基、卤取代C1-10烷基、卤取代C1-10烷氧基、氘取代C1-10烷基、氘取代C1-10烷氧基、C3-10环烷基、C3-10环烷氧基、3-10元杂环基、3-10元杂环氧基、C5-10芳基、C5-10芳氧基、5-10元杂芳基、5-10元杂芳氧基、=O、-SF5、-C0-8烷基-S(O)rR20、-C0-8烷基-O-R21、-C0-8烷基-C(O)OR21、-C0-8烷基-C(O)R22、-C0-8烷基-O-C(O)R22、-C0-8烷基-NR23R24、-C0-8烷基-C(=NR23)R22、-C0-8烷基-N(R23)-C(=NR24)R22、-C0-8烷基-C(O)NR23R24和-C0-8烷基-N(R23)-C(O)R22的取代基所取代。
“芳基”或“芳环”指全碳单环或稠合多环(也就是共享毗邻碳原子对的环)基团,具有共轭的π电子体系的多环(即其带有相邻对碳原子的环)基团,优选含有5-10个或5-8个碳的全碳芳基,例如,“C5-10芳基”指含有5-10个碳的全碳芳基,包括但不限于苯基和萘基。所述芳基环可以稠合于杂芳基、杂环基或环烷基环上,其中与母体结构连接在一起的环为芳基环,包括但不限于:
“芳基”可以是取代的或未取代的,当被取代时,取代基优选为一个或多个(优选1、2、3或4个)以下基团,独立地选自氘、卤素、氰基、硝基、叠氮基、C1-10烷基、C1-10烷氧基、C2-10链烯基、C2-10链炔基、卤取代C1-10烷基、卤取代C1-10烷氧基、氘取代C1-10烷基、氘取代C1-10烷氧基、C3-10环烷基、C3-10环烷氧基、3-10元杂环基、3-10元杂环氧基、C5-10芳基、C5-10芳氧基、5-10元杂芳基、5-10元杂芳氧基、=O、-SF5、-C0-8烷基-S(O)rR20、-C0-8烷基-O-R21、-C0-8烷基-C(O)OR21、-C0-8烷基-C(O)R22、-C0-8烷基-O-C(O)R22、-C0-8烷基-NR23R24、-C0-8烷基-C(=NR23)R22、-C0-8烷基-N(R23)-C(=NR24)R22、-C0-8烷基-C(O)NR23R24和-C0-8烷基-N(R23)-C(O)R22的取代基所取代。
“杂芳基”指包含一个或多个(优选1、2、3或4个)杂原子的杂芳族体系,所述杂原子包括氮、氧和S(O)r(其中r是整数0、1、2)的杂原子,优选含有5-10个或5-8个环原子的杂芳族体系,例如,“5-10元杂芳基”指含有5-10个环原子的杂芳族体系,包括但不限于呋喃基、噻吩基、吡啶基、吡咯基、N-烷基吡咯基、嘧啶基、吡嗪基、咪唑基、四唑基等。所述杂芳基环可以稠合于芳基、杂环基或环烷基环上,其中与母体结构连接在一起的环为杂芳基环,包括但不限于:
“杂芳基”可以是任选取代的或未取代的,当被取代时,取代基优选为一个或多个(优选1、2、3或4个)以下基团,独立地选自氘、卤素、氰基、硝基、叠氮基、C1-10烷基、C1-10烷氧基、C2-10链烯基、C2-10链炔基、卤取代C1-10烷基、卤取代C1-10烷氧基、氘取代C1-10烷基、氘取代C1-10烷氧基、C3-10环烷基、C3-10环烷氧基、3-10元杂环基、3-10元杂环氧基、C5-10芳基、C5-10芳氧基、5-10元杂芳基、5-10元杂芳氧基、=O、-SF5、-C0-8烷基-S(O)rR20、-C0-8烷基-O-R21、-C0-8烷基-C(O)OR21、-C0-8烷基-C(O)R22、-C0-8烷基-O-C(O)R22、-C0-8烷基-NR23R24、-C0-8烷基-C(=NR23)R22、-C0-8烷基-N(R23)-C(=NR24)R22、-C0-8烷基-C(O)NR23R24和-C0-8烷基-N(R23)-C(O)R22的取代基所取代。
“链烯基”指由至少两个碳原子和至少一个碳-碳双键组成的如上述定义的烷基,优选含有2-10个或2-4个碳的直链或含支链烯基,例如,“C2-10链烯基”指含有2-10个碳的直链或含支链烯基,“C2-4链烯基”指含有2-4个碳的直链或含支链烯基。包括但不限于乙烯基、1-丙烯基、2-丙烯基、1-,2-或3-丁烯基等。
“链烯基”可以是取代的或未取代的,当被取代时,取代基优选为一个或多个(优选1、2、3或4个)以下基团,独立地选自氘、卤素、氰基、硝基、叠氮基、C1-10烷基、C1-10烷氧基、C2-10链烯基、C2-10链炔基、卤取代C1-10烷基、卤取代C1-10烷氧基、氘取代C1-10烷基、氘取代C1-10烷氧基、C3-10环烷基、C3-10环烷氧基、3-10元杂环基、3-10元杂环氧基、C5-10芳基、C5-10芳氧基、5-10元杂芳基、5-10元杂芳氧基、=O、-SF5、-C0-8烷基-S(O)rR20、-C0-8烷基-O-R21、-C0-8烷基-C(O)OR21、-C0-8烷基-C(O)R22、-C0-8烷基-O-C(O)R22、-C0-8烷基-NR23R24、-C0-8烷基-C(=NR23)R22、-C0-8烷基-N(R23)-C(=NR24)R22、-C0-8烷基-C(O)NR23R24和-C0-8烷基-N(R23)-C(O)R22的取代基所取代。
“链炔基”指至少两个碳原子和至少一个碳-碳三键组成的如上所定义的烷基,优选含有2-10个或2-4个碳的直链或含支链炔基,例如,“C2-10链炔基”指含有2-10个碳的直链或含支链炔基,“C2-4链炔基”指含有2-4个碳的直链或含支链炔基。包括但不限于乙炔基、1-丙炔基、2-丙炔基、1-,2-或3-丁炔基等。
“链炔基”可以是取代的或未取代的,当被取代时,取代基优选为一个或多个(优选1、2、3或4个)以下基团,独立地选自氘、卤素、氰基、硝基、叠氮基、C1-10烷基、C1-10烷氧基、C2-10链烯基、C2-10链炔基、卤取代C1-10烷基、卤取代C1-10烷氧基、氘取代C1-10烷基、氘取代C1-10烷氧基、C3-10环烷基、C3-10环烷氧基、3-10元杂环基、3-10元杂环氧基、C5-10芳基、C5-10芳氧基、5-10元杂芳基、5-10元杂芳氧基、=O、-SF5-C0-8烷基-S(O)rR20、-C0-8烷基-O-R21、-C0-8烷基-C(O)OR21、-C0-8烷基-C(O)R22、-C0-8烷基-O-C(O)R22、-C0-8烷基-NR23R24、-C0-8烷基-C(=NR23)R22、-C0-8烷基-N(R23)-C(=NR24)R22、-C0-8烷基-C(O)NR23R24和-C0-8烷基-N(R23)-C(O)R22的取代基所取代。
“烷氧基”指-O-烷基,其中烷基的定义如上所述,例如,“C1-10烷氧基”指含1-10个碳的烷基氧基,“C1-4烷氧基”指含1-4个碳的烷基氧基包括但不限于甲氧基、乙氧基、丙氧基、丁氧基等。
“烷氧基”可以是任选取代的或未取代的,当被取代时,取代基,优选为一个或多个(优选1、2、3或4个)以下基团,独立地选自氘、卤素、氰基、硝基、叠氮基、C1-10烷基、C1-10烷氧基、C2-10链烯基、C2-10链炔基、卤取代C1-10烷基、卤取代C1-10烷氧基、氘取代C1-10烷基、氘取代C1-10烷氧基、C3-10环烷基、C3-10环烷氧基、3-10元杂环基、3-10元杂环氧基、C5-10芳基、C5-10芳氧基、5-10元杂芳基、5-10元杂芳氧基、=O、-SF5、-C0-8烷基-S(O)rR20、-C0-8烷基-O-R21、-C0-8烷基-C(O)OR21、-C0-8烷基-C(O)R22、-C0-8烷基-O-C(O)R22、-C0-8烷基-NR23R24、-C0-8烷基-C(=NR23)R22、-C0-8烷基-N(R23)-C(=NR24)R22、-C0-8烷基-C(O)NR23R24和-C0-8烷基-N(R23)-C(O)R22的取代基所取代。
“环烷氧基”指-O-环烷基,其中环烷基的定义如上所述,例如,“C3-10环烷氧基”指含3-10个碳的环烷基氧基,包括但不限于环丙氧基、环丁氧基、环戊氧基、环己氧基等。
“环烷氧基”可以是任选取代的或未取代的,当被取代时,取代基优选为一个或多个(优选1、2、3或4个)以下基团,独立地选自氘、卤素、氰基、硝基、叠氮基、C1-10烷基、C1-10烷氧基、C2-10链烯基、C2-10链炔基、卤取代C1-10烷基、卤取代C1-10烷氧基、氘取代C1-10烷基、氘取代C1-10烷氧基、C3-10环烷基、C3-10环烷氧基、3-10元杂环基、3-10元杂环氧基、C5-10芳基、C5-10芳氧基、5-10元杂芳基、5-10元杂芳氧基、=O、-SF5、-C0-8烷基-S(O)rR20、-C0-8烷基-O-R21、-C0-8烷基-C(O)OR21、-C0-8烷基-C(O)R22、-C0-8烷基-O-C(O)R22、-C0-8烷基-NR23R24、-C0-8烷基-C(=NR23)R22、-C0-8烷基-N(R23)-C(=NR24)R22、-C0-8烷基-C(O)NR23R24和-C0-8烷基-N(R23)-C(O)R22的取代基所取代。
“杂环氧基”指-O-杂环基,其中杂环基的定义如上所述,杂环基氧基,包括但不限于氮杂环丁基氧基、氧杂环丁氧基、氮杂环戊基氧基、氮、氧杂环己基氧基等。
“杂环氧基”可以是任选取代的或未取代的,当被取代时,取代基优选为一个或多个(优选1、2、3或4个)以下基团,独立地选自氘、卤素、氰基、硝基、叠氮基、C1-10烷基、C1-10烷氧基、C2-10链烯基、C2-10链炔基、卤取代C1-10烷基、卤取代C1-10烷氧基、氘取代C1-10烷基、氘取代C1-10烷氧基、C3-10环烷基、C3-10环烷氧基、3-10元杂环基、3-10元杂环氧基、C5-10芳基、C5-10芳氧基、5-10元杂芳基、5-10元杂芳氧基、=O、-SF5、-C0-8烷基-S(O)rR20、-C0-8烷基-O-R21、-C0-8烷基-C(O)OR21、-C0-8烷基-C(O)R22、-C0-8烷基-O-C(O)R22、-C0-8烷基-NR23R24、-C0-8烷基-C(=NR23)R22、-C0-8烷基-N(R23)-C(=NR24)R22、-C0-8烷基-C(O)NR23R24和-C0-8烷基-N(R23)-C(O)R22的取代基所取代。
“C1-10烷酰基”指C1-10烷基酸去掉羟基后剩下的一价原子团,通常也表示为“C0-9-C(O)-”,例如,“C1-C(O)-”是指乙酰基;“C2-C(O)-”是指丙酰基;“C3-C(O)-”是指丁酰基或异丁酰基。
“-C0-8烷基-S(O)rR20”指-S(O)rR20中的硫原子连接在C0-8烷基上,C0-8烷基的定义如上所述。
“-C0-8烷基-O-R21”指-O-R21中的氧原子连接在C0-8烷基上,C0-8烷基的定义如上所述。
“-C0-8烷基-C(O)OR21”指-C(O)OR21中的羰基连接在C0-8烷基上,C0-8烷基的定义如上所述。
“-C0-8烷基-C(O)R22”指-C(O)R22中的羰基连接在C0-8烷基上,C0-8烷基的定义如上所述。
“-C0-8烷基-O-C(O)R22”指-O-C(O)R22中的氧原子连接在C0-8烷基上,C0-8烷基的定义如上所述。
“-C0-8烷基-NR23R24”指-NR23R24中的氮原子连接在C0-8烷基上,C0-8烷基的定义如上所述。
“-C0-8烷基-C(=NR23)R22”指-C(=NR23)R22中的氮原子连接在C0-8烷基上,C0-8烷基的定义如上所述。
“-C0-8烷基-N(R23)-C(=NR24)R22”指-N(R23)-C(=NR24)R22中的氮原子连接在C0-8烷基上,C0-8烷基的定义如上所述。
“-C0-8烷基-C(O)NR23R24”指-C(O)NR23R24中的羰基连接在C0-8烷基上,C0-8烷基的定义如上所述。
“-C0-8烷基-N(R23)-C(O)R22”指-N(R23)-C(O)R22中的氮原子连接在C0-8烷基上,C0-8烷基的定义如上所述。
“卤取代C1-4烷基”指烷基上的氢任选的被氟、氯、溴、碘原子取代的1-4个碳烷基团,包括但不限于二氟甲基(-CHF2)、二氯甲基(-CHCl2)、二溴甲基(-CHBr2)、三氟甲基(-CF3)、三氯甲基(-CCl3)、三溴甲基(-CBr3)等。
“卤取代C1-4烷氧基”指烷基上的氢任选的被氟、氯、溴、碘原子取代的1-4个碳烷氧基团。包括但不限于二氟甲氧基、二氯甲氧基、二溴甲氧基、三氟甲氧基、三氯甲氧基、三溴甲氧基等。
