CN109425969B - Optical lens - Google Patents
Optical lens Download PDFInfo
- Publication number
- CN109425969B CN109425969B CN201710749700.4A CN201710749700A CN109425969B CN 109425969 B CN109425969 B CN 109425969B CN 201710749700 A CN201710749700 A CN 201710749700A CN 109425969 B CN109425969 B CN 109425969B
- Authority
- CN
- China
- Prior art keywords
- lens
- optical
- optical lens
- image
- field angle
- Prior art date
- Legal status (The legal status is an assumption and is not a legal conclusion. Google has not performed a legal analysis and makes no representation as to the accuracy of the status listed.)
- Active
Links
- 230000003287 optical effect Effects 0.000 title claims abstract description 207
- 238000003384 imaging method Methods 0.000 claims description 24
- 238000002360 preparation method Methods 0.000 claims 1
- 230000005499 meniscus Effects 0.000 description 14
- 230000004075 alteration Effects 0.000 description 7
- 230000002349 favourable effect Effects 0.000 description 6
- 230000001681 protective effect Effects 0.000 description 6
- 235000013312 flour Nutrition 0.000 description 5
- 230000014509 gene expression Effects 0.000 description 4
- 238000010586 diagram Methods 0.000 description 3
- 230000000694 effects Effects 0.000 description 3
- 238000009434 installation Methods 0.000 description 2
- 238000004519 manufacturing process Methods 0.000 description 2
- 230000035945 sensitivity Effects 0.000 description 2
- AFCARXCZXQIEQB-UHFFFAOYSA-N N-[3-oxo-3-(2,4,6,7-tetrahydrotriazolo[4,5-c]pyridin-5-yl)propyl]-2-[[3-(trifluoromethoxy)phenyl]methylamino]pyrimidine-5-carboxamide Chemical compound O=C(CCNC(=O)C=1C=NC(=NC=1)NCC1=CC(=CC=C1)OC(F)(F)F)N1CC2=C(CC1)NN=N2 AFCARXCZXQIEQB-UHFFFAOYSA-N 0.000 description 1
- 238000004026 adhesive bonding Methods 0.000 description 1
- 230000009286 beneficial effect Effects 0.000 description 1
- 230000000295 complement effect Effects 0.000 description 1
- 230000008878 coupling Effects 0.000 description 1
- 238000010168 coupling process Methods 0.000 description 1
- 238000005859 coupling reaction Methods 0.000 description 1
- 230000007812 deficiency Effects 0.000 description 1
- 238000009826 distribution Methods 0.000 description 1
- 238000005516 engineering process Methods 0.000 description 1
- 230000006872 improvement Effects 0.000 description 1
- 229910044991 metal oxide Inorganic materials 0.000 description 1
- 150000004706 metal oxides Chemical class 0.000 description 1
- 238000000034 method Methods 0.000 description 1
- 230000004297 night vision Effects 0.000 description 1
- 230000002093 peripheral effect Effects 0.000 description 1
- 230000008569 process Effects 0.000 description 1
- 230000009467 reduction Effects 0.000 description 1
- 239000004065 semiconductor Substances 0.000 description 1
- 230000004304 visual acuity Effects 0.000 description 1
Images
Classifications
-
- G—PHYSICS
- G02—OPTICS
- G02B—OPTICAL ELEMENTS, SYSTEMS OR APPARATUS
- G02B13/00—Optical objectives specially designed for the purposes specified below
- G02B13/18—Optical objectives specially designed for the purposes specified below with lenses having one or more non-spherical faces, e.g. for reducing geometrical aberration
-
- G—PHYSICS
- G02—OPTICS
- G02B—OPTICAL ELEMENTS, SYSTEMS OR APPARATUS
- G02B13/00—Optical objectives specially designed for the purposes specified below
- G02B13/06—Panoramic objectives; So-called "sky lenses" including panoramic objectives having reflecting surfaces
Landscapes
- Physics & Mathematics (AREA)
- General Physics & Mathematics (AREA)
- Optics & Photonics (AREA)
- Lenses (AREA)
Abstract
The present application discloses an optical lens, which sequentially comprises, from an object side to an image side along an optical axis: the lens includes a first lens, a second lens, a third lens, a fourth lens and a fifth lens. Wherein the second lens, the fourth lens and the fifth lens may have negative optical power; the third lens may have a positive optical power; the object side surfaces of the first lens element, the second lens element and the fifth lens element can be concave, and the image side surfaces of the first lens element, the second lens element and the fifth lens element can be convex; and the third lens and the fourth lens may be cemented.
Description
Technical Field
The present application relates to an optical lens, and more particularly, to an optical lens including five lenses.
Background
As the demand for imaging device (e.g., camera) pixels increases, the corresponding chip size increases, resulting in an increase in the overall size of the lens. Meanwhile, in some special applications, such as night use of a vehicle-mounted lens, in order to improve the effect of night use of the lens, the clear aperture of the lens generally needs to be increased, which also results in an increase in the aperture of the lens.
Also, considering the aesthetic appearance, the lens mounted for use in a vehicle requires the exposed portion as small as possible, which requires the lens front end to be smaller in size. Meanwhile, the requirement on the resolution of the lens is higher and higher, particularly the lens which is active and safe is involved, and software needs to automatically calculate and provide a countermeasure through an image shot by the lens, so that the requirement on the resolution is stricter.
In general, the resolution of the lens can be improved by increasing the number of lenses, but the size and weight of the lens are increased, which is disadvantageous to the miniaturization of the lens and causes an increase in manufacturing cost. Conventionally, in order to satisfy miniaturization, in the case of compressing the total optical length of the lens, the lens resolving power is greatly affected.
Moreover, for some applications with limited mounting locations, small size lenses are required to meet the mounting requirements. For example, an on-vehicle lens needs to be mounted inside a windshield, and since there is a risk of interference with the windshield and the mounting position is limited, a special lens design needs to be used to meet the requirements of a small aperture, a small size, and a high resolution.
