WO2016140501A1 - Pyridine n-oxide for enhancer of zeste homolog 2 inhibitors - Google Patents
Pyridine n-oxide for enhancer of zeste homolog 2 inhibitors Download PDFInfo
- Publication number
- WO2016140501A1 WO2016140501A1 PCT/KR2016/002070 KR2016002070W WO2016140501A1 WO 2016140501 A1 WO2016140501 A1 WO 2016140501A1 KR 2016002070 W KR2016002070 W KR 2016002070W WO 2016140501 A1 WO2016140501 A1 WO 2016140501A1
- Authority
- WO
- WIPO (PCT)
- Prior art keywords
- alkyl
- methyl
- amino
- ethyl
- heterocycloalkyl
- Prior art date
- Legal status (The legal status is an assumption and is not a legal conclusion. Google has not performed a legal analysis and makes no representation as to the accuracy of the status listed.)
- Ceased
Links
- 0 *C(NCc1c(*)c(*)c(*)c(*)[n+]1O)=O Chemical compound *C(NCc1c(*)c(*)c(*)c(*)[n+]1O)=O 0.000 description 12
- ROUYFJUVMYHXFJ-UHFFFAOYSA-N CC(C)(C)OC(N(CC1)CCC1=O)=O Chemical compound CC(C)(C)OC(N(CC1)CCC1=O)=O ROUYFJUVMYHXFJ-UHFFFAOYSA-N 0.000 description 1
- GQGHAOZCUSEHKE-UHFFFAOYSA-O CCN(C(CC1)CCC1N(C)CCOC)c1c(C)c(C([OH2+])=O)cc(Cl)c1 Chemical compound CCN(C(CC1)CCC1N(C)CCOC)c1c(C)c(C([OH2+])=O)cc(Cl)c1 GQGHAOZCUSEHKE-UHFFFAOYSA-O 0.000 description 1
- BFRFFZXEMULBRD-UHFFFAOYSA-N CCN(C(CC1)CCC1N(C)CCOC)c1cc(Cl)cc(C(OC)=O)c1C Chemical compound CCN(C(CC1)CCC1N(C)CCOC)c1cc(Cl)cc(C(OC)=O)c1C BFRFFZXEMULBRD-UHFFFAOYSA-N 0.000 description 1
- OBDHEIJDPUQLCQ-UHFFFAOYSA-N CCN(C(CC1)CCN1C(C)=O)c1c(C)c(C(O)=O)cc(-c(cc2)ccc2OCCOC)c1 Chemical compound CCN(C(CC1)CCN1C(C)=O)c1c(C)c(C(O)=O)cc(-c(cc2)ccc2OCCOC)c1 OBDHEIJDPUQLCQ-UHFFFAOYSA-N 0.000 description 1
- GDVNWPPUYAVSJH-UHFFFAOYSA-N CCN(C(CC1)CCN1C(C)=O)c1c(C)c(C(OC)=O)cc(-c(cc2)ccc2OCCOC)c1 Chemical compound CCN(C(CC1)CCN1C(C)=O)c1c(C)c(C(OC)=O)cc(-c(cc2)ccc2OCCOC)c1 GDVNWPPUYAVSJH-UHFFFAOYSA-N 0.000 description 1
- VJEIOYFWXHJVQJ-UHFFFAOYSA-O CCN(C1CCNCC1)c1c(C)c(C(NCc(c(C)cc(C)c2)[n+]2=O)=O)cc(Cl)c1 Chemical compound CCN(C1CCNCC1)c1c(C)c(C(NCc(c(C)cc(C)c2)[n+]2=O)=O)cc(Cl)c1 VJEIOYFWXHJVQJ-UHFFFAOYSA-O 0.000 description 1
- ZCWDCULZPNYHJJ-UHFFFAOYSA-N CCN(C1CCOCC1)c1cc(-c2ccc(CN3CCOCC3)cc2)cc(C(NCc([n+]([O-])cc(C)c2)c2OC)=O)c1C Chemical compound CCN(C1CCOCC1)c1cc(-c2ccc(CN3CCOCC3)cc2)cc(C(NCc([n+]([O-])cc(C)c2)c2OC)=O)c1C ZCWDCULZPNYHJJ-UHFFFAOYSA-N 0.000 description 1
- BKRBHLCQRPPABF-UHFFFAOYSA-N Cc1cc(Cl)c(C#N)nc1 Chemical compound Cc1cc(Cl)c(C#N)nc1 BKRBHLCQRPPABF-UHFFFAOYSA-N 0.000 description 1
Classifications
-
- A—HUMAN NECESSITIES
- A61—MEDICAL OR VETERINARY SCIENCE; HYGIENE
- A61K—PREPARATIONS FOR MEDICAL, DENTAL OR TOILETRY PURPOSES
- A61K45/00—Medicinal preparations containing active ingredients not provided for in groups A61K31/00 - A61K41/00
- A61K45/06—Mixtures of active ingredients without chemical characterisation, e.g. antiphlogistics and cardiaca
-
- A—HUMAN NECESSITIES
- A61—MEDICAL OR VETERINARY SCIENCE; HYGIENE
- A61P—SPECIFIC THERAPEUTIC ACTIVITY OF CHEMICAL COMPOUNDS OR MEDICINAL PREPARATIONS
- A61P35/00—Antineoplastic agents
-
- C—CHEMISTRY; METALLURGY
- C07—ORGANIC CHEMISTRY
- C07D—HETEROCYCLIC COMPOUNDS
- C07D213/00—Heterocyclic compounds containing six-membered rings, not condensed with other rings, with one nitrogen atom as the only ring hetero atom and three or more double bonds between ring members or between ring members and non-ring members
- C07D213/02—Heterocyclic compounds containing six-membered rings, not condensed with other rings, with one nitrogen atom as the only ring hetero atom and three or more double bonds between ring members or between ring members and non-ring members having three double bonds between ring members or between ring members and non-ring members
- C07D213/89—Heterocyclic compounds containing six-membered rings, not condensed with other rings, with one nitrogen atom as the only ring hetero atom and three or more double bonds between ring members or between ring members and non-ring members having three double bonds between ring members or between ring members and non-ring members with hetero atoms directly attached to the ring nitrogen atom
-
- C—CHEMISTRY; METALLURGY
- C07—ORGANIC CHEMISTRY
- C07D—HETEROCYCLIC COMPOUNDS
- C07D401/00—Heterocyclic compounds containing two or more hetero rings, having nitrogen atoms as the only ring hetero atoms, at least one ring being a six-membered ring with only one nitrogen atom
- C07D401/02—Heterocyclic compounds containing two or more hetero rings, having nitrogen atoms as the only ring hetero atoms, at least one ring being a six-membered ring with only one nitrogen atom containing two hetero rings
- C07D401/12—Heterocyclic compounds containing two or more hetero rings, having nitrogen atoms as the only ring hetero atoms, at least one ring being a six-membered ring with only one nitrogen atom containing two hetero rings linked by a chain containing hetero atoms as chain links
-
- C—CHEMISTRY; METALLURGY
- C07—ORGANIC CHEMISTRY
- C07D—HETEROCYCLIC COMPOUNDS
- C07D401/00—Heterocyclic compounds containing two or more hetero rings, having nitrogen atoms as the only ring hetero atoms, at least one ring being a six-membered ring with only one nitrogen atom
- C07D401/14—Heterocyclic compounds containing two or more hetero rings, having nitrogen atoms as the only ring hetero atoms, at least one ring being a six-membered ring with only one nitrogen atom containing three or more hetero rings
-
- C—CHEMISTRY; METALLURGY
- C07—ORGANIC CHEMISTRY
- C07D—HETEROCYCLIC COMPOUNDS
- C07D405/00—Heterocyclic compounds containing both one or more hetero rings having oxygen atoms as the only ring hetero atoms, and one or more rings having nitrogen as the only ring hetero atom
- C07D405/02—Heterocyclic compounds containing both one or more hetero rings having oxygen atoms as the only ring hetero atoms, and one or more rings having nitrogen as the only ring hetero atom containing two hetero rings
- C07D405/12—Heterocyclic compounds containing both one or more hetero rings having oxygen atoms as the only ring hetero atoms, and one or more rings having nitrogen as the only ring hetero atom containing two hetero rings linked by a chain containing hetero atoms as chain links
-
- C—CHEMISTRY; METALLURGY
- C07—ORGANIC CHEMISTRY
- C07D—HETEROCYCLIC COMPOUNDS
- C07D405/00—Heterocyclic compounds containing both one or more hetero rings having oxygen atoms as the only ring hetero atoms, and one or more rings having nitrogen as the only ring hetero atom
- C07D405/14—Heterocyclic compounds containing both one or more hetero rings having oxygen atoms as the only ring hetero atoms, and one or more rings having nitrogen as the only ring hetero atom containing three or more hetero rings
-
- C—CHEMISTRY; METALLURGY
- C07—ORGANIC CHEMISTRY
- C07D—HETEROCYCLIC COMPOUNDS
- C07D409/00—Heterocyclic compounds containing two or more hetero rings, at least one ring having sulfur atoms as the only ring hetero atoms
- C07D409/14—Heterocyclic compounds containing two or more hetero rings, at least one ring having sulfur atoms as the only ring hetero atoms containing three or more hetero rings
-
- C—CHEMISTRY; METALLURGY
- C07—ORGANIC CHEMISTRY
- C07F—ACYCLIC, CARBOCYCLIC OR HETEROCYCLIC COMPOUNDS CONTAINING ELEMENTS OTHER THAN CARBON, HYDROGEN, HALOGEN, OXYGEN, NITROGEN, SULFUR, SELENIUM OR TELLURIUM
- C07F9/00—Compounds containing elements of Groups 5 or 15 of the Periodic Table
- C07F9/02—Phosphorus compounds
- C07F9/547—Heterocyclic compounds, e.g. containing phosphorus as a ring hetero atom
- C07F9/553—Heterocyclic compounds, e.g. containing phosphorus as a ring hetero atom having one nitrogen atom as the only ring hetero atom
- C07F9/576—Six-membered rings
- C07F9/58—Pyridine rings
Definitions
- R 1 , R 2 , R 3 and R 4 are each independently hydrogen, (Ci-C 4 )alkoxy, (Ci-C 8 )alkyl, (Ci-C 4 )alkoxy-(C]-C 4 )alkyl, halo(d-C 4 )alkyl, halo(C]-C 4 )alkoxy, (C 3 -C I0 )cycloalkyl, hydroxy(C C 4 )alkyl, (C 3 -Ci 0 )cycloalkyl-(Ci-C 4 )alkyl, R a -0-C(0)-NH-(Ci-C 4 )alkyl, heterocycloalkyl, heterocycloalkyl-(Ci-C 4 )alkyl, (C 2 -C 6 )alkynyl, (C 6 -Ci 0 )aryl, (C 6 - Cio)aryl-(Ci-C 4 )alkyl, hetero
- R 7 is hydrogen, (Ci-C 8 )alkyl, (C 3 -C 10 )cycloalkyl, (C 3 -Ci 0 )cycloalkyl-(Ci-C 4 )alkyl, heterocycloalkyl, heterocycloalkyl-(Ci-C4)alkyl, (C6-Cio)aryl, (C 6 -Cio)aryl-(Ci-C 4 )alkyl, heteroaryl, heteroaryl-(C 1 -C 4 )alkyl, -C(0)R a , -C(0)OR a , -C(0)NR a R b , -C(0)-N(R a )-NR a R b , -S(0) 2 R a , -S(0) 2 -NR a R , R a R b N-(Ci-C 4 )alkyl, wherein said (C 3 -C 10 )cycloalkyl, hetero
- heterocycloalkyl moieties each independently have a saturated 3- to 10- membered monocyclic or polycyclic ring;
- haloalkyl refers to any alkyl group having one or more hydrogen atoms replaced by a halogen atom.
- haloalkyl include -CF 3 , -CHF 2 , - CH 2 F, and the like.
- X 2 is N or CR 6 ;
- X 4 is N or CR 6 ;
- the present invention provides compounds of formula (la), wherein X 1 is CR 6 ; Y is O or S; and Z is CR 5 .
- the present invention provides compounds of formula (lb), wherein X 2 , X 3 and X 4 are each independently N or CR 6 .
- the present invention provides compounds of formula (lb), wherein X 2 is CR 6 ; and X 3 and X 4 are each independently N or CR .
- the present invention provides compounds of formula (lb), wherein X 3 is CR 6 ; and X 2 and X 4 are each independently N or CR .
- the present invention provides compounds of formula (lb), wherein X 2 and X 3 are CR 6 ; and X 4 is N or CR 6 .
- the present invention provides compounds of formula (Ic), wherein X 2 is CR 6 ; and X 3 and X 4 are each independently N or CR .
- the present invention provides compounds of formula (Ic), wherein X 4 is CR 6 ; and X 2 and X 3 are each independently N or CR .
- the present invention provides compounds of formula (Ic), wherein X 2 and X 4 are CR 6 ; and X 3 is N or CR 6 .
- the present invention provides compounds of formula (I), wherein R is (Q-C ⁇ alkyl or halogen.
- the present invention provides compounds of formula (I), wherein R 5 is (C 3 -C 6 )alkoxy, (C 3 -C 6 )cycloalkyl-oxy, heterocycloalkyl-oxy, heterocycloalkyl, -NH((C 3 -C 6 )cycloalkyl), -N((Ci-C 3 )alkyl)((C 3 -C 6 )cycloalkyl), - NH(heterocycloalkyl), or -N((Ci-C 3 )alkyl)(heterocycloalkyl), wherein said (C 3 -C 6 )alkoxy, (C 3 -C 6 )cycloalkyl-oxy, heterocycloalkyl-oxy, heterocycloalkyl, or (C 3 -C 6 )cycloalkyl is each independently unsubstituted or substituted with 1 to 3 substituents selected from the group consisting of halogen, hydroxy, (
- the present invention provides compounds of formula (I), wherein R 5 is (C 3 -C 6 )alkoxy, (C 3 -Cio)cycloalkyl-oxy, or heterocycloalkyl-oxy, each of which is independently unsubstituted or substituted with hydroxy, (Ci-C 3 )alkoxy, amino, - NH(C,-C 3 )alkyl, -N((C, 0 C 3 )alkyl) 2 , (d-C 3 )alkyl, -C(0)OR ⁇ -C(0)-NR a R b , -S(0) 2 -NR a R b , phenyl, or heteroaryl, wherein R a and R b are the same as defined in formula (I).
- the present invention provides compounds of formula (I), wherein R 5 is (C 3 -C 6 )cycloalkyl-oxy which is unsubstituted or substituted with 1 to 3 substituents selected from the group consisting of halogen, -OR a , -NR a R b , nitro, -C(0)OR a , -C(0)-NR a R b , -S(0) 2 -NR a R b , (C 6 -Ci 0 )aryl, and heteroaryl, wherein R a and R b are the same as defined in formula (I).
- the present invention provides compounds of formula (I), wherein R 5 is (C 3 -C 6 )cycloalkyl-oxy which is unsubstituted or substituted with 1 or 2 substituents selected from the group consisting of halogen, hydroxy, (Ci-C 3 )alkoxy, amino, -NH(Ci-C 3 )alkyl, -N((C,-C 3 )alkyl) 2 , (C 1 -C 3 )alkyl, (C 1 -C 3 )alkoxy-(C 1 -C 3 )alkyl, amino(Ci- C 3 )alkyl, ((C 1 -C 3 )alkyl)NH-(C 1 -C 3 )alkyl, ((C 1 -C 3 )alkyl) 2 N-(C,-C 3 )alkyl, (C 3 - Cio)cycloalkyl, cyano, -C(0)OR a , -C
- the present invention provides compounds of formula (I), wherein R 5 is heterocycloalkyl-oxy which is unsubstituted or substituted with 1 to 3 substituents selected from the group consisting of halogen, -OR a , -NR a R b , nitro, (Ci- C 3 )alkyl, R a R b N-(Ci-C 3 )alkyl, R a O-(Ci-C 3 )alkyl, (C 3 -Ci 0 )cycloalkyl, cyano, -C(0)OR a , - C(0)-NR a R b , -S(0) 2 -NR a R b , phenyl, and heteroaryl, wherein R a and R b are the same as defined in formula (I).
- the present invention provides compounds of formula (I), wherein R 5 is heterocycloalkyl-oxy which is unsubstituted or substituted with 1 or 2 substituents selected from the group consisting of halogen, hydroxy, (Ci-C 3 )alkoxy, amino, -NH(Ci-C 3 )alkyl, -N((C,-C 3 )alkyl) 2 , (Ci-C 3 )alkyl, (C,-C 3 )alkoxy-(Ci-C 3 )alkyl, amino(C,- C 3 )alkyl, ((C 1 -C 3 )alkyl)NH-(C 1 -C 3 )alkyl, ((C,-C 3 )alkyl) 2 N-(C 1 -C 3 )alkyl, (C 3 - Ci 0 )cycloalkyl, cyano, -C(0)OR a , -C(0)-NR a R b
- the present invention provides compounds of formula (I), wherein R 5 is -NR a R b ;
- R a is azetidinyl, oxetanyl, pyrrolidinyl, piperidinyl, piperazinyl, morpholinyl, thiomorpholinyl, or tetrahydropyranyl, each of which is independently unsubstituted or substituted with one or two (C
- R b is hydrogen or (Ci-C 4 )alkyl.
- the present invention provides compounds of formula (I), wherein R 5 is -NR a R b ; R a is azetidinyl, oxetanyl, pyrrolidinyl, piperidinyl, piperazinyl, morpholinyl, thiomorpholinyl, or tetrahydropyranyl; and R b is methyl or ethyl.
- the present invention provides compounds of formula (I), wherein R 5 is -NR a R b ; R a is cyclohexyl which is unsubstituted or substituted with -N((Cr C 2 )alkyl) 2 ; and R b is methyl or ethyl.
- the present invention provides compounds of formula (I), wherein R 5 is (C 2 -C 4 )alkenyl which is unsubstituted or substituted with 1 or 2 substituents selected from (C 3 -C 6 )cycloalkyl, 5- or 6-membered heterocycloalkyl, phenyl, or 5- or 6- membered heteroaryl, each of which is independently unsubstituted or substituted with 1 or 2 substituents selected from the group consisting of halogen, (d-C 4 )alkyl, halo(Ci- C 4 )alkyl, -C(0)-(Ci-C 4 )alkyl, -C(0)0-(Ci-C 4 )alkyl, -NR a R b , -NH-C(0)OR a , hydroxy, oxo, (Ci-C 4 )alkoxy, and (Ci-C )alkoxy-(Ci-C 4 )alkyl, or any
- the present invention provides compounds of formula (I), wherein R 5 is (C 2 -C 4 )alkenyl which is unsubstituted or substituted with cyclohexyl, piperidinyl, or tetrahydropyranyl, each of which is independently unsubstituted or substituted with (Ci-C 4 )alkyl, halo(Ci-C 4 )alkyl, amino, -NH(C 1 -C 4 )alkyl, or -N((C r C 4 )alkyl) 2 .
- the present invention provides compounds of formula (I), wherein R 6 is pyridinyl which is unsubstituted or substituted with -NR a R b or R a R N-(Ci- C4)alkyl, wherein R a and R b are the same as defined in formula (I).
- the present invention provides compounds of formula (I), wherein R 6 is hydrogen, halogen, (Ci-C 4 )alkyl, or (Ci-C 4 )alkoxy.
- the present invention provides compounds of formula (I), wherein R 6 is hydrogen or halogen.
- the present invention provides compounds of formula (I), wherein R 6 is hydrogen, chloro.
- the present invention provides compounds of formula (I), wherein R 7 is hydrogen, (Ci-C )alkyl, (C 3 -C 6 )cycloalkyl, phenyl, or heteroaryl, wherein said phenyl or heteroaryl is each independently unsubstituted or substituted with 1 or 2 substituents selected from the group consisting of (Ci-C 4 )alkoxy, -NR a R b , R a R b N-(Ci- C 4 )alkyl, (C 1 -C 4 )alkyl-heterocycloalkyl, halogen, (Ci-Q)alkyl, (C3-C] 0 )cycloalkyl, and (Ci-C 4 )alkyl, wherein R a and R b are the same as defined in formula (I).
- the present invention provides compounds of formula (I), wherein R 8 is (Ci-Cg)alkyl, (C4-Cg)cycloalkyl, heterocycloalkyl, (C 6 -C 10 )aryl, or heteroaryl, each of which is independently unsubstituted or substituted with 1 to 3 substituents selected from the group consisting of halogen, -OR a , -NR a R b , -NH-C(0)OR a , nitro, (d- C 3 )alkyl, R a R b N-(C r C 3 )alkyl, R a O-(Ci-C 3 )alkyl, (C 3 -C ]0 )cycloalkyl, cyano, -C(0)OR a , - C(0)-NR a R b , -S(0) 2 -NR a R b , (C 6 -Ci 0 )aryl, and heteroaryl,
- R 1 and R 3 are hydrogen, and R 2 and R 4 are each independently (d-C 4 )alkoxy, (Ci- C 8 )alkyl, halo(Ci-C 4 )alkyl, halo(Ci-C 4 )alkoxy, (C 2 -C 6 )alkynyl, (C 3 -Ci 0 )cycloalkyl, (C 6 - C 10 )aryl-(d-C 4 )alkyl, -SR a , -S(0)R a , -S(0) 2 R a , -OR a or halogen, or R 3 and R 4 taken together with the carbon atoms to which they are bonded form a 5- to 8-membered carbocyclic or heterocyclic ring, wherein said ring is unsubstituted or substituted with 1 to 3 substituents selected from the group consisting of hydroxy, halogen, nitro, (Ci-C 4 )alkyl,
- R 9 , R a and R b are the same as defined in formula (I);
- the present invention further provides a pharmaceutical composition (also referred to as pharmaceutical formulation) comprising a compound of formula (I) or pharmaceutically acceptable salt thereof and one or more excipients (also referred to as carriers and/or diluents in the pharmaceutical arts).
- the excipients are acceptable in the sense of being compatible with the other ingredients of the formulation and not deleterious to the recipient thereof (i.e., the patient).
- Suitable pharmaceutically acceptable excipients will vary depending upon the particular dosage from chosen for a particular function that they may serve in the composition. For example, certain pharmaceutically acceptable excipients may be chosen for their ability to facilitate the production of uniform dosage forms.
- Certain pharmaceutically acceptable excipients may be chosen for their ability to facilitate the production of stable dosage forms. Certain pharmaceutically acceptable excipients may be chosen for their ability to facilitate the carrying or transporting of the compound or compounds of the present invention once administered to the patient from one organ, or portion of the body, to another organ, or portion of the body. Certain pharmaceutically acceptable excipients may be chosen for their ability to enhance patient compliance.
- compositions of the present invention are prepared using techniques and method known to those skilled in the art. Some of the methods commonly used in the art are described in Remington's Pharmaceutical Sciences (Mack Publishing Company).
- compositions may be unit dose containing a predetermined amount of active ingredient per unit dose.
- a unit may contain a therapeutically effective dose of the compound of formula (I) or salt thereof or a fraction of a therapeutically effective the desired therapeutically effective dose.
- Preferred unit dosage formulations are those containing a daily dose or sub-dose, as herein above recited, or an appropriate fraction thereof, of an active ingredient.
- such pharmaceutical compositions may be prepared by any of the methods well-known in the pharmacy art.
- compositions may be adapted for administration by any appropriate route, for example, by oral (including buccal or sublingual), rectal, nasal, topical (including buccal or sublingual), vaginal, or parenteral (including subcutaneous, intramuscular, intravenous, or intradermal) routes.
- oral including buccal or sublingual
- rectal nasal
- topical including buccal or sublingual
- vaginal or parenteral
- parenteral including subcutaneous, intramuscular, intravenous, or intradermal
- Such composition may be prepared by any method known in the art of pharmacy, for example, by bringing into association of the active ingredient with the excipient(s).
- compositions When adapted for oral administration, pharmaceutical compositions may be in discrete units such as tablets or capsules; powders or granules; solutions or suspensions in aqueous or non-aqueous liquids; edible foams or whips; oil-in-water liquid emulsions or water-in-oil liquid emulsions.
- the compound or salt thereof of the present invention or the pharmaceutical composition of the present invention may also be incorporated into a candy, a wafer, and/or tongue tape formulation for administration as a "quick-dissolve" medicine.
- the active drug component can be combined with an oral, non-toxic pharmaceutically acceptable inert carrier such as ethanol, glycerol, water, and the like.
- an oral, non-toxic pharmaceutically acceptable inert carrier such as ethanol, glycerol, water, and the like.
- Powders or granules are prepared by comminuting carrier such as an edible carbohydrate, as, for example, starch or mannitol. Flavoring, preservative, dispersing, and coloring agents can also be present.
- Tablets are formulated, for example, by preparing a powder mixture, granulating or slugging, adding a lubricant and disintegrant, and pressing into tablets.
- a powder mixture is prepared by mixing the compound, suitably comminuted, with a diluent or base as described above, and optionally, with a binder such as carboxymethylcellulose, alginate, gelatin, or polyvinyl pyrrolidone, a solution retardant such as paraffin, a resorption accelerator such as a quaternary salt, and/or an absorption agent such as bentonite, kaolin or dicalcium phosphate.
- a binder such as carboxymethylcellulose, alginate, gelatin, or polyvinyl pyrrolidone
- a solution retardant such as paraffin
- a resorption accelerator such as a quaternary salt
- an absorption agent such as bentonite, kaolin or dicalcium phosphate.
- the powder mixture can be granulated by wetting a binder such as syrup, starch paste, acadia mucilage, or solutions of cellulosic or polymeric materials and forcing through a screen.
- a binder such as syrup, starch paste, acadia mucilage, or solutions of cellulosic or polymeric materials
- the powder mixture can be run through the tablet machine and the result is imperfectly formed slugs broken into granules.
- the granules can be lubricated to prevent sticking to the tablet forming dies by means of the addition of stearic acid, a stearate salt, talc, or mineral oil. The lubricated mixture is then compressed into tablets.
- Oral fluids such as solutions, syrups and elixirs can be prepared in dosage unit form so that a given quantity contains a predetermined amount of active ingredient.
- Syrups can be prepared by dissolving the compounds or salts of the present invention in a suitably flavored aqueous solution, while elixirs are prepared through the use of a non-toxic alcoholic vehicle.
- Suspension can be formulated by dispersing the compounds or salts of the present invention in a non-toxic vehicle.
- Solubilizers and emulsifiers such as ethoxylated isostearyl alcohols and polyoxyethylene sorbitol ethers, preservatives, flavor additives such as peppermint oil, natural sweeteners, saccharin, or other artificial sweeteners, and the like, can also be added.
- tablets and capsules are preferred for delivery of the pharmaceutical composition.
- co-administering and derivatives thereof as used herein refers to either simultaneous administration or any manner of separate sequential administration of an EZH2 inhibiting compound, as described herein, and a further active ingredient or ingredients, known to be useful in the treatment of cancer, including chemotherapy and radiation treatment.
- active ingredient(s) includes any compound or therapeutic agent known to or that demonstrates advantageous properties when administered to a patient in need of treatment for cancer.
- the compounds are administered in a close time proximity to each other.
- the compounds are administered in the same dosage form, e.g., one compound may be administered topically and another compound may be administered orally.
- compositions adapted for vaginal administration may be presented as pessaries, tampons, creams, gels, pastes, foams or spray formulations.
- compositions adapted for parenteral administration include aqueous and non-aqueous sterile injection solutions which may contain anti-oxidant, buffers, bacteriostats and solutes which render the composition isotonic with the blood of the intended recipient; and aqueous and non-aqueous sterile suspensions which may include suspending agents and thickening agents.
- the pharmaceutical compositions may be presented in unit-dose or multi-dose containers, for example sealed ampoules and vials, and may be stored in a freeze-dried (lyophilized) condition requiring only the addition of the sterile liquid carrier, for example water for injections, immediately prior to use.
- the inventive method for the treatment or prevention of diseases mediated by EZH2 in a mammal comprises administering a therapeutically effective amount of the compound according to the present invention to the mammal in need thereof.
- Scheme 1 shows the synthesis of a pyridine N-oxide compound 7 through a general route A that utilizes well-established chemistry.
- Fluoro group in the compound 1 can be converted to cyano group in the compound
- Pyridine N-oxide 6 can be synthesized by subjecting the compound 5 to a reaction with meta-chloroperoxybenzoic acid in dichloromethane at room temperature (step 5). Boc-protected amine group in the compound 6 can be converted to free amine group in the compound 7 by trifluoroacetic acid in dichloromethane at room temperature (step 6).
- R alkyl, sulfonate, alkoxyl
- the compound 9 can be synthesized by treatment of a commercially available compound 8 with l,3-dibromo-5,5-dimethylimidazolidine-2,4-dione or nitration of the compound 16 in concentrated sulfuric acid and nitric acid at room temperature (step 1).
- the compound 11 can be synthesized by esterification of the compound 9, followed by reduction by iron in ethanol (steps 2 and 3). After continuous reductive amination (steps 4 and 5), Suzuki coupling reaction and ester hydrolysis, compound 15 was synthesized (steps 6 and 7).
- Amine compound 11 was converted to the compound 18 by continuous two reductive amination in dichloroethane (steps 1 and 2).
- the compound 23 can be synthesized by Sonogashira coupling reaction of the compound 21 followed by hydrolysis of ester (steps 6 and 7).
- Scheme 4 shows the synthesis of the compound 29 through a general route D that utilizes well-established chemistry.
- Amine compound 11 was converted to the compound 25 by continuous two reductive animation in dichloroethane (steps 1 and 2).
- Protected amine group in the compound 25 can be converted to free amine group in the compound 26 by trifluoroacetic acid in dichloromethane at room temperature (step 3).
- step 3 After amide coupling reaction, alkylation and then hydrolysis of ester, the compound 29 was synthesized (steps 4 to 6).
- Scheme 5 shows the synthesis of a pyridine N-oxide compound 16 through amide coupling reaction (general route E) with HATU that utilizes well-established chemistry.
- Step 6 2-(aminomethyl)-3-methoxy-5-methylpyridine 1 -oxide
- Step 3 tert-butyl ((3-ethyl-5-methylpyridin-2-yl)methyl)carbamate
- Step 3 tert-butyl ((5-methyl-3-(prop-l-yn-l-yl)pyridin-2-yl)methyl)carbamate
- Step 4 2-(((tert-butoxycarbonyl)amino)methyl)-5-methyl-3-(prop-l-yn-l- yl)pyridine 1 -oxide
- Step 3 tert-butyl ((3-benzyl-5-methylpyridin-2-yl)methyl)carbamate
- Step 4 3-benzyl-2-(((tert-butoxycarbonyl)amino)methyl)-5-methylpyridine 1- oxide
- Step 3 tert-butyl ((3-cyclopropyl-5-methylpyridin-2-yl)methyl)carbamate
- Step 4 2-(((tert-butoxycarbonyl)amino)methyl)-3 -cyclopropyl-5 -methylpyridine
- Step 5 tert-butyl ((3-fluoro-5-methylpyridin-2-yl)methyl)carbamate
- Step 7 2-(aminomethyl)-3-fluoro-5-methylpyridine 1-oxide.
- 3-amino-5-methylpicolinonitrile (200.0 mg, 1.5 mmol) was dissolved in concentrated hydrochloric acid (2 ml) and cooled to 0 °C.
- Sodium nitrite (120.0 mg, 1.5 mmol) was dissolved in water (1.5 ml) and added dropwise to the reaction mixture at this temperature.
- copper (I) chloride (180.0 mg, 1.8 mmol) was added slowly. Vigorous gas evolution was observed and the reaction mixture was stirred for an additional hour at 0 °C, quenched by pouring onto a 1 : 1 mixture of concentrated ammonium hydroxide/water (9 ml) and extracted with dichloromethane.
- Step 3 tert-butyl ((3-chloro-5-methylpyridin-2-yl)methyl)carbamate
- Step 4 2-(((tert-butoxycarbonyl)amino)methyl)-3-chloro-5-methylpyridine 1- oxide
- Step 1 tert-butyl ((3,5-dimethylpyridin-2-yl)methyl)carbamate
- Step 1 3-(difluoromethoxy)-5-niethylpicolinonitrile
- Step 2 tert-butyl ((3-(difluoromethoxy)-5-methylpyridin-2-yl)methyl)carbamate
- Step 3 2-(((tert-butoxycarbonyl)amino)methyl)-3-(difluoromethoxy)-5- methylpyridine 1 -oxide
- Step 4 2-(aminomethyl)-3-(difluoromethoxy)-5-methylpyridine 1 -oxide
- Step 3 tert-butyl ((5-chloro-3-ethylpyridin-2-yl)methyl)carbamate
- Step 5 2-(aminomethyl)-5-chloro-3-ethylpyridine 1 -oxide
- Step 3 tert-butyl ((3-(l,l-difluoroethyl)-5-methylpyridin-2-yl)methyl)carbamate
- Step 4 2-(((tert-butoxycarbonyl)amino)methyl)-3 -( 1 , 1 -difluoroethyl)-5- methylpyridine 1 -oxide
- Step 5 tert-butyl ((6-fluoro-4-methylisoquinolin-l-yl)methyl)carbamate
- Step 5 1 -(((tert-butoxycarbonyl)amino)methyl)-6-fluoro-4-methylisoquinoline
- Step 4 methyl 5-bromo-2-methyl-3-((tetrahydro-2H-pyran-4-yl)amino)benzoate
- Step 5 methyl 5-bromo-3-(ethyl(tetrahydro-2H-pyran-4-yl)amino)-2- methylbenzoate
- the reaction mixture was diluted with 10% methanol in dichloromethane and extracted with water. The combined organic layer was dried over magnesium sulfate and concentrated under reduced pressure. The residue was purified by silica column chromatography (25% ethyl acetate in hexane to 4% methanol in dichloromethane) to obtain the title compound as oil (2.4 g, 99% yield).
- Step 1 methyl 4'-(diisopropoxyphosphoryl)-5-(ethyl(tetrahydro-2H-pyran-4- yl)amin -4-methyl-[l , 1 '-biphenyl]-3-carboxylate
- Step 2 4'-(diisopropoxyphosphoryl)-5-(ethyl(tetrahydro-2H-pyran-4-yl)amino)-4- methyl- [1 , 1 '-biphenyl]-3-carboxylic acid
- Step 1 methyl 5-(6-((tert-butoxycarbonyl)amino)pyridin-3-yl)-3- (ethyl(tetrahydro-2H-pyran i--4-yl)amino)-2-methylbenzoate
- Step 2 5-(6-((tert-butoxycarbonyl)amino)pyridin-3-yl)-3-(ethyl(tetrahydro-2H- pyran-4- l)amino)-2-methylbenzoic acid
- Step 1 methyl 5-chloro-2-methyl-3-((tetrahydro-2H-pyran-4-yl)amino)benzoate
- Step 2 methyl 5-chloro-3-(ethyl(tetrahydro-2H-pyran-4-yl)amino)-2- methylbenzoate
- Step 1 methyl 3-(((lR,4R)-4-((tert-butoxycarbonyl)amino)cyclohexyl)amino)-5- chloro-2-methylbenzoate
- Step 2 methyl 3-(((lS,4S)-4-((tert- butoxycarbonyl)amino)cyclohexyl)(ethyl)amino)-5-chloro-2-methylbenzoate
- Step 3 methyl 3-(((l S,4S)-4-((tert- butoxycarbonyl)(methyl)amino)cyclohexyl)(ethyl)amino)-5-chloro-2-methylbenzoate
- Step 4 methyl 5-chloro-3-(ethyl((l S,4S)-4-(methylamino)cyclohexyl)amino)-2- methyl benzoate
- Step 1 methyl 5-bromo-3-(((lR,4R)-4-((tert- butoxycarbonyl)amino)cyclohexyl)amino)-2-methylbenzoate
- Step 2 methyl 5-bromo-3-(((l S,4S)-4-((tert- butoxycarbonyl)amino)cyclohexyl)(ethyl)amino)-2-methylbenzoate
- Step 3 methyl 5-bromo-3-(((l S,4S)-4-((tert- butoxycarbonyl)(methyl)amino)cyclohexyl)(ethyl)amino)-2-methylbenzoate
- Step 5 methyl 5-bromo-3-(ethyl((l S,4S)-4-((2- methoxyethyl)(methyl)amino)cyclohexyl)amino)-2-methylbenzoate
- Step 6 methyl 3-(ethyl((l S,4S)-4-((2- methoxyethyl)(methyl)amino)cyclohexyl)amino)-2-methyl-5-(3-m rpholinoprop- 1 -yn- 1 - yl)b
- Step 7 3-(ethyl((l S,4S)-4-((2-methoxyethyl)(methyl)amino)cyclohexyl)amino)-2- methyl-5-(3-morpholinoprop-l-yn-l-yl)benzoic acid
- Step 1 methyl 5-bromo-3-(((l S,4S)-4-((2,2- difluoroethyl)(methyl)amino)cyclohexyl)(ethyl)amino)-2-methylbenzoate
- Step 2 methyl 3-(((l S,4S)-4-((2,2- difluoroethyl)(methyl)amino)cyclohexyl)(ethyl)amino)-2-methyl-5-(3 -morpholinoprop- 1 - yn-l-yl)benzoate
- Step 7 3-(((l S,4S)-4-((2,2- difluoroethyl)(methyl)amino)cyclohexyl)(ethyl)amino)-2-methyl-5-(3-morpholinoprop-l- yn-l-yl)benzoic acid
- Step 5 tert-butyl 4-((5-chloro-3-(methoxycarbonyl)-2- methylphenyl)(ethyl)amino)piperidine- 1 -carboxylate
- Step 7 methyl 3-((l-acetylpiperidin-4-yl)(ethyl)amino)-5-chloro-2- methylbenzoate
- the reaction mixture was concentrated in vacuo.
- the residue was diluted with 10% methanol in dichloromethane and water.
- the organic layer was combined and concentrated in vacuo.
- the residue was purified by silica column chromatography (5% methanol in dichloromethane) to obtain the title compound as oil (125 mg, 99% yield).
- Step 8 3-((l-acetylpiperidin-4-yl)(ethyl)amino)-5-chloro-2-methylbenzoic acid
- Step 1 tert-butyl 4-((5-bromo-3-(methoxycarbonyl)-2- methylphenyl)amino)piperidine- 1 -carboxylate
- Step 2 tert-butyl 4-((5-bromo-3-(methoxycarbonyl)-2- methylphenyl)(ethyl)amino)piperidine- 1 -carboxylate
- Step 3 tert-butyl 4-(ethyl(4'-hydroxy-5-(methoxycarbonyl)-4-methyl-[l,l'- biphenyl]-3-yl)amino)piperidine- 1 -carboxylate
- the reaction mixture was heated at 100 °C for 5 h, diluted with 10% methanol in dichloromethane and filtered. The filtrate was concentrated, diluted with water and extracted with 10 % methanol in dichloromethane. The combined organic layer was dried over magnesium sulfate and concentrated under reduced pressure. The residue was purified by silica column chromatography (20 % ethyl acetate in hexane) to obtain the title compound as oil (85 mg, 83% yield).
- Step 4 tert-butyl 4-(ethyl(5-(methoxycarbonyl)-4'-(2-methoxyethoxy)-4-methyl- [1,1 -biphenyl] -3 -yl)amino)piperidine-l -carboxylate
- Step 5 methyl 5-(ethyl(piperidin-4-yl)amino)-4'-(2-methoxyethoxy)-4-methyl- [1 , l'-biphenyl]-3-carboxylate
- Step 6 methyl 5-((l-acetylpiperidin-4-yl)(ethyl)amino)-4'-(2-methoxyethoxy)-4- methyl-[ 1 , 1 '-biphenyl]-3-carboxylate
- the reaction mixture was stirred at room temperature for 20 h, diluted with 10% methanol in dichloromethane and extracted with water. The combined organic layer was dried over magnesium sulfate and concentrated under reduced pressure. The residue was purified by silica column chromatography (2.5% methanol in dichloromethane) to obtain the title compound as oil (23 mg, 99% yield).
- Step 7 5-((l-acetylpiperidin-4-yl)(ethyl)amino)-4'-(2-methoxyethoxy)-4-methyl- [1,1 -biphenyl] -3 -carboxylic acid
- Methyl 6-bromo-l-isopropyl-lH-indazole-4-carboxylate 54 mg, 0.182 mmol
- 1- methyl-4- [5 -(4,4,5 ,5 -teyramethyl- 1 ,3 ,2-dioxaborolan-2-yl)-2-pyridinyl]piperazine 83 mg, 0.274 mmol
- DME/water 3/1, 3 ml
- Step 2 1 -isopropyl-6-(6-(4-methylpiperazin- 1 -yl)pyridin-3 -yl)- 1 H-indazole-4- carboxylic acid
- reaction mixture was stirred at room temperature for 18 h.
- the reaction mixture was extracted by 5% methanol in dichloromethane.
- the combined organic solvent was dried over magnesium sulfate and concentrated under reduced pressure.
- the residue was purified by silica column chromatography (5 to 10% methanol in dichloromethane) to obtain the title compound as a solid (25 mg, 38% yield).
- reaction mixture was stirred at 80 °C for 2 h.
- the reaction mixture was extracted by 5% methanol in dichloromethane.
- the combined organic solvent was dried over magnesium sulfate and concentrated under reduced pressure.
- the residue was purified by silica column chromatography (5 to 10% methanol in dichloromethane) to obtain the title compound as a solid (0.02 g, 20% yield).
- reaction mixture was stirred at 40 °C for 4 h.
- the reaction mixture was extracted by 5% methanol in dichloromethane.
- the combined organic solvent was dried over magnesium sulfate and concentrated under reduced pressure.
- the residue was purified by silica column chromatography (5 to 10% methanol in dichloromethane) to obtain the title compound as a solid (30 mg, 34% yield).
- reaction mixture was stirred at 80 °C for 2 h.
- the reaction mixture was extracted by 5% methanol in dichloromethane.
- the combined organic solvent was dried over magnesium sulfate and concentrated under reduced pressure.
- the residue was purified by silica column chromatography (5 to 10% methanol in dichloromethane) to obtain the title compound as a solid (12 mg, 36% yield).
- reaction mixture was stirred at 40 °C for 2 h.
- the reaction mixture was extracted by 5% methanol in dichloromethane.
- the combined organic solvent was dried over magnesium sulfate and concentrated under reduced pressure.
- the residue was purified by silica column chromatography (5 to 10% methanol in dichloromethane) to obtain the title compound as oil (20 mg, 45% yield).
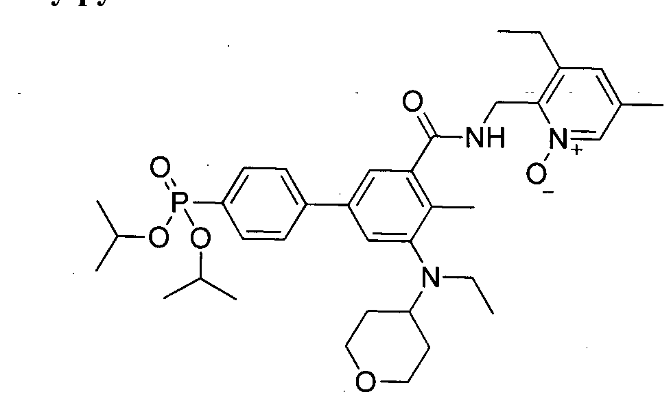
- Example 7 3-(difluoromethoxy)-2-((5-(ethyI(tetrahydro-2H-pyran-4- yl)amino)-4-methyI-4'-(morpholinomethyl)-[l, -biphenyl]-3-ylcarboxamido)methyl)- 5-methylpyridine 1 -oxide
- reaction mixture was stirred at 40 °C for 3.5 h.
- the reaction mixture was extracted by 10% methanol in dichloromethane.
- the combined organic solvent was dried over magnesium sulfate and concentrated under reduced pressure.
- the residue was purified by silica column chromatography (4% methanol in dichloromethane) to obtain the title compound as oil (8 mg, 27% yield).
- reaction mixture was extracted by 10% methanol in dichloromethane.
- the combined organic solvent was dried over magnesium sulfate and concentrated under reduced pressure.
- the residue was purified by silica column chromatography (5% methanol in dichloromethane) to obtain the title compound as oil (4 mg, 11% yield).
- reaction mixture was stirred at 40 °C for 2 h.
- the reaction mixture was extracted by 5% methanol in dichloromethane.
- the combined organic solvent was dried over magnesium sulfate and concentrated under reduced pressure.
- the residue was purified by silica column chromatography (5 to 10% methanol in dichloromethane) to obtain the title compound as a solid (4 mg, 17% yield).
- reaction mixture was stirred at 40 °C for 6 h.
- the reaction mixture was extracted by 5% methanol in dichloromethane.
- the combined organic solvent was dried over magnesium sulfate and concentrated under reduced pressure.
- the residue was purified by silica column chromatography (5 to 10% methanol in dichloromethane) to obtain the title compound as a solid (30 mg, 37% yield).
- Example 12 3-(l,l-difluoroethyl)-2-((5-(ethyl(tetrahydro-2H-pyran-4- yl)amino)-4-methyl-4'-(morpholinomethyl)-[l,l'-biphenyI]-3-ylcarboxamido)methyl)- 5-methyl ridine 1-oxide
- reaction mixture was stirred at 40 °C for 3 h.
- the reaction mixture was extracted by 5% methanol in dichloromethane.
- the combined organic solvent was dried over magnesium sulfate and concentrated under reduced pressure.
- the residue was purified by HPLC to obtain the title compound as oil (6 mg, 16% yield).
- reaction mixture was stirred at 40 °C for 2 h.
- the reaction mixture was extracted by 5% methanol in dichloromethane.
- the combined organic solvent was dried over magnesium sulfate and concentrated under reduced pressure.
- the residue was purified by silica column chromatography (5 to 10% methanol in dichloromethane) to obtain the title compound as a solid (10 mg, 25% yield).
- Step 1 2-((5-(6-((tert-butoxycarbonyl)amino)pyridin-3-yl)-3-(ethyl(tetrahydro- 2H-pyran-4-yl)amino)-2-methylbenzamido)methyl)-3,5-dimethylpyridine 1 -oxide
- reaction mixture was stirred at 40 °C for 5 h.
- the reaction mixture was extracted by 5% methanol in dichloromethane.
- the combined organic solvent was dried over magnesium sulfate and concentrated under reduced pressure.
- the residue was purified by silica column chromatography (5 to 10% methanol in dichloromethane) to obtain the title compound as a solid (90 mg, 63% yield).
- Step 2 2-((5-(6-aminopyridin-3-yl)-3 -(ethyl (tetrahy dro-2H-pyran-4-yl)amino)-2- methylb ne 1 -oxide
- reaction mixture was stirred at 40 °C for 2 h.
- the reaction mixture was extracted by 5% methanol in dichloromethane.
- the combined organic solvent was dried over magnesium sulfate and concentrated under reduced pressure.
