CN112263322A - Tumor ablation needle with blood coagulation function - Google Patents
Tumor ablation needle with blood coagulation function Download PDFInfo
- Publication number
- CN112263322A CN112263322A CN202011050737.6A CN202011050737A CN112263322A CN 112263322 A CN112263322 A CN 112263322A CN 202011050737 A CN202011050737 A CN 202011050737A CN 112263322 A CN112263322 A CN 112263322A
- Authority
- CN
- China
- Prior art keywords
- needle
- metal needle
- heating
- heat conductor
- metal
- Prior art date
- Legal status (The legal status is an assumption and is not a legal conclusion. Google has not performed a legal analysis and makes no representation as to the accuracy of the status listed.)
- Pending
Links
- 238000002679 ablation Methods 0.000 title claims abstract description 32
- 206010028980 Neoplasm Diseases 0.000 title claims abstract description 27
- 230000023555 blood coagulation Effects 0.000 title claims abstract description 20
- 229910052751 metal Inorganic materials 0.000 claims abstract description 106
- 239000002184 metal Substances 0.000 claims abstract description 106
- 238000010438 heat treatment Methods 0.000 claims abstract description 82
- 239000004020 conductor Substances 0.000 claims abstract description 56
- 238000000034 method Methods 0.000 claims abstract description 18
- 230000008569 process Effects 0.000 claims abstract description 14
- 239000011248 coating agent Substances 0.000 claims abstract description 5
- 238000000576 coating method Methods 0.000 claims abstract description 5
- 239000000919 ceramic Substances 0.000 claims description 12
- 238000005245 sintering Methods 0.000 claims description 7
- 239000003292 glue Substances 0.000 claims description 5
- 239000007769 metal material Substances 0.000 claims description 5
- 238000010304 firing Methods 0.000 claims description 4
- 238000002156 mixing Methods 0.000 claims description 4
- 238000002844 melting Methods 0.000 claims description 2
- 230000008018 melting Effects 0.000 claims description 2
- 230000007704 transition Effects 0.000 claims description 2
- 238000011282 treatment Methods 0.000 abstract description 8
- 230000000740 bleeding effect Effects 0.000 abstract description 5
- 230000002093 peripheral effect Effects 0.000 abstract description 3
- 238000005485 electric heating Methods 0.000 description 7
- 239000008280 blood Substances 0.000 description 5
- 210000004369 blood Anatomy 0.000 description 5
- 238000005516 engineering process Methods 0.000 description 5
- PXHVJJICTQNCMI-UHFFFAOYSA-N Nickel Chemical compound [Ni] PXHVJJICTQNCMI-UHFFFAOYSA-N 0.000 description 4
- 239000002002 slurry Substances 0.000 description 4
- WFKWXMTUELFFGS-UHFFFAOYSA-N tungsten Chemical compound [W] WFKWXMTUELFFGS-UHFFFAOYSA-N 0.000 description 4
- 229910052721 tungsten Inorganic materials 0.000 description 4
- 239000010937 tungsten Substances 0.000 description 4
- 208000032843 Hemorrhage Diseases 0.000 description 3
- 230000008901 benefit Effects 0.000 description 3
- 208000034158 bleeding Diseases 0.000 description 3
- 238000009413 insulation Methods 0.000 description 3
- PWHULOQIROXLJO-UHFFFAOYSA-N Manganese Chemical compound [Mn] PWHULOQIROXLJO-UHFFFAOYSA-N 0.000 description 2
- ZOKXTWBITQBERF-UHFFFAOYSA-N Molybdenum Chemical compound [Mo] ZOKXTWBITQBERF-UHFFFAOYSA-N 0.000 description 2
- 238000011298 ablation treatment Methods 0.000 description 2
- PNEYBMLMFCGWSK-UHFFFAOYSA-N aluminium oxide Inorganic materials [O-2].[O-2].[O-2].[Al+3].[Al+3] PNEYBMLMFCGWSK-UHFFFAOYSA-N 0.000 description 2
- 235000010290 biphenyl Nutrition 0.000 description 2
- 150000004074 biphenyls Chemical class 0.000 description 2
- JOPOVCBBYLSVDA-UHFFFAOYSA-N chromium(6+) Chemical compound [Cr+6] JOPOVCBBYLSVDA-UHFFFAOYSA-N 0.000 description 2
- 230000001112 coagulating effect Effects 0.000 description 2
- 230000015271 coagulation Effects 0.000 description 2
- 238000005345 coagulation Methods 0.000 description 2
- USIUVYZYUHIAEV-UHFFFAOYSA-N diphenyl ether Chemical class C=1C=CC=CC=1OC1=CC=CC=C1 USIUVYZYUHIAEV-UHFFFAOYSA-N 0.000 description 2
- 229910052748 manganese Inorganic materials 0.000 description 2
- 239000011572 manganese Substances 0.000 description 2
- QSHDDOUJBYECFT-UHFFFAOYSA-N mercury Chemical compound [Hg] QSHDDOUJBYECFT-UHFFFAOYSA-N 0.000 description 2
- 229910052753 mercury Inorganic materials 0.000 description 2
- 229910052750 molybdenum Inorganic materials 0.000 description 2
- 239000011733 molybdenum Substances 0.000 description 2
- 229910052759 nickel Inorganic materials 0.000 description 2
- 230000000630 rising effect Effects 0.000 description 2
- 239000000126 substance Substances 0.000 description 2
- 210000003445 biliary tract Anatomy 0.000 description 1
- 210000004204 blood vessel Anatomy 0.000 description 1
- 238000005266 casting Methods 0.000 description 1
- 230000007797 corrosion Effects 0.000 description 1
- 238000005260 corrosion Methods 0.000 description 1
- 238000010586 diagram Methods 0.000 description 1
- 230000004069 differentiation Effects 0.000 description 1
- 230000000694 effects Effects 0.000 description 1
