CN115389049A - Method for calculating temperature field and electronic equipment - Google Patents
Method for calculating temperature field and electronic equipment Download PDFInfo
- Publication number
- CN115389049A CN115389049A CN202211063921.3A CN202211063921A CN115389049A CN 115389049 A CN115389049 A CN 115389049A CN 202211063921 A CN202211063921 A CN 202211063921A CN 115389049 A CN115389049 A CN 115389049A
- Authority
- CN
- China
- Prior art keywords
- temperature
- row
- temperature sensor
- sampling point
- column
- Prior art date
- Legal status (The legal status is an assumption and is not a legal conclusion. Google has not performed a legal analysis and makes no representation as to the accuracy of the status listed.)
- Pending
Links
Images
Classifications
-
- G—PHYSICS
- G01—MEASURING; TESTING
- G01K—MEASURING TEMPERATURE; MEASURING QUANTITY OF HEAT; THERMALLY-SENSITIVE ELEMENTS NOT OTHERWISE PROVIDED FOR
- G01K13/00—Thermometers specially adapted for specific purposes
Landscapes
- Physics & Mathematics (AREA)
- General Physics & Mathematics (AREA)
- Cooling Or The Like Of Electrical Apparatus (AREA)
Abstract
本申请涉及数据处理技术领域,提供了一种计算温度场的方法,包括:确定第一列温度采样点的第一密度;根据第一温度传感器与第二温度传感器的第一间距和上述第一密度确定第一温度传感器和第二温度传感器间的温度采样点的数量A;根据第一温度传感器和第二温度传感器的温度值进行插值运算确定A个温度值;确定第一行温度采样点的第二密度;根据第一温度采样点与第二温度采样点的第二间距和上述第二密度确定第一温度采样点和第二温度采样点间的温度采样点的数量B;根据第一温度采样点和第二温度采样点的温度值进行插值运算确定B个温度值;根据A个温度值和B个温度值确定机房的温度场。该方法能够提高计算温度场的效率。
This application relates to the technical field of data processing, and provides a method for calculating the temperature field, including: determining the first density of temperature sampling points in the first column; Density determines the number A of temperature sampling points between the first temperature sensor and the second temperature sensor; performs interpolation calculations to determine A temperature values according to the temperature values of the first temperature sensor and the second temperature sensor; determines the number of temperature sampling points in the first row The second density; determine the number B of temperature sampling points between the first temperature sampling point and the second temperature sampling point according to the second distance between the first temperature sampling point and the second temperature sampling point and the above-mentioned second density; according to the first temperature The temperature values of the sampling point and the second temperature sampling point are interpolated to determine B temperature values; and the temperature field of the computer room is determined according to the A temperature value and the B temperature value. This method can improve the efficiency of calculating the temperature field.
Description
技术领域technical field
本申请涉及数据处理技术领域,尤其涉及一种计算温度场的方法及电子设备。The present application relates to the technical field of data processing, in particular to a method for calculating a temperature field and electronic equipment.
背景技术Background technique
众所周知,互联网数据中心(Internet Data Center,IDC)是一种拥有完善的设备(比如,大量的服务器)、专业化的管理、完善的应用的服务平台,而且,在这个平台基础上,IDC服务商能够为客户提供互联网基础平台服务以及各种增值服务。比如,在互联网、金融、工业制造、电力、广电和服务等行业,IDC能够为各个行业提供存储和处理巨量数据的服务。由于IDC大量的服务器在工作时会产生很多热量,因此,为了确保IDC的正常运作,服务器所在机房的温度环境需要维持在一个相对恒定的温度下。为了使机房有个相对恒定的温度环境,机房空调的供冷量、风速、制冷模式以及协同控制等都应该根据机房的实际温度进行调节。As we all know, the Internet Data Center (IDC) is a service platform with complete equipment (for example, a large number of servers), professional management, and perfect applications. Moreover, on the basis of this platform, IDC service providers It can provide customers with basic Internet platform services and various value-added services. For example, in industries such as the Internet, finance, industrial manufacturing, electric power, radio and television, and services, IDC can provide services for storing and processing huge amounts of data for various industries. Since a large number of servers in the IDC generate a lot of heat during work, in order to ensure the normal operation of the IDC, the temperature environment in the computer room where the servers are located needs to be maintained at a relatively constant temperature. In order to maintain a relatively constant temperature environment in the computer room, the cooling capacity, wind speed, cooling mode, and coordinated control of the computer room air conditioner should be adjusted according to the actual temperature of the computer room.
为了准确地监测机房的实际温度变化,通常会在机房内布置大量的温度传感器,以实时采集机房内不同位置的温度数据。而大量的温度传感器会增加监测成本,因此,为了降低监测成本,通常采用实际温度传感器采集的温度数据(即实测温度数据)和模拟出来的温度数据(即计算温度数据)模拟机房的温度场,但是,目前根据实测温度数据计算温度场的效率很低。In order to accurately monitor the actual temperature changes in the computer room, a large number of temperature sensors are usually arranged in the computer room to collect temperature data at different locations in the computer room in real time. A large number of temperature sensors will increase the monitoring cost. Therefore, in order to reduce the monitoring cost, the temperature data collected by the actual temperature sensor (that is, the measured temperature data) and the simulated temperature data (that is, the calculated temperature data) are usually used to simulate the temperature field of the computer room. However, at present, the efficiency of calculating the temperature field based on the measured temperature data is very low.
因此,如何提高计算温度场的效率是当前亟需解决的问题。Therefore, how to improve the efficiency of calculating the temperature field is an urgent problem to be solved.
发明内容Contents of the invention
本申请提供了一种计算温度场的方法及电子设备,能够提高计算温度场的效率。The present application provides a method and electronic equipment for calculating a temperature field, which can improve the efficiency of calculating the temperature field.
第一方面,提供了一种计算温度场的方法,所述方法应用于设置有多个温度传感器的机房,所述多个温度传感器非均匀地设置在所述机房中的多列机柜上,所述机房中各列机柜的两端各设置有一个温度传感器,所述多个温度传感器排列为点阵,所述多列机柜上设置的温度传感器构成所述点阵的多个列,所述方法包括:确定第一列的温度采样点的第一密度,所述第一列为所述点阵的任意一列;根据第一温度传感器与第二温度传感器的第一间距和所述第一列的温度采样点的第一密度确定所述第一温度传感器和所述第二温度传感器之间的温度采样点的数量A,所述A为正整数,所述第一温度传感器和所述第二温度传感器为所述第一列的温度传感器中相邻的两个温度传感器;根据所述第一温度传感器和所述第二温度传感器的温度值进行插值运算确定A个温度值;确定第一行的温度采样点的第二密度,所述第一行为所述点阵的任意一行;根据第一温度采样点与第二温度采样点的第二间距和所述第一行的温度采样点的第二密度确定所述第一温度采样点和所述第二温度采样点之间的温度采样点的数量B,所述B为正整数,所述第一温度采样点和所述第二温度采样点为所述第一行的温度采样点中相邻的两个温度采样点,所述第一温度采样点为所述多个温度传感器中的一个或所述插值运算得到的采样点,所述第二温度采样点为所述多个温度传感器中的一个或所述插值运算得到的采样点;根据所述第一温度采样点和所述第二温度采样点的温度值进行插值运算确定B个温度值;根据所述A个温度值和所述B个温度值确定所述机房的温度场。In the first aspect, a method for calculating a temperature field is provided, the method is applied to a computer room provided with multiple temperature sensors, and the multiple temperature sensors are non-uniformly arranged on multiple rows of cabinets in the computer room, so A temperature sensor is respectively arranged at both ends of each row of cabinets in the machine room, and the plurality of temperature sensors are arranged in a dot matrix, and the temperature sensors arranged on the multi-row cabinets constitute a plurality of rows of the dot matrix, and the method Including: determining the first density of temperature sampling points in the first column, the first column being any column of the dot matrix; according to the first distance between the first temperature sensor and the second temperature sensor and the The first density of temperature sampling points determines the number A of temperature sampling points between the first temperature sensor and the second temperature sensor, where A is a positive integer, and the first temperature sensor and the second temperature sensor The sensors are two adjacent temperature sensors in the temperature sensors in the first column; interpolation operations are performed according to the temperature values of the first temperature sensor and the second temperature sensor to determine A temperature values; The second density of temperature sampling points, the first row of any row of the dot matrix; according to the second distance between the first temperature sampling point and the second temperature sampling point and the second temperature sampling point of the first row Density determines the number B of temperature sampling points between the first temperature sampling point and the second temperature sampling point, where B is a positive integer, and the first temperature sampling point and the second temperature sampling point are Two adjacent temperature sampling points in the first row of temperature sampling points, the first temperature sampling point is one of the plurality of temperature sensors or a sampling point obtained by the interpolation operation, and the second The temperature sampling point is one of the plurality of temperature sensors or the sampling point obtained by the interpolation operation; performing interpolation operation according to the temperature values of the first temperature sampling point and the second temperature sampling point to determine B temperature values ; Determine the temperature field of the equipment room according to the A temperature values and the B temperature values.
上述方法可以由电子设备或者电子设备中的芯片执行。电子设备先根据各列机柜上的温度传感器采集的温度数据计算列向相邻温度传感器之间的温度值(即温度数据),即先进行列向的插值运算;之后,再根据温度传感器采集的温度数据和列向的插值运算得到的温度数据,计算行向相邻温度采样点之间的温度数据;由于列向的插值运算结束后,每行中相邻列均有温度数据,因此,在插值行向相邻两个温度采样点之间的温度数据时,可以对多组温度采样点(每组温度采样点包括相邻两个温度采样点)同时进行插值运算,而无需依次(即分先后)的计算相邻两温度采样点之间的温度值,从而提高了计算机房温度场的的效率。The foregoing method may be executed by an electronic device or a chip in the electronic device. The electronic equipment first calculates the temperature value (i.e., temperature data) between the adjacent temperature sensors in the column direction according to the temperature data collected by the temperature sensors on the cabinets in each column, that is, the interpolation operation in the column direction is performed first; then, according to the temperature collected by the temperature sensor Data and the temperature data obtained by the interpolation operation in the column direction, calculate the temperature data between the adjacent temperature sampling points in the row direction; since the interpolation operation in the column direction is completed, the adjacent columns in each row have temperature data, therefore, the interpolation When moving to the temperature data between two adjacent temperature sampling points, multiple sets of temperature sampling points (each set of temperature sampling points include two adjacent temperature sampling points) can be interpolated at the same time, without the need for sequential (that is, sequential ) to calculate the temperature value between two adjacent temperature sampling points, thereby improving the efficiency of the temperature field in the computer room.
可选地,所述确定第一列的温度采样点的第一密度,包括:获取所述机房的第一长度;根据所述点阵的多个列确定多个第一数量,所述多个第一数量中每个数量为所述多个列中每列温度传感器采集的温度数据的个数;计算所述多个第一数量的最小公倍数;计算所述最小公倍数与所述第一长度的比值,得到所述第一列的温度采样点的第一密度。Optionally, the determining the first density of temperature sampling points in the first column includes: obtaining the first length of the equipment room; determining a plurality of first numbers according to the plurality of columns of the lattice, the plurality of Each quantity in the first quantity is the number of temperature data collected by each column temperature sensor in the plurality of columns; calculate the least common multiple of the plurality of first quantities; calculate the least common multiple and the first length ratio to obtain the first density of temperature sampling points in the first column.
在本实施例中,电子设备根据多个第一数量确定最小公倍数,并根据最小公倍数确定第一密度,这样使得点阵中每列的温度数据的个数相同,从而便于电子设备对行向进行快速插值运算。In this embodiment, the electronic device determines the least common multiple according to a plurality of first quantities, and determines the first density according to the least common multiple, so that the number of temperature data in each column in the dot matrix is the same, so that the electronic device is convenient for row-wise Fast interpolation.
可选地,所述确定第一行的温度采样点的第二密度,包括:获取所述机房的第二长度和分辨率数量,所述第一长度所在的方向与所述第二长度所在的方向垂直;计算所述分辨率数量与所述最小公倍数的比值,得到单行温度数量;计算所述单行温度数量与所述第二长度的比值,得到所述第一行的温度采样点的第二密度。Optionally, the determining the second density of the temperature sampling points in the first row includes: obtaining the second length and the number of resolutions of the equipment room, the direction where the first length is located and the direction where the second length is located The direction is vertical; calculate the ratio of the number of resolutions to the least common multiple to obtain the number of temperatures in a single row; calculate the ratio of the number of temperatures in a single row to the second length to obtain the second number of temperature sampling points in the first row density.
在本实施例中,电子设备根据第一行的温度采样点的第二密度对点阵中每行的温度采样点进行插值运算,使得点阵中每行的温度数据的个数相同,以便于任意两行之间两个相邻温度数据进行二次插值运算。In this embodiment, the electronic device performs an interpolation operation on the temperature sampling points of each row in the dot matrix according to the second density of the temperature sampling points in the first row, so that the number of temperature data in each row of the dot matrix is the same, so that Perform quadratic interpolation on two adjacent temperature data between any two rows.
可选地,所述多个温度传感器中位于所述机房的热通道处的温度传感器的数量大于或等于位于所述机房的冷通道处的温度传感器的数量。Optionally, among the plurality of temperature sensors, the number of temperature sensors located at the hot aisle of the equipment room is greater than or equal to the number of temperature sensors located at the cold aisle of the equipment room.
