WO2025111431A1 - Anti-cd7 antibody-drug conjugates and methods of use thereof - Google Patents
Anti-cd7 antibody-drug conjugates and methods of use thereof Download PDFInfo
- Publication number
- WO2025111431A1 WO2025111431A1 PCT/US2024/056834 US2024056834W WO2025111431A1 WO 2025111431 A1 WO2025111431 A1 WO 2025111431A1 US 2024056834 W US2024056834 W US 2024056834W WO 2025111431 A1 WO2025111431 A1 WO 2025111431A1
- Authority
- WO
- WIPO (PCT)
- Prior art keywords
- group
- antibody
- alkyl
- branched
- linear
- Prior art date
- Legal status (The legal status is an assumption and is not a legal conclusion. Google has not performed a legal analysis and makes no representation as to the accuracy of the status listed.)
- Pending
Links
Classifications
-
- A—HUMAN NECESSITIES
- A61—MEDICAL OR VETERINARY SCIENCE; HYGIENE
- A61K—PREPARATIONS FOR MEDICAL, DENTAL OR TOILETRY PURPOSES
- A61K47/00—Medicinal preparations characterised by the non-active ingredients used, e.g. carriers or inert additives; Targeting or modifying agents chemically bound to the active ingredient
- A61K47/50—Medicinal preparations characterised by the non-active ingredients used, e.g. carriers or inert additives; Targeting or modifying agents chemically bound to the active ingredient the non-active ingredient being chemically bound to the active ingredient, e.g. polymer-drug conjugates
- A61K47/51—Medicinal preparations characterised by the non-active ingredients used, e.g. carriers or inert additives; Targeting or modifying agents chemically bound to the active ingredient the non-active ingredient being chemically bound to the active ingredient, e.g. polymer-drug conjugates the non-active ingredient being a modifying agent
- A61K47/68—Medicinal preparations characterised by the non-active ingredients used, e.g. carriers or inert additives; Targeting or modifying agents chemically bound to the active ingredient the non-active ingredient being chemically bound to the active ingredient, e.g. polymer-drug conjugates the non-active ingredient being a modifying agent the modifying agent being an antibody, an immunoglobulin or a fragment thereof, e.g. an Fc-fragment
- A61K47/6801—Drug-antibody or immunoglobulin conjugates defined by the pharmacologically or therapeutically active agent
- A61K47/6803—Drugs conjugated to an antibody or immunoglobulin, e.g. cisplatin-antibody conjugates
- A61K47/68031—Drugs conjugated to an antibody or immunoglobulin, e.g. cisplatin-antibody conjugates the drug being an auristatin
-
- A—HUMAN NECESSITIES
- A61—MEDICAL OR VETERINARY SCIENCE; HYGIENE
- A61K—PREPARATIONS FOR MEDICAL, DENTAL OR TOILETRY PURPOSES
- A61K47/00—Medicinal preparations characterised by the non-active ingredients used, e.g. carriers or inert additives; Targeting or modifying agents chemically bound to the active ingredient
- A61K47/50—Medicinal preparations characterised by the non-active ingredients used, e.g. carriers or inert additives; Targeting or modifying agents chemically bound to the active ingredient the non-active ingredient being chemically bound to the active ingredient, e.g. polymer-drug conjugates
- A61K47/51—Medicinal preparations characterised by the non-active ingredients used, e.g. carriers or inert additives; Targeting or modifying agents chemically bound to the active ingredient the non-active ingredient being chemically bound to the active ingredient, e.g. polymer-drug conjugates the non-active ingredient being a modifying agent
- A61K47/68—Medicinal preparations characterised by the non-active ingredients used, e.g. carriers or inert additives; Targeting or modifying agents chemically bound to the active ingredient the non-active ingredient being chemically bound to the active ingredient, e.g. polymer-drug conjugates the non-active ingredient being a modifying agent the modifying agent being an antibody, an immunoglobulin or a fragment thereof, e.g. an Fc-fragment
- A61K47/6801—Drug-antibody or immunoglobulin conjugates defined by the pharmacologically or therapeutically active agent
- A61K47/6803—Drugs conjugated to an antibody or immunoglobulin, e.g. cisplatin-antibody conjugates
-
- A—HUMAN NECESSITIES
- A61—MEDICAL OR VETERINARY SCIENCE; HYGIENE
- A61K—PREPARATIONS FOR MEDICAL, DENTAL OR TOILETRY PURPOSES
- A61K47/00—Medicinal preparations characterised by the non-active ingredients used, e.g. carriers or inert additives; Targeting or modifying agents chemically bound to the active ingredient
- A61K47/50—Medicinal preparations characterised by the non-active ingredients used, e.g. carriers or inert additives; Targeting or modifying agents chemically bound to the active ingredient the non-active ingredient being chemically bound to the active ingredient, e.g. polymer-drug conjugates
- A61K47/51—Medicinal preparations characterised by the non-active ingredients used, e.g. carriers or inert additives; Targeting or modifying agents chemically bound to the active ingredient the non-active ingredient being chemically bound to the active ingredient, e.g. polymer-drug conjugates the non-active ingredient being a modifying agent
- A61K47/68—Medicinal preparations characterised by the non-active ingredients used, e.g. carriers or inert additives; Targeting or modifying agents chemically bound to the active ingredient the non-active ingredient being chemically bound to the active ingredient, e.g. polymer-drug conjugates the non-active ingredient being a modifying agent the modifying agent being an antibody, an immunoglobulin or a fragment thereof, e.g. an Fc-fragment
- A61K47/6835—Medicinal preparations characterised by the non-active ingredients used, e.g. carriers or inert additives; Targeting or modifying agents chemically bound to the active ingredient the non-active ingredient being chemically bound to the active ingredient, e.g. polymer-drug conjugates the non-active ingredient being a modifying agent the modifying agent being an antibody, an immunoglobulin or a fragment thereof, e.g. an Fc-fragment the modifying agent being an antibody or an immunoglobulin bearing at least one antigen-binding site
- A61K47/6849—Medicinal preparations characterised by the non-active ingredients used, e.g. carriers or inert additives; Targeting or modifying agents chemically bound to the active ingredient the non-active ingredient being chemically bound to the active ingredient, e.g. polymer-drug conjugates the non-active ingredient being a modifying agent the modifying agent being an antibody, an immunoglobulin or a fragment thereof, e.g. an Fc-fragment the modifying agent being an antibody or an immunoglobulin bearing at least one antigen-binding site the antibody targeting a receptor, a cell surface antigen or a cell surface determinant
-
- A—HUMAN NECESSITIES
- A61—MEDICAL OR VETERINARY SCIENCE; HYGIENE
- A61P—SPECIFIC THERAPEUTIC ACTIVITY OF CHEMICAL COMPOUNDS OR MEDICINAL PREPARATIONS
- A61P35/00—Antineoplastic agents
Definitions
- the present disclosure relates to antibody-drug conjugates (ADCs) comprising an antibody or an antigen-binding fragment thereof covalently linked to two antineoplastic compounds through a dual linker, wherein at least one antineoplastic payload is a BH3 mimetic.
- ADCs antibody-drug conjugates
- the disclosure further relates to methods and compositions useful in the treatment and/or diagnosis of cancers that express a target antigen (e.g. CD7) and/or are amenable to treatment by modulating expression and/or activity of Bcl-2 family proteins, as well as methods of making those compositions.
- a target antigen e.g. CD7
- Linker-drug conjugates comprising the dual linker and antineoplastic compounds (e.g., two BH3 mimetics or a BH3 mimetic moiety and an antineoplastic non-BH3 mimetic) and methods of making same are also disclosed.
- antineoplastic compounds e.g., two BH3 mimetics or a BH3 mimetic moiety and an antineoplastic non-BH3 mimetic
- Apoptosis (programmed cell death) is an evolutionarily conserved pathway essential for tissue homeostasis, development and removal of damaged cells. Deregulation of apoptosis contributes to human diseases, including malignancies, neurodegenerative disorders, diseases of the immune system and autoimmune diseases (Hanahan and Weinberg, Cell. 2011 Mar 4;144(5):646-74; Marsden and Strasser, Amu Rev Immunol. 2003;21:71-105; Vaux and Flavell, Curr Opin
- the Bcl-2 protein family comprises key regulators of cell survival which can suppress (e.g., Bcl-2, Bcl-xL, Mcl-1) or promote (e.g, Bad, Bax) apoptosis (Gross et al., Genes Dev. 1999 Aug 1 ; 13(15): 1899-911, Youle and Strasser, Nat. Rev. Mol. Cell Biol. 2008 Jan;9(l):47-59).
- the prosurvival members such as Bcl-2, Bcl-xL, and Mcl-1 contain BH domains 1-4, whereas Bax and Bak, the proapoptotic effectors of mitochondrial outer membrane permeabilization during apoptosis, contain BH domains 1-3 (Youle and Strasser, Nat. Rev. Mol. Cell Biol. 2008 Jan;9(l):47-59).
- Bcl- xL also named BCL2L1, from BCL2-like 1
- BCL2L1 from BCL2-like 1
- T-cells isolated from the joints of rheumatoid arthritis patients exhibited increased Bcl-xL expression and were resistant to spontaneous apoptosis (Salmon et al., J Clin Invest. 1997 Feb 1 ;99(3) :439-46. doi: 10.1172/JCI119178.PMID: 9022077).
- BH3 mimetics a new class of drugs named BH3 mimetics. These molecules are able to disrupt the interaction between the proapoptotic and antiapoptotic members of the Bcl-2 family and are potent inducers of apoptosis.
- This new class of drugs includes inhibitors of Bcl-2, Bcl-xL, Bcl-w and Mcl-1.
- the first BH3 mimetics described were ABT- 737 and ABT-263, targeting Bcl-2, Bcl-xL and Bcl-w (Park et al., J. Med. Chem. 2008 Nov 13;51(21):6902-15; Roberts et al., J. Clin. Oncol.
- the selective Bcl-2 inhibitor ABT- 199 is now approved for the treatment of patients with CLL and AML in combination therapy, while the other inhibitors are still under pre-clinical or clinical development.
- ABT-263 has shown activity in several hematological malignancies and solid tumors (Shoemaker etal., Clin. Cancer Res. 2008 Jun 1;14(11):3268-77; Ackler et al., Cancer Chemother. Pharmacol. 2010 Oct;66(5):869-80; Chen et al., Mol. Cancer Ther. 2011 Dec;10(12):2340-9).
- ABT-263 exhibited objective antitumor activity in lymphoid malignancies (Wilson et al., Lancet Oncol. 2010 Dec; 11(12): 1149-59; Roberts et al., J. Clin. Oncol. 2012 Feb 10;30(5):488-96) and its activity is being investigated in combination with several therapies in solid tumors.
- the selective Bcl-xL inhibitors, A-l 155463 or A-1331852 exhibited in vivo activity in pre-clinical models of T-ALL (T-cell Acute Lymphoblastic Leukemia) and different types of solid tumors (Tao et al., ACS Med. Chem. Lett.
- ABT-737 prevented allogeneic T-cell activation, proliferation, and cytotoxicity in vitro and inhibited allogeneic T- and B- cell responses after skin transplantation with high selectivity for lymphoid cells (Cippa et al., .Transpl Int. 2011 Jul;24(7):722-32. doi: 10.1111/j.1432-2277.2011.01272.x. Epub 201 1 May 25.PMID: 21615547).
- Bcl-2 family proteins e.g, Bcl-2, Bcl-xL, Mcl-1
- upstream and/or downstream proteins in an apoptotic signaling pathway in oncology and in the field of immune and autoimmune diseases.
- CD7 is a transmembrane glycoprotein expressed in normal T cells from early until late stages of maturation (Reinhold U et al. Immunology. 1996 Nov;89(3):391-6. doi: 10.1046/j.l365- 2567.1996. d01-744.x.PMID: 8958052).
- Previous data have shown that CD7 may play a role in T-cell and T-cell/B-cell interactions during lymphoid development and has a co-stimulatory role with CD3, CD45 and PI3K (Chan AS et al, J Immunol. 1997 Jul 15;159(2):934-42.PMID: 9218614; Stillwell R and Bierer BE. Immunol Res. 2001 ;24(1):31 -52.
- CD7 is highly expressed on almost all T-ALL patient samples (Pais H, et al, Sci Rep. 2019 Apr 8;9(l):5760. doi: 10.1038/s41598-019-42214-w.PMID: 30962539). CD7 is also expressed in 30% of AML cells and in a fewer proportion of other hematological cell malignancies (Del Poeta G et al, Leuk Lymphoma.
- Anti-CD7 antibody based therapies have been generated in the past for the treatment of CD7 positive malignancies (Baum W, et al, Br J Haematol. 1996 Nov;95(2):327-38. doi: 10.1046/j.1365-2141.1996.d01-1900.x.PMID: 8904888; Peipp M et al, Cancer Res. 2002 May 15;62(10):2848-55.PMID: 1201916; Tang J et al, Oncotarget. 2016 Jun 7;7(23):34070- 83. doi: 10.18632/oncotarget.8710. PMID: 2708300; Frankel AE, et al, Leuk Lymphoma.
- the present disclosure provides an antibody-drug conjugate comprising an antibody or an antigen-binding fragment thereof covalently linked to two antineoplastic payloads through a dual linker, wherein at least one antineoplastic payloads is a BH3 mimetic, and wherein the dual linker has one attachment point connected to the antibody and two attachment points to the two antineoplastic payloads, and wherein the two antineoplastic payloads can be the same or different, and wherein the antibody or antigen-binding fragment thereof binds to target antigen CD7; wherein the antibody or antigen-binding fragment thereof is not Ab D.
- one antineoplastic payload is a BH3 mimetic and the other antineoplastic payload is an antineoplastic non-BH3 mimetic.
- the antineoplastic non-BH3 mimetic is a topoisomerase 1 inhibitor or an antimitotic drug.
- the topoisomerase 1 inhibitor is selected from topotecan, exatecan, deruxtecan and SN-38.
- the anti-mitotic drug is monomethyl auristatin E (MMAE) or a taxane.
- the taxane is selected from docetaxel, paclitaxel, or cabazitaxel.
- said two antineoplastic payloads are two BH3 mimetics.
- the BH3 mimetic is selected from a Mcl-1 inhibitor, a Bcl-2 inhibitor, and a Bcl-xL inhibitor.
- the BH3 mimetic of said two antineoplastic payloads are the same. In some embodimetns, the BH3 mimetic of said two antineoplastic payloads are different.
- the antineoplastic payloads in the antibody-drug conjugate of the present disclosure are defined as: (i) one antineoplastic payload is a Mcl-1 inhibitor and the other antineoplastic payload is a Bcl-2 inhibitor; (ii) one antineoplastic payload is a Mcl-1 inhibitor and the other antineoplastic payload is a Bcl-xL inhibitor; or (iii) one antineoplastic payload is a Bcl-2 inhibitor and the other antineoplastic payload is a Bcl-xL inhibitor.
- one antineoplastic payload is a Mcl-1 inhibitor, a Bcl-2 inhibitor, and a Bcl-xL inhibitor
- the other antineoplastic payload is a topoisomerase 1 inhibitor or an anti-mitotic drug.
- one antineoplastic payload is a Bcl-xL inhibitor and the other antineoplastic payload is a topoisomerase 1 inhibitor.
- one antineoplastic payload is a Bcl-xL inhibitor and the other antineoplastic payload is an anti-mitotic drug.
- one antineoplastic payload is a Mcl- 1 inhibitor and the other antineoplastic payload is a topoisomerase 1 inhibitor.
- one antineoplastic payload is a Mcl- 1 inhibitor and the other antineoplastic payload is an anti-mitotic drug.
- one antineoplastic payload is a Bcl-2 inhibitor and the other antineoplastic payload is a topoisomerase 1 inhibitor.
- one antineoplastic payload is a Bcl-2 inhibitor and the other antineoplastic payload is an anti-mitotic drug.
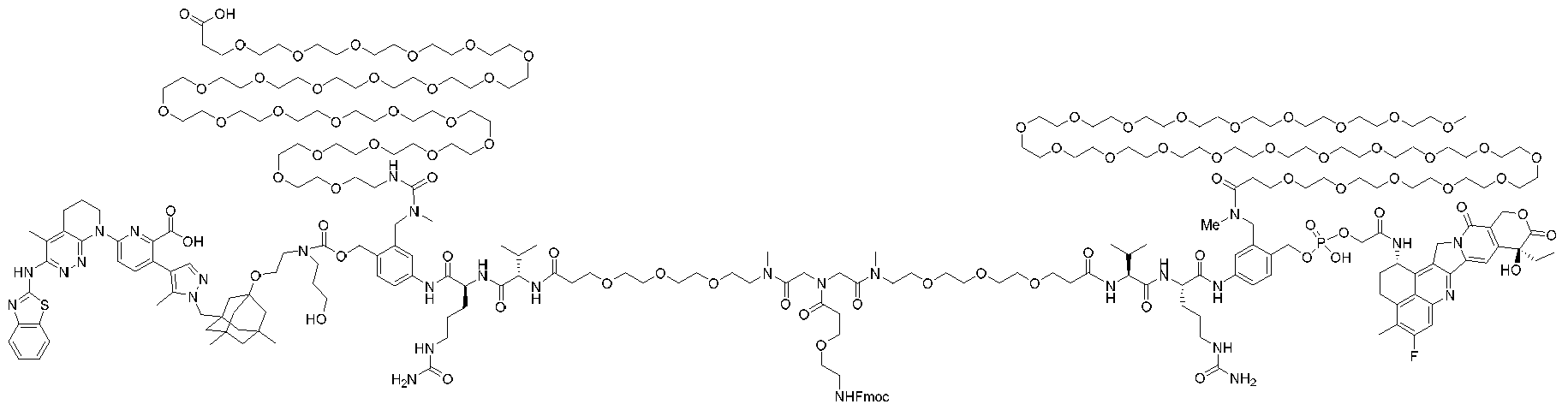
- the present disclosure provides antibody-drug conjugate of the first embodiment, wherein the antibody-drug conjugate is represented by Eormula (A): wherein:
- Ab is an anti-CD7 antibody or an antigen-binding fragment thereof
- R 1 is an attachment group
- L 1 is a bridging spacer
- W is branching moiety
- L 2 and L 3 ’ are each independently a linker
- D 1 and D 2 are each independently an antineoplastic compound, wherein at least one of D 1 and D 2 is a BH3 mimetic; and a is an integer from 1 to 16. In some embodiments, D 1 and D 2 are each independently a BH3 mimetic.
- the present disclosure provides an antibody-drug conjugate of the second embodiment, wherein a is an integer from 1 to 8, 1 to 6, 1 to 4, or a is 1 or 2, optionally wherein a is determined by liquid chromatography-mass spectrometry (LC-MS).
- LC-MS liquid chromatography-mass spectrometry
- the definitions of the remaining variables are provided in the second embodiment or any embodiments described therein.
- a is an integer from 1 to 6 or from 1 to 4 or a is 1 or 2 or a is determined by liquid chromatography-mass spectrometry (LC-MS).
- each of L 2 and L 3 comprises a cleavable group, optionally wherein at least one cleavable group comprises a glucuronide group, pyrophosphate group, a peptide group, and/or a self-immolative group.
- each of L 2 and L 3 comprises a cleavable group, optionally at least one cleavable group comprises a pyrophosphate group, a peptide group and/or a self-immolative group.
- the definitions of the remaining variables are provided in the second or third embodiment or any embodiments described therein.
- the present disclosure provides an antibody-drug conjugate of the second embodiment, wherein the antibody-drug conjugate is represented by Formula (B): wherein:
- Ab is an anti-CD7 antibody or an antigen-binding fragment thereof
- R 1 is an attachment group
- L 1 is a bridging spacer
- W is N or CR W ; wherein R w is H or Ci-ealkyl;
- L 2 and L 3 are each independently a connecting spacer
- E 1 and E 2 are each independently, an enzyme cleavage element or a hydrophilic moiety; V 1 and V 2 are each independently comprise: i) a self immolative group, ii) an enzyme cleavage element, or iii) a self-immolative group and an enzyme cleavage element; and D 1 and D 2 are each independently an antineoplastic compound, wherein at least one of D 1 and D 2 is a BH3 mimetic.
- V 1 and V 2 are each independently i) a self immolative group or ii) an enzyme cleavage element; and D 1 and D 2 are each independently a BH3 mimetic.
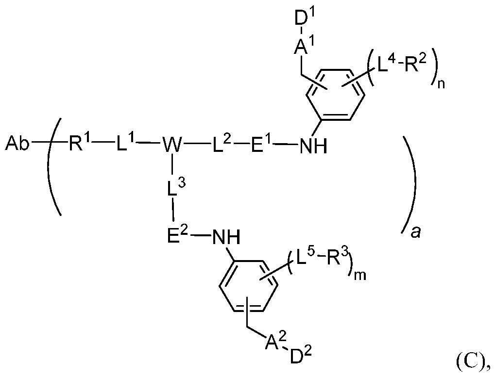
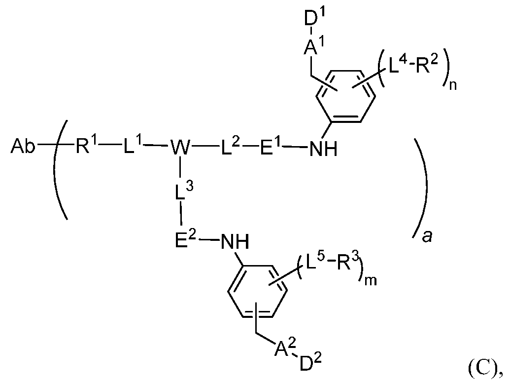
- the present disclosure provides an antibody-drug conjugate of the fifth embodiment, wherein the antibody-drug conjugate is represented by Formula (C): or pharmaceutically acceptable salt thereof, wherein
- Ab is an anti-CD7 antibody or an antigen-binding fragment thereof
- R 1 is an attachment group
- L 1 is a bridging spacer
- W is N or CR W ; wherein R w is H or Ci-ealkyl;
- L 2 and L 3 are each independently a connecting spacer
- E 1 and E 2 are each independently a peptide group comprising 1 to 6 amino acids, wherein said peptide group is optionally substituted by a hydrophilic group;
- D 1 and D 2 are each independently an antineoplastic compound, wherein at least one of D 1 and D 2 is a BH3 mimetic;
- L 4 and L 5 are each independently a spacer moiety
- R 2 and R 3 are each independently a hydrophilic group or an enzyme cleavage element; and m and n are each independently 0 or 1.
- D 1 and D 2 are each independently a BH3 mimetic.
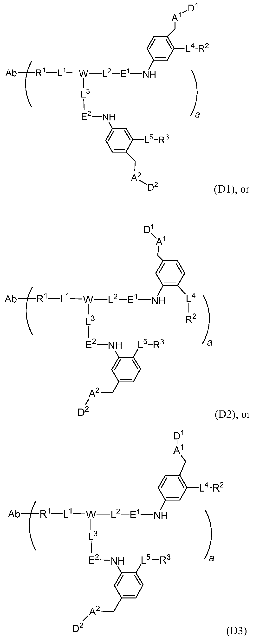
- the present disclosure provides an antibody-drug conjugate of the seventh embodiment, wherein the antibody-drug conjugate is represented by Formula (DI), (D2), or (D3):
- D 1 and D 2 are each independently an antineoplastic compound, wherein at least one of D 1 and D 2 is a BH3 mimetic; R 2 and R 3 are each independently an enzyme cleavage element; and for Formula (D3), R 2 is a hydrophilic group and R 3 is an enzyme cleavage element.
- D 1 and D 2 are each independently a BH3 mimetic.
- the present disclosure provides an antibody-drug conjugate of the eighth embodiment, wherein for Formula (DI), R 2 and R 3 are each independently a hydrophilic group.
- R 2 and R 3 are each independently a hydrophilic group.
- the definitions of the remaining variables are provided in the eighth embodiment or any embodiment described therein.
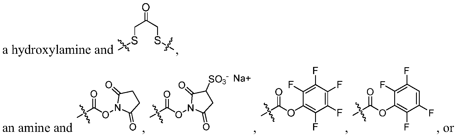
- the present disclosure provides an antibody-drug conjugate of any one of the second through the ninth embodiments, wherein the attachment group is formed by a reaction comprising at least one reactive group.
- the definitions of the remaining variables are provided in any one of the second through the ninth embodiments or any embodiment described therein.
- the present disclosure provides an antibody-drug conjugate of any one of the second through the tenth embodiments, wherein the attachment group is formed by reacting: a first reactive group that is attached to the linker, and a second reactive group that is attached to the antibody or is an amino acid residue of the antibody, wherein optionally,
- At least one of the reactive groups comprises: a thiol, a maleimide, a haloacetamide, an azide, an alkyne, a cyclcooctene, a triaryl phosphine, an oxanobomadiene, a cyclooctyne, a diaryl tetrazine, a monoaryl tetrazine, a norbomene, an aldehyde, a hydroxylamine, a hydrazine,
- each R 11 is independently selected from H and Ci-Cgalkyl
- each R 12 is 2-pyridyl or 4-pyridyl
- each R 13 is independently selected from H, Ci-Cgalkyl, F, Cl, and -OH
- each R 14 is independently selected from H, Ci-Cgalkyl, F, Cl, -NH2, -OCH3, -OCH2CH3, - N(CH 3 ) 2 , -CN, -NO 2 and -OH
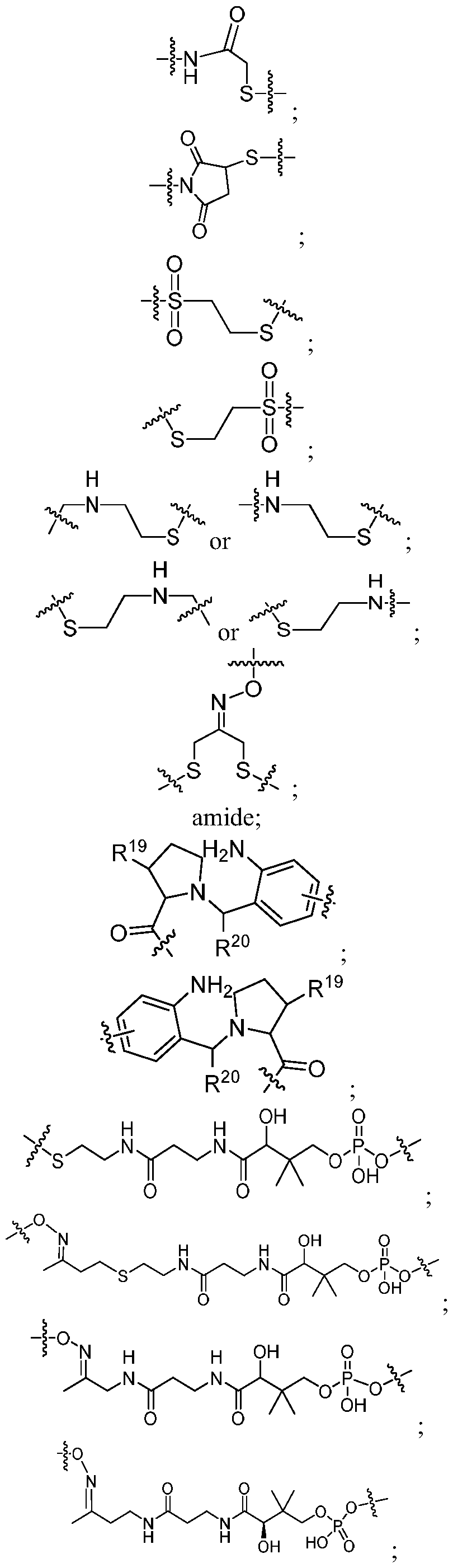
- the present disclosure provides an antibody-drug conjugate of any one of the second through the eleventh embodiments, wherein the attachment group is selected from:
- R 16 is H, CM alkyl, phenyl, pyrimidine or pyridine;
- R 17 is independently selected from H, phenyl and pyridine; q is 0, 1, 2 or 3;
- R 19 is H or methyl
- R 20 is H, -CH3 or phenyl.
- the present disclosure provides an antibody-drug conjugate of any one of the second through the twelfth embodiments, wherein the attachment group
- the present disclosure provides an antibody-drug conjugate of any one of the second through the thirteenth embodiments, wherein:
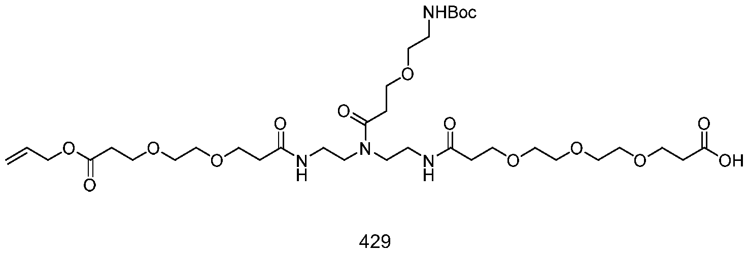
- L 1 comprises:
- n is an integer from 1 to 12, wherein the * of L 1 indicates the point of direct or indirect attachment to W, and the ** of L 1 indicates the point of direct or indirect attachment to R 1 ; integer from 1 to 12 or n is 1 or n is 12, wherein the * of L 1 indicates the point of direct or indirect attachment to W, and the ** of L 1 indicates the point of direct or indirect attachment to R 1 ;
- L 1 is , and n is an integer from 1 to 12, wherein the * of L 1 indicates the point of direct or indirect attachment to W, and the ** of Li indicates the point of direct or indirect attachment to R 1 ;
- L 1 comprises , wherein the * of L 1 indicates the point of direct or indirect attachment to W, and the ** of L 1 indicates the point of direct or indirect attachment to R 1 ;
- L 1 is a bridging spacer comprising:
- each R L1 is independently selected from H and Ci-Cgalkyl.
- the present disclosure provides an antibody-drug conjugate of any one of the second through the fourteenth embodiments, wherein L 1 comprises a moiety represented by wherein n is an integer from 1 to 12, wherein the * of L 1 indicates the point of direct or indirect attachment to W, and the ** of L 1 indicates the point of direct or indirect attachment to R 1 .
- the definitions of the remaining variables are provided in the second through the fourteenth embodiments or any embodiments described therein.
- the present disclosure provides an antibody-drug conjugate of the fifteenth embodiment, wherein L 1 is represented by a formula wherein n is an integer from 1 to 12; x is an integer from 0 to 6; y is 0 or 1 ; z is an integer from 0 to 6; u is 0 or 1 ; and wherein the * of L 1 indicates the point of direct attachment to W, and the ** of L 1 indicates the point of direct attachment to R 1 .
- the present disclosure provides an antibody-drug conjugate of any one of the second through the sixteenth embodiments, wherein L 1 is selected from the group consisting of :
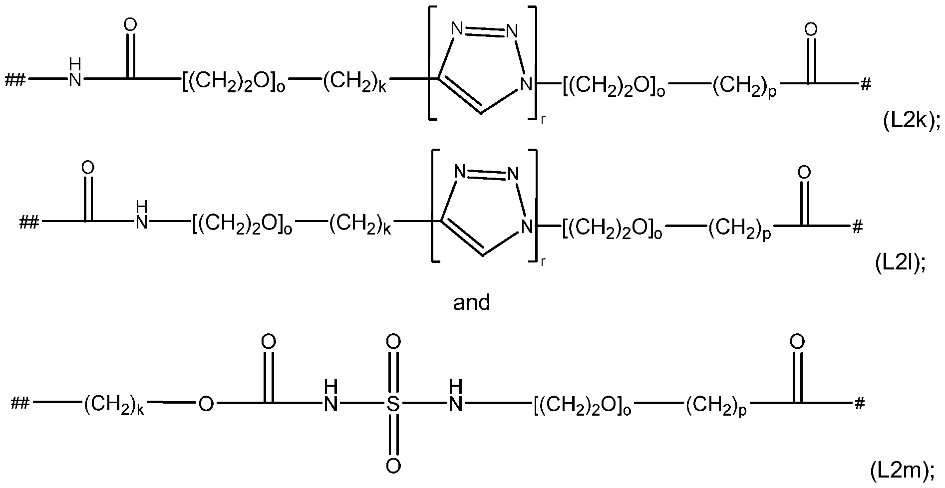
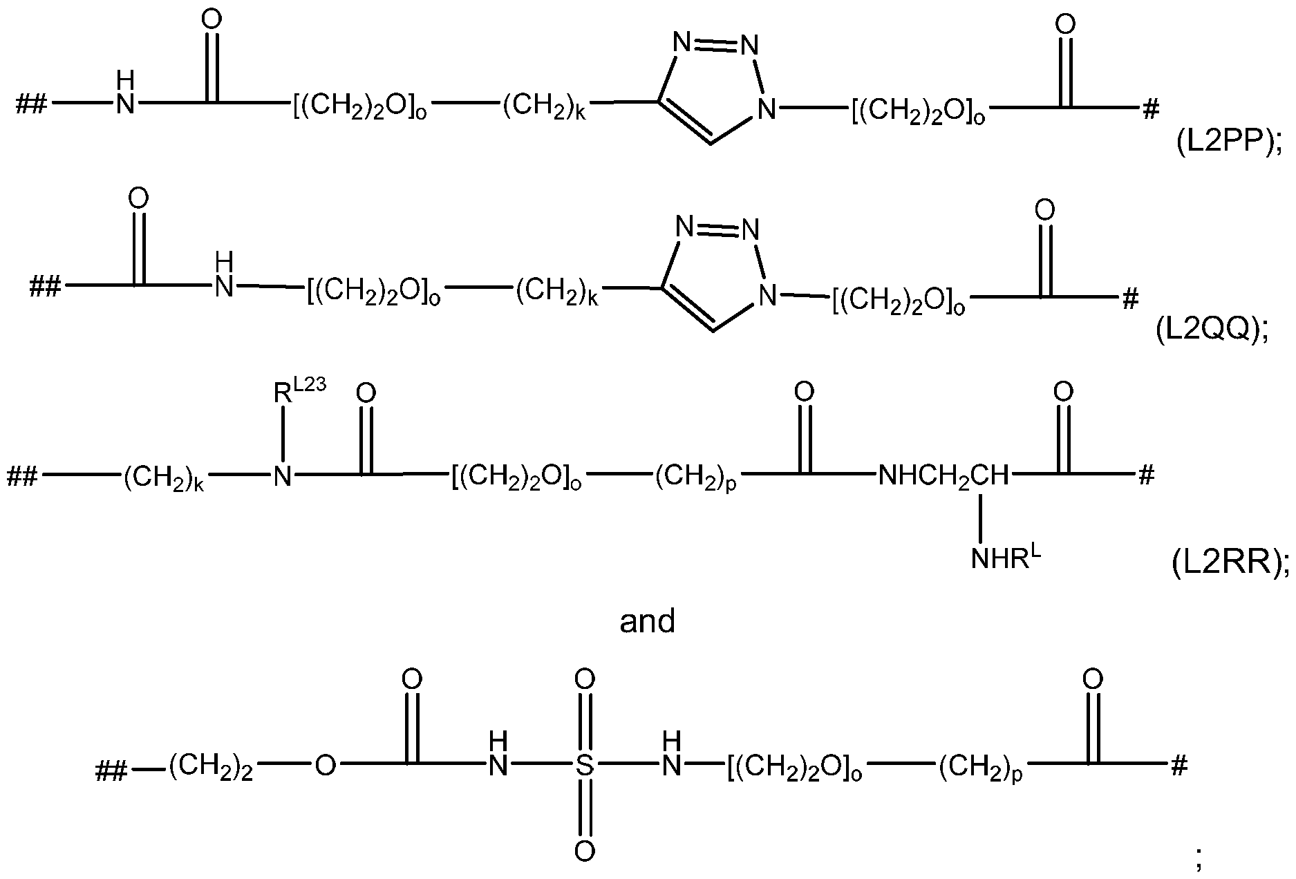
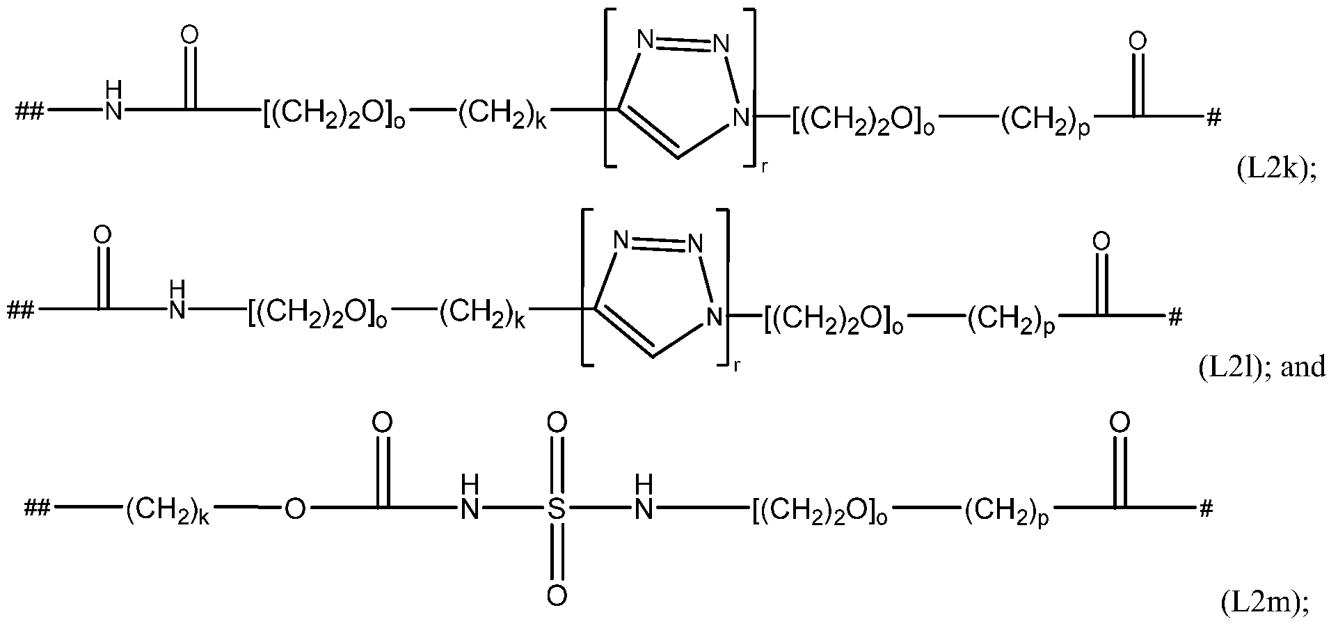
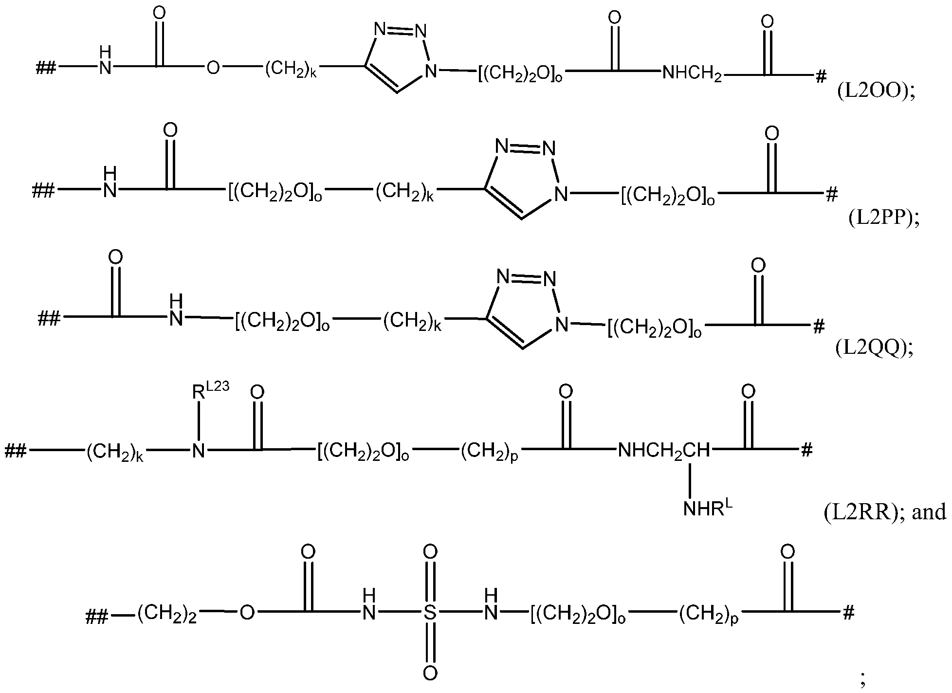
- the present disclosure provides an antibody-drug conjugate of the eighteenth embodiment, wherein L 2 and L 3 are each independently a connecting spacer selected from a group consisting of wherein k, in each occurrence, is independently an integer from 0 to 4; r, in each occurrence, is independently 0 or 1 ; o, in each occurrence, is independently an integer from 0 to 10; p, in each occurrence, is independently an integer from 0 to 4;
- R L23 is hydrogen or Ci-ealkyl
- R L is hydrogen or -C(O)-R H ;
- R H is a hydrophilic group; and the # of L 2 or L 3 indicates the point of direct attachment to E 1 or E 2 , respectively, and the ## of L 2 or L 3 indicates the point of direct attachment to W; provided that when W is N, L 2 and L 3 are not (L2c), (L2d), (L2f), or (L2k).
- the present disclosure provides an antibody-drug conjugate of the nineteenth embodiment, wherein L 2 and L 3 are each independently a connecting spacer selected from a group consisting of
- R L23 is hydrogen or Cmalkyl
- R L is hydrogen or -C(O)-R H ;
- R H is a hydrophilic group; and the # of L 2 or L 3 indicates the point of direct attachment to E 1 or E 2 , respectively, and the ## of L 2 or L 3 indicates the point of direct attachment to W; provided that when W is N, L 2 and L 3 are not (L2FF), (L2MM), (L2NN), (L2OO), or (L2PP).
- L2FF L2FF
- L2MM L2MM
- L2NN L2NN
- L2OO L2PP
- the present disclosure provides an antibody-drug conjugate of the fifth through the twentieth embodiments, wherein:
- L 2 and L 3 independently, are a connecting spacer selected from a group consisting of
- # of L 2 or L 3 indicates the point of direct attachment to E 1 or E 2 , respectively, the ## of L 2 or L 3 indicates the point of direct attachment to W;
- R L is hydrogen or -C(O)-R H ; and
- d is an integer from 20 to 30 (e.g., 20, 21, 22, 23, 24, 25, 26, 27,
- the present disclosure provides an antibody-drug conjugate of the twenty-first embodiment, wherein d is 25.
- the definitions of the remaining variables are provided in the twenty-first embodiments or any embodiments described therein.
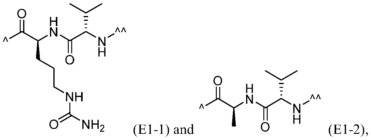
- the present disclosure provides an antibody-drug conjugate of any one of the seventh through the twenty-second embodiments, wherein the peptide group comprises 1 to 4, 1 to 3, or 1 to 2 amino acid residues.
- the definitions of the remaining variables are provided in the seventh through the twenty-second embodiments or any embodiments described therein.
- the present disclosure provides an antibody-drug conjugate of the twenty-third embodiment, wherein the amino acid residues are selected from glycine (Gly), L- valine (Vai), L-citrulline (Cit), L-cysteic acid (sulfo-Ala), L-lysine (Lys), L-isoleucine (He), L- phenylalanine (Phe), L-methionine (Met), L-asparagine (Asn), L-proline (Pro), L-alanine (Ala), L- leucine (Leu), L-tryptophan (Trp), L-tyrosine (Tyr) and (3-alanine (
- the definitions of the remaining variables are provided in the twenty-third embodiment or any embodiments described therein.
- the present disclosure provides an antibody-drug conjugate of any one of the first through the twenty-third embodiments, wherein the peptide group comprises Val- Cit, Phe-Lys, Vai-Ala, Val-Lys, Leu-Cit, Cit-((3-Ala), Gly-Gly-Gly, Gly-Gly-Phe-Gly (SEQ ID NO: 37), and/or sulfo-Ala-Val-Ala.
- the definitions of the remaining variables are provided in the first through the twenty-third embodiments or any embodiments described therein.
- the present disclosure provides an antibody-drug conjugate of any one of the twenty-third through the twenty-fifth embodiments, wherein the peptide group represented by E 1 or E 2 is an enzyme cleavage element.
- E 1 or E 2 is an enzyme cleavage element.
- the definitions of the remaining variables are provided in the twenty-third through the twenty-fifth embodiments or any embodiments described therein.
- the present disclosure provides an antibody-drug conjugate of any one of the twenty-third through the twenty-fifth embodiments, or pharmaceutically acceptable salt thereof, wherein the peptide group represented by E 1 or E 2 is a hydrophilic moiety.
- the definitions of the remaining variables are provided in the twenty-third through the twenty-fifth embodiments or any embodiments described therein.
- the present disclosure provides an antibody-drug conjugate of the twenty-sixth embodiment, or pharmaceutically acceptable salt thereof, wherein E 1 or E 2 , independently, is an enzyme cleavage element selected from a group consisting of wherein A of E 1 or E 2 indicates the point of direct attachment to V 1 or V 2 in Formula (B) or direct attachment to the -NH- group in Formula (C) and (D); and AA of E 1 or E 2 indicates the point of direct attachment to L 2 or L 3 , respectively.
- E 1 or E 2 independently, is an enzyme cleavage element selected from a group consisting of wherein A of E 1 or E 2 indicates the point of direct attachment to V 1 or V 2 in Formula (B) or direct attachment to the -NH- group in Formula (C) and (D); and AA of E 1 or E 2 indicates the point of direct attachment to L 2 or L 3 , respectively.
- the definitions of the remaining variables are provided in the twenty-sixth embodiment or any embodiments described therein.
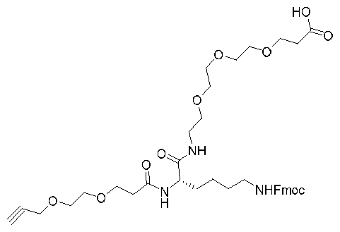
- the present disclosure provides an antibody-drug conjugate of the twenty-seventh embodiment, or pharmaceutically acceptable salt thereof, wherein E 1 or E 2 , independently, is a hydrophilic moiety represented by wherein R E is a hydrophilic group R H .
- E 1 or E 2 independently, is a hydrophilic moiety represented by wherein R E is a hydrophilic group R H .
- R E is a hydrophilic group R H .
- the present disclosure provides an antibody-drug conjugate of the twenty-ninth embodiment, or pharmaceutically acceptable salt thereof, wherein each hydrophilic group R H in E 1 or E 2 is independently ; wherein e is an integer between 20 and 30 (e.g., 20, 21, 22, 23, 24, 25, 26, 27, 28, 29 or 30).
- e is an integer between 20 and 30 (e.g., 20, 21, 22, 23, 24, 25, 26, 27, 28, 29 or 30).
- the definitions of the remaining variables are provided in the twenty-ninth embodiment or any embodiments described therein.
- the present disclosure provides an antibody-drug conjugate of the thirtieth embodiment, wherein e is 24.
- e is 24.
- the definitions of the remaining variables are provided in the thirtieth embodiment or any embodiments described therein.
- the present disclosure provides an antibody-drug conjugate of any one of the seventh through the thirty-first embodiments, or pharmaceutically acceptable salt
- a 1 and A 2 independently are a bond or OH , wherein * indicates the point of attachment to D 1 or D 2 .
- a 1 and A 2 are as
- a 1 and A 2 are OH ;
- a 2 is a bond; bond and A 2 is
- the present disclosure provides an antibody-drug conjugate of any one of the seventh through the thirty-second embodiments, wherein A 1 and A 2 are a bond.
- a 1 and A 2 are a bond.
- the definitions of the remaining variables are provided in the seventh through the thirty-second embodiments or any embodiments described therein.
- X is a bond, triazolyl, or -CH 2 -triazolyl-, wherein X is connected to R 2 or R 3 ; or
- X is -CH 2 -triazolyl-Ci-4 alkylene-OC(O)NHS(O) 2 NH-,
- X is a bond, triazolyl, or -CH 2 -triazolyl-
- R M5 in each occurrence, is independently H or Cmalkyl.
- the present disclosure provides an antibody-drug conjugate of any one of the seventh through the thirty-fifth embodiments, or pharmaceutically acceptable salt thereof, wherein L 4 and L 5 are each independently a spacer moiety selected from a group consisting of
- the present disclosure provides an antibody-drug conjugate of any one of the seventh through the thirty-sixth embodiments, wherein the hydrophilic groups represented by R 2 and R 3 each independently comprises polyethylene glycol, polyalkylene glycol, a polyol, a polysarcosine, a sugar, an oligosaccharide, a polypeptide, C2-C6 alkyl substituted with 1 to 3
- the present disclosure provides an antibody-drug conjugate of any one of the seventh through the thirty-seventh embodiments, wherein R 2 or R 3 independently is
- the present disclosure provides an antibody-drug conjugate of any one of the seventh through the thirty-eighth embodiments, wherein the hydrophilic group represented by R 2 or R 3 each independently comprises:
- R 23 is H, -CH 3 or -C 11 2 C 11 2 C( O )011 ; or
- the hydrophilic group represented by R 2 or R 3 each independently comprises: a polysarcosine with the following moiety: wherein f is an integer between 3 and 25; and
- R 23 is H, -CH 3 or -C 11 2 C 11 2 C( O )011.
- the definitions of the remaining variables are provided in the seventh through the thirty-eighth embodiments or any embodiments described therein.
- the present disclosure provides an antibody-drug conjugate of any one of the seventh through the thirty-sixth embodiments, wherein the enzyme cleavage element represented by R 2 or R 3 each independently comprises:
- the present disclosure provides an antibody-drug conjugate of any one of the seventh through the thirty-sixth embodiments, wherein R 2 or R 3 , independently, is selected from a group consisting of wherein g and h are independently an integer between 20 and 30.
- the present disclosure provides an antibody-drug conjugate of the thirty-ninth through the forty-first embodiments, wherein g is 23, 24, or 25; and h is 23, 24, or 25.
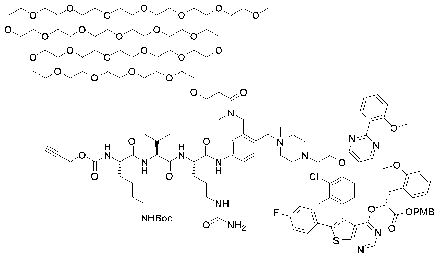
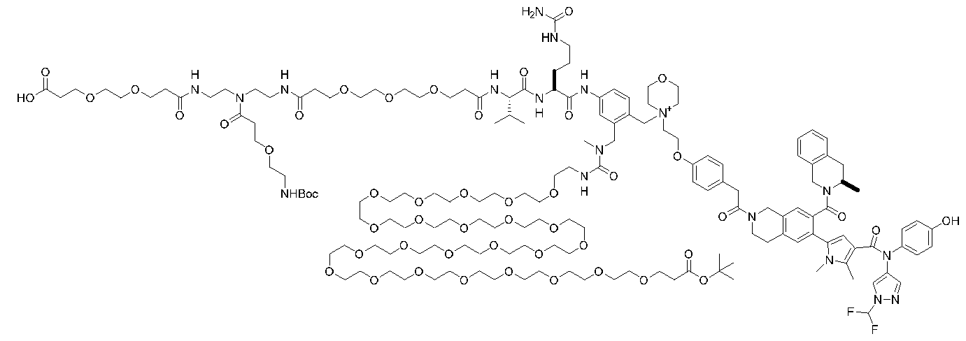
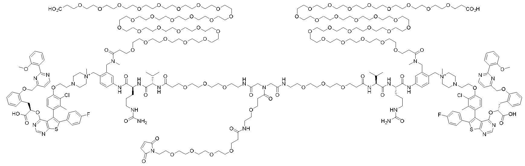
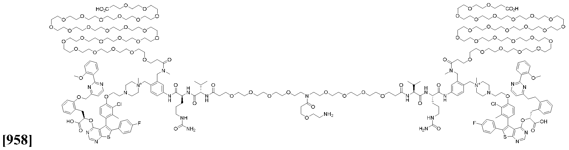
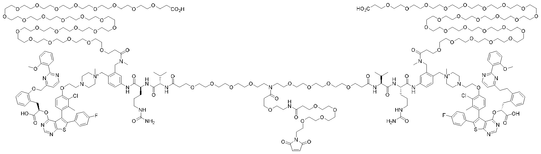
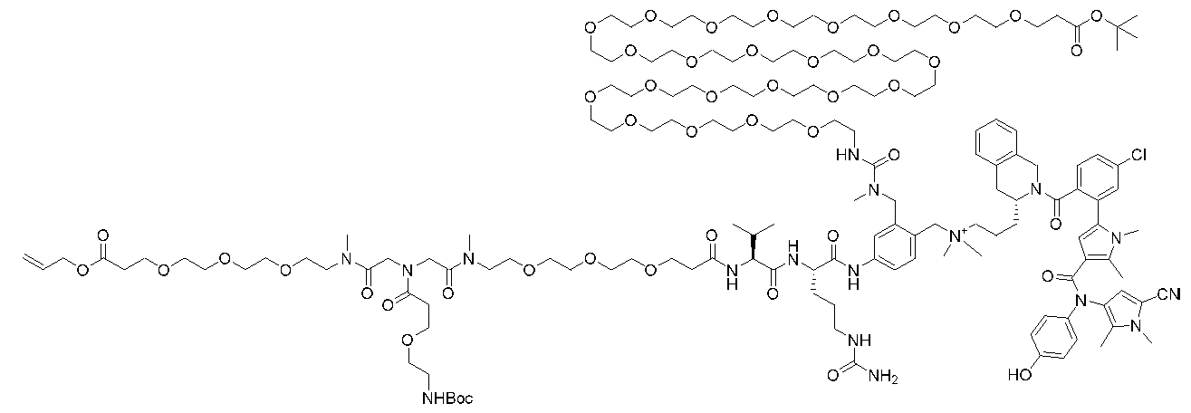
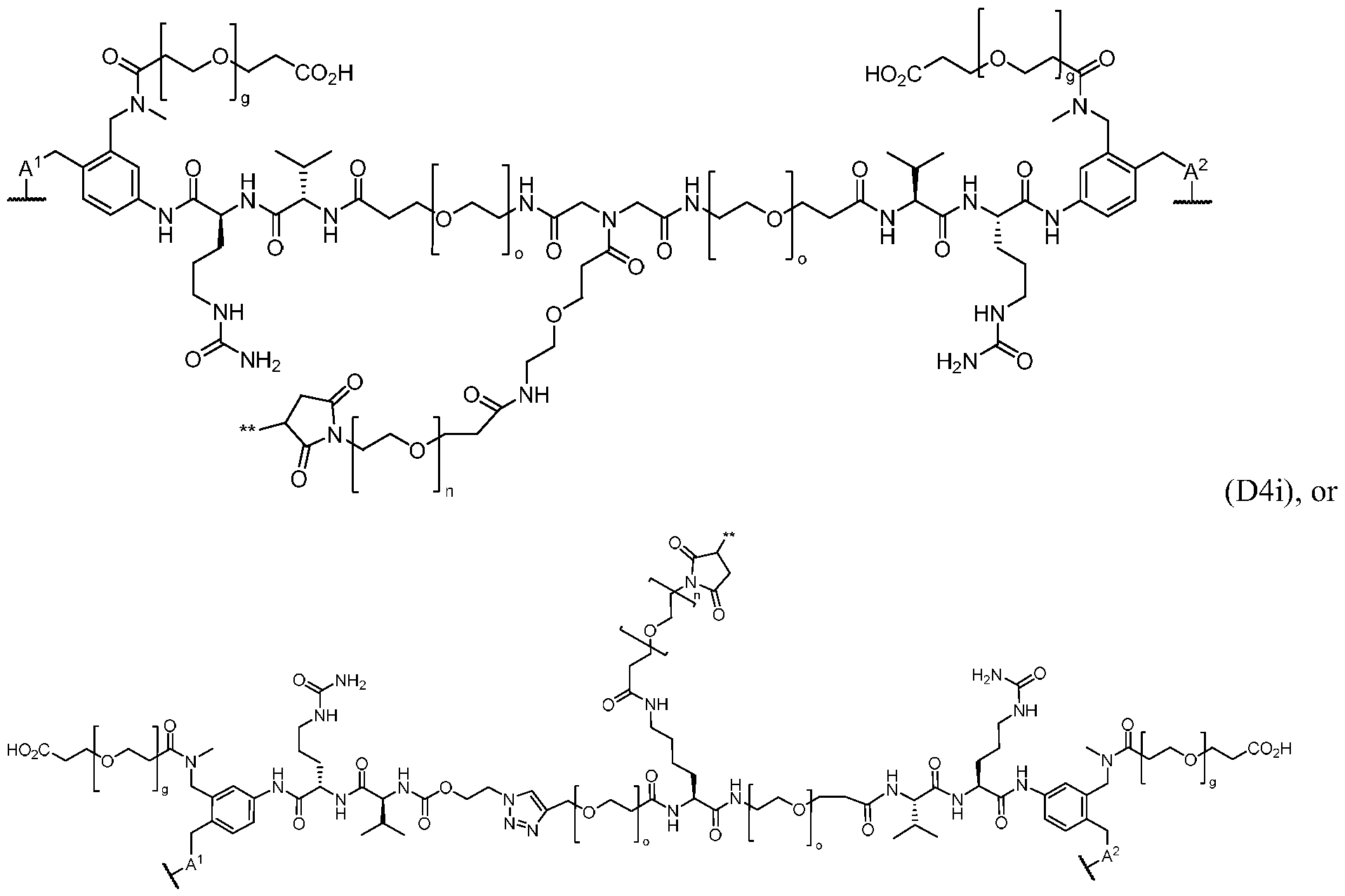
- the present disclosure provides an antibody-drug conjugate of the seventh embodiment, wherein the dual linker is represented by the following formula:
- a 2 i g for each occurrence is independently an integer between 20 and 30 (e.g., 20, 21, 22, 23, 24, 25, 26, 27, 28, 29 or 30); o for each occurrence is independently an integer between 1 and 9 (e.g., between 2 and 5); n is an integer between 1 and 12 (e.g., between 2 and 5); indicates the point of attachment to the Ab; and indicates the point of direct attachment to D 1 or D 2 .
- a 1 and A 2 are both bond.
- the present disclosure provides an antibody-drug conjugate of the seventh embodiment, wherein the dual linker is represented by Formula (D5):
- the present disclosure provides an antibody-drug conjugate of the first embodiment, or pharmaceutically acceptable salt thereof, wherein the dual linker is represented by the following formula:
- D 1 and D 2 are each independently a BH3 mimetic.
- one of DI and D2 is a BH3 mimetic selected from a Mcl-1 inhibitor, a Bcl-2 inhibitor, and a Bcl-xL inhibitor, and the other is an antineoplastic non-BH3 mimetic selected from topoisomerase 1 inhibitor or an anti-mitotic drug.
- the definitions of the remaining variables are provided in the second through forty-fifth embodiments or any embodiments described therein.
- D 1 is a BH3 mimetic and D 2 is an antineoplastic non-BH3 mimetic; and the definitions of the remaining variables are provided in the second through forty- fifth embodiments or any embodiments described therein.
- D 1 is selected from a Mcl-1 inhibitor, a Bcl-2 inhibitor, and a Bcl-xL inhibitor, and D 2 is a topoisomerase 1 inhibitor or an anti-mitotic drug.
- D 1 is a Bcl-xL inhibitor and D 2 is a topoisomerase 1 inhibitor.
- D 1 is a Bcl-xL inhibitor and D 2 is an anti-mitotic drug.
- D 1 and/or D 2 are each independently selected from a Mcl-1 inhibitor, a Bcl-2 inhibitor and a Bcl-xL inhibitor. .
- the present disclosure provides an antibody-drug conjugate of any one of the second through forty-sixth embodiments, wherein D 1 and D 2 are both (i) a Mcl-1 inhibitor; (ii) a Bcl-2 inhibitor; or (iii) Bcl-xL inhibitor.
- D 1 and D 2 are both (i) a Mcl-1 inhibitor; (ii) a Bcl-2 inhibitor; or (iii) Bcl-xL inhibitor.
- the definitions of the remaining variables are provided in the second through forty-sixth embodiments or any embodiments described therein.
- the present disclosure provides an antibody-drug conjugate of any one of the second through forty-seventh embodiments, wherein D 1 and D 2 are the same.
- the definitions of the remaining variables are provided in the second through forty-sixth embodiments or any embodiments described therein.
- the present disclosure provides an antibody-drug conjugate of any one of the second through forty-seventh embodiments, wherein D 1 and D 2 are different.
- the definitions of the remaining variables are provided in the second through forty-seventh embodiments or any embodiments described therein.
- the present disclosure provides an antibody-drug conjugate of any one of the second through forty-seventh embodiments, or pharmaceutically acceptable salt thereof, wherein (i) one of D 1 and D 2 is a Mcl-1 inhibitor and the other is a Bcl-2 inhibitor; (ii) one of D 1 and D 2 is a Mcl-1 inhibitor and the other is a Bcl-xL inhibitor; or (iii) one of D 1 and D 2 is a Bcl-2 inhibitor and the other is a Bcl-xL inhibitor.
- the definitions of the remaining variables are provided in the second through forty-seventh embodiments or any embodiments described therein.
- the present disclosure provides an antibody-drug conjugate of any one of the second through fortyseventh embodiments, or pharmaceutically acceptable salt thereof, wherein (i) D 1 is a Mcl-1 inhibitor and D 2 is a Mcl-1 inhibitor; (ii) D 1 is a Mcl-1 inhibitor and D 2 is a Bcl-2 inhibitor; (iii) D 1 is a Bcl-xL inhibitor and D 2 is a Bcl-xL inhibitor: (iv) D 1 is a Bcl-xL inhibitor and D 2 is a Bcl-2 inhibitor; or (v) D 1 is a Bcl-2 inhibitor and D 2 is a Mcl-1 inhibitor; or (vi) D 1 is a Mcl-1 inhibitor and D 2 is a Bcl-xL inhibitor.
- the definitions of the remaining variables are provided in the second through forty-seventh embodiments or any embodiments described therein.
- the present disclosure provides an antibody-drug conjugate of any one of the forty-sixth through fiftieth embodiments, or pharmaceutically acceptable salt thereof, the Mcl-1 inhibitor is represented by Formula (I):
- Ring D 0 is a cycloalkyl group, a heterocycloalkyl group, an aryl group or a heteroaryl group
- Ring E 0 is a furyl, thienyl or pyrrolyl ring
- X 01 , X 03 , X 04 and X 05 independently of one another are a carbon atom or a nitrogen atom
- X 02 is a C-R 026 group or a nitrogen atom
- ⁇ means that the ring is aromatic
- Y 0 is a nitrogen atom or a C-R 03 group
- Z0 is a nitrogen atom or a C-R04 group
- R 01 is a halogen atom, a linear or branched (C 1 -C 6 )alkyl group, a linear or branched (C2-C6)alkenyl group, a linear or branched (C2-C6)alkynyl group, a linear or branched (C1- C6)haloal
- the present disclosure provides an antibody-drug conjugate of the fifty-first embodiment, wherein Cy 01 , Cy 02 , Cy 03 , Cy 04 , Cy 05 , Cy 06 , Cy 07 , Cy 08 and Cy 010 , independently of one another, is a cycloalkyl group, a heterocycloalkyl group, an aryl group or a heteroaryl group, each of which is optionally substituted by one or more groups selected from halo; - (C 1 -C 6 )alkoxy; -(C 1 -C 6 )haloalkyl; -(C 1 -C 6 )haloalkoxy; -(CH 2 ) p0 -O-SO 2 -OR 030 ; -(CH 2 ) p0 -SO 2 -OR 030 ;
- the present disclosure provides an antibody-drug conjugate of the fifty-first embodiment, wherein the Mcl-1 inhibitor is presented by Formula (IA): wherein: Z0 is a nitrogen atom or a C-R04 group, R01 is a halogen atom, a linear or branched (C1-C6)alkyl group, a linear or branched (C2-C6)alkenyl group, a linear or branched (C2-C6)alkynyl group, a linear or branched (C1- C6)haloalkyl group, a hydroxy group, a linear or branched (C1-C6)alkoxy group, a -S-(C1- C6)alkyl group, a cyano group, -Cy08, -NR011R011’, R 02 , R 03 and R 04 independently of one another are a hydrogen
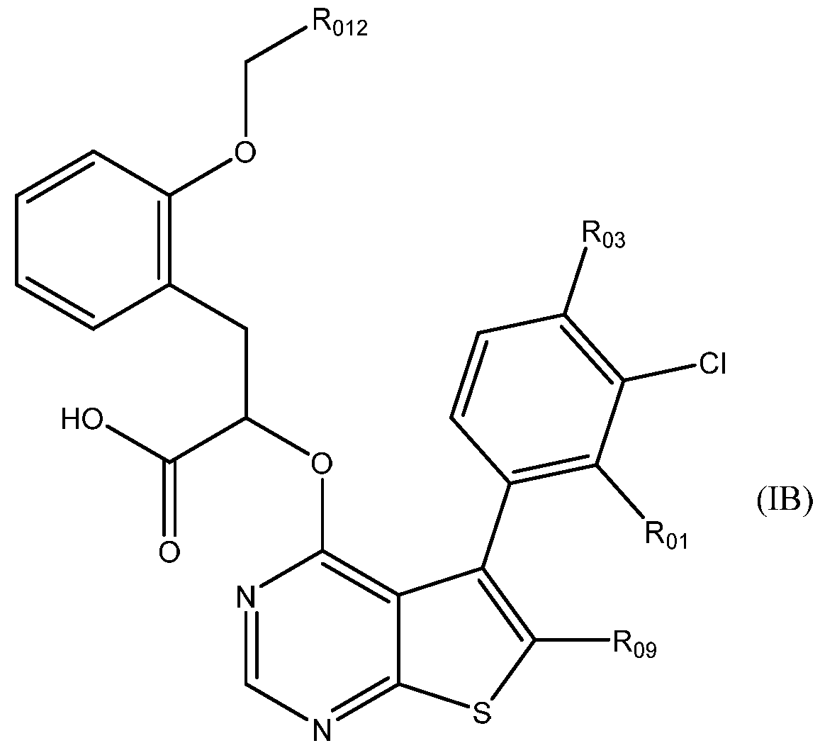
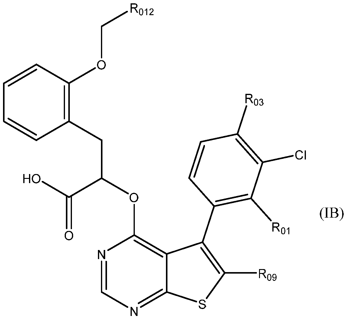
- the present disclosure provides an antibody-drug conjugate of the fifty-first embodiment, wherein the Mcl-1 inhibitor is represented by Formula (IB):
- R01 is a linear or branched (C1-C6)alkyl group
- R03 is -O-(C1-C6)alkyl-NR011R011’, or , wherein R011 and R011’ independently of one another are a hydrogen atom, an optionally substituted linear or branched (C1-C6)alkyl group, or -(C0-C6)alkyl-Cy01; or the pair (R011, R011’) together with the nitrogen atom to which they are attached form an aromatic or non-aromatic ring containing 5 to 7 ring members, which optionally contains, in addition to the nitrogen atom, 1 to 3 heteroatoms selected from O, S and N, wherein the N atom may be substituted by 1 or 2 groups selected from a hydrogen atom or a linear or branched (C 1 -C 6 )alkyl group, and wherein R 027 is a hydrogen atom and R 028 is a -(CH2)p0-O-SO2-O
- the definitions of the remaining variables are provided in the fifty-first embodiment.
- the present disclosure provides an antibody-drug conjugate of the fifty-fourth embodiment, wherein R 01 is methyl or ethyl.
- the definitions of the remaining variables are provided in the fifty-fourth embodiment or any embodiments described therein.
- the present disclosure provides an antibody-drug conjugate of the fifty-fourth embodiment, wherein R03 is -O-CH2-CH2-NR011R011’ in which R011 and R011’ form, together with the nitrogen atom carrying them, a piperazinyl group which may be substituted by a group being a hydrogen atom or a linear or branched (C1-C6)alkyl group).
- R03 is -O-CH2-CH2-NR011R011’ in which R011 and R011’ form, together with the nitrogen atom carrying them, a piperazinyl group which may be substituted by a group being a hydrogen atom or a linear or branched (C1-C6)alkyl group).
- the present disclosure provides an antibody-drug conjugate of the fifty-fourth embodiment, wherein R 03 comprises the formula: , wherein R027 is a hydrogen atom and R028 is a - (CH2)p0-SO2-OR030 group. The definitions of the remaining variables are provided in the fifty-fourth embodiment or any embodiments described therein.
- R03 comprises the formula: , wherein is a bond to the linker. The definitions of the remaining variables are provided in the fifty-fourth embodiment or any embodiments described therein.
- the present disclosure provides an antibody-drug conjugate of the fifty-fourth embodiment, wherein R09 is Cy02. The definitions of the remaining variables are provided in the fifty-fourth embodiment or any embodiments described therein.
- the present disclosure provides an antibody-drug conjugate of the fifty-ninth embodiment, wherein Cy 02 is an optionally substituted aryl group. The definitions of the remaining variables are provided in the fifty-ninth embodiment or any embodiments described therein.
- the present disclosure provides an antibody-drug conjugate of the fifty-fourth embodiment, wherein Cy 05 comprises a heteroaryl group selected from a pyrazolyl group and a pyrimidinyl group. The definitions of the remaining variables are provided in the fifty-fourth embodiment or any embodiments described therein.
- Cy 05 comprises a heteroaryl group selected from a pyrazolyl group and a pyrimidinyl group. The definitions of the remaining variables are provided in the fifty-fourth embodiment or any embodiments described therein.
- Cy 05 is a pyrimidinyl group. The definitions of the remaining variables are provided in the fifty-fourth embodiment or any embodiments described therein.
- the present disclosure provides an antibody-drug conjugate of any one of the fifty-fourth through sixty-second embodiments, wherein the Mcl-1 inhibitor is attached by a covalent bond to R 03 of formula (I), (IA), or (IB); or is attached by a covalent bond to R 09 of formula (I), (IA), or (IB).
- the definitions of the remaining variables are provided in the fifty-fourth through sixty-second embodiments or any embodiments described therein.
- the present disclosure provides an antibody-drug conjugate of any one of the fifty-fourth through sixty-third embodiments, wherein the Mcl-1 inhibitor is represented by any one of the following formulas: Table A1
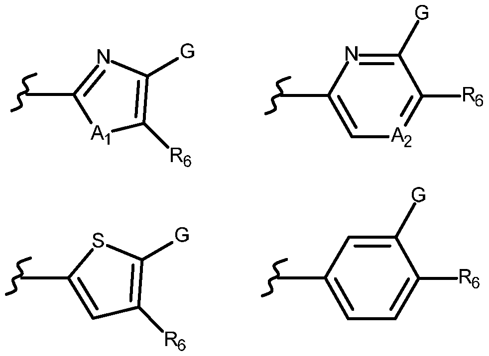
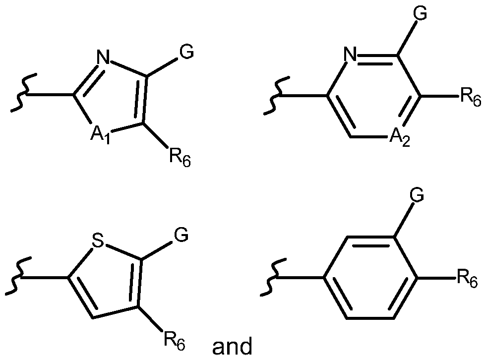
- the present disclosure provides an antibody-drug conjugate of any one of the forty-sixth through fiftieth embodiments, wherein the Bcl-xL inhibitor is represented by Formula (II) or Formula (III): , or an enantiomer, a diastereoisomer, and/or a pharmaceutically acceptable salt of any one of the foregoing, wherein: R1 and R2 independently of one another represent a group selected from the group consisting of: hydrogen; a linear or branched C1-C6alkyl optionally substituted by a hydroxyl or a C1- C6alkoxy group; a C3-C6cycloalkyl; a trifluoromethyl; and a linear or branched C1- C6alkylene-heterocycloalkyl wherein the heterocycloalkyl group is optionally substituted by a linear or branched C1-C6alkyl group; or R1 and R2
- A1 is –NH-, -N(C1-C3alkyl), O, S or Se
- A2 is N, CH or C(R5)
- RG4 is selected from the group consisting of hydrogen, a C1-C6alkyl optionally substituted by 1 to 3 halogen atoms, a C1-C6alkyl substituted by a hydroxyl, a C1-C6alkyl substituted by a C1- C6alkoxy group, a C2-C6alkenyl, a C2-C6alkynyl and a C3-C6cycloalkyl, and RG5 represents a hydrogen atom or a C1-C6alkyl group optionally substituted by 1 to 3 halogen atoms, R 4 represents a hydrogen, fluorine, chlorine or bromine atom, a methyl, a hydroxyl or a methoxy group, R5 represents a group selected from the group consisting of: a C1-C6alkyl optionally substituted by 1 to 3 halogen atoms; a C 2 -C 6 alkenyl; a C 2 -C 6
- the present disclosure provides an antibody-drug conjugate of the sixty-fifth embodiment, wherein the Bcl-xL inhibitor is represented by formula (IIA) or (IIIA):
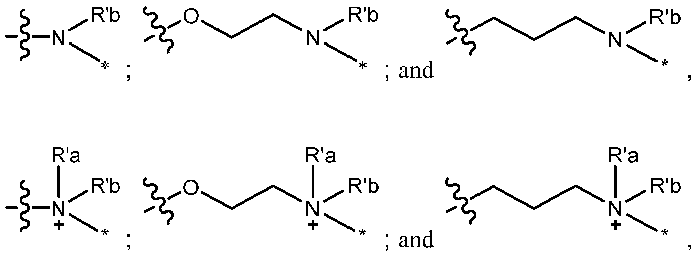
- R3 represents a group selected from the group consisting of: hydrogen; a C3-C6cycloalkyl; a linear or branched C1-C6alkyl; -X1-NRaRb; -X1-N + RaRbRc; -X1-O-Rc; -X1-N3 and , Ra and Rb independently of one another represent a group selected from the group consisting of: hydrogen; a linear or branched C1-C6alkyl optionally substituted by one or two hydroxyl groups; and a C 1 -C 6 alkylene-SO 2 O-, R c represents a hydrogen or a linear or branched C 1 -C 6 alkyl group, Het 2 represents a group selected from the group consisting of: , A
- Cy represents a C3-C8cycloalkyl
- R8 represents a group selected from the group consisting of: hydrogen; a linear or branched C1-C6alkyl, -NR’aR’b; -NR’a-CO-OR’c; -NR’a-CO-R’c; -N + R’aR’bR’c; -O-R’c; -NH-X’2- N +R’aR’bR’c; -O-X’2-NR’aR’b; -X’2-NR’aR’b; -NR’c-X’2-N3 and:
- R10 represents a group selected from the group consisting of hydrogen, fluorine, chlorine, bromine, -CF 3 and methyl
- R 11 represents a group selected from the group consisting of hydrogen, a C 1 -C 3 alkylene-R 8 , - O-C 1 -C 3 alkylene-R 8 , -CO-NR h R
- the present disclosure provides an antibody-drug conjugate of any one of the sixty-fifth through sixty-seventh embodiments, wherein R 7 represents a group selected from the group consisting of: a linear or branched C 1 -C 6 alkyl group; a (C 3 -C 6 )cycloalkylene-R 8 ; wherein Cy represents a C3-C8cycloalkyl.
- R 7 represents a group selected from the group consisting of: a linear or branched C 1 -C 6 alkyl group; a (C 3 -C 6 )cycloalkylene-R 8 ; wherein Cy represents a C3-C8cycloalkyl.
- the definitions of the remaining variables are provided in the sixty-fifth through sixty-seventh embodiments or any embodiments described therein.
- the present disclosure provides an antibody-drug conjugate of any one of the sixty-fifth through sixty-seventh embodiments, wherein R7 represents a group selected from the group consisting of: .
- R7 represents a group selected from the group consisting of: .
- the definitions of the remaining variables are provided in the sixty-fifth through sixty-seventh embodiments or any embodiments described therein.
- the present disclosure provides an antibody-drug conjugate of the sixty-fifth embodiment, wherein the Bcl-xL inhibitor is represented by formula (IIB), (IIC), (IIIB) or (IIIC):
- R3 represents a group selected from: hydrogen; linear or branched C1-C6alkyl; -X1-NRaRb; -X1-N + RaRbRc; and -X1-O-Rc;
- Z1 represents a bond
- R3 represents hydrogen; or Z1 represents –O-
- R3 represents –X1-NRaRb, Ra and Rb independently of one another represent a group selected from: hydrogen; linear or branched C 1 -C 6 alkyl optionally substituted by one or two hydroxyl groups; and C 1 - C 6 alkylene-SO 2 O-
- R c represents a hydrogen or a linear or branched C 1 -C 6 alkyl group
- R 6 represents –X 2 -O-R 7
- the present disclosure provides an antibody-drug conjugate of any one of the sixty-fifth through seventieth embodiments, wherein R 7 represents the following group: .
- the definitions of the remaining variables are provided in the sixty-fifth through seventieth embodiments or any embodiments described therein.
- the present disclosure provides an antibody-drug conjugate of any one of the sixty-fifth through seventieth embodiments, wherein R7 represents a group selected .
- the definitions of the remaining variables are provided in the sixty-fifth through seventieth embodiments or any embodiments described therein .
- the present disclosure provides an antibody-drug conjugate of any one of the sixty-fifth through seventy-second embodiments, wherein R 8 represents a group selected from: wherein represents a bond to the linker
- R 8 represents a group selected from: wherein represents a bond to the linker
- the definitions of the remaining variables are provided in the sixty-fifth through seventy-second embodiments or any embodiments described therein.
- the present disclosure provides an antibody-drug conjugate of any one of the sixty-fifth through seventy-third embodiments, wherein B3 represents a C3- C8heterocycloalkyl group selected from a pyrrolidinyl group, a piperidinyl group, a piperazinyl group, a morpholinyl group, an azepanyl group, and a 4,4-difluoropiperidin-1-yl group.
- B3 represents a C3- C8heterocycloalkyl group selected from a pyrrolidinyl group, a piperidinyl group, a piperazinyl group, a morpholinyl group, an azepanyl group, and a 4,4-difluoropiperidin-1-yl group.
- the definitions of the remaining variables are provided in the sixty-fifth through seventy-third embodiments or any embodiments described therein .
- the present disclosure provides an antibody-drug
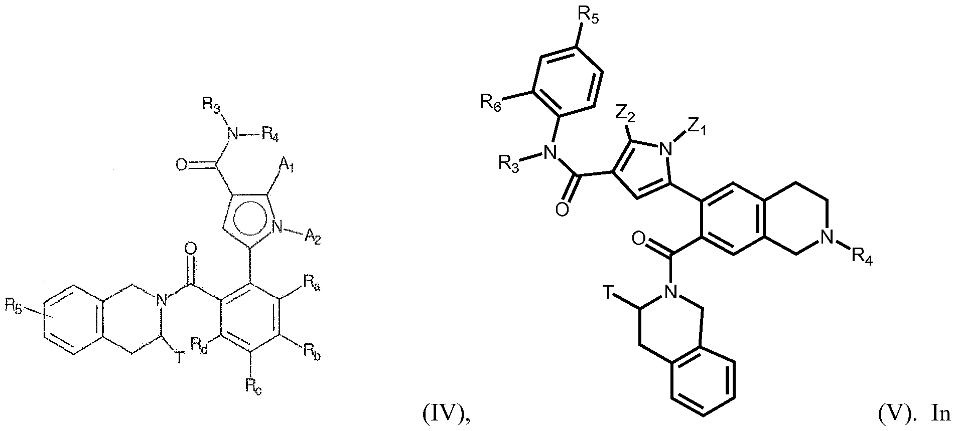
- the present disclosure provides an antibody-drug conjugate of any one of the forty-sixth through fiftieth embodiments, or pharmaceutically acceptable salt thereof, wherein the Bcl-2 inhibitor is represented by Formula (IV) or Formula (V): (IV), or an enantiomer, a diastereoisomer, and/or a pharmaceutically acceptable salt of any one of the foregoing, wherein: A1 represents a hydrogen or halogen atom, a linear or branched (C1-C6)polyhaloalkyl group, a linear or branched (C1-C6)alkyl group or a cycloalkyl group, A2 represents a linear or branched (C1-C
- aryl means a phenyl, naphthyl, biphenyl or indenyl group
- heteroaryl means any mono- or bi-cyclic group composed of from 5 to 10 ring members, having at least one aromatic moiety and containing from 1 to 4 hetero atoms selected from oxygen, sulphur and nitrogen (including quaternary nitrogens)
- cycloalkyl means any mono- or bi-cyclic, non-aromatic, carbocyclic group containing from 3 to 10 ring members
- heterocycloalkyl means any mono- or bi-cyclic, non-aromatic, condensed or spiro group composed of from 3 to 10 ring members and containing from 1 to 3 hetero atoms selected from oxygen, sulphur, SO, SO 2 and nitrogen, and it is possible for the aryl, hetero
- the present disclosure provides an antibody-drug conjugate of the seventy-sixth or seventy-seventh embodiment, wherein, in Formula (IV), (i) A1 represents a hydrogen atom or a methyl group; or (ii) A1 and A2 both represent a methyl group.
- the definitions of the remaining variables are provided in the seventy-sixth or seventy-seventh embodiment or any embodiments described therein.
- the present disclosure provides an antibody-drug conjugate of the seventy-sixth through seventy-eighth embodiments, wherein, in Formula (IV), T represents a methyl, aminomethyl, (morpholin-4-yl)methyl, (4-methylpiperazin-1-yl)methyl, 2-(morpholin-4- yl)ethyl [2 (morpholin 4 yl)ethoxy]methyl hydroxymethyl [2 (dimethylamino)ethoxy]methyl, hexahydropyrazino[2,1-c][1,4]oxazin-8(1H)-ylmethyl, 1-oxa-6-azaspiro[3.3]hept-6-ylmethyl, 3- (morpholin-4-yl)propyl or trifluoromethyl group.
- T represents a methyl, aminomethyl, (morpholin-4-yl)methyl, (4-methylpiperazin-1-yl)methyl, 2-(morpholin-4- yl)ethyl [2 (morpholin 4 yl)
- R 3 represents a group selected from phenyl, 1H-pyrazole, 1H-indole, 1H-indazole, pyridine, pyrimidine, 1H- pyrrolo[2,3-b]pyridine, 2,3-dihydro-1H-pyrrolo[2,3-b]pyridine, 1H-benzimidazole, 1H-pyrrole, 1H- pyrrolo[2,3-c]pyridine, 1H-pyrrolo[3,2-b]pyridine, 5H-pyrrolo[3,2-d]pyrimidine, thiophene, pyrazine, 1H-pyrazolo[3,
- the present disclosure provides an antibody-drug conjugate of the seventy-sixth embodiment, wherein the Bcl-2 inhibitor is represented by Formula (V) or an enantiomer, a diastereoisomer, and/or a pharmaceutically acceptable salt of any one of the foregoing.
- the definitions of the remaining variables are provided in the seventy-sixth embodiment or any embodiments described therein.
- the present disclosure provides an antibody-drug conjugate of the seventy-sixth embodiment, wherein the Bcl-2 inhibitor is represented by Formula (Va): or an enantiomer, a diastereoisomer, and/or a pharmaceutically acceptable salt of any one of the foregoing.
- the definitions of the remaining variables are provided in the seventy-sixth embodiment or any embodiments described therein.
- the present disclosure provides an antibody-drug conjugate of the eighty-first or eighty-second embodiment, wherein R3 in Formula (V) or (Va) represents the following group: and R c represents a group selected from: hydrogen, linear or branched (C 1 -C 6 )alkyl group optionally substituted by 1 to 3 halogen atoms, (C 1 -C 6 )alkylene-NR d R e , (C 1 -C 6 )alkylene-OR j , cycloalkyl, heterocycloalkyl, and (C 1 -C 6 )alkylene-heterocycloalkyl group.
- R 3 in Formula (V) or (Va) represents the following group: and R c represents a group selected from: hydrogen, linear or branched (C 1 -C 6 )alkyl group optionally substituted by 1 to 3 halogen atoms, (C 1 -C 6 )alkylene-NR d R e , (C
- the present disclosure provides an antibody-drug conjugate of the eighty-third embodiment, wherein Rc represents a methyl group.
- the definitions of the remaining variables are provided in the eighty-third embodiment or any embodiments described therein.
- the present disclosure provides an antibody-drug conjugate of any one of the eighty-first through eighty-third embodiments, wherein R 4 in Formula (V) or (Va) represents the following group: .
- the definitions of the remaining variables are provided in the eighty-first through eighty-third embodiments or any embodiments described therein.
- the present disclosure provides a process antibody-drug conjugate of the eighty-first embodiment, wherein the Bcl-2 inhibitor is represented by Formula (Vb):
- the present disclosure provides an antibody-drug conjugate of the eighty-sixth embodiment, wherein R c in Formula (Vb) represents a methyl group.
- R c in Formula (Vb) represents a methyl group.
- the definitions of the remaining variables are provided in the eighty-sixth embodiment or any embodiments described therein.
- the present disclosure provides an antibody-drug conjugate of the eighty-first embodiment, wherein the Bcl-2 inhibitor is represented by Formula (Vc), (Vd),
- the present disclosure provides an antibody-drug conjugate of any one of the eighty-first through eighty-eighth embodiments, wherein in Formula (V), (Va), (Vb), (Vc), (Vd), (Ve), (Vf), (Vg), (Vh), (Vi) or (Vj): (i) X represents a bond; (ii) A1 represents C-Y4; (iii) R a and R b both represent a hydrogen atom; (iv) R 5 represents a hydrogen atom, a hydroxy group or a fluorine atom, preferably a hydroxy group; (v) R 6 represents a hydrogen atom, or a fluorine atom, preferably a hydrogen
- the Bcl-2 inhibitor is represented by Formula (Vc), (Vd), (Ve), (Vf), (Vg), (Vh), (Vi) or (Vj), wherein: (i) X represents a bond; (ii) A 1 represents C-Y 4 ; (iii) R a and R b both represent a hydrogen atom; (iv) R 5 represents a hydrogen atom, a hydroxy group or a fluorine atom, preferably a hydroxy group; (v) R 6 represents a hydrogen atom, a fluorine atom, preferably a hydrogen atom; (vi) A1 represents C-H and Y2 represents a hydrogen atom; (vii) Y1 and Y5 represent both a hydrogen atom, or: Y1 and
- R5 represents a hydroxy group and R6 represents a hydrogen atom.
- R6 represents a hydrogen atom.
- Y3 represents a -O-(C1-C4)alkylene- Cy3 group.
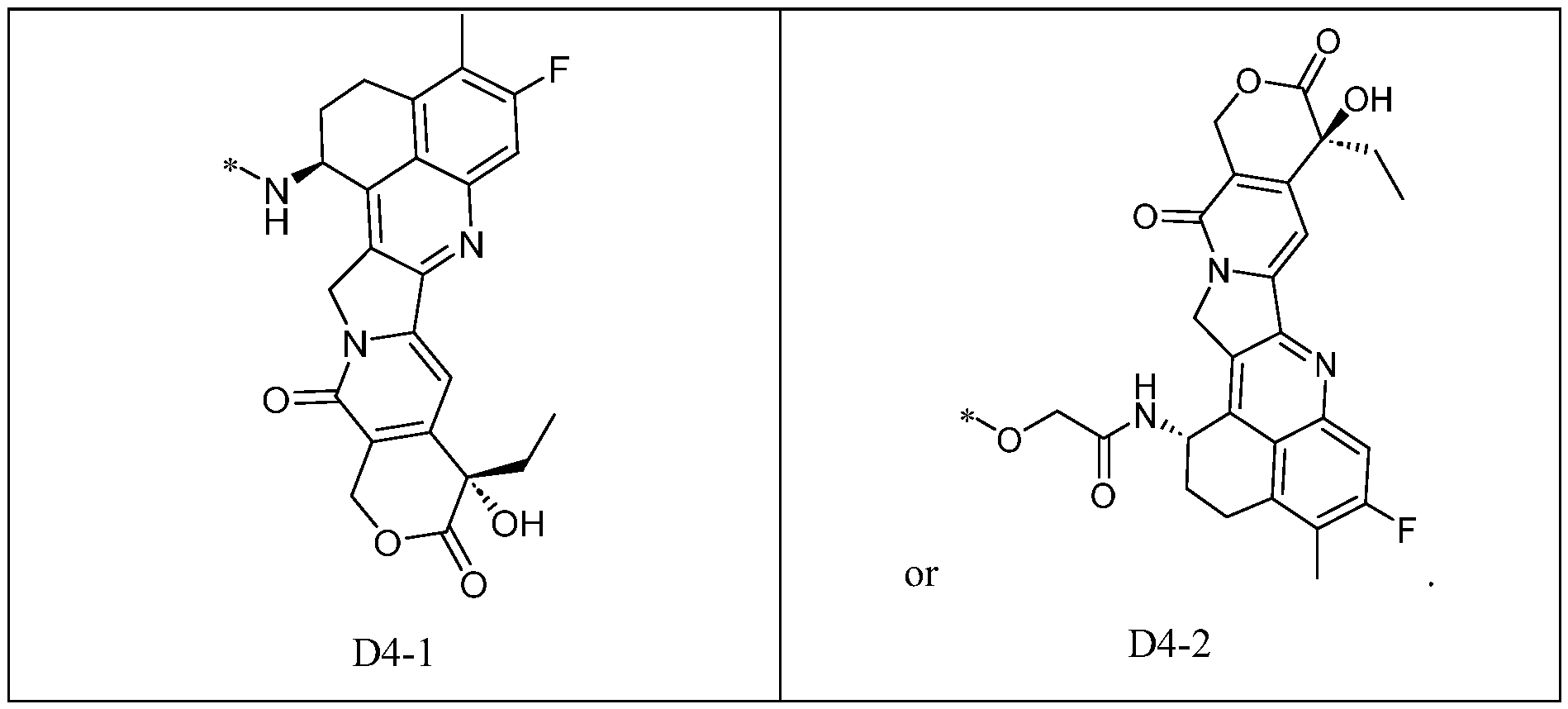
- the present disclosure provides an antibody-drug conjugate described in any one of the first to forty-sixth, forty-ninth, fifty-first to ninieth embodiments, wherein the topoisomerase 1 inhibitor is represented by any one of the following or a pharmaceutically acceptable salt thereof: Table A4
- the definitions of the remaining variables are provided in any one of the first to forty-sixth, forty- ninth, fifty-first to ninieth embodiments or any embodiments described therein.
- the present disclosure provides an antibody-drug conjugate described in any one of the first to forty-sixth, forty-ninth, fifty-first to ninieth embodiments, wherein anti- mitotic drug is monomethyl auristatin E (MMAE) or a taxane.
- MMAE monomethyl auristatin E
- the definitions of the remaining variables are provided in any one of the first to forty-sixth, forty-ninth, fifty-first to ninieth embodiments or any embodiments described therein.
- the taxane is selected from docetaxel, paclitaxel, or cabazitaxel.
- the present disclosure provides an antibody-drug conjugate of any one of the first through ninetieth embodiments, wherein the antibody or antigen-binding fragment thereof is an anti-CD7 antibody or antigen-binding fragment thereof comprising three heavy chain complementarity determining regions (CDRs) and three light chain CDRs selected from the group consisting of a) heavy chain CDR1 (HCDR1) consisting of SEQ ID NO:1, heavy chain CDR2 (HCDR2) consisting of SEQ ID NO:2, heavy chain CDR3 (HCDR3) consisting of SEQ ID NO:3, light chain CDR1 (LCDR1) consisting of SEQ ID NO:4, light chain CDR2 (LCDR2) consisting of SEQ ID NO:5, and light chain CDR3 (LCDR3) consisting of SEQ ID NO:6; b) heavy chain CDR1 (HCDR1) consisting of SEQ ID NO:28, heavy chain CDR2 (HCDR2) consisting of SEQ ID NO:29, heavy chain CDR3 (HCDR3) consist
- the present disclosure provides an antibody-drug conjugate of any one of the first through ninetieth embodiments, wherein the antibody or antigen-binding fragment thereof is an anti-CD7 antibody or antigen-binding fragment thereof comprising a heavy chain variable region and a light chain variable region.
- the anti-CD7 antibody or antigen-binding fragment thereof comprises a heavy chain variable region comprising the amino acid sequence of SEQ ID NO:26 and a light chain variable region comprising the amino acid sequence of SEQ ID NO:27.
- the anti-CD7 antibody or antigen-binding fragment thereof comprises a heavy chain variable region comprising the amino acid sequence of SEQ ID NO:7 and a light chain variable region comprising the amino acid sequence of SEQ ID NO:9. In some embodiments, the anti-CD7 antibody or antigen-binding fragment thereof comprises a heavy chain variable region comprising the amino acid sequence of SEQ ID NO:7 and a light chain variable region comprising the amino acid sequence of SEQ ID NO:10. In some embodiments, the anti-CD7 antibody or antigen- binding fragment thereof comprises a heavy chain variable region comprising the amino acid sequence of SEQ ID NO:8 and a light chain variable region comprising the amino acid sequence of SEQ ID NO:9.
- the anti-CD7 antibody or antigen-binding fragment thereof comprises a heavy chain variable region comprising the amino acid sequence of SEQ ID NO:8 and a light chain variable region comprising the amino acid sequence of SEQ ID NO:10.
- the present disclosure provides an antibody-drug conjugate of any one of the first through ninetieth embodiments, wherein the antibody is an anti-CD7 antibody comprising a heavy chain amino acid sequence selected from the group consisting of: SEQ ID NO: 17, SEQ ID NO: 18, SEQ ID NO: 19, SEQ ID NO: 20, SEQ ID NO: 21, SEQ ID NO: 22, SEQ ID NO: 23, and SEQ ID NO: 24; and a light chain amino acid sequence selected from the group consisting of: SEQ ID NO: 14, SEQ ID NO: 15, and SEQ ID NO: 16.
- the present disclosure provides an antibody-drug conjugate of any one of the first through ninetieth embodiments, wherein the antibody is an anti-CD7 antibody comprising a heavy chain amino acid sequence of SEQ ID NO:17 or a sequence that is at least 95% identical to SEQ ID NO:17, and a light chain amino acid sequence of SEQ ID NO:14 or a sequence that is at least 95% identical to SEQ ID NO:14.
- the present disclosure provides an antibody-drug conjugate of any one of the first through ninetieth embodiments, wherein the antibody is an anti-CD7 antibodycomprising a heavy chain amino acid sequence of SEQ ID NO:18 or a sequence that is at least 95% identical to SEQ ID NO:18, and a light chain amino acid sequence of SEQ ID NO:14 or a sequence that is at least 95% identical to SEQ ID NO:14.
- the present disclosure provides an antibody-drug conjugate of any one of the first through ninetieth embodiments, wherein the antibody is an anti-CD7 antibody comprising a heavy chain amino acid sequence of SEQ ID NO:19 or a sequence that is at least 95% identical to SEQ ID NO:19, and a light chain amino acid sequence of SEQ ID NO:14 or a sequence that is at least 95% identical to SEQ ID NO:14.
- the present disclosure provides an antibody-drug conjugate of any one of the first through ninetieth embodiments, wherein the antibody is an anti-CD7 antibody comprising a heavy chain amino acid sequence of SEQ ID NO:20 or a sequence that is at least 95% identical to SEQ ID NO:20, and a light chain amino acid sequence of SEQ ID NO:15 or a sequence that is at least 95% identical to SEQ ID NO:15.
- the present disclosure provides an antibody-drug conjugate of any one of the first through ninetieth embodiments, wherein the antibody is an anti-CD7 antibody comprising a heavy chain amino acid sequence of SEQ ID NO:21 or a sequence that is at least 95% identical to SEQ ID NO:21, and a light chain amino acid sequence of SEQ ID NO:15 or a sequence that is at least 95% identical to SEQ ID NO:15.
- the present disclosure provides an antibody-drug conjugate of any one of the first through ninetieth embodiments, wherein the antibody is an anti-CD7 antibody comprising a heavy chain amino acid sequence of SEQ ID NO:22 or a sequence that is at least 95% identical to SEQ ID NO:22, and a light chain amino acid sequence of SEQ ID NO:15 or a sequence that is at least 95% identical to SEQ ID NO:15.
- the present disclosure provides an antibody-drug conjugate of any one of the first through ninetieth embodiments, wherein the antibody is an anti-CD7 antibody comprising a heavy chain amino acid sequence of SEQ ID NO:23 or a sequence that is at least 95% identical to SEQ ID NO:23, and a light chain amino acid sequence of SEQ ID NO:15 or a sequence that is at least 95% identical to SEQ ID NO:15.
- the present disclosure provides an antibody-drug conjugate of any one of the first through ninetieth embodiments, wherein the antibody is an anti-CD7 antibody comprising a heavy chain amino acid sequence of SEQ ID NO:20 or a sequence that is at least 95% identical to SEQ ID NO:20, and a light chain amino acid sequence of SEQ ID NO:16 or a sequence that is at least 95% identical to SEQ ID NO:16.
- the present disclosure provides an antibody-drug conjugate of any one of the first through ninetieth embodiments, wherein the antibody is an anti-CD7 antibody comprising a heavy chain amino acid sequence of SEQ ID NO:24 or a sequence that is at least 95% identical to SEQ ID NO:24, and a light chain amino acid sequence of SEQ ID NO:16 or a sequence that is at least 95% identical to SEQ ID NO:16.
- the present disclosure provides an antibody-drug conjugate of any one of the first through ninetieth embodiments, wherein the antibody is an anti-CD7 antibody comprising a heavy chain amino acid sequence of SEQ ID NO:24 or a sequence that is at least 95% identical to SEQ ID NO:24, and a light chain amino acid sequence of SEQ ID NO:15 or a sequence that is at least 95% identical to SEQ ID NO:15.
- the present disclosure provides an antibody-drug conjugate of any one of the first through ninetieth embodiments, wherein the antibody or antigen binding fragment thereof is an -anti-CD7 antibody or antigen-binding fragment thereof comprising 1) one or more cysteine substitutions selected from E152C, S375C, or both E152C and S375C of the heavy chain of the antibody or antigen binding fragment thereof; or 2) one or more cysteine substitutions selected from V205C, S400C, or both V205C and S400C of the heavy chain of the antibody or antigen binding fragment thereof; wherein the position is numbered according to the EU system.
- the present disclosure provides antibody-drug conjugate of any one of the first through ninetieth embodiments, wherein the antibody or antigen binding fragment thereof is an anti-CD7 antibody or antigen-binding fragment thereof comprising one or more Fc silencing mutations.
- the present disclosure provides, in part, novel antibody-drug conjugate (ADC) compounds with biological activity against cancer cells.
- ADC antibody-drug conjugate
- the compounds may slow, inhibit, and/or reverse tumor growth in mammals, and/or may be useful for treating human cancer patients.
- the present disclosure more specifically relates, in some embodiments, to ADC compounds that are capable of binding and killing cancer cells.
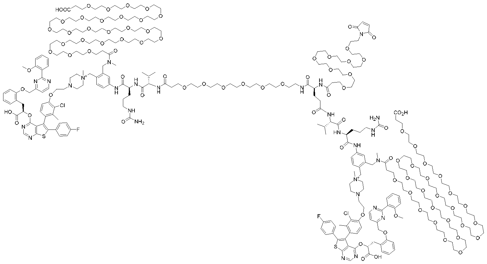
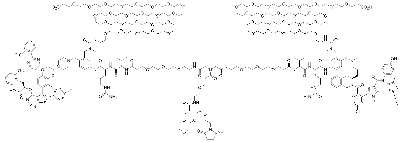
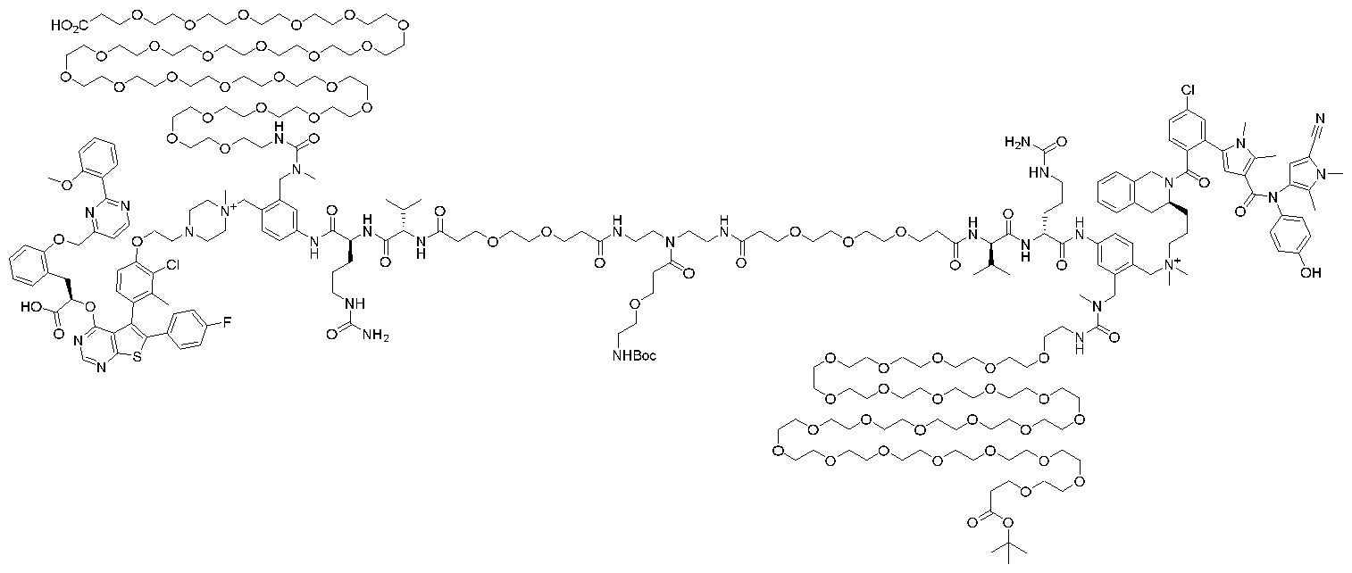
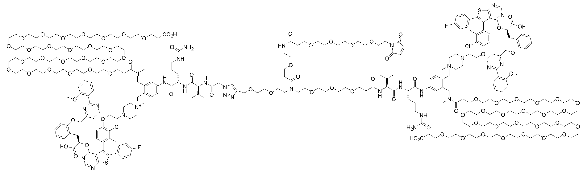
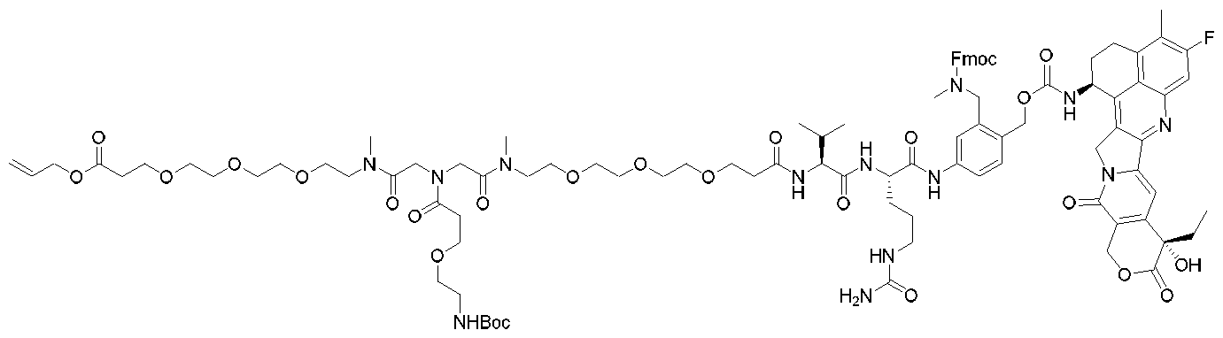
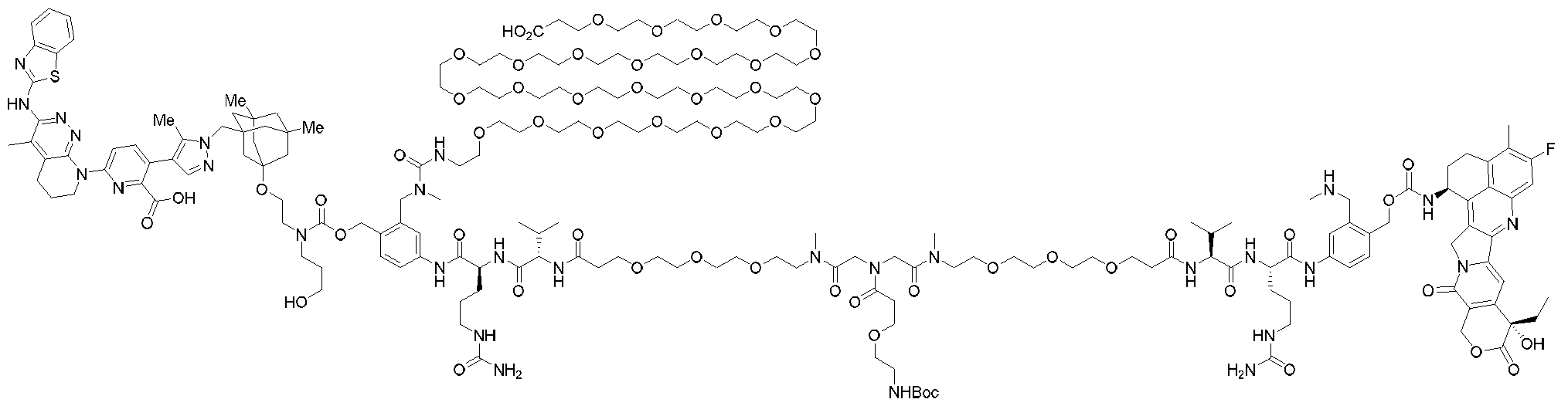
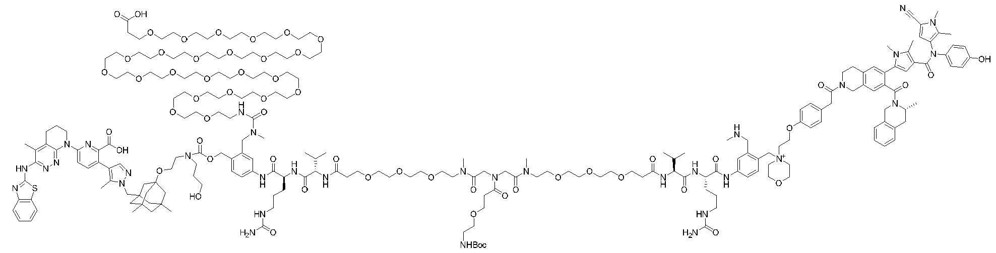
- the ADC compounds disclosed herein comprise a dual linker that attaches two BH3 mimetics to a full-length antibody or an antigen- binding fragment.
- the ADC compounds are also capable of internalizing into a target cell after binding [124]
- D1 and/or D2 in the ADC compounds disclosed herein e.g., ADCs of Formula (A), (B), (C), (D1), (D2), or (D3) in the present disclosure
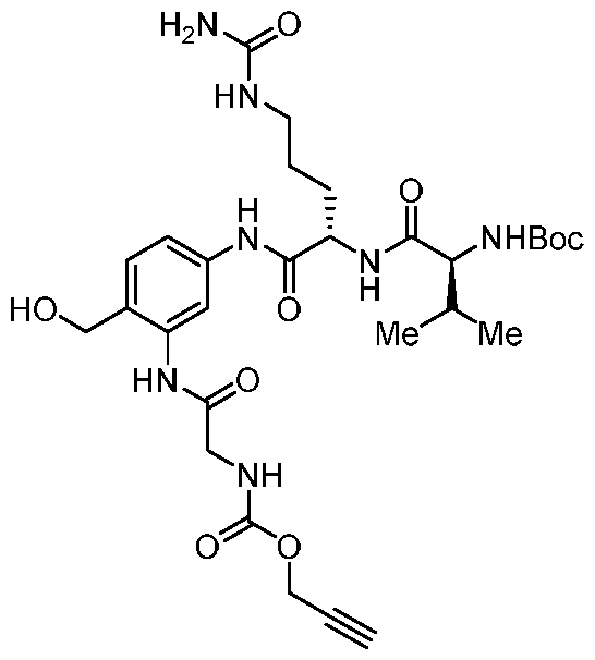
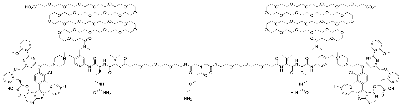
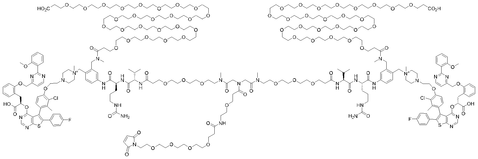
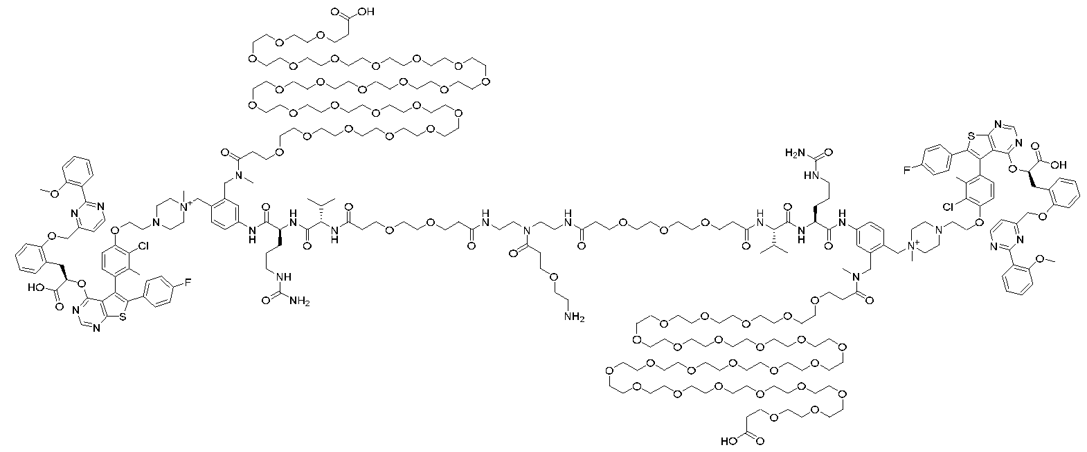
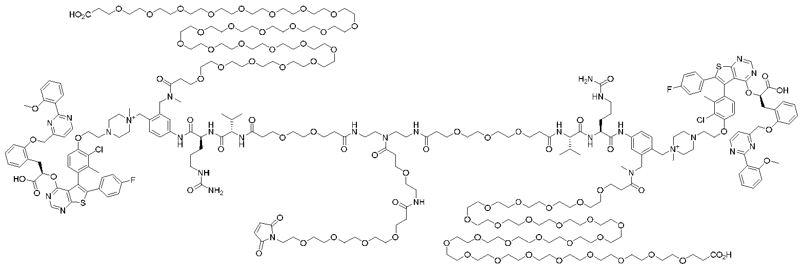
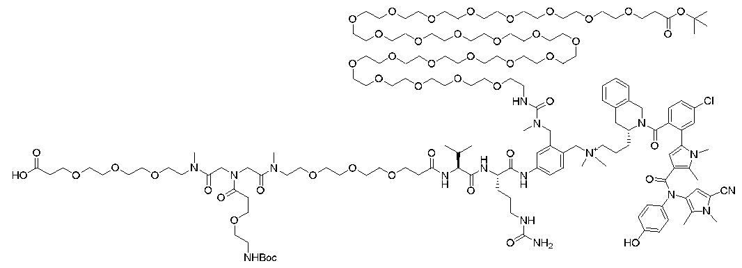
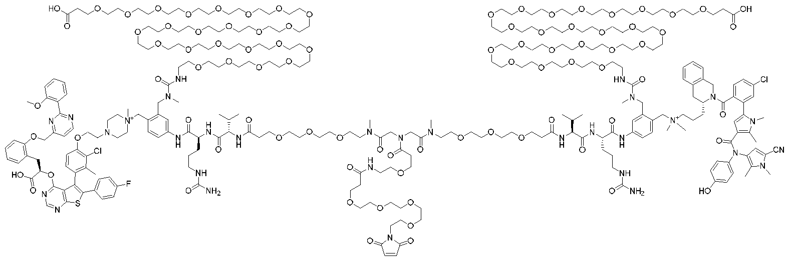
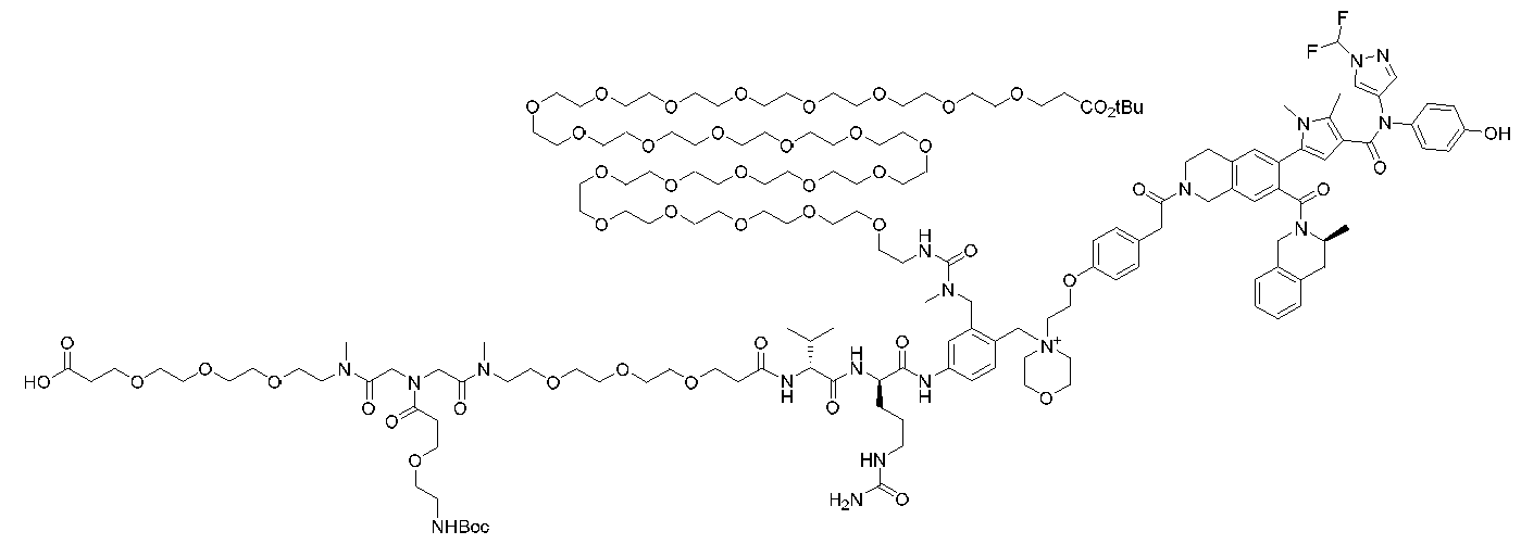
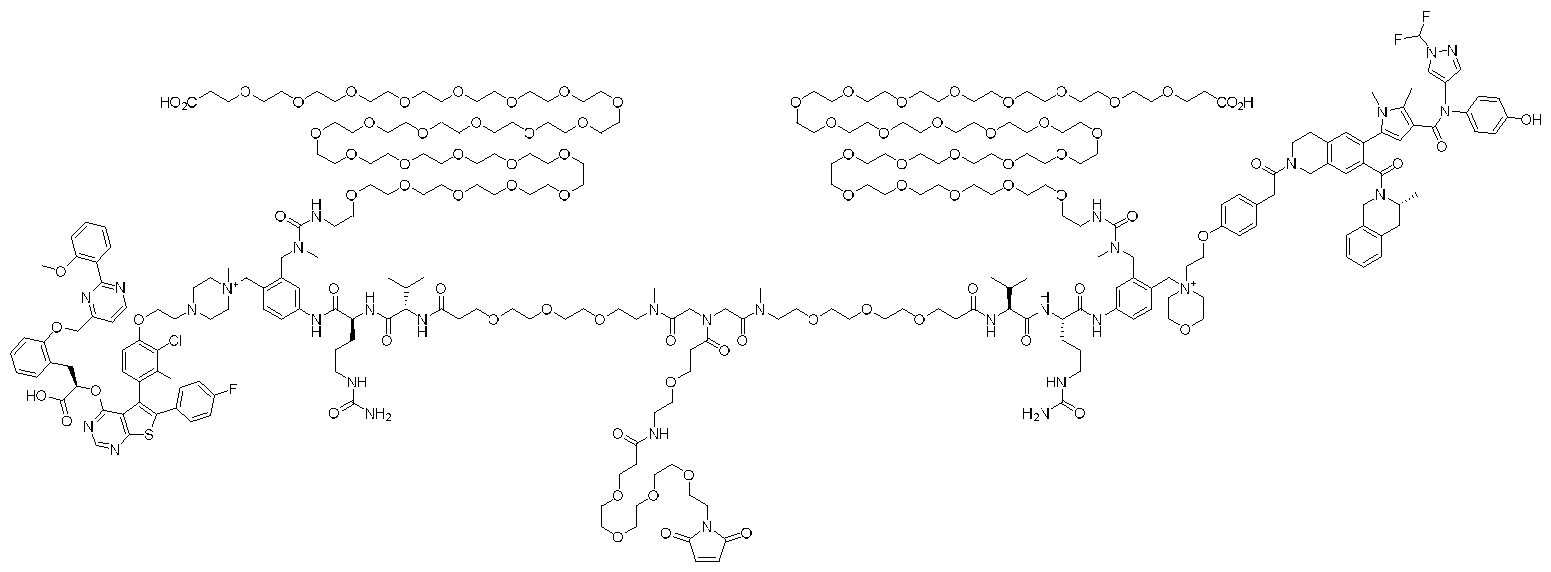
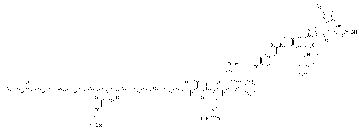
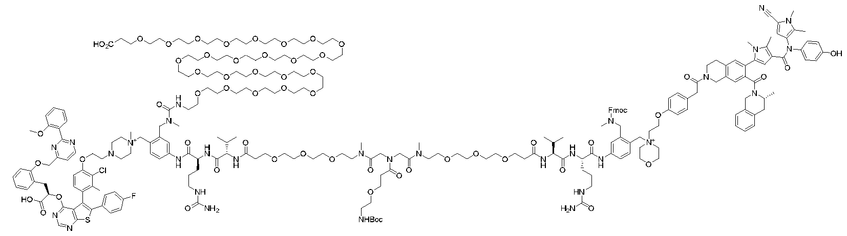
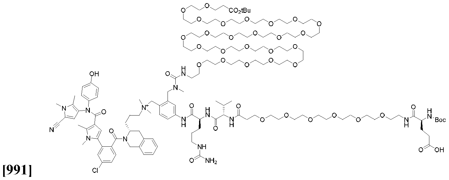
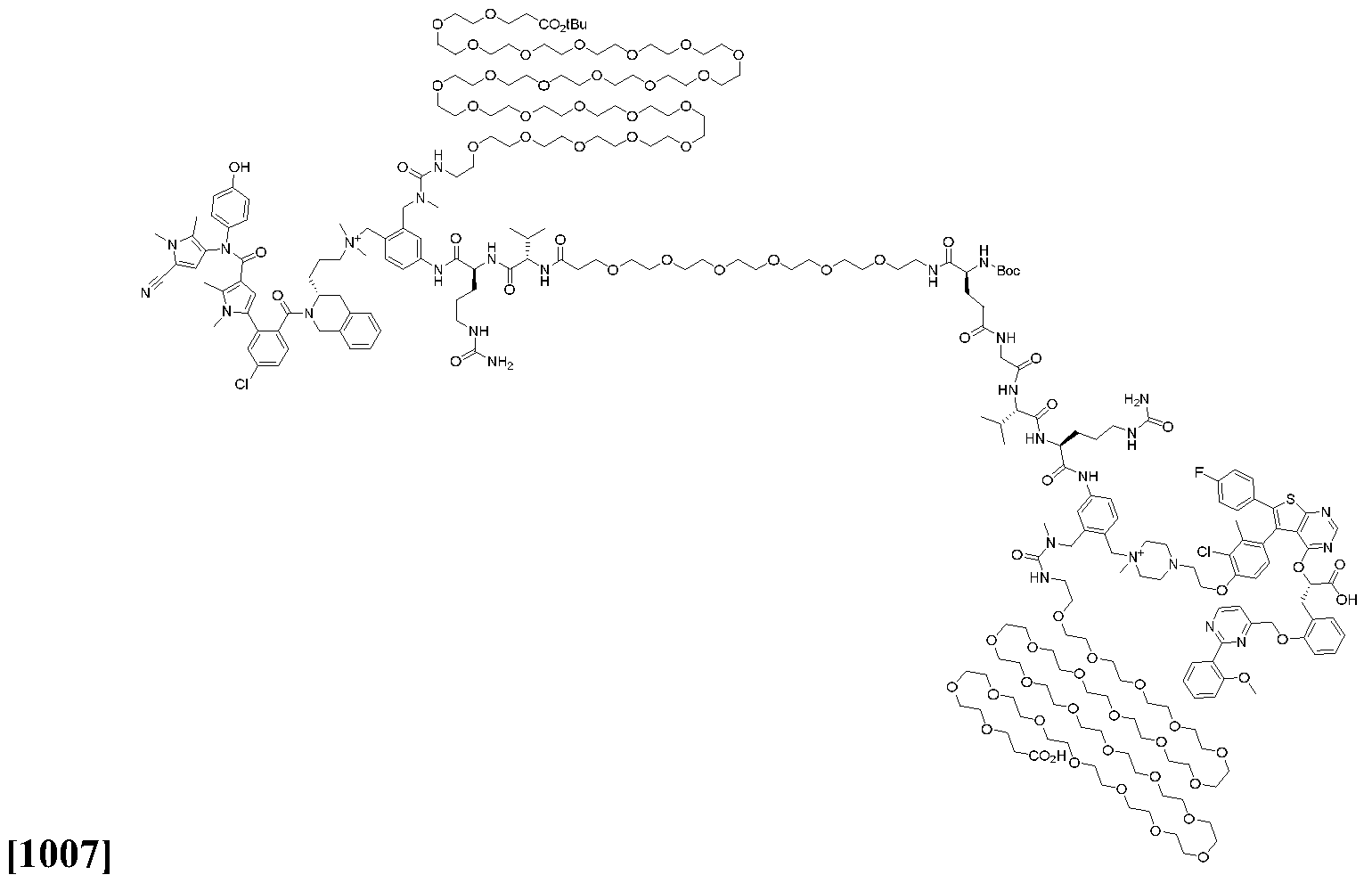
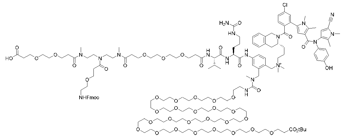
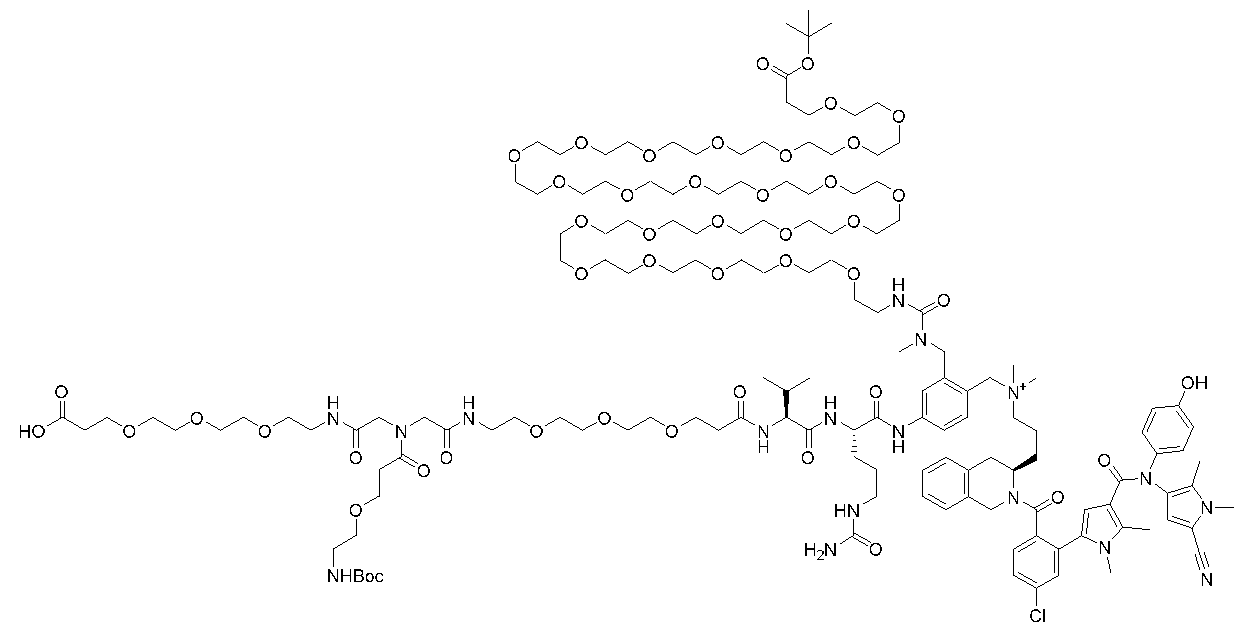
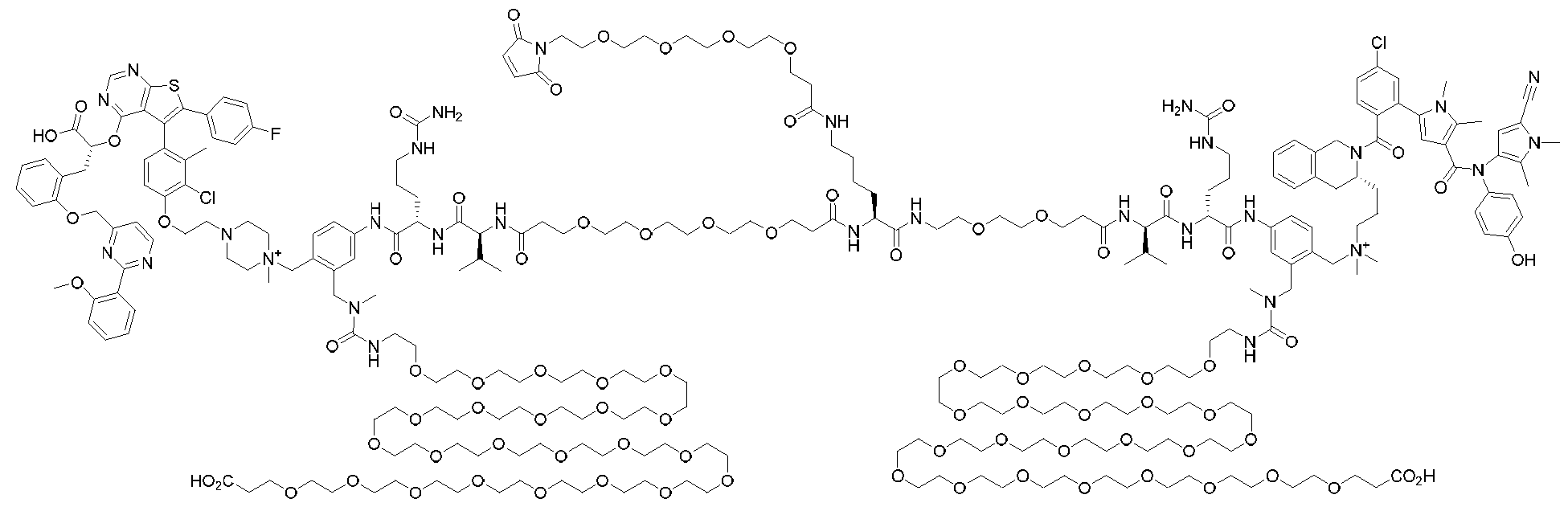
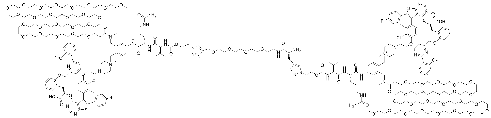
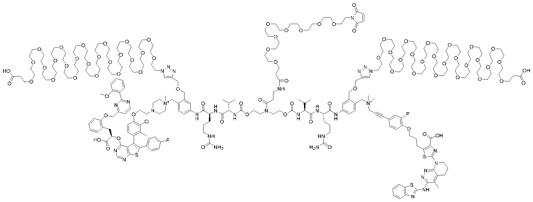
- Table A1a
- D1 and/or D2 in the ADC compounds disclosed herein independently comprises a formula selected from any one of the formulae in Table A2a, or an enantiomer, a diastereoisomer, and/or a pharmaceutically acceptable salt of any one of the foregoing.
- Table A2a
- D1 and/or D2 in the ADC compounds disclosed herein independently comprises a formula selected from any one of the formulae in Table A3a, or an enantiomer, a diastereoisomer, and/or a pharmaceutically acceptable salt of any one of the foregoing.
- Table A3a
- D1 and/or D2 in the ADC compounds disclosed herein independently comprises a formula selected from any one of the formulae in TableA4a, or an enantiomer, a diastereoisomer, and/or a pharmaceutically acceptable salt of any one of the foregoing.
- Table A4a wherein represents a bond to the linker.
- the maleimide group the compound of Table B form a covalent bond with the antibody or antigen-binding fragment thereof (Ab) to form the ADC compound of formula (A) comprising moiety, wherein * indicates the connection point to Ab.
- these compounds can contain one pharmaceutically acceptable monovalent anionic counterion M1-.
- the monovalent anionic counterion M1- can be selected from bromide, chloride, iodide, acetate, trifluoroacetate, benzoate, mesylate, tosylate, triflate, formate, or the like.
- the monovalent anionic counterion M 1 - is trifluoroacetate or formate.
- the ADCs depicted above can also be represented by the following formula: wherein represents an anti-CD7 antibody or an antigen fragment thereof covalently linked to the linker-payload (L/P) depicted above; a is an integer from 1 to 16. In some embodiments, a is an integer from 1 to 8. In some embodiments, a is an integer from 1 to 5. In some embodiments, a is an integer from 2 to 4. In some embodiments, a is 2. In some embodiments, a is 4. In some embodiments, a is determined by liquid chromatography-mass spectrometry (LC-MS).
- LC-MS liquid chromatography-mass spectrometry
- the antibody is an anti-CD7 antibody or antigen fragment thereof. In some embodiments, the antibody or antigen-binding fragment binds to a target antigen CD7 on a cancer cell.
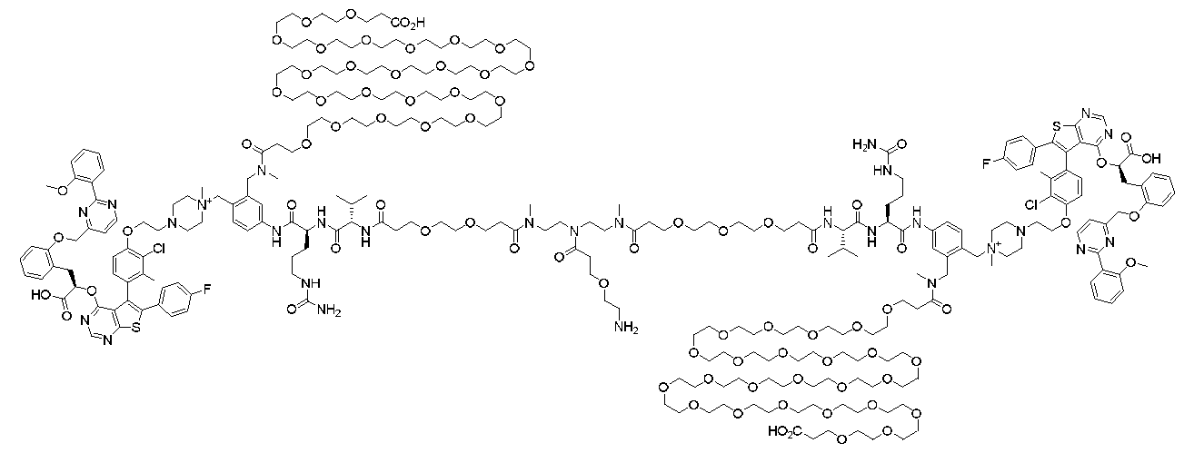
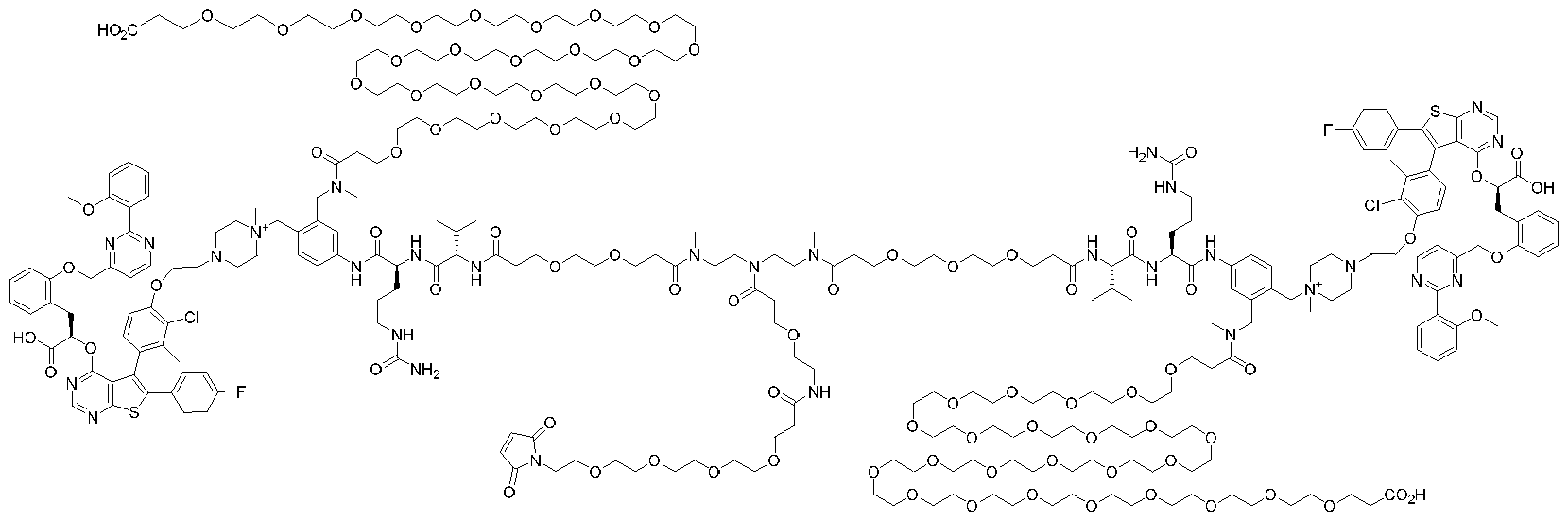
- P-L-P refers to the linker-payloads, linker-drugs, or linker-compounds disclosed herein and the terms “P#-L#-P#” refers to a specific dual linker-drug disclosed herein, wherein each of the codes “P#” refers to a specific antineoplastic compound (e.g. BH3 mimetics) unless otherwise specified and L# refers to a specific dual linker unless otherwise specified.
- the two “P#” codes can be the same or different, i.e. refers to the same or different antineoplastic compounds (e.g. BH3 mimetics).
- P1-L1-P1 refers to the linker-payload compound with dual linker L1 attaches to two P1 payloads
- P1-L1-P2 refers to the linker-payload compound with dual linker L1 attaches to a P1 and a P2 payload, including an enantiomer, diastereoisomer, atropisomer, deuterated derivative, and/or pharmaceutically acceptable salt of any of the foregoing.
- the terms "P1-L1-P2" and “P2-L1-P1” refer to two different linker-drugs.
- “L#-P#” refer to a specific mono linker-drug disclosed herein.
- “L1- P1” refers to the linker-payload compound with mono linker L1 attaches to one P1 payload.
- the antibody or antigen-binding fragment binds to a target antigen on a cancer cell.
- the target antigen is CD7.
- the antibody or antigen-binding fragment are antibodies or antigen- binding fragments disclosed in international application publication WO2018/098306, which is incorporated by reference in it entirety.
- compositions comprising multiple copies of an antibody-drug conjugate (e.g., any of the exemplary antibody-drug conjugates described herein).
- the average p of the antibody-drug conjugates in the composition is from about 2 to about 4.
- compositions comprising an antibody-drug conjugate (e.g., any of the exemplary antibody-drug conjugates described herein) or a composition (e.g., any of the exemplary compositions described herein), and a pharmaceutically acceptable carrier.
- an antibody-drug conjugate e.g., any of the exemplary antibody-drug conjugates described herein
- a composition e.g., any of the exemplary compositions described herein
- a pharmaceutically acceptable carrier e.g., any of the exemplary compositions described herein
- therapeutic uses for the described ADC compounds and compositions e.g., in treating a cancer.
- the present disclosure provides methods of treating a cancer (e.g., a cancer that expresses an antigen targeted by the antibody or antigen-binding fragment of the ADC, such as CD7 ).
- the present disclosure provides methods of reducing or slowing the expansion of a cancer cell population in a subject. In some embodiments, the present disclosure provides methods of determining whether a subject having or suspected of having a cancer will be responsive to treatment with an ADC compound or composition disclosed herein.
- An exemplary embodiment is a method of treating a subject having or suspected of having a cancer, comprising administering to the subject a therapeutically effective amount of an antibody-drug conjugate, composition, or pharmaceutical composition (e.g., any of the exemplary antibody-drug conjugates, compositions, or pharmaceutical compositions disclosed herein).
- the cancer expresses a target antigen CD7.
- the cancer is a tumor or a hematological cancer.
- the cancer is a breast cancer, multiple myeloma, plasma cell myeloma, leukemia, lymphoma, sarcoma, gastric cancer, acute myeloid leukemia, bladder cancer, brain cancer, bone marrow cancer, cervical cancer, chronic lymphocytic leukemia, colorectal cancer, esophageal cancer, hepatocellular cancer, lymphoblastic leukemia including acute lymphoblastic leukemia, follicular lymphoma, lymphoid malignancies of T-cell or B-cell origin, melanoma, myelogenous leukemia, myeloma, oral cancer, ovarian cancer, non-small cell lung cancer, prostate cancer, small cell lung cancer, spleen cancer, pancreatic cancer, stomach cancer, colon cancer, or head and neck cancer.
- the cancer is a lymphoma or gastric cancer.
- Another exemplary embodiment is a method of reducing or inhibiting the growth of a tumor in a subject, comprising administering to the subject a therapeutically effective amount of an antibody-drug conjugate, composition, or pharmaceutical composition (e.g., any of the exemplary antibody-drug conjugates, compositions, or pharmaceutical compositions disclosed herein).
- the tumor expresses a target antigen CD7.
- the tumor is a breast cancer, gastric cancer, bladder cancer, brain cancer, cervical cancer, colorectal cancer, esophageal cancer, hepatocellular cancer, melanoma, oral cancer, ovarian cancer, non-small cell lung cancer, prostate cancer, small cell lung cancer, pancreatic cancer, stomach cancer, colon cancer, head and neck cancer, or spleen cancer.
- the tumor is a gastric cancer.
- administration of the antibody-drug conjugate, composition, or pharmaceutical composition reduces or inhibits the growth of the tumor by at least about 10%, at least about 20%, at least about 30%, at least about 40%, at least about 50%, at least about 60%, at least about 70%, at least about 80%, at least about 90%, at least about 95%, or at least about 99%.
- Another exemplary embodiment is a method of reducing or slowing the expansion of a cancer cell population in a subject, comprising administering to the subject a therapeutically effective amount of an antibody-drug conjugate, composition, or pharmaceutical composition (e.g., any of the exemplary antibody-drug conjugates, compositions, or pharmaceutical compositions disclosed herein).
- the cancer cell population expresses a target antigen CD7.
- the cancer cell population is from a tumor or a hematological cancer.
- the cancer cell population is from a breast cancer, multiple myeloma, plasma cell myeloma, leukemia, lymphoma, sarcoma, gastric cancer, acute myeloid leukemia, bladder cancer, brain cancer, bone marrow cancer, cervical cancer, chronic lymphocytic leukemia, colorectal cancer, esophageal cancer, hepatocellular cancer, lymphoblastic leukemia including acute lymphoblastic leukemia, follicular lymphoma, lymphoid malignancies of T-cell or B-cell origin, melanoma, myelogenous leukemia, myeloma, oral cancer, ovarian cancer, non-small cell lung cancer, prostate cancer, small cell lung cancer, spleen cancer, pancreatic cancer, stomach cancer, colon cancer, or
- the cancer cell population is from a lymphoma or gastric cancer.
- administration of the antibody- drug conjugate, composition, or pharmaceutical composition reduces the cancer cell population by at least about 10%, at least about 20%, at least about 30%, at least about 40%, at least about 50%, at least about 60%, at least about 70%, at least about 80%, at least about 90%, at least about 95%, or at least about 99%.
- administration of the antibody-drug conjugate, composition, or pharmaceutical composition slows the expansion of the cancer cell population by at least about 10%, at least about 20%, at least about 30%, at least about 40%, at least about 50%, at least about 60%, at least about 70%, at least about 80%, at least about 90%, at least about 95%, or at least about 99%.
- Another exemplary embodiment is an antibody-drug conjugate, composition, or pharmaceutical composition (e.g., any of the exemplary antibody-drug conjugates, compositions, or pharmaceutical compositions disclosed herein) for use in treating a subject having or suspected of having a cancer.
- the cancer expresses a target antigen CD7.
- the cancer is a tumor or a hematological cancer.
- the cancer is a breast cancer, multiple myeloma, plasma cell myeloma, leukemia, lymphoma, sarcoma, gastric cancer, acute myeloid leukemia, bladder cancer, brain cancer, bone marrow cancer, cervical cancer, chronic lymphocytic leukemia, colorectal cancer, esophageal cancer, hepatocellular cancer, lymphoblastic leukemia including acute lymphoblastic leukemia, follicular lymphoma, lymphoid malignancies of T-cell or B-cell origin, melanoma, myelogenous leukemia, myeloma, oral cancer, ovarian cancer, non-small cell lung cancer, prostate cancer, small cell lung cancer, spleen cancer, pancreatic cancer, stomach cancer, colon cancer, or head and neck cancer.
- the cancer is a lymphoma or gastric cancer.
- Another exemplary embodiment is a use of an antibody-drug conjugate, composition, or pharmaceutical composition (e.g., any of the exemplary antibody-drug conjugates, compositions, or pharmaceutical compositions disclosed herein) in treating a subject having or suspected of having a cancer.
- the cancer expresses a target antigen CD7.
- the cancer is a tumor or a hematological cancer.
- the cancer is a breast cancer, multiple myeloma, plasma cell myeloma, leukemia, lymphoma, sarcoma, gastric cancer, acute myeloid leukemia, bladder cancer, brain cancer, bone marrow cancer, cervical cancer, chronic lymphocytic leukemia, colorectal cancer, esophageal cancer, hepatocellular cancer, lymphoblastic leukemia including acute lymphoblastic leukemia, follicular lymphoma, lymphoid malignancies of T-cell or B-cell origin, melanoma, myelogenous leukemia, myeloma, oral cancer, ovarian cancer, non-small cell lung cancer, prostate cancer, small cell lung cancer, spleen cancer, pancreatic cancer, stomach cancer, colon cancer, or head and neck cancer.
- the cancer is a lymphoma or gastric cancer.
- Another exemplary embodiment is a use of an antibody-drug conjugate, composition, or pharmaceutical composition (e.g., any of the exemplary antibody-drug conjugates, compositions, or pharmaceutical compositions disclosed herein) in a method of manufacturing a medicament for treating a subject having or suspected of having a cancer.
- the cancer expresses a target antigen CD7.
- the cancer is a tumor or a hematological cancer.
- the cancer is a breast cancer, multiple myeloma, plasma cell myeloma, leukemia, lymphoma, sarcoma, gastric cancer, acute myeloid leukemia, bladder cancer, brain cancer, bone marrow cancer, cervical cancer, chronic lymphocytic leukemia, colorectal cancer, esophageal cancer, hepatocellular cancer, lymphoblastic leukemia including acute lymphoblastic leukemia, follicular lymphoma, lymphoid malignancies of T-cell or B-cell origin, melanoma, myelogenous leukemia, myeloma, oral cancer, ovarian cancer, non-small cell lung cancer, prostate cancer, small cell lung cancer, spleen cancer, pancreatic cancer, stomach cancer, colon cancer, or head and neck cancer.
- the cancer is a lymphoma or gastric cancer.
- Another exemplary embodiment is a method of determining whether a subject having or suspected of having a cancer will be responsive to treatment with an antibody-drug conjugate, composition, or pharmaceutical composition (e.g., any of the exemplary antibody-drug conjugates, compositions, or pharmaceutical compositions disclosed herein) by providing a biological sample from the subject; contacting the sample with the antibody-drug conjugate; and detecting binding of the antibody-drug conjugate to cancer cells in the sample.
- the cancer cells in the sample express a target antigen CD7.
- the cancer is a tumor or a hematological cancer.
- the cancer is a breast cancer, multiple myeloma, plasma cell myeloma, leukemia, lymphoma, sarcoma, gastric cancer, acute myeloid leukemia, bladder cancer, brain cancer, bone marrow cancer, cervical cancer, chronic lymphocytic leukemia, colorectal cancer, esophageal cancer, hepatocellular cancer, lymphoblastic leukemia including acute lymphoblastic leukemia, follicular lymphoma, lymphoid malignancies of T-cell or B-cell origin, melanoma, myelogenous leukemia, myeloma, oral cancer, ovarian cancer, non-small cell lung cancer, prostate cancer, small cell lung cancer, spleen cancer, pancreatic cancer, stomach cancer, colon cancer, or head and neck cancer.
- the cancer is a lymphoma or gastric cancer.
- the sample is a tissue biopsy sample, a blood sample, or a bone marrow sample.
- An exemplary embodiment is a method of producing an antibody-drug conjugate byconjuating an anti-CD7 antibody or antigen-binding fragment to a dual linker joined or covalently attached to two antineoplastic compounds, wherein at least one antineoplastic compound is a BH3 mimetic (e.g., two BH3 mimetics or a BH3 mimetic and a non-BH3 mimetic (e.g., topoisomerase I inhibitor)) under conditions that allow conjugation.
- a BH3 mimetic e.g., two BH3 mimetics or a BH3 mimetic and a non-BH3 mimetic (e.g., topoisomerase I inhibitor)
- FIG. 1 shows the in vitro activity of anti-CD7 BclxL ADC high DAR and anti-CD7 dual Bcl2/BclxL ADC in J45.01 (TALL) cell line as single agent or in combination with ABT199 (CTG 72h).
- FIG. 2 shows the in vitro activity of anti-CD7 BclxL ADC high DAR and anti-CD7 dual Bcl2/BclxL in BE.13 (TALL) cell line as single agent or in combination with ABT199 (CTG 72h).
- FIG. 3 shows the in vitro activity of anti-CD7 BclxL ADC high DAR and anti-CD7 dual Bcl2/BclxL ADC in HNT-34 (AML) cell line as single agent or in combination with ABT199 (CTG 72h).
- FIG. 4 is a graph showing tumor volume (mm3) over time (day) of BE13-grafted female NOD- SCID mice upon treatment with Ab N - P5-L12-P5 (CD7-targeting ADC Fc-silent) and Ab G1_P5-L12- P5 (
- compositions and methods are described more readily by reference to the following detailed description taken in connection with the accompanying figures, which form a part of this disclosure. [151] Throughout this text, the descriptions refer to compositions and methods of using the compositions.
- an antibody drug conjugate is referred to as “Target X-P1-L1-P2”, such a conjugate would comprise an antibody that binds Target X, a dual linker designated as L1, and two payloads designated as P1 and P2, respectively.
- an antibody drug conjugate is referred to as “anti-Target X-P1- L1-P2”, such a conjugate would comprise an antibody that binds Target X, a dual linker designated as L1, and two payloads designated as P1 and P2, respectively.
- an antibody drug conjugate is referred to as “AbX-P1-L1-P2”
- such a conjugate would comprise the antibody designated as AbX, a dual linker designated as L1, and two payloads designated as P1 and P2, respectively.
- a control antibody drug conjugate comprising a non-specific, isotype control antibody may be referenced as “isotype control IgG1-P1-L1-P2” or “IgG1-P1-L1-P2”.
- Any formula given herein is also intended to represent unlabeled forms as well as isotopically labeled forms of the compounds.
- Isotopically labeled compounds have structures depicted by the formulae given herein except that one or more atoms are replaced by an atom having a selected atomic mass or mass number.
- Isotopes that can be incorporated into compounds of the invention include, for example, isotopes of hydrogen, carbon, nitrogen, oxygen, fluorine, and chlorine, such as 3 H, 11 C, 13 C, 14 C, 15 N, 18 F, and 36 Cl. Accordingly, it should be understood that the present disclosure includes compounds that incorporate one or more of any of the aforementioned isotopes, including for example, radioactive isotopes, such as 3 H and 14 C, or those into which non-radioactive isotopes, such as 2 H and 13 C are present.
- Such isotopically labelled compounds are useful in metabolic studies (with 14 C), reaction kinetic studies (with, for example 2 H or 3 H), detection or imaging techniques, such as positron emission tomography (PET) or single-photon emission computed tomography (SPECT) including drug or substrate tissue distribution assays, or in radioactive treatment of patients.
- PET positron emission tomography
- SPECT single-photon emission computed tomography
- an 18 F or labeled compound may be particularly desirable for PET or SPECT studies.
- Isotopically-labeled compounds can generally be prepared by conventional techniques known to those skilled in the art, e.g., using an appropriate isotopically-labeled reagents in place of the non-labeled reagent previously employed.
- the term “about” refers to a range of values which are 10% more or less than the specified value. In another embodiment, the term “about” refers to a range of values which are 5% more or less than the specified value. In another embodiment, the term “about” refers to a range of values which are 1% more or less than the specified value.
- antibody-drug conjugate refers to one or more therapeutic compounds (e.g., an antineoplastic payload, such as a BH3 mimetic moiety, a topoisomerase 1 inhibitor, or an anti-mitotic drug) that is linked to one or more antibodies or antigen-binding fragments.
- antineoplastic payload such as a BH3 mimetic moiety, a topoisomerase 1 inhibitor, or an anti-mitotic drug
- antineoplastic payloads e.g. BH3 mimetic moieties, topoisomerase 1 inhibitors, or anti-mitotic drugs
- “2a” refers to the number of antineoplastic payloads (e.g.
- antibody is used in the broadest sense to refer to an immunoglobulin molecule that recognizes and specifically binds to a target, such as a protein, polypeptide, carbohydrate, polynucleotide, lipid, or combinations of the foregoing through at least one antigen recognition site within the variable region of the immunoglobulin molecule.
- An antibody can be polyclonal or monoclonal, multiple or single chain, or an intact immunoglobulin, and may be derived from natural sources or from recombinant sources.
- An “intact” antibody is a glycoprotein that typically comprises at least two heavy (H) chains and two light (L) chains inter-connected by disulfide bonds.
- Each heavy chain is comprised of a heavy chain variable region (abbreviated herein as VH) and a heavy chain constant region.
- the heavy chain constant region comprises three domains, CH1, CH2 and CH3.
- Each light chain is comprised of a light chain variable region (abbreviated herein as VL) and a light chain constant region.
- the light chain constant region is comprised of one domain, CL.
- the VH and VL regions can be further subdivided into regions of hypervariability, termed complementarity determining regions (CDR), interspersed with regions that are more conserved, termed framework regions (FR).
- CDR complementarity determining regions
- Each VH and VL is composed of three CDRs and four FRs arranged from amino-terminus to carboxyl-terminus in the following order: FR1, CDR1, FR2, CDR2, FR3, CDR3, FR4.
- the variable regions of the heavy and light chains contain a binding domain that interacts with an antigen.
- the constant regions of the antibodies may mediate the binding of the immunoglobulin to host tissues or factors, including various cells of the immune system (e.g., effector cells) and the first component (C1q) of the classical complement system.
- An antibody can be a monoclonal antibody, human antibody, humanized antibody, camelised antibody, or chimeric antibody.
- the antibodies can be of any isotype (e.g., IgG, IgE, IgM, IgD, IgA and IgY), class (e.g., IgG1, IgG2, IgG3, IgG4, IgA1 and IgA2), or subclass.
- An antibody can be an intact antibody or an antigen-binding fragment thereof.
- the antibody or antibody fragment disclosed herein include modified or engineered amino acid residues, e.g., one or more cysteine residues, as sites for conjugation to a drug moiety (Junutula JR, et al., Nat Biotechnol 2008, 26:925-932).
- the disclosure provides a modified antibody or antibody fragment comprising a substitution of one or more amino acids with cysteine at the positions described herein.
- Sites for cysteine substitution are in the constant regions of the antibody or antibody fragment and are thus applicable to a variety of antibody or antibody fragment, and the sites are selected to provide stable and homogeneous conjugates.
- a modified antibody or fragment can have one, two or more cysteine substitutions, and these substitutions can be used in combination with other modification and conjugation methods as described herein.
- a modified antibody comprises a substitution of one or more amino acids with cysteine on its constant region selected from positions 117, 119, 121, 124, 139, 152, 153, 155, 157, 164, 169, 171, 174, 189, 191, 195, 197, 205, 207, 246, 258, 269, 274, 286, 288, 290, 292, 293, 320, 322, 326, 333, 334, 335, 337, 344, 355, 360, 375, 382, 390, 392, 398, 400 and 422 of a heavy chain of the antibody, and wherein the positions are numbered according to the EU system.
- a modified antibody or antibody fragment comprises a substitution of one or more amino acids with cysteine on its constant region selected from positions 107, 108, 109, 114, 129, 142, 143, 145, 152, 154, 156, 159, 161, 165, 168, 169, 170, 182, 183, 197, 199, and 203 of a light chain of the antibody or antibody fragment, wherein the positions are numbered according to the EU system, and wherein the light chain is a human kappa light chain.
- a modified antibody or antibody fragment thereof comprises a combination of substitution of two or more amino acids with cysteine on its constant regions wherein the combinations comprise substitutions at positions 375 of an antibody heavy chain, position 152 of an antibody heavy chain, position 360 of an antibody heavy chain, or position 107 of an antibody light chain and wherein the positions are numbered according to the EU system.
- a modified antibody or antibody fragment thereof comprises a substitution of one amino acid with cysteine on its constant regions wherein the substitution is position 375 of an antibody heavy chain, position 152 of an antibody heavy chain, position 360 of an antibody heavy chain, position 107 of an antibody light chain, position 165 of an antibody light chain or position 159 of an antibody light chain and wherein the positions are numbered according to the EU system, and wherein the light chain is a kappa chain.
- a modified antibody or antibody fragment thereof comprises a combination of substitution of two amino acids with cysteine on its constant regions wherein the combinations comprise substitutions at positions 375 of an antibody heavy chain and position 152 of an antibody heavy chain, wherein the positions are numbered according to the EU system.
- a modified antibody or antibody fragment thereof comprises a substitution of one amino acid with cysteine at position 360 of an antibody heavy chain, wherein the positions are numbered according to the EU system.
- a modified antibody or antibody fragment thereof comprises a substitution of one amino acid with cysteine at position 107 of an antibody light chain and wherein the positions are numbered according to the EU system, and wherein the light chain is a kappa chain.
- antibody fragment or “antigen-binding fragment” or “functional antibody fragment,” as used herein, refers to at least one portion of an antibody that retains the ability to specifically interact with (e.g., by binding, steric hinderance, stabilizing/destabilizing, spatial distribution) an epitope of an antigen (e.g., CD7).
- Antigen-binding fragments may also retain the ability to internalize into an antigen- expressing cell. In some embodiments, antigen-binding fragments also retain immune effector activity.
- the terms antibody, antibody fragment, antigen-binding fragment, and the like, are intended to embrace the use of binding domains from antibodies in the context of larger macromolecules such as ADCs.
- fragments of a full-length antibody can perform the antigen binding function of a full- length antibody.
- antibody fragments include, but are not limited to, Fab, Fab’, F(ab’)2, Fv fragments, scFv antibody fragments, disulfide-linked Fvs (sdFv), a Fd fragment consisting of the VH and CH1 domains, linear antibodies, single domain antibodies such as sdAb (either VL or VH), camelid VHH domains, multi-specific antibodies formed from antibody fragments such as a bivalent fragment comprising two Fab fragments linked by a disulfide bridge at the hinge region, and an isolated CDR or other epitope binding fragments of an antibody.
- An antigen-binding fragment can also be incorporated into single domain antibodies, maxibodies, minibodies, nanobodies, intrabodies, diabodies, triabodies, tetrabodies, bispecific or multi-specific antibody constructs, ADCs, v-NAR and bis-scFv (see, e.g., Holliger and Hudson (2005) Nat Biotechnol.23(9):1126-36).
- Antigen-binding fragments can also be grafted into scaffolds based on polypeptides such as a fibronectin type III (Fn3) (see US Patent No. 6,703,199, which describes fibronectin polypeptide minibodies).
- scFv refers to a fusion protein comprising at least one antigen-binding fragment comprising a variable region of a light chain and at least one antigen-binding fragment comprising a variable region of a heavy chain, wherein the light and heavy chain variable regions are contiguously linked, e.g., via a synthetic linker, e.g., a short flexible polypeptide linker, and capable of being expressed as a single chain polypeptide, and wherein the scFv retains the specificity of the intact antibody from which it is derived.
- a synthetic linker e.g., a short flexible polypeptide linker
- an scFv may have the VL and VH variable regions in either order, e.g., with respect to the N-terminal and C-terminal ends of the polypeptide, the scFv may comprise VL-linker-VH or may comprise VH-linker-VL.
- Antigen- binding fragments are obtained using conventional techniques known to those of skill in the art, and the binding fragments are screened for utility (e.g., binding affinity, internalization) in the same manner as are intact antibodies.
- Antigen-binding fragments for example, may be prepared by cleavage of the intact protein, e.g., by protease or chemical cleavage.
- CDR complementarity determining region
- HCDR1, HCDR2, and HCDR3 three CDRs in each heavy chain variable region
- LCDR1, LCDR2, and LCDR3 three CDRs in each light chain variable region
- the precise amino acid sequence boundaries of a given CDR can be determined using any of a number of well-known schemes, including those described by Kabat et al. (1991) “Sequences of Proteins of Immunological Interest,” 5th Ed.
- the CDRs correspond to the amino acid residues that are defined as part of the Kabat CDR, together with the amino acid residues that are defined as part of the Chothia CDR.
- the CDRs defined according to the “Chothia” number scheme are also sometimes referred to as “hypervariable loops.”
- the CDR amino acid residues in the heavy chain variable domain (VH) are numbered 31-35 (HCDR1) (e.g., insertion(s) after position 35), 50-65 (HCDR2), and 95-102 (HCDR3); and the CDR amino acid residues in the light chain variable domain (VL) are numbered 24-34 (LCDR1) (e.g., insertion(s) after position 27), 50-56 (LCDR2), and 89-97 (LCDR3).
- the CDR amino acids in the VH are numbered 26-32 (HCDR1) (e.g., insertion(s) after position 31), 52-56 (HCDR2), and 95-102 (HCDR3); and the amino acid residues in VL are numbered 26-32 (LCDR1) (e.g., insertion(s) after position 30), 50-52 (LCDR2), and 91-96 (LCDR3).
- the CDRs comprise or consist of, e.g., amino acid residues 26-35 (HCDR1), 50-65 (HCDR2), and 95-102 (HCDR3) in human VH and amino acid residues 24-34 (LCDR1), 50-56 (LCDR2), and 89-97 (LCDR3) in human VL.
- the CDR amino acid residues in the VH are numbered approximately 26-35 (CDR1), 51-57 (CDR2) and 93-102 (CDR3), and the CDR amino acid residues in the VL are numbered approximately 27-32 (CDR1), 50-52 (CDR2), and 89-97 (CDR3).
- the CDR regions of an antibody may be determined using the program IMGT/DomainGap Align.
- the term "monoclonal antibody,” as used herein, refers to an antibody obtained from a population of substantially homogeneous antibodies, i.e., the individual antibodies comprising the population are identical except for possible naturally occurring mutations that may be present in minor amounts. Monoclonal antibodies are highly specific, being directed against a single antigenic epitope. In contrast, conventional (polyclonal) antibody preparations typically include a multitude of antibodies directed against (or specific for) different epitopes. The modifier “monoclonal” indicates the character of the antibody as being obtained from a substantially homogeneous population of antibodies, and is not to be construed as requiring production of the antibody by any particular method.
- the monoclonal antibodies to be used in accordance with the present disclosure may be made by the hybridoma method first described by Kohler et al. (1975) Nature 256:495, or may be made by recombinant DNA methods (see, e.g., US Patent No.4,816,567).
- Monoclonal antibodies may also be isolated from phage antibody libraries using the techniques described in Clackson et al. (1991) Nature 352:624-8, and Marks et al. (1991) J Mol Biol.222:581-97, for example.
- the term also includes preparations of antibody molecules of single molecular composition.
- a monoclonal antibody composition displays a single binding specificity and affinity for a particular epitope.
- the monoclonal antibodies described herein can be non-human, human, or humanized.
- the term specifically includes "chimeric" antibodies, in which a portion of the heavy and/or light chain is identical with or homologous to corresponding sequences in antibodies derived from a particular species or belonging to a particular antibody class or subclass, while the remainder of the chain(s) is identical with or homologous to corresponding sequences in antibodies derived from another species or belonging to another antibody class or subclass, as well as fragments of such antibodies, so long as they specifically bind the target antigen and/or exhibit the desired biological activity.
- the term “human antibody,” as used herein, refers an antibody produced by a human or an antibody having an amino acid sequence of an antibody produced by a human.
- the term includes antibodies having variable regions in which both the framework and CDR regions are derived from sequences of human origin. Furthermore, if the antibody contains a constant region, the constant region is also derived from such human sequences, e.g., human germline sequences, or mutated versions of human germline sequences or antibody containing consensus framework sequences derived from human framework sequences analysis, for example, as described in Knappik et al. ((2000) J Mol Biol.296(1):57- 86).
- immunoglobulin variable domains e.g., CDRs
- CDRs may be defined using well known numbering schemes, e.g., the Kabat numbering scheme, the Chothia numbering scheme, or a combination of Kabat and Chothia, and/or ImMunoGenTics (IMGT) numbering.
- the human antibodies of the invention may include amino acid residues not encoded by human sequences (e.g., mutations introduced by random or site-specific mutagenesis in vitro or by somatic mutation in vivo, or a conservative substitution to promote stability or manufacturing).
- human antibody is not intended to include antibodies in which CDR sequences derived from the germline of another mammalian species, such as a mouse, have been grafted onto human framework sequences.
- recombinant human antibody refers to a human antibody that is prepared, expressed, created, or isolated by recombinant means, such as antibodies isolated from an animal (e.g., a mouse) that is transgenic or transchromosomal for human immunoglobulin genes or a hybridoma prepared therefrom, antibodies isolated from a host cell transformed to express the human antibody, e.g., from a transfectoma, antibodies isolated from a recombinant, combinatorial human antibody library, and antibodies prepared, expressed, created or isolated by any other means that involve splicing of all or a portion of a human immunoglobulin gene, sequences to other DNA sequences.
- Such recombinant human antibodies have variable regions in which the framework and CDR regions are derived from human germline immunoglobulin sequences.
- such recombinant human antibodies can be subjected to in vitro mutagenesis (or, when an animal transgenic for human Ig sequences is used, in vivo somatic mutagenesis) and thus the amino acid sequences of the VH and VL regions of the recombinant antibodies are sequences that, while derived from and related to human germline VH and VL sequences, may not naturally exist within the human antibody germline repertoire in vivo.
- chimeric antibody refers to antibodies wherein the amino acid sequence of the immunoglobulin molecule is derived from two or more species.
- the variable regions of both heavy and light chains correspond to the variable regions of antibodies derived from one species with the desired specificity, affinity, and activity while the constant regions are homologous to antibodies derived from another species (e.g., human) to minimize an immune response in the latter species.
- humanized antibody refers to forms of antibodies that contain sequences from non-human (e.g., murine) antibodies as well as human antibodies. Such antibodies are a type of chimeric antibody which contain minimal sequence derived from non-human immunoglobulin.
- the humanized antibody will comprise substantially all of at least one, and typically two, variable domains, in which all or substantially all of the hypervariable loops correspond to those of a non-human immunoglobulin and all or substantially all of the framework (FR) regions are those of a human immunoglobulin sequence.
- the humanized antibody optionally also will comprise at least a portion of an immunoglobulin constant region (Fc), typically that of a human immunoglobulin.
- Fc immunoglobulin constant region
- the humanized antibody can be further modified by the substitution of residues, either in the Fv framework region and/or within the replaced non-human residues to refine and optimize antibody specificity, affinity, and/or activity.
- an Fc region refers to a polypeptide comprising the CH3, CH2 and at least a portion of the hinge region of a constant domain of an antibody.
- an Fc region may include a CH4 domain, present in some antibody classes.
- An Fc region may comprise the entire hinge region of a constant domain of an antibody.
- an antibody or antigen-binding fragment comprises an Fc region and a CH1 region of an antibody.
- an antibody or antigen-binding fragment comprises an Fc region CH3 region of an antibody.
- an antibody or antigen-binding fragment comprises an Fc region, a CH1 region, and a kappa/lambda region from the constant domain of an antibody.
- an antibody or antigen-binding fragment comprises a constant region, e.g., a heavy chain constant region and/or a light chain constant region.
- a constant region is modified compared to a wild-type constant region. That is, the polypeptide may comprise alterations or modifications to one or more of the three heavy chain constant domains (CH1, CH2, or CH3) and/or to the light chain constant region domain (CL).
- Example modifications include additions, deletions, or substitutions of one or more amino acids in one or more domains. Such changes may be included to optimize effector function, half-life, etc.
- Internalizing refers to an antibody or antigen-binding fragment that is capable of being taken through the cell’s lipid bilayer membrane to an internal compartment (i.e., “internalized”) upon binding to the cell, preferably into a degradative compartment in the cell.
- an internalizing anti-CD7 antibody is one that is capable of being taken into the cell after binding to CD7 on the cell membrane.
- the antibody or antigen-binding fragment used in the ADCs disclosed herein targets a cell surface antigen (e.g., CD7) and is an internalizing antibody or internalizing antigen-binding fragment (i.e., the ADC transfers through the cellular membrane after antigen binding).
- the internalizing antibody or antigen-binding fragment binds a receptor on the cell surface.
- An internalizing antibody or internalizing antigen-binding fragment that targets a receptor on the cell membrane may induce receptor- mediated endocytosis.
- the internalizing antibody or internalizing antigen-binding fragment is taken into the cell via receptor-mediated endocytosis.
- Non-internalizing as used herein in reference to an antibody or antigen-binding fragment refers to an antibody or antigen-binding fragment that remains at the cell surface upon binding to the cell.
- the antibody or antigen-binding fragment used in the ADCs disclosed herein targets a cell surface antigen and is a non-internalizing antibody or non-internalizing antigen-binding fragment (i.e., the ADC remains at the cell surface and does not transfer through the cellular membrane after antigen binding).
- cluster of differentiation 7 or “CD7,” as used herein, refers to any native form of human CD7.
- the term encompasses full-length human CD7 (e.g., NCBI Reference Sequence: NP_006128.1; SEQ ID NO:25), as well as any form of human CD7 that may result from cellular processing.
- the term also encompasses functional variants or fragments of human CD7, including but not limited to splice variants, allelic variants, and isoforms that retain one or more biologic functions of human CD7 (i.e., variants and fragments are encompassed unless the context indicates that the term is used to refer to the wild-type protein only).
- CD7 can be isolated from human, or may be produced recombinantly or by synthetic methods.
- anti-CD7 antibody or “antibody that binds to CD7,” as used herein, refers to any form of antibody or antigen-binding fragment thereof that binds, e.g., specifically binds, to CD7.
- the term encompasses monoclonal antibodies (including full-length monoclonal antibodies), polyclonal antibodies, and biologically functional antigen-binding fragments so long as they bind, e.g., specifically bind, to CD7.
- WO2018/098306 provides and is incorporated herein by reference for exemplary CD7-binding sequences, including exemplary anti-CD7 antibody sequences.
- the anti-CD7 antibody used in the ADCs disclosed herein is an internalizing antibody or internalizing antigen-binding fragment.
- binding specificity refers to the ability of an individual antibody or antigen binding fragment to preferentially react with one antigenic determinant over a different antigenic determinant. The degree of specificity indicates the extent to which an antibody or fragment preferentially binds to one antigenic determinant over a different antigenic determinant.
- the term “specific,” “specifically binds,” and “binds specifically” refers to a binding reaction between an antibody or antigen-binding fragment (e.g., an anti-CD7 antibody) and a target antigen (e.g., CD7) in a heterogeneous population of proteins and other biologics.
- Antibodies can be tested for specificity of binding by comparing binding to an appropriate antigen to binding to an irrelevant antigen or antigen mixture under a given set of conditions. If the antibody binds to the appropriate antigen with at least 2, 5, 7, 10 or more times more affinity than to the irrelevant antigen or antigen mixture, then it is considered to be specific.
- a “specific antibody” or a “target-specific antibody” is one that only binds the target antigen (e.g., CD7), but does not bind (or exhibits minimal binding) to other antigens.
- an antibody or antigen-binding fragment that specifically binds a target antigen (e.g., CD7) has a K D of less than 1x10 -6 M, less than 1x10 -7 M, less than 1x10 -8 M, less than 1x10 -9 M, less than 1x10- 10 M, less than 1x10 -11 M, less than 1x10 -12 M, or less than 1x10 -13 M.
- the K D is 1 pM to 500 pM.
- the K D is between 500 pM to 1 ⁇ M, 1 ⁇ M to 100 nM, or 100 mM to 10 nM.
- affinity refers to the strength of interaction between antibody and antigen at single antigenic sites. Without being bound by theory, within each antigen binding site, the variable region of the antibody “arm” interacts through weak non-covalent forces with the antigen at numerous sites; the more interactions, typically the stronger the affinity.
- the binding affinity of an antibody is the sum of the attractive and repulsive forces operating between the antigenic determinant and the binding site of the antibody.
- the term "kon” or “ka” refers to the on-rate constant for association of an antibody to the antigen to form the antibody/antigen complex. The rate can be determined using standard assays, such as a surface plasmon resonance, biolayer inferometry, or ELISA assay.
- the term “koff” or “kd” refers to the off-rate constant for dissociation of an antibody from the antibody/antigen complex. The rate can be determined using standard assays, such as a surface plasmon resonance, biolayer inferometry, or ELISA assay.