- the residue was purified by silica column chromatography (50% ethyl acetate in hexane) to obtain the title compound as a solid (0.02 g, 38% yield).
- Step 1 2-((3-((l-(tert-butoxycarbonyl)piperidin-4-yl)(ethyl)amino)-5-chloro-2- methylbenzamido)methyl)-3,5-dimethylpyridine 1 -oxide
- reaction mixture was stirred at room temperature for 20 h.
- the reaction mixture was extracted by 10% methanol in dichloromethane.
- the combined organic solvent was dried over magnesium sulfate and concentrated under reduced pressure.
- the residue was purified by silica column chromatography (2% methanol in dichloromethane) to obtain the title compound as oil (3 mg, 7% yield).
- Example 22 3-chloro-2-((3-(ethyl((lS,4S)-4-((2- methoxyethyl)(methyl)amino)cyclohexyl)amino)-2-methyl-5-(3-morpholinoprop-l-yn- l-yl)benzamido)methyl)-5-methylpyridine 1-oxide
- reaction mixture was stirred at room temperature for 20 h.
- the reaction mixture was extracted with 10% methanol in dichloromethane.
- the combined organic solvent was dried over magnesium sulfate and concentrated under reduced pressure.
- the residue was purified by silica column chromatography (5 to 10% methanol in dichloromethane) to obtain the title compound as oil (10 mg, 39% yield).
- reaction mixture was stirred at room temperature for 6 h.
- the reaction mixture was extracted with 10% methanol in dichloromethane.
- the combined organic solvent was dried over magnesium sulfate and concentrated under reduced pressure.
- the residue was purified by silica column chromatography (5% ammonium hydroxide solution and 10% methanol in dichloromethane) to obtain the title compound as oil (13 mg, 43% yield).
- reaction mixture was stirred at room temperature for 20 h.
- the reaction mixture was extracted with 10% methanol in dichloromethane.
- the combined organic solvent was dried over magnesium sulfate and concentrated under reduced pressure.
- the residue was purified by silica column chromatography (5 to 10% methanol in dichloromethane) to obtain the title compound as oil (4 mg, 11% yield).
- the reaction mixture was stirred at room temperature for 4 days.
- the reaction mixture was concentrated in vacuo.
- the residue was purified by reverse phase Agilent HPLC (50-95% C3 ⁇ 4CN/water +0.01% formic acid, LUNA C8, 100 A column, 250 X 10 mm, 10 ⁇ ) to obtain the title compound as colorless oil (4.4 mg, 17% yield).
- EZH2 binding assays were done for the inhibition of the test compounds using HotSpot HMT assay protocol using the EZH2.
- Complex of human EZH2 (GenBank Accession No. NM_001203247), co-expressed in baculovirus expression system with N- terminal His-tag was used as the enzyme target and histone H4 peptide (1-21) K5/8/ 12/ 16 Ac-Bio tin was used as a substrate.
- Pfeiffer cell proliferation assays were done to measure the 50% inhibition concentration of tested compound on Pfeiffer cell lines using standard CTG assay.
- Pfeiffer cell 500-1000 cell/150-200 ⁇ , each well, 5-7 day assay
- Culture media is purchased from GIBCO, USA.
- 96- Well Flat Clear Bottom Black Polystyrene TC-Treated Microplate Cat# 3603, Corning®
- CellTiter-Glo® Luminescent Cell Viability Assay Cat. No.: G7572, Promega. Store at -20°C
- Table 1 shows the activity of selected compounds of this invention in the EZH2 enzyme inhibition assay and Pfeiffer cell proliferation assay.
- A indicates an IC 50 value of greater than 1 ⁇ and less than 100 nM
- B indicates an IC 50 value of 100 nM to 1000 nM
- C indicates an IC 5 o value of greater than 1000 nM and less than 1 ⁇ ;
- the compounds of Examples 1 to 25 exhibited good EZH2 binding activity, and anti-proliferative activity on Pfeiffer cells.
Landscapes
- Chemical & Material Sciences (AREA)
- Organic Chemistry (AREA)
- Health & Medical Sciences (AREA)
- General Health & Medical Sciences (AREA)
- Life Sciences & Earth Sciences (AREA)
- Veterinary Medicine (AREA)
- Medicinal Chemistry (AREA)
- Pharmacology & Pharmacy (AREA)
- Animal Behavior & Ethology (AREA)
- Public Health (AREA)
- Molecular Biology (AREA)
- Epidemiology (AREA)
- Biochemistry (AREA)
- Chemical Kinetics & Catalysis (AREA)
- General Chemical & Material Sciences (AREA)
- Nuclear Medicine, Radiotherapy & Molecular Imaging (AREA)
- Pharmaceuticals Containing Other Organic And Inorganic Compounds (AREA)
Abstract
This invention relates to a pyridine N-oxide compound, or a pharmaceutically acceptable salt or a stereoisomer thereof which inhibit enhancer of zeste homolog 2 (EZH2) and thus are useful for inhibiting the proliferation of and/or inducing apoptosis in cancer cells.
Description
DESCRIPTION
PYRIDINE N-OXIDE FOR ENHANCER OF ZESTE HOMOLOG 2 INHIBITORS FIELD OF THE INVENTION
This invention relates to compounds inhibiting enhancer of zeste homolog 2 (EZH2), which are useful for inhibiting the proliferation of and/or inducing apoptosis in cancer cells.
BACKGROUND OF THE INVENTION
Enhancer of zeste. homolog 2 (EZH2) is the catalytic subunit of Polycomb repressive complex 2 that catalyzes the trimethylation of histone 3, and represses gene transcription. EZH2 is one of the two SAM-dependent histone methyltransferase, i.e., EZH2 and EZH1 (Cardoso, C. et al; European J of Human Genetics, Vol.8, 174-180, 2000). Generally, PRC2 complexes containing EZH2 (PRC-EZH2) efficiently catalyze the methyl transfer reaction and repress transcription through H3K27 trimethylation. But, PRC2- EZH1 has low lysine trimethylation activity and likely represses transcription by different mechanism (J. E. Bradner et al, Pharm. Pat. Anal. 2015, 4, 261-284). EZH2 helps control how DNA is packaged around specific proteins, which in turn helps to regulate which genes or groups of genes are turned on or off. EZH2 plays a key role in tumorigenesis and cancer development in a number of ways (Sharad, K.V. et al, Future Med. Chem. 2013, 5, 1661-1670).
First, EZH2 is involved in chromatin remodeling in various types of cancer.
Studies have shown that EZH2 is able to silence several antimetastatic genes, such as E- cahedrin, and tissue inhibitors of metalloproteinases (TIMPs). Depressing the expression of TIMPs results in increased activity of matrix metalloproteinases, and subsequent degradation of the extracellular matrix, a critical step in cancer metastasis. Secondly, high expression of EZH2 favors cell invasion, anchorage independent growth, and tumor angiogenesis. EZH2 overexpression occurs in many various types of cancer, and is associated with a poor prognosis of the individual affected by high grade of cancer
(Varambally et al, Nature, 2002, 419624-419629; Kleer et al., Proc. Natl. Acd. Sci. USA, 2003, 100, 11606-11611 ; Bachmann et al., J Clin. Oncol. 2006, 24, 268-273).
For example, overexpression of EZH2 is associated with the presence of metastasis and poor outcome in breast cancer patients. In invasive breast carcinomas, high levels of EZH2 are associated with lack of estrogen receptor expression, and decreased nuclear levels of BRCA1 tumor suppressor protein. Overexpression of EZH2 has been observed in several subtypes of breast cancer, including inflammatory breast cancer, breast cancer negative for the estrogen receptor, and triple negative breast cancer. Increased expression of EZH2 is also associated with adverse outcome to tamoxifen therapy (Reijm, E. A. et al, Ann. Oncol. 2014, 25, 2185-2190).
In lung adenocarcinomas, EZH2 overexpression is associated with histological differentiation, presence of metastasis, and cisplatin resistance. siRNA knockdown of EZH2 in cisplatin-resistant lung cancer cells results in inhibition of cell proliferation and migration, sensitization to cisplatin activity, and reduction of the level of multidrug resistance-related proteins. In colorectal cancer, renal cell carcinoma, nasopharyngeal carcinomas, non-small cell lung carcinomas, bladder cancer, and head and neck squamous cell carcinoma, EZH2 overexpression is associated with a shorter survival time for the affected individual. siRNA knockdown of EZH2 in head and neck squamous cell carcinoma cells, prostate cancer cells, non-small cell lung carcinoma cells, medulloblastoma cells, and melanoma cells, results in inhibition of cell proliferation and invasion (Chang J. W. et al, Oral. Oncol. 2015, Nov.18, SI 368-8375).
EZH2 overexpression has been linked to the promotion of other proliferative diseases (diseases characterized by unregulated or dysregulated cell proliferation, as compared to healthy tissue). For example, overexpression of EZH2 in hematopoietic stem cells has been shown to cause myeloproliferative diseases. Myeloproliferative diseases are a heterogenous group of disorders characterized by cellular proliferation of one or more hematologic cell populations or subpopulations in the peripheral blood (distinct from acute leukemia). Over-expression of EZH2 is also thought to be involved in the proliferation of pulmonary arterial smooth muscle cells, and the development of pulmonary arterial hypertension (Aljubran, S. A. PloS One 2012, 7, e37712).
Development of EZH2 inhibitors has been proposed as anti-tumor, anti-metastatic, and anti-angiogenic therapy. In that regard, 3-deazaneplanocin (DZNeP), a chemical
inhibitor of EZH2, can (a) suppress medulloblastoma cell growth by inducing apoptosis; (b) repress the ability of known oncogenes to transform neural stem cells; (c) inhibit cancer cell invasion and tumor angiogenesis in prostate cancer and in brain cancer; (d) inhibit proliferation of non-small cell lung carcinoma; and (e) suppress hepatocellular carcinoma tumor development (Alimova I. Int J Cancer. 2012, 131 , 1800- 1809; Zhou J. Blood 2011 , 118, 2830-2839).
And also, cancer genome sequencing efforts further identified somatic alteration of EZH2 (mutation of Y641 and A677) in solid and liquid tumor. Both mutations arise in the SET domain, and influence substrate specificity. Whereas wild-type EZH2 enzyme catalyzes monomethylation of H3K27 more efficiently than di- or trimethylation, mutant EZH2 enzyme favors a dimethylated H3K27 substrate facilitating efficient trimethylation. This gain-of function mutation is detected in follicular lymphoma, the germinal B-cell-like diffuse large B-cell lymphoma, and malignant melanoma (J. E. Bradner et al, Pharm. Pat. Anal. 2015, 4, 261-284).
Taken together, these data suggest that increased H3K27 trimethylation levels contribute to cancer aggressiveness in many tumor types and that inhibition of EZH2 activity may provide therapeutic benefit. While the precise mechanism by which aberrant EZH2 activity leads to cancer progression is not known, many EZH2 target genes are tumor suppressor suggesting that loss of tumor suppressor function is a key mechanism.
Accordingly, compounds that inhibit EZH2 activity would be useful for the treatment or prevention of cancer.
SUMMARY OF THE INVENTION Accordingly, it is an object of the present invention to provide novel compounds which inhibit enhancer of zeste homolog 2 (EZH2). It is another object of the present invention to provide a pharmaceutical composition comprising the compounds as an active ingredient. It is still another object of the present invention to provide a method for the treatment or prevention of diseases mediated by EZH2 using the compounds. It is still another object of the present invention to provide uses of the compounds for the treatment or prevention of diseases mediated by EZH2.
In accordance with one aspect of the present invention, there is provided a compound selected from the group consisting of a pyridine N-oxide compound of formula (I), and a pharmaceutically acceptable salt and a stereoisomer thereof:
wherein
in which X1 is O, N, S, CR6 or NR7; X2, X3 and X4 are each independently N or CR6; Y is O, N, S, CR6 or NR7; Z is CR5 or NR8; Z2 is CR5; W is N or CR9; R is hydrogen, hydroxy, cyano, halogen, (Ci-C3)alkoxy, (d-C3)alkyl, (C3-C6)cycloalkyl, heterocycloalkyl, -NRaRb, halo(C1-C3)alkyl or hydroxy(Ct-C3)alkyl;
R1, R2, R3 and R4 are each independently hydrogen, (Ci-C4)alkoxy, (Ci-C8)alkyl, (Ci-C4)alkoxy-(C]-C4)alkyl, halo(d-C4)alkyl, halo(C]-C4)alkoxy, (C3-CI0)cycloalkyl, hydroxy(C C4)alkyl, (C3-Ci0)cycloalkyl-(Ci-C4)alkyl, Ra-0-C(0)-NH-(Ci-C4)alkyl, heterocycloalkyl, heterocycloalkyl-(Ci-C4)alkyl, (C2-C6)alkynyl, (C6-Ci0)aryl, (C6- Cio)aryl-(Ci-C4)alkyl, heteroaryl, heteroaryl-(Ci-C4)alkyl, halogen, cyano, -C(0)Ra, - C(0)ORa, -C(0)-NRaRb, -C(0)-N(Ra)-NRaRb, -SRa, -S(0)Ra, -S(0)2Ra, -S(0)2-NRaRb, nitro, -NRaRb, -N(Ra)-C(0)Rb, -N(Ra)-C(0)-NRaRb, -N(Ra)-C(0)ORa, -N(Ra)-S(0)2Rb, - N(Ra)-S(0)2-NRaRb, -N(Ra)-NRaRb, -N(Ra)-N(Ra)-C(0)Rb, -N(Ra)-C(0)Ra, -N(Ra)-N(Ra)- C(0)-NRaRb, -N(Ra)-N(Ra)-C(0)ORa, -ORa, -OC(0)Ra, or -OC(0)-NRaRb, wherein said (C3-Cio)cycloalkyl, heterocycloalkyl, (C6-Cio)aryl, or heteroaryl is each independently unsubstituted or substituted with 1 to 3 substituents selected from the group consisting of hydroxy, halogen, nitro, (Ci-C4)alkyl, cyano, (Ci-C4)alkoxy, -NRaRb and -C(0)ORa, or R3 and R4 taken together with the carbon atoms to which they are bonded form a 5- to 8- membered carbocyclic or heterocyclic ring, wherein said ring is unsubstituted or substituted with 1 to 3 substituents selected from the group consisting of hydroxy, halogen,
nitro, (d-C4)alkyl, cyano, (Ci-C4)alkoxy, -NRaRb and -C(0)ORa;
R5 is hydrogen, (C1-C8)alkyl, (C2-C8)alkenyl, (Ci-C8)alkoxy, (C4-C8)cycloalkyl, (C3-C 10)cycloalkyl-(C i -C2)alkyl, (C3 -C 10)cycloalkyl-oxy, heterocycloalkyl, heterocycloalkyl-(Ci-C2)alkyl, heterocycloalkyl-oxy, (C6-C10)aryl, heteroaryl, or -NRaRb, wherein said (Ci-C )alkyl, (C2-C8)alkenyl, (Ci-C8)alkoxy, (C4-C8)cycloalkyl, (C3- Ci0)cycloalkyl-(Ci-C2)alkyl, (C3-Cio)cycloalkyl-oxy, heterocycloalkyl, heterocycloalkyl- (Ci-C2)alkyl, heterocycloalkyl-oxy, (C6-Ci0)aryl, or heteroaryl is each independently unsubstituted or substituted with 1 to 3 substituents selected from the group consisting of halogen, -ORa, -NRaRb, -NH-C(0)ORa, nitro, (C,-C3)alkyl, RaRbN-(d-C3)alkyl, Ra-0-(C C3)alkyl, (C3-Cio)cycloalkyl, cyano, -C(0)ORa, -C(0)NRaRb, -S(0)2-NRaRb, heterocycloalkyl, (C6-C10)aryl, and heteroaryl, wherein said (C3-Cio)cycloalkyl, heterocycloalkyl, (C6-Ci0)aryl, or heteroaryl is each independently unsubstituted or substituted with 1 or 2 substituents selected from the group consisting of halogen, (d- C4)alkyl, halo(C1-C4)alkyl, -C(0)-(Ci-C4)alkyl, -C(0)0-(C1-C4)alkyl, -NRaRb, -NH- C(0)ORa, hydroxy, oxo, (Ci-C4)alkoxy, and (Ci-C4)alkoxy-(Ci-C4)alkyl, or any 2 substituents on said (C2-C8)alkenyl taken together with the carbon atom(s) to which they are bonded form a 5- to 8-membered carbocyclic or heterocyclic ring, wherein said ring is unsubstituted or substituted with 1 or 2 substituents selected from the group consisting of (Ci-C4)alkyl, halo(C1-C4)alkyl, -C(0)-(Ci-C4)alkyl, -C(0)0-(C C4)alkyl, -NRaRb, -NH- C(0)ORa, hydroxy, oxo, (C C4)alkoxy, and (C1-C4)alkoxy-(C1-C4)alkyl;
R6 is hydrogen, halogen, hydroxy, (Ci-C8)alkyl, (C C4)alkoxy, -B(OH)2, (C3- Ci0)cycloalkyl, (C3-Ci0)cycloalkyl-(Ci-C4)alkyl, heterocycloalkyl, heterocycloalkyl-(d- C4)alkyl, (C6-C10)aryl, (C6-Ci0)aryl-(Ci-C4)alkyl, heteroaryl, heteroaryl-(Ci-C4)alkyl, (C2- C6)alkenyl, (C2-C6)alkynyl, cyano, -CH(Ra)-(0)P(0(C1-C4)alkyl)2, -C(0)Ra, -C(0)ORa, - C(0)-NRaRb, -C(0)-N(Ra)-NRaRb, -SRa, -S(0)Ra, -S(0)2Ra, -S(0)2-NRaRb, nitro, -NRaRb, RaRbN-(C1-C4)alkyl, -N(Ra)-C(0)Rb, -N(Ra)-C(0)-NRaRb, -N(Ra)-C(0)ORa, -N(Ra)- S(0)2Rb, -N(Ra)-S(0)2-NRaRb, -N(Ra)-NRaRb, -N(Ra)-N(Ra)-C(0)Rb, -N(Ra)-N(Ra)-C(0)- NRaRb, -N(Ra)-N(Ra)-C(0)ORa, -ORa, -OC(0)Ra, or -OC(0)-NRaRb, wherein said (C2- C6)alkenyl, (C2-C6)alkynyl, (C3-C10)cycloalkyl, heterocycloalkyl, (C6-Ci0)aryl, or heteroaryl is each independently unsubstituted or substituted with 1 to 3 substituents selected from the group consisting of -(0)P(0(C1-C4)alkyl)2, Rc-(C1-C6)alkyl-0-, RC-(C,- C6)alkyl-S-, Rc-(d-C6)alkyl, (Ci-C4)alkyl-heterocycloalkyl, halogen, (C1-C6)alkyl, (C3-
Cio)cycloalkyl, halo(C,-C6)alkyl, cyano, -C(0)Ra, -C(0)ORa, -C(0)NRaRb, SRa, -S(0)Ra, - S(0)2Ra, -S(0)2-NRaRb, nitro, -NRaRb, -N(Ra)-C(0)Rb, -N(Ra)-C(0)-NRaRb, -N(Ra)- C(0)ORa, N(Ra)-S(0)2Rb, -N(Ra)-S(0)2-NRaRb, -ORa, -OC(0)Ra, -OC(0)-NRaRb, heterocycloalkyl, heterocycloalkyl-(Ci-C4)alkyl, (C6-Cio)aryl, heteroaryl, (C6-Cio)aryl-(Ci- C4)alkyl, and heteroaryl-(Ci-C4)alkyl;
R7 is hydrogen, (Ci-C8)alkyl, (C3-C10)cycloalkyl, (C3-Ci0)cycloalkyl-(Ci-C4)alkyl, heterocycloalkyl, heterocycloalkyl-(Ci-C4)alkyl, (C6-Cio)aryl, (C6-Cio)aryl-(Ci-C4)alkyl, heteroaryl, heteroaryl-(C1-C4)alkyl, -C(0)Ra, -C(0)ORa, -C(0)NRaRb, -C(0)-N(Ra)-NRaRb, -S(0)2Ra, -S(0)2-NRaR , RaRbN-(Ci-C4)alkyl, wherein said (C3-C10)cycloalkyl, heterocycloalkyl, (C6-Cio)aryl, or heteroaryl is each independently unsubstituted or substituted with 1 to 3 substituents selected from the group consisting of Rc-(Ci-C6)alkyl- 0-, Rc-(Ci-C6)alkyl-S-, Rc-(C C6)alkyl, (CrC4)alkyl-heterocycloalkyl, halogen, (Ci- C6)alkyl, (C3-C10)cycloalkyl, halo(C,-C6)alkyl, cyaho7-C(0)Ra, -C(0)ORa -C(0)-NRaRb, - SRa, -S(0)Ra, -S(0)2Ra, -S(0)2-NRaRb, nitro, -NRaRb, -N(Ra)-C(0)-Rb, -N(Ra)-C(0)- NRaRb, -N(Ra)-C(0)ORa, -N(Ra)-S(0)2Rb, -N(Ra)-S(0)2-NRaRb, -ORa, -OC(0)Ra, -OC(O)- NRaRb, heterocycloalkyl, (C6-Ci0)aryl, heteroaryl, (C6-Ci0)aryl-(Ci-C4)alkyl, and heteroaryl-(C i -C4)alkyl;
R8 is (Ci-Cg)alkyl, (C4-C8)cycloalkyl, heterocycloalkyl, heterocycloalkyl-(Ci- C2)alkyl, (C6-Cio)aryl, or heteroaryl, wherein said (C]-C8)alkyl, (C4-C8)cycloalkyl, heterocycloalkyl, heterocycloalkyl-(Ci-C2)alkyl, (C6-Ci0)aryl, or heteroaryl is each independently unsubstituted or substituted with 1 to 3 substituents selected from the group consisting of halogen, -ORa, -NRaRb, -NH-C(0)ORa, nitro, (Ci-C3)alkyl, RaRbN-(Ci- C3)alkyl, Ra-0-(C,-C3)alkyl, (C3-Ci0)cycloalkyl, cyano, -C(0)ORa, -C(0)NRaRb, -S(0)2- NRaRb, (C6-C10)aryl, and heteroaryl;
R9 is hydrogen, (Ci-C8)alkyl, trifluoromethyl, alkoxy, or halogen, wherein said (Ci-C8)alkyl is unsubstituted or substituted with at least one of amino and (Ci- C3)alkylamino;
R10 is (C,-C8)alkyl, (C2-C8)alkenyl, (C2-C8)alkynyl, (C3-C10)cycloalkyl, (C3- CU))cycloalkyl-(C1-C8)alkyl, (C3-C10)cycloalkyl-(C2-C8)alkenyl, (C5-C8)cycloalkenyl, (C5- C8)cycloalkenyl-(C1-C8)alkyl, (C5-C8)cycloalkenyl-(C2-C8)alkenyl, heterocycloalkyl, heterocycloalkyl-(C2-C8)alkenyl, heterocycloalkyl-(C]-C8)alkyl, (C6-C1o)aryl, (C6-Ci0)aryl- (Ci-C8)alkyl, (C6-C10)aryl-(C2-C8)alkenyl, heteroaryl, heteroaryl-(Ci-C8)alkyl, heteroaryl-
(C2-C8)alkenyl, -C(0)-Ra, -C(0)ORa, -C(0)-NRaRb, or -C(0)-NRaRb, wherein said (C3- Cio)cycloalkyl, (C5-C )cycloalkenyl, heterocycloalkyl, (C6-Ci0)aryl, or heteroaryl is each independently unsubstituted or substituted with 1 to 3 substituents selected from the group consisting of hydroxy, halogen, nitro, (Ci-C alkyl, cyano, (Ci-C4)alkoxy, -NRaRb and - C(0)ORa;
each Rc is independently (C1-C3)alkoxy, -S(0)Ra, -S(0)2Ra, -NRaRb, -N(Ra)- C(0)ORa, -N(Ra)-S(0)2Rb, or -C(0)ORa;
Ra and Rb are each independently hydrogen, (Ci-C4)alkyl, (Ci-C4)alkoxy-(Ci- C4)alkyl, (C3-C10)cycloalkyl, heterocycloalkyl, (C6-Ci0)aryl, (C6-Ci0)aryl-(Ci-C4)alkyl, heteroaryl-(Ci-C4)alkyl, or heteroaryl, wherein said (C3-Cio)cycloalkyl, heterocycloalkyl, (C6-Cio)aryl, or heteroaryl is each independently unsubstituted or substituted with 1 to 3 substituents selected from the group consisting of halogen, hydroxy, (Ci-C4)alkoxy, amino, -NH-(d-C4)alkyl, -N((C,-C4)alkyl)2, (CrC4)alkyl, halo(Ci-C4)alkyl, -C(0)OH, -C(0)0- (C,-C4)alkyl, -C(0)-NH2, -C(0)0-NH2, -C(0)-NH-(C,-C4)alkyl, -C(0)-N((C,-C4)alkyl)2, - S(0)2-(Ci-C4)alkyl, -S(0)2-NH2, -S(0)2-NH-(C]-C4)alkyl, -C(0)-(Ci-C4)alkyl, -N((C,- C4)alkyl)(halo(Ci-C4)alkyl), ((Ci-C3)alkoxy(Ci-C4)alkyl)((Ci-C4)alkyl)amino, and -S(0)2- N((C!-C4)alkyl)2, or Ra and Rb taken together with the nitrogen atom to which they are bonded form a 5- to 8-membered heterocyclic ring, wherein said ring is unsubstituted or substituted with 1 to 3 substituents selected from the group consisting of (Ci-C4)alkyl, halo(C,-C4)alkyl, amino, -NH-(C C4)alkyl, -N((C,-C4)alkyl)2, hydroxy, oxo, (C C4)alkoxy, and (Ci-C4)alkoxy-(Ci-C4)alkyl (wherein said ring is optionally fused to a (C3- Cio)cycloalkyl, heterocycloalkyl, (C6-C[0)aryl, or heteroaryl ring, or Ra and Rb taken together with the nitrogen atom to which they are bonded form a 6- to 10-membered bridged bicyclic ring optionally fused to a (C3-Ci0)cycloalkyl, heterocycloalkyl, (C6- Cio)aryl, or heteroaryl ring);
all of said heterocycloalkyl moieties each independently have a saturated 3- to 10- membered monocyclic or polycyclic ring;
all of said heteroaryl moieties each independently have an aromatic 5- to 10- membered monocyclic or polycyclic ring; and
all of said heterocyclic, heterocycloalkyl and heteroaryl moieties each independently contain at least one heteroatom selected from the group consisting of nitrogen, sulfur and oxygen.
The amide -NH- and the N-oxide described in formula (I) are expected to have a strong hydrogen bonding (Angew. Chem. Int. Ed. Engl. 1994, 33, No. 4, 446-448; C. S. Burgey et al. Bioorg. Med. Chem. Lett. 2003, 13, 1353-1357). This strong internal hydrogen bonding will give a conformational rigidity for high binding of N-oxide to EZH2.
In accordance with another aspect of the present invention, there is provided a pharmaceutical composition for the treatment or prevention of diseases mediated by EZH2, comprising the compound according to the present invention as an active ingredient and a pharmaceutically acceptable excipient.
In accordance with another aspect of the present invention, there is provided a method for the treatment or prevention of diseases mediated by EZH2 in a mammal, which comprises administering the compound according to the present invention to the mammal in need thereof.
In accordance with another aspect of the present invention, there is provided a use of the compound according to the present invention in the manufacture of a medicament for the treatment or prevention of diseases mediated by EZH2, such as by inducing apoptosis in cancer cells.
In accordance with another aspect of the present invention, there is provided a method for preparing the compound according to the present invention.
In accordance with another aspect of the present invention, there is provided a method of inducing apoptosis in cancer cells of solid tumors and treating solid tumor cancers.
In accordance with another aspect of the present invention, there is provided a compound according to the present invention for use in therapy.
In accordance with another aspect of the present invention, there is provided a method of co-administering the compound according to the present invention with other active ingredients. DETAILED DESCRIPTION OF THE INVENTION
The present invention will be further described in detail herein below.
The term "haloalkyl" as used herein refers to any alkyl group having one or more hydrogen atoms replaced by a halogen atom. Examples of haloalkyl include -CF3, -CHF2, - CH2F, and the like.
The term "carbocycle" or "carbocyclic ring" as used herein refers to an aromatic or non-aromatic hydrocarbon ring, which is saturated or unsaturated, and a monocyclic or polycyclic ring.
The term "cycloalkyl" as used herein refers to a monocyclic or polycyclic hydrocarbon ring group, unless specified otherwise. Examples of cycloalkyl groups include cyclopropyl, cycloheptyl, cyclooctyl, cyclodecyl, cyclobutyl, adamantyl, norpinanyl, decalinyl, norbornyl, cyclohexyl, cyclopentyl, and the like. A cycloalkyl group can be unsubstituted or substituted with one or more suitable substituents.
The term "heterocycle" or "heterocyclic ring" as used herein refers to an aromatic or non-aromatic ring having at least one heteroatom, which is saturated or unsaturated, and a monocyclic or polycyclic ring.
The term "heterocycloalkyl" as used herein refers to a non-aromatic monocyclic or polycyclic 3- to 10-membered ring comprising carbon and hydrogen atoms and at least one heteroatom, preferably, 1 to 3 heteroatoms selected from the group consisting of nitrogen, sulfur and oxygen, unless specified otherwise. A heterocycloalkyl group can have one or more carbon-carbon double bonds or carbon-heteroatom double bonds in the ring group as long as the ring group is not rendered aromatic by their presence. Examples of heterocycloalkyl groups include azetidinyl, aziridinyl, pyrrolidinyl, piperidinyl, piperazinyl, morpholino, thiomorpholino, tetrahydrofuranyl, tetrahydrothiofuranyl, tetrahydropyranyl, pyranyl, and the like. A heterocycloalkyl group can be unsubstituted or substituted with one or more suitable substituents.
The term "heteroaryl" as used herein refers to a monocyclic or polycyclic 5- to 10- membered aryl group in which at least one of the carbon atoms in the aromatic ring has been replaced by a heteroatom selected from the group consisting of nitrogen, sulfur and oxygen, unless specified otherwise. Typical heteroaryl groups include, for example, quinolinyl, indazoyl, indolyl, pyridyl, pyrimidinyl, benzothienyl, furanyl, pyrrolyl, pyrazolyl, imidazolyl, thiazolyl, and the like. A heteroaryl can be unsubstituted or substituted with one or more suitable substituents.
The term "substituent" as used herein refers to a molecular moiety that is covalently bonded to an atom within a molecule of interest. For example, a ring substituent may be a moiety such as a halogen, alkyl group, haloalkyl group or other group that is covalently bonded to an atom (preferably a carbon or nitrogen atom) that is a ring member. Substituents of aromatic groups are generally covalently bonded to a ring carbon atom. The term "substitution" as used herein refers to replacing a hydrogen atom in a molecular structure with a substituent, such that the valence on the designated atom is not exceeded, and such that a chemically stable compound (i.e., a compound that can be isolated, characterized, and tested for biological activity) results from the substitution.
The present invention relates to compounds of the formula (I) as defined above.
In one embodiment, the present invention provides compounds of formula (I), wherein
in which X1 is O, N, S, CR6 or NR7;
X2 is N or CR6;
X3 is N or CR6;
X4 is N or CR6;
Y is 0, N, S, CR6 or NR7;
Z is CR5 or NR8;
Z2 is CR5; and
W is N or CR9. embodiment, the present invention provides compounds of formula (I),
wherein X
in which X1, Y, Z and R are the same as defined in formula (I). Such compound can be depicted by formula (la) below:
wherein X1, Y, Z, R, R1' R2, R3 and R4 are the same as defined in formula (I).
In one embodiment, the present invention provides compounds of formula (la), wherein X1 is O, N, S, CR6 or NR7; Y is O, N, S, CR6 or NR7; wherein when X1 is O, S or NR7, Y is N or CR6; and when Y is O, S or NR7, X1 is N or CR6; and Z is CR5.
In one embodiment, the present invention provides compounds of formula (la), wherein X1 is O, S or NR7; Y is N or CR6; and Z is CR5.
In another embodiment, the present invention provides compounds of formula (la), wherein X1 is O or S; Y is N or CR6; and Z is CR5.
In another embodiment, the present invention provides compounds of formula (la), wherein X1 is O or S; Y is CR6; and Z is CR5.
In another embodiment, the present invention provides compounds of formula (la), wherein X1 is O or S; Y is N; and Z is CR5.
In another embodiment, the present invention provides compounds of formula (la), wherein X1 is S; Y is N; and Z is CR5.
In another embodiment, the present invention provides compounds of formula (la), wherein X1 is N or CR6; Y is O, S or NR7; and Z is CR5.
In another embodiment, the present invention provides compounds of formula (la), wherein X1 is N or CR6; Y is O or S; and Z is CR5.
In another embodiment, the present invention provides compounds of formula (la), wherein X1 is CR6; Y is O or S; and Z is CR5.
In another embodiment, the present invention provides compounds of formula (la), wherein X1 is N; Y is O or S; and Z is CR5.
In another embodiment, the present invention provides compounds of formula (la), wherein X1 is CR6; Y is S; and Z is CR5.
In another embodiment, the present invention provides compounds of formula (la), wherein X1 is N or CR6; Y is N or CR6; and Z is CR5.
In one embodiment, the present invention provides compounds of the formula (I),
wherein X is Rin which X , X , X , Z and R are the same as defined in formula
(I). Such compound can be shown by formula (lb) below:
wherein X2, X3, X4, Z2, R, R1' R2, R3 and R4 are the same as defined in formula (I).
In one embodiment, the present invention provides compounds of formula (lb), wherein X2, X3 and X4 are each independently N or CR6.
In another embodiment, the present invention provides compounds of formula (lb), wherein X2 is CR6; and X3 and X4 are each independently N or CR .
In another embodiment, the present invention provides compounds of formula (lb), wherein X3 is CR6; and X2 and X4 are each independently N or CR .
In another embodiment, the present invention provides compounds of formula (lb), wherein X4 is CR6; and X2 and X3 are each independently N or CR .
In another embodiment, the present invention provides compounds of formula (lb), wherein X2 and X3 are CR6; and X4 is N or CR6.
In another embodiment, the present invention provides compounds of formula (lb), wherein X2 and X4 are CR6; and X3 is N or CR6.
In another embodiment, the present invention provides compounds of formula (lb), wherein X3 and X4 are CR6; and X2 is N or CR6.
In another embodiment, the present invention provides compounds of formula (lb), wherein X2, X3 and X4 are CR6.
In one embodiment, the present invention provides compounds of the formula (I),
wherein X is
in which X2, X3, X4, W, R and R10 are the same as defined in formula (I). Such compound can be represented by formula (Ic) below:
wherein X2, X3, X4, W, R, R1' R2, R3, R4 and R10 are the same as defined in formula (I).
In one embodiment, the present invention provides compounds of formula (Ic), wherein X2, X3 and X4 are each independently N or CR6.
In another embodiment, the present invention provides compounds of formula (Ic), wherein X2 is CR6; and X3 and X4 are each independently N or CR .
In another embodiment, the present invention provides compounds of formula (Ic), wherein X3 is CR6; and X2 and X4 are each independently N or CR .
In another embodiment, the present invention provides compounds of formula (Ic), wherein X4 is CR6; and X2 and X3 are each independently N or CR .
In another embodiment, the present invention provides compounds of formula (Ic), wherein X2 and X3 are CR6; and X4 is N or CR6.
In another embodiment, the present invention provides compounds of formula (Ic), wherein X2 and X4 are CR6; and X3 is N or CR6.
In another embodiment, the present invention provides compounds of formula (Ic), wherein X3 and X4 are CR6; and X2 is N or CR6.
In another embodiment, the present invention provides compounds of formula (Ic), wherein X2, X3 and X4 are CR6.
In another embodiment, the present invention provides compounds of formula (I), wherein R is hydrogen, (Cj-C3)alkyl, hydroxy, halogen, halo(Ci-C3)alkyl, or hydroxy(Ci- C3)alkyl.
In another embodiment, the present invention provides compounds of formula (I), wherein R is (Q-C^alkyl or halogen.
In a specific embodiment, the present invention provides compounds of formula (I), wherein R is methyl or chloro.
In another specific embodiment, the present invention provides compounds of formula (I), wherein R is methyl.
In another embodiment, the present invention provides compounds of formula (I), wherein R1, R2, R3 and R4 are each independently hydrogen, (Ci-C4)alkoxy, (C1-C4)alkyl, (Ci-C4)alkoxy-(Ci-C4)alkyl, halo(d-C4)alkyl, (C3-C10)cycloalkyl, hydroxy(Ci-C4)alkyl, (C3-C10)cycloalkyl-(C1-C4)alkyl, (Ci-C4)alkyl-0-C(0)-NH-(Ci-C4)alkyl, heterocycloalkyl, heterocycloalkyl-(C'-C4)alkyl, (C6-Ci0)aryl, (C6-Ci0)aryl-(Ci-C4)alkyl, heteroaryl, or heteroaryl-(C1-C4)alkyl, wherein said (C3-C1o)cycloalkyl, heterocycloalkyl, (C6-Cio)aryl, or heteroaryl is each independently unsubstituted or substituted with 1 or 2 substituents selected from the group consisting of hydroxy, halogen, nitro, (Ci-C4)alkyl, cyano, (C\- C4)alkoxy, -NH(C,-C4)alkyl, -N((C C4)alkyl)2, and -C(0)0-(C1-C4)alkyl.
In another embodiment, the present invention provides compounds of formula (I), wherein R1, R2, R3 and R4 are each independently hydrogen, (Ci-C4)alkoxy, (Ci-C4)alkyl, (C i -C4)alkoxy-(C i -C4)alkyl, halo(C i -C4)alkyi or hydroxy(C i -C4)alkyl.
In another embodiment, the present invention provides compounds of formula (I), wherein R5 is (Ci-Cs)alkyl, (Ci-Cg)alkoxy, (C4-C8)cycloalkyl, (C3-C1o)cycloalkyl-oxy, heterocycloalkyl, heterocycloalkyl-oxy, (C6-C10)aryl, heteroaryl, or -NRaRb, wherein said (Ci-Cs)alkyl, (Ci-Cg)alkoxy, (C4-C8)cycloalkyl, (C3-C8)cycloalkyl-oxy, heterocycloalkyl, heterocycloalkyl-oxy, (C6-Ci0)aryl, or heteroaryl is each independently unsubstituted or substituted with 1 to 3 substituents selected from the group consisting of halogen, -ORa, - NRaRb, -NH-C(0)ORa, nitro, (C1-C3)alkyl, RaRbN-(C1-C3)alkyl, RaO-(C,-C3)alkyl, (C3- Cio)cycloalkyl, cyano, -C(0)ORa, -C(0)-NRaRb, -S(0)2-NRaRb, (C6-Ci0)aryl, and heteroaryl, wherein Ra and Rb are the same as defined in formula (I).
In another embodiment, the present invention provides compounds of formula (I), wherein R5 is (C3-C6)alkoxy, (C3-C6)cycloalkyl-oxy, heterocycloalkyl-oxy, heterocycloalkyl, -NH((C3-C6)cycloalkyl), -N((Ci-C3)alkyl)((C3-C6)cycloalkyl), - NH(heterocycloalkyl), or -N((Ci-C3)alkyl)(heterocycloalkyl), wherein said (C3-C6)alkoxy, (C3-C6)cycloalkyl-oxy, heterocycloalkyl-oxy, heterocycloalkyl, or (C3-C6)cycloalkyl is each independently unsubstituted or substituted with 1 to 3 substituents selected from the group consisting of halogen, hydroxy, (C1-C3)alkoxy, amino, -NH(Ci-C3)alkyl, -N((Ci- C3)alkyl)2, (d-C3)alkyl, (C1-C3)alkoxy-(Ci-C3)alkyl, amino(Ci-C3)alkyl, ((Ci- C3)alkyl)NH-(C1-C3)alkyl, ((Ci-C3)alkyl)2N(C,-C3)alkyl, (C3-C10)cycloalkyl, cyano, -
C(0)ORa, -C(0)-NRaRb, S(0)2-NRaRb, phenyl, and heteroaryl, wherein Ra and Rb are the same as defined in formula (I).
In another embodiment, the present invention provides compounds of formula (I), wherein R5 is (C3-C6)alkoxy, (C3-Cio)cycloalkyl-oxy, or heterocycloalkyl-oxy, each of which is independently unsubstituted or substituted with hydroxy, (Ci-C3)alkoxy, amino, - NH(C,-C3)alkyl, -N((C,0C3)alkyl)2, (d-C3)alkyl, -C(0)OR\ -C(0)-NRaRb, -S(0)2-NRaRb, phenyl, or heteroaryl, wherein Ra and Rb are the same as defined in formula (I).
In another embodiment, the present invention provides compounds of formula (I), wherein R5 is (C3-C6)cycloalkyl-oxy which is unsubstituted or substituted with 1 to 3 substituents selected from the group consisting of halogen, -ORa, -NRaRb, nitro, -C(0)ORa, -C(0)-NRaRb, -S(0)2-NRaRb, (C6-Ci0)aryl, and heteroaryl, wherein Ra and Rb are the same as defined in formula (I).
In another embodiment, the present invention provides compounds of formula (I), wherein R5 is (C3-C6)cycloalkyl-oxy which is unsubstituted or substituted with 1 or 2 substituents selected from the group consisting of halogen, hydroxy, (Ci-C3)alkoxy, amino, -NH(Ci-C3)alkyl, -N((C,-C3)alkyl)2, (C1-C3)alkyl, (C1-C3)alkoxy-(C1-C3)alkyl, amino(Ci- C3)alkyl, ((C1-C3)alkyl)NH-(C1-C3)alkyl, ((C1-C3)alkyl)2N-(C,-C3)alkyl, (C3- Cio)cycloalkyl, cyano, -C(0)ORa, -C(0)-NRaRb, -S(0)2-NRaRb, phenyl, and heteroaryl, wherein Ra and Rb are the same as defined in formula (I).
In another embodiment, the present invention provides compounds of formula (I), wherein R5 is heterocycloalkyl-oxy which is unsubstituted or substituted with 1 to 3 substituents selected from the group consisting of halogen, -ORa, -NRaRb, nitro, (Ci- C3)alkyl, RaRbN-(Ci-C3)alkyl, RaO-(Ci-C3)alkyl, (C3-Ci0)cycloalkyl, cyano, -C(0)ORa, - C(0)-NRaRb, -S(0)2-NRaRb, phenyl, and heteroaryl, wherein Ra and Rb are the same as defined in formula (I).
In another embodiment, the present invention provides compounds of formula (I), wherein R5 is heterocycloalkyl-oxy which is unsubstituted or substituted with 1 or 2 substituents selected from the group consisting of halogen, hydroxy, (Ci-C3)alkoxy, amino, -NH(Ci-C3)alkyl, -N((C,-C3)alkyl)2, (Ci-C3)alkyl, (C,-C3)alkoxy-(Ci-C3)alkyl, amino(C,- C3)alkyl, ((C1-C3)alkyl)NH-(C1-C3)alkyl, ((C,-C3)alkyl)2N-(C1-C3)alkyl, (C3- Ci0)cycloalkyl, cyano, -C(0)ORa, -C(0)-NRaRb, -S(0)2-NRaRb, phenyl, and heteroaryl, wherein Ra and Rb are the same as defined in formula (I).
In another embodiment, the present invention provides compounds of formula (I), wherein R5 is cyclopentyloxy, cyclohexyloxy, pyrrolidinyloxy, piperidinyloxy, or tetrahydropyranyloxy, each of which is independently unsubstituted or substituted with hydroxy, (Ci-C3)alkoxy, amino, -NH(CrC3)alkyl, -N((C,-C3)alkyl)2, (Ci-C3)alkyl, - C(0)ORa, -C(0)-NRaRb, -S(0)2-NRaRb, phenyl, furanyl, thienyl, pyrrolyl, imidazolyl, pyrazolyl, triazolyl, tetrazolyl, oxazolyl, isoxazolyl, isothiazolyl, oxadiazolyl, thiadiazolyl, pyridinyl, pyridazinyl, pyrazinyl, or pyrimidinyl, wherein Ra is (C1-C4)alkyl or phenyl(C(- C2)alkyl, and Rb is hydrogen or (Ci-C4)alkyl.
In another embodiment, the present invention provides compounds of formula (I), wherein R5 is -NRaRb, wherein Ra and Rb are the same as defined in formula (I).
In another embodiment, the present invention provides compounds of formula (I), wherein R5 is -NRaRb; Ra is azetidinyl, oxetanyl, pyrrolidinyl, piperidinyl, piperazinyl, morpholinyl, thiomorpholinyl, or tetrahydropyranyl, each of which is independently unsubstituted or substituted with one or two (C|-C4)alkyl groups; and Rb is hydrogen or (Ci-C4)alkyl.
In another embodiment, the present invention provides compounds of formula (I), wherein R5 is -NRaRb; Ra is azetidinyl, oxetanyl, pyrrolidinyl, piperidinyl, piperazinyl, morpholinyl, thiomorpholinyl, or tetrahydropyranyl; and Rb is methyl or ethyl.
In another embodiment, the present invention provides compounds of formula (I), wherein R5 is -NRaRb; Ra is cyclopentyl or cyclohexyl, each of which is independently unsubstituted or substituted with amino, -NH(Ci-C4)alkyl, or -N((Ci-C4)alkyl)2; and Rb is hydrogen or (C i -C4)alkyl .
In another embodiment, the present invention provides compounds of formula (I), wherein R5 is -NRaRb; Ra is cyclopentyl or cyclohexyl, each of which is independently unsubstituted or substituted with -N((Ci-C2)alkyl)2; and Rb is methyl or ethyl.
In another embodiment, the present invention provides compounds of formula (I), wherein R5 is -NRaRb; Ra is cyclohexyl which is unsubstituted or substituted with amino, - NH(Ci-C4)alkyl, or -N((C C4)alkyl)2; and Rb is hydrogen or (Ci-C4)alkyl.
In another embodiment, the present invention provides compounds of formula (I), wherein R5 is -NRaRb; Ra is cyclohexyl which is unsubstituted or substituted with -N((Cr C2)alkyl)2; and Rb is methyl or ethyl.