Disclosure of Invention
The present application provides an optical lens that is adaptable for on-board installation and that overcomes, at least in part, at least one of the above-identified deficiencies in the prior art.
An aspect of the present application provides an optical lens that may include, in order from an object side to an image side along an optical axis: the lens includes a first lens, a second lens, a third lens, a fourth lens, a fifth lens, and a fifth lens. Wherein the second lens, the fourth lens and the fifth lens may have negative optical power; the third lens may have a positive optical power; the object side surfaces of the first lens element, the second lens element and the fifth lens element can be concave, and the image side surfaces of the first lens element, the second lens element and the fifth lens element can be convex; and the third lens and the fourth lens may be cemented.
In one embodiment, both the object-side surface and the image-side surface of the third lens can be convex.
In one embodiment, the object-side surface of the fourth lens element can be concave and the image-side surface can be convex.
In one embodiment, at least one of the second lens and the fifth lens may be an aspherical mirror.
In one embodiment, the first lens may be an aspheric lens.
In one embodiment, a radius of curvature R9 of an object-side surface of the fifth lens, a center thickness D5 of the fifth lens on an optical axis, and a radius of curvature R10 of an image-side surface of the fifth lens may satisfy: (R9+ D5)/R10 is not more than 0.4 and not more than 1.1.
In one embodiment, a distance TTL between a center of an object side surface of the first lens element and an imaging surface of the optical lens on an optical axis and a full-group focal length value f of the optical lens may satisfy: TTL/f is less than or equal to 3.2.
In one embodiment, D/h/FOV ≦ 0.02 may be satisfied, where FOV is the maximum field angle of the optical lens; d is the maximum light-passing aperture of the object-side surface of the first lens corresponding to the maximum field angle of the optical lens; and h is the image height corresponding to the maximum field angle of the optical lens.
In one embodiment, the total optical length TTL of the optical lens, the image height h corresponding to the maximum field angle of the optical lens, and the maximum field angle FOV of the optical lens may satisfy: TTL/h/FOV is less than or equal to 0.03.
Another aspect of the present application provides an optical lens that may include, in order from an object side to an image side along an optical axis: the lens includes a first lens, a second lens, a third lens, a fourth lens and a fifth lens. The first lens can have positive focal power or negative focal power, the object side surface can be a concave surface, and the image side surface can be a convex surface; the second lens, the fourth lens and the fifth lens may all have negative optical power; the third lens may have a positive optical power; and the distance TTL from the center of the object side surface of the first lens to the imaging surface of the optical lens on the optical axis and the whole group of focal length values f of the optical lens can satisfy the following conditions: TTL/f is less than or equal to 3.2.
In one embodiment, the object-side surface of the second lens element can be concave and the image-side surface can be convex.
In one embodiment, the object-side surface of the fifth lens element can be concave and the image-side surface can be convex.
In one embodiment, at least one of the second lens and the fifth lens may be an aspherical mirror.
In one embodiment, the first lens may be an aspheric lens.
In one embodiment, the third lens and the fourth lens may be cemented.
In one embodiment, both the object-side surface and the image-side surface of the third lens can be convex.
In one embodiment, the object-side surface of the fourth lens element can be concave and the image-side surface can be convex.
In one embodiment, a radius of curvature R9 of an object-side surface of the fifth lens, a center thickness D5 of the fifth lens on an optical axis, and a radius of curvature R10 of an image-side surface of the fifth lens may satisfy: (R9+ D5)/R10 is not more than 0.4 and not more than 1.1.
In one embodiment, D/h/FOV ≦ 0.02 may be satisfied, where FOV is the maximum field angle of the optical lens; d is the maximum light-passing aperture of the object-side surface of the first lens corresponding to the maximum field angle of the optical lens; and h is the image height corresponding to the maximum field angle of the optical lens.
In one embodiment, the total optical length TTL of the optical lens, the image height h corresponding to the maximum field angle of the optical lens, and the maximum field angle FOV of the optical lens may satisfy: TTL/h/FOV is less than or equal to 0.03.
This application has adopted five lenses for example, through optimizing the shape that sets up the lens, the focal power of each lens of rational distribution, adopt aspheric surface lens and form modes such as cemented lens, the optical lens according to this application has following beneficial effect: under the same imaging surface, the total optical length TTL is shorter; the diameter of the front port is small; high pixel applications; the field angle is large; and L1 adopts the design of aspheric lens, further reduces the front end bore, promotes the camera lens image quality.
Drawings
Other features, objects, and advantages of the present application will become more apparent from the following detailed description of non-limiting embodiments when taken in conjunction with the accompanying drawings. In the drawings:
fig. 1 is a schematic view showing a structure of an optical lens according to embodiment 1 of the present application;
fig. 2 is a schematic structural view showing an optical lens according to embodiment 2 of the present application; and
fig. 3 is a schematic view showing a structure of an optical lens according to embodiment 3 of the present application.
Detailed Description
For a better understanding of the present application, various aspects of the present application will be described in more detail with reference to the accompanying drawings. It should be understood that the detailed description is merely illustrative of exemplary embodiments of the present application and does not limit the scope of the present application in any way. Like reference numerals refer to like elements throughout the specification. The expression "and/or" includes any and all combinations of one or more of the associated listed items.
It should be noted that in this specification, the expressions first, second, third, etc. are used only to distinguish one feature from another, and do not represent any limitation on the features. Thus, the first lens discussed below may also be referred to as the second lens or the third lens, and the first cemented lens may also be referred to as the second cemented lens, without departing from the teachings of the present application.
In the drawings, the thickness, size, and shape of the lens have been slightly exaggerated for convenience of explanation. In particular, the shapes of the spherical or aspherical surfaces shown in the drawings are shown by way of example. That is, the shape of the spherical surface or the aspherical surface is not limited to the shape of the spherical surface or the aspherical surface shown in the drawings. The figures are purely diagrammatic and not drawn to scale.
