CN111918245B - Multi-agent-based vehicle speed perception calculation task unloading and resource allocation method - Google Patents
Multi-agent-based vehicle speed perception calculation task unloading and resource allocation method Download PDFInfo
- Publication number
- CN111918245B CN111918245B CN202010648403.2A CN202010648403A CN111918245B CN 111918245 B CN111918245 B CN 111918245B CN 202010648403 A CN202010648403 A CN 202010648403A CN 111918245 B CN111918245 B CN 111918245B
- Authority
- CN
- China
- Prior art keywords
- vehicle
- task
- tasks
- vec
- server
- Prior art date
- Legal status (The legal status is an assumption and is not a legal conclusion. Google has not performed a legal analysis and makes no representation as to the accuracy of the status listed.)
- Active
Links
Images
Classifications
-
- H—ELECTRICITY
- H04—ELECTRIC COMMUNICATION TECHNIQUE
- H04W—WIRELESS COMMUNICATION NETWORKS
- H04W4/00—Services specially adapted for wireless communication networks; Facilities therefor
- H04W4/30—Services specially adapted for particular environments, situations or purposes
- H04W4/40—Services specially adapted for particular environments, situations or purposes for vehicles, e.g. vehicle-to-pedestrians [V2P]
- H04W4/48—Services specially adapted for particular environments, situations or purposes for vehicles, e.g. vehicle-to-pedestrians [V2P] for in-vehicle communication
-
- H—ELECTRICITY
- H04—ELECTRIC COMMUNICATION TECHNIQUE
- H04L—TRANSMISSION OF DIGITAL INFORMATION, e.g. TELEGRAPHIC COMMUNICATION
- H04L67/00—Network arrangements or protocols for supporting network services or applications
- H04L67/01—Protocols
- H04L67/10—Protocols in which an application is distributed across nodes in the network
-
- H—ELECTRICITY
- H04—ELECTRIC COMMUNICATION TECHNIQUE
- H04L—TRANSMISSION OF DIGITAL INFORMATION, e.g. TELEGRAPHIC COMMUNICATION
- H04L67/00—Network arrangements or protocols for supporting network services or applications
- H04L67/01—Protocols
- H04L67/12—Protocols specially adapted for proprietary or special-purpose networking environments, e.g. medical networks, sensor networks, networks in vehicles or remote metering networks
-
- H—ELECTRICITY
- H04—ELECTRIC COMMUNICATION TECHNIQUE
- H04W—WIRELESS COMMUNICATION NETWORKS
- H04W72/00—Local resource management
- H04W72/50—Allocation or scheduling criteria for wireless resources
- H04W72/53—Allocation or scheduling criteria for wireless resources based on regulatory allocation policies
Landscapes
- Engineering & Computer Science (AREA)
- Computer Networks & Wireless Communication (AREA)
- Signal Processing (AREA)
- Health & Medical Sciences (AREA)
- Computing Systems (AREA)
- General Health & Medical Sciences (AREA)
- Medical Informatics (AREA)
- Mobile Radio Communication Systems (AREA)
- Management, Administration, Business Operations System, And Electronic Commerce (AREA)
Abstract
本发明公开了一种基于多智能体的车速感知的计算任务卸载和资源分配方法,包括以下步骤:收集车辆端计算任务,根据车辆端计算任务的类型将车辆端计算任务划分为关键任务、高优先级任务及低优先级任务;分别计算不同计算资源及无线资源分配下,卸载到VEC服务器、本地执行及继续等待对应的时延和能耗,然后在各任务的时延门限约束下,形成以减小车辆端处理任务能量消耗的目标函数;将目标函数转化为马尔科夫决策过程;对多智能体增强学习网络进行训练;将待分配的车辆端和边缘服务器的状态输入到训练后的多智能体增强学习网络中,得任务卸载和资源分配结果,该方法能够有效提高VEC服务器场景下车辆的整体性能。
The invention discloses a computing task unloading and resource allocation method based on multi-agent vehicle speed perception, comprising the following steps: collecting vehicle-side computing tasks, and dividing vehicle-side computing tasks into key tasks, high-level Priority tasks and low-priority tasks; under different computing resources and wireless resource allocation, respectively, offload to the VEC server, execute locally, and continue to wait for the corresponding delay and energy consumption, and then under the constraints of the delay threshold of each task, form The objective function is to reduce the energy consumption of the vehicle-side processing task; convert the objective function into a Markov decision process; train the multi-agent reinforcement learning network; input the state of the vehicle and edge server to be assigned to the trained In the multi-agent reinforcement learning network, the task offloading and resource allocation results are obtained, and this method can effectively improve the overall performance of the vehicle in the VEC server scenario.
Description
技术领域technical field
本发明属于无线通信技术领域,涉及一种基于多智能体的车速感知的计算任务卸载和资源分配方法。The invention belongs to the technical field of wireless communication, and relates to a computing task offloading and resource allocation method based on multi-agent vehicle speed perception.
背景技术Background technique
随着物联网的快速发展,智能车载应用(包括自动驾驶,图像辅助导航和多媒体娱乐)已广泛应用于智能汽车,可以为驾驶员和乘客提供更加舒适、安全的环境。然而这些车载应用需要消耗大量的计算资源并且需要极低的处理时间,具有强大计算和存储能力的云服务器可以用于处理车辆的卸载计算任务,但由于长距离传输可能会导致较高的延时,为了应对云服务器的弊端,车辆边缘计算(VEC)应运而生。With the rapid development of the Internet of Things, intelligent in-vehicle applications (including autonomous driving, image-assisted navigation, and multimedia entertainment) have been widely used in intelligent vehicles, which can provide drivers and passengers with a more comfortable and safe environment. However, these in-vehicle applications consume a lot of computing resources and require extremely low processing time. Cloud servers with powerful computing and storage capabilities can be used to handle offload computing tasks from vehicles, but may lead to high latency due to long-distance transmission. , In order to deal with the drawbacks of cloud servers, Vehicle Edge Computing (VEC) came into being.
VEC服务器更靠近于车辆终端并拥有强大的计算能力,并密集部署在路边单元(RSU)旁,通过将计算消耗型任务卸载到VEC服务器,可以显著减少车载应用的处理时延和能耗。The VEC server is closer to the vehicle terminal and has powerful computing power, and is densely deployed next to the roadside unit (RSU). By offloading computing-consuming tasks to the VEC server, the processing delay and energy consumption of in-vehicle applications can be significantly reduced.