In another embodiment, the present invention provides compounds of formula (I),
wherein R is (C2-C8)alkenyl which is unsubstituted or substituted with 1 to 3 substituents selected from the group consisting of halogen, -ORa, -NRaRb, -NH-C(0)ORa, nitro, (d- C3)alkyl, RaRbN-(C,-C3)alkyl, RaO-(Ci-C3)alkyl, (C3-C10)cycloalkyl, cyano, -C(0)ORa, - C(0)-NRaRb, -S(0)2-NRaRb, heterocycloalkyl, (C6-Ci0)aryl, and heteroaryl, wherein said (C3-Cio)cycloalkyl, heterocycloalkyl, (C6-Ci0)aryl, or heteroaryl is each independently unsubstituted or substituted with 1 or 2 substituents selected from the group consisting of halogen, (C1-C4)alkyl, halo(C,-C4)alkyl, -C(0)-(d-C4)alkyl, -C(0)0-(Ci-C4)alkyl, -NRaRb, -NH-C(0)ORa, hydroxy, oxo, (C!-C4)alkoxy, and (C1-C4)alkoxy-(C1-C4)alkyl, or any 2 substituents on said (C2-C8)alkenyl taken together with the carbon atom(s) to which they are bonded form a 5- to 8-membered carbocyclic or heterocyclic ring, wherein said ring is unsubstituted or substituted with 1 or 2 substituents selected from the group consisting of (Ci-C4)alkyl, halo(Ci-C4)alkyl, -C(0)-(Ci-C4)alkyl, -C(0)0-(C1-C4)alkyl, -NRaRb, -NH- C(0)ORa, hydroxy, oxo, (Ci-C4)alkoxy, and (Ci-C4)alkoxy-(Ci-C4)alkyl, wherein Ra and Rb are the same as defined in formula (I).
In another embodiment, the present invention provides compounds of formula (I), wherein R5 is (C2-C4)alkenyl which is unsubstituted or substituted with 1 or 2 substituents selected from (C3-C6)cycloalkyl, 5- or 6-membered heterocycloalkyl, phenyl, or 5- or 6- membered heteroaryl, each of which is independently unsubstituted or substituted with 1 or 2 substituents selected from the group consisting of halogen, (d-C4)alkyl, halo(Ci- C4)alkyl, -C(0)-(Ci-C4)alkyl, -C(0)0-(Ci-C4)alkyl, -NRaRb, -NH-C(0)ORa, hydroxy, oxo, (Ci-C4)alkoxy, and (Ci-C )alkoxy-(Ci-C4)alkyl, or any 2 substituents on said (C2- C4)alkenyl taken together with the carbon atom(s) to which they are bonded form a 5- or 6- membered carbocyclic or heterocyclic ring, wherein said ring is unsubstituted or substituted with (C C4)alkyl, halo(d-C4)alkyl, -C(0)-(C1-C4)alkyl, -C(0)0-(C,-C4)alkyl, -NRaRb, -NH-C(0)ORa, hydroxy, oxo, (d-C4)alkoxy, or (d-C4)alkoxy-(Ci-C4)alkyl, wherein Ra and Rb are the same as defined in formula (I).
In another embodiment, the present invention provides compounds of formula (I), wherein R5 is (C2-C4)alkenyl which is unsubstituted or substituted with (C3-C6)cycloalkyl, 5- or 6-membered heterocycloalkyl, phenyl, or 5- or 6-membered heteroaryl, each of which is independently unsubstituted or substituted with halogen, (Ci-C4)alkyl, halo(Ci-C4)alkyl, amino, -NH(d-C4)alkyl, -N((d-C4)alkyl)2, hydroxy, oxo, (Ci-C4)alkoxy, or (Ci- C )alkoxy-(Ci-C4)alkyl.
In another embodiment, the present invention provides compounds of formula (I), wherein R5 is (C2-C4)alkenyl which is unsubstituted or substituted with cyclopentyl, cyclohexyl, pyrrolidinyl, tetrahydropyranyl, or dihydropyranyl, each of which is independently unsubstituted or substituted with (Ci-C4)alkyl, halo(Ci-C4)alkyl, amino, - NH(d-C4)alkyl, -N((C,-C4)alkyl)2, hydroxy, oxo, (C,-C4)alkoxy, or (Ci-C4)alkoxy-(Ci- C4)alkyl.
In another embodiment, the present invention provides compounds of formula (I), wherein R5 is (C2-C4)alkenyl which is unsubstituted or substituted with cyclohexyl, piperidinyl, or tetrahydropyranyl, each of which is independently unsubstituted or substituted with (Ci-C4)alkyl, halo(Ci-C4)alkyl, amino, -NH(C1-C4)alkyl, or -N((Cr C4)alkyl)2.
In another embodiment, the present invention provides compounds of formula (I), wherein R5 is (C2-C4)alkenyl which is- unsubstituted or substituted with cyclopentyl or cyclohexyl, each of which is independently unsubstituted or substituted with amino, - NH(C,-C4)alkyl, or -N((d-C4)alkyl)2.
In another embodiment, the present invention provides compounds of formula (I), wherein R5 is (C2-C4)alkenyl which is unsubstituted or substituted with piperidinyl, or tetrahydropyranyl.
In another embodiment, the present invention provides compounds of formula (I), wherein R5 is (C2-C4)alkenyl having 2 substituents which taken together with the carbon atom(s) to which they are bonded form a 5- or 6-membered carbocyclic or heterocyclic ring, wherein said ring is unsubstituted or substituted with
halo(Ci-C4)alkyl, - C(0)-(C C4)alkyl, -C(0)0-(C1-C4)alkyl -NRaRb, -NH-C(0)ORa, hydroxy, oxo, (Q- C4)alkoxy, or (C1-C4)alkoxy-(C1-C4)alkyl.
In another embodiment, the present invention provides compounds of formula (I), wherein R5 is (C2-C4)alkenyl having 2 substituents which taken together with the carbon atom(s) to which they are bonded form a 5- or 6-membered carbocyclic or heterocyclic ring, wherein said ring is unsubstituted or substituted with (Ci-C4)alkyl, halo(Ci-C4)alkyl, amino, -NH(C1-C4)alkyl, or -N((d-C4)alkyl)2.
In another embodiment, the present invention provides compounds of formula (I), wherein R5 is (C2-C4)alkenyl having 2 substituents which taken together with the carbon atom(s) to which they are bonded form a piperidinyl ring which is unsubstituted or
substituted with (C1-C4)alkyl.
In another embodiment, the present invention provides compounds of formula (I), wherein R5 is (C3-Cio)cycloalkyl-(Ci-C2)alkyl, or heterocycloalkyl-(Ci-C2)alkyl, each of which is independently unsubstituted or substituted with 1 to 3 substituents selected from the group consisting of halogen, -ORa, -NRaRb, -NH-C(0)ORa, nitro, (d-C3)alkyl, RaRbN- (Ci-C3)alkyl, RaO-(C,-C3)alkyl, (C3-Ci0)cycloalkyl, cyano, -C(0)ORa, -C(0)-NRaRb, - S(0)2-NRaRb, heterocycloalkyl, (C6-Ci0)aryl, and heteroaryl, wherein said (C3- Ci0)cycloalkyl, heterocycloalkyl, (C6-Ci0)aryl, or heteroaryl is each independently unsubstituted or substituted with 1 or 2 substituents selected from the group consisting of halogen, (C1-C4)alkyl, halo(Ci-C4)alkyl, -C(0)-(d-C4)alkyl, -C(0)0-(Ci-C4)alkyl, -NRaRb, -NH-C(0)ORa, hydroxy, oxo, (Ci-C4)alkoxy, and (Ci-C4)alkoxy-(Ci-C4)alkyl, wherein Ra and R are the same as defined in formula (I).
In another embodiment, the present invention provides compounds of formula (1), wherein R5 is (C3-Cio)cycloalkyl-(Ci-C2)alkyl or heterocycloalkyl-(Ci-C2)alkyl, each of which is independently unsubstituted or substituted with 1 or 2 substituents selected from the group consisting of halogen, -ORa, -NRaRb, -NH-C(0)ORa, nitro, (C C3)alkyl, RaRbN- (Ci-C3)alkyl, RaO-(Ci-C3)alkyl, (C3-Ci0)cycloalkyl, cyano, -C(0)ORa, -C(0)-NRaRb, - S(0)2-NRaRb, heterocycloalkyl, (C6-Ci0)aryl, and heteroaryl, wherein Ra and Rb are the same as defined in formula (I).
In another embodiment, the present invention provides compounds of formula (I), wherein R5 is (C3-Cio)cycloalkyl-(C1-C2)alkyl or heterocycloalkyl-(Ci-C2)alkyl, each of which is independently unsubstituted or substituted with 1 or 2 substituents selected from the group consisting of -NRaRb, -NH-C(0)ORa, (d-C3)alkyl, and RaRbN-(Ci-C3)alkyl.
In another embodiment, the present invention provides compounds of formula (I), wherein R5 is (C3-C6)cycloalkyl-(Ci-C2)alkyl or heterocycloalkyl-(Ci-C2)alkyl, each of which is independently unsubstituted or substituted with 1 or 2 substituents selected from the group consisting of (Ci-C3)alkyl, amino, -NH(Ci-C4)alkyl, and -N((Ci-C4)alkyl)2. Preferably, said heterocycloalkyl moiety is monocyclic.
In another embodiment, the present invention provides compounds of formula (I), wherein R5 is (C3-C6)cycloalkyl-(Ci-C2)alkyl or heterocycloalkyl-(Ci-C2)alkyl, each of which is independently unsubstituted or substituted with 1 or 2 substituents selected from the group consisting of (Ci-C3)alkyl, amino, -NH(Ci-C4)alkyl, and -N((Ci-C4)alkyl)2.
Preferably, said heterocycloalkyl moiety is piperidinyl, piperazinyl, morpholinyl, or tetrahydropyranyl .
In another embodiment, the present invention provides compounds of formula (I), wherein R5 is cyclohexylmethyl which is unsubstituted or substituted with 1 or 2 substituents selected from the group consisting of (Ci-C3)alkyl, amino, -NH(Ci-C4)alkyl, and -N((Ci-C4)alkyl)2.
In another embodiment, the present invention provides compounds of formula I (a,b,c), wherein R5 is piperidin-l-ylmethyl which is unsubstituted or substituted with 1 or 2 substituents selected from the group consisting of (Ci-C3)alkyl, amino, -NH(C[-C )alkyl, and-N((Ci-C4)alkyl)2.
In another embodiment, the present invention provides compounds of formula (I), wherein R6 is hydrogen, -S(0)2-(Ci-C4)alkyl, halogen, (C[-C6)alkyl, (Ci-C4)alkoxy, phenyl, heteroaryl, or cyano, wherein said phenyl or heteroaryl group is each independently unsubstituted or substituted with 1 or 2 substituents selected from the group consisting of (C1-C4)alkoxy, -NRaRb, R^N-CCrC^alkyl, (Ci-C4)alkyl-heterocycloalkyl, halogen, (Ci- C4)alkyl, (C3-Ci0)cycloalkyl, and heterocycloalkyl, wherein Ra and Rb are the same as defined in formula (I).
In another embodiment, the present invention provides compounds of formula (I), wherein R6 is hydrogen, cyano, halogen, (Ci-C4)alkoxy, furanyl, thienyl, pyrrolyl, imidazolyl, pyrazolyl, triazolyl, tetrazolyl, thiazolyl, oxazolyl, isoxazolyl, oxadiazolyl, thiadiazolyl, isothiazolyl, phenyl, pyridinyl, pyridazinyl, pyrazinyl, pyrimidinyl, or thiazinyl, wherein said furanyl, thienyl, pyrrolyl, imidazolyl, isothiazolyl, phenyl, pyridinyl, pyridazinyl, pyrazinyl, pyrimidinyl, or thiazinyl is each independently unsubstituted or substituted with (C,-C4)alkoxy, -NRaRb, RaRbN-(C!-C4)alkyl, (Ci-C4)alkyl- heterocycloalkyl, halogen, (C1-C4)alkyl, (C3-Ci0)cycloalkyl, or heterocycloalkyl, wherein Ra and Rb are the same as defined in formula (I).
In another embodiment, the present invention provides compounds of formula (I), wherein R6 is phenyl which is unsubstituted or substituted with -NRaRb or RaRbN-(Ci- C4)alkyl, wherein Ra and Rb are the same as defined in formula (I).
In another embodiment, the present invention provides compounds of formula (I), wherein R6 is pyridinyl which is unsubstituted or substituted with -NRaRb or RaR N-(Ci-
C4)alkyl, wherein Ra and Rb are the same as defined in formula (I).
In another embodiment, the present invention provides compounds of formula (I), wherein R6 is -CH(Ra)-(0)P(0(C,-C4)alkyl)2, -phenyl-di(C1-C4)phosphite, -phenyl-di(d- C4)phosphate.
In another embodiment, the present invention provides compounds of formula (I), wherein R6 is hydrogen, halogen, (Ci-C4)alkyl, or (Ci-C4)alkoxy.
In another embodiment, the present invention provides compounds of formula (I), wherein R6 is hydrogen or halogen.
In specific embodiment, the present invention provides compounds of formula (I), wherein R6 is hydrogen, fluoro, chloro, or bromo.
In specific embodiment, the present invention provides compounds of formula (I), wherein R6 is hydrogen, chloro.
In specific embodiment, the present invention provides compounds of formula (I), wherein R6 is chloro.
In specific embodiment, the present invention provides compounds of formula (I), wherein R6 is hydrogen.
In another embodiment, the present invention provides compounds of formula (I), wherein R7 is hydrogen, (Ci-C )alkyl, (C3-C6)cycloalkyl, phenyl, or heteroaryl, wherein said phenyl or heteroaryl is each independently unsubstituted or substituted with 1 or 2 substituents selected from the group consisting of (Ci-C4)alkoxy, -NRaRb, RaRbN-(Ci- C4)alkyl, (C1-C4)alkyl-heterocycloalkyl, halogen, (Ci-Q)alkyl, (C3-C]0)cycloalkyl, and (Ci-C4)alkyl, wherein Ra and Rb are the same as defined in formula (I).
In another embodiment, the present invention provides compounds of formula (I), wherein R7 is hydrogen, or (Ci-C4)alkyl.
In another embodiment, the present invention provides compounds of formula (I), wherein R7 is furanyl, thienyl, pyrrolyl, imidazolyl, pyrazolyl, triazolyl, tetrazolyl, thiazolyl, oxazolyl, isoxazolyl, oxadiazolyl, thiadiazolyl, isothiazolyl, phenyl, pyridinyl, pyridazinyl, pyrazinyl, pyrimidinyl, or thiazinyl, each of which is independently unsubstituted or substituted with (C C4)alkoxy, -NRaRb, RaRbN-(C1-C4)alkyl, (Q- C4)alkyl-heterocycloalkyl, halogen, (Ci-C4)alkyl, (C3-C]0)cycloalkyl, or heterocycloalkyl.
In another embodiment, the present invention provides compounds of formula (I),
wherein R7 is phenyl which is unsubstituted or substituted with -NRaRb or RaRbN-(Ci- C4)alkyl, wherein Ra and Rb are the same as defined in formula (I).
In another embodiment, the present invention provides compounds of formula (I), wherein R7 is pyridinyl which is unsubstituted or substituted with -NRaRb or RaRbN-(d- C4)alkyl, wherein Ra and Rb are the same as defined in formula (I).
In another embodiment, the present invention provides compounds of formula (I), wherein R8 is (Ci-Cg)alkyl, (C4-Cg)cycloalkyl, heterocycloalkyl, (C6-C10)aryl, or heteroaryl, each of which is independently unsubstituted or substituted with 1 to 3 substituents selected from the group consisting of halogen, -ORa, -NRaRb, -NH-C(0)ORa, nitro, (d- C3)alkyl, RaRbN-(CrC3)alkyl, RaO-(Ci-C3)alkyl, (C3-C]0)cycloalkyl, cyano, -C(0)ORa, - C(0)-NRaRb, -S(0)2-NRaRb, (C6-Ci0)aryl, and heteroaryl, wherein Ra and Rb are the same as defined in formula (I).
In another embodiment, the present invention provides compounds of formula (I), wherein R8 is (C4-C6)alkyl, (C4-C6)cycloalkyl, heterocycloalkyl, (C6-Ci0)aryl, or phenyl, each of which is independently unsubstituted or substituted with 1 or 2 substituents selected from the group consisting of -ORa, -NRaRb, -NH-C(0)ORa, (d-C3)alkyl, RaRbN- (d-C3)alkyl, RaO-(C,-C3)alkyl, -C(0)ORa, -C(0)-NRaRb, and -S(0)2-NRaRb, wherein Ra and R are the same as defined in formula (I).
In a particular embodiment, the present invention provides compounds of formula (I), wherein:
R is hydrogen or methyl;
. X1, X2, X3 and X4 are CR6;
Y is S;
Z and Z2 are CR5;
W is N or CR9;
R1 and R3 are hydrogen, and R2 and R4 are each independently (d-C4)alkoxy, (Ci- C8)alkyl, halo(Ci-C4)alkyl, halo(Ci-C4)alkoxy, (C2-C6)alkynyl, (C3-Ci0)cycloalkyl, (C6- C10)aryl-(d-C4)alkyl, -SRa, -S(0)Ra, -S(0)2Ra, -ORa or halogen, or R3 and R4 taken together with the carbon atoms to which they are bonded form a 5- to 8-membered carbocyclic or heterocyclic ring, wherein said ring is unsubstituted or substituted with 1 to
3 substituents selected from the group consisting of hydroxy, halogen, nitro, (Ci-C4)alkyl, cyano, (Ci-C4)alkoxy, -NRaRb and -C(0)ORa;
R5 is NRaRb;
R6 is each independently hydrogen, cyano, halogen, (Ci-C4)alkyl, (C!-C4)alkoxy, (C3-C6)alkoxy, (C6-Cio)aryl, (C6-Cio)aryl-(Ci-C4)alkyl, heteroaryl, heteroaryl-(Ci-C4)alkyl, (C2-C6)alkenyl, or (C2-C6)alkynyl, wherein said (C2-C6)alkynyl, heteroaryl, or (C6-Cio)aryl is each independently unsubstituted or substituted with 1 to 3 substituents selected from the group consisting of -(0)P(0(C1-C4)alkyl)2, (C1-C4)alkyl-heterocycloalkyl, heterocycloalkyl, -NRaRb, Rc-(d-C6)alkyl-0-, (C3-Ci0)cycloalkyl, -ORa, and Rc-(Ci-C6)alkyl;
each Rc is independently (CrC3)alkoxy or -NRaRb;
R9, Ra and Rb are the same as defined in formula (I);
all of said heterocycloalkyl moieties each independently have a saturated 3- to 10- membered monocyclic or polycyclic ring;
all of said heteroaryl moieties each independently have an aromatic 5- to 10- membered monocyclic or polycyclic ring; and
all of said heterocyclic, heterocycloalkyl and heteroaryl moieties each independently contain at least one heteroatom selected from the group consisting of nitrogen, sulfur and oxygen.
In another embodiment, the present invention also provides compounds of formula (la), wherein X1 is CR6; Y is S; Z is CR5; and R1 and R3 are hydrogen. Such compound can be depicted by formula (la- 1 ) below:
wherein R, R2' R4, R5 and R6 are the same as defined in formula (I).
In another embodiment, the present invention also provides compounds of formula (lb), wherein X2 and X4 are hydrogen; X3 is CR6; Z2 is CR5, wherein R5 is -NRaRb; and R1 and R3 are hydrogen. Such compound can be shown by formula (lb- 1 ) below:
wherein R, R2' R4, R6, Ra and Rb are the same as defined in formula (I).
In another embodiment, the present invention also provides compounds of formula (Ic), wherein X2 and X4 are hydrogen; X3 is CR6; and R1 and R3 are hydrogen. Such compound can be represented by formula (Ic-1) below:
wherein W, R, R2' R4, R6 and R10 are the same as defined in formula (I). In another embodiment, the present invention also provides compounds of formula
(Ia-1), (Ib-1) or (Ic-1), wherein have one or more of the following features:
4 is methyl, chloro, fluoro,
5 is
Preferable examples of the compound according to the present invention are listed below, and a pharmaceutically acceptable salt and a stereoisomer thereof are also included in the scope of the present invention:
1) 2-((5-(ethyl(tetrahydro-2H-pyran-4-yl)amino)-4-methyl-4'-(morpholinomethyl)- [1,1 '-biphenyl] -3-ylcarboxamido)methyl)-3 ,5-dimethylpyridine 1 -oxide;
2) 2-((5-(ethyl(tetrahydro-2H-pyran-4-yl)amino)-4-methyl-4'-(morpholinomethyl)- [1,1 '-biphenyl] -3 -ylcarboxamido)methyl)-3 -methoxy-5 -methylpyridine 1 -oxide;
3) 3-benzyl-2-((5-(ethyl(tetrahydro-2H-pyran-4-yl)amino)-4-methyl-4'- (morpholinomethyl)-[l , 1 '-biphenyl]-3-ylcarboxamido)methyl)-5-methylpyridine 1 -oxide;
4) 3-cyclopropyl-2-((5-(ethyl(tetrahydro-2H-pyran-4-yl)amino)-4-methyl-4'- (morpholinomethyl)-[l , 1 '-biphenyl]-3-ylcarboxamido)methyl)-5-methylpyridine 1 -oxide;
5) 3-ethyl-2-((5-(ethyl(tetrahydro-2H-pyran-4-yl)amino)-4-methyl-4'- (morpholinomethyl)-[l,r-biphenyl]-3-ylcarboxamido)methyl)-5-methylpyridine 1-oxide;
6) 2-((5-(ethyl(tetrahydro-2H-pyran-4-yl)amino)-4-methyl-4'-(morpholinomethyl)- [1,1 '-biphenyl] -3 -ylcarboxamido)methyl)-5 -methyl-3 -phenoxypyridine 1 -oxide;
7) 3-(difluoromethoxy)-2-((5-(ethyl(tetrahydro-2H-pyran-4-yl)amino)-4-methyl- 4'-(morpholinomethyl)-[l , 1 '-biphenyl]-3-ylcarboxamido)methyl)-5-methylpyridine 1 -oxide;
8) 5-chloro-3-ethyl-2-((5-(ethyl(tetrahydro-2H-pyran-4-yl)amino)-4-methyl-4'- (morpholinomethyl)-[ 1 , 1 '-biphenyl]-3-ylcarboxamido)methyl)pyridine 1 -oxide;
9) 2-((5-(ethyl(tetrahydro-2H-pyran-4-yl)amino)-4-methyl-4'-(morpholinomethyl)- [1,1 '-biphenyl]-3 -ylcarboxamido)methyl)-5-methyl-3-(prop- 1 -yn- 1 -yl)pyridine 1 -oxide;
10) 3-chloro-2-((5-(ethyl(tetrahydro-2H-pyran-4-yl)amino)-4-methyl-4'- (morpholinomethyl)- [1,1 '-biphenyl] -3 -ylcarboxamido)methyl)-5 -methylpyridine 1 -oxide;
11 ) 2-((5-(ethyl(tetrahydro-2H-pyran-4-yl)amino)-4-methyl-4'-
'-biphenyl] -3 -ylcarboxamido)methyl)-5-methyl-3 -(phenyl sulfonyl)pyridine 1 -oxide;
12) 3-(l ,l-difluoroethyl)-2-((5-(ethyl(tetrahydro-2H-pyran-4-yl)amino)-4-methyl- 4'-(morpholinomethyl)-[l , 1 -biphenyl] -3 -ylcarboxamido)methyl)-5-methylpyri dine 1 -oxide;
13) 1 -((5-(ethyl(tetrahydro-2H-pyran-4-yl)amino)-4-methyl-4'-
1 '-biphenyl] -3 -ylcarboxamido)methyl)-6-fluoro-4-methyl isoquinoline 2-oxide;
14) 2-((4'-(diisopropoxyphosphoryl)-5-(ethyl(tetrahydro-2H-pyran-4-yl)amino)-4- methyl-[ 1 , 1 '-biphenyl]-3-ylcarboxamido)methyl)-3-methoxy-5-methylpyridine 1 -oxide;
15) 2-((4'-(diisopropoxyphosphoryl)-5-(ethyl(tetrahydro-2H-pyran-4-yl)amino)-4- methyl-[l , 1 '-biphenyl]-3-ylcarboxamido)methyl)-3-ethyl-5-methylpyridine 1 -oxide;
16) 2-((5-(6-aminopyridin-3-yl)-3-(ethyl(tetrahydro-2H-pyran-4-yl)amino)-2- methylbenzamido)methyl)-3,5-dimethylpyridine 1 -oxide;
17) 2-((5-chloro-3-(ethyl(tetrahydro-2H-pyran-4-yl)amino)-2- methylbenzamido)methyl)-5-methyl-3-phenoxypyridine 1-oxide;
18) 2-((5-chloro-3-(ethyl(piperidin-4-yl)amino)-2-methylbenzamido)methyl)-3,5- dimethylpyridine 1-oxide;
19) 2-((3-((l-acetylpiperidin-4-yl)(ethyl)amino)-5-chloro-2- methylbenzamido)methyl)-3,5-dimethylpyridine 1-oxide;
20) 2-((5-((l-acetylpiperidin-4-yl)(ethyl)amino)-4'-(2-methoxyethoxy)-4-methyl- [1,1 '-biphenyl]-3-ylcarboxamido)methyl)-3,5-dimethylpyridine 1 -oxide;
21 ) 2-((5 -chloro-3 -(ethyl(( 1 S ,4S)-4-((2- methoxyethyl)(methyl)amino)cyclohexyl)amino)-2-methylbenzamido)methyl)-5-methyl-3- phenoxypyridine 1-oxide;
22) 3-chloro-2-((3-(ethyl((l S,4S)-4-((2- methoxyethyl)(methyl)amino)cyclohexyl)amino)-2-methyl-5-(3 -ηιοφ^ΙίηορΓορ- 1 -yn- 1 - yl)benzamido)methyl)-5-methylpyridine 1 -oxide;
23) 2-((3-(ethyl((lS,4S)-4-((2-methoxyethyl)(methyl)amino)cyclohexyl)amino)-2-
1 - oxide;
24) 3-chloro-2-((3-(((lS,4S)-4-((2,2- difluoroethyl)(methyl)amino)cyclohexyl)(ethyl)amino)-2-methyl-5-(3-morpholinoprop-l- yn-l-yl)benzamido)niethyl)-5-methylpyridine 1 -oxide;
25) 2-(( 1 -isopropyl-6-(6-(4-methylpiperazin- 1 -yl)pyridin-3-yl)- 1 H-indazole-4- carboxamido)methyl)-3,5-dimethylpyridine 1 -oxide; and
26) 2-((5-(ethyl(tetrahydro-2H-pyran-4-yl)amino)-4-methylthiophene-3- carboxamido)methyl)-3,5-dimethylpyridine 1-oxide.
Typically, but not absolutely, the salts of the present invention are pharmaceutically acceptable salt. Salts of the inventive compounds containing a basic amine or other basic functional group may be prepared by any suitable method known in the art, including treatment of the free base with an inorganic acid, such as hydrochloric acid, hydrobromic acid, sulfuric acid, nitric acid, phosphoric acid, and the like, or with an organic acid, such as acetic acid, trifluoroacetic acid, maleic acid, succinic acid, mandelic acid, fumaric acid, malonic acid, pyruvic acid, oxalic acid, glycolic acid, salicylic acid, pyranosidyl acid (e.g., glucuronic acid or galacturonic acid), alpha-hydroxy acid (e.g., citric acid or tartaric acid), amino acid (e.g., aspartic acid or glutamic acid), aromatic acid (e.g., benzoic acid or cinnamic acid), sulfonic acid (e.g., p-toluenesulfonic acid, methanesulfonic acid, ethanesulfonic acid or the like). Examples of pharmaceutically acceptable salts include sulfates, pyrosulfates, bisulfates, sulfites, bisulfites, phosphates, chlorides, bromides, iodides, acetates, propionates, decanoates, caprylates, acrylates, formates, isobutyrates, caproates, heptanoates, propiolates, oxalates, malonates succinates, suberates, sebacates, fumarates, maleates, butyne-l,4-dioates, hexyne-l ,6-dioates, benzoates, chlorobenzoates, methylbenzoates, dinitrobenzoates, hydroxybenzoates, methoxybenzoates, phthalates, phenylacetates, phenylpropionates, phenylbutyrates, citrates, lactates, γ-hydroxybutyrates, glycolates, tartrates mandelates, and sulfonates (e.g., xylenesulfonates, methanesulfonates, propanesulfonates, naphthalene- 1 -sulfonates and naphthalene-2-sulfonates).
Salts of the inventive compounds containing a carboxylic acid or other acidic functional group can be prepared by reacting with a suitable base. Such a pharmaceutically acceptable salt may be made with a base which affords a pharmaceutically acceptable cation, which includes alkali metal salts (especially sodium and potassium), alkaline earth
metal salts (especially calcium and magnesium), aluminum salts and ammonium salts, as well as salts made from physiologically acceptable organic bases such as trimethylamine, trimethylamine, morpholine, pyridine, piperidine, picoline, dicyclohexylamine, Ν,Ν'- dibenzylethylenediamine, 2-hydroxyethylamine, bis-(2-hydroxyethyl)amine, tri-(2- hydroxyethyl)anime, procaine, dibenzylpiperidine, dehydroabietylamine, Ν,Ν'- bisdehydroabietylamine, glucamine, N-methylglucamine, collidine, quinine, quinoline, and basic amino acid such as lysine and arginine.
Other salts such as oxalic or trifluoroacetate, which are not pharmaceutically acceptable, may be useful in the preparation of compounds of the present invention and these should be considered to form a further aspect of the present invention. These salts, while not in themselves pharmaceutically acceptable, may be useful in the preparation of salts useful as intermediates in synthesis of the inventive compounds and their pharmaceutically acceptable salts. The compounds of formula (I) or a salt thereof may exist in stereoisomeric forms
(e.g., it contains one or more asymmetric carbon atoms). The individual stereoisomers (enantiomers and diastereomers) and their mixtures are included within the scope of the present invention. Likewise, it is understood that a compound or salt of formula (I) may exist in tautomeric forms other than that shown in the formula and these are also included within the scope of the present invention. It is to be understood that the present invention includes all combinations and subsets of the particular groups defined herein above. The scope of the present invention includes mixtures of stereoisomers as well as purified enantiomers or enantiomerically/diastereomerically enriched mixtures. It is to be understood that the present invention includes all combinations and subsets of the particular groups defined herein above.
The present invention further provides a pharmaceutical composition (also referred to as pharmaceutical formulation) comprising a compound of formula (I) or pharmaceutically acceptable salt thereof and one or more excipients (also referred to as carriers and/or diluents in the pharmaceutical arts). The excipients are acceptable in the sense of being compatible with the other ingredients of the formulation and not deleterious to the recipient thereof (i.e., the patient).
Suitable pharmaceutically acceptable excipients will vary depending upon the particular dosage from chosen for a particular function that they may serve in the composition. For example, certain pharmaceutically acceptable excipients may be chosen for their ability to facilitate the production of uniform dosage forms.
Certain pharmaceutically acceptable excipients may be chosen for their ability to facilitate the production of stable dosage forms. Certain pharmaceutically acceptable excipients may be chosen for their ability to facilitate the carrying or transporting of the compound or compounds of the present invention once administered to the patient from one organ, or portion of the body, to another organ, or portion of the body. Certain pharmaceutically acceptable excipients may be chosen for their ability to enhance patient compliance.
Suitable pharmaceutically acceptable excipients include the following types of excipients: diluents, fillers, binders, disintegrants, lubricants, glidants, granulating agents, coating agent, wetting agents, solvents, co-solvents, suspending agents, emulsifiers, sweeteners, flavoring agents, flavor masking agents, coloring agents, anticaking agents, hemectants, chelating agent, plasticizers, viscosity increasing agents, antioxidants, preservatives, stabilizers, surfactants, and buffering agents. A person skilled in the art will appreciate that certain pharmaceutically acceptable excipients may serve more than one function and may serve alternative functions depending on how much of the excipient is present in the formulation and what other ingredients are present in the formulation.
A person skilled in the art may select suitable pharmaceutically acceptable excipients in appropriate amounts for use in the present invention. In addition, there are a number of resources that are available to the skilled artisan which describe pharmaceutically acceptable excipients. Examples include Remington's Pharmaceutical Sciences (Mack Publishing Company), The Handbook of Pharmaceutical Additives (Gower Publishing Limited), and The Handbook of Pharmaceutical Excipients (the American Pharmaceutical Association and the Pharmaceutical Press).
The Pharmaceutical compositions of the present invention are prepared using techniques and method known to those skilled in the art. Some of the methods commonly used in the art are described in Remington's Pharmaceutical Sciences (Mack Publishing Company).
Pharmaceutical compositions may be unit dose containing a predetermined amount
of active ingredient per unit dose. Such a unit may contain a therapeutically effective dose of the compound of formula (I) or salt thereof or a fraction of a therapeutically effective the desired therapeutically effective dose. Preferred unit dosage formulations are those containing a daily dose or sub-dose, as herein above recited, or an appropriate fraction thereof, of an active ingredient. Furthermore, such pharmaceutical compositions may be prepared by any of the methods well-known in the pharmacy art.
Pharmaceutical compositions may be adapted for administration by any appropriate route, for example, by oral (including buccal or sublingual), rectal, nasal, topical (including buccal or sublingual), vaginal, or parenteral (including subcutaneous, intramuscular, intravenous, or intradermal) routes. Such composition may be prepared by any method known in the art of pharmacy, for example, by bringing into association of the active ingredient with the excipient(s).
When adapted for oral administration, pharmaceutical compositions may be in discrete units such as tablets or capsules; powders or granules; solutions or suspensions in aqueous or non-aqueous liquids; edible foams or whips; oil-in-water liquid emulsions or water-in-oil liquid emulsions. The compound or salt thereof of the present invention or the pharmaceutical composition of the present invention may also be incorporated into a candy, a wafer, and/or tongue tape formulation for administration as a "quick-dissolve" medicine.
For instance, for oral administration in the form of a tablet or capsule, the active drug component can be combined with an oral, non-toxic pharmaceutically acceptable inert carrier such as ethanol, glycerol, water, and the like. Powders or granules are prepared by comminuting carrier such as an edible carbohydrate, as, for example, starch or mannitol. Flavoring, preservative, dispersing, and coloring agents can also be present.
Capsules are made by preparing a powder mixture, as described above, and filling formed gelatin or non-gelatinous sheaths. Glidants and lubricants such as colloidal silica, talc, magnesium stearate, calcium stearate or solid polyethylene glycol can be added to the powder mixture before the filling operation. A disintegrating or solubilizing agent such as agar-agar, calcium carbonate, or sodium carbonate can also be added to improve the availability of the medicine when the capsule is ingested.
Moreover, when desired or necessary, suitable binders, lubricants, disintegrating agents and coloring agents can also be incorporated into the mixture. Suitable binders
include starch, gelatin, natural sugars, such as glucose or beta-lactose, corn sweeteners, natural and synthetic gums such as acacia, tragacanth, sodium alginate, carboxymethylcellulose, polyethylene glycol, waxes, and the like. Lubricants used in these dosage forms include sodium oleate, sodium stearate, magnesium stearate, sodium benzoate, sodium acetate, sodium chloride, and the like. Disintegrators include, without limitation, starch, methyl cellulose, agar, bentonite, xanthan gum, and the like.
Tablets are formulated, for example, by preparing a powder mixture, granulating or slugging, adding a lubricant and disintegrant, and pressing into tablets. A powder mixture is prepared by mixing the compound, suitably comminuted, with a diluent or base as described above, and optionally, with a binder such as carboxymethylcellulose, alginate, gelatin, or polyvinyl pyrrolidone, a solution retardant such as paraffin, a resorption accelerator such as a quaternary salt, and/or an absorption agent such as bentonite, kaolin or dicalcium phosphate. The powder mixture can be granulated by wetting a binder such as syrup, starch paste, acadia mucilage, or solutions of cellulosic or polymeric materials and forcing through a screen. As an alternative to granulating, the powder mixture can be run through the tablet machine and the result is imperfectly formed slugs broken into granules. The granules can be lubricated to prevent sticking to the tablet forming dies by means of the addition of stearic acid, a stearate salt, talc, or mineral oil. The lubricated mixture is then compressed into tablets. The compounds or salts of the present invention can also be combined with a free-flowing inert carrier and compressed into tablets directly without going through the granulating or slugging steps. A clear or opaque protective coating consisting of a sealing coat of shellac, a coating of sugar or polymeric material and a polish coating of wax can be provided. Dyestuffs can be added to these coatings to distinguish different unit dosages.
Oral fluids such as solutions, syrups and elixirs can be prepared in dosage unit form so that a given quantity contains a predetermined amount of active ingredient.
Syrups can be prepared by dissolving the compounds or salts of the present invention in a suitably flavored aqueous solution, while elixirs are prepared through the use of a non-toxic alcoholic vehicle. Suspension can be formulated by dispersing the compounds or salts of the present invention in a non-toxic vehicle. Solubilizers and emulsifiers, such as ethoxylated isostearyl alcohols and polyoxyethylene sorbitol ethers, preservatives, flavor additives such as peppermint oil, natural sweeteners, saccharin, or
other artificial sweeteners, and the like, can also be added.
Where appropriate, dosage unit formulations for oral administration can be microencapsulated. The formulation can also be prepared to prolong or sustain the release as, for example, by coating or embedding particulate material in polymers, wax, or the like.
In the present invention, tablets and capsules are preferred for delivery of the pharmaceutical composition.
In accordance with another aspect of the present invention there is provided a process for the preparation of a pharmaceutical composition comprising mixing (or admixing) a compound of formula (I) or salt thereof with at least one excipient.
The present invention also provides a method of treatment or prevention in a mammal, especially a human. The compounds and compositions of the present invention are used to treat or prevent cellular proliferation diseases. Disease states which can be treated or prevented by the methods and compositions provided herein include, but are not limited to, cancer (further discussed below), autoimmune disease, fungal disorders, arthritis, graft rejection, inflammatory bowel disease, proliferation induced after medical procedures, including, but not limited to surgery, angioplasty, and the like. It is appreciated that in some cases the cells may not be in a hyper or hypo proliferation state (abnormal state) and still requires treatment. For example, during wound healing, the cells may be proliferating "normally", but proliferation enhancement may be desired. Thus, in one embodiment, the present invention herein includes application to cell or individual afflicted or impending affliction with any one of these disorder or states. The compositions and methods provided herein are particularly deemed useful for the treatment or prevention of cancers including tumors such as prostate cancer, breast cancer, brain cancer, skin cancer, cervical cancer and testicular cancer. They are particularly useful in treating or preventing metastatic or malignant tumors. More particularly, cancers that may be treated or prevented by the compositions and methods of the present invention include tumor types such as astrocytic, breast, cervical, colorectal, endometrial, esophageal, gastric, head and neck, hepatocellular, laryngeal, lung, oral, ovarian, prostate, thyroid carcinomas and sarcomas, but are not limited thereto.
More specifically, these compounds can be used to treat or prevent: Cardiac: sarcoma (angiosarcoma, fibrosarcoma, rhabdomyosarcoma, liposarcoma), myxoma, rhabdomyoma, fibroma, lipoma and teratoma; Lung: bronchogenic carcinoma (squamous cell, undifferentiated small cell, undifferentiated large cell, adenocarcinoma), alveolar (bronchiolar) carcinoma, bronchial adenoma, sarcoma, lymphoma, chondromatous hamartoma, mesothelioma; Gastrointestinal: esophagus (squamous cell carcinoma, adenocarcinoma, leiomyosarcoma, lymphoma), stomach (carcinoma, lymphoma, leiomyosarcoma) pancreas (ductal adenocarcinoma, insulinoma, insulinoma, glucagonoma, carcinoid tumors, vipoma), small bowel (adenocarcinoma, lymphoma, carcinoid tumors, Kaposi's sarcoma, leiomyoma, hemangioma, lipoma, neurofibroma, fibroma), large bowel (adenocarcinoma, tubular adenoma, villous adenoma, hamartoma, leiomyoma); Genitourinary tract: kidney (adenocarcinoma, Wilm's tumor(nephroblastoma), lymphoma, leukemia), bladder and urethra (squamous cell carcinoma, transitional cell carcinoma, adenocarcinoma), prostate (adenocarcinoma, sarcoma), testis (seminoma, teratoma, embryonal carcinoma, teratocarcinoma, choriocarcinoma, sarcoma, interstitial cell carcinoma, fibroma, fibroadenoma, adenomatoid tumors, lipoma); Liver: hepatoma (hepatocellular carcinoma), chloangiocarinoma, hepatoblastoma, angiosarcoma, hepatocellular adenoma, hemagioma; Biliary tract: gall bladder carcinoma, ampullary carcinoma, cholangiocarcinoma; Bone: osteogenic sarcoma (osteosarcoma), fibrosarcoma, malignant fibrous histiocytoma, chondrosarcoma, Ewing's sarcoma, malignant lymphoma (reticulum cell sarcoma), multiple myeloma, malignant giant cell tumor chordoma, osteochondroma (osteocartilaginous exostosis), benign chondroma, chondroblastoma, chondromyxofibroma, osteoid osteoma and giant cell tumors; Nervous system: skull (osteoma, hemangioma, granuloma, xanthoma, osteitis deformans), meninges (meningioma, meningio sarcoma, gliomatosis), brain (astrocytoma, medulloblastoma, glioma, ependymoma, germinoma (pinealoma), glioblastoma multiform, oligodendroglioma, schwannoma, retinoblastoma, congenital tumors), spinal cord neurofibroma, meningioma, glioma, sarcoma); Gynecological: uterus (endometrial carcinoma), cervix (cervical carcinoma, per-tumor cervical dysplasia), ovaries (ovarian carcinoma (serous cystadenocarcinoma, mucinous cystadenocarcinoma, unclassified carcinoma), granulosa- theca cell tumors, Sertoli-Leydig cell tumors, dysgeriminoma, malignant teratoma), vulva (squamous cell carcinoma, intraepithelial carcinoma, adenocarcinoma, fibrosarcoma,
melanoma), vagina (clear cell carcinoma, squamous cell carcinoma, botryoid sarcoma (embryonal rhabdomyosarcoma), fallopian tubes (carcinoma); Hematologic: blood (myeloid leukemia, (acute and chronic), acute lymphoblastic leukemia, chronic lymphocytic leukemia, myeloproliferative diseases, multiple myeloma, myelodysplastic syndrome), Hodgkin's disease, non-Hodgkin's lymphoma (malignant lymphoma); Skin: malignant melanoma, basal cell carcinoma, squamous cell carcinoma, Karposi's sarcoma, moles dysplastic nevi, lipoma, angioma, dermatofibroma, keloids, psoriasis; and Adrenal glands: neuroblastoma. Thus, the term "cancer cell" as provided therein, includes a cell afflicted by any one or related of the above identified conditions.
The inventive compounds can be combined with or co-administered with other therapeutic agents, particularly agents that may enhance the activity or time of disposition of the compounds. Combination therapies according to the present invention comprise the administration of at least one compound of the present invention and the use of at least one other treatment method. In one embodiment, combination therapies according to the present invention comprise the administration of at least one compound of the present invention and surgical therapy. In one embodiment, combination therapies according to the present invention comprise the administration of at least one compound of the present invention and radiotherapy. In one embodiment, combination therapies according to the present invention comprise the administration of at least one compound of the present invention and at least one supportive care agent (e.g., at least one anti-emetic agent). In one embodiment, combination therapies according to the present invention comprise the administration of at least one compound of the present invention and at least one other chemotherapeutic agent. In one embodiment, combination therapies according to the present invention comprise the administration of at least one compound of the present invention and at least one anti-neoplastic agent.
The term "co-administering" and derivatives thereof as used herein refers to either simultaneous administration or any manner of separate sequential administration of an EZH2 inhibiting compound, as described herein, and a further active ingredient or ingredients, known to be useful in the treatment of cancer, including chemotherapy and radiation treatment. The term "active ingredient(s)", as used herein, includes any compound or therapeutic agent known to or that demonstrates advantageous properties
when administered to a patient in need of treatment for cancer. Preferably, if the administration is not simultaneous, the compounds are administered in a close time proximity to each other. Furthermore, it does not matter if the compounds are administered in the same dosage form, e.g., one compound may be administered topically and another compound may be administered orally.
Typically, any anti-neoplastic agent that has activity versus a susceptible tumor being treated may be co-administered in the treatment of specified cancers in the present invention. Example of such agents can be found in Cancer Principles and Practice of Oncology by V.T. Devita and S. Hellman (editors), 6th edition (February 15, 2001), Lippincott Williams & Wilkins Publishers. A person of ordinary skill in the art would be able to discern which combinations of agents would be useful based on the particular characteristics of the drugs and the cancer involved. Typically anti-neoplastic agents useful in the present invention include, but are not limited to, anti-microtubule agents such as diterpenoids and vinca alkaloids; platinum coordination complexes; alkylating agents such as nitrogen mustards, oxazaphosphorines, alkylsufonate, nitrosoureas, and triazenes; antibiotic agents such as anthracyclins, actionmycins and bleomycins; topoisomerase II inhibitors such as epipodophyllotoxins; antimetabolites such as purine and pyrimidine analogues and anti-folate compounds; topoisomerase I inhibitors such as camptothecins; hormones and hormonal analogues; DNA methyltransferase inhibitors such as azacitindine and decitabine; signal transduction pathway inhibitors; non-receptor tyrosine kinase angiogenesis inhibitors; immunotherapeutic agent; proapoptotic agent; and cell cycle signaling inhibitors.
Typically, any chemotherapeutic agent that has activity against a susceptible neoplasm being treated may be utilized in combination with the compounds the present invention, which provide that the particular agent is clinically compatible with therapy employing a compound of the present invention. Typical anti-neoplastic agents useful in the present invention include, but are not limited to: alkylating agents, anti-metabolites, antitumor antibiotics, antimitotic agents, nucleoside analogues, topoisomerase I and II inhibitors, hormones and hormonal analogues, retinoids, histone deacetylase inhibitors, signal transduction pathway inhibitors including inhibitors of cell growth or growth factor function, angiogenesis inhibitors, serine/threonine kinase inhibitors, cyclin dependent kinase inhibitors, antisense therapeutic or immunotherapeutic agent, including
monoclonals, vaccines or other biological agents.
Nucleoside analogues are those compounds which are converted to deoxynucleotide triphosphates and incorporated into replicating DNA in place of cytosine. DNA methyltransferases become covalently bound to the modified bases resulting in an inactive enzyme and reduced DNA methylation. Example of nucleoside analogues include azacitidine and decitabine which are used for the treatment of myelodysplastic disorder. Histone deacetylase (HDAC) inhibitors include vorinostat, for the transcription factors and signaling molecules. Other HDAC inhibitors are in development.
Signal transduction pathway inhibitors are those inhibitors which block or inhibit a chemical process which evokes an intracellular change. As used herein this change is cell proliferation or differentiation or survival. Signal transduction pathway inhibitors useful in the present invention include, but are not limited to, inhibitors of receptor tyrosine kinases, non-receptor tyrosine kinases, SH2/SH3 domain blockers, serine/threonine kinases, phosphatidyl inositol-3-OH kinases, myoinositol signaling, and Ras oncogenes. Signal transduction pathway inhibitors may be employed in combination with the compounds of the present invention in the compositions and methods described above.
