CN111094264A - 具有嘧啶环结构的化合物及有机电致发光元件 - Google Patents
具有嘧啶环结构的化合物及有机电致发光元件 Download PDFInfo
- Publication number
- CN111094264A CN111094264A CN201880059472.0A CN201880059472A CN111094264A CN 111094264 A CN111094264 A CN 111094264A CN 201880059472 A CN201880059472 A CN 201880059472A CN 111094264 A CN111094264 A CN 111094264A
- Authority
- CN
- China
- Prior art keywords
- group
- substituted
- compound
- pyrimidine ring
- ring structure
- Prior art date
- Legal status (The legal status is an assumption and is not a legal conclusion. Google has not performed a legal analysis and makes no representation as to the accuracy of the status listed.)
- Pending
Links
Images
Classifications
-
- C—CHEMISTRY; METALLURGY
- C07—ORGANIC CHEMISTRY
- C07D—HETEROCYCLIC COMPOUNDS
- C07D401/00—Heterocyclic compounds containing two or more hetero rings, having nitrogen atoms as the only ring hetero atoms, at least one ring being a six-membered ring with only one nitrogen atom
- C07D401/02—Heterocyclic compounds containing two or more hetero rings, having nitrogen atoms as the only ring hetero atoms, at least one ring being a six-membered ring with only one nitrogen atom containing two hetero rings
- C07D401/04—Heterocyclic compounds containing two or more hetero rings, having nitrogen atoms as the only ring hetero atoms, at least one ring being a six-membered ring with only one nitrogen atom containing two hetero rings directly linked by a ring-member-to-ring-member bond
-
- C—CHEMISTRY; METALLURGY
- C07—ORGANIC CHEMISTRY
- C07D—HETEROCYCLIC COMPOUNDS
- C07D401/00—Heterocyclic compounds containing two or more hetero rings, having nitrogen atoms as the only ring hetero atoms, at least one ring being a six-membered ring with only one nitrogen atom
- C07D401/14—Heterocyclic compounds containing two or more hetero rings, having nitrogen atoms as the only ring hetero atoms, at least one ring being a six-membered ring with only one nitrogen atom containing three or more hetero rings
-
- C—CHEMISTRY; METALLURGY
- C07—ORGANIC CHEMISTRY
- C07D—HETEROCYCLIC COMPOUNDS
- C07D405/00—Heterocyclic compounds containing both one or more hetero rings having oxygen atoms as the only ring hetero atoms, and one or more rings having nitrogen as the only ring hetero atom
- C07D405/14—Heterocyclic compounds containing both one or more hetero rings having oxygen atoms as the only ring hetero atoms, and one or more rings having nitrogen as the only ring hetero atom containing three or more hetero rings
-
- C—CHEMISTRY; METALLURGY
- C07—ORGANIC CHEMISTRY
- C07D—HETEROCYCLIC COMPOUNDS
- C07D409/00—Heterocyclic compounds containing two or more hetero rings, at least one ring having sulfur atoms as the only ring hetero atoms
- C07D409/14—Heterocyclic compounds containing two or more hetero rings, at least one ring having sulfur atoms as the only ring hetero atoms containing three or more hetero rings
-
- C—CHEMISTRY; METALLURGY
- C07—ORGANIC CHEMISTRY
- C07D—HETEROCYCLIC COMPOUNDS
- C07D413/00—Heterocyclic compounds containing two or more hetero rings, at least one ring having nitrogen and oxygen atoms as the only ring hetero atoms
- C07D413/14—Heterocyclic compounds containing two or more hetero rings, at least one ring having nitrogen and oxygen atoms as the only ring hetero atoms containing three or more hetero rings
-
- C—CHEMISTRY; METALLURGY
- C07—ORGANIC CHEMISTRY
- C07D—HETEROCYCLIC COMPOUNDS
- C07D471/00—Heterocyclic compounds containing nitrogen atoms as the only ring hetero atoms in the condensed system, at least one ring being a six-membered ring with one nitrogen atom, not provided for by groups C07D451/00 - C07D463/00
- C07D471/02—Heterocyclic compounds containing nitrogen atoms as the only ring hetero atoms in the condensed system, at least one ring being a six-membered ring with one nitrogen atom, not provided for by groups C07D451/00 - C07D463/00 in which the condensed system contains two hetero rings
- C07D471/04—Ortho-condensed systems
-
- C—CHEMISTRY; METALLURGY
- C07—ORGANIC CHEMISTRY
- C07F—ACYCLIC, CARBOCYCLIC OR HETEROCYCLIC COMPOUNDS CONTAINING ELEMENTS OTHER THAN CARBON, HYDROGEN, HALOGEN, OXYGEN, NITROGEN, SULFUR, SELENIUM OR TELLURIUM
- C07F7/00—Compounds containing elements of Groups 4 or 14 of the Periodic Table
- C07F7/02—Silicon compounds
- C07F7/08—Compounds having one or more C—Si linkages
- C07F7/0803—Compounds with Si-C or Si-Si linkages
- C07F7/081—Compounds with Si-C or Si-Si linkages comprising at least one atom selected from the elements N, O, halogen, S, Se or Te
- C07F7/0812—Compounds with Si-C or Si-Si linkages comprising at least one atom selected from the elements N, O, halogen, S, Se or Te comprising a heterocyclic ring
- C07F7/0814—Compounds with Si-C or Si-Si linkages comprising at least one atom selected from the elements N, O, halogen, S, Se or Te comprising a heterocyclic ring said ring is substituted at a C ring atom by Si
-
- H—ELECTRICITY
- H10—SEMICONDUCTOR DEVICES; ELECTRIC SOLID-STATE DEVICES NOT OTHERWISE PROVIDED FOR
- H10K—ORGANIC ELECTRIC SOLID-STATE DEVICES
- H10K50/00—Organic light-emitting devices
- H10K50/10—OLEDs or polymer light-emitting diodes [PLED]
- H10K50/14—Carrier transporting layers
- H10K50/16—Electron transporting layers
-
- H—ELECTRICITY
- H10—SEMICONDUCTOR DEVICES; ELECTRIC SOLID-STATE DEVICES NOT OTHERWISE PROVIDED FOR
- H10K—ORGANIC ELECTRIC SOLID-STATE DEVICES
- H10K50/00—Organic light-emitting devices
- H10K50/10—OLEDs or polymer light-emitting diodes [PLED]
- H10K50/18—Carrier blocking layers
-
- H—ELECTRICITY
- H10—SEMICONDUCTOR DEVICES; ELECTRIC SOLID-STATE DEVICES NOT OTHERWISE PROVIDED FOR
- H10K—ORGANIC ELECTRIC SOLID-STATE DEVICES
- H10K85/00—Organic materials used in the body or electrodes of devices covered by this subclass
- H10K85/40—Organosilicon compounds, e.g. TIPS pentacene
-
- H—ELECTRICITY
- H10—SEMICONDUCTOR DEVICES; ELECTRIC SOLID-STATE DEVICES NOT OTHERWISE PROVIDED FOR
- H10K—ORGANIC ELECTRIC SOLID-STATE DEVICES
- H10K85/00—Organic materials used in the body or electrodes of devices covered by this subclass
- H10K85/60—Organic compounds having low molecular weight