VEC的发展也面临很多挑战。例如,VEC网络中车速对计算任务的时延门限的影响,任务处理时延和能耗与任务卸载和资源分配策略的相互影响。因此,车速感知的任务时延门限以及任务处理时延和能耗与任务卸载和资源分配策略的相互影响问题的研究对VEC的整体性能至关重要。The development of VEC also faces many challenges. For example, the impact of vehicle speed on the delay threshold of computing tasks in the VEC network, the interaction between task processing delay and energy consumption and task offloading and resource allocation strategies. Therefore, the research on the task delay threshold of vehicle speed perception and the interaction of task processing delay and energy consumption with task offloading and resource allocation strategies are crucial to the overall performance of VEC.
发明内容SUMMARY OF THE INVENTION
本发明的目的在于克服上述现有技术的缺点,提供了一种基于多智能体的车速感知的计算任务卸载和资源分配方法,该方法能够有效提高VEC服务器场景下车辆的整体性能。The purpose of the present invention is to overcome the above-mentioned shortcomings of the prior art, and to provide a computing task offloading and resource allocation method based on multi-agent vehicle speed perception, which can effectively improve the overall performance of the vehicle in the VEC server scenario.
为达到上述目的,本发明所述的基于多智能体的车速感知的计算任务卸载和资源分配方法包括以下步骤:In order to achieve the above object, the multi-agent-based vehicle speed sensing method for offloading computing tasks and resource allocation according to the present invention includes the following steps:
1)收集车辆端计算任务,根据车辆端计算任务的类型将车辆端计算任务划分为关键任务、高优先级任务及低优先级任务,再根据车速确定关键任务、高优先级任务及低优先级任务的时延门限;1) Collect vehicle-side computing tasks, divide vehicle-side computing tasks into key tasks, high-priority tasks, and low-priority tasks according to the types of vehicle-side computing tasks, and then determine key tasks, high-priority tasks, and low-priority tasks according to vehicle speed. task delay threshold;
2)对于关键任务、高优先级任务及低优先级任务,分别计算不同计算资源及无线资源分配下,卸载到VEC服务器、本地执行及继续等待对应的时延和能耗,然后在各任务的时延门限约束下,形成以减小车辆端处理任务能量消耗的目标函数;2) For key tasks, high-priority tasks and low-priority tasks, calculate different computing resources and wireless resource allocations, offload to the VEC server, execute locally, and continue to wait for the corresponding delay and energy consumption, and then calculate the corresponding delay and energy consumption of each task. Under the constraint of the delay threshold, an objective function is formed to reduce the energy consumption of the vehicle-side processing task;
3)将步骤2)得到的目标函数转化为马尔科夫决策过程,初始化马尔科夫决策过程的状态空间、动作空间及奖励;3) Convert the objective function obtained in step 2) into a Markov decision process, and initialize the state space, action space and reward of the Markov decision process;
4)根据多智能体增强学习网络得新的状态、动作和奖励,并将新的状态、动作和奖励存储到经验回放池中;4) Obtain new states, actions and rewards according to the multi-agent reinforcement learning network, and store the new states, actions and rewards in the experience playback pool;
5)当经验回放池中的数据达到阈值时,对多智能体增强学习网络进行训练,直到多智能体增强学习网络收敛为止;5) When the data in the experience playback pool reaches the threshold, train the multi-agent reinforcement learning network until the multi-agent reinforcement learning network converges;
6)将待分配的车辆端和边缘服务器的状态输入到训练后的多智能体增强学习网络中,得任务卸载和资源分配结果,完成基于多智能体增强学习的车速感知的计算任务卸载和资源分配。6) Input the state of the vehicle terminal and edge server to be allocated into the multi-agent reinforcement learning network after training, get the task offloading and resource allocation results, and complete the computing task offloading and resource allocation based on multi-agent reinforcement learning for vehicle speed perception distribute.
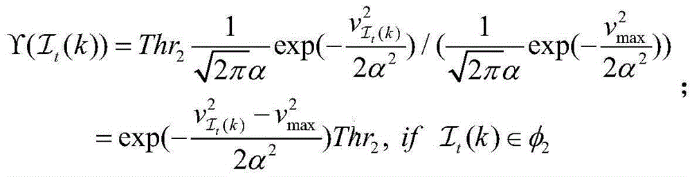
根据车辆端计算任务的带宽和时延要求,将车辆端计算任务划分为关键任务φ1、高优先级任务φ2及低优先级任务φ3,关键任务φ1、高优先级任务φ2及低优先级任务φ3对应的时延门限分别为Thr1、Thr2及Thr3,其中,关键任务φ1的时延门限为10ms,低优先级任务φ3的时延门限为100ms,高优先级任务φ2与当前车辆的行驶速度相关,其中,任务的时延门限为:According to the bandwidth and delay requirements of the vehicle-side computing tasks, the vehicle-side computing tasks are divided into key tasks φ 1 , high-priority tasks φ 2 and low-priority tasks φ 3 , key tasks φ 1 , high-priority tasks φ 2 and The delay thresholds corresponding to the low-priority task φ 3 are Thr 1 , Thr 2 and Thr 3 respectively. The delay threshold of the key task φ 1 is 10ms, the delay threshold of the low-priority task φ 3 is 100ms, and the high-
其中,当时,当时, 为车辆k的速度,Thr2为道路限速vmax对应的时延门限。Among them, when hour, when hour, is the speed of vehicle k, and Thr 2 is the delay threshold corresponding to the road speed limit v max .
VEC服务器分配给车辆k的上行信道n的传输速率为:Transmission rate of uplink channel n assigned to vehicle k by the VEC server for:
其中,σ2为噪声功率,P为传输功率,为上行信道干扰,信道带宽 为VEC服务器的上行总带宽,为VEC服务器的上行信道个数,为上行信道集合;where σ 2 is the noise power, P is the transmission power, is the uplink channel interference, the channel bandwidth is the total upstream bandwidth of the VEC server, is the number of upstream channels of the VEC server, is the set of uplink channels;
设表示车辆k与VEC服务器之间的上行信道n是否分配给车辆k,若分配,则为1,否则,则为0,得车辆k与VEC服务器之间的上行传输速率为:Assume Indicates whether the uplink channel n between vehicle k and the VEC server is allocated to vehicle k, if so, then is 1, otherwise, then is 0, get the uplink transmission rate between vehicle k and VEC server for:
VEC服务器分配给车辆k的下行信道n的传输速率为:Transmission rate of downlink channel n assigned to vehicle k by the VEC server for:
其中,σ2为噪声功率,P为传输功率,为下行信道干扰,信道带宽 为VEC服务器的下行总带宽,为VEC服务器的下行信道个数,为下行信道集合;where σ 2 is the noise power, P is the transmission power, is the downlink channel interference, the channel bandwidth is the total downlink bandwidth of the VEC server, is the number of downlink channels of the VEC server, is a set of downlink channels;
设表示车辆k与VEC服务器之间的下行信道n是否分配给车辆k,若分配,则为1,否则,则为0,得车辆k与VEC服务器之间的下行传输速率为:Assume Indicates whether the downlink channel n between vehicle k and the VEC server is allocated to vehicle k, if so, then is 1, otherwise, then is 0, the downlink transmission rate between vehicle k and VEC server for:
车辆k的任务卸载到VEC服务器执行消耗的总时延为:task of vehicle k The total latency consumed by offloading to the VEC server for execution for:
其中,为向上取整函数,为车辆k的任务的文件大小,为处理车辆k的任务需要的计算密度,为车辆k下载的任务的文件大小相对于原上传任务缩小的比例,为VEC服务器给车辆k的任务分配的计算资源比例,fVEC为本地VEC服务器的CPU频率,为车辆与VEC服务器之间的上行传输速率,为下行传输速率。in, is the round-up function, task for vehicle k file size, for the task of handling vehicle k required computational density, Tasks downloaded for vehicle k The size of the file is reduced relative to the original upload task, Task given to vehicle k for the VEC server The proportion of computing resources allocated, f VEC is the CPU frequency of the local VEC server, is the uplink transmission rate between the vehicle and the VEC server, is the downlink transmission rate.
