CN1044271C - 含化学柔软组合物的纸制品 - Google Patents
含化学柔软组合物的纸制品 Download PDFInfo
- Publication number
- CN1044271C CN1044271C CN93120518A CN93120518A CN1044271C CN 1044271 C CN1044271 C CN 1044271C CN 93120518 A CN93120518 A CN 93120518A CN 93120518 A CN93120518 A CN 93120518A CN 1044271 C CN1044271 C CN 1044271C
- Authority
- CN
- China
- Prior art keywords
- paper products
- polyol
- quaternary ammonium
- ammonium compound
- paper
- Prior art date
- Legal status (The legal status is an assumption and is not a legal conclusion. Google has not performed a legal analysis and makes no representation as to the accuracy of the status listed.)
- Expired - Fee Related
Links
Images
Classifications
-
- D—TEXTILES; PAPER
- D21—PAPER-MAKING; PRODUCTION OF CELLULOSE
- D21H—PULP COMPOSITIONS; PREPARATION THEREOF NOT COVERED BY SUBCLASSES D21C OR D21D; IMPREGNATING OR COATING OF PAPER; TREATMENT OF FINISHED PAPER NOT COVERED BY CLASS B31 OR SUBCLASS D21G; PAPER NOT OTHERWISE PROVIDED FOR
- D21H17/00—Non-fibrous material added to the pulp, characterised by its constitution; Paper-impregnating material characterised by its constitution
- D21H17/03—Non-macromolecular organic compounds
- D21H17/05—Non-macromolecular organic compounds containing elements other than carbon and hydrogen only
- D21H17/06—Alcohols; Phenols; Ethers; Aldehydes; Ketones; Acetals; Ketals
-
- A—HUMAN NECESSITIES
- A61—MEDICAL OR VETERINARY SCIENCE; HYGIENE
- A61K—PREPARATIONS FOR MEDICAL, DENTAL OR TOILETRY PURPOSES
- A61K8/00—Cosmetics or similar toiletry preparations
- A61K8/02—Cosmetics or similar toiletry preparations characterised by special physical form
- A61K8/0208—Tissues; Wipes; Patches
-
- A—HUMAN NECESSITIES
- A61—MEDICAL OR VETERINARY SCIENCE; HYGIENE
- A61Q—SPECIFIC USE OF COSMETICS OR SIMILAR TOILETRY PREPARATIONS
- A61Q19/00—Preparations for care of the skin
- A61Q19/10—Washing or bathing preparations
-
- C—CHEMISTRY; METALLURGY
- C11—ANIMAL OR VEGETABLE OILS, FATS, FATTY SUBSTANCES OR WAXES; FATTY ACIDS THEREFROM; DETERGENTS; CANDLES
- C11D—DETERGENT COMPOSITIONS; USE OF SINGLE SUBSTANCES AS DETERGENTS; SOAP OR SOAP-MAKING; RESIN SOAPS; RECOVERY OF GLYCEROL
- C11D1/00—Detergent compositions based essentially on surface-active compounds; Use of these compounds as a detergent
- C11D1/38—Cationic compounds
- C11D1/62—Quaternary ammonium compounds
-
- C—CHEMISTRY; METALLURGY
- C11—ANIMAL OR VEGETABLE OILS, FATS, FATTY SUBSTANCES OR WAXES; FATTY ACIDS THEREFROM; DETERGENTS; CANDLES
- C11D—DETERGENT COMPOSITIONS; USE OF SINGLE SUBSTANCES AS DETERGENTS; SOAP OR SOAP-MAKING; RESIN SOAPS; RECOVERY OF GLYCEROL
- C11D17/00—Detergent materials or soaps characterised by their shape or physical properties
- C11D17/04—Detergent materials or soaps characterised by their shape or physical properties combined with or containing other objects
- C11D17/049—Cleaning or scouring pads; Wipes
-
- C—CHEMISTRY; METALLURGY
- C11—ANIMAL OR VEGETABLE OILS, FATS, FATTY SUBSTANCES OR WAXES; FATTY ACIDS THEREFROM; DETERGENTS; CANDLES
- C11D—DETERGENT COMPOSITIONS; USE OF SINGLE SUBSTANCES AS DETERGENTS; SOAP OR SOAP-MAKING; RESIN SOAPS; RECOVERY OF GLYCEROL
- C11D3/00—Other compounding ingredients of detergent compositions covered in group C11D1/00
- C11D3/16—Organic compounds
- C11D3/20—Organic compounds containing oxygen
- C11D3/2003—Alcohols; Phenols
- C11D3/2065—Polyhydric alcohols
-
- C—CHEMISTRY; METALLURGY
- C11—ANIMAL OR VEGETABLE OILS, FATS, FATTY SUBSTANCES OR WAXES; FATTY ACIDS THEREFROM; DETERGENTS; CANDLES
- C11D—DETERGENT COMPOSITIONS; USE OF SINGLE SUBSTANCES AS DETERGENTS; SOAP OR SOAP-MAKING; RESIN SOAPS; RECOVERY OF GLYCEROL
- C11D3/00—Other compounding ingredients of detergent compositions covered in group C11D1/00
- C11D3/16—Organic compounds
- C11D3/20—Organic compounds containing oxygen
- C11D3/2068—Ethers
-
- C—CHEMISTRY; METALLURGY
- C11—ANIMAL OR VEGETABLE OILS, FATS, FATTY SUBSTANCES OR WAXES; FATTY ACIDS THEREFROM; DETERGENTS; CANDLES
- C11D—DETERGENT COMPOSITIONS; USE OF SINGLE SUBSTANCES AS DETERGENTS; SOAP OR SOAP-MAKING; RESIN SOAPS; RECOVERY OF GLYCEROL
- C11D3/00—Other compounding ingredients of detergent compositions covered in group C11D1/00
- C11D3/16—Organic compounds
- C11D3/37—Polymers
- C11D3/3703—Macromolecular compounds obtained otherwise than by reactions only involving carbon-to-carbon unsaturated bonds
- C11D3/3707—Polyethers, e.g. polyalkyleneoxides
-
- D—TEXTILES; PAPER
- D06—TREATMENT OF TEXTILES OR THE LIKE; LAUNDERING; FLEXIBLE MATERIALS NOT OTHERWISE PROVIDED FOR
- D06M—TREATMENT, NOT PROVIDED FOR ELSEWHERE IN CLASS D06, OF FIBRES, THREADS, YARNS, FABRICS, FEATHERS OR FIBROUS GOODS MADE FROM SUCH MATERIALS
- D06M13/00—Treating fibres, threads, yarns, fabrics or fibrous goods made from such materials, with non-macromolecular organic compounds; Such treatment combined with mechanical treatment
- D06M13/322—Treating fibres, threads, yarns, fabrics or fibrous goods made from such materials, with non-macromolecular organic compounds; Such treatment combined with mechanical treatment with compounds containing nitrogen
- D06M13/46—Compounds containing quaternary nitrogen atoms
- D06M13/463—Compounds containing quaternary nitrogen atoms derived from monoamines
-
- D—TEXTILES; PAPER
- D21—PAPER-MAKING; PRODUCTION OF CELLULOSE
- D21H—PULP COMPOSITIONS; PREPARATION THEREOF NOT COVERED BY SUBCLASSES D21C OR D21D; IMPREGNATING OR COATING OF PAPER; TREATMENT OF FINISHED PAPER NOT COVERED BY CLASS B31 OR SUBCLASS D21G; PAPER NOT OTHERWISE PROVIDED FOR
- D21H17/00—Non-fibrous material added to the pulp, characterised by its constitution; Paper-impregnating material characterised by its constitution
- D21H17/03—Non-macromolecular organic compounds
- D21H17/05—Non-macromolecular organic compounds containing elements other than carbon and hydrogen only
- D21H17/07—Nitrogen-containing compounds
-
- D—TEXTILES; PAPER
- D21—PAPER-MAKING; PRODUCTION OF CELLULOSE
- D21H—PULP COMPOSITIONS; PREPARATION THEREOF NOT COVERED BY SUBCLASSES D21C OR D21D; IMPREGNATING OR COATING OF PAPER; TREATMENT OF FINISHED PAPER NOT COVERED BY CLASS B31 OR SUBCLASS D21G; PAPER NOT OTHERWISE PROVIDED FOR
- D21H17/00—Non-fibrous material added to the pulp, characterised by its constitution; Paper-impregnating material characterised by its constitution
- D21H17/03—Non-macromolecular organic compounds
- D21H17/05—Non-macromolecular organic compounds containing elements other than carbon and hydrogen only
- D21H17/09—Sulfur-containing compounds
-
- D—TEXTILES; PAPER
- D21—PAPER-MAKING; PRODUCTION OF CELLULOSE
- D21H—PULP COMPOSITIONS; PREPARATION THEREOF NOT COVERED BY SUBCLASSES D21C OR D21D; IMPREGNATING OR COATING OF PAPER; TREATMENT OF FINISHED PAPER NOT COVERED BY CLASS B31 OR SUBCLASS D21G; PAPER NOT OTHERWISE PROVIDED FOR
- D21H21/00—Non-fibrous material added to the pulp, characterised by its function, form or properties; Paper-impregnating or coating material, characterised by its function, form or properties
- D21H21/14—Non-fibrous material added to the pulp, characterised by its function, form or properties; Paper-impregnating or coating material, characterised by its function, form or properties characterised by function or properties in or on the paper
- D21H21/22—Agents rendering paper porous, absorbent or bulky
Landscapes
- Chemical & Material Sciences (AREA)
- Life Sciences & Earth Sciences (AREA)
- Health & Medical Sciences (AREA)
- Engineering & Computer Science (AREA)
- Organic Chemistry (AREA)
- Wood Science & Technology (AREA)
- Oil, Petroleum & Natural Gas (AREA)
- Chemical Kinetics & Catalysis (AREA)
- Emergency Medicine (AREA)
- Veterinary Medicine (AREA)
- Public Health (AREA)
- General Health & Medical Sciences (AREA)
- Animal Behavior & Ethology (AREA)
- Epidemiology (AREA)
- Birds (AREA)
- Biomedical Technology (AREA)
- Dermatology (AREA)
- Textile Engineering (AREA)
- Paper (AREA)
