CN110354467B - Golf club head with structural post - Google Patents
Golf club head with structural post Download PDFInfo
- Publication number
- CN110354467B CN110354467B CN201910655128.4A CN201910655128A CN110354467B CN 110354467 B CN110354467 B CN 110354467B CN 201910655128 A CN201910655128 A CN 201910655128A CN 110354467 B CN110354467 B CN 110354467B
- Authority
- CN
- China
- Prior art keywords
- golf club
- club head
- toe
- heel
- inches
- Prior art date
- Legal status (The legal status is an assumption and is not a legal conclusion. Google has not performed a legal analysis and makes no representation as to the accuracy of the status listed.)
- Active
Links
Images
Classifications
-
- A—HUMAN NECESSITIES
- A63—SPORTS; GAMES; AMUSEMENTS
- A63B—APPARATUS FOR PHYSICAL TRAINING, GYMNASTICS, SWIMMING, CLIMBING, OR FENCING; BALL GAMES; TRAINING EQUIPMENT
- A63B60/00—Details or accessories of golf clubs, bats, rackets or the like
-
- A—HUMAN NECESSITIES
- A63—SPORTS; GAMES; AMUSEMENTS
- A63B—APPARATUS FOR PHYSICAL TRAINING, GYMNASTICS, SWIMMING, CLIMBING, OR FENCING; BALL GAMES; TRAINING EQUIPMENT
- A63B53/00—Golf clubs
- A63B53/04—Heads
-
- A—HUMAN NECESSITIES
- A63—SPORTS; GAMES; AMUSEMENTS
- A63B—APPARATUS FOR PHYSICAL TRAINING, GYMNASTICS, SWIMMING, CLIMBING, OR FENCING; BALL GAMES; TRAINING EQUIPMENT
- A63B2102/00—Application of clubs, bats, rackets or the like to the sporting activity ; particular sports involving the use of balls and clubs, bats, rackets, or the like
- A63B2102/32—Golf
Landscapes
- Health & Medical Sciences (AREA)
- General Health & Medical Sciences (AREA)
- Physical Education & Sports Medicine (AREA)
- Golf Clubs (AREA)
Abstract
Golf club heads with multiple structural columns are disclosed. The body includes a face section, a sole section, and a crown or return section, and defines a hollow interior. Each of the structural pillars extends within the hollow interior from the crown or return section to the bottom section to reduce stress exerted on the face section during impact with a golf ball. The structural columns are all positioned within 1 inch of the rear surface of the face section, measured along a plane perpendicular to the center of the face, and are spaced from each other within the hollow interior by a distance of 0.500 to 2.00 inches.
Description
Divisional application
The present application is a divisional application of an invention patent application having an application date of 2017, 23/2, and an application number of "201710099616.2" and entitled "golf club head with structural pillar".
Cross Reference to Related Applications
This application is a partially continuous application of U.S. patent application No. 15/385,549 filed on day 12/20 in 2016, U.S. patent application No. 15/385,549 is a partially continuous application of U.S. patent application No. 15/051,361 filed on day 23/2 in 2016, U.S. patent application No. 15/051,361 is a partially continuous application of U.S. patent application No. 14/997,199 filed on day 15/1 in 2016, U.S. patent application No. 14/997,199 is a partially continuous application of U.S. patent application No. 14/788,326 filed on day 30/6 in 2015, and is also a partially continuous application of U.S. patent application No. 14/794,578 filed on day 8/7 in 2015, U.S. patent application No. 14/794,578 is a partially continuous application of U.S. patent application No. 14/755,068 filed on day 30/6 in 2015, U.S. patent application No. 14/755,068 is a partially continuous application of U.S. patent application No. 14/14 in 26/2014 and U.S. patent application No. 9,259,627 filed on day 16/2/ 498,843, U.S. patent application No. 14/498,843 is a continuation-in-part application of U.S. patent application No. 14/173,615 filed on 5.2.2014 and granted on 10.11.2015 to U.S. patent No. 9,180,349, U.S. patent application No. 14/173,615 is a continuation-in-part application of U.S. patent application No. 14/039,102 filed on 27.9.2013 and granted on 8,834,294 on 16.9.2014, U.S. patent application No. 14/039,102 is a continuation-in-part application of a now-abandoned U.S. patent application No. 13/797,404 filed on 12.3.3.2013, U.S. patent application No. 13/797,404 claims priority from U.S. provisional patent application No. 61/665,203 filed on 27.6.2012 and from U.S. provisional patent application No. 61/684,079 filed on 16.8.16.2012, the disclosures of each of which are incorporated herein by reference in their entirety. U.S. patent application No. 14/997,199 is also a partial continuation of U.S. patent application No. 14/622,606 filed on day 13 of 2015 at 2.13 and granted to U.S. patent No. 9,345,936 on day 24 of 2016, U.S. patent application No. 14/622,606 is a continuation of U.S. patent application No. 13/906,572 filed on day 31 of 2013 at 5.31 and granted to U.S. patent No. 8,956,244 on day 17 of 2015 at 2.17, the disclosure of each of which is incorporated herein by reference in its entirety.
