CN102647905A - Novel compositions for the prevention and/or treatment of lysosomal storage disorders - Google Patents
Novel compositions for the prevention and/or treatment of lysosomal storage disorders Download PDFInfo
- Publication number
- CN102647905A CN102647905A CN2010800564305A CN201080056430A CN102647905A CN 102647905 A CN102647905 A CN 102647905A CN 2010800564305 A CN2010800564305 A CN 2010800564305A CN 201080056430 A CN201080056430 A CN 201080056430A CN 102647905 A CN102647905 A CN 102647905A
- Authority
- CN
- China
- Prior art keywords
- hydrogen
- halogen
- substituted
- alkyl
- compound
- Prior art date
- Legal status (The legal status is an assumption and is not a legal conclusion. Google has not performed a legal analysis and makes no representation as to the accuracy of the status listed.)
- Granted
Links
- 0 C*[C@@](CNCC1C)[C@]1O Chemical compound C*[C@@](CNCC1C)[C@]1O 0.000 description 2
- RVXBUJNDPNGGMR-QFSRMBNQSA-N CCCNC(N(CC(C(F)F)[C@H]1O)CC1=O)=O Chemical compound CCCNC(N(CC(C(F)F)[C@H]1O)CC1=O)=O RVXBUJNDPNGGMR-QFSRMBNQSA-N 0.000 description 1
- AVCABTLYFCCNDB-KVQBGUIXSA-N CS(N(C[C@H](C(F)F)[C@H]1O)C[C@H]1O)(=O)=O Chemical compound CS(N(C[C@H](C(F)F)[C@H]1O)C[C@H]1O)(=O)=O AVCABTLYFCCNDB-KVQBGUIXSA-N 0.000 description 1
- UNTDNHJPGNFIHO-QJPTWQEYSA-N Cc(cc1)ccc1S(N(C[C@H](C(F)F)[C@H]1O)C[C@H]1O)(=O)=O Chemical compound Cc(cc1)ccc1S(N(C[C@H](C(F)F)[C@H]1O)C[C@H]1O)(=O)=O UNTDNHJPGNFIHO-QJPTWQEYSA-N 0.000 description 1
- RGGCFNVKTVEOGJ-YNEHKIRRSA-N Cc1ccc(CN(C[C@H](C(F)F)[C@H]2O)C[C@H]2O)cc1 Chemical compound Cc1ccc(CN(C[C@H](C(F)F)[C@H]2O)C[C@H]2O)cc1 RGGCFNVKTVEOGJ-YNEHKIRRSA-N 0.000 description 1
Classifications
-
- C—CHEMISTRY; METALLURGY
- C07—ORGANIC CHEMISTRY
- C07D—HETEROCYCLIC COMPOUNDS
- C07D211/00—Heterocyclic compounds containing hydrogenated pyridine rings, not condensed with other rings
- C07D211/04—Heterocyclic compounds containing hydrogenated pyridine rings, not condensed with other rings with only hydrogen or carbon atoms directly attached to the ring nitrogen atom
- C07D211/06—Heterocyclic compounds containing hydrogenated pyridine rings, not condensed with other rings with only hydrogen or carbon atoms directly attached to the ring nitrogen atom having no double bonds between ring members or between ring members and non-ring members
- C07D211/36—Heterocyclic compounds containing hydrogenated pyridine rings, not condensed with other rings with only hydrogen or carbon atoms directly attached to the ring nitrogen atom having no double bonds between ring members or between ring members and non-ring members with hetero atoms or with carbon atoms having three bonds to hetero atoms with at the most one bond to halogen, e.g. ester or nitrile radicals, directly attached to ring carbon atoms
- C07D211/40—Oxygen atoms
- C07D211/44—Oxygen atoms attached in position 4
- C07D211/46—Oxygen atoms attached in position 4 having a hydrogen atom as the second substituent in position 4
-
- C—CHEMISTRY; METALLURGY
- C07—ORGANIC CHEMISTRY
- C07D—HETEROCYCLIC COMPOUNDS
- C07D211/00—Heterocyclic compounds containing hydrogenated pyridine rings, not condensed with other rings
- C07D211/04—Heterocyclic compounds containing hydrogenated pyridine rings, not condensed with other rings with only hydrogen or carbon atoms directly attached to the ring nitrogen atom
- C07D211/06—Heterocyclic compounds containing hydrogenated pyridine rings, not condensed with other rings with only hydrogen or carbon atoms directly attached to the ring nitrogen atom having no double bonds between ring members or between ring members and non-ring members
- C07D211/08—Heterocyclic compounds containing hydrogenated pyridine rings, not condensed with other rings with only hydrogen or carbon atoms directly attached to the ring nitrogen atom having no double bonds between ring members or between ring members and non-ring members with hydrocarbon or substituted hydrocarbon radicals directly attached to ring carbon atoms
- C07D211/18—Heterocyclic compounds containing hydrogenated pyridine rings, not condensed with other rings with only hydrogen or carbon atoms directly attached to the ring nitrogen atom having no double bonds between ring members or between ring members and non-ring members with hydrocarbon or substituted hydrocarbon radicals directly attached to ring carbon atoms with substituted hydrocarbon radicals attached to ring carbon atoms
-
- A—HUMAN NECESSITIES
- A61—MEDICAL OR VETERINARY SCIENCE; HYGIENE
- A61K—PREPARATIONS FOR MEDICAL, DENTAL OR TOILETRY PURPOSES
- A61K31/00—Medicinal preparations containing organic active ingredients
- A61K31/13—Amines
- A61K31/15—Oximes (>C=N—O—); Hydrazines (>N—N<); Hydrazones (>N—N=) ; Imines (C—N=C)
-
- A—HUMAN NECESSITIES
- A61—MEDICAL OR VETERINARY SCIENCE; HYGIENE
- A61K—PREPARATIONS FOR MEDICAL, DENTAL OR TOILETRY PURPOSES
- A61K31/00—Medicinal preparations containing organic active ingredients
- A61K31/33—Heterocyclic compounds
- A61K31/395—Heterocyclic compounds having nitrogen as a ring hetero atom, e.g. guanethidine or rifamycins
- A61K31/435—Heterocyclic compounds having nitrogen as a ring hetero atom, e.g. guanethidine or rifamycins having six-membered rings with one nitrogen as the only ring hetero atom
-
- A—HUMAN NECESSITIES
- A61—MEDICAL OR VETERINARY SCIENCE; HYGIENE
- A61K—PREPARATIONS FOR MEDICAL, DENTAL OR TOILETRY PURPOSES
- A61K31/00—Medicinal preparations containing organic active ingredients
- A61K31/33—Heterocyclic compounds
- A61K31/395—Heterocyclic compounds having nitrogen as a ring hetero atom, e.g. guanethidine or rifamycins
- A61K31/435—Heterocyclic compounds having nitrogen as a ring hetero atom, e.g. guanethidine or rifamycins having six-membered rings with one nitrogen as the only ring hetero atom
- A61K31/44—Non condensed pyridines; Hydrogenated derivatives thereof
- A61K31/445—Non condensed piperidines, e.g. piperocaine
-
- A—HUMAN NECESSITIES
- A61—MEDICAL OR VETERINARY SCIENCE; HYGIENE
- A61K—PREPARATIONS FOR MEDICAL, DENTAL OR TOILETRY PURPOSES
- A61K38/00—Medicinal preparations containing peptides
- A61K38/16—Peptides having more than 20 amino acids; Gastrins; Somatostatins; Melanotropins; Derivatives thereof
- A61K38/43—Enzymes; Proenzymes; Derivatives thereof
- A61K38/46—Hydrolases (3)
- A61K38/47—Hydrolases (3) acting on glycosyl compounds (3.2), e.g. cellulases, lactases
-
- A—HUMAN NECESSITIES
- A61—MEDICAL OR VETERINARY SCIENCE; HYGIENE
- A61K—PREPARATIONS FOR MEDICAL, DENTAL OR TOILETRY PURPOSES
- A61K9/00—Medicinal preparations characterised by special physical form
- A61K9/20—Pills, tablets, discs, rods
-
- A—HUMAN NECESSITIES
- A61—MEDICAL OR VETERINARY SCIENCE; HYGIENE
- A61K—PREPARATIONS FOR MEDICAL, DENTAL OR TOILETRY PURPOSES
- A61K9/00—Medicinal preparations characterised by special physical form
- A61K9/48—Preparations in capsules, e.g. of gelatin, of chocolate
-
- A—HUMAN NECESSITIES
- A61—MEDICAL OR VETERINARY SCIENCE; HYGIENE
- A61P—SPECIFIC THERAPEUTIC ACTIVITY OF CHEMICAL COMPOUNDS OR MEDICINAL PREPARATIONS
- A61P1/00—Drugs for disorders of the alimentary tract or the digestive system
-
- A—HUMAN NECESSITIES
- A61—MEDICAL OR VETERINARY SCIENCE; HYGIENE
- A61P—SPECIFIC THERAPEUTIC ACTIVITY OF CHEMICAL COMPOUNDS OR MEDICINAL PREPARATIONS
- A61P1/00—Drugs for disorders of the alimentary tract or the digestive system
- A61P1/04—Drugs for disorders of the alimentary tract or the digestive system for ulcers, gastritis or reflux esophagitis, e.g. antacids, inhibitors of acid secretion, mucosal protectants
-
- A—HUMAN NECESSITIES
- A61—MEDICAL OR VETERINARY SCIENCE; HYGIENE
- A61P—SPECIFIC THERAPEUTIC ACTIVITY OF CHEMICAL COMPOUNDS OR MEDICINAL PREPARATIONS
- A61P1/00—Drugs for disorders of the alimentary tract or the digestive system
- A61P1/16—Drugs for disorders of the alimentary tract or the digestive system for liver or gallbladder disorders, e.g. hepatoprotective agents, cholagogues, litholytics
-
- A—HUMAN NECESSITIES
- A61—MEDICAL OR VETERINARY SCIENCE; HYGIENE
- A61P—SPECIFIC THERAPEUTIC ACTIVITY OF CHEMICAL COMPOUNDS OR MEDICINAL PREPARATIONS
- A61P1/00—Drugs for disorders of the alimentary tract or the digestive system
- A61P1/18—Drugs for disorders of the alimentary tract or the digestive system for pancreatic disorders, e.g. pancreatic enzymes
-
- A—HUMAN NECESSITIES
- A61—MEDICAL OR VETERINARY SCIENCE; HYGIENE
- A61P—SPECIFIC THERAPEUTIC ACTIVITY OF CHEMICAL COMPOUNDS OR MEDICINAL PREPARATIONS
- A61P17/00—Drugs for dermatological disorders
-
- A—HUMAN NECESSITIES
- A61—MEDICAL OR VETERINARY SCIENCE; HYGIENE
- A61P—SPECIFIC THERAPEUTIC ACTIVITY OF CHEMICAL COMPOUNDS OR MEDICINAL PREPARATIONS
- A61P19/00—Drugs for skeletal disorders
-
- A—HUMAN NECESSITIES
- A61—MEDICAL OR VETERINARY SCIENCE; HYGIENE
- A61P—SPECIFIC THERAPEUTIC ACTIVITY OF CHEMICAL COMPOUNDS OR MEDICINAL PREPARATIONS
- A61P25/00—Drugs for disorders of the nervous system
-
- A—HUMAN NECESSITIES
- A61—MEDICAL OR VETERINARY SCIENCE; HYGIENE
- A61P—SPECIFIC THERAPEUTIC ACTIVITY OF CHEMICAL COMPOUNDS OR MEDICINAL PREPARATIONS
- A61P3/00—Drugs for disorders of the metabolism
-
- A—HUMAN NECESSITIES
- A61—MEDICAL OR VETERINARY SCIENCE; HYGIENE
- A61P—SPECIFIC THERAPEUTIC ACTIVITY OF CHEMICAL COMPOUNDS OR MEDICINAL PREPARATIONS
- A61P3/00—Drugs for disorders of the metabolism
- A61P3/06—Antihyperlipidemics
-
- A—HUMAN NECESSITIES
- A61—MEDICAL OR VETERINARY SCIENCE; HYGIENE
- A61P—SPECIFIC THERAPEUTIC ACTIVITY OF CHEMICAL COMPOUNDS OR MEDICINAL PREPARATIONS
- A61P43/00—Drugs for specific purposes, not provided for in groups A61P1/00-A61P41/00
-
- A—HUMAN NECESSITIES
- A61—MEDICAL OR VETERINARY SCIENCE; HYGIENE
- A61P—SPECIFIC THERAPEUTIC ACTIVITY OF CHEMICAL COMPOUNDS OR MEDICINAL PREPARATIONS
- A61P7/00—Drugs for disorders of the blood or the extracellular fluid
-
- A—HUMAN NECESSITIES
- A61—MEDICAL OR VETERINARY SCIENCE; HYGIENE
- A61P—SPECIFIC THERAPEUTIC ACTIVITY OF CHEMICAL COMPOUNDS OR MEDICINAL PREPARATIONS
- A61P7/00—Drugs for disorders of the blood or the extracellular fluid
- A61P7/06—Antianaemics
-
- A—HUMAN NECESSITIES
- A61—MEDICAL OR VETERINARY SCIENCE; HYGIENE
- A61P—SPECIFIC THERAPEUTIC ACTIVITY OF CHEMICAL COMPOUNDS OR MEDICINAL PREPARATIONS
- A61P7/00—Drugs for disorders of the blood or the extracellular fluid
- A61P7/10—Antioedematous agents; Diuretics
-
- A—HUMAN NECESSITIES
- A61—MEDICAL OR VETERINARY SCIENCE; HYGIENE
- A61P—SPECIFIC THERAPEUTIC ACTIVITY OF CHEMICAL COMPOUNDS OR MEDICINAL PREPARATIONS
- A61P9/00—Drugs for disorders of the cardiovascular system
-
- C—CHEMISTRY; METALLURGY
- C07—ORGANIC CHEMISTRY
- C07D—HETEROCYCLIC COMPOUNDS
- C07D211/00—Heterocyclic compounds containing hydrogenated pyridine rings, not condensed with other rings
- C07D211/92—Heterocyclic compounds containing hydrogenated pyridine rings, not condensed with other rings with a hetero atom directly attached to the ring nitrogen atom
- C07D211/96—Sulfur atom
Landscapes
- Health & Medical Sciences (AREA)
- Chemical & Material Sciences (AREA)
- Organic Chemistry (AREA)
- Life Sciences & Earth Sciences (AREA)
- Veterinary Medicine (AREA)
- Medicinal Chemistry (AREA)
- Pharmacology & Pharmacy (AREA)
- Animal Behavior & Ethology (AREA)
- General Health & Medical Sciences (AREA)
- Public Health (AREA)
- Engineering & Computer Science (AREA)
- Bioinformatics & Cheminformatics (AREA)
- Chemical Kinetics & Catalysis (AREA)
- General Chemical & Material Sciences (AREA)
- Nuclear Medicine, Radiotherapy & Molecular Imaging (AREA)
- Epidemiology (AREA)
- Diabetes (AREA)
- Hematology (AREA)
- Gastroenterology & Hepatology (AREA)
- Proteomics, Peptides & Aminoacids (AREA)
- Immunology (AREA)
- Obesity (AREA)
- Biomedical Technology (AREA)
- Neurosurgery (AREA)
- Dermatology (AREA)
- Physical Education & Sports Medicine (AREA)
- Cardiology (AREA)
- Neurology (AREA)
- Heart & Thoracic Surgery (AREA)
- Pharmaceuticals Containing Other Organic And Inorganic Compounds (AREA)
- Hydrogenated Pyridines (AREA)
- Medicines That Contain Protein Lipid Enzymes And Other Medicines (AREA)
Abstract
The present invention provides novel compositions and methods for preventing and/or treating lysosomal storage disorders. In particular, the present invention provides methods for preventing and/or treating gaucher's disease.