在本实施例中,由于热通道的温度高,并且,温度变化趋势大(即热通道的温度变化密集程度高);而冷通道的温度变化小(即冷通道的温度变化密集程度小),因此,在热通道部署较多数量的温度传感器,可以准确地监测到机房内最高温度处温度变化的实际情况,以便于准确地调节制冷系统的制冷模式。In this embodiment, because the temperature of the hot aisle is high, and the trend of temperature change is large (that is, the temperature change intensity of the hot aisle is high); while the temperature change of the cold aisle is small (that is, the temperature change intensity of the cold aisle is small), Therefore, deploying a large number of temperature sensors in the hot aisle can accurately monitor the actual situation of the temperature change at the highest temperature in the machine room, so as to accurately adjust the cooling mode of the refrigeration system.
可选地,所述机房的热通道处的温度传感器位于所述机房中各列机柜背部在所述热通道一侧的最高温度和最低温度处;所述机房的冷通道处的温度传感器位于所述机房中各列机柜背部在所述冷通道一侧的最高温度处。Optionally, the temperature sensor at the hot aisle of the computer room is located at the highest temperature and the lowest temperature on the side of the hot aisle at the back of each row of cabinets in the computer room; the temperature sensor at the cold aisle of the computer room is located at the The back of each row of cabinets in the machine room is at the highest temperature on one side of the cold aisle.
在本实施例中,通过在各列机柜背部所在热通道一侧的最高温度处和最低温度处,以及各列机柜背部所在冷通道一侧的最高温度处部署温度传感器,以准确地监测机房内最高温度处温度的变化情况,从而有利于提高电子设备根据温度变化大的区域的温度数据和温度变化小的区域的温度数据计算温度场的准确性。In this embodiment, temperature sensors are deployed at the highest and lowest temperatures on the side of the hot aisle where the back of each row of cabinets is located, and at the highest temperature on the side of the cold aisle where the back of each row of cabinets is located, so as to accurately monitor the temperature in the equipment room. The variation of the temperature at the highest temperature is beneficial to improve the accuracy of the electronic equipment to calculate the temperature field based on the temperature data of the region with large temperature variation and the temperature data of the region with small temperature variation.
可选地,所述插值运算为非线性插值运算。Optionally, the interpolation operation is a non-linear interpolation operation.
在本实施例中,相比线性插值算法,本申请通过非线性插值算法计算相邻两个温度数据之间温度数据的方法的准确性更高。In this embodiment, compared with the linear interpolation algorithm, the accuracy of the method of calculating the temperature data between two adjacent temperature data by the non-linear interpolation algorithm in this application is higher.
第二方面,提供了一种电子设备,包括处理器和存储器,存储器用于存储计算机程序,处理器用于从存储器中调用并运行计算机程序,使得电子设备执行第一方面中任一项的方法。In a second aspect, an electronic device is provided, including a processor and a memory, the memory is used to store a computer program, and the processor is used to call and run the computer program from the memory, so that the electronic device executes any one of the methods in the first aspect.
第三方面,提供了一种计算机可读存储介质,计算机可读存储介质存储了计算机程序,当计算机程序被处理器执行时,使得处理器执行第一方面中任一项的方法。In a third aspect, a computer-readable storage medium is provided, the computer-readable storage medium stores a computer program, and when the computer program is executed by a processor, the processor executes the method in any one of the first aspects.
在本申请的第二方面和第三方面的有益效果参见第一方面的有益效果。For the beneficial effects of the second aspect and the third aspect of the present application, please refer to the beneficial effects of the first aspect.
附图说明Description of drawings
为了更清楚地说明本申请实施例中的技术方案,下面将对实施例或现有技术描述中所需要使用的附图作简单地介绍,显而易见地,下面描述中的附图仅仅是本申请的一些实施例,对于本领域普通技术人员来讲,在不付出创造性劳动性的前提下,还可以根据这些附图获得其他的附图。In order to more clearly illustrate the technical solutions in the embodiments of the present application, the accompanying drawings that need to be used in the descriptions of the embodiments or the prior art will be briefly introduced below. Obviously, the accompanying drawings in the following description are only for the present application For some embodiments, those of ordinary skill in the art can also obtain other drawings based on these drawings without paying creative efforts.
图1为本发明实施例中不规则的服务器机房100的俯视图;FIG. 1 is a top view of an
图2为本发明实施例中服务器机房100内温度传感器的分布示意图;2 is a schematic diagram of the distribution of temperature sensors in the
图3为本发明实施例中又一服务器机房100内温度传感器的分布示意图;3 is a schematic diagram of the distribution of temperature sensors in another
图4为本发明实施例中计算温度场的方法流程示意图;4 is a schematic flow chart of a method for calculating a temperature field in an embodiment of the present invention;
图5为本发明实施例中区域101的X方向计算温度数据的示意图;5 is a schematic diagram of calculated temperature data in the X direction of the
图6为本发明实施例中区域101的Y方向计算温度数据的示意图;6 is a schematic diagram of calculated temperature data in the Y direction of the
图7为本发明实施例中电子设备的结构示意图。FIG. 7 is a schematic structural diagram of an electronic device in an embodiment of the present invention.
具体实施方式Detailed ways
以下描述中,为了说明而不是为了限定,提出了诸如特定系统结构、技术之类的具体细节,以便透彻理解本申请实施例。然而,本领域的技术人员应当清楚,在没有这些具体细节的其它实施例中也可以实现本申请。在其它情况中,省略对众所周知的系统、装置以及方法的详细说明,以免不必要的细节妨碍本申请的描述。In the following description, specific details such as specific system structures and technologies are presented for the purpose of illustration rather than limitation, so as to thoroughly understand the embodiments of the present application. It will be apparent, however, to one skilled in the art that the present application may be practiced in other embodiments without these specific details. In other instances, detailed descriptions of well-known systems, devices, and methods are omitted so as not to obscure the description of the present application with unnecessary detail.
应当理解,当在本申请说明书和所附权利要求书中使用时,术语“包括”指示所描述特征、整体、步骤、操作、元素和/或组件的存在,但并不排除一个或多个其它特征、整体、步骤、操作、元素、组件和/或其集合的存在或添加。It should be understood that when used in this specification and the appended claims, the term "comprising" indicates the presence of described features, integers, steps, operations, elements and/or components, but does not exclude one or more other Presence or addition of features, wholes, steps, operations, elements, components and/or collections thereof.
还应当理解,在本申请说明书和所附权利要求书中使用的术语“和/或”是指相关联列出的项中的一个或多个的任何组合以及所有可能组合,并且包括这些组合。It should also be understood that the term "and/or" used in the description of the present application and the appended claims refers to any combination and all possible combinations of one or more of the associated listed items, and includes these combinations.
另外,在本申请说明书和所附权利要求书的描述中,术语“第一”、“第二”、“第三”等仅用于区分描述,而不能理解为指示或暗示相对重要性。In addition, in the description of the specification and appended claims of the present application, the terms "first", "second", "third" and so on are only used to distinguish descriptions, and should not be understood as indicating or implying relative importance.
在本申请说明书中描述的参考“一个实施例”或“一些实施例”等意味着在本申请的一个或多个实施例中包括结合该实施例描述的特定特征、结构或特点。因此,在本说明书中的不同之处出现的语句“在一个实施例中”、“在一些实施例中”、“在其他一些实施例中”、“在另外一些实施例中”等不是必然都参考相同的实施例,而是意味着“一个或多个但不是所有的实施例”,除非是以其他方式另外特别强调。术语“包括”、“包含”、“具有”及它们的变形都意味着“包括但不限于”,除非是以其他方式另外特别强调。Reference to "one embodiment" or "some embodiments" or the like in the specification of the present application means that a particular feature, structure, or characteristic described in connection with the embodiment is included in one or more embodiments of the present application. Accordingly, appearances of the phrases "in one embodiment," "in some embodiments," "in other embodiments," "in other embodiments," etc., in various places in this specification are not necessarily all References to the same embodiment mean "one or more but not all" unless specifically stated otherwise. The terms "including", "comprising", "having" and variations thereof mean "including but not limited to", unless specifically stated otherwise.
为了解决计算温度场效率低下的问题,本申请提出了一种计算温度场的方法,该方法能够提高计算温度场的效率。In order to solve the problem of low efficiency in calculating the temperature field, the present application proposes a method for calculating the temperature field, which can improve the efficiency of calculating the temperature field.
下面结合附图和具体实施例对本申请做进一步详细说明。The present application will be described in further detail below in conjunction with the accompanying drawings and specific embodiments.
本申请提出了一种计算温度场的方法,该方法可由电子设备或者电子设备上的芯片执行。该方法应用于设置有多个温度传感器的机房,多个温度传感器非均匀地设置在机房中的多列机柜上,机房中各列机柜的两端各设置有一个温度传感器,多个温度传感器排列为点阵,多列机柜上设置的温度传感器构成点阵的多个列。应理解,在机房部署温度传感器时,上述点阵中每个点代表机房内单个位置部署的温度传感器;在温度场计算时,上述点阵中每个点代表机房内单个位置的温度传感器采集的温度数据(即温度值)。The present application proposes a method for calculating a temperature field, which can be executed by an electronic device or a chip on the electronic device. The method is applied to a computer room provided with multiple temperature sensors, and the multiple temperature sensors are non-uniformly arranged on multiple rows of cabinets in the computer room, and a temperature sensor is provided at each row of cabinets in the computer room, and the multiple temperature sensors are arranged It is a dot matrix, and the temperature sensors arranged on the multi-column cabinets form multiple columns of the dot matrix. It should be understood that when the temperature sensor is deployed in the computer room, each point in the above-mentioned dot matrix represents the temperature sensor deployed at a single location in the computer room; Temperature data (i.e. temperature value).
示例性地,上述机房可以用于放置服务器也可以用于放置功率放大器等发热设备,本申请对此不作限定;由于服务器、功率放大器等发热设备在工作时,会产生大量的热量,因此,在机房部署多个温度传感器来采集室内的温度,并根据机房的实际温度调节机房内空调的出风温度、出风量、制冷模式至关重要。本申请以机房放置多台服务器(即以服务器机房)为例,说明在服务器机房内计算温度场的方法。Exemplarily, the above-mentioned computer room can be used to place servers and heat-generating equipment such as power amplifiers. It is very important to deploy multiple temperature sensors in the computer room to collect the indoor temperature, and adjust the outlet temperature, air volume, and cooling mode of the air conditioner in the computer room according to the actual temperature of the computer room. This application takes a computer room where multiple servers are placed (that is, a server computer room) as an example to illustrate the method for calculating the temperature field in the server computer room.
图1示出了一个不规则的服务器机房100的俯视图,以该俯视图的左上角位置为坐标原点O,建立XOY平面直角坐标系;图1中每个方格表示单个子机柜;每列机柜包括多个子机柜,每个子机柜用于放置服务器;多台服务器放在服务器机房100内按列摆放的机柜上。Fig. 1 shows a top view of an
在该服务器机房100内放置10列机柜,分别为第01列机柜、第02列机柜、第03列机柜、……、第10列机柜;每列机柜包含多个子机柜,该多个子机柜用于放置多台服务器,比如,第01列机柜中包含5个子机柜,该5个子机柜内总共放置5台服务器,分别为服务器11、服务器21、服务器31、服务器41和服务器51。10 rows of cabinets are placed in the
图1中虚线104将服务器机房100划分为两个规则的区域,分别为区域101和区域102,其中,区域101包括4列机柜,每列机柜放置5台服务器;区域102包括6列机柜,每列机柜放置3台服务器。
由于不同服务器的发热量不同(即功耗不同),因此,不同列机柜周围区域的温度变化趋势不同。服务商在机房100内不同列机柜上部署温度传感器时,会根据实际高、低温度的分布情况确定部署策略,对于温度高且温度变化大(即温度变化密集程度高)的区域,会增加部署温度传感器的个数;对于温度低且温度变化小(即温度变化密集程度小)的区域可以部署少量的温度传感器。Since different servers have different heat generation (that is, different power consumption), the temperature variation trends of the surrounding areas of different rows of cabinets are different. When the service provider deploys temperature sensors on different rows of cabinets in the
由于不同列机柜上服务器进风口和出风口的摆放位置不同,因此,不同列机柜之间形成通道属性不同,其中,通道属性包括冷通道和热通道,而冷通道是指温度较低且温度变化小的通道,比如,服务器进风口所在的通道温度通常较低,通常温度大体在16℃和22℃之间;热通道是指温度较高且温度变化大的通道,比如,服务器出风口所在的通道温度通常较高,通常温度大体在23℃和35℃之间。Due to the different positions of the air inlets and outlets of the servers on different rows of cabinets, the attributes of the channels formed between different rows of cabinets are different. Among them, the attributes of the channels include cold aisles and hot aisles, and cold aisles refer to low temperature and high temperature. Channels with small changes, for example, the channel where the air inlet of the server is located is usually lower in temperature, usually between 16°C and 22°C; The channel temperature is usually higher, usually between 23°C and 35°C.
比如,如图2所示,按照不同列机柜上服务器进风口和出风口的摆放位置将机房100划分为12个通道,分别为通道1(即CH1)、通道2(即CH2)、……、通道12(即CH12);该12个通道包括冷通道和热通道;比如,若第01列机柜上摆放的5个服务器,左侧均是服务器的进风口,右侧均是服务器的出风口,则CH1为冷通道而CH2为热通道。For example, as shown in Figure 2, the
在一种实施例中,多个温度传感器中位于机房的热通道处的温度传感器的数量大于或等于位于机房的冷通道处的温度传感器的数量。In an embodiment, among the plurality of temperature sensors, the number of temperature sensors located at the hot aisles of the equipment room is greater than or equal to the number of temperature sensors located at the cold aisles of the equipment room.