根据车辆k分配的CPU频率fk计算车辆k的任务在本地执行的时间消耗为:Compute the task of vehicle k based on the CPU frequency f k assigned by vehicle k Time spent executing locally for:
在时刻t,车辆k的任务能够选择继续等待、卸载到本地VEC服务器以及本地执行,设表示车辆k的任务是否继续等待,当继续等待,则为1,否则,则为0,设继续等待时间为Th,表示车辆k的任务是否卸载到本地VEC服务器,当为1时,则表示车辆k的任务卸载到本地VEC服务器,对于车辆k的任务从产生任务到执行动作完成需要花费的总时延为:At time t, the task of vehicle k Can choose to continue to wait, offload to the local VEC server and execute locally, set represents the task of vehicle k Whether to continue waiting, when continuing to wait, then is 1, otherwise, then is 0, set the continuation waiting time as Th , represents the task of vehicle k Whether to offload to the local VEC server, when When it is 1, it means the task of vehicle k Offload to the local VEC server, for the task of vehicle k Generate tasks from The total delay it takes until the execution of the action is completed for:
其中,为根据车辆k的任务产生的时间。in, for the task according to vehicle k generated time.
当车辆k的计算任务卸载到VEC服务器时,卸载任务的能量消耗包括上传计算任务消耗的能量及下载任务消耗的能量,卸载到VEC服务器的能量消耗为:When the computing task of vehicle k When offloading to the VEC server, the energy consumption of the offloading task includes the energy consumed by uploading computing tasks and the energy consumed by downloading tasks, and the energy consumption of offloading to the VEC server. for:
当车辆k的计算任务在本地处理时,根据处理车辆k的任务所需要的能量密度得任务在本地处理的能量消耗为:When the computing task of vehicle k When processed locally, according to the task of processing vehicle k required energy density The energy consumption of the task to be processed locally for:
在时刻t,当车辆执行卸载策略后,本地VEC服务器服务范围内所有车辆消耗的能量E(t)为:At time t, after the vehicle executes the unloading strategy, the energy E(t) consumed by all vehicles within the service range of the local VEC server is:
在任务时延门限、计算资源和无线资源有限的条件下,形成的减少车辆端处理任务能量消耗的目标函数为:Under the condition of limited task delay threshold, computing resources and wireless resources, the objective function formed to reduce the energy consumption of vehicle-side processing tasks is:
其中, in,
本发明具有以下有益效果:The present invention has the following beneficial effects:
本发明所述的基于多智能体的车速感知的计算任务卸载和资源分配方法在具体操作时,首先收集车辆端计算任务,根据车辆端计算任务的类型将任务划分为关键任务、高优先级任务和低优先级任务,结合车速得到不同计算任务的时延门限,对于不同的计算任务,分别计算不同计算资源和无线资源分配下,卸载到VEC服务器、本地执行以及继续等待对应的时延和能耗,在任务的时延门限约束下,形成以降低车辆端能耗的目标函数,从而综合考虑车辆端的位置、速度、任务队列、计算资源、无线资源以及VEC服务器端的计算资源和无线资源等因素,在任务处理时延门限内,可以有效地降低车辆端的能耗,然后将该目标函数转化为马尔科夫决策过程,再对多智能体增强学习网络进行训练,最后利用训练后的多智能体增强学习网络进行计算任务卸载和资源的分配,以提高VEC服务器场景下车辆的整体性能。The method for unloading computing tasks and allocating resources based on multi-agent vehicle speed perception according to the present invention first collects computing tasks on the vehicle side during specific operations, and divides the tasks into key tasks and high-priority tasks according to the types of computing tasks on the vehicle side. and low-priority tasks, combined with the vehicle speed to obtain the delay threshold of different computing tasks, for different computing tasks, calculate different computing resources and wireless resource allocation, offload to the VEC server, execute locally, and continue to wait for the corresponding delay and energy. Under the constraints of the task delay threshold, an objective function is formed to reduce the energy consumption of the vehicle side, so as to comprehensively consider factors such as the position, speed, task queue, computing resources, wireless resources of the vehicle side, and computing resources and wireless resources of the VEC server side. , within the task processing delay threshold, the energy consumption of the vehicle can be effectively reduced, and then the objective function is transformed into a Markov decision process, and then the multi-agent reinforcement learning network is trained, and finally the trained multi-agent is used. The reinforcement learning network offloads computing tasks and allocates resources to improve the overall performance of the vehicle in the VEC server scenario.