Technical Field
The present invention relates to a golf club head. More particularly, the present invention relates to a golf club head with stress reduction features connecting a crown portion with a sole portion via a hollow interior and disposed proximate to a face section.
Background
The prior art discloses various golf club heads having internal structures. For example, U.S. patent No. 6299547 to Kosmatka, entitled Golf Club Head With Internal Striking Plate support, discloses a Golf Club Head With a support to limit deflection of The Striking Plate, And U.S. patent No. 6852038 to Yabu, entitled Golf Club Head And Method of Making The Same, discloses a Golf Club Head With a firm bar (soundd); U.S. patent No. 7118493 to gallaway, entitled Multiple Material Golf Club Head, discloses a Golf Club Head with a composite tail having an internal stiffening member (sound component) extending upwardly from a sole section of a metallic face member; U.S. patent No. 8834294 to Seluga et al, entitled Golf Club Head With Center Of Gravity adjustment, discloses a Golf Club Head With a tube having a mass for adjusting the CG Of the Golf Club Head; and U.S. patent No. 8900070 to Dawson et al, entitled Weighted Golf Club Head, discloses a Golf Club Head with an interior Weighted lip (weight lip) extending from the sole toward the face. However, the prior art does not disclose an internal structure that increases ball speed by reducing stress in the striking face section at impact, and the mass of the golf club head is minimally increased.
Disclosure of Invention
The golf club head includes an internal structure connecting the crown section to the sole section to reduce stress in the face section during impact with a golf ball. In some embodiments, the inner structure is a hollow tube or solid rod composed of a titanium alloy.
One aspect of the present invention is a golf club head that includes a cast metal body. The cast metal body includes a toe structural connection, a heel structural connection, a striking face section, a crown return portion, and a sole section. The toe structure link includes a body with a crown end, a sole end, a front surface, a rear surface, a heel surface, and a toe surface. The heel structural link includes a body with a crown end, a sole end, a front surface, a rear surface, a heel surface, and a toe surface. The striking face section has an outer surface, an inner surface, an upper perimeter, and a lower perimeter. The crown return extends rearwardly from an upper periphery of the striking face section. The sole section portion extends rearwardly from a lower periphery of the striking face section. The crown end of the toe structure link is connected to the crown return. The crown end of the heel structural link is connected to the crown return. The sole end of the toe structure link is connected to the sole section. The bottom end of the heel structural connector is connected to the bottom section. The contact surface area between the crown return portion and both the crown end of the toe structural link and the crown end of the heel structural link is in the range of 1% to 5% of the surface area of the crown return portion. The toe structural connector and the heel structural connector attenuate movement of the crown return portion and the sole section when the face section impacts the golf ball.
In some embodiments, each structural connector comprises a structure selected from the group consisting of a solid rod and a hollow tube. In other further embodiments, each structural connector is a solid rod constructed of a metallic material selected from the group consisting of titanium alloys and steel. In an alternative embodiment, each structural connector is positioned no more than 0.25 inches from the rear face surface along a vertical plane extending through the center of the face perpendicular to the striking face section.
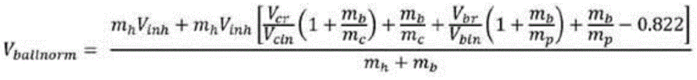
Another aspect of the invention is a golf club head comprising a metal body including a striking face section, a sole section extending from a lower edge of the striking face section and a return section extending from an upper edge of the striking face section, the return section and the sole section defining an upper opening, and the striking face section, the sole section and the return section defining a hollow body interior; and a first structural connector and a second structural connector disposed within the hollow body interior and extending from the return section to a bottom section, wherein each of the first and second structural connectors is a solid metal rod, wherein no portion of either the first or second structural connector is in contact with the face section, wherein the golf club head satisfies the golf club headEquation Vballnorm0.0356x +140.82, and wherein
In another embodiment, the golf club head may include a crown insert that may be permanently attached to the body to close the upper opening. In some embodiments, the crown insert may be constructed of a carbon composite material, and each of the first and second reinforcing members may be integrally cast with the body.