“氘取代C1-4烷基”指烷基上的氢任选的被氘原子取代的1-4个碳烷基团。包括但不限于一氘甲基(-CH2D)、二氘甲基(-CHD2)、三氘甲基(-CD3)等。
“氘取代C1-4烷氧基”指烷基上的氢任选的被氘原子取代的1-4个碳烷基团。包括但不限于一氘甲氧基、二氘甲氧基、三氘甲氧基等。
“卤素”指氟、氯、溴或碘。“MeOH”指甲醇。“KF”指氟化钾。“KHMDS”指六甲基二硅基胺基钾。“NBS”指N-溴代丁二酰亚胺。“DMF”指N,N-二甲基甲酰胺。“Grubbs 2代催化剂”指格拉布第二代催化剂。“IBX”指2-碘酰苯甲酸。
“任选”或“任选地”意味着随后所描述地事件或环境可以但不必发生,该说明包括该事件或环境发生或不发生地场合,也即包括取代的或未取代的两种情形。例如,“任选被烷基取代的杂环基团”意味着烷基可以但不必须存在,该说明包括杂环基团被烷基取代的情形和杂环基团不被烷基取代的情形。
“取代的”指基团中的一个或多个“氢原子”彼此独立地被相应数目的取代基取代。不言而喻,取代基仅处在它们的可能的化学位置,符合化学上的价键理论,本领域技术人员能够在不付出过多努力的情况下确定(通过实验或理论)可能或不可能的取代。例如,具有游离氢的氨基或羟基与具有不饱和键的碳原子(如烯烃)结合时可能是不稳定的。
“立体异构体”,其英文名称为stereoisomer,是指由分子中原子在空间上排列方式不同所产生的异构体,它可分为顺反异构体、对映异构体两种,也可分为对映异构体和非对映异构体两大类。由于单键的旋转而引起的立体异构体称为构象异构体(conformational stereo-isomer),有时也称为旋转异构体(rotamer)。因键长、键角、分子内有双键、有环等原因引起的立体异构体称为构型异构体(configuration stereo-isomer),构型异构体又分为两类。其中因双键或成环碳原子的单键不能自由旋转而引起的异构体成为几何异构体(geometric isomer),也称为顺反异构体(cis-trans isomer),分为Z、E两种构型。例如:顺-2-丁烯和反-2-丁烯是一对几何异构体,本发明化合物如果包含双键,如未特别指明,可理解为包含E和/或Z型。因分子中没有反轴对称性而引起的具有不同旋光性能的立体异构体称为旋光异构体(optical isomer),分为R、S构型。在本发明中所述“立体异构体”如未特别指明,可理解为包含上述对映异构体、构型异构体和构象异构体中的一种或几种。
“药学上可接受盐”在本发明中是指药学上可接受的酸加成盐或碱加成盐,包括无机酸盐和有机酸盐,这些盐可通过本专业已知的方法制备。
“药物组合物”表示含有一种或多种本文所述化合物或其生理学上/可药用的盐或前体药物与其他化学组分的混合物,以及其他组分例如生理学/可药用的载体和赋形剂。药物组合物的目的是促进对生物体的给药,利于活性成分的吸收进而发挥生物活性。
下面结合实施例对本发明做进一步详细、完整地说明,但决非限制本发明,本发明也并非仅局限于实施例的内容。
本发明的化合物结构是通过核磁共振(NMR)或/和液质联用色谱(LC-MS)来确定的。NMR化学位移(δ)以百万分之一(ppm)的单位给出。NMR的测定是用Bruker AVANCE-400/500核磁仪,测定溶剂为氘代二甲基亚砜(DMSO-d6),氘代甲醇(CD3OD)和氘代氯仿(CDCl3),内标为四甲基硅烷(TMS)。
液质联用色谱LC-MS的测定用Agilent 6120质谱仪。HPLC的测定使用安捷伦1200DAD高压液相色谱仪(Sunfire C18 150×4.6mm色谱柱)和Waters 2695-2996高压液相色谱仪(Gimini C18 150×4.6mm色谱柱)。
薄层层析硅胶板使用烟台黄海HSGF254或青岛GF254硅胶板,TLC采用的规格是0.15mm~0.20mm,薄层层析分离纯化产品采用的规格是0.4mm~0.5mm。柱层析一般使用烟台黄海硅胶200~300目硅胶为载体。
本发明实施例中的起始原料是已知的并且可以在市场上买到,或者可以采用或按照本领域已知的方法来合成。
在无特殊说明的情况下,本发明的所有反应均在连续的磁力搅拌下,在干燥氮气或氩气氛下进行,溶剂为干燥溶剂,反应温度单位为摄氏度(℃)。
中间体的制备
中间体1:2,5,6-三氯尼古丁酰氯的制备
将2,5,6-三氯尼古丁酸(5.1g,22.5mmol)溶入二氯甲烷(50mL)中,加入N,N-二甲基甲酰胺(0.5mL)。氮气保护下向上述溶液中滴加草酰氯(4.29g,33.8mmol)。滴加完成后,25℃搅拌1小时,反应液减压浓缩除去溶剂得到2,5,6-三氯尼古丁酰氯(5.52g,收率:100%),粗品直接投下一步反应。
中间体2的制备可以参照中间体1的合成方法得到:
实施例的制备
实施例1:24-(4-丙烯酰哌嗪-1-基)-26-氯-36-氟-6,7-二羟基-12-异丙基-22-氧代-21,22-二氢-4-氧杂-2(1,7)-二氮杂萘-1(3,4)-吡啶-3(1,2)-苯并环庚烷-23-甲腈的制备
第一步:2-氰基-N-(2-异丙基-4-乙烯基吡啶-3-基)乙酰胺的合成
将2-异丙基-4-乙烯基吡啶-3-胺(5g,30.8mmol)溶于1,2-二氯乙烷(50mL),分别加入2-氰基乙酸(5.24g,61.6mmol),三乙胺(17.1mL,123mmol)。氮气保护下,滴加三正丙基环磷酸酐(50%的乙酸乙酯溶液,39g,61.6mmol),反应液在50℃下搅拌1小时。减压浓缩除去1,2-二氯乙烷,剩余物加入300mL饱和碳酸氢钠水溶液,用乙酸乙酯(300mL)萃取,有机相通过无水硫酸钠干燥后减压浓缩除去溶剂,剩余物用快速硅胶柱分离得到2-氰基-N-(2-异丙基-4-乙烯基吡啶-3-基)乙酰胺(3.75g,收率:53%)。ESI-MS 230[M+H]+。
第二步:6,7-二氯-4-羟基-1-(2-异丙基-4-乙烯基吡啶-3-基)-2-氧代-1,2-二氢-1,8-二氮杂萘-3-甲腈的合成
将2-氰基-N-(2-异丙基-4-乙烯基吡啶-3-基)乙酰胺(5.05g,22.0mmol)溶于四氢呋喃(50mL),在0℃氮气保护下分批缓慢加入氢化钠(1.32g,33.0mmol),加完氢化钠后,0℃下搅拌30分钟。将2,5,6-三氯尼古丁酰氯(5.39g,22.0mmol)溶于50mL四氢呋喃,氮气保护下滴加到上述溶液中。滴加完,反应液在70℃下反应6小时。反应液缓慢倒入200mL水,用乙酸乙酯(300mL)萃取,经饱和氯化钠水溶液(100mL)洗涤,有机相通过无水硫酸钠干燥后减压浓缩除去溶剂,剩余物用快速硅胶柱分离得到6,7-二氯-4-羟基-1-(2-异丙基-4-乙烯基吡啶-3-基)-2-氧代-1,2-二氢-1,8-二氮杂萘-3-甲腈(2g,收率:22.6%)。ESI-MS 401[M+H]+。
第三步:叔-丁基4-(6,7-二氯-3-氰基-1-(2-异丙基-4-乙烯基吡啶-3-基)-2-氧代-1,2-二氢-1,8-二氮杂萘-4-基)哌嗪-1-羧酸酯的合成
将6,7-二氯-4-羟基-1-(2-异丙基-4-乙烯基吡啶-3-基)-2-氧代-1,2-二氢-1,8-二氮杂萘-3-甲腈(3.13g,7.80mmol)溶于乙腈(35mL),在0℃氮气保护下分别缓慢加入N,N-二异丙基乙胺(3.87mL,23.4mmol),氧氯化膦(1.09mL,11.7mmol)。该混合物80℃下反应1小时。LC-MS检测反应液60%产物,反应液中室温下分别加入N,N-二异丙基乙胺(2.23mL,13.7mmol)和叔-丁基哌嗪-1-羧酸酯(0.85g,4.57mmol)。该混合物在室温下反应过夜。反应液缓慢倒入200mL水,用乙酸乙酯(200mL)萃取,经饱和氯化钠水溶液(100mL)洗涤,有机相通过无水硫酸钠干燥后减压浓缩除去溶剂,剩余物用快速硅胶柱分离得到叔-丁基4-(6,7-二氯-3-氰基-1-(2-异丙基-4-乙烯基吡啶-3-基)-2-氧代-1,2-二氢-1,8-二氮杂萘-4-基)哌嗪-1-羧酸酯(2.12g,收率:81.4%)。ESI-MS 569[M+H]+。
第四步:叔-丁基4-(6-氯-3-氰基-7-(2-氟-6-羟基苯基)-1-(2-异丙基-4-乙烯基吡啶-3-基)-2-氧代-1,2-二氢-1,8-二氮杂萘-4-基)哌嗪-1-羧酸酯的合成
将叔-丁基4-(6,7-二氯-3-氰基-1-(2-异丙基-4-乙烯基吡啶-3-基)-2-氧代-1,2-二氢-1,8-二氮杂萘-4-基)哌嗪-1-羧酸酯(1.89g,3.57mmol)溶于1,4-二氧六环(20mL)和水(5mL)的混合溶剂中。分别加入三氟(2-氟-6-羟基苯基)硼酸酯(1.01g,4.64mmol),乙酸钾(0.7g,7.14mmol)和Pd(dppf)Cl2(0.26g,0.357mmol),氮气保护,90℃反应1小时。反应液用乙酸乙酯(100mL)稀释,经饱和氯化钠水溶液(100mL)洗涤,有机相通过无水硫酸钠干燥后减压浓缩除去溶剂,剩余物用快速硅胶柱分离得到叔-丁基4-(6-氯-3-氰基-7-(2-氟-6-羟基苯基)-1-(2-异丙基-4-乙烯基吡啶-3-基)-2-氧代-1,2-二氢-1,8-二氮杂萘-4-基)哌嗪-1-羧酸酯(1.42g,收率:65.7%)。ESI-MS 645[M+H]+。
第五步:叔-丁基4-(7-(2-(烯丙氧基)-6-氟苯基)-6-氯-3-氰基-1-(2-异丙基-4-乙烯基吡啶-3-基)-2-氧代-1,2-二氢-1,8-二氮杂萘-4-基)哌嗪-1-羧酸酯的合成
将叔-丁基4-(6-氯-3-氰基-7-(2-氟-6-羟基苯基)-1-(2-异丙基-4-乙烯基吡啶-3-基)-2-氧代-1,2-二氢-1,8-二氮杂萘-4-基)哌嗪-1-羧酸酯(1.42g,3.57mmol)溶于乙腈(20mL)。分别加入3-溴丙-1-烯(0.58mL,6.60mmol),碳酸钾(608mg,4.40mmol),70℃反应1小时。反应液用乙酸乙酯(100mL)稀释,经饱和氯化钠水溶液(100mL)洗涤,有机相通过无水硫酸钠干燥后减压浓缩除去溶剂,剩余物用快速硅胶柱分离得到叔-丁基4-(7-(2-(烯丙氧基)-6-氟苯基)-6-氯-3-氰基-1-(2-异丙基-4-乙烯基吡啶-3-基)-2-氧代-1,2-二氢-1,8-二氮杂萘-4-基)哌嗪-1-羧酸酯(1.34g,收率:89.2%)。ESI-MS 685[M+H]+。
第六步:叔-丁基(Z)-4-(26-氯-23-氰基-36-氟-12-异丙基-22-氧代-21,22-二氢-4-氧杂-2(1,7)-二氮杂萘-1(3,4)-吡啶-3(1,2)-苯并环庚烷-6-烯-24-基)哌嗪-1-羧酸酯的合成
将叔-丁基4-(7-(2-(烯丙氧基)-6-氟苯基)-6-氯-3-氰基-1-(2-异丙基-4-乙烯基吡啶-3-基)-2-氧代-1,2-二氢-1,8-二氮杂萘-4-基)哌嗪-1-羧酸酯(1.24g,1.82mmol)溶于1,2-二氯乙烷(500mL),氮气保护下加入Grubbs二代催化剂(0.23g,0.36mmol),60℃反应过夜。反应液减压浓缩除去溶剂,剩余物用快速硅胶柱分离得到叔-丁基(Z)-4-(26-氯-23-氰基-36-氟-12-异丙基-22-氧代-21,22-二氢-4-氧杂-2(1,7)-二氮杂萘-1(3,4)-吡啶-3(1,2)-苯并环庚烷-6-烯-24-基)哌嗪-1-羧酸酯(1.1g,纯度:80%,收率:73.6%)。ESI-MS657[M+H]+。
第七步:叔-丁基4-(26-氯-23-氰基-36-氟-6,7-二羟基-12-异丙基-22-氧代-21,22-二氢-4-氧杂-2(1,7)-二氮杂萘-1(3,4)-吡啶-3(1,2)-苯并环庚烷-24-基)哌嗪-1-羧酸酯的合成
将叔-丁基(Z)-4-(26-氯-23-氰基-36-氟-12-异丙基-22-氧代-21,22-二氢-4-氧杂-2(1,7)-二氮杂萘-1(3,4)-吡啶-3(1,2)-苯并环庚烷-6-烯-24-基)哌嗪-1-羧酸酯(400mg,0.609mmol)溶于丙酮(5mL),分别加入乙二醇(151mg,2.43mmol),碳酸氢钠(153mg,1.83mmol)。氮气保护下,上述混合液降温到-20℃,分批加入高锰酸钾(96.2mg,0.609mmol)。反应液缓慢升到0℃,反应2小时。反应液用乙酸乙酯(100mL)稀释,经饱和氯化钠水溶液(100mL)洗涤,有机相通过无水硫酸钠干燥后减压浓缩除去溶剂,剩余物用快速硅胶柱分离得到叔-丁基4-(26-氯-23-氰基-36-氟-6,7-二羟基-12-异丙基-22-氧代-21,22-二氢-4-氧杂-2(1,7)-二氮杂萘-1(3,4)-吡啶-3(1,2)-苯并环庚烷-24-基)哌嗪-1-羧酸酯(267mg,收率:63.5%)。ESI-MS 691[M+H]+。