- H10K85/615—Polycyclic condensed aromatic hydrocarbons, e.g. anthracene
-
- H—ELECTRICITY
- H10—SEMICONDUCTOR DEVICES; ELECTRIC SOLID-STATE DEVICES NOT OTHERWISE PROVIDED FOR
- H10K—ORGANIC ELECTRIC SOLID-STATE DEVICES
- H10K85/00—Organic materials used in the body or electrodes of devices covered by this subclass
- H10K85/60—Organic compounds having low molecular weight
- H10K85/615—Polycyclic condensed aromatic hydrocarbons, e.g. anthracene
- H10K85/622—Polycyclic condensed aromatic hydrocarbons, e.g. anthracene containing four rings, e.g. pyrene
-
- H—ELECTRICITY
- H10—SEMICONDUCTOR DEVICES; ELECTRIC SOLID-STATE DEVICES NOT OTHERWISE PROVIDED FOR
- H10K—ORGANIC ELECTRIC SOLID-STATE DEVICES
- H10K85/00—Organic materials used in the body or electrodes of devices covered by this subclass
- H10K85/60—Organic compounds having low molecular weight
- H10K85/615—Polycyclic condensed aromatic hydrocarbons, e.g. anthracene
- H10K85/624—Polycyclic condensed aromatic hydrocarbons, e.g. anthracene containing six or more rings
-
- H—ELECTRICITY
- H10—SEMICONDUCTOR DEVICES; ELECTRIC SOLID-STATE DEVICES NOT OTHERWISE PROVIDED FOR
- H10K—ORGANIC ELECTRIC SOLID-STATE DEVICES
- H10K85/00—Organic materials used in the body or electrodes of devices covered by this subclass
- H10K85/60—Organic compounds having low molecular weight
- H10K85/615—Polycyclic condensed aromatic hydrocarbons, e.g. anthracene
- H10K85/626—Polycyclic condensed aromatic hydrocarbons, e.g. anthracene containing more than one polycyclic condensed aromatic rings, e.g. bis-anthracene
-
- H—ELECTRICITY
- H10—SEMICONDUCTOR DEVICES; ELECTRIC SOLID-STATE DEVICES NOT OTHERWISE PROVIDED FOR
- H10K—ORGANIC ELECTRIC SOLID-STATE DEVICES
- H10K85/00—Organic materials used in the body or electrodes of devices covered by this subclass
- H10K85/60—Organic compounds having low molecular weight
- H10K85/649—Aromatic compounds comprising a hetero atom
- H10K85/654—Aromatic compounds comprising a hetero atom comprising only nitrogen as heteroatom
-
- H—ELECTRICITY
- H10—SEMICONDUCTOR DEVICES; ELECTRIC SOLID-STATE DEVICES NOT OTHERWISE PROVIDED FOR
- H10K—ORGANIC ELECTRIC SOLID-STATE DEVICES
- H10K85/00—Organic materials used in the body or electrodes of devices covered by this subclass
- H10K85/60—Organic compounds having low molecular weight
- H10K85/649—Aromatic compounds comprising a hetero atom
- H10K85/657—Polycyclic condensed heteroaromatic hydrocarbons
- H10K85/6572—Polycyclic condensed heteroaromatic hydrocarbons comprising only nitrogen in the heteroaromatic polycondensed ring system, e.g. phenanthroline or carbazole
-
- H—ELECTRICITY
- H10—SEMICONDUCTOR DEVICES; ELECTRIC SOLID-STATE DEVICES NOT OTHERWISE PROVIDED FOR
- H10K—ORGANIC ELECTRIC SOLID-STATE DEVICES
- H10K85/00—Organic materials used in the body or electrodes of devices covered by this subclass
- H10K85/60—Organic compounds having low molecular weight
- H10K85/649—Aromatic compounds comprising a hetero atom
- H10K85/657—Polycyclic condensed heteroaromatic hydrocarbons
- H10K85/6574—Polycyclic condensed heteroaromatic hydrocarbons comprising only oxygen in the heteroaromatic polycondensed ring system, e.g. cumarine dyes
-
- H—ELECTRICITY
- H10—SEMICONDUCTOR DEVICES; ELECTRIC SOLID-STATE DEVICES NOT OTHERWISE PROVIDED FOR
- H10K—ORGANIC ELECTRIC SOLID-STATE DEVICES
- H10K85/00—Organic materials used in the body or electrodes of devices covered by this subclass
- H10K85/60—Organic compounds having low molecular weight
- H10K85/649—Aromatic compounds comprising a hetero atom
- H10K85/657—Polycyclic condensed heteroaromatic hydrocarbons
- H10K85/6576—Polycyclic condensed heteroaromatic hydrocarbons comprising only sulfur in the heteroaromatic polycondensed ring system, e.g. benzothiophene
-
- H—ELECTRICITY
- H10—SEMICONDUCTOR DEVICES; ELECTRIC SOLID-STATE DEVICES NOT OTHERWISE PROVIDED FOR
- H10K—ORGANIC ELECTRIC SOLID-STATE DEVICES
- H10K50/00—Organic light-emitting devices
- H10K50/10—OLEDs or polymer light-emitting diodes [PLED]
- H10K50/17—Carrier injection layers
- H10K50/171—Electron injection layers
Landscapes
- Chemical & Material Sciences (AREA)
- Organic Chemistry (AREA)
- Physics & Mathematics (AREA)
- Engineering & Computer Science (AREA)
- Materials Engineering (AREA)
- Spectroscopy & Molecular Physics (AREA)
- Optics & Photonics (AREA)
- Electroluminescent Light Sources (AREA)
- Plural Heterocyclic Compounds (AREA)
- Heterocyclic Carbon Compounds Containing A Hetero Ring Having Oxygen Or Sulfur (AREA)
Abstract
本发明的目的在于:作为高效率、高耐久性的有机EL元件用材料,提供电子注入·传输性能优异、具有空穴阻挡能力、具有薄膜状态下的稳定性高的优异特性的有机化合物,进而使用该化合物而提供高效率、高耐久性的有机EL元件。具有嘧啶环结构的化合物,其由下述通式(1)表示。(式中,A1表示取代或未取代的芳香族杂环基。Ar1表示取代或未取代的芳香族烃基、取代或未取代的芳香族杂环基、或者取代或未取代的稠合多环芳香族基团。Ar2表示重氢原子、三甲基甲硅烷基、三苯基甲硅烷基、取代或未取代的芳香族烃基、取代或未取代的芳香族杂环基、或者取代或未取代的稠合多环芳香族基团。m表示1~3的整数,n表示0~2的整数,o表示1~2的整数。在m为2以上的整数的情况下,多个键合于同一嘧啶环的Ar1可以彼此相同也可不同。在n为2的整数的情况下,多个键合于同一嘧啶环的Ar2可以彼此相同也可不同。在o为2的整数的情况下,多个键合于同一嘧啶环的A1可以彼此相同也可不同。但是,使m和n和o的整数之和为4以内。予以说明,n为0的情况下,Ar2表示氢原子。)
Description
技术领域
本发明涉及在适于各种显示装置的作为自发光元件的有机电致发光元件(以下简称为有机EL元件)中适用的化合物和元件,详细地说,涉及具有嘧啶环结构的化合物和使用了该化合物的有机EL元件。
背景技术
有机EL元件为自发光性元件,因此与液晶元件相比明亮且可见性优异,可进行鲜明的显示,因此进行了活跃的研究。
在1987年,伊士曼柯达(イーストマン·コダック)公司的C.W.Tang等开发出将各种职能分担于各材料的层叠结构元件,由此使使用了有机材料的有机EL元件成为了实用的元件。他们将能够传输电子的荧光体和能够传输空穴的有机物层叠、将两者的电荷注入到荧光体的层中而使其发光,由此以10V以下的电压得到1000cd/m2以上的高亮度(例如参照专利文献1及专利文献2)。
目前为止,为了有机EL元件的实用化,进行了大量的改进,对层叠结构的各种职能进一步细分化,通过在基板上依次设置阳极、空穴注入层、空穴传输层、发光层、电子传输层、电子注入层、阴极的电致发光元件而实现了高效率和耐久性(例如参照非专利文献1)。
另外,以发光效率的进一步提高为目的,尝试了三重态激子的利用,研究了磷光发光性化合物的利用(例如参照非专利文献2)。
而且,也开发了利用采用热活化延迟荧光(TADF)的发光的元件,2011年九州大学的安达等通过使用了热活化延迟荧光材料的元件而实现了5.3%的外部量子效率(例如参照非专利文献3)。
就发光层而言,也能够在一般被称为主体材料的电荷传输性的化合物中掺杂荧光性化合物、磷光发光性化合物或发射延迟荧光的材料而制作。如上述非专利文献中记载那样,就有机EL元件中的有机材料的选择而言,对该元件的效率、耐久性等各特性产生大的影响(例如参照非专利文献2)。
在有机EL元件中,从两电极所注入的电荷在发光层中复合而得到发光,但如何将空穴、电子这两电荷高效率地交付于发光层是重要的。因此,通过提高电子注入性、提高其迁移率来提高空穴与电子在发光层内复合的概率,进而,通过将从阳极侧所传输的空穴封闭在发光层,防止电子传输层的劣化,另外将在发光层内生成的激子封闭,由此进一步形成进行复合的环境,能够得到高发光效率。因此,电子传输材料发挥的职能是重要的,需要电子注入性高、电子迁移率大、空穴阻挡性高、进而对于空穴的耐久性高的电子传输材料。
另外,关于元件的寿命,材料的耐热性、无定形性也是重要的。对于耐热性低的材料而言,由于元件驱动时生成的热,即使在低的温度下也发生热分解、材料劣化。对于无定形性低的材料而言,即使是短时间也发生薄膜的结晶化,元件劣化。因此,对于使用的材料寻求耐热性高、无定形性良好的性质。