- KD refers to the equilibrium dissociation constant of a particular antibody-antigen interaction. KD is calculated by ka/kd.
- epitopes refers to the portion of an antigen capable of being recognized and specifically bound by an antibody (or antigen-binding fragment). Epitope determinants generally consist of chemically active surface groupings of molecules such as amino acids or carbohydrate or sugar side chains and can have specific three-dimensional structural characteristics, as well as specific charge characteristics. When the antigen is a polypeptide, epitopes can be formed from contiguous amino acids or noncontiguous amino acids juxtaposed by tertiary folding of the polypeptide.
- An epitope may be “linear” or “conformational.” Conformational and linear epitopes are distinguished in that the binding to the former but not the latter is lost in the presence of denaturing solvents.
- the epitope bound by an antibody may be identified using any epitope mapping technique known in the art, including X-ray crystallography for epitope identification by direct visualization of the antigen- antibody complex, as well as monitoring the binding of the antibody to fragments or mutated variations of the antigen, or monitoring solvent accessibility of different parts of the antibody and the antigen.
- Exemplary strategies used to map antibody epitopes include, but are not limited to, array-based oligo- peptide scanning, limited proteolysis, site-directed mutagenesis, high-throughput mutagenesis mapping, hydrogen-deuterium exchange, and mass spectrometry (see, e.g., Gershoni et al. (2007) BioDrugs 21:145- 56; and Hager-Braun and Tomer (2005) Expert Rev Proteomics 2:745-56). [183] Competitive binding and epitope binning can also be used to determine antibodies sharing identical or overlapping epitopes.
- competitive binding can be evaluated using a cross-blocking assay, such as the assay described in “Antibodies, A Laboratory Manual,” Cold Spring Harbor Laboratory, Harlow and Lane (1 st edition 1988, 2 nd edition 2014).
- a test antibody or binding protein reduces binding of a reference antibody or binding protein to a target antigen such as CD7 (e.g., a binding protein comprising CDRs and/or variable domains selected from those identified in Tables 3-5), by at least about 50% in the cross-blocking assay (e.g., 50%, 60%, 70%, 80%, 90%, 95%, 99%, 99.5%, or more, or any percentage in between), and/or vice versa.
- competitive binding can be due to shared or similar (e.g., partially overlapping) epitopes, or due to steric hindrance where antibodies or binding proteins bind at nearby epitopes (see, e.g., Tzartos, Methods in Molecular Biology (Morris, ed. (1998) vol.66, pp.55-66)).
- competitive binding can be used to sort groups of binding proteins that share similar epitopes. For example, binding proteins that compete for binding can be “binned” as a group of binding proteins that have overlapping or nearby epitopes, while those that do not compete are placed in a separate group of binding proteins that do not have overlapping or nearby epitopes.
- peptide As used herein, the terms “peptide,” “polypeptide,” and “protein” are used interchangeably to refer to a polymer of amino acid residues.
- the terms encompass amino acid polymers comprising two or more amino acids joined to each other by peptide bonds, amino acid polymers in which one or more amino acid residues is an artificial chemical mimetic of a corresponding naturally-occurring amino acid, as well as naturally-occurring amino acid polymers and non-naturally-occurring amino acid polymers.
- the terms include, for example, biologically active fragments, substantially homologous polypeptides, oligopeptides, homodimers, heterodimers, variants of polypeptides, modified polypeptides, derivatives, analogs, fusion proteins, among others.
- a "recombinant” protein refers to a protein (e.g., an antibody) made using recombinant techniques, e.g., through the expression of a recombinant nucleic acid.
- An "isolated” protein refers to a protein unaccompanied by at least some of the material with which it is normally associated in its natural state.
- an "isolated antibody,” as used herein, is an antibody that has been identified and separated from one or more (e.g., the majority) of the components (by weight) of its source environment, e.g., from the components of a hybridoma cell culture or a different cell culture that was used for its production.
- the separation is performed such that it sufficiently removes components that may otherwise interfere with the suitability of the antibody for the desired applications (e.g., for therapeutic use).
- Methods for preparing isolated antibodies include, without limitation, protein A chromatography, anion exchange chromatography, cation exchange chromatography, virus retentive filtration, and ultrafiltration.
- variant refers to a nucleic acid sequence or an amino acid sequence that differs from a reference nucleic acid sequence or amino acid sequence respectively, but retains one or more biological properties of the reference sequence.
- a variant may contain one or more amino acid substitutions, deletions, and/or insertions (or corresponding substitution, deletion, and/or insertion of codons) with respect to a reference sequence. Changes in a nucleic acid variant may not alter the amino acid sequence of a peptide encoded by the reference nucleic acid sequence, or may result in amino acid substitutions, additions, deletions, fusions, and/or truncations.
- a nucleic acid variant disclosed herein encodes an identical amino acid sequence to that encoded by the unmodified nucleic acid or encodes a modified amino acid sequence that retains one or more functional properties of the unmodified amino acid sequence.
- a variant of a nucleic acid or peptide can be a naturally-occurring variant or a variant that is not known to occur naturally. Variants of nucleic acids and peptides may be made by mutagenesis techniques, by direct synthesis, or by other techniques known in the art. A variant does not necessarily require physical manipulation of the reference sequence.
- a variant has high sequence identity (i.e., 60% nucleic acid or amino acid sequence identity or higher) as compared to a reference sequence.
- a peptide variant encompasses polypeptides having amino acid substitutions, deletions, and/or insertions as long as the polypeptide has at least 60%, at least 65%, at least 70%, at least 75%, at least 80%, at least 85%, at least 90%, at least 91%, at least 92%, at least 93%, at least 94%, at least 95%, at least 96%, at least 97%, at least 98%, at least 99% amino acid sequence identity with a reference sequence, or with a corresponding segment (e.g., a functional fragment) of a reference sequence, e.g., those variants that also retain one or more functions of the reference sequence.
- a corresponding segment e.g., a functional fragment
- a nucleic acid variant encompasses polynucleotides having amino acid substitutions, deletions, and/or insertions as long as the polynucleotide has at least 60%, at least 65%, at least 70%, at least 75%, at least 80%, at least 85%, at least 90%, at least 91%, at least 92%, at least 93%, at least 94%, at least 95%, at least 96%, at least 97%, at least 98%, at least 99% nucleic acid sequence identity with a reference sequence, or with a corresponding segment (e.g., a functional fragment) of a reference sequence.
- the term “conservatively modified variant” applies to both amino acid and nucleic acid sequences.
- nucleic acid sequences conservatively modified variants refer to those nucleic acids which encode identical or essentially identical amino acid sequences. Because of the degeneracy of the genetic code, a large number of functionally identical nucleic acids encode any given protein. For instance, the codons GCA, GCC, GCG and GCU all encode the amino acid alanine. Thus, at every position where an alanine is specified by a codon, the codon can be altered to any of the corresponding codons described without altering the encoded polypeptide. Such nucleic acid variations are “silent variations,” which are one species of conservatively modified variations. Every nucleic acid sequence herein which encodes a polypeptide also describes every possible silent variation of the nucleic acid.
- each codon in a nucleic acid can be modified to yield a functionally identical molecule. Accordingly, each silent variation of a nucleic acid that encodes a polypeptide is implicit in each described sequence.
- conservatively modified variants include individual substitutions, deletions, or additions to a polypeptide sequence which result in the substitution of an amino acid with a chemically similar amino acid. Conservative substitutions providing functionally similar amino acids are well known in the art.
- conservative sequence modifications refers to amino acid modifications that do not significantly affect or alter the binding characteristics of, e.g., an antibody or antigen-binding fragment containing the amino acid sequence. Such conservative modifications include amino acid substitutions, additions, and deletions. Modifications can be introduced into an antibody or antigen-binding fragment by standard techniques known in the art, such as, e.g., site-directed mutagenesis and PCR-mediated mutagenesis. Conservative amino acid substitutions are ones in which the amino acid residue is replaced with an amino acid residue having a similar side chain. Families of amino acid residues having similar side chains have been defined in the art.
- amino acids with basic side chains e.g., lysine, arginine, histidine
- acidic side chains e.g., aspartic acid, glutamic acid
- uncharged polar side chains e.g., glycine, asparagine, glutamine, serine, threonine, tyrosine, cysteine, tryptophan
- nonpolar side chains e.g., alanine, valine, leucine, isoleucine, proline, phenylalanine, methionine
- beta-branched side chains e.g., threonine, valine, isoleucine
- aromatic side chains e.g., tyrosine, phenylalanine, tryptophan, histidine
- one or more amino acid residues within an antibody can be replaced with other amino acid residues from the same side chain family and the altered antibody can be tested using the functional assays described herein.
- the term “homologous” or “identity,” as used herein, refers to the subunit sequence identity between two polymeric molecules, e.g., between two nucleic acid molecules, such as, two DNA molecules or two RNA molecules, or between two polypeptide molecules. When a subunit position in both of the two molecules is occupied by the same monomeric subunit; e.g., if a position in each of two DNA molecules is occupied by adenine, then they are homologous or identical at that position.
- the homology between two sequences is a direct function of the number of matching or homologous positions. For example, if half (e.g., five positions in a polymer ten subunits in length) of the positions in two sequences are matched or homologous, the two sequences are 50% homologous; if 90% of the positions (e.g., 9 of 10), are matched or homologous, the two sequences are 90% homologous.
- Percentage of “sequence identity” can be determined by comparing two optimally aligned sequences over a comparison window, where the fragment of the amino acid sequence in the comparison window may comprise additions or deletions (e.g., gaps or overhangs) as compared to the reference sequence (which does not comprise additions or deletions) for optimal alignment of the two sequences.
- the percentage can be calculated by determining the number of positions at which the identical amino acid residue occurs in both sequences to yield the number of matched positions, dividing the number of matched positions by the total number of positions in the window of comparison, and multiplying the result by 100 to yield the percentage of sequence identity.
- the output is the percent identity of the subject sequence with respect to the query sequence.
- the percent identity between the two sequences is a function of the number of identical positions shared by the sequences, taking into account the number of gaps, and the length of each gap, which need to be introduced for optimal alignment of the two sequences.
- amino acid identity or homology between proteins disclosed herein and variants thereof, including variants of target antigen CD7 and variants of antibody variable domains (including individual variant CDRs) is at least 80% to the sequences depicted herein, e.g., identities or homologies of at least 85%, 90%, 91%, 92%, 93%, 94%, 95%, 96%, 97%, 98%, 99%, almost 100%, or 100%.
- the comparison of sequences and determination of percent identity between two sequences can be accomplished using a mathematical algorithm.
- the percent identity between two amino acid sequences is determined using the Needleman and Wunsch ((1970) J Mol Biol. 48:444- 53) algorithm which has been incorporated into the GAP program in the GCG software package, using either a Blossum 62 matrix or a PAM250 matrix, and a gap weight of 16, 14, 12, 10, 8, 6, or 4 and a length weight of 1, 2, 3, 4, 5, or 6.
- the percent identity between two nucleotide sequences is determined using the GAP program in the GCG software package, using a NWSgapdna.CMP matrix and a gap weight of 40, 50, 60, 70, or 80 and a length weight of 1, 2, 3, 4, 5, or 6.
- An exemplary set of parameters is a Blossum 62 scoring matrix with a gap penalty of 12, a gap extend penalty of 4, and a frameshift gap penalty of 5.
- the percent identity between two amino acid or nucleotide sequences can also be determined using the algorithm of Meyers and Miller ((1989) CABIOS 4: 11-17) which has been incorporated into the ALIGN program (version 2.0), using a PAM120 weight residue table, a gap length penalty of 12 and a gap penalty of 4.
- agent is used herein to refer to a chemical compound, a mixture of chemical compounds, a biological macromolecule, an extract made from biological materials, or a combination of two or more thereof.
- therapeutic agent or “drug” refers to an agent that is capable of modulating a biological process and/or has biological activity.
- the BH3 mimetics and the ADCs comprising them, as described herein, are exemplary therapeutic agents.
- chemotherapeutic agent or “anti-cancer agent” is used herein to refer to all agents that are effective in treating cancer (regardless of mechanism of action). Inhibition of metastasis or angiogenesis is frequently a property of a chemotherapeutic agent.
- Chemotherapeutic agents include antibodies, biological molecules, and small molecules, and encompass the BH3 mimeticand ADCs comprising them, as described herein.
- a chemotherapeutic agent may be a cytotoxic or cytostatic agent.
- cytostatic agent refers to an agent that inhibits or suppresses cell growth and/or multiplication of cells.
- cytotoxic agent refers to a substance that causes cell death primarily by interfering with a cell’s expression activity and/or functioning.
- antineoplastic payload refers to a compound or compounds that slow or inhibit the division of cancerous cells or that kill the cancerous cells.
- antineoplastic payloads include BH3 mimetic compounds (e.g., MC1-1 inhibitors, Bcl-xL inhibitors, or Bcl-2 inhibitors), topoisomerase 1 inhibitors (e.g., topotecan, exatecan, deruxtecan or SN-38) or anti-mitotic drugs (e.g., monomethyl auristatin E (MMAE) or a taxane).
- the antineoplastic payload is a BH3 mimetic compound.
- the antineoplastic payload is a topoisomerase 1 inhibitor.
- the antineoplastic payload is an anti-mitotic drug.
- antineoplastic non-BH3 mimetic refers to a compound or compounds that are not BH3 mimetics and slow or inhibit the division of cancerous cells or that kill the cancerous cells.
- antineoplastic non-BH3 mimetic include topoisomerase 1 inhibitors (e.g., topotecan, exatecan, deruxtecan or SN-38) or anti-mitotic drugs (e.g., monomethyl auristatin E (MMAE) or a taxane).
- MMAE monomethyl auristatin E
- the antineoplastic non-BH3 mimetic is a topoisomerase 1 inhibitor.
- the antineoplastic non-BH3 mimetic is an anti-mitotic drug.
- BH3 mimetic refers to an agent capable of disrupting the interaction between the proapoptotic and antiapoptotic members of the Bcl-2 family and are potent inducers of apoptosis.
- exemplary BH3 mimetics include inhibitors of Bcl-2, Bcl-xL, Bcl-w and Mcl-1.
- Mcl-1 myeloid cell leukemia 1
- Mcl-1 myeloid cell leukemia 1
- the term encompasses full-length human Mcl-1 (e.g., UniProt Reference Sequence: Q07820), as well as any form of human Mcl-1 that may result from cellular processing.
- Mcl-1 can be isolated from human, or may be produced recombinantly or by synthetic methods.
- inhibitor means to reduce a biological activity or process by a measurable amount, and can include but does not require complete prevention or inhibition.
- “inhibition” means to reduce the expression and/or activity of BH3 mimetic and/or one or more upstream modulators or downstream targets thereof.
- Mcl-1 inhibitor refers to an agent capable of reducing the expression and/or activity of Mcl-1 and/or one or more upstream modulators or downstream targets thereof.
- Exemplary Mcl-1 modulators (including exemplary inhibitors of Mcl-1) are described in WO 2015/097123; WO 2016/207216; WO 2016/207217; WO 2016/207225; WO 2016/207226; WO 2017/125224; WO 2019/035899, WO 2019/035911, WO 2019/035914, WO 2019/035927, US 2019/0055264, WO 2016/033486, WO 2017/147410, WO 2018/183418, and WO 2017/182625, each of which are incorporated herein by reference as exemplary Mcl- 1 modulators, including exemplary Mcl- 1 inhibitors, that can be included as drug moieties in the disclosed ADCs.
- Mcl-1 inhibitors that can be included as drug moieties in the disclosed ADCs are those of formula: wherein each variable is defined as in W02019/035911; WO 2019/035899; WO 2019/035914; or WO
- Mcl-1 inhibitor drug moiety refers to the component of an ADC or composition that provides the structure of an Mcl- 1 inhibitor compound or a compound modified for attachment to an ADC that retains essentially the same, similar, or enhanced biological function or activity as compared to the original compound.
- Mcl-1 inhibitor drug moiety is component (D 1 and/or D 2 ) in an ADC of Formula (A).
- the Mcl-1 inhibitor is represented by Formula (I) described herein
- the Mcl-1 inhibitor is a compound described in any one of the fiftieth through sixty-third embodiments in the summary section of the present disclosure.
- B-cell lymphoma-extra large refers to any native form of human Bcl-xL, an anti-apoptotic member of the Bcl-2 protein family.
- the term encompasses full-length human Bcl-xL (e.g, UniProt Reference Sequence: Q07817-1), as well as any form of human Bcl-xL that may result from cellular processing.
- Bcl-xL can be isolated from human, or may be produced recombinantly or by synthetic methods.
- Bcl-xL inhibitor refers to an agent capable of reducing the expression and/or activity of Bcl-xL and/or one or more upstream modulators or downstream targets thereof.
- Exemplary Bcl-xL modulators are described in
- a “Bcl-xL inhibitor drug moiety”, “Bcl-xL inhibitor”, and the like refer to the component of an ADC or composition that provides the structure of a Bcl-xL inhibitor compound or a compound modified for attachment to an ADC that retains essentially the same, similar, or enhanced biological function or activity as compared to the original compound.
- Bcl-xL inhibitor drug moiety is component (D 1 and/or D 2 ) in an ADC of Formula (A).
- the Bcl-xL inhibitor is represented by Formula (II) or Formula (III) described herein: some embodiments, the Bcl-xL inhibitor is a compound described in any one of the sixty-fourth through seventy-fourth embodiments in the summary section of the present disclosure.
- B-cell lymphoma 2 refers to any native form of human Bcl-2, an anti-apoptotic member of the Bcl-2 protein family.
- the term encompasses full-length human Bcl-2 (e.g, UniProt Reference Sequence: Pl 0415), as well as any form of human Bcl-2 that may result from cellular processing.
- Mcl-1 can be isolated from human, or may be produced recombinantly or by synthetic methods.
- Bcl-2 inhibitor refers to an agent capable of reducing the expression and/or activity of Bcl-2 and/or one or more upstream modulators or downstream targets thereof.
- Exemplary Bcl-2 modulators are described in WO 2013/110890, WO 2015/011400, WO 2015/011399, WO 2015/011397, WO 2015/011396, WO 2015/011164 and WO 2019081559, each of which are incorporated herein by reference as exemplary Bcl- 2 modulators, including exemplary Bcl-2 inhibitors, that can be included as drug moieties in the disclosed ADCs.
- a “Bcl-2 inhibitor drug moiety”, “Bcl-2 inhibitor”, and the like refer to the component of an ADC or composition that provides the structure of a Bcl-2 inhibitor compound or a compound modified for attachment to an ADC that retains essentially the same, similar, or enhanced biological function or activity as compared to the original compound.
- Bcl-2 inhibitor drug moiety is component (D 1 and/or D 2 ) in an ADC of Formula (A).
- the Bcl-2 inhibitor is represented by Formula (IV) or Formula (V) described herein: some embodiments, the Bcl-2 inhibitor is a compound described in any one of the seventy-fifth through eighty-ninth embodiments in the summary section of the present disclosure.
- topoisomerase 1 inhibitor refers to a compound or compounds which interferes with the action of topoisomerase 1 enzyme.
- agents include, but are not limited to, topotecan, exatecan, deruxtecan or SN-38..
- anti-mitotic drug refers to a compound or compounds which targets mitosis regulating enzymes, such as mircrotubule regulating enzymes, Polo-like Kinases (PLK), Kinesin- Spindle Protein (KSP), Aurora kinases, and the like.
- an anti-mitotic drug is monomethyl auristatin E (MMAE) or a taxane.
- MMAE monomethyl auristatin E
- taxane is selected from docetaxel, paclitaxel, or cabazitaxel.
- cancer refers to the presence of cells possessing characteristics typical of cancer-causing cells, such as uncontrolled proliferation, immortality, metastatic potential, rapid growth and proliferation rate, and/or certain morphological features. Often, cancer cells can be in the form of a tumor or mass, but such cells may exist alone within a subject, or may circulate in the blood stream as independent cells, such as leukemic or lymphoma cells.
- cancer includes all types of cancers and cancer metastases, including hematological cancers, solid tumors, sarcomas, carcinomas and other solid and non-solid tumor cancers.
- Hematological cancers may include B-cell malignancies, cancers of the blood (leukemias), cancers of plasma cells (myelomas, e.g., multiple myeloma), or cancers of the lymph nodes (lymphomas).
- B-cell malignancies include chronic lymphocytic leukemia (CLL), follicular lymphoma, mantle cell lymphoma, and diffuse large B-cell lymphoma.
- Leukemias may include acute lymphoblastic leukemia (ALL), acute myeloid leukemia (AML), chronic lymphocytic leukemia (CLL), chronic myelogenous leukemia (CML), chronic myelomonocytic leukemia (CMML), acute monocytic leukemia (AMoL), etc.
- ALL acute lymphoblastic leukemia
- AML acute myeloid leukemia
- CLL chronic lymphocytic leukemia
- CML chronic myelogenous leukemia
- CMML chronic myelomonocytic leukemia
- AoL acute monocytic leukemia
- Lymphomas may include Hodgkin's lymphoma, non-Hodgkin's lymphoma, etc.
- Other hematologic cancers may include myelodysplasia syndrome (MDS).
- Solid tumors may include carcinomas such as adenocarcinoma, e.g., breast cancer, pancreatic cancer, prostate cancer, colon or colorectal cancer, lung cancer, gastric cancer, cervical cancer, endometrial cancer, ovarian cancer, cholangiocarcinoma, glioma, melanoma, etc.
- carcinomas such as adenocarcinoma, e.g., breast cancer, pancreatic cancer, prostate cancer, colon or colorectal cancer, lung cancer, gastric cancer, cervical cancer, endometrial cancer, ovarian cancer, cholangiocarcinoma, glioma, melanoma, etc.
- the cancer is a breast cancer, multiple myeloma, plasma cell myeloma, leukemia, lymphoma, sarcoma, gastric cancer, acute myeloid leukemia, bladder cancer, brain cancer, bone marrow cancer, cervical cancer, chronic lymphocytic leukemia, colorectal cancer, esophageal cancer, hepatocellular cancer, lymphoblastic leukemia including acute lymphoblastic leukemia, follicular lymphoma, lymphoid malignancies of T-cell or B-cell origin, melanoma, myelogenous leukemia, myeloma, oral cancer, ovarian cancer, non-small cell lung cancer, prostate cancer, small cell lung cancer, spleen cancer, pancreatic cancer, stomach cancer, colon cancer, or head and neck cancer.
- the cancer is a lymphoma or gastric cancer.
- the term “tumor” refers to any mass of tissue that results from excessive cell growth or proliferation, either benign or malignant, including precancerous lesions.
- the tumor is a breast cancer, gastric cancer, bladder cancer, brain cancer, cervical cancer, colorectal cancer, esophageal cancer, hepatocellular cancer, melanoma, oral cancer, ovarian cancer, non- small cell lung cancer, prostate cancer, small cell lung cancer, pancreatic cancer, stomach cancer, colon cancer, head and neck cancer, or spleen cancer.
- the tumor is a gastric cancer.
- tumor cell and “cancer cell” may be used interchangeably herein and refer to individual cells or the total population of cells derived from a tumor or cancer, including both non- tumorigenic cells and cancer stem cells.
- tumor cell and “cancer cell” will be modified by the term “non-tumorigenic” when referring solely to those cells lacking the capacity to renew and differentiate to distinguish those cells from cancer stem cells.
- target-negative refers to the absence of target antigen expression by a cell or tissue.
- target-positive refers to the presence of target antigen expression.
- a cell or a cell line that does not express a target antigen may be described as target-negative, whereas a cell or cell line that expresses a target antigen may be described as target-positive.
- Non-human animals include all vertebrates (e.g., mammals and non- mammals) such as any mammal.
- mammals include humans, chimpanzees, apes, monkeys, cattle, horses, sheep, goats, swine, rabbits, dogs, cats, rats, mice, and guinea pigs.
- non-mammals include birds and fish.
- the subject is a human.
- a subject in need of treatment refers to a subject that would benefit biologically, medically, or in quality of life from a treatment (e.g. , a treatment with any one or more of the exemplary ADC compounds described herein).
- treatment refers to any improvement of any consequence of disease, disorder, or condition, such as prolonged survival, less morbidity, and/or a lessening of side effects which result from an alternative therapeutic modality.
- treatment comprises delaying or ameliorating a disease, disorder, or condition (i.e., slowing or arresting or reducing the development of a disease or at least one of the clinical symptoms thereof).
- treatment comprises delaying, alleviating, or ameliorating at least one physical parameter of a disease, disorder, or condition, including those which may not be discernible by the patient.
- treatment comprises modulating a disease, disorder, or condition, either physically (e.g., stabilization of a discernible symptom), physiologically (e.g., stabilization of a physical parameter), or both.
- treatment comprises administration of a described ADC compound or composition to a subject, e.g., a patient, to obtain a treatment benefit enumerated herein.
- the treatment can be to cure, heal, alleviate, delay, prevent, relieve, alter, remedy, ameliorate, palliate, improve, or affect a disease, disorder, or condition (e.g., a cancer), the symptoms of a disease, disorder, or condition (e.g., a cancer), or a predisposition toward a disease, disorder, or condition (e.g., a cancer).
- a composition disclosed herein in addition to treating a subject having a disease, disorder, or condition, can also be provided prophylactically to prevent or reduce the likelihood of developing that disease, disorder, or condition.
- the term “prevent”, “preventing,” or “prevention” of a disease, disorder, or condition refers to the prophylactic treatment of the disease, disorder, or condition; or delaying the onset or progression of the disease, disorder, or condition.
- a "pharmaceutical composition” refers to a preparation of a composition, e.g., an ADC compound or composition, in addition to at least one other (and optionally more than one other) component suitable for administration to a subject, such as a pharmaceutically acceptable carrier, stabilizer, diluent, dispersing agent, suspending agent, thickening agent, and/or excipient.
- a pharmaceutically acceptable carrier such as a pharmaceutically acceptable carrier, stabilizer, diluent, dispersing agent, suspending agent, thickening agent, and/or excipient.
- the pharmaceutical compositions provided herein are in such form as to permit administration and subsequently provide the intended biological activity of the active ingredient(s) and/or to achieve a therapeutic effect.
- the pharmaceutical compositions provided herein preferably contain no additional components which are unacceptably toxic to a subject to which the formulation would be administered.
- Pharmaceutically acceptable carriers may enhance or stabilize the composition or can be used to facilitate preparation of the composition.
- Pharmaceutically acceptable carriers can include solvents, dispersion media, coatings, surfactants, antioxidants, preservatives (e.g., antibacterial agents, antifungal agents), isotonic agents, absorption delaying agents, salts, preservatives, drug stabilizers, binders, excipients, disintegration agents, lubricants, sweetening agents, flavoring agents, dyes, and the like and combinations thereof, as would be known to those skilled in the art (see, for example, Remington's Pharmaceutical Sciences, 18th Ed. Mack Printing Company, 1990, pp. 1289- 1329). Except insofar as any conventional carrier is incompatible with the active ingredient, its use in the therapeutic or pharmaceutical compositions is contemplated.
- the carrier may be selected to minimize adverse side effects in the subject, and/or to minimize degradation of the active ingredient(s).
- An adjuvant may also be included in any of these formulations.
- excipient refers to an inert substance added to a pharmaceutical composition to further facilitate administration of an active ingredient.
- Formulations for parenteral administration can, for example, contain excipients such as sterile water or saline, polyalkylene glycols such as polyethylene glycol, vegetable oils, or hydrogenated napthalenes.
- excipients include, but are not limited to, calcium bicarbonate, calcium phosphate, various sugars and types of starch, cellulose derivatives, gelatin, ethylene-vinyl acetate co-polymer particles, and surfactants, including, for example, polysorbate 20.
- salts refers to a salt which does not abrogate the biological activity and properties of the compounds of the invention, and does not cause significant irritation to a subject to which it is administered.
- examples of such salts include, but are not limited to: (a) acid addition salts formed with inorganic acids, for example, hydrochloric acid, hydrobromic acid, sulfuric acid, phosphoric acid, nitric acid and the like; and salts formed with organic acids, for example, acetic acid, oxalic acid, tartaric acid, succinic acid, maleic acid, fumaric acid, gluconic acid, citric acid, malic acid, ascorbic acid, benzoic acid, tannic acid, palmitic acid, alginic acid, polyglutamic acid, naphthalenesulfonic acid, methanesulfonic acid, p-toluenesulfonic acid, naphthalenedisulfonic acid, poly
- the antibody-drug conjugates (ADCs), linkers, payloads and linker-payloads described herein can contain a monovalent anionic counterion Mf. Any suitable anionic counterion can be used.
- the monovalent anionic counterion is a pharmaceutically acceptable monovalent anionic counterion.
- the monovalent anionic counterion Mf can be selected from bromide, chloride, iodide, acetate, trifluoroacetate, benzoate, mesylate, tosylate, triflate, formate, or the like. In some embodiments, the monovalent anionic counterion Mf is trifluoroacetate or formate.
- the term “therapeutically effective amount” or “therapeutically effective dose,” refers to an amount of a compound described herein, e.g. , an ADC compound or composition described herein, to effect the desired therapeutic result (i.e., reduction or inhibition of an enzyme or a protein activity, amelioration of symptoms, alleviation of symptoms or conditions, delay of disease progression, a reduction in tumor size, inhibition of tumor growth, prevention of metastasis).
- a therapeutically effective amount does not induce or cause undesirable side effects.
- a therapeutically effective amount induces or causes side effects but only those that are acceptable by a treating clinician in view of a patient’s condition.
- a therapeutically effective amount is effective for detectable killing, reduction, and/or inhibition of the growth or spread of cancer cells, the size or number of tumors, and/or other measure of the level, stage, progression and/or severity of a cancer.
- the term also applies to a dose that will induce a particular response in target cells, e.g., a reduction, slowing, or inhibition of cell growth.
- a therapeutically effective amount can be determined by first administering a low dose, and then incrementally increasing that dose until the desired effect is achieved.
- a therapeutically effective amount can also vary depending upon the intended application (in vitro or in vivo), or the subject and disease condition being treated, e.g., the weight and age of the subject, the severity of the disease condition, the manner of administration and the like, which can readily be determined by one of ordinary skill in the art.
- the specific amount may vary depending on, for example, the particular pharmaceutical composition, the subject and their age and existing health conditions or risk for health conditions, the dosing regimen to be followed, the severity of the disease, whether it is administered in combination with other agents, timing of administration, the tissue to which it is administered, and the physical delivery system in which it is carried.
- a therapeutically effective amount of an ADC may reduce the number of cancer cells, reduce tumor size, inhibit (e.g., slow or stop) tumor metastasis, inhibit (e.g., slow or stop) tumor growth, and/or relieve one or more symptoms.
- prophylactically effective amount refers to an amount of a compound disclosed herein, e.g. , an ADC compound or composition described herein, that is effective, at dosages and for periods of time necessary, to achieve the desired prophylactic result.
- a prophylactic dose is used in subjects prior to or at an earlier stage of disease, the prophylactically effective amount will be less than the therapeutically effective amount.
- a prophylactically effective amount can prevent the onset of disease symptoms, including symptoms associated with a cancer.
- p or “drug loading” or “drug: antibody ratio” or “drug-to-antibody ratio” or “DAR” refers to the number of drug moieties per antibody or antigen-binding fragment, i.e., drug loading, or the number of BH3 mimetic moieties per antibody or antigen-binding fragment (Ab) in ADCs of Formula (1).
- antineoplastic compound e.g. a BH3 mimetic drug moiety, a topoisomerase 1 inhibitor or an anti-mitotic drug
- p refers to the number of antineoplastic compounds (e.g.
- one dual linker attaches two antineoplastic compounds (e.g. two BH3 mimetic drug moieties, or a BH3 mimetic and a non-BH3 mimetic (e.g., a topoisomerase 1 inhibitor or an anti-mitotic drug) to an antibody or antigen-binding fragment, therefore,/? is 2 if the antibody or antigen-binding fragment only links with one dual linker having two antineoplastic compounds (e.g.
- average p refers to the average number of antineoplastic compounds (e.g. two BH3 mimetic drug moieties, or a BH3 mimetic and a non-BH3 mimetic (e.g., a topoisomerase 1 inhibitor or an anti-mitotic drug) per antibody or antigen-binding fragment, also referred to as “average drug loading.”
- the antibody-drug conjugate (ADC) compounds of the present disclosure include those with anticancer activity.
- the ADC compounds include an antibody or antigen-binding fragment conjugated (i.e., covalently attached by a dual linker) to two antineoplastic compounds, such as a BH3 mimetic drug moiety (e.g., a Mcl-1 inhibitor, a Bcl-2 inhibitor, or a Bcl-xL inhibitor or a combination thereof), a topoisomerase 1 inhibitor (e.g., topotecan, exatecan, deruxtecan or SN-38), or an anti-mitotic drug (e.g., monomethyl auristatin E (MMAE) or a taxane), wherein at least one antineoplastic compound is a BH3 mimetic drug moiety, and wherein the antineoplastic compound when not conjugated to an antibody or antigen-binding fragment has a cytotoxic or cytostatic effect.
- a BH3 mimetic drug moiety
- the BH3 mimetic drug moiety when not conjugated to an antibody or antigen-binding fragment is capable of reducing the expression and/or activity of a Bcl-2 family protein (e.g., Mcl-1, Bcl-2 and/or Bcl-xL) and/or one or more upstream modulators or downstream targets thereof.
- a Bcl-2 family protein e.g., Mcl-1, Bcl-2 and/or Bcl-xL
- the ADCs disclosed herein may provide potent anti-cancer agents.
- the ADC may provide improved activity, better cytotoxic specificity, and/or reduced off-target killing as compared to the antineoplastic compound when administered alone.
- the components of the ADC are selected to (i) retain one or more therapeutic properties exhibited by the antibody and antineoplastic compounds in isolation, (ii) maintain the specific binding properties of the antibody or antigen-binding fragment; (iii) optimize drug loading and drug-to-antibody ratios; (iv) allow delivery, e.g.. intracellular delivery, of the antineoplastic compound via stable attachment to the antibody or antigen-binding fragment; (v) retain ADC stability as an intact conjugate until transport or delivery to a target site; (vi) minimize aggregation of the ADC prior to or after administration; (vii) allow for the therapeutic effect, e.g.
- cytotoxic effect of the antineoplastic compound after cleavage or other release mechanism in the cellular environment; (viii) exhibit in vivo anti-cancer treatment efficacy comparable to or superior to that of the antibody and antineoplastic compounds in isolation; (ix) minimize off-target killing by the antineoplastic compound; and/or (x) exhibit desirable pharmacokinetic and pharmacodynamics properties, formulatability, and toxicologic/immunologic profiles. Each of these properties may provide for an improved ADC for therapeutic use (Ab et al. (2015) Mol Cancer Ther. 14: 1605-13).
- the ADC compounds of the present disclosure may selectively deliver an effective dose of a cytotoxic or cytostatic agent to cancer cells or to tumor tissue.
- the cytotoxic and/or cytostatic activity of the ADC is dependent on target antigen expression in a cell.
- the disclosed ADCs are particularly effective at killing cancer cells expressing a target antigen while minimizing off-target killing.
- the disclosed ADCs do not exhibit a cytotoxic and/or cytostatic effect on cancer cells that do not express a target antigen.
- Exemplary CD7-expressing cancers include but are not limited to hematological cancer, such as multiple myeloma, plasma cell myeloma, leukemia, lymphoma, sarcoma, acute myeloid leukemia, bone marrow cancer, chronic lymphocytic leukemia, lymphoblastic leukemia including acute lymphoblastic leukemia, follicular lymphoma, lymphoid malignancies of T-cell or B-cell origin, melanoma, myelogenous leukemia, myeloma or spleen cancer, acute T-Cell leukemia (T-ALL) and peripheral T-cell lymphomas (Gomes-Silva et al.
- hematological cancer such as multiple myeloma, plasma cell myeloma, leukemia, lymphoma, sarcoma, acute myeloid leukemia, bone marrow cancer, chronic lymphocytic leukemia, lymphoblastic leukemia
- ADC compounds comprising an antibody or antigenbinding fragment thereof (Ab) covalently linked to two antineoplastic payloads, such as a BH3 mimetic, a topoisomerase 1 inhibitor, or an anti-mitotic drug (D 1 and D 2 ) through a dual linker (L), wherein at least one antineoplastic payload is a BH3 mimetic, and wherein the dual linker has one attachment point connected to the antibody and two attachment points to the two antineoplastic payloads, such as BH3 mimetics, and wherein the two antineoplastic payloads, such as BH3 mimetics, can be the same or different.
- antineoplastic payloads such as a BH3 mimetic, a topoisomerase 1 inhibitor, or an anti-mitotic drug (D 1 and D 2 )
- L dual linker
- the dual linker has one attachment point connected to the antibody and two attachment points to the two antineoplastic payloads, such as BH3 mimetics,
- the antibody or antigenbinding fragment thereof targets a cancer cell.
- the antibody or antigenbinding fragment is able to bind to a tumor-associated antigen (e.g., CD7), e.g., with high specificity and high affinity.
- the antibody or antigen-binding fragment is internalized into a target cell upon binding, e.g., into a degradative compartment in the cell.
- the ADCs internalize upon binding to a target cell, undergo degradation, and release the Bcl-xL inhibitor drug moiety to kill cancer cells.
- the antineoplastic payloads such as BH3 mimetics, topoisomerase 1 inhibitor, or anti-mitotic drug, may be released from the antibody and/or the linker moiety of the ADC by enzymatic action, hydrolysis, oxidation, or any other mechanism.
- the antibody or antigen-binding fragment (Ab) of Formula (1) includes within its scope an antiCD? antibody or antigen-binding fragment that specifically binds to the target antigen CD7 on a cell.
- the antibody or antigen-binding fragment (Ab) of Formula (1) includes within its scope an anti-CD7 antibody or antigen-binding fragment that specifically binds to the target antigen on a cancer cell (e.g., CD7).
- the antibody or antigen-binding fragment may bind to the target antigen CD7 with a dissociation constant (KD) of ⁇ 1 mM, ⁇ 100 nM or ⁇ 10 nM, or any amount in between, as measured by, e.g., BIAcore® analysis.
- KD dissociation constant
- the KD is 1 pM to 500 pM. In some embodiments, the KD is between 500 pM to 1 pM, 1 pM to 100 nM, or 100 mM to 10 nM. In some embodiments, the anti-CD7 antibody is not Ab D. [235] In some embodiments, the anti-CD7 antibody or antigen-binding fragment is a four-chain antiCD? antibody (also referred to as an immunoglobulin or a full-length or intact antibody), comprising two heavy chains and two light chains. In some embodiments, the anti-CD7 antibody or antigen-binding fragment is an antigen-binding fragment of an immunoglobulin. In some embodiments, the anti-CD7 antibody or antigen-binding fragment is an antigen-binding fragment of an immunoglobulin that retains the ability to bind the target cancer antigen and/or provide at least one function of the immunoglobulin.
- the anti-CD7 antibody or antigen-binding fragment is an internalizing anti-CD7 antibody or internalizing antigen-binding fragment thereof.
- the internalizing anti-CD7 antibody or internalizing antigen-binding fragment thereof binds to the target cancer antigen expressed on the surface of a cell and enters the cell upon binding.
- the anti-neoplastic payload of the ADC is released from the anti-CD7 antibody or antigen-binding fragment of the ADC after the ADC enters and is present in a cell expressing the target cancer antigen (i.e., after the ADC has been internalized), e.g., by cleavage, by degradation of the antibody or antigenbinding fragment, or by any other suitable release mechanism.
- the anti-CD7 antibodies or antigen-binding fragments comprise mutations that mediate reduced or no antibody-dependent cellular cytotoxicity (ADCC) or complement-dependent cytotoxicity (CDC). In some embodiments, these mutations are known as Fc Silencing, Fc Silent, or Fc Silenced mutations.
- ADCC antibody-dependent cellular cytotoxicity
- CDC complement-dependent cytotoxicity
- amino acid residues L234 and L235 of the IgGl constant region are substituted to A234 and A235 (also known as “LALA”).
- amino acid residue N297 of the IgGl constant region is substituted to A297 (also known as “N297A”).
- amino acid residues D265 and P329 of the IgGl constant region are substituted to A265 and A329 (also known as “DAP A”).
- Other antibody Fc silencing mutations may also be used.
- the Fc silencing mutations are used in combination, for example D265A, N297A and P329A (also known as “D ANAPA”).
- the Fc silencing mutations are used in combination, for example L234A, L235E, G237A.
- E152C, S375C, V205C and S400C according to EU numbering of the antibody heavy chain to facilitate conjugation to linker-drug moieties
- they are designated as “CysMab”; or if the anti-CD7 antibody or antigen-binding fragment has been modified with Fc silencing mutations D265A, N297A and P329A of the IgGl constant region according to EU numbering, “DANAPA” is added to the anti-CD7 antibody name, or if the anti-CD7 antibody or antigen-binding fragment has been modified with Fc silencing mutations D265A and P329A of the IgGl constant region according to EU numbering, “DAPA” is added to the anti-CD7 antibody name.
- Amino acid sequences of exemplary antibodies of the present disclosure, in addition to exemplary antigen targets, are set forth in Tables D1-D5.
- the antibody or antigen-binding fragment of an ADC disclosed herein may comprise any set of heavy and light chain variable domains listed in the tables above or a set of six CDRs from any set of heavy and light chain variable domains listed in the tables above.
- the antibody or antigen-binding fragment of an ADC disclosed herein may comprise amino acid sequences that are conservatively modified and/or homologous to the sequences listed in the tables above, so long as the ADC retains the ability to bind to its target cancer antigen (e.g. , with a KD of less than
- ADC 1x1 O' 8 M retains one or more functional properties of the ADCs disclosed herein (e.g., ability to internalize, bind to an antigen target, e.g., an antigen expressed on a tumor or other cancer cell, etc.).
- the antibody or antigen-binding fragment of an ADC disclosed herein further comprises human heavy and light chain constant domains or fragments thereof.
- the antibody or antigen-binding fragment of the described ADCs may comprise a human IgG heavy chain constant domain (such as an IgGl) and a human kappa or lambda light chain constant domain.
- the antibody or antigen-binding fragment of the described ADCs comprises a human immunoglobulin G subtype 1 (IgGl) heavy chain constant domain with a human Ig kappa light chain constant domain.
- the target antigen for an ADC is CD7.
- the anti-CD7 antibody comprises (i) a heavy chain amino acid sequence selected from the group consisting of: SEQ ID NO: 11, SEQ ID NO: 13, SEQ ID NO: 17, SEQ ID NO: 18, SEQ ID NO: 19, SEQ ID NO: 20, SEQ ID NO: 21, SEQ ID NO: 22, SEQ ID NO: 23, and SEQ ID NO: 24; and (ii) a light chain amino acid sequence selected from the group consisting of: SEQ ID NO: 12, SEQ ID NO: 14, SEQ ID NO: 15, and SEQ ID NO: 16.
- the anti-CD7 antibody comprises the heavy chain amino acid sequence of SEQ ID NO: 13 or a sequence that is at least 95% identical to SEQ ID NO: 13, and the light chain amino acid sequence of SEQ ID NO: 12 or a sequence that is at least 95% identical to SEQ ID NO: 12. In some embodiments, the anti-CD7 antibody comprises the heavy chain amino acid sequence of SEQ ID NO: 13 and the light chain amino acid sequence of SEQ ID NO: 12, or sequences that are at least 95% identical to the disclosed sequences.
- the anti-CD7 antibody has a heavy chain amino acid sequence that is at least 96%, at least 97%, at least 98%, or at least 99% identical to SEQ ID NO: 13 and a light chain amino acid sequence that is at least 96%, at least 97%, at least 98%, or at least 99% identical to SEQ ID NO: 12.
- the anti-CD7 antibody is milatuzumab, or an antigen-binding fragment thereof.
- the anti-CD7 antibody comprises the heavy chain amino acid sequence of SEQ ID NO: 11 or a sequence that is at least 95% identical to SEQ ID NO: 11, and the light chain amino acid sequence of SEQ ID NO: 12 or a sequence that is at least 95% identical to SEQ ID NO: 12.
- the anti-CD74 antibody comprises the heavy chain amino acid sequence of SEQ ID NO: 11 and the light chain amino acid sequence of SEQ ID NO: 12, or sequences that are at least 95% identical to the disclosed sequences.
- the anti-CD7 antibody has a heavy chain amino acid sequence that is at least 96%, at least 97%, at least 98%, or at least 99% identical to SEQ ID NO: 11 and a light chain amino acid sequence that is at least 96%, at least 97%, at least 98%, or at least 99% identical to SEQ ID NO: 12.
- the anti-CD7 antibody comprises the heavy chain amino acid sequence of SEQ ID NO: 17 or a sequence that is at least 95% identical to SEQ ID NO: 17, and the light chain amino acid sequence of SEQ ID NO: 14 or a sequence that is at least 95% identical to SEQ ID NO: 14. In some embodiments, the anti-CD7 antibody comprises the heavy chain amino acid sequence of SEQ ID NO: 17 and the light chain amino acid sequence of SEQ ID NO: 14, or sequences that are at least 95% identical to the disclosed sequences.
- the anti-CD7 antibody has a heavy chain amino acid sequence that is at least 96%, at least 97%, at least 98%, or at least 99% identical to SEQ ID NO: 17 and a light chain amino acid sequence that is at least 96%, at least 97%, at least 98%, or at least 99% identical to SEQ ID NO: 14.
- the anti-CD7 antibody comprises the heavy chain amino acid sequence of SEQ ID NO: 18 or a sequence that is at least 95% identical to SEQ ID NO: 18, and the light chain amino acid sequence of SEQ ID NO: 14 or a sequence that is at least 95% identical to SEQ ID NO: 14. In some embodiments, the anti-CD7 antibody comprises the heavy chain amino acid sequence of SEQ ID NO: 18 and the light chain amino acid sequence of SEQ ID NO: 14, or sequences that are at least 95% identical to the disclosed sequences.
- the anti-CD7 antibody has a heavy chain amino acid sequence that is at least 96%, at least 97%, at least 98%, or at least 99% identical to SEQ ID NO: 18 and a light chain amino acid sequence that is at least 96%, at least 97%, at least 98%, or at least 99% identical to SEQ ID NO: 14.
- the anti-CD7 antibody comprises the heavy chain amino acid sequence of SEQ ID NO: 19 or a sequence that is at least 95% identical to SEQ ID NO: 19, and the light chain amino acid sequence of SEQ ID NO: 14 or a sequence that is at least 95% identical to SEQ ID NO: 14. In some embodiments, the anti-CD7 antibody comprises the heavy chain amino acid sequence of SEQ ID NO: 19 and the light chain amino acid sequence of SEQ ID NO: 14, or sequences that are at least 95% identical to the disclosed sequences.
- the anti-CD7 antibody has a heavy chain amino acid sequence that is at least 96%, at least 97%, at least 98%, or at least 99% identical to SEQ ID NO: 19 and a light chain amino acid sequence that is at least 96%, at least 97%, at least 98%, or at least 99% identical to SEQ ID NO: 14.
- the anti-CD7 antibody comprises the heavy chain amino acid sequence of SEQ ID NO:20 or a sequence that is at least 95% identical to SEQ ID NO:20, and the light chain amino acid sequence of SEQ ID NO: 15 or a sequence that is at least 95% identical to SEQ ID NO: 15. In some embodiments, the anti-CD7 antibody comprises the heavy chain amino acid sequence of SEQ ID NO:20 and the light chain amino acid sequence of SEQ ID NO: 15, or sequences that are at least 95% identical to the disclosed sequences.
- the anti-CD7 antibody has a heavy chain amino acid sequence that is at least 96%, at least 97%, at least 98%, or at least 99% identical to SEQ ID NO:20 and a light chain amino acid sequence that is at least 96%, at least 97%, at least 98%, or at least 99% identical to SEQ ID NO: 15.
- the anti-CD7 antibody comprises the heavy chain amino acid sequence of SEQ ID NO:21 or a sequence that is at least 95% identical to SEQ ID NO:21, and the light chain amino acid sequence of SEQ ID NO: 15 or a sequence that is at least 95% identical to SEQ ID NO: 15. In some embodiments, the anti-CD7 antibody comprises the heavy chain amino acid sequence of SEQ ID NO:21 and the light chain amino acid sequence of SEQ ID NO: 15, or sequences that are at least 95% identical to the disclosed sequences.
- the anti-CD7 antibody has a heavy chain amino acid sequence that is at least 96%, at least 97%, at least 98%, or at least 99% identical to SEQ ID NO:21 and a light chain amino acid sequence that is at least 96%, at least 97%, at least 98%, or at least 99% identical to SEQ ID NO: 15.
- the anti-CD7 antibody comprises the heavy chain amino acid sequence of SEQ ID NO:22 or a sequence that is at least 95% identical to SEQ ID NO:22, and the light chain amino acid sequence of SEQ ID NO: 15 or a sequence that is at least 95% identical to SEQ ID NO: 15. In some embodiments, the anti-CD7 antibody comprises the heavy chain amino acid sequence of SEQ ID NO:22 and the light chain amino acid sequence of SEQ ID NO: 15, or sequences that are at least 95% identical to the disclosed sequences.
- the anti-CD7 antibody has a heavy chain amino acid sequence that is at least 96%, at least 97%, at least 98%, or at least 99% identical to SEQ ID NO:22 and a light chain amino acid sequence that is at least 96%, at least 97%, at least 98%, or at least 99% identical to SEQ ID NO: 15.
- the anti-CD7 antibody comprises the heavy chain amino acid sequence of SEQ ID NO:23 or a sequence that is at least 95% identical to SEQ ID NO:23, and the light chain amino acid sequence of SEQ ID NO: 15 or a sequence that is at least 95% identical to SEQ ID NO: 15. In some embodiments, the anti-CD7 antibody comprises the heavy chain amino acid sequence of SEQ ID NO:23 and the light chain amino acid sequence of SEQ ID NO: 15, or sequences that are at least 95% identical to the disclosed sequences.
- the anti-CD7 antibody has a heavy chain amino acid sequence that is at least 96%, at least 97%, at least 98%, or at least 99% identical to SEQ ID NO:23 and a light chain amino acid sequence that is at least 96%, at least 97%, at least 98%, or at least 99% identical to SEQ ID NO: 15.
- the anti-CD7 antibody comprises the heavy chain amino acid sequence of SEQ ID NO:20 or a sequence that is at least 95% identical to SEQ ID NO:20, and the light chain amino acid sequence of SEQ ID NO: 16 or a sequence that is at least 95% identical to SEQ ID NO: 16. In some embodiments, the anti-CD7 antibody comprises the heavy chain amino acid sequence of SEQ ID NO:20 and the light chain amino acid sequence of SEQ ID NO: 16, or sequences that are at least 95% identical to the disclosed sequences.
- the anti-CD7 antibody has a heavy chain amino acid sequence that is at least 96%, at least 97%, at least 98%, or at least 99% identical to SEQ ID NO:20 and a light chain amino acid sequence that is at least 96%, at least 97%, at least 98%, or at least 99% identical to SEQ ID NO: 16.
- the anti-CD7 antibody comprises the heavy chain amino acid sequence of SEQ ID NO:24 or a sequence that is at least 95% identical to SEQ ID NO:24, and the light chain amino acid sequence of SEQ ID NO: 16 or a sequence that is at least 95% identical to SEQ ID NO: 16. In some embodiments, the anti-CD7 antibody comprises the heavy chain amino acid sequence of SEQ ID NO:24 and the light chain amino acid sequence of SEQ ID NO: 16, or sequences that are at least 95% identical to the disclosed sequences.
- the anti-CD7 antibody has a heavy chain amino acid sequence that is at least 96%, at least 97%, at least 98%, or at least 99% identical to SEQ ID NO:24 and a light chain amino acid sequence that is at least 96%, at least 97%, at least 98%, or at least 99% identical to SEQ ID NO: 16.
- the anti-CD7 antibody comprises the heavy chain amino acid sequence of SEQ ID NO:24 or a sequence that is at least 95% identical to SEQ ID NO:24, and the light chain amino acid sequence of SEQ ID NO: 15 or a sequence that is at least 95% identical to SEQ ID NO: 15. In some embodiments, the anti-CD7 antibody comprises the heavy chain amino acid sequence of SEQ ID NO:24 and the light chain amino acid sequence of SEQ ID NO: 15, or sequences that are at least 95% identical to the disclosed sequences.
- the anti-CD7 antibody has a heavy chain amino acid sequence that is at least 96%, at least 97%, at least 98%, or at least 99% identical to SEQ ID NO:24 and a light chain amino acid sequence that is at least 96%, at least 97%, at least 98%, or at least 99% identical to SEQ ID NO: 15.
- the anti-CD7 antibody or antigen-binding fragment thereof comprises a heavy chain variable region comprising the amino acid sequence of SEQ ID NO:26, and a light chain variable region comprising the amino acid sequence of SEQ ID NO:27.
- the anti- CD7 antibody or antigen-binding fragment thereof comprises the heavy chain variable region amino acid sequence of SEQ ID NO:26 and the light chain variable region amino acid sequence of SEQ ID NO:27, or sequences that are at least 95% identical to the disclosed sequences.
- the anti-CD7 antibody or antigen-binding fragment thereof has a heavy chain variable region amino acid sequence that is at least 96%, at least 97%, at least 98%, or at least 99% identical to SEQ ID NO:26 and/or a light chain variable region amino acid sequence that is at least 96%, at least 97%, at least 98%, or at least 99% identical to SEQ ID NO:27.
- the anti-CD7 antibody or antigen-binding fragment thereof comprises a heavy chain variable region comprising the amino acid sequence of SEQ ID NO:7, and a light chain variable region comprising the amino acid sequence of SEQ ID NO:9.
- the anti- CD7 antibody or antigen-binding fragment thereof comprises the heavy chain variable region amino acid sequence of SEQ ID NO: 7 and the light chain variable region amino acid sequence of SEQ ID NO: 9, or sequences that are at least 95% identical to the disclosed sequences.
- the anti-CD7 antibody or antigen-binding fragment thereof has a heavy chain variable region amino acid sequence that is at least 96%, at least 97%, at least 98%, or at least 99% identical to SEQ ID NO:7 and/or a light chain variable region amino acid sequence that is at least 96%, at least 97%, at least 98%, or at least 99% identical to SEQ ID NO:9.
- the anti-CD7 antibody or antigen-binding fragment thereof comprises a heavy chain variable region comprising the amino acid sequence of SEQ ID NO:7, and a light chain variable region comprising the amino acid sequence of SEQ ID NO: 10.
- the anti- CD7 antibody or antigen-binding fragment thereof comprises the heavy chain variable region amino acid sequence of SEQ ID NO:7 and the light chain variable region amino acid sequence of SEQ ID NO: 10, or sequences that are at least 95% identical to the disclosed sequences.
- the anti-CD7 antibody or antigen-binding fragment thereof has a heavy chain variable region amino acid sequence that is at least 96%, at least 97%, at least 98%, or at least 99% identical to SEQ ID NO:7 and/or a light chain variable region amino acid sequence that is at least 96%, at least 97%, at least 98%, or at least 99% identical to SEQ ID NO: 10.
- the anti-CD7 antibody or antigen-binding fragment thereof comprises a heavy chain variable region comprising the amino acid sequence of SEQ ID NO:8, and a light chain variable region comprising the amino acid sequence of SEQ ID NO: 10.
- the anti- CD7 antibody or antigen-binding fragment thereof comprises the heavy chain variable region amino acid sequence of SEQ ID NO: 8 and the light chain variable region amino acid sequence of SEQ ID NO: 10, or sequences that are at least 95% identical to the disclosed sequences.
- the anti-CD7 antibody or antigen-binding fragment thereof has a heavy chain variable region amino acid sequence that is at least 96%, at least 97%, at least 98%, or at least 99% identical to SEQ ID NO:8 and/or a light chain variable region amino acid sequence that is at least 96%, at least 97%, at least 98%, or at least 99% identical to SEQ ID NO: 10.
- the anti-CD7 antibody or antigen-binding fragment thereof has a heavy chain variable region amino acid sequence that is at least 96%, at least 97%, at least 98%, or at least 99% identical to SEQ ID NO:8 and/or a light chain variable region amino acid sequence that is at least 96%, at least 97%, at least 98%, or at least 99% identical to SEQ ID NO:9.
- the anti-CD7 antibody or antigen-binding fragment thereof comprises three heavy chain CDRs and three light chain CDRs as follows: heavy chain CDR1 (HCDR1) consisting of SEQ ID NO: 1, heavy chain CDR2 (HCDR2) consisting of SEQ ID NO:2, heavy chain CDR3 (HCDR3) consisting of SEQ ID NO:3; light chain CDR1 (LCDR1) consisting of SEQ ID NO:4, light chain CDR2 (LCDR2) consisting of SEQ ID NO:5, and light chain CDR3 (LCDR3) consisting of SEQ ID NO:6.
- heavy chain CDR1 consisting of SEQ ID NO: 1
- heavy chain CDR2 HCDR2
- HCDR3 heavy chain CDR3
- LCDR1 light chain CDR1
- LCDR2 light chain CDR2
- LCDR3 light chain CDR3
- the anti-CD7 antibody or antigen-binding fragment thereof comprises the three heavy chain CDRs and three light chain CDRs of the anti-CD7 antibody or wherein the CDRs include no more than one, two, three, four, five, or six amino acid additions, deletions or substitutions of HCDR1 (SEQ ID NO: 1), HCDR2 (SEQ ID NO:2), HCDR3 (SEQ ID NO:3); LCDR1 (SEQ ID NO:4), LCDR2 (SEQ ID NO:5), and LCDR3 (SEQ ID NO:6).
- the anti-CD7 antibody or antigen-binding fragment thereof comprises three heavy chain CDRs and three light chain CDRs as follows: heavy chain CDR1 (HCDR1) consisting of SEQ ID NO:28, heavy chain CDR2 (HCDR2) consisting of SEQ ID NO:29, heavy chain CDR3 (HCDR3) consisting of SEQ ID NO:30; light chain CDR1 (LCDR1) consisting of SEQ ID NO:31, light chain CDR2 (LCDR2) consisting of SEQ ID NO:32, and light chain CDR3 (LCDR3) consisting of SEQ ID NO:6.
- heavy chain CDR1 HCDR1
- HCDR2 heavy chain CDR2
- HCDR3 heavy chain CDR3
- the anti-CD7 antibody or antigen-binding fragment thereof comprises the three heavy chain CDRs and three light chain CDRs of the anti-CD7 antibody or wherein the CDRs include no more than one, two, three, four, five, or six amino acid additions, deletions or substitutions of HCDR1 (SEQ ID NO:28), HCDR2 (SEQ ID NO:29), HCDR3 (SEQ ID NO:30); LCDR1 (SEQ ID NO:31), LCDR2 (SEQ ID NO:32), and LCDR3 (SEQ ID NO:6).
- the anti-CD7 antibody or antigen-binding fragment thereof comprises three heavy chain CDRs and three light chain CDRs as follows: heavy chain CDR1 (HCDR1) consisting of SEQ ID NO:33, heavy chain CDR2 (HCDR2) consisting of SEQ ID NO:34, heavy chain CDR3 (HCDR3) consisting of SEQ ID NO:3; light chain CDR1 (LCDR1) consisting of SEQ ID NO:4, light chain CDR2 (LCDR2) consisting of SEQ ID NO:5, and light chain CDR3 (LCDR3) consisting of SEQ ID NO:6.
- heavy chain CDR1 consisting of SEQ ID NO:33
- heavy chain CDR2 HCDR2
- HCDR3 heavy chain CDR3
- LCDR1 light chain CDR1
- LCDR2 light chain CDR2
- LCDR3 light chain CDR3
- the anti-CD7 antibody or antigen-binding fragment thereof comprises the three heavy chain CDRs and three light chain CDRs of the anti-CD7 antibody or wherein the CDRs include no more than one, two, three, four, five, or six amino acid additions, deletions or substitutions of HCDR1 (SEQ ID NO:33), HCDR2 (SEQ ID NO:34), HCDR3 (SEQ ID NO:3); LCDR1 (SEQ ID NO:4), LCDR2 (SEQ ID NO:5), and LCDR3 (SEQ ID NO:6).
- the anti-CD7 antibody or antigen-binding fragment thereof comprises three heavy chain CDRs and three light chain CDRs as follows: heavy chain CDR1 (HCDR1) consisting of SEQ ID NO: 1, heavy chain CDR2 (HCDR2) consisting of SEQ ID NO:2, heavy chain CDR3 (HCDR3) consisting of SEQ ID NO:3; light chain CDR1 (LCDR1) consisting of SEQ ID NO:35, light chain CDR2 (LCDR2) consisting of SEQ ID NO:36, and light chain CDR3 (LCDR3) consisting of SEQ ID NO:6.
- the anti-CD7 antibody or antigen-binding fragment thereof comprises the three heavy chain CDRs and three light chain CDRs of the anti-CD7 antibody or wherein the CDRs include no more than one, two, three, four, five, or six amino acid additions, deletions or substitutions of HCDR1 (SEQ ID NO: 1), HCDR2 (SEQ ID NO:2), HCDR3 (SEQ ID NO:3); LCDR1 (SEQ ID NO:35), LCDR2 (SEQ ID NO:36), and LCDR3 (SEQ ID NO:6).
- the anti-CD7 antibody or antigen-binding fragment thereof comprises three heavy chain CDRs and three light chain CDRs as follows: heavy chain CDR1 (HCDR1) consisting of SEQ ID NO:28, heavy chain CDR2 (HCDR2) consisting of SEQ ID NO:29, heavy chain CDR3 (HCDR3) consisting of SEQ ID NO:30; light chain CDR1 (LCDR1) consisting of SEQ ID NO:31, light chain CDR2 (LCDR2) consisting of SEQ ID NO:32, and light chain CDR3 (LCDR3) consisting of SEQ ID NO:6.
- heavy chain CDR1 HCDR1
- HCDR2 heavy chain CDR2
- HCDR3 heavy chain CDR3
- the anti-CD7 antibody or antigen-binding fragment thereof comprises the three heavy chain CDRs and three light chain CDRs of the anti-CD7 antibody or wherein the CDRs include no more than one, two, three, four, five, or six amino acid additions, deletions or substitutions of HCDR1 (SEQ ID NO:28), HCDR2 (SEQ ID NO:29), HCDR3 (SEQ ID NO:30); LCDR1 (SEQ ID NO:31), LCDR2 (SEQ ID NO:32), and LCDR3 (SEQ ID NO:6).
- the anti-CD7 antibody or antigen-binding fragment thereof comprises three heavy chain CDRs and three light chain CDRs as follows: heavy chain CDR1 (HCDR1) consisting of SEQ ID NO:33, heavy chain CDR2 (HCDR2) consisting of SEQ ID NO:34, heavy chain CDR3 (HCDR3) consisting of SEQ ID NO:3; light chain CDR1 (LCDR1) consisting of SEQ ID NO:35, light chain CDR2 (LCDR2) consisting of SEQ ID NO:36, and light chain CDR3 (LCDR3) consisting of SEQ ID NO:6.
- heavy chain CDR1 HCDR1
- HCDR2 heavy chain CDR2
- HCDR3 heavy chain CDR3
- the anti-CD7 antibody or antigen-binding fragment thereof comprises the three heavy chain CDRs and three light chain CDRs of the anti-CD7 antibody or wherein the CDRs include no more than one, two, three, four, five, or six amino acid additions, deletions or substitutions of HCDR1 (SEQ ID NO:33), HCDR2 (SEQ ID NO:34), HCDR3 (SEQ ID NO:3); LCDR1 (SEQ ID NO:35), LCDR2 (SEQ ID NO:36), and LCDR3 (SEQ ID NO:6).
- Residues in two or more polypeptides are said to "correspond” if the residues occupy an analogous position in the polypeptide structures.
- Analogous positions in two or more polypeptides can be determined by aligning the polypeptide sequences based on amino acid sequence or structural similarities. Those skilled in the art understand that it may be necessary to introduce gaps in either sequence to produce a satisfactory alignment.
- amino acid substitutions are of single residues. Insertions usually will be on the order of from about 1 to about 20 amino acid residues, although considerably larger insertions may be tolerated as long as biological function is retained (e.g., binding to a target antigen). Deletions usually range from about 1 to about 20 amino acid residues, although in some cases deletions may be much larger. Substitutions, deletions, insertions, or any combination thereof may be used to arrive at a final derivative or variant. Generally, these changes are done on a few amino acids to minimize the alteration of the molecule, particularly the immunogenicity and specificity of the antigen binding protein. However, larger changes may be tolerated in certain circumstances. Conservative substitutions can be made in accordance with the following chart depicted as Table E.
- variant antibody sequences typically exhibit the same qualitative biological activity and will elicit the same immune response, although variants may also be selected to modify the characteristics of the antigen binding proteins as needed.
- variants may be designed such that the biological activity of the antigen binding protein is altered. For example, glycosylation sites may be altered or removed.
- CD7-targeting antibodies such as Ab N provided particularly improved drug: antibody ratio, aggregation level, stability (i.e., in vitro and in vivo stability), tumor targeting (i.e., cytotoxicity, potency), minimized off-target killing, and/or treatment efficacy.
- Improved treatment efficacy can be measured in vitro or in vivo, and may include reduced tumor growth rate and/or reduced tumor volume.
- alternate antibodies to the same targets are used and provide at least some of the favorable functional properties described above (e.g., improved stability, improved tumor targeting, improved treatment efficacy, etc.). In some embodiments, some or all of these favorable functional properties are observed when the disclosed linkers and antineoplastic payloads, such as BH3 mimetics, topoisomerase 1 inhibitors, or anti-mitotic drugs, are conjugated to an alternate CD7-targeting antibody or antigen-binding fragment.
- linkers and antineoplastic payloads such as BH3 mimetics, topoisomerase 1 inhibitors, or anti-mitotic drugs, are conjugated to an alternate CD7-targeting antibody or antigen-binding fragment.
- the linker in an ADC is stable extracellularly in a sufficient manner to be therapeutically effective.
- the linker is stable outside a cell, such that the ADC remains intact when present in extracellular conditions (e.g., prior to transport or delivery into a cell).
- the term “intact,” used in the context of an ADC, means that the antibody or antigen-binding fragment remains attached to the drug moiety (e.g., the antineoplastic payloads, such as BH3 mimetics, topoisomerase 1 inhibitors, or anti-mitotic drugs).
- “stable,” in the context of a linker or ADC comprising a linker, means that no more than 20%, no more than about 15%, no more than about 10%, no more than about 5%, no more than about 3%, or no more than about 1% of the linkers (or any percentage in between) in a sample of ADC are cleaved (or in the case of an overall ADC are otherwise not intact) when the ADC is present in extracellular conditions.
- the linkers and/or ADCs disclosed herein are stable compared to alternate linkers and/or ADCs with alternate linkers and/or antineoplastic payloads, such as BH3 mimetics, topoisomerase 1 inhibitors, or anti-mitotic drugs.
- the ADCs disclosed herein can remain intact for more than about 48 hours, more than 60 hours, more than about 72 hours, more than about 84 hours, or more than about 96 hours.
- Whether a linker is stable extracellularly can be determined, for example, by including an ADC in plasma for a predetermined time period (e.g., 2, 4, 6, 8, 16, 24, 48, or 72 hours) and then quantifying the amount of free drug moiety present in the plasma. Stability may allow the ADC time to localize to target cancer cells and prevent the premature release of the drug moiety, which could lower the therapeutic index of the ADC by indiscriminately damaging both normal and cancer tissues.
- the linker is stable outside of a target cell and releases the drug moiety from the ADC once inside of the cell, such that the drug can bind to its target.
- an effective linker will: (i) maintain the specific binding properties of the antibody or antigen-binding fragment; (ii) allow delivery, e.g., intracellular delivery, of the drug moiety via stable attachment to the antibody or antigen-binding fragment; (iii) remain stable and intact until the ADC has been transported or delivered to its target site; and (iv) allow for the therapeutic effect, e.g., cytotoxic effect, of the drug moiety after cleavage or alternate release mechanism.
- Linkers may impact the physico-chemical properties of an ADC.
- a linker may be "cleavable” or “non-cleavable” (Ducry and Stump (2010) Bioconjugate Chem. 21:5-13).
- Cleavable linkers are designed to release the drug moiety (e.g., a antineoplastic payloads, such as BH3 mimetics, topoisomerase 1 inhibitors, or anti-mitotic drugs) when subjected to certain environment factors, e.g., when internalized into the target cell, whereas non-cleavable linkers generally rely on the degradation of the antibody or antigen-binding fragment itself.
- a drug moiety e.g., a antineoplastic payloads, such as BH3 mimetics, topoisomerase 1 inhibitors, or anti-mitotic drugs
- alkyl refers to a straight or branched hydrocarbon chain radical consisting solely of carbon and hydrogen atoms, containing no unsaturation.
- C 1 -C 6 alkyl refers to a straight or branched hydrocarbon chain radical consisting solely of carbon and hydrogen atoms, containing no unsaturation, having from one to six carbon atoms, and which is attached to the rest of the molecule by a single bond.
- C 1 -C 6 alkyl groups include methyl (a C 1 alkyl), ethyl (a C 2 alkyl), 1-methylethyl (a C 3 alkyl), n-propyl (a C 3 alkyl), isopropyl (a C 3 alkyl), n-butyl (a C 4 alkyl), isobutyl (a C 4 alkyl), sec-butyl (a C 4 alkyl), tert-butyl (a C 4 alkyl), n-pentyl (a C 5 alkyl), isopentyl (a C 5 alkyl), neopentyl (a C 5 alkyl) and hexyl (a C 6 alkyl).
- alkenyl refers to a straight or branched hydrocarbon chain radical group consisting solely of carbon and hydrogen atoms, containing at least one double bond.
- C 2 - C 6 alkenyl refers to a straight or branched hydrocarbon chain radical group consisting solely of carbon and hydrogen atoms, containing at least one double bond, having from two to six carbon atoms, which is attached to the rest of the molecule by a single bond.
- C 2 - C 6 alkenyl groups include ethenyl (a C 2 alkenyl), prop-1-enyl (a C 3 alkenyl), but-1-enyl (a C 4 alkenyl), pent-1-enyl (a C 5 alkenyl), pent-4-enyl (a C 5 alkenyl), penta-1,4-dienyl (a C 5 alkenyl), hexa-1-enyl (a C6alkenyl), hexa-2-enyl (a C6alkenyl), hexa-3-enyl (a C6alkenyl), hexa-1-,4-dienyl (a C6alkenyl), hexa-1- ,5-dienyl (a C6alkenyl) and hexa-2-,4-dienyl (a C6alkenyl).
- C2-C3alkenyl refers to a straight or branched hydrocarbon chain radical group consisting solely of carbon and hydrogen atoms, containing at least one double bond, having from two to three carbon atoms, which is attached to the rest of the molecule by a single bond.
- Non-limiting examples of "C2-C3alkenyl” groups include ethenyl (a C2alkenyl) and prop-1-enyl (a C3alkenyl).
- alkylene refers to a bivalent straight or branched hydrocarbon chain radical consisting solely of carbon and hydrogen atoms and containing no unsaturation.
- C1- C6alkylene refers to a bivalent straight or branched hydrocarbon chain radical consisting solely of carbon and hydrogen atoms, containing no unsaturation, having from one to six carbon atoms.
- Non-limiting examples of “C1-C6alkylene” groups include methylene (a C1alkylene), ethylene (a C2alkylene), 1-methylethylene (a C3alkylene), n-propylene (a C3alkylene), isopropylene (a C3alkylene), n- butylene (a C4alkylene), isobutylene (a C4alkylene), sec-butylene (a C4alkylene), tert-butylene (a C4alkylene), n-pentylene (a C5alkylene), isopentylene (a C5alkylene), neopentylene (a C5alkylene), and hexylene (a C6alkylene).
- alkenylene refers to a bivalent straight or branched hydrocarbon chain radical consisting solely of carbon and hydrogen atoms and containing at least one double bond.
- C 2 -C 6 alkenylene refers to a bivalent straight or branched hydrocarbon chain radical group consisting solely of carbon and hydrogen atoms, containing at least one double bond, and having from two to six carbon atoms.
- C 2 -C 6 alkenylene groups include ethenylene (a C 2 alkenylene), prop-1-enylene (a C 3 alkenylene), but-1-enylene (a C 4 alkenylene), pent-1-enylene (a C 5 alkenylene), pent-4-enylene (a C 5 alkenylene), penta-1,4-dienylene (a C 5 alkenylene), hexa-1-enylene (a C 6 alkenylene), hexa-2-enylene (a C 6 alkenylene), hexa-3-enylene (a C 6 alkenylene), hexa-1-,4-dienylene (a C 6 alkenylene), hexa-1-,5-dienylene (a C 6 alkenylene) and hexa-2-,4-dienylene (a C 6 alkenylene).
- C 2 -C 6 alkenylene refers to a bivalent straight or branched hydrocarbon chain radical group consisting solely of carbon and hydrogen atoms, containing at least one double bond, and having from two to three carbon atoms.
- Non-limiting examples of "C 2 -C 3 alkenylene” groups include ethenylene (a C 2 alkenylene) and prop-1-enylene (a C 3 alkenylene).
- cycloalkyl or “C3-C8cycloalkyl,” as used herein, refers to a saturated, monocyclic, fused bicyclic, fused tricyclic or bridged polycyclic ring system.
- Non-limiting examples of fused bicyclic or bridged polycyclic ring systems include bicyclo[1.1.1]pentane, bicyclo[2.1.1]hexane, bicyclo[2.2.1]heptane, bicyclo[3.1.1]heptane, bicyclo[3.2.1]octane, bicyclo[2.2.2]octane and adamantanyl.
- Non-limiting examples monocyclic C 3 -C 8 cycloalkyl groups include cyclopropyl, cyclobutyl, cyclopentyl, cyclohexyl, cycloheptyl and cyclooctyl groups.
- aryl refers to a phenyl, naphthyl, biphenyl or indenyl group.
- heteroaryl refers any mono- or bi-cyclic group composed of from 5 to 10 ring members, having at least one aromatic moiety and containing from 1 to 4 hetero atoms selected from oxygen, sulphur and nitrogen (including quaternary nitrogens).
- cycloalkyl refers to any mono- or bi-cyclic non-aromatic carbocyclic group containing from 3 to 10 ring members, which may include fused, bridged or spiro ring systems.
- Non-limiting examples of fused bicyclic or bridged ring systems include bicyclo[1.1.1]pentane, bicyclo[2.1.1]hexane, bicyclo[2.2.1]heptane, bicyclo[3.1.1]heptane, bicyclo[3.2.1]octane, and bicyclo[2.2.2]octane.
- Non-limiting examples monocyclic C3-C8cycloalkyl groups include cyclopropyl, cyclobutyl, cyclopentyl, cyclohexyl, cycloheptyl and cyclooctyl groups.
- heterocycloalkyl means any mono- or bi-cyclic non-aromatic carbocyclic group, composed of from 3 to 10 ring members, and containing from one to 3 hetero atoms selected from oxygen, sulphur, SO, SO2 and nitrogen, it being understood that bicyclic group may be fused or spiro type.
- C3-C8heterocycloalkyl refers to heterocycloalkyl having 3 to 8 ring carbon atoms.
- the heterocycloalkyl can have 4 to 10 ring members.
- heteroarylene, cycloalkylene, heterocycloalkylene mean a divalent heteroaryl, cycloalkyl and heterocycloalkyl.
- haloalkyl refers to a linear or branched alkyl chain substituted with one or more halogen groups in place of hydrogens along the hydrocarbon chain.
- halogen groups suitable for substitution in the haloalkyl group include Fluorine, Bromine, Chlorine, and Iodine.
- Haloalkyl groups may include substitution with multiple halogen groups in place of hydrogens in an alkyl chain, wherein said halogen groups can be attached to the same carbon or to another carbon in the alkyl chain.
- the alkyl, alkenyl, alkynyl, alkoxy, amino, aryl, heteroaryl, cycloalkyl, and heterocycloalkyl groups may be optionally substituted by 1 to 4 groups selected from optionally substituted linear or branched (C 1 -C 6 )alkyl, optionally substituted linear or branched (C 2 -C 6 )alkenyl group, optionally substituted linear or branched (C 2 -C 6 )alkynyl group, optionally substituted linear or branched (C 1 -C 6 )alkoxy, optionally substituted (C 1 -C 6 )alkyl-S-, hydroxy, oxo (or N-oxide where appropriate), nitro, cyano, -C(O)-OR 0 ’, -O-C(O)-R 0 ’, -C(O)-NR 0 ’R 0 ’’, -NR 0
- polyoxyethylene refers to a linear chain, a branched chain or a star shaped configuration comprised of (OCH2CH2) groups.
- PEG12 as used herein means that t is 12.
- polyalkylene glycol refers to a linear chain, a branched chain or a star shaped configuration comprised of (O(CH2)m)n groups.
- attachment group refers to a bivalent moiety which links the bridging spacer to the antibody or fragment thereof.
- the attachment or coupling group is a bivalent moiety formed by the reaction between a reaction group and a functional group on the antibody or fragment thereof.
- Non limiting examples of such bivalent moieties include the bivalent chemical moieties given in Table F and Table G provided herein.
- attachment point refers to a location on the linker that is connected to an antibody or an antineoplastic payload.
- the location is an atom, such as carbon, nitrogen, sulfur, or oxygen, where the linker connects with an antibody or an antineoplastic payload through a covalent bond.
- bridging spacer refers to one or more linker components which are covalently attached together to form a bivalent moiety which links the branching moiety W to the attachment group.
- Non-limiting examples of the bridging spacer include groups L1-1, L1-2, L1-3, L1-4, L1-5, and L1-6 described herein.
- the term “branching moiety”, as used herein, refers to a chemical moiety that connects with three or more groups in the dual linker of the present disclosure.
- the branching moiety is N or CR w ; wherein R w is H or C1-6alkyl.
- the cleavable group is selected so that activation occurs at the desired site of action, which can be a site in or near the target cells (e.g., carcinoma cells) or tissues such as at the site of therapeutic action or antineoplastic payload activity.
- cleavage may be enzymatic and exemplary enzymatically cleavable groups include natural amino acids or peptide sequences that end with a natural amino acid, and are attached at their carboxyl terminus to the linker.
- a cleavable group comprises a pyrophosphate group, a phosphate group, a glucuronide group, a peptide group, and/or a self-immolative group.
- the term “enzyme cleavage element”, as used herein, comprises an element that is susceptible to enzymatic cleavage.
- Nonlimiting examples of the enzymatic cleavage include peptidase-induced cleavage, esterase-induced cleavage, glycosidase induced cleavage, phosphodiesterase induced cleavage, phosphatase induced cleavage, protease induced cleavage, or lipase induced cleavage.
- the enzyme cleavage element in the present disclosure refers to a dipeptide group that can be cleaved by a peptidase.
- the dipeptide group is selected from a group consisting of E1-1 and E1-2 described herein.
- the enzyme cleavage element in the present disclosure comprises a sugar moiety that can be cleaved by a glucosidase, such as a glucuronide group.
- the enzyme cleavage element in the present disclosure comprises a phosphate or pyrophosphate moiety that can be cleaved by phosphatases.
- the enzyme cleavage element is represented by or , wherein A 1 and A 2 are as defined herein, indicates the point of attachment to E 1 or E 2 ; and indicates the point of attachment to D 1 or D 2 .
- connecting spacer refers to one or more linker components which are covalently attached together to form a bivalent moiety which links the branching moiety W to the function moiety E1 or E2 which comprises an enzyme cleavage element or a hydrophilic moiety.
- Nonlimiting examples of the connecting spacer include groups L2-1 through L2-30 described herein.
- hydrophilic group refers to the group that has hydrophilic properties which increases the aqueous solubility of the dual linker is attached to the linker group of the present disclosure.
- hydrophilic moiety refers to the moiety that comprises a functional group having a hydrophilic group attached thereto.
- the functional group mentioned here refers to the bivalent peptide spacer described in the present disclosure.
- spacer moiety refers to one or more linker components which are covalently attached together to form a moiety which links the self-immolative group to the hydrophilic group or an enzyme cleavage element.
- spacer moiety refers to L 4 or L 5 as defined herein.
- bivalent peptide spacer refers to bivalent linker comprising one or more amino acid residues covalently attached together to form a moiety which links the bridging spacer to the self immolative spacer or an enzyme cleavage element.
- the one or more amino acid residues can be an residue of amino acids selected from alanine (Ala), cysteine (Cys), aspartic acid (Asp), glutamic acid (Glu), phenylalanine (Phe), glycine (Gly), histidine (His), isoleucine (Ile), lysine (Lys), leucine (Leu), methionine (Met), asparagine (Asn), proline (Pro), glutamine (Gln), arginine (Arg), serine (Ser), threonine (Thr), valine (Val), tryptophan (Trp), tyrosine (Tyr), citrulline (Cit), norvaline (Nva), norleucune (Nle), selenocysteine (Sec), pyrrolysine (Pyl), homoserine, homocysteine, and desmethyl pyrrolysine.
- amino acids selected from alanine (Ala), cyste
- a “bivalent peptide spacer” is a combination of 2 to four amino acid residues where each residue is independently selected from a residue of an amino acid selected from alanine (Ala), cysteine (Cys), aspartic acid (Asp), glutamic acid (Glu), phenylalanine (Phe), glycine (Gly), histidine (His), isoleucine (Ile), lysine (Lys), leucine (Leu),methionine (Met), asparagine (Asn), proline (Pro), glutamine (Gln), arginine (Arg), serine (Ser), threonine (Thr), valine (Val), tryptophan (Trp), tyrosine (Tyr), citrulline (Cit), norvaline (Nva), norleucune (Nle), selenocysteine (Sec), pyrrolysine (Pyl), homoserine, homocy
- linker component refers to a chemical moiety that is a part of the linker.
- a linker component can be a chemical moiety which is readily formed by reaction between two reactive groups.
- Non-limiting examples of such chemical moieties are given in Table F.
- a wavy line ( ) indicates the point of attachment of the partial structure to the rest of the molecule.
- the term “self-immolative spacer”, as used herein, refers to a moiety comprising one or more triggering groups (TG) which are activated by acid-induced cleavage, peptidase-induced cleavage, esterase-induced cleavage, glycosidase induced cleavage, phosphodiesterase induced cleavage, phosphatase induced cleavage, protease induced cleavage, lipase induced cleavage or disulfide bond cleavage, and after activation the protecting group is removed, which generates a cascade of disassembling reactions leading to the temporally sequential release of a leaving group.
- TG triggering groups
- Non-limiting examples of self-immolative spacer include: TG-Xa-LG, TG-Ya-LG , , , , , , and , wherein such groups can be optionally substituted, and wherein: TG is a triggering group; Xa is O, NH or S; Xb is O, NH, NCH3 or S; X c is O or NH; Y a is CH 2 , CH 2 O or CH 2 NH; Y b is CH 2 , O or NH; Y c is a bond, CH 2 , O or NH, and LG is a leaving group such as a Drug moiety (D) of the Linker-Drug group of the invention.
- D Drug moiety
- the self-immolative spacer connected to a drug moiety is a moiety having the following structure: or , wherein E 1 and/or E 2 is an enzyme cleavage element, and A 1 , A 2 , D 1 , D 2 , R 2 , R 3 , L 3 , and L 4 are as defined herein.
- the self-immolative spacer is moiety having the structure or , wherein E 1 and/or E 2 is a bivalent peptide spacer, R 2 and/or R 3 is an enzyme cleavage element, and A 1 , A 2 , D 1 , D 2 , L 3 , and L 4 are as defined herein.
- the term “self-immolative group,” as used herein, refer to a group that can generate a cascade of disassembling reactions leading to the temporally sequential release of a leaving group when the TG is activated and removed.
- the self-immolative group is a group having the structure or wherein A 1 , A 2 , R 2 , R 3 , L 3 , and L 4 are as defined herein, indicates the point of attachment to E 1 or E 2 ; and indicates the point of attachment to D 1 or D 2 . C.
- an intermediate which is the precursor of the linker moiety
- the drug moiety e.g., BH3 mimetics, such as a Mcl-1 inhibitor, a Bcl-2 inhibitor and/or a Bcl-xL inhibitor; topoisomerase 1 inhibitors, such as topotecan, exatecan, deruxtecan or SN-38; or anti-mitotic drugs, such as monomethyl auristatin E (MMAE) or a taxane
- BH3 mimetics such as a Mcl-1 inhibitor, a Bcl-2 inhibitor and/or a Bcl-xL inhibitor
- topoisomerase 1 inhibitors such as topotecan, exatecan, deruxtecan or SN-38
- anti-mitotic drugs such as monomethyl auristatin E (MMAE) or a taxane
- reactive groups are used on the drug and/or the intermediate or linker.
- the product of the reaction between the drug and the intermediate, or the derivatized drug is subsequently reacted with the antibody or antigen-binding fragment under conditions that facilitate conjugation of the drug and intermediate or derivatized drug and antibody or antigen-binding fragment.
- the intermediate or linker may first be reacted with the antibody or antigen-binding fragment, or a derivatized antibody or antigen-binding fragment, and then reacted with the drug or derivatized drug.
- a number of different reactions are available for covalent attachment of the drug moiety and/or linker moiety to the antibody or antigen-binding fragment.
- non-specific covalent attachment may be undertaken using a carbodiimide reaction to link a carboxy (or amino) group on a drug moiety to an amino (or carboxy) group on an antibody or antigen-binding fragment.
- bifunctional agents such as dialdehydes or imidoesters may also be used to link the amino group on a drug moiety to an amino group on an antibody or antigen-binding fragment.
- a BH3 mimetic e.g., a BH3 mimetic, a topoisomerase 1 inhibitor, or an anti-mitotic drug
- Schiff base reaction This method involves the periodate oxidation of a drug that contains glycol or hydroxy groups, thus forming an aldehyde which is then reacted with the binding agent. Attachment occurs via formation of a Schiff base with amino groups of the binding agent.
- Isothiocyanates may also be used as coupling agents for covalently attaching drugs to binding agents. Other techniques are known to the skilled artisan and within the scope of the present disclosure.
- Examples of drug moieties that can be generated and linked to an antibody or antigen-binding fragment using various chemistries known to in the art include Mcl-1 inhibitors, Bcl-2 inhibitors, and Bcl-xL inhibitors, e.g., the Mcl-1 inhibitors, Bcl-2 inhibitors, and Bcl-xL inhibitors described and exemplified herein. Additional examples of drug moieties that can be generated and linked to an antibody or antigen- binding fragment using various chemistries known to in the art include topoisomerase 1 inhibitors or anti- mitotic drugs described and exemplified herein. a.
- Suitable BH3 mimetic D1 and/or D2 may comprise a Mcl-1 inhibitor compound of the formulas (I), (IA), (IB), or an enantiomer, diastereoisomer, atropisomer, deuterated derivative, and/or addition salt thereof with a pharmaceutically acceptable acid or base. Additionally, the drug moiety may comprise any compounds of the Mcl-1 inhibitor (D) described herein. [325] As used herein, “atropisomers,” are stereoisomers arising because of hindered rotation about a single bond, where energy differences due to steric strain or other contributors create a barrier to rotation that is high enough to allow for isolation of individual conformers (Bringmann et al.
- Atropisomers may be as follows: .
- a preferred atropisomer may be (5Sa), also named (5aS).
- a drug moiety of the disclosure may be any one of the compounds disclosed in International Patent Application Publication Nos.
- BH3 mimetics of the disclosure may comprise a compound of Formula (I), (IA) or (IB), wherein the definitions of the variables depicted therein are described above [329]
- Cy01, Cy02, Cy03, Cy04, Cy05, Cy06, Cy07, Cy08 and Cy010 independently of one another are an optionally substituted cycloalkyl group, an optionally substituted heterocycloalkyl group, an optionally substituted aryl group or an optionally substituted heteroaryl group, wherein the optional substituents are selected from optionally substituted linear or branched (C1-C6)alkyl, optionally substituted linear or branched (C 2 -C 6 )alkenyl group, optionally substituted linear or branched (C 2 -C 6 )alkynyl group, optionally substituted linear or branched (C 1 -C 6 )alkoxy, optionally substituted (C 1 -C 6 )alky
- BH3 mimetics D1 and/or D2 of the disclosure may comprise any one of the following: , , , ,
- the BH3 mimetics D1 and/or D2 comprise a formula selected from Table A1 or A1a or an enantiomer, diastereoisomer, atropisomer, deuterated derivative, and/or a pharmaceutically acceptable salt of any of the foregoing. b.
- Suitable BH3 mimetics D1 and/or D2 may comprise a Bcl-xL inhibitor compound of the formulas (II), (IIA), (IIB), (IIC), (III), (IIIA), (IIIB) or (IIIC) or an enantiomer, diastereoisomer, and/or addition salt thereof with a pharmaceutically acceptable acid or base.
- the BH3 mimetics D 1 and/or D 2 may comprise any compounds of the Bcl-xL inhibitors described herein.
- the BH3 mimetics D1 and/or D2 comprise a formula selected from Table A2 or A2a.
- the BH3 mimetics D1 and/or D2 comprise Bcl-xL inhibitor known in the art, for example, ABT-737 and ABT-263.
- the BH3 mimetics D1 and/or D2 comprise a Bcl-xL inhibitor selected from:
- Suitable BH3 mimetics D1 and/or D2 may comprise a Bcl-2 inhibitor compound of the formulas (IV) or (V) or an enantiomer, diastereoisomer, and/or addition salt thereof with a pharmaceutically acceptable acid or base. Additionally, the BH3 mimetics D 1 and/or D 2 may comprise any compounds of the Bcl-2 inhibitor described herein. [338] In some embodiments, the Bcl-2 inhibitor is represented by Formula (IV) or an enantiomer, a diastereoisomer, and/or a pharmaceutically acceptable salt of any one of the foregoing.
- aryl means a phenyl, naphthyl, biphenyl or indenyl group
- heteroaryl means any mono- or bi-cyclic group composed of from 5 to 10 ring members, having at least one aromatic moiety and containing from 1 to 4 hetero atoms selected from oxygen, sulphur and nitrogen (including quaternary nitrogens)
- cycloalkyl means any mono- or bi-cyclic, non-aromatic, carbocyclic group containing from 3 to 10 ring members
- - heterocycloalkyl means any mono- or bi-cyclic, non-aromatic, condensed or spiro group composed of from 3 to 10 ring members and containing from 1 to 3 hetero atoms selected from oxygen, sulphur, SO, SO2 and nitrogen, it being possible for the aryl, heteroaryl, cycloalkyl and heterocycloalkyl
- A1 represents a hydrogen atom or a methyl group.
- A1 and A2 both represent a methyl group.
- T represents a methyl, aminomethyl, (morpholin-4- yl)methyl, (4-methylpiperazin-1-yl)methyl, 2-(morpholin-4-yl)ethyl, [2-(morpholin-4-yl)ethoxy]methyl, hydroxymethyl, [2-(dimethylamino)ethoxy]methyl, hexahydropyrazino[2,1-c][1,4]oxazin-8(1H)- ylmethyl, 1-oxa-6-azaspiro[3.3]hept-6-ylmethyl, 3-(morpholin-4-yl)propyl or trifluoromethyl group.
- R3 represents a group selected from phenyl, 1H-pyrazole, 1H-indole, 1H-indazole, pyridine, pyrimidine, 1H-pyrrolo[2,3-b]pyridine, 2,3-dihydro-1H-pyrrolo[2,3- b]pyridine, 1H-benzimidazole, 1H-pyrrole, 1H-pyrrolo[2,3-c]pyridine, 1H-pyrrolo[3,2-b]pyridine, 5H- pyrrolo[3,2-d]pyrimidine, thiophene, pyrazine, 1H-pyrazolo[3,4-b]pyridine, 1,2-oxazole, and pyrazolo[1,5-a]pyrimidine, those groups optionally having one or more substituents selected from halogen, linear or branched (C1-C6)alkyl, linear or branched (C1 C6)alkoxy,
- R3 represents the following group: N R c N H 3 C and Rc represents a group selected from: hydrogen, linear or branched (C1-C6)alkyl group optionally substituted by 1 to 3 halogen atoms, (C1-C6)alkylene-NRdRe, (C1-C6)alkylene-ORj, cycloalkyl, heterocycloalkyl, and (C1-C6)alkylene-heterocycloalkyl group.
- RC represents a methyl group.
- R4 in Formula (V) or (Va) represents the following group: .
- the Bcl-2 inhibitor is represented by Formula (Vb),. or an enantiomer, a diastereoisomer, and/or a pharmaceutically acceptable salt of any one of the foregoing.
- RC represents a methyl group.
- the Bcl-2 inhibitor is represented by Formula (Vc), (Vd), (Ve), (Vf), (Vg), (Vh), (Vi) or (Vj) or an enantiomer, a diastereoisomer, and/or a pharmaceutically acceptable salt of any one of the foregoing.
- the Bcl-2 inhibitor is represented by Formula (V), (Va), (Vb), (Vc), (Vd), (Ve), (Vf), (Vg), (Vh), (Vi) or (Vj), wherein : (i) X represents a bond; (ii) A 1 represents C-Y 4 ; (iii) R a and R b represent both a hydrogen atom; (iv) R 5 represents a hydrogen atom, a hydroxy group or a fluorine atom, preferably a hydroxy group; (v) R 6 represents a hydrogen atom, a fluorine atom, preferably a hydrogen atom; (vi) A 1 represents C-H and Y 2 represents a hydrogen atom; (vii) Y 1 and Y 5 represent both a hydrogen atom, or: Y 1 and Y 5 represent a fluoro atom and a hydrogen atom, respectively; (viii) Y 3 represents a -O-(C 1 -
- the linker-drug (or “linker-payload”) moiety -(L-D) may comprise a compounds in Table B or an enantiomer, diastereoisomer, deuterated derivative, and/or a pharmaceutically acceptable salt of any of the foregoing.
- the BH3 mimetics D1 and/or D2 comprises a formula selected from Table A3 or A3a. d.
- one of D1 and D2 comprises a topoisomerase 1 inhibitor, or an enantiomer, diastereoisomer, atropisomer, deuterated derivative, and/or addition salt thereof with a pharmaceutically acceptable acid or base.
- D1 or D2 comprises a topoisomerase 1 inhibitor linked to the dual linker, wherein the topoisomerase 1 inhibitor is topotecan, exatecan, deruxtecan or SN-38.
- D 1 or D 2 comprises a formula selected from Table A4 or A4a. e.
- one of D1 and D2 comprises an anti-mitotic drug, or an enantiomer, diastereoisomer, atropisomer, deuterated derivative, and/or addition salt thereof with a pharmaceutically acceptable acid or base.
- one of D1 and D2 comprises an anti-mitotic drug linked to the dual linker, wherein the anti-mitotic drug is monomethyl auristatin E (MMAE) or a taxane.
- MMAE monomethyl auristatin E
- the taxane is selected from docetaxel, paclitaxel, or cabazitaxel.
- Drug loading is represented by p (or 2a in ADCs of formula (1) of the present disclosure), and is also referred to herein as the drug-to-antibody ratio (DAR). Drug loading may range from 2 to 32 drug moieties per antibody or antigen-binding fragment.
- a is an integer from 1 to 16.
- a is an integer from 1 to 16, 1 to 15, 1 to 14, 1 to 13, 1 to 12, 1 to 11, 1 to 10, 1 to 9, 1 to 8, 1 to 7, 1 to 6, 1 to 5, 1 to 4, 1 to 3, or 1 to 2.
- a is an integer from 2 to 10, 2 to 9, 2 to 8, 2 to 7, 2 to 6, 2 to 5, 2 to 4, or 2 to 3.
- a is an integer from 1 to 16. In some embodiments, a is an integer from 1 to 8. In some embodiments, a is an integer from 1 to 5. In some embodiments, a is an integer from 2 to 4. In some embodiments, a is 1, 2, 3, 4, 5, 6, 7, or 8. In some embodiments, a is 2. In some embodiments, a is 4. [357] Drug loading may be limited by the number of attachment sites on the antibody or antigen- binding fragment. In some embodiments, the linker moiety (L) of the ADC attaches to the antibody or antigen-binding fragment through a chemically active group on one or more amino acid residues on the antibody or antigen-binding fragment.
- the linker may be attached to the antibody or antigen-binding fragment via a free amino, imino, hydroxyl, thiol, or carboxyl group (e.g., to the N- or C- terminus, to the epsilon amino group of one or more lysine residues, to the free carboxylic acid group of one or more glutamic acid or aspartic acid residues, or to the sulfhydryl group of one or more cysteine residues).
- a free amino, imino, hydroxyl, thiol, or carboxyl group e.g., to the N- or C- terminus, to the epsilon amino group of one or more lysine residues, to the free carboxylic acid group of one or more glutamic acid or aspartic acid residues, or to the sulfhydryl group of one or more cysteine residues.
- the site to which the linker is attached can be a natural residue in the amino acid sequence of the antibody or antigen-binding fragment, or it can be introduced into the antibody or antigen-binding fragment, e.g., by DNA recombinant technology (e.g., by introducing a cysteine residue into the amino acid sequence) or by protein biochemistry (e.g., by reduction, pH adjustment, or hydrolysis).
- the number of drug moieties that can be conjugated to an antibody or antigen-binding fragment is limited by the number of free cysteine residues.
- an antibody may have only one or a few cysteine thiol groups, or may have only one or a few sufficiently reactive thiol groups through which a linker may be attached.
- antibodies do not contain many free and reactive cysteine thiol groups that may be linked to a drug moiety. Indeed, most cysteine thiol residues in antibodies are involved in either interchain or intrachain disulfide bonds. Conjugation to cysteines can therefore, in some embodiments, require at least partial reduction of the antibody. Over-attachment of linker-toxin to an antibody may destabilize the antibody by reducing the cysteine residues available to form disulfide bonds.
- an optimal drug:antibody ratio should increase potency of the ADC (by increasing the number of attached drug moieties per antibody) without destabilizing the antibody or antigen-binding fragment.
- an optimal ratio may be 2, 4, 6, or 8.
- an optimal ratio may be 2 or 4.
- an antibody or antigen-binding fragment is exposed to reducing conditions prior to conjugation in order to generate one or more free cysteine residues.
- An antibody in some embodiments, may be reduced with a reducing agent such as dithiothreitol (DTT) or tris(2- carboxyethyl)phosphine (TCEP), under partial or total reducing conditions, to generate reactive cysteine thiol groups.
- DTT dithiothreitol
- TCEP tris(2- carboxyethyl)phosphine
- Unpaired cysteines may be generated through partial reduction with limited molar equivalents of TCEP, which can reduce the interchain disulfide bonds which link the light chain and heavy chain (one pair per H-L pairing) and the two heavy chains in the hinge region (two pairs per H-H pairing in the case of human IgG1) while leaving the intrachain disulfide bonds intact (Stefano et al. (2013) Methods Mol Biol.1045:145-71).
- disulfide bonds within the antibodies are reduced electrochemically, e.g., by employing a working electrode that applies an alternating reducing and oxidizing voltage.
- This approach can allow for on-line coupling of disulfide bond reduction to an analytical device (e.g., an electrochemical detection device, an NMR spectrometer, or a mass spectrometer) or a chemical separation device (e.g., a liquid chromatograph (e.g., an HPLC) or an electrophoresis device (see, e.g., US 2014/0069822)).
- an analytical device e.g., an electrochemical detection device, an NMR spectrometer, or a mass spectrometer
- a chemical separation device e.g., a liquid chromatograph (e.g., an HPLC) or an electrophoresis device (see, e.g., US 2014/0069822)
- an antibody is subjected to denaturing conditions to reveal reactive nucleophilic groups on amino acid residues, such as cysteine.
- the drug loading of an ADC may be controlled in different ways, e.g., by: (i) limiting the molar excess of drug-linker intermediate or linker reagent relative to antibody; (ii) limiting the conjugation reaction time or temperature; (iii) partial or limiting reductive conditions for cysteine thiol modification; and/or (iv) engineering by recombinant techniques the amino acid sequence of the antibody such that the number and position of cysteine residues is modified for control of the number and/or position of linker- drug attachments.
- free cysteine residues are introduced into the amino acid sequence of the antibody or antigen-binding fragment.
- cysteine engineered antibodies can be prepared wherein one or more amino acids of a parent antibody are replaced with a cysteine amino acid. Any form of antibody may be so engineered, i.e. mutated.
- a parent Fab antibody fragment may be engineered to form a cysteine engineered Fab referred to as a "ThioFab.”
- a parent monoclonal antibody may be engineered to form a "ThioMab.”
- a single site mutation yields a single engineered cysteine residue in a ThioFab, whereas a single site mutation yields two engineered cysteine residues in a ThioMab, due to the dimeric nature of the IgG antibody.
- DNA encoding an amino acid sequence variant of the parent polypeptide can be prepared by a variety of methods known in the art (see, e.g., the methods described in WO 2006/034488). These methods include, but are not limited to, preparation by site- directed (or oligonucleotide-mediated) mutagenesis, PCR mutagenesis, and cassette mutagenesis of an earlier prepared DNA encoding the polypeptide. Variants of recombinant antibodies may also be constructed by restriction fragment manipulation or by overlap extension PCR with synthetic oligonucleotides.
- ADCs of Formula (1) include, but are not limited to, antibodies that have 1, 2, 3, or 4 engineered cysteine amino acids (Lyon et al.
- one or more free cysteine residues are already present in an antibody or antigen-binding fragment, without the use of engineering, in which case the existing free cysteine residues may be used to conjugate the antibody or antigen-binding fragment to a drug moiety.
- the resulting product can be a mixture of ADC compounds with a distribution of one or more drug moieties attached to each copy of the antibody or antigen-binding fragment in the mixture.
- the drug loading in a mixture of ADCs resulting from a conjugation reaction ranges from 1 to 16 drug moieties attached per antibody or antigen- binding fragment.
- the average number of drug moieties per antibody or antigen-binding fragment i.e., the average drug loading, or average p
- the average number of drug moieties per antibody or antigen-binding fragment may be calculated by any conventional method known in the art, e.g., by mass spectrometry (e.g., liquid chromatography-mass spectrometry (LC-MS)) and/or high- performance liquid chromatography (e.g., HIC-HPLC).
- the average number of drug moieties per antibody or antigen-binding fragment is determined by liquid chromatography-mass spectrometry (LC-MS).
- the average number of drug moieties per antibody or antigen-binding fragment is from about 1.5 to about 3.5, about 2.5 to about 4.5, about 3.5 to about 5.5, about 4.5 to about 6.5, about 5.5 to about 7.5, about 6.5 to about 8.5, or about 7.5 to about 9.5. In some embodiments, the average number of drug moieties per antibody or antigen-binding fragment is from about 2 to about 4, about 3 to about 5, about 4 to about 6, about 5 to about 7, about 6 to about 8, about 7 to about 9, about 2 to about 8, or about 4 to about 8. [363] In some embodiments, the average number of drug moieties per antibody or antigen-binding fragment is about 2.
- the average number of drug moieties per antibody or antigen- binding fragment is about 1.5, about 1.6, about 1.7, about 1.8, about 1.9, about 2, about 2.1, about 2.2, about 2.3, about 2.4, or about 2.5. In some embodiments, the average number of drug moieties per antibody or antigen-binding fragment is 2. [364] In some embodiments, the average number of drug moieties per antibody or antigen-binding fragment is about 4. In some embodiments, the average number of drug moieties per antibody or antigen- binding fragment is about 3.5, about 3.6, about 3.7, about 3.8, about 3.9, about 4, about 4.1, about 4.2, about 4.3, about 4.4, or about 4.5.
- the average number of drug moieties per antibody or antigen-binding fragment is 4. [365] In some embodiments, the term “about,” as used with respect to the average number of drug moieties per antibody or antigen-binding fragment, means plus or minus 20%, 15%, 10%, 5%, or 1%. In one embodiment, the term “about” refers to a range of values which are 10% more or less than the specified value. In another embodiment, the term “about” refers to a range of values which are 5% more or less than the specified value. In another embodiment, the term “about” refers to a range of values which are 1% more or less than the specified value.
- ADC compounds may be identified in the mixture by mass spectroscopy and separated by, e.g., UPLC or HPLC, e.g. hydrophobic interaction chromatography (HIC-HPLC).
- UPLC or HPLC e.g. hydrophobic interaction chromatography
- a homogeneous or nearly homogenous ADC product with a single loading value may be isolated from the conjugation mixture, e.g., by electrophoresis or chromatography.
- higher drug loading e.g., p > 16
- the drug loading for an ADC of the present disclosure ranges from about 2 to about 16, about 2 to about 10, about 2 to about 8; from about 2 to about 6; from about 2 to about 5; from about 3 to about 5; from about 2 to about 4; or from about 4 to about 8.
- a drug loading and/or an average drug loading of about 2 is achieved, e.g., using partial reduction of intrachain disulfides on the antibody or antigen-binding fragment, and provides beneficial properties.
- a drug loading and/or an average drug loading of about 4 or about 6 or about 8 is achieved, e.g., using partial reduction of intrachain disulfides on the antibody or antigen-binding fragment, and provides beneficial properties.
- a drug loading and/or an average drug loading of less than about 2 may result in an unacceptably high level of unconjugated antibody species, which can compete with the ADC for binding to a target antigen and/or provide for reduced treatment efficacy.
- a drug loading and/or average drug loading of more than about 16 may result in an unacceptably high level of product heterogeneity and/or ADC aggregation.
- the ADCs comprise an antibody or antigen-binding fragment as the antibody or antigen-binding fragment, a drug moiety (e.g., a BH3 mimetic), and a linker that joins the drug moiety and the antibody or antigen-binding fragment.
- the ADCs can be prepared using a linker having reactive functionalities for covalently attaching to the drug moiety and to the antibody or antigen-binding fragment.
- the antibody or antigen-binding fragment is functionalized to prepare a functional group that is reactive with a linker or a drug-linker intermediate.
- a cysteine thiol of an antibody or antigen-binding fragment can form a bond with a reactive functional group of a linker or a drug-linker intermediate to make an ADC.
- an antibody or antigen- binding fragment is prepared with bacterial transglutaminase (BTG) - reactive glutamines specifically functionalized with an amine containing cyclooctyne BCN (N-[(1R,8S,9s)-Bicyclo[6.1.0]non-4-yn-9- ylmethyloxycarbonyl]-1,8-diamino-3,6-dioxaoctane) moiety.
- BCG transglutaminase
- BCN cyclooctyne
- site-specific conjugation of a linker or a drug-linker intermediate to a BCN moiety of an antibody or antigen-binding fragment is performed, e.g., as described and exemplified herein.
- an ADC is produced by contacting an antibody or antigen-binding fragment with a linker and a drug moiety (e.g., a BH3 mimetic) in a sequential manner, such that the antibody or antigen-binding fragment is covalently linked to the linker first, and then the pre-formed antibody-linker intermediate reacts with the drug moiety.
- a linker and a drug moiety e.g., a BH3 mimetic
- an ADC is produced by contacting an antibody or antigen-binding fragment with a linker-drug compound pre- formed by reacting a linker with a drug moiety.
- the pre-formed linker-drug compound may or may not be subjected to a purification step prior to contacting the antibody or antigen-binding fragment.
- the antibody or antigen-binding fragment contacts the linker and the drug moiety in one reaction mixture, allowing simultaneous formation of the covalent bonds between the antibody or antigen- binding fragment and the linker, and between the linker and the drug moiety.
- This method of producing ADCs may include a reaction, wherein the antibody or antigen-binding fragment contacts the antibody or antigen-binding fragment prior to the addition of the linker to the reaction mixture, and vice versa.
- an ADC is produced by reacting an antibody or antigen-binding fragment with a linker joined to a drug moiety, such as a BH3 mimetic, under conditions that allow conjugation.
- the ADCs prepared according to the methods described above may be subjected to a purification step.
- the purification step may involve any biochemical methods known in the art for purifying proteins, or any combination of methods thereof.
- compositions described herein e.g., the disclosed ADC compounds and compositions, in treating a subject for a disorder, e.g., a cancer.
- compositions e.g., ADCs
- ADCs may be administered alone or in combination with at least one additional inactive and/or active agent, e.g., at least one additional therapeutic agent, and may be administered in any pharmaceutically acceptable formulation, dosage, and dosing regimen.
- Treatment efficacy may be evaluated for toxicity as well as indicators of efficacy and adjusted accordingly.
- Efficacy measures include, but are not limited to, a cytostatic and/or cytotoxic effect observed in vitro or in vivo, reduced tumor volume, tumor growth inhibition, and/or prolonged survival. [373] Methods of determining whether an ADC exerts a cytostatic and/or cytotoxic effect on a cell are known.
- the cytotoxic or cytostatic activity of an ADC can be measured by, e.g., exposing mammalian cells expressing a target antigen of the ADC in a cell culture medium; culturing the cells for a period from about 6 hours to about 6 days; and measuring cell viability (e.g., using a CellTiter-Glo® (CTG) or MTT cell viability assay).
- CCG CellTiter-Glo®
- MTT cell viability assay Cell-based in vitro assays may also be used to measure viability (proliferation), cytotoxicity, and induction of apoptosis (caspase activation) of the ADC.
- Necrosis is typically accompanied by increased permeability of the plasma membrane, swelling of the cell, and rupture of the plasma membrane.
- Apoptosis can be quantitated, for example, by measuring DNA fragmentation.
- Commercial photometric methods for the quantitative in vitro determination of DNA fragmentation are available. Examples of such assays, including TUNEL (which detects incorporation of labeled nucleotides in fragmented DNA) and ELISA-based assays, are described in Biochemica (1999) 2:34-7 (Roche Molecular Biochemicals).
- Apoptosis may also be determined by measuring morphological changes in a cell.
- loss of plasma membrane integrity can be determined by measuring uptake of certain dyes (e.g., a fluorescent dye such as, for example, acridine orange or ethidium bromide).
- a fluorescent dye such as, for example, acridine orange or ethidium bromide.
- a method for measuring apoptotic cell number has been described by Duke and Cohen, Current Protocols in Immunology (Coligan et al., eds. (1992) pp.3.17.1-3.17.16).
- Cells also can be labeled with a DNA dye (e.g., acridine orange, ethidium bromide, or propidium iodide) and the cells observed for chromatin condensation and margination along the inner nuclear membrane.
- a DNA dye e.g., acridine orange, ethidium bromide, or propidium iodide
- Apoptosis may also be determined, in some embodiments, by screening for caspase activity.
- a Caspase-Glo® Assay can be used to measure activity of caspase-3 and caspase-7.
- the assay provides a luminogenic caspase-3/7 substrate in a reagent optimized for caspase activity, luciferase activity, and cell lysis.
- adding Caspase-Glo® 3/7 Reagent in an “add-mix-measure” format may result in cell lysis, followed by caspase cleavage of the substrate and generation of a “glow-type” luminescent signal, produced by luciferase.
- luminescence may be proportional to the amount of caspase activity present, and can serve as an indicator of apoptosis.
- Other morphological changes that can be measured to determine apoptosis include, e.g., cytoplasmic condensation, increased membrane blebbing, and cellular shrinkage. Determination of any of these effects on cancer cells indicates that an ADC is useful in the treatment of cancers.
- Cell viability may be measured, e.g., by determining in a cell the uptake of a dye such as neutral red, trypan blue, Crystal Violet, or ALAMARTM blue (see, e.g., Page et al. (1993) Intl J Oncology 3:473- 6).
- the cells are incubated in media containing the dye, the cells are washed, and the remaining dye, reflecting cellular uptake of the dye, is measured spectrophotometrically.
- Cell viability may also be measured, e.g., by quantifying ATP, an indicator of metabolically active cells.
- in vitro potency and/or cell viability of prepared ADCs or antineoplastic payloads such as BH3 mimetic compounds (e.g., MCl-1 inhibitor, Bcl-xL inhibitor or Bcl- 2 inhibitor) or topoisomerase 1 inhibitors (e.g., topotecan, exatecan, deruxtecan or SN-38) or anti-mitotic drugs (e.g., monomethyl auristatin E (MMAE) or a taxane) may be assessed using a CellTiter-Glo® (CTG) cell viability assay, as described in the examples provided herein.
- CCG CellTiter-Glo®
- the single reagent (CellTiter-Glo® Reagent) is added directly to cells cultured in serum- supplemented medium.
- the addition of reagent results in cell lysis and generation of a luminescent signal proportional to the amount of ATP present.
- the amount of ATP is directly proportional to the number of cells present in culture.
- Cell viability may also be measured, e.g., by measuring the reduction of tetrazolium salts.
- in vitro potency and/or cell viability of prepared ADCs or antineoplastic payloads such as BH3 mimetic compounds (e.g., MCl-1 inhibitor, Bcl-xL inhibitor or Bcl-2 inhibitor) or topoisomerase 1 inhibitors (e.g., topotecan, exatecan, deruxtecan or SN-38) or anti-mitotic drugs (e.g., monomethyl auristatin E (MMAE) or a taxane) may be assessed using an MTT cell viability assay, as described in the examples provided herein.
- BH3 mimetic compounds e.g., MCl-1 inhibitor, Bcl-xL inhibitor or Bcl-2 inhibitor
- topoisomerase 1 inhibitors e.g., topotecan, exatecan, deruxtecan or SN-38
- anti-mitotic drugs e.g., monomethyl auristatin E (MMAE) or a taxane
- the yellow tetrazolium MTT (3-(4, 5-dimethylthiazolyl-2)-2,5-diphenyltetrazolium bromide) is reduced by metabolically active cells, in part by the action of dehydrogenase enzymes, to generate reducing equivalents such as NADH and NADPH.
- the resulting intracellular purple formazan can then be solubilized and quantified by spectrophotometric means.
- the present disclosure features a method of killing, inhibiting or modulating the growth of a cancer cell or tissue by disrupting the expression and/or activity of Bcl-2 family protein (e.g., Mcl-1, Bcl-2 and/or Bcl-xL) and/or one or more upstream modulators or downstream targets thereof.
- Bcl-2 family protein e.g., Mcl-1, Bcl-2 and/or Bcl-xL
- the method may be used with any subject where disruption of Bcl-2 family protein expression and/or activity provides a therapeutic benefit.
- Subjects that may benefit from disrupting Bcl-2 family protein expression and/or activity include, but are not limited to, those having or at risk of having a cancer such as a tumor or a hematological cancer.
- the cancer is a breast cancer, multiple myeloma, plasma cell myeloma, leukemia, lymphoma, sarcoma, gastric cancer, bladder cancer, brain cancer, bone marrow cancer, cervical cancer, chronic lymphocytic leukemia, colorectal cancer, esophageal cancer, hepatocellular cancer, lymphoblastic leukemia including acute lymphoblastic leukemia, follicular lymphoma, lymphoid malignancies of T-cell or B-cell origin, melanoma, myelogenous leukemia, myeloma, oral cancer, ovarian cancer, non-small cell lung cancer, prostate cancer, small cell lung cancer, spleen cancer, pancreatic cancer, stomach cancer, colon cancer, or head and neck cancer.
- the cancer is a lymphoma or gastric cancer.
- the disclosed ADCs may be administered in any cell or tissue that expresses CD7, such as a CD7-expressing cancer cell or tissue.
- An exemplary embodiment includes a method of killing a CD7-expressing cancer cell or tissue. The method may be used with any cell or tissue that expresses CD7, such as a cancerous cell or a metastatic lesion.
- Non-limiting examples of CD7- expressing cancers include , multiple myeloma, plasma cell myeloma, leukemia, lymphoma, acute myeloid leukemia, , bone marrow cancer, chronic lymphocytic leukemia, lymphoblastic leukemia, follicular lymphoma, lymphoid malignancies of T-cell or B-cell origin, myelogenous leukemia, myeloma, chronic lymphocytic leukemia, or spleen cancer.
- Exemplary methods include the steps of contacting a cell with an ADC, as described herein, in an effective amount, i.e., an amount sufficient to kill the cell.
- the method can be used on cells in culture, e.g., in vitro, in vivo, ex vivo, or in situ.
- cells that express CD7 e.g., cells collected by biopsy of a tumor or metastatic lesion; cells from an established cancer cell line; or recombinant cells
- the contacting step can be affected by adding the ADC to the culture medium.
- the method will result in killing of cells expressing CD7, including in particular cancer cells expressing CD7.
- the ADC can be administered to a subject by any suitable administration route (e.g., intravenous, subcutaneous, or direct contact with a tumor tissue) to have an effect in vivo.
- the in vivo effect of a disclosed ADC therapeutic composition can be evaluated in a suitable animal model.
- xenogeneic cancer models can be used, wherein cancer explants or passaged xenograft tissues are introduced into immune compromised animals, such as nude or SCID mice (Klein et al. (1997) Nature Med.3:402-8). Efficacy may be predicted using assays that measure inhibition of tumor formation, tumor regression or metastasis, and the like.
- In vivo assays that evaluate the promotion of tumor death by mechanisms such as apoptosis may also be used.
- xenografts from tumor bearing mice treated with the therapeutic composition can be examined for the presence of apoptotic foci and compared to untreated control xenograft-bearing mice. The extent to which apoptotic foci are found in the tumors of the treated mice provides an indication of the therapeutic efficacy of the composition.
- a disorder e.g., a cancer.
- the compositions described herein, e.g., the ADCs disclosed herein can be administered to a non-human mammal or human subject for therapeutic purposes.
- the therapeutic methods include administering to a subject having or suspected of having a cancer a therapeutically effective amount of a composition comprising an ADC with a targeting antibody that binds to an antigen (e.g., CD7) (1) expressed on a cancer cell, (2) is accessible to binding, and/or (3) is localized or predominantly expressed on a cancer cell surface as compared to a non-cancer cell.
- An exemplary embodiment is a method of treating a subject having or suspected of having a cancer, comprising administering to the subject a therapeutically effective amount of a composition disclosed herein, e.g., an ADC, composition, or pharmaceutical composition (e.g., any of the exemplary ADCs, compositions, or pharmaceutical compositions disclosed herein).
- the cancer expresses a target antigen CD7.
- the cancer is a tumor or a hematological cancer.
- the cancer is a breast cancer, multiple myeloma, plasma cell myeloma, leukemia, lymphoma, sarcoma, gastric cancer, acute myeloid leukemia, bladder cancer, brain cancer, bone marrow cancer, cervical cancer, chronic lymphocytic leukemia, colorectal cancer, esophageal cancer, hepatocellular cancer, lymphoblastic leukemia including acute lymphoblastic leukemia, follicular lymphoma, lymphoid malignancies of T-cell or B-cell origin, melanoma, myelogenous leukemia, myeloma, oral cancer, ovarian cancer, non-small cell lung cancer, prostate cancer, small cell lung cancer, spleen cancer, pancreatic cancer, stomach cancer, colon cancer, or head and neck cancer.
- the cancer is a lymphoma or gastric cancer.
- Another exemplary embodiment is a method of delivering antineoplastic payloads (e.g. BH3 mimetics, topoisomerase 1 inhibitors, or anti-mitotic drugs) to a cell expressing CD7, comprising conjugating the antineoplastic payloads (e.g. BH3 mimetics, topoisomerase 1 inhibitors, or anti-mitotic drugs) to an antibody that immunospecifically binds to a CD7 epitope and exposing the cell to the ADC.
- antineoplastic payloads e.g. BH3 mimetics, topoisomerase 1 inhibitors, or anti-mitotic drugs
- Exemplary cancer cells that express CD7 for which the ADCs of the present disclosure are indicated include hematological cancer cells, such as multiple myeloma, plasma cell myeloma, leukemia, lymphoma, , acute myeloid leukemia, bone marrow cancer, chronic lymphocytic leukemia, lymphoblastic leukemia, follicular lymphoma, lymphoid malignancies of T-cell or B-cell origin, , myelogenous leukemia, myeloma, chronic lymphocytic leukemia.
- hematological cancer cells such as multiple myeloma, plasma cell myeloma, leukemia, lymphoma, , acute myeloid leukemia, bone marrow cancer, chronic lymphocytic leukemia, lymphoblastic leukemia, follicular lymphoma, lymphoid malignancies of T-cell or B-cell origin, , myelogenous leukemia, myel
- the present disclosure further provides methods of reducing or inhibiting growth of a tumor (e.g., a CD7-expressing tumor), comprising administering a therapeutically effective amount of an ADC or composition comprising an ADC.
- a tumor e.g., a CD7-expressing tumor
- the treatment is sufficient to reduce or inhibit the growth of the patient's tumor, reduce the number or size of metastatic lesions, reduce tumor load, reduce primary tumor load, reduce invasiveness, prolong survival time, and/or maintain or improve the quality of life.
- the tumor is resistant or refractory to treatment with the antibody or antigen-binding fragment of the ADC (e.g., anti-CD7 antibody or antigen- binding fragment) when administered alone, and/or the tumor is resistant or refractory to treatment with a BH3 mimetic drug moiety when administered alone.
- An exemplary embodiment is a method of reducing or inhibiting the growth of a tumor in a subject, comprising administering to the subject a therapeutically effective amount of an ADC, composition, or pharmaceutical composition (e.g., any of the exemplary ADCs, compositions, or pharmaceutical compositions disclosed herein).
- the tumor expresses a target antigen CD7.
- the tumor is a multiple myeloma, plasma cell myeloma, leukemia, lymphoma, acute myeloid leukemia, bone marrow cancer, chronic lymphocytic leukemia, lymphoblastic leukemia, follicular lymphoma, lymphoid malignancies of T-cell or B-cell origin, myelogenous leukemia, myeloma, chronic lymphocytic leukemia, or spleen cancer
- administration of the ADC, composition, or pharmaceutical composition reduces or inhibits the growth of the tumor by at least about 10%, at least about 20%, at least about 30%, at least about 40%, at least about 50%, at least about 60%, at least about 70%, at least about 80%, at least about 90%, at least about 95%, or at least about 99%, as compared to growth in the absence of treatment.
- An exemplary embodiment is a method of reducing or inhibiting the growth of a hematological cancer in a subject, comprising administering to the subject a therapeutically effective amount of an ADC, composition, or pharmaceutical composition (e.g., any of the exemplary ADCs, compositions, or pharmaceutical compositions disclosed herein).
- the hematological cancer expresses a target antigen.
- the target antigen is CD7.
- the hematological cancer is chronic lymphocytic leukemia (CLL), follicular lymphoma, mantle cell lymphoma, diffuse large B-cell lymphoma, acute lymphoblastic leukemia (ALL), acute myeloid leukemia (AML), chronic lymphocytic leukemia (CLL), chronic myelogenous leukemia (CML), chronic myelomonocytic leukemia (CMML), acute monocytic leukemia (AMoL), Hodgkin's lymphoma, non- Hodgkin's lymphoma or myelodysplasia syndrome (MDS).
- CLL chronic lymphocytic leukemia
- ALL acute lymphoblastic leukemia
- AML acute myeloid leukemia
- CLL chronic lymphocytic leukemia
- CML chronic myelogenous leukemia
- CML chronic myelomonocytic leukemia
- AoL acute monocytic leukemia
- administration of the ADC, composition, or pharmaceutical composition reduces or inhibits the growth of the hematological cancer by at least about 10%, at least about 20%, at least about 30%, at least about 40%, at least about 50%, at least about 60%, at least about 70%, at least about 80%, at least about 90%, at least about 95%, or at least about 99%, as compared to growth in the absence of treatment.
- Another exemplary embodiment is a method of delaying or slowing the growth of a tumor in a subject, comprising administering to the subject a therapeutically effective amount of an ADC, composition, or pharmaceutical composition (e.g., any of the exemplary ADCs, compositions, or pharmaceutical compositions disclosed herein).
- the tumor expresses a target antigen CD7.
- the tumor is multiple myeloma, plasma cell myeloma, leukemia, lymphoma, acute myeloid leukemia, bone marrow cancer, chronic lymphocytic leukemia, lymphoblastic leukemia, follicular lymphoma, lymphoid malignancies of T-cell or B-cell origin, myelogenous leukemia, myeloma, chronic lymphocytic leukemia, or spleen cancer.
- administration of the ADC, composition, or pharmaceutical composition delays or slows the growth of the tumor by at least about 10%, at least about 20%, at least about 30%, at least about 40%, at least about 50%, at least about 60%, at least about 70%, at least about 80%, at least about 90%, at least about 95%, or at least about 99%, as compared to growth in the absence of treatment.
- the present disclosure further provides methods of reducing or slowing the expansion of a cancer cell population (e.g., a CD7-expressing tumor), comprising administering a therapeutically effective amount of an ADC or composition comprising an ADC.
- An exemplary embodiment is a method of reducing or slowing the expansion of a cancer cell population in a subject, comprising administering to the subject a therapeutically effective amount of an ADC, composition, or pharmaceutical composition (e.g., any of the exemplary ADCs, compositions, or pharmaceutical compositions disclosed herein).
- the cancer cell population expresses a target antigen CD7.
- the cancer cell population is from a tumor or a hematological cancer.
- the cancer cell population is from a multiple myeloma, plasma cell myeloma, leukemia, lymphoma, acute myeloid leukemia, bone marrow cancer, chronic lymphocytic leukemia, lymphoblastic leukemia including acute lymphoblastic leukemia, follicular lymphoma, lymphoid malignancies of T-cell or B-cell origin, melanoma, myelogenous leukemia, myeloma,spleen cancer.
- the cancer cell population is from a lymphoma.
- administration of the ADC, composition, or pharmaceutical composition reduces the cancer cell population by at least about 10%, at least about 20%, at least about 30%, at least about 40%, at least about 50%, at least about 60%, at least about 70%, at least about 80%, at least about 90%, at least about 95%, or at least about 99%, as compared to the population in the absence of treatment.
- administration of the ADC, composition, or pharmaceutical composition slows the expansion of the cancer cell population by at least about 10%, at least about 20%, at least about 30%, at least about 40%, at least about 50%, at least about 60%, at least about 70%, at least about 80%, at least about 90%, at least about 95%, or at least about 99%, as compared to expansion in the absence of treatment.
- An exemplary embodiment is a method of determining whether a subject having or suspected of having a cancer will be responsive to treatment with an ADC, composition, or pharmaceutical composition (e.g., any of the exemplary ADCs, compositions, or pharmaceutical compositions disclosed herein) by providing a biological sample from the subject; contacting the sample with the ADC; and detecting binding of the ADC to cancer cells in the sample.
- the sample is a tissue biopsy sample, a blood sample, or a bone marrow sample.
- the method comprises providing a biological sample from the subject; contacting the sample with the ADC; and detecting one or more markers of cancer cell death in the sample (e.g., increased expression of one or more apoptotic markers, reduced expansion of a cancer cell population in culture, etc.).
- markers of cancer cell death in the sample e.g., increased expression of one or more apoptotic markers, reduced expansion of a cancer cell population in culture, etc.
- An exemplary embodiment is an ADC, composition, or pharmaceutical composition (e.g., any of the exemplary ADCs, compositions, or pharmaceutical compositions disclosed herein) for use in treating a subject having or suspected of having a cancer (e.g., a CD7-expressing cancer).
- Another exemplary embodiment is a use of an ADC, composition, or pharmaceutical composition (e.g., any of the exemplary ADCs, compositions, or pharmaceutical compositions disclosed herein) in treating a subject having or suspected of having a cancer (e.g., a CD7-expressing cancer).
- Another exemplary embodiment is a use of an ADC, composition, or pharmaceutical composition (e.g., any of the exemplary ADCs, compositions, or pharmaceutical compositions disclosed herein) in a method of manufacturing a medicament for treating a subject having or suspected of having a cancer (e.g., aa CD7-expressing cancer).
- ADCs of the present disclosure may be administered to a non-human mammal expressing an antigen with which the ADC is capable of binding for veterinary purposes or as an animal model of human disease. Regarding the latter, such animal models may be useful for evaluating the therapeutic efficacy of the disclosed ADCs (e.g., testing of dosages and time courses of administration).
- the therapeutic compositions used in the practice of the foregoing methods may be formulated into pharmaceutical compositions comprising a pharmaceutically acceptable carrier suitable for the desired delivery method.
- An exemplary embodiment is a pharmaceutical composition
- a pharmaceutical composition comprising an ADC of the present disclosure and a pharmaceutically acceptable carrier, e.g., one suitable for a chosen means of administration, e.g., intravenous administration.
- the pharmaceutical composition may also comprise one or more additional inactive and/or therapeutic agents that are suitable for treating or preventing, for example, a cancer (e.g., a standard-of-care agent, etc.).
- the pharmaceutical composition may also comprise one or more carrier, excipient, and/or stabilizer components, and the like. Methods of formulating such pharmaceutical compositions and suitable formulations are known in the art (see, e.g., "Remington's Pharmaceutical Sciences," Mack Publishing Co., Easton, PA).
- Suitable carriers include any material that, when combined with the therapeutic composition, retains the anti-tumor function of the therapeutic composition and is generally non-reactive with the patient's immune system.
- Pharmaceutically acceptable carriers include any and all solvents, dispersion media, coatings, antibacterial and antifungal agents, isotonic and absorption delaying agents, and the like that are physiologically compatible.
- Examples of pharmaceutically acceptable carriers include one or more of water, saline, phosphate buffered saline, dextrose, glycerol, ethanol, mesylate salt, and the like, as well as combinations thereof.
- isotonic agents are included, for example, sugars, polyalcohols such as mannitol, sorbitol, or sodium chloride in the composition.
- Pharmaceutically acceptable carriers may further comprise minor amounts of auxiliary substances such as wetting or emulsifying agents, preservatives or buffers, which enhance the shelf life or effectiveness of the ADC.
- a pharmaceutical composition of the present disclosure can be administered by a variety of methods known in the art. The route and/or mode of administration may vary depending upon the desired results. In some embodiments, the therapeutic formulation is solubilized and administered via any route capable of delivering the therapeutic composition to the cancer site.
- routes of administration include, but are not limited to, parenteral (e.g., intravenous, subcutaneous), intraperitoneal, intramuscular, intratumor, intradermal, intraorgan, orthotopic, and the like.
- the administration is intravenous, subcutaneous, intraperitoneal, or intramuscular.
- the pharmaceutically acceptable carrier should be suitable for the route of administration, e.g., intravenous or subcutaneous administration (e.g., by injection or infusion).
- the active compound(s) i.e., the ADC and/or any additional therapeutic agent, may be coated in a material to protect the compound(s) from the action of acids and other natural conditions that may inactivate the compound(s).
- the therapeutic compositions disclosed herein may be sterile and stable under the conditions of manufacture and storage, and may be in a variety of forms. These include, for example, liquid, semi- solid, and solid dosage forms, such as liquid solutions (e.g., injectable and infusible solutions), dispersions or suspensions, tablets, pills, powders, liposomes, and suppositories. The form depends on the intended mode of administration and therapeutic application.
- the disclosed ADCs can be incorporated into a pharmaceutical composition suitable for parenteral administration.
- the injectable solution may be composed of either a liquid or lyophilized dosage form in a flint or amber vial, ampule, or pre-filled syringe, or other known delivery or storage device.
- one or more of the ADCs or pharmaceutical compositions is supplied as a dry sterilized lyophilized powder or water free concentrate in a hermetically sealed container and can be reconstituted (e.g., with water or saline) to the appropriate concentration for administration to a subject.
- a therapeutically effective amount or efficacious amount of a disclosed composition e.g., a disclosed ADC, is employed in the pharmaceutical compositions of the present disclosure.
- compositions e.g., one comprising an ADC
- the composition may be formulated into a pharmaceutically acceptable dosage form by conventional methods known in the art. Dosages and administration protocols for the treatment of cancers using the foregoing methods will vary with the method and the target cancer, and will generally depend on a number of other factors appreciated in the art. [402] Dosage regimens for compositions disclosed herein, e.g., those comprising ADCs alone or in combination with at least one additional inactive and/or active therapeutic agent, may be adjusted to provide the optimum desired response (e.g., a therapeutic response).
- a single bolus of one or both agents may be administered at one time, several divided doses may be administered over a predetermined period of time, or the dose of one or both agents may be proportionally increased or decreased as indicated by the exigencies of the therapeutic situation.
- treatment involves single bolus or repeated administration of the ADC preparation via an acceptable route of administration.
- the ADC is administered to the patient daily, weekly, monthly, or any time period in between.
- specific dosage regimens may be adjusted over time according to the individual’s need, and the professional judgment of the treating clinician.
- Parenteral compositions may be formulated in dosage unit form for ease of administration and uniformity of dosage.
- Dosage unit form as used herein refers to physically discrete units suited as unitary dosages for the subjects to be treated; each unit contains a predetermined quantity of active compound calculated to produce the desired therapeutic effect in association with the required pharmaceutical carrier.
- Dosage values for compositions comprising an ADC and/or any additional therapeutic agent(s) may be selected based on the unique characteristics of the active compound(s), and the particular therapeutic effect to be achieved. A physician or veterinarian can start doses of the ADC employed in the pharmaceutical composition at levels lower than that required to achieve the desired therapeutic effect and gradually increase the dosage until the desired effect is achieved.
- effective doses of the compositions of the present disclosure, for the treatment of a cancer may vary depending upon many different factors, including means of administration, target site, physiological state of the patient, whether the patient is human or an animal, other medications administered, and whether treatment is prophylactic or therapeutic.
- the selected dosage level may also depend upon a variety of pharmacokinetic factors including the activity of the particular compositions of the present disclosure employed, or the ester, salt, or amide thereof, the route of administration, the time of administration, the rate of excretion of the particular compound being employed, the duration of the treatment, other drugs, compounds and/or materials used in combination with the particular compositions employed, the age, sex, weight, condition, general health and prior medical history of the patient being treated, and like factors.
- Treatment dosages may be titrated to optimize safety and efficacy.
- Toxicity and therapeutic efficacy of compounds provided herein can be determined by standard pharmaceutical procedures in cell culture or in animal models. For example, LD50, ED50, EC50, and IC50 may be determined, and the dose ratio between toxic and therapeutic effects (LD50/ED50) may be calculated as the therapeutic index.
- the data obtained from in vitro and in vivo assays can be used in estimating or formulating a range of dosage for use in humans.
- the compositions and methods disclosed herein may initially be evaluated in xenogeneic cancer models (e.g., an NCI-H929 multiple myeloma mouse model).
- an ADC or composition comprising an ADC is administered on a single occasion. In other embodiments, an ADC or composition comprising an ADC is administered on multiple occasions. Intervals between single dosages can be, e.g., daily, weekly, monthly, or yearly. Intervals can also be irregular, based on measuring blood levels of the administered agent (e.g., the ADC) in the patient in order to maintain a relatively consistent plasma concentration of the agent.
- the dosage and frequency of administration of an ADC or composition comprising an ADC may also vary depending on whether the treatment is prophylactic or therapeutic. In prophylactic applications, a relatively low dosage may be administered at relatively infrequent intervals over a long period of time. Some patients continue to receive treatment for the rest of their lives.
- a relatively higher dosage at relatively shorter intervals is sometimes required until progression of the disease is reduced or terminated, and preferably until the patient shows partial or complete amelioration of one or more symptoms of disease. Thereafter, the patient may be administered a lower, e.g., prophylactic regime.
- the above therapeutic approaches can be combined with any one of a wide variety of additional surgical, chemotherapy, or radiation therapy regimens.
- the ADCs or compositions disclosed herein are co-formulated and/or co-administered with one or more additional therapeutic agents, e.g., one or more chemotherapeutic agents, one or more standard-of-care agents for the particular condition being treated.
- Kits for use in the therapeutic and/or diagnostic applications described herein are also provided.
- Such kits may comprise a carrier, package, or container that is compartmentalized to receive one or more containers such as vials, tubes, and the like, each of the container(s) comprising one of the separate elements to be used in a method disclosed herein.
- a label may be present on or with the container(s) to indicate that an ADC or composition within the kit is used for a specific therapy or non-therapeutic application, such as a prognostic, prophylactic, diagnostic, or laboratory application.
- a label may also indicate directions for either in vivo or in vitro use, such as those described herein.
- a kit comprises an ADC or composition comprising an ADC.
- the kit further comprises one or more additional components, including but not limited to: instructions for use; other reagents, e.g., a therapeutic agent (e.g., a standard-of-care agent); devices, containers, or other materials for preparing the ADC for administration; pharmaceutically acceptable carriers; and devices, containers, or other materials for administering the ADC to a subject.
- a therapeutic agent e.g., a standard-of-care agent
- kits, or other materials for preparing the ADC for administration e.g., a standard-of-care agent
- pharmaceutically acceptable carriers e.g., a standard-of-care agent
- the kit comprises an ADC and instructions for use of the ADC in treating, preventing, and/or diagnosing a cancer.
- BCL2 family member e.g., Bcl-xL
- Antibody-drug conjugates that may not be sufficiently effective as monotherapy to treat cancer can be administered in combination with other therapeutic agents (including non-targeted and targeted therapeutic agents) or radiation therapy (including radioligand therapy) to provide therapeutic benefit.
- other therapeutic agents including non-targeted and targeted therapeutic agents
- radiation therapy including radioligand therapy
- the ADCs described herein sensitize tumor cells to the treatment with other therapeutic agents (including standard of care chemotherapeutic agents to which the tumor cells may have developed resistance) and/or radiation therapy.
- antibody drug conjugates described herein are administered to a subject having cancer in an amount effective to sensitize the tumor cells.
- the term “sensitize” means that the treatment with ADC increases the potency or efficacy of the treatment with other therapeutic agents and/or radiation therapy against tumor cells. 3.
- Combination Therapies [410] In some embodiments, the present disclosure provides methods of treatment wherein the antibody-drug conjugates disclosed herein are administered in combination with one or more (e.g., 1 or 2) additional therapeutic agents. Exemplary combination partners are disclosed herein. [411] In some embodiments, a combination described herein comprises a vinca alkaloid. [412] Vinca alkaloids include, but are not limited to, vincristine, vinblastine, and leurosine. [413] In some embodiments, a combination described herein comprises a topoisomerase inhibitor.
- Topoisomerase inhibitors include, but are not limited to, topotecan, irinotecan, camptothecin, diflomotecan, lamellarin D, ellipticines, etoposide (VP-16), teniposide, doxorubicin, daunorubicin, mitoxantrone, amsacrine, aurintricarboxylic acid, and HU-331.
- a combination described herein comprises a hypomethylating agent (HMA).
- the HMA is chosen from decitabine or azacitidine.
- a combination described herein comprises a glucocorticoid.
- the glucocorticoid is dexamethasone.
- a combination described herein comprises asparaginase.
- a combination described herein comprises an inhibitor acting on any pro- survival proteins of the Bcl2 family including Bcl2i, Bclxli and Mcl1i inhibitor.
- a combination described herein comprises a Bcl-2 inhibitor.
- the Bcl-2 inhibitor is venetoclax (also known as ABT-199): ( venetoclax).
- the Bcl-2 inhibitor is selected from the compounds described in WO 2013/110890 and WO 2015/011400.
- the Bcl-2 inhibitor comprises navitoclax (ABT-263), ABT-737, BP1002, SPC2996, APG-1252, obatoclax mesylate (GX15-070MS), PNT2258, Zn-d5, BGB-11417, or oblimersen (G3139).
- the Bcl-2 inhibitor is N-(4- hydroxyphenyl)-3-[6-[(3S)-3-(morpholinomethyl)-3,4-dihydro-1H-isoquinoline-2-carbonyl]-1,3- benzodioxol-5-yl]-N-phenyl-5,6,7,8-tetrahydroindolizine-1-carboxamide, compound A1:
- the Bcl-2 inhibitor is (S)-5-(5-chloro-2-(3-(morpholinomethyl)-1,2,3,4- tetrahydroisoquinoline-2-carbonyl)phenyl)-N-(5-cyano-1,2-dimethyl-1H-pyrrol-3-yl)-N-(4- hydroxyphenyl)-1,2-dimethyl-1H-pyrrole-3-carboxamide), compound A2: (compound A2).
- the antibody-drug conjugates or combinations disclosed herein are suitable for the treatment of cancer in vivo.
- the combination can be used to inhibit the growth of cancerous tumors.
- the combination can also be used in combination with one or more of: a standard of care treatment (e.g., for cancers or infectious disorders), a vaccine (e.g., a therapeutic cancer vaccine), a cell therapy, a hormone therapy (e.g., with anti-estrogens or anti-androgens), a radiation therapy, surgery, or any other therapeutic agent or modality, to treat a disorder herein.
- a standard of care treatment e.g., for cancers or infectious disorders
- a vaccine e.g., a therapeutic cancer vaccine
- a cell therapy e.g., a hormone therapy (e.g., with anti-estrogens or anti-androgens)
- a radiation therapy e.g., surgery, or any other therapeutic agent or modality
- the combination can be administered together with an antigen of interest.
- a combination disclosed herein can be administered in either order or simultaneously.
- the present invention provides various methods of conjugating Linker-Drug groups of the invention to antibodies or antibody fragments to produce Antibody Drug Conjugates which comprise a linker having one or more hydrophilic moieties.
- a general reaction scheme for the formation of Antibody Drug Conjugates of Formula (A) is shown in Scheme 1 below: Scheme 1 [424] where: RG2 is a reactive group which reacts with a compatible R100 group to form a corresponding R 1 group (such groups are illustrated in Table F and Table G). D 1 , D 2 , R 1 , L 1 , L 2’ , L 3’ , Ab, W, a, R 1 and R 100 are as defined herein.
- Scheme 3 illustrates this approach for the formation of Antibody Drug Conjugates of Formula (Ab4) wherein a free thiol group generated from the engineered cysteine residues in the antibody react with an R 100 group (where R 100 is a maleimide) to covalently attach the Linker-Drug group to the antibody via an R 1 group (where R 1 is a succinimide ring).
- R 100 where R 100 is a maleimide
- R 1 where R 1 is a succinimide ring
- Scheme 3 shows the antibody having four free thiol groups.
- Linker-Drug groups are conjugated to antibodies via lysine residues in the antibodies.
- Scheme 4 illustrates this approach for the formation of Antibody Drug Conjugates of Formula (Ab6) wherein a free amine group from the lysine residues in the antibody react with an R 100 group (where R 100 is an NHS ester, a pentafluorophenyl or a tetrafluorophenyl) to covalently attach the Linker- Drug group to the antibody via an R 1 group (where R 1 is an amide).
- R 100 is an NHS ester, a pentafluorophenyl or a tetrafluorophenyl
- R 1 group where R 1 is an amide
- Linker-Drug groups are conjugated to antibodies via formation of an oxime bridge at the naturally occurring disulfide bridges of an antibody.
- the oxime bridge is formed by initially creating a ketone bridge by reduction of an interchain disulfide bridge of the antibody and re-bridging using a 1,3-dihaloacetone (e.g.1,3-dichloroacetone). Subsequent reaction with a Linker-Drug group comprising a hydroxyl amine thereby form an oxime linkage (oxime bridge) which attaches the Linker- Drug group to the antibody (see for example WO2014/083505).
- Scheme 5 illustrates this approach for the formation of Antibody Drug Conjugates of Formula (Ab9).
- RG2 is a reactive group which reacts with a compatible R100 group to form a corresponding R 1 group (such groups are illustrated in Table F and Table G).
- D 1 , D 2 , R 1 , L 1 , W, L 2 , L 3 , E 1 , E 2 , L 4 , L 5 , A 1 , A 2 , R 2 , R 3 , Ab, a and R 100 are as defined herein.
- Linker-Drug groups are conjugated to antibodies via modified cysteine residues in the antibodies (see for example WO2014/124316).
- Scheme 8 illustrates this approach for the formation of Antibody Drug Conjugates of Formula (Ab13) wherein a free thiol group generated from the engineered cysteine residues in the antibody react with an R 100 group (where R 1 is a maleimide) to covalently attach the Linker-Drug group to the antibody via an R 1 group (where R 1 is a succinimide ring).
- R 100 group where R 1 is a maleimide
- R 1 group where R 1 is a succinimide ring
- Linker-Drug groups are conjugated to antibodies via lysine residues in the antibodies.
- Scheme 9 illustrates this approach for the formation of Antibody Drug Conjugates of Formula (Ab15) wherein a free amine group from the lysine residues in the antibody react with an R 100 group (where R 100 is an NHS ester, a pentafluorophenyl or a tetrafluorophenyl) to covalently attach the Linker- Drug group to the antibody via an R 1 group (where R 1 is an amide).
- R 100 group where R 100 is an NHS ester, a pentafluorophenyl or a tetrafluorophenyl
- R 1 group where R 1 is an amide
- Linker-Drug groups are conjugated to antibodies via formation of an oxime bridge at the naturally occurring disulfide bridges of an antibody.
- the oxime bridge is formed by initially creating a ketone bridge by reduction of an interchain disulfide bridge of the antibody and re-bridging using a 1,3-dihaloacetone (e.g.1,3-dichloroacetone). Subsequent reaction with a Linker-Drug group comprising a hydroxyl amine thereby form an oxime linkage (oxime bridge) which attaches the Linker- Drug group to the antibody (see for example WO2014/083505).
- Scheme 10 illustrates this approach for the formation of Antibody Drug Conjugates of Formula (Ab18).
- conjugates have favorable properties, for example properties that would make them easier to manufacture, easier to administer to patients, more efficacious, and/or potentially safer for patients.
- One example is the determination of molecular size by size exclusion chromatography (SEC) wherein the amount of desired antibody species in a sample is determined relative to the amount of high molecular weight contaminants (e.g., dimer, multimer, or aggregated antibody) or low molecular weight contaminants (e.g., antibody fragments, degradation products, or individual antibody chains) present in the sample.
- SEC size exclusion chromatography
- hydrophobicity by hydrophobic interaction chromatography (HIC) wherein the hydrophobicity of a sample is assessed relative to a set of standard antibodies of known properties.
- HIC hydrophobic interaction chromatography
- Payload P1 was prepared according to the method described in Example 30 of International PCT publication WO2015/097123. Below is a table showing structures of exemplary payloads P1, P2, and P4- P6.
- payloads P1, P2, and P4-P6 are BH3 mimetics, which correspond to Mcl-1 inhibitor D1-1, Bcl-2 inhibitors D3-1, D3-3, and Bcl-xL inhibitors D2-25 and D2-1, respectively.
- TLC Thin layer chromatography was conducted with 5 x 10 cm plates coated with Merck Type 60 F254 silica-gel.
- Microwave Reactions [447] Microwave heating was performed with a CEM Discover® SP, or with an Anton Paar Monowave Microwave Reactor.
- NMR [449] 1H-NMR measurements were performed on a Bruker Avance III 500 MHz spectrometer, a Bruker Avance III 400 MHz spectrometer, or a Bruker DPX-400 spectrometer using DMSO-d 6 or CDCl 3 as solvent.
- 1H NMR data is in the form of delta values, given in part per million (ppm), using the residual peak of the solvent (2.50 ppm for DMSO-d 6 and 7.26 ppm for CDCl 3 ) as internal standard.
- Splitting patterns are designated as: s (singlet), d (doublet), t (triplet), q (quartet), quint (quintet), sept (septet), m (multiplet), br s (broad singlet), dd (doublet of doublets), td (triplet of doublets), dt (doublet of triplets), ddd (doublet of doublet of doublets).
- Acidic LCMS KINATEX XB-C18-100A, 2.6 !m, 50 mm*2.1 mm column at 40 °C, at a flow rate of 1 mL min-1 using 0.02% v/v aqueous formic acid (Solvent A) and 0.02% v/v formic acid in acetonitrile (Solvent B) with a gradient starting from 100% Solvent A and finishing at 100% Solvent B over various/certain duration of time.
- Certain other compounds of the present invention were characterized HPLC-MS under specific named methods as follows. For all of these methods UV detection was by diode array detector at 230, 254, and 270 nm. Sample injection volume was 1 !L.
- LCMS-V-B methods [459] Using an Agilent 1200 SL series instrument linked to an Agilent MSD 6140 single quadrupole with an ESI-APCI multimode source (Methods LCMS-V-B1 and LCMS-V-B2) or using an Agilent 1290 Infinity II series instrument connected to an Agilent TOF 6230 with an ESI-jet stream source (Method LCMS-V-B1); column: Thermo Accucore 2.6 ⁇ m, C18, 50 mm x 2.1 mm at 55 oC.
- the mass spectrometer was a Waters Micromass ZQ2000 spectrometer, operating in positive or negative ion electrospray ionisation modes, with a molecular weight scan range of 150 to 1000.
- HPLC-V-B methods [472] Performed on an AccQPrep HP125 (Teledyne ISCO) system, with a Gemini® NX 5 ⁇ m C18(2), 150 mm ⁇ 21.2 mm i.d. column from Phenomenex, running at a flow rate of 20 cm 3 min -1 with UV (214 and 254 nm) and ELS detection. [473] Method HPLC-V-B1 (pH 4): [474] Solvent A: water + 0.08% (v/v) formic acid; solvent B: acetonitrile + 0.08% (v/v) formic acid.
- High-resolution MS [482] High-resolution mass spectra were acquired on an Agilent 6230 time-of-flight mass spectrometer P[_TZZPO aT ⁇ S L @P ⁇ G ⁇ PLW PVPN ⁇ Y]Z ⁇ Lc TYX ]Y_ ⁇ NP TX ZY]T ⁇ T ⁇ P TYX WYOP( ?XUPN ⁇ TYX] YQ *(/nV aP ⁇ P OT ⁇ PN ⁇ PO to the mass spectrometer at a flow rate 1.5 ml/min (5mM ammonium-formate in water and acetonitrile gradient program), using an Agilent 1290 Infinity HPLC system.
- Jet Stream parameters drying gas (N2) flow and temperature: 8.0 l/min and 325 °C, respectively; nebulizer gas (N2) pressure: 30 psi; capillary voltage: 3000 V; sheath gas flow and temperature: 325 °C and 10.0 l/min; TOFMS parameters: fragmentor voltage: 100 V; skimmer potential: 60 V; OCT 1 RF Vpp:750 V. Full-scan mass spectra were acquired over the m/z range 105-1700 at an acquisition rate of 995.6 ms/spectrum and processed by Agilent MassHunter B.04.00 software.
- Step A [(pent-4-yn-1-yloxy)methyl]benzene [501] To an oven-dried flask was added 4-pentyn-1-ol (11.1 mL, 119 mmol, 1 eq) in THF (100 mL) and the solution was cooled to 0°C.
- Step B [(hex-4-yn-1-yloxy)methyl]benzene [503] To an oven-dried flask was added the product from Step A (19.5 g, 112 mmol, 1 eq) and tetrahydrofuran (200 mL) and the solution was cooled to -78 °C.
- n-Butyllithium (2M solution in hexanes, 66.9 mL, 135 mmol, 1.2 eq) was added dropwise over 30 min and the reaction was stirred for 1 h then iodomethane (10.5 mL, 168 mmol, 1.5 eq) was added dropwise and the mixture was allowed to warm to 0 °C over 1 h.
- Step C 4-[3-(benzyloxy)propyl]-3,6-dichloro-5-methylpyridazine
- a solution of 3,6-dichloro-1,2,4,5-tetrazine (5 g, 33.1 mmol, 1 eq) and the product from Step B (7.48 g, 39.8 mmol, 1.2 eq) in tetrahydrofuran (30 mL) was heated at 160°C for 19 h in a sealed flask. The reaction was allowed to cool to ambient temperature then concentrated in vacuo.
- Step D 3-(3,6-dichloro-5-methyl-pyridazin-4-yl)propan-1-ol
- Preparation B 3,6-dichloro-4-(3-iodopropyl)-5-methyl-pyridazine
- Step A 3-bromo-5,7-dimethyladamantane-1-carboxylic acid
- bromine 30.7 mL, 600 mmol, 5 eq
- 3,5- dimethyladamantane-1-carboxylic acid 25 g, 1 eq
- EtOAc the reaction mixture was treated carefully with a saturated solution of sodium-thiosulfate at 0 °C and stirred for 15 min.
- Step B 3-bromo-5,7-dimethyl-1-adamantyl-methanol
- Step C 1-[3-bromo-5,7-dimethyl-1-adamantyl]methyl]pyrazole [516] To the product from Step B (16.19 g, 59.26 mmol) and 1H-pyrazole (4.841 g, 1.2 eq) in toluene (178 mL) was added cyanomethylenetributylphosphorane (18.64 mL, 1.2 eq) in one portion and the reaction mixture was stirred at 90 °C for 2 h. Purification by column chromatography (silica gel, heptane and MTBE as eluents) afforded the desired product (17.88 g, 93%).
- Step D 5-methyl-1-[[-3-bromo-5,7-dimethyl-1-adamantyl]methyl]pyrazole [518] To the solution of the product from Step C (17.88 g, 55.3 mmol) in THF (277 mL) was added butyllithium (2.5 M in THF, 66 mL, 3 eq) at -78 °C, then after 1 h, iodomethane (17.2 mL, 5 eq) was added.
- Step E 2-[[-3,5-dimethyl-7-[(5-methylpyrazol-1-yl)methyl]-1-adamantyl]oxy]ethanol
- the mixture of the product from Step D (18.7 g, 55.3 mmol), ethylene glycol (123 mL, 40 eq), and DIPEA (48.2 mL, 5 eq) was stirred at 120 °C for 6 h. After the reaction mixture was diluted with water and extracted with EtOAc, the combined organic layers were dried and concentrated to give the desired product (18.5 g, 105%), which was used in the next step without further purification.
- Step F tert-butyl-diphenyl-[2-[[-3,5-dimethyl-7-[(5-methylpyrazol-1-yl)methyl]-1- adamantyl]oxy]ethoxy]silane [522] To the mixture of the product from Step E (17.6 g, 55.3 mmol) and imidazole (5.65 g, 1.5 eq) in DCM (150 ml) was added tert-butyl-chloro-diphenyl-silane (18.6 g, 1.2 eq) and the reaction mixture was stirred for 1 h.
- Step G tert-butyl-diphenyl-[2-[[3-[(4-iodo-5-methyl-pyrazol-1-yl)methyl]-5,7-dimethyl-1- adamantyl]oxy]ethoxy]silane [524] To the solution of the product from Step F (27.0 g, 48.56 mmol) in DMF (243 mL) was added N- iodosuccinimide (13.6 g, 1.25 eq) and the reaction mixture was stirred for 2 h. After the dilution with water, the mixture was extracted with DCM.
- Step H tert-butyl-diphenyl-[2-[[3,5-dimethyl-7-[[5-methyl-4-(4,4,5,5-tetramethyl-1,3,2- dioxaborolan-2-yl)pyrazol-1-yl]methyl]-1-adamantyl]oxy]ethoxy]silane
- Step B methyl 3-bromo-6-(tert-butoxycarbonylamino)pyridine-2-carboxylate [531] To the product from Step A (42.7 g, 74.34 mmol) in DCM (370 mL) was added TFA (17.1 mL, 3 eq) at 0 °C and the reaction mixture was stirred for 18 h.
- Step C methyl 3-bromo-6-[tert-butoxycarbonyl-[3-(3,6-dichloro-5-methyl-pyridazin-4- yl)propyl]amino]pyridine-2-carboxylate
- Cs2CO3 29.5 g, 3 eq
- Preparation B 9.9 g, 1 eq
- Step D methyl 3-bromo-6-[3-(3,6-dichloro-5-methyl-pyridazin-4-yl)propylamino]pyridine-2- carboxylate
- Step C The product from Step C (17.5 g, 32.7 mmol) in 1,1,1,3,3,3-hexafluoroisopropanol (330 mL) was stirred at 110 °C for 18 h. Purification by column chromatography (silica gel, heptane and EtOAc as eluents) afforded the desired product (9.9 g, 70%).
- Step B (4-methoxyphenyl)methyl 3-bromo-6-[3-(3,6-dichloro-5-methyl-pyridazin-4- yl)propylamino]pyridine-2-carboxylate
- 4-methoxyphenyl)methanol (16.4 mL, 2 eq)
- PPh 3 (34.6 g, 2 eq)
- toluene 6 mL
- THF 20 ml
- Step B (4-methoxyphenyl)methyl 3-[1-[[3-[2-[tert-butyl(diphenyl)silyl]oxyethoxy]-5,7-dimethyl- 1-adamantyl]methyl]-5-methyl-pyrazol-4-yl]-6-(3-chloro-4-methyl-6,7-dihydro-5H-pyrido[2,3- c]pyridazin-8-yl)pyridine-2-carboxylate [545] The mixture of the product from Step A (21.9 g, 21.6 mmol), Cs2CO3 (14 g, 2 eq), DIPEA (7.5 mL, 2 eq) and Pd(Ataphos) 2 Cl 2 (954 mg, 0.1 eq) in 1,4-dioxane (108 mL) was stirred at 110 °C for 18 h.
- Step C (4-methoxyphenyl)methyl 6-(3-chloro-4-methyl-6,7-dihydro-5H-pyrido[2,3-c]pyridazin- 8-yl)-3-[1-[[3-(2-hydroxyethoxy)-5,7-dimethyl-1-adamantyl]methyl]-5-methyl-pyrazol-4-yl]pyridine-2- carboxylate [547] To the product from Step B (8.4 g, 8.6 mmol) in THF (86 mL) was added a 1 M solution of TBAF in THF (9.4 mL, 1.1 eq) at 0 °C and the reaction mixture was stirred at room temperature for 1.5 h.
- Step D (4-methoxyphenyl)methyl 6-[3-(1,3-benzothiazol-2-ylamino)-4-methyl-6,7-dihydro-5H- pyrido[2,3-c]pyridazin-8-yl]-3-[1-[[3-(2-hydroxyethoxy)-5,7-dimethyl-1-adamantyl]methyl]-5-methyl- pyrazol-4-yl]pyridine-2-carboxylate [549] The mixture of the product from Step C (4.7 g, 6.3 mmol), 1,3-benzothiazol-2-amine (1.9 g, 2 eq), Pd 2 dba 3 (580 mg, 0.1 eq), XantPhos (730 mg, 0.2 eq), and DIPEA (3.3 mL, 3 eq) in cyclohexanol (38 mL) was stirred at 130 °C for 2 h.
- Step E (4-methoxyphenyl)methyl 6-[3-(1,3-benzothiazol-2-ylamino)-4-methyl-6,7-dihydro-5H- pyrido[2,3-c]pyridazin-8-yl]-3-[1-[[3,5-dimethyl-7-[2-(p-tolylsulfonyloxy)ethoxy]-1-adamantyl]methyl]- 5-methyl-pyrazol-4-yl]pyridine-2-carboxylate [551] To the product from Step D (3.83 g, 4.48 mmol) and triethylamine (1.87 mL, 3 eq) in DCM (45 mL) was added p-tolylsulfonyl 4-methylbenzenesulfonate (2.19 g, 1.5 eq) and the reaction mixture was stirred for 2 h.
- Step B methyl 2-(tert-butoxycarbonylamino)-5-(3-hydroxyprop-1-ynyl)thiazole-4-carboxylate
- a 500 mL oven-dried, one-necked, round-bottom flask was equipped with a PTFE-coated magnetic stirring bar and fitted with a reflux condenser.
- Step C methyl 2-(tert-butoxycarbonylamino)-5-(3-hydroxypropyl)thiazole-4-carboxylate
- An 1 L oven-dried pressure bottle equipped with a PTFE-coated magnetic stir bar was charged with 44.75 g of the product from Step B (143.3 mmol, 1 equiv), 7.62 Pd/C ( 7.17 mmol, 0.05 equiv) in 340 mL ethanol, and then placed under a nitrogen atmosphere using hydrogenation system. After that, it was filled with 4 bar H2 gas and stirred at rt overnight. Full conversion was observed, but only the olefin product was formed.
- Step D methyl 2-(tert-butoxycarbonylamino)-5-[3-(2-fluoro-4-iodo-phenoxy)propyl]thiazole-4- carboxylate
- Step A methyl 2- ⁇ [(tert-butoxy)carbonyl][3-(3,6-dichloro-5-methylpyridazin-4- yl)propyl]amino ⁇ -5-[3-(2-fluoro-4-iodophenoxy)propyl]-1,3-thiazole-4-carboxylate
- Step A Using Mitsunobu General Procedure I starting from 4.85 g Preparation G (9.04 mmol, 1 equiv) as the appropriate carbamate and 2 g Preparation A (9.04 mmol, 1 equiv) as the appropriate alcohol, 4.6 g of the desired product (69% Yield) was obtained.
- Step B methyl 2-[3-(3,6-dichloro-5-methyl-pyridazin-4-yl)propylamino]-5-[3-(2-fluoro-4-iodo- phenoxy)propyl]thiazole-4-carboxylate
- Step B Using Deprotection with HFIP General Procedure starting from the product from Step A as the appropriate carbamate, 3.70 g the desired product (97% Yield) was obtained.
- 1 H NMR 500 MHz, DMSO-d6$ j ZZW 1(1+ # ⁇ & + >$& 1(/3 #OO& + >$& 1(..
- Step C methyl 2-(3-chloro-4-methyl-6,7-dihydro-5H-pyrido[2,3-c]pyridazin-8-yl)-5-[3-(2-fluoro- 4-iodo-phenoxy)propyl]thiazole-4-carboxylate
- a suspension of 3 g of the product from Step B (4.69 mmol, 1 eq) and 1.81 g cesium carbonate (9.3853 mmol, 2 eq.) were stirred at 80°C for 3 h in 25 mL dry 1,4-dioxane to reach complete conversion.
- Step B methyl 2-[3-(1,3-benzothiazol-2-ylamino)-4-methyl-6,7-dihydro-5H-pyrido[2,3- c]pyridazin-8-yl]-5-[3-[4-[3-[tert-butyl(dimethyl)silyl]oxyprop-1-ynyl]-2-fluoro- phenoxy]propyl]thiazole-4-carboxylate [573] Using Buchwald General Procedure II starting from 2.8 g of the product from Step A (4.34 mmol, 1.0 eq.) and 1.30 g 1,3-benzothiazol-2-amine (8.67 mmol, 2.0 eq.), 2.1 g of the desired product (64% Yield) was obtained.
- Step C methyl 2-[3-(1,3-benzothiazol-2-ylamino)-4-methyl-6,7-dihydro-5H-pyrido[2,3- c]pyridazin-8-yl]-5-[3-[2-fluoro-4-(3-hydroxyprop-1-ynyl)phenoxy]propyl] thiazole-4-carboxylate [575] A 100 mL oven-dried, one-necked, round-bottom flask was equipped with a PTFE-coated magnetic stirring bar and fitted with a reflux condenser.
- Step A (3R)-3-methyl-1,2,3,4-tetrahydroisoquinoline hydrochloride
- Step B benzyl 6-[4-(ethoxycarbonyl)-1,5-dimethylpyrrol-2-yl]-7- ⁇ [(3R)-3-methyl-3,4-dihydro- 1H-isoquinolin-2-yl]carbonyl ⁇ -3,4-dihydro-1H-isoquinoline-2-carboxylate
- the mixture was diluted with water (120 mL), stirred for 15 mins and the resultant cream precipitate was collected by filtration, washing with water.
- the filter cake was dissolved in DCM and washed with sat. aq. NaHCO 3 solution and water, dried over MgSO 4 and concentrated in vacuo to afford the title product (3.7 g, 6.11 mmol, 97%).
- Step C ethyl 1,2-dimethyl-5-(7- ⁇ [(3R)-3-methyl-3,4-dihydro-1H-isoquinolin-2-yl]carbonyl ⁇ - 1,2,3,4-tetrahydroisoquinolin-6-yl)pyrrole-3-carboxylate
- MeOH 70 mL
- EtOH 20 mL
- Pd/C 100 mg
- Step D tert-butyl 6-[4-(ethoxycarbonyl)-1,5-dimethylpyrrol-2-yl]-7- ⁇ [(3R)-3-methyl-3,4-dihydro- 1H-isoquinolin-2-yl]carbonyl ⁇ -3,4-dihydro-1H-isoquinoline-2-carboxylate [614] To a solution of the product from Step C (2.94 g, 6.23 mmol, 1 eq.) in THF (45 mL) and water (6 mL) was added bis(tert-butyl) dicarbonate (1.43 g, 6.55 mmol, 1.05 eq.) followed by TEA (1.73 mL, 12.47 mmol, 2 eq.) and the mixture stirred at rt for 12 h.
- Step E 5-[2-(tert-butoxycarbonyl)-7- ⁇ [(3R)-3-methyl-3,4-dihydro-1H-isoquinolin-2- yl]carbonyl ⁇ -3,4-dihydro-1H-isoquinolin-6-yl]-1,2-dimethylpyrrole-3-carboxylic acid
- LiOH.H2O 995 mg, 23.72 mmol, 4 eq.
- MeOH 40 mL
- water 20 mL
- Step C tert-butyl 6-[4-( ⁇ 4-[(tert-butyldimethylsilyl)oxy]phenyl ⁇ (5-cyano-1,2-dimethylpyrrol-3- yl)carbamoyl)-1,5-dimethylpyrrol-2-yl]-7- ⁇ [(3R)-3-methyl-3,4-dihydro-1H-isoquinolin-2-yl]carbonyl ⁇ - 3,4-dihydro-1H-isoquinoline-2-carboxylate [634] The title compound was prepared according to General procedure 2a using Preparation IIa (2.5 g, 4.6 mmol, 1 eq.) as the appropriate acid and the product from Step B (3.14 g
- Step D N-(5-cyano-1,2-dimethylpyrrol-3-yl)-N-(4-hydroxyphenyl)-1,2-dimethyl-5-(7- ⁇ [(3R)-3- methyl-3,4-dihydro-1H-isoquinolin-2-yl]carbonyl ⁇ -1,2,3,4-tetrahydroisoquinolin-6-yl)pyrrole-3- carboxamide hydrochloride [637] A solution of the product from Step C (2.8 g, 3.23 mmol, 1 eq.) in MeOH (5 mL) was treated with 3 M HCl in MeOH (10 m
- Step B ⁇ 4-[2-(morpholin-4-yl)ethoxy]phenyl ⁇ acetic acid
- the product from Step A (3.26 g, 11.67 mmol, 1 eq.) was hydrolysed using General procedure 8 to afford the title product (3.1 g, 11.63 mmol, quant).
- Step A 1,2-dimethyl-5-(7- ⁇ [(3R)-3-methyl-3,4-dihydro-1H-isoquinolin-2-yl]carbonyl ⁇ -1,2,3,4- tetrahydroisoquinolin-6-yl)pyrrole-3-carboxylic acid hydrochloride
- a solution of Preparation IIa (3 g, 5.52 mmol, 1 eq.) in MeOH (20 mL) was treated with 3 M HCl in MeOH (20 mL, 60 mmol) and stirred at rt for 3 h. The solvents were removed in vacuo and dried under vacuum to afford the title product (2.71 g, quant.).
- Step B 1,2-dimethyl-5-(7- ⁇ [(3R)-3-methyl-3,4-dihydro-1H-isoquinolin-2-yl]carbonyl ⁇ -2-(2- ⁇ 4- [2-(morpholin-4-yl)ethoxy]phenyl ⁇ acetyl)-3,4-dihydro-1H-isoquinolin-6-yl)pyrrole-3-carboxylic acid
- Preparation Va (1 g, 3.77 mmol, 1 eq) in anhydrous DCM (10 mL) under N2
- 2 M oxalyl chloride solution in DCM (0.43 mL, 4.52 mmol, 1.2 eq.
- Step A of Preparation IIa After stirring for 10 mins the product from Step A of Preparation IIa (18.6 g, 101 mmol, 1.05 eq.) was added and the mixture was stirred at rt for 1h then it was poured into water (1500 mL) and the precipitates were filtered out, washed with water.
- This crude intermediate was dissolved in methanol (250 mL) and water (25 mL) then NaOH (28 g, 700 mmol, 7.3 eq.) was added and mixture was stirred at reflux temperature for 18 h. Evaporated at reduced pressure, then the pH was adjusted to 6 by the addition of cc. aq. HCl.
- Step B 5-[2-(9H-fluoren-9-ylmethoxycarbonyl)-7-[(3R)-3-methyl-3,4-dihydro-1H-isoquinoline- 2-carbonyl]-3,4-dihydro-1H-isoquinolin-6-yl]-1,2-dimethyl-pyrrole-3-carboxylic acid [663] To the biphasic mixture of the product from Step A (13.96 g, 28.33 mmol, 1 eq.) dissolved in dioxane (160 mL) and NaHCO3 (5.47 g, 65.2 mmol, 2.3 eq.) dissolved in water (160 mL) 9H-fluoren-9- ylmethyl carbonochloridate (8.06 g, 31.2 mmol, 1.1
- Step D N-[4-[tert-butyl(dimethyl)silyl]oxyphenyl]-N-(5-cyano-1,2-dimethyl-pyrrol-3-yl)-1,2- dimethyl-5-[7-[(3R)-3-methyl-3,4-dihydro-1H-isoquinoline-2-carbonyl]-1,2,3,4-tetrahydroisoquinolin-6- yl]pyrrole-3-carboxamide [671] To a solution of the product from Step C (8.12 g, 8.21 mmol, 1 eq.) in DCM (41 mL) morpholine (41 mL, 475 mmol, 58 eq.) was added then the mixture was stirred at rt for 18 h.
- Step 1 Ethyl 1,2-dimethyl-1H-pyrrole-3-carboxylate
- ethyl 2-methyl-1H-pyrrole-3-carboxylate 10 g, 65.3 mmol
- methyl iodide 8.95 mL, 130.6 mmol
- sodium hydride 60 % w/w (2.6 g, 65.3 mmol)
- the reaction mixture is stirred at 0°C for 1 hour.
- reaction mixture is hydrolysed by addition of 420 mL of ice-cold water, diluted with ethyl acetate, and successively washed with 0.1M aqueous hydrochloric acid (HCl) solution, saturated aqueous LiCl solution and then brine.
- HCl hydrochloric acid
- the organic phase is dried over MgSO4, filtered, concentrated to dryness and purified by chromatography over silica gel (petroleum ether/AcOEt gradient).
- Step 2 Ethyl 5-(5-chloro-2-formylphenyl)-1,2-dimethyl-1H-pyrrole-3-carboxylate [679] To a solution of the compound obtained in Step 1 (10.5 g, 62,8 mmol) in 65 mL of N,N- dimethylacetamide there are successively added 2-bromo-4-chlorobenzaldehyde (15.2 g, 69 mmol), potassium acetate (12.3 g, 125.6 mmol) and then the reaction mixture is stirred under argon for 20 minutes. There is added PdCl2(PPh3)2 (2.2 g, 3.14 mmol).
- the reaction mixture is heated at 130°C overnight, allowed to cool down to room temperature and it is diluted with dichloromethane.
- Animal charcoal is added (20g), the suspension is stirred at room temperature for 1 hour and filtered.
- the organic phase is washed with water, dried over MgSO 4 and concentrated to dryness.
- the crude product thereby obtained is purified by chromatography over silica gel (petroleum ether/AcOEt gradient). The title product is obtained in the form of a solid.
- the reaction mixture is vigorously stirred at room temperature for 7 hours and concentrated to remove the acetone.
- Ethyl acetate is added, the organic phase is washed with water, dried over MgSO 4 and then concentrated to dryness. The residue is then taken up in a minimum of ethyl ether.
- the solid then obtained is filtered off, washed with ether and then dried in vacuo at 40°C overnight.
- the title product is obtained in the form of a solid, which is subsequently used without being otherwise purified.