Herein, the paraxial region refers to a region near the optical axis. If the lens surface is convex and the convex position is not defined, it means that the lens surface is convex at least in the paraxial region; if the lens surface is concave and the concave position is not defined, it means that the lens surface is concave at least in the paraxial region. The surface of each lens closest to the object is called the object side surface, and the surface of each lens closest to the image plane is called the image side surface.
It will be further understood that the terms "comprises," "comprising," "has," "having," "includes" and/or "including," when used in this specification, specify the presence of stated features, elements, and/or components, but do not preclude the presence or addition of one or more other features, elements, components, and/or groups thereof. Moreover, when a statement such as "at least one of" appears after a list of listed features, the entirety of the listed features is modified rather than modifying individual elements in the list. Furthermore, when describing embodiments of the present application, the use of "may" mean "one or more embodiments of the present application. Also, the term "exemplary" is intended to refer to an example or illustration.
Unless otherwise defined, all terms (including technical and scientific terms) used herein have the same meaning as commonly understood by one of ordinary skill in the art to which this application belongs. It will be further understood that terms, such as those defined in commonly used dictionaries, should be interpreted as having a meaning that is consistent with their meaning in the context of the relevant art and will not be interpreted in an idealized or overly formal sense unless expressly so defined herein.
It should be noted that the embodiments and features of the embodiments in the present application may be combined with each other without conflict. The present application will be described in detail below with reference to the embodiments with reference to the attached drawings.
The features, principles, and other aspects of the present application are described in detail below.
An optical lens according to an exemplary embodiment of the present application includes, for example, five lenses having optical power, i.e., a first lens, a second lens, a third lens, a fourth lens, and a fifth lens. The five lenses are arranged in order from the object side to the image side along the optical axis.
The optical lens according to the exemplary embodiment of the present application may further include a photosensitive element disposed on the image plane. Alternatively, the photosensitive element provided to the imaging surface may be a photosensitive coupling element (CCD) or a complementary metal oxide semiconductor element (CMOS).
The first lens element can have a positive or negative power, and can have a concave object-side surface and a convex image-side surface. The first lens is arranged to be a meniscus lens with a concave surface facing the object side, so that the distance between the second lens and the third lens is favorably reduced, the total length of the optical system is further favorably reduced, and the optical system is also favorably suitable for some special application situations needing large distortion.
The second lens element can have a negative power, and can have a concave object-side surface and a convex image-side surface. The second lens is a divergent lens, further diverges the front light, and is favorable for increasing the aperture of the rear diaphragm, thereby reducing the aperture coefficient, improving the overall brightness of the picture, and being favorable for use under night vision conditions.
The third lens may have a positive optical power. Alternatively, both the object-side surface and the image-side surface of the third lens may be convex.
The fourth lens may have a negative optical power. Alternatively, the object-side surface of the fourth lens element can be concave and the image-side surface can be convex.
The fifth lens element can have a negative power, and can have a concave object-side surface and a convex image-side surface. The fifth lens is a divergent lens, so that light rays can quickly reach the surface of the chip after passing through the fifth lens under the requirement of the same image surface size to fill the chip, and the meniscus shape is favorable for reducing the peripheral optical path, thereby improving the imaging quality and simultaneously being favorable for reducing the total length of an optical system.
As known to those skilled in the art, cemented lenses may be used to minimize or eliminate chromatic aberration. The use of the cemented lens in the optical lens can improve the image quality and reduce the reflection loss of light energy, thereby improving the imaging definition of the lens. In addition, the use of the cemented lens can also simplify the assembly process in the lens manufacturing process.
In an exemplary embodiment, the third lens and the fourth lens may be combined into a cemented lens by cementing the image-side surface of the third lens with the object-side surface of the fourth lens. By introducing a cemented lens consisting of a third lens and a fourth lens, which can help to eliminate chromatic aberration effects and reduce tolerance sensitivity of the system, partial chromatic aberration can be left to balance the overall chromatic aberration of the optical system. In the cemented lens, the third lens close to the object side has positive focal power, and the fourth lens close to the image side has negative focal power, so that the arrangement is favorable for further converging the light rays passing through the second lens and then transferring the light rays to the fifth lens, the reduction of the aperture/size of the rear end of the lens is favorable, the total length of an optical system is shortened, the short TTL is realized, and the miniaturization characteristic is realized.
Further, the configuration of the cemented lens can omit the air space between each lens in the cemented lens, so that the optical system is compact as a whole and meets the requirement of system miniaturization. Furthermore, the gluing of the lenses reduces tolerance sensitivity problems of the lens units due to tilt/decentration during assembly.
In an exemplary embodiment, a stop for limiting the light beam may be disposed between, for example, the second lens and the third lens to further improve the imaging quality of the lens. When the diaphragm is arranged between the second lens and the third lens, incident light rays can be contracted, the calibers of the front lens group and the rear lens group of the lens can be reduced, the total length of an optical system can be shortened, and the miniaturization characteristic can be realized.
In an exemplary embodiment, a radius of curvature R9 of an object-side surface of the fifth lens, a center thickness D5 of the fifth lens on an optical axis, and a radius of curvature R10 of an image-side surface of the fifth lens may satisfy 0.4 ≦ (R9+ D5)/R10 ≦ 1.1, and more specifically, may further satisfy 0.50 ≦ (R9+ D5)/R10 ≦ 0.91. By the arrangement of the special shape, the improvement of the optical system resolution is facilitated.
The maximum field angle FOV of the optical lens, the maximum light-passing aperture D of the object-side surface of the first lens corresponding to the maximum field angle of the optical lens and the image height h corresponding to the maximum field angle of the optical lens can satisfy the following conditions: D/h/FOV ≦ 0.02, more specifically D, h and FOV may further satisfy D/h/FOV ≦ 0.011. The conditional expression D/h/FOV is less than or equal to 0.02, and the small caliber at the front end of the lens can be ensured.