附图说明Description of drawings
图1为本发明的流程示意图;Fig. 1 is the schematic flow chart of the present invention;
图2为五种算法对应的车辆平均任务完成时延(车辆数为7)的分布图;Figure 2 is a distribution diagram of the vehicle average task completion delay (the number of vehicles is 7) corresponding to the five algorithms;
图3为五种算法对应的车辆平均任务完成时延(车辆数为9)的分布图;Fig. 3 is the distribution diagram of the vehicle average task completion delay (the number of vehicles is 9) corresponding to the five algorithms;
图4为五种算法对应的车辆平均任务完成时延(车辆数为11)的分布图;Figure 4 is a distribution diagram of the vehicle average task completion delay (the number of vehicles is 11) corresponding to the five algorithms;
图5为五种算法对应的车辆平均任务完成时延(车辆数为13)的分布图;Figure 5 is a distribution diagram of the vehicle average task completion delay (the number of vehicles is 13) corresponding to the five algorithms;
图6为五种算法对应的车辆平均任务能耗(车辆数为7)的分布图;Fig. 6 is the distribution diagram of the vehicle average task energy consumption (the number of vehicles is 7) corresponding to the five algorithms;
图7为五种算法对应的车辆平均任务能耗(车辆数为9)的分布图;Fig. 7 is the distribution diagram of vehicle average task energy consumption (the number of vehicles is 9) corresponding to five algorithms;
图8为五种算法对应的车辆平均任务能耗(车辆数为11)的分布图;Figure 8 is a distribution diagram of the average task energy consumption of vehicles (the number of vehicles is 11) corresponding to the five algorithms;
图9为五种算法对应的车辆平均任务能耗(车辆数为13)的分布图;Figure 9 is a distribution diagram of the average task energy consumption of vehicles (the number of vehicles is 13) corresponding to five algorithms;
图10为五种算法对应的车辆平均任务完成时延(车速范围为30-50Km/h)的分布图;Figure 10 is a distribution diagram of the vehicle average task completion delay (vehicle speed range is 30-50Km/h) corresponding to the five algorithms;
图11为五种算法对应的车辆平均任务能耗(车速范围为30-50Km/h)的分布图;Figure 11 is a distribution diagram of the average task energy consumption of the vehicle (vehicle speed range is 30-50Km/h) corresponding to the five algorithms;
图12为五种算法对应的车辆平均任务完成时延(车速范围为50-80Km/h)的分布图;Figure 12 is a distribution diagram of the vehicle average task completion delay (vehicle speed range is 50-80Km/h) corresponding to the five algorithms;
图13为五种算法对应的车辆平均任务能耗(车速范围为50-80Km/h)的分布图。Figure 13 is a distribution diagram of the average vehicle task energy consumption (vehicle speed range is 50-80Km/h) corresponding to the five algorithms.
具体实施方式Detailed ways
下面结合附图对本发明做进一步详细描述:Below in conjunction with accompanying drawing, the present invention is described in further detail:
假设本地VEC服务器服务范围内的车辆集合设为车辆的个数为K,在时刻t,车辆k需要处理的计算任务为任务产生的时间为任务在VEC服务器处理消耗的时延为任务在本地执行消耗的时延为则对于任务从产生到执行动作完成需要花费的总时延为:Assume that the set of vehicles within the service range of the local VEC server is set to The number of vehicles is K. At time t, the computing task that vehicle k needs to process is: The time when the task is generated is The delay consumed by the task processing in the VEC server is The latency consumed by the local execution of the task is then for the task The total delay from generation to completion of the execution of the action for:
其中,表示车辆k的任务是否继续等待,如果继续等待,则为1,否则,则为0,继续等待时间设为Th,表示车辆k的任务是否卸载到本地VEC服务器,为1,则车辆k的任务卸载到本地VEC服务器。in, represents the task of vehicle k Whether to continue to wait, if continue to wait, then is 1, otherwise, then is 0, the continuation waiting time is set to Th , represents the task of vehicle k Whether to offload to the local VEC server, is 1, then the task of vehicle k Offload to the local VEC server.
在时刻t,任务在VEC服务器处理消耗的能量为任务在本地执行消耗的能量为当车辆执行卸载策略后,本地VEC服务器服务范围内所有车辆消耗的能量E(t)为:At time t, the energy consumed by the task processing on the VEC server is The energy consumed by the task to execute locally is When the vehicle executes the unloading strategy, the energy E(t) consumed by all vehicles within the service range of the local VEC server is:
本发明以最小化车辆端的能耗为优化目标,在任务时延门限、计算资源和无线资源有限的条件下,对应的优化问题为:The present invention takes minimizing the energy consumption of the vehicle end as the optimization goal, and under the condition that the task delay threshold, computing resources and wireless resources are limited, the corresponding optimization problem is:
s.t.s.t.
本发明所述的基于多智能体的车速感知的计算任务卸载和资源分配方法包括以下步骤:The computing task offloading and resource allocation method based on multi-agent vehicle speed perception according to the present invention comprises the following steps:
1)收集车辆端计算任务,根据车辆端计算任务的类型将车辆端计算任务划分为关键任务、高优先级任务及低优先级任务,再根据车速确定关键任务、高优先级任务及低优先级任务的时延门限;1) Collect vehicle-side computing tasks, divide vehicle-side computing tasks into key tasks, high-priority tasks, and low-priority tasks according to the types of vehicle-side computing tasks, and then determine key tasks, high-priority tasks, and low-priority tasks according to vehicle speed. task delay threshold;
2)对于关键任务、高优先级任务及低优先级任务,分别计算不同计算资源及无线资源分配下,卸载到VEC服务器、本地执行及继续等待对应的时延和能耗,然后在各任务的时延门限约束下,形成以减小车辆端处理任务能量消耗的目标函数;2) For key tasks, high-priority tasks and low-priority tasks, calculate different computing resources and wireless resource allocations, offload to the VEC server, execute locally, and continue to wait for the corresponding delay and energy consumption, and then calculate the corresponding delay and energy consumption of each task. Under the constraint of the delay threshold, an objective function is formed to reduce the energy consumption of the vehicle-side processing task;
3)将步骤2)得到的目标函数转化为马尔科夫决策过程,初始化马尔科夫决策过程的状态空间、动作空间及奖励;3) Convert the objective function obtained in step 2) into a Markov decision process, and initialize the state space, action space and reward of the Markov decision process;
4)根据多智能体增强学习网络得新的状态、动作和奖励,并将新的状态、动作和奖励存储到经验回放池中;4) Obtain new states, actions and rewards according to the multi-agent reinforcement learning network, and store the new states, actions and rewards in the experience playback pool;
5)当经验回放池中的数据达到阈值时,对多智能体增强学习网络进行训练,直到多智能体增强学习网络收敛为止;5) When the data in the experience playback pool reaches the threshold, train the multi-agent reinforcement learning network until the multi-agent reinforcement learning network converges;
6)将待分配的车辆端和边缘服务器的状态输入到收敛后的多智能体增强学习网络,得任务卸载和资源分配结果,完成基于多智能体增强学习的车速感知的计算任务卸载和资源分配。6) Input the state of the vehicle terminal and edge server to be allocated into the converged multi-agent reinforcement learning network, get the task offloading and resource allocation results, and complete the computing task offloading and resource allocation based on multi-agent reinforcement learning for vehicle speed perception .