比如,如图2所示,机房100内每个通道都部署了温度传感器,但每个通道部署传感器的个数不同,对于热通道处部署的温度传感器的数量多,冷通道处部署的温度传感器的数量少;原因在于,热通道所在的区域温度高,并且,温度变化大;而冷通道所在的区域温度变化小(即温度变化密集程度小),因此,为了准确地获得热通道所在区域的实际温度变化情况,通常服务商会在热通道部署较多数量的温度传感器,而会在冷通道部署相对较少的温度传感器,这样可以准确地监测到机房内最高温度处的实际温度变化情况,从而便于准确地调节制冷系统的制冷模式。For example, as shown in Figure 2, temperature sensors are deployed in each channel in the
此外,服务商在部署温度传感器时,可以根据不同服务器的功耗,来设置部署策略;对于功耗大的服务器所在的机柜可部署数量较多的温度传感器,对于功耗小的服务器所在的机柜可部署数量较少温度传感器。比如,图2中第01列机柜上的服务器11的功耗最大(即发热量最大),其他四个服务器的功耗相差不大且均小于服务器11的功耗,并且,第01列机柜上的服务器的进风口均在左侧,出风口均在右侧,此时,CH1为冷通道,CH2为热通道;第01列机柜的左侧部署2个温度传感器,用于采集CH1的温度数据;右侧部署6个温度传感器,用于采集CH2的温度数据,其中,服务器11所在的子机柜上部署了3个温度传感器,其中,一个温度传感器位于该机柜左侧的某个位置(比如,左侧的最低温度处),而其余两个温度传感器位于该机柜右侧的最高温度处;其他四个服务器中,每个服务器右侧的最高温度处各部署一个温度传感器,服务器51的左侧最低温度处部署一个温度传感器。In addition, when deploying temperature sensors, service providers can set deployment strategies according to the power consumption of different servers; for the cabinets where servers with high power consumption are located, a large number of temperature sensors can be deployed; A smaller number of temperature sensors can be deployed. For example, in Figure 2, the power consumption of
在本实施例中,相比现有技术中,均匀地在每个机柜周围部署多个温度传感器,本申请根据不同服务器的发热量(即功耗大小或者温度变化的密集程度)不均匀地为每个机柜部署不同数量的温度传感器,在不增加温度传感器成本的情况下,不仅可以准确地监测到机房内温度变化大的区域的温度数据,还有利于提高计算整个机房温度场的准确率。In this embodiment, compared with the prior art where multiple temperature sensors are uniformly deployed around each cabinet, this application unevenly distributes the Different numbers of temperature sensors are deployed in each cabinet. Without increasing the cost of temperature sensors, it can not only accurately monitor the temperature data of areas with large temperature changes in the computer room, but also help improve the accuracy of calculating the temperature field of the entire computer room.
在另一种实施例中,机房的热通道处的温度传感器位于机房中各列机柜背部在热通道一侧的最高温度处和最低温度处;机房的冷通道处的温度传感器位于机房中各列机柜背部在冷通道一侧的最高温度处。In another embodiment, the temperature sensors at the hot aisle of the computer room are located at the highest temperature and the lowest temperature at the back of each row of cabinets in the computer room on one side of the hot aisle; the temperature sensors at the cold aisle of the computer room are located at each row The back of the cabinet is at the highest temperature on the cold aisle side.
为了发现机房内发热最严重的区域,在对冷通道或者热通道部署温度传感器时,通常会给冷通道或者热通道中温度最高的位置(即最高温度处)部署温度传感器;此外,为了获取热通道内不同位置处温度变化的实际情况,通常也会在热通道内温度最低的位置(即最低温度处)部署温度传感器;由于单个机柜背部的不同位置的温度不同,并且,单个机柜背部的最高温度处的温度相对于最低温度处的温度变化最大,因此,若要计算出最高温度处和最低温度处之间的温度数据,则必须利用最高温度处的温度传感器采集的最高温度数据,和利用最低温度处的温度传感器采集的最低温度数据,才能够通过插值运算准确地计算出最高温度处和最低温度处之间其他位置的温度数据。In order to find the area with the most severe heat in the computer room, when deploying temperature sensors to the cold aisle or hot aisle, the temperature sensor is usually deployed to the position with the highest temperature (that is, the highest temperature) in the cold aisle or hot aisle; in addition, in order to obtain heat Due to the actual situation of temperature changes at different positions in the aisle, the temperature sensor is usually deployed at the position with the lowest temperature in the hot aisle (that is, the lowest temperature); because the temperature at different positions on the back of a single cabinet is different, and the highest temperature on the back of a single cabinet The temperature at the highest temperature changes the most relative to the temperature at the lowest temperature. Therefore, if you want to calculate the temperature data between the highest temperature and the lowest temperature, you must use the highest temperature data collected by the temperature sensor at the highest temperature, and use The lowest temperature data collected by the temperature sensor at the lowest temperature can accurately calculate the temperature data at other positions between the highest temperature and the lowest temperature through interpolation operations.
因此,服务商在不同列机柜上部署温度传感器时,根据不同列机柜左右两侧的通道属性确定部署策略;要想采集热通道上每个机柜背部的最高温度,那么热通道处的温度传感器应该部署在每个子机柜背部在热通道一侧的最高温度处;同理,要想采集冷通道上每个子机柜的最高温度,那么冷通道处的温度传感器应该部署在子机柜背部在冷通道一侧的最高温度处;原因在于,冷通道所在区域整体平均温度通常低于热通道;但是,由于不同服务器的功耗不同,因此,不同服务器所在子机柜周围的发热量不同;服务商在冷通道部署温度传感器时,会根据冷通道所在区域的温度情况部署温度传感器,通常会将温度传感器部署在冷通道所在区域的最高温度处(比如,在X子机柜所在冷通道一侧的背部的最高温度处部署温度传感器)。Therefore, when the service provider deploys temperature sensors on different rows of cabinets, the deployment strategy is determined according to the aisle attributes on the left and right sides of different rows of cabinets; Deployed at the highest temperature on the back of each sub-cabinet on the side of the hot aisle; similarly, to collect the highest temperature of each sub-cabinet on the cold aisle, the temperature sensor at the cold aisle should be deployed on the back of the sub-cabinet on the side of the cold aisle The reason is that the overall average temperature of the area where the cold aisle is located is usually lower than that of the hot aisle; however, due to the different power consumption of different servers, the heat generated around the sub-racks where different servers are located is different; service providers deploy in cold aisles When using a temperature sensor, the temperature sensor will be deployed according to the temperature in the area where the cold aisle is located. Usually, the temperature sensor will be deployed at the highest temperature in the area where the cold aisle is located (for example, at the highest temperature on the back side of the cold aisle where the X sub-cabinet is located. deployment temperature sensor).
此外,每个冷通道或者热通道上实际布置温度传感器的数量必须大于或者等于2,并且,每个冷通道或者热通道的起始位置(比如,图2中第01例机柜中服务器11所在的子机柜)和末尾位置(比如,图2中第01例机柜中服务器51所在的子机柜)必须各部署一个温度传感器,这样每个冷通道或者热通道分别会有两个温度传感器记录各自通道的首尾位置的温度数据,即使每个冷通道或者热通道除首尾位置以外的中间位置没有部署温度传感器,电子设备也可以根据每个通道首尾位置的温度传感器采集的温度数据,通过插值算法,计算出中间位置的温度数据。In addition, the number of temperature sensors actually arranged on each cold aisle or hot aisle must be greater than or equal to 2, and the starting position of each cold aisle or hot aisle (for example, the location where
比如,如图3所示,第01列机柜上有5个子机柜,分别为子机柜X1、子机柜X2、子机柜X3、子机柜X4和子机柜X5,每个子机柜上分别放置着服务器,且服务器进风口均在左侧,出风口均在右侧,左侧的通道CH1为冷通道而CH2为热通道;服务商在子机柜X1上部署温度传感器时,考虑到子机柜X1上放置的服务器发热量很大,会将温度传感器a部署在子机柜X1(即第01机柜)右侧背部的最高温度处,而将温度传感器b部署在子机柜X1(即第01机柜)右侧背部的最低温度处,以采集子机柜X1背部在CH2一侧的最高温度处和最低温度处的温度数据;而将另一个温度传感器c部署在子机柜X1(即第01机柜)左侧背部的最高温度处,以采集子机柜X1背部在冷通道一侧的最高温度处的温度数据。For example, as shown in Figure 3, there are five sub-cabinets on the cabinet in
在子机柜X2上部署温度传感器时,考虑到子机柜X2上放置的服务器发热量小于子机柜X1上放置的服务器发热量,因此,会将一个温度传感器d部署在子机柜X2(即第01机柜)右侧背部(即子机柜X2背部在CH2一侧)的最高温度处,以采集子机柜X2背部在CH2一侧的最高温度处的温度数据;而在子机柜X2(即第01机柜)左侧背部(即子机柜X2背部在CH1一侧)的最高温度处,可以无需部署温度传感器,因为冷通道CH1所在区域的温度变化小,因此,只需要在第01列首个柜子X1背部在CH1一侧的最高温度处部署温度传感器c即可,以及在第01列末尾柜子X5背部在CH1一侧的最高温度处有温度传感器g即可;子柜子X1与子柜子X5中间位置的温度值,可以根据温度传感器c和温度传感器g采集的温度数据通过插值运算得到,从而降低部署温度传感器的成本。When deploying the temperature sensor on sub-cabinet X2, considering that the heat generated by the server placed on sub-cabinet X2 is smaller than that of the server placed on sub-cabinet X1, a temperature sensor d will be deployed in sub-cabinet X2 (that is, the ) at the highest temperature on the right side of the back (that is, the back of sub-cabinet X2 is on the side of CH2) to collect the temperature data at the highest temperature of the back of sub-cabinet X2 on the side of CH2; There is no need to deploy a temperature sensor at the highest temperature of the side and back (that is, the back of sub-cabinet X2 is on the side of CH1), because the temperature change in the area where the cold aisle CH1 is located is small. Therefore, only the back of the first cabinet X1 in
当然,在不考虑成本的情况下,也可以在子机柜X2(即第01机柜)左侧背部(即子机柜X2背部在CH1一侧)的最高温度处部署温度传感器,本申请对此不做限定;服务商可以根据温度传感器成本的情况,合理部署温度传感器的个数。Of course, without considering the cost, the temperature sensor can also be deployed at the highest temperature on the left side of the sub-cabinet X2 (that is, the 01st cabinet) (that is, the back of the sub-cabinet X2 is on the side of CH1), and this application does not do this Limitation; service providers can reasonably deploy the number of temperature sensors according to the cost of temperature sensors.
同理,在子机柜X3右侧背部(即子机柜X3背部在CH2一侧)的最高温度处部署一个温度传感器e,以采集子机柜X3背部在CH2一侧的最高温度处的温度数据;在子机柜X4右侧背部(即子机柜X4背部在CH2一侧)的最高温度处部署一个温度传感器f,以采集子机柜X4背部在CH2一侧的最高温度处的温度数据;而在子机柜X5右侧背部(即子机柜X5背部在CH2一侧)的最高温度处部署一个温度传感器h,以采集子机柜X5背部在CH2一侧的最高温度处的温度数据,并且,在子机柜X5左侧背部(即子机柜X5背部在CH1一侧)的最高温度处部署一个温度传感器h,以采集子机柜X5背部在CH1一侧的最高温度处的温度数据。Similarly, a temperature sensor e is deployed at the highest temperature on the back of the sub-cabinet X3 (that is, the back of the sub-cabinet X3 is on the side of CH2) to collect the temperature data at the highest temperature on the back of the sub-cabinet X3 on the side of CH2; A temperature sensor f is deployed at the highest temperature on the back of the right side of the sub-cabinet X4 (that is, the back of the sub-cabinet X4 is on the side of CH2) to collect temperature data at the highest temperature on the back of the sub-cabinet X4 on the side of CH2; while in the sub-cabinet X5 A temperature sensor h is deployed at the highest temperature on the back of the right side (that is, the back of the sub-cabinet X5 is on the side of CH2) to collect the temperature data at the highest temperature of the back of the sub-cabinet X5 on the side of CH2, and, on the left side of the sub-cabinet X5 A temperature sensor h is deployed at the highest temperature on the back (that is, the back of the sub-cabinet X5 is on the CH1 side) to collect temperature data at the highest temperature on the back of the sub-cabinet X5 on the CH1 side.