Description
The cross reference of related application
The rights and interests of the U.S. Provisional Application that the application requires to submit on October 19th, 2009 number 61/252,806, its content is combined in this by reference.
Technical field
The invention provides novel compound (being called the drug molecule companion) together with using them to be used to prevent and/or treat the method that lysosome is stored up imbalance.Specifically, the invention provides the method that is used to prevent and/or treat gaucher disease.
Background of invention
It is what to be caused by a kind of lysosome functional defect that causes material within Cytolysosome, to gather that lysosome is stored up imbalance.This defective is normally a kind of for the required single enzymoprivic result of the metabolism of lipid, glycogen, glycoprotein or mucopolysaccharide.Gaucher disease, modal lysosome is stored up imbalance, it is characterized in that gathering of glycolipid glucocerebroside (being also referred to as glucosylceramide).The symptom of gaucher disease comprises yellow fat deposition on the brownish color and luster of swelling, abdominal distention, skin, anaemia, low platelet and the sclera of spleen and liver increase, liver malfunction, skeletal diseases and bone infringement that maybe pain, serious neural complication, lymph node and (occasionally) adjacent joints.In addition, the people who suffers from gaucher disease also maybe be responsive more to infecting.
Store up the method for imbalance and have a kind of needs for preventing and/or treating lysosome, these methods provide higher quality of life and have reached better clinical effectiveness to the patient.Specifically, have a kind of needs for the method that prevents and/or treats gaucher disease, these methods provide higher quality of life and have reached better clinical effectiveness to the patient.
Summary of the invention
The invention provides novel compound together with composition and use them in dangerous development or be diagnosed as and have lysosome and store up in patient's body of imbalance and prevent and/or treat the method that a kind of lysosome is stored up imbalance, this method comprises the compound a kind of described here that gives an effective dose to the patient who it is had needs.
On the one hand; Provide a kind of compound together with composition and use them in dangerous development or be diagnosed as and have lysosome and store up in patient's body of imbalance and prevent and/or treat the method that a kind of lysosome is stored up imbalance at this, this method comprises to the patient who it is had needs and gives a kind of by the defined compound of Formula I of an effective dose:
Wherein:
R
1Be C (R
2) (R
3) (R
4);
R
2Be hydrogen ,-OH or halogen;
R
3Be hydrogen ,-OH, halogen or C
1-8Alkyl;
R
4Be halogen, C
1-8Alkyl, substituted C
1-8Alkyl, aryl, substituted aryl, alkyl-cycloalkyl or substituted alkyl-cycloalkyl;
R
3And R
4Can unite to form a kind of cycloalkyl ring with they the appended carbon that connects, this cycloalkyl ring can be randomly substituted, preferably with halogen and more preferably with one or more fluorine atoms replacements;
R
6Be hydrogen, C
1-8Alkyl, substituted C
1-8Alkyl, aralkyl, substituted aralkyl, alkaryl or substituted alkaryl;
Z chooses wantonly, and when existing, Z is-(CH
2)
1-8-,-C (=O)-,-S (=O)
2NH-,-S (=O)
2-,
-C (=S) NH-,-S (=O)
2-CH
3, C (=O)-NH-,-S (=O)
2-NR
9R
10,-C (=O) C
1-8Alkyl or
-C(=O)CH(NH
2)CH
3;
R
9Be hydrogen, C
1-8Alkyl or substituted C
1-8Alkyl;
R
10Be hydrogen, C
1-8Alkyl or substituted C
1-8Alkyl;
R
5Be hydrogen, C
1-8Alkyl, substituted C
1-8Alkyl, aryl, substituted aryl, C
1-8Alkenyl, substituted C
1-8Alkenyl, aralkyl, substituted aralkyl, alkaryl, substituted alkaryl, amino aralkyl or substituted amino aralkyl;
R
7Be-OH or halogen; And
R
8Be hydrogen, halogen or C
1-8Alkyl,
Condition is to work as R
4Be a halogen, Z does not exist, R
7Be-OH R
5, R
6And R
8When being hydrogen, R
2And R
3Can not the both be hydrogen.
A those of ordinary skill of this area it will be appreciated that the R among said Formula I, II and the III
2, R
3And R
4Be not to be selected as so that to produce a kind of unsettled molecule.
On the other hand; Provide a kind of compound together with composition and use them in dangerous development or be diagnosed as and have lysosome and store up in patient's body of imbalance and prevent and/or treat the method that a kind of lysosome is stored up imbalance at this, this method comprises to the patient who it is had needs and gives a kind of by the defined compound of Formulae II of an effective dose:
Wherein:
R
1Be C (R
2) (R
3) (R
4);
R
2Be hydrogen ,-OH or halogen;
R
3Be hydrogen ,-OH, halogen or-CH
3
R
4Be halogen ,-CH
3, phenyl, fluorophenyl, aminomethyl phenyl, cyclohexyl methyl, wherein work as R
4When being a halogen, R
2And R
3Neither be hydrogen;
R
3And R
4Can unite to form a kind of cycloalkyl ring with they the appended carbon that connects, this cycloalkyl ring can randomly replace with one or more halogen atoms;
R
6Be hydrogen, phenylalkyl or substituted phenylalkyl;
Z chooses wantonly, and when existing, Z is-(CH
2)-,-C (=O)-,-S (=O)
2NH-,-S (=O)
2-,-S (=O)
2-CH
3, C (=O)-NH-,-S (=O)
2NR
9R
10,-C (=S)-NH-or-C (=O)
2-CH
3, R
9Be hydrogen or CH
3
R
10Be hydrogen or CH
3
R
5Be hydrogen or aminophenyl alkyl;
R
7Be-OH or halogen; And
R
8Be hydrogen, halogen or-CH
3
Condition is, when R4 is a halogen, Z does not deposit, R
7Be-OH R
5, R
6And R
8When being hydrogen, R
2And R
3Can not the both be hydrogen.
Again on the other hand; Provide a kind of compound together with composition and use them in dangerous development or be diagnosed as and have lysosome and store up in patient's body of imbalance and prevent and/or treat the method that a kind of lysosome is stored up imbalance at this, this method comprises to the patient who it is had needs and gives a kind of by the defined compound of Formulae II I of an effective dose:
Wherein:
R
1Be C (R
2) (R
3) (R
4);
R
2Be hydrogen ,-OH or halogen;
R
3Be hydrogen ,-OH, halogen or-CH
3
R
4Be halogen ,-CH
3, phenyl, fluorophenyl, aminomethyl phenyl, cyclohexyl methyl, wherein work as R
4When being a halogen, R
2And R
3Neither be hydrogen;
R
3And R
4Can unite to form a kind of cycloalkyl ring with they the appended carbon that connects, this cycloalkyl ring can randomly replace with one or more halogen atoms;
R
7Be-OH or halogen; And
R
8Be hydrogen, halogen or-CH
3
Condition is to work as R
4Be a halogen, R
7Be-OH and R
6And R
8When being hydrogen, R
2And R
3Can not the both be hydrogen.
Still on the other hand; Provide a kind of compound together with composition and use them in dangerous development or be diagnosed as and have lysosome and store up in patient's body of imbalance and prevent and/or treat the method that a kind of lysosome is stored up imbalance at this, this method comprises to the patient who it is had needs and gives being selected from of an effective dose following a kind of compound:
Or their a kind of pharmaceutically acceptable salt, solvate or prodrug.
In one embodiment, this compound is (3R, 4R; 5S)-and 5-(difluoromethyl) piperidines-3,4-glycol, (3R, 4R; 5S)-and 5-(1-fluoro ethyl) piperidines-3,4-glycol, (3R, 4R; 5S)-and 5-benzyl piepridine-3,4-glycol, or their a kind of pharmaceutically acceptable salt, solvate or prodrug.In one embodiment, this compound be (3R, 4R, 5S)-5-(difluoromethyl) piperidines-3,4-glycol, or its a kind of pharmaceutically acceptable salt, solvate or prodrug.In one embodiment, this compound be (3R, 4R, 5S)-5-(1-fluoro ethyl) piperidines-3,4-glycol, or its a kind of pharmaceutically acceptable salt, solvate or prodrug.In one embodiment, this compound be (3R, 4R, 5S)-5-benzyl piepridine-3,4-glycol, or its a kind of pharmaceutically acceptable salt, solvate or prodrug.
In one embodiment, this lysosome store up the imbalance be relevant with gathering of at least a glycolipid.In one embodiment, this lysosome store up the imbalance be relevant with gathering of at least a glycosphingolipid.In one embodiment, this lysosome store up the imbalance be relevant with gathering of glucocerebroside.In one embodiment, this lysosome store up the imbalance be relevant with the shortage of glucocerebrosidase.In one embodiment, this lysosome store up the imbalance be relevant with the sudden change of glucocerebrosidase.In one embodiment, this lysosomal storage disease is a Niemann-Pick disease.In one embodiment, this lysosomal storage disease is a gaucher disease.In one embodiment, this method further comprises at least a other the therapeutic agent that gives an effective dose.In one embodiment, this method comprises, and at least a other therapeutic agent is Imiglucerase or 1,5-(butyl imino group)-1, the two DDGs alcohol of 5-.
The present invention also provides and has been used in dangerous development or is diagnosed as the method that prevents and/or treats gaucher disease in the patient's body with gaucher disease; This method comprises a kind of composition that gives an effective dose to the patient who it is had needs; Said composition comprises a kind of compound with Formula I, or its a kind of pharmaceutically acceptable salt, solvate or prodrug.
In one embodiment, this method comprises and gives compound (3R, 4R; 5S)-and 5-(difluoromethyl) piperidines-3,4-glycol, (3R, 4R; 5S)-and 5-(1-fluoro ethyl) piperidines-3,4-glycol, (3R, 4R; 5S)-and 5-benzyl piepridine-3,4-glycol, or their a kind of pharmaceutically acceptable salt, solvate or prodrug.In one embodiment, this method comprise give compound (3R, 4R, 5S)-5-(difluoromethyl) piperidines-3,4-glycol, or its a kind of pharmaceutically acceptable salt, solvate or prodrug.In one embodiment, this method comprise give compound (3R, 4R, 5S)-5-(1-fluoro ethyl) piperidines-3,4-glycol, or its a kind of pharmaceutically acceptable salt, solvate or prodrug.In one embodiment, this method comprise give compound (3R, 4R, 5S)-5-benzyl piepridine-3,4-glycol, or its a kind of pharmaceutically acceptable salt, solvate or prodrug.
In one embodiment, this method further comprises at least a other the therapeutic agent that gives an effective dose.In one embodiment, at least a other therapeutic agent is Imiglucerase or 1,5-(butyl imino group)-1, the two DDGs alcohol of 5-.
The present invention also provides medicine box, comprising:
A container has any compound of the present invention of an effective dose, individually or in combination; And
Be used to use it to store up the specification of imbalance to prevent and/or treat a kind of lysosome.
In one embodiment, this lysosome store up the imbalance be gaucher disease.
The present invention also provides use 5-(methyl fluoride) piperidines-3; 4 glycol, 5-(chloromethyl) piperidines-3,4-glycol or their a kind of pharmaceutically acceptable salt, solvate or prodrug or two kinds or more kinds of their combination in any are used for strengthening the method for glucocerebrosidase in a kind of activity of isolated cells.
In addition; The invention provides the method that is used to diagnose the patient who is easy to treat; Comprising will be from dangerous development or be diagnosed as and have a kind of isolated cells that a kind of lysosome stores up a patient of imbalance and contact with a kind of therapeutic agent; This therapeutic agent is 5-(methyl fluoride) piperidines-3; 4-glycol, 5-(chloromethyl) piperidines-3; 4-glycol or their a kind of pharmaceutically acceptable salt, solvate or prodrug or two kinds or more kinds of their combination in any, and measure a kind of cytolysis thing to be used for the lysosomal glucocerebrosidase activity, the wherein active increase of lysosomal glucocerebrosidase (the another kind of cell of handling with respect to this therapeutic agent of no use) shows what this patient Ying Shi was easy to treat.In one embodiment, this lysosome store up the imbalance be gaucher disease.
Detailed description of the present invention
As employed at this, following term should have following definition of illustrating.
As employed at this, term " treatment " is meant one or more symptoms of improving with the disease association of being quoted.
As employed at this, term " prevention " is meant a kind of symptom that alleviates the disease of being quoted.
As employed at this, phrase " effective dose " is meant for preventing and/or treating dangerous development or being diagnosed as the amount that the patient with disease of being quoted effectively and therefore produces desirable result of treatment.
As employed at this, term " patient " is meant a kind of mammal (for example people).
As employed at this, phrase " lysosome is stored up imbalance " is meant that results from any one in the disease that causes the abnormal metabolism that a kind of matrix gathers in lysosome.Table 1 comprises that exemplary lysosome stores up imbalance and their a non-limiting tabulation of relevant defective enzyme.
Table 1 lysosome is stored up imbalance
Modal lysosome is stored up imbalance, and gaucher disease is characterized in that gathering of glycolipid glucocerebroside (being also referred to as glucosylceramide).Described three kinds of phenotypes for gaucher disease, these phenotypes are involved (neurologic involvement) by nerve and are not had (Class1) in boyhood or have (type 2) or exist (type 3) to represent in puberty.For example, referring to Grabowski, Gaucher ' s disease.Adv Hum Genet 1993; 21:377-441.
This gaucher disease of three types comes heredity with a kind of autosomal recessive mode.For an affected child, both must be the carrier for father and mother.If the father and mother both is the carrier, each gestation has the possibility invasion and attack child of 1/4th (or 25%).For the family that possibly be the carrier of sudden change, genetic counselling and heredity test are carried out in suggestion.The related specific sudden change of each type.Always co-exist in about 80 kinds of known sudden changes that cause gaucher disease (referring to; For example; McKusick; V.A.:Mendelian Inheritance in Man.A Catalog of Human Genes and Genetic Disorders.Baltimore:Johns Hopkins University Press, 1998 (12th edition)).