- 230000005684 electric field Effects 0.000 description 1
- 230000002439 hemostatic effect Effects 0.000 description 1
- 230000006872 improvement Effects 0.000 description 1
- 230000010354 integration Effects 0.000 description 1
- 238000012544 monitoring process Methods 0.000 description 1
- 210000005036 nerve Anatomy 0.000 description 1
- 210000000277 pancreatic duct Anatomy 0.000 description 1
- 238000007639 printing Methods 0.000 description 1
- 238000005070 sampling Methods 0.000 description 1
- 239000013589 supplement Substances 0.000 description 1
Images
Classifications
-
- A—HUMAN NECESSITIES
- A61—MEDICAL OR VETERINARY SCIENCE; HYGIENE
- A61B—DIAGNOSIS; SURGERY; IDENTIFICATION
- A61B18/00—Surgical instruments, devices or methods for transferring non-mechanical forms of energy to or from the body
- A61B18/04—Surgical instruments, devices or methods for transferring non-mechanical forms of energy to or from the body by heating
- A61B18/08—Surgical instruments, devices or methods for transferring non-mechanical forms of energy to or from the body by heating by means of electrically-heated probes
-
- A—HUMAN NECESSITIES
- A61—MEDICAL OR VETERINARY SCIENCE; HYGIENE
- A61B—DIAGNOSIS; SURGERY; IDENTIFICATION
- A61B18/00—Surgical instruments, devices or methods for transferring non-mechanical forms of energy to or from the body
- A61B2018/00005—Cooling or heating of the probe or tissue immediately surrounding the probe
- A61B2018/00041—Heating, e.g. defrosting
-
- A—HUMAN NECESSITIES
- A61—MEDICAL OR VETERINARY SCIENCE; HYGIENE
- A61B—DIAGNOSIS; SURGERY; IDENTIFICATION
- A61B18/00—Surgical instruments, devices or methods for transferring non-mechanical forms of energy to or from the body
- A61B2018/00571—Surgical instruments, devices or methods for transferring non-mechanical forms of energy to or from the body for achieving a particular surgical effect
- A61B2018/00589—Coagulation
-
- A—HUMAN NECESSITIES
- A61—MEDICAL OR VETERINARY SCIENCE; HYGIENE
- A61B—DIAGNOSIS; SURGERY; IDENTIFICATION
- A61B18/00—Surgical instruments, devices or methods for transferring non-mechanical forms of energy to or from the body
- A61B2018/00636—Sensing and controlling the application of energy
- A61B2018/00642—Sensing and controlling the application of energy with feedback, i.e. closed loop control
-
- A—HUMAN NECESSITIES
- A61—MEDICAL OR VETERINARY SCIENCE; HYGIENE
- A61B—DIAGNOSIS; SURGERY; IDENTIFICATION
- A61B18/00—Surgical instruments, devices or methods for transferring non-mechanical forms of energy to or from the body
- A61B2018/00636—Sensing and controlling the application of energy
- A61B2018/00696—Controlled or regulated parameters
- A61B2018/00702—Power or energy
-
- A—HUMAN NECESSITIES
- A61—MEDICAL OR VETERINARY SCIENCE; HYGIENE
- A61B—DIAGNOSIS; SURGERY; IDENTIFICATION
- A61B18/00—Surgical instruments, devices or methods for transferring non-mechanical forms of energy to or from the body
- A61B2018/00636—Sensing and controlling the application of energy
- A61B2018/00773—Sensed parameters
- A61B2018/00791—Temperature
Landscapes
- Health & Medical Sciences (AREA)
- Surgery (AREA)
- Engineering & Computer Science (AREA)
- Life Sciences & Earth Sciences (AREA)
- Biomedical Technology (AREA)
- Otolaryngology (AREA)
- Nuclear Medicine, Radiotherapy & Molecular Imaging (AREA)
- Plasma & Fusion (AREA)
- Physics & Mathematics (AREA)
- Heart & Thoracic Surgery (AREA)
- Medical Informatics (AREA)
- Molecular Biology (AREA)
- Animal Behavior & Ethology (AREA)
- General Health & Medical Sciences (AREA)
- Public Health (AREA)
- Veterinary Medicine (AREA)
- Surgical Instruments (AREA)
Abstract
The invention relates to the field of medical instruments, in particular to a tumor ablation needle with a blood coagulation function. The existing ablation needle has single function and can not solve the problem of bleeding caused in the process of surgical puncture and treatment. The invention provides a tumor ablation needle with a blood coagulation function, which comprises a metal needle with a hollow cavity, wherein the front end of the metal needle is a puncture tip, the surface of the middle section of the metal needle is provided with an insulating coating, the tail end of the metal needle is sleeved with a handle, the metal needle is provided with a temperature sensor, a heating component is sleeved in the cavity of the metal needle tube and comprises an insulating heat conductor inserted in the cavity and a conductive heating part arranged in the insulating heat conductor, the conductive heating part is connected with two heating connection points arranged at the tail end of the handle through leads, the two heating connection points are connected with an external high-voltage pulse generator through leads, the high-voltage pulse generator is connected with a computer, and the computer is connected with the temperature sensor. The invention can heat and coagulate the peripheral tissue of the puncture needle passage, and solves the bleeding in the puncture or treatment process.
