CN115001164A - Control method, device, medium, equipment and circuit for inductive power transmission - Google Patents
Control method, device, medium, equipment and circuit for inductive power transmission Download PDFInfo
- Publication number
- CN115001164A CN115001164A CN202210739097.2A CN202210739097A CN115001164A CN 115001164 A CN115001164 A CN 115001164A CN 202210739097 A CN202210739097 A CN 202210739097A CN 115001164 A CN115001164 A CN 115001164A
- Authority
- CN
- China
- Prior art keywords
- circuit
- secondary side
- output
- angle
- scc
- Prior art date
- Legal status (The legal status is an assumption and is not a legal conclusion. Google has not performed a legal analysis and makes no representation as to the accuracy of the status listed.)
- Granted
Links
Images
Classifications
-
- H—ELECTRICITY
- H02—GENERATION; CONVERSION OR DISTRIBUTION OF ELECTRIC POWER
- H02J—CIRCUIT ARRANGEMENTS OR SYSTEMS FOR SUPPLYING OR DISTRIBUTING ELECTRIC POWER; SYSTEMS FOR STORING ELECTRIC ENERGY
- H02J50/00—Circuit arrangements or systems for wireless supply or distribution of electric power
- H02J50/10—Circuit arrangements or systems for wireless supply or distribution of electric power using inductive coupling
- H02J50/12—Circuit arrangements or systems for wireless supply or distribution of electric power using inductive coupling of the resonant type
-
- H—ELECTRICITY
- H02—GENERATION; CONVERSION OR DISTRIBUTION OF ELECTRIC POWER
- H02J—CIRCUIT ARRANGEMENTS OR SYSTEMS FOR SUPPLYING OR DISTRIBUTING ELECTRIC POWER; SYSTEMS FOR STORING ELECTRIC ENERGY
- H02J7/00—Circuit arrangements for charging or depolarising batteries or for supplying loads from batteries
- H02J7/02—Circuit arrangements for charging or depolarising batteries or for supplying loads from batteries for charging batteries from AC mains by converters
-
- H—ELECTRICITY
- H02—GENERATION; CONVERSION OR DISTRIBUTION OF ELECTRIC POWER
- H02M—APPARATUS FOR CONVERSION BETWEEN AC AND AC, BETWEEN AC AND DC, OR BETWEEN DC AND DC, AND FOR USE WITH MAINS OR SIMILAR POWER SUPPLY SYSTEMS; CONVERSION OF DC OR AC INPUT POWER INTO SURGE OUTPUT POWER; CONTROL OR REGULATION THEREOF
- H02M1/00—Details of apparatus for conversion
- H02M1/0048—Circuits or arrangements for reducing losses
- H02M1/0054—Transistor switching losses
- H02M1/0058—Transistor switching losses by employing soft switching techniques, i.e. commutation of transistors when applied voltage is zero or when current flow is zero
-
- H—ELECTRICITY
- H02—GENERATION; CONVERSION OR DISTRIBUTION OF ELECTRIC POWER
- H02M—APPARATUS FOR CONVERSION BETWEEN AC AND AC, BETWEEN AC AND DC, OR BETWEEN DC AND DC, AND FOR USE WITH MAINS OR SIMILAR POWER SUPPLY SYSTEMS; CONVERSION OF DC OR AC INPUT POWER INTO SURGE OUTPUT POWER; CONTROL OR REGULATION THEREOF
- H02M3/00—Conversion of DC power input into DC power output
- H02M3/22—Conversion of DC power input into DC power output with intermediate conversion into AC
- H02M3/24—Conversion of DC power input into DC power output with intermediate conversion into AC by static converters
- H02M3/28—Conversion of DC power input into DC power output with intermediate conversion into AC by static converters using discharge tubes with control electrode or semiconductor devices with control electrode to produce the intermediate AC
- H02M3/325—Conversion of DC power input into DC power output with intermediate conversion into AC by static converters using discharge tubes with control electrode or semiconductor devices with control electrode to produce the intermediate AC using devices of a triode or a transistor type requiring continuous application of a control signal
- H02M3/335—Conversion of DC power input into DC power output with intermediate conversion into AC by static converters using discharge tubes with control electrode or semiconductor devices with control electrode to produce the intermediate AC using devices of a triode or a transistor type requiring continuous application of a control signal using semiconductor devices only
- H02M3/33569—Conversion of DC power input into DC power output with intermediate conversion into AC by static converters using discharge tubes with control electrode or semiconductor devices with control electrode to produce the intermediate AC using devices of a triode or a transistor type requiring continuous application of a control signal using semiconductor devices only having several active switching elements
- H02M3/33576—Conversion of DC power input into DC power output with intermediate conversion into AC by static converters using discharge tubes with control electrode or semiconductor devices with control electrode to produce the intermediate AC using devices of a triode or a transistor type requiring continuous application of a control signal using semiconductor devices only having several active switching elements having at least one active switching element at the secondary side of an isolation transformer
-
- Y—GENERAL TAGGING OF NEW TECHNOLOGICAL DEVELOPMENTS; GENERAL TAGGING OF CROSS-SECTIONAL TECHNOLOGIES SPANNING OVER SEVERAL SECTIONS OF THE IPC; TECHNICAL SUBJECTS COVERED BY FORMER USPC CROSS-REFERENCE ART COLLECTIONS [XRACs] AND DIGESTS
- Y02—TECHNOLOGIES OR APPLICATIONS FOR MITIGATION OR ADAPTATION AGAINST CLIMATE CHANGE
- Y02B—CLIMATE CHANGE MITIGATION TECHNOLOGIES RELATED TO BUILDINGS, e.g. HOUSING, HOUSE APPLIANCES OR RELATED END-USER APPLICATIONS
- Y02B70/00—Technologies for an efficient end-user side electric power management and consumption
- Y02B70/10—Technologies improving the efficiency by using switched-mode power supplies [SMPS], i.e. efficient power electronics conversion e.g. power factor correction or reduction of losses in power supplies or efficient standby modes
Landscapes
- Engineering & Computer Science (AREA)
- Power Engineering (AREA)
- Computer Networks & Wireless Communication (AREA)
- Rectifiers (AREA)
Abstract
本发明实施例公开了一种感应电能传输的控制方法,通过根据副边电路输出端的输出电压Vo和输出电流Io,确定开关电容SCC的占空比D;在原边电路端,控制软开关ZVS角θZA为定值常量的条件下,根据ZVS角θZA、SCC的占空比D以及输入阻抗角θAB的关系,确定全桥变换器的移相角
根据移相角与副边电路输出端的输出电压Vo的对应关系,控制输出电压Vo,以实现ZVS软开关与闭环控制,具有在无通讯环节情况下提高了充电过程的系统稳定性和效率、实现了具有简单相移控制的双侧全软开关等优点。The embodiment of the present invention discloses a control method for inductive power transmission. The duty cycle D of the switched capacitor SCC is determined according to the output voltage V o and the output current I o of the output end of the secondary circuit; at the primary circuit end, the soft switch is controlled Under the condition that the ZVS angle θ ZA is a constant value, the phase shift angle of the full-bridge converter is determined according to the relationship between the ZVS angle θ ZA , the duty cycle D of the SCC and the input impedance angle θ AB
According to the phase shift angle The corresponding relationship with the output voltage V o of the output terminal of the secondary side circuit, the output voltage V o is controlled to realize ZVS soft switching and closed-loop control, which improves the system stability and efficiency of the charging process in the absence of communication links, and realizes the Advantages such as double-sided full soft switching with simple phase shift control.Description
Technical Field
The embodiment of the invention relates to the technical field of wireless power transmission, in particular to a control method, a device, a medium, equipment and a circuit for inductive power transmission.