就作为代表性的发光材料的三(8-羟基喹啉)铝(以下简称为Alq3)而言,一般也作为电子传输材料来使用,但电子移动慢、另外功函数为5.6eV,因此空穴阻挡性能不能说充分。
作为将电子注入性、迁移率等特性改进了的化合物,提出了具有苯并三唑结构的化合物(例如专利文献3),对于将这些化合物用于电子传输层的元件而言,虽然实现了发光效率等的改进,但尚不能说充分,寻求进一步的低驱动电压化、进一步的高发光效率化。
另外,作为空穴阻挡性优异的电子传输材料,提出了3-(4-联苯基)-4-苯基-5-(4-叔丁基苯基)-1,2,4-三唑(以下简称为TAZ)(例如参照专利文献4)。
TAZ由于功函数大达6.6eV,空穴阻挡能力高,因此作为通过真空蒸镀、涂布等所制作的荧光发光层或磷光发光层的、层叠于阴极侧的电子传输性的空穴阻挡层而得到使用,有助于有机EL元件的高效率化(例如参照非专利文献4)。
但是,电子传输性低是TAZ中的大课题,需要与电子传输性更高的电子传输材料组合来制作有机EL元件(例如参照非专利文献5)。
另外,对于BCP而言,也是虽然功函数大达6.7eV、空穴阻挡能力高,但由于玻璃化转变温度(Tg)低达83℃,因此缺乏薄膜的稳定性,作为空穴阻挡层,不能说充分地发挥功能。
所有的材料均是膜稳定性不足,或者阻挡空穴的功能不充分。为了改善有机EL元件的元件特性,寻求电子的注入·传输性能与空穴阻挡能力优异、薄膜状态下的稳定性高的有机化合物。
现有技术文献
专利文献
专利文献1:日本特开平8-048656号公报
专利文献2:日本专利第3194657号公报
专利文献3:国际公开第2013/054764号
专利文献4:日本专利注册第2734341号
专利文献5:国际公开第2015/190400号
专利文献6:国际公开第2010/074422号
专利文献7:国际公开第2014/009310号
专利文献8:国际公开第2003/060956号
非专利文献
非专利文献1:应用物理学会第9次讲习会预稿集第55~61页(2001)
非专利文献2:应用物理学会第9次讲习会预稿集第23~31页(2001)
非专利文献3:Appl.Phys.Let.,98,083302(2011)
非专利文献4:第50次应用物理学关系联合讲演会28p-A-6讲演预稿集第1413页(2003)
非专利文献5:应用物理学会有机分子·生物电子学分科会会志第11卷第1期第13~19页(2000)
非专利文献6:J.Org.Chem.2001,66,7125-7128
发明内容
发明要解决的课题
本发明的目的在于:作为高效率、高耐久性的有机EL元件用材料,提供电子注入·传输性能优异、具有空穴阻挡能力、具有薄膜状态下的稳定性高的优异特性的有机化合物,进而使用该化合物而提供高效率、高耐久性的有机EL元件。
作为本发明要提供的有机化合物应具备的物理特性,能够列举出(1)电子的注入特性良好、(2)电子的迁移率大、(3)空穴阻挡能力优异、(4)薄膜状态稳定、(5)耐热性优异。另外,作为本发明要提供的有机EL元件应具备的物理特性,能够列举出(1)发光效率及电力效率高、(2)发光开始电压低、(3)实用驱动电压低、(4)长寿命。
用于解决课题的手段
因此,本发明人为了实现上述的目的,着眼于电子亲和性的嘧啶环的氮原子具有与金属配位的能力和耐热性优异,设计具有嘧啶环结构的化合物而进行化学合成,使用该化合物来试制各种有机EL元件,深入进行了元件的特性评价,结果,完成了本发明。
[1]即,本发明为由下述通式(1)表示的、具有嘧啶环结构的化合物。
[化1]
(式中,A1表示取代或未取代的芳香族杂环基。Ar1表示取代或未取代的芳香族烃基、取代或未取代的芳香族杂环基、或者取代或未取代的稠合多环芳香族基团。Ar2表示重氢原子、三甲基甲硅烷基、三苯基甲硅烷基、取代或未取代的芳香族烃基、取代或未取代的芳香族杂环基、或者取代或未取代的稠合多环芳香族基团。m表示1~3的整数,n表示0~2的整数,o表示1~2的整数。在m为2以上的整数的情况下,多个键合于同一嘧啶环的Ar1可以彼此相同也可不同。在n为2的整数的情况下,多个键合于同一嘧啶环的Ar2可以彼此相同也可不同。在o为2的整数的情况下,多个键合于同一嘧啶环的A1可以彼此相同也可不同。但是,使m和n和o的整数之和为4以内。予以说明,n为0的情况下,Ar2表示氢原子。)
[2]另外,本发明为上述[1]所述的具有嘧啶环结构的化合物,其由下述通式(2)表示。
[化2]
(式中,A2表示取代或未取代的芳香族杂环基。Ar3表示取代或未取代的芳香族烃基、取代或未取代的芳香族杂环基、或者取代或未取代的稠合多环芳香族基团。Ar4表示重氢原子、三甲基甲硅烷基、三苯基甲硅烷基、取代或未取代的芳香族烃基、取代或未取代的芳香族杂环基、或者取代或未取代的稠合多环芳香族基团。p表示1~3的整数,q表示0~2的整数。在p为2以上的整数的情况下,多个键合于同一嘧啶环的Ar3可以彼此相同也可不同。在q为2的整数的情况下,多个键合于同一嘧啶环的Ar4可以彼此相同也可不同。但是,使p和q的整数之和为3以内。)
[3]另外,本发明为上述[1]所述的具有嘧啶环结构的化合物,其由下述通式(3)表示。
[化3]
(式中,A3表示取代或未取代的芳香族杂环基。Ar5、Ar6表示取代或未取代的芳香族烃基、取代或未取代的芳香族杂环基、或者取代或未取代的稠合多环芳香族基团。Ar7表示氢原子、重氢原子、三甲基甲硅烷基、三苯基甲硅烷基、取代或未取代的芳香族烃基、取代或未取代的芳香族杂环基、或者取代或未取代的稠合多环芳香族基团。)
[4]另外,本发明为上述[1]所述的具有嘧啶环结构的化合物,其由下述通式(4)表示。
[化4]
(式中,A4表示取代或未取代的芳香族杂环基。Ar8、Ar9表示取代或未取代的芳香族烃基、取代或未取代的芳香族杂环基、或者取代或未取代的稠合多环芳香族基团。Ar10表示氢原子、重氢原子、三甲基甲硅烷基、三苯基甲硅烷基、取代或未取代的芳香族烃基、取代或未取代的芳香族杂环基、或者取代或未取代的稠合多环芳香族基团。)
[5]另外,本发明为上述[1]所述的具有嘧啶环结构的化合物,其由下述通式(5)表示。
[化5]
(式中,A5表示取代或未取代的芳香族杂环基。Ar11、Ar12表示取代或未取代的芳香族烃基、取代或未取代的芳香族杂环基、或者取代或未取代的稠合多环芳香族基团。Ar13表示氢原子、重氢原子、三甲基甲硅烷基、三苯基甲硅烷基、取代或未取代的芳香族烃基、取代或未取代的芳香族杂环基、或者取代或未取代的稠合多环芳香族基团。)
[6]另外,本发明为上述[4]所述的由上述通式(4)表示的具有嘧啶环结构的化合物,其中,上述A4的芳香族杂环基为吡啶基、嘧啶基、喹啉基、异喹啉基、吲哚基、氮杂芴基、二氮杂芴基、喹喔啉基、苯并咪唑基、萘啶基、菲咯啉基、吖啶基、氮杂螺双芴基、二氮杂螺双芴基、或羰基。
[7]另外,本发明为上述[5]所述的由上述通式(5)表示的具有嘧啶环结构的化合物,其中,上述A5的芳香族杂环基为吡啶基、嘧啶基、喹啉基、异喹啉基、吲哚基、氮杂芴基、二氮杂芴基、喹喔啉基、苯并咪唑基、萘啶基、菲咯啉基、吖啶基、氮杂螺双芴基、二氮杂螺双芴基、或羰基。
[8]另外,本发明为上述[4]所述的由上述通式(4)表示的具有嘧啶环结构的化合物,其中,上述Ar10为氢原子。
[9]另外,本发明为上述[5]所述的由上述通式(5)表示的具有嘧啶环结构的化合物,其中,上述Ar13为氢原子。
[10]另外,本发明为上述[4]所述的由上述通式(4)表示的具有嘧啶环结构的化合物,其中,上述A4的芳香族杂环基为吡啶基、嘧啶基、喹啉基、异喹啉基、吲哚基、氮杂芴基、二氮杂芴基、喹喔啉基、苯并咪唑基、萘啶基、菲咯啉基、吖啶基、氮杂螺双芴基、二氮杂螺双芴基、或羰基,且上述Ar10为氢原子。
[11]另外,本发明为上述[5]所述的由上述通式(5)表示的具有嘧啶环结构的化合物,其中,上述A5的芳香族杂环基为吡啶基、嘧啶基、喹啉基、异喹啉基、吲哚基、氮杂芴基、二氮杂芴基、喹喔啉基、苯并咪唑基、萘啶基、菲咯啉基、吖啶基、氮杂螺双芴基、二氮杂螺双芴基、或羰基,且上述Ar13为氢原子。
[12]另外,本发明为上述[4]所述的由上述通式(4)表示的具有嘧啶环结构的化合物,其中,在上述Ar8、Ar9内,至少一处作为稠合多环芳香族基团、芳香族杂环基或者取代基为菲基、芴基、螺双芴基、苯并呋喃基、苯并噻吩基、吲哚基、咔唑基、苯并噁唑基、苯并噻唑基、喹喔啉基、苯并咪唑基、吡唑基、二苯并呋喃基、或者二苯并噻吩基,且上述Ar10为氢原子。
[13]另外,本发明为上述[5]所述的由上述通式(5)表示的具有嘧啶环结构的化合物,其中,在上述Ar11、Ar12内,至少一处作为稠合多环芳香族基团、芳香族杂环基、或者取代基为菲基、芴基、螺双芴基、苯并呋喃基、苯并噻吩基、吲哚基、咔唑基、苯并噁唑基、苯并噻唑基、喹喔啉基、苯并咪唑基、吡唑基、二苯并呋喃基、或者二苯并噻吩基,且上述Ar13为氢原子。
[14]另外,本发明为上述[4]所述的由上述通式(4)表示的具有嘧啶环结构的化合物,其中,上述A4的芳香族杂环基为吡啶基、嘧啶基、喹啉基、异喹啉基、吲哚基、氮杂芴基、二氮杂芴基、喹喔啉基、苯并咪唑基、萘啶基、菲咯啉基、吖啶基、氮杂螺双芴基、二氮杂螺双芴基、或者羰基,且上述Ar10为氢原子,且上述Ar8、Ar9内,至少一处作为稠合多环芳香族基团、芳香族杂环基或者取代基为菲基、芴基、螺双芴基、苯并呋喃基、苯并噻吩基、吲哚基、咔唑基、苯并噁唑基、苯并噻唑基、喹喔啉基、苯并咪唑基、吡唑基、二苯并呋喃基、或者二苯并噻吩基。
[15]另外,本发明为上述[5]所述的由上述通式(5)表示的具有嘧啶环结构的化合物,其中,上述A5的芳香族杂环基为吡啶基、嘧啶基、喹啉基、异喹啉基、吲哚基、氮杂芴基、二氮杂芴基、喹喔啉基、苯并咪唑基、萘啶基、菲咯啉基、吖啶基、氮杂螺双芴基、二氮杂螺双芴基或者咔啉基,且上述Ar13为氢原子,且上述Ar11、Ar12内,至少一处作为稠合多环芳香族基团、芳香族杂环基或者取代基为菲基、芴基、螺双芴基、苯并呋喃基、苯并噻吩基、吲哚基、咔唑基、苯并噁唑基、苯并噻唑基、喹喔啉基、苯并咪唑基、吡唑基、二苯并呋喃基、或者二苯并噻吩基。
[16]另外,本发明为有机EL元件,是具有一对电极和夹持于其间的至少一层有机层的有机EL元件,其特征在于,根据上述[1]~[15]中任一项所述的具有嘧啶环结构的化合物用作至少一个有机层的构成材料。
[17]另外,本发明为上述[16]所述的有机EL元件,其中,使用了上述具有嘧啶环结构的化合物的上述有机层为电子传输层。
[18]另外,本发明为上述[16]所述的有机EL元件,其中,使用了上述具有嘧啶环结构的化合物的上述有机层为空穴阻挡层。
[19]另外,本发明为上述[16]所述的有机EL元件,其中,使用了上述具有嘧啶环结构的化合物的上述有机层为发光层。
[20]另外,本发明为上述[16]所述的有机EL元件,其中,使用了上述具有嘧啶环结构的化合物的上述有机层为电子注入层。
发明的效果
本发明的具有嘧啶环结构的化合物具有(1)电子的注入特性良好、(2)电子的迁移率快、(3)空穴阻挡能力优异、(4)在薄膜状态下稳定地存在、(5)耐热性优异等特性,本发明的有机EL元件具有(6)发光效率高、(7)发光开始电压低、(8)实用驱动电压低、(9)长寿命等特性。
附图说明
图1为表示本发明的具有嘧啶环结构的化合物-1~化合物-15的图。
图2为表示本发明的具有嘧啶环结构的化合物-16~化合物-30的图。
图3为表示本发明的具有嘧啶环结构的化合物-31~化合物-45的图。
图4为表示本发明的具有嘧啶环结构的化合物-46~化合物-60的图。
图5为表示本发明的具有嘧啶环结构的化合物-61~化合物-75的图。
图6为表示本发明的具有嘧啶环结构的化合物-76~化合物-90的图。
图7为表示本发明的具有嘧啶环结构的化合物-91~化合物-105的图。
图8为表示本发明的具有嘧啶环结构的化合物-106~化合物-120的图。
图9为表示本发明的具有嘧啶环结构的化合物-121~化合物-135的图。
图10为表示本发明的具有嘧啶环结构的化合物-136~化合物-150的图。
图11为表示本发明的具有嘧啶环结构的化合物-151~化合物-160的图。
图12为表示实施例20~36、比较例1、2的有机EL元件构成的图。
具体实施方式
作为通式(1)~(5)中的由A1~A5表示的“取代或未取代的芳香族杂环基”中的“芳香族杂环基”,具体地,除了吡啶基、嘧啶基、三嗪基、呋喃基、吡咯基、咪唑基、噻吩基、喹啉基、异喹啉基、苯并呋喃基、苯并噻吩基、吲哚基、咔唑基、苯并噁唑基、苯并噻唑基、氮杂芴基、二氮杂芴基、氮杂螺双芴基、二氮杂螺双芴基、喹喔啉基、苯并咪唑基、吡唑基、二苯并呋喃基、二苯并噻吩基、萘啶基、菲咯啉基、吖啶基及咔啉基等以外,还选自碳原子数2~20的杂芳基。
作为通式(1)~(5)中的由Ar1~Ar13表示的“取代或未取代的芳香族烃基”、“取代或未取代的芳香族杂环基”或者“取代或未取代的稠合多环芳香族基团”中的“芳香族烃基”、“芳香族杂环基”或者“稠合多环芳香族基团”,具体地,除了苯基、联苯基、三联苯基、萘基、蒽基、菲基、芴基、螺双芴基、茚基、芘基、苝基、荧蒽基、苯并[9,10]菲基、吡啶基、嘧啶基、三嗪基、呋喃基、吡咯基、噻吩基、喹啉基、异喹啉基、苯并呋喃基、苯并噻吩基、吲哚基、咔唑基、苯并噁唑基、苯并噻唑基、氮杂芴基、二氮杂芴基、氮杂螺双芴基、二氮杂螺双芴基、喹喔啉基、苯并咪唑基、吡唑基、二苯并呋喃基、二苯并噻吩基、萘啶基、菲咯啉基、吖啶基及咔啉基等以外,还选自碳原子数6~30的芳基、或者碳原子数2~20的杂芳基。
作为通式(1)~(5)中的由A1~A5和Ar1~Ar13表示的“取代芳香族烃基”、“取代芳香族杂环基”、“取代稠合多环芳香族基团”中的“取代基”,具体地,能够列举出重氢原子、氰基、硝基;氟原子、氯原子、溴原子、碘原子等卤素原子;三甲基甲硅烷基、三苯基甲硅烷基等甲硅烷基;甲基、乙基、丙基等碳原子数1~6的直链状或分支状的烷基;甲氧基、乙氧基、丙氧基等碳原子数1~6的直链状或分支状的烷氧基;乙烯基、烯丙基等烯基;苯氧基、甲苯氧基等芳氧基;苄氧基、苯乙氧基等芳基烷氧基;苯基、联苯基、三联苯基、萘基、蒽基、菲基、芴基、螺双芴基、茚基、芘基、苝基、荧蒽基、苯并[9,10]菲基等芳香族烃基或稠合多环芳香族基团;吡啶基、噻吩基、呋喃基、吡咯基、喹啉基、异喹啉基、苯并呋喃基、苯并噻吩基、吲哚基、咔唑基、苯并噁唑基、苯并噻唑基、喹喔啉基、苯并咪唑基、吡唑基、二苯并呋喃基、二苯并噻吩基、咔啉基等芳香族杂环基这样的基团,这些取代基可进一步用上述例示的取代基取代。另外,这些取代基与取代的苯环或者多个在同一苯环取代的取代基之间可经由单键形成环,也可经由取代或未取代的亚甲基、氧原子或硫原子相互键合而形成环。