Description
Technical Field
The invention relates to the field of medical instruments, in particular to a tumor ablation needle with a blood coagulation function.
Background
In recent years, the electric pulse non-thermal ablation has wide clinical application value in the aspect of treating tumors, and compared with the traditional ablation method, the technology utilizing the high-voltage pulse electric field has the greatest advantage of selectively protecting blood vessels, biliary tracts, pancreatic ducts, nerves and the like during treatment, and particularly has great advantage in the treatment of tumors close to important parts. When the operation is ablated, the percutaneous puncture is needed to be carried out through the electrode needle under the guidance of B-ultrasonic or CT images to enter a treatment part, the operation experience and the operation technology of a doctor are seriously depended, and the patient also has bleeding risk in the puncture or treatment process, so that the electrode needle has certain danger particularly for the patient with poor blood coagulation function.
Disclosure of Invention
The invention provides a tumor ablation needle with a blood coagulation function, which can solve the problems that the existing ablation needle has single function, cannot deal with bleeding caused in the process of operation puncture and treatment, is inconvenient to be caused by an additional hemostatic instrument and the like.
The technical scheme adopted by the invention for solving the technical problem is as follows: the utility model provides a tumour ablation needle with blood coagulation function, is including the metal needle that has hollow lumen, the metal needle front end is puncture most advanced, and insulating coating is established on the middle section surface of metal needle, the tail end overcoat handle of metal needle, characterized by be equipped with temperature sensor on the metal needle, heating element is put to the cover in the lumen of metal needle, and heating element is including pegging graft insulating heat conductor in the lumen and the electrically conductive piece that generates heat of locating it, electrically conductive piece that generates heat links to each other with two heating connection points of establishing at the handle end through the wire, two heating connection points accessible wire link to each other with external high-voltage pulse generator, high-voltage pulse generator connects the control computer, and control computer connects temperature sensor. The tumor ablation needle has the function of blood coagulation besides the function of the existing ablation treatment, and particularly has the advantages that a high-voltage pulse generator supplies power to a heating component arranged in a metal needle in a pulse mode to heat the metal needle, the metal needle is heated and then keeps high temperature to coagulate peripheral tissues of a needle channel, and the metal needle can coagulate the blood of tissues passing through the needle channel by means of continuous heating in the process of pulling out the metal needle until the metal needle is completely pulled out of the tissues; the pulse current used for heating is not required to be obtained by additionally arranging other special equipment, the high-voltage pulse generator matched with ablation treatment is directly adopted, nanosecond pulse current is output, the temperature rising curve is kept smooth, and the real-time temperature of the metal needle is monitored by the temperature sensor in the temperature rising process and fed back to the control computer, so that the pulse frequency can be adjusted by the control computer. When the metal needle-type electric heating device works, firstly, after the metal needle is connected with the high-voltage pulse generator to input and melt electric pulses, the electric pulse output port of the high-voltage pulse generator is connected to the two heating connection points through the conducting wire, and the high-voltage pulse generator works to generate pulse current which passes through the electric heating piece, so that the electric heating piece is slowly heated; the pulse current can be adjusted by the control computer so as to accurately control the temperature, the conductive heating part is heated after being electrified to transfer heat to the insulating heat conductor, the insulating heat conductor transfers heat to the metal needle to heat the metal needle, the control computer outputs the pulse current by adjusting the high-voltage pulse generator to control the electrified state of the conductive heating part so that the metal needle reaches proper high temperature to coagulate blood, and the temperature sensor is used for detecting the real-time heating temperature of the metal needle; the insulating heat conductor appearance is pegged graft wherein with the lumen grafting of metal needle, gives the metal needle with the heat transfer that the piece produced that generates heat of electrically conducting, separates the insulation with metal needle and electrically conducting piece that generates heat simultaneously, prevents that the metal needle from taking place the surface electrification at the coagulation work time.