- Step 4 ⁇ (3S)-2-[(4-Methylphenyl)sulphonyl]-1,2,3,4-tetrahydroisoquinolin-3-yl ⁇ methyl 4- methylbenzenesulphonate
- [685] To a solution of commercially available [(3S)-1,2,3,4-tetrahydroisoquinolin-3-yl]methanol (30.2 g, 185 mmol) in 750 mL of dichloromethane there are successively added tosyl chloride (91.7 g, ,481 mmol) and then, dropwise, N,N,N-triethylamine (122 mL, 740 mmol).
- the reaction mixture is stirred at room temperature for 20 hours, diluted with dichloromethane, washed successively with 1M HCl solution, saturated aqueous NaHCO3 solution and then brine until neutral.
- the organic phase is then dried over MgSO4, filtered and concentrated to dryness.
- the solid obtained is dissolved in a minimum volume of dichloromethane and then cyclohexane is added until a precipitate is formed. This precipitate is then filtered off and washed with cyclohexane. After drying, the title product is obtained in the form of a white crystalline powder.
- Step 5 (3S)-3-(iodomethyl)-2-(p-tolylsulfonyl)-3,4-dihydro-1H-isoquinoline
- sodium iodide 1. g, 9.3 mmol
- the reaction mixture is heated under microwave irradiations (100W for 6h), cooled to room temperature.
- the suspension is filtered.
- the solid is washed with dichloromethane. The filtrate and the washings are pooled together and concentrated to dryness.
- Step 6 diethyl 2-[[(3R)-2-(p-tolylsulfonyl)-3,4-dihydro-1H-isoquinolin-3- yl]methyl]propanedioate
- To a suspension of sodium hydride (442 mg, 11 mmol) in THF (8 mL) is added dropwise diethyl malonate (1.5 mL, 10 mmol) at room temperature. After 15 minutes, a solution of the compound obtained in Step 5 (4.2 g, 10 mmol) in THF (10 mL) is added dropwise. After 20 minutes at room temperature, the reaction mixture is added in microwave reactor (100°C-275W) during 19h.
- the organic phase is washed with brine, dried over MgSO4 and concentrated to dryness.
- the crude material is diluted with DMSO (10 mL) and a solution of sodium chloride (0.25 g, 4.2 mmol) in water (1 mL).
- the reaction mixture is heated to 140°C for 1h, then cooled to room temperature and diluted with ethyl acetate.
- the organic layer is separated, dried over MgSO 4 and concentrated to dryness, affording the desired compound.
- Step 8 N,N-dimethyl-3-[(3R)-2-(p-tolylsulfonyl)-3,4-dihydro-1H-isoquinolin-3-yl]propenamide
- N-(3-Dimethylaminopropyl)-#$-ethylcarbodiimide hydrochloride 5.4 g, 28 mmol
- 1- hydroxybenzotriazole hydrate 3.8 g, 28 mmol
- N,N-diisopropylethylamine (6.9 mL, 41 mmol)
- 2 M dimethylamine in THF (20.8 mL).
- reaction mixture is stirred overnight at room temperature, diluted with dichloromethane, washed successively with water, aqueous 1M HCl solution and brine.
- organic phase is dried over MgSO4, concentrated to dryness and purified by chromatography over silica gel using cyclohexane and ethyl acetate as eluants, affording the desired compound.
- Step 9 N,N-dimethyl-3-[(3R)-2-(p-tolylsulfonyl)-3,4-dihydro-1H-isoquinolin-3-yl]propan-1- amine
- Step 8 To a solution of Step 8 (6.6 g, 17.1 mmol) in anhydrous THF (70 mL) is added dropwise under inert atmosphere a solution of 1M borane tetrahydrofuran complex in tetrahydrofuran (69 mL, 69 mmol). The reaction mixture is heated to 70°C overnight and cooled to room temperature. The reaction mixture is diluted with dichloromethane and water.
- the organic phase is washed successively with an aqueous 1M HCl solution, a saturated aqueous NaHCO 3 solution, brine, and dried over MgSO 4 and concentrated.
- the crude mixture is purified by chromatography over silica gel using dichloromethane and NH 3 2M in ethanol as eluants, affording the desired compound.
- Step 10 N,N-dimethyl-3-[(3R)-1,2,3,4-tetrahydroisoquinolin-3-yl]propan-1-amine
- naphthalene 13 g, 103 mmol
- sodium 2.4 g, 103 mmol
- the reaction mixture is cooled to -78°C and a solution of Step 9 (4.8 g, 12.2 mmol) in THF (35 mL) is added dropwise.
- reaction mixture After 3 h of stirring at -78°C, the reaction mixture is allowed to warm to 0°C and a solution of saturated aqueous ammonium chloride is carefully added (3 mL). The reaction mixture is allowed to warm to room temperature and is evaporated to dryness. The crude mixture is purified by chromatography over silica gel using dichloromethane and NH 3 2M in ethanol as eluants, affording the desired compound.
- Step 11 ethyl 5-[5-chloro-2-[(3R)-3-[3-(dimethylamino)propyl]-3,4-dihydro-1H-isoquinoline-2- carbonyl]phenyl]-1,2-dimethyl-pyrrole-3-carboxylate [707] To a solution of the compound obtained in Step 3 (15.5 g, 48 mmol) in dichloromethane (3L) are added N-(3-dimethylaminopropyl)-#$-ethylcarbodiimide hydrochloride (9.2 g, 48 mmol), 1- hydroxybenzotriazole hydrate (7.4 g, 48 mmol), the compound obtained in Step 10 (10 g, 48 mmol) and N-ethyl-N-isopropyl-propan-2-amine (28 mL, 160 mmol).
- reaction mixture is stirred for 3h at room temperature, diluted with dichloromethane, washed with water, concentrated to dryness and purified by chromatography over silica gel using dichloromethane and NH32M in ethanol as eluants, affording the desired compound.
- Step 12 5-[5-chloro-2-[(3R)-3-[3-(dimethylamino)propyl]-3,4-dihydro-1H-isoquinoline-2- carbonyl]phenyl]-1,2-dimethyl-pyrrole-3-carboxylic acid [711] To a solution of the compound obtained in Step 11 (400 mg, 0.76 mmol) in methanol (2 mL) is added a solution of lithium hydroxide monohydrate (112 mg, 2.6 mmol) in water (2 mL). The reaction mixture is heated at reflux overnight then partially concentrated.
- Step 13 N-[4-[tert-butyl(dimethyl)silyl]oxyphenyl]-5-[5-chloro-2-[(3R)-3-[3- (dimethylamino)propyl]-3,4-dihydro-1H-isoquinoline-2-carbonyl]phenyl]-N-(5-cyano-1,2-dimethyl- pyrrol-3-yl)-1,2-dimethyl-pyrrole-3-carboxamide [714] To a solution of the compound obtained in Step 12 (480 mg, 0.97 mmol) in 1,2-dichloroethane (60 mL) is added 1-chloro-N,N,2-trimethyl-prop-1-en-1-amine (170 ⁇ L, 1.3 mmol).
- Step 14 5-[5-chloro-2-[(3R)-3-[3-(dimethylamino)propyl]-3,4-dihydro-1H-isoquinoline-2- carbonyl]phenyl]-N-(5-cyano-1,2-dimethyl-pyrrol-3-yl)-N-(4-hydroxyphenyl)-1,2-dimethyl-pyrrole-3- carboxamide [719] To a solution of the compound obtained in Step 13 (0.5 g, 0.61 mmol) in THF (20 mL) is added at room temperature a solution of 1M tetra-n-butylammonium fluoride in THF (1 mL, 1 mmol).
- the reaction mixture is stirred for 4h at room temperature and diluted with dichloromethane and a saturated aqueous solution of NaHCO3.
- the organic phase is separated, washed successively with water, brine, then dried over MgSO4 and concentrated.
- the crude is purified by chromatography over silica gel using dichloromethane and NH32M methanol as eluants, affording the desired compound.
- Step A N-[4-[tert-butyl(dimethyl)silyl]oxyphenyl]-N-(5-cyano-1,2-dimethyl-pyrrol-3-yl)-1,2- dimethyl-5-[7-[(3R)-3-methyl-3,4-dihydro-1H-isoquinoline-2-carbonyl]-2-[2-[4-(2- morpholinoethoxy)phenyl]acetyl]-3,4-dihydro-1H-isoquinolin-6-yl]pyrrole-3-carboxamide [725] Using the procedure described in Step D of the Preparation of P3, starting from the product of Preparation Va (1.27 g, 1.5 eq.) as the appropriate carboxylic acid and Preparation VIIb (2.45 g, 3.194 mmol) as the appropriate amine, afforded the title compound (2.06 g, 64%).
- Step B N-(5-cyano-1,2-dimethyl-1H-pyrrol-3-yl)-N-(4-hydroxyphenyl)-1,2-dimethyl-5- ⁇ 7-[(3R)- 3-methyl-1,2,3,4-tetrahydroisoquinoline-2-carbonyl]-2-(2- ⁇ 4-[2-(morpholin-4-yl)ethoxy]phenyl ⁇ acetyl)- 1,2,3,4-tetrahydroisoquinolin-6-yl ⁇ -1H-pyrrole-3-carboxamide [728] According the procedure described in Step E of the Preparation of P3, the product from Step A (390 mg, 0.385 mmol) was treated with 2M aq.
- NMR data were acquired at a temperature of 298K on a Bruker Avance NMR spectrometer equipped with a 5 mm BBFO CryoProbe with z-gradient operating at a frequency of 400.13 MHz for 1 H, 376.50 MHz for 19 F, 100.61 MHz for 13 C.
- Chemical shifts for the 1 H and 13 C spectra were referenced by setting internal tetramethylsilane (TMS) to 0 ppm.
- LC/MS data was acquired using an instrument with the following parameters: Pump Waters AcQuity UPLC Binary Solvent Manager Sample Manager Waters AcQuity UPLC Sample Manager Column Compartment Waters AcQuity UPLC Column Manager Detector Waters AcQuity UPLC PDA ELSD Shimadzu ELSD-LTII Mass Spec Waters SQD Columns AcQuity UPLC BEH C181.7 ⁇ m 2.1x50mm Eluent A1 0.1% Formic Acid in Water Eluent B1 0.1% Formic Acid in Acetonitrile Eluent A2 5mM Ammonium Hydroxide in Water Eluent B2 5mM Ammonium Hydroxide in Acetonitrile The methods used to generate LC/MS data were as follows: 2 min acidic method:
- HRMS data was acquired using an instrument with the following parameters: HRMS_QT01 Pump Waters AcQuity UPLC Binary Solvent Manager Sample Manager Waters AcQuity UPLC Sample Manager Column Compartment Waters AcQuity UPLC Column Manager Waters AcQuity UPLC PDA n/a Waters Xevo G2 Qtof Quity UPLC PrST C4300 ⁇ 1.7 ⁇ m 2.1x100mm AcQuity UPLC CSH C181.7 ⁇ m 2.1x50mm ProSwift RP-3U 4.6x50mm SS Eluent A1 0.1% Formic Acid in Water Eluent B1 0.1% Formic Acid in Acetonitrile Eluent A2 0.05% Triflouroacetic Acid in Water Eluent B2 0.05% Triflouroacetic Acid in Acetonitrile HRMS_QT02 Pump Waters AcQuity UPLC Binary Solvent Manager Sample Manager Waters AcQuity UPLC Sample Manager Column Compartment Waters AcQuity UPLC Column Manager Waters
- Preparative RP-HPLC Preparative-HPLC (“Prep-HPLC”) data were acquired using Teledyne ISCO purification systems using C18 or C4 RP ISCO or ISCO-gold columns.
- Prep-HPLC methods were used: a .
- TFA method solvent: A water + 0.05 % TFA, B acetonitrile + 0.05 % TFA, gradient from 5 to 100% B in 15 to 30 CV b .
- NH4HCO3 method solvent: A water + 0.02 M NH4HCO3, B acetonitrile/water 80/20 + 0.02 M NH4HCO3, gradient from 5 to 100 % B in 15 to 30 CV c .
- Neutral method solvent: A water, B acetonitrile, gradient from 5 to 100% B in 15 to 30 CV d .
- Formic Acid method solvent: A water + 0.05 % Formic Acid, B acetonitrile + 0.05 % Formic Acid, gradient from 5 to 100% B in 15 to 30 CV Gradient variations of methods a.-d. were employed as appropriate. All the fractions containing the pure compound were combined and directly freeze-dried to afford the compound as an amorphous powder.
- Step 1 Synthesis of 2-(bromomethyl)-4-nitrobenzoic acid
- 2-methyl-4-nitrobenzoic acid 300 g, 1.5371 mol
- CCl4 3000 mL
- NBS 300.93 g, 1.6908 mol
- AIBN 37.86 g, 0.2305 mol
- the reaction mixture was stirred at 80°C for 16h. Reaction mixture was monitored by TLC analysis.
- the reaction mixture was diluted with sat. NaHCO3 solution (2 lit) and extracted with ethyl acetate (2 x 2 lit). The combined organic layer was dried over anhydrous sodium sulphate and concentrated under reduced pressure.
- Step 4 Synthesis of methyl 4-amino-2-((prop-2-yn-1-yloxy)methyl)benzoate, To a solution of methyl 4-nitro-2-((prop-2-yn-1-yloxy)methyl)benzoate (110 g, 0.4414 mol) in a mixture of EtOH (1100 mL) and H 2 O (550 mL) was added Fe Powder (197.21 g, 3.5310 mol) and NH 4 Cl (188.88 g, 3.5310 mol) at rt. The resulting mixture was heated at 80°C for 16 h. The reaction mixture was cooled to rt and filtered through celite and washed with ethylacetate (2 lit).
- Step 5 Synthesis of (4-amino-2-((prop-2-yn-1-yloxy)methyl)phenyl)methanol
- THF 1000 mL
- LiAlH 4 (1 M in THF)
- 798.2 mmol 798.2 mL
- a solution of methyl 4-amino-2-((prop-2-yn-1-yloxy)methyl)benzoate 70 g, 319.3 mmol
- the reaction was stirred at rt for 4 h.
- the reaction mixture was cooled to 0°C, then was added water (22 mL) very slowly and followed by the addition of 20% NaOH (22 mL) and water (66 mL). The reaction mixture was stirred at 0°C for 30 min. Anhydrous sodium sulphate was added to absorb excess of water. The mixture was filtered through celite. The filter cake was washed with ethylacetate (1000 mL) and 10% MeOH/DCM (500 mL). The filtrate was concentrated under reduced pressure.
- Step 6 Synthesis of (9H-fluoren-9-yl)methyl (S)-(1-((4-(hydroxymethyl)-3-((prop-2-yn-1- yloxy)methyl)phenyl)amino)-1-oxo-5-ureidopentan-2-yl)carbamate
- (4-amino-2-((prop-2-yn-1-yloxy)methyl)phenyl)methanol (1.92 g, 10.04 mmol, 1.0 equiv.)
- (9H-fluoren-9-yl)methyl (S)-(1-amino-1-oxo-5-ureidopentan-2-yl)carbamate (3.99 g, 10.04 mmol, 1.0 equiv.)
- (1-[bis(dimethylamino)methylene]-1H-1,2,3-triazolo[4,5-b]pyridinium 3-oxid hexafluorophosphate (4.20 g, 11.04 mmol,
- Step 7 Synthesis of (S)-2-amino-N-(4-(hydroxymethyl)-3-((prop-2-yn-1-yloxy)methyl)phenyl)-5- ureidopentanamide
- (S)-(1-((4-(hydroxymethyl)-3-((prop-2-yn-1- yloxy)methyl)phenyl)amino)-1-oxo-5-ureidopentan-2-yl)carbamate (608 g, 10.65 mmol, 1.0 equiv.) was added dimethylamine (2 M in THF, 21.31 mL, 42.62 mmol, 4 equiv.).
- Step 8 Synthesis of tert-butyl ((S)-1-(((S)-1-((4-(hydroxymethyl)-3-((prop-2-yn-1- yloxy)methyl)phenyl)amino)-1-oxo-5-ureidopentan-2-yl)amino)-3-methyl-1-oxobutan-2-yl)carbamate
- (S)-2-amino-N-(4-(hydroxymethyl)-3-((prop-2-yn-1-yloxy)methyl)phenyl)-5- ureidopentanamide (3.50 g, 10.04 mmol, 1.0 equiv.)
- Step 1 Synthesis of 2-(((tert-butyldiphenylsilyl)oxy)methyl)-5-nitrobenzoic acid
- MeOH 1000 mL
- KOH 28.19 g, 502.43 mmol, 1.00 eq
- H2O 150 mL
- Step 2 Synthesis of (2-(((tert-butyldiphenylsilyl)oxy)methyl)-5-nitrophenyl)methanol
- 2-(((tert-butyldiphenylsilyl)oxy)methyl)-5-nitrobenzoic acid 41 g, 94.14 mmol, 1 eq
- THF 1 M, 470.68 mL, 5 eq
- the yellow mixture was stirred at 60°C for 2h.
- Step 3 Synthesis of 2-(((tert-butyldiphenylsilyl)oxy)methyl)-5-nitrobenzaldehyde
- Step 4 Synthesis of N-(2-(((tert-butyldiphenylsilyl)oxy)methyl)-5-nitrobenzyl)prop-2-yn-1-amine
- 2-(((tert-butyldiphenylsilyl)oxy)methyl)-5-nitrobenzaldehyde (12.6 g, 30.03 mmol, 1 eq) in DCM (130 mL) was added prop-2-yn-1-amine (4.14 g, 75.08 mmol, 4.81 mL, 2.5 eq) and MgSO4 (36.15 g, 300.
- Step 5 Synthesis of (9H-fluoren-9-yl)methyl (2-(((tert-butyldiphenylsilyl)oxy)methyl)-5- nitrobenzyl)(prop-2-yn-1-yl)carbamate
- a solution of N-(2-(((tert-butyldiphenylsilyl)oxy)methyl)-5-nitrobenzyl)prop-2-yn-1-amine (9 g, 19.62 mmol, 1 eq) and Fmoc-OSU (7.28 g, 21.59 mmol, 1.1 eq) in dioxane (90 mL) was added sat. NaHCO3 (90 mL) and the white suspension was stirred at 20°C for 12hr.
- Step 6 Synthesis of (9H-fluoren-9-yl)methyl (5-amino-2-(((tert- butyldiphenylsilyl)oxy)methyl)benzyl)(prop-2-yn-1-yl)carbamate
- 9H-fluoren-9-yl)methyl (2-(((tert- butyldiphenylsilyl)oxy)methyl)-5-nitrobenzyl)(prop-2-yn-1-yl)carbamate 5.0 g, 7.34 mmol, 1.0 equiv.
- 10% AcOH/CH2Cl2 100 mL
- Step 7 Synthesis of (9H-fluoren-9-yl)methyl (5-((S)-2-((S)-2-((tert-butoxycarbonyl)amino)-3- methylbutanamido)-5-ureidopentanamido)-2-(((tert-butyldiphenylsilyl)oxy)methyl)benzyl)(prop-2-yn-1- yl)carbamate
- (9H-fluoren-9-yl)methyl (5-amino-2-(((tert-butyldiphenylsilyl)oxy)methyl)benzyl)(prop-2-yn- 1-yl)carbamate (2.99 g, 4.59 mmol, 1.0 equiv) and (S)-2-((S)-2-((tert-butoxycarbonyl)amino)-3- methylbutanamido)-5
- Step 8 Synthesis of prop-2-yn-1-yl (5-((S)-2-((S)-2-((tert-butoxycarbonyl)amino)-3-methylbutanamido)- 5-ureidopentanamido)-2-(((tert-butyldiphenylsilyl)oxy)methyl)benzyl)(prop-2-yn-1-yl)carbamate
- To (9H-fluoren-9-yl)methyl (5-((S)-2-((S)-2-((tert-butoxycarbonyl)amino)-3-methylbutanamido)- 5-ureidopentanamido)-2-(((tert-butyldiphenylsilyl)oxy)methyl)benzyl)(prop-2-yn-1-yl)carbamate
- 9H-fluoren-9-yl)methyl 5-((S)-2-((S)-2-((tert-butoxycarbonyl)amino)
- Step 9 Synthesis of prop-2-yn-1-yl (5-((S)-2-((S)-2-((tert-butoxycarbonyl)amino)-3-methylbutanamido)- 5-ureidopentanamido)-2-(hydroxymethyl)benzyl)(prop-2-yn-1-yl)carbamate
- To a solution of prop-2-yn-1-yl (5-((S)-2-((S)-2-((tert-butoxycarbonyl)amino)-3- methylbutanamido)-5-ureidopentanamido)-2-(((tert-butyldiphenylsilyl)oxy)methyl)benzyl)(prop-2-yn-1- yl)carbamate (984 mg, 1.135 mmol, 1.0 equiv.) in THF (7.5 mL) was added 1.0 M tetrabutylammoniumn fluoride in THF (2.27 mL,
- Step 1 Synthesis of 2-(hydroxymethyl)-N-methyl-5-nitrobenzamide To a stirred suspension of 6-nitroisobenzofuran-1(3H)-one (500 g, 2.79 mol) in MeOH (1500 mL) was added MeNH2 (3.00 kg, 29.94 mol, 600 mL, 31.0% purity) at 25 °C and stirred for 1 h.
- Step 2 Synthesis of (2-((methylamino)methyl)-4-nitrophenyl)methanol
- a solution of 2-(hydroxymethyl)-N-methyl-5-nitrobenzamide (560 g, 2.66 mol) in THF (5000 mL) was cooled to 0 °C, then BH 3 -Me 2 S (506 g, 6.66 mol) (2.0 M in THF) was added drop wise for 60 min and the mixture was heated to 70 °C for 5 h.
- LCMS showed the starting material was consumed.
- 4M HCl (1200 mL) in Methanol was added to the reaction mixture at 0 °C and heated at 65 °C for 8 h.
- Step 4 Synthesis of (9H-fluoren-9-yl)methyl (2-(((tert-butyldiphenylsilyl)oxy)methyl)-5- nitrobenzyl)(methyl)carbamate
- Fmoc-OSU 341.5 g, 1.01 mol
- Et 3 N 186.2 g, 1.84 mol, 256.2 mL
- Step 5 Synthesis of (9H-fluoren-9-yl)methyl (5-amino-2-(((tert- butyldiphenylsilyl)oxy)methyl)benzyl)(methyl)carbamate
- Step 6 Synthesis of (9H-fluoren-9-yl)methyl (5-((S)-2-((S)-2-((tert-butoxycarbonyl)amino)-3- methylbutanamido)-5-ureidopentanamido)-2-(((tert- butyldiphenylsilyl)oxy)methyl)benzyl)(methyl)carbamate
- (9H-fluoren-9-yl)methyl (5-amino-2-(((tert- butyldiphenylsilyl)oxy)methyl)benzyl)(methyl)carbamate (2.86 g, 4.56 mmol, 1.0 equiv)
- (S)-2-((S)- 2-((tert-butoxycarbonyl)amino)-3-methylbutanamido)-5-ureidopentanoic acid (1.71 g, 4.56 mmol, 1.0 equiv.) in 2:1 CH2Cl2/MeOH (60 m
- Step 7 Synthesis of prop-2-yn-1-yl (5-((S)-2-((S)-2-((tert-butoxycarbonyl)amino)-3-methylbutanamido)- 5-ureidopentanamido)-2-(((tert-butyldiphenylsilyl)oxy)methyl)benzyl)(methyl)carbamate
- To (9H-fluoren-9-yl)methyl (5-((S)-2-((S)-2-((tert-butoxycarbonyl)amino)-3-methylbutanamido)- 5-ureidopentanamido)-2-(((tert-butyldiphenylsilyl)oxy)methyl)benzyl)(methyl)carbamate (2.05 g, 2.085 mmol, 1.0 equiv) in THF (10 mL) was added 2.0 M dimethyl amine in MeOH (10.42 mL, 20.85 mmol, 10 equiv.).
- Step 2 Synthesis of (S)-2-amino-N-(4-(hydroxymethyl)-3-nitrophenyl)-5-ureidopentanamide
- Step 3 Synthesis of tert-butyl ((S)-1-(((S)-1-((4-(hydroxymethyl)-3-nitrophenyl)amino)-1-oxo-5- ureidopentan-2-yl)amino)-3-methyl-1-oxobutan-2-yl)carbamate
- (S)-2-amino-N-(4-(hydroxymethyl)-3-nitrophenyl)-5-ureidopentanamide (10.89 g, 28.8 mmol, 1.0 equiv.)
- 1-hydroxy- 7-azabenzotriazole (3.92 g, 28.8 mmol, 1.0 equiv.) in DMF (40 mL) was added 1-(3- dimethylaminopropyl)-3-ethylcarbodiimide (5.52 g
- Step 4 Synthesis of tert-butyl ((S)-1-(((S)-1-((4-(((tert-butyldimethylsilyl)oxy)methyl)-3- nitrophenyl)amino)-1-oxo-5-ureidopentan-2-yl)amino)-3-methyl-1-oxobutan-2-yl)carbamate
- a suspension of tert-butyl ((S)-1-(((S)-1-((4-(hydroxymethyl)-3-nitrophenyl)amino)-1-oxo-5- ureidopentan-2-yl)amino)-3-methyl-1-oxobutan-2-yl)carbamate 11.96 g, 22.8 mmol, 1.0 equiv.
- imidazole 15.52 g, 228 mmol, 10 equiv.
- Step 5 Synthesis of tert-butyl ((S)-1-(((S)-1-((3-amino-4-(((tert- butyldimethylsilyl)oxy)methyl)phenyl)amino)-1-oxo-5-ureidopentan-2-yl)amino)-3-methyl-1-oxobutan- 2-yl)carbamate
- tert-butyl ((S)-1-(((S)-1-((4-(((tert-butyldimethylsilyl)oxy)methyl)-3- nitrophenyl)amino)-1-oxo-5-ureidopentan-2-yl)amino)-3-methyl-1-oxobutan-2-yl)carbamate (8.02 g, 12.56 mmol, 1.0 equiv.) in methanol (250 mL) under a nitrogen atmosphere was added palladium on carbon (10 wt%, 2.00
- Step 6 Synthesis of tert-butyl ((S)-1-(((S)-1-((4-(hydroxymethyl)-3-(2-(((prop-2-yn-1- yloxy)carbonyl)amino)acetamido)phenyl)amino)-1-oxo-5-ureidopentan-2-yl)amino)-3-methyl-1- oxobutan-2-yl)carbamate
Landscapes
- Health & Medical Sciences (AREA)
- Bioinformatics & Cheminformatics (AREA)
- Engineering & Computer Science (AREA)
- Life Sciences & Earth Sciences (AREA)
- General Health & Medical Sciences (AREA)
- Public Health (AREA)
- Chemical & Material Sciences (AREA)
- Pharmacology & Pharmacy (AREA)
- Medicinal Chemistry (AREA)
- Animal Behavior & Ethology (AREA)
- Veterinary Medicine (AREA)
- Epidemiology (AREA)
- Immunology (AREA)
- General Chemical & Material Sciences (AREA)
- Cell Biology (AREA)
- Chemical Kinetics & Catalysis (AREA)
- Organic Chemistry (AREA)
- Nuclear Medicine, Radiotherapy & Molecular Imaging (AREA)
- Medicines Containing Antibodies Or Antigens For Use As Internal Diagnostic Agents (AREA)
- Medicinal Preparation (AREA)
- Pharmaceuticals Containing Other Organic And Inorganic Compounds (AREA)
- Peptides Or Proteins (AREA)
Abstract
Antibody-drug conjugates that bind to human oncology targets are disclosed. The antibody-drug conjugates comprise an antibody or an antigen-binding fragment thereof covalently linked to at least one BH3 mimetic through a dual linker and the antigen-binding fragment thereof binds to target antigen CD7. The disclosure further relates to methods and compositions for use in the treatment of cancers by administering the antibody-drug conjugates provided herein. Linker-drug conjugates comprising at least one BH3 mimetic and methods of making the same are also disclosed.
Description
ANTI-CD7 ANTIBODY-DRUG CONJUGATES AND METHODS OF USE THEREOF
RELATED APPLICATION
[01] This application claims the benefit of the filing date, under 35 U.S.C. § 119(e), of U.S. Provisional Application No. 63/602,277, filed on November 22, 2023, the entire contents of which are incorporated here by reference.
SEQUENCE LISTING
[02] The application contains a Sequence Listing which has been submitted electronically in .XML format and is hereby incorporated by reference in its entirety. Said .XML copy, created on November 19, 2024, is named “132043-01020.xml” and is 51,579 bytes in size. The sequence listing contained in this .XML file is part of the specification and is hereby incorporated by reference herein in its entirety.
FIELD OF THE INVENTION
[03] The present disclosure relates to antibody-drug conjugates (ADCs) comprising an antibody or an antigen-binding fragment thereof covalently linked to two antineoplastic compounds through a dual linker, wherein at least one antineoplastic payload is a BH3 mimetic. The disclosure further relates to methods and compositions useful in the treatment and/or diagnosis of cancers that express a target antigen (e.g. CD7) and/or are amenable to treatment by modulating expression and/or activity of Bcl-2 family proteins, as well as methods of making those compositions. Linker-drug conjugates comprising the dual linker and antineoplastic compounds (e.g., two BH3 mimetics or a BH3 mimetic moiety and an antineoplastic non-BH3 mimetic) and methods of making same are also disclosed.
BACKGROUND OF THE INVENTION
[04] Apoptosis (programmed cell death) is an evolutionarily conserved pathway essential for tissue homeostasis, development and removal of damaged cells. Deregulation of apoptosis contributes to human diseases, including malignancies, neurodegenerative disorders, diseases of the immune system and autoimmune diseases (Hanahan and Weinberg, Cell. 2011 Mar 4;144(5):646-74; Marsden and Strasser, Amu Rev Immunol. 2003;21:71-105; Vaux and Flavell, Curr Opin
Immunol. 2000 Dec; 12(6): 719-24). Evasion of apoptosis is recognized as a hallmark of cancer, participating in the development as well as the sustained expansion of tumors and the resistance to anti-cancer treatments (Hanahan and Weinberg, Cell. 2000 Jan 7;100(l):57-70).
[05] The Bcl-2 protein family comprises key regulators of cell survival which can suppress (e.g., Bcl-2, Bcl-xL, Mcl-1) or promote (e.g, Bad, Bax) apoptosis (Gross et al., Genes Dev. 1999 Aug
1 ; 13(15): 1899-911, Youle and Strasser, Nat. Rev. Mol. Cell Biol. 2008 Jan;9(l):47-59).
[06] In the face of stress stimuli, whether a cell survives or undergoes apoptosis is dependent on the extent of pairing between the Bcl-2 family members that promote cell death with family members that promote cell survival. For the most part, these interactions involve the docking of the Bcl-2 homology 3 (BH3) domain of proapoptotic family members into a groove on the surface of prosurvival members. The presence of Bcl-2 homology (BH) domain defines the membership of the Bcl- 2 family, which is divided into three main groups depending upon the particular BH domains present within the protein. The prosurvival members such as Bcl-2, Bcl-xL, and Mcl-1 contain BH domains 1-4, whereas Bax and Bak, the proapoptotic effectors of mitochondrial outer membrane permeabilization during apoptosis, contain BH domains 1-3 (Youle and Strasser, Nat. Rev. Mol. Cell Biol. 2008 Jan;9(l):47-59).
[07] Overexpression of the prosurvival members of the Bcl-2 family is a hallmark of cancer and it has been shown that these proteins play an important role in tumor development, maintenance and resistance to anticancer therapy (Czabotar et al., Nat. Rev. Mol. Cell Biol. 2014 Jan;15(l):49-63). Bcl- xL (also named BCL2L1, from BCL2-like 1) is frequently amplified in cancer (Beroukhim et al., Nature 2010 Feb 18;463(7283):899-905) and it has been shown that its expression inversely correlates with sensitivity to more than 120 anti-cancer therapeutic molecules in a representative panel of cancer cell lines (NCI-60) (Amundson et al., Cancer Res. 2000 Nov 1 ;60(21) :6101 - 10).
[08] In addition, several studies using transgenic knockout mouse models and transgenic overexpression of Bcl-2 family members highlighted the importance of these proteins in the diseases of the immune system and autoimmune diseases (for a review, see Merino et al., Apoptosis 2009 Apr;14(4):570-83. doi: 10.1007/sl0495-008-0308-4.PMID: 19172396). Transgenic overexpression of Bcl-xL within the T-cell compartment resulted in resistance to apoptosis induced by glucocorticoid, g- radiation and CD3 crosslinking, suggesting that transgenic Bcl-xL overexpression can reduce apoptosis in resting and activated T-cells (Droin et al., Biochim Biophys Acta 2004 Mar 1; 1644(2- 3): 179-88. doi: 10.1016/j.bbamcr.2003.10.011.PMID: 14996502 ). In patient samples, persistent or high expression of antiapoptotic Bcl-2 family proteins has been observed (Pope et al. , Nat Rev Immunol. 2002 Jul;2(7):527-35. doi: 10.1038/nri846.PMID: 12094227). In particular, T-cells isolated from the joints of rheumatoid arthritis patients exhibited increased Bcl-xL expression and were resistant to spontaneous apoptosis (Salmon et al., J Clin Invest. 1997 Feb 1 ;99(3) :439-46. doi: 10.1172/JCI119178.PMID: 9022077).
[09] The findings indicated above motivated the discovery and development of a new class of drugs named BH3 mimetics. These molecules are able to disrupt the interaction between the proapoptotic and antiapoptotic members of the Bcl-2 family and are potent inducers of apoptosis. This new class of drugs includes inhibitors of Bcl-2, Bcl-xL, Bcl-w and Mcl-1. The first BH3 mimetics described were ABT- 737 and ABT-263, targeting Bcl-2, Bcl-xL and Bcl-w (Park et al., J. Med. Chem. 2008 Nov 13;51(21):6902-15; Roberts et al., J. Clin. Oncol. 2012 Feb 10;30(5):488-96). After that, selective
inhibitors of Bcl-2 (ABT-199 and S55746 - Souers et al., Nat Med. 2013 Feb;19(2):202-8; Casara et al., Oncotarget 2018 Apr 13;9(28):20075-20088), Bcl-xL (A-l 155463 and A-1331852 - Tao et al., ACS Med Chem Lett. 2014 Aug 26;5(10): 1088-93; Leverson et al., Sei Transl Med. 2015 Mar 18;7(279):279ra40) and Mcl-1 (A-1210477, S63845, S64315, AMG-176 and AZD-5991 - Leverson et al., Cell Death Dis. 2015 Jan 15;6:el590.; Kotschy et al., Nature 2016, 538, 477-482; Maragno et al., AACR 2019, Poster #4482; Kotschy et al., WO 2015/097123; Caenepeel et al., Cancer Discov. 2018 Dec;8(12): 1582-1597; Tron et al., Nat. Commun. 2018 Dec 17;9( 1 ):5341) were also discovered. The selective Bcl-2 inhibitor ABT- 199 is now approved for the treatment of patients with CLL and AML in combination therapy, while the other inhibitors are still under pre-clinical or clinical development. In pre-clinical models, ABT-263 has shown activity in several hematological malignancies and solid tumors (Shoemaker etal., Clin. Cancer Res. 2008 Jun 1;14(11):3268-77; Ackler et al., Cancer Chemother. Pharmacol. 2010 Oct;66(5):869-80; Chen et al., Mol. Cancer Ther. 2011 Dec;10(12):2340-9). In clinical studies, ABT-263 exhibited objective antitumor activity in lymphoid malignancies (Wilson et al., Lancet Oncol. 2010 Dec; 11(12): 1149-59; Roberts et al., J. Clin. Oncol. 2012 Feb 10;30(5):488-96) and its activity is being investigated in combination with several therapies in solid tumors. The selective Bcl-xL inhibitors, A-l 155463 or A-1331852, exhibited in vivo activity in pre-clinical models of T-ALL (T-cell Acute Lymphoblastic Leukemia) and different types of solid tumors (Tao et al., ACS Med. Chem. Lett. 2014 Aug 26;5( 10): 1088-93; Leverson et al., Sci. Transl. Med. 2015 Mar 18;7(279):279ra40). The use of BH3 mimetics has also shown benefit in pre- clinical models of diseases of the immune system and autoimmune diseases. Treatment with ABT-737 (Bcl-2, Bcl-xL, and Bcl-w inhibitor) resulted in potent inhibition of lymphocyte proliferation in vitro. Importantly, mice treated with ABT-737 in animal models of arthritis and lupus showed a significant decrease in disease severity (Bardwell et al., J Clin Invest. 1997 Feb 1 ;99(3) :439-46. doi: 10.1172/JCI119178.PMID: 9022077). In addition, it has been shown that ABT-737 prevented allogeneic T-cell activation, proliferation, and cytotoxicity in vitro and inhibited allogeneic T- and B- cell responses after skin transplantation with high selectivity for lymphoid cells (Cippa et al., .Transpl Int. 2011 Jul;24(7):722-32. doi: 10.1111/j.1432-2277.2011.01272.x. Epub 201 1 May 25.PMID: 21615547).
[10] In pre-clinical studies, it has been shown that BH3 mimetics strongly synergize when in combination, including Meili + Bcl2i, Meili + Bcl-xli, Bcl-xli + Bcl-2i (WO 2018015526A1; Moujalled et al., Leukemia. 2019 Apr;33(4):905-917; Moujalled et al., Blood Adv. 2020 Jun 23;4(12):2762-2767; Grundy et al., Oncotarget. 2018 Dec 28;9(102):37777-37789; Soderquist et al., Nat Commun. 2018 Aug 29;9(1):3513; Weeden et al., Oncogene. 2018 Aug;37(32):4475-4488; Sarah Kehr et al., Cancer Lett. 2020 Jul 10;482: 19-32). Furthermore, it has also been shown that Bcl-xl inhibitors and Mell inhibitors strongly synergize when in combination with taxane (Leverson et al, Science Translation Medicine, 2015 March 18 ; Vol 7(279) 279ra40 ; Bah et al, Cell Death and Disease, 2014 5, el291 ; Wong et al, Mol Cancer Ther., 2012 Apr; 11(4) 1026-1035; Bennett et al, Open Biol.,
2016 6: 160134; Topham et al, Cancer Cell, 2015 28, 129-140; Nguyen et al, Clin Cancer Res, 2011 March 15, 17(6) 1394-1404; Merino et al, Science Translational Medicine, 2017 Aug 2;9(401):eaam7049) or when in combination with topoisomerase 1 inhibitors (Scherr et al, Cell Death andDisease, 2020 11:875; Hayward etal, Clin Cancer Res 2003 Jul;9(7):2856-65; Lalazareta/, Cancer Discov. 2021 Oct;l l(10):2544-2563; Tolcher et al, Cancer Chemotherapy and Pharmacology, 2015 76,1041-1049). Even if the activity of these combinations is very promising, evidence of tolerance of the administration of two non-conjugated BH3 mimetics in combination or a BH3 mimetic and an antineoplastic non-BH3 mimetic in combination is still missing, in particular for Meili + Bclxli. Also, the clinical potential of non-conjugated BH3 mimetics combinations is still to be demonstrated. Therefore, there is need to find disease-modifying agents therapeutically targeting Bcl-2 family proteins (e.g, Bcl-2, Bcl-xL, Mcl-1) or upstream and/or downstream proteins in an apoptotic signaling pathway in oncology and in the field of immune and autoimmune diseases.
[11] CD7 is a transmembrane glycoprotein expressed in normal T cells from early until late stages of maturation (Reinhold U et al. Immunology. 1996 Nov;89(3):391-6. doi: 10.1046/j.l365- 2567.1996. d01-744.x.PMID: 8958052). Previous data have shown that CD7 may play a role in T-cell and T-cell/B-cell interactions during lymphoid development and has a co-stimulatory role with CD3, CD45 and PI3K (Chan AS et al, J Immunol. 1997 Jul 15;159(2):934-42.PMID: 9218614; Stillwell R and Bierer BE. Immunol Res. 2001 ;24(1):31 -52. doi: 10.1385/ir:24: l:31.PMID: 11485208; Ward SG et al, Eur J Immunol. 1995 Feb;25(2):502-7. doi: 10.1002/eji.1830250229. PMID: 753308). It has also been demonstrated that CD7 is highly expressed on almost all T-ALL patient samples (Pais H, et al, Sci Rep. 2019 Apr 8;9(l):5760. doi: 10.1038/s41598-019-42214-w.PMID: 30962539). CD7 is also expressed in 30% of AML cells and in a fewer proportion of other hematological cell malignancies (Del Poeta G et al, Leuk Lymphoma. 1995 Mar;17(l-2): l l l-9. doi: 10.3109/10428199509051710. PMID: 7539657; Chang H et al, Leuk Res. 2004 Jan;28(l):43-8. doi: 10. 1016/sO 145-2126(03)00180- 2.PMID: 14630079).
[12] Anti-CD7 antibody based therapies, including immunotoxin conjugates, have been generated in the past for the treatment of CD7 positive malignancies (Baum W, et al, Br J Haematol. 1996 Nov;95(2):327-38. doi: 10.1046/j.1365-2141.1996.d01-1900.x.PMID: 8904888; Peipp M et al, Cancer Res. 2002 May 15;62(10):2848-55.PMID: 1201916; Tang J et al, Oncotarget. 2016 Jun 7;7(23):34070- 83. doi: 10.18632/oncotarget.8710. PMID: 2708300; Frankel AE, et al, Leuk Lymphoma. 1997 Jul;26(3-4):287-98. doi: 0.3109/10428199709051778.PMID: 932289; Van Oosterhout YV, et al, .Blood. 2000 Jun 15;95(12):3693-701.PMID: 10845899). However, none of these immunotoxin conjugates have been approved for clinical use so far, mainly due to lack of safety margin. Therefore, new therapeutic agents with enhanced safety and potency profiles would be beneficial for treating CD7 positive hematological malignancies.
SUMMARY OF THE INVENTION
[13] In a first embodiment, the present disclosure provides an antibody-drug conjugate comprising an antibody or an antigen-binding fragment thereof covalently linked to two antineoplastic payloads through a dual linker, wherein at least one antineoplastic payloads is a BH3 mimetic, and wherein the dual linker has one attachment point connected to the antibody and two attachment points to the two antineoplastic payloads, and wherein the two antineoplastic payloads can be the same or different, and wherein the antibody or antigen-binding fragment thereof binds to target antigen CD7; wherein the antibody or antigen-binding fragment thereof is not Ab D. In some embodiments, one antineoplastic payload is a BH3 mimetic and the other antineoplastic payload is an antineoplastic non-BH3 mimetic. In some embodiments, the antineoplastic non-BH3 mimetic is a topoisomerase 1 inhibitor or an antimitotic drug. In some embodiments, the topoisomerase 1 inhibitor is selected from topotecan, exatecan, deruxtecan and SN-38. In some embodiments, the anti-mitotic drug is monomethyl auristatin E (MMAE) or a taxane. In some embodiments, the taxane is selected from docetaxel, paclitaxel, or cabazitaxel. In some embodiments, said two antineoplastic payloads are two BH3 mimetics. In some embodiments, the BH3 mimetic is selected from a Mcl-1 inhibitor, a Bcl-2 inhibitor, and a Bcl-xL inhibitor. In some embodiments, the BH3 mimetic of said two antineoplastic payloads are the same. In some embodimetns, the BH3 mimetic of said two antineoplastic payloads are different. In some embodiment, the antineoplastic payloads in the antibody-drug conjugate of the present disclosure are defined as: (i) one antineoplastic payload is a Mcl-1 inhibitor and the other antineoplastic payload is a Bcl-2 inhibitor; (ii) one antineoplastic payload is a Mcl-1 inhibitor and the other antineoplastic payload is a Bcl-xL inhibitor; or (iii) one antineoplastic payload is a Bcl-2 inhibitor and the other antineoplastic payload is a Bcl-xL inhibitor. In some embodiments, one antineoplastic payload is a Mcl-1 inhibitor, a Bcl-2 inhibitor, and a Bcl-xL inhibitor, and the other antineoplastic payload is a topoisomerase 1 inhibitor or an anti-mitotic drug. In some embodiments, one antineoplastic payload is a Bcl-xL inhibitor and the other antineoplastic payload is a topoisomerase 1 inhibitor. In some embodiments, one antineoplastic payload is a Bcl-xL inhibitor and the other antineoplastic payload is an anti-mitotic drug. In some embodiments, one antineoplastic payload is a Mcl- 1 inhibitor and the other antineoplastic payload is a topoisomerase 1 inhibitor. In some embodiments, one antineoplastic payload is a Mcl- 1 inhibitor and the other antineoplastic payload is an anti-mitotic drug. In some embodiments, one antineoplastic payload is a Bcl-2 inhibitor and the other antineoplastic payload is a topoisomerase 1 inhibitor. In some embodiments, one antineoplastic payload is a Bcl-2 inhibitor and the other antineoplastic payload is an anti-mitotic drug.
[14] In a second embodiment, the present disclosure provides antibody-drug conjugate of the first embodiment, wherein the antibody-drug conjugate is represented by Eormula (A):
wherein:
Ab is an anti-CD7 antibody or an antigen-binding fragment thereof;
R1 is an attachment group;
L1 is a bridging spacer;
W is branching moiety;
L2 and L3’, are each independently a linker;
D1 and D2 are each independently an antineoplastic compound, wherein at least one of D1 and D2 is a BH3 mimetic; and a is an integer from 1 to 16. In some embodiments, D1 and D2 are each independently a BH3 mimetic.
[15] In a third embodiment, the present disclosure provides an antibody-drug conjugate of the second embodiment, wherein a is an integer from 1 to 8, 1 to 6, 1 to 4, or a is 1 or 2, optionally wherein a is determined by liquid chromatography-mass spectrometry (LC-MS). The definitions of the remaining variables are provided in the second embodiment or any embodiments described therein. In some embodiments, a is an integer from 1 to 6 or from 1 to 4 or a is 1 or 2 or a is determined by liquid chromatography-mass spectrometry (LC-MS).
[16] In a fourth embodiment, the present disclosure provides an antibody-drug conjugate of the second or third embodiment, wherein each of L2 and L3 comprises a cleavable group, optionally wherein at least one cleavable group comprises a glucuronide group, pyrophosphate group, a peptide group, and/or a self-immolative group. In some embodiments, each of L2 and L3 comprises a cleavable group, optionally at least one cleavable group comprises a pyrophosphate group, a peptide group and/or a self-immolative group. The definitions of the remaining variables are provided in the second or third embodiment or any embodiments described therein.
[17] In a fifth embodiment, the present disclosure provides an antibody-drug conjugate of the second embodiment, wherein the antibody-drug conjugate is represented by Formula (B):
wherein:
Ab is an anti-CD7 antibody or an antigen-binding fragment thereof;
R1 is an attachment group;
L1 is a bridging spacer;
W is N or CRW; wherein Rw is H or Ci-ealkyl;
L2 and L3 are each independently a connecting spacer;
E1 and E2 are each independently, an enzyme cleavage element or a hydrophilic moiety;
V1 and V2 are each independently comprise: i) a self immolative group, ii) an enzyme cleavage element, or iii) a self-immolative group and an enzyme cleavage element; and D1 and D2 are each independently an antineoplastic compound, wherein at least one of D1 and D2 is a BH3 mimetic.
The definitions of the remaining variables are provided in the second embodiment or any embodiments described therein. In some embodiments, V1 and V2 are each independently i) a self immolative group or ii) an enzyme cleavage element; and D1 and D2 are each independently a BH3 mimetic.
[18] In a sixth embodiment, the present disclosure provides an antibody-drug conjugate of the fifth embodiment, wherein (i) V1 and V2 each independently comprises a phosphate, a pyrophosphate and/or a self-immolative group; (ii) V1 and V2 each independently comprises a self-immolative group; (iii) V1 and V2 each independently comprises a self-immolative group comprising -CH2-O-, - OC(=O)-, -NH-CH2-, para-aminobenzyl-carbamate, para-aminobenzyl-ammonium, para-amino- (sulfo)benzyl-ammonium, para-amino-(sulfo)benzyl-carbamate, para-amino-(alkoxy-PEG- alkyljbenzyl-carbamate, para-amino-(polyhydroxycarboxytetrahydropyranyl)alkyl-benzyl-carbamate, or para-amino-(polyhydroxycarboxytetrahydropyranyl)alkyl-benzyl-ammonium; iv) V1 and V2 each independently comprises a group comprising para-aminobenzyl-phosphate or para-aminobenzyl- pyrophosphate. The definitions of the remaining variables are provided in the fifth embodiment or any embodiments described therein.
[19] In some embodiments, for the antibody-drug conjugate of the fifth embodiment, V1 and V2 are defined as: (i) V1 and V2 each independently comprises a phosphate, a pyrophosphate and/or a self-immolative group; (ii) V1 and V2 each independently comprises a self-immolative group; or (iii) V1 and V2 each independently comprises a self-immolative group comprising -CH2-O-, -OC(=O)-, - NH-CH2-, para-aminobenzyl-carbamate, para-aminobenzyl-ammonium, para-amino-(sulfo)benzyl- ammonium, para-amino-(sulfo)benzyl-carbamate, para-amino-(alkoxy-PEG-alkyl)benzyl-carbamate, para-amino-(polyhydroxycarboxytetrahydropyranyl)alkyl-benzyl-carbamate, or para-amino- (polyhydroxycarboxytetrahydropyranyl)alkyl-benzyl-ammonium.
[20] In a seventh embodiment, the present disclosure provides an antibody-drug conjugate of the fifth embodiment, wherein the antibody-drug conjugate is represented by Formula (C):
or pharmaceutically acceptable salt thereof, wherein
Ab is an anti-CD7 antibody or an antigen-binding fragment thereof;
R1 is an attachment group;
L1 is a bridging spacer;
W is N or CRW; wherein Rw is H or Ci-ealkyl;
L2 and L3 are each independently a connecting spacer;
E1 and E2 are each independently a peptide group comprising 1 to 6 amino acids, wherein said peptide group is optionally substituted by a hydrophilic group;
O *
-1-o-p-E
A1 and A2 are each independently a bond, -OC(=O)-*, -OC(=O)NH-*, OH
O)-* or -C)C( C) )N( C I I3)C(Ra)2C(Ra)2N(CI I3)C(=O)-*, wherein each Ra is independently selected from H, Ci-Ce alkyl, and C ?-Cx cycloalkyl and the * of A1 or A2 indicates the point of attachment to D1 or D2;
D1 and D2 are each independently an antineoplastic compound, wherein at least one of D1 and D2 is a BH3 mimetic;
L4 and L5 are each independently a spacer moiety;
R2 and R3 are each independently a hydrophilic group or an enzyme cleavage element; and m and n are each independently 0 or 1.
The definitions of the remaining variables are provided in the fifth embodiment or any embodiments described therein. In some embodiments, D1 and D2 are each independently a BH3 mimetic.
[21] In an eighth embodiment, the present disclosure provides an antibody-drug conjugate of the seventh embodiment, wherein the antibody-drug conjugate is represented by Formula (DI), (D2), or (D3):
or pharmaceutically acceptable salt thereof, wherein for Formula (D2), D1 and D2 are each independently an antineoplastic compound, wherein at least one of D1 and D2 is a BH3 mimetic; R2 and R3 are each independently an enzyme cleavage element; and for Formula (D3), R2 is a hydrophilic
group and R3 is an enzyme cleavage element. The definitions of the remaining variables are provided in the seventh embodiment or any embodiments described therein. In some embodiments, D1 and D2 are each independently a BH3 mimetic.
[22] In a ninth embodiment, the present disclosure provides an antibody-drug conjugate of the eighth embodiment, wherein for Formula (DI), R2 and R3 are each independently a hydrophilic group. The definitions of the remaining variables are provided in the eighth embodiment or any embodiment described therein.
[23] In a tenth embodiment, the present disclosure provides an antibody-drug conjugate of any one of the second through the ninth embodiments, wherein the attachment group is formed by a reaction comprising at least one reactive group. The definitions of the remaining variables are provided in any one of the second through the ninth embodiments or any embodiment described therein.
[24] In an eleventh embodiment, the present disclosure provides an antibody-drug conjugate of any one of the second through the tenth embodiments, wherein the attachment group is formed by reacting: a first reactive group that is attached to the linker, and a second reactive group that is attached to the antibody or is an amino acid residue of the antibody, wherein optionally,
(i) at least one of the reactive groups comprises: a thiol, a maleimide, a haloacetamide, an azide, an alkyne, a cyclcooctene, a triaryl phosphine, an oxanobomadiene, a cyclooctyne, a diaryl tetrazine, a monoaryl tetrazine, a norbomene, an aldehyde, a hydroxylamine, a hydrazine,
NH2-NH-C(=O)-, a ketone, a vinyl sulfone, an aziridine,
an amino acid residue,
wherein: each R11 is independently selected from H and Ci-Cgalkyl; each R12 is 2-pyridyl or 4-pyridyl; each R13 is independently selected from H, Ci-Cgalkyl, F, Cl, and -OH; each R14 is independently selected from H, Ci-Cgalkyl, F, Cl, -NH2, -OCH3, -OCH2CH3, - N(CH3)2, -CN, -NO2 and -OH; each R15 is independently selected from H, Ci-ealkyl, fluoro, benzyloxy substituted with - C(=O)OH, benzyl substituted with -C(=O)OH, Ci.4alkoxy substituted with - C(=O)OH and Ci.4alkyl substituted with -C(=O)OH; and/or
(ii) the first reactive group and second reactive group comprise: a thiol and a maleimide,
a thiol and a haloacetamide, a thiol and a vinyl sulfone, a thiol and an aziridine, an azide and an alkyne, an azide and a cyclooctyne, an azide and a cyclooctene, an azide and a triaryl phosphine, an azide and an oxanobomadiene, a diaryl tetrazine and a cyclooctene, a monoaryl tetrazine and a nonbomene, an aldehyde and a hydroxylamine, an aldehyde and a hydrazine, an aldehyde and NH2-NH-C(=O)-, a ketone and a hydroxylamine, a ketone and a hydrazine, a ketone and NH2-NH-C(=0)-,
a CoA or CoA analogue and a serine residue.
The definitions of the remaining variables are provided in the second through the tenth embodiments or any embodiments described therein.
[25] In a twelfth embodiment, the present disclosure provides an antibody-drug conjugate of any one of the second through the eleventh embodiments, wherein the attachment group is selected from:
R16 is H, CM alkyl, phenyl, pyrimidine or pyridine;
R18 is H, Ci-6 alkyl, phenyl or CM alkyl substituted with 1 to 3 -OH groups; each R15 is independently selected from H, CM alkyl, fluoro, benzyloxy substituted with - C(=O)OH, benzyl substituted with -C(=O)OH, CM alkoxy substituted with -C(=O)OH and CM alkyl substituted with -C(=O)OH;
R17 is independently selected from H, phenyl and pyridine; q is 0, 1, 2 or 3;
R19 is H or methyl; and
R20 is H, -CH3 or phenyl.
The definitions of the remaining variables are provided in the second through the eleventh embodiments or any embodiments described therein.
[26] In a thirteenth embodiment, the present disclosure provides an antibody-drug conjugate of any one of the second through the twelfth embodiments, wherein the attachment group
The definitions of the remaining variables are provided in the second through the twelfth embodiments or any embodiments described therein.
[27] In a fourteenth embodiment, the present disclosure provides an antibody-drug conjugate of any one of the second through the thirteenth embodiments, wherein:
*-CH(OH)CH(OH)CH(OH)CH(OH)-**,
wherein each n is an integer from 1 to 12, wherein the * of L1 indicates the point of direct or indirect attachment to W, and the ** of L1 indicates the point of direct or indirect attachment to R1;
integer from 1 to 12 or n is 1 or n is 12, wherein the * of L1 indicates the point of direct or indirect attachment to W, and the ** of L1 indicates the point of direct or indirect attachment to R1;
(3) L1 is
, and n is an integer from 1 to 12, wherein the * of L1 indicates the point of direct or indirect attachment to W, and the ** of Li indicates the point of direct or indirect attachment to R1;
(4) L1 comprises , wherein the * of L1 indicates the point of direct or
indirect attachment to W, and the ** of L1 indicates the point of direct or indirect attachment to R1;
(5) L1 is a bridging spacer comprising:
*-C(=O)(CH2)mO(CH2)m-**; *-C(=O)((CH2)mO)t(CH2)n-**; *-C(=O)(CH2)m-**;
*-C(=O)NH((CH2)mO)t(CH2)n-**;
*-C(-O)O(C[ f2)mSSC(RL1)2(CH2)mC(=O)NRL1(CH2)mNRL1C(=O)(CH2)m-**;
*-C(=O)O(CH2)mC(=O)NH(CH2)m-**; *-C(=O)(CH2)mNH(CH2)m-**;
*-C(=O)(CH2)mNH(CH2)nC(=O)-**; *-C(=O)(CH2)mXi(CH2)m-**;
*-C(=O)((CH2)mO)t(CH2)nXi(CH2)n-**; *-C(=O)(CH2)mNHC(=O)(CH2)n-**;
*-C(=O)((CH2)mO)t(CH2)nNHC(=O)(CH2)n-**;
*-C(=O)(CH2)mNHC(=O)(CH2)nXi(CH2)n-**;
*-C(=O)((CH2)mO)t(CH2)nNHC(=O)(CH2)nXi(CH2)n-**;
*-C(=O)((CH2)mO)t(CH2)nC(=O)NH(CH2)m-**; *-C(=O)(CH2)mC(RL1)2-** or
*-C(=O)(CH2)mC(=O)NH(CH2)m-**, wherein the * of L1 indicates the point of direct or indirect attachment to W, and the ** of L1 indicates the point of direct or indirect attachment to R1;
each m is independently selected from 1, 2, 3, 4, 5, 6, 7, 8, 9 and 10; each n is independently selected from 1, 2, 3, 4, 5, 6, 7, 8, 9 and 10; and
each t is independently selected from 1, 2, 3, 4, 5, 6, 7, 8, 9, 10, 11, 12, 13, 14, 15, 16, 17, 18,
19, 20, 21, 22, 23, 24, 25, 26, 27, 28, 29 and 30; and each RL1 is independently selected from H and Ci-Cgalkyl.
The definitions of the remaining variables are provided in the second through the thirteenth embodiments or any embodiments described therein.
[28] In a fifteenth embodiment, the present disclosure provides an antibody-drug conjugate of any one of the second through the fourteenth embodiments, wherein L1 comprises a moiety represented by
wherein n is an integer from 1 to 12, wherein the * of L1 indicates the point of direct or indirect attachment to W, and the ** of L1 indicates the point of direct or indirect attachment to R1. The definitions of the remaining variables are provided in the second through the fourteenth embodiments or any embodiments described therein.
[29] In a sixteenth embodiment, the present disclosure provides an antibody-drug conjugate of the fifteenth embodiment, wherein L1 is represented by a formula
wherein n is an integer from 1 to 12; x is an integer from 0 to 6; y is 0 or 1 ; z is an integer from 0 to 6; u is 0 or 1 ; and wherein the * of L1 indicates the point of direct attachment to W, and the ** of L1 indicates the point of direct attachment to R1.
The definitions of the remaining variables are provided in the fifteenth embodiment or any embodiments described therein.
[30] In a seventeenth embodiment, the present disclosure provides an antibody-drug conjugate of any one of the second through the sixteenth embodiments, wherein L1 is selected from the group consisting of :
The definitions of the remaining variables are provided in the second through the sixteenth embodiments or any embodiments described therein.
[31] In an eighteenth embodiment, the present disclosure provides an antibody-drug conjugate of any one of claims the fifth through the seventeenth embodiments, wherein L2 and L3 are each independently a connecting spacer comprising a moiety represented by:
wherein k is an integer from 0 to 6; r is 0 or 1 ; o is an integer from 0 to 12; p is an integer from 0 to 6; and wherein the # of L2 or L3 indicates the point of direct or indirect attachment to E1 or E2, respectively, and the ## of L2 or L3 indicates the point of direct or indirect attachment to W. The definitions of the remaining variables are provided in the second through the seventeenth embodiments or any embodiments described therein.
[32] In a nineteenth embodiment, the present disclosure provides an antibody-drug conjugate of the eighteenth embodiment, wherein L2 and L3 are each independently a connecting spacer selected from a group consisting of
wherein k, in each occurrence, is independently an integer from 0 to 4; r, in each occurrence, is independently 0 or 1 ; o, in each occurrence, is independently an integer from 0 to 10; p, in each occurrence, is independently an integer from 0 to 4;
RL23 is hydrogen or Ci-ealkyl;
RL is hydrogen or -C(O)-RH;
RH is a hydrophilic group; and the # of L2 or L3 indicates the point of direct attachment to E1 or E2, respectively, and the ## of L2 or L3 indicates the point of direct attachment to W; provided that when W is N, L2 and L3 are not (L2c), (L2d), (L2f), or (L2k).
The definitions of the remaining variables are provided in the eighteenth embodiment or any embodiments described therein.
[33] In a twentieth embodiment, the present disclosure provides an antibody-drug conjugate of the nineteenth embodiment, wherein L2 and L3 are each independently a connecting spacer selected from a group consisting of
0
## - U - # (L2AA);
O
## - (CH2)k - U - # (L2BB);
O
## — [(CH2)2O]O - U — # (L2CC);
wherein k, in each occurrence, is independently an integer from 1 to 3; o, in each occurrence, is independently an integer from 1 to 9; p, in each occurrence, is independently an integer from 1 to 3;
RL23 is hydrogen or Cmalkyl;
RL is hydrogen or -C(O)-RH;
RH is a hydrophilic group; and the # of L2 or L3 indicates the point of direct attachment to E1 or E2, respectively, and the ## of L2 or L3 indicates the point of direct attachment to W; provided that when W is N, L2 and L3 are not (L2FF), (L2MM), (L2NN), (L2OO), or (L2PP). The definitions of the remaining variables are provided in the nineteenth embodiment or any embodiments described therein.
[34] In a twenty-first embodiment, the present disclosure provides an antibody-drug conjugate of the fifth through the twentieth embodiments, wherein:
wherein the # of L2 or L3 indicates the point of direct attachment to E1 or E2, respectively, the ## of L2 or L3 indicates the point of direct attachment to W; RL is hydrogen or -C(O)-RH; and
, and d is an integer from 20 to 30 (e.g., 20, 21, 22, 23, 24, 25, 26, 27,
28, 29 or 30).
The definitions of the remaining variables are provided in the fifth through the twentieth embodiments or any embodiments described therein.
[35] In a twenty-second embodiment, the present disclosure provides an antibody-drug conjugate of the twenty-first embodiment, wherein d is 25. The definitions of the remaining variables are provided in the twenty-first embodiments or any embodiments described therein.
[36] In a twenty-third embodiment, the present disclosure provides an antibody-drug conjugate of any one of the seventh through the twenty-second embodiments, wherein the peptide group comprises 1 to 4, 1 to 3, or 1 to 2 amino acid residues. The definitions of the remaining variables are provided in the seventh through the twenty-second embodiments or any embodiments described therein.
[37] In a twenty-fourth embodiment, the present disclosure provides an antibody-drug conjugate of the twenty-third embodiment, wherein the amino acid residues are selected from glycine (Gly), L- valine (Vai), L-citrulline (Cit), L-cysteic acid (sulfo-Ala), L-lysine (Lys), L-isoleucine (He), L- phenylalanine (Phe), L-methionine (Met), L-asparagine (Asn), L-proline (Pro), L-alanine (Ala), L- leucine (Leu), L-tryptophan (Trp), L-tyrosine (Tyr) and (3-alanine (|3-Ala). The definitions of the remaining variables are provided in the twenty-third embodiment or any embodiments described therein.
[38] In a twenty- fifth embodiment, the present disclosure provides an antibody-drug conjugate of any one of the first through the twenty-third embodiments, wherein the peptide group comprises Val- Cit, Phe-Lys, Vai-Ala, Val-Lys, Leu-Cit, Cit-((3-Ala), Gly-Gly-Gly, Gly-Gly-Phe-Gly (SEQ ID NO: 37), and/or sulfo-Ala-Val-Ala. The definitions of the remaining variables are provided in the first through the twenty-third embodiments or any embodiments described therein.
[39] In a twenty-sixth embodiment, the present disclosure provides an antibody-drug conjugate of any one of the twenty-third through the twenty-fifth embodiments, wherein the peptide group
represented by E1 or E2 is an enzyme cleavage element. The definitions of the remaining variables are provided in the twenty-third through the twenty-fifth embodiments or any embodiments described therein.
[40] In a twenty-seventh embodiment, the present disclosure provides an antibody-drug conjugate of any one of the twenty-third through the twenty-fifth embodiments, or pharmaceutically acceptable salt thereof, wherein the peptide group represented by E1 or E2 is a hydrophilic moiety. The definitions of the remaining variables are provided in the twenty-third through the twenty-fifth embodiments or any embodiments described therein.
[41] In a twenty-eighth embodiment, the present disclosure provides an antibody-drug conjugate of the twenty-sixth embodiment, or pharmaceutically acceptable salt thereof, wherein E1 or E2, independently, is an enzyme cleavage element selected from a group consisting of
wherein A of E1 or E2 indicates the point of direct attachment to V1 or V2 in Formula (B) or direct attachment to the -NH- group in Formula (C) and (D); and AA of E1 or E2 indicates the point of direct attachment to L2 or L3, respectively. The definitions of the remaining variables are provided in the twenty-sixth embodiment or any embodiments described therein.
[42] In a twenty-ninth embodiment, the present disclosure provides an antibody-drug conjugate of the twenty-seventh embodiment, or pharmaceutically acceptable salt thereof, wherein E1 or E2, independently, is a hydrophilic moiety represented by
wherein RE is a hydrophilic group RH. The definitions of the remaining variables are provided in the twenty-seventh embodiment or any embodiments described therein.
[43] In a thirtieth embodiment, the present disclosure provides an antibody-drug conjugate of the twenty-ninth embodiment, or pharmaceutically acceptable salt thereof, wherein each hydrophilic
group RH in E1 or E2 is independently
; wherein e is an integer between 20 and 30 (e.g., 20, 21, 22, 23, 24, 25, 26, 27, 28, 29 or 30). The definitions of the remaining variables are provided in the twenty-ninth embodiment or any embodiments described therein.
[44] In a thirty- first embodiment, the present disclosure provides an antibody-drug conjugate of the thirtieth embodiment, wherein e is 24. The definitions of the remaining variables are provided in the thirtieth embodiment or any embodiments described therein.
[45] In a thirty-second embodiment, the present disclosure provides an antibody-drug conjugate of any one of the seventh through the thirty-first embodiments, or pharmaceutically acceptable salt
O *
-l-o-p-l- thereof, wherein A1 and A2 independently are a bond, -OC(=O)-*, or OH , wherein * indicates the point of attachment to D1 or D2. The definitions of the remaining variables are provided in the seventh through the thirty-first embodiments or any embodiments described therein. In some
O *
embodiments, A1 and A2 independently are a bond or OH , wherein * indicates the point of attachment to D1 or D2. In some embodiments, A1 and A2 independently are a bond or -OC(=O)-*, wherein * indicates the point of attachment to D1 or D2. In some embodiments, A1 and A2 are as
O *
— |-o— P— |— defined: (i) A1 and A2 are - OC(=O)-*; (ii) A1 and A2 are OH ; (iii) A1 is - OC(=O)-* and
O *
-I-O-P-1-
OH ; or (vi) A1 is a bond and A2 is - OC(=O)-*, wherein * indicates the point of attachment to D1 or D2.
[46] In a thirty-third embodiment, the present disclosure provides an antibody-drug conjugate of any one of the seventh through the thirty-second embodiments, wherein A1 and A2 are a bond. The definitions of the remaining variables are provided in the seventh through the thirty-second embodiments or any embodiments described therein.
[47] In a thirty-fourth embodiment, the present disclosure provides an antibody-drug conjugate of any one of the seventh through the thirty-third embodiments, wherein i) L4 and L5 are each independently a spacer moiety having the structure
, wherein:
-OC(=O)NH-, -S(O)2NH-, -NHS(O)2-, -C(=O)-, -C(=O)O- or -NH-, wherein each RM5 is independently selected from H, C i-Cgalkyl, and C?-Cx cycloalkyl; and
X is a bond, triazolyl, or -CH2-triazolyl-, wherein X is connected to R2 or R3; or
(ii) L4 and L5, independently, are a spacer moiety having the structure
, wherein:
OC(=O)NH-, -S(O)2NH-, -NHS(O)2-, -C(=O)-, -C(=O)O- or -NH-, wherein each RU5 is independently selected from H, C i-Cgalkyl, and C?-Cx cycloalkyl; and
X is -CH2-triazolyl-Ci-4 alkylene-OC(O)NHS(O)2NH-,
-C4-6 cycloalkylene-OC(O)NHS(O)2NH-, -(CH2CH2O)n-C(O)NHS(O)2NH-, -(CH2CH2O)n-C(O)NHS(O)2NH-(CH2CH2O)n-,
-CH2-triazolyl-Ci-4 alkylene-OC(O)NHS(O)2NH-(CH2CH2O)n-, -C4-6cycloalkylene- OC(O)NHS(O)2NH-(CH2CH2O)n-, wherein each n independently is 1, 2, or 3, wherein X is connected to R2 or R3.
The definitions of the remaining variables are provided in the seventh through the thirty-third embodiments or any embodiments described therein.
[48] In a thirty-fifth embodiment, the present disclosure provides an antibody-drug conjugate of the thirty-fourth embodiment, or pharmaceutically acceptable salt thereof, wherein Z is -O-, - CH2NRL45 C(=O)-, -CH2NRL45C(=O)NH- or -CH2O-; X is a bond, triazolyl, or -CH2-triazolyl-; and RM5, in each occurrence, is independently H or Cmalkyl. The definitions of the remaining variables are provided in the thirty- fourth embodiment or any embodiments described therein.
[49] In a thirty-sixth embodiment, the present disclosure provides an antibody-drug conjugate of any one of the seventh through the thirty-fifth embodiments, or pharmaceutically acceptable salt thereof, wherein L4 and L5are each independently a spacer moiety selected from a group consisting of
4); wherein the @ of L4 or L5 indicates the point of direct attachment to the phenyl group, and the @@ of L4 or L5 indicates the point of direct attachment to R2 or R3. The definitions of the remaining variables
are provided in the seventh through the thirty-fifth embodiments or any embodiments described therein.
[50] In a thirty-seventh embodiment, the present disclosure provides an antibody-drug conjugate of any one of the seventh through the thirty-sixth embodiments, wherein the hydrophilic groups represented by R2 and R3 each independently comprises polyethylene glycol, polyalkylene glycol, a polyol, a polysarcosine, a sugar, an oligosaccharide, a polypeptide, C2-C6 alkyl substituted with 1 to 3
4-0-P-OH I-P-OH
OH or OH , or Ch-Cfialkyl substituted with 1 to 2 substituents independently selected from -OC(=O)NHS(O)2NHCH2CH2OCH3, -NHC(=O)Ci.4alkylene-P(O)(OCH2CH3)2 and -COOH groups. The definitions of the remaining variables are provided in the seventh through the thirty-sixth embodiments or any embodiments described therein.
[51] In a thirty-eighth embodiment, the present disclosure provides an antibody-drug conjugate of any one of the seventh through the thirty-seventh embodiments, wherein R2 or R3 independently is
The definitions of the remaining variables are provided in the seventh through the thirty-seventh embodiments or any embodiments described therein.
[52] In a thirty-ninth embodiment, the present disclosure provides an antibody-drug conjugate of any one of the seventh through the thirty-eighth embodiments, wherein the hydrophilic group represented by R2 or R3 each independently comprises:
R23 is H, -CH3 or -C 112C 112C( O )011 ; or
(ii) a polyethylene glycol of formula:
, wherein g and h are independently an integer between 2 and 30.
In some embodiments, the hydrophilic group represented by R2 or R3 each independently comprises: a polysarcosine with the following moiety:
wherein f is an integer between 3 and 25; and
R23 is H, -CH3 or -C 112C 112C( O )011.
The definitions of the remaining variables are provided in the seventh through the thirty-eighth embodiments or any embodiments described therein.
[53] In a fortieth embodiment, the present disclosure provides an antibody-drug conjugate of any one of the seventh through the thirty-sixth embodiments, wherein the enzyme cleavage element represented by R2 or R3 each independently comprises:
The definitions of the remaining variables are provided in the seventh through the thirty-sixth embodiments or any embodiments described therein.
[54] In a forty-first embodiment, the present disclosure provides an antibody-drug conjugate of any one of the seventh through the thirty-sixth embodiments, wherein R2 or R3, independently, is selected from a group consisting of
wherein g and h are independently an integer between 20 and 30.
The definitions of the remaining variables are provided in the seventh through the thirty-sixth embodiments or any embodiments described therein.
[55] In a forty-second embodiment, the present disclosure provides an antibody-drug conjugate of the thirty-ninth through the forty-first embodiments, wherein g is 23, 24, or 25; and h is 23, 24, or 25.
The definitions of the remaining variables are provided in the thirty-ninth through the forty- first embodiments or any embodiments described therein.
[56] In a forty-third embodiment, the present disclosure provides an antibody-drug conjugate of the seventh embodiment, wherein the dual linker is represented by the following formula:
and A2 i
g for each occurrence is independently an integer between 20 and 30 (e.g., 20, 21, 22, 23, 24, 25, 26, 27, 28, 29 or 30); o for each occurrence is independently an integer between 1 and 9 (e.g., between 2 and 5); n is an integer between 1 and 12 (e.g., between 2 and 5);
indicates the point of attachment to the Ab; and indicates the point of direct attachment to D1 or D2.
The definitions of the remaining variables are provided in the seventh embodiment or any embodiments described therien. In some embodiments, A1 and A2 are each independent a bond or - O-C(=O)-*, wherein * in A1 and A2 indicates the point of attachment to D1 or D2. In some embodiments, A1 and A2 are both bond. In some embodiments, A1 and A2 are both -OC(=O)-*. In some embodiments, one of A1 and A2 is a bond and the other is OC(=O)-*.
[57] In a forty-fourth embodiment, the present disclosure provides an antibody-drug conjugate of the seventh embodiment, wherein the dual linker is represented by Formula (D5):
A1 and A2 are each independent a bond, -O-C(=O)-* or OH , wherein * in A1 and A2 indicates the point of attachment to D1 or D2; g for each occurrence is independently an integer between 20 and 30 (e.g., 20, 21, 22, 23, 24, 25, 26, 27, 28, 29 or 30); o for each occurrence is independently an integer between 1 and 9 (e.g., between 1 and 3); n is an integer between 1 and 12 (e.g., between 5 and 10);
** indicates the point of attachment to the Ab; and indicates the point of direct attachment to D1 or D2. The definitions of the remaining variables are provided in the seventh embodiment or any embodiments described therien. In some embodiments, A1 and A2 are each independent a bond or -O-C(=O)-*, wherein * in A1 and A2 indicates the point of attachment to D1 or D2.
[58] In a forty-fifth embodiment, the present disclosure provides an antibody-drug conjugate of the first embodiment, or pharmaceutically acceptable salt thereof, wherein the dual linker is represented
by the following formula:
(L12);
(L14);
(L29);
o * — j-o— p— ]— wherein each A1 or A2 independently is a bond, -OC(=O)-* or OH , wherein * indicates the point of attachment to D1 or D2; ** indicates the point of attachment to the Ab;
indicates the point of direct attachment to D1 or D2.
The definitions of the remaining variables are provided in the first embodiment. In some embodiments, each A1 or A2 independently is a bond or -OC(=O)-*. In some embodiments, A1 and A2 are both bond. In some embodiments, A1 and A2 are both -OC(=O)-*. In some embodiments, one of A1 and A2 is a bond and the other is OC(=O)-*.
[59] In a forty-sixth embodiment, the present disclosure provides an antibody-drug conjugate of any one of the second through forty- fifth embodiments, D1 and D2 are each independently a BH3 mimetic. Alternatively, one of DI and D2 is a BH3 mimetic selected from a Mcl-1 inhibitor, a Bcl-2 inhibitor, and a Bcl-xL inhibitor, and the other is an antineoplastic non-BH3 mimetic selected from topoisomerase 1 inhibitor or an anti-mitotic drug. The definitions of the remaining variables are provided in the second through forty-fifth embodiments or any embodiments described therein. In some embodiments, D1 is a BH3 mimetic and D2 is an antineoplastic non-BH3 mimetic; and the
definitions of the remaining variables are provided in the second through forty- fifth embodiments or any embodiments described therein. In some embodiments, D1 is selected from a Mcl-1 inhibitor, a Bcl-2 inhibitor, and a Bcl-xL inhibitor, and D2 is a topoisomerase 1 inhibitor or an anti-mitotic drug. In some embodiments, D1 is a Bcl-xL inhibitor and D2 is a topoisomerase 1 inhibitor. In some embodiments, D1 is a Bcl-xL inhibitor and D2 is an anti-mitotic drug.
[60] In some embodiments, D1 and/or D2 are each independently selected from a Mcl-1 inhibitor, a Bcl-2 inhibitor and a Bcl-xL inhibitor. .
[61] In a forty-seventh embodiment, the present disclosure provides an antibody-drug conjugate of any one of the second through forty-sixth embodiments, wherein D1 and D2 are both (i) a Mcl-1 inhibitor; (ii) a Bcl-2 inhibitor; or (iii) Bcl-xL inhibitor. The definitions of the remaining variables are provided in the second through forty-sixth embodiments or any embodiments described therein.
[62] In a forty-eighth embodiment, the present disclosure provides an antibody-drug conjugate of any one of the second through forty-seventh embodiments, wherein D1 and D2 are the same. The definitions of the remaining variables are provided in the second through forty-sixth embodiments or any embodiments described therein.
[63] In a forty-ninth embodiment, the present disclosure provides an antibody-drug conjugate of any one of the second through forty-seventh embodiments, wherein D1 and D2 are different. The definitions of the remaining variables are provided in the second through forty-seventh embodiments or any embodiments described therein.
[64] In a fiftieth embodiment, the present disclosure provides an antibody-drug conjugate of any one of the second through forty-seventh embodiments, or pharmaceutically acceptable salt thereof, wherein (i) one of D1 and D2 is a Mcl-1 inhibitor and the other is a Bcl-2 inhibitor; (ii) one of D1 and D2 is a Mcl-1 inhibitor and the other is a Bcl-xL inhibitor; or (iii) one of D1 and D2 is a Bcl-2 inhibitor and the other is a Bcl-xL inhibitor. The definitions of the remaining variables are provided in the second through forty-seventh embodiments or any embodiments described therein. Alternatively, the present disclosure provides an antibody-drug conjugate of any one of the second through fortyseventh embodiments, or pharmaceutically acceptable salt thereof, wherein (i) D1 is a Mcl-1 inhibitor and D2 is a Mcl-1 inhibitor; (ii) D1 is a Mcl-1 inhibitor and D2 is a Bcl-2 inhibitor; (iii) D1 is a Bcl-xL inhibitor and D2 is a Bcl-xL inhibitor: (iv) D1 is a Bcl-xL inhibitor and D2 is a Bcl-2 inhibitor; or (v) D1 is a Bcl-2 inhibitor and D2 is a Mcl-1 inhibitor; or (vi) D1 is a Mcl-1 inhibitor and D2 is a Bcl-xL inhibitor. The definitions of the remaining variables are provided in the second through forty-seventh embodiments or any embodiments described therein.
[65] In a fifty-first embodiment, the present disclosure provides an antibody-drug conjugate of any one of the forty-sixth through fiftieth embodiments, or pharmaceutically acceptable salt thereof, the Mcl-1 inhibitor is represented by Formula (I):
wherein: Ring D0 is a cycloalkyl group, a heterocycloalkyl group, an aryl group or a heteroaryl group, Ring E0 is a furyl, thienyl or pyrrolyl ring, X01, X03, X04 and X05 independently of one another are a carbon atom or a nitrogen atom, X02 is a C-R026 group or a nitrogen atom, ^ means that the ring is aromatic, Y0 is a nitrogen atom or a C-R03 group, Z0 is a nitrogen atom or a C-R04 group, R01 is a halogen atom, a linear or branched (C1-C6)alkyl group, a linear or branched (C2-C6)alkenyl group, a linear or branched (C2-C6)alkynyl group, a linear or branched (C1- C6)haloalkyl group, a hydroxy group, a hydroxy(C1-C6)alkyl group, a linear or branched (C1- C6)alkoxy group, -S-(C1-C6)alkyl group, a cyano group, a nitro group, -Cy08, -(C0-C6)alkyl- NR011R011’, -O-(C1-C6)alkyl-NR011R011’, -O-(C1-C6)alkyl-R012, -C(O)-OR011, -O-C(O)-R011, - C(O)-NR011R011’, -NR011-C(O)-R011’, -NR011-C(O)-OR011’, -(C1-C6)alkyl-NR011-C(O)-R011’, - SO2-NR011R011’, or -SO2-(C1-C6)alkyl, R02, R03, R04 and R05 independently of one another are a hydrogen atom, a halogen atom, a linear or branched (C1-C6)alkyl group, a linear or branched (C2-C6)alkenyl group, a linear or branched (C2-C6)alkynyl group, a linear or branched (C1-C6)haloalkyl, a hydroxy group, a hydroxy(C1-C6)alkyl group, a linear or branched (C1-C6)alkoxy group, a -S-(C1- C6)alkyl group, a cyano group, a nitro group, -(C0-C6)alkyl-NR011R011’, -O-Cy01, -(C0-
C6)alkyl-Cy01, -(C2-C6)alkenyl-Cy01, -(C2-C6)alkynyl-Cy01, -O-(C1-C6)alkyl-NR011R011’, -O-(C1-C6)alkyl-R031,-O-(C1-C6)alkyl-R012, -C(O)-OR011, -O-C(O)-R011, -C(O)-NR011R011’, - NR011-C(O)-R011’, -NR011-C(O)-OR011’, -(C1-C6)alkyl-NR011-C(O)-R011’, -SO2-NR011R011’, or - SO2-(C1-C6)alkyl, or the pair (R01, R02), (R02, R03), (R03, R04), or (R04, R05) together with the carbon atoms to which they are attached form an aromatic or non-aromatic ring containing 5 to 7 ring members, which optionally contains 1 to 3 heteroatoms selected from O, S and N, wherein the resulting ring is optionally substituted by 1 or 2 groups selected from halogen, linear or branched (C1-C6)alkyl, (C0-C6)alkyl-NR011R011’, -NR013R013’, -(C0-C6)alkyl-Cy01 or oxo, R06 and R07 independently of one another are a hydrogen atom, a halogen atom, a linear or branched (C1-C6)alkyl group, a linear or branched (C2-C6)alkenyl group, a linear or branched (C2-C6)alkynyl group, a linear or branched (C1-C6)haloalkyl, a hydroxy group, a linear or branched (C1-C6)alkoxy group, a -S-(C1-C6)alkyl group, a cyano group, a nitro group, -(C0-C6)alkyl-NR011R011’, -O-(C1-C6)alkyl-NR011R011’, -O-Cy01, -(C0-C6)alkyl-Cy01, -(C2-C6)alkenyl-Cy01, -(C2-C6)alkynyl-Cy01, -O-(C1-C6)alkyl-R012, -C(O)-OR011, -O-C(O)-R011, -C(O)-NR011R011’, -NR011-C(O)-R011’, -NR011-C(O)-OR011’, -(C1-C6)alkyl-NR011-C(O)-R011’, -SO2-NR011R011’, or -SO2-(C1-C6)alkyl, or the pair (R06, R07), when fused with the two adjacent carbon atoms, together with the carbon atoms to which they are attached form an aromatic or non-aromatic ring containing 5 to 7 ring members, which optionally contains 1 to 3 heteroatoms selected from O, S and N, wherein the resulting ring is optionally substituted by a linear or branched (C1-C6)alkyl group, -NR013R013’, -(C0-C6)alkyl-Cy01 or an oxo, W0 is a -CH2- group, a -NH- group or an oxygen atom, R08 is a hydrogen atom, a linear or branched (C1-C8)alkyl group, a -CHR0aR0b group, an aryl group, a heteroaryl group, an aryl(C1-C6)alkyl group, or a heteroaryl(C1-C6)alkyl group, R09 is a hydrogen atom, a linear or branched (C1-C6)alkyl group, a linear or branched (C2-C6)alkenyl group, a linear or branched (C2-C6)alkynyl group, -Cy02, -(C1-C6)alkyl-Cy02, - (C2-C6)alkenyl-Cy02, -(C2-C6)alkynyl-Cy02, -Cy02-Cy03, -(C2-C6)alkynyl-O-Cy02, -Cy02-(C0- C6)alkyl-O-(C0-C6)alkyl-Cy03, a halogen atom, a cyano group, -C(O)-R014, or -C(O)- NR014R014’, R010 is a hydrogen atom, a linear or branched (C1-C6)alkyl group, a linear or branched (C2-C6)alkenyl group, a linear or branched (C2-C6)alkynyl group, an aryl(C1-C6)alkyl group, a (C1-C6)cycloalkylalkyl group, a linear or branched (C1-C6)haloalkyl, or -(C1-C6)alkyl-O-Cy04,
or the pair (R09, R010), when fused with the two adjacent carbon atoms, together with the carbon atoms to which they are attached form an aromatic or non-aromatic ring containing 5 to 7 ring members, which optionally contains 1 to 3 heteroatoms selected from O, S and N, R011 and R011’ independently of one another are a hydrogen atom, an optionally substituted linear or branched (C1-C6)alkyl group, or -(C0-C6)alkyl-Cy01, or the pair (R011, R011’) together with the nitrogen atom to which they are attached form an aromatic or non-aromatic ring containing 5 to 7 ring members, which optionally contains, in addition to the nitrogen atom, 1 to 3 heteroatoms selected from O, S, and N, wherein the N atom may be substituted by 1 or 2 groups selected from a linear or branched (C1-C6)alkyl group, and wherein one or more of the carbon atoms of the linear or branched (C1-C6)alkyl group is optionally deuterated, R012 is -Cy05, -Cy05-(C0-C6)alkyl-O-(C0-C6)alkyl-Cy06, -Cy05-(C0-C6)alkyl-Cy06, -Cy05- (C0-C6)alkyl-NR011-(C0-C6)alkyl-Cy06, -Cy05-Cy06-O-(C0-C6)alkyl-Cy07, -Cy05-(C0-C6)alkyl-O- (C0-C6)alkyl-Cy09, -Cy05-(C0-C6)alkyl-Cy09, -NH-C(O)-NH-R011, -Cy05-(C0-C6)alkyl-NR011-(C0-C6)alkyl-Cy09, -C(O)-NR011R011’, - NR011R011’, -OR011, -NR011-C(O)-R011’, -O-(C1-C6)alkyl-OR011, -SO2-R011, -C(O)-OR011, R013, R013’, R014 and R014’ independently of one another are a hydrogen atom, or an optionally substituted linear or branched (C1-C6)alkyl group, R0a is a hydrogen atom or a linear or branched (C1-C6)alkyl group, R0b is a -O-C(O)-O-R0c group, a -O-C(O)-NR0cR0c’ group, or a -O-P(O)(OR0c)2 group, R0c and R0c’ independently of one another are a hydrogen atom, a linear or branched (C1-C8)alkyl group, a cycloalkyl group, a (C1-C6)alkoxy(C1-C6)alkyl group, or a (C1- C6)alkoxycarbonyl(C1-C6)alkyl group, or the pair (R0c, R0c’) together with the nitrogen atom to which they are attached form a non- aromatic ring composed of from 5 to 7 ring members, which may contain in addition to the nitrogen atom from 1 to 3 heteroatoms selected from oxygen and nitrogen, wherein the nitrogen is optionally substituted by a linear or branched (C1-C6)alkyl group, Cy01, Cy02, Cy03, Cy04, Cy05, Cy06, Cy07, Cy08 and Cy010 independently of one another, are a cycloalkyl group, a heterocycloalkyl group, an aryl group or a heteroaryl group, each of which is optionally substituted,
or Cy09 is a heteroaryl group which is substituted by a group selected from -O-P(O)(OR020)2; - O-P(O)(O-M+)2; -(CH2)p0-O-(CHR018-CHR019-O)q0-R020; hydroxy; hydroxy(C1-C6)alkyl; - (CH2)r0-U0-(CH2)s0-heterocycloalkyl; and -U0-(CH2)q0-NR021R021’, R015 is a hydrogen atom; a -(CH2)p0-O-(CHR018-CHR019-O)q0-R020 group; a linear or branched (C1-C6)alkoxy(C1-C6)alkyl group; a -U0-(CH2)q0-NR021R021’ group; or a -(CH2)r0-U0- (CH2)s0-heterocycloalkyl group, R016 is a hydrogen atom; a hydroxy group; a hydroxy(C1-C6)alkyl group; a -(CH2)r0- U0-(CH2)s0-heterocycloalkyl group; a (CH2)r0-U0-V0-O-P(O)(OR020)2 group; a -O-P(O)(O-M+)2 group; a -O-S(O)2OR020 group; a -S(O)2OR020 group; a -(CH2)p0-O-(CHR018-CHR019-O)q0-R020 group; a -(CH2)p0-O-C(O)-NR022R023 group; or a -U0-(CH2)q0-NR021R021’ group, R017 is a hydrogen atom; a -(CH2)p0-O-(CHR018-CHR019-O)q0-R020 group; a -CH2- P(O)(OR020)2 group, a -O-P(O)(OR020)2 group; a -O-P(O)(O-M+)2 group; a hydroxy group; a hydroxy(C1-C6)alkyl group; a -(CH2)r0-U0-(CH2)s0-heterocycloalkyl group; a -U0-(CH2)q0- NR021R021’ group; or an aldonic acid, M+ is a pharmaceutically acceptable monovalent cation, U0 is a bond or an oxygen atom, V0 is a -(CH2)s0- group or a -C(O)- group, R018 is a hydrogen atom or a (C1-C6)alkoxy(C1-C6)alkyl group, R019 is a hydrogen atom or a hydroxy(C1-C6)alkyl group, R020 is a hydrogen atom or a linear or branched (C1-C6)alkyl group, R021 and R021’ independently of one are a hydrogen atom, a linear or branched (C1- C6)alkyl group, or a hydroxy(C1-C6)alkyl group, or the pair (R021, R021’) together with the nitrogen atom to which they are attached form an aromatic or non-aromatic ring containing 5 to 7 ring members, which optionally contains, in addition to the nitrogen atom, 1 to 3 heteroatoms selected from O, S and N, wherein the resulting ring is optionally substituted by a hydrogen atom or a linear or branched (C1- C6)alkyl group, R022 is a (C1-C6)alkoxy(C1-C6)alkyl group, a -(CH2)p0-NR024R024’ group, or a -(CH2)p0- O-(CHR018-CHR019-O)q0-R20 group, R023 is a hydrogen atom or a (C1-C6)alkoxy(C1-C6)alkyl group, or the pair (R022, R023) together with the nitrogen atom to which they are attached form an aromatic or non-aromatic ring containing 5 to 18 ring members, which optionally contains, in addition to the nitrogen atom, 1 to 5 heteroatoms selected from O, S and N, wherein the resulting ring is optionally substituted by a hydrogen atom, a linear or branched (C1-C6)alkyl group or a heterocycloalkyl group, R024 and R024’ independently of one another are a hydrogen atom or a linear or branched (C1 C6)alkyl group
or the pair (R024, R024’) together with the nitrogen atom to which they are attached form an aromatic or non-aromatic ring composed of from 5 to 7 ring members, which may contain in addition to the nitrogen atom from 1 to 3 heteroatoms selected from O, S and N, and wherein the resulting ring is optionally substituted by a hydrogen atom or a linear or branched (C1- C6)alkyl group, R025 is a hydrogen atom, a hydroxy group, or a hydroxy(C1-C6)alkyl group, R026 is a hydrogen atom, a halogen atom, a linear or branched (C1-C6)alkyl group, or a cyano group, R027 is a hydrogen atom or a linear or branched (C1-C6)alkyl group, R028 is a -O-P(O)(O-)(O-) group, a -O-P(O)(O-)(OR030) group, a -O-P(O)(OR030)(OR030’) group, a -(CH2)p0-O-SO2-O- group, a -(CH2)p0-SO2-O- group, a - (CH2)p0-O-SO2-OR030 group, -Cy010, a -(CH2)p0-SO2-OR030 group, a -O-C(O)-R029 group, a -O- C(O)-OR029 group or a -O-C(O)-NR029R029’ group; R029 and R029’ independently of one another are a hydrogen atom, a linear or branched (C1-C6)alkyl group or a linear or branched amino(C1-C6)alkyl group, R030 and R030’ independently of one another are a hydrogen atom, a linear or branched (C1-C6)alkyl group or an aryl(C1-C6)alkylgroup,
zwitterionic form or has a monovalent anionic counterion, n0 is an integer equal to 0 or 1, p0 is an integer equal to 0, 1, 2, or 3, q0 is an integer equal to 1, 2, 3 or 4, r0 and s0 are independently an integer equal to 0 or 1; wherein, at most, one of the R03, R09, or R012 groups, if present, is covalently attached to the linker, and wherein the valency of an atom is not exceeded by virtue of one or more substituents bonded thereto
or an enantiomer, diastereoisomer, atropisomer, deuterated derivative, and/or pharmaceutically acceptable salt of any of the foregoing. The definitions of the remaining variables are provided in the forty-sixth through fiftieth embodiments or any embodiments described therein. [66] In a fifty-second embodiment, the present disclosure provides an antibody-drug conjugate of the fifty-first embodiment, wherein Cy01, Cy02, Cy03, Cy04, Cy05, Cy06, Cy07, Cy08 and Cy010, independently of one another, is a cycloalkyl group, a heterocycloalkyl group, an aryl group or a heteroaryl group, each of which is optionally substituted by one or more groups selected from halo; - (C1-C6)alkoxy; -(C1-C6)haloalkyl; -(C1-C6)haloalkoxy; -(CH2)p0-O-SO2-OR030; -(CH2)p0-SO2-OR030; - O-P(O)(OR020)2; -O-P(O)(O-M+)2; -CH2-P(O)(OR020)2; -(CH2)p0-O-(CHR018-CHR019-O)q0-R020; hydroxy; hydroxy(C1-C6)alkyl; -(CH2)r0-U0-(CH2)s0- heterocycloalkyl; or -U0-(CH2)q0-NR021R021’. The definitions of the remaining variables are provided in the fifty-first embodiment or any embodiments described therein. [67] In a fifty-third embodiment, the present disclosure provides an antibody-drug conjugate of the fifty-first embodiment, wherein the Mcl-1 inhibitor is presented by Formula (IA):
wherein: Z0 is a nitrogen atom or a C-R04 group, R01 is a halogen atom, a linear or branched (C1-C6)alkyl group, a linear or branched (C2-C6)alkenyl group, a linear or branched (C2-C6)alkynyl group, a linear or branched (C1- C6)haloalkyl group, a hydroxy group, a linear or branched (C1-C6)alkoxy group, a -S-(C1- C6)alkyl group, a cyano group, -Cy08, -NR011R011’, R02, R03 and R04 independently of one another are a hydrogen atom, a halogen atom, a linear or branched (C1-C6)alkyl group, a linear or branched (C2-C6)alkenyl group, a linear or branched (C2-C6)alkynyl group, a linear or branched (C1-
C6)haloalkyl, a hydroxy group, a linear or branched (C1-C6)alkoxy group, a -S-(C1-C6)alkyl group, a cyano group, a nitro group, -(C0-C6)alkyl-NR011R011’, -O-Cy01, -(C0-C6)alkyl-Cy01, - (C2-C6)alkenyl-Cy01, -(C2-C6)alkynyl-Cy01, -O-(C1-C6)alkyl-NR011R011’, -O-(C1-C6)alkyl-R031, -C(O)-OR011, -O-C(O)-R011, -C(O)-NR011R011’, -NR011-C(O)-R011’, -NR011-C(O)-OR011’, -(C1- C6)alkyl-NR011-C(O)-R011’, -SO2-NR011R011’, or -SO2-(C1-C6)alkyl, or the pair (R02, R03) or (R03, R04) together with the carbon atoms to which they are attached form an aromatic or non-aromatic ring containing 5 to 7 ring members, which optionally contains 1 to 3 heteroatoms selected from O, S and N, wherein the ring is optionally substituted by a group selected from a linear or branched (C1-C6)alkyl, -NR013R013’, -(C0- C6)alkyl-Cy01 and oxo, R06 and R07 independently of one another are a hydrogen atom, a halogen atom, a linear or branched (C1-C6)alkyl group, a linear or branched (C2-C6)alkenyl group, a linear or branched (C2-C6)alkynyl group, a linear or branched (C1-C6)haloalkyl, a hydroxy group, a linear or branched (C1-C6)alkoxy group, a -S-(C1-C6)alkyl group, a cyano group, a nitro group, -(C0-C6)alkyl-NR011R011’, -O-Cy01, -(C0-C6)alkyl-Cy01, -(C2-C6)alkenyl-Cy01, -(C2- C6)alkynyl-Cy01, -O-(C1-C6)alkyl-R012, -C(O)-OR011, -O-C(O)-R011, -C(O)-NR011R011’, -NR011-C(O)-R011’, - NR011-C(O)-OR011’, -(C1-C6)alkyl-NR011-C(O)-R011’, -SO2-NR011R011’, or -SO2-(C1-C6)alkyl, or the pair (R06, R07), when fused with two adjacent carbon atoms, together with the carbon atoms to which they are attached form an aromatic or non-aromatic ring containing 5 to 7 ring members, which optionally contains 1 to 3 heteroatoms selected from O, S and N, and wherein the resulting ring is optionally substituted by a group selected from a linear or branched (C1-C6)alkyl group, -NR013R013’, -(C0-C6)alkyl-Cy01 and an oxo, R08 is a hydrogen atom, a linear or branched (C1-C8)alkyl group, an aryl group, a heteroaryl group, an aryl-(C1-C6)alkylgroup, or a heteroaryl(C1-C6)alkyl group, R09 is a linear or branched (C1-C6)alkyl group, a linear or branched (C2-C6)alkenyl group, a linear or branched (C2-C6)alkynyl group, -Cy02, -(C1-C6)alkyl-Cy02, -(C2-C6)alkenyl-Cy02, -(C2-C6)alkynyl-Cy02, -Cy02-Cy03, -(C2-C6)alkynyl-O-Cy02, -Cy02-(C0-C6)alkyl-O-(C0-C6)alkyl-Cy03, a halogen atom, a cyano group, -C(O)-R014, -C(O)-NR014R014’, R011 and R011’ independently of one another are a hydrogen atom, an optionally substituted linear or branched (C1-C6)alkyl group, or -(C0-C6)alkyl-Cy01, or the pair (R011, R011’) together with the nitrogen atom to which they are attached form an aromatic or non-aromatic ring containing 5 to 7 ring members, which optionally contains, in addition to the nitrogen atom, 1 to 3 heteroatoms selected from O, S and N, wherein the N atom is optionally substituted by a linear or branched (C1 C6)alkyl group, and wherein one or
more of the carbon atoms of the linear or branched (C1-C6)alkyl group is optionally deuterated, R012 is -Cy05, -Cy05-(C0-C6)alkyl-Cy06, -Cy05-(C0-C6)alkyl-O-(C0-C6)alkyl-Cy06, -Cy05- (C0-C6)alkyl-NR011-(C0-C6)alkyl-Cy06, -Cy05-Cy06-O-(C0-C6)alkyl-Cy07, -Cy05-(C0-C6)alkyl- Cy09, -NH-C(O)-NH-R011, -C(O)-NR011R011’, -NR011R011’, -OR011, -NR011-C(O)-R011’, -O-(C1- C6)alkyl-OR011, -SO2-R011, or -C(O)-OR011, R013, R013’, R014 and R014’ independently of one another are a hydrogen atom, or an optionally substituted linear or branched (C1-C6)alkyl group, Cy01, Cy02, Cy03, Cy05, Cy06, Cy07 and Cy08 independently of one another, are a cycloalkyl group, a heterocycloalkyl group, an aryl group or a heteroaryl group, each of which is optionally substituted,
formula (I),
wherein, at most, one of the R03, R09, or R012 groups, if present, is covalently attached to the linker, or an enantiomer, diastereoisomer, atropisomer, deuterated derivative, and/or pharmaceutically acceptable salt of any of the foregoing. The definitions of the remaining variables are provided in the fifty-first embodiment or any embodiments described therein. [68] In a fifty-fourth embodiment, the present disclosure provides an antibody-drug conjugate of the fifty-first embodiment, wherein the Mcl-1 inhibitor is represented by Formula (IB):
wherein: R01 is a linear or branched (C1-C6)alkyl group, R03 is -O-(C1-C6)alkyl-NR011R011’, or
, wherein R011 and R011’ independently of one another are a hydrogen atom, an optionally substituted linear or branched (C1-C6)alkyl group, or -(C0-C6)alkyl-Cy01; or the pair (R011, R011’) together with the nitrogen atom to which they are attached form an aromatic or non-aromatic ring containing 5 to 7 ring members, which optionally contains, in addition to the nitrogen atom, 1 to 3 heteroatoms selected from O, S and N, wherein the N atom may be substituted by 1 or 2 groups selected from a hydrogen atom or a linear or branched (C1-C6)alkyl group, and wherein R027 is a hydrogen atom and R028 is a -(CH2)p0-O-SO2-O- group or a -(CH2)p0-SO2-OR030 group; R09 is a linear or branched (C2-C6)alkynyl group or -Cy02, R012 is -Cy05, -Cy05-(C0-C6)alkyl-Cy06, or -Cy05-(C0-C6)alkyl-Cy09, Cy01, Cy02, Cy05 and Cy06 independently of one another, are a cycloalkyl group, a heterocycloalkyl group, an aryl group or a heteroaryl group, each of which is optionally substituted,
R015, R016, and R017 are as defined for formula (I), wherein, at most, one of the R03, R09, or R012 groups, if present, is covalently attached to the linker, or the enantiomer, diastereoisomer, atropisomer, deuterated derivative, and/or pharmaceutically acceptable salt of any of the foregoing. The definitions of the remaining variables are provided in the fifty-first embodiment. [69] In a fifty-fifth embodiment, the present disclosure provides an antibody-drug conjugate of the fifty-fourth embodiment, wherein R01 is methyl or ethyl. The definitions of the remaining variables are provided in the fifty-fourth embodiment or any embodiments described therein. [70] In a fifty-sixth embodiment, the present disclosure provides an antibody-drug conjugate of the fifty-fourth embodiment, wherein R03 is -O-CH2-CH2-NR011R011’ in which R011 and R011’ form, together with the nitrogen atom carrying them, a piperazinyl group which may be substituted by a group being a hydrogen atom or a linear or branched (C1-C6)alkyl group). The definitions of the remaining variables are provided in the fifty-fourth embodiment or any embodiments described therein. [71] In a fifty-seventh embodiment, the present disclosure provides an antibody-drug conjugate of the fifty-fourth embodiment, wherein R03 comprises the formula:
, wherein R027 is a hydrogen atom and R028 is a - (CH2)p0-SO2-OR030 group. The definitions of the remaining variables are provided in the fifty-fourth embodiment or any embodiments described therein. [72] In a fifty-eighth embodiment, the present disclosure provides an antibody-drug conjugate of the fifty-fourth embodiment, wherein R03 comprises the formula:
, wherein is a bond to the linker. The definitions of the remaining variables are provided in the fifty-fourth embodiment or any embodiments described therein. [73] In a fifty-ninth embodiment, the present disclosure provides an antibody-drug conjugate of the fifty-fourth embodiment, wherein R09 is Cy02. The definitions of the remaining variables are provided in the fifty-fourth embodiment or any embodiments described therein. [74] In a sixtieth embodiment, the present disclosure provides an antibody-drug conjugate of the fifty-ninth embodiment, wherein Cy02 is an optionally substituted aryl group. The definitions of the remaining variables are provided in the fifty-ninth embodiment or any embodiments described therein. [75] In a sixty-first embodiment, the present disclosure provides an antibody-drug conjugate of the fifty-fourth embodiment, wherein Cy05 comprises a heteroaryl group selected from a pyrazolyl group and a pyrimidinyl group. The definitions of the remaining variables are provided in the fifty-fourth embodiment or any embodiments described therein. [76] In a sixty-second embodiment, the present disclosure provides an antibody-drug conjugate of the fifty-fourth embodiment, wherein Cy05 is a pyrimidinyl group. The definitions of the remaining variables are provided in the fifty-fourth embodiment or any embodiments described therein. [77] In a sixty-third embodiment, the present disclosure provides an antibody-drug conjugate of any one of the fifty-fourth through sixty-second embodiments, wherein the Mcl-1 inhibitor is attached by a covalent bond to R03 of formula (I), (IA), or (IB); or is attached by a covalent bond to R09 of formula (I), (IA), or (IB). The definitions of the remaining variables are provided in the fifty-fourth through sixty-second embodiments or any embodiments described therein. [78] In a sixty-fourth embodiment, the present disclosure provides an antibody-drug conjugate of any one of the fifty-fourth through sixty-third embodiments, wherein the Mcl-1 inhibitor is represented by any one of the following formulas: Table A1
or an enantiomer, diastereoisomer, atropisomer, deuterated derivative, and/or pharmaceutically acceptable salt of any of the foregoing. The definitions of the remaining variables are provided in the fifty-fourth through sixty-third embodiments or any embodiments described therein. [79] In a sixty-fifth embodiment, the present disclosure provides an antibody-drug conjugate of any one of the forty-sixth through fiftieth embodiments, wherein the Bcl-xL inhibitor is represented by Formula (II) or Formula (III):
, or an enantiomer, a diastereoisomer, and/or a pharmaceutically acceptable salt of any one of the foregoing, wherein: R1 and R2 independently of one another represent a group selected from the group consisting of: hydrogen; a linear or branched C1-C6alkyl optionally substituted by a hydroxyl or a C1- C6alkoxy group; a C3-C6cycloalkyl; a trifluoromethyl; and a linear or branched C1- C6alkylene-heterocycloalkyl wherein the heterocycloalkyl group is optionally substituted by a linear or branched C1-C6alkyl group; or R1 and R2 form with the carbon atoms carrying them a C3-C6cycloalkylene group, R3 represents a group selected from the group consisting of: hydrogen; a C3-C6cycloalkyl; a linear or branched C1-C6alkyl; -X1-NRaRb; -X1-N+RaRbRc; -X1-O-Rc; -X1-COORc; -X1-
PO(OH)2; -X1-SO2(OH); -X1-N3 and: , Ra and Rb independently of one another represent a group selected from the group consisting of: hydrogen; a heterocycloalkyl; -SO2-phenyl wherein the phenyl may be substituted by a linear or branched C1-C6alkyl; a linear or branched C1-C6alkyl optionally substituted by one or two hydroxyl groups; a C1 C6alkylene SO2OH; a C1 C6alkylene SO2O-; a C1-C6alkylene-
COOH; a C1-C6alkylene-PO(OH)2; a C1-C6alkylene-NRdRe; a C1-C6alkylene-N+RdReRf; a C1- C6alkylene-phenyl wherein the phenyl may be substituted by a C1-C6alkoxy group; and the group:
, or Ra and Rb form with the nitrogen atom carrying them a cycle B1; or Ra, Rb and Rc form with the nitrogen atom carrying them a bridged C3-C8hetero cycloalkyl, Rc, Rd, Re, Rf, independently of one another represents a hydrogen or a linear or branched C1- C6alkyl group, or Rd and Re form with the nitrogen atom carrying them a cycle B2, or Rd, Re and Rf form with the nitrogen atom carrying them a bridged C3-C8hetero cycloalkyl, Het1 represents a group selected from the group consisting of:
, Het2 represents a group selected from the group consisting of:
, A1 is –NH-, -N(C1-C3alkyl), O, S or Se, A2 is N, CH or C(R5), G is selected from the group consisting of: -C(O)ORG3, -C(O)NRG1RG2, -C(O)RG2, -NRG1C(O)RG2, -NRG1C(O)NRG1RG2, -OC(O)NRG1RG2, -NRG1C(O)ORG3, -C(=NORG1)NRG1RG2, -NRG1C(=NCN)NRG1RG2, -NRG1S(O)2NRG1RG2, -S(O)2RG3, -S(O)2NRG1RG2, -NRG1S(O)2RG2, -NRG1C(=NRG2)NRG1RG2, -C(=S)NRG1RG2, -C(=NRG1)NRG1RG2, -C1-C6alkyl optionally substituted by a hydroxyl group, a halogen, -NO2, and -CN, in which: - RG1 and RG2 at each occurrence are each independently selected from the group consisting of hydrogen, a C1-C6alkyl optionally substituted by 1 to 3 halogen atoms, a C1-C6alkyl substituted by a hydroxyl, a C1-C6alkyl substituted by a C1-C6alkoxy group, a C2-C6alkenyl, a C2-C6alkynyl, a C3-C6cycloalkyl, phenyl and -(CH2)1-4-phenyl; - RG3 is selected from the group consisting of a C1-C6alkyl optionally substituted by 1 to 3 halogen atoms, a C2-C6alkenyl, a C2-C6alkynyl, a C3-C6cycloalkyl, phenyl and -(CH2)1-4- phenyl; or RG1 and RG2, together with the atom to which each is attached are combined to form a C3-C8heterocycloalkyl; or in the alternative, G is selected from the group consisting of:
, wherein RG4 is selected from the group consisting of hydrogen, a C1-C6alkyl optionally substituted by 1 to 3 halogen atoms, a C1-C6alkyl substituted by a hydroxyl, a C1-C6alkyl substituted by a C1- C6alkoxy group, a C2-C6alkenyl, a C2-C6alkynyl and a C3-C6cycloalkyl, and RG5 represents a hydrogen atom or a C1-C6alkyl group optionally substituted by 1 to 3 halogen atoms, R4 represents a hydrogen, fluorine, chlorine or bromine atom, a methyl, a hydroxyl or a methoxy group, R5 represents a group selected from the group consisting of: a C1-C6alkyl optionally substituted by 1 to 3 halogen atoms; a C2-C6alkenyl; a C2-C6alkynyl; a halogen; and –CN, R6 represents a group selected from the group consisting of: hydrogen; a linear or branched –C1-C6alkylene-R8 group; a -C2-C6alkenyl; -X2-O-R7;
; -X2-NSO2-R7; -C=C(R9)-Y1-O-R7; a C3-C6cycloalkyl; a C3-C6heterocycloalkyl optionally substituted by a hydroxyl group; a C3-C6cycloalkylene-Y2-R7; a C3-C6heterocycloalkylene-Y2-R7 group, and
a heteroarylene-R7 group optionally substituted by a linear or branched C1-C6alkyl group, R7 represents a group selected from the group consisting of: a linear or branched C1-C6alkyl group; a (C3-C6)cycloalkylene-R8;
, wherein Cy represents a C3-C8cycloalkyl, R8 represents a group selected from the group consisting of: hydrogen; a linear or branched C1-C6alkyl, -NR’aR’b; -NR’a-CO-OR’c; -NR’a-CO-R’c; -N+R’aR’bR’c; -O-R’c; -NH-X’2-
R9 represents a group selected from the group consisting of a linear or branched C1-C6alkyl, trifluoromethyl, hydroxyl, halogen, and a C1-C6alkoxy, R10 represents a group selected from the group consisting of hydrogen, fluorine, chlorine, bromine, -CF3 and methyl, R11 represents a group selected from the group consisting of hydrogen, a C1-C3alkylene-R8, a - O-C1-C3alkylene-R8, -CO-NRhRi and a -CH=CH-C1-C4alkylene-NRhRi, -CH=CH-CHO, a C3- C8cycloalkylene-CH2-R8, and a C3-C8heterocycloalkylene-CH2-R8, R12 and R13, independently of one another, represent a hydrogen atom or a methyl group, R14 and R15, independently of one another, represent a hydrogen or a methyl group, or R14 and R15 form with the carbon atom carrying them a cyclohexyl,
Rh and Ri, independently of one another, represent a hydrogen or a linear or branched C1- C6alkyl group, X1 and X2 independently of one another, represent a linear or branched C1-C6alkylene group optionally substituted by one or two groups selected from the group consisting of trifluoromethyl, hydroxyl, a halogen, and a C1-C6alkoxy, X’2 represents a linear or branched C1-C6alkylene, R’a and R’b independently of one another, represent a group selected from the group consisting of: hydrogen; a heterocycloalkyl; -SO2-phenyl wherein the phenyl may be substituted by a linear or branched C1-C6alkyl; a linear or branched C1-C6alkyl optionally substituted by one or two hydroxyl or C1-C6alkoxy groups; a C1-C6alkylene-SO2OH; a C1- C6alkylene-SO2O-; a C1-C6alkylene-COOH; a C1-C6alkylene-PO(OH)2; a C1-C6alkylene- NR’dR’e; a C1-C6alkylene-N+R’dR’eR’f; a C1-C6alkylene-O-C1-C6alkylene-OH; a C1- C6alkylene-phenyl wherein the phenyl may be substituted by a hydroxyl or a C1-C6alkoxy group; and the group:
, or R’a and R’b form with the nitrogen atom carrying them a cycle B3, or R’a, R’b and R’c form with the nitrogen atom carrying them a bridged C3-C8 hetero cycloalkyl, R’c, R’d, R’e, R’f, independently of one another, represents a hydrogen or a linear or branched C1-C6alkyl group, or R’d and R’e form with the nitrogen atom carrying them a cycle B4, or R’d, R’e and R’f form with the nitrogen atom carrying them a bridged C3-C8 Dheterocycloalkyl, Y1 represents a linear or branched C1-C4alkylene, Y2 represents a bond, -O-, -O-CH2-, -O-CO-, -O-SO2-, -CH2-, -CH2-O, -CH2-CO-, -CH2-SO2-,-C2H5-, -CO-, -CO-O-, -CO-CH2-, -CO-NH-CH2-, -SO2-, -SO2-CH2-, -NH-CO-, or -NH-SO2-, m=0, 1 or 2, B1, B2, B3 and B4, independently of one another, represents a C3-C8heterocycloalkyl group, which group can: (i) be a mono- or bi-cyclic group, wherein bicyclic group includes fused, bridged or spiro ring system, (ii) can contain, in addition to the nitrogen atom, one or two hetero atoms selected independently from oxygen, sulphur and nitrogen, (iii) be substituted by one or two groups selected from the group consisting of: fluorine, bromine, chlorine, a linear or branched C1-C6alkyl, hydroxyl, –NH2, oxo and piperidinyl,
wherein one of the R3 and R8 groups, if present, is covalently attached to the linker, and wherein the valency of an atom is not exceeded by virtue of one or more substituents bonded thereto; or
, or an enantiomer, a diastereoisomer, and/or a pharmaceutically acceptable salt of any one of the foregoing, wherein: n=0, 1 or 2, ------ represents a single or a double bond, A4 and A5 independently of one another represent a carbon or a nitrogen atom, Z1 represents a bond, -N(R)-, or –O-, wherein R represents a hydrogen or a linear or branched C1-C6alkyl, R1 represents a group selected from the group consisting of: hydrogen; a linear or branched C1-C6alkyl optionally substituted by a hydroxyl or a C1-C6alkoxy group; a C3-C6cycloalkyl; trifluoromethyl; and a linear or branched C1-C6alkylene-heterocycloalkyl wherein the heterocycloalkyl group is optionally substituted by a linear or branched C1-C6alkyl group; R2 represents a hydrogen or a methyl; R3 represents a group selected from the group consisting of: hydrogen; a linear or branched C1-C4alkyl; -X1-NRaRb; -X1-N+RaRbRc; -X1-O-Rc; -X1-COORc; -X1-PO(OH)2; -X1-SO2(OH); - X1-N3 and :
, Ra and Rb independently of one another represent a group selected from the group consisting of: hydrogen; a heterocycloalkyl; -SO2-phenyl wherein the phenyl may be substituted by a linear or branched C1-C6alkyl; a linear or branched C1-C6alkyl optionally substituted by one or two hydroxyl groups; a C1-C6alkylene-SO2OH; a C1-C6alkylene-SO2O-; a C1-C6alkylene- COOH; a C1-C6alkylene-PO(OH)2; a C1-C6alkylene-NRdRe; a C1-C6alkylene-N+RdReRf; a C1- C6alkylene-phenyl wherein the phenyl may be substituted by a C1-C6alkoxy group; and the group:
or Ra and Rb form with the nitrogen atom carrying them a cycle B1; or R R and R form with the nitrogen atom carrying them a bridged C3-C8 heterocycloalkyl,
Rc, Rd, Re, Rf, independently of one another represents a hydrogen or a linear or branched C1- C6alkyl group, or Rd and Re form with the nitrogen atom carrying them a cycle B2, or Rd, Re and Rf form with the nitrogen atom carrying them a bridged C3-C8 heterocycloalkyl, Het1 represents a group selected from the group consisting of:
Het2 represents a group selected from the group consisting of:
, A1 is –NH-, -N(C1-C3alkyl), O, S or Se,
A2 is N, CH or C(R5), G is selected from the group consisting of: -C(O)ORG3, -C(O)NRG1RG2, -C(O)RG2, -NRG1C(O)RG2, -NRG1C(O)NRG1RG2, -OC(O)NRG1RG2, -NRG1C(O)ORG3, -C(=NORG1)NRG1RG2, -NRG1C(=NCN)NRG1RG2, -NRG1S(O)2NRG1RG2, -S(O)2RG3, -S(O)2NRG1RG2, -NRG1S(O)2RG2, -NRG1C(=NRG2)NRG1RG2, -C(=S)NRG1RG2, -C(=NRG1)NRG1RG2, -C1-C6alkyl optionally substituted by a hydroxyl group, halogen, -NO2, and -CN, in which: - RG1 and RG2 at each occurrence are each independently selected from the group consisting of hydrogen, a C1-C6alkyl optionally substituted by 1 to 3 halogen atoms, a C1-C6alkyl substituted by a hydroxyl, a C1-C6alkyl substituted by a C1-C6alkoxy group, a C2-C6alkenyl, a C2-C6 alkynyl, a C3- C6cycloalkyl, phenyl and -(CH2)1-4-phenyl; - RG3 is selected from the group consisting of a C1-C6alkyl optionally substituted by 1 to 3 halogen atoms, a C2-C6alkenyl, a C2-C6alkynyl, a C3-C6cycloalkyl, phenyl and -(CH2)1-4-phenyl; or RG1 and RG2, together with the atom to which each is attached are combined to form a C3- C8heterocycloalkyl ; or in the alternative, G is selected from the group consisting of:
wherein RG4 is selected from the group consisting of hydrogen, a C1-C6alkyl optionally substituted by 1 to 3 halogen atoms, a C1-C6alkyl substituted by a hydroxyl, a C1-C6alkyl substituted by a C1- C6alkoxy group, a C2-C6 alkenyl, a C2-C6alkynyl and a C3-C6cycloalkyl, and RG5 represents a hydrogen atom or a C1-C6alkyl group optionally substituted by 1 to 3 halogen atoms, R4 represents a hydrogen, fluorine, chlorine or bromine atom, a methyl, a hydroxyl or a methoxy group,
R5 represents a group selected from the group consisting of: a C1-C6alkyl optionally substituted by 1 to 3 halogen atoms; a C2-C6alkenyl; a C2-C6alkynyl; a halogen; and –CN, R6 represents a group selected from the group consisting of: hydrogen; a linear or branched –C1-C6alkylene-R8 group; a -C2-C6alkenyl; -X2-O-R7;
; -X2-NSO2-R7; -C=C(R9)-Y1-O-R7; a C3-C6cycloalkyl; a C3-C6heterocycloalkyl optionally substituted by a hydroxyl group; a C3-C6cycloalkylene-Y2-R7 ; a C3-C6heterocycloalkylene-Y2-R7 group, and a heteroarylene-R7 group optionally substituted by a linear or branched C1-C6alkyl group, R7 represents a group selected from the group consisting of: a linear or branched C1-C6alkyl group; a (C3-C6)cycloalkylene-R8;
, wherein Cy represents a C3-C8cycloalkyl, R8 represents a group selected from the group consisting of: hydrogen; a linear or branched C1-C6alkyl, -NR’aR’b; -NR’a-CO-OR’c; -NR’a-CO-R’c; -N+R’aR’bR’c; -O-R’c; -NH-X’2- N+R’aR’bR’c; -O-X’2-NR’aR’b, -X’2-NR’aR’b, -NR’c-X’2-N3 and: , R9 represents a group selected from the group consisting of a linear or branched C1-C6alkyl, trifluoromethyl, hydroxyl, a halogen, and a C1-C6alkoxy, R10 represents a group selected from the group consisting of hydrogen, fluorine, chlorine, bromine, -CF3 and methyl, R11 represents a group selected from the group consisting of hydrogen, a halogen, a C1- C3alkylene-R8, a -O-C1-C3alkylene-R8, -CO-NRhRi and a -CH=CH-C1-C4alkylene-NRhRi, - CH=CH-CHO, a C3-C8cycloalkylene-CH2-R8, and a C3-C8heterocycloalkylene-CH2-R8, R12 and R13, independently of one another, represent a hydrogen atom or a methyl group, R14 and R15, independently of one another, represent a hydrogen or a methyl group, or R14 and R15 form with the carbon atom carrying them a cyclohexyl, Rh and Ri, independently of one another, represent a hydrogen or a linear or branched C1- C6alkyl group, X1 represents a linear or branched C1-C4alkylene group optionally substituted by one or two groups selected from the group consisting of trifluoromethyl, hydroxyl, a halogen, and a C1- C6alkoxy, X2 represents a linear or branched C1-C6alkylene group optionally substituted by one or two groups selected from the group consisting of trifluoromethyl, hydroxyl, a halogen, and a C1- C6alkoxy, X’2 represents a linear or branched C1-C6alkylene, R’a and R’b independently of one another, represent a group selected from the group consisting of: hydrogen; a heterocycloalkyl; -SO2-phenyl wherein the phenyl may be substituted by a linear or branched C1-C6alkyl; a linear or branched C1-C6alkyl optionally substituted by one or two hydroxyl or C1-C6alkoxy groups; a C1-C6alkylene-SO2OH; a C1- C6alkylene-SO2O-; a C1-C6alkylene-COOH; a C1-C6alkylene-PO(OH)2; a C1-C6alkylene-
NR’dR’e; a C1-C6alkylene-N+R’dR’eR’f; a C1-C6alkylene-O-C1-C6alkylene-OH; a C1- C6alkylene-phenyl wherein the phenyl may be substituted by a hydroxyl or a C1-C6alkoxy group; and the group:
or R’a and R’b form with the nitrogen atom carrying them a cycle B3, or R’a, R’b and R’c form with the nitrogen atom carrying them a bridged C3-C8 heterocycloalkyl, R’c, R’d, R’e, R’f, independently of one another, represents a hydrogen or a linear or branched C1-C6alkyl group, or R’d and R’e form with the nitrogen atom carrying them a cycle B4, or R’d, R’e and R’f form with the nitrogen atom carrying them a bridged C3-C8 heterocycloalkyl, Y1 represents a linear or branched C1-C4alkylene, Y2 represents a bond, -O-, -O-CH2-, -O-CO-, -O-SO2-, -CH2-, -CH2-O, -CH2-CO-, -CH2-SO2-,-C2H5-, -CO-, -CO-O-, -CO-CH2-, -CO-NH-CH2-, -SO2-, -SO2-CH2-, -NH-CO-, or -NH-SO2-, m=0, 1 or 2, B1, B2, B3 and B4, independently of one another, represents a C3-C8heterocycloalkyl group, which group can: (i) be a mono- or bi-cyclic group, wherein bicyclic group includes fused, bridged or spiro ring system, (ii) can contain, in addition to the nitrogen atom, one or two hetero atoms selected independently from oxygen, sulphur and nitrogen, (iii) be substituted by one or two groups selected from the group consisting of: fluorine, bromine, chlorine, a linear or branched C1-C6alkyl, hydroxyl, –NH2, oxo and piperidinyl, wherein one of the R3, R8 and G groups, if present, is covalently attached to the linker, and wherein the valency of an atom is not exceeded by virtue of one or more substituents bonded thereto. The definitions of the remaining variables are provided in the forty-sixth through fiftieth embodiments or any embodiments described therein. [80] In a sixty-sixth embodiment, the present disclosure provides an antibody-drug conjugate of the sixty-fifth embodiment, wherein the Bcl-xL inhibitor is represented by formula (IIA) or (IIIA):
(IIIA), or an enantiomer, a diastereoisomer, and/or a pharmaceutically acceptable salt of any one of the foregoing, wherein: Z1 represents a bond or –O-, R3 represents a group selected from the group consisting of: hydrogen; a C3-C6cycloalkyl; a linear or branched C1-C6alkyl; -X1-NRaRb; -X1-N+RaRbRc; -X1-O-Rc; -X1-N3 and , Ra and Rb independently of one another represent a group selected from the group consisting of: hydrogen; a linear or branched C1-C6alkyl optionally substituted by one or two hydroxyl groups; and a C1-C6alkylene-SO2O-, Rc represents a hydrogen or a linear or branched C1-C6alkyl group, Het2 represents a group selected from the group consisting of:
, A1 is –NH-, -N(C1-C3alkyl), O, S or Se,
A2 is N, CH or C(R5), G is selected from the group consisting of: -C(O)OH, -C(O)ORG3, -C(O)NRG1RG2, -C(O)RG2, -NRG1C(O)RG2, -NRG1C(O)NRG1RG2, -OC(O)NRG1RG2, -NRG1C(O)ORG3, -C(=NORG1)NRG1RG2, -NRG1C(=NCN)NRG1RG2, -NRG1S(O)2NRG1RG2, -S(O)2RG3, -S(O)2NRG1RG2, -NRG1S(O)2RG2, -NRG1C(=NRG2)NRG1RG2, -C(=S)NRG1RG2, -C(=NRG1)NRG1RG2, -C1-C6alkyl optionally substituted by a hydroxyl group, -C(O)NRG5S(O)2RG4, halogen, -NO2, and -CN, in which: - RG1, RG2, RG4 and RG5 at each occurrence are each independently selected from the group consisting of hydrogen, and a C1-C6alkyl optionally substituted by 1 to 3 halogen atoms; - RG3 is a C1-C6alkyl optionally substituted by 1 to 3 halogen atoms; or RG1 and RG2, together with the atom to which each is attached are combined to form a C3- C8heterocycloalkyl; R4 represents a hydrogen, fluorine, chlorine or bromine atom, a methyl, a hydroxyl or a methoxy group, R5 represents a group selected from the group consisting of: a C1-C6alkyl optionally substituted by 1 to 3 halogen atoms; a halogen and –CN, R6 represents a group selected from the group consisting of: a linear or branched –C1-C6alkylene-R8 group; -X2-O-R7; and a heteroarylene-R7 group optionally substituted by a linear or branched C1-C6alkyl group, R7 represents a group selected from the group consisting of: a linear or branched C1-C6alkyl group; (C3-C6)cycloalkylene-R8;
wherein Cy represents a C3-C8cycloalkyl, R8 represents a group selected from the group consisting of: hydrogen; a linear or branched C1-C6alkyl, -NR’aR’b; -NR’a-CO-OR’c; -NR’a-CO-R’c; -N+R’aR’bR’c; -O-R’c; -NH-X’2- N+R’aR’bR’c; -O-X’2-NR’aR’b; -X’2-NR’aR’b; -NR’c-X’2-N3 and: , R10 represents a group selected from the group consisting of hydrogen, fluorine, chlorine, bromine, -CF3 and methyl, R11 represents a group selected from the group consisting of hydrogen, a C1-C3alkylene-R8, - O-C1-C3alkylene-R8, -CO-NRhRi, -CH=CH-C1-C4alkylene-NRhRi, -CH=CH-CHO, a C3- C8cycloalkylene-CH2-R8, and a C3-C8heterocycloalkylene-CH2-R8, R12 and R13, independently of one another, represent a hydrogen atom or a methyl group, R14 and R15, independently of one another, represent a hydrogen or a methyl group, or R14 and R15 form with the carbon atom carrying them a a cyclohexyl, Rh and Ri, independently of one another, represent a hydrogen or a linear or branched C1- C6alkyl group,
X1 and X2 independently of one another, represent a linear or branched C1-C6alkylene group optionally substituted by one or two groups selected from the group consisting of trifluoromethyl, hydroxyl, a halogen, and C1-C6alkoxy, X’2 represents a linear or branched C1-C6alkylene, R’a and R’b independently of one another, represent a group selected from the group consisting of: hydrogen; a heterocycloalkyl; -SO2-phenyl wherein the phenyl may be substituted by a linear or branched C1-C6alkyl; a linear or branched C1-C6alkyl optionally substituted by one or two hydroxyl or C1-C6alkoxy groups; a C1-C6alkylene-SO2OH; a C1- C6alkylene-SO2O-; a C1-C6alkylene-COOH; a C1-C6alkylene-PO(OH)2; a C1-C6alkylene- NR’dR’e; a C1-C6alkylene-N+R’dR’eR’f; a C1-C6alkylene-O-C1-C6alkylene-OH; a C1- C6alkylene-phenyl wherein the phenyl may be substituted by a hydroxyl or a C1-C6alkoxy group; and the group:
or R’a and R’b form with the nitrogen atom carrying them a cycle B3, or R’a, R’b and R’c form with the nitrogen atom carrying them a bridged C3-C8heterocycloalkyl, R’c, R’d, R’e, R’f, independently of one another, represents a hydrogen or a linear or branched C1-C6alkyl group, or R’d and R’e form with the nitrogen atom carrying them a cycle B4, or R’d, R’e and R’f form with the nitrogen atom carrying them a bridged C3- C8heterocycloalkyl, m=0, 1 or 2, p=1, 2, 3 or 4, B3 and B4, independently of one another, represents a C3-C8heterocycloalkyl group, which group can: (i) be a mono- or bi-cyclic group, wherein bicyclic group includes fused, bridged or spiro ring system, (ii) can contain, in addition to the nitrogen atom, one or two hetero atoms selected independently from oxygen, sulphur and nitrogen, (iii) be substituted by one or two groups selected from the group consisting of: fluorine, bromine, chlorine, a linear or branched C1-C6alkyl, hydroxyl, –NH2, oxo and piperidinyl. The definitions of the remaining variables are provided in the sixty-fifth embodiment or any embodiments described therein. [81] In a sixty-seventh embodiment, the present disclosure provides an antibody-drug conjugate of the sixty-sixth embodiment, wherein G is selected from the group consisting of: -C(O)OH, - C(O)ORG3, -C(O)NRG1RG2, -C(O)RG2, -NRG1C(O)RG2, -NRG1C(O)NRG1RG2, -OC(O)NRG1RG2, -
NRG1C(O)ORG3, -C(=NORG1)NRG1RG2, -NRG1C(=NCN)NRG1RG2, -NRG1S(O)2NRG1RG2, -S(O)2RG3, - S(O)2NRG1RG2, -NRG1S(O)2RG2, -NRG1C(=NRG2)NRG1RG2, -C(=S)NRG1RG2, -C(=NRG1)NRG1RG2, halogen, -NO2, and –CN. The definitions of the remaining variables are provided in the sixty-sixth embodiment or any embodiments described therein. [82] In a sixty-eighth embodiment, the present disclosure provides an antibody-drug conjugate of any one of the sixty-fifth through sixty-seventh embodiments, wherein R7 represents a group selected from the group consisting of: a linear or branched C1-C6alkyl group; a (C3-C6)cycloalkylene-R8;
wherein Cy represents a C3-C8cycloalkyl. The definitions of the remaining variables are provided in the sixty-fifth through sixty-seventh embodiments or any embodiments described therein. [83] In a sixty-ninth embodiment, the present disclosure provides an antibody-drug conjugate of any one of the sixty-fifth through sixty-seventh embodiments, wherein R7 represents a group selected from the group consisting of:
. The definitions of the remaining variables are provided in the sixty-fifth through sixty-seventh embodiments or any embodiments described therein. [84] In a seventieth embodiment, the present disclosure provides an antibody-drug conjugate of the sixty-fifth embodiment, wherein the Bcl-xL inhibitor is represented by formula (IIB), (IIC), (IIIB) or (IIIC):
or an enantiomer, a diastereoisomer, and/or a pharmaceutically acceptable salt of any one of the foregoing, wherein:
for formula (IIB) or (IIC), R3 represents a group selected from: hydrogen; linear or branched C1-C6alkyl; -X1-NRaRb; -X1-N+RaRbRc; and -X1-O-Rc; for formula (IIIB) or (IIIC), Z1 represents a bond, and R3 represents hydrogen; or Z1 represents –O-, and R3 represents –X1-NRaRb, Ra and Rb independently of one another represent a group selected from: hydrogen; linear or branched C1-C6alkyl optionally substituted by one or two hydroxyl groups; and C1- C6alkylene-SO2O-, Rc represents a hydrogen or a linear or branched C1-C6alkyl group R6 represents –X2-O-R7 or an heteroarylene-R7 group optionally substituted by a linear or branched C1-C6alkyl group, R7 represents a group selected from:
, R8 represents a group selected from: -NR’aR’b; -O-X’2-NR’aR’b; and -X’2-NR’aR’b, R10 represents fluorine, R12 and R13, independently of one another, represent a hydrogen atom or a methyl group, R14 and R15, independently of one another, represent a hydrogen or a methyl group, X1 and X2 independently of one another, represent a linear or branched C1-C6alkylene group optionally substituted by one or two groups selected from trifluoromethyl, hydroxyl, halogen, C1-C6alkoxy, X’2 represents a linear or branched C1-C6alkylene, R’a and R’b independently of one another, represent a group selected from: hydrogen; linear or branched C1-C6alkyl optionally substituted by one or two hydroxyl or C1-C6alkoxy groups; C1-C6alkylene-NR’dR’e; or R’a and R’b form with the nitrogen atom carrying them a cycle B3, R’d, R’e independently of one another, represents a hydrogen or a linear or branched C1-C6alkyl group,
B3 represents a C3-C8heterocycloalkyl group, which group can: (i) be a mono- or bi-cyclic group, wherein bicyclic group includes fused, bridged or spiro ring system, (ii) can contain, in addition to the nitrogen atom, one or two hetero atoms selected independently from oxygen and nitrogen, (iii) be substituted by one or two groups selected from: fluorine, bromine, chlorine, linear or branched C1-C6alkyl, hydroxyl, and oxo. The definitions of the remaining variables are provided in the sixty-fifth embodiment or any embodiments described therein. [85] In a seventy-first embodiment, the present disclosure provides an antibody-drug conjugate of any one of the sixty-fifth through seventieth embodiments, wherein R7 represents the following group:
. The definitions of the remaining variables are provided in the sixty-fifth through seventieth embodiments or any embodiments described therein. [86] In a seventy-second embodiment, the present disclosure provides an antibody-drug conjugate of any one of the sixty-fifth through seventieth embodiments, wherein R7 represents a group selected
. The definitions of the remaining variables are provided in the sixty-fifth through seventieth embodiments or any embodiments described therein . [87] In a seventy-third embodiment, the present disclosure provides an antibody-drug conjugate of any one of the sixty-fifth through seventy-second embodiments, wherein R8 represents a group selected from:
wherein represents a bond to the linker
The definitions of the remaining variables are provided in the sixty-fifth through seventy-second embodiments or any embodiments described therein. [88] In a seventy-fourth embodiment, the present disclosure provides an antibody-drug conjugate of any one of the sixty-fifth through seventy-third embodiments, wherein B3 represents a C3- C8heterocycloalkyl group selected from a pyrrolidinyl group, a piperidinyl group, a piperazinyl group, a morpholinyl group, an azepanyl group, and a 4,4-difluoropiperidin-1-yl group. The definitions of the remaining variables are provided in the sixty-fifth through seventy-third embodiments or any embodiments described therein . [89] In a seventy-fifth embodiment, the present disclosure provides an antibody-drug conjugate of the sixty-fifth embodiment, wherein the Bcl-xL inhibitor is represented by any one of the following: Table A2
or an enantiomer, a diastereoisomer, and/or a pharmaceutically acceptable salt of any one of the foregoing. The definitions of the remaining variables are provided in the sixty-fifth embodiment or any embodiments described therein. [90] In a seventy-sixth embodiment, the present disclosure provides an antibody-drug conjugate of any one of the forty-sixth through fiftieth embodiments, or pharmaceutically acceptable salt thereof, wherein the Bcl-2 inhibitor is represented by Formula (IV) or Formula (V):
(IV), or an enantiomer, a diastereoisomer, and/or a pharmaceutically acceptable salt of any one of the foregoing, wherein: A1 represents a hydrogen or halogen atom, a linear or branched (C1-C6)polyhaloalkyl group, a linear or branched (C1-C6)alkyl group or a cycloalkyl group, A2 represents a linear or branched (C1-C6)alkyl group optionally substituted by a group selected from halogen, hydroxy, linear or branched (C1-C6)alkoxy, NR'R" and morpholine, or A2 represents a linear or branched (C1-C6)polyhaloalkyl group or a cyclopropyl group, it being understood that R' and R", each independently of the other, represent a hydrogen atom or a linear or branched (C1-C6)alkyl group, T represents a hydrogen atom, a linear or branched (C1-C6)alkyl group optionally substituted by from one to three halogen atoms, a group (C1-C4)alkyl-NR1R2, or a group (C1-C4)alkyl-OR6,
R1 and R2, each independently of the other, represent a hydrogen atom or a linear or branched (C1-C6)alkyl group, or R1 and R2 form with the nitrogen atom carrying them a heterocycloalkyl, R3 represents an aryl or heteroaryl group, it being understood that one or more carbon atoms of the preceding groups, or of their possible substituents, may be deuterated, R4 represents a phenyl group, a 4-hydroxyphenyl group, a 3-fluoro-4-hydroxyphenyl group, a 2-hydroxypyrimidine group or a 3-hydroxypyridine group, it being understood that one or more carbon atoms of the preceding groups, or of their possible substituents, may be deuterated, R5 represents a hydrogen or halogen atom, a linear or branched (C1-C6)alkyl group, or a linear or branched (C1-C6)alkoxy group, R6 represents a hydrogen atom or a linear or branched (C1-C6)alkyl group, Ra and Rd each represent a hydrogen atom and (Rb,Rc) form together with the carbon atoms carrying them a 1,3-dioxolane group or a 1,4-dioxane group, or Ra, Rc and Rd each represent a hydrogen atom and Rb represents a hydrogen or halogen atom or a methoxy group, or Ra and Rd each represent a hydrogen atom, Rb represents a hydrogen or halogen atom and Rc represents a hydroxy or methoxy group, or: Ra and Rd each represent a hydrogen atom, Rb represents a hydroxy or methoxy group and Rc represents a halogen atom, or
or an enantiomer, a diastereoisomer, and/or a pharmaceutically acceptable salt of any one of the foregoing, wherein: Z1 and Z2 represent both a methyl group or they form together with the atoms carrying them a fused piperidine group, T represents a hydrogen atom, a linear or branched (C1-C6)alkyl group optionally substituted by one to three halogen atoms, a (C1-C4)alkylene-NR1R2 group, a (C1-C4)alkylene-ORi group, R1 and R2 independently of one another represent a hydrogen atom or a linear or branched (C1- C6)alkyl group, or R and R form with the nitrogen atom carrying them a heterocycloalkyl group, which
heterocycloalkyl is optionally substituted by one to three groups selected from: (C1-C6)alkyl group and halogen atom, R3 represents a group selected from:
R5 represents a hydrogen atom, a halogen atom or a hydroxy group, R6 represents a hydrogen, a linear or branched (C1-C6)alkyl group, or a halogen atom, Alk represents a linear or branched (C1-C6)alkyl group, A1 represents a C-Y4 or a nitrogen atom, A2 represents a C-H or a nitrogen atom, Cy1 represents a phenyl, a heteroaryl, a cycloalkyl or a heterocycloalkyl group, wherein the phenyl, the heteroaryl, the cycloalkyl and the heterocycloalkyl groups are optionally substituted by one to three groups selected from: linear or branched (C1-C6)alkyl group optionally substituted by 1 to 3 halogen atoms, hydroxy group, cycloalkyl group, and halogen atom and the heterocycloalkyl group is optionally further substituted by an oxo group,
Cy2 represent a phenyl or a heteroaryl group, wherein the phenyl and the heteroaryl groups are optionally substituted by one to three groups selected from: linear or branched (C1-C6)alkyl group optionally substituted by 1 to 3 halogen atoms, hydroxy group, and halogen atom X represents a bond, -O-, -S- or NRk, Y1 and Y5 independently of one another represent a group selected from: hydrogen atom, halogen atom, cyano, linear or branched (C1-C6)alkyl group, and linear or branched (C1- C6)alkoxy group, Y2 and Y4 independently of one another represent a group selected from: hydrogen atom, halogen atom, linear or branched (C1-C6)alkyl group, linear or branched (C1-C6)alkoxy group, and heterocycloalkyl group optionally substituted by a linear or branched (C1-C6)alkyl group, Y3 represents a group selected from: hydrogen atom, halogen atom, linear or branched (C1- C6)alkyl, linear or branched (C1-C6)alkynyl, -(C1-C4)alkylene-ORl, linear or branched (C1- C6)alkoxy group, -O-phenyl, -S-phenyl, -O-(C1-C4)alkylene-Cy3, -O-(C1-C4)alkylene-Cy4, -O- Cy3, -O-(C1-C4)alkylene-NRgRh, -(C1-C4)alkylene-Cy3, -(C1-C4)alkylene-Cy4, Cy3, Cy4, and:
, wherein the alkylene moiety of the preceding groups may be linear or branched, Cy3 represents a heterocycloalkyl optionally substituted by one to three groups selected from: linear or branched (C1-C6)alkyl group optionally substituted by 1 to 3 halogen atoms, hydroxy group, cycloalkyl group, heterocycloalkyl group, and halogen atom, Cy4 represents a cycloalkyl optionally substituted by one to three groups selected from: linear or branched (C1-C6)alkyl group optionally substituted by 1 to 3 halogen atoms, hydroxy group, cycloalkyl group, heterocycloalkyl group, and halogen atom Ra and Rb independently of one another represent a hydrogen atom or a halogen atom, Rc represents a group selected from: hydrogen, linear or branched (C1-C6)alkyl group optionally substituted by 1 to 3 halogen atoms, (C1-C6)alkylene-NRdRe, (C1-C6)alkylene-ORj, cycloalkyl, heterocycloalkyl, and (C1-C6)alkylene-heterocycloalkyl group, R’C and R’’c independently of one another represent a hydrogen atom or a linear or branched (C1-C6)alkyl (preferably a methyl), Rd and Re independently of one another represent a hydrogen atom, a linear or branched (C1- C6)alkyl group, a cycloalkyl group or a heterocycloalkyl group, Rf represents a hydrogen atom, a halogen atom or a cyano group, R’f represents a hydrogen atom or a halogen atom, Rg and Rh independently of one another represent a hydrogen atom, a linear or branched (C1- C6)alkyl group optionally substituted by one to three halogen atoms, a cycloalkyl group, a heterocycloalkyl group or a (C C )alkylene heterocycloalkyl
Ri, Rj, and Rk independently of one another represent a hydrogen atom, a linear or branched (C1-C6)alkyl group, or a –(C1-C6)alkylene-cycloalkyl group, Rl represents a hydrogen atom, a linear or branched (C1-C6)alkyl group or a linear or branched (C1-C6)alkylene-heterocycloalkyl group, Rm represents a hydrogen or a linear or branched (C1-C6)alkyl group. The definitions of the remaining variables are provided in the forty-sixth through fiftieth embodiments or any embodiments described therein. In some embodiment, it is understood that: "aryl" means a phenyl, naphthyl, biphenyl or indenyl group, "heteroaryl" means any mono- or bi-cyclic group composed of from 5 to 10 ring members, having at least one aromatic moiety and containing from 1 to 4 hetero atoms selected from oxygen, sulphur and nitrogen (including quaternary nitrogens), "cycloalkyl" means any mono- or bi-cyclic, non-aromatic, carbocyclic group containing from 3 to 10 ring members, "heterocycloalkyl" means any mono- or bi-cyclic, non-aromatic, condensed or spiro group composed of from 3 to 10 ring members and containing from 1 to 3 hetero atoms selected from oxygen, sulphur, SO, SO2 and nitrogen, and it is possible for the aryl, heteroaryl, cycloalkyl and heterocycloalkyl groups so defined and the groups alkyl, alkenyl, alkynyl and alkoxy to be substituted by from 1 to 3 groups selected from linear or branched (C1-C6)alkyl, (C3-C6)spiro, linear or branched (C1-C6)alkoxy, (C1-C6)alkyl-S-, hydroxy, oxo (or N-oxide where appropriate), nitro, cyano, -COOR', -OCOR', NR'R'', linear or branched (C1- C6)polyhaloalkyl, trifluoromethoxy, (C1C6)alkylsulphonyl, halogen, aryl, heteroaryl, aryloxy, arylthio, cycloalkyl, heterocycloalkyl optionally substituted by one or more halogen atoms or alkyl groups, [91] In a seventy-seventh embodiment, the present disclosure provides an antibody-drug conjugate of the seventy-sixth embodiment, or a pharmaceutically acceptable salt thereof, wherein the Bcl-2 inhibitor is represented by Formula (IV) or an enantiomer, a diastereoisomer, and/or a pharmaceutically acceptable salt of any one of the foregoing. The definitions of the remaining variables are provided in the seventy-sixth embodiment or any embodiments described therein. [92] In a seventy-eighth embodiment, the present disclosure provides an antibody-drug conjugate of the seventy-sixth or seventy-seventh embodiment, wherein, in Formula (IV), (i) A1 represents a hydrogen atom or a methyl group; or (ii) A1 and A2 both represent a methyl group. The definitions of the remaining variables are provided in the seventy-sixth or seventy-seventh embodiment or any embodiments described therein. [93] In a seventy-ninth embodiment, the present disclosure provides an antibody-drug conjugate of the seventy-sixth through seventy-eighth embodiments, wherein, in Formula (IV), T represents a methyl, aminomethyl, (morpholin-4-yl)methyl, (4-methylpiperazin-1-yl)methyl, 2-(morpholin-4- yl)ethyl [2 (morpholin 4 yl)ethoxy]methyl hydroxymethyl [2 (dimethylamino)ethoxy]methyl,
hexahydropyrazino[2,1-c][1,4]oxazin-8(1H)-ylmethyl, 1-oxa-6-azaspiro[3.3]hept-6-ylmethyl, 3- (morpholin-4-yl)propyl or trifluoromethyl group. The definitions of the remaining variables are provided in the seventy-sixth through seventy-eighth embodiments or any embodiments described therein. [94] In a eightieth embodiment, the present disclosure provides an antibody-drug conjugate of any one of the seventy-sixth through seventy-ninth embodiments, wherein, in Formula (IV), R3 represents a group selected from phenyl, 1H-pyrazole, 1H-indole, 1H-indazole, pyridine, pyrimidine, 1H- pyrrolo[2,3-b]pyridine, 2,3-dihydro-1H-pyrrolo[2,3-b]pyridine, 1H-benzimidazole, 1H-pyrrole, 1H- pyrrolo[2,3-c]pyridine, 1H-pyrrolo[3,2-b]pyridine, 5H-pyrrolo[3,2-d]pyrimidine, thiophene, pyrazine, 1H-pyrazolo[3,4-b]pyridine, 1,2-oxazole, and pyrazolo[1,5-a]pyrimidine, those groups optionally having one or more substituents selected from halogen, linear or branched (C1-C6)alkyl, linear or branched (C1C6)alkoxy, cyano, cyclopropyl, oxetane, tetrahydrofuran, -CO-O-CH3, trideuteriomethyl, 2-(morpholin-4-yl)ethyl and 2-(morpholin-4-yl)ethoxy. The definitions of the remaining variables are provided in the seventy-sixth through seventy-ninth embodiments or any embodiments described therein. [95] In an eighty-first embodiment, the present disclosure provides an antibody-drug conjugate of the seventy-sixth embodiment, wherein the Bcl-2 inhibitor is represented by Formula (V) or an enantiomer, a diastereoisomer, and/or a pharmaceutically acceptable salt of any one of the foregoing. The definitions of the remaining variables are provided in the seventy-sixth embodiment or any embodiments described therein. [96] In an eighty-second embodiment, the present disclosure provides an antibody-drug conjugate of the seventy-sixth embodiment, wherein the Bcl-2 inhibitor is represented by Formula (Va):
or an enantiomer, a diastereoisomer, and/or a pharmaceutically acceptable salt of any one of the foregoing. The definitions of the remaining variables are provided in the seventy-sixth embodiment or any embodiments described therein.
[97] In an eighty-third embodiment, the present disclosure provides an antibody-drug conjugate of the eighty-first or eighty-second embodiment, wherein R3 in Formula (V) or (Va) represents the following group:
and Rc represents a group selected from: hydrogen, linear or branched (C1-C6)alkyl group optionally substituted by 1 to 3 halogen atoms, (C1-C6)alkylene-NRdRe, (C1-C6)alkylene-ORj, cycloalkyl, heterocycloalkyl, and (C1-C6)alkylene-heterocycloalkyl group. The definitions of the remaining variables are provided in the eighty-first or eighty-second embodiment or any embodiments described therein. [98] In an eighty-fourth embodiment, the present disclosure provides an antibody-drug conjugate of the eighty-third embodiment, wherein Rc represents a methyl group. The definitions of the remaining variables are provided in the eighty-third embodiment or any embodiments described therein. [99] In a eighty-fifth embodiment, the present disclosure provides an antibody-drug conjugate of any one of the eighty-first through eighty-third embodiments, wherein R4 in Formula (V) or (Va) represents the following group:
. The definitions of the remaining variables are provided in the eighty-first through eighty-third embodiments or any embodiments described therein. [100] In a eighty-sixth embodiment, the present disclosure provides a process antibody-drug conjugate of the eighty-first embodiment, wherein the Bcl-2 inhibitor is represented by Formula (Vb):
or an enantiomer, a diastereoisomer, and/or a pharmaceutically acceptable salt of any one of the foregoing. The definitions of the remaining variables are provided in the eighty-first embodiment or any embodiments described therein. [101] In an eighty-seventh embodiment, the present disclosure provides an antibody-drug conjugate of the eighty-sixth embodiment, wherein Rc in Formula (Vb) represents a methyl group. The definitions of the remaining variables are provided in the eighty-sixth embodiment or any embodiments described therein. [102] In an eighty-eighth embodiment, the present disclosure provides an antibody-drug conjugate of the eighty-first embodiment, wherein the Bcl-2 inhibitor is represented by Formula (Vc), (Vd),
or an enantiomer, a diastereoisomer, and/or a pharmaceutically acceptable salt of any one of the foregoing. The definitions of the remaining variables are provided in the eighty-first embodiment or any embodiments described therein. [103] In an eighty-ninth embodiment, the present disclosure provides an antibody-drug conjugate of any one of the eighty-first through eighty-eighth embodiments, wherein in Formula (V), (Va), (Vb), (Vc), (Vd), (Ve), (Vf), (Vg), (Vh), (Vi) or (Vj): (i) X represents a bond; (ii) A1 represents C-Y4; (iii) Ra and Rb both represent a hydrogen atom; (iv) R5 represents a hydrogen atom, a hydroxy group or a fluorine atom, preferably a hydroxy group; (v) R6 represents a hydrogen atom, or a fluorine atom, preferably a hydrogen atom; (vi) A1 represents C-H and Y2 represents a hydrogen atom; (vii) Y1 and Y5 represent both a hydrogen atom, or: Y1 and Y5 represent a fluoro atom and a hydrogen atom, respectively; (viii) Y3 represents a -O-(C1-C6)alkylene-heterocycloalkyl group or a -O-(C1-C4)alkylene-Cy3 group; (ix) Y3 represents a group selected from: 2-(morpholin-4-yl)ethoxy, 2-(oxan-4-yl)ethoxy, 2- (4-hydroxypiperidin-1-yl)ethoxy, 2-(4-cyclopropylpiperazin-1-yl)ethoxy, 2-[4-(2,2,2- trifluoroethyl)piperazin-1-yl]ethoxy, 2-[(9aS)-octahydropyrazino[2,1-c][1,4]oxazin-8-yl]ethoxy, 2-{2- J.'#,'e+&+'OTYbY'+mq'^STL'0'LdL]ZT\YJ-(-KSPZ^LX'0'cVfP^SYbc& ,'J,&0'OTWP^ScVWY\ZSYVTX'.'cVKP^SYbc& 2-[4-(2,2-difluoroethyl)piperazin-1-yl]ethoxy, 2-(3-fluoroazetidin-1-yl)ethoxy, 2-(3,3- difluoropyrrolidin-1-yl)ethoxy, 2-(4-fluoropiperidin-1-yl)ethoxy, 2-(thiomorpholin-4-yl)ethoxy, 2-(2- methylmorpholin-4-yl)ethoxy, 2-{6-oxa-9-azaspiro[4.5]decan-9-yl}ethoxy, 2-{4-oxa-7-
azaspiro[2.5]octan-7-yl}ethoxy, 2-[4-(2-fluoroethyl)piperazin-1-yl]ethoxy, 2-(4-methylpiperazin-1- cV$P^SYbc& ,'#,&,'OTWP^ScVWY\ZSYVTX'.'cV$P^SYbc& ,'#WY\ZSYVTX'.'cV$Z\YZYbc& J,pWP^ScVp+p #WY\ZSYVTXp.pcV$Z\YZLXp,pcVKYbc& ,'#-&-'OTWP^ScVWY\ZSYVTX'.'cV$P^SYbc& ,'#-'WP^ScVWY\ZSYVTX'.' yl)ethoxy, 2-(1,4-dioxan-2-yl)ethoxy; (x) the group:
; (xi) T represents a linear or branched (C1-C6)alkyl group or a (C1-C4)alkylene-NR1R2 group; and/or (xii) T represents a group selected from: methyl group, (piperidin-1-yl)methyl, (morpholin-4- yl)methyl, (piperidin-1-yl)ethyl, [(3R)-3-fluoropyrrolidin-1-yl]methyl, (4-fluoropiperidin-1-yl)methyl, [methyl(propan-2-yl)amino]methyl, (azepan-1-yl)methyl, (pyrrolidin-1-yl)methyl, [(3S)-3- methylpiperidin-1-yl]methyl, [(3R)-3-methylpiperidin-1-yl]methyl, [(1RS,5SR)-3- azabicyclo[3.1.0]hexan-3-yl]methyl, [(2S)-2-methylpiperidin-1-yl]methyl, {6-azaspiro[2.5]octan-6- yl}methyl, (4,4-difluoropiperidin-1-yl)methyl, (diethylamino)methyl, (4-methylpiperidin-1-yl)methyl, [ethyl(propan-2-yl)amino]methyl, {5-azaspiro[2.3]hexan-5-yl}methyl, (3,3-dimethylpyrrolidin-1- yl)methyl, (diisopropylamino)methyl, [ethyl(isopropyl) amino]methyl, [(3R)-3-methylpyrrolidin-1- yl]methyl, [(3S)-3-methylpyrrolidin-1-yl]methyl, [(2S)-2-methylpyrrolidin-1-yl]methyl, 5- azaspiro[2.4]heptan-5-ylmethyl, 2-azaspiro[3.3]heptan-2-ylmethyl, and aminomethyl. The definitions of the remaining variables are provided in the eighty-first through eighty-eighth embodiments or any embodiments described therein. [104] In some embodiments, for the antibody-drug conjugate of the eighty-eighth embodiment, the Bcl-2 inhibitor is represented by Formula (Vc), (Vd), (Ve), (Vf), (Vg), (Vh), (Vi) or (Vj), wherein: (i) X represents a bond; (ii) A1 represents C-Y4; (iii) Ra and Rb both represent a hydrogen atom; (iv) R5 represents a hydrogen atom, a hydroxy group or a fluorine atom, preferably a hydroxy group; (v) R6 represents a hydrogen atom, a fluorine atom, preferably a hydrogen atom;
(vi) A1 represents C-H and Y2 represents a hydrogen atom; (vii) Y1 and Y5 represent both a hydrogen atom, or: Y1 and Y5 represent a fluoro atom and a hydrogen atom, respectively; (viii) Y3 represents a -O-(C1-C6)alkylene-heterocycloalkyl group; (ix) Y3 represents a group selected from: 2-(morpholin-4-yl)ethoxy, 2-[4-(2,2- difluoroethyl)piperazin-1-yl]ethoxy, 2-(3-fluoroazetidin-1-yl)ethoxy, 2-(3,3-difluoropyrrolidin-1- yl)ethoxy, 2-(oxan-4-yl)ethoxy, 2-(4-fluoropiperidin-1-yl)ethoxy, 2-(thiomorpholin-4-yl)ethoxy, 2-(2- methylmorpholin-4-yl)ethoxy, 2-{6-oxa-9-azaspiro[4.5]decan-9-yl}ethoxy, 2-(3,3-difluoropyrrolidin- 1-yl)ethoxy, 2-{4-oxa-7-azaspiro[2.5]octan-7-yl}ethoxy, 2,6-dimethylmorpholin-4-yl]ethoxy, 2- [cyclopropyl(methyl)amino]ethoxy, 2-{methyl[(oxetan-3-yl)methyl]amino}ethoxy, 2-[methyl(oxetan- 3-yl)amino]ethoxy, 2-(4-fluoropiperidin-1-yl)ethoxy, 2-[(2-fluoroethyl)(methyl)amino]ethoxy, 2-[4- (2-fluoroethyl)piperazin-1-yl]ethoxy, 2-(4-methylpiperazin-1-yl)ethoxy, 2-(2,2-dimethylmorpholin-4- cV$P^SYbc& ,'#WY\ZSYVTX'.'cV$Z\YZYbc& ,'#.&.'OTQV_Y\YZTZP\TOTX'+'cV$P^ScV& J,pWP^ScVp+p#WY\ZSYVTXp.p cV$Z\YZLXp,pcVKYbc& ,'#-&-'OTWP^ScVWY\ZSYVTX'.'cV$P^SYbc& LXO J#YbLX'.'cV$WP^SYbcKWP^ScV5 (x) the group:
; (xi) T represents a linear or branched (C1-C6)alkyl group or a (C1-C4)alkylene-NR1R2 group; and/or (xii) T represents a group selected from: methyl, (piperidin-1-yl)methyl, (morpholin-4- yl)methyl, [(3R)-3-fluoropyrrolidin-1-yl]methyl, [methyl(propan-2-yl)amino]methyl, (azepan-1- yl)methyl, (pyrrolidin-1-yl)methyl, [(3S)-3-methylpiperidin-1-yl]methyl, [(3R)-3- methylpiperidin-1-yl]methyl, [(1RS,5SR)-3-azabicyclo[3.1.0]hexan-3-yl]methyl, [(2S)-2- methylpiperidin-1-yl]methyl, {6-azaspiro[2.5]octan-6-yl}methyl, (4,4-difluoropiperidin-1- yl)methyl, (4-methylpiperidin-1-yl)methyl, [ethyl(propan-2-yl)amino]methyl, (3R)-3- methylpyrrolidin-1-yl]methyl, and (3S)-3-{[(3S)-3-methylpyrrolidin-1-yl]methyl. In some embodiments, in Formula (V), (Va), (Vb), (Vc), (Vd), (Ve), (Vf), (Vg), (Vh), (Vi) or (Vj), R5 represents a hydroxy group and R6 represents a hydrogen atom. In some embodiments, in Formula (V), (Va), (Vb), (Vc), (Vd), (Ve), (Vf), (Vg), (Vh), (Vi) or (Vj), Y3 represents a -O-(C1-C4)alkylene- Cy3 group.
[105] In an ninetieth embodiment, the present disclosure provides an antibody-drug conjugate of the seventy-sixth embodiment, wherein the Bcl-2 inhibitor is represented by any one of the following or a pharmaceutically acceptable salt thereof:
The definitions of the remaining variables are provided in the seventy-sixth embodiment or any embodiments described therein. [106] In some embodiments, the present disclosure provides an antibody-drug conjugate described in any one of the first to forty-sixth, forty-ninth, fifty-first to ninieth embodiments, wherein the topoisomerase 1 inhibitor is represented by any one of the following or a pharmaceutically acceptable salt thereof: Table A4
The definitions of the remaining variables are provided in any one of the first to forty-sixth, forty- ninth, fifty-first to ninieth embodiments or any embodiments described therein. [107] In some embodiments, the present disclosure provides an antibody-drug conjugate described in any one of the first to forty-sixth, forty-ninth, fifty-first to ninieth embodiments, wherein anti- mitotic drug is monomethyl auristatin E (MMAE) or a taxane. The definitions of the remaining variables are provided in any one of the first to forty-sixth, forty-ninth, fifty-first to ninieth embodiments or any embodiments described therein. In some embodiments, the taxane is selected from docetaxel, paclitaxel, or cabazitaxel. [108] In some embodiments, the present disclosure provides an antibody-drug conjugate of any one of the first through ninetieth embodiments, wherein the antibody or antigen-binding fragment thereof is an anti-CD7 antibody or antigen-binding fragment thereof comprising three heavy chain complementarity determining regions (CDRs) and three light chain CDRs selected from the group consisting of a) heavy chain CDR1 (HCDR1) consisting of SEQ ID NO:1, heavy chain CDR2 (HCDR2) consisting of SEQ ID NO:2, heavy chain CDR3 (HCDR3) consisting of SEQ ID NO:3, light chain CDR1 (LCDR1) consisting of SEQ ID NO:4, light chain CDR2 (LCDR2) consisting of SEQ ID NO:5, and light chain CDR3 (LCDR3) consisting of SEQ ID NO:6;
b) heavy chain CDR1 (HCDR1) consisting of SEQ ID NO:28, heavy chain CDR2 (HCDR2) consisting of SEQ ID NO:29, heavy chain CDR3 (HCDR3) consisting of SEQ ID NO:30; light chain CDR1 (LCDR1) consisting of SEQ ID NO:31, light chain CDR2 (LCDR2) consisting of SEQ ID NO:32, and light chain CDR3 (LCDR3) consisting of SEQ ID NO:6; c) heavy chain CDR1 (HCDR1) consisting of SEQ ID NO:33, heavy chain CDR2 (HCDR2) consisting of SEQ ID NO:34, heavy chain CDR3 (HCDR3) consisting of SEQ ID NO:3; light chain CDR1 (LCDR1) consisting of SEQ ID NO:4, light chain CDR2 (LCDR2) consisting of SEQ ID NO:5, and light chain CDR3 (LCDR3) consisting of SEQ ID NO:6; d) heavy chain CDR1 (HCDR1) consisting of SEQ ID NO:1, heavy chain CDR2 (HCDR2) consisting of SEQ ID NO:2, heavy chain CDR3 (HCDR3) consisting of SEQ ID NO:3; light chain CDR1 (LCDR1) consisting of SEQ ID NO:35, light chain CDR2 (LCDR2) consisting of SEQ ID NO:36, and light chain CDR3 (LCDR3) consisting of SEQ ID NO:6; and e) heavy chain CDR1 (HCDR1) consisting of SEQ ID NO:33, heavy chain CDR2 (HCDR2) consisting of SEQ ID NO:34, heavy chain CDR3 (HCDR3) consisting of SEQ ID NO:3; light chain CDR1 (LCDR1) consisting of SEQ ID NO:35, light chain CDR2 (LCDR2) consisting of SEQ ID NO:36, and light chain CDR3 (LCDR3) consisting of SEQ ID NO:6. [109] In some embodiments, the present disclosure provides an antibody-drug conjugate of any one of the first through ninetieth embodiments, wherein the antibody or antigen-binding fragment thereof is an anti-CD7 antibody or antigen-binding fragment thereof comprising a heavy chain variable region and a light chain variable region. In some embodiments, the anti-CD7 antibody or antigen-binding fragment thereof comprises a heavy chain variable region comprising the amino acid sequence of SEQ ID NO:26 and a light chain variable region comprising the amino acid sequence of SEQ ID NO:27. In some embodiments, the anti-CD7 antibody or antigen-binding fragment thereof comprises a heavy chain variable region comprising the amino acid sequence of SEQ ID NO:7 and a light chain variable region comprising the amino acid sequence of SEQ ID NO:9. In some embodiments, the anti-CD7 antibody or antigen-binding fragment thereof comprises a heavy chain variable region comprising the amino acid sequence of SEQ ID NO:7 and a light chain variable region comprising the amino acid sequence of SEQ ID NO:10. In some embodiments, the anti-CD7 antibody or antigen- binding fragment thereof comprises a heavy chain variable region comprising the amino acid sequence of SEQ ID NO:8 and a light chain variable region comprising the amino acid sequence of SEQ ID NO:9. In some embodiments, the anti-CD7 antibody or antigen-binding fragment thereof comprises a heavy chain variable region comprising the amino acid sequence of SEQ ID NO:8 and a light chain variable region comprising the amino acid sequence of SEQ ID NO:10. [110] In some embodiments, the present disclosure provides an antibody-drug conjugate of any one of the first through ninetieth embodiments, wherein the antibody is an anti-CD7 antibody comprising a heavy chain amino acid sequence selected from the group consisting of: SEQ ID NO: 17, SEQ ID
NO: 18, SEQ ID NO: 19, SEQ ID NO: 20, SEQ ID NO: 21, SEQ ID NO: 22, SEQ ID NO: 23, and SEQ ID NO: 24; and a light chain amino acid sequence selected from the group consisting of: SEQ ID NO: 14, SEQ ID NO: 15, and SEQ ID NO: 16. [111] In some embodiments, the present disclosure provides an antibody-drug conjugate of any one of the first through ninetieth embodiments, wherein the antibody is an anti-CD7 antibody comprising a heavy chain amino acid sequence of SEQ ID NO:17 or a sequence that is at least 95% identical to SEQ ID NO:17, and a light chain amino acid sequence of SEQ ID NO:14 or a sequence that is at least 95% identical to SEQ ID NO:14. [112] In some embodiments, the present disclosure provides an antibody-drug conjugate of any one of the first through ninetieth embodiments, wherein the antibody is an anti-CD7 antibodycomprising a heavy chain amino acid sequence of SEQ ID NO:18 or a sequence that is at least 95% identical to SEQ ID NO:18, and a light chain amino acid sequence of SEQ ID NO:14 or a sequence that is at least 95% identical to SEQ ID NO:14. [113] In some embodiments, the present disclosure provides an antibody-drug conjugate of any one of the first through ninetieth embodiments, wherein the antibody is an anti-CD7 antibody comprising a heavy chain amino acid sequence of SEQ ID NO:19 or a sequence that is at least 95% identical to SEQ ID NO:19, and a light chain amino acid sequence of SEQ ID NO:14 or a sequence that is at least 95% identical to SEQ ID NO:14. [114] In some embodiments, the present disclosure provides an antibody-drug conjugate of any one of the first through ninetieth embodiments, wherein the antibody is an anti-CD7 antibody comprising a heavy chain amino acid sequence of SEQ ID NO:20 or a sequence that is at least 95% identical to SEQ ID NO:20, and a light chain amino acid sequence of SEQ ID NO:15 or a sequence that is at least 95% identical to SEQ ID NO:15. [115] In some embodiments, the present disclosure provides an antibody-drug conjugate of any one of the first through ninetieth embodiments, wherein the antibody is an anti-CD7 antibody comprising a heavy chain amino acid sequence of SEQ ID NO:21 or a sequence that is at least 95% identical to SEQ ID NO:21, and a light chain amino acid sequence of SEQ ID NO:15 or a sequence that is at least 95% identical to SEQ ID NO:15. [116] In some embodiments, the present disclosure provides an antibody-drug conjugate of any one of the first through ninetieth embodiments, wherein the antibody is an anti-CD7 antibody comprising a heavy chain amino acid sequence of SEQ ID NO:22 or a sequence that is at least 95% identical to SEQ ID NO:22, and a light chain amino acid sequence of SEQ ID NO:15 or a sequence that is at least 95% identical to SEQ ID NO:15. [117] In some embodiments, the present disclosure provides an antibody-drug conjugate of any one of the first through ninetieth embodiments, wherein the antibody is an anti-CD7 antibody comprising a heavy chain amino acid sequence of SEQ ID NO:23 or a sequence that is at least 95%
identical to SEQ ID NO:23, and a light chain amino acid sequence of SEQ ID NO:15 or a sequence that is at least 95% identical to SEQ ID NO:15. [118] In some embodiments, the present disclosure provides an antibody-drug conjugate of any one of the first through ninetieth embodiments, wherein the antibody is an anti-CD7 antibody comprising a heavy chain amino acid sequence of SEQ ID NO:20 or a sequence that is at least 95% identical to SEQ ID NO:20, and a light chain amino acid sequence of SEQ ID NO:16 or a sequence that is at least 95% identical to SEQ ID NO:16. [119] In some embodiments, the present disclosure provides an antibody-drug conjugate of any one of the first through ninetieth embodiments, wherein the antibody is an anti-CD7 antibody comprising a heavy chain amino acid sequence of SEQ ID NO:24 or a sequence that is at least 95% identical to SEQ ID NO:24, and a light chain amino acid sequence of SEQ ID NO:16 or a sequence that is at least 95% identical to SEQ ID NO:16. [120] In some embodiments, the present disclosure provides an antibody-drug conjugate of any one of the first through ninetieth embodiments, wherein the antibody is an anti-CD7 antibody comprising a heavy chain amino acid sequence of SEQ ID NO:24 or a sequence that is at least 95% identical to SEQ ID NO:24, and a light chain amino acid sequence of SEQ ID NO:15 or a sequence that is at least 95% identical to SEQ ID NO:15. [121] In some embodiments, the present disclosure provides an antibody-drug conjugate of any one of the first through ninetieth embodiments, wherein the antibody or antigen binding fragment thereof is an -anti-CD7 antibody or antigen-binding fragment thereof comprising 1) one or more cysteine substitutions selected from E152C, S375C, or both E152C and S375C of the heavy chain of the antibody or antigen binding fragment thereof; or 2) one or more cysteine substitutions selected from V205C, S400C, or both V205C and S400C of the heavy chain of the antibody or antigen binding fragment thereof; wherein the position is numbered according to the EU system. [122] In some embodiments, the present disclosure provides antibody-drug conjugate of any one of the first through ninetieth embodiments, wherein the antibody or antigen binding fragment thereof is an anti-CD7 antibody or antigen-binding fragment thereof comprising one or more Fc silencing mutations. [123] In some embodiments, the present disclosure provides, in part, novel antibody-drug conjugate (ADC) compounds with biological activity against cancer cells. The compounds may slow, inhibit, and/or reverse tumor growth in mammals, and/or may be useful for treating human cancer patients. The present disclosure more specifically relates, in some embodiments, to ADC compounds that are capable of binding and killing cancer cells. In some embodiments, the ADC compounds disclosed herein comprise a dual linker that attaches two BH3 mimetics to a full-length antibody or an antigen- binding fragment. In some embodiments, the ADC compounds are also capable of internalizing into a target cell after binding
[124] In some embodiments, D1 and/or D2 in the ADC compounds disclosed herein (e.g., ADCs of Formula (A), (B), (C), (D1), (D2), or (D3) in the present disclosure) independently comprises a formula selected from any one of the formulae in Table A1a, or an enantiomer, a diastereoisomer, and/or a pharmaceutically acceptable salt of any one of the foregoing. Table A1a
wherein represents a bond to the linker. [125] In some embodiments, D1 and/or D2 in the ADC compounds disclosed herein (e.g., ADCs of Formula (A), (B), (C), (D1), (D2), or (D3) in the present disclosure) independently comprises a formula selected from any one of the formulae in Table A2a, or an enantiomer, a diastereoisomer, and/or a pharmaceutically acceptable salt of any one of the foregoing.