The Class1 gaucher disease is general race (panethnic), but especially general in Ashkenazi (Ashkenazi Jewish) blood lineage crowd, and carrier's ratio is among 17 Ashkenazis a people to be arranged.The sudden change that the most often takes place in the Ashkenazi on the glucocerebrosidase gene is N370S and 84GG sudden change; Among the healthy on the whole Ashkenazi crowd; Ratio is: for N370S, 17.5 philtrums have 1 people, and for 84GG; 400 philtrums have 1 people, and respectively with slight relevant with serious gaucher disease.The 84GG sudden change almost occurs among the Ashkenazi uniquely.Other rare glucocerebrosidase gene variants of in suffering from the Ashkenazi blood lineage patient of gaucher disease, identifying comprise: L444P, IVS2+1G → A, V394L and R496H.Compare with the presentation of Class1 gaucher disease among the Ashkenazi; Class1 gaucher disease in Japanese patient be tend to serious and progressive (referring to Ida et al.; Type 1 Gaucher Disease Patients:Phenotypic Expression and Natural History in Japanese Patients, Blood Cells, Molecules and Diseases; 1984,24 (5): 73-81).In addition, type 3 gaucher diseases (duplicating relevant with one or two of glucocerebrosidase gene variant L444P) are general in the Sweden patient from the Norrbotten area.
The decisive diagnosis of gaucher disease is tested by heredity and is made.Owing to there are numerous different sudden changes, the sequencing of glucocerebrosidase gene is necessary for definite diagnosis sometimes.Diagnosis before the birth is available, and when known genetic risk factor of existence, is useful.Yet the diagnosis of gaucher disease can also hint by biochemistry abnormal conditions (like high alkaline phosphatase, ACE (ACE) and immunoglobulin level) or by cell analysis (showing " wadding " cytoplasm and the macrophage that is full of glycolipid).Notably, the similarity of Niemann-Pick disease is to it is characterized in that except glucocerebroside, also having G
M2-gangliosides and G
M1-gangliosides gather (Vanier et al., Brain Pathology.1998; 8:163-74).
The symptom of gaucher disease comprises the following:
Painless property hepatomegaly and splenomegaly (size of spleen can be 1500-3000ml, with respect to normal sized 50-200ml)
Hypersplenia: the quick and too early destruction of haemocyte causes anaemia, neutrocyte minimizing and decrease of platelet (infecting and the increase of danger of bleeding property)
Though cirrhosis is rare
Neurological symptoms result only occurs in the gaucher disease of some types (referring to following):
O Type II: serious convulsions, hypertonia, mental retardation, apnea.
The o type-iii: muscle twitch is called myoclonia, convulsions, dementia, eye muscle appraxia.
Osteoporosis: because the glucosylceramide that gathers, the visible bone of 75% development is unusual.The deformity of distal femoral is described as the shape of a kind of conical flask (Erlenmeyer flask) usually.
The cutaneous pigmentation of yellowish-brown
Compound
Compounds of the present invention below is provided:
Chemical process
Can make composition of the present invention according to one or more following schemes.
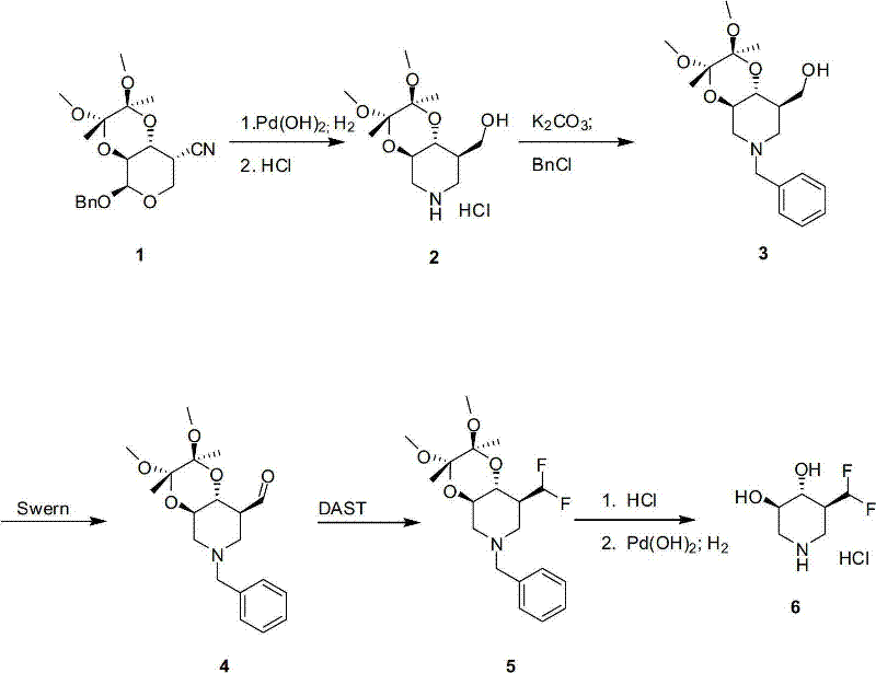
Process program 1:
((2S, 3S, 4aR, 8R, 8aR)-2,3-dimethoxy-2,3-dimethyl octahydro-[1,4] dioxa is [2,3-c] pyridine-8-yl also) methoxide hydrochlorate (2).With 1 (20.0g, 55.0mmol) solution in MeOH (500mL) and Pd (OH) 2 (4-6g) and ammonium formate (14g 220mmol) merges, and with mixture 50 ℃-55 ℃ heating down.The ammonium formate that added additional quantity (3x 100.0mmol) through next 8 hours.After final adding, heated extra 16 hours down with the further stirring of reactant mixture and at 50 ℃-55 ℃.Through filtering catalyzer is removed, and the evaporation in a vacuum of will filtrating.Crude product is dissolved in the acetone (150mL), filters, and be added in the HCl among the 2-PrOH.Carry out seeding and in an ice bath, after the cooling, product is collected then, be a kind of white crystalline solid (11.0g, 71%).1H?NMR(DMSO-d6)9.45(s,2H),4.80(t,1H,ex),3.85(m,1H),3.0-3.75(m,11H),2.8(q,2H),1.95(m,1H),1.2(2,6H)。
((2S, 3S, 4aR, 8R, 8aR)-and 6-benzyl-2,3-dimethoxy-2,3-dimethyl octahydro-[1,4] dioxa is [2,3-c] pyridine-8-yl also) methyl alcohol (3).(14.85g 50.0mmol) adds K in the solution in DMF (200mL) to 2
2CO
3(17.25g 125mmol), and down stirs mixture about 4 hours at 40 ℃.At this moment, and disposable adding BnCl (5.7mL, 50.0mmol) and will be reflected at 40 ℃ of following stirred overnight.Solvent is evaporated in a vacuum, and residue is suspended in the water (600mL), and add HCl with the dissolving residue.With solution with Et2O washing and alkalize with Na2CO3 then.With EtOAc (2x) extraction, and is brine wash then with the extract water that merges with solution, dry through MgSO4 then.Solution filtered and will filtrate evaporate in a vacuum to provide title compound (17.2g,>95%), for a kind of colourless extremely very lurid viscous oil, with its use and without being further purified.1H?NMR(CDCl3)7.3(m,5H),3.6-3.8(m,2H),3.5(s,3H),3.4(t,1H),3.26(s,3H),3.268(s,3H),2.9(m,2H),2.2(br?s,1H),2.05(m,1H),1.85(t,1H),1.28(s,3H),1.26(s,3H)。
((2S, 3S, 4aR, 8R, 8aR)-and 6-benzyl-2,3-dimethoxy-2,3-dimethyl octahydro-[1,4] dioxa is [2,3-c] pyridine-8-yl also) carboxylic aldehyde (general step A) (4).(7.3g 96.9mmol) dropwise is added in oxalyl chloride (6.1mL, 72.8mmol) solution among the CH2Cl2 in the solution to-78 ℃ the DMSO of being cooled in CH2Cl2 (150mL).After adding completion, reactant mixture was stirred extra 30 minutes, dropwise be added in 3 among the CH2Cl2 (17.0g, solution 48.4mmol) at this moment.After add accomplishing, will be reflected at-78 ℃ stirred 1 hour down and dropwise add then diisopropylethylamine (34.4mL, 193mmol).After current adding is accomplished, when adding saturated NaHCO3, remove and allow reactant mixture to be warmed to 0 ℃ cooling bath.With some the extra CH2Cl2 dilutions of mixture usefulness and then with organic layer separation and dry through MgSO4.After filtration, solvent is evaporated in a vacuum and crude product is carried out purifying to provide title compound (12.7g, 75%) through silica gel chromatography (Hex/EtOAc), be a kind of viscous oil.1H?NMR(CDCl3)9.73(s,1H),7.2(m,5H),3.75(m,2H),3.5(q,2H),3.2(2s,6H),2.7-3.0(m,3H),2.05(m,2H),1.25(2s,6H)。
((2S, 3S, 4aR, 8S, 8aR)-and 6-benzyl-8,8-difluoromethyl-2,3-dimethoxy-2,3-dimethyl octahydro-[1,4] dioxa is [2,3-c] pyridine hydrochlorides (general step B) (5) also.(1.4mL 10.3mmol) dropwise adds 4 (2.4g, solution 6.9mmol) in the solution to-15 ℃ the DAST of being cooled in CH2Cl2 (50mL).After 10 minutes, ice bath is removed and will be reacted stirred overnight at room temperature.At this moment, with reactant mixture cooling and will react quenching once more in an ice bath through adding saturated NaHCO3 (dropwise adding during beginning) owing to this has produced slight heat release really.With organic layer separate and dry through Na2SO4, filter and solvent evaporated to provide a kind of oil of yellow in a vacuum.Through on silica gel (Hex/EtOAc), carrying out the chromatographic purifying residue, be a kind of water white oil to provide title compound (1.6g, 62%).1H?NMR(CDCl3)7.2(m,5H),6.0(dt,1H),3.75(m,1H),3.55(m,3H),3.2(2s,6H),2.95(m,1H),2.85(m,1H),2.3(m,2H),1.5(br?s,1H),1.2(2s,6H).
(3R, 4R, 5S)-and 5-(difluoromethyl) piperidines 3,4-diol hydrochloride (general step C) (6).(1.6g 4.3mmol) heats down and should react through HPLC and monitor up to no longer detecting starting material refluxing in the mixture of EtOH/H2O/HCl (40mL/40mL/5mL) with compound 5.Solvent is evaporated in a vacuum and uses twice of EtOH coevaporation then.Be dissolved among the MeOH residue and through Pd (OH) 2 hydrogenations.After accomplishing, through filtering catalyzer is removed, and the evaporation in a vacuum of will filtrating.With residue from EtOH (50mL) again crystallization be a kind of white solid (168 ℃-170 ℃ of mp) to provide title compound (0.55g, 66%).1H?NMR(D2O)6.15(dt,1H),4.3-4.8(m,2H),3.0(t,1H),2.85(t,1H),2.3(m,1H)。
(R) and (S)-1-((2S, 3S, 4aR, 8R, 8aR)-and 6-benzyl-2,3-dimethoxy-2,3-dimethyl octahydro-[1,4] dioxa is [2,3-c] pyridine-8-yl also) ethanol general step D (15/16).(7.0g adds MeMgBr (20.0mL, 1.4M is 3: in the 1THF/ toluene), and will react stirred overnight at room temperature in solution 20.0mmol) to doing 4 among the THF (100mL).To react with saturated NH4Cl quenching, and mixture will be extracted with EtOAc (2x).The extract that merges with brine wash, dry through Na2SO4, and will be filtrated and evaporated in a vacuum.With residue through silica gel chromatography (hexane/2-PrOH) carry out purifying to provide main isomer (15) (1.6g, 24.6%).1H?NMR(CDCl3).7.3(m,5H),4.15(m,1H),3.5-3.9(m,3H),3.3(2s,6H),2.85(m,2H),2.0(2m,4H),1.3(2s,6H),1.2(d,3H)。Also isolate less important isomer (16) (0.55g, 7.5%) 7.3 (m, 5H), 3.75 (m, 2H), 3.5 (m, 2H), 3.2 (2s, 6H), 2.8 (m, 2H), 2.0 (t, 1H), 1.75 (m, 2H), 1.2 (2s, 6H), 1.0 (d, 3H).
(3R, 4R, 5R)-5 ((R)-1-ethoxy) piperidines 3,4-glycol (17).(0.55g is 1.5mmol) at 9/1TFA: stir up to no longer detecting starting material through HPLC in the mixture of H2O (20mL) with compound 15.With volatile materials remove and with residue with EtOH coevaporation 2-3 time and be dissolved among the EtOH and and handle with solid K 2CO3.After with solid filtering, the evaporation of will filtrating in a vacuum, and residue changed into a kind of HCl salt and through Pd (OH) 2 hydrogenations.With the catalyst filtration and the evaporation in a vacuum of will filtrating.Use a kind of ion exchange resin (Dowex 50WX8-200) (with 0.1N NH4OH wash-out) with the crude product purifying.With suitable part merge and freeze-drying to provide title compound (0.12g, 50%).1H?NMR(D2O)4.2(q,1H),3.65(m,1H),3.45(m,3H),2.8(m,2H),1.65(m,1H),1.15(d,3H)。
(3R, 4R, 5R)-5 ((S)-1-ethoxy) piperidines 3,4-glycol (10).(0.34g, 0.93mmol) deprotection is to provide title compound (0.11g, 75%) with compound 16 as described above.1HNMR(D2O)4.15(m,2H),3.5(m,1H),3.35(t,1H),3.15(m,2H),1.8(m,1H),1.1(d,3H)。
((2S, 3S, 4aR, 8R, 8aR)-and 6-benzyl-8 (S)-(1 fluoro ethyl)-2,3-dimethoxy-2,3-dimethyl octahydro-[1,4] dioxa is [2,3-c] pyridines (11) also.(1.8g 5.0mmol) fluoridizes with compound 15 to use general step B.Silica gel chromatography (Hex/EtOAc) has provided title compound (0.42g, 23%).1H?NMR(CDCl3)7.25(m,5H),4.7-4.9(dq,1H),3.75(m,2H),3.4(m,2H),3.2(2s,6H),2.8(m,2H),2.0(m,3H),1.35(dd,3H),1.2(2s,6H)。
(3R, 4R, 5R)-5 ((S)-1-fluoro ethyl) piperidines 3,4-diol hydrochloride (13).As described in general step C, with compound 11 (0.42g, 1.14mmol) deprotection.After catalyzer removed, will filtrate and evaporate in a vacuum and use EtOH (2x) coevaporation then.The residue that generates is ground to provide title compound (0.20g, 88%) with acetone, be a kind of white solid.1H?NMR(DMSO-d6)9.0(br?s,2H),5.6(d,1H,ex),5.4(d,1H,ex),5.0-5.2(dq,1H),3.55(m,1H),3.2(m,2H),2.9(t,1H),2.7(t,1H),2.2(m,1H),1.3(dd,3H)。
((2S, 3S, 4aR, 8R, 8aR)-and 6-benzyl-8 (R)-(1 fluoro ethyl)-2,3-dimethoxy-2,3-dimethyl octahydro-[1,4] dioxa is [2,3-c] pyridines (12) also.(0.55g 1.5mmol) fluoridizes to provide title compound (0.22g, 40%) with compound 16 to use general step B.