- Treatments For Attaching Organic Compounds To Fibrous Goods (AREA)
- Medicinal Preparation (AREA)
Abstract
本文公开了用于制造柔软的、吸收性的如毛巾纸、面巾纸和卫生纸,纸产品的纤维状纤维素材料。该纸产品含有包括季铵化合物和多羟基化合物的混合物的化学柔软组合物。优选的季铵化合物包括二烷基二甲基铵盐,如二(氢化的)脂二甲基氯化铵和二(氢化的)脂二甲基甲基硫酸铵。优选的多羟基化合物选自甘油和重均分子量从约200至4000的聚乙二醇和聚丙二醇。化学柔软组合物的制备是首先在一特定温度范围内将多羟基化合物混入季铵化合物中,在该温度下多羟基化合物与季铵化合物是可混溶的。然后在一提高的温度下,以水稀释该混合物使形成用于处理纤维状纤维素材料含水泡囊分散液。
Description
本发明涉及薄页纸幅。更准确地说,涉及柔软的、吸收性的薄页纸幅,它们能用于毛巾纸,餐巾纸,面巾纸和卫生纸。
在现代社会中,纸幅或纸页,有时被称之为薄页纸或薄页纸幅或纸页,找到了广泛的用途。这样的产品如毛巾纸,餐巾纸,面巾纸和卫生纸是商业的主要产品。长期以来,人们一直认为这样产品的三个重要的物理特性是它们的柔软性;它们的吸收能力,特别是它们对水系的吸收能力,以及它们的强度,特别是它们的湿强度。在不严重影响其它特性下,对这些特性的每一个的改善,已作出了研究开发工作,并也对同时改善两个或三个特性作了研究开发工作。
柔软性是当他/她持一特定的产品,将它在他的/她的皮肤上擦或在他的/她的手中揉皱时,该消费者感觉到的触觉。通常,本领域熟练技术人员认为,与柔软有关的一个更重要的物理性质是纸幅的挺度,由该纸幅制得产品。挺度本身通常被认为直接与纸幅的干抗张强度和制成纸幅的纤维的挺度有关。
强度是产品以及其构成的纸幅,在使用条件下,特别是湿的条件下保持物理完整性以及抗撕裂、破裂和撕破的能力。
吸收能力是产品以及其构成的纸幅吸收液体量,特别是吸收含水溶液或分散液量的能力的量测。如被消费者感觉到的总的吸收能力通常被认为是,给定大小的薄页纸在饱和时吸收的液体总量以及该纸页在饱和时吸收液体的速率的组合。
湿强树脂的使用以增强纸幅的强度是众所周知的,例如,Westfelt在Cellulose Chemistry and Technology,第13卷,813-825页(1979)中描述了许多这样的材料,并讨论了它们的化学性质。Freimark等人在1973年8月28日颁发的US,3,755,220中提到,某些化学添加剂如已知的剥离剂将妨碍造纸过程中成纸期间出现的天然纤维-纤维结合。结合的减少将导致太软的或几乎没有刚性的纸页。Freimark继续还提到了使用湿强树脂以增强纸页的湿强度,以及使用剥离剂以弥补湿强树脂的不希望的作用。这些剥离剂确实降低了干抗张强度,而且通常还有湿抗张强度的降低。
Shaw(1974年6月28日颁发的US,3,821,068)也曾教导,化学剥离剂能用来降低薄页纸幅的挺度,并因此增加它们的柔软性。
在各种参考文献中,如1971年1月12日授权给Hervey等人的US3,554,862中已披露了化学剥离剂。这些材料包括季铵盐类,如三甲基椰子氯化铵,三甲基油基氯化铵,二(氢化)脂二甲基氯化铵和三甲基硬脂基氯化铵。
Emanuelsson等人(1979年3月13日颁发的US4,144,122)教导,使用络合的季铵化合物,如二(烷氧基(2-羟基)亚丙基)季铵氯化物以柔软纸幅。这些作者还试图通过使用非离子表面活性剂如脂肪醇的环氧乙烷和环氧丙烷加合物来克服由剥离剂引起的任何吸收能力的下降。
伊利诺斯州芝加哥的Armak公司在池们的公报76-17(1977)中披露了将二甲基二(氢化)脂氯化铵和聚氧乙烯二醇的脂肪酸酯一起使用,可赋予薄页纸页以柔软和吸收能力。
有关改善纸幅的研究一个举例性结果描述于1967年1月31日授权于Sanford和Sisson的US3,301,746中。尽管该专利描述的方法制得的高质量纸幅,并且尽管由这些纸幅形成的产品的商业上的成功,旨在找到改善的产品的研究工作还在继续进行。
例如,Becker等人(1979年1月19日颁发的US4,158,594)描述了他们坚决主张将形成强的、柔软的纤维纸页的方法,更准确地说,他们教导,在加工期间,通过将该纸幅的一面粘接至由粘接材料(如丙烯酸类胶乳橡胶乳液,水溶性树脂或弹性粘接材料)精细构图排列的起皱表面,粘接材料已粘接至纸幅的一面和精细构图排列的起皱表面上,并由起皱表面弄皱该纸幅以形成一纸页,能增加薄页纸幅(它们已通过添加化学剥离剂而被柔软)的强度。
本发明的目的是提供柔软的、吸收性的薄页纸制品。
本发明的另一目的是提供柔软的、吸收性的毛巾纸制品。
本发明的还有一个目的是提供一种制造柔软的、吸收性的薄页纸制品和毛巾纸制品的方法。
这些目的和其它的目的通过使用本发明可达到,通过阅读下面公开的内容这将变得更清楚。
本发明提供柔软的、吸收性的纸制品,简单地说,该纸制品包含纤维素材料的纸页和约占纤维状纤维素材料0.005%重量至5.0%重量的化学柔软组合物,该组合物包含(a)和(b)的混合物,
(b)选自甘油和重均分子量从约200-4000的聚乙二醇和聚丙二醇的多羟基化合物,其中,季铵化合物与多羟基化合物的重量比从约1∶0.1至0.1∶1,其中所说的多羟基化合物在至少40℃时与季铵化合物是可混溶的。在加至纤维状纤维素材料中之前,优选用液体载体将季铵和多羟基化合物的混合物稀释至基于化学柔软组合物重量的约0.01%至约25.0%的浓度。最优选保持至少20%的加至纤维状纤维素中的多羟基化合物。
适用于本发明的季铵化合物的例子包括熟知的二烷基二甲基铵盐,如二脂二甲基氯化铵,二脂二甲基甲基硫酸铵,二(氢化)脂二甲基甲基硫酸铵,二(氢化脂)二甲基氯化铵。
用于本发明的多羟基化合物的例子包括甘油和重均分子量为约200-约4000的聚乙二醇,优选重均分子量为约200-约600的聚乙二醇。
本发明特别优选的薄页纸的实施方案包含约0.03%~0.5%重量的季铵化合物和多羟基化合物的混合物。
简单地说,本发明薄页纸幅的制造方法包含如下步骤:①根据上述组份的造纸配料的形成;②在带孔表面如长网上沉积该造纸配料,以及③从沉积的配料中除去水。
除非另有说明,本文中所有的百分比,比率和比例均以重量计。
尽管说明书以特别指出的并清楚要求本发明的保护范围的权利要求来结束,但相信,根据下述说明以及相应的附图将能更好地理解本发明。
图1是DODMAMS和DTDMAMS的相图。
图2是DODMAMS/纯PEG-400体系的相图。
图3是PEG-400/辛酸甲酯体系的相图。
图4是重量比为1∶1的二(氢化)脂二甲基甲基硫酸铵和PEG-400体系的气泡分散体,在66,000倍下所拍摄的低温传输显微照片。
图5是重量比为1∶1的二(氢化)脂二甲基甲基硫酸铵和甘油体系的气泡分散体,在66,000倍下所拍摄的低温传输显微照片。
图6是重量比为1∶1的二(氢化)脂二甲基氯化铵和PEG-400体系的气泡分散体,在66,000倍下所拍摄的低温传输显微照片。
图7是重量比为1∶1的二(氢化)脂二甲基氯化铵和甘油体系的气泡分散体,在66,000倍下所拍摄的低温传输显微照片。
下面将更详细的描述本发明。
尽管说明书以特别指出的并清楚地要求本发明主题保护范围的权利要求来结束,但相信,通过阅读下述详细说明以及附加的实施例,将能更好地理解本发明。
本发明中使用的术语薄页纸幅,纸幅纸页和纸制品均指由包含如下步骤的方法制得的纸页,这些步骤为,形成含水造纸配料,将该配料沉积在带孔表面如长网上,以及通过重力或真空帮助的脱水,有或没有压缩,和通过蒸发从配料中除去水份。
本发明中使用的含水造纸配料是下文中所述的造纸纤维和化学品的含水悬浮液。
在本发明的方法中的第一步骤是形成含水造纸配料。该配料包含造纸纤维(在下文中有时被称之为木浆),和至少一种季铵和至少一种多羟基化合物的混合物,所有这些将在下文中描述。
可以预料,所有种类的木浆通常将包含用于本发明的造纸纤维。然而,其它的纤维素纤维浆,如棉短绒,蔗渣,人造纤维等也能使用,而且都没被放弃。本发明中所用的木浆包括化学浆,例如硫酸盐浆和亚硫酸盐浆,以及机械浆,例如包括,磨木浆,热磨机械浆和化学改性的热磨机械浆(CTMP),由阔叶材和针叶材得到的纸浆都能使用。由回用废纸得到的纤维也可用于本发明,回用废纸可以包含任意种类或所有上述种类的纤维,以及其它非纤维树料,如用来使原始造纸容易的填料和粘结剂。在本发明中所用的造纸纤维最好包含由北方针叶木得到的硫酸盐浆。
化学柔软剂组合物
以干纤维重量为基准,本发明含作为主要成份的从约0.005%-5.0%更好从约0.03%-0.5%重量的季铵化合物和多羟基化合物的混合物。季铵化合物和多羟基化合物的比为约1∶0.1至0.1∶1;优选它们的重量比为约1∶0.3至0.3∶1,更优选为约1∶0.7至0.7∶1,这些都取决于所用的特定多羟基化合物和/或季铵化合物的分子量。
每一种这些种类的化合物都将在下面进行详细的描述。
A.季铵化合物
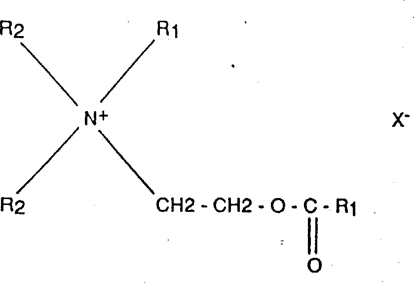
化学柔软组合物含作为主要成份的季铵化合物,具有如下结构式:在上述结构中命名的每个R1是C14-C22的烃基,优选动物脂,R2是C1-C6烷基或羟烷基,优选C1-C3烷基,X-是可相容的阴离子,如卤化物(例如氯化物或溴化物)或甲基硫酸根。正如在Swen,Ed.in Bailey′s Industrial Oil and Fat Products,ThirdEdition.John Wiley and Sons(纽约1964)中所讨论的,动物脂是具有可变成份的天然存在的材料。由Swem编辑的上述确定的参考文献中的表6.13指出,通常动物脂的78%或更多的脂肪酸含16或18个碳原子。通常,存在于动物脂中的一半脂肪酸是不饱和的,主要以油酸的形式存在。合成的以及天然的“动物脂”均落入本发明的范围。优选每个R1为C16-C18烷基,最优选的是每个R1是C18直链烷基。优选每个R2是甲基,并且X-是氯化物或甲基硫酸根。
适用于本发明的季铵化合物的例子包括熟知的二烷基二甲基铵盐,如二脂基二甲基氯化铵,二脂基二甲基甲基硫酸铵,二(氢化)脂基二甲基氯化铵;优选二(氢化)脂二甲基甲基硫酸铵。该特定材料可从俄亥俄州都柏林的Sherex Chemical Company Inc.以商品名“VarisoftR137”购得。
季铵化合物的生物可降解的单酯和二酯也能使用,并意指落入本发明的范围。这些化合物具有如下结构,和在上述结构中命名的每个R1是选自约C14-C22烷基的脂族烃基,如动物脂;R2是C1-C6烷基或羟烷基,X-是可相容的阴离子,如卤化物(例如氯化物或溴化物)或甲基硫酸根。优选每个R1是C16-C18烷基,最优选的是每个R1是C18直链烷基,R2是甲基。
B.多羟基化合物
化学柔软组合物含作为主要成份的多羟基化合物。用于本发明的多羟基化合物的例子包括甘油和重均分子量约为200-4000,优选约为200-1000,最佳约为200-600的聚乙二醇和聚丙二醇。重均分子量约为200-600的聚乙二醇是特别优选的。
特别优选的多羟基化合物是重均分子量为约400的聚乙二醇,该材料可从Connecticut,Danbury的联合碳化公司以商品名“PEG-400”购得。
上述的化学柔软组合物,即季铵化合物和多羟基化合物的混合物优选在造纸机的湿部在长网或成纸阶段前的某一适应位置加至造纸纤维或配料的含水悬浮液中。然而,在湿纸幅形成后和纸幅干燥完成前的上述化学柔软组合物的应用也将提供明显的柔软性、吸收能力和湿强度的好处,并且它们将被明确地包括在本发明的范围内。
业已发现,当在加至造纸配料中之前,将季铵化合物和多羟基化合物首先一起预混合时,该化学柔软组合物将是更为有效的。如将在下面实施例1中详细描述的优选方法包括:首先将多羟基化合物加热至约66℃(150°F),然后,将季铵化合物加至该热的多羟基化合物中,以形成流体化的“熔融物”。尽管季铵化合物和多羟基化合物的比值将随所用的特定的多羟基化合物和/或季铵化合物的分子量而变化,但是它们的重量比通常为约1∶0.1至0.1∶1,优选为约1∶0.3至0.3∶1,更好为约1∶0.7至0.7∶1。然后将季铵化合物和多羟基化合物稀释至希望的浓度,并进行混合,以形成含季铵化合物/多羟基化合物混合物的泡囊分散体的水溶液,然后将该水溶液加至造纸配料中。在加至造纸配料之前,优选用液体载体如水将季铵化合物和多羟基化合物的混合物稀释至柔软组合物重量的约0.01%至25%的浓度。该液体载体的温度优选从约40℃至80℃。季铵化合物和多羟基化合物的混合物是以分散于液体载体中的颗粒的形式存在的。平均粒径优选从约0.01至10微米。最佳从约0.1~1.0微米。如图4-6所示分散的颗粒是以泡囊颗粒的形式。
季铵化合物和多羟基化合物是在至少40℃,更好地从约56℃~68℃的高温进行混合的。在优选的温度范围时,二(氢化)脂二甲基氯化铵呈液相,并且可与多羟基化合物混溶。另一方面,二(氢化)脂二甲基甲基硫酸铵呈液晶相,并且可与多羟基化合物混溶。二(氢化)脂二甲基甲基硫酸铵的物理状态将在下文中进行详细的描述。
造纸配料可通过对造纸领域熟练技术人员熟知的工艺和设备容易地形成或制得。
令人惊奇地发现,当在加至造纸配料之前将多羟基化合物与季铵化合物进行预混合时,多羟基化合物在纸上的吸附明显地增加。实际上,以干纤维重量为基准,至少保持20%加至纤维状纤维素中的多羟基化合物,优选多羟基化合物的保持率从约50%-90%。
重要的是,吸附是在造纸过程实际使用的浓度和时间范围内发生的,为了更好地理解在纸上多羟基化合物的非常高的保持率,研究了二(氢化)脂二甲基甲基硫酸铵和聚乙二醇400的熔融溶液和水分散体的自然科学。
不被现有理论所束缚,或另外的限制本发明,现提供下述讨论用来解释季铵化合物是如何促进多羟基化合物在纸上吸附的。
DTDMAMS(二(氢化)脂二甲基甲基硫酸铵,R2N+(CH3)2,CH3OSO3 -)的物理状态的信息和DODMAMS的信息由商品混合物通过X-射线和NMR数据提供,DODMAMS(二(十八烷基)二甲基甲基硫酸铵,(C18H37)2N+(CH3)2,CH3OSO3 -)是DTDMAMS的主要成份,并且用作该商品混合物的典型化合物。首先考虑更为简单的DODMAMS体系,然后考虑更复杂的商品DTDMAMS混合物是有用的。
取决于温度,DODMAMS可以以四种相态(图1)即两种多晶型结晶(XβXα),层状(Lam)液晶,或液相存在。Xβ结晶从低于室温至47℃存在。在47℃时,它转变成多晶型Xα结晶,而在72℃时,Xα结晶转变成层状液晶相。在150℃时,该层状液晶相依次将转变成各向同性的液体。除相转移温度被降低或增宽以外,预期,DTDMAMS在物理性能上类似于DODMAMS。例如,从Xβ至Xα结晶的转移,DTDMAMS是在27℃时发生,而不是DODMAMS时的47℃。另外,量热数据还表明,若干结晶-→层状相转移在DTDMAMS中发生,而不象在DODMAMS中发生的。与X-射线数相一致,这些转移的最高起始温度为56℃,但是,量热计显示起始温度的两个峰值为59℃和63℃。
DODMAC(二(十八烷基)二甲基氯化铵)显示了与DODMAMS定性的不同性能,这就是层状液相在该化合物中不存在。然而,据信,这种差异在该化合物(或其类似的商品DTDMAC)用于纸处理是不重要的。Laughlin等人的Journal of PhysicalChemistry,二(十八烷基)二甲基氯化铵-水体系的自然科学。1,平衡相性能,1990年94卷第2546-2552页,在此引入作为参考。
DTDMAMS和PEG400的混合物
研究1∶1重量比的这两种物质的混合物,该体系相特性的合理的样板被建议在图2中。在该图中显示,DODMAMS和PEG在高温下是不混溶的,它们作为两种液相同时存在。当在该区域内的两种液体的混合物被冷却时,层状相从该混合物中分离出。因而,该研究表明,尽管在高温下不混溶,但这两种物质在层状液晶相内于较低温下确实将变成可混溶的。在更低的温度下,预期该结晶相将从层状相中分离出,并且这两种化合物又将是不混溶的。
因而,这些研究建议,为了在水中形成DTDMAMS和PEG400的良好的分散体,用水稀释的预混合必须在两种化合物可混溶的中等温度范围内进行。
DTDMAC和PEG400混合物
使用类似步骤的稀释方法对这两种化合物的相研究表明,它们的物理特性与DTMAMS的物理特性显著地不同。没有发现任何液晶相。这两种化合物在很宽范围的温度内均是可混溶的,这表明,可根据这些混合物在类似的温度范围内制得分散体。不存在任何混溶性的上限温度。
分散体的制备
通过用水稀释混合物,并保持在多羟基化合物和季铵盐可混溶的温度下,制得这些物质的任何一个的分散体。它们在液晶相(如在DTDMAMS场合)内是可混溶的,还是在液相(如在DTDMAC场合)中是可混溶的,这根本没有关系。DTDMAMS和DTDMAC都不溶于水,因此,两种无水相用水的稀释将沉淀小颗粒的季铵化合物。不管该无水溶液是液体还是液晶,当液晶相在稀水溶液中时,两种季铵化合物均将沉淀。多羟基化合物可以任何比例溶于水,因此没有沉淀。
低温电子湿微镜表明,存在的颗粒的粒径约0.1~1.0微米,而且结构大不相同。一些是片状(弯曲的或平坦的),而其它的是封闭的泡囊。所有这些颗粒的膜都是双层分子尺寸,其中首基暴露于水中,尾基在一起。姑且认为PEG是与这些颗粒相缔合的。用这方法制得的分散体用于纸中将使得季铵离子附着至纸上,这将大大地促进多羟基化合物附着至纸上,并产生柔软性和可湿性的保持的希望的改进。
分散体的状态
当上述的分散体冷却时,在胶体颗粒时的物质的部分结晶可能发生。很可能达到平衡态将需要很长时间(或许数月),结果是,其膜或者是液晶或者是无序结晶相的无序颗粒将与纸相互配合。
据信,含DTDMAMS和PEG的泡囊在纤维状纤维素材料干燥时将分裂开。一旦泡囊破裂,绝大部分的PEG成份将掺入纤维素纤维的内部,在那里它将增加纤维的柔性。重要的是有一些PEG被保持在纤维的表面,在那里它起增加纤维素纤维吸收率的作用。由于离子的相互作用,绝大部分DTDMAMS成份将保持在纤维素纤维的表面上。在那里它将增加纸制品的表面手感和柔软性。
本发明方法的第二步骤是在带孔表面上,使用作为添加剂的上述化学柔软组合物,沉积造纸配料;第三步骤是从如此沉积的配料中除去水。能用来完成这两个步骤的工艺和设备对造纸领域中的技术熟练人员来说将是显而易见的。