第八步:26-氯-36-氟-6,7-二羟基-12-异丙基-22-氧代-24-(哌嗪-1-基)-21,22-二氢-4-氧杂-2(1,7)-二氮杂萘-1(3,4)-吡啶-3(1,2)-苯并环庚烷-23-甲腈的合成
将叔-丁基4-(26-氯-23-氰基-36-氟-6,7-二羟基-12-异丙基-22-氧代-21,22-二氢-4-氧杂-2(1,7)-二氮杂萘-1(3,4)-吡啶-3(1,2)-苯并环庚烷-24-基)哌嗪-1-羧酸酯(135mg,0.195mmol)溶于二氯甲烷(5mL),溶液冷却到0℃,氮气保护下滴加三氟乙酸(0.8mL)。0℃下反应1小时。反应液直接减压浓缩除去溶剂得到粗产品直接用于下一步反应。ESI-MS 591[M+H]+。
第九步:24-(4-丙烯酰哌嗪-1-基)-26-氯-36-氟-6,7-二羟基-12-异丙基-22-氧代-21,22-二氢-4-氧杂-2(1,7)-二氮杂萘-1(3,4)-吡啶-3(1,2)-苯并环庚烷-23-甲腈的合成
将26-氯-36-氟-6,7-二羟基-12-异丙基-22-氧代-24-(哌嗪-1-基)-21,22-二氢-4-氧杂-2(1,7)-二氮杂萘-1(3,4)-吡啶-3(1,2)-苯并环庚烷-23-甲腈(100mg,0.169mmol)溶于无水二氯甲烷(5mL),加入三乙胺(85.6mg,0.846mmol)。冷却到-10℃,氮气保护下滴加丙-2-烯酰氯(15.3mg,0.169mmol),反应2小时。反应液用乙酸乙酯(20mL)稀释,经饱和氯化钠水溶液(30mL)洗涤,有机相通过无水硫酸钠干燥后减压浓缩除去溶剂,剩余物用反相柱分离得到24-(4-丙烯酰哌嗪-1-基)-26-氯-36-氟-6,7-二羟基-12-异丙基-22-氧代-21,22-二氢-4-氧杂-2(1,7)-二氮杂萘-1(3,4)-吡啶-3(1,2)-苯并环庚烷-23-甲腈(24mg,收率:22.0%,纯度:98.84%)。ESI-MS 645[M+H]+。
1H NMR(400MHz,DMSO-d6)δ8.55-8.48(m,2H),8.01(br d,J=4.8Hz,1H),7.46(q,J=8.0Hz,1H),7.12(br d,J=8.5Hz,1H),7.03-6.87(m,2H),6.21(br d,J=16.6Hz,1H),5.83-5.73(m,2H),5.19(br d,J=8.5Hz,1H),4.48(br dd,J=4.8,8.0Hz,1H),4.05-3.69(m,10H),3.33-3.28(m,1H),2.88(td,J=6.3,13.1Hz,1H),1.18(br d,J=6.3Hz,3H),0.83(br d,J=6.5Hz,3H).
实施例2:(Z)-24-(4-丙烯酰哌嗪-1-基)-26-氯-36-氟-12-异丙基-22-氧代-21,22-二氢-4-氧杂-2(1,7)-二氮杂萘-1(3,4)-吡啶-3(1,2)-苯并环庚烷-6-烯-23-甲腈的制备
第一步:(Z)-26-氯-36-氟-12-异丙基-22-氧代-24-(哌嗪-1-基)-21,22-二氢-4-氧杂-2(1,7)-二氮杂萘-1(3,4)-吡啶-3(1,2)-苯并环庚烷-6-烯-23-甲腈的合成
将叔-丁基(Z)-4-(26-氯-23-氰基-36-氟-12-异丙基-22-氧代-21,22-二氢-4-氧杂-2(1,7)-二氮杂萘-1(3,4)-吡啶-3(1,2)-苯并环庚烷-6-烯-24-基)哌嗪-1-羧酸酯(80mg,0.12mmol)溶于二氯甲烷(3mL),溶液冷却到0℃,氮气保护下滴加三氟乙酸(0.5mL),0℃下反应1小时。反应液直接减压浓缩除去溶剂得到粗产品直接用于下一步反应。ESI-MS557[M+H]+。
第二步:(Z)-24-(4-丙烯酰哌嗪-1-基)-26-氯-36-氟-12-异丙基-22-氧代-21,22-二氢-4-氧杂-2(1,7)-二氮杂萘-1(3,4)-吡啶-3(1,2)-苯并环庚烷-6-烯-23-甲腈的合成
将(Z)-26-氯-36-氟-12-异丙基-22-氧代-24-(哌嗪-1-基)-21,22-二氢-4-氧杂-2(1,7)-二氮杂萘-1(3,4)-吡啶-3(1,2)-苯并环庚烷-6-烯-23-甲腈(67mg,0.120mmol)溶于无水二氯甲烷(3mL),加入三乙胺(60.8mg,0.60mmol)。冷却到-10℃,氮气保护下滴加丙-2-烯酰氯(10.8mg,0.12mmol),反应1小时。反应液用乙酸乙酯(20mL)稀释,经饱和氯化钠水溶液(30mL)洗涤,有机相通过无水硫酸钠干燥后减压浓缩除去溶剂,剩余物用反相柱分离得到(Z)-24-(4-丙烯酰哌嗪-1-基)-26-氯-36-氟-12-异丙基-22-氧代-21,22-二氢-4-氧杂-2(1,7)-二氮杂萘-1(3,4)-吡啶-3(1,2)-苯并环庚烷-6-烯-23-甲腈(7mg,收率:9.52%,纯度:97.34%)。ESI-MS 611[M+H]+。
1H NMR(400MHz,DMSO-d6)δ8.54(d,J=4.8Hz,1H),8.45(s,1H),7.56-7.41(m,1H),7.18-6.86(m,1H),7.20-6.86(m,3H),6.38(d,J=11.3Hz,1H),6.21(dd,J=2.1,16.7Hz,1H),5.85-5.70(m,2H),4.75(dd,J=2.9,9.7Hz,1H),3.98-3.76(m,8H),3.33(br s,1H),2.87(td,J=6.5,13.4Hz,1H),1.18(d,J=6.5Hz,3H),0.83(d,J=6.5Hz,3H).
实施例4和5:24-(4-丙烯酰哌嗪-1-基)-26-氯-7-乙氧基-36-氟-6-羟基-12-异丙基-22-氧代-21,22-二氢-4-氧杂-2(1,7)-二氮杂萘-1(3,4)-吡啶-3(1,2)-苯并环庚烷-23-甲腈和24-(4-丙烯酰哌嗪-1-基)-26-氯-6-乙氧基-36-氟-7-羟基-12-异丙基-22-氧代-21,22-二氢-4-氧杂-2(1,7)-二氮杂萘-1(3,4)-吡啶-3(1,2)-苯并环庚烷-23-甲腈的制备
第一步:叔-丁基4-(26-氯-23-氰基-7-乙氧基-36-氟-6-羟基-12-异丙基-22-氧代-21,22-二氢-4-氧杂-2(1,7)-二氮杂萘-1(3,4)-吡啶-3(1,2)-苯并环庚烷-24-基)哌嗪-1-羧酸酯和叔-丁基4-(26-氯-23-氰基-6-乙氧基-36-氟-7-羟基-12-异丙基-22-氧代-21,22-二氢-4-氧杂-2(1,7)-二氮杂萘-1(3,4)-吡啶-3(1,2)-苯并环庚烷-24-基)哌嗪-1-羧酸酯的合成
将叔-丁基4-(26-氯-23-氰基-36-氟-6,7-二羟基-12-异丙基-22-氧代-21,22-二氢-4-氧杂-2(1,7)-二氮杂萘-1(3,4)-吡啶-3(1,2)-苯并环庚烷-24-基)哌嗪-1-羧酸酯(80mg,0.17mmol)溶于乙酸乙酯(3mL),分别加入碘乙烷(144mg,0.93mmol),乙酰丙酮酸铜(9.1mg,0.04mmol),氧化银(21.4mg,0.09mmol),四丁基溴化铵(22.4mg,0.07mmol)。氮气保护下60℃搅拌过夜。反应液用乙酸乙酯(20mL)稀释,过滤,滤液减压浓缩除去溶剂,剩余物用快速硅胶柱分离得到叔-丁基4-(26-氯-23-氰基-7-乙氧基-36-氟-6-羟基-12-异丙基-22-羰基-21,22-二氢-4-氧杂-2(1,7)-二氮杂萘-1(3,4)-吡啶-3(1,2)-苯并环庚烷-24-基)哌嗪-1-羧酸酯和叔-丁基4-(26-氯-23-氰基-6-乙氧基-36-氟-7-羟基-12-异丙基-22-氧代-21,22-二氢-4-氧杂-2(1,7)-二氮杂萘-1(3,4)-吡啶-3(1,2)-苯并环庚烷-24-基)哌嗪-1-羧酸酯的混合物(74mg,收率:84.1%)。ESI-MS 719[M+H]+。
第二步:26-氯-7-乙氧基-36-氟-6-羟基-12-异丙基-22-氧代-24-(哌嗪-1-基)-21,22-二氢-4-氧杂-2(1,7)-二氮杂萘-1(3,4)-吡啶-3(1,2)-苯并环庚烷-23-甲腈和26-氯-6-乙氧基-36-氟-7-羟基-12-异丙基-22-氧代-24-(哌嗪-1-基)-21,22-二氢-4-氧杂-2(1,7)-二氮杂萘-1(3,4)-吡啶-3(1,2)-苯并环庚烷-23-甲腈的合成
将叔-丁基4-(26-氯-23-氰基-7-乙氧基-36-氟-6-羟基-12-异丙基-22-氧代-21,22-二氢-4-氧杂-2(1,7)-二氮杂萘-1(3,4)-吡啶-3(1,2)-苯并环庚烷-24-基)哌嗪-1-羧酸酯和叔-丁基4-(26-氯-23-氰基-6-乙氧基-36-氟-7-羟基-12-异丙基-22-氧代-21,22-二氢-4-氧杂-2(1,7)-二氮杂萘-1(3,4)-吡啶-3(1,2)-苯并环庚烷-24-基)哌嗪-1-羧酸酯的混合物(70mg,0.10mmol)溶于二氯甲烷(3mL),溶液冷却到0℃,氮气保护下滴加三氟乙酸(0.5mL),0℃下反应2小时。反应液直接减压浓缩除去溶剂得到粗产品直接用于下一步反应。ESI-MS 619[M+H]+。
第三步:24-(4-丙烯酰哌嗪-1-基)-26-氯-7-乙氧基-36-氟-6-羟基-12-异丙基-22-氧代-21,22-二氢-4-氧杂-2(1,7)-二氮杂萘-1(3,4)-吡啶-3(1,2)-苯并环庚烷-23-甲腈和24-(4-丙烯酰哌嗪-1-基)-26-氯-6-乙氧基-36-氟-7-羟基-12-异丙基-22-氧代-21,22-二氢-4-氧杂-2(1,7)-二氮杂萘-1(3,4)-吡啶-3(1,2)-苯并环庚烷-23-甲腈的合成
将上步的混合物(50mg,0.081mmol)溶于无水二氯甲烷(3mL),加入三乙胺(40.8mg,0.40mmol)。冷却到-20℃,氮气保护下滴加丙-2-烯酰氯(7.15mg,0.08mmol),反应2小时。反应液用乙酸乙酯(20mL)稀释,经饱和氯化钠水溶液(30mL)洗涤,有机相通过无水硫酸钠干燥后减压浓缩除去溶剂,剩余物用反相柱分离得到24-(4-丙烯酰哌嗪-1-基)-26-氯-7-乙氧基-36-氟-6-羟基-12-异丙基-22-氧代-21,22-二氢-4-氧杂-2(1,7)-二氮杂萘-1(3,4)-吡啶-3(1,2)-苯并环庚烷-23-甲腈(9.5mg,收率:17.3%,纯度:98.93%)和24-(4-丙烯酰哌嗪-1-基)-26-氯-6-乙氧基-36-氟-7-羟基-12-异丙基-22-氧代-21,22-二氢-4-氧杂-2(1,7)-二氮杂萘-1(3,4)-吡啶-3(1,2)-苯并环庚烷-23-甲腈(7.8mg,收率:13.9%,纯度:97.10%)。ESI-MS 673[M+H]+。
实施例4:24-(4-丙烯酰哌嗪-1-基)-26-氯-6-乙氧基-36-氟-7-羟基-12-异丙基-22-氧代-21,22-二氢-4-氧杂-2(1,7)-二氮杂萘-1(3,4)-吡啶-3(1,2)-苯并环庚烷-23-甲腈
1H NMR(400MHz,DMSO-d6)δ8.50(s,1H),7.89(d,J=5.0Hz,1H),7.51-7.43(m,1H),7.15(d,J=8.3Hz,1H),7.02-6.88(m,2H),6.21(dd,J=2.4,16.7Hz,1H),5.81-5.75(m,1H),5.30(d,J=9.0Hz,1H),4.62(dd,J=4.6,8.7Hz,1H),3.99(br dd,J=3.8,9.0Hz,4H),3.82-3.67(m,6H),3.47-3.37(m,2H),3.32-3.29(m,1H),2.89(quin,J=6.7Hz,1H),1.21-1.16(m,6H),0.84(d,J=6.8Hz,3H).