The total optical length TTL of the optical lens, the image height h corresponding to the maximum field angle of the optical lens and the maximum field angle FOV of the optical lens can meet the condition that TTL/h/FOV is less than or equal to 0.03. With such a configuration, there is a short TTL under the same imaging plane.
An optical total length TTL (i.e., a distance on an optical axis from a center of an object side surface of the first lens element to an imaging surface of the optical lens) of the optical lens and a whole group focal length value f of the optical lens satisfy TTL/f ≦ 3.2, and more specifically, further satisfy TTL/f ≦ 2.8. The condition formula TTL/f is less than or equal to 2.8, and the miniaturization characteristic of the lens can be realized.
In an exemplary embodiment, at least one of the second lens and the fifth lens may be arranged as an aspherical mirror. In an exemplary embodiment, the first lens may be arranged as an aspherical mirror. The aspheric lens has the characteristics that: the curvature varies continuously from the center of the lens to the periphery. Unlike a spherical lens having a constant curvature from the center to the periphery of the lens, an aspherical lens has better curvature radius characteristics, and has the advantages of improving distortion aberration and improving astigmatic aberration. After the aspheric lens is adopted, the aberration generated in imaging can be eliminated as much as possible, so that the resolution of the lens is further improved, and the front end aperture of the lens is reduced.
The optical lens according to the above-described embodiment of the present application may employ a plurality of lenses, for example, five lenses as described above. By optimally setting the focal power and the surface type of each lens of the optical lens, controlling the shape of the first lens, reasonably using a cemented lens and the like to ensure large imaging size and high pixel, the total optical length of the lens is shortened to realize miniaturization, so that the optical lens is suitable for applications with installation limitation (such as vehicle-mounted lenses).
However, it will be appreciated by those skilled in the art that the number of lenses constituting the lens barrel may be varied to achieve the various results and advantages described in the present specification without departing from the claimed subject matter. For example, although five lenses are exemplified in the embodiment, the optical lens is not limited to include five lenses. The optical lens may also include other numbers of lenses, if desired.
Specific examples of an optical lens applicable to the above-described embodiments are further described below with reference to the drawings.
Example 1
An optical lens according to embodiment 1 of the present application is described below with reference to fig. 1. Fig. 1 shows a schematic structural diagram of an optical lens according to embodiment 1 of the present application.
As shown in fig. 1, the optical lens includes, in order from an object side to an image side along an optical axis, a first lens L1, a second lens L2, a third lens L3, a fourth lens L4, and a fifth lens L5.
The first lens L1 is a meniscus lens with negative power, with the object side S1 being concave and the image side S2 being convex.
The second lens L2 is a meniscus lens with negative power, with the object side S3 being concave and the image side S4 being convex.
The third lens L3 is a biconvex lens with positive power, and has a convex object-side surface S6 and a convex image-side surface S7. The fourth lens L4 is a meniscus lens with negative power, with the object side S7 being concave and the image side S8 being convex. Wherein, the third lens L3 and the fourth lens L4 are cemented to form a cemented lens.
The fifth lens L5 is a meniscus lens with negative power, with the object side S9 being concave and the image side S10 being convex.
Optionally, the optical lens may further include a filter L6 and/or a protective lens L6' having an object side S11 and an image side S12. Color filters may be used to correct for color deviations. The protective lens may be used to protect an image sensing chip located at the imaging plane IMA. Light from the object passes through each of the surfaces S1 to S12 in sequence and is finally imaged on the imaging plane IMA.
In this embodiment, aspherical lenses are used for the first lens L1, the second lens L2, and the fifth lens L5.
In the optical lens of the present embodiment, a stop STO may be provided between the second lens L2 and the third lens L3 (i.e., between the second lens L2 and the cemented lens) to improve the imaging quality.
Table 1 shows a radius of curvature R, a thickness T, a refractive index Nd, and an abbe number Vd of each lens of the optical lens of example 1, where the radius of curvature R and the thickness T are both in units of millimeters (mm).
TABLE 1
| Flour mark | Radius of curvature R | Thickness T | Refractive index Nd | Abbe number Vd |
| 1 | -5.2597 | 2.5117 | 1.59 | 61.16 |
| 2 | -7.0236 | 0.3976 | ||
| 3 | -3.7400 | 1.3667 | 1.54 | 56.00 |
| 4 | -5.1863 | 0.1616 | ||
| STO | All-round | -0.1021 | ||
| 6 | 5.0088 | 4.4521 | 1.77 | 49.61 |
| 7 | -2.7684 | 0.6065 | 1.85 | 23.79 |
| 8 | -7.4002 | 1.2210 | ||
| 9 | -2.2974 | 1.0505 | 1.54 | 56.00 |
| 10 | -4.1263 | 0.5023 | ||
| 11 | All-round | 1.3062 | 1.52 | 64.21 |
| 12 | All-round | 1.7153 | ||
| IMA | All-round |
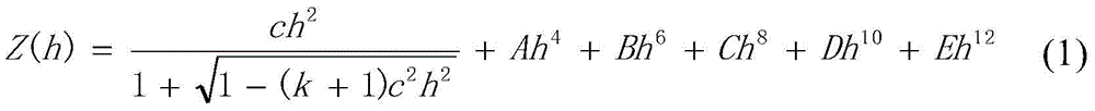
The embodiment adopts five lenses as an example, and by reasonably distributing the focal power and the surface type of each lens, the central thickness of each lens and the air space between the lenses, the lens can realize the effects of reducing the total optical length and expanding the field angle while ensuring large imaging size and high pixels. Each aspherical surface type Z is defined by the following formula:
wherein Z is the distance rise from the vertex of the aspheric surface when the aspheric surface is at the position with the height of h along the optical axis direction; c is the paraxial curvature of the aspheric surface, c being 1/R (i.e., paraxial curvature c is the inverse of radius of curvature R in table 1 above); k is the conic coefficient conc; A. b, C, D, E are all high order term coefficients. Table 2 below shows the conic coefficients k and high-order term coefficients A, B, C, D and E that can be used for the aspherical lens surfaces S1, S2, S3, S4, S9 and S10 in example 1.