通常本发明适用于薄页纸,包括但并不限制于常规的毯压薄页纸;如上述Sanford-Sisson的美国专利和其产物中列举的图案致密的薄页纸;如US3,812,000(Salvucci,Jr.,1974年5月21日颁发)列举的高松厚的、未压实的薄页纸。薄页纸可以是均一的或多层的结构,并且由此制得的薄页纸制品可以是单层或多层结构。由层状纸幅形成的薄页纸结构被描述于US3,994,771中(Horgan Jr.等人,1976年11月30日颁发),在此引入作为参考。通常湿铺的复合、柔软、松厚和吸收性的纸结构是由两层或多层优选含不同种类纤维的配料制得的。各层优选是在一个或多个无端带孔网上,分别将稀纤维悬浮液液流的沉积而形成的;所说的纤维通常是如用于薄页纸造纸中的相对长的针叶术纤维和相对短的阔叶木纤维。随后将各层结合以形成层状复合纸幅。然后通过使用液体强制该纸幅,使层状纸幅与网状干毯或压印干毯的表面相一致,然后如部分低密度造纸方法,在所说干毯上加热预干燥。就纤维种类或各层纤维含量基本上是相同的而言,该层状纸幅可能会分层。该薄页纸优选具有10g/m2~约65g/m2的定量,密度约0.60g/cc或更小。优选定量低于约35g/m2或更低;密度约0.30g/cc或更低。最佳为密度在0.04g/cc和约0.20g/cc之间。
常规压榨薄页纸和这种纸的制造方法在本领域中是已知的。这样的纸通常是通过将造纸配料沉积在带孔成形网上而制得的。该成形网在本领域中经常被称之为长网。一旦该配料被沉积在成形网上,它就被称为纸幅。通过压榨该纸幅并在高温干燥将纸幅脱水。根据刚描述的本发明的方法制造纸幅的特定工艺和典型设备对本领域技术熟练人员是熟知的。在一典型的方法中,在加压流浆箱中提供低浓纸浆配料。流浆箱有一个开口,用于输送一薄页纸浆配料沉积在长网上,以形成湿纸幅。然后借助真空脱水和压榨操作的进一步干燥,其中该纸幅经受相对的机械部件例如圆柱辊产生的压力,通常将该纸幅脱水至约7%-约25%(以总纸幅重为准)的纤维浓度。
然而,通过本领域已知的气流辊筒装置如扬克式烘缸将脱水的纸幅进一步压榨和干燥。可通过机械装置如相对的圆柱辊筒对纸幅加压,而在扬克式烘缸上产生压力。当纸幅被相对扬克式烘缸压榨时,还可以给它施加真空。可以使用多个扬克式烘缸,借此在烘缸之间的辅助压榨为非强制性的。所形成的薄页纸结构在下文被称之为常规的,压榨的薄页纸结构,这样的纸页被认为是压实的,这是由于该纸幅在纤维尚湿时经受了实际上的机械压榨力,并且在处于压缩状态时进行干燥(以及可有可无的起皱)。
图案致密的薄页纸的特点在于,它具有对低纤维密度的相对高松厚区以及相对高纤维密度的致密区的排列。另外,高松厚区也被称为枕区(Pillow regions)。致密区也被称为关节区(Knuckleregions)。致密区可以是在高松厚区内不连续地彼此隔开的,或者可以是在高松厚区内或者是完全地或者是部分地连接的。图案致密的薄页纸页的优选制造方法被披露于Sanford和Sisson的US3,301,746(1967年1月31日颁发),Peter G.Ayers的US3.974,025(1976年8月10日颁发),Paul D.Trokhan的US4,191,609(1980年3月4日颁发)和Paul D.Trokhan的US4,637,859(1987年1月20日颁发)中;所有这些均在此引入作为参考。
通常,优选通过在带孔成形网如长网上沉积造纸配料,以形成湿纸幅;然后将该纸幅相对一排支架并排放置而制得图案致密的纸幅。将该纸幅相对一排支架进行压榨,由此,在一排支架和湿纸幅之间相应的接触点的部位,在纸幅中产生致密区。在该操作中没被压缩的纸幅的剩余部分被称为高松厚区。通过使用液压,如真空装置或通风干燥器,或通过相对一排支架机械地压缩该纸幅,该高松厚区还能进一步地被减密。以这样的方式对该纸幅进行脱水和可有可无地预干燥,以便基本上进免高松厚区的压缩。这可优选地通过液压,如利用真空装置或通风干燥器,或另一方面通过将纸幅相对于其中高松厚区不被压缩的一排支架进行机械压缩而完成。可以将脱水操作,可有可无的预干燥操作和致密区的成形操作综合或部分地综合,以减少所进行的总的处理步骤。在形成致密区、脱水和可有可无的预干燥后,将该纸幅完全干燥,仍优选避免机械压榨。优选从约8%~约55%的薄页纸表面包含致密关节区,它具有至少为高松厚区密度125%的相对密度。
这排支架优选是具有关节构图布置的压印传送织物(imprintingCarrier fabric),该织物起这排支架的作用,它将有助于在使用的压力下,形成致密区。关节的图案构成了先前被称为压印传送织物的这排支架,它被披露于Sanford和Sisson的US3,301,746(1967年1月31日颁发),Salvucci,Jr等人的US3,821,068(1974年5月21日颁发),Ayers的US3,974,025(1976年8月10日颁发),Friedberg等人的US3,573,164(1971年3月30日颁发),Amneus的US3,473,576(1969年10月21日颁发),Trokhan的US4,239,065(1980年12月16日颁发)和Trokhan的US4,528,239(1985年7月9日颁发),所有这些在此引入作为参考。
优选将配料首先在带孔成形载体如长网上形成湿纸幅。将该纸幅脱水并传送至压印织物。另一方面,可以一开始就将该配料沉积在还起压印织物作用的带孔支承载体上。一旦成形后,就将该湿纸幅脱水并优选加热预干燥至选定的在约40%和约80%之间的纤维浓度。可用吸水箱或其它真空装置或用通风干燥器进行脱水。压印织物的关节压印是在将纸幅完全干燥前压印在如上所述的纸幅中。完成该操作的一种方法是通过使用机械压力。例如,可通过对相对干燥辊筒的表面支撑压印织物的光泽辊加压来完成,其中该纸幅置于光泽辊和干燥简之间。另外也优选的是,在通过使用带真空装置如吸水箱或带通风干燥器的液压将纸幅完全干燥前,将它相对压印织物进行压制。可以在起始的脱水期间,在独立的后来的处理段,或它们的组合,使用液压,以产生致密区的压痕。
未压实的致密无图案的薄页纸结构描述于Joseph L.Salvucci,Jr.和Peter N.Yiannos的US3,812,000(1974年5月21日颁发),Henry E.Becker,Albert L.McConnell和Richard Schutte的US4,208,459(1980年6月17日颁发)中,这两篇专利在此引入作为参考。通常,未压实的、无致密图案的薄页纸结构通过如下方式制得:将造纸配料沉积在带孔成形网上如长网上以形成湿纸幅;将该纸幅脱水并在没有机械压榨下除去附加的水份直至该纸幅具有至少80%的纤维浓度;以及将该纸幅起皱。借助真空脱水和热干燥从纸幅中除去水。生成的结构是柔软的但是相对未压实纤维的弱的高松厚纸页。粘结材料最好是在起皱前加至纸幅部分。
压实的无致密图案的薄页纸结构通常是在本领域已知的,如常规的薄页纸结构。通常,压实的无致密图案的薄页纸结构用如下方法制得:将造纸配料沉积在带孔网如长网上以形成湿纸幅;将该纸幅脱水并借助均匀的机械压实(压榨)除去附加的水份,直至该纸幅具有25-50%的浓度;将该纸幅送至加热干燥器如扬克式烘缸上并使该纸幅起皱。总之,水份是通过真空、机械压榨和加热装置从纸幅中除去的。生成的结构是强的并常有异常的密度,但松厚性,吸收能力和柔软性却很低。
本发明的薄页纸幅能用于要求柔软的、吸收性薄页纸的任何应用。本发明薄页纸幅的一个特别有利的用途是毛巾纸制品。例如,可如Wells的US3,414,459(1968年12月3日颁发)教导的那样,将本发明的两张薄页纸幅压花并牢固地面对面地粘结在一起;以形成两层纸的毛巾纸,该专利在此引入作为参考。
分子量的测定
A.介绍
聚合材料的主要区别特征是它们的分子大小。能使聚合物用于不同的用途的性能几乎整个都是由它们的大分子性质得到的。为了充分地说明这些材料,对有一些确定和测定它们分子量和分子量分布的方法来说是必需的。使用术语相对分子质量而不是分子量这是更正确的,但是在聚合物技术中后者更常用。测定与分子量分布并不总是实际的,然而,使用色谱技术,这将变得更为常用。而不依靠通过分子量平均值来表示分子大小。
B.平均分子量
如果我们认为简单的分子量分布,它表示具有相对分子质量(Mi)的分子重量部分(Wi),确定若干有用的平均值是可能的。以特定大小(Mi)的分子数量(Ni)为基准取平均值得到数均分子量
这种定义的重要结果是,以克为单位的数均分子量包含分子的阿伏伽德罗数。分子量的这种定义与单分散分子种类即具有相同分子量的分子的分子量定义是一致的。该定义的更重大的意义在于识别,也就是如果给定质量的多分散性聚合物的分子数能用等方法测定的话,那么就能容易地计算出
Mn。这是依数性测量的基础。
以给定质量(Mi)的分子的重量部分(Wi)为基础取平均值得到重均分子量的定义 Mw是比
Mn更有用的表达聚合物分子量的手段,这是由于它更准确地反映如聚合物的熔融粘度和机械性能,并因此用于本发明。
分析和测试方法
用于本发明的或保持在薄页纸幅上的化学品量的分析能通过应用技术中接受的任何方法来进行。例如薄页纸保持的季铵化合物如DTDMAMS的量可通过有机溶剂对DTDMAMS的溶剂萃取,随后用Dimidium溴化物作为指示剂进行阴离子/阳离子滴定而测定。多羟基化合物如PEG-400的量可通过在含水溶剂如水中进行萃取,随后借助气相色谱或比色技术测定在萃取物中的PEG-400的量而测定。这些方法只是举例性的,并不意味着排除可以用于测定保持在薄页纸中的特定组份的其它方法。
通常,薄页纸的亲水性是指薄页纸用水湿润的性能。薄页纸的亲水性多少有点是测定干薄页纸被水完全湿润所需时间的定量分析。该时间周期被称为“温润时间”。为了提供一致和可重复的湿润时间的测试,可以使用用于测定湿润时间的下述步骤:首先,提供约4-3/8英寸×4-3/4英寸(约11.1cm×12cm)的薄页纸结构的制约的试样片(用于纸样测试的环境条件为23°+1℃和50+2%R.H如在TAPPl法T402说明的):其次,将该片折成4个并置的1/4片,然后弄皱成直径约0.75英寸(约1.9cm)至约1英寸(约2.5cm)的球:再将球状纸页置于23+1℃的蒸馏水体表面上,并同时打开定时器;第四步是,当球状纸页完金湿润时关掉定时器并读取用时。完全湿润是用肉眼观测的。
当然,本发明薄页纸的具体例的亲水特性可以在制造后立即测定。然后,在薄页纸制得后的头两周内:即纸制造后老化两周,薄页纸的疏水性将实质性地增加。于是,优选在两周结束时测量湿润时间。因此,在室温老化两周测得的湿润时间被称为“两周湿润时间”。
在此使用的术语薄页纸的密度是由厚度划分的纸的定量计算出的平均密度,在此引入适当的单位转换。在此使用的薄页纸的厚度是当经受95g/英寸2(15.5g/cm2)压缩负荷时纸的厚度。
不是必须的成分
其它常用于造纸中的化学品能加至造纸配料中,只要它们不显著地并相反地影响纤维材料的柔软性和吸收能力,并能增强化学柔软组合物的作用。
例如,表面活性剂可以用来处理本发明的薄页纸幅。如果使用的话,该表面活性剂的量优选从约0.01%~约2.0%重量,以薄页纸干纤维重量为基准。该表面活性剂优选含有带8个或更多个碳原子的烷基链。举例性的阴离子表面活性剂是线性烷基磺酸盐和烷基苯磺酸盐。举例性的非离子表面活性剂是烷基苷类,包括如可从Croda,Inc.(纽约,NY)购得的Crodesta SL-40的烷基苷酯:如描述于W.KLangdon等人的US4.011,389(1977年3月8日颁发)中的烷基苷醚:和如可从Glyco Chemicals,Inc.(Greenwich,CT)购得的Pegosperse200ML和可从Rhone Poulenc Corporation(Cranbury,N.J.)购得的IGEPALRC-520的烷基聚乙氧基化酯。
可以添加的其它种类的化学品包括:增加薄页纸幅抗张强度的干强添加剂。干强添加剂的例子包括羧甲基纤维素,和ACCO化学族如ACCO771和ACCO514的阳离子聚合物,优选羧甲基纤维素(CMC)。这种材料可从特拉华州威明登的Hercules公司购得,商品名为HERCULESRCMC。如果使用的话,干强添加剂的量优选从约0.01%~约1.0%重量,以薄页纸干纤维重量为基准。
其它种类的可以添加的化学品包括:增加薄页纸幅湿纸耐破度的湿强添加剂。本发明可以包含作为选择性组份的从约0.01%~约3.0%更好从约0.3%~约1.5%重量的水溶性永久湿强树脂,以干纤维重量为准。
在此有用的永久湿强树脂可有若干种类。通常,在此有用的树脂是先前发现的和在下文将发现的在造纸技术中有用的那些树脂。Westfelt在上述纸张中说明的大量的例子,在此引入作为参考。
在一般场合下,该湿强树脂是水溶的、阳离子材料。也就是说,在它们加至造纸配料中时是水溶的。很可能,甚至可以预期,随后的一些作用如交联将使这些树脂变得不溶于水。另外,有些树脂只在特别的条件下,如一限定的PH值范围内是水溶性的。
在湿强树脂沉积在造纸配料之上、之内或之间后,通常认为将发生交联或其它固化反应。通常,只要存在实质性量的水,交联或固化反应就不会发生。
特别有用的是各种聚酰胺-表氯醇树脂。这些材料是带有反应性官能团如氨基、环氧基和氮杂环丁基(azetidinium)的低分子量聚合物。专利文献已充分说明了这种材料的制备方法。Keim的US3,700,623(1972年10月24日颁发)和Keim的US3,772,076(1973年11月13日颁发)是这类专利文献的例子,这两篇在此引入作为参考。
特拉华威明登的Hercules Incorporated以商品名Kymene5S7H和Kymene2064出售的聚酰胺-表氯醇树脂在本发明中是特别有用的。这些材料概述于上述Keim的专利中。
在本发明中有用的碱-活化的聚酰胺-表氯醇树脂是由St.Louis,Missouri的孟山都公司以Santo Res商标如Santo Res31出售的材料。这些种类的材料概述于Petrovich的US3,855,158(1974年12月17日颁发):Petrovich的US3,899,388(1975年8月12日颁发):Petrovich的US4,129,528(1978年12月12日颁发);Petrovich的US4,147,586(1979年4月3日颁发);和Van Eenam的US4,222,921(1980年9月16日颁发)中,所有这些在此引入作为参考。
在此有用的其它的水溶性阳离子树脂是如由Stanford,Connecticut的American Cyanamid Company以Parez商标如Parez631NC出售的那些聚丙烯酰胺树脂。这些材料概述于Coscia等人的US3,556,932(1971年1月19日颁):和Williams等人的US3,556,933(1971年1月19日颁发)中,这两篇在此引入作为参考。
在本发明中有用的其它种类的水溶性树脂包括丙烯酸类乳液和阴离子的苯乙烯-丁二烯乳胶。在Meisel,Jr.等人的US3,844,880(1974年10月29日颁发)中提供了大量这类树脂的例子,在此引入作为参考
发现在本发明中仍是有用的其它水溶性阳离子树脂是脲甲醛和密胺甲醛树脂。这些多官能的、活性聚合物具有数量级为几千的分子量。更为常用的官能团包括含氮基团,如氨基和连接至氮原子的羟甲基。
虽然不是很优选的,但发现聚乙烯亚胺类树脂在本发明中是有用的。
包括上述水溶性树脂制备方法的更完整的说明可在美国制浆造纸技术协会(TAPPI)专论第29号题目为纸和纸板的湿强度中找到(纽约,1965)。在此引入作为参考。如在此所使用的术语“永久湿强树脂”指的是当将纸页置于含水介质中时,能使该纸页保持原始湿强度大于至少2分钟时间的树脂。
通常,上述湿强添加剂将导致具有永久湿强度即当置于含水介质中时的纸保持其原始湿强度的相当大部分一段时间的纸制品。然而,在某些纸制品种类中,永久湿强度不是需要的和不希望的性能。如卫生纸等的纸制品通常是在短暂使用后处理入化粪体系等。如果纸制品永久地保留其耐水解强度性质,那么这些体系将发生阻塞。近来,制造商已向纸制品中添加暂时性湿强添加剂,该湿强度是足以满足预定的用途,但浸渍在水中时纸制品将腐朽。湿强度的腐朽有利于纸制品流过化粪体系。
暂时性湿强树脂的合适的例子包括改性淀粉暂时性湿强剂,如由National Starch and Chemical Corporation(纽约,纽约)销售的National Starch78-0080。可通过将二甲氧基乙基-N-甲基-氯代乙酰胺和阳离子淀粉聚合物反应而制得这类湿强剂。改性淀粉暂时性湿强剂还被描述于Solarek等人的US4,675,394(1978年6月23日颁发)中,在此引入作为参考。优选的暂时性湿强树脂包括描述于Bjorkquist的US4,981,557(1991年1月1日颁发)中的那些,在此引入作为参考。
就上述永久性和暂时性湿强树脂的种类和具体例子而言,必须明白的是,所列的这些树脂实际上是举例性的,并不意味着限制本发明的范围。
相容的湿强树脂的混合物也能用于本发明的实践中。
上述所列选择性化学添加剂实际上只是举列性的,并不意味着限制本发明的范围。
下面例子将阐明本发明的实践,但并不是对它们的限制。
实施例1
本实施例的目的在于阐明能用来制备包含二(氢化)脂二甲基甲基硫酸铵(DTDMAMS)和聚乙二醇400(PEG400)的混合物的化学柔软组合物的方法。
根据下述步骤制得1%的化学柔软剂溶液;1,分别称取等量的DTDMAMS和PEG400;2,将PEG加热至约66℃(150°F),3,于66℃(150°F)将DTDMAMS溶于PEG中以形成熔融的溶液,4,施加剪切力以形成PEG中的DTDMAMS的均混合物;5,将稀释水加热至约66℃(150°F);6,将DTDMAMS和PEG的熔融混合物稀释成1%的溶液;7,施加剪切力以形成含DTDMAMS/PEG混合物的泡嚢分散体或悬浮液的水溶液;8,使用光学显微技术测定DTDMAMS/PEC泡囊分散体的粒径。该粒径范围从约0.5~1.0微米。
图4说明重量比为1∶1的二(氢化)脂二甲基甲基硫酸铵和PEG400体系的泡嚢分散体在66,000倍下所拍摄的低温传输显微照片。根据图4表明,具有一个或二个双层厚的膜的颗粒,其几何结构从密闭/开口泡囊至盘状结构和片材的范围。
实施例2
本例的目的在于说明能用来制备包含二(氢化)脂二甲基甲基硫酸铵(DTDMAMS)和甘油的混合物的化学柔软组合物的方法。
根据下列步骤制得1%的化学柔软剂溶液:
1.分别称取等量的DTDMAMS和甘油;2.将甘油加热至约66℃(150°F);3.于66℃(150°F)将DTDMAMS溶于甘油中形成熔融的溶液;4.施加剪切力以形成在甘油中DTDMAMS的均匀混合物;5.将稀释水加热至约66℃(150°F);6.将该熔融的混合物稀释成1%的溶液;7.施加剪切力以形成含DTDMAMS/甘油混合物的泡囊分散体或悬浮液的水溶液。8.使用光学显微技术测定DTDMAMS甘油的泡囊分散体的粒径。该粒径从约0.1~1.0微米。