本发明的有机EL元件中适合使用的、由上述通式(1)表示的具有嘧啶环结构的化合物能够作为有机EL元件的电子注入层、电子传输层或者空穴阻挡层的构成材料来使用。是电子的迁移率高、作为电子注入层或者电子传输层的材料所优选的化合物。
就本发明的有机EL元件而言,由于使用了电子的注入·传输性能、薄膜的稳定性、耐久性优异的有机EL元件用的材料,因此与以往的有机EL元件相比,从电子传输层到发光层的电子传输效率提高,发光效率提高,且驱动电压降低,能够使有机EL元件的耐久性提高,实现高效率、低驱动电压、长寿命的有机EL元件成为了可能。
本发明的具有嘧啶环结构的化合物具有(1)电子的注入特性良好、(2)电子的迁移率快、(3)空穴阻挡能力优异、(4)在薄膜状态下稳定地存在、(5)耐热性优异等特性,本发明的有机EL元件具有(6)发光效率高、(7)发光开始电压低、(8)实用驱动电压低、(9)长寿命等特性。
就本发明的具有嘧啶环结构的化合物而言,由于电子的注入·迁移率快,因此,就具有使用该化合物作为电子注入材料和/或电子传输材料而制作的电子注入层和/或电子传输层的有机EL元件而言,向发光层的电子传输效率提高,发光效率提高,且由于驱动电压降低,因此有机EL元件的耐久性提高。
本发明的具有嘧啶环结构的化合物具有空穴阻挡能力和电子传输性优异、并且在薄膜状态下也稳定、将在发光层内所生成的激子进行封闭的特征,因此,就具有使用该化合物作为空穴阻挡材料而制作的空穴阻挡层的有机EL元件而言,使空穴与电子复合的概率提高,防止热失活,具有高发光效率,驱动电压降低,改善耐电流性,由此最大发光亮度提高。
本发明的具有嘧啶环结构的化合物的电子传输性优异,并且带隙宽,因此,就具有使用该化合物作为主体材料而制作的发光层的有机EL元件而言,通过使被称为掺杂剂的荧光发光体、磷光发光体、延迟荧光发光体负载而形成发光层,驱动电压降低、改善发光效率。
因此,本发明的具有嘧啶环结构的化合物作为有机EL元件的电子注入层、电子传输层、空穴阻挡层或者发光层的材料是有用的,能够改善以往的有机EL元件的发光效率及驱动电压,而且改善耐久性。
本发明的具有嘧啶环结构的化合物为新型的化合物,但这些化合物能够按照其自身公知的方法来进行合成(例如参照专利文献5、非专利文献6)。
在本发明的有机EL元件中适合使用的、由上述通式(1)表示的嘧啶化合物中,作为优选的化合物-1~化合物-160的具体例,示于图1~11,但并不限定于这些化合物。
就由通式(1)~(5)表示的具有嘧啶环结构的化合物的精制而言,通过利用柱色谱法的精制、利用硅胶、活性炭、活性白土等的吸附精制、利用溶剂的重结晶、晶析法、升华精制法等来进行。化合物的鉴定通过NMR分析来进行。作为物性值,进行了熔点、玻璃化转变温度(Tg)和功函数的测定。熔点成为蒸镀性的指标,玻璃化转变温度(Tg)成为薄膜状态的稳定性的指标,功函数成为空穴传输性、空穴阻挡性的指标。
就熔点和玻璃化转变温度(Tg)而言,使用粉体而通过高灵敏度差示扫描量热计(ブルカー·エイエックスエス制造、DSC3100SA)来测定。
就功函数而言,在ITO基板上制作100nm的薄膜而通过电离电位测定装置(住友重机械工业株式会社制造、PYS-202)来求出。
作为本发明的有机EL元件的结构,可列举出在基板上依次包含阳极、空穴注入层、空穴传输层、发光层、电子传输层、电子注入层和阴极的结构、以及在空穴传输层与发光层之间具有电子阻挡层的结构、在发光层与电子传输层之间具有空穴阻挡层的结构。在这些多层结构中,可将某个或某些有机层省略或使其兼作,例如也能够形成兼作空穴注入层与空穴传输层的构成、形成兼作电子注入层和电子传输层的构成等。另外,可制成将2层以上的具有同一功能的有机层层叠而成的构成,也能够制成将2层空穴传输层层叠的构成、将2层发光层层叠的构成、将2层电子传输层层叠的构成等。
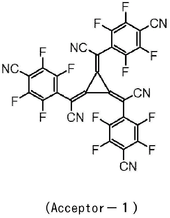
作为本发明的有机EL元件的阳极,使用ITO、金这样的功函数大的电极材料。作为本发明的有机EL元件的空穴注入层,除了以酞菁铜为代表的卟啉化合物以外,还能够使用星爆型的三苯基胺衍生物、具有在分子中具有2个以上三苯基胺结构或咔唑基结构、将它们各自用单键或者不含杂原子的2价基团连接的结构的芳基胺化合物等、六氰基氮杂苯并[9,10]菲这样的受体性的杂环化合物、涂布型的高分子材料。就这些材料而言,除了蒸镀法以外,还能够通过旋涂法、喷墨法等公知的方法来进行薄膜形成。
作为本发明的有机EL元件的空穴传输层,能够使用N,N'-二苯基-N,N'-二(间甲苯基)-联苯胺(以下简称为TPD)、N,N'-二苯基-N,N'-二(α-萘基)-联苯胺(以下简称为NPD)、N,N,N',N'-四联苯基联苯胺等联苯胺衍生物、1,1-双[(二-4-甲苯基氨基)苯基]环己烷(以下简称为TAPC)、具有在分子中具有2个以上三苯基胺结构或咔唑基结构、将它们各自用单键或者不含杂原子的2价基团连接的结构的芳基胺化合物等。它们可单独地成膜,也可形成为与其他材料一起混合而成膜的单层来使用,还可形成为:利用上述多种材料单独地成膜的层彼此的层叠结构、利用上述多种材料混合而成膜的层彼此的层叠结构、或者利用上述多种材料单独地成膜的层与混合而成膜的层的层叠结构。另外,作为空穴的注入·传输层,能够使用聚(3,4-亚乙基二氧噻吩)(以下简称为PEDOT)/聚(苯乙烯磺酸)(以下简称为PSS)等涂布型的高分子材料。就这些材料而言,除了蒸镀法以外,还能够通过旋涂法、喷墨法等公知的方法来进行薄膜形成。
另外,在空穴注入层或空穴传输层中,能够使用对于在该层中通常所使用的材料进一步将三(溴苯基)胺六氯化锑、放射烯衍生物(例如参照专利文献7)进行P掺杂而成的材料、在其部分结构中具有TPD等联苯胺衍生物的结构的高分子化合物等。
作为本发明的有机EL元件的电子阻挡层,能够使用4,4',4”-三(N-咔唑基)三苯基胺(以下简称为TCTA)、9,9-双[4-(咔唑-9-基)苯基]芴、1,3-双(咔唑-9-基)苯(以下简称为mCP)、2,2-双(4-咔唑-9-基苯基)金刚烷(以下简称为Ad-Cz)等咔唑衍生物、以9-[4-(咔唑-9-基)苯基]-9-[4-(三苯基甲硅烷基)苯基]-9H-芴为代表的具有三苯基甲硅烷基和三芳基胺结构的化合物等具有电子阻挡作用的化合物。它们可单独地成膜,也可形成为与其他材料一起混合而成膜的单层来使用,还可形成为:利用上述多种材料单独地成膜的层彼此的层叠结构、利用上述多种材料混合而成膜的层彼此的层叠结构、或者利用上述多种材料单独地成膜的层与混合而成膜的层的层叠结构。就这些材料而言,除了蒸镀法以外,还能够通过旋涂法、喷墨法等公知的方法来进行薄膜形成。
作为本发明的有机EL元件的发光层,除了本发明的具有嘧啶环结构的化合物以外,除了以Alq3为首的喹啉酚衍生物的金属络合物以外,还能够使用各种的金属络合物、蒽衍生物、双苯乙烯基苯衍生物、芘衍生物、噁唑衍生物、聚对亚苯基亚乙烯基衍生物等。另外,可用主体材料和掺杂剂材料来构成发光层,作为主体材料,优选使用蒽衍生物,此外,除了以本发明的具有嘧啶环结构的化合物为首的上述发光材料以外,还能够使用具有吲哚环作为稠环的部分结构的杂环化合物、具有咔唑环作为稠环的部分结构的杂环化合物、咔唑衍生物、噻唑衍生物、苯并咪唑衍生物、聚二烷基芴衍生物等。另外,作为掺杂剂材料,能够使用喹吖啶酮、香豆素、红荧烯、苝及它们的衍生物、苯并吡喃衍生物、若丹明衍生物、氨基苯乙烯基衍生物等。它们可单独地成膜,也可形成为与其他材料一起混合而成膜的单层来使用,还可形成为:利用上述多种材料单独地成膜的层彼此的层叠结构、利用上述多种材料混合而成膜的层彼此的层叠结构、或者利用上述多种材料单独地成膜的层与混合而成膜的层的层叠结构。
另外,也可使用磷光发光体作为发光材料。作为磷光发光体,能够使用铱、铂等的金属络合物的磷光发光体。使用Ir(ppy)3等绿色的磷光发光体、FIrpic、FIr6等青色的磷光发光体、Btp2Ir(acac)等红色的磷光发光体等,作为此时的主体材料,作为空穴注入·传输性的主体材料,除了4,4’-二(N-咔唑基)联苯(以下简称为CBP)、TCTA、mCP等咔唑衍生物等以外,还能够使用本发明的具有嘧啶环结构的化合物。作为电子传输性的主体材料,能够使用对-双(三苯基甲硅烷基)苯(以下简称为UGH2)、2,2’,2”-(1,3,5-亚苯基)-三(1-苯基-1H-苯并咪唑)(以下简称为TPBI)等,能够制作高性能的有机EL元件。
就磷光性的发光材料的在主体材料中的掺杂而言,为了避免浓度消光,相对于发光层全体,优选以1~30重量%的范围通过共蒸镀来进行掺杂。
另外,作为发光材料,也可使用PIC-TRZ、CC2TA、PXZ-TRZ、4CzIPN等CDCB衍生物等发射延迟荧光的材料(例如参照非专利文献3)。就这些材料而言,除了蒸镀法以外,还能够通过旋涂法、喷墨法等公知的方法来进行薄膜形成。
作为本发明的有机EL元件的空穴阻挡层,除了本发明的具有嘧啶环结构的化合物以外,除了浴铜灵(以下简写为BCP)等菲咯啉衍生物、BAlq等喹啉酚衍生物的金属络合物以外,还能够使用各种的稀土络合物、噁唑衍生物、三唑衍生物、三嗪衍生物等具有空穴阻挡作用的化合物。这些材料可兼作电子传输层的材料。它们可单独地成膜,也可形成为与其他材料一起混合而成膜的单层来使用,还可形成为:利用上述多种材料单独地成膜的层彼此的层叠结构、利用上述多种材料混合而成膜的层彼此的层叠结构、或者利用上述多种材料单独地成膜的层与混合而成膜的层的层叠结构。就这些材料而言,除了蒸镀法以外,还能够通过旋涂法、喷墨法等公知的方法来进行薄膜形成。
作为本发明的有机EL元件的电子传输层,除了本发明的具有嘧啶环结构的化合物以外,除了以Alq3、BAlq为首的喹啉酚衍生物的金属络合物以外,还能够使用各种金属络合物、三唑衍生物、三嗪衍生物、噁二唑衍生物、吡啶衍生物、苯并咪唑衍生物、噻二唑衍生物、蒽衍生物、碳二亚胺衍生物、喹喔啉衍生物、吡啶并吲哚衍生物、菲咯啉衍生物、噻咯衍生物等。它们可单独地成膜,也可形成为与其他材料一起混合而成膜的单层来使用,还可形成为:利用上述多种材料单独地成膜的层彼此的层叠结构、利用上述多种材料混合而成膜的层彼此的层叠结构、或者利用上述多种材料单独地成膜的层与混合而成膜的层的层叠结构。就这些材料而言,除了蒸镀法以外,还能够通过旋涂法、喷墨法等公知的方法来进行薄膜形成。
作为本发明的有机EL元件的电子注入层,除了本发明的具有嘧啶环结构的化合物以外,还能够使用氟化锂、氟化铯等碱金属盐、氟化镁等碱土金属盐、喹啉酚锂等喹啉酚衍生物的金属络合物、氧化铝等金属氧化物、或者镱(Yb)、钐(Sm)、钙(Ca)、锶(Sr)、铯(Cs)等金属等,但在电子传输层与阴极的优选的选择下,能够将其省略。
进而,在电子注入层或电子传输层中,能够使用对于在该层中通常所使用的材料进一步将铯等金属进行了N掺杂的材料。
作为本发明的有机EL元件的阴极,使用铝这样的功函数低的电极材料、镁银合金、镁铟合金、铝镁合金这样的、功函数更低的合金作为电极材料。
以下,对于本发明的实施方式,通过实施例来具体地说明,本发明只要不超越其主旨,并不限定于以下的实施例。
实施例1
<6-(联苯-4-基)-2-{4-(菲-9-基)-苯基}-4-(吡啶-3-基)-嘧啶(化合物-17)的合成>
在反应容器中装入6-(联苯-4-基)-2-氯-4-(吡啶-3-基)-嘧啶:7.5g、4-(菲-9-基)-苯基硼酸:7.2g、四(三苯基膦)钯(0):0.5g、碳酸钾:6.0g,在甲苯、乙醇、H2O混合溶剂下回流搅拌一晚。自然冷却后,通过分液操作将有机层抽出后,在减压下浓缩。通过将得到的粗产物采用柱色谱法(载体:硅胶、洗提液:甲苯/醋酸乙酯)进行精制,得到了6-(联苯-4-基)-2-{4-(菲-9-基)-苯基}-4-(吡啶-3-基)-嘧啶(化合物-17)的白色粉体:1.5g(收率12%)。
[化6]
对于得到的白色粉体,使用NMR对结构进行了鉴定。
用1H-NMR(CDCl3)检测出以下的27个氢的信号。
δ(ppm)=9.55(1H)、8.90(2H)、8.85(1H)、8.82(1H)、8.78(1H)、8.70(1H)、8.46(2H)、8.15(1H)、8.04(1H)、7.97(1H)、7.86(2H)、7.80(2H)、7.78-7.49(10H)、7.44(1H)。
实施例2
<6-(联苯-4-基)-2-(9,9-二苯基[9H]芴-2-基)-4-(吡啶-3-基)-嘧啶(化合物-26)的合成>
在反应容器中装入6-(联苯-4-基)-2-氯-4-(吡啶-3-基)-嘧啶:5.0g、2-(9,9-二苯基[9H]芴)硼酸:6.8g、四(三苯基膦)钯(0):0.3g、碳酸钾:2.4g,在甲苯、乙醇、H2O混合溶剂下回流搅拌一晚。自然冷却后,通过分液操作将有机层抽出后,在减压下浓缩。通过将得到的粗产物采用柱色谱法(载体:硅胶、洗提液:甲苯/醋酸乙酯)进行精制,得到了6-(联苯-4-基)-2-(9,9-二苯基[9H]芴-2-基)-4-(吡啶-3-基)-嘧啶(化合物-26)的淡灰褐色粉体:6.6g(收率73%)。
[化7]
对于得到的淡灰褐色粉体,使用NMR对结构进行了鉴定。
用1H-NMR(DMSO-d6)检测出以下的31个氢的信号。
δ(ppm)=9.63(1H)、8.81(2H)、8.77(1H)、8.69(2H)、8.58(2H)、8.19(1H)、8.08(1H)、7.96(2H)、7.84(2H)、7.68(1H)、7.54(3H)、7.45(3H)、7.39-7.21(10H)。
实施例3
<6-(联苯-4-基)-4-(吡啶-3-基)-2-(9,9'-螺双[9H]芴-2-基)-嘧啶(化合物-27)的合成>
在反应容器中装入6-(联苯-4-基)-2-氯-4-(吡啶-3-基)-嘧啶:7.0g、2-(9,9'-螺双[9H]芴)硼酸:8.1g、四(三苯基膦)钯(0):0.5g、碳酸钾:3.4g,在甲苯、乙醇、H2O混合溶剂下回流搅拌一晚。自然冷却后,通过分液操作将有机层抽出后,在减压下进行浓缩。通过将得到的粗产物采用柱色谱法(载体:硅胶、洗提液:二氯甲烷/醋酸乙酯)进行精制,得到了6-(联苯-4-基)-4-(吡啶-3-基)-2-(9,9'-螺双[9H]芴-2-基)-嘧啶(化合物-27)的白色粉体:5.5g(收率43%)。