Table A2a
wherein represents a bond to the linker. [126] In some embodiments, D1 and/or D2 in the ADC compounds disclosed herein (e.g., ADCs of Formula (A), (B), (C), (D1), (D2), or (D3) in the present disclosure) independently comprises a formula selected from any one of the formulae in Table A3a, or an enantiomer, a diastereoisomer, and/or a pharmaceutically acceptable salt of any one of the foregoing. Table A3a
wherein represents a bond to the linker. [127] In some embodiments, D1 and/or D2 in the ADC compounds disclosed herein (e.g., ADCs of Formula (A), (B), (C), (D1), (D2), or (D3) in the present disclosure) independently comprises a formula selected from any one of the formulae in TableA4a, or an enantiomer, a diastereoisomer, and/or a pharmaceutically acceptable salt of any one of the foregoing. Table A4a
wherein represents a bond to the linker. [128] In some embodiments,
is formed from a compound selected from Table B or an enantiomer, a diastereoisomer, and/or a pharmaceutically acceptable salt thereof. In some embodiments, the maleimide group
the compound of Table B form a covalent bond with the antibody or antigen-binding fragment thereof (Ab) to form the ADC compound of formula (A) comprising
moiety, wherein * indicates the connection point to Ab. For compounds in Table A1, Table A2, Table A3, Table B, and Table C, depending on their electronic charge, these compounds can contain one pharmaceutically acceptable monovalent anionic counterion M1-. In some embodiments, the monovalent anionic counterion M1- can be selected from bromide, chloride, iodide, acetate, trifluoroacetate, benzoate, mesylate, tosylate, triflate, formate, or the like. In some embodiments, the monovalent anionic counterion M1- is trifluoroacetate or formate.
0201 0-340231 131 1.v3223401 5 1 E M
[129] The ADCs depicted above can also be represented by the following formula:
wherein represents an anti-CD7 antibody or an antigen fragment thereof covalently linked to the linker-payload (L/P) depicted above; a is an integer from 1 to 16. In some embodiments, a is an integer from 1 to 8. In some embodiments, a is an integer from 1 to 5. In some embodiments, a is an integer from 2 to 4. In some embodiments, a is 2. In some embodiments, a is 4. In some embodiments, a is determined by liquid chromatography-mass spectrometry (LC-MS). [130] In some embodiments, for ADCs depicted in Table C, the antibody is an anti-CD7 antibody or antigen fragment thereof. In some embodiments, the antibody or antigen-binding fragment binds to a target antigen CD7 on a cancer cell. [131] As used herein, “P-L-P” refers to the linker-payloads, linker-drugs, or linker-compounds disclosed herein and the terms “P#-L#-P#” refers to a specific dual linker-drug disclosed herein, wherein each of the codes “P#” refers to a specific antineoplastic compound (e.g. BH3 mimetics) unless otherwise specified and L# refers to a specific dual linker unless otherwise specified. The two “P#” codes can be the same or different, i.e. refers to the same or different antineoplastic compounds (e.g. BH3 mimetics). For example, “P1-L1-P1” refers to the linker-payload compound with dual linker L1 attaches to two P1 payloads, while “P1-L1-P2” refers to the linker-payload compound with dual linker L1 attaches to a P1 and a P2 payload, including an enantiomer, diastereoisomer, atropisomer, deuterated derivative, and/or pharmaceutically acceptable salt of any of the foregoing. In some embodiments, for example, when the linker L1 is not symmetrical, the terms "P1-L1-P2" and "P2-L1-P1" refer to two different linker-drugs. In the present disclosure, “L#-P#” refer to a specific mono linker-drug disclosed herein. For example, “L1- P1” refers to the linker-payload compound with mono linker L1 attaches to one P1 payload. [132] In some embodiments, the antibody or antigen-binding fragment binds to a target antigen on a cancer cell. In some embodiments, the target antigen is CD7. [133] In some embodiments, the antibody or antigen-binding fragment are antibodies or antigen- binding fragments disclosed in international application publication WO2018/098306, which is incorporated by reference in it entirety. [134] Also provided herein, in some embodiments, are compositions comprising multiple copies of an antibody-drug conjugate (e.g., any of the exemplary antibody-drug conjugates described herein). In some
embodiments, the average p of the antibody-drug conjugates in the composition is from about 2 to about 4. [135] Also provided herein, in some embodiments, are pharmaceutical compositions comprising an antibody-drug conjugate (e.g., any of the exemplary antibody-drug conjugates described herein) or a composition (e.g., any of the exemplary compositions described herein), and a pharmaceutically acceptable carrier. [136] Further provided herein, in some embodiments, are therapeutic uses for the described ADC compounds and compositions, e.g., in treating a cancer. In some embodiments, the present disclosure provides methods of treating a cancer (e.g., a cancer that expresses an antigen targeted by the antibody or antigen-binding fragment of the ADC, such as CD7 ). In some embodiments, the present disclosure provides methods of reducing or slowing the expansion of a cancer cell population in a subject. In some embodiments, the present disclosure provides methods of determining whether a subject having or suspected of having a cancer will be responsive to treatment with an ADC compound or composition disclosed herein. [137] An exemplary embodiment is a method of treating a subject having or suspected of having a cancer, comprising administering to the subject a therapeutically effective amount of an antibody-drug conjugate, composition, or pharmaceutical composition (e.g., any of the exemplary antibody-drug conjugates, compositions, or pharmaceutical compositions disclosed herein). In some embodiments, the cancer expresses a target antigen CD7. In some embodiments, the cancer is a tumor or a hematological cancer. In some embodiments, the cancer is a breast cancer, multiple myeloma, plasma cell myeloma, leukemia, lymphoma, sarcoma, gastric cancer, acute myeloid leukemia, bladder cancer, brain cancer, bone marrow cancer, cervical cancer, chronic lymphocytic leukemia, colorectal cancer, esophageal cancer, hepatocellular cancer, lymphoblastic leukemia including acute lymphoblastic leukemia, follicular lymphoma, lymphoid malignancies of T-cell or B-cell origin, melanoma, myelogenous leukemia, myeloma, oral cancer, ovarian cancer, non-small cell lung cancer, prostate cancer, small cell lung cancer, spleen cancer, pancreatic cancer, stomach cancer, colon cancer, or head and neck cancer. In some embodiments, the cancer is a lymphoma or gastric cancer. [138] Another exemplary embodiment is a method of reducing or inhibiting the growth of a tumor in a subject, comprising administering to the subject a therapeutically effective amount of an antibody-drug conjugate, composition, or pharmaceutical composition (e.g., any of the exemplary antibody-drug conjugates, compositions, or pharmaceutical compositions disclosed herein). In some embodiments, the tumor expresses a target antigen CD7. In some embodiments, the tumor is a breast cancer, gastric cancer, bladder cancer, brain cancer, cervical cancer, colorectal cancer, esophageal cancer, hepatocellular cancer, melanoma, oral cancer, ovarian cancer, non-small cell lung cancer, prostate cancer, small cell lung cancer,
pancreatic cancer, stomach cancer, colon cancer, head and neck cancer, or spleen cancer. In some embodiments, the tumor is a gastric cancer. In some embodiments, administration of the antibody-drug conjugate, composition, or pharmaceutical composition reduces or inhibits the growth of the tumor by at least about 10%, at least about 20%, at least about 30%, at least about 40%, at least about 50%, at least about 60%, at least about 70%, at least about 80%, at least about 90%, at least about 95%, or at least about 99%. [139] Another exemplary embodiment is a method of reducing or slowing the expansion of a cancer cell population in a subject, comprising administering to the subject a therapeutically effective amount of an antibody-drug conjugate, composition, or pharmaceutical composition (e.g., any of the exemplary antibody-drug conjugates, compositions, or pharmaceutical compositions disclosed herein). In some embodiments, the cancer cell population expresses a target antigen CD7. In some embodiments, the cancer cell population is from a tumor or a hematological cancer. In some embodiments, the cancer cell population is from a breast cancer, multiple myeloma, plasma cell myeloma, leukemia, lymphoma, sarcoma, gastric cancer, acute myeloid leukemia, bladder cancer, brain cancer, bone marrow cancer, cervical cancer, chronic lymphocytic leukemia, colorectal cancer, esophageal cancer, hepatocellular cancer, lymphoblastic leukemia including acute lymphoblastic leukemia, follicular lymphoma, lymphoid malignancies of T-cell or B-cell origin, melanoma, myelogenous leukemia, myeloma, oral cancer, ovarian cancer, non-small cell lung cancer, prostate cancer, small cell lung cancer, spleen cancer, pancreatic cancer, stomach cancer, colon cancer, or head and neck cancer. In some embodiments, the cancer cell population is from a lymphoma or gastric cancer. In some embodiments, administration of the antibody- drug conjugate, composition, or pharmaceutical composition reduces the cancer cell population by at least about 10%, at least about 20%, at least about 30%, at least about 40%, at least about 50%, at least about 60%, at least about 70%, at least about 80%, at least about 90%, at least about 95%, or at least about 99%. In some embodiments, administration of the antibody-drug conjugate, composition, or pharmaceutical composition slows the expansion of the cancer cell population by at least about 10%, at least about 20%, at least about 30%, at least about 40%, at least about 50%, at least about 60%, at least about 70%, at least about 80%, at least about 90%, at least about 95%, or at least about 99%. [140] Another exemplary embodiment is an antibody-drug conjugate, composition, or pharmaceutical composition (e.g., any of the exemplary antibody-drug conjugates, compositions, or pharmaceutical compositions disclosed herein) for use in treating a subject having or suspected of having a cancer. In some embodiments, the cancer expresses a target antigen CD7. In some embodiments, the cancer is a tumor or a hematological cancer. In some embodiments, the cancer is a breast cancer, multiple myeloma, plasma cell myeloma, leukemia, lymphoma, sarcoma, gastric cancer, acute myeloid leukemia, bladder cancer, brain cancer, bone marrow cancer, cervical cancer, chronic lymphocytic leukemia, colorectal
cancer, esophageal cancer, hepatocellular cancer, lymphoblastic leukemia including acute lymphoblastic leukemia, follicular lymphoma, lymphoid malignancies of T-cell or B-cell origin, melanoma, myelogenous leukemia, myeloma, oral cancer, ovarian cancer, non-small cell lung cancer, prostate cancer, small cell lung cancer, spleen cancer, pancreatic cancer, stomach cancer, colon cancer, or head and neck cancer. In some embodiments, the cancer is a lymphoma or gastric cancer. [141] Another exemplary embodiment is a use of an antibody-drug conjugate, composition, or pharmaceutical composition (e.g., any of the exemplary antibody-drug conjugates, compositions, or pharmaceutical compositions disclosed herein) in treating a subject having or suspected of having a cancer. In some embodiments, the cancer expresses a target antigen CD7. In some embodiments, the cancer is a tumor or a hematological cancer. In some embodiments, the cancer is a breast cancer, multiple myeloma, plasma cell myeloma, leukemia, lymphoma, sarcoma, gastric cancer, acute myeloid leukemia, bladder cancer, brain cancer, bone marrow cancer, cervical cancer, chronic lymphocytic leukemia, colorectal cancer, esophageal cancer, hepatocellular cancer, lymphoblastic leukemia including acute lymphoblastic leukemia, follicular lymphoma, lymphoid malignancies of T-cell or B-cell origin, melanoma, myelogenous leukemia, myeloma, oral cancer, ovarian cancer, non-small cell lung cancer, prostate cancer, small cell lung cancer, spleen cancer, pancreatic cancer, stomach cancer, colon cancer, or head and neck cancer. In some embodiments, the cancer is a lymphoma or gastric cancer. [142] Another exemplary embodiment is a use of an antibody-drug conjugate, composition, or pharmaceutical composition (e.g., any of the exemplary antibody-drug conjugates, compositions, or pharmaceutical compositions disclosed herein) in a method of manufacturing a medicament for treating a subject having or suspected of having a cancer. In some embodiments, the cancer expresses a target antigen CD7. In some embodiments, the cancer is a tumor or a hematological cancer. In some embodiments, the cancer is a breast cancer, multiple myeloma, plasma cell myeloma, leukemia, lymphoma, sarcoma, gastric cancer, acute myeloid leukemia, bladder cancer, brain cancer, bone marrow cancer, cervical cancer, chronic lymphocytic leukemia, colorectal cancer, esophageal cancer, hepatocellular cancer, lymphoblastic leukemia including acute lymphoblastic leukemia, follicular lymphoma, lymphoid malignancies of T-cell or B-cell origin, melanoma, myelogenous leukemia, myeloma, oral cancer, ovarian cancer, non-small cell lung cancer, prostate cancer, small cell lung cancer, spleen cancer, pancreatic cancer, stomach cancer, colon cancer, or head and neck cancer. In some embodiments, the cancer is a lymphoma or gastric cancer. [143] Another exemplary embodiment is a method of determining whether a subject having or suspected of having a cancer will be responsive to treatment with an antibody-drug conjugate, composition, or pharmaceutical composition (e.g., any of the exemplary antibody-drug conjugates, compositions, or pharmaceutical compositions disclosed herein) by providing a biological sample from
the subject; contacting the sample with the antibody-drug conjugate; and detecting binding of the antibody-drug conjugate to cancer cells in the sample. In some embodiments, the cancer cells in the sample express a target antigen CD7. In some embodiments, the cancer is a tumor or a hematological cancer. In some embodiments, the cancer is a breast cancer, multiple myeloma, plasma cell myeloma, leukemia, lymphoma, sarcoma, gastric cancer, acute myeloid leukemia, bladder cancer, brain cancer, bone marrow cancer, cervical cancer, chronic lymphocytic leukemia, colorectal cancer, esophageal cancer, hepatocellular cancer, lymphoblastic leukemia including acute lymphoblastic leukemia, follicular lymphoma, lymphoid malignancies of T-cell or B-cell origin, melanoma, myelogenous leukemia, myeloma, oral cancer, ovarian cancer, non-small cell lung cancer, prostate cancer, small cell lung cancer, spleen cancer, pancreatic cancer, stomach cancer, colon cancer, or head and neck cancer. In some embodiments, the cancer is a lymphoma or gastric cancer. In some embodiments, the sample is a tissue biopsy sample, a blood sample, or a bone marrow sample. [144] Methods of producing the described ADC compounds and compositions are also disclosed. An exemplary embodiment is a method of producing an antibody-drug conjugate byconjuating an anti-CD7 antibody or antigen-binding fragment to a dual linker joined or covalently attached to two antineoplastic compounds, wherein at least one antineoplastic compound is a BH3 mimetic (e.g., two BH3 mimetics or a BH3 mimetic and a non-BH3 mimetic (e.g., topoisomerase I inhibitor)) under conditions that allow conjugation. BRIEF DESCRIPTION OF THE DRAWINGS [145] FIG. 1 shows the in vitro activity of anti-CD7 BclxL ADC high DAR and anti-CD7 dual Bcl2/BclxL ADC in J45.01 (TALL) cell line as single agent or in combination with ABT199 (CTG 72h). [146] FIG. 2 shows the in vitro activity of anti-CD7 BclxL ADC high DAR and anti-CD7 dual Bcl2/BclxL in BE.13 (TALL) cell line as single agent or in combination with ABT199 (CTG 72h). [147] FIG. 3 shows the in vitro activity of anti-CD7 BclxL ADC high DAR and anti-CD7 dual Bcl2/BclxL ADC in HNT-34 (AML) cell line as single agent or in combination with ABT199 (CTG 72h). [148] FIG. 4 is a graph showing tumor volume (mm3) over time (day) of BE13-grafted female NOD- SCID mice upon treatment with Ab N - P5-L12-P5 (CD7-targeting ADC Fc-silent) and Ab G1_P5-L12- P5 (non-targeting ADC Fc WT) (2.5 mg/kg, administered twice IV at day 1 and day 16, n=6). [149] FIG. 5 is a graph showing body weight (g) over time (day) of BE13-grafted female NOD-SCID mice upon treatment with Ab N - P5-L12-P5 (CD7-targeting ADC Fc-silent) and IAb G1_P5-L12-P5 (non-targeting ADC Fc WT) (2.5 mg/kg, administered twice IV at day 1 and day 16, n=6). DETAILED DESCRIPTION OF ILLUSTRATIVE EMBODIMENTS
[150] The disclosed compositions and methods may be understood more readily by reference to the following detailed description taken in connection with the accompanying figures, which form a part of this disclosure. [151] Throughout this text, the descriptions refer to compositions and methods of using the compositions. Where the disclosure describes or claims a feature or embodiment associated with a composition, such a feature or embodiment is equally applicable to the methods of using the composition. Likewise, where the disclosure describes or claims a feature or embodiment associated with a method of using a composition, such a feature or embodiment is equally applicable to the composition. [152] When a range of values is expressed, it includes embodiments using any particular value within the range. Further, reference to values stated in ranges includes each and every value within that range. All ranges are inclusive of their endpoints and combinable. When values are expressed as approximations, by use of the antecedent “about,” it will be understood that the particular value forms another embodiment. Reference to a particular numerical value includes at least that particular value, unless the context clearly dictates otherwise. The use of “or” will mean “and/or” unless the specific context of its use dictates otherwise. All references cited herein are incorporated by reference for any purpose. Where a reference and the specification conflict, the specification will control. [153] Unless the context of a description indicates otherwise, e.g., in the absence of symbols indicating specific point(s) of connectivity, when a structure or fragment of a structure is drawn, it may be used on its own or attached to other components of an ADC, and it may do so with any orientation, e.g., with the antibody attached at any suitable attachment point to a chemical moiety such as a linker-drug. Where indicated, however, components of an ADC are attached in the orientation shown in a given formula. For example, if Formula (1) is described as and the group is described as , then the elaborated structure of Formula (1) is . It is neither nor .
[154] It is to be appreciated that certain features of the disclosed compositions and methods, which are, for clarity, described herein in the context of separate embodiments, may also be provided in combination in a single embodiment. Conversely, various features of the disclosed compositions and methods that are, for brevity, described in the context of a single embodiment, may also be provided separately or in any sub-combination. [155] As used throughout this application, antibody drug conjugates can be identified using a naming convention in the general format of “target antigen/antibody-payload-dual linker-payload”. For example only, if an antibody drug conjugate is referred to as “Target X-P1-L1-P2”, such a conjugate would comprise an antibody that binds Target X, a dual linker designated as L1, and two payloads designated as P1 and P2, respectively. Alternatively, if an antibody drug conjugate is referred to as “anti-Target X-P1- L1-P2”, such a conjugate would comprise an antibody that binds Target X, a dual linker designated as L1, and two payloads designated as P1 and P2, respectively. In another alternative, if an antibody drug conjugate is referred to as “AbX-P1-L1-P2”, such a conjugate would comprise the antibody designated as AbX, a dual linker designated as L1, and two payloads designated as P1 and P2, respectively. A control antibody drug conjugate comprising a non-specific, isotype control antibody may be referenced as “isotype control IgG1-P1-L1-P2” or “IgG1-P1-L1-P2”. [156] Any formula given herein is also intended to represent unlabeled forms as well as isotopically labeled forms of the compounds. Isotopically labeled compounds have structures depicted by the formulae given herein except that one or more atoms are replaced by an atom having a selected atomic mass or mass number. Isotopes that can be incorporated into compounds of the invention include, for example, isotopes of hydrogen, carbon, nitrogen, oxygen, fluorine, and chlorine, such as 3H, 11C, 13C, 14C, 15N, 18F, and 36Cl. Accordingly, it should be understood that the present disclosure includes compounds that incorporate one or more of any of the aforementioned isotopes, including for example, radioactive isotopes, such as 3H and 14C, or those into which non-radioactive isotopes, such as 2H and 13C are present. Such isotopically labelled compounds are useful in metabolic studies (with 14C), reaction kinetic studies (with, for example 2H or 3H), detection or imaging techniques, such as positron emission tomography (PET) or single-photon emission computed tomography (SPECT) including drug or substrate tissue distribution assays, or in radioactive treatment of patients. In particular, an 18F or labeled compound may be particularly desirable for PET or SPECT studies. Isotopically-labeled compounds can generally be prepared by conventional techniques known to those skilled in the art, e.g., using an appropriate isotopically-labeled reagents in place of the non-labeled reagent previously employed. Definitions
[157] Various terms relating to aspects of the description are used throughout the specification and claims. Such terms are to be given their ordinary meaning in the art unless otherwise indicated. Other specifically defined terms are to be construed in a manner consistent with the definitions provided herein. [158] As used herein, the singular forms “a,” “an,” and “the” include plural forms unless the context clearly dictates otherwise. The terms “comprising”, “having”, “being of” as in “being of a chemical formula”, “including”, and “containing” are to be construed as open terms (i.e., meaning “including but not limited to”) unless otherwise noted. Additionally whenever “comprising” or another open-ended term is used in an embodiment, it is to be understood that the same embodiment can be more narrowly claimed using the intermediate term “consisting essentially of” or the closed term “consisting of”. [159] The term "about" or "approximately," when used in the context of numerical values and ranges, refers to values or ranges that approximate or are close to the recited values or ranges such that the embodiment may perform as intended, as is apparent to the skilled person from the teachings contained herein. In some embodiments, about means plus or minus 20%, 15%, 10%, 5%, 1%, 0.5%, or 0.1% of a numerical amount. In one embodiment, the term “about” refers to a range of values which are 10% more or less than the specified value. In another embodiment, the term “about” refers to a range of values which are 5% more or less than the specified value. In another embodiment, the term “about” refers to a range of values which are 1% more or less than the specified value. [160] The terms “antibody-drug conjugate,” “antibody conjugate,” “conjugate,” “immunoconjugate,” and “ADC” are used interchangeably, and refer to one or more therapeutic compounds (e.g., an antineoplastic payload, such as a BH3 mimetic moiety, a topoisomerase 1 inhibitor, or an anti-mitotic drug) that is linked to one or more antibodies or antigen-binding fragments. In some embodiments, the ADC is defined by the generic formula: (Formula 1), wherein Ab = an antibody or antigen-binding fragment, L = a dual linker moiety, D1 and D2 = a drug moiety (e.g., a Mcl-1 inhibitor , Bcl-2 inhibitor, Bcl-xL inhibitor drug moiety), and a = the number of dual linker moieties with attached D1 and D2 per antibody or antigen-binding fragment. In ADCs comprising antineoplastic payloads (e.g. BH3 mimetic moieties, topoisomerase 1 inhibitors, or anti-mitotic drugs), “2a” refers to the number of antineoplastic payloads (e.g. BH3 mimetic compounds, topoisomerase 1 inhibitors, or anti-mitotic drugs) linked to the antibody or antigen-binding fragment. [161] The term "antibody" is used in the broadest sense to refer to an immunoglobulin molecule that recognizes and specifically binds to a target, such as a protein, polypeptide, carbohydrate, polynucleotide, lipid, or combinations of the foregoing through at least one antigen recognition site within the variable region of the immunoglobulin molecule. An antibody can be polyclonal or monoclonal, multiple or
single chain, or an intact immunoglobulin, and may be derived from natural sources or from recombinant sources. An “intact” antibody is a glycoprotein that typically comprises at least two heavy (H) chains and two light (L) chains inter-connected by disulfide bonds. Each heavy chain is comprised of a heavy chain variable region (abbreviated herein as VH) and a heavy chain constant region. The heavy chain constant region comprises three domains, CH1, CH2 and CH3. Each light chain is comprised of a light chain variable region (abbreviated herein as VL) and a light chain constant region. The light chain constant region is comprised of one domain, CL. The VH and VL regions can be further subdivided into regions of hypervariability, termed complementarity determining regions (CDR), interspersed with regions that are more conserved, termed framework regions (FR). Each VH and VL is composed of three CDRs and four FRs arranged from amino-terminus to carboxyl-terminus in the following order: FR1, CDR1, FR2, CDR2, FR3, CDR3, FR4. The variable regions of the heavy and light chains contain a binding domain that interacts with an antigen. The constant regions of the antibodies may mediate the binding of the immunoglobulin to host tissues or factors, including various cells of the immune system (e.g., effector cells) and the first component (C1q) of the classical complement system. An antibody can be a monoclonal antibody, human antibody, humanized antibody, camelised antibody, or chimeric antibody. The antibodies can be of any isotype (e.g., IgG, IgE, IgM, IgD, IgA and IgY), class (e.g., IgG1, IgG2, IgG3, IgG4, IgA1 and IgA2), or subclass. An antibody can be an intact antibody or an antigen-binding fragment thereof. [162] In some embodiments, the antibody or antibody fragment disclosed herein include modified or engineered amino acid residues, e.g., one or more cysteine residues, as sites for conjugation to a drug moiety (Junutula JR, et al., Nat Biotechnol 2008, 26:925-932). In one embodiment, the disclosure provides a modified antibody or antibody fragment comprising a substitution of one or more amino acids with cysteine at the positions described herein. Sites for cysteine substitution are in the constant regions of the antibody or antibody fragment and are thus applicable to a variety of antibody or antibody fragment, and the sites are selected to provide stable and homogeneous conjugates. A modified antibody or fragment can have one, two or more cysteine substitutions, and these substitutions can be used in combination with other modification and conjugation methods as described herein. Methods for inserting cysteine at specific locations of an antibody are known in the art, see, e.g., Lyons et al., (1990) Protein Eng., 3:703-708, WO 2011/005481, WO2014/124316, WO 2015/138615. In certain embodiments, a modified antibody comprises a substitution of one or more amino acids with cysteine on its constant region selected from positions 117, 119, 121, 124, 139, 152, 153, 155, 157, 164, 169, 171, 174, 189, 191, 195, 197, 205, 207, 246, 258, 269, 274, 286, 288, 290, 292, 293, 320, 322, 326, 333, 334, 335, 337, 344, 355, 360, 375, 382, 390, 392, 398, 400 and 422 of a heavy chain of the antibody, and wherein the positions are numbered according to the EU system. In some embodiments a modified antibody or
antibody fragment comprises a substitution of one or more amino acids with cysteine on its constant region selected from positions 107, 108, 109, 114, 129, 142, 143, 145, 152, 154, 156, 159, 161, 165, 168, 169, 170, 182, 183, 197, 199, and 203 of a light chain of the antibody or antibody fragment, wherein the positions are numbered according to the EU system, and wherein the light chain is a human kappa light chain. In certain embodiments a modified antibody or antibody fragment thereof comprises a combination of substitution of two or more amino acids with cysteine on its constant regions wherein the combinations comprise substitutions at positions 375 of an antibody heavy chain, position 152 of an antibody heavy chain, position 360 of an antibody heavy chain, or position 107 of an antibody light chain and wherein the positions are numbered according to the EU system. In certain embodiments a modified antibody or antibody fragment thereof comprises a substitution of one amino acid with cysteine on its constant regions wherein the substitution is position 375 of an antibody heavy chain, position 152 of an antibody heavy chain, position 360 of an antibody heavy chain, position 107 of an antibody light chain, position 165 of an antibody light chain or position 159 of an antibody light chain and wherein the positions are numbered according to the EU system, and wherein the light chain is a kappa chain. In particular embodiments a modified antibody or antibody fragment thereof comprises a combination of substitution of two amino acids with cysteine on its constant regions wherein the combinations comprise substitutions at positions 375 of an antibody heavy chain and position 152 of an antibody heavy chain, wherein the positions are numbered according to the EU system. In particular embodiments a modified antibody or antibody fragment thereof comprises a substitution of one amino acid with cysteine at position 360 of an antibody heavy chain, wherein the positions are numbered according to the EU system. In other particular embodiments a modified antibody or antibody fragment thereof comprises a substitution of one amino acid with cysteine at position 107 of an antibody light chain and wherein the positions are numbered according to the EU system, and wherein the light chain is a kappa chain. [163] The term “antibody fragment” or “antigen-binding fragment” or “functional antibody fragment,” as used herein, refers to at least one portion of an antibody that retains the ability to specifically interact with (e.g., by binding, steric hinderance, stabilizing/destabilizing, spatial distribution) an epitope of an antigen (e.g., CD7). Antigen-binding fragments may also retain the ability to internalize into an antigen- expressing cell. In some embodiments, antigen-binding fragments also retain immune effector activity. The terms antibody, antibody fragment, antigen-binding fragment, and the like, are intended to embrace the use of binding domains from antibodies in the context of larger macromolecules such as ADCs. It has been shown that fragments of a full-length antibody can perform the antigen binding function of a full- length antibody. Examples of antibody fragments include, but are not limited to, Fab, Fab’, F(ab’)2, Fv fragments, scFv antibody fragments, disulfide-linked Fvs (sdFv), a Fd fragment consisting of the VH and CH1 domains, linear antibodies, single domain antibodies such as sdAb (either VL or VH), camelid VHH
domains, multi-specific antibodies formed from antibody fragments such as a bivalent fragment comprising two Fab fragments linked by a disulfide bridge at the hinge region, and an isolated CDR or other epitope binding fragments of an antibody. An antigen-binding fragment can also be incorporated into single domain antibodies, maxibodies, minibodies, nanobodies, intrabodies, diabodies, triabodies, tetrabodies, bispecific or multi-specific antibody constructs, ADCs, v-NAR and bis-scFv (see, e.g., Holliger and Hudson (2005) Nat Biotechnol.23(9):1126-36). Antigen-binding fragments can also be grafted into scaffolds based on polypeptides such as a fibronectin type III (Fn3) (see US Patent No. 6,703,199, which describes fibronectin polypeptide minibodies). The term “scFv” refers to a fusion protein comprising at least one antigen-binding fragment comprising a variable region of a light chain and at least one antigen-binding fragment comprising a variable region of a heavy chain, wherein the light and heavy chain variable regions are contiguously linked, e.g., via a synthetic linker, e.g., a short flexible polypeptide linker, and capable of being expressed as a single chain polypeptide, and wherein the scFv retains the specificity of the intact antibody from which it is derived. Unless specified, an scFv may have the VL and VH variable regions in either order, e.g., with respect to the N-terminal and C-terminal ends of the polypeptide, the scFv may comprise VL-linker-VH or may comprise VH-linker-VL. Antigen- binding fragments are obtained using conventional techniques known to those of skill in the art, and the binding fragments are screened for utility (e.g., binding affinity, internalization) in the same manner as are intact antibodies. Antigen-binding fragments, for example, may be prepared by cleavage of the intact protein, e.g., by protease or chemical cleavage. [164] The term “complementarity determining region” or “CDR,” as used herein, refers to the sequences of amino acids within antibody variable regions which confer antigen specificity and binding affinity. For example, in general, there are three CDRs in each heavy chain variable region (e.g., HCDR1, HCDR2, and HCDR3) and three CDRs in each light chain variable region (LCDR1, LCDR2, and LCDR3). The precise amino acid sequence boundaries of a given CDR can be determined using any of a number of well-known schemes, including those described by Kabat et al. (1991) “Sequences of Proteins of Immunological Interest,” 5th Ed. Public Health Service, National Institutes of Health, Bethesda, MD (“Kabat” numbering scheme); Al-Lazikani et al. (1997) J Mol Biol.273(4):927-48 (“Chothia” numbering scheme); ImMunoGenTics (IMGT) numbering (Lefranc (2001) Nucleic Acids Res.29(1):207-9; Lefranc et al. (2003) Dev Comp Immunol.27(1):55-77) (“IMGT” numbering scheme); or a combination thereof. In a combined Kabat and Chothia numbering scheme for a given CDR region (for example, HC CDR1, HC CDR2, HC CDR3, LC CDR1, LC CDR2, or LC CDR3), in some embodiments, the CDRs correspond to the amino acid residues that are defined as part of the Kabat CDR, together with the amino acid residues that are defined as part of the Chothia CDR. As used herein, the CDRs defined according to the “Chothia” number scheme are also sometimes referred to as
“hypervariable loops.” [165] In some embodiments, under Kabat, the CDR amino acid residues in the heavy chain variable domain (VH) are numbered 31-35 (HCDR1) (e.g., insertion(s) after position 35), 50-65 (HCDR2), and 95-102 (HCDR3); and the CDR amino acid residues in the light chain variable domain (VL) are numbered 24-34 (LCDR1) (e.g., insertion(s) after position 27), 50-56 (LCDR2), and 89-97 (LCDR3). In some embodiments, under Chothia, the CDR amino acids in the VH are numbered 26-32 (HCDR1) (e.g., insertion(s) after position 31), 52-56 (HCDR2), and 95-102 (HCDR3); and the amino acid residues in VL are numbered 26-32 (LCDR1) (e.g., insertion(s) after position 30), 50-52 (LCDR2), and 91-96 (LCDR3). By combining the CDR definitions of both Kabat and Chothia, in some embodiments, the CDRs comprise or consist of, e.g., amino acid residues 26-35 (HCDR1), 50-65 (HCDR2), and 95-102 (HCDR3) in human VH and amino acid residues 24-34 (LCDR1), 50-56 (LCDR2), and 89-97 (LCDR3) in human VL. In some embodiments, under IMGT, the CDR amino acid residues in the VH are numbered approximately 26-35 (CDR1), 51-57 (CDR2) and 93-102 (CDR3), and the CDR amino acid residues in the VL are numbered approximately 27-32 (CDR1), 50-52 (CDR2), and 89-97 (CDR3). In some embodiments, under IMGT, the CDR regions of an antibody may be determined using the program IMGT/DomainGap Align. [166] The term "monoclonal antibody," as used herein, refers to an antibody obtained from a population of substantially homogeneous antibodies, i.e., the individual antibodies comprising the population are identical except for possible naturally occurring mutations that may be present in minor amounts. Monoclonal antibodies are highly specific, being directed against a single antigenic epitope. In contrast, conventional (polyclonal) antibody preparations typically include a multitude of antibodies directed against (or specific for) different epitopes. The modifier "monoclonal" indicates the character of the antibody as being obtained from a substantially homogeneous population of antibodies, and is not to be construed as requiring production of the antibody by any particular method. For example, the monoclonal antibodies to be used in accordance with the present disclosure may be made by the hybridoma method first described by Kohler et al. (1975) Nature 256:495, or may be made by recombinant DNA methods (see, e.g., US Patent No.4,816,567). Monoclonal antibodies may also be isolated from phage antibody libraries using the techniques described in Clackson et al. (1991) Nature 352:624-8, and Marks et al. (1991) J Mol Biol.222:581-97, for example. The term also includes preparations of antibody molecules of single molecular composition. A monoclonal antibody composition displays a single binding specificity and affinity for a particular epitope. [167] The monoclonal antibodies described herein can be non-human, human, or humanized. The term specifically includes "chimeric" antibodies, in which a portion of the heavy and/or light chain is identical with or homologous to corresponding sequences in antibodies derived from a particular species or
belonging to a particular antibody class or subclass, while the remainder of the chain(s) is identical with or homologous to corresponding sequences in antibodies derived from another species or belonging to another antibody class or subclass, as well as fragments of such antibodies, so long as they specifically bind the target antigen and/or exhibit the desired biological activity. [168] The term “human antibody,” as used herein, refers an antibody produced by a human or an antibody having an amino acid sequence of an antibody produced by a human. The term includes antibodies having variable regions in which both the framework and CDR regions are derived from sequences of human origin. Furthermore, if the antibody contains a constant region, the constant region is also derived from such human sequences, e.g., human germline sequences, or mutated versions of human germline sequences or antibody containing consensus framework sequences derived from human framework sequences analysis, for example, as described in Knappik et al. ((2000) J Mol Biol.296(1):57- 86). The structures and locations of immunoglobulin variable domains, e.g., CDRs, may be defined using well known numbering schemes, e.g., the Kabat numbering scheme, the Chothia numbering scheme, or a combination of Kabat and Chothia, and/or ImMunoGenTics (IMGT) numbering. The human antibodies of the invention may include amino acid residues not encoded by human sequences (e.g., mutations introduced by random or site-specific mutagenesis in vitro or by somatic mutation in vivo, or a conservative substitution to promote stability or manufacturing). However, the term “human antibody,” as used herein, is not intended to include antibodies in which CDR sequences derived from the germline of another mammalian species, such as a mouse, have been grafted onto human framework sequences. [169] The term “recombinant human antibody,” as used herein, refers to a human antibody that is prepared, expressed, created, or isolated by recombinant means, such as antibodies isolated from an animal (e.g., a mouse) that is transgenic or transchromosomal for human immunoglobulin genes or a hybridoma prepared therefrom, antibodies isolated from a host cell transformed to express the human antibody, e.g., from a transfectoma, antibodies isolated from a recombinant, combinatorial human antibody library, and antibodies prepared, expressed, created or isolated by any other means that involve splicing of all or a portion of a human immunoglobulin gene, sequences to other DNA sequences. Such recombinant human antibodies have variable regions in which the framework and CDR regions are derived from human germline immunoglobulin sequences. In some embodiments, however, such recombinant human antibodies can be subjected to in vitro mutagenesis (or, when an animal transgenic for human Ig sequences is used, in vivo somatic mutagenesis) and thus the amino acid sequences of the VH and VL regions of the recombinant antibodies are sequences that, while derived from and related to human germline VH and VL sequences, may not naturally exist within the human antibody germline repertoire in vivo.
[170] The term “chimeric antibody,” as used herein, refers to antibodies wherein the amino acid sequence of the immunoglobulin molecule is derived from two or more species. In some instances, the variable regions of both heavy and light chains correspond to the variable regions of antibodies derived from one species with the desired specificity, affinity, and activity while the constant regions are homologous to antibodies derived from another species (e.g., human) to minimize an immune response in the latter species. [171] As used herein, the term "humanized antibody" refers to forms of antibodies that contain sequences from non-human (e.g., murine) antibodies as well as human antibodies. Such antibodies are a type of chimeric antibody which contain minimal sequence derived from non-human immunoglobulin. In general, the humanized antibody will comprise substantially all of at least one, and typically two, variable domains, in which all or substantially all of the hypervariable loops correspond to those of a non-human immunoglobulin and all or substantially all of the framework (FR) regions are those of a human immunoglobulin sequence. The humanized antibody optionally also will comprise at least a portion of an immunoglobulin constant region (Fc), typically that of a human immunoglobulin. The humanized antibody can be further modified by the substitution of residues, either in the Fv framework region and/or within the replaced non-human residues to refine and optimize antibody specificity, affinity, and/or activity. [172] The term “Fc region,” as used herein, refers to a polypeptide comprising the CH3, CH2 and at least a portion of the hinge region of a constant domain of an antibody. Optionally, an Fc region may include a CH4 domain, present in some antibody classes. An Fc region may comprise the entire hinge region of a constant domain of an antibody. In some embodiments, an antibody or antigen-binding fragment comprises an Fc region and a CH1 region of an antibody. In some embodiments, an antibody or antigen-binding fragment comprises an Fc region CH3 region of an antibody. In some embodiments, an antibody or antigen-binding fragment comprises an Fc region, a CH1 region, and a kappa/lambda region from the constant domain of an antibody. In some embodiments, an antibody or antigen-binding fragment comprises a constant region, e.g., a heavy chain constant region and/or a light chain constant region. In some embodiments, such a constant region is modified compared to a wild-type constant region. That is, the polypeptide may comprise alterations or modifications to one or more of the three heavy chain constant domains (CH1, CH2, or CH3) and/or to the light chain constant region domain (CL). Example modifications include additions, deletions, or substitutions of one or more amino acids in one or more domains. Such changes may be included to optimize effector function, half-life, etc. [173] “Internalizing” as used herein in reference to an antibody or antigen-binding fragment refers to an antibody or antigen-binding fragment that is capable of being taken through the cell’s lipid bilayer membrane to an internal compartment (i.e., “internalized”) upon binding to the cell, preferably into a
degradative compartment in the cell. For example, an internalizing anti-CD7 antibody is one that is capable of being taken into the cell after binding to CD7 on the cell membrane. In some embodiments, the antibody or antigen-binding fragment used in the ADCs disclosed herein targets a cell surface antigen (e.g., CD7) and is an internalizing antibody or internalizing antigen-binding fragment (i.e., the ADC transfers through the cellular membrane after antigen binding). In some embodiments, the internalizing antibody or antigen-binding fragment binds a receptor on the cell surface. An internalizing antibody or internalizing antigen-binding fragment that targets a receptor on the cell membrane may induce receptor- mediated endocytosis. In some embodiments, the internalizing antibody or internalizing antigen-binding fragment is taken into the cell via receptor-mediated endocytosis. [174] “Non-internalizing” as used herein in reference to an antibody or antigen-binding fragment refers to an antibody or antigen-binding fragment that remains at the cell surface upon binding to the cell. In some embodiments, the antibody or antigen-binding fragment used in the ADCs disclosed herein targets a cell surface antigen and is a non-internalizing antibody or non-internalizing antigen-binding fragment (i.e., the ADC remains at the cell surface and does not transfer through the cellular membrane after antigen binding). [175] The term “cluster of differentiation 7” or “CD7,” as used herein, refers to any native form of human CD7. The term encompasses full-length human CD7 (e.g., NCBI Reference Sequence: NP_006128.1; SEQ ID NO:25), as well as any form of human CD7 that may result from cellular processing. The term also encompasses functional variants or fragments of human CD7, including but not limited to splice variants, allelic variants, and isoforms that retain one or more biologic functions of human CD7 (i.e., variants and fragments are encompassed unless the context indicates that the term is used to refer to the wild-type protein only). CD7 can be isolated from human, or may be produced recombinantly or by synthetic methods. [176] The term “anti-CD7 antibody” or “antibody that binds to CD7,” as used herein, refers to any form of antibody or antigen-binding fragment thereof that binds, e.g., specifically binds, to CD7. The term encompasses monoclonal antibodies (including full-length monoclonal antibodies), polyclonal antibodies, and biologically functional antigen-binding fragments so long as they bind, e.g., specifically bind, to CD7. WO2018/098306 provides and is incorporated herein by reference for exemplary CD7-binding sequences, including exemplary anti-CD7 antibody sequences. In some embodiments, the anti-CD7 antibody used in the ADCs disclosed herein is an internalizing antibody or internalizing antigen-binding fragment. [177] The term “binding specificity,” as used herein, refers to the ability of an individual antibody or antigen binding fragment to preferentially react with one antigenic determinant over a different antigenic determinant. The degree of specificity indicates the extent to which an antibody or fragment
preferentially binds to one antigenic determinant over a different antigenic determinant. Also, as used herein, the term "specific," "specifically binds," and "binds specifically" refers to a binding reaction between an antibody or antigen-binding fragment (e.g., an anti-CD7 antibody) and a target antigen (e.g., CD7) in a heterogeneous population of proteins and other biologics. Antibodies can be tested for specificity of binding by comparing binding to an appropriate antigen to binding to an irrelevant antigen or antigen mixture under a given set of conditions. If the antibody binds to the appropriate antigen with at least 2, 5, 7, 10 or more times more affinity than to the irrelevant antigen or antigen mixture, then it is considered to be specific. A “specific antibody” or a “target-specific antibody” is one that only binds the target antigen (e.g., CD7), but does not bind (or exhibits minimal binding) to other antigens. In some embodiments, an antibody or antigen-binding fragment that specifically binds a target antigen (e.g., CD7) has a KD of less than 1x10-6 M, less than 1x10-7 M, less than 1x10-8 M, less than 1x10-9 M, less than 1x10- 10 M, less than 1x10-11 M, less than 1x10-12 M, or less than 1x10-13 M. In some embodiments, the KD is 1 pM to 500 pM. In some embodiments, the KD is between 500 pM to 1 µM, 1 µM to 100 nM, or 100 mM to 10 nM. [178] The term “affinity,” as used herein, refers to the strength of interaction between antibody and antigen at single antigenic sites. Without being bound by theory, within each antigen binding site, the variable region of the antibody “arm” interacts through weak non-covalent forces with the antigen at numerous sites; the more interactions, typically the stronger the affinity. The binding affinity of an antibody is the sum of the attractive and repulsive forces operating between the antigenic determinant and the binding site of the antibody. [179] The term "kon" or "ka" refers to the on-rate constant for association of an antibody to the antigen to form the antibody/antigen complex. The rate can be determined using standard assays, such as a surface plasmon resonance, biolayer inferometry, or ELISA assay. [180] The term "koff" or "kd" refers to the off-rate constant for dissociation of an antibody from the antibody/antigen complex. The rate can be determined using standard assays, such as a surface plasmon resonance, biolayer inferometry, or ELISA assay. [181] The term "KD" refers to the equilibrium dissociation constant of a particular antibody-antigen interaction. KD is calculated by ka/kd. The rate can be determined using standard assays, such as a surface plasmon resonance, biolayer inferometry, or ELISA assay. [182] The term “epitope” refers to the portion of an antigen capable of being recognized and specifically bound by an antibody (or antigen-binding fragment). Epitope determinants generally consist of chemically active surface groupings of molecules such as amino acids or carbohydrate or sugar side chains and can have specific three-dimensional structural characteristics, as well as specific charge characteristics. When the antigen is a polypeptide, epitopes can be formed from contiguous amino acids
or noncontiguous amino acids juxtaposed by tertiary folding of the polypeptide. An epitope may be “linear” or “conformational.” Conformational and linear epitopes are distinguished in that the binding to the former but not the latter is lost in the presence of denaturing solvents. The epitope bound by an antibody (or antigen-binding fragment) may be identified using any epitope mapping technique known in the art, including X-ray crystallography for epitope identification by direct visualization of the antigen- antibody complex, as well as monitoring the binding of the antibody to fragments or mutated variations of the antigen, or monitoring solvent accessibility of different parts of the antibody and the antigen. Exemplary strategies used to map antibody epitopes include, but are not limited to, array-based oligo- peptide scanning, limited proteolysis, site-directed mutagenesis, high-throughput mutagenesis mapping, hydrogen-deuterium exchange, and mass spectrometry (see, e.g., Gershoni et al. (2007) BioDrugs 21:145- 56; and Hager-Braun and Tomer (2005) Expert Rev Proteomics 2:745-56). [183] Competitive binding and epitope binning can also be used to determine antibodies sharing identical or overlapping epitopes. Competitive binding can be evaluated using a cross-blocking assay, such as the assay described in “Antibodies, A Laboratory Manual,” Cold Spring Harbor Laboratory, Harlow and Lane (1st edition 1988, 2nd edition 2014). In some embodiments, competitive binding is identified when a test antibody or binding protein reduces binding of a reference antibody or binding protein to a target antigen such as CD7 (e.g., a binding protein comprising CDRs and/or variable domains selected from those identified in Tables 3-5), by at least about 50% in the cross-blocking assay (e.g., 50%, 60%, 70%, 80%, 90%, 95%, 99%, 99.5%, or more, or any percentage in between), and/or vice versa. In some embodiments, competitive binding can be due to shared or similar (e.g., partially overlapping) epitopes, or due to steric hindrance where antibodies or binding proteins bind at nearby epitopes (see, e.g., Tzartos, Methods in Molecular Biology (Morris, ed. (1998) vol.66, pp.55-66)). In some embodiments, competitive binding can be used to sort groups of binding proteins that share similar epitopes. For example, binding proteins that compete for binding can be “binned” as a group of binding proteins that have overlapping or nearby epitopes, while those that do not compete are placed in a separate group of binding proteins that do not have overlapping or nearby epitopes. [184] As used herein, the terms "peptide," "polypeptide," and "protein" are used interchangeably to refer to a polymer of amino acid residues. The terms encompass amino acid polymers comprising two or more amino acids joined to each other by peptide bonds, amino acid polymers in which one or more amino acid residues is an artificial chemical mimetic of a corresponding naturally-occurring amino acid, as well as naturally-occurring amino acid polymers and non-naturally-occurring amino acid polymers. The terms include, for example, biologically active fragments, substantially homologous polypeptides, oligopeptides, homodimers, heterodimers, variants of polypeptides, modified polypeptides, derivatives, analogs, fusion proteins, among others. The terms also include natural peptides, recombinant peptides,
synthetic peptides, or a combination thereof. Unless otherwise indicated, a particular polypeptide sequence also implicitly encompasses conservatively modified variants thereof. [185] A "recombinant” protein refers to a protein (e.g., an antibody) made using recombinant techniques, e.g., through the expression of a recombinant nucleic acid. [186] An "isolated" protein refers to a protein unaccompanied by at least some of the material with which it is normally associated in its natural state. For example, a naturally-occurring polynucleotide or polypeptide present in a living organism is not isolated, but the same polynucleotide or polypeptide separated from some or all of the coexisting materials in the living organism, is isolated. The definition includes the production of an antibody in a wide variety of organisms and/or host cells that are known in the art. [187] An "isolated antibody," as used herein, is an antibody that has been identified and separated from one or more (e.g., the majority) of the components (by weight) of its source environment, e.g., from the components of a hybridoma cell culture or a different cell culture that was used for its production. In some embodiments, the separation is performed such that it sufficiently removes components that may otherwise interfere with the suitability of the antibody for the desired applications (e.g., for therapeutic use). Methods for preparing isolated antibodies are known in the art and include, without limitation, protein A chromatography, anion exchange chromatography, cation exchange chromatography, virus retentive filtration, and ultrafiltration. [188] As used herein, the term “variant” refers to a nucleic acid sequence or an amino acid sequence that differs from a reference nucleic acid sequence or amino acid sequence respectively, but retains one or more biological properties of the reference sequence. A variant may contain one or more amino acid substitutions, deletions, and/or insertions (or corresponding substitution, deletion, and/or insertion of codons) with respect to a reference sequence. Changes in a nucleic acid variant may not alter the amino acid sequence of a peptide encoded by the reference nucleic acid sequence, or may result in amino acid substitutions, additions, deletions, fusions, and/or truncations. In some embodiments, a nucleic acid variant disclosed herein encodes an identical amino acid sequence to that encoded by the unmodified nucleic acid or encodes a modified amino acid sequence that retains one or more functional properties of the unmodified amino acid sequence. Changes in the sequence of peptide variants are typically limited or conservative, so that the sequences of the unmodified peptide and the variant are closely similar overall and, in many regions, identical. In some embodiments, a peptide variant retains one or more functional properties of the unmodified peptide sequence. A variant and unmodified peptide can differ in amino acid sequence by one or more substitutions, additions, deletions in any combination. [189] A variant of a nucleic acid or peptide can be a naturally-occurring variant or a variant that is not known to occur naturally. Variants of nucleic acids and peptides may be made by mutagenesis
techniques, by direct synthesis, or by other techniques known in the art. A variant does not necessarily require physical manipulation of the reference sequence. As long as a sequence contains a different nucleic acid or amino acid as compared to a reference sequence, it is considered a “variant” regardless of how it was synthesized. In some embodiments, a variant has high sequence identity (i.e., 60% nucleic acid or amino acid sequence identity or higher) as compared to a reference sequence. In some embodiments, a peptide variant encompasses polypeptides having amino acid substitutions, deletions, and/or insertions as long as the polypeptide has at least 60%, at least 65%, at least 70%, at least 75%, at least 80%, at least 85%, at least 90%, at least 91%, at least 92%, at least 93%, at least 94%, at least 95%, at least 96%, at least 97%, at least 98%, at least 99% amino acid sequence identity with a reference sequence, or with a corresponding segment (e.g., a functional fragment) of a reference sequence, e.g., those variants that also retain one or more functions of the reference sequence. In some embodiments, a nucleic acid variant encompasses polynucleotides having amino acid substitutions, deletions, and/or insertions as long as the polynucleotide has at least 60%, at least 65%, at least 70%, at least 75%, at least 80%, at least 85%, at least 90%, at least 91%, at least 92%, at least 93%, at least 94%, at least 95%, at least 96%, at least 97%, at least 98%, at least 99% nucleic acid sequence identity with a reference sequence, or with a corresponding segment (e.g., a functional fragment) of a reference sequence. [190] The term “conservatively modified variant” applies to both amino acid and nucleic acid sequences. For nucleic acid sequences, conservatively modified variants refer to those nucleic acids which encode identical or essentially identical amino acid sequences. Because of the degeneracy of the genetic code, a large number of functionally identical nucleic acids encode any given protein. For instance, the codons GCA, GCC, GCG and GCU all encode the amino acid alanine. Thus, at every position where an alanine is specified by a codon, the codon can be altered to any of the corresponding codons described without altering the encoded polypeptide. Such nucleic acid variations are “silent variations,” which are one species of conservatively modified variations. Every nucleic acid sequence herein which encodes a polypeptide also describes every possible silent variation of the nucleic acid. One of skill will recognize that each codon in a nucleic acid (except AUG, which is ordinarily the only codon for methionine, and TGG, which is ordinarily the only codon for tryptophan) can be modified to yield a functionally identical molecule. Accordingly, each silent variation of a nucleic acid that encodes a polypeptide is implicit in each described sequence. For polypeptide sequences, conservatively modified variants include individual substitutions, deletions, or additions to a polypeptide sequence which result in the substitution of an amino acid with a chemically similar amino acid. Conservative substitutions providing functionally similar amino acids are well known in the art. [191] The term “conservative sequence modifications,” as used herein, refers to amino acid modifications that do not significantly affect or alter the binding characteristics of, e.g., an antibody or
antigen-binding fragment containing the amino acid sequence. Such conservative modifications include amino acid substitutions, additions, and deletions. Modifications can be introduced into an antibody or antigen-binding fragment by standard techniques known in the art, such as, e.g., site-directed mutagenesis and PCR-mediated mutagenesis. Conservative amino acid substitutions are ones in which the amino acid residue is replaced with an amino acid residue having a similar side chain. Families of amino acid residues having similar side chains have been defined in the art. These families include amino acids with basic side chains (e.g., lysine, arginine, histidine), acidic side chains (e.g., aspartic acid, glutamic acid), uncharged polar side chains (e.g., glycine, asparagine, glutamine, serine, threonine, tyrosine, cysteine, tryptophan), nonpolar side chains (e.g., alanine, valine, leucine, isoleucine, proline, phenylalanine, methionine), beta-branched side chains (e.g., threonine, valine, isoleucine) and aromatic side chains (e.g., tyrosine, phenylalanine, tryptophan, histidine). Thus, in some embodiments, one or more amino acid residues within an antibody can be replaced with other amino acid residues from the same side chain family and the altered antibody can be tested using the functional assays described herein. [192] The term “homologous” or “identity,” as used herein, refers to the subunit sequence identity between two polymeric molecules, e.g., between two nucleic acid molecules, such as, two DNA molecules or two RNA molecules, or between two polypeptide molecules. When a subunit position in both of the two molecules is occupied by the same monomeric subunit; e.g., if a position in each of two DNA molecules is occupied by adenine, then they are homologous or identical at that position. The homology between two sequences is a direct function of the number of matching or homologous positions. For example, if half (e.g., five positions in a polymer ten subunits in length) of the positions in two sequences are matched or homologous, the two sequences are 50% homologous; if 90% of the positions (e.g., 9 of 10), are matched or homologous, the two sequences are 90% homologous. [193] Percentage of “sequence identity” can be determined by comparing two optimally aligned sequences over a comparison window, where the fragment of the amino acid sequence in the comparison window may comprise additions or deletions (e.g., gaps or overhangs) as compared to the reference sequence (which does not comprise additions or deletions) for optimal alignment of the two sequences. The percentage can be calculated by determining the number of positions at which the identical amino acid residue occurs in both sequences to yield the number of matched positions, dividing the number of matched positions by the total number of positions in the window of comparison, and multiplying the result by 100 to yield the percentage of sequence identity. The output is the percent identity of the subject sequence with respect to the query sequence. The percent identity between the two sequences is a function of the number of identical positions shared by the sequences, taking into account the number of gaps, and the length of each gap, which need to be introduced for optimal alignment of the two sequences. Generally, the amino acid identity or homology between proteins disclosed herein and variants thereof,
including variants of target antigen CD7 and variants of antibody variable domains (including individual variant CDRs), is at least 80% to the sequences depicted herein, e.g., identities or homologies of at least 85%, 90%, 91%, 92%, 93%, 94%, 95%, 96%, 97%, 98%, 99%, almost 100%, or 100%.
[194] The comparison of sequences and determination of percent identity between two sequences can be accomplished using a mathematical algorithm. In some embodiments, the percent identity between two amino acid sequences is determined using the Needleman and Wunsch ((1970) J Mol Biol. 48:444- 53) algorithm which has been incorporated into the GAP program in the GCG software package, using either a Blossum 62 matrix or a PAM250 matrix, and a gap weight of 16, 14, 12, 10, 8, 6, or 4 and a length weight of 1, 2, 3, 4, 5, or 6. In some embodiments, the percent identity between two nucleotide sequences is determined using the GAP program in the GCG software package, using a NWSgapdna.CMP matrix and a gap weight of 40, 50, 60, 70, or 80 and a length weight of 1, 2, 3, 4, 5, or 6. An exemplary set of parameters is a Blossum 62 scoring matrix with a gap penalty of 12, a gap extend penalty of 4, and a frameshift gap penalty of 5. The percent identity between two amino acid or nucleotide sequences can also be determined using the algorithm of Meyers and Miller ((1989) CABIOS 4: 11-17) which has been incorporated into the ALIGN program (version 2.0), using a PAM120 weight residue table, a gap length penalty of 12 and a gap penalty of 4.
[195] The term “agent” is used herein to refer to a chemical compound, a mixture of chemical compounds, a biological macromolecule, an extract made from biological materials, or a combination of two or more thereof. The term “therapeutic agent” or “drug” refers to an agent that is capable of modulating a biological process and/or has biological activity. The BH3 mimetics and the ADCs comprising them, as described herein, are exemplary therapeutic agents.
[196] The term "chemotherapeutic agent" or “anti-cancer agent” is used herein to refer to all agents that are effective in treating cancer (regardless of mechanism of action). Inhibition of metastasis or angiogenesis is frequently a property of a chemotherapeutic agent. Chemotherapeutic agents include antibodies, biological molecules, and small molecules, and encompass the BH3 mimeticand ADCs comprising them, as described herein. A chemotherapeutic agent may be a cytotoxic or cytostatic agent. The term “cytostatic agent” refers to an agent that inhibits or suppresses cell growth and/or multiplication of cells. The term "cytotoxic agent" refers to a substance that causes cell death primarily by interfering with a cell’s expression activity and/or functioning.
[197] The term “antineoplastic payload” or “antineoplastic compound” as used herein, refers to a compound or compounds that slow or inhibit the division of cancerous cells or that kill the cancerous cells. Non-limiting examples of antineoplastic payloads include BH3 mimetic compounds (e.g., MC1-1 inhibitors, Bcl-xL inhibitors, or Bcl-2 inhibitors), topoisomerase 1 inhibitors (e.g., topotecan, exatecan, deruxtecan or SN-38) or anti-mitotic drugs (e.g., monomethyl auristatin E (MMAE) or a taxane). In one
embodiment, the antineoplastic payload is a BH3 mimetic compound. In one embodiment, the antineoplastic payload is a topoisomerase 1 inhibitor. In one embodiment, the antineoplastic payload is an anti-mitotic drug.
[198] The term “antineoplastic non-BH3 mimetic,” as used herein, refers to a compound or compounds that are not BH3 mimetics and slow or inhibit the division of cancerous cells or that kill the cancerous cells. Non-limiting examples of antineoplastic non-BH3 mimetic include topoisomerase 1 inhibitors (e.g., topotecan, exatecan, deruxtecan or SN-38) or anti-mitotic drugs (e.g., monomethyl auristatin E (MMAE) or a taxane). In one embodiment, the antineoplastic non-BH3 mimetic is a topoisomerase 1 inhibitor. In one embodiment, the antineoplastic non-BH3 mimetic is an anti-mitotic drug.
[199] The term “BH3 mimetic,” as used herein refers to an agent capable of disrupting the interaction between the proapoptotic and antiapoptotic members of the Bcl-2 family and are potent inducers of apoptosis. Exemplary BH3 mimetics include inhibitors of Bcl-2, Bcl-xL, Bcl-w and Mcl-1.
[200] The term “myeloid cell leukemia 1” or “Mcl-1,” as used herein, refers to any native form of human Mcl-1, an anti-apoptotic member of the Bcl-2 protein family. The term encompasses full-length human Mcl-1 (e.g., UniProt Reference Sequence: Q07820), as well as any form of human Mcl-1 that may result from cellular processing. The term also encompasses functional variants or fragments of human Mcl- 1 , including but not limited to splice variants, allelic variants, and isoforms that retain one or more biologic functions of human Mcl-1 (i.e., variants and fragments are encompassed unless the context indicates that the term is used to refer to the wild-type protein only). Mcl-1 can be isolated from human, or may be produced recombinantly or by synthetic methods.
[201] The term "inhibit" or "inhibition" or “inhibiting,” as used herein, means to reduce a biological activity or process by a measurable amount, and can include but does not require complete prevention or inhibition. In some embodiments, “inhibition” means to reduce the expression and/or activity of BH3 mimetic and/or one or more upstream modulators or downstream targets thereof.
[202] The term “Mcl-1 inhibitor,” as used herein, refers to an agent capable of reducing the expression and/or activity of Mcl-1 and/or one or more upstream modulators or downstream targets thereof. Exemplary Mcl-1 modulators (including exemplary inhibitors of Mcl-1) are described in WO 2015/097123; WO 2016/207216; WO 2016/207217; WO 2016/207225; WO 2016/207226; WO 2017/125224; WO 2019/035899, WO 2019/035911, WO 2019/035914, WO 2019/035927, US 2019/0055264, WO 2016/033486, WO 2017/147410, WO 2018/183418, and WO 2017/182625, each of which are incorporated herein by reference as exemplary Mcl- 1 modulators, including exemplary Mcl- 1 inhibitors, that can be included as drug moieties in the disclosed ADCs. For example, exemplary Mcl-1
inhibitors that can be included as drug moieties in the disclosed ADCs are those of formula:
wherein each variable is defined as in W02019/035911; WO 2019/035899; WO 2019/035914; or WO
2019/035927. Specific examples include, e.g.,
conjugated to an antibody or a linker via the nitrogen atom of the N-methyl in piperazinyl functional group of the compound. As used herein, the terms "derivative" and "analog" when referring to an Mcl-1 inhibitor, or the like, means any such compound that retains essentially the same, similar, or enhanced
biological function or activity as compared to the original compound but has an altered chemical or biological structure.
[203] As used herein, a “Mcl-1 inhibitor drug moiety”, “Mcl-1 inhibitor”, and the like refer to the component of an ADC or composition that provides the structure of an Mcl- 1 inhibitor compound or a compound modified for attachment to an ADC that retains essentially the same, similar, or enhanced biological function or activity as compared to the original compound. In some embodiments, Mcl-1 inhibitor drug moiety is component (D1 and/or D2) in an ADC of Formula (A). In some embodiments, the Mcl-1 inhibitor is represented by Formula (I) described herein
. In some embodiments, the Mcl-1 inhibitor is a compound described in any one of the fiftieth through sixty-third embodiments in the summary section of the present disclosure.
[204] The term “B-cell lymphoma-extra large” or “Bcl-xL,” as used herein, refers to any native form of human Bcl-xL, an anti-apoptotic member of the Bcl-2 protein family. The term encompasses full-length human Bcl-xL (e.g, UniProt Reference Sequence: Q07817-1), as well as any form of human Bcl-xL that may result from cellular processing. The term also encompasses functional variants or fragments of human Bcl-xL, including but not limited to splice variants, allelic variants, and isoforms that retain one or more biologic functions of human Bcl-xL (i.e., variants and fragments are encompassed unless the context indicates that the term is used to refer to the wild-type protein only). Bcl-xL can be isolated from human, or may be produced recombinantly or by synthetic methods.
[205] The term “Bcl-xL inhibitor,” as used herein, refers to an agent capable of reducing the expression and/or activity of Bcl-xL and/or one or more upstream modulators or downstream targets thereof. Exemplary Bcl-xL modulators (including exemplary inhibitors of Bcl-xL) are described in
WO2010/080503, WO2010/080478, WO2013/055897, WO2013/055895, WO2016/094509, WO2016/094517, WO2016/094505, WO 2021/018858, WO 2021/018857, Tao et al., ACS Medicinal Chemistry Letters (2014), 5(10), 1088-109, and Wang et al., ACS Medicinal Chemistry Letters (2020),
11(10), 1829-1836, each of which are incorporated herein by reference as exemplary Bcl-xL modulators, including exemplary Bcl-xL inhibitors, that can be included as drug moieties in the disclosed ADCs.
[206] As used herein, a “Bcl-xL inhibitor drug moiety”, “Bcl-xL inhibitor”, and the like refer to the component of an ADC or composition that provides the structure of a Bcl-xL inhibitor compound or a compound modified for attachment to an ADC that retains essentially the same, similar, or enhanced biological function or activity as compared to the original compound. In some embodiments, Bcl-xL inhibitor drug moiety is component (D1 and/or D2) in an ADC of Formula (A). In some embodiments, the Bcl-xL inhibitor is represented by Formula (II) or Formula (III) described herein:
some embodiments, the Bcl-xL inhibitor is a compound described in any one of the sixty-fourth through seventy-fourth embodiments in the summary section of the present disclosure.
[207] The term “B-cell lymphoma 2” or “Bcl-2,” as used herein, refers to any native form of human Bcl-2, an anti-apoptotic member of the Bcl-2 protein family. The term encompasses full-length human Bcl-2 (e.g, UniProt Reference Sequence: Pl 0415), as well as any form of human Bcl-2 that may result from cellular processing. The term also encompasses functional variants or fragments of human Bcl-2, including but not limited to splice variants, allelic variants, and isoforms that retain one or more biologic functions of human Mcl-1 (i.e., variants and fragments are encompassed unless the context indicates that the term is used to refer to the wild-type protein only). Mcl-1 can be isolated from human, or may be produced recombinantly or by synthetic methods.
[208] The term “Bcl-2 inhibitor,” as used herein, refers to an agent capable of reducing the expression and/or activity of Bcl-2 and/or one or more upstream modulators or downstream targets thereof. Exemplary Bcl-2 modulators (including exemplary inhibitors of Bcl-2) are described in WO 2013/110890, WO 2015/011400, WO 2015/011399, WO 2015/011397, WO 2015/011396, WO 2015/011164 and WO 2019081559, each of which are incorporated herein by reference as exemplary Bcl- 2 modulators, including exemplary Bcl-2 inhibitors, that can be included as drug moieties in the disclosed ADCs.
[209] As used herein, a “Bcl-2 inhibitor drug moiety”, “Bcl-2 inhibitor”, and the like refer to the component of an ADC or composition that provides the structure of a Bcl-2 inhibitor compound or a compound modified for attachment to an ADC that retains essentially the same, similar, or enhanced
biological function or activity as compared to the original compound. In some embodiments, Bcl-2 inhibitor drug moiety is component (D1 and/or D2) in an ADC of Formula (A). In some embodiments, the Bcl-2 inhibitor is represented by Formula (IV) or Formula (V) described herein:
some embodiments, the Bcl-2 inhibitor is a compound described in any one of the seventy-fifth through eighty-ninth embodiments in the summary section of the present disclosure.
[210] The term “topoisomerase 1 inhibitor,” as used herein, refers to a compound or compounds which interferes with the action of topoisomerase 1 enzyme. In one embodiment such agents include, but are not limited to, topotecan, exatecan, deruxtecan or SN-38..
[211] The term “anti-mitotic drug,” as used herein, refers to a compound or compounds which targets mitosis regulating enzymes, such as mircrotubule regulating enzymes, Polo-like Kinases (PLK), Kinesin- Spindle Protein (KSP), Aurora kinases, and the like. In one embodiment, an anti-mitotic drug is monomethyl auristatin E (MMAE) or a taxane. In some embodiments, taxane is selected from docetaxel, paclitaxel, or cabazitaxel.
[212] The term “cancer,” as used herein, refers to the presence of cells possessing characteristics typical of cancer-causing cells, such as uncontrolled proliferation, immortality, metastatic potential, rapid growth and proliferation rate, and/or certain morphological features. Often, cancer cells can be in the form of a tumor or mass, but such cells may exist alone within a subject, or may circulate in the blood stream as independent cells, such as leukemic or lymphoma cells. The term "cancer" includes all types of cancers and cancer metastases, including hematological cancers, solid tumors, sarcomas, carcinomas and other solid and non-solid tumor cancers. Hematological cancers may include B-cell malignancies, cancers of the blood (leukemias), cancers of plasma cells (myelomas, e.g., multiple myeloma), or cancers of the lymph nodes (lymphomas). Exemplary B-cell malignancies include chronic lymphocytic leukemia (CLL), follicular lymphoma, mantle cell lymphoma, and diffuse large B-cell lymphoma. Leukemias may
include acute lymphoblastic leukemia (ALL), acute myeloid leukemia (AML), chronic lymphocytic leukemia (CLL), chronic myelogenous leukemia (CML), chronic myelomonocytic leukemia (CMML), acute monocytic leukemia (AMoL), etc. The terms “acute lymphoblastic leukemia” and “acute lymphocytic leukemia” can be used interchangeably to describe ALL. Lymphomas may include Hodgkin's lymphoma, non-Hodgkin's lymphoma, etc. Other hematologic cancers may include myelodysplasia syndrome (MDS). Solid tumors may include carcinomas such as adenocarcinoma, e.g., breast cancer, pancreatic cancer, prostate cancer, colon or colorectal cancer, lung cancer, gastric cancer, cervical cancer, endometrial cancer, ovarian cancer, cholangiocarcinoma, glioma, melanoma, etc. In some embodiments, the cancer is a breast cancer, multiple myeloma, plasma cell myeloma, leukemia, lymphoma, sarcoma, gastric cancer, acute myeloid leukemia, bladder cancer, brain cancer, bone marrow cancer, cervical cancer, chronic lymphocytic leukemia, colorectal cancer, esophageal cancer, hepatocellular cancer, lymphoblastic leukemia including acute lymphoblastic leukemia, follicular lymphoma, lymphoid malignancies of T-cell or B-cell origin, melanoma, myelogenous leukemia, myeloma, oral cancer, ovarian cancer, non-small cell lung cancer, prostate cancer, small cell lung cancer, spleen cancer, pancreatic cancer, stomach cancer, colon cancer, or head and neck cancer. In some embodiments, the cancer is a lymphoma or gastric cancer.
[213] As used herein, the term “tumor” refers to any mass of tissue that results from excessive cell growth or proliferation, either benign or malignant, including precancerous lesions. In some embodiments, the tumor is a breast cancer, gastric cancer, bladder cancer, brain cancer, cervical cancer, colorectal cancer, esophageal cancer, hepatocellular cancer, melanoma, oral cancer, ovarian cancer, non- small cell lung cancer, prostate cancer, small cell lung cancer, pancreatic cancer, stomach cancer, colon cancer, head and neck cancer, or spleen cancer. In some embodiments, the tumor is a gastric cancer.
[214] The terms “tumor cell” and “cancer cell” may be used interchangeably herein and refer to individual cells or the total population of cells derived from a tumor or cancer, including both non- tumorigenic cells and cancer stem cells. The terms “tumor cell” and “cancer cell” will be modified by the term “non-tumorigenic” when referring solely to those cells lacking the capacity to renew and differentiate to distinguish those cells from cancer stem cells.
[215] The term “target-negative,” “target antigen-negative,” or “antigen-negative,” as used herein, refers to the absence of target antigen expression by a cell or tissue. The term “target-positive,” “target antigen-positive,” or “antigen-positive” refers to the presence of target antigen expression. For example, a cell or a cell line that does not express a target antigen may be described as target-negative, whereas a cell or cell line that expresses a target antigen may be described as target-positive.
[216] The terms “subject” and “patient” are used interchangeably herein to refer to any human or nonhuman animal in need of treatment. Non-human animals include all vertebrates (e.g., mammals and non-
mammals) such as any mammal. Non-limiting examples of mammals include humans, chimpanzees, apes, monkeys, cattle, horses, sheep, goats, swine, rabbits, dogs, cats, rats, mice, and guinea pigs. Nonlimiting examples of non-mammals include birds and fish. In some embodiments, the subject is a human.
[217] The term “a subject in need of treatment,” as used herein, refers to a subject that would benefit biologically, medically, or in quality of life from a treatment (e.g. , a treatment with any one or more of the exemplary ADC compounds described herein).
[218] As used herein, the term “treat,” “treating,” or “treatment” refers to any improvement of any consequence of disease, disorder, or condition, such as prolonged survival, less morbidity, and/or a lessening of side effects which result from an alternative therapeutic modality. In some embodiments, treatment comprises delaying or ameliorating a disease, disorder, or condition (i.e., slowing or arresting or reducing the development of a disease or at least one of the clinical symptoms thereof). In some embodiments, treatment comprises delaying, alleviating, or ameliorating at least one physical parameter of a disease, disorder, or condition, including those which may not be discernible by the patient. In some embodiments, treatment comprises modulating a disease, disorder, or condition, either physically (e.g., stabilization of a discernible symptom), physiologically (e.g., stabilization of a physical parameter), or both. In some embodiments, treatment comprises administration of a described ADC compound or composition to a subject, e.g., a patient, to obtain a treatment benefit enumerated herein. The treatment can be to cure, heal, alleviate, delay, prevent, relieve, alter, remedy, ameliorate, palliate, improve, or affect a disease, disorder, or condition (e.g., a cancer), the symptoms of a disease, disorder, or condition (e.g., a cancer), or a predisposition toward a disease, disorder, or condition (e.g., a cancer). In some embodiments, in addition to treating a subject having a disease, disorder, or condition, a composition disclosed herein can also be provided prophylactically to prevent or reduce the likelihood of developing that disease, disorder, or condition.
[219] As used herein, the term “prevent”, “preventing," or “prevention” of a disease, disorder, or condition refers to the prophylactic treatment of the disease, disorder, or condition; or delaying the onset or progression of the disease, disorder, or condition.
[220] As used herein, a "pharmaceutical composition" refers to a preparation of a composition, e.g., an ADC compound or composition, in addition to at least one other (and optionally more than one other) component suitable for administration to a subject, such as a pharmaceutically acceptable carrier, stabilizer, diluent, dispersing agent, suspending agent, thickening agent, and/or excipient. The pharmaceutical compositions provided herein are in such form as to permit administration and subsequently provide the intended biological activity of the active ingredient(s) and/or to achieve a therapeutic effect. The pharmaceutical compositions provided herein preferably contain no additional components which are unacceptably toxic to a subject to which the formulation would be administered.
[221] As used herein, the terms "pharmaceutically acceptable carrier" and "physiologically acceptable carrier," which may be used interchangeably, refer to a carrier or a diluent that does not cause significant irritation to a subject and does not abrogate the biological activity and properties of the administered ADC compound or composition and/or any additional therapeutic agent in the composition. Pharmaceutically acceptable carriers may enhance or stabilize the composition or can be used to facilitate preparation of the composition. Pharmaceutically acceptable carriers can include solvents, dispersion media, coatings, surfactants, antioxidants, preservatives (e.g., antibacterial agents, antifungal agents), isotonic agents, absorption delaying agents, salts, preservatives, drug stabilizers, binders, excipients, disintegration agents, lubricants, sweetening agents, flavoring agents, dyes, and the like and combinations thereof, as would be known to those skilled in the art (see, for example, Remington's Pharmaceutical Sciences, 18th Ed. Mack Printing Company, 1990, pp. 1289- 1329). Except insofar as any conventional carrier is incompatible with the active ingredient, its use in the therapeutic or pharmaceutical compositions is contemplated. The carrier may be selected to minimize adverse side effects in the subject, and/or to minimize degradation of the active ingredient(s). An adjuvant may also be included in any of these formulations.
[222] As used herein, the term "excipient" refers to an inert substance added to a pharmaceutical composition to further facilitate administration of an active ingredient. Formulations for parenteral administration can, for example, contain excipients such as sterile water or saline, polyalkylene glycols such as polyethylene glycol, vegetable oils, or hydrogenated napthalenes. Other exemplary excipients include, but are not limited to, calcium bicarbonate, calcium phosphate, various sugars and types of starch, cellulose derivatives, gelatin, ethylene-vinyl acetate co-polymer particles, and surfactants, including, for example, polysorbate 20.
[223] The term “pharmaceutically acceptable salt,” as used herein, refers to a salt which does not abrogate the biological activity and properties of the compounds of the invention, and does not cause significant irritation to a subject to which it is administered. Examples of such salts include, but are not limited to: (a) acid addition salts formed with inorganic acids, for example, hydrochloric acid, hydrobromic acid, sulfuric acid, phosphoric acid, nitric acid and the like; and salts formed with organic acids, for example, acetic acid, oxalic acid, tartaric acid, succinic acid, maleic acid, fumaric acid, gluconic acid, citric acid, malic acid, ascorbic acid, benzoic acid, tannic acid, palmitic acid, alginic acid, polyglutamic acid, naphthalenesulfonic acid, methanesulfonic acid, p-toluenesulfonic acid, naphthalenedisulfonic acid, polygalacturonic acid, and the like; and (b) salts formed from elemental anions such as chlorine, bromine, and iodine. See, e.g., Haynes et al., “Commentary: Occurrence of Pharmaceutically Acceptable Anions and Cations in the Cambridge Structural Database,” J. Pharmaceutical Sciences, vol. 94, no. 10 (2005), and Berge et al., “Pharmaceutical Salts,” J. Pharmaceutical Sciences, vol. 66, no. 1 (1977), which are incorporated by reference herein.
[224] In some embodiments, depending on their electronic charge, the antibody-drug conjugates (ADCs), linkers, payloads and linker-payloads described herein can contain a monovalent anionic counterion Mf. Any suitable anionic counterion can be used. In certain embodiments, the monovalent anionic counterion is a pharmaceutically acceptable monovalent anionic counterion. In certain embodiments, the monovalent anionic counterion Mf can be selected from bromide, chloride, iodide, acetate, trifluoroacetate, benzoate, mesylate, tosylate, triflate, formate, or the like. In some embodiments, the monovalent anionic counterion Mf is trifluoroacetate or formate.
[225] As used herein, the term “therapeutically effective amount” or “therapeutically effective dose,” refers to an amount of a compound described herein, e.g. , an ADC compound or composition described herein, to effect the desired therapeutic result (i.e., reduction or inhibition of an enzyme or a protein activity, amelioration of symptoms, alleviation of symptoms or conditions, delay of disease progression, a reduction in tumor size, inhibition of tumor growth, prevention of metastasis). In some embodiments, a therapeutically effective amount does not induce or cause undesirable side effects. In some embodiments, a therapeutically effective amount induces or causes side effects but only those that are acceptable by a treating clinician in view of a patient’s condition. In some embodiments, a therapeutically effective amount is effective for detectable killing, reduction, and/or inhibition of the growth or spread of cancer cells, the size or number of tumors, and/or other measure of the level, stage, progression and/or severity of a cancer. The term also applies to a dose that will induce a particular response in target cells, e.g., a reduction, slowing, or inhibition of cell growth. A therapeutically effective amount can be determined by first administering a low dose, and then incrementally increasing that dose until the desired effect is achieved. A therapeutically effective amount can also vary depending upon the intended application (in vitro or in vivo), or the subject and disease condition being treated, e.g., the weight and age of the subject, the severity of the disease condition, the manner of administration and the like, which can readily be determined by one of ordinary skill in the art. The specific amount may vary depending on, for example, the particular pharmaceutical composition, the subject and their age and existing health conditions or risk for health conditions, the dosing regimen to be followed, the severity of the disease, whether it is administered in combination with other agents, timing of administration, the tissue to which it is administered, and the physical delivery system in which it is carried. In the case of cancer, a therapeutically effective amount of an ADC may reduce the number of cancer cells, reduce tumor size, inhibit (e.g., slow or stop) tumor metastasis, inhibit (e.g., slow or stop) tumor growth, and/or relieve one or more symptoms.
[226] As used herein, the term “prophylactically effective amount” or “prophylactically effective dose,” refers to an amount of a compound disclosed herein, e.g. , an ADC compound or composition described herein, that is effective, at dosages and for periods of time necessary, to achieve the desired prophylactic
result. Typically, since a prophylactic dose is used in subjects prior to or at an earlier stage of disease, the prophylactically effective amount will be less than the therapeutically effective amount. In some embodiments, a prophylactically effective amount can prevent the onset of disease symptoms, including symptoms associated with a cancer.
[227] The term “p” or “drug loading” or “drug: antibody ratio” or “drug-to-antibody ratio” or “DAR” refers to the number of drug moieties per antibody or antigen-binding fragment, i.e., drug loading, or the number of BH3 mimetic moieties per antibody or antigen-binding fragment (Ab) in ADCs of Formula (1). In ADCs comprising an antineoplastic compound (e.g. a BH3 mimetic drug moiety, a topoisomerase 1 inhibitor or an anti-mitotic drug ), “p” refers to the number of antineoplastic compounds (e.g. a BH3 mimetic drug moiety, a topoisomerase 1 inhibitor or an anti-mitotic drug ) linked to the antibody or antigen-binding fragment. In the present disclosure, one dual linker attaches two antineoplastic compounds (e.g. two BH3 mimetic drug moieties, or a BH3 mimetic and a non-BH3 mimetic (e.g., a topoisomerase 1 inhibitor or an anti-mitotic drug) to an antibody or antigen-binding fragment, therefore,/? is 2 if the antibody or antigen-binding fragment only links with one dual linker having two antineoplastic compounds (e.g. two BH3 mimetic drug moieties, or a BH3 mimetic and a non-BH3 mimetic (e.g., a topoisomerase 1 inhibitor or an anti-mitotic drug) attached thereto. In compositions comprising multiple copies of ADCs of Formula (1), “average p” refers to the average number of antineoplastic compounds (e.g. two BH3 mimetic drug moieties, or a BH3 mimetic and a non-BH3 mimetic (e.g., a topoisomerase 1 inhibitor or an anti-mitotic drug) per antibody or antigen-binding fragment, also referred to as “average drug loading.”
1. Antibody-Drug Conjugates
[228] The antibody-drug conjugate (ADC) compounds of the present disclosure include those with anticancer activity. In particular, the ADC compounds include an antibody or antigen-binding fragment conjugated (i.e., covalently attached by a dual linker) to two antineoplastic compounds, such as a BH3 mimetic drug moiety (e.g., a Mcl-1 inhibitor, a Bcl-2 inhibitor, or a Bcl-xL inhibitor or a combination thereof), a topoisomerase 1 inhibitor (e.g., topotecan, exatecan, deruxtecan or SN-38), or an anti-mitotic drug (e.g., monomethyl auristatin E (MMAE) or a taxane), wherein at least one antineoplastic compound is a BH3 mimetic drug moiety, and wherein the antineoplastic compound when not conjugated to an antibody or antigen-binding fragment has a cytotoxic or cytostatic effect. In some embodiments, the BH3 mimetic drug moiety when not conjugated to an antibody or antigen-binding fragment is capable of reducing the expression and/or activity of a Bcl-2 family protein (e.g., Mcl-1, Bcl-2 and/or Bcl-xL) and/or one or more upstream modulators or downstream targets thereof. Without being bound by theory, by targeting a Bcl-2 family protein (e.g., Mcl-1, Bcl-2 and/or Bcl-xL) expression and/or activity, in some
embodiments, the ADCs disclosed herein may provide potent anti-cancer agents. Also, without being bound by theory, by conjugating the antineoplastic compound to an antibody that binds an antigen associated with expression in a tumor cell or cancer, the ADC may provide improved activity, better cytotoxic specificity, and/or reduced off-target killing as compared to the antineoplastic compound when administered alone.
[229] In some embodiments, therefore, the components of the ADC are selected to (i) retain one or more therapeutic properties exhibited by the antibody and antineoplastic compounds in isolation, (ii) maintain the specific binding properties of the antibody or antigen-binding fragment; (iii) optimize drug loading and drug-to-antibody ratios; (iv) allow delivery, e.g.. intracellular delivery, of the antineoplastic compound via stable attachment to the antibody or antigen-binding fragment; (v) retain ADC stability as an intact conjugate until transport or delivery to a target site; (vi) minimize aggregation of the ADC prior to or after administration; (vii) allow for the therapeutic effect, e.g. , cytotoxic effect, of the antineoplastic compound after cleavage or other release mechanism in the cellular environment; (viii) exhibit in vivo anti-cancer treatment efficacy comparable to or superior to that of the antibody and antineoplastic compounds in isolation; (ix) minimize off-target killing by the antineoplastic compound; and/or (x) exhibit desirable pharmacokinetic and pharmacodynamics properties, formulatability, and toxicologic/immunologic profiles. Each of these properties may provide for an improved ADC for therapeutic use (Ab et al. (2015) Mol Cancer Ther. 14: 1605-13).
[230] The ADC compounds of the present disclosure may selectively deliver an effective dose of a cytotoxic or cytostatic agent to cancer cells or to tumor tissue. In some embodiments, the cytotoxic and/or cytostatic activity of the ADC is dependent on target antigen expression in a cell. In some embodiments, the disclosed ADCs are particularly effective at killing cancer cells expressing a target antigen while minimizing off-target killing. In some embodiments, the disclosed ADCs do not exhibit a cytotoxic and/or cytostatic effect on cancer cells that do not express a target antigen.
[231] Exemplary CD7-expressing cancers include but are not limited to hematological cancer, such as multiple myeloma, plasma cell myeloma, leukemia, lymphoma, sarcoma, acute myeloid leukemia, bone marrow cancer, chronic lymphocytic leukemia, lymphoblastic leukemia including acute lymphoblastic leukemia, follicular lymphoma, lymphoid malignancies of T-cell or B-cell origin, melanoma, myelogenous leukemia, myeloma or spleen cancer, acute T-Cell leukemia (T-ALL) and peripheral T-cell lymphomas (Gomes-Silva et al. (2017) Blood 130 (3): 285-296; Sangle et al. (2011) Applied Immunohistochemistry & Molecular Morphology 19(6): 579-583; Martin-Henao et al.( 1999) Am J Hematol 61 (3): 178-86).
[232] Provided herein, in certain aspects, are ADC compounds comprising an antibody or antigenbinding fragment thereof (Ab) covalently linked to two antineoplastic payloads, such as a BH3 mimetic, a
topoisomerase 1 inhibitor, or an anti-mitotic drug (D1 and D2) through a dual linker (L), wherein at least one antineoplastic payload is a BH3 mimetic, and wherein the dual linker has one attachment point connected to the antibody and two attachment points to the two antineoplastic payloads, such as BH3 mimetics, and wherein the two antineoplastic payloads, such as BH3 mimetics, can be the same or different. In some embodiments, for the ADC compounds provided herein, the antibody or antigenbinding fragment thereof (Ab) targets a cancer cell. In some embodiments, the antibody or antigenbinding fragment is able to bind to a tumor-associated antigen (e.g., CD7), e.g., with high specificity and high affinity. In some embodiments, the antibody or antigen-binding fragment is internalized into a target cell upon binding, e.g., into a degradative compartment in the cell. In some embodiments, the ADCs internalize upon binding to a target cell, undergo degradation, and release the Bcl-xL inhibitor drug moiety to kill cancer cells. The antineoplastic payloads, such as BH3 mimetics, topoisomerase 1 inhibitor, or anti-mitotic drug, may be released from the antibody and/or the linker moiety of the ADC by enzymatic action, hydrolysis, oxidation, or any other mechanism.
[233] An exemplary ADC has Formula (1):
wherein Ab = an antibody or antigen-binding fragment, L = a dual linker moiety, D1 = an antineoplastic payload, such as BH3 mimetics, topoisomerase 1 inhibitor, or anti-mitotic drug; and D2 = an antineoplastic payload, such as BH3 mimetics, topoisomerase 1 inhibitor, or anti-mitotic drug, wherein at least one of D1 and D2 is a BH3 mimetic, and a = the number of antineoplastic payload, D1 or D2, attached per antibody or antigen-binding fragment.
A. Antibodies
[234] The antibody or antigen-binding fragment (Ab) of Formula (1) includes within its scope an antiCD? antibody or antigen-binding fragment that specifically binds to the target antigen CD7 on a cell. In some embodiment, the antibody or antigen-binding fragment (Ab) of Formula (1) includes within its scope an anti-CD7 antibody or antigen-binding fragment that specifically binds to the target antigen on a cancer cell (e.g., CD7). The antibody or antigen-binding fragment may bind to the target antigen CD7 with a dissociation constant (KD) of <1 mM, <100 nM or <10 nM, or any amount in between, as measured by, e.g., BIAcore® analysis. In some embodiments, the KD is 1 pM to 500 pM. In some embodiments, the KD is between 500 pM to 1 pM, 1 pM to 100 nM, or 100 mM to 10 nM. In some embodiments, the anti-CD7 antibody is not Ab D.
[235] In some embodiments, the anti-CD7 antibody or antigen-binding fragment is a four-chain antiCD? antibody (also referred to as an immunoglobulin or a full-length or intact antibody), comprising two heavy chains and two light chains. In some embodiments, the anti-CD7 antibody or antigen-binding fragment is an antigen-binding fragment of an immunoglobulin. In some embodiments, the anti-CD7 antibody or antigen-binding fragment is an antigen-binding fragment of an immunoglobulin that retains the ability to bind the target cancer antigen and/or provide at least one function of the immunoglobulin.
[236] In some embodiments, the anti-CD7 antibody or antigen-binding fragment is an internalizing anti-CD7 antibody or internalizing antigen-binding fragment thereof. In some embodiments, the internalizing anti-CD7 antibody or internalizing antigen-binding fragment thereof binds to the target cancer antigen expressed on the surface of a cell and enters the cell upon binding. In some embodiments, the anti-neoplastic payload of the ADC is released from the anti-CD7 antibody or antigen-binding fragment of the ADC after the ADC enters and is present in a cell expressing the target cancer antigen (i.e., after the ADC has been internalized), e.g., by cleavage, by degradation of the antibody or antigenbinding fragment, or by any other suitable release mechanism.
[237] In some embodiments, the anti-CD7 antibodies or antigen-binding fragments comprise mutations that mediate reduced or no antibody-dependent cellular cytotoxicity (ADCC) or complement-dependent cytotoxicity (CDC). In some embodiments, these mutations are known as Fc Silencing, Fc Silent, or Fc Silenced mutations. In some embodiments, amino acid residues L234 and L235 of the IgGl constant region are substituted to A234 and A235 (also known as “LALA”). In some embodiments, amino acid residue N297 of the IgGl constant region is substituted to A297 (also known as “N297A”). In some embodiments, amino acid residues D265 and P329 of the IgGl constant region are substituted to A265 and A329 (also known as “DAP A”). Other antibody Fc silencing mutations may also be used. In some embodiments, the Fc silencing mutations are used in combination, for example D265A, N297A and P329A (also known as “D ANAPA”). In some embodiments, the Fc silencing mutations are used in combination, for example L234A, L235E, G237A.
[238] As set forth herein, if modifications are made to the anti-CD7 antibodies or antigen-binding fragments, they are further designated with that modification. For example if select amino acids in the antiCD? antibody have been changed to cysteines (e.g. E152C, S375C, V205C and S400C according to EU numbering of the antibody heavy chain to facilitate conjugation to linker-drug moieties) they are designated as “CysMab”; or if the anti-CD7 antibody or antigen-binding fragment has been modified with Fc silencing mutations D265A, N297A and P329A of the IgGl constant region according to EU numbering, “DANAPA” is added to the anti-CD7 antibody name, or if the anti-CD7 antibody or antigen-binding fragment has been modified with Fc silencing mutations D265A and P329A of the IgGl constant region according to EU numbering, “DAPA” is added to the anti-CD7 antibody name.
[239] Amino acid sequences of exemplary antibodies of the present disclosure, in addition to exemplary antigen targets, are set forth in Tables D1-D5.
[240] In some embodiments, the antibody or antigen-binding fragment of an ADC disclosed herein may comprise any set of heavy and light chain variable domains listed in the tables above or a set of six CDRs from any set of heavy and light chain variable domains listed in the tables above. In some embodiments, the antibody or antigen-binding fragment of an ADC disclosed herein may comprise amino acid sequences that are conservatively modified and/or homologous to the sequences listed in the tables above, so long as the ADC retains the ability to bind to its target cancer antigen (e.g. , with a KD of less than
1x1 O'8 M) and retains one or more functional properties of the ADCs disclosed herein (e.g., ability to internalize, bind to an antigen target, e.g., an antigen expressed on a tumor or other cancer cell, etc.).
[241] In some embodiments, the antibody or antigen-binding fragment of an ADC disclosed herein further comprises human heavy and light chain constant domains or fragments thereof. For instance, the antibody or antigen-binding fragment of the described ADCs may comprise a human IgG heavy chain constant domain (such as an IgGl) and a human kappa or lambda light chain constant domain. In some embodiments, the antibody or antigen-binding fragment of the described ADCs comprises a human immunoglobulin G subtype 1 (IgGl) heavy chain constant domain with a human Ig kappa light chain constant domain.
[242] In some embodiments, the target antigen for an ADC is CD7.
[243] In some embodiments, the anti-CD7 antibody comprises (i) a heavy chain amino acid sequence selected from the group consisting of: SEQ ID NO: 11, SEQ ID NO: 13, SEQ ID NO: 17, SEQ ID NO: 18, SEQ ID NO: 19, SEQ ID NO: 20, SEQ ID NO: 21, SEQ ID NO: 22, SEQ ID NO: 23, and SEQ ID NO: 24; and (ii) a light chain amino acid sequence selected from the group consisting of: SEQ ID NO: 12, SEQ ID NO: 14, SEQ ID NO: 15, and SEQ ID NO: 16.
[244] In some embodiments, the anti-CD7 antibody comprises the heavy chain amino acid sequence of SEQ ID NO: 13 or a sequence that is at least 95% identical to SEQ ID NO: 13, and the light chain amino acid sequence of SEQ ID NO: 12 or a sequence that is at least 95% identical to SEQ ID NO: 12. In some embodiments, the anti-CD7 antibody comprises the heavy chain amino acid sequence of SEQ ID NO: 13 and the light chain amino acid sequence of SEQ ID NO: 12, or sequences that are at least 95% identical to the disclosed sequences. In some embodiments, the anti-CD7 antibody has a heavy chain amino acid sequence that is at least 96%, at least 97%, at least 98%, or at least 99% identical to SEQ ID NO: 13 and a light chain amino acid sequence that is at least 96%, at least 97%, at least 98%, or at least 99% identical
to SEQ ID NO: 12. In some embodiments, the anti-CD7 antibody is milatuzumab, or an antigen-binding fragment thereof.
[245] In some embodiments, the anti-CD7 antibody comprises the heavy chain amino acid sequence of SEQ ID NO: 11 or a sequence that is at least 95% identical to SEQ ID NO: 11, and the light chain amino acid sequence of SEQ ID NO: 12 or a sequence that is at least 95% identical to SEQ ID NO: 12. In some embodiments, the anti-CD74 antibody comprises the heavy chain amino acid sequence of SEQ ID NO: 11 and the light chain amino acid sequence of SEQ ID NO: 12, or sequences that are at least 95% identical to the disclosed sequences. In some embodiments, the anti-CD7 antibody has a heavy chain amino acid sequence that is at least 96%, at least 97%, at least 98%, or at least 99% identical to SEQ ID NO: 11 and a light chain amino acid sequence that is at least 96%, at least 97%, at least 98%, or at least 99% identical to SEQ ID NO: 12.
[246] In some embodiments, the anti-CD7 antibody comprises the heavy chain amino acid sequence of SEQ ID NO: 17 or a sequence that is at least 95% identical to SEQ ID NO: 17, and the light chain amino acid sequence of SEQ ID NO: 14 or a sequence that is at least 95% identical to SEQ ID NO: 14. In some embodiments, the anti-CD7 antibody comprises the heavy chain amino acid sequence of SEQ ID NO: 17 and the light chain amino acid sequence of SEQ ID NO: 14, or sequences that are at least 95% identical to the disclosed sequences. In some embodiments, the anti-CD7 antibody has a heavy chain amino acid sequence that is at least 96%, at least 97%, at least 98%, or at least 99% identical to SEQ ID NO: 17 and a light chain amino acid sequence that is at least 96%, at least 97%, at least 98%, or at least 99% identical to SEQ ID NO: 14.
[247] In some embodiments, the anti-CD7 antibody comprises the heavy chain amino acid sequence of SEQ ID NO: 18 or a sequence that is at least 95% identical to SEQ ID NO: 18, and the light chain amino acid sequence of SEQ ID NO: 14 or a sequence that is at least 95% identical to SEQ ID NO: 14. In some embodiments, the anti-CD7 antibody comprises the heavy chain amino acid sequence of SEQ ID NO: 18 and the light chain amino acid sequence of SEQ ID NO: 14, or sequences that are at least 95% identical to the disclosed sequences. In some embodiments, the anti-CD7 antibody has a heavy chain amino acid sequence that is at least 96%, at least 97%, at least 98%, or at least 99% identical to SEQ ID NO: 18 and a light chain amino acid sequence that is at least 96%, at least 97%, at least 98%, or at least 99% identical to SEQ ID NO: 14.
[248] In some embodiments, the anti-CD7 antibody comprises the heavy chain amino acid sequence of SEQ ID NO: 19 or a sequence that is at least 95% identical to SEQ ID NO: 19, and the light chain amino acid sequence of SEQ ID NO: 14 or a sequence that is at least 95% identical to SEQ ID NO: 14. In some embodiments, the anti-CD7 antibody comprises the heavy chain amino acid sequence of SEQ ID NO: 19 and the light chain amino acid sequence of SEQ ID NO: 14, or sequences that are at least 95% identical to
the disclosed sequences. In some embodiments, the anti-CD7 antibody has a heavy chain amino acid sequence that is at least 96%, at least 97%, at least 98%, or at least 99% identical to SEQ ID NO: 19 and a light chain amino acid sequence that is at least 96%, at least 97%, at least 98%, or at least 99% identical to SEQ ID NO: 14.
[249] In some embodiments, the anti-CD7 antibody comprises the heavy chain amino acid sequence of SEQ ID NO:20 or a sequence that is at least 95% identical to SEQ ID NO:20, and the light chain amino acid sequence of SEQ ID NO: 15 or a sequence that is at least 95% identical to SEQ ID NO: 15. In some embodiments, the anti-CD7 antibody comprises the heavy chain amino acid sequence of SEQ ID NO:20 and the light chain amino acid sequence of SEQ ID NO: 15, or sequences that are at least 95% identical to the disclosed sequences. In some embodiments, the anti-CD7 antibody has a heavy chain amino acid sequence that is at least 96%, at least 97%, at least 98%, or at least 99% identical to SEQ ID NO:20 and a light chain amino acid sequence that is at least 96%, at least 97%, at least 98%, or at least 99% identical to SEQ ID NO: 15.
[250] In some embodiments, the anti-CD7 antibody comprises the heavy chain amino acid sequence of SEQ ID NO:21 or a sequence that is at least 95% identical to SEQ ID NO:21, and the light chain amino acid sequence of SEQ ID NO: 15 or a sequence that is at least 95% identical to SEQ ID NO: 15. In some embodiments, the anti-CD7 antibody comprises the heavy chain amino acid sequence of SEQ ID NO:21 and the light chain amino acid sequence of SEQ ID NO: 15, or sequences that are at least 95% identical to the disclosed sequences. In some embodiments, the anti-CD7 antibody has a heavy chain amino acid sequence that is at least 96%, at least 97%, at least 98%, or at least 99% identical to SEQ ID NO:21 and a light chain amino acid sequence that is at least 96%, at least 97%, at least 98%, or at least 99% identical to SEQ ID NO: 15.
[251] In some embodiments, the anti-CD7 antibody comprises the heavy chain amino acid sequence of SEQ ID NO:22 or a sequence that is at least 95% identical to SEQ ID NO:22, and the light chain amino acid sequence of SEQ ID NO: 15 or a sequence that is at least 95% identical to SEQ ID NO: 15. In some embodiments, the anti-CD7 antibody comprises the heavy chain amino acid sequence of SEQ ID NO:22 and the light chain amino acid sequence of SEQ ID NO: 15, or sequences that are at least 95% identical to the disclosed sequences. In some embodiments, the anti-CD7 antibody has a heavy chain amino acid sequence that is at least 96%, at least 97%, at least 98%, or at least 99% identical to SEQ ID NO:22 and a light chain amino acid sequence that is at least 96%, at least 97%, at least 98%, or at least 99% identical to SEQ ID NO: 15.
[252] In some embodiments, the anti-CD7 antibody comprises the heavy chain amino acid sequence of SEQ ID NO:23 or a sequence that is at least 95% identical to SEQ ID NO:23, and the light chain amino acid sequence of SEQ ID NO: 15 or a sequence that is at least 95% identical to SEQ ID NO: 15. In some
embodiments, the anti-CD7 antibody comprises the heavy chain amino acid sequence of SEQ ID NO:23 and the light chain amino acid sequence of SEQ ID NO: 15, or sequences that are at least 95% identical to the disclosed sequences. In some embodiments, the anti-CD7 antibody has a heavy chain amino acid sequence that is at least 96%, at least 97%, at least 98%, or at least 99% identical to SEQ ID NO:23 and a light chain amino acid sequence that is at least 96%, at least 97%, at least 98%, or at least 99% identical to SEQ ID NO: 15.
[253] In some embodiments, the anti-CD7 antibody comprises the heavy chain amino acid sequence of SEQ ID NO:20 or a sequence that is at least 95% identical to SEQ ID NO:20, and the light chain amino acid sequence of SEQ ID NO: 16 or a sequence that is at least 95% identical to SEQ ID NO: 16. In some embodiments, the anti-CD7 antibody comprises the heavy chain amino acid sequence of SEQ ID NO:20 and the light chain amino acid sequence of SEQ ID NO: 16, or sequences that are at least 95% identical to the disclosed sequences. In some embodiments, the anti-CD7 antibody has a heavy chain amino acid sequence that is at least 96%, at least 97%, at least 98%, or at least 99% identical to SEQ ID NO:20 and a light chain amino acid sequence that is at least 96%, at least 97%, at least 98%, or at least 99% identical to SEQ ID NO: 16.
[254] In some embodiments, the anti-CD7 antibody comprises the heavy chain amino acid sequence of SEQ ID NO:24 or a sequence that is at least 95% identical to SEQ ID NO:24, and the light chain amino acid sequence of SEQ ID NO: 16 or a sequence that is at least 95% identical to SEQ ID NO: 16. In some embodiments, the anti-CD7 antibody comprises the heavy chain amino acid sequence of SEQ ID NO:24 and the light chain amino acid sequence of SEQ ID NO: 16, or sequences that are at least 95% identical to the disclosed sequences. In some embodiments, the anti-CD7 antibody has a heavy chain amino acid sequence that is at least 96%, at least 97%, at least 98%, or at least 99% identical to SEQ ID NO:24 and a light chain amino acid sequence that is at least 96%, at least 97%, at least 98%, or at least 99% identical to SEQ ID NO: 16.
[255] In some embodiments, the anti-CD7 antibody comprises the heavy chain amino acid sequence of SEQ ID NO:24 or a sequence that is at least 95% identical to SEQ ID NO:24, and the light chain amino acid sequence of SEQ ID NO: 15 or a sequence that is at least 95% identical to SEQ ID NO: 15. In some embodiments, the anti-CD7 antibody comprises the heavy chain amino acid sequence of SEQ ID NO:24 and the light chain amino acid sequence of SEQ ID NO: 15, or sequences that are at least 95% identical to the disclosed sequences. In some embodiments, the anti-CD7 antibody has a heavy chain amino acid sequence that is at least 96%, at least 97%, at least 98%, or at least 99% identical to SEQ ID NO:24 and a light chain amino acid sequence that is at least 96%, at least 97%, at least 98%, or at least 99% identical to SEQ ID NO: 15.
[256] In some embodiments, the anti-CD7 antibody or antigen-binding fragment thereof comprises a heavy chain variable region comprising the amino acid sequence of SEQ ID NO:26, and a light chain variable region comprising the amino acid sequence of SEQ ID NO:27. In some embodiments, the anti- CD7 antibody or antigen-binding fragment thereof comprises the heavy chain variable region amino acid sequence of SEQ ID NO:26 and the light chain variable region amino acid sequence of SEQ ID NO:27, or sequences that are at least 95% identical to the disclosed sequences. In some embodiments, the anti-CD7 antibody or antigen-binding fragment thereof has a heavy chain variable region amino acid sequence that is at least 96%, at least 97%, at least 98%, or at least 99% identical to SEQ ID NO:26 and/or a light chain variable region amino acid sequence that is at least 96%, at least 97%, at least 98%, or at least 99% identical to SEQ ID NO:27.
[257] In some embodiments, the anti-CD7 antibody or antigen-binding fragment thereof comprises a heavy chain variable region comprising the amino acid sequence of SEQ ID NO:7, and a light chain variable region comprising the amino acid sequence of SEQ ID NO:9. In some embodiments, the anti- CD7 antibody or antigen-binding fragment thereof comprises the heavy chain variable region amino acid sequence of SEQ ID NO: 7 and the light chain variable region amino acid sequence of SEQ ID NO: 9, or sequences that are at least 95% identical to the disclosed sequences. In some embodiments, the anti-CD7 antibody or antigen-binding fragment thereof has a heavy chain variable region amino acid sequence that is at least 96%, at least 97%, at least 98%, or at least 99% identical to SEQ ID NO:7 and/or a light chain variable region amino acid sequence that is at least 96%, at least 97%, at least 98%, or at least 99% identical to SEQ ID NO:9.
[258] In some embodiments, the anti-CD7 antibody or antigen-binding fragment thereof comprises a heavy chain variable region comprising the amino acid sequence of SEQ ID NO:7, and a light chain variable region comprising the amino acid sequence of SEQ ID NO: 10. In some embodiments, the anti- CD7 antibody or antigen-binding fragment thereof comprises the heavy chain variable region amino acid sequence of SEQ ID NO:7 and the light chain variable region amino acid sequence of SEQ ID NO: 10, or sequences that are at least 95% identical to the disclosed sequences. In some embodiments, the anti-CD7 antibody or antigen-binding fragment thereof has a heavy chain variable region amino acid sequence that is at least 96%, at least 97%, at least 98%, or at least 99% identical to SEQ ID NO:7 and/or a light chain variable region amino acid sequence that is at least 96%, at least 97%, at least 98%, or at least 99% identical to SEQ ID NO: 10.
[259] In some embodiments, the anti-CD7 antibody or antigen-binding fragment thereof comprises a heavy chain variable region comprising the amino acid sequence of SEQ ID NO:8, and a light chain variable region comprising the amino acid sequence of SEQ ID NO: 10. In some embodiments, the anti- CD7 antibody or antigen-binding fragment thereof comprises the heavy chain variable region amino acid
sequence of SEQ ID NO: 8 and the light chain variable region amino acid sequence of SEQ ID NO: 10, or sequences that are at least 95% identical to the disclosed sequences. In some embodiments, the anti-CD7 antibody or antigen-binding fragment thereof has a heavy chain variable region amino acid sequence that is at least 96%, at least 97%, at least 98%, or at least 99% identical to SEQ ID NO:8 and/or a light chain variable region amino acid sequence that is at least 96%, at least 97%, at least 98%, or at least 99% identical to SEQ ID NO: 10.
[260] In some embodiments, the anti-CD7 antibody or antigen-binding fragment thereof comprises a heavy chain variable region comprising the amino acid sequence of SEQ ID NO:8, and a light chain variable region comprising the amino acid sequence of SEQ ID NO:9. In some embodiments, the anti- CD7 antibody or antigen-binding fragment thereof comprises the heavy chain variable region amino acid sequence of SEQ ID NO: 8 and the light chain variable region amino acid sequence of SEQ ID NO: 9, or sequences that are at least 95% identical to the disclosed sequences. In some embodiments, the anti-CD7 antibody or antigen-binding fragment thereof has a heavy chain variable region amino acid sequence that is at least 96%, at least 97%, at least 98%, or at least 99% identical to SEQ ID NO:8 and/or a light chain variable region amino acid sequence that is at least 96%, at least 97%, at least 98%, or at least 99% identical to SEQ ID NO:9.
[261] In some embodiments, the anti-CD7 antibody or antigen-binding fragment thereof comprises three heavy chain CDRs and three light chain CDRs as follows: heavy chain CDR1 (HCDR1) consisting of SEQ ID NO: 1, heavy chain CDR2 (HCDR2) consisting of SEQ ID NO:2, heavy chain CDR3 (HCDR3) consisting of SEQ ID NO:3; light chain CDR1 (LCDR1) consisting of SEQ ID NO:4, light chain CDR2 (LCDR2) consisting of SEQ ID NO:5, and light chain CDR3 (LCDR3) consisting of SEQ ID NO:6.
[262] In some embodiments, the anti-CD7 antibody or antigen-binding fragment thereof comprises the three heavy chain CDRs and three light chain CDRs of the anti-CD7 antibody or wherein the CDRs include no more than one, two, three, four, five, or six amino acid additions, deletions or substitutions of HCDR1 (SEQ ID NO: 1), HCDR2 (SEQ ID NO:2), HCDR3 (SEQ ID NO:3); LCDR1 (SEQ ID NO:4), LCDR2 (SEQ ID NO:5), and LCDR3 (SEQ ID NO:6).
[263] In some embodiments, the anti-CD7 antibody or antigen-binding fragment thereof comprises three heavy chain CDRs and three light chain CDRs as follows: heavy chain CDR1 (HCDR1) consisting of SEQ ID NO:28, heavy chain CDR2 (HCDR2) consisting of SEQ ID NO:29, heavy chain CDR3 (HCDR3) consisting of SEQ ID NO:30; light chain CDR1 (LCDR1) consisting of SEQ ID NO:31, light chain CDR2 (LCDR2) consisting of SEQ ID NO:32, and light chain CDR3 (LCDR3) consisting of SEQ ID NO:6.
[264] In some embodiments, the anti-CD7 antibody or antigen-binding fragment thereof comprises the three heavy chain CDRs and three light chain CDRs of the anti-CD7 antibody or wherein the CDRs include no more than one, two, three, four, five, or six amino acid additions, deletions or substitutions of HCDR1 (SEQ ID NO:28), HCDR2 (SEQ ID NO:29), HCDR3 (SEQ ID NO:30); LCDR1 (SEQ ID NO:31), LCDR2 (SEQ ID NO:32), and LCDR3 (SEQ ID NO:6).
[265] In some embodiments, the anti-CD7 antibody or antigen-binding fragment thereof comprises three heavy chain CDRs and three light chain CDRs as follows: heavy chain CDR1 (HCDR1) consisting of SEQ ID NO:33, heavy chain CDR2 (HCDR2) consisting of SEQ ID NO:34, heavy chain CDR3 (HCDR3) consisting of SEQ ID NO:3; light chain CDR1 (LCDR1) consisting of SEQ ID NO:4, light chain CDR2 (LCDR2) consisting of SEQ ID NO:5, and light chain CDR3 (LCDR3) consisting of SEQ ID NO:6.
[266] In some embodiments, the anti-CD7 antibody or antigen-binding fragment thereof comprises the three heavy chain CDRs and three light chain CDRs of the anti-CD7 antibody or wherein the CDRs include no more than one, two, three, four, five, or six amino acid additions, deletions or substitutions of HCDR1 (SEQ ID NO:33), HCDR2 (SEQ ID NO:34), HCDR3 (SEQ ID NO:3); LCDR1 (SEQ ID NO:4), LCDR2 (SEQ ID NO:5), and LCDR3 (SEQ ID NO:6).
[267] In some embodiments, the anti-CD7 antibody or antigen-binding fragment thereof comprises three heavy chain CDRs and three light chain CDRs as follows: heavy chain CDR1 (HCDR1) consisting of SEQ ID NO: 1, heavy chain CDR2 (HCDR2) consisting of SEQ ID NO:2, heavy chain CDR3 (HCDR3) consisting of SEQ ID NO:3; light chain CDR1 (LCDR1) consisting of SEQ ID NO:35, light chain CDR2 (LCDR2) consisting of SEQ ID NO:36, and light chain CDR3 (LCDR3) consisting of SEQ ID NO:6.
[268] In some embodiments, the anti-CD7 antibody or antigen-binding fragment thereof comprises the three heavy chain CDRs and three light chain CDRs of the anti-CD7 antibody or wherein the CDRs include no more than one, two, three, four, five, or six amino acid additions, deletions or substitutions of HCDR1 (SEQ ID NO: 1), HCDR2 (SEQ ID NO:2), HCDR3 (SEQ ID NO:3); LCDR1 (SEQ ID NO:35), LCDR2 (SEQ ID NO:36), and LCDR3 (SEQ ID NO:6).
[269] In some embodiments, the anti-CD7 antibody or antigen-binding fragment thereof comprises three heavy chain CDRs and three light chain CDRs as follows: heavy chain CDR1 (HCDR1) consisting of SEQ ID NO:28, heavy chain CDR2 (HCDR2) consisting of SEQ ID NO:29, heavy chain CDR3 (HCDR3) consisting of SEQ ID NO:30; light chain CDR1 (LCDR1) consisting of SEQ ID NO:31, light chain CDR2 (LCDR2) consisting of SEQ ID NO:32, and light chain CDR3 (LCDR3) consisting of SEQ ID NO:6.
[270] In some embodiments, the anti-CD7 antibody or antigen-binding fragment thereof comprises the three heavy chain CDRs and three light chain CDRs of the anti-CD7 antibody or wherein the CDRs include no more than one, two, three, four, five, or six amino acid additions, deletions or substitutions of HCDR1 (SEQ ID NO:28), HCDR2 (SEQ ID NO:29), HCDR3 (SEQ ID NO:30); LCDR1 (SEQ ID NO:31), LCDR2 (SEQ ID NO:32), and LCDR3 (SEQ ID NO:6).
[271] In some embodiments, the anti-CD7 antibody or antigen-binding fragment thereof comprises three heavy chain CDRs and three light chain CDRs as follows: heavy chain CDR1 (HCDR1) consisting of SEQ ID NO:33, heavy chain CDR2 (HCDR2) consisting of SEQ ID NO:34, heavy chain CDR3 (HCDR3) consisting of SEQ ID NO:3; light chain CDR1 (LCDR1) consisting of SEQ ID NO:35, light chain CDR2 (LCDR2) consisting of SEQ ID NO:36, and light chain CDR3 (LCDR3) consisting of SEQ ID NO:6.
[272] In some embodiments, the anti-CD7 antibody or antigen-binding fragment thereof comprises the three heavy chain CDRs and three light chain CDRs of the anti-CD7 antibody or wherein the CDRs include no more than one, two, three, four, five, or six amino acid additions, deletions or substitutions of HCDR1 (SEQ ID NO:33), HCDR2 (SEQ ID NO:34), HCDR3 (SEQ ID NO:3); LCDR1 (SEQ ID NO:35), LCDR2 (SEQ ID NO:36), and LCDR3 (SEQ ID NO:6).
[273] Residues in two or more polypeptides are said to "correspond" if the residues occupy an analogous position in the polypeptide structures. Analogous positions in two or more polypeptides can be determined by aligning the polypeptide sequences based on amino acid sequence or structural similarities. Those skilled in the art understand that it may be necessary to introduce gaps in either sequence to produce a satisfactory alignment.
[274] In some embodiments, amino acid substitutions are of single residues. Insertions usually will be on the order of from about 1 to about 20 amino acid residues, although considerably larger insertions may be tolerated as long as biological function is retained (e.g., binding to a target antigen). Deletions usually range from about 1 to about 20 amino acid residues, although in some cases deletions may be much larger. Substitutions, deletions, insertions, or any combination thereof may be used to arrive at a final derivative or variant. Generally, these changes are done on a few amino acids to minimize the alteration of the molecule, particularly the immunogenicity and specificity of the antigen binding protein. However, larger changes may be tolerated in certain circumstances. Conservative substitutions can be made in accordance with the following chart depicted as Table E.
Table E
Original Residue Exemplary Substitutions
Ala Ser
Arg Lys
Asn Gin, His
Asp Glu
Cys Ser
Gin Asn
Glu Asp
Gly Pro
His Asn, Gin lie Leu, Vai
Leu lie, Vai
Lys Arg, Gin, Glu
Met Leu, lie
Phe Met, Leu, Tyr
Ser Thr
Thr Ser
Trp Tyr
Tyr Trp, Phe
Vai lie, Leu
[275] In some embodiments where variant antibody sequences are used in an ADC, the variants typically exhibit the same qualitative biological activity and will elicit the same immune response, although variants may also be selected to modify the characteristics of the antigen binding proteins as needed. Alternatively, the variant may be designed such that the biological activity of the antigen binding protein is altered. For example, glycosylation sites may be altered or removed.
[276] In some embodiments, while the disclosed linkers and antineoplastic payloads, such as BH3 mimetics, are surprisingly effective with several different tumor-targeting antibodies, CD7-targeting antibodies such as Ab N provided particularly improved drug: antibody ratio, aggregation level, stability (i.e., in vitro and in vivo stability), tumor targeting (i.e., cytotoxicity, potency), minimized off-target killing, and/or treatment efficacy. Improved treatment efficacy can be measured in vitro or in vivo, and may include reduced tumor growth rate and/or reduced tumor volume.
[277] In some embodiments, alternate antibodies to the same targets are used and provide at least some of the favorable functional properties described above (e.g., improved stability, improved tumor targeting, improved treatment efficacy, etc.). In some embodiments, some or all of these favorable functional properties are observed when the disclosed linkers and
antineoplastic payloads, such as BH3 mimetics, topoisomerase 1 inhibitors, or anti-mitotic drugs, are conjugated to an alternate CD7-targeting antibody or antigen-binding fragment. B. Linkers [278] In some embodiments, the linker in an ADC is stable extracellularly in a sufficient manner to be therapeutically effective. In some embodiments, the linker is stable outside a cell, such that the ADC remains intact when present in extracellular conditions (e.g., prior to transport or delivery into a cell). The term “intact,” used in the context of an ADC, means that the antibody or antigen-binding fragment remains attached to the drug moiety (e.g., the antineoplastic payloads, such as BH3 mimetics, topoisomerase 1 inhibitors, or anti-mitotic drugs). [279] As used herein, “stable,” in the context of a linker or ADC comprising a linker, means that no more than 20%, no more than about 15%, no more than about 10%, no more than about 5%, no more than about 3%, or no more than about 1% of the linkers (or any percentage in between) in a sample of ADC are cleaved (or in the case of an overall ADC are otherwise not intact) when the ADC is present in extracellular conditions. In some embodiments, the linkers and/or ADCs disclosed herein are stable compared to alternate linkers and/or ADCs with alternate linkers and/or antineoplastic payloads, such as BH3 mimetics, topoisomerase 1 inhibitors, or anti-mitotic drugs. In some embodiments, the ADCs disclosed herein can remain intact for more than about 48 hours, more than 60 hours, more than about 72 hours, more than about 84 hours, or more than about 96 hours. [280] Whether a linker is stable extracellularly can be determined, for example, by including an ADC in plasma for a predetermined time period (e.g., 2, 4, 6, 8, 16, 24, 48, or 72 hours) and then quantifying the amount of free drug moiety present in the plasma. Stability may allow the ADC time to localize to target cancer cells and prevent the premature release of the drug moiety, which could lower the therapeutic index of the ADC by indiscriminately damaging both normal and cancer tissues. In some embodiments, the linker is stable outside of a target cell and releases the drug moiety from the ADC once inside of the cell, such that the drug can bind to its target. Thus, an effective linker will: (i) maintain the specific binding properties of the antibody or antigen-binding fragment; (ii) allow delivery, e.g., intracellular delivery, of the drug moiety via stable attachment to the antibody or antigen-binding fragment; (iii) remain stable and intact until the ADC has been transported or delivered to its target site; and (iv) allow for the therapeutic effect, e.g., cytotoxic effect, of the drug moiety after cleavage or alternate release mechanism. [281] Linkers may impact the physico-chemical properties of an ADC. As many cytotoxic agents are hydrophobic in nature, linking them to the antibody with an additional hydrophobic moiety may lead to aggregation. ADC aggregates are insoluble and often limit achievable drug loading onto the antibody, which can negatively affect the potency of the ADC. Protein aggregates of biologics, in general, have
also been linked to increased immunogenicity. As shown below, linkers disclosed herein result in ADCs with low aggregation levels and desirable levels of drug loading. [282] A linker may be "cleavable" or "non-cleavable" (Ducry and Stump (2010) Bioconjugate Chem. 21:5-13). Cleavable linkers are designed to release the drug moiety (e.g., a antineoplastic payloads, such as BH3 mimetics, topoisomerase 1 inhibitors, or anti-mitotic drugs) when subjected to certain environment factors, e.g., when internalized into the target cell, whereas non-cleavable linkers generally rely on the degradation of the antibody or antigen-binding fragment itself. [283] The term "alkyl", as used herein, refers to a straight or branched hydrocarbon chain radical consisting solely of carbon and hydrogen atoms, containing no unsaturation. The term "C1-C6alkyl", as used herein, refers to a straight or branched hydrocarbon chain radical consisting solely of carbon and hydrogen atoms, containing no unsaturation, having from one to six carbon atoms, and which is attached to the rest of the molecule by a single bond. Non-limiting examples of "C1-C6alkyl" groups include methyl (a C1alkyl), ethyl (a C2alkyl), 1-methylethyl (a C3alkyl), n-propyl (a C3alkyl), isopropyl (a C3alkyl), n-butyl (a C4alkyl), isobutyl (a C4alkyl), sec-butyl (a C4alkyl), tert-butyl (a C4alkyl), n-pentyl (a C5alkyl), isopentyl (a C5alkyl), neopentyl (a C5alkyl) and hexyl (a C6alkyl). [284] The term “alkenyl”, as used herein, refers to a straight or branched hydrocarbon chain radical group consisting solely of carbon and hydrogen atoms, containing at least one double bond. The term “C2- C6alkenyl”, as used herein, refers to a straight or branched hydrocarbon chain radical group consisting solely of carbon and hydrogen atoms, containing at least one double bond, having from two to six carbon atoms, which is attached to the rest of the molecule by a single bond. Non-limiting examples of "C2- C6alkenyl" groups include ethenyl (a C2alkenyl), prop-1-enyl (a C3alkenyl), but-1-enyl (a C4alkenyl), pent-1-enyl (a C5alkenyl), pent-4-enyl (a C5alkenyl), penta-1,4-dienyl (a C5alkenyl), hexa-1-enyl (a C6alkenyl), hexa-2-enyl (a C6alkenyl), hexa-3-enyl (a C6alkenyl), hexa-1-,4-dienyl (a C6alkenyl), hexa-1- ,5-dienyl (a C6alkenyl) and hexa-2-,4-dienyl (a C6alkenyl). The term “C2-C3alkenyl”, as used herein, refers to a straight or branched hydrocarbon chain radical group consisting solely of carbon and hydrogen atoms, containing at least one double bond, having from two to three carbon atoms, which is attached to the rest of the molecule by a single bond. Non-limiting examples of "C2-C3alkenyl" groups include ethenyl (a C2alkenyl) and prop-1-enyl (a C3alkenyl). [285] The term "alkylene", as used herein, refers to a bivalent straight or branched hydrocarbon chain radical consisting solely of carbon and hydrogen atoms and containing no unsaturation. The term "C1- C6alkylene", as used herein, refers to a bivalent straight or branched hydrocarbon chain radical consisting solely of carbon and hydrogen atoms, containing no unsaturation, having from one to six carbon atoms. Non-limiting examples of "C1-C6alkylene" groups include methylene (a C1alkylene), ethylene (a C2alkylene), 1-methylethylene (a C3alkylene), n-propylene (a C3alkylene), isopropylene (a C3alkylene), n-
butylene (a C4alkylene), isobutylene (a C4alkylene), sec-butylene (a C4alkylene), tert-butylene (a C4alkylene), n-pentylene (a C5alkylene), isopentylene (a C5alkylene), neopentylene (a C5alkylene), and hexylene (a C6alkylene). [286] The term “alkenylene”, as used herein, refers to a bivalent straight or branched hydrocarbon chain radical consisting solely of carbon and hydrogen atoms and containing at least one double bond. The term “C2-C6alkenylene”, as used herein, refers to a bivalent straight or branched hydrocarbon chain radical group consisting solely of carbon and hydrogen atoms, containing at least one double bond, and having from two to six carbon atoms. Non-limiting examples of "C2-C6alkenylene" groups include ethenylene (a C2alkenylene), prop-1-enylene (a C3alkenylene), but-1-enylene (a C4alkenylene), pent-1-enylene (a C5alkenylene), pent-4-enylene (a C5alkenylene), penta-1,4-dienylene (a C5alkenylene), hexa-1-enylene (a C6alkenylene), hexa-2-enylene (a C6alkenylene), hexa-3-enylene (a C6alkenylene), hexa-1-,4-dienylene (a C6alkenylene), hexa-1-,5-dienylene (a C6alkenylene) and hexa-2-,4-dienylene (a C6alkenylene). The term “C2-C6alkenylene”, as used herein, refers to a bivalent straight or branched hydrocarbon chain radical group consisting solely of carbon and hydrogen atoms, containing at least one double bond, and having from two to three carbon atoms. Non-limiting examples of "C2-C3alkenylene" groups include ethenylene (a C2alkenylene) and prop-1-enylene (a C3alkenylene). [287] The term “cycloalkyl,” or “C3-C8cycloalkyl,” as used herein, refers to a saturated, monocyclic, fused bicyclic, fused tricyclic or bridged polycyclic ring system. Non-limiting examples of fused bicyclic or bridged polycyclic ring systems include bicyclo[1.1.1]pentane, bicyclo[2.1.1]hexane, bicyclo[2.2.1]heptane, bicyclo[3.1.1]heptane, bicyclo[3.2.1]octane, bicyclo[2.2.2]octane and adamantanyl. Non-limiting examples monocyclic C3-C8cycloalkyl groups include cyclopropyl, cyclobutyl, cyclopentyl, cyclohexyl, cycloheptyl and cyclooctyl groups. [288] The term "aryl" as used herein, refers to a phenyl, naphthyl, biphenyl or indenyl group. [289] The term "heteroaryl" as used herein, refers any mono- or bi-cyclic group composed of from 5 to 10 ring members, having at least one aromatic moiety and containing from 1 to 4 hetero atoms selected from oxygen, sulphur and nitrogen (including quaternary nitrogens). [290] The term "cycloalkyl" as used herein, refers to any mono- or bi-cyclic non-aromatic carbocyclic group containing from 3 to 10 ring members, which may include fused, bridged or spiro ring systems. Non-limiting examples of fused bicyclic or bridged ring systems include bicyclo[1.1.1]pentane, bicyclo[2.1.1]hexane, bicyclo[2.2.1]heptane, bicyclo[3.1.1]heptane, bicyclo[3.2.1]octane, and bicyclo[2.2.2]octane. Non-limiting examples monocyclic C3-C8cycloalkyl groups include cyclopropyl, cyclobutyl, cyclopentyl, cyclohexyl, cycloheptyl and cyclooctyl groups. [291] The term “heterocycloalkyl” means any mono- or bi-cyclic non-aromatic carbocyclic group, composed of from 3 to 10 ring members, and containing from one to 3 hetero atoms selected from
oxygen, sulphur, SO, SO2 and nitrogen, it being understood that bicyclic group may be fused or spiro type. C3-C8heterocycloalkyl refers to heterocycloalkyl having 3 to 8 ring carbon atoms. The heterocycloalkyl can have 4 to 10 ring members. [292] The term heteroarylene, cycloalkylene, heterocycloalkylene mean a divalent heteroaryl, cycloalkyl and heterocycloalkyl. [293] The term “haloalkyl,” as used herein, refers to a linear or branched alkyl chain substituted with one or more halogen groups in place of hydrogens along the hydrocarbon chain. Examples of halogen groups suitable for substitution in the haloalkyl group include Fluorine, Bromine, Chlorine, and Iodine. Haloalkyl groups may include substitution with multiple halogen groups in place of hydrogens in an alkyl chain, wherein said halogen groups can be attached to the same carbon or to another carbon in the alkyl chain. [294] As used herein, the alkyl, alkenyl, alkynyl, alkoxy, amino, aryl, heteroaryl, cycloalkyl, and heterocycloalkyl groups may be optionally substituted by 1 to 4 groups selected from optionally substituted linear or branched (C1-C6)alkyl, optionally substituted linear or branched (C2-C6)alkenyl group, optionally substituted linear or branched (C2-C6)alkynyl group, optionally substituted linear or branched (C1-C6)alkoxy, optionally substituted (C1-C6)alkyl-S-, hydroxy, oxo (or N-oxide where appropriate), nitro, cyano, -C(O)-OR0’, -O-C(O)-R0’, -C(O)-NR0’R0’’, -NR0’R0’’, -(C=NR0’)-OR0’’, linear or branched (C1-C6) haloalkyl, trifluoromethoxy, or halogen, wherein R0’ and R0’’ are each independently a hydrogen atom or an optionally substituted linear or branched (C1-C6)alkyl group, and wherein one or more of the carbon atoms of linear or branched (C1-C6)alkyl group is optionally deuterated. [295] The term “polyoxyethylene”, “polyethylene glycol” or “PEG”, as used herein, refers to a linear chain, a branched chain or a star shaped configuration comprised of (OCH2CH2) groups. In certain embodiments a polyethylene or PEG group is -(OCH2CH2)t*-, where t is 1-40 or 4-40, and where the “-” indicates the end directed toward the self-immolative spacer and the “*-” indicates the point of attachment to a terminal end group R’ where R’ is OH, OCH3 or OCH2CH2C(=O)OH. In other embodiments a polyethylene or PEG group is -(CH2CH2O)t*-, where t is 1-40 or 4-40, and where the “-” indicates the end directed toward the self-immolative spacer and the “*-” indicates the point of attachment to a terminal end group R’’ where R’’ is H, CH3 or CH2CH2C(=O)OH. For example, the term “PEG12” as used herein means that t is 12. [296] The term “polyalkylene glycol”, as used herein, refers to a linear chain, a branched chain or a star shaped configuration comprised of (O(CH2)m)n groups. In certain embodiments a polyethylene or PEG group is -(O(CH2)m)t*-, where m is 1-10, t is 1-40 or 4-40, and where the “-” indicates the end directed toward the self-immolative spacer and the “*-” indicates the point of attachment to a terminal end group
R’ where R’ is OH, OCH3 or OCH2CH2C(=O)OH. In other embodiments a polyethylene or PEG group is -((CH2)mO)t*-, where m is 1-10, t is 1-40 or 4-40, and where the “-” indicates the end directed toward the self-immolative spacer and the “*-” indicates the point of attachment to a terminal end group R’’ where R’’ is H, CH3 or CH2CH2C(=O)OH. [297] The term “reactive group”, as used herein, is a functional group capable of forming a covalent bond with a functional group of an antibody, an antibody fragment, or another reactive group attached to an antibody or antibody fragment. Non limiting examples of such functional groups include reactive groups of Table 8 provided herein. [298] The term “attachment group” or “coupling group”, as used herein, refers to a bivalent moiety which links the bridging spacer to the antibody or fragment thereof. The attachment or coupling group is a bivalent moiety formed by the reaction between a reaction group and a functional group on the antibody or fragment thereof. Non limiting examples of such bivalent moieties include the bivalent chemical moieties given in Table F and Table G provided herein. [299] The term “attachment point”, as used herein, refers to a location on the linker that is connected to an antibody or an antineoplastic payload. In some embodiments, the location is an atom, such as carbon, nitrogen, sulfur, or oxygen, where the linker connects with an antibody or an antineoplastic payload through a covalent bond. [300] The term “bridging spacer”, as used herein, refers to one or more linker components which are covalently attached together to form a bivalent moiety which links the branching moiety W to the attachment group. Non-limiting examples of the bridging spacer include groups L1-1, L1-2, L1-3, L1-4, L1-5, and L1-6 described herein. [301] The term “branching moiety”, as used herein, refers to a chemical moiety that connects with three or more groups in the dual linker of the present disclosure. In some embodiment, the branching moiety is N or CRw; wherein Rw is H or C1-6alkyl. [302] The term “cleavable group”, as used herein, refers to a moiety that can be unstable in vivo. In some embodiments, the “cleavable group” allows for activation of the antineoplastic payloads by cleaving it from the rest of the conjugate. Operatively defined, the linker is preferably cleaved in vivo by the biological environment. The cleavage may come from any process without limitation, e.g., enzymatic, reductive, pH, etc. In one embodiment, the cleavable group is selected so that activation occurs at the desired site of action, which can be a site in or near the target cells (e.g., carcinoma cells) or tissues such as at the site of therapeutic action or antineoplastic payload activity. Such cleavage may be enzymatic and exemplary enzymatically cleavable groups include natural amino acids or peptide sequences that end with a natural amino acid, and are attached at their carboxyl terminus to the linker. In one embodiment, a
cleavable group comprises a pyrophosphate group, a phosphate group, a glucuronide group, a peptide group, and/or a self-immolative group. [303] The term “enzyme cleavage element”, as used herein, comprises an element that is susceptible to enzymatic cleavage. Nonlimiting examples of the enzymatic cleavage include peptidase-induced cleavage, esterase-induced cleavage, glycosidase induced cleavage, phosphodiesterase induced cleavage, phosphatase induced cleavage, protease induced cleavage, or lipase induced cleavage. In some embodiments, the enzyme cleavage element in the present disclosure refers to a dipeptide group that can be cleaved by a peptidase. In some embodiments, the dipeptide group is selected from a group consisting of E1-1 and E1-2 described herein. In some embodiments, the enzyme cleavage element in the present disclosure comprises a sugar moiety that can be cleaved by a glucosidase, such as a glucuronide group. In some embodiments, the enzyme cleavage element in the present disclosure comprises a phosphate or pyrophosphate moiety that can be cleaved by phosphatases. [304] In some embodiments, the enzyme cleavage element is represented by or , wherein A1 and A2 are as defined herein, indicates the point of attachment to E1 or E2; and indicates the point of attachment to D1 or D2. [305] The term “connecting spacer”, as used herein, refers to one or more linker components which are covalently attached together to form a bivalent moiety which links the branching moiety W to the function moiety E1 or E2 which comprises an enzyme cleavage element or a hydrophilic moiety. Nonlimiting examples of the connecting spacer include groups L2-1 through L2-30 described herein. [306] The term “hydrophilic group”, as used herein, refers to the group that has hydrophilic properties which increases the aqueous solubility of the dual linker is attached to the linker group of the present disclosure. Examples of such hydrophilic groups include, but are not limited to, polyethylene glycols, polyalkylene glycols, sugars, oligosaccharides, polypeptides, a C2-C6alkyl substituted with 1 to 3
or groups, or C2-C6alkyl substituted with 1 to 2 substituents independently selected from -OC(=O)NHS(O)2NHCH2CH2OCH3, -NHC(=O)C1-4alkylene-P(O)(OCH2CH3)2 and - COOH groups. [307] The term “hydrophilic moiety”, as used herein, refers to the moiety that comprises a functional group having a hydrophilic group attached thereto. In some embodiments, the functional group mentioned here refers to the bivalent peptide spacer described in the present disclosure. [308] The term “spacer moiety”, as used herein, refers to one or more linker components which are covalently attached together to form a moiety which links the self-immolative group to the hydrophilic group or an enzyme cleavage element. In some embodiments, the term “spacer moiety”, as used herein, refers to L4 or L5 as defined herein. [309] The term “bivalent peptide spacer”, as used herein, refers to bivalent linker comprising one or more amino acid residues covalently attached together to form a moiety which links the bridging spacer to the self immolative spacer or an enzyme cleavage element. The one or more amino acid residues can be an residue of amino acids selected from alanine (Ala), cysteine (Cys), aspartic acid (Asp), glutamic acid (Glu), phenylalanine (Phe), glycine (Gly), histidine (His), isoleucine (Ile), lysine (Lys), leucine (Leu), methionine (Met), asparagine (Asn), proline (Pro), glutamine (Gln), arginine (Arg), serine (Ser), threonine (Thr), valine (Val), tryptophan (Trp), tyrosine (Tyr), citrulline (Cit), norvaline (Nva), norleucune (Nle), selenocysteine (Sec), pyrrolysine (Pyl), homoserine, homocysteine, and desmethyl pyrrolysine. [310] In certain embodiments a “bivalent peptide spacer” is a combination of 2 to four amino acid residues where each residue is independently selected from a residue of an amino acid selected from alanine (Ala), cysteine (Cys), aspartic acid (Asp), glutamic acid (Glu), phenylalanine (Phe), glycine (Gly), histidine (His), isoleucine (Ile), lysine (Lys), leucine (Leu),methionine (Met), asparagine (Asn), proline (Pro), glutamine (Gln), arginine (Arg), serine (Ser), threonine (Thr), valine (Val), tryptophan (Trp), tyrosine (Tyr), citrulline (Cit), norvaline (Nva), norleucune (Nle), selenocysteine (Sec), pyrrolysine (Pyl), homoserine, homocysteine, and desmethyl pyrrolysine, for example -ValCit*; -CitVal*; -AlaAla*; - AlaCit*; -CitAla*; -AsnCit*; -CitAsn*; -CitCit*; -ValGlu*; -GluVal*; -SerCit*; -CitSer*; -LysCit*; - CitLys*; -AspCit*; -CitAsp*; -AlaVal*; -ValAla*; -PheAla*; -AlaPhe*; -PheLys*; -LysPhe*; -ValLys*; -LysVal*; -AlaLys*; -LysAla*; -PheCit*; -CitPhe*; -LeuCit*; -CitLeu*; -IleCit*; -CitIle*; -PheArg*; - ArgPhe*; -CitTrp*; -TrpCit*; -PhePheLys*; -LysPhePhe*; -DPhePheLys*; -DLysPhePhe*; - GlyPheLys*; -LysPheGly*; -GlyPheLeuGly- [SEQ ID NO:145]; -GlyLeuPheGly- [SEQ ID NO:146]; - AlaLeuAlaLeu- [SEQ ID NO:147], -GlyGlyGly*; -GlyGlyGlyGly- [SEQ ID NO:148]; -GlyPheValGly- [SEQ ID NO:149]; and –GlyValPheGly- [SEQ ID NO:150], where the “-“ indicates the point of
attachment to the bridging spacer and the “*” indicates the point of attachment to the self-immolative spacer. [311] The term “linker component”, as used herein, refers to a chemical moiety that is a part of the linker. Examples of linker components include: an alkylene group: -(CH2)n- which can either be linear or branched (where in this instance n is 1-18); an alkenylene group; an alkynylene group; an alkenyl group; an alkynyl group; an ethylene glycol unit: -OCH2CH2- or -CH2CH2O-; an polyethylene glycol unit: (- CH2CH2O-)x (where x in this instance is 2-20); -O-; -S-; a carbonyl: -C(=O); an ester: C(=O)-O or O- C(=O); a carbonate: -OC(=O)O-; an amine: -NH-; an tertiary amine; an amide: -C(=O)-NH-, -NH-C(=O)- or –C(=O)N(C1-6alkyl); a carbamate: -OC(=O)NH- or –NHC(=O)O; a urea: -NHC(=O)NH; a sulfonamide: -S(O)2NH- or -NHS(O)2;an ether: -CH2O- or –OCH2; an alkylene substituted with one or more groups independently selected from carboxy, sulfonate, hydroxyl, amine, amino acid, saccharide, phosphate and phosphonate); an alkenylene substituted with one or more groups independently selected from carboxy, sulfonate, hydroxyl, amine, amino acid, saccharide, phosphate and phosphonate); an alkynylene substituted with one or more groups independently selected from carboxy, sulfonate, hydroxyl, amine, amino acid, saccharide, phosphate and phosphonate); a C1-C10alkylene in which one or more methylene groups is replace by one or more –S-, -NH- or -O- moieties; a ring systems having two available points of attachment such as a divalent ring selected from phenyl (including 1,2- 1,3- and 1,4- di-substituted phenyls), a C5-C6 heteroaryl, a C3-C8 cycloalkyl (including 1,1-disubstituted cyclopropyl, cyclobutyl, cyclopentyl or cyclohexyl, and 1,4-disubstituted cyclohexyl), and a C4-C8 heterocycloalkyl; a residue of an amino acid selected from alanine (Ala), cysteine (Cys), aspartic acid (Asp), glutamic acid (Glu), phenylalanine (Phe), glycine (Gly), histidine (His), isoleucine (Ile), lysine (Lys), leucine (Leu),methionine (Met), asparagine (Asn), proline (Pro), glutamine (Gln), arginine (Arg), serine (Ser), threonine (Thr), valine (Val), tryptophan (Trp), tyrosine (Tyr), citrulline (Cit), norvaline (Nva), norleucune (Nle), selenocysteine (Sec), pyrrolysine (Pyl), homoserine, homocysteine, and desmethyl pyrrolysine; a combination of 2 or more amino acid residues where each residue is independently selected from a residue of an amino acid selected from alanine (Ala), cysteine (Cys), aspartic acid (Asp), glutamic acid (Glu), phenylalanine (Phe), glycine (Gly), histidine (His), isoleucine (Ile), lysine (Lys), leucine (Leu),methionine (Met), asparagine (Asn), proline (Pro), glutamine (Gln), arginine (Arg), serine (Ser), threonine (Thr), valine (Val), tryptophan (Trp), tyrosine (Tyr), citrulline (Cit), norvaline (Nva), norleucune (Nle), selenocysteine (Sec), pyrrolysine (Pyl), homoserine, homocysteine, and desmethyl pyrrolysine, for example Val-Cit; Cit-Val; Ala-Ala; Ala-Cit; Cit-Ala; Asn-Cit; Cit-Asn; Cit-Cit; Val-Glu; Glu-Val; Ser-Cit; Cit-Ser; Lys-Cit; Cit-Lys; Asp-Cit; Cit-Asp; Ala-Val; Val-Ala; Phe-Lys; Lys-Phe; Val- Lys; Lys-Val; Ala-Lys; Lys-Ala; Phe-Cit; Cit-Phe; Leu-Cit; Cit-Leu; Ile-Cit; Cit-Ile; Phe-Arg; Arg-Phe; Cit-Trp; and Trp-Cit; and a self-immolative spacer, wherein the self-immolative spacer comprises one or
more protecting (triggering) groups which are susceptible to acid-induced cleavage, peptidase-induced cleavage, esterase-induced cleavage, glycosidase induced cleavage, phosphodiesterase induced cleavage, phosphatase induced cleavage, protease induced cleavage, lipase induced cleavage or disulfide bond cleavage. [312] In addition, a linker component can be a chemical moiety which is readily formed by reaction between two reactive groups. Non-limiting examples of such chemical moieties are given in Table F. Table F
where: R32 in Table F is H, C1-4 alkyl, phenyl, pyrimidine or pyridine; R35 in Table F is H, C1-6alkyl, phenyl or C1-4alkyl substituted with 1 to 3 –OH groups; each R7 in Table F is independently selected from H, C1-6alkyl, fluoro, benzyloxy substituted with –C(=O)OH, benzyl substituted with –C(=O)OH, C1-4alkoxy substituted with –C(=O)OH and C1-4alkyl substituted with –C(=O)OH; R37 in Table F is independently selected from H, phenyl and pyridine; q in Table F is 0, 1, 2 or 3; R8 and R13 in Table F is H or methyl; and R9 and R14 in Table F is H, -CH3 or phenyl; R in Table F is H or any suitable substituent; and R50 in Table F is H. [313] In addition, a linker component can be a group listed in Table G below. Table G.
[314] As used herein, when a partial structure of a compound is illustrated, a wavy line ( ) indicates the point of attachment of the partial structure to the rest of the molecule. [315] The term “self-immolative spacer”, as used herein, refers to a moiety comprising one or more triggering groups (TG) which are activated by acid-induced cleavage, peptidase-induced cleavage, esterase-induced cleavage, glycosidase induced cleavage, phosphodiesterase induced cleavage, phosphatase induced cleavage, protease induced cleavage, lipase induced cleavage or disulfide bond cleavage, and after activation the protecting group is removed, which generates a cascade of disassembling reactions leading to the temporally sequential release of a leaving group. Such cascade of reactions can be, but not limited to, 1,2-, 1,4-, 1,6- or 1,8- elimination reactions. [316] Non-limiting examples of self-immolative spacer include:
TG-Xa-LG, TG-Ya-LG , , , , , , , and , wherein such groups can be optionally substituted, and wherein: TG is a triggering group; Xa is O, NH or S; Xb is O, NH, NCH3 or S; Xc is O or NH; Ya is CH2, CH2O or CH2NH; Yb is CH2, O or NH; Yc is a bond, CH2, O or NH, and LG is a leaving group such as a Drug moiety (D) of the Linker-Drug group of the invention. [317] Additional non-limiting examples of self-immolative spacers are described in Angew. Chem. Int. Ed.2015, 54, 7492 – 7509. [318] In certain embodiment the self-immolative spacer connected to a drug moiety is a moiety having the following structure:
or , wherein E1 and/or E2 is an enzyme cleavage element, and A1, A2, D1, D2, R2, R3, L3, and L4 are as defined herein. [319] In certain embodiment the self-immolative spacer is moiety having the structure or , wherein E1 and/or E2 is a bivalent peptide spacer, R2 and/or R3 is an enzyme cleavage element, and A1, A2, D1, D2, L3, and L4 are as defined herein. [320] The term “self-immolative group,” as used herein, refer to a group that can generate a cascade of disassembling reactions leading to the temporally sequential release of a leaving group when the TG is activated and removed. [321] In some embodiments, the self-immolative group is a group having the structure or wherein A1, A2, R2, R3, L3, and L4 are as defined herein, indicates the point of attachment to E1 or E2; and indicates the point of attachment to D1 or D2. C. Drug Moieties [322] In some embodiments, an intermediate, which is the precursor of the linker moiety, is reacted with the drug moiety (e.g., BH3 mimetics, such as a Mcl-1 inhibitor, a Bcl-2 inhibitor and/or a Bcl-xL inhibitor; topoisomerase 1 inhibitors, such as topotecan, exatecan, deruxtecan or SN-38; or anti-mitotic drugs, such as monomethyl auristatin E (MMAE) or a taxane) under appropriate conditions. In some embodiments, reactive groups are used on the drug and/or the intermediate or linker. The product of the reaction between the drug and the intermediate, or the derivatized drug (drug plus linker), is subsequently
reacted with the antibody or antigen-binding fragment under conditions that facilitate conjugation of the drug and intermediate or derivatized drug and antibody or antigen-binding fragment. Alternatively, the intermediate or linker may first be reacted with the antibody or antigen-binding fragment, or a derivatized antibody or antigen-binding fragment, and then reacted with the drug or derivatized drug. [323] A number of different reactions are available for covalent attachment of the drug moiety and/or linker moiety to the antibody or antigen-binding fragment. This is often accomplished by reaction of one or more amino acid residues of the antibody or antigen-binding fragment, including the amine groups of lysine, the free carboxylic acid groups of glutamic acid and aspartic acid, the sulfhydryl groups of cysteine, and the various moieties of the aromatic amino acids. For instance, non-specific covalent attachment may be undertaken using a carbodiimide reaction to link a carboxy (or amino) group on a drug moiety to an amino (or carboxy) group on an antibody or antigen-binding fragment. Additionally, bifunctional agents such as dialdehydes or imidoesters may also be used to link the amino group on a drug moiety to an amino group on an antibody or antigen-binding fragment. Also available for attachment of drugs (e.g., a BH3 mimetic, a topoisomerase 1 inhibitor, or an anti-mitotic drug) to binding agents is the Schiff base reaction. This method involves the periodate oxidation of a drug that contains glycol or hydroxy groups, thus forming an aldehyde which is then reacted with the binding agent. Attachment occurs via formation of a Schiff base with amino groups of the binding agent. Isothiocyanates may also be used as coupling agents for covalently attaching drugs to binding agents. Other techniques are known to the skilled artisan and within the scope of the present disclosure. Examples of drug moieties that can be generated and linked to an antibody or antigen-binding fragment using various chemistries known to in the art include Mcl-1 inhibitors, Bcl-2 inhibitors, and Bcl-xL inhibitors, e.g., the Mcl-1 inhibitors, Bcl-2 inhibitors, and Bcl-xL inhibitors described and exemplified herein. Additional examples of drug moieties that can be generated and linked to an antibody or antigen- binding fragment using various chemistries known to in the art include topoisomerase 1 inhibitors or anti- mitotic drugs described and exemplified herein. a. Mcl-1 inhibitors [324] Suitable BH3 mimetic D1 and/or D2 may comprise a Mcl-1 inhibitor compound of the formulas (I), (IA), (IB), or an enantiomer, diastereoisomer, atropisomer, deuterated derivative, and/or addition salt thereof with a pharmaceutically acceptable acid or base. Additionally, the drug moiety may comprise any compounds of the Mcl-1 inhibitor (D) described herein. [325] As used herein, “atropisomers,” are stereoisomers arising because of hindered rotation about a single bond, where energy differences due to steric strain or other contributors create a barrier to rotation that is high enough to allow for isolation of individual conformers (Bringmann et al. Angew. Chem. Int.
Ed.2005, 44, 5384-5427). For example, for compounds of formula (II) according to the invention, atropisomers may be as follows: . [326] For example, a preferred atropisomer may be (5Sa), also named (5aS). [327] A drug moiety of the disclosure may be any one of the compounds disclosed in International Patent Application Publication Nos. WO 2015/097123; WO 2016/207216; WO 2016/207217; WO 2016/207225; WO 2016/207226; WO 2017/125224; WO 2019/035899; WO 2019/035911; WO 2019/035914; WO 2019/035927; WO 2016/033486; WO 2017/147410; WO 2018/183418; and WO 2017/182625, and U.S. Patent Application Publication No.2019/0055264, each of which is incorporated herein by reference in its entirety. [328] In some embodiments, BH3 mimetics of the disclosure may comprise a compound of Formula (I), (IA) or (IB), wherein the definitions of the variables depicted therein are described above [329] In some embodiments, Cy01, Cy02, Cy03, Cy04, Cy05, Cy06, Cy07, Cy08 and Cy010 independently of one another, are an optionally substituted cycloalkyl group, an optionally substituted heterocycloalkyl group, an optionally substituted aryl group or an optionally substituted heteroaryl group, wherein the optional substituents are selected from optionally substituted linear or branched (C1-C6)alkyl, optionally substituted linear or branched (C2-C6)alkenyl group, optionally substituted linear or branched (C2-C6)alkynyl group, optionally substituted linear or branched (C1-C6)alkoxy, optionally substituted (C1-C6)alkyl-S-, hydroxy, oxo (or N- oxide where appropriate), nitro, cyano, -C(O)-OR0’, -O-C(O)-R0’, -C(O)-NR0’R0’’, -NR0’R0’’, - (C=NR0’)-OR0’’, linear or branched (C1-C6)haloalkyl, trifluoromethoxy, or halogen, wherein R0’ and R0’’ are each independently a hydrogen atom or an optionally substituted linear or branched (C1-C6)alkyl group, and wherein one or more of the carbon atoms of linear or branched (C1-C6)alkyl group is optionally deuterated. [330] In some embodiments, BH3 mimetics D1 and/or D2 of the disclosure comprise:
, , , , , , , ,
, , , , , or an enantiomer, diastereoisomer, atropisomer, deuterated derivative, and/or a pharmaceutically acceptable salt of any of the foregoing. [331] Additionally, BH3 mimetics D1 and/or D2 of the disclosure may comprise any one of the following: , , ,
, , , , , , , , ,
, , , , or . [332] The BH3 mimetics D1 and/or D2 comprise a formula selected from Table A1 or A1a or an enantiomer, diastereoisomer, atropisomer, deuterated derivative, and/or a pharmaceutically acceptable salt of any of the foregoing. b. Bcl-xL inhibitors [333] Suitable BH3 mimetics D1 and/or D2 may comprise a Bcl-xL inhibitor compound of the formulas (II), (IIA), (IIB), (IIC), (III), (IIIA), (IIIB) or (IIIC) or an enantiomer, diastereoisomer, and/or addition salt thereof with a pharmaceutically acceptable acid or base. Additionally, the BH3 mimetics D1 and/or D2 may comprise any compounds of the Bcl-xL inhibitors described herein. [334] In some embodiments, the BH3 mimetics D1 and/or D2 comprise a formula selected from Table A2 or A2a. [335] In some embodiments, the BH3 mimetics D1 and/or D2 comprise Bcl-xL inhibitor known in the art, for example, ABT-737 and ABT-263. [336] In some embodiments, the BH3 mimetics D1 and/or D2 comprise a Bcl-xL inhibitor selected from:
, , A-1155463 , and A-1331852 . c. Bcl-2 inhibitors [337] Suitable BH3 mimetics D1 and/or D2 may comprise a Bcl-2 inhibitor compound of the formulas (IV) or (V) or an enantiomer, diastereoisomer, and/or addition salt thereof with a pharmaceutically acceptable acid or base. Additionally, the BH3 mimetics D1 and/or D2 may comprise any compounds of the Bcl-2 inhibitor described herein. [338] In some embodiments, the Bcl-2 inhibitor is represented by Formula (IV) or an enantiomer, a diastereoisomer, and/or a pharmaceutically acceptable salt of any one of the foregoing. [339] In some embodiments, in formula (IV), it being understood that: - "aryl" means a phenyl, naphthyl, biphenyl or indenyl group, - "heteroaryl" means any mono- or bi-cyclic group composed of from 5 to 10 ring members, having at least one aromatic moiety and containing from 1 to 4 hetero atoms selected from oxygen, sulphur and nitrogen (including quaternary nitrogens), - "cycloalkyl" means any mono- or bi-cyclic, non-aromatic, carbocyclic group containing from 3 to 10 ring members, - "heterocycloalkyl" means any mono- or bi-cyclic, non-aromatic, condensed or spiro group composed of from 3 to 10 ring members and containing from 1 to 3 hetero atoms selected from oxygen, sulphur, SO, SO2 and nitrogen, it being possible for the aryl, heteroaryl, cycloalkyl and heterocycloalkyl groups so defined and the groups alkyl, alkenyl, alkynyl and alkoxy to be substituted by from 1 to 3 groups selected from linear or branched (C1-C6)alkyl, (C3-C6)spiro, linear or branched (C1 C6)alkoxy, (C1-C6)alkyl-S-, hydroxy, oxo
(or N-oxide where appropriate), nitro, cyano, -COOR', -OCOR', NR'R'', linear or branched (C1- C6)polyhaloalkyl, trifluoromethoxy, (C1 C6)alkylsulphonyl, halogen, aryl, heteroaryl, aryloxy, arylthio, cycloalkyl, heterocycloalkyl optionally substituted by one or more halogen atoms or alkyl groups. [340] In some embodiments, in Formula (IV), A1 represents a hydrogen atom or a methyl group. [341] In some embodiments, in Formula (IV), A1 and A2 both represent a methyl group. [342] In some embodiments, in Formula (IV), T represents a methyl, aminomethyl, (morpholin-4- yl)methyl, (4-methylpiperazin-1-yl)methyl, 2-(morpholin-4-yl)ethyl, [2-(morpholin-4-yl)ethoxy]methyl, hydroxymethyl, [2-(dimethylamino)ethoxy]methyl, hexahydropyrazino[2,1-c][1,4]oxazin-8(1H)- ylmethyl, 1-oxa-6-azaspiro[3.3]hept-6-ylmethyl, 3-(morpholin-4-yl)propyl or trifluoromethyl group. [343] In some embodiments, in Formula (IV), R3 represents a group selected from phenyl, 1H-pyrazole, 1H-indole, 1H-indazole, pyridine, pyrimidine, 1H-pyrrolo[2,3-b]pyridine, 2,3-dihydro-1H-pyrrolo[2,3- b]pyridine, 1H-benzimidazole, 1H-pyrrole, 1H-pyrrolo[2,3-c]pyridine, 1H-pyrrolo[3,2-b]pyridine, 5H- pyrrolo[3,2-d]pyrimidine, thiophene, pyrazine, 1H-pyrazolo[3,4-b]pyridine, 1,2-oxazole, and pyrazolo[1,5-a]pyrimidine, those groups optionally having one or more substituents selected from halogen, linear or branched (C1-C6)alkyl, linear or branched (C1 C6)alkoxy, cyano, cyclopropyl, oxetane, tetrahydrofuran, -CO-O-CH3, trideuteriomethyl, 2-(morpholin-4-yl)ethyl and 2-(morpholin-4-yl)ethoxy [344] In some embodiments, the Bcl-2 inhibitor is represented by Formula (V) or (Va) or an enantiomer, a diastereoisomer, and/or a pharmaceutically acceptable salt of any one of the foregoing. [345] In some embodiments, in Formula (V) or (Va), R3 represents the following group: N Rc N H3 C and Rc represents a group selected from: hydrogen, linear or branched (C1-C6)alkyl group optionally substituted by 1 to 3 halogen atoms, (C1-C6)alkylene-NRdRe, (C1-C6)alkylene-ORj, cycloalkyl, heterocycloalkyl, and (C1-C6)alkylene-heterocycloalkyl group. In some embodiments, RC represents a methyl group.. [346] In some embodiments, in formula (V), R4 in Formula (V) or (Va) represents the following group:
. [347] In some embodiments, the Bcl-2 inhibitor is represented by Formula (Vb),. or an enantiomer, a diastereoisomer, and/or a pharmaceutically acceptable salt of any one of the foregoing. [348] In some embodiments, in Formula (Vb), RC represents a methyl group. [349] In some embodiments, the Bcl-2 inhibitor is represented by Formula (Vc), (Vd), (Ve), (Vf), (Vg), (Vh), (Vi) or (Vj) or an enantiomer, a diastereoisomer, and/or a pharmaceutically acceptable salt of any one of the foregoing. [350] In some embodiments, the Bcl-2 inhibitor is represented by Formula (V), (Va), (Vb), (Vc), (Vd), (Ve), (Vf), (Vg), (Vh), (Vi) or (Vj), wherein : (i) X represents a bond; (ii) A1 represents C-Y4; (iii) Ra and Rb represent both a hydrogen atom; (iv) R5 represents a hydrogen atom, a hydroxy group or a fluorine atom, preferably a hydroxy group; (v) R6 represents a hydrogen atom, a fluorine atom, preferably a hydrogen atom; (vi) A1 represents C-H and Y2 represents a hydrogen atom; (vii) Y1 and Y5 represent both a hydrogen atom, or: Y1 and Y5 represent a fluoro atom and a hydrogen atom, respectively; (viii) Y3 represents a -O-(C1-C6)alkylene-heterocycloalkyl group; (ix) Y3 represents a group selected from: 2-(morpholin-4-yl)ethoxy, 2-[4-(2,2- difluoroethyl)piperazin-1-yl]ethoxy, 2-(3-fluoroazetidin-1-yl)ethoxy, 2-(3,3-difluoropyrrolidin-1- yl)ethoxy, 2-(oxan-4-yl)ethoxy, 2-(4-fluoropiperidin-1-yl)ethoxy, 2-(thiomorpholin-4-yl)ethoxy, 2-(2- methylmorpholin-4-yl)ethoxy, 2-{6-oxa-9-azaspiro[4.5]decan-9-yl}ethoxy, 2-(3,3-difluoropyrrolidin-1- yl)ethoxy, 2-{4-oxa-7-azaspiro[2.5]octan-7-yl}ethoxy, 2,6-dimethylmorpholin-4-yl]ethoxy, 2- [cyclopropyl(methyl)amino]ethoxy, 2-{methyl[(oxetan-3-yl)methyl]amino}ethoxy, 2-[methyl(oxetan-3- yl)amino]ethoxy, 2-(4-fluoropiperidin-1-yl)ethoxy, 2-[(2-fluoroethyl)(methyl)amino]ethoxy, 2-[4-(2- fluoroethyl)piperazin-1-yl]ethoxy, 2-(4-methylpiperazin-1-yl)ethoxy, 2-(2,2-dimethylmorpholin-4- cV$P^SYbc& ,'#WY\ZSYVTX'.'cV$Z\YZYbc& ,'#.&.'OTQV_Y\YZTZP\TOTX'+'cV$P^ScV& J,pWP^ScVp+p#WY\ZSYVTXp.p cV$Z\YZLXp,pcVKYbc& ,'#-&-'OTWP^ScVWY\ZSYVTX'.'cV$P^SYbc& LXO J#YbLX'.'cV$WP^SYbcKWP^ScV5 (x) the group:
represents or ; (xi) T represents a linear or branched (C1-C6)alkyl group or a (C1-C4)alkylene-NR1R2 group; and/or (xii) T represents a group selected from: methyl, (piperidin-1-yl)methyl, (morpholin-4-yl)methyl, [(3R)-3-fluoropyrrolidin-1-yl]methyl, [methyl(propan-2-yl)amino]methyl, (azepan-1-yl)methyl, (pyrrolidin-1-yl)methyl, [(3S)-3-methylpiperidin-1-yl]methyl, [(3R)-3-methylpiperidin-1-yl]methyl, [(1RS,5SR)-3-azabicyclo[3.1.0]hexan-3-yl]methyl, [(2S)-2-methylpiperidin-1-yl]methyl, {6- azaspiro[2.5]octan-6-yl}methyl, (4,4-difluoropiperidin-1-yl)methyl, (4-methylpiperidin-1-yl)methyl, [ethyl(propan-2-yl)amino]methyl, (3R)-3-methylpyrrolidin-1-yl]methyl, and (3S)-3-{[(3S)-3- methylpyrrolidin-1-yl]methyl. In some embodiments, the linker-drug (or “linker-payload”) moiety -(L-D) may comprise a compounds in Table B or an enantiomer, diastereoisomer, deuterated derivative, and/or a pharmaceutically acceptable salt of any of the foregoing. [351] In some embodiments, the BH3 mimetics D1 and/or D2 comprises a formula selected from Table A3 or A3a. d. Topoisomerase 1 Inhibitors [352] In some embodiments, one of D1 and D2 comprises a topoisomerase 1 inhibitor, or an enantiomer, diastereoisomer, atropisomer, deuterated derivative, and/or addition salt thereof with a pharmaceutically acceptable acid or base. [353] In some embodiments, D1 or D2 comprises a topoisomerase 1 inhibitor linked to the dual linker, wherein the topoisomerase 1 inhibitor is topotecan, exatecan, deruxtecan or SN-38. In some embodiments, D1 or D2 comprises a formula selected from Table A4 or A4a. e. Anti-Mitotic Drugs [354] In some embodiments, one of D1 and D2 comprises an anti-mitotic drug, or an enantiomer, diastereoisomer, atropisomer, deuterated derivative, and/or addition salt thereof with a pharmaceutically acceptable acid or base.
[355] In some embodiments, one of D1 and D2 comprises an anti-mitotic drug linked to the dual linker, wherein the anti-mitotic drug is monomethyl auristatin E (MMAE) or a taxane. In one embodiment, the taxane is selected from docetaxel, paclitaxel, or cabazitaxel. Drug Loading [356] Drug loading is represented by p (or 2a in ADCs of formula (1) of the present disclosure), and is also referred to herein as the drug-to-antibody ratio (DAR). Drug loading may range from 2 to 32 drug moieties per antibody or antigen-binding fragment. In some embodiments, a is an integer from 1 to 16. In some embodiments, a is an integer from 1 to 16, 1 to 15, 1 to 14, 1 to 13, 1 to 12, 1 to 11, 1 to 10, 1 to 9, 1 to 8, 1 to 7, 1 to 6, 1 to 5, 1 to 4, 1 to 3, or 1 to 2. In some embodiments, a is an integer from 2 to 10, 2 to 9, 2 to 8, 2 to 7, 2 to 6, 2 to 5, 2 to 4, or 2 to 3. In some embodiments, a is an integer from 1 to 16. In some embodiments, a is an integer from 1 to 8. In some embodiments, a is an integer from 1 to 5. In some embodiments, a is an integer from 2 to 4. In some embodiments, a is 1, 2, 3, 4, 5, 6, 7, or 8. In some embodiments, a is 2. In some embodiments, a is 4. [357] Drug loading may be limited by the number of attachment sites on the antibody or antigen- binding fragment. In some embodiments, the linker moiety (L) of the ADC attaches to the antibody or antigen-binding fragment through a chemically active group on one or more amino acid residues on the antibody or antigen-binding fragment. For example, the linker may be attached to the antibody or antigen-binding fragment via a free amino, imino, hydroxyl, thiol, or carboxyl group (e.g., to the N- or C- terminus, to the epsilon amino group of one or more lysine residues, to the free carboxylic acid group of one or more glutamic acid or aspartic acid residues, or to the sulfhydryl group of one or more cysteine residues). The site to which the linker is attached can be a natural residue in the amino acid sequence of the antibody or antigen-binding fragment, or it can be introduced into the antibody or antigen-binding fragment, e.g., by DNA recombinant technology (e.g., by introducing a cysteine residue into the amino acid sequence) or by protein biochemistry (e.g., by reduction, pH adjustment, or hydrolysis). [358] In some embodiments, the number of drug moieties that can be conjugated to an antibody or antigen-binding fragment is limited by the number of free cysteine residues. For example, where the attachment is a cysteine thiol group, an antibody may have only one or a few cysteine thiol groups, or may have only one or a few sufficiently reactive thiol groups through which a linker may be attached. Generally, antibodies do not contain many free and reactive cysteine thiol groups that may be linked to a drug moiety. Indeed, most cysteine thiol residues in antibodies are involved in either interchain or intrachain disulfide bonds. Conjugation to cysteines can therefore, in some embodiments, require at least partial reduction of the antibody. Over-attachment of linker-toxin to an antibody may destabilize the antibody by reducing the cysteine residues available to form disulfide bonds. Therefore, an optimal
drug:antibody ratio should increase potency of the ADC (by increasing the number of attached drug moieties per antibody) without destabilizing the antibody or antigen-binding fragment. In some embodiments, an optimal ratio may be 2, 4, 6, or 8. In some embodiments, an optimal ratio may be 2 or 4. [359] In some embodiments, an antibody or antigen-binding fragment is exposed to reducing conditions prior to conjugation in order to generate one or more free cysteine residues. An antibody, in some embodiments, may be reduced with a reducing agent such as dithiothreitol (DTT) or tris(2- carboxyethyl)phosphine (TCEP), under partial or total reducing conditions, to generate reactive cysteine thiol groups. Unpaired cysteines may be generated through partial reduction with limited molar equivalents of TCEP, which can reduce the interchain disulfide bonds which link the light chain and heavy chain (one pair per H-L pairing) and the two heavy chains in the hinge region (two pairs per H-H pairing in the case of human IgG1) while leaving the intrachain disulfide bonds intact (Stefano et al. (2013) Methods Mol Biol.1045:145-71). In embodiments, disulfide bonds within the antibodies are reduced electrochemically, e.g., by employing a working electrode that applies an alternating reducing and oxidizing voltage. This approach can allow for on-line coupling of disulfide bond reduction to an analytical device (e.g., an electrochemical detection device, an NMR spectrometer, or a mass spectrometer) or a chemical separation device (e.g., a liquid chromatograph (e.g., an HPLC) or an electrophoresis device (see, e.g., US 2014/0069822)). In some embodiments, an antibody is subjected to denaturing conditions to reveal reactive nucleophilic groups on amino acid residues, such as cysteine. [360] The drug loading of an ADC may be controlled in different ways, e.g., by: (i) limiting the molar excess of drug-linker intermediate or linker reagent relative to antibody; (ii) limiting the conjugation reaction time or temperature; (iii) partial or limiting reductive conditions for cysteine thiol modification; and/or (iv) engineering by recombinant techniques the amino acid sequence of the antibody such that the number and position of cysteine residues is modified for control of the number and/or position of linker- drug attachments. [361] In some embodiments, free cysteine residues are introduced into the amino acid sequence of the antibody or antigen-binding fragment. For example, cysteine engineered antibodies can be prepared wherein one or more amino acids of a parent antibody are replaced with a cysteine amino acid. Any form of antibody may be so engineered, i.e. mutated. For example, a parent Fab antibody fragment may be engineered to form a cysteine engineered Fab referred to as a "ThioFab." Similarly, a parent monoclonal antibody may be engineered to form a "ThioMab." A single site mutation yields a single engineered cysteine residue in a ThioFab, whereas a single site mutation yields two engineered cysteine residues in a ThioMab, due to the dimeric nature of the IgG antibody. DNA encoding an amino acid sequence variant of the parent polypeptide can be prepared by a variety of methods known in the art (see, e.g., the methods
described in WO 2006/034488). These methods include, but are not limited to, preparation by site- directed (or oligonucleotide-mediated) mutagenesis, PCR mutagenesis, and cassette mutagenesis of an earlier prepared DNA encoding the polypeptide. Variants of recombinant antibodies may also be constructed by restriction fragment manipulation or by overlap extension PCR with synthetic oligonucleotides. ADCs of Formula (1) include, but are not limited to, antibodies that have 1, 2, 3, or 4 engineered cysteine amino acids (Lyon et al. (2012) Methods Enzymol.502:123-38). In some embodiments, one or more free cysteine residues are already present in an antibody or antigen-binding fragment, without the use of engineering, in which case the existing free cysteine residues may be used to conjugate the antibody or antigen-binding fragment to a drug moiety. [362] Where more than one nucleophilic group reacts with a drug-linker intermediate or a linker moiety reagent followed by drug moiety reagent, in a reaction mixture comprising multiple copies of the antibody or antigen-binding fragment and linker moiety, then the resulting product can be a mixture of ADC compounds with a distribution of one or more drug moieties attached to each copy of the antibody or antigen-binding fragment in the mixture. In some embodiments, the drug loading in a mixture of ADCs resulting from a conjugation reaction ranges from 1 to 16 drug moieties attached per antibody or antigen- binding fragment. The average number of drug moieties per antibody or antigen-binding fragment (i.e., the average drug loading, or average p) may be calculated by any conventional method known in the art, e.g., by mass spectrometry (e.g., liquid chromatography-mass spectrometry (LC-MS)) and/or high- performance liquid chromatography (e.g., HIC-HPLC). In some embodiments, the average number of drug moieties per antibody or antigen-binding fragment is determined by liquid chromatography-mass spectrometry (LC-MS). In some embodiments, the average number of drug moieties per antibody or antigen-binding fragment is from about 1.5 to about 3.5, about 2.5 to about 4.5, about 3.5 to about 5.5, about 4.5 to about 6.5, about 5.5 to about 7.5, about 6.5 to about 8.5, or about 7.5 to about 9.5. In some embodiments, the average number of drug moieties per antibody or antigen-binding fragment is from about 2 to about 4, about 3 to about 5, about 4 to about 6, about 5 to about 7, about 6 to about 8, about 7 to about 9, about 2 to about 8, or about 4 to about 8. [363] In some embodiments, the average number of drug moieties per antibody or antigen-binding fragment is about 2. In some embodiments, the average number of drug moieties per antibody or antigen- binding fragment is about 1.5, about 1.6, about 1.7, about 1.8, about 1.9, about 2, about 2.1, about 2.2, about 2.3, about 2.4, or about 2.5. In some embodiments, the average number of drug moieties per antibody or antigen-binding fragment is 2. [364] In some embodiments, the average number of drug moieties per antibody or antigen-binding fragment is about 4. In some embodiments, the average number of drug moieties per antibody or antigen- binding fragment is about 3.5, about 3.6, about 3.7, about 3.8, about 3.9, about 4, about 4.1, about 4.2,
about 4.3, about 4.4, or about 4.5. In some embodiments, the average number of drug moieties per antibody or antigen-binding fragment is 4. [365] In some embodiments, the term “about,” as used with respect to the average number of drug moieties per antibody or antigen-binding fragment, means plus or minus 20%, 15%, 10%, 5%, or 1%. In one embodiment, the term “about” refers to a range of values which are 10% more or less than the specified value. In another embodiment, the term “about” refers to a range of values which are 5% more or less than the specified value. In another embodiment, the term “about” refers to a range of values which are 1% more or less than the specified value. [366] Individual ADC compounds, or “species,” may be identified in the mixture by mass spectroscopy and separated by, e.g., UPLC or HPLC, e.g. hydrophobic interaction chromatography (HIC-HPLC). In some embodiments, a homogeneous or nearly homogenous ADC product with a single loading value may be isolated from the conjugation mixture, e.g., by electrophoresis or chromatography. [367] In some embodiments, higher drug loading (e.g., p > 16) may cause aggregation, insolubility, toxicity, or loss of cellular permeability of certain antibody-drug conjugates. Higher drug loading may also negatively affect the pharmacokinetics (e.g., clearance) of certain ADCs. In some embodiments, lower drug loading (e.g., p < 2) may reduce the potency of certain ADCs against target-expressing cells. In some embodiments, the drug loading for an ADC of the present disclosure ranges from about 2 to about 16, about 2 to about 10, about 2 to about 8; from about 2 to about 6; from about 2 to about 5; from about 3 to about 5; from about 2 to about 4; or from about 4 to about 8. [368] In some embodiments, a drug loading and/or an average drug loading of about 2 is achieved, e.g., using partial reduction of intrachain disulfides on the antibody or antigen-binding fragment, and provides beneficial properties. In some embodiments, a drug loading and/or an average drug loading of about 4 or about 6 or about 8 is achieved, e.g., using partial reduction of intrachain disulfides on the antibody or antigen-binding fragment, and provides beneficial properties. In some embodiments, a drug loading and/or an average drug loading of less than about 2 may result in an unacceptably high level of unconjugated antibody species, which can compete with the ADC for binding to a target antigen and/or provide for reduced treatment efficacy. In some embodiments, a drug loading and/or average drug loading of more than about 16 may result in an unacceptably high level of product heterogeneity and/or ADC aggregation. A drug loading and/or an average drug loading of more than about 16 may also affect stability of the ADC, due to loss of one or more chemical bonds required to stabilize the antibody or antigen-binding fragment. [369] The present disclosure includes methods of producing the described ADCs. Briefly, the ADCs comprise an antibody or antigen-binding fragment as the antibody or antigen-binding fragment, a drug moiety (e.g., a BH3 mimetic), and a linker that joins the drug moiety and the antibody or antigen-binding
fragment. In some embodiments, the ADCs can be prepared using a linker having reactive functionalities for covalently attaching to the drug moiety and to the antibody or antigen-binding fragment. In some embodiments, the antibody or antigen-binding fragment is functionalized to prepare a functional group that is reactive with a linker or a drug-linker intermediate. For example, in some embodiments, a cysteine thiol of an antibody or antigen-binding fragment can form a bond with a reactive functional group of a linker or a drug-linker intermediate to make an ADC. In some embodiments, an antibody or antigen- binding fragment is prepared with bacterial transglutaminase (BTG) - reactive glutamines specifically functionalized with an amine containing cyclooctyne BCN (N-[(1R,8S,9s)-Bicyclo[6.1.0]non-4-yn-9- ylmethyloxycarbonyl]-1,8-diamino-3,6-dioxaoctane) moiety. In some embodiments, site-specific conjugation of a linker or a drug-linker intermediate to a BCN moiety of an antibody or antigen-binding fragment is performed, e.g., as described and exemplified herein. The generation of the ADCs can be accomplished by techniques known to the skilled artisan. [370] In some embodiments, an ADC is produced by contacting an antibody or antigen-binding fragment with a linker and a drug moiety (e.g., a BH3 mimetic) in a sequential manner, such that the antibody or antigen-binding fragment is covalently linked to the linker first, and then the pre-formed antibody-linker intermediate reacts with the drug moiety. The antibody-linker intermediate may or may not be subjected to a purification step prior to contacting the drug moiety. In other embodiments, an ADC is produced by contacting an antibody or antigen-binding fragment with a linker-drug compound pre- formed by reacting a linker with a drug moiety. The pre-formed linker-drug compound may or may not be subjected to a purification step prior to contacting the antibody or antigen-binding fragment. In other embodiments, the antibody or antigen-binding fragment contacts the linker and the drug moiety in one reaction mixture, allowing simultaneous formation of the covalent bonds between the antibody or antigen- binding fragment and the linker, and between the linker and the drug moiety. This method of producing ADCs may include a reaction, wherein the antibody or antigen-binding fragment contacts the antibody or antigen-binding fragment prior to the addition of the linker to the reaction mixture, and vice versa. In some embodiments, an ADC is produced by reacting an antibody or antigen-binding fragment with a linker joined to a drug moiety, such as a BH3 mimetic, under conditions that allow conjugation. [371] The ADCs prepared according to the methods described above may be subjected to a purification step. The purification step may involve any biochemical methods known in the art for purifying proteins, or any combination of methods thereof. These include, but are not limited to, tangential flow filtration (TFF), affinity chromatography, ion exchange chromatography, any charge or isoelectric point-based chromatography, mixed mode chromatography, e.g., CHT (ceramic hydroxyapatite), hydrophobic interaction chromatography, size exclusion chromatography, dialysis, filtration, selective precipitation, or any combination thereof.