图5说明重量比为1∶1的二(氢化)脂二甲基甲基硫酸铵和甘油体系的泡囊分散体在66,000倍下所拍摄的低温传输显微照片。根据图5表明。具有一个或两个双层厚的膜的颗粒,其几何结构从密闭泡囊至盘状结构。
实施例3
本例的目的在于说明可用来制备包含二(氢化)脂二甲基氯化铵(DTDMAC)和聚乙二醇400(PEG400)的混合物的化学柔软剂组合物的方法。
根据下列步骤制得1%的化学柔软剂溶液:1.分别称取等量的DTDMAC和PEG-400;2.将PEG加热至约60℃(140°F);3.于60℃(140°F)将DTDMAG溶于PEG中以形成熔融的溶液;4.施加剪切力以形成在PEG中的DTDMAC的均匀的混合物;5.将稀释水加热至约60℃(140°F);6.将熔融溶液稀释成1%的溶液;7.施加剪切以形成含DTDMAC/PEG混合物的泡嚢分散体或悬浮液的水溶液:8.使用光学显微技术测定DTDMAC/PEG泡囊分散体的粒径。该粒径范围从约0.5~1.0微米。
图6说明重量比为1∶1的二(氢化)脂二甲基氯化铵和PEG-400体系的泡嚢分散体系在66,000倍下所拍摄的低温传输显微照片。根据图6表明,具有一个或两个双层厚的膜的颗粒,其几何结构从密闭泡囊1至盘状结构。
实施例4
本例的目的在于说明能用来制备含二(氢化)脂二甲基氯化铵(DTDMAC)和甘油的混合物的化学柔软剂组合物的方法。
根据下列步骤制得1%的化学柔软剂溶液:1.分别称取等量的DTDMAC和甘油;2.将甘油加热至60℃(140°F);3.于60℃(140°F)将DTDMAC溶于甘油中以形成熔融溶液;4.施加剪切力以形成在甘油中DTDMAC的均匀混合物;5.将稀释水加热至约60℃(140°F):6.将熔融混合物稀释成1%的溶液:7.施加剪切力以形成含DTDMAC/甘油混合物的泡囊分散体或悬浮液的水溶液;8.用光学显微技术测定DTDMAC/甘油泡囊分散体的粒径。该粒径范围从约0.5~1.0微米。
图7说明重量比为1∶1的二(氢化)脂二甲基氯化铵和甘油体系的泡囊分散体在66,000倍下所拍摄的低温传输显微照片。根据图7表明,具有一个或两个双层厚的膜的颗粒,其几何结构从密闭的泡嚢至盘状结构。
实施例5
本例的目的在于说明,使用通风干燥的造纸技术制备用包含二(氢化)脂二甲基氯化铵(DTDMAC),聚乙二醇400(PEG-400)和永久性湿强树脂的化学柔软剂组合物处理的柔软的和吸收性的毛巾纸页的方法。
在本发明的实践中使用试验规模的长网造纸机。首先,根据例3的步骤制得1%的化学柔软剂溶液,其次,用常规的碎浆机制得3%重量的NSK含水悬浮液,轻柔地精磨该NSK悬浮液,并以干纤维重量的1%的比率将2%的永久湿强树脂溶液(即由特拉华州威明登的Hlercules incorporated销售的Kymene557H)加至NSK浆管中。Kymene557H对NSK的附着作用通过联机混合器而被增加。在联机混合器后,按干纤维重量0.2%的比率添加1%的羧甲基纤维素(CMC)溶液,以增加纤维基材的干强度。CMC对NSK附着作用通过联机混合器而被增加。然后,按干纤维重量0.1%的比率将1%的化学柔软剂混合物(DTDMAMS/PEG)的溶液加至NSK悬浮液中。该化学柔软剂混合物对NSK的附着作用也可通过联机混合器而增加。通过混合浆泵将NSK悬浮液稀释至0.2%。第三步是,用常规的碎浆机制得3%重量的CTMP水悬浮液。按干纤维重量的0.2%的比率将非离子表面活性剂(Pegosperse)加至碎浆机中。在浆泵之前将1%的化学柔软剂混合物的溶液按干纤维重量0.1%的比率加至CTMP浆管中。化学柔软剂混合物对CTMP的附着作用可通过联机混合器增加。通过混合浆泵将CTMP悬浮液稀释至0.2%。将处理的配料混合物(NSK/CTMP)在流浆箱内混合并沉淀在长网上以形成纸坯。通过长网脱水并通过挡板和真空箱吸水帮助脱水。该长网是分别具有每英寸机器方向84根和横向76根单丝的5-梭口、缎纹组织构型。将湿纸坯从长网的纤维浓度约22%的转移位置转移至感光浓度(Photo Consistency)约22%的转移位置,转移至每平方英寸240Linear Idaho Cells、34%关节面积和14密耳光致聚合物深度的光致聚合物织物上。借助真空帮助的排水进行进一步的脱水直致纤维浓度为约28%为止。通过空气通风将构图的纸幅预干燥至约65%重量的纤维浓度。然后利用含0.25%的聚乙烯醇(PVA)水溶液的喷雾起皱粘结剂,将该纸幅附着于扬克式烘缸的表面。在用刮刀刀片对纸幅进行干起皱前,将该纤维的浓度被增至约96%。该刮刀刀片具有约25度的斜角,并相对于扬克式烘缸放置,以提供约81度的冲击角(impact angle),该扬克式烘缸在约800fpm(每分钟英尺)(约每分钟244米)的速度操作。将该干纸幅以700fpm的速度(每分钟214米)制成纸卷。
通过使用PVA粘结剂对两层纸幅进行压制并层合在一起而制成毛巾纸制品。该毛巾纸具有约26#/3M每平方英尺的定量,含约0.2%的化学柔软剂混合物和约1.0%的永久湿强树脂。形成的毛巾纸当湿润时是柔软的、吸收性的并且是很强的。
下表1概述与只添加PEG-400至配料悬浮液中相比较的DTDMAC/PEG-400泡囊分散体的保持率和平均粒径。
表1
| PEG加至悬浮液 | DTDMAC/PEG泡囊分散体 | |
| 在制品中PEG的保持率(%)在制品中DTDMAC的保持率(%)平均粒径(微米) | 5得不到得不到 | 90980.6 |
实施例6
本例的目的在于说明,使用通风干燥和层状造纸技术制备用包含二(氢化)脂二甲基甲基硫酸铵(DTDMAMS)和聚乙醇400(PEG-400)以及暂时性湿强树脂处理的柔软的和吸收性的卫生纸的方法。
在本发明的实践中使用试验规模的长网造纸机。首先,根据实施例1的步骤制备1%的化学柔软剂溶液。其次,用常规的碎浆机制备3%重量的NSK的含水悬浮液。柔软地精磨该NSK悬浮液并以干纤维重量0.75%的比率将2%的暂时性湿强树脂的溶液(即由New-York,NY的National Starch and Chemical Corporation销售的National Starch78-0080)加至该NSK浆管中。暂时性湿强树脂附着在NSK纤维上的附着作用通过联机混合器而增加。在混合浆泵处,将NSK悬浮液稀释至约0.2%的浓度。再者,在常规的碎浆机中制备3%重量的Eucalyptus纤维的含水悬浮液。在浆泵前,按0.2%重量的干纤维的比率将1%的化学柔软剂混合物的溶液加至Eucalyptus浆管中。化学柔软剂混合物对Eucalyptus纤维的附着作用可通过联机混合器而增加。在混合浆泵处将Eucalyptus悬浮液稀释至约0.2%的浓度。
在流浆箱中将处理的配料混合物(30%的NSK/70%的Eucalytus)混合,并沉积在长网上以形成纸坯。通过长网脱水并通过挡板和真空吸水箱帮助脱水。该长网是分别具有每英寸机器方向84根和横向76根单丝的5-梭口、缎纹组织构型。将湿纸坯从光致聚合物网的约15%的纤维浓度的转移位置转移至每平方英寸562Linear Idaho cells、40%关节面积和9密耳光致聚合物深度的光致聚合物织物上。借助真空帮助的排水进行进一步的脱水,直至纤维浓度为约28%为止。通过空气通风将构图的纸幅预干燥至约65%重量的纤维浓度。然后,用含0.25%的聚乙烯醇(PVA)的水溶液的喷雾起皱粘结剂将该纸幅附着于扬克式烘缸的表面。在用刮刀刀片对纸幅进行干起皱前,将该纤维的浓度增至约96%。该刮刀刀片具有约25度的斜角,并相对于扬克式烘缸放置,以提供约81度的冲击角;该扬克式烘缸在约800fpm(每分种英尺)(约每分244米)的速度操作。将该干纸以700fpm(每分214米)的速度制成纸卷。
将该纸幅转变成一层的薄页纸制品。该薄页纸具有约18#/3M平方英尺的定量,含约0.1%的化学柔软剂混合物和约0.2%的暂时性湿强树脂。重要的是,形成的薄页纸是柔软的、吸收性的,并适于用作面巾纸和/或卫生纸。
下表2概述与只添加PEG-400至配料悬浮液中相比较的DTDMAMS/PEG泡嚢分散体的保持率和平均粒径。
表2
| PEG加至悬浮液 | DTDMAMS/PEG泡囊分散体 | |
| 在制品中PEG的保持率(%在制品中DTDMAMS的保持率(%)平均粒径(微米) | 5得不到得不到 | 85950.8 |
实施例7
本例的目的在于说明,使用通风干燥造纸技术制备用包含二(氢化)脂二甲基甲基硫酸铵(DTDMAMS),聚乙二醇400-(PEG-400)和干强添加树脂的混合物的化学柔软剂组合物处理的柔软的和吸收性的卫生纸的方法。
在本发明的实践中使用试验规模的长网造纸机。首先,根据实施例1的步骤制备1%的化学柔软剂溶液。其次,用常规的碎浆机制备3%重量的NSK的含水悬浮液。轻柔地精磨该NSK悬浮液并以干纤维重量0.2%的比率将2%的干强树脂溶液(即由AmericanCyanamid of Fairfield,OH销售的Acco514,Acco711)加至该NSK浆管中。干强树脂附着在NSK纤维上的附着作用通过联机混合器而增加。在混合浆泵处,将NSK悬浮液稀释至约0.2%的浓度。再者,在常规的碎浆机中制备3%重量的Euclyptus纤维的含水悬浮液。在浆泵前,按0.2%重量干纤维的比率将1%的化学柔软剂混合物溶液加至Ecualyptus浆管中。该化学柔软剂混合物对Eucalyptus纤维的附着作用可通过联机混合器而增加。在混合浆泵处将Eucalyptus悬浮液稀释至约0.2%的浓度。
在流浆箱中将处理的配料混合物(30%的NSK/70%的Eucalyptus)混合,并沉积在长网上以形成纸坯。通过长网脱水并通过挡板和真空吸水箱帮助脱水。该长网是分别具有每英寸机器方向84根和横向76根单丝的5-梭口、缎纹组织构型。将湿纸坯从光致聚合物网的约15%的纤维浓度的转移位置转移致每平方英寸562Linear Idaho cells、40%关节面积和9密耳光致聚合物深度的光致聚合物织物上。借助真空帮助的排水进行进一步的脱水,直至纤维浓度为约28%为止。通过空气通风将构图的纸幅预干燥至约65%重量的纤维浓度。然后,用含0.25%的聚乙烯醇(PVA)水溶液的喷雾起皱粘结剂将该纸幅附着于扬克式烘缸的表面。在用刮刀刀片对纸幅进行干起皱前,将该纤维的浓度增至约96%。该刮刀刀片具有约25度的斜角,并相对于扬克式烘缸放置,以提供约81度的冲击角:该扬克式烘缸在约800fpm(每分英尺)(约每分244米)的速度操作。将该干纸幅以700fpm(每分钟214米)的速度制成纸卷。
使用层粘合技术,将两层纸幅制成薄页纸制品并将它们层合在一起。该薄页纸具有约23#/3M平方英尺的定量,含约0.1%的化学柔软剂混合物和约0.1%的干强树脂。重要的是,形成的薄页纸是柔软的、吸收性的并适于用作面巾纸和/或卫生纸。
下表3概述与只添加PEG-400至配料悬浮液中相比较的DTDMAMS/PEG-400的泡囊分散体的保持率和平均粒径。
表3
| PEG加至悬浮液 | DTDMAMS/PEG泡囊分散体 | |
| 在制品中PEG的保持率(%)在制品中DTDMAMS的保持率(%)平均粒径(微米) | 5得不到得不到 | 70800.8 |
实施例8
本例的目的在于说明使用常规的干燥造纸技术制备用包含二(氢化)脂二甲基甲基硫酸铵(DTDMAMS),聚乙二醇400(PEG-400)和干强添加树脂的混合物的化学柔软剂组合物处理的柔软的和吸收性卫生纸的方法。
在本发明的实践中使用试验规模的长网造纸机。首先,根据实施例1的步骤制备1%的化学柔软剂的溶液。其次,用常规的碎浆机制备3%重量的NSK的含水悬浮液。轻柔地精磨该NSK悬浮液并以干纤维重量0.2%的比率将2%的干强树脂溶液(即由AmericanCyanamid Company of Fairfield,OH销售的Acco514,Acco711)加至该NSK浆管中。干强树脂附着在NSK纤维上的附着作用通过联机混合器面增加,在混合浆泵处,将NSK悬浮液稀释至约0.2%的浓度,再者,在常规的碎浆机中制备3%重量的Eucalyptus纤维的含水悬浮液。在该浆泵前,按0.2%重量干纤维的比率将1%的化学柔软剂混合物溶液加至Eucalyptus浆管中,该化学柔软剂混合物对Eucalyptus纤维的附着作用可通过联机混合器而增加。在混合浆泵处将Eucalyptus悬浮液稀释至约0.2%的浓度。
在流浆箱中将处理的配料混合物(30%的NSK/70%的Eucalyptus)混合,并沉积在长网上以形成纸坯。通过长网脱水并通过挡板和真空吸水箱帮助脱水。该长网是分别具有每英寸机器方向84根和横向76根单丝的5-梭口、缎纹组织构型。将该湿纸坯从长网的约15%纤维浓度的转移位置转移至常规的毛毯上。借助真空帮助的排水进行进一步的脱水,直至纤维浓度为约35%为止。然后将纸幅附着在扬克式烘缸的表面上。在用刮刀刀片对纸幅进行干起皱前,将该纤维的浓度增至约96%。该刮刀刀片具有约25度的斜角,并相对于扬克式烘缸放置,以提供约81度的冲击角;该扬克式烘缸是在约800fpm(每分英尺)(约每分244米)的速度操作。将该干纸幅以700fpm(每分214米)的速度制成纸卷。
使用层粘合技术,将两层纸幅制成薄页纸制品并将它们层合在一起。该薄页纸具有约23#/3M平方英尺的定量,含约0.1%的化学柔软剂和约0.1%的干强树脂。重要的是,形成的薄页纸是柔软的、吸收性的并适于用作面巾纸和/或卫生纸。
下表4概述与只添加PEG-400至配料悬浮液中相比较的DTDMAMS/PEG-400的泡囊分散体的保持率和平均粒径。
表4
| PEG加至悬浮液 | DTDMAMS/PEG泡囊分散体 | |
| 在制品中PEG的保持率(%)在制品中DTDMAMS的保持率(%)平均粒径(微米) | 5得不到得不到 | 70750.8 |
Claims (32)
2.权利要求1的纸制品,其中每个R2选自C1-C3烷基,每个R1选自C16-C18烷基。
3.权利要求2的纸制品,其中每个R2是甲基。
4.权利要求1的纸制品,其中X-是氯化物或甲基硫酸根。
5.权利要求3的纸制品,其中,季铵化合物是二(氢化)脂二甲基氯化铵。
6.权利要求3的纸制品,其中,季铵化合物是二(氢化)脂二甲基甲基硫酸铵。
7.权利要求6的纸制品,其中,在液晶相中,多羟基化合物与二(氢化)脂二甲基甲基硫酸铵是可混溶的。
8.权利要求5的纸制品,其中,在液相中,多羟基化合物与二(氢化)脂二甲基氯化铵是可混溶的。
9.权利要求1的纸制品,其中,所说的多羟基化合物是重均分子量从200-1000的聚乙二醇。
10.权利要求1的纸制品,其中所说的多羟基化合物是重均分子量从200-1000的聚丙二醇。
11.权利要求1的纸制品,其中所说的多羟基化合物是甘油。
12.权利要求1的纸制品,其中至少保持20%加至纤维状纤维素中的多羟基化合物。
13.权利要求12的纸制品,其中,加至纤维状纤维素的多羟基化合物的留着率按干纤维重量计为50%~90%。
14.权利要求1的纸制品,其中,季铵化合物与多羟基化合物的重量比从1∶0.3至0.3∶1。
15.权利要求14的纸制品,其中,季铵化合物与多羟基化合物的重量比从1∶0.7至0.7∶1。
16.权利要求1的纸制品,其中,在56℃至68℃的温度下,季铵化合物与多羟基化合物混合。
17.权利要求1的纸制品,其中,季铵化合物和多羟基化合物的混合物用液体载体稀释至按化学柔软组合物重量计0.01%至25.0%的浓度。
18.权利要求17的纸制品,其中季铵化合物和多羟基化合物的混合物是以分散于液体载体中的颗粒形式存在的。
19.权利要求17的纸制品,其中,液体载体的温度从40℃至80℃。
20.权利要求18的纸制品,其中,季铵化合物和多羟基化合物的平均粒径从0.01至10微米。
21.权利要求20的纸制品,其中,季铵化合物和多羟基化合物的平均粒径从0.1至1.0微米。
22.权利要求9的纸制品,其中,多羟基化合物是分子量从200至600的聚乙二醇。
23.权利要求10的纸制品,其中,多羟基化合物是分子量从200至600的聚丙二醇。
24.权利要求22的纸制品,其中,季铵化合物与多羟基化合物的重量比从1∶0.7至0.7∶1。
25.权利要求23的纸制品,其中,季铵化合物与多羟基化合物的重量比从1∶0.7至0.7∶1。
26.权利要求11的纸制品,其中,季铵化合物与多羟基化合物的重量比从1∶0.7至0.7∶1。
27.权利要求18的纸制品,其中,分散的颗粒是泡囊颗粒。
28.权利要求1的纸制品,其中所说的季铵化合物当与所说的多羟基化合物混合时是液晶态的。
29.权利要求1的纸制品,其中所说的季铵化合物当与所说的多羟基化合物混合时是液态的。
30.权利要求1的纸制品,其中所说的纸制品是毛巾纸。
31.权利要求1的纸制品,其中所说的纸制品是卫生纸。
32.权利要求1的纸制品,其中所说的纸制品是面巾纸。
Applications Claiming Priority (2)
| Application Number | Priority Date | Filing Date | Title |
|---|---|---|---|
| US07/966,794 US5240562A (en) | 1992-10-27 | 1992-10-27 | Paper products containing a chemical softening composition |
| US966,794 | 1992-10-27 |
Publications (2)
| Publication Number | Publication Date |
|---|---|
| CN1118028A CN1118028A (zh) | 1996-03-06 |
| CN1044271C true CN1044271C (zh) | 1999-07-21 |
Family
ID=25511864
Family Applications (1)
| Application Number | Title | Priority Date | Filing Date |
|---|---|---|---|
| CN93120518A Expired - Fee Related CN1044271C (zh) | 1992-10-27 | 1993-10-27 | 含化学柔软组合物的纸制品 |
Country Status (20)
| Country | Link |
|---|---|
| US (1) | US5240562A (zh) |
| EP (1) | EP0670931B1 (zh) |