[化8]
对于得到的白色粉体,使用NMR对结构进行了鉴定。
用1H-NMR(CDCl3)检测出以下的29个氢的信号。
δ(ppm)=9.37(1H)、8.85(1H)、8.75(1H)、8.46(1H)、8.26(2H)、8.06(1H)、8.05(1H)、7.94(4H)、7.77(2H)、7.69(2H)、7.55-7.37(7H)、7.16(3H)、6.83(2H)、6.75(1H)。
实施例4
<6-(联苯-4-基)-4-(吡啶-3-基)-2-{4-(9,9'-螺双[9H]芴-2-基)-苯基}-嘧啶(化合物-36)的合成>
在实施例3中,代替2-(9,9'-螺双[9H]芴)硼酸而使用4-(9,9'-螺双[9H]芴-2-基)-苯基硼酸,通过在相同条件下进行反应,得到了6-(联苯-4-基)-4-(吡啶-3-基)-2-{4-(9,9'-螺双[9H]芴-2-基)-苯基}-嘧啶(化合物-36)的白色粉体:6.4g(收率45%)。
[化9]
对于得到的白色粉体,使用NMR对结构进行了鉴定。
用1H-NMR(CDCl3)检测出以下的33个氢的信号。
δ(ppm)=9.48(1H)、8.80(1H)、8.69(2H)、8.60(1H)、8.38(2H)、8.06(1H)、7.98(1H)、7.91(1H)、7.90(2H)、7.82(2H)、7.76(1H)、7.71(2H)、7.64(2H)、7.52(3H)、7.46-7.37(4H)、7.16(3H)、7.09(1H)、6.84(2H)、6.78(1H)。
实施例5
<2,6-双{4-(萘-1-基)-苯基}-4-(吡啶-3-基)-嘧啶(化合物-43)的合成>
在反应容器中装入2-氯-6-{4-(萘-1-基)-苯基}-4-(吡啶-3-基)-嘧啶:8.0g、4-(萘-1-基)-苯基硼酸:5.5g、四(三苯基膦)钯(0):0.5g、碳酸钾:3.4g,在甲苯、乙醇、H2O混合溶剂下回流搅拌一晚。自然冷却后,在体系内加入甲醇,将析出的固体过滤,得到了粗产物。通过一氯苯溶剂对得到的粗产物进行重结晶精制,由此得到了2,6-双{4-(萘-1-基)-苯基}-4-(吡啶-3-基)-嘧啶(化合物-43)的白色粉体:6.8g(收率60%)。
[化10]
对于得到的白色粉体,使用NMR对结构进行了鉴定。
用1H-NMR(CDCl3)检测出以下的27个氢的信号。
δ(ppm)=9.57(1H)、8.91(2H)、8.84(1H)、8.71(1H)、8.50(2H)、8.19(1H)、8.07-7.90(6H)、7.76(4H)、7.64-7.45(9H)。
实施例6
<6-{4-(萘-1-基)-苯基}-4-(吡啶-3-基)-2-(9,9'-螺双[9H]芴-2-基)-嘧啶(化合物-46)的合成>
在反应容器中装入2-氯-6-{4-(萘-1-基)-苯基}-4-(吡啶-3-基)-嘧啶:8.0g、2-(9,9'-螺双[9H]芴)硼酸:8.1g、四(三苯基膦)钯(0):0.5g、碳酸钾:3.4g,在甲苯、乙醇、H2O混合溶剂下回流搅拌一晚。自然冷却后,在体系内加入甲醇,将析出的固体过滤,得到了粗产物。对得到的粗产物通过一氯苯/丙酮混合溶剂进行晶析精制,由此得到了6-{4-(萘-1-基)-苯基}-4-(吡啶-3-基)-2-(9,9'-螺双[9H]芴-2-基)-嘧啶(化合物-46)的白色粉体:6.2g(收率45%)。
[化11]
对于得到的白色粉体,使用NMR对结构进行了鉴定。
用1H-NMR(CDCl3)检测出以下的31个氢的信号。
δ(ppm)=9.40(1H)、8.88(1H)、8.77(1H)、8.48(1H)、8.31(2H)、8.12-7.87(9H)、7.68(2H)、7.57(2H)、7.53-7.36(6H)、7.16(3H)、6.84(2H)、6.76(1H)。
实施例7
<6-(联苯-4-基)-2-{3-(10-苯基-蒽-9-基)-苯基}-4-(吡啶-3-基)-嘧啶(化合物-149)的合成>
在反应容器中装入6-(联苯-4-基)-2-氯-4-(吡啶-3-基)-嘧啶:6.0g、3-(10-苯基-蒽-9-基)苯基硼酸:7.8g、四(三苯基膦)钯(0):0.4g、碳酸钾:4.8g,在甲苯、乙醇、H2O混合溶剂下回流搅拌一晚。自然冷却后,在体系内加入H2O,将析出的固体过滤,得到了粗产物。对得到的粗产物通过一氯苯溶剂进行重结晶精制,由此得到了6-(联苯-4-基)-2-{3-(10-苯基-蒽-9-基)-苯基}-4-(吡啶-3-基)-嘧啶(化合物-149)的白色粉体:6.2g(收率56%)。
[化12]
对于得到的白色粉体,使用NMR对结构进行了鉴定。
用1H-NMR(CDCl3)检测出以下的31个氢的信号。
δ(ppm)=9.47(1H)、8.98(1H)、8.88(1H)、8.77(1H)、8.62(1H)、8.39(2H)、8.13(1H)、7.89-7.73(8H)、7.71-7.34(15H)。
实施例8
<6-(联苯-4-基)-4-(吡啶-3-基)-2-(9,9'-螺双[9H]芴-4-基)-嘧啶(化合物-151)的合成>
在反应容器中装入6-(联苯-4-基)-2-氯-4-(吡啶-3-基)-嘧啶:5.0g、4-(9,9'-螺双[9H]芴)硼酸:5.8g、四(三苯基膦)钯(0):0.3g、碳酸钾:2.4g,在甲苯、乙醇、H2O混合溶剂下回流搅拌一晚。自然冷却后,通过分液操作将有机层抽出后,在减压下浓缩。对得到的粗产物通过柱色谱法(载体:硅胶、洗提液:甲苯)进行精制,由此得到了6-(联苯-4-基)-4-(吡啶-3-基)-2-(9,9'-螺双[9H]芴-4-基)-嘧啶(化合物-151)的淡灰褐色粉体:4.0g(收率44%)。
[化13]
对于得到的淡灰褐色粉体,使用NMR对结构进行了鉴定。
用1H-NMR(DMSO-d6)检测出以下的29个氢的信号。
δ(ppm)=9.75(1H)、8.97(1H)、8.87(1H)、8.82(1H)、8.65(2H)、8.07(2H)、7.92(2H)、7.84(3H)、7.68(1H)、7.64(1H)、7.54(2H)、7.45(3H)、7.33(1H)、7.20(2H)、7.13(2H)、6.77(1H)、6.76(2H)、6.65(1H)。
实施例9
<6-(联苯-4-基)-4-(喹啉-8-基)-2-(9,9'-螺双[9H]芴-2-基)-嘧啶(化合物-152)的合成>
在反应容器中装入6-(联苯-4-基)-2-氯-4-(喹啉-8-基)-嘧啶:6.0g、2-(9,9'-螺双[9H]芴)硼酸:6.0g、四(三苯基膦)钯(0):0.4g、碳酸钾:2.5g,在甲苯、乙醇、H2O混合溶剂下回流搅拌一晚。自然冷却后,在体系内加入甲醇,将析出的固体过滤,得到了粗产物。对得到的粗产物通过一氯苯溶剂进行重结晶精制,由此得到了6-(联苯-4-基)-4-(喹啉-8-基)-2-(9,9'-螺双[9H]芴-2-基)-嘧啶(化合物-152)的白色粉体:6.5g(收率63%)。
[化14]
对于得到的白色粉体,使用NMR对结构进行了鉴定。
用1H-NMR(DMSO-d6)检测出以下的31个氢的信号。
δ(ppm)=8.94(1H)、8.80(1H)、8.55(1H)、8.52(1H)、8.32(2H)、8.27(1H)、8.18(2H)、8.14(1H)、8.07(2H)、7.88(2H)、7.78(4H)、7.63(1H)、7.51(3H)、7.43(3H)、7.18(3H)、6.72(2H)、6.63(1H)。
实施例10
<6-(联苯-4-基)-2-(9,9-二苯基[9H]芴-2-基)-4-(喹啉-8-基)-嘧啶(化合物-153)的合成>
在反应容器中装入6-(联苯-4-基)-2-氯-4-(喹啉-8-基)-嘧啶:6.0g、2-(9,9-二苯基[9H]芴)硼酸:7.2g、四(三苯基膦)钯(0):0.4g、碳酸钾:2.5g,在甲苯、乙醇、H2O混合溶剂下回流搅拌一晚。自然冷却后,采用分液操作将有机层抽出后,在减压下浓缩。对得到的粗产物通过丙酮溶剂进行重结晶精制,由此得到了6-(联苯-4-基)-2-(9,9-二苯基[9H]芴-2-基)-4-(喹啉-8-基)-嘧啶(化合物-153)的白色粉体:8.5g(收率83%)。
[化15]
对于得到的白色粉体,使用NMR对结构进行了鉴定。
用1H-NMR(CDCl3)检测出以下的33个氢的信号。
δ(ppm)=9.04(1H)、8.76(1H)、8.73(1H)、8.66(1H)、8.56(1H)、8.42(3H)、8.23(1H)、8.17(1H)、8.06(1H)、7.94(2H)、7.87(1H)、7.81(2H)、7.68(1H)、7.54(3H)、7.46(2H)、7.41(1H)、7.38-7.19(10H)。
实施例11
<2-(9,9-二苯基[9H]芴-2-基)-4-(吡啶-3-基)-6-([1,1';4',1”]三联苯-4-基)-嘧啶(化合物-154)的合成>
在反应容器中装入2-氯-4-(吡啶-3-基)-6-([1,1';4',1”]三联苯-4-基)-嘧啶:8.0g、2-(9,9-二苯基[9H]芴)硼酸:7.6g、四(三苯基膦)钯(0):0.4g、碳酸钾:5.4g,在甲苯、乙醇、H2O混合溶剂下回流搅拌一晚。自然冷却后,在体系内加入甲醇,将析出的固体过滤,得到了粗产物。对得到的粗产物通过柱色谱法(载体:硅胶、洗提液:二氯甲烷/醋酸乙酯)进行精制,由此得到了2-(9,9-二苯基[9H]芴-2-基)-4-(吡啶-3-基)-6-([1,1';4',1”]三联苯-4-基)-嘧啶(化合物-154)的白色粉体:3.9g(收率29%)。
[化16]
对于得到的白色粉体,使用NMR对结构进行了鉴定。
用1H-NMR(CDCl3)检测出以下的35个氢的信号。
δ(ppm)=9.47(1H)、8.81(1H)、8.80(2H)、8.57(1H)、8.37(2H)、8.05(1H)、7.96(1H)、7.88(3H)、7.78(4H)、7.68(2H)、7.56-7.23(17H)。
实施例12
<4-(吡啶-3-基)-2-(9,9'-螺双[9H]芴-2-基)-6-([1,1';4',1”]三联苯-4-基)-嘧啶(化合物-155)的合成>
在反应容器中装入2-氯-4-(吡啶-3-基)-6-([1,1';4',1”]三联苯-4-基)-嘧啶:8.0g、2-(9,9'-螺双[9H]芴)硼酸:6.9g、四(三苯基膦)钯(0):0.4g、碳酸钾:3.2g,在甲苯、乙醇、H2O混合溶剂下回流搅拌一晚。自然冷却后,在体系内加入H2O,将析出的固体过滤,得到了粗产物。对得到的粗产物通过柱色谱法(载体:硅胶、洗提液:二氯甲烷/醋酸乙酯)进行精制,由此得到了4-(吡啶-3-基)-2-(9,9'-螺双[9H]芴-2-基)-6-([1,1';4',1”]三联苯-4-基)-嘧啶(化合物-155)的白色粉体:4.2g(收率32%)。
[化17]
对于得到的白色粉体,使用NMR对结构进行了鉴定。
用1H-NMR(CDCl3)检测出以下的33个氢的信号。
δ(ppm)=9.38(1H)、8.86(1H)、8.76(1H)、8.47(1H)、8.28(2H)、8.07(1H)、8.05(1H)、7.95(4H)、7.82(2H)、7.76(4H)、7.69(2H)、7.51(3H)、7.42(4H)、7.16(3H)、6.83(2H)、6.76(1H)。
实施例13
<2-(9,9-二苯基[9H]芴-3-基)-4-(吡啶-3-基)-6-([1,1';4',1”]三联苯-4-基)-嘧啶(化合物-156)的合成>
在反应容器中装入2-氯-4-(吡啶-3-基)-6-([1,1';4',1”]三联苯-4-基)-嘧啶:8.0g、3-(9,9-二苯基[9H]芴)硼酸:7.6g、四(三苯基膦)钯(0):0.4g、碳酸钾:5.3g,在甲苯、乙醇、H2O混合溶剂下回流搅拌一晚。自然冷却后,在体系内加入H2O,将析出的固体过滤,得到了粗产物。对得到的粗产物通过柱色谱法(载体:硅胶、洗提液:二氯甲烷/醋酸乙酯)进行精制,由此得到了2-(9,9-二苯基[9H]芴-3-基)-4-(吡啶-3-基)-6-([1,1';4',1”]三联苯-4-基)-嘧啶(化合物-156)的白色粉体:3.4g(收率25%)。
[化18]
对于得到的白色粉体,使用NMR对结构进行了鉴定。
用1H-NMR(CDCl3)检测出以下的35个氢的信号。
δ(ppm)=9.54(1H)、9.10(1H)8.83(1H)、8.67(2H)、8.45(2H)、8.12(1H)、8.03(1H)、7.90(2H)、7.79(4H)、7.70(2H)、7.62(1H)、7.56(2H)、7.54-7.23(15H)。
实施例14
<2-(9,9-二苯基[9H]芴-4-基)-4-(吡啶-3-基)-6-([1,1';4',1”]三联苯-4-基)-嘧啶(化合物-157)的合成>
在反应容器中装入2-氯-4-(吡啶-3-基)-6-([1,1';4',1”]三联苯-4-基)-嘧啶:5.5g、4-(9,9-二苯基[9H]芴)硼酸:4.7g、四(三苯基膦)钯(0):0.3g、碳酸钾:3.6g,在甲苯、乙醇、H2O混合溶剂下回流搅拌一晚。自然冷却后,在体系内加入H2O,将析出的固体过滤,得到了粗产物。对得到的粗产物通过柱色谱法(载体:硅胶、洗提液:二氯甲烷/醋酸乙酯)进行精制,由此得到了2-(9,9-二苯基[9H]芴-4-基)-4-(吡啶-3-基)-6-([1,1';4',1”]三联苯-4-基)-嘧啶(化合物-157)的白色粉体:3.2g(收率35%)。
[化19]
对于得到的白色粉体,使用NMR对结构进行了鉴定。
用1H-NMR(CDCl3)检测出以下的35个氢的信号。
δ(ppm)=9.50(1H)、8.81(1H)、8.64(1H)、8.43(2H)、8.30(1H)、7.86(3H)、7.77(4H)、7.68(2H)、7.60(1H)、7.58(1H)、7.54-7.21(17H)、7.10(1H)。
实施例15
<4-(吡啶-3-基)-2-(9,9'-螺双[9H]芴-4-基)-6-([1,1';4',1”]三联苯-4-基)-嘧啶(化合物-158)的合成>