Another aspect of the invention is a golf club head comprising a metal body including a striking face section, a sole section extending from a lower edge of the striking face section, a return section extending from an upper edge of the striking face section, and a heel end opposite the striking face section, the return and sole sections defining an upper opening, and the striking face section, sole section, and return section defining a hollow body interior, a first structural connector and a second structural connector disposed within the hollow body interior and extending from the return section to the sole section, and a carbon composite crown insert permanently attached to the body to close the upper opening, wherein each of the first and second structural connectors is positioned closer to the striking face section than to the heel end within the hollow body interior, wherein the golf club head has a volume of 420 cubic centimeters to 470 cubic centimeters, wherein the golf club head satisfies equation Vballnorm0.0356x +141.19, and wherein
In some embodiments, the first structural connector includes an upper end proximate the return section and a lower end proximate the sole section, the upper end being spaced from the striking face section a first distance, and the lower end being spaced from the striking face section a second distance greater than the first distance. In yet another embodiment, the first distance is 0.120 inches to 0.150 inches and the second distance is 0.180 inches to 0.210 inches. In another embodiment, each of the first and second structural connectors has a length of 1.00 to 2.50 inches, the first structural connector extends approximately parallel to the second structural connector, and the first structural connector is spaced apart from the second structural connector by a distance of 0.75 to 1.50 inches.
Having briefly described the present invention, the above and other objects, features, and advantages of the present invention will become apparent to those skilled in the relevant art from the following detailed description of the invention when taken in conjunction with the accompanying drawings.
Drawings
FIG. 1 is a top elevation view of a preferred embodiment of a golf club head with a structural connector.
Fig. 2 is a bottom elevation view of the golf club head shown in fig. 1.
FIG. 3 is a cross-sectional view of the golf club head shown in FIG. 1 taken along line 3-3.
FIG. 3A is a cross-sectional view of the golf club head shown in FIG. 1 taken along line 3-3 illustrating the surface of the structural connector.
FIG. 4 is a cross-sectional view of the golf club head shown in FIG. 3 taken along line 4-4.
FIG. 5 is a cross-sectional view of the golf club head shown in FIG. 3 taken along line 5-5.
Fig. 5A is a cross-sectional view of the golf club head shown in fig. 3 taken along line 5-5.
FIG. 6 is a cross-sectional view of the golf club head shown in FIG. 3 taken along line 6-6.
FIG. 7 is a top perspective view of the golf club head shown in FIG. 1 with its crown insert and sole cover removed.
Fig. 8 is a bottom perspective view of the embodiment shown in fig. 7.
FIG. 9 is a flow chart describing how to calculate the normalized ball speed of a golf club head (including the embodiment shown in FIG. 1).
FIG. 10 is a top plan view of an exemplary calibration plate for calculating a normalized ball speed for a golf club head.
FIG. 11 is a cross-sectional view of the calibration plate shown in FIG. 10 taken along line 11-11.
FIG. 12 is a graph illustrating the relationship between normalized ball speed (y-axis) and characteristic time (μ s) (x-axis) for a prior art golf club head and the golf club heads described herein.
Fig. 13 is a cross-sectional view of a golf club head.
Fig. 14 is a top plan view of a golf club head.
FIG. 15 is a top perspective view of a golf club head.
Fig. 16 is a bottom perspective view of a golf club head.
Fig. 17 is an isolated interior view of a golf club head.
FIG. 18 is an isolated interior view of an intersection of a structural connector and a return section of a golf club head.
Fig. 19 is a front elevation view of a golf club head with a structural post and with the face removed to illustrate the interior of the golf club head.
Detailed Description
A preferred embodiment of a golf club head 10 with a structural connector is shown in fig. 1-8. The golf club head 10 preferably includes a body 20 having a striking face section 30 with a face center 34, a return section 32 extending rearwardly away from an upper edge 31 of the striking face section 30, a sole section 22 extending rearwardly away from a lower edge 33 of the striking face section 30, a hosel 24 for engaging a shaft, a heel end 23, a toe end 25, an upper opening 26, a hollow interior 27, and a heel end 28. The crown section 40 includes a return section 32 and a crown insert 42, the crown insert 42 being placed over the upper opening 26 to enclose the hollow interior 27. The body 20 further comprises three cut- outs 70, 72, 74 in the central area 21 of the bottom section 22, which are closed by a cover 80 having a density lower than the density of the material used for manufacturing the body 20. Each of the crown section 40 and the cover 80 are preferably constructed of a carbon composite material, while the body 20 is constructed of a metallic material such as a titanium alloy or steel.
Within the hollow interior 27, two structural connectors 50, 52 extend upward from the sole section 22 to the return section 32 approximately parallel to the rear surface 36 of the striking face section 30 and parallel to each other. In an alternative embodiment, the structural connectors 50, 52 instead extend to the crown insert 42; it is important that the structural links 50, 52 connect the crown section 40 to the sole section 22 adjacent the striking face section 30 without contacting any part of the striking face section 30, even when the striking face section 30 strikes a golf ball. In any event, the structural connectors 50, 52 must be closer to the striking face section 30 than to the heel end 28 of the body 20.