| JP (1) | JP3188466B2 (zh) |
| KR (1) | KR100317578B1 (zh) |
| CN (1) | CN1044271C (zh) |
| AU (1) | AU678563B2 (zh) |
| BR (1) | BR9307334A (zh) |
| CA (1) | CA2144072A1 (zh) |
| CZ (1) | CZ106495A3 (zh) |
| DE (1) | DE69325104T2 (zh) |
| FI (1) | FI951994A0 (zh) |
| GR (1) | GR3030276T3 (zh) |
| HU (1) | HUT72012A (zh) |
| MX (1) | MX9306659A (zh) |
| MY (1) | MY109120A (zh) |
| NO (1) | NO951571L (zh) |
| NZ (1) | NZ257228A (zh) |
| PH (1) | PH30108A (zh) |
| SG (1) | SG52395A1 (zh) |
| WO (1) | WO1994010381A1 (zh) |
Families Citing this family (146)
| Publication number | Priority date | Publication date | Assignee | Title |
|---|---|---|---|---|
| US5427696A (en) * | 1992-04-09 | 1995-06-27 | The Procter & Gamble Company | Biodegradable chemical softening composition useful in fibrous cellulosic materials |
| US5998032A (en) | 1992-08-17 | 1999-12-07 | Weyerhaeuser Company | Method and compositions for enhancing blood absorbence by superabsorbent materials |
| US6340411B1 (en) | 1992-08-17 | 2002-01-22 | Weyerhaeuser Company | Fibrous product containing densifying agent |
| AU5019893A (en) | 1992-08-17 | 1994-03-15 | Weyerhaeuser Company | Particle binding to fibers |
| US7144474B1 (en) | 1992-08-17 | 2006-12-05 | Weyerhaeuser Co. | Method of binding particles to binder treated fibers |
| US5827451A (en) * | 1993-03-17 | 1998-10-27 | Witco Corporation | Microemulsion useful as rinse aid |
| EP0702736B1 (en) | 1993-06-03 | 2000-03-08 | The Procter & Gamble Company | Waterless self-emulsifiable biodegradable chemical softening composition useful in fibrous cellulosic materials |
| SG66237A1 (en) * | 1993-06-03 | 1999-07-20 | Procter & Gamble | Waterless self-emulsifiable chemical softening composition useful in fibrous cellulosic materials |
| US5981044A (en) * | 1993-06-30 | 1999-11-09 | The Procter & Gamble Company | Multi-layered tissue paper web comprising biodegradable chemical softening compositions and binder materials and process for making the same |
| US5405501A (en) * | 1993-06-30 | 1995-04-11 | The Procter & Gamble Company | Multi-layered tissue paper web comprising chemical softening compositions and binder materials and process for making the same |
| DE4334367A1 (de) * | 1993-10-08 | 1995-04-13 | Henkel Kgaa | Verfahren zur Herstellung von Gebrauchspapieren mit verbessertem Weichgriff |
| JP3352513B2 (ja) | 1993-10-13 | 2002-12-03 | 株式会社クレシア | 柔軟性ティシュペーパー及びその製造方法 |
| US5397435A (en) * | 1993-10-22 | 1995-03-14 | Procter & Gamble Company | Multi-ply facial tissue paper product comprising chemical softening compositions and binder materials |
| US5437766A (en) * | 1993-10-22 | 1995-08-01 | The Procter & Gamble Company | Multi-ply facial tissue paper product comprising biodegradable chemical softening compositions and binder materials |
| EP0734474B1 (en) * | 1993-12-13 | 2002-06-05 | The Procter & Gamble Company | Lotion composition for tissue paper |
| ATE217658T1 (de) * | 1994-03-15 | 2002-06-15 | Omnova Solutions Inc | Undurchsichtigkeitsmittel für papier |
| CA2144838C (en) * | 1994-03-18 | 2006-11-28 | Dinesh M. Bhat | Prewettable high softness paper product having temporary wet strength |
| ES2137409T3 (es) * | 1994-06-21 | 1999-12-16 | Kimberly Clark Co | Elemento laminar celulosico que contiene glicerina y compuestos de amonio cuaternario. |
| US5558873A (en) * | 1994-06-21 | 1996-09-24 | Kimberly-Clark Corporation | Soft tissue containing glycerin and quaternary ammonium compounds |
| US5679218A (en) * | 1994-07-29 | 1997-10-21 | The Procter & Gamble Company | Tissue paper containing chemically softened coarse cellulose fibers |
| AU2969995A (en) * | 1994-07-29 | 1996-03-04 | Procter & Gamble Company, The | Soft tissue paper from coarse cellulose fibers |
| CA2145554C (en) * | 1994-08-22 | 2006-05-09 | Gary Lee Shanklin | Soft layered tissues having high wet strength |
| US5510000A (en) * | 1994-09-20 | 1996-04-23 | The Procter & Gamble Company | Paper products containing a vegetable oil based chemical softening composition |
| US5415737A (en) * | 1994-09-20 | 1995-05-16 | The Procter & Gamble Company | Paper products containing a biodegradable vegetable oil based chemical softening composition |
| US6171695B1 (en) | 1994-09-21 | 2001-01-09 | Kimberly-Clark Worldwide, Inc. | Thin absorbent pads for food products |
| US5487813A (en) * | 1994-12-02 | 1996-01-30 | The Procter & Gamble Company | Strong and soft creped tissue paper and process for making the same by use of biodegradable crepe facilitating compositions |
| US5573637A (en) * | 1994-12-19 | 1996-11-12 | The Procter & Gamble Company | Tissue paper product comprising a quaternary ammonium compound, a polysiloxane compound and binder materials |
| US5575891A (en) * | 1995-01-31 | 1996-11-19 | The Procter & Gamble Company | Soft tissue paper containing an oil and a polyhydroxy compound |
| WO1996024485A1 (en) * | 1995-02-10 | 1996-08-15 | Little Rapids Corporation | Manufacture of multi-ply paper laminates using controlled adhesive strike-through |
| US5624532A (en) * | 1995-02-15 | 1997-04-29 | The Procter & Gamble Company | Method for enhancing the bulk softness of tissue paper and product therefrom |
| US5635028A (en) * | 1995-04-19 | 1997-06-03 | The Procter & Gamble Company | Process for making soft creped tissue paper and product therefrom |
| US5538595A (en) * | 1995-05-17 | 1996-07-23 | The Proctor & Gamble Company | Chemically softened tissue paper products containing a ploysiloxane and an ester-functional ammonium compound |
| DE69623477T2 (de) * | 1995-06-28 | 2003-06-05 | The Procter & Gamble Company, Cincinnati | Gekrepptes tissuepapier das eine einmalige kombination an physikalischen attributen aufweist |
| US5552020A (en) * | 1995-07-21 | 1996-09-03 | Kimberly-Clark Corporation | Tissue products containing softeners and silicone glycol |
| ZA965679B (en) * | 1995-07-21 | 1997-01-24 | Kimberly Clark Co | Method for making soft tissue with improved bulk softness and surface softness |
| US5730839A (en) * | 1995-07-21 | 1998-03-24 | Kimberly-Clark Worldwide, Inc. | Method of creping tissue webs containing a softener using a closed creping pocket |
| US5693406A (en) * | 1995-08-25 | 1997-12-02 | The Procter & Gamble Company | Multi-ply paper product |
| US6059928A (en) * | 1995-09-18 | 2000-05-09 | Fort James Corporation | Prewettable high softness paper product having temporary wet strength |
| US5698076A (en) * | 1996-08-21 | 1997-12-16 | The Procter & Gamble Company | Tissue paper containing a vegetable oil based quaternary ammonium compound |
| US5840403A (en) * | 1996-06-14 | 1998-11-24 | The Procter & Gamble Company | Multi-elevational tissue paper containing selectively disposed chemical papermaking additive |
| US6309509B1 (en) * | 1996-10-11 | 2001-10-30 | Eastman Chemical Company | Composition and paper comprising cellulose ester, alkylpolyglycosides, and cellulose |
| US5814188A (en) * | 1996-12-31 | 1998-09-29 | The Procter & Gamble Company | Soft tissue paper having a surface deposited substantive softening agent |
| US5871763A (en) * | 1997-04-24 | 1999-02-16 | Fort James Corporation | Substrate treated with lotion |
| US6096152A (en) * | 1997-04-30 | 2000-08-01 | Kimberly-Clark Worldwide, Inc. | Creped tissue product having a low friction surface and improved wet strength |
| US5851352A (en) * | 1997-05-12 | 1998-12-22 | The Procter & Gamble Company | Soft multi-ply tissue paper having a surface deposited strengthening agent |
| US6162329A (en) | 1997-10-01 | 2000-12-19 | The Procter & Gamble Company | Soft tissue paper having a softening composition containing an electrolyte deposited thereon |
| US6261580B1 (en) * | 1997-10-22 | 2001-07-17 | The Procter & Gamble Company | Tissue paper with enhanced lotion transfer |
| EP0922452A1 (en) * | 1997-11-26 | 1999-06-16 | The Procter & Gamble Company | Skin care composition |