实施例5:24-(4-丙烯酰哌嗪-1-基)-26-氯-7-乙氧基-36-氟-6-羟基-12-异丙基-22-氧代-21,22-二氢-4-氧杂-2(1,7)-二氮杂萘-1(3,4)-吡啶-3(1,2)-苯并环庚烷-23-甲腈
1H NMR(400MHz,DMSO-d6)δ8.56(d,J=5.0Hz,1H),8.50(s,1H),8.01(d,J=5.3Hz,1H),7.53-7.42(m,1H),7.14(d,J=8.3Hz,1H),7.05-6.87(m,2H),6.21(dd,J=2.4,16.7Hz,1H),5.82-5.74(m,1H),5.70(d,J=4.8Hz,1H),4.46(dd,J=4.9,8.7Hz,1H),4.25(qd,J=4.7,9.3Hz,1H),4.04-3.71(m,10H),3.33(br d,J=2.5Hz,1H),3.17-3.09(m,1H),2.87(td,J=6.7,13.3Hz,1H),1.18(d,J=6.8Hz,3H),0.94(t,J=6.9Hz,3H),0.83(d,J=6.8Hz,3H).
实施例14:24-(4-丙烯酰哌嗪-1-基)-26-氯-23-氰基-36-氟-6-羟基-12-异丙基-22-氧代-21,22-二氢-4-氧杂-2(1,7)-二氮杂萘-1(3,4)-吡啶-3(1,2)-苯并环庚烷-7-基乙酸酯的制备
第一步:叔-丁基4-(7-乙酰氧基-26-氯-23-氰基-36-氟-6-羟基-12-异丙基-22-氧代-21,22-二氢-4-氧杂-2(1,7)-二氮杂萘-1(3,4)-吡啶-3(1,2)-苯并环庚烷-24-基)哌嗪-1-羧酸酯的合成
将叔-丁基4-(26-氯-23-氰基-36-氟-6,7-二羟基-12-异丙基-22-氧代-21,22-二氢-4-氧杂-2(1,7)-二氮杂萘-1(3,4)-吡啶-3(1,2)-苯并环庚烷-24-基)哌嗪-1-羧酸酯(80mg,0.17mmol)溶于二氯甲烷(3mL),0℃下分别加入三乙胺(35.1mg,0.35mmol),乙酰氯(9.1mg,0.04mmol),氧化银(21.4mg,0.09mmol),四丁基溴化铵(27.3mg,0.35mmol)。氮气保护下0℃搅拌过夜。反应液用乙酸乙酯(20mL)稀释,过滤,滤液减压浓缩除去溶剂,剩余物直接用于下一步。ESI-MS719[M+H]+。
第二步:26-氯-23-氰基-36-氟-6-羟基-12-异丙基-22-氧代-24-(哌嗪-1-基)-21,22-二氢-4-氧杂-2(1,7)-二氮杂萘-1(3,4)-吡啶-3(1,2)-苯并环庚烷-7-基乙酸酯的合成
将叔-丁基4-(7-乙酰氧基-26-氯-23-氰基-36-氟-6-羟基-12-异丙基-22-氧代-21,22-二氢-4-氧杂-2(1,7)-二氮杂萘-1(3,4)-吡啶-3(1,2)-苯并环庚烷-24-基)哌嗪-1-羧酸酯(45mg,0.06mmol)溶于二氯甲烷(3mL),溶液冷却到0℃,氮气保护下滴加三氟乙酸(0.5mL),0℃下反应1小时。反应液直接减压浓缩除去溶剂得到粗产品直接用于下一步反应。ESI-MS 619[M+H]+。
第三步:24-(4-丙烯酰哌嗪-1-基)-26-氯-23-氰基-36-氟-6-羟基-12-异丙基-22-氧代-21,22-二氢-4-氧杂-2(1,7)-二氮杂萘-1(3,4)-吡啶-3(1,2)-苯并环庚烷-7-基乙酸酯的合成
将26-氯-23-氰基-36-氟-6-羟基-12-异丙基-22-氧代-24-(哌嗪-1-基)-21,22-二氢-4-氧杂-2(1,7)-二氮杂萘-1(3,4)-吡啶-3(1,2)-苯并环庚烷-7-基乙酸酯(35mg,0.06mmol)溶于无水二氯甲烷(3mL),加入三乙胺(16.7mg,0.17mmol)。冷却到-20℃,氮气保护下滴加丙-2-烯酰氯(4.98mg,0.06mmol),反应2小时。反应液用乙酸乙酯(20mL)稀释,经饱和氯化钠水溶液(30mL)洗涤,有机相通过无水硫酸钠干燥后减压浓缩除去溶剂,剩余物用反相柱分离得到24-(4-丙烯酰哌嗪-1-基)-26-氯-23-氰基-36-氟-6-羟基-12-异丙基-22-氧代-21,22-二氢-4-氧杂-2(1,7)-二氮杂萘-1(3,4)-吡啶-3(1,2)-苯并环庚烷-7-基乙酸酯(6mg,收率:14.5%,纯度:91.20%)。ESI-MS 687[M+H]+。
1H NMR(400MHz,DMSO-d6)δ8.62(d,J=5.0Hz,1H),8.54(s,1H),8.17(d,J=5.0Hz,1H),7.53-7.42(m,1H),7.12(d,J=8.3Hz,1H),7.02-6.86(m,2H),6.27-6.12(m,2H),5.82-5.74(m,1H),5.35(d,J=3.3Hz,1H),4.57(dd,J=5.3,8.8Hz,1H),4.21-4.08(m,1H),4.06-3.72(m,10H),1.87(s,3H),1.16(d,J=6.5Hz,3H),0.89-0.84(m,3H).
实施例16:24-(4-丙烯酰哌嗪-1-基)-26-氯-36-氟-12-异丙基-22-氧代-21,22-二氢-4-氧杂-2(1,7)-二氮杂萘-1(3,4)-吡啶-3(1,2)-苯并环庚烷-23-甲腈的制备
第一步:叔-丁基4-(26-氯-23-氰基-36-氟-12-异丙基-22-氧代-21,22-二氢-4-氧杂-2(1,7)-二氮杂萘-1(3,4)-吡啶-3(1,2)-苯并环庚烷-24-基)哌嗪-1-羧酸酯的合成
将叔-丁基(Z)-4-(26-氯-23-氰基-36-氟-12-异丙基-22-氧代-21,22-二氢-4-氧杂-2(1,7)-二氮杂萘-1(3,4)-吡啶-3(1,2)-苯并环庚烷-6-烯-24-基)哌嗪-1-羧酸酯(30mg,0.05mmol)溶于甲醇(10mL),加入氢化瓶。氮气保护下加入三(三苯基膦)氯化铑(I)(4.2mg,0.01mmol)。上述溶液用氢气置换几次,在氢气氛围(50psi)下,50℃搅拌过夜。反应液通过硅藻土过滤,减压浓缩,粗品直接用于下一步。ESI-MS 659[M+H]+。
第二步:26-氯-36-氟-12-异丙基-22-氧代-24-(哌嗪-1-基)-21,22-二氢-4-氧杂-2(1,7)-二氮杂萘-1(3,4)-吡啶-3(1,2)-苯并环庚烷-23-甲腈的合成
将上一步反应拿到的粗品叔-丁基4-(26-氯-23-氰基-36-氟-12-异丙基-22-氧代-21,22-二氢-4-氧杂-2(1,7)-二氮杂萘-1(3,4)-吡啶-3(1,2)-苯并环庚烷-24-基)哌嗪-1-羧酸酯(20mg,0.030mmol)溶于二氯甲烷(3mL),溶液冷却到0℃,氮气保护下滴加三氟乙酸(0.5mL),0℃下反应1小时。反应液直接减压浓缩除去溶剂得到粗产品直接用于下一步反应。ESI-MS 559[M+H]+。
第三步:24-(4-丙烯酰哌嗪-1-基)-26-氯-36-氟-12-异丙基-22-氧代-21,22-二氢-4-氧杂-2(1,7)-二氮杂萘-1(3,4)-吡啶-3(1,2)-苯并环庚烷-23-甲腈的合成
将26-氯-36-氟-12-异丙基-22-氧代-24-(哌嗪-1-基)-21,22-二氢-4-氧杂-2(1,7)-二氮杂萘-1(3,4)-吡啶-3(1,2)-苯并环庚烷-23-甲腈(15mg,0.03mmol)溶于无水二氯甲烷(3mL),加入三乙胺(10.8mg,0.11mmol)。冷却到-10℃,氮气保护下滴加丙-2-烯酰氯(2.43mg,0.03mmol),反应1小时。反应液用乙酸乙酯(20mL)稀释,经饱和氯化钠水溶液(30mL)洗涤,有机相通过无水硫酸钠干燥后减压浓缩除去溶剂,剩余物用反相柱分离得到24-(4-丙烯酰哌嗪-1-基)-26-氯-36-氟-12-异丙基-22-氧代-21,22-二氢-4-氧杂-2(1,7)-,二氮杂萘-1(3,4)-吡啶-3(1,2)-苯并环庚烷-23-甲腈(1.8mg,收率:10.9%,纯度:100%)。ESI-MS 613[M+H]+。
1H NMR(400MHz,DMSO-d6)δ8.58-8.41(m,2H),7.53-7.41(m,1H),7.33(d,J=5.1Hz,1H),7.10(d,J=8.4Hz,1H),7.02-6.85(m,2H),6.21(dd,J=2.3,16.6Hz,1H),5.77(dd,J=2.2,10.4Hz,1H),4.46(br d,J=5.8Hz,1H),4.09-3.66(m,8H),2.90(td,J=6.6,13.3Hz,1H),2.40-2.23(m,3H),2.05-1.98(m,2H),1.17(d,J=6.6Hz,3H),0.86(d,J=6.6Hz,3H).