As shown in fig. 3, the preferred embodiment has two structural connectors 50, 52, each of the structural connectors 50, 52 being a solid rod constructed of a lightweight, strong metallic material, such as titanium alloy or steel, although in alternative embodiments each of the structural connectors 50, 52 may be a hollow tube or other hollow structure made of a strong lightweight metal or composite material. In another embodiment, the golf club head 10 may include both solid and hollow type structural connectors 50. The structural connectors 50, 52 are preferably co-cast with the body 20 using a wax molding process, although in alternative embodiments the structural connectors 50, 52 may be added after the body 20 is manufactured and secured to the body 20 via welding, brazing, solder or adhesive and/or mechanically.
In a preferred embodiment, each of the structural connectors 50, 52 has a diameter of 0.050 inches to 0.200 inches and a length of 1 to 2.5 inches. Both structural connectors 50, 52 are preferably positioned to be within 1 inch of the rear surface 36 of the striking face section 30 (measured along a vertical plane 60 extending through the face center 34 perpendicular to the striking face section 30). No portion of any structural connector 50, 52 should be positioned outside of this 1 inch range; indeed, more preferably, each structural connector 50, 52 is positioned even closer to the rear surface 36 of the striking face section 30. In a preferred embodiment, the structural connectors are spaced from 0.136 inches to 0.210 inches from the rear surface 36, and wherein the upper end 50a, 52a of each structural connector 50, 52 is spacedDistance D1The distance D1Distance D from lower ends 50b, 52b2Slightly closer to the rear surface 36. In a preferred embodiment, D1In the range of 0.120 inch to 0.150 inch, with D2In the range of 0.180 inches to 0.210 inches. The structural connectors 50, 52 are also spaced from each other a distance D of 0.500 to 2.00 inches, more preferably approximately 0.75 to 1.50 inches, and most preferably approximately 1.00 inch3. This positioning of the structural connectors 50, 52 optimizes the normalized ball velocity versus Characteristic Time (CT) when measured in mus according to the United States Golf Association (USGA) CT test.
The normalized ball speed eliminates the variable effects of the mass and loft angle of the golf club head and the construction of a particular golf ball from testing the speed of a golf ball at impact with any given golf club head, including the golf club head 10 of the present invention; in other words, it allows comparison of the same benchmark of golf club head performance. The normalized ball speed can be determined for the golf club head using the following steps, which are also outlined in the flowchart of fig. 9.
First, as shown in FIGS. 10 and 11, a diameter D of approximately 4 inches with a mass of approximately 190 grams is provided4A minimum thickness T of approximately 0.100-0.150 inches1And a maximum thickness T of approximately 0.200-0.400 inches2The plate 90 is calibrated and the center 92 of the calibration plate is hit with a test golf ball in an approximately 109mph movement (step 100). Measuring the return velocity V of the ballbr(step 110). The same test golf ball, again traveling at approximately 109mph, is then struck with the center 34 of the striking face section 30 of the golf club head 10 being evaluated (step 120), and the rebound velocity V of the test golf ball is measuredcr(step 130). Next, the mass m of the plate is measured and recordedpMass m of golf ballbMass m of the golf club head 10cMeasured head test ball velocity (109mph target) VcinMeasured speed of the panel test ball (109mph target) VbinMeasured head test ball return velocity VcrAnd measured board test ball return velocity Vbr(step (ii))140). Finally, the normalized ball velocity (V) is calculated using the following equationballnorm) (step 150):
in the equation, VinhIs 100 and mhIs 200.
The golf club head 10 of the present invention has Vballnorm0.0356x +140.82, and more preferably Vballnorm0.0356x + 141.19. The positioning of the structural connectors 50, 52 allows the golf club head 10 to satisfy this equation; as shown in FIG. 12, prior art golf club heads that do not include a structural connector structure simply fail to achieve this performance level.
In addition to optimizing the normalized ball speed of the golf club head 10, positioning the stiffening members 50, 52 within the areas of the golf club head 10 defined above has the greatest stress reduction effect on the golf club head 10. If any of the structural connectors 50, 52 are placed more than 1 inch from the rear surface 36 of the striking face section 30, it will have no significant effect on the stresses placed on the striking face section 30 when the golf club head 10 is in use, and will be used in any quality without providing significant performance benefits.
Fig. 13-19 illustrate contact surface areas 55a and 55b between each of the structural connectors 50 and 52 and the return section 32 of the body 20 of the golf club head 10. The cast metal body 20 preferably includes a toe structural link 52, a heel structural link 50, a striking face section 30, a crown return 32, and a sole section 22.