下面参考图1进行详细的说明:The following is a detailed description with reference to Figure 1:
步骤11)根据任务的类型将任务划分为关键任务、高优先级任务及低优先级任务,结合车速得到不同计算任务的时延门限,具体过程为;Step 11) According to the type of the task, the task is divided into key tasks, high-priority tasks and low-priority tasks, and the delay thresholds of different computing tasks are obtained in combination with the vehicle speed, and the specific process is as follows;
根据车辆端计算任务的带宽和时延要求,将车辆端计算任务划分为关键任务φ1、高优先级任务φ2及低优先级任务φ3,关键任务φ1、高优先级任务φ2及低优先级任务φ3对应的时延门限分别为Thr1、Thr2及Thr3,其中,关键任务φ1的时延门限为10ms,低优先级任务φ3的时延门限为100ms,高优先级任务φ2与当前车辆的行驶速度相关,得任务的时延门限为:According to the bandwidth and delay requirements of the vehicle-side computing tasks, the vehicle-side computing tasks are divided into key tasks φ 1 , high-priority tasks φ 2 and low-priority tasks φ 3 , key tasks φ 1 , high-priority tasks φ 2 and The delay thresholds corresponding to the low-priority task φ 3 are Thr 1 , Thr 2 and Thr 3 respectively. The delay threshold of the key task φ 1 is 10ms, the delay threshold of the low-priority task φ 3 is 100ms, and the high-
其中,当时,当时, 为车辆k的速度,Thr2为道路限速vmax对应的时延门限。Among them, when hour, when hour, is the speed of vehicle k, and Thr 2 is the delay threshold corresponding to the road speed limit v max .
步骤12)对于不同的计算任务,当任务卸载到VEC服务器处理时,消耗的时延为:Step 12) For different computing tasks, when the task is offloaded to the VEC server for processing, the consumption delay for:
其中,为向上取整函数,为车辆k的任务的文件大小,为处理车辆k的任务需要的计算密度,为车辆k下载的任务的文件大小相对于原上传任务缩小的比例,为VEC服务器给车辆k的任务分配的计算资源比例,fVEC为本地VEC服务器的CPU频率,为车辆与VEC服务器之间的上行传输速率,为下行传输速率;in, is the round-up function, task for vehicle k file size, for the task of handling vehicle k required computational density, Tasks downloaded for vehicle k The size of the file is reduced relative to the original upload task, Task given to vehicle k for the VEC server The proportion of computing resources allocated, f VEC is the CPU frequency of the local VEC server, is the uplink transmission rate between the vehicle and the VEC server, is the downlink transmission rate;
此时,对应的车辆端能耗为:At this time, the corresponding vehicle-side energy consumption for:
其中,P为车辆的信号传输功率;Among them, P is the signal transmission power of the vehicle;
当任务在本地执行时,根据车辆k分配的CPU频率fk,得车辆k的任务在本地执行的时间消耗为:When the task is executed locally, the task of vehicle k is obtained according to the CPU frequency f k allocated by vehicle k Time spent executing locally for:
此时,对应的车辆端能耗为:At this time, the corresponding vehicle-side energy consumption for:
其中,处理车辆k的任务所需要的能量密度 Among them, the task of processing vehicle k required energy density
以最小化车辆端的能耗为优化目标,在任务时延门限、计算资源和无线资源有限的条件下,对应的优化问题为:Taking minimizing the energy consumption of the vehicle as the optimization goal, under the condition of limited task delay threshold, computing resources and wireless resources, the corresponding optimization problem is:
s.t.s.t.
计算不同卸载位置和资源分配的时延和能耗,并形成时延约束下降低车辆端能耗的优化目标;Calculate the delay and energy consumption of different unloading locations and resource allocation, and form an optimization goal to reduce vehicle-side energy consumption under the delay constraint;
步骤13)初始化马尔科夫决策过程的状态、动作和奖励,在时刻t,将车辆k的状态空间定义为sk(t),车辆k的状态空间包括其他车辆的状态信息和VEC服务器的状态信息,sk(t)为:Step 13) Initialize the states, actions and rewards of the Markov decision process, at time t, define the state space of vehicle k as s k (t), the state space of vehicle k includes the state information of other vehicles and the state of the VEC server information, sk (t) is:
其中,vk(t),dk(t),ck(t)分别表示车辆k在时刻t的速度、位置以及需要处理的文件大小,rbVEC(t)表示在时刻VEC服务器的当前剩余计算能力,表示在时刻t车辆k是否选择卸载位置(·),如果选择,则为1,否则,则为0,表示在时刻t,VEC服务器给车辆k分配的计算资源比例,表示在时刻t,VEC服务器的上行信道资源是否空闲,表示在时刻t,VEC服务器的下行信道资源是否空闲,因此,系统的状态空间定义为:St=(s1(t),...sk(t)...,sK(t));Among them, v k (t), d k (t), ck (t) represent the speed, position and file size of the vehicle k at time t, respectively, and rb VEC (t) represents the current remaining VEC server at time t. Calculate ability, Indicates whether the vehicle k selects the unloading position (·) at time t, if so, then is 1, otherwise, then is 0, represents the proportion of computing resources allocated by the VEC server to vehicle k at time t, Indicates whether the uplink channel resources of the VEC server are idle at time t, Indicates whether the downlink channel resources of the VEC server are idle at time t. Therefore, the state space of the system is defined as: S t =(s 1 (t),...s k (t)...,s K (t) );
对于车辆k来说,其动作空间为是否继续等待、是否卸载到VEC服务器、VEC分配的计算能力、VEC服务器分配的上下行子信道,即:For vehicle k, its action space is whether to continue to wait, whether to unload to the VEC server, the computing power allocated by the VEC, and the uplink and downlink sub-channels allocated by the VEC server, namely:
因此,在时刻t,车辆的动作空间为:At={a1(t),...ak(t)...,aK(t)};Therefore, at time t, the action space of the vehicle is: A t ={a 1 (t),... ak (t)...,a K (t)};
当车辆k采取的动作ak(t)后的状态不满足条件(c1)-(c7)时,奖励函数为:When the state after the action a k (t) taken by the vehicle k does not satisfy the conditions (c1)-(c7), the reward function is:
其中,当不满足(·)的条件时,Λ(·)为-1,否则,Λ(·)为0,l1,Γ1,Γ2,Γ3,Γ4为实验参数。Among them, when the condition of ( ) is not satisfied, Λ ( ) is -1, otherwise, Λ ( ) is 0, and l1, Γ1, Γ2, Γ3, Γ4 are experimental parameters.
当车辆k采取动作后的状态满足全部条件(c1)-(c4)时,奖励函数定义为:When the state of vehicle k after taking action satisfies all conditions (c1)-(c4), the reward function is defined as:
rk(t)=l2+exp(Thrk(t)-Dk(t))r k (t)=l 2 +exp(Thr k (t)-D k (t))
其中,l2为实验参数,exp(·)为指数函数,当车辆k采取动作后的状态满足全部条件(c1)-(c5)时,奖励函数为:Among them, l 2 is the experimental parameter, exp( ) is the exponential function, when the state of the vehicle k after taking the action satisfies all the conditions (c1)-(c5), the reward function is:
r(t)=l3+Γ5·exp(Ek(t))r(t)=l 3 +Γ 5 ·exp(E k (t))
其中,l3,Γ5为实验参数。Among them, l 3 , Γ 5 are experimental parameters.