Receptor kinase angiogenesis inhibitors may also find use in the present invention. Inhibitors of angiogenesis related to VEGFR and TIE-2 are discussed above in regard to signal transduction inhibitors (both are receptor tyrosine kinases). Other inhibitors may be used in combination with the compounds of the present invention. For example, anti- VEGF antibodies, which do not recognize VEGFR (the receptor tyrosine kinase), but bind to the ligand; small molecule inhibitors of integrin (alphav beta3) that inhibit angiogenesis; endostatin and angiostatin (non-RTK) may also prove useful in combination with the compounds of the present invention. One example of a VEGFR antibody is bevacizumab (AVASTIN®).
Several inhibitors of growth factor receptors are under development and include ligand antagonists, antibodies, tyrosine kinase inhibitors, anti-sense oligonucleotides and aptamers. Any of these growth factor receptor inhibitors may be employed in combination with the compounds of the present invention in any of the composition and methods/uses described herein. Thrastuzmab (Herceptin®) is an example of an anti-erbB2 antibody inhibitor of growth factor function. One example of an anti-erbBl antibody inhibitor of growth factor function is cetuximab (Erbitux™, C225). Bavacizumab (Avastin®) is an
example of a monoclonal antibody directed against VEGFR. Examples of small molecule inhibitors of epidermal growth factor receptors include but are not limited to lapatinib (Tykerb®) and erlotinib (TARCEVA®). Imatinib mesylate (GLEEVEC®) is one example of a PDGER inhibitor. Examples of VEGFR inhibitors include pazopanib (Votrient®), ZD6474, AZD2171, PTK787, sunitinib and sorafenib.
Anti-microtubule or anti-mitotic agents are phase specific agents active against the microtubules of tumor cells during M or the mitosis phase of the cell cycle. Examples of anti-microtubule agents include, but are not limited to, diterpenoids and vinca alkaloids.
Diterpenoids, which are derived from natural sources, are phase specific anti- cancer agents that operate at the G2/M phases of the cell cycle. It is believed that the diterpenoids stabilize the β-tubulin subunit of the microtubules, by binding with this protein. Disassembly of the protein appears then to be inhibited with mitosis being arrested and cell death following. Examples of diterpenoids include, but are not limited to, paclitaxel and its analog docetaxel.
Pharmaceutical compounds may be presented in unit dose forms containing a predetermined amount of active ingredient per unit dose. Such a unit may contain, for example, 0.5 mg to 1 g, preferably 1 mg to 700 mg, more preferably 5 mg to 100 mg of a compound of the formula (I), depending on the condition being treated or prevented, the route of administration and the age, weight and condition of the patient, or pharmaceutical compositions may be presented in unit dose forms containing a predetermined amount of active ingredient per unit dose. Preferred unit dosage compositions are those containing a daily dose or sub-dose, as herein above recited, or an appropriate fraction thereof, of an active ingredient. Furthermore, such pharmaceutical compositions may be prepared by any of the methods known in the pharmacy art.
Pharmaceutical composition may be adapted for administration by any appropriate route, for example by the oral (including buccal or sublingual), rectal, nasal, topical (including buccal, sublingual or transdermal), vaginal or parenteral (including subcutaneous, intramuscular, intravenous or intradermal) route. Such compositions may be prepared by any method known in the art of pharmacy, for example by bringing into association a compound of formula (I) with the carrier(s) or excipient(s).
Pharmaceutical compositions adapted for oral administration may be presented as
discrete units such as capsules or tablets; powders or granules; solutions or suspensions in aqueous or non-aqueous liquids; edible foams or whips; or oil-in-water liquid emulsions or water-in-oil liquid emulsions.
Pharmaceutical compositions adapted for rectal administration may be presented as suppositories or as enemas.
Pharmaceutical compositions adapted for vaginal administration may be presented as pessaries, tampons, creams, gels, pastes, foams or spray formulations.
Pharmaceutical formulations adapted for parenteral administration include aqueous and non-aqueous sterile injection solutions which may contain anti-oxidant, buffers, bacteriostats and solutes which render the composition isotonic with the blood of the intended recipient; and aqueous and non-aqueous sterile suspensions which may include suspending agents and thickening agents. The pharmaceutical compositions may be presented in unit-dose or multi-dose containers, for example sealed ampoules and vials, and may be stored in a freeze-dried (lyophilized) condition requiring only the addition of the sterile liquid carrier, for example water for injections, immediately prior to use.
Extemporaneous injection solutions and suspensions may be prepared from sterile powders, granules and tablets.
It should be understood that in addition to the ingredients particularly mentioned above, the pharmaceutical composition may include other agents conventional in the art having regard to the type of formulation in question, for example those suitable for oral administration may include flavoring agents.
The inventive method for the treatment or prevention of diseases mediated by EZH2 in a mammal comprises administering a therapeutically effective amount of the compound according to the present invention to the mammal in need thereof.
A therapeutically effective amount of a compound of the present invention will depend upon a number of factors including, for example, the age and weight of the intended recipient, the precise condition requiring treatment or prevention and its severity, the nature of the formulation, and the route of administration, and will ultimately be at the discretion of the attendant prescribing the medication. An effective amount of a compound of formula (I) for therapy may be in the range of 0.001 to 100 mg/kg body weight of recipient per day, suitably in the range of 0.1 to 10 mg/kg body weight per day. For a 70 kg adult mammal, the actual amount per day would suitably be from 7 to 700 mg and this
amount may be given in a single dose per day or in a number (such as two, three, four, five or six) of sub-doses per day such that the total daily dose is the same. An effective amount of a salt or solvent, etc., may be determined as a proportion of the effective amount of the compound of formula (I) per se. Such dosages would be appropriate for treatment or prevention of the various conditions referred to above.
General Synthetic Methods
The general methods for preparing the compounds of the present invention are illustrated in the following schemes. Such compounds can then be evaluated for their ability to inhibit EZH2 activity in standard, commercially available EZH2 binding assays and in vitro microsomal stability assays, and in vivo mouse pharmacokinetics.
In this Schemes illustrated are structure and schemes for synthesis of inhibitors of EZH2, in forming a compound of Formula I. Schematics below are provided as examples.
NMR spectra were recorded in CDC13 and DMSO-d6 solution in 5-mm o.d tubes
(Norell, Inc. 507-HP) at 30 °C and were collected on Varian VNMRS-400 at 400MHz for 1H. The chemical shifts (δ) are relative to tetramethylsilane (TMS=0.00ppm) and expressed in ppm. LC/MS was taken on ion-trap Mass Spectrometer on FINNIGAN Thermo LCQ Adantage MAX, Agilent LC 1200 series (Column; YMC Hydrosphere (CI 8, 4,6 X50mm, 3μιτι, 120A, 40 °C) operating in ESI(+) ionization mode; flow rate = 1.0 n L/min. Mobile phase = 0.01% formic acid in water or/and CH3CN.
Scheme 1 shows the synthesis of a pyridine N-oxide compound 7 through a general route A that utilizes well-established chemistry.
Fluoro group in the compound 1 can be converted to cyano group in the compound
2 by treatment with potassium cyanide in dimethyl sulfoxide at 110 °C (step 1). The compound 3 can be synthesized by addition or coupling reaction (step 2). Cyano group in the compound 3 can be reduced to amine group in the compound 4 using an appropriate reducing agent such as lithium aluminum hydride in tetrahydrofuran at a temperature of 0 °C to room temperature (step 3). Protection of amine group in the compound 4 can be achieved by subjecting the compound 3 to a reaction with di-tert-butyl bicarbonate in tetrahydrofuran at room temperature (step 4). Pyridine N-oxide 6 can be synthesized by
subjecting the compound 5 to a reaction with meta-chloroperoxybenzoic acid in dichloromethane at room temperature (step 5). Boc-protected amine group in the compound 6 can be converted to free amine group in the compound 7 by trifluoroacetic acid in dichloromethane at room temperature (step 6).
1 step 1 step 2 3 step 3
R,: alkyl, sulfonate, alkoxyl
Boc20, DIPEA
step 4 step 5 step 6
Scheme 2 shows the synthesis of the compound 15 through a general route B that utilizes well-established chemistry.
The compound 9 can be synthesized by treatment of a commercially available compound 8 with l,3-dibromo-5,5-dimethylimidazolidine-2,4-dione or nitration of the compound 16 in concentrated sulfuric acid and nitric acid at room temperature (step 1). The compound 11 can be synthesized by esterification of the compound 9, followed by reduction by iron in ethanol (steps 2 and 3). After continuous reductive amination (steps 4 and 5), Suzuki coupling reaction and ester hydrolysis, compound 15 was synthesized (steps 6 and 7).
Scheme 2 (general route B)
Scheme 3 shows the synthesis of the compound 23 through a general route C that utilizes well-established chemistry.
Amine compound 11 was converted to the compound 18 by continuous two reductive amination in dichloroethane (steps 1 and 2). The compound 23 can be synthesized by Sonogashira coupling reaction of the compound 21 followed by hydrolysis of ester (steps 6 and 7).
Scheme 3 (general route C)
21 22 23
Scheme 4 shows the synthesis of the compound 29 through a general route D that utilizes well-established chemistry.
Amine compound 11 was converted to the compound 25 by continuous two reductive animation in dichloroethane (steps 1 and 2). Protected amine group in the compound 25 can be converted to free amine group in the compound 26 by trifluoroacetic acid in dichloromethane at room temperature (step 3). After amide coupling reaction, alkylation and then hydrolysis of ester, the compound 29 was synthesized (steps 4 to 6).
Scheme 5 shows the synthesis of a pyridine N-oxide compound 16 through amide coupling reaction (general route E) with HATU that utilizes well-established chemistry.
Scheme 5 (general route E
15 16
The following Examples are intended to further illustrate the present invention without limiting its scope.
To a solution of 3-bromo-2-fluoro-5-methylpyridine (2.0 g, 10.0 mmol) in dimethyl sulfoxide was added potassium cyanide (0.8 g, 12.6 mmol) at room temperature. The reaction mixture was stirred at 110 °C for Ih, then more added potassium cyanide (0.2 g, 3.1 mmol) and stirred at 110 °C for 20 min. The reaction mixture was cooled to 80 °C and stirred for 16 h. The reaction mixture was diluted with dichloromethane and water. The aqueous layer was extracted with dichloromethane and the combined organic layer was dried over magnesium sulfate and concentrated by evaporator. The residue was purified by silica column chromatography (10 to 50% ethyl acetate in hexane) to obtain the title compound as a solid (1.6 g, 77% yield).
1H NMR (400 MHz, CDC13) 6 8.46 (s, 1H), 7.84 (s, 1H), 2.43 (s, 9H).
To a solution of 3-bromo-5-methylpicolinonitrile (600 mg, 3.1 mmol) in methanol was added sodium methoxide (300 mg, 5.5 mmol) at room temperature. The reaction mixture was stirred at 110 °C for 2 h, more sodium methoxide (80 mg, 1.5 mmol) added and stirred at 110 °C for 20 h. The reaction mixture was cooled to room temperature and ice water was added. The aqueous layer was extracted with dichloromethane and the combined organic layer was dried over magnesium sulfate and concentrated in vacuo to obtain the title compound as a yellow solid (320 mg, 70% yield).
'H NMR (400 MHz, CDC13) δ 8.10 (s, 1H), 7.12 (s, 1H), 3.93 (s, 3H), 2.41 (s, 3H).
To a suspension of 3-methoxy-5-methylpicolinonitrile (80 mg, 0.54 mmol) in tetrahydrofuran (20 ml) was added lithium aluminum hydride (41 mg, 1.08 mmol) at 0 °C. The reaction mixture was warmed to room temperature and stirred for 3 h. The reaction mixture was diluted with excess tetrahydrofuran, quenched with Na2S04 - 5H20 at 0 °C, diluted again with 10% methanol in dichloromethane and stirred for 1 h. The reaction mixture was filtered through celite pad and filtrate was concentrated in vacuo. The residue was used for the next step without purification.
A solution of (3-methoxy-5-methylpyridin-2-yl)methanamine (46 mg, 0.30 mmol), di-tert-butyl dicarbonate (65 mg, 0.30 mmol) and N,N-diisopropylethylamine (0.11 ml, 0.91 mmol) in tetrahydrofuran was stirred at room temperature for 3 h. The solvent was removed in vacuo and the residue was taken up in saturated aqueous sodium bicarbonate solution. The aqueous layer was extracted with dichloromethane and the combined organic layer was dried over magnesium sulfate and concentrated under reduced pressure. The residue was purified by silica column chromatography (50% ethyl acetate in hexane) to obtain the title compound as oil (46 mg, 60% yield).
Ή NMR (400 MHz, CDC13) δ 7.76 (s, 1H), 6.67 (s, 1H), 6.19 (bs, 1H), 4.54 (s, 2H), 3.85 (s, 3H), 2.26 (s, 3H), 1.37 (s, 9H).
The reaction mixture of tert-butyl ((3-methoxy-5-methylpyridin-2-yl)methyl) carbamate (46 mg, 0.18 mmol) and meta-chloroperoxybenzoic acid (94 mg, 0.54 mmol) in
dichloromethane was stirred at room temperature for 4 h, and then concentrated in vacuo. The residue was taken up in methanol and silica gel mixture and concentrated to dryness. The residue was purified by silica column chromatography (20% methanol in dichloromethane) to obtain the title compound as oil (48 mg, 98% yield).
1H NMR (400 MHz, CDC13) δ 7.62 (s, 1H), 6.72 (s, 1H), 6.19 (bs, 1H), 4.15 (d, 2H, J = 7.6 Hz), 3.85 (s, 3H), 2.26 (s, 3H), 1.37 (s, 9H).
To a solution of 2-(((tert-butoxycarbonyl)amino)methyl)-3-methoxy-5- methylpyridine 1 -oxide (50 mg, 0.18 mmol) in dichloromethane was added trifluoroacetic acid (1 ml). The reaction mixture was stirred at room temperature for 3.5 h, basified with 10 N aqueous sodium hydroxide solution and diluted with water. The aqueous layer was extracted with 95:5 dichloromethane/isopropanol (xlO) and the combined organic layer was dried over magnesium sulfate, concentrated in vacuo. The residue was used for the next step without purification (30 mg, 98% yield).
Ή NMR (400 MHz, CDC13) δ 7.78 (s, 1H), 6.64 (s, 1H), 6.23 (bs, 2H), 4.21 (bs, 2H), 3.85 (s, 3H), 2.26 (s, 3H).
LCMS 169.1 (M+l)+.
Preparation Example 2. 2-(aminomethyl)-3-ethyI-5-methylpyridine 1-oxide
ep 1 : 3-ethyl-5-methylpicolinonitrile
To a solution of 3-bromo-5-methylpicolinonitrile (300 mg, 1.53 mmol) in toluene were added 2-ethyl-4,4,5,5-tetramethyl-l ,3,2-dioxaborolane (226 mg, 3.06 mmol),
tripotassium phosphate (1.23 g, 5.35 mmol), tricyclohexylphosphine (43 mg, 0.15 mmol) in water and palladium(II) acetate (17 mg, 0.07 mmol) at room temperature. The reaction mixture was stirred at 100 °C for 3 h, 2-ethyl-4,4,5,5-tetramethyl-l,3,2-dioxaborolane (60 mg, 0.5 mmol) was added and stirred at 100 °C for 24 h. The reaction mixture was cooled to room temperature and extracted with dichloromethane (x 2). The combined organic layer was dried over magnesium sulfate and concentrated in vacuo. The residue was purified by silica column chromatography (50% ethyl acetate in hexane) to obtain the title compound as a solid (70 mg, 31% yield).
1H NMR (400 MHz, CDC13) δ 8.36 (s, 1H), 7.48 (s, 1H), 2.84 (q, 2H, J = 7.2 Hz), 2.40 (s, 3H), 1.30 (t, 3H, J = 7.6 Hz).
To a suspension of 3-ethyl-5-methylpicolinonitrile (70 mg, 0.48 mmol) in tetrahydrofuran (10 ml) was added lithium aluminum hydride (36 mg, 0.96 mmol) at 0 °C. The reaction mixture was warmed to room temperature and stirred for 3 h. The reaction mixture was diluted with excess tetrahydrofuran, quenched with Na2S04 ■ 5H20 at 0 °C, diluted again with 10% methanol in dichloromethane and then stirred for 1 h. After stirred for 1 h, the reaction mixture was filtered through celite pad and the filtrate was concentrated in vacuo. The residue was used for the next step without purification.
1H NMR (400 MHz, CDC13) δ 8.17 (s, 1H), 7.22 (s, 1H), 3.87 (s, 2H), 2.55 (q, 2H, J = 7.2 Hz), 2.24 (s, 3H), 0.95 (t, 3H, J = 7.2 Hz).
A solution of (3-ethyl-5-methylpyridin-2-yl)methanamine (70 mg, 0.46 mmol), di- tert-butyl dicarbonate (203 mg, 0.93 mmol) and N,N-diisopropylethylamine (0.24 ml, 1.40 mmol) in tetrahydrofuran was stirred at room temperature for 3 h. The solvent was removed in vacuo and the residue was taken up in saturated sodium bicarbonate and
extracted with dichloromethane (x 3). The combined organic layer was dried over magnesium sulfate and concentrated under reduced pressure. The residue was purified by silica column chromatography (50% ethyl acetate in hexane) to obtain the title compound as oil (30 mg, 25% yield for 2 steps). .
lH NMR (400 MHz, CDC13) δ 8.19 (s, 1H), 7.30 (s, 1H), 6.15 (bs. 1H), 4.41 (s, 2H), 2.59 (q, 2H, J = 7.6 Hz), 2.30 (s, 3H), 1.47 (s, 9H), 1.21 (t, 3H, J = 7.6 Hz). -(((tert-butoxycarbonyl)amino)methyl)-3-ethyl-5-methylpyridine 1 -oxide
The reaction mixture of tert-butyl ((3-ethyl-5-methylpyridin-2- yl)methyl)carbamate (30 mg, 0.12 mmol) and meta-chloroperoxybenzoic acid (62 mg, 0.36 mmol) in dichloromethane was stirred at room temperature for 4 h, and then concentrated in vacuo. The solid was taken up in methanol and silica gel and concentrated to dryness. The residue was purified by silica column chromatography (20% methanol in dichloromethane) to obtain the title compound as oil (10 mg, 31% yield).
Ή NMR (400 MHz, CDC13) 6 8.27 (s, 1H), 7.19 (s, 1H), 6.37 (bs. 1H), 4.62 (d, 2H, J = 4.8 Hz), 2.92 (q, 2H, J = 7.6 Hz), 2.34 (s, 3H), 1.40 (s, 9H), 1.25 (t, 3H, J = 7.6 Hz).
To a solution of 2-(((tert-butoxycarbonyl)amino)methyl)-3-ethyl-5-methylpyridine 1-oxide (10 mg, 0.03 mmol) in dichloromethane was added trifluoroacetic acid (0.5 ml). The reaction mixture was stirred at room temperature for 3.5 h, basified with 10 N sodium hydroxide aqueous solution and diluted with water. The aqueous layer was extracted with 95:5 dichloromethane/isopropanol (x 10). The combined organic layer was dried over magnesium sulfate, concentrated in vacuo and used for the next step without purification (6 mg, 96% yield).
1H NMR (400 MHz, CDC13) δ 8.32 (s, 1H), 7.08 (s, 1H), 4.23 (m, 2H), 2.98 (m,
2H), 2.34 (s, 3H), 1.23 (m, 3H).
LCMS 167.1 (M+l)+.
Preparation Example 3. 2-(aminomethyl)-5-methyl-3- (phenylsulfonyl)pyridine 1 -oxide
To a solution of 3-bromo-5-methylpicolinonitrile (300 mg, 1.53 mmol) in dimethyl sulfoxide was added sodium benzenesulfinate dihydrate (378 mg, 2.29 mmol) at room temperature. The reaction mixture was stirred at 120 °C for 4 h. The reaction mixture was cooled to room temperature and then was treated with ice water. The precipitate was filtered and dried to obtain the title compound as a solid (340 mg, 86% yield).
1H NMR (400 MHz, CDC13) δ 8.64 (s, 1H), 8.37 (s, 1H), 8.08 (d, 2H, J = 8.0 Hz), 7.65 (d, 1H, J = 7.2 Hz), 7.58 (d, 2H, J = 7.6 Hz), 2.53 (s, 3H). -(phenylsulfonyl)pyridin-2-yl)methanamine
To a suspension of 5-methyl-3-(phenylsulfonyl)picolinonitrile (47 mg, 0.18 mmol) in methanol (8 ml) and ammonia solution (in water, 0.5 ml) was added Raney nickel (35% in H20, 2 ml) at room temperature. After stirred at the same temperature for 16 h, the reaction mixture was filtered through celite pad and the filtrate was concentrated in vacuo. The residue was used for the next step without purification.
Step 3: tert-butyl ((5-methyl-3-(phenylsulfonyl)pyridin-2-yl)methyl)carbamate
A solution of (5-methyl-3-(phenylsulfonyl)pyridin-2-yl)methanamine (45 mg, 0.17 mmol), di-tert-butyl dicarbonate (74 mg, 0.34 mmol) and N,N-diisopropylethylamine (0.08 ml, 0.51 mmol) in tetrahydrofuran was stirred at room temperature for 3 h. The solvent was removed in vacuo and the residue was taken up in saturated sodium bicarbonate aqueous solution and the aqueous layer was extracted with dichloromethane. The combined organic layer was dried over magnesium sulfate and concentrated under reduced pressure. The residue was purified by silica column chromatography (50% ethyl acetate in hexane) to obtain the title compound as a solid (33 mg, 50% yield).
1H NMR (400 MHz, CDC13) δ 8.50 (s, 1H), 8.24 (s, 1H), 7.88 (d, 2H, J = 6.8 Hz), 7.57 (d, 1H, J = 7.2 Hz), 7.50 (m, 2H), 5.84 (bs, 1H), 4.58 (s, 2H), 2.40 (s, 3H), 1.39 (s, 9H).
Step 4 2-(((tert-butoxycarbonyl)amino)methyl)-5-methyl-3- (phenylsulfonyl)pyridine
The reaction mixture of tert-butyl ((5-methyl-3-(phenylsulfonyl)pyridin-2- yl)methyl) carbamate (33 mg, 0.09 mmol) and meta-chloroperoxybenzoic acid (31.2 mg, 0.18 mmol) in dichloromethane was stirred at room temperature for 4 h, and then concentrated in vacuo. The residue was taken up in methanol and silica gel and concentrated to dryness. The residue was purified by silica column chromatography (20% methanol in dichloromethane) to obtain the title compound as oil (34 mg, 98% yield).
1H NMR (400 MHz, CDC13) δ 8.29 (s, 1H), 8.01 (s, 2H), 7.92 (s, 1H), 7.59 (d, 1H, J = 6.8 Hz), 7.50 (d, 2H, J = 8.0 Hz), 5.98 (bs, 1H), 4.92 (d, 2H, J = 5.6 Hz), 2.38 (s, 3H),
1.37 (s, 9H).
-(aminomethyl)-5-methyl-3-(phenylsulfonyl)pyridine 1 -oxide
To a solution of 2-(((tert-butoxycarbonyl)amino)methyl)-5-methyl-3- (phenylsulfonyl)pyridine 1 -oxide (50 mg, 0.13 mmol) in dichloromethane was added trifluoroacetic acid (2 ml). The reaction mixture was stirred at room temperature for 5 h, basified with a 10 N sodium hydroxide aqueous solution, and then diluted with water. The aqueous layer was extracted with 95:5 dichloromethane/isopropanol (x 10). The combined organic layer was dried over magnesium sulfate, concentrated in vacuo and used for the next step without purification (30 mg, 83% yield).
Ή NMR (400 MHz, CD3OD) δ 8.47 (s, 1H), 8.01 (m, 3H), 7.76 (t, 1H, J = 6.4 Hz), 7.67 (t, 2H, J = 8.0 Hz), 4.58 (s, 2H), 3.42 (s, 3H).
Preparation Example 4. 2-(aminomethyl)-5-methyl-3-(prop-l-yn-l- yl)pyridine 1-oxide
To a solution of 3-bromo-5-methylpicolinonitrile (200 mg, 1.01 mmol) in triethylamine was added propyne (2 ml), bis(triphenylphosphine)palladium(II) dichloride
(14.2 mg, 0.20 mmol) and copper(I) iodide (8 mg, 0.40 mmol) at room temperature. The reaction mixture was stirred at 120 °C for 2 h under microwave. The reaction mixture was diluted with water and the aqueous layer was extracted with dichloromethane (x 2). The
combined organic layer was dried over magnesium sulfate and concentrated in vacuo to obtain the title compound as a solid (150 mg, 93% yield).
1H NMR (400 MHz, CDC13) δ 8.37 (s, 1H), 7.57 (s, 1H), 2.36 (s, 3H), 2.13 (s, 3H).
To a suspension of 5-methyl-3-(prop-l-yn-l-yl)picolinonitrile (150 mg, 0.94 mmol) in tetrahydrofuran (20 ml) was added lithium aluminum hydride (106 mg, 2.80 mmol) at 0 °C. The reaction mixture was warmed to room temperature and stirred for 1 h. The reaction mixture was quenched with Na2S04 - 5H20 at 0 °C, then diluted with 10% methanol in dichloromethane and stirred for 1 h. The reaction mixture was filtered through celite pad, concentrated in vacuo and used for the next step without purification.
Step 3: tert-butyl ((5-methyl-3-(prop-l-yn-l-yl)pyridin-2-yl)methyl)carbamate
A solution of (5-methyl-3-(prop-l-yn-l-yl)pyridin-2-yl)methanamine (150 mg, 0.94 mmol), di-tert-butyl dicarbonate (408 mg, 1.8 mmol) and N,N-diisopropylethylamine (0.6 ml, 2.8 mmol) in tetrahydrofuran was stirred at room temperature for 3 h. The solvent was removed in vacuo and the residue was treated with saturated sodium bicarbonate aqueous solution. The aqueous layer was extracted with dichloromethane and the combined organic layer was dried over magnesium sulfate and concentrated under reduced pressure. The residue was purified by silica column chromatography (50% ethyl acetate in hexane) to obtain the title compound as a solid (100 mg, 40% yield).
1H NMR (400 MHz, CDC13) δ 7.93 (s, 1H), 7.06 (s, 1H), 6.18 (bs, 1H), 4.61 (d, 2H, J = 6.4 Hz), 2.18 (s, 3H), 2.04 (s, 3H), 1.34 (s, 9H).
To a solution of tert-butyl ((5-methyl-3-(prop-l-yn-l-yl)pyridin-2- yl)methyl)carbamate (100 mg, 0.39 mmol) and meta-chloroperoxybenzoic acid (547 mg, 0.77 mmol) in dichloromethane was stirred at room temperature for 3 h and then the reaction mixture was concentrated in vacuo. The residue was taken up in methanol and silica gel and concentrated to dryness. The residue was purified by silica column chromatography (20% methanol in dichloromethane) to obtain the title compound as a solid (80 mg, 85% yield).
1H NMR (400 MHz, CDC13) δ 8.42 (s, 1H), 7.60 (s, 1H), 4.79 (s, 2H), 2.38 (s, 3H), 2.13 (s, 3H), 1.39 (s, 9H).
Step 5: 2-(aminomethyl)-5-methyl-3-(prop-l-yn-l-yl)pyridine 1-oxide
To a solution of 2-(((tert-butoxycarbonyl)amino)methyl)-5-methyl-3-(prop-l-yn-l- yl)pyridine 1 -oxide (40 mg, 0.14 mmol) in dichloromethane was added trifluoroacetic acid (1 ml). After stirred at room temperature for 3.5 h, the reaction mixture was basified with a 10 N sodium hydroxide aqueous solution and extracted with 95:5 dichloromethane/isopropanol (x 10). The combined organic layer was dried over magnesium sulfate and concentrated in vacuo and used for the next step without purification.
Preparation Example 5. 2-(aminomethyl)-3-benzyl-5-methylpyridine 1-oxide
To a solution of 3-bromo-5-methylpicolinonitrile (200 mg, 1.01 mmol) in dioxane: H20 (10: 1) was added [l,r-bis(diphenylphosphino)ferrocene]dichloropalladium(II) (82.9 mg, 0.10 mmol), 2-benzyl-4,4,5,5-tetramethyl-l,3,2-dioxaborolane (0.24 mL, 1.11 mmol) and potassium phosphate (70 mg, 3.04 mmol) at room temperature. The reaction mixture was stirred at 90 °C for 2 h under microwave. The reaction mixture was cooled to room temperature, diluted with water and extracted with dichloromethane (x 2). The organic layers were dried over magnesium sulfate and concentrated in vacuo. The residue was purified by silica column chromatography (25% ethyl acetate in hexane) to obtain the title compound as a solid (170 mg, 40% yield).
Ή NMR (400 MHz, CDC13) δ 8.36 (s, 1H), 7.37 (d, 2H, J = 6.0 Hz), 7.32 (t, 2H, J = 6.8 Hz), 7.28 (d, 1H, J = 6.8 Hz), 4.16 (s, 2H), 2.35 (s, 3H). -benzyl-5-methylpyridin-2-yl)methanamine
To a suspension of 3-benzyl-5-methylpicolinonitrile (85 mg, 0.41 mmol) in tetrahydrofuran (15 ml) was added lithium aluminum hydride (31 mg, 0.81 mmol) at 0 °C. The reaction mixture was warmed to room temperature and stirred for 2.5 h. The reaction mixture was diluted with excess tetrahydrofuran, quenched with Na2S04 - 5H20 at 0 °C, and then diluted again with 10% methanol in dichloromethane. After stirred for 1 h, the reaction mixture was filtered through celite pad and filtrate Was concentrated in vacuo. The residue was used for the next step without purification.
The reaction mixture of (3-methoxy-5-methylpyridin-2-yl)methanamine (86 mg, 0.41 mmol), di-tert-butyl dicarbonate (178 mg, 0.81 mmol) and N,N- diisopropylethylamine (0.46 ml, 2.67 mmol) in tetrahydrofuran was stirred at room temperature for 4 h. The solvent was removed in vacuo and the residue was taken up in saturated sodium bicarbonate aqueous solution and extracted with dichloromethane. The combined organic layer was dried over magnesium sulfate and concentrated under reduced pressure. The residue was purified by silica column chromatography (50% ethyl acetate in hexane) to obtain the title compound as oil (100 mg, 80% yield).
Ή NMR (400 MHz, CDC13) δ 8.24 (s, 1H), 7.37 (s, 1H), 7.30 (d, 1H, J = 7.2 Hz), 7.25 (d, 1H, J = 5.2 Hz), 7.23 (s, 1H), 7.11 (d, 2H, J = 7.6 Hz), 6.15 (bs, 1H), 4.38 (s, 2H), 3.96 (s, 2H), 2.28 (s, 3H), L46 (s, 9H).
Step 4: 3-benzyl-2-(((tert-butoxycarbonyl)amino)methyl)-5-methylpyridine 1- oxide
The reaction mixture of tert-butyl ((3-benzyl-5-methylpyridin-2- yl)methyl)carbamate (100 mg, 0.32 mmol) and meta-chloroperoxybenzoic acid (165 mg, 0.96 mmol) in dichloromethane was stirred at room temperature for 2 h, and then concentrated in vacuo. The residue was taken up in methanol and silica gel and concentrated to dryness and purified by silica column chromatography (20% methanol in dichloromethane) to obtain the title compound as oil (75 mg, 71% yield).
Ή NMR (400 MHz, CDC13) δ 8.03 (s, 1H), 7.29 (m, 2H), 7.23 (d, 1H, J = 7.2 Hz), 7.13 (d, 2H, J = 6.8 Hz), 6.91 (s, 1H), 4.46 (d, 2H, J = 5.2 Hz), 4.24 (s, 2H), 2.25 (s, 3H), 1.40 (s, 9H).
Step 5: 2-(aminomethyl)-3-benzyl-5-methylpyridine 1 -oxide
To a solution of 3-benzyl-2-(((tert-butoxycarbonyl)amino)methyl)-5- methylpyridine 1 -oxide (75 mg, 0.22 mmol) in dichloromethane was added trifluoroacetic acid (3 ml). After stirred at room temperature for 3 h, the reaction mixture was basified with a 10 N sodium hydroxide aqueous solution and diluted with water, followed by extraction with 95:5 dichloromethane/isopropanol (x 10). The combined organic layer was dried over magnesium sulfate, concentrated in vacuo and used for the next step (50 mg, 96% yield) without purification.
Preparation Example 6. 2-(aminomethyl)-5-meth'yl-3-phenoxypyridine 1- oxide
Ste 1 : 5-methyl-3-phenoxypicolinonitrile
To a solution of 3-bromo-5-methylpicolinonitrile (100 mg, 0.50 mmol) in N,N- dimethylmethanamide was added phenol (95.5 mg, 1.01 mmol), cesium carbonate (330 mg, 1.01 mmol), iron(III) oxide (3.2 mg, 0.02 mmol) and copper(II) oxide (1.0 mg, 0.02 mmol) at room temperature. The reaction mixture was stirred at 130 °C for 7 h. The reaction
mixture was diluted with water and aqueous layer was extracted with ethyl acetate (x 2). The combined organic layer was dried over magnesium sulfate and concentrated in vacuo. The residue was purified by column chromatography (10% ethyl acetate in hexane) to obtain the title compound as a solid (70 mg, 65% yield).
lH NMR (400 MHz, CDC13) δ 8.23 (s, 1H), 7.45 (t, 2H, J = 7.6 Hz), 7.29 (d, 1H, J = 7.2 Hz), 7.10 (d, 2H, J = 8.0 Hz), 7.00 (s, 1H), 2.34 (s, 3H). -methyl-3-phenoxypyridin-2-yl)methanamine
To a suspension of 5-methyl-3-phenoxypicolinonitrile (70 mg, 0.33 mmol) in tetrahydrofuran (20 ml) was added lithium aluminum hydride (37.95 mg, 1.00 mmol) at 0 °C. The reaction mixture was warmed to room temperature and stirred for 3 h. The reaction mixture was diluted with excess tetrahydrofuran and quenched with Na2S04 · 5H20 at 0 °C. After diluted again with 10% methanol in dichloromethane and stirred for 1 h, the reaction mixture was filtered through celite pad and filtrate was concentrated in vacuo and used for the next step without purification.
Step 3: tert-butyl ((5-methyl-3-phenoxypyridin-2-yl)methyl)carbamate
A solution of (5-methyl-3-phenoxypyridin-2-yl)methanamine (70 mg, 0.32 mmol), di-tert-butyl dicarbonate (142 mg, 0.65 mmol) and N,N-diisopropylethylamine (0.2 ml, 0.98 mmol) in tetrahydrofuran was stirred at room temperature for 4 h. The solvent was removed in vacuo and the residue was taken up in saturated sodium bicarbonate aqueous solution and extracted with dichloromethane. The combined organic layer was dried over magnesium sulfate and concentrated under reduced pressure. The residue was purified by
silica column chromatography (50% ethyl acetate in hexane) to obtain the title compound as oil (100 mg, 95% yield).
1H NMR (400 MHz, CDC13) δ 8.13 (s, 1H), 7.34 (t, 2H, J = 7.6 Hz), 7.13 (t, 1H, J = 7.2 Hz), 6.95 (m, 3H), 5.91 (bs, 1H), 4.48 (s, 2H), 2.26 (s, 3H), 1.45 (s, 9H).
Step 4: 2-(((tert-butoxycarbonyl)amino)methyl)-5-methyl-3-phenoxypyridine
To a solution of tert-butyl ((5-methyl-3-phenoxypyridin-2-yl)methyl)carbamate (80 mg, 0.25 mmol) and meta-chloroperoxybenzoic acid (132 mg, 0.76 mmol) in dichloromethane was stirred at room temperature for 3 h. The reaction mixture was taken up in methanol and silica gel and concentrated to dryness. The residue was purified by silica column chromatography (20% methanol in dichloromethane) to obtain the title compound as a solid (80 mg, 95% yield).
1H NMR (400 MHz, CDC13) δ 7.90 (s, 1H), 7.35 (t, 2H, J = 8.0 Hz), 7.16 (t, 1H, J = 7.2 Hz), 7.01 (d, 2H, J = 7.6 Hz), 6.58 (s, 1H), 6.17 (bs, 1H), 4.63 (d, 2H, J = 6.0 Hz), 2.17 (s, 3H), 1.36 (s, 9H).
Ste 5: 2-(aminomethyl)-5-methyl-3-phenoxypyridine 1 -oxide
To a solution of 2-(((tert-butoxycarbonyl)amino)methyl)-5-methyl-3- phenoxypyridine 1-oxide (100 mg, 0.30 mmol) in dichloromethane was added trifluoroacetic acid (1.5 ml). After stirred at room temperature for 3.5 h, the reaction mixture was basified with a 10 N sodium hydroxide aqueous solution, diluted with water
and then extracted with 95:5 dichloromethane/isopropanol (x 10). The combined organic layer was dried over magnesium sulfate and concentrated in vacuo and used for the next step without purification.
Preparation Example 7. 2-(aminomethyl)-3-cyclopropyl-5-methyIpyridine 1
To a solution of 3-bromo-5-methylpicolinonitrile (95.0 mg, 0.48 mmol), cyclopropylboronic acid (75.0 mg, 0.88 mmol), potassium phosphate (383.0 mg, 1.66 mmol) and tricyclohexylphosphine (13.3 mg, 0.048 mmol) in toluene (3 ml) and water (0.1 ml) under a nitrogen atmosphere was added palladium acetate (5.5 mg, 0.024 mmol). The reaction mixture was heated to 100 °C for 20 h and then cooled to room temperature. The reaction mixture was diluted with water and extracted with ethyl acetate. The combined organic layer was washed with brine, dried over magnesium sulfate and concentrated under reduced pressure. The residue was purified by silica column chromatography (50% ethyl acetate in hexane) to obtain the title compound as a pale yellow solid (70 mg, 90% yield).
1H NMR (400 MHz, CDC13) δ 8.29 (s, 1 H), 7.02 (s, 1 H), 2.35 (s, 3 H), 2.27-2.24 (m, 1 H), 1.20-1.16 (m, 2 H), 0.80-0.78 (m, 2 H). -cyclopropyl-5-methylpyridin-2-yl)methanamine
To a suspension of 3-cyclopropyl-5-methylpicolinonitrile (70.0 mg, 0.43 mmol) in tetrahydrofuran (3 ml) was added lithium aluminum hydride (33.0 mg, 0.86 mmol) at 0 °C.
The mixture was warmed to room temperature and stirred for 3 h. The reaction mixture was diluted with excess tetrahydrofuran, quenched with Na2So4 · 5H20 at 0 °C, and then diluted again with 10% methanol in dichloromethane. After stirred for lh, the reaction mixture was filtered through celite pad and filtrate was concentrated in vacuo and used for the next step without purification (75 mg, 99% yield).
1H NMR (400 MHz, CDC13) δ 8.21 (s, 1 H), 7.08 (s, 1 H), 4.10 (s, 2 H), 2.28 (s, 3 H), 1.90-1.85 (m, 1 H), 0.99-0.94 (m, 2 H), 0.69-0.61 (m, 2 H).
Step 3: tert-butyl ((3-cyclopropyl-5-methylpyridin-2-yl)methyl)carbamate
A solution of (3-cyclopropyl-5-methylpyridin-2-yl)methanamine (75.0 mg, 0.46 mmol), di-tert-butyl dicarbonate (151.0 mg, 0.69 mmol) and N,N-diisopropylethylamine (0.3 ml, 1.4 mmol) in tetrahydrofuran (5 ml) was stirred at room temperature for 6 h. The solvent was removed in vacuo and the residue was taken up in saturated sodium bicarbonate aqueous solution and extracted with dichloromethane (x 3). The combined organic layer was dried over magnesium sulfate and concentrated under reduced pressure. The residue was purified by silica column chromatography (40% ethyl acetate in hexane) to obtain the title compound as oil (60 mg, 48% yield).
1H NMR (400 MHz, CDC13) δ 8.17 (s, 1 H), 7.13 (s, 1 H), 4.59 (d, 2 H, J = 4.0 Hz), 2.28 (s, 3 H), 1.86-84 (m, 1 H), 1.48 (s, 9 H), 1.00 -0.98 (m, 2 H), 0.63-0.62 (m, 2 H).
Step 4 : 2-(((tert-butoxycarbonyl)amino)methyl)-3 -cyclopropyl-5 -methylpyridine
1 -oxide
A solution of tert-butyl ((3-cyclopropyl-5-methylpyridin-2-yl)methyl)carbamate
(60.0 mg, 0.22 mmol) and meta-chloroperoxybenzoic acid (46.0 mg, 0.27 mmol) in dichloromethane (2.5 ml) was stirred at room temperature for 2.5 h, and then concentrated
in vacuo. The solid was taken up in methanol and silica gel and concentrated to dryness. The residue was purified by silica column chromatography (15% methanol in ethyl acetate) to obtain the title compound as oil (60 mg, 96 % yield).
Ή NMR (400 MHz, CDC13) δ 8.05 (s, 1 H), 6.82 (s, 1 H), 6.29 (bs, 1H), 4.75 (d, 2 H, J = 6.0 Hz), 2.34 (bs, 1 H), 2.23 (s, 3 H), 1.38 (s, 9 H), 1.08 (d, 2 H, J = 8.0 Hz), 0.66 (d, 2 H, J = 4.8 Hz).
Step 5: 2-(aminomethyl)-3-cyclopropyl-5-methylpyridine 1
To a solution 2-(((tert-butoxycarbonyl)amino)methyl)-3-cyclopropyl-5- methylpyridine 1 -oxide (60.0 mg, 0.21 mmol) in dichloromethane (2 ml) was added trifluoroacetic acid (0.5 ml). The reaction mixture was stirred at room temperature for 3 h, basified with a 10 N sodium hydroxide aqueous solution and diluted with water. The aqueous layer was extracted with 95:5 dichloromethane/isopropanol (x 10). The combined organic layer was dried over magnesium sulfate, concentrated in vacuo and used for the next step without purification (100 mg, 99% yield).
1H NMR (400 MHz, CD3OD-d4) δ 8.12 (s, 1 H), 7.25 (s, 1 H), 4.32 (s, 2 H), 2.31 (s, 3 H), 2.12-2.07 (m, 1 H), 1.10-1.06 (m, 2 H), 0.81-0.77 (m, 2 H).
Preparation Example 8. 2-(aminomethyl)-3-fluoro-5-methylpyridine 1-oxide
To a mixture of 2-bromo-5-methyl-5-nitropyridine (1.45 g, 6.7 mmol) and copper (I) cyanide (900.0 mg, 10 mmol) was added dimethylformamide (4 ml). The reaction
mixture was stirred at 70 °C for 20 h. After cooled to room temperature, the reaction mixture was poured into ethyl acetate and water. The reaction mixture was filtered through a pad of celite. The aqueous layer and the organic layer were separated from the reaction mixture. The organic layer was washed with water then with a solution of 1 : 1 saturated ammonium chloride/ammonium hydroxide aqueous solution (10 ml x 2). The aqueous layer was extracted with ethyl acetate. The combined organic layer was dried over magnesium sulfate and concentrated under reduced pressure. The residue was purified by silica column chromatography (5% ethyl acetate in hexane to 50% ethyl acetate in hexane) to obtain the title compound as a yellow solid (840 mg, 68.5% yield).
Ή NMR (400 MHz, CDC13) δ 8.79 (s, 1 H), 8.39 (s, 1 H), 2.59 (s, 3 H). -amino-5-methylpicolinonitrile
To the suspension of acetic acid (1.3 ml) and iron powder (292.0 mg, 5.1 mmol) was added 5-methyl-3-nitropicolinonitrile (305.0 mg, 1.7 mmol) in acetic acid (1.4 ml) dropwise at 60 °C. The reaction mixture was stirred blow 80 °C over 2 h and cooled to room temperature. The reaction mixture was diluted with ethyl acetate and filtered through celite pad being washed with ethyl acetate. The filtrate was concentrated under reduced pressure, diluted with water and then neutralized with saturated sodium bicarbonate solution. The aqueous layer was extracted with ethyl acetate. The combined organic layer was dried over magnesium sulfate and concentrated under reduced pressure. The residue was purified by silica column chromatography (2% methanol in dichloromethane to 10% methanol in dichloromethane) to obtain the title compound as a white solid (230 mg, 99% yield).
Ή NMR (400 MHz, CD3OD-d4) 5 7.68 (d, 1 H, J = 1.2 Hz), 6.93 (s, 1 H), 2.55 (s, -fluoro-5-methylpicolinonitrile
Sodium nitrite (60.0 mg, 0.87 mmol) was added portionwise to an ice-salt cooled
solution of 3-amino-5-methylpicolinonitrile (84.0 mg, 0.58 mn ol) in hydrogen fluoride pyridine (0.5 ml). The resulting solution was stirred at 0 °C for 45 min and then at room temperature for 30 min, followed by heating at 80 °C for 1.5 h. The reaction mixture was quenched by pouring onto ice water and extracted with dichloromethane. The combined organic layer was dried over magnesium sulfate and concentrated under reduced pressure. The residue was used in the next reaction without further purification (65 mg, 82% yield).
1H NMR (400 MHz, CD3OD-d4) δ 8.38 (s, 1 H), 7.70 (d, 1H, J =10.0 Hz), 2.45 (s,
To the cooled (0 °C) solution of 3-fluoro-5-methylpicolinonitrile (90.0 mg, 0.66 mmol) in ether (1.5 ml) was added dropwise lithium aluminum hydride (50.0 mg, 1.32 mmol). After being stirred for 1.5 h at 0 °C, the reaction mixture was quenched by slow, sequential addition of water, 15% sodium hydroxide and water. The mixture was warmed to room temperature, stirred for an additional 30 min, filtered off and concentrated in vacuo to obtain the title compound which was used in the next reaction without further purification (45 mg, 48% yield).
1H NMR (400 MHz, CD3OD-d4) δ 8.20 (s, 1 H), 7.41 (d, 1H, J =10.4 Hz), 3.94 (s, 2 H), 2.45 (s, 3 H).
A solution of (3-fluoro-5-methylpyridin-2-yl)methanamine (45.0 mg, 0.32 mmol), di-tert-butyl dicarbonate (140.0 mg, 0.64 mmol) and N,N-diisopropylethylamine (0.2 ml, 0.96 mmol) in tetrahydrofuran (3.5 ml) was stirred at room temperature for 20 h. The solvent was removed in vacuo and the residue was taken up in saturated sodium bicarbonate solution and extracted with dichloromethane (x 3). The combined organic layer was dried over magnesium sulfate and concentrated under reduced pressure. The
residue was purified by silica column chromatography (10% ethyl acetate in hexane to only ethyl acetate) to obtain the title compound as oil (25 mg, 33% yield).
Ή NMR (400 MHz, CD3OD-d4) δ 8.15 (s, 1 H), 7.40 (d, 1H, J = 11.2 Hz), 4.35 (s, 2 H), 2.44 (s, 3 H), 1.45 (s, 9 H).