TABLE 2
Table 3 below shows the maximum clear aperture D of the object-side surface S1 of the first lens L1 corresponding to the maximum field angle of the optical lens of example 1, the image height h corresponding to the maximum field angle of the optical lens, the maximum field angle FOV of the optical lens, the total optical length TTL of the optical lens (i.e., the on-axis distance from the center of the object-side surface S1 of the first lens L1 to the image forming surface S13), the entire group focal length value f of the optical lens, the radius of curvature R9 of the object-side surface S9 of the fifth lens L5, the center thickness D5 of the fifth lens L5 on the optical axis, and the radius of curvature R10 of the image-side surface S10 of the fifth lens L5.
TABLE 3
| Parameter(s) | D(mm) | h(mm) | FOV(°) | TTL(mm) |
| Numerical value | 5.41 | 7.09 | 76 | 15.19 |
| Parameter(s) | f(mm) | R9(mm) | D5(mm) | R10(mm) |
| Numerical value | 5.87 | 2.30 | 1.05 | 4.13 |
In the present embodiment, a radius of curvature R9 of the object-side surface S9 of the fifth lens L5, a center thickness D5 of the fifth lens L5 on the optical axis, and a radius of curvature R10 of the image-side surface S10 of the fifth lens L5 satisfy (R9+ D5)/R10 equal to 0.81; D/h/FOV is 0.01 between the maximum view field angle FOV of the optical lens, the maximum clear aperture D of the object side surface S1 of the first lens L1 corresponding to the maximum view field angle of the optical lens and the image height h corresponding to the maximum view field angle of the optical lens; the total optical length TTL of the optical lens, the image height h corresponding to the maximum field angle of the optical lens and the maximum field angle FOV of the optical lens meet the condition that TTL/h/FOV is 0.03; and the total optical length TTL of the optical lens and the whole group focal length value f of the optical lens meet the condition that TTL/f is 2.59.
Example 2
An optical lens according to embodiment 2 of the present application is described below with reference to fig. 2. In this embodiment and the following embodiments, descriptions of parts similar to those of embodiment 1 will be omitted for the sake of brevity. Fig. 2 shows a schematic structural diagram of an optical lens according to embodiment 2 of the present application.
As shown in fig. 2, the optical lens includes, in order from the object side to the image side along the optical axis, a first lens L1, a second lens L2, a third lens L3, a fourth lens L4, and a fifth lens L5.
The first lens L1 is a meniscus lens with negative power, with the object side S1 being concave and the image side S2 being convex.
The second lens L2 is a meniscus lens with negative power, with the object side S3 being concave and the image side S4 being convex.
The third lens L3 is a biconvex lens with positive power, and has a convex object-side surface S6 and a convex image-side surface S7. The fourth lens L4 is a meniscus lens with negative power, with the object side S7 being concave and the image side S8 being convex. Wherein, the third lens L3 and the fourth lens L4 are cemented to form a cemented lens.
The fifth lens L5 is a meniscus lens with negative power, with the object side S9 being concave and the image side S10 being convex.
Optionally, the optical lens may further include a filter L6 and/or a protective lens L6' having an object side S11 and an image side S12. Color filters may be used to correct for color deviations. The protective lens may be used to protect an image sensing chip located at the imaging plane IMA. Light from the object passes through each of the surfaces S1 to S12 in sequence and is finally imaged on the imaging plane IMA.
In this embodiment, aspherical lenses are used for the first lens L1, the second lens L2, and the fifth lens L5.
In the optical lens of the present embodiment, a stop STO may be provided between the second lens L2 and the third lens L3 (i.e., between the second lens L2 and the cemented lens) to improve the imaging quality.
Table 4 below shows a radius of curvature R, a thickness T, a refractive index Nd, and an abbe number Vd of each lens of the optical lens of example 2, where the radius of curvature R and the thickness T are both in units of millimeters (mm). Table 5 below shows the conic coefficients k and high-order term coefficients A, B, C, D and E that can be used for the aspherical lens surfaces S1, S2, S3, S4, S9 and S10 in example 2. Table 6 below gives the maximum clear aperture D of the object-side surface S1 of the first lens L1 corresponding to the maximum field angle of the optical lens of example 2, the image height h corresponding to the maximum field angle of the optical lens, the maximum field angle FOV of the optical lens, the total optical length TTL of the optical lens (i.e., the on-axis distance from the center of the object-side surface S1 of the first lens L1 to the image forming surface S13), the entire group focal length value f of the optical lens, the radius of curvature R9 of the object-side surface S9 of the fifth lens L5, the center thickness D5 of the fifth lens L5 on the optical axis, and the radius of curvature R10 of the image-side surface S10 of the fifth lens L5. Wherein each aspherical surface type can be defined by the formula (1) given in the above-described embodiment 1.