1H?NMR(CDCl
3)7.3(m,5H),5.0(dq,1H),3.8(m,1H),3.5-3.75(m,3H),3.3(2s,6H),3.0(d,1H),2.9(m,1H),2.1(m,2H),1.85(m,1H),1.3(2s,6H)。
(3R, 4R, 5R)-5 ((R)-1-fluoro ethyl) piperidines 3,4-diol hydrochloride (14).As described in the general step C, with compound 12 (0.22g, 0.6mmol) deprotection.After catalyzer removed, will filtrate and evaporate in a vacuum and use EtOH (2x) coevaporation then.The residue that generates is ground to provide title compound (0.08g, 67%) with acetone, be a kind of white solid.1H?NMR(D2O)5.1(dq,1H),3.5(m,4H),2.8(m,2H),1.8(m,1H),1.3(dd,3H)。
Process program 2:
((2S, 3S, 4aR, 8R, 8aR)-2,3-dimethoxy-2,3-dimethyl octahydro-[1,4] dioxa is [2,3-c] pyridine-8-yl also) methoxide hydrochlorate (2).1 (20.0g, solution 55.0mmol) and Pd (OH) that will be in MeOH (500mL)
2(4-6g) and ammonium formate (14g 220mmol) merges, and with mixture 50 ℃-55 ℃ heating down.The ammonium formate that added additional quantity (3x 100.0mmol) through next 8 hours.After final adding, heated extra 16 hours down with the further stirring of reactant mixture and at 50 ℃-55 ℃.Through filtering catalyzer is removed, and the evaporation in a vacuum of will filtrating.Crude product is dissolved in the acetone (150mL), filters, and be added in the HCl among the 2-PrOH.Carry out seeding and in an ice bath, after the cooling, product is collected then, be a kind of white crystalline solid (11.0g, 71%).
1H?NMR(DMSO-d
6)9.45(s,2H),4.80(t,1H,ex),3.85(m,1H),3.0-3.75(m,11H),2.8(q,2H),1.95(m,1H),1.2(2,6H)。
((2S, 3S, 4aR, 8R, 8aR)-and 6-benzyl-2,3-dimethoxy-2,3-dimethyl octahydro-[1,4] dioxa is [2,3-c] pyridine-8-yl also) methyl alcohol (3).To in DMF (200mL) 2 (14.85g adds K in solution 50.0mmol)
2CO
3(17.25g 125mmol), and down stirs mixture about 4 hours at 40 ℃.At this moment, and disposable adding BnCl (5.7mL, 50.0mmol) and will be reflected at 40 ℃ of following stirred overnight.Solvent is evaporated in a vacuum, and residue is suspended in the water (600mL), and add HCl with the dissolving residue.Solution is used Et
2O washs and uses then Na
2CO
3Alkalize.With EtOAc (2x) extraction, and is brine wash then with the extract water that merges with solution, dry through MgSO4 then.Solution filtered and will filtrate evaporate in a vacuum to provide title compound (17.2g,>95%), for a kind of colourless extremely very lurid viscous oil, with its use and without being further purified.
1H?NMR(CDCl
3)7.3(m,5H),3.6-3.8(m,2H),3.5(s,3H),3.4(t,1H),3.26(s,3H),3.268(s,3H),2.9(m,2H),2.2(br?s,1H),2.05(m,1H),1.85(t,1H),1.28(s,3H),1.26(s,3H)。
((2S, 3S, 4aR, 8R, 8aR)-and 6-benzyl-2,3-dimethoxy-2,3-dimethyl octahydro-[1,4] dioxa is [2,3-c] pyridine-8-yl also) carboxylic aldehyde (general step A) (4).To at CH
2Cl
2(7.3g 96.9mmol) dropwise is added in CH to the DMSO of being cooled to (150mL)-78 ℃ in the solution
2Cl
2In oxalyl chloride (6.1mL, 72.8mmol) solution.After adding completion, reactant mixture was stirred extra 30 minutes, dropwise be added in CH at this moment
2Cl
2In 3 (17.0g, solution 48.4mmol).After add accomplishing, will be reflected at-78 ℃ stirred 1 hour down and dropwise add then diisopropylethylamine (34.4mL, 193mmol).After current adding is accomplished, when adding saturated NaHCO
3The time, remove and allow reactant mixture to be warmed to 0 ℃ cooling bath.Mixture is used some extra CH
2Cl
2Dilution and then organic layer is separated and through MgSO
4Dry.After filtration, solvent is evaporated in a vacuum and crude product is carried out purifying to provide title compound (12.7g, 75%) through silica gel chromatography (Hex/EtOAc), be a kind of viscous oil.
1H?NMR(CDCl
3)9.73(s,1H),7.2(m,5H),3.75(m,2H),3.5(q,2H),3.2(2s,6H),2.7-3.0(m,3H),2.05(m,2H),1.25(2s,6H)。
((2S, 3S, 4aR, 8S, 8aR)-and 6-benzyl-8,8-difluoromethyl-2,3-dimethoxy-2,3-dimethyl octahydro-[1,4] dioxa is [2,3-c] pyridine hydrochlorides (general step B) (5) also.To at CH
2Cl
2(1.4mL 10.3mmol) dropwise adds 4 (2.4g, solution 6.9mmol) to the DAST of being cooled to (50mL)-15 ℃ in the solution.After 10 minutes, ice bath is removed and will be reacted stirred overnight at room temperature.At this moment, with reactant mixture cooling and through adding saturated NaHCO once more in an ice bath
3(dropwise adding during beginning, because this has produced slight heat release really) will be reacted quenching.With the organic layer separation and through Na
2SO
4Dry, filter and solvent evaporated to provide a kind of oil of yellow in a vacuum.Through on silica gel (Hex/EtOAc), carrying out the chromatographic purifying residue, be a kind of colourless oil to provide title compound (1.6g, 62%).
1H?NMR(CDCl
3)7.2(m,5H),6.0(dt,1H),3.75(m,1H),3.55(m,3H),3.2(2s,6H),2.95(m,1H),2.85(m,1H),2.3(m,2H),1.5(br?s,1H),1.2(2s,6H)。
(3R, 4R, 5S)-and 5-(difluoromethyl) piperidines 3,4-diol hydrochloride (general step C) (6).(1.6g is 4.3mmol) at EtOH/H with compound 5
2Heat down and should react through HPLC and monitor refluxing in the mixture of O/HCl (40mL/40mL/5mL) up to no longer detecting starting material.Solvent is evaporated in a vacuum and uses twice of EtOH coevaporation then.Be dissolved among the MeOH residue and through Pd (OH)
2Hydrogenation.After accomplishing, through filtering catalyzer is removed, and the evaporation in a vacuum of will filtrating.With residue from EtOH (50mL) again crystallization be a kind of white solid (168 ℃-170 ℃ of mp) to provide title compound (0.55g, 66%).
1H?NMR(D
2O)6.15(dt,1H),4.3-4.8(m,2H),3.0(t,1H),2.85(t,1H),2.3(m,1H)。
(5S)-1. butyl-5-(difluoromethyl) piperidines 3 for 3R, 4R, 4-glycol (general step D) (7a; R
5=Bu).With 6 (0.30g, 1.4mmol), K
2CO
3(0.48g, 3.5mmol) (0.20g, mixture 1.4mmol) merge in DMF (10mL), and 60 ℃ of following heated overnight with BuBr.Solvent is evaporated in a vacuum, and residue is dissolved among the EtOAc, water is brine wash and through Na then
2SO
4Dry.After filtering, will filtrate and evaporate in a vacuum to provide crude product, it is passed through chromatography (CH
2Cl
2/ (9: 1) MeOH/NH
4OH) carry out purifying to provide title compound (0.25g, 80%), be a kind of no mill base.MH
+=224.
1H?NMR(DMSO-d
6)6.2(t,1H,J=57Hz),5.13(d,1H,ex),4.91(d,1H,ex),3.3(m,1H),3.1(m,1H),2.9(m,2H),2.3(m,2H),1.95(m,2H),1.75(t,1H),1.2-1.5(2m,4H),0.9(t,3H)。
(5S)-1. pi-allyl-5-(difluoromethyl) piperidines 3,4-glycol (7b for 3R, 4R; R
5=piperidines).Follow general step D, (0.17g 1.4mmol), has obtained title compound, is a kind of white solid (0.22g, 76%) to use allyl bromide, bromoallylene.MH
+=208.
1H?NMR(DMSO-d
6)6.2(t,1H,J=57Hz),5.8(m,1H),5.2(m,3H),4.92(d,1H),3.3(m,1H),3.1(1H),2.95(d,2H),2.85(d,2H),1.9(br?m,2H),1.75(t,1H)。
(3R, 4R, 5S)-and 5-(difluoromethyl)-1-(4-luorobenzyl) piperidines 3,4-glycol (7c; R
5=4-luorobenzyl).Except at room temperature react and use the 4-fluoro benzyl bromide (0.26g, 1.4mmol) outside, follow general step D, obtained title compound, be a kind of white solid (0.22g, 56%).MH
+=276.
1H?NMR(DMSO-d
6)7.4(m,2H),7.15(m,2H),6.2(t,1H,J=57Hz),5.2(d,1H,ex),4.9(d,1H,ex),3.5(q,2H),3.3(m,1H),3.1(m,1H),2.8(m,2H),2.0(m,2H),1.8(t,1H)。
(3R, 4R, 5S)-and 5-(difluoromethyl)-1-(4-methylbenzyl) piperidines 3,4-glycol (7d; R
5=4-methylbenzyl).Except at room temperature react and use the 4-xylyl bromide (0.26g, 1.4mmol) outside, follow general step D, obtained title compound, be a kind of white solid (0.30,81%).MH
+=272.
1H?NMR(DMSO-d
6)7.2(m,4H),6.2(t,1H,J=57Hz),5.2(d,1H,ex),4.9(d,1H,ex),3.5(q,2H),3.3(1H),3.05(m,1H),2.8(m,2H),2.5(s,3H),1.95(m,2H),1.8(t,1H)。
(3R, 4R, 5S)-and 5-(difluoromethyl)-1-(4-methoxy-benzyl) piperidines 3,4-glycol (7e; R
5=4-methoxy-benzyl).Except at room temperature react and use 4-methoxy-benzyl chlorine (0.26g, 1.4mmol) outside, follow general step D, obtained title compound, be a kind of no mill base (0.19g, 49%).MH
+=288.
1H?NMR(DMSO-d
6)7.3(m,1H),6.85(m,3H)6.2(t,1H,J=57Hz),5.2(d,1H,ex),4.9(d,1H,ex),3.75(s,3H),3.5(q,2H),3.4(m,1H),3.1(m,1H),2.85(m,2H),1.95(m,2H),1.8(t,1H)。
1-((3S, 4R, 5R)-and 3-(difluoromethyl)-4,5-dihydroxy piperidines-1-yl) pentane-1-ketone (8a; Z=CO; R
5=butyl).Except at room temperature react and use valeryl chlorine (0.17g, 1.4mmol) outside, follow general step D, obtained title compound, be a kind of white solid (0.26g, 71%).MH
+=252.
1H?NMR(DMSO-d
6)5.9-6.5(dt,1H),5.35(m,1H,ex),5.25(m,1H),ex),4.2(dd,1H),3.75(dd,1H),3.35(m,2H),3.1(m,1H),2.85(m,1H),2.3(t,2H),1.9br?m,1H),1.4(m,2H),1.25(m,2H),0.85(t,3H)。
(3R, 4R, 5S)-and 5-(difluoromethyl)-1-(mesyl) piperidines 3,4-glycol (8b; Z=SO
2R
5=Me) except at room temperature react and use mesyl chloride (0.16g, 1.4mmol) outside, follow general step D, obtained title compound, be a kind of white solid (0.17g, 51%).
1HNMR(DMSO-d
6)6.2(t,1H,J=53Hz),5.43(d,1H,ex),5.38(d,1H,ex),3.2-3.7(m,4H),2.95(s,3H),2.85(m,1H),2.7(t,1H),2.1(br?s,1H)。(3R, 4R, 5S)-and 5-(difluoromethyl)-1-tosyl phenylpiperidines 3,4-glycol (8b; Z=SO
2R
5=Ph) except at room temperature react and use toluene sulfochloride (0.26,1.4mmol) outside, follow general step D, obtained title compound, be a kind of white solid (0.35g, 67%).
1H?NMR(DMSO-d
6)7.6(d,2H),7.45(d,2H),6.25(t,1H,J=53Hz),5.4(2d,2H,ex),3.3-3.55(m,4H),3.2(m,1H),2.5(m,3H),2.4(t,1H),2.1(m,1H)。
(3S, 4R, 5R)-and 3-(difluoromethyl)-4,5-dihydroxy-N-propyl group piperidines-1-formamide (general step E) (9a; X=O; R
5=propyl group).To doing 6 (free alkalis) among the DMF (5mL) (0.29g, add in solution 1.2mmol) propyl isocyanate (0.10g, 1.2mmol) and will react stirred overnight at room temperature.Solvent is evaporated in a vacuum, and residue is carried out purifying (CH through chromatography
2Cl
2/ MeOH) to provide title compound, be a kind of white solid (0.14g, 48%).MH
+=253.
1H?NMR(DMSO-d
6)6.7(t,1H),6.22(t,1H,J=53Hz),5.25(d,1H,ex),5.15(d,1H,ex),4.05(d,1H),3.9(d,1H),3.3(m,2H),3.0(q,2H),2.5(m,1H),1.8(br?d,1H),1.4(m,2H),0.85(t,3H)。
(3S, 4R, 5R)-and 3-(difluoromethyl)-4,5-dihydroxy-N-Phenylpiperidine-1-formamide (9b; X=O; R
5=phenyl).Follow general step E, (0.14g 1.2mmol), has obtained title compound, is a kind of white solid (0.21g, 62%) to use phenyl isocyanate.MH
+=287.
1H?NMR(DMSO-d
6)8.7(s,1H),7.45(d,2H),7.3(t,2H),6.95(t,1H),6.3(t,1H,J=53Hz),5.35(d,1H),5.25(d,1H),4.1(t,2H),3.3(m,2H),2.85(t,1H),2.75(t,1H),1.95(br?d,1H)。
(3S, 4R, 5R)-and 3-(difluoromethyl)-4,5-dihydroxy-N-butyl piperidine-1-formamide (9c; X=O; R
5=butyl).Follow general step E, (0.12g 1.2mmol), has obtained title compound, is a kind of white solid (0.24g, 76%) to use butyl isocyanate.MH
+=267.