实施例17:(R)-24-(4-丙烯酰哌嗪-1-基)-26-氯-36-氟-6,7-二羟基-12-异丙基-22-氧代-21,22-二氢-4-氧杂-2(1,7)-二氮杂萘-1(3,4)-吡啶-3(1,2)-苯并环庚烷-23-甲腈的制备
24-(4-丙烯酰哌嗪-1-基)-26-氯-36-氟-6,7-二羟基-12-异丙基-22-氧代-21,22-二氢-4-氧杂-2(1,7)-二氮杂萘-1(3,4)-吡啶-3(1,2)-苯并环庚烷-23-甲腈通过SFC拆分得到化合物(R)-24-(4-丙烯酰哌嗪-1-基)-26-氯-36-氟-6,7-二羟基-12-异丙基-22-氧代-21,22-二氢-4-氧杂-2(1,7)-二氮杂萘-1(3,4)-吡啶-3(1,2)-苯并环庚烷-23-甲腈。
1H NMR(400MHz,DMSO-d6)δ8.55-8.47(m,2H),8.00(d,J=5.0 Hz,1H),7.51-7.42(m,1H),7.12(d,J=8.4 Hz,1H),7.02-6.88(m,2H),6.21(dd,J=2.2,16.7 Hz,1H),5.81-5.74(m,2H),5.19(d,J=8.6 Hz,1H),4.52-4.44(m,1H),4.06-3.67(m,10H),2.93-2.84(m,1H),1.18(d,J=6.6 Hz,3H),0.83(br d,J=6.6 Hz,4H).
实施例3,6~13,15化合物的制备可以参照实施例1,2或4和5的合成方法得到,或者通过实施例1或2化合物经过常规合成方法制备得到:
生物学测试评价
一、H358与MiaPaCa-2细胞系抗增殖2D CTG测试
1、实验步骤
1)第0天铺板:
当细胞汇合约为80%时,用0.25%胰蛋白酶分离细胞。将分离的细胞重悬于5mL新鲜细胞培养基中并离心以收集细胞。同时计算细胞数量。然后将细胞悬浮于中等浓度的培养基中。将细胞放入96孔板中,H358为1500细胞/孔,MIAPACA-2为500细胞/孔。96孔板置于37℃的培养箱中,孵育过夜。
2)第一天化合物处理:
从2mM储备液中按1:3的比例连续稀释10点。将5X含化合物的培养基转移到96孔的相应孔中。最终最高点化合物浓度为10μM,DMSO最终浓度为0.5%。96孔板置于37℃培养箱中,孵育5天。
3)基线读数。
4)第六天读取信号,加入50μL/孔的检测试剂(CTG),在Envision机器中读取信号。
2、数据处理
根据每个分析板中包含的HPE和ZPE对照孔中的信号和各个化合物孔中的荧光信号,计算每个化合物浓度下的抑制百分比(%)。ZPE对照孔含酶和底物的抑制率为0%,HPE对照孔仅含底物的抑制率为100%。通过测试化合物的浓度和抑制百分数的值,使用四参数对数剂量反应方程式确定抑制50%(IC50)所需的化合物浓度。在每个实验中评估参考化合物的终点值(IC50),作为质量控制措施。如果终点值在预期值的三倍以内,则认为该实验可以接受。
表1:生物学测试结果
从具体实施例化合物活性数据来看,本发明系列化合物对K-RAS细胞活性具有很强的抑制作用。
在本发明提及的所有文献都在本申请中引用作为参考,就如同每一篇文献被单独引用作为参考那样。此外应理解,在阅读了本发明的上述公开内容之后,本领域技术人员可以对本发明作各种改动或修改,这些等价形式同样落于本申请所附权利要求书所限定的范围。
Claims (18)
1.式(I)化合物、其立体异构体或其药学上可接受盐:
其中,X为C(R7)或N;L选自-CR8=CR9-、-C(R10R11)-C(R12R13)-、-N(R14)-C(O)-、-N(R15)-C(R16R17)-和-O-C(R18R19)-;
R1选自氢、氘、卤素、氰基、羟基、C1-4烷基、C2-4链烯基、C2-4链炔基、卤取代C1-4烷基、氘取代C1-4烷基、C1-4烷氧基、卤取代C1-4烷氧基、氘取代C1-4烷氧基、C3-6环烷基、4-6元杂环基、苯基、4-6元杂芳基、乙酰胺基和-SF5;
每个R2各自独立地选自氢、氘、卤素、氰基、羟基、C1-4烷基、卤取代C1-4烷基、氘取代C1-4烷基、C1-4烷氧基、卤取代C1-4烷氧基、氘取代C1-4烷氧基、C3-6环烷基、4-6元杂环基、苯基、4-6元杂芳基、乙酰胺基和-SF5;
R3选自氢、氘、卤素、氰基、硝基、叠氮基、C1-10烷基、C2-10链烯基、C2-10链炔基、C3-12环烷基、3-12元杂环基、C5-10芳基、5-10元杂芳基、-C0-8烷基-SF5、-C0-8烷基-S(O)rR20、-C0-8烷基-O-R21、-C0-8烷基-C(O)OR21、-C0-8烷基-C(O)R22、-C0-8烷基-O-C(O)R22、-C0-8烷基-NR23R24、-C0-8烷基-C(=NR23)R22、-C0-8烷基-N(R23)-C(=NR24)R22、-C0-8烷基-C(O)NR23R24和-C0-8烷基-N(R23)-C(O)R22,上述基团任选进一步被一个或多个选自氘、卤素、氰基、硝基、叠氮基、C1-10烷基、卤取代C1-10烷基、氘取代C1-10烷基、C2-10链烯基、C2-10链炔基、C3-12环烷基、3-12元杂环基、C5-10芳基、5-10元杂芳基、=O、-C0-8烷基-SF5、-C0-8烷基-S(O)rR20、-C0-8烷基-O-R21、-C0-8烷基-C(O)OR21、-C0-8烷基-C(O)R22、-C0-8烷基-O-C(O)R22、-C0-8烷基-NR23R24、-C0-8烷基-C(=NR23)R22、-C0-8烷基-N(R23)-C(=NR24)R22、-C0-8烷基-C(O)NR23R24和-C0-8烷基-N(R23)-C(O)R22的取代基所取代;
每个R4各自独立地选自氢、氘、卤素、氰基、羟基、-SF5、C1-4烷基、C2-4链烯基、C2-4链炔基、C1-4烷氧基、C3-6环烷基、4-6元杂环基、氰基取代C1-4烷基、羟基取代C1-4烷基、卤取代C1-4烷基和氘取代C1-4烷基,或者,当m≥2时,两个R4与其相连的部分一起形成C3-12环烷基或3-12元杂环基;
R5和R6各自独立地选自氢、氘、卤素、氰基、C1-4烷基、卤取代C1-4烷基、氘取代C1-4烷基、C3-6环烷基、4-6元杂环基和二C1-4烷基氨基甲基;
R7选自氢、氘、卤素、氰基、硝基、叠氮基、C1-10烷基、C2-10链烯基、C2-10链炔基、C3-12环烷基、3-12元杂环基、C5-10芳基、5-10元杂芳基、-C0-8烷基-SF5、-C0-8烷基-S(O)rR20、-C0-8烷基-O-R21、-C0-8烷基-C(O)OR21、-C0-8烷基-C(O)R22、-C0-8烷基-O-C(O)R22、-C0-8烷基-NR23R24、-C0-8烷基-C(=NR23)R22、-C0-8烷基-N(R23)-C(=NR24)R22、-C0-8烷基-C(O)NR23R24和-C0-8烷基-N(R23)-C(O)R22,上述基团任选进一步被一个或多个选自氘、卤素、氰基、硝基、叠氮基、C1-10烷基、卤取代C1-10烷基、氘取代C1-10烷基、C2-10链烯基、C2-10链炔基、C3-12环烷基、3-12元杂环基、C5-10芳基、5-10元杂芳基、=O、-C0-8烷基-SF5、-C0-8烷基-S(O)rR20、-C0-8烷基-O-R21、-C0-8烷基-C(O)OR21、-C0-8烷基-C(O)R22、-C0-8烷基-O-C(O)R22、-C0-8烷基-NR23R24、-C0-8烷基-C(=NR23)R22、-C0-8烷基-N(R23)-C(=NR24)R22、-C0-8烷基-C(O)NR23R24和-C0-8烷基-N(R23)-C(O)R22的取代基所取代;
R8和R9各自独立地选自氢、氘、卤素、氰基、C1-10烷基、C3-12环烷基、4-12元杂环基和-C1-4烷基-NR23R24,上述基团任选进一步被一个或多个选自氘、卤素、氰基、羟基、C1-10烷基、卤取代C1-10烷基、氘取代C1-10烷基、C2-10链烯基、C2-10链炔基、C3-12环烷基、3-12元杂环基、C5-10芳基、5-10元杂芳基、=O、-SF5、-S(O)rR20、-O-R21、-C(O)OR21、-C(O)R22、-O-C(O)R22、-NR23R24、-C(=NR23)R22、-N(R23)-C(=NR24)R22、-C(O)NR23R24和-N(R23)-C(O)R22的取代基所取代;
R10、R11、R12、R13、R16、R17、R18和R19各自独立地选自氢、氘、卤素、氰基、硝基、叠氮基、C1-10烷基、C2-10链烯基、C2-10链炔基、C3-12环烷基、3-12元杂环基、C5-10芳基、5-10元杂芳基、-SF5、-S(O)rR20、-O-R21、-C(O)OR21、-C(O)R22、-O-C(O)R22、-NR23R24、-C(=NR23)R22、-N(R23)-C(=NR24)R22、-C(O)NR23R24和-N(R23)-C(O)R22,或者,R10和R11、R12和R13、R16和R17、R18和R19与其直接相连的碳原子一起形成C(O)、3-12元环烷基或3-12元杂环基,上述基团任选进一步被一个或多个选自氘、卤素、氰基、硝基、叠氮基、C1-10烷基、卤取代C1-10烷基、氘取代C1-10烷基、C2-10链烯基、C2-10链炔基、C3-12环烷基、3-12元杂环基、C5-10芳基、5-10元杂芳基、=O、-SF5、-S(O)rR20、-O-R21、-C(O)OR21、-C(O)R22、-O-C(O)R22、-NR23R24、-C(=NR23)R22、-N(R23)-C(=NR24)R22、-C(O)NR23R24和-N(R23)-C(O)R22的取代基所取代;
R14和R15各自独立地选自氢、氘、羟基、C1-10烷基、C3-12环烷基、3-12元杂环基、C5-10芳基、5-10元杂芳基、-C(O)OR21、-C(O)R22和-C(O)NR23R24,上述基团任选进一步被一个或多个选自氘、卤素、氰基、硝基、叠氮基、C1-10烷基、C2-10链烯基、C2-10链炔基、卤取代C1-10烷基、氘取代C1-10烷基、C3-12环烷基、3-12元杂环基、C5-10芳基、5-10元杂芳基、=O、-C0-8烷基-SF5、-C0-8烷基-S(O)rR20、-C0-8烷基-O-R21、-C0-8烷基-C(O)OR21、-C0-8烷基-C(O)R22、-C0-8烷基-O-C(O)R22、-C0-8烷基-NR23R24、-C0-8烷基-C(=NR23)R22、-C0-8烷基-N(R23)-C(=NR24)R22、-C0-8烷基-C(O)NR23R24和-C0-8烷基-N(R23)-C(O)R22的取代基所取代;
每个R20独立地选自氢、氘、羟基、C1-10烷基、C2-10链烯基、C3-12环烷基、3-12元杂环基、C6-10芳基、5-10元杂芳基和-NR23R24,上述基团独立地任选进一步被一个或多个选自氘、卤素、羟基、=O、C1-10烷基、C1-10烷氧基、C3-12环烷基、C3-12环烷氧基、3-12元杂环基、3-12元杂环氧基、C6-10芳基、C6-10芳氧基、5-10元杂芳基、5-10元杂芳氧基和-NR23R24的取代基所取代;
每个R21独立地选自氢、氘、C1-10烷基、C2-10链烯基、C3-12环烷基、3-12元杂环基、C6-10芳基和5-10元杂芳基,上述基团独立地任选进一步被一个或多个选自氘、卤素、羟基、=O、氰基、C1-10烷基、C1-10烷氧基、C3-12环烷基、C3-12环烷氧基、3-12元杂环基、3-12元杂环氧基、C6-10芳基、C6-10芳氧基、5-10元杂芳基、5-10元杂芳氧基和-NR23R24的取代基所取代;
每个R22选自氢、氘、羟基、C1-10烷基、C1-10烷氧基、C2-10链烯基、C2-10链炔基、C3-12环烷基、C3-12环烷氧基、3-12元杂环基、3-12元杂环氧基、C6-10芳基、C6-10芳氧基、5-10元杂芳基、5-10元杂芳氧基和-NR23R24,上述基团独立地任选进一步被一个或多个选自氘、卤素、羟基、氰基、C1-10烷基、C1-10烷氧基、C3-12环烷基、C3-12环烷氧基、3-12元杂环基、3-12元杂环氧基、C6-10芳基、C6-10芳氧基、5-10元杂芳基、5-10元杂芳氧基和-NR23R24的取代基所取代;
每个R23和R24各自独立地选自氢、氘、羟基、C1-10烷基、C2-10链烯基、C2-10链炔基、C3-12环烷基、3-12元杂环基、C6-10芳基、5-10元杂芳基、亚磺酰基、磺酰基、甲磺酰基、异丙磺酰基、环丙基磺酰基、对甲苯磺酰基、氨基磺酰基、二甲氨基磺酰基、氨基、单C1-10烷基氨基、二C1-10烷基氨基和C1-10烷酰基,上述基团独立地任选进一步被一个或多个选自氘、卤素、羟基、C1-10烷基、C2-10链烯基、C2-10链炔基、卤取代C1-10烷基、氘取代C1-10烷基、C1-10烷氧基、C3-12环烷基、C3-12环烷氧基、3-12元杂环基、3-12元杂环氧基、C6-10芳基、C6-10芳氧基、5-10元杂芳基、5-10元杂芳氧基、氨基、单C1-10烷基氨基、二C1-10烷基氨基和C1-10烷酰基的取代基所取代,