As a further improvement and supplement to the above technical solution, the present invention adopts the following technical measures: the lumen of metal needle is including holding the minor diameter section of insulating heat conductor and connecting the major diameter section in minor diameter section rear, the lumen and the insulating heat conductor of minor diameter section match, and the major diameter end is uncovered, and through a conical reducing section transition between minor diameter section and the major diameter section to link to each other, insulating heat conductor rear end stretches out and passes the reducing section behind the minor diameter section and goes into the major diameter section, fill insulating glue in the lumen that reducing section and major diameter section correspond. The tube cavity of the metal needle is formed by integrally connecting a small-diameter section, a variable-diameter section and a large-diameter section from front to back, the heating component can be conveniently inserted into the tube cavity of the metal needle from the opening of the large-diameter section, and the heating component is positioned by matching the small-diameter end tube cavity with the insulating heat conductor after being inserted; the rear end of the insulated heat conductor extends out of the small-diameter end and is exposed in the large-diameter section, and the conductive heating piece in the insulated heat conductor can extend out of the position to be connected with a heating point through a wire so as to facilitate wiring; insulating glue is filled in the tube cavities of the variable-diameter section and the large-diameter section, so that the lead can be fixed, the insulation between the outside and the conductive heating part in the metal needle is kept, and the use safety is improved.
A gap exists between the small-diameter section and the insulating heat conductor, and the temperature sensor is fixed on the outer surface of the insulating heat conductor. There is the clearance between path section and the insulating heat conductor, make things convenient for the latter to insert the official cavity of metal needle and install, simultaneously because metal needle itself is thin and the pipe wall is very thin, after insulating heat conductor inserts the lumen of metal needle, along with insulating heat conductor generates heat, the metal needle temperature can rise very fast unanimously with insulating heat conductor, establish the temperature of the insulating heat conductor of temperature sensor monitoring at insulating heat conductor surface this moment, the temperature of generating heat immediately on accurate grasp metal needle surface.
The insulating heat conductor is formed by mixing and firing ceramic and metal, the conductive heating part is a heating resistance wire, the heating resistance wire extends into the rear end of the insulating heat conductor from the rear end of the insulating heat conductor to extend to the front end and then turns back to the rear end, and the two ends of the heating resistance wire are connected with the two heating connection points through wires arranged in the metal needle tube cavity respectively. The insulating heat conductor is of an integrated structure formed by mixing and firing ceramic and metal, the ceramic and the metal are mixed to have the effect of rapid heating, wherein the ceramic is mainly corrosion-resistant, high-temperature-resistant and long in service life, and the mixed metal transfers heat to the ceramic by utilizing the good heat conductivity of the metal, so that the insulating heat conductor can rapidly and uniformly heat, and the heat compensation speed is high; the resistance wire as the conductive heating part extends into the insulating heat conductor and turns back after extending to the head along the length of the insulating heat conductor, the two ends of the resistance wire are connected with two heating points through wires, the resistance wire slowly heats up after receiving electric pulses generated by the high-voltage pulse generator, and the resistance wire uniformly heats the insulating heat conductor along the length direction of the insulating heat conductor.
The heating resistance wire is made of high-melting-point metal materials. The heating resistance wire can be made of high-melting-point metal materials such as tungsten, molybdenum, manganese and the like, and is suitable for high-temperature heating application after being electrified.
The insulating heat conductor is synthesized by integrally sintering metal heating resistance slurry and ceramic. In practical application, high-melting-point metal heating resistor slurry with 10% of tungsten content can be used for printing on 92-96% of alumina casting ceramic green bodies, multiple layers of sintering aids with 4-8% of sintering aids are stacked, the green bodies are integrally sintered at the high temperature of 1500-1600 ℃, and the sintered insulating heat conductor does not contain harmful substances such as lead, nickel, mercury, hexavalent chromium, polybrominated biphenyls, polybrominated diphenyl ethers and the like.
A method for using a tumor ablation needle with a blood coagulation function is characterized in that the tumor ablation needle is the ablation needle of any one of the above items, and the heating process of the tumor ablation needle is divided into the following three stages:
the first stage, setting the high-voltage pulse generator as high-level 12V output, electrifying the conductive heating element for 5 seconds;
the second stage, judging the difference value between the temperature of the metal needle in the first stage and 60 ℃, if the temperature of the metal needle exceeds 65 ℃, cutting off the output voltage of the high-voltage pulse generator for 2 seconds, and then judging the temperature of the metal needle until the temperature of the metal needle is between 55 ℃ and 65 ℃;
and in the third stage, the control computer adjusts the high-voltage pulse generator to enable the high-voltage pulse generator to send pulse current with variable duty ratio to the conductive heating body, so that the metal needle is continuously heated in the pulling-out process and the set temperature is maintained.