1H?NMR(DMSO-d
6)6.6(t,1H),6.2(t,1H,J=53Hz),5.25(d,1H),5.1(d,1H),4.05(d,1H),3.9(d,1H),3.35(m,2H),3.05(q,2H),2.65(t,1H),2.45(m,1H),1.8(br?d,1H),1.2-1.4(2m,4H),0.85(t,3H)。
(3S, 4R, 5R)-and 3-(difluoromethyl)-4,5-dihydroxy-N-butyl piperidine-1-thioformamide (9d; X=S; R
5=butyl).Follow general step E, (0.14g 1.2mmol), has obtained title compound, is a kind of no mill base (0.21g, 63%) to use butyl isothiocyanate.MH
+=283.
1H?NMR(DMSO-d
6)7.85(t,1H),6.25(t,1H),5.35(2d,2H),4.8(d,1H),4.45(d,1H),3.45(m,2H),3.25(m,1H),3.05(t,1H),2.8(t,1H),1.85(br?d,1H),1.4(m,2H),1.35(m,2H),1.1(m,1H),0.95(t,3H)。
(3S, 4R, 5R)-and 3-(difluoromethyl)-4,5-dihydroxy-N-Phenylpiperidine-1-thioformamide (9e; X=S; The R5=phenyl).Follow general step E, (0.16g 1.2mmol), has obtained title compound, is a kind of white solid (0.31g, 86%) to use phenyl isothiocyanate.MH
+=303..
1H?NMR(DMSO-d
6)9.5(s,1H),7.3(m,4H),7.1(t,1H),6.35(t,1H),5.35(2d,2H),4.85(d,1H),4.55(d,1H),3.45(m,2H),3.2(t,1H),3.0(t,1H),2.05(br?d,1H)。
Compound of the present invention can also be used following general scheme to make by a those of ordinary skill of this area:
Scheme 3
Scheme 4
Scheme 5
Scheme 6
Scheme 7
Salt, solvate and prodrug
Compound of the present invention comprises pharmaceutically acceptable salt, solvate and the prodrug of compound disclosed here.Pharmaceutically acceptable salt comprises: derived from the salt of inorganic base such as Li, Na, K, Ca, Mg, Fe, Cu, Zn, Mn; Organic base such as N, the salt of N '-diacetyl ethylenediamine, aminoglucose, triethylamine, choline, hydroxide, dicyclohexyl amine, melbine, benzylamine, trialkylamine, thiamine; The salt of chiral base such as alkyl benzene amine, glycinol (glycinol), benzene glycinol (phenyl glycinol), the salt of natural amino acid such as glycine, alanine, valine, leucine, isoleucine, nor-leucine, tyrosine, cystine, cysteine, methionine, proline, hydroxy-proline, histidine, ornithine (omithine), lysine, arginine, serine; The salt of alpha-non-natural amino acid such as D-isomer or substituted amino acids; The salt of guanidine, substituted guanidine, wherein substituting group is to be selected from: nitro, amino, alkyl, alkenyl, alkynyl, ammonium or substituted ammonium salt and aluminium salt.Salt can comprise acid-addition salts, wherein suitable is hydrochloride, sulphate, nitrate, phosphate, perchlorate, borate, hydrohalide, acetate, tartrate, maleate, citrate, succinate, pamoate (palmoates), mesylate, benzoate, salicylate, benzene sulfonate, ascorbate, glycerophosphate, ketoglutarate.In one embodiment, pharmaceutically acceptable salt disclosed here is a hydrochloride.
A kind of physics of " solvate " a kind of compound of expression and one or more solvent molecules associates.This physics associates and relates to ionic bond combination and covalent bonds in various degree, comprises that hydrogen bond combines.In some cases, this solvate can separate, for example when one or more solvent molecules are impregnated in the lattice of crystalline solid." solvate " comprises solution phase and separable solvate." hydrate " is a kind of solvate, and solvent molecule wherein is H
2O.Other limiting examples of suitable solvate comprise alcohol (for example, alcoholate, methylate, etc.).
Prodrug be the compound that changes into activity form in vivo (referring to, R.B.Silverman for example, 1992; " The Organic Chemistry of Drug Design and Drug Action "; Academic Press, Chapter 8, are combined in this by reference).In addition, at T.Higuchi and V.Stella, Pro-drugs as Novel Delivery Systems; Volume 14 of the A.C.S.Symposium Series and Bioreversible Carriers in Drug Design; Edward B.Roche, ed., American Pharmaceutical Association and Pergamon Press; The discussion of prodrug is provided in 1987, and the both is combined in this by reference on it.Prodrug can be used to change a kind of biodistribution (for example, having allowed typically not get into the compound of the reactive site of protease) or pharmacokinetics of specific compound.For example, can a kind of hydroxy-acid group for example be carried out esterification to produce a kind of ester with a methyl group or an ethyl group.When giving the experimenter with this ester, this ester is enzymatic ground or non-enzymatic ground, also original place, oxidation ground or hydrolysis ground split, to expose anionic group.A kind of anionic group can carry out esterification to expose a kind of midbody compound with the part of splitting (for example acyloxy methyl ester), and this midbody compound decomposes to provide reactive compound subsequently.
The example of prodrug and their purposes be in the art know (referring to, for example, Berge et al. (1977) " Pharmaceutical Salts ", J.Pharm.Sci.66:1-19).These prodrugs can the preparation in the original place in the final separation of these compounds and purge process, and perhaps the compound through making purifying respectively and a kind of suitable derivatization reagent react and prepare.For example, through in the presence of a kind of catalyzer, handling, can oh group be changed into ester with a kind of carboxylic acid.The instance of the pure prodrug part that can split comprises: substituted and unsubstituted, side chain or unbranched low alkyl group ester moiety (for example ethyl ester), low-grade alkenyl ester, two-low alkyl group-amino be rudimentary-and Arrcostab (for example, dimethylaminoethyl ester), acylamino-lower alkyl esters, acyloxy lower alkyl esters (for example oxy acid methyl neopentyl ester), aryl ester (phenylester), aryl lower alkyl ester (for example benzyl ester), substituted (for example using methyl, halogen or methoxyl group substituting group) aryl and aryl lower alkyl ester, acid amides, rudimentary-alkylamide, two-low alkyl group acid amides and hydroxy amide.
Compound disclosed here (those salt, solvate and the prodrug that comprise these compounds; Salt and solvate together with prodrug) all stereoisomers (for example; Geometric isomer, optical isomer etc.); As existing those owing to the asymmetric carbon on the different substituents; Comprise enantiomeric forms (they even can exist not having under the asymmetric carbon), rotational isomeric form, atropisomer, and diastereomeric form, consider within scope of the present invention.The single stereoisomer of these compounds can for example be not contain other isomer in fact, maybe can be for example as raceme or with every other, or other selections, stereoisomer mixes.The chiral centre of above-claimed cpd can have S or R configuration, as defined by IUPAC 1974 Recommendations.The use of term " salt ", " solvate ", " prodrug " etc. is intended to use coequally salt, solvate and the prodrug of enantiomter, stereoisomer, rotational isomer, dynamic isomer, raceme or the prodrug of The compounds of this invention disclosed here.
Preparation
Can prepare one or more therapeutic agents that are suitable for any method of administration, for example comprise, be in the oral forms of tablet or capsule or liquid, or be in the form of the aseptic aqueous solution that is used to inject.When one or more therapeutic agents are used for oral administration by preparation; Can prepare tablet or capsule with pharmaceutically acceptable excipient through conventional method, these excipient such as binding agent (for example pregelatinization corn starch, PVP or hydroxypropyl methylcellulose); Filler (for example, lactose, microcrystalline cellulose or calcium monohydrogen phosphate); Lubricant (for example dolomol, talcum or silica); Disintegrant (for example potato starch or Explotab); Or wetting agent (for example NaLS).Can tablet be encapsulated through method well known in the art.The liquid formulations that is used for oral administration can be taked the for example form of solution, syrup or suspension, or they can be used as a kind of dryed product (water or other suitable carriers constitute (constitution) before use) and exist.These flowing products can prepare these additives such as suspending agent (the for example edible fat of sorbitol syrup, cellulose derivatives or hydrogenation) with acceptable additive pharmaceutically through conventional method; Emulsifier (for example lecithin or gum Arabic); Non-aqueous carrier (the for example vegetable oil of apricot kernel oil, oily ester, ethanol or fractionation); Or preservative (for example methyl p-hydroxybenzoate or propylparaben or sorbic acid).These liquid formulations can also contain just like suitable buffer salt, flavor enhancement, colouring agent or sweetener.The preparation that is used for oral administration can suitably be prepared one or more therapeutic agents to provide sustained release or to continue to discharge.
In certain embodiments of the invention, these one or more therapeutic agents are to give with a kind of formulation of whole body picked-up that allows, and play a role on neuronal cell thereby make these one or more therapeutic agents can pass blood-brain barrier like this.For example, the medicament preparation that is suitable for the therapeutic agent of parenteral/injectable purposes comprises generally: aseptic aqueous solution (wherein water miscible) or dispersion and the aseptic powdery that is used for temporarily preparing sterile injectable solution or dispersion.In all cases, this form must be aseptic and must be (reach and have the degree that is easy to syringeability) of flowing.It produce and storage requirement under must be stable and must avoid microorganism (like bacterium and fungi) contamination and preserve.Carrier can be a kind of solvent or dispersion medium, comprises for example water, ethanol, polyalcohol (for example, glycerine, propane diols, polyethylene glycol etc.), their suitable mixture or vegetable oil.For example can be through using a kind of dressing such as lecithin, keeping suitable flowability through desired granularity under the situation that maintains dispersion and through the use surfactant.Can pass through the prevention that different antibacterial agents and antifungal agent (for example, p-hydroxybenzoate, anesin, phenol, phenmethylol, sorbic acid etc.) bring action of microorganisms.In many cases, comprise that for example carbohydrate or sodium chloride will be rational to isotonic agent.Can bring the absorption of the prolongation of injectable composition through in these compositions, using absorption delay agent (for example aluminum monostearate or gelatin).
Aseptic Injectable solution be through with one or more therapeutic agents with desired amount in suitable solvent with different more than other compositions (as desired) of enumerating combine, subsequently through filtering or terminal sterilization prepares.Generally, dispersion is to prepare through different sterilized active components being attached in a kind of sterile carrier (this sterile carrier contain a kind of alkaline dispersion medium and from desired other compositions of enumerating more than those).Under the situation of the aseptic powdery that is used to prepare aseptic Injectable solution; Preferred manufacturing procedure is that the solution of aseptic filtration carries out vacuum drying and cryodesiccated technology before it, and they have provided a kind of powder that active component adds any extra desirable composition.
This preparation can contain a kind of excipient.The pharmaceutically acceptable excipient that can be included in this preparation is: buffer such as citrate buffer agent, PB, acetate buffer and bicarbonate buffer agent, amino acid, urea, alcohol, ascorbic acid, phosphatide; Albumen is like seralbumin, collagen and gelatin; Salt is like EDTA or EGTA and sodium chloride; Liposome; Polyvinylpyrrolidone; Carbohydrate is like glucan, mannitol, sorbitol and glycerine; Propane diols and polyethylene glycol (for example PEG-4000, PEG-6000); Glycerine; Glycine or other amino acid; And lipid.The system buffer of using with preparation comprises: citrate, acetate, bicarbonate and PB.PB is an embodiment preferred.
This preparation can also comprise a kind of nonionic detergent.Preferred nonionic detergent comprises: polysorbate20, polysorbate80, triton x-100, triton X-114, Nuo Nade P-40, octyl group alpha-glucosaccharase, octyl group beta-glucosidase, Brij 35, Pluronic and polysorbas20.
Method of administration
These one or more therapeutic agents can be oral ground or stomach and intestine other places (comprise intravenous ground, hypodermically, ground in the intra-arterial ground, peritonaeum, eye ground, intramuscularly, ground, oral cavity, rectally, in the transvaginal ground, socket of the eye in ground, the brain in ground, the corium in ground, encephalic ground, the backbone in ground, indoor ground, the sheath in ground, the brain pond in ground, the capsule, lung interiorly, nose interiorly, wear mucous membrane ground, percutaneously or through suction) give.In a preferred embodiment, these one or more therapeutic agents are orally gives.
Giving of one or more therapeutic agents can be the group of injecting preparation through periodically; Maybe can give through administration in intravenous or the peritonaeum from a bunker, this bunker can be outside (for example i.v. sack) or inner (for example biology erosion property implant).Referring to, for example U.S. Patent number 4,407, and 957 and 5,798,113, be combined in this separately by reference.The intrapulmonary delivery delivery method for example is described in U.S. Patent number 5,654 with device, and 007,5,780,014 and 5,814,607, be combined in this separately by reference.Other useful parenteral delivery systems comprise: the cell that vinyl-vinyl acetate copolymer particle, osmotic pumps, implantable infusion system, pump are sent, sealed is sent, liposome delivery, pin are sent injection, Needleless injection, sprayer, atomizer, electroporation and through the skin patch.Needleless injection device is described in U.S. Patent number 5,879,327; 5,520,639; 5,846,233 and 5,704,911, their specification is combined in this by reference.Any preparation of more than describing can use these methods to give.
Hypodermic injection has the advantage that allows self-administer, compares with intravenously administrable, has also caused the prolongation of plasma half-life.In addition, the multiple device that designs for patient's convenience like the injection pen and the Needleless injection device that can refill, can use with the preparation of the present invention in this discussion.
Dosage
A kind of suitable pharmaceutical preparation is the form that is in a kind of unit dosage forms.In this form, said preparation is subdivided into the UD of suitable size, and this dosage contains the active component of appropriate amount, and for example an effective dose is to reach desirable purpose.In certain embodiments, these one or more therapeutic agents give (for example, once-a-day, twice on the one, three times on the one) with the one or many daily dose.In certain embodiments, these one or more therapeutic agents give off and on.
Exemplary dosage regimen is described in: on June 11st, 2008 is as the U.S. Provisional Patent Application 61/108 of WO 2008/134628 disclosed International Patent Application PCT/US08/61764 and submission on October 24th, 2008; In 192, the both is combined in this with its integral body by reference.In one embodiment, these one or more therapeutic agents with a kind of intermittence dosage regimen give, this dosage comprises: giving initial " loading dose " every day, is the interval administration of the non-every day in one period subsequently.