或者,R23和R24与其直接相连的氮原子一起形成4-10元杂环基或5-10元杂芳基,所述4-10元杂环基或5-10元杂芳基任选进一步被一个或多个选自氘、卤素、羟基、C1-10烷基、C2-10链烯基、C2-10链炔基、卤取代C1-10烷基、氘取代C1-10烷基、C1-10烷氧基、C3-12环烷基、C3-12环烷氧基、3-12元杂环基、3-12元杂环氧基、C6-10芳基、C6-10芳氧基、5-10元杂芳基、5-10元杂芳氧基、氨基、单C1-10烷基氨基、二C1-10烷基氨基和C1-10烷酰基的取代基所取代;
m为0、1、2、3或4;
n为0、1、2、3或4;
每个r各自独立地为0、1或2。
2.根据权利要求1所述的式(I)化合物、其立体异构体或其药学上可接受盐,其特征在于,R10、R11、R12、R13、R16、R17、R18和R19各自独立地选自氢、氘、卤素、氰基、C1-4烷基、C2-4链烯基、C2-4链炔基、C3-6环烷基、3-6元杂环基、C5-8芳基、5-8元杂芳基、-SF5、-S(O)rR20、-O-R21、-C(O)OR21、-C(O)R22、-O-C(O)R22、-NR23R24、-C(O)NR23R24和-N(R23)-C(O)R22,或者,R10和R11、R12和R13、R16和R17、R18和R19与其直接相连的碳原子一起形成C(O)、3-6元环烷基或3-6元杂环基,上述基团任选进一步被一个或多个选自氘、卤素、氰基、C1-4烷基、卤取代C1-4烷基、氘取代C1-4烷基、C2-4链烯基、C2-4链炔基、C3-6环烷基、3-6元杂环基、C5-8芳基、5-8元杂芳基、=O、-SF5、-S(O)rR20、-O-R21、-C(O)OR21、-C(O)R22、-O-C(O)R22、-NR23R24、-C(O)NR23R24和-N(R23)-C(O)R22的取代基所取代;
R14和R15各自独立地选自氢、氘、羟基、C1-4烷基、C3-6环烷基、3-6元杂环基、C5-8芳基、5-8元杂芳基、-C(O)OR21、-C(O)R22和-C(O)NR23R24,上述基团任选进一步被一个或多个选自氘、卤素、氰基、硝基、叠氮基、C1-4烷基、C2-4链烯基、C2-4链炔基、卤取代C1-4烷基、氘取代C1-4烷基、C3-6环烷基、3-6元杂环基、C5-8芳基、5-8元杂芳基、=O、-C0-4烷基-SF5、-C0-4烷基-S(O)rR20、-C0-4烷基-O-R21、-C0-4烷基-C(O)OR21、-C0-4烷基-C(O)R22、-C0-4烷基-O-C(O)R22、-C0-4烷基-NR23R24、-C0-4烷基-C(=NR23)R22、-C0-4烷基-N(R23)-C(=NR24)R22、-C0-4烷基-C(O)NR23R24和-C0-4烷基-N(R23)-C(O)R22的取代基所取代;
其中,R20、R21、R22、R23、R24、r如权利要求1所述。
3.根据权利要求1所述的式(I)化合物、其立体异构体或其药学上可接受盐,其特征在于,R8和R9各自独立地选自氢、氘、卤素、氰基、C1-4烷基、C3-6环烷基、4-6元杂环基和-C1-4烷基-NR23R24,上述基团任选进一步被一个或多个选自氘、卤素、氰基、羟基、C1-4烷基、卤取代C1-4烷基、氘取代C1-4烷基、C2-4链烯基、C2-4链炔基、C3-6环烷基、3-6元杂环基、C5-8芳基、5-8元杂芳基、=O、-SF5、-S(O)rR20、-O-R21、-C(O)OR21、-C(O)R22、-O-C(O)R22、-NR23R24、-C(O)NR23R24和-N(R23)-C(O)R22的取代基所取代;
其中,R20、R21、R22、R23、R24、r如权利要求1所述。
4.根据权利要求1所述的式(I)化合物、其立体异构体或其药学上可接受盐,其特征在于,R7选自氢、氘、卤素、氰基、C1-4烷基、C2-4链烯基、C2-4链炔基、C3-6环烷基、3-6元杂环基、C5-8芳基、5-8元杂芳基、-SF5、-S(O)rR20、-O-R21、-C(O)OR21、-C(O)R22、-O-C(O)R22、-NR23R24、-C(=NR23)R22、-N(R23)-C(=NR24)R22、-C(O)NR23R24和-N(R23)-C(O)R22,上述基团任选进一步被一个或多个选自氘、卤素、氰基、C1-4烷基、卤取代C1-4烷基、氘取代C1-4烷基、C2-4链烯基、C2-4链炔基、C3-6环烷基、3-6元杂环基、C5-8芳基、5-8元杂芳基、=O、-SF5、-S(O)rR20、-O-R21、-C(O)OR21、-C(O)R22、-O-C(O)R22、-NR23R24、-C(=NR23)R22、-N(R23)-C(=NR24)R22、-C(O)NR23R24和-N(R23)-C(O)R22的取代基所取代;
其中,R20、R21、R22、R23、R24、r如权利要求1所述。
5.根据权利要求1所述的式(I)化合物、其立体异构体或其药学上可接受盐,其特征在于,R3选自氢、氘、卤素、氰基、C1-4烷基、C2-4链烯基、C2-4链炔基、C3-6环烷基、3-6元杂环基、C5-8芳基、5-8元杂芳基、-SF5、-S(O)rR20、-O-R21、-C(O)OR21、-C(O)R22、-O-C(O)R22、-NR23R24、-C(=NR23)R22、-N(R23)-C(=NR24)R22、-C(O)NR23R24和-N(R23)-C(O)R22,上述基团任选进一步被一个或多个选自氘、卤素、氰基、C1-4烷基、卤取代C1-4烷基、氘取代C1-4烷基、C2-4链烯基、C2-4链炔基、C3-6环烷基、3-6元杂环基、C5-8芳基、5-8元杂芳基、=O、-SF5、-S(O)rR20、-O-R21、-C(O)OR21、-C(O)R22、-O-C(O)R22、-NR23R24、-C(=NR23)R22、-N(R23)-C(=NR24)R22、-C(O)NR23R24和-N(R23)-C(O)R22的取代基所取代;
其中,R20、R21、R22、R23、R24、r如权利要求1所述。
6.根据权利要求1所述的式(I)化合物、其立体异构体或其药学上可接受盐,其特征在于,R1选自氢、氘、氟、氯、氰基、羟基、乙烯基、乙炔基、C1-4烷基、卤取代C1-4烷基、氘取代C1-4烷基、C1-4烷氧基、卤取代C1-4烷氧基、氘取代C1-4烷氧基、环丙基、乙酰胺基和-SF5。
7.根据权利要求1所述的式(I)化合物、其立体异构体或其药学上可接受盐,其特征在于,每个R2各自独立地选自氢、氘、氟、氯、氰基、羟基、C1-4烷基、卤取代C1-4烷基、氘取代C1-4烷基、C1-4烷氧基、卤取代C1-4烷氧基、氘取代C1-4烷氧基、环丙基、乙酰胺基和-SF5。
8.根据权利要求1所述的式(I)化合物、其立体异构体或其药学上可接受盐,其特征在于,每个R4各自独立地选自氢、氘、卤素、氰基、羟基、-SF5、C1-4烷基、C2-4链炔基、C1-4烷氧基、C3-6环烷基、4-6元杂环基、氰基取代C1-4烷基、羟基取代C1-4烷基、卤取代C1-4烷基和氘取代C1-4烷基。
9.根据权利要求1所述的式(I)化合物、其立体异构体或其药学上可接受盐,其特征在于,R5和R6各自独立地选自氢、氘、氟、氯、氰基、甲基、乙基、异丙基、环丙基和二甲基氨基甲基。
10.根据权利要求1所述的式(I)化合物、其立体异构体或其药学上可接受盐,其特征在于,式(I)化合物具有如下式(Ⅱ)化合物结构:
其中,X为CH或N,L为-CR8=CR9-或-C(R10R11)-C(R12R13)-;
R1选自氢、氘、氟、氯、氰基、羟基、乙炔基、甲基、乙基、异丙基、甲氧基、乙氧基、异丙氧基、环丙基、乙酰胺基和-SF5;
R2选自氢、氘、氟、氯、氰基、羟基、甲基、乙基、异丙基、甲氧基、乙氧基、异丙氧基、环丙基、乙酰胺基和-SF5;
R3选自氢、氘、卤素、氰基、C1-4烷基、卤取代C1-4烷基、氘取代C1-4烷基、C1-4烷氧基、卤取代C1-4烷氧基、氘取代C1-4烷氧基、C2-4链烯基、C2-4链炔基、C3-6环烷基、3-6元杂环基、C5-8芳基、5-8元杂芳基、二C1-4烷基氨基甲基和-SF5;
R4a、R4b、R4c各自独立地选自氢、氘、卤素、氰基、甲基、环丙基、氰甲基、羟基甲基、三氟甲基、三氘甲基、二氟甲基和二氘甲基;
R8和R9各自独立地选自氢、氘、氟、氰基、甲基、乙基、异丙基和环丙基;
R10、R11、R12和R13各自独立地选自氢、氘、卤素、氰基、C1-4烷基、C2-4链烯基、C2-4链炔基、C3-6环烷基、3-6元杂环基、C5-8芳基、5-8元杂芳基、-SF5、-S(O)rR20、-O-R21、-C(O)OR21、-C(O)R22、-O-C(O)R22、-NR23R24、-C(O)NR23R24和-N(R23)-C(O)R22,或者,R10和R11、R12和R13与其直接相连的碳原子一起形成C(O)、3-6元环烷基或3-6元杂环基,上述基团任选进一步被一个或多个选自氘、卤素、氰基、C1-4烷基、卤取代C1-4烷基、氘取代C1-4烷基、C2-4链烯基、C2-4链炔基、C3-6环烷基、3-6元杂环基、C5-8芳基、5-8元杂芳基、=O、-SF5、-S(O)rR20、-O-R21、-C(O)OR21、-C(O)R22、-O-C(O)R22、-NR23R24、-C(O)NR23R24和-N(R23)-C(O)R22的取代基所取代;
其中,R20、R21、R22、R23、R24、r如权利要求1所述。
11.根据权利要求1所述的式(I)化合物、其立体异构体或其药学上可接受盐,其特征在于:式(I)化合物具有如下式(Ⅲ)化合物结构:
其中,L为-CH=CH-或-C(R10R11)-C(R12R13)-;
R1选自氢、氘、氟、氯、氰基、甲基、甲氧基、环丙基和-SF5;
R2选自氢、氘、氟、氯、氰基、甲基、甲氧基、环丙基和-SF5;
R3选自氢、氘、氟、氯、氰基、甲基、乙基、异丙基、三氟甲基、三氘甲基、甲氧基、三氟甲氧基、三氘甲氧基、环丙基、环丁基、环丁氧基和-SF5;
R10、R11、R12和R13各自独立地选自氢、氘、卤素、氰基、C1-4烷基、C3-6环烷基、3-6元杂环基、5-8元杂芳基、-O-R21、-C(O)OR21、-C(O)R22、-O-C(O)R22和-NR23R24,或者,R10和R11、R12和R13与其直接相连的碳原子一起形成C(O)、3-6元环烷基或3-6元杂环基,上述基团任选进一步被一个或多个选自氘、卤素、氰基、C1-4烷基、卤取代C1-4烷基、氘取代C1-4烷基、C2-4链炔基、C3-6环烷基、3-6元杂环基、C5-8芳基、5-8元杂芳基、=O、-SF5、-S(O)rR20、-O-R21、-C(O)OR21、-C(O)R22、-O-C(O)R22、-NR23R24、-C(O)NR23R24和-N(R23)-C(O)R22的取代基所取代;
每个R20独立地选自氢、氘、羟基、C1-4烷基、C2-4链烯基、C3-6环烷基、3-6元杂环基、C6-8芳基、5-8元杂芳基和-NR23R24,上述基团独立地任选进一步被一个或多个选自氘、卤素、羟基、氨基、=O、C1-4烷基、C1-4烷氧基、C3-6环烷基、C3-6环烷氧基、3-6元杂环基和3-6元杂环氧基的取代基所取代;
每个R21独立地选自氢、氘、C1-4烷基、C2-4链烯基、C3-6环烷基、3-6元杂环基、C6-8芳基和5-8元杂芳基,上述基团独立地任选进一步被一个或多个选自氘、卤素、羟基、氨基、=O、氰基、C1-4烷基、C1-4烷氧基、C3-6环烷基、C3-6环烷氧基、3-6元杂环基和3-6元杂环氧基的取代基所取代;
每个R22选自氢、氘、羟基、C1-4烷基、C1-4烷氧基、C2-4链烯基、C2-4链炔基、C3-6环烷基、C3-6环烷氧基、3-6元杂环基、3-6元杂环氧基、C6-8芳基、C6-8芳氧基、5-8元杂芳基、5-8元杂芳氧基和-NR23R24,上述基团独立地任选进一步被一个或多个选自氘、卤素、羟基、氨基、氰基、C1-4烷基、C1-4烷氧基、C3-6环烷基、C3-6环烷氧基、3-6元杂环基和3-6元杂环氧基的取代基所取代;
每个R23和R24各自独立地选自氢、氘、羟基、C1-4烷基、C2-4链烯基、C2-4链炔基、C3-6环烷基、3-6元杂环基、C6-8芳基、5-8元杂芳基、亚磺酰基、磺酰基、甲磺酰基、异丙磺酰基、环丙基磺酰基、对甲苯磺酰基、氨基磺酰基、二甲氨基磺酰基、氨基、单C1-4烷基氨基、二C1-4烷基氨基和C1-4烷酰基,上述基团独立地任选进一步被一个或多个选自氘、卤素、羟基、C1-4烷基、C2-4链烯基、C2-4链炔基、卤取代C1-4烷基、氘取代C1-4烷基、C1-4烷氧基、C3-6环烷基、C3-6环烷氧基、3-6元杂环基、3-6元杂环氧基、C6-8芳基、C6-8芳氧基、5-8元杂芳基、5-8元杂芳氧基、氨基、单C1-4烷基氨基、二C1-4烷基氨基和C1-4烷酰基的取代基所取代,
或者,R23和R24与其直接相连的氮原子一起形成4-6元杂环基或5-8元杂芳基,所述4-6元杂环基或5-8元杂芳基任选进一步被一个或多个选自氘、卤素、羟基、C1-4烷基、C2-4链烯基、C2-4链炔基、卤取代C1-4烷基、氘取代C1-4烷基、C1-4烷氧基、C3-6环烷基、C3-6环烷氧基、3-6元杂环基、3-6元杂环氧基、C6-8芳基、C6-8芳氧基、5-8元杂芳基、5-8元杂芳氧基、氨基、单C1-4烷基氨基、二C1-4烷基氨基和C1-4烷酰基的取代基所取代;
每个r各自独立地为0、1或2。