Background
Inductive power transfer technologies have received a great deal of attention in the fields of human body implantable devices, electric vehicles, and the like. In most cases, the load of an inductive power transfer system is a lithium ion battery, and accurate control of the charging voltage and charging current is important for the battery's useful life, cycle time and safe operation, and the charging phase generally includes two modes of operation: the constant current mode is used when the charging state is low and the constant voltage mode is used when the charging state is high.
For an inductive power transmission system, because the transmitting end is not physically connected with the output end, the sampled voltage or current information of the load is sent to the transmitting end and needs a communication module, so that the system can accurately control the voltage or the current. Because the communication link is influenced by hardware parameters when information is transmitted, and the precision is an important technical index, the design cost of the communication module can be increased. In addition, due to the existence of the communication link, certain time delay can be generated to influence data transmission; this may cause a reduction in the stability of the system when wireless communication fails.
Disclosure of Invention
Embodiments of the present invention provide a method, an apparatus, a medium, and a device for controlling inductive power transmission, which can adjust a voltage and a current of a load without a communication link, and solve the problems of a complex structure and poor stability of an inductive power transmission system in the prior art when a wireless communication link is cancelled.
In a first aspect, an embodiment of the present invention provides a control method for inductive power transfer, where based on an inductive power transfer circuit, the method includes:
according to the output voltage V of the secondary circuit output end o And an output current I o Determining the duty ratio D of the switching capacitor SCC;
controlling soft switch ZVS angle theta at primary circuit side ZA According to ZVS angle theta under the condition of constant value ZA Duty ratio D of SCC and input impedance angle theta AB Determining the phase angle of the full-bridge converter
According to phase shift angleAnd the output voltage V of the secondary circuit output end o Control the output voltage V o To realize ZVS soft switch and closed-loop control.
Optionally, the output voltage V according to the output end of the secondary side circuit o And an output current I o Determining the duty ratio D of the switched capacitor SCC, including:
output voltage V of secondary side circuit output end is gathered o And an output current I o Judging whether the secondary side circuit is in a constant voltage output mode or a constant current output mode;
when the secondary side circuit is in a constant voltage output mode, the rated voltage reference value V is set ref And an output voltage V o Inputting a secondary side controller PI to output a duty ratio D of the SCC; or,
when the secondary side circuit is in a constant current output mode, the rated current reference value I is set ref And an output current I o The difference is multiplied by a compensation coefficient k, and the result is input to a secondary side controller PI to output a duty ratio D of SCC, where k is V ref /I ref 。
Optionally, the soft switch ZVS angle theta is controlled at the primary circuit end ZA According to ZVS angle theta under the condition of constant value ZA Duty ratio D of SCC and input impedance angle theta AB Determining the phase shift angle of the full-bridge converterThe method comprises the following steps:
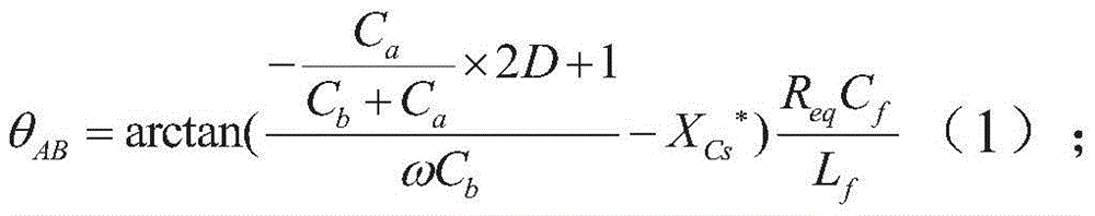
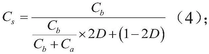
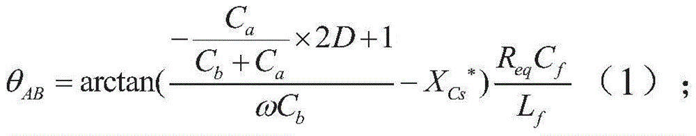
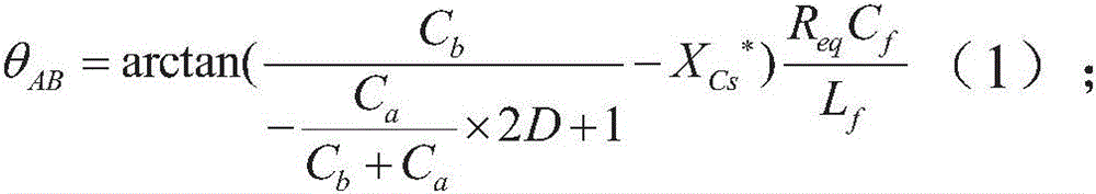
according to SCC duty ratio D and theta AB Determining an input impedance angle theta AB The calculation formula of (2) is as follows:
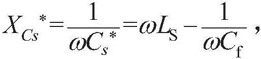
wherein, the capacitor C a And a capacitor C b The equivalent capacitance of the SCC, respectively;to satisfy C under ZPA conditions s Is expressed asAnd omega is the angular frequency of the induction power transmission circuit.
L s Self-inductance of the secondary coil; c s Compensating the capacitance value of the capacitor for the secondary side; c f Is a secondary side resonance capacitor; l is a radical of an alcohol f Is a secondary side resonance inductor; r eq For equivalent load, R eq =0.8R L Wherein R is L Is a load;
C s compensating the capacitance value of the capacitor for the secondary side; c f Is a secondary side resonance capacitor; l is f Is a secondary side resonance inductor; r eq For equivalent load, R eq =0.8R L Wherein R is L Is a load;
detecting the ZVS angle theta of the soft switch by a primary side controller at the primary side circuit end ZA To control the ZVS angle theta ZA Is a constant value;
determining the phase shift angle of the full-bridge converter according to the formula of the phase angle functional relationWherein, the formula of the phase angle functional relation is as follows:
optionally, said phase shift angle is based onAnd the output voltage V of the secondary circuit output end o The corresponding relation formula comprises:
wherein v is in For inverting output voltage v AB Fundamental wave voltage of L f Is secondary side resonance inductance, and M is mutual inductance.
Optionally, the duty cycles D and θ according to SCC AB Determining an input impedance angle theta AB Includes:
changing secondary side compensation capacitance C by controlling duty ratio D of SCC s C, minimum reactive current control is realized under the condition of satisfying ZVS, and C is in a switching period S The equivalent capacitance value formula of (1) is as follows;
according to C S Determining SCC duty ratios D and theta by using the equivalent capacitance value formula (4) and the input impedance angle expression AB In which the input impedance angle is expressed by AB Comprises the following steps:
wherein, C s * To satisfy C under ZPA conditions s The capacitance value, ω, is the angular frequency of the inductive power transfer circuit.
In a second aspect, an embodiment of the present invention provides a control apparatus for inductive power transfer, where the apparatus includes:
a duty ratio determining module for determining the output voltage V of the secondary circuit output end o And an output current I o Determining the duty ratio D of the switching capacitor SCC;
a phase shift angle determining module for controlling the ZVS angle theta of the soft switch at the primary circuit end ZA According to ZVS angle theta under the condition of constant value ZA Duty ratio D of SCC and input impedance angle theta AB Determining the phase angle of the full-bridge converter
A voltage control module for controlling the voltage according to the phase shift angleAnd the output voltage V of the secondary circuit output end o Control the output voltage V o So as to realize ZVS soft switch and closed-loop control.