The amount that is used to prevent or treats the efficacious therapy agent of the disease of being quoted can be confirmed according to the actual conditions of case by a those of ordinary skill of this area.The dosage of these one or more therapeutic agents and administration frequency can be adjusted according to the doctor in charge's (doctor) who considers these factors (like age, patient's the patient's condition and size, together with the seriousness of the symptom of the disease of being quoted of the dangerous or treatment of development disease) judgement.
The composition of medicine treatment
Therapeutic agent of the present invention can with at least a other therapeutic agent combination medicine-feeding.Therapeutic agent of the present invention and at least a other the administration of therapeutic agent are understood to include order administration or administration simultaneously.In one embodiment, these therapeutic agents are to give with the formulation of separating.In another embodiment, two kinds or more kinds of therapeutic agent are to give simultaneously with identical formulation.
In certain embodiments; Therapeutic agent of the present invention is to give with at least a other therapeutic agent combination, and this at least a other therapeutic agent is a kind of anti-movement disorder agent (for example carbidopa, levodopa), a kind of anti-infective (for example Mai Gesita), a kind of antitumor agent (for example busulfan, cyclophosphamide), a kind of gastrointestinal drug (for example methylprednisolone), a kind of micronutrient (for example calcitriol, cholecalciferol,, ergocalciferol, vitamin D), a kind of vasoconstrictor (for example calcitriol).In a preferred embodiment,, this disease gives the therapeutic agent of above-mentioned other when being gaucher disease.In certain embodiments, combination gives like Cholestyramine
for one or more therapeutic agents of the present invention and allopregnenolone, a kind of low-cholesterol diet or cholesterol-lowering agent such as Statins (for example
), Bei Te such as fenofibrate
nicotinic acid and/or binding resin (binding resin).
In one embodiment, one or more therapeutic agents of the present invention give with the gene therapy combination.With regard to sub stituent because of as the glucocerebrosidase gene or be used for the SNCA gene inhibitory RNA (siRNA) both considered gene therapy.Gene therapy is described in greater detail in the U.S. Patent number of submitting on February 17th, 2,004 7,446,098.
In one embodiment, one or more therapeutic agents of the present invention are to give with at least a other therapeutic agent combination, and this at least a other therapeutic agent is a kind of antiinflammatory (for example brufen or other NSAID).
In one embodiment; One or more therapeutic agents of the present invention are that a kind of substrate inhibitor combination with glucocerebrosidase gives; (
Mai Gesita can be from Actelion Pharmaceuticals, US for this substrate inhibitor such as N-butyl-DNJ; Inc.; South San Francisco, CA, US obtains).
Also considered one or more therapeutic agents of the present invention and at least a other the combination of therapeutic agent, this at least a other therapeutic agent is a kind of therapeutic agent that is used for one or more other lysosomal enzymes.Table 2 has comprised the non-limiting tabulation of the therapeutic agent that is used for lysosomal enzyme.
Table 2:
In certain embodiments; One or more therapeutic agents of the present invention give with at least a therapeutic agent combination, and this at least a therapeutic agent is: a kind of anti-movement disorder agent (for example carbidopa, levodopa), a kind of anti-infective (for example cyclosporin, Mai Gesita, pyrimethamine), a kind of antitumor agent (for example alemtuzumab, imuran, busulfan, clofarabine, cyclophosphamide, melphalan, methotrexate, Rituximab), a kind of antirheumatic (for example Rituximab), a kind of gastrointestinal drug (for example methylprednisolone), a kind of micronutrient (for example calcitriol, cholecalciferol, ergocalciferol, folic acid, vitamin D), a kind of reproduction controlling agent (for example methotrexate (MTX)), a kind of respiratory system drug (for example tetrahydrozoline), vasoconstrictor (for example calcitriol, tetrahydrozoline).
In certain embodiments, one or more therapeutic agents of the present invention give the therapeutic agent that this at least a therapeutic agent is a kind of β of being used for-hexosaminidase A and/or a kind of therapeutic agent that is used for acid beta galactosidase with at least a therapeutic agent combination.In certain embodiments; One or more therapeutic agents of the present invention give with at least a therapeutic agent combination, and this at least a therapeutic agent is a kind of anti-infective (for example Mai Gesita), a kind of antitumor agent (for example alemtuzumab, busulfan, cyclophosphamide), a kind of gastrointestinal drug (for example methylprednisolone).In one embodiment, give dangerous development with above-mentioned combination or be diagnosed as the have Niemann-Pick disease patient of (for example Niemann-Pick disease Type C).
Instance
Instance through following proposition further specifies the present invention.The purposes of these examples only is to be used for explanation and to limit scope of the present invention and meaning or any illustration term absolutely not.Likewise, the invention is not restricted to said any specific preferred embodiment.Really, through reading this specification, multiple change of the present invention and change should be clearly to those of ordinary skill in the art.Therefore the present invention is only limited by the term of the appended claim four corner together with the equivalent of right that claim gives.
Instance 1: suppress confirming of constant
Binding affinity (defining through the Ki binding constant at this) for the GCase of compounds of the present invention is to use EIA experience ground to confirm.Briefly, employed EIA has been monitored a kind of test compounds combines and stop a kind of hydrolysis of fluorogenic substrate with a kind of mode that relies on concentration ability.Definitely, (4-MU-β-D-Glc) fluorogenic substrate has been measured recombined human GCase (rhGCase under the various test compounds that do not have or exist different amounts to use 4-methyl umbelliferone base-β-D-glucopyranoside;
Genzyme Corp.) enzymic activity.Through with all specimen and unrestraint control sample (no compound; Corresponding to 100% enzymic activity) compare the residual enzyme activity that exists under the test compounds to be determined at, the data that obtain are analyzed.Subsequently normalized residual activity data (on the y axle) being mapped with respect to the concentration (on the x axle) of test compounds causes the concentration of the test compounds of enzymic activity 50% inhibition (to be defined as IC with deduction
50).Then will be for the IC of various test compounds
50Value is brought Cheng-Prusoff equation (following detailed description) into accurately to be reflected the absolute inhibition constant K for the binding affinity of Gcase of test compounds
iBoth have carried out EIA down and to obtain in endoplasmic reticulum and lysosome compound the binding affinity of GCase deep have been understood (being usefulness) at pH 7.0 (endoplasmic reticulum pH) and pH 5.2 (lysosome pH).
External test
The test compounds that in buffer solution " M " (it consists of: 50mM sodium phosphate buffer and 0.25% natrium taurocholicum, pH 7.0 and pH 5.2 times), has prepared variable concentrations.Equally enzyme (people's enzyme β-glucocerebrosidase of
a kind of recombinant forms) is diluted for 5.2 times at pH 7.0 and pH in identical buffer solution " M ".Substrate solution consist of the 3mM 4-methyl umbelliferone β-D-glucopyranoside (under the pH at both) in the buffer solution with 0.15% triton x-100 " M ".The enzyme of the dilution of 5 microlitres is joined the different inhibitor concentration of 15 μ l or hatching 1 hour with the beta-glycosidase activity of evaluation under pH 7.0 and pH 5.2 with 50 μ l substrate preparations down in the buffer solution " M " and at 37 ℃ separately.Through adding isopyknic 0.4M glycine (pH 10.6) reaction is stopped.Use 355nm to excite emission with 460nm, on a microwell plate detector with 1 second/hole measurement fluorescence.Use is not adding enzyme or is not adding hatching defining non-enzymatic activity and maximum activity respectively under the inhibitor, and carries out normalization % for a given mensuration and suppress.The result who measures for this type of vitro inhibition of reference compound IFG-tartrate and some test compounds is summarised among the following table 2A
In-site detecting
Use fibroblast (setting up) to measure compounds of the present invention in position to the active effect of lysosome GCase from a normal subjects.The cell of planting on 48 orifice plates was hatched 16-24 hour with the compound of indication concentration.Measure for dose response, cell and original position substrate 5-(phenyl-pentafluoride formamido group) fluorescein two-β-D-glucopyranoside (PFBFD β Glu) were hatched 1 hour and dissolved subsequently to be determined at the degree that there is time substrate hydrolysis in compound.This is measured and uses 12 range of concentrations, comprises 5 one magnitude, and the center is on IC50.Definitely, used following concentration range: (3R, 4R, 5S)-and 5-(difluoromethyl) piperidines-3,4-glycol, (3R; 4R, 5S)-5-(1-fluoro ethyl) piperidines-3,4-glycol, (3R, 4R; 5R)-5-(1-ethoxy)-piperidines-3, the 4-glycol, (3R, 4R, 5S)-5-((R)-1-fluoropropyl) piperidines-3; The 4-diol hydrochloride and (3R, 4R, 5S)-5-benzyl piepridine-3,4-glycol: 1.0x 10
-3To 3.0x 10
-9M; (3R, 4R, 5R)-and 5-(1-ethoxy)-piperidines-3,4-glycol: 1.0x 10
-4To 3.0x 10
-10M; And (3R, 4R, 5S)-and 5-(1-fluoro ethyl) piperidines-3,4-glycol: 1.0x 10
-3To 3.0x 10
-11M; Wherein compound from the maximum concentration in particular range by serial dilution 1: 3.Suppress to be determined as activity that exists under the compound and the ratio that does not have the activity under the compound.For remove measuring, cell was being equaled under the concentration of IC90 processing 16-24 hour with compound.With cell thoroughly washing and in the medium of drug not, hatching to allow purifying compound flow out from cell.Then with 2 hours interval, through time of 8 hours altogether, the lysosome GCase that measures cell is active, removes compound subsequently.To increase along with the activity of time and the checkout time of a kind of single index function match with the mensuration compound.The result who measures for these original positions inhibition of reference compound IFG-tartrate and some test compounds is summarised among the following table 2B.
When comparing, below be noticeable with reference compound IFG-tartrate: (i) find test compounds (3R, 4R, 5S)-5-(difluoromethyl) piperidines-3; The 4-glycol, (3R, 4R, 5S)-and 5-(1-fluoro ethyl) piperidines-3,4-glycol, (3R; 4R, 5R)-5-(1-ethoxy)-piperidines-3,4-glycol, (3R; 4R, 5S)-5-((R)-1-fluoropropyl) piperidines-3,4-diol hydrochloride and (3R; 4R, 5S)-5-benzyl piepridine-3, the 4-glycol causes that the active enzymic activity that increases and under lower concentration, increase of GCase that a kind of concentration relies on reaches and the same maximum level of reference compound IFG-tartrate; (ii) test compounds (3R, 4R, 5S)-5-(difluoromethyl) piperidines-3; The 4-glycol, (3R, 4R; 5S)-and 5-(1-fluoro ethyl) piperidines-3,4-glycol and (3R, 4R; 5S)-and 5-benzyl piepridine-3, the 4-glycol washes out (former bit clear) quite quickly than reference compound IFG-tartrate from the lysosome marker space; And (iii), test compounds (3R, 4R, 5S)-and 5-(difluoromethyl) piperidines-3,4-glycol, (3R; 4R, 5S)-5-(1-fluoro ethyl) piperidines-3, the 4-glycol, (3R, 4R, 5R)-5-(1-ethoxy)-piperidines-3; The 4-glycol, (3R, 4R, 5R)-and 5-(1-ethoxy)-piperidines-3,4-glycol, (3R, 4R; 5S)-and 5-((R)-1-fluoropropyl) piperidines-3,4-diol hydrochloride and (5S)-5-benzyl piepridine-3, it is active that the 4-glycol has suppressed GCase for 3R, 4R.
Instance 2: blood-brain barrier penetrates
After to the mouse oral administration, measured reference compound IFG-tartrate and some The compounds of this invention (that is, (and 3R, 4R, 5S)-5-(difluoromethyl) piperidines-3; The 4-glycol, (3R, 4R, 5S)-and 5-(1-fluoro ethyl) piperidines-3,4-glycol, (3R, 4R; 5R)-5-(1-ethoxy)-piperidines-3, the 4-glycol, (3R, 4R, 5S)-5-((R)-1-fluoropropyl) piperidines-3; The blood-brain barrier (BBB) of 4-diol hydrochloride and (3R, 4R, 5S)-5-benzyl piepridine-3,4-glycol) penetrates.For this purpose, give the reference or the test compounds (the every time point of n=3 mouse) of a single 30mg/kg (free alkali equivalent) oral dose to the wild type male mice (C57BL/6) in 8 ages in week through gavage.In water, prepared and given drug solns.After administration, at following time point: after the administration 0,0.5,1 and 4 hour, use CO
2Make mouse euthanasia.After euthanasia, from inferior caval vein with whole blood collection to lithium calparine pipe (lithium heparin tube).Similarly, collect brain from each mouse.Through 4 ℃ 2,700x g down rotation whole blood obtained blood plasma in 10 minutes, on dry ice, stored subsequently.With whole brains in cold PBS, wash with the blood that remove to pollute, blot, flash freezing and preserving down at-80 ℃ at last on dry ice, up to analyzing.Be used for analyzing in order to prepare the brain sample, with 50-100mg tissue (with 400 μ l water/mg tissue) homogenization.Clarify through the centrifugal sample that makes then.Then, with brain homogenate supernatant or the blood plasma of 25 μ l and the acetonitrile of 25 μ l of 25 μ l: water (95/5) merges.To the internal standard compound of acetonitrile that wherein replenishes 25 μ l and 50 μ L (at (70: 30) acetonitrile: the 100ng/mL IFG-tartrate 13C2-15N in 0.5% formic acid in the methyl alcohol).Make the sample clarification through centrifugal again, and 75 μ l supernatants and 75 μ l acetonitriles are merged.Pass through LC-MS/MS then in the compound level of PPD Inc. (WI 53562 for 3230Deming Way, Middleton) analytic sample.Briefly; Use a Thermo Betasil, Silica-100,50x 3mm; 5 μ posts, with consisting of 5mM ammonium formate and 0.05% formic acid at (A) 95: 5 acetonitriles: water or (B) 70: 20: 10 methyl alcohol: water: the mixture of the flowing phase in the acetonitrile is with this column equilibration.The sample that injects between 20 μ l and the 30 μ l is used for analyzing.In order to calculate drug concentration, use the molecular weight of respective compound and supposition 1g tissue to be equivalent to the 1mL volume, will change into nM for the initial data of blood plasma (ng/mL) and brain (ng/g).In GraphPad Prism edition 4 .02, draw as the function of time with concentration.