Step 6: 2-(((tert-butoxycarbonyl)amino)methyl)-3-fluoro-5-methylpyridine 1- oxide
A solution of tert-butyl ((3-fluoro-5-methylpyridin-2-yl)methyl)carbamate (25.0 mg, 0.105 mmol) and meta-chloroperoxybenzoic acid (27.0 mg, 0.156 mmol) in dichloromethane (1.1 ml) was stirred at room temperature for 20 h, then concentrated in vacuo. The solid was taken up in methanol and silica gel and concentrated to dryness. The residue was purified by silica column chromatography (ethyl acetate/hexane/methanol=10/10/l) to obtain the title compound as oil (10 mg, 37% yield).
Ή NMR (400 MHz, CD3OD-d4) δ 8.09 (s, 1 H), 7.40 (d, 1H, J = 8.4 Hz), 4.46 (s, 2 H), 2.32 (s, 3 H), 1.44 (s, 9 H).
Step 7: 2-(aminomethyl)-3-fluoro-5-methylpyridine 1-oxide.
To a solution of 2-(((tert-butoxycarbonyl)amino)methyl)-3-fluoro-5- methylpyridine 1-oxide (20.0 mg, 0.08 mmol) in dichloromethane (1 ml) was added trifluoroacetic acid (0.5 ml) and stirred at room temperature for 3.5 h. A 10 N sodium hydroxide solution was added and diluted with water and extracted with 95:5 dichloromethane/isopropanol (x 10). The combined organic layer was dried over magnesium sulfate and concentrated in vacuo and used for the next step (20 mg, 99% yield).
Ή NMR (400 MHz, CD3OD-d4) δ 8.19 (s, 1 H), 7.36 (d, 1H, J = 8.8 Hz), 4.34 (s,
2 H), 2.35 (s, 3 H).
3-amino-5-methylpicolinonitrile (200.0 mg, 1.5 mmol) was dissolved in concentrated hydrochloric acid (2 ml) and cooled to 0 °C. Sodium nitrite (120.0 mg, 1.5 mmol) was dissolved in water (1.5 ml) and added dropwise to the reaction mixture at this temperature. After 1 h at 0 °C, copper (I) chloride (180.0 mg, 1.8 mmol) was added slowly. Vigorous gas evolution was observed and the reaction mixture was stirred for an additional hour at 0 °C, quenched by pouring onto a 1 : 1 mixture of concentrated ammonium hydroxide/water (9 ml) and extracted with dichloromethane. An additional portion of concentrated ammonium hydroxide (4.5 ml) was added to dissolve remaining salts then extracted with dichloromethane. The organic layer was filtered, dried over magnesium sulfate and concentrated under reduced pressure to obtain the title compound which was used in the next reaction without further purification (200 mg, 87% yield).
Ή NMR (400 MHz, CD3OD-d4) 5 8.48 (s, 1 H), 7.93 (s, 1 H), 2.42 (s, 3 H). -chloro-5-methylpyridin-2-yl)methanamine
3-chloro-5-methylpicolinonitrile (200.0 mg, 1.31 mmol) dissolved in ether (0.7 ml) was added dropwise at 0 °C to lithium aluminum hydride (100.0 mg, 2.62 mmol) suspension in ether (3 ml). After being stirred for 1 h at 0 °C, the reaction mixture was quenched by slow, sequential addition of water, 15% sodium hydroxide and water. The mixture was warmed to room temperature, stirred for an additional 30 min, filtered off and concentrated in vacuo to obtain the title compound which was used in the next reaction
without further purification (130 mg, 64% yield).
Ή NMR (400 MHz, CD3OD-d4) δ 8.30 (s, 1 H), 7.65 (s, 1 H), 3.96 (bs, 2 H), 2.31
(s, 3 H).
A solution of (3-chloro-5-methylpyridin-2-yl)methanamine (140.0 mg, 0.89 mmol), di-tert-butyl dicarbonate (390.0 mg, 1.78 mmol) and N,N-diisopropylethylamine (0.5 ml, 2.6 mmol) in tetrahydrofuran (7.5 ml) was stirred at room temperature for 20 h. The solvent was removed in vacuo and the residue was taken up in saturated sodium bicarbonate and extracted with dichloromethane (x 3). The combined organic layer was dried over magnesium sulfate and concentrated under reduced pressure. The residue was purified by silica column chromatography (5% ethyl acetate in hexane to only ethyl acetate) to obtain the title compound as oil (85 mg, 26% yield).
1H NMR (400 MHz, CD3OD-d4) δ 8.26 (s, 1 H), 7.65 (s, 1 H), 4.40 (s, 2 H), 2.31 (s, 3 H), 1.46 (s, 9 H).
A solution of tert-butyl ((3-chloro-5-methylpyridin-2-yl)methyl)carbamate (85.0 mg, 0.33 mmol) and meta-chloroperoxybenzoic acid (86.0 mg, 0.50 mmol) in dichloromethane (3.5 ml) was stirred at room temperature for 5 h, then concentrated in vacuo. The solid was taken up in methanol and silica gel and concentrated to dryness. The residue was purified by silica column chromatography (7% methanol in dichloromethane) to obtain the title compound as oil (100 mg, 99% yield).
1H NMR (400 MHz, CD3OD-d4) δ 8.15 (s, 1 H), 7.46 (s, 1 H), 4.63 (s, 2 H), 2.30 (s, 3 H), 1.43 (s, 9 H).
Step 5: 2-(aminomethyl)-3-chloro-5-methylpyridine 1-oxide
To a solution of 2-(((tert-butoxycarbonyl)amino)methyl)-3-chloro-5- methylpyridine 1-oxide (100.0 mg, 0.36 mmol) in dichloromethane (3.7 ml) was added trifluoroacetic acid (2 ml) and stirred at room temperature for 4 h. A 10 N sodium hydroxide solution was added and diluted with water and extracted with 95:5 dichloromethane/isopropanol (x 10). The combined organic layer was dried over magnesium sulfate and concentrated in vacuo and used for the next step (62 mg, 98% yield).
Ή NMR (400 MHz, CD3OD-d4) δ 8.21 (s, 1 H), 7.55 (s, 1 H), 4.25 (bs, 2 H), 2.32
(s, 3 H).
A solution of (3,5-dimethylpyridin-2-yl)methanamine (128 mg, 0.94 mmol), di- tert-butyl dicarbonate (205 mg, 0.94 mmol) and N,N-diisopropylethylamine (0.5 ml, 2.8 mmol) in tetrahydrofuran was stirred at room temperature for 18 h. The solvent was removed in vacuo and the residue was taken up in saturated sodium bicarbonate and extracted with dichloromethane. The combined organic layer was dried over magnesium sulfate and concentrated under reduced pressure. The residue was purified by silica column chromatography (50% ethyl acetate in hexane) to obtain the title compound as oil (200 mg, 90% yield).
1H NMR (400 MHz, CDC13) δ 8.13 (s, 1H), 7.21 (s, 1H), 6.13 (bs, 1H), 4.30 (s, 2H), 2.22 (s, 3H), 2.21 (s, 3H), 1.42 (s, 9H).
A solution of tert-butyl ((3,5-dimethylpyridin-2-yl)methyl)carbamate (220 mg, 0.93 mmol) and meta-chloroperoxybenzoic acid (482 mg, 2.79 mmol) in dichloromethane was stirred at room temperature for 3 h, then concentrated in vacuo. The solid was taken up in methanol and silica gel and concentrated to dryness. The residue was purified by silica column chromatography (20% methanol in dichloromethane) to obtain the title compound as oil (140 mg, 60% yield).
1H NMR (400 MHz, CDC13) δ 8.05 (s, 1H), 6.99 (s, 1H), 6.21 (bs, 1H), 4.48 (d, 2H, J = 6.0 Hz), 2.46 (s, 3H), 2.22 (s, 3H), 1.33 (s, 9H). Step 3: 2-(aminomethyl)-3,5-dimethylpyridine 1-oxide
To a solution of 2-(((tert-butoxycarbonyl)amino)methyl)-3,5-dimethylpyridine 1- oxide (140 mg, 0.55 mmol) in dichloromethane was added trifluoroacetic acid (0.3 ml) and stirred at room temperature for 4 h. A 10 N sodium hydroxide solution was added and diluted with water, followed by extraction with 95:5 dichloromethane/isopropanol (x 10). The combined organic layer was dried over magnesium sulfate and concentrated in vacuo and used for the next step (50 mg, 59% yield).
Step 1 : 3-(difluoromethoxy)-5-niethylpicolinonitrile
A solution of 3-methoxy-5-methylpicolinonitrile (315.0 mg, 2.1 mmol) in collidine (2 ml) is treated with lithium iodide (583.0 mg, 4.4 mmol) and heated at 120 °C for 24 h under the nitrogen atmosphere. The reaction mixture was allowed to cool to room temperature and the solvent was removed in vacuo. The residue was taken into water and neutralized with 1 N hydrochloric acid solution then extracted with 15% methanol in dichloromethane and water. The organic layers were dried over magnesium sulfate and concentrated by evaporator. The residue was dissolved in ethyl acetate and filtered off the solid. The filtrate was evaporated in vacuo, dichloromethane was added, and filtered off to collect an ivory solid. The solid was dissolved in N,N-dimethylformamide (2 ml), sodium hydride (40.0 mg, 2.5 mmol) was added at 0 °C. The reaction mixture was stirred for 30 min, and ethyl 2-chloro-2,2-difluoroacetate (330.0 mg, 2.1 mmol) was added with vigorous stirring over the course of 20 min. The suspension was warmed to 80 °C for 20 h under the nitrogen atmosphere. The mixture was quenched into sodium carbonate. It was partitioned between water and ethyl acetate. The organic layers were dried over magnesium sulfate and concentrated in vacuo. The residue was purified by silica column chromatography (50% ethyl acetate in hexane) to obtain the title compound as yellow oil (20 mg, 5.7% yield).
1H NMR (400 MHz, CDC13) 6 8.40 (s, 1H), 7.53 (s, 1H), 6.87-6.52 (m, 1H), 2.48
(s, 3H).
A solution of 3-(difluoromethoxy)-5-methylpicolinonitrile (20.0 mg, 0.11 mmol), di-tert-butyl dicarbonate (36.0 mg, 0.16 mmol), trimethylamine (20.0 mg, 0.16 mmol) and Raney nickel in tetrahydrofuran (2 ml) was stirred at room temperature under H2 for 20 h. The reaction mixture was filtered and the filtrate was concentrated in vacuo. The residue was purified by silica column chromatography (20% ethyl acetate in hexane) to obtain the title compound as oil (27 mg, 85 % yield).
1H NMR (400 MHz, CD3OD-d4) δ 8.24 (s, 1H), 7.47 (s, 1H), 7.10-6.73 (m, 1H), 4.38 (bs. 2 H), 2.48 (s, 3 H). 1.45 (s, 9 H).
Step 3 : 2-(((tert-butoxycarbonyl)amino)methyl)-3-(difluoromethoxy)-5- methylpyridine 1 -oxide
A solution of tert-butyl ((3-(difluoromethoxy)-5-methylpyridin-2-yl)methyl) carbamate (27.0 mg, 0.09 mmol) and meta-chloroperoxybenzoic acid (30.0 mg, 0.18mmol) in dichloromethane (1 ml) was stirred at 5 °C for 4 h, then concentrated in vacuo. The solid was taken up in methanol and silica gel and concentrated to dryness. The residue was purified by silica column chromatography (methanol/hexane/ethyl acetate = 1/10/10) to obtain the title compound as oil (25 mg, 88% yield).
1H NMR (400 MHz, CDC13) δ 8.09 (s, 1H), 7.08 (s, 1H), 6.86-6.49 (m, 1H), 6.09 (bs, 1H), 4.55 (d, 2 H, J = 6.8 Hz), 2.33 (s, 3 H), 1.38 (s, 9 H).
To a solution of 2-(((tert-butoxycarbonyl)amino)methyl)-3-(difluoromethoxy)-5- methylpyridine 1 -oxide (25.0 mg, 0.08 mmol) in dichloromethane (1 ml) was added trifluoroacetic acid (0.2 ml) and stirred at room temperature for 2 h. A 10 N sodium hydroxide solution was added and diluted with water and extracted with 95:5 dichloromethane/isopropanol (x 10). The combined organic layer was dried over magnesium sulfate and concentrated in vacuo and used for the next step (15 mg, 90% yield).
LCMS 205.2 (M+l)+.
Preparation Example 12. 2-(aminomethyl)-5-chloro-3-ethylpyridine 1-oxide
-chloro-3-ethylpicolinonitrile
A solution of 3-bromo-5-chloropicolinonitrile (500.0 mg, 2.35 mmol), 4,4,5,5- tetramethyl-2-vinyl-l ,3,2-dioxaborolane (470.0 mg, 3.1 mmol), tetrakis(triphenyl- phophine)palladium (135.0 mg, 0.12 mmol) and 2 N sodium carbonate solution (0.6 ml) in toluene/ethanol (38 ml/ 19 ml) was stirred at 90 °C for 24 h. After cooling to room temperature, the reaction mixture was diluted with ethyl acetate and water. The organic layer was dried over magnesium sulfate and filtered off, concentrated in vacuo. The residue was purified by silica column chromatography (10% ethyl acetate in hexane to 40% ethyl acetate in hexane) to obtain a yellow solid (480 mg, 99% yield). The solid was dissolved in ethyl acetate/methanol (44 ml/11 ml) was added 10% Pd on carbon (62.0 mg, 0.6 mmol). H2 gas was introduced via balloon, the reaction mixture was stirred for 20 h. The reaction mixture was filtered through a pad of celite, washed with dichloromethane. The filtrate was
concentrated under reduced pressure to obtain the title compound as oil (340 mg, 70% yield).
1H NMR (400 MHz, CDC13) δ 8.43 (s, 1H), 7.66 (s, 1 H), 2.85 (d, 2 H, J = 5.2 Hz), 1.28 (s, 3 H). -chloro-3-ethylpyridin-2-yl)methanamine
5-chloro-3-ethylpicolinonitrile (100.0 mg, 0.59 mmol) dissolved in ether (0.4 ml) was added dropwise at 0 °C to lithium aluminum hydride (46.0 mg, 1.17 mmol) suspension in ether (1.2 ml). After being stirred for 1.5 h at 0 °C, the reaction mixture was quenched by slow, sequential addition of water, 15% sodium hydroxide and water. The mixture was warmed to room temperature, stirred for an additional 30 min, filtered off and concentrated in vacuo to obtain the title compound which was used in the next reaction without further purification (150 mg, 99% yield).
MS 171.1 (M+l)+.
A solution of (5-chloro-3-ethylpyridin-2-yl)methanamine (150.0 mg, 0.88 mmol), di-tert-butyl dicarbonate (290.0 mg, 1.3 mmol) and N,N-diisopropylethylamine (0.5 ml, 2.64 mmol) in tetrahydrofuran (7 ml) was stirred at room temperature for 20 h. The solvent was removed in vacuo and the residue was taken up in saturated sodium bicarbonate solution and extracted with 10% methanol in dichloromethane. The combined organic layer was dried over magnesium sulfate and concentrated under reduced pressure. The residue was purified by silica column chromatography (10% ethyl acetate in hexane to 40% ethyl acetate in hexane) to obtain the title compound as yellow oil (30 mg, 7% yield).
Ή NMR (400 MHz, CDC13) δ 8.31 (d, 1 H, J = 2.4 Hz), 7.46 (d, 1 H, J = 2.4 Hz), 6.00 (s, 1 H), 4.39 (d, 2 H, J = 4.4 Hz), 2.63-2.57 (m, 2 H), 1.45 (s, 9 H), 1.23 (t, 3 H, J= 7.4 Hz).
Step 4: 2-(((tert-butoxycarbonyl)amino)methyl)-5-chloro-3-ethylpyridine 1 -oxide
A solution of tert-butyl ((5-chloro-3-ethylpyridin-2-yl)methyl)carbamate (30.0 mg, 0.11 mmol) and meta-chloroperoxybenzoic acid (48.0 mg, 0.27 mmol) in dichloromethane (2.5 ml) was stirred at room temperature for 20 h, then concentrated in vacuo. The solid was taken up in methanol and silica gel and concentrated to dryness. The residue was purified by silica column chromatography (methanol/hexane/ethyl acetate = 1/10/10) to obtain the title compound as oil (25 mg, 73% yield).
1H NMR (400 MHz, CDC13) δ 8.27 (d, 1 H, J = 1.6 Hz), 7.21 (d, 1 H, J = 1.6 Hz), 6.15 (s, 1 H), 4.52 (d, 2 H, J = 6.8 Hz), 2.93 (q, 2 H, J = 7.6 Hz), 1.37 (s, 9 H), 1.25 (t, 3 H, J= 7.6 Hz).
Step 5: 2-(aminomethyl)-5-chloro-3-ethylpyridine 1 -oxide
To a solution of 2-(((tert-butoxycarbonyl)amino)methyl)-5-chloro-3-ethylpyridine 1 -oxide (25.0 mg, 0.08 mmol) in dichloromethane (1 ml) was added trifluoroacetic acid (0.5 ml) and stirred at room temperature for 3 h. A 10 N sodium hydroxide solution was added and diluted with water and extracted with 95:5 dichloromethane/isopropanol (x 10). The combined organic layer was dried over magnesium sulfate and concentrated in vacuo and used for the next step (45 mg, 99% yield).
1H NMR (400 MHz, CD3OD-d4) δ 8.43 (s, 1H), 7.58 (s, 1 H), 4.36 (s, 2 H), 2.84 (q, 2 H, J = 7.6 Hz) 1.21 (d, 3 H, J = 6.4Hz).
Preparation Example 13. 2-(aminomethyl)-3-(l,l-difluoroethyl)-5- methylpyridine 1-oxide
2-chloro-3 -(1,1 -difluoroethyl)-5-methylpyridine
To a solution of l-(2-chloro-5-methylpyridin-3-yl)ethanone (250 mg, 1.47 mmol) in toluene (28 ml) was added [bis(2-methoxyethyl)amino]sulfur trifluoride (2.7 M in toluene, 3.1 ml, 8.4 mmol) at room temperature. The reaction mixture was heated to 80 °C and stirred for 3 h. The reaction mixture was cooled to 0 °C, diluted with dichloromethane and quenched with saturated aqueous NaHC03 solution. The aqueous layer was extracted with dichloromethane. The combined organic layer was dried over sodium sulfate, filtered and concentrated in vacuo. The residue was purified by silica gel column chromatography (7% ethyl acetate in hexane) to obtain the title compound as a yellow oil (127 mg, 45% yield).
Ή NMR (400 MHz, CDC13) δ 8.27 (s, 1H), 7.57 (s, 1H), 2.37 (s, 3H), 2.06 (dd, 3H, J=18.4, 18.8). tep 2: 3-(l,l-difluoroethyl)-5-methylpicolinonitrile
The reaction mixture of 2-chloro-3-(l,l-difluoroethyl)-5-methylpyridine (127 mg, 0.663 mmol) and copper cyanide (89 mg, 0.996 mmol) in dimethylacetamide was stirred at 200 °C for 3 h 20 min under microwave. The reaction mixture was diluted with ethyl acetate and water and then filtered through celite pad to remove insoluble material. The aqueous layer was extracted with ethyl acetate and the combined organic layer was washed with brine and water. The organic layer was dried over sodium sulfate, filtered and concentrated in vacuo. The residue was purified by silica gel column chromatography (15% ethyl acetate in hexane) to obtain the title compound as a white solid (58 mg, 48% yield).
1H NMR (400 MHz, CDC13) δ 8.59 (s, 1H), 7.79 (s, 1H), 2.49 (s, 3H), 2.09 (dd, 3H, J=18.4, 18.4).
LCMS, 183.4 (M+l)+.
To a solution of 3-(l,l-difluoroethyl)-5-methylpicolinonitrile in NH3 (7 N in methanol, 1 ml) was added Raney Ni with catalytic amount. The reaction mixture was stirred at room temperature for 24 h under H2 balloon and filtered through celite pad. The filtrate was concentrated in vacuo to afford (3-(l,l-difluoroethyl)-5-methylpyridin-2- yl)methanamine. To a solution of (3-(l ,l-difluoroethyl)-5-methylpyridin-2- yl)methanamine in dimethylformamide (2 ml) was added N,N-diisopropylethylamine (0.14 ml, 0.78 mmol) and N,N-dimethylaminopyridine (3 mg, 0.78 mmol). The reaction mixture was stirred at room temperature for 72 h and diluted with ethyl acetate and water. The aqueous layer was extracted with ethyl acetate and the combined organic layer was dried over sodium sulfate, filtered and concentrated in vacuo. The residue was purified by silica gel column chromatography (10% ethyl acetate in hexane) to obtain the title compound as a colorless oil (22 mg, 30% yield for 2 steps).
1H NMR (400 MHz, CDC13) δ 8.42 (s, 1H), 7.60 (s, 1H), 6.06 (brs, NH), 4.55 (s, 2H), 2.36 (s, 3H), 1.98 (dd, 3H, J=18.0, 18.4), 1.46 (s, 9H).
Step 4 : 2-(((tert-butoxycarbonyl)amino)methyl)-3 -( 1 , 1 -difluoroethyl)-5- methylpyridine 1 -oxide
Through the general route A in scheme 1 (step 5) using tert-butyl ((3-(l,l- difluoroethyl)-5-methylpyridin-2-yl)methyl)carbamate (27 mg, 0.09 mmol), 2-(((tert- butoxycarbonyl)amino)methyl)-3 -(1,1 -difluoroethyl)-5 -methylpyridine 1 -oxide was synthesized as colorless oil (20 .mg, 74% yield).
1H NMR (400 MHz, CDC13) δ 8.31 (s, 1H), 8.07 (s, 1H), 6.44 (brs, NH), 4.71 (s, 2H), 2.37 (s, 3H), 2.13 (dd, 3H, J=18.4, 18.4). -(aminomethyl)-3-(l,l-difluoroethyl)-5-methylpyridine 1-oxide
Through the general route A in scheme 1 (step 6) using 2-(((tert- butoxycarbonyl)amino)methyl)-3-(l,l-difluoroethyl)-5-methylpyridine 1-oxide (20 mg, 0.07 mmol), 2-(aminomethyl)-3-(l,l-difluoroethyl)-5-methylpyridine 1-oxide was synthesized as white solid (11 mg, 85% yield) and used to the next step without purification.
Ή NMR (400 MHz, CD3OD) δ 8.31 (s, 1H), 7.57 (s, 1H), 4.15 (s, 2H), 2.38 (s, 3H), 2.03 (dd, 3H, J=18.4, 19.2).
Preparation Example 14: l-(aminomethyl)-6-fluoro-4-methylisoquinoline
To a solution of (£)-ethyl 3-(3-fluorophenyl)but-2-enoate (1.1 g, 5.19 mmol) in
THF (2 ml) was added aqueous NaOH solution (3M, 3 ml). The reaction mixture was stirred at 80 °C for 3 h and 100 °C for 2.5 h and then acidified with concentrated HCl. The aqueous layer was extracted with diethyl ether and the combined organic layer was dried over sodium sulfate, filtered and concentrated in vacuo to obtain the title compound as a white solid (931 mg, 99% yield).
1H NMR (400 MHz, CDC13) 6 7.33-7.38 (m, 1H), 7.27 (d, 1H, J=10.0), 7.18 (d, 1H, J=10.0), 7.08 (dd, 1H, J=8.0), 6.17 (s, 1H), 2.58 (s, 3H). -fluoro-4-methylisoquinolin-l(2H)-one
The reaction mixture of (E)-3-(3-fluorophenyl)but-2-enoic acid (333 mg, 1.85 mmol), diphenylphosphoryl azide (0.41 ml, 1.85 mmol) and triethylamine (0.028 ml, 2.04 mmol) in toluene (3.3 ml) was stirred at room temperature for 1 h. The reaction mixture was filtered through silica gel plug, washed with toluene and concentrated in vacuo to afford(E)-3-(3-fluorophenyl)but-2-enoyl azide. The reaction mixture of (E)-3-(3- fluorophenyl)but-2-enoyl azide and tributhylamine (0.13 ml) in diphenyl ether (0.7 ml) was stirred at 260 °C for 1 h. The reaction mixture was cooled down to room temperature and diluted with heptane. The precipitate was filtered and washed with diethyl ether. The filter cake was dried in vacuo to obtain a white solid (101 mg, 31%). The combined filtrate was concentrated in vacuo and the residue was purified on silica gel column chromatography (hexane to 5% ethyl acetate in hexane to remove diphenyl ether and then 50% ethyl acetate in hexane) to obtain the title compound as a white solid (26- mg, 8%, totally 39% yield for 2 steps).
1H NMR (400 MHz, CDC13) δ 10.38 (brs, NH), 8.46 (dd, 1H, J=6.4, 8.0), 7.26- 7.21 (m, 2H), 6.96 (s, 1H), 2.26 (s, 3H).
LCMS, 178.0 (M+l)+. -chloro-6-fluoro-4-methylisoquinoline
A solution of 6-fluoro-4-methylisoquinolin-l(2H)-one (100 mg, 0.56 mmol) in phosphoryl chloride (5 ml) was refluxed for 30 min. The reaction mixture was cooled down to room temperature and concentrated in vacuo. The residue was dissolved with
ethyl acetate and washed with saturated aqueous NaHC03 solution. The organic layer was dried over sodium sulfate, filtered and concentrated in vacuo. The residue was purified by silica gel column chromatography (10% ethyl acetate in hexane) to obtain the title as a white solid (102 mg, 93% yield).
Ή NMR (400 MHz, CDC13) δ 8.39 (dd, 1H, J=5.6, 9.6), 8.12 (s, 1H), 7.55 (d, 1H, J=9.6), 7.42-7.46 (m, 1H), 2.55 (s, 3H).
LCMS, 196.0 (M+l)+. -fluoro-4-methylisoquinoline-l-carbonitrile
The reaction mixture of l-chloro-6-fluoro-4-methylisoquinoline (53 mg, 0.273 mmol), bis-(diphenylphosphino)ferrocene (156 mg, 0.273 mmol), palladium acetate (3 mg, 0.014 mmol) and potassium cyanide (18 mg, 0.273 mmol) in anhydrous toluene (1.4 ml) was degassed with argon for 20 min. The reaction mixture was treated with triethylamine (0.04 ml, 0.273 mmol) and stirred at 150 °C for 1 h 10 min under microwave condition. The reaction mixture was cooled down to room temperature, filtered through celite pad and concentrated in vacuo. The above reaction was totally repeated with 6 times. The combined residue was purified by silica gel column chromatography (5% ethyl acetate in hexane) to obtain the title as a pale yellow solid (169 mg, 55%).
Ή NMR (400 MHz, CDC13) δ 8.51 (s, 1H), 8.40 (dd, 1H, J=5.2, 8.8), 7.65 (d, 1H, J=9.6), 7.54-7.59 (m, 1H), 2.69 (s, 3H).
LCMS, 187.1 (M+l)+.
Step 5: tert-butyl ((6-fluoro-4-methylisoquinolin-l-yl)methyl)carbamate
To a cooled (0 °C) solution of 6-fluoro-4-methylisoquinoline-l-carbonitrile (46 mg, 0.25 mmol) in anhydrous tetrahydrofurane (2 ml) was added lithium aluminum hydride (24
mg, 0.59 mmol). The reaction mixture was stirred at room temperature for 1 h, quenched with sodium sulfate pentahydrate and methanol. The reaction mixture was diluted with dichloromethane and methanol, filtered through celite pad and washed with 10% methanol in dichloromethane. The filtrate was concentrated in vacuo to afford a (6-fluoro-4- methylisoquinolin-l-yl)methanamine. To a solution of (6-fluoro-4-methylisoquinolin-l- yl)methanamine in dimethylformamide/dichloromethane (2/1 v/v, 3 ml) was added diisopropylethylamine (0.15 ml;, 0.75 mmol) and di-tert-butyl dicarbonate (56 mg, 0.25 mmol). The reaction mixture was stirred at room temperature for 72 h and concentrated in vacuo. The residue was purified by silica gel column chromatography (10 to 20% ethyl acetate in hexane) to obtain the title as a pale yellow solid (29 mg, 40% yield for 2 steps).
1H NMR (400 MHz, CDC13) δ 8.27 (s, 1H), 8.22-8.26 (m, 1H), 7.57 (d, 1H, J=10.4), 7.42 (t, 1H, J=9.6), 6.27 (brs, NH), 4.95 (s, 2H), 2.57 (s, 3H), 1.47 (s, 9H).
LCMS, 291.1 (M+l)+.
Step 5 : 1 -(((tert-butoxycarbonyl)amino)methyl)-6-fluoro-4-methylisoquinoline
Through the general route A in scheme 1 (step 5) using tert-butyl ((6-fiuoro-4- methylisoquinolin-l-yl)methyl)carbamate (12 mg, 0.04 mmol), l-(((tert- butoxycarbonyl)amino)methyl)-6-fluoro-4-methylisoquinoline 2-oxide (7 mg, 53% yield) was synthesized.
1H NMR (400 MHz, CDC13) δ 8.54 (m, 1H), 8.15 (s, 1H), 7.52-7.54 (m, 2H), 6.24 (brs, NH), 4.96 (s, 2H), 2.56 (s, 3H), 1.39 (s, 9H).
LCMS, 307.4 (M+l)+. -(aminomethyl)-6-fluoro-4-methylisoquinoline 2-oxide
Through the general route A in scheme 1 (step 6) using l-(((tert- butoxycarbonyl)amino)methyl)-6-fluoro-4-methylisoquinoline 2-oxide, 1 -(aminomethyl)- 6-fluoro-4-methylisoquinoline 2-oxide was synthesized and used to the next step without purification.
1H NMR (400 MHz, CDC13/CD30D) δ 8.05 (m, 1H), 7.93 (s, 1H), 7.86 (m, 1H), 7.36-7.47 (m, 2H), 4.35 (s, 2H), 2.44 (s, 3H).
Intermediate 1 : 5-(ethyl(tetrahydro-2H-pyran-4-yl)amino)-4-methyl-4'- (morphoIinomethyl)-[l,r-biphenyl]-3-carboxylic acid
Ste 1 : 5-bromo-2-methyl-3-nitrobenzoic acid
To a solution of 2-methyl-3-nitrobenzoic acid (10.0 g, 55.2 mmol) in concentrated sulfuric acid was added l,3-dibromo-5,5-dimethylimidazolidine-2,4-dione (8.7 g, 30.4 mmol) and the reaction mixture was stirred at room temperature for 6 h. After 6 h, the reaction mixture was slowly added to ice water (135 ml) and the solid was precipitated out. The solid was filtered off and washed with water (40 ml) and petroleum ether (33 ml) and dried to obtain the title compound as a white solid (14.0 g, 99% yield).
1H NMR (400 MHz, CD3OD-d4) δ 8.18 (d, 1H, J = 2.0 Hz), 8.10 (d, 1H, J = 2.0 Hz), 2.53 (d, 3H, J = 1.6 Hz).
To a solution of 5-bromo-2-methyl-3-nitrobenzoic acid (1.8 g, 6.7 mmol) in dimethylformamide (14 ml), potassium carbonate (3.7 g, 27.0 mmol) and methyl iodide (3.8 g, 27.0 mmol) were added. The reaction mixture was heated at 60 °C for 8 h and then ethyl acetate, water and brine were added. The organic layers were washed with brine and water (x 3). The combined organic layer was dried over magnesium sulfate and concentrated under reduced pressure to obtain the title compound as an yellow oil (1.8 g, 98% yield).
1H NMR (400 MHz, CDC13) δ 8.12 (d, 1H, J = 2.0 Hz), 7.98 (d, 1H, J = 2.4 Hz), 3.94 (s, 3H), 2.56 (s, 3H).
To a solution of methyl 5-bromo-2-methyl-3-nitrobenzoate (3.7 g, 13.5 mmol) in ethanol (18.5 ml), ammonium chloride (3.6 g, 67.7 mmol) dissolved in water (18.5 ml) and Fe powder (2.3 g, 40.6 mmol) were added and the reaction mixture was heated at 80 °C for 1.5 h. The reaction mixture was filtered through celite, followed by washing of water and ethyl acetate. The filtrate was extracted with ethyl acetate. The combined organic layer was dried over magnesium sulfate and concentrated under reduced pressure to obtain the title compound as yellow oil (3.3 g, 99% yield).
lH NMR (400 MHz, CDC13) δ 7.33 (d, 1H, J = 2.0 Hz), 6.94 (d, 1H, J = 2.4 Hz), 3.87 (s, 3H), 2.27 (s, 3H).
Step 4: methyl 5-bromo-2-methyl-3-((tetrahydro-2H-pyran-4-yl)amino)benzoate
To a solution of methyl 3-amino-5-bromo-2-methylbenzoate (2.5 g, 10.2 mmol) and tetrahydro-4H-pyran-4-one (1.5 g, 15.3 mmol) in dichloroethane (51 ml) was added acetic acid (3.5 ml) and the reaction mixture was stirred at room temperature for 15 min, then the reaction mixture was cooled to 0 °C and sodium triacetoxy borohydride (6.5 g, 30.7 mmol) was added. The reaction mixture was stirred at room temperature for 18 h. Sodium bicarbonate solution was added to the reaction mixture until pH 7. The organic layers were separated and aqueous phase was extracted with ethyl acetate. The combined organic layer was dried over magnesium sulfate and concentrated under reduced pressure. The crude compound was recrystallized and washed with ether and hexane to afford a product as a white solid. The filtrate was concentrated under reduced pressure and purified by silica column chromatography (25 % ethyl acetate in hexane) to obtain the title compound (2.4 g, 71% yield).
1H NMR(400 MHz, CD3OD-d4) δ 7.06 (d, 1H, J = 2.0 Hz), 6.90 (d, 1H, J = 2.0 Hz), 4.60 (bs, 1H), 3.97-3.93 (m, 2H), 3.83 (s, 1H), 3.57-3.51 (m, 3H), 2.18 (s, 3H), 1.98- 1.94 (m, 2 H), 1.57-1.53(m, 2H).
Step 5: methyl 5-bromo-3-(ethyl(tetrahydro-2H-pyran-4-yl)amino)-2- methylbenzoate
To a solution of methyl 5-bromo-2-methyl-3-((tetrahydro-2H-pyran-4- yl)amino)benzoate (2.3 g, 6.9 mmol) in dichloroethane (25 ml) was added acetaldehyde
(605 mg, 13.7 mmol) and acetic acid (2.4 ml). The reaction mixture was stirred at room temperature for 15min, then the reaction mixture was cooled to 0 °C and sodium triacetoxy borohydride (4.3 g, 20.6 mmol) was added. The reaction mixture was stirred at room temperature for 18 h and basified with saturated sodium bicarbonate solution until pH 7.The aqueous layer was extracted with ethyl acetate and the combined organic layer was concentrated under reduced pressure. The residue was purified by silica column chromatography (15% ethyl acetate in hexane) to obtain the title compound as yellow oil (2.6 g, 99% yield).
1H NMR(400 MHz, DMSO-d6) δ 7.57 (d, 1 H, J = 2.0 Hz), 7.50 (d, 1 H, J = 2.0 Hz), 3.79-3.76 (m, 5H), 3.24-3.18 (m, 2H), 3.03-2.93 (m, 3H), 2.32 (s, 3H), 1.59-1.55 (m, 2H), 1.47-1.43 (m, 2H), 0.76 (t, 3H, J = 7.0 Hz).
To a solution of methyl 5-bromo-3-(ethyl(tetrahydro-2H-pyran-4-yl)amino)-2- methylbenzoate (1.9 g, 5.3 mmol) and 4-(4-(4,4,5,5-tetramethyl-l,3,2-dioxaborolan-2- yl)benzyl)morpholine (1.9 g, 6.4 mmol) in dioxane (60 ml) and water (30 ml) mixture, sodium carbonate was added and the solution was purged with N2, then tetrakis(triphenylphosphine)palladium(0) was added. The reaction mixture was stirred at 85 °C for 1.5 h and then cooled to room temperature. The reaction mixture was diluted with 10% methanol in dichloromethane and extracted with water. The combined organic layer was dried over magnesium sulfate and concentrated under reduced pressure. The residue was purified by silica column chromatography (25% ethyl acetate in hexane to 4% methanol in dichloromethane) to obtain the title compound as oil (2.4 g, 99% yield).
Ή NMR(400 MHz, CDC13) δ 7.80 (s, 1H), 7,53 (d, 2H, J - 8.0 Hz), 7,48 (s, 1H),
7.39 (d, 2H, J = 7.6 Hz), 3.97 (d, 2H, J = 11.2 Hz), 3.91 (s, 3H), 3.72 (s, 4H), 3.54 (s, 2H), 3.36 (t, 2H, J = 11.2 Hz), 3.14 (q, 2H, J = 6.8 Hz), 3.04-2.99 (m, 1H), 2.53 (s, 3H), 2.47 (s, 4H), 1.75-1.66 (m, 4H), 0.92 (t, 3H, J = 7.0 Hz). Step 7: 5-(ethyl(tetrahydro-2H-pyran-4-yl)amino)-4-methyl-4'-
(morpholinomethyl)- [1,1 '-biphenyl] -3 -carboxylic acid
A mixture of methyl 5-(ethyl(tetrahydro-2H-pyran-4-yl)amino)-4-methyl-4'- (morpholinomethyl)-[l ,l'-biphenyl]-3-carboxylate (1.2 g, 2.7 mmol) and 3 N sodium hydroxide solution (2 ml) in ethanol (5 ml) was heated at 70 °C for 2 h. Then, more added 3 N sodium hydroxide solution (3 ml) and stirred at room temperature for 18 h and the reaction mixture was cooled to 0 °C and acidified to pH 6 by using 1 N hydrochloric acid solution. The reaction mixture was concentrated under reduced pressure and the residue was diluted with ethyl acetate and extracted with water. The organic layers were dried over magnesium sulfate and concentrated under reduced pressure. The crude compound was recrystallized and washed with dichloromethane and hexane to obtain the title as a white solid (570 mg, 48% yield).
1H NMR (400 MHz, DMSO-d6) δ 7.66 (d, 1 H, J = 1.6 Hz), 7.57 (d, 2 H, J = 8 Hz), 7.51 (d, 1H, J = 1.2 Hz), 7.37 (d, 2H, J = 8 Hz), 3.82 (d, 2H, J = 10.4 Hz), 3.54-3.53 (m, 4 H), 3.48 (s, 2 H), 3.27-3.21 (m, 2 H), 3.10-3.08 (m, 3H), 2.42 (s, 3 H), 2.35 (s, 4H), 1.65- 1.62 (m, 2 H), 1.49 -1.45 (m, 2 H), 0.81 (t, 3 H, J = 7.0 Hz). MS 439.3 (M+l)+.
Intermediate 2 : 4'-(diisopropoxyphosphoryl)-5-(ethyl(tetrahydro-2H-pyran-4- yl)amino)-4-methyl-[l,l'-biphenyI]-3-carboxylic acid
Step 1 : methyl 4'-(diisopropoxyphosphoryl)-5-(ethyl(tetrahydro-2H-pyran-4- yl)amin -4-methyl-[l , 1 '-biphenyl]-3-carboxylate
To a solution of methyl 5-bromo-3-(ethyl(tetrahydro-2H-pyran-4-yl)amino)-2- methylbenzoate (100 mg, 0.28 mmol) and diisopropyl (4-(4,4,5,5-tetramethyl- 1,3,2- dioxaborolan-2-yl)phenyl)phosphonate (155 mg, 0.42 mmol) in dioxane (12 ml) and water (3 ml) mixture, potassium carbonate (140 mg, 1.01 mmol) was added and the solution was purged with N2, then [1 ,1 '-bis(diphenylphosphino)ferrocene]dichloropalladium (II) (23 mg, 0.03 mmol) was added. The reaction mixture was stirred at 100 °C for 16 h. The reaction mixture was cooled to room temperature, diluted with 10% methanol in dichloromethane and extracted with water. The combined organic layer was dried over magnesium sulfate and concentrated under reduced pressure. The residue was purified by silica column chromatography (25% ethyl acetate in hexane to 4% methanol in dichloromethane) to obtain the title compound as oil (60 mg, 41% yield).
Ή NMR(400 MHz, CDC13) δ 7.86-7.91 (m, 2H), 7,82 (s, 1H), 7.62-7.66 (m, 2H), 7.49 (s, 1H), 4.72 (m, 2H), 3.97 (d, 2H, J = 8.8 Hz), 3.92 (s, 3H), 3.84 (t, 2H, J = 11.4 Hz), 3.13 (q, 2H, J = 8.0 Hz), 3.03 (m, 1H), 2.55 (s, 3H), 1.73 (m, 4H), 1.39 (d, 6H, J = 6.0 Hz), 1.25 (d, 6H, J = 6.8 Hz), 0.91 (t, 3H, J = 6.8 Hz).
Step 2: 4'-(diisopropoxyphosphoryl)-5-(ethyl(tetrahydro-2H-pyran-4-yl)amino)-4-
methyl- [1 , 1 '-biphenyl]-3-carboxylic acid
A mixture of methyl 4'-(diisopropoxyphosphoryl)-5-(ethyl(tetrahydro-2H-pyran-4- yl)amino)-4-methyl-[l , -biphenyl]-3-carboxylate (32 mg, 0.06 mmol) and lithium hydroxide monohydrate (2.59 mg 0.06 mmol) in methanol (5 ml) was heated at 40 °C for 16 h. The reaction mixture was cooled to 0 °C and acidified to pH 6 by using 1 N hydrochloric acid solution. The reaction mixture was concentrated under reduced pressure and the residue was diluted with ethyl acetate and extracted with water. The organic layers were dried over magnesium sulfate and concentrated under reduced pressure. The compound was used for the next step without purification.
Intermediate 3 : 5-(6-((tert-butoxycarbonyl)amino)pyridin-3-yI)-3-
(ethyl(tetrahydro-2H-pyran-4-yl)amino)-2-methyIbenzoic acid
Step 1 : methyl 5-(6-((tert-butoxycarbonyl)amino)pyridin-3-yl)-3- (ethyl(tetrahydro-2H-pyran i--4-yl)amino)-2-methylbenzoate
To a solution of methyl 5-bromo-3-(ethyl(tetrahydro-2H-pyran-4-yl)amino)-2- methylbenzoate (230 mg, 6.47 mmol) and tert-butyl (5-(4,4,5,5-tetramethyl-l,3,2- dioxaborolan-2-yl)pyridin-2-yl)carbamate (103 mg, 3.23 mmol) in dioxane and water mixture, cesium carbonate (210 mg, 6.47 mmol) was added and the solution was purged with N2, then tetrakis(triphenylphosphine)palladium(0) (a catalytic amount) was added. The reaction mixture was stirred at 120 °C for 3 h and then cooled to room temperature. The reaction mixture was diluted with 10% methanol in dichloromethane and extracted with water. The combined organic layer was dried over magnesium sulfate and concentrated under reduced pressure. The residue was purified by silica column chromatography (25% ethyl acetate in hexane to 4% methanol in dichloromethane) to obtain the title compound as a solid (200 mg, 65% yield).
Ή NMR(400 MHz, CDC13) δ 8.93 (s, 1H), 8.49 (s, 1H), 8.04 (d, 1H, J = 8.8 Hz), 7.83 (d, 1H, J = 8.8 Hz), 7.74 (s, 1H), 7.41 (s, 1H), 3.94 (d, 2H, J = 11.6 Hz), 3.90 (s, 3H), 3.31 (t, 2H, J = 11.6 Hz), 3.10 (d, 2H, J = 6.8 Hz), 3.00 (m, 1H), 2.52 (s, 3H), 1.66 (m, 4H), 1.52 (s, 9H), 0.88 (t, 3H, J = 6.8 Hz).
Step 2: 5-(6-((tert-butoxycarbonyl)amino)pyridin-3-yl)-3-(ethyl(tetrahydro-2H- pyran-4- l)amino)-2-methylbenzoic acid
A mixture of methyl 5-(6-((tert-butoxycarbonyl)amino)pyridin-3-yl)-3-
(ethyl(tetrahydro-2H-pyran-4-yl)amino)-2-methylbenzoate (1.2 g, 2.7 mmol) and 3 N sodium hydroxide solution (2 ml) in ethanol (5 ml) was heated at 70 °C for 2 h. Then, more added 3 N sodium hydroxide solution (5 ml) and stirred at room temperature for 18 h and the reaction mixture was cooled to 0 °C and acidified to pH 6 by using 1 N hydrochloric acid solution. The reaction mixture was concentrated under reduced pressure and the residue was diluted with ethyl acetate and extracted with water. The organic layers were dried over magnesium sulfate and concentrated under reduced pressure. The compound was used for the next step without purification.
Intermediate 4 : 5-chloro-3-(ethyl(tetrahy dro-2H-pyran-4-yl)amino)-2- methylbenzoic acid
Step 1 : methyl 5-chloro-2-methyl-3-((tetrahydro-2H-pyran-4-yl)amino)benzoate
To a solution of methyl 3-amino-5-chloro-2-methylbenzoate (790.0 mg, 3.96 mmol) and tetrahydro-4H-pyran-4-one (600.0 mg, 5.97 mmol) in dichloroethane (10.5 ml) was added acetic acid (8 ml) and the reaction mixture was stirred at room temperature for 15 min, then the reaction mixture was cooled to 0 °C and sodium triacetoxy borohydride (2.1 g, 10.02 mmol) was added. The reaction mixture was stirred at room temperature for 18 h. Sodium bicarbonate solution was added to the reaction mixture until pH 7. The organic layers were separated and aqueous layer was extracted with 10% methanol i dichloromethane. The combined organic layer was dried over magnesium sulfate and concentrated under reduced pressure. The residue was purified by silica column chromatography (40% ethyl acetate in hexane) to obtain the title compound as a white solid (880 mg, 78% yield).
Ή NMR (400 MHz, DMSO-d6) δ 6.80 (d, 2 H, J = 5.6 Hz), 5.02 (d, 1 H, J =8.4 Hz), 3.84-3.81 (m, 2 H), 3.76 (s, 3 H), 3.59-3.44(m, 1 H), 3.42 (q, 2 H, J =9.6 Hz), 3.30 (s, 3 H), 2.21 (s, 3 H), 7.84-1.78 (m, 2 H), 1.56-1.44(m, 2 H).
Step 2: methyl 5-chloro-3-(ethyl(tetrahydro-2H-pyran-4-yl)amino)-2-
methylbenzoate
To a solution of methyl 5-chloro-2-methyl-3-((tetrahydro-2H-pyran-4- yl)amino)benzoate (880.0 mg, 3.1 mmol) in dichloroethane (6.2 ml) was added acetaldehyde (274.0 mg, 6.2 mmol) and acetic acid (1.2 ml). The reaction mixture was stirred at room temperature for 15 min, then the reaction mixture was cooled to 0 °C and sodium triacetoxy borohydride (1.99 g, 9.3 mmol) was added. The reaction mixture was stirred at room temperature for 18 h and basified with saturated sodium bicarbonate solution until pH 7. The aqueous layer was extracted with ethyl acetate and the combined organic layer was concentrated under reduced pressure. The residue was purified by silica column chromatography (2% to 25% ethyl acetate in hexane) to obtain the title compound as yellow oil (910 g, 94% yield).