步骤14)根据多智能体增强学习网络得到新的状态、动作和奖励,并存储在经验回放池;Step 14) obtain new states, actions and rewards according to the multi-agent reinforcement learning network, and store them in the experience playback pool;
步骤15)判断经验回放池内的数据是否达到阈值,当经验回放池中的数据达到阈值时,对多智能体增强学习网络进行训练,直到多智能体增强学习网络收敛为止;Step 15) judging whether the data in the experience playback pool reaches the threshold, when the data in the experience playback pool reaches the threshold, the multi-agent enhanced learning network is trained until the multi-agent enhanced learning network converges;
对于集中训练的过程,由K个agents组成,多智能体增强学习网络的参数为θ={θ1,...,θK},令表示所有agent的策略集合,则对于agent k的确定性策略μk,其梯度表示为:For the centralized training process, which consists of K agents, the parameters of the multi-agent reinforcement learning network are θ={θ 1 ,...,θ K }, let represents the policy set of all agents, then for the deterministic policy μ k of agent k, its gradient is expressed as:
其中,为经验回放区,由一系列的状态、动作以及奖励组成,即:(S,A,S',R),为集中式的动作-价值函数,输入为所有agents的动作和一些状态信息,输出为agent k的Q值,对于评价网络根据Loss函数进行更新,即:in, is the experience playback area, which consists of a series of states, actions and rewards, namely: (S, A, S', R), is a centralized action-value function, the input is the actions of all agents and some state information, and the output is the Q value of agent k. For the evaluation network Update according to the Loss function, ie:
其中,γ为折扣因子,而动作网络通过最小化agent的策略梯度进行更新,即:where γ is the discount factor, and the action network is updated by minimizing the agent's policy gradient, namely:
其中,X为mini-batch的大小,j为样本的索引。Among them, X is the size of the mini-batch, and j is the index of the sample.
步骤17)将待分配的车辆端和边缘服务器的状态输入到收敛后的多智能体增强学习网络,得任务卸载和资源分配结果,完成基于多智能体增强学习的车速感知的计算任务卸载和资源分配。Step 17) Input the state of the vehicle terminal and the edge server to be allocated into the converged multi-agent reinforcement learning network, obtain the task offloading and resource allocation results, and complete the computing task offloading and resource allocation based on the multi-agent reinforcement learning vehicle speed perception distribute.
仿真实验Simulation
仿真平台在Python3.7环境下实现,tensorflow版本为1.15.0,详细的仿真参数设置如表1及表2所示,实验结果中,现存的计算卸载和资源分配算法为AL、AV、RD和EDG算法,本发明对应的算法为JDEE-MADDPG算法。The simulation platform is implemented in the Python3.7 environment, and the tensorflow version is 1.15.0. The detailed simulation parameter settings are shown in Table 1 and Table 2. In the experimental results, the existing computing offloading and resource allocation algorithms are AL, AV, RD and The EDG algorithm, the corresponding algorithm of the present invention is the JDEE-MADDPG algorithm.
表1Table 1
表2Table 2
五种算法的车辆的平均任务完成时延对比,该实验主要评估各算法对应平均任务完成时延在不同车辆数的分布情况。实验结果如图2、图3、图4及图5所示。由图2、图3、图4及图5可以看出,与AL,AV和RD算法相比,本发明提出的JDEE-MADDPG算法始终可以为每个车辆保持较低的任务完成时延,这是因为本发明可以根据任务优先级、任务大小、车速和车辆的通道状态将计算资源和无线资源更准确地分配给车辆,此外,EDG算法的某些车辆的任务完成时延小于本发明提出的JDEE-MADDPG算法,因为本发明提出的算法在不超过任务时延门限的前提下,牺牲了一点任务完成延迟来降低车辆终端的能耗。The average task completion delay of the five algorithms is compared. This experiment mainly evaluates the distribution of the average task completion delay corresponding to each algorithm in different vehicle numbers. The experimental results are shown in Figure 2, Figure 3, Figure 4 and Figure 5. As can be seen from Fig. 2, Fig. 3, Fig. 4 and Fig. 5, compared with the AL, AV and RD algorithms, the JDEE-MADDPG algorithm proposed by the present invention can always maintain a lower task completion delay for each vehicle. It is because the present invention can allocate computing resources and wireless resources to vehicles more accurately according to task priority, task size, vehicle speed and vehicle channel state. In addition, the task completion delay of some vehicles of the EDG algorithm is smaller than that proposed by the present invention. JDEE-MADDPG algorithm, because the algorithm proposed by the present invention sacrifices a little task completion delay to reduce the energy consumption of the vehicle terminal under the premise of not exceeding the task delay threshold.
五种算法的车辆平均任务能耗对比,实验结果如图6、图7、图8及图9所示,与其他算法相比,本发明始终可以保持较低的能耗水平,这是因为本发明根据任务优先级、任务大小、车辆速度和车辆的信道状态制定最佳的卸载和资源分配策略,并尽可能降低所有车辆的任务能耗。Compared with other algorithms, the present invention can always maintain a lower energy consumption level, because the The invention formulates optimal offloading and resource allocation strategies according to task priority, task size, vehicle speed and vehicle channel state, and reduces task energy consumption of all vehicles as much as possible.
当车速范围分别为[30,50]Km/h与[50,80]Km/h,五种算法的车辆的平均任务完成时延与平均任务能耗对比,实验结果如图10、图11、图12及图13所示,与AL,AV和RD算法相比,本发明在任务时延和能耗方面表现地更好,这是因为本发明可以利用车辆终端和VEC服务器的状态信息,即车辆位置,车速,任务队列,通道状态和剩余的计算资源来做出最佳卸载和资源分配策略。此外,本发明中某些车辆的任务完成时延高于EDG算法的原因是,本发明提出的JDEE-MADDPG算法在不超过任务时延门限的前提下,为高速车辆分配更多的VEC服务器的无线和计算资源,来降低车辆端的整体能耗,因此导致某些车辆的任务完成时延高于EDG算法。When the vehicle speed ranges are [30,50]Km/h and [50,80]Km/h respectively, the average task completion delay of the five algorithms is compared with the average task energy consumption. The experimental results are shown in Figure 10, Figure 11, As shown in Fig. 12 and Fig. 13, compared with the AL, AV and RD algorithms, the present invention performs better in terms of task delay and energy consumption, because the present invention can utilize the state information of the vehicle terminal and the VEC server, namely Vehicle location, vehicle speed, task queue, channel status and remaining computing resources to make optimal offloading and resource allocation strategies. In addition, the reason why the task completion delay of some vehicles in the present invention is higher than that of the EDG algorithm is that the JDEE-MADDPG algorithm proposed in the present invention can allocate more VEC servers to high-speed vehicles under the premise of not exceeding the task delay threshold. Wireless and computing resources are used to reduce the overall energy consumption on the vehicle side, thus causing the task completion delay of some vehicles to be higher than that of the EDG algorithm.