The reference compound that gives a single 30mg/kg (free alkali equivalent) oral dose (for example IFG-tartrate) or test compounds (that is, (and 3R, 4R, 5S)-5-(difluoromethyl) piperidines-3,4-glycol, (3R; 4R, 5S)-5-(1-fluoro ethyl) piperidines-3,4-glycol, (3R, 4R; 5R)-5-(1-ethoxy)-piperidines-3, the 4-glycol, (3R, 4R, 5S)-5-((R)-1-fluoropropyl) piperidines-3; Detected blood plasma level and brain level reflect (3R in the mouse of 4-diol hydrochloride or (3R, 4R, 5S)-5-benzyl piepridine-3,4-glycol); 4R, 5S)-5-(difluoromethyl) piperidines-3,4-glycol, (3R, 4R; 5S)-5-(1-fluoro ethyl) piperidines-3, the 4-glycol, (3R, 4R, 5S)-5-((R)-1-fluoropropyl) piperidines-3; 4-diol hydrochloride and (5S)-5-benzyl piepridine-3, the 4-glycol passes blood-brain barrier more easily with respect to the IFG-tartrate for 3R, 4R.In addition, detected in brain (3R, 4R, 5S)-5-(difluoromethyl) piperidines-3; The 4-glycol, (3R, 4R, 5S)-and 5-(1-fluoro ethyl) piperidines-3,4-glycol, (3R; 4R, 5S)-5-((R)-1-fluoropropyl) piperidines-3,4-diol hydrochloride and (3R; 4R, 5S)-5-benzyl piepridine-3,4-glycol level is higher than the measured level that gives behind the IFG-tartrate.
Instance 3:GCase increases
Evaluated orally give test compounds ((3R, 4R, 5S)-5-(difluoromethyl) piperidines-3,4-glycol, (3R; 4R, 5S)-5-(1-fluoro ethyl) piperidines-3,4-glycol, (3R; 4R, 5S)-5-((R)-1-fluoropropyl) piperidines-3,4-diol hydrochloride or (3R; 4R, 5S)-5-benzyl piepridine-3, the 4-glycol) ability of raising GCase level in mouse.For this purpose, give compound a kind of of the present invention (that is, (3R, the 4R of single oral (gavage) dosage to the wild type male mice (C57BL/6) in 8 ages in week; 5S)-5-(difluoromethyl) piperidines-3, the 4-glycol, (3R, 4R, 5S)-5-(1-fluoro ethyl) piperidines-3; The 4-glycol, (3R, 4R, 5S)-and 5-((R)-1-fluoropropyl) piperidines-3,4-diol hydrochloride or (3R; 4R, 5S)-5-benzyl piepridine-3, the 4-glycol).Dosage details for each compound gave is provided in to show among 3A and the 3B.In water, prepared and given drug solns.Compound is through gave as follows in 2 weeks: first week, Mon-Fri (administration), Saturday to Sunday (not administration), second week, Monday to Thursday (administration); Ptomatopsia Friday.Therefore,, give 9 dosage (every day, prepared fresh was given drug solns) altogether, removed (washout) 24 hours between administration and the ptomatopsia the last time for each mouse.
After accomplishing administration, use CO
2Make mouse euthanasia, then whole blood is extracted the lithium calparine pipe from inferior caval vein.Collected blood plasma in 10 minutes through rotating blood down at 4 ℃ at 2700g.Shift out liver, spleen, lung and brain tissue, in cold PBS, wash, blot, flash freezing on dry ice, and store down, up to analyzing at-80 ℃.Through about 50mg being organized in 500 μ L McIlvane (MI) buffer solution (100mM sodium citrate, 200mM sodium hydrogen phosphate, 0.25% natrium taurocholicum and 0.1% triton x-100s; PH 5.2) in pH 5.2 times handling 3-5 second with a little homogenizer homogenization on ice, measure the GCase level.Then at room temperature, not or have under 2.5mM conduritol-B-epoxides (CBE), homogenate was hatched 30 minutes.At last, add 3.7mM 4-methyl umbelliferone base-beta-glucosidase (4-MUG) substrate and under 37 ℃, hatching 60 minutes.Through adding 0.4M glycine (pH 10.6) reaction is stopped.Use 355nm to excite emission with 460nm, on a microwell plate detector with 1 second/hole measurement fluorescence.According to the specification of manufacturer, at the total protein in the lysate that used the MicroBCA kit measurement.The parallel scope of carrying out is used for the 4-MU that original fluorescence data changes into absolute GCase active (existing or not existing under the CBE) and is expressed as nanomole is discharged every milligram of albumen per hour (nmol/mg albumen/hour) from a 4-methyl umbelliferone (4-MU) calibration curve of 1.0nM to 50 μ M.(Redmond WA) has calculated GCase level and protein level with GraphPad Prism edition 4 .02 to use Microsoft Excel.
Table 3A and 3B have summed up the as above described dosage that in mouse, gives for each compound of being checked, together with the result's that GCase increases in brain and spleen respectively level, the compound concentration in tissue, compound concentration and the inhibition constant (Ki) in GCase measures.
Like what in table 3A and 3B, reflected, give (3R, 4R, 5S)-5-(difluoromethyl) piperidines-3; The 4-glycol, (3R, 4R, 5S)-and 5-(1-fluoro ethyl) piperidines-3,4-glycol or (3R; 4R, 5S)-5-benzyl piepridine-3, the mouse of 4-glycol has proved that in brain and spleen significant GCase increases.
Instance 4: rat pharmacokinetics
In rat, obtained the bioavailability of pharmacokinetics (PK) data with the evaluation test compounds.Specifically, calculate following PK parameter: through bioavailability, the operational dosage mark (%F of the area under concentration/time graph (AUC) mensuration; Below further definition), clearance rate (CL), volume of distribution (Vd) and half life period (t1/2).For this purpose, the Si Pula-Dao that gave for 8 ages in week comes the test compounds (equal 10,30 and 100mg/kg free alkali) of oral (gavage) dosage of (IV) dosage (equaling the 3mg/kg free alkali) in (Sprague-Dawley) male rat or the azygos vein or single increase.Each administration group is used 3 rats.Through 24 hours a time collection blood.The time point of the blood collecting behind intravenous administration is: 0,2.5,5,10,15,30,45 minutes, and 1,2,4,8,12 and 24 hour; The time point of the blood collecting behind oral administration is: 0,5,15,30,45 minutes, and 1,2,3,4,8,12 and 24 hour.Analyzed the compound level of plasma sample at PPD through LC-MS/MS.Analyzed initial data to calculate V through non-compartment analysis with Win-nonLin
D, %F, CL and t
1/2
For based on above-mentioned research (3R, 4R, 5S)-5-(difluoromethyl) piperidines-3,4-glycol, (3R; 4R, 5S)-5-(1-fluoro ethyl) piperidines-3,4-glycol and (3R; 4R, 5S)-5-benzyl piepridine-3, the different drug dynamic metabolism parameter of 4-glycol is described in detail among the following table 4A-D.
Like what in table 4A-D, reflected, (3R, 4R, 5S)-5-(difluoromethyl) piperidines-3; The 4-glycol, (3R, 4R, 5S)-and 5-(1-fluoro ethyl) piperidines-3,4-glycol and (3R; 4R, 5S)-5-benzyl piepridine-3, the 4-glycol has favourable pharmacokinetics curve for drug development.Specifically, (3R, 4R; 5S)-and 5-(difluoromethyl) piperidines-3,4-glycol, (3R, 4R; 5S)-and 5-(1-fluoro ethyl) piperidines-3,4-glycol, and (3R; 4R, 5S)-5-benzyl piepridine-3, the 4-glycol demonstrate excellent oral bioavailability rate (approximately 50%-100%) and dose ratio property, 1.0 to 4.0 hours half life and hinted enough volume of distribution that penetrates into peripheral tissues.
Claims (20)
Priority Applications (1)
| Application Number | Priority Date | Filing Date | Title |
|---|---|---|---|
| CN201510508263.8A CN105193802A (en) | 2009-10-19 | 2010-10-05 | Novel compositions for preventing and/or treating lysosomal storage disorders |
Applications Claiming Priority (3)
| Application Number | Priority Date | Filing Date | Title |
|---|---|---|---|
| US25280609P | 2009-10-19 | 2009-10-19 | |
| US61/252,806 | 2009-10-19 | ||
| PCT/US2010/051458 WO2011049737A1 (en) | 2009-10-19 | 2010-10-05 | Novel compositions for preventing and/or treating lysosomal storage disorders |
Related Child Applications (1)
| Application Number | Title | Priority Date | Filing Date |
|---|---|---|---|
| CN201510508263.8A Division CN105193802A (en) | 2009-10-19 | 2010-10-05 | Novel compositions for preventing and/or treating lysosomal storage disorders |
Publications (2)
| Publication Number | Publication Date |
|---|---|
| CN102647905A true CN102647905A (en) | 2012-08-22 |
| CN102647905B CN102647905B (en) | 2015-09-09 |
Family
ID=43879464
Family Applications (2)
| Application Number | Title | Priority Date | Filing Date |
|---|---|---|---|
| CN201080056430.5A Expired - Fee Related CN102647905B (en) | 2009-10-19 | 2010-10-05 | Novel compositions for the prevention and/or treatment of lysosomal storage disorders |
| CN201510508263.8A Pending CN105193802A (en) | 2009-10-19 | 2010-10-05 | Novel compositions for preventing and/or treating lysosomal storage disorders |
Family Applications After (1)
| Application Number | Title | Priority Date | Filing Date |
|---|---|---|---|
| CN201510508263.8A Pending CN105193802A (en) | 2009-10-19 | 2010-10-05 | Novel compositions for preventing and/or treating lysosomal storage disorders |
Country Status (26)
| Country | Link |
|---|---|
| US (3) | US8604057B2 (en) |
| EP (2) | EP2490533B1 (en) |
| JP (3) | JP6147005B2 (en) |
| KR (1) | KR101848938B1 (en) |
| CN (2) | CN102647905B (en) |
| AR (1) | AR078607A1 (en) |
| AU (2) | AU2010308397B2 (en) |
| BR (1) | BR112012009123A2 (en) |
| CA (1) | CA2778349C (en) |
| DK (2) | DK2490533T3 (en) |
| ES (2) | ES2716871T3 (en) |
| HK (1) | HK1218082A1 (en) |
| HR (2) | HRP20151279T1 (en) |
| HU (2) | HUE041971T2 (en) |
| IL (1) | IL219231A0 (en) |
| LT (1) | LT2995306T (en) |
| MX (1) | MX337933B (en) |
| PL (2) | PL2490533T3 (en) |
| PT (2) | PT2490533E (en) |
| RS (2) | RS58466B1 (en) |
| RU (2) | RU2016103139A (en) |
| SI (2) | SI2995306T1 (en) |
| SM (1) | SMT201500280B (en) |
| TR (1) | TR201903901T4 (en) |
| TW (2) | TWI558396B (en) |
| WO (1) | WO2011049737A1 (en) |
Cited By (2)
| Publication number | Priority date | Publication date | Assignee | Title |
|---|---|---|---|---|
| CN105992758A (en) * | 2014-02-12 | 2016-10-05 | 阿米库斯治疗学公司 | Sugar derivatives comprising sulfur-containing moieties and methods of making same and methods of using the same for the treatment of mps iiic |
| CN108727249A (en) * | 2018-07-07 | 2018-11-02 | 台州学院 | The synthetic method of 3- difluoromethyls piperidine hydrochlorate and its derivative |
Families Citing this family (32)
| Publication number | Priority date | Publication date | Assignee | Title |
|---|---|---|---|---|
| CA2398995C (en) * | 2000-02-04 | 2014-09-23 | Children's Hospital Research Foundation | Lipid hydrolysis therapy for atherosclerosis and related diseases |
| WO2006007560A2 (en) | 2004-07-01 | 2006-01-19 | University Of Pennsylvania | Targeted protein replacement for the treatment of lysosomal storage disorders |
| US20090297496A1 (en) * | 2005-09-08 | 2009-12-03 | Childrens Hospital Medical Center | Lysosomal Acid Lipase Therapy for NAFLD and Related Diseases |
| RU2581058C2 (en) | 2009-10-19 | 2016-04-10 | Амикус Терапьютикс, Инк. | New compositions for preventing or treating degenerative diseases of central nervous system |
| TR201903901T4 (en) | 2009-10-19 | 2019-04-22 | Amicus Therapeutics Inc | Novel compositions for the prevention and / or treatment of lysosomal storage disorders. |
| HUE062163T2 (en) | 2010-04-23 | 2023-09-28 | Alexion Pharma Inc | Lysosomal storage disease enzyme |
| EP3650039A1 (en) | 2010-09-09 | 2020-05-13 | Alexion Pharmaceuticals, Inc. | Use of lysosomal acid lipase for treating lysosomal acid lipase deficiency in patients |
| EP2675472A4 (en) | 2011-02-15 | 2014-09-17 | Synageva Biopharma Corp | Methods for treating lysosomal acid lipase deficiency |
| WO2012177778A1 (en) * | 2011-06-20 | 2012-12-27 | Mount Sinai School Of Medicine | Anti-tnf- therapy for the mucopolysaccharidoses and other lysosomal disorders |
| EP3741384A1 (en) | 2011-09-07 | 2020-11-25 | Mount Sinai School Of Medicine | Ceramidase and cell differentiation |
| HK1205503A1 (en) * | 2012-03-27 | 2015-12-18 | Amicus Therapeutics, Inc. | Novel compounds for preventing and/or treating lysosomal storage disorders and/or degenerative disorders of the central nervous system |
| CA2874146C (en) | 2012-06-01 | 2023-03-21 | Icahn School Of Medicine At Mount Sinai | Ceramide levels in the treatment and prevention of infections |
| JP6832158B2 (en) | 2013-03-14 | 2021-02-24 | アイカーン スクール オブ メディシン アット マウント サイナイ | Therapeutic acidic ceramidase composition and how to make and use it |
| EP3087056A4 (en) | 2013-12-23 | 2017-07-19 | Alectos Therapeutics Inc. | Glucocerebrosidase modulators and uses thereof |
| EP4026545A1 (en) * | 2014-11-19 | 2022-07-13 | Rush University Medical Center | Compositions and methods for treating lysosomal disorders |
| EP3088389A1 (en) * | 2015-04-28 | 2016-11-02 | Dorphan S.A. | 4-epi-isofagomine derivatives |
| US10179128B2 (en) * | 2015-08-31 | 2019-01-15 | Amicus Therapeutics, Inc. | Regimens for treating and preventing lysosomal disorders and degenerative disorders of the central nervous system |
| AR107483A1 (en) * | 2016-01-29 | 2018-05-02 | Hanmi Pharm Ind Co Ltd | CONJUGATE OF THERAPEUTIC ENZYMES |
| ES2862374T3 (en) | 2016-12-28 | 2021-10-07 | Minoryx Therapeutics S L | Isoquinoline compounds, methods for their preparation and therapeutic uses of the same in conditions associated with the alteration of beta galactosidase activity |