In use, the temperature control of the metal needle adopts the mode of feeding back through a real-time temperature sensor, adjusting a control signal by using a PWM (pulse width modulation) technology and adjusting the pulse width to control the analog quantity W in the PID position controlnAnd converting into continuous time control variable, thereby maintaining the target temperature of the metal needle to be about 60 ℃, and heating and coagulating the tissue passing through the needle channel in the process of pulling out the metal needle.
According to the invention, the high-voltage pulse generator is used for supplying power to the heating component arranged in the metal needle in a pulse mode so as to heat the metal needle, then the metal needle is heated and keeps high temperature to coagulate blood of peripheral tissues of the needle channel, so that the metal needle coagulates blood of tissues passing through the needle channel by means of continuous heating in the pulling-out process until the metal needle is completely pulled out of the tissues, and the bleeding problem generated in the process of pulling out the puncture needle after treatment is solved.
Drawings
FIG. 1: the tumor ablation needle is in a schematic overall structure.
FIG. 2: the heating component is arranged in a metal needle.
FIG. 3: fig. 1 is an enlarged view of a portion a.
FIG. 4: the right side view of fig. 3.
FIG. 5: and (3) a pulse current schematic diagram based on PWM technology temperature control.
In the figure: 1. the metal needle, 1-1 small diameter section, 1-2 large diameter section, 1-3 variable diameter section, 2 insulating coating, 3 handle, 4 temperature sensor, 5 insulating heat conductor, 6 conductive heating element, 7 wire, 8 heating connection point, 9 insulating glue.
Detailed Description
The invention is further described with reference to the following description and embodiments in conjunction with the accompanying drawings.
As shown in figures 1-4, a tumor ablation needle with blood coagulation function comprises a metal needle 1 with a hollow lumen, wherein the front end of the metal needle 1 is a puncture tip, an insulating coating 2 is arranged on the surface of the middle section of the metal needle 1, a handle 3 is sleeved outside the tail end of the metal needle 1, a temperature sensor 4 is arranged on the metal needle 1, a heating component is sleeved in the lumen of the metal needle 1 and comprises an insulating heat conductor 5 inserted in the lumen and a conductive heating element 6 arranged in the insulating heat conductor, the lumen of the metal needle 1 comprises a small-diameter section 1-1 for accommodating the insulating heat conductor 5 and a large-diameter section 1-2 connected behind the small-diameter section 1-1, the lumen of the small-diameter section 1-1 is matched with the insulating heat conductor 5, the large-diameter end is open, and the small-diameter section 1-1 and the large-diameter section 1-2 are transitionally connected through a tapered variable-diameter section 1-3, the rear end of an insulating heat conductor 5 extends out of a small-diameter section 1-1 and then penetrates through a reducing section 1-3 to enter a large-diameter section 1-2, a gap exists between the small-diameter section 1-1 and the insulating heat conductor 5, a temperature sensor 4 is fixed on the outer surface of the insulating heat conductor 5, an electric heating part 6 is connected with two heating connection points 8 arranged at the tail end of a handle 3 through a wire 7, insulating glue 9 is filled in a pipe cavity corresponding to the reducing section 1-3 and the large-diameter section 1-2, the two heating connection points 8 are connected with an external high-voltage pulse generator through the wire 7, the high-voltage pulse generator is connected with a control computer, and the control computer is connected with the temperature sensor 4.
When the metal needle-type electric heating device works, firstly, after the metal needle is connected with the high-voltage pulse generator to input and melt electric pulses, the electric pulse output port of the high-voltage pulse generator is connected to the two heating connection points through the conducting wire, and the high-voltage pulse generator works to generate pulse current which passes through the electric heating piece, so that the electric heating piece is slowly heated; the pulse current can be adjusted to accurately control the temperature through the control computer, the conductive heating part is heated after being electrified to transfer heat to the insulating heat conductor, the insulating heat conductor transfers heat to the metal needle to heat the metal needle, the control computer controls the electrified state of the conductive heating part by adjusting the output pulse of the high-voltage pulse generator to enable the metal needle to reach proper high temperature to coagulate blood, and the temperature sensor is used for detecting the real-time heating temperature of the metal needle; the insulating heat conductor appearance is pegged graft wherein with the lumen grafting of metal needle, gives the metal needle with the heat transfer that the piece produced that generates heat of electrically conducting, separates the insulation with metal needle and electrically conducting piece that generates heat simultaneously, prevents that the metal needle from taking place the surface electrification at the coagulation work time.
