CN1085724C - 制备包含季酯铵化合物和脂肪酸的固体组合物的方法 - Google Patents
制备包含季酯铵化合物和脂肪酸的固体组合物的方法 Download PDFInfo
- Publication number
- CN1085724C CN1085724C CN97195016A CN97195016A CN1085724C CN 1085724 C CN1085724 C CN 1085724C CN 97195016 A CN97195016 A CN 97195016A CN 97195016 A CN97195016 A CN 97195016A CN 1085724 C CN1085724 C CN 1085724C
- Authority
- CN
- China
- Prior art keywords
- fatty acid
- ammonium compound
- acid
- ester ammonium
- quaternary
- Prior art date
- Legal status (The legal status is an assumption and is not a legal conclusion. Google has not performed a legal analysis and makes no representation as to the accuracy of the status listed.)
- Expired - Fee Related
Links
Classifications
-
- C—CHEMISTRY; METALLURGY
- C07—ORGANIC CHEMISTRY
- C07C—ACYCLIC OR CARBOCYCLIC COMPOUNDS
- C07C213/00—Preparation of compounds containing amino and hydroxy, amino and etherified hydroxy or amino and esterified hydroxy groups bound to the same carbon skeleton
- C07C213/08—Preparation of compounds containing amino and hydroxy, amino and etherified hydroxy or amino and esterified hydroxy groups bound to the same carbon skeleton by reactions not involving the formation of amino groups, hydroxy groups or etherified or esterified hydroxy groups
-
- C—CHEMISTRY; METALLURGY
- C11—ANIMAL OR VEGETABLE OILS, FATS, FATTY SUBSTANCES OR WAXES; FATTY ACIDS THEREFROM; DETERGENTS; CANDLES
- C11D—DETERGENT COMPOSITIONS; USE OF SINGLE SUBSTANCES AS DETERGENTS; SOAP OR SOAP-MAKING; RESIN SOAPS; RECOVERY OF GLYCEROL
- C11D1/00—Detergent compositions based essentially on surface-active compounds; Use of these compounds as a detergent
- C11D1/38—Cationic compounds
- C11D1/62—Quaternary ammonium compounds
-
- C—CHEMISTRY; METALLURGY
- C11—ANIMAL OR VEGETABLE OILS, FATS, FATTY SUBSTANCES OR WAXES; FATTY ACIDS THEREFROM; DETERGENTS; CANDLES
- C11D—DETERGENT COMPOSITIONS; USE OF SINGLE SUBSTANCES AS DETERGENTS; SOAP OR SOAP-MAKING; RESIN SOAPS; RECOVERY OF GLYCEROL
- C11D1/00—Detergent compositions based essentially on surface-active compounds; Use of these compounds as a detergent
- C11D1/38—Cationic compounds
- C11D1/65—Mixtures of anionic with cationic compounds
-
- C—CHEMISTRY; METALLURGY
- C11—ANIMAL OR VEGETABLE OILS, FATS, FATTY SUBSTANCES OR WAXES; FATTY ACIDS THEREFROM; DETERGENTS; CANDLES
- C11D—DETERGENT COMPOSITIONS; USE OF SINGLE SUBSTANCES AS DETERGENTS; SOAP OR SOAP-MAKING; RESIN SOAPS; RECOVERY OF GLYCEROL
- C11D1/00—Detergent compositions based essentially on surface-active compounds; Use of these compounds as a detergent
- C11D1/02—Anionic compounds
- C11D1/04—Carboxylic acids or salts thereof
Landscapes
- Chemical & Material Sciences (AREA)
- Organic Chemistry (AREA)
- Chemical Kinetics & Catalysis (AREA)
- Life Sciences & Earth Sciences (AREA)
- Engineering & Computer Science (AREA)
- Oil, Petroleum & Natural Gas (AREA)
- Wood Science & Technology (AREA)
- Organic Low-Molecular-Weight Compounds And Preparation Thereof (AREA)
- Treatments For Attaching Organic Compounds To Fibrous Goods (AREA)