2. Therapeutic Uses and Compositions [372] Disclosed herein are methods of using the compositions described herein, e.g., the disclosed ADC compounds and compositions, in treating a subject for a disorder, e.g., a cancer. Compositions, e.g., ADCs, may be administered alone or in combination with at least one additional inactive and/or active agent, e.g., at least one additional therapeutic agent, and may be administered in any pharmaceutically acceptable formulation, dosage, and dosing regimen. Treatment efficacy may be evaluated for toxicity as well as indicators of efficacy and adjusted accordingly. Efficacy measures include, but are not limited to, a cytostatic and/or cytotoxic effect observed in vitro or in vivo, reduced tumor volume, tumor growth inhibition, and/or prolonged survival. [373] Methods of determining whether an ADC exerts a cytostatic and/or cytotoxic effect on a cell are known. For example, the cytotoxic or cytostatic activity of an ADC can be measured by, e.g., exposing mammalian cells expressing a target antigen of the ADC in a cell culture medium; culturing the cells for a period from about 6 hours to about 6 days; and measuring cell viability (e.g., using a CellTiter-Glo® (CTG) or MTT cell viability assay). Cell-based in vitro assays may also be used to measure viability (proliferation), cytotoxicity, and induction of apoptosis (caspase activation) of the ADC. [374] For determining cytotoxicity, necrosis or apoptosis (programmed cell death) may be measured. Necrosis is typically accompanied by increased permeability of the plasma membrane, swelling of the cell, and rupture of the plasma membrane. Apoptosis can be quantitated, for example, by measuring DNA fragmentation. Commercial photometric methods for the quantitative in vitro determination of DNA fragmentation are available. Examples of such assays, including TUNEL (which detects incorporation of labeled nucleotides in fragmented DNA) and ELISA-based assays, are described in Biochemica (1999) 2:34-7 (Roche Molecular Biochemicals). [375] Apoptosis may also be determined by measuring morphological changes in a cell. For example, as with necrosis, loss of plasma membrane integrity can be determined by measuring uptake of certain dyes (e.g., a fluorescent dye such as, for example, acridine orange or ethidium bromide). A method for measuring apoptotic cell number has been described by Duke and Cohen, Current Protocols in Immunology (Coligan et al., eds. (1992) pp.3.17.1-3.17.16). Cells also can be labeled with a DNA dye (e.g., acridine orange, ethidium bromide, or propidium iodide) and the cells observed for chromatin condensation and margination along the inner nuclear membrane. Apoptosis may also be determined, in some embodiments, by screening for caspase activity. In some embodiments, a Caspase-Glo® Assay can be used to measure activity of caspase-3 and caspase-7. In some embodiments, the assay provides a luminogenic caspase-3/7 substrate in a reagent optimized for caspase activity, luciferase activity, and cell lysis. In some embodiments, adding Caspase-Glo® 3/7 Reagent in an “add-mix-measure” format may
result in cell lysis, followed by caspase cleavage of the substrate and generation of a “glow-type” luminescent signal, produced by luciferase. In some embodiments, luminescence may be proportional to the amount of caspase activity present, and can serve as an indicator of apoptosis. Other morphological changes that can be measured to determine apoptosis include, e.g., cytoplasmic condensation, increased membrane blebbing, and cellular shrinkage. Determination of any of these effects on cancer cells indicates that an ADC is useful in the treatment of cancers. [376] Cell viability may be measured, e.g., by determining in a cell the uptake of a dye such as neutral red, trypan blue, Crystal Violet, or ALAMAR™ blue (see, e.g., Page et al. (1993) Intl J Oncology 3:473- 6). In such an assay, the cells are incubated in media containing the dye, the cells are washed, and the remaining dye, reflecting cellular uptake of the dye, is measured spectrophotometrically. [377] Cell viability may also be measured, e.g., by quantifying ATP, an indicator of metabolically active cells. In some embodiments, in vitro potency and/or cell viability of prepared ADCs or antineoplastic payloads, such as BH3 mimetic compounds (e.g., MCl-1 inhibitor, Bcl-xL inhibitor or Bcl- 2 inhibitor) or topoisomerase 1 inhibitors (e.g., topotecan, exatecan, deruxtecan or SN-38) or anti-mitotic drugs (e.g., monomethyl auristatin E (MMAE) or a taxane) may be assessed using a CellTiter-Glo® (CTG) cell viability assay, as described in the examples provided herein. In this assay, in some embodiments, the single reagent (CellTiter-Glo® Reagent) is added directly to cells cultured in serum- supplemented medium. The addition of reagent results in cell lysis and generation of a luminescent signal proportional to the amount of ATP present. The amount of ATP is directly proportional to the number of cells present in culture. [378] Cell viability may also be measured, e.g., by measuring the reduction of tetrazolium salts. In some embodiments, in vitro potency and/or cell viability of prepared ADCs or antineoplastic payloads, such as BH3 mimetic compounds (e.g., MCl-1 inhibitor, Bcl-xL inhibitor or Bcl-2 inhibitor) or topoisomerase 1 inhibitors (e.g., topotecan, exatecan, deruxtecan or SN-38) or anti-mitotic drugs (e.g., monomethyl auristatin E (MMAE) or a taxane) may be assessed using an MTT cell viability assay, as described in the examples provided herein. In this assay, in some embodiments, the yellow tetrazolium MTT (3-(4, 5-dimethylthiazolyl-2)-2,5-diphenyltetrazolium bromide) is reduced by metabolically active cells, in part by the action of dehydrogenase enzymes, to generate reducing equivalents such as NADH and NADPH. The resulting intracellular purple formazan can then be solubilized and quantified by spectrophotometric means. [379] In certain aspects, the present disclosure features a method of killing, inhibiting or modulating the growth of a cancer cell or tissue by disrupting the expression and/or activity of Bcl-2 family protein (e.g., Mcl-1, Bcl-2 and/or Bcl-xL) and/or one or more upstream modulators or downstream targets thereof. The method may be used with any subject where disruption of Bcl-2 family protein expression and/or activity
provides a therapeutic benefit. Subjects that may benefit from disrupting Bcl-2 family protein expression and/or activity include, but are not limited to, those having or at risk of having a cancer such as a tumor or a hematological cancer. In some embodiments, the cancer is a breast cancer, multiple myeloma, plasma cell myeloma, leukemia, lymphoma, sarcoma, gastric cancer, bladder cancer, brain cancer, bone marrow cancer, cervical cancer, chronic lymphocytic leukemia, colorectal cancer, esophageal cancer, hepatocellular cancer, lymphoblastic leukemia including acute lymphoblastic leukemia, follicular lymphoma, lymphoid malignancies of T-cell or B-cell origin, melanoma, myelogenous leukemia, myeloma, oral cancer, ovarian cancer, non-small cell lung cancer, prostate cancer, small cell lung cancer, spleen cancer, pancreatic cancer, stomach cancer, colon cancer, or head and neck cancer. In some embodiments, the cancer is a lymphoma or gastric cancer. [380] In some embodiments, the disclosed ADCs may be administered in any cell or tissue that expresses CD7, such as a CD7-expressing cancer cell or tissue. An exemplary embodiment includes a method of killing a CD7-expressing cancer cell or tissue. The method may be used with any cell or tissue that expresses CD7, such as a cancerous cell or a metastatic lesion. Non-limiting examples of CD7- expressing cancers include , multiple myeloma, plasma cell myeloma, leukemia, lymphoma, acute myeloid leukemia, , bone marrow cancer, chronic lymphocytic leukemia, lymphoblastic leukemia, follicular lymphoma, lymphoid malignancies of T-cell or B-cell origin, myelogenous leukemia, myeloma, chronic lymphocytic leukemia, or spleen cancer. [381] Exemplary methods include the steps of contacting a cell with an ADC, as described herein, in an effective amount, i.e., an amount sufficient to kill the cell. The method can be used on cells in culture, e.g., in vitro, in vivo, ex vivo, or in situ. For example, cells that express CD7 (e.g., cells collected by biopsy of a tumor or metastatic lesion; cells from an established cancer cell line; or recombinant cells), can be cultured in vitro in culture medium and the contacting step can be affected by adding the ADC to the culture medium. The method will result in killing of cells expressing CD7, including in particular cancer cells expressing CD7. Alternatively, the ADC can be administered to a subject by any suitable administration route (e.g., intravenous, subcutaneous, or direct contact with a tumor tissue) to have an effect in vivo. [382] The in vivo effect of a disclosed ADC therapeutic composition can be evaluated in a suitable animal model. For example, xenogeneic cancer models can be used, wherein cancer explants or passaged xenograft tissues are introduced into immune compromised animals, such as nude or SCID mice (Klein et al. (1997) Nature Med.3:402-8). Efficacy may be predicted using assays that measure inhibition of tumor formation, tumor regression or metastasis, and the like. [383] In vivo assays that evaluate the promotion of tumor death by mechanisms such as apoptosis may also be used. In some embodiments, xenografts from tumor bearing mice treated with the therapeutic
composition can be examined for the presence of apoptotic foci and compared to untreated control xenograft-bearing mice. The extent to which apoptotic foci are found in the tumors of the treated mice provides an indication of the therapeutic efficacy of the composition. [384] Further provided herein are methods of treating a disorder, e.g., a cancer. The compositions described herein, e.g., the ADCs disclosed herein, can be administered to a non-human mammal or human subject for therapeutic purposes. The therapeutic methods include administering to a subject having or suspected of having a cancer a therapeutically effective amount of a composition comprising an ADC with a targeting antibody that binds to an antigen (e.g., CD7) (1) expressed on a cancer cell, (2) is accessible to binding, and/or (3) is localized or predominantly expressed on a cancer cell surface as compared to a non-cancer cell. [385] An exemplary embodiment is a method of treating a subject having or suspected of having a cancer, comprising administering to the subject a therapeutically effective amount of a composition disclosed herein, e.g., an ADC, composition, or pharmaceutical composition (e.g., any of the exemplary ADCs, compositions, or pharmaceutical compositions disclosed herein). In some embodiments, the cancer expresses a target antigen CD7. In some embodiments, the cancer is a tumor or a hematological cancer. In some embodiments, the cancer is a breast cancer, multiple myeloma, plasma cell myeloma, leukemia, lymphoma, sarcoma, gastric cancer, acute myeloid leukemia, bladder cancer, brain cancer, bone marrow cancer, cervical cancer, chronic lymphocytic leukemia, colorectal cancer, esophageal cancer, hepatocellular cancer, lymphoblastic leukemia including acute lymphoblastic leukemia, follicular lymphoma, lymphoid malignancies of T-cell or B-cell origin, melanoma, myelogenous leukemia, myeloma, oral cancer, ovarian cancer, non-small cell lung cancer, prostate cancer, small cell lung cancer, spleen cancer, pancreatic cancer, stomach cancer, colon cancer, or head and neck cancer. In some embodiments, the cancer is a lymphoma or gastric cancer. [386] Another exemplary embodiment is a method of delivering antineoplastic payloads (e.g. BH3 mimetics, topoisomerase 1 inhibitors, or anti-mitotic drugs) to a cell expressing CD7, comprising conjugating the antineoplastic payloads (e.g. BH3 mimetics, topoisomerase 1 inhibitors, or anti-mitotic drugs) to an antibody that immunospecifically binds to a CD7 epitope and exposing the cell to the ADC. Exemplary cancer cells that express CD7 for which the ADCs of the present disclosure are indicated include hematological cancer cells, such as multiple myeloma, plasma cell myeloma, leukemia, lymphoma, , acute myeloid leukemia, bone marrow cancer, chronic lymphocytic leukemia, lymphoblastic leukemia, follicular lymphoma, lymphoid malignancies of T-cell or B-cell origin, , myelogenous leukemia, myeloma, chronic lymphocytic leukemia. [387] In certain aspects, the present disclosure further provides methods of reducing or inhibiting growth of a tumor (e.g., a CD7-expressing tumor), comprising administering a therapeutically effective
amount of an ADC or composition comprising an ADC. In some embodiments, the treatment is sufficient to reduce or inhibit the growth of the patient's tumor, reduce the number or size of metastatic lesions, reduce tumor load, reduce primary tumor load, reduce invasiveness, prolong survival time, and/or maintain or improve the quality of life. In some embodiments, the tumor is resistant or refractory to treatment with the antibody or antigen-binding fragment of the ADC (e.g., anti-CD7 antibody or antigen- binding fragment) when administered alone, and/or the tumor is resistant or refractory to treatment with a BH3 mimetic drug moiety when administered alone. [388] An exemplary embodiment is a method of reducing or inhibiting the growth of a tumor in a subject, comprising administering to the subject a therapeutically effective amount of an ADC, composition, or pharmaceutical composition (e.g., any of the exemplary ADCs, compositions, or pharmaceutical compositions disclosed herein). In some embodiments, the tumor expresses a target antigen CD7. In some embodiments, the tumor is a multiple myeloma, plasma cell myeloma, leukemia, lymphoma, acute myeloid leukemia, bone marrow cancer, chronic lymphocytic leukemia, lymphoblastic leukemia, follicular lymphoma, lymphoid malignancies of T-cell or B-cell origin, myelogenous leukemia, myeloma, chronic lymphocytic leukemia, or spleen cancer In some embodiments, administration of the ADC, composition, or pharmaceutical composition reduces or inhibits the growth of the tumor by at least about 10%, at least about 20%, at least about 30%, at least about 40%, at least about 50%, at least about 60%, at least about 70%, at least about 80%, at least about 90%, at least about 95%, or at least about 99%, as compared to growth in the absence of treatment. [389] An exemplary embodiment is a method of reducing or inhibiting the growth of a hematological cancer in a subject, comprising administering to the subject a therapeutically effective amount of an ADC, composition, or pharmaceutical composition (e.g., any of the exemplary ADCs, compositions, or pharmaceutical compositions disclosed herein). In some embodiments, the hematological cancer expresses a target antigen. In some embodiments, the target antigen is CD7. In some embodiments, the hematological cancer is chronic lymphocytic leukemia (CLL), follicular lymphoma, mantle cell lymphoma, diffuse large B-cell lymphoma, acute lymphoblastic leukemia (ALL), acute myeloid leukemia (AML), chronic lymphocytic leukemia (CLL), chronic myelogenous leukemia (CML), chronic myelomonocytic leukemia (CMML), acute monocytic leukemia (AMoL), Hodgkin's lymphoma, non- Hodgkin's lymphoma or myelodysplasia syndrome (MDS). In some embodiments, administration of the ADC, composition, or pharmaceutical composition reduces or inhibits the growth of the hematological cancer by at least about 10%, at least about 20%, at least about 30%, at least about 40%, at least about 50%, at least about 60%, at least about 70%, at least about 80%, at least about 90%, at least about 95%, or at least about 99%, as compared to growth in the absence of treatment.
[390] Another exemplary embodiment is a method of delaying or slowing the growth of a tumor in a subject, comprising administering to the subject a therapeutically effective amount of an ADC, composition, or pharmaceutical composition (e.g., any of the exemplary ADCs, compositions, or pharmaceutical compositions disclosed herein). In some embodiments, the tumor expresses a target antigen CD7. [391] In some embodiments, the tumor is multiple myeloma, plasma cell myeloma, leukemia, lymphoma, acute myeloid leukemia, bone marrow cancer, chronic lymphocytic leukemia, lymphoblastic leukemia, follicular lymphoma, lymphoid malignancies of T-cell or B-cell origin, myelogenous leukemia, myeloma, chronic lymphocytic leukemia, or spleen cancer. In some embodiments, administration of the ADC, composition, or pharmaceutical composition delays or slows the growth of the tumor by at least about 10%, at least about 20%, at least about 30%, at least about 40%, at least about 50%, at least about 60%, at least about 70%, at least about 80%, at least about 90%, at least about 95%, or at least about 99%, as compared to growth in the absence of treatment. [392] In certain aspects, the present disclosure further provides methods of reducing or slowing the expansion of a cancer cell population (e.g., a CD7-expressing tumor), comprising administering a therapeutically effective amount of an ADC or composition comprising an ADC. [393] An exemplary embodiment is a method of reducing or slowing the expansion of a cancer cell population in a subject, comprising administering to the subject a therapeutically effective amount of an ADC, composition, or pharmaceutical composition (e.g., any of the exemplary ADCs, compositions, or pharmaceutical compositions disclosed herein). In some embodiments, the cancer cell population expresses a target antigen CD7. In some embodiments, the cancer cell population is from a tumor or a hematological cancer. In some embodiments, the cancer cell population is from a multiple myeloma, plasma cell myeloma, leukemia, lymphoma, acute myeloid leukemia, bone marrow cancer, chronic lymphocytic leukemia, lymphoblastic leukemia including acute lymphoblastic leukemia, follicular lymphoma, lymphoid malignancies of T-cell or B-cell origin, melanoma, myelogenous leukemia, myeloma,spleen cancer. In some embodiments, the cancer cell population is from a lymphoma. In some embodiments, administration of the ADC, composition, or pharmaceutical composition reduces the cancer cell population by at least about 10%, at least about 20%, at least about 30%, at least about 40%, at least about 50%, at least about 60%, at least about 70%, at least about 80%, at least about 90%, at least about 95%, or at least about 99%, as compared to the population in the absence of treatment. In some embodiments, administration of the ADC, composition, or pharmaceutical composition slows the expansion of the cancer cell population by at least about 10%, at least about 20%, at least about 30%, at least about 40%, at least about 50%, at least about 60%, at least about 70%, at least about 80%, at least
about 90%, at least about 95%, or at least about 99%, as compared to expansion in the absence of treatment. [394] Also provided herein are methods of determining whether a subject having or suspected of having a cancer will be responsive to treatment with the disclosed ADCs and compositions. An exemplary embodiment is a method of determining whether a subject having or suspected of having a cancer will be responsive to treatment with an ADC, composition, or pharmaceutical composition (e.g., any of the exemplary ADCs, compositions, or pharmaceutical compositions disclosed herein) by providing a biological sample from the subject; contacting the sample with the ADC; and detecting binding of the ADC to cancer cells in the sample. In some embodiments, the sample is a tissue biopsy sample, a blood sample, or a bone marrow sample. In some embodiments, the method comprises providing a biological sample from the subject; contacting the sample with the ADC; and detecting one or more markers of cancer cell death in the sample (e.g., increased expression of one or more apoptotic markers, reduced expansion of a cancer cell population in culture, etc.). [395] Further provided herein are therapeutic uses of the disclosed ADCs and compositions. An exemplary embodiment is an ADC, composition, or pharmaceutical composition (e.g., any of the exemplary ADCs, compositions, or pharmaceutical compositions disclosed herein) for use in treating a subject having or suspected of having a cancer (e.g., a CD7-expressing cancer). Another exemplary embodiment is a use of an ADC, composition, or pharmaceutical composition (e.g., any of the exemplary ADCs, compositions, or pharmaceutical compositions disclosed herein) in treating a subject having or suspected of having a cancer (e.g., a CD7-expressing cancer). Another exemplary embodiment is a use of an ADC, composition, or pharmaceutical composition (e.g., any of the exemplary ADCs, compositions, or pharmaceutical compositions disclosed herein) in a method of manufacturing a medicament for treating a subject having or suspected of having a cancer (e.g., aa CD7-expressing cancer). Methods for identifying subjects having cancers that express a target antigen (e.g., CD7) are known in the art and may be used to identify suitable patients for treatment with a disclosed ADC compound or composition. [396] Moreover, ADCs of the present disclosure may be administered to a non-human mammal expressing an antigen with which the ADC is capable of binding for veterinary purposes or as an animal model of human disease. Regarding the latter, such animal models may be useful for evaluating the therapeutic efficacy of the disclosed ADCs (e.g., testing of dosages and time courses of administration). [397] The therapeutic compositions used in the practice of the foregoing methods may be formulated into pharmaceutical compositions comprising a pharmaceutically acceptable carrier suitable for the desired delivery method. An exemplary embodiment is a pharmaceutical composition comprising an ADC of the present disclosure and a pharmaceutically acceptable carrier, e.g., one suitable for a chosen means of administration, e.g., intravenous administration. The pharmaceutical composition may also
comprise one or more additional inactive and/or therapeutic agents that are suitable for treating or preventing, for example, a cancer (e.g., a standard-of-care agent, etc.). The pharmaceutical composition may also comprise one or more carrier, excipient, and/or stabilizer components, and the like. Methods of formulating such pharmaceutical compositions and suitable formulations are known in the art (see, e.g., "Remington's Pharmaceutical Sciences," Mack Publishing Co., Easton, PA). [398] Suitable carriers include any material that, when combined with the therapeutic composition, retains the anti-tumor function of the therapeutic composition and is generally non-reactive with the patient's immune system. Pharmaceutically acceptable carriers include any and all solvents, dispersion media, coatings, antibacterial and antifungal agents, isotonic and absorption delaying agents, and the like that are physiologically compatible. Examples of pharmaceutically acceptable carriers include one or more of water, saline, phosphate buffered saline, dextrose, glycerol, ethanol, mesylate salt, and the like, as well as combinations thereof. In many cases, isotonic agents are included, for example, sugars, polyalcohols such as mannitol, sorbitol, or sodium chloride in the composition. Pharmaceutically acceptable carriers may further comprise minor amounts of auxiliary substances such as wetting or emulsifying agents, preservatives or buffers, which enhance the shelf life or effectiveness of the ADC. [399] A pharmaceutical composition of the present disclosure can be administered by a variety of methods known in the art. The route and/or mode of administration may vary depending upon the desired results. In some embodiments, the therapeutic formulation is solubilized and administered via any route capable of delivering the therapeutic composition to the cancer site. Potentially effective routes of administration include, but are not limited to, parenteral (e.g., intravenous, subcutaneous), intraperitoneal, intramuscular, intratumor, intradermal, intraorgan, orthotopic, and the like. In some embodiments, the administration is intravenous, subcutaneous, intraperitoneal, or intramuscular. The pharmaceutically acceptable carrier should be suitable for the route of administration, e.g., intravenous or subcutaneous administration (e.g., by injection or infusion). Depending on the route of administration, the active compound(s), i.e., the ADC and/or any additional therapeutic agent, may be coated in a material to protect the compound(s) from the action of acids and other natural conditions that may inactivate the compound(s). Administration can be either systemic or local. [400] The therapeutic compositions disclosed herein may be sterile and stable under the conditions of manufacture and storage, and may be in a variety of forms. These include, for example, liquid, semi- solid, and solid dosage forms, such as liquid solutions (e.g., injectable and infusible solutions), dispersions or suspensions, tablets, pills, powders, liposomes, and suppositories. The form depends on the intended mode of administration and therapeutic application. In some embodiments, the disclosed ADCs can be incorporated into a pharmaceutical composition suitable for parenteral administration. The injectable solution may be composed of either a liquid or lyophilized dosage form in a flint or amber vial,
ampule, or pre-filled syringe, or other known delivery or storage device. In some embodiments, one or more of the ADCs or pharmaceutical compositions is supplied as a dry sterilized lyophilized powder or water free concentrate in a hermetically sealed container and can be reconstituted (e.g., with water or saline) to the appropriate concentration for administration to a subject. [401] Typically, a therapeutically effective amount or efficacious amount of a disclosed composition, e.g., a disclosed ADC, is employed in the pharmaceutical compositions of the present disclosure. The composition, e.g., one comprising an ADC, may be formulated into a pharmaceutically acceptable dosage form by conventional methods known in the art. Dosages and administration protocols for the treatment of cancers using the foregoing methods will vary with the method and the target cancer, and will generally depend on a number of other factors appreciated in the art. [402] Dosage regimens for compositions disclosed herein, e.g., those comprising ADCs alone or in combination with at least one additional inactive and/or active therapeutic agent, may be adjusted to provide the optimum desired response (e.g., a therapeutic response). For example, a single bolus of one or both agents may be administered at one time, several divided doses may be administered over a predetermined period of time, or the dose of one or both agents may be proportionally increased or decreased as indicated by the exigencies of the therapeutic situation. In some embodiments, treatment involves single bolus or repeated administration of the ADC preparation via an acceptable route of administration. In some embodiments, the ADC is administered to the patient daily, weekly, monthly, or any time period in between. For any particular subject, specific dosage regimens may be adjusted over time according to the individual’s need, and the professional judgment of the treating clinician. Parenteral compositions may be formulated in dosage unit form for ease of administration and uniformity of dosage. Dosage unit form as used herein refers to physically discrete units suited as unitary dosages for the subjects to be treated; each unit contains a predetermined quantity of active compound calculated to produce the desired therapeutic effect in association with the required pharmaceutical carrier. [403] Dosage values for compositions comprising an ADC and/or any additional therapeutic agent(s), may be selected based on the unique characteristics of the active compound(s), and the particular therapeutic effect to be achieved. A physician or veterinarian can start doses of the ADC employed in the pharmaceutical composition at levels lower than that required to achieve the desired therapeutic effect and gradually increase the dosage until the desired effect is achieved. In general, effective doses of the compositions of the present disclosure, for the treatment of a cancer may vary depending upon many different factors, including means of administration, target site, physiological state of the patient, whether the patient is human or an animal, other medications administered, and whether treatment is prophylactic or therapeutic. The selected dosage level may also depend upon a variety of pharmacokinetic factors including the activity of the particular compositions of the present disclosure employed, or the ester, salt,
or amide thereof, the route of administration, the time of administration, the rate of excretion of the particular compound being employed, the duration of the treatment, other drugs, compounds and/or materials used in combination with the particular compositions employed, the age, sex, weight, condition, general health and prior medical history of the patient being treated, and like factors. Treatment dosages may be titrated to optimize safety and efficacy. [404] Toxicity and therapeutic efficacy of compounds provided herein can be determined by standard pharmaceutical procedures in cell culture or in animal models. For example, LD50, ED50, EC50, and IC50 may be determined, and the dose ratio between toxic and therapeutic effects (LD50/ED50) may be calculated as the therapeutic index. The data obtained from in vitro and in vivo assays can be used in estimating or formulating a range of dosage for use in humans. For example, the compositions and methods disclosed herein may initially be evaluated in xenogeneic cancer models (e.g., an NCI-H929 multiple myeloma mouse model). [405] In some embodiments, an ADC or composition comprising an ADC is administered on a single occasion. In other embodiments, an ADC or composition comprising an ADC is administered on multiple occasions. Intervals between single dosages can be, e.g., daily, weekly, monthly, or yearly. Intervals can also be irregular, based on measuring blood levels of the administered agent (e.g., the ADC) in the patient in order to maintain a relatively consistent plasma concentration of the agent. The dosage and frequency of administration of an ADC or composition comprising an ADC may also vary depending on whether the treatment is prophylactic or therapeutic. In prophylactic applications, a relatively low dosage may be administered at relatively infrequent intervals over a long period of time. Some patients continue to receive treatment for the rest of their lives. In therapeutic applications, a relatively higher dosage at relatively shorter intervals is sometimes required until progression of the disease is reduced or terminated, and preferably until the patient shows partial or complete amelioration of one or more symptoms of disease. Thereafter, the patient may be administered a lower, e.g., prophylactic regime. [406] The above therapeutic approaches can be combined with any one of a wide variety of additional surgical, chemotherapy, or radiation therapy regimens. In some embodiments, the ADCs or compositions disclosed herein are co-formulated and/or co-administered with one or more additional therapeutic agents, e.g., one or more chemotherapeutic agents, one or more standard-of-care agents for the particular condition being treated. [407] Kits for use in the therapeutic and/or diagnostic applications described herein are also provided. Such kits may comprise a carrier, package, or container that is compartmentalized to receive one or more containers such as vials, tubes, and the like, each of the container(s) comprising one of the separate elements to be used in a method disclosed herein. A label may be present on or with the container(s) to indicate that an ADC or composition within the kit is used for a specific therapy or non-therapeutic
application, such as a prognostic, prophylactic, diagnostic, or laboratory application. A label may also indicate directions for either in vivo or in vitro use, such as those described herein. Directions and or other information may also be included on an insert(s) or label(s), which is included with or on the kit. The label may be on or associated with the container. A label may be on a container when letters, numbers, or other characters forming the label are molded or etched into the container itself. A label may be associated with a container when it is present within a receptacle or carrier that also holds the container, e.g., as a package insert. The label may indicate that an ADC or composition within the kit is used for diagnosing or treating a condition, such as a cancer a described herein. [408] In some embodiments, a kit comprises an ADC or composition comprising an ADC. In some embodiments, the kit further comprises one or more additional components, including but not limited to: instructions for use; other reagents, e.g., a therapeutic agent (e.g., a standard-of-care agent); devices, containers, or other materials for preparing the ADC for administration; pharmaceutically acceptable carriers; and devices, containers, or other materials for administering the ADC to a subject. Instructions for use can include guidance for therapeutic applications including suggested dosages and/or modes of administration, e.g., in a patient having or suspected of having a cancer. In some embodiments, the kit comprises an ADC and instructions for use of the ADC in treating, preventing, and/or diagnosing a cancer. [409] It is known that elevated expression levels of BCL2 family member (e.g., Bcl-xL) correlates with resistance to radiation therapy and chemotherapy. Antibody-drug conjugates (ADCs) that may not be sufficiently effective as monotherapy to treat cancer can be administered in combination with other therapeutic agents (including non-targeted and targeted therapeutic agents) or radiation therapy (including radioligand therapy) to provide therapeutic benefit. Without wishing to be bound by theory, it is believed that the ADCs described herein sensitize tumor cells to the treatment with other therapeutic agents (including standard of care chemotherapeutic agents to which the tumor cells may have developed resistance) and/or radiation therapy. In some embodiments, antibody drug conjugates described herein, are administered to a subject having cancer in an amount effective to sensitize the tumor cells. As used herein, the term “sensitize” means that the treatment with ADC increases the potency or efficacy of the treatment with other therapeutic agents and/or radiation therapy against tumor cells. 3. Combination Therapies [410] In some embodiments, the present disclosure provides methods of treatment wherein the antibody-drug conjugates disclosed herein are administered in combination with one or more (e.g., 1 or 2) additional therapeutic agents. Exemplary combination partners are disclosed herein. [411] In some embodiments, a combination described herein comprises a vinca alkaloid.
[412] Vinca alkaloids include, but are not limited to, vincristine, vinblastine, and leurosine. [413] In some embodiments, a combination described herein comprises a topoisomerase inhibitor. [414] Topoisomerase inhibitors include, but are not limited to, topotecan, irinotecan, camptothecin, diflomotecan, lamellarin D, ellipticines, etoposide (VP-16), teniposide, doxorubicin, daunorubicin, mitoxantrone, amsacrine, aurintricarboxylic acid, and HU-331. [415] In some embodiments, a combination described herein comprises a hypomethylating agent (HMA). In some embodiments, the HMA is chosen from decitabine or azacitidine. [416] In some embodiments, a combination described herein comprises a glucocorticoid. In some embodiments, the glucocorticoid is dexamethasone. [417] In some embodiments, a combination described herein comprises asparaginase. [418] In certain embodiments, a combination described herein comprises an inhibitor acting on any pro- survival proteins of the Bcl2 family including Bcl2i, Bclxli and Mcl1i inhibitor. In certain embodiments, a combination described herein comprises a Bcl-2 inhibitor. In some embodiments, the Bcl-2 inhibitor is venetoclax (also known as ABT-199): ( venetoclax). [419] In one embodiment, the Bcl-2 inhibitor is selected from the compounds described in WO 2013/110890 and WO 2015/011400. In some embodiments, the Bcl-2 inhibitor comprises navitoclax (ABT-263), ABT-737, BP1002, SPC2996, APG-1252, obatoclax mesylate (GX15-070MS), PNT2258, Zn-d5, BGB-11417, or oblimersen (G3139). In some embodiments, the Bcl-2 inhibitor is N-(4- hydroxyphenyl)-3-[6-[(3S)-3-(morpholinomethyl)-3,4-dihydro-1H-isoquinoline-2-carbonyl]-1,3- benzodioxol-5-yl]-N-phenyl-5,6,7,8-tetrahydroindolizine-1-carboxamide, compound A1:
(compound A1). [420] In some embodiments, the Bcl-2 inhibitor is (S)-5-(5-chloro-2-(3-(morpholinomethyl)-1,2,3,4- tetrahydroisoquinoline-2-carbonyl)phenyl)-N-(5-cyano-1,2-dimethyl-1H-pyrrol-3-yl)-N-(4- hydroxyphenyl)-1,2-dimethyl-1H-pyrrole-3-carboxamide), compound A2: (compound A2). [421] In one embodiment, the antibody-drug conjugates or combinations disclosed herein are suitable for the treatment of cancer in vivo. For example, the combination can be used to inhibit the growth of cancerous tumors. The combination can also be used in combination with one or more of: a standard of care treatment (e.g., for cancers or infectious disorders), a vaccine (e.g., a therapeutic cancer vaccine), a cell therapy, a hormone therapy (e.g., with anti-estrogens or anti-androgens), a radiation therapy, surgery, or any other therapeutic agent or modality, to treat a disorder herein. For example, to achieve antigen- specific enhancement of immunity, the combination can be administered together with an antigen of interest. A combination disclosed herein can be administered in either order or simultaneously. Methods of Conjugation [422] The present invention provides various methods of conjugating Linker-Drug groups of the invention to antibodies or antibody fragments to produce Antibody Drug Conjugates which comprise a linker having one or more hydrophilic moieties.
[423] A general reaction scheme for the formation of Antibody Drug Conjugates of Formula (A) is shown in Scheme 1 below: Scheme 1 [424] where: RG2 is a reactive group which reacts with a compatible R100 group to form a corresponding R1 group (such groups are illustrated in Table F and Table G). D1, D2, R1, L1, L2’, L3’, Ab, W, a, R1 and R100 are as defined herein. [425] Scheme 2 further illustrates this general approach for the formation of Antibody Drug Conjugates of Formula (Ab2), wherein the antibody comprises reactive groups (RG2) which react with an R100 group (as defined herein) to covalently attach the Linker-Drug group to the antibody via an R1 group (as defined herein). For illustrative purposes only Scheme 2 shows the antibody having four RG2 groups. Scheme 2 . [426] In one aspect, Linker-Drug groups are conjugated to antibodies via modified cysteine residues in the antibodies (see for example WO2014/124316). Scheme 3 illustrates this approach for the formation of Antibody Drug Conjugates of Formula (Ab4) wherein a free thiol group generated from the engineered cysteine residues in the antibody react with an R100 group (where R100 is a maleimide) to covalently attach the Linker-Drug group to the antibody via an R1 group (where R1 is a succinimide ring). For illustrative purposes only Scheme 3 shows the antibody having four free thiol groups.
Scheme 3 . [427] In another aspect, Linker-Drug groups are conjugated to antibodies via lysine residues in the antibodies. Scheme 4 illustrates this approach for the formation of Antibody Drug Conjugates of Formula (Ab6) wherein a free amine group from the lysine residues in the antibody react with an R100 group (where R100 is an NHS ester, a pentafluorophenyl or a tetrafluorophenyl) to covalently attach the Linker- Drug group to the antibody via an R1 group (where R1 is an amide). For illustrative purposes only Scheme 4 shows the antibody having four amine groups. Scheme 4
. [428] In another aspect, Linker-Drug groups are conjugated to antibodies via formation of an oxime bridge at the naturally occurring disulfide bridges of an antibody. The oxime bridge is formed by initially creating a ketone bridge by reduction of an interchain disulfide bridge of the antibody and re-bridging using a 1,3-dihaloacetone (e.g.1,3-dichloroacetone). Subsequent reaction with a Linker-Drug group comprising a hydroxyl amine thereby form an oxime linkage (oxime bridge) which attaches the Linker- Drug group to the antibody (see for example WO2014/083505). Scheme 5 illustrates this approach for the formation of Antibody Drug Conjugates of Formula (Ab9). Scheme 5
. [429] A general reaction scheme for the formation of Antibody Drug Conjugates of Formula (D3) is shown in Scheme 6 below: Scheme 6
[430] where: RG2 is a reactive group which reacts with a compatible R100 group to form a corresponding R1 group (such groups are illustrated in Table F and Table G). D1, D2, R1, L1, W, L2, L3, E1, E2, L4, L5, A1, A2, R2, R3, Ab, a and R100 are as defined herein. [431] Scheme 7 further illustrates this general approach for the formation of Antibody Drug Conjugates of Formula (Ab11), wherein the antibody comprises reactive groups (RG2) which react with an R100 group (as defined herein) to covalently attach the Linker-Drug group to the antibody via an R1 group (as defined herein). For illustrative purposes only Scheme 7 shows the antibody having four RG2 groups. Scheme 7
D1 A1 L4 R2 R100 L1 W L2 E1 NH L3 E2 NH RG2 RG2 4 L5 R3 LD LD A2 D2 RG 2 RG 2 LD LD 1 1 D A (Ab10) (Ab11) L4 R2 R1 L1 W L2 1 where LD is E NH L3 E2 NH L5 R3 A2 D2 . [432] In one aspect, Linker-Drug groups are conjugated to antibodies via modified cysteine residues in the antibodies (see for example WO2014/124316). Scheme 8 illustrates this approach for the formation of Antibody Drug Conjugates of Formula (Ab13) wherein a free thiol group generated from the engineered cysteine residues in the antibody react with an R100 group (where R1 is a maleimide) to covalently attach the Linker-Drug group to the antibody via an R1 group (where R1 is a succinimide ring). For illustrative purposes only Scheme 8 shows the antibody having four free thiol groups. Scheme 8
. [433] In another aspect, Linker-Drug groups are conjugated to antibodies via lysine residues in the antibodies. Scheme 9 illustrates this approach for the formation of Antibody Drug Conjugates of Formula (Ab15) wherein a free amine group from the lysine residues in the antibody react with an R100 group (where R100 is an NHS ester, a pentafluorophenyl or a tetrafluorophenyl) to covalently attach the Linker- Drug group to the antibody via an R1 group (where R1 is an amide). For illustrative purposes only Scheme 9 shows the antibody having four amine groups. Scheme 9
. [434] In another aspect, Linker-Drug groups are conjugated to antibodies via formation of an oxime bridge at the naturally occurring disulfide bridges of an antibody. The oxime bridge is formed by initially creating a ketone bridge by reduction of an interchain disulfide bridge of the antibody and re-bridging using a 1,3-dihaloacetone (e.g.1,3-dichloroacetone). Subsequent reaction with a Linker-Drug group comprising a hydroxyl amine thereby form an oxime linkage (oxime bridge) which attaches the Linker- Drug group to the antibody (see for example WO2014/083505). Scheme 10 illustrates this approach for the formation of Antibody Drug Conjugates of Formula (Ab18). Scheme 10
. [435] Provided are also protocols for some aspects of analytical methodology for evaluating antibody conjugates of the invention. Such analytical methodology and results can demonstrate that the conjugates have favorable properties, for example properties that would make them easier to manufacture, easier to administer to patients, more efficacious, and/or potentially safer for patients. One example is the determination of molecular size by size exclusion chromatography (SEC) wherein the amount of desired antibody species in a sample is determined relative to the amount of high molecular weight contaminants (e.g., dimer, multimer, or aggregated antibody) or low molecular weight contaminants (e.g., antibody fragments, degradation products, or individual antibody chains) present in the sample. In general, it is desirable to have higher amounts of monomer and lower amounts of, for example, aggregated antibody due to the impact of, for example, aggregates on other properties of the antibody sample such as but not limited to clearance rate, immunogenicity, and toxicity. A further example is the determination of the hydrophobicity by hydrophobic interaction chromatography (HIC) wherein the hydrophobicity of a sample is assessed relative to a set of standard antibodies of known properties. In general, it is desirable to have low hydrophobicity due to the impact of hydrophobicity on other properties of the antibody sample such as but not limited to aggregation, aggregation over time, adherence to surfaces, hepatotoxicity,
clearance rates, and pharmacokinetic exposure. See Damle, N.K., Nat Biotechnol.2008; 26(8):884-885; Singh, S.K., Pharm Res.2015; 32(11):3541-71. When measured by hydrophobic interaction chromatography, higher hydrophobicity index scores (i.e. elution from HIC column faster) reflect lower hydrophobicity of the conjugates. As shown in Examples below, a majority of the tested antibody conjugates showed a hydrophobicity index of greater than 0.8. In some embodiments, provided are antibody conjugates having a hydrophobicity index of 0.8 or greater, as determined by hydrophobic interaction chromatography. EXAMPLES [436] The following examples provide illustrative embodiments of the disclosure. One of ordinary skill in the art will recognize the numerous modifications and variations that may be performed without altering the spirit or scope of the disclosure. Such modifications and variations are encompassed within the scope of the disclosure. The examples provided do not in any way limit the disclosure. [437] Abbreviations: Ab antibody AcOH acid acetic ADC antibody-drug conjugate aq. aqueous Boc tert-butyloxycarbonyl Boc2O di-tert-butyl dicarbonate CV column volume DAR drug-to-antibody ratio DCC: dicyclohexylcarbodiimide DCE: dichloroethane DCM dichloromethane DIEA/DIPEA N,N-Diisopropylethylamine DIAD diisopropylazodicarboxylate DMAP 4-dimethylaminopyridine DMTMM 4-(4,6-dimethoxy-1,3,5-triazin-2-yl)-4-methyl-morpholinium chloride DMF dimethyl formamide DMSO dimethyl sulfoxide EDC/EDC-HCl 1-Ethyl-3-(3-dimethylaminopropyl)carbodiimide hydrochloride ESI electrospray ionisation
EtOAc(AcOEt) ethyl acetate EtOH ethanol FA formic acid FMOC fluorenylmethoxycarbonyl HATU 1-[Bis(dimethylamino)methylene]-1H-1,2,3-triazolo[4,5- b]pyridinium 3-oxide hexafluorophosphate HBTU (2-(1H-benzotriazol-1-yl)-1,1,3,3-tetramethyluronium hexafluorophosphate HOAt 1-Hydroxy-7-azabenzotriazole HFIP hexafluoroisopropanol IPA, i-PrOH or 2-PrOH isopropyl alcohol JosiPhos Pd G3 {(R)-1-[(Sp)-2-(dicyclohexylphosphino)ferrocenyl]ethyldi-tert- M_^cVZSY]ZSTXPfJ,'#,k'LWTXY'+&+k'MTZSPXcV$KZLVVLOT_W#??$ methanesulfonate LC-MS liquid chromatography mass spectrometry mAb monoclonal antibody MeCN acetonitrile MeOH methanol MTBE methyl tert-butyl ether or tert-butyl methyl ether NaOtBu sodium tert-butoxide NMP N-methylpyrrolidine TES triethylsilane TBAF tetrabutyl ammonium fluoride TBAI tetrabutyl ammonium iodide TBTU [Bis(dimethylamino)methylene]-1H-benzotriazolium 3-Oxide Tetrafluoroborate PBS phosphate buffer saline Pd(AtaPhos)2Cl2 bis(di-tert-butyl(4-dimethylaminophenyl)phosphine) dichloropalladium(II) PdCl2(PPh3)2 dichlorobis(triphenylphosphine)palladium(II) Pd2(dba)3 tris(dibenzylideneacetone)dipalladium(0) PES polyether sulfone PLRP-s polymeric reverse phase column PMB para-methoxybenzyl
pTsOH para-toluene sulfonic acid PyBOP benzotriazol-1-yloxytripyrrolidinophosphonium hexafluorophosphate rmp reduction modifiable protein rt room temperature sat. saturated SEC size exclusion chromatography TSTU O-(N-Succinimidyl)-N,N,N',N'-tetramethyluronium tetrafluoroborate THF tetrahydrofuran TFA trifluoroacetic acid TFE 2,2,2-Trifluoroethanol TBAF tetrabutylammonium fluoride TBDMSCl tert-butyldimethylsilyl chloride TEA trimethylamine UPLC ultra-performance liquid chromatography Xantphos 4,5-bis(diphenylphosphino)-9,9-dimethylxanthene Example 1. Synthesis and Characterization of Payload and Precursors Thereof [438] Exemplary payloads and precursors thereof were synthesized using exemplary methods described in this example. [439] a. Material, Methods & General Procedure for the preparation of the payloads P1-P6: [440] All reagents obtained from commercial sources were used without further purification. Anhydrous solvents were obtained from commercial sources and used without further drying. [441] Payload P1 was prepared according to the method described in Example 30 of International PCT publication WO2015/097123. Below is a table showing structures of exemplary payloads P1, P2, and P4- P6. In the present disclosure, payloads P1, P2, and P4-P6 are BH3 mimetics, which correspond to Mcl-1 inhibitor D1-1, Bcl-2 inhibitors D3-1, D3-3, and Bcl-xL inhibitors D2-25 and D2-1, respectively. Payload BH3 mimetic Structure
P1 D1-1 P2 D3-1 P4 D3-3 P5 D2-25 (also corresponds to P25 described in PCT/US2021/060620)
P6 D2-1 [442] Column Chromatography [443] Automated flash column chromatography was performed on ISCO CombiFlash® Rf 200 or CombiFlash® Rf+ LumenTM using RediSep® Rf Normal-phase Silica Flash Columns (35-70µm, 60 Å), RediSep Rf Gold® Normal-phase Silica High Performance Columns (20-40µm, 60 Å), RediSep® Rf Reversed-phase C18 Columns (40-63 µm, 60 Å), or RediSep Rf Gold® Reversed-phase C18 High Performance Columns (20-40 µm, 100 Å). [444] TLC [445] Thin layer chromatography was conducted with 5 x 10 cm plates coated with Merck Type 60 F254 silica-gel. [446] Microwave Reactions [447] Microwave heating was performed with a CEM Discover® SP, or with an Anton Paar Monowave Microwave Reactor. [448] NMR [449] 1H-NMR measurements were performed on a Bruker Avance III 500 MHz spectrometer, a Bruker Avance III 400 MHz spectrometer, or a Bruker DPX-400 spectrometer using DMSO-d6 or CDCl3 as solvent. 1H NMR data is in the form of delta values, given in part per million (ppm), using the residual peak of the solvent (2.50 ppm for DMSO-d6 and 7.26 ppm for CDCl3) as internal standard. Splitting patterns are designated as: s (singlet), d (doublet), t (triplet), q (quartet), quint (quintet), sept (septet), m (multiplet), br s (broad singlet), dd (doublet of doublets), td (triplet of doublets), dt (doublet of triplets), ddd (doublet of doublet of doublets). [450] Analytical LC-MS [451] Certain compounds of the present invention were characterized by high performance liquid chromatography-mass spectroscopy (HPLC-MS) on Agilent HP1200 with Agilent 6140 quadrupole
LC/MS, operating in positive or negative ion electrospray ionisation mode. Molecular weight scan range is 100 to 1350. Parallel UV detection was done at 210 nm and 254 nm. Samples were supplied as a 1 mM solution in ACN, or in THF/H2O (1:1) with 5 µL loop injection. LCMS analyses were performed on two instruments, one of which was operated with basic, and the other with acidic eluents. [452] Basic LCMS: Gemini-NX, 3 µm, C18, 50 mm × 3.00 mm i.d. column at 23 °C, at a flow rate of 1 mL min-1 using 5 mM ammonium bicarbonate (Solvent A) and acetonitrile (Solvent B) with a gradient starting from 100% Solvent A and finishing at 100% Solvent B over various/certain duration of time. [453] Acidic LCMS: KINATEX XB-C18-100A, 2.6 !m, 50 mm*2.1 mm column at 40 °C, at a flow rate of 1 mL min-1 using 0.02% v/v aqueous formic acid (Solvent A) and 0.02% v/v formic acid in acetonitrile (Solvent B) with a gradient starting from 100% Solvent A and finishing at 100% Solvent B over various/certain duration of time. [454] Certain other compounds of the present invention were characterized HPLC-MS under specific named methods as follows. For all of these methods UV detection was by diode array detector at 230, 254, and 270 nm. Sample injection volume was 1 !L. Gradient elutions were run by defining flow rates and percentage mixtures of the following mobile phases, using HPLC-grade solvents: [455] Solvent A: 10 mM aqueous ammonium formate + 0.04% (v/v) formic acid [456] Solvent B: Acetonitrile + 5.3% (v/v) Solvent A + 0.04% (v/v) formic acid. [457] Retention times (RT) for these named methods are reported in minutes. Ionisation is recorded in positive mode, negative mode, or positive-negative switching mode. Specific details for individual methods follow. [458] LCMS-V-B methods [459] Using an Agilent 1200 SL series instrument linked to an Agilent MSD 6140 single quadrupole with an ESI-APCI multimode source (Methods LCMS-V-B1 and LCMS-V-B2) or using an Agilent 1290 Infinity II series instrument connected to an Agilent TOF 6230 with an ESI-jet stream source (Method LCMS-V-B1); column: Thermo Accucore 2.6 µm, C18, 50 mm x 2.1 mm at 55 ºC. Gradient details for methods LCMS-V-B1 and LCMS-V-B2: Time LCMS-V-B1 LCMS-V-B2 Flow (min) Solvent Solvent Solvent Solvent (mL/min) A (%) B (%) A (%) B (%) 0 95 5 60 40 1.1 0.12 95 5 60 40 1.3 1.30 5 95 2 98 1.3 1.35 5 95 2 98 1.6
1.85 5 95 2 98 1.6 1.90 5 95 2 98 1.3 1.95 95 5 95 5 1.3 [460] LCMS-V-C method [461] Using an Agilent 1200 SL series instrument linked to an Agilent MSD 6140 single quadrupole with an ESI-APCI multimode source; column: Agilent Zorbax Eclipse plus 3.5 µm, C18(2), 30 mm x 2.1 mm at 35 ºC. Gradient details for method LCMS-V-C: Time Solvent Solvent Flow (min) A (%) B (%) (mL/min) 0 95 5 1 0.25 95 5 1 2.50 95 5 1 2.55 5 95 1.7 3.60 5 95 1.7 3.65 5 95 1 3.70 95 5 1 3.75 95 5 1 [462] Preparative HPLC [463] Certain compounds of the present invention were purified by high performance liquid chromatography (HPLC) on an Armen Spot Liquid Chromatography or Teledyne EZ system with a Gemini-NX® 10 µM C18, 250 mm × 50 mm i.d. column running at a flow rate of 118 mL min-1 with UV diode array detection (210 – 400 nm) using 25 mM aqueous NH4HCO3 solution and MeCN or 0.1% TFA in water and MeCN as eluents. [464] Certain other compounds of the present invention were purified by HPLC under specific named methods as follows: [465] HPLC-V-A methods [466] These were performed on a Waters FractionLynx MS autopurification system, with a Gemini® 5 µm C18(2), 100 mm × 20 mm i.d. column from Phenomenex, running at a flow rate of 20 cm3min-1 with UV diode array detection (210–400 nm) and mass-directed collection. The mass spectrometer was a Waters Micromass ZQ2000 spectrometer, operating in positive or negative ion electrospray ionisation modes, with a molecular weight scan range of 150 to 1000. [467] Method HPLC-V-A1 (pH 4): [468] Solvent A: 10 mM aqueous ammonium acetate + 0.08% (v/v) formic acid; Solvent B: acetonitrile + 5% (v/v) Solvent A + 0.08% (v/v) formic acid
[469] Method HPLC-V-A2 (pH 9): [470] Solvent A: 10 mM aqueous ammonium acetate + 0.08% (v/v) conc. ammonia; Solvent B: acetonitrile + 5% (v/v) Solvent A + 0.08% (v/v) conc. ammonia [471] HPLC-V-B methods [472] Performed on an AccQPrep HP125 (Teledyne ISCO) system, with a Gemini® NX 5 µm C18(2), 150 mm × 21.2 mm i.d. column from Phenomenex, running at a flow rate of 20 cm3min-1 with UV (214 and 254 nm) and ELS detection. [473] Method HPLC-V-B1 (pH 4): [474] Solvent A: water + 0.08% (v/v) formic acid; solvent B: acetonitrile + 0.08% (v/v) formic acid. [475] Method HPLC-V-B2 (pH 9): [476] Solvent A: water + 0.08% (v/v) conc. ammonia; solvent B: acetonitrile + 0.08% (v/v) conc. ammonia. [477] Method HPLC-V-B3 (neutral): [478] Solvent A: water; Solvent B: acetonitrile. [479] Analytical GC-MS [480] Combination gas chromatography and low resolution mass spectrometry (GC-MS) was performed on Agilent 6850 gas chromatograph and Agilent 5975C mass spectrometer using 15 m × 0.25 mm column with 0.25 µm HP-5MS coating and helium as carrier gas. Ion source: EI+, 70 eV, 230°C, quadrupole: 150°C, interface: 300°C. [481] High-resolution MS [482] High-resolution mass spectra were acquired on an Agilent 6230 time-of-flight mass spectrometer P[_TZZPO aT^S L @P^ G^\PLW PVPN^\Y]Z\Lc TYX ]Y_\NP TX ZY]T^T`P TYX WYOP( ?XUPN^TYX] YQ *(/nV aP\P OT\PN^PO to the mass spectrometer at a flow rate 1.5 ml/min (5mM ammonium-formate in water and acetonitrile gradient program), using an Agilent 1290 Infinity HPLC system. Jet Stream parameters: drying gas (N2) flow and temperature: 8.0 l/min and 325 °C, respectively; nebulizer gas (N2) pressure: 30 psi; capillary voltage: 3000 V; sheath gas flow and temperature: 325 °C and 10.0 l/min; TOFMS parameters: fragmentor voltage: 100 V; skimmer potential: 60 V; OCT 1 RF Vpp:750 V. Full-scan mass spectra were acquired over the m/z range 105-1700 at an acquisition rate of 995.6 ms/spectrum and processed by Agilent MassHunter B.04.00 software. [483] Chemical naming [484] IUPAC-preferred names were generated using ChemAxon’s ‘Structure to Name’ (s2n) functionality within MarvinSketch or JChem for Excel (JChem versions 16.6.13 – 18.22.3), or with the chemical naming functionality provided by Biovia® Draw 4.2. [485] b. Preparation of Bcl-xL Payloads
[486] General Procedures [487] Mitsunobu General Procedure I [488] To the mixture of 1 eq. of aliphatic alcohol, 1 eq. of carbamate/phenol, and 1 eq. triphenylphosphine in toluene (5 mL/mmol) was added 1 eq. of di-tert-butyl azodicarboxylate. The mixture was stirred at 50°C for the carbamate and at rt for the phenol. After reaching an appropriate conversion the volatiles were removed under reduced pressure, the crude intermediate was purified via flash chromatography using heptane / EtOAc as eluents. [489] Deprotection with HFIP General Procedure [490] Substrate in HFIP (10 mL/mmol) was kept at 100-120°C in a pressure bottle. After reaching an appropriate conversion the volatiles were removed under reduced pressure, the crude intermediate was purified via flash chromatography using heptane / EtOAc as eluents. [491] Sonogashira General Procedure [492] The mixture of 1 eq. of aryl halogenide, 2 eq. of acetylene, 0.05 eq. of Pd(PPh3)2Cl2, 0.05 eq. of CuI, and DIPA (1 mL/mmol) in THF (5 mL/mmol) was kept at 60°C. After reaching an appropriate conversion the volatiles were removed under reduced pressure, the crude intermediate was purified via flash chromatography using heptane / EtOAc as eluents. [493] Buchwald General Procedure II [494] The mixture of chloro compound, 2 eq. of 1,3-benzothiazol-2-amine, 10 mol% of JosiPhos Pd (G3) and 3 eq. of DIPEA suspended in 1,4-dioxane (5 mL/mmol) were stirred at reflux until no further conversion was observed. Celite was added to the reaction mixture and the volatiles were removed under reduced pressure. Then it was purified via flash chromatography on 120 g silica gel column using heptane-EtOAc or DCM-MeOH (1.2% NH3) as eluents. [495] Propargylic amine preparation General Procedure [496] An oven-dried vial was equipped with a PTFE-coated magnetic stirring bar, it was charged with 2 eq. PPh3 and 2 eq. imidazole then DCM (5 mL/mmol) was added. To the resulting mixture 2 eq. iodine was added portionwise then stirred for 15 min at rat. To the resulting mixture 1 eq. of the appropriate alcohol was added dissolved in DCM and stirred at rt until no further conversion was observed. To the generated iodo compound 20 eq. of the appropriate amine was added and then stirred for 30 min at rt, while full conversion was observed. Celite was added to the reaction mixture and the volatiles were removed under reduced pressure. Then it was purified via flash chromatography using DCM and MeOH (1.2% NH3) eluents. [497] Hydrolysis General Procedure [498] The appropriate methyl ester was suspended in a 1:1 mixture of THF – water (5 mL/mmol) and 10 eq. of LiOH x H2O was added, and the mixture was stirred at 50°C. After reaching an appropriate
conversion, the volatiles were removed under reduced pressure; the crude product was purified via flash chromatography using DCM and MeOH (containing 1.2% NH3) as eluents. [499] Preparation A: 3-(3,6-dichloro-5-methyl-pyridazin-4-yl)propan-1-ol [500] Step A: [(pent-4-yn-1-yloxy)methyl]benzene [501] To an oven-dried flask was added 4-pentyn-1-ol (11.1 mL, 119 mmol, 1 eq) in THF (100 mL) and the solution was cooled to 0°C. Sodium hydride (60% dispersion; 7.13 g, 1.5 eq) was added portionwise and the mixture was allowed to stir for 30 min at 0°C before the dropwise addition of benzyl bromide (15.6 mL, 131 mmol, 1.1 eq). The mixture was allowed to warm to ambient temperature and was stirred for 16 h, then cooled to 0°C, quenched with saturated aqueous ammonium chloride (30 mL) and diluted with water (30 mL). The mixture was extracted with ethyl acetate (2 x 150 mL), and the combined organic extracts were washed successively with dilute aqueous ammonium hydroxide (150 mL) and brine (100 mL), dried (magnesium sulfate) and concentrated in vacuo. Purification by automated flash column chromatography (CombiFlash Rf, 330 g RediSep™ silica cartridge) eluting with a gradient of ethyl acetate in iso-heptane afforded the desired product (19.5 g, 94%). 1> CBF #.** B>d& 9SVY\YQY\W'O$ j 7.37 – 7.32 (m, 4H), 7.31 – 7.27 (m, 1H), 4.52 (s, 2H), 3.58 (t, J = 6.1 Hz, 2H), 2.32 (td, J = 7.1, 2.6 Hz, 2H), 1.95 (t, J = 2.7 Hz, 1H), 1.83 (tt, J = 7.1, 6.2 Hz, 2H); LC/MS (C12H14O) 175 [M+H]+. [502] Step B: [(hex-4-yn-1-yloxy)methyl]benzene [503] To an oven-dried flask was added the product from Step A (19.5 g, 112 mmol, 1 eq) and tetrahydrofuran (200 mL) and the solution was cooled to -78 °C. n-Butyllithium (2M solution in hexanes, 66.9 mL, 135 mmol, 1.2 eq) was added dropwise over 30 min and the reaction was stirred for 1 h then iodomethane (10.5 mL, 168 mmol, 1.5 eq) was added dropwise and the mixture was allowed to warm to 0 °C over 1 h. The reaction was quenched by the addition of saturated aqueous ammonium chloride (40 mL), diluted with water (40 mL), extracted with ethyl acetate (3 x 100 mL), and the combined organic extracts were successively washed with 2M aqueous sodium thiosulfate (200 mL) and brine (200 mL), dried (magnesium sulfate) and concentrated in vacuo. Purification by automated flash column chromatography (CombiFlash Rf, 330 g RediSep™ silica cartridge) eluting with a gradient of 0 – 10% ethyl acetate in iso-heptane afforded the desired product (19.2 g, 91%). 1H NMR (400 MHz, DMSO-d6) j 1(.+ h 1(,- #W& />$& .(.0 #]& ,>$& -(.2 #^& J = 6.3 Hz, 2H), 2.23 – 2.14 (m, 2H), 1.72 (s, 3H), 1.70 – 1.65 (m, 2H); LC/MS (C13H16O) 189 [M+H]+.
[504] Step C: 4-[3-(benzyloxy)propyl]-3,6-dichloro-5-methylpyridazine [505] A solution of 3,6-dichloro-1,2,4,5-tetrazine (5 g, 33.1 mmol, 1 eq) and the product from Step B (7.48 g, 39.8 mmol, 1.2 eq) in tetrahydrofuran (30 mL) was heated at 160°C for 19 h in a sealed flask. The reaction was allowed to cool to ambient temperature then concentrated in vacuo. Purification by automated flash column chromatography (CombiFlash Rf, 220 g RediSep™ silica cartridge) eluting with a gradient of 0 – 30% ethyl acetate in iso-heptane afforded the desired product (7.32 g, 71%). 1H NMR #.** B>d& :BGD'O0$ j 1(./ h 1(+2 #W& />$& .(.2 #]& ,>$& -(/- #^& J = 5.9 Hz, 2H), 2.96 – 2.83 (m, 2H), 2.42 (s, 3H), 1.88 – 1.69 (m, 2H); LC/MS (C15H16Cl2N2O) 311 [M+H]+. [506] Step D: 3-(3,6-dichloro-5-methyl-pyridazin-4-yl)propan-1-ol [507] To a cooled solution of the product from Step C (7.32 g, 23.5 mmol, 1 eq) in dichloromethane (100 mL) was added boron trichloride solution (1 M in dichloromethane; 58.8 mL, 58.8 mmol, 2.5 eq) dropwise and the mixture was allowed to stir at ambient temperature for 1 h. The reaction was quenched by the addition of methanol and concentrated in vacuo. The residue was partitioned between dichloromethane (100 mL) and saturated aqueous sodium bicarbonate (150 mL), and the organic phase was washed with brine (150 mL), dried (magnesium sulfate) and concentrated in vacuo. Purification by automated flash column chromatography (CombiFlash Rf, 80 g RediSep™ silica cartridge) eluting with a gradient of 0 – 80% ethyl acetate in iso-heptane afforded the desired product (4.19 g, 81%). 1H NMR (400 MHz, DMSO-d6$ j .(01 #^& J = 5.1 Hz, 1H), 3.49 (td, J = 6.0, 5.1 Hz, 2H), 2.91 – 2.80 (m, 2H), 2.43 (s, 3H), 1.72 – 1.59 (m, 2H); LC/MS (C8H10Cl2N2O) 221 [M+H]+. [508] Preparation B: 3,6-dichloro-4-(3-iodopropyl)-5-methyl-pyridazine [509] After stirring PPh3 (59.3 g, 2 eq), imidazole (15.4 g, 2 eq), and iodine (57.4 g, 2 eq) in 560 mL of DCM for 15 min, 25.0 g of Preparation A (113 mmol) was added and stirred for 2 h. The product was purified via flash chromatography using heptane and EtOAc as eluents to give 34.7 g of the desired product (92%). 1H NMR (500 MHz, DMSO-d6$ j ZZW -(.+ #^& ,>$& ,(23 #W& ,>$& ,(.- #]& ->$& +(31 #W& 2H); 13C NMR (125 MHz, DMSO-d6$ j ZZW +/1(1& +/0(2& +.+(/& +.*(,& -+(.& -+(+& +0(1& 1(25 >FBG (ESI) [M]+ calcd for C8H9Cl2IN2: 330.9266, found 330.9255. [510] Preparation C: tert-butyl-diphenyl-[2-[[3,5-dimethyl-7-[[5-methyl-4-(4,4,5,5-tetramethyl-1,3,2- dioxaborolan-2-yl)pyrazol-1-yl]methyl]-1-adamantyl]oxy]ethoxy]silane
[511] Step A: 3-bromo-5,7-dimethyladamantane-1-carboxylic acid [512] After stirring iron (6.7 g, 120 mmol) in bromine (30.7 mL, 600 mmol, 5 eq) at 0 °C for 1 h, 3,5- dimethyladamantane-1-carboxylic acid (25 g, 1 eq) was added and the reaction mixture was stirred at rt for 2 days. After the addition of EtOAc, the reaction mixture was treated carefully with a saturated solution of sodium-thiosulfate at 0 °C and stirred for 15 min. After filtration through a pad of Celite and rinsing with EtOAc, the organic phase was separated, washed with a saturated solution of sodium- thiosulfate and brine, dried, concentrated to give the desired product (34.28 g, 74.6%), which was used without further purification. 1H NMR (400 MHz, DMSO-d6$4 j ZZW +,(-- #M\(& +>$& ,(,+ #]& ,>$& 1.96/1.91 (d+d, 4H), 1.50/1.43 (d+d, 4H), 1.21/1.14 (dm+dm, 2H), 0.86 (s, 6H); 13C NMR (100 MHz, DMSO-d6$ j ZZW +10(2& 00(2& /.(*& .2(1& .2(/& ./(1& .-(-& -/(/& ,3(.5 >FBG';G? #W)d$4 JB'>K' NLVNO QY\ C13H18BrO2: 285.0496; found 285.0498. [513] Step B: 3-bromo-5,7-dimethyl-1-adamantyl-methanol [514] To the product from Step A (34.3 g, 119 mmol) in THF (77.6 mL) was added slowly a 1 M solution of BH3-THF in THF (358 mL, 3 eq) and the reaction mixture was stirred for 18 h. After the addition of methanol and stirring for 30 min, purification by column chromatography (silica gel, heptane and MTBE as eluents) afforded the desired product (16.19 g, 49.6%). 1H NMR (400 MHz, DMSO-d6$4 j ppm 4.51 (t, 1H), 3.05 (d, 2H), 1.91 (s, 2H), 1.91 (s, 4H), 1.19/1.09 (d+d, 2H), 1.19/1.05 (d+d, 4H), 0.85 (s, 6H) 13C NMR (100 MHz, DMSO-d6$ j ZZW 1*(.& 02(3& /.(3& .3(2& .3(-& .-(2& .+(.& -/(1& ,3(15 HRMS-ESI (m/z): [M-Br]- calcd for C13H21O: 193.1598 found: 193.1589. [515] Step C: 1-[3-bromo-5,7-dimethyl-1-adamantyl]methyl]pyrazole [516] To the product from Step B (16.19 g, 59.26 mmol) and 1H-pyrazole (4.841 g, 1.2 eq) in toluene (178 mL) was added cyanomethylenetributylphosphorane (18.64 mL, 1.2 eq) in one portion and the reaction mixture was stirred at 90 °C for 2 h. Purification by column chromatography (silica gel, heptane and MTBE as eluents) afforded the desired product (17.88 g, 93%). 1H NMR (400 MHz, DMSO-d6$4 j ppm 7.63 (d, 1H), 7.43 (d, 1H), 6.23 (t, 1H), 3.90 (s, 2H), 1.92-1.02 (m, 12H), 0.83 (s, 6H); 13C NMR (100 MHz, DMSO-d6$ j ZZW +-3(*& +-+(2& +*/(,& 01(1& 0+(.& /.(.).2(2)..(0& /*(.& -/(1& ,3(05 >FBG';G? (m/z): [M]+ calcd for C16H23BrN2: 322.1045 found: 322.1014.
[517] Step D: 5-methyl-1-[[-3-bromo-5,7-dimethyl-1-adamantyl]methyl]pyrazole [518] To the solution of the product from Step C (17.88 g, 55.3 mmol) in THF (277 mL) was added butyllithium (2.5 M in THF, 66 mL, 3 eq) at -78 °C, then after 1 h, iodomethane (17.2 mL, 5 eq) was added. After 10 min, the reaction mixture was quenched with a saturated solution of NH4Cl, extracted with EtOAc and the combined organic layers were dried and concentrated to give the desired product (18.7 g, 100%), which was used in the next step without further purification.1H NMR (400 MHz, DMSO- d6$4 j ZZW 1(-+ #O& +>$& 0(** #O& +>$& -(13 #]& ,>$& ,(,- #]& ->$& ,(*+ #]& ,>$& +(23)+(2/ #O%O& .>$& 1.23/1.15 (d+d, 4H), 1.16/1.05 (d+d, 2H), 0.83 (s, 6H); 13C NMR (100 MHz, DMSO-d6$ j ZZW +-3(,& 138.0, 105.2, 67.8, 57.8, 54.4, 50.6, 48.8, 44.8, 41.5, 35.7, 29.6, 11.8; HRMS-ESI (m/z): [M+H]+ calcd for C17H26BrN2 : 337.1279 found: 337.1289. [519] Step E: 2-[[-3,5-dimethyl-7-[(5-methylpyrazol-1-yl)methyl]-1-adamantyl]oxy]ethanol [520] The mixture of the product from Step D (18.7 g, 55.3 mmol), ethylene glycol (123 mL, 40 eq), and DIPEA (48.2 mL, 5 eq) was stirred at 120 °C for 6 h. After the reaction mixture was diluted with water and extracted with EtOAc, the combined organic layers were dried and concentrated to give the desired product (18.5 g, 105%), which was used in the next step without further purification.1H NMR (400 MHz, DMSO-d6$4 j ZZW 1(,3 #O& +>$& /(33 #O& +>$& .(./ #^& +>$& -(12 #]& ,>$& -(-3 #[& ,>$& -(-, #^& 2H), 2.23 (s, 3H), 1.34 (s, 2H), 1.27/1.21 (d+d, 4H), 1.13/1.07 (d+d, 4H), 1.04/0.97 (d+d, 2H), 0.84 (s, 6H); 13C NMR (100 MHz, DMSO-d6$ j ZZW +-3(*& +-1(2& +*/(+& 1.(*& 0,(+& 0+(/& /2(/& /*(+& .1(*& .0(+& 43.3, 39.7, 33.5, 30.2, 11.9; HRMS-ESI (m/z): [M+H]+ calcd for C19H31N2O2 : 319.2386 found: 319.2387. [521] Step F: tert-butyl-diphenyl-[2-[[-3,5-dimethyl-7-[(5-methylpyrazol-1-yl)methyl]-1- adamantyl]oxy]ethoxy]silane [522] To the mixture of the product from Step E (17.6 g, 55.3 mmol) and imidazole (5.65 g, 1.5 eq) in DCM (150 ml) was added tert-butyl-chloro-diphenyl-silane (18.6 g, 1.2 eq) and the reaction mixture was stirred for 1 h. Purification by column chromatography (silica gel, heptane and MTBE as eluents) afforded the desired product (27.0 g, 87.8%). 1H NMR (400 MHz, DMSO-d6$4 j ZZW 1(1,'1(-. #W& +*>$& 7.29 (d, 1H), 5.99 (br., 1H), 3.78 (s, 2H), 3.67 (t, 2H), 3.44 (t, 2H), 2.21 (s, 3H), 1.33 (s, 2H), 1.26/1.18 (d+d, 4H), 1.12/1.06 (d+d, 4H), 1.03/0.96 (d+d, 2H), 0.98 (s, 9H), 0.82 (s, 6H); 13C NMR (100 MHz, DMSO-d6$ j ZZW +-3(*& +-1(2& +*/(+& 1.(,& 0.(.& 0+(1& /2(/& /*(*& .0(3& .0(*& .-(.& -3(0& --(/& -*(+& ,1(+& 19.3, 11.9; HRMS-ESI (m/z): [M+H]+ calcd for C35H49N2O2Si : 557.3563 found: 557.3564. [523] Step G: tert-butyl-diphenyl-[2-[[3-[(4-iodo-5-methyl-pyrazol-1-yl)methyl]-5,7-dimethyl-1- adamantyl]oxy]ethoxy]silane [524] To the solution of the product from Step F (27.0 g, 48.56 mmol) in DMF (243 mL) was added N- iodosuccinimide (13.6 g, 1.25 eq) and the reaction mixture was stirred for 2 h. After the dilution with
water, the mixture was extracted with DCM. The combined organic layers were washed with saturated solution of sodium-thiosulphate and brine, dried, and concentrated to afford the desired product (30.1g, 90%). 1H NMR (400 MHz, DMSO-d6$4 j ZZW 1(02'1(-1 #W& +*>$& 1(./ #]& +>$& -(23 #]& ,>$& -(01 #^& ,>$& 3.44 (t, 2H), 2.23 (s, 3H), 1.30 (s, 2H), 1.26/1.17 (d+d, 4H), 1.12/1.05 (d+d, 4H), 1.00/0.96 (d+d, 2H), 0.98 (s, 9H), 0.82 (s, 6H); 13C NMR (100 MHz, DMSO-d6$ j ZZW +.,(/& +.*(2& +--(1& 0.(.& 0+(1& 0*(-& 59.9, 49.9, 46.8, 45.9, 43.2, 39.7, 33.5, 30.1, 27.1, 19.3, 12.2; HRMS-ESI (m/z): [M+H]+ calcd for C35H48IN2O2Si: 683.2530 found: 683.2533. [525] Step H: tert-butyl-diphenyl-[2-[[3,5-dimethyl-7-[[5-methyl-4-(4,4,5,5-tetramethyl-1,3,2- dioxaborolan-2-yl)pyrazol-1-yl]methyl]-1-adamantyl]oxy]ethoxy]silane [526] To the product from Step G (17.5 g, 25.6 mmol) in THF (128 mL) was added chloro(isopropyl)magnesium-LiCl (1.3 M in THF, 24 mL, 1.2 eq) at 0 °C, stirred for 40 min, treated with 2-isopropoxy-4,4,5,5-tetramethyl-1,3,2-dioxaborolane (15.7 mL, 3 eq), and the reaction mixture was stirred for 10 min. After dilution with a saturated solution NH4Cl and extraction with EtOAc, the combined organic phases were concentrated and was purified by column chromatography (silica gel, heptane and MTBE as eluents) to give the desired product (15.2g, 86.9%).1H NMR (400 MHz, DMSO- d6$4 j ZZW 1(0/ #OW& .>$& 1(.1 #]& +>$& 1(./ #^W& ,>$& 1(.* #^W& .>$& -(2* #]& ,>$& -(00 #^& , >$& -(.. #^& 2H), 2.35 (s, 3H), 1.35-0.94 (m, 12H), 1.24 (s, 12H), 0.97 (s, 9H), 0.83 (s, 6H); 13C NMR (100 MHz, DMSO-d6$ j ZZW +.0(3& +..(-& +-/(0& +-*(,& +,2(,& +*.(1& 2-(*& 1.(,& 0.(.& 0+(1& /2(.& -*(+& ,1(+& ,/(,& 19.3, 12.0; HRMS-ESI (m/z): [M+H]+ calcd for C41H60BN2O4Si: 683.4415 found: 683.4423. [527] Preparation D: methyl 3-bromo-6-[3-(3,6-dichloro-5-methyl-pyridazin-4- yl)propylamino]pyridine-2-carboxylate
[528] Step A: methyl 6-[bis(tert-butoxycarbonyl)amino]-3-bromo-pyridine-2-carboxylate [529] To methyl 6-amino-3-bromo-pyridine-2-carboxylate (25.0 g, 108.2 mmol) and DMAP (1.3 g, 0.1 eq) in DCM (541 mL) was added Boc2O (59.0 g, 2.5 eq) at 0 °C and the reaction mixture was stirred for 2.5 h. After the addition of a saturated solution of NaHCO3 and extraction with DCM, the combined organic phases were dried and concentrated to afford the desired product (45.0 g, 72.3%). LC/MS (C17H23BrN2O6Na) 453 [M+Na]+. [530] Step B: methyl 3-bromo-6-(tert-butoxycarbonylamino)pyridine-2-carboxylate
[531] To the product from Step A (42.7 g, 74.34 mmol) in DCM (370 mL) was added TFA (17.1 mL, 3 eq) at 0 °C and the reaction mixture was stirred for 18 h. After washing with a saturated solution of NaHCO3 and brine, the combined organic phases were dried, concentrated, and purified by column chromatography (silica gel, heptane and EtOAc as eluents) to give the desired product (28.3 g, 115.2%). 1H NMR (400 MHz, DMSO-d6$4 j ZZW +*(,3 #]& +>$& 2(++ #O& +>$& 1(22 #O& +>$& -(21 #]& ->$& +(.0 #]& 9H) 13C NMR (100 MHz, DMSO-d6$ j ZZW +0/(0& +/-(+& +/+(2)+.2(-& +.-(/& ++0(-& +*3(,& /-(,& ,2(.( LC/MS (C12H15BrN2O4Na) 353 [M+Na]+. [532] Step C: methyl 3-bromo-6-[tert-butoxycarbonyl-[3-(3,6-dichloro-5-methyl-pyridazin-4- yl)propyl]amino]pyridine-2-carboxylate [533] To the product from Step B (10.0 g, 30.1967 mmol) in acetone (150 mL), were added Cs2CO3 (29.5 g, 3 eq) and Preparation B (9.9 g, 1 eq) and the reaction mixture was stirred for 18 h. After dilution with water and extraction with EtOAc, the combined organic phases were washed with brine, dried and concentrated to give the desired product (17.5 g, 108%). 1H NMR (400 MHz, DMSO-d6$4 j ZZW 2(+- #O& 1H), 7.78 (d, 1H), 3.91 (t, 2H), 3.89 (s, 3H), 2.79 (m, 2H), 2.38 (s, 3H), 1.82 (m, 2H), 1.46 (s, 9H); 13C NMR (100 MHz, DMSO-d6$ j ZZW +0/(-& +/1(0& +/0(0& +/-(,& +/,(3& +.1(,& +.-(+& +.,(,& +-3(1& +,,(0& 111.8, 82.2, 53.3, 46.4, 28.1, 27.7, 26.5, 16.3; HRMS-ESI (m/z): [M+Na]+ calcd for C20H23BrCl2N4NaO4: 555.0177 found: 555.0172. [534] Step D: methyl 3-bromo-6-[3-(3,6-dichloro-5-methyl-pyridazin-4-yl)propylamino]pyridine-2- carboxylate [535] The product from Step C (17.5 g, 32.7 mmol) in 1,1,1,3,3,3-hexafluoroisopropanol (330 mL) was stirred at 110 °C for 18 h. Purification by column chromatography (silica gel, heptane and EtOAc as eluents) afforded the desired product (9.9 g, 70%). 1H NMR (400 MHz, DMSO-d6$4 j ZZW 1(0- #O& +>$& 7.22 (t, 1H), 6.57 (d, 1H), 3.83 (s, 3H), 3.30 (m, 2H), 2.83 (m, 2H), 2.37 (s, 3H), 1.74 (m, 2H) 13C NMR (100 MHz, DMSO-d6$ j ZZW +00(/& +.+(/& ++,(0& /,(3& .*(3& ,2(*& ,1(*& +0(.( [536] Preparation E: (4-methoxyphenyl)methyl 3-bromo-6-[3-(3,6-dichloro-5-methyl-pyridazin-4- yl)propylamino]pyridine-2-carboxylate
[537] Step A: 3-bromo-6-[3-(3,6-dichloro-5-methyl-pyridazin-4-yl)propylamino]pyridine-2-carboxylic acid [538] The mixture of the product from Preparation D (35.39 g, 81.52 mmol) and LiOH×H2O (13.68 g, 4 eq) in 1,4-dioxane (408 mL) and water (82 mL) was stirred at 60 °C for 1 h. After quenching with a 1 M solution of HCl and extraction with EtOAc, the combined organic phases were dried, concentrated, and purified by flash chromatography (silica gel, using DCM and MeOH as eluents) to give the desired product (27.74 g, 81%). LC/MS (C14H14BrCl2N4O2) 421 [M+H]+. [539] Step B: (4-methoxyphenyl)methyl 3-bromo-6-[3-(3,6-dichloro-5-methyl-pyridazin-4- yl)propylamino]pyridine-2-carboxylate [540] To the product of Step A (27.7 g, 65.9 mmol), (4-methoxyphenyl)methanol (16.4 mL, 2 eq), and PPh3 (34.6 g, 2 eq) in toluene (660 mL) and THF (20 ml) was added dropwise diisopropyl azodicarboxylate (26 mL, 2 eq) and the reaction mixture was stirred at 50 °C for 1 h. Purificationby flash chromatography (silica gel, using heptane and EtOAc as eluents) afforded the desired product (23.65 g, 66.4%). 1> CBF #/** B>d& OW]Y'O0$ j ZZW 1(0, #O& +>$& 1(-1 #OX& ,>$& 1(,+ #^& +>$& 0(3+ #OW& ,>$& 6.56 (d, 1H), 5.25 (s, 2H), 3.74 (s, 3H), 3.30 (q, 2H), 2.81 (m, 2H), 2.33 (s, 3H), 1.73 (m, 2H); 13C NMR #/** B>d& OW]Y'O0$ j ZZW +0/(3& +/3(1& +/1(0& +/1(/& +/0(2& +.2(*& +.,(1& +.+(/& +-3(1& +-*(0& +,1(2& 114.3, 112.6, 101.6, 67.0, 55.6, 40.9, 28.0, 27.1, 16.4; HRMS-ESI (m/z): [M+H]+ calcd for C22H22BrCl2N4O3: 539.0252, found: 539.0246. [541] Preparation F: (4-methoxyphenyl)methyl 6-[3-(1,3-benzothiazol-2-ylamino)-4-methyl-6,7- dihydro-5H-pyrido[2,3-c]pyridazin-8-yl]-3-[1-[[3,5-dimethyl-7-[2-(p-tolylsulfonyloxy)ethoxy]-1- adamantyl]methyl]-5-methyl-pyrazol-4-yl]pyridine-2-carboxylate
[542] Step A: (4-methoxyphenyl)methyl 3-[1-[[3-[2-[tert-butyl(diphenyl)silyl]oxyethoxy]-5,7-dimethyl- 1-adamantyl]methyl]-5-methyl-pyrazol-4-yl]-6-[3-(3,6-dichloro-5-methyl-pyridazin-4- yl)propylamino]pyridine-2-carboxylate [543] The mixture of the product from Preparation E (9.78 g, 18.1 mmol), the product from Preparation C (13.6 g, 1.1 eq), Pd(AtaPhos)2Cl2 (801 mg, 0.1 eq), and Cs2CO3 (17.7 g, 3 eq) in 1,4-dioxane (109 mL) and H2O (18 mL) was stirred at 80 °C for 8 h. After quenching the cooled reaction with brine, the mixture was extracted with EtOAc and the combined organic layers were dried and concentrated to give the desired product (21.9 g, 119%), which was used in the next step without further purification.1H NMR (400 MHz, DMSO-d6$4 j ZZW 1(02'1(-/ #W& +*>$& 1(-+ #O& +>$& 1(,1 #]& +>$& 1(++ #OW& ,>$& 0(32 #^& +>$& 6.83 (dm, 2H), 6.62 (d, 1H), 4.99 (s, 2H), 3.80 (s, 2H), 3.70 (s, 3H), 3.65 (t, 2H), 3.44 (t, 2H), 3.34 (q, 2H), 2.84 (m, 2H), 2.34 (s, 3H), 2.01 (s, 3H), 1.77 (m, 2H), 1.38-0.89 (m, 12H), 0.97 (s, 9H), 0.82 (s, 6H); 139 CBF #/** B>d& OW]Y'O0$ j ZZW +.*(.& +-1(0& +-*(+& ++.(,& ++*(-& 00(-& 0.(.& 0+(1& /3(*& //(/& 40.9, 30.1, 28.1, 27.3, 27.1, 16.4, 10.8; HRMS-ESI (m/z): [M+H]+ calcd for C57H69Cl2N6O5Si: 1015.4475 found: 1015.4474. [544] Step B: (4-methoxyphenyl)methyl 3-[1-[[3-[2-[tert-butyl(diphenyl)silyl]oxyethoxy]-5,7-dimethyl- 1-adamantyl]methyl]-5-methyl-pyrazol-4-yl]-6-(3-chloro-4-methyl-6,7-dihydro-5H-pyrido[2,3- c]pyridazin-8-yl)pyridine-2-carboxylate [545] The mixture of the product from Step A (21.9 g, 21.6 mmol), Cs2CO3 (14 g, 2 eq), DIPEA (7.5 mL, 2 eq) and Pd(Ataphos)2Cl2 (954 mg, 0.1 eq) in 1,4-dioxane (108 mL) was stirred at 110 °C for 18 h. After quenching with water and extracting with EtOAc, the combined organic phases were dried, concentrated, and purified by column chromatography (silica gel, DCM and EtOAc as eluents) to give the desired product (8.4 g, 40%). 1H NMR (400 MHz, DMSO-d6$4 j ZZW 1(2. #O& +>$& 1(01 #O& +>$& 1(0/ #O& 4H), 7.44 (t, 2H), 7.41 (s, 1H), 7.40 (t, 4H), 7.15 (d, 2H), 6.87 (d, 2H), 5.07 (s, 2H), 3.96 (t, 2H), 3.83 (s, 2H), 3.71 (s, 3H), 3.66 (t, 2H), 3.45 (t, 2H), 2.86 (t, 2H), 2.29 (s, 3H), 2.08 (s, 3H), 1.97 (qn, 2H), 1.38 (s, 2H), 1.25/1.18 (d+d, 4H), 1.18/1.12 (d+d, 4H), 1.01/0.93 (d+d, 2H), 0.97 (s, 9H), 0.82 (s, 6H); 13C NMR (100 MHz, DMSO-d6$ j ZZW +00(2& +/3(1& +/0(-& +/-(0& +/*(2& +.1(1& +.*(+& +-1(0& +-1(-& +-0(*& +-/(0& 133.8, 130.2, 130.2, 129.1, 128.2, 127.7, 123.0, 120.4, 115.6, 114.3, 74.2, 66.8, 64.4, 61.7, 59.3, 55.6, 49.9, 46.8, 46.0, 46.0, 43.3, 39.7, 33.6, 30.1, 27.1, 24.6, 21.0, 19.3, 15.5, 10.8; HRMS-ESI (m/z): [M+H]+ calcd for C57H68ClN6O5Si: 979.4709 found: 979.4710. [546] Step C: (4-methoxyphenyl)methyl 6-(3-chloro-4-methyl-6,7-dihydro-5H-pyrido[2,3-c]pyridazin- 8-yl)-3-[1-[[3-(2-hydroxyethoxy)-5,7-dimethyl-1-adamantyl]methyl]-5-methyl-pyrazol-4-yl]pyridine-2- carboxylate [547] To the product from Step B (8.4 g, 8.6 mmol) in THF (86 mL) was added a 1 M solution of TBAF in THF (9.4 mL, 1.1 eq) at 0 °C and the reaction mixture was stirred at room temperature for 1.5 h. After
quenching with a saturated solution of NH4Cl and extracted with EtOAc, the combined organic phases were washed with brine, dried, concentrated, and purified by column chromatography (silica gel, DCM and MeOH as eluents) to give the desired product (4.7 g, 74%). 1H NMR (400 MHz, DMSO-d6$4 j ZZW 7.85 (d, 1H), 7.70 (d, 1H), 7.39 (s, 1H), 7.18 (d, 2H), 6.90 (d, 2H), 5.10 (s, 2H), 4.45 (t, 1H), 3.96 (t, 2H), 3.84 (s, 2H), 3.74 (s, 3H), 3.40 (q, 2H), 3.33 (t, 2H), 2.86 (t, 2H), 2.29 (s, 3H), 2.09 (s, 3H), 1.98 (qn, 2H), 1.39 (s, 2H), 1.27/1.21 (d+d, 4H), 1.18/1.12 (d+d, 4H), 1.03/0.94 (d+d, 2H), 0.84 (s, 6H); 13C NMR (100 MHz, DMSO-d6$ j ZZW +00(2& +/3(1& +/0(-& +/-(0& +/*(2& +.1(2& +.*(,& +-1(0& +-1(-& +-0(*& +-*(,& 129.1, 127.7, 123.0, 120.4, 115.6, 114.3, 74.0, 66.8, 62.2, 61.5, 59.0, 55.6, 50.0, 46.9, 46.0, 46.0, 43.3, 39.7, 33.5, 30.1, 24.6, 21.0, 15.5, 10.9; HRMS-ESI (m/z): [M+H]+ calcd for C41H50ClN6O5: 741.3531 found: 741.3530. [548] Step D: (4-methoxyphenyl)methyl 6-[3-(1,3-benzothiazol-2-ylamino)-4-methyl-6,7-dihydro-5H- pyrido[2,3-c]pyridazin-8-yl]-3-[1-[[3-(2-hydroxyethoxy)-5,7-dimethyl-1-adamantyl]methyl]-5-methyl- pyrazol-4-yl]pyridine-2-carboxylate [549] The mixture of the product from Step C (4.7 g, 6.3 mmol), 1,3-benzothiazol-2-amine (1.9 g, 2 eq), Pd2dba3 (580 mg, 0.1 eq), XantPhos (730 mg, 0.2 eq), and DIPEA (3.3 mL, 3 eq) in cyclohexanol (38 mL) was stirred at 130 °C for 2 h. Purification by column chromatography (silica gel, heptane, EtOAc and MeCN as eluents) afforded the desired product (3.83 g, 71%). 1H NMR (400 MHz, DMSO-d6$4 j ppm 7.95 (d, 1H), 7.81 (brd, 1H), 7.69 (d, 1H), 7.49 (brs, 1H), 7.39 (s, 1H), 7.35 (m, 1H), 7.19 (m, 2H), 7.16 (m, 1H), 6.91 (m, 2H), 5.10 (s, 2H), 4.46 (t, 1H), 3.99 (m, 2H), 3.85 (s, 2H), 3.75 (s, 3H), 3.40 (m, 2H), 3.34 (t, 2H), 2.85 (t, 2H), 2.32 (s, 3H), 2.11 (s, 3H), 1.99 (m, 2H), 1.45-0.9 (m, 12H), 0.84 (s, 6H); HRMS-ESI (m/z): [M+H]+ calcd for C48H55N8O5S: 855.4016 found: 855.4011. [550] Step E: (4-methoxyphenyl)methyl 6-[3-(1,3-benzothiazol-2-ylamino)-4-methyl-6,7-dihydro-5H- pyrido[2,3-c]pyridazin-8-yl]-3-[1-[[3,5-dimethyl-7-[2-(p-tolylsulfonyloxy)ethoxy]-1-adamantyl]methyl]- 5-methyl-pyrazol-4-yl]pyridine-2-carboxylate [551] To the product from Step D (3.83 g, 4.48 mmol) and triethylamine (1.87 mL, 3 eq) in DCM (45 mL) was added p-tolylsulfonyl 4-methylbenzenesulfonate (2.19 g, 1.5 eq) and the reaction mixture was stirred for 2 h. Purification by column chromatography (silica gel, heptane and EtOAc as eluents) afforded 2.5 g (55%) of the desired product. 1H NMR (400 MHz, DMSO-d6$4 j ZZW 1(3/ #O& +>$& 1(2+ (brs, 1H), 7.76 (m, 2H), 7.45 (brs, 1H), 7.45 (m, 2H), 7.40 (s, 1H), 7.35 (m, 1H), 7.18 (m, 2H), 7.17 (m, 1H), 6.97 (d, 1H), 6.90 (m, 2H), 5.10 (s, 2H), 4.05 (m, 2H), 4.00 (m, 2H), 3.82 (s, 2H), 3.74 (s, 3H), 3.47 (m, 2H), 2.85 (m, 2H), 2.40 (s, 3H), 2.32 (s, 3H), 2.10 (s, 3H), 1.98 (m, 2H), 1.87-1.34 (m, 12H), 0.81 (s, 6H); HRMS-ESI (m/z): [M+H]+ calcd for C55H61N8O7S2: 1009.4104 found: 1009.4102. [552] Preparation G: Methyl 2-(tert-butoxycarbonylamino)-5-[3-(2-fluoro-4-iodo- phenoxy)propyl]thiazole-4-carboxylate
[553] Step A: methyl 2-(tert-butoxycarbonylamino)-5-iodo-thiazole-4-carboxylate [554] 50.00 g methyl 2-(tert-butoxycarbonylamino)thiazole-4-carboxylate (193.55 mmol, 1 equiv) was suspended in 600 mL dry MeCN.52.25 g N-iodo succinimide (232.30 mmol, ) was added and the resulting mixture was stirred overnight at room temperature. [555] The reaction mixture was diluted with saturated brine, then it was extracted with EtOAc. The combined organic layers were extracted with 1 M Na2S2O3, then with brine again. Then dried over Na2SO4, filtered and the filtrate was concentrated under reduced pressure. The crude product was purified via flash chromatography using heptane as eluent to obtain 60 g of the desired product (156 mmol, 80% Yield). 1H NMR (400 MHz, DMSO-d6$4 j ZZW +,(*-)++(*0 #M\ ]$& -(12 #]& ->$& +(.1 #]& 3>$513C NMR (100 MHz, DMSO-d6$ j ZZW +/-(2& 2,(/& 11(1& /,(-& ,2(-5 >FBG';G? #W)d$4 JB%>K+ calcd for C10H14IN2O4S: 384.9713; found 384.9708. [556] Step B: methyl 2-(tert-butoxycarbonylamino)-5-(3-hydroxyprop-1-ynyl)thiazole-4-carboxylate [557] A 500 mL oven-dried, one-necked, round-bottom flask was equipped with a PTFE-coated magnetic stirring bar and fitted with a reflux condenser. It was charged with 9.6 g of the product from Step A (25 mmol, 1 equiv), 2.80 g prop-2-yn-1-ol (2.91 mL, 50 mmol, 2 equiv) and 36.10 g DIPA (50 mL, 356.8 mmol, 14.27 equiv) then 125 mL dry THF was added and the system was flushed with argon. After 5 minutes stirring under inert atmosphere 549 mg Pd(PPh3)2Cl2 (1.25 mmol, 0.05 equiv) and 238 mg CuI (1.25 mmol, 0.05 equiv) was added. The resulting mixture was then warmed up to 60°C and stirred at that temperature until no further conversion was observed. Celite was added to the reaction mixture and the volatiles were removed under reduced pressure. Then it was purified via flash chromatography using heptane and EtOAc as eluents to give 7.30 g of the desired product (23 mmol, 93% Yield) as a yellow solid. 1H NMR (400 MHz, DMSO-d6$4 j ZZW +,(+ #M\ ]& +>$& /(./ #^& +>$& .(-0 #O& 2H), 3.79 (s, 3H), 1.48 (s, 9H); 13C NMR (100 MHz, DMSO-d6$ j ZZW +,(+ #M\ ]& +>$& /(./ #^& +>$& .(-0 (d, 2H), 3.79 (s, 3H), 1.48 (s, 9H); HRMS-ESI (m/z): [M+H]+ calcd for C13H17N2O5S: 313.0852, found 313.0866. [558] Step C: methyl 2-(tert-butoxycarbonylamino)-5-(3-hydroxypropyl)thiazole-4-carboxylate [559] An 1 L oven-dried pressure bottle equipped with a PTFE-coated magnetic stir bar was charged with 44.75 g of the product from Step B (143.3 mmol, 1 equiv), 7.62 Pd/C ( 7.17 mmol, 0.05 equiv) in
340 mL ethanol, and then placed under a nitrogen atmosphere using hydrogenation system. After that, it was filled with 4 bar H2 gas and stirred at rt overnight. Full conversion was observed, but only the olefin product was formed. After filtration of the catalysts through a pad of Celite, the whole procedure was repeated with 5 mol% new catalysts. The resulting mixtures were stirred overnight to get full conversion. Celite was added to the reaction mixtures and the volatiles were removed under reduced pressure. Then it was purified via flash chromatography column using heptane and EtOAc as eluents to give 31.9 g of the desired product (101 mmol, 70.4% Yield) as light-yellow crystals. 1H NMR (500 MHz, DMSO-d6$4 j ppm 11.61 (br s, 1H), 4.54 (t, 1H), 3.76 (s, 3H), 3.43 (m, 2H), 3.09 (t, 2H), 1.74 (m, 2H), 1.46 (s, 9H); 13C NMR (125 MHz, DMSO-d6$ j ZZW +0,(2& +.-(+& +-/(.& 0*(-& /+(3& -.(/& ,2(-& ,-(.5 >FBG';G? #W)d$4 [M+H]+ calcd for C13H21N2O5S: 317.1165, found 317.1164 (M+H). [560] Step D: methyl 2-(tert-butoxycarbonylamino)-5-[3-(2-fluoro-4-iodo-phenoxy)propyl]thiazole-4- carboxylate [561] A 250 mL oven-dried, one-necked, round-bottomed flask equipped with a PTFE-coated magnetic stir bar, was charged with 3.40 g 2-fluoro-4-iodo-phenol (14 mmol, 1 equiv), 5.00 g of the product from Step C (16 mmol, 1.1 equiv) and 4.10 g PPh3 (16 mmol, 1.1 equiv) dissolved in 71 mL dry toluene. After 5 min stirring under nitrogen atmosphere, 3.10 mL DIAD (3.20 g, 16 mmol, 1.1 equiv) was added in one portion while the reaction mixture warmed up. Then the reaction mixture was heated up to 50°C and stirred at that temperature for 30 min, when the reaction reached complete conversion. The reaction mixture was directly injected onto a preconditioned silica gel column, and then it was purified via flash chromatography using heptane and EtOAc as eluents. The crude product was crystalized from MeOH to give 4.64 g of the desired product (9.24 mmol, 66% Yield). 1H NMR (500 MHz, DMSO-d6$ j ZZW ++(0. (br s, 1H), 7.59 (dd, 1H), 7.45 (dd, 1H), 6.98 (t, 1H), 4.06 (t, 2H), 3.73 (s, 3H), 3.22 (t, 2H), 2.06 (m, 2H), 1.46 (s, 9H); 13C NMR (125 MHz, DMSO-d6$ j ZZW +-.& +,.(3& ++1(0& 02(,& /+(3& -*(/& ,2(-& ,-(,5 HRMS-ESI (m/z): [M+H]+ calcd for C19H23N2O5FSI: 537.0350; found 537.0348. [562] Preparation H: Methyl 2-(3-chloro-4-methyl-6,7-dihydro-5H-pyrido[2,3-c]pyridazin-8-yl)-5- [3-(2-fluoro-4-iodo-phenoxy)propyl]thiazole-4-carboxylate
[563] Step A: methyl 2-{[(tert-butoxy)carbonyl][3-(3,6-dichloro-5-methylpyridazin-4- yl)propyl]amino}-5-[3-(2-fluoro-4-iodophenoxy)propyl]-1,3-thiazole-4-carboxylate [564] Using Mitsunobu General Procedure I starting from 4.85 g Preparation G (9.04 mmol, 1 equiv) as the appropriate carbamate and 2 g Preparation A (9.04 mmol, 1 equiv) as the appropriate alcohol, 4.6 g of the desired product (69% Yield) was obtained. 1H NMR (500 MHz, DMSO-d6$ j ZZW 1(/0 #OO& +>$& 1(.. (dm, 1H), 7.08 (m, 2H), 6.96 (t, 1H), 4.05 (t, 2H), 3.75 (s, 3H), 3.21 (t, 2H), 2.82 (m, 2H), 2.4 (s, 3H), 2.06 (m, 2H), 1.88 (m, 2H), 1.48 (s, 9H); 13C NMR (125 MHz, DMSO-d6$ j ZZW +0,(1& +/1(0& +/0(1& 156.5/153.2, 152.2, 147, 142.1, 139.8, 134, 124.9, 117.6, 84, 82.4, 68.1, 52.1, 46.1, 30.4, 28.1, 27.5, 25.8, 23.1, 16.4; HRMS-ESI (m/z): [M+H]+ calcd for C27H31Cl2FIN4O5S: 739.0415, found 739.0395. [565] Step B: methyl 2-[3-(3,6-dichloro-5-methyl-pyridazin-4-yl)propylamino]-5-[3-(2-fluoro-4-iodo- phenoxy)propyl]thiazole-4-carboxylate [566] Using Deprotection with HFIP General Procedure starting from the product from Step A as the appropriate carbamate, 3.70 g the desired product (97% Yield) was obtained.1H NMR (500 MHz, DMSO-d6$ j ZZW 1(1+ #^& + >$& 1(/3 #OO& + >$& 1(.. #OW& + >$& 0(30 #^& + >$& .(*- #^& , >$& -(1 #]& - >$& 3.29 (m, 2 H), 3.11 (t, 2 H), 2.84 (m, 2 H), 2.39 (s, 3 H), 2 (m, 2 H), 1.76 (m, 2 H); 13C NMR (125 MHz, DMSO-d6$ j ZZW +0.(0& +0-& +/,(-& +.1(+& +-.(+& +,.(2& ++1(0& 2,(.& 02(+& /+(3& ..& -*(1& ,2& ,0(3& ,-(-& 16.4; HRMS-ESI (m/z): [M+H]+ calcd for C22H23Cl2FIN4O3S: 638.9891, found 638.9888. [567] Step C: methyl 2-(3-chloro-4-methyl-6,7-dihydro-5H-pyrido[2,3-c]pyridazin-8-yl)-5-[3-(2-fluoro- 4-iodo-phenoxy)propyl]thiazole-4-carboxylate [568] A suspension of 3 g of the product from Step B (4.69 mmol, 1 eq) and 1.81 g cesium carbonate (9.3853 mmol, 2 eq.) were stirred at 80°C for 3 h in 25 mL dry 1,4-dioxane to reach complete conversion. Reaction mixture directly was evaporated to Celite, and then purified by flash chromatography on using DCM-MeOH as eluents to obtain 2.67 g of the title compound (94% Yield).1H NMR (500 MHz, DMSO- d6$ j ZZW 1(/1 #OO& +>$& 1(.- #OW& +>$& 0(31 #^& +>$& .(,- #^& , >$& .(*2 #^& , >$& -(11 #]& - >$& -(,, #^& , H), 2.86 (t, 2 H), 2.29 (s, 3 H), 2.08 (m, 2 H), 2.03 (m, 2 H); 13C NMR (125 MHz, DMSO-d6$ j ZZW
163.1, 155.4, 152.2, 151.6, 151.2, 147, 142.5, 136, 134.8, 134, 128.9, 124.9, 117.6, 82.3, 68.4, 51.9, 46.3, 30.7, 24.2, 23, 19.7, 15.7; HRMS-ESI (m/z): [M+H]+ calcd for C22H22ClFIN4O3S: 603.0124, found 603.0108. [569] Preparation I: Methyl 2-[3-(1,3-benzothiazol-2-ylamino)-4-methyl-6,7-dihydro-5H- pyrido[2,3-c]pyridazin-8-yl]-5-[3-[2-fluoro-4-(3-hydroxyprop-1-ynyl)phenoxy]propyl]thiazole-4- carboxylate
[570] Step A: methyl 5-[3-[4-[3-[tert-butyl(dimethyl)silyl]oxyprop-1-ynyl]-2-fluoro-phenoxy]propyl]-2- (3-chloro-4-methyl-6,7-dihydro-5H-pyrido[2,3-c]pyridazin-8-yl)thiazole-4-carboxylate [571] Using Sonogashira General Procedure starting from 4.00 g of Preparation H (6.63 mmol, 1.0 eq.) and 2.26 g tert-butyl-dimethyl-prop-2-ynoxy-silane (13.27 mmol, 2 eq.) as the appropriate acetylene, 2.80 g of the desired product (65% Yield) was obtained. 1H NMR (500 MHz, DMSO-d6$ j ZZW 1(,1 #OO& +>$& 7.19 (dd, 1H), 7.14 (t, 1H), 4.51 (s, 1H), 4.25 (m, 2H), 4.12 (t, 2H), 3.77 (s, 3H), 3.24 (t, 2H), 2.87 (t, 2H), 2.3 (s, 3H), 2.1 (quint., 2H), 2.03 (m, 2H), 0.88 (s, 9H), 0.12 (s, 6H); 13C NMR (125 MHz, DMSO-d6$ j ppm 163.0, 128.9, 119.1, 115.5, 68.3, 52.1, 51.9, 46.3, 30.7, 26.2, 24.2, 23.0, 19.7, 15.7, -4.6; HRMS-ESI (m/z): [M+H]+ calcd for C31H39ClFN4O4SSi: 645.2128, found 645.2120. [572] Step B: methyl 2-[3-(1,3-benzothiazol-2-ylamino)-4-methyl-6,7-dihydro-5H-pyrido[2,3- c]pyridazin-8-yl]-5-[3-[4-[3-[tert-butyl(dimethyl)silyl]oxyprop-1-ynyl]-2-fluoro- phenoxy]propyl]thiazole-4-carboxylate [573] Using Buchwald General Procedure II starting from 2.8 g of the product from Step A (4.34 mmol, 1.0 eq.) and 1.30 g 1,3-benzothiazol-2-amine (8.67 mmol, 2.0 eq.), 2.1 g of the desired product (64% Yield) was obtained. 1H NMR (500 MHz, DMSO-d6$ j ZZW +,(,/)+*(3+ #M\] +>$& 1(22 #M\& +>$& 1(/+ #M\& 1H), 7.37 (t, 1H), 7.29 (dd, 1H), 7.2 (t, 1H), 7.2 (dd, 1H), 7.17 (t, 1H), 4.49 (s, 2H), 4.25 (t, 2H), 4.14 (t, 2H), 3.77 (s, 3H), 3.27 (t, 2H), 2.86 (t, 2H), 2.32 (s, 3H), 2.13 (qn, 2H), 2.04 (qn, 2H), 0.87 (s, 9H), 0.1 (s, 6H); 13C NMR (125 MHz, DMSO-d6$ j ZZW +0-(,& +//(1& +/+(0& +.2(/& +.1(0& +.+(/& +,2(3& +,1(0& 126.5, 122.5, 122.3, 119.1, 116.9, 115.5, 114.8, 88.2, 84, 68.4, 52.1, 51.9, 46.4, 31, 26.2, 24, 23.1, 20.4, 12.9, -4.6; HRMS-ESI (m/z): [M+H]+ calcd for C38H44FN6O4S2Si: 759.2613, found 759.2609.
[574] Step C: methyl 2-[3-(1,3-benzothiazol-2-ylamino)-4-methyl-6,7-dihydro-5H-pyrido[2,3- c]pyridazin-8-yl]-5-[3-[2-fluoro-4-(3-hydroxyprop-1-ynyl)phenoxy]propyl] thiazole-4-carboxylate [575] A 100 mL oven-dried, one-necked, round-bottom flask was equipped with a PTFE-coated magnetic stirring bar and fitted with a reflux condenser. It was charged with 2.10 g of the product from Step B (2.76 mmol, 1.0 eq.) dissolved in 15 mL THF. Then 3.32 mL TBAF (3.32 mmol, 1.2 eq., 1 M in THF) was added dropwise via syringe over a period of 2 minutes, and stirred at that temperature for 30 min. The reaction mixture was quenched with saturated NH4Cl, then directly evaporated to Celite and it was purified via flash chromatography using heptane- EtOAc as eluents to give 1.6 g of the desired product (90% Yield). 1H NMR (500 MHz, DMSO-d6$ j ZZW ++(+. #M\]& +>$& 1(2- #M\O& +>$& 1(.3 #M\]& 1H), 7.36 (m, 1H), 7.24 (dd, 1H), 7.19 (m, 1H), 7.18 (dm, 1H), 7.15 (t, 1H), 5.08 (t, 1H), 4.28 (m, 2H), 4.27 (d, 2H), 4.17 (t, 2H), 3.8 (s, 3H), 3.29 (m, 2H), 2.89 (m, 2H), 2.35 (s, 3H), 2.15 (m, 2H), 2.07 (m, 2H); HRMS-ESI (m/z): [M+H]+ calcd for C32H30FN6O4S2: 645.1748, found 645.1738. [576] Preparation of PMB protected P5: (4-methoxyphenyl)methyl 6-[3-(1,3-benzothiazol-2- ylamino)-4-methyl-6,7-dihydro-5H-pyrido[2,3-c]pyridazin-8-yl]-3-[1-[[3-[2-(3- hydroxypropylamino)ethoxy]-5,7-dimethyl-1-adamantyl]methyl]-5-methyl-pyrazol-4-yl]pyridine-2- carboxylate
[577] To the product from Preparation F in a 1:1 mixture of acetonitrile and N-methyl-2-pyrrolidone (10 ml/mmol) was added 3-aminopropan-1-ol (3-10 eq) and the reaction mixture was stirred at 50 °C for 2-24 h. After the purification of the product by preparative reversed phase chromatography, the desired product was obtained. [578] HRMS-ESI (m/z): [M+H]+ calcd for C51H62N9O5S: 912.4591, found 912.4581. [579] Preparation of P5: 6-[3-(1,3-benzothiazol-2-ylamino)-4-methyl-6,7-dihydro-5H-pyrido[2,3- c]pyridazin-8-yl]-3-[1-[[3-[2-(3-hydroxypropylamino)ethoxy]-5,7-dimethyl-1-adamantyl]methyl]-5- methyl-pyrazol-4-yl]pyridine-2-carboxylic acid
[580] After treating (4-methoxyphenyl)methyl 6-[3-(1,3-benzothiazol-2-ylamino)-4-methyl-6,7- dihydro-5H-pyrido[2,3-c]pyridazin-8-yl]-3-[1-[[3-[2-(3-hydroxypropylamino)ethoxy]-5,7-dimethyl-1- adamantyl]methyl]-5-methyl-pyrazol-4-yl]pyridine-2-carboxylate with TFA (15 eq) in DCM (20 mL/mmol) for 18 h, the desired product was obtained by preparative reversed phase chromatography. [581] HRMS-ESI (m/z): [M+H]+ calcd for C43H54N9O4S: 792.4014, found: 792.4012. [582] Preparation of P6: 2-[3-(1,3-Benzothiazol-2-ylamino)-4-methyl-6,7-dihydro-5H-pyrido[2,3- c]pyridazin-8-yl]-5-[3-[4-[3-(dimethylamino)prop-1-ynyl]-2-fluoro-phenoxy]propyl]thiazole-4- carboxylic acid
[583] Using Propargylic amine preparation General Procedure starting from Preparation I and dimethylamine as the appropriate amine. Then Hydrolysis General Procedure starting from the appropriate methyl ester, the desired product was obtained. HRMS-ESI (m/z): [M+H]+ calcd for C34H35FN7O3S2: 672.2221, found 672.2205. [584] c. Preparation of Bcl2 Payloads [585] General Procedures
[586] General procedure 1a-Buchwald [587] The appropriate aryl bromide (1 eq.), the appropriate aniline (1.1 eq.), 2-di-tert-butylphosphino- 2',4',6'-triisopropylbiphenyl (0.04 eq.) and NaOtBu (2 eq.) were suspended in toluene (3 mL/mmol aryl bromide). The mixture was sparged with N2 and then Pd2(dba)3 (0.04 eq.) was added, and the mixture was heated for 1 h at 110°C under microwave irradiation or at 70°C under a N2 atmosphere until complete conversion was observed. The mixture was allowed to cool to rt, diluted with water and filtered through a celite cartridge. The filtrate was partitioned between EtOAc and water. The phases were separated, and the aqueous phase was extracted with EtOAc. The combined organic phases were dried over MgSO4 and concentrated in vacuo. The crude material was purified by automated flash chromatography using heptane and EtOAc as eluents. [588] General procedure 1b - Buchwald [589] To a solution of the appropriate aryl bromide (1 eq.) and the appropriate aniline (1 eq.) in THF (4.5 mL/mmol aryl bromide) was added NaOtBu (1 eq.) and chloro(2-di-t-butylphosphino-2',4',6'-tri-i- propyl-1,1'-biphenyl)[2-(2-aminoethyl)phenyl] palladium(II) [t-BuXPhos Palladacycle Gen.1] (0.04 eq.) and the mixture was stirred at rt under N2 until complete conversion was observed. The mixture was diluted with water and the organic layer was extracted with EtOAc. The combined organic layers were washed with brine, dried over MgSO4 and concentrated in vacuo. The crude material was purified by automated flash chromatography using heptane or MeOH and EtOAc as eluents. [590] General procedure 2a – Amide coupling [591] To a solution of the appropriate acid (1 eq.) in DCE (12 mL/mmol acid) was added 4Å molecular sieves followed by 1-chloro-N,N,2-trimethyl-1-propenylamine (2 eq.) and then the mixture was stirred under N2 at rt for 30 mins. A solution of the appropriate aniline (1.5 eq.) and pyridine (2 eq.) in DCE (2.5 mL/mmol aniline) was added and the mixture stirred at 80°C under N2 for 18 h. The mixture was allowed to cool to rt and partitioned between DCM and water. The phases were separated, and the organic phase was washed with sat. aq. NaHCO3 solution, dried over MgSO4 and concentrated in vacuo. The crude material was purified by automated flash chromatography using heptane and EtOAc or DCM and MeOH as eluents. [592] General procedure 2b – Amide coupling [593] To a solution of the appropriate acid (1 eq.) in DCM (12 mL/mmol acid) was added oxalyl dichloride (1.7 eq.) and then the mixture was stirred under N2 at rt for 30 mins. The solution was concentrated in vacuo at rt then the appropriate aniline (1.2 eq.) in DCE (12 mL/mmol acid) was added and the mixture was stirred at 80°C under N2 for 4-18 h. The reaction mixture was concentrated in vacuo and the crude material was purified by automated flash chromatography using DCM and MeOH as eluents.
[594] General procedure 4a – Amide coupling [595] To a solution of the appropriate amine (1 eq.) in DMF (6 mL/mmol amine) was added the appropriate carboxylic acid (1.5 eq.) followed by DIPEA (2 eq.) and HATU (1 eq.) and the mixture was stirred at rt until complete conversion was observed. The reaction mixture was partitioned between DCM and water. The phases were separated and the organic phase dried over MgSO4 and concentrated. Purification by automated flash chromatography using DCM and MeOH as eluents was followed by preparative HPLC automated flash chromatography at pH 9 or pH 4, using water and MeCN as eluents. [596] General procedure 7a O-Alkylation [597] A stirred suspension of the appropriate phenol (1 eq.) and K2CO3 (5 eq.) in MeCN (5-10 mL/mmol) was heated at 70°C for 20 min. The appropriate alkyl halide (1.6 eq.) was added, and heating continued until complete conversion was observed. The mixture was allowed to cool to rt and filtered, washing with EtOAc. The filtrate was concentrated in vacuo and the residue was purified by automated flash chromatography using heptane and EtOAc or DCM and MeOH as eluents. [598] General procedure 8 Ester hydrolysis [599] A solution of the appropriate ester (1 eq.) in MeOH (3-11 mL/mmol) was treated with 2 M aq. NaOH solution (2 eq.) and stirred at rt for 24 h. The MeOH was removed in vacuo and the aqueous residue was neutralised with 2 M aq. HCl solution and then purified by reverse phase automated flash chromatography using water and MeCN as eluents. [600] Preparation I: 2-benzyloxycarbonyl-6-(4-ethoxycarbonyl-1,5-dimethyl-pyrrol-2-yl)-3,4- dihydro-1H-isoquinoline-7-carboxylic acid
[601] The synthesis of the title compound is described in WO2015/011164 A1, in Example 805 Step B. [602] Preparation IIa: 5-[2-(tert-butoxycarbonyl)-7-{[(3R)-3-methyl-3,4-dihydro-1H-isoquinolin- 2-yl]carbonyl}-3,4-dihydro-1H-isoquinolin-6-yl]-1,2-dimethylpyrrole-3-carboxylic acid
[603] Step A: (3R)-3-methyl-1,2,3,4-tetrahydroisoquinoline hydrochloride [604] The synthesis of the title compound is described in WO2015/011164 A1 at Preparation 2b. [605] Step B: benzyl 6-[4-(ethoxycarbonyl)-1,5-dimethylpyrrol-2-yl]-7-{[(3R)-3-methyl-3,4-dihydro- 1H-isoquinolin-2-yl]carbonyl}-3,4-dihydro-1H-isoquinoline-2-carboxylate
[606] To a solution of Preparation I (3 g, 6.3 mmol, 1 eq.) and the product from Step A (1.27 g, 6.93 mmol, 1.1 eq.) in DMF (30 mL) was added DIPEA (3.13 mL, 18.89 mmol, 3 eq.) and PyBop (3.6 g, 6.93 mmol, 1.1 eq.) and the mixture stirred at rt for 12 h. The mixture was diluted with water (120 mL), stirred for 15 mins and the resultant cream precipitate was collected by filtration, washing with water. The filter cake was dissolved in DCM and washed with sat. aq. NaHCO3 solution and water, dried over MgSO4 and concentrated in vacuo to afford the title product (3.7 g, 6.11 mmol, 97%). [607] HRMS calcd for C37H39N3O5: 605.289, found 606.296 [M+H]+ [608] 1H NMR (400 MHz, DMSO-d6$ j ZZW41(/, h 0(1/ #W& ++>$& 0(.- h 0(** #W& +>$& /(-3 h +(3/ (m, 21H), 1.31 – 0.49 (m, 6H).
[609] Step C: ethyl 1,2-dimethyl-5-(7-{[(3R)-3-methyl-3,4-dihydro-1H-isoquinolin-2-yl]carbonyl}- 1,2,3,4-tetrahydroisoquinolin-6-yl)pyrrole-3-carboxylate
[610] To a solution of the product from Step B (3.7 g, 6.11 mmol, 1 eq.) in MeOH (70 mL) and EtOH (20 mL) was added 10% Pd/C (100 mg). The mixture was evacuated and backfilled with N2, then evacuated and flushed with H2 and then shaken at rt for 6 h under an atmosphere of H2. The mixture was filtered through a celite cartridge, washing with EtOH. The solvent was removed in vacuo to afford the title product (2.94 g, quant.). [611] HRMS calcd for C29H33N3O3: 471.252, found 472.259 [M+H]+ [612] 1H NMR (400 MHz, DMSO-d6$ j ZZW41(,. h 0(2+ #W& 0>$& 0(.* h /(33 #W& +>$& /(-. h +(3- #W& 19H), 1.30 – 0.52 (m, 7H). [613] Step D: tert-butyl 6-[4-(ethoxycarbonyl)-1,5-dimethylpyrrol-2-yl]-7-{[(3R)-3-methyl-3,4-dihydro- 1H-isoquinolin-2-yl]carbonyl}-3,4-dihydro-1H-isoquinoline-2-carboxylate
[614] To a solution of the product from Step C (2.94 g, 6.23 mmol, 1 eq.) in THF (45 mL) and water (6 mL) was added bis(tert-butyl) dicarbonate (1.43 g, 6.55 mmol, 1.05 eq.) followed by TEA (1.73 mL, 12.47 mmol, 2 eq.) and the mixture stirred at rt for 12 h. The solvents were removed in vacuo and the residue partitioned between EtOAc and sat aq. NH4Cl solution. The phases were separated, and the
organic phase was washed with sat. aq. NaCl solution, dried over MgSO4 and concentrated in vacuo to afford the title product (3.39 g, 5.93 mmol, 95%). [615] HRMS calcd for C34H41N3O5: 571.305, found 572.315 [M+H]+ [616] 1H NMR (400 MHz, DMSO-d6$ j ZZW41(-- h 0(13 #W& 0>$& 0(.+ h 0(** #W& +>$& /(-. h +(33 #W& 19H), 1.51 – 1.37 (m, 9H), 1.28 – 0.52 (m, 6H). [617] Step E: 5-[2-(tert-butoxycarbonyl)-7-{[(3R)-3-methyl-3,4-dihydro-1H-isoquinolin-2- yl]carbonyl}-3,4-dihydro-1H-isoquinolin-6-yl]-1,2-dimethylpyrrole-3-carboxylic acid [618] LiOH.H2O (995 mg, 23.72 mmol, 4 eq.) was added to a solution of the product from Step D (3.39 g, 5.93 mmol, 1 eq.) in a mixture of MeOH (40 mL) and water (20 mL) and heated at 100°C for 24 h. The mixture was allowed to cool to rt and MeOH removed in vacuo. The aqueous residue was acidified with 1 M aq. HCl solution to pH 5, diluted with water (10 mL) and extracted with DCM. The combined organic extracts were dried over MgSO4 and concentrated in vacuo. Purification by automated flash chromatography eluting with a gradient of 0 - 6% MeOH in DCM afforded the title product (3.1 g, 5.7 mmol, 96%). [619] HRMS calcd for C32H37N3O5: 543.273, found 544.283 [M+H]+ [620] 1H NMR (400 MHz, DMSO-d6$ j ZZW4 ++(/- #]& +>$& 1(-, h 0(2* #W& 0>$& 0(-2 h 0(*0 #W& +>$& 5.37 – 1.89 (m, 17H), 1.50 – 1.38 (m, 9H), 1.08 – 0.50 (m, 3H). [621] Preparation IIIa: 4-[(tert-butyldimethylsilyl)oxy]aniline
[622] To a solution of imidazole (13.72 g, 201.6 mmol, 2.5 eq.) and 4-aminophenol (8.8 g, 80.64 mmol, 1 eq.) in MeCN (150 mL), cooled to 0°C under N2, was added TBDMSCl (12.76 g, 84.67 mmol, 1.05 eq.). The mixture was allowed to warm to rt and stirred for 4 h. The mixture was partitioned between EtOAc and water. The phases were separated, and the organic phase was washed with brine, dried over MgSO4 and concentrated in vacuo. The residue was diluted with heptane (40 mL) and left to stir for 1 h. The precipitate was removed by filtration and the filtrate concentrated in vacuo to afford the title product (19.6 g, quant.). [623] HRMS calcd for (C12H21NOSi): 223.139, found 224.162 [M+H]+
[624] 1H NMR (400 MHz, DMSO-d6$ j ZZW40(/0 h 0(.2 #W& ,>$& 0(.2 h 0(.* #W& ,>$& .(21 #M\ ]& ,>$& 0.92 (s, 9H), 0.10 (s, 6H). [625] Preparation IVa: N-(5-cyano-1,2-dimethylpyrrol-3-yl)-N-(4-hydroxyphenyl)-1,2-dimethyl-5- (7-{[(3R)-3-methyl-3,4-dihydro-1H-isoquinolin-2-yl]carbonyl}-1,2,3,4-tetrahydroisoquinolin-6- yl)pyrrole-3-carboxamide hydrochloride
[626] Step A: 4-bromo-1,5-dimethylpyrrole-2-carbonitrile
[627] A solution of Br2 (6.74 mL, 131.08 mmol, 1.05 eq.) in AcOH (70 mL) was added dropwise to a solution of 1,5-dimethylpyrrole-2-carbonitrile (15 g, 124.84 mmol, 1 eq.) in AcOH (250 mL), cooled to 10°C. The mixture was stirred at 10°C for 1 h, and then allowed to warm to rt, and again stirred for 3 h. The mixture was poured into ice water (500 mL) and the resulting precipitate was collected by filtration, washed with water, and dried in vacuo to afford the title product, (23.7 g, 119.07 mmol, 95%). [628] 1H NMR (400 MHz, DMSO-d6$ j ZZW41(*/ #]& +>$& -(0/ #]& ->$& ,(,, #]& ->$( [629] Step B: 4-({4-[(tert-butyldimethylsilyl)oxy]phenyl}amino)-1,5-dimethylpyrrole-2-carbonitrile
[630] Using General procedure 1a and the product from Step A (6.1 g, 30.65 mmol, 1 eq.) as the appropriate aryl bromide and Preparation IIIa (7.19 g, 32.18 mmol, 1.05 eq.) as the appropriate aniline afforded the title product (8.2 g, 24 mmol, 78%). [631] HRMS calcd for C19H27N3OSi: 341.192, found 342.207 [M+H]+ [632] 1H NMR (400 MHz, DMSO-d6$ j ZZW40(21 #]& +>$& 0(1- #]& +>$& 0(0. h 0(/0 #W& ,>$& 0(/. h 6.46 (m, 2H), 3.61 (s, 3H), 2.09 (s, 3H), 0.92 (s, 9H), 0.12 (s, 6H). [633] Step C: tert-butyl 6-[4-({4-[(tert-butyldimethylsilyl)oxy]phenyl}(5-cyano-1,2-dimethylpyrrol-3- yl)carbamoyl)-1,5-dimethylpyrrol-2-yl]-7-{[(3R)-3-methyl-3,4-dihydro-1H-isoquinolin-2-yl]carbonyl}- 3,4-dihydro-1H-isoquinoline-2-carboxylate
[634] The title compound was prepared according to General procedure 2a using Preparation IIa (2.5 g, 4.6 mmol, 1 eq.) as the appropriate acid and the product from Step B (3.14 g, 9.2 mmol, 2 eq.) as the appropriate aniline. Purification by automated flash chromatography eluting with a gradient of 0 - 6% MeOH in DCM afforded the title product (2.49 g, 2.87 mmol, 62%).
[635] HRMS calcd for C51H62N6O5Si: 866.455, found 867.465 [M+H]+ [636] Step D: N-(5-cyano-1,2-dimethylpyrrol-3-yl)-N-(4-hydroxyphenyl)-1,2-dimethyl-5-(7-{[(3R)-3- methyl-3,4-dihydro-1H-isoquinolin-2-yl]carbonyl}-1,2,3,4-tetrahydroisoquinolin-6-yl)pyrrole-3- carboxamide hydrochloride [637] A solution of the product from Step C (2.8 g, 3.23 mmol, 1 eq.) in MeOH (5 mL) was treated with 3 M HCl in MeOH (10 mL, 30 mmol) and stirred at rt for 3 h. The solvents were removed in vacuo and then dried under high vacuum to afford the title product (2.53 g, quant.). [638] HRMS calcd for C40H40N6O3: 652.316, found 653.326 [M+H]+ [639] Preparation Va: {4-[2-(morpholin-4-yl)ethoxy]phenyl}acetic acid
[641] Using General procedure 7a and methyl 4-hydroxyphenylacetate (2.5 g, 15.04 mmol, 1 eq.) as the appropriate phenol and 4-(2-chloroethyl)morpholine hydrochloride (4.48 g, 24.07 mmol, 1.6 eq.) as the appropriate alkyl halide afforded the title product (3.24 g, 11.59 mmol, 77%). [642] LRMS calcd for (C15H21NO4): 279.2, found 280.2 [M+H]+ [643] 1H NMR (400 MHz, DMSO-d6$ j ZZW41(,* h 1(+, #W& ,>$& 0(3- h 0(2/ #W& ,>$& .(*0 #^& J = 5.8 Hz, 2H), 3.60 (s, 3H), 3.59 (s, 2H), 3.59 – 3.56 (m, 4H), 2.68 (t, J = 5.8 Hz, 2H), 2.50 – 2.43 (m, 4H). [644] Step B: {4-[2-(morpholin-4-yl)ethoxy]phenyl}acetic acid [645] The product from Step A (3.26 g, 11.67 mmol, 1 eq.) was hydrolysed using General procedure 8 to afford the title product (3.1 g, 11.63 mmol, quant). [646] LRMS calcd for (C14H19NO4): 265.1, found 266.2 [M+H]+ [647] 1H NMR (400 MHz, DMSO-d6$ j ZZW41(+/ h 1(*3 #W& ,>$& 0(21 h 0(13 #W& ,>$& .(*. #^& J = 5.8 Hz, 2H), 3.60 – 3.54 (m, 4H), 3.34 (s, 2H), 2.66 (t, J = 5.8 Hz, 2H), 2.49 – 2.42 (m, 4H). [648] Preparation VIa: 1,2-dimethyl-5-(7-{[(3R)-3-methyl-3,4-dihydro-1H-isoquinolin-2- yl]carbonyl}-2-(2-{4-[2-(morpholin-4-yl)ethoxy]phenyl}acetyl)-3,4-dihydro-1H-isoquinolin-6- yl)pyrrole-3-carboxylic acid
[649] Step A: 1,2-dimethyl-5-(7-{[(3R)-3-methyl-3,4-dihydro-1H-isoquinolin-2-yl]carbonyl}-1,2,3,4- tetrahydroisoquinolin-6-yl)pyrrole-3-carboxylic acid hydrochloride
[650] A solution of Preparation IIa (3 g, 5.52 mmol, 1 eq.) in MeOH (20 mL) was treated with 3 M HCl in MeOH (20 mL, 60 mmol) and stirred at rt for 3 h. The solvents were removed in vacuo and dried under vacuum to afford the title product (2.71 g, quant.). [651] LRMS calcd for C27H29N3O3: 443.2, found 444.4 [M+H]+ [652] 1H NMR (400 MHz, DMSO-d6$ j ZZW43(13 h 3(.* #M\ W& ,>$& 1(., h 0(13 #W& 0>$& 0(.- h 0(*. (m, 1H), 5.37 – 1.87 (m, 17H), 1.14 – 0.46 (m, 3H). [653] Step B: 1,2-dimethyl-5-(7-{[(3R)-3-methyl-3,4-dihydro-1H-isoquinolin-2-yl]carbonyl}-2-(2-{4- [2-(morpholin-4-yl)ethoxy]phenyl}acetyl)-3,4-dihydro-1H-isoquinolin-6-yl)pyrrole-3-carboxylic acid [654] To a solution of Preparation Va (1 g, 3.77 mmol, 1 eq) in anhydrous DCM (10 mL) under N2, was slowly added 2 M oxalyl chloride solution in DCM (0.43 mL, 4.52 mmol, 1.2 eq.) followed by DMF (1 drop), and the mixture stirred for 1 h. The solvents were removed in vacuo, the acid chloride intermediate was dissolved in anhydrous DCM (7 mL) and added dropwise to a stirred solution of the product from Step A (1.63 g, 3.39 mmol, 0.9 eq.) and DIPEA (2.5 mL, 15.08 mmol, 4 eq.) in anhydrous DCM (10 mL) under N2. The mixture was stirred at rt for 2 h, then quenched with MeOH (5 mL) and concentrated
in vacuo. Purification by automated flash chromatography eluting with a gradient of 0 - 8% MeOH in DCM afforded the title product (1.2 g, 1.74 mmol, 46%). [655] LRMS calcd for (C41H46N4O6): 690.3, found 691.6 [M+H]+ [656] 1H NMR (400 MHz, DMSO-d6$ j ZZW4 ++(/- #]& +>$& 1(-, h 0(12 #W& +*>$& 0(-3 h 0(*/ #W& +>$& 5.35 – 1.88 (m, 31H), 1.11 – 0.48 (m, 3H). [657] Preparation VIIb: N-[4-[tert-butyl(dimethyl)silyl]oxyphenyl]-N-(5-cyano-1,2-dimethyl- pyrrol-3-yl)-1,2-dimethyl-5-[7-[(3R)-3-methyl-3,4-dihydro-1H-isoquinoline-2-carbonyl]-1,2,3,4- tetrahydroisoquinolin-6-yl]pyrrole-3-carboxamide
[658] Step A: 1,2-dimethyl-5-[7-[(3R)-3-methyl-3,4-dihydro-1H-isoquinoline-2-carbonyl]-1,2,3,4- tetrahydroisoquinolin-6-yl]pyrrole-3-carboxylic acid
[659] To a solution of Preparation I (45.9 g, 96.3 mmol, 1 eq.) in DMF (240 mL) was added TBTU (34.1 g, 106 mmol, 1.1 eq.) followed by TEA (40.5 mL, 291 mmol, 3 eq.). After stirring for 10 mins the product from Step A of Preparation IIa (18.6 g, 101 mmol, 1.05 eq.) was added and the mixture was stirred at rt for 1h then it was poured into water (1500 mL) and the precipitates were filtered out, washed with water. This crude intermediate was dissolved in methanol (250 mL) and water (25 mL) then NaOH (28 g, 700 mmol, 7.3 eq.) was added and mixture was stirred at reflux temperature for 18 h. Evaporated at reduced pressure, then the pH was adjusted to 6 by the addition of cc. aq. HCl. The product was extracted with DCM/IPA=3/1 (3 × 400 mL). The organic phase was dried over MgSO4 and concentrated in vacuo.
The residue was triturated in diethyl ether / acetonitrile. The formed yellow powder was filtered out then dried in vacuo to afford the title product (38.51 g, 86.8 mmol, 90%). [660] 1H NMR (500 MHz, DMSO-d6$ j ZZW 1(-/'0(2 #W& 0 >$& 0(-/)0(,2)0(+- #])])]& + >$& /(-.'-(,- (m, 6 H), 5.01/4.88/3.78 (m/m/m, 1 H), 3.46/3.43/3.38/3.15 (s/s/s/s, 3 H), 3.12-2.98 (m, 2 H), 3.02-2.05 (m, 2 H), 2.49/2.41/1.96 (s/s/s, 3 H), 1.03/0.85/0.74/0.56 (d/d/d/d, 3 H); 13C NMR (125 MHz, DMSO-d6) j ZZW +02(3)+02(.)+02(,& +00(/)+00(-)+00(,& +++(-)+++(,)++*(2& .2(-).2(+).-).,(,& -.(.)-.(,)-.)-,(0& 32.2/32.1/31.9, 25.4, 18.6/16.8/16.4, 11.8/11.7/11.2. [661] HRMS-ESI (m/z) [M+H]+ calcd for C27H30N3O3: 444.2282, found 444.2267 [662] Step B: 5-[2-(9H-fluoren-9-ylmethoxycarbonyl)-7-[(3R)-3-methyl-3,4-dihydro-1H-isoquinoline- 2-carbonyl]-3,4-dihydro-1H-isoquinolin-6-yl]-1,2-dimethyl-pyrrole-3-carboxylic acid
[663] To the biphasic mixture of the product from Step A (13.96 g, 28.33 mmol, 1 eq.) dissolved in dioxane (160 mL) and NaHCO3 (5.47 g, 65.2 mmol, 2.3 eq.) dissolved in water (160 mL) 9H-fluoren-9- ylmethyl carbonochloridate (8.06 g, 31.2 mmol, 1.1 eq.) was added dropwise and the mixture was stirred at rt for 24 h. To the reaction mixture 2M aq. HCl (42.5 mL; 85 mmol, 3 eq.) was added dropwise then after stirring for 10 min it was extracted with DCM. The phases were separated, and the organic phase was washed with sat. aq. NaCl solution, dried over MgSO4 and concentrated in vacuo. The crude material was purified by automated flash chromatography using DCM and EtOAc as eluents affording the title product (14.77 g, 22.2 mmol, 78%). [664] 1H NMR (500 MHz, DMSO-d6$ j ZZW ++(+2 #M\(& + >$& 1(3/'1(,0 #M\(& 2 >$& 1(,0'0(2 #M\(& 0 >$& 6.52-6.06 (br., 1 H), 5.09-3.74 (br., 3 H), 4.54 (br., 2 H), 4.47 (d, 2 H), 4.31 (t, 1 H), 3.59 (br., 2 H), 3.5- 3.19 (br., 3 H), 2.8 (t, 2 H), 2.55-1.93 (br., 3 H), 2.45 (br., 2 H), 1.2-0.41 (br., 3 H); 13C NMR (125 MHz, DMSO-d6$ j ZZW +++(+& 01(,& .1(/& ./(1& .+(0& -.(0& -,& ,2(-& +0(2& ++(0( [665] HRMS-ESI (m/z) [M+H]+ calcd for C42H40N3O5: 666.2962, found 666.2961 [666] Step C: 9H-fluoren-9-ylmethyl 6-[4-[[4-[tert-butyl(dimethyl)silyl]oxyphenyl]-(5-cyano-1,2- dimethyl-pyrrol-3-yl)carbamoyl]-1,5-dimethyl-pyrrol-2-yl]-7-[(3R)-3-methyl-3,4-dihydro-1H- isoquinoline-2-carbonyl]-3,4-dihydro-1H-isoquinoline-2-carboxylate
[667] Using General procedure 2b and the product from Step B (10.67 g, 16.03 mmol, 1 eq.) as the appropriate acid, oxalyl dichloride (2.17 mL, 25.6 mmol, 1.6 eq.) and the product from Step B of Preparation IVa (6.57 g, 19.2 mmol, 1.2 eq.) as the appropriate aniline afforded the title product (8.12 g, 8.21 mmol, 51%). [668] 1H NMR (500 MHz, DMSO-d6$ j ZZW 2(*/'0(.- #W& +3 >$& /(1'.(3/ #]& + >$& /(+,',(,0 #W& +. H), 3.71-3 (s, 6 H), 2.48-1.75 (s, 6 H), 1.13-0.44 (d, 3 H), 0.92-0.77 (s, 9 H), 0.15-0.05 (s, 6 H). [669] HRMS-ESI (m/z) [M+H]+ calcd for C61H65N6O5Si: 989.4780, found 989.4779 [670] Step D: N-[4-[tert-butyl(dimethyl)silyl]oxyphenyl]-N-(5-cyano-1,2-dimethyl-pyrrol-3-yl)-1,2- dimethyl-5-[7-[(3R)-3-methyl-3,4-dihydro-1H-isoquinoline-2-carbonyl]-1,2,3,4-tetrahydroisoquinolin-6- yl]pyrrole-3-carboxamide [671] To a solution of the product from Step C (8.12 g, 8.21 mmol, 1 eq.) in DCM (41 mL) morpholine (41 mL, 475 mmol, 58 eq.) was added then the mixture was stirred at rt for 18 h. The reaction mixture was concentrated in vacuo and the residue was partitioned between DCM and water. The phases were separated, and the organic phase was washed with sat. aq. NaCl solution, dried over MgSO4 and concentrated in vacuo. The crude material was purified by automated flash chromatography using DCM and MeOH as eluents to afford the title product (4.51 g, 5.88 mmol, 72%). [672] 1H NMR (500 MHz, DMSO-d6$ j ZZW 1(-0'0(-/ #W& ++ >$& /(//'.(3+ #]& + >$& /(-1'+(31 #W& +, H), 3.72-2.96 (s, 6 H), 2.48-1.75 (s, 6 H), 1.16-0.39 (d, 3 H), 1-0.76 (s, 9 H), 0.17-0 (s, 6 H). [673] HRMS-ESI (m/z) [M+H]+ calcd for C46H55N6O3Si: 767.4099, found 767.4103 [674] Preparation of P2: 5-[5-chloro-2-[(3R)-3-[3-(dimethylamino)propyl]-3,4-dihydro-1H- isoquinoline-2-carbonyl]phenyl]-N-(5-cyano-1,2-dimethyl-pyrrol-3-yl)-N-(4-hydroxyphenyl)-1,2- dimethyl-pyrrole-3-carboxamide
[675] Step 1: Ethyl 1,2-dimethyl-1H-pyrrole-3-carboxylate [676] To a solution of ethyl 2-methyl-1H-pyrrole-3-carboxylate (10 g, 65.3 mmol) and methyl iodide (8.95 mL, 130.6 mmol) in 70 mL of dimethylformamide cooled at 0°C is added, in three portions, sodium hydride 60 % w/w (2.6 g, 65.3 mmol). The reaction mixture is stirred at 0°C for 1 hour. Then, the reaction mixture is hydrolysed by addition of 420 mL of ice-cold water, diluted with ethyl acetate, and
successively washed with 0.1M aqueous hydrochloric acid (HCl) solution, saturated aqueous LiCl solution and then brine. The organic phase is dried over MgSO4, filtered, concentrated to dryness and purified by chromatography over silica gel (petroleum ether/AcOEt gradient). [677] 1H NMR: h (400 MHz; dmso-d6; 300K): 6.65 (d, 1H); 6.3 (1d, 1H); 4.1 (1q, 2H); 3.5 (s, 3H); 2.4 (s, 3H); 1.5 (1t, 3H). [678] Step 2: Ethyl 5-(5-chloro-2-formylphenyl)-1,2-dimethyl-1H-pyrrole-3-carboxylate [679] To a solution of the compound obtained in Step 1 (10.5 g, 62,8 mmol) in 65 mL of N,N- dimethylacetamide there are successively added 2-bromo-4-chlorobenzaldehyde (15.2 g, 69 mmol), potassium acetate (12.3 g, 125.6 mmol) and then the reaction mixture is stirred under argon for 20 minutes. There is added PdCl2(PPh3)2 (2.2 g, 3.14 mmol). The reaction mixture is heated at 130°C overnight, allowed to cool down to room temperature and it is diluted with dichloromethane. Animal charcoal is added (20g), the suspension is stirred at room temperature for 1 hour and filtered. The organic phase is washed with water, dried over MgSO4 and concentrated to dryness. The crude product thereby obtained is purified by chromatography over silica gel (petroleum ether/AcOEt gradient). The title product is obtained in the form of a solid. [680] 1H NMR: h (400 MHz; dmso-d6; 300K): 9.8 (s, 1H); 7.91-7.69-7.61 (d, 3H); 6.5 (s, 1H); 4.2 (q, 2H); 3.4 (s, 3H); 2.55 (s, 3H); 1.28 (t, 3H). [681] Step 3: 4-Chloro-2-[4-(ethoxycarbonyl)-1,5-dimethyl-1H-pyrrol-2-yl]benzoic acid [682] A solution is prepared containing the compound obtained in Step 2 (12.8 g, 42 mmol) and 2- methyl-2-butene (35.7 mL, 336 mmol) in a mixture containing 20 mL of acetone and 20 mL of tetrahydrofuran. There are added, dropwise, 200 mL of an aqueous solution containing a mixture of sodium chlorite (NaClO2, 13.3 g, 147 mmol) and sodium hydrogen phosphate (NaHPO4, 14.5 g, 105 mmol). The reaction mixture is vigorously stirred at room temperature for 7 hours and concentrated to remove the acetone. Ethyl acetate is added, the organic phase is washed with water, dried over MgSO4 and then concentrated to dryness. The residue is then taken up in a minimum of ethyl ether. The solid then obtained is filtered off, washed with ether and then dried in vacuo at 40°C overnight. The title product is obtained in the form of a solid, which is subsequently used without being otherwise purified. [683] 1H NMR: h (400 MHz; dmso-d6; 300K): 13 (m, 1H); 7.85-7.41(m, 3H); 6.3 (s, 1H); 4.15 (q, 2H); 3.25 (s, 3H); 2.5 (s, 3H); 1.25 (t, 3H). [684] Step 4: {(3S)-2-[(4-Methylphenyl)sulphonyl]-1,2,3,4-tetrahydroisoquinolin-3-yl}methyl 4- methylbenzenesulphonate [685] To a solution of commercially available [(3S)-1,2,3,4-tetrahydroisoquinolin-3-yl]methanol (30.2 g, 185 mmol) in 750 mL of dichloromethane there are successively added tosyl chloride (91.7 g, ,481 mmol) and then, dropwise, N,N,N-triethylamine (122 mL, 740 mmol). The reaction mixture is stirred
at room temperature for 20 hours, diluted with dichloromethane, washed successively with 1M HCl solution, saturated aqueous NaHCO3 solution and then brine until neutral. The organic phase is then dried over MgSO4, filtered and concentrated to dryness. The solid obtained is dissolved in a minimum volume of dichloromethane and then cyclohexane is added until a precipitate is formed. This precipitate is then filtered off and washed with cyclohexane. After drying, the title product is obtained in the form of a white crystalline powder. [686] 1H NMR: h (400 MHz; dmso-d6; 300K): 7.75 (d, 2H); 7.6 (d, 2H); 7.5 (d, 2H); 7.3 (d, 2H); 7.15- 6.9 (m, 4H); 4.4-4.15 (dd, 2H); 4.25 (m, 1H); 4.0-3.8 (2dd, 2H); 2.7 (2dd, 2H); 2.45 (s, 3H); 2.35 (s, 3H). [687] Step 5: (3S)-3-(iodomethyl)-2-(p-tolylsulfonyl)-3,4-dihydro-1H-isoquinoline [688] To a suspension of the compound obtained in Step 4 (4 g, 8.5 mmol) in acetonitrile (10 mL) is added sodium iodide (1.4 g, 9.3 mmol). The reaction mixture is heated under microwave irradiations (100W for 6h), cooled to room temperature. The suspension is filtered. The solid is washed with dichloromethane. The filtrate and the washings are pooled together and concentrated to dryness. The crude is purified by chromatography over silica gel using cyclohexane and ethyl acetate as eluants, the expected product is obtained as a white powder. [689] 1H NMR: h (400 MHz; dmso-d6; 300K): 7.64 (d, 2H), 7.28 (d, 2H), 7.15-7 (m, 4H), 4.5-4.3 (2d, 2H), 4.14 (m, 1H), 3.22 (m, 2H), 2.82 (m, 2H), 2.31 (s, 3H). [690] MS (ESI): m/z 427 [M]+. [691] Step 6: diethyl 2-[[(3R)-2-(p-tolylsulfonyl)-3,4-dihydro-1H-isoquinolin-3- yl]methyl]propanedioate [692] To a suspension of sodium hydride (442 mg, 11 mmol) in THF (8 mL) is added dropwise diethyl malonate (1.5 mL, 10 mmol) at room temperature. After 15 minutes, a solution of the compound obtained in Step 5 (4.2 g, 10 mmol) in THF (10 mL) is added dropwise. After 20 minutes at room temperature, the reaction mixture is added in microwave reactor (100°C-275W) during 19h. After cooling, the reaction mixture is poured into saturated aqueous ammonium chloride solution, extracted three times with dichloromethane. The organic phase is washed with brine, dried over MgSO4 and concentrated to dryness. The crude is purified by chromatography over silica gel using cyclohexane and ethyl acetate as eluants, affording the desired compound. [693] 1H NMR: h (400 MHz; dmso-d6; 300K): 7.6 (d, 2H), 7.3 (d, 2H), 7.1 (m, 4H), 4.6/4.25 (2d, 2H), 4.2 (m, 1H), 4.1 (m, 4H), 3.55 (t, 1H), 2.6 (m, 2H), 2.3 (s, 3H), 1.85 (2m, 2H), 1.2 (m, 6H). [694] Step 7: 3-[(3R)-2-(p-tolylsulfonyl)-3,4-dihydro-1H-isoquinolin-3-yl]propanoic acid [695] To a solution of the compound obtained in Step 6 (1 g, 2.2 mmol) in a mixture ethanol (8 mL) and water (5 mL) is added lithium hydroxide monohydrate (0.23 g, 5.4 mmol). The reaction mixture is heated to 85°C overnight. After cooling, the ethanol is evaporated. The aqueous reaction mixture is diluted with
water (10 mL) and a solution of 1M HCl is added to reach pH=3. The reaction mixture is extracted with ethyl acetate twice. The organic phase is washed with brine, dried over MgSO4 and concentrated to dryness. The crude material is diluted with DMSO (10 mL) and a solution of sodium chloride (0.25 g, 4.2 mmol) in water (1 mL). The reaction mixture is heated to 140°C for 1h, then cooled to room temperature and diluted with ethyl acetate. The organic layer is separated, dried over MgSO4 and concentrated to dryness, affording the desired compound. [696] 1H NMR: h (400 MHz; dmso-d6; 300K): 12.15 (m, 1H), 7.65 (d, 2H), 7.3 (d, 2H), 7.15-7 (2m, 4H), 4.6/4.29 (2d, 2H), 4.2 (m, 1H), 2.6 (2dd, 2H), 2.35 (s, 3H), 2.25 (t, 2H), 1.52 (quad, 2 H). [697] Step 8: N,N-dimethyl-3-[(3R)-2-(p-tolylsulfonyl)-3,4-dihydro-1H-isoquinolin-3-yl]propenamide [698] To a solution of the compound obtained in Step 7 (10 g, 27.8 mmol) in dichloromethane (50 mL) are added N-(3-Dimethylaminopropyl)-#$-ethylcarbodiimide hydrochloride (5.4 g, 28 mmol), 1- hydroxybenzotriazole hydrate (3.8 g, 28 mmol), N,N-diisopropylethylamine (6.9 mL, 41 mmol) and a solution of 2 M dimethylamine in THF (20.8 mL). The reaction mixture is stirred overnight at room temperature, diluted with dichloromethane, washed successively with water, aqueous 1M HCl solution and brine. The organic phase is dried over MgSO4, concentrated to dryness and purified by chromatography over silica gel using cyclohexane and ethyl acetate as eluants, affording the desired compound. [699] 1H NMR: h (400 MHz; dmso-d6; 300K): 7.68 (d, 2H), 7.31 (d, 2H), 7.15-7 (m, 4H), 4.65/4.25 (2d, 2H), 4.19 (m, 1H), 2.88/2.78 (2s, 6H), 2.68/2.59 (2dd, 2H), 2.33 (s, 3H), 2.25 (t, 2H), 1.5 (quad, 2 H). [700] Step 9: N,N-dimethyl-3-[(3R)-2-(p-tolylsulfonyl)-3,4-dihydro-1H-isoquinolin-3-yl]propan-1- amine [701] To a solution of Step 8 (6.6 g, 17.1 mmol) in anhydrous THF (70 mL) is added dropwise under inert atmosphere a solution of 1M borane tetrahydrofuran complex in tetrahydrofuran (69 mL, 69 mmol). The reaction mixture is heated to 70°C overnight and cooled to room temperature. The reaction mixture is diluted with dichloromethane and water. The organic phase is washed successively with an aqueous 1M HCl solution, a saturated aqueous NaHCO3 solution, brine, and dried over MgSO4 and concentrated. The crude mixture is purified by chromatography over silica gel using dichloromethane and NH32M in ethanol as eluants, affording the desired compound. [702] 1H NMR: h (400 MHz; dmso-d6; 300K): 7.66 (d, 2H), 7.32 (d, 2H), 7.16-7 (m, 4H), 4.63/4.21 (dd, 2H), 4.15 (m, 1H), 2.67/2.55 (2dd, 2H), 2.33 (s, 3H), 2.1 (t, 2H), 2.04 (s, 6H), 1.35/1.27 (2m, 4H). [703] Step 10: N,N-dimethyl-3-[(3R)-1,2,3,4-tetrahydroisoquinolin-3-yl]propan-1-amine [704] To a solution of naphthalene (13 g, 103 mmol) in anhydrous THF (35 mL) under argon atmosphere is added sodium (2.4 g, 103 mmol) portionwise. After stirring 1h at room temperature, the
reaction mixture is cooled to -78°C and a solution of Step 9 (4.8 g, 12.2 mmol) in THF (35 mL) is added dropwise. After 3 h of stirring at -78°C, the reaction mixture is allowed to warm to 0°C and a solution of saturated aqueous ammonium chloride is carefully added (3 mL). The reaction mixture is allowed to warm to room temperature and is evaporated to dryness. The crude mixture is purified by chromatography over silica gel using dichloromethane and NH32M in ethanol as eluants, affording the desired compound. [705] 1H NMR: h (400 MHz; dmso-d6; 300K): 7.17-7.04 (m, 4H), 4 (s, 2H), 2.92 (m, 1H), 2.82/2.53 (2dd, 2H), 2.32 (m, 2H), 2.22 (s, 6H), 1.65-1.5 (m, H). [706] Step 11: ethyl 5-[5-chloro-2-[(3R)-3-[3-(dimethylamino)propyl]-3,4-dihydro-1H-isoquinoline-2- carbonyl]phenyl]-1,2-dimethyl-pyrrole-3-carboxylate [707] To a solution of the compound obtained in Step 3 (15.5 g, 48 mmol) in dichloromethane (3L) are added N-(3-dimethylaminopropyl)-#$-ethylcarbodiimide hydrochloride (9.2 g, 48 mmol), 1- hydroxybenzotriazole hydrate (7.4 g, 48 mmol), the compound obtained in Step 10 (10 g, 48 mmol) and N-ethyl-N-isopropyl-propan-2-amine (28 mL, 160 mmol). The reaction mixture is stirred for 3h at room temperature, diluted with dichloromethane, washed with water, concentrated to dryness and purified by chromatography over silica gel using dichloromethane and NH32M in ethanol as eluants, affording the desired compound. [708] 1H NMR: h (500 MHz; dmso-d6; 300K): 7.6-7.25 (m, 3H), 7.2-6.85 (m, 4H), 6.55-6.15 (5s, 1H), 5.35-3.75 (m, 2H), 4.85/4.75/3.6/3.55 (4m, 1H), 4.1 (m, 2H), 3.45/3.2 (2s, 3H), 3-1.8 (m, 2H), 2.5-2 (3s, 3H), 2.2-1.8 (m, 2H), 2.05-1.9 (4s, 6H), 1.4/1.1/0.9 (3m, 2H), 1.4/1.25/1.1 (m, 2H), 1.2/1.1 (2t, 3H). [709] MS (ESI): m/z 521 [M +H]+. [710] Step 12: 5-[5-chloro-2-[(3R)-3-[3-(dimethylamino)propyl]-3,4-dihydro-1H-isoquinoline-2- carbonyl]phenyl]-1,2-dimethyl-pyrrole-3-carboxylic acid [711] To a solution of the compound obtained in Step 11 (400 mg, 0.76 mmol) in methanol (2 mL) is added a solution of lithium hydroxide monohydrate (112 mg, 2.6 mmol) in water (2 mL). The reaction mixture is heated at reflux overnight then partially concentrated. Dichloromethane and 1M HCl solution are added to the reaction mixture. The organic phase is separated, dried over MgSO4 and concentrated to dryness. The residue is purified by chromatography over silica gel using dichloromethane and methanol as eluants, affording the desired compound. [712] MS (ESI): m/z 494 [M]+. [713] Step 13: N-[4-[tert-butyl(dimethyl)silyl]oxyphenyl]-5-[5-chloro-2-[(3R)-3-[3- (dimethylamino)propyl]-3,4-dihydro-1H-isoquinoline-2-carbonyl]phenyl]-N-(5-cyano-1,2-dimethyl- pyrrol-3-yl)-1,2-dimethyl-pyrrole-3-carboxamide [714] To a solution of the compound obtained in Step 12 (480 mg, 0.97 mmol) in 1,2-dichloroethane (60 mL) is added 1-chloro-N,N,2-trimethyl-prop-1-en-1-amine (170 µL, 1.3 mmol). The reaction is stirred
at room temperature overnight. To the reaction are added successively 4-[4-[tert- butyl(dimethyl)silyl]oxyanilino]-1,5-dimethyl-pyrrole-2-carbonitrile (500 mg, 1.5 mmol prepared using the procedure described in WO2015/011400, Preparation 18’’), pyridine (0.5 mL, 5.8 mmol) and 1,2- dichloroethane (60 mL). The reaction mixture is heated to reflux for 2h, cooled to room temperature, filtrated on Celite®, concentrated to dryness and purified by chromatography over silica gel using dichloromethane and NH32M methanol as eluants, affording the desired compound. [715] 1H NMR: h (500 MHz; dmso-d6; 300K): 7.55-6.9 (m, 7H), 6.9-6.6 (m, 4H), 6.8-6.5 (m, 1H), 5.45-5.1 (m, 1H), 5.35-4 (m, 2H), 4.8-3.5 (m, 1H), 3.7-3.1 (m, 6H), 2.75-2.5 (m, 2H), 2.45-1.8 (m,6 H), 2.3-1.9 (m, 2H), 2.15-1.95 (m, 6H), 1.45-1.3 (m, 4H), 0.85 (s, 9H), 0.15 (s, 6H). [716] 13C NMR: h (500 MHz; dmso-d6; 300K): 130.9-124, 127.6, 119.7, 116.9, 110.5/109.5, 56.2, 51.9/46.7/45.3, 44.1/40.1, 42, 33, 31.8, 31.5/31.1, 26.8/20.4, 25.6, 11.4, 9.5,-4.5. [717] HRMS (ESI): [M+H]+= 817.4020 [718] Step 14: 5-[5-chloro-2-[(3R)-3-[3-(dimethylamino)propyl]-3,4-dihydro-1H-isoquinoline-2- carbonyl]phenyl]-N-(5-cyano-1,2-dimethyl-pyrrol-3-yl)-N-(4-hydroxyphenyl)-1,2-dimethyl-pyrrole-3- carboxamide [719] To a solution of the compound obtained in Step 13 (0.5 g, 0.61 mmol) in THF (20 mL) is added at room temperature a solution of 1M tetra-n-butylammonium fluoride in THF (1 mL, 1 mmol). The reaction mixture is stirred for 4h at room temperature and diluted with dichloromethane and a saturated aqueous solution of NaHCO3. The organic phase is separated, washed successively with water, brine, then dried over MgSO4 and concentrated. The crude is purified by chromatography over silica gel using dichloromethane and NH32M methanol as eluants, affording the desired compound. [720] 1H NMR: h (500 MHz; dmso-d6; 300K): 9.35 (broad s, 1H), 7.55-6.85 (m, 7H), 6.95/6.75 (2d, 2H), 6.75-6.5 (m, 1H), 6.65-6.55 (m, 2H), 5.8-5.25 (m, 1H), 5.3-3.6 (m, 2H), 4.8/4.75/3.45 (3m, 1H), 3.65-3.5 (m, 3H), 3.45-3.05 (m, 3H), 2.65-1.65 (m, 2H), 2.4-1.95 (m, 3H), 2.25-1.75 (m, 2H), 2.15-1.75 (m, 3H), 2.1-1.95 (4s, 6H), 1.45-0.6 (m, 4H). [721] 13C NMR: h (500 MHz; dmso-d6; 300K): 130-126, 128, 117, 116, 111-110, 59, 53/47/46, 45-40, 45, 33, 32-31, 32, 29-24, 12, 10. [722] HRMS (ESI): [M+H]+=703.3155 (703.3158 calculated). [723] Preparation of P4: N-(5-cyano-1,2-dimethyl-1H-pyrrol-3-yl)-N-(4-hydroxyphenyl)-1,2- dimethyl-5-{7-[(3R)-3-methyl-1,2,3,4-tetrahydroisoquinoline-2-carbonyl]-2-(2-{4-[2-(morpholin-4- yl)ethoxy]phenyl}acetyl)-1,2,3,4-tetrahydroisoquinolin-6-yl}-1H-pyrrole-3-carboxamide
[724] Step A: N-[4-[tert-butyl(dimethyl)silyl]oxyphenyl]-N-(5-cyano-1,2-dimethyl-pyrrol-3-yl)-1,2- dimethyl-5-[7-[(3R)-3-methyl-3,4-dihydro-1H-isoquinoline-2-carbonyl]-2-[2-[4-(2- morpholinoethoxy)phenyl]acetyl]-3,4-dihydro-1H-isoquinolin-6-yl]pyrrole-3-carboxamide
[725] Using the procedure described in Step D of the Preparation of P3, starting from the product of Preparation Va (1.27 g, 1.5 eq.) as the appropriate carboxylic acid and Preparation VIIb (2.45 g, 3.194 mmol) as the appropriate amine, afforded the title compound (2.06 g, 64%). [726] HRMS-ESI (m/z) [M+H]+ calcd for C60H72N7O6Si: 1014.5308, found 1014.5312. [727] Step B: N-(5-cyano-1,2-dimethyl-1H-pyrrol-3-yl)-N-(4-hydroxyphenyl)-1,2-dimethyl-5-{7-[(3R)- 3-methyl-1,2,3,4-tetrahydroisoquinoline-2-carbonyl]-2-(2-{4-[2-(morpholin-4-yl)ethoxy]phenyl}acetyl)- 1,2,3,4-tetrahydroisoquinolin-6-yl}-1H-pyrrole-3-carboxamide [728] According the procedure described in Step E of the Preparation of P3, the product from Step A (390 mg, 0.385 mmol) was treated with 2M aq. NaOH solution to afford the title compound (299 mg, 86%). [729] HRMS-ESI (m/z) [M+H]+ calcd for C54H51N7O6: 900.4443, found 900.4445. Example 2. Synthesis and Characterization of Linkers, Linker-Payload, and Precursors Thereof
[730] Exemplary linkers, linker-payloads, and precursors thereof were synthesized using exemplary methods described in this example.Below is a table showing structures of exemplary linker-payloads P5- L12-P5, P5-L12-P4, P1-L19-P2, and P1-L19-P6.