在一些实施例中,由于相邻列机柜之间会形成一个冷通道或者热通道,因此,相邻列机柜之间可以共用一列温度传感器。通常服务器进风口所在的区域温度较低,而服务器出风口所在的区域温度较高;比如,如图3所示,第01机柜右侧和第02机柜左侧形成的通道CH2,由于第01机柜上服务器的出风口在右侧(即第01机柜上服务器的出风口在CH2一侧),而第02机柜上服务器的进风口均在左侧(即在CH2一侧),因此,仅在第01机柜右侧背部(即在第01机柜背部在CH2一侧)的最高温度处部署多个温度传感器,而在第02机柜左侧背部(即在第02机柜背部在CH2一侧)不用部署温度传感器(原因在于,第02机柜背部在CH2一侧的温度低于第01机柜背部在CH2一侧的温度),只需要在第02机柜右侧背部(即在第02机柜背部位于CH3一侧)的最高温度处部署温度传感器即可。这种部署方式不仅可以准确地采集机房内温度变化大的通道的温度数据,而且还可以降低温度传感器的部署成本。In some embodiments, since a cold aisle or a hot aisle is formed between adjacent rows of cabinets, a row of temperature sensors may be shared between adjacent rows of cabinets. Generally, the temperature of the area where the air inlet of the server is located is relatively low, while the temperature of the area where the air outlet of the server is located is relatively high; for example, as shown in Figure 3, the channel CH2 formed on the right side of the 01st The air outlet of the upper server is on the right (that is, the air outlet of the server on the 01st cabinet is on the side of CH2), and the air inlet of the server on the 02nd cabinet is on the left (that is, on the side of CH2). Multiple temperature sensors are deployed at the highest temperature on the back of the right side of the 01 cabinet (that is, on the CH2 side at the back of the 01 cabinet), and no temperature sensor is deployed on the left side of the 02 cabinet (that is, on the CH2 side at the back of the 02 cabinet). The sensor (the reason is that the temperature at the back of the 02 cabinet on the CH2 side is lower than the temperature at the back of the 01 cabinet on the CH2 side), only needs to be on the right back of the 02 cabinet (that is, the back of the 02 cabinet is on the CH3 side) The temperature sensor can be deployed at the highest temperature. This deployment method can not only accurately collect temperature data of channels with large temperature changes in the equipment room, but also reduce the deployment cost of temperature sensors.
在一种部署策略中,服务商在对热通道部署温度传感器时,可以按照如下规则进行:当每列机柜需要部署的温度传感器的个数N≤每列机柜中子机柜的个数n时,应该将N个温度传感器分别部署在单个机柜(即整个机柜)背部的最高温度处;当每列机柜需要部署的温度传感器的个数N>每列机柜中子机柜的个数n时,并且,当每列机柜需要部署的温度传感器的个数N≤2倍的每列机柜中子机柜的个数n时,该热通道上每个子机柜背部(即每个子机柜背部在热通道一侧)的最高温度处部署一个温度传感器,而剩余N-n个温度传感器会部署在该热通道上每个子机柜背部(即每个子机柜背部在热通道一侧)的最低温度处。In one deployment strategy, service providers can follow the following rules when deploying temperature sensors to hot aisles: when the number N of temperature sensors to be deployed in each row of cabinets ≤ the number n of sub-cabinets in each row of cabinets, N temperature sensors should be deployed at the highest temperature on the back of a single cabinet (that is, the entire cabinet); when the number N of temperature sensors to be deployed in each row of cabinets > the number n of sub-cabinets in each row of cabinets, and, When the number N of temperature sensors that need to be deployed in each row of cabinets is ≤ 2 times the number n of sub-cabinets in each row of cabinets, the temperature of the back of each sub-cabinet on the hot aisle (that is, the back of each sub-cabinet is on the side of the hot aisle) One temperature sensor is deployed at the highest temperature, and the remaining N-n temperature sensors are deployed at the lowest temperature on the back of each sub-cabinet on the hot aisle (that is, the back of each sub-cabinet is on the side of the hot aisle).
比如,如图3所示,第05列机柜上有n=3个子机柜,分别为子机柜Y1、子机柜Y2和子机柜Y3,每个子机柜上分别放置着服务器,且服务器出风口均在右侧,进风口均在左侧,左侧的通道CH6为冷通道而CH7为热通道;服务商要求给第05列机柜总共部署N=5个温度传感器;由于n<N<2n(即3<N<6),因此,服务商在子机柜Y1上部署温度传感器时,会将温度传感器r部署在子机柜Y1(即第05机柜)右侧背部(即子机柜Y1背部在CH7一侧)的最高温度处,以采集子机柜Y1背部在CH7一侧的最高温度处的温度数据,同理,温度传感器s部署在子机柜Y2(即第05机柜)右侧背部(即子机柜Y2背部在CH7一侧)的最高温度处;温度传感器k部署在子机柜Y3(即第05机柜)右侧背部(即子机柜Y3背部在CH7一侧)的最高温度处。剩余2个(即N-n=5-3)温度传感器q和温度传感器p必须部署在冷通道CH6的起始位置和末尾位置;温度传感器q部署在机柜Y1背部在CH6一侧的最高温度处,和温度传感器p部署在机柜Y3背部在CH6一侧的最高温度处。For example, as shown in Figure 3, there are n=3 sub-cabinets on the 05th row of cabinets, which are respectively sub-cabinet Y1, sub-cabinet Y2, and sub-cabinet Y3, and servers are placed on each sub-cabinet, and the air outlets of the servers are all on the right side , the air inlets are all on the left side, and the channel CH6 on the left is a cold channel and CH7 is a hot channel; the service provider requires that a total of N=5 temperature sensors be deployed for the 05th row of cabinets; since n<N<2n (that is, 3<N <6), therefore, when the service provider deploys the temperature sensor on the sub-cabinet Y1, the temperature sensor r will be deployed at the highest point on the right back of the sub-cabinet Y1 (that is, the 05th cabinet) (that is, the back of the sub-cabinet Y1 is on the side of CH7). temperature, to collect the temperature data at the highest temperature on the back of sub-cabinet Y1 on the side of CH7. side) at the highest temperature; temperature sensor k is deployed at the highest temperature on the back of the right side of sub-cabinet Y3 (that is, the 05th cabinet) (that is, the back of sub-cabinet Y3 is on the side of CH7). The remaining 2 (i.e. N-n=5-3) temperature sensors q and temperature sensor p must be deployed at the beginning and end of the cold aisle CH6; the temperature sensor q is deployed at the highest temperature on the back of the cabinet Y1 on the side of CH6, and The temperature sensor p is deployed at the highest temperature on the side of CH6 at the back of cabinet Y3.
由于机柜背部在最高温度处的温度变化大(即温度变化密集程度高),而机柜背部在最低温度处的温度变化小(即温度变化密集程度小),因此,在本实施例中,通过在各列机柜背部所在热通道一侧的最高温度处和最低温度处,以及各列机柜背部所在冷通道一侧的最高温度处部署温度传感器,以准确地监测机房内最高温度处的温度变化情况,从而有利于提高电子设备根据温度变化大的区域的温度数据和温度变化小的区域的温度数据计算温度场的准确性。Since the temperature change at the highest temperature on the back of the cabinet is large (that is, the degree of temperature change is high), and the temperature change at the back of the cabinet at the lowest temperature is small (that is, the degree of temperature change is small), therefore, in this embodiment, by Temperature sensors are deployed at the highest and lowest temperature points on the side of the hot aisle where the back of each row of cabinets is located, and at the highest temperature on the side of the cold aisle where the back of each row of cabinets is located, to accurately monitor the temperature changes at the highest temperature in the computer room. Therefore, it is beneficial to improve the accuracy of the electronic device in calculating the temperature field according to the temperature data of the region with large temperature change and the temperature data of the region with small temperature change.
结合服务器机房100中温度传感器的部署策略,下面结合实施例说明计算温度场的方法。图4示出了一种计算温度场的方法的流程示意图,该方法包括:In combination with the deployment strategy of the temperature sensor in the
S101,确定第一列的温度采样点的第一密度,第一列为点阵的任意一列。S101. Determine a first density of temperature sampling points in a first column, where the first column is any column of the dot matrix.
示例性地,如图5所示,电子设备获取机房100部署的温度传感器采集的温度数据,并根据温度传感器采集的温度数据进行插值计算。由于服务器机房100为不规则的区域,因此,要根据不同位置温度传感器采集的温度数据进行插值计算,需要先将温度传感器采集的温度数据进行区域划分。Exemplarily, as shown in FIG. 5 , the electronic device acquires temperature data collected by a temperature sensor deployed in the
如图1所示,虚线104将机房100划分为两个区域,区域101和区域102,电子设备分别根据区域101和区域102中实际部署的温度传感器采集的温度数据进行区域101和区域102温度场计算;对于区域101和区域102边界位置(即104虚线所示位置)的温度数据,可以通过区域1和区域2边界位置(即虚线104两边)部署的温度传感器采集的温度数据通过插值运算得到的。As shown in Figure 1, the dotted
由于电子设备计算区域101和区域102的温度场的计算方式相同,因此,本申请仅以电子设备计算区域101的温度场为例,区域102的温度场计算可参考区域101的温度场计算,此处不再赘述。Since the calculation methods of the temperature fields in the electronic
图5为区域101在二维直角坐标系XOY下的俯视图,该区域101包括4列机柜,每列机柜包括5个子机柜(图5中方格所示),区域101中的子机柜构成5*4的点阵;每列机柜上不均匀地部署着数量不同的温度传感器;区域101中4列机柜上部署的温度传感器呈点阵排列,4列机柜上部署的温度传感器采集的温度数据也呈点阵排列;每列机柜上部署的温度传感器采集的温度数据为点阵的一列数据。每列机柜上部署的温度传感器用于采集区域101不同位置的温度数据。Fig. 5 is a top view of
区域101部署的温度传感器(即图5中黑色实心圆所示)采集不同位置处的温度数据,总共采集了5个通道的温度数据。图5中温度传感器所在的位置,表示该位置有温度传感器测量的温度数据(即实测温度数据);而没有温度传感器的位置(即图5中黑色空心圆所示)的温度数据是要根据实测温度数据通过插值运算计算得到。The temperature sensors deployed in area 101 (shown by black solid circles in FIG. 5 ) collect temperature data at different locations, and a total of 5 channels of temperature data are collected. The position where the temperature sensor is located in Figure 5 indicates that there is temperature data measured by the temperature sensor at this position (i.e. the actual temperature data); and the temperature data at the position without the temperature sensor (i.e. shown by the black hollow circle in Figure 5) is to be based on the actual measurement The temperature data is calculated by interpolation.
上述温度采样点即温度数据;电子设备确定第一列的温度采样点的第一密度,即确定第一列单位距离内温度数据的个数。在一种情况下,第一列的温度数据一部分是通过温度传感器采集的温度数据,另一部分是根据温度传感器采集的温度数据(即实测温度数据)通过插值运算得到的。The above-mentioned temperature sampling points are temperature data; the electronic device determines the first density of the temperature sampling points in the first column, that is, determines the number of temperature data within a unit distance of the first column. In one case, part of the temperature data in the first column is the temperature data collected by the temperature sensor, and the other part is obtained by interpolation according to the temperature data collected by the temperature sensor (ie, the measured temperature data).
上述第一列为区域101内不同列机柜上部署的温度传感器形成的点阵中的任意一列,比如,第一列可以是区域101中第A列温度传感器采集的温度数据(即通道CH1上部署的温度传感器采集的数据),也可以是区域101中第C列温度传感器采集的温度数据(即通道CH3上部署的温度传感器采集的数据)。The above-mentioned first column is any column in the dot matrix formed by the temperature sensors deployed on different rows of cabinets in the
在一种实施例中,第一列的温度采样点的第一密度可以是用户预先设置的,比如,用户设置第一密度为4,第一列中温度传感器采集的温度数据只有两个,分为第一列中首位置的温度数据X1和末尾位置的温度数据X2,此时,需要通过插值运算得到首尾位置之间的2个位置的温度数据。比如,先通过温度数据X1和温度数据X2计算出他们之间的温度数据X3,再根据温度数据X1和温度数据X3计算出他们之间的温度数据X4。In one embodiment, the first density of the temperature sampling points in the first column can be preset by the user. For example, if the user sets the first density to 4, there are only two temperature data collected by the temperature sensor in the first column. It is the temperature data X1 of the first position and the temperature data X2 of the last position in the first column. At this time, it is necessary to obtain the temperature data of the two positions between the first and last positions through interpolation. For example, first calculate the temperature data X3 between them through the temperature data X1 and the temperature data X2, and then calculate the temperature data X4 between them according to the temperature data X1 and the temperature data X3.
在另一种实施例中,确定第一列的温度采样点的第一密度,包括:获取机房的第一长度;根据点阵的多个列确定多个第一数量,多个第一数量中每个数量为多个列中每列温度传感器采集温度数据的个数;计算多个第一数量的最小公倍数;计算最小公倍数与第一长度的比值,得到第一列的温度采样点的第一密度。In another embodiment, determining the first density of temperature sampling points in the first column includes: obtaining the first length of the equipment room; determining multiple first quantities according to multiple columns of the lattice, among the multiple first quantities Each quantity is the number of temperature data collected by each column temperature sensor in multiple columns; calculate the least common multiple of multiple first quantities; calculate the ratio of the least common multiple to the first length to obtain the first column of temperature sampling points density.
如图5所示,本实施例中机房为区域101,获取区域101的第一长度,该第一长度是指区域101在X方向的长度(即区域101的纵向长度);比如,该第一长度为4米。As shown in Figure 5, in the present embodiment, the computer room is an
上述第一数量为每列温度传感器采集的温度数据的个数。区域101中温度传感器形成的点阵共有5列,分别为第A列、第B列、第C列、第D列和第E列,其中,第A列2个温度传感器采集的温度数据(即2个实测温度数据);第B列6个温度传感器采集的温度数据(即6个实测温度数据);第C列4个温度传感器采集的温度数据(即4个实测温度数据);第D列3个温度传感器采集的温度数据(即3个实测温度数据);第E列4个温度传感器采集的温度数据(即4个实测温度数据)。The above-mentioned first quantity is the number of temperature data collected by each column of temperature sensors. The dot matrix formed by the temperature sensors in the
电子设备计算第A列、第B列、第C列、第D列和第E列中各列实测温度数据的个数的最小公倍数,即计算2,6,4,3和4的最小公倍数,得到最小公倍数为12。The electronic device calculates the least common multiple of the number of measured temperature data in columns A, B, C, D and E, that is, calculates the least common multiple of 2, 6, 4, 3 and 4, The least common multiple is 12.