| US6054020A (en) * | 1998-01-23 | 2000-04-25 | Kimberly-Clark Worldwide, Inc. | Soft absorbent tissue products having delayed moisture penetration |
| US6174412B1 (en) | 1998-03-02 | 2001-01-16 | Purely Cotton, Inc. | Cotton linter tissue products and method for preparing same |
| US6125471A (en) * | 1998-04-14 | 2000-10-03 | The Procter & Gamble Company | Disposable bib having an extensible neck opening |
| US6266820B1 (en) | 1998-04-14 | 2001-07-31 | The Procter & Gamble Company | Disposable bib having stretchable shoulder extensions |
| CA2676732C (en) * | 1998-06-12 | 2014-04-15 | Georgia-Pacific Consumer Products Lp | Method of making a paper web having a high internal void volume of secondary fibers and a product made by the process |
| US6623746B1 (en) | 1998-07-16 | 2003-09-23 | Cognis Deutschland Gmbh & Co. Kg | PIT emulsions, methods of softening paper using the same, and paper substrates treated therewith |
| US6607637B1 (en) * | 1998-10-15 | 2003-08-19 | The Procter & Gamble Company | Soft tissue paper having a softening composition containing bilayer disrupter deposited thereon |
| US6193841B1 (en) * | 1998-11-30 | 2001-02-27 | Eastman Chemical Company | Shaped, plastic articles comprising a cellulose fiber, a cellulose ester, and a non-ionic surfactant |
| US6344109B1 (en) | 1998-12-18 | 2002-02-05 | Bki Holding Corporation | Softened comminution pulp |
| US6969443B1 (en) | 1998-12-21 | 2005-11-29 | Fort James Corporation | Method of making absorbent sheet from recycle furnish |
| US6265052B1 (en) * | 1999-02-09 | 2001-07-24 | The Procter & Gamble Company | Tissue paper |
| WO2000075426A1 (en) * | 1999-06-03 | 2000-12-14 | Witco Corporation | Paper softner/debonders compositions |
| US6241850B1 (en) | 1999-06-16 | 2001-06-05 | The Procter & Gamble Company | Soft tissue product exhibiting improved lint resistance and process for making |
| US6501002B1 (en) | 1999-06-29 | 2002-12-31 | The Proctor & Gamble Company | Disposable surface wipe article having a waste contamination sensor |
| DE60040691D1 (de) | 1999-09-27 | 2008-12-11 | Procter & Gamble | Reinigungsmittel für harte oberflächen |
| US20050133174A1 (en) * | 1999-09-27 | 2005-06-23 | Gorley Ronald T. | 100% synthetic nonwoven wipes |
| US6716805B1 (en) * | 1999-09-27 | 2004-04-06 | The Procter & Gamble Company | Hard surface cleaning compositions, premoistened wipes, methods of use, and articles comprising said compositions or wipes and instructions for use resulting in easier cleaning and maintenance, improved surface appearance and/or hygiene under stress conditions such as no-rinse |
| US6245197B1 (en) | 1999-10-20 | 2001-06-12 | Fort James Corporation | Tissue paper products prepared with an ion-paired softener |
| US6464830B1 (en) | 2000-11-07 | 2002-10-15 | Kimberly-Clark Worldwide, Inc. | Method for forming a multi-layered paper web |
| US6365000B1 (en) | 2000-12-01 | 2002-04-02 | Fort James Corporation | Soft bulky multi-ply product and method of making the same |
| RU2190712C1 (ru) * | 2001-01-16 | 2002-10-10 | Открытое акционерное общество "Арнест" | Средство для антистатической обработки текстильных изделий |
| US6860967B2 (en) * | 2001-01-19 | 2005-03-01 | Sca Hygiene Products Gmbh | Tissue paper penetrated with softening lotion |
| US6905697B2 (en) * | 2001-01-19 | 2005-06-14 | Sca Hygiene Products Gmbh | Lotioned fibrous web having a short water absorption time |
| US20040158214A1 (en) * | 2003-02-10 | 2004-08-12 | The Procter & Gamble Company | Disposable absorbent article comprising a durable hydrophilic topsheet |
| US20040158212A1 (en) * | 2003-02-10 | 2004-08-12 | The Procter & Gamble Company | Disposable absorbent article comprising a durable hydrophilic core wrap |
| US20040158213A1 (en) | 2003-02-10 | 2004-08-12 | The Procter & Gamble Company | Disposable absorbent article comprising a durable hydrophilic acquisition layer |
| US20020192407A1 (en) * | 2001-03-01 | 2002-12-19 | The Procter & Gamble Company | Pre-moistened wipe with improved feel and softness |
| US20040052834A1 (en) * | 2001-04-24 | 2004-03-18 | West Bonnie Kay | Pre-moistened antibacterial wipe |
| US6673205B2 (en) * | 2001-05-10 | 2004-01-06 | Fort James Corporation | Use of hydrophobically modified polyaminamides with polyethylene glycol esters in paper products |
| US20030121627A1 (en) * | 2001-12-03 | 2003-07-03 | Sheng-Hsin Hu | Tissue products having reduced lint and slough |
| US6685050B2 (en) | 2001-12-20 | 2004-02-03 | Kimberly-Clark Worldwide, Inc. | Folded sheet product, dispenser and related assembly |
| US7959761B2 (en) * | 2002-04-12 | 2011-06-14 | Georgia-Pacific Consumer Products Lp | Creping adhesive modifier and process for producing paper products |
| US7169400B2 (en) | 2002-05-07 | 2007-01-30 | Fort James Corporation | Waterless lotion and lotion-treated substrate |
| US8012495B2 (en) * | 2002-05-07 | 2011-09-06 | Georgia-Pacific Consumer Products Lp | Lotion-treated tissue and towel |
| CA2443885A1 (en) * | 2002-10-02 | 2004-04-02 | Fort James Corporation | Paper products including surface treated thermally bondable fibers and methods of making the same |
| US7494563B2 (en) | 2002-10-07 | 2009-02-24 | Georgia-Pacific Consumer Products Lp | Fabric creped absorbent sheet with variable local basis weight |
| US7662257B2 (en) | 2005-04-21 | 2010-02-16 | Georgia-Pacific Consumer Products Llc | Multi-ply paper towel with absorbent core |
| US8911592B2 (en) | 2002-10-07 | 2014-12-16 | Georgia-Pacific Consumer Products Lp | Multi-ply absorbent sheet of cellulosic fibers |
| US7789995B2 (en) | 2002-10-07 | 2010-09-07 | Georgia-Pacific Consumer Products, LP | Fabric crepe/draw process for producing absorbent sheet |
| AU2003279792A1 (en) | 2002-10-07 | 2004-05-04 | Fort James Corporation | Fabric crepe process for making absorbent sheet |
| US7442278B2 (en) | 2002-10-07 | 2008-10-28 | Georgia-Pacific Consumer Products Lp | Fabric crepe and in fabric drying process for producing absorbent sheet |
| US6752905B2 (en) * | 2002-10-08 | 2004-06-22 | Kimberly-Clark Worldwide, Inc. | Tissue products having reduced slough |
| US6861380B2 (en) * | 2002-11-06 | 2005-03-01 | Kimberly-Clark Worldwide, Inc. | Tissue products having reduced lint and slough |
| US7377997B2 (en) * | 2003-07-09 | 2008-05-27 | The Procter & Gamble Company | Fibrous structure comprising a fiber flexibilizing agent system |
| US6887350B2 (en) * | 2002-12-13 | 2005-05-03 | Kimberly-Clark Worldwide, Inc. | Tissue products having enhanced strength |
| US20040159415A1 (en) * | 2003-02-18 | 2004-08-19 | Huntsman Petrochemical Corporation | Paper products softening compositions |
| US7012058B2 (en) * | 2003-02-26 | 2006-03-14 | Huntsman Petrochemical Corporation | Chemical softening compositions for paper products |
| CA2518266C (en) * | 2003-03-10 | 2009-10-06 | The Procter & Gamble Company | Disposable nonwoven cleansing mitt |
| US7581273B2 (en) * | 2003-03-10 | 2009-09-01 | The Procter & Gamble Company | Disposable nonwoven cleansing mitt |
| AU2004220509A1 (en) | 2003-03-10 | 2004-09-23 | The Procter & Gamble Company | Child's cleansing system |
| US7350256B2 (en) * | 2003-12-16 | 2008-04-01 | The Procter & Gamble Company | Child's aromatherapy cleaning implement |
| US20050129743A1 (en) * | 2003-12-16 | 2005-06-16 | The Procter & Gamble Company | Child's cleaning implement comprising a biological extract |
| US20050125877A1 (en) * | 2003-12-16 | 2005-06-16 | The Procter & Gamble Company | Disposable nonwoven mitt adapted to fit on a child's hand |
| US7490382B2 (en) * | 2003-12-16 | 2009-02-17 | The Procter & Gamble Company | Child's sized disposable article |
| US8178612B2 (en) * | 2004-01-22 | 2012-05-15 | E. I. Du Pont De Nemours And Company | Fluoropolymer emulsion coatings |
| US7297226B2 (en) | 2004-02-11 | 2007-11-20 | Georgia-Pacific Consumer Products Lp | Apparatus and method for degrading a web in the machine direction while preserving cross-machine direction strength |