Further, the insulating heat conductor 5 is formed by mixing and firing ceramic and metal, and the insulating heat conductor 5 is synthesized by integrally sintering metal heating resistor slurry and ceramic. In practical application, high-melting-point metal heating resistor slurry with 10% of tungsten content can be used for being printed on 92-96% of alumina cast ceramic green bodies, multiple layers of sintering aids with 4-8% of the sintering aids are stacked, the green bodies are integrally sintered at the high temperature of 1500-1600 ℃, and the sintered insulating heat conductor does not contain harmful substances such as lead, nickel, mercury, hexavalent chromium, polybrominated biphenyls, polybrominated diphenyl ethers and the like.
Further, the conductive heating element 6 is a heating resistance wire, the heating resistance wire is made of a metal material with a high melting point in the embodiment, the heating resistance wire extends into the insulating heat conductor 5 from the rear end thereof to the front end and then turns back to the rear end, and two ends of the heating resistance wire are respectively connected with the two heating connection points 8 through wires 7 arranged in the tube cavity of the metal needle 1. The heating resistance wire can be made of high-melting-point metal materials such as tungsten, molybdenum, manganese and the like, and is suitable for high-temperature heating application after being electrified.
A method for using a tumor ablation needle with a blood coagulation function is characterized in that the tumor ablation needle is the ablation needle in any one of the above steps, and the heating process of the tumor ablation needle is divided into the following three stages:
the first stage, setting the high-voltage pulse generator to high level 12V for continuous output, and electrifying the conductive heating element for 5 seconds;
the second stage, judging the difference value between the temperature of the metal needle in the first stage and 60 ℃, if the temperature of the metal needle exceeds 65 ℃, cutting off the output voltage of the high-voltage pulse generator for 2 seconds, and then judging the temperature of the metal needle until the temperature of the metal needle is between 55 ℃ and 65 ℃;
and in the third stage, the control computer adjusts the high-voltage pulse generator to enable the high-voltage pulse generator to send pulse current with variable duty ratio to the conductive heating body, so that the metal needle is continuously heated in the pulling-out process and the set temperature is maintained.
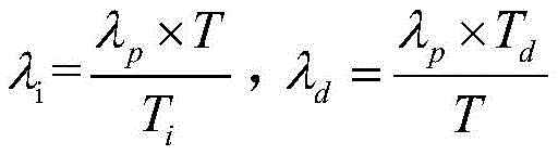
In particular, a PID control algorithm is adopted. The PID control principle is based on the following equation:
w (T) is the output of the PID loop, λ is the scaling factor, T1And TDIntegration time and differentiation time, respectively. In order to allow the control chip to process this equation, the above equation is written as
λpIs a proportionality coefficient, λiTo be integral proportional factor, λdIn order to be a differential proportionality coefficient,
Tiis the integration timeParameter, T is the signal sampling period, TdIs a differential time parameter.
ek-1And ekThe sampled temperature values at the k-1 st and k-th times, respectively.
The temperature control of the metal needle adopts real-time temperature sensor feedback, the PWM technology is used for adjusting control signals, as shown in figure 5, pulse current with variable duty ratio and gradually reduced is sent to the heating resistance wire, meanwhile, the temperature sensor obtains the surface temperature information of the metal needle and sends the surface temperature information to the control computer, and the control computer adjusts the analog quantity W in the PID position control in a mode of adjusting the pulse widthnAnd converting the temperature into a continuous time control variable, thereby maintaining the target temperature of the metal needle to be about 60 ℃, and heating and coagulating the tissue where the needle channel is located in the process of puncturing and pulling out the metal needle.
Claims (7)
1. A tumor ablation needle with blood coagulation function comprises a metal needle (1) with a hollow lumen, the front end of the metal needle (1) is a puncture tip, the surface of the middle section of the metal needle (1) is provided with an insulating coating (2), the tail end of the metal needle (1) is sleeved with a handle (3), it is characterized in that a temperature sensor (4) is arranged on the metal needle (1), a heating component is sleeved in a tube cavity of the metal needle (1), the heating component comprises an insulating heat conductor (5) inserted in the tube cavity and a conductive heating piece (6) arranged in the insulating heat conductor, the conductive heating element (6) is connected with two heating connection points (8) arranged at the tail end of the handle (3) through a lead (7), the two heating connection points (8) can be connected with an external high-voltage pulse generator through leads (7), the high-voltage pulse generator is connected with a control computer, and the control computer is connected with a temperature sensor (4).
2. The tumor ablation needle with blood coagulation function according to claim 1, wherein the lumen of the metal needle (1) comprises a small diameter section (1-1) for accommodating the insulating heat conductor (5) and a large diameter section (1-2) connected behind the small diameter section (1-1), the lumen of the small diameter section (1-1) is matched with the insulating heat conductor (5), the large diameter end is open, the small diameter section (1-1) and the large diameter section (1-2) are connected in a transition way through a tapered reducing section (1-3), the rear end of the insulating heat conductor (5) extends out of the small diameter section (1-1) and then passes through the reducing section (1-3) to enter the large diameter section (1-2), and the lumen corresponding to the reducing section (1-3) and the large diameter section (1-2) is filled with the insulating glue (9).