电子设备计算最小公倍数12与第一长度4米的比值,得到第一列的温度采样点的第一密度为3(即12除以3),即区域101每列纵向单位距离需要有3个温度数据(即每米3个温度数据)。The electronic device calculates the ratio of the least common multiple of 12 to the first length of 4 meters, and obtains that the first density of the temperature sampling points in the first column is 3 (that is, 12 divided by 3), that is, each column of the
在本实施例中,电子设备根据多个第一数量确定最小公倍数,并根据最小公倍数确定第一密度,这样使得点阵中每列的温度数据的个数相同,从而便于电子设备对行向进行快速插值运算。In this embodiment, the electronic device determines the least common multiple according to a plurality of first quantities, and determines the first density according to the least common multiple, so that the number of temperature data in each column in the dot matrix is the same, so that the electronic device is convenient for row-wise Fast interpolation.
S102,根据第一温度传感器与第二温度传感器的第一间距和第一列的温度采样点的第一密度确定第一温度传感器和第二温度传感器之间的温度采样点的数量A,A为正整数,第一温度传感器和第二温度传感器为第一列的温度传感器中相邻的两个温度传感器。S102. Determine the number A of temperature sampling points between the first temperature sensor and the second temperature sensor according to the first distance between the first temperature sensor and the second temperature sensor and the first density of temperature sampling points in the first column, A is A positive integer, the first temperature sensor and the second temperature sensor are two adjacent temperature sensors in the first row of temperature sensors.
示例性地,上述第一间距为第一温度传感器部署的位置与相邻的第二温度传感器部署的位置在X坐标轴上投影的距离;因为在实际部署时,第一温度传感器与相邻的第二温度传感器不一定在一条直线上,而是第一温度传感器和第二温度传感器有可能在一条直线的附近。Exemplarily, the above-mentioned first distance is the distance projected on the X coordinate axis between the position where the first temperature sensor is deployed and the position where the adjacent second temperature sensor is deployed; because in actual deployment, the distance between the first temperature sensor and the adjacent The second temperature sensor is not necessarily on a straight line, but the first temperature sensor and the second temperature sensor may be near a straight line.
比如,如图5所示,以第一列为图5中的第C列为例,第一温度传感器为温度传感器1和第二温度传感器为温度传感器2为例,其中,温度传感器1所在的位置与温度传感器2所在的位置之间的距离为D1(即第一间距为D1),其中,第一间距D1是温度传感器1所在的位置投影在X轴的距离和温度传感器2所在的位置投影在X轴的距离之间的差值的绝对值。For example, as shown in Figure 5, taking the first column as the C column in Figure 5 as an example, the first temperature sensor is temperature sensor 1 and the second temperature sensor is temperature sensor 2 as an example, where the temperature sensor 1 is located The distance between the position and the position where the temperature sensor 2 is located is D1 (that is, the first distance is D1), wherein the first distance D1 is the distance between the position where the temperature sensor 1 is projected on the X axis and the position where the temperature sensor 2 is projected The absolute value of the difference between distances on the x-axis.
若第一密度为4,第一间距D1为1米,则温度传感器1和温度传感器2之间需要温度数据的个数为D1*第一密度=1×4=4,除去两侧端点(即温度传感器1和温度传感器2采集的两个温度数据)以外,电子设备需要通过多次插值运算在温度传感器1采集的温度数据1和温度传感器2采集的温度数据1之间再计算2个温度数据(即需要计算温度采样点的数量A=2,分别为温度采样点5和温度采样点6的数值),即温度数据1和温度数据2之间需要插值的点数A为D1*第一密度-2。电子设备会将第一间距D1等分为3段(即插值点数A+1=2+1)距离相等的区间,其中,第1段为温度传感器1和温度传感器5之间的距离,第2段为温度传感器5和温度传感器6之间的距离,第3段为温度传感器6和温度传感器2之间的距离,上述“*”表示乘法,“-”表示减法。If the first density is 4, and the first distance D1 is 1 meter, then the number of temperature data required between the temperature sensor 1 and the temperature sensor 2 is D1*first density=1×4=4, except for both ends (i.e. In addition to the two temperature data collected by temperature sensor 1 and temperature sensor 2), the electronic device needs to calculate two more temperature data between the temperature data 1 collected by temperature sensor 1 and the temperature data 1 collected by temperature sensor 2 through multiple interpolation operations (that is, the number A=2 of the temperature sampling points that needs to be calculated is respectively the values of the temperature sampling points 5 and the temperature sampling points 6), that is, the number of points A that need to be interpolated between the temperature data 1 and the temperature data 2 is D1*first density- 2. The electronic device will divide the first distance D1 into 3 equal intervals (i.e. the number of interpolation points A+1=2+1), wherein the first section is the distance between the temperature sensor 1 and the temperature sensor 5, and the second section is the distance between the temperature sensor 1 and the temperature sensor 5. The first segment is the distance between the temperature sensor 5 and the temperature sensor 6, the third segment is the distance between the temperature sensor 6 and the temperature sensor 2, the above "*" means multiplication, and "-" means subtraction.
同理,温度传感器2和温度传感器3之间需要插值的点数A为2(即第一密度*D2-2),即需要计算温度采样点的数量A=2,分别为温度采样点7和温度采样点8的数值,电子设备将D2分成3段(即插值点数A+1=2+1=3),中间端点处的温度值需要根据温度传感器2和温度传感器3所采集的温度数据2和温度数据3进行多次插值运算得到。Similarly, the number of interpolation points A between temperature sensor 2 and temperature sensor 3 is 2 (that is, the first density * D2-2), that is, the number of temperature sampling points that need to be calculated is A=2, which are temperature sampling points 7 and temperature For the value of sampling point 8, the electronic device divides D2 into 3 segments (that is, the number of interpolation points A+1=2+1=3), and the temperature value at the middle end point needs to be based on the temperature data collected by temperature sensor 2 and temperature sensor 3. The temperature data 3 is obtained by performing multiple interpolation operations.
同理,温度传感器3和温度传感器4之间需要插值的点数A为4(即第一密度*D3-2),即需要计算温度采样点的数量A=4,分别为温度采样点9至温度采样点12的数值,电子设备将D3分成5段(即插值点数A+1=4+1=5),中间端点处的温度值需要根据温度传感器3和温度传感器4所采集的温度数据3和温度数据4进行多次插值运算得到。Similarly, the number of interpolation points A between the temperature sensor 3 and the temperature sensor 4 is 4 (that is, the first density * D3-2), that is, the number of temperature sampling points that need to be calculated is A=4, which are respectively temperature sampling points 9 to temperature For the value of sampling point 12, the electronic device divides D3 into 5 segments (that is, the number of interpolation points A+1=4+1=5), and the temperature value at the middle end point needs to be based on the temperature data collected by temperature sensor 3 and temperature sensor 4. The temperature data 4 is obtained by performing multiple interpolation operations.
S103,根据第一温度传感器和第二温度传感器的温度值进行插值运算确定A个温度值。S103, performing an interpolation operation according to the temperature values of the first temperature sensor and the second temperature sensor to determine A temperature values.
示例性地,图5所示的区域101的俯视图在一个二维直角坐标系XOY中,其中,O为坐标原点,区域101中每个温度传感器的位置都可以用一个二维坐标表示;此外,区域101的温度场中每个位置都可以用一个二维坐标表示。比如,图5中温度传感器1在XOY中的位置坐标为T(x1,y1),其中,T表示温度传感器1采集的温度数据,(x1,y1)为温度传感器1的位置,其中,x1、y1分别表示温度传感器1在坐标系XOY中的横、纵坐标值,即(x1,y1)中x1的模|x1|表示温度传感器1所在的位置(x1,y1)到y轴的距离,而(x1,y1)中y1的模|y1|表示温度传感器1所在的位置(x1,y1)到x轴的距离。Exemplarily, the top view of the
比如,温度传感器1所在的位置为(x1,y1),温度传感器2所在的位置为(x2,y2),而|x1|与|x2|的差值的绝对值(即||x1|-|x2||)为温度传感器1所在的位置(x1,y1)与温度传感器2所在的位置(x2,y2)分别投影在X轴上的两温度传感器之间的距离;而||y1|-|y2||为温度传感器1所在的位置(x1,y1)与温度传感器2所在的位置(x2,y2)分别投影在Y轴上两温度传感器之间的距离;为温度传感器1所在的位置(x1,y1)与温度传感器2所在的位置(x2,y2)之间的距离为点(x1,y1)与点(x2,y2)之间的距离。For example, the position of temperature sensor 1 is (x1, y1), the position of temperature sensor 2 is (x2, y2), and the absolute value of the difference between |x1| and |x2| (ie ||x1|-| x2||) is the distance between the temperature sensor 1 position (x1, y1) and the temperature sensor 2 position (x2, y2) respectively projected on the X-axis between the two temperature sensors; and ||y1|-| y2|| is the distance between the temperature sensor 1 position (x1, y1) and the temperature sensor 2 position (x2, y2) respectively projected on the Y axis between the two temperature sensors; is the distance between the position (x1, y1) where the temperature sensor 1 is located and the position (x2, y2) where the temperature sensor 2 is located, and is the distance between the point (x1, y1) and the point (x2, y2).
图5仅是一种为区域101建立坐标系的方法,当然也可以将坐标原点建立在区域101的中间位置,或者其他位置,本申请对此不作限定,可以根据实际场景建立合适的坐标系。当然,也可以为区域101建立空间三维坐标系,该空间三维坐标系包含X轴、Y轴和Z轴,在该空间三维坐标系中每个温度传感器在坐标系中的位置可以用一个三维坐标(x,y,z)表示;当然也可以将区域101的三维空间坐标分析转换为二维坐标分析,比如,空间三维坐标系中每个温度传感器的坐标位置(x,y,z)投影在XOY平面上的坐标为(x,y),z=T(x,y),其中,(x,y)为每个温度传感器的部署位置,z=T(x,y)表示每个温度传感器采集的温度数据。应理解,实际区域101中不同列机柜之间的间距、温度传感器之间的间距可以在坐标系中同比例缩放,并不会影响温度场的计算。FIG. 5 is only a method for establishing a coordinate system for the
电子设备在对区域101进行差值运算之前,会先对温度传感器实测的温度数据进行预处理;比如,在有些情况下,区域101中某个位置温度传感器故障,导致未采集到该位置的温度数据,此时,会将故障前采集的温度数据作为该位置的温度数据。Before the electronic device performs difference calculation on the
再比如,电子设备会将区域101中不同位置温度传感器采集的温度数据进行归一化处理,将所有不同高度的温度传感器归一化为同一高度的温度传感器,由此可得到区域101的俯视图,并对该区域101的俯视图建立二维直角坐标系XOY,以使得每个温度传感器都可以用一个二维坐标(x,y)来表示,每个温度传感器采集的温度数据用T(x,y)。For another example, the electronic device will normalize the temperature data collected by the temperature sensors at different positions in the
又比如,区域101中存在未部署温度传感器的边缘区域(比如,一些走廊区域等),此时,电子设备可以根据边缘区域附近的两个温度传感器采集的温度数据计算出边缘区域的温度场(即边缘区域的温度数据)。For another example, there is an edge area in
又比如,如前所述,电子设备将一些不规则的机房(比如,服务器机房100)划分为多个规则的机房(比如,区域101和区域102),并分别计算每个规则机房中的温度场。For another example, as mentioned above, the electronic device divides some irregular computer rooms (for example, server room 100) into a plurality of regular computer rooms (for example,
还比如,电子设备可以对温度场的效果展示做一些预处理,比如,不同温度值的色彩设置等。For another example, the electronic device can perform some preprocessing on the display of the effect of the temperature field, such as color settings for different temperature values.
预处理结束后,电子设备开始根据第一密度,第一温度传感器采集的温度数据和第二温度采集的温度数据进行插值运算。After the preprocessing is finished, the electronic device starts to perform interpolation calculation according to the first density, the temperature data collected by the first temperature sensor and the temperature data collected by the second temperature.
上述插值运算包括线性插值运算和非线性插值运算,其中,线性插值运算包括平均值计算和中位数计算;比如,平均值计算就是通过计算相邻两个温度数据之间的平均值来确定相邻两个温度数据之间的温度值。The above-mentioned interpolation operation includes linear interpolation operation and nonlinear interpolation operation, wherein, linear interpolation operation includes average value calculation and median calculation; for example, average value calculation is to determine the relative value by calculating the average value between two adjacent temperature data. The temperature value between two adjacent temperature data.