Optionally, the duty ratio determining module is specifically configured to:
output voltage V of secondary side circuit output end is gathered o And an output current I o Judging whether the secondary side circuit is in a constant voltage output mode or a constant current output mode;
when the secondary side circuit is in a constant voltage output mode, the rated voltage reference value V is set ref And an output voltage V o Inputting a secondary side controller PI to output a duty ratio D of the SCC; or,
when the secondary side circuit is in a constant current output mode, the rated current reference value I is set ref And an output current I o The difference is multiplied by a compensation coefficient k, and the result is input to a secondary side controller PI to output a duty ratio D of SCC, where k is V ref /I ref 。
Optionally, the phase shift angle determining module is specifically configured to:
according to SCC duty ratio D and theta AB Determining an input impedance angle theta AB The calculation formula of (2) is as follows:
wherein, the capacitor C a And a capacitor C b The equivalent capacitance of the SCC, respectively;to satisfy C under ZPA conditions s Is expressed asAnd omega is the angular frequency of the induction power transmission circuit.
L s Self-inductance of the secondary coil; c s Compensating the capacitance value of the capacitor for the secondary side; c f Is a secondary side resonance capacitor; l is f Is a secondary side resonance inductor; r eq As equivalent load, R eq =0.8R L Wherein R is L Is a load;
C s compensating the capacitance value of the capacitor for the secondary side; c f Is a secondary side resonance capacitor; l is f Is a secondary side resonance inductor; r is eq For equivalent load, R eq =0.8R L Wherein R is L Is a load;
detecting the ZVS angle theta of the soft switch by a primary side controller at the primary side circuit end ZA To control the ZVS angle theta ZA Is a constant value;
determining the phase angle of the full-bridge converter according to the formula of the phase angle function relationshipWherein, the formula of the phase angle functional relation is as follows:
optionally, the voltage control module is based on a phase shift angleAnd the output voltage V of the secondary circuit output end o The corresponding relation formula comprises:
wherein v is in For inverting output voltage v AB Fundamental wave voltage of L f Is secondary side resonance inductance, and M is mutual inductance.
Optionally, the phase shift angle determining module determines the phase shift angle according to SCC duty cycles D and θ AB Determining an input impedance angle theta AB Includes:
changing secondary side compensation capacitance C by controlling duty ratio D of SCC s To achieve minimum reactive current control under ZVS conditions, C during the switching period S The equivalent capacitance value formula of (1) is as follows;
according to C S Determining SCC duty ratios D and theta by using the equivalent capacitance value formula (4) and the input impedance angle expression AB In which the input impedance angle is expressed in terms of θ AB Comprises the following steps:
wherein, C s * To satisfy C under ZPA conditions s The capacitance value, ω, is the angular frequency of the inductive power transfer circuit.
In a third aspect, an embodiment of the present invention provides a computer-readable storage medium, on which a computer program is stored, which when executed by a processor, implements the control method for inductive power transfer as described above.
In a fourth aspect, embodiments of the present invention provide an apparatus, including a memory, a processor, and a computer program stored on the memory and executable on the processor, wherein the processor executes the computer program to implement the control method of inductive power transfer as described above.
In a fifth aspect, an embodiment of the present invention provides an inductive power transfer circuit, including a transmitting module and a receiving module, where: the transmitting module comprises a voltage feed type inverter, a primary side compensation network and a primary side coil; the receiving module comprises a secondary coil, a secondary compensation network and a full-bridge rectifying circuit;
wherein the voltage-fed inverter includes: DC voltage source V in A first power switch tube S 1 A second power switch tube S 2 The third power switch tube S 3 And a fourth power switch tube S 4 The inverter is used for inverting the direct-current voltage provided by the direct-current voltage source into high-frequency alternating-current voltage;
the primary side compensation network comprises: primary side resonance capacitor C p The voltage feed type inverter is used for compensating redundant reactance in the primary coil and the secondary reflected impedance and compensating the output impedance of the voltage feed type inverter into pure resistance;
the secondary side compensation network comprises: secondary side resonance capacitor C s Secondary side resonance capacitor C f And secondary side resonance inductor L f The secondary side coil is used for compensating redundant reactance in the primary side reflected impedance, and the input impedance of the receiving module is compensated into pure resistance; wherein, the secondary side resonance capacitor C s The method comprises the following steps: fifth power switch tube S 5 Capacitor C a And a capacitor C b And D is 5 Is C s The anti-parallel diode of (1);
the full-bridge rectifier circuit includes: first diode D 1 A second diode D 2 A third diode D 3 A fourth diode D 4 And a filter capacitor C o And the secondary side is used for converting the alternating current received by the secondary side into direct current.
The embodiment of the invention is realized by the following steps that the output voltage V of the output end of the secondary side circuit is used o And an output current I o Determining the duty ratio D of the switch capacitor SCC; controlling soft switch ZVS angle theta at primary circuit side ZA According to ZVS angle theta under the condition of constant value ZA Duty ratio D of SCC, and input impedance angle θ AB Determining the phase shift angle of the full-bridge converterAccording to phase shift angleAnd the output voltage V of the secondary circuit output end o Control the output voltage V o Compared with the traditional induction power transmission system, the ZVS full soft switch control system has the advantages of improving the system stability and efficiency of the charging process under the condition of no communication link, realizing the bilateral full soft switch with simple phase shift control and the like, and is suitable for the fields of wireless charging systems of electric automobiles and the like.
Drawings
Fig. 1 is a flowchart of a control method for inductive power transfer according to an embodiment of the present invention;
fig. 2 is a circuit topology structure diagram of an inductive power transfer control according to an embodiment of the present invention;
fig. 2A is a schematic control diagram of a secondary side of an inductive power transfer circuit topology according to an embodiment of the present invention;
fig. 2B is a schematic control diagram of a primary side of an inductive power transfer circuit topology according to an embodiment of the present invention;
fig. 3 is a schematic diagram of a phase difference detection circuit according to an embodiment of the present invention;
FIG. 4 is a system control diagram illustrating an inductive power transfer control circuit topology according to an embodiment of the present invention;
fig. 5 is a schematic diagram illustrating a control information flow of a circuit topology according to an embodiment of the present invention;
fig. 6 is a schematic structural diagram of a control device for inductive power transmission according to a second embodiment of the present invention;
fig. 7 is a schematic structural diagram of an apparatus according to a fourth embodiment of the present invention;
fig. 8 is a circuit topology structure diagram of inductive power transmission without communication link according to a fifth embodiment of the present invention;
FIG. 9 is a simulated waveform diagram for 2.5A constant current control with a load of 40 Ω according to an embodiment of the present invention;
fig. 10 is a simulated waveform diagram of a load of 34 Ω for 2.5A constant current control according to an embodiment of the present invention.
Detailed Description
The present invention will be described in further detail with reference to the accompanying drawings and examples. It is to be understood that the specific embodiments described herein are merely illustrative of the invention and are not limiting of the invention. It should be further noted that, for the convenience of description, only some of the structures related to the present invention are shown in the drawings, not all of the structures.
Before discussing exemplary embodiments in more detail, it should be noted that some exemplary embodiments are described as processes or methods depicted as flowcharts. Although a flowchart may describe the steps as a sequential process, many of the steps can be performed in parallel, concurrently, or simultaneously. In addition, the order of the steps may be rearranged. The process may be terminated when its operations are completed, but may have additional steps not included in the figure. The processes may correspond to methods, functions, procedures, subroutines, subprograms, and the like.
Firstly, the implementation of the scheme can be based on the following premises:
the network module distinguishes a server side and a client side.
The application program is divided into the server and the client, but different from most application programs needing to be divided into the server and the client, the product does not want to set up a computer as a server separately in consideration of cost control, program starting freedom, convenience and the like.
Therefore, after the program is started, the network module firstly analyzes the information recorded in the configuration file to judge whether the program is a server or not, if the program is the server, the program is a server and a client, and other computers are clients.