In one embodiment, as shown in fig. 3A and 19, the toe structure link 52 includes a body with a crown end 52a, a sole end 52b, a front surface 52c (shown in fig. 19), a rear surface 52d, a heel surface 52f, and a toe surface 52 e. The heel structural link 50 includes a body with a crown end 50a, a sole end 50b, a front surface 50c (as shown in fig. 19), a rear surface 50d, a heel surface 50f, and a toe surface 50 e. In this embodiment, each of the heel structural connector 50 and the toe structural connector 52 has a radius of curvature preferably ranging from 0.02 inches to 0.1 inches, more preferably from 0.025 inches to 0.05 inches, and most preferably 0.0395 inches. The striking face section 30 has an outer surface 30a, an inner surface 36, an upper perimeter 31, and a lower perimeter 33. The crown return 32 preferably extends rearwardly from the upper perimeter 31 of the striking face section 30 by approximately 0.5 inches to 1.5 inches, more preferably 0.6 inches to 1.0 inches, and most preferably approximately 0.725 inches. The bottom section 22 extends partially rearwardly from the lower perimeter 33 of the striking face section 30. The crown end 52a of the toe structure link 52 is connected to the crown return 32. The crown end 50a of the heel structural connector 50 is connected to the crown return 32. The sole end 52b of the toe structure link 52 is connected to the sole section 22. The bottom end 50a of the heel structural connector 50 is connected to the bottom section 22.
The contact surface areas 57a, 57b between the crown return 32 and both the crown end 52a of the toe structural link 52 and the crown end 50a of the heel structural link 50a are in the range of 1% to 5% of the surface area of the crown return 32. The surface area of the return portion of the crown is in the range of from 2.5 square inches to 4.0 square inches. The contact surface area 55a between the crown return 32 and the crown end 52a of the toe structure link 52 preferably ranges from 0.02 square inches to 0.1 square inches, more preferably from 0.035 square inches to 0.075 square inches, and most preferably 0.045 square inches. As shown in fig. 18, the contact surface area 55b between the crown return 32 and the crown end 50a of the heel structural connector 50 preferably ranges from 0.02 square inches to 0.1 square inches, more preferably from 0.035 square inches to 0.075 square inches, and most preferably 0.045 square inches. As shown in fig. 17, the contact surface area 57a between the sole section 22 and the sole end 52b of the toe structural connector 52 preferably ranges from 0.015 square inches to 0.1 square inches, more preferably from 0.025 square inches to 0.05 square inches, and most preferably is 0.03 square inches. The contact surface area 57b between the bottom section 22 and the bottom end 50b of the heel structural connector 50 preferably ranges from 0.015 square inches to 0.1 square inches, more preferably from 0.025 square inches to 0.05 square inches, and most preferably is 0.03 square inches.
The toe structural link 52 and the heel structural link 50 preferably dampen movement of the crown return section 32 and the sole section 22 when the striking face section 30 impacts the golf ball.
Each of the toe structural link 52 and the heel structural link 50 preferably has a length ranging from the sole end 50b, 52b to the crown end 50a, 52a from 1 inch to 2.5 inches. As shown in fig. 3A, the heel surface 52f of the toe structure link 52 is a distance in the range of 0.75 inches to 1.5 inches from the toe surface 50e of the heel structure link 50. The contact area 55a, 55b between the crown return 32 and each of the toe structural link 52 and the heel structural link 50 is preferably in the range of from 0.02 square inches to 0.04 square inches.
As shown in fig. 5A, the front surface 50c and 52c of each of the toe and heel structural connectors 52, 50 is at least 0.120 inches rearward from the inner surface 36 of the striking face section 30, and the rear surface 50d, 52d of each of the toe and heel structural connectors 52, 50 is no more than 1.0 inches rearward from the inner surface 36 of the striking face section 30.
When the golf club head 10 is designed as a driver, it preferably has a volume of from 200 cubic centimeters to 600 cubic centimeters, more preferably from 300 cubic centimeters to 500 cubic centimeters, and most preferably from 420 cubic centimeters to 470 cubic centimeters, and most preferably the volume is 460 cubic centimeters. In a preferred embodiment, the golf club head 10 has a volume of approximately 450cc to 460 cc.
The volume of the golf club head 10 will also vary between fairway woods (preferably ranging from 3 to eleven) with a smaller volume than the driver. When designed as a driver, the golf club head 10 preferably has a mass of no more than 215 grams, and most preferably has a mass of 180 to 215 grams; when designed as a fairway wood, the golf club head 10 preferably has a mass of 135 grams to 200 grams, preferably from 140 grams to 165 grams.
In each of the embodiments disclosed herein, the striking Face section 30 preferably has a varying Thickness, such as described in U.S. patent No. 7448960 entitled Golf Club Head With Variable Face Thickness, the relevant portions of which are incorporated herein by reference. Other alternative embodiments Of the Thickness Of the Striking Face section 30 are disclosed in U.S. patent No. 6398666 entitled Golf Club Striking Plate With Variable Thickness, U.S. patent No. 6471603 entitled continuous Golf Club Face, and U.S. patent No. 6368234 entitled Golf Club Striking Plate With oval Thickness area, all owned by Callaway Golf, and the relevant portions thereof are hereby incorporated by reference. Alternatively, the striking face section 30 may have a uniform thickness.