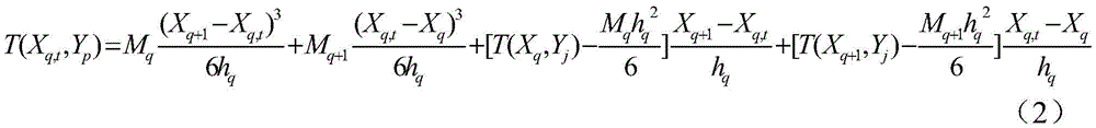
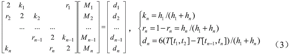
在一种实施例中,利用非线性插值算法计算相邻两个温度数据之间的温度值。比如,第一温度传感器的位置为(Xq,Yp),其中,p和q分别表示第一温度传感器所在上述点阵的列和行,p小于等于点阵的总列数(比如,图5区域101中,p≤5),q小于等于各列实测温度数据的个数的最小公倍数(比如,图5区域101中,q≤12);第一温度传感器与第二温度传感器之间的距离(即第一间距)为D1,第一密度为H1,第一温度传感器与第二温度传感器之间需要差值的点数M1为D1*H1-2;电子设备将第一间距D1划分为M1+1等分,M1为正整数;电子设备按照公式(1)计算第一温度传感器与第二温度传感器之间需要计算温度值的位置,公式(1)如下:In one embodiment, a non-linear interpolation algorithm is used to calculate the temperature value between two adjacent temperature data. For example, the position of the first temperature sensor is (X q , Y p ), wherein, p and q respectively represent the column and row of the above-mentioned dot matrix where the first temperature sensor is located, and p is less than or equal to the total number of columns of the dot matrix (for example, Fig. 5 in
Xq,t=Xq+t·(Xq+1-Xq)/(M1+1) (1)X q,t =X q +t·(X q+1 -X q )/(M1+1) (1)
式中,Xq,t表示插值位置的纵(即列向)坐标,Xq表示第一温度传感器的纵(即列向)坐标,Xq+1表示第二温度传感器的纵(即列向)坐标,t表示第几个插值点,t取1至M1中的正整数。In the formula, X q,t represents the longitudinal (i.e. column) coordinate of the interpolation position, X q represents the longitudinal (i.e. column) coordinate of the first temperature sensor, X q+1 represents the longitudinal (i.e. column) coordinate of the second temperature sensor ) coordinates, t indicates which interpolation point, and t is a positive integer from 1 to M1.
电子设备根据公式(2)所示的非线性插值算法计算第一温度传感器与第二温度传感器之间温度值;公式(2)如下:The electronic device calculates the temperature value between the first temperature sensor and the second temperature sensor according to the nonlinear interpolation algorithm shown in the formula (2); the formula (2) is as follows:
式中,T(Xq,t,Yp)为填入第一温度传感器与第二温度传感器之间的计算温度值。hq=T(Xq+1,Yj)-T(Xq,Yj),j表示第j列,比如,j=p;Mq由公式(3)计算得到,Mq为M1、M2、……,Mn中的一个,公式(3)如下:In the formula, T(X q,t , Y p ) is a calculated temperature value filled between the first temperature sensor and the second temperature sensor. h q =T(X q+1 ,Y j )-T(X q ,Y j ), j represents the jth column, for example, j=p; M q is calculated by formula (3), and M q is M 1 , M 2 , ..., one of M n , the formula (3) is as follows:
比如,图5中,第C列中温度传感器1为第一温度传感器,温度传感器2为第二温度传感器;其中,温度传感器1的坐标位置为(X1,Y1)、温度传感器2的坐标位置为(X2,Y2),温度传感器1与温度传感器2之间的距离(即第一间距)为D1=1,第一密度为H1=4,温度传感器1与温度传感器2之间需要差值的点数M1为D1*H1-2=2;电子设备将第一间距D1划分为M1+1=3等分;电子设备计算出温度传感器1与温度传感器2之间的M1=2个计算的温度数据5和温度数据6(即图5中空心圆中数字所示);其中,电子设备根据温度传感器1采集的温度数据1和温度传感器2采集的温度数据2通过公式(1)至公式(3)计算出温度数据5;再通过温度数据5和温度数据2通过公式(1)至公式(3)计算出温度数据6。For example, in Fig. 5, temperature sensor 1 in column C is the first temperature sensor, and temperature sensor 2 is the second temperature sensor; wherein, the coordinate position of temperature sensor 1 is (X1, Y1), and the coordinate position of temperature sensor 2 is (X2, Y2), the distance between temperature sensor 1 and temperature sensor 2 (i.e. the first spacing) is D1=1, the first density is H1=4, the number of points that need difference between temperature sensor 1 and temperature sensor 2 M1 is D1*H1-2=2; the electronic device divides the first distance D1 into M1+1=3 equal parts; the electronic device calculates M1=2 calculated temperature data 5 between the temperature sensor 1 and the temperature sensor 2 and temperature data 6 (shown by the numbers in the hollow circles in Fig. 5); wherein, the electronic device calculates according to the temperature data 1 collected by the temperature sensor 1 and the temperature data 2 collected by the temperature sensor 2 through the formula (1) to the formula (3) The temperature data 5 is output; then the temperature data 6 is calculated through the temperature data 5 and the temperature data 2 through the formula (1) to the formula (3).
S104,确定第一行的温度采样点的第二密度,第一行为点阵的任意一行。S104. Determine the second density of temperature sampling points in the first row, where the first row is any row of the dot matrix.
示例性地,X轴方向(即列向)相邻两个温度传感器之间不同位置的温度数据已经全部计算完毕,之后,电子设备根据X轴方向(即列向)插值结果计算Y方向(即横向)相邻两个温度数据之间不同位置的温度数据。Exemplarily, the temperature data at different positions between two adjacent temperature sensors in the X-axis direction (that is, the column direction) have all been calculated, and then the electronic device calculates the Y direction (that is, the Horizontal) temperature data at different positions between two adjacent temperature data.
在一种实施例中,第一行的温度采样点的第二密度可以是用户预先设置的,比如,如图6所示,用户设置第二密度为3,第二行中第A列的温度数据1、第C列的温度数据3、第D列的温度数据4和第E列的温度数据5均是X方向(即列向)插值运算得到的温度值;而第B列的温度数据2是温度传感器采集的温度值。电子设备可以根据第二密度同时计算第二行中相邻两个温度值之间的需要插值的温度值,而无需先计算温度数据1和温度数据2之间的温度值,再计算温度数据2和温度数据3之间的温度值,从而提高Y方向(即行方向)插值的效率。原因在于,经过X方向(即列向)的插值运算后,每行中相邻列均有温度值,因此,可以通过相邻列的温度数据计算相邻列之间的温度数据。比如,第二行中第B列与第C列分别有温度数据2和温度数据3,因此,可以根据温度数据2和温度数据3通过插值运算计算第二行中温度数据2和温度数据3之间的温度值(即计算出第二行中第B列与第C列之间的温度值)。In one embodiment, the second density of temperature sampling points in the first row can be preset by the user. For example, as shown in FIG. 6, the user sets the second density to 3, and the temperature in column A in the second row Data 1, temperature data 3 in column C, temperature data 4 in column D, and temperature data 5 in column E are all temperature values obtained by interpolation in the X direction (ie column direction); and temperature data in column B 2 is the temperature value collected by the temperature sensor. The electronic device can simultaneously calculate the interpolated temperature value between two adjacent temperature values in the second row according to the second density, without first calculating the temperature value between temperature data 1 and temperature data 2, and then calculating temperature data 2 and temperature data 3, thereby improving the efficiency of interpolation in the Y direction (that is, the row direction). The reason is that after the interpolation operation in the X direction (that is, the column direction), the adjacent columns in each row have temperature values, therefore, the temperature data between adjacent columns can be calculated through the temperature data of adjacent columns. For example, column B and column C in the second row have temperature data 2 and temperature data 3 respectively. Therefore, the difference between temperature data 2 and temperature data 3 in the second row can be calculated by interpolation according to temperature data 2 and temperature data 3. The temperature value between (that is, calculate the temperature value between column B and column C in the second row).
在另一种实施例中,确定第一行的温度采样点的第二密度,包括:获取机房的第二长度和分辨率数量,第一长度所在的方向与第二长度所在的方向垂直;计算分辨率数量与上述最小公倍数的比值,得到单行温度数量;计算单行温度数量与第二长度的比值,得到第一行的温度采样点的第二密度。In another embodiment, determining the second density of temperature sampling points in the first row includes: obtaining the second length and the number of resolutions of the computer room, where the direction of the first length is perpendicular to the direction of the second length; calculating The ratio of the number of resolutions to the above least common multiple is used to obtain the number of temperatures in a single row; the ratio of the number of temperatures in a single row to the second length is calculated to obtain the second density of temperature sampling points in the first row.
如图5所示,本实施例中机房为区域101,获取区域101的第二长度,该第二长度是指区域101在Y方向的长度(即区域101的横向长度);比如,该第二长度为9米,其中,第一长度所在的X方向与所述第二长度所在的Y方向垂直。As shown in Figure 5, in the present embodiment, the computer room is an
上述分辨率数量是用户根据后期温度场的呈现效果设置的整个机房(比如,区域101)不同位置处需要的温度值的数量,即上述分辨率数量是插值结束后X方向温度数据的数量(即列向点数量)和Y方向插值点个数(即Y向除了温度传感器采集的温度数据以外,电子设备通过插值运算得到的模拟温度数据个数)之和;而列向点数量为电子设备将机房列向插值结束后的总点数,比如,区域101总共5列,X方向插值结束后,总共的点数为最小公倍数与总列数(即点阵的总列数)的乘积;如上述图5中区域101列向插值完后,5列的总温度值(即温度数据)的个数为5×12=60(即列向点数量为60)。The above-mentioned resolution number is the number of temperature values required at different positions in the entire computer room (for example, area 101) set by the user according to the rendering effect of the later temperature field, that is, the above-mentioned resolution number is the number of temperature data in the X direction after the interpolation is completed (ie The sum of the number of points in the column direction) and the number of interpolation points in the Y direction (that is, the number of simulated temperature data obtained by electronic equipment through interpolation operations in the Y direction except the temperature data collected by the temperature sensor); The total number of points after the end of the interpolation in the column direction of the computer room. For example, there are 5 columns in the
上述单行温度数量为分辨率数量与最小公倍数的比值;单行温度数量与第二长度的比值为Y方向(即横或者行向)单位距离温度数据的个数。上述单行温度数量为电子设备对行向进行插值后每行的温度数据的个数;电子设备对每行插值后,每行的温度数据均相等,这样便于电子设备根据相邻两行之间两两相邻的温度数据进行插值运算。比如,第A行总共10个温度数据,第B行总共10个温度数据,第A行与第B行相邻,电子设备在对第A行和第B行中任意一列两个温度数据进行二次插值时(二次列向插值时),并且,插值时,可以同时插值第A行和第B行中多个列的两个温度数据之间的温度数据,比如,电子设备在对第1列的第A行的温度数据T1和第1列的第B行的温度数据T2进行插值的同时,也可以同时对对第2列的第A行的温度数据T3和第2列的第B行的温度数据T4进行插值,这样可以提高二次插值的效率。The above-mentioned single-line temperature quantity is the ratio of the resolution quantity to the least common multiple; the ratio of the single-line temperature quantity to the second length is the number of temperature data per unit distance in the Y direction (ie horizontal or row direction). The above-mentioned temperature quantity of a single row is the number of temperature data of each row after the electronic device interpolates the row direction; after the electronic device interpolates each row, the temperature data of each row are equal, which is convenient for the electronic device Two adjacent temperature data are interpolated. For example, row A has a total of 10 temperature data, and row B has a total of 10 temperature data. Row A is adjacent to row B. The electronic device is performing secondary temperature data on any column of row A and row B. During secondary interpolation (secondary column-wise interpolation), and during interpolation, the temperature data between the two temperature data of multiple columns in row A and row B can be interpolated at the same time, for example, the electronic device is While interpolating the temperature data T1 of row A of the column and the temperature data T2 of row B of the first column, the temperature data T3 of row A of the second column and row B of the second column can also be interpolated at the same time The temperature data T4 is interpolated, which can improve the efficiency of the secondary interpolation.
比如,分辨率数量为240,最小公倍数为12,第二长度为5米,单行温度数量为240除以12等于20;第二密度为4(即单行温度数量20除以第二长度5),即单位距离温度数据的个数为4。For example, the number of resolutions is 240, the least common multiple is 12, the second length is 5 meters, the number of single-line temperatures is 240 divided by 12 equals 20; the second density is 4 (that is, the number of single-line temperatures is 20 divided by the second length 5), That is, the number of temperature data per unit distance is 4.
在本实施例中,电子设备根据第一行的温度采样点的第二密度对点阵中每行的温度采样点进行插值运算,使得点阵中每行的温度数据的个数相同,从而便于电子设备对任意两行之间两个相邻温度数据进行二次插值运算。In this embodiment, the electronic device performs an interpolation operation on the temperature sampling points of each row in the dot matrix according to the second density of the temperature sampling points in the first row, so that the number of temperature data in each row of the dot matrix is the same, thereby facilitating The electronic device performs quadratic interpolation on two adjacent temperature data between any two rows.
S105,根据第一温度采样点与第二温度采样点的第二间距和第一行的温度采样点的第二密度确定第一温度采样点和第二温度采样点之间的温度采样点的数量B,B为正整数,第一温度采样点和第二温度采样点为第一行的温度采样点中相邻的两个温度采样点,第一温度采样点为多个温度传感器中的一个或插值运算得到的采样点,第二温度采样点为多个温度传感器中的一个或插值运算得到的采样点。S105. Determine the number of temperature sampling points between the first temperature sampling point and the second temperature sampling point according to the second distance between the first temperature sampling point and the second temperature sampling point and the second density of the temperature sampling points in the first row B, B is a positive integer, the first temperature sampling point and the second temperature sampling point are two adjacent temperature sampling points in the temperature sampling points of the first row, and the first temperature sampling point is one or more of the temperature sensors The sampling point obtained by interpolation operation, the second temperature sampling point is one of the multiple temperature sensors or the sampling point obtained by interpolation operation.