[731] Materials, Methods & General Procedures: [732] All reagents obtained from commercial sources were used without further purification. Anhydrous solvents were obtained from commercial sources and used without further drying. Flash chromatography was performed on CombiFlash Rf (Teledyne ISCO) with pre-packed silica-gel cartridges (Macherey-Nagel Chromabond Flash). Thin layer chromatography was conducted with 5 x 10 cm plates coated with Merck Type 60 F254 silica-gel. Microwave heating was performed in CEM Discover® instrument. [733] NMR data were acquired at a temperature of 298K on a Bruker Avance NMR spectrometer equipped with a 5 mm BBFO CryoProbe with z-gradient operating at a frequency of 400.13 MHz for 1H, 376.50 MHz for 19F, 100.61 MHz for 13C. Chemical shifts for the 1H and 13C spectra were referenced by setting internal tetramethylsilane (TMS) to 0 ppm. Analytical Methods LC/MS data was acquired using an instrument with the following parameters: Pump Waters AcQuity UPLC Binary Solvent Manager Sample Manager Waters AcQuity UPLC Sample Manager Column Compartment Waters AcQuity UPLC Column Manager Detector Waters AcQuity UPLC PDA ELSD Shimadzu ELSD-LTII Mass Spec Waters SQD Columns AcQuity UPLC BEH C181.7µm 2.1x50mm Eluent A1 0.1% Formic Acid in Water Eluent B1 0.1% Formic Acid in Acetonitrile Eluent A2 5mM Ammonium Hydroxide in Water Eluent B2 5mM Ammonium Hydroxide in Acetonitrile The methods used to generate LC/MS data were as follows: 2 min acidic method:
2 min basic method:
5 min acidic method
HRMS data was acquired using an instrument with the following parameters: HRMS_QT01 Pump Waters AcQuity UPLC Binary Solvent Manager Sample Manager Waters AcQuity UPLC Sample Manager Column Compartment Waters AcQuity UPLC Column Manager Waters AcQuity UPLC PDA n/a Waters Xevo G2 Qtof Quity UPLC PrST C4300Å 1.7 µm 2.1x100mm
AcQuity UPLC CSH C181.7 µm 2.1x50mm ProSwift RP-3U 4.6x50mm SS Eluent A1 0.1% Formic Acid in Water Eluent B1 0.1% Formic Acid in Acetonitrile Eluent A2 0.05% Triflouroacetic Acid in Water Eluent B2 0.05% Triflouroacetic Acid in Acetonitrile HRMS_QT02 Pump Waters AcQuity UPLC Binary Solvent Manager Sample Manager Waters AcQuity UPLC Sample Manager Column Compartment Waters AcQuity UPLC Column Manager Detector Waters AcQuity UPLC PDA ELSD n/a Mass Spec Waters Xevo G2 Qtof AcQuity UPLC PrST C4300Å 1.7µm 2.1x100mm Columns AcQuity UPLC CSH C181.7µm 2.1x50mm POROS R110µm 2.1 x 100mm Eluent A1 0.1% Formic Acid in Water Eluent B1 0.1% Formic Acid in 80:20 Isopropanol:Acetonitrile Eluent A2 0.05% Triflouroacetic Acid in Water Eluent B2 0.05% Triflouroacetic Acid in Acetonitrile The method used to generate HRMS data for linker/payloads and synthetic intermediates was as follows:
A2)
Preparative RP-HPLC: Preparative-HPLC (“Prep-HPLC”) data were acquired using Teledyne ISCO purification systems using C18 or C4 RP ISCO or ISCO-gold columns. Four Prep-HPLC methods were used: a. TFA method: solvent: A water + 0.05 % TFA, B acetonitrile + 0.05 % TFA, gradient from 5 to 100% B in 15 to 30 CV b. NH4HCO3 method: solvent: A water + 0.02 M NH4HCO3, B acetonitrile/water 80/20 + 0.02 M NH4HCO3, gradient from 5 to 100 % B in 15 to 30 CV c. Neutral method: solvent: A water, B acetonitrile, gradient from 5 to 100% B in 15 to 30 CV d. Formic Acid method: solvent: A water + 0.05 % Formic Acid, B acetonitrile + 0.05 % Formic Acid, gradient from 5 to 100% B in 15 to 30 CV Gradient variations of methods a.-d. were employed as appropriate. All the fractions containing the pure compound were combined and directly freeze-dried to afford the compound as an amorphous powder. Synthesis of tert-butyl ((S)-1-(((S)-1-((4-(hydroxymethyl)-3-((prop-2-yn-1- yloxy)methyl)phenyl)amino)-1-oxo-5-ureidopentan-2-yl)amino)-3-methyl-1-oxobutan-2- yl)carbamate
[734] Step 1: Synthesis of 2-(bromomethyl)-4-nitrobenzoic acid,
To a stirred solution of 2-methyl-4-nitrobenzoic acid (300 g, 1.5371 mol) in CCl4 (3000 mL) was added NBS (300.93 g, 1.6908 mol) and AIBN (37.86 g, 0.2305 mol) at rt. The reaction mixture was stirred at 80°C for 16h. Reaction mixture was monitored by TLC analysis. The reaction mixture was diluted with sat. NaHCO3 solution (2 lit) and extracted with ethyl acetate (2 x 2 lit). The combined organic layer was dried over anhydrous sodium sulphate and concentrated under reduced pressure. The crude compound was purified by column chromatography on silica gel using 2-3% of ethylacetate in petroleum ether as an eluent and 2-(bromomethyl)-4-nitrobenzoic acid was obtained (250 g, 59% yield). 1> CBF #.** B>d& 9:9V-$4 j 2(-/ #O& @6,(* >d& +>$& 2(,* #[& @62(2& ,(. >d& +>$& 2(+, #O& @62(2 >d& 1H), 4.97 (s, 2H), 4.00 (s, 3H). Step 2: Synthesis of 4-nitro-2-((prop-2-yn-1-yloxy)methyl)benzoic acid,
To the mixture of 2-(bromomethyl)-4-nitrobenzoic acid (250 g, 0.9122 mol) in ACN (5000 mL) was added prop-2-yn-1-ol (255.68 g, 265.50 mL, 4.5609 mol, d=0.963 g/mL) and Cs2CO3 (743.03 g, 2.2805 mol) at rt. The resulting mixture was heated to 80°C for 16 h. The reaction mixture was filtered through celite pad washed with ethylacetate (2 lit). The filterate was concentrated under reduced pressure. The obtained crude compound was added sat. NaHCO3 solution (1 lit) and the aq layer was acidified to pH 2 by using 2N HCl (2 lit). After filtration vacuum drying 4-nitro-2-((prop-2-yn-1- yloxy)methyl)benzoic acid was obtained (130 g, 60.6%). 1> CBF #.** B>d& :BGD$4 j +-(0+ #M\]& +>$& 8.37 (d, J=2.4 Hz, 1H), 8.23 (dd, J=2.4, 8.4 Hz, 1H), 8.10 (d, J=8.8 Hz, 1H), 4.95 (s, 2H), 4.37 (d, J=2.4 Hz, 2H), 3.52 (t, J=2.4 Hz, 1H) Step 3: Synthesis of methyl 4-nitro-2-((prop-2-yn-1-yloxy)methyl)benzoate,
To a stirred solution of 4-nitro-2-((prop-2-yn-1-yloxy)methyl)benzoic acid (130 g, 0.5527 mol) in MeOH (1300 mL) was added SOCl2 (526.08 g, 320.78 mL, 4.4219 mol, d=1.64 g/mL) slowly at 0°C. The reaction stirred at 70°C for 4 h. The reaction solvent was evaporated under reduced pressure. The obtained residue was dissolved in ethylacetate (1000 mL) and washed with sat.NaHCO3 (600 mL), water (500 mL) and brine solution (500 mL). The separated organic layer was dried over sodium sulphate, filtered and evaporated under reduced pressure to yield methyl 4-nitro-2-((prop-2-yn-1- yloxy)methyl)benzoate (110 g, 80% yield). 1> CBF #.** B>d& 9:9V-$4 j 2(/0 #^& @6*(2 >d& +>$& 2(+2 h 8.09 (m, 2H), 5.03 (s, 2H), 4.35 (d, J=2.4 Hz, 2H), 3.96 (s, 3H), 2.49 (t, J=2.4 Hz, 1H). Step 4: Synthesis of methyl 4-amino-2-((prop-2-yn-1-yloxy)methyl)benzoate,
To a solution of methyl 4-nitro-2-((prop-2-yn-1-yloxy)methyl)benzoate (110 g, 0.4414 mol) in a mixture of EtOH (1100 mL) and H2O (550 mL) was added Fe Powder (197.21 g, 3.5310 mol) and NH4Cl (188.88 g, 3.5310 mol) at rt. The resulting mixture was heated at 80°C for 16 h. The reaction mixture was cooled to rt and filtered through celite and washed with ethylacetate (2 lit). The filtrate was concentrated under reduced pressure up to half of the volume. To the residue ethylacetate (1.5 lit) was added and separated the two layers and the aqueous layer was extracted with ethyl acetate (2 lit). The combined organic layer was dried over anhydrous sodium sulphate and concentrated under reduced pressure to obtain crude product. Purification by SiO2 column chromatography (15-20% of ethylacetate in pet-ether) yielded methyl 4-amino-2-((prop-2-yn-1-yloxy)methyl)benzoate (70 g, 72% yield).1H NMR (400 MHz, 9:9V-$4 j 1(01 #O& @62(2 >d& +>$& 0(12 #^& @6+(0 >d& +>$& 0(.2 #[& @62(.& ,(. >d& +>$& .(13 #]& ,>$& .(,/ (d, J=2.4 Hz, 2H), 3.70 (d, J=4.0 Hz, 3H), 3.42 (t, J=2.4 Hz, 1H). Step 5: Synthesis of (4-amino-2-((prop-2-yn-1-yloxy)methyl)phenyl)methanol,
To a stirred solution of THF (1000 mL) was added LiAlH4 (1 M in THF) (21.23 g, 798.2 mmol, 798.2 mL) slowly at 0°C. A solution of methyl 4-amino-2-((prop-2-yn-1-yloxy)methyl)benzoate (70 g, 319.3 mmol) in THF (800 mL) was added slowly at 0°C. The reaction was stirred at rt for 4 h. The
reaction mixture was cooled to 0°C, then was added water (22 mL) very slowly and followed by the addition of 20% NaOH (22 mL) and water (66 mL). The reaction mixture was stirred at 0°C for 30 min. Anhydrous sodium sulphate was added to absorb excess of water. The mixture was filtered through celite. The filter cake was washed with ethylacetate (1000 mL) and 10% MeOH/DCM (500 mL). The filtrate was concentrated under reduced pressure. The resulting crude compound was purified by SiO2 column chromatography (35-40% of ethylacetate in pet-ether as an eluent) to give yield (4-amino-2-((prop-2-yn- 1-yloxy)methyl)phenyl)methanol (50.6 g, 83% yield). 1> CBF #.** B>d& 9:9V-$4 j 0(32 #O& @62(* >d& 1H), 6.56 (d, J=2.4 Hz, 1H), 6.43 (dd, J=2.4, 8.0 Hz, 1H), 4.98 (s, 2H), 4.64 (t, J=5.2 Hz, 1H), 4.47 (s, 2H), 4.34 (d, J=5.6 Hz, 2H), 4.15 (d, J=2.4 Hz, 2H), 3.46 (t, J=2.4 Hz, 1H). Step 6: Synthesis of (9H-fluoren-9-yl)methyl (S)-(1-((4-(hydroxymethyl)-3-((prop-2-yn-1- yloxy)methyl)phenyl)amino)-1-oxo-5-ureidopentan-2-yl)carbamate
To a solution of (4-amino-2-((prop-2-yn-1-yloxy)methyl)phenyl)methanol (1.92 g, 10.04 mmol, 1.0 equiv.), (9H-fluoren-9-yl)methyl (S)-(1-amino-1-oxo-5-ureidopentan-2-yl)carbamate (3.99 g, 10.04 mmol, 1.0 equiv.), and (1-[bis(dimethylamino)methylene]-1H-1,2,3-triazolo[4,5-b]pyridinium 3-oxid hexafluorophosphate (4.20 g, 11.04 mmol, 1.1 equiv.) in DMF (10 mL) was added N,N- diisopropylethylamine (2.62 mL, 15.06 mmol, 1.5 equiv.). After stirring at ambient temperature for 1 hour, the mixture was poured into water (200 mL). The resulting solids were filtered, rinsed with water, and dried under vacuum, and (9H-fluoren-9-yl)methyl (S)-(1-((4-(hydroxymethyl)-3-((prop-2-yn-1- yloxy)methyl)phenyl)amino)-1-oxo-5-ureidopentan-2-yl)carbamate was obtained (6.08 g, 99%). LCMS: MH+=571.5; Rt=0.93 min (2 min acidic method-Method A). Step 7: Synthesis of (S)-2-amino-N-(4-(hydroxymethyl)-3-((prop-2-yn-1-yloxy)methyl)phenyl)-5- ureidopentanamide
To (9H-fluoren-9-yl)methyl (S)-(1-((4-(hydroxymethyl)-3-((prop-2-yn-1- yloxy)methyl)phenyl)amino)-1-oxo-5-ureidopentan-2-yl)carbamate (608 g, 10.65 mmol, 1.0 equiv.) was
added dimethylamine (2 M in THF, 21.31 mL, 42.62 mmol, 4 equiv.). After stirring at ambient temperature for 1.5 hours, the supernatant solution was decanted from the gumlike residue that had formed. The residue was triturated with ether (3 x 50 mL) and the resulting solids were filtered, washed with ether, and dried under vacuum. (S)-2-amino-N-(4-(hydroxymethyl)-3-((prop-2-yn-1- yloxy)methyl)phenyl)-5-ureidopentanamide was obtained (3.50 g, 10.04 mmol, 94%). LCMS: MH+ 349.3; Rt=0.42 min (2 min acidic method-Method A). Step 8: Synthesis of tert-butyl ((S)-1-(((S)-1-((4-(hydroxymethyl)-3-((prop-2-yn-1- yloxy)methyl)phenyl)amino)-1-oxo-5-ureidopentan-2-yl)amino)-3-methyl-1-oxobutan-2-yl)carbamate
To a solution of (S)-2-amino-N-(4-(hydroxymethyl)-3-((prop-2-yn-1-yloxy)methyl)phenyl)-5- ureidopentanamide (3.50 g, 10.04 mmol, 1.0 equiv.), (tert-butoxycarbonyl)-L-valine (2.62 g, 12.05 mmol, 1.2 equiv.), and (1-[bis(dimethylamino)methylene]-1H-1,2,3-triazolo[4,5-b]pyridinium 3-oxid hexafluorophosphate (4.58 g, 12.05 mmol, 1.2 equiv.) in DMF (10 mL) was added N,N- diisopropylethylamine (3.50 mL, 20.08 mmol, 2.0 equiv). After stirring at ambient temperature for 2 hours, the mixture was poured into water (200 mL) and the resulting suspension was extracted with EtOAc (3x100 mL). The combined organic layers were dried over sodium sulfate and concentrated under vacuum. After purification by ISCO SiO2 chromatography (0-20% methanol / dichloromethane), tert- butyl ((S)-1-(((S)-1-((4-(hydroxymethyl)-3-((prop-2-yn-1-yloxy)methyl)phenyl)amino)-1-oxo-5- ureidopentan-2-yl)amino)-3-methyl-1-oxobutan-2-yl)carbamate was obtained (2.49 g, 4.55 mmol, 45%). +> CBF #.** B>d& :BGD'O0$ j +*(** #]& +>$& 1(30 #O& @ 61(1 >d& +>$& 1(// #O[& @ 6 .(3& ,(, >d& ,>& aryl), 7.32 (d, J = 8.9 Hz, 1H, aryl), 6.76 (d, J = 8.9 Hz, 1H), 5.95 (t, J = 5.8 Hz, 1H), 5.38 (s, 2H), 5.01 (t, J = 5.5 Hz, 1H), 4.54 (s, 2H), 4.45 (dd, J = 25.2, 5.3 Hz, 3H), 4.20 (d, J = 2.4 Hz, 2H), 3.83 (dd, J = 8.9, 6.7 Hz, 1H), 3.49 (t, J = 2.4 Hz, 1H), 2.97 (dh, J = 26.0, 6.5 Hz, 2H), 1.96 (h, J = 6.6 Hz, 1H), 1.74 - 1.50 (m, 2H), 1.39 (m, 11H), 0.84 (dd, J = 16.2, 6.7 Hz, 6H). LCMS: MNa+ 570.5; Rt=0.79 min (2 min acidic method-Method A). Synthesis of prop-2-yn-1-yl (5-((S)-2-((S)-2-((tert-butoxycarbonyl)amino)-3-methylbutanamido)-5- ureidopentanamido)-2-(hydroxymethyl)benzyl)(prop-2-yn-1-yl)carbamate
[735] Step 1: Synthesis of 2-(((tert-butyldiphenylsilyl)oxy)methyl)-5-nitrobenzoic acid
To a solution of 6-nitroisobenzofuran-1(3H)-one (90 g, 502.43 mmol, 1.00 eq) in MeOH (1000 mL) and KOH (28.19 g, 502.43 mmol, 1.00 eq) in H2O (150 mL) was added. The brown mixture was stirred at 25°C for 1.5h. The brown mixture was concentrated under reduced pressure to give a residue and dissolved in DCM (2000 mL). The mixture was added TBDPSCl (296.91 g, 1.08 mol, 277.49 mL, 2.15 eq) and imidazole (171.03 g, 2.51 mol, 5.00 eq) stirred at 25°C for 12h. The mixture was concentrated under reduced pressure to give a residue. The residue was purified by silica gel chromatography (Petroleum ether/Ethyl acetate=1/0, 1/1) and 2-(((tert-butyldiphenylsilyl)oxy)methyl)-5- nitrobenzoic acid (34 g, 74.16 mmol, 14.76% yield) was obtained as a white solid.1H NMR (400 MHz, B;H>7CDA'O.$ j ZZW +(+- #]& 3 >$ /(,0 #]& , >$ 1(-. ' 1(.2 #W& 0 >$ 1(02 #M\ O& @62 >d& . >$ 2(,. #M\ d, J=8 Hz, 1 H) 8.46 (br d, J=8 Hz, 1 H) 8.74 (s, 1 H) Step 2: Synthesis of (2-(((tert-butyldiphenylsilyl)oxy)methyl)-5-nitrophenyl)methanol
To a mixture of 2-(((tert-butyldiphenylsilyl)oxy)methyl)-5-nitrobenzoic acid (41 g, 94.14 mmol, 1 eq) in THF (205 mL) was added BH3. THF (1 M, 470.68 mL, 5 eq). The yellow mixture was stirred at 60°C for 2h. The mixture was added MeOH (400mL), and concentrated under reduced pressure to give a residue. then addition of H2O (200mL) and DCM (300mL), extracted with DCM (3 ×200 mL), washed with brine (300mL), dried over anhydrous MgSO4, filtered, and concentrated under reduced pressure to give a residue. The residue was purified by silica gel chromatography (Petroleum ether/Ethyl acetate=1/0, 1/1). (2-(((tert-butyldiphenylsilyl)oxy)methyl)-5-nitrophenyl)methanol (34 g, 80.65 mmol, 85.7% yield) was obtained as a white solid.
+> CBF #.** B>d& B;H>7CDA'O.$ j ZZW +(+* #]& 3 >$ .(/2 #]& , >$ .(23 #]& , >$ 1(-, ' 1(/+ (m, 6 H) 7.68 (dd, J=8, 1.38 Hz, 4 H) 7.76 (d, J=8 Hz, 1 H) 8.15 (dd, J=82.26 Hz, 1 H) 8.30 (d, J=2 Hz, 1 H). Step 3: Synthesis of 2-(((tert-butyldiphenylsilyl)oxy)methyl)-5-nitrobenzaldehyde
To a solution of (2-(((tert-butyldiphenylsilyl)oxy)methyl)-5-nitrophenyl)methanol (34 g, 80.65 mmol, 1 eq) in DCM (450 mL) was added MnO2 (56.09 g, 645.22 mmol, 8 eq). The black mixture was stirred at 25°C for 36h. The mixture was added MeOH(400mL), and concentrated under reduced pressure to give a residue. then addition of H2O (200mL) and DCM (300mL), extracted with DCM (3 ×200 mL), washed with brine (300mL), dried over anhydrous MgSO4, filtered, and concentrated under reduced pressure to give a residue. The residue was purified by silica gel chromatography (CH2Cl2=100%).2- (((tert-butyldiphenylsilyl)oxy)methyl)-5-nitrobenzaldehyde (30 g, 71.51 mmol, 88.7% yield) was obtained as a white solid. 1> CBF #.** B>d& 9>ADFD<DFB'O$ j ZZW +(+. #]& 3 >$ /(,0 #]& , >$ 1(-. ' 1(/- #W& 0 >$ 7.60 - 7.73 (m, 4 H) 8.13 (d, J=8Hz, 1 H) 8.48 (dd, J=8, 2.51 Hz, 1 H) 8.67 (d, J=2 Hz, 1 H) 10.16 (s, 1 H) Step 4: Synthesis of N-(2-(((tert-butyldiphenylsilyl)oxy)methyl)-5-nitrobenzyl)prop-2-yn-1-amine
To a solution of 2-(((tert-butyldiphenylsilyl)oxy)methyl)-5-nitrobenzaldehyde (12.6 g, 30.03 mmol, 1 eq) in DCM (130 mL) was added prop-2-yn-1-amine (4.14 g, 75.08 mmol, 4.81 mL, 2.5 eq) and MgSO4 (36.15 g, 300.33 mmol, 10 eq) then the suspension mixture was stirred at 25°C for 24hr. Take a little reaction solution and treat with NaBH4 the TLC showed one new point was formed. The reaction mixture was filtered and concentrated under reduced pressure to give a residue. (E)-N-[[2-[[tert- butyl(diphenyl)silyl]oxymethyl]-5-nitro-phenyl]methyl]prop-2-yn-1-imine (12 g, crude) was obtained as a yellow solid. 1> CBF #.** B>d& 9>ADFD<DFB'O$ j ZZW +(++ #]& 3 >$ ,(.2 #^& @6,(-2 >d& + >$ .(/, (t, J=2.13 Hz, 2 H) 5.09 (s, 2 H) 7.35 - 7.49 (m, 6 H) 7.63 - 7.72 (m, 4 H) 7.79 (d, J=8.53 Hz, 1 H) 8.25 (dd, J=8.53, 2.51 Hz, 1 H) 8.68 (d, J=2.26 Hz, 1 H) 8.84 (t, J=1.88 Hz, 1 H).
(E)-N-[[2-[[tert-butyl(diphenyl)silyl]oxymethyl]-5-nitro-phenyl]methyl]prop-2-yn-1-imine (12 g, 26.28 mmol, 1 eq) was dissolved in MeOH (100 mL) and THF (50 mL) , then NaBH4 (1.49 g, 39.42 mmol, 1.5 eq) was added and the yellow mixture was stirred at -20°C for 2hr. LCMS showed that the desired compound was detected. The reaction mixture was quenched by addition MeOH 200mL at -20 °C, and then concentrated under reduced pressure to give a residue. The residue was dissolved with EtOAc 500 mL washed with brine 150mL, dried over anhydrous Na2SO4, filtered and concentrated under reduced pressure to give a residue. The residue was purified by flash silica gel chromatography ( Eluent of 0~10% Ethyl acetate/Petroleum ether gradient). N-(2-(((tert-butyldiphenylsilyl)oxy)methyl)-5- nitrobenzyl)prop-2-yn-1-amine (9 g, 18.45 mmol, 70% yield) was obtained as a pale yellow oil.1H NMR #.** B>d& 9>ADFD<DFB'O$ j ZZW +(+, #]& 3 >$ ,(+- #^& @6,(-2 >d& + >$ -(-- #O& @6,(/+ >d& , >$ 3.80 (s, 2 H) 4.93 (s, 2 H) 7.36 - 7.49 (m, 6 H) 7.69 (dd, J=7.91, 1.38 Hz, 4 H) 7.77 (d, J=8.53 Hz, 1 H) 8.16 (dd, J=8.41, 2.38 Hz, 1 H) 8.24 (d, J=2.26 Hz, 1 H). Step 5: Synthesis of (9H-fluoren-9-yl)methyl (2-(((tert-butyldiphenylsilyl)oxy)methyl)-5- nitrobenzyl)(prop-2-yn-1-yl)carbamate
A solution of N-(2-(((tert-butyldiphenylsilyl)oxy)methyl)-5-nitrobenzyl)prop-2-yn-1-amine (9 g, 19.62 mmol, 1 eq) and Fmoc-OSU (7.28 g, 21.59 mmol, 1.1 eq) in dioxane (90 mL) was added sat. NaHCO3 (90 mL) and the white suspension was stirred at 20°C for 12hr. The reaction mixture was diluted with H2O 150mL and extracted twice with EtOAc (150 mL each time). The combined organic layers were washed with brine 200mL, dried over anhydrous Na2SO4, filtered and concentrated under reduced pressure to give a residue. The residue was purified by flash silica gel chromatography (Eluent of 0~30% Ethyl acetate/Petroleum ether). (9H-fluoren-9-yl)methyl (2-(((tert-butyldiphenylsilyl)oxy)methyl)-5- nitrobenzyl)(prop-2-yn-1-yl)carbamate (7.7 g, 11.08 mmol, 56.48% yield, 98% purity) was obtained as a white solid. +> CBF #.** B>d& 9>ADFD<DFB'O$ j ZZW +(+, #]& 3 >$ ,(+1 #M\ O& @6+.(-+ >d& + >$ -(21 ' 4.97 (m, 9 H) 6.98 - 8.28 (m, 21 H). Step 6: Synthesis of (9H-fluoren-9-yl)methyl (5-amino-2-(((tert- butyldiphenylsilyl)oxy)methyl)benzyl)(prop-2-yn-1-yl)carbamate
To an ice bath cooled solution of (9H-fluoren-9-yl)methyl (2-(((tert- butyldiphenylsilyl)oxy)methyl)-5-nitrobenzyl)(prop-2-yn-1-yl)carbamate (5.0 g, 7.34 mmol, 1.0 equiv.) in 10% AcOH/CH2Cl2 (100 mL) was added Zn (7.20 g, 110 mmol, 15 equiv.). The ice bath was removed and the resulting mixture stirred for 2 hours at which time it was filtered through a pad of celite. The volatiles were removed in vacuo and the residue was dissolved in EtOAc, was washed with NaHCO3(sat.), NaCl(sat.), dried over MgSO4, filtered, concentrated and after ISCO SiO2 chromatography (0-75% EtOAc/Heptanes) (9H-fluoren-9-yl)methyl (5-amino-2-(((tert- butyldiphenylsilyl)oxy)methyl)benzyl)(prop-2-yn-1-yl)carbamate was obtained (2.99 g, 62%). LCMS: MH+=651.6; Rt=3.77 min (5 min acidic method-Method C). Step 7: Synthesis of (9H-fluoren-9-yl)methyl (5-((S)-2-((S)-2-((tert-butoxycarbonyl)amino)-3- methylbutanamido)-5-ureidopentanamido)-2-(((tert-butyldiphenylsilyl)oxy)methyl)benzyl)(prop-2-yn-1- yl)carbamate
To (9H-fluoren-9-yl)methyl (5-amino-2-(((tert-butyldiphenylsilyl)oxy)methyl)benzyl)(prop-2-yn- 1-yl)carbamate (2.99 g, 4.59 mmol, 1.0 equiv) and (S)-2-((S)-2-((tert-butoxycarbonyl)amino)-3- methylbutanamido)-5-ureidopentanoic acid (1.72 g, 4.59 mmol, 1.0 equiv.) in CH2Cl2 (40 mL) was added ethyl 2-ethoxyquinoline-1(2H)-carboxylate (2.27 g, 9.18 mmol, 2.0 equiv.). After stirring for 10 minutes, MeOH (1 mL) was added and the solution became homogeneous. The reaction was stirred for 16 hours, the volatiles were removed in vacuo and after purification by ISCO SiO2 chromatography (0-15% MeOH/CH2Cl2) (9H-fluoren-9-yl)methyl (5-((S)-2-((S)-2-((tert-butoxycarbonyl)amino)-3- methylbutanamido)-5-ureidopentanamido)-2-(((tert-butyldiphenylsilyl)oxy)methyl)benzyl)(prop-2-yn-1- yl)carbamate was obtained (2.78 g, 60%). LCMS: MH+=1008.8; Rt=3.77 min (5 min acidic method- Method C).
Step 8: Synthesis of prop-2-yn-1-yl (5-((S)-2-((S)-2-((tert-butoxycarbonyl)amino)-3-methylbutanamido)- 5-ureidopentanamido)-2-(((tert-butyldiphenylsilyl)oxy)methyl)benzyl)(prop-2-yn-1-yl)carbamate
To (9H-fluoren-9-yl)methyl (5-((S)-2-((S)-2-((tert-butoxycarbonyl)amino)-3-methylbutanamido)- 5-ureidopentanamido)-2-(((tert-butyldiphenylsilyl)oxy)methyl)benzyl)(prop-2-yn-1-yl)carbamate (1.60 g, 1.588 mmol, 1.0 equiv.) was added 2M dimethylamine in MeOH (30 mL, 60 mmol, 37 equiv.) and THF (10 mL). After standing for 3 hours the volatiles were removed in vacuo and the residue was triturated with Et2O to remove Fmoc deprotection byproducts. To the resulting solid was added CH2Cl2 (16 mL) and pyridine (4 mL) and to the heterogeneous solution was added propargyl chloroformate (155 µL, 1.588 mmol, 1.0 equiv.). After stirring for 30 minutes additional propargyl chloroformate (155 µL, 1.588 mmol, 1.0 equiv.) was added. After stirring for an additional 20 minutes MeOH (1 mL) was added to quench the remaining chloroformate and the volatiles were removed in vacuo. Upon purification by ISCO SiO2 chromatography (0-15% MeOH/CH2Cl2) prop-2-yn-1-yl (5-((S)-2-((S)-2-((tert-butoxycarbonyl)amino)-3- methylbutanamido)-5-ureidopentanamido)-2-(((tert-butyldiphenylsilyl)oxy)methyl)benzyl)(prop-2-yn-1- yl)carbamate was obtained (984 mg, 71%). LCMS: MH+=867.8; Rt=3.40 min (5 min acidic method- Method C). Step 9: Synthesis of prop-2-yn-1-yl (5-((S)-2-((S)-2-((tert-butoxycarbonyl)amino)-3-methylbutanamido)- 5-ureidopentanamido)-2-(hydroxymethyl)benzyl)(prop-2-yn-1-yl)carbamate
To a solution of prop-2-yn-1-yl (5-((S)-2-((S)-2-((tert-butoxycarbonyl)amino)-3- methylbutanamido)-5-ureidopentanamido)-2-(((tert-butyldiphenylsilyl)oxy)methyl)benzyl)(prop-2-yn-1- yl)carbamate (984 mg, 1.135 mmol, 1.0 equiv.) in THF (7.5 mL) was added 1.0 M tetrabutylammoniumn fluoride in THF (2.27 mL, 2.27 mmol, 2.0 equiv.). After standing for 6 hours the volatiles were removed
in vacuo, the residue was purified by ISCO SiO2 chromatography (0-40% MeOH/CH2Cl2) and prop-2-yn- 1-yl (5-((S)-2-((S)-2-((tert-butoxycarbonyl)amino)-3-methylbutanamido)-5-ureidopentanamido)-2- (hydroxymethyl)benzyl)(prop-2-yn-1-yl)carbamate was obtained (629 mg, 88%). LCMS: MH+=629.6; Rt=1.74min (5 min acidic method-Method C). Synthesis of prop-2-yn-1-yl (5-((S)-2-((S)-2-((tert-butoxycarbonyl)amino)-3-methylbutanamido)-5- ureidopentanamido)-2-(hydroxymethyl)benzyl)(methyl)carbamate
[736] Step 1: Synthesis of 2-(hydroxymethyl)-N-methyl-5-nitrobenzamide
To a stirred suspension of 6-nitroisobenzofuran-1(3H)-one (500 g, 2.79 mol) in MeOH (1500 mL) was added MeNH2 (3.00 kg, 29.94 mol, 600 mL, 31.0% purity) at 25 °C and stirred for 1 h. The solid was filtered and washed with water twice (600 mL) and dried under high vacuum to get a residue. The product 2-(hydroxymethyl)-N-methyl-5-nitrobenzamide (560 g, crude) was obtained as white solid. A9BG4 FH 6 *(/-1 WTX& BG W)d 6 +3-(,( +> CBF4 .** B>d :BGD j 2(/1 #M\ O& @ 6 .(. >d& +>$& 2(-+ (dd, J = 2.4, 8.6 Hz, 1H), 8.21 (d, J = 2.4 Hz, 1H), 7.86 (d, J = 8.8 Hz, 1H), 5.54 (t, J = 5.6 Hz, 1H), 4.72 (d, J = 5.5 Hz, 2H), 2.78 (d, J = 4.4 Hz, 3H). Step 2: Synthesis of (2-((methylamino)methyl)-4-nitrophenyl)methanol
A solution of 2-(hydroxymethyl)-N-methyl-5-nitrobenzamide (560 g, 2.66 mol) in THF (5000 mL) was cooled to 0 °C, then BH3-Me2S (506 g, 6.66 mol) (2.0 M in THF) was added drop wise for 60 min and the mixture was heated to 70 °C for 5 h. LCMS showed the starting material was consumed. After completion, 4M HCl (1200 mL) in Methanol was added to the reaction mixture at 0 °C and heated at 65 °C for 8 h. The reaction mixture was cooled to 0 °C, the solid was filtered and concentrated in
reduce pressure. (2-((methylamino)methyl)-4-nitrophenyl)methanol was obtained as a white solid (520 g). LCMS: RT = 0.742 min, MS m/z = 197.1 [M+H]+. 1> CBF4 .** B>d :BGD j 3(,/ #M\ ]& ,>$& 2(-1 #O& J = 2.4 Hz, 1H), 8.14 (dd, J = 2.4, 8.5 Hz, 1H), 7.63 (d, J = 8.4 Hz, 1H), 5.72 (br s, 1H), 4.65 (s, 2H), 4.15 (br s, 2H), 2.55 - 2.45 (m, 3H) Step 3: Synthesis of 1-(2-(((tert-butyldiphenylsilyl)oxy)methyl)-5-nitrophenyl)-N-methylmethanamine
A solution of (2-((methylamino)methyl)-4-nitrophenyl)methanol (520 g, 2.65 mol) and imidazole (721 g, 10.6 mol) in DCM (2600 mL) was cooled to 0°C then TBDPS-Cl (1.09 kg, 3.98 mol, 1.02 L) was added drop wise and the mixture was stirred for 2 h. The mixture was poured into ice cold water (1000 mL) and extracted with ethyl acetate. The combined organic layers were washed with brine, dried over Na2SO4, filtered and evaporated under vacuum to give a crude product. The crude product was purified by chromatography on a silica gel eluted with ethyl acetate:Petroleum ether (from 10/1 to 1) to give a residue.1-(2-(((tert-butyldiphenylsilyl)oxy)methyl)-5-nitrophenyl)-N-methylmethanamine (600 g) was obtained as a yellow liquid. LCMS: product: RT = 0.910 min, MS m/z = 435.2 [M+H]+ +> CBF4 .** B>d 9:9V- j 2(,- #O& @6,(. >d& +>$& 2(+/ #OO& @6,(.& 2(. >d& +>$& 1(10 #O& @62(. Hz, 1H), 7.71 - 7.66 (m, 4H), 7.50 - 7.37 (m, 6H), 4.88 (s, 2H), 3.65 (s, 2H), 2.39 (s, 3H), 1.12 (s, 9H) Step 4: Synthesis of (9H-fluoren-9-yl)methyl (2-(((tert-butyldiphenylsilyl)oxy)methyl)-5- nitrobenzyl)(methyl)carbamate
To a solution of 1-(2-(((tert-butyldiphenylsilyl)oxy)methyl)-5-nitrophenyl)-N- methylmethanamine (400 g, 920.3 mmol) in THF (4000 mL) was added Fmoc-OSU (341.5 g, 1.01 mol) and Et3N (186.2 g, 1.84 mol, 256.2 mL), and the mixture was stirred at 25 °C for 1 h. The mixture was poured into water (1600 mL) and extracted twice with ethyl acetate (1000 mL). The combined organic layers were washed with brine, dried over Na2SO4, filtered and evaporated under vacuum to give crude product. The crude product was purified by chromatography on a silica gel eluted with petroleum ether:ethyl acetate (from 1/0 to 1/1) to give (9H-fluoren-9-yl)methyl (2-(((tert- butyldiphenylsilyl)oxy)methyl)-5-nitrobenzyl)(methyl)carbamate (405 g) as a white solid. LCMS: RT = 0.931 min, MS m/z = 657.2 [M+H]+.
+> CBF4 .** B>d 9:9V- j 2(,+ ' 1(30 #W& +>$& 1(21 ' 1(02 #W& ->$& 1(02 ' 1(0, #W& .>$& 1(0, ' 7.47 (m, 2H), 7.47 - 7.28 (m, 9H), 7.26 - 7.05 (m, 2H), 4.81 (br s, 1H), 4.62 - 4.37 (m, 4H), 4.31 - 4.19 (m, 1H), 4.08 - 3.95 (m, 1H), 2.87 (br d, J = 5.2 Hz, 3H), 1.12 (s, 9H). Step 5: Synthesis of (9H-fluoren-9-yl)methyl (5-amino-2-(((tert- butyldiphenylsilyl)oxy)methyl)benzyl)(methyl)carbamate
A solution of (9H-fluoren-9-yl)methyl (2-(((tert-butyldiphenylsilyl)oxy)methyl)-5- nitrobenzyl)(methyl)carbamate (3.0 g, 4.57 mmol, 1.0 equiv.) in MeOH (90 mL) and EtOAc (30 mL) was degassed and purged to a balloon of N2 via three way stopcock. After repeating degas/N2 purge 2x, 10% Pd/C deGussa type (0.486 g, 0.457 mmol, 0.1 equiv.) was added. The resulting mixture was degassed and purged to a balloon of 2 H2 via three way stopcock. After repeating degas/H2 purge 2x, the reaction stirred under the balloon pressure of H2 for 4 hours. The reaction was degassed and purged to N2, filtered through a pad of celite eluting further with MeOH. After removal of the volatiles in vacuo and pumping on high vac (9H-fluoren-9-yl)methyl (5-amino-2-(((tert- butyldiphenylsilyl)oxy)methyl)benzyl)(methyl)carbamate was obtained (2.78 g, 97%). LCMS: MH+=627.7; Rt=1.59 min (2 min acidic method-Method A). 1> CBF4 .** B>d 9:9V- j 1(2* #M\ O& @ 6 7.2 Hz, 1H), 7.74 - 7.67 (m, 5H), 7.64 (br d, J = 6.8 Hz, 1H), 7.49 - 7.30 (m, 10H), 7.23 - 7.06 (m, 2H), 6.61 - 6.41 (m, 2H), 4.66 (br d, J = 7.2 Hz, 2H), 4.55 (s, 2H), 4.51 - 4.34 (m, 2H), 4.32 - 4.10 (m, 1H), 3.66 (br s, 2H), 2.96 - 2.78 (m, 3H), , 1.07 (s, 9H). Step 6: Synthesis of (9H-fluoren-9-yl)methyl (5-((S)-2-((S)-2-((tert-butoxycarbonyl)amino)-3- methylbutanamido)-5-ureidopentanamido)-2-(((tert- butyldiphenylsilyl)oxy)methyl)benzyl)(methyl)carbamate
To (9H-fluoren-9-yl)methyl (5-amino-2-(((tert- butyldiphenylsilyl)oxy)methyl)benzyl)(methyl)carbamate (2.86 g, 4.56 mmol, 1.0 equiv) and (S)-2-((S)- 2-((tert-butoxycarbonyl)amino)-3-methylbutanamido)-5-ureidopentanoic acid (1.71 g, 4.56 mmol, 1.0
equiv.) in 2:1 CH2Cl2/MeOH (60 mL) was added ethyl 2-ethoxyquinoline-1(2H)-carboxylate (2.256 g, 9.12 mmol, 2.0 equiv.). The homogeneous solution was stirred for 16 hours at which time additional (S)- 2-((S)-2-((tert-butoxycarbonyl)amino)-3-methylbutanamido)-5-ureidopentanoic acid (0.340 g, 0.2 equiv.) and ethyl 2-ethoxyquinoline-1(2H)-carboxylate (0.452 g, 0.4 equiv.) were added to drive the reaction to completion. After stirring for an additonal 5 hours the volatiles were removed in vacuo and after purification by ISCO SiO2 chromatography (0-5% MeOH/CH2Cl2) (9H-fluoren-9-yl)methyl (5-((S)-2- ((S)-2-((tert-butoxycarbonyl)amino)-3-methylbutanamido)-5-ureidopentanamido)-2-(((tert- butyldiphenylsilyl)oxy)methyl)benzyl)(methyl)carbamate was obtained (2.95 g, 65%). LCMS: MH+=984.1; Rt=1.54 min (2 min acidic method-Method A). Step 7: Synthesis of prop-2-yn-1-yl (5-((S)-2-((S)-2-((tert-butoxycarbonyl)amino)-3-methylbutanamido)- 5-ureidopentanamido)-2-(((tert-butyldiphenylsilyl)oxy)methyl)benzyl)(methyl)carbamate
To (9H-fluoren-9-yl)methyl (5-((S)-2-((S)-2-((tert-butoxycarbonyl)amino)-3-methylbutanamido)- 5-ureidopentanamido)-2-(((tert-butyldiphenylsilyl)oxy)methyl)benzyl)(methyl)carbamate (2.05 g, 2.085 mmol, 1.0 equiv) in THF (10 mL) was added 2.0 M dimethyl amine in MeOH (10.42 mL, 20.85 mmol, 10 equiv.). After stirring for 16 hours the volatiles were removed in vacuo. The residue was dissolved in CH2Cl2 (20 mL) and DIEA (0.533 mL, 4.17 mmol, 2 equiv.) and propargyl chloroformate (0.264 mL, 2.71 mmol, 1.3 equiv.) were added. After stirring at rt for 16 hours the reaction was diluted with CH2Cl2 (20 mL), was washed with NaHCO3 (sat.), NaCl(sat.), dried over MgSO4, filtered, concentrated and purified by ISCO SiO2 chromatography (0-15% MeOH/CH2Cl2) to yield prop-2-yn-1-yl (5-((S)-2-((S)-2- ((tert-butoxycarbonyl)amino)-3-methylbutanamido)-5-ureidopentanamido)-2-(((tert- butyldiphenylsilyl)oxy)methyl)benzyl)(methyl)carbamate (1.04 grams, 59%). LCMS: MH+=843.8; Rt=1.35 min (2 min acidic method-Method A). Step 8: Synthesis of prop-2-yn-1-yl (5-((S)-2-((S)-2-((tert-butoxycarbonyl)amino)-3-methylbutanamido)- 5-ureidopentanamido)-2-(hydroxymethyl)benzyl)(methyl)carbamate
To a 0oC solution of prop-2-yn-1-yl (5-((S)-2-((S)-2-((tert-butoxycarbonyl)amino)-3- methylbutanamido)-5-ureidopentanamido)-2-(((tert- butyldiphenylsilyl)oxy)methyl)benzyl)(methyl)carbamate (1.6 g, 1.90 mmol, 1.0 equiv.) in THF (10.0 mL) was added 1.0 M tetrabutylammonium fluoride in THF (3.80 mL, 3.80 mmol, 2.0 equiv.). After warming to rt and stirring for 16 hours the volatiles were removed in vacuo, the residue was dissolved in EtOAc, was washed with NaHCO3(sat.), with NaCl(sat.), dried over MgSO4, filtered, concentrated and the residue was purified by ISCO SiO2 chromatography (0-30% MeOH/CH2Cl2) to yield prop-2-yn-1-yl (5-((S)-2-((S)-2-((tert-butoxycarbonyl)amino)-3-methylbutanamido)-5-ureidopentanamido)-2- (hydroxymethyl)benzyl)(methyl)carbamate (1.0 g, 87%). LCMS: MH+=605.7; Rt=0.81 min (2 min acidic method-Method A). Synthesis of tert-butyl ((S)-1-(((S)-1-((4-(hydroxymethyl)-3-(2-(((prop-2-yn-1- yloxy)carbonyl)amino)acetamido)phenyl)amino)-1-oxo-5-ureidopentan-2-yl)amino)-3-methyl-1- oxobutan-2-yl)carbamate
[737] Step 1: Synthesis of (9H-fluoren-9-yl)methyl (S)-(1-((4-(hydroxymethyl)-3-nitrophenyl)amino)- 1-oxo-5-ureidopentan-2-yl)carbamate
To a solution of (4-amino-2-nitrophenyl)methanol (10 g, 59.5 mmol, 1.0 equiv.), (9H-fluoren-9- yl)methyl (S)-(1-amino-1-oxo-5-ureidopentan-2-yl)carbamate (23.64 g, 59.5 mmol, 1.0 equiv.), and 1- hydroxy-7-azabenzotriazole (8.50 g, 62.4 mmol, 1.05 equiv.) in DMF (50 mL) was added 1-(3- dimethylaminopropyl)-3-ethylcarbodiimide (11.97 g, 62.4 mmol, 1.05 equiv.). After stirring at ambient temperature for 16 hours, the mixture was poured into water (4 L) and stirred for 30 minutes. The resulting solid was filtered, rinsed with water, and dried under vacuum. (9H-Fluoren-9-yl)methyl (S)-(1- ((4-(hydroxymethyl)-3-nitrophenyl)amino)-1-oxo-5-ureidopentan-2-yl)carbamate was obtained (31.49 g, 57.5 mmol, 97%). LCMS: MH+=548; Rt=2.02 min (5 min acidic method-Method C). Step 2: Synthesis of (S)-2-amino-N-(4-(hydroxymethyl)-3-nitrophenyl)-5-ureidopentanamide
To a solution of (9H-Fluoren-9-yl)methyl (S)-(1-((4-(hydroxymethyl)-3-nitrophenyl)amino)-1- oxo-5-ureidopentan-2-yl)carbamate (31.49 g, 57.5 mmol, 1.0 equiv.) in DMF (50 mL) was added dimethylamine (2 M in MeOH, 331 mL, 661 mmol, 11.5 equiv.). After stirring at ambient temperature for 24 hours, the volatiles were removed under vacuum and the resulting residue was triturated with diethyl ether (3 x 2 L). The resulting residue was dried under vacuum and (S)-2-amino-N-(4-(hydroxymethyl)-3- nitrophenyl)-5-ureidopentanamide was obtained (21.85 g, 57.5 mmol, 99%). LCMS: MH+=326.4; Rt=0.35 min (2 min acidic method-Method A). Step 3: Synthesis of tert-butyl ((S)-1-(((S)-1-((4-(hydroxymethyl)-3-nitrophenyl)amino)-1-oxo-5- ureidopentan-2-yl)amino)-3-methyl-1-oxobutan-2-yl)carbamate
To a solution of (S)-2-amino-N-(4-(hydroxymethyl)-3-nitrophenyl)-5-ureidopentanamide (10.89 g, 28.8 mmol, 1.0 equiv.), (tert-butoxycarbonyl)-L-valine (6.25 g, 28.8 mmol, 1.0 equiv.), and 1-hydroxy- 7-azabenzotriazole (3.92 g, 28.8 mmol, 1.0 equiv.) in DMF (40 mL) was added 1-(3- dimethylaminopropyl)-3-ethylcarbodiimide (5.52 g, 28.8 mmol, 1.0 equiv.). After stirring at ambient temperature for 24 hours, the mixture was added dropwise to water (2 L), stirred for 30 minutes, and cooled to 4 °C overnight. The mixture was saturated with NaCl, and the resulting solids were filtered off and dried under vacuum. Tert-butyl ((S)-1-(((S)-1-((4-(hydroxymethyl)-3-nitrophenyl)amino)-1-oxo-5- ureidopentan-2-yl)amino)-3-methyl-1-oxobutan-2-yl)carbamate was obtained (11.96 g, 22.8 mmol, 79%). LCMS: MH+=525.4; Rt=0.79 min (2 min acidic method-Method A). Step 4: Synthesis of tert-butyl ((S)-1-(((S)-1-((4-(((tert-butyldimethylsilyl)oxy)methyl)-3- nitrophenyl)amino)-1-oxo-5-ureidopentan-2-yl)amino)-3-methyl-1-oxobutan-2-yl)carbamate
To a suspension of tert-butyl ((S)-1-(((S)-1-((4-(hydroxymethyl)-3-nitrophenyl)amino)-1-oxo-5- ureidopentan-2-yl)amino)-3-methyl-1-oxobutan-2-yl)carbamate (11.96 g, 22.8 mmol, 1.0 equiv.) and imidazole (15.52 g, 228 mmol, 10 equiv.) in DMF (31 mL) was added tert-butyldimethylchlorosilane (13.68 g, 90.76 mmol, 4.0 equiv.). The resulting mixture was stirred at ambient temperature for 48 hours, then heated at 45 °C for 4 hours. The mixture was poured into water and stirred for 96 hours. Solids were filtered and washed with water (2 x 100 mL) and dried under vacuum. After purification by SiO2 ISCO chromatography (0-30% methanol/dichloromethane), tert-butyl ((S)-1-(((S)-1-((4-(((tert- butyldimethylsilyl)oxy)methyl)-3-nitrophenyl)amino)-1-oxo-5-ureidopentan-2-yl)amino)-3-methyl-1- oxobutan-2-yl)carbamate was obtained (8.02 g, 12.56 mmol, 55%). LCMS: MH+=639.6; Rt=1.22 min (2 min acidic method-Method A). Step 5: Synthesis of tert-butyl ((S)-1-(((S)-1-((3-amino-4-(((tert- butyldimethylsilyl)oxy)methyl)phenyl)amino)-1-oxo-5-ureidopentan-2-yl)amino)-3-methyl-1-oxobutan- 2-yl)carbamate
To a solution of tert-butyl ((S)-1-(((S)-1-((4-(((tert-butyldimethylsilyl)oxy)methyl)-3- nitrophenyl)amino)-1-oxo-5-ureidopentan-2-yl)amino)-3-methyl-1-oxobutan-2-yl)carbamate (8.02 g, 12.56 mmol, 1.0 equiv.) in methanol (250 mL) under a nitrogen atmosphere was added palladium on carbon (10 wt%, 2.00 g, 1.884 mmol, 0.15 equiv.). The mixture was placed under 1 atm dihydrogen and allowed to stir at ambient temperature for 18 hours. The mixture was filtered through celite and dried under vacuum. After purification by SiO2 ISCO chromatography (0-40% methanol/dichloromethane), tert-butyl ((S)-1-(((S)-1-((3-amino-4-(((tert-butyldimethylsilyl)oxy)methyl)phenyl)amino)-1-oxo-5- ureidopentan-2-yl)amino)-3-methyl-1-oxobutan-2-yl)carbamate was obtained (4.82 g, 7.92 mmol, 63%). LCMS: MH+=609.6; Rt=2.65 min (5 min acidic method-Method C). Step 6: Synthesis of tert-butyl ((S)-1-(((S)-1-((4-(hydroxymethyl)-3-(2-(((prop-2-yn-1- yloxy)carbonyl)amino)acetamido)phenyl)amino)-1-oxo-5-ureidopentan-2-yl)amino)-3-methyl-1- oxobutan-2-yl)carbamate
Step 6a): To a solution of glycine (3.19 g, 42.5 mmol, 1.0 equiv.) in 2 M aqueous sodium hydroxide solution (63.3 mL, 127 mmol NaOH, 3.0 equiv.) was added propargyl chloroformate (5.0 g, 42.5 mmol, 1.0 equiv.). The resulting mixture was stirred at ambient temperature for 3 hours. The mixture was extracted with ethyl acetate (3 x 250 mL). The combined organic layers were dried over magnesium sulfate, filtered and the volatiles removed under vacuum. After drying, ((prop-2-yn-1-
yloxy)carbonyl)glycine, , was obtained (3.97 g, 25.3 mmol, 59%).1H NMR (400 MHz, DMSO-d6$ j ZZW -(.2 #^& J=2.40 Hz, 1 H) 3.66 (d, J=6.19 Hz, 2 H) 4.63 (d, J=2.40 Hz, 2 H) 7.63 (t, J=6.13 Hz, 1 H) 12.57 (br s, 1 H). Step 6b): To a solution of tert-butyl ((S)-1-(((S)-1-((3-amino-4-(((tert- butyldimethylsilyl)oxy)methyl)phenyl)amino)-1-oxo-5-ureidopentan-2-yl)amino)-3-methyl-1-oxobutan-
2-yl)carbamate (2.7 g, 4.43 mmol, 1.0 equiv.) in DMF (5 mL) were added ((prop-2-yn-1- yloxy)carbonyl)glycine (0.732 g, 4.66 mmol, 1.05 equiv.), 1-hydroxy-7-azabenzotriazole (0.664 g, 4.88 mmol, 1.1 equiv.), and 1-(3-dimethylaminopropyl)-3-ethylcarbodiimide hydrochloride (0.935 g, 4.88 mmol, 1.1 equiv). The resulting mixture was stirred at ambient temperature for 1 hour, then dripped into water (500 mL) and stirred for a further 20 minutes. The resulting precipitate was filtered, washed with water, and dried under vacuum. After purification by SiO2 ISCO chromatography (0-50% methanol/dichloromethane), tert-butyl ((S)-1-(((S)-1-((4-(hydroxymethyl)-3-(2-(((prop-2-yn-1- yloxy)carbonyl)amino)acetamido)phenyl)amino)-1-oxo-5-ureidopentan-2-yl)amino)-3-methyl-1- oxobutan-2-yl)carbamate was obtained (1.52 g, 2.40 mmol, 54%). LCMS: MH+=634.6; Rt=1.97 min (5 min acidic method-Method C). 1H NMR (400 MHz, DMSO-d6$ j ZZW *(10 ' *(3+ #W& 0 >$ +(-* ' +(.1 (m, 11 H) 1.51 - 1.73 (m, 2 H) 1.87 - 2.00 (m, 1 H) 2.89 - 3.07 (m, 2 H) 3.50 (t, J=2.32 Hz, 1 H) 3.73 - 3.87 (m, 3 H) 4.37 - 4.47 (m, 3 H) 4.65 (d, J=2.45 Hz, 2 H) 5.30 (t, J=5.44 Hz, 1 H) 5.38 (s, 2 H) 5.96 (t, J=5.81 Hz, 1 H) 6.72 (br d, J=8.93 Hz, 1 H) 7.25 (d, J=8.44 Hz, 1 H) 7.45 (dd, J=8.25, 2.02 Hz, 1 H) 7.78 (br t, J=5.87 Hz, 1 H) 7.87 - 8.00 (m, 2 H) 9.51 (s, 1 H) 10.04 (s, 1 H). Synthesis of tert-butyl ((S)-1-(((S)-1-((3-(di(prop-2-yn-1-yl)carbamoyl)-4- (hydroxymethyl)phenyl)amino)-1-oxo-5-ureidopentan-2-yl)amino)-3-methyl-1-oxobutan-2- yl)carbamate
[738] Step 1: Synthesis of 2-(((tert-butyldiphenylsilyl)oxy)methyl)-5-nitro-N,N-di(prop-2-yn-1- yl)benzamide
To a solution of 2-(((tert-butyldiphenylsilyl)oxy)methyl)-5-nitrobenzoic acid (1.00 g, 2.30 mmol, 1.0 equiv.) and dipropargylamine (0.257 g, 2.76 mmol, 1.2 equiv.) in dichloromethane (6 mL) were added
(1-[bis(dimethylamino)methylene]-1H-1,2,3-triazolo[4,5-b]pyridinium 3-oxid hexafluorophosphate (1.048 g, 2.76 mmol, 1.2 equiv.) and N,N-diisopropylethylamine (0.445 g, 3.44 mmol, 1.5 equiv.). The resulting mixture was stirred at ambient temperature for 1 hour, then diluted with water, extracted with diethyl ether (3 x 25 mL), dried over sodium sulfate and concentrated. After purification by SiO2 ISCO chromatography (0-100% ethyl acetate/heptanes), 2-(((tert-butyldiphenylsilyl)oxy)methyl)-5-nitro-N,N- di(prop-2-yn-1-yl)benzamide was obtained (1.08 g, 2.115 mmol, 92%).1H NMR (400 MHz, Chloroform- O$ j 2(-/ #OO& @ 62(0& ,(- >d& +>$& 2(,* #O& @ 6 ,(- >d& +>$& 2(*, ' 1(3, #W& +>$& 1(1+ ' 1(0, #W& .>$& 1(/+ - 7.35 (m, 6H), 4.87 (s, 2H), 4.39 (s, 2H), 3.80 (s, 2H), 2.21 (s, 1H), 2.08 (d, J = 7.7 Hz, 1H), 1.13 (s, 9H). Step 2: Synthesis of 5-amino-2-(((tert-butyldiphenylsilyl)oxy)methyl)-N,N-di(prop-2-yn-1-yl)benzamide
To a stirred suspension of 2-(((tert-butyldiphenylsilyl)oxy)methyl)-5-nitro-N,N-di(prop-2-yn-1- yl)benzamide (1.08 g, 2.115 mmol, 1.0 equiv.) in ethanol (4 mL) and water (4 mL) was added zinc powder (0.553 g, 8.46 mmol, 4 equiv.) and ammonium chloride (0.453 g, 8.46 mmol, 4 equiv.). The resulting mixture was stirred at ambient temperature for 24 hours, then diluted with water and extracted with ethyl acetate (3 x 25 mL). The combined organic layers were dried over sodium sulfate, filtered and concentrated. After drying under vacuum, 5-amino-2-(((tert-butyldiphenylsilyl)oxy)methyl)-N,N-di(prop- 2-yn-1-yl)benzamide was obtained (972 mg, 2.02 mmol, 96%). LCMS: MH+=481.4; Rt=1.33 min (2 min acidic method-Method A). Step 3: Synthesis of (S)-5-(2-amino-5-ureidopentanamido)-2-(((tert-butyldiphenylsilyl)oxy)methyl)-N,N- di(prop-2-yn-1-yl)benzamide
To a solution of 5-amino-2-(((tert-butyldiphenylsilyl)oxy)methyl)-N,N-di(prop-2-yn-1- yl)benzamide (972 mg, 2.02 mmol, 1.0 equiv.), (9H-fluoren-9-yl)methyl (S)-(1-amino-1-oxo-5- ureidopentan-2-yl)carbamate (804 mg, 2.02 mmol, 1.0 equiv.), and (1-[bis(dimethylamino)methylene]- 1H-1,2,3-triazolo[4,5-b]pyridinium 3-oxid hexafluorophosphate (846 mg, 2.22 mmol, 1.1 equiv.) in DMF (4 mL) was added NN-diisopropylethylamine (053 mL 303 mmol 15 equiv.). The resulting mixture
was stirred at ambient temperature for 18 hours, then poured into water (400 mL) and stirred for 3 hours. The precipitate was filtered and dried under vacuum, then dissolved in a 2 M solution of dimethylamine in tetrahydrofuran (2.02 mL, 4.04 mmol, 2 equiv.) and stirred at ambient temperature for 4 hours. The volatiles were removed under vacuum and after purification by SiO2 ISCO chromatography, (S)-5-(2- amino-5-ureidopentanamido)-2-(((tert-butyldiphenylsilyl)oxy)methyl)-N,N-di(prop-2-yn-1-yl)benzamide was obtained (1.018 g, 1.596 mmol, 79%). LCMS: MH+=638.6; Rt=1.22 min (2 min acidic method- Method A). Step 4: Synthesis of tert-butyl ((S)-1-(((S)-1-((4-(((tert-butyldiphenylsilyl)oxy)methyl)-3-(di(prop-2-yn-1- yl)carbamoyl)phenyl)amino)-1-oxo-5-ureidopentan-2-yl)amino)-3-methyl-1-oxobutan-2-yl)carbamate
To a solution of (S)-5-(2-amino-5-ureidopentanamido)-2-(((tert-butyldiphenylsilyl)oxy)methyl)- N,N-di(prop-2-yn-1-yl)benzamide (1.00 g, 1.568 mmol, 1.0 equiv.), (tert-butoxycarbonyl)-L-valine (0.341 g, 1.568 mmol, 1.0 equiv.), and (1-[bis(dimethylamino)methylene]-1H-1,2,3-triazolo[4,5- b]pyridinium 3-oxid hexafluorophosphate (0.656 g, 1.725 mmol, 1.1 equiv.) in DMF (3 mL) was added N,N-diisopropylethylamine (0.41 mL, 2.352 mmol, 1.5 equiv). After stirring at ambient temperature for 1 hour, the mixture was diluted with water (30 mL) and brine (30 mL) and extracted with ethyl acetate (3 x 50 mL). The combined organic layers were dried over sodium sulfate, filtered and concentrated. After purification of the resulting residue by SiO2 ISCO chromatography (0-50% methanol/dichloromethane), tert-butyl ((S)-1-(((S)-1-((4-(((tert-butyldiphenylsilyl)oxy)methyl)-3-(di(prop-2-yn-1- yl)carbamoyl)phenyl)amino)-1-oxo-5-ureidopentan-2-yl)amino)-3-methyl-1-oxobutan-2-yl)carbamate was obtained (1.30 g, 1.553 mmol, 99%). LCMS: MH+=837.5; Rt=1.32 min (2 min acidic method- Method A). Step 5: Synthesis of tert-butyl ((S)-1-(((S)-1-((3-(di(prop-2-yn-1-yl)carbamoyl)-4- (hydroxymethyl)phenyl)amino)-1-oxo-5-ureidopentan-2-yl)amino)-3-methyl-1-oxobutan-2-yl)carbamate
To a stirred solution of tert-butyl ((S)-1-(((S)-1-((4-(((tert-butyldiphenylsilyl)oxy)methyl)-3- (di(prop-2-yn-1-yl)carbamoyl)phenyl)amino)-1-oxo-5-ureidopentan-2-yl)amino)-3-methyl-1-oxobutan-2- yl)carbamate (1.30 g, 1.553 mmol, 1.0 equiv.) in tetrahydrofuran (5 mL), a 1 M solution of tetrabutylammonium fluoride in tetrahydrofuran (3.11 mL, 3.11 mmol, 2.0 equiv.) was added dropwise. After stirring at ambient temperature for 18 hours, the solvent was removed under vacuum. After purification by SiO2 ISCO chromatography (0-50% methanol/dichloromethane), tert-butyl ((S)-1-(((S)-1- ((3-(di(prop-2-yn-1-yl)carbamoyl)-4-(hydroxymethyl)phenyl)amino)-1-oxo-5-ureidopentan-2-yl)amino)- 3-methyl-1-oxobutan-2-yl)carbamate was obtained (0.703 g, 1.174 mmol, 76%). LCMS: MH+=599.4; F^6*(10 WTX #, WTX LNTOTN WP^SYO'BP^SYO 7 $( +> CBF #.** B>d& BP^SLXYV'O.$ j 1(1+ ' 1(/3 #W& ,>$& 7.52 - 7.43 (m, 1H), 4.51 (d, J = 29.4 Hz, 4H), 4.11 - 4.04 (m, 2H), 3.95 - 3.85 (m, 1H), 3.28 - 3.06 (m, 2H), 2.76 (m, 2H), 2.11 - 2.03 (m, 1H), 1.97 - 1.83 (m, 1H), 1.75 (dtd, J = 14.2, 9.4, 5.1 Hz, 1H), 1.70 - 1.51 (m, 3H), 1.44 (m, 9H), 1.00 - 0.90 (m, 6H). Synthesis of (9H-fluoren-9-yl)methyl (S)-(5-(2-((tert-butoxycarbonyl)amino)-5- ureidopentanamido)-2-(((tert-butyldiphenylsilyl)oxy)methyl)benzyl)(methyl)carbamate
[739] A solution of (S)-2-((tert-Butoxycarbonyl)amino)-5-ureidopentanoic acid (17.57 grams, 63.8 mmol), (9H-fluoren-9-yl)methyl (5-amino-2-(((tert- butyldiphenylsilyl)oxy)methyl)benzyl)(methyl)carbamate (40 grams, 63.8 mmol) and HOAT (1.0 M in DMA, 63.8 mL, 63.8 mmol) in DMF (36 mL) was stirred until homogeneous, cooled in a 0°C bath and EDC (12.23 grams, 63.8 mmol) was added. The reaction was left stirring as the bath was allowed to warm to rt overnight. After 16 hours, the reaction solution was dripped into 4L H2O with stirring over ca. 30 minutes at which time the ppt was filtered, rinsed with H2O (1L) and air dried under vacuum. The wet cake was dissolved in 15% iPrOH/EtOAc (ca.1.8 L) and washed with H2O (250 mL), with NaHCO3(sat.) (250 mL) and with NaCl(sat.) (250 mL), dried over MgSO4, filtered, concentrated, and pumped on to
yield (9H-fluoren-9-yl)methyl (S)-(5-(2-((tert-butoxycarbonyl)amino)-5-ureidopentanamido)-2-(((tert- butyldiphenylsilyl)oxy)methyl)benzyl)(methyl)carbamate (54.47 grams, 96% yield). LC/MS: MH+=884.7, Rt=3.82 min (5 min. acidic method). Synthesis of (9H-fluoren-9-yl)methyl (S)-(5-(2-((tert-butoxycarbonyl)amino)-5- ureidopentanamido)-2-(hydroxymethyl)benzyl)(methyl)carbamate
[740] To a solution of (9H-fluoren-9-yl)methyl (S)-(5-(2-((tert-butoxycarbonyl)amino)-5- ureidopentanamido)-2-(((tert-butyldiphenylsilyl)oxy)methyl)benzyl)(methyl)carbamate (33.29 grams, 37.7 mmol) in THF (45 mL) was added AcOH (12.93 mL, 226 mmol) followed by 1.0 M TBAF in THF (56.6 mL, 56.6 mmol). After stirring for 72 hours, the volatiles were removed in vacuo and the residue was partitioned between 15% iPrOH/EtOAc (1.5 L) and H2O (300 mL), mixed, separated, washed further with H2O (5x350 mL), with NaHCO3(sat.) (2x300 mL), with NaCl(sat.) (300 mL), dried over MgSO4, filtered, concentrated, pumped on, triturated with Et2O and filtered to yield (9H-fluoren-9-yl)methyl (S)- (5-(2-((tert-butoxycarbonyl)amino)-5-ureidopentanamido)-2-(hydroxymethyl)benzyl)(methyl)carbamate (19.17 grams, 79% yield). LC/MS: MH+=646.7, Rf=2.28 min. (5 min acidic method). Synthesis of (9H-fluoren-9-yl)methyl (S)-(5-(2-amino-5-ureidopentanamido)-2- (hydroxymethyl)benzyl)(methyl)carbamate
[741] (9H-fluoren-9-yl)methyl (S)-(5-(2-((tert-butoxycarbonyl)amino)-5-ureidopentanamido)-2- (hydroxymethyl)benzyl)(methyl)carbamate (15 g, 23.23 mmol) was dissolved in DCM (30 mL), cooled in ice bath and TFA (28.5 mL, 372 mmol) was added slowly over 5 min. The reaction was kept stirring in the ice bath for 1 hr. The reaction was slowly warmed up to RT and stirred at RT for 1 hour. The volatiles were removed in-vacuo. The product was retaken in dicholoroethane (210 mL). The resulting solution was removed in-vacuo. The process was repeated 2 more times (3 times in total) to obtain a dark yellow solid. The solid was suspended in diethyl ether (300 mL). It was sonicated for 10 min then decanted. The process was repeated 2 more times. The solid was collected by vacuum filtration. After air drying
overnight under vacuum, the solid was dissolved in MeOH (100 mL) and this solution was added dropwise over ca.20 minutes to 7N ammonia in MeOH (201 ml, 402 mmol). After stirring for 30 minutes, the volatiles were removed in-vacuo and, after trituration with Et2O, (9H-fluoren-9-yl)methyl (S)-(5-(2-amino-5-ureidopentanamido)-2-(hydroxymethyl)benzyl)(methyl)carbamate (15.75 grams) was obtained. LC/MS: MH+=546.5, Rt=1.43 min. (5 min acidic method). The material was used as is for next step. Synthesis of (9H-fluoren-9-yl)methyl (5-((S)-2-((S)-2-((tert-butoxycarbonyl)amino)-3- methylbutanamido)-5-ureidopentanamido)-2-(hydroxymethyl)benzyl)(methyl)carbamate
[742] Boc-Val-OH (6.47 g, 29.8 mmol), EDC.HCl (5.48 g, 28.7 mmol) and HOAT (3.89 g, 28.7 mmol) were dissolved in DMF (35 mL) and stirred at RT for 10 min. at which time (9H-fluoren-9-yl)methyl (S)- (5-(2-amino-5-ureidopentanamido)-2-(hydroxymethyl)benzyl)(methyl)carbamate (13 g, 23.83 mmol) was added. DIPEA (4.15 mL, 23.83 mmol) was added. After stirring for 30 minutes the reaction mixture was added dropwise to 4L of water under vigorous stirring. After 30 minutes, the precipitate was collected by vacuum filtration. The cake was washed with water (1200 mL). The product was air dried under vacuum, was triturated with MTBE, and dried under vacuum for to yield (9H-fluoren-9-yl)methyl (5-((S)-2-((S)-2-((tert-butoxycarbonyl)amino)-3-methylbutanamido)-5-ureidopentanamido)-2- (hydroxymethyl)benzyl)(methyl)carbamate (12.8 g, 72% yield). LC/MS: MH+=745.7, 2.37 min. (5 min acidic method). Synthesis of (9H-fluoren-9-yl)methyl (5-((S)-2-((S)-2-(((allyloxy)carbonyl)amino)-3- methylbutanamido)-5-ureidopentanamido)-2-(hydroxymethyl)benzyl)(methyl)carbamate
[743] To a solution of (9H-fluoren-9-yl)methyl (S)-(5-(2-amino-5-ureidopentanamido)-2- (hydroxymethyl)benzyl)(methyl)carbamate (9.4 g, 14.25 mmol), HOAT (2.32 g, 17.1 mmol) and ((allyloxy)carbonyl)-L-valine (3.44 g, 17.10 mmol) in DMF (27 mL) was added DIEA (5.53 g, 42.7 mmol) and EDC (3.28 g, 17.1 mmol). After stirring for 2 hours, the solution was dripped into 3L of H2O
with stirring. The solid formed was collected by vacuum filtration, rinsed further with H2O and air dried under vacuum to yield (9H-fluoren-9-yl)methyl (5-((S)-2-((S)-2-(((allyloxy)carbonyl)amino)-3- methylbutanamido)-5-ureidopentanamido)-2-(hydroxymethyl)benzyl)(methyl)carbamate (7.69 g, 74% yield). LC/MS: MH+=729.6, Rt=2.27 min (5 min acidic method). Synthesis of (9H-fluoren-9-yl)methyl (5-((S)-2-((S)-2-(((allyloxy)carbonyl)amino)-3- methylbutanamido)-5-ureidopentanamido)-2-(chloromethyl)benzyl)(methyl)carbamate
[744] To a heterogeneous solution of (9H-fluoren-9-yl)methyl (5-((S)-2-((S)-2- (((allyloxy)carbonyl)amino)-3-methylbutanamido)-5-ureidopentanamido)-2- (hydroxymethyl)benzyl)(methyl)carbamate (4.0 g, 5.5 mmol) and NaHCO3 (2.8 g, 33 mmol) in THF (55 mL) at rt was added thionyl chloride (1.0 mL, 14 mmol). After stirring for 1 hour, the solution was partitioned between EtOAc and NaHCO3(sat.), extracted further with EtOAc, dried over MgSO4, filtered, concentrated, purified by SiO2 chromatography (0-20% iPrOH/CH2Cl2 eluant). After concentration, (9H- fluoren-9-yl)methyl (5-((S)-2-((S)-2-(((allyloxy)carbonyl)amino)-3-methylbutanamido)-5- ureidopentanamido)-2-(chloromethyl)benzyl)(methyl)carbamate (2.1 g, 51% yield) was obtained. LC/MS: MH+=747.6, Rt=2.72 min (5 min acidic method). Synthesis of (9H-fluoren-9-yl)methyl (5-((S)-2-((S)-2-((tert-butoxycarbonyl)amino)-3- methylbutanamido)-5-ureidopentanamido)-2-((((4- nitrophenoxy)carbonyl)oxy)methyl)benzyl)(methyl)carbamate
[745] To a solution of (9H-fluoren-9-yl)methyl (5-((S)-2-((S)-2-((tert-butoxycarbonyl)amino)-3- methylbutanamido)-5-ureidopentanamido)-2-(hydroxymethyl)benzyl)(methyl)carbamate (2.0 g, 2.685 mmol) and bis(4-nitrophenyl) carbonate (1.634 g, 5.37 mmol) in NMP (7 mL) was added DIEA (1.4 mL,
8.06 mmol). After stirring for 2 hours, the solution was diluted with DMSO and purified by RP-HPLC. After lyophilization, (9H-fluoren-9-yl)methyl (5-((S)-2-((S)-2-((tert-butoxycarbonyl)amino)-3- methylbutanamido)-5-ureidopentanamido)-2-((((4- nitrophenoxy)carbonyl)oxy)methyl)benzyl)(methyl)carbamate (2.0 g, 82% yield) was obtained. HRMS: MH+=910.4000, Rt=3.07 min (5 min acidic method). Synthesis of (9H-fluoren-9-yl)methyl (5-((S)-2-((S)-2-amino-3-methylbutanamido)-5- ureidopentanamido)-2-(hydroxymethyl)benzyl)(methyl)carbamate
[746] (9H-fluoren-9-yl)methyl (5-((S)-2-((S)-2-((tert-butoxycarbonyl)amino)-3-methylbutanamido)-5- ureidopentanamido)-2-(hydroxymethyl)benzyl)(methyl)carbamate (2.0 grams, 2.68 mmol) was treated with 25% TFA/CH2Cl2 (12 mL) in an ice bath. After stirring for one hour, the volatiles were removed in vacuo, dichloroethane was added and volatiles were removed in vacuo. The residue was dissolved in MeOH (20 mL) and the solution was added dropwise to 7M ammonia in MeOH (7.67 mL, 53.7 mmol). After stirring for 30 minutes, the volatiles were removed in vacuo, the residue was dissolved in MeOH and was purified by ISCO RP-HPLC (with no acidic modifier). Upon lyophilization, (9H-fluoren-9- yl)methyl (5-((S)-2-((S)-2-amino-3-methylbutanamido)-5-ureidopentanamido)-2- (hydroxymethyl)benzyl)(methyl)carbamate (1.162 g, 67% yield) was obtained. LC/MS: MH+=645.5, Rt=0.75 min (2 min acidic method). Synthesis of (9H-fluoren-9-yl)methyl (5-((S)-2-((S)-2-(2-azidoacetamido)-3- methylbutanamido)-5-ureidopentanamido)-2-(hydroxymethyl)benzyl)(methyl)carbamate
[747] To a solution of (9H-fluoren-9-yl)methyl (5-((S)-2-((S)-2-amino-3-methylbutanamido)-5- ureidopentanamido)-2-(hydroxymethyl)benzyl)(methyl)carbamate (400 mg, 0.620 mmol), 2-azidoacetic acid (60.4 µl, 0.806 mmol) and HATU (307 mg, 0.806 mmol) in DMF(5ml ) was added DIPEA (433 µl, 2.481 mmol). After stirring for 30 min, the solution was diluted with DMSO and purified by ISCO RP- HPLC. Upon lyophilization, (9H-fluoren-9-yl)methyl (5-((S)-2-((S)-2-(2-azidoacetamido)-3- methylbutanamido)-5-ureidopentanamido)-2-(hydroxymethyl)benzyl)(methyl)carbamate (220 mg, 49% yield was obtained. LC/MS: MH+=728.4, Rt=0.96 min (2 min acidic method). Synthesis of (9H-fluoren-9-yl)methyl (5-((S)-2-((S)-2-(2-azidoacetamido)-3- methylbutanamido)-5-ureidopentanamido)-2-(chloromethyl)benzyl)(methyl)carbamate
[748] To a slurry of (9H-fluoren-9-yl)methyl (5-((S)-2-((S)-2-(2-azidoacetamido)-3- methylbutanamido)-5-ureidopentanamido)-2-(hydroxymethyl)benzyl)(methyl)carbamate (220 mg, 302 µmol) in CH2Cl2 (15 mL) at 0oC was added thionyl chloride (110 µL, 1510 µmol). After stirring for 2 hours, the volatiles were removed in vacuo and the residue was triturated with Et2O. The material was used as is for the next step. LC/MS: MH+=746.4, Rt=1.13 min (2 min acidic method). Synthesis of (9H-fluoren-9-yl)methyl (5-((S)-2-((S)-2-(((2-azidoethoxy)carbonyl)amino)-3- methylbutanamido)-5-ureidopentanamido)-2-(hydroxymethyl)benzyl)(methyl)carbamate
[749] To a solution of (9H-fluoren-9-yl)methyl (5-((S)-2-((S)-2-amino-3-methylbutanamido)-5- ureidopentanamido)-2-(hydroxymethyl)benzyl)(methyl)carbamate TFA salt (1.65 g, 1.89 mmol) and 2- azidoethyl (4-nitrophenyl) carbonate (1.07 g, 4.25 mmol) in DMF (9.5 mL) was added DIEA (986 µL,
5.66 mmol). After stirring for 2 hours, the solution was partitioned between EtOAc and NH4Cl(sat.), washed with brine, dried over MgSO4, filtered, concentrated, and purified by SiO2 chromatography (0- 30% MeOH/CH2Cl2 eluant). After concentration, (9H-fluoren-9-yl)methyl (5-((S)-2-((S)-2-(((2- azidoethoxy)carbonyl)amino)-3-methylbutanamido)-5-ureidopentanamido)-2- (hydroxymethyl)benzyl)(methyl)carbamate (735 mg, 51% yield) was obtained. LC/MS: MH+=758.7, Rt=2.20 min (5 min acidic method). Synthesis of (9H-fluoren-9-yl)methyl (5-((S)-2-((S)-2-(((2-azidoethoxy)carbonyl)amino)-3- methylbutanamido)-5-ureidopentanamido)-2-(chloromethyl)benzyl)(methyl)carbamate
[750] To a solution of (9H-fluoren-9-yl)methyl (5-((S)-2-((S)-2-(((2-azidoethoxy)carbonyl)amino)-3- methylbutanamido)-5-ureidopentanamido)-2-(hydroxymethyl)benzyl)(methyl)carbamate (735 mg, 970 µmol) and NaHCO3 (570 mg, 6790 µmol) in THF (10 mL) at 0oC was added thionyl chloride (283 µL, 3880 µmol). After stirring for 1 hour, the solution was partitioned between EtOAc and NaHCO3(sat.), extracted further with EtOAc, dried over MgSO4, filtered, concentrated, purified by SiO2 chromatography (0-1=20% iPrOH/CH2Cl2 eluant). After concentration, (9H-fluoren-9-yl)methyl (5-((S)-2-((S)-2-(((2- azidoethoxy)carbonyl)amino)-3-methylbutanamido)-5-ureidopentanamido)-2- (chloromethyl)benzyl)(methyl)carbamate (578 mg, 77% yield) was obtained. LC/MS: MH+=776.6, Rt=2.66 min (5 min acidic method). Synthesis of (9H-fluoren-9-yl)methyl (S)-(5-(2-aminopropanamido)-2- (hydroxymethyl)benzyl)(methyl)carbamate
[751] Boc-Ala-OH (0.724 g, 3.83 mmol), EDC.HCl (0.734 g, 3.83 mmol) and HOAT (0.521 g, 3.83 mmol) were dissolved in DMF (3 mL). The reaction was stirred at RT for 10 min at which time (9H- fluoren-9-yl)methyl (5-amino-2-(((tert-butyldiphenylsilyl)oxy)methyl)benzyl)(methyl)carbamate (2 g,
3.19 mmol) was added. The reaction was stirred at RT for 10 min. The reaction mixture was added dropwise to roughly 250 mL of water under vigorous stirring. A precipitate was formed but it was very sticky. The solution was stirred at RT for 30 min and sonicated for 5 min. The precipitate was collected by vacuum filtration. The cake was washed with water (100 mL). The product was air dried under vacuum to obtain the desired amide product (2.36 grams, 93% yield). The amide product was treated with 25% TFA/CH2Cl2 (5.33 mL) for one hour at which time the volatiles were removed in vacuo. To clip the TFA ester that has partially formed, the residue was dissolved in MeOH (10 mL) and dripped dropwise into 7N ammonia in MeOH (15.32 mL, 107 mmol). The volatiles were removed in vacuo, the residue was triturated with Et2O and then pumped on to yield (9H-fluoren-9-yl)methyl (S)-(5-(2- aminopropanamido)-2-(hydroxymethyl)benzyl)(methyl)carbamate (3.08 grams, 94% yield). LC/MS: MH+= 460.5, Rt=1.49 min (5 min acidic method). The material was used as is for the next step. Synthesis of (9H-fluoren-9-yl)methyl (5-((S)-2-((S)-2-amino-3- methylbutanamido)propanamido)-2-(hydroxymethyl)benzyl)(methyl)carbamate Fm
oc [752] Boc-Val-OH (0.567 g, 2.176 mmol), EDC.HCl (0.501 g, 2.61 mmol) and HOAT (0.355 g, 2.61 mmol) were dissolved in DMF (4 mL). The reaction was stirred at RT for 10 min at which time (9H- fluoren-9-yl)methyl (S)-(5-(2-aminopropanamido)-2-(hydroxymethyl)benzyl)(methyl)carbamate (1 g, 2.176 mmol) was added. The reaction was stirred at RT for 10 min. The reaction mixture was added dropwise to roughly 1 L of water under vigorous stirring. The solution was stirred at RT for 30 min and sonicated for 5 min. The precipitate was collected by vacuum filtration. The cake was washed with water (100 mL). The product was air dried under vacuum to obtain the desired crude amide product (1.6 grams). The amide product (1.06 g, 1.61 mmol) was treated with 25% TFA/CH2Cl2 (5.33 mL) for one hour at which time the volatiles were removed in vacuo. To clip the TFA ester that has partially formed, the residue was dissolved in MeOH (10 mL) and dripped dropwise into 7N ammonia in MeOH (15.32 mL, 107 mmol). The volatiles were removed in vacuo, the residue was dissolved in DMSO and purified by RP-HPLC. Upon lyophilization, (9H-fluoren-9-yl)methyl (5-((S)-2-((S)-2-amino-3- methylbutanamido)propanamido)-2-(hydroxymethyl)benzyl)(methyl)carbamate trifluoroacetate (300 mg, 33% yield) was obtained. LC/MS: MH+=559.6, Rt=1.58 min (5 min acidic method).
Synthesis of (9H-fluoren-9-yl)methyl (5-((S)-2-((S)-2-(((2-azidoethoxy)carbonyl)amino)-3- methylbutanamido)propanamido)-2-(hydroxymethyl)benzyl)(methyl)carbamate
[753] To a solution of (9H-fluoren-9-yl)methyl (5-((S)-2-((S)-2-amino-3- methylbutanamido)propanamido)-2-(hydroxymethyl)benzyl)(methyl)carbamate trifluoroacetate (150 mg, 223 µmol) and 2-azidoethyl (4-nitrophenyl) carbonate (112 mg, 446 µmol) in DMF (1 mL) was added DIEA 1194 µL, 1115 µmol). After stirring for 1 hour, the solution was diluted with DMSO and purified by RP-HPLC. Upon lyophilization, (9H-fluoren-9-yl)methyl (5-((S)-2-((S)-2-(((2- azidoethoxy)carbonyl)amino)-3-methylbutanamido)propanamido)-2- (hydroxymethyl)benzyl)(methyl)carbamate (185 mg, ca.100% yield) was obtained. LC/MS: (M- H2O)+H+=654.6, Rt=2.45 (5 min acidic method). Synthesis of (9H-fluoren-9-yl)methyl (5-((S)-2-((S)-2-(((2-azidoethoxy)carbonyl)amino)-3- methylbutanamido)propanamido)-2-(chloromethyl)benzyl)(methyl)carbamate
[754] To a mixture of (9H-fluoren-9-yl)methyl (5-((S)-2-((S)-2-(((2-azidoethoxy)carbonyl)amino)-3- methylbutanamido)propanamido)-2-(hydroxymethyl)benzyl)(methyl)carbamate (185 mg, 235 µmol) and sodium bicarbonate (138 mg, 1648 µmol) in THF (7 mL) in an ice bath was added thionyl chloride (69 µL, 942 µmol). After stirring for 30 minutes, the solution was added dropwise into NaHCO3(sat.) (100 mL) and was then extracted with EtOAc (3x50 mL). The combined organics were washed with NaCl(sat.), dried over MgSO4, filtered, concentrated, and purified by SiO2 chromatography (0-20% iPrOH/CH2Cl2 eluant) to yield (9H-fluoren-9-yl)methyl (5-((S)-2-((S)-2-(((2- azidoethoxy)carbonyl)amino)-3-methylbutanamido)propanamido)-2- (chloromethyl)benzyl)(methyl)carbamate (115 mg, 71% yield). LC/MS: MH+=690.6, Rt=2.96 min (5 min acidic method). Synthesis of tert-butyl prop-2-yn-1-yl ((S)-6-(((S)-1-(((S)-1-((3-(((((9H-fluoren-9- yl)methoxy)carbonyl)(methyl)amino)methyl)-4-(hydroxymethyl)phenyl)amino)-1-oxopropan-2- yl)amino)-3-methyl-1-oxobutan-2-yl)amino)-6-oxohexane-1,5-diyl)dicarbamate
[755] To a solution of N6-(tert-butoxycarbonyl)-N2-((prop-2-yn-1-yloxy)carbonyl)-L-lysine (88 mg, 268 µmol), HOAT (36.4 mg, 268 µmol) and EDC (51.3 mg, 268 µmol) in DMF (2 mL) was stirred for 10 minutes at which time DIEA (117 µL, 669 µmol) and (9H-fluoren-9-yl)methyl (5-((S)-2-((S)-2-amino-3- methylbutanamido)propanamido)-2-(hydroxymethyl)benzyl)(methyl)carbamate TFA salt (150 mg, 223 µmol) were added. After stirring for 20 minutes, the solution was diluted with DMSO and purified by RP-HPLC. Upon lyophilization, tert-butyl prop-2-yn-1-yl ((S)-6-(((S)-1-(((S)-1-((3-(((((9H-fluoren-9- yl)methoxy)carbonyl)(methyl)amino)methyl)-4-(hydroxymethyl)phenyl)amino)-1-oxopropan-2- yl)amino)-3-methyl-1-oxobutan-2-yl)amino)-6-oxohexane-1,5-diyl)dicarbamate (162 mg, 74% yield) was obtained. LC/MS: MH+= 869.8, Rt=2.66 min (5 min acidic method). Synthesis of tert-butyl prop-2-yn-1-yl ((S)-6-(((S)-1-(((S)-1-((3-(((((9H-fluoren-9- yl)methoxy)carbonyl)(methyl)amino)methyl)-4-(chloromethyl)phenyl)amino)-1-oxopropan-2- yl)amino)-3-methyl-1-oxobutan-2-yl)amino)-6-oxohexane-1,5-diyl)dicarbamate
[756] To a mixture of tert-butyl prop-2-yn-1-yl ((S)-6-(((S)-1-(((S)-1-((3-(((((9H-fluoren-9- yl)methoxy)carbonyl)(methyl)amino)methyl)-4-(hydroxymethyl)phenyl)amino)-1-oxopropan-2- yl)amino)-3-methyl-1-oxobutan-2-yl)amino)-6-oxohexane-1,5-diyl)dicarbamate (162 mg, 165 µmol) and sodium bicarbonate (97 mg, 1154 µmol) in THF (7 mL) in an ice bath was added thionyl chloride (48 µL, 659 µmol). After stirring for 30 minutes, the solution was added dropwise into NaHCO3(sat.) (100 mL) and was then extracted with EtOAc (3x50 mL). The combined organics were washed with NaCl(sat.), dried over MgSO4, filtered, concentrated and purified by SiO2 chromatography (0-20% iPrOH/CH2Cl2 eluant) to yield tert-butyl prop-2-yn-1-yl ((S)-6-(((S)-1-(((S)-1-((3-(((((9H-fluoren-9- yl)methoxy)carbonyl)(methyl)amino)methyl)-4-(chloromethyl)phenyl)amino)-1-oxopropan-2-yl)amino)- 3-methyl-1-oxobutan-2-yl)amino)-6-oxohexane-1,5-diyl)dicarbamate (115 mg, 71% yield). LC/MS: MH+=887.8, Rt=3.10 min (5 min acidic method).
Synthesis of tert-butyl prop-2-yn-1-yl ((S)-6-(((S)-1-(((S)-1-((3-(((((9H-fluoren-9- yl)methoxy)carbonyl)(methyl)amino)methyl)-4-(hydroxymethyl)phenyl)amino)-1-oxo-5- ureidopentan-2-yl)amino)-3-methyl-1-oxobutan-2-yl)amino)-6-oxohexane-1,5-diyl)dicarbamate
[757] To a solution of N6-(tert-butoxycarbonyl)-N2-((prop-2-yn-1-yloxy)carbonyl)-L-lysine (1.787 g, 5.44 mmol) and HATU (1.88 g, 4.95 mmol) in DMF (20 mL) was added DIEA (862 µL, 4.95 mmol). After stirring for 5 minutes, (9H-fluoren-9-yl)methyl (5-((S)-2-((S)-2-amino-3-methylbutanamido)-5- ureidopentanamido)-2-(hydroxymethyl)benzyl)(methyl)carbamate (3.19 g, 4.95 mmol) in DMF (10 mL) was added. After stirring for an additional 2 hours, the solution dripped into 1L of H2O. The resulting solid was collected by filtration, dissolved in CH2Cl2/MeOH and purified by SiO2 chromatography to yield tert-butyl prop-2-yn-1-yl ((S)-6-(((S)-1-(((S)-1-((3-(((((9H-fluoren-9- yl)methoxy)carbonyl)(methyl)amino)methyl)-4-(hydroxymethyl)phenyl)amino)-1-oxo-5-ureidopentan-2- yl)amino)-3-methyl-1-oxobutan-2-yl)amino)-6-oxohexane-1,5-diyl)dicarbamate (900 mg, 19% yield). LC/MS: MH+=955.9, Rt=2.55 min (5 min acidic method). Synthesis of tert-butyl prop-2-yn-1-yl ((S)-6-(((S)-1-(((S)-1-((3-(((((9H-fluoren-9- yl)methoxy)carbonyl)(methyl)amino)methyl)-4-(chloromethyl)phenyl)amino)-1-oxo-5- ureidopentan-2-yl)amino)-3-methyl-1-oxobutan-2-yl)amino)-6-oxohexane-1,5-diyl)dicarbamate
[758] To a mixture of tert-butyl prop-2-yn-1-yl ((S)-6-(((S)-1-(((S)-1-((3-(((((9H-fluoren-9- yl)methoxy)carbonyl)(methyl)amino)methyl)-4-(hydroxymethyl)phenyl)amino)-1-oxo-5-ureidopentan-2- yl)amino)-3-methyl-1-oxobutan-2-yl)amino)-6-oxohexane-1,5-diyl)dicarbamate (507 mg, 531 µmol) in MeCN (8 mL) in an ice bath was added thionyl chloride (97 µL, 1327 µmol). After stirring for 60
minutes, the volatiles were removed in vacuo, the residue was dissolved in CH2Cl2 (20 mL) + MeOH (1 mL) and Boc2O (246 mg, 1062 µmol) and DIEA (556 µL, 3180 µmol) were added. After stirring for 60 minutes, the volatiles were removed in vacuo, the residue was dissolved in CH2Cl2 and was purified by SiO2 chromatography (0-30% MeOH/CH2Cl2) to yield tert-butyl prop-2-yn-1-yl ((S)-6-(((S)-1-(((S)-1- ((3-(((((9H-fluoren-9-yl)methoxy)carbonyl)(methyl)amino)methyl)-4-(chloromethyl)phenyl)amino)-1- oxo-5-ureidopentan-2-yl)amino)-3-methyl-1-oxobutan-2-yl)amino)-6-oxohexane-1,5-diyl)dicarbamate (342 mg, 66% yield). LC/MS: MH+=973.9, Rt=1.21 min (2 min acidic method). Synthesis of N-(4-((S)-2-((S)-2-((tert-butoxycarbonyl)amino)-3-methylbutanamido)-5- ureidopentanamido)-2-((prop-2-yn-1-yloxy)methyl)benzyl)-3-((R)-2-(2-(4-((4-((tert- butyldimethylsilyl)oxy)phenyl)(5-cyano-1,2-dimethyl-1H-pyrrol-3-yl)carbamoyl)-1,5-dimethyl-1H- pyrrol-2-yl)-4-chlorobenzoyl)-1,2,3,4-tetrahydroisoquinolin-3-yl)-N,N-dimethylpropan-1-aminium trifluoroacetate
[759] A solution of (R)-N-(4-((tert-butyldimethylsilyl)oxy)phenyl)-5-(5-chloro-2-(3-(3- (dimethylamino)propyl)-1,2,3,4-tetrahydroisoquinoline-2-carbonyl)phenyl)-N-(5-cyano-1,2-dimethyl-1H- pyrrol-3-yl)-1,2-dimethyl-1H-pyrrole-3-carboxamide (400 mg, 0.489 mmol), tert-butyl ((S)-1-(((S)-1-((4- (chloromethyl)-3-((prop-2-yn-1-yloxy)methyl)phenyl)amino)-1-oxo-5-ureidopentan-2-yl)amino)-3- methyl-1-oxobutan-2-yl)carbamate (0.497 g, 0.685 mmol) and DIEA (426 µL, 2.45 mmol) in DMSO (2 mL) was stirred at rt for 16 hours. The solution was purified by ISCO C18 RP-HPLC. Upon lyophilization, N-(4-((S)-2-((S)-2-((tert-butoxycarbonyl)amino)-3-methylbutanamido)-5- ureidopentanamido)-2-((prop-2-yn-1-yloxy)methyl)benzyl)-3-((R)-2-(2-(4-((4-((tert- butyldimethylsilyl)oxy)phenyl)(5-cyano-1,2-dimethyl-1H-pyrrol-3-yl)carbamoyl)-1,5-dimethyl-1H- pyrrol-2-yl)-4-chlorobenzoyl)-1,2,3,4-tetrahydroisoquinolin-3-yl)-N,N-dimethylpropan-1-aminium trifluoroacetate (575 mg, 87%) was obtained. HRMS: M+=1346.4700, Rt=3.22 min (5 min acidic method).
Synthesis of N-(4-((S)-2-((S)-2-amino-3-methylbutanamido)-5-ureidopentanamido)-2- ((prop-2-yn-1-yloxy)methyl)benzyl)-3-((R)-2-(4-chloro-2-(4-((5-cyano-1,2-dimethyl-1H-pyrrol-3- yl)(4-hydroxyphenyl)carbamoyl)-1,5-dimethyl-1H-pyrrol-2-yl)benzoyl)-1,2,3,4- tetrahydroisoquinolin-3-yl)-N,N-dimethylpropan-1-aminium trifluoroacetate
[760] To a solution of N-(4-((S)-2-((S)-2-((tert-butoxycarbonyl)amino)-3-methylbutanamido)-5- ureidopentanamido)-2-((prop-2-yn-1-yloxy)methyl)benzyl)-3-((R)-2-(2-(4-((4-((tert- butyldimethylsilyl)oxy)phenyl)(5-cyano-1,2-dimethyl-1H-pyrrol-3-yl)carbamoyl)-1,5-dimethyl-1H- pyrrol-2-yl)-4-chlorobenzoyl)-1,2,3,4-tetrahydroisoquinolin-3-yl)-N,N-dimethylpropan-1-aminium trifluoroacetate ( 930 mg, 690 µmol) in MeOH (8 mL) was added HCl(conc.) (1.13 mL, 13.81 mmol). After stirring for 17 hours, the volatiles were removed in vacuo. The residue was dissolved in DMSO, purified by RP-HPLC and after lyophilization, N-(4-((S)-2-((S)-2-amino-3-methylbutanamido)-5- ureidopentanamido)-2-((prop-2-yn-1-yloxy)methyl)benzyl)-3-((R)-2-(4-chloro-2-(4-((5-cyano-1,2- dimethyl-1H-pyrrol-3-yl)(4-hydroxyphenyl)carbamoyl)-1,5-dimethyl-1H-pyrrol-2-yl)benzoyl)-1,2,3,4- tetrahydroisoquinolin-3-yl)-N,N-dimethylpropan-1-aminium trifluoroacetate (584 mg, 75% yield) was obtained. HRMS: M+=1132.4000, Rt=1.90 min (5 min acidic method). Synthesis of N-(2-(((((9H-fluoren-9-yl)methoxy)carbonyl)(methyl)amino)methyl)-4-((R)-2- ((R)-2-((tert-butoxycarbonyl)amino)-3-methylbutanamido)-5-ureidopentanamido)benzyl)-3-((R)-2- (2-(4-((4-((tert-butyldimethylsilyl)oxy)phenyl)(5-cyano-1,2-dimethyl-1H-pyrrol-3-yl)carbamoyl)- 1,5-dimethyl-1H-pyrrol-2-yl)-4-chlorobenzoyl)-1,2,3,4-tetrahydroisoquinolin-3-yl)-N,N- dimethylpropan-1-aminium trifluoroacetate
[761] A solution of (R)-N-(4-((tert-butyldimethylsilyl)oxy)phenyl)-5-(5-chloro-2-(3-(3- (dimethylamino)propyl)-1,2,3,4-tetrahydroisoquinoline-2-carbonyl)phenyl)-N-(5-cyano-1,2-dimethyl-1H- pyrrol-3-yl)-1,2-dimethyl-1H-pyrrole-3-carboxamide (1.0 g, 1.224 mmol), (9H-fluoren-9-yl)methyl (5- ((S)-2-((S)-2-((tert-butoxycarbonyl)amino)-3-methylbutanamido)-5-ureidopentanamido)-2- (chloromethyl)benzyl)(methyl)carbamate (1.214 g, 1.590 mmol), tetrabutylammonium iodide (496 mg, 1.346 mmol) and DIEA (474 mg, 3.67 mmol) in DMSO (6 mL) was stirred at rt for 2 hours. The solution was purified by ISCO C18 RP-HPLC. Upon lyophilization, N-(2-(((((9H-fluoren-9- yl)methoxy)carbonyl)(methyl)amino)methyl)-4-((R)-2-((R)-2-((tert-butoxycarbonyl)amino)-3- methylbutanamido)-5-ureidopentanamido)benzyl)-3-((R)-2-(2-(4-((4-((tert- butyldimethylsilyl)oxy)phenyl)(5-cyano-1,2-dimethyl-1H-pyrrol-3-yl)carbamoyl)-1,5-dimethyl-1H- pyrrol-2-yl)-4-chlorobenzoyl)-1,2,3,4-tetrahydroisoquinolin-3-yl)-N,N-dimethylpropan-1-aminium trifluoroacetate (1.414 g, 74%) was obtained. HRMS: M+=1543.8101, Rt=2.64 min (5 min acidic method). Synthesis of N-(2-(((((9H-fluoren-9-yl)methoxy)carbonyl)(methyl)amino)methyl)-4-((R)-2- ((R)-2-amino-3-methylbutanamido)-5-ureidopentanamido)benzyl)-3-((R)-2-(4-chloro-2-(4-((5- cyano-1,2-dimethyl-1H-pyrrol-3-yl)(4-hydroxyphenyl)carbamoyl)-1,5-dimethyl-1H-pyrrol-2- yl)benzoyl)-1,2,3,4-tetrahydroisoquinolin-3-yl)-N,N-dimethylpropan-1-aminium trifuoroacetate
[762] To a solution of N-(2-(((((9H-fluoren-9-yl)methoxy)carbonyl)(methyl)amino)methyl)-4-((R)-2- ((R)-2-((tert-butoxycarbonyl)amino)-3-methylbutanamido)-5-ureidopentanamido)benzyl)-3-((R)-2-(2-(4- ((4-((tert-butyldimethylsilyl)oxy)phenyl)(5-cyano-1,2-dimethyl-1H-pyrrol-3-yl)carbamoyl)-1,5-dimethyl- 1H-pyrrol-2-yl)-4-chlorobenzoyl)-1,2,3,4-tetrahydroisoquinolin-3-yl)-N,N-dimethylpropan-1-aminium trifluoroacetate (952 mg, 0.574 mmol) in EtOH (4 mL) was added 4 M HCl in dioxane (0.94 mL, 11.5 mmol). After stirring for 3 hours, the volatiles were removed in vacuo, the residue was dissolved in DMSO and was purified by ISCO C18 RP-HPLC. Upon lyophilization, N-(2-(((((9H-fluoren-9- yl)methoxy)carbonyl)(methyl)amino)methyl)-4-((R)-2-((R)-2-amino-3-methylbutanamido)-5- ureidopentanamido)benzyl)-3-((R)-2-(4-chloro-2-(4-((5-cyano-1,2-dimethyl-1H-pyrrol-3-yl)(4- hydroxyphenyl)carbamoyl)-1,5-dimethyl-1H-pyrrol-2-yl)benzoyl)-1,2,3,4-tetrahydroisoquinolin-3-yl)- N,N-dimethylpropan-1-aminium trifuoroacetate (664 mg, 81%) was obtained. HRMS: M+=1329.6700, Rt=2.07 min (5 min acidic method). Synthesis of N-(4-((R)-2-((R)-2-(2-azidoacetamido)-3-methylbutanamido)-5- ureidopentanamido)-2-((methylamino)methyl)benzyl)-3-((R)-2-(4-chloro-2-(4-((5-cyano-1,2- dimethyl-1H-pyrrol-3-yl)(4-hydroxyphenyl)carbamoyl)-1,5-dimethyl-1H-pyrrol-2-yl)benzoyl)- 1,2,3,4-tetrahydroisoquinolin-3-yl)-N,N-dimethylpropan-1-aminium trifluoroacetate
[763] To a solution of N-(2-(((((9H-fluoren-9-yl)methoxy)carbonyl)(methyl)amino)methyl)-4-((S)-2- ((S)-2-amino-3-methylbutanamido)-5-ureidopentanamido)benzyl)-3-((R)-2-(4-chloro-2-(4-((5-cyano-1,2- dimethyl-1H-pyrrol-3-yl)(4-hydroxyphenyl)carbamoyl)-1,5-dimethyl-1H-pyrrol-2-yl)benzoyl)-1,2,3,4- tetrahydroisoquinolin-3-yl)-N,N-dimethylpropan-1-aminium trifluoroacetate (150 mg, 96 µmol) and 2,5- dioxopyrrolidin-1-yl 2-azidoacetate (22 mg, 111 µmol) in DMF (2 mL) was added DIEA (50 µL, 289 µmol). After stirring for 20 hours, 2M Me2NH in THF (240 µL, 480 µmol) was added. After stirring an additional one hour, the solution was diluted with DMSO and purified by RP-HPLC. After lyophilization, N-(4-((R)-2-((R)-2-(2-azidoacetamido)-3-methylbutanamido)-5-ureidopentanamido)-2- ((methylamino)methyl)benzyl)-3-((R)-2-(4-chloro-2-(4-((5-cyano-1,2-dimethyl-1H-pyrrol-3-yl)(4- hydroxyphenyl)carbamoyl)-1,5-dimethyl-1H-pyrrol-2-yl)benzoyl)-1,2,3,4-tetrahydroisoquinolin-3-yl)-
N,N-dimethylpropan-1-aminium trifluoroacetate (93 mg, 68% yield) was obtained. HRMS: M+=1190.5699, Rt=1.70 min (5 min acidic method). Synthesis of N-(4-((S)-2-((S)-2-(((allyloxy)carbonyl)amino)-3-methylbutanamido)-5- ureidopentanamido)-2-((methylamino)methyl)benzyl)-3-((R)-2-(4-chloro-2-(4-((5-cyano-1,2- dimethyl-1H-pyrrol-3-yl)(4-hydroxyphenyl)carbamoyl)-1,5-dimethyl-1H-pyrrol-2-yl)benzoyl)- 1,2,3,4-tetrahydroisoquinolin-3-yl)-N,N-dimethylpropan-1-aminium trifluoroacetate
[764] To a solution of N-(2-(((((9H-fluoren-9-yl)methoxy)carbonyl)(methyl)amino)methyl)-4-((R)-2- ((R)-2-amino-3-methylbutanamido)-5-ureidopentanamido)benzyl)-3-((R)-2-(4-chloro-2-(4-((5-cyano-1,2- dimethyl-1H-pyrrol-3-yl)(4-hydroxyphenyl)carbamoyl)-1,5-dimethyl-1H-pyrrol-2-yl)benzoyl)-1,2,3,4- tetrahydroisoquinolin-3-yl)-N,N-dimethylpropan-1-aminium trifuoroacetate (316 mg, 0.22 mmol) and N- allylcarbonyloxy succinimide (87 mg, 0.437) in DMF (1 mL) was added DIEA (141 mg, 1.09 mmol). After stirring for 2 hours, 2.0 M Dimethyl amine in MeOH (1.09 mL, 2.18 mmoL) was added. After stirring for 45 minutes, the solution was diluted with DMSO and purified by ISCO RP-HPLC. Upon lyophilization, N-(4-((S)-2-((S)-2-(((allyloxy)carbonyl)amino)-3-methylbutanamido)-5- ureidopentanamido)-2-((methylamino)methyl)benzyl)-3-((R)-2-(4-chloro-2-(4-((5-cyano-1,2-dimethyl- 1H-pyrrol-3-yl)(4-hydroxyphenyl)carbamoyl)-1,5-dimethyl-1H-pyrrol-2-yl)benzoyl)-1,2,3,4- tetrahydroisoquinolin-3-yl)-N,N-dimethylpropan-1-aminium trifluoroacetate (208 mg, 79% yield ) was obtained. HRMS: M+=1191.6100, Rt=1.83 min (5 min acidic method). Synthesis of N-(4-((S)-2-((S)-2-(((allyloxy)carbonyl)amino)-3-methylbutanamido)-5- ureidopentanamido)-2-(2,81,81-trimethyl-3,79-dioxo- 7,10,13,16,19,22,25,28,31,34,37,40,43,46,49,52,55,58,61,64,67,70,73,76,80-pentacosaoxa-2,4- diazadooctacontyl)benzyl)-3-((R)-2-(4-chloro-2-(4-((5-cyano-1,2-dimethyl-1H-pyrrol-3-yl)(4- hydroxyphenyl)carbamoyl)-1,5-dimethyl-1H-pyrrol-2-yl)benzoyl)-1,2,3,4-tetrahydroisoquinolin-3- yl)-N,N-dimethylpropan-1-aminium trifluoroacetate
[765] GENERAL PROCEDURE #1: to a solution of bis(4-nitrophenyl) carbonate (50.6 mg, 166 µmol), tert-butyl 1-amino-3,6,9,12,15,18,21,24,27,30,33,36,39,42,45,48,51,54,57,60,63,66,69,72- tetracosaoxapentaheptacontan-75-oate (200 mg, 166 µmol) in DMF (2 mL) was added DIEA (58 µL, 333 µmol). After stirring for 1 hour, N-(4-((S)-2-((S)-2-(((allyloxy)carbonyl)amino)-3-methylbutanamido)- 5-ureidopentanamido)-2-((methylamino)methyl)benzyl)-3-((R)-2-(4-chloro-2-(4-((5-cyano-1,2-dimethyl- 1H-pyrrol-3-yl)(4-hydroxyphenyl)carbamoyl)-1,5-dimethyl-1H-pyrrol-2-yl)benzoyl)-1,2,3,4- tetrahydroisoquinolin-3-yl)-N,N-dimethylpropan-1-aminium trifluoroacetate (207 mg, 158 µmol) was added to the solution as well as additional DIEA (58 µL, 333 µmol). After stirring for an additional 2 hours, the solution was diluted with DMSO and purified by ISCO RP-HPLC. Upon lyophilization, N-(4- ((S)-2-((S)-2-(((allyloxy)carbonyl)amino)-3-methylbutanamido)-5-ureidopentanamido)-2-(2,81,81- trimethyl-3,79-dioxo-7,10,13,16,19,22,25,28,31,34,37,40,43,46,49,52,55,58,61,64,67,70,73,76,80- pentacosaoxa-2,4-diazadooctacontyl)benzyl)-3-((R)-2-(4-chloro-2-(4-((5-cyano-1,2-dimethyl-1H-pyrrol- 3-yl)(4-hydroxyphenyl)carbamoyl)-1,5-dimethyl-1H-pyrrol-2-yl)benzoyl)-1,2,3,4-tetrahydroisoquinolin- 3-yl)-N,N-dimethylpropan-1-aminium trifluoroacetate (335 mg, 84 % yield) was obtained. HRMS: (M+- H++Na+)+=2441.2800, Rt=2.46 min (5 min acidic method). Synthesis of N-(4-((S)-2-((S)-2-amino-3-methylbutanamido)-5-ureidopentanamido)-2- (2,81,81-trimethyl-3,79-dioxo- 7,10,13,16,19,22,25,28,31,34,37,40,43,46,49,52,55,58,61,64,67,70,73,76,80-pentacosaoxa-2,4- diazadooctacontyl)benzyl)-3-((R)-2-(4-chloro-2-(4-((5-cyano-1,2-dimethyl-1H-pyrrol-3-yl)(4- hydroxyphenyl)carbamoyl)-1,5-dimethyl-1H-pyrrol-2-yl)benzoyl)-1,2,3,4-tetrahydroisoquinolin-3- yl)-N,N-dimethylpropan-1-aminium trifluoroacetate
[766] GENERAL PROCEDURE #2: to a solution of N-(4-((S)-2-((S)-2-(((allyloxy)carbonyl)amino)- 3-methylbutanamido)-5-ureidopentanamido)-2-(2,81,81-trimethyl-3,79-dioxo- 7,10,13,16,19,22,25,28,31,34,37,40,43,46,49,52,55,58,61,64,67,70,73,76,80-pentacosaoxa-2,4- diazadooctacontyl)benzyl)-3-((R)-2-(4-chloro-2-(4-((5-cyano-1,2-dimethyl-1H-pyrrol-3-yl)(4- hydroxyphenyl)carbamoyl)-1,5-dimethyl-1H-pyrrol-2-yl)benzoyl)-1,2,3,4-tetrahydroisoquinolin-3-yl)- N,N-dimethylpropan-1-aminium trifluoroacetate (214 mg, 84 µmol) in THF (6 mL) was added N,N,1,1,1- pentamethylsilanamine (59 mg, 505 µmol). An N2 balloon with 3-way stopcock was attached and house vacuum was pulled and reaction purged to N2 (repeated 2 x). Tetrakis(triphenylphosphine)palladium (19.5 mg, 17 µmol) was added, followed by degassing/purging to N2 as above (3x). After stirring for one hour, the volatiles were removed in vacuo, the residue was dissolved in DMSO and purified by C18 RP- ISCO. After lyophilization, N-(4-((S)-2-((S)-2-amino-3-methylbutanamido)-5-ureidopentanamido)-2- (2,81,81-trimethyl-3,79-dioxo- 7,10,13,16,19,22,25,28,31,34,37,40,43,46,49,52,55,58,61,64,67,70,73,76,80-pentacosaoxa-2,4- diazadooctacontyl)benzyl)-3-((R)-2-(4-chloro-2-(4-((5-cyano-1,2-dimethyl-1H-pyrrol-3-yl)(4- hydroxyphenyl)carbamoyl)-1,5-dimethyl-1H-pyrrol-2-yl)benzoyl)-1,2,3,4-tetrahydroisoquinolin-3-yl)- N,N-dimethylpropan-1-aminium trifluoroacetate was obtained (134 mg, 62%). HRMS: M+=2335.3000, Rt=2.17 min (5 min acidic method). Variations of this general method included reducing the equivalents of tetrakis(triphenylphosphine)palladium used, use of alternative amine nucleophiles (pyrrolidine, morpholine) as well as running the reaction in 1:1 CH2Cl2/MeOH with the omission of an amine nucleophile specifically in cases when an FMOC was present. Synthesis of 4-(4-((S)-2-((S)-2-(((allyloxy)carbonyl)amino)-3-methylbutanamido)-5- ureidopentanamido)-2-((methylamino)methyl)benzyl)-4-(2-(4-(2-(6-(4-((5-cyano-1,2-dimethyl-1H- pyrrol-3-yl)(4-hydroxyphenyl)carbamoyl)-1,5-dimethyl-1H-pyrrol-2-yl)-7-((R)-3-methyl-1,2,3,4- tetrahydroisoquinoline-2-carbonyl)-3,4-dihydroisoquinolin-2(1H)-yl)-2- oxoethyl)phenoxy)ethyl)morpholin-4-ium trifluoroacetate
[767] A solution of (R)-N-(4-((tert-butyldimethylsilyl)oxy)phenyl)-N-(5-cyano-1,2-dimethyl-1H- pyrrol-3-yl)-1,2-dimethyl-5-(7-(3-methyl-1,2,3,4-tetrahydroisoquinoline-2-carbonyl)-2-(2-(4-(2- morpholinoethoxy)phenyl)acetyl)-1,2,3,4-tetrahydroisoquinolin-6-yl)-1H-pyrrole-3-carboxamide (600 mg, 592 µmol), (9H-fluoren-9-yl)methyl (5-((S)-2-((S)-2-(((allyloxy)carbonyl)amino)-3- methylbutanamido)-5-ureidopentanamido)-2-(chloromethyl)benzyl)(methyl)carbamate (796 mg, 1060 µmol), tetrabutylammonium iodide (218 mg, 592 µmol) and DIEA (103 µL, 592 µmol) in DMF (1.8 mL) was stirred at rt for 40 hours. The solution was purified by ISCO C18 RP-HPLC. After lyophilization, the residue (630 mg) was dissolved in DMF (2 mL) and 2M dimethyl amine in MeOH (1.77 mL, ca.3400 µmol) was added. After standing two hours, 1.0 M tetrabutyl ammonium fluoride (0.20 mL, 200 µmol) was added. After 30 minutes, the solution was diluted in DMSO and purified by C18 ISCO RP-HPLC. Upon lyophilization, 4-(4-((S)-2-((S)-2-(((allyloxy)carbonyl)amino)-3-methylbutanamido)-5- ureidopentanamido)-2-((methylamino)methyl)benzyl)-4-(2-(4-(2-(6-(4-((5-cyano-1,2-dimethyl-1H- pyrrol-3-yl)(4-hydroxyphenyl)carbamoyl)-1,5-dimethyl-1H-pyrrol-2-yl)-7-((R)-3-methyl-1,2,3,4- tetrahydroisoquinoline-2-carbonyl)-3,4-dihydroisoquinolin-2(1H)-yl)-2- oxoethyl)phenoxy)ethyl)morpholin-4-ium trifluoroacetate (515 mg, 51%) was obtained. HRMS: M+=1388.7200, Rt=1.83 min (5 min acidic method). Synthesis of 4-(4-((S)-2-((S)-2-(((allyloxy)carbonyl)amino)-3-methylbutanamido)-5- ureidopentanamido)-2-(2,81,81-trimethyl-3,79-dioxo- 7,10,13,16,19,22,25,28,31,34,37,40,43,46,49,52,55,58,61,64,67,70,73,76,80-pentacosaoxa-2,4- diazadooctacontyl)benzyl)-4-(2-(4-(2-(6-(4-((5-cyano-1,2-dimethyl-1H-pyrrol-3-yl)(4- hydroxyphenyl)carbamoyl)-1,5-dimethyl-1H-pyrrol-2-yl)-7-((R)-3-methyl-1,2,3,4- tetrahydroisoquinoline-2-carbonyl)-3,4-dihydroisoquinolin-2(1H)-yl)-2- oxoethyl)phenoxy)ethyl)morpholin-4-ium trifluoroacetate
[768] Following GENERAL PROCEDURE #1 using bis(4-nitrophenyl) carbonate (92.6 mg, 303.4 µmol), tert-butyl 1-amino-3,6,9,12,15,18,21,24,27,30,33,36,39,42,45,48,51,54,57,60,63,66,69,72- tetracosaoxapentaheptacontan-75-oate (366 mg, 304.4 µmol), DIEA (110 µL, 634 µmol) and then 4-(4- ((S)-2-((S)-2-(((allyloxy)carbonyl)amino)-3-methylbutanamido)-5-ureidopentanamido)-2-(2,81,81- trimethyl-3,79-dioxo-7,10,13,16,19,22,25,28,31,34,37,40,43,46,49,52,55,58,61,64,67,70,73,76,80- pentacosaoxa-2,4-diazadooctacontyl)benzyl)-4-(2-(4-(2-(6-(4-((5-cyano-1,2-dimethyl-1H-pyrrol-3-yl)(4- hydroxyphenyl)carbamoyl)-1,5-dimethyl-1H-pyrrol-2-yl)-7-((R)-3-methyl-1,2,3,4- tetrahydroisoquinoline-2-carbonyl)-3,4-dihydroisoquinolin-2(1H)-yl)-2- oxoethyl)phenoxy)ethyl)morpholin-4-ium Trifluoroacetate (513 mg, 317 µmol) and DIEA (110 µL, 634 µmol), 4-(4-((S)-2-((S)-2-(((allyloxy)carbonyl)amino)-3-methylbutanamido)-5-ureidopentanamido)-2- (2,81,81-trimethyl-3,79-dioxo- 7,10,13,16,19,22,25,28,31,34,37,40,43,46,49,52,55,58,61,64,67,70,73,76,80-pentacosaoxa-2,4- diazadooctacontyl)benzyl)-4-(2-(4-(2-(6-(4-((5-cyano-1,2-dimethyl-1H-pyrrol-3-yl)(4- hydroxyphenyl)carbamoyl)-1,5-dimethyl-1H-pyrrol-2-yl)-7-((R)-3-methyl-1,2,3,4- tetrahydroisoquinoline-2-carbonyl)-3,4-dihydroisoquinolin-2(1H)-yl)-2- oxoethyl)phenoxy)ethyl)morpholin-4-ium Trifluoroacetate (688 mg, 79%) was obtained. HRMS: M+=2616.4500, Rt=2.42 min (5 min acidic method). Synthesis of 4-(4-((S)-2-((S)-2-amino-3-methylbutanamido)-5-ureidopentanamido)-2- (2,81,81-trimethyl-3,79-dioxo- 7,10,13,16,19,22,25,28,31,34,37,40,43,46,49,52,55,58,61,64,67,70,73,76,80-pentacosaoxa-2,4- diazadooctacontyl)benzyl)-4-(2-(4-(2-(6-(4-((5-cyano-1,2-dimethyl-1H-pyrrol-3-yl)(4- hydroxyphenyl)carbamoyl)-1,5-dimethyl-1H-pyrrol-2-yl)-7-((R)-3-methyl-1,2,3,4- tetrahydroisoquinoline-2-carbonyl)-3,4-dihydroisoquinolin-2(1H)-yl)-2- oxoethyl)phenoxy)ethyl)morpholin-4-ium trifluoroacetate
[769] Following GENERAL PROCEDURE #2 using 4-(4-((S)-2-((S)-2-(((allyloxy)carbonyl)amino)- 3-methylbutanamido)-5-ureidopentanamido)-2-(2,81,81-trimethyl-3,79-dioxo- 7,10,13,16,19,22,25,28,31,34,37,40,43,46,49,52,55,58,61,64,67,70,73,76,80-pentacosaoxa-2,4- diazadooctacontyl)benzyl)-4-(2-(4-(2-(6-(4-((5-cyano-1,2-dimethyl-1H-pyrrol-3-yl)(4- hydroxyphenyl)carbamoyl)-1,5-dimethyl-1H-pyrrol-2-yl)-7-((R)-3-methyl-1,2,3,4- tetrahydroisoquinoline-2-carbonyl)-3,4-dihydroisoquinolin-2(1H)-yl)-2- oxoethyl)phenoxy)ethyl)morpholin-4-ium trifluoroacetate (688 mg, 251.8 µmol), N,N,1,1,1- pentamethylsilanamine (242 µL, 1511 µmol) and tetrakis(triphenylphosphine)palladium (14.5 mg, 12.7 µmol), 4-(4-((S)-2-((S)-2-amino-3-methylbutanamido)-5-ureidopentanamido)-2-(2,81,81-trimethyl-3,79- dioxo-7,10,13,16,19,22,25,28,31,34,37,40,43,46,49,52,55,58,61,64,67,70,73,76,80-pentacosaoxa-2,4- diazadooctacontyl)benzyl)-4-(2-(4-(2-(6-(4-((5-cyano-1,2-dimethyl-1H-pyrrol-3-yl)(4- hydroxyphenyl)carbamoyl)-1,5-dimethyl-1H-pyrrol-2-yl)-7-((R)-3-methyl-1,2,3,4- tetrahydroisoquinoline-2-carbonyl)-3,4-dihydroisoquinolin-2(1H)-yl)-2- oxoethyl)phenoxy)ethyl)morpholin-4-ium trifluoroacetate was obtained (486 mg, 69%). HRMS: M+=2532.4099, Rt=2.15 min (5 min acidic method). Synthesis of 4-(2-(((((9H-fluoren-9-yl)methoxy)carbonyl)(methyl)amino)methyl)-4-((S)-2- ((S)-2-((tert-butoxycarbonyl)amino)-3-methylbutanamido)-5-ureidopentanamido)benzyl)-4-(2-(4- (2-(6-(4-((4-((tert-butyldimethylsilyl)oxy)phenyl)(5-cyano-1,2-dimethyl-1H-pyrrol-3-yl)carbamoyl)- 1,5-dimethyl-1H-pyrrol-2-yl)-7-((R)-3-methyl-1,2,3,4-tetrahydroisoquinoline-2-carbonyl)-3,4- dihydroisoquinolin-2(1H)-yl)-2-oxoethyl)phenoxy)ethyl)morpholin-4-ium trifluoroacetate
[770] A solution of (R)-N-(4-((tert-butyldimethylsilyl)oxy)phenyl)-N-(5-cyano-1,2-dimethyl-1H- pyrrol-3-yl)-1,2-dimethyl-5-(7-(3-methyl-1,2,3,4-tetrahydroisoquinoline-2-carbonyl)-2-(2-(4-(2- morpholinoethoxy)phenyl)acetyl)-1,2,3,4-tetrahydroisoquinolin-6-yl)-1H-pyrrole-3-carboxamide (200 mg, 197 µmol), (9H-fluoren-9-yl)methyl (5-((S)-2-((S)-2-((tert-butoxycarbonyl)amino)-3- methylbutanamido)-5-ureidopentanamido)-2-(chloromethyl)benzyl)(methyl)carbamate (196 mg, 257 µmol) and sodium iodide (35.5 mg, 237 µmol) in DMSO (1 mL) was heated at 30°C for 36 hours. Upon cooling, the solution was purified by ISCO C18 RP-HPLC. After lyophilization, 4-(2-(((((9H-fluoren-9- yl)methoxy)carbonyl)(methyl)amino)methyl)-4-((S)-2-((S)-2-((tert-butoxycarbonyl)amino)-3- methylbutanamido)-5-ureidopentanamido)benzyl)-4-(2-(4-(2-(6-(4-((4-((tert- butyldimethylsilyl)oxy)phenyl)(5-cyano-1,2-dimethyl-1H-pyrrol-3-yl)carbamoyl)-1,5-dimethyl-1H- pyrrol-2-yl)-7-((R)-3-methyl-1,2,3,4-tetrahydroisoquinoline-2-carbonyl)-3,4-dihydroisoquinolin-2(1H)- yl)-2-oxoethyl)phenoxy)ethyl)morpholin-4-ium Trifluoroacetate (249 mg, 67%) was obtained. HRMS: M+=1740.9100, Rt=3.26 min (5 min acidic method). Synthesis of 4-(2-(((((9H-fluoren-9-yl)methoxy)carbonyl)(methyl)amino)methyl)-4-((S)-2- ((S)-2-amino-3-methylbutanamido)-5-ureidopentanamido)benzyl)-4-(2-(4-(2-(6-(4-((5-cyano-1,2- dimethyl-1H-pyrrol-3-yl)(4-hydroxyphenyl)carbamoyl)-1,5-dimethyl-1H-pyrrol-2-yl)-7-((R)-3- methyl-1,2,3,4-tetrahydroisoquinoline-2-carbonyl)-3,4-dihydroisoquinolin-2(1H)-yl)-2- oxoethyl)phenoxy)ethyl)morpholin-4-ium trifluoroacetate
[771] A solution of 4-(2-(((((9H-fluoren-9-yl)methoxy)carbonyl)(methyl)amino)methyl)-4-((S)-2-((S)- 2-((tert-butoxycarbonyl)amino)-3-methylbutanamido)-5-ureidopentanamido)benzyl)-4-(2-(4-(2-(6-(4-((4- ((tert-butyldimethylsilyl)oxy)phenyl)(5-cyano-1,2-dimethyl-1H-pyrrol-3-yl)carbamoyl)-1,5-dimethyl-1H- pyrrol-2-yl)-7-((R)-3-methyl-1,2,3,4-tetrahydroisoquinoline-2-carbonyl)-3,4-dihydroisoquinolin-2(1H)- yl)-2-oxoethyl)phenoxy)ethyl)morpholin-4-ium trifluoroacetate (308 mg, 165.9 µmol) in MeOH (3 mL) was cooled in ice bath and 4M HCl in dioxane (3 mL, 12 mmol) was added. After stirring for one hour, the volatiles were removed in vacuo. The residue was dissolved in DMSO and purified by ISCO C18 RP- HPLC. After lyophilization, 4-(2-(((((9H-fluoren-9-yl)methoxy)carbonyl)(methyl)amino)methyl)-4-((S)- 2-((S)-2-amino-3-methylbutanamido)-5-ureidopentanamido)benzyl)-4-(2-(4-(2-(6-(4-((5-cyano-1,2- dimethyl-1H-pyrrol-3-yl)(4-hydroxyphenyl)carbamoyl)-1,5-dimethyl-1H-pyrrol-2-yl)-7-((R)-3-methyl- 1,2,3,4-tetrahydroisoquinoline-2-carbonyl)-3,4-dihydroisoquinolin-2(1H)-yl)-2- oxoethyl)phenoxy)ethyl)morpholin-4-ium Trifluoroacetate was obtained (170 mg, 58%). HRMS: M+=1526.8101, Rt=2.02 min (5 min acidic method). Synthesis of 4-(4-((S)-2-((S)-2-(((allyloxy)carbonyl)amino)-3-methylbutanamido)-5- ureidopentanamido)-2-((methylamino)methyl)benzyl)-4-(2-(4-(2-(6-(4-((1-(difluoromethyl)-1H- pyrazol-4-yl)(4-hydroxyphenyl)carbamoyl)-1,5-dimethyl-1H-pyrrol-2-yl)-7-((R)-3-methyl-1,2,3,4- tetrahydroisoquinoline-2-carbonyl)-3,4-dihydroisoquinolin-2(1H)-yl)-2- oxoethyl)phenoxy)ethyl)morpholin-4-ium trifluoroacetate
[772] A solution of (R)-N-(4-((tert-butyldimethylsilyl)oxy)phenyl)-N-(1-(difluoromethyl)-1H-pyrazol- 4-yl)-1,2-dimethyl-5-(7-(3-methyl-1,2,3,4-tetrahydroisoquinoline-2-carbonyl)-2-(2-(4-(2- morpholinoethoxy)phenyl)acetyl)-1,2,3,4-tetrahydroisoquinolin-6-yl)-1H-pyrrole-3-carboxamide (600 mg, 593 µmol), (9H-fluoren-9-yl)methyl (5-((S)-2-((S)-2-(((allyloxy)carbonyl)amino)-3- methylbutanamido)-5-ureidopentanamido)-2-(chloromethyl)benzyl)(methyl)carbamate (930 mg, 1245 µmol), tetrabutylammonium iodide (219 mg, 593 µmol) and DIEA (108 µL, 622 µmol) in DMF (2.1 mL) was stirred at rt for 60 hours. The solution was purified by ISCO C18 RP-HPLC. After lyophilization, the residue (630 mg) was dissolved in DMF (2 mL) and 2M dimethyl amine in MeOH (2 mL, ca.4000
µmol) was added. After standing two hours, 1.0 M tetrabutyl ammonium fluoride (0.20 mL, 200 µmol) was added. After 60 minutes, the solution was diluted in DMSO and purified by C18 ISCO RP-HPLC. Upon lyophilization, 4-(4-((S)-2-((S)-2-(((allyloxy)carbonyl)amino)-3-methylbutanamido)-5- ureidopentanamido)-2-((methylamino)methyl)benzyl)-4-(2-(4-(2-(6-(4-((1-(difluoromethyl)-1H-pyrazol- 4-yl)(4-hydroxyphenyl)carbamoyl)-1,5-dimethyl-1H-pyrrol-2-yl)-7-((R)-3-methyl-1,2,3,4- tetrahydroisoquinoline-2-carbonyl)-3,4-dihydroisoquinolin-2(1H)-yl)-2- oxoethyl)phenoxy)ethyl)morpholin-4-ium trifluoroacetate (518 mg, 52%) was obtained. HRMS: M+=1386.6899, Rt=1.83 min (5 min acidic method). Synthesis of 4-(4-((S)-2-((S)-2-(((allyloxy)carbonyl)amino)-3-methylbutanamido)-5- ureidopentanamido)-2-(2,81,81-trimethyl-3,79-dioxo- 7,10,13,16,19,22,25,28,31,34,37,40,43,46,49,52,55,58,61,64,67,70,73,76,80-pentacosaoxa-2,4- diazadooctacontyl)benzyl)-4-(2-(4-(2-(6-(4-((1-(difluoromethyl)-1H-pyrazol-4-yl)(4- hydroxyphenyl)carbamoyl)-1,5-dimethyl-1H-pyrrol-2-yl)-7-((R)-3-methyl-1,2,3,4- tetrahydroisoquinoline-2-carbonyl)-3,4-dihydroisoquinolin-2(1H)-yl)-2- oxoethyl)phenoxy)ethyl)morpholin-4-ium trifluoroacetate
[773] Following GENERAL PROCEDURE #1 using bis(4-nitrophenyl) carbonate (93.1 mg, 306 µmol), DIEA (111 µL, 637.5 µmol), ), tert-butyl 1-amino- 3,6,9,12,15,18,21,24,27,30,33,36,39,42,45,48,51,54,57,60,63,66,69,72-tetracosaoxapentaheptacontan-75- oate (368 mg, 306 µmol) and then 4-(4-((S)-2-((S)-2-(((allyloxy)carbonyl)amino)-3-methylbutanamido)- 5-ureidopentanamido)-2-((methylamino)methyl)benzyl)-4-(2-(4-(2-(6-(4-((1-(difluoromethyl)-1H- pyrazol-4-yl)(4-hydroxyphenyl)carbamoyl)-1,5-dimethyl-1H-pyrrol-2-yl)-7-((R)-3-methyl-1,2,3,4- tetrahydroisoquinoline-2-carbonyl)-3,4-dihydroisoquinolin-2(1H)-yl)-2- oxoethyl)phenoxy)ethyl)morpholin-4-ium (515 mg, 319 µmol) and additional DIEA (111 µL, 637.5 mmol), 4-(4-((S)-2-((S)-2-(((allyloxy)carbonyl)amino)-3-methylbutanamido)-5-ureidopentanamido)-2- (2,81,81-trimethyl-3,79-dioxo-
7,10,13,16,19,22,25,28,31,34,37,40,43,46,49,52,55,58,61,64,67,70,73,76,80-pentacosaoxa-2,4- diazadooctacontyl)benzyl)-4-(2-(4-(2-(6-(4-((1-(difluoromethyl)-1H-pyrazol-4-yl)(4- hydroxyphenyl)carbamoyl)-1,5-dimethyl-1H-pyrrol-2-yl)-7-((R)-3-methyl-1,2,3,4- tetrahydroisoquinoline-2-carbonyl)-3,4-dihydroisoquinolin-2(1H)-yl)-2- oxoethyl)phenoxy)ethyl)morpholin-4-ium trifluoroacetate (696 mg, 79%) was obtained. HRMS: M+=2614.4099, Rt=2.47 min (5 min acidic method Synthesis of 4-(4-((S)-2-((S)-2-amino-3-methylbutanamido)-5-ureidopentanamido)-2- (2,81,81-trimethyl-3,79-dioxo- 7,10,13,16,19,22,25,28,31,34,37,40,43,46,49,52,55,58,61,64,67,70,73,76,80-pentacosaoxa-2,4- diazadooctacontyl)benzyl)-4-(2-(4-(2-(6-(4-((1-(difluoromethyl)-1H-pyrazol-4-yl)(4- hydroxyphenyl)carbamoyl)-1,5-dimethyl-1H-pyrrol-2-yl)-7-((R)-3-methyl-1,2,3,4- tetrahydroisoquinoline-2-carbonyl)-3,4-dihydroisoquinolin-2(1H)-yl)-2- oxoethyl)phenoxy)ethyl)morpholin-4-ium trifluoroacetate
[774] Following GENERAL PROCEDURE #2 using 4-(4-((S)-2-((S)-2-(((allyloxy)carbonyl)amino)- 3-methylbutanamido)-5-ureidopentanamido)-2-(2,81,81-trimethyl-3,79-dioxo- 7,10,13,16,19,22,25,28,31,34,37,40,43,46,49,52,55,58,61,64,67,70,73,76,80-pentacosaoxa-2,4- diazadooctacontyl)benzyl)-4-(2-(4-(2-(6-(4-((1-(difluoromethyl)-1H-pyrazol-4-yl)(4- hydroxyphenyl)carbamoyl)-1,5-dimethyl-1H-pyrrol-2-yl)-7-((R)-3-methyl-1,2,3,4- tetrahydroisoquinoline-2-carbonyl)-3,4-dihydroisoquinolin-2(1H)-yl)-2- oxoethyl)phenoxy)ethyl)morpholin-4-ium trifluoroacetate (696 mg, 255 µmol), N,N,1,1,1- pentamethylsilanamine (245 µL, 1529 µmol) and tetrakis(triphenylphosphine)palladium (20.6 mg, 17.8 µmol) was, 4-(4-((S)-2-((S)-2-amino-3-methylbutanamido)-5-ureidopentanamido)-2-(2,81,81-trimethyl- 3,79-dioxo-7,10,13,16,19,22,25,28,31,34,37,40,43,46,49,52,55,58,61,64,67,70,73,76,80-pentacosaoxa- 2,4-diazadooctacontyl)benzyl)-4-(2-(4-(2-(6-(4-((1-(difluoromethyl)-1H-pyrazol-4-yl)(4- hydroxyphenyl)carbamoyl)-1,5-dimethyl-1H-pyrrol-2-yl)-7-((R)-3-methyl-1,2,3,4-
tetrahydroisoquinoline-2-carbonyl)-3,4-dihydroisoquinolin-2(1H)-yl)-2- oxoethyl)phenoxy)ethyl)morpholin-4-ium trifluoroacetate (452 mg, 64 % yield) was obtained. HRMS: M+=2530.3899, Rt=2.24 min (5 min acidic method). Synthesis of 3-((R)-2-(4-chloro-2-(4-((5-cyano-1,2-dimethyl-1H-pyrrol-3-yl)(4- hydroxyphenyl)carbamoyl)-1,5-dimethyl-1H-pyrrol-2-yl)benzoyl)-1,2,3,4-tetrahydroisoquinolin-3- yl)-N-(4-((10S,13S,16S)-13-isopropyl-2,2-dimethyl-4,11,14-trioxo-10-(((prop-2-yn-1- yloxy)carbonyl)amino)-16-(3-ureidopropyl)-3-oxa-5,12,15-triazaheptadecan-17-amido)-2- ((methylamino)methyl)benzyl)-N,N-dimethylpropan-1-aminium trifluoroacetate
[775] To a solution of N6-(tert-butoxycarbonyl)-N2-((prop-2-yn-1-yloxy)carbonyl)-L-lysine (31.6 mg, 96 µmol) and HATU (40.2 mg, 106 µmol) in DMF (1 mL) was added DIEA (67 µL, 185 µmol). After stirring for 5 minutes, N-(2-(((((9H-fluoren-9-yl)methoxy)carbonyl)(methyl)amino)methyl)-4-((S)-2-((S)- 2-amino-3-methylbutanamido)-5-ureidopentanamido)benzyl)-3-((R)-2-(4-chloro-2-(4-((5-cyano-1,2- dimethyl-1H-pyrrol-3-yl)(4-hydroxyphenyl)carbamoyl)-1,5-dimethyl-1H-pyrrol-2-yl)benzoyl)-1,2,3,4- tetrahydroisoquinolin-3-yl)-N,N-dimethylpropan-1-aminium trifluoroacetate (150 mg, 96 µmol) was added. After stirring for an additional four hours, 2.0 M Me2NH in THF (1.44 mL, 2880 µmol) was added. After stirring for 2 hours, the volatiles were removed in vacuo, the residue was diluted with DMSO and purified by ISCO RP-HPLC. Upon lyophilization, 3-((R)-2-(4-chloro-2-(4-((5-cyano-1,2- dimethyl-1H-pyrrol-3-yl)(4-hydroxyphenyl)carbamoyl)-1,5-dimethyl-1H-pyrrol-2-yl)benzoyl)-1,2,3,4- tetrahydroisoquinolin-3-yl)-N-(4-((10S,13S,16S)-13-isopropyl-2,2-dimethyl-4,11,14-trioxo-10-(((prop-2- yn-1-yloxy)carbonyl)amino)-16-(3-ureidopropyl)-3-oxa-5,12,15-triazaheptadecan-17-amido)-2- ((methylamino)methyl)benzyl)-N,N-dimethylpropan-1-aminium trifluoroacetate (103 mg, 76% yield) was obtained. HRMS: M+=1417.6700, Rt=1.95 min (5 min acidic method). Synthesis of N-(4-((S)-2-((S)-2-(((2-azidoethoxy)carbonyl)amino)-3-methylbutanamido)-5- ureidopentanamido)-2-((methylamino)methyl)benzyl)-3-((R)-2-(4-chloro-2-(4-((5-cyano-1,2- dimethyl-1H-pyrrol-3-yl)(4-hydroxyphenyl)c arbamoyl)-1,5-dimethyl-1H-pyrrol-2-yl)benzoyl)- 1,2,3,4-tetrahydroisoquinolin-3-yl)-N,N-dimethylpropan-1-aminium trifluoroacetate
[776] A solution of (R)-N-(4-((tert-butyldimethylsilyl)oxy)phenyl)-5-(5-chloro-2-(3-(3- (dimethylamino)propyl)-1,2,3,4-tetrahydroisoquinoline-2-carbonyl)phenyl)-N-(5-cyano-1,2-dimethyl-1H- pyrrol-3-yl)-1,2-dimethyl-1H-pyrrole-3-carboxamide (560 mg, 685 µmol), (9H-fluoren-9-yl)methyl (5- ((S)-2-((S)-2-(((2-azidoethoxy)carbonyl)amino)-3-methylbutanamido)-5-ureidopentanamido)-2- (chloromethyl)benzyl)(methyl)carbamate (617 mg, 795 µmol), tetrabutylammonium iodide (76 mg, 205 µmol) and DIEA (239 µL, 1370 µmol) in DMF (7 mL) was stirred at rt for 14 hours at which time 2M Me2NH (1.712 mL, 3424 µmol) was added. After stirring an additional 2 hours, the volatiles were removed in vacuo, DMSO was added and the solution was purified by ISCO C18 RP-HPLC. Upon lyophilization, N-(4-((S)-2-((S)-2-(((2-azidoethoxy)carbonyl)amino)-3-methylbutanamido)-5- ureidopentanamido)-2-((methylamino)methyl)benzyl)-3-((R)-2-(4-chloro-2-(4-((5-cyano-1,2-dimethyl- 1H-pyrrol-3-yl)(4-hydroxyphenyl)carbamoyl)-1,5-dimethyl-1H-pyrrol-2-yl)benzoyl)-1,2,3,4- tetrahydroisoquinolin-3-yl)-N,N-dimethylpropan-1-aminium trifluoroacetate (895 mg, 98%) was obtained. HRMS: M+=1220.5778, Rt=1.78 min (5 min acidic method). Synthesis of N-(4-((S)-2-((S)-2-(((2-azidoethoxy)carbonyl)amino)-3-methylbutanamido)-5- ureidopentanamido)-2-(80-carboxy-2-methyl-3-oxo- 6,9,12,15,18,21,24,27,30,33,36,39,42,45,48,51,54,57,60,63,66,69,72,75,78-pentacosaoxa-2- azaoctacontyl)benzyl)-3-((R)-2-(4-chloro-2-(4-((5-cyano-1,2-dimethyl-1H-pyrrol-3-yl)(4- hydroxyphenyl)carbamoyl)-1,5-dimethyl-1H-pyrrol-2-yl)benzoyl)-1,2,3,4-tetrahydroisoquinolin-3- yl)-N,N-dimethylpropan-1-aminium trifluoroacetate
[777] To a solution of N-(4-((S)-2-((S)-2-(((2-azidoethoxy)carbonyl)amino)-3-methylbutanamido)-5- ureidopentanamido)-2-((methylamino)methyl)benzyl)-3-((R)-2-(4-chloro-2-(4-((5-cyano-1,2-dimethyl- 1H-pyrrol-3-yl)(4-hydroxyphenyl)carbamoyl)-1,5-dimethyl-1H-pyrrol-2-yl)benzoyl)-1,2,3,4- tetrahydroisoquinolin-3-yl)-N,N-dimethylpropan-1-aminium trifluoroacetate (110 mg, 82 µmol) and 79- ((2,5-dioxopyrrolidin-1-yl)oxy)-79-oxo- 4,7,10,13,16,19,22,25,28,31,34,37,40,43,46,49,52,55,58,61,64,67,70,73,76- pentacosaoxanonaheptacontanoic acid (119 mg, 97 µmol) in DMF (1.2 mL) was added DIEA (72 µL, 412 µmol). After stirring for 16 hours, the solution was diluted with DMSO and purified by RP-HPLC. After lyophilization, N-(4-((S)-2-((S)-2-(((2-azidoethoxy)carbonyl)amino)-3-methylbutanamido)-5- ureidopentanamido)-2-(80-carboxy-2-methyl-3-oxo- 6,9,12,15,18,21,24,27,30,33,36,39,42,45,48,51,54,57,60,63,66,69,72,75,78-pentacosaoxa-2- azaoctacontyl)benzyl)-3-((R)-2-(4-chloro-2-(4-((5-cyano-1,2-dimethyl-1H-pyrrol-3-yl)(4- hydroxyphenyl)carbamoyl)-1,5-dimethyl-1H-pyrrol-2-yl)benzoyl)-1,2,3,4-tetrahydroisoquinolin-3-yl)- N,N-dimethylpropan-1-aminium trifluoroacetate (183 mg, 88% yield) was obtained. HRMS: M+=2421.2200, Rt=2.16 min (5 min acidic method). Synthesis of N-(4-((S)-2-((S)-2-(((2-azidoethoxy)carbonyl)amino)-3-methylbutanamido)-5- ureidopentanamido)-2-(75-methyl-74-oxo- 2,5,8,11,14,17,20,23,26,29,32,35,38,41,44,47,50,53,56,59,62,65,68,71-tetracosaoxa-75- azahexaheptacontan-76-yl)benzyl)-3-((R)-2-(4-chloro-2-(4-((5-cyano-1,2-dimethyl-1H-pyrrol-3- yl)(4-hydroxyphenyl)carbamoyl)-1,5-dimethyl-1H-pyrrol-2-yl)benzoyl)-1,2,3,4- tetrahydroisoquinolin-3-yl)-N,N-dimethylpropan-1-aminium trifluoroacetate
[778] To a solution of N-(4-((S)-2-((S)-2-(((2-azidoethoxy)carbonyl)amino)-3-methylbutanamido)-5- ureidopentanamido)-2-((methylamino)methyl)benzyl)-3-((R)-2-(4-chloro-2-(4-((5-cyano-1,2-dimethyl- 1H-pyrrol-3-yl)(4-hydroxyphenyl)carbamoyl)-1,5-dimethyl-1H-pyrrol-2-yl)benzoyl)-1,2,3,4- tetrahydroisoquinolin-3-yl)-N,N-dimethylpropan-1-aminium trifluoroacetate (150 mg, 112 µmol) and 2,5- dioxopyrrolidin-1-yl 25811141720232629323538414447505356,59,62,65,68,71-
tetracosaoxatetraheptacontan-74-oate (150 mg, 124 µmol) in DMF (1.6 mL) was added DIEA (98 µL, 561 µmol). After stirring for 16 hours, the solution was diluted with DMSO and purified by RP-HPLC. After lyophilization, N-(4-((S)-2-((S)-2-(((2-azidoethoxy)carbonyl)amino)-3-methylbutanamido)-5- ureidopentanamido)-2-(75-methyl-74-oxo- 2,5,8,11,14,17,20,23,26,29,32,35,38,41,44,47,50,53,56,59,62,65,68,71-tetracosaoxa-75- azahexaheptacontan-76-yl)benzyl)-3-((R)-2-(4-chloro-2-(4-((5-cyano-1,2-dimethyl-1H-pyrrol-3-yl)(4- hydroxyphenyl)carbamoyl)-1,5-dimethyl-1H-pyrrol-2-yl)benzoyl)-1,2,3,4-tetrahydroisoquinolin-3-yl)- N,N-dimethylpropan-1-aminium trifluoroacetate (209 mg, 76% yield) was obtained. HRMS: M+=2319.2100, Rt=2.23 min (5 min acidic method). Synthesis of N-(4-((9S,12S)-1-azido-9-isopropyl-4,7,10-trioxo-12-(3-ureidopropyl)-3-oxa- 5,8,11-triazatridecan-13-amido)-2-((methylamino)methyl)benzyl)-3-((R)-2-(4-chloro-2-(4-((5-cyano- 1,2-dimethyl-1H-pyrrol-3-yl)(4-hydroxyphenyl)carbamoyl)-1,5-dimethyl-1H-pyrrol-2-yl)benzoyl)- 1,2,3,4-tetrahydroisoquinolin-3-yl)-N,N-dimethylpropan-1-aminium trifluoroacetate
[779] To a solution of N-(2-(((((9H-fluoren-9-yl)methoxy)carbonyl)(methyl)amino)methyl)-4- ((S)-2-((S)-2-amino-3-methylbutanamido)-5-ureidopentanamido)benzyl)-3-((R)-2-(4-chloro-2-(4-((5- cyano-1,2-dimethyl-1H-pyrrol-3-yl)(4-hydroxyphenyl)carbamoyl)-1,5-dimethyl-1H-pyrrol-2-yl)benzoyl)- 1,2,3,4-tetrahydroisoquinolin-3-yl)-N,N-dimethylpropan-1-aminium trifluoroacetate (150 mg, 96 µmol), (2-azidoethoxy)carbonyl)glycine (31 mg, 165 µmol), HBTU (62 mg, 163 µL) in DMF (3 mL) was added DIEA (70 µL, 401 µmol). After stirring for 3 hours, 2M Me2NH in MeOH (600 µL, 1200 µmol) was added. After stirring for an additional two hours, the solution was diluted with DMSO and purified by RP-HPLC. After lyophilization, N-(4-((9S,12S)-1-azido-9-isopropyl-4,7,10-trioxo-12-(3-ureidopropyl)- 3-oxa-5,8,11-triazatridecan-13-amido)-2-((methylamino)methyl)benzyl)-3-((R)-2-(4-chloro-2-(4-((5- cyano-1,2-dimethyl-1H-pyrrol-3-yl)(4-hydroxyphenyl)carbamoyl)-1,5-dimethyl-1H-pyrrol-2-yl)benzoyl)- 1,2,3,4-tetrahydroisoquinolin-3-yl)-N,N-dimethylpropan-1-aminium trifluoroacetate (116 mg, 80% yield) was obtained. HRMS: M+=1277.6000, Rt=1.70 min (5 min acidic method). Synthesis of 1-(2-(((((9H-fluoren-9-yl)methoxy)carbonyl)(methyl)amino)methyl)-4-((S)-2- ((S)-2-((tert-butoxycarbonyl)amino)-3-methylbutanamido)-5-ureidopentanamido)benzyl)-4-(2-(2-
chloro-4-(6-(4-fluorophenyl)-4-(((R)-1-((4-methoxybenzyl)oxy)-3-(2-((2-(2- methoxyphenyl)pyrimidin-4-yl)methoxy)phenyl)-1-oxopropan-2-yl)oxy)thieno[2,3-d]pyrimidin-5- yl)-3-methylphenoxy)ethyl)-1-methylpiperazin-1-iumtrifluoroacetate
[780] A solution of 4-methoxybenzyl (R)-2-((5-(3-chloro-2-methyl-4-(2-(4-methylpiperazin-1- yl)ethoxy)phenyl)-6-(4-fluorophenyl)thieno[2,3-d]pyrimidin-4-yl)oxy)-3-(2-((2-(2- methoxyphenyl)pyrimidin-4-yl)methoxy)phenyl)propanoate (1000 mg, 1004 µmol, prepared based on methods described in WO2017/125224), (9H-fluoren-9-yl)methyl (5-((S)-2-((S)-2-((tert- butoxycarbonyl)amino)-3-methylbutanamido)-5-ureidopentanamido)-2- (chloromethyl)benzyl)(methyl)carbamate (843 mg, 1105 µmol), tetrabutylammonium iodide (408 mg, 1105 µmol) and DIEA (175 u, 1004 µmol) in DMSO (10 mL) was stirred at rt for 3 hours at which time the solution was purified by ISCO RP-HPLC. Upon lyophilization, 1-(2-(((((9H-fluoren-9- yl)methoxy)carbonyl)(methyl)amino)methyl)-4-((S)-2-((S)-2-((tert-butoxycarbonyl)amino)-3- methylbutanamido)-5-ureidopentanamido)benzyl)-4-(2-(2-chloro-4-(6-(4-fluorophenyl)-4-(((R)-1-((4- methoxybenzyl)oxy)-3-(2-((2-(2-methoxyphenyl)pyrimidin-4-yl)methoxy)phenyl)-1-oxopropan-2- yl)oxy)thieno[2,3-d]pyrimidin-5-yl)-3-methylphenoxy)ethyl)-1-methylpiperazin-1-ium trifluoroacetate (1.45 g, 84%) was obtained. HRMS: M+=1721.7100, Rt=3.22 min (5 min acidic method). Synthesis of 1-(2-(((((9H-fluoren-9-yl)methoxy)carbonyl)(methyl)amino)methyl)-4-((S)-2- ((S)-2-amino-3-methylbutanamido)-5-ureidopentanamido)benzyl)-4-(2-(4-(4-((R)-1-carboxy-2-(2- ((2-(2-methoxyphenyl)pyrimidin-4-yl)methoxy)phenyl)ethoxy)-6-(4-fluorophenyl)thieno[2,3- d]pyrimidin-5-yl)-2-chloro-3-methylphenoxy)ethyl)-1-methylpiperazin-1-ium trifluoroacetate
[781] 1-(2-(((((9H-fluoren-9-yl)methoxy)carbonyl)(methyl)amino)methyl)-4-((S)-2-((S)-2-((tert- butoxycarbonyl)amino)-3-methylbutanamido)-5-ureidopentanamido)benzyl)-4-(2-(2-chloro-4-(6-(4-
fluorophenyl)-4-(((R)-1-((4-methoxybenzyl)oxy)-3-(2-((2-(2-methoxyphenyl)pyrimidin-4- yl)methoxy)phenyl)-1-oxopropan-2-yl)oxy)thieno[2,3-d]pyrimidin-5-yl)-3-methylphenoxy)ethyl)-1- methylpiperazin-1-ium trifluoroacetate (300 mg, 174 µmol) was treated with 25% TFA/CH2Cl2 (4 mL) for 1 hour at which time the volatiles were removed in vacuo. The residue was dissolved in MeCN/ H2O and lyophilized to yield 1-(2-(((((9H-fluoren-9-yl)methoxy)carbonyl)(methyl)amino)methyl)-4-((S)-2- ((S)-2-amino-3-methylbutanamido)-5-ureidopentanamido)benzyl)-4-(2-(4-(4-((R)-1-carboxy-2-(2-((2-(2- methoxyphenyl)pyrimidin-4-yl)methoxy)phenyl)ethoxy)-6-(4-fluorophenyl)thieno[2,3-d]pyrimidin-5-yl)- 2-chloro-3-methylphenoxy)ethyl)-1-methylpiperazin-1-ium trifluoroacetate (305 mg, 95% yield). The material was used directly. LC/MS: [(M+)+(H+)+2]/2=751.6, Rt=2.30 min (5 min acidic method). Synthesis of 1-(4-((S)-2-((S)-2-(((2-azidoethoxy)carbonyl)amino)-3-methylbutanamido)-5- ureidopentanamido)-2-((methylamino)methyl)benzyl)-4-(2-(4-(4-((R)-1-carboxy-2-(2-((2-(2- methoxyphenyl)pyrimidin-4-yl)methoxy)phenyl)ethoxy)-6-(4-fluorophenyl)thieno[2,3-d]pyrimidin- 5-yl)-2-chloro-3-methylphenoxy)ethyl)-1-methylpiperazin-1-ium trifluoroacetate
[782] To a solution of 1-(2-(((((9H-fluoren-9-yl)methoxy)carbonyl)(methyl)amino)methyl)-4-((S)-2- ((S)-2-amino-3-methylbutanamido)-5-ureidopentanamido)benzyl)-4-(2-(4-(4-((R)-1-carboxy-2-(2-((2-(2- methoxyphenyl)pyrimidin-4-yl)methoxy)phenyl)ethoxy)-6-(4-fluorophenyl)thieno[2,3-d]pyrimidin-5-yl)- 2-chloro-3-methylphenoxy)ethyl)-1-methylpiperazin-1-ium trifluoroacetate (186 mg, 124 µmol) and 2- azidoethyl (4-nitrophenyl) carbonate (62.5 mg, 248 µmol) in DMF (1.3 mL) was added DIEA (97 µL, 560 µmol). After stirring for 2 hours, 2M Me2NH in MeOH (600 µL, 1200 µmol) was added. After stirring for 2 hours, the solution was diluted with DMSO and purified by RP-HPLC. Upon lyophilization, 1-(4-((S)-2-((S)-2-(((2-azidoethoxy)carbonyl)amino)-3-methylbutanamido)-5-ureidopentanamido)-2- ((methylamino)methyl)benzyl)-4-(2-(4-(4-((R)-1-carboxy-2-(2-((2-(2-methoxyphenyl)pyrimidin-4- yl)methoxy)phenyl)ethoxy)-6-(4-fluorophenyl)thieno[2,3-d]pyrimidin-5-yl)-2-chloro-3- methylphenoxy)ethyl)-1-methylpiperazin-1-ium trifluoroacetate (73 mg, 42 %yield) was obtained. LC/MS: [(M++H+)+2]/2=697.3, Rt=2.09 min (5 min acidic method). Synthesis of 1-(2-(((((9H-fluoren-9-yl)methoxy)carbonyl)(methyl)amino)methyl)-4- ((9S,12S)-1-azido-9-isopropyl-4,7,10-trioxo-12-(3-ureidopropyl)-3-oxa-5,8,11-triazatridecan-13- amido)benzyl)-4-(2-(4-(4-((R)-1-carboxy-2-(2-((2-(2-methoxyphenyl)pyrimidin-4-
yl)methoxy)phenyl)ethoxy)-6-(4-fluorophenyl)thieno[2,3-d]pyrimidin-5-yl)-2-chloro-3- methylphenoxy)ethyl)-1-methylpiperazin-1-ium trifluoroacetate
[783] To a solution of ((2-azidoethoxy)carbonyl)glycine (15.3 mg, 81 µmol) and HATU (20.6 mg, 54 µmol) in DMF (2 mL) was added DIEA (38 µL, 217 µmol). After stirring for 5 minutes, 1-(2-(((((9H- fluoren-9-yl)methoxy)carbonyl)(methyl)amino)methyl)-4-((S)-2-((S)-2-amino-3-methylbutanamido)-5- ureidopentanamido)benzyl)-4-(2-(4-(4-((R)-1-carboxy-2-(2-((2-(2-methoxyphenyl)pyrimidin-4- yl)methoxy)phenyl)ethoxy)-6-(4-fluorophenyl)thieno[2,3-d]pyrimidin-5-yl)-2-chloro-3- methylphenoxy)ethyl)-1-methylpiperazin-1-ium trifluoroacetate (100 mg, 54 µmol) was added. After stirring for an additional 30 minutes, the solution was diluted with DMSO and purified by ISCO RP- HPLC. Upon lyophilization, 1-(2-(((((9H-fluoren-9-yl)methoxy)carbonyl)(methyl)amino)methyl)-4- ((9S,12S)-1-azido-9-isopropyl-4,7,10-trioxo-12-(3-ureidopropyl)-3-oxa-5,8,11-triazatridecan-13- amido)benzyl)-4-(2-(4-(4-((R)-1-carboxy-2-(2-((2-(2-methoxyphenyl)pyrimidin-4- yl)methoxy)phenyl)ethoxy)-6-(4-fluorophenyl)thieno[2,3-d]pyrimidin-5-yl)-2-chloro-3- methylphenoxy)ethyl)-1-methylpiperazin-1-ium trifluoroacetate (56 mg, 58% yield) was obtained. HRMS: M+=1671.6500, Rt=2.50 min (5 min acidic method). Synthesis of 1-(4-((9S,12S)-1-azido-9-isopropyl-4,7,10-trioxo-12-(3-ureidopropyl)-3-oxa- 5,8,11-triazatridecan-13-amido)-2-((methylamino)methyl)benzyl)-4-(2-(4-(4-((R)-1-carboxy-2-(2-((2- (2-methoxyphenyl)pyrimidin-4-yl)methoxy)phenyl)ethoxy)-6-(4-fluorophenyl)thieno[2,3- d]pyrimidin-5-yl)-2-chloro-3-methylphenoxy)ethyl)-1-methylpiperazin-1-ium trifluoroacetate
[784] To a solution of 1-(2-(((((9H-fluoren-9-yl)methoxy)carbonyl)(methyl)amino)methyl)-4- ((9S,12S)-1-azido-9-isopropyl-4,7,10-trioxo-12-(3-ureidopropyl)-3-oxa-5,8,11-triazatridecan-13- amido)benzyl)-4-(2-(4-(4-((R)-1-carboxy-2-(2-((2-(2-methoxyphenyl)pyrimidin-4- yl)methoxy)phenyl)ethoxy)-6-(4-fluorophenyl)thieno[2,3-d]pyrimidin-5-yl)-2-chloro-3-
methylphenoxy)ethyl)-1-methylpiperazin-1-ium trifluoroacetate (112 mg, 63 µmol) in THF (3 mL) was added 2M Me2NH in THF (627 µL, 1253 µmol). After stirring for 2 hours, the volatiles were removed in vacuo, the residue was dissolved in MeCN/H2O and upon lyophilization 1-(4-((9S,12S)-1-azido-9- isopropyl-4,7,10-trioxo-12-(3-ureidopropyl)-3-oxa-5,8,11-triazatridecan-13-amido)-2- ((methylamino)methyl)benzyl)-4-(2-(4-(4-((R)-1-carboxy-2-(2-((2-(2-methoxyphenyl)pyrimidin-4- yl)methoxy)phenyl)ethoxy)-6-(4-fluorophenyl)thieno[2,3-d]pyrimidin-5-yl)-2-chloro-3- methylphenoxy)ethyl)-1-methylpiperazin-1-ium trifluoroacetate (97 mg) was obtained. The material was used directly. HRMS: M+=1449.5800, Rt=2.14 min (5 min acidic method). Synthesis of 1-(2-(((((9H-fluoren-9-yl)methoxy)carbonyl)(methyl)amino)methyl)-4- ((10S,13S,16S)-13-isopropyl-2,2-dimethyl-4,11,14-trioxo-10-(((prop-2-yn-1-yloxy)carbonyl)amino)- 16-(3-ureidopropyl)-3-oxa-5,12,15-triazaheptadecan-17-amido)benzyl)-4-(2-(4-(4-((R)-1-carboxy-2- (2-((2-(2-methoxyphenyl)pyrimidin-4-yl)methoxy)phenyl)ethoxy)-6-(4-fluorophenyl)thieno[2,3- d]pyrimidin-5-yl)-2-chloro-3-methylphenoxy)ethyl)-1-methylpiperazin-1-ium trifluoroacetate
[785] To a solution of N6-(tert-butoxycarbonyl)-N2-((prop-2-yn-1-yloxy)carbonyl)-L-lysine (44.8 mg, 137 µmol) and HATU (47.6 mg, 125 µmol) in DMF (3.5 mL) was added DIEA (79 µL, 455 µmol). After stirring for 5 minutes, 1-(2-(((((9H-fluoren-9-yl)methoxy)carbonyl)(methyl)amino)methyl)-4-((S)-2-((S)- 2-amino-3-methylbutanamido)-5-ureidopentanamido)benzyl)-4-(2-(4-(4-((R)-1-carboxy-2-(2-((2-(2- methoxyphenyl)pyrimidin-4-yl)methoxy)phenyl)ethoxy)-6-(4-fluorophenyl)thieno[2,3-d]pyrimidin-5-yl)- 2-chloro-3-methylphenoxy)ethyl)-1-methylpiperazin-1-ium (210 mg, 114 µmol) was added. After stirring for an additional one hour, the solution was diluted with DMSO and purified by ISCO RP-HPLC. Upon lyophilization, 1-(2-(((((9H-fluoren-9-yl)methoxy)carbonyl)(methyl)amino)methyl)-4- ((10S,13S,16S)-13-isopropyl-2,2-dimethyl-4,11,14-trioxo-10-(((prop-2-yn-1-yloxy)carbonyl)amino)-16- (3-ureidopropyl)-3-oxa-5,12,15-triazaheptadecan-17-amido)benzyl)-4-(2-(4-(4-((R)-1-carboxy-2-(2-((2- (2-methoxyphenyl)pyrimidin-4-yl)methoxy)phenyl)ethoxy)-6-(4-fluorophenyl)thieno[2,3-d]pyrimidin-5- yl)-2-chloro-3-methylphenoxy)ethyl)-1-methylpiperazin-1-ium trifluoroacetate (124 mg, 60% yield) was obtained. HRMS: M+=1811.7400, Rt=2.92 min (5 min acidic method).