Abstract
本发明公开了制备包含至少一种季酯铵化合物和至少一种基本饱和脂肪酸化合物的固体组合物的方法,由这一方法可得到的固体组合物,以及基本上包含下列组分的固体组合物:至少一种含量多于50wt%的季酯铵化合物,至少一种含量至多50wt%的基本饱和的脂肪酸化合物,以及含量少于5.5wt%的杂质。
Description
本发明公开了制备包含至少一种季酯铵化合物和至少一种基本饱和脂肪酸化合物的固体组合物的方法,由此方法可得到的固体组合物,以及基本上包含下列组分的固体组合物:至少一种含量多于50wt%的季酯铵化合物,至少一种含量至多50wt%的基本饱和的脂肪酸化合物,以及含量少于5.5wt%的杂质。
季酯铵化合物是一种能迅速生物降解的化合物,因而可用于各种用途。然而,与常规季铵盐化合物如二动物脂基二甲基氯化铵相比,这些化合物却更容易发生水解反应。更具体讲,在季酯铵化合物的制备过程中,当有水存在时,这些化合物可以在高温下发生水解反应。由于这些副反应能够导致产生大量杂质,从而降低最终组合物的硬度,因而必须防止这类副反应。
还有,这些季酯铵化合物中的一些是吸湿性的(即它们具有吸收水份的能力),进而导致组合物在贮藏期间结块,并发生化合物水解。尽管贮藏温度低于加工制备温度,但由于贮藏时间较长,因而在长期贮藏过程中仍不可避免地会发生水解反应。从而导致贮藏稳定性降低。
在寻求解决上述问题的方法时,必须考虑到,在使用季酯铵化合物的各种应用中,化合物都优选以尽可能纯的形式加入。因此,如果需要第二种化合物来防止上述缺点,则其在组合物中的存在量应尽可能低。具体讲,就是组合物中所包含的季酯铵化合物的量应尽可能高,亦即组合物应当具有高含量活性物。
鉴于上文所述,本发明的目的之一是提供包含季酯铵化合物和极少量杂质的组合物的制备方法。还有,本发明的另一目的是提供贮藏稳定的并且不结块组合物。最后,本发明的再一目的是提供包含高含量季酯铵化合物的组合物。
已知有多种方法可用于制备包含季铵盐化合物和脂肪酸化合物的固体组合物。WO92/18593公开了两种制备包含季酯铵化合物和脂肪酸化合物的组合物的方法。其中第一种方法包括一起混合这两种化合物的步骤,即通过熔融脂肪酸化合物,随后将季酯铵化合物在熔融脂肪酸化合物中混合。第二种方法包括在熔融脂肪酸化合物中季铵化酯胺化合物。这两种方法的缺点在于所得组合物中包含高含量的能影响组合物性质的杂质。此外,所得固体组合物中季酯铵化合物的含量为50wt%或更低,优选5-30wt%。其中所举例的固体组合物包括至多25wt%季酯铵化合物。
US 4,840,738中公开了包含季酯铵化合物和第二种化合物的固体组合物。其中的第二种化合物选自硫酸钾、粉碎的二氧化硅以及粉状尿素。不过其中未提及脂肪酸化合物。此外,季酯铵化合物在组合物中的含量最多为20wt%。最后,该文献还公开了制备这种固体组合物的方法,该方法包括将季酯铵化合物和第二种化合物混合。后一化合物不是在季铵化反应过程中加入的。
JP-A-58011033中公开了防止无机盐固化的试剂。在这些试剂的列表中,提到了季酯铵化合物,如胆碱酒石酸氢盐、胆碱柠檬酸二氢盐和胆碱葡糖酸盐。任选地,上述试剂可与(在其它化合物中)高级脂肪酸化合物的碱金属盐混合。但其中并没有公开季酯铵化合物与脂肪酸的混合物。并且其中也没有提及应当混合的各化合物量。最后,该日本专利公开的目的是利用这种试剂的吸湿性来防止无机盐的固化。这与本发明降低季酯铵化合物的吸湿作用的目的截然不同。
根据EP-A-0445525,可以知道季醚铵化合物能够通过下述方法制备:在较少量水-醇溶剂存在下进行季铵化反应,然后加入脂肪酸,并除去溶剂。操作温度为50-120℃。但其中并没有公开季酯铵化合物。
最后,EP-0704522描述了一种干燥剂活化(dryer-activated)织物软化组合物,其中包括季酯铵化合物和具有碘值(IV)为3-60、优选12-45的不饱和脂肪酸。其中加入不饱和脂肪酸的目的是改进组合物的加工性能,即降低粘度、便于处理,并改进组合物的抗静电性质。饱和脂肪酸能够损害软化和/或抗静电效果。其实施例中所给出的不饱和脂肪酸具有40-50的碘值。该文献还涉及制备这种组合物的方法以及制备季酯铵化合物的方法。在后一方法中,为降低和/或维持反应混合物的粘度,在季铵化过程中加入具有3-60、优选8-50IV的不饱和脂肪酸。
此外,已经证实,考虑到上述缺点,季酯铵化合物的制备不能在水存在下于这些温度下进行。
本发明方法包括以下步骤:
-在基本无水溶剂中,用季铵化试剂季铵化叔酯胺,得到季酯铵化合物,
-在包含季酯铵化合物的反应混合物中加入基本饱和的脂肪酸,
-除去溶剂,和
-固化所得混合物。
本发明方法的优点在于能够制备贮藏稳定且不结块的组合物,所述组合物包括至少一种季酯铵化合物、至少一种基本饱和的脂肪酸化合物和极低含量的杂质。
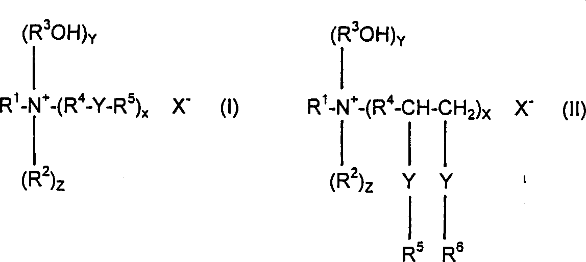
按本发明方法制得的季酯铵化合物优选选自下式I或II:其中:X-代表阴离子;Y代表-O-C(O)-,-C(O)-O-或-O-C(O)-O-;x、y和z独立地选自0-3,这里x+y+z=3,且x不为0;R1代表直链或支链C1-30烷基,其中可包含一个或多个不饱和键;R2代表直链或支链C1-4烷基,其可被一个或多个羟基或苯基取代;R1与R2可与中心季氮原子一起可以经由或不经由选自氮、氧和硫的杂原子连接成环;R3代表直链或支链C1-30亚烷基,其中可包含一个或多个不饱和键;R4代表直链或支链C1-4亚烷基,其可以包含一个或多个不饱和键,并且可被一个或多个羟基取代;和R5和R6独立地代表直链或支链C1-30烷基,其可包含一个或多个不饱和键、酯或醚基团。
X-优选选自氯离子、溴离子、碘离子、氟离子、硫酸根、甲基硫酸根、硝酸根、甲酸根、磷酸根、二甲基膦酸根、碳酸根、硼酸根、乙酸根、丙酸根、柠檬酸根、己二酸根和苯甲酸根。
优选Y为-O-C(O)-。
季酯铵化合物优选为具有式I的化合物。更优选季酯铵化合物具有下述结构之一:R1和R2均代表甲基,且x=1、y=0和z=2;R1代表甲基,且x=1、y=2和z=0;或R1和R2均代表甲基,且x=1、y=1和z=1。优选R3为1,2-亚乙基。同样还优选R4为1,2-亚乙基。最后,R5和/或R6优选为C6-30烷基,更优选选自庚基、壬基、十一烷基、十三烷基、十五烷基、十七烷基、十七碳烯基、十七碳二烯基、十九烷基、二十一烷基及其混合物。R5和/或R6最优选为庚基,壬基,十一烷基,十三烷基或其混合物,即基团Y-R5由椰油脂肪酸衍生而来。更优选季酯铵化合物为水溶性的。
季酯铵化合物的实例包括:2-羟乙基三甲基铵盐的椰油酸酯;双(2-羟乙基)二甲基铵盐的椰油酸酯;三(2-羟乙基)甲基铵盐的椰油酸酯;2-羟乙基二甲基苄基铵盐的椰油酸酯;2-羟乙基(2-乙氧基-2-氧代乙基)二甲基铵盐的椰油酸酯;和2-羟乙基三甲基铵盐的辛酸酯。特别优选它们的氯化物。
具有式II的季酯铵化合物的合适例子包括3-三甲基铵-1,2-丙二醇盐的氢化动物脂和椰油二酯,特别是其氯化物。