And determining a network transmission communication protocol.
According to the network environment of the program, UDP is determined as an underlying network transmission communication protocol, but considering that the UDP protocol is an unreliable protocol, the problems of network data packet loss, no guarantee of the sequence and the like occur, and therefore the scheme of using UDP + KCP is selected to realize reliable UDP transmission. In addition, in the preparation stage of user login, TCP is used as a network transmission communication protocol, so that the reliability of user login is ensured.
Specifying parameter settings in the synchronization logic.
The parameters needed in the synchronization logic are specified so that the parameters set in advance can be conveniently used in the process of realizing the synchronization algorithm, and the method specifically comprises the following steps: the method comprises the steps of a server IP address, a server network port, a local client IP address, a server frame interval, a heartbeat packet frame interval, the time of judging the client to be switched off overtime by the server, the time of judging the server to be switched off overtime by the client and the frame rate multiple of the client.
A synchronization message data protocol is specified.
First, a message type needs to be specified, specifically: synchronous preparation, synchronous start, data tracking, synchronous exit, heartbeat package, and custom message. Then, message data needs to be specified, which specifically includes: message type, player ID of message origin, player ID of message target, tracking data, Ping value timestamp, custom message. Finally, an uplink protocol of data sent by the client to the server and a downlink protocol of data sent by the server to the client need to be specified, wherein the uplink protocol specifically includes: session ID, message list, and the downlink protocol specifically includes frame ID and message list.
Example one
Fig. 1 is a flowchart of a control method for inductive power transfer according to an embodiment of the present invention, which can be executed by a control apparatus for inductive power transfer according to an embodiment of the present invention, and the apparatus can be implemented in software and/or hardware. Fig. 2 is a circuit topology structure diagram of an inductive power transfer control according to an embodiment of the present invention. The method specifically comprises the following steps:
s110, according to the output voltage V of the output end of the secondary side circuit o And an output current I o And determining the duty ratio D of the switched capacitor SCC.
S120, controlling a ZVS angle theta of the soft switch at the primary circuit end ZA At a constant value, according toZVS Angle θ ZA Duty ratio D of SCC and input impedance angle theta AB Determining the phase angle of the full-bridge converter
S130, according to the phase shift angleAnd the output voltage V of the secondary circuit output end o Control the output voltage V o To realize ZVS soft switch and closed-loop control.
In the embodiment of the invention, the output voltage V according to the output end of the secondary side circuit o And an output current I o Determining the duty ratio D of the switched capacitor SCC, including: output voltage V of secondary side circuit output end is gathered o And an output current I o Judging whether the secondary side circuit is in a constant voltage output mode or a constant current output mode; when the secondary side circuit is in a constant voltage output mode, the rated voltage reference value V is set ref And an output voltage V o Inputting a secondary side controller PI to output a duty ratio D of the SCC; or when the secondary side circuit is in a constant current output mode, the rated current reference value I is set ref And an output current I o The difference is multiplied by a compensation coefficient k, and the result is input to a secondary side controller PI to output a duty ratio D of SCC, where k is V ref /I ref 。
As shown in fig. 2A, fig. 2A is a schematic control diagram of a secondary side of an inductive power transfer circuit topology according to a first embodiment of the invention.
Specifically, in the present embodiment, the secondary controller (i.e., "controller 2" shown in fig. 2, and "PI controller 2" shown in fig. 2A) collects the real-time charging information V at the secondary side o And I o And meanwhile, judging whether the system is in a constant-current or constant-voltage output mode. According to V ref And I ref Rated charging voltage in constant voltage charging mode and rated charging current in constant current charging mode respectively o <V ref By time, it is meant that the system is operating in a constant current charging mode. When V is o Increase to the ratio V ref At still high, the system enters a constant voltage charging mode.
In constant voltage charging mode, V o Information is sent to the PI controller 2, and the PI controller 2 receives V o And its reference value V ref And a fifth power switch tube S in output SCC 5 The control amount D of (3). In the constant current charging stage, the collected output current I o Is sent to the controller. I is o And its reference value I ref Is multiplied by a compensation factor k, k being V ref /I ref The result is input to the PI controller 2, and the PI controller 2 similarly outputs the control amount D of the SCC. The equivalent capacitance of the SCC varies with the variation of D, and the equivalent capacitance of the SCC can be varied by controlling D.
In the embodiment of the invention, the soft switch ZVS angle theta is controlled on the primary circuit side ZA According to ZVS angle theta under the condition of constant value ZA Duty ratio D of SCC and input impedance angle theta AB Determining the phase shift angle of the full-bridge converterThe method comprises the following steps:
according to SCC duty ratio D and theta AB Determining an input impedance angle theta AB The calculation formula of (2) is as follows:
wherein, the capacitor C a And a capacitor C b The equivalent capacitance of the SCC, respectively;to satisfy C under ZPA conditions s The value of the impedance of (a) is,and omega is the angular frequency of the induction power transmission circuit.
L s Is self-inductance of the secondary coil, C s Compensating for electricity for secondary sideThe capacitance value of the capacitor; c f Is a secondary side resonance capacitor; l is f Is a secondary side resonance inductor; r eq For equivalent load, R eq =0.8R L Wherein R is L Is a load;
detecting the ZVS angle theta of the soft switch by a primary side controller at the primary side circuit end ZA To control the ZVS angle theta ZA Is a constant value; determining the phase shift angle of the full-bridge converter according to the formula of the phase angle functional relationWherein, the formula of the phase angle functional relation is as follows:
as shown in fig. 2B, fig. 2B is a schematic control diagram of a primary side of an inductive power transfer circuit topology according to a first embodiment of the invention.
Specifically, the present embodiment depends on duty ratios D and θ in SCC AB Can reflect the change of D to the input impedance angle theta of the primary side AB A change in (c). As long as the primary side detects the input impedance angle theta in real time AB The change of the secondary side switch capacitance can be reflected to the primary side circuit.
Is adopted according to SCC in order to control the input impedance angle theta AB Combining the input impedance angle expressions and C S The equivalent capacitance values of (c) may be obtained as duty ratios D and θ in SCC AB The formula for calculating the relationship of (1) is as follows:
but theta AB Not easily measured, and therefore by detecting theta ZA To indirectly detect theta AB Wherein theta ZA Is v is AB Rising edge of (1) and (i) AB Phase difference at zero.
In particular, on the primary side, the input voltage v AB And input i AB Is collected and detected in real time and then sent to a hardware phase detection circuit with a ZVS angle theta ZA Is detected in real time. Theta.theta. ZA And its reference theta ref The values are input in real time to the primary side controller (i.e. "controller 1" shown in fig. 2, and "PI controller 1" shown in fig. 2B), the output of the PI controller 1 being the phase shift angle acting on the full bridge inverter
As shown in fig. 3, fig. 3 is a schematic diagram of a phase difference detection circuit according to a first embodiment of the present invention.
Specifically, the working principle of the hardware phase detection circuit in this embodiment is as follows: v. of AB And i AB The signals are sent to a zero-crossing comparison chip, and the output voltages after zero comparison are square waves v respectively o1 And v o2 . V is to be o1 And v o2 Input an XOR gate chip when v o1 And v o2 When the difference is high or the same is low, the logic high is output, and the output is v ph . Finally, obtaining direct current v after low-pass filtering ph_dc And input into the PI controller 1.
Specifically, in this embodiment, when the output changes, the reactive current of the secondary side controller is controlled by adjusting the workload of the SCC. Due to topological characteristics, θ AB Theta, primary side, varying as a function of change in SCC equivalent capacitance AB Reflecting the variation of the output voltage/current.