在反应容器中装入2-氯-4-(吡啶-3-基)-6-([1,1';4',1”]三联苯-4-基)-嘧啶:8.0g、4-(9,9'-螺双[9H]芴)硼酸:6.9g、四(三苯基膦)钯(0):0.4g、碳酸钾:5.3g,在甲苯、乙醇、H2O混合溶剂下回流搅拌一晚。自然冷却后,在体系内加入H2O,将析出的固体过滤,得到了粗产物。对得到的粗产物通过柱色谱法(载体:硅胶、洗提液:二氯甲烷/醋酸乙酯)进行精制,得到了4-(吡啶-3-基)-2-(9,9'-螺双[9H]芴-4-基)-6-([1,1';4',1”]三联苯-4-基)-嘧啶(化合物-158)的白色粉体:3.7g(收率28%)。
[化20]
对于得到的白色粉体,使用NMR对结构进行了鉴定。
用1H-NMR(CDCl3)检测出以下的33个氢的信号。
δ(ppm)=9.55(1H)、8.83(1H)、8.70(1H)、8.48(2H)、8.33(1H)、7.90(5H)、7.79(4H)、7.75(1H)、7.69(2H)、7.54(1H)、7.51(2H)、7.43(3H)、7.28(1H)、7.18(2H)、7.11(2H)、6.91(2H)、6.88(1H)、6.78(1H)。
实施例16
<4-(菲-9-基)-5-(吡啶-3-基)-2-(9,9'-螺双[9H]芴-4-基)-嘧啶(化合物-159)的合成>
在反应容器中装入5-氯-4-(菲-9-基)-2-(9,9'-螺双[9H]芴-4-基)-嘧啶:5.0g、3-吡啶基硼酸:1.2g、三(二亚苄基丙酮)二钯(0):0.4g、三环己基膦:0.5g、磷酸三钾:5.3g,在1,4-二噁烷、H2O混合溶剂下回流搅拌一晚。自然冷却后,在体系内加入H2O,通过分液操作将有机层抽出后,在减压下浓缩。对得到的粗产物通过柱色谱法(载体:硅胶、洗提液:二氯甲烷/醋酸乙酯)进行精制,由此得到了4-(菲-9-基)-5-(吡啶-3-基)-2-(9,9'-螺双[9H]芴-4-基)-嘧啶(化合物-159)的白色粉体:1.7g(收率32%)。
[化21]
对于得到的白色粉体,使用NMR对结构进行了鉴定。
用1H-NMR(CDCl3)检测出以下的29个氢的信号。
δ(ppm)=δ(ppm)=8.84(1H)、8.70(2H)、8.67(1H)、8.47(1H)、8.33(1H)、7.98(1H)、7.96(1H)、7.91(1H)、7.87(2H)、7.78(1H)、7.70(1H)、7.61(4H)、7.46-7.26(5H)、7.14(3H)、6.94(1H)、6.80(2H)、6.75(1H)。
实施例17
<4-(联苯-4-基)-2-(10-苯基-蒽-9-基)-5-(喹啉-8-基)-嘧啶(化合物-160)的合成>
在反应容器中装入4-(联苯-4-基)-5-氯-2-(10-苯基-蒽-9-基)-嘧啶:5.0g、8-喹啉硼酸:2.0g、三(二亚苄基丙酮)二钯(0):0.4g、三环己基膦:0.5g、磷酸三钾:6.1g,在1,4-二噁烷、H2O混合溶剂下回流搅拌一晚。自然冷却后,在体系内加入H2O、甲醇,将析出的固体过滤,得到了粗产物。对得到的粗产物通过甲苯/丙酮混合溶剂进行晶析精制,由此得到了4-(联苯-4-基)-2-(10-苯基-蒽-9-基)-5-(喹啉-8-基)-嘧啶(化合物-160)的淡黄色粉体:3.0g(收率51%)。
[化22]
对于得到的淡黄色粉体,使用NMR对结构进行了鉴定。
用1H-NMR(CDCl3)检测出以下的29个氢的信号。
δ(ppm)=9.42(1H)、9.15(1H)、8.70(1H)、8.14(1H)、7.90(2H)、7.88-7.59(10H)、7.55-7.30(13H)。
实施例18
对于由通式(1)表示的嘧啶化合物,通过高灵敏度差示扫描量热计(ブルカー·エイエックスエス制造、DSC3100SA)测定了熔点和玻璃化转变温度。
由通式(1)表示的具有嘧啶环结构的化合物具有100℃以上的玻璃化转变温度,表示薄膜状态稳定。
实施例19
使用由通式(1)表示的具有嘧啶环结构的化合物,在ITO基板上制作膜厚100nm的蒸镀膜,通过电离电位测定装置(住友重机械工业株式会社制造、PYS-202)测定了功函数。
由通式(1)表示的具有嘧啶环结构的化合物具有比NPD、TPD等一般的空穴传输材料所具有的功函数5.5eV大的值,具有大的空穴阻挡能力。
实施例20
就有机EL元件而言,如图12中所示,通过在玻璃基板1上预先形成了ITO电极作为透明阳极2的产物上以空穴注入层3、空穴传输层4、发光层5、空穴阻挡层6、电子传输层7、电子注入层8、阴极(铝电极)9的顺序进行蒸镀而制作。
具体地,将形成了膜厚50nm的ITO膜的玻璃基板1在异丙醇中进行了20分钟超声波清洗后,在加热到200℃的热板上进行10分钟干燥。然后,进行15分钟UV臭氧处理后,将该带有ITO的玻璃基板安装到真空蒸镀机内,减压到0.001Pa以下。接着,作为空穴注入层3,以覆盖透明阳极2的方式以蒸镀速度比成为Acceptor-1:HTM-1=3:97的蒸镀速度对下述结构式的电子受体(Acceptor-1)和下述结构式的化合物(HTM-1)进行二元蒸镀,以膜厚成为10nm的方式形成。在该空穴注入层3上,作为空穴传输层4,形成了下述结构式的化合物(HTM-1)以使膜厚成为60nm。在该空穴传输层4上,作为发光层5,以蒸镀速度比成为EMD-1:EMH-1=5:95的蒸镀速度对下述结构式的化合物(EMD-1)和下述结构式的化合物(EMH-1)进行二元蒸镀,以膜厚成为20nm的方式形成。在该发光层5上,作为空穴阻挡层兼电子传输层6及7,以蒸镀速度比成为化合物-17:ETM-1=50:50的蒸镀速度对本发明实施例1的化合物(化合物-17)和下述结构式的化合物(ETM-1)进行二元蒸镀,以膜厚成为30nm的方式形成。在该空穴阻挡层兼电子传输层6及7上,作为电子注入层8,形成氟化锂以使膜厚成为1nm。最后,蒸镀100nm的铝,形成阴极9。对于制作的有机EL元件,在大气中、常温下进行特性测定。将对制作的有机EL元件施加了直流电压时的发光特性的测定结果汇总示于表1。
[化23]
[化24]
[化25]
[化26]
[化27]
[化28]
实施例21
在实施例20中,作为空穴阻挡层兼电子传输层6及7的材料,代替本发明实施例1的化合物(化合物-17)而使用实施例2的化合物(化合物-26),以蒸镀速度比成为化合物-26:ETM-1=50:50的蒸镀速度进行了二元蒸镀,除此以外,以同样的条件制作了有机EL元件。对于制作的有机EL元件,在大气中、常温下进行了特性测定。将对制作的有机EL元件施加了直流电压时的发光特性的测定结果汇总示于表1。
[化29]
实施例22
在实施例20中,作为空穴阻挡层兼电子传输层6及7的材料,代替本发明实施例1的化合物(化合物-17)而使用实施例3的化合物(化合物-27),以蒸镀速度比成为化合物-27:ETM-1=50:50的蒸镀速度进行了二元蒸镀,除此以外,以同样的条件制作了有机EL元件。对于制作的有机EL元件,在大气中、常温下进行了特性测定。将对制作的有机EL元件施加了直流电压时的发光特性的测定结果汇总示于表1。
[化30]
实施例23
在实施例20中,作为空穴阻挡层兼电子传输层6及7的材料,代替本发明实施例1的化合物(化合物-17)而使用实施例4的化合物(化合物-36),以蒸镀速度比成为化合物-36:ETM-1=50:50的蒸镀速度进行了二元蒸镀,除此以外,以同样的条件制作了有机EL元件。对于制作的有机EL元件,在大气中、常温下进行了特性测定。将对制作的有机EL元件施加了直流电压时的发光特性的测定结果汇总示于表1。
[化31]
实施例24
在实施例20中,作为空穴阻挡层兼电子传输层6及7的材料,代替本发明实施例1的化合物(化合物-17)而使用实施例5的化合物(化合物-43),以蒸镀速度比成为化合物-43:ETM-1=50:50的蒸镀速度进行了二元蒸镀,除此以外,以同样的条件制作了有机EL元件。对于制作的有机EL元件,在大气中、常温下进行了特性测定。将对制作的有机EL元件施加了直流电压时的发光特性的测定结果汇总示于表1。
[化32]
实施例25
在实施例20中,作为空穴阻挡层兼电子传输层6及7的材料,代替本发明实施例1的化合物(化合物-17)而使用实施例6的化合物(化合物-46),以蒸镀速度比成为化合物-46:ETM-1=50:50的蒸镀速度进行了二元蒸镀,除此以外,以同样的条件制作了有机EL元件。对于制作的有机EL元件,在大气中、常温下进行了特性测定。将对制作的有机EL元件施加了直流电压时的发光特性的测定结果汇总示于表1。
[化33]
实施例26
在实施例20中,作为空穴阻挡层兼电子传输层6及7的材料,代替本发明实施例1的化合物(化合物-17)而使用实施例7的化合物(化合物-149),以蒸镀速度比成为化合物-149:ETM-1=50:50的蒸镀速度进行了二元蒸镀,除此以外,以同样的条件制作了有机EL元件。对于制作的有机EL元件,在大气中、常温下进行了特性测定。将对制作的有机EL元件施加了直流电压时的发光特性的测定结果汇总示于表1。
[化34]
实施例27
在实施例20中,作为空穴阻挡层兼电子传输层6及7的材料,代替本发明实施例1的化合物(化合物-17)而使用实施例8的化合物(化合物-151),以蒸镀速度比成为化合物-151:ETM-1=50:50的蒸镀速度进行了二元蒸镀,除此以外,以同样的条件制作了有机EL元件。对于制作的有机EL元件,在大气中、常温下进行了特性测定。将对制作的有机EL元件施加了直流电压时的发光特性的测定结果汇总示于表1。
[化35]
实施例28
在实施例20中,作为空穴阻挡层兼电子传输层6及7的材料,代替本发明实施例1的化合物(化合物-17)而使用实施例9的化合物(化合物-152),以蒸镀速度比成为化合物-152:ETM-1=50:50的蒸镀速度进行了二元蒸镀,除此以外,以同样的条件制作了有机EL元件。对于制作的有机EL元件,在大气中、常温下进行了特性测定。将对制作的有机EL元件施加了直流电压时的发光特性的测定结果汇总示于表1。
[化36]
实施例29
在实施例20中,作为空穴阻挡层兼电子传输层6及7的材料,代替本发明实施例1的化合物(化合物-17)而使用实施例10的化合物(化合物-153),以蒸镀速度比成为化合物-153:ETM-1=50:50的蒸镀速度进行了二元蒸镀,除此以外,以同样的条件制作了有机EL元件。对于制作的有机EL元件,在大气中、常温下进行了特性测定。将对制作的有机EL元件施加了直流电压时的发光特性的测定结果汇总示于表1。
[化37]
实施例30
在实施例20中,作为空穴阻挡层兼电子传输层6及7的材料,代替本发明实施例1的化合物(化合物-17)而使用实施例11的化合物(化合物-154),以蒸镀速度比成为化合物-154:ETM-1=50:50的蒸镀速度进行了二元蒸镀,除此以外,以同样的条件制作了有机EL元件。对于制作的有机EL元件,在大气中、常温下进行了特性测定。将对制作的有机EL元件施加了直流电压时的发光特性的测定结果汇总示于表1。
[化38]
实施例31
在实施例20中,作为空穴阻挡层兼电子传输层6及7的材料,代替本发明实施例1的化合物(化合物-17)而使用实施例12的化合物(化合物-155),以蒸镀速度比成为化合物-155:ETM-1=50:50的蒸镀速度进行了二元蒸镀,除此以外,以同样的条件制作了有机EL元件。对于制作的有机EL元件,在大气中、常温下进行了特性测定。将对制作的有机EL元件施加了直流电压时的发光特性的测定结果汇总示于表1。
[化39]
实施例32
在实施例20中,作为空穴阻挡层兼电子传输层6及7的材料,代替本发明实施例1的化合物(化合物-17)而使用实施例13的化合物(化合物-156),以蒸镀速度比成为化合物-156:ETM-1=50:50的蒸镀速度进行了二元蒸镀,除此以外,以同样的条件制作了有机EL元件。对于制作的有机EL元件,在大气中、常温下进行了特性测定。将对制作的有机EL元件施加了直流电压时的发光特性的测定结果汇总示于表1。
[化40]
实施例33
在实施例20中,作为空穴阻挡层兼电子传输层6及7的材料,代替本发明实施例1的化合物(化合物-17)而使用实施例14的化合物(化合物-157),以蒸镀速度比成为化合物-157:ETM-1=50:50的蒸镀速度进行了二元蒸镀,除此以外,以同样的条件制作了有机EL元件。对于制作的有机EL元件,在大气中、常温下进行了特性测定。将对制作的有机EL元件施加了直流电压时的发光特性的测定结果汇总示于表1。
[化41]
实施例34
在实施例20中,作为空穴阻挡层兼电子传输层6及7的材料,代替本发明实施例1的化合物(化合物-17)而使用实施例15的化合物(化合物-158),以蒸镀速度比成为化合物-158:ETM-1=50:50的蒸镀速度进行了二元蒸镀,除此以外,以同样的条件制作了有机EL元件。对于制作的有机EL元件,在大气中、常温下进行了特性测定。将对制作的有机EL元件施加了直流电压时的发光特性的测定结果汇总示于表1。
[化42]
实施例35
在实施例20中,作为空穴阻挡层兼电子传输层6及7的材料,代替本发明实施例1的化合物(化合物-17)而使用实施例16的化合物(化合物-159),以蒸镀速度比成为化合物-159:ETM-1=50:50的蒸镀速度进行了二元蒸镀,除此以外,以同样的条件制作了有机EL元件。对于制作的有机EL元件,在大气中、常温下进行了特性测定。将对制作的有机EL元件施加了直流电压时的发光特性的测定结果汇总示于表1。
[化43]
实施例36
在实施例20中,作为空穴阻挡层兼电子传输层6及7的材料,代替本发明实施例1的化合物(化合物-17)而使用实施例17的化合物(化合物-160),以蒸镀速度比成为化合物-160:ETM-1=50:50的蒸镀速度进行了二元蒸镀,除此以外,以同样的条件制作了有机EL元件。对于制作的有机EL元件,在大气中、常温下进行了特性测定。将对制作的有机EL元件施加了直流电压时的发光特性的测定结果汇总示于表1。
[化44]
[比较例1]
为了比较,在实施例20中,作为空穴阻挡层兼电子传输层6及7的材料,代替本发明实施例1的化合物(化合物-17)而使用下述结构式的化合物(ETM-2)(例如参照专利文献6),以蒸镀速度比成为ETM-2:ETM-1=50:50的蒸镀速度进行了二元蒸镀,除此以外,以同样的条件制作了有机EL元件。对于制作的有机EL元件,在大气中、常温下进行了特性测定。将对制作的有机EL元件施加了直流电压时的发光特性的测定结果汇总示于表1。