Synthesis of 1-(4-((S)-2-((S)-2-((tert-butoxycarbonyl)amino)-3-methylbutanamido)-5- ureidopentanamido)-2-((methylamino)methyl)benzyl)-4-(2-(2-chloro-4-(6-(4-fluorophenyl)-4-(((R)- 1-((4-methoxybenzyl)oxy)-3-(2-((2-(2-methoxyphenyl)pyrimidin-4-yl)methoxy)phenyl)-1- oxopropan-2-yl)oxy)thieno[2,3-d]pyrimidin-5-yl)-3-methylphenoxy)ethyl)-1-methylpiperazin-1-ium trifluoroacetate
[786] A solution of 4-methoxybenzyl (R)-2-((5-(3-chloro-2-methyl-4-(2-(4-methylpiperazin-1- yl)ethoxy)phenyl)-6-(4-fluorophenyl)thieno[2,3-d]pyrimidin-4-yl)oxy)-3-(2-((2-(2- methoxyphenyl)pyrimidin-4-yl)methoxy)phenyl)propanoate (500 mg, 502 µmol, prepared based on methods described in WO2017/125224), (9H-fluoren-9-yl)methyl (5-((S)-2-((S)-2-((tert- butoxycarbonyl)amino)-3-methylbutanamido)-5-ureidopentanamido)-2- (chloromethyl)benzyl)(methyl)carbamate (498 mg, 653 µmol), tetrabutylammonium iodide (232 mg, 628 µmol) and DIEA (97 mg, 753 µmol) in DMF (4 mL) was stirred at rt for 20 hours at which time 2.0 M dimethyl amine in THF (3 mL, 6000 µmol) was added. After stirring for 30 minutes, the volatiles were removed in vacuo, the remaining solution was diluted with DMSO and was purified by ISCO RP-HPLC. Upon lyophilization, 1-(4-((S)-2-((S)-2-((tert-butoxycarbonyl)amino)-3-methylbutanamido)-5- ureidopentanamido)-2-((methylamino)methyl)benzyl)-4-(2-(2-chloro-4-(6-(4-fluorophenyl)-4-(((R)-1-((4- methoxybenzyl)oxy)-3-(2-((2-(2-methoxyphenyl)pyrimidin-4-yl)methoxy)phenyl)-1-oxopropan-2- yl)oxy)thieno[2,3-d]pyrimidin-5-yl)-3-methylphenoxy)ethyl)-1-methylpiperazin-1-ium trifluoroacetate (700 mg, 78%) was obtained. HRMS: M+=1499.6400, Rt=2.36 min (5 min acidic method). Synthesis of 1-(4-((S)-2-((S)-2-((tert-butoxycarbonyl)amino)-3-methylbutanamido)-5- ureidopentanamido)-2-(80-carboxy-2-methyl-3-oxo- 6,9,12,15,18,21,24,27,30,33,36,39,42,45,48,51,54,57,60,63,66,69,72,75,78-pentacosaoxa-2- azaoctacontyl)benzyl)-4-(2-(2-chloro-4-(6-(4-fluorophenyl)-4-(((R)-1-((4-methoxybenzyl)oxy)-3-(2- ((2-(2-methoxyphenyl)pyrimidin-4-yl)methoxy)phenyl)-1-oxopropan-2-yl)oxy)thieno[2,3- d]pyrimidin-5-yl)-3-methylphenoxy)ethyl)-1-methylpiperazin-1-ium trifluoroacetate
[787] To a solution of 1-(4-((S)-2-((S)-2-((tert-butoxycarbonyl)amino)-3-methylbutanamido)-5- ureidopentanamido)-2-((methylamino)methyl)benzyl)-4-(2-(2-chloro-4-(6-(4-fluorophenyl)-4-(((R)-1-((4- methoxybenzyl)oxy)-3-(2-((2-(2-methoxyphenyl)pyrimidin-4-yl)methoxy)phenyl)-1-oxopropan-2- yl)oxy)thieno[2,3-d]pyrimidin-5-yl)-3-methylphenoxy)ethyl)-1-methylpiperazin-1-ium trifluoroacetate (600 mg, 371 µmol) and 79-((2,5-dioxopyrrolidin-1-yl)oxy)-79-oxo- 4,7,10,13,16,19,22,25,28,31,34,37,40,43,46,49,52,55,58,61,64,67,70,73,76- pentacosaoxanonaheptacontanoic acid (587 mg, 446 µmol) in DMF (3 mL) was added DIEA (324 µL, 1857 µmol). After stirring 16 hours, the solution was diluted with DMSO and purified by ISCO RP- HPLC. Upon lyophilization, 1-(4-((S)-2-((S)-2-((tert-butoxycarbonyl)amino)-3-methylbutanamido)-5- ureidopentanamido)-2-(80-carboxy-2-methyl-3-oxo- 6,9,12,15,18,21,24,27,30,33,36,39,42,45,48,51,54,57,60,63,66,69,72,75,78-pentacosaoxa-2- azaoctacontyl)benzyl)-4-(2-(2-chloro-4-(6-(4-fluorophenyl)-4-(((R)-1-((4-methoxybenzyl)oxy)-3-(2-((2- (2-methoxyphenyl)pyrimidin-4-yl)methoxy)phenyl)-1-oxopropan-2-yl)oxy)thieno[2,3-d]pyrimidin-5-yl)- 3-methylphenoxy)ethyl)-1-methylpiperazin-1-ium trifluoroacetate (640 mg, 59% yield) was obtained. HRMS: M+=2700.3000, Rt=2.68 min (5 min acidic method). Synthesis of 1-(4-((S)-2-((S)-2-amino-3-methylbutanamido)-5-ureidopentanamido)-2-(80- carboxy-2-methyl-3-oxo-6,9,12,15,18,21,24,27,30,33,36,39,42,45,48,51,54,57,60,63,66,69,72,75,78- pentacosaoxa-2-azaoctacontyl)benzyl)-4-(2-(4-(4-((R)-1-carboxy-2-(2-((2-(2- methoxyphenyl)pyrimidin-4-yl)methoxy)phenyl)ethoxy)-6-(4-fluorophenyl)thieno[2,3-d]pyrimidin- 5-yl)-2-chloro-3-methylphenoxy)ethyl)-1-methylpiperazin-1-ium trifluoroacetate
[788] 1-(4-((S)-2-((S)-2-((tert-butoxycarbonyl)amino)-3-methylbutanamido)-5-ureidopentanamido)-2- (80-carboxy-2-methyl-3-oxo-6,9,12,15,18,21,24,27,30,33,36,39,42,45,48,51,54,57,60,63,66,69,72,75,78- pentacosaoxa-2-azaoctacontyl)benzyl)-4-(2-(2-chloro-4-(6-(4-fluorophenyl)-4-(((R)-1-((4- methoxybenzyl)oxy)-3-(2-((2-(2-methoxyphenyl)pyrimidin-4-yl)methoxy)phenyl)-1-oxopropan-2- yl)oxy)thieno[2,3-d]pyrimidin-5-yl)-3-methylphenoxy)ethyl)-1-methylpiperazin-1-ium trifluoroacetate (520 mg, 192 µmol) was treated with 33% TFA/CH2Cl2 (4.5 mL) for 1 hour at which the volatiles were removed in vacuo and the residue was triturated with diethyl ether (3x10 mL). After pumping on high vac, 1-(4-((S)-2-((S)-2-amino-3-methylbutanamido)-5-ureidopentanamido)-2-(80-carboxy-2-methyl-3- oxo-6,9,12,15,18,21,24,27,30,33,36,39,42,45,48,51,54,57,60,63,66,69,72,75,78-pentacosaoxa-2- azaoctacontyl)benzyl)-4-(2-(4-(4-((R)-1-carboxy-2-(2-((2-(2-methoxyphenyl)pyrimidin-4- yl)methoxy)phenyl)ethoxy)-6-(4-fluorophenyl)thieno[2,3-d]pyrimidin-5-yl)-2-chloro-3- methylphenoxy)ethyl)-1-methylpiperazin-1-ium trifluoroacetate (525 mg, 93% yield) was obtained. HRMS: M+=2480.1899, Rt=2.12 min (5 min acidic method). Synthesis of 1-(2-(((((9H-fluoren-9-yl)methoxy)carbonyl)(methyl)amino)methyl)-4-((S)-2- ((S)-2-(2-azidoacetamido)-3-methylbutanamido)-5-ureidopentanamido)benzyl)-4-(2-(2-chloro-4-(6- (4-fluorophenyl)-4-(((R)-1-((4-methoxybenzyl)oxy)-3-(2-((2-(2-methoxyphenyl)pyrimidin-4- yl)methoxy)phenyl)-1-oxopropan-2-yl)oxy)thieno[2,3-d]pyrimidin-5-yl)-3-methylphenoxy)ethyl)-1- methylpiperazin-1-ium trifluoroacetate
[789] A solution of 4-methoxybenzyl (R)-2-((5-(3-chloro-2-methyl-4-(2-(4-methylpiperazin-1- yl)ethoxy)phenyl)-6-(4-fluorophenyl)thieno[2,3-d]pyrimidin-4-yl)oxy)-3-(2-((2-(2- methoxyphenyl)pyrimidin-4-yl)methoxy)phenyl)propanoate (231 mg, 232 µmol, prepared based on methods described in WO2017/125224), (9H-fluoren-9-yl)methyl (5-((S)-2-((S)-2-(2-azidoacetamido)-3- methylbutanamido)-5-ureidopentanamido)-2-(chloromethyl)benzyl)(methyl)carbamate (225 mg, 302 µmol), tetrabutylammonium iodide (94 mg, 255 µmol) and DIEA (122 µL, 696 µmol) in DMSO (2 mL) was stirred at rt for 2 hours at which time the solution was diluted with DMSO and was purified by ISCO RP-HPLC. Upon lyophilization, 1-(2-(((((9H-fluoren-9-yl)methoxy)carbonyl)(methyl)amino)methyl)-4- ((S)-2-((S)-2-(2-azidoacetamido)-3-methylbutanamido)-5-ureidopentanamido)benzyl)-4-(2-(2-chloro-4- (6-(4-fluorophenyl)-4-(((R)-1-((4-methoxybenzyl)oxy)-3-(2-((2-(2-methoxyphenyl)pyrimidin-4-
yl)methoxy)phenyl)-1-oxopropan-2-yl)oxy)thieno[2,3-d]pyrimidin-5-yl)-3-methylphenoxy)ethyl)-1- methylpiperazin-1-ium trifluoroacetate (275 mg, 69%) was obtained. HRMS: M+=1704.6801, Rt=2.96 min (5 min acidic method). Synthesis of 1-(4-((S)-2-((S)-2-(2-azidoacetamido)-3-methylbutanamido)-5- ureidopentanamido)-2-((methylamino)methyl)benzyl)-4-(2-(2-chloro-4-(6-(4-fluorophenyl)-4-(((R)- 1-((4-methoxybenzyl)oxy)-3-(2-((2-(2-methoxyphenyl)pyrimidin-4-yl)methoxy)phenyl)-1- oxopropan-2-yl)oxy)thieno[2,3-d]pyrimidin-5-yl)-3-methylphenoxy)ethyl)-1-methylpiperazin-1-ium trifluoroacetate
[790] 1-(2-(((((9H-fluoren-9-yl)methoxy)carbonyl)(methyl)amino)methyl)-4-((S)-2-((S)-2-(2- azidoacetamido)-3-methylbutanamido)-5-ureidopentanamido)benzyl)-4-(2-(2-chloro-4-(6-(4- fluorophenyl)-4-(((R)-1-((4-methoxybenzyl)oxy)-3-(2-((2-(2-methoxyphenyl)pyrimidin-4- yl)methoxy)phenyl)-1-oxopropan-2-yl)oxy)thieno[2,3-d]pyrimidin-5-yl)-3-methylphenoxy)ethyl)-1- methylpiperazin-1-ium trifluoroacetate (275 mg, 161 µmol) was treated with 2.0 M dimethyl amine in MeOH (1.62 mL, 3.24 mmol). After stirring for 30 minutes, the volatiles were removed in vacuo, the residue was dissolved in MeOH and purified by ISCO RP-HPLC. Upon lyophilization, 1-(4-((S)-2-((S)- 2-(2-azidoacetamido)-3-methylbutanamido)-5-ureidopentanamido)-2-((methylamino)methyl)benzyl)-4- (2-(2-chloro-4-(6-(4-fluorophenyl)-4-(((R)-1-((4-methoxybenzyl)oxy)-3-(2-((2-(2- methoxyphenyl)pyrimidin-4-yl)methoxy)phenyl)-1-oxopropan-2-yl)oxy)thieno[2,3-d]pyrimidin-5-yl)-3- methylphenoxy)ethyl)-1-methylpiperazin-1-ium trifluoroacetate (114 mg, 48% yield) was obtained. HRMS: M+=1482.5900, Rt=2.42 min (5 min acidic method). Synthesis of 1-(4-((S)-2-((S)-2-(2-azidoacetamido)-3-methylbutanamido)-5- ureidopentanamido)-2-(80-carboxy-2-methyl-3-oxo- 6,9,12,15,18,21,24,27,30,33,36,39,42,45,48,51,54,57,60,63,66,69,72,75,78-pentacosaoxa-2- azaoctacontyl)benzyl)-4-(2-(2-chloro-4-(6-(4-fluorophenyl)-4-(((R)-1-((4-methoxybenzyl)oxy)-3-(2- ((2-(2-methoxyphenyl)pyrimidin-4-yl)methoxy)phenyl)-1-oxopropan-2-yl)oxy)thieno[2,3- d]pyrimidin-5-yl)-3-methylphenoxy)ethyl)-1-methylpiperazin-1-ium trifluoroacetate
[791] To a solution of 1-(4-((S)-2-((S)-2-(2-azidoacetamido)-3-methylbutanamido)-5- ureidopentanamido)-2-((methylamino)methyl)benzyl)-4-(2-(2-chloro-4-(6-(4-fluorophenyl)-4-(((R)-1-((4- methoxybenzyl)oxy)-3-(2-((2-(2-methoxyphenyl)pyrimidin-4-yl)methoxy)phenyl)-1-oxopropan-2- yl)oxy)thieno[2,3-d]pyrimidin-5-yl)-3-methylphenoxy)ethyl)-1-methylpiperazin-1-ium trifluoroacetate (114 mg, 77 µmol) and 79-((2,5-dioxopyrrolidin-1-yl)oxy)-79-oxo- 4,7,10,13,16,19,22,25,28,31,34,37,40,43,46,49,52,55,58,61,64,67,70,73,76- pentacosaoxanonaheptacontanoic acid (203 mg, 154 µmol) in DMF (3 mL) was added DIEA (162 µL, 926 µmol). After stirring 4 hours, the solution was diluted with DMSO and purified by ISCO RP-HPLC. Upon lyophilization, 1-(4-((S)-2-((S)-2-(2-azidoacetamido)-3-methylbutanamido)-5-ureidopentanamido)- 2-(80-carboxy-2-methyl-3-oxo- 6,9,12,15,18,21,24,27,30,33,36,39,42,45,48,51,54,57,60,63,66,69,72,75,78-pentacosaoxa-2- azaoctacontyl)benzyl)-4-(2-(2-chloro-4-(6-(4-fluorophenyl)-4-(((R)-1-((4-methoxybenzyl)oxy)-3-(2-((2- (2-methoxyphenyl)pyrimidin-4-yl)methoxy)phenyl)-1-oxopropan-2-yl)oxy)thieno[2,3-d]pyrimidin-5-yl)- 3-methylphenoxy)ethyl)-1-methylpiperazin-1-ium trifluoroacetate (89 mg, 44% yield) was obtained. HRMS: M+=2683.2600, Rt=2.71 min (5 min acidic method). Synthesis of 1-(4-((S)-2-((S)-2-(2-azidoacetamido)-3-methylbutanamido)-5- ureidopentanamido)-2-(80-carboxy-2-methyl-3-oxo- 6,9,12,15,18,21,24,27,30,33,36,39,42,45,48,51,54,57,60,63,66,69,72,75,78-pentacosaoxa-2- azaoctacontyl)benzyl)-4-(2-(4-(4-((R)-1-carboxy-2-(2-((2-(2-methoxyphenyl)pyrimidin-4- yl)methoxy)phenyl)ethoxy)-6-(4-fluorophenyl)thieno[2,3-d]pyrimidin-5-yl)-2-chloro-3- methylphenoxy)ethyl)-1-methylpiperazin-1-ium trifluoroacetate
[792] 1-(4-((S)-2-((S)-2-(2-azidoacetamido)-3-methylbutanamido)-5-ureidopentanamido)-2-(80- carboxy-2-methyl-3-oxo-6,9,12,15,18,21,24,27,30,33,36,39,42,45,48,51,54,57,60,63,66,69,72,75,78- pentacosaoxa-2-azaoctacontyl)benzyl)-4-(2-(2-chloro-4-(6-(4-fluorophenyl)-4-(((R)-1-((4- methoxybenzyl)oxy)-3-(2-((2-(2-methoxyphenyl)pyrimidin-4-yl)methoxy)phenyl)-1-oxopropan-2- yl)oxy)thieno[2,3-d]pyrimidin-5-yl)-3-methylphenoxy)ethyl)-1-methylpiperazin-1-ium trifluoroacetate (89 mg, 32 µmol) was treated with 25% TFA/CH2Cl2 with 0.1% triethyl silane for 1 hour at which time the volatiles were removed in vacuo, the residue was dissolved in DMSO and was purified by ISCO RP- HPLC. Upon lyophilization, 1-(4-((S)-2-((S)-2-(2-azidoacetamido)-3-methylbutanamido)-5- ureidopentanamido)-2-(80-carboxy-2-methyl-3-oxo- 6,9,12,15,18,21,24,27,30,33,36,39,42,45,48,51,54,57,60,63,66,69,72,75,78-pentacosaoxa-2- azaoctacontyl)benzyl)-4-(2-(4-(4-((R)-1-carboxy-2-(2-((2-(2-methoxyphenyl)pyrimidin-4- yl)methoxy)phenyl)ethoxy)-6-(4-fluorophenyl)thieno[2,3-d]pyrimidin-5-yl)-2-chloro-3- methylphenoxy)ethyl)-1-methylpiperazin-1-ium trifluoroacetate (54 mg, 64% yield) was obtained. HRMS: M+=2563.2100, Rt=2.45 min (5 min acidic method). Synthesis of 1-(4-((S)-2-((S)-2-(((2-azidoethoxy)carbonyl)amino)-3-methylbutanamido)-5- ureidopentanamido)-2-(80-carboxy-2-methyl-3-oxo- 6,9,12,15,18,21,24,27,30,33,36,39,42,45,48,51,54,57,60,63,66,69,72,75,78-pentacosaoxa-2- azaoctacontyl)benzyl)-4-(2-(4-(4-((R)-1-carboxy-2-(2-((2-(2-methoxyphenyl)pyrimidin-4- yl)methoxy)phenyl)ethoxy)-6-(4-fluorophenyl)thieno[2,3-d]pyrimidin-5-yl)-2-chloro-3- methylphenoxy)ethyl)-1-methylpiperazin-1-ium trifluoroacetate
[793] To a solution of 1-(4-((S)-2-((S)-2-amino-3-methylbutanamido)-5-ureidopentanamido)-2-(80- carboxy-2-methyl-3-oxo-6,9,12,15,18,21,24,27,30,33,36,39,42,45,48,51,54,57,60,63,66,69,72,75,78- pentacosaoxa-2-azaoctacontyl)benzyl)-4-(2-(4-(4-((R)-1-carboxy-2-(2-((2-(2-methoxyphenyl)pyrimidin- 4-yl)methoxy)phenyl)ethoxy)-6-(4-fluorophenyl)thieno[2,3-d]pyrimidin-5-yl)-2-chloro-3- methylphenoxy)ethyl)-1-methylpiperazin-1-ium trifluoroacetate (65 mg, 26 µmol) and 2-azidoethyl (4- nitrophenyl) carbonate (13.2 mg, 52 µmol) in DMF (0.6 mL) was added DIEA (100 µL, 210 µmol). After stirring for 16 hours, the solution was diluted with DMSO and purified by ISCO RP-HPLC. Upon lyophilization, 1-(4-((S)-2-((S)-2-(((2-azidoethoxy)carbonyl)amino)-3-methylbutanamido)-5- ureidopentanamido)-2-(80-carboxy-2-methyl-3-oxo- 6,9,12,15,18,21,24,27,30,33,36,39,42,45,48,51,54,57,60,63,66,69,72,75,78-pentacosaoxa-2- azaoctacontyl)benzyl)-4-(2-(4-(4-((R)-1-carboxy-2-(2-((2-(2-methoxyphenyl)pyrimidin-4- yl)methoxy)phenyl)ethoxy)-6-(4-fluorophenyl)thieno[2,3-d]pyrimidin-5-yl)-2-chloro-3- methylphenoxy)ethyl)-1-methylpiperazin-1-ium trifluoroacetate (45 mg, 60% yield) was obtained. HRMS: M+=2593.2200, Rt=2.41 min (5 min acidic method). Synthesis of 1-(4-((S)-2-((S)-2-((tert-butoxycarbonyl)amino)-3-methylbutanamido)-5- ureidopentanamido)-2-(78-carboxy-2-methyl-3-oxo- 7,10,13,16,19,22,25,28,31,34,37,40,43,46,49,52,55,58,61,64,67,70,73,76-tetracosaoxa-2,4- diazaoctaheptacontyl)benzyl)-4-(2-(2-chloro-4-(6-(4-fluorophenyl)-4-(((R)-1-((4- methoxybenzyl)oxy)-3-(2-((2-(2-methoxyphenyl)pyrimidin-4-yl)methoxy)phenyl)-1-oxopropan-2- yl)oxy)thieno[2,3-d]pyrimidin-5-yl)-3-methylphenoxy)ethyl)-1-methylpiperazin-1-ium trifluoroacetate
[794] Following General Procedure #1 using bis(4-nitrophenyl) carbonate (91 mg, 300 µmol), DIEA (90 µL, 515 µmol), 1-amino-3,6,9,12,15,18,21,24,27,30,33,36,39,42,45,48,51,54,57,60,63,66,69,72- tetracosaoxapentaheptacontan-75-oic acid (355 mg, 310 µmol) and then 1-(4-((S)-2-((S)-2-((tert- butoxycarbonyl)amino)-3-methylbutanamido)-5-ureidopentanamido)-2-((methylamino)methyl)benzyl)-4- (2-(2-chloro-4-(6-(4-fluorophenyl)-4-(((R)-1-((4-methoxybenzyl)oxy)-3-(2-((2-(2- methoxyphenyl)pyrimidin-4-yl)methoxy)phenyl)-1-oxopropan-2-yl)oxy)thieno[2,3-d]pyrimidin-5-yl)-3- methylphenoxy)ethyl)-1-methylpiperazin-1-ium trifluoroacetate (300 mg, 200 µmol), 1-(4-((S)-2-((S)-2- ((tert-butoxycarbonyl)amino)-3-methylbutanamido)-5-ureidopentanamido)-2-(78-carboxy-2-methyl-3- oxo-7,10,13,16,19,22,25,28,31,34,37,40,43,46,49,52,55,58,61,64,67,70,73,76-tetracosaoxa-2,4- diazaoctaheptacontyl)benzyl)-4-(2-(2-chloro-4-(6-(4-fluorophenyl)-4-(((R)-1-((4-methoxybenzyl)oxy)-3- (2-((2-(2-methoxyphenyl)pyrimidin-4-yl)methoxy)phenyl)-1-oxopropan-2-yl)oxy)thieno[2,3- d]pyrimidin-5-yl)-3-methylphenoxy)ethyl)-1-methylpiperazin-1-ium trifluoroacetate (444 mg, 67% yield) was obtained. HRMS: (M+ + H+)+2/2=1366.6500, Rt=2.63 min (5 min acidic method). Synthesis of 1-(4-((S)-2-((S)-2-amino-3-methylbutanamido)-5-ureidopentanamido)-2-(78- carboxy-2-methyl-3-oxo-7,10,13,16,19,22,25,28,31,34,37,40,43,46,49,52,55,58,61,64,67,70,73,76- tetracosaoxa-2,4-diazaoctaheptacontyl)benzyl)-4-(2-(4-(4-((R)-1-carboxy-2-(2-((2-(2- methoxyphenyl)pyrimidin-4-yl)methoxy)phenyl)ethoxy)-6-(4-fluorophenyl)thieno[2,3-d]pyrimidin- 5-yl)-2-chloro-3-methylphenoxy)ethyl)-1-methylpiperazin-1-ium trifluoroacetate
[795] 1-(4-((S)-2-((S)-2-((tert-butoxycarbonyl)amino)-3-methylbutanamido)-5-ureidopentanamido)-2- (78-carboxy-2-methyl-3-oxo-7,10,13,16,19,22,25,28,31,34,37,40,43,46,49,52,55,58,61,64,67,70,73,76- tetracosaoxa-2,4-diazaoctaheptacontyl)benzyl)-4-(2-(2-chloro-4-(6-(4-fluorophenyl)-4-(((R)-1-((4- methoxybenzyl)oxy)-3-(2-((2-(2-methoxyphenyl)pyrimidin-4-yl)methoxy)phenyl)-1-oxopropan-2- yl)oxy)thieno[2,3-d]pyrimidin-5-yl)-3-methylphenoxy)ethyl)-1-methylpiperazin-1-ium trifluoroacetate (220 mg, 79 µmol) was treated with 33% TFA/CH2Cl2 (3 mL) for 2 hours at which time the volatiles were removed in vacuo, the residue was triturated with diethyl ether and after drying 1-(4-((S)-2-((S)-2-amino- 3-methylbutanamido)-5-ureidopentanamido)-2-(78-carboxy-2-methyl-3-oxo- 7,10,13,16,19,22,25,28,31,34,37,40,43,46,49,52,55,58,61,64,67,70,73,76-tetracosaoxa-2,4- diazaoctaheptacontyl)benzyl)-4-(2-(4-(4-((R)-1-carboxy-2-(2-((2-(2-methoxyphenyl)pyrimidin-4- yl)methoxy)phenyl)ethoxy)-6-(4-fluorophenyl)thieno[2,3-d]pyrimidin-5-yl)-2-chloro-3- methylphenoxy)ethyl)-1-methylpiperazin-1-ium trifluoroacetate (230 mg) was obtained. The TFA salt was used directly. HRMS: (M+ + H+)+2/2=1226.1000, Rt=2.08 min (5 min acidic method). Synthesis of 1-(4-((S)-2-((S)-2-(((2-azidoethoxy)carbonyl)amino)-3-methylbutanamido)-5- ureidopentanamido)-2-(78-carboxy-2-methyl-3-oxo- 7,10,13,16,19,22,25,28,31,34,37,40,43,46,49,52,55,58,61,64,67,70,73,76-tetracosaoxa-2,4- diazaoctaheptacontyl)benzyl)-4-(2-(4-(4-((R)-1-carboxy-2-(2-((2-(2-methoxyphenyl)pyrimidin-4- yl)methoxy)phenyl)ethoxy)-6-(4-fluorophenyl)thieno[2,3-d]pyrimidin-5-yl)-2-chloro-3- methylphenoxy)ethyl)-1-methylpiperazin-1-ium trifluoroacetate
[796] To a solution of 1-(4-((S)-2-((S)-2-amino-3-methylbutanamido)-5-ureidopentanamido)-2-(78- carboxy-2-methyl-3-oxo-7,10,13,16,19,22,25,28,31,34,37,40,43,46,49,52,55,58,61,64,67,70,73,76- tetracosaoxa-2,4-diazaoctaheptacontyl)benzyl)-4-(2-(4-(4-((R)-1-carboxy-2-(2-((2-(2- methoxyphenyl)pyrimidin-4-yl)methoxy)phenyl)ethoxy)-6-(4-fluorophenyl)thieno[2,3-d]pyrimidin-5-yl)- 2-chloro-3-methylphenoxy)ethyl)-1-methylpiperazin-1-ium trifluoroacetate (115 mg, 43 µmol) and 2- azidoethyl (4-nitrophenyl) carbonate (18 mg, 71 µmol) in DMF (1 mL) was added DIEA (100 µL, 573 µmol). After stirring for 16 hours, the solution was diluted with DMSO and purified by ISCO RP-HPLC. Upon lyophilization, 1-(4-((S)-2-((S)-2-(((2-azidoethoxy)carbonyl)amino)-3-methylbutanamido)-5- ureidopentanamido)-2-(78-carboxy-2-methyl-3-oxo- 7,10,13,16,19,22,25,28,31,34,37,40,43,46,49,52,55,58,61,64,67,70,73,76-tetracosaoxa-2,4- diazaoctaheptacontyl)benzyl)-4-(2-(4-(4-((R)-1-carboxy-2-(2-((2-(2-methoxyphenyl)pyrimidin-4- yl)methoxy)phenyl)ethoxy)-6-(4-fluorophenyl)thieno[2,3-d]pyrimidin-5-yl)-2-chloro-3- methylphenoxy)ethyl)-1-methylpiperazin-1-ium trifluoroacetate (53 mg, 46% yield) was obtained. HRMS: M+=2564.2100, Rt=2.39 min (5 min acidic method). Synthesis of 1-(2-(((((9H-fluoren-9-yl)methoxy)carbonyl)(methyl)amino)methyl)-4-((S)-2- ((S)-2-(((2-azidoethoxy)carbonyl)amino)-3-methylbutanamido)-5-ureidopentanamido)benzyl)-4-(2- (2-chloro-4-(6-(4-fluorophenyl)-4-(((R)-1-((4-methoxybenzyl)oxy)-3-(2-((2-(2- methoxyphenyl)pyrimidin-4-yl)methoxy)phenyl)-1-oxopropan-2-yl)oxy)thieno[2,3-d]pyrimidin-5- yl)-3-methylphenoxy)ethyl)-1-methylpiperazin-1-ium trifluoroacetate
[797] To a solution of 4-methoxybenzyl (R)-2-((5-(3-chloro-2-methyl-4-(2-(4-methylpiperazin-1- yl)ethoxy)phenyl)-6-(4-fluorophenyl)thieno[2,3-d]pyrimidin-4-yl)oxy)-3-(2-((2-(2- methoxyphenyl)pyrimidin-4-yl)methoxy)phenyl)propanoate (1.3 g, 1.3 mmol, prepared based on methods described in WO2017/125224), (9H-fluoren-9-yl)methyl (5-((S)-2-((S)-2-(((2- azidoethoxy)carbonyl)amino)-3-methylbutanamido)-5-ureidopentanamido)-2- (chloromethyl)benzyl)(methyl)carbamate (1.32 g, 1.7 mmol) and tetrabutylammonium iodide (531 mg, 1.4 mmol) in DMSO (10 mL) was added DIEA (684 µL, 3.9 mmol). After stirring for 1 hour, the solution was diluted with DMSO and was purified by ISCO RP-HPLC. Upon lyophilization, 1-(2- (((((9H-fluoren-9-yl)methoxy)carbonyl)(methyl)amino)methyl)-4-((S)-2-((S)-2-(((2- azidoethoxy)carbonyl)amino)-3-methylbutanamido)-5-ureidopentanamido)benzyl)-4-(2-(2-chloro-4-(6- (4-fluorophenyl)-4-(((R)-1-((4-methoxybenzyl)oxy)-3-(2-((2-(2-methoxyphenyl)pyrimidin-4- yl)methoxy)phenyl)-1-oxopropan-2-yl)oxy)thieno[2,3-d]pyrimidin-5-yl)-3-methylphenoxy)ethyl)-1- methylpiperazin-1-ium trifluoroacetate (1.80 grams) was obtained. HRMS: M+=1734.6801, Rt=2.81 min (5 min acidic method). Synthesis of 1-(4-((S)-2-((S)-2-(((2-azidoethoxy)carbonyl)amino)-3-methylbutanamido)-5- ureidopentanamido)-2-((methylamino)methyl)benzyl)-4-(2-(2-chloro-4-(6-(4-fluorophenyl)-4-(((R)- 1-((4-methoxybenzyl)oxy)-3-(2-((2-(2-methoxyphenyl)pyrimidin-4-yl)methoxy)phenyl)-1- oxopropan-2-yl)oxy)thieno[2,3-d]pyrimidin-5-yl)-3-methylphenoxy)ethyl)-1-methylpiperazin-1-ium trifluoroacetate
[798] A solution of 1-(2-(((((9H-fluoren-9-yl)methoxy)carbonyl)(methyl)amino)methyl)-4-((S)-2-((S)- 2-(((2-azidoethoxy)carbonyl)amino)-3-methylbutanamido)-5-ureidopentanamido)benzyl)-4-(2-(2-chloro- 4-(6-(4-fluorophenyl)-4-(((R)-1-((4-methoxybenzyl)oxy)-3-(2-((2-(2-methoxyphenyl)pyrimidin-4- yl)methoxy)phenyl)-1-oxopropan-2-yl)oxy)thieno[2,3-d]pyrimidin-5-yl)-3-methylphenoxy)ethyl)-1- methylpiperazin-1-ium trifluoroacetate (761 mg, 439 µmol) in 2.0 M dimethyl amine in MeOH (2.2 mL, 4400 µmol) was stirred for one hour at which time the volatiles were removed in vacuo, the residue was dissolved in MeOH and purified by RP-HPLC. Upon lyophilization, 1-(4-((S)-2-((S)-2-(((2- azidoethoxy)carbonyl)amino)-3-methylbutanamido)-5-ureidopentanamido)-2- ((methylamino)methyl)benzyl)-4-(2-(2-chloro-4-(6-(4-fluorophenyl)-4-(((R)-1-((4-methoxybenzyl)oxy)-
3-(2-((2-(2-methoxyphenyl)pyrimidin-4-yl)methoxy)phenyl)-1-oxopropan-2-yl)oxy)thieno[2,3- d]pyrimidin-5-yl)-3-methylphenoxy)ethyl)-1-methylpiperazin-1-ium trifluoroacetate (526 mg, 79% yield) was obtained. HRMS: M+=1512.6300, Rt=2.25 min (5 min acidic method). Synthesis of 1-(4-((S)-2-((S)-2-(((2-azidoethoxy)carbonyl)amino)-3-methylbutanamido)-5- ureidopentanamido)-2-(80-carboxy-2-methyl-3-oxo- 6,9,12,15,18,21,24,27,30,33,36,39,42,45,48,51,54,57,60,63,66,69,72,75,78-pentacosaoxa-2- azaoctacontyl)benzyl)-4-(2-(2-chloro-4-(6-(4-fluorophenyl)-4-(((R)-1-((4-methoxybenzyl)oxy)-3-(2- ((2-(2-methoxyphenyl)pyrimidin-4-yl)methoxy)phenyl)-1-oxopropan-2-yl)oxy)thieno[2,3- d]pyrimidin-5-yl)-3-methylphenoxy)ethyl)-1-methylpiperazin-1-ium trifluoroacetate
[799] To a solution of 1-(4-((S)-2-((S)-2-(((2-azidoethoxy)carbonyl)amino)-3-methylbutanamido)-5- ureidopentanamido)-2-((methylamino)methyl)benzyl)-4-(2-(2-chloro-4-(6-(4-fluorophenyl)-4-(((R)-1-((4- methoxybenzyl)oxy)-3-(2-((2-(2-methoxyphenyl)pyrimidin-4-yl)methoxy)phenyl)-1-oxopropan-2- yl)oxy)thieno[2,3-d]pyrimidin-5-yl)-3-methylphenoxy)ethyl)-1-methylpiperazin-1-ium trifluoroacetate (150 mg, 86 µmol) and 79-((2,5-dioxopyrrolidin-1-yl)oxy)-79-oxo- 4,7,10,13,16,19,22,25,28,31,34,37,40,43,46,49,52,55,58,61,64,67,70,73,76- pentacosaoxanonaheptacontanoic acid (125 mg, 95 µmol) in DMF (1 mL) was added DIEA (56 mg, 430 µmol). After stirring 16 hours, the solution was diluted with DMSO and purified by ISCO RP-HPLC. Upon lyophilization, 1-(4-((S)-2-((S)-2-(((2-azidoethoxy)carbonyl)amino)-3-methylbutanamido)-5- ureidopentanamido)-2-(80-carboxy-2-methyl-3-oxo- 6,9,12,15,18,21,24,27,30,33,36,39,42,45,48,51,54,57,60,63,66,69,72,75,78-pentacosaoxa-2- azaoctacontyl)benzyl)-4-(2-(2-chloro-4-(6-(4-fluorophenyl)-4-(((R)-1-((4-methoxybenzyl)oxy)-3-(2-((2- (2-methoxyphenyl)pyrimidin-4-yl)methoxy)phenyl)-1-oxopropan-2-yl)oxy)thieno[2,3-d]pyrimidin-5-yl)- 3-methylphenoxy)ethyl)-1-methylpiperazin-1-ium trifluoroacetate (188 mg, 81% yield) was obtained. HRMS: M+=2713.2871, Rt=2.62 min (5 min acidic method).
Synthesis of 1-(4-((S)-2-((S)-2-(((2-azidoethoxy)carbonyl)amino)-3-methylbutanamido)-5- ureidopentanamido)-2-(75-methyl-74-oxo- 2,5,8,11,14,17,20,23,26,29,32,35,38,41,44,47,50,53,56,59,62,65,68,71-tetracosaoxa-75- azahexaheptacontan-76-yl)benzyl)-4-(2-(2-chloro-4-(6-(4-fluorophenyl)-4-(((R)-1-((4- methoxybenzyl)oxy)-3-(2-((2-(2-methoxyphenyl)pyrimidin-4-yl)methoxy)phenyl)-1-oxopropan-2- yl)oxy)thieno[2,3-d]pyrimidin-5-yl)-3-methylphenoxy)ethyl)-1-methylpiperazin-1-ium trifluoroacetate
[800] To a solution of 2,5,8,11,14,17,20,23,26,29,32,35,38,41,44,47,50,53,56,59,62,65,68,71- tetracosaoxatetraheptacontan-74-oic acid (192 mg, 172 µmol) and HATU (65.5 mg, 172 µmol) in DMF (3 mL) was added DIEA (175 µL, 1004 µmol). After stirring for 15 minutes, 1-(4-((S)-2-((S)-2-(((2- azidoethoxy)carbonyl)amino)-3-methylbutanamido)-5-ureidopentanamido)-2- ((methylamino)methyl)benzyl)-4-(2-(2-chloro-4-(6-(4-fluorophenyl)-4-(((R)-1-((4-methoxybenzyl)oxy)- 3-(2-((2-(2-methoxyphenyl)pyrimidin-4-yl)methoxy)phenyl)-1-oxopropan-2-yl)oxy)thieno[2,3- d]pyrimidin-5-yl)-3-methylphenoxy)ethyl)-1-methylpiperazin-1-ium trifluoroacetate (250 mg, 143 µmol) was added. After stirring for an additional 30 minutes, the solution was diluted with DMSO and purified by ISCO RP-HPLC. Upon lyophilization, 1-(4-((S)-2-((S)-2-(((2-azidoethoxy)carbonyl)amino)-3- methylbutanamido)-5-ureidopentanamido)-2-(75-methyl-74-oxo- 2,5,8,11,14,17,20,23,26,29,32,35,38,41,44,47,50,53,56,59,62,65,68,71-tetracosaoxa-75- azahexaheptacontan-76-yl)benzyl)-4-(2-(2-chloro-4-(6-(4-fluorophenyl)-4-(((R)-1-((4- methoxybenzyl)oxy)-3-(2-((2-(2-methoxyphenyl)pyrimidin-4-yl)methoxy)phenyl)-1-oxopropan-2- yl)oxy)thieno[2,3-d]pyrimidin-5-yl)-3-methylphenoxy)ethyl)-1-methylpiperazin-1-ium trifluoroacetate (110 mg, 29% yield) was obtained. HRMS: M+=2611.6799, Rt=2.60 min (5 min acidic method). Synthesis of 1-(4-((S)-2-((S)-2-(((2-azidoethoxy)carbonyl)amino)-3-methylbutanamido)-5- ureidopentanamido)-2-(75-methyl-74-oxo- 2,5,8,11,14,17,20,23,26,29,32,35,38,41,44,47,50,53,56,59,62,65,68,71-tetracosaoxa-75-
azahexaheptacontan-76-yl)benzyl)-4-(2-(4-(4-((R)-1-carboxy-2-(2-((2-(2-methoxyphenyl)pyrimidin- 4-yl)methoxy)phenyl)ethoxy)-6-(4-fluorophenyl)thieno[2,3-d]pyrimidin-5-yl)-2-chloro-3- methylphenoxy)ethyl)-1-methylpiperazin-1-ium trifluoroacetate
[801] 1-(4-((S)-2-((S)-2-(((2-azidoethoxy)carbonyl)amino)-3-methylbutanamido)-5- ureidopentanamido)-2-(75-methyl-74-oxo- 2,5,8,11,14,17,20,23,26,29,32,35,38,41,44,47,50,53,56,59,62,65,68,71-tetracosaoxa-75- azahexaheptacontan-76-yl)benzyl)-4-(2-(2-chloro-4-(6-(4-fluorophenyl)-4-(((R)-1-((4- methoxybenzyl)oxy)-3-(2-((2-(2-methoxyphenyl)pyrimidin-4-yl)methoxy)phenyl)-1-oxopropan-2- yl)oxy)thieno[2,3-d]pyrimidin-5-yl)-3-methylphenoxy)ethyl)-1-methylpiperazin-1-ium trifluoroacetate (110 mg, 42 µmol) was treated with 25% TFA/CH2Cl2 with 0.1% triethylsilane (4 mL) for 1 hour at which time the volatiles were removed in vacuo. The residue was dissolved in DMSO and was purified by ISCO RP-HPLC. Upon lyophilization, 1-(4-((S)-2-((S)-2-(((2-azidoethoxy)carbonyl)amino)-3- methylbutanamido)-5-ureidopentanamido)-2-(75-methyl-74-oxo- 2,5,8,11,14,17,20,23,26,29,32,35,38,41,44,47,50,53,56,59,62,65,68,71-tetracosaoxa-75- azahexaheptacontan-76-yl)benzyl)-4-(2-(4-(4-((R)-1-carboxy-2-(2-((2-(2-methoxyphenyl)pyrimidin-4- yl)methoxy)phenyl)ethoxy)-6-(4-fluorophenyl)thieno[2,3-d]pyrimidin-5-yl)-2-chloro-3- methylphenoxy)ethyl)-1-methylpiperazin-1-ium trifluoroacetate (65 mg, 62% yield) was obtained. HRMS: M+=2491.1899, Rt=2.42 min (5 min acidic method). Synthesis of 1-(2-(((((9H-fluoren-9-yl)methoxy)carbonyl)(methyl)amino)methyl)-4-((S)-2- ((S)-2-(((2-azidoethoxy)carbonyl)amino)-3-methylbutanamido)propanamido)benzyl)-4-(2-(2-chloro- 4-(6-(4-fluorophenyl)-4-(((R)-1-((4-methoxybenzyl)oxy)-3-(2-((2-(2-methoxyphenyl)pyrimidin-4- yl)methoxy)phenyl)-1-oxopropan-2-yl)oxy)thieno[2,3-d]pyrimidin-5-yl)-3-methylphenoxy)ethyl)-1- methylpiperazin-1-ium trifluoroacetate
[802] A solution of 4-methoxybenzyl (R)-2-((5-(3-chloro-2-methyl-4-(2-(4-methylpiperazin-1- yl)ethoxy)phenyl)-6-(4-fluorophenyl)thieno[2,3-d]pyrimidin-4-yl)oxy)-3-(2-((2-(2- methoxyphenyl)pyrimidin-4-yl)methoxy)phenyl)propanoate (140 mg, 141 µmol, prepared based on methods described in WO2017/125224), (9H-fluoren-9-yl)methyl (5-((S)-2-((S)-2-(((2- azidoethoxy)carbonyl)amino)-3-methylbutanamido)propanamido)-2- (chloromethyl)benzyl)(methyl)carbamate (116 mg, 169 µmol), tetrabutylammonium iodide (20.8 mg, 56 µmol) and DIEA (36.4 mg, 281 µmol) in DMSO (2 mL) was stirred at rt for 1 hour at which time the solution was purified by ISCO RP-HPLC. Upon lyophilization, 1-(2-(((((9H-fluoren-9- yl)methoxy)carbonyl)(methyl)amino)methyl)-4-((S)-2-((S)-2-(((2-azidoethoxy)carbonyl)amino)-3- methylbutanamido)propanamido)benzyl)-4-(2-(2-chloro-4-(6-(4-fluorophenyl)-4-(((R)-1-((4- methoxybenzyl)oxy)-3-(2-((2-(2-methoxyphenyl)pyrimidin-4-yl)methoxy)phenyl)-1-oxopropan-2- yl)oxy)thieno[2,3-d]pyrimidin-5-yl)-3-methylphenoxy)ethyl)-1-methylpiperazin-1-ium trifluoroacetate (201 mg, 81%) was obtained. HRMS: M+=1648.6100, Rt=3.35 min (5 min acidic method). Synthesis of 1-(4-((S)-2-((S)-2-(((2-azidoethoxy)carbonyl)amino)-3- methylbutanamido)propanamido)-2-((methylamino)methyl)benzyl)-4-(2-(2-chloro-4-(6-(4- fluorophenyl)-4-(((R)-1-((4-methoxybenzyl)oxy)-3-(2-((2-(2-methoxyphenyl)pyrimidin-4- yl)methoxy)phenyl)-1-oxopropan-2-yl)oxy)thieno[2,3-d]pyrimidin-5-yl)-3-methylphenoxy)ethyl)-1- methylpiperazin-1-ium trifluoroacetate
[803] A solution of 1-(2-(((((9H-fluoren-9-yl)methoxy)carbonyl)(methyl)amino)methyl)-4-((S)-2-((S)- 2-(((2-azidoethoxy)carbonyl)amino)-3-methylbutanamido)propanamido)benzyl)-4-(2-(2-chloro-4-(6-(4- fluorophenyl)-4-(((R)-1-((4-methoxybenzyl)oxy)-3-(2-((2-(2-methoxyphenyl)pyrimidin-4- yl)methoxy)phenyl)-1-oxopropan-2-yl)oxy)thieno[2,3-d]pyrimidin-5-yl)-3-methylphenoxy)ethyl)-1- methylpiperazin-1-ium trifluoroacetate (201 mg, 114 µmol) in DMSO (3 mL) was treated with 2M
Me2NH (1.14 mL, 2280 µmol). After stirring for 1 hour, the solution was purified by RP-HPLC. Upon lyophilization 1-(4-((S)-2-((S)-2-(((2-azidoethoxy)carbonyl)amino)-3-methylbutanamido)propanamido)- 2-((methylamino)methyl)benzyl)-4-(2-(2-chloro-4-(6-(4-fluorophenyl)-4-(((R)-1-((4- methoxybenzyl)oxy)-3-(2-((2-(2-methoxyphenyl)pyrimidin-4-yl)methoxy)phenyl)-1-oxopropan-2- yl)oxy)thieno[2,3-d]pyrimidin-5-yl)-3-methylphenoxy)ethyl)-1-methylpiperazin-1-ium trifluoroacetate (125 mg, 71% yield) was obtained. HRMS: M+=1426.5500, Rt=2.65 min (5 min acidic method). Synthesis of 1-(4-((S)-2-((S)-2-(((2-azidoethoxy)carbonyl)amino)-3- methylbutanamido)propanamido)-2-(75-methyl-74-oxo- 2,5,8,11,14,17,20,23,26,29,32,35,38,41,44,47,50,53,56,59,62,65,68,71-tetracosaoxa-75- azahexaheptacontan-76-yl)benzyl)-4-(2-(4-(4-((R)-1-carboxy-2-(2-((2-(2-methoxyphenyl)pyrimidin- 4-yl)methoxy)phenyl)ethoxy)-6-(4-fluorophenyl)thieno[2,3-d]pyrimidin-5-yl)-2-chloro-3- methylphenoxy)ethyl)-1-methylpiperazin-1-ium trifluoroacetate
[804] To a solution of 2,5,8,11,14,17,20,23,26,29,32,35,38,41,44,47,50,53,56,59,62,65,68,71- tetracosaoxatetraheptacontan-74-oic acid (50.9 mg, 46 µmol) and HATU (14.7 mg, 39 µmol) in DMF (2 mL) was added DIEA (37 µL, 210 µmol). After stirring for 5 minutes, 1-(4-((S)-2-((S)-2-(((2- azidoethoxy)carbonyl)amino)-3-methylbutanamido)propanamido)-2-((methylamino)methyl)benzyl)-4-(2- (2-chloro-4-(6-(4-fluorophenyl)-4-(((R)-1-((4-methoxybenzyl)oxy)-3-(2-((2-(2- methoxyphenyl)pyrimidin-4-yl)methoxy)phenyl)-1-oxopropan-2-yl)oxy)thieno[2,3-d]pyrimidin-5-yl)-3- methylphenoxy)ethyl)-1-methylpiperazin-1-ium trifluoroacetate (62 mg, 35 µmol) was added. After stirring for an additional 30 minutes, the solution was diluted with DMSO and purified by ISCO RP- HPLC. Upon lyophilization, amide product (77.1 mg, 80% yield) was obtained. HRMS: MH+=2526.1899, Rt=2.96 min (5 min acidic method). The above amide (77.1 mg, 28 µmol) was treated with 25% TFA/CH2Cl2 (4 mL) for one hour at which time the volatiles were removed in vacuo. The residue was dissolved in MeCN/H2O and after lyophilization 1-(4-((S)-2-((S)-2-(((2- azidoethoxy)carbonyl)amino)-3-methylbutanamido)propanamido)-2-(75-methyl-74-oxo- 2,5,8,11,14,17,20,23,26,29,32,35,38,41,44,47,50,53,56,59,62,65,68,71-tetracosaoxa-75- azahexaheptacontan-76-yl)benzyl)-4-(2-(4-(4-((R)-1-carboxy-2-(2-((2-(2-methoxyphenyl)pyrimidin-4-
yl)methoxy)phenyl)ethoxy)-6-(4-fluorophenyl)thieno[2,3-d]pyrimidin-5-yl)-2-chloro-3- methylphenoxy)ethyl)-1-methylpiperazin-1-ium trifluoroacetate (73.7 mg, 99% yield) was obtained. HRMS: M+=2405.1101, Rt=2.70 min (5 min acidic method). Synthesis of 1-(2-(((((9H-fluoren-9-yl)methoxy)carbonyl)(methyl)amino)methyl)-4- ((10S,13S,16S)-13-isopropyl-2,2,16-trimethyl-4,11,14-trioxo-10-(((prop-2-yn-1- yloxy)carbonyl)amino)-3-oxa-5,12,15-triazaheptadecan-17-amido)benzyl)-4-(2-(2-chloro-4-(6-(4- fluorophenyl)-4-(((R)-1-((4-methoxybenzyl)oxy)-3-(2-((2-(2-methoxyphenyl)pyrimidin-4- yl)methoxy)phenyl)-1-oxopropan-2-yl)oxy)thieno[2,3-d]pyrimidin-5-yl)-3-methylphenoxy)ethyl)-1- methylpiperazin-1-ium trifluoroacetate
[805] A solution of 4-methoxybenzyl (R)-2-((5-(3-chloro-2-methyl-4-(2-(4-methylpiperazin-1- yl)ethoxy)phenyl)-6-(4-fluorophenyl)thieno[2,3-d]pyrimidin-4-yl)oxy)-3-(2-((2-(2- methoxyphenyl)pyrimidin-4-yl)methoxy)phenyl)propanoate (105 mg, 105 µmol, prepared based on methods described in WO2017/125224), tert-butyl prop-2-yn-1-yl ((S)-6-(((S)-1-(((S)-1-((3-(((((9H- fluoren-9-yl)methoxy)carbonyl)(methyl)amino)methyl)-4-(chloromethyl)phenyl)amino)-1-oxopropan-2- yl)amino)-3-methyl-1-oxobutan-2-yl)amino)-6-oxohexane-1,5-diyl)dicarbamate (112 mg, 127 µmol), tetrabutylammonium iodide (15.6 mg, 42 µmol) and DIEA (37 µL, 211 µmol) in DMSO (2 mL) was stirred at rt for 1 hour at which time the solution was purified by ISCO RP-HPLC. Upon lyophilization, 1-(2-(((((9H-fluoren-9-yl)methoxy)carbonyl)(methyl)amino)methyl)-4-((10S,13S,16S)-13-isopropyl- 2,2,16-trimethyl-4,11,14-trioxo-10-(((prop-2-yn-1-yloxy)carbonyl)amino)-3-oxa-5,12,15- triazaheptadecan-17-amido)benzyl)-4-(2-(2-chloro-4-(6-(4-fluorophenyl)-4-(((R)-1-((4- methoxybenzyl)oxy)-3-(2-((2-(2-methoxyphenyl)pyrimidin-4-yl)methoxy)phenyl)-1-oxopropan-2- yl)oxy)thieno[2,3-d]pyrimidin-5-yl)-3-methylphenoxy)ethyl)-1-methylpiperazin-1-ium trifluoroacetate (171 mg, 83%) was obtained. HRMS: M+=1845.7400, Rt=3.41 min (5 min acidic method). Synthesis of 4-(2-(2-chloro-4-(6-(4-fluorophenyl)-4-(((R)-1-((4-methoxybenzyl)oxy)-3-(2-((2- (2-methoxyphenyl)pyrimidin-4-yl)methoxy)phenyl)-1-oxopropan-2-yl)oxy)thieno[2,3-d]pyrimidin- 5-yl)-3-methylphenoxy)ethyl)-1-(4-((10S,13S,16S)-13-isopropyl-2,2,16-trimethyl-4,11,14-trioxo-10- (((prop-2-yn-1-yloxy)carbonyl)amino)-3-oxa-5,12,15-triazaheptadecan-17-amido)-2- ((methylamino)methyl)benzyl)-1-methylpiperazin-1-ium trifluoroacetate
[806] A solution of 1-(2-(((((9H-fluoren-9-yl)methoxy)carbonyl)(methyl)amino)methyl)-4- ((10S,13S,16S)-13-isopropyl-2,2,16-trimethyl-4,11,14-trioxo-10-(((prop-2-yn-1-yloxy)carbonyl)amino)- 3-oxa-5,12,15-triazaheptadecan-17-amido)benzyl)-4-(2-(2-chloro-4-(6-(4-fluorophenyl)-4-(((R)-1-((4- methoxybenzyl)oxy)-3-(2-((2-(2-methoxyphenyl)pyrimidin-4-yl)methoxy)phenyl)-1-oxopropan-2- yl)oxy)thieno[2,3-d]pyrimidin-5-yl)-3-methylphenoxy)ethyl)-1-methylpiperazin-1-ium trifluoroacetate (171 mg, 87 µmol) in DMSO (3 mL) was treated with 2M Me2NH in MeOH (0.872 mL, 1743 µmol). After stirring for 1 hour, the solution was purified by RP-HPLC. Upon lyophilization 4-(2-(2-chloro-4- (6-(4-fluorophenyl)-4-(((R)-1-((4-methoxybenzyl)oxy)-3-(2-((2-(2-methoxyphenyl)pyrimidin-4- yl)methoxy)phenyl)-1-oxopropan-2-yl)oxy)thieno[2,3-d]pyrimidin-5-yl)-3-methylphenoxy)ethyl)-1-(4- ((10S,13S,16S)-13-isopropyl-2,2,16-trimethyl-4,11,14-trioxo-10-(((prop-2-yn-1-yloxy)carbonyl)amino)- 3-oxa-5,12,15-triazaheptadecan-17-amido)-2-((methylamino)methyl)benzyl)-1-methylpiperazin-1-ium trifluoroacetate (116 mg, 72% yield) was obtained. HRMS: M+=1623.6801, Rt=2.76 min (5 min acidic method). Synthesis of 4-(2-(2-chloro-4-(6-(4-fluorophenyl)-4-(((R)-1-((4-methoxybenzyl)oxy)-3-(2-((2- (2-methoxyphenyl)pyrimidin-4-yl)methoxy)phenyl)-1-oxopropan-2-yl)oxy)thieno[2,3-d]pyrimidin- 5-yl)-3-methylphenoxy)ethyl)-1-(4-((10S,13S,16S)-13-isopropyl-2,2,16-trimethyl-4,11,14-trioxo-10- (((prop-2-yn-1-yloxy)carbonyl)amino)-3-oxa-5,12,15-triazaheptadecan-17-amido)-2-(75-methyl-74- oxo-2,5,8,11,14,17,20,23,26,29,32,35,38,41,44,47,50,53,56,59,62,65,68,71-tetracosaoxa-75- azahexaheptacontan-76-yl)benzyl)-1-methylpiperazin-1-ium trifluoroacetate
[807] To a solution of 2,5,8,11,14,17,20,23,26,29,32,35,38,41,44,47,50,53,56,59,62,65,68,71- tetracosaoxatetraheptacontan-74-oic acid (42.8 mg, 38 µmol) and HATU (12.3 mg, 32 µmol) in DMF (2 mL) was added DIEA (31 µL, 177 µmol). After stirring for 5 minutes, 4-(2-(2-chloro-4-(6-(4- fluorophenyl)-4-(((R)-1-((4-methoxybenzyl)oxy)-3-(2-((2-(2-methoxyphenyl)pyrimidin-4-
yl)methoxy)phenyl)-1-oxopropan-2-yl)oxy)thieno[2,3-d]pyrimidin-5-yl)-3-methylphenoxy)ethyl)-1-(4- ((10S,13S,16S)-13-isopropyl-2,2,16-trimethyl-4,11,14-trioxo-10-(((prop-2-yn-1-yloxy)carbonyl)amino)- 3-oxa-5,12,15-triazaheptadecan-17-amido)-2-((methylamino)methyl)benzyl)-1-methylpiperazin-1-ium trifluoroacetate (58 mg, 29 µmol) was added. After stirring for an additional 30 minutes, the solution was diluted with DMSO and purified by ISCO RP-HPLC. Upon lyophilization, 4-(2-(2-chloro-4-(6-(4- fluorophenyl)-4-(((R)-1-((4-methoxybenzyl)oxy)-3-(2-((2-(2-methoxyphenyl)pyrimidin-4- yl)methoxy)phenyl)-1-oxopropan-2-yl)oxy)thieno[2,3-d]pyrimidin-5-yl)-3-methylphenoxy)ethyl)-1-(4- ((10S,13S,16S)-13-isopropyl-2,2,16-trimethyl-4,11,14-trioxo-10-(((prop-2-yn-1-yloxy)carbonyl)amino)- 3-oxa-5,12,15-triazaheptadecan-17-amido)-2-(75-methyl-74-oxo- 2,5,8,11,14,17,20,23,26,29,32,35,38,41,44,47,50,53,56,59,62,65,68,71-tetracosaoxa-75- azahexaheptacontan-76-yl)benzyl)-1-methylpiperazin-1-ium trifluoroacetate (58 mg, 66% yield) was obtained. HRMS: M+=2722.3999, Rt=3.04 min (5 min acidic method). Synthesis of 4-(2-(2-chloro-4-(6-(4-fluorophenyl)-4-(((R)-1-((4-methoxybenzyl)oxy)-3-(2-((2-(2- methoxyphenyl)pyrimidin-4-yl)methoxy)phenyl)-1-oxopropan-2-yl)oxy)thieno[2,3-d]pyrimidin-5- yl)-3-methylphenoxy)ethyl)-1-(4-((10S,13S,16S)-13-isopropyl-2,2-dimethyl-4,11,14-trioxo-10- (((prop-2-yn-1-yloxy)carbonyl)amino)-16-(3-ureidopropyl)-3-oxa-5,12,15-triazaheptadecan-17- amido)-2-((methylamino)methyl)benzyl)-1-methylpiperazin-1-ium trifluoroacetate
[808] A solution of 4-methoxybenzyl (R)-2-((5-(3-chloro-2-methyl-4-(2-(4-methylpiperazin-1- yl)ethoxy)phenyl)-6-(4-fluorophenyl)thieno[2,3-d]pyrimidin-4-yl)oxy)-3-(2-((2-(2- methoxyphenyl)pyrimidin-4-yl)methoxy)phenyl)propanoate (280 mg, 281 µmol, prepared based on methods described in WO2017/125224), tert-butyl prop-2-yn-1-yl ((S)-6-(((S)-1-(((S)-1-((3- (((((9H-fluoren-9-yl)methoxy)carbonyl)(methyl)amino)methyl)-4-(chloromethyl)phenyl)amino)-1-oxo-5- ureidopentan-2-yl)amino)-3-methyl-1-oxobutan-2-yl)amino)-6-oxohexane-1,5-diyl)dicarbamate (342 mg, 351 µmol), tetrabutylammonium iodide (114 mg, 309 µmol) and DIEA (98 mg, 562 µmol) in DMF (4.5 mL) was stirred at rt for 14 hours at which time 2.0 M dimethyl amine in THF (1.4 mL, 2800 µmol) was added. After stirring for 30 minutes, the volatiles were removed in vacuo, the remaining solution was diluted with DMSO and was purified by ISCO RP-HPLC. Upon lyophilization, 4-(2-(2-chloro-4-(6-(4- fluorophenyl)-4-(((R)-1-((4-methoxybenzyl)oxy)-3-(2-((2-(2-methoxyphenyl)pyrimidin-4-
yl)methoxy)phenyl)-1-oxopropan-2-yl)oxy)thieno[2,3-d]pyrimidin-5-yl)-3-methylphenoxy)ethyl)-1-(4- ((10S,13S,16S)-13-isopropyl-2,2-dimethyl-4,11,14-trioxo-10-(((prop-2-yn-1-yloxy)carbonyl)amino)-16- (3-ureidopropyl)-3-oxa-5,12,15-triazaheptadecan-17-amido)-2-((methylamino)methyl)benzyl)-1- methylpiperazin-1-ium trifluoroacetate (412 mg, 85%) was obtained. HRMS: M+=1709.6899, Rt=2.91 min (5 min acidic method). [809] Synthesis of 4-(2-(2-chloro-4-(6-(4-fluorophenyl)-4-(((R)-1-((4-methoxybenzyl)oxy)-3-(2-((2-(2- methoxyphenyl)pyrimidin-4-yl)methoxy)phenyl)-1-oxopropan-2-yl)oxy)thieno[2,3-d]pyrimidin-5- yl)-3-methylphenoxy)ethyl)-1-(4-((10S,13S,16S)-13-isopropyl-2,2-dimethyl-4,11,14-trioxo-10- (((prop-2-yn-1-yloxy)carbonyl)amino)-16-(3-ureidopropyl)-3-oxa-5,12,15-triazaheptadecan-17- amido)-2-(75-methyl-74-oxo-2,5,8,11,14,17,20,23,26,29,32,35,38,41,44,47,50,53,56,59,62,65,68,71- tetracosaoxa-75-azahexaheptacontan-76-yl)benzyl)-1-methylpiperazin-1-ium trifluoroacetate
[810] To a solution of 4-(2-(2-chloro-4-(6-(4-fluorophenyl)-4-(((R)-1-((4-methoxybenzyl)oxy)-3-(2- ((2-(2-methoxyphenyl)pyrimidin-4-yl)methoxy)phenyl)-1-oxopropan-2-yl)oxy)thieno[2,3-d]pyrimidin-5- yl)-3-methylphenoxy)ethyl)-1-(4-((10S,13S,16S)-13-isopropyl-2,2-dimethyl-4,11,14-trioxo-10-(((prop-2- yn-1-yloxy)carbonyl)amino)-16-(3-ureidopropyl)-3-oxa-5,12,15-triazaheptadecan-17-amido)-2- ((methylamino)methyl)benzyl)-1-methylpiperazin-1-ium trifluoroacetate (216 mg, 118 µmol) and 2,5- dioxopyrrolidin-1-yl 2,5,8,11,14,17,20,23,26,29,32,35,38,41,44,47,50,53,56,59,62,65,68,71- tetracosaoxatetraheptacontan-74-oate (180 mg, 148 µmol) in DMF was added DIEA (103 µL, 592 µmol). After stirring for 2 hours, DMSO was added and the solution was purified by RP-HPLC. After lyophilization, 4-(2-(2-chloro-4-(6-(4-fluorophenyl)-4-(((R)-1-((4-methoxybenzyl)oxy)-3-(2-((2-(2- methoxyphenyl)pyrimidin-4-yl)methoxy)phenyl)-1-oxopropan-2-yl)oxy)thieno[2,3-d]pyrimidin-5-yl)-3- methylphenoxy)ethyl)-1-(4-((10S,13S,16S)-13-isopropyl-2,2-dimethyl-4,11,14-trioxo-10-(((prop-2-yn-1- yloxy)carbonyl)amino)-16-(3-ureidopropyl)-3-oxa-5,12,15-triazaheptadecan-17-amido)-2-(75-methyl-74- oxo-2,5,8,11,14,17,20,23,26,29,32,35,38,41,44,47,50,53,56,59,62,65,68,71-tetracosaoxa-75- azahexaheptacontan-76-yl)benzyl)-1-methylpiperazin-1-ium trifluoroacetate (255 mg, 77% yield) was obtained. HRMS: M+=2808.3601, Rt=2.93 min (5 min acidic method).
Synthesis of 1-(4-((2S,5S,8S)-8-(4-aminobutyl)-5-isopropyl-4,7,10-trioxo-2-(3-ureidopropyl)-11-oxa- 3,6,9-triazatetradec-13-ynamido)-2-(75-methyl-74-oxo- 2,5,8,11,14,17,20,23,26,29,32,35,38,41,44,47,50,53,56,59,62,65,68,71-tetracosaoxa-75- azahexaheptacontan-76-yl)benzyl)-4-(2-(4-(4-((R)-1-carboxy-2-(2-((2-(2-methoxyphenyl)pyrimidin- 4-yl)methoxy)phenyl)ethoxy)-6-(4-fluorophenyl)thieno[2,3-d]pyrimidin-5-yl)-2-chloro-3- methylphenoxy)ethyl)-1-methylpiperazin-1-ium trifluoroacetate
[811] 4-(2-(2-chloro-4-(6-(4-fluorophenyl)-4-(((R)-1-((4-methoxybenzyl)oxy)-3-(2-((2-(2- methoxyphenyl)pyrimidin-4-yl)methoxy)phenyl)-1-oxopropan-2-yl)oxy)thieno[2,3-d]pyrimidin-5-yl)-3- methylphenoxy)ethyl)-1-(4-((10S,13S,16S)-13-isopropyl-2,2-dimethyl-4,11,14-trioxo-10-(((prop-2-yn-1- yloxy)carbonyl)amino)-16-(3-ureidopropyl)-3-oxa-5,12,15-triazaheptadecan-17-amido)-2-(75-methyl-74- oxo-2,5,8,11,14,17,20,23,26,29,32,35,38,41,44,47,50,53,56,59,62,65,68,71-tetracosaoxa-75- azahexaheptacontan-76-yl)benzyl)-1-methylpiperazin-1-ium trifluoroacetate (255 mg, 91 µmol) was treated with 25% TFA/CH2Cl2 with 1% triethylsilane (8 mL) for 1 hour at which time the volatiles were removed in vacuo, the residue was dissolved in DMSO and purified by RP-HPLC. After lyophilization, 1-(4-((2S,5S,8S)-8-(4-aminobutyl)-5-isopropyl-4,7,10-trioxo-2-(3-ureidopropyl)-11-oxa-3,6,9- triazatetradec-13-ynamido)-2-(75-methyl-74-oxo- 2,5,8,11,14,17,20,23,26,29,32,35,38,41,44,47,50,53,56,59,62,65,68,71-tetracosaoxa-75- azahexaheptacontan-76-yl)benzyl)-4-(2-(4-(4-((R)-1-carboxy-2-(2-((2-(2-methoxyphenyl)pyrimidin-4- yl)methoxy)phenyl)ethoxy)-6-(4-fluorophenyl)thieno[2,3-d]pyrimidin-5-yl)-2-chloro-3- methylphenoxy)ethyl)-1-methylpiperazin-1-ium trifluoroacetate (232 mg, 91% yield) was obtained. HRMS: M+=2588.2700, Rt=2.28 min (5 min acidic method). Synthesis of 1-(2-(80-carboxy-2-methyl-3-oxo- 6,9,12,15,18,21,24,27,30,33,36,39,42,45,48,51,54,57,60,63,66,69,72,75,78-pentacosaoxa-2- azaoctacontyl)-4-((10S,13S,16S)-13-isopropyl-2,2-dimethyl-4,11,14-trioxo-10-(((prop-2-yn-1- yloxy)carbonyl)amino)-16-(3-ureidopropyl)-3-oxa-5,12,15-triazaheptadecan-17-amido)benzyl)-4-(2- (2-chloro-4-(6-(4-fluorophenyl)-4-(((R)-1-((4-methoxybenzyl)oxy)-3-(2-((2-(2-
methoxyphenyl)pyrimidin-4-yl)methoxy)phenyl)-1-oxopropan-2-yl)oxy)thieno[2,3-d]pyrimidin-5- yl)-3-methylphenoxy)ethyl)-1-methylpiperazin-1-ium trifluoroacetate
[812] To a solution of 4-(2-(2-chloro-4-(6-(4-fluorophenyl)-4-(((R)-1-((4-methoxybenzyl)oxy)-3-(2- ((2-(2-methoxyphenyl)pyrimidin-4-yl)methoxy)phenyl)-1-oxopropan-2-yl)oxy)thieno[2,3-d]pyrimidin-5- yl)-3-methylphenoxy)ethyl)-1-(4-((10S,13S,16S)-13-isopropyl-2,2-dimethyl-4,11,14-trioxo-10-(((prop-2- yn-1-yloxy)carbonyl)amino)-16-(3-ureidopropyl)-3-oxa-5,12,15-triazaheptadecan-17-amido)-2- ((methylamino)methyl)benzyl)-1-methylpiperazin-1-ium trifluoroacetate (82 mg, 45 µmol) and 79-((2,5- dioxopyrrolidin-1-yl)oxy)-79-oxo- 4,7,10,13,16,19,22,25,28,31,34,37,40,43,46,49,52,55,58,61,64,67,70,73,76- pentacosaoxanonaheptacontanoic acid (74 mg, 56 µmol) in DMF (0.8 mL) was added DIEA (39 µL, 225 µmol). After stirring for 12 hours, DMSO was added and the solution was purified by RP-HPLC. After lyophilization, 1-(2-(80-carboxy-2-methyl-3-oxo- 6,9,12,15,18,21,24,27,30,33,36,39,42,45,48,51,54,57,60,63,66,69,72,75,78-pentacosaoxa-2- azaoctacontyl)-4-((10S,13S,16S)-13-isopropyl-2,2-dimethyl-4,11,14-trioxo-10-(((prop-2-yn-1- yloxy)carbonyl)amino)-16-(3-ureidopropyl)-3-oxa-5,12,15-triazaheptadecan-17-amido)benzyl)-4-(2-(2- chloro-4-(6-(4-fluorophenyl)-4-(((R)-1-((4-methoxybenzyl)oxy)-3-(2-((2-(2-methoxyphenyl)pyrimidin-4- yl)methoxy)phenyl)-1-oxopropan-2-yl)oxy)thieno[2,3-d]pyrimidin-5-yl)-3-methylphenoxy)ethyl)-1- methylpiperazin-1-ium trifluoroacetate (97 mg, 74% yield) was obtained. HRMS: M+=2910.3999, Rt=2.83 min (5 min acidic method). Synthesis of 1-(4-((2S,5S,8S)-8-(4-aminobutyl)-5-isopropyl-4,7,10-trioxo-2-(3-ureidopropyl)-11-oxa- 3,6,9-triazatetradec-13-ynamido)-2-(80-carboxy-2-methyl-3-oxo- 6,9,12,15,18,21,24,27,30,33,36,39,42,45,48,51,54,57,60,63,66,69,72,75,78-pentacosaoxa-2- azaoctacontyl)benzyl)-4-(2-(4-(4-((R)-1-carboxy-2-(2-((2-(2-methoxyphenyl)pyrimidin-4- yl)methoxy)phenyl)ethoxy)-6-(4-fluorophenyl)thieno[2,3-d]pyrimidin-5-yl)-2-chloro-3- methylphenoxy)ethyl)-1-methylpiperazin-1-ium trifluoroacetate
[813] 1-(2-(80-carboxy-2-methyl-3-oxo- 6,9,12,15,18,21,24,27,30,33,36,39,42,45,48,51,54,57,60,63,66,69,72,75,78-pentacosaoxa-2- azaoctacontyl)-4-((10S,13S,16S)-13-isopropyl-2,2-dimethyl-4,11,14-trioxo-10-(((prop-2-yn-1- yloxy)carbonyl)amino)-16-(3-ureidopropyl)-3-oxa-5,12,15-triazaheptadecan-17-amido)benzyl)-4-(2-(2- chloro-4-(6-(4-fluorophenyl)-4-(((R)-1-((4-methoxybenzyl)oxy)-3-(2-((2-(2-methoxyphenyl)pyrimidin-4- yl)methoxy)phenyl)-1-oxopropan-2-yl)oxy)thieno[2,3-d]pyrimidin-5-yl)-3-methylphenoxy)ethyl)-1- methylpiperazin-1-ium trifluoroacetate (96 mg, 33 µmol) was treated with 25% TFA/CH2Cl2 with 1% triethylsilane (4 mL) for 1 hour at which time the volatiles were removed in vacuo, the residue was dissolved in DMSO and purified by RP-HPLC. After lyophilization, 1-(4-((2S,5S,8S)-8-(4-aminobutyl)- 5-isopropyl-4,7,10-trioxo-2-(3-ureidopropyl)-11-oxa-3,6,9-triazatetradec-13-ynamido)-2-(80-carboxy-2- methyl-3-oxo-6,9,12,15,18,21,24,27,30,33,36,39,42,45,48,51,54,57,60,63,66,69,72,75,78-pentacosaoxa- 2-azaoctacontyl)benzyl)-4-(2-(4-(4-((R)-1-carboxy-2-(2-((2-(2-methoxyphenyl)pyrimidin-4- yl)methoxy)phenyl)ethoxy)-6-(4-fluorophenyl)thieno[2,3-d]pyrimidin-5-yl)-2-chloro-3- methylphenoxy)ethyl)-1-methylpiperazin-1-ium trifluoroacetate (73 mg, 82% yield) was obtained. HRMS: M+=2690.2800, Rt=2.22 min (5 min acidic method). Synthesis of 1-(4-((S)-2-((S)-2-((tert-butoxycarbonyl)amino)-3-methylbutanamido)-5- ureidopentanamido)-2-((prop-2-yn-1-yloxy)methyl)benzyl)-4-(2-(2-chloro-4-(6-(4-fluorophenyl)-4- (((R)-1-((4-methoxybenzyl)oxy)-3-(2-((2-(2-methoxyphenyl)pyrimidin-4-yl)methoxy)phenyl)-1- oxopropan-2-yl)oxy)thieno[2,3-d]pyrimidin-5-yl)-3-methylphenoxy)ethyl)-1-methylpiperazin-1-ium trifluoroacetate
[814] A solution of 4-methoxybenzyl (R)-2-((5-(3-chloro-2-methyl-4-(2-(4-methylpiperazin-1- yl)ethoxy)phenyl)-6-(4-fluorophenyl)thieno[2,3-d]pyrimidin-4-yl)oxy)-3-(2-((2-(2-
methoxyphenyl)pyrimidin-4-yl)methoxy)phenyl)propanoate (600 mg, 0.603 mmol, prepared based on methods described in WO2017/125224), tert-butyl ((S)-1-(((S)-1-((4-(chloromethyl)-3-((prop-2-yn-1- yloxy)methyl)phenyl)amino)-1-oxo-5-ureidopentan-2-yl)amino)-3-methyl-1-oxobutan-2-yl)carbamate (0.44 g, 0.783 mmol), tetrabutylammonium iodide (267 mg, 0.723 mmol) and DIEA (840 µL, 4.82 mmol) in DMSO (5 mL) was stirred at rt for 16 hours. The solution was purified by ISCO C18 RP-HPLC. Upon lyophilization, 1-(4-((S)-2-((S)-2-((tert-butoxycarbonyl)amino)-3-methylbutanamido)-5- ureidopentanamido)-2-((prop-2-yn-1-yloxy)methyl)benzyl)-4-(2-(2-chloro-4-(6-(4-fluorophenyl)-4-(((R)- 1-((4-methoxybenzyl)oxy)-3-(2-((2-(2-methoxyphenyl)pyrimidin-4-yl)methoxy)phenyl)-1-oxopropan-2- yl)oxy)thieno[2,3-d]pyrimidin-5-yl)-3-methylphenoxy)ethyl)-1-methylpiperazin-1-ium trifluoroacetate (845 mg, 92%) was obtained. HRMS: M+=1524.6100, Rt=2.95 min (5 min acidic method). Synthesis of 1-(4-((S)-2-((S)-2-amino-3-methylbutanamido)-5-ureidopentanamido)-2-((prop- 2-yn-1-yloxy)methyl)benzyl)-4-(2-(4-(4-((R)-1-carboxy-2-(2-((2-(2-methoxyphenyl)pyrimidin-4- yl)methoxy)phenyl)ethoxy)-6-(4-fluorophenyl)thieno[2,3-d]pyrimidin-5-yl)-2-chloro-3- methylphenoxy)ethyl)-1-methylpiperazin-1-ium trifluoroacetate
[815] 1-(4-((S)-2-((S)-2-((tert-butoxycarbonyl)amino)-3-methylbutanamido)-5-ureidopentanamido)-2- ((prop-2-yn-1-yloxy)methyl)benzyl)-4-(2-(2-chloro-4-(6-(4-fluorophenyl)-4-(((R)-1-((4- methoxybenzyl)oxy)-3-(2-((2-(2-methoxyphenyl)pyrimidin-4-yl)methoxy)phenyl)-1-oxopropan-2- yl)oxy)thieno[2,3-d]pyrimidin-5-yl)-3-methylphenoxy)ethyl)-1-methylpiperazin-1-ium trifluoroacetate (845 mg, 554 µmol) was treated with 20% TFA/CH2Cl2 (7.5 mL) for 3 hours at which time the volatiles were removed in vacuo. The residue was dissolved in 1:1 MeCN/H2O and lyophilized to yield 1-(4-((S)- 2-((S)-2-amino-3-methylbutanamido)-5-ureidopentanamido)-2-((prop-2-yn-1-yloxy)methyl)benzyl)-4-(2- (4-(4-((R)-1-carboxy-2-(2-((2-(2-methoxyphenyl)pyrimidin-4-yl)methoxy)phenyl)ethoxy)-6-(4- fluorophenyl)thieno[2,3-d]pyrimidin-5-yl)-2-chloro-3-methylphenoxy)ethyl)-1-methylpiperazin-1-ium trifluoroacetate (915 mg). The material was used as is. HRMS: M+=1304.5100, Rt=2.17 min (5 min acidic method). Synthesis of 3-(4-(3-(2-(3-(benzo[d]thiazol-2-ylamino)-4-methyl-6,7-dihydropyrido[2,3-c]pyridazin- 8(5H)-yl)-4-carboxythiazol-5-yl)propoxy)-3-fluorophenyl)-N-(4-((S)-2-((S)-2-((tert-
butoxycarbonyl)amino)-3-methylbutanamido)-5-ureidopentanamido)-2-((prop-2-yn-1- yloxy)methyl)benzyl)-N,N-dimethylprop-2-yn-1-aminium
[816] A solution of 2-(3-(benzo[d]thiazol-2-ylamino)-4-methyl-6,7-dihydropyrido[2,3-c]pyridazin- 8(5H)-yl)-5-(3-(4-(3-(dimethylamino)prop-1-yn-1-yl)-2-fluorophenoxy)propyl)thiazole-4-carboxylic acid (1.0 g, 1.52 mmol), tert-butyl ((S)-1-(((S)-1-((4-(chloromethyl)-3-((prop-2-yn-1- yloxy)methyl)phenyl)amino)-1-oxo-5-ureidopentan-2-yl)amino)-3-methyl-1-oxobutan-2-yl)carbamate (1.03 g, 1.82 mmol), tetrabutylammonium iodide (562 mg, 1.52 mmol) and DIEA (982 mg, 7.6 mmol) in DMF (6 mL) was stirred at rt for 16 hours at which time the solution was diluted with DMSO (12 mL) and purified by ISCO C18 RP-HPLC with NH4OH modifier. Upon lyophilization, 3-(4-(3-(2-(3- (benzo[d]thiazol-2-ylamino)-4-methyl-6,7-dihydropyrido[2,3-c]pyridazin-8(5H)-yl)-4-carboxythiazol-5- yl)propoxy)-3-fluorophenyl)-N-(4-((S)-2-((S)-2-((tert-butoxycarbonyl)amino)-3-methylbutanamido)-5- ureidopentanamido)-2-((prop-2-yn-1-yloxy)methyl)benzyl)-N,N-dimethylprop-2-yn-1-aminium trifluoroacetate (969 mg, 54%) was obtained. HRMS: M+=1187.4745, Rt=2.32 min (5 min acidic method). Synthesis of N-(4-((S)-2-((S)-2-amino-3-methylbutanamido)-5-ureidopentanamido)-2-((prop-2-yn-1- yloxy)methyl)benzyl)-3-(4-(3-(2-(3-(benzo[d]thiazol-2-ylamino)-4-methyl-6,7-dihydropyrido[2,3- c]pyridazin-8(5H)-yl)-4-carboxythiazol-5-yl)propoxy)-3-fluorophenyl)-N,N-dimethylprop-2-yn-1- aminium trifluoroacetate
[817] 3-(4-(3-(2-(3-(benzo[d]thiazol-2-ylamino)-4-methyl-6,7-dihydropyrido[2,3-c]pyridazin-8(5H)- yl)-4-carboxythiazol-5-yl)propoxy)-3-fluorophenyl)-N-(4-((S)-2-((S)-2-((tert-butoxycarbonyl)amino)-3- methylbutanamido)-5-ureidopentanamido)-2-((prop-2-yn-1-yloxy)methyl)benzyl)-N,N-dimethylprop-2- yn-1-aminium (969 mg, 744 µmol) was treated with 20% TFA/CH2Cl2 (15 mL) for 3 hours at which time the volatiles were removed in vacuo. The residue was dissolved in 1:1 MeCN/H2O and lyophilized to yield N-(4-((S)-2-((S)-2-amino-3-methylbutanamido)-5-ureidopentanamido)-2-((prop-2-yn-1- yloxy)methyl)benzyl)-3-(4-(3-(2-(3-(benzo[d]thiazol-2-ylamino)-4-methyl-6,7-dihydropyrido[2,3- c]pyridazin-8(5H)-yl)-4-carboxythiazol-5-yl)propoxy)-3-fluorophenyl)-N,N-dimethylprop-2-yn-1- aminium trifluoroacetate (1219 mg). The material was used as is. HRMS: M+=1087.4000, Rt=1.85 min (5 min acidic method). Synthesis of 4-methoxybenzyl 6-(3-(benzo[d]thiazol-2-ylamino)-4-methyl-6,7- dihydropyrido[2,3-c]pyridazin-8(5H)-yl)-3-(1-(((1r,3s,5R,7S)-3-(2-((((4-((S)-2-((S)-2-((tert- butoxycarbonyl)amino)-3-methylbutanamido)-5-ureidopentanamido)-2- ((methylamino)methyl)benzyl)oxy)carbonyl)(3-hydroxypropyl)amino)ethoxy)-5,7- dimethyladamantan-1-yl)methyl)-5-methyl-1H-pyrazol-4-yl)picolinate
[818] To a solution of 4-methoxybenzyl 6-(3-(benzo[d]thiazol-2-ylamino)-4-methyl-6,7- dihydropyrido[2,3-c]pyridazin-8(5H)-yl)-3-(1-(((1r,3s,5R,7S)-3-(2-((3-hydroxypropyl)amino)ethoxy)- 5,7-dimethyladamantan-1-yl)methyl)-5-methyl-1H-pyrazol-4-yl)picolinate (850 mg, 856 µmol) and (9H- fluoren-9-yl)methyl (5-((S)-2-((S)-2-((tert-butoxycarbonyl)amino)-3-methylbutanamido)-5- ureidopentanamido)-2-((((4-nitrophenoxy)carbonyl)oxy)methyl)benzyl)(methyl)carbamate (890 mg, 978 µmol) in NMP (5 mL) was added DIEA (488 µL, 3270 µmol). After standing for 16 hours, 2.0M Me2NH in MeOH (4.7 mL, 9.4 mmol). After standing an additional 2 hours, the solution was diluted with DMSO and purified by RP-HPLC with 0.05% formic acid modifier. After lyophilization, 4- methoxybenzyl 6-(3-(benzo[d]thiazol-2-ylamino)-4-methyl-6,7-dihydropyrido[2,3-c]pyridazin-8(5H)-yl)- 3-(1-(((1r,3s,5R,7S)-3-(2-((((4-((S)-2-((S)-2-((tert-butoxycarbonyl)amino)-3-methylbutanamido)-5- ureidopentanamido)-2-((methylamino)methyl)benzyl)oxy)carbonyl)(3-hydroxypropyl)amino)ethoxy)-5,7-
dimethyladamantan-1-yl)methyl)-5-methyl-1H-pyrazol-4-yl)picolinate (740 mg, 57% yield) was obtained. HRMS: MH+=1460.7600, Rt=2.33 min (5 min acidic method). Synthesis of 1-(2-((((2-(((1s,3r,5R,7S)-3-((4-(6-(3-(benzo[d]thiazol-2-ylamino)-4-methyl-6,7- dihydropyrido[2,3-c]pyridazin-8(5H)-yl)-2-(((4-methoxybenzyl)oxy)carbonyl)pyridin-3-yl)-5- methyl-1H-pyrazol-1-yl)methyl)-5,7-dimethyladamantan-1-yl)oxy)ethyl)(3- hydroxypropyl)carbamoyl)oxy)methyl)-5-((S)-2-((S)-2-((tert-butoxycarbonyl)amino)-3- methylbutanamido)-5-ureidopentanamido)phenyl)-2-methyl-3-oxo- 7,10,13,16,19,22,25,28,31,34,37,40,43,46,49,52,55,58,61,64,67,70,73,76-tetracosaoxa-2,4- diazanonaheptacontan-79-oic acid
[819] Following GENERAL PROCEDURE #1 using bis(4-nitrophenyl) carbonate (202 mg, 663 µmol), DIEA (377 µL, 2.16 µmol), 1-amino- 3,6,9,12,15,18,21,24,27,30,33,36,39,42,45,48,51,54,57,60,63,66,69,72-tetracosaoxapentaheptacontan-75- oic acid (843 mg, 712 µmol) and then 4-methoxybenzyl 6-(3-(benzo[d]thiazol-2-ylamino)-4-methyl-6,7- dihydropyrido[2,3-c]pyridazin-8(5H)-yl)-3-(1-(((1r,3s,5R,7S)-3-(2-((((4-((S)-2-((S)-2-((tert- butoxycarbonyl)amino)-3-methylbutanamido)-5-ureidopentanamido)-2- ((methylamino)methyl)benzyl)oxy)carbonyl)(3-hydroxypropyl)amino)ethoxy)-5,7-dimethyladamantan-1- yl)methyl)-5-methyl-1H-pyrazol-4-yl)picolinate (740 mg, 491 µmol) and additional DIEA (377 µL, 2.16 mmol), 1-(2-((((2-(((1s,3r,5R,7S)-3-((4-(6-(3-(benzo[d]thiazol-2-ylamino)-4-methyl-6,7- dihydropyrido[2,3-c]pyridazin-8(5H)-yl)-2-(((4-methoxybenzyl)oxy)carbonyl)pyridin-3-yl)-5-methyl-1H- pyrazol-1-yl)methyl)-5,7-dimethyladamantan-1-yl)oxy)ethyl)(3-hydroxypropyl)carbamoyl)oxy)methyl)- 5-((S)-2-((S)-2-((tert-butoxycarbonyl)amino)-3-methylbutanamido)-5-ureidopentanamido)phenyl)-2- methyl-3-oxo-7,10,13,16,19,22,25,28,31,34,37,40,43,46,49,52,55,58,61,64,67,70,73,76-tetracosaoxa-2,4- diazanonaheptacontan-79-oic acid (823 mg, 63%) was obtained. HRMS: MH+=2632.4500, Rt=2.63 min (5 min acidic method). Synthesis of 3-(1-(((1r,3s,5R,7S)-3-(2-((((4-((S)-2-((S)-2-amino-3-methylbutanamido)-5- ureidopentanamido)-2-(78-carboxy-2-methyl-3-oxo-
7,10,13,16,19,22,25,28,31,34,37,40,43,46,49,52,55,58,61,64,67,70,73,76-tetracosaoxa-2,4- diazaoctaheptacontyl)benzyl)oxy)carbonyl)(3-hydroxypropyl)amino)ethoxy)-5,7- dimethyladamantan-1-yl)methyl)-5-methyl-1H-pyrazol-4-yl)-6-(3-(benzo[d]thiazol-2-ylamino)-4- methyl-6,7-dihydropyrido[2,3-c]pyridazin-8(5H)-yl)picolinic acid
[820] To 1-(2-((((2-(((1s,3r,5R,7S)-3-((4-(6-(3-(benzo[d]thiazol-2-ylamino)-4-methyl-6,7- dihydropyrido[2,3-c]pyridazin-8(5H)-yl)-2-(((4-methoxybenzyl)oxy)carbonyl)pyridin-3-yl)-5-methyl-1H- pyrazol-1-yl)methyl)-5,7-dimethyladamantan-1-yl)oxy)ethyl)(3-hydroxypropyl)carbamoyl)oxy)methyl)- 5-((S)-2-((S)-2-((tert-butoxycarbonyl)amino)-3-methylbutanamido)-5-ureidopentanamido)phenyl)-2- methyl-3-oxo-7,10,13,16,19,22,25,28,31,34,37,40,43,46,49,52,55,58,61,64,67,70,73,76-tetracosaoxa-2,4- diazanonaheptacontan-79-oic acid (823 mg, 312.6 µmol) was added 25% TFA/CH2Cl2 containing 1% Et3SiH (16 mL). After standing at rt for 1.5 hours, the volatiles were removed in vacuo, Et2O (100 mL) was added, sonicated, settled, and decanted and material was pumped on. The residue was dissolved in MeOH (9 mL) and Me2NH in MeOH (3 mL, ca.20 equiv) was added to clip TFA ester present. After standing for 30 minutes, the solution was purified by RP-HPLC with 0.05% formic acid modifier. After lyophilization, 3-(1-(((1r,3s,5R,7S)-3-(2-((((4-((S)-2-((S)-2-amino-3-methylbutanamido)-5- ureidopentanamido)-2-(78-carboxy-2-methyl-3-oxo- 7,10,13,16,19,22,25,28,31,34,37,40,43,46,49,52,55,58,61,64,67,70,73,76-tetracosaoxa-2,4- diazaoctaheptacontyl)benzyl)oxy)carbonyl)(3-hydroxypropyl)amino)ethoxy)-5,7-dimethyladamantan-1- yl)methyl)-5-methyl-1H-pyrazol-4-yl)-6-(3-(benzo[d]thiazol-2-ylamino)-4-methyl-6,7-dihydropyrido[2,3- c]pyridazin-8(5H)-yl)picolinic acid (454 mg, 59% yield) was obtained. HRMS: MH+=2412.3000, Rt=2.01 min (5 min acidic method). Synthesis of (S)-5-(3-(tert-butoxy)-3-oxopropyl)-1-(9H-fluoren-9-yl)-3,6-dioxo- 2,10,13,16,19,22-hexaoxa-4,7-diazapentacosan-25-oic acid
[821] To the solution of Fmoc-Glu(OTBu)-OSu (200 mg, 0.383 mmol) in DMF(1 ml) was added the solution of Amino-PEG6-Acid (271 mg, 0.765 mmol) in MeOH( 1 ml), then was followed by DIPEA (267 µl, 1.531 mmol). The resulting solution was stirred at RT for 30 min. The crude mixture was purified by C18 column (100g cartridge, MeCN/Water with 0.05% TFA 0-100% over 16CV) to obtain (S)-5-(3-(tert-butoxy)-3-oxopropyl)-1-(9H-fluoren-9-yl)-3,6-dioxo-2,10,13,16,19,22-hexaoxa-4,7- diazapentacosan-25-oic acid (273 mg, 100% yield). LC/MS : MH+=717.5, Rt= 1.12 min (3 min acidic run). Synthesis of (S)-21-((((9H-fluoren-9-yl)methoxy)carbonyl)amino)-20-oxo-4,7,10,13,16- pentaoxa-19-azatetracosanedioic acid
[822] To the pre-cooled (S)-5-(3-(tert-butoxy)-3-oxopropyl)-1-(9H-fluoren-9-yl)-3,6-dioxo- 2,10,13,16,19,22-hexaoxa-4,7-diazapentacosan-25-oic acid (273 mg, 0.381 mmol) and triethylsilane (0.061 mL, 0.381 mmol) was added pre-cooled TFA(25% in DCM, v/v) (11.700 mL, 38.0 mmol) at 0oC in ice-water bath. mixture was stirred at 0oC for 15min, then raised to RT, and stirred at RT for 40 min. The crude mixture was concentrated under high vacuum and then dried over high vacuum overnight, and then purified by C18 column (50g cartridge, MeCN/Water with 0.05% TFA 0-100% over 16CV) to obtain (S)-21-((((9H-fluoren-9-yl)methoxy)carbonyl)amino)-20-oxo-4,7,10,13,16-pentaoxa-19- azatetracosanedioic acid (196 mg, 78% yield). LC/MS : MH+=661.3, Rt= 0.91 min (3 min acidic run). Synthesis of (S)-5-(3-(tert-butoxy)-3-oxopropyl)-1-(9H-fluoren-9-yl)-3,6-dioxo- 2,10,13,16,19,22,25-heptaoxa-4,7-diazaoctacosan-28-oic acid
[823] To the solution of Fmoc-Glu(OTBu)-OSu (50 mg, 0.096 mmol) in DMF(0.5ml) was added the solution of Amino-PEG6-Acid (67.6 mg, 0.191 mmol) in MeOH( 1 ml), then was followed by DIPEA (66.8 µl, 0.383 mmol). The resulting solution was stirred at RT for 30 min. The crude mixture was purified by C-18 Column(100g cartridge, MeCN/Water with 0.05% TFA 0-100% over 16CV) to obtain
(S)-5-(3-(tert-butoxy)-3-oxopropyl)-1-(9H-fluoren-9-yl)-3,6-dioxo-2,10,13,16,19,22,25-heptaoxa-4,7- diazaoctacosan-28-oic acid (44 mg, 60% yield). LC/MS : MH+=761.5, Rt= 1.12 min (3 min acidic run). Synthesis of (S)-24-((((9H-fluoren-9-yl)methoxy)carbonyl)amino)-23-oxo-4,7,10,13,16,19- hexaoxa-22-azaheptacosanedioic acid
[824] To the pre-cooled (S)-5-(3-(tert-butoxy)-3-oxopropyl)-1-(9H-fluoren-9-yl)-3,6-dioxo- 2,10,13,16,19,22,25-heptaoxa-4,7-diazaoctacosan-28-oic acid (43.9 mg, 0.058 mmol) and triethylsilane (9.22 µl, 0.058 mmol) was added pre-cooled TFA(25% in DCM, v/v) (1778 µl, 5.77 mmol) at 0oC in ice-water bath. The reaction mixture was stirred at 0oC for 15min, then raised to RT, and stirred at RT for 40 min. The crude mixture was concentrated under high vacuum, then dried over high vacuum overnight, and purified by C18 column (50g cartridge, MeCN/Water 0-100% with 0.05% TFA over 16CV) to obtain (S)-24-((((9H-fluoren-9-yl)methoxy)carbonyl)amino)-23-oxo-4,7,10,13,16,19-hexaoxa-22- azaheptacosanedioic acid (16 mg, 39% yield). LC/MS : MH+=705.4, Rt= 0.91 min (3 min acidic run). Synthesis of di-tert-butyl (azanediylbis(ethane-2,1-diyl))bis(methylcarbamate)
[825] In a 40 mL glass vial equipped with magnetic stir bar, palladium on carbon (18.32 mg, 0.172 mmol) was dissolved in EtOH (Volume: 5 mL). tert-butyl (2-aminoethyl)(methyl)carbamate (0.308 mL, 1.722 mmol) and tert-butyl methyl(2-oxoethyl)carbamate (0.298 mL, 1.722 mmol) were added. The reaction atmosphere was switched to hydrogen (treat reaction chamber with vacuum and refill with nitrogen, repeat 4x. Then treat reaction chamber with vacuum and refill with hydrogen, repeat 4x). The reaction was stirred at RT for 16 hr. The reaction was analyzed by LC-MS and the desired product was found (LC-MS crude: product ret. time: 1.45 min, [M]+: 332.3). The reaction atmosphere was switched to nitrogen. The reaction solution was filtered through a celite pad. The pad was then washed with EtOAc (20 mL). The combined organic layer was removed under reduced pressure. The product was then dried under high vacuum for 30 min. The product di-tert-butyl (azanediylbis(ethane-2,1- diyl))bis(methylcarbamate) was used as is in next step assuming 172 µmol.
Synthesis of tert-butyl (11-(2-((tert-butoxycarbonyl)(methyl)amino)ethyl)-1-(9H-fluoren-9- yl)-3,10-dioxo-2,7-dioxa-4,11-diazatridecan-13-yl)(methyl)carbamate
[826] 3-(2-((((9H-fluoren-9-yl)methoxy)carbonyl)amino)ethoxy)propanoic acid (367 mg, 1.034 mmol) and HATU (393 mg, 1.034 mmol) were dissolved in DMF ( 8 mL). DIPEA (0.542 mL, 3.10 mmol) was added. The reaction was stirred at RT for 10 min. The mixture was added to di-tert-butyl (azanediylbis(ethane-2,1-diyl))bis(methylcarbamate) (172 µmol). After stirring for 30 minutes, the reaction mixture was poured into aq. sat. ammonium chloride solution (100 mL). It was extracted with EtOAc (2x40 mL). The combined organic layer was washed with brine, treated with MgSO4, filtered, and removed under reduced pressure. The product was then purified by SiO2 chromatography with EtOAc/n- heptanes eluant. Upon removal of volatiles, tert-butyl (11-(2-((tert- butoxycarbonyl)(methyl)amino)ethyl)-1-(9H-fluoren-9-yl)-3,10-dioxo-2,7-dioxa-4,11-diazatridecan-13- yl)(methyl)carbamate was obtained. LC/MS : MH+=669.3, Rt=3.03 min (5 min acidic run). Synthesis of tert-butyl (1-(9H-fluoren-9-yl)-11-(2-(methylamino)ethyl)-3,10-dioxo-2,7-dioxa- 4,11-diazatridecan-13-yl)(methyl)carbamate trifluoroacetate
[827] To a solution of tert-butyl (11-(2-((tert-butoxycarbonyl)(methyl)amino)ethyl)-1-(9H-fluoren-9- yl)-3,10-dioxo-2,7-dioxa-4,11-diazatridecan-13-yl)(methyl)carbamate (647 mg, 967 µmol) in CH2Cl2 (4 mL) was added TFA (75 µL, 967 µL). After standing at rt for 14 hours, the volatiles were removed in vacuo, the residue was dissolved in DMSO and purified by ISCO RP-HPLC. Upon lyophilization, tert- butyl (1-(9H-fluoren-9-yl)-11-(2-(methylamino)ethyl)-3,10-dioxo-2,7-dioxa-4,11-diazatridecan-13- yl)(methyl)carbamate trifluoroacetate (110 mg, 20%) was obtained. LC/MS : MH+=569.6, Rt=0.89 min (2 min acidic run).
Synthesis of tert-butyl 11-(2-((tert-butoxycarbonyl)(methyl)amino)ethyl)-1-(9H-fluoren-9- yl)-14-methyl-3,10,15-trioxo-2,7,18,21-tetraoxa-4,11,14-triazatetracosan-24-oate
[828] Acid-PEG2-tertbuyl ester (106 mg, 0.405 mmol) and HATU (147 mg, 0.387 mmol) were combined in DMF (2 mL). DIPEA (0.322 mL, 1.841 mmol) was added. It was left at RT for 5 min. tert- butyl (1-(9H-fluoren-9-yl)-11-(2-(methylamino)ethyl)-3,10-dioxo-2,7-dioxa-4,11-diazatridecan-13- yl)(methyl)carbamate TFA salt (251 mg, 0.368 mmol) was added. The reaction was left at RT for 5 min. The reaction was diluted with DMSO and purified by ISCO RP-HPLC. Upon lyophilization, tert-butyl 11-(2-((tert-butoxycarbonyl)(methyl)amino)ethyl)-1-(9H-fluoren-9-yl)-14-methyl-3,10,15-trioxo- 2,7,18,21-tetraoxa-4,11,14-triazatetracosan-24-oate (199 mg, 67%) was obtained. LC/MS : MH+=813.9, Rt=1.24 min (2 min acidic run). Synthesis of 1-(9H-fluoren-9-yl)-14-methyl-11-(2-(methylamino)ethyl)-3,10,15-trioxo- 2,7,18,21-tetraoxa-4,11,14-triazatetracosan-24-oic acid
[829] tert-butyl (11-(2-((tert-butoxycarbonyl)(methyl)amino)ethyl)-1-(9H-fluoren-9-yl)-3,10-dioxo-2,7- dioxa-4,11-diazatridecan-13-yl)(methyl)carbamate (199 mg, 245 µmol) was treated with 2:1 CH2Cl2/TFA (3 mL) for 1 hour at which the volatiles were removed in vacuo. The residue was dissolved in DMSO and purified by ISCO RP-HPLC. Upon lyophilization, 1-(9H-fluoren-9-yl)-14-methyl-11-(2- (methylamino)ethyl)-3,10,15-trioxo-2,7,18,21-tetraoxa-4,11,14-triazatetracosan-24-oic acid (166 mg, 88% yield) was obtained as the TFA salt. LC/MS : MH+=656.3, Rt=0.76 min (2 min acidic run). Synthesis of (9H-fluoren-9-yl)methyl (2-(3-(bis(2-(methylamino)ethyl)amino)-3- oxopropoxy)ethyl)carbamate trifluoroacetate
[830] Tert-butyl (11-(2-((tert-butoxycarbonyl)(methyl)amino)ethyl)-1-(9H-fluoren-9-yl)-3,10-dioxo- 2,7-dioxa-4,11-diazatridecan-13-yl)(methyl)carbamate (614 mg, 918 µmol) was treated with 25% TFA/ CH2Cl2 (8 mL) for one hour at which time the volatiles were removed in vacuo. The residue was dissolved in MeCN/H2O and lyophilized to yield (9H-fluoren-9-yl)methyl (2-(3-(bis(2- (methylamino)ethyl)amino)-3-oxopropoxy)ethyl)carbamate trifluoroacetate. LC/MS: MH+=469.1, Rt=1.05 min (5 min acidic method). Synthesis of tert-butyl 1-(9H-fluoren-9-yl)-14-methyl-11-(2-(methylamino)ethyl)-3,10,15- trioxo-2,7,18,21-tetraoxa-4,11,14-triazatetracosan-24-oate trifluoroacetate
[831] To a solution of 3-(2-(3-(tert-butoxy)-3-oxopropoxy)ethoxy)propanoic acid (40 mg, 152 µmol) and HATU (69.6 mg, 183 µmol) in DMF (2 mL) was added DIEA (160 µL, 915 µmol). After stirring for 5 minutes, (9H-fluoren-9-yl)methyl (2-(3-(bis(2-(methylamino)ethyl)amino)-3- oxopropoxy)ethyl)carbamate trifluoroacetate (425 mg, 610 µmol) was added. After stirring for an additional 30 minutes, the solution was diluted with DMSO and purified by ISCO RP-HPLC. Upon lyophilization, tert-butyl 1-(9H-fluoren-9-yl)-14-methyl-11-(2-(methylamino)ethyl)-3,10,15-trioxo- 2,7,18,21-tetraoxa-4,11,14-triazatetracosan-24-oate trifluoroacetate (26.1 mg, 21% yield) was obtained. LC/MS: MH+=713.6, Rt=2.09 min (5 min acidic method). Synthesis of di-tert-butyl 17-(3-(2-((((9H-fluoren-9- yl)methoxy)carbonyl)amino)ethoxy)propanoyl)-14,20-dimethyl-13,21-dioxo-4,7,10,24,27-pentaoxa- 14,17,20-triazatriacontanedioate
[832] To a solution of 2,2-dimethyl-4-oxo-3,7,10,13-tetraoxahexadecan-16-oic acid (11.6 mg, 38 µmol) and HATU (12 mg, 32 µmol) in DMF (2 mL) was added DIEA (44 µL, 253 µmol). After stirring for 5 minutes, tert-butyl 1-(9H-fluoren-9-yl)-14-methyl-11-(2-(methylamino)ethyl)-3,10,15-trioxo-2,7,18,21- tetraoxa-4,11,14-triazatetracosan-24-oate trifluoroacetate (26.1 mg, 32 µmol) was added. After stirring for an additional 30 minutes, the solution was diluted with DMSO and purified by ISCO RP-HPLC. Upon lyophilization, di-tert-butyl 17-(3-(2-((((9H-fluoren-9- yl)methoxy)carbonyl)amino)ethoxy)propanoyl)-14,20-dimethyl-13,21-dioxo-4,7,10,24,27-pentaoxa- 14,17,20-triazatriacontanedioate (21.4 mg, 68% yield) was obtained. LC/MS: MH+=1001.7, Rt=1.95 min (5 min acidic method). Synthesis of 17-(3-(2-((((9H-fluoren-9-yl)methoxy)carbonyl)amino)ethoxy)propanoyl)-14,20- dimethyl-13,21-dioxo-4,7,10,24,27-pentaoxa-14,17,20-triazatriacontanedioic acid
[833] Di-tert-butyl 17-(3-(2-((((9H-fluoren-9-yl)methoxy)carbonyl)amino)ethoxy)propanoyl)-14,20- dimethyl-13,21-dioxo-4,7,10,24,27-pentaoxa-14,17,20-triazatriacontanedioate (21.4 mg, 21 µmol) was treated with 50% TFA/CH2Cl2 (2 mL) for one hour at which time the volatiles were removed in vacuo. The residue was dissolved in MeCN/H2O and lyophilized to yield 17-(3-(2-((((9H-fluoren-9- yl)methoxy)carbonyl)amino)ethoxy)propanoyl)-14,20-dimethyl-13,21-dioxo-4,7,10,24,27-pentaoxa- 14,17,20-triazatriacontanedioic acid (20.2 mg, 99% yield). LC/MS: MH+=889.6, Rt=1.94 min (5 min acidic method). Synthesis of bis(2-cyanoethyl) 16-(tert-butoxycarbonyl)-13,19-dimethyl-14,18-dioxo- 4,7,10,22,25,28-hexaoxa-13,16,19-triazahentriacontanedioate
[834] To 2-cyanoethyl 5,8,11-trioxa-2-azatetradecan-14-oate HCl salt (3.19 grams, 8.83 mmol) and tert-butyl 2,6-dioxomorpholine-4-carboxylate (0.95 grams, 4.41 mmol) in 1:2 NMP/CH2Cl2 (15 mL) was added DIEA (2.31 mL, 13.2 mmol), HOAT (0.661 g, 4.86 mmol) and then EDC (0.931 g, 4.86 mmol). After stirring for 2 hours, the volatiles were removed in vacuo, DMSO was added and the solution was purified by RP-HPLC (with 0.05% formic acid modifier). Upon lyophilization, bis(2-cyanoethyl) 16- (tert-butoxycarbonyl)-1319-dimethyl-1418-dioxo-4710222528-hexaoxa-13,16,19-
triazahentriacontanedioate (2.10 g, 61% yield) was obtained. LC/MS: MH+=774.6, Rt=1.77 min (5 min acidic method). Synthesis of bis(2-cyanoethyl) 16-(3-(2-((tert-butoxycarbonyl)amino)ethoxy)propanoyl)- 13,19-dimethyl-14,18-dioxo-4,7,10,22,25,28-hexaoxa-13,16,19-triazahentriacontanedioate
[835] To bis(2-cyanoethyl) 16-(tert-butoxycarbonyl)-13,19-dimethyl-14,18-dioxo-4,7,10,22,25,28- hexaoxa-13,16,19-triazahentriacontanedioate (2.10 g, 2.71 mmol) was added 4 M HCl in dioxane (10 mL, 40 mmol). After standing for one hour, the volatiles were removed in vacuo. The residue was dissolved in CH2Cl2 (10 mL) and DIEA (1.65 mL, 9.5 mmol) was added as the solution stirred. To the neutralized solution was added HOAT (480 mg, 3.5 mmol), 3-(2-((tert-butoxycarbonyl)amino)ethoxy)propanoic acid (791 mg, 3.4 mmol) and EDC (676 mg, 3.5 mmol). After stirring for two hours, the volatiles were removed in vacuo, DMSO was added, and the solution was purified by RP-HPLC (with 0.05% formic acid modifier). Upon lyophilization, bis(2-cyanoethyl) 16-(3-(2-((tert- butoxycarbonyl)amino)ethoxy)propanoyl)-13,19-dimethyl-14,18-dioxo-4,7,10,22,25,28-hexaoxa- 13,16,19-triazahentriacontanedioate (2.30 g, 95% yield) was obtained. LC/MS: MH+=889.7 Synthesis of 16-(3-(2-((tert-butoxycarbonyl)amino)ethoxy)propanoyl)-13,19-dimethyl-14,18- dioxo-4,7,10,22,25,28-hexaoxa-13,16,19-triazahentriacontanedioic acid
[836] To bis(2-cyanoethyl) 16-(3-(2-((tert-butoxycarbonyl)amino)ethoxy)propanoyl)-13,19-dimethyl- 14,18-dioxo-4,7,10,22,25,28-hexaoxa-13,16,19-triazahentriacontanedioate (2.3 g, 2.587 mmol) in DMSO (15 mL) was added DBU (1.56 mL, 10.35 mmol). After stirring for one hour, the solution was directly purified by RP-HPLC (with 0.05% formic acid modifier). Upon lyophilization, 16-(3-(2-((tert- butoxycarbonyl)amino)ethoxy)propanoyl)-13,19-dimethyl-14,18-dioxo-4,7,10,22,25,28-hexaoxa- 13,16,19-triazahentriacontanedioic acid (0.771 g, 38% yield) was obtained. LC/MS: MH+=783.6, Rt=1.50 min (5 min acidic method).
Synthesis of bis(2,5-dioxopyrrolidin-1-yl) 16-(3-(2-((tert- butoxycarbonyl)amino)ethoxy)propanoyl)-13,19-dimethyl-14,18-dioxo-4,7,10,22,25,28-hexaoxa- 13,16,19-triazahentriacontanedioate
[837] To 16-(3-(2-((tert-butoxycarbonyl)amino)ethoxy)propanoyl)-13,19-dimethyl-14,18-dioxo- 4,7,10,22,25,28-hexaoxa-13,16,19-triazahentriacontanedioic acid (168 mg, 215 µmol) in NMP (2 mL) was added DIEA (94 µL, 537 µmol) and then TSTU (155 mg, 515 µmol). After stirring for one hour, the solution was diluted with DMSO and purified by RP-HPLC (with 0.05% formic acid modifier). Upon lyophilization, bis(2,5-dioxopyrrolidin-1-yl) 16-(3-(2-((tert-butoxycarbonyl)amino)ethoxy)propanoyl)- 13,19-dimethyl-14,18-dioxo-4,7,10,22,25,28-hexaoxa-13,16,19-triazahentriacontanedioate (138 mg, 66% yield) was obtained. LC/MS: MH+=977.6, Rt=1.75 min (5 min acidic method). Synthesis of 16-(3-(2-((tert-butoxycarbonyl)amino)ethoxy)propanoyl)-4,7,10,13,19,22,25,28- octaoxa-16-azahentriacontanedioic acid
[838] A mixture of 3-(2-((tert-butoxycarbonyl)amino)ethoxy)propanoic acid (30 mg, 0.13 mmol), HATU (42 mg, 0.11 mmol), and DIPEA (79 µL, 0.46 mmol) in DMF (1 mL) was stirred at RT for 40 min. This solution was added to 4,7,10,13,19,22,25,28-octaoxa-16-azahentriacontanedioic acid HCl salt (from BroadPharm) (50 mg, 0.091 mmol). More DIPEA (0.048 mL, 0.27 mmol) was added. The mixture was stirred at RT for 2.5 h, diluted with DMSO (1 mL) and loaded onto RP-C18 ISCO column (50g, gold). The column was eluted with MeCN-water (0.1% TFA modifier). Fractions containing the desired product were combined and lyophilized to give the product as an oil (29.7 mg, 45% yield). LC/MS: MH+=729.3, Rt=0.77 min (2 min acidic method). Synthesis of 1-(2,5-dioxopyrrolidin-1-yl) 5-methyl (tert-butoxycarbonyl)-L-glutamate
[839] To a stirred solution of Boc-Glu(OMe)-OH (2.5 g, 9.57 mmol) and HOSu (1.211 g, 10.53 mmol) in THF(dry, 25 ml) at 0oC in ice-water bath, was added DCC (2.073 g, 10.05 mmol) in portions. After 15 min, the reaction mixture was allowed to warm to room temperature and was stirred overnight. The solid DCU byproduct was filtered off. The filtrate was concentrated. The resulting thick oil was dissolved in DCM (40 ml), was allowed to stand for 1h, and then was filtered to remove more DCU. The filtrate was evaporated, and the resulting glassy material was dried under high vacuum for 3h to obtain 1-(2,5- dioxopyrrolidin-1-yl) 5-methyl (tert-butoxycarbonyl)-L-glutamate (3.47 g solid foam that was carried on next reaction without further purification). LC/MS : M-Boc+1=259.2, Rt= 0.81 min (3 min acidic run). Synthesis of (S)-6-(3-methoxy-3-oxopropyl)-2,2-dimethyl-4,7-dioxo-3,11,14,17,20,23,26- heptaoxa-5,8-diazanonacosan-29-oic acid
[840] To the solution of 1-(2,5-dioxopyrrolidin-1-yl) 5-methyl (tert-butoxycarbonyl)-L-glutamate (117 mg, 0.326 mmol) in DMF(1 ml) was added the solution of Amino-PEG6-Acid (231 mg, 0.653 mmol) in MeOH( 1 ml), then was followed by DIPEA (228 µl, 1.306 mmol). The resulting solution was stirred at Rt for 30 min. The crude mixture was purified by C18 column (50 g cartridge, MeCN/Water with 0.05% TFA 0-100% over 16CV) to obtain (S)-6-(3-methoxy-3-oxopropyl)-2,2-dimethyl-4,7-dioxo- 3,11,14,17,20,23,26-heptaoxa-5,8-diazanonacosan-29-oic acid (138 mg, 71% yield). LC/MS : MH+=597.5, Rt= 0.75 min (3 min acidic run). Synthesis of ethyl 3,8-dioxo-1-phenyl-2,11,14-trioxa-4,7-diazaheptadecan-17-oate
[841] A mixture of 3-(2-(3-ethoxy-3-oxopropoxy)ethoxy)propanoic acid (2.50 g, 10.7 mmol), benzyl (2-aminoethyl)carbamate (2.59 g, 11.2 mmol), HATU (4.46 g, 11.7 mmol), and DIPEA (10 mL, 57 mmol) in DMF (15 mL) was stirred at RT for 30 min. The mixture was concentrated to give the crude
product, which was purified by RP-C18 ISCO column (150g, gold) by elution with MeCN-water (0.1% TFA). Fractions containing the desired product contained impurity. The fractions were combined and concentrated to remove most of MeCN. The aq. layer was basified (pH 8~9) by addition of solid K2CO3, and the product was extracted with EtOAc. The combined EtOAc extract was dried over Na2SO4, filtered, and concentrated to give the crude product as an oil. As the product was still impure, this crude product was partitioned between EtOAc and 3M aq HCl. The combined organic extract was dried over Na2SO4, filtered, and concentrated to give the title product in pure form as an oil (3.24 g, 74% yield). LC/MS: MH+=411.1, Rt=0.82 min (2 min acidic method). Synthesis of ethyl 2,2-dimethyl-4,12-dioxo-3,15,18-trioxa-5,8,11-triazahenicosan-21-oate
[842] A mixture of ethyl 3,8-dioxo-1-phenyl-2,11,14-trioxa-4,7-diazaheptadecan-17-oate (3.24 g, 7.89 mmol), tert-butyl (2-oxoethyl)carbamate (1.257 g, 7.890 mmol), and Pd-C (10% wet) (250 mg, 2.35 mmol) in MeOH (20 mL) was hydrogenated at RT under balloon pressure for 3 days. The mixture was filtered through Celite and concentrated. The residual oil was diluted with DMSO and water. Insoluble material was removed by filtration. The filtrate was loaded onto RP-C18 ISCO column (150g, gold). The column was eluted with MeCN-water (0.1% TFA). Fractions containing the desired product were combined and concentrated to give the product (TFA salt) as an oil (910 mg, 22% yield). LC/MS: MH+=420.5, Rt= 0.56 min (2 min acidic method). Synthesis of 2,2-dimethyl-4,12-dioxo-3,15,18-trioxa-5,8,11-triazahenicosan-21-oic acid
[843] A mixture of ethyl 2,2-dimethyl-4,12-dioxo-3,15,18-trioxa-5,8,11-triazahenicosan-21-oate (910 mg, 2.17 mmol) and aq. LiOH (1M, 2.4 mL, 2.4 mmol) in MeOH (2.4 mL) and THF (2.4 mL) was heated at 50oC for 0.5 h. LCMS analysis showed no reaction. The mixture was cooled to RT, and a solution of KOH (260 mg, 4.64 mmol) in water (1 mL) was added. The mixture was stirred at RT for 10 min. The mixture was concentrated, and the residue was taken up in water and loaded onto RP-C18 ISCO column (50g, gold). The column was eluted with MeCN-water (0.1% TFA). Fractions containing the desired product were combined and concentrated to give the product (TFA salt) as a white solid (699 mg, 64% yield). LC/MS: MH+=392.5, Rt=0.56 min (2 min acidic method).
Synthesis of 8-(((9H-fluoren-9-yl)methoxy)carbonyl)-2,2-dimethyl-4,12-dioxo-3,15,18-trioxa- 5,8,11-triazahenicosan-21-oic acid
[844] A mixture of 2,2-dimethyl-4,12-dioxo-3,15,18-trioxa-5,8,11-triazahenicosan-21-oic acid (699 mg, 1.79 mmol), (9H-fluoren-9-yl)methyl (2,5-dioxopyrrolidin-1-yl) carbonate (783 mg, 2.32 mmol), and DIPEA (1.00 mL, 5.73 mmol) in DMF (10 mL) was stirred at RT for 15 h. More (9H-fluoren-9- yl)methyl (2,5-dioxopyrrolidin-1-yl) carbonate (800 mg, 2.37 mmol) and DIPEA (0.50 mL, 2.9 mmol) were added. The mixture was stirred at RT for 1 h. The mixture was taken up in DMSO and loaded onto RP-C18 ISCO column (150g, gold). The column was eluted with MeCN-water (0.1% TFA). Fractions containing the desired product were combined and concentrated to give the product as an oil (579 mg). LCMS analysis showed partial N-de-Boc of the product. The mixture was taken up in MeCN (5 mL) and treated with Boc2O (250 mg, 1.15 mmol) and DIPEA (1.00 mL, 5.73 mmol). The mixture was stirred at RT for 40 min and partitioned between EtOAc and 0.5 M aq. HCl. The combined organic extract was dried over Na2SO4 and concentrated to give the crude product (743 mg). This product was directly used in the next step without purification. LC/MS: MH+=614.5, Rt=1.06 min (2 min acidic method). Synthesis of allyl 8-(((9H-fluoren-9-yl)methoxy)carbonyl)-2,2-dimethyl-4,12-dioxo-3,15,18- trioxa-5,8,11-triazahenicosan-21-oate
[845] DMAP (0.012 g, 0.10 mmol) was added to a mixture of 8-(((9H-fluoren-9-yl)methoxy)carbonyl)- 2,2-dimethyl-4,12-dioxo-3,15,18-trioxa-5,8,11-triazahenicosan-21-oic acid (743 mg), DCC (0.250 g, 1.21 mmol), and allyl alcohol (0.200 mL, 2.94 mmol) in THF (4 mL). The suspension was stirred at RT for 30 min (LCMS 1). The mixture was concentrated and purified by NP-ISCO (10-100 % EtOAc in heptane, followed by 5% MeOH in EtOAc). Fractions containing the desired product were combined and concentrated to give a mixture of solid and oil. The mixture was triturated with ether and solid was removed by filtration. The ether layer was concentrated to give the title product as an oil (400 mg, 34% yield over the last 2 steps). LC/MS: MH+= 654.7, Rt=1.16 min (2 min acidic method).
Synthesis of allyl 4-(2-aminoethyl)-1-(9H-fluoren-9-yl)-3,8-dioxo-2,11,14-trioxa-4,7- diazaheptadecan-17-oate
[846] A mixture of allyl 8-(((9H-fluoren-9-yl)methoxy)carbonyl)-2,2-dimethyl-4,12-dioxo-3,15,18- trioxa-5,8,11-triazahenicosan-21-oate (400 mg, 0.612 mmol) and TFA (2 mL, 26.0 mmol) in DCM (4 mL) was stirred at RT for 20 min. The mixture was concentrated. The residue was taken up in MeCN and concentrated to remove as much TFA as possible to give the crude product, which was used in the next step without purification. LC/MS: MH+=554.6, Rt=0.75 min (2 min acidic method). Synthesis of 13,21,30-trioxo-4,7,10,24,27,31-hexaoxa-14,17,20-triazatetratriacont-33-enoic acid
[847] A mixture of allyl 4-(2-aminoethyl)-1-(9H-fluoren-9-yl)-3,8-dioxo-2,11,14-trioxa-4,7- diazaheptadecan-17-oate (crude from the previous step), 3-(2-(2-(3-((2,5-dioxopyrrolidin-1-yl)oxy)-3- oxopropoxy)ethoxy)ethoxy)propanoic acid (0.250 g, 0.720 mmol), and DIPEA (0.75 mL, 4.29 mmol) in DMF (3 mL) was stirred at RT for 40 min. Amidation was complete (LC/MS MH+ 786.8, Rt=0.96 min, 2 min acidic method). To this was then added dimethylamine in THF (2M, 3 mL, 6 mmol). The mixture was stirred at RT for 30 min. The mixture was concentrated and the residue was diluted with DMSO (5 mL), loaded onto RP-C18 ISCO column (100g, gold), and eluted with MeCN-water (0.1% TFA). Fractions containing the desired product were combined and concentrated to give the title product (TFA salt) as an oil (355 mg, 86% yield over the last 2 steps). LC/MS: MH+=564.6, Rt=0.52 min (2 min acidic method). Synthesis of 17-(3-(2-((tert-butoxycarbonyl)amino)ethoxy)propanoyl)-13,21,30-trioxo- 4,7,10,24,27,31-hexaoxa-14,17,20-triazatetratriacont-33-enoic acid
[848] A mixture of 13,21,30-trioxo-4,7,10,24,27,31-hexaoxa-14,17,20-triazatetratriacont-33-enoic acid (181 mg, 0.778 mmol), HATU (255 mg, 0.671 mmol), and DIPEA (450 µL, 2.58 mmol) in DMF (2 mL) was stirred at RT for 10 min. This was added to a DMF (1 mL) solution of 13,21,30-trioxo- 4,7,10,24,27,31-hexaoxa-14,17,20-triazatetratriacont-33-enoic acid, trifluoroacetate (350 mg, 516 µmol). The mixture was stirred at RT for 10 min. The mixture was diluted with DMSO (3 mL) and loaded onto RP-ISCO column (100g, gold). The column was eluted with MeCN-water (0.1% TFA). Fractions containing the desired product were combined and concentrated by ROTOVAP to give the product as an oil (340 mg). As the product contained ~15% of N-de-Boc product, the product was taken up in MeCN (2 mL) and treated with Boc2O (40 mg, 0.184 mmol) and DIPEA (100 µL, 0.573 mmol). The mixture was stirred at RT for 30 min, concentrated, and the residue was taken up in DMSO and purified by RP- C18 ISCO column (50g, gold)(MeCN-water 0.1% TFA). Fractions containing the desired product were combined and lyophilized to give the title product as an oil (236 mg, 59% yield). LC/MS: MH+=779.9, Rt=0.80 min (2 min acidic method). Synthesis of tert-butyl (2-((2-((((9H-fluoren-9- yl)methoxy)carbonyl)amino)ethyl)amino)ethyl)carbamate
[849] In a 40 mL glass vial equipped with magnetic stir bar, palladium on carbon (0.067 g, 0.627 mmol), (9H-fluoren-9-yl)methyl (2-aminoethyl)carbamate (2 g, 6.27 mmol) and tert-butyl (2- oxoethyl)carbamate (0.999 g, 6.27 mmol) were dissolved in EtOH (16 mL). Acetic acid (0.036 mL, 0.627 mmol) and DIPEA (1.096 mL, 6.27 mmol) were added. The reaction atmosphere was switched to hydrogen (treat reaction chamber with vacuum and refill with nitrogen, repeat 4x. Then treat reaction chamber with vacuum and refill with hydrogen, repeat 4x). The reaction was stirred at RT for 16 hr. The reaction solution was filtered through a celite pad. The pad was then washed with EtOAc (20 mL). The combined organic layer was removed under reduced pressure. The product was then dried under high vacuum for 30 min. The product was purified by reverse phase chromatography (Diluted with 4 mL DMSO, ISCO Gold C18 Column, 150 gr, Water/MeCN as eluent, 0.1% TFA as modifier). Fractions containing the desired product were combined and lyophilized to give the title product (TFA salt)(827 mg, 24% yield). LC/MS: MH+=426.4, Rt=0.86 (2 min acidic method).
Synthesis of benzyl (2-((((9H-fluoren-9-yl)methoxy)carbonyl)amino)ethyl)(2-((tert- butoxycarbonyl)amino)ethyl)carbamate
[850] Dissolved tert-butyl (2-((2-((((9H-fluoren-9- yl)methoxy)carbonyl)amino)ethyl)amino)ethyl)carbamate (827 mg, 1.533 mmol) in DCM (12 mL). Benzyl chloroformate (0.263 mL, 1.839 mmol) and DIPEA (0.803 mL, 4.60 mmol) were added. The reaction was stirred at RT for 1 hr. The reaction mixture was poured into aq. sat. ammonium chloride solution. The aqueous layer was extracted with EtOAc (2x). The combined organic layer was washed with brine, treated with MgSO4, filtered, and removed under reduced pressure. The product was purified by flash chromatography (ISCO Silica column, 120 gr, MeOH/DCM as eluent, 0% to 10%) to give the title compound (859 mg, quantitative yield). LC/MS: MH+(-Boc) 460.5, Rt=1.26 min (2 min acidic method). Synthesis of benzyl (2-((((9H-fluoren-9-yl)methoxy)carbonyl)amino)ethyl)(2- aminoethyl)carbamate
[851] In a 100 mL round bottom flask equipped with magnetic stir bar, benzyl (2-((((9H-fluoren-9- yl)methoxy)carbonyl)amino)ethyl)(2-((tert-butoxycarbonyl)amino)ethyl)carbamate (859 mg, 1.535 mmol) was dissolved in DCM (3 mL) and TFA (1 mL). The reaction was stirred at RT for 1 hr. DCE (30 mL) was added. The solvent was removed under reduced pressure to obtain the title product (TFA salt) (986 mg, 93% yield). The product was used as it is without further purification or characterization. Synthesis of ethyl 7-((benzyloxy)carbonyl)-1-(9H-fluoren-9-yl)-3,11-dioxo-2,14,17-trioxa- 4,7,10-triazaicosan-20-oate
[852] To a solution of 3-(2-(3-ethoxy-3-oxopropoxy)ethoxy)propanoic acid (230 mg, 0.982 mmol) in DMF (1.5 mL) was added HATU (299 mg, 0.785 mmol), DIPEA (0.572 mL, 3.27 mmol), and benzyl (2-((((9H-fluoren-9-yl)methoxy)carbonyl)amino)ethyl)(2-aminoethyl)carbamate (450 mg, 0.654 mmol). The mixture was stirred at RT for 1 h and concentrated. The residue was diluted with DMSO (3 mL) and purified by RP-ISCO chromatography (100 G ISCO Gold C18 Column, Water/MeCN as eluent, 0.1% TFA as modifier). The desired product fractions were combined and lyophilized to afford the title compound (206 mg, 44.2 % yield). LC/MS: MH+= 676, Rt = 1.16 min (2 min acidic method). Synthesis of ethyl 4-(2-aminoethyl)-3,8-dioxo-1-phenyl-2,11,14-trioxa-4,7-diazaheptadecan-17-oate
[853] To a solution of ethyl 7-((benzyloxy)carbonyl)-1-(9H-fluoren-9-yl)-3,11-dioxo-2,14,17-trioxa- 4,7,10-triazaicosan-20-oate (395 mg, 0.585 mmol) in EtOH (5 mL) was added dimethylamine in THF (1M, 2.92 mL, 2.92 mmol). The mixture was stirred at RT for 3 h and concentrated. The residue was diluted with DMSO (3 mL) and purified by RP-ISCO chromatography (100 G ISCO Gold C18 Column, Water/MeCN as eluent, 0.1% TFA as modifier). The desired product fractions were combined and lyophilized to afford the title compound (375 mg), which contained impurity. This product was used in the next step without further purification. LC/MS: MH+=454.5, Rt=0.78 min (2 min basic method). Synthesis of 17-((benzyloxy)carbonyl)-4,13,21-trioxo-3,7,10,24,27,30-hexaoxa-14,17,20- triazatritriacontan-33-oic acid
[854] A mixture of ethyl 4-(2-aminoethyl)-3,8-dioxo-1-phenyl-2,11,14-trioxa-4,7-diazaheptadecan-17- oate (375 mg from the previous step), 3-(2-(2-(3-((2,5-dioxopyrrolidin-1-yl)oxy)-3- oxopropoxy)ethoxy)ethoxy)propanoic acid (210 mg, 0.605 mmol), and DIPEA (0.840 mL, 4.81 mmol) in DMF (4 mL) was stirred at RT for 5 min. The mixture was diluted with DMSO (5 mL) and loaded on RP-C18 ISCO column (gold, 150g). The column was eluted with MeCN-water (0.1% TFA). Fractions containing the desired product were combined and concentrated to give the title compound as an oil (310 mg), containing a minor impurity. This will be used without further purification. LC/MS: MH+= 686.6, Rt=0.80 min (2 min acidic method). Synthesis of 4,13,21-trioxo-3,7,10,24,27,30-hexaoxa-14,17,20-triazatritriacontan-33-oic acid
[855] A mixture of 17-((benzyloxy)carbonyl)-4,13,21-trioxo-3,7,10,24,27,30-hexaoxa-14,17,20- triazatritriacontan-33-oic acid (305 mg, 0.445 mmol) and Pd-C (10% wet) (51 mg, 0.48 mmol) in EtOAc (5 mL) was hydrogenated under balloon pressure at RT for 1 h. The mixture was filtered through Celite with MeCN and water. The filtrate was concentrated to give the crude the title compound as an oil (231 mg), which was directly used in the next step without purification. LC/MS: MH+= 552.5, Rt=0.50 min (2 min acidic method). Synthesis of 17-(3-(2-((tert-butoxycarbonyl)amino)ethoxy)propanoyl)-4,13,21-trioxo- 3,7,10,24,27,30-hexaoxa-14,17,20-triazatritriacontan-33-oic acid
[856] A mixture of 3-(2-((tert-butoxycarbonyl)amino)ethoxy)propanoic acid (117 mg, 0.503 mmol), HATU (175 mg, 0.461 mmol), and DIPEA (0.30 mL, 1.7 mmol) in DMF (3 mL) was stirred at RT for 10 min. This solution was added to a DMF (1 mL) solution of 4,13,21-trioxo-3,7,10,24,27,30- hexaoxa-14,17,20-triazatritriacontan-33-oic acid (231 mg, 0.419 mmol). DIPEA (0.2 mL) was added. The mixture was stirred at RT for 10 min. The mixture was diluted with DMSO (5 mL) and loaded onto RP- C18 ISCO column (150g, gold). The column was eluted with MeCN-water (0.1% TFA). Fractions
containing the desired product were combined and lyophilized to give the product as an oil (163 mg). LC/MS: MH+= 767.9, Rt=0.77 min (2 min acidic method). Synthesis of 2,2,5-trimethyl-4-oxo-3,8,11,14-tetraoxa-5-azaheptadecan-17-oic acid
[857] To a solution of 3-(2-(2-(2-bromoethoxy)ethoxy)ethoxy)propanoic acid (1 g, 3.51 mmol) in THF (10 mL) was added MeNH2 in H2O, 40% by weight, (26.7 grams, 344 mmol). After stirring overnight, the volatiles were removed in vacuo. The oil was dissolved in MeOH (10 mL) and THF (10 mL), DIEA (0.451 g, 3.51 mmol) was added followed by Boc2O (2.296 g, 10.5 mmol). After 2.5 hours, the volatiles were removed in vacuo, the residue was dissolved in DMSO and purified by ISCO RP-HPLC. Upon lyophilization, 2,2,5-trimethyl-4-oxo-3,8,11,14-tetraoxa-5-azaheptadecan-17-oic acid (1.10 g, 94% yield) was obtained. LC/MS: MH+=336.4, Rt=1.57 min (5 min acidic run). Synthesis of 2-cyanoethyl 5,8,11-trioxa-2-azatetradecan-14-oate
[858] To a solution of 2,2,5-trimethyl-4-oxo-3,8,11,14-tetraoxa-5-azaheptadecan-17-oic acid (4.56 grams, 13.6 mmol), DMAP (332 mg, 2.72 mmol) and 3-hydroxypropanenitrile (0.996 mL, 14.28 mmol) in CH2Cl2 (100 mL) was added EDC (3.128 grams, 16.31 mmol). After stirring for 16 hours, the reactions were partitioned between EtOAc and H2O, mixed, separated, washed with 1M HCl, NaHCO3(sat), NaCl(sat.), dried over MgSO4, filtered and concentrated. The residue was treated with 25% TFA/CH2Cl2 (24 mL) for 1.5 hours at which time the volatiles were removed in vacuo and pumped on to yield 8.09 grams of 2-cyanoethyl 5,8,11-trioxa-2-azatetradecan-14-oate as trifluoroacetate salt. Based on weight, assumed 2.65 equivalents of TFA and used as such. LC/MS: MH+=289.2, Rt=0.48 min (5 min acidic method). Synthesis of allyl 5,8,11-trioxa-2-azatetradecan-14-oate
[859] To a solution of 2,2,5-trimethyl-4-oxo-3,8,11,14-tetraoxa-5-azaheptadecan-17-oic acid (3.026 grams, 9.022 mmol), DMAP (331 mg, 2.71 mmol) and allyl alcohol (0.689 mL, 9.92 mmol) in CH2Cl2 (50 mL) was added EDC (2.08 grams, 10.83 mmol). After stirring for 2 hours, the reactions were partitioned between EtOAc and H2O, mixed, separated, washed with 1M HCl, NaHCO3(sat), NaCl(sat.), dried over MgSO4, filtered and concentrated. The residue was treated with 4M HCl in dioxane (24 mL,
96 mmol). After standing at rt for 14 hours, the volatiles were removed in vacuo and dissolved in MeCN/H2O. Upon lyophilization, allyl 5,8,11-trioxa-2-azatetradecan-14-oate (2.55 grams, 82 % yield) was obtained as HCl salt. LC/MS: MH+=276.3, Rt=0.72 min (5 min acidic method). Synthesis of 3-(tert-butoxycarbonyl)-6-methyl-5,18-dioxo-9,12,15,19-tetraoxa-3,6-diazadocos-21- enoic acid
[860] To a solution of allyl 5,8,11-trioxa-2-azatetradecan-14-oate (1.944 grams, 9.03 mmol) and tert- butyl 3,5-dioxopiperidine-1-carboxylate HCl salt (2.817 grams, 9.03 mmol) in DMF (5 mL) was added DIEA (3.15 mL, 18.07 mmol). After stirring at rt for 2 hours, the solution was diluted with DMSO and purified by RP-ISCO. Upon lyophilization, 3-(tert-butoxycarbonyl)-6-methyl-5,18-dioxo-9,12,15,19- tetraoxa-3,6-diazadocos-21-enoic acid (2.62 grams, 59% yield ) was obtained. LC/MS: MH+=491.5, Rt=1.85 min (5 min acidic method). Synthesis of 1-allyl 31-(2-cyanoethyl) 16-(tert-butoxycarbonyl)-13,19-dimethyl-14,18-dioxo- 4,7,10,22,25,28-hexaoxa-13,16,19-triazahentriacontanedioate
[861] To a solution of 2-cyanoethyl 5,8,11-trioxa-2-azatetradecan-14-oate trifluoroacetate(2.65 equiv) (3.406 grams, 5.768 mmol) in CH2Cl2 (10 mL) was added DIEA (4.65 mL, 26.7 mmol). The solution was added to 3-(tert-butoxycarbonyl)-6-methyl-5,18-dioxo-9,12,15,19-tetraoxa-3,6-diazadocos-21-enoic acid (2.620 grams, 5.34 mmol) and HOAT (873 mg, 6.41 mmol) and EDC (1.229 grams, 6.41 mmol) was then added last. After stirring at rt for 5 hours, the volatiles were removed in vacuo, the residue was dissolved in DMSO and purified by RP-ISCO. After lyophilization, 1-allyl 31-(2-cyanoethyl) 16-(tert- butoxycarbonyl)-13,19-dimethyl-14,18-dioxo-4,7,10,22,25,28-hexaoxa-13,16,19- triazahentriacontanedioate (3.57 grams, 87% yield) was obtained. LC/MS: MH+=761.7, Rt=1.95 min (5 min acidic method). Synthesis of 1-allyl 31-(2-cyanoethyl) 16-(3-(2-((tert-butoxycarbonyl)amino)ethoxy)propanoyl)- 13,19-dimethyl-14,18-dioxo-4,7,10,22,25,28-hexaoxa-13,16,19-triazahentriacontanedioate
[862] 1-allyl 31-(2-cyanoethyl) 16-(tert-butoxycarbonyl)-13,19-dimethyl-14,18-dioxo-4,7,10,22,25,28- hexaoxa-13,16,19-triazahentriacontanedioate (803 mg, 1.06 mmol) was treated with 4M HCl in dioxane (5 mL, 40 µmol) for 12 hours at which time the volatiles were removed in vacuo. The residue was dissolved in NMP (3 mL) and was neutralized by adding DIEA (0.5 mL, 2.87 mmol). 3-(2-((tert- butoxycarbonyl)amino)ethoxy)propanoic acid (320 mg, 1.37 mmol), HOAT (187 mg, 1.37 mmol) and EDC (263 mg, 1.37 mmol) were added and after stirring at rt for 2 hours the solution was diluted with DMSO and purified by RP-ISCO. After lyophilization, 1-allyl 31-(2-cyanoethyl) 16-(3-(2-((tert- butoxycarbonyl)amino)ethoxy)propanoyl)-13,19-dimethyl-14,18-dioxo-4,7,10,22,25,28-hexaoxa- 13,16,19-triazahentriacontanedioate (657 mg, 71%) was obtained. LC/MS: MH+=876.7, Rt=2.07 min (5 min acidic method). Synthesis of 16-(3-(2-((tert-butoxycarbonyl)amino)ethoxy)propanoyl)-13,19-dimethyl-14,18,31- trioxo-4,7,10,22,25,28,32-heptaoxa-13,16,19-triazapentatriacont-34-enoic acid
[863] To a solution of 1-allyl 31-(2-cyanoethyl) 16-(3-(2-((tert- butoxycarbonyl)amino)ethoxy)propanoyl)-13,19-dimethyl-14,18-dioxo-4,7,10,22,25,28-hexaoxa- 13,16,19-triazahentriacontanedioate (375 mg, 428 µmol) in DMSO (1 mL) was added DBU (129 µL, 856 µmol). After standing for two hours, the solution was purified by ISCO C18 RP-HPLC with 0.05% formic acid modifier. After lyophilization, 16-(3-(2-((tert-butoxycarbonyl)amino)ethoxy)propanoyl)- 13,19-dimethyl-14,18,31-trioxo-4,7,10,22,25,28,32-heptaoxa-13,16,19-triazapentatriacont-34-enoic acid (232 mg, 66% yield) was obtained. LC/MS: MH+=823.7, Rt=1.86 min (5 min acidic method). Synthesis of tert-butyl 11-(2-(tert-butoxy)-2-oxoethyl)-1-(9H-fluoren-9-yl)-3,10-dioxo-2,7-dioxa- 4,11-diazatridecan-13-oate
[864] To a solution of di-tert-butyl 2,2'-azanediyldiacetate (250 mg, 1019 µmol) and HATU (407 mg, 1070 µmol) in DMF (2 mL) was added DIEA (356 µL, 2038 µmol). After stirring for 5 minutes, 3-(2- ((((9H-fluoren-9-yl)methoxy)carbonyl)amino)ethoxy)propanoic acid (398 mg, 1121 µmol) was added. After stirring for an additional 30 minutes, the solution was diluted with DMSO and purified by ISCO RP-HPLC. Upon lyophilization, tert-butyl 11-(2-(tert-butoxy)-2-oxoethyl)-1-(9H-fluoren-9-yl)-3,10- dioxo-2,7-dioxa-4,11-diazatridecan-13-oate (509 mg, 86% yield) was obtained. LC/MS: MH+=583.4, Rt=3.06 min (5 min acidic method). Synthesis of 11-(carboxymethyl)-1-(9H-fluoren-9-yl)-3,10-dioxo-2,7-dioxa-4,11-diazatridecan-13-oic acid
[865] Tert-butyl 11-(2-(tert-butoxy)-2-oxoethyl)-1-(9H-fluoren-9-yl)-3,10-dioxo-2,7-dioxa-4,11- diazatridecan-13-oate (509 mg, 874 µmol) was treated with 33% TFA/CH2Cl2 (3 mL) for 4 hours at which time the volatiles were removed in vacuo. The residue was dissolved in MeCN/H2O and upon lyophilization 11-(carboxymethyl)-1-(9H-fluoren-9-yl)-3,10-dioxo-2,7-dioxa-4,11-diazatridecan-13-oic acid (400 mg, 97% yield) was obtained. LC/MS: MH+=471.0, Rt=1.87 min (5 min acidic method). Synthesis of di-tert-butyl 16-(3-(2-((((9H-fluoren-9-yl)methoxy)carbonyl)amino)ethoxy)propanoyl)- 13,19-dimethyl-14,18-dioxo-4,7,10,22,25,28-hexaoxa-13,16,19-triazahentriacontanedioate
[866] To a solution of 11-(carboxymethyl)-1-(9H-fluoren-9-yl)-3,10-dioxo-2,7-dioxa-4,11- diazatridecan-13-oic acid (40 mg, 85 µmol) and HATU ( 71 mg, 187 µmol) in DMF (2 mL) was added DIEA (74 µL, 74 µmol). After stirring for 5 minutes, tert-butyl 5,8,11-trioxa-2-azatetradecan-14-oate (74 mg, 255 µmol) was added. After stirring for an additional 30 minutes, the solution was diluted with DMSO and purified by ISCO RP-HPLC Upon lyophilization di-tert-butyl 16-(3-(2-((((9H-fluoren-9-
yl)methoxy)carbonyl)amino)ethoxy)propanoyl)-13,19-dimethyl-14,18-dioxo-4,7,10,22,25,28-hexaoxa- 13,16,19-triazahentriacontanedioate (54 mg, 62% yield) was obtained. LC/MS: MH+=1017.8, Rt=3.01 min (5 min acidic method). Synthesis of 16-(3-(2-((((9H-fluoren-9-yl)methoxy)carbonyl)amino)ethoxy)propanoyl)-13,19- dimethyl-14,18-dioxo-4,7,10,22,25,28-hexaoxa-13,16,19-triazahentriacontanedioic acid
[867] Di-tert-butyl 16-(3-(2-((((9H-fluoren-9-yl)methoxy)carbonyl)amino)ethoxy)propanoyl)-13,19- dimethyl-14,18-dioxo-4,7,10,22,25,28-hexaoxa-13,16,19-triazahentriacontanedioate (54 mg, 53 µmol) was treated with 33% TFA/CH2Cl2 (3 mL) for 4 hours at which time the volatiles were removed in vacuo. The residue was dissolved in MeCN/H2O and upon lyophilization 16-(3-(2-((((9H-fluoren-9- yl)methoxy)carbonyl)amino)ethoxy)propanoyl)-13,19-dimethyl-14,18-dioxo-4,7,10,22,25,28-hexaoxa- 13,16,19-triazahentriacontanedioic acid (47.4 mg, 99% yield) was obtained. HRMS: MH+=905.4400, Rt=2.04 min (5 min acidic method). Synthesis of di-tert-butyl 16-(3-(2-((((9H-fluoren-9-yl)methoxy)carbonyl)amino)ethoxy)propanoyl)- 14,18-dioxo-4,7,10,22,25,28-hexaoxa-13,16,19-triazahentriacontanedioate
[868] To a solution of 11-(carboxymethyl)-1-(9H-fluoren-9-yl)-3,10-dioxo-2,7-dioxa-4,11- diazatridecan-13-oic acid (100 mg, 213 µmol) and HATU (162 mg, 425 µmol) in DMF (2 mL) was added DIEA (111 µL, 638 µmol). After stirring for 5 minutes, tert-butyl 3-(2-(2-(2- aminoethoxy)ethoxy)ethoxy)propanoate (177 mg, 638 µmol) was added. After stirring for an additional 30 minutes, the solution was diluted with DMSO and purified by ISCO RP-HPLC. Upon lyophilization, di-tert-butyl 16-(3-(2-((((9H-fluoren-9-yl)methoxy)carbonyl)amino)ethoxy)propanoyl)-14,18-dioxo- 4,7,10,22,25,28-hexaoxa-13,16,19-triazahentriacontanedioate (185 mg, 88% yield) was obtained. LC/MS: MH+=989.5300, Rt=2.77 min (5 min acidic method).
Synthesis of 16-(3-(2-((((9H-fluoren-9-yl)methoxy)carbonyl)amino)ethoxy)propanoyl)-14,18-dioxo- 4,7,10,22,25,28-hexaoxa-13,16,19-triazahentriacontanedioic acid
[869] Di-tert-butyl 16-(3-(2-((((9H-fluoren-9-yl)methoxy)carbonyl)amino)ethoxy)propanoyl)-14,18- dioxo-4,7,10,22,25,28-hexaoxa-13,16,19-triazahentriacontanedioate (185 mg, 187 µmol) was treated with 50% TFA/CH2Cl2 (44 mL) for 2 hours at which time the volatiles were removed in vacuo. The residue was dissolved in MeCN/H2O and upon lyophilization 16-(3-(2-((((9H-fluoren-9- yl)methoxy)carbonyl)amino)ethoxy)propanoyl)-14,18-dioxo-4,7,10,22,25,28-hexaoxa-13,16,19- triazahentriacontanedioic acid (146 mg, 89% yield) was obtained. LC/MS: MH+=877.6, Rt=1.91 min (5 min acidic method). Synthesis of tert-butyl (11-(2-((tert-butoxycarbonyl)amino)ethyl)-1-(9H-fluoren-9-yl)-3,10-dioxo- 2,7-dioxa-4,11-diazatridecan-13-yl)carbamate
[870] To a solution of 3-(2-((((9H-fluoren-9-yl)methoxy)carbonyl)amino)ethoxy)propanoic acid (322 mg, 906 µmol) and HATU (329 mg, 865 µmol) in DMF (2 mL) was added DIEA (288 µL, 1648 µmol). After stirring for 5 minutes, di-tert-butyl (azanediylbis(ethane-2,1-diyl))dicarbamate (250 mg, 824 µmol) was added. After stirring for an additional 30 minutes, the solution was diluted with DMSO and purified by ISCO RP-HPLC. Upon lyophilization, tert-butyl (11-(2-((tert-butoxycarbonyl)amino)ethyl)-1-(9H- fluoren-9-yl)-3,10-dioxo-2,7-dioxa-4,11-diazatridecan-13-yl)carbamate (528 mg, 85% yield) was obtained. LC/MS: MH+=641.4, Rt=2.82 min (5 min acidic method). Synthesis of (9H-fluoren-9-yl)methyl (2-(3-(bis(2-aminoethyl)amino)-3- oxopropoxy)ethyl)carbamate
[871] tert-butyl (11-(2-((tert-butoxycarbonyl)amino)ethyl)-1-(9H-fluoren-9-yl)-3,10-dioxo-2,7-dioxa- 4,11-diazatridecan-13-yl)carbamate (450 mg, 702 µmol) was treated with 25% TFA/CH2Cl2 (3 mL) for 1 hour at which time the volatiles were removed in vacuo. The residue was dissolved in MeCN/H2O and upon lyophilization (9H-fluoren-9-yl)methyl (2-(3-(bis(2-aminoethyl)amino)-3- oxopropoxy)ethyl)carbamate (480 mg) was obtained. LC/MS: MH+=441.1, Rt=0.94 min (5 min acidic method). Synthesis of tert-butyl 11-(2-aminoethyl)-1-(9H-fluoren-9-yl)-3,10,15-trioxo-2,7,18,21-tetraoxa- 4,11,14-triazatetracosan-24-oate
[872] To a solution of 3-(2-(3-(tert-butoxy)-3-oxopropoxy)ethoxy)propanoic acid (30 mg, 114 µmol) and HATU (43.5 mg, 114 µmol) in DMF (2 mL) was added DIEA (120 µL, 686 µmol). After stirring for 5 minutes, (9H-fluoren-9-yl)methyl (2-(3-(bis(2-aminoethyl)amino)-3-oxopropoxy)ethyl)carbamate TFA salt (308 mg, 343 µmol) was added. After stirring for an additional 30 minutes, the solution was diluted with DMSO and purified by ISCO RP-HPLC. Upon lyophilization, tert-butyl 11-(2-aminoethyl)-1-(9H- fluoren-9-yl)-3,10,15-trioxo-2,7,18,21-tetraoxa-4,11,14-triazatetracosan-24-oate (65 mg, 62% yield) was obtained. LC/MS: MH+=685.5, Rt=2.05 min (5 min acidic method). Synthesis of di-tert-butyl 17-(3-(2-((((9H-fluoren-9-yl)methoxy)carbonyl)amino)ethoxy)propanoyl)- 13,21-dioxo-4,7,10,24,27-pentaoxa-14,17,20-triazatriacontanedioate
[873] To a solution of 2,2-dimethyl-4-oxo-3,7,10,13-tetraoxahexadecan-16-oic acid (26 mg, 85 µmol) and HATU (32.2 mg, 85 µmol) in DMF (1 mL) was added DIEA (62 µL, 353 µmol). After stirring for 5 minutes tert butyl 11 (2 aminoethyl) 1 (9H fluoren 9 yl) 31015 trioxo 27,18,21-tetraoxa-4,11,14-
triazatetracosan-24-oate TFA salt (65 mg, 71 µmol) was added. After stirring for an additional 30 minutes, the solution was diluted with DMSO and purified by ISCO RP-HPLC. Upon lyophilization, di- tert-butyl 17-(3-(2-((((9H-fluoren-9-yl)methoxy)carbonyl)amino)ethoxy)propanoyl)-13,21-dioxo- 4,7,10,24,27-pentaoxa-14,17,20-triazatriacontanedioate (46 mg, 67% yield) was obtained. LC/MS: MH+=973.8, Rt=2.84 min (5 min acidic method). Synthesis of 17-(3-(2-((((9H-fluoren-9-yl)methoxy)carbonyl)amino)ethoxy)propanoyl)-13,21-dioxo- 4,7,10,24,27-pentaoxa-14,17,20-triazatriacontanedioic acid
[874] Di-tert-butyl 17-(3-(2-((((9H-fluoren-9-yl)methoxy)carbonyl)amino)ethoxy)propanoyl)-13,21- dioxo-4,7,10,24,27-pentaoxa-14,17,20-triazatriacontanedioate (46.4 mg, 48 µmol) was treated with 50% TFA/CH2Cl2 (2 mL) for 2 hours at which time the volatiles were removed in vacuo. The residue was dissolved in MeCN/H2O and upon lyophilization 17-(3-(2-((((9H-fluoren-9- yl)methoxy)carbonyl)amino)ethoxy)propanoyl)-13,21-dioxo-4,7,10,24,27-pentaoxa-14,17,20- triazatriacontanedioic acid (46 mg, 99% yield) was obtained. LC/MS: MH+=861.4, Rt=1.87 min (5 min acidic method). Synthesis of di-tert-butyl 10-(3-(2-((((9H-fluoren-9-yl)methoxy)carbonyl)amino)ethoxy)propanoyl)- 8,12-dioxo-4,16-dioxa-7,10,13-triazanonadecanedioate
[875] To a solution of 11-(carboxymethyl)-1-(9H-fluoren-9-yl)-3,10-dioxo-2,7-dioxa-4,11- diazatridecan-13-oic acid (50 mg, 106 µmol) and HATU (81 mg, 213 µmol) in DMF (2 mL) was added DIEA (93 µL, 531 µmol). After stirring for 45 minutes, tert-butyl 3-(2-aminoethoxy)propanoate (60.3 mg, 319 µmol) was added. After stirring for an additional 60 minutes, the solution was diluted with DMSO and purified by ISCO RP-HPLC. Upon lyophilization, di-tert-butyl 10-(3-(2-((((9H-fluoren-9- yl)methoxy)carbonyl)amino)ethoxy)propanoyl)-8,12-dioxo-4,16-dioxa-7,10,13-triazanonadecanedioate (44 mg, 51% yield) was obtained. LC/MS: MH+=813.7, Rt=2.95 min (5 min acidic method).
Synthesis of 10-(3-(2-((((9H-fluoren-9-yl)methoxy)carbonyl)amino)ethoxy)propanoyl)-8,12-dioxo- 4,16-dioxa-7,10,13-triazanonadecanedioic acid
[876] Di-tert-butyl 10-(3-(2-((((9H-fluoren-9-yl)methoxy)carbonyl)amino)ethoxy)propanoyl)-8,12- dioxo-4,16-dioxa-7,10,13-triazanonadecanedioate (44 mg, 54 µmol) was treated with 33% TFA/CH2Cl2 (3 mL) for 1 hour at which time the volatiles were removed in vacuo. The residue was dissolved in MeCN/H2O and upon lyophilization 10-(3-(2-((((9H-fluoren-9- yl)methoxy)carbonyl)amino)ethoxy)propanoyl)-8,12-dioxo-4,16-dioxa-7,10,13-triazanonadecanedioic acid (47 mg) was obtained. LC/MS: MH+=701.4, Rt=1.76 min (5 min acidic method). Synthesis of 1-(tert-butyl) 18-methyl 3-(((9H-fluoren-9-yl)methoxy)carbonyl)-5-oxo-9,12,15-trioxa- 3,6-diazaoctadecanedioate
[877] To a solution of N-(((9H-fluoren-9-yl)methoxy)carbonyl)-N-(2-(tert-butoxy)-2-oxoethyl)glycine (1 g, 2.43 mmol) and HATU (970 mg, 2.55 mmol) in DMF (12 mL) was added DIEA (1.7 mL, 9.7 mmol). After stirring for 5 minutes, methyl 3-(2-(2-(2-aminoethoxy)ethoxy)ethoxy)propanoate (899 mg, 2.67 mmol) was added. After stirring for an additional 30 minutes, the solution was poured into NH4Cl(sat.), was extracted with EtOAc and concentrated. Upon purification by SiO2 chromatography and concentration, 1-(tert-butyl) 18-methyl 3-(((9H-fluoren-9-yl)methoxy)carbonyl)-5-oxo-9,12,15- trioxa-3,6-diazaoctadecanedioate (1.11 g, 73% yield) was obtained. LC/MS: MH+=629.5 and (M- tBu)+=573.4, Rt=2.70 min (5 min acidic method). Synthesis of 18-(((9H-fluoren-9-yl)methoxy)carbonyl)-3,16-dioxo-2,6,9,12-tetraoxa-15,18- diazaicosan-20-oic acid
[878] 1-(tert-butyl) 18-methyl 3-(((9H-fluoren-9-yl)methoxy)carbonyl)-5-oxo-9,12,15-trioxa-3,6- diazaoctadecanedioate (1.11 g, 1.77 mol) was treated with 33% TFA/CH2Cl2 (6 mL) for 1 hour at which
time dichloroethane (50 mL) was added and the volatiles were removed in vacuo. The material was used as is in the next step. LC/MS: MH+=573.4, Rt=0.96 min (2 min acidic method). Synthesis of 1-(tert-butyl) 31-methyl 16-(((9H-fluoren-9-yl)methoxy)carbonyl)-14,18-dioxo- 4,7,10,22,25,28-hexaoxa-13,16,19-triazahentriacontanedioate
[879] To a solution of 18-(((9H-fluoren-9-yl)methoxy)carbonyl)-3,16-dioxo-2,6,9,12-tetraoxa-15,18- diazaicosan-20-oic acid (1.33 g, 1.66 mmol) and HATU (695 mg, 1.83 mmol) in DMF (10 mL) was added DIEA (1.16 mL, 6.64 mmol). After stirring for 5 minutes, tert-butyl 3-(2-(2-(2- aminoethoxy)ethoxy)ethoxy)propanoate (599 mg, 2.16 mmol) was added. After stirring for an additional 30 minutes, the solution was poured into NH4Cl(sat.), was extracted with EtOAc and concentrated. Upon purification by SiO2 chromatography and concentration, 1-(tert-butyl) 31-methyl 16-(((9H-fluoren-9- yl)methoxy)carbonyl)-14,18-dioxo-4,7,10,22,25,28-hexaoxa-13,16,19-triazahentriacontanedioate (1.19 g, 86% yield) was obtained. LC/MS: MH+=832.6, Rt=1.14 min (2 min acidic method). Synthesis of 18-(((9H-fluoren-9-yl)methoxy)carbonyl)-3,16,20-trioxo-2,6,9,12,24,27,30-heptaoxa- 15,18,21-triazatritriacontan-33-oic acid
[880] 1-(tert-butyl) 31-methyl 16-(((9H-fluoren-9-yl)methoxy)carbonyl)-14,18-dioxo-4,7,10,22,25,28- hexaoxa-13,16,19-triazahentriacontanedioate (1.19 g, 1.46 mmol) was treated with 33% TFA/CH2Cl2 (4.5 mL) for one hour at which time the volatiles were removed in vacuo. The residue was dissolved in MeCN/H2O and upon lyophilization 18-(((9H-fluoren-9-yl)methoxy)carbonyl)-3,16,20-trioxo- 2,6,9,12,24,27,30-heptaoxa-15,18,21-triazatritriacontan-33-oic acid was obtained. LC/MS: MH+=776.6, Rt=0.94 min (2 min acidic method Synthesis of 3,16,20-trioxo-2,6,9,12,24,27,30-heptaoxa-15,18,21-triazatritriacontan-33-oic acid
[881] A solution of 18-(((9H-fluoren-9-yl)methoxy)carbonyl)-3,16,20-trioxo-2,6,9,12,24,27,30- heptaoxa-15,18,21-triazatritriacontan-33-oic acid (1.47 g, 1.9 mmol) and 2.0 M dimethyl amine in THF (7 mL) was stirred at rt for one hour at which time the volatiles were removed in vacuo. The residue was
dissolved in MeCN and neutralized with TFA (150 µL). The volatiles were removed in vacuo, the residue was dissolved in DMSO and purified by ISCO RP-HPLC. Upon lyophilization, 3,16,20-trioxo- 2,6,9,12,24,27,30-heptaoxa-15,18,21-triazatritriacontan-33-oic acid (744 mg, 59% yield) was obtained. LC/MS: MH+=554.5, Rt=0.72 min (5 min acidic method). Synthesis of 18-(3-(2-((tert-butoxycarbonyl)amino)ethoxy)propanoyl)-3,16,20-trioxo- 2,6,9,12,24,27,30-heptaoxa-15,18,21-triazatritriacontan-33-oic acid
To a solution of 3-(2-((tert-butoxycarbonyl)amino)ethoxy)propanoic acid (470 mg, 2.02 mmol) and HATU (613 mg, 1.61 mmol) in DMF (6 mL) was added DIEA (704 µL, 4.03 mmol). After stirring for 5 minutes, 3,16,20-trioxo-2,6,9,12,24,27,30-heptaoxa-15,18,21-triazatritriacontan-33-oic acid (744 mg, 1.34 mmol) was added. After stirring for an additional 30 minutes, the solution was diluted with DMSO and purified by ISCO RP-HPLC. Upon lyophilization, 18-(3-(2-((tert- butoxycarbonyl)amino)ethoxy)propanoyl)-3,16,20-trioxo-2,6,9,12,24,27,30-heptaoxa-15,18,21- triazatritriacontan-33-oic acid (790 mg, 76% yield) was obtained. LC/MS: MH+=769.8, Rt=1.54 min (5 min acidic method). Synthesis of (9H-fluoren-9-yl)methyl (3-(bis(2-hydroxyethyl)amino)-3-oxopropyl)carbamate
[882] To a stirred solution of 3-((((9H-fluoren-9-yl)methoxy)carbonyl)amino)propanoic acid (2.96 g, 9.51 mmol, 1.00 equiv.) in dichloromethane (50 mL) was added 3-(((ethylimino)methylene)amino)-N,N- dimethylpropan-1-amine hydrochloride (2.006 g, 10.46 mmol, 1.10 equiv.). After stirring for 10 minutes at ambient temperature, diethanolamine (1.00 g, 9.51 mmol, 1.00 equiv.) was added and the resulting mixture was stirred at ambient temperature for 2 hours. The reaction mixture was concentrated under reduced pressure and the resulting residue was purified by chromatography on silica gel (0-20% methanol / dichloromethane) to afford (9H-fluoren-9-yl)methyl (3-(bis(2-hydroxyethyl)amino)-3- oxopropyl)carbamate (2.25 g, 5.65 mmol, 59% yield). LC/MS: MH+=399.3, Rt=0.82 min (2 min acidic run).
Synthesis of (9H-fluoren-9-yl)methyl (3-(bis(2-(((4-nitrophenoxy)carbonyl)oxy)ethyl)amino)-3- oxopropyl)carbamate
[883] To a stirred solution of (9H-fluoren-9-yl)methyl (3-(bis(2-hydroxyethyl)amino)-3- oxopropyl)carbamate (2.24 g, 5.62 mmol, 1.00 equiv.) and bis(4-nitrophenyl) carbonate (3.76 g, 12.37 mmol, 2.20 equiv.) in dichloromethane (50 mL) was added N-ethyldiisopropylamine (1.60 g, 12.37 mmol, 2.20 equiv.). The resulting mixture was stirred at ambient temperature for 2 hours. The reaction mixture was concentrated under reduced pressure at or below ambient temperature, and the resulting residue was purified by chromatography on silica gel (0-100% ethyl acetate / heptanes) to afford (9H- fluoren-9-yl)methyl (3-(bis(2-(((4-nitrophenoxy)carbonyl)oxy)ethyl)amino)-3-oxopropyl)carbamate (2.00 g, 2.74 mmol, 48% yield). LC/MS: M+Na+=751.3, Rt=1.20 min (2 min acidic run). 1H NMR (400 MHz, 9SVY\YQY\W'O$ j 2(,1 ' 2(,, #W& ,>$& 2(,, ' 2(+2 #W& ,>$& 1(1. #O& @ 61(. >d& ,>$& 1(/- #O& @ 61(. >d& 2H), 7.42 - 7.33 (m, 4H), 7.32 - 7.27 (m, 4H), 5.51 (t, J = 6.3 Hz, 1H), 4.46 (dt, J = 18.3, 5.3 Hz, 4H), 4.30 (d, J = 7.2 Hz, 2H), 3.80 (dt, J = 10.2, 5.4 Hz, 4H), 3.56 (d, J = 5.8 Hz, 2H), 2.71 (t, J = 5.5 Hz, 2H). Synthesis of tert-butyl (1-hydroxy-9-(2-(2-(2-hydroxyethoxy)ethoxy)ethyl)-10-oxo-3,6,13-trioxa-9- azapentadecan-15-yl)carbamate
[884] To a stirred solution of 3,6,12,15-tetraoxa-9-azaheptadecane-1,17-diol (116 mg, 0.412 mmol, 1.00 equiv.), 3-(2-((tert-butoxycarbonyl)amino)ethoxy)propanoic acid (101 mg, 0.433 mmol, 1.05 equiv.), and HATU (165 mg, 0.433 mmol, 1.05 equiv.) in DMF (1 mL) was added N-ethyldiisopropylamine (160 mg, 1.23 mmol, 3.00 equiv.). The resulting mixture was stirred at ambient temperature for 1 hour, then diluted with DMSO (2 mL) and purified by RP-ISCO. Upon lyophilization, tert-butyl (1-hydroxy-9-(2- (2-(2-hydroxyethoxy)ethoxy)ethyl)-10-oxo-3,6,13-trioxa-9-azapentadecan-15-yl)carbamate (118 mg, 0.238 mmol, 57% yield) was obtained. LC/MS: MH+=497.4, Rt=0.68 min (2 min acidic run). Synthesis of tert-butyl (6-oxo-7-(2-(2-(2-(prop-2-yn-1-yloxy)ethoxy)ethoxy)ethyl)-3,10,13,16- tetraoxa-7-azanonadec-18-yn-1-yl)carbamate
[885] To a stirred solution of tert-butyl (1-hydroxy-9-(2-(2-(2-hydroxyethoxy)ethoxy)ethyl)-10-oxo- 3,6,13-trioxa-9-azapentadecan-15-yl)carbamate (118 mg, 0.238 mmol, 1.00 equiv.) in dry THF (2 mL) at 0°C was added sodium hydride (60% dispersion in oil, 20.0 mg, 0.499 mmol, 2.1 equiv.). After stirring at 0°C for 30 minutes, propargyl bromide (62.2 mg, 0.523 mmol, 2.2 equiv.) was added and the resulting mixture was allowed to warm to ambient temperature with stirring over 20 hours. After concentration under reduced pressure, the resulting residue was purified by chromatography on silica gel (0-20% isopropanol / dichloromethane) to afford tert-butyl (6-oxo-7-(2-(2-(2-(prop-2-yn-1- yloxy)ethoxy)ethoxy)ethyl)-3,10,13,16-tetraoxa-7-azanonadec-18-yn-1-yl)carbamate (12.6 mg, 0.022 mmol, 9.3% yield). LC/MS: MH+=573.4, Rt=0.95 min (2 min acidic run). 1H NMR (400 MHz, 9SVY\YQY\W'O$ j .(+3 #O& @ 6 ,(- >d& .>$& -(1. #^& @ 60(. >d& ,>$& -(1+ ' -(/. #W& ,.>$& -(/* #^& @ 6 /(+ Hz, 2H), 3.28 (d, J = 5.7 Hz, 2H), 2.67 (t, J = 6.4 Hz, 2H), 2.44 (t, J = 2.4 Hz, 2H), 1.44 (d, J = 2.9 Hz, 9H). Synthesis of Tert-butyl (6-oxo-7-(2-(2-(prop-2-yn-1-yloxy)ethoxy)ethyl)-3,10,13-trioxa-7- azahexadec-15-yn-1-yl)carbamate
[886] To the solution of NH-bis(PEG2-propargyl) (53 mg, 0.197 mmol), t-Boc-N-amido-PEG1-acid (48.2 mg, 0.207 mmol) in DMF (dry, 1 ml) was added HATU (79 mg, 0.207 mmol) and then DIPEA (103 µl, 0.590 mmol). The reaction mixture was stirred at RT for 1h. The crude was purified by C-18 Column (50 g cartridge, eluted with MeCN/Water with 0.1% Formic Acid, 0-100% over 16 CV) to obtain Tert- butyl (6-oxo-7-(2-(2-(prop-2-yn-1-yloxy)ethoxy)ethyl)-3,10,13-trioxa-7-azahexadec-15-yn-1- yl)carbamate (81 mg, 85% yield). LC/MS: MH+=485.4, Rt= 0.94min (3 min acidic run). Synthesis of 3-(2-aminoethoxy)-N,N-bis(2-(2-(prop-2-yn-1-yloxy)ethoxy)ethyl)propanamide
[887] At 0oC in an ice-water bath, to tert-butyl (6-oxo-7-(2-(2-(prop-2-yn-1-yloxy)ethoxy)ethyl)- 3,10,13-trioxa-7-azahexadec-15-yn-1-yl)carbamate (81 mg, 0.167 mmol) was added TFA (25% in DCM) (2576 µl, 8.36 mmol). Then the reaction mixture was raised to RT and stirred for 90 min. The mixture was concentrated under high vacuum at RT bath. Then the crude was separated with C-18 column (50 gram cartridge, MeCN/Water with 0.1% Formic acid 0-100% over 16CV) to obtain 3-(2-aminoethoxy)- N,N-bis(2-(2-(prop-2-yn-1-yloxy)ethoxy)ethyl)propanamide (60 mg, 83% yield). LC/MS: MH+=385.8, Rt= 0.56 min (3 min acidic run). Synthesis of Tert-butyl (S)-(17-oxo-4,7,10,13-tetraoxa-16-azahenicosa-1,20-diyn-18-yl)carbamate
[888] To a mixture of N-Boc-2-Propargyl-L-Glycine (100 mg, 0.469 mmol), Propargyl-PEG4-Amine (108 mg, 0.469 mmol), and TSTU (141 mg, 0.469 mmol) in DMF (2 ml) was added DIPEA (246 µl, 1.407 mmol). The reaction mixture was stirred at RT for 1h. The crude mixture by C-18 column(100 g cartridge, 0-100% MeCN/Water with 0.05% TFA 0-100% over 16CV) to obtain Tert-butyl (S)-(17-oxo- 4,7,10,13-tetraoxa-16-azahenicosa-1,20-diyn-18-yl)carbamate (101 mg, 51% yield). LC/MS: MH+=427.5, Rt= 0.83 min (3 min acidic run). Synthesis of (S)-2-amino-N-(3,6,9,12-tetraoxapentadec-14-yn-1-yl)pent-4-ynamide
[889] To tert-butyl (S)-(17-oxo-4,7,10,13-tetraoxa-16-azahenicosa-1,20-diyn-18-yl)carbamate (101 mg, 0.237 mmol) was added TFA(25% in DCM) (1460 µl, 4.74 mmol) at 0oC , then raise to RT. The mixture was stirred at rt for 1h. The mixture was concentrated under high vacuum and then dried under high vacuum overnight to obtain (S)-2-amino-N-(3,6,9,12-tetraoxapentadec-14-yn-1-yl)pent-4-ynamide (TFA salt, 104 mg, 100% yield). LC/MS: MH+=327.4, Rt= 0.49 min (3 min acidic run).
Synthesis of tert-butyl (6-oxo-7-(2-(2-(prop-2-yn-1-yloxy)ethoxy)ethyl)-3,10,13-trioxa-7-azahexadec- 15-yn-1-yl)carbamate
[890] To the solution of bis(2-(2-(prop-2-yn-1-yloxy)ethoxy)ethyl)amine (53 mg, 0.197 mmol), 3-(2- ((tert-butoxycarbonyl)amino)ethoxy)propanoic acid (48.2 mg, 0.207 mmol) in DMF (1 ml) was added HATU (79 mg, 0.207 mmol) and then DIPEA (103 µl, 0.590 mmol). The reaction mixture was stirred at RT for 1h. The crude product was purified by RP-C18 ISCO chromatography (elution with MeCN-water, 0.1% formic acid) to give the title product as an oil (81 mg, 85% yield). LC/MS: MH+= 485.5, Rt=0.92 min (2 min basic method). Synthesis of 3-(2-aminoethoxy)-N,N-bis(2-(2-(prop-2-yn-1-yloxy)ethoxy)ethyl)propanamide
[891] A mixture of tert-butyl (6-oxo-7-(2-(2-(prop-2-yn-1-yloxy)ethoxy)ethyl)-3,10,13-trioxa-7- azahexadec-15-yn-1-yl)carbamate (408 mg, 0.842 mmol) and TFA (1.62 mL, 21.1 mmol) in DCM (4.8 mL) was stirred at RT for 30 min and concentrated. The crude product was purified by RP-C18 ISCO chromatography (50g, gold column)(elution with MeCN-water, 0.1% TFA). Fractions containing the desired product were combined and lyophilized to give the product (TFA salt) as a yellow oil (148 mg, 35% yield). LC/MS: MH+= 385.3, Rt=0.55 min (2 min acidic method). Synthesis of 4,7,13,16,19-pentaoxa-10-azadocos-1-yn-22-oic acid
[892] To tert-butyl 10-(tert-butoxycarbonyl)-4,7,13,16,19-pentaoxa-10-azadocos-1-yn-22-oate (250 mg, 0.496 mmol) and triethylsilane (238 µl, 1.489 mmol) in DCM ( 11.5 ml) at 0oC was added the TFA (3824 µl, 49.6 mmol) dropwise (TFA/DCM 25% v/v). The mixture was stirred at 0°C for 15 min, then raised to RT and stirred for 30 min. The crude mixture was concentrated on rotavap under high vacuum, then dry over high vacuum for two days to obtain 4,7,13,16,19-pentaoxa-10-azadocos-1-yn-22-oic acid ( 231 mg, as crude to use for next reaction without further purification). LC/MS: MH+=348.3, Rt= 0.47 min (3 min acidic run).
Synthesis of 2,2-dimethyl-4,11-dioxo-12-(2-(2-(prop-2-yn-1-yloxy)ethoxy)ethyl)-3,8,15,18,21- pentaoxa-5,12-diazatetracosan-24-oic acid
[893] To the solution t-Boc-N-amido-PEG1-acid (139 mg, 0.595 mmol) in DMF (dry, 2 ml) was added HATU (226 mg, 0.595 mmol) and then DIPEA (433 µl, 2.480 mmol). The reaction mixture was stirred at RT for 30min. Then the solution of 4,7,13,16,19-pentaoxa-10-azadocos-1-yn-22-oic acid (229 mg, 0.496 mmol) in DMF (0.5ml) was added to the above reaction mixture. The resulting mixture was stirred at RT for 30 min. The crude was separated by C-18 Column (100 g cartridge, eluted with MeCN/Water with 0.05% TFA, 0-100% over 16 CV) to obtain 2,2-dimethyl-4,11-dioxo-12-(2-(2-(prop-2-yn-1- yloxy)ethoxy)ethyl)-3,8,15,18,21-pentaoxa-5,12-diazatetracosan-24-oic acid (220 mg, 79% yield). LC/MS: MH+=563.4, Rt= 0.83 min (3 min acidic run). Synthesis of allyl (2S,3S,4S,5R,6S)-3,4,5-tris(((allyloxy)carbonyl)oxy)-6-(2-amino-4-(((tert- butyldimethylsilyl)oxy)methyl)phenoxy)tetrahydro-2H-pyran-2-carboxylate
[894] Zn powder (48.7 g, 745 mmol) was added portion wise to a mixture of allyl (2S,3S,4S,5R,6S)- 3,4,5-tris(((allyloxy)carbonyl)oxy)-6-(4-(((tert-butyldimethylsilyl)oxy)methyl)-2- nitrophenoxy)tetrahydro-2H-pyran-2-carboxylate (Journal of Natural Products 2015, 78, 510) (56 g, 74.5 mmol), 1,4-dioxane (1.7 mL), H2O (280 mL), and AcOH (42.6 mL, 745 mmol). The mixture was stirred at 25°C for 16h. The mixture was filtered through Celite and washed with 1,4-dioxane (500 mL) and DCM (500 mL). The resulting filtrate was neutralized with saturated NaHCO3 and extracted with DCM. The combined organic extract was washed with saturated NaHCO3 and brine. The organic layer was dried and concentrated in vacuo. The residue was purified by NP-column chromatography to give the title product as yellow oil (35.8 g, 66.7 % yield). LC/MS: MH+=722.2.
Synthesis of allyl (2S,3S,4S,5R,6S)-3,4,5-tris(((allyloxy)carbonyl)oxy)-6-(2-(3-((tert- butoxycarbonyl)amino)propanamido)-4-(((tert-butyldimethylsilyl)oxy)methyl)phenoxy)tetrahydro- 2H-pyran-2-carboxylate
[895] A mixture of allyl (2S,3S,4S,5R,6S)-3,4,5-tris(((allyloxy)carbonyl)oxy)-6-(2-amino-4-(((tert- butyldimethylsilyl)oxy)methyl)phenoxy)tetrahydro-2H-pyran-2-carboxylate (3.00 g, 4.16 mmol), 3-((tert- butoxycarbonyl)amino)propanoic acid (0.95 g, 5.02 mmol), HBTU (1.90 g, 5.01 mmol), and DIPEA (2.22 g, 17.2 mmol) in DMF (15 mL) was stirred at RT for 30 min, and partitioned between EtOAc and brine. The combined organic extract was dried over Na2SO4, concentrated, and chromatographed (NP- ISCO column) to give the title compound (1.66 g, 45% yield). LC/MS: MH+= 893.7, Rt=1.49 min (2 min acidic method). Synthesis of allyl (2S,3S,4S,5R,6S)-3,4,5-tris(((allyloxy)carbonyl)oxy)-6-(2-(3-aminopropanamido)- 4-(hydroxymethyl)phenoxy)tetrahydro-2H-pyran-2-carboxylate
[896] A mixture of allyl (2S,3S,4S,5R,6S)-3,4,5-tris(((allyloxy)carbonyl)oxy)-6-(2-(3-((tert- butoxycarbonyl)amino)propanamido)-4-(((tert-butyldimethylsilyl)oxy)methyl)phenoxy)tetrahydro-2H- pyran-2-carboxylate (1.66 g, 1.86 mmol) and pTsOH (0.036 g, 0.190 mmol) in MeOH (10 mL) was stirred at RT for 10 min. The mixture was concentrated to give the crude O-desilylated product as an oil (LC/MS MH+ 779.6, Rt=1.13 min (2 min acidic method)) which was treated with TFA (6.0 mL, 78 mmol) in DCM (4 mL) at RT for 10 min. The mixture was concentrated to give the crude title product which was used in the next step without purification. LC/MS: MH+=679.6, Rt=0.88 min (2 min acidic method). Synthesis of allyl (2S,3S,4S,5R,6S)-6-(2-(3-((S)-6-((((9H-fluoren-9-yl)methoxy)carbonyl)amino)-2- ((tert-butoxycarbonyl)amino)hexanamido)propanamido)-4-(hydroxymethyl)phenoxy)-3,4,5- tris(((allyloxy)carbonyl)oxy)tetrahydro-2H-pyran-2-carboxylate
[897] A mixture of allyl (2S,3S,4S,5R,6S)-3,4,5-tris(((allyloxy)carbonyl)oxy)-6-(2-(3- aminopropanamido)-4-(hydroxymethyl)phenoxy)tetrahydro-2H-pyran-2-carboxylate (crude obtained in the previous step), N6-(((9H-fluoren-9-yl)methoxy)carbonyl)-N2-(tert-butoxycarbonyl)-L-lysine (1.2 g, 2.6 mmol), HBTU (1.00 g, 2.64 mmol), and DIPEA (2.00 mL, 11.5 mmol) in DMF (10 mL) was stirred at RT for 10 min. The mixture was partitioned between EtOAc and sequentially 1M HCl and aqueous K2CO3. The combined organic extract was dried over Na2SO4 and concentrated. The crude product was purified by chromatography (NP-ISCO column, 80 g gold) to give the title product as a white solid (1.11 g, 53% yield over the last three steps). Synthesis of allyl (2S,3S,4S,5R,6S)-6-(2-(3-((S)-6-((((9H-fluoren-9-yl)methoxy)carbonyl)amino)-2- ((tert-butoxycarbonyl)amino)hexanamido)propanamido)-4-(chloromethyl)phenoxy)-3,4,5- tris(((allyloxy)carbonyl)oxy)tetrahydro-2H-pyran-2-carboxylate
[898] A mixture of allyl (2S,3S,4S,5R,6S)-6-(2-(3-((S)-6-((((9H-fluoren-9- yl)methoxy)carbonyl)amino)-2-((tert-butoxycarbonyl)amino)hexanamido)propanamido)-4- (hydroxymethyl)phenoxy)-3,4,5-tris(((allyloxy)carbonyl)oxy)tetrahydro-2H-pyran-2-carboxylate (1.11 g, 0.983 mmol), thionyl chloride (0.180 mL, 2.466 mmol), and sodium bicarbonate (0.495 g, 5.90 mmol) in THF (10 mL) was stirred at RT for 10 min. The mixture was partitioned between EtOAc and water. The combined organic extract was dried over Na2SO4, concentrated, and chromatographed by NP- ISCO column. Fractions containing the desired product were combined and concentrated to give the title product as a white solid (0.95 g, 84% yield). LC/MS: MH+=1147.9, Rt=1.39 min (2 min acidic method). Synthesis of (S)-9-amino-1-(9H-fluoren-9-yl)-3,10-dioxo-2,14,17-trioxa-4,11-diazaicosan-20-oic acid
[899] To a clear solution of N6-(((9H-fluoren-9-yl)methoxy)carbonyl)-N2-(tert-butoxycarbonyl)-L- lysine (633 mg, 1.350 mmol) and tert-butyl 3-(2-(2-aminoethoxy)ethoxy)propanoate (300 mg, 1.29 mmol) in Acetonitrile(9 ml) at 0°C was added DMTMM (340 mg, 1.414 mmol). To the slurry was added DIPEA (0.449 ml, 2.57 mmol). The mixture was stirred at 0°C for 5 min and then rt for 1.5 h. The solvent was removed by rotary evaporation and under high vac. To the resulting oily material was added CH2Cl2 (9 ml), triethylsilane (0.205 ml, 1.286 mmol) and TFA (4.95 ml, 64.3 mmol) at 0°C. The mixture was stirred at rt for 1.5 h. The solvent was removed via rotary evaporation and then under high vac.!!The resulting oil was dissolved in DMSO / water and was purified by RP-HPLC (C18, ACN/water with 0.1% TFA) to afford, after lyophilization, a white powder as (S)-9-amino-1-(9H- fluoren-9-yl)-3,10-dioxo-2,14,17-trioxa-4,11-diazaicosan-20-oic acid as a TFA salt (754 mg, 91% yield). LC/MS: MH+=528.3, rt=0.79 min (2 min acidic method). 1> CBF #.** B>d& :BGD'O0$ j 2(.2 #^& @ 6 5.6 Hz, 1H), 8.24 - 8.00 (m, 3H), 7.90 (d, J = 7.5 Hz, 2H), 7.68 (d, J = 7.5 Hz, 2H), 7.47 - 7.37 (m, 2H), 7.37 - 7.29 (m, 2H), 7.29 - 7.19 (m, 1H), 4.31 (d, J = 6.8 Hz, 2H), 4.21 (t, J = 6.8 Hz, 1H), 3.94 - 3.65 (m, 1H), 3.59 (dd, J = 7.5, 5.2 Hz, 2H), 3.45 (dd, J = 13.3, 7.7 Hz, 3H), 3.39 - 3.14 (m, 2H), 3.01 - 2.89 (m, 2H), 2.44 (t, J = 6.3 Hz, 2H), 1.81 - 1.59 (m, 2H), 1.46 - 1.15 (m, 4H). Synthesis of (S)-12-(4-((((9H-fluoren-9-yl)methoxy)carbonyl)amino)butyl)-11,14-dioxo-4,7,17,20- tetraoxa-10,13-diazatricos-22-ynoic acid
[900] To 3-(2-(prop-2-yn-1-yloxy)ethoxy)propanoic acid (65.5 mg, 0.381 mmol) in DMF (2 ml) was added DIPEA (0.240 ml, 1.37 mmol) and HATU (150 mg, 0.394 mmol). The mixture was stirred at rt for 15 min. Then at 0°C (S)-9-amino-1-(9H-fluoren-9-yl)-3,10-dioxo-2,14,17-trioxa-4,11-diazaicosan-20- oic acid as a TFA salt (220 mg, 0.343 mmol) in DMF (2 ml) was added. The mixture was stirred at rt for 1 h and was diluted with DMSO/water (10/4 mL) and purified by RP-HPLC (C18, ACN/water with 0.1% TFA) to afford, after lyophilization, a white floppy powder as (S)-12-(4-((((9H-fluoren-9- yl)methoxy)carbonyl)amino)butyl)-11,14-dioxo-4,7,17,20-tetraoxa-10,13-diazatricos-22-ynoic acid (117
mg, 50% yield). LC/MS: MH+=682.4, Rt=0.97 min (2 min acidic method); HRMS: MH+=682.2300, Rt=2.16 min (5 min acidic method). Synthesis of (S)-9-amino-1-(9H-fluoren-9-yl)-3,10-dioxo-2,14,17,20-tetraoxa-4,11-diazatricosan-23- oic acid
[901] N6-(((9H-fluoren-9-yl)methoxy)carbonyl)-N2-(tert-butoxycarbonyl)-L-lysine (785 mg, 1.68 mmol) and tert-butyl 3-(2-(2-(2-aminoethoxy)ethoxy)ethoxy)propanoate in Acetonitrile (Volume: 12 ml) at 0°C was DMTMM (422 mg, 1.76 mmol). To the slurry was added DIPEA (0.558 ml, 3.19 mmol). The mixture was stirred at 0°C for 5 min and then rt for 1.5 h. The solvent was removed by rotary evaporation and under high vac. To the resulting oily material was added CH2Cl2 (12 ml), triethylsilane (0.255 ml, 1.60 mmol) and TFA (6,15 ml, 80 mmol) at 0°C. The mixture was stirred at rt for 1.5 h. The solvent was removed via rotary evaporation and then under high vac.!!The resulting oil was dissolved in DMSO / water and was purified by RP-HPLC (C18, ACN/water with 0.1% TFA) to afford, after lyophilization, a white powder as (S)-9-amino-1-(9H-fluoren-9-yl)-3,10-dioxo-2,14,17,20-tetraoxa-4,11- diazatricosan-23-oic acid as a TFA salt (933 mg, 85% yield). LC/MS: MH+=572.4, Rt=0.79 min (acidic, 2 min acidic method). 1> CBF #.** B>d& :BGD'O0$ j 2(/. ' 2(./ #W& +>$& 2(+1 #]& +>$& 2(*0 (s, 2H), 7.90 (dt, J = 7.6, 0.9 Hz, 2H), 7.68 (d, J = 7.5 Hz, 2H), 7.46 - 7.39 (m, 2H), 7.38 - 7.31 (m, 2H), 7.30 - 7.18 (m, 1H), 4.31 (d, J = 6.8 Hz, 2H), 4.21 (t, J = 6.8 Hz, 1H), 3.94 - 3.65 (m, 1H), 3.59 (t, J = 6.3 Hz, 2H), 3.44 (t, J = 5.5 Hz, 8H), 3.38 - 3.18 (m, 2H), 2.96 (q, J = 6.6 Hz, 2H), 2.61 (s, 2H), 2.62 - 2.52 (m, 2H), 2.51 (s, 2H), 2.43 (t, J = 6.3 Hz, 2H), 1.82 - 1.61 (m, 2H), 1.46 - 1.15 (m, 4H). Synthesis of (S)-15-(4-((((9H-fluoren-9-yl)methoxy)carbonyl)amino)butyl)-14,17-dioxo-4,7,10,20,23- pentaoxa-13,16-diazahexacos-25-ynoic acid
[902] To 3-(2-(prop-2-yn-1-yloxy)ethoxy)propanoic acid (84 mg, 0.49 mmol) in DMF (2.5 ml) was added DIPEA (0.309 ml, 1.77 mmol) and HATU (193 mg, 0.508 mmol). The mixture was stirred at rt for
15 min. Then at 0°C (S)-9-amino-1-(9H-fluoren-9-yl)-3,10-dioxo-2,14,17,20-tetraoxa-4,11- diazatricosan-23-oic acid as a TFA salt (303 mg, 0.442 mmol) in DMF (2.5 ml) was added. The mixture was stirred at rt for 1 h and was diluted with DMSO/water (10/4 mL) and purified by RP-HPLC (C18, ACN/water with 0.1% TFA) to afford, after lyophilization, a white floppy powder as (S)-15-(4-((((9H- fluoren-9-yl)methoxy)carbonyl)amino)butyl)-14,17-dioxo-4,7,10,20,23-pentaoxa-13,16-diazahexacos-25- ynoic acid (206 mg, 64% yield). HRMS: MH+=726.3700, Rt=2.19 min (5 min acidic method). Synthesis of tert-butyl 1-(9H-fluoren-9-yl)-11-(2-hydroxyethyl)-3,10-dioxo-2,7,14,17,20-pentaoxa- 4,11-diazatricosan-23-oate
[903] In a 10 mL glass vial equipped with magnetic stir bar, to tert-butyl 3-(2-(2-(2- (tosyloxy)ethoxy)ethoxy)ethoxy)propanoate (311 mg, 0.719 mmol) dissolved in EtOH (1 mL) was added Ethanoamine (220 mg, 3.60 mmol). The reaction mixture was stirred at 75°C for 2 h, cooled to RT. The solvent was removed under reduced pressure and dried under high vac overnight to afford a thick oil (515 mg). To this thick oil (412 mg) was added at 0°C 3-(2-((((9H-fluoren-9- yl)methoxy)carbonyl)amino)ethoxy)propanoic acid (1329 mg, 3.74 mmol) in Acetonitrile (6 mL) and THF (3 mL), DMTMM (1070 mg, 3.86 mmol) and DIPEA (0.800 mL, 4.60 mmol). The mixture was stirred at rt for 1 h. The cloudy mixture was filtered. The filtrate was concentrated and purified by flash chromatography (0-10% MeOH in CH2Cl2 elution) twice to provide, after concentration of appropriate fractions, tert-butyl 1-(9H-fluoren-9-yl)-11-(2-hydroxyethyl)-3,10-dioxo-2,7,14,17,20-pentaoxa-4,11- diazatricosan-23-oate as a white solid (194 mg, yield 51.5%). LC/MS: MH+=659.5, Rt=1.13 min (2 min acidic method). 1> CBF #.** B>d& :BGD'O0$ j 1(23 #O& @ 61(/ >d& ,>$& 1(1* #O& @ 61(. >d& ,>$& 1(./ - 7.38 (m, 2H), 7.37 - 7.25 (m, 3H), 4.69 (d, J = 64.3 Hz, 1H), 4.41 - 4.01 (m, 4H), 3.88 (d, J = 33.5 Hz, 3H), 3.64 - 3.55 (m, 4H), 3.54 - 3.49 (m, 4H), 3.46 - 3.28 (m, 10H), 3.20 - 3.08 (m, 5H), 2.64 - 2.56 (m, 2H), 2.44 - 2.37 (m, 2H), 1.39 (d, J = 1.9 Hz, 9H). Synthesis of 11-(2-(((N-(2-(2-(2-carboxyethoxy)ethoxy)ethyl)sulfamoyl)carbamoyl)oxy)ethyl)-1-(9H- fluoren-9-yl)-3,10-dioxo-2,7,14,17,20-pentaoxa-4,11-diazatricosan-23-oic acid
[904] To tert-butyl 1-(9H-fluoren-9-yl)-11-(2-hydroxyethyl)-3,10-dioxo-2,7,14,17,20-pentaoxa-4,11- diazatricosan-23-oate (97 mg, 0.147 mmol) in CH2Cl2 (2.5 ml) was added sulfurisocyanatidic chloride (0.013 ml, 0.15 mmol) at 0 °C. The mixture was stirring at 0 °C for 30 min. Then TEA (0.103 ml, 0.736 mmol) and tert-butyl 3-(2-(2-aminoethoxy)ethoxy)propanoate (37.8 mg, 0.162 mmol) in CH2Cl2 (1.2 mL) were added. The mixture was stirred at 0°C for 1 h, then rt for 1 h and was quenched with satd. NH4Cl, and 1 N HCl (0.9 mL). The aqueous was extracted with CH2Cl2 (5X). The organic layer was dried over anh, Na2SO4, filtered and concentrated via rotary evaporation to provide a clear oil. Purification was conducted by flash chromatography (0-100% EtOAc in heptane, then 0-15% MeOH in CH2Cl2) to afford the di-t-butyl ester of the title compound as a clear oil (25 mg, 17% yield). LC/MS: MH+=997.6, Rt=1.38 min. HR/MS (peptide, 5 min): 3.01 min, M+=997.4900, 100% pure. 1H NMR (400 MHz, BP^ScVPXP 9SVY\TOP'O,$ j 1(20 ' 1(12 #W& ,>$& 1(03 #^& @ 61(3 >d& ,>$& 1(.3 ' 1(.* #W& ,>$& 1(.* ' 1(-+ (m, 2H), 6.41 - 6.13 (m, 1H), 6.04 - 5.50 (m, 1H), 4.50 - 4.21 (m, 5H), 3.92 - 3.66 (m, 9H), 3.66 - 3.49 (m, 20H), 3.44 - 3.22 (m, 4H), 2.55 - 2.45 (m, 4H), 1.47 (s, 18H). To the di-ester in CH2Cl2 (1.3 ml) at 0 °C was added triethylsilane (0.004 ml, 0.03 mmol) and TFA (0.567 ml, 7.36 mmol). The mixture was stirred at rt for 1 h and then concentrated via rotary evaporation. The residue was dried in vacuo for 30 min and then lyophilized (water/ACN=3/3 mL) to afford 11-(2-(((N-(2-(2-(2- carboxyethoxy)ethoxy)ethyl)sulfamoyl)carbamoyl)oxy)ethyl)-1-(9H-fluoren-9-yl)-3,10-dioxo- 2,7,14,17,20-pentaoxa-4,11-diazatricosan-23-oic acid as a white solid (24 mg). HRMS: MH+=885.3500, Rt=2.05 min (5 min acidic method). 1> CBF #.** B>d& :BGD$ j +,(+, #]& ,>$& 1(23 #O& @ 61(/ >d& 2H), 7.69 (d, J = 7.5 Hz, 2H), 7.46 - 7.39 (m, 2H), 7.37 - 7.30 (m, 2H), 7.28 (t, J = 5.2 Hz, 1H), 4.33 - 4.08 (m, 5H), 3.67 - 3.55 (m, 7H), 3.55 - 3.41 (m, 20H), 3.41 - 3.36 (m, 2H), 3.18 - 2.99 (m, 4H), 2.69 - 2.56 (m, 2H), 2.47 - 2.39 (m, 5H). Synthesis of benzyl 3-(2-(2-(2-aminoethoxy)ethoxy)ethoxy)propanoate
[905] To benzyl 2,2-dimethyl-4-oxo-3,8,11,14-tetraoxa-5-azaheptadecan-17-oate (1000 mg, 2.430 mmol) in CH2Cl2 (24 mL) was added triethylsilane (0.388 mL, 2.43 mmol) and TFA (8 mL, 0.1 mol). The mixture was stirred at rt for 1 h. The volatile was removed via rotary evaporation and under high vac for 15 min, then diluted with ACN/water (5/5 mL) and lyophilized to give benzyl 3-(2-(2-(2- aminoethoxy)ethoxy)ethoxy)propanoate as a TFA salt form as a colorless oil (1.269 g). LC/MS: MH+=312.3, Rt= 0.61 min (2 min acidic method). 1> CBF #.** B>d& :BGD$ j 1(1. #]& ->$& 1(.- ' 7.28 (m, 5H), 5.11 (s, 2H), 3.66 (t, J = 6.2 Hz, 2H), 3.60 - 3.54 (m, 6H), 3.50 (s, 4H), 2.97 (h, J = 5.7 Hz, 2H), 2.61 (t, J = 6.2 Hz, 2H).