优选的季铵化试剂具有式(R1)n-X结构,其中X选自氯、溴、碘、氟、硫酸根、乙基硫酸根、硝酸根、甲酸根、磷酸根、三甲基膦酸根、碳酸根、硼酸根、乙酸根、丙酸根、柠檬酸根、己二酸根和苯甲酸根,n为选自1或2的整数,且R1的定义同上。所述季铵化试剂的实例包括硫酸二甲酯、硫酸二乙酯、甲基氯、甲基溴、甲基碘、苄基氯、苄基溴、烯丙基氯和烯丙基溴。
溶剂优选为极性挥发性溶剂。更优选的溶剂选自C1-5链烷醇,如甲醇、乙醇、丙醇、丁醇和戊醇以及它们的异构体,如异丙醇、异丁醇、叔丁醇及其混合物。最优选为异丙醇。溶剂基本上为无水的,即按包含叔酯胺、季铵化试剂和溶剂的反应混合物的重量计,水含量低于4wt%,优选低于1wt%,更优选低于0.5%。最优选反应中不合有水。
基本饱和脂肪酸优选直链或支链C6-30脂肪酸,更优选C12-22脂肪酸,最优选的脂肪酸为月桂酸、肉豆蔻酸、棕榈酸、硬脂酸或椰油脂肪酸。基本饱和脂肪酸是指其碘值(IV)为0至小于3的脂肪酸。优选脂肪酸具有0-1的IV,更优选具有0-0.5的IV。
在本发明方法中,将叔酯胺和溶剂加到反应器内,并加热至最高150℃的温度。优选的是,反应在惰性气氛(优选氮气)中进行。季铵化试剂以逐渐递增量的方式加入,以维持反应温度最高为150℃,优选为约50至约100℃,尤其是约为60至约90℃。由于季铵化反应一般为放热反应,因此,本领域的标准做法是以逐渐递增量的方式加入季铵化剂,通过这种加料方式并可选地结合冷却装置可以控制反应温度。季铵化反应优选在如2-2×106Pa,更优选2×105-106Pa压力下进行。
反应进程可通过测量反应混合物中的游离叔胺含量来进行跟踪。当其含量稳定后(优选其含量低于3wt%),季铵化反应基本完成。
然后,向反应混合物中加入基本饱和的脂肪酸。在加料之前,可以通过,如用氮气汽提(Stripping)反应混合物的方法,从反应混合物中除去残余的季铵化试剂。但这不是必需的。加入脂肪酸后,将混合物加热至约80至约150℃,尤其是约90至约130℃。加热反应1分钟至10小时、优选5分钟至2小时、更优选15分钟至1.5小时后,通过下述方法除去溶剂:蒸馏、鼓泡、真空汽提、蒸发或这些方法的任何顺序组合。然后还可以除去反应混合物中残留存在的季铵化试剂和其它挥发性组分。
通常鼓泡是让惰性气体如氮气或二氧化碳或其混合物通过混合物的方法来进行。
溶剂还可以在低于102Pa至约105Pa,尤其是103至4×104Pa的低压下除去。
在本发明中,关于所用蒸发装置的选择可参见Ullman工业化学百科全书(Ullman′s Encyclopedia of Industrial Chemistry),第5版,B3卷,蒸发(Evaporation),第3-13和3-14页中所述。优选采用具有停留时间短暂的装置。更优选使用薄膜式蒸发器。在闪蒸器中蒸发之前,反应混合物可以任选地加以处理。
在蒸馏、鼓泡、真空处理、蒸发或其组合处理的过程中,将反应物和脂肪酸保持在约80-150℃,尤其是约90-130℃温度。
本发明方法包括固化步骤。这一步骤可通过简单地卸料反应器并冷却组合物完成。固化步骤还可包括成形步骤,如刨片、造粒、挤出或成锭步骤。用于成形步骤的装置的实例包括冷却挤出机,造粒塔,冷却滚筒,可带有成锭装置的冷却带。当采用冷却滚筒时,优选顶端具有进料辊的单鼓或双鼓系统。絮片体优选用筛状造粒机粉碎。最后往往是通过筛分或过筛除去细小颗粒。
本发明方法并不限制所制备组合物中季酯铵化合物的含量。因此,所制备的组合物可以包括10-90wt%至少一种季酯铵化合物,90-10wt%至少一种基本饱和脂肪酸化合物和低于5.5wt%杂质,优选低于4wt%,更优选低于3wt%。优选组合物包含40-90wt%季酯铵化合物和60-10wt%脂肪酸化合物。
现已惊奇地发现,利用本发明方法,可以制得具有高的活性物含量和低的杂质含量的组合物。具体讲,在本发明组合物中,季酯铵化合物和基本饱和脂肪酸化合物的量为大于50-90wt%、尤其是55-80wt%的季酯铵化合物和50-10wt%、尤其是45-20wt%的脂肪酸化合物。对于不吸湿产物,特别优选基本饱和脂肪酸的含量至少为20wt%。杂质含量非常低,即低于组合物总重量的5.5wt%,优选低于4wt%,更优选低于3wt%。在本发明的优选实施方案中,这些杂质包括异丙醇,其与如脂肪酸形成的酯、甲基酯、胆碱盐酸盐以及酯胺如N,N-二甲基乙醇胺酯。
本发明的季酯铵组合物可以用于各种应用,特别是其中需要形成固化产物的应用中,更具体地讲是用于需要防止固体颗粒(例如)因吸水而结块的应用中。与最终用途无关,这些产物的上述特性特别有利于处理、运输和贮藏。可以设想本发明的季酯铵化合物可应用于洗涤剂、织物软化剂和个人护理用品中以及在消毒剂、空气清新剂和木材防腐剂中用作生物杀伤剂。
下述实施例用于进一步说明本发明。实施例N,N-二甲基乙醇胺(DMEA)的酯化
用氮气冲洗1l标准玻璃反应器,并在整个反应期间保持氮气气氛。反应器内加入231.4g(2.6摩尔,30%摩尔过量)DMEA、416g(2摩尔)椰油脂肪酸,0.712g 50wt%H3P02水溶液和0.208g Irganox 1076(苯丙酸3,5-双(1,1-二甲基乙基)-4-羟基-十八烷基酯,ex AkzoNobel)。然后在30分钟内将反应混合物加热至130℃,接着在12小时内将温度从130℃升至200℃。测得反应混合物中脂肪酸的量低于3wt%。冷却反应混合物至180℃。在180℃和2×103Pa真空下除去过量DMEA。然后冷却反应混合物到室温,从反应器卸出物料。产量:552g包含95wt%N,N-二甲基乙醇胺椰油酸酯的产物。对比实施例A在脂肪酸中季铵化
氮气冲洗1l玻璃高压釜,并在整个反应期间保持氮气气氛。然后向高压釜内加入290g(1mo)N,N-二甲基乙醇胺椰油酸酯和173g月桂酸。在30分钟内加热反应混合物至90℃。然后开始通入甲基氯气体。保持反应压力低于4×105Pa。加热反应混合物至100℃。当甲基氯的进料总量达到56g(1.1mol)后停止加料。继续反应直至游离胺含量低于3wt%。然后,减压反应器并用氮气汽提5小时以除去过量甲基氯。冷却反应混合物至85℃,并从反应器中卸出物料。得到513g产物A。产物A的分析结果列于表1内。
实施例1在异丙醇中季铵化
氮气冲洗1.5l玻璃高压釜,并在整个反应期间保持氮气气氛。然后向高压釜内放入580g(2mol)N,N-二甲基乙醇胺椰油酸酯和165g异丙醇。在30分钟内加热反应混合物至50℃。然后开始通入甲基氯气体。保持反应压力低于3×105Pa。由于反应热,反应温度升至85℃,然后通过冷却反应混合物将反应温度稳定在70℃。当甲基氯的进料总量达到111g(2.2mol)后停止加料。继续反应直至游离胺含量低于2wt%。反应期间反应混合物中含有低于0.2wt%的水。然后,减压反应器并用氮气汽提5小时以除去过量甲基氯。冷却反应混合物至50℃并卸料。