On the primary side in this example, [ theta ] zA Is controlled to be a very small constant value to realize ZVS soft switching. Phase shift angle of primary sideAnd theta AB Has a linear correlation relationship:
specifically, the present embodiment depends on the output voltage V o Output voltage v inverted by full bridge with primary power supply AB Relationship and output voltage v AB And output voltage fundamental wave component v ABf The relationship of (A) can obtain the output voltage V o And phase shift angleThe relationship of (a) to (b) is as follows:
in the formula, v in For inverting output voltage v AB Fundamental wave voltage of L f Is secondary side resonance inductance, and M is mutual inductance.
Thus, the output voltage V o Can be directly controlled by the phase shift angleAnd (5) controlling. The path of the information flow is: by variation of output voltage V err Change to SCC duty cycle; theta.theta. AB Will also change synchronously.
At the same time, as long as theta ZA Controlled to a constant, varying theta AB Will be converted into a phase shift angleSo that the secondary side controller can regulate the output voltage current by the phase shift control of the primary side. In addition, in the process, communication links are not needed to participate.
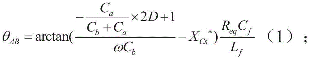
In an embodiment of the invention, the duty ratio D and theta are determined according to SCC AB Determining an input impedance angle theta AB Includes: changing secondary side compensation capacitance C by controlling duty ratio D of SCC s C, minimum reactive current control is realized under the condition of satisfying ZVS, and C is in a switching period S The equivalent capacitance value formula of (1) is as follows;
according to C S Determining SCC duty ratios D and theta by using the equivalent capacitance value formula (4) and the input impedance angle expression AB In which the input impedance angle is expressed by AB Comprises the following steps:
wherein, C s * To satisfy C under ZPA conditions s The capacitance value, ω, is the angular frequency of the inductive power transfer circuit.
Specifically, the present embodiment is for C over the full power range according to the input impedance angle s Has better response capability, and C s Has little influence on the output voltage by controlling C s The reactive power of the system is adjusted, and C can be obtained in a switching period S The equivalent capacitance value of (2). And when C s Impedance X of Cs Out of Zero Phase Angle (ZPA) condition at input voltageAnd input currentThere will be a phase difference therebetween, that is, the input impedance angle θ can be obtained according to the input impedance angle expression (5) AB 。
FIG. 4 is a system control diagram illustrating an inductive power transfer control circuit topology according to an embodiment of the present invention; fig. 5 is a schematic diagram of control information flow of a circuit topology according to an embodiment of the present invention.
Specifically, in the embodiment, on the secondary side, the input of the PI controller 2 is the output voltage V o And its reference value V ref Difference V of err The output of the PI controller 2 is the duty ratio D of a fifth power switching tube in the SCC, and the secondary side controls to change the reactive power of the system by changing the equivalent capacitance of the SCC; on the primary sideSide, input voltage v AB And input i AB Is acquired in real time, ZVS angle theta ZA Is detected in real time. Theta ZA And its reference theta ref Difference value θ of err The output of the PI controller 1 is a phase shift angle acted on the full-bridge converterThe purpose of primary side control is to control theta ZA Is a constant.
Specifically, the output of the PI controller 1 in this embodiment is the input of the PWM1 generator, the output of the PI controller 2 is the input of the PWM2 generator, and the PWM1 generator and the PWM2 generator output the control signal of the power switch tube.
The path of the information flow in this embodiment is: the voltage/current of the load can be controlled by controlling the phase shift angle, which is the final control target, from the output voltage/current variation → the change of the SCC duty ratio D → the change of the SCC equivalent capacitance → the change of the input impedance angle → the change of the phase shift angle.
In the embodiment, a wireless communication link between the primary side and the secondary side is not needed, and a phase shift control and switched capacitor (SCC) modulation mode is adopted, so that the output voltage/current and the reactive current are simultaneously regulated under fixed frequency, the constant-current and constant-voltage charging of the battery is realized, and the closed-loop control and soft switch (ZVS) control of the output voltage are simultaneously met.
The embodiment of the invention is realized by outputting the voltage V according to the output end of the secondary side circuit o And an output current I o Determining the duty ratio D of the switching capacitor SCC; controlling soft switch ZVS angle theta at primary circuit side ZA According to ZVS angle theta under the condition of constant value ZA Duty ratio D of SCC and input impedance angle theta AB Determining the phase shift angle of the full-bridge converterAccording to phase shift angleAnd secondary side circuit outputTerminal output voltage V o Control the output voltage V o Compared with the traditional induction power transmission system, the ZVS full soft switch control system has the advantages of improving the system stability and efficiency of the charging process under the condition of no communication link, realizing the bilateral full soft switch with simple phase shift control and the like, and is suitable for the fields of wireless charging systems of electric automobiles and the like.
Example two
Fig. 6 is a schematic structural diagram of a control device for inductive power transmission according to an embodiment of the present invention, where the device specifically includes:
a duty ratio determining module 610 for determining the output voltage V according to the output voltage of the secondary side circuit o And an output current I o Determining the duty ratio D of the switching capacitor SCC;
a phase shift angle determining module 620 for controlling the ZVS angle theta of the soft switch at the primary circuit side ZA According to ZVS angle theta under the condition of constant value ZA Duty ratio D of SCC and input impedance angle theta AB Determining the phase shift angle of the full-bridge converter
A voltage control module 630 for controlling the voltage according to the phase shift angleAnd the output voltage V of the secondary circuit output end o Control the output voltage V o To realize ZVS soft switch and closed-loop control.
Optionally, the duty ratio determining module 610 is specifically configured to:
output voltage V of secondary side circuit output end is gathered o And an output current I o Judging whether the secondary side circuit is in a constant voltage output mode or a constant current output mode; when the secondary side circuit is in a constant voltage output mode, the rated voltage reference value V is set ref And an output voltage V o Inputting a secondary side controller PI to output a duty ratio D of the SCC; or when the secondary side circuit is in a constant current output mode, the secondary side circuit is connected with the output end of the secondary side circuitConstant current reference value I ref And an output current I o The difference is multiplied by a compensation coefficient k, and the result is input to a secondary side controller PI to output a duty ratio D of SCC, where k is V ref /I ref 。
Optionally, the phase shift angle determining module 620 is specifically configured to:
according to SCC duty ratio D and theta AB Determining an input impedance angle theta AB The calculation formula of (2) is as follows:
wherein, the capacitor C a And a capacitor C b The equivalent capacitance of the SCC;to satisfy C under ZPA conditions s The value of the impedance of (a) is,and omega is the angular frequency of the induction power transmission circuit.
L s For self-induction of the secondary winding, C s Compensating the capacitance value of the capacitor for the secondary side; c f Is a secondary side resonance capacitor; l is a radical of an alcohol f Is a secondary side resonance inductor; r eq As equivalent load, R eq =0.8R L Wherein R is L Is a load;
detecting the ZVS angle theta of the soft switch by a primary side controller at the primary side circuit end ZA To control the ZVS angle theta ZA Is a constant value;
determining the phase shift angle of the full-bridge converter according to the formula of the phase angle functional relationWherein, the formula of the phase angle functional relation is as follows:
optionally, the voltage control moduleAccording to the phase shift angle in block 630And the output voltage V of the secondary circuit output end o The corresponding relation formula comprises:
wherein v is in For inverting output voltage v AB Fundamental wave voltage of (L) f Is secondary side resonance inductance, and M is mutual inductance.