3. The needle for tumor ablation with blood coagulation function according to claim 2, wherein a gap exists between the small diameter section (1-1) and the insulating heat conductor (5), and the temperature sensor (4) is fixed on the outer surface of the insulating heat conductor (5).
4. The tumor ablation needle with the blood coagulation function as claimed in claim 1, wherein the insulating heat conductor (5) is formed by mixing and firing ceramics and metal, the conductive heating element (6) is a heating resistance wire, the heating resistance wire extends into the insulating heat conductor (5) from the rear end thereof to the front end thereof and then turns back to the rear end thereof, and two ends of the heating resistance wire are respectively connected with the two heating connection points (8) through a lead (7) arranged in the lumen of the metal needle (1).
5. The tumor ablation needle with the blood coagulation function as claimed in claim 4, wherein the heating resistance wire is made of a high melting point metal material.
6. The needle for tumor ablation with blood coagulation function as claimed in claim 5, wherein the insulating heat conductor (5) is formed by sintering a metal heating resistor paste and a ceramic together.
7. A method for using a tumor ablation needle with blood coagulation function is characterized in that the tumor ablation needle is the ablation needle as claimed in any one of claims 1 to 6, and the blood coagulation heating process of the tumor ablation needle is divided into the following three stages:
the first stage, setting the high-voltage pulse generator as high-level 12V output, electrifying the conductive heating element for 5 seconds;
the second stage, judging the difference value between the temperature of the metal needle in the first stage and 60 ℃, if the temperature of the metal needle exceeds 65 ℃, cutting off the output voltage of the high-voltage pulse generator for 2 seconds, and then judging the temperature of the metal needle until the temperature of the metal needle is between 55 ℃ and 65 ℃;
and in the third stage, the control computer adjusts the high-voltage pulse generator to enable the high-voltage pulse generator to send pulse current with variable duty ratio to the conductive heating body, so that the metal needle is continuously heated in the pulling-out process and the set temperature is maintained.
Priority Applications (1)
| Application Number | Priority Date | Filing Date | Title |
|---|---|---|---|
| CN202011050737.6A CN112263322A (en) | 2020-09-29 | 2020-09-29 | Tumor ablation needle with blood coagulation function |
Applications Claiming Priority (1)
| Application Number | Priority Date | Filing Date | Title |
|---|---|---|---|
| CN202011050737.6A CN112263322A (en) | 2020-09-29 | 2020-09-29 | Tumor ablation needle with blood coagulation function |
Publications (1)
| Publication Number | Publication Date |
|---|---|
| CN112263322A true CN112263322A (en) | 2021-01-26 |
Family
ID=74349529
Family Applications (1)
| Application Number | Title | Priority Date | Filing Date |
|---|---|---|---|
| CN202011050737.6A Pending CN112263322A (en) | 2020-09-29 | 2020-09-29 | Tumor ablation needle with blood coagulation function |
Country Status (1)
| Country | Link |
|---|---|
| CN (1) | CN112263322A (en) |
Cited By (2)
| Publication number | Priority date | Publication date | Assignee | Title |
|---|---|---|---|---|
| CN115177354A (en) * | 2022-07-11 | 2022-10-14 | 中国人民解放军陆军工程大学 | Double-needle single Kong Namiao-grade electrostatic discharge tumor cell ablation device and method |
| CN117338398A (en) * | 2023-11-17 | 2024-01-05 | 南京康友医疗科技有限公司 | Cryoablation needle with efficient heat recovery and thermal therapy functions and working method thereof |
Citations (7)
| Publication number | Priority date | Publication date | Assignee | Title |
|---|---|---|---|---|
| CN1649449A (en) * | 2004-01-20 | 2005-08-03 | 珠海粤科清华电子陶瓷有限公司 | High temperature coburning heating element and its producing method |
| CN101579256A (en) * | 2008-05-13 | 2009-11-18 | 上海导向医疗系统有限公司 | Concentric, detachable and replaceable multifunctional targeted tumor scalpel |
| CN103619276A (en) * | 2011-04-12 | 2014-03-05 | 热医学公司 | Devices and methods for remote temperature monitoring in fluid enhanced ablation therapy |
| CN106137382A (en) * | 2015-03-30 | 2016-11-23 | 安隽医疗科技(南京)有限公司 | Temperature controls |
| US20170151011A1 (en) * | 2008-03-31 | 2017-06-01 | Applied Medical Resources Corporation | Electrosurgical system |