[化45]
[比较例2]
为了比较,在实施例20中,作为空穴阻挡层兼电子传输层6及7的材料,代替本发明实施例1的化合物(化合物-17)而使用下述结构式的化合物(ETM-3)(例如参照专利文献8),以蒸镀速度比成为ETM-3:ETM-1=50:50的蒸镀速度进行了二元蒸镀,除此以外,以同样的条件制作了有机EL元件。对于制作的有机EL元件,在大气中、常温下进行了特性测定。将对制作的有机EL元件施加了直流电压时的发光特性的测定结果汇总示于表1。
[化46]
使用实施例20至实施例36及比较例1、2中制作的有机EL元件,将元件寿命的测定结果汇总示于表1中。就元件寿命而言,在使发光开始时的发光亮度(初期亮度)为2000cd/m2进行了恒电流驱动时,作为直至发光亮度衰减到1900cd/m2(相当于将初期亮度设为100%时的95%:95%衰减)的时间而进行了测定。
[表1]
如表1中所示,就使电流密度10mA/cm2的电流流动时的驱动电压而言,使用了上述结构式的化合物ETM-2、3的比较例1、2的有机EL元件为3.82~4.01V,相对于此,在实施例20至实施例36的有机EL元件中为3.42~3.72V,低电压化。另外,在发光效率上,比较例1、2的有机EL元件为6.59~8.05cd/A,相对于此,实施例20至实施例36的有机EL元件中提高到8.24~9.24cd/A,即使在电力效率上,比较例1、2的有机EL元件为5.16~6.62lm/W,相对于此,实施例20至实施例36的有机EL元件中大幅提高到7.06~8.43lm/W。特别地,在元件寿命(95%衰减)上,比较例1、2的有机EL元件中为165~203小时,相对于此,实施例20至实施例36的有机EL元件中为231~323小时,大幅地长寿命化。
这样得知:就本发明的有机EL元件而言,与使用了上述结构式的化合物ETM-2、3的元件相比,发光效率及电力效率优异,能够实现长寿命的有机EL元件。
产业上的可利用性
就本发明的特定的具有嘧啶环结构的化合物而言,电子的注入特性良好,空穴阻挡能力优异,薄膜状态稳定,因此作为有机EL元件用的化合物优异。通过使用该化合物来制作有机EL元件,能够得到高效率,且能够降低驱动电压,能够改善耐久性。例如,向家庭电化制品、照明的用途的发展成为可能。
附图标记的说明
1 玻璃基板
2 透明阳极
3 空穴注入层
4 空穴传输层
5 发光层
6 空穴阻挡层
7 电子传输层
8 电子注入层
9 阴极
Claims (20)
1.一种具有嘧啶环结构的化合物,其由下述通式(1)表示:
式中,A1表示取代或未取代的芳香族杂环基,Ar1表示取代或未取代的芳香族烃基、取代或未取代的芳香族杂环基、或者取代或未取代的稠合多环芳香族基团,Ar2表示重氢原子、三甲基甲硅烷基、三苯基甲硅烷基、取代或未取代的芳香族烃基、取代或未取代的芳香族杂环基、或者取代或未取代的稠合多环芳香族基团,m表示1~3的整数,n表示0~2的整数,o表示1~2的整数,在m为2以上的整数的情况下,多个键合于同一嘧啶环的Ar1可以彼此相同也可不同,在n为2的整数的情况下,多个键合于同一嘧啶环的Ar2可以彼此相同也可不同,在o为2的整数的情况下,多个键合于同一嘧啶环的A1可以彼此相同也可不同,但是,使m和n和o的整数之和为4以内,予以说明,n为0的情况下,Ar2表示氢原子。
6.根据权利要求4所述的由所述通式(4)表示的具有嘧啶环结构的化合物,其中,所述A4的芳香族杂环基为吡啶基、嘧啶基、喹啉基、异喹啉基、吲哚基、氮杂芴基、二氮杂芴基、喹喔啉基、苯并咪唑基、萘啶基、菲咯啉基、吖啶基、氮杂螺双芴基、二氮杂螺双芴基、或羰基。
7.根据权利要求5所述的由所述通式(5)表示的具有嘧啶环结构的化合物,其中,所述A5的芳香族杂环基为吡啶基、嘧啶基、喹啉基、异喹啉基、吲哚基、氮杂芴基、二氮杂芴基、喹喔啉基、苯并咪唑基、萘啶基、菲咯啉基、吖啶基、氮杂螺双芴基、二氮杂螺双芴基、或羰基。
8.根据权利要求4所述的由所述通式(4)表示的具有嘧啶环结构的化合物,其中,所述Ar10为氢原子。
9.根据权利要求5所述的由所述通式(5)表示的具有嘧啶环结构的化合物,其中,所述Ar13为氢原子。
10.根据权利要求4所述的由所述通式(4)表示的具有嘧啶环结构的化合物,其中,所述A4的芳香族杂环基为吡啶基、嘧啶基、喹啉基、异喹啉基、吲哚基、氮杂芴基、二氮杂芴基、喹喔啉基、苯并咪唑基、萘啶基、菲咯啉基、吖啶基、氮杂螺双芴基、二氮杂螺双芴基、或羰基,并且所述Ar10为氢原子。
11.根据权利要求5所述的由所述通式(5)表示的具有嘧啶环结构的化合物,其中,所述A5的芳香族杂环基为吡啶基、嘧啶基、喹啉基、异喹啉基、吲哚基、氮杂芴基、二氮杂芴基、喹喔啉基、苯并咪唑基、萘啶基、菲咯啉基、吖啶基、氮杂螺双芴基、二氮杂螺双芴基、或羰基,并且所述Ar13为氢原子。
12.根据权利要求4所述的由所述通式(4)表示的具有嘧啶环结构的化合物,其中,在所述Ar8、Ar9内,至少一处作为稠合多环芳香族基团、芳香族杂环基或者取代基为菲基、芴基、螺双芴基、苯并呋喃基、苯并噻吩基、吲哚基、咔唑基、苯并噁唑基、苯并噻唑基、喹喔啉基、苯并咪唑基、吡唑基、二苯并呋喃基、或者二苯并噻吩基,并且所述Ar10为氢原子。
13.根据权利要求5所述的由所述通式(5)表示的具有嘧啶环结构的化合物,其中,在所述Ar11、Ar12内,至少一处作为稠合多环芳香族基团、芳香族杂环基、或者取代基为菲基、芴基、螺双芴基、苯并呋喃基、苯并噻吩基、吲哚基、咔唑基、苯并噁唑基、苯并噻唑基、喹喔啉基、苯并咪唑基、吡唑基、二苯并呋喃基、或者二苯并噻吩基,并且所述Ar13为氢原子。
14.根据权利要求4所述的由所述通式(4)表示的具有嘧啶环结构的化合物,其中,所述A4的芳香族杂环基为吡啶基、嘧啶基、喹啉基、异喹啉基、吲哚基、氮杂芴基、二氮杂芴基、喹喔啉基、苯并咪唑基、萘啶基、菲咯啉基、吖啶基、氮杂螺双芴基、二氮杂螺双芴基、或者羰基,并且所述Ar10为氢原子,并且所述Ar8、Ar9内,至少一处作为稠合多环芳香族基团、芳香族杂环基、或者取代基为菲基、芴基、螺双芴基、苯并呋喃基、苯并噻吩基、吲哚基、咔唑基、苯并噁唑基、苯并噻唑基、喹喔啉基、苯并咪唑基、吡唑基、二苯并呋喃基、或者二苯并噻吩基。
15.根据权利要求5所述的由所述通式(5)表示的具有嘧啶环结构的化合物,其中,所述A5的芳香族杂环基为吡啶基、嘧啶基、喹啉基、异喹啉基、吲哚基、氮杂芴基、二氮杂芴基、喹喔啉基、苯并咪唑基、萘啶基、菲咯啉基、吖啶基、氮杂螺双芴基、二氮杂螺双芴基或者咔啉基,并且所述Ar13为氢原子,并且所述Ar11、Ar12内,至少一处作为稠合多环芳香族基团、芳香族杂环基或者取代基为菲基、芴基、螺双芴基、苯并呋喃基、苯并噻吩基、吲哚基、咔唑基、苯并噁唑基、苯并噻唑基、喹喔啉基、苯并咪唑基、吡唑基、二苯并呋喃基、或者二苯并噻吩基。
16.一种有机电致发光元件,其为具有一对电极和夹持于其间的至少一层的有机层的有机电致发光元件,其特征在于,根据权利要求1~15中任一项所述的具有嘧啶环结构的化合物用作至少一个有机层的构成材料。
17.根据权利要求16所述的有机电致发光元件,其中,使用了所述具有嘧啶环结构的化合物的所述有机层为电子传输层。
18.根据权利要求16所述的有机电致发光元件,其中,使用了所述具有嘧啶环结构的化合物的所述有机层为空穴阻挡层。
19.根据权利要求16所述的有机电致发光元件,其中,使用了所述具有嘧啶环结构的化合物的所述有机层为发光层。
20.根据权利要求16所述的有机电致发光元件,其中,使用了所述具有嘧啶环结构的化合物的所述有机层为电子注入层。
Applications Claiming Priority (3)
| Application Number | Priority Date | Filing Date | Title |
|---|---|---|---|
| JP2017174340 | 2017-09-11 | ||
| JP2017-174340 | 2017-09-11 | ||
| PCT/JP2018/033140 WO2019049965A1 (ja) | 2017-09-11 | 2018-09-07 | ピリミジン環構造を有する化合物および有機エレクトロルミネッセンス素子 |
Publications (1)
| Publication Number | Publication Date |
|---|---|
| CN111094264A true CN111094264A (zh) | 2020-05-01 |
Family
ID=65634867
Family Applications (1)
| Application Number | Title | Priority Date | Filing Date |
|---|---|---|---|
| CN201880059472.0A Pending CN111094264A (zh) | 2017-09-11 | 2018-09-07 | 具有嘧啶环结构的化合物及有机电致发光元件 |
Country Status (7)
| Country | Link |
|---|---|
| US (1) | US12221430B2 (zh) |
| EP (1) | EP3683212B1 (zh) |
| JP (1) | JP7159173B2 (zh) |
| KR (1) | KR102603365B1 (zh) |
| CN (1) | CN111094264A (zh) |
| TW (2) | TWI808095B (zh) |
| WO (1) | WO2019049965A1 (zh) |
Families Citing this family (1)
| Publication number | Priority date | Publication date | Assignee | Title |
|---|---|---|---|---|
| CN112654611B (zh) * | 2018-10-17 | 2024-04-30 | 保土谷化学工业株式会社 | 具有嘧啶环结构的化合物及有机电致发光元件 |
Citations (15)
| Publication number | Priority date | Publication date | Assignee | Title |
|---|---|---|---|---|
| CN102471679A (zh) * | 2009-07-10 | 2012-05-23 | 第一毛织株式会社 | 用于有机光电装置的化合物及有机光电装置 |
| WO2012080729A2 (en) * | 2010-12-14 | 2012-06-21 | Electrophoretics Limited | CASEIN KINASE 1δ (CK1δ) INHIBITORS |
| KR20130093195A (ko) * | 2012-02-14 | 2013-08-22 | 덕산하이메탈(주) | 오원자 헤테로 고리를 포함하는 유기전기소자용 화합물, 이를 포함하는 유기전기소자 및 그 전자 장치 |
| KR20130142967A (ko) * | 2012-06-20 | 2013-12-30 | 에스에프씨 주식회사 | 이형고리 화합물 및 이를 포함하는 유기전계발광소자 |
| CN104080882A (zh) * | 2011-12-05 | 2014-10-01 | 罗门哈斯电子材料韩国有限公司 | 新有机电致发光化合物和使用该化合物的有机电致发光器件 |
| KR20150058625A (ko) * | 2013-11-18 | 2015-05-29 | 희성소재 (주) | 헤테로원자를 함유하는 다환 화합물 및 이를 이용한 유기발광소자 |
| KR20150109111A (ko) * | 2014-03-19 | 2015-10-01 | 삼성전자주식회사 | 축합환 화합물 및 이를 포함한 유기 발광 소자 |
| KR20150135626A (ko) * | 2014-05-22 | 2015-12-03 | 덕산네오룩스 주식회사 | 유기전기 소자용 화합물, 이를 이용한 유기전기소자 및 그 전자 장치 |
| KR20160046703A (ko) * | 2014-10-21 | 2016-04-29 | 덕산네오룩스 주식회사 | 유기전기 소자용 화합물, 이를 이용한 유기전기소자 및 그 전자 장치 |
| CN106279103A (zh) * | 2016-08-09 | 2017-01-04 | 长春海谱润斯科技有限公司 | 一种嘧啶类化合物及其应用和有机发光器件 |
| WO2017043797A1 (ko) * | 2015-09-09 | 2017-03-16 | 덕산네오룩스 주식회사 | 유기전기 소자용 화합물, 이를 이용한 유기전기소자 및 그 전자 장치 |
| US20170170409A1 (en) * | 2010-08-20 | 2017-06-15 | Universal Display Corporation | Organic electroluminescent materials and devices |
| KR20170086211A (ko) * | 2016-01-18 | 2017-07-26 | 에스에프씨 주식회사 | 유기발광 화합물 및 이를 포함하는 유기발광소자 |
| CN107001321A (zh) * | 2014-12-04 | 2017-08-01 | 东进世美肯株式会社 | 新颖化合物及包含其的有机发光器件 |
| CN107108585A (zh) * | 2014-12-29 | 2017-08-29 | 东进世美肯株式会社 | 新颖化合物及包含其的有机发光器件 |
Family Cites Families (20)
| Publication number | Priority date | Publication date | Assignee | Title |