Optionally, the phase shift angle determining module 620 determines the phase shift angle according to the SCC duty cycles D and θ AB Determining an input impedance angle theta AB Includes:
changing secondary side compensation capacitance C by controlling duty ratio D of SCC s C, minimum reactive current control is realized under the condition of satisfying ZVS, and C is in a switching period S The equivalent capacitance value formula of (1) is as follows;
according to C S Determining SCC duty ratios D and theta by using the equivalent capacitance value formula (4) and the input impedance angle expression AB In which the input impedance angle is expressed by AB Comprises the following steps:
wherein, C s * To satisfy C under ZPA conditions s The capacitance value, ω, is the angular frequency of the inductive power transfer circuit.
EXAMPLE III
Embodiments of the present application also provide a storage medium containing computer-executable instructions, which when executed by a computer processor, are configured to perform:
according to the output voltage V of the secondary circuit output end o And an output current I o Determining the duty ratio D of the switching capacitor SCC; controlling soft switch ZVS angle theta at primary circuit side ZA According to ZVS angle theta under the condition of constant value ZA Duty ratio D of SCC, and input impedance angle θ AB Determining the phase shift angle of the full-bridge converterAccording to phase shift angleAnd the output voltage V of the secondary circuit output end o Control the output voltage V o So as to realize ZVS soft switch and closed-loop control.
Storage medium-any of various types of memory devices or storage devices. The term "storage medium" is intended to include: mounting media such as CD-ROM, floppy disk, or tape devices; computer system memory or random access memory such as DRAM, DDR RAM, SRAM, EDO RAM, Lanbas (Rambus) RAM, etc.; non-volatile memory such as flash memory, magnetic media (e.g., hard disk or optical storage); registers or other similar types of memory elements, etc. The storage medium may also include other types of memory or combinations thereof. In addition, the storage medium may be located in the computer system in which the program is executed, or may be located in a different second computer system connected to the computer system through a network (such as the internet). The second computer system may provide the program instructions to the computer for execution. The term "storage medium" may include two or more storage media that may reside in different locations, such as in different computer systems that are connected by a network. The storage medium may store program instructions (e.g., embodied as a computer program) that are executable by one or more processors.
Of course, the storage medium provided in the embodiments of the present application contains computer-executable instructions, and the computer-executable instructions are not limited to the control operation of inductive power transfer described above, and may also perform related operations in the control method of inductive power transfer provided in any embodiments of the present application.
Example four
The embodiment of the application provides electronic equipment, and the control device for inductive power transmission provided by the embodiment of the application can be integrated into the electronic equipment. Fig. 7 is a schematic structural diagram of an electronic device according to a fourth embodiment of the present application. As shown in fig. 7, the present embodiment provides an electronic device 700, which includes: one or more processors 720; storage 710 to store one or more programs that, when executed by the one or more processors 720, cause the one or more processors 720 to perform:
according to the output voltage V of the secondary circuit output end o And an output current I o Determining the duty ratio D of the switching capacitor SCC; controlling soft switch ZVS angle theta at primary circuit side ZA According to ZVS angle theta under the condition of constant value ZA Duty ratio D of SCC and input impedance angle theta AB Determining the phase shift angle of the full-bridge converterAccording to phase shift angleAnd the output voltage V of the secondary circuit output end o Control the output voltage V o To realize ZVS soft switch and closed-loop control.
As shown in fig. 7, the electronic device 700 includes a processor 720, a storage 710, an input 730, and an output 740; the number of the processors 720 in the electronic device may be one or more, and one processor 720 is taken as an example in fig. 7; the processor 720, the storage device 710, the input device 730, and the output device 740 in the electronic apparatus may be connected by a bus or other means, and are exemplified by a bus 750 in fig. 7.
The storage device 710 is a computer readable storage medium, and can be used to store software programs, computer executable programs, and module units, such as program instructions corresponding to the control method of inductive power transfer in the embodiment of the present application.
The storage device 710 may mainly include a storage program area and a storage data area, wherein the storage program area may store an operating system, an application program required for at least one function; the storage data area may store data created according to the use of the terminal, and the like. Further, the storage 710 may include high speed random access memory and may also include non-volatile memory, such as at least one magnetic disk storage device, flash memory device, or other non-volatile solid state storage device. In some examples, storage 710 may further include memory located remotely from processor 720, which may be connected via a network. Examples of such networks include, but are not limited to, the internet, intranets, local area networks, mobile communication networks, and combinations thereof.
The input device 730 may be used to receive input numbers, character information, or voice information, and to generate key signal inputs related to user settings and function control of the electronic apparatus. The output device 740 may include a display screen, speakers, etc.
EXAMPLE five
Fig. 8 is a circuit topology structure diagram of inductive power transmission without communication link according to a fifth embodiment of the present invention.
As shown in fig. 8, an embodiment of the present invention provides an inductive power transmission circuit, which includes a transmitting module and a receiving module, and is characterized in that: the transmitting module comprises a voltage feed type inverter, a primary side compensation network and a primary side coil; the receiving module comprises a secondary coil, a secondary compensation network and a full-bridge rectifying circuit;
wherein the voltage-fed inverter includes: DC voltage source V in A first power switch tube S 1 A second power switch tube S 2 The third power switch tube S 3 And a fourth power switch tube S 4 The direct current voltage source is used for converting the direct current voltage provided by the direct current voltage source into high-frequency alternating current voltage;
the primary side compensation network comprises: primary side resonance electricityContainer C p The voltage feed type inverter is used for compensating redundant reactance in the primary coil and the secondary reflected impedance and compensating the output impedance of the voltage feed type inverter into pure resistance;
the secondary side compensation network comprises: secondary side resonance capacitor C s Secondary side resonance capacitor C f And secondary side resonant inductor L f The secondary coil is used for compensating redundant reactance in the secondary coil and the primary reflection impedance, and the input impedance of the receiving module is compensated into pure resistance; wherein, the secondary side resonance capacitor C s The method comprises the following steps: fifth power switch tube S 5 Capacitor C a And a capacitor C b And D is 5 Is C s The anti-parallel diode of (1);
the full-bridge rectifier circuit includes: first diode D 1 A second diode D 2 A third diode D 3 A fourth diode D 4 And a filter capacitor C o And the secondary side is used for converting the alternating current received by the secondary side into direct current.
In the present embodiment, the primary coil is used to transmit the energy output by the voltage-fed inverter to the secondary coil; and the secondary coil is used for receiving the energy emitted by the primary coil. The primary side compensation network and the primary side coil form a primary side resonant cavity; and the secondary side compensation network and the secondary side coil form a secondary side resonant cavity.
In this embodiment, the power switch tube is a power MOSFET tube.
Specifically, the secondary side resonant capacitor C s Is connected with the secondary winding at one end, wherein R s Is a secondary coil L s Internal resistance of (C), resonant capacitance C s The other end of the inductor (L) and the secondary side resonance inductor (L) f Connecting; secondary side resonance capacitor C f One end (E) of and a secondary side resonance capacitor C s And secondary side resonance inductor L f Connected, resonant capacitor C f And the other end (F) of the secondary winding, a first output point (D) of the full-bridge rectifier circuit, and a secondary winding (L) s Connecting; secondary side resonance inductance L f One end of and the secondary side resonance capacitor C s And a resonant capacitor C f Connecting, resonant inductance L f And the other end of the second input terminal (C) is connected to a first input point (C) of the full-bridge rectifier circuit.
The embodiment of the invention provides a circuit topology structure of inductive power transmission without a communication link, and based on a control strategy of combining a switch capacitor of an S-LCC compensation inductive power transmission system and phase control under a fixed frequency, a wireless communication module is cancelled, and constant current and constant voltage charging and zero voltage switching of the system are realized. At the receiving end, the switched capacitor transmits information to the transmitting end through the change of the angular phase of the input impedance; at the transmitting end, the inverter is controlled and regulated by phase shift, so that constant voltage or constant current charging of the load is realized.