TABLE 4
| Flour mark | Radius of curvature R | Thickness T | Refractive index Nd | Abbe number Vd |
| 1 | -5.7408 | 2.0106 | 1.59 | 61.16 |
| 2 | -8.5648 | 0.6556 | ||
| 3 | -3.7987 | 1.4998 | 1.54 | 56.00 |
| 4 | -5.2214 | 0.2000 | ||
| STO | All-round | -0.1264 | ||
| 6 | 5.8567 | 5.4785 | 1.77 | 49.61 |
| 7 | -3.5083 | 0.7506 | 1.85 | 23.79 |
| 8 | -9.5352 | 1.5585 | ||
| 9 | -2.8431 | 1.3000 | 1.54 | 56.00 |
| 10 | -4.6006 | 0.6216 | ||
| 11 | All-round | 1.6165 | 1.52 | 64.21 |
| 12 | All-round | 2.4547 | ||
| IMA | All-round |
TABLE 5
| Flour mark | K | A | B | C | D | E |
| 1 | -3.6633 | 1.4886E-03 | 1.8997E-04 | -2.0384E-05 | 2.0101E-07 | 3.7359E-08 |
| 2 | 10.0000 | 8.9305E-03 | -3.0850E-04 | 3.1399E-04 | -4.4444E-05 | 2.6136E-06 |
| 3 | 0.7011 | 8.0057E-03 | -5.9487E-04 | 2.5709E-04 | -3.5913E-05 | 1.0656E-06 |
| 4 | -0.1469 | 1.3218E-03 | -3.2919E-04 | 5.3576E-05 | -1.0993E-05 | 6.5552E-07 |
| 9 | -0.5084 | -3.0521E-03 | 2.8388E-04 | 7.2123E-06 | 1.2458E-06 | -2.9644E-09 |
| 10 | 0.3618 | 3.4877E-04 | 7.8140E-05 | 3.5131E-05 | -2.5618E-06 | 1.1264E-07 |
TABLE 6
| Parameter(s) | D(mm) | h(mm) | FOV(°) | TTL(mm) |
| Numerical value | 6.10 | 8.80 | 70 | 18.02 |
| Parameter(s) | f(mm) | R9(mm) | D5(mm) | R10(mm) |
| Numerical value | 7.43 | 2.84 | 1.30 | 4.60 |
In the present embodiment, a radius of curvature R9 of the object-side surface S9 of the fifth lens L5, a center thickness D5 of the fifth lens L5 on the optical axis, and a radius of curvature R10 of the image-side surface S10 of the fifth lens L5 satisfy (R9+ D5)/R10 equal to 0.90; D/h/FOV is 0.01 between the maximum view field angle FOV of the optical lens, the maximum clear aperture D of the object side surface S1 of the first lens L1 corresponding to the maximum view field angle of the optical lens and the image height h corresponding to the maximum view field angle of the optical lens; the total optical length TTL of the optical lens, the image height h corresponding to the maximum field angle of the optical lens and the maximum field angle FOV of the optical lens meet the condition that TTL/h/FOV is 0.03; and the total optical length TTL of the optical lens and the whole group focal length value f of the optical lens meet the condition that TTL/f is 2.43.
Example 3
An optical lens according to embodiment 3 of the present application is described below with reference to fig. 3. In this embodiment and the following embodiments, descriptions of parts similar to those of embodiment 1 will be omitted for the sake of brevity. Fig. 3 shows a schematic structural diagram of an optical lens according to embodiment 3 of the present application.
As shown in fig. 3, the optical lens includes, in order from the object side to the image side along the optical axis, a first lens L1, a second lens L2, a third lens L3, a fourth lens L4, and a fifth lens L5.
The first lens L1 is a meniscus lens with positive power, with the object side S1 being concave and the image side S2 being convex.
The second lens L2 is a meniscus lens with negative power, with the object side S3 being concave and the image side S4 being convex.
The third lens L3 is a biconvex lens with positive power, and has a convex object-side surface S6 and a convex image-side surface S7. The fourth lens L4 is a meniscus lens with negative power, with the object side S7 being concave and the image side S8 being convex. Wherein, the third lens L3 and the fourth lens L4 are cemented to form a cemented lens.
The fifth lens L5 is a meniscus lens with negative power, with the object side S9 being concave and the image side S10 being convex.
Optionally, the optical lens may further include a filter L6 and/or a protective lens L6' having an object side S11 and an image side S12. Color filters may be used to correct for color deviations. The protective lens may be used to protect an image sensing chip located at the imaging plane IMA. Light from the object passes through each of the surfaces S1 to S12 in sequence and is finally imaged on the imaging plane IMA.
In this embodiment, aspherical lenses are used for the first lens L1, the second lens L2, and the fifth lens L5.
In the optical lens of the present embodiment, a stop STO may be provided between the second lens L2 and the third lens L3 (i.e., between the second lens L2 and the cemented lens) to improve the imaging quality.
Table 7 below shows a radius of curvature R, a thickness T, a refractive index Nd, and an abbe number Vd of each lens of the optical lens of example 3, where the radius of curvature R and the thickness T are both in units of millimeters (mm). Table 8 below shows the conic coefficients k and high-order term coefficients A, B, C, D and E that can be used for the aspherical lens surfaces S1, S2, S3, S4, S9 and S10 in example 3. Table 9 below gives the maximum clear aperture D of the object-side surface S1 of the first lens L1 corresponding to the maximum field angle of the optical lens of example 3, the image height h corresponding to the maximum field angle of the optical lens, the maximum field angle FOV of the optical lens, the total optical length TTL of the optical lens (i.e., the on-axis distance from the center of the object-side surface S1 of the first lens L1 to the image forming surface S13), the entire group focal length value f of the optical lens, the radius of curvature R9 of the object-side surface S9 of the fifth lens L5, the center thickness D5 of the fifth lens L5 on the optical axis, and the radius of curvature R10 of the image-side surface S10 of the fifth lens L5. Wherein each aspherical surface type can be defined by the formula (1) given in the above-described embodiment 1.