In each of the embodiments disclosed herein, the body 20 is preferably cast from molten metal in a method such as the well-known lost wax casting method. The metal used for casting is preferably titanium or a titanium alloy, such as 6-4 titanium alloy, alpha-beta titanium alloy or beta titanium alloy for forging, and 6-4 titanium for casting. Alternatively, the body 20 is constructed of a 17-4 steel alloy. Additional methods for manufacturing the body 20 include forming the body 20 from flat sheet metal, superplastic forming the body from flat sheet metal, machining the body 20 from a solid block of metal, electrochemically grinding the body 20 from a wrought preform, casting the body using centrifugal casting, casting the body 20 using suspension casting, and similar manufacturing methods.
In other embodiments, the golf club head 10 may have a multi-material composition, such as any of those disclosed in U.S. patent nos. 6244976, 6332847, 6386990, 6406378, 6440008, 6471604, 6491592, 6527650, 6565452, 6575845, 6478692, 6582323, 6508978, 6592466, 6602149, 6607452, 6612398, 6663504, 6669578, 6739982, 6758763, 6860824, 6994637, 7025692, and so forth, 7070517, 7112148, 7118493, 7121957, 7128343, 7121957, 7125344, 7128661, 7163470, 7226366, 7252600, 7258631, 7314418, 7320646, 7387577, 7396296, 7402112, 7407448, 7413520, 7431667, 7438647, 7455598, 7476161, 7491134, 7497787, 7549935, 7578751, 7717807,7749096, and 7749097, the entire disclosure of each of which is hereby incorporated herein by reference.
From the foregoing, it is believed that those skilled in the relevant art will recognize advantageous advances in the invention and will readily understand that while the invention has been described in connection with the preferred embodiments thereof and other embodiments illustrated in the drawings, many changes, modifications and substitutions of equivalents may be made therein without departing from the spirit and scope of the invention, which is not intended to be limited by the foregoing except as set forth in the following claims. Accordingly, the embodiments of the invention in which an exclusive property or privilege is claimed are defined in the claims that follow.
Claims (10)
1. A golf club head, comprising:
a cast metal body comprising
A toe structure link comprising a body with a crown end, a sole end, a front surface, a rear surface, a heel surface, and a toe surface,
a heel structural link comprising a body with a crown end, a sole end, a front surface, a rear surface, a heel surface, and a toe surface,
a striking face section having an outer surface, an inner surface, an upper perimeter, and a lower perimeter,
a crown return extending rearwardly from the upper periphery of the striking face section a distance in the range of 0.5 inches to 1.5 inches,
a bottom section extending rearwardly from the lower periphery of the striking face section;
wherein the toe structural link has a crown end connected to the crown return portion, the heel structural link has a crown end connected to the crown return portion, the toe structural link has a sole end connected to the sole section, and the heel structural link has a sole end connected to the sole section;
wherein a contact surface area between the crown return portion and both the crown end of the toe structure link and the crown end of the heel structure link is in a range from 1% to 5% of a surface area of the crown return portion;
wherein each of the toe structural link and the heel structural link has a diameter of 0.050 inches to 0.200 inches and a length from the sole end to the crown end that ranges from 1 inch to 2.5 inches;
wherein the toe structural connector and the heel structural connector are spaced 0.136 inches to 0.210 inches from the inner surface of the striking face section such that the positioning of the toe structural connector and the heel structural connector optimizes a normalized ball speed versus characteristic time;
wherein the toe structural link and the heel structural link attenuate movement of the crown return portion and the sole portion when the striking face section impacts a golf ball;
wherein the toe structural link and the heel structural link connect the crown return portion to the sole section proximate the striking face section without contacting any portion of the striking face section even when the striking face section impacts a golf ball; and
wherein each of the toe structure connection and the heel structure connection is configured to have a stress reducing effect on a golf club head.
2. A golf club head as defined in claim 1, wherein the toe structure connection and the heel structure connection are positioned parallel to the inner surface of the striking face section and to each other.
3. A golf club head as defined in claim 1, wherein the heel surface of the toe structure connection is a distance from the toe surface of the heel structure connection in the range of 0.75 inches to 1.5 inches.
4. A golf club head as defined in claim 1, wherein the golf club head has a volume in a range from 420 cubic centimeters to 470 cubic centimeters.