12.根据权利要求1或11所述的式(I)化合物、其立体异构体或其药学上可接受盐,其特征在于:L为-CH=CH-或-C(R10R11)-C(R12R13)-;
R1选自氢、氘、氟、氯、氰基、甲基、甲氧基和环丙基;
R2选自氢、氘、氟、氯、氰基、甲基、甲氧基和环丙基;
R3选自氢、氘、氟、氯、氰基、甲基、乙基、异丙基、三氟甲基、三氘甲基、甲氧基、三氟甲氧基、三氘甲氧基、环丙基、环丁基和环丁氧基;
R10为氢;
R11选自氢、氘、氟、氯、溴、氰基、甲基、乙基、丙基、丁基、异丙基、异丁基、环丙基、环丁基、氧杂环丁基、氮杂环丁基、氧杂环戊基、氮杂环戊基、-O-R21、-C(O)OR21、-C(O)R22和-O-C(O)R22,上述基团任选进一步被一个或多个选自氘、卤素、氰基、C1-4烷基、卤取代C1-4烷基、氘取代C1-4烷基、C2-4链炔基、C3-6环烷基、3-6元杂环基、C5-8芳基、5-8元杂芳基、=O、-SF5、-O-R21、-C(O)OR21、-C(O)R22和-O-C(O)R22的取代基所取代;
R12为氢;
R13选自氢、氘、氟、氯、溴、氰基、甲基、乙基、丙基、丁基、异丙基、异丁基、环丙基、环丁基、氧杂环丁基、氮杂环丁基、氧杂环戊基、氮杂环戊基、-O-R21、-C(O)OR21、-C(O)R22和-O-C(O)R22,上述基团任选进一步被一个或多个选自氘、氟、氯、溴、氰基、C1-4烷基、卤取代C1-4烷基、氘取代C1-4烷基、C2-4链炔基、C3-6环烷基、3-6元杂环基、C5-8芳基、5-8元杂芳基、=O、-SF5、-O-R21、-C(O)OR21、-C(O)R22和-O-C(O)R22的取代基所取代;
每个R21独立地选自氢、氘、甲基、乙基、丙基、丁基、异丙基、异丁基、乙烯基、环丙基、环丁基、氧杂环丁基、氮杂环丁基、氧杂环戊基、氮杂环戊基和苯基,上述基团独立地任选进一步被一个或多个选自氘、氟、氯、溴、羟基、氨基、=O、氰基、C1-4烷基、C1-4烷氧基、C3-6环烷基、C3-6环烷氧基、3-6元杂环基和3-6元杂环氧基的取代基所取代;
每个R22选自氢、氘、羟基、甲基、乙基、丙基、丁基、异丙基、异丁基、甲氧基、乙氧基、丙氧基、乙烯基、乙炔基、环丙基、环丁基、环丙氧基、环丁氧基、氧杂环丁基、氮杂环丁基、氧杂环戊基、氮杂环戊基和苯基,上述基团独立地任选进一步被一个或多个选自氘、氟、氯、溴、羟基、氨基、氰基、C1-4烷基、C1-4烷氧基、C3-6环烷基、C3-6环烷氧基、3-6元杂环基和3-6元杂环氧基的取代基所取代。
15.一种药物组合物,其包括权利要求1-13任一项所述的式(I)化合物、其立体异构体或其药学上可接受盐及可药用的载体。
16.权利要求1-13任一项所述的式(I)化合物、其立体异构体或其药学上可接受盐或权利要求15所述的药物组合物的用途,其特征在于,用于制备治疗至少部分由K-RAS G12C突变介导的肿瘤或癌症的药物。
17.根据权利要求16所述的用途,其特征在于,所述的癌症或肿瘤选自肺部恶性肿瘤或癌症、肝胆恶性肿瘤或癌症、胃肠道恶性肿瘤或癌症、血液系统恶性肿瘤或癌症、肉瘤、皮肤恶性肿瘤或癌症、骨恶性肿瘤或癌症、泌尿生殖道恶性肿瘤或癌症、神经系统恶性肿瘤或癌症、妇科性恶性肿瘤或癌症和肾上腺恶性肿瘤或癌症。
18.根据权利要求17所述的用途,其特征在于,所述肺部恶性肿瘤或癌症选自支气管癌(鳞状细胞癌、未分化的小细胞、未分化的大细胞或腺癌)、非小细胞肺癌、支气管癌、支气管腺瘤、肉瘤、淋巴瘤、软骨性错构瘤或间皮瘤;
所述肝胆恶性肿瘤或癌症选自肝癌、胆管癌、肝母细胞瘤、血管肉瘤、肝细胞腺瘤、血管瘤、胆囊癌、壶腹癌或胆管癌;
所述胃肠道恶性肿瘤或癌症选自食道恶性肿瘤和癌症(鳞状细胞癌、腺癌、平滑肌肉瘤或淋巴瘤)、胃恶性肿瘤和癌症(癌、淋巴瘤或平滑肌肉瘤)、胰腺恶性肿瘤和癌症(导管腺癌、胰岛素瘤、胰高血糖素瘤、胃泌素瘤、类癌瘤、葡萄膜瘤)、小肠(腺癌、淋巴瘤、类癌、卡波西氏肉瘤、平滑肌瘤、血管瘤、脂肪瘤、神经纤维瘤、纤维瘤)、大肠癌恶性肿瘤或癌症(腺癌、腺瘤、腺瘤、管状腺瘤)或平滑肌瘤;
所述血液系统恶性肿瘤或癌症选自急性或慢性骨髓白血病、急性淋巴细胞白血病、慢性淋巴细胞性白血病、骨髓增生性疾病、多发性骨髓瘤、骨髓增生异常综合症、霍奇金病或非霍奇金淋巴瘤;
所述肉瘤选自血管肉瘤、纤维肉瘤、横纹肌肉瘤、脂肪肉瘤、粘液瘤、横纹肌瘤、纤维瘤、脂肪瘤或畸胎瘤;
所述皮肤恶性肿瘤或癌症选自恶性黑色素瘤、基底细胞癌、鳞状细胞癌、卡波济肉瘤、痣痣、增生痣、脂肪瘤、血管瘤、皮肤纤维瘤、瘢痕瘤或牛皮癣;
所述骨恶性肿瘤或癌症选自成骨肉瘤、纤维肉瘤、恶性纤维组织细胞瘤、软骨肉瘤、尤因氏肉瘤、恶性淋巴瘤、多发性骨髓瘤、恶性巨细胞瘤脊索瘤、骨软骨瘤、良性软骨瘤、软骨母细胞瘤、软骨粘膜纤维瘤、类骨质骨瘤或巨细胞瘤;
所述泌尿生殖道恶性肿瘤或癌症选自肾脏恶性肿瘤或癌症(腺癌、威尔姆氏肿瘤或肾母细胞瘤)、淋巴瘤、白血病、膀胱或尿道恶性肿瘤或癌症(鳞状细胞癌、移行细胞癌或腺癌)、前列腺恶性肿瘤或癌症(腺癌或肉瘤)、睾丸恶性肿瘤或癌症(血癌、畸胎瘤、胚胎癌或畸胎瘤)、绒癌、肉瘤、间质细胞癌、纤维瘤、纤维腺瘤、腺瘤样瘤或脂肪瘤;
所述神经系统恶性肿瘤或癌症选自骨瘤、血管瘤、肉芽肿、黄瘤、变形性骨炎、脑膜瘤、脑膜肉瘤、胶质瘤病、星形细胞瘤、髓母细胞瘤、神经胶质瘤、室管膜瘤、生殖器瘤、多形胶质母细胞瘤、少突胶质细胞瘤、神经鞘瘤、视网膜母细胞瘤、先天性肿瘤、脊髓神经纤维瘤、脑膜瘤、神经胶质瘤或肉瘤;
所述妇科性恶性肿瘤或癌症选自子宫内膜癌(浆液性囊腺癌、粘液性囊腺癌或未分类癌)、颗粒-鞘细胞瘤、睾丸间质细胞瘤、肌膜异常瘤、恶性畸胎瘤、鳞状上皮癌、纤维上皮癌、腺上皮癌、黑色素瘤、透明细胞癌、鳞状细胞癌、葡萄状肉瘤或输卵管癌;
所述肾上腺恶性肿瘤或癌症选自神经母细胞瘤。
Applications Claiming Priority (2)
| Application Number | Priority Date | Filing Date | Title |
|---|---|---|---|
| CN202111114658 | 2021-09-23 | ||
| CN2021111146581 | 2021-09-23 |
Publications (1)
| Publication Number | Publication Date |
|---|---|
| CN115894520A true CN115894520A (zh) | 2023-04-04 |
Family
ID=86482911
Family Applications (1)
| Application Number | Title | Priority Date | Filing Date |
|---|---|---|---|
| CN202210217410.6A Pending CN115894520A (zh) | 2021-09-23 | 2022-03-07 | 一种大环k-ras g12c抑制剂及其制备方法和在药学上的应用 |
Country Status (1)
| Country | Link |
|---|---|
| CN (1) | CN115894520A (zh) |
Cited By (15)
| Publication number | Priority date | Publication date | Assignee | Title |
|---|---|---|---|---|
| CN117177980A (zh) * | 2021-05-06 | 2023-12-05 | 上海齐鲁制药研究中心有限公司 | 十二元大环类化合物 |
| WO2024206858A1 (en) | 2023-03-30 | 2024-10-03 | Revolution Medicines, Inc. | Compositions for inducing ras gtp hydrolysis and uses thereof |
| WO2024229406A1 (en) | 2023-05-04 | 2024-11-07 | Revolution Medicines, Inc. | Combination therapy for a ras related disease or disorder |
| WO2025034702A1 (en) | 2023-08-07 | 2025-02-13 | Revolution Medicines, Inc. | Rmc-6291 for use in the treatment of ras protein-related disease or disorder |
| WO2025080946A2 (en) | 2023-10-12 | 2025-04-17 | Revolution Medicines, Inc. | Ras inhibitors |
| WO2025171296A1 (en) | 2024-02-09 | 2025-08-14 | Revolution Medicines, Inc. | Ras inhibitors |
| WO2025240847A1 (en) | 2024-05-17 | 2025-11-20 | Revolution Medicines, Inc. | Ras inhibitors |
| WO2025255438A1 (en) | 2024-06-07 | 2025-12-11 | Revolution Medicines, Inc. | Methods of treating a ras protein-related disease or disorder |
| WO2025265060A1 (en) | 2024-06-21 | 2025-12-26 | Revolution Medicines, Inc. | Therapeutic compositions and methods for managing treatment-related effects |
| WO2026006747A1 (en) | 2024-06-28 | 2026-01-02 | Revolution Medicines, Inc. | Ras inhibitors |
| WO2026015825A1 (en) | 2024-07-12 | 2026-01-15 | Revolution Medicines, Inc. | Use of ras inhibitor for treating pancreatic cancer |
| WO2026015801A1 (en) | 2024-07-12 | 2026-01-15 | Revolution Medicines, Inc. | Methods of treating a ras related disease or disorder |
| WO2026015790A1 (en) | 2024-07-12 | 2026-01-15 | Revolution Medicines, Inc. | Methods of treating a ras related disease or disorder |
| WO2026012500A1 (en) * | 2024-07-12 | 2026-01-15 | Jiangsu Hansoh Pharmaceutical Group Co., Ltd. | Multi-membered macrocyclic compounds, preparation methods and medicinal uses thereof |
| WO2026015796A1 (en) | 2024-07-12 | 2026-01-15 | Revolution Medicines, Inc. | Methods of treating a ras related disease or disorder |
Citations (11)
| Publication number | Priority date | Publication date | Assignee | Title |
|---|---|---|---|---|
| WO2019241157A1 (en) * | 2018-06-11 | 2019-12-19 | Amgen Inc. | Kras g12c inhibitors for treating cancer |
| WO2020050890A2 (en) * | 2018-06-12 | 2020-03-12 | Amgen Inc. | Kras g12c inhibitors and methods of using the same |
| CN112225734A (zh) * | 2019-10-25 | 2021-01-15 | 南京瑞捷医药科技有限公司 | Kras g12c抑制剂及其用途 |
| US20210122764A1 (en) * | 2019-10-28 | 2021-04-29 | Merck Sharp & Dohme Corp. | Small Molecule Inhibitors of KRAS G12C Mutant |