TABLE 7
| Flour mark | Radius of curvature R | Thickness T | Refractive index Nd | Abbe number Vd |
| 1 | -8.5688 | 3.3667 | 1.59 | 61.16 |
| 2 | -7.8754 | 0.1472 | ||
| 3 | -5.6974 | 2.8482 | 1.54 | 56.00 |
| 4 | -7.3948 | 0.1616 | ||
| STO | All-round | -0.1021 | ||
| 6 | 6.1397 | 4.2431 | 1.77 | 49.61 |
| 7 | -2.8822 | 0.6065 | 1.85 | 23.79 |
| 8 | -7.8237 | 1.9093 | ||
| 9 | -2.2974 | 1.0505 | 1.54 | 56.00 |
| 10 | -6.6261 | 0.5023 | ||
| 11 | All-round | 1.3062 | 1.52 | 64.21 |
| 12 | All-round | 0.4326 | ||
| IMA | All-round |
TABLE 8
| Flour mark | K | A | B | C | D | E |
| 1 | 1.9390 | -5.8974E-04 | 4.2260E-04 | -5.7850E-05 | 4.6046E-06 | -1.5305E-07 |
| 2 | 10.0000 | 1.6671E-02 | -2.0809E-03 | 1.2882E-03 | -3.0706E-04 | 3.6334E-05 |
| 3 | 1.6951 | 1.5164E-02 | -2.4603E-03 | 9.6907E-04 | -2.1905E-04 | 2.5282E-05 |
| 4 | 1.7103 | 6.4112E-04 | -6.8241E-04 | 2.7285E-04 | -6.9127E-05 | 6.5139E-06 |
| 9 | -0.4290 | -9.9503E-03 | 5.3609E-04 | 2.6003E-04 | 1.0201E-05 | -2.1854E-06 |
| 10 | 3.5048 | -1.7769E-02 | 1.1847E-03 | 1.1387E-04 | -1.5716E-05 | 9.7112E-07 |
TABLE 9
In the present embodiment, a radius of curvature R9 of the object-side surface S9 of the fifth lens L5, a center thickness D5 of the fifth lens L5 on the optical axis, and a radius of curvature R10 of the image-side surface S10 of the fifth lens L5 satisfy (R9+ D5)/R10 being 0.51; D/h/FOV is 0.01 between the maximum view field angle FOV of the optical lens, the maximum clear aperture D of the object side surface S1 of the first lens L1 corresponding to the maximum view field angle of the optical lens and the image height h corresponding to the maximum view field angle of the optical lens; the total optical length TTL of the optical lens, the image height h corresponding to the maximum field angle of the optical lens and the maximum field angle FOV of the optical lens meet the condition that TTL/h/FOV is 0.03; and the total optical length TTL of the optical lens and the whole group focal length value f of the optical lens meet the condition that TTL/f is 2.80.
In summary, examples 1 to 3 each satisfy the relationship shown in table 10 below.
Watch 10
| Conditional expression (A) example | 1 | 2 | 3 |
| (R9+T5)/R10 | 0.81 | 0.90 | 0.51 |
| D/h/FOV | 0.01 | 0.01 | 0.01 |
| TTL/h/FOV | 0.03 | 0.03 | 0.03 |
| TTL/f | 2.59 | 2.43 | 2.80 |
The above description is only a preferred embodiment of the application and is illustrative of the principles of the technology employed. It will be appreciated by a person skilled in the art that the scope of the invention as referred to in the present application is not limited to the embodiments with a specific combination of the above-mentioned features, but also covers other embodiments with any combination of the above-mentioned features or their equivalents without departing from the inventive concept. For example, the above features may be replaced with (but not limited to) features having similar functions disclosed in the present application.
Claims (18)
1. The optical lens sequentially comprises from an object side to an image side along an optical axis: a first lens, a second lens, a third lens, a fourth lens, and a fifth lens,
it is characterized in that the preparation method is characterized in that,
the third lens has positive focal power, and the object side surface of the third lens is a convex surface;
the second lens, the fourth lens and the fifth lens all have negative optical power;
wherein,
the object side surfaces of the first lens, the second lens and the fifth lens are all concave surfaces, and the image side surfaces of the first lens, the second lens and the fifth lens are all convex surfaces;
the third lens is glued with the fourth lens;
the number of lenses with focal power in the optical lens is five; and
the optical lens satisfies that D/h/FOV is less than or equal to 0.02,
wherein the FOV is the maximum field angle of the optical lens;
d is the maximum light-passing aperture of the object-side surface of the first lens corresponding to the maximum field angle of the optical lens; and
h is the image height corresponding to the maximum field angle of the optical lens.
2. An optical lens barrel according to claim 1, wherein the image side surface of the third lens element is convex.
3. An optical lens barrel according to claim 1, wherein the fourth lens element has a concave object-side surface and a convex image-side surface.
4. An optical lens according to claim 1, wherein at least one of the second lens and the fifth lens is an aspherical mirror.
5. An optical lens according to claim 1, characterized in that the first lens is an aspherical mirror.
6. An optical lens according to any one of claims 1 to 5, characterized in that a radius of curvature R9 of an object side surface of the fifth lens, a center thickness D5 of the fifth lens on the optical axis, and a radius of curvature R10 of an image side surface of the fifth lens satisfy: (R9+ D5)/R10 is not more than 0.4 and not more than 1.1.
7. An optical lens barrel according to any one of claims 1 to 5, wherein a distance TTL between a center of an object side surface of the first lens and an imaging surface of the optical lens on the optical axis and a full group focal length value f of the optical lens satisfy: TTL/f is less than or equal to 3.2.
8. An optical lens according to any one of claims 1 to 5, wherein an optical total length TTL of the optical lens, an image height h corresponding to a maximum field angle of the optical lens, and a maximum field angle FOV of the optical lens satisfy: TTL/h/FOV is less than or equal to 0.03.
9. An optical lens, characterized in that the optical lens comprises:
the first lens has positive focal power or negative focal power, the object side surface of the first lens is a concave surface, the image side surface of the first lens is a convex surface, and the distance TTL from the center of the object side surface of the first lens to the imaging surface of the optical lens on the optical axis and the whole group of focal length values f of the optical lens meet the following conditions: TTL/f is less than or equal to 3.2;
the second lens has negative focal power, the object side surface of the second lens is a concave surface, and the image side surface of the second lens is a convex surface;
a third lens having positive focal power, the object-side surface of which is convex;
a fourth lens having a negative focal power; and
a fifth lens having a negative power,
the first lens element, the second lens element, the third lens element, the fourth lens element and the fifth lens element are sequentially arranged from an object side to an image side along the optical axis of the optical lens system; and
the number of lenses having focal power in the optical lens is five.
10. An optical lens barrel according to claim 9, wherein the fifth lens element has a concave object-side surface and a convex image-side surface.
11. An optical lens according to claim 9, wherein at least one of the second lens and the fifth lens is an aspherical mirror.