Fig. 9 is a simulated waveform diagram of a circuit provided according to an embodiment of the present invention, under 2.5A constant current control and under a load of 40 Ω; fig. 10 is a simulated waveform diagram of the circuit provided in the embodiment of the invention under the 2.5A constant current control and the load of 34 Ω.
Specifically, the present embodiment adopts a circuit topology structure based on inductive power transmission of a switched capacitor to perform a simulation experiment under the condition of no communication link, so as to obtain the following results: the simulation experiment is that a 250W prototype is constructed without a wireless communication module, the prototype has an input voltage of 85V and an output current of 2.5A during constant current charging, the loads are respectively 40 omega and 34 omega, and data of a simulation result are obtained.
It can be seen that the control strategy of the circuit topology structure of the inductive power transmission without communication link provided by the embodiment of the invention has the advantages of improving the system stability and efficiency of the charging process under the condition of no communication link, realizing the bilateral full soft switch with simple phase shift control, and the like, and is suitable for the fields of wireless charging systems of electric vehicles and the like.
It is to be noted that the foregoing is only illustrative of the preferred embodiments of the present invention and the technical principles employed. It will be understood by those skilled in the art that the present invention is not limited to the particular embodiments described herein, but is capable of various obvious changes, rearrangements and substitutions as will now become apparent to those skilled in the art without departing from the scope of the invention. Therefore, although the present invention has been described in greater detail by the above embodiments, the present invention is not limited to the above embodiments, and may include other equivalent embodiments without departing from the spirit of the present invention, and the scope of the present invention is determined by the scope of the appended claims.
Claims (10)
1. A control method of inductive power transfer is based on an inductive power transfer circuit, and is characterized by comprising the following steps:
according to the output voltage V of the secondary circuit output end o And an output current I o Determining the duty ratio D of the switching capacitor SCC;
controlling soft switch ZVS angle theta at primary circuit side ZA According to ZVS angle theta under the condition of constant value ZA Duty ratio D of SCC and input impedance angle theta AB Determining the phase shift angle of the full-bridge converter
2. The method of claim 1, wherein the output voltage V is based on the output of the secondary circuit o And an output current I o Determining the duty ratio D of the switched capacitor SCC, including:
output voltage V of secondary side circuit output end is gathered o And an output current I o Judging whether the secondary side circuit is in a constant voltage output mode or a constant current output mode;
when the secondary side circuit is in a constant voltage output mode, the rated voltage reference value V is set ref And an output voltage V o Inputting a secondary side controller PI to output a duty ratio D of the SCC; or,
when the secondary side circuit is in a constant current output mode, the rated current reference value I is set ref And an output current I o The difference, multiplied by a compensation coefficient k, is input to a secondary controller PI to output duty ratio D of SCC, where k is V ref /I ref 。
3. The method of claim 2 wherein the soft switching ZVS angle θ is controlled on the primary circuit side ZA According to ZVS angle theta under the condition of constant value ZA Duty ratio D of SCC and input impedance angle theta AB Determining the phase shift angle of the full-bridge converterThe method comprises the following steps:
according to SCC duty ratio D and theta AB Determining the input impedance angle theta AB The calculation formula of (2) is as follows:
wherein, the capacitor C a And a capacitor C b The equivalent capacitance of the SCC, respectively;to satisfy C under ZPA conditions s Is expressed asOmega is the angular frequency of the inductive power transmission circuit;
L s self-inductance of the secondary coil; c s Compensating the capacitance value of the capacitor for the secondary side; c f Is a secondary side resonance capacitor; l is f Is a secondary side resonance inductor; r eq For equivalent load, R eq =0.8R L Wherein R is L Is a load;
detecting soft-on at the primary side circuit side by a primary side controllerTurn off ZVS angle θ ZA To control the ZVS angle theta ZA Is a constant value;
5. The method of claim 4, wherein the SCC duty cycles D and θ are based on AB Determining an input impedance angle theta AB Includes:
changing secondary side compensation capacitance C by controlling duty ratio D of SCC s C, minimum reactive current control is realized under the condition of satisfying ZVS, and C is in a switching period S The equivalent capacitance value formula of (1) is as follows;
according to C S Equation (4) of equivalent capacitance value and input impedanceAngular expressions, determining SCC duty cycles D and θ AB In which the input impedance angle is expressed by AB Comprises the following steps:
wherein, C s * To satisfy C under ZPA conditions s The capacitance value, ω, is the angular frequency of the inductive power transfer circuit.
6. A control device for inductive power transfer based on an inductive power transfer circuit, comprising:
a duty ratio determining module for determining the output voltage V of the secondary circuit output end o And an output current I o Determining the duty ratio D of the switching capacitor SCC;
a phase shift angle determining module for controlling the ZVS angle theta of the soft switch at the primary circuit end ZA According to ZVS angle theta under the condition of constant value ZA Duty ratio D of SCC and input impedance angle theta AB Determining the phase shift angle of the full-bridge converter
7. The apparatus of claim 6, wherein the phase shift angle determination module is specifically configured to:
according to SCC duty ratio D and theta AB Determining the input impedance angle theta AB The calculation formula of (c) is:
wherein, the capacitor C a And a capacitor C b The equivalent capacitance of the SCC, respectively;to satisfy C under ZPA conditions s Is expressed asOmega is the angular frequency of the inductive power transmission circuit;
L s self-inductance of the secondary coil; c s Compensating the capacitance value of the capacitor for the secondary side; c f Is a secondary side resonance capacitor; l is f Is a secondary side resonance inductor; r eq For equivalent load, R eq =0.8R L Wherein R is L Is a load;
C s compensating the capacitance value of the capacitor for the secondary side; c f Is a secondary side resonance capacitor; l is f Is a secondary side resonance inductor; r eq For equivalent load, R eq =0.8R L Wherein R is L Is a load;
detecting the ZVS angle theta of the soft switch by a primary side controller at the primary side circuit end ZA To control the ZVS angle theta ZA Is a constant value;
8. a computer-readable storage medium, on which a computer program is stored, which program, when being executed by a processor, is adapted to carry out the method of controlling an inductive power transfer according to claims 1-5.
9. An electronic device comprising a memory, a processor and a computer program stored on the memory and executable on the processor, characterized in that the processor implements the method of controlling inductive power transfer as claimed in claims 1-5 when executing the computer program.
10. An inductive power transfer circuit, includes a transmitter module and a receiver module, characterized in that: the transmitting module comprises a voltage feed type inverter, a primary side compensation network and a primary side coil; the receiving module comprises a secondary coil, a secondary compensation network and a full-bridge rectifying circuit;
wherein the voltage-fed inverter includes: DC voltage source V in A first power switch tube S 1 A second power switch tube S 2 The third power switch tube S 3 And a fourth power switch tube S 4 The inverter is used for inverting the direct-current voltage provided by the direct-current voltage source into high-frequency alternating-current voltage;
the primary side compensation network comprises: primary side resonance capacitor C p The voltage feed type inverter is used for compensating redundant reactance in the primary coil and the secondary reflected impedance and compensating the output impedance of the voltage feed type inverter into pure resistance;
the secondary side compensation network comprises: secondary side resonance capacitor C s Secondary side resonance capacitor C f And secondary side resonance inductor L f The secondary side coil is used for compensating redundant reactance in the primary side reflected impedance, and the input impedance of the receiving module is compensated into pure resistance; wherein, the secondary side resonance capacitor C s The method comprises the following steps: fifth power switch tube S 5 Capacitor C a And a capacitor C b And D is 5 Is C s The anti-parallel diode of (1);
the full-bridge rectifier circuit includes: first diode D 1 A second diode D 2 A third diode D 3 A fourth diode D 4 And a filter capacitor C o For converting AC received by the secondary side into DCAnd (4) electricity.