示例性地,上述第二间距为第一温度采样点与第二温度采样点在Y坐标轴上投影的距离;该第一温度采样点可以是温度传感器采集的数据,也可以插值运算得到的温度数据。该第二温度采样点也可以是温度传感器采集的数据,也可以插值运算得到的温度数据。Exemplarily, the above-mentioned second distance is the projected distance between the first temperature sampling point and the second temperature sampling point on the Y coordinate axis; the first temperature sampling point can be the data collected by the temperature sensor, or the temperature obtained by interpolation calculation data. The second temperature sampling point may also be data collected by a temperature sensor, or temperature data obtained through interpolation calculation.
比如,以图6中的第二行为例,第一温度采样点1为插值运算得到的温度数据和第二温度采样点2为温度传感器采集的温度数据,其中,第一温度采样点1与第二温度采样点2之间的距离为d1(即第二间距为d1),其中,第二间距d1是第一温度采样点1投影在Y轴的距离和第二温度采样点2投影在Y轴的距离之间的差值的绝对值。For example, taking the second row in Figure 6 as an example, the first temperature sampling point 1 is the temperature data obtained by interpolation operation and the second temperature sampling point 2 is the temperature data collected by the temperature sensor, wherein the first temperature sampling point 1 and the second temperature sampling point The distance between the two temperature sampling points 2 is d1 (that is, the second distance is d1), wherein the second distance d1 is the distance between the projection of the first temperature sampling point 1 on the Y axis and the projection of the second temperature sampling point 2 on the Y axis The absolute value of the difference between the distances.
若第二密度为4,第二间距d1为0.76米,则第一温度采样点1和第二温度采样点2之间需要温度数据的个数为d1*第二密度=0.76×4=3.04,除去两侧端点(即第一温度采样点1和第二温度采样点2)以外,电子设备需要通过1次插值运算在第一温度采样点1和第二温度采样点2之间再计算1个温度数据(即需要计算温度采样点的数量B=1,即温度采样点6的数值);即第一温度采样点和第二温度采样点之间的温度采样点的数量B(即插值点数)为d1*第二密度-2。电子设备会将第二间距d1等分为2段(即插值点数B+1=1+1)距离相等的区间,其中,第1段为第一温度采样点1和温度采样点6之间的距离,第2段为温度采样点6和第二温度采样点2之间的距离。If the second density is 4, and the second distance d1 is 0.76 meters, then the number of temperature data required between the first temperature sampling point 1 and the second temperature sampling point 2 is d1*second density=0.76×4=3.04, Except for the endpoints on both sides (namely, the first temperature sampling point 1 and the second temperature sampling point 2), the electronic device needs to calculate another one between the first temperature sampling point 1 and the second temperature sampling point 2 through one interpolation operation. Temperature data (that is, the number B=1 of temperature sampling points that needs to be calculated, that is, the value of temperature sampling point 6); that is, the number B of temperature sampling points between the first temperature sampling point and the second temperature sampling point (ie, the number of interpolation points) It is d1*second density-2. The electronic device will divide the second interval d1 into 2 sections (that is, the number of interpolation points B+1=1+1) with equal distances, wherein the first section is the interval between the first temperature sampling point 1 and the temperature sampling point 6 Distance, the second paragraph is the distance between the temperature sampling point 6 and the second temperature sampling point 2.
同理,第二温度采样点2和第三温度采样点3之间需要插值的点数为3(即第二密度*d2-2),即需要计算温度采样点的数量B=3,分别为温度采样点7、温度采样点8和温度采样点9的数值,电子设备将d2分成4段(即插值点数B+1=3+1=4),中间端点处的温度值需要根据第二温度采样点2和第三温度采样点3进行多次插值运算得到。Similarly, the number of points to be interpolated between the second temperature sampling point 2 and the third temperature sampling point 3 is 3 (i.e. the second density*d2-2), that is, the number of temperature sampling points to be calculated B=3, respectively For the values of sampling point 7, temperature sampling point 8, and temperature sampling point 9, the electronic device divides d2 into 4 segments (that is, the number of interpolation points B+1=3+1=4), and the temperature value at the middle end point needs to be sampled according to the second temperature Point 2 and the third temperature sampling point 3 are obtained by performing multiple interpolation operations.
同理,第三温度采样点3和第四温度采样点4之间需要插值的点数为3(即第二密度*d3-2),即需要计算温度采样点的数量B=3,分别为温度采样点10、温度采样点11和温度采样点12的数值,电子设备将d3分成4段(即插值点数B+1=3+1=4),中间端点处的温度值需要根据第三温度采样点3和第四温度采样点4进行多次插值运算得到。Similarly, the number of points to be interpolated between the third temperature sampling point 3 and the fourth temperature sampling point 4 is 3 (i.e. the second density*d3-2), that is, the number of temperature sampling points to be calculated B=3, respectively For the values of
同理,第四温度采样点4和第五温度采样点5之间需要插值的点数为2(即第二密度*d4-2),即需要计算温度采样点的数量B=2,分别为温度采样点13和温度采样点14的数值,电子设备将d4分成3段(即插值点数B+1=2+1=3),中间端点处的温度值需要根据第四温度采样点4和第五温度采样点5进行多次插值运算得到。Similarly, the number of points to be interpolated between the fourth temperature sampling point 4 and the fifth temperature sampling point 5 is 2 (i.e. the second density*d4-2), that is, the number of temperature sampling points to be calculated B=2, respectively For the value of sampling point 13 and
S106,根据第一温度采样点和第二温度采样点的温度值进行插值运算确定B个温度值。S106, performing an interpolation operation according to the temperature values of the first temperature sampling point and the second temperature sampling point to determine B temperature values.
示例性地,电子设备开始根据第二密度,第一温度采样点和第二温度采样点进行差值运算。第一温度采样点和第二温度采样点为第一行的温度采样点中相邻的两个温度采样点。Exemplarily, the electronic device starts to perform difference calculation according to the second density, the first temperature sampling point and the second temperature sampling point. The first temperature sampling point and the second temperature sampling point are two adjacent temperature sampling points in the first row of temperature sampling points.
比如,第一温度采样点的位置为(Xq,Yp),其中,p和q分别表示第一温度传感器所在上述点阵的列和行,p小于等于点阵的总列数(比如,图5区域101中,p≤5),q小于等于各列实测温度数据的个数的最小公倍数(比如,图5区域101中,q≤12);第一温度传感器与第二温度传感器之间的距离(即第一间距)为d1,第二密度为H2,第一温度采样点与第二温度采样点之间需要差值的点数M2为d1*H2-2;电子设备将第二间距d1划分为M2+1等分,M2为正整数;电子设备按照公式(4)计算第一温度采样点与第二温度采样点之间需要计算温度值的位置,公式(4)如下:For example, the position of the first temperature sampling point is (X q , Y p ), wherein, p and q respectively represent the column and row of the above-mentioned dot matrix where the first temperature sensor is located, and p is less than or equal to the total number of columns of the dot matrix (for example, In Figure 5
Yp,k=Yp+t·(Yp+1-Yp)/(M2+1) (4)Y p,k = Y p +t·(Y p+1 -Y p )/(M2+1) (4)
式中,Ypk表示插值位置的横(即行向)坐标,Yp表示第一温度采样点的横(即行向)坐标,Yp+1表示第二温度采样点的横(即行向)坐标,k表示第几个插值点,t取1至M2中的正整数。In the formula, Y pk represents the horizontal (ie row direction) coordinate of the interpolation position, Y p represents the horizontal (ie row direction) coordinate of the first temperature sampling point, and Y p+1 represents the horizontal (ie row direction) coordinate of the second temperature sampling point, k indicates which interpolation point, t is a positive integer from 1 to M2.
电子设备根据公式(5)所示的非线性插值算法计算第一温度采样点与第二温度采样点之间温度值;公式(5)如下:The electronic device calculates the temperature value between the first temperature sampling point and the second temperature sampling point according to the nonlinear interpolation algorithm shown in formula (5); formula (5) is as follows:
式中,T(Xq,Yp,k)为填入第一温度采样点与第二温度采样点之间的计算温度值。hp=T(Xq,Yp+1)-T(Xq,Yp);Mp由上述公式(3)计算得到,Mp为M1,M2,……,Mn中的一个。In the formula, T(X q , Y p,k ) is the calculated temperature value filled between the first temperature sampling point and the second temperature sampling point. h p =T(X q ,Y p+1 )-T(X q ,Y p ); M p is calculated by the above formula (3), and M p is M 1 , M 2 ,...,M n One.
比如,图6中,第二行列中温度采样点1为第一温度采样点,温度采样点12为第二温度采样点;其中,温度采样点1的坐标位置为(X1,Y1)、温度采样点2的坐标位置为(X2,Y2),温度采样点1与温度采样点2之间的距离(即第二间距)为d1=1,第二密度为H2=3,温度采样点1与温度采样点2之间需要差值的点数M2为d1*H2-2=1;电子设备将第二间距d1划分为M2+1=2等分;电子设备计算出温度采样点1与温度采样点2之间的M2=1个计算的温温度数据6(即图6中空心圆中数字所示);其中,电子设备根据温度采样点1和温度采样点2通过公式(3)至公式(5)计算出温度数据6。Such as, in Fig. 6, temperature sampling point 1 is the first temperature sampling point in the second row and column, and temperature sampling point 12 is the second temperature sampling point; Wherein, the coordinate position of temperature sampling point 1 is (X1, Y1), temperature sampling point The coordinate position of point 2 is (X2, Y2), the distance between temperature sampling point 1 and temperature sampling point 2 (ie the second distance) is d1=1, the second density is H2=3, temperature sampling point 1 and temperature The number of points M2 that need a difference between sampling points 2 is d1*H2-2=1; the electronic device divides the second distance d1 into M2+1=2 equal parts; the electronic device calculates the temperature sampling point 1 and the temperature sampling point 2 Between M2=1 calculated temperature data 6 (i.e. shown by the numbers in the hollow circle in Figure 6); wherein, the electronic equipment passes the formula (3) to the formula (5) according to the temperature sampling point 1 and the temperature sampling point 2 Calculate the temperature data6.
在本实施例中,相比线性插值算法,本申请通过非线性插值算法计算相邻两个温度数据之间温度值的方法的准确性更高。In this embodiment, compared with the linear interpolation algorithm, the accuracy of the method of calculating the temperature value between two adjacent temperature data by using the nonlinear interpolation algorithm in this application is higher.
S107,根据A个温度值和B个温度值确定机房的温度场。S107. Determine the temperature field of the equipment room according to the A temperature value and the B temperature value.
示例性地,电子设备根据A个温度值(即温度数据)、B个温度值以及温度传感器采集的温度数据得到区域101和区域102的所有温度数据;该所有温度数据构成整个服务器机房100的温度场;电子设备根据所有温度数据的数值为不同温度值进行着色,得到服务器机房100的温度场。该服务器机房100的温度场可以是二维平面温度场也可以是三维展示温度场,在二维平面温度场中,每个温度数据采用微小颜色单元格填充,从而形成二维平面温度场。在三维温度场XYZ中,投影在XOY平面坐标系区域的每个温度数据的温度值为T(x,y),其中,温度值T(x,y)的大小用Z轴上的坐标距离和正方体微小颜色单元格共同表示。Exemplarily, the electronic device obtains all the temperature data of the
综上所述,电子设备先根据各列机柜上的温度传感器采集的温度数据计算列向相邻温度传感器之间的温度值(即温度数据),即先进行列向的插值运算;之后,再根据温度传感器采集的温度数据和列向的插值运算得到的温度数据,计算行向相邻温度采样点之间的温度数据;由于列向的插值运算结束后,每行中相邻列均有温度数据,因此,在插值行向相邻两个温度采样点之间的温度数据时,可以对多组温度采样点(每组温度采样点包括相邻两个温度采样点)同时进行插值运算,而无需依次(即分先后)的计算相邻两温度采样点之间的温度值,从而提高了计算机房温度场的的效率。To sum up, the electronic equipment first calculates the temperature value (ie, temperature data) between the adjacent temperature sensors in the column direction based on the temperature data collected by the temperature sensors on the cabinets in each column, that is, the interpolation operation in the column direction is performed first; then, according to The temperature data collected by the temperature sensor and the temperature data obtained by the interpolation operation in the column direction are used to calculate the temperature data between the adjacent temperature sampling points in the row direction; after the interpolation operation in the column direction is completed, the adjacent columns in each row have temperature data , therefore, when interpolating the temperature data between two adjacent temperature sampling points, multiple groups of temperature sampling points (each group of temperature sampling points include two adjacent temperature sampling points) can be interpolated at the same time without The temperature values between two adjacent temperature sampling points are calculated sequentially (that is, sequentially), thereby improving the efficiency of the temperature field of the computer room.