Ή NMR (400 MHz, DMSO-d6) δ 7.44 (d, 1H, J = 2.4 Hz), 7.39 (d, 1 H, J = 2.4 Hz), 3.80-3.76 (m, 5 H), 3.22-3.19 (m, 2 H), 3.02-2.90 (m, 3 H), 2.33 (s, 3 H), 1.59 (d, 2 H, J = 10.8 Hz), 1.51-1.46 (m, 2 H), 0.76 (t, 3 H, J = 7.0 Hz). -chloro-3-(ethyl(tetrahydro-2H-pyran-4-yl)amino)-2-methylbenzoic acid
A mixture of methyl 5-chloro-3-(ethyl(tetrahydro-2H-pyran-4-yl)amino)-2- methylbenzoate (620.0 mg, 1.99 mmol) and 3 N sodium hydroxide solution (1 ml) in ethanol (3 ml) was heated at 70 °C for 2 h. Then, the reaction mixture was cooled to 0 °C and acidified to pH 6 by using 1 N hydrochloric acid solution. The reaction mixture was concentrated under reduced pressure and the residue was diluted with ethyl acetate and
extracted with water. The organic layers were dried over magnesium sulfate and concentrated under reduced pressure. The residue was used in the next reaction without further purification (490 mg, 83% yield).
1H NMR (400 MHz, DMSO-d6) δ 7.36 (d, 1H, J = 2.0 Hz), 7.29 (d, 1 H, J = 2.0 Hz), 3.80-3.76 (m, 2 H), 3.25 (bs, 1 H), 3.21-3.18 (m, 2 H), 3.00-2.84 (m, 3 H), 2.33 (s, 3 H), 1.59-1.56 (m, 2 H), 1.52-1.39 (m, 2 H), 0.77 (t, 3 H, J = 7.0 Hz).
Intermediate 5: 5-chloro-3-(ethyl((lS,4S)-4-((2- methoxyethyI)(methyl)amino)cyclohexyl)aniino)-2-methylbenzoic acid
Step 1 : methyl 3-(((lR,4R)-4-((tert-butoxycarbonyl)amino)cyclohexyl)amino)-5- chloro-2-methylbenzoate
To a solution of methyl 3-amino-5-chloro-2-methylbenzoate (1.5 g, 7.6 mmol) and tert-butyl (4-oxocyclohexyl)carbamate (2.1 g, 10 mmol) in dichloroethane (76 ml) was added acetic acid (2.7 ml) at room temperature for 20 min. Then, the mixture was cooled to 0 °C and sodium triacetoxy borohydride (6.99 g, 32.9 mmol) was added. The reaction mixture was stirred at room temperature for 24 h and basified with saturated sodium bicarbonate solution until pH 7. The aqueous layer was extracted with ethyl acetate and the combined organic layer was concentrated under reduced pressure. The residue was purified by silica column chromatography (15% ethyl acetate in hexane) to obtain the title compound as yellow oil (1.23 g, 41% yield).
Ή NMR (400 MHz, CDC13) δ 7.03 (s, 1 H), 6.63 (s, 1 H), 4.45 (d, 1 H, J = 8.4 Hz), 3.84 (s, 3 H), 3.42 (bs, 1 H), 3.18 (bs, 1 H), 2.19 (s,3 H), 2.12-2.20 (m, 4 H), 1.42 (s, 9 H), 1.24 (t, 3 H, J = 9.6 Hz).
Step 2: methyl 3-(((lS,4S)-4-((tert- butoxycarbonyl)amino)cyclohexyl)(ethyl)amino)-5-chloro-2-methylbenzoate
methyl 3-(((lR,4R)-4-((tert- butoxycarbonyl)amino)cyclohexyl)amino)-5-chloro-2-methylbenzoate (1.2 g, 3.1 mmol) in dichloroethane (11 ml) was added acetaldehyde (290 mg, 6.55 mmol) and acetic acid (1.1 ml). The reaction mixture was stirred at room temperature for 20 min, then the reaction mixture was cooled to 0 °C and sodium triacetoxy borohydride (1.98 g, 9.8 mmol) was added. The reaction mixture was stirred at room temperature for 18 h and basified with saturated sodium bicarbonate solution until pH 7. The aqueous layer was extracted with ethyl acetate and the combined organic layer was concentrated under reduced pressure. The residue was purified by silica column chromatography (25% ethyl acetate in hexane) to obtain the title compound as yellow oil (1.23 g, 91% yield).
1H NMR (400 MHz, DMSO-d6) δ 7.40 (d, 1 H, J = 2.4 Hz), 7.34 (d, 1 H, J = 2.4 Hz), 6.68 (bs, 1 H), 3.79 (s, 3H), 3.16 (bs, 1H), 3.18-2.99 (m, 2 H), 2.59-2.49 (m, 1 H), 2.29 (s, 3H), 1.76-1.67 (m, 4 H), 1.39-1.32 (m, 11 H), 1.17-1.02(m. 2H), 0.76 (q, 3 H, J = 7.2 Hz).
Step 3: methyl 3-(((l S,4S)-4-((tert- butoxycarbonyl)(methyl)amino)cyclohexyl)(ethyl)amino)-5-chloro-2-methylbenzoate
To a solution of methyl 3-(((l S,4S)-4-((tert- butoxycarbonyl)amino)cyclohexyl)(ethyl)amino)-5-chloro-2-methylbenzoate (200.0 mg, 0.47 mmol) in dimethylformamide (5 ml), sodium hydride (30.0 mg, 0.7 mmol) was added at 0 °C and stirred at the same temperature for 20 min. Then, methyl iodide (670.0 mg, 4.7
mmol) was added at 0 °C and the reaction mixture was stirred for 20 h at room temperature. The reaction mixture was quenched with ice water and extracted with dichloromethane. The combined organic layer was washed with water, dried over magnesium sulfate and concentrated under reduced pressure. The residue was purified by silica column chromatography (5% ethyl acetate in hexane to 50 % ethyl acetate in hexane) to obtain the title compound as oil (115 mg, 57% yield).
1H NMR (400 MHz, DMSO-d6) δ 7.39 (s, 1 H), 7.33 (d, 1 H, J = 1.6 Hz), 3.78 (s, 3 H), 3.03 (t, 2 H, J = 7.4 Hz), 2.61-2.57 (m, 4 H), 2.33 (s, 3 H), 1.73-1.65 (m, 4 H), 1.45- 1.32 (m, 13 H), 0.77-0.72 (m, 3 H).
Step 4: methyl 5-chloro-3-(ethyl((l S,4S)-4-(methylamino)cyclohexyl)amino)-2- methyl benzoate
To a solution of methyl 3-(((lS,4S)-4-((tert- butoxycarbonyl)(methyl)amino)cyclohexyl)(ethyl)amino)-5-chloro-2-methylbenzoate
(115.0 mg, 0.26 mmol) in dichloromethane (3 ml) at 0 °C, trifluoroacetic acid (0.1 ml) was added and reaction mixture was stirred at room temperature for 3 h. After 3 h, mixture was concentrated in vacuo to dryness. The residue was basified with sodium carbonate solution to pH 8 and the aqueous layer was extracted with 20% methanol in dichloromethane. The organic layer was dried over magnesium sulfate and concentrated in vacuo and used for the next step (115 mg, 99% yield).
Ή NMR (400 MHz, CD3OD-d4) δ 7.48 (d, 1H, J =2.0 Hz), 7.31 (d, 1H, J = 2.0 Hz), 3.85 (s, 3 H), 3.10 (q, 2 H, J = 6.8 Hz), 2.83 (m, 1 H), 2.72-2.66 (m, 2 H), 2.56 (s, 3 H), 2.40 (s, 3 H), 2.06-1.99 (m, 2 H), 1.50-1.19 (m, 4 H), 0.85 (t, 3 H, 6.8 Hz).
Step 5: methyl 5-chloro-3-(ethyl((lS,4S)-4-((2- methoxyethyl)(methyl)amino)cyclohexyl)amino)-2-methylbenzoate
To a solution of methyl 5-chloro-3-(ethyl((lS,4S)-4- (methylamino)cyclohexyl)amino)-2-methylbenzoate (115.0 mg, 0.34 mmol), l-bromo-2- methoxyethane (95.0 mg, 0.68 mmol) in acetonitrile, potassium carbonate (94 mg, 0.68 mmol) and potassium iodide (34 mg, 0.21 mmol) were added. The reaction mixture was stirred at 65 °C for 18 h, diluted with water and extracted with dichloromethane. The combined organic layer was washed with water, dried over magnesium sulfate and concentrated under reduced pressure. The residue was purified by silica column chromatography (5% methanol in dichloromethane to 10% methanol in dichloromethane) to obtain the title compound as oil (70 mg, 52% yield).
1H NMR (400 MHz, CDC13) δ 7.48 (d, 1 H, J =2.0 Hz), 7.16 (d, 1 H, J =6.4 Hz), 3.85 (s, 3 H), 3.36-3.29 (m, 5 H), 3.00 (t, 2 H, J = 7.2 Hz), 2.65-2.62 (m, 3 H), 2.43-2.29 (m, 4 H), 1.87-1.85 (m, 4 H), 1.49-1.20 (m, 4 H), 0.83 (t, 3 H, J = 6.4Hz). Step 6: 5-chloro-3-(ethyl((l S,4S)-4-((2- methoxyethyl)(methyl)amino)cyclohexyl)amino)-2-methylbenzoic acid
A mixture of methyl 5-chloro-3-(ethyl((l S,4S)-4-((2- methoxyethyl)(methyl)amino)cyclohexyl)amino)-2-methylbenzoate (70.0 mg, 0.177 mmol) and 3 N sodium hydroxide solution (0.5 ml) in ethanol (2.5 ml) was heated at 70 °C for 18 h and the reaction mixture was cooled to 0 °C and acidified to pH 6 by using 1 N hydrochloric acid solution. The reaction mixture was concentrated under reduced pressure and the residue was diluted with 10% methanol in dichloromethane and extracted with water. The organic layers were dried over magnesium sulfate and concentrated under reduced pressure to obtain the title compound which was used in the next reaction without further purification (90 mg, 99% yield).
MS 383.2 (M+l)+.
Intermediate 6: 3-(ethyl((lS,4S)-4-((2- methoxyethyl)(methyl)amino)cyclohexyl)amino)-2-methyl-5-(3-morpholinoprop-l-yn- l-yl)benzoic acid
Step 1 : methyl 5-bromo-3-(((lR,4R)-4-((tert- butoxycarbonyl)amino)cyclohexyl)amino)-2-methylbenzoate
To a solution of methyl 3-amino-5-bromo-2-methylbenzoate (1.03 g, 4.22 mmol) and tert-butyl (4-oxocyclohexyl)carbamate (1.18 g, 5.48 mmol) in dichloroethane (43 ml) was added acetic acid (4.3 ml) at room temperature for 20 min. Then, the mixture was cooled to 0 °C and sodium triacetoxy borohydride (3.84 g, 18 mmol) was added. The reaction mixture was stirred at room temperature for 24 h and basified with saturated sodium bicarbonate solution until pH 7. The aqueous layer was extracted with ethyl acetate and the combined organic layer was concentrated under reduced pressure. The residue was purified by silica column chromatography (30% ethyl acetate in hexane) to obtain the title compound as a white solid (570 mg, 31% yield).
Ή NMR (400 MHz, CDC13) δ 7.17 (s, 1 H), 6.77 (s, 1 H), 4.43 (bs, 1 H), 3.84 (s, 3 H), 3.45 (s, 1H), 3.18 (s, 1H), 2.18-2.01 (m, 7 H), 1.42 (s, 9 H), 1.24 (bs, 4 H).
Step 2: methyl 5-bromo-3-(((l S,4S)-4-((tert- butoxycarbonyl)amino)cyclohexyl)(ethyl)amino)-2-methylbenzoate
To a solution methyl 5-bromo-3-(((lR,4R)-4-((tert- butoxycarbonyl)amino)cyclohexyl)amino)-2-methylbenzoate (570.0 g, 1.3 mmol) in dichloroethane (5 ml) was added acetaldehyde (120.0 mg, 2.6 mmol) and acetic acid (0.5 ml). The reaction mixture was stirred at room temperature for 20 min, then the reaction mixture was cooled to 0 °C and sodium triacetoxy borohydride (830.0 g, 3.9 mmol) was added. The reaction mixture was stirred at room temperature for 18 h and basified with saturated sodium bicarbonate solution until pH 7. The aqueous layer was extracted with ethyl acetate and the combined organic layer was concentrated under reduced pressure. The residue was purified by silica column chromatography (40% ethyl acetate in hexane) to obtain the title compound as a yellow solid (560 mg, 91.7% yield).
1H NMR (400 MHz, CD3OD-d4) δ 7.60 (d, 1 H, J = 2.0 Hz), 7.41 (d, 1 H, J = 2.0 Hz), 3.85 (s, 3 H), 3.28-3.27 (m, 2 H), 3.10 (q, 2 H, J = 6.8 Hz), 2.66-2.63 (m, 1 H), 2.38 (s, 3 H), 1.90-1.80 (m, 4 H), 1.47-1.39 (m, 11 H), 1.18-1.12 (m, 2 H), 0,83 (t, 3 H, J = 6.8 Hz).
Step 3: methyl 5-bromo-3-(((l S,4S)-4-((tert- butoxycarbonyl)(methyl)amino)cyclohexyl)(ethyl)amino)-2-methylbenzoate
To a solution of methyl 5-bromo-3-(((l S,4S)-4-((tert- butoxycarbonyl)amino)cyclohexyl)(ethyl)amino)-2-methylbenzoate (370.0 mg, 0.79 mmol) in dimethylformamide (4 ml), sodium hydride (94 mg, 2.36 mmol) was added at 0 °C and stirred at the same temperature for 20 min. Then, methyl iodide (1.1 g, 7.8 mmol) was added at 0 °C and stirred for 3 h at room temperature. The reaction mixture was quenched with ice water and extracted with dichloromethane. The combined organic layer was washed with water, dried over magnesium sulfate and concentrated under reduced pressure. The residue was purified by silica column chromatography (40% ethyl acetate in hexane)
to obtain the title compound as oil (430 mg, 99% yield).
1H NMR (400 MHz, CD3OD-d4) δ 7.61 (d, 1 H, J = 2.0 Hz), 7.412 (s, 1 H), 3.85 (s, 4 H), 3.10-3.05 (m, 2 H), 2.72 (s, 3 H), 2.39 (s, 3 H), 1.87 (bs, 2 H), 1.65 (bs, 2 H), 1.63 (m, 13 H), 0,85 (t, 3 H, J = 6.8 Hz).
Step 4: methyl 5-bromo-3-(ethyl((lS,4S)-4-(methylamino)cyclohexyl)amino)-2- methyl benzoate
To a solution of methyl 5-bromo-3-(((l S,4S)-4-((tert- butoxycarbonyl)(methyl)amino)cyclohexyl)(ethyl)amino)-2-methylbenzoate (430.0 mg, 0.89 mmol) in dichloromethane (8 ml) at 0 °C, trifluoroacetic acid (0.7 ml) was added and reaction mixture was stirred at room temperature for 4 h. The reaction mixture was concentrated in vacuo to dryness. The residue was basified with sodium carbonate solution to pH 8 and the aqueous layer was extracted with 20% methanol in dichloromethane. The organic layer was dried over magnesium sulfate and concentrated in vacuo and used for the next step (480 mg, 99% yield)
Ή NMR (400 MHz, CD3OD-d4) δ 7.63 (d, 1 H, J = 1.6 Hz), 7.41 (d, 1 H, J = 1.6 Hz), 3.85 (s, 3 H), 3.09-3.04 (m, 2 H),2.94-2.88 (m, 1 H), 2.77-2.71 (m, 1 H), 2.39 (s, 3 H), 2.12 (d, 2 H, J = 11.6 Hz), 1.95 (d, 2 H, J = 12.4 Hz), 1.51-1.25 (m, 4 H), 0,85 (t, 3 H, J = 7.0 Hz).
Step 5: methyl 5-bromo-3-(ethyl((l S,4S)-4-((2- methoxyethyl)(methyl)amino)cyclohexyl)amino)-2-methylbenzoate
To a solution of methyl 5-bromo-3-(ethyl((lS,4S)-4- (methylamino)cyclohexyl)amino)-2-methylbenzoate (470.0 mg, 1.23 mmol), l-bromo-2- methoxyethane (340.0 mg, 2.45 mmol) in acetonitrile (4.5 ml), potassium carbonate (340
mg, 2.45 mmol) and potassium iodide (123.0 mg, 0.74 mmol) were added. The reaction mixture was stirred at 65 °C for 18 h, diluted with water and extracted with dichloromethane. The combined organic layer was washed with water, dried over magnesium sulfate and concentrated under reduced pressure. The residue was purified by silica column chromatography (dichloromethane to 10% methanol in dichloromethane) to obtain the title compound as oil (340 mg, 63% yield).
1H NMR(400 MHz, DMSO-d6) δ 7.52 (d, 1 H, 2.0 Hz), 7.42 (d, 1 H, 2.0 Hz), 3.78 (s, 3 H), 3.29 (bs, 2 H), 3.01 (s, 3H), 3.00-2.98 (m, 2 H), 2.59-2.56 (m, 2 H), 2.47 (s, 3H), 2.28 (s, 3 H), 2.16 (bs, 2 H), 1.74-1.66 (m, 4 H), 1.34-1.19 (m, 4 H), 0.76 (t, 3 H, J =6.8 Hz).
Step 6: methyl 3-(ethyl((l S,4S)-4-((2- methoxyethyl)(methyl)amino)cyclohexyl)amino)-2-methyl-5-(3-m rpholinoprop- 1 -yn- 1 - yl)b
To a solution of methyl 5-bromo-3-(ethyl((lS,4S)-4-((2- methoxyethyl)(methyl)amino)cyclohexyl)amino)-2-methylbenzoate (74.0 mg, 0.167 mmol), 4-(prop-2-yn-l-yl) morpholine (63.0 mg, 0.503 mmol) and trimethylamine (0.1 ml) in dimethylformamide (1 ml) was added and charged with Ar. Then copper (I) iodide (10 mg, 0.05 mmol) and tetrakis(triphenylphosphine)palladium (0) (20.0 mg, 0.1 mmol) were added to the reaction mixture and charged with Ar. The reaction mixture was heated at 105 °C for 3.5 h and then the reaction mixture was diluted with water and extracted with 10 % methanol in dichloromethane. The combined organic layer was dried over magnesium sulfate and concentrated under reduced pressure. The residue was purified by silica column chromatography (3% methanol in dichloromethane to 15 % methanol in dichloromethane) to obtain the title compound as oil (30 mg, 37% yield).
Ή NMR (400 MHz, CD3OD-d4) δ 7.54 (s, 1 H), 7.34 (s, 1 H), 3.85 (s, 3 H), 3.71 (s, 4 H), 3.50 (s, 3 H), 3.28 (s, 2 H), 3.09 (q, 2 H, J = 6.6 Hz), 2.79 (s, 2 H), 2.67 (bs, 6 H), 2.43 (s, 3H), 2.39 (s, 3 H), 1.91 (d, 4 H, J =10.0 Hz), 1.42-1.30 (m, 4 H), 0.84 (t, 3 H, J = 6.8 Hz).
Step 7: 3-(ethyl((l S,4S)-4-((2-methoxyethyl)(methyl)amino)cyclohexyl)amino)-2- methyl-5-(3-morpholinoprop-l-yn-l-yl)benzoic acid
A mixture of methyl 3-(ethyl((lS,4S)-4-((2- methoxyethyl)(methyl)aminO)cyclohexyl)amino)-2-methyl-5-(3-morpholinoprop- 1 -yn- 1 - yl)benzoate (50.0 mg, 0.103 mmol) and 3 N sodium hydroxide solution (0.2 ml) in ethanol (0.5 ml) was heated at 60 °C for 2 h. Then the reaction mixture was cooled to 0 °C and acidified to pH 6 by using 1 N hydrochloric acid solution. The reaction mixture was concentrated under reduced pressure and the residue was diluted with ethyl acetate and extracted with water. The organic layers were dried over magnesium sulfate and concentrated under reduced pressure. The residue was used in the next reaction without further purification (20 mg, 41% yield).
MS 472.5 (M+l)+. Intermediate 7: 3-(((lS,4S)-4-((2,2- difluoroethyl)(methyI)amino)cyclohexyl)(ethyI)amino)-2-methyl-5-(3- morpholinoprop-l-yn-l-yl)benzoic acid
Step 1 : methyl 5-bromo-3-(((l S,4S)-4-((2,2- difluoroethyl)(methyl)amino)cyclohexyl)(ethyl)amino)-2-methylbenzoate
Methyl 5-bromo-3-(ethyl((l S,4S)-4-(methylamino)cyclohexyl)amino)-2-methyl benzoate (160.0 mg, 0.42 mmol) was dissolved in dimethylformamide (2 ml) . Triethylamine was added followed by 2,2-difluoroethyl 4-methylbenzenesulfonate (200.0 mg, 0.85 mmol) and the reaction mixture was reacted by microwave at 150 °C for 1 h. The mixture was diluted with water and extracted with dichloromethane. The combined organic solvent was dried over magnesium sulfate and concentrated under reduced pressure. The residue was purified by silica column chromatography (5% ethyl acetate in hexane to only ethyl acetate) to obtain the title compound as oil (67 mg, 35.7% yield).
1H NMR (400 MHz, CD3OD-d4) δ 7.60 (s, 1 H), 7.41 (s, 1 H), 5.95-5.64 (m, 1 H), 3.85(s, 3 H), 3.19-3.05 (m, 2 H), 2.78-2.62 (m, 3 H), 2.46-2.33 (m, 4 H), 2.31 (s, 3 H), 1.88 (t, 4 H, J = 15.0 Hz), 1.44-1.17 (m, 4 H), 0.84 (t, 3 H, J = 6.8 Hz).
Step 2: methyl 3-(((l S,4S)-4-((2,2- difluoroethyl)(methyl)amino)cyclohexyl)(ethyl)amino)-2-methyl-5-(3 -morpholinoprop- 1 - yn-l-yl)benzoate
A solution of methyl 5-bromo-3-(((l S,4S)-4-((2,2- difluoroethyl)(methyl)amino)cyclohexyl)(ethyl)amino)-2-methylbenzoate (67.0 mg, 0.15 mmol), 4-(prop-2-yn-l-yl)morpholine (107.0 mg, 0.91 mmol) and trimethylamine (0.08 ml, 0.45 mmol) in dimethylformamide (2 ml) was charged with Ar. Then copper (I) iodide (10.0 mg, 0.05 mmol) and tetrakis(triphenylphosphine)palladium(0) (20.0 mg, 0.01 mmol) were added to the reaction mixture and charged with Ar. The reaction mixture was heated at 105 °C for 7.5 h and then the reaction mixture was diluted with water and extracted with 10% methanol in dichloromethane. The combined organic layer was dried over magnesium sulfate and concentrated under reduced pressure. The residue was purified by silica column chromatography (5 % methanol in dichloromethane to 15% methanol in dichloromethane) to obtain the title compound as oil (85 mg, 99% yield).
Ή NMR (400 MHz, CD3OD-d4) δ 7.53 (s, 1 H), 7.33 (s, 1 H), 5.95-5.66 (m, 1 H), 3.85 (s, 3 H), 3.73-3.70 (m, 4 H), 3.07 (q, 2 H, J =7.2 Hz), 2.74-2.67 (m, 2 H), 2.66-2.63 (m, 5 H), 2.43-2.38 (m, 4 H), 2.31 (s, 3 H), 1.88-1.80 (m, 4 H), 1.42-1.37 (m, 2 H), 1.26- 1.20 (m, 2 H), 0.84 (t, 3 H, J = 7.0 Hz).
Step 7: 3-(((l S,4S)-4-((2,2- difluoroethyl)(methyl)amino)cyclohexyl)(ethyl)amino)-2-methyl-5-(3-morpholinoprop-l- yn-l-yl)benzoic acid
A mixture of methyl 3-(((l S,4S)-4-((2,2- difluoroethyl)(methyl)amino)cyclohexyl)(ethyl)amino)-2-methyl-5-(3 -morpholinoprop- 1 - yn-l-yl)benzoate (85.0 mg, 0.17 mmol) and 3 N sodium hydroxide solution (0.5 ml) in ethanol (1.5 ml) was heated at 60 °C for 4.5 h. Then the reaction mixture was cooled to 0 °C and acidified to pH 6 by using 1 N hydrochloric acid solution. The reaction mixture was concentrated under reduced pressure and the residue was diluted with ethyl acetate and extracted with water. The organic layers were dried over magnesium sulfate and concentrated under reduced pressure (45 mg, 54.5% yield).
1H NMR (400 MHz, CD3OD-d4) δ 7.45 (s, 1 H), 7.26 (s, 1 H), 6.05-5.77 (m, 1 H), 3.74-3.72 (m, 4 H), 3.56 (s, 3 H), 3.09 (q, 2 H, J = 6.8 Hz), 2.94-2.86 (m, 2 H), 2.64 (s, 5 H), 2.54-2.46 (m, 4 H), 2.42 (s, 6 H), 1.92 (t, 4 H, J = 13.6 Hz), 1.42-1.26 (m, 4 H), 0.84 (t, 3 H, J = 7.0 Hz).
Intermediate 8: 3-((l-acetyIpiperidin-4-yl)(ethyl)amino)-5-chloro-2- methylbenzoic acid
A solution of 5-chloro-2-methylbenzoic acid (5.0 g, 20.3 mmol) in concentrated sulfuric acid (35 ml) was cooled to -15 °C. A mixture of concentrated nitric acid (2.5 ml) and concentrated sulfuric acid (2.6 ml) was added dropwise to the reaction mixture at -15 °C over 30 min. The reaction mixture was stirred for at -10 °C for 2 h, before being poured onto ice water (80 g) and the precipitate collected by filtration. The precipitate was dissolved in ethyl acetate and washed with brine. The combined organic layer was dried
over magnesium sulfate and concentrated under reduced pressure to obtain the title compound as a pale yellow solid (6.5 g, 99% yield).
1H NMR (400 MHz, DMSO-d6) δ 8.15 (d, 1 H, J = 2.4 Hz), 7.98 (d, 1 H, J = 2.4 Hz), 2.42 (s, 3H).
To a solution of 5-chloro-2-methyl-3-nitrobenzoic acid (6.2 g, 29.0 mmol) in dimethylformamide (58 ml), sodium carbonate (4.6 g, 43.3 mmol) and methyl iodide (2.28 ml, 43.3 mmol) were added. The reaction mixture was stirred at room temperature for 20 h and then ethyl acetate, water and brine were added. The organic layers were washed with brine and water (x 3). The combined organic layer was dried over magnesium sulfate and concentrated under reduced pressure. The residue was purified by silica column chromatography (hexane to 20% ethyl acetate in hexane) to obtain the title compound as white solid (4.1 g, 62% yield).
1H NMR (400 MHz, CDC13) δ 7.97 (d, 1H, J = 2.4 Hz), 7.83 (d, 1H, J = 2.4 Hz), 3.93 (s, 3H), 2.56 (s, 3H).
To a solution of methyl 5-chloro-2-methyl-3-nitrobenzoate (4.1 g, 17.8 mmol) in methanol (89 ml), ammonium chloride (9.5 g, 178.5 mmol) dissolved in water (45 ml) and Fe powder (6.0 g, 107.1 mmol) were added and heated at 80 °C for 2 h. The reaction mixture was cooled to room temperature and filtered through celite. The filter pad was washed with methanol (40 ml) and the filtrate was concentrated under reduced pressure. The residue was dissolved in water and ethyl acetate. The organic layers were combined,
washed with brine, dried over magnesium sulfate and concentrated under reduced pressure to obtain the title compound as oil (3.5 g, 97% yield).
Ή NMR (400 MHz, CDC13) δ 7.17 (d, 1H, J = 2.0 Hz), 6.78 (d, 1H, J = 1.6 Hz), 3.85 (s, 3H), 2.27 (s, 3H).
Step 4: tert-butyl 4-((5-chloro-3-(methoxycarbonyl)-2- methylphenyl)amino)piperidine- 1 -carboxylate
To a solution of methyl 3-amino-5-chloro-2-methylbenzoate (1.5 g, 7.3 mmol) and tert-butyl 4-oxopiperidine-l -carboxylate (1.9 g, 9.5 mmol) in dichloroethane (73 ml), was added acetic acid at room temperature. After 30 min, the reaction mixture was cooled to 0 °C and sodium triacetoxy borohydride (6.6 g, 31.4 mmol) was added. The reaction mixture was stirred at room temperature for 18 h and basified with saturated sodium bicarbonate solution until pH 7. The aqueous layer was extracted with ethyl acetate and the combined — organic layer was concentrated under reduced pressure. The residue was purified by silica column chromatography (15% ethyl acetate in hexane) to obtain the title compound as white solid (1.4 g, 50% yield).
Ή NMR (400 MHz, CDC13) δ 7.07 (s, 1H), 6.68 (s, 1 H), 4.10 (bs, 2H), 3.85 (s, 3 H), 3.44-3.39 (m, 1 H), 2.96-2.86 (m, 2 H), 2.23 (s, 3 H), 2.03-2.01 (m, 2 H), 1.44-1.38 (m, 11 H).
Step 5: tert-butyl 4-((5-chloro-3-(methoxycarbonyl)-2- methylphenyl)(ethyl)amino)piperidine- 1 -carboxylate
To a solution of tert-butyl 4-((5-chloro-3-(methoxycarbonyl)-2- methylphenyl)amino)piperidine-l-carboxylate (1.3 g, 3.4 mmol) and acetaldehyde (600.0 mg, 13.6 mmol) in dichloroethane (20 ml), was added acetic acid (1.1 ml) and the mixture was stirred at room temperature for 30 min. Then, the reaction mixture was cooled to 0 °C and sodium triacetoxy borohydride (2.2 g, 10.2 mmol) was added and stirred at room temperature for 18 h. The mixture was neutralized with saturated sodium bicarbonate solution and extracted with 10% methanol in dichloromethane. The organic layers were concentrated in vacuo. The residue was purified by silica column chromatography (20% ethyl acetate in hexane) to obtain the title compound as yellow oil (1.7 g, 99% yield).
1H NMR (400 MHz, CDC13) δ 7.53 (s, 1 H), 7.19 (s, 1H), 4.01 (bs, 2 H), 3.86 (s, 3 H), 3.01 (d, 2H, J = 6.8 Hz), 2.99-2.84 (m, 1 H), 2.69 (t, 2 H, J = 12.2 Hz), 2.43 (s, 3 H), 1.72 (d, 2 H, J = 12.0 Hz), 1.48-1.41 (m, 11 H), 0.86 (m, 3 H). _ ep 6: methyl 5-chloro-3-(ethyl(piperidin-4-yl)amino)-2-methylbenzoate
tert-butyl 4-((5-chloro-3-(methoxycarbonyl)-2- methylphenyl)(ethyl)amino)piperidine-l-carboxylate (145 mg, 0.35 mmol) in dichloromethane (2.5 ml), trifluoroacetic acid (1 ml) was added and the reaction mixture was stirred at room temperature for 3 h. The reaction mixture was concentrated to dryness under reduced pressure. The residue was dissolved in 10% methanol in dichloromethane and washed with saturated sodium bicarbonate solution, water and brine. The organic layers were concentrated in vacuo to obtain the title compound as oil (95 mg, 87% yield)
Ή NMR (400 MHz, CDC13) δ 7.53 (d, 1 H, J = 1.6 Hz), 7.18 (d, 1 H, J = 12.0 Hz) 4.80 (bs, 1 H), 3.86 (s, 3 H), 3.21 (d, 2 H, J = 12.4 Hz), 3.04 (m, 2 H), 2.88 (t, 1 H, J = 10.4 Hz), 2.67 (q, 2 H, J = 11.2 Hz), 2.41 (s, 3 H), 1.85 (d, 2 H, J = 10.4 Hz), 1.74 (q, 2H, J = 10.4 Hz) 0.85 (t, 3 H, J = 7.0 Hz).
Step 7: methyl 3-((l-acetylpiperidin-4-yl)(ethyl)amino)-5-chloro-2- methylbenzoate
To a solution of tert-butyl 4-((5-chloro-3-(methoxycarbonyl)-2- methylphenyl)(ethyl)amino)piperidine-l-carboxylate (95.0 mg, 0.31 mmol), acetic acid (28.0 mg, 0.5 mmol) and l-[bis(dimethylamino)methylene]-lH-l ,2,3-triazolo[4,5- b]pyridinium 3-oxide hexafluorophosphate (174 mg, 0.46 mmol) in N,N- dimethylformamide (3 ml) was added N,N-diisopropylethylamine (0.2 ml) at room temperature for 6 h. The reaction mixture was concentrated in vacuo. The residue was diluted with 10% methanol in dichloromethane and water. The organic layer was combined and concentrated in vacuo. The residue was purified by silica column chromatography (5% methanol in dichloromethane) to obtain the title compound as oil (125 mg, 99% yield).
Ή NMR(400 MHz, CD3OD-d4) δ 7.51 (d, 1H, J = 2.0 Hz), 7.30 (d, 1H, J = 1.6 Hz), 4.39 (d, 1H, J = 12.0 Hz), 3.85-3.81 (m, 4 H), 3.09-2.99 (m, 4 H), 2.67-2.60 (m, 1H), 2.05 (s, 3 H), 1.85 (t, 2 H, J = 16.8), 1.57-1.38 (m, 2H), 0.87 (t, 3 H, J = 7.0 Hz).
A mixture of methyl 3-((l-acetylpiperidin-4-yl)(ethyl)amino)-5-chloro-2-methyl benzoate (125.0 mg, 0.35 mmol) and 3 N sodium hydroxide solution (0.2 ml) in ethanol (1 ml) was heated at 70 °C for 2 h. The reaction mixture was cooled to 0 °C and acidified to pH 6 by using 1 N hydrochloric acid solution. The reaction mixture was concentrated under reduced pressure. The residue was diluted with ethyl acetate and extracted with water. The organic layer was dried over magnesium sulfate and concentrated under reduced pressure to obtain the title compound as oil (75 mg, 63% yield).
1H NMR(400 MHz, CD3OD-d4) δ 7.54 (d, 1H, J = 2.0 Hz), 7.35 (d, 1H, J = 2.0 Hz), 4.41 (d, 1H, J = 13.6 Hz), 3.87 (d, 1 H, J =13.6 Hz), 3.10-3.02 (m, 4 H), 2.69-2.62 (m, 1H), 2.45 (s, 3 H), 2.06 (s, 3 H), 1.84-1.79 (m, 2 H), 1.58-1.43 (m, 2H), 0.87 (t, 3 H, J = 7.0 Hz).
Intermediate 9: 5-((l-acetyIpiperidm-4-yl)(ethyl)amino)-4'-(2- methoxyethoxy)-4-methyl-[l,l'-biphenyl]-3-carboxyIic acid
Step 1 : tert-butyl 4-((5-bromo-3-(methoxycarbonyl)-2- methylphenyl)amino)piperidine- 1 -carboxylate
To a solution of methyl 3-amino-5-bromo-2-methylbenzoate (330.0 mg, 1.35 mmol) and tert-butyl 4-oxopiperidine-l-carboxylate (353.0 mg, 1.77 mmol) in dichloroethane (13.5 ml), was added acetic acid (0.5 ml) at room temperature. After 30 min, the reaction mixture was cooled to 0 °C and sodium triacetoxy borohydride (1.2 g, 5.83 mmol) was added. The reaction mixture was stirred at room temperature for 18 h and basified with saturated sodium bicarbonate solution until pH 7. The aqueous layer was extracted with ethyl acetate and the combined organic layer was concentrated under reduced pressure. The residue was purified by silica column chromatography (10% ethyl acetate in hexane) to obtain the title compound as white solid (397 mg, 70% yield).
1H NMR (400 MHz, DMSO-d6) δ 6.93 (d, 2 H, J = 11.2 Hz), 3.90 (d, 2 H, J = 12.0 Hz), 3.76 (s, 3 H), 3.53-3.47 (m, 1 H), 2.86 (bs, 2 H), 2.09 (s, 3 H), 1.82 (d, 2 H, J = 11.2 Hz), 1.37-1.20 (m, 11 H).
Step 2: tert-butyl 4-((5-bromo-3-(methoxycarbonyl)-2- methylphenyl)(ethyl)amino)piperidine- 1 -carboxylate
To a solution of tert-butyl 4-((5-bromo-3-(methoxycarbonyl)-2- methylphenyl)amino)piperidine-l-carboxylate (397.0 mg, 0.92 mmol) and acetaldehyde (244.0 mg, 5.54 mmol) in dichloroethane (5.5 ml), was added acetic acid (0.6 ml) and the mixture was stirred at room temperature for 30 min. Then, the reaction mixture was cooled to 0 °C and sodium triacetoxy borohydride (587.0 g, 2.77 mmol) was added and stirred at room temperature for 18 h. The mixture was neutralized with saturated sodium bicarbonate solution and extracted with 10% methanol in dichloromethane. The organic layers were
concentrated in vacuo. The residue was purified by silica column chromatography (10% ethyl acetate in hexane) to obtain the title compound as yellow oil (400 g, 95% yield).
1H NMR (400 MHz, CD3OD-d4) δ 7.65 (d, 2 H, J = 2.0 Hz), 7.47 (d, 2 H, J = 2.4 Hz),4.00 (d, 2 H, J - 13.2 Hz), 3.86 (s, 3 H), 3.08 (q, 2 H, J = 7.2 Hz), 2.97-2.91 (m, 1 H), 2.74 (bs, 2 H), 2.4 l(s, 3 H), 1.75 (d, 2 H, J =11.6 Hz), 1.49-1.39 (m, 11 H), 0.86 (t, 3 H, J = 7.0 Hz).
Step 3: tert-butyl 4-(ethyl(4'-hydroxy-5-(methoxycarbonyl)-4-methyl-[l,l'- biphenyl]-3-yl)amino)piperidine- 1 -carboxylate
To a solution of tert-butyl 4-((5-bromo-3-(methoxycarbonyl)-2- methylphenyl)(ethyl)amino)piperidine-l -carboxylate (100.0 mg, 0.22 mmol) and (4- hydroxyphenyl)-boronic acid in dioxane/water mixture (2.2 ml / 1.1 ml), sodium carbonate (84.0 mg, 0.8 mmol) was added and the mixture was purged with N2 for 30 min. Then, tetrakis(triphenylphosphine)palladium(0) (25.5 mg, 0.0 22 mmol) was added to the - reaction mixture and N2 was purged again for 30 min. The reaction mixture was heated at 100 °C for 5 h, diluted with 10% methanol in dichloromethane and filtered. The filtrate was concentrated, diluted with water and extracted with 10 % methanol in dichloromethane. The combined organic layer was dried over magnesium sulfate and concentrated under reduced pressure. The residue was purified by silica column chromatography (20 % ethyl acetate in hexane) to obtain the title compound as oil (85 mg, 83% yield).
1H NMR (400 MHz, CD3OD-d4) δ 7.70 (d, 1 H, J = 2.0 Hz), 7.47 (d, 2 H, J = 1.6 Hz), 7.40 (dd, 2 H, J= 2.0 Hz, J = 6.8 Hz), 6.85 (dd, 2 H, J = 2.0 Hz, J = 6.4 Hz), 3.98 (d, 2 H, J = 13.2 Hz), 3.87 (s, 3 H), 3.13 (q, 2 H, J = 6.8 Hz), 3.02 (t, 1 H, J =10.8 Hz), 2.74 (bs, 2 H), 2.46(s, 3 H), 1.79 (d, 2 H, J = 12.0 Hz), 1.49-1.41 (m, 11 H), 0.89 (t, 3 H, J = 7.2 Hz).
Step 4: tert-butyl 4-(ethyl(5-(methoxycarbonyl)-4'-(2-methoxyethoxy)-4-methyl- [1,1 -biphenyl] -3 -yl)amino)piperidine-l -carboxylate
To a solution of tert-butyl 4-(ethyl(4'-hydroxy-5-(methoxycarbonyl)-4-methyl- [l , r-biphenyl]-3-yl)amino)piperidine-l-carboxylate (85.0 mg, 0.18 mmol) in acetonitrile, cesium carbonate (178.0 mg, 0.55 mmol) and l-bromo-2-methoxyethane (30.0 mg, 0.22 mmol) were added. The reaction mixture was heated at 80 °C for 17 h. The reaction mixture was diluted with water and extracted with 10% methanol in dichloromethane. The combined organic layer was dried over magnesium sulfate and concentrated under reduced pressure. The residue was used in the next reaction without further purification (81 mg, 85%) yield).
1H NMR (400 MHz, CD3OD-d4) δ 7.72 (d, 1 H, J =1.6 Hz), 7.48 -7.45 (m, 3 H),
7.47 (d, 2 H, J = 8.8 Hz), 4.07 (t, 2 H, J = 4.6 Hz), 3.95 (d, 2 H, J = 13.2 Hz), 3.85 (s, 3 H), 3.70 (t, 2 H, J = 4.6 Hz), 3.37 (s, 3 H), 3.08 (q, 2 H, J = 7.0 Hz), 2.97 (m, 1 H), 2.68 (bs, 2 H), 2.45 (s, 3 H), 1.74 (d, 2 H, J = 11.6 Hz), 1.45-1.36 (m, 11 H), 0.85 (t, 3 H, J = 7.0 Hz).
Step 5: methyl 5-(ethyl(piperidin-4-yl)amino)-4'-(2-methoxyethoxy)-4-methyl- [1 , l'-biphenyl]-3-carboxylate
To a solution of tert-butyl 4-(ethyl(5-(methoxycarbonyl)-4'-(2-methoxyethoxy)-4- methyl-[l,l'-biphenyl]-3-yl)amino)piperidine-l-carboxylate (81.0 mg, 0.15 mmol) in dichloromethane (2 ml) at 0 °C, trifluoroacetic acid (0.3 ml) was added and the mixture was stirred at room temperature for 3 h. The reaction mixture was concentrated to dryness. The residue obtained was basified with saturated sodium bicarbonate solution till pH 8 and aqueous layer was extracted with 10% methanol in dichloromethane. The combined
organic layer was dried over magnesium sulfate and concentrated under reduced pressure. The residue was used in the next reaction without further purification (70 mg, 99% yield).
1H NMR (400 MHz, CDC13) δ 7.72(s, 1 H), 7.47 (d, 1 H, J = 8.4 Hz), 7.40 (s, 1 H), 6.99 (d, 2 H, J = 8.4 Hz), 4.15 (t, 2 H, J = 4.6 Hz), 3.88 (s, 3 H), 3.76 (t, 2 H, J = 4.6 Hz), 3.44 (s, 3 H), 3.15-3.06 (m, 4 H), 2.94 (t, 1 H, J = 10.4 Hz), 2.63 (t, 2 H, J =11.4 Hz), 2.48 (s, 3 H), 1.86 (d, 2 H, J = 12.0 Hz), 1.67-1.59 (m, 2 H), 0.89 (t, 3 H, J = 7.0 Hz).
Step 6: methyl 5-((l-acetylpiperidin-4-yl)(ethyl)amino)-4'-(2-methoxyethoxy)-4- methyl-[ 1 , 1 '-biphenyl]-3-carboxylate
To the reaction mixture of methyl 5-(ethyl(piperidin-4-yl)amino)-4'-(2-methoxy ethoxy)-4-methyl-[l,l'-biphenyl]-3-carboxylate (20.0 mg, 0.047 mmol) and acetic acid (4.2 mg, 0.07 mmol), l-[bis(dimethylamino)methylene]-lH-l ,2,3-triazolo[4,5- b]pyridinium 3-oxide hexafluorophosphate (26.6 mg, 0.07 mmol) in dimethylformamide and N,N-diisopropylethylamine (0.03 ml, 0.15 mmol) were added. The reaction mixture was stirred at room temperature for 20 h, diluted with 10% methanol in dichloromethane and extracted with water. The combined organic layer was dried over magnesium sulfate and concentrated under reduced pressure. The residue was purified by silica column chromatography (2.5% methanol in dichloromethane) to obtain the title compound as oil (23 mg, 99% yield).
1H NMR (400 MHz, CD3OD-d4) δ 7.73 (d, 1 H, J =1.6 Hz), 7.53 (m, 3 H) 7.01 (dd, 2 H, J = 3.2 Hz, J = 11.6 Hz), 4.38 (d, 1 H, J =13.2 Hz), 4.18-4.11 (m, 2 H), 3.38-3.82 (m, 4 H), 3.74-3.72 (m, 2 H), 3.41 (s, 3H), 3.15-3.06 (m, 4 H), 2.69 (t, 1 H, J = 12.6 Hz), 2.48 (s, 3 H), 1.87 (t, 2 H, J = 11.4 Hz, 1.57-1.43 (m, 2 H), 0.90 (t, 3 H, J = 6.8 Hz).
Step 7: 5-((l-acetylpiperidin-4-yl)(ethyl)amino)-4'-(2-methoxyethoxy)-4-methyl- [1,1 -biphenyl] -3 -carboxylic acid
A mixture of methyl 5-((l-acetylpiperidin-4-yl)(ethyl)amino)-4'-(2- methoxyethoxy)-4-methyl-[l ,l'-biphenyl]-3-carboxylate (23.0 mg, 0.05 mmol) and 3 N sodium hydroxide solution (0.25 ml) in ethanol (0.2 ml) was heated at 70 °C for 2 h and stirred at room temperature for 18 h. Then, the reaction mixture was cooled to 0 °C and acidified to pH 6 by using 1 N hydrochloric acid solution. The reaction mixture was concentrated under reduced pressure and the residue was diluted with ethyl acetate and extracted with water. The organic layers were dried over magnesium sulfate and concentrated under reduced pressure (24 mg, 99% yield).
Ή NMR (400 MHz, CD3OD-d4) δ 7.69 (d, 1 H, J = 2.0 Hz), 7.45 (m, 3 H) 6.95 (dd, 2 H, J = 2.8 Hz, J = 11.6 Hz), 4.32 (d, 1 H, J =11.6 Hz), 4.07-4.05 (m, 2 H), 3.78 (d, 1 H, J = 13.6 Hz), 3.68-3.66 (m, 2 H), 3.22 (s, 3 H), 3.09-2.97 (m, 4H), 2.64-2.56 (m, 1 H), 2.44 (s, 3H), 1.98 (s, 3 H), 1.82-1.77 (m, 2 H), 1.56-1.38 (m, 2 H), 0.84 (t, 3 H, J = 6.8 Hz).