以上实施例仅用以说明本发明的技术方案,而非对其限制;尽管参照前述各实施例对本发明进行了详细的说明,本领域的普通技术人员应当理解:其依然可以对前述各实施例所记载的技术方案进行修改,或者对其中部分或者全部技术特征进行等同替换;而这些修改或者替换,并不使相应技术方案的本质脱离本发明各实施例技术方案的范围。The above embodiments are only used to illustrate the technical solutions of the present invention, but not to limit them; although the present invention has been described in detail with reference to the foregoing embodiments, those of ordinary skill in the art should understand that the foregoing embodiments can still be used for The recorded technical solutions are modified, or some or all of the technical features thereof are equivalently replaced; and these modifications or replacements do not make the essence of the corresponding technical solutions depart from the scope of the technical solutions of the embodiments of the present invention.
Claims (1)
Priority Applications (1)
| Application Number | Priority Date | Filing Date | Title |
|---|---|---|---|
| CN202010648403.2A CN111918245B (en) | 2020-07-07 | 2020-07-07 | Multi-agent-based vehicle speed perception calculation task unloading and resource allocation method |
Applications Claiming Priority (1)
| Application Number | Priority Date | Filing Date | Title |
|---|---|---|---|
| CN202010648403.2A CN111918245B (en) | 2020-07-07 | 2020-07-07 | Multi-agent-based vehicle speed perception calculation task unloading and resource allocation method |
Publications (2)
| Publication Number | Publication Date |
|---|---|
| CN111918245A CN111918245A (en) | 2020-11-10 |
| CN111918245B true CN111918245B (en) | 2021-11-19 |
Family
ID=73227589
Family Applications (1)
| Application Number | Title | Priority Date | Filing Date |
|---|---|---|---|
| CN202010648403.2A Active CN111918245B (en) | 2020-07-07 | 2020-07-07 | Multi-agent-based vehicle speed perception calculation task unloading and resource allocation method |
Country Status (1)
| Country | Link |
|---|---|
| CN (1) | CN111918245B (en) |
Families Citing this family (22)
| Publication number | Priority date | Publication date | Assignee | Title |
|---|---|---|---|---|
| CN112616131B (en) * | 2020-12-11 | 2022-05-13 | 北京邮电大学 | Internet of vehicles resource allocation method based on video content priority |
| CN112689296B (en) * | 2020-12-14 | 2022-06-24 | 山东师范大学 | Edge calculation and cache method and system in heterogeneous IoT network |
| CN112685186B (en) * | 2021-01-08 | 2023-04-28 | 北京信息科技大学 | Method and device for unloading computing task, electronic equipment and storage medium |
| CN112929412B (en) * | 2021-01-22 | 2022-03-11 | 山东大学 | Method, device and storage medium for joint bandwidth allocation and data stream unloading based on MEC single-vehicle single-cell |
| CN113452625B (en) * | 2021-06-28 | 2022-04-15 | 重庆大学 | Offload scheduling and resource allocation method based on deep reinforcement learning |
| CN113542376A (en) * | 2021-07-01 | 2021-10-22 | 广东工业大学 | Task unloading method based on energy consumption and time delay weighting |
| CN113726858B (en) * | 2021-08-12 | 2022-08-16 | 西安交通大学 | Self-adaptive AR task unloading and resource allocation method based on reinforcement learning |
| CN113918240B (en) * | 2021-10-15 | 2024-05-28 | 全球能源互联网研究院有限公司 | Task offloading method and device |
| CN113900739B (en) * | 2021-10-27 | 2024-11-19 | 大连理工大学 | A computing offloading method and system in many-to-many edge computing scenarios |
| CN114489964B (en) * | 2021-12-08 | 2025-03-04 | 中国科学院信息工程研究所 | A credit-prioritized task offloading method for vehicle networks based on federated learning |
| CN114285847A (en) * | 2021-12-17 | 2022-04-05 | 中国电信股份有限公司 | Data processing method and device, model training method and device, electronic equipment and storage medium |
| CN114637608B (en) * | 2022-05-17 | 2022-09-16 | 之江实验室 | Calculation task allocation and updating method, terminal and network equipment |
| CN115022322B (en) * | 2022-06-02 | 2024-02-02 | 湖南第一师范学院 | An edge-cloud collaborative task offloading method based on crowd intelligence evolution in the Internet of Vehicles |
| CN115484261B (en) * | 2022-08-25 | 2025-01-03 | 南京邮电大学 | Unmanned aerial vehicle-assisted vehicle edge calculation cooperative task unloading method |
| CN115426683B (en) * | 2022-09-06 | 2025-07-01 | 中国科学院计算技术研究所 | A dynamic generation method of vehicle clusters for task offloading |
| CN115658251B (en) * | 2022-09-19 | 2025-03-07 | 重庆大学 | Federated multi-agent Actor-Critic learning intelligent logistics task offloading and resource allocation system and medium |
| CN115237506B (en) * | 2022-09-21 | 2022-12-09 | 暨南大学 | Reliability-driven hierarchical task unloading method and device in CPS (control performance Standard) system |
| CN116033388A (en) * | 2022-12-13 | 2023-04-28 | 南京邮电大学 | Vehicle fog calculation method based on deep reinforcement learning and contract matching |
| CN116405904B (en) * | 2023-04-06 | 2025-05-30 | 上海大学 | TACS network resource allocation method based on deep reinforcement learning |
| CN116489619B (en) * | 2023-04-23 | 2026-01-27 | 重庆邮电大学 | Low-energy-consumption task migration and resource scheduling method |
| CN116541106B (en) * | 2023-07-06 | 2023-08-29 | 闽南理工学院 | Computing task unloading method, computing device and storage medium |
| CN117528652B (en) * | 2023-11-20 | 2025-04-29 | 中国移动紫金(江苏)创新研究院有限公司 | Service delay optimization method, device, equipment and storage medium |
Citations (2)
| Publication number | Priority date | Publication date | Assignee | Title |
|---|---|---|---|---|
| CN106134263A (en) * | 2014-01-29 | 2016-11-16 | 交互数字专利控股公司 | Uplink Transmission in Wireless Communications |
| CN109478057A (en) * | 2016-05-09 | 2019-03-15 | 强力物联网投资组合2016有限公司 | Method and system for the Industrial Internet of Things |
Family Cites Families (13)
| Publication number | Priority date | Publication date | Assignee | Title |
|---|---|---|---|---|