| WO2018122775A1 (en) | 2016-12-29 | 2018-07-05 | Minoryx Therapeutics S.L. | Heteroaryl compounds and their use |
| CN108524952A (en) * | 2017-03-06 | 2018-09-14 | 复旦大学 | Adeno-associated virus AAV9 and its purposes in the preparation for preparing treatment dagger-axe Xie Shi diseases |
| CN110573492A (en) | 2017-04-25 | 2019-12-13 | 阿米库斯治疗学公司 | Novel compositions for preventing and/or treating degenerative disorders of the central nervous system and/or lysosomal storage disorders |
| US20220184185A1 (en) | 2018-07-25 | 2022-06-16 | Modernatx, Inc. | Mrna based enzyme replacement therapy combined with a pharmacological chaperone for the treatment of lysosomal storage disorders |
| WO2020102443A1 (en) * | 2018-11-13 | 2020-05-22 | EDWARD Via COLLEGE OF OSTEOPATHIC MEDICINE | Biased nmda receptor modulators and uses thereof |
| KR20220150878A (en) | 2019-11-25 | 2022-11-11 | 게인 테라퓨틱스 에스에이 | Heteroaryl Compounds and Their Therapeutic Uses in Conditions Associated with Alterations in Activity of Beta-Glucocerebrosidase |
| US20230058312A1 (en) | 2019-11-25 | 2023-02-23 | Gain Therapeutics Sa | Aryl and heteroaryl compounds, and therapeutic uses thereof in conditions associated with the alteration of the activity of galactocerebrosidase |
| WO2021156774A1 (en) | 2020-02-03 | 2021-08-12 | Gain Therapeutics Sa | Combination therapy for treating mps1 |
| WO2022212271A1 (en) * | 2021-03-29 | 2022-10-06 | Sanford Health | Methods and compositions for treating lysosomal storage disorders |
| WO2023042177A1 (en) | 2021-09-20 | 2023-03-23 | Gt Gain Therapeutics Sa | Enantiomers of 5-((7-chloroisoquinolin-1-yl)amino)-n-(6-methoxy-1,2,3,4-tetrahydronaphthalen-2-yl)picolinamide |
| JP2026500745A (en) | 2022-12-30 | 2026-01-08 | ジーティー ゲイン セラピューティクス エスアー | Methods for Treating Tauopathies |
| WO2025094117A1 (en) | 2023-11-02 | 2025-05-08 | Gt Gain Therapeutics Sa | Substituted indolyl compounds, compositions thereof, and therapeutic uses thereof |
| WO2025215582A1 (en) | 2024-04-11 | 2025-10-16 | Gt Gain Therapeutics Sa | Substituted pyrazolopyridine and pyrazolopyrimidine compounds and their use |
Citations (3)
| Publication number | Priority date | Publication date | Assignee | Title |
|---|---|---|---|---|
| US20040082641A1 (en) * | 2002-10-28 | 2004-04-29 | Rytved Klaus Asger | Use of glycogen phosphorylase inhibitors for treatment of cardiovascular diseases |
| US20080009516A1 (en) * | 2006-06-23 | 2008-01-10 | Wustman Brandon A | Method for the treatment of neurological disorders by enhancing the activity of beta-glucocerebrosidase |
| CN101117330A (en) * | 2006-05-24 | 2008-02-06 | 阿米库斯治疗学公司 | Tartrate of isofagomine and use thereof |
Family Cites Families (24)
| Publication number | Priority date | Publication date | Assignee | Title |
|---|---|---|---|---|
| US4407957A (en) | 1981-03-13 | 1983-10-04 | Damon Corporation | Reversible microencapsulation of a core material |
| EP0585368B1 (en) | 1991-04-25 | 1997-08-06 | Brown University Research Foundation | Implantable biocompatible immunoisolatory vehicle for delivery of selected therapeutic products |
| US5383851A (en) | 1992-07-24 | 1995-01-24 | Bioject Inc. | Needleless hypodermic injection device |
| US5569189A (en) | 1992-09-28 | 1996-10-29 | Equidyne Systems, Inc. | hypodermic jet injector |
| ES2179831T3 (en) | 1992-09-29 | 2003-02-01 | Inhale Therapeutic Syst | RELEASE IN THE LUNGS OF ACTIVE FRAGMENTS OF PARTIROIDIAN HORMONE. |
| US5863903A (en) * | 1994-03-09 | 1999-01-26 | Novo Nordisk A/S | Use of hydroxy alkyl piperidine and pyrrolidine compounds to treat diabetes |
| FR2718357B1 (en) | 1994-04-06 | 1997-10-03 | Defarges Alain Moreau | Improvements made to a needleless jet injection device. |
| US5599302A (en) | 1995-01-09 | 1997-02-04 | Medi-Ject Corporation | Medical injection system and method, gas spring thereof and launching device using gas spring |
| US5780014A (en) | 1995-04-14 | 1998-07-14 | Inhale Therapeutic Systems | Method and apparatus for pulmonary administration of dry powder alpha 1-antitrypsin |
| US5654007A (en) | 1995-06-07 | 1997-08-05 | Inhale Therapeutic Systems | Methods and system for processing dispersible fine powders |
| TW498067B (en) * | 1996-07-19 | 2002-08-11 | Hoffmann La Roche | 4-hydroxy-piperidine derivatives |
| US6274597B1 (en) | 1998-06-01 | 2001-08-14 | Mount Sinai School Of Medicine Of New York University | Method of enhancing lysosomal α-Galactosidase A |
| WO2004037233A2 (en) | 2002-10-28 | 2004-05-06 | Novo Nordisk A/S | Use of glycogen phosphorylase inhibitors for treatment of cardiovascular diseases |
| US7446098B2 (en) | 2003-02-18 | 2008-11-04 | Mount Sinai School Of Medicine Of New York University | Combination therapy for treating protein deficiencies |
| MXPA06007378A (en) * | 2003-12-23 | 2007-01-26 | Musc Found For Res Dev | Methods and compositions for the prevention and treatment of inflammatory diseases or conditions. |
| MX2007006175A (en) | 2006-05-24 | 2009-02-16 | Amicus Therapeutics Inc | Tartrate salt of isofagomine and methods of use. |
| CA2685332A1 (en) | 2007-04-26 | 2008-11-06 | Amicus Therapeutics, Inc. | Dosing regimens for the treatment of lysosomal storage diseases using pharmacological chaperones |
| ES2564093T3 (en) * | 2009-04-09 | 2016-03-17 | Amicus Therapeutics, Inc. | Methods to prevent and / or treat lysosomal storage disorders |
| EP2416655B1 (en) * | 2009-04-09 | 2014-06-25 | Amicus Therapeutics, Inc. | Methods for preventing and/or treating degenerative disorders of the central nervous system |
| TR201903901T4 (en) * | 2009-10-19 | 2019-04-22 | Amicus Therapeutics Inc | Novel compositions for the prevention and / or treatment of lysosomal storage disorders. |
| RU2581058C2 (en) | 2009-10-19 | 2016-04-10 | Амикус Терапьютикс, Инк. | New compositions for preventing or treating degenerative diseases of central nervous system |
| HK1205503A1 (en) * | 2012-03-27 | 2015-12-18 | Amicus Therapeutics, Inc. | Novel compounds for preventing and/or treating lysosomal storage disorders and/or degenerative disorders of the central nervous system |
| KR102023720B1 (en) | 2012-09-03 | 2019-09-20 | 엘지이노텍 주식회사 | Voice coil motor |
| US10179128B2 (en) * | 2015-08-31 | 2019-01-15 | Amicus Therapeutics, Inc. | Regimens for treating and preventing lysosomal disorders and degenerative disorders of the central nervous system |
-
2010
- 2010-10-05 TR TR2019/03901T patent/TR201903901T4/en unknown
- 2010-10-05 PT PT108253972T patent/PT2490533E/en unknown
- 2010-10-05 HU HUE15183960A patent/HUE041971T2/en unknown
- 2010-10-05 PL PL10825397T patent/PL2490533T3/en unknown
- 2010-10-05 DK DK10825397.2T patent/DK2490533T3/en active
- 2010-10-05 PT PT15183960T patent/PT2995306T/en unknown
- 2010-10-05 ES ES15183960T patent/ES2716871T3/en active Active
- 2010-10-05 RU RU2016103139A patent/RU2016103139A/en not_active Application Discontinuation
- 2010-10-05 LT LTEP15183960.2T patent/LT2995306T/en unknown
- 2010-10-05 ES ES10825397.2T patent/ES2555533T3/en active Active
- 2010-10-05 HR HRP20151279TT patent/HRP20151279T1/en unknown
- 2010-10-05 PL PL15183960T patent/PL2995306T4/en unknown
- 2010-10-05 CN CN201080056430.5A patent/CN102647905B/en not_active Expired - Fee Related
- 2010-10-05 CN CN201510508263.8A patent/CN105193802A/en active Pending
- 2010-10-05 WO PCT/US2010/051458 patent/WO2011049737A1/en not_active Ceased
- 2010-10-05 RS RS20190352A patent/RS58466B1/en unknown
- 2010-10-05 SI SI201031865T patent/SI2995306T1/en unknown
- 2010-10-05 CA CA2778349A patent/CA2778349C/en not_active Expired - Fee Related
- 2010-10-05 EP EP10825397.2A patent/EP2490533B1/en active Active
- 2010-10-05 US US12/898,196 patent/US8604057B2/en active Active
- 2010-10-05 KR KR1020127012937A patent/KR101848938B1/en not_active Expired - Fee Related
- 2010-10-05 DK DK15183960.2T patent/DK2995306T3/en active
- 2010-10-05 MX MX2012004551A patent/MX337933B/en active IP Right Grant
- 2010-10-05 EP EP15183960.2A patent/EP2995306B1/en active Active
- 2010-10-05 AU AU2010308397A patent/AU2010308397B2/en not_active Ceased
- 2010-10-05 BR BR112012009123A patent/BR112012009123A2/en not_active Application Discontinuation
- 2010-10-05 RS RS20150694A patent/RS54466B1/en unknown
- 2010-10-05 RU RU2012120760A patent/RU2608520C2/en not_active IP Right Cessation
- 2010-10-05 SI SI201031072T patent/SI2490533T1/en unknown
- 2010-10-05 JP JP2012535222A patent/JP6147005B2/en not_active Expired - Fee Related
- 2010-10-05 HU HUE10825397A patent/HUE028129T2/en unknown
- 2010-10-12 AR ARP100103716A patent/AR078607A1/en unknown
- 2010-10-12 TW TW099134784A patent/TWI558396B/en not_active IP Right Cessation
- 2010-10-12 TW TW104134223A patent/TWI587859B/en not_active IP Right Cessation
-
2012
- 2012-04-17 IL IL219231A patent/IL219231A0/en unknown
-
2013
- 2013-02-05 HK HK16106258.6A patent/HK1218082A1/en unknown
- 2013-11-19 US US14/083,634 patent/US10035766B2/en active Active
-
2015
- 2015-11-12 SM SM201500280T patent/SMT201500280B/en unknown
-
2016
- 2016-01-15 JP JP2016005859A patent/JP2016145194A/en not_active Withdrawn
- 2016-06-09 AU AU2016203840A patent/AU2016203840A1/en not_active Abandoned
-
2017
- 2017-09-11 JP JP2017173867A patent/JP2018035164A/en active Pending
-
2018
- 2018-07-30 US US16/049,203 patent/US20180334432A1/en not_active Abandoned
-
2019
- 2019-03-18 HR HRP20190521TT patent/HRP20190521T1/en unknown
Patent Citations (3)
| Publication number | Priority date | Publication date | Assignee | Title |
|---|---|---|---|---|
| US20040082641A1 (en) * | 2002-10-28 | 2004-04-29 | Rytved Klaus Asger | Use of glycogen phosphorylase inhibitors for treatment of cardiovascular diseases |
| CN101117330A (en) * | 2006-05-24 | 2008-02-06 | 阿米库斯治疗学公司 | Tartrate of isofagomine and use thereof |
| US20080009516A1 (en) * | 2006-06-23 | 2008-01-10 | Wustman Brandon A | Method for the treatment of neurological disorders by enhancing the activity of beta-glucocerebrosidase |
Non-Patent Citations (1)
| Title |
|---|
| VANESSA FAUGEROUX ET AL.: "C-alkyl 5-membered ring imino sugars as new potent cytotoxic glucosylceramide synthase inhibitors", 《ORGANIC & BIOMOLECULAR CHEMISTRY》, vol. 4, no. 24, 2 November 2006 (2006-11-02), pages 4437 - 4439, XP055059841, DOI: doi:10.1039/b613460b * |
Cited By (3)
| Publication number | Priority date | Publication date | Assignee | Title |
|---|---|---|---|---|
| CN105992758A (en) * | 2014-02-12 | 2016-10-05 | 阿米库斯治疗学公司 | Sugar derivatives comprising sulfur-containing moieties and methods of making same and methods of using the same for the treatment of mps iiic |
| CN105992758B (en) * | 2014-02-12 | 2021-08-31 | 阿米库斯治疗学公司 | Sugar derivatives including sulfur moieties and methods of making them and methods of using them for the treatment of MPS IIIC |
| CN108727249A (en) * | 2018-07-07 | 2018-11-02 | 台州学院 | The synthetic method of 3- difluoromethyls piperidine hydrochlorate and its derivative |
Also Published As
Similar Documents
| Publication | Publication Date | Title |
|---|---|---|
| CN102647905A (en) | Novel compositions for the prevention and/or treatment of lysosomal storage disorders | |
| CN102625661B (en) | Methods for preventing and/or treating lysosomal storage disorders | |
| CN105367485A (en) | Novel compositions for preventing and/or treating degenerative disorders of the central nervous system | |
| BR112017000730B1 (en) | PYRROLIDINONE DERIVATIVES AS METAP-2 INHIBITORS | |
| JP2024539150A (en) | Methods and Compositions Including Peptide Mimetics for Treating, Preventing, Inhibiting, Ameliorating, or Delaying the Onset of Ocular Conditions - Patent application | |
| CN107007596A (en) | Method for treating posttraumatic stress disorder | |
| US20250090504A1 (en) | Small molecule peptidomimetic for the treatment of tauopathies | |
| US20250319073A1 (en) | Compositions and methods for the treatment of huntington’s disease and htt proteinopathies | |
| HK1174201B (en) | Novel compositions for preventing and/or treating lysosomal storage disorders |
Legal Events
| Date | Code | Title | Description |
|---|---|---|---|
| C06 | Publication | ||
| PB01 | Publication | ||
| C10 | Entry into substantive examination | ||
| SE01 | Entry into force of request for substantive examination | ||
| REG | Reference to a national code |
Ref country code: HK Ref legal event code: DE Ref document number: 1174201 Country of ref document: HK |
|
| C14 | Grant of patent or utility model | ||
| GR01 | Patent grant | ||
| REG | Reference to a national code |
Ref country code: HK Ref legal event code: GR Ref document number: 1174201 Country of ref document: HK |
|
| CF01 | Termination of patent right due to non-payment of annual fee |
Granted publication date: 20150909 Termination date: 20211005 |
|
| CF01 | Termination of patent right due to non-payment of annual fee |




























