| US8293072B2 (en) | 2009-01-28 | 2012-10-23 | Georgia-Pacific Consumer Products Lp | Belt-creped, variable local basis weight absorbent sheet prepared with perforated polymeric belt |
| SI2492393T1 (sl) | 2004-04-14 | 2017-01-31 | Georgia-Pacific Consumer Products Lp | Vpojni izdelek s povečano CD raztegljivostjo in nizkimi nateznimi količniki, narejeni s procesom krepiranja blaga z veliko trdne snovi |
| US7503998B2 (en) * | 2004-06-18 | 2009-03-17 | Georgia-Pacific Consumer Products Lp | High solids fabric crepe process for producing absorbent sheet with in-fabric drying |
| US7416637B2 (en) | 2004-07-01 | 2008-08-26 | Georgia-Pacific Consumer Products Lp | Low compaction, pneumatic dewatering process for producing absorbent sheet |
| US7799169B2 (en) | 2004-09-01 | 2010-09-21 | Georgia-Pacific Consumer Products Lp | Multi-ply paper product with moisture strike through resistance and method of making the same |
| US7935222B2 (en) * | 2005-03-04 | 2011-05-03 | Kemira Chemicals, Inc. | Papermaking method using one or more quaternized dialkanolamine fatty acid ester compounds to control opacity and paper product made thereby |
| US7850823B2 (en) | 2006-03-06 | 2010-12-14 | Georgia-Pacific Consumer Products Lp | Method of controlling adhesive build-up on a yankee dryer |
| US8388992B2 (en) * | 2006-03-28 | 2013-03-05 | Georgia-Pacific Consumer Products Lp | Anti-microbial hand towel with time-delay chromatic transfer indicator and absorbency rate delay |
| PL2035220T3 (pl) | 2006-05-26 | 2014-09-30 | Gpcp Ip Holdings Llc | Krepowany tkaniną arkusz chłonny o lokalnie zmiennej gramaturze |
| US20090042765A1 (en) * | 2007-08-08 | 2009-02-12 | Yonas Gizaw | Fabric enhancers comprising nano-sized lamellar vesicle |
| WO2008021893A1 (en) * | 2006-08-08 | 2008-02-21 | The Procter & Gamble Company | Fabric enhancing compositions comprising nano-sized particles and anionic detergent carry over tollerance |
| EP2142703A1 (en) * | 2007-04-30 | 2010-01-13 | Munksjoe Paper, S.A. | Use of an additive for the production of decorative paper |
| US7948355B2 (en) * | 2007-05-24 | 2011-05-24 | Industrial Technology Research Institute | Embedded resistor devices |
| ES2436104T3 (es) * | 2007-11-02 | 2013-12-27 | Omya International Ag | Uso de un carbonato cálcico tratado en superficie en el papel de seda, proceso para preparar un producto de papel de seda de suavidad mejorada y productos de papel de seda de suavidad mejorada resultantes |
| US7867361B2 (en) * | 2008-01-28 | 2011-01-11 | The Procter & Gamble Company | Soft tissue paper having a polyhydroxy compound applied onto a surface thereof |
| US7972475B2 (en) | 2008-01-28 | 2011-07-05 | The Procter & Gamble Company | Soft tissue paper having a polyhydroxy compound and lotion applied onto a surface thereof |
| US20090289078A1 (en) * | 2008-05-22 | 2009-11-26 | Scott Melin | Wipes Dispenser With Improved Dispenser Opening |
| WO2009151544A2 (en) * | 2008-05-27 | 2009-12-17 | Georgia-Pacific Consumer Products Lp | Ultra premium bath tissue |
| CA2735867C (en) | 2008-09-16 | 2017-12-05 | Dixie Consumer Products Llc | Food wrap basesheet with regenerated cellulose microfiber |
| US20100155004A1 (en) * | 2008-12-19 | 2010-06-24 | Soerens Dave A | Water-Soluble Creping Materials |
| CA2722650C (en) | 2009-12-07 | 2018-05-01 | Georgia-Pacific Consumer Products Lp | Method of moist creping absorbent paper base sheet |
| US8506978B2 (en) | 2010-12-28 | 2013-08-13 | Kimberly-Clark Worldwide, Inc. | Bacteriostatic tissue product |
| US8518214B2 (en) * | 2011-07-18 | 2013-08-27 | Nalco Company | Debonder and softener compositions |
| US9309627B2 (en) | 2011-07-28 | 2016-04-12 | Georgia-Pacific Consumer Products Lp | High softness, high durability bath tissues with temporary wet strength |
| US9267240B2 (en) | 2011-07-28 | 2016-02-23 | Georgia-Pacific Products LP | High softness, high durability bath tissue incorporating high lignin eucalyptus fiber |
| US8877008B2 (en) | 2013-03-22 | 2014-11-04 | Georgia-Pacific Consumer Products Lp | Soft bath tissues having low wet abrasion and good durability |
| CN103251344B (zh) * | 2013-04-18 | 2015-04-01 | 金红叶纸业集团有限公司 | 生活用纸及其制备方法 |
| US9974424B2 (en) | 2013-06-18 | 2018-05-22 | The Procter & Gamble Company | Laminate cleaning implement |
| WO2014205016A1 (en) | 2013-06-18 | 2014-12-24 | The Procter & Gamble Company | Bonded laminate cleaning implement |
| US20150104348A1 (en) | 2013-10-10 | 2015-04-16 | The Iams Company | Pet Deodorizing Composition |
| WO2016081819A1 (en) * | 2014-11-21 | 2016-05-26 | Rohm And Haas Company | Binder compositions for making crosslinked cellulose fiber |
| US9822285B2 (en) | 2015-01-28 | 2017-11-21 | Gpcp Ip Holdings Llc | Glue-bonded multi-ply absorbent sheet |
| SG11201708100WA (en) | 2015-04-29 | 2017-11-29 | Sca Hygiene Prod Ab | Tissue paper comprising pulp fibers originating from miscanthus and method for manufacturing the same |
| CN105002779A (zh) * | 2015-06-19 | 2015-10-28 | 赵兰 | 一种增加生活用纸柔软度的添加剂及应用 |
| CN105568746A (zh) * | 2015-12-16 | 2016-05-11 | 重庆龙璟纸业有限公司 | 一种可湿卫生纸原纸及其生产工艺 |
| US10774476B2 (en) | 2016-01-19 | 2020-09-15 | Gpcp Ip Holdings Llc | Absorbent sheet tail-sealed with nanofibrillated cellulose-containing tail-seal adhesives |
| CA3015649C (en) | 2016-02-29 | 2022-08-16 | Kemira Oyj | A softener composition |
| CN106120433A (zh) * | 2016-07-04 | 2016-11-16 | 山东太阳纸业股份有限公司 | 一种含高得率浆擦手纸的生产方法 |
| US10697123B2 (en) | 2017-01-17 | 2020-06-30 | Gpcp Ip Holdings Llc | Zwitterionic imidazolinium surfactant and use in the manufacture of absorbent paper |
| US11124920B2 (en) | 2019-09-16 | 2021-09-21 | Gpcp Ip Holdings Llc | Tissue with nanofibrillar cellulose surface layer |
| CA3131707A1 (en) | 2020-09-24 | 2022-03-24 | First Quality Tissue, Llc | Systems and methods for application of surface chemistry to bath tissue, facial tissue, and paper towel |
| WO2022082298A1 (en) * | 2020-10-21 | 2022-04-28 | National Research Council Of Canada | Process for production of cellulose particles |
Citations (3)
| Publication number | Priority date | Publication date | Assignee | Title |
|---|---|---|---|---|
| US4425186A (en) * | 1981-03-24 | 1984-01-10 | Buckman Laboratories, Inc. | Dimethylamide and cationic surfactant debonding compositions and the use thereof in the production of fluff pulp |
| US4476323A (en) * | 1979-12-10 | 1984-10-09 | Hellsten Karl M E | Surface-active quaternary ammonium compounds for treatment of textiles and cellulosic materials |
| US4959125A (en) * | 1988-12-05 | 1990-09-25 | The Procter & Gamble Company | Soft tissue paper containing noncationic surfactant |
Family Cites Families (28)
| Publication number | Priority date | Publication date | Assignee | Title |
|---|---|---|---|---|
| US2683087A (en) * | 1948-02-10 | 1954-07-06 | American Cyanamid Co | Absorbent cellulosic products |
| US2683088A (en) * | 1952-06-10 | 1954-07-06 | American Cyanamid Co | Soft bibulous sheet |
| US3301746A (en) * | 1964-04-13 | 1967-01-31 | Procter & Gamble | Process for forming absorbent paper by imprinting a fabric knuckle pattern thereon prior to drying and paper thereof |
| US3554862A (en) * | 1968-06-25 | 1971-01-12 | Riegel Textile Corp | Method for producing a fiber pulp sheet by impregnation with a long chain cationic debonding agent |
| CA978465A (en) * | 1970-04-13 | 1975-11-25 | Scott Paper Company | Fibrous sheet material and method and apparatus for forming same |
| US3844880A (en) * | 1971-01-21 | 1974-10-29 | Scott Paper Co | Sequential addition of a cationic debonder, resin and deposition aid to a cellulosic fibrous slurry |
| US3755220A (en) * | 1971-10-13 | 1973-08-28 | Scott Paper Co | Cellulosic sheet material having a thermosetting resin bonder and a surfactant debonder and method for producing same |
| US3817827A (en) * | 1972-03-30 | 1974-06-18 | Scott Paper Co | Soft absorbent fibrous webs containing elastomeric bonding material and formed by creping and embossing |