5. A golf club head as defined in claim 1, wherein the cast metal body is composed of a titanium alloy.
6. A golf club head as defined in claim 1, wherein the golf club head has a mass in a range from 185 grams to 215 grams.
7. The golf club head of claim 1, further comprising a crown portion composed of a carbon composite.
8. A golf club head as defined in claim 1, wherein the bottom section comprises a plurality of cutouts covered with a plurality of covers, each of the plurality of covers being composed of a carbon composite material.
9. A golf club head as defined in claim 1, wherein a contact area between the crown return portion and each of the toe and heel structural connectors is in the range of 0.02 square inches to 0.04 square inches.
10. A golf club head as defined in claim 1, wherein a front surface of each of the toe structure connection and the heel structure connection is at least 0.120 inches rearward from the inner surface of the striking face section and a rear surface of each of the toe structure connection and the heel structure connection is no more than 1.0 inches rearward from the inner surface of the striking face section.
Applications Claiming Priority (5)
| Application Number | Priority Date | Filing Date | Title |
|---|---|---|---|
| US15/051,361 US9757629B2 (en) | 2012-06-27 | 2016-02-23 | Golf club head having stress-reducing features |
| US15/051361 | 2016-02-23 | ||
| US15/423,347 US20170144034A1 (en) | 2012-06-27 | 2017-02-02 | Golf Club Head With Structural Columns |
| US15/423347 | 2017-02-02 | ||
| CN201710099616.2A CN107115643B (en) | 2016-02-23 | 2017-02-23 | Golf club head with structural post |
Related Parent Applications (1)
| Application Number | Title | Priority Date | Filing Date |
|---|---|---|---|
| CN201710099616.2A Division CN107115643B (en) | 2016-02-23 | 2017-02-23 | Golf club head with structural post |
Publications (2)
| Publication Number | Publication Date |
|---|---|
| CN110354467A CN110354467A (en) | 2019-10-22 |
| CN110354467B true CN110354467B (en) | 2020-12-08 |
Family
ID=59717941
Family Applications (2)
| Application Number | Title | Priority Date | Filing Date |
|---|---|---|---|
| CN201910655128.4A Active CN110354467B (en) | 2016-02-23 | 2017-02-23 | Golf club head with structural post |
| CN201710099616.2A Active CN107115643B (en) | 2016-02-23 | 2017-02-23 | Golf club head with structural post |
Family Applications After (1)
| Application Number | Title | Priority Date | Filing Date |
|---|---|---|---|
| CN201710099616.2A Active CN107115643B (en) | 2016-02-23 | 2017-02-23 | Golf club head with structural post |
Country Status (1)
| Country | Link |
|---|---|
| CN (2) | CN110354467B (en) |
Families Citing this family (5)
| Publication number | Priority date | Publication date | Assignee | Title |
|---|---|---|---|---|
| US12527996B2 (en) | 2020-12-16 | 2026-01-20 | Taylor Made Golf Company, Inc. | Multi-piece golf club head |
| TWI889448B (en) * | 2020-12-16 | 2025-07-01 | 美商泰勒梅高爾夫有限公司 | Multi-piece golf club head |
| US12121780B2 (en) | 2020-12-16 | 2024-10-22 | Taylor Made Golf Company, Inc. | Golf club head |
| US12257484B2 (en) | 2022-05-25 | 2025-03-25 | Taylor Made Golf Company, Inc. | Multi-piece golf club head |
| US12502581B2 (en) | 2022-05-25 | 2025-12-23 | Taylor Made Golf Company, Inc. | Putter-type golf club head |
Citations (11)
| Publication number | Priority date | Publication date | Assignee | Title |
|---|---|---|---|---|
| US5718641A (en) * | 1997-03-27 | 1998-02-17 | Ae Teh Shen Co., Ltd. | Golf club head that makes a sound when striking the ball |
| CN1255873A (en) * | 1998-01-16 | 2000-06-07 | 美津浓株式会社 | Metal golf club head |
| WO2001083050A1 (en) * | 2000-04-28 | 2001-11-08 | Doherty Bryan J O | Golf clubs |
| WO2005094948A1 (en) * | 2004-03-23 | 2005-10-13 | Callaway Golf Company | Plated magnesium golf club head |
| CN101077449A (en) * | 2006-05-26 | 2007-11-28 | 罗杰克利夫兰高尔夫股份有限公司 | Golf club head |
| US20090298613A1 (en) * | 2008-05-30 | 2009-12-03 | Hirsch Robert D | Golf Club Head with Sound Tuning |
| CN101970063A (en) * | 2008-02-14 | 2011-02-09 | 耐克国际有限公司 | Extreme weighted hybrid and other wood-type golf clubs and golf club heads |