|---|---|---|---|---|
| DE3319843A1 (de) * | 1983-06-01 | 1984-12-06 | Ali-Akbar Dipl.-Chem. Dr. 4300 Mülheim Pourzal | Verfahren zur herstellung von pyrimidinen aus nitrilen und alkinen |
| JP2734341B2 (ja) | 1993-03-26 | 1998-03-30 | 住友電気工業株式会社 | 有機エレクトロルミネッセンス素子 |
| JP3194657B2 (ja) | 1993-11-01 | 2001-07-30 | 松下電器産業株式会社 | 電界発光素子 |
| JP3828595B2 (ja) | 1994-02-08 | 2006-10-04 | Tdk株式会社 | 有機el素子 |
| KR100691543B1 (ko) | 2002-01-18 | 2007-03-09 | 주식회사 엘지화학 | 새로운 전자 수송용 물질 및 이를 이용한 유기 발광 소자 |
| US7867629B2 (en) | 2003-01-10 | 2011-01-11 | Idemitsu Kosan Co., Ltd. | Nitrogenous heterocyclic derivative and organic electroluminescent element employing the same |
| KR101288557B1 (ko) | 2008-12-24 | 2013-07-22 | 제일모직주식회사 | 신규한 유기광전소자용 화합물 및 이를 포함하는 유기광전소자 |
| KR102083691B1 (ko) | 2011-10-14 | 2020-03-02 | 호도가야 가가쿠 고교 가부시키가이샤 | 신규 벤조트리아졸 유도체 및 그 유도체가 사용되는 유기 전계 발광 소자 |
| EP2684932B8 (en) | 2012-07-09 | 2016-12-21 | Hodogaya Chemical Co., Ltd. | Diarylamino matrix material doped with a mesomeric radialene compound |
| KR102235598B1 (ko) | 2014-03-11 | 2021-04-05 | 삼성디스플레이 주식회사 | 축합환 화합물 및 이를 포함하는 유기 전계 발광 소자 |
| KR101773363B1 (ko) * | 2014-04-09 | 2017-08-31 | 제일모직 주식회사 | 유기 화합물, 조성물, 유기 광전자 소자 및 표시 장치 |
| KR102287012B1 (ko) * | 2014-05-28 | 2021-08-09 | 덕산네오룩스 주식회사 | 유기전기 소자용 화합물, 이를 이용한 유기전기소자 및 그 전자 장치 |
| CN111205270B (zh) | 2014-06-11 | 2023-04-28 | 保土谷化学工业株式会社 | 嘧啶衍生物和有机电致发光器件 |
| WO2016064088A2 (ko) * | 2014-10-21 | 2016-04-28 | 덕산네오룩스 주식회사 | 유기전기 소자용 화합물, 이를 이용한 유기전기소자 및 그 전자 장치 |
| WO2016089165A2 (ko) * | 2014-12-04 | 2016-06-09 | 주식회사 동진쎄미켐 | 신규한 화합물 및 이를 포함하는 유기발광소자 |
| WO2016108596A2 (ko) * | 2014-12-29 | 2016-07-07 | 주식회사 동진쎄미켐 | 신규한 화합물 및 이를 포함하는 유기발광소자 |
| KR102295197B1 (ko) | 2014-12-30 | 2021-09-01 | 엘티소재주식회사 | 화합물 및 이를 이용한 유기발광소자 |
| KR101837896B1 (ko) * | 2016-04-12 | 2018-03-12 | 주식회사 엘지화학 | 화합물 및 이를 포함하는 유기 전자 소자 |
| CN107021926B (zh) * | 2017-06-12 | 2020-12-11 | 中节能万润股份有限公司 | 一种含有氮杂螺芴和含氮六元杂环的化合物及其在oled上的应用 |
| KR20190009994A (ko) * | 2017-07-20 | 2019-01-30 | 주식회사 두산 | 유기 발광 화합물 및 이를 이용한 유기 전계 발광 소자 |
-
2018
- 2018-09-07 KR KR1020207008115A patent/KR102603365B1/ko active Active
- 2018-09-07 JP JP2019541014A patent/JP7159173B2/ja active Active
- 2018-09-07 WO PCT/JP2018/033140 patent/WO2019049965A1/ja not_active Ceased
- 2018-09-07 EP EP18854331.8A patent/EP3683212B1/en active Active
- 2018-09-07 US US16/646,108 patent/US12221430B2/en active Active
- 2018-09-07 CN CN201880059472.0A patent/CN111094264A/zh active Pending
- 2018-09-11 TW TW107131849A patent/TWI808095B/zh active
- 2018-09-11 TW TW111138192A patent/TWI824763B/zh active
Patent Citations (15)
| Publication number | Priority date | Publication date | Assignee | Title |
|---|---|---|---|---|
| CN102471679A (zh) * | 2009-07-10 | 2012-05-23 | 第一毛织株式会社 | 用于有机光电装置的化合物及有机光电装置 |
| US20170170409A1 (en) * | 2010-08-20 | 2017-06-15 | Universal Display Corporation | Organic electroluminescent materials and devices |
| WO2012080729A2 (en) * | 2010-12-14 | 2012-06-21 | Electrophoretics Limited | CASEIN KINASE 1δ (CK1δ) INHIBITORS |
| CN104080882A (zh) * | 2011-12-05 | 2014-10-01 | 罗门哈斯电子材料韩国有限公司 | 新有机电致发光化合物和使用该化合物的有机电致发光器件 |
| KR20130093195A (ko) * | 2012-02-14 | 2013-08-22 | 덕산하이메탈(주) | 오원자 헤테로 고리를 포함하는 유기전기소자용 화합물, 이를 포함하는 유기전기소자 및 그 전자 장치 |
| KR20130142967A (ko) * | 2012-06-20 | 2013-12-30 | 에스에프씨 주식회사 | 이형고리 화합물 및 이를 포함하는 유기전계발광소자 |
| KR20150058625A (ko) * | 2013-11-18 | 2015-05-29 | 희성소재 (주) | 헤테로원자를 함유하는 다환 화합물 및 이를 이용한 유기발광소자 |
| KR20150109111A (ko) * | 2014-03-19 | 2015-10-01 | 삼성전자주식회사 | 축합환 화합물 및 이를 포함한 유기 발광 소자 |
| KR20150135626A (ko) * | 2014-05-22 | 2015-12-03 | 덕산네오룩스 주식회사 | 유기전기 소자용 화합물, 이를 이용한 유기전기소자 및 그 전자 장치 |
| KR20160046703A (ko) * | 2014-10-21 | 2016-04-29 | 덕산네오룩스 주식회사 | 유기전기 소자용 화합물, 이를 이용한 유기전기소자 및 그 전자 장치 |
| CN107001321A (zh) * | 2014-12-04 | 2017-08-01 | 东进世美肯株式会社 | 新颖化合物及包含其的有机发光器件 |
| CN107108585A (zh) * | 2014-12-29 | 2017-08-29 | 东进世美肯株式会社 | 新颖化合物及包含其的有机发光器件 |
| WO2017043797A1 (ko) * | 2015-09-09 | 2017-03-16 | 덕산네오룩스 주식회사 | 유기전기 소자용 화합물, 이를 이용한 유기전기소자 및 그 전자 장치 |
| KR20170086211A (ko) * | 2016-01-18 | 2017-07-26 | 에스에프씨 주식회사 | 유기발광 화합물 및 이를 포함하는 유기발광소자 |
| CN106279103A (zh) * | 2016-08-09 | 2017-01-04 | 长春海谱润斯科技有限公司 | 一种嘧啶类化合物及其应用和有机发光器件 |
Also Published As
| Publication number | Publication date |
|---|---|
| US20200277272A1 (en) | 2020-09-03 |
| JPWO2019049965A1 (ja) | 2020-08-20 |
| EP3683212A1 (en) | 2020-07-22 |
| EP3683212A4 (en) | 2021-06-09 |
| TWI808095B (zh) | 2023-07-11 |
| TW202304874A (zh) | 2023-02-01 |
| US12221430B2 (en) | 2025-02-11 |
| TWI824763B (zh) | 2023-12-01 |
| EP3683212B1 (en) | 2025-11-05 |
| KR20200051651A (ko) | 2020-05-13 |
| KR102603365B1 (ko) | 2023-11-16 |
| TW201918478A (zh) | 2019-05-16 |
| WO2019049965A1 (ja) | 2019-03-14 |
| JP7159173B2 (ja) | 2022-10-24 |
Similar Documents
| Publication | Publication Date | Title |
|---|---|---|
| CN106573911A (zh) | 嘧啶衍生物和有机电致发光器件 | |
| CN109790132B (zh) | 具有苯并唑环结构的化合物及有机电致发光元件 | |
| CN113195482B (zh) | 具有苯并唑环结构的化合物及有机电致发光元件 | |
| JP7245777B2 (ja) | ベンゾアゾール環構造を有する化合物を含有する有機エレクトロルミネッセンス素子 | |
| CN111164778A (zh) | 有机电致发光元件 | |
| CN112805845B (zh) | 具有氮杂苯并噁唑环结构的化合物及有机电致发光元件 | |
| JP7394050B2 (ja) | ベンゾイミダゾール環構造を有する化合物および有機エレクトロルミネッセンス素子 | |
| CN112654611B (zh) | 具有嘧啶环结构的化合物及有机电致发光元件 | |
| JP7159173B2 (ja) | ピリミジン環構造を有する化合物および有機エレクトロルミネッセンス素子 | |
| CN113795481A (zh) | 具有苯并三唑环结构的化合物及有机电致发光元件 | |
| JP7179734B2 (ja) | インデノベンゾアゾール環構造を有する化合物および有機エレクトロルミネッセンス素子 | |
| KR20250080862A (ko) | 화합물, 유기 일렉트로 루미네선스 소자, 및 전자 기기 | |
| JP2025178181A (ja) | アリールアミン化合物、有機エレクトロルミネッセンス素子、および電子機器 | |
| CN114867713A (zh) | 芳基胺化合物及有机电致发光元件 |
Legal Events
| Date | Code | Title | Description |
|---|---|---|---|
| PB01 | Publication | ||
| PB01 | Publication | ||
| SE01 | Entry into force of request for substantive examination | ||
| SE01 | Entry into force of request for substantive examination | ||
| RJ01 | Rejection of invention patent application after publication | ||
| RJ01 | Rejection of invention patent application after publication |
Application publication date: 20200501 |

























