| US3974025A (en) * | 1974-04-01 | 1976-08-10 | The Procter & Gamble Company | Absorbent paper having imprinted thereon a semi-twill, fabric knuckle pattern prior to final drying |
| US3994771A (en) * | 1975-05-30 | 1976-11-30 | The Procter & Gamble Company | Process for forming a layered paper web having improved bulk, tactile impression and absorbency and paper thereof |
| US4144122A (en) * | 1976-10-22 | 1979-03-13 | Berol Kemi Ab | Quaternary ammonium compounds and treatment of cellulose pulp and paper therewith |
| SE425512B (sv) * | 1978-07-21 | 1982-10-04 | Berol Kemi Ab | Settt for framstellning av absorberande cellulosamassa med anvendning av nonjoniska emnen och katjoniskt retentionsmedel samt medel for genomforande av settet |
| US4191609A (en) * | 1979-03-09 | 1980-03-04 | The Procter & Gamble Company | Soft absorbent imprinted paper sheet and method of manufacture thereof |
| US4300981A (en) * | 1979-11-13 | 1981-11-17 | The Procter & Gamble Company | Layered paper having a soft and smooth velutinous surface, and method of making such paper |
| US4432833A (en) * | 1980-05-19 | 1984-02-21 | Kimberly-Clark Corporation | Pulp containing hydrophilic debonder and process for its application |
| US4441962A (en) * | 1980-10-15 | 1984-04-10 | The Procter & Gamble Company | Soft, absorbent tissue paper |
| US4351699A (en) * | 1980-10-15 | 1982-09-28 | The Procter & Gamble Company | Soft, absorbent tissue paper |
| US4377543A (en) * | 1981-10-13 | 1983-03-22 | Kimberly-Clark Corporation | Strength and softness control of dry formed sheets |
| US4447294A (en) * | 1981-12-30 | 1984-05-08 | The Procter & Gamble Company | Process for making absorbent tissue paper with high wet strength and low dry strength |
| JPS598796A (ja) * | 1982-07-05 | 1984-01-18 | ライオン株式会社 | 粒状洗剤用添加剤 |
| US4529480A (en) * | 1983-08-23 | 1985-07-16 | The Procter & Gamble Company | Tissue paper |
| US4637859A (en) * | 1983-08-23 | 1987-01-20 | The Procter & Gamble Company | Tissue paper |
| US4795530A (en) * | 1985-11-05 | 1989-01-03 | Kimberly-Clark Corporation | Process for making soft, strong cellulosic sheet and products made thereby |
| US4853086A (en) * | 1986-12-15 | 1989-08-01 | Weyerhaeuser Company | Hydrophilic cellulose product and method of its manufacture |
| US4940513A (en) * | 1988-12-05 | 1990-07-10 | The Procter & Gamble Company | Process for preparing soft tissue paper treated with noncationic surfactant |
| US4981557A (en) * | 1988-07-05 | 1991-01-01 | The Procter & Gamble Company | Temporary wet strength resins with nitrogen heterocyclic nonnucleophilic functionalities and paper products containing same |
| JPH04100995A (ja) * | 1990-08-10 | 1992-04-02 | Nippon Oil & Fats Co Ltd | 紙用柔軟剤組成物 |
| US5223096A (en) * | 1991-11-01 | 1993-06-29 | Procter & Gamble Company | Soft absorbent tissue paper with high permanent wet strength |
-
1992
- 1992-10-27 US US07/966,794 patent/US5240562A/en not_active Expired - Lifetime
-
1993
- 1993-10-01 CZ CZ951064A patent/CZ106495A3/cs unknown
- 1993-10-01 FI FI951994A patent/FI951994A0/fi unknown
- 1993-10-01 KR KR1019950701599A patent/KR100317578B1/ko not_active Expired - Fee Related
- 1993-10-01 EP EP93923770A patent/EP0670931B1/en not_active Expired - Lifetime
- 1993-10-01 CA CA002144072A patent/CA2144072A1/en not_active Abandoned
- 1993-10-01 DE DE69325104T patent/DE69325104T2/de not_active Expired - Fee Related
- 1993-10-01 SG SG1996003953A patent/SG52395A1/en unknown
- 1993-10-01 WO PCT/US1993/009452 patent/WO1994010381A1/en not_active Ceased
- 1993-10-01 JP JP51107294A patent/JP3188466B2/ja not_active Expired - Fee Related
- 1993-10-01 HU HU9501188A patent/HUT72012A/hu unknown
- 1993-10-01 AU AU53518/94A patent/AU678563B2/en not_active Ceased
- 1993-10-01 NZ NZ257228A patent/NZ257228A/en unknown
- 1993-10-01 BR BR9307334A patent/BR9307334A/pt not_active IP Right Cessation
- 1993-10-11 MY MYPI93002074A patent/MY109120A/en unknown
- 1993-10-26 PH PH47145A patent/PH30108A/en unknown
- 1993-10-26 MX MX9306659A patent/MX9306659A/es not_active IP Right Cessation
- 1993-10-27 CN CN93120518A patent/CN1044271C/zh not_active Expired - Fee Related
-
1995
- 1995-04-25 NO NO951571A patent/NO951571L/no unknown
-
1999
- 1999-05-27 GR GR990401256T patent/GR3030276T3/el unknown
Patent Citations (3)
| Publication number | Priority date | Publication date | Assignee | Title |
|---|---|---|---|---|
| US4476323A (en) * | 1979-12-10 | 1984-10-09 | Hellsten Karl M E | Surface-active quaternary ammonium compounds for treatment of textiles and cellulosic materials |
| US4425186A (en) * | 1981-03-24 | 1984-01-10 | Buckman Laboratories, Inc. | Dimethylamide and cationic surfactant debonding compositions and the use thereof in the production of fluff pulp |
| US4959125A (en) * | 1988-12-05 | 1990-09-25 | The Procter & Gamble Company | Soft tissue paper containing noncationic surfactant |
Also Published As
| Publication number | Publication date |
|---|---|
| AU678563B2 (en) | 1997-06-05 |
| EP0670931B1 (en) | 1999-05-26 |
| BR9307334A (pt) | 1999-06-01 |
| EP0670931A1 (en) | 1995-09-13 |
| NO951571L (no) | 1995-06-26 |
| MX9306659A (es) | 1994-04-29 |
| DE69325104D1 (de) | 1999-07-01 |
| FI951994L (fi) | 1995-04-26 |
| NZ257228A (en) | 1997-05-26 |
| JPH08502557A (ja) | 1996-03-19 |
| KR950704573A (ko) | 1995-11-20 |
| PH30108A (en) | 1996-12-27 |
| MY109120A (en) | 1996-12-31 |
| WO1994010381A1 (en) | 1994-05-11 |
| SG52395A1 (en) | 1998-09-28 |
| CA2144072A1 (en) | 1994-05-11 |
| GR3030276T3 (en) | 1999-08-31 |
| FI951994A7 (fi) | 1995-04-26 |
| HK1013133A1 (zh) | 1999-08-13 |
| JP3188466B2 (ja) | 2001-07-16 |
| FI951994A0 (fi) | 1995-04-26 |
| HUT72012A (en) | 1996-03-28 |
| CN1118028A (zh) | 1996-03-06 |
| AU5351894A (en) | 1994-05-24 |
| HU9501188D0 (en) | 1995-06-28 |
| CZ106495A3 (en) | 1996-02-14 |
| DE69325104T2 (de) | 1999-10-28 |
| NO951571D0 (no) | 1995-04-25 |
| KR100317578B1 (ko) | 2002-04-24 |
| US5240562A (en) | 1993-08-31 |
Similar Documents
| Publication | Publication Date | Title |
|---|---|---|
| CN1044271C (zh) | 含化学柔软组合物的纸制品 | |
| CN1083919C (zh) | 包含可生物降解的植物油基化学柔软组合物的纸制品 | |
| AU698063B2 (en) | Multi-layered tissue paper web comprising chemical softening compositions and binder materials and process for making the same | |
| US5312522A (en) | Paper products containing a biodegradable chemical softening composition | |
| JP3183890B2 (ja) | 化学的軟化性組成物および結合剤物質を含んでなるマルチプライフェイシャルティッシュペーパー製品 | |
| US5427696A (en) | Biodegradable chemical softening composition useful in fibrous cellulosic materials | |
| US5543067A (en) | Waterless self-emulsiviable biodegradable chemical softening composition useful in fibrous cellulosic materials | |
| EP0920553B1 (en) | Tissue paper containing a vegetable oil based quaternary ammonium compound | |
| WO1993009287A1 (en) | Soft absorbent tissue paper with high permanent wet strength | |
| US5474689A (en) | Waterless self-emulsifiable chemical softening composition useful in fibrous cellulosic materials | |
| CN1052050C (zh) | 用于纤维状的纤维素材料的无水、自乳化的化学软化组合物 | |
| JP3428650B2 (ja) | 繊維状セルロース材料に有用な、無水、自己乳化性で生分解性の化学軟化剤組成物 | |
| AU683870B2 (en) | Paper products containing a biodegradable chemical softening composition | |
| CN1163645A (zh) | 含有植物油基的化学柔软剂的纸制品 | |
| HK1013134B (zh) | 可用於纤维状纤维素材料中的无水自可乳化化学软化剂 | |
| HK1022004B (zh) | 包含可生物降解的植物油基化学柔软组合物的纸制品 | |
| CA2153315A1 (en) | Paper products containing a biodegradable chemical softening composition |
Legal Events
| Date | Code | Title | Description |
|---|---|---|---|
| C10 | Entry into substantive examination | ||
| SE01 | Entry into force of request for substantive examination | ||
| C06 | Publication | ||
| PB01 | Publication | ||
| C14 | Grant of patent or utility model | ||
| GR01 | Patent grant | ||
| C19 | Lapse of patent right due to non-payment of the annual fee | ||
| CF01 | Termination of patent right due to non-payment of annual fee |