氮气冲洗21反应器,并在整个反应期间保持氮气气氛。然后将上述反应混合物加入到反应器内。在反应混合物中加入475g椰油脂肪酸。加热反应混合物至120℃并保持1小时。然后在1小时内缓慢减压至2×103Pa,接着在2×103Pa压力下维持30分钟以除去异丙醇和残余的甲基氯。在110℃下从反应器内卸出物料。得到1154g产物1。产物1的分析结果列于表1内。
表1
所有数值均为重量百分数dod=十二烷基(月桂)脂肪酸(Kortacid 1299,IV=0.2)coc=椰油脂肪酸(Kortacid 1270,IV=1),70%十二烷基和30%十四烷基脂肪酸的混合物IV=碘值,以g碘/100g脂肪酸表示。1CEQ=(2-羟基乙基)三甲基氯化铵的椰油酸酯
| Adod | 1coc | |
| CEQ1 | 52.9 | 56.5 |
| 脂肪酸 | 40.6 | 40.6 |
| 胆碱盐酸盐 | 0.2 | 0.2 |
| 酯胺 | 3.3 | 1.3 |
| 甲基酯 | 3.0 | 1.2 |
| 异丙醇酯 | - | 0.3 |
| 异丙醇 | - | - |
| 杂质总量 | 6.5 | 3.0 |
根据表1所列的组成可以看出,与现有技术的方法相比,本发明方法可以得到杂质含量远远更低的组合物。实施例2-8和对比实施例B
通过在反应混合物中加入不同量的几种脂肪酸,重复实施例1。另外,通过用更多量硬化动物脂肪酸替代月桂酸重复对比实施例A。结果列于表2内。
表2
所有数值均为重量百分数1HT=硬化动物脂肪酸(Edenor FHTi,IV=1)dod=十二烷基(月桂)脂肪酸(Kortacid 1299,IV=0.2)tet=十四烷基(肉豆蔻)脂肪酸(Kortacid 1499,IV=0.2)coc=椰油脂肪酸(Kortacid 1270,IV=1),70%十二烷基和30%十四烷基脂肪酸的混合物hex=十六烷基(棕榈)脂肪酸(Kortacid 1698,IV=1)oct=十八烷基(硬脂)脂肪酸(Kortacid 1895,IV=2)IV=碘值,以g碘/100g脂肪酸表示。2CEQ=(2-羟基乙基)三甲基氯化铵的椰油酸酯3cc=胆碱盐酸盐4ipa=异丙醇
| BHT1 | 2HT | 3dod | 4tet | 5coc | 6hex | 7oct | 8coc | |
| CEQ2 | 47.7 | 48.8 | 50.8 | 50.0 | 50.2 | 50.2 | 49.6 | 60.3 |
| 脂肪酸 | 45.4 | 48.7 | 47.4 | 48.0 | 47.9 | 47.7 | 48.2 | 36.4 |
| cc3 | - | 0.1 | 0.1 | 0.1 | 0.1 | 0.1 | 0.1 | 0.1 |
| 酯胺 | 2.9 | 0.8 | 0.7 | 0.7 | 0.7 | 0.7 | 0.8 | 1.9 |
| 甲酯 | 3.9 | 1.2 | 0.9 | 1.1 | 0.9 | 1.1 | 1.3 | 1.3 |
| ipa4酯 | - | 0.3 | 0.1 | - | 0.1 | 0.1 | - | - |
| ipa | - | - | 0.1 | 0.1 | 0.1 | - | - | - |
| 杂质总量 | 6.8 | 2.4 | 1.9 | 2.0 | 1.9 | 2.0 | 2.2 | 3.3 |
比较实施例2-8与对比实施例B的结果,可以看出,按照现有技术方法制备的组合物中的杂质总量要高于按照本发明方法制得的组合物杂质的量。
实施例9和对比实施例C中试规模对比实施例C在脂肪酸中季铵化
用氮气冲洗100l玻璃衬里的高压釜,并在整个反应过程中保持氮气气氛。在高压釜中加入32kg(110mol)N,N-二甲基乙醇胺的椰油酸酯和24kg椰油脂肪酸。在40分钟内加热反应混合物到70℃。然后开始加入甲基氯气体。保持反应压力低于4×105Pa。由于反应热,反应温度升至95℃,通过冷却反应混合物将反应温度稳定在85℃。当甲基氯的进料总量达到6.5kg(129mol)后停止加料。继续反应直至游离胺含量低于4wt%。然后,减压反应器并用氮气汽提3小时以除去过量甲基氯。冷却反应混合物至85℃,从反应器内卸出物料。得到61kg产物C。产物C的分析结果列于表3内。
实施例9在异丙醇中季铵化
用氮气冲洗100l搪瓷高压釜,并在整个反应过程中保持氮气气氛。在高压釜中放入41.1kg(142mol)N,N-二甲基乙醇胺的椰油酸酯和16.7kg异丙醇。在30分钟内加热反应混合物到55℃。然后开始加入甲基氯气体。保持反应压力低于3×105Pa。由于反应热,反应温度升至75℃,通过冷却反应混合物将反应温度稳定在70-75℃。当甲基氯的进料总量达到8.4kg(166mol)后停止加料。继续反应直至游离胺含量低于2wt%。反应期间反应混合物中含有低于0.2wt%的水。然后,减压反应器并用氮气汽提3小时以除去过量甲基氯。向反应混合物中加入38kg椰油脂肪酸。然后加热反应混合物到115℃,并保持1小时。然后在1小时内缓慢减压至15×103Pa,接着在15×103Pa压力和115℃下保持5小时以除去异丙醇和残余的甲基氯。在110℃下卸料反应器。得到86kg产物9。产物9的分析结果列于表3内。
表3
所有数值均为重量百分数coc=椰油脂肪酸(Kortacid 1270,IV=1),70%十二烷基和30%十四烷基脂肪酸的混合物IV=碘值,以g碘/100g脂肪酸表示。1CEQ=(2-羟基乙基)三甲基氯化铵的椰油酸酯对实施例3,4,6,10,11和12产物的性质试验颗粒
| Ccoc | 9coc | |
| CEQ1 | 54.8 | 50.1 |
| 脂肪酸 | 38.6 | 46.5 |
| 胆碱盐酸盐 | 0.4 | 0.6 |
| 酯胺 | 3.7 | 1.0 |
| 甲酯 | 2.4 | 0.9 |
| 异丙醇酯 | - | 0.9 |
| 异丙醇 | - | 0.1 |
| 杂质总量 | 6.5 | 3.5 |
以小型规模制备颗粒。将500ml表4中所述的组合物液体倾入到0.6×1.0m大小的盘内。利用刮刀涂布成均匀平整薄层,并使液体固化。取出薄片并在具有1.25孔径的筛分造粒机中粉碎。然后采用280μm筛子筛分去掉粉碎产物中的微细颗粒。贮藏结块试验
本试验反映贮藏在大袋内的颗粒特性。取30g如上制备的样品填充到结块试验圆筒内,并置于具有与大约1米产品柱重量相当承载量(即与大袋体积相当)的钢球之下。将圆筒在40℃下贮藏24h。随后小心地从圆筒中卸出物料。将样品放到具有1mm振幅的振动筛内最长振动120秒。观测得到空筛所需的时间,并测量120秒后筛内余留的残留物重量。溶解作用
溶解时间用200mg组合物在150ml水中的分散液在40℃和9.5的pH下的中和速率表示,在此过程中,不溶的脂肪酸转化成其可溶解的中和盐。中和进程可通过测量为保持恒定9.5pH值(采用Metrohm 632pH测量仪)而加入的0.1N NaOH溶液的量来跟踪。溶解时间定义为中和一半所用组合物所需的时间。吸湿性
取大约5g组合物样品精确称重。将样品平整地铺放到10cm直径的盘内。将盘子在桌面上贮藏过夜。所记录的空气湿度RH=50-60%。记录重量增加值。