12. An optical lens according to claim 9, characterized in that the first lens is an aspherical mirror.
13. An optical lens according to claim 9, characterized in that the third lens is cemented with the fourth lens.
14. An optical lens barrel according to claim 13, wherein the image side surface of the third lens element is convex.
15. An optical lens barrel according to claim 13, wherein the fourth lens element has a concave object-side surface and a convex image-side surface.
16. An optical lens barrel according to any one of claims 9 to 15, wherein a radius of curvature R9 of an object side surface of the fifth lens, a center thickness D5 of the fifth lens on the optical axis, and a radius of curvature R10 of an image side surface of the fifth lens satisfy: (R9+ D5)/R10 is not more than 0.4 and not more than 1.1.
17. An optical lens according to any one of claims 9 to 15, characterized in that D/h/FOV ≦ 0.02 is satisfied,
wherein the FOV is the maximum field angle of the optical lens;
d is the maximum light-passing aperture of the object-side surface of the first lens corresponding to the maximum field angle of the optical lens; and
h is the image height corresponding to the maximum field angle of the optical lens.
18. An optical lens according to any one of claims 9 to 15, wherein an overall optical length TTL of the optical lens, an image height h corresponding to a maximum field angle of the optical lens, and a maximum field angle FOV of the optical lens satisfy: TTL/h/FOV is less than or equal to 0.03.
Priority Applications (1)
| Application Number | Priority Date | Filing Date | Title |
|---|---|---|---|
| CN201710749700.4A CN109425969B (en) | 2017-08-28 | 2017-08-28 | Optical lens |
Applications Claiming Priority (1)
| Application Number | Priority Date | Filing Date | Title |
|---|---|---|---|
| CN201710749700.4A CN109425969B (en) | 2017-08-28 | 2017-08-28 | Optical lens |
Publications (2)
| Publication Number | Publication Date |
|---|---|
| CN109425969A CN109425969A (en) | 2019-03-05 |
| CN109425969B true CN109425969B (en) | 2021-10-01 |
Family
ID=65502538
Family Applications (1)
| Application Number | Title | Priority Date | Filing Date |
|---|---|---|---|
| CN201710749700.4A Active CN109425969B (en) | 2017-08-28 | 2017-08-28 | Optical lens |
Country Status (1)
| Country | Link |
|---|---|
| CN (1) | CN109425969B (en) |
Families Citing this family (1)
| Publication number | Priority date | Publication date | Assignee | Title |
|---|---|---|---|---|
| CN112965204B (en) * | 2021-02-20 | 2022-06-10 | 天津欧菲光电有限公司 | Optical imaging system, image capturing module, electronic equipment and automobile |
Citations (3)
| Publication number | Priority date | Publication date | Assignee | Title |
|---|---|---|---|---|
| JP2007127954A (en) * | 2005-11-07 | 2007-05-24 | Matsushita Electric Ind Co Ltd | Imaging lens optical system and imaging optical apparatus using the same |
| CN202003076U (en) * | 2011-01-28 | 2011-10-05 | 大立光电股份有限公司 | Lens system |
| CN105607227A (en) * | 2014-11-19 | 2016-05-25 | 先进光电科技股份有限公司 | Optical imaging system |
Family Cites Families (1)
| Publication number | Priority date | Publication date | Assignee | Title |
|---|---|---|---|---|
| CN104360463B (en) * | 2014-12-05 | 2016-08-24 | 桂林电子科技大学 | Three telecentricity coaxial-illuminating imaging optical systems |
-
2017
- 2017-08-28 CN CN201710749700.4A patent/CN109425969B/en active Active
Patent Citations (3)
| Publication number | Priority date | Publication date | Assignee | Title |
|---|---|---|---|---|
| JP2007127954A (en) * | 2005-11-07 | 2007-05-24 | Matsushita Electric Ind Co Ltd | Imaging lens optical system and imaging optical apparatus using the same |
| CN202003076U (en) * | 2011-01-28 | 2011-10-05 | 大立光电股份有限公司 | Lens system |
| CN105607227A (en) * | 2014-11-19 | 2016-05-25 | 先进光电科技股份有限公司 | Optical imaging system |
Also Published As
| Publication number | Publication date |
|---|---|
| CN109425969A (en) | 2019-03-05 |
Similar Documents
| Publication | Publication Date | Title |
|---|---|---|
| CN110858028B (en) | Optical lens | |
| CN112882200B (en) | Optical lens | |
| CN110412727B (en) | Optical lens | |
| CN110412721B (en) | Optical lens | |
| CN109001886B (en) | Optical lens | |
| CN108663771B (en) | Optical lens | |
| CN110542978B (en) | Optical lens | |
| CN109960004B (en) | Optical lens | |
| CN109581620B (en) | Optical lens | |
| CN109491056B (en) | Optical lens and imaging apparatus | |
| CN109425959B (en) | Optical lens | |
| CN110632736B (en) | Optical lens | |
| CN109946814B (en) | Optical lens | |
| CN111239962B (en) | Optical lens and imaging apparatus | |
| CN111830672B (en) | Optical lens and imaging apparatus | |
| CN110764223B (en) | Optical lens | |
| CN110501807B (en) | Optical lens | |
| CN109425958B (en) | Optical lens | |
| CN112835180A (en) | Optical lens | |
| CN110412719B (en) | Optical lens | |
| CN111103672B (en) | Optical lens | |
| CN111061032B (en) | Optical lens | |
| CN109975952B (en) | Optical lens | |
| CN109307921B (en) | Optical lens | |
| CN110412730B (en) | Optical lens |
Legal Events
| Date | Code | Title | Description |
|---|---|---|---|
| PB01 | Publication | ||
| PB01 | Publication | ||
| SE01 | Entry into force of request for substantive examination | ||
| SE01 | Entry into force of request for substantive examination | ||
| GR01 | Patent grant | ||
| GR01 | Patent grant |