Intermediate 10: l-isopropyl-6-(6-(4-methylpiperazin-l-yl)pyridin-3-yl)-lH- indazole-4-carboxyIic acid
Methyl 6-bromo-l-isopropyl-lH-indazole-4-carboxylate (54 mg, 0.182 mmol), 1- methyl-4- [5 -(4,4,5 ,5 -teyramethyl- 1 ,3 ,2-dioxaborolan-2-yl)-2-pyridinyl]piperazine (83 mg, 0.274 mmol) and DME/water (3/1, 3 ml) were mixed in a sealable tube. After [1-1 '- bis(diphenylphosphino)ferrocene] dichloropalladium complex with dichloromethane (7.4 mg, 5 mol%) was added to the reaction mixture, the resulting mixture was degassed with nitrogen for 10 minutes. To the reaction mixture was added NaHC03 (46 mg, 0.546 mmol), the sealed insoluble reaction mixture was heated at 130 °C for 0.5 h under microwave. After the reaction mixture was cooled to room temperature, the solvent was evaporated under reduced pressure. The residue was purified by silica gel column chromatography (5% methanol in dichloromethane treated 0.1% aqueous ammonium hydroxide solution) to obtain the title as a brown oil (79 mg, 99%).
Ή NMR (400 MHz, CDC13) 5 8.54 (d, 1H, J=2.4), 8.47 (s, 1H), 8.09 (s, 1H), 7.84 (dd, 1H, J=2.5, 9.2), 7.72 (s, 1H), 6.7 (d, 1H, J=8.4), 4.92 (m, 1H), 3.92 (m, 4H), 2.78 (m, 4H), 1.94 (s, 3H), 1.63 (d, 6H, J=6.4).
LCMS, 394.5 (M+l)+.
Step 2 : 1 -isopropyl-6-(6-(4-methylpiperazin- 1 -yl)pyridin-3 -yl)- 1 H-indazole-4- carboxylic acid
To a solution of methyl l-isopropyl-6-(6-(4-methylpiperazin-l-yl)pyridin-3-yl)- lH-indazole-4-carboxylate (71.5 mg, 0.182 mmol) in methanol/tetrahydrofurane (4/1 , 1.5
ml) was added aqueous NaOH solution (3N in water, 0.3 ml, 0.91 mmol). The reaction mixture was stirred at room temperature for 6 h and then concentrated in vacuo. The concentrated residue was diluted wither water and acidified with aqueous HCl solution (IN) at pH 4. The aqueous layer was extracted with 10% methanol in dichloromethane. The combined organic layer was dried over sodium sulfate and filtered, and concentrated in vacuo to obtain the title as a pale yellow solid.
1H NMR (400 MHz, CD3OD) δ 8.53 (s, 1H), 8.50 (d, 1H), 8.49 (s, 1H), 8.21 (s, 1H), 8.16 (s, 1H), 7.53 (d, 1H, J=9.6), 5.16 (m, 1H), 4.54 (m, 2H), 3.73 (m, 6H), 3.01 (s, 3H), 1.61 (d, 6H, J=6.8).
LCMS, 380.4 (M+l)+.
Example 1 : 2-((5-(ethyl(tetrahydro-2H-pyran-4-yl)amino)-4-methyl-4'- (morpholinomethyl)-[l,l'-biphenyI]-3-yIcarboxamido)methyl)-3,5-dimethylpyridine 1 -oxide
To a solution of 5-(ethyl(tetrahydro-2H-pyran-4-yl)amino)-4-methyl-4'- (morpholino methyl)- [Ι,Γ-biphenyl] -3 -carboxy lie acid (50 mg, 0.11 mmol) in dimethylformamide were added 2-(aminomethyl)-3,5-dimethylpyridine 1 -oxide (17 mg, 0.11 mmol), l-[bis(dimethylamino)methylene]-lH-l,2,3-triazolo[4,5-b]pyridinium 3-oxide hexafluorophosphate (48 mg, 0.17 mmol) and N,N-diisopropylethylamine (0.04 ml, 0.23 mmol) at room temperature. The reaction mixture was stirred at room temperature for 18 h. The reaction mixture was extracted by 5% methanol in dichloromethane. The combined organic solvent was dried over magnesium sulfate and concentrated under reduced pressure. The residue was purified by silica column chromatography (5 to 10% methanol in dichloromethane) to obtain the title compound as a solid (25 mg, 38% yield).
Ή NMR (400 MHz, CD3OD) δ 8.10 (s, 1H), 7.54 (d, 2H, J = 8.4 Hz), 7.46 (s, 1H), 7.40 (d, 2H, J = 8.00 Hz), 7.33 (d, 2H, J = 4.8 Hz), 4.81 (s, 2H), 3.91 (d, 2H, j = 10.0 Hz), 3.68 (t, 4H, J = 4.4 Hz), 3.54 (s, 2H), 3.54 (t, 2 H, J = 13.2 Hz), 3.14 (q, 2H, J = 6.8 Hz),
3.08 (m, 1H), 2.61 (s, 3H), 2.46 (m, 4H), 2.31 (s, 3H), 2.28 (s, 3H), 1.58-1.79 (m, 4H), 0.88 (t, 3 H, J = 6.8 Hz).
LCMS 573.3 (M+l)+. Example 2: 2-((5-(ethyl(tetrahydro-2H-pyran-4-yl)amino)-4-methyl-4'-
(morpholinomethyl)- [1 ,1 ' -biphenyl] -3-ylcarboxamido)methyl)-3-methoxy-5- methylpyridine 1-oxide
To a solution of 5-(ethyl(tetrahydro-2H-pyran-4-yl)amino)-4-methyl-4'- (morpholino methyl)- [1,1 -biphenyl] -3 -carboxylic acid (100 mg, 0.232 mmol) in dimethylformamide were added 2-(aminomethyl)-3-methoxy-5-methylpyridine 1-oxide (300 mg, 0.178 mmol), l-[bis(dimethylamino)methylene]-lH-l,2,3-triazolo[4,5- b]pyridinium 3-oxide hexafluorophosphate (101 mg, 0.268 mmol) and N,N- diisopropylethylamine (0.06 ml, 0.357mmol) at room temperature. The reaction mixture was stirred at 80 °C for 2 h. The reaction mixture was extracted by 5% methanol in dichloromethane. The combined organic solvent was dried over magnesium sulfate and concentrated under reduced pressure. The residue was purified by silica column chromatography (5 to 10% methanol in dichloromethane) to obtain the title compound as a solid (0.02 g, 20% yield).
1H NMR (400 MHz, CDC13) δ 7.78 (s, 1 H), 7.61 (m, 1 H), 7.46 (m, 2H), 7.39 (m,
1H), 7.31 (s, 1H), 7.28 (s, 1H), 6.75 (s, 1H), 4.94 (d, 2H, J = 6.0 Hz), 3.95 (m, 5 H), 3.74 (m, 4H), 3.34 (t, 2 H, J = 10.4 Hz), 3.09 (q, 2H, J - 6.8 Hz), 3.01 (m, 1 H), 2.49 (m, 4H), 2.32 (d, 6 H, J == 7.6 Hz), 1.71 (m, 4 H), 0.89 (t, 3 H, J = 6.8 Hz).
LCMS 587.5 (M+l)+.
Example 3 : 3-benzyl-2-((5-(ethyl(tetrahydro-2H-pyran-4-yl)amino)-4-methyl- 4' -(morpholinomethyl)- [1 ,1 '-biphenyl] -3-ylcarboxamido)methyl)-5-methylpyridine 1 - oxide
To a solution of 5-(ethyl(tetrahydro-2H-pyran-4-yl)amino)-4-methyl-4'- (morpholinomethyl)-[l , r-biphenyl]-3-carboxylic acid (60 mg, 0.13 mmol) in dimethylformamide were added 2-(aminomethyl)-3-benzyl-5-methylpyridine 1 -oxide (31 mg, 0.13 mmol), l-[bis(dimethylamino)methylene]-lH-l,2,3-triazolo[4,5-b]pyridinium 3- oxide hexafluorophosphate (57.5 mg, 0.20 mmol) and N,N-diisopropylethylamine (0.04 ml, 0.27 mmol) at room temperature. The reaction mixture was stirred at 40 °C for 4 h. The reaction mixture was extracted by 5% methanol in dichloromethane. The combined organic solvent was dried over magnesium sulfate and concentrated under reduced pressure. The residue was purified by silica column chromatography (5 to 10% methanol in dichloromethane) to obtain the title compound as a solid (30 mg, 34% yield).
1H NMR (400 MHz, CDC13) δ 8.74 (d, 3H, J = 7.6 Hz), 7.41 (m, 2H), 7.33 (m, 3H), 7.26 (m, 2H), 7.21 (d, 2H, J = 7.2 Hz), 6.97 (s, 1H), 7.80 (d, 2H, J = 6.0 Hz), 4.37 (s, 2H), 3.95 (d, 2H, J = 10.8 Hz), 3.76 (bs, 4H), 3.59 (s, 2H), 3.33 (t, 2 H, J = 10.0 Hz), 3.09 (q, " 2H,T= 6.8 Hz). 2.52 (m~ 4H), 2.28 (d, 6H, J = 6.8 Hz), 1.66 (m, 6H), 0.89 (t, 3 H, J = 6.8 Hz).
LCMS 649.4 (M+l)+.
Example 4: 3-cyclopr0pyl-2-((5-(ethyl(tetrahydro-2H-pyran-4-yl)amino)-4- methyl-4'-(morpholinomethyl)-[l,l'-biphenyl]-3-ylcarboxamido)methyl)-5- methylpyridine 1-oxide
solution of 5-(ethyl(tetrahydro-2H-pyran-4-yl)amino)-4-methyl-4'-
(morpholino methyl)- [1 ,1 -biphenyl] -3 -carboxylic acid (23.0 mg, 0.52mmol) in dimethylformamide (2 ml) were added 2-(aminomethyl)-3-cyclopropyl-5-methylpyridine 1-oxide (20.0 mg, 0.104 mmol), l-[bis(dimethylamino)methylene]-lH-l,2,3-triazolo[4,5- b]pyridinium 3-oxide hexafluorophosphate (34 mg, 0.09 mmol) and N,N- diisopropylethylamine (0.04ml, 0.18 mmol) at room temperature. The reaction mixture was stirred at 40 °C for 4.5 h. The reaction mixture was extracted by 10% methanol in dichloromethane. The combined organic solvent was dried over magnesium sulfate and concentrated under reduced pressure. The residue was purified by silica column chromatography (5% methanol in dichloromethane) to obtain the title compound as oil (12 mg, 38% yield).
Ή NMR (400 MHz, CD3OD-d4) δ 8.10 (s, 1 H), 7.62 (d, 2 H, J = 7.6 Hz), 7.47 (d, 3H, J =8.8 Hz), 7.36 (s, 1 H), 7.15 (s, 1 H), 5.05 (s, 2H), 3.93 (d, 2H, J = 11.2 Hz), 3.81 (s, 2 H), 3.75 (bs, 4 H), 3.39-3.30 (m, 2 H), 3.18-3.07 (m, 3 H), 2.81 (bs, 4 H), 2.48-2.46 (m, 1 H), 1.73-1.60 (m, 4 H), 1.16 (q, 2H, J =4.8 Hz), 0.91 (t, 3H, J = 7.0 Hz), 0.84 (t, 2 H, J = 5.4 Hz).
LCMS 599.6 (M+l)+.
Example 5: 3-ethyl-2-((5-(ethyl(tetrahydro-2H-pyran-4-yl)amino)-4-methyl- 4'-(morpholinomethyl)-[l,l'-biphenyl]-3-ylcarboxamido)methyl)-5-methylpyridine 1- oxide
To a solution of 5-(ethyl(tetrahydro-2H-pyran-4-yl)amino)-4-methyl-4'- (morpholinomethyl)-[l,l'-biphenyl]-3-carboxylic acid (25 mg, 0.057 mmol) in dimethylformamide were added 2-(aminomethyl)-3-methoxy-5-methylpyridine 1-oxide (9.4 mg, 0.057 mmol), l-[bis(dimethylamino)methylene]-lH-l,2,3-triazolo[4,5- b]pyridinium 3-oxide hexafluorophosphate (24 mg, 0.085 mmol) and N,N- diisopropylethylamine (0.02 ml, 0.11 mmol) at room temperature. The reaction mixture was stirred at 80 °C for 2 h. The reaction mixture was extracted by 5% methanol in
dichloromethane. The combined organic solvent was dried over magnesium sulfate and concentrated under reduced pressure. The residue was purified by silica column chromatography (5 to 10% methanol in dichloromethane) to obtain the title compound as a solid (12 mg, 36% yield).
Ή NMR (400 MHz, CDC13) δ 7.99 (s, 1 H), 7.61 (m, 1 H), 7.46 (d, 2H, J=8.0 Hz), 7.37 (d, 2H, J=8.0 Hz), 7.32 (s, 1H), 7.26 (s, 1H), 7.04 (s, 1H), 4.88 (d, 2H, J = 6.0 Hz), 4.12 (q, 1 H, J=7.2 Hz), 3.95 (d, 2H, J=11.2 Hz), 3.73 (m, 4H), 3.55 (S, 2H), 3.33 (t, 2 H, J = 9.2 Hz), 3.09 (q, 2H, J = 6.8 Hz), 3.00-2.94 (m, 3 H), 2.49 (m, 4H), 2.30(s, 6H), 1.71 (m, 4 H), 1.59-1.46 (m, 5H), 0.89 (t, 3 H, J = 7.2 Hz).
LCMS 589.3 (M+l)+.
Example 6: 2-((5-(ethyl(tetrahydro-2H-pyran-4-yl)amino)-4-methyI-4'- (morpholinomethyl)-[l,l,-biphenyl]-3-ylcarboxamido)methyl)-5-methyl-3- phenoxypyridine 1-oxide
To a solution of 5-(ethyl(tetrahydro-2H-pyran-4-yl)amino)-4-methyl-4'- (morpholinomethyl)-[l,l'-biphenyl]-3-carboxylic acid (30 mg, 0.07 mmol) in dimethylformamide were added 2-(aminomethyl)-5-methyl-3-phenoxypyridine 1-oxide (15.7 mg, 0.07 mmol), l-[bis(dimethylamino)methylene]-lH-l,2,3-triazolo[4,5- b]pyridinium 3-oxide hexafluorophosphate (28.7 mg, 0.10 mmol) and N,N- diisopropylethylamine (0.03 ml, 0.13 mmol) at room temperature. The reaction mixture was stirred at 40 °C for 2 h. The reaction mixture was extracted by 5% methanol in dichloromethane. The combined organic solvent was dried over magnesium sulfate and concentrated under reduced pressure. The residue was purified by silica column chromatography (5 to 10% methanol in dichloromethane) to obtain the title compound as oil (20 mg, 45% yield).
1H NMR (400 MHz, CDC13) δ 7.89 (s, 1 H), 7.53 (t, 1H, J = 5.6 Hz), 7.47 (d, 2H, J
= 8.0 Hz), 7.36-7.44(m, 4 H), 7.31 (d, 2H, J = 10.0 Hz), 7.23 (t, 1H, J = 7.2 Hz), 7.12 (d, 2H, J = 7.6 Hz), 6.63 (s, 1H), 5.02 (d, 2H, J = 6.0 Hz), 3.96 (d, 2H, J = 10.8 Hz), 3.73 (bs, 4H), 3.54 (s, 2H), 3.34 (t, 2 H, J = 10.0 Hz), 3.10 (q, 2H, J = 7.2 Hz), 3.01 (m, 1 H), 2.48 (m, 4H), 2.32 (s, 3 H), 2.22 (s, 3H), 1.71 (m, 4 H), 1.45 (m, 1H), 0.90 (t, 3 H, J = 6.8 Hz).
LCMS 651.3 (M+l)+.
Example 7: 3-(difluoromethoxy)-2-((5-(ethyI(tetrahydro-2H-pyran-4- yl)amino)-4-methyI-4'-(morpholinomethyl)-[l, -biphenyl]-3-ylcarboxamido)methyl)- 5-methylpyridine 1 -oxide
To a solution of 5-(ethyl(tetrahydro-2H-pyran-4-yl)amino)-4-methyl-4'- (n O holinomethyl)-[l,Γ-biphenyl]-3-carboxylic acid (22 mg, 0.05 mmol) in dimethyl formamide (1 ml) were added 2-(aminomethyl)-3-(difluoromethoxy)-5-methylpyridine 1- oxide (15 mg, 0.07 mmol), l-[bis(dimethylamino)methylene]-lH-l,2,3-triazolo[4,5- b]pyridinium 3-oxide hexafluorophosphate (28 mg, 0.07 mmol) and N,N- diisopropylethylamine (0.04 ml, 0.15 mmol) at room temperature. The reaction mixture was stirred at 40 °C for 3.5 h. The reaction mixture was extracted by 10% methanol in dichloromethane. The combined organic solvent was dried over magnesium sulfate and concentrated under reduced pressure. The residue was purified by silica column chromatography (4% methanol in dichloromethane) to obtain the title compound as oil (8 mg, 27% yield).
Ή NMR (400 MHz, CD3OD-d4) δ 8.16 (s, 1H), 7.64 (d, 2H, J - 8.0 Hz), 7.49 (d, 3 H, J = 9.2 Hz), 7.36 (d, 2 H, J = 7.2 Hz), 7.22-6.86 (m, 1H), 4.83 (s. 2 H), 3.93 (d, 2 H, J = 10.8 Hz), 3.78 (bs, 4 H), 3.38-3.3 (m, 2 H), 3.16-3.12 (m, 3 H), 2.85 (bs, 4 H), 2.37 (s, 3H), 2.30 (s, 3H), 1.76-1.62 (m, 4 H), 0.90 (t, 3 H, J = 6.8 Hz).
LCMS 625.3 (M+l)+.
Example 8: 5-chIoro-3-ethyl-2-((5-(ethyl(tetrahydro-2H-pyran-4-yl)amino)-4- methyl-4'-(morpholinomethyl)-[l,l'-biphenyl]-3-ylcarboxamido)methyl)pyridine 1- oxide
To a solution of 5-(ethyl(tetrahydro-2H-pyran-4-yl)amino)-4-methyl-4'-
(morpholino methyl)-[l ,l'-biphenyl]-3-carboxylic acid (26.0 mg, 0.06 mmol) in dimethylformamide (1.5 ml) were added 2-(aminomethyl)-5-chloro-3-ethylpyridine 1- oxide (17.0 mg, 0.09 mmol), l-[bis(dimethylamino)methylene]-lH-l,2,3-triazolo[4,5- b]pyridinium 3-oxide hexafluorophosphate (35.0 mg, 0.09 mmol) and N,N- diisopropylethylamine (0.04 ml, 0.18 mmol) at room temperature. The reaction mixture was stirred at room temperature for 20 h. The reaction mixture was extracted by 10% methanol in dichloromethane. The combined organic solvent was dried over magnesium sulfate and concentrated under reduced pressure. The residue was purified by silica column chromatography (5% methanol in dichloromethane) to obtain the title compound as oil (4 mg, 11% yield).
Ή NMR (400 MHz, CD3OD-d4) δ 8.34 (s, 1H),8.20 (bs, 1 H), 7.63 (d, 2H, J = 6.8 Hz), 7.53 (d, 4 H, J = 8.4 Hz), 7.45 (s, 1 H), 7.32 (s, 1H), 4.81 (s. 2 H), 4.31 (s, 1 H), 3.91 (d, 2 H, J = 10.8 Hz), 3.82 (bs, 4 H), 3.36-3.00 (m, 9 H), 2.27 (s, 3 H), 1.74-1.61 (m, 4 H), 1.32 (q, 3 H, J = 7.6 Hz), 0.88 (t, 3 H, J = 6.8 Hz).
Example 9 : 2-((5-(ethyl(tetrahydro-2H-py ran-4-yl)amino)-4-methyl-4' - (morpholinomethyl)-[l,l'-biphenyl]-3-ylcarboxamido)methyl)-5-methyl-3-(prop-l-yn- l-yl)pyridine 1-oxide
To a solution of 5-(ethyl(tetrahydro-2H-pyran-4-yl)amino)-4-methyl-4'- (morpholino methyl)- [Ι,Γ-biphenyl] -3 -carboxylic acid (20 mg, 0.45 mmol) in dimethylformamide were added 2-(aminomethyl)-5-methyl-3-(prop-l-yn-l-yl)pyridine 1- oxide (8 mg, 0.45 mmol), l-[bis(dimethylamino)methylene]-lH-l,2,3-triazolo[4,5- bjpyridinium 3-oxide hexafluorophosphate (19 mg, 0.68 mmol) and N,N- diisopropylethylamine (0.02 ml, 0.91 mmol) at room temperature. The reaction mixture was stirred at 40 °C for 2 h. The reaction mixture was extracted by 5% methanol in dichloromethane. The combined organic solvent was dried over magnesium sulfate and concentrated under reduced pressure. The residue was purified by silica column chromatography (5 to 10% methanol in dichloromethane) to obtain the title compound as a solid (4 mg, 17% yield).
Ή NMR (400 MHz, CD3OD) δ 7.64 (d, 2H, J = 7.6 Hz), 7.50 (d, 2H, J = 6.8 Hz), 7.44 (d, 2H, J = 11.6 Hz), 7.37 (s, 1H), 4.97 (s, 1H), 4.03 (s, 2H), 3.90 (d, 2¾ J = 11.2 Hz), 3.79 (s, 4H), 3.33 (t, 2H, J = 11.6 Hz), 3.14 (q, 2 H, J = 6.8 Hz), 3.11 (m, 1H), 2.94 (s, 4H), 2.32 (s, 3H), 2.29 (s, 3H), 2.11 (s, 3H), 1.73 (d, 2H, J = 10.8 Hz), 1.63 (m, 2H), 0.87 (t, 3 H, J = 6.8 Hz).
LCMS 597.5 (M+l)+.
Example 10 : 3-chloro-2-((5-(ethyl(tetrahy dro-2H-pyran-4-yl)amino)-4- methyl-4'-(morpholinomethyl)-[l,l'-biphenyI]-3-ylcarboxamido)methyI)-5- methylpyridine 1 -oxide
To a solution of 5-(ethyl(tetrahydro-2H-pyran-4-yl)amino)-4-methyl-4'- (morpholino methyl)- [Ι ,Γ-biphenyl] -3 -carboxylic acid (21.0 mg, 0.048 mmol) in dimethylformamide were added 2-(aminomethyl)-3-chloro-5-methylpyridine 1 -oxide (40.0 mg, 0.23 mmol), l-[bis(dimethylamino)methylene]-lH-l,2,3-triazolo[4,5-b]pyridinium 3- oxide hexafluorophosphate (24.0 mg, 0.085 mmol) and N,N-diisopropylethylamine (0.02 ml, 0.11 mmol) at room temperature. The reaction mixture was stirred at room temperature for 20 h. The reaction mixture was extracted by 5% methanol in dichloromethane. The combined organic solvent was dried over magnesium sulfate and concentrated under reduced pressure. The residue was purified by silica column chromatography (5% methanol in dichloromethane) to obtain the title compound as oil (22 mg, 77% yield).
1H NMR (400 MHz, CD3OD-d4) δ 8.18 (s, 1 H), 7.54-7.33 (m, 7 H), 4.94 (s, 2 H), 3.90 (d, 2 H, J = 10.4 Hz), 3.68 (t, 4 H, J = 4.4 Hz), 3.56 (s, 2 H), 3.36-3.28 (m, 2 H), 3.15-
3.07 (m, 3 H), 2.48 (bs, 4 H), 2.31 (d, 6H, J = 4.4 Hz), 1.74-1.57 (m, 4 H), 0.89 (t, 3 H, J =
6.8 Hz).
LCMS 593.3 (M+l)+.
Example 11 : 2-((5-(ethyl(tetrahydro-2H-pyran-4-yl)amino)-4-methyl-4'- (morpholinomethyl)-[l,l'-biphenyl]-3-ylcarboxamido)methyl)-5-methyl-3-(phenyl sulfonyl)pyridine 1 -oxide
To a solution of 5-(ethyl(tetrahydro-2H-pyran-4-yl)amino)-4-methyl-4'- (morpholino methyl)- [l,l'-biphenyl] -3 -carboxylic acid (50 mg, 0.11 mmol) in dimethylformamide were added 2-(aminomethyl)-5-methyl-3-(phenylsulfonyl)pyridine 1- oxide (31.7 mg, 0.11 mmol), l-[bis(dimethylamino)methylene]-lH-l ,2,3-triazolo[4,5- bjpyridinium 3-oxide hexafluorophosphate (63.9 mg, 0.23 mmol) and N,N- diisopropylethylamine (0.06 ml, 0.34 mmol) at room temperature. The reaction mixture was stirred at 40 °C for 6 h. The reaction mixture was extracted by 5% methanol in
dichloromethane. The combined organic solvent was dried over magnesium sulfate and concentrated under reduced pressure. The residue was purified by silica column chromatography (5 to 10% methanol in dichloromethane) to obtain the title compound as a solid (30 mg, 37% yield).
1H NMR (400 MHz, CDC13) δ 8.19 (s, 1 H), 8.12 (d, 2H, J = 7.6 Hz), 7.55-7.62 (m, 3H), 7.38 (d, 2H, J = 8.0 Hz), 7.33 (d, 2H, J - 8.0 Hz), 7.27 (s, 1H), 7.24 (s, 1H), 7.02 (s, 1H), 5.22 (d, 2H, J = 5.6 Hz), 3.92 (d, 2H, J = 10.8 Hz), 3.69 (s, 4H), 3.50 (s, 2H), 3.30 (t, 2H, J = 10.4 Hz), 3.05 (q, 2H, J = 6.8 Hz), 2.97 (m, 1H), 2.44(s, 4H), 2.40 (s, 3H), 2.20 (s, 3H), 1.73 (s, 4H), 0.85 (t, 3 H, J = 6.8 Hz).
LCMS 699.3 (M+l)+.
Example 12: 3-(l,l-difluoroethyl)-2-((5-(ethyl(tetrahydro-2H-pyran-4- yl)amino)-4-methyl-4'-(morpholinomethyl)-[l,l'-biphenyI]-3-ylcarboxamido)methyl)- 5-methyl ridine 1-oxide
3-(l,l-difluoroethyl)-2-((5-(ethyl(tetrahydro-2H-pyran-4-yl)amino)-4-methyl-4'- (morpholinomethyl)-[ 1 , 1 '-biphenyl]-3-ylcarboxamido)methyl)-5-methylpyridine 1 -oxide was synthesized as a colorless oil (22 mg, 63% yield) through the general route E in scheme 5 (the same procedure as in Example 1).
1H NMR (400 MHz, CD3OD) δ 8.35 (s, 1H), 7.61 (s, 1H), 7.55 (d, 1H, J=8.4),
7.47 (s, 1H), 7.41 (d, 1H, J=8.4), 7.36 (s, 1H), 4.97 (s, 2H), 3.92 (m, 2H), 3.70 (t, 4H, J=4.4), 3.56 (s, 2H), 3.33-3.39 (m, 2H), 3.16 (q, 2H, J=6.8), 3.10-3.15 (m, 2H), 2.48 (m, 4H), 2.40 (s, 3H), 2.33 (s, 3H), 2.17 (dd, 3H, J=18.4, 18.8), 1.72-1.78 (m, 2H), 1.58-1.68 (m, 2H), 0.9 (t, 3H, J=6.4).
LCMS, 623.4 (M+l)+.
Example 13: l-((5-(ethyl(tetrahydro-2H-pyran-4-yl)amino)-4-methyl-4'- (morpholinomethyl)-[l,r-biphenyl]-3-yIcarboxamido)methyl)-6-fluoro-4-methyl
isoquinoline 2-oxide
l-((5-(ethyl(tetrahydro-2H-pyran-4-yl)amino)-4-methyl-4'-(morpholinomethyl)- [1,1 '-biphenyl]-3-ylcarboxamido)methyl)-6-fluoro-4-methylisoquinoline 2-oxide was synthesized as a white solid (12 mg, 15% yield, formic acid salt) through the general route E in scheme 5 (the same procedure as in Example 1).
1H NMR (400 MHz, CD3OD-d4) δ 8.69 (dd, 1H, J=5.2, 9.2), 8.21 (s, 1H), 7.80 (d, 1H, J=9.2), 7.65-7.68 (m, 1H), 7.59 (d, 1H, j=8.0), 7.47 (s, 1H), 7.47 (d, 1H, J=6.8), 7.34 (s, 1H), 5.31 (s, 2H), 3.92-3.99 (m, 2H), 3.76 (m, 4H), 3.30-3.37 (m, 2H), 3.13 (q, 2H, J=7.2), 3.05-3.07 (m, 1H), 2.63 (s, 3H), 2.25 (s, 3H), 1.71-1.75 (m, 2H), 0.87 (t, 3H, J=6.8).
Example 14: 2-((4'-(diisopropoxyphosphoryl)-5-(ethyl(tetrahydro-2H-pyran- 4-yl)amino)-4-methyl-[l, -biphenyl]-3-ylcarboxamido)methyl)-3-methoxy-5- methylpyridine 1-oxide
To a solution of 4'-(diisopropoxyphosphoryl)-5-(ethyl(tetrahydro-2H-pyran-4- yl)amino)-4-methyl-[l,l'-biphenyl]-3-carboxylic acid (30 mg, 0.06 mmol) in dimethyl formamide were added 2-(aminomethyl)-3-methoxy-5-methylpyridine 1-oxide (11 mg, 0.06 mmol), l-[bis(dimethylamino)methylene]-lH-l,2,3-triazolo[4,5-b]pyridinium 3-oxide hexafluorophosphate (34 mg, 0.09 mmol) and N,N-diisopropylethylamine (0.03 ml, 0.18mmol) at room temperature. The reaction mixture was stirred at 40 °C for 3 h. The reaction mixture was extracted by 5% methanol in dichloromethane. The combined organic solvent was dried over magnesium sulfate and concentrated under reduced pressure. The
residue was purified by HPLC to obtain the title compound as oil (6 mg, 16% yield).
Ή NMR (400 MHz, CDC13) δ 7.83 (d, 1 H, J = 4.8 Hz), 7.80 (d, 1H, J = 8.4 Hz), 7.77 (s, 1H), 7.63 (s, 1H), 7.56 (d, 1H, J = 4.0 Hz), 7.30 (d, 2H, J - 10.8 Hz), 6.74 (s, 1H), 4.93 (d, 2H, J = 5.6 Hz), 4.64-4.71 (m, 2H), 3.94 (s, 3H), 3.38 (t, 2H, J = 11.6 Hz), 3.10 (d, 2H, J = 6.0 Hz), 3.02 (m, 1H), 2.34 (s, 3H), 2.31 (s, 3H), 1.69 (bs, 6H), 1.37 (d, 6H, J = 6.0 Hz), 1.23 (d, 6H, J = 6.8 Hz), 0.89 (t, 3 H, J = 6.8 Hz).
LCMS 654.3 (M+l)+.
Example 15: 2-((4'-(diisopropoxyphosphoryl)-5-(ethyl(tetrahydro-2H-pyran- 4-yl)amino)-4-methyl-[l,l'-biphenyl]-3-yIcarboxamido)methyl)-3-ethyI-5- methylpyridine 1-oxide
To a solution of 4'-(diisopropoxyphosphoryl)-5-(ethyl(tetrahydro-2H-pyran-4- yl)amino)-4-methyl-[l,l'-biphenyl]-3-carboxylic acid (30 mg, 0.06 mmol) in dimethyl formamide were added 2-(aminomethyl)-3-ethyl-5-methylpyridine 1-oxide (10 mg, 0.06 mmol), l-[bis(dimethylamino)methylene]-lH-l,2,3-triazolo[4,5-b]pyridinium 3-oxide hexafluorophosphate (25 mg, 0.09 mmol) and N,N-diisopropylethylamine (0.02 ml, 0.12 mmol) at room temperature. The reaction mixture was stirred at 40 °C for 2 h. The reaction mixture was extracted by 5% methanol in dichloromethane. The combined organic solvent was dried over magnesium sulfate and concentrated under reduced pressure. The residue was purified by silica column chromatography (5 to 10% methanol in dichloromethane) to obtain the title compound as a solid (10 mg, 25% yield).
lH NMR (400 MHz, CDC13) δ 7.96 (s, 1 H), 7.84 (d, 1H, J = 8.0 Hz), 7.81 (d, 1H, J = 8.0 Hz), 7.61 (t, 1H, J = 6.0 Hz), 7.56 (d, 1H, J = 4.0 Hz), 7.54 (d, 1H, J = 3.6 Hz), 7.31 (s, 1H), 7.26 (s, 1H), 7.02 (s, 1H), 4.85 (d, 2H, J = 6.0 Hz), 4.63-4.71 (m, 2H), 3.93 (d, 2H, J = 11.2 Hz), 3.31 (td, 2H, J = 11.2, 3.6 Hz), 3.09 (s, 2H), 3.00 (m, 1H), 2.94 (q, 2H, J = 7.6 Hz), 2.29 (s, 3H), 2.27 (s, 3H), 1.68 (bs, 4H), 1.36 (d, 6H, J = 6.4 Hz), 1.28 (t, 3H, J =
7.6 Hz), 1.22 (d, 6H, J = 5.6 Hz), 0.88 (t, 3 H, J = 6.4 Hz).
LCMS 652.3 (M+l)+.
Example 16: 2-((5-(6-aminopyridin-3-yl)-3-(ethyl(tetrahydro-2H-pyran-4- yl)amin -2-methylbenzamido)methyl)-3,5-dimethylpyridine 1 -oxide
Step 1 : 2-((5-(6-((tert-butoxycarbonyl)amino)pyridin-3-yl)-3-(ethyl(tetrahydro- 2H-pyran-4-yl)amino)-2-methylbenzamido)methyl)-3,5-dimethylpyridine 1 -oxide
To a solution of 5-(6-((tert-butoxycarbonyl)amino)pyridin-3-yl)-3- (ethyl(tetrahydro-2H-pyran-4-yl)amino)-2-methylbenzoic acid (110 mg, 0.24 mmol) in dimethylformamide were added 2-(aminomethyl)-3,5-dimethylpyridine 1 -oxide (36.7 mg, 0.24 mmol), l-[bis (dimethylamino)methylene]-lH-l,2,3-triazolo[4,5-b]pyridinium 3- oxide hexafluorophosphate (101 mg, 0.36 mmol) and N,N-diisopropylethylamine (0.08 ml, 0.48 mmol) at room temperature. The reaction mixture was stirred at 40 °C for 5 h. The reaction mixture was extracted by 5% methanol in dichloromethane. The combined organic solvent was dried over magnesium sulfate and concentrated under reduced pressure. The residue was purified by silica column chromatography (5 to 10% methanol in dichloromethane) to obtain the title compound as a solid (90 mg, 63% yield).
Ή NMR (400 MHz, CDC13) δ 8.26 (s, 1H), 7.98 (s, 1H), 7.95 (d, 1 H, J = 8.8 Hz), 7.76 (d, 2H, J = 8.4 Hz), 7.20 (d, 2H, J = 8.8 Hz), 7.01 (s, 1H), 4.84 (d, 2H, J = 6.0 Hz), 3.93 (d, 2H, J = 11.2 Hz), 3.69 (m, 1H), 3.31 (m, 2H), 3.12 (m, 4H), 2.60 (m, 3H), 2.26(s,
3H), 2.24 (s, 3H), 1.52 (s, 9H), 0.84 (t, 3 H, J = 6.4 Hz).
Step 2: 2-((5-(6-aminopyridin-3-yl)-3 -(ethyl (tetrahy dro-2H-pyran-4-yl)amino)-2- methylb ne 1 -oxide
To a solution of 2-((5-(6-((tert-butoxycarbonyl)amino)pyridin-3-yl)-3- (ethyl(tetrahydro-2H-pyran-4-yl)amino)-2-methylbenzamido)methyl)-3,5- dimethylpyridine 1 -oxide (30 mg, 0.05 mmol) in dichloromethane was added trifluoroacetic acid (2 ml) and stirred at 40 °C for 4 h. A 10 N sodium hydroxide solution was added and diluted with water, followed by extraction with 95:5 dichloromethane/isopropanol (x 10). The combined organic layer was dried over magnesium sulfate and concentrated in vacuo. The residue was purified by silica column chromatography (5 to 10% methanol in dichloromethane) to obtain the title compound as a solid (20 mg, 80% yield).
Ή NMR (400 MHz, CDC13) δ 7.90 (s, 1H), 7.83 (s, 1H), 7.80 (d, 1 H, J = 8.8 Hz),
7.75 (t, 1H, J = 8.4 Hz), 7.12 (s, 1H), 7.06 (d, 2H, J = 8.4 Hz), 6.79 (d, 1H, J = 8.8 Hz), 4.72 (s, 2H), 3.84 (m, 4H), 3.25 (t, 2H, J = 11.6 Hz), 2.98 (q, 2H, J = 6.0 Hz), 2.89 (m, 1H), 2.51 (s, 3H), 2.19 (d, 6H, J = 8. Hz), 1.58 (m, 4H), 0.76 (t, 3 H, J = 7.2 Hz).
LCMS 490.3 (M+l)+.
Example 17: 2-((5-chloro-3-(ethyl(tetrahydro-2H-pyran-4-yl)amino)-2- methylbenzamido)methyl)-5-methyI-3-phenoxypyridine 1-oxide
To a solution of 5-chloro-3-(ethyl(tetrahydro-2H-pyran-4-yl)amino)-2- methylbenzoic acid (30 mg, 0.10 mmol) in dimethylformamide was 2-(aminomethyl)-5- methyl-3-phenoxypyridine 1 -oxide (27 mg, 0.12 mmol), 1- [bis(dimethylamino)methylene]-lH-l,2,3-triazolo[4,5-b]pyridinium 3-oxide hexafluorophosphate (42 mg, 0.15 mmol) and N,N-diisopropylethylamine (0.03 ml, 0.20 mmol) at room temperature. The reaction mixture was stirred at 40 °C for 2 h. The reaction mixture was extracted by 5% methanol in dichloromethane. The combined organic solvent was dried over magnesium sulfate and concentrated under reduced pressure. The residue was purified by silica column chromatography (50% ethyl acetate in hexane) to obtain the title compound as a solid (0.02 g, 38% yield).
1H NMR (400 MHz, CDC13) 6 7.87 (s, 1 H), 7.48 (s, 1H), 7.38 (t, 2H, J = 8.0 Hz), 7.2 (t, 1H, J = 7.2 Hz), 7.07 (t, 3H, J = 6.8 Hz), 6.59 (s, 1H), 4.95 (s,lH), 3.92 (d, 2H, J = 10.8 Hz), 3.29 (m, 2H), 3.00 (q, 2 H, J = 7.2 Hz), 2.22 (s, 3H), 2.19 (s, 3H), 1.64 (m, 4 H), 0.83 (t, 3 H, J = 7.2 Hz).
LCMS 510.2 (M+l)+.
Example 18: 2-((5-chloro-3-(ethyl(piperidin-4-yl)amino)-2- methylbenzamido)methyl)-3,5-dimethylpyridine 1-oxide
Step 1 : 2-((3-((l-(tert-butoxycarbonyl)piperidin-4-yl)(ethyl)amino)-5-chloro-2- methylbenzamido)methyl)-3,5-dimethylpyridine 1 -oxide
3-((l-(tert-butoxycarbonyl)piperidin-4-yl)(ethyl)amino)-5-chloro-2-methylbenzoic acid (42 mg, 0.11 mmol), 2-(aminomethyl)-3,5-dimethylpyridine 1-oxide (15.0 mg, 0.11
mmol) and 4-(dimethylamino)pyridine (1.5 mg, 0.01 mmol) were dissolved in anhydrous dichloromethane (5.5 ml), followed by dropwise addition of N-(3-dimethylaminopropyl)- N'-ethylcarbodiimide hydrochloride (24 mg, 0.17 mmol) in dichloromethane (5.5 ml) at 0 °C under N2. The reaction mixture was allowed to be gradually warmed to room temperature and stirred for 20 h. After completion, the mixture was diluted with dichloromethane and washed by 1 N hydrochloric acid solution, saturated sodium bicarbonate solution, brine and dried over magnesium sulfate. The organic layer was combined and concentrated in vacuo. The residue was purified by silica column chromatography (5% methanol in dichloromethane) to obtain the title compound as oil (20 mg, 25% yield).
1H NMR (400 MHz, CDC13) δ 7.91 (s, 1 H), 7.44 (t, 1 H, J = 6.0 Hz) 7.00 (d, 1 H, J = 1.2 Hz), 6.97 (d, 1 H, J = 2.0 Hz), 4.77 (d, 2 H, J = 6.4 Hz), 3.96 (bs, 2 H), 2.99-2.91 (m, 2 H), 2.81-2.74 (m, 1 H), 2.64 (t, 2 H, J = 12.2 Hz), 2.51 (s, 3 H), 2.23-2.18 (m, 5 H), 2.1 (s, 3 H), 1.56 (d, 2 H, J = 11.6 Hz), 1.44-1.37 (m, 11 H), 0.81 (t, 3 H, J = 7.2 Hz).
Step 2: 2-((5-chloro-3-(ethyl(piperidin-4-yl)amino)-2-methylbenzamido)methyl)- 3,5-dimethylpyridine 1 -oxide
solution of 2-((3-((l-(tert-butoxycarbonyl)piperidin-4- yl)(ethyl)amino)-5-chloro-2-methylbenzamido)methyl)-3,5-dimethylpyridine 1-oxide (20.0 mg, 0.04 mmol) in dichloromethane (0.4 ml) was added trifluoroacetic acid (0.1 ml) and the reaction mixture was stirred at room temperature for 2.5 h. The reaction mixture was concentrated to dryness under reduced pressure. The residue was dissolved in 10% methanol in dichloromethane was washed with saturated sodium bicarbonate solution, water and brine. The organic layers were concentrated in vacuo and the residue was purified by HPLC to obtain the title compound as oil (5.5 mg, 32% yield).
1H NMR(400 MHz, CD3OD-d4) δ 8.30 (bs, 1 H), 8.09 (s, 1 H), 7.31 (s, 1 H), 7.27 (d, 1H, J = 1.6 Hz), 7.12 (d, 1H, J = 2.0 Hz), 4.76 (s, 2H), 3.32-3.28 (m, 2H), 3.18 (t, 1 H, J
= 10.0 Hz), 3.09 (q, 2 H, J = 6.8 Hz), 2.97 (t, 2 H, J = 11.4 Hz), 2.58 (s, 3H), 2.30 (s, 1 H), 2.19 (s, 3 H), 1.98 (d, 2 H, J = 12.4), 1.80 (q, 2 H, J = 9.6 Hz), 0.87 (t, 3 H, J = 7.2 Hz).
LCMS 431.2 (M+l)+. Example 19: 2-((3-((l-acetylpiperidin-4-yl)(ethyl)amino)-5-chloro-2- methylbenzamido)methyl)-3,5-dimethylpyridine 1-oxide
To a mixture of 3-((l-acetylpiperidin-4-yl)(ethyl)amino)-5-chloro-2- methylbenzoic acid (75.0 mg, 0.22 mmol) and l-[bis(dimethylamino)methylene]-lH- 1,2,3- triazolo[4,5-b]pyridinium 3-oxide hexafluorophosphate (125.4 mg, 0.33 mmol) in N,N- dimethylformamide was added Ν,Ν-diisopropylethylamine at room temperature, then 2- (aminomethyl)-3,5-dimethylpyridine 1-oxide (55.0 mg, 0.33 mmol) in N,N- dimethylformamide was added. The mixture was stirred at 35 °C for 1.5 h. The reaction mixture was concentrated under reduced pressure. The residue was diluted with 10% methanol in dichloromethane and water. The organic layer was dried over magnesium sulfate and concentrated under reduced pressure. The residue was purified by silica column chromatography (5% methanol in dichloromethane) to obtain the title compound as oil (40 mg, 38% yield).
1H NMR(400 MHz, CD3OD-d4) δ 8.09(s, 1 H), 7.30 (s, 1 H), 7.23 (d, 1H, J = 2.4 Hz), 7.07 (d, 1H, J = 2.0 Hz), 4.76(s, 2 H), 4.40 (d, 1H, J = 14.4 Hz), 3.87 (d, 1 H, J =15.6 Hz), 3.07 (q, 4 H,J = 7.2), 2.66-2.58 (m, 4 H), 2.30 (s, 3 H), 2.17 (s, 3 H), 2.05 (s, 3 H), 1.82-1.75 (m, 2 H), 1.59-1.34 (m, 2H), 0.85 (t, 3 H, J = 7.2 Hz).
LCMS 473.3 (M+l)+. Example 20: 2-((5-((l-acetylpiperidin-4-yl)(ethyl)amino)-4'-(2- methoxyethoxy)-4-methyl-[l,l'-biphenyl]-3-ylcarboxamido)methyl)-3,5- dimethylpyridine 1-oxide
To a solution 5-((l-acetylpiperidin-4-yl)(ethyl)amino)-4'-(2-methoxyethoxy)-4- methyl-[l ,l'-biphenyl]-3-carboxylic acid (28.0 mg, 0.062 mmol) in dimethylformamide (1.5 ml) were added 2-(aminomethyl)-3,5-dimethylpyridine 1-oxide (17.0 mg, 0.11 mmol), 1 - [bis(dimethylamino)methylene] - 1 H- 1 ,2,3 -triazolo [4,5 -b]pyridinium 3 -oxide hexafluorophosphate (35.0 mg, 0.092 mmol) and N,N-diisopropylethylamine (0.03 ml, 0.185 mmol) at room temperature. The reaction mixture was stirred at 40 °C for 4.5 h. The reaction mixture was diluted with 10% methanol in dichloromethane. The combined organic solvent was dried over magnesium sulfate and concentrated under reduced pressure. The residue was purified by silica column chromatography (2.5% methanol in dichloromethane) to obtain the title compound (9 mg, 25% yield).
1H NMR (400 MHz, CD3OD-d4) δ 8.54 (t, 1 H, J =5.4 Hz) 8.01 (s, 1H), 7.69 (d, 2 H, J = 8.8 Hz), 7.33 (d, 2 H, J = 1.6 Hz), 7.23 (m, 2 H) 6.91 (d, 2 H, J = 8.8 Hz), 4.73 (d, 2 H, J =4.0 Hz), 4.30 (d, 1 H, J = 13.6 Hz), 4.05-4.03 (m, 2 H), 3.78 (d, 1 H, J = 12.8 Hz), 3.67-3.65 (m, 2 H), 3.33 (s, 3 H), 3.06-2.95 (m, 4H), 2.68-2.52 (m, 4 H), 2.22 (s, 3H), 2.16 (s, 3 H), 1.97 (s, 3 H), 1.79 (t, 2 H, J =12.6 Hz), 1.51-1.37 (m, 2 H), 0.81 (t, 3 H, J = 7.0 Hz).