测试实施例3、4和6产物(参见表2)的上述性质。同样还测试了分别相应于实施例3、4和6的实施例10、11和12产物,不过这三个实施例产物中都含有35wt%脂肪酸。在实施例D中,使用了部分氢化动物脂肪酸。结果列于表4中。
表4
nd=未测定coc=椰油脂肪酸(Kortacid 1270,IV=1),70%十二烷基和30%十四烷基脂肪酸的混合物pHT=部分氢化的动物脂肪酸(Radiacid 448,IV=20)dod=十二烷基(月桂)脂肪酸(Kortacid 1299,IV=0.2)tet=十四烷基(肉豆蔻)脂肪酸(Kortacid 1499,IV=0.2)hex=十六烷基(棕榈)脂肪酸(Kortacid 1698,IV=1)IV=碘值,以g碘/100g脂肪酸表示。
| Ccoc | DpHT | 3dod | 4tet | 6hex | 10dod | 11tet | 12hex | 13 | |
| 结块值(秒) | >120 | >120 | >120 | 100 | 95 | 15 | 12 | 13 | nd |
| 残留率(%) | 100 | 90 | 10 | 0 | 0 | 0 | 0 | 0 | nd |
| 溶解时间(秒) | nd | nd | 310 | 210 | 84 | 48 | 42 | 66 | 160 |
| 吸湿性(%) | 1 | nd | 0 | 0 | 0 | 0 | 0 | 0 | 0 |
正如从表4中结果所看到的那样,这些实施例说明,与包含不饱和脂肪酸的组合物相比,包含基本饱和脂肪酸的本发明组合物具有更好的抗贮藏结块性能并且残留物极少,甚至完全无残留物。实施例13
在配有温度控制装置和30cm柱的1l三口圆底烧瓶内加入130g(1.1mol)的3-二甲基氨基-1,2-丙二醇(AIdrich)和544g(20mol)熔融氢化的动物脂肪酸(Interstab G 8207)。将均相混合物在190℃和104Pa压力下搅拌4小时以完全除去反应水。GC分析显示出含90.4%二酯胺、4.9%单酯胺和4.7%游离脂肪酸。
将1.5l玻璃高压釜用氮气冲洗,然后加入酯化产物(理论上638g的二酯)和120g丙酮。加热反应器内容物到95℃,然后分批加入甲基氯气体,直至7小时后季铵化反应完全为止。减压反应器并冷却到80℃。
向此反应混合物中加入硬化动物脂肪酸(342g,Edenor FHTi,IV=1)。将混合物加热至105℃并在这一温度下维持1小时。缓慢减压至2×103Pa以除去低沸点化合物。将液体产物倾入到40×60盘内形成一薄层。数分钟内液体凝固并硬化。收集易碎薄片的固体产物。
这种产物的性质见表4中所述。
Claims (18)
1.制备包含至少一种季酯铵化合物和至少一种脂肪酸化合物的固体组合物的方法,该方法包括以下步骤:
-以包含叔酯胺、季铵化试剂和溶剂的反应混合物计,在水含量低于4%重量的溶剂中,通过加热至最高150℃的温度用季铵化试剂季铵化叔酯胺,得到季酯铵化合物,
-在包含季酯铵化合物的反应混合物中加入碘值为0至小于3的脂肪酸,
-除去溶剂,
-固化所得混合物。
2.根据权利要求1的方法,其特征在于季酯铵化合物选自下式I或II:其中:X-代表阴离子;Y代表-O-C(O)-、-C(O)-O-或-O-C(O)-O-;x、y和z独立地选自0-3,这里x+y+z=3且x不为0;R1代表直链或支链C1-30烷基,其可包含一个或多个不饱和键;R2代表直链或支链C1-4烷基,其可被一个或多个羟基或苯基取代;R1与R2可与中心季氮原子一起可以经由或不经由选自氮、氧和硫的杂原子连接成环;R3代表直链或支链C1-30亚烷基,其可包含一个或多个不饱和键;R4代表直链或支链C1-4亚烷基,其可包含一个或多个不饱和键,并可被一个或多个羟基取代;和R5和R6独立地代表直链或支链C1-30烷基,其可包含一个或多个不饱和键、酯或醚基团。
3.根据权利要求2的方法,其特征在于季酯铵化合物选自式I化合物。
4.根据权利要求3的方法,其特征在于R1和R2均代表甲基,且x=1、y=0和z=2。
5.根据权利要求3的方法,其特征在于R1为甲基,且x=1、y=2和z=0。
6.根据权利要求3的方法,其特征是R1和R2均代表甲基,且x=1,y=1和z=1。
7.根据权利要求2的方法,其特征在于X-选自氯离子、溴离子、碘离子、氟离子、硫酸根、甲基硫酸根、硝酸根、甲酸根、磷酸根、二甲基膦酸根、碳酸根、硼酸根、乙酸根、丙酸根、柠檬酸根、己二酸根和苯甲酸根。
8.根据权利要求2的方法,其特征在于Y为-O-C(O)-。
9.根据权利要求2的方法,其特征在于R4为1,2-亚乙基。
10.根据权利要求2的方法,其特征在于R5和/或R6选自C6-30烷基及其混合物。
11.根据权利要求10的方法,其中R5和/或R6选自庚基、壬基、十一烷基、十三烷基及其混合物。
12.根据权利要求1的方法,其特征在于所用溶剂为极性挥发性溶剂。
13.根据权利要求12的方法,其特征在于所述溶剂选自C1-5链烷醇及其混合物。
14.根据权利要求13的方法,其特征在于所述溶剂为异丙醇。
15.根据权利要求1的方法,其特征在于所述碘值为0-1。
16.根据权利要求1的方法,其特征在于所述碘值为0至小于3的脂肪酸为直链或支链C12-22脂肪酸。
17.根据权利要求16的方法,其特征在于所述脂肪酸为月桂酸、肉豆蔻酸、棕榈酸、硬脂酸或椰油脂肪酸。
18.根据权利要求1的方法,其特征在于固化步骤包括成形步骤。
Applications Claiming Priority (2)
| Application Number | Priority Date | Filing Date | Title |
|---|---|---|---|
| EP96201524.4 | 1996-05-31 | ||
| EP96201524 | 1996-05-31 |
Publications (2)
| Publication Number | Publication Date |
|---|---|
| CN1219954A CN1219954A (zh) | 1999-06-16 |
| CN1085724C true CN1085724C (zh) | 2002-05-29 |
Family
ID=8224039
Family Applications (1)
| Application Number | Title | Priority Date | Filing Date |
|---|---|---|---|
| CN97195016A Expired - Fee Related CN1085724C (zh) | 1996-05-31 | 1997-05-30 | 制备包含季酯铵化合物和脂肪酸的固体组合物的方法 |
Country Status (8)
| Country | Link |
|---|---|
| US (1) | US6093336A (zh) |
| EP (1) | EP0906387B1 (zh) |
| JP (1) | JP2001501586A (zh) |