| CN112920183A (zh) * | 2019-12-06 | 2021-06-08 | 南京圣和药业股份有限公司 | 作为kras-g12c抑制剂的化合物及其应用 |
| CN113061132A (zh) * | 2020-01-01 | 2021-07-02 | 上海凌达生物医药有限公司 | 一类稠环内酰胺类化合物、制备方法和用途 |
| WO2021147967A1 (zh) * | 2020-01-21 | 2021-07-29 | 南京明德新药研发有限公司 | 作为kras抑制剂的大环类化合物 |
| CN113248521A (zh) * | 2020-02-11 | 2021-08-13 | 上海和誉生物医药科技有限公司 | 一种k-ras g12c抑制剂及其制备方法和应用 |
| CN113286794A (zh) * | 2019-11-04 | 2021-08-20 | 北京加科思新药研发有限公司 | Kras突变蛋白抑制剂 |
| CN113454083A (zh) * | 2019-12-19 | 2021-09-28 | 北京加科思新药研发有限公司 | Kras突变蛋白抑制剂 |
| CN117177980A (zh) * | 2021-05-06 | 2023-12-05 | 上海齐鲁制药研究中心有限公司 | 十二元大环类化合物 |
-
2022
- 2022-03-07 CN CN202210217410.6A patent/CN115894520A/zh active Pending
Patent Citations (11)
| Publication number | Priority date | Publication date | Assignee | Title |
|---|---|---|---|---|
| WO2019241157A1 (en) * | 2018-06-11 | 2019-12-19 | Amgen Inc. | Kras g12c inhibitors for treating cancer |
| WO2020050890A2 (en) * | 2018-06-12 | 2020-03-12 | Amgen Inc. | Kras g12c inhibitors and methods of using the same |
| CN112225734A (zh) * | 2019-10-25 | 2021-01-15 | 南京瑞捷医药科技有限公司 | Kras g12c抑制剂及其用途 |
| US20210122764A1 (en) * | 2019-10-28 | 2021-04-29 | Merck Sharp & Dohme Corp. | Small Molecule Inhibitors of KRAS G12C Mutant |
| CN113286794A (zh) * | 2019-11-04 | 2021-08-20 | 北京加科思新药研发有限公司 | Kras突变蛋白抑制剂 |
| CN112920183A (zh) * | 2019-12-06 | 2021-06-08 | 南京圣和药业股份有限公司 | 作为kras-g12c抑制剂的化合物及其应用 |
| CN113454083A (zh) * | 2019-12-19 | 2021-09-28 | 北京加科思新药研发有限公司 | Kras突变蛋白抑制剂 |
| CN113061132A (zh) * | 2020-01-01 | 2021-07-02 | 上海凌达生物医药有限公司 | 一类稠环内酰胺类化合物、制备方法和用途 |
| WO2021147967A1 (zh) * | 2020-01-21 | 2021-07-29 | 南京明德新药研发有限公司 | 作为kras抑制剂的大环类化合物 |
| CN113248521A (zh) * | 2020-02-11 | 2021-08-13 | 上海和誉生物医药科技有限公司 | 一种k-ras g12c抑制剂及其制备方法和应用 |
| CN117177980A (zh) * | 2021-05-06 | 2023-12-05 | 上海齐鲁制药研究中心有限公司 | 十二元大环类化合物 |
Cited By (15)
| Publication number | Priority date | Publication date | Assignee | Title |
|---|---|---|---|---|
| CN117177980A (zh) * | 2021-05-06 | 2023-12-05 | 上海齐鲁制药研究中心有限公司 | 十二元大环类化合物 |
| WO2024206858A1 (en) | 2023-03-30 | 2024-10-03 | Revolution Medicines, Inc. | Compositions for inducing ras gtp hydrolysis and uses thereof |
| WO2024229406A1 (en) | 2023-05-04 | 2024-11-07 | Revolution Medicines, Inc. | Combination therapy for a ras related disease or disorder |
| WO2025034702A1 (en) | 2023-08-07 | 2025-02-13 | Revolution Medicines, Inc. | Rmc-6291 for use in the treatment of ras protein-related disease or disorder |
| WO2025080946A2 (en) | 2023-10-12 | 2025-04-17 | Revolution Medicines, Inc. | Ras inhibitors |
| WO2025171296A1 (en) | 2024-02-09 | 2025-08-14 | Revolution Medicines, Inc. | Ras inhibitors |
| WO2025240847A1 (en) | 2024-05-17 | 2025-11-20 | Revolution Medicines, Inc. | Ras inhibitors |
| WO2025255438A1 (en) | 2024-06-07 | 2025-12-11 | Revolution Medicines, Inc. | Methods of treating a ras protein-related disease or disorder |
| WO2025265060A1 (en) | 2024-06-21 | 2025-12-26 | Revolution Medicines, Inc. | Therapeutic compositions and methods for managing treatment-related effects |
| WO2026006747A1 (en) | 2024-06-28 | 2026-01-02 | Revolution Medicines, Inc. | Ras inhibitors |
| WO2026015825A1 (en) | 2024-07-12 | 2026-01-15 | Revolution Medicines, Inc. | Use of ras inhibitor for treating pancreatic cancer |
| WO2026015801A1 (en) | 2024-07-12 | 2026-01-15 | Revolution Medicines, Inc. | Methods of treating a ras related disease or disorder |
| WO2026015790A1 (en) | 2024-07-12 | 2026-01-15 | Revolution Medicines, Inc. | Methods of treating a ras related disease or disorder |
| WO2026012500A1 (en) * | 2024-07-12 | 2026-01-15 | Jiangsu Hansoh Pharmaceutical Group Co., Ltd. | Multi-membered macrocyclic compounds, preparation methods and medicinal uses thereof |
| WO2026015796A1 (en) | 2024-07-12 | 2026-01-15 | Revolution Medicines, Inc. | Methods of treating a ras related disease or disorder |
Similar Documents
| Publication | Publication Date | Title |
|---|---|---|
| CN115894520A (zh) | 一种大环k-ras g12c抑制剂及其制备方法和在药学上的应用 | |
| CN115335379B (zh) | 含螺环的喹唑啉化合物 | |
| JP7779584B2 (ja) | Kras阻害剤とその製造及び薬学における応用 | |
| CN113248521B (zh) | 一种k-ras g12c抑制剂及其制备方法和应用 | |
| WO2023098426A1 (zh) | 一种7-(萘-1-基)吡啶并[4,3-d]嘧啶衍生物及其制备和应用 | |
| CN117730075A (zh) | 一种吡唑衍生物,其制备方法和在药学上的应用 | |
| WO2020259432A1 (zh) | Kras-g12c抑制剂 | |
| CN110770242B (zh) | 作为vanin抑制剂的杂芳族化合物 | |
| DK2998296T3 (en) | CYCLOYLIC ACID DERIVATIVE, PROCEDURE FOR PREPARING THEREOF AND PHARMACEUTICAL USE THEREOF | |
| WO2024008129A1 (zh) | 作为kat6抑制剂的化合物 | |
| CN116789647A (zh) | 作为parp7抑制剂的化合物 | |
| WO2024012409A1 (zh) | 作为myt1抑制剂的化合物 | |
| JP2023544615A (ja) | アセトアミド-フェニルテトラゾール誘導体およびその使用方法 | |
| WO2022063297A1 (zh) | 喹唑啉衍生物及其制备方法和用途 | |
| WO2016140501A1 (en) | Pyridine n-oxide for enhancer of zeste homolog 2 inhibitors | |
| WO2015068744A1 (ja) | カルボキシメチルピペリジン誘導体 | |
| WO2021047406A1 (zh) | 一种三并环类化合物,包含其的药物组合物,其制备方法及其用途 | |
| WO2024131827A1 (zh) | 一种kras g12d抑制剂及其应用 | |
| WO2024153250A1 (zh) | 作为usp1抑制剂的化合物 | |
| CN116171155B (zh) | 吡啶并[2,3-d]嘧啶-2(1H)-酮衍生物及其制备方法和应用 | |
| RU2672725C2 (ru) | Способ получения соединения | |
| CN111171041B (zh) | 20位取代的喜树碱衍生物及其制备方法和应用 | |
| CN116249703A (zh) | 一种大环k-ras g12c抑制剂,其制备方法和用途 | |
| WO2025237199A1 (zh) | 含氮并环化合物、含其的药物组合物及其应用 | |
| CN115850282A (zh) | 靶向降解egfr蛋白的化合物及其制备方法和应用 |
Legal Events
| Date | Code | Title | Description |
|---|---|---|---|
| PB01 | Publication | ||
| PB01 | Publication | ||
| SE01 | Entry into force of request for substantive examination | ||
| SE01 | Entry into force of request for substantive examination | ||
| WD01 | Invention patent application deemed withdrawn after publication |
Application publication date: 20230404 |




