LCMS 589.2 (M+l)+. Example 21: 2-((5-chloro-3-(ethyl((lS,4S)-4-((2- methoxyethyl)(methyl)amino)cycIohexyI)amino)-2-methylbenzamido)methyl)-5- methyl-3-phenoxypyridine 1-oxide
To a solution of 5-chloro-3-(ethyl((l S,4S)-4-((2- methoxyethyl)(methyl)amino)cyclohexyl)amino)-2-methylbenzoic acid (30.0 mg, 0.078 mmol) in dimethylformamide (1 ml) were added 2-(aminomethyl)-5-methyl-3- phenoxypyridine 1 -oxide (30.0 mg, 0.12 mmol), l-[bis(dimethylamino)methylene]-lH- l,2,3-triazolo[4,5-b]pyridinium 3-oxide hexafluorophosphate (45.0 mg, 0.12 mmol) and N,N-diisopropylethylamine (0.04 ml, 0.18 mmol) at room temperature. The reaction mixture was stirred at room temperature for 20 h. The reaction mixture was extracted by 10% methanol in dichloromethane. The combined organic solvent was dried over magnesium sulfate and concentrated under reduced pressure. The residue was purified by silica column chromatography (2% methanol in dichloromethane) to obtain the title compound as oil (3 mg, 7% yield).
Ή NMR(400 MHz, CD3OD-d4) δ 8.15 (s, 1 H), 7.30-7.19 (m, 6 H), 6.97 (s, 1 H),4.72 (s, 2H), 4.36 (s, 2 H), 3.66 (t, 2 H, J = 4.8 Hz), 3.39 (s, 3 H), 3.07-3.05 (m, 2 H), 2.77 (s, 3 H), 2.01 -1.98 (m, 4 H), 1.54 -1.51 (m, 4 H), 0.85 (t, 2 H, J = 7.0 Hz).
LCMS 595.2 (M+l)+.
Example 22: 3-chloro-2-((3-(ethyl((lS,4S)-4-((2- methoxyethyl)(methyl)amino)cyclohexyl)amino)-2-methyl-5-(3-morpholinoprop-l-yn- l-yl)benzamido)methyl)-5-methylpyridine 1-oxide
To a solution of 3-(ethyl((lS,4S)-4-((2- methoxyethyl)(methyl)amino)cyclohexyl)amino)-2-methyl-5-(3 -ηιο ΙιοΗηορΓορ- 1 -yn- 1 - yl)benzoic acid (20 mg, 0.042 mmol) in dimethylformamide (1 ml) were added 2- (aminomethyl)-3-chloro-5-methylpyridine 1 -oxide (25.0 mg, 0.15 mmol), 1- [bis(dimethylamino)methylene]- 1 H- 1 ,2,3-triazolo[4,5-b]pyridinium 3-oxide hexafluorophosphate (25.0 mg, 0.06 mmol) and N,N-diisopropylethylamine (0.03 ml, 0.13 mmol) at room temperature. The reaction mixture was stirred at room temperature for 20 h. The reaction mixture was extracted with 10% methanol in dichloromethane. The combined organic solvent was dried over magnesium sulfate and concentrated under reduced pressure. The residue was purified by silica column chromatography (5 to 10% methanol in dichloromethane) to obtain the title compound as oil (10 mg, 39% yield).
1H NMR (400 MHz, CD3OD-d4) δ 8.19 (s, 1 H), 7.54 (d, 1 H, J = 7.6 Hz), 7.24 (s, 1 H), 7.12 (s, 1 H), 3.50 (s, 3 H), 4.92 (s, 2 H), 3.70 (s, 4 H), 3.63 (s, 2 H), 3.48 (s,26 H), 3.48 (s, 3H), 2.20 (s, 2 H), 3.08-3.03 (m, 3 H), 2.72 (s, 4 H), 2.61 (s,4 H), 2.32 (s, 3H), 2.24 (s, 3 H), 1.98-1.89 (m, 4 H), 1.52-1.48 (m, 4 H), 0.83 (t, 3 H, J = 6.8 Hz).
LCMS 626.3 (M+l)+.
Example 23: 2-((3-(ethyl((lS,4S)-4-((2- methoxyethyl)(methyl)amino)cyclohexyl)amino)-2-methyl-5-(3-morpholinoprop-l-yn- l-yl)benzamido)methyl)-3-fluoro-5-methylpyridine 1-oxide
To a solution of 3-(ethyl((l S,4S)-4-((2- methoxyethyl)(methyl)amino)cyclohexyl)amino)-2-methyl-5-(3-morpholinoprop-l-yn-l- yl)benzoic acid (23.0 mg, 0.05 mmol) in dimethylformamide (1 ml) were added 2- (aminomethyl)-3-fluoro-5-methylpyridine 1 -oxide (20.0 mg, 0.13 mmol), 1- [bis(dimethylamino)methylene]- 1 H- 1 ,2,3-triazolo[4,5-b]pyridinium 3-oxide hexafluorophosphate (36.5 mg, 0.095 mmol) and N,N-diisopropylethylamine (0.03 ml, 0.126mmol) at room temperature. The reaction mixture was stirred at room temperature for 6 h. The reaction mixture was extracted with 10% methanol in dichloromethane. The combined organic solvent was dried over magnesium sulfate and concentrated under reduced pressure. The residue was purified by silica column chromatography (5% ammonium hydroxide solution and 10% methanol in dichloromethane) to obtain the title compound as oil (13 mg, 43% yield).
1H NMR (400 MHz, CD3OD-d4) δ 8.12 (s, 1 H), 7.32 (d, 1H, J = 8.4 Hz), 7.21 (s, 1 H), 7.09 (s, 1 H), 4.75 (s, 2 H), 3.71 (s, 4 H), 4.49-4.42 (m, 2 H), 3.28 (s, 3 H), 3.06 (t, 2 H, J = 7.0 Hz), 2.65 (s, 38 H), 2.48-2.41 (m, 1 H), 2.34 (s, 3 H), 2.34-2.30 (m, 4 H), 2.21 (s, 3 H), 1.87 (d, 4 H, J = 9.2 Hz), 1.41-1.23 (m, 4 H), 0.82 (t, 3 H, J = 7.0 Hz).
LCMS 610.5 (M+l)+. Example 24: 3-chloro-2-((3-(((lS,4S)-4-((2,2- difluoroethyl)(methyl)amino)cyclohexyl)(ethyl)amino)-2-methyl-5-(3- morpholinoprop-l-yn-l-yl)benzamido)methyl)-5-methylpyridine 1-oxide
To a solution of 3-(((l S,4S)-4-((2,2- difluoroethyl)(methyl)amino)cyclohexyl)(ethyl)amino)-2-methyl-5-(3 -morpholinoprop- 1 - yn-l-yl)benzoic acid (25.0 mg, 0.056 mmol) in dimethylformamide (1.1 ml) were added 2- (aminomethyl)-3-chloro-5-methylpyridine 1 -oxide (25 mg, 0.15 mmol), 1- [bis(dimethylamino)methylene]- 1 H- 1 ,2,3-triazolo[4,5-b]pyridinium 3-oxide hexafluorophosphate (32.0 mg, 0.084 mmol) and N,N-diisopropylethylamine (0.03 ml, 0.126mmol) at room temperature. The reaction mixture was stirred at room temperature for 20 h. The reaction mixture was extracted with 10% methanol in dichloromethane. The combined organic solvent was dried over magnesium sulfate and concentrated under reduced pressure. The residue was purified by silica column chromatography (5 to 10% methanol in dichloromethane) to obtain the title compound as oil (4 mg, 11% yield).
1H NMR (400 MHz, CD3OD-d4) δ 8.19 (s, 1 H), 7.52 (s, 1 H), 7.09 (s, 1 H), 5.94- 5.66 (m, 1 H), 4.91 (s, 2 H), 3.71 (s, 4 H), 3.57 (s, 2 H), 3.08-3.02 (m, 2 H), 2.77-2.61 (m, 7 H), 2.40-2.31 (m, 7 H) 2.23 (s, 3 H), 1.86 (t, 4 H, J = 12.8 Hz), 1.45-1.36 (m, 2 H), 2.64 (s, 5 H), 1.23-1.19 (m, 2 H), 0.82 (t, 3 H, J = 7.0 Hz).
LCMS 632.6 (M+l)+.
Example 25: 2-((l-isopropyl-6-(6-(4-methylpiperazin-l-yl)pyridin-3-yl)-lH- indazole-4-carboxamido)methyI)-3,5-dimethylpyridine 1 -oxide
2-(( 1 -isopropyl-6-(6-(4-methylpiperazin- 1 -yl)pyridin-3 -yl)- 1 H-indazole-4- carboxamido)methyl)-3,5-dimethylpyridine 1-oxide was synthesized as a white solid (22% yield) through the general route E in scheme 5 (the same procedure as in Example 1).
1H NMR (400 MHz, CD3OD) δ 8.53 (s, 1H), 8.38 (s, 1H), 8.12 (s, 1H), 7.98 (d,
1H, J=8.4), 7.93 (s, 1H), 7.82 (s, 1H), 7.34 (s, 1H), 6.9 (d, 1H, J=9.2), 5.14 (m, 1H), 4.19 (s, 2H), 3.63 (m, 4H), 2.66 (s, 3H), 2.59 (m, 4H), 2.37 (s, 3H), 2.30 (s, 3H), 1.57 (d, 6H, J=6.8). Example 26: 2-((5-(ethyl(tetrahydro-2H-pyran-4-yl)amino)-4- methylt oxamido)methyl)-3,5-dimethylpyridine 1-oxide
To a solution of 5-(ethyl(tetrahydro-2H-pyran-4-yl)amino)-4-methylthiophene-3- carboxylic acid (10 mg, 0.07 mmol, synthesized by a reported method in WO2014/177982 Al) in dimethylformamide (1 ml) were added 2-(aminomethyl)-3,5-dimethylpyridine 1- oxide (18 mg, 0.07 mmol), l-[bis(dimethylamino)methylene]-lH-l ,2,3-triazolo[4,5- b]pyridinium 3-oxide hexafluorophosphate (25 mg, 0.07 mmol) and N,N- diisopropylethylamine (0.034 ml, 0.20 mmol) at room temperature. The reaction mixture was stirred at room temperature for 4 days. The reaction mixture was concentrated in
vacuo. The residue was purified by reverse phase Agilent HPLC (50-95% C¾CN/water +0.01% formic acid, LUNA C8, 100 A column, 250 X 10 mm, 10 μιη) to obtain the title compound as colorless oil (4.4 mg, 17% yield).
1H NMR (400 MHz, CD3OD) δ 8.33 (brs, 1H), 8.11 (s, 1H), 7.64 (s, 1H), 7.33 (s, 1H), 4.77 (s, 2H), 3.90-3.93 (m, 2H), 3.35-3.39 (m, 2H), 2.99 (q, 2H, J = 7.2 Hz), 2.96 (m, 1H), 2.59 (s, 3H), 2. 32 (s, 3H), 2.19 (s, 3H), 1.76-1.79 (m, 2H), 1.46-1.56 (M, 2H), 0.92 (t, 3H, J = 6.8 Hz).
LCMS 404.0 (M+l)+. Test
EZH2 binding assays were done for the inhibition of the test compounds using HotSpot HMT assay protocol using the EZH2. Complex of human EZH2 (GenBank Accession No. NM_001203247), co-expressed in baculovirus expression system with N- terminal His-tag was used as the enzyme target and histone H4 peptide (1-21) K5/8/ 12/ 16 Ac-Bio tin was used as a substrate.
Pfeiffer cell proliferation assays were done to measure the 50% inhibition concentration of tested compound on Pfeiffer cell lines using standard CTG assay. Pfeiffer cell (500-1000 cell/150-200 μΐ, each well, 5-7 day assay) was cultured at the temperature of 37°C, 5% C02 and 95% humidity. Culture media is purchased from GIBCO, USA. 96- Well Flat Clear Bottom Black Polystyrene TC-Treated Microplate (Cat# 3603, Corning®) and CellTiter-Glo® Luminescent Cell Viability Assay (Cat. No.: G7572, Promega. Store at -20°C) were used. Table 1 shows the activity of selected compounds of this invention in the EZH2 enzyme inhibition assay and Pfeiffer cell proliferation assay.
IC50 values are reported as follows:
"A": indicates an IC50 value of greater than 1 μΜ and less than 100 nM;
"B" indicates an IC50 value of 100 nM to 1000 nM;
"C" indicates an IC5o value of greater than 1000 nM and less than 1 μΜ;
"-" indicates that inhibition assay was not tested for this compound.
Table 1. In vitro EZH2 binding activity of compounds
As shown in Table 1, the compounds of Examples 1 to 25 exhibited good EZH2 binding activity, and anti-proliferative activity on Pfeiffer cells.
Claims
WHAT IS CLAIMED IS:
1. A compound selected from the group consisting of a pyridine N-oxide compound of formula (I), and a pharmaceutically acceptable salt and a stereoisomer thereof:
wherein
, in which X1 is O, N, S, CR6 or NR7; X2, X3 and X4 are each independently N or CR6; Y is O, N, S, CR6 or NR7; Z is CR5 or NR8; Z2 is CR5; W is N or CR9; R is hydrogen, hydroxy, cyano, halogen, (Ci-C3)alkoxy, (Ci-C3)alkyl, (C3-C6)cycloalkyl, heterocycloalkyl, -NRaRb, halo(C1-C3)alkyl or hydroxy(Ci-C3)alkyl;
R1, R2, R3 and R4 are each independently hydrogen, (Ci-C4)alkoxy, (C1-C8)alkyl, (Ci-C4)alkoxy-(Ci-C4)alkyl, halo(d-C4)alkyl, halo(C!-C4)alkoxy, (C3-C10)cycloalkyl, hydroxy(C i -C4)alkyl, (C3 - C 10)cycloalkyl-(C i -C4)alkyl, Ra-0-C(0)-NH-(C , -C4)alkyl, heterocycloalkyl, heterocycloalkyl-(Ci-C4)alkyl, (C2-C6)alkynyl, (C6-Ci0)aryl, (C6- C10)aryl-(C1-C4)alkyl, heteroaryl, heteroaryl-(d-C4)alkyl, halogen, cyano, -C(0)Ra, - C(0)ORa, -C(0)-NRaRb, -C(0)-N(Ra)-NRaRb, -SRa, -S(0)Ra, -S(0)2Ra, -S(0)2-NRaRb, nitro, -NRaRb, -N(Ra)-C(0)Rb, -N(Ra)-C(0)-NRaRb, -N(Ra)-C(0)ORa, -N(Ra)-S(0)2Rb, - N(Ra)-S(0)2-NRaRb, -N(Ra)-NRaRb, -N(Ra)-N(Ra)-C(0)Rb, -N(Ra)-C(0)Ra, -N(Ra)-N(Ra)- C(0)-NRaRb, -N(Ra)-N(Ra)-C(0)ORa, -ORa, -OC(0)Ra, or -OC(0)-NRaRb, wherein said (C3-Cio)cycloalkyl, heterocycloalkyl, (C6-C10)aryl, or heteroaryl is each independently unsubstituted or substituted with 1 to 3 substituents selected from the group consisting of hydroxy, halogen, nitro, (Ci-C4)alkyl, cyano, (d-C4)alkoxy, -NRaRb and -C(0)ORa, or R3
and R taken together with the carbon atoms to which they are bonded form a 5- to 8- membered carbocyclic or heterocyclic ring, wherein said ring is unsubstituted or substituted with 1 to 3 substituents selected from the group consisting of hydroxy, halogen, nitro, (Ci-C4)alkyl, cyano, (Ci-C4)alkoxy, -NRaRb and -C(0)ORa;
R5 is hydrogen, (C1-C8)alkyl, (C2-C8)alkenyl, (C,-C8)alkoxy, (C4-C8)cycloalkyl, (C3-C10)cycloalkyl-(C1-C2)alkyl, (C3-Ci0)cycloalkyl-oxy, heterocycloalkyl, heterocycloalkyl-(Ci-C2)alkyl, heterocycloalkyl-oxy, (C6-Ci0)aryl, heteroaryl, or -NRaRb, wherein said (C1-C8)alkyl, (C2-C8)alkenyl, (Ci-C8)alkoxy, (C4-C8)cycloalkyl, (C3- C10)cycloalkyl-(Ci-C2)alkyl, (C3-Ci0)cycloalkyl-oxy, heterocycloalkyl, heterocycloalkyl- (Ci-C2)alkyl, heterocycloalkyl-oxy, (C6-C1o)aryl, or heteroaryl is each independently unsubstituted or substituted with 1 to 3 substituents selected from the group consisting of halogen, -ORa, -NRaRb, -NH-C(0)ORa, nitro, (C1-C3)alkyl, RaRbN-(C1-C3)alkyl, Ra-0-(Ci- C3)alkyl, (C3-C10)cycloalkyl, cyano, -C(0)ORa, -C(0)NRaRb„ -S(0)2-NRaRb, heterocycloalkyl, (C6-Cio)aryl and heteroaryl, wherein said (C3-Cio)cycloalkyl, heterocycloalkyl, (C6-Ci0)aryl, or heteroaryl is each independently unsubstituted or substituted with 1 or 2 substituents selected from the group consisting of halogen, (Q- C4)alkyl, halo(C1-C4)alkyl, -C(0)-(d-C4)alkyl, -C(0)0-(Ci-C4)alkyl, -NRaRb, -NH- C(0)ORa, hydroxy, oxo, (C!-C4)alkoxy, and (C1-C4)alkoxy-(Ci-C4)alkyl, or any 2 substituents on said (C2-Cg)alkenyl taken together with the carbon atom(s) to which they are bonded form a 5- to 8-membered carbocyclic or heterocyclic ring, wherein said ring is unsubstituted or substituted with 1 or 2 substituents selected from the group consisting of (d-C4)alkyl, halo(C C4)alkyl, -C(0)-(C1-C4)alkyl, -C(0)0-(C1-C4)alkyl, -NRaRb, -NH- C(0)ORa, hydroxy, oxo, (C C4)alkoxy, and (Ci-C4)alkoxy-(C1-C4)alkyl;
R6 is hydrogen, halogen, hydroxy, (C!-Cg)alkyl, (C!-C4)alkoxy, -B(OH)2, (C3- Cio)cycloalkyl, (C3-C10)cycloalkyl-(Ci-C4)alkyl, heterocycloalkyl, heterocycloalkyl-(Ci- C4)alkyl, (C6-C10)aryl, (C6-Ci0)aryl-(C1-C4)alkyl, heteroaryl, heteroaryl-(C1-C4)alkyl, (C2- C6)alkenyl, (C2-C6)alkynyl, cyano, -CH(Ra)-(0)P(0(C1-C4)alkyl)2, -C(0)Ra, -C(0)ORa, - C(0)-NRaRb, -C(0)-N(Ra)-NRaRb, -SRa, -S(0)Ra, -S(0)2Ra, -S(0)2-NRaRb, nitro, -NRaRb, RaRbN-(Ci-C4)alkyl, -N(Ra)-C(0)Rb, -N(Ra)-C(0)-NRaRb, -N(Ra)-C(0)ORa, -N(Ra)- S(0)2Rb, -N(Ra)-S(0)2-NRaRb, -N(Ra)-NRaRb, -N(Ra)-N(Ra)-C(0)Rb, -N(Ra)-N(Ra)-C(0)- NRaRb, -N(Ra)-N(Ra)-C(0)ORa, -ORa, -OC(0)Ra, or -OC(0)-NRaRb, wherein said (C2- C6)alkenyl, (C2-C6)alkynyl, (C3-C10)cycloalkyl, heterocycloalkyl, (C6-Ci0)aryl, or
heteroaryl is each independently unsubstituted or substituted with 1 to 3 substituents selected from the group consisting of -(0)P(0(C1-C4)alkyl)2; R°-(Ci-C6)alkyl-0-, Rc-(Ci- C6)alkyl-S-, Rc-(Ci-C6)alkyl, (C1-C4)alkyl-heterocycloalkyl, halogen, (Ci-C6)alkyl, (C3- Cio)cycloalkyl, haloCd-^alkyl, cyano, -C(0)Ra, -C(0)ORa, -C(0)NRaRb, SRa, -S(0)Ra, - S(0)2Ra, -S(0)2-NRaRb, nitro, -NRaRb, -N(Ra)-C(0)Rb, -N(Ra)-C(0)-NRaRb, -N(Ra)- C(0)ORa, N(Ra)-S(0)2Rb, -N(Ra)-S(0)2-NRaRb, -ORa, -OC(0)Ra, -OC(0)-NRaRb, heterocycloalkyl, heterocycloalkyl-(C1-C4)alkyl, (C6-C10)aryl, heteroaryl, (C6-Ci0)aryl-(Ci- C4)alkyl, and heteroaryl-(Ci-C4)alkyl;
R7 is hydrogen, (Ci-C8)alkyl, (C3-Ci0)cycloalkyl, (C3-C10)cycloalkyl-(Ci-C4)alkyl, heterocycloalkyl, heterocycloalkyl-(Ci-C4)alkyl, (C6-Ci0)aryl, (C6-C10)aryl-(C1-C4)alkyl, heteroaryl, heteroaryl-(C1-C4)alkyl, -C(0)Ra, -C(0)ORa, -C(0)NRaRb, -C(0)-N(Ra)-NRaRb, -S(0)2Ra, -S(0)2-NRaRb, RaRbN-(C1-C4)alkyl, wherein said (C3-C10)cycloalkyl, heterocycloalkyl, (C6-C10)aryl, or heteroaryl is each independently unsubstituted or substituted with 1 to 3 substituents selected from the group consisting of Rc-(Ci-C6)alkyl- 0-, Rc-(Ci-C6)alkyl-S-, Rc-(C,-C6)alkyl, (Ci-C4)alkyl-heterocycloalkyl, halogen, (C,- C6)alkyl, (C3-C10)cycloalkyl, halo(C1-C6)alkyl, cyano, -C(0)Ra, -C(0)ORa, -C(0)-NRaRb, - SRa, -S(0)Ra, -S(0)2Ra, -S(0)2-NRaRb, nitro, -NRaRb, -N(Ra)-C(0)-Rb, -N(Ra)-C(0)- NRaRb, -N(Ra)-C(0)ORa, -N(Ra)-S(0)2Rb, -N(Ra)-S(0)2-NRaRb, -ORa, -OC(0)Ra, -OC(O)- NRaRb, heterocycloalkyl, (C6-C10)aryl, heteroaryl, (C6-Ci0)aryl-(Ci-C4)alkyl, and heteroaryl-(Ci-C4)alkyl;
R8 is (C1-C8)alkyl, (C4-C8)cycloalkyl, heterocycloalkyl, heterocycloalkyl-(Ci- C2)alkyl, (C6-Ci0)aryl, or heteroaryl, wherein said (C1-C8)alkyl, (C4-C8)cycloalkyl, heterocycloalkyl, heterocycloalkyl-(Ci-C2)alkyl, (C6-Ci0)aryl, or heteroaryl is each independently unsubstituted or substituted with 1 to 3 substituents selected from the group consisting of halogen, -ORa, -NRaRb, -NH-C(0)ORa, nitro, (Ci-C3)alkyl, R'R^-Cd- C3)alkyl, Ra-0-(C,-C3)alkyl, (C3-C10)cycloalkyl, cyano, -C(0)ORa, -C(0)NRaRb, -S(0)2- NRaRb, (C6-Cio)aryl, and heteroaryl;
R9 is hydrogen, (C1-C8)alkyl, trifluoromethyl, alkoxy, or halogen, wherein said (CrC8)alkyl is unsubstituted or substituted at least one of amino and (Ci-C3)alkylamino;
R10 is (d-C8)alkyl, (C2-C8)alkenyl, (C2-C8)alkynyl, (C3-C10)cycloalkyl, (C3- Cio)cycloalkyl-(Ci-C8)alkyl, (C3-Ci0)cycloalkyl-(C2-C8)alkenyl, (C5-C8)cycloalkenyl, (C5- C8)cycloalkenyl-(C1-C8)alkyl, (C5-C8)cycloalkenyl-(C2-C8)alkenyl, heterocycloalkyl,
heterocycloalkyl-(C2-Cg)alkenyl, heterocycloalkyl-(C]-C8)alkyl, (C6-Cio)aryl, (Ce-C^aryl- (Ci-C8)alkyl, (C6-Cio)aryl-(C2-C8)alkenyl, heteroaryl, heteroaryl-(Ci-C8)alkyl, heteroaryl - (C2-C8)alkenyl, -C(0)-Ra, -C(0)ORa, -C(0)-NRaRb, or -C(0)-NRaRb, wherein said (C3- Ci0)cycloalkyl, (C5-C8)cycloalkenyl, heterocycloalkyl, (C6-C10)aryl, or heteroaryl is each independently unsubstituted or substituted with 1 to 3 substituents selected from the group consisting of hydroxy, halogen, nitro, (C!-C4)alkyl, cyano, (Q-C^alkoxy, -NRaRb and - C(0)ORa;
each Rc is independently (Ci-C3)alkoxy, -S(0)Ra, -S(0)2Ra, -NRaRb, -N(Ra)- C(0)ORa, -N(Ra)-S(0)2Rb, or -C(0)ORa;
Ra and Rb are each independently hydrogen, (Q-C^alkyl, (C1-C4)alkoxy-(C1- C4)alkyl, (C3-C10)cycloalkyl, heterocycloalkyl, (C6-C10)aryl, (C6-Ci0)aryl-(C1-C4)alkyl, heteroaryl-(Ci-C4)alkyl, or heteroaryl, wherein said (C3-C10)cycloalkyl, heterocycloalkyl, (C6-C10)aryl, or heteroaryl is each independently unsubstituted or substituted with 1 to 3 substituents selected from the group consisting of halogen, hydroxy, (Ci-C4)alkoxy, amino, -NH-(C1-C4)alkyl, -N((Ci-C4)alkyl)2, (C1-C4)alkyl, halo(C1-C4)alkyl, -C(0)OH, -C(0)0- (C1-C4)alkyl, -C(0)-NH2, -C(0)0-NH2, -C(0)-NH-(C1-C4)alkyl, -C(0)-N((C1-C4)alkyl)2, - S(0)2-(C1-C4)alkyl, -S(0)2-NH2, -SCO^-NH-Cd-C^alkyl, -C(0)-(Ci-C4)alkyl, -N((Ci- C4)alkyl)(halo(Ci-C4)alkyl), ((C1-C3)alkoxy(Ci-C4)alkyl)((C1-C4)alkyl)amino, and -S(0)2- N((Cj-C4)alkyl)2, or Ra and Rb taken together with the nitrogen atom to which they are bonded form a 5- to 8-membered heterocyclic ring, wherein said ring is unsubstituted or substituted with 1 to 3 substituents selected from the group consisting of (Ci-C4)alkyl, halo(Ci-C4)alkyl, amino, -NH-(Ci-C4)alkyl, -N((C1-C4)alkyl)2, hydroxy, oxo, (d- C4)alkoxy, and (C1-C4)alkoxy-(C1-C4)alkyl;
all of said heterocycloalkyl moieties each independently have a saturated 3- to 10- membered monocyclic or polycyclic ring;
all of said heteroaryl moieties each independently have an aromatic 5- to 10- membered monocyclic or polycyclic ring; and
all of said heterocyclic, heterocycloalkyl and heteroaryl moieties each independently contain at least one heteroatom selected from the group consisting of nitrogen, sulfur and oxygen.
XI is O, N, S, CR6 or NR7; and Y is O, N, S, CR6 or NR7; wherein when X1 is O, S or NR7, Y is N or CR6; and when Y is O, S or NR7, X1 is N or CR6; and
Z is CR5;
wherein R, R5, R6 and R7 are the same as defined in claim 1.
3. The compound of claim 2, wherein
X1 is CR6;
Y is S;
Z is CR5; and
R and R are hydrogen;
wherein R5 and R6 are the same as defined in claim 1.
X2, X3 and X4 are each independently N or CR6; and
Z2 is CR5;
wherein R, R5 and R6 are the same as defined in claim 1.
5. The compound of claim 4, wherein
X2 and X4 are CH;
X3 is CR6;
Z2 is CR5, wherein R5 is -NRaRb; and
R and R are hydrogen;
wherein R6, Ra and Rb are the same as defined in claim 1.
6. The compound of claim 5, wherein
The compound of claim 1 , wherein
X2, X3 and X4 are each independently N or CR6;
wherein R10 and R6 are the same as defined in claim 1.
8. The compound of claim 7, wherein
X2 and X4 are CH;
X3 is CR6; and
R1 and R3 are hydrogen;
wherein R6 is the same as defined in claim 1.
9. The compound of claim 1, wherein
R is hydrogen or methyl;
X1, X2, X3 and X4 are CR6;
Y is S;
Z and Z2 are CR5;
W is N or CR9;
R1 and R3 are hydrogen, and R2 and R4 are each independently (C1-C4)alkoxy, (d- C8)alkyl, halo(CrC4)alkyl, halo(Ci-C4)alkoxy, (C2-C6)alkynyl, (C3-Ci0)cycloalkyl, (C6- Ci0)aryl-(C1-C4)alkyl, -SRa, -S(0)Ra, -S(0)2Ra, -ORa or halogen, or R3 and R4 taken together with the carbon atoms to which they are bonded form a 5- to 8-membered carbocyclic or heterocyclic ring, wherein said ring is unsubstituted or substituted with 1 to 3 substituents selected from the group consisting of hydroxy, halogen, nitro, (Ci-C4)alkyl, cyano, (C,-C4)alkoxy, -NRaRb and -C(0)ORa;
R5 is NRaRb;
R6 is each independently hydrogen, cyano, halogen, (C1-C4)alkyl, (C1-C4)alkoxy, (C3-C6)alkoxy, (C6-Ci0)aryl, (C6-C1o)aryl-(Ci-C4)alkyl, heteroaryl, heteroaryl-(Ci-C4)alkyl, (C2-C6)alkenyl, or (C2-C6)alkynyl, wherein said (C2-C6)alkynyl, heteroaryl, or (C6-C10)aryl is each independently unsubstituted or substituted with 1 to 3 substituents selected from the group consisting of -(0)P(0(C1-C4)alkyl)2, (Ci-C4)alkyl-heterocycloalkyl, heterocycloalkyl, -NRaRb, Rc-(Ci-C6)alkyl-0-, (C3-Ci0)cycloalkyl, -ORa, and Rc-(d-C6)alkyl;
each R° is independently (C i -C3)alkoxy or -NRaRb;
R9, Ra and Rb are the same as defined in claim 1 ;
all of said heterocycloalkyl moieties each independently have a saturated 3- to 10- membered monocyclic or polycyclic ring;
all of said heteroaryl moieties each independently have an aromatic 5- to 10- membered monocyclic or polycyclic ring; and
all of said heterocyclic, heterocycloalkyl and heteroaryl moieties each independently contain at least one heteroatom selected from the group consisting of nitrogen, sulfur and oxygen.
10. The compound of claim 1, which is selected from the group consisting of:
1) 2-((5 -(ethyl (tetrahydro-2H-pyran-4-yl)amino)-4-methyl-4'-(morpholinomethyl)- [1,1 '-biphenyl]-3-ylcarboxamido)methyl)-3,5-dimethylpyridine 1 -oxide;
2) 2-((5 -(ethyl (tetrahydro-2H-pyran-4-yl)amino)-4-methyl-4'-(morpholinomethyl)- [1,1 '-biphenyl] -3 -ylcarboxamido)methyl)-3 -methoxy-5 -methylpyridine 1 -oxide;
3) 3-benzyl-2-((5-(ethyl(tetrahydro-2H-pyran-4-yl)amino)-4-methyl-4'- (morpholinomethyl)- [1,1 '-biphenyl] -3 -ylcarboxamido)methyl)-5 -methylpyridine 1 -oxide;
4) 3-cyclopropyl-2-((5-(ethyl(tetrahydro-2H-pyran-4-yl)amino)-4-methyl-4'- (mo holinomethyl)-[l,Γ-biphenyl]-3-ylcarboxamido)methyl)-5-methylpyridine 1-oxide;
5) 3-ethyl-2-((5-(ethyl(tetrahydro-2H-pyran-4-yl)amino)-4-methyl-4'- (morpholinomethyl)-[l,r-biphenyl]-3-ylcarboxamido)methyl)-5-methylpyridine 1-oxide;
6) 2-((5-(ethyl(tetrahydro-2H-pyran-4-yl)amino)-4-methyl-4'-(morpholinomethyl)- [l,r-biphenyl]-3-ylcarboxamido)methyl)-5-methyl-3-phenoxypyridine 1-oxide;
7) 3-(difluoromethoxy)-2-((5-(ethyl(tetrahydro-2H-pyran-4-yl)amino)-4-methyl- 4'-(morpholinomethyl)-[ 1 , 1 -biphenyl] -3 -ylcarboxamido)methyl)-5 -methylpyridine 1 -oxide;
8) 5-chloro-3-ethyl-2-((5-(ethyl(tetrahydro-2H-pyran-4-yl)amino)-4-methyl-4'- (morpholinomethyl)-[l , 1 '-biphenyl] -3 -ylcarboxamido)methyl)pyridine 1 -oxide;
9) 2-((5-(ethyl(tetrahydro-2H-pyran-4-yl)amino)-4-methyl-4'-(morpholinomethyl)- [1,1 '-biphenyl] -3 -ylcarboxamido)methyl)-5 -methyl-3 -(prop- 1 -yn- 1 -yl)pyridine 1 -oxide;
10) 3-chloro-2-((5-(ethyl(tetrahydro-2H-pyran-4-yl)amino)-4-methyl-4'- (ηιοφΐιοΐίηοηιεΐΐ^ΐ)- [1,1 '-biphenyl] -3 -ylcarboxamido)methyl)-5 -methylpyridine 1 -oxide;
11 ) 2-((5-(ethyl(tetrahydro-2H-pyran-4-yl)amino)-4-methyl-4'-
1 '-biphenyl]-3-ylcarboxamido)methyl)-5-methyl-3-(phenyl sulfonyl)pyridine 1 -oxide;
12) 3-(l,l-difluoroethyl)-2-((5-(ethyl(tetrahydro-2H-pyran-4-yl)amino)-4-methyl- 4'-(mo holinomethyl)-[l, -biphenyl]-3-ylcarboxamido)methyl)-5-methylpyridine 1-oxide;
13) 1 -((5-(ethyl(tetrahydro-2H-pyran-4-yl)amino)-4-methyl-4'- (moφholinomethyl)-[l , 1 '-biphenyl] -3 -ylcarboxamido)methyl)-6-fluoro-4-methyl isoquinoline 2-oxide;
14) 2-((4'-(diisopropoxyphosphoryl)-5-(ethyl(tetrahydro-2H-pyran-4-yl)amino)-4- methyl-[l,r-biphenyl]-3-ylcarboxamido)methyl)-3-methoxy-5-methylpyridine 1-oxide;
15) 2-((4'-(diisopropoxyphosphoryl)-5-(ethyl(tetrahydro-2H-pyran-4-yl)amino)-4- methyl-[l, -biphenyl]-3-ylcarboxaniido)methyl)-3-ethyl-5-methylpyridine 1 -oxide;
16) 2-((5-(6-aminopyridin-3-yl)-3 -(ethyl (tetrahy dro-2H-pyran-4-yl)amino)-2- methylbenzamido)methyl)-3,5-dimethylpyridine 1 -oxide;
17) 2-((5-chloro-3-(ethyl(tetrahydro-2H-pyran-4-yl)amino)-2- methylbenzamido)methyl)-5-methyl-3-phenoxypyridine 1 -oxide;
18) 2-((5-chloro-3-(ethyl(piperidin-4-yl)amino)-2-methylbenzamido)methyl)-3,5- dimethylpyridine 1 -oxide;
19) 2-((3-((l-acetylpiperidin-4-yl)(ethyl)amino)-5-chloro-2- methylbenzamido)methyl)-3,5-dimethylpyridine 1 -oxide;
20) 2-((5-((l-acetylpiperidin-4-yl)(ethyl)amino)-4'-(2-methoxyethoxy)-4-methyl- [1,1 '-biphenyl] -3 -ylcarboxamido)methyl)-3 ,5 -dimethylpyridine 1 -oxide;
21) 2-((5-chloro-3-(ethyl((lS,4S)-4-((2- methoxyethyl)(methyl)amino)cyclohexyl)amino)-2-methylbenzaniido)methyl)-5-methyl-3- phenoxypyridine 1 -oxide;
22) 3-chloro-2-((3-(ethyl((lS,4S)-4-((2- methoxyethyl)(methyl)amino)cyclohexyl)amino)-2-methyl-5-(3-morpholinoprop-l-yn-l- yl)benzamido)methyl)-5-methylpyridine 1 -oxide;
23) 2-((3-(ethyl((lS,4S)-4-((2-methoxyethyl)(methyl)amino)cyclohexyl)amino)-2- methyl-5-(3-morpholinoprop- 1 -yn- 1 -yl)benzamido)methyl)-3-fluoro-5-methylpyridine 1 - oxide;
24) 3-chloro-2-((3-(((lS,4S)-4-((2,2- difluoroethyl)(methyl)amino)cyclohexyl)(ethyl)amino)-2-methyl-5-(3 -morpholinoprop- 1 - yn- 1 -yl)benzamido)methyl)-5-methylpyridine 1 -oxide;
25) 2-(( 1 -isopropyl-6-(6-(4-methylpiperazin- 1 -yl)pyridin-3-yl)- 1 H-indazole-4- carboxamido)methyl)-3,5-dimethylpyridine 1-oxide; and
26) 2-((5 -(ethyl (tetrahydro-2H-pyran-4-yl)amino)-4-methylthiophene-3- carboxamido)methyl)-3,5-dimethylpyridine 1-oxide.
11. A pharmaceutical composition for the treatment or prevention of diseases mediated by EZH2, comprising the compound of any one of claims 1 to 10 as an active ingredient and a pharmaceutically acceptable excipient.
12. A pharmaceutical composition of claim 11, wherein the diseases mediated by EZH2 comprise cancers.
13. A method for the treatment or prevention of diseases mediated by EZH2 in a mammal, which comprises administering the compound of any one of claims 1 to 10 to the mammal in need thereof.
14. A use of the compound of any one of claims 1 to 10 in the manufacture of a medicament for the treatment or prevention of diseases mediated by EZH2.
Applications Claiming Priority (2)
| Application Number | Priority Date | Filing Date | Title |
|---|---|---|---|
| US201562128174P | 2015-03-04 | 2015-03-04 | |
| US62/128,174 | 2015-03-04 |
Publications (1)
| Publication Number | Publication Date |
|---|---|
| WO2016140501A1 true WO2016140501A1 (en) | 2016-09-09 |
Family
ID=56848062
Family Applications (1)
| Application Number | Title | Priority Date | Filing Date |
|---|---|---|---|
| PCT/KR2016/002070 Ceased WO2016140501A1 (en) | 2015-03-04 | 2016-03-02 | Pyridine n-oxide for enhancer of zeste homolog 2 inhibitors |
Country Status (1)
| Country | Link |
|---|---|
| WO (1) | WO2016140501A1 (en) |
Cited By (5)
| Publication number | Priority date | Publication date | Assignee | Title |
|---|---|---|---|---|
| US9718838B2 (en) | 2015-08-27 | 2017-08-01 | Eli Lilly And Company | Inhibitors of EZH2 |
| WO2021249305A1 (en) * | 2020-06-08 | 2021-12-16 | 南京明德新药研发有限公司 | Biphenyl compound |
| CN114907300A (en) * | 2021-02-08 | 2022-08-16 | 上海医药工业研究院 | Preparation method of taraxestat key intermediate and intermediate thereof |
| CN114907299A (en) * | 2021-02-08 | 2022-08-16 | 上海医药工业研究院 | Novel salt form of tarezostat key intermediate, preparation method thereof and intermediate thereof |
| WO2023211195A1 (en) * | 2022-04-28 | 2023-11-02 | Sk Biopharmaceuticals Co., Ltd. | N-oxide compounds and use thereof |
Citations (5)
| Publication number | Priority date | Publication date | Assignee | Title |
|---|---|---|---|---|
| WO2004026873A1 (en) * | 2002-09-18 | 2004-04-01 | Ono Pharmaceutical Co., Ltd. | Triazaspiro[5.5]undecane derivatives and drugs comprising the same as the active ingredient |
| WO2005012256A1 (en) * | 2003-07-22 | 2005-02-10 | Astex Therapeutics Limited | 3, 4-disubstituted 1h-pyrazole compounds and their use as cyclin dependent kinases (cdk) and glycogen synthase kinase-3 (gsk-3) modulators |
| WO2005097750A1 (en) * | 2004-03-30 | 2005-10-20 | Aventis Pharmaceuticals Inc. | Substituted pyridones as inhibitors of poly(adp-ribose) polymerase (parp) |
| WO2007147874A1 (en) * | 2006-06-22 | 2007-12-27 | Biovitrum Ab (Publ) | Pyridine and pyrazine derivatives as mnk kinase inhibitors |
| WO2014055634A1 (en) * | 2012-10-02 | 2014-04-10 | Yale University | Identification of small molecule inhibitors of jumonji at-rich interactive domain 1a (jarid1a) and 1b (jarid1b) histone demethylase |
-
2016
- 2016-03-02 WO PCT/KR2016/002070 patent/WO2016140501A1/en not_active Ceased
Patent Citations (5)
| Publication number | Priority date | Publication date | Assignee | Title |
|---|---|---|---|---|
| WO2004026873A1 (en) * | 2002-09-18 | 2004-04-01 | Ono Pharmaceutical Co., Ltd. | Triazaspiro[5.5]undecane derivatives and drugs comprising the same as the active ingredient |
| WO2005012256A1 (en) * | 2003-07-22 | 2005-02-10 | Astex Therapeutics Limited | 3, 4-disubstituted 1h-pyrazole compounds and their use as cyclin dependent kinases (cdk) and glycogen synthase kinase-3 (gsk-3) modulators |
| WO2005097750A1 (en) * | 2004-03-30 | 2005-10-20 | Aventis Pharmaceuticals Inc. | Substituted pyridones as inhibitors of poly(adp-ribose) polymerase (parp) |
| WO2007147874A1 (en) * | 2006-06-22 | 2007-12-27 | Biovitrum Ab (Publ) | Pyridine and pyrazine derivatives as mnk kinase inhibitors |
| WO2014055634A1 (en) * | 2012-10-02 | 2014-04-10 | Yale University | Identification of small molecule inhibitors of jumonji at-rich interactive domain 1a (jarid1a) and 1b (jarid1b) histone demethylase |
Cited By (7)
| Publication number | Priority date | Publication date | Assignee | Title |
|---|---|---|---|---|
| US9718838B2 (en) | 2015-08-27 | 2017-08-01 | Eli Lilly And Company | Inhibitors of EZH2 |
| WO2021249305A1 (en) * | 2020-06-08 | 2021-12-16 | 南京明德新药研发有限公司 | Biphenyl compound |
| CN114907300A (en) * | 2021-02-08 | 2022-08-16 | 上海医药工业研究院 | Preparation method of taraxestat key intermediate and intermediate thereof |
| CN114907299A (en) * | 2021-02-08 | 2022-08-16 | 上海医药工业研究院 | Novel salt form of tarezostat key intermediate, preparation method thereof and intermediate thereof |
| CN114907300B (en) * | 2021-02-08 | 2024-05-28 | 上海医药工业研究院 | Preparation method of key intermediate of tadalafil and intermediate thereof |
| CN114907299B (en) * | 2021-02-08 | 2024-06-25 | 上海医药工业研究院 | Salt form of key intermediate of tazestat, preparation method thereof and intermediate thereof |
| WO2023211195A1 (en) * | 2022-04-28 | 2023-11-02 | Sk Biopharmaceuticals Co., Ltd. | N-oxide compounds and use thereof |
Similar Documents
| Publication | Publication Date | Title |
|---|---|---|
| JP7808056B2 (en) | Cyclofused 2-amino-3-cyanothiophenes and derivatives for treating cancer - Patents.com | |
| JP7653362B2 (en) | Bicyclic Compounds | |
| AU2020343681B2 (en) | Heterocyclic RIP1 kinase inhibitors | |
| CA2901022C (en) | Substituted pyridine compounds as inhibitors of histone demethylases | |
| CN109153636B (en) | Cyclopropyl-amide compounds as dual LSD1/HDAC inhibitors | |
| KR20240087636A (en) | KRAS G12D inhibitors and uses thereof | |
| WO2020259432A1 (en) | Kras-g12c inhibitor | |
| WO2015104677A1 (en) | Heterocyclic compounds as ezh2 inhibitors | |
| IL289439B1 (en) | History of thieno[3,2-c] and thieno[2,3-c] and pharmaceutical preparations containing them | |
| ES2660215T3 (en) | Antitumor effect enhancer comprising an imidazooxazine compound | |
| EP3797108B1 (en) | Modulators of methyl modifying enzymes, compositions and uses thereof | |
| KR20180086221A (en) | Regulators of ROR-gamma | |
| AU2016297754A1 (en) | Compounds useful for treating disorders related to KIT and PDGFR | |
| CN113454081A (en) | Imidazopyridinyl compounds and their use for the treatment of proliferative diseases | |
| US11319326B2 (en) | Tricyclic fused derivatives of 1-(cyclo)alkyl pyrtdin-2-one useful for the treatment of cancer | |
| CN118055933A (en) | Selective PARP1 inhibitors and their applications | |
| TWI772424B (en) | Crystalline form of free alkali of benzofuran derivative and preparation method thereof | |
| WO2014155301A1 (en) | Substituted bicyclic compounds as inhibitors of ezh2 | |
| WO2015049629A1 (en) | Imidazoquinoline compounds as bromodomain inhibitors | |
| WO2016140501A1 (en) | Pyridine n-oxide for enhancer of zeste homolog 2 inhibitors | |
| CN115703761A (en) | Compound as WWP1 inhibitor and application thereof | |
| JP6985271B2 (en) | Alkynyl dihydroquinoline sulfonamide compound | |
| KR20240119138A (en) | Pyrimidine or pyridine derivatives and their medicinal uses | |
| CN116870016B (en) | Heteroaromatic compound and medical application thereof | |
| AU2022262335A1 (en) | Compounds as pd1/pd-l1 inhibitors and methods thereof |
Legal Events
| Date | Code | Title | Description |
|---|---|---|---|
| 121 | Ep: the epo has been informed by wipo that ep was designated in this application |
Ref document number: 16759137 Country of ref document: EP Kind code of ref document: A1 |
|
| NENP | Non-entry into the national phase |
Ref country code: DE |
|
| 122 | Ep: pct application non-entry in european phase |
Ref document number: 16759137 Country of ref document: EP Kind code of ref document: A1 |









































































































































































