| CN (1) | CN1085724C (zh) |
| BR (1) | BR9709275A (zh) |
| CA (1) | CA2256399A1 (zh) |
| DE (1) | DE69737594T2 (zh) |
| WO (1) | WO1997045514A1 (zh) |
Families Citing this family (10)
| Publication number | Priority date | Publication date | Assignee | Title |
|---|---|---|---|---|
| US6080714A (en) * | 1997-11-20 | 2000-06-27 | Akzo Nobel Nv | Solid composition comprising an amphoteric surfactant, a process for its preparation, and the use thereof |
| DE60235331D1 (de) * | 2001-03-08 | 2010-03-25 | Kao Corp | Verfahren zur Herstellung von quartären Ammoniumsalzen |
| US6984618B2 (en) * | 2001-12-05 | 2006-01-10 | The Procter & Gamble Company | Softening-through-the wash composition |
| KR20050044686A (ko) * | 2001-12-05 | 2005-05-12 | 아크조 노벨 엔.브이. | 연화 활성 조성물 |
| EP2158352B1 (en) | 2007-06-15 | 2017-12-20 | Ecolab Inc. | Method of use of liquid fabric conditioner composition |
| US8232239B2 (en) * | 2010-03-09 | 2012-07-31 | Ecolab Usa Inc. | Liquid concentrated fabric softener composition |
| US8673838B2 (en) | 2011-06-22 | 2014-03-18 | Ecolab Usa Inc. | Solid concentrated fabric softener composition |
| US9688945B2 (en) | 2014-11-21 | 2017-06-27 | Ecolab Usa Inc. | Compositions to boost fabric softener performance |
| US9725679B2 (en) | 2014-11-21 | 2017-08-08 | Ecolab Usa Inc. | Compositions to boost fabric softener performance |
| US9506015B2 (en) | 2014-11-21 | 2016-11-29 | Ecolab Usa Inc. | Compositions to boost fabric softener performance |
Citations (5)
| Publication number | Priority date | Publication date | Assignee | Title |
|---|---|---|---|---|
| EP0440229A1 (en) * | 1990-01-31 | 1991-08-07 | Witco Corporation | Process and composition for multicomponent 100% solid fabric softeners |
| EP0445525A1 (en) * | 1990-02-02 | 1991-09-11 | Witco Corporation | Process for making high solids fabric softeners using low amounts of solvents and eliminating side reactions |
| WO1994021593A1 (de) * | 1993-03-18 | 1994-09-29 | Henkel Kommanditgesellschaft Auf Aktien | Verfahren zur herstellung von festen esterquats mit verbesserter wasserdispergierbarkeit |
| WO1995014654A1 (de) * | 1993-11-20 | 1995-06-01 | Henkel Kommanditgesellschaft Auf Aktien | Verfahren zur herstellung von festen esterquats |
| EP0704522A2 (en) * | 1994-09-20 | 1996-04-03 | The Procter & Gamble Company | Dryer-activated fabric conditioning compositions containing unsaturated fatty acid |
Family Cites Families (12)
| Publication number | Priority date | Publication date | Assignee | Title |
|---|---|---|---|---|
| US34062A (en) * | 1862-01-07 | Improved apparatus for evaporating and distilling | ||
| NZ191953A (en) | 1978-11-03 | 1982-05-25 | Unilever Ltd | Fabric softening composition comprising a fatty acid |
| US4184970A (en) * | 1978-11-16 | 1980-01-22 | The Procter & Gamble Company | Antistatic, fabric-softening detergent additive |
| JPS5811033A (ja) * | 1981-07-15 | 1983-01-21 | Sogo Yatsukou Kk | 中性無機塩類の凝結防止剤 |