| WO2012056437A1 (en) * | 2010-10-29 | 2012-05-03 | École Polytechnique Fédérale De Lausanne (Epfl) | Omnidirectional sensor array system |
| US10575355B2 (en) * | 2014-09-02 | 2020-02-25 | Apple Inc. | API for web access directly or through intermediary |
| US10439890B2 (en) * | 2016-10-19 | 2019-10-08 | Tata Consultancy Services Limited | Optimal deployment of fog computations in IoT environments |
| CN108541027B (en) * | 2018-04-24 | 2022-05-31 | 南京邮电大学 | Communication computing resource replacement method based on edge cloud network |
| US11200186B2 (en) * | 2018-06-30 | 2021-12-14 | Intel Corporation | Apparatuses, methods, and systems for operations in a configurable spatial accelerator |
| CN109257432B (en) * | 2018-10-12 | 2021-01-12 | 桂林电子科技大学 | Task switching method, computer device and readable storage medium |
| CN110035410B (en) * | 2019-03-07 | 2021-07-13 | 中南大学 | A method for joint resource allocation and computational offloading in software-defined in-vehicle edge networks |
| CN110650457B (en) * | 2019-10-14 | 2020-07-14 | 河海大学 | Joint optimization method for task unloading calculation cost and time delay in Internet of vehicles |
| CN110868700B (en) * | 2019-10-16 | 2023-04-07 | 深圳大学 | Cooperative computing unloading method based on splittable tasks in vehicle-mounted edge computing environment |
| CN110933157B (en) * | 2019-11-26 | 2022-03-11 | 重庆邮电大学 | Industrial Internet of things-oriented edge computing task unloading method |
| CN111142883B (en) * | 2019-12-03 | 2023-04-28 | 沈阳航空航天大学 | SDN architecture-based vehicle computing task unloading method |
| CN111124647B (en) * | 2019-12-25 | 2022-11-18 | 大连理工大学 | Intelligent edge calculation method in Internet of vehicles |
| CN111262940B (en) * | 2020-01-17 | 2021-06-22 | 中南大学 | A kind of vehicle edge computing application caching method, device and system |
-
2020
- 2020-07-07 CN CN202010648403.2A patent/CN111918245B/en active Active
Patent Citations (2)
| Publication number | Priority date | Publication date | Assignee | Title |
|---|---|---|---|---|
| CN106134263A (en) * | 2014-01-29 | 2016-11-16 | 交互数字专利控股公司 | Uplink Transmission in Wireless Communications |
| CN109478057A (en) * | 2016-05-09 | 2019-03-15 | 强力物联网投资组合2016有限公司 | Method and system for the Industrial Internet of Things |
Also Published As
| Publication number | Publication date |
|---|---|
| CN111918245A (en) | 2020-11-10 |
Similar Documents
| Publication | Publication Date | Title |
|---|---|---|
| CN111918245B (en) | Multi-agent-based vehicle speed perception calculation task unloading and resource allocation method | |
| CN111240701B (en) | Task unloading optimization method for end-side-cloud collaborative computing | |
| CN112601197B (en) | A non-orthogonal multiple access based resource optimization method in connected car network | |
| CN112911016B (en) | Edge-side collaborative computing unloading method and system, electronic equipment and storage medium | |
| CN111464976B (en) | A fleet-based vehicle task offloading decision and overall resource allocation method | |
| Huang et al. | Vehicle speed aware computing task offloading and resource allocation based on multi-agent reinforcement learning in a vehicular edge computing network | |
| CN111711666B (en) | Internet of vehicles cloud computing resource optimization method based on reinforcement learning | |
| CN110312231A (en) | Content caching decision and resource allocation joint optimization method based on mobile edge calculations in a kind of car networking | |
| CN115065683B (en) | Vehicle edge network task allocation and unloading method based on vehicle clustering | |
| CN114374949B (en) | A power control mechanism based on information freshness optimization in Internet of Vehicles | |
| CN116133049B (en) | Cloud edge end collaborative MEC task unloading strategy based on DRL and safety | |
| CN112835637B (en) | A task offloading method for mobile edge computing for vehicle users | |
| CN111565380A (en) | NOMA-MEC-based hybrid unloading method in Internet of vehicles | |
| CN118368643B (en) | Utility maximization resource allocation method for internet of vehicles network slice | |
| CN113709249B (en) | Safe balanced unloading method and system for driving assisting service | |
| CN113641417A (en) | Vehicle safety task unloading method based on branch-and-bound method | |
| CN116996511A (en) | Method for distributing unloading tasks of intelligent vehicle in end-edge cloud dynamic unloading frame | |
| CN116367231A (en) | Joint optimization method of edge computing vehicle network resource management based on DDPG algorithm | |
| CN116743584B (en) | Dynamic RAN slicing method based on information sensing and joint calculation caching | |
| CN117042051B (en) | Task unloading strategy generation method, system, equipment and medium in Internet of vehicles | |
| CN118113484A (en) | Resource scheduling method, system, storage medium and vehicle | |
| CN109558240A (en) | A kind of mobile terminal applies the lower task discharging method based on support vector machines | |
| CN117082470A (en) | Internet of Vehicles task offloading and resource allocation method based on NOMA-MEC system | |
| CN114786156B (en) | Deep learning-based vehicle networking optimization task edge unloading method | |
| Lyu et al. | Service-driven resource management in vehicular networks based on deep reinforcement learning |
Legal Events
| Date | Code | Title | Description |
|---|---|---|---|
| PB01 | Publication | ||
| PB01 | Publication | ||
| SE01 | Entry into force of request for substantive examination | ||
| SE01 | Entry into force of request for substantive examination | ||
| GR01 | Patent grant | ||
| GR01 | Patent grant |












































































































































































































