Priority Applications (1)
| Application Number | Priority Date | Filing Date | Title |
|---|---|---|---|
| CN202210739097.2A CN115001164B (en) | 2022-06-27 | A control method, device, medium, equipment, and circuit for inductive power transmission. |
Applications Claiming Priority (1)
| Application Number | Priority Date | Filing Date | Title |
|---|---|---|---|
| CN202210739097.2A CN115001164B (en) | 2022-06-27 | A control method, device, medium, equipment, and circuit for inductive power transmission. |
Publications (2)
| Publication Number | Publication Date |
|---|---|
| CN115001164A true CN115001164A (en) | 2022-09-02 |
| CN115001164B CN115001164B (en) | 2026-02-10 |
Family
ID=
Cited By (1)
| Publication number | Priority date | Publication date | Assignee | Title |
|---|---|---|---|---|
| CN116455097A (en) * | 2023-03-09 | 2023-07-18 | 哈尔滨工业大学 | Battery wireless charging system with configurable rectifier, method and control method |
Citations (5)
| Publication number | Priority date | Publication date | Assignee | Title |
|---|---|---|---|---|
| US20150207330A1 (en) * | 2012-07-27 | 2015-07-23 | Thoratec Corporation | Variable capacitor for resonant power transfer systems |
| US20180294672A1 (en) * | 2015-04-30 | 2018-10-11 | The University Of Hong Kong | Transmitter-Side Control of Wireless Power Transfer Systems Without Using Mutual Coupling Information or Wireless Feedback |
| CN109245536A (en) * | 2018-08-24 | 2019-01-18 | 李建科 | A kind of circuit topological structure suitable for the transmission of two-way near field electric energy |
| CN109302070A (en) * | 2018-10-09 | 2019-02-01 | 李建科 | Circuit topology structure of power converter and its control method |
| CN109462290A (en) * | 2018-11-06 | 2019-03-12 | 江苏农林职业技术学院 | A kind of the SP offset-type constant current wireless charging power supply and charging method of transmitting terminal Buck control |
Patent Citations (5)
| Publication number | Priority date | Publication date | Assignee | Title |
|---|---|---|---|---|
| US20150207330A1 (en) * | 2012-07-27 | 2015-07-23 | Thoratec Corporation | Variable capacitor for resonant power transfer systems |
| US20180294672A1 (en) * | 2015-04-30 | 2018-10-11 | The University Of Hong Kong | Transmitter-Side Control of Wireless Power Transfer Systems Without Using Mutual Coupling Information or Wireless Feedback |
| CN109245536A (en) * | 2018-08-24 | 2019-01-18 | 李建科 | A kind of circuit topological structure suitable for the transmission of two-way near field electric energy |
| CN109302070A (en) * | 2018-10-09 | 2019-02-01 | 李建科 | Circuit topology structure of power converter and its control method |
| CN109462290A (en) * | 2018-11-06 | 2019-03-12 | 江苏农林职业技术学院 | A kind of the SP offset-type constant current wireless charging power supply and charging method of transmitting terminal Buck control |
Non-Patent Citations (4)
| Title |
|---|
| IAM, IW;HOI, IU ET AL.: "Constant-Frequency and Noncommunication-Based Inductive Power Transfer Converter for Battery Charging", 《 IEEE JOURNAL OF EMERGING AND SELECTED TOPICS IN POWER ELECTRONICS》, vol. 10, no. 2, 21 April 2022 (2022-04-21) * |
| 于娜: "有轨电车车载超级电容无线充电恒流输出控制方法的研究", 有轨电车车载超级电容无线充电恒流输出控制方法的研究, 15 June 2017 (2017-06-15), pages 1 - 83 * |
| 杨鹏: "无通讯模块无线充电系统的控制策略研究", 《电测与仪表》, 19 February 2019 (2019-02-19) * |
| 钱杭: "基于蓄电池的快速无线充电技术仿真分析", 《科技创新与应用》, 25 March 2020 (2020-03-25), pages 148 - 151 * |
Cited By (2)
| Publication number | Priority date | Publication date | Assignee | Title |
|---|---|---|---|---|
| CN116455097A (en) * | 2023-03-09 | 2023-07-18 | 哈尔滨工业大学 | Battery wireless charging system with configurable rectifier, method and control method |
| CN116455097B (en) * | 2023-03-09 | 2024-05-17 | 哈尔滨工业大学 | Battery wireless charging system with configurable rectifier, method and control method |
Similar Documents
| Publication | Publication Date | Title |
|---|---|---|
| CN116633141A (en) | Parameter Estimation Method of Resonant Converter, Control Method of Resonant Converter and Resonant Converter | |
| CN112165183B (en) | Parameter control method and system for constant-current and constant-voltage output of wireless charging system | |
| CN113659684A (en) | Secondary CL/S constant-current constant-voltage IPT charging system and parameter design method thereof | |
| CN110350674B (en) | WPT system maximum efficiency tracking method based on dynamic coupling coefficient identification | |
| CN110654253A (en) | A joint control method for optimal efficiency of electric vehicle wireless charging system | |
| CN114709940A (en) | A method for simultaneous identification of loads and mutual inductances in a multi-load wireless power transmission system | |
| CN112436614A (en) | Wireless power transmission device with anti-offset performance and implementation method thereof | |
| CN104079076B (en) | Adopt contactless power supply system and the driving method thereof of frequency conversion Sofe Switch Driving technique | |
| CN114189059A (en) | Wireless power transmission device and control method | |
| CN115133666A (en) | Bilateral capacitor array WPT system and adaptive critical coupling coefficient adjusting method | |
| CN107681791A (en) | A kind of half-bridge resonance wireless energy transfer system | |
| CN108736581A (en) | A kind of radio energy transmission system | |
| CN116742820A (en) | Polynomial fitting dynamic tuning method for electric vehicle wireless power supply system | |
| CN110228378B (en) | Bilateral multi-loop control method for wireless charging of electric automobile | |
| CN115102304A (en) | Two-way electric field coupling wireless power transmission system and control method thereof | |
| CN216134292U (en) | Secondary CL/S constant-current constant-voltage IPT charging system | |
| CN111682655A (en) | A dynamic impedance matching system and method for a wireless power transfer system | |
| CN108649804B (en) | Direct current transformer system based on magnetic coupling wireless power transmission | |
| CN112421792A (en) | Wireless charging system and control method for constant-current/constant-voltage charging optimization | |
| CN114243951B (en) | Magnetic coupling type wireless power transmission system without parameter identification | |
| WO2026016992A1 (en) | Wireless power transfer system based on variable capacitor control, and secondary-side control method therefor | |
| CN115001164A (en) | Control method, device, medium, equipment and circuit for inductive power transmission | |
| CN115001164B (en) | A control method, device, medium, equipment, and circuit for inductive power transmission. | |
| CN208337245U (en) | A kind of radio energy transmission system | |
| CN116566073A (en) | Self-excitation frequency control method and system of string compensation type WPT system |
Legal Events
| Date | Code | Title | Description |
|---|---|---|---|
| PB01 | Publication | ||
| PB01 | Publication | ||
| SE01 | Entry into force of request for substantive examination | ||
| SE01 | Entry into force of request for substantive examination | ||
| GR01 | Patent grant |






















































