| US4840738A (en) * | 1988-02-25 | 1989-06-20 | The Procter & Gamble Company | Stable biodegradable fabric softening compositions containing 2-hydroxypropyl monoester quaternized ammonium salts |
| ES2021900A6 (es) * | 1989-07-17 | 1991-11-16 | Pulcra Sa | Procedimiento de obtencion de tensioactivos cationicos derivados de amonio cuaternario con funcion amino-ester. |
| US5516438A (en) * | 1989-09-19 | 1996-05-14 | Lever Brothers Company, Division Of Conopco, Inc. | Fabric softening |
| US5223628A (en) * | 1990-02-02 | 1993-06-29 | Sherex Chemical Company, Inc. | Process for making high solids fabric softeners using low amounts of solvents and no side reactions |
| US5185088A (en) * | 1991-04-22 | 1993-02-09 | The Procter & Gamble Company | Granular fabric softener compositions which form aqueous emulsion concentrates |
| US5427696A (en) * | 1992-04-09 | 1995-06-27 | The Procter & Gamble Company | Biodegradable chemical softening composition useful in fibrous cellulosic materials |
| US5480567A (en) * | 1994-01-14 | 1996-01-02 | Lever Brothers Company, Division Of Conopco, Inc. | Surfactant mixtures for fabric conditioning compositions |
| US5747108A (en) * | 1997-03-19 | 1998-05-05 | Colgate-Palmolive Co. | Super-concentrated liquid rinse cycle fabric softening composition |
-
1997
- 1997-05-30 CN CN97195016A patent/CN1085724C/zh not_active Expired - Fee Related
- 1997-05-30 EP EP97925059A patent/EP0906387B1/en not_active Expired - Lifetime
- 1997-05-30 JP JP09541642A patent/JP2001501586A/ja not_active Withdrawn
- 1997-05-30 BR BR9709275-4A patent/BR9709275A/pt not_active IP Right Cessation
- 1997-05-30 WO PCT/EP1997/002960 patent/WO1997045514A1/en not_active Ceased
- 1997-05-30 CA CA002256399A patent/CA2256399A1/en not_active Abandoned
- 1997-05-30 DE DE69737594T patent/DE69737594T2/de not_active Expired - Lifetime
-
1998
- 1998-11-23 US US09/198,183 patent/US6093336A/en not_active Expired - Lifetime
Patent Citations (5)
| Publication number | Priority date | Publication date | Assignee | Title |
|---|---|---|---|---|
| EP0440229A1 (en) * | 1990-01-31 | 1991-08-07 | Witco Corporation | Process and composition for multicomponent 100% solid fabric softeners |
| EP0445525A1 (en) * | 1990-02-02 | 1991-09-11 | Witco Corporation | Process for making high solids fabric softeners using low amounts of solvents and eliminating side reactions |
| WO1994021593A1 (de) * | 1993-03-18 | 1994-09-29 | Henkel Kommanditgesellschaft Auf Aktien | Verfahren zur herstellung von festen esterquats mit verbesserter wasserdispergierbarkeit |
| WO1995014654A1 (de) * | 1993-11-20 | 1995-06-01 | Henkel Kommanditgesellschaft Auf Aktien | Verfahren zur herstellung von festen esterquats |
| EP0704522A2 (en) * | 1994-09-20 | 1996-04-03 | The Procter & Gamble Company | Dryer-activated fabric conditioning compositions containing unsaturated fatty acid |
Also Published As
| Publication number | Publication date |
|---|---|
| WO1997045514A1 (en) | 1997-12-04 |
| CA2256399A1 (en) | 1997-12-04 |
| EP0906387A1 (en) | 1999-04-07 |
| DE69737594D1 (de) | 2007-05-24 |