| CN107997818A (en) * | 2017-11-10 | 2018-05-08 | 上海导向医疗系统有限公司 | The cryoablation pin of rewarming and thermotherapeutic function is realized by electric heating wire |
| CN109561922A (en) * | 2016-05-13 | 2019-04-02 | 台湾恩宁股份有限公司 | Tumor Ablation System |
-
2020
- 2020-09-29 CN CN202011050737.6A patent/CN112263322A/en active Pending
Patent Citations (7)
| Publication number | Priority date | Publication date | Assignee | Title |
|---|---|---|---|---|
| CN1649449A (en) * | 2004-01-20 | 2005-08-03 | 珠海粤科清华电子陶瓷有限公司 | High temperature coburning heating element and its producing method |
| US20170151011A1 (en) * | 2008-03-31 | 2017-06-01 | Applied Medical Resources Corporation | Electrosurgical system |
| CN101579256A (en) * | 2008-05-13 | 2009-11-18 | 上海导向医疗系统有限公司 | Concentric, detachable and replaceable multifunctional targeted tumor scalpel |
| CN103619276A (en) * | 2011-04-12 | 2014-03-05 | 热医学公司 | Devices and methods for remote temperature monitoring in fluid enhanced ablation therapy |
| CN106137382A (en) * | 2015-03-30 | 2016-11-23 | 安隽医疗科技(南京)有限公司 | Temperature controls |
| CN109561922A (en) * | 2016-05-13 | 2019-04-02 | 台湾恩宁股份有限公司 | Tumor Ablation System |
| CN107997818A (en) * | 2017-11-10 | 2018-05-08 | 上海导向医疗系统有限公司 | The cryoablation pin of rewarming and thermotherapeutic function is realized by electric heating wire |
Cited By (3)
| Publication number | Priority date | Publication date | Assignee | Title |
|---|---|---|---|---|
| CN115177354A (en) * | 2022-07-11 | 2022-10-14 | 中国人民解放军陆军工程大学 | Double-needle single Kong Namiao-grade electrostatic discharge tumor cell ablation device and method |
| CN117338398A (en) * | 2023-11-17 | 2024-01-05 | 南京康友医疗科技有限公司 | Cryoablation needle with efficient heat recovery and thermal therapy functions and working method thereof |
| CN117338398B (en) * | 2023-11-17 | 2024-05-28 | 南京康友医疗科技有限公司 | Cryoablation needle with efficient heat recovery and thermal therapy functions |
Similar Documents
| Publication | Publication Date | Title |
|---|---|---|
| US11937864B2 (en) | Ablation systems with parameter-based modulation and related devices and methods | |
| US8795270B2 (en) | System and method for ablating tissue | |
| EP1795139B1 (en) | Laparoscopic apparatus for performing electrosurgical procedures | |
| EP2353533B1 (en) | Square wave for vessel sealing | |
| CA1222290A (en) | Medical or dental probe with self-heating tip and methods for making | |
| US9138231B2 (en) | Surgical system and control process for a surgical instrument and process for connecting bodily tissues | |
| US6620156B1 (en) | Bipolar tonsillar probe | |
| CN106137385B (en) | Shaped electrode bipolar resection device, system and application method | |
| CN112263322A (en) | Tumor ablation needle with blood coagulation function | |
| US11179189B2 (en) | Monopolar electrosurgical instrument, electrosurgical system, and method for producing an electrosurgical instrument | |
| US20030097130A1 (en) | Electrode arrangement for electrothermal treatment of human or animal bodies | |
| EP2105102A2 (en) | Electrosurgical apparatus with predictive RF source control | |
| JP2018047350A (en) | System and method for monitoring shochu scale | |
| US8095212B2 (en) | High-frequency surgical apparatus and high-frequency surgical method for closure of patent foramen ovale | |
| KR20160005766A (en) | Method and apparatus for controlling power delivered by electrosurgical probe | |
| KR20160005767A (en) | Electrosurgical apparatus having rf pulse profile controller | |
| EP3541312A1 (en) | Electrosurgical apparatus with dynamic leakage current compensation and dynamic rf modulation | |
| JPH10243947A (en) | High-frequency device | |
| EP3932352A1 (en) | High-frequency treatment device and high-frequency treatment method | |
| CN213588470U (en) | Tumor ablation needle with blood coagulation function | |
| WO2001054602A2 (en) | Electrosurgical wire knife | |
| EP2130509A1 (en) | Microwave surgical device | |
| JP4138468B2 (en) | Microwave surgical device | |
| US20230173227A1 (en) | Medical device for puncturing | |
| US8092449B2 (en) | Surgical probe |
Legal Events
| Date | Code | Title | Description |
|---|---|---|---|
| PB01 | Publication | ||
| PB01 | Publication | ||
| SE01 | Entry into force of request for substantive examination | ||
| SE01 | Entry into force of request for substantive examination | ||
| RJ01 | Rejection of invention patent application after publication |
Application publication date: 20210126 |
|
| RJ01 | Rejection of invention patent application after publication |