| CN102107076A (en) * | 2009-12-29 | 2011-06-29 | 住胶体育用品株式会社 | Golf club head |
| CN102892470A (en) * | 2010-03-11 | 2013-01-23 | 耐克国际有限公司 | Golf club and club head including structure for selectively controlling club head sound |
| CN103889517A (en) * | 2011-08-23 | 2014-06-25 | 耐克国际有限公司 | Golf club and golf club head structures |
| US9180349B1 (en) * | 2012-06-08 | 2015-11-10 | Callaway Golf Company | Golf club head with adjustable center of gravity |
Family Cites Families (3)
| Publication number | Priority date | Publication date | Assignee | Title |
|---|---|---|---|---|
| JP4057286B2 (en) * | 2001-11-28 | 2008-03-05 | Sriスポーツ株式会社 | Manufacturing method of golf club head |
| CN2661252Y (en) * | 2003-10-21 | 2004-12-08 | 李明贤 | Golf club head |
| US8888604B2 (en) * | 2008-10-09 | 2014-11-18 | Golf Impact, Llc | Golf swing measurement and analysis system |
-
2017
- 2017-02-23 CN CN201910655128.4A patent/CN110354467B/en active Active
- 2017-02-23 CN CN201710099616.2A patent/CN107115643B/en active Active
Patent Citations (11)
| Publication number | Priority date | Publication date | Assignee | Title |
|---|---|---|---|---|
| US5718641A (en) * | 1997-03-27 | 1998-02-17 | Ae Teh Shen Co., Ltd. | Golf club head that makes a sound when striking the ball |
| CN1255873A (en) * | 1998-01-16 | 2000-06-07 | 美津浓株式会社 | Metal golf club head |
| WO2001083050A1 (en) * | 2000-04-28 | 2001-11-08 | Doherty Bryan J O | Golf clubs |
| WO2005094948A1 (en) * | 2004-03-23 | 2005-10-13 | Callaway Golf Company | Plated magnesium golf club head |
| CN101077449A (en) * | 2006-05-26 | 2007-11-28 | 罗杰克利夫兰高尔夫股份有限公司 | Golf club head |
| CN101970063A (en) * | 2008-02-14 | 2011-02-09 | 耐克国际有限公司 | Extreme weighted hybrid and other wood-type golf clubs and golf club heads |
| US20090298613A1 (en) * | 2008-05-30 | 2009-12-03 | Hirsch Robert D | Golf Club Head with Sound Tuning |
| CN102107076A (en) * | 2009-12-29 | 2011-06-29 | 住胶体育用品株式会社 | Golf club head |
| CN102892470A (en) * | 2010-03-11 | 2013-01-23 | 耐克国际有限公司 | Golf club and club head including structure for selectively controlling club head sound |
| CN103889517A (en) * | 2011-08-23 | 2014-06-25 | 耐克国际有限公司 | Golf club and golf club head structures |
| US9180349B1 (en) * | 2012-06-08 | 2015-11-10 | Callaway Golf Company | Golf club head with adjustable center of gravity |
Also Published As
| Publication number | Publication date |
|---|---|
| CN110354467A (en) | 2019-10-22 |
| CN107115643A (en) | 2017-09-01 |
| CN107115643B (en) | 2019-11-01 |
Similar Documents
| Publication | Publication Date | Title |
|---|---|---|
| US9908017B2 (en) | Golf club head with structural columns | |
| US10201733B2 (en) | Golf club head with structural columns | |
| US9776058B2 (en) | Golf club head having optimized ball speed to CT relationship | |
| US9486677B1 (en) | Weighted golf club head having composite tubes | |
| US10213662B2 (en) | Golf club head having stiffening members and variable face thickness | |
| US10406408B1 (en) | Golf club head having stiffening members and variable face thickness | |
| US20170165539A1 (en) | Golf Club Head With Structural Columns | |
| CN110354467B (en) | Golf club head with structural post | |
| US20170151474A1 (en) | Golf Club Head With Structural Columns | |
| KR101858034B1 (en) | Golf Club Head With Structural Columns | |
| US20130102412A1 (en) | Golf club head | |
| KR101861715B1 (en) | Golf Club Head Having Optimized Ball Speed to CT Relationship | |
| AU2017276185B2 (en) | Golf club head with structural columns | |
| AU2017276183B2 (en) | Golf club head having optimized ballspeed to CT relationship | |
| JP2017153955A5 (en) | ||
| JP2018099494A5 (en) |
Legal Events
| Date | Code | Title | Description |
|---|---|---|---|
| PB01 | Publication | ||
| PB01 | Publication | ||
| SE01 | Entry into force of request for substantive examination | ||
| SE01 | Entry into force of request for substantive examination | ||
| GR01 | Patent grant | ||
| GR01 | Patent grant | ||
| CP01 | Change in the name or title of a patent holder | ||
| CP01 | Change in the name or title of a patent holder |
Address after: California, USA Patentee after: Tuogo Lekalawei Brand Co. Address before: California, USA Patentee before: Callaway Golf Co. |