图7示出了本申请提供了一种电子设备的结构示意图。图7中的虚线表示该单元或该模块为可选的。电子设备700可用于实现上述方法实施例中描述的方法。电子设备700可以是服务器或芯片。FIG. 7 shows a schematic structural diagram of an electronic device provided by the present application. The dotted line in Fig. 7 indicates that the unit or the module is optional. The
电子设备700包括一个或多个处理器701,该一个或多个处理器701可支持电子设备700实现图4所对应方法实施例中的方法。处理器701可以是通用处理器或者专用处理器。例如,处理器701可以是中央处理器(Central Processing Unit,CPU)。CPU可以用于对电子设备700进行控制,执行软件程序,处理软件程序的数据。电子设备700还可以包括通信单元705,用以实现信号的输入(接收)和输出(发送)。The
例如,电子设备700可以是芯片,通信单元705可以是该芯片的输入和/或输出电路,或者,通信单元705可以是该芯片的通信接口,该芯片可以作为电子设备的组成部分。For example, the
又例如,通信单元705可以是该电子设备700的收发器,或者,通信单元705可以是该电子设备700的收发电路。For another example, the
电子设备700中可以包括一个或多个存储器702,其上存有程序704,程序704可被处理器701运行,生成指令703,使得处理器701根据指令703执行上述方法实施例中描述的方法。可选地,存储器702中还可以存储有数据。可选地,处理器701还可以读取存储器702中存储的数据,该数据可以与程序704存储在相同的存储地址,该数据也可以与程序704存储在不同的存储地址。The
处理器701和存储器702可以单独设置,也可以集成在一起,例如,集成在电子设备的系统级芯片(System On Chip,SOC)上。The
处理器701执行计算温度场的方法的具体方式可以参见方法实施例中的相关描述。For a specific manner of executing the method for calculating the temperature field by the
应理解,上述方法实施例的各步骤可以通过处理器701中的硬件形式的逻辑电路或者软件形式的指令完成。处理器701可以是CPU、数字信号处理器(Digital SignalProcessor,DSP)、现场可编程门阵列(Field Programmable Gate Array,FPGA)或者其它可编程逻辑器件,例如,分立门、晶体管逻辑器件或分立硬件组件。It should be understood that the steps in the foregoing method embodiments may be implemented by logic circuits in the form of hardware or instructions in the form of software in the
本申请还提供了一种计算机程序产品,该计算机程序产品被处理器701执行时实现本申请中任一方法实施例的方法。The present application also provides a computer program product, which implements the method in any method embodiment in the present application when the computer program product is executed by the
该计算机程序产品可以存储在存储器702中,例如是程序704,程序704经过预处理、编译、汇编和链接等处理过程最终被转换为能够被处理器701执行的可执行目标文件。The computer program product can be stored in the
本申请还提供了一种计算机可读存储介质,其上存储有计算机程序,该计算机程序被计算机执行时实现本申请中任一方法实施例的方法。该计算机程序可以是高级语言程序,也可以是可执行目标程序。The present application also provides a computer-readable storage medium on which a computer program is stored, and when the computer program is executed by a computer, the method of any method embodiment in the present application is implemented. The computer program may be a high-level language program or an executable object program.
该计算机可读存储介质例如是存储器702。存储器702可以是易失性存储器或非易失性存储器,或者,存储器702可以同时包括易失性存储器和非易失性存储器。其中,非易失性存储器可以是只读存储器(Read-Only Memory,ROM)、可编程只读存储器(ProgrammableROM,PROM)、可擦除可编程只读存储器(Erasable PROM,EPROM)、电可擦除可编程只读存储器(Electrically EPROM,EEPROM)或闪存。易失性存储器可以是随机存取存储器(RandomAccess Memory,RAM),其用作外部高速缓存。通过示例性但不是限制性说明,许多形式的RAM可用,例如静态随机存取存储器(Static RAM,SRAM)、动态随机存取存储器(DynamicRAM,DRAM)、同步动态随机存取存储器(Synchronous DRAM,SDRAM)、双倍数据速率同步动态随机存取存储器(Double Data Rate SDRAM,DDR SDRAM)、增强型同步动态随机存取存储器(Enhanced SDRAM,ESDRAM)、同步连接动态随机存取存储器(SynchLink DRAM,SLDRAM)和直接内存总线随机存取存储器(Direct Rambus RAM,DRRAM)。The computer readable storage medium is, for example, the
本领域的技术人员可以清楚地了解到,为了描述的方便和简洁,上述描述的装置和设备的具体工作过程以及产生的技术效果,可以参考前述方法实施例中对应的过程和技术效果,在此不再赘述。Those skilled in the art can clearly understand that for the convenience and brevity of description, the specific working process and technical effects of the devices and equipment described above can refer to the corresponding processes and technical effects in the foregoing method embodiments, here No longer.
在本申请所提供的几个实施例中,所揭露的系统、装置和方法,可以通过其它方式实现。例如,以上描述的方法实施例的一些特征可以忽略,或不执行。以上所描述的装置实施例仅仅是示意性的,单元的划分,仅仅为一种逻辑功能划分,实际实现时可以有另外的划分方式,多个单元或组件可以结合或者可以集成到另一个系统。另外,各单元之间的耦合或各个组件之间的耦合可以是直接耦合,也可以是间接耦合,上述耦合包括电的、机械的或其它形式的连接。In the several embodiments provided in this application, the disclosed systems, devices and methods may be implemented in other ways. For example, some features of the method embodiments described above may be omitted, or not implemented. The device embodiments described above are only illustrative, and the division of units is only a logical function division. In actual implementation, there may be other division methods, and multiple units or components may be combined or integrated into another system. In addition, the coupling between the various units or the coupling between the various components may be direct coupling or indirect coupling, and the above coupling includes electrical, mechanical or other forms of connection.
以上实施例仅用以说明本申请的技术方案,而非对其限制。尽管参照前述实施例对本申请进行了详细的说明,本领域的普通技术人员应当理解:其依然可以对前述各实施例所记载的技术方案进行修改,或者对其中部分技术特征进行等同替换,而这些修改或者替换,并不使相应技术方案的本质脱离本申请各实施例技术方案的精神和范围,均应包含在本申请的保护范围之内。The above embodiments are only used to illustrate the technical solution of the present application, not to limit it. Although the present application has been described in detail with reference to the aforementioned embodiments, those skilled in the art should understand that: they can still modify the technical solutions described in the aforementioned embodiments, or perform equivalent replacements for some of the technical features, and these Any modification or replacement that does not make the essence of the corresponding technical solutions deviate from the spirit and scope of the technical solutions of the embodiments of the present application shall be included within the protection scope of the present application.
Claims (8)
Priority Applications (1)
| Application Number | Priority Date | Filing Date | Title |
|---|---|---|---|
| CN202211063921.3A CN115389049A (en) | 2022-08-31 | 2022-08-31 | Method for calculating temperature field and electronic equipment |
Applications Claiming Priority (1)
| Application Number | Priority Date | Filing Date | Title |
|---|---|---|---|
| CN202211063921.3A CN115389049A (en) | 2022-08-31 | 2022-08-31 | Method for calculating temperature field and electronic equipment |
Publications (1)
| Publication Number | Publication Date |
|---|---|
| CN115389049A true CN115389049A (en) | 2022-11-25 |
Family
ID=84124928
Family Applications (1)
| Application Number | Title | Priority Date | Filing Date |
|---|---|---|---|
| CN202211063921.3A Pending CN115389049A (en) | 2022-08-31 | 2022-08-31 | Method for calculating temperature field and electronic equipment |
Country Status (1)
| Country | Link |
|---|---|
| CN (1) | CN115389049A (en) |
Citations (10)
| Publication number | Priority date | Publication date | Assignee | Title |
|---|---|---|---|---|
| CN2079747U (en) * | 1990-11-27 | 1991-06-26 | 天津市肿瘤医院 | Plane lattice temp sensor |
| CN101941060A (en) * | 2010-09-19 | 2011-01-12 | 河北钢铁股份有限公司唐山分公司 | Crystallizer thermography real-time display method based on multirow actual measurement thermocouple temperature |
| CN103136270A (en) * | 2011-12-01 | 2013-06-05 | 无锡物联网产业研究院 | Method and system for obtaining data interpolation |
| US20130230074A1 (en) * | 2010-11-17 | 2013-09-05 | Easytem Co., Ltd. | Device and method for measuring temperature using infrared array sensors |
| CN104614094A (en) * | 2013-11-05 | 2015-05-13 | 深圳中兴力维技术有限公司 | Method and device for performing temperature monitoring of machine room |
| CN105387950A (en) * | 2015-11-13 | 2016-03-09 | 北京航天易联科技发展有限公司 | IDC room temperature monitoring method and system based on distributed fiber temperature measurement |
| CN110413473A (en) * | 2018-09-12 | 2019-11-05 | 广东优世联合控股集团股份有限公司 | Detection method and system for temperature field of server room |
| CN110672212A (en) * | 2019-09-19 | 2020-01-10 | 珠海格力电器股份有限公司 | Spatial three-dimensional temperature field detection method, computer readable storage medium and intelligent household appliance |
| CN113239136A (en) * | 2021-05-17 | 2021-08-10 | 北京车和家信息技术有限公司 | Data processing method, device, equipment and medium |
| CN113379871A (en) * | 2021-06-24 | 2021-09-10 | 北京百度网讯科技有限公司 | Map processing method and device |
-
2022
- 2022-08-31 CN CN202211063921.3A patent/CN115389049A/en active Pending
Patent Citations (10)
| Publication number | Priority date | Publication date | Assignee | Title |
|---|---|---|---|---|
| CN2079747U (en) * | 1990-11-27 | 1991-06-26 | 天津市肿瘤医院 | Plane lattice temp sensor |
| CN101941060A (en) * | 2010-09-19 | 2011-01-12 | 河北钢铁股份有限公司唐山分公司 | Crystallizer thermography real-time display method based on multirow actual measurement thermocouple temperature |
| US20130230074A1 (en) * | 2010-11-17 | 2013-09-05 | Easytem Co., Ltd. | Device and method for measuring temperature using infrared array sensors |
| CN103136270A (en) * | 2011-12-01 | 2013-06-05 | 无锡物联网产业研究院 | Method and system for obtaining data interpolation |
| CN104614094A (en) * | 2013-11-05 | 2015-05-13 | 深圳中兴力维技术有限公司 | Method and device for performing temperature monitoring of machine room |
| CN105387950A (en) * | 2015-11-13 | 2016-03-09 | 北京航天易联科技发展有限公司 | IDC room temperature monitoring method and system based on distributed fiber temperature measurement |
| CN110413473A (en) * | 2018-09-12 | 2019-11-05 | 广东优世联合控股集团股份有限公司 | Detection method and system for temperature field of server room |
| CN110672212A (en) * | 2019-09-19 | 2020-01-10 | 珠海格力电器股份有限公司 | Spatial three-dimensional temperature field detection method, computer readable storage medium and intelligent household appliance |
| CN113239136A (en) * | 2021-05-17 | 2021-08-10 | 北京车和家信息技术有限公司 | Data processing method, device, equipment and medium |
| CN113379871A (en) * | 2021-06-24 | 2021-09-10 | 北京百度网讯科技有限公司 | Map processing method and device |
Similar Documents
| Publication | Publication Date | Title |
|---|---|---|
| AU2011383986B2 (en) | Dropped ceiling system cooling prediction | |
| WO2017211300A1 (en) | Method and device for displaying temperature data | |
| CN113077538B (en) | Method, device and terminal equipment for establishing three-dimensional temperature and humidity cloud map of computer room | |
| CN114330180B (en) | Chip packaging method, device, computer equipment and storage medium | |
| US20130060399A1 (en) | Sensor-based thermal specification enabling a real-time metric for compliance | |
| CN104614094A (en) | Method and device for performing temperature monitoring of machine room | |
| CN110096450B (en) | Multi-granularity parallel storage system and storage | |
| CN114781201B (en) | A method, system, device and medium for calculating PCB temperature field in radiator | |
| CN112818632B (en) | Analysis method and device for pattern density of chip and electronic equipment | |
| CN115389049A (en) | Method for calculating temperature field and electronic equipment | |
| CN113779742A (en) | Modeling method and device for simplified model of thermal resistance network and chip junction temperature prediction method | |
| WO2025001429A1 (en) | 3d imaging system, calibration method and calibration apparatus therefor, and calibration device | |
| CN114036721A (en) | Method and device for constructing three-dimensional temperature cloud field of micro-module | |
| CN120405386A (en) | Chip aging test method and system based on thermal migration analysis | |
| CN103514311B (en) | System and method for computing and analyzing tolerance of parts | |
| US20210224435A1 (en) | Method for designing new purley cpu heat sink | |
| CN113962130A (en) | A Calculation Method of 3D Contact Heat Transfer | |
| CN114564549B (en) | Method, device, equipment and storage medium for generating a heat map of a region | |
| Steurer et al. | Application of the Transient Heat Transfer Measurement Technique Using Thermochromic Liquid Crystals in a Network Configuration With Intersecting Circular Passages | |
| CN113409403B (en) | Camera calibration frame, single-image camera calibration method and system based on calibration frame | |
| CN114612630B (en) | Equipment visualization processing methods, devices and equipment | |
| CN103473413B (en) | A kind of comparative approach for various a large amount of Mechanics Calculation results | |
| CN116878825A (en) | Calibration method, device, equipment and storage medium of 3D imaging system | |
| Baïri | On the junction temperature of the QFN64 electronic package subjected to free convection: Effects of the encapsulating molding compound | |
| CN116933460B (en) | Simulation method and device and electronic equipment |
Legal Events
| Date | Code | Title | Description |
|---|---|---|---|
| PB01 | Publication | ||
| PB01 | Publication | ||
| SE01 | Entry into force of request for substantive examination | ||
| SE01 | Entry into force of request for substantive examination | ||
| CB02 | Change of applicant information |
Country or region after: China Address after: No. 152, Xingang West Road, Haizhu District, Guangzhou, Guangdong 510000 Applicant after: Guangdong Vocational and Technical University of Light Industry Applicant after: SHENZHEN JITONG INTELLIGENT TECHNOLOGY Co.,Ltd. Address before: No. 152, Xingang West Road, Haizhu District, Guangzhou, Guangdong 510000 Applicant before: Guangdong Industry Technical College Country or region before: China Applicant before: SHENZHEN JITONG INTELLIGENT TECHNOLOGY Co.,Ltd. |
|
| CB02 | Change of applicant information |