| DE69737594T2 (de) | 2007-12-20 |
| BR9709275A (pt) | 1999-08-10 |
| US6093336A (en) | 2000-07-25 |
| HK1020985A1 (zh) | 2000-05-26 |
| EP0906387B1 (en) | 2007-04-11 |
| JP2001501586A (ja) | 2001-02-06 |
| CN1219954A (zh) | 1999-06-16 |
Similar Documents
| Publication | Publication Date | Title |
|---|---|---|
| EP0309931B1 (de) | Zur Verwendung in Wasch- und Reinigungsmitteln geeignetes Schaumregulierungsmittel | |
| DE69728298T2 (de) | Quarternäre fettsäure-triethanolamin-estersalze und ihre verwendung als weichmacher von geweben | |
| CN1085724C (zh) | 制备包含季酯铵化合物和脂肪酸的固体组合物的方法 | |
| EP1017773B1 (de) | Gecoatete ammoniumnitril-bleichaktivatorgranulate | |
| DE69406797T2 (de) | Trocken-aktivierte gewebekonditionierungs- und antistatische zusammensetzungen die biologisch abbaubare, ungesättigte verbindungen enthalten | |
| DE69423963T2 (de) | Konzentrierte biologisch abbaubare weichspülerzusammensetzungen auf der basis von quartären ammoniumverbindungen | |
| DE69530700T2 (de) | Wäscheweichspülmittel mit verminderter umweltbelastung | |
| DE19643133A1 (de) | Verwendung von wasserlöslichen oder in Wasser dispergierbaren vernetzten stickstoffhaltigen Verbindungen in Wasch- und Reinigungsmitteln | |
| HU215586B (hu) | Biológiailag lebontható textilöblítőket tartalmazó, koncentrált textilöblítő készítmények, eljárás előállításukra és eljárás textília lágyítására | |
| DE69304715T2 (de) | Waschmittelzusammensetzung | |
| US8507425B2 (en) | Particulate fabric softener comprising ethylenediamine fatty acid amides and method of making | |
| EP3230344B1 (de) | Verfahren zur herstellung von polyasparaginsäure mittels vorkondensat | |
| US6072063A (en) | Low-melting ester quats | |
| EP1034239A1 (en) | Solid composition comprising an amphoteric surfactant, a process for its preparation, and the use thereof | |
| US5811385A (en) | High-concentration aqueous ester quat solutions | |
| DE102016223472A1 (de) | Mehrkammer-Portionsbeutel mit Bleichaktivator/Komplexbildner-Compound | |
| EP0445525B1 (en) | Process for making high solids fabric softeners using low amounts of solvents and eliminating side reactions | |
| JP4175674B2 (ja) | 粉末およびその製造方法、ならびに該粉末を含む粒状洗剤組成物 | |
| JPH07505189A (ja) | 濃縮布帛柔軟化組成物 | |
| DE69926181T2 (de) | Tensidagglomerate | |
| HK1020985B (zh) | 制备包含季酯铵化合物和脂肪酸的固体组合物的方法 | |
| CN1192083C (zh) | 稳定的季铵组合物 | |
| CN1280389C (zh) | 稳定的季铵组合物 | |
| MXPA98010096A (en) | Procedure for preparing solid compositions that comprise ester compounds of quaternary ammonium and acids gra | |
| JP3859901B2 (ja) | 透明液体柔軟剤 |
Legal Events
| Date | Code | Title | Description |
|---|---|---|---|
| C06 | Publication | ||
| PB01 | Publication | ||
| C10 | Entry into substantive examination | ||
| SE01 | Entry into force of request for substantive examination | ||
| C14 | Grant of patent or utility model | ||
| GR01 | Patent grant | ||
| CF01 | Termination of patent right due to non-payment of annual fee |
Granted publication date: 20020529 Termination date: 20160530 |