Synthesis of benzyl (S)-10-amino-2,2-dimethyl-4,11-dioxo-3,15,18,21-tetraoxa-5,12-diazatetracosan- 24-oate
[906] To a mixture of benzyl 3-(2-(2-(2-aminoethoxy)ethoxy)ethoxy)propanoate as a TFA salt (707 mg, 1.66 mmol) and Fmoc-Lys(Boc)-OSu (987 mg, 1.75 mmol) in DMF (6 mL) was added DIPEA (0.871 mL, 4.99 mmol). The mixture was stirred at rt overnight. To the mixture was added dimethylamine (2N in THF, 4.15 mL, 8.31 mmol). The mixture was stirred at rt for 2 h, diluted with DMSO (10 mL) and purified by RP-HPLC (C18, ACN/water with 0.1% TFA) to afford, after lyophilization of the appropriate fractions, benzyl (S)-10-amino-2,2-dimethyl-4,11-dioxo-3,15,18,21-tetraoxa-5,12-diazatetracosan-24-oate as a TFA salt form as a clear thick oil (630 mg, 58% yield). LC/MS: MH+=540.5, Rt=0.83 min (2 min acidic method). HRMS: MH+=540.3300, Rt=1.74 min (5 min acidic method). 1H NMR (400 MHz, :BGD$ j 2(.2 #^& @ 6 /(0 >d& +>$& 2(*/ #O& @ 6 .(2 >d& ->$& 1(.- ' 1(,0 #W& />$& 0(10 #^& @ 6 /(1 >d& +>$& 5.11 (s, 2H), 3.73 - 3.59 (m, 5H), 3.48 - 3.17 (m, 10H), 2.93 - 2.84 (m, 2H), 2.61 (t, J = 6.2 Hz, 2H), 1.71 - 1.61 (m, 2H), 1.37 (s, 11H), 1.31 - 1.19 (m, 2H). Synthesis of 1-benzyl 29-methyl (S)-15-(4-((tert-butoxycarbonyl)amino)butyl)-14,17-dioxo- 4,7,10,20,23,26-hexaoxa-13,16-diazanonacosanedioate
[907] To benzyl (S)-10-amino-2,2-dimethyl-4,11-dioxo-3,15,18,21-tetraoxa-5,12-diazatetracosan-24- oate as a TFA salt form (630 mg, 1.17 mmol) and 3-oxo-2,6,9,12-tetraoxapentadecan-15-oic acid (324 mg, 1.226 mmol) in Acetonitrile (8 ml) at ) at 0°C was added DMTMM (303 mg, 1.26 mmol) and DIPEA (0.816 ml, 4.67 mmol). The mixture was stirred at for 1.5 h. The volatile was removed via rotary evaporation and then in high vac for 15 min. The resulting colorless oil was purified by flash chromatography (0-10% MeOH in CH2Cl2) to provide 1-benzyl 29-methyl (S)-15-(4-((tert- butoxycarbonyl)amino)butyl)-14,17-dioxo-4,7,10,20,23,26-hexaoxa-13,16-diazanonacosanedioate as a colorless oil (551 mg, yield 61%). LC/MS: MH+=786.4, Rt=1.02 min (2 min acidic method). 1H NMR #.** B>d& :BGD$ j 1(3. ' 1(2/ #W& ,>$& 1(.+ ' 1(,2 #W& />$& 0(1, #^& @ 6 /(1 >d& +>$& /(++ #]& ,>$& .(,-
- 4.11 (m, 1H), 3.70 - 3.55 (m, 9H), 3.48 (t, J = 3.0 Hz, 16H), 3.38 (t, J = 6.0 Hz, 2H), 3.26 - 3.10 (m, 2H), 2.91 - 2.81 (m, 2H), 2.58 (dd, J = 26.8, 6.2 Hz, 4H), 2.45 - 2.29 (m, 2H), 1.37 (m, 15H). Synthesis of (S)-17-(4-((tert-butoxycarbonyl)amino)butyl)-3,15,18-trioxo-2,6,9,12,22,25,28- heptaoxa-16,19-diazahentriacontan-31-oic acid
[908] A mixture of 1-benzyl 29-methyl (S)-15-(4-((tert-butoxycarbonyl)amino)butyl)-14,17-dioxo- 4,7,10,20,23,26-hexaoxa-13,16-diazanonacosanedioate (202 mg, 0.257 mmol) and Pd-C (10% on carbon, 27 mg, 0.026 mmol) in THF (10 mL) was purged with H2 three times and then stirred vigorously under balloon hydrogen for 3.5 h. The mixture was filtered and washed first with CH2Cl2 and then with 1:1 CH2Cl2/MeOH (20 mL). The filtrate was concentrated via rotary evaporation and then under high vac overnight to afford (S)-17-(4-((tert-butoxycarbonyl)amino)butyl)-3,15,18-trioxo-2,6,9,12,22,25,28- heptaoxa-16,19-diazahentriacontan-31-oic acid as a thick oil (180 mg, 100% yield). LC/MS: MH+=696.3, Rt=0.79 min (2 min acidic method). LC/MS: MH+=696.8, Rt=1.64 min (5 min acidic method). 1> CBF #.** B>d& :BGD$ j +,(+- #]& +>$& 1(3* #[& @ 61(* >d& ,>$& 0(1, #O& @ 6 /(1 >d& +>$& 4.26 - 4.11 (m, 1H), 3.66 - 3.54 (m, 9H), 3.54 - 3.42 (m, 16H), 3.39 (t, J = 5.9 Hz, 2H), 3.26 - 3.11 (m, 2H), 2.91 - 2.81 (m, 2H), 2.57 - 2.52 (m, 2H), 2.47 - 2.28 (m, 4H), 1.63 - 1.14 (m, 15H). Synthesis of benzyl 3-(2-(2-aminoethoxy)ethoxy)propanoate
[909] To benzyl 2,2-dimethyl-4-oxo-3,8,11-trioxa-5-azatetradecan-14-oate (1110 mg, 3.02 mmol) in CH2Cl2 (24 mL) was added triethylsilane (0.483 mL, 3.02 mmol) and TFA (8 mL, 0.1 mol). The mixture was stirred at rt for 1 h. The volatile was removed via rotary evaporation and under high vac for 15 min, then diluted with ACN/water (5/5 mL) and lyophilized to give benzyl 3-(2-(2- aminoethoxy)ethoxy)propanoate as a TFA salt form as a light-yellow oil (1.132 g, yield 98 %). LC/MS: MH+=268.2, Rt=0.58 min (2 min acidic method). Synthesis of benzyl (S)-10-amino-2,2-dimethyl-4,11-dioxo-3,15,18-trioxa-5,12-diazahenicosan-21- oate
[910] To a benzyl 3-(2-(2-(2-aminoethoxy)ethoxy)ethoxy)propanoate as a TFA salt form (1132 mg, 2.97 mmol) and Fmoc-Lys(Boc)-OSu (1763 mg, 3.12 mmol) in DMF (10 mL) was added DIPEA (1.56 ml, 8.91 mmol). The mixture was stirred at rt overnight. To the mixture was added dimethylamine (2N in THF, 7.42 ml, 14.8 mmol). The mixture was stirred at rt for 2 h, diluted with DMSO (15 mL) and purified by RP-HPLC (C18, ACN/water with 0.1% TFA) to afford, after lyophilization of the appropriate fractions, benzyl (S)-10-amino-2,2-dimethyl-4,11-dioxo-3,15,18-trioxa-5,12-diazahenicosan-21-oate as a TFA salt form as a clear thick oil (947 mg, yield 52%). LC/MS: MH+=496.5, Rt=0.81 min (2 min acidic method). 1> CBF #.** B>d& :BGD$ j 2(.2 #^& @ 6 /(0 Hz, 1H), 8.12 - 8.00 (m, 3H), 7.41 - 7.29 (m, 5H), 6.76 (t, J = 5.7 Hz, 1H), 5.11 (s, 2H), 3.75 - 3.63 (m, 4H), 3.51 (s, 3H), 3.44 (t, J = 5.6 Hz, 2H), 3.38 - 3.17 (m, 2H), 2.94 - 2.82 (m, 2H), 2.61 (t, J = 6.2 Hz, 2H), 1.71 - 1.61 (m, 2H), 1.37 (m, 13H). Synthesis of 1-benzyl 29-methyl (S)-12-(4-((tert-butoxycarbonyl)amino)butyl)-11,14-dioxo- 4,7,17,20,23,26-hexaoxa-10,13-diazanonacosanedioate
[911] To benzyl (S)-10-amino-2,2-dimethyl-4,11-dioxo-3,15,18-trioxa-5,12-diazahenicosan-21-oate as a TFA salt form (1043 mg, 1.71 mmol) and 3-oxo-2,6,9,12,15-pentaoxaoctadecan-18-oic acid (501 mg, 1.624 mmol).in Acetonitrile (10 ml) at ) at 0 °C was added DMTMM (401 mg, 1.67 mmol) and DIPEA (1.081 ml, 6.19 mmol). The mixture was stirred at rt for 2.5 h. To the mixture were added 3-oxo- 2,6,9,12,15-pentaoxaoctadecan-18-oic acid (150 mg, 0.487 mmol) and DMTMM (120 mg, 0.501 mmol) and DIPEA (0.324 ml, 1.86 mmol). The mixture was stirred at rt for 30 min. The volatile was removed via rotary evaporation and then in high vac for 15 min. The resulting colorless oil was purified by flash chromatography (0-10% MeOH in CH2Cl2), followed by washing of the product thereof with EtOAc with 1:1 satd. NaHCO3/H2O, to provide 1-benzyl 29-methyl (S)-12-(4-((tert-butoxycarbonyl)amino)butyl)- 11,14-dioxo-4,7,17,20,23,26-hexaoxa-10,13-diazanonacosanedioate as a white solid (1062 mg, yield 79%). LC/MS: MH+=786.7, Rt=1.04 min (2 min acidic method). 1> CBF #.** B>d& :BGD$ j 1(3/ ' 7.84 (m, 2H), 7.42 - 7.29 (m, 5H), 6.72 (t, J = 5.7 Hz, 1H), 5.11 (s, 2H), 4.25 - 4.14 (m, 1H), 3.70 - 3.55
(m, 9H), 3.53 - 3.44 (m, 16H), 3.38 (t, J = 6.0 Hz, 2H), 3.25 - 3.13 (m, 2H), 2.91 - 2.81 (m, 2H), 2.58 (dd, J = 26.1, 6.2 Hz, 4H), 2.45 - 2.29 (m, 2H), 1.37 (m, 16H). Synthesis of (S)-20-(4-((tert-butoxycarbonyl)amino)butyl)-3,18,21-trioxo-2,6,9,12,15,25,28- heptaoxa-19,22-diazahentriacontan-31-oic acid
[912] A mixture of 1-benzyl 29-methyl (S)-12-(4-((tert-butoxycarbonyl)amino)butyl)-11,14-dioxo- 4,7,17,20,23,26-hexaoxa-10,13-diazanonacosanedioate (620 mg, 789 µmol) and Pd-C (10% on carbon, 84 mg, 0.079 mmol) in THF (30 mL) was purged with H2 three times and then stirred vigorously under balloon hydrogen for 3.5 h. The mixture was filtered and washed first with CH2Cl2 and then with 1:1 CH2Cl2/MeOH (60 mL). The filtrate was concentrated via rotary evaporation and then under high vac overnight to afford (S)-20-(4-((tert-butoxycarbonyl)amino)butyl)-3,18,21-trioxo-2,6,9,12,15,25,28- heptaoxa-19,22-diazahentriacontan-31-oic acid (620 mg, 789 µmol). LC/MS: MH+=696.7, Rt=1.08 min (2 min basic method). 1> CBF #.** B>d& :BGD$ j +,(+. #]& +>$& 1(30 h 1(2, #W& ,>$& 0(1- #^& @ 6 5.6 Hz, 1H), 4.26 – 4.14 (m, 1H), 3.67 – 3.54 (m, 9H), 3.52 – 3.44 (m, 15H), 3.39 (t, J = 6.0 Hz, 2H), 3.27 – 3.10 (m, 2H), 2.92 – 2.81 (m, 2H), 2.55 (d, J = 6.2 Hz, 3H), 2.47 – 2.34 (m, 4H), 1.37 (m, 15H). Synthesis of tert-butyl (2-(3-oxo-3-((2-(2,2,2-trifluoroacetamido)ethyl)(2- (tritylamino)ethyl)amino)propoxy)ethyl)carbamate
[913] To 2,2,2-trifluoro-N-(2-((2-(tritylamino)ethyl)amino)ethyl)acetamide (14.061 g, 31.85 mmol, J. Org. Chem. 2012, 77& .,,0i.,-.$ LXO -'#,'##^P\^'M_^YbcNL\MYXcV$LWTXY$P^SYbc$Z\YZLXYTN LNTO #1(3.3 g, 34.08 mmol) in CH2Cl2 (600 mL) at 0°C was added in 5 potions over 20 min EDC (7.326 g, 38.22 mmol). The clear solution was stirred at 0°C for 30 min, then warmed up to rt overnight. To the mixture was added, more 3-(2-((tert-butoxycarbonyl)amino)ethoxy)propanoic acid (0.556 g, 2.38 mmol) and EDC (0.733 g, 3.82 mmol). The mixture was stirred at rt for 4 h, and was concentrated to ca.400 mL and was washed with 1:1 brine / water (150 mL). The aqueous was extracted with CH2Cl2 (20 mL). The washing and back extraction procedure was repeated three more times. The combined organic phase was washed with satd. NaHCO3 (50 mLx2), brine, dried over anh. Na2SO4, filtered and concentrated to provide tert-
butyl (2-(3-oxo-3-((2-(2,2,2-trifluoroacetamido)ethyl)(2- (tritylamino)ethyl)amino)propoxy)ethyl)carbamate as a white foam (19.98 g, yield 90%). LC/MS: M+Na+=679.5, M-=655.5, Rt=1.18 min. (2 min acidic). The product was used directly in the next step without purification. Synthesis of tert-butyl (2-(3-((2-aminoethyl)(2-(tritylamino)ethyl)amino)-3- oxopropoxy)ethyl)carbamate
[914] To tert-butyl (2-(3-oxo-3-((2-(2,2,2-trifluoroacetamido)ethyl)(2- (tritylamino)ethyl)amino)propoxy)ethyl)carbamate (9.210, 14.02 mmol) dissolved in MeOH (130 mL) and water (13 mL) was added K2CO3 (9.69 g, 70.1 mmol). The slurry was stirred at rt over weekend and then was filtered and washed with EtOAc. The filtrate was concentrated. The residue was washed with 1:1 brine / water (80 mL). The aqueous was extracted with EtOAc (3X). The combined organic layer was washed with brine, dried over anh. Na2SO4, filtered and concentrated. To remove the residual solvent, the product was dissolved with CH2Cl2 and concentrated. This was repeated one more time to afford tert-butyl (2-(3-((2-aminoethyl)(2-(tritylamino)ethyl)amino)-3-oxopropoxy)ethyl)carbamate, following drying under high vac, as a white foaming (7.26 g, 92% yield). LC/MS: MH+=561.6, Rt= 2.19 min. (5 min acidic method). 1> CBF #.** B>d& :BGD$ j 1(./ ' 1(-/ #W& 0>$& 1(-- ' 1(,/ #W& 6H), 7.24 - 7.13 (m, 3H), 6.72 (q, J = 6.3 Hz, 1H), 3.57 (m, J = 13.0, 6.6 Hz, 2H), 3.43 - 3.25 (m, 11H, overlapping with water), 3.22 - 2.94 (m, 4H), 2.80 - 2.53 (m, 4H), 2.47 - 2.23 (m, 2H), 2.18 - 2.02 (m, 2H), 1.37 (d, J = 1.3 Hz, 9H). The product was used directly in the next step without purification. Synthesis of 3-(2-(3-(allyloxy)-3-oxopropoxy)ethoxy)propanoic acid
[915] To a mixture of 3,3'-(ethane-1,2-diylbis(oxy))dipropionic acid (7.720 g, 37.44 mmol), prop-2-en- 1-ol (2.175 g, 2.55 mL, 37.4 mmol) and DMAP (457 mg, 3.74 mmol) in CH2Cl2 (66 mL) and dioxane (100.0 mL) at 0 °C was added dropwise, dicyclohexylmethanediimine (8.112 g, 39.31 mmol) slurry in dichloromethane (34 mL) over 20 min. The mixture was warmed up to rt and stirred overnight. The reaction mixture was filtered and the solid was washed with CH2Cl2 (100 mL). The volatile from the filtrate was removed under reduced pressure. The resulting oil was mixed with DMSO (24 mL) and
filtered. The filtrate was purified by RP-HPLC (C18, ACN/water with 0.1% TFA), to provide, after lyophilization of the appropriate fractions, 3-(2-(3-(allyloxy)-3-oxopropoxy)ethoxy)propanoic acid as a colorless oil (4.487 g, 49% yield). LC/MS: MH+=247.0, Rt=0.66 min (2 min acidic method) 1H NMR #.** B>d& :BGD$ j /(31 h /(2. #W& +>$& /(-. h /(,0 #W& +>$& /(,. h /(+1 #W& +>$& .(/3 h .(/. #W& ,>$& 3.67 – 3.56 (m, 4H), 3.52 – 3.30 (m, 6H, overlapping with DMSO), 2.57 (t, J = 6.2 Hz, 2H), 2.43 (t, J = 6.4 Hz, 2H). Synthesis of allyl 2,2-dimethyl-4,11,16-trioxo-12-(2-(tritylamino)ethyl)-3,8,19,22-tetraoxa-5,12,15- triazapentacosan-25-oate
[916] To tert-butyl (2-(3-((2-aminoethyl)(2-(tritylamino)ethyl)amino)-3-oxopropoxy)ethyl)carbamate (8420 mg, 15.02 mmol) and 3-(2-(3-(allyloxy)-3-oxopropoxy)ethoxy)propanoic acid (3.957 g,16.07 mmol) dissolved in CH2Cl2 (150 mL) at 0°C was added EDC (3.224 g, 16.82 mmol) in two portions over 10 min. The mixture was warmed up and stirred at rt overnight. To the mixture was added 3-(2-(3- (allyloxy)-3-oxopropoxy)ethoxy)propanoic acid (277 mg, 1.12 mmol), and EDC (226 mg, 1.18 mmol). After being stirred at rt overnight, the mixture was diluted with CH2Cl2 (200 mL) and was washed with 1:1 brine / water (200 mL). The aqueous was extracted with CH2Cl2 (20 mL). This washing and extraction procedure was repeated three more times. The combined organic phase was washed with satd. NaHCO3 (200 mLx2), brine, dried over anh. Na2SO4, filtered and concentrated to give a colorless oil. This crude product was purified by flash chromatography (0-10% MeOH in CH2Cl2) to afford allyl 2,2- dimethyl-4,11,16-trioxo-12-(2-(tritylamino)ethyl)-3,8,19,22-tetraoxa-5,12,15-triazapentacosan-25-oate as a thick colorless oil (11.275 g, 95% yield). LC/MS: MH+=789.7, Rt=1.05 min (2 min acidic method). 1> CBF #.** B>d& :BGD$ j 1(32 #O& @ 6 -(- >d& +>$& 1(2, #^& @ 60(* >d& +>$& 1(.* ' 1(-- #W& 0>$& 1(,2 (t, J = 7.5 Hz, 6H), 7.22 - 7.14 (m, 3H), 6.71 (d, J = 5.8 Hz, 1H), 5.90 (dddd, J = 15.8, 9.4, 6.0, 4.6 Hz, 1H), 5.76 (s, 1H), 5.33 - 5.25 (m, 1H), 5.22 - 5.16 (m, 1H), 4.58 - 4.52 (m, 2H), 3.66 - 3.52 (m, 6H), 3.49 - 3.35 (m, 6H), 3.27 - 2.96 (m, 6H), 2.82 - 2.53 (m, 5H), 2.36 - 2.20 (m, 3H), 2.15 - 2.01 (m, 2H), 1.37 (s, 9H). Synthesis of allyl 12-(2-aminoethyl)-2,2-dimethyl-4,11,16-trioxo-3,8,19,22-tetraoxa-5,12,15- triazapentacosan-25-oate
[917] To allyl 2,2-dimethyl-4,11,16-trioxo-12-(2-(tritylamino)ethyl)-3,8,19,22-tetraoxa-5,12,15- triazapentacosan-25-oate (8763 mg, 11.11 mmol) dissolved (via sonication) in trifluoroethanol (19 mL) was added acetic acid (19.07 mL, 333.2 mmol). The mixture was stirred at 60°C for 2 h. The reaction mixture was cooled to rt and mixed with anh. toluene (100 mL) and concentrated. The azeotropical distillation with toluene was repeated two more times. To the residue was added toluene (8 mL) and the resulting solution was added dropwise to ice-cold 1:1 diethyl ether / heptane (400 mL) with rapid stirring. Stirring continued at 0°C for 15 min. The clear top mother liquid was decanted and discarded. The bottom oily material was washed with fresh 1:1 ether / heptane (2 X50 mL) and dried in vacuum to give an oil (7.718 g) as HOAc salt of the title compound. The material was dissolved with 1/9 TFE / CH2Cl2 (250 mL) and was washed with satd. NaHCO3 (2X 100 mL) until the aqueous was basic. The combined organic phase was washed with brine (75 mL). The aqueous was extracted with 1/9 TFE / CH2Cl2 (20 mL) twice. The combined organic phase was dried over anh. Na2SO4, filtered and concentrated to give a colorless oil as allyl 12-(2-aminoethyl)-2,2-dimethyl-4,11,16-trioxo-3,8,19,22-tetraoxa-5,12,15- triazapentacosan-25-oate (7.962 g, crude, 76.5% pure by wt. assuming 100% yield) used directly in the next step. LC/MS: MH+=547.5, Rt=0.73 min (2 min acidic method). Synthesis of 17-(3-(2-((tert-butoxycarbonyl)amino)ethoxy)propanoyl)-13,21,30-trioxo- 4,7,10,24,27,31-hexaoxa-14,17,20-triazatetratriacont-33-enoic acid
[918] To allyl 12-(2-aminoethyl)-2,2-dimethyl-4,11,16-trioxo-3,8,19,22-tetraoxa-5,12,15- triazapentacosan-25-oate prepared above (665 mg, 76.3% by Wt., 928 µmol) was added 3-(2-(2-(3-((2,5- dioxopyrrolidin-1-yl)oxy)-3-oxopropoxy)ethoxy)ethoxy)propanoic acid (387 mg, 1.11 mmol) dissolved in Acetonitrile (3.7 mL), and DIPEA (323 µL, 1.86 mmol). The mixture was stirred at rt/20 h, The volatile was removed via rotary evaporation. The resulting oil was diluted with DMSO (6 mL) and was purified by RP-HPLC (C18, ACN/water with 0.1% NH4OH). The desired product-containing fractions (total ca.112 mL) were diluted with EtOAc (75 mL) and acidified with 1 N HCl (3.5 mL). The organic phase was separated. The aqueous was extracted with EtOAc (2X30 mL). The combined EtOAc extract was mixed with heptane (20 mL) and the mixture was washed with brine (2X15 mL), dried over anh.
Na2SO4, concentrated to provide a colorless oil as 17-(3-(2-((tert- butoxycarbonyl)amino)ethoxy)propanoyl)-13,21,30-trioxo-4,7,10,24,27,31-hexaoxa-14,17,20- triazatetratriacont-33-enoic acid (274 mg, 37.8% yield). LC/MS: MH+=779.7, Rt=1.72 min (5 min acidic method). 1> CBF #.** B>d& :BGD$ j +,(*0 #]& +>$& 2(*/ h 1(3. #W& +>$& 1(3- h 1(2* #W& +>$& 0(1+ #O& J = 6.0 Hz, 1H), 5.98 – 5.84 (m, 1H), 5.35 – 5.26 (m, 1H), 5.24 – 5.16 (m, 1H), 4.60 – 4.51 (m, 2H), 3.68 – 3.53 (m, 10H), 3.53 – 3.41 (m, 12H), 3.40 – 3.24 (m, 8H, overlapping with DMSO), 3.17 (dt, J = 16.1, 6.3 Hz, 4H), 3.09 – 3.00 (m, 2H), 2.61 – 2.53 (m, 4H), 2.44 (t, J = 6.3 Hz, 2H), 2.33 – 2.24 (m, 4H), 1.37 (s, 9H). The aqueous layer was further extracted with 1/9 TFE / CH2Cl2 (3X15 mL) to provide additional title compound as a colorless oil (122 mg, 16.9% yield). Synthesis of di-tert-butyl 13-(3-(2-((((9H-fluoren-9-yl)methoxy)carbonyl)amino)ethoxy)propanoyl)- 4,7,10,16,19,22-hexaoxa-13-azapentacosanedioate
[919] To a solution of 3-(2-((((9H-fluoren-9-yl)methoxy)carbonyl)amino)ethoxy)propanoic acid (CAS number: 1654740-73-4) (87 mg, 0.244 mmol) in DMF (0.50 mL) was added HATU (93 mg, 0.244 mmol) and DIPEA (0.205 mL, 1.172 mmol). The mixture was stirred at RT for 15 min and added into a solution of di-tert-butyl 4,7,10,16,19,22-hexaoxa-13-azapentacosanedioate (Broadpharm) (105 mg, 0.195 mmol) in DMF (0.2 mL). The mixture was stirred at RT for 1 hr and concentrated to remove the volatile. The residue was diluted with DMSO (2 ml) and was purified by RP-ISCO chromatography (ISCO Gold C18 Column, 100 g, Water/MeCN as eluent, 0.1% TFA as modifier) to afford di-tert-butyl 13-(3-(2- ((((9H-fluoren-9-yl)methoxy)carbonyl)amino)ethoxy)propanoyl)-4,7,10,16,19,22-hexaoxa-13- azapentacosanedioate (135 mg, 79 % yield) after lyophilization. LC/MS: MH+=875.8, Rt=1.33 min (2 min acidic method). Synthesis of 13-(3-(2-((((9H-fluoren-9-yl)methoxy)carbonyl)amino)ethoxy)propanoyl)- 4,7,10,16,19,22-hexaoxa-13-azapentacosanedioic acid
[920] A mixture of di-tert-butyl 13-(3-(2-((((9H-fluoren-9- yl)methoxy)carbonyl)amino)ethoxy)propanoyl)-4,7,10,16,19,22-hexaoxa-13-azapentacosanedioate (135 mg, 0.154 mmol) and TFA (1.010 mL, 13.11 mmol) in DCM (2 mL) was stirred at RT for 2 hr. After adding DCE (3 ml), the mixture was concentrated on rotatory evaporator. The residue was diluted with
DMSO (2 mL) and purified by RP-ISCO chromatography (100 G ISCO Gold C18 Column, Water/MeCN as eluent, 0.1% TFA as modifier) to afford 13-(3-(2-((((9H-fluoren-9- yl)methoxy)carbonyl)amino)ethoxy)propanoyl)-4,7,10,16,19,22-hexaoxa-13-azapentacosanedioic acid (120 mg, 99 % yield) after lyophilization. LC/MS: MH+=763.5, Rt=0.97 min (2 min acidic method). Synthesis of tert-butyl (3-(bis(2-(2-(prop-2-yn-1-yloxy)ethoxy)ethyl)amino)-3-oxopropyl)carbamate
[921] To the solution of bis(2-(2-(prop-2-yn-1-yloxy)ethoxy)ethyl)amine (200 mg, 0.743 mmol), 3- ((tert-butoxycarbonyl)amino)propanoic acid (148 mg, 0.780 mmol) in DMF (4 ml) was added HATU (296 mg, 0.780 mmol) and then DIPEA (389 µl, 2.228 mmol). The reaction mixture was stirred at RT for 1h and was purified by a 150 g C18 RP column (Water/MeCN as eluent, 0.1% TFA as modifier) to afford after lyophilization tert-butyl (3-(bis(2-(2-(prop-2-yn-1-yloxy)ethoxy)ethyl)amino)-3- oxopropyl)carbamate (148 mg, 44% yield). LC/MS: MH+=441.3, Rt=0.92 min (2 min acidic method). Synthesis of 3-amino-N,N-bis(2-(2-(prop-2-yn-1-yloxy)ethoxy)ethyl)propanamide
[922] TFA (0.568 mL, 7.38 mmol) was added to a solution of tert-butyl (3-(bis(2-(2-(prop-2-yn-1- yloxy)ethoxy)ethyl)amino)-3-oxopropyl)carbamate (65 mg, 0.15 mmol) in dichloromethane (0.6 mL). The mixture was stirred at RT for 1 hr. After adding DCE (3 ml), the mixture was concentrated on rotatory evaporator.2-3 ml ether was added to the residue and sonicated, and the ether was removed to afford 3-amino-N,N-bis(2-(2-(prop-2-yn-1-yloxy)ethoxy)ethyl)propanamide (66.4 mg, 99 % yield). LC/MS: MH+=421.2, Rt=0.52 min (2 min acidic method). Synthesis of 4-(4-((2S,5S)-23-(3-(2-((tert-butoxycarbonyl)amino)ethoxy)propanoyl)-5-isopropyl- 4,7,19,27,36-pentaoxo-2-(3-ureidopropyl)-10,13,16,30,33,37-hexaoxa-3,6,20,23,26- pentaazatetracont-39-enamido)-2-(2,81,81-trimethyl-3,79-dioxo- 7,10,13,16,19,22,25,28,31,34,37,40,43,46,49,52,55,58,61,64,67,70,73,76,80-pentacosaoxa-2,4- diazadooctacontyl)benzyl)-4-(2-(4-(2-(6-(4-((1-(difluoromethyl)-1H-pyrazol-4-yl)(4- hydroxyphenyl)carbamoyl)-1,5-dimethyl-1H-pyrrol-2-yl)-7-((R)-3-methyl-1,2,3,4-
tetrahydroisoquinoline-2-carbonyl)-3,4-dihydroisoquinolin-2(1H)-yl)-2- oxoethyl)phenoxy)ethyl)morpholin-4-ium trifluoroacetate
[923] GENERAL PROCEDURE #3: a solution of 4-(4-((S)-2-((S)-2-amino-3-methylbutanamido)-5- ureidopentanamido)-2-(2,81,81-trimethyl-3,79-dioxo- 7,10,13,16,19,22,25,28,31,34,37,40,43,46,49,52,55,58,61,64,67,70,73,76,80-pentacosaoxa-2,4- diazadooctacontyl)benzyl)-4-(2-(4-(2-(6-(4-((1-(difluoromethyl)-1H-pyrazol-4-yl)(4- hydroxyphenyl)carbamoyl)-1,5-dimethyl-1H-pyrrol-2-yl)-7-((R)-3-methyl-1,2,3,4- tetrahydroisoquinoline-2-carbonyl)-3,4-dihydroisoquinolin-2(1H)-yl)-2- oxoethyl)phenoxy)ethyl)morpholin-4-ium trifluoroacetate (230 mg, 90.8 µmol), HOAT (14.2 mg, 104.5 µmol), 17-(3-(2-((tert-butoxycarbonyl)amino)ethoxy)propanoyl)-13,21,30-trioxo-4,7,10,24,27,31- hexaoxa-14,17,20-triazatetratriacont-33-enoic acid (81.4 mg, 104.5 µmol, 1.15 equiv.) and DIEA (79.1 µL, 454 µmol, 5.0 equiv.) in DMF (1 mL) was stirred for 5 minutes at which time PyBOP (54.4 mg, 104.5 µmol, 1.15 equiv.) was added. After stirring an additional 30 minutes, the solution was diluted with DMSO and purified by ISCO RP-HPLC. Upon lyophilization, 4-(4-((2S,5S)-23-(3-(2-((tert- butoxycarbonyl)amino)ethoxy)propanoyl)-5-isopropyl-4,7,19,27,36-pentaoxo-2-(3-ureidopropyl)- 10,13,16,30,33,37-hexaoxa-3,6,20,23,26-pentaazatetracont-39-enamido)-2-(2,81,81-trimethyl-3,79-dioxo- 7,10,13,16,19,22,25,28,31,34,37,40,43,46,49,52,55,58,61,64,67,70,73,76,80-pentacosaoxa-2,4- diazadooctacontyl)benzyl)-4-(2-(4-(2-(6-(4-((1-(difluoromethyl)-1H-pyrazol-4-yl)(4- hydroxyphenyl)carbamoyl)-1,5-dimethyl-1H-pyrrol-2-yl)-7-((R)-3-methyl-1,2,3,4- tetrahydroisoquinoline-2-carbonyl)-3,4-dihydroisoquinolin-2(1H)-yl)-2- oxoethyl)phenoxy)ethyl)morpholin-4-ium trifluoroacetate (294 mg, 95%) was obtained. HRMS: M+=3290.8000, Rt=2.52 min (5 min acidic method). Synthesis of 4-(4-((2S,5S)-23-(3-(2-((tert-butoxycarbonyl)amino)ethoxy)propanoyl)-35-carboxy-5- isopropyl-4,7,19,27-tetraoxo-2-(3-ureidopropyl)-10,13,16,30,33-pentaoxa-3,6,20,23,26- pentaazapentatriacontanamido)-2-(2,81,81-trimethyl-3,79-dioxo- 7,10,13,16,19,22,25,28,31,34,37,40,43,46,49,52,55,58,61,64,67,70,73,76,80-pentacosaoxa-2,4- diazadooctacontyl)benzyl) 4 (2 (4 (2 (6 (4 ((1 (difluoromethyl)-1H-pyrazol-4-yl)(4-
hydroxyphenyl)carbamoyl)-1,5-dimethyl-1H-pyrrol-2-yl)-7-((R)-3-methyl-1,2,3,4- tetrahydroisoquinoline-2-carbonyl)-3,4-dihydroisoquinolin-2(1H)-yl)-2- oxoethyl)phenoxy)ethyl)morpholin-4-ium trifluoroacetate
[924] Following GENERAL PROCEDURE #2 using 4-(4-((2S,5S)-23-(3-(2-((tert- butoxycarbonyl)amino)ethoxy)propanoyl)-5-isopropyl-4,7,19,27,36-pentaoxo-2-(3-ureidopropyl)- 10,13,16,30,33,37-hexaoxa-3,6,20,23,26-pentaazatetracont-39-enamido)-2-(2,81,81-trimethyl-3,79-dioxo- 7,10,13,16,19,22,25,28,31,34,37,40,43,46,49,52,55,58,61,64,67,70,73,76,80-pentacosaoxa-2,4- diazadooctacontyl)benzyl)-4-(2-(4-(2-(6-(4-((1-(difluoromethyl)-1H-pyrazol-4-yl)(4- hydroxyphenyl)carbamoyl)-1,5-dimethyl-1H-pyrrol-2-yl)-7-((R)-3-methyl-1,2,3,4- tetrahydroisoquinoline-2-carbonyl)-3,4-dihydroisoquinolin-2(1H)-yl)-2- oxoethyl)phenoxy)ethyl)morpholin-4-ium trifluoroacetate (274 mg, 80.4 µmol), pyrollidine (46 µL, 563 µmol) and tetrakis(triphenylphosphine)palladium (10 mg, 8.6 µmol), 4-(4-((2S,5S)-23-(3-(2-((tert- butoxycarbonyl)amino)ethoxy)propanoyl)-35-carboxy-5-isopropyl-4,7,19,27-tetraoxo-2-(3- ureidopropyl)-10,13,16,30,33-pentaoxa-3,6,20,23,26-pentaazapentatriacontanamido)-2-(2,81,81- trimethyl-3,79-dioxo-7,10,13,16,19,22,25,28,31,34,37,40,43,46,49,52,55,58,61,64,67,70,73,76,80- pentacosaoxa-2,4-diazadooctacontyl)benzyl)-4-(2-(4-(2-(6-(4-((1-(difluoromethyl)-1H-pyrazol-4-yl)(4- hydroxyphenyl)carbamoyl)-1,5-dimethyl-1H-pyrrol-2-yl)-7-((R)-3-methyl-1,2,3,4- tetrahydroisoquinoline-2-carbonyl)-3,4-dihydroisoquinolin-2(1H)-yl)-2- oxoethyl)phenoxy)ethyl)morpholin-4-ium trifluoroacetate (180 mg, 62% yield) was obtained. HRMS: M+=3250.7600, Rt=2.43 min (5 min acidic method). Synthesis of 4-(4-((6S,9S,42S,45S)-1-amino-24-(3-(2-((tert- butoxycarbonyl)amino)ethoxy)propanoyl)-6-((4-((4-(2-(4-(4-((R)-1-carboxy-2-(2-((2-(2- methoxyphenyl)pyrimidin-4-yl)methoxy)phenyl)ethoxy)-6-(4-fluorophenyl)thieno[2,3-d]pyrimidin- 5-yl)-2-chloro-3-methylphenoxy)ethyl)-1-methylpiperazin-1-ium-1-yl)methyl)-3-(78-carboxy-2- methyl-3-oxo-7,10,13,16,19,22,25,28,31,34,37,40,43,46,49,52,55,58,61,64,67,70,73,76-tetracosaoxa- 2,4-diazaoctaheptacontyl)phenyl)carbamoyl)-9,42-diisopropyl-1,8,11,20,28,40,43-heptaoxo-45-(3-
ureidopropyl)-14,17,31,34,37-pentaoxa-2,7,10,21,24,27,41,44-octaazahexatetracontan-46-amido)-2- (2,81,81-trimethyl-3,79-dioxo- 7,10,13,16,19,22,25,28,31,34,37,40,43,46,49,52,55,58,61,64,67,70,73,76,80-pentacosaoxa-2,4- diazadooctacontyl)benzyl)-4-(2-(4-(2-(6-(4-((1-(difluoromethyl)-1H-pyrazol-4-yl)(4- hydroxyphenyl)carbamoyl)-1,5-dimethyl-1H-pyrrol-2-yl)-7-((R)-3-methyl-1,2,3,4- tetrahydroisoquinoline-2-carbonyl)-3,4-dihydroisoquinolin-2(1H)-yl)-2- oxoethyl)phenoxy)ethyl)morpholin-4-ium trifluoroacetate
[925] GENERAL PROCEDURE #4: 4-(4-((2S,5S)-23-(3-(2-((tert- butoxycarbonyl)amino)ethoxy)propanoyl)-35-carboxy-5-isopropyl-4,7,19,27-tetraoxo-2-(3- ureidopropyl)-10,13,16,30,33-pentaoxa-3,6,20,23,26-pentaazapentatriacontanamido)-2-(2,81,81- trimethyl-3,79-dioxo-7,10,13,16,19,22,25,28,31,34,37,40,43,46,49,52,55,58,61,64,67,70,73,76,80- pentacosaoxa-2,4-diazadooctacontyl)benzyl)-4-(2-(4-(2-(6-(4-((1-(difluoromethyl)-1H-pyrazol-4-yl)(4- hydroxyphenyl)carbamoyl)-1,5-dimethyl-1H-pyrrol-2-yl)-7-((R)-3-methyl-1,2,3,4- tetrahydroisoquinoline-2-carbonyl)-3,4-dihydroisoquinolin-2(1H)-yl)-2- oxoethyl)phenoxy)ethyl)morpholin-4-ium trifluoroacetate (170 mg, 50.5 µmol), TSTU (16 mg, 53 µmol) and DIEA (132 µL, 757 µmol) in DMF (1.5 mL) were stirred for 15 minutes at which time 1-(4-((S)-2- ((S)-2-amino-3-methylbutanamido)-5-ureidopentanamido)-2-(78-carboxy-2-methyl-3-oxo- 7,10,13,16,19,22,25,28,31,34,37,40,43,46,49,52,55,58,61,64,67,70,73,76-tetracosaoxa-2,4- diazaoctaheptacontyl)benzyl)-4-(2-(4-(4-((R)-1-carboxy-2-(2-((2-(2-methoxyphenyl)pyrimidin-4- yl)methoxy)phenyl)ethoxy)-6-(4-fluorophenyl)thieno[2,3-d]pyrimidin-5-yl)-2-chloro-3- methylphenoxy)ethyl)-1-methylpiperazin-1-ium TFA salt (148.9 mg, 55.5 µmol) was added. After stirring for an additional 4 hours, the solution was diluted with DMSO and purified by ISCO RP-HPLC. Upon lyophilization, 4-(4-((6S,9S,42S,45S)-1-amino-24-(3-(2-((tert- butoxycarbonyl)amino)ethoxy)propanoyl)-6-((4-((4-(2-(4-(4-((R)-1-carboxy-2-(2-((2-(2- methoxyphenyl)pyrimidin-4-yl)methoxy)phenyl)ethoxy)-6-(4-fluorophenyl)thieno[2,3-d]pyrimidin-5-yl)- 2-chloro-3-methylphenoxy)ethyl)-1-methylpiperazin-1-ium-1-yl)methyl)-3-(78-carboxy-2-methyl-3-oxo- 7,10,13,16,19,22,25,28,31,34,37,40,43,46,49,52,55,58,61,64,67,70,73,76-tetracosaoxa-2,4-
diazaoctaheptacontyl)phenyl)carbamoyl)-9,42-diisopropyl-1,8,11,20,28,40,43-heptaoxo-45-(3- ureidopropyl)-14,17,31,34,37-pentaoxa-2,7,10,21,24,27,41,44-octaazahexatetracontan-46-amido)-2- (2,81,81-trimethyl-3,79-dioxo- 7,10,13,16,19,22,25,28,31,34,37,40,43,46,49,52,55,58,61,64,67,70,73,76,80-pentacosaoxa-2,4- diazadooctacontyl)benzyl)-4-(2-(4-(2-(6-(4-((1-(difluoromethyl)-1H-pyrazol-4-yl)(4- hydroxyphenyl)carbamoyl)-1,5-dimethyl-1H-pyrrol-2-yl)-7-((R)-3-methyl-1,2,3,4- tetrahydroisoquinoline-2-carbonyl)-3,4-dihydroisoquinolin-2(1H)-yl)-2- oxoethyl)phenoxy)ethyl)morpholin-4-ium trifluoroacetate (188 mg, 61% yield) was obtained. HRMS: (M+2- H+)+ = 5682.9502, Rt=2.68 min (5 min acidic method). Synthesis of 4-(4-((6S,9S,42S,45S)-1-amino-6-((4-((4-(2-(4-(4-((R)-1-carboxy-2-(2-((2-(2- methoxyphenyl)pyrimidin-4-yl)methoxy)phenyl)ethoxy)-6-(4-fluorophenyl)thieno[2,3-d]pyrimidin- 5-yl)-2-chloro-3-methylphenoxy)ethyl)-1-methylpiperazin-1-ium-1-yl)methyl)-3-(78-carboxy-2- methyl-3-oxo-7,10,13,16,19,22,25,28,31,34,37,40,43,46,49,52,55,58,61,64,67,70,73,76-tetracosaoxa- 2,4-diazaoctaheptacontyl)phenyl)carbamoyl)-24-(1-(2,5-dioxo-2,5-dihydro-1H-pyrrol-1-yl)-15-oxo- 3,6,9,12,19-pentaoxa-16-azadocosan-22-oyl)-9,42-diisopropyl-1,8,11,20,28,40,43-heptaoxo-45-(3- ureidopropyl)-14,17,31,34,37-pentaoxa-2,7,10,21,24,27,41,44-octaazahexatetracontan-46-amido)-2- (78-carboxy-2-methyl-3-oxo-7,10,13,16,19,22,25,28,31,34,37,40,43,46,49,52,55,58,61,64,67,70,73,76- tetracosaoxa-2,4-diazaoctaheptacontyl)benzyl)-4-(2-(4-(2-(6-(4-((1-(difluoromethyl)-1H-pyrazol-4- yl)(4-hydroxyphenyl)carbamoyl)-1,5-dimethyl-1H-pyrrol-2-yl)-7-((R)-3-methyl-1,2,3,4- tetrahydroisoquinoline-2-carbonyl)-3,4-dihydroisoquinolin-2(1H)-yl)-2- oxoethyl)phenoxy)ethyl)morpholin-4-ium trifluoroacetate P1-L17-P3
GENERAL PROCEDURE #5: 4-(4-((6S,9S,42S,45S)-1-amino-24-(3-(2-((tert- butoxycarbonyl)amino)ethoxy)propanoyl)-6-((4-((4-(2-(4-(4-((R)-1-carboxy-2-(2-((2-(2- methoxyphenyl)pyrimidin-4-yl)methoxy)phenyl)ethoxy)-6-(4-fluorophenyl)thieno[2,3-d]pyrimidin-5-yl)- 2-chloro-3-methylphenoxy)ethyl)-1-methylpiperazin-1-ium-1-yl)methyl)-3-(78-carboxy-2-methyl-3-oxo- 710131619222528313437404346495255586164677073,76-tetracosaoxa-2,4-
diazaoctaheptacontyl)phenyl)carbamoyl)-9,42-diisopropyl-1,8,11,20,28,40,43-heptaoxo-45-(3- ureidopropyl)-14,17,31,34,37-pentaoxa-2,7,10,21,24,27,41,44-octaazahexatetracontan-46-amido)-2- (2,81,81-trimethyl-3,79-dioxo- 7,10,13,16,19,22,25,28,31,34,37,40,43,46,49,52,55,58,61,64,67,70,73,76,80-pentacosaoxa-2,4- diazadooctacontyl)benzyl)-4-(2-(4-(2-(6-(4-((1-(difluoromethyl)-1H-pyrazol-4-yl)(4- hydroxyphenyl)carbamoyl)-1,5-dimethyl-1H-pyrrol-2-yl)-7-((R)-3-methyl-1,2,3,4- tetrahydroisoquinoline-2-carbonyl)-3,4-dihydroisoquinolin-2(1H)-yl)-2- oxoethyl)phenoxy)ethyl)morpholin-4-ium trifluoroacetate (185 mg, 31.3 µmol) was treated with 4 mL of 25% TFA/CH2Cl2 with 0.1% Triethylsilane for 1 hour at which time the volatiles were removed in vacuo. The residue was triturated with diethyl ether. The residue was dissolved in DMF (1.5 mL) and 2,5- dioxopyrrolidin-1-yl 1-(2,5-dioxo-2,5-dihydro-1H-pyrrol-1-yl)-3,6,9,12-tetraoxapentadecan-15-oate (28.5 mg, 64.4 µmol) and DIEA (84 µL, 483 µmol) were added. After stirring for 1 hour the solution was diluted with DMSO and purified by ISCO RP-HPLC. Upon lyophilization, 4-(4-((6S,9S,42S,45S)-1- amino-6-((4-((4-(2-(4-(4-((R)-1-carboxy-2-(2-((2-(2-methoxyphenyl)pyrimidin-4- yl)methoxy)phenyl)ethoxy)-6-(4-fluorophenyl)thieno[2,3-d]pyrimidin-5-yl)-2-chloro-3- methylphenoxy)ethyl)-1-methylpiperazin-1-ium-1-yl)methyl)-3-(78-carboxy-2-methyl-3-oxo- 7,10,13,16,19,22,25,28,31,34,37,40,43,46,49,52,55,58,61,64,67,70,73,76-tetracosaoxa-2,4- diazaoctaheptacontyl)phenyl)carbamoyl)-24-(1-(2,5-dioxo-2,5-dihydro-1H-pyrrol-1-yl)-15-oxo- 3,6,9,12,19-pentaoxa-16-azadocosan-22-oyl)-9,42-diisopropyl-1,8,11,20,28,40,43-heptaoxo-45-(3- ureidopropyl)-14,17,31,34,37-pentaoxa-2,7,10,21,24,27,41,44-octaazahexatetracontan-46-amido)-2-(78- carboxy-2-methyl-3-oxo-7,10,13,16,19,22,25,28,31,34,37,40,43,46,49,52,55,58,61,64,67,70,73,76- tetracosaoxa-2,4-diazaoctaheptacontyl)benzyl)-4-(2-(4-(2-(6-(4-((1-(difluoromethyl)-1H-pyrazol-4-yl)(4- hydroxyphenyl)carbamoyl)-1,5-dimethyl-1H-pyrrol-2-yl)-7-((R)-3-methyl-1,2,3,4- tetrahydroisoquinoline-2-carbonyl)-3,4-dihydroisoquinolin-2(1H)-yl)-2- oxoethyl)phenoxy)ethyl)morpholin-4-ium trifluoroacetate (110 mg, 57% yield) was obtained. HRMS: (M+2- H+)+ = 5853.9302, Rt=2.47 min (5 min acidic method). Synthesis of 1-(4-((29S,32S)-1-amino-29-isopropyl-27,30-dioxo-32-(3-ureidopropyl)- 3,6,9,12,15,18,21,24-octaoxa-28,31-diazatritriacontan-33-amido)-2-(75-methyl-74-oxo- 2,5,8,11,14,17,20,23,26,29,32,35,38,41,44,47,50,53,56,59,62,65,68,71-tetracosaoxa-75- azahexaheptacontan-76-yl)benzyl)-4-(2-(4-(4-((R)-1-carboxy-2-(2-((2-(2-methoxyphenyl)pyrimidin- 4-yl)methoxy)phenyl)ethoxy)-6-(4-fluorophenyl)thieno[2,3-d]pyrimidin-5-yl)-2-chloro-3- methylphenoxy)ethyl)-1-methylpiperazin-1-ium trifluoroacetate
GENERAL PROCEDURE #6: to a solution of 1-(4-((S)-2-((S)-2-amino-3-methylbutanamido)-5- ureidopentanamido)-2-(75-methyl-74-oxo- 2,5,8,11,14,17,20,23,26,29,32,35,38,41,44,47,50,53,56,59,62,65,68,71-tetracosaoxa-75- azahexaheptacontan-76-yl)benzyl)-4-(2-(4-(4-((R)-1-carboxy-2-(2-((2-(2-methoxyphenyl)pyrimidin-4- yl)methoxy)phenyl)ethoxy)-6-(4-fluorophenyl)thieno[2,3-d]pyrimidin-5-yl)-2-chloro-3- methylphenoxy)ethyl)-1-methylpiperazin-1-ium (77 mg, 28 µmol), 1-(9H-fluoren-9-yl)-3-oxo- 2,7,10,13,16,19,22,25,28-nonaoxa-4-azahentriacontan-31-oic acid (28.2 mg, 42 µmol) and HATU (11.8 mg, 31 µmol) in DMF (1 mL) was added DIEA (30 µL, 170 µmol). After stirring for 30 min, 2.0 M Dimethylamine in MeOH (141 µL, 282 µmol) was added and after an additional 1 hour stirring the solution was diluted with DMSO and purified by ISCO RP-HPLC. Upon lyophilization, 1-(4- ((29S,32S)-1-amino-29-isopropyl-27,30-dioxo-32-(3-ureidopropyl)-3,6,9,12,15,18,21,24-octaoxa-28,31- diazatritriacontan-33-amido)-2-(75-methyl-74-oxo- 2,5,8,11,14,17,20,23,26,29,32,35,38,41,44,47,50,53,56,59,62,65,68,71-tetracosaoxa-75- azahexaheptacontan-76-yl)benzyl)-4-(2-(4-(4-((R)-1-carboxy-2-(2-((2-(2-methoxyphenyl)pyrimidin-4- yl)methoxy)phenyl)ethoxy)-6-(4-fluorophenyl)thieno[2,3-d]pyrimidin-5-yl)-2-chloro-3- methylphenoxy)ethyl)-1-methylpiperazin-1-ium trifluoroacetate (66 mg, 74% yield) was obtained. HRMS: M+=2801.4199, Rt=2.18 min (5 min acidic method). Synthesis of 1-(4-((10S,41S,44S)-10-amino-41-isopropyl-2,2-dimethyl-4,11,39,42-tetraoxo-44-(3- ureidopropyl)-3,15,18,21,24,27,30,33,36-nonaoxa-5,12,40,43-tetraazapentatetracontan-45-amido)-2- (75-methyl-74-oxo-2,5,8,11,14,17,20,23,26,29,32,35,38,41,44,47,50,53,56,59,62,65,68,71-tetracosaoxa- 75-azahexaheptacontan-76-yl)benzyl)-4-(2-(4-(4-((R)-1-carboxy-2-(2-((2-(2- methoxyphenyl)pyrimidin-4-yl)methoxy)phenyl)ethoxy)-6-(4-fluorophenyl)thieno[2,3-d]pyrimidin- 5-yl)-2-chloro-3-methylphenoxy)ethyl)-1-methylpiperazin-1-ium trifluoroacetate
Following GENERAL PROCEDURE #6 using 1-(4-((29S,32S)-1-amino-29-isopropyl-27,30-dioxo-32- (3-ureidopropyl)-3,6,9,12,15,18,21,24-octaoxa-28,31-diazatritriacontan-33-amido)-2-(75-methyl-74-oxo- 2,5,8,11,14,17,20,23,26,29,32,35,38,41,44,47,50,53,56,59,62,65,68,71-tetracosaoxa-75- azahexaheptacontan-76-yl)benzyl)-4-(2-( 4-(4-((R)-1-carboxy-2-(2-((2-(2-methoxyphenyl)pyrimidin-4- yl)methoxy)phenyl)ethoxy)-6-(4-fluorophenyl)thieno[2,3-d]pyrimidin-5-yl)-2-chloro-3- methylphenoxy)ethyl)-1-methylpiperazin-1-ium trifluoroacetate (30 mg, 9.9 µmol), N2-(((9H-fluoren-9- yl)methoxy)carbonyl)-N6-(tert-butoxycarbonyl)-L-lysine (6 mg, 13 µmol) and HATU (4.1 mg, 10.9 µmol) and then 2.0 M Dimethylamine in MeOH (99 µL, 198 µmol),1-(4-((10S,41S,44S)-10-amino-41- isopropyl-2,2-dimethyl-4,11,39,42-tetraoxo-44-(3-ureidopropyl)-3,15,18,21,24,27,30,33,36-nonaoxa- 5,12,40,43-tetraazapentatetracontan-45-amido)-2-(75-methyl-74-oxo- 2,5,8,11,14,17,20,23,26,29,32,35,38,41,44,47,50,53,56,59,62,65,68,71-tetracosaoxa-75- azahexaheptacontan-76-yl)benzyl)-4-(2-(4-(4-((R)-1-carboxy-2-(2-((2-(2-methoxyphenyl)pyrimidin-4- yl)methoxy)phenyl)ethoxy)-6-(4-fluorophenyl)thieno[2,3-d]pyrimidin-5-yl)-2-chloro-3- methylphenoxy)ethyl)-1-methylpiperazin-1-ium trifluoroacetate (22.3 mg, 67% yield) was obtained. HRMS: M+=3029.5701, Rt=2.25 min (5 min acidic method). Synthesis of 4-(2-(4-(4-((R)-1-carboxy-2-(2-((2-(2-methoxyphenyl)pyrimidin-4- yl)methoxy)phenyl)ethoxy)-6-(4-fluorophenyl)thieno[2,3-d]pyrimidin-5-yl)-2-chloro-3- methylphenoxy)ethyl)-1-(4-((2S,5S)-37-((2,5-dioxopyrrolidin-1-yl)oxy)-5-isopropyl-4,7,37-trioxo-2- (3-ureidopropyl)-10,13,16,19,22,25,28,31,34-nonaoxa-3,6-diazaheptatriacontanamido)-2-(75-methyl- 74-oxo-2,5,8,11,14,17,20,23,26,29,32,35,38,41,44,47,50,53,56,59,62,65,68,71-tetracosaoxa-75- azahexaheptacontan-76-yl)benzyl)-1-methylpiperazin-1-ium trifluoroacetate
To a solution of 1-(4-((S)-2-((S)-2-amino-3-methylbutanamido)-5-ureidopentanamido)-2-(75-methyl-74- oxo-2,5,8,11,14,17,20,23,26,29,32,35,38,41,44,47,50,53,56,59,62,65,68,71-tetracosaoxa-75- azahexaheptacontan-76-yl)benzyl)-4-(2-(4-(4-((R)-1-carboxy-2-(2-((2-(2-methoxyphenyl)pyrimidin-4- yl)methoxy)phenyl)ethoxy)-6-(4-fluorophenyl)thieno[2,3-d]pyrimidin-5-yl)-2-chloro-3- methylphenoxy)ethyl)-1-methylpiperazin-1-ium trifluoroacetate (36.5 mg, 12 µmol) and bis(2,5- dioxopyrrolidin-1-yl) 4,7,10,13,16,19,22,25,28-nonaoxahentriacontanedioate (29.9 mg, 42 µmol) in DMF (0.5 mL) was added DIEA (13 µL, 72 µmol). After stirring for 1 hour, the solution was diluted with DMSO and purified by ISCO RP-HPLC. Upon lyophilization, 4-(2-(4-(4-((R)-1-carboxy-2-(2-((2-(2- methoxyphenyl)pyrimidin-4-yl)methoxy)phenyl)ethoxy)-6-(4-fluorophenyl)thieno[2,3-d]pyrimidin-5-yl)- 2-chloro-3-methylphenoxy)ethyl)-1-(4-((2S,5S)-37-((2,5-dioxopyrrolidin-1-yl)oxy)-5-isopropyl-4,7,37- trioxo-2-(3-ureidopropyl)-10,13,16,19,22,25,28,31,34-nonaoxa-3,6-diazaheptatriacontanamido)-2-(75- methyl-74-oxo-2,5,8,11,14,17,20,23,26,29,32,35,38,41,44,47,50,53,56,59,62,65,68,71-tetracosaoxa-75- azahexaheptacontan-76-yl)benzyl)-1-methylpiperazin-1-ium trifluoroacetate (34.5 mg, 93% yield) was obtained. HRMS: M+=2971.4399, Rt=2.39 min (5 min acidic method). Synthesis of 1,1'-(((((2S,5S,36S,70S,73S)-36-(4-((tert-butoxycarbonyl)amino)butyl)-5,70- diisopropyl-4,7,35,38,68,71-hexaoxo-2,73-bis(3-ureidopropyl)- 10,13,16,19,22,25,28,31,41,44,47,50,53,56,59,62,65-heptadecaoxa-3,6,34,37,69,72- hexaazatetraheptacontanedioyl)bis(azanediyl))bis(2-(75-methyl-74-oxo- 2,5,8,11,14,17,20,23,26,29,32,35,38,41,44,47,50,53,56,59,62,65,68,71-tetracosaoxa-75- azahexaheptacontan-76-yl)-4,1-phenylene))bis(methylene))bis(4-(2-(4-(4-((R)-1-carboxy-2-(2-((2-(2- methoxyphenyl)pyrimidin-4-yl)methoxy)phenyl)ethoxy)-6-(4-fluorophenyl)thieno[2,3-d]pyrimidin- 5-yl)-2-chloro-3-methylphenoxy)ethyl)-1-methylpiperazin-1-ium) trifluoroacetate
To a solution of 1-(4-((10S,41S,44S)-10-amino-41-isopropyl-2,2-dimethyl-4,11,39,42-tetraoxo-44-(3- ureidopropyl)-3,15,18,21,24,27,30,33,36-nonaoxa-5,12,40,43-tetraazapentatetracontan-45-amido)-2-(75- methyl-74-oxo-2,5,8,11,14,17,20,23,26,29,32,35,38,41,44,47,50,53,56,59,62,65,68,71-tetracosaoxa-75- azahexaheptacontan-76-yl)benzyl)-4-(2-(4-(4-((R)-1-carboxy-2-(2-((2-(2-methoxyphenyl)pyrimidin-4- yl)methoxy)phenyl)ethoxy)-6-(4-fluorophenyl)thieno[2,3-d]pyrimidin-5-yl)-2-chloro-3- methylphenoxy)ethyl)-1-methylpiperazin-1-ium trifluoroacetate (223 mg 6.6 µmol) and 4-(2-(4-(4-((R)-
1-carboxy-2-(2-((2-(2-methoxyphenyl)pyrimidin-4-yl)methoxy)phenyl)ethoxy)-6-(4- fluorophenyl)thieno[2,3-d]pyrimidin-5-yl)-2-chloro-3-methylphenoxy)ethyl)-1-(4-((2S,5S)-37-((2,5- dioxopyrrolidin-1-yl)oxy)-5-isopropyl-4,7,37-trioxo-2-(3-ureidopropyl)-10,13,16,19,22,25,28,31,34- nonaoxa-3,6-diazaheptatriacontanamido)-2-(75-methyl-74-oxo- 2,5,8,11,14,17,20,23,26,29,32,35,38,41,44,47,50,53,56,59,62,65,68,71-tetracosaoxa-75- azahexaheptacontan-76-yl)benzyl)-1-methylpiperazin-1-ium trifluoroacetate (22.3 mg, 6.6 µmol) in DMF (1 mL) was added DIEA (12 µL, 66 µmol). After stirring for 5 hours, the solution was diluted with DMSO and purified by ISCO RP-HPLC. Upon lyophilization, 1,1'-(((((2S,5S,36S,70S,73S)-36-(4-((tert- butoxycarbonyl)amino)butyl)-5,70-diisopropyl-4,7,35,38,68,71-hexaoxo-2,73-bis(3-ureidopropyl)- 10,13,16,19,22,25,28,31,41,44,47,50,53,56,59,62,65-heptadecaoxa-3,6,34,37,69,72- hexaazatetraheptacontanedioyl)bis(azanediyl))bis(2-(75-methyl-74-oxo- 2,5,8,11,14,17,20,23,26,29,32,35,38,41,44,47,50,53,56,59,62,65,68,71-tetracosaoxa-75- azahexaheptacontan-76-yl)-4,1-phenylene))bis(methylene))bis(4-(2-(4-(4-((R)-1-carboxy-2-(2-((2-(2- methoxyphenyl)pyrimidin-4-yl)methoxy)phenyl)ethoxy)-6-(4-fluorophenyl)thieno[2,3-d]pyrimidin-5-yl)- 2-chloro-3-methylphenoxy)ethyl)-1-methylpiperazin-1-ium) trifluoroacetate (24.7 mg, 61% yield) was obtained. HRMS: (M+2- H+)+ = 5884.9502, Rt=2.70 min (5 min acidic method). Synthesis of 1,1'-(((((2S,5S,36S,70S,73S)-36-(1-(2,5-dioxo-2,5-dihydro-1H-pyrrol-1-yl)-27-oxo- 3,6,9,12,15,18,21,24-octaoxa-28-azadotriacontan-32-yl)-5,70-diisopropyl-4,7,35,38,68,71-hexaoxo- 2,73-bis(3-ureidopropyl)-10,13,16,19,22,25,28,31,41,44,47,50,53,56,59,62,65-heptadecaoxa- 3,6,34,37,69,72-hexaazatetraheptacontanedioyl)bis(azanediyl))bis(2-(75-methyl-74-oxo- 2,5,8,11,14,17,20,23,26,29,32,35,38,41,44,47,50,53,56,59,62,65,68,71-tetracosaoxa-75- azahexaheptacontan-76-yl)-4,1-phenylene))bis(methylene))bis(4-(2-(4-(4-((R)-1-carboxy-2-(2-((2-(2- methoxyphenyl)pyrimidin-4-yl)methoxy)phenyl)ethoxy)-6-(4-fluorophenyl)thieno[2,3-d]pyrimidin- 5-yl)-2-chloro-3-methylphenoxy)ethyl)-1-methylpiperazin-1-ium) trifluoroacetate (P1-L8-P1)
hexaazatetraheptacontanedioyl)bis(azanediyl))bis(2-(75-methyl-74-oxo- 2,5,8,11,14,17,20,23,26,29,32,35,38,41,44,47,50,53,56,59,62,65,68,71-tetracosaoxa-75- azahexaheptacontan-76-yl)-4,1-phenylene))bis(methylene))bis(4-(2-(4-(4-((R)-1-carboxy-2-(2-((2-(2- methoxyphenyl)pyrimidin-4-yl)methoxy)phenyl)ethoxy)-6-(4-fluorophenyl)thieno[2,3-d]pyrimidin-5-yl)- 2-chloro-3-methylphenoxy)ethyl)-1-methylpiperazin-1-ium) trifluoroacetate (24.7 mg, 4 µmol), 2,5- dioxopyrrolidin-1-yl 1-(2,5-dioxo-2,5-dihydro-1H-pyrrol-1-yl)-3,6,9,12,15,18,21,24-octaoxaheptacosan- 27-oate (5 mg, 8 µmol) and DIEA (14.1 µL, 81 µmol), 1,1'-(((((2S,5S,36S,70S,73S)-36-(1-(2,5-dioxo- 2,5-dihydro-1H-pyrrol-1-yl)-27-oxo-3,6,9,12,15,18,21,24-octaoxa-28-azadotriacontan-32-yl)-5,70- diisopropyl-4,7,35,38,68,71-hexaoxo-2,73-bis(3-ureidopropyl)- 10,13,16,19,22,25,28,31,41,44,47,50,53,56,59,62,65-heptadecaoxa-3,6,34,37,69,72- hexaazatetraheptacontanedioyl)bis(azanediyl))bis(2-(75-methyl-74-oxo- 2,5,8,11,14,17,20,23,26,29,32,35,38,41,44,47,50,53,56,59,62,65,68,71-tetracosaoxa-75- azahexaheptacontan-76-yl)-4,1-phenylene))bis(methylene))bis(4-(2-(4-(4-((R)-1-carboxy-2-(2-((2-(2- methoxyphenyl)pyrimidin-4-yl)methoxy)phenyl)ethoxy)-6-(4-fluorophenyl)thieno[2,3-d]pyrimidin-5-yl)- 2-chloro-3-methylphenoxy)ethyl)-1-methylpiperazin-1-ium) trifluoroacetate (8.4 mg, 30% yield) was obtained. HRMS: (M+2- H+)+ = 6288.0200, Rt=2.59 min (5 min acidic method). [927] [928] Synthesis of 1,1'-(((((2S,5S,27S,32S,35S)-27-amino-5,32-diisopropyl-4,7,26,30,33-pentaoxo- 2,35-bis(3-ureidopropyl)-10,13,16,19,22-pentaoxa-3,6,25,31,34- pentaazahexatriacontanedioyl)bis(azanediyl))bis(2-(80-carboxy-2-methyl-3-oxo- 6,9,12,15,18,21,24,27,30,33,36,39,42,45,48,51,54,57,60,63,66,69,72,75,78-pentacosaoxa-2- azaoctacontyl)-4,1-phenylene))bis(methylene))bis(4-(2-(4-(4-((R)-1-carboxy-2-(2-((2-(2- methoxyphenyl)pyrimidin-4-yl)methoxy)phenyl)ethoxy)-6-(4-fluorophenyl)thieno[2,3-d]pyrimidin- 5-yl)-2-chloro-3-methylphenoxy)ethyl)-1-methylpiperazin-1-ium) trifluoroacetate
[930] Following the GENERAL PROCEDURE #6 using 1-(4-((S)-2-((S)-2-amino-3- methylbutanamido)-5-ureidopentanamido)-2-(80-carboxy-2-methyl-3-oxo- 6,9,12,15,18,21,24,27,30,33,36,39,42,45,48,51,54,57,60,63,66,69,72,75,78-pentacosaoxa-2- azaoctacontyl)benzyl)-4-(2-(4-(4-((R)-1-carboxy-2-(2-((2-(2-methoxyphenyl)pyrimidin-4- yl)methoxy)phenyl)ethoxy)-6-(4-fluorophenyl)thieno[2,3-d]pyrimidin-5-yl)-2-chloro-3- methylphenoxy)ethyl)-1-methylpiperazin-1-ium trifluoroacetate (98 mg, 39 µmol), (S)-21-((((9H-fluoren- 9-yl)methoxy)carbonyl)amino)-20-oxo-4,7,10,13,16-pentaoxa-19-azatetracosanedioic acid (10 mg, 15 µmol), HATU (11.5 mg, 30 µmol), DIEA (26.4 µL, 151 µmol) and then 2.0 M Dimethylamine in MeOH (480 µL, 960 µmol), 1,1'-(((((2S,5S,27S,32S,35S)-27-amino-5,32-diisopropyl-4,7,26,30,33-pentaoxo- 2,35-bis(3-ureidopropyl)-10,13,16,19,22-pentaoxa-3,6,25,31,34- pentaazahexatriacontanedioyl)bis(azanediyl))bis(2-(80-carboxy-2-methyl-3-oxo- 6,9,12,15,18,21,24,27,30,33,36,39,42,45,48,51,54,57,60,63,66,69,72,75,78-pentacosaoxa-2- azaoctacontyl)-4,1-phenylene))bis(methylene))bis(4-(2-(4-(4-((R)-1-carboxy-2-(2-((2-(2- methoxyphenyl)pyrimidin-4-yl)methoxy)phenyl)ethoxy)-6-(4-fluorophenyl)thieno[2,3-d]pyrimidin-5-yl)- 2-chloro-3-methylphenoxy)ethyl)-1-methylpiperazin-1-ium) trifluoroacetate (26.5 mg, 32% yield) was obtained. HRMS: (M+2- H+)+ = 5361.5601, Rt=2.50 min (5 min acidic method). Synthesis of 1,1'-(((((2S,5S,27S,32S,35S)-27-(1-(2,5-dioxo-2,5-dihydro-1H-pyrrol-1-yl)- 3,6,9,12,15,18,21,24-octaoxaheptacosan-27-amido)-5,32-diisopropyl-4,7,26,30,33-pentaoxo-2,35- bis(3-ureidopropyl)-10,13,16,19,22-pentaoxa-3,6,25,31,34- pentaazahexatriacontanedioyl)bis(azanediyl))bis(2-(80-carboxy-2-methyl-3-oxo- 6,9,12,15,18,21,24,27,30,33,36,39,42,45,48,51,54,57,60,63,66,69,72,75,78-pentacosaoxa-2- azaoctacontyl)-4,1-phenylene))bis(methylene))bis(4-(2-(4-(4-((R)-1-carboxy-2-(2-((2-(2- methoxyphenyl)pyrimidin-4-yl)methoxy)phenyl)ethoxy)-6-(4-fluorophenyl)thieno[2,3-d]pyrimidin- 5-yl)-2-chloro-3-methylphenoxy)ethyl)-1-methylpiperazin-1-ium) trifluoroacetate (P1-L1-P1)
[931] Following the second half of GENERAL PROCEDURE #5 using 1,1'-(((((2S,5S,27S,32S,35S)- 27-amino-5,32-diisopropyl-4,7,26,30,33-pentaoxo-2,35-bis(3-ureidopropyl)-10,13,16,19,22-pentaoxa- 3,6,25,31,34-pentaazahexatriacontanedioyl)bis(azanediyl))bis(2-(80-carboxy-2-methyl-3-oxo- 6,9,12,15,18,21,24,27,30,33,36,39,42,45,48,51,54,57,60,63,66,69,72,75,78-pentacosaoxa-2- azaoctacontyl)-4,1-phenylene))bis(methylene))bis(4-(2-(4-(4-((R)-1-carboxy-2-(2-((2-(2- methoxyphenyl)pyrimidin-4-yl)methoxy)phenyl)ethoxy)-6-(4-fluorophenyl)thieno[2,3-d]pyrimidin-5-yl)- 2-chloro-3-methylphenoxy)ethyl)-1-methylpiperazin-1-ium) trifluoroacetate (26.5 mg, 4.7 µmol), 2,5- dioxopyrrolidin-1-yl 1-(2,5-dioxo-2,5-dihydro-1H-pyrrol-1-yl)-3,6,9,12,15,18,21,24-octaoxaheptacosan- 27-oate (14.7 mg, 24 µmol) and DIEA (16.5 mg, 95 µmol), 1,1'-(((((2S,5S,27S,32S,35S)-27-(1-(2,5- dioxo-2,5-dihydro-1H-pyrrol-1-yl)-3,6,9,12,15,18,21,24-octaoxaheptacosan-27-amido)-5,32-diisopropyl- 4,7,26,30,33-pentaoxo-2,35-bis(3-ureidopropyl)-10,13,16,19,22-pentaoxa-3,6,25,31,34- pentaazahexatriacontanedioyl)bis(azanediyl))bis(2-(80-carboxy-2-methyl-3-oxo- 6,9,12,15,18,21,24,27,30,33,36,39,42,45,48,51,54,57,60,63,66,69,72,75,78-pentacosaoxa-2- azaoctacontyl)-4,1-phenylene))bis(methylene))bis(4-(2-(4-(4-((R)-1-carboxy-2-(2-((2-(2- methoxyphenyl)pyrimidin-4-yl)methoxy)phenyl)ethoxy)-6-(4-fluorophenyl)thieno[2,3-d]pyrimidin-5-yl)- 2-chloro-3-methylphenoxy)ethyl)-1-methylpiperazin-1-ium) trifluoroacetate (10 mg, 34% yield) was obtained. HRMS: (M+2- H+)+ = 5864.7998, Rt=2.65 min (5 min acidic method). [932] [933] Synthesis of 1,1'-(((((2S,5S,30S,35S,38S)-30-amino-5,35-diisopropyl-4,7,29,33,36-pentaoxo- 2,38-bis(3-ureidopropyl)-10,13,16,19,22,25-hexaoxa-3,6,28,34,37- pentaazanonatriacontanedioyl)bis(azanediyl))bis(2-(80-carboxy-2-methyl-3-oxo- 6,9,12,15,18,21,24,27,30,33,36,39,42,45,48,51,54,57,60,63,66,69,72,75,78-pentacosaoxa-2- azaoctacontyl)-4,1-phenylene))bis(methylene))bis(4-(2-(4-(4-((R)-1-carboxy-2-(2-((2-(2- methoxyphenyl)pyrimidin-4-yl)methoxy)phenyl)ethoxy)-6-(4-fluorophenyl)thieno[2,3-d]pyrimidin- 5-yl)-2-chloro-3-methylphenoxy)ethyl)-1-methylpiperazin-1-ium) trifluoroacetate
[934]
[935] Following the GENERAL PROCEDURE #6 using 1-(4-((S)-2-((S)-2-amino-3- methylbutanamido)-5-ureidopentanamido)-2-(80-carboxy-2-methyl-3-oxo- 6,9,12,15,18,21,24,27,30,33,36,39,42,45,48,51,54,57,60,63,66,69,72,75,78-pentacosaoxa-2- azaoctacontyl)benzyl)-4-(2-(4-(4-((R)-1-carboxy-2-(2-((2-(2-methoxyphenyl)pyrimidin-4- yl)methoxy)phenyl)ethoxy)-6-(4-fluorophenyl)thieno[2,3-d]pyrimidin-5-yl)-2-chloro-3- methylphenoxy)ethyl)-1-methylpiperazin-1-ium trifluoroacetate (146 mg, 59 µmol), (S)-24-((((9H- fluoren-9-yl)methoxy)carbonyl)amino)-23-oxo-4,7,10,13,16,19-hexaoxa-22-azaheptacosanedioic acid (16 mg, 23 µmol), HATU (17.3 mg, 45 µmol), DIEA (39.7 µL, 227 µmol) and then 2.0 M Dimethylamine in MeOH (862 µL, 1725 µmol), 1,1'-(((((2S,5S,30S,35S,38S)-30-amino-5,35-diisopropyl-4,7,29,33,36- pentaoxo-2,38-bis(3-ureidopropyl)-10,13,16,19,22,25-hexaoxa-3,6,28,34,37- pentaazanonatriacontanedioyl)bis(azanediyl))bis(2-(80-carboxy-2-methyl-3-oxo- 6,9,12,15,18,21,24,27,30,33,36,39,42,45,48,51,54,57,60,63,66,69,72,75,78-pentacosaoxa-2- azaoctacontyl)-4,1-phenylene))bis(methylene))bis(4-(2-(4-(4-((R)-1-carboxy-2-(2-((2-(2- methoxyphenyl)pyrimidin-4-yl)methoxy)phenyl)ethoxy)-6-(4-fluorophenyl)thieno[2,3-d]pyrimidin-5-yl)- 2-chloro-3-methylphenoxy)ethyl)-1-methylpiperazin-1-ium) trifluoroacetate (66 mg, 43% yield) was obtained. HRMS: (M+2- H+)+ = 5405.6001, Rt=2.50 min (5 min acidic method). Synthesis of 1,1'-(((((2S,5S,30S,35S,38S)-30-(1-(2,5-dioxo-2,5-dihydro-1H-pyrrol-1-yl)- 3,6,9,12,15,18,21,24-octaoxaheptacosan-27-amido)-5,35-diisopropyl-4,7,29,33,36-pentaoxo-2,38- bis(3-ureidopropyl)-10,13,16,19,22,25-hexaoxa-3,6,28,34,37- pentaazanonatriacontanedioyl)bis(azanediyl))bis(2-(80-carboxy-2-methyl-3-oxo- 6,9,12,15,18,21,24,27,30,33,36,39,42,45,48,51,54,57,60,63,66,69,72,75,78-pentacosaoxa-2- azaoctacontyl)-4,1-phenylene))bis(methylene))bis(4-(2-(4-(4-((R)-1-carboxy-2-(2-((2-(2-
methoxyphenyl)pyrimidin-4-yl)methoxy)phenyl)ethoxy)-6-(4-fluorophenyl)thieno[2,3-d]pyrimidin- 5-yl)-2-chloro-3-methylphenoxy)ethyl)-1-methylpiperazin-1-ium) trifluoroacetate (P1-L2-P1)
[936] Following the second half of GENERAL PROCEDURE #5 using 1,1'-(((((2S,5S,30S,35S,38S)- 30-amino-5,35-diisopropyl-4,7,29,33,36-pentaoxo-2,38-bis(3-ureidopropyl)-10,13,16,19,22,25-hexaoxa- 3,6,28,34,37-pentaazanonatriacontanedioyl)bis(azanediyl))bis(2-(80-carboxy-2-methyl-3-oxo- 6,9,12,15,18,21,24,27,30,33,36,39,42,45,48,51,54,57,60,63,66,69,72,75,78-pentacosaoxa-2- azaoctacontyl)-4,1-phenylene))bis(methylene))bis(4-(2-(4-(4-((R)-1-carboxy-2-(2-((2-(2- methoxyphenyl)pyrimidin-4-yl)methoxy)phenyl)ethoxy)-6-(4-fluorophenyl)thieno[2,3-d]pyrimidin-5-yl)- 2-chloro-3-methylphenoxy)ethyl)-1-methylpiperazin-1-ium) trifluoroacetate (49.4 mg, 8.6 µmol), 2,5- dioxopyrrolidin-1-yl 1-(2,5-dioxo-2,5-dihydro-1H-pyrrol-1-yl)-3,6,9,12,15,18,21,24-octaoxaheptacosan- 27-oate (26.6 mg, 43 µmol) and DIEA (30 µL, 172 µmol), 1,1'-(((((2S,5S,30S,35S,38S)-30-(1-(2,5-dioxo- 2,5-dihydro-1H-pyrrol-1-yl)-3,6,9,12,15,18,21,24-octaoxaheptacosan-27-amido)-5,35-diisopropyl- 4,7,29,33,36-pentaoxo-2,38-bis(3-ureidopropyl)-10,13,16,19,22,25-hexaoxa-3,6,28,34,37- pentaazanonatriacontanedioyl)bis(azanediyl))bis(2-(80-carboxy-2-methyl-3-oxo- 6,9,12,15,18,21,24,27,30,33,36,39,42,45,48,51,54,57,60,63,66,69,72,75,78-pentacosaoxa-2- azaoctacontyl)-4,1-phenylene))bis(methylene))bis(4-(2-(4-(4-((R)-1-carboxy-2-(2-((2-(2- methoxyphenyl)pyrimidin-4-yl)methoxy)phenyl)ethoxy)-6-(4-fluorophenyl)thieno[2,3-d]pyrimidin-5-yl)- 2-chloro-3-methylphenoxy)ethyl)-1-methylpiperazin-1-ium) trifluoroacetate (22.5 mg, 42% yield) was obtained. HRMS: (M+2- H+)+ = 5908.8501, Rt=2.64 min (5 min acidic method). [937] [938] Synthesis of 1-(4-((S)-2-((S)-2-amino-3-methylbutanamido)-5-ureidopentanamido)benzyl)-4- (2-(2-chloro-4-(6-(4-fluorophenyl)-4-(((R)-1-((4-methoxybenzyl)oxy)-3-(2-((2-(2-
methoxyphenyl)pyrimidin-4-yl)methoxy)phenyl)-1-oxopropan-2-yl)oxy)thieno[2,3-d]pyrimidin-5- yl)-3-methylphenoxy)ethyl)-1-methylpiperazin-1-ium trifluoroacetate [939]
[940] To a solution of 4-methoxybenzyl (R)-2-((5-(3-chloro-2-methyl-4-(2-(4-methylpiperazin-1- yl)ethoxy)phenyl)-6-(4-fluorophenyl)thieno[2,3-d]pyrimidin-4-yl)oxy)-3-(2-((2-(2- methoxyphenyl)pyrimidin-4-yl)methoxy)phenyl)propanoate (380 mg, 382 µmol), tetrabutylammonium iodide (169 mg, 458 µmol) and (9H-fluoren-9-yl)methyl ((S)-1-(((S)-1-((4-(chloromethyl)phenyl)amino)- 1-oxo-5-ureidopentan-2-yl)amino)-3-methyl-1-oxobutan-2-yl)carbamate (284 mg, 458 µmol) in DMF (3 mL) was added DIEA (133 µL, 763 mmol). After stirring for 16 hours, 2.0 M Dimethyl amine in MeOH (5.7 mL, 11.4 mmol) was added. After stirring for 1 hour, the solution was diluted with DMSO and purified by ISCO RP-HPLC. Upon lyophilization, 1-(4-((S)-2-((S)-2-amino-3-methylbutanamido)-5- ureidopentanamido)benzyl)-4-(2-(2-chloro-4-(6-(4-fluorophenyl)-4-(((R)-1-((4-methoxybenzyl)oxy)-3- (2-((2-(2-methoxyphenyl)pyrimidin-4-yl)methoxy)phenyl)-1-oxopropan-2-yl)oxy)thieno[2,3- d]pyrimidin-5-yl)-3-methylphenoxy)ethyl)-1-methylpiperazin-1-ium trifluoroacetate was obtained. LCMS: (M+2/2)+ = 679.2, Rt=2.19 min (5 min acidic method). Synthesis of 1-(4-((6S,9S,12S)-6-(aminomethyl)-9-isopropyl-2,2-dimethyl-4,7,10-trioxo-12-(3- ureidopropyl)-3-oxa-5,8,11-triazatridecan-13-amido)benzyl)-4-(2-(2-chloro-4-(6-(4-fluorophenyl)-4- (((R)-1-((4-methoxybenzyl)oxy)-3-(2-((2-(2-methoxyphenyl)pyrimidin-4-yl)methoxy)phenyl)-1- oxopropan-2-yl)oxy)thieno[2,3-d]pyrimidin-5-yl)-3-methylphenoxy)ethyl)-1-methylpiperazin-1-ium trifluoroacetate
Following the GENERAL PROCEDURE #6 using 1-(4-((S)-2-((S)-2-amino-3-methylbutanamido)-5- ureidopentanamido)benzyl)-4-(2-(2-chloro-4-(6-(4-fluorophenyl)-4-(((R)-1-((4-methoxybenzyl)oxy)-3- (2-((2-(2-methoxyphenyl)pyrimidin-4-yl)methoxy)phenyl)-1-oxopropan-2-yl)oxy)thieno[2,3-
d]pyrimidin-5-yl)-3-methylphenoxy)ethyl)-1-methylpiperazin-1-ium trifluoroacetate (82 mg, 48 µmol), (S)-3-((((9H-fluoren-9-yl)methoxy)carbonyl)amino)-2-((tert-butoxycarbonyl)amino)propanoic acid (24.7 mg, 58 µmol), HATU (20.2 mg, 53 µmol), DIEA (51 µL, 289 µmol) and then 2.0 M Dimethylamine in MeOH (723 µL, 1447 µmol), 1-(4-((6S,9S,12S)-6-(aminomethyl)-9-isopropyl-2,2-dimethyl-4,7,10- trioxo-12-(3-ureidopropyl)-3-oxa-5,8,11-triazatridecan-13-amido)benzyl)-4-(2-(2-chloro-4-(6-(4- fluorophenyl)-4-(((R)-1-((4-methoxybenzyl)oxy)-3-(2-((2-(2-methoxyphenyl)pyrimidin-4- yl)methoxy)phenyl)-1-oxopropan-2-yl)oxy)thieno[2,3-d]pyrimidin-5-yl)-3-methylphenoxy)ethyl)-1- methylpiperazin-1-ium trifluoroacetate (23.7 mg, 26% yield) was obtained. HRMS: M+ = 1542.6500, Rt=2.42 min (5 min acidic method). Synthesis of 1,1'-(((((2S,5S,8S,32S,35S,38S)-20-(3-(2-((((9H-fluoren-9- yl)methoxy)carbonyl)amino)ethoxy)propanoyl)-8,32-diamino-5,35-diisopropyl- 4,7,11,18,22,29,33,36-octaoxo-2,38-bis(3-ureidopropyl)-14,26-dioxa-3,6,10,17,20,23,30,34,37- nonaazanonatriacontanedioyl)bis(azanediyl))bis(4,1-phenylene))bis(methylene))bis(4-(2-(4-(4-((R)- 1-carboxy-2-(2-((2-(2-methoxyphenyl)pyrimidin-4-yl)methoxy)phenyl)ethoxy)-6-(4- fluorophenyl)thieno[2,3-d]pyrimidin-5-yl)-2-chloro-3-methylphenoxy)ethyl)-1-methylpiperazin-1- ium) trifluoroacetate
To a solution of 10-(3-(2-((((9H-fluoren-9-yl)methoxy)carbonyl)amino)ethoxy)propanoyl)-8,12-dioxo- 4,16-dioxa-7,10,13-triazanonadecanedioic acid (4 mg, 5.7 µmol) and HATU (4.8 mg, 13 µmol) in DMF (2 mL) was added DIEA (10 µL, 57 µmol). After stirring for 45 minutes, 1-(4-((6S,9S,12S)-6- (aminomethyl)-9-isopropyl-2,2-dimethyl-4,7,10-trioxo-12-(3-ureidopropyl)-3-oxa-5,8,11-triazatridecan- 13-amido)benzyl)-4-(2-(2-chloro-4-(6-(4-fluorophenyl)-4-(((R)-1-((4-methoxybenzyl)oxy)-3-(2-((2-(2- methoxyphenyl)pyrimidin-4-yl)methoxy)phenyl)-1-oxopropan-2-yl)oxy)thieno[2,3-d]pyrimidin-5-yl)-3- methylphenoxy)ethyl)-1-methylpiperazin-1-ium trifluoroacetate (23.7 mg, 13 µmol) was added. After stirring for an additional 1 hour, the solution was diluted with DMSO and purified by ISCO RP-HPLC. Upon lyophilization, 1,1'-(((((2S,5S,8S,32S,35S,38S)-20-(3-(2-((((9H-fluoren-9- yl)methoxy)carbonyl)amino)ethoxy)propanoyl)-8,32-diamino-5,35-diisopropyl-4,7,11,18,22,29,33,36- octaoxo-2,38-bis(3-ureidopropyl)-14,26-dioxa-3,6,10,17,20,23,30,34,37- nonaazanonatriacontanedioyl)bis(azanediyl))bis(4,1-phenylene))bis(methylene))bis(4-(2-(4-(4-((R)-1- carboxy-2-(2-((2-(2-methoxyphenyl)pyrimidin-4-yl)methoxy)phenyl)ethoxy)-6-(4-
fluorophenyl)thieno[2,3-d]pyrimidin-5-yl)-2-chloro-3-methylphenoxy)ethyl)-1-methylpiperazin-1-ium) trifluoroacetate (16.3 mg, 72% yield) was obtained. HRMS: (M+2- H+)+ = 3748.5500 , Rt=3.12 min (5 min acidic method). Synthesis of 1,1'-(((((2S,5S,8S,32S,35S,38S)-8,32-bis(1-carboxy- 3,6,9,12,15,18,21,24,27,30,33,36,39,42,45,48,51,54,57,60,63,66,69,72,75- pentacosaoxaoctaheptacontan-78-amido)-20-(1-(2,5-dioxo-2,5-dihydro-1H-pyrrol-1-yl)-15-oxo- 3,6,9,12,19-pentaoxa-16-azadocosan-22-oyl)-5,35-diisopropyl-4,7,11,18,22,29,33,36-octaoxo-2,38- bis(3-ureidopropyl)-14,26-dioxa-3,6,10,17,20,23,30,34,37- nonaazanonatriacontanedioyl)bis(azanediyl))bis(4,1-phenylene))bis(methylene))bis(4-(2-(4-(4-((R)- 1-carboxy-2-(2-((2-(2-methoxyphenyl)pyrimidin-4-yl)methoxy)phenyl)ethoxy)-6-(4- fluorophenyl)thieno[2,3-d]pyrimidin-5-yl)-2-chloro-3-methylphenoxy)ethyl)-1-methylpiperazin-1- ium) trifluoroacetate (P1-L3-P1)
[941] 1,1'-(((((2S,5S,8S,32S,35S,38S)-20-(3-(2-((((9H-fluoren-9- yl)methoxy)carbonyl)amino)ethoxy)propanoyl)-8,32-diamino-5,35-diisopropyl-4,7,11,18,22,29,33,36- octaoxo-2,38-bis(3-ureidopropyl)-14,26-dioxa-3,6,10,17,20,23,30,34,37- nonaazanonatriacontanedioyl)bis(azanediyl))bis(4,1-phenylene))bis(methylene))bis(4-(2-(4-(4-((R)-1- carboxy-2-(2-((2-(2-methoxyphenyl)pyrimidin-4-yl)methoxy)phenyl)ethoxy)-6-(4- fluorophenyl)thieno[2,3-d]pyrimidin-5-yl)-2-chloro-3-methylphenoxy)ethyl)-1-methylpiperazin-1-ium) trifluoroacetate (16.3 mg, 4.1 µmol) was treated with 33% TFA/CH2Cl2 (3 mL) for 1 hour at which time the volatiles were removed in vacuo. The residue was dissolved in MeCN/H2O and upon lyophilization deprotected material (11.5 mg, 75% yield) was obtained. HRMS: (M+2- H+)+ = 3308.3401, Rt=2.42 min (5 min acidic method). A solution of the PMB and Boc deprotected material (11.5 mg, 3.05 µmol), 79- ((2,5-dioxopyrrolidin-1-yl)oxy)-79-oxo- 4,7,10,13,16,19,22,25,28,31,34,37,40,43,46,49,52,55,58,61,64,67,70,73,76- pentacosaoxanonaheptacontanoic acid (10.4 mg, 7.9 µmol) and DIEA (10.7 µL, 61 µmol) in DMF (1 mL)
was stirred for 18 hours at which time 2.0 M dimethyl amine in MeOH (31 µL, 61 µmol) was added. After stirring for an additional one hour, the solution was diluted with DMSO and purified by ISCO RP- HPLC. Upon lyophilization, the bispegylated FMOC deprotected material (12.4 mg, 67% yield) was obtained. HRMS: (M+2- H+)+ = 5487.6201, Rt=2.51 min (5 min acidic method). Following the second part of GENERAL PROCEDURE #5 using bispegylated FMOC deprotected material (12.4 mg, 2.3 µmol), 2,5-dioxopyrrolidin-1-yl 1-(2,5-dioxo-2,5-dihydro-1H-pyrrol-1-yl)-3,6,9,12-tetraoxapentadecan- 15-oate (2.5 mg, 5.6 µmol) and DIEA (7.9 µL, 45 µmol), 1,1'-(((((2S,5S,8S,32S,35S,38S)-8,32-bis(1- carboxy-3,6,9,12,15,18,21,24,27,30,33,36,39,42,45,48,51,54,57,60,63,66,69,72,75- pentacosaoxaoctaheptacontan-78-amido)-20-(1-(2,5-dioxo-2,5-dihydro-1H-pyrrol-1-yl)-15-oxo- 3,6,9,12,19-pentaoxa-16-azadocosan-22-oyl)-5,35-diisopropyl-4,7,11,18,22,29,33,36-octaoxo-2,38-bis(3- ureidopropyl)-14,26-dioxa-3,6,10,17,20,23,30,34,37-nonaazanonatriacontanedioyl)bis(azanediyl))bis(4,1- phenylene))bis(methylene))bis(4-(2-(4-(4-((R)-1-carboxy-2-(2-((2-(2-methoxyphenyl)pyrimidin-4- yl)methoxy)phenyl)ethoxy)-6-(4-fluorophenyl)thieno[2,3-d]pyrimidin-5-yl)-2-chloro-3- methylphenoxy)ethyl)-1-methylpiperazin-1-ium) trifluoroacetate (10.2 mg, 74% yield) was obtained. HRMS: (M+2- H+)+ = 5814.7598, Rt=2.62 min (5 min acidic method). [942] [943] Synthesis of 1,1'-(((((2S,5S,38S,41S)-23-(3-(2-aminoethoxy)propanoyl)-5,38-diisopropyl- 20,26-dimethyl-4,7,19,27,36,39-hexaoxo-2,41-bis(3-ureidopropyl)-10,13,16,30,33-pentaoxa- 3,6,20,23,26,37,40-heptaazadotetracontanedioyl)bis(azanediyl))bis(2-(80-carboxy-2-methyl-3-oxo- 6,9,12,15,18,21,24,27,30,33,36,39,42,45,48,51,54,57,60,63,66,69,72,75,78-pentacosaoxa-2- azaoctacontyl)-4,1-phenylene))bis(methylene))bis(4-(2-(4-(4-((R)-1-carboxy-2-(2-((2-(2- methoxyphenyl)pyrimidin-4-yl)methoxy)phenyl)ethoxy)-6-(4-fluorophenyl)thieno[2,3-d]pyrimidin- 5-yl)-2-chloro-3-methylphenoxy)ethyl)-1-methylpiperazin-1-ium) trifluoroacetate [944]
[945] Following the GENERAL PROCEDURE #6 using 1-(4-((S)-2-((S)-2-amino-3- methylbutanamido)-5-ureidopentanamido)-2-(80-carboxy-2-methyl-3-oxo- 6,9,12,15,18,21,24,27,30,33,36,39,42,45,48,51,54,57,60,63,66,69,72,75,78-pentacosaoxa-2- azaoctacontyl)benzyl)-4-(2-(4-(4-((R)-1-carboxy-2-(2-((2-(2-methoxyphenyl)pyrimidin-4-
yl)methoxy)phenyl)ethoxy)-6-(4-fluorophenyl)thieno[2,3-d]pyrimidin-5-yl)-2-chloro-3- methylphenoxy)ethyl)-1-methylpiperazin-1-ium trifluoroacetate (50.8 mg, 18 µmol), 17-(3-(2-((((9H- fluoren-9-yl)methoxy)carbonyl)amino)ethoxy)propanoyl)-14,20-dimethyl-13,21-dioxo-4,7,10,24,27- pentaoxa-14,17,20-triazatriacontanedioic acid (8 mg, 9 µmol), HATU (6.5 mg, 17 µmol), DIEA (16 µL, 90 µmol) and then 2.0 M Dimethylamine in MeOH (135 µL, 270 µmol), 1,1'-(((((2S,5S,38S,41S)-23-(3- (2-aminoethoxy)propanoyl)-5,38-diisopropyl-20,26-dimethyl-4,7,19,27,36,39-hexaoxo-2,41-bis(3- ureidopropyl)-10,13,16,30,33-pentaoxa-3,6,20,23,26,37,40- heptaazadotetracontanedioyl)bis(azanediyl))bis(2-(80-carboxy-2-methyl-3-oxo- 6,9,12,15,18,21,24,27,30,33,36,39,42,45,48,51,54,57,60,63,66,69,72,75,78-pentacosaoxa-2- azaoctacontyl)-4,1-phenylene))bis(methylene))bis(4-(2-(4-(4-((R)-1-carboxy-2-(2-((2-(2- methoxyphenyl)pyrimidin-4-yl)methoxy)phenyl)ethoxy)-6-(4-fluorophenyl)thieno[2,3-d]pyrimidin-5-yl)- 2-chloro-3-methylphenoxy)ethyl)-1-methylpiperazin-1-ium) trifluoroacetate (30.6 mg, 56% yield) was obtained. HRMS: (M+2- H+)+ = 5589.7998, Rt=2.53 min (5 min acidic method). Synthesis of 1,1'-(((((2S,5S,38S,41S)-23-(1-(2,5-dioxo-2,5-dihydro-1H-pyrrol-1-yl)-15-oxo- 3,6,9,12,19-pentaoxa-16-azadocosan-22-oyl)-5,38-diisopropyl-20,26-dimethyl-4,7,19,27,36,39- hexaoxo-2,41-bis(3-ureidopropyl)-10,13,16,30,33-pentaoxa-3,6,20,23,26,37,40- heptaazadotetracontanedioyl)bis(azanediyl))bis(2-(80-carboxy-2-methyl-3-oxo- 6,9,12,15,18,21,24,27,30,33,36,39,42,45,48,51,54,57,60,63,66,69,72,75,78-pentacosaoxa-2- azaoctacontyl)-4,1-phenylene))bis(methylene))bis(4-(2-(4-(4-((R)-1-carboxy-2-(2-((2-(2- methoxyphenyl)pyrimidin-4-yl)methoxy)phenyl)ethoxy)-6-(4-fluorophenyl)thieno[2,3-d]pyrimidin- 5-yl)-2-chloro-3-methylphenoxy)ethyl)-1-methylpiperazin-1-ium) trifluoroacetate (P1-L4-P1)
[946] Following the second part of GENERAL PROCEDURE #5 using 1,1'-(((((2S,5S,38S,41S)-23- (3-(2-aminoethoxy)propanoyl)-5,38-diisopropyl-20,26-dimethyl-4,7,19,27,36,39-hexaoxo-2,41-bis(3- ureidopropyl)-10,13,16,30,33-pentaoxa-3,6,20,23,26,37,40- heptaazadotetracontanedioyl)bis(azanediyl))bis(2-(80-carboxy-2-methyl-3-oxo- 6,9,12,15,18,21,24,27,30,33,36,39,42,45,48,51,54,57,60,63,66,69,72,75,78-pentacosaoxa-2-
azaoctacontyl)-4,1-phenylene))bis(methylene))bis(4-(2-(4-(4-((R)-1-carboxy-2-(2-((2-(2- methoxyphenyl)pyrimidin-4-yl)methoxy)phenyl)ethoxy)-6-(4-fluorophenyl)thieno[2,3-d]pyrimidin-5-yl)- 2-chloro-3-methylphenoxy)ethyl)-1-methylpiperazin-1-ium) trifluoroacetate (30.6 mg, 5.1 µmol), 2,5- dioxopyrrolidin-1-yl 1-(2,5-dioxo-2,5-dihydro-1H-pyrrol-1-yl)-3,6,9,12-tetraoxapentadecan-15-oate (6.7 mg, 15 µmol) and DIEA (18 mg, 101 µmol), 1,1'-(((((2S,5S,38S,41S)-23-(1-(2,5-dioxo-2,5-dihydro-1H- pyrrol-1-yl)-15-oxo-3,6,9,12,19-pentaoxa-16-azadocosan-22-oyl)-5,38-diisopropyl-20,26-dimethyl- 4,7,19,27,36,39-hexaoxo-2,41-bis(3-ureidopropyl)-10,13,16,30,33-pentaoxa-3,6,20,23,26,37,40- heptaazadotetracontanedioyl)bis(azanediyl))bis(2-(80-carboxy-2-methyl-3-oxo- 6,9,12,15,18,21,24,27,30,33,36,39,42,45,48,51,54,57,60,63,66,69,72,75,78-pentacosaoxa-2- azaoctacontyl)-4,1-phenylene))bis(methylene))bis(4-(2-(4-(4-((R)-1-carboxy-2-(2-((2-(2- methoxyphenyl)pyrimidin-4-yl)methoxy)phenyl)ethoxy)-6-(4-fluorophenyl)thieno[2,3-d]pyrimidin-5-yl)- 2-chloro-3-methylphenoxy)ethyl)-1-methylpiperazin-1-ium) trifluoroacetate (29.3 mg, 63% yield) was obtained. HRMS: (M+2- H+)+ = 5916.8398, Rt=2.65 min (5 min acidic method). Synthesis of 1,1'-(((((2S,5S,39S,42S)-22-(3-(2-aminoethoxy)propanoyl)-5,39-diisopropyl-19,25- dimethyl-4,7,20,24,37,40-hexaoxo-2,42-bis(3-ureidopropyl)-10,13,16,28,31,34-hexaoxa- 3,6,19,22,25,38,41-heptaazatritetracontanedioyl)bis(azanediyl))bis(2-(80-carboxy-2-methyl-3-oxo- 6,9,12,15,18,21,24,27,30,33,36,39,42,45,48,51,54,57,60,63,66,69,72,75,78-pentacosaoxa-2- azaoctacontyl)-4,1-phenylene))bis(methylene))bis(4-(2-(4-(4-((R)-1-carboxy-2-(2-((2-(2- methoxyphenyl)pyrimidin-4-yl)methoxy)phenyl)ethoxy)-6-(4-fluorophenyl)thieno[2,3-d]pyrimidin- 5-yl)-2-chloro-3-methylphenoxy)ethyl)-1-methylpiperazin-1-ium) trifluoroacetate
[947] Following the GENERAL PROCEDURE #6 using1-(4-((S)-2-((S)-2-amino-3- methylbutanamido)-5-ureidopentanamido)-2-(80-carboxy-2-methyl-3-oxo- 6,9,12,15,18,21,24,27,30,33,36,39,42,45,48,51,54,57,60,63,66,69,72,75,78-pentacosaoxa-2- azaoctacontyl)benzyl)-4-(2-(4-(4-((R)-1-carboxy-2-(2-((2-(2-methoxyphenyl)pyrimidin-4- yl)methoxy)phenyl)ethoxy)-6-(4-fluorophenyl)thieno[2,3-d]pyrimidin-5-yl)-2-chloro-3- methylphenoxy)ethyl)-1-methylpiperazin-1-ium (52.4 mg, 19 µmol), 16-(3-(2-((((9H-fluoren-9- yl)methoxy)carbonyl)amino)ethoxy)propanoyl)-13,19-dimethyl-14,18-dioxo-4,7,10,22,25,28-hexaoxa- 131619-triazahentriacontanedioic acid (8 mg 88 µmol) HATU (67 mg 18 µmol), DIEA (15 µL, 88
µmol) and then 2.0 M Dimethylamine in MeOH (133 µL, 265 µmol), 1,1'-(((((2S,5S,39S,42S)-22-(3-(2- aminoethoxy)propanoyl)-5,39-diisopropyl-19,25-dimethyl-4,7,20,24,37,40-hexaoxo-2,42-bis(3- ureidopropyl)-10,13,16,28,31,34-hexaoxa-3,6,19,22,25,38,41- heptaazatritetracontanedioyl)bis(azanediyl))bis(2-(80-carboxy-2-methyl-3-oxo- 6,9,12,15,18,21,24,27,30,33,36,39,42,45,48,51,54,57,60,63,66,69,72,75,78-pentacosaoxa-2- azaoctacontyl)-4,1-phenylene))bis(methylene))bis(4-(2-(4-(4-((R)-1-carboxy-2-(2-((2-(2- methoxyphenyl)pyrimidin-4-yl)methoxy)phenyl)ethoxy)-6-(4-fluorophenyl)thieno[2,3-d]pyrimidin-5-yl)- 2-chloro-3-methylphenoxy)ethyl)-1-methylpiperazin-1-ium) trifluoroacetate (33.6 mg, 63% yield) was obtained. HRMS: (M+2- H+)+ =5605.7700, Rt=2.57 min (5 min acidic method). Synthesis of 1,1'-(((((2S,5S,39S,42S)-22-(1-(2,5-dioxo-2,5-dihydro-1H-pyrrol-1-yl)-15-oxo- 3,6,9,12,19-pentaoxa-16-azadocosan-22-oyl)-5,39-diisopropyl-19,25-dimethyl-4,7,20,24,37,40- hexaoxo-2,42-bis(3-ureidopropyl)-10,13,16,28,31,34-hexaoxa-3,6,19,22,25,38,41- heptaazatritetracontanedioyl)bis(azanediyl))bis(2-(80-carboxy-2-methyl-3-oxo- 6,9,12,15,18,21,24,27,30,33,36,39,42,45,48,51,54,57,60,63,66,69,72,75,78-pentacosaoxa-2- azaoctacontyl)-4,1-phenylene))bis(methylene))bis(4-(2-(4-(4-((R)-1-carboxy-2-(2-((2-(2- methoxyphenyl)pyrimidin-4-yl)methoxy)phenyl)ethoxy)-6-(4-fluorophenyl)thieno[2,3-d]pyrimidin- 5-yl)-2-chloro-3-methylphenoxy)ethyl)-1-methylpiperazin-1-ium) trifluoroacetate (P1-L5-P1)
[948] Following the second part of PROCEDURE #5 using 1,1'-(((((2S,5S,39S,42S)-22-(1-(2,5-dioxo- 2,5-dihydro-1H-pyrrol-1-yl)-15-oxo-3,6,9,12,19-pentaoxa-16-azadocosan-22-oyl)-5,39-diisopropyl- 19,25-dimethyl-4,7,20,24,37,40-hexaoxo-2,42-bis(3-ureidopropyl)-10,13,16,28,31,34-hexaoxa- 3,6,19,22,25,38,41-heptaazatritetracontanedioyl)bis(azanediyl))bis(2-(80-carboxy-2-methyl-3-oxo- 6,9,12,15,18,21,24,27,30,33,36,39,42,45,48,51,54,57,60,63,66,69,72,75,78-pentacosaoxa-2- azaoctacontyl)-4,1-phenylene))bis(methylene))bis(4-(2-(4-(4-((R)-1-carboxy-2-(2-((2-(2- methoxyphenyl)pyrimidin-4-yl)methoxy)phenyl)ethoxy)-6-(4-fluorophenyl)thieno[2,3-d]pyrimidin-5-yl)- 2-chloro-3-methylphenoxy)ethyl)-1-methylpiperazin-1-ium) trifluoroacetate (33.6 mg, 5.5 µmol), 2,5- dioxopyrrolidin-1-yl 1-(2,5-dioxo-2,5-dihydro-1H-pyrrol-1-yl)-3,6,9,12-tetraoxapentadecan-15-oate (7.4
mg, 17 µmol) and DIEA (19 µL, 111 µmol), 1,1'-(((((2S,5S,39S,42S)-22-(1-(2,5-dioxo-2,5-dihydro-1H- pyrrol-1-yl)-15-oxo-3,6,9,12,19-pentaoxa-16-azadocosan-22-oyl)-5,39-diisopropyl-19,25-dimethyl- 4,7,20,24,37,40-hexaoxo-2,42-bis(3-ureidopropyl)-10,13,16,28,31,34-hexaoxa-3,6,19,22,25,38,41- heptaazatritetracontanedioyl)bis(azanediyl))bis(2-(80-carboxy-2-methyl-3-oxo- 6,9,12,15,18,21,24,27,30,33,36,39,42,45,48,51,54,57,60,63,66,69,72,75,78-pentacosaoxa-2- azaoctacontyl)-4,1-phenylene))bis(methylene))bis(4-(2-(4-(4-((R)-1-carboxy-2-(2-((2-(2- methoxyphenyl)pyrimidin-4-yl)methoxy)phenyl)ethoxy)-6-(4-fluorophenyl)thieno[2,3-d]pyrimidin-5-yl)- 2-chloro-3-methylphenoxy)ethyl)-1-methylpiperazin-1-ium) trifluoroacetate (17.5 mg, 51% yield) was obtained. HRMS: (M+2- H+)+ = 5932.8501, Rt=2.68 min (5 min acidic method). [949] [950] Synthesis of 1,1'-(((((2S,5S,38S,41S)-23-(3-(2-(amino)ethoxy)propanoyl)-5,38-diisopropyl- 4,7,19,27,36,39-hexaoxo-2,41-bis(3-ureidopropyl)-10,13,16,30,33-pentaoxa-3,6,20,23,26,37,40- heptaazadotetracontanedioyl)bis(azanediyl))bis(2-(80-carboxy-2-methyl-3-oxo- 6,9,12,15,18,21,24,27,30,33,36,39,42,45,48,51,54,57,60,63,66,69,72,75,78-pentacosaoxa-2- azaoctacontyl)-4,1-phenylene))bis(methylene))bis(4-(2-(4-(4-((R)-1-carboxy-2-(2-((2-(2- methoxyphenyl)pyrimidin-4-yl)methoxy)phenyl)ethoxy)-6-(4-fluorophenyl)thieno[2,3-d]pyrimidin- 5-yl)-2-chloro-3-methylphenoxy)ethyl)-1-methylpiperazin-1-ium) trifluoroacetate [951]
[952] Following the GENERAL PROCEDURE #6 using 17-(3-(2-((((9H-fluoren-9- yl)methoxy)carbonyl)amino)ethoxy)propanoyl)-13,21-dioxo-4,7,10,24,27-pentaoxa-14,17,20- triazatriacontanedioic acid (11 mg, 12.8 µmol), HATU (9.5 mg, 25 µmol), DIEA (22 µL, 128 µmol) then 1-(4-((S)-2-((S)-2-amino-3-methylbutanamido)-5-ureidopentanamido)-2-(80-carboxy-2-methyl-3-oxo- 6,9,12,15,18,21,24,27,30,33,36,39,42,45,48,51,54,57,60,63,66,69,72,75,78-pentacosaoxa-2- azaoctacontyl)benzyl)-4-(2-(4-(4-((R)-1-carboxy-2-(2-((2-(2-methoxyphenyl)pyrimidin-4- yl)methoxy)phenyl)ethoxy)-6-(4-fluorophenyl)thieno[2,3-d]pyrimidin-5-yl)-2-chloro-3- methylphenoxy)ethyl)-1-methylpiperazin-1-ium trifluoroacetate (73.2 mg, 26.3 µmol), and then 2.0 M
Dimethylamine in MeOH (190 µL, 380 µmol), 1,1'-(((((2S,5S,38S,41S)-23-(3-(2- (amino)ethoxy)propanoyl)-5,38-diisopropyl-4,7,19,27,36,39-hexaoxo-2,41-bis(3-ureidopropyl)- 10,13,16,30,33-pentaoxa-3,6,20,23,26,37,40-heptaazadotetracontanedioyl)bis(azanediyl))bis(2-(80- carboxy-2-methyl-3-oxo-6,9,12,15,18,21,24,27,30,33,36,39,42,45,48,51,54,57,60,63,66,69,72,75,78- pentacosaoxa-2-azaoctacontyl)-4,1-phenylene))bis(methylene))bis(4-(2-(4-(4-((R)-1-carboxy-2-(2-((2-(2- methoxyphenyl)pyrimidin-4-yl)methoxy)phenyl)ethoxy)-6-(4-fluorophenyl)thieno[2,3-d]pyrimidin-5-yl)- 2-chloro-3-methylphenoxy)ethyl)-1-methylpiperazin-1-ium) trifluoroacetate (19.6 mg, 25% yield) was obtained. HRMS: (M+2- H+)+ = 5561.7402, Rt=2.58 min (5 min acidic method). Synthesis of 1,1'-(((((2S,5S,38S,41S)-23-(1-(2,5-dioxo-2,5-dihydro-1H-pyrrol-1-yl)-15-oxo- 3,6,9,12,19-pentaoxa-16-azadocosan-22-oyl)-5,38-diisopropyl-4,7,19,27,36,39-hexaoxo-2,41-bis(3- ureidopropyl)-10,13,16,30,33-pentaoxa-3,6,20,23,26,37,40- heptaazadotetracontanedioyl)bis(azanediyl))bis(2-(80-carboxy-2-methyl-3-oxo- 6,9,12,15,18,21,24,27,30,33,36,39,42,45,48,51,54,57,60,63,66,69,72,75,78-pentacosaoxa-2- azaoctacontyl)-4,1-phenylene))bis(methylene))bis(4-(2-(4-(4-((R)-1-carboxy-2-(2-((2-(2- methoxyphenyl)pyrimidin-4-yl)methoxy)phenyl)ethoxy)-6-(4-fluorophenyl)thieno[2,3-d]pyrimidin- 5-yl)-2-chloro-3-methylphenoxy)ethyl)-1-methylpiperazin-1-ium) trifluoroacetate (P1-L6-P1)
[953] Following the second part of GENERAL PROCEDURE #5 using 1,1'-(((((2S,5S,38S,41S)-23- (3-(2-(amino)ethoxy)propanoyl)-5,38-diisopropyl-4,7,19,27,36,39-hexaoxo-2,41-bis(3-ureidopropyl)- 10,13,16,30,33-pentaoxa-3,6,20,23,26,37,40-heptaazadotetracontanedioyl)bis(azanediyl))bis(2-(80- carboxy-2-methyl-3-oxo-6,9,12,15,18,21,24,27,30,33,36,39,42,45,48,51,54,57,60,63,66,69,72,75,78- pentacosaoxa-2-azaoctacontyl)-4,1-phenylene))bis(methylene))bis(4-(2-(4-(4-((R)-1-carboxy-2-(2-((2-(2- methoxyphenyl)pyrimidin-4-yl)methoxy)phenyl)ethoxy)-6-(4-fluorophenyl)thieno[2,3-d]pyrimidin-5-yl)- 2-chloro-3-methylphenoxy)ethyl)-1-methylpiperazin-1-ium) trifluoroacetate (19.4 mg, 3.2 µmol), 2,5- dioxopyrrolidin-1-yl 1-(2,5-dioxo-2,5-dihydro-1H-pyrrol-1-yl)-3,6,9,12-tetraoxapentadecan-15-oate (4.3 mg, 9.7 µmol) and DIEA (11 µL, 64 µmol), 1,1'-(((((2S,5S,38S,41S)-23-(1-(2,5-dioxo-2,5-dihydro-1H- pyrrol-1-yl)-15-oxo-3,6,9,12,19-pentaoxa-16-azadocosan-22-oyl)-5,38-diisopropyl-4,7,19,27,36,39-
hexaoxo-2,41-bis(3-ureidopropyl)-10,13,16,30,33-pentaoxa-3,6,20,23,26,37,40- heptaazadotetracontanedioyl)bis(azanediyl))bis(2-(80-carboxy-2-methyl-3-oxo- 6,9,12,15,18,21,24,27,30,33,36,39,42,45,48,51,54,57,60,63,66,69,72,75,78-pentacosaoxa-2- azaoctacontyl)-4,1-phenylene))bis(methylene))bis(4-(2-(4-(4-((R)-1-carboxy-2-(2-((2-(2- methoxyphenyl)pyrimidin-4-yl)methoxy)phenyl)ethoxy)-6-(4-fluorophenyl)thieno[2,3-d]pyrimidin-5-yl)- 2-chloro-3-methylphenoxy)ethyl)-1-methylpiperazin-1-ium) trifluoroacetate (11.5 mg, 58% yield) was obtained. HRMS: (M+2- H+)+ = 5888.8301, Rt=2.68 min (5 min acidic method). Synthesis of 1,1'-(((((2S,5S,39S,42S)-22-(1-(2,5-dioxo-2,5-dihydro-1H-pyrrol-1-yl)-15-oxo- 3,6,9,12,19-pentaoxa-16-azadocosan-22-oyl)-5,39-diisopropyl-4,7,20,24,37,40-hexaoxo-2,42-bis(3- ureidopropyl)-10,13,16,28,31,34-hexaoxa-3,6,19,22,25,38,41- heptaazatritetracontanedioyl)bis(azanediyl))bis(2-(80-carboxy-2-methyl-3-oxo- 6,9,12,15,18,21,24,27,30,33,36,39,42,45,48,51,54,57,60,63,66,69,72,75,78-pentacosaoxa-2- azaoctacontyl)-4,1-phenylene))bis(methylene))bis(4-(2-(4-(4-((R)-1-carboxy-2-(2-((2-(2- methoxyphenyl)pyrimidin-4-yl)methoxy)phenyl)ethoxy)-6-(4-fluorophenyl)thieno[2,3-d]pyrimidin- 5-yl)-2-chloro-3-methylphenoxy)ethyl)-1-methylpiperazin-1-ium) trifluoroacetate (P1-L7-P1)
[954] Following the GENERAL PROCEDURE #6 using 16-(3-(2-((((9H-fluoren-9- yl)methoxy)carbonyl)amino)ethoxy)propanoyl)-14,18-dioxo-4,7,10,22,25,28-hexaoxa-13,16,19- triazahentriacontanedioic acid (10 mg, 11.4 µmol), 1-(4-((S)-2-((S)-2-amino-3-methylbutanamido)-5- ureidopentanamido)-2-(80-carboxy-2-methyl-3-oxo- 6,9,12,15,18,21,24,27,30,33,36,39,42,45,48,51,54,57,60,63,66,69,72,75,78-pentacosaoxa-2- azaoctacontyl)benzyl)-4-(2-(4-(4-((R)-1-carboxy-2-(2-((2-(2-methoxyphenyl)pyrimidin-4- yl)methoxy)phenyl)ethoxy)-6-(4-fluorophenyl)thieno[2,3-d]pyrimidin-5-yl)-2-chloro-3- methylphenoxy)ethyl)-1-methylpiperazin-1-ium trifluoroacetate (67.6 mg, 23.8 µmol), HATU (8.7 mg, 22.6 µmol), DIEA (20 µL, 114 µmol) and then 2.0 M Dimethylamine in MeOH (170 µL, 340 µmol), biscoupled product (16.2 mg, 24% yield) was obtained. HRMS: (M+2- H+)+ = 5577.7300, Rt=2.63 min (5 min acidic method). Following the second part of GENERAL PROCEDURE #5 and using isolated
biscoupled amine (16.2 mg, 2.7 µmol), 2,5-dioxopyrrolidin-1-yl 1-(2,5-dioxo-2,5-dihydro-1H-pyrrol-1- yl)-3,6,9,12-tetraoxapentadecan-15-oate (1.8 mg, 4.5 µmol) and DIEA (4.7 µL, 27 µmol), 1,1'- (((((2S,5S,39S,42S)-22-(1-(2,5-dioxo-2,5-dihydro-1H-pyrrol-1-yl)-15-oxo-3,6,9,12,19-pentaoxa-16- azadocosan-22-oyl)-5,39-diisopropyl-4,7,20,24,37,40-hexaoxo-2,42-bis(3-ureidopropyl)- 10,13,16,28,31,34-hexaoxa-3,6,19,22,25,38,41-heptaazatritetracontanedioyl)bis(azanediyl))bis(2-(80- carboxy-2-methyl-3-oxo-6,9,12,15,18,21,24,27,30,33,36,39,42,45,48,51,54,57,60,63,66,69,72,75,78- pentacosaoxa-2-azaoctacontyl)-4,1-phenylene))bis(methylene))bis(4-(2-(4-(4-((R)-1-carboxy-2-(2-((2-(2- methoxyphenyl)pyrimidin-4-yl)methoxy)phenyl)ethoxy)-6-(4-fluorophenyl)thieno[2,3-d]pyrimidin-5-yl)- 2-chloro-3-methylphenoxy)ethyl)-1-methylpiperazin-1-ium) trifluoroacetate (10.6 mg, 64% yield) was obtained. HRMS: (M+2- H+)+ = 5904.8308, Rt=2.53 min (5 min acidic method). Synthesis of 1-(4-((6S,9S,37S,40S)-1-amino-6-((4-((4-(2-(4-(4-((R)-1-carboxy-2-(2-((2-(2- methoxyphenyl)pyrimidin-4-yl)methoxy)phenyl)ethoxy)-6-(4-fluorophenyl)thieno[2,3-d]pyrimidin- 5-yl)-2-chloro-3-methylphenoxy)ethyl)-1-methylpiperazin-1-ium-1-yl)methyl)-3-(80-carboxy-2- methyl-3-oxo-5,9,12,15,18,21,24,27,30,33,36,39,42,45,48,51,54,57,60,63,66,69,72,75,78-pentacosaoxa- 2-azaoctacontyl)phenyl)carbamoyl)-23-(1-(2,5-dioxo-2,5-dihydro-1H-pyrrol-1-yl)-15-oxo- 3,6,9,12,19-pentaoxa-16-azadocosan-22-oyl)-9,37-diisopropyl-1,8,11,35,38-pentaoxo-40-(3- ureidopropyl)-14,17,20,26,29,32-hexaoxa-2,7,10,23,36,39-hexaazahentetracontan-41-amido)-2-(80- carboxy-2-methyl-3-oxo-6,9,12,15,18,21,24,27,30,33,36,39,42,45,48,51,54,57,60,63,66,69,72,75,78- pentacosaoxa-2-azaoctacontyl)benzyl)-4-(2-(4-(4-((R)-1-carboxy-2-(2-((2-(2- methoxyphenyl)pyrimidin-4-yl)methoxy)phenyl)ethoxy)-6-(4-fluorophenyl)thieno[2,3-d]pyrimidin- 5-yl)-2-chloro-3-methylphenoxy)ethyl)-1-methylpiperazin-1-ium trifluoroacetate (P1-L9-P1)
[955] Following the GENERAL PROCEDURE #6 using 13-(3-(2-((((9H-fluoren-9- yl)methoxy)carbonyl)amino)ethoxy)propanoyl)-4,7,10,16,19,22-hexaoxa-13-azapentacosanedioic acid (15 mg, 20 µmol), 1-(4-((S)-2-((S)-2-amino-3-methylbutanamido)-5-ureidopentanamido)-2-(80-carboxy- 2-methyl-3-oxo-6,9,12,15,18,21,24,27,30,33,36,39,42,45,48,51,54,57,60,63,66,69,72,75,78- pentacosaoxa-2-azaoctacontyl)benzyl)-4-(2-(4-(4-((R)-1-carboxy-2-(2-((2-(2-methoxyphenyl)pyrimidin-
4-yl)methoxy)phenyl)ethoxy)-6-(4-fluorophenyl)thieno[2,3-d]pyrimidin-5-yl)-2-chloro-3- methylphenoxy)ethyl)-1-methylpiperazin-1-ium trifluoroacetate (107 mg, 39 µmol), HATU (14.6 mg, 38 µmol), DIEA (52 µL, 295 µmol) and then 2.0 M Dimethylamine in MeOH (295 µL, 590 µmol), biscoupled amine product (38 mg, 32% yield) was obtained. HRMS: (M+2- H+)+ = 5463.6802, Rt=2.53 min (5 min acidic method). Following the second part of GENERAL PROCEDURE #5 using biscoupled amine product (38 mg, 6.5 µmol), 2,5-dioxopyrrolidin-1-yl 1-(2,5-dioxo-2,5-dihydro-1H- pyrrol-1-yl)-3,6,9,12-tetraoxapentadecan-15-oate (4.3 mg, 9.8 µmol) and DIEA (17 µL, 98 µmol), 1-(4- ((6S,9S,37S,40S)-1-amino-6-((4-((4-(2-(4-(4-((R)-1-carboxy-2-(2-((2-(2-methoxyphenyl)pyrimidin-4- yl)methoxy)phenyl)ethoxy)-6-(4-fluorophenyl)thieno[2,3-d]pyrimidin-5-yl)-2-chloro-3- methylphenoxy)ethyl)-1-methylpiperazin-1-ium-1-yl)methyl)-3-(80-carboxy-2-methyl-3-oxo- 5,9,12,15,18,21,24,27,30,33,36,39,42,45,48,51,54,57,60,63,66,69,72,75,78-pentacosaoxa-2- azaoctacontyl)phenyl)carbamoyl)-23-(1-(2,5-dioxo-2,5-dihydro-1H-pyrrol-1-yl)-15-oxo-3,6,9,12,19- pentaoxa-16-azadocosan-22-oyl)-9,37-diisopropyl-1,8,11,35,38-pentaoxo-40-(3-ureidopropyl)- 14,17,20,26,29,32-hexaoxa-2,7,10,23,36,39-hexaazahentetracontan-41-amido)-2-(80-carboxy-2-methyl- 3-oxo-6,9,12,15,18,21,24,27,30,33,36,39,42,45,48,51,54,57,60,63,66,69,72,75,78-pentacosaoxa-2- azaoctacontyl)benzyl)-4-(2-(4-(4-((R)-1-carboxy-2-(2-((2-(2-methoxyphenyl)pyrimidin-4- yl)methoxy)phenyl)ethoxy)-6-(4-fluorophenyl)thieno[2,3-d]pyrimidin-5-yl)-2-chloro-3- methylphenoxy)ethyl)-1-methylpiperazin-1-ium trifluoroacetate (30 mg, 74% yield) was obtained. HRMS: (M+2- H+)+ = 5790.7798, Rt=2.54 min (5 min acidic method). [956] [957] Synthesis of 1-(4-((6S,9S,43S,46S)-1-amino-26-(3-(2-aminoethoxy)propanoyl)-6-((4-((4-(2-(4- (4-((R)-1-carboxy-2-(2-((2-(2-methoxyphenyl)pyrimidin-4-yl)methoxy)phenyl)ethoxy)-6-(4- fluorophenyl)thieno[2,3-d]pyrimidin-5-yl)-2-chloro-3-methylphenoxy)ethyl)-1-methylpiperazin-1- ium-1-yl)methyl)-3-(80-carboxy-2-methyl-3-oxo- 6,9,12,15,18,21,24,27,30,33,36,39,42,45,48,51,54,57,60,63,66,69,72,75,78-pentacosaoxa-2- azaoctacontyl)phenyl)carbamoyl)-9,43-diisopropyl-1,8,11,41,44-pentaoxo-46-(3-ureidopropyl)- 14,17,20,23,29,32,35,38-octaoxa-2,7,10,26,42,45-hexaazaheptatetracontan-47-amido)-2-(80-carboxy- 2-methyl-3-oxo-6,9,12,15,18,21,24,27,30,33,36,39,42,45,48,51,54,57,60,63,66,69,72,75,78- pentacosaoxa-2-azaoctacontyl)benzyl)-4-(2-(4-(4-((R)-1-carboxy-2-(2-(2-(2-(2- methoxyphenyl)pyrimidin-4-yl)ethyl)phenyl)ethoxy)-6-(4-fluorophenyl)thieno[2,3-d]pyrimidin-5- yl)-2-chloro-3-methylphenoxy)ethyl)-1-methylpiperazin-1-ium trifluoroacetate
[959] To a solution of 16-(3-(2-((tert-butoxycarbonyl)amino)ethoxy)propanoyl)-4,7,10,13,19,22,25,28- octaoxa-16-azahentriacontanedioic acid (10.9 mg, 15 µmol) and HATU (11 mg, 30 µmol) in DMF (2 mL) was added DIEA (52 µL, 298 µmol). After stirring for 15 minutes, 1-(4-((S)-2-((S)-2-amino-3- methylbutanamido)-5-ureidopentanamido)-2-(80-carboxy-2-methyl-3-oxo- 6,9,12,15,18,21,24,27,30,33,36,39,42,45,48,51,54,57,60,63,66,69,72,75,78-pentacosaoxa-2- azaoctacontyl)benzyl)-4-(2-(4-(4-((R)-1-carboxy-2-(2-((2-(2-methoxyphenyl)pyrimidin-4- yl)methoxy)phenyl)ethoxy)-6-(4-fluorophenyl)thieno[2,3-d]pyrimidin-5-yl)-2-chloro-3- methylphenoxy)ethyl)-1-methylpiperazin-1-ium trifluoroacetate (84 mg, 31 µmol) was added. After stirring for an additional 3 hours, the solution was diluted with DMSO and purified by ISCO RP-HPLC. Upon lyophilization, the material was treated with 25% TFA/CH2Cl2 (2 mL) for 1 hour at which time the volatiles were removed in vacuo. After trituration with Et2O and pumping on high vacuum, 1-(4- ((6S,9S,43S,46S)-1-amino-26-(3-(2-aminoethoxy)propanoyl)-6-((4-((4-(2-(4-(4-((R)-1-carboxy-2-(2-((2- (2-methoxyphenyl)pyrimidin-4-yl)methoxy)phenyl)ethoxy)-6-(4-fluorophenyl)thieno[2,3-d]pyrimidin-5- yl)-2-chloro-3-methylphenoxy)ethyl)-1-methylpiperazin-1-ium-1-yl)methyl)-3-(80-carboxy-2-methyl-3- oxo-6,9,12,15,18,21,24,27,30,33,36,39,42,45,48,51,54,57,60,63,66,69,72,75,78-pentacosaoxa-2- azaoctacontyl)phenyl)carbamoyl)-9,43-diisopropyl-1,8,11,41,44-pentaoxo-46-(3-ureidopropyl)- 14,17,20,23,29,32,35,38-octaoxa-2,7,10,26,42,45-hexaazaheptatetracontan-47-amido)-2-(80-carboxy-2- methyl-3-oxo-6,9,12,15,18,21,24,27,30,33,36,39,42,45,48,51,54,57,60,63,66,69,72,75,78-pentacosaoxa- 2-azaoctacontyl)benzyl)-4-(2-(4-(4-((R)-1-carboxy-2-(2-(2-(2-(2-methoxyphenyl)pyrimidin-4- yl)ethyl)phenyl)ethoxy)-6-(4-fluorophenyl)thieno[2,3-d]pyrimidin-5-yl)-2-chloro-3- methylphenoxy)ethyl)-1-methylpiperazin-1-ium trifluoroacetate (31 mg, 35% yield) was obtained. HRMS: (M+2- H+)+ = 5549.7798, Rt=2.54 min (5 min acidic method). Synthesis of 1-(4-((6S,9S,43S,46S)-1-amino-6-((4-((4-(2-(4-(4-((R)-1-carboxy-2-(2-((2-(2- methoxyphenyl)pyrimidin-4-yl)methoxy)phenyl)ethoxy)-6-(4-fluorophenyl)thieno[2,3-d]pyrimidin- 5-yl)-2-chloro-3-methylphenoxy)ethyl)-1-methylpiperazin-1-ium-1-yl)methyl)-3-(80-carboxy-2- methyl-3-oxo-6,9,12,15,18,21,24,27,30,33,36,39,42,45,48,51,54,57,60,63,66,69,72,75,78-pentacosaoxa- 2-azaoctacontyl)phenyl)carbamoyl)-26-(1-(2,5-dioxo-2,5-dihydro-1H-pyrrol-1-yl)-15-oxo-
3,6,9,12,19-pentaoxa-16-azadocosan-22-oyl)-9,43-diisopropyl-1,8,11,41,44-pentaoxo-46-(3- ureidopropyl)-14,17,20,23,29,32,35,38-octaoxa-2,7,10,26,42,45-hexaazaheptatetracontan-47-amido)- 2-(80-carboxy-2-methyl-3-oxo- 6,9,12,15,18,21,24,27,30,33,36,39,42,45,48,51,54,57,60,63,66,69,72,75,78-pentacosaoxa-2- azaoctacontyl)benzyl)-4-(2-(4-(4-((R)-1-carboxy-2-(2-(2-(2-(2-methoxyphenyl)pyrimidin-4- yl)ethyl)phenyl)ethoxy)-6-(4-fluorophenyl)thieno[2,3-d]pyrimidin-5-yl)-2-chloro-3- methylphenoxy)ethyl)-1-methylpiperazin-1-ium trifluoroacetate (P1-L10-P1)
[960] Following the second part of GENERAL PROCEDURE #5 using 1-(4-((6S,9S,43S,46S)-1- amino-26-(3-(2-aminoethoxy)propanoyl)-6-((4-((4-(2-(4-(4-((R)-1-carboxy-2-(2-((2-(2- methoxyphenyl)pyrimidin-4-yl)methoxy)phenyl)ethoxy)-6-(4-fluorophenyl)thieno[2,3-d]pyrimidin-5-yl)- 2-chloro-3-methylphenoxy)ethyl)-1-methylpiperazin-1-ium-1-yl)methyl)-3-(80-carboxy-2-methyl-3-oxo- 6,9,12,15,18,21,24,27,30,33,36,39,42,45,48,51,54,57,60,63,66,69,72,75,78-pentacosaoxa-2- azaoctacontyl)phenyl)carbamoyl)-9,43-diisopropyl-1,8,11,41,44-pentaoxo-46-(3-ureidopropyl)- 14,17,20,23,29,32,35,38-octaoxa-2,7,10,26,42,45-hexaazaheptatetracontan-47-amido)-2-(80-carboxy-2- methyl-3-oxo-6,9,12,15,18,21,24,27,30,33,36,39,42,45,48,51,54,57,60,63,66,69,72,75,78-pentacosaoxa- 2-azaoctacontyl)benzyl)-4-(2-(4-(4-((R)-1-carboxy-2-(2-(2-(2-(2-methoxyphenyl)pyrimidin-4- yl)ethyl)phenyl)ethoxy)-6-(4-fluorophenyl)thieno[2,3-d]pyrimidin-5-yl)-2-chloro-3- methylphenoxy)ethyl)-1-methylpiperazin-1-ium trifluoroacetate (31 mg, 5.3 µmol), 2,5-dioxopyrrolidin- 1-yl 1-(2,5-dioxo-2,5-dihydro-1H-pyrrol-1-yl)-3,6,9,12-tetraoxapentadecan-15-oate (7 mg, 16 µmol) and DIEA (15 µL, 86 µmol), 1-(4-((6S,9S,43S,46S)-1-amino-6-((4-((4-(2-(4-(4-((R)-1-carboxy-2-(2-((2-(2- methoxyphenyl)pyrimidin-4-yl)methoxy)phenyl)ethoxy)-6-(4-fluorophenyl)thieno[2,3-d]pyrimidin-5-yl)- 2-chloro-3-methylphenoxy)ethyl)-1-methylpiperazin-1-ium-1-yl)methyl)-3-(80-carboxy-2-methyl-3-oxo- 6,9,12,15,18,21,24,27,30,33,36,39,42,45,48,51,54,57,60,63,66,69,72,75,78-pentacosaoxa-2- azaoctacontyl)phenyl)carbamoyl)-26-(1-(2,5-dioxo-2,5-dihydro-1H-pyrrol-1-yl)-15-oxo-3,6,9,12,19- pentaoxa-16-azadocosan-22-oyl)-9,43-diisopropyl-1,8,11,41,44-pentaoxo-46-(3-ureidopropyl)- 14,17,20,23,29,32,35,38-octaoxa-2,7,10,26,42,45-hexaazaheptatetracontan-47-amido)-2-(80-carboxy-2- methyl-3-oxo-6,9,12,15,18,21,24,27,30,33,36,39,42,45,48,51,54,57,60,63,66,69,72,75,78-pentacosaoxa-
2-azaoctacontyl)benzyl)-4-(2-(4-(4-((R)-1-carboxy-2-(2-(2-(2-(2-methoxyphenyl)pyrimidin-4- yl)ethyl)phenyl)ethoxy)-6-(4-fluorophenyl)thieno[2,3-d]pyrimidin-5-yl)-2-chloro-3- methylphenoxy)ethyl)-1-methylpiperazin-1-ium trifluoroacetate (20.8 mg, 66% yield) was obtained. HRMS: (M+2- H+)+ = 5877.8198, Rt=2.67 min (5 min acidic method). Synthesis of 1-({4-[(2S,5S,37S,40S)-45-Amino-2-(3-carbamamidopropyl)-40-{[4-({4-[2-(4-{4-[(1R)-1- carboxy-2-(2-{[2-(2-methoxyphenyl)pyrimidin-4-yl]methoxy}phenyl)ethoxy]-6-(4- fluorophenyl)thieno[2,3-d]pyrimidin-5-yl}-2-chloro-3-methylphenoxy)ethyl]-1-methylpiperazin-1- ium-1-yl}methyl)-3-(80-carboxy-2-methyl-3-oxo- 6,9,12,15,18,21,24,27,30,33,36,39,42,45,48,51,54,57,60,63,66,69,72,75,78-pentacosaoxa-2- azaoctacontan-1-yl)phenyl]carbamoyl}-19-[1-(2,5-dioxo-2,5-dihydro-1H-pyrrol-1-yl)-15,22-dioxo- 3,6,9,12,19-pentaoxa-16-azadocosan-22-yl]-4,7,23,25,25,35,38,45-octaoxo-5,37-di(propan-2-yl)- &%#&(#&+#''#',#('$21<.7<.$'*A+$:23.$(#+#&,#')#'+#(+#(,#))$7/:..>.816:.:1:9./76:.6.6$&$.5307-$'$ (80-carboxy-2-methyl-3-oxo- 6,9,12,15,18,21,24,27,30,33,36,39,42,45,48,51,54,57,60,63,66,69,72,75,78-pentacosaoxa-2- azaoctacontan-1-yl)phenyl}methyl)-4-[2-(4-{4-[(1R)-1-carboxy-2-(2-{[2-(2- methoxyphenyl)pyrimidin-4-yl]methoxy}phenyl)ethoxy]-6-(4-fluorophenyl)thieno[2,3-d]pyrimidin- 5-yl}-2-chloro-3-methylphenoxy)ethyl]-1-methylpiperazin-1-ium trifluoroacetate (P1-L11-P1)
[961] To a solution of 11-(2-(((N-(2-(2-(2- carboxyethoxy)ethoxy)ethyl)sulfamoyl)carbamoyl)oxy)ethyl)-1-(9H-fluoren-9-yl)-3,10-dioxo- 2,7,14,17,20-pentaoxa-4,11-diazatricosan-23-oic acid (14.8 mg, 17 µmol) and HATU (12.7 mg, 33 µmol) in DMF (2 mL) was added DIEA (44 µL, 251 µmol). After stirring for 30 minutes, 1-(4-((S)-2-((S)-2- amino-3-methylbutanamido)-5-ureidopentanamido)-2-(80-carboxy-2-methyl-3-oxo- 6,9,12,15,18,21,24,27,30,33,36,39,42,45,48,51,54,57,60,63,66,69,72,75,78-pentacosaoxa-2- azaoctacontyl)benzyl)-4-(2-(4-(4-((R)-1-carboxy-2-(2-((2-(2-methoxyphenyl)pyrimidin-4- yl)methoxy)phenyl)ethoxy)-6-(4-fluorophenyl)thieno[2,3-d]pyrimidin-5-yl)-2-chloro-3- methylphenoxy)ethyl)-1-methylpiperazin-1-ium trifluoroacetate (103 mg, 35 µmol) was added. After stirring for an additional 1 hour, 2M Me2NH in MeOH (251 µL, 502 µM) was added. After stirring for
one additional hour, the solution was diluted with DMSO and purified by ISCO RP-HPLC. Upon lyophilization, bisamide coupled, FMOC deprotected product (33.4 mg, 33% yield) was obtained. HRMS: (M+2- H+)+ = 5585.6499 , Rt=2.52 min (5 min acidic method). Following second half of GENERAL PROCEDURE #5 using above isolated bisamide coupled, FMOC deprotected product (33.4 mg, 5.6 µmol), 2,5-dioxopyrrolidin-1-yl 1-(2,5-dioxo-2,5-dihydro-1H-pyrrol-1-yl)-3,6,9,12- tetraoxapentadecan-15-oate (3.7 mg, 8.4 µmol) and DIEA (9.8 µL, 56 µmol), 1-({4-[(2S,5S,37S,40S)-45- Amino-2-(3-carbamamidopropyl)-40-{[4-({4-[2-(4-{4-[(1R)-1-carboxy-2-(2-{[2-(2- methoxyphenyl)pyrimidin-4-yl]methoxy}phenyl)ethoxy]-6-(4-fluorophenyl)thieno[2,3-d]pyrimidin-5- yl}-2-chloro-3-methylphenoxy)ethyl]-1-methylpiperazin-1-ium-1-yl}methyl)-3-(80-carboxy-2-methyl-3- oxo-6,9,12,15,18,21,24,27,30,33,36,39,42,45,48,51,54,57,60,63,66,69,72,75,78-pentacosaoxa-2- azaoctacontan-1-yl)phenyl]carbamoyl}-19-[1-(2,5-dioxo-2,5-dihydro-1H-pyrrol-1-yl)-15,22-dioxo- 3,6,9,12,19-pentaoxa-16-azadocosan-22-yl]-4,7,23,25,25,35,38,45-octaoxo-5,37-di(propan-2-yl)- +*&+-&+0&,,&,3&-,'SPbLYbL',/m0'^STL'-&0&+3&,.&,0&-0&-3&..'YN^LLdLZPX^L^P^\LNYX^LXLX'+'LWTOYK','#2*' carboxy-2-methyl-3-oxo-6,9,12,15,18,21,24,27,30,33,36,39,42,45,48,51,54,57,60,63,66,69,72,75,78- pentacosaoxa-2-azaoctacontan-1-yl)phenyl}methyl)-4-[2-(4-{4-[(1R)-1-carboxy-2-(2-{[2-(2- methoxyphenyl)pyrimidin-4-yl]methoxy}phenyl)ethoxy]-6-(4-fluorophenyl)thieno[2,3-d]pyrimidin-5- yl}-2-chloro-3-methylphenoxy)ethyl]-1-methylpiperazin-1-ium trifluoroacetate (18.5 mg, 53% yield) was obtained. HRMS: (M+2- H+)+ = 5912.8091 , Rt=2.65 min (5 min acidic method). [962] [963] Synthesis of N-(4-((2S,5S)-22-(3-(2-((tert-butoxycarbonyl)amino)ethoxy)propanoyl)-5- isopropyl-19,25-dimethyl-4,7,20,24,37-pentaoxo-2-(3-ureidopropyl)-10,13,16,28,31,34,38-heptaoxa- 3,6,19,22,25-pentaazahentetracont-40-enamido)-2-(2,81,81-trimethyl-3,79-dioxo- 7,10,13,16,19,22,25,28,31,34,37,40,43,46,49,52,55,58,61,64,67,70,73,76,80-pentacosaoxa-2,4- diazadooctacontyl)benzyl)-3-((R)-2-(4-chloro-2-(4-((5-cyano-1,2-dimethyl-1H-pyrrol-3-yl)(4- hydroxyphenyl)carbamoyl)-1,5-dimethyl-1H-pyrrol-2-yl)benzoyl)-1,2,3,4-tetrahydroisoquinolin-3- yl)-N,N-dimethylpropan-1-aminium trifluoroacetate [964]
[965] Following GENERAL PROCEDURE #3 using N-(4-((S)-2-((S)-2-amino-3- methylbutanamido)-5-ureidopentanamido)-2-(2,81,81-trimethyl-3,79-dioxo-
7,10,13,16,19,22,25,28,31,34,37,40,43,46,49,52,55,58,61,64,67,70,73,76,80-pentacosaoxa-2,4- diazadooctacontyl)benzyl)-3-((R)-2-(4-chloro-2-(4-((5-cyano-1,2-dimethyl-1H-pyrrol-3-yl)(4- hydroxyphenyl)carbamoyl)-1,5-dimethyl-1H-pyrrol-2-yl)benzoyl)-1,2,3,4-tetrahydroisoquinolin-3-yl)- N,N-dimethylpropan-1-aminium trifluoroacetate (110 mg, 43 µmol) and 16-(3-(2-((tert- butoxycarbonyl)amino)ethoxy)propanoyl)-13,19-dimethyl-14,18,31-trioxo-4,7,10,22,25,28,32-heptaoxa- 13,16,19-triazapentatriacont-34-enoic acid (42.3 mg, 51 µmol), N-(4-((2S,5S)-22-(3-(2-((tert- butoxycarbonyl)amino)ethoxy)propanoyl)-5-isopropyl-19,25-dimethyl-4,7,20,24,37-pentaoxo-2-(3- ureidopropyl)-10,13,16,28,31,34,38-heptaoxa-3,6,19,22,25-pentaazahentetracont-40-enamido)-2- (2,81,81-trimethyl-3,79-dioxo- 7,10,13,16,19,22,25,28,31,34,37,40,43,46,49,52,55,58,61,64,67,70,73,76,80-pentacosaoxa-2,4- diazadooctacontyl)benzyl)-3-((R)-2-(4-chloro-2-(4-((5-cyano-1,2-dimethyl-1H-pyrrol-3-yl)(4- hydroxyphenyl)carbamoyl)-1,5-dimethyl-1H-pyrrol-2-yl)benzoyl)-1,2,3,4-tetrahydroisoquinolin-3-yl)- N,N-dimethylpropan-1-aminium trifluoroacetate (134.3 mg, 96%) was obtained. HRMS: M+=3139.7400, Rt=2.59 min (5 min acidic method). [966] [967] Synthesis of N-(4-((32S,35S)-15-(3-(2-((tert-butoxycarbonyl)amino)ethoxy)propanoyl)-1- carboxy-32-isopropyl-12,18-dimethyl-13,17,30,33-tetraoxo-35-(3-ureidopropyl)-3,6,9,21,24,27- hexaoxa-12,15,18,31,34-pentaazahexatriacontan-36-amido)-2-(2,81,81-trimethyl-3,79-dioxo- 7,10,13,16,19,22,25,28,31,34,37,40,43,46,49,52,55,58,61,64,67,70,73,76,80-pentacosaoxa-2,4- diazadooctacontyl)benzyl)-3-((R)-2-(4-chloro-2-(4-((5-cyano-1,2-dimethyl-1H-pyrrol-3-yl)(4- hydroxyphenyl)carbamoyl)-1,5-dimethyl-1H-pyrrol-2-yl)benzoyl)-1,2,3,4-tetrahydroisoquinolin-3- yl)-N,N-dimethylpropan-1-aminium trifluoroacetate [968] [969]
[970] Following GENERAL PROCEDURE #2 using N-(4-((2S,5S)-22-(3-(2-((tert- butoxycarbonyl)amino)ethoxy)propanoyl)-5-isopropyl-19,25-dimethyl-4,7,20,24,37-pentaoxo-2-(3- ureidopropyl)-10,13,16,28,31,34,38-heptaoxa-3,6,19,22,25-pentaazahentetracont-40-enamido)-2- (2,81,81-trimethyl-3,79-dioxo- 7,10,13,16,19,22,25,28,31,34,37,40,43,46,49,52,55,58,61,64,67,70,73,76,80-pentacosaoxa-2,4- diazadooctacontyl)benzyl)-3-((R)-2-(4-chloro-2-(4-((5-cyano-1,2-dimethyl-1H-pyrrol-3-yl)(4-
hydroxyphenyl)carbamoyl)-1,5-dimethyl-1H-pyrrol-2-yl)benzoyl)-1,2,3,4-tetrahydroisoquinolin-3-yl)- N,N-dimethylpropan-1-aminium trifluoroacetate (227 mg, 70 µmol), N,N,1,1,1-pentamethylsilanamine (82 mg, 700 µmol) and tetrakis(triphenylphosphine)palladium (12.1 mg, 10.5 µmol), N-(4-((32S,35S)-15- (3-(2-((tert-butoxycarbonyl)amino)ethoxy)propanoyl)-1-carboxy-32-isopropyl-12,18-dimethyl- 13,17,30,33-tetraoxo-35-(3-ureidopropyl)-3,6,9,21,24,27-hexaoxa-12,15,18,31,34- pentaazahexatriacontan-36-amido)-2-(2,81,81-trimethyl-3,79-dioxo- 7,10,13,16,19,22,25,28,31,34,37,40,43,46,49,52,55,58,61,64,67,70,73,76,80-pentacosaoxa-2,4- diazadooctacontyl)benzyl)-3-((R)-2-(4-chloro-2-(4-((5-cyano-1,2-dimethyl-1H-pyrrol-3-yl)(4- hydroxyphenyl)carbamoyl)-1,5-dimethyl-1H-pyrrol-2-yl)benzoyl)-1,2,3,4-tetrahydroisoquinolin-3-yl)- N,N-dimethylpropan-1-aminium trifluoroacetate (178.3 mg, 79% yield) was obtained. HRMS: M+=3099.700, Rt=2.46 min (5 min acidic method). [971] [972] Synthesis of 1-(4-((6S,9S,43S,46S)-1-amino-26-(3-(2-((tert- butoxycarbonyl)amino)ethoxy)propanoyl)-6-((4-(((3-((R)-2-(4-chloro-2-(4-((5-cyano-1,2-dimethyl- 1H-pyrrol-3-yl)(4-hydroxyphenyl)carbamoyl)-1,5-dimethyl-1H-pyrrol-2-yl)benzoyl)-1,2,3,4- tetrahydroisoquinolin-3-yl)propyl)dimethylammonio)methyl)-3-(2,81,81-trimethyl-3,79-dioxo- 7,10,13,16,19,22,25,28,31,34,37,40,43,46,49,52,55,58,61,64,67,70,73,76,80-pentacosaoxa-2,4- diazadooctacontyl)phenyl)carbamoyl)-9,43-diisopropyl-23,29-dimethyl-1,8,11,24,28,41,44-heptaoxo- 46-(3-ureidopropyl)-14,17,20,32,35,38-hexaoxa-2,7,10,23,26,29,42,45-octaazaheptatetracontan-47- amido)-2-(78-carboxy-2-methyl-3-oxo- 7,10,13,16,19,22,25,28,31,34,37,40,43,46,49,52,55,58,61,64,67,70,73,76-tetracosaoxa-2,4- diazaoctaheptacontyl)benzyl)-4-(2-(4-(4-((R)-1-carboxy-2-(2-((2-(2-methoxyphenyl)pyrimidin-4- yl)methoxy)phenyl)ethoxy)-6-(4-fluorophenyl)thieno[2,3-d]pyrimidin-5-yl)-2-chloro-3- methylphenoxy)ethyl)-1-methylpiperazin-1-ium trifluoroacetate [973]
[974] Following GENERAL PROCEDURE #4 using N-(4-((32S,35S)-15-(3-(2-((tert- butoxycarbonyl)amino)ethoxy)propanoyl)-1-carboxy-32-isopropyl-12,18-dimethyl-13,17,30,33-tetraoxo- 35-(3-ureidopropyl)-3,6,9,21,24,27-hexaoxa-12,15,18,31,34-pentaazahexatriacontan-36-amido)-2- (2,81,81-trimethyl-3,79-dioxo- 7,10,13,16,19,22,25,28,31,34,37,40,43,46,49,52,55,58,61,64,67,70,73,76,80-pentacosaoxa-2,4-
diazadooctacontyl)benzyl)-3-((R)-2-(4-chloro-2-(4-((5-cyano-1,2-dimethyl-1H-pyrrol-3-yl)(4- hydroxyphenyl)carbamoyl)-1,5-dimethyl-1H-pyrrol-2-yl)benzoyl)-1,2,3,4-tetrahydroisoquinolin-3-yl)- N,N-dimethylpropan-1-aminium trifluoroacetate (118 mg, 37 µmol), TSTU (11.8 mg, 39 µmol), 1-(4- ((S)-2-((S)-2-amino-3-methylbutanamido)-5-ureidopentanamido)-2-(78-carboxy-2-methyl-3-oxo- 7,10,13,16,19,22,25,28,31,34,37,40,43,46,49,52,55,58,61,64,67,70,73,76-tetracosaoxa-2,4- diazaoctaheptacontyl)benzyl)-4-(2-(4-(4-((R)-1-carboxy-2-(2-((2-(2-methoxyphenyl)pyrimidin-4- yl)methoxy)phenyl)ethoxy)-6-(4-fluorophenyl)thieno[2,3-d]pyrimidin-5-yl)-2-chloro-3- methylphenoxy)ethyl)-1-methylpiperazin-1-ium TFA salt (108 mg, 40 µmol) and DIEA (33.2 mg, 257 µmol), 1-(4-((6S,9S,43S,46S)-1-amino-26-(3-(2-((tert-butoxycarbonyl)amino)ethoxy)propanoyl)-6-((4- (((3-((R)-2-(4-chloro-2-(4-((5-cyano-1,2-dimethyl-1H-pyrrol-3-yl)(4-hydroxyphenyl)carbamoyl)-1,5- dimethyl-1H-pyrrol-2-yl)benzoyl)-1,2,3,4-tetrahydroisoquinolin-3-yl)propyl)dimethylammonio)methyl)- 3-(2,81,81-trimethyl-3,79-dioxo- 7,10,13,16,19,22,25,28,31,34,37,40,43,46,49,52,55,58,61,64,67,70,73,76,80-pentacosaoxa-2,4- diazadooctacontyl)phenyl)carbamoyl)-9,43-diisopropyl-23,29-dimethyl-1,8,11,24,28,41,44-heptaoxo-46- (3-ureidopropyl)-14,17,20,32,35,38-hexaoxa-2,7,10,23,26,29,42,45-octaazaheptatetracontan-47-amido)- 2-(78-carboxy-2-methyl-3-oxo-7,10,13,16,19,22,25,28,31,34,37,40,43,46,49,52,55,58,61,64,67,70,73,76- tetracosaoxa-2,4-diazaoctaheptacontyl)benzyl)-4-(2-(4-(4-((R)-1-carboxy-2-(2-((2-(2- methoxyphenyl)pyrimidin-4-yl)methoxy)phenyl)ethoxy)-6-(4-fluorophenyl)thieno[2,3-d]pyrimidin-5-yl)- 2-chloro-3-methylphenoxy)ethyl)-1-methylpiperazin-1-ium trifluoroacetate (101 mg, 48% yield) was obtained. HRMS: (M+2-H+)+=5531.8799, Rt=2.65 min (5 min acidic method). Synthesis of 1-(4-((6S,9S,43S,46S)-1-amino-6-((3-(78-carboxy-2-methyl-3-oxo- 7,10,13,16,19,22,25,28,31,34,37,40,43,46,49,52,55,58,61,64,67,70,73,76-tetracosaoxa-2,4- diazaoctaheptacontyl)-4-(((3-((R)-2-(4-chloro-2-(4-((5-cyano-1,2-dimethyl-1H-pyrrol-3-yl)(4- hydroxyphenyl)carbamoyl)-1,5-dimethyl-1H-pyrrol-2-yl)benzoyl)-1,2,3,4-tetrahydroisoquinolin-3- yl)propyl)dimethylammonio)methyl)phenyl)carbamoyl)-26-(1-(2,5-dioxo-2,5-dihydro-1H-pyrrol-1- yl)-15-oxo-3,6,9,12,19-pentaoxa-16-azadocosan-22-oyl)-9,43-diisopropyl-23,29-dimethyl- 1,8,11,24,28,41,44-heptaoxo-46-(3-ureidopropyl)-14,17,20,32,35,38-hexaoxa-2,7,10,23,26,29,42,45- octaazaheptatetracontan-47-amido)-2-(78-carboxy-2-methyl-3-oxo- 7,10,13,16,19,22,25,28,31,34,37,40,43,46,49,52,55,58,61,64,67,70,73,76-tetracosaoxa-2,4- diazaoctaheptacontyl)benzyl)-4-(2-(4-(4-((R)-1-carboxy-2-(2-((2-(2-methoxyphenyl)pyrimidin-4- yl)methoxy)phenyl)ethoxy)-6-(4-fluorophenyl)thieno[2,3-d]pyrimidin-5-yl)-2-chloro-3- methylphenoxy)ethyl)-1-methylpiperazin-1-ium trifuoroacetate (P1-L12-P2)
[975] Following the first part of GENERAL PROCEDURE #5 and using 1-(4-((6S,9S,43S,46S)-1- amino-26-(3-(2-((tert-butoxycarbonyl)amino)ethoxy)propanoyl)-6-((4-(((3-((R)-2-(4-chloro-2-(4-((5- cyano-1,2-dimethyl-1H-pyrrol-3-yl)(4-hydroxyphenyl)carbamoyl)-1,5-dimethyl-1H-pyrrol-2-yl)benzoyl)- 1,2,3,4-tetrahydroisoquinolin-3-yl)propyl)dimethylammonio)methyl)-3-(2,81,81-trimethyl-3,79-dioxo- 7,10,13,16,19,22,25,28,31,34,37,40,43,46,49,52,55,58,61,64,67,70,73,76,80-pentacosaoxa-2,4- diazadooctacontyl)phenyl)carbamoyl)-9,43-diisopropyl-23,29-dimethyl-1,8,11,24,28,41,44-heptaoxo-46- (3-ureidopropyl)-14,17,20,32,35,38-hexaoxa-2,7,10,23,26,29,42,45-octaazaheptatetracontan-47-amido)- 2-(78-carboxy-2-methyl-3-oxo-7,10,13,16,19,22,25,28,31,34,37,40,43,46,49,52,55,58,61,64,67,70,73,76- tetracosaoxa-2,4-diazaoctaheptacontyl)benzyl)-4-(2-(4-(4-((R)-1-carboxy-2-(2-((2-(2- methoxyphenyl)pyrimidin-4-yl)methoxy)phenyl)ethoxy)-6-(4-fluorophenyl)thieno[2,3-d]pyrimidin-5-yl)- 2-chloro-3-methylphenoxy)ethyl)-1-methylpiperazin-1-ium trifluoroacetate (214 mg, 35 µmol), after removal of volatiles in vacuo and purification by RP-HPLC the deprotected amine intermediate was isolated. Following the second part of GENERAL PROCEDURE #5 and using isolated amine (176 mg, 30 µmol), 2,5-dioxopyrrolidin-1-yl 1-(2,5-dioxo-2,5-dihydro-1H-pyrrol-1-yl)-3,6,9,12- tetraoxapentadecan-15-oate (20.2 mg, 46 µmol) and DIEA (31.5 mg, 243 µmol), 1-(4-((6S,9S,43S,46S)- 1-amino-6-((3-(78-carboxy-2-methyl-3-oxo- 7,10,13,16,19,22,25,28,31,34,37,40,43,46,49,52,55,58,61,64,67,70,73,76-tetracosaoxa-2,4- diazaoctaheptacontyl)-4-(((3-((R)-2-(4-chloro-2-(4-((5-cyano-1,2-dimethyl-1H-pyrrol-3-yl)(4- hydroxyphenyl)carbamoyl)-1,5-dimethyl-1H-pyrrol-2-yl)benzoyl)-1,2,3,4-tetrahydroisoquinolin-3- yl)propyl)dimethylammonio)methyl)phenyl)carbamoyl)-26-(1-(2,5-dioxo-2,5-dihydro-1H-pyrrol-1-yl)- 15-oxo-3,6,9,12,19-pentaoxa-16-azadocosan-22-oyl)-9,43-diisopropyl-23,29-dimethyl- 1,8,11,24,28,41,44-heptaoxo-46-(3-ureidopropyl)-14,17,20,32,35,38-hexaoxa-2,7,10,23,26,29,42,45- octaazaheptatetracontan-47-amido)-2-(78-carboxy-2-methyl-3-oxo- 7,10,13,16,19,22,25,28,31,34,37,40,43,46,49,52,55,58,61,64,67,70,73,76-tetracosaoxa-2,4- diazaoctaheptacontyl)benzyl)-4-(2-(4-(4-((R)-1-carboxy-2-(2-((2-(2-methoxyphenyl)pyrimidin-4- yl)methoxy)phenyl)ethoxy)-6-(4-fluorophenyl)thieno[2,3-d]pyrimidin-5-yl)-2-chloro-3-
methylphenoxy)ethyl)-1-methylpiperazin-1-ium trifuoroacetate (143 mg, 66% yield) was obtained. HRMS: (M+2-H+)+=5702.8599, Rt=2.44 min (5 min acidic method). Synthesis of 4-(4-((2R,5R)-22-(3-(2-((tert-butoxycarbonyl)amino)ethoxy)propanoyl)-5-isopropyl- 19,25-dimethyl-4,7,20,24,37-pentaoxo-2-(3-ureidopropyl)-10,13,16,28,31,34,38-heptaoxa- 3,6,19,22,25-pentaazahentetracont-40-enamido)-2-(2,81,81-trimethyl-3,79-dioxo- 7,10,13,16,19,22,25,28,31,34,37,40,43,46,49,52,55,58,61,64,67,70,73,76,80-pentacosaoxa-2,4- diazadooctacontyl)benzyl)-4-(2-(4-(2-(6-(4-((1-(difluoromethyl)-1H-pyrazol-4-yl)(4- hydroxyphenyl)carbamoyl)-1,5-dimethyl-1H-pyrrol-2-yl)-7-((S)-3-methyl-1,2,3,4- tetrahydroisoquinoline-2-carbonyl)-3,4-dihydroisoquinolin-2(1H)-yl)-2- oxoethyl)phenoxy)ethyl)morpholin-4-ium trifluoroacetate
[976] Following GENERAL PROCEDURE #3 using 4-(4-((S)-2-((S)-2-amino-3-methylbutanamido)- 5-ureidopentanamido)-2-(2,81,81-trimethyl-3,79-dioxo- 7,10,13,16,19,22,25,28,31,34,37,40,43,46,49,52,55,58,61,64,67,70,73,76,80-pentacosaoxa-2,4- diazadooctacontyl)benzyl)-4-(2-(4-(2-(6-(4-((1-(difluoromethyl)-1H-pyrazol-4-yl)(4- hydroxyphenyl)carbamoyl)-1,5-dimethyl-1H-pyrrol-2-yl)-7-((R)-3-methyl-1,2,3,4- tetrahydroisoquinoline-2-carbonyl)-3,4-dihydroisoquinolin-2(1H)-yl)-2- oxoethyl)phenoxy)ethyl)morpholin-4-ium trifluoroacetate (300 mg, 118.5 µmol) and 16-(3-(2-((tert- butoxycarbonyl)amino)ethoxy)propanoyl)-13,19-dimethyl-14,18,31-trioxo-4,7,10,22,25,28,32-heptaoxa- 13,16,19-triazapentatriacont-34-enoic acid (112 mg, 136.3 µmol), 4-(4-((2R,5R)-22-(3-(2-((tert- butoxycarbonyl)amino)ethoxy)propanoyl)-5-isopropyl-19,25-dimethyl-4,7,20,24,37-pentaoxo-2-(3- ureidopropyl)-10,13,16,28,31,34,38-heptaoxa-3,6,19,22,25-pentaazahentetracont-40-enamido)-2- (2,81,81-trimethyl-3,79-dioxo- 7,10,13,16,19,22,25,28,31,34,37,40,43,46,49,52,55,58,61,64,67,70,73,76,80-pentacosaoxa-2,4- diazadooctacontyl)benzyl)-4-(2-(4-(2-(6-(4-((1-(difluoromethyl)-1H-pyrazol-4-yl)(4- hydroxyphenyl)carbamoyl)-1,5-dimethyl-1H-pyrrol-2-yl)-7-((S)-3-methyl-1,2,3,4-tetrahydroisoquinoline- 2-carbonyl)-3,4-dihydroisoquinolin-2(1H)-yl)-2-oxoethyl)phenoxy)ethyl)morpholin-4-ium
trifluoroacetate (256 mg, 65%) was obtained. HRMS: M+=3334.8201, Rt=2.56 min (5 min acidic method). Synthesis of 4-(4-((32R,35R)-15-(3-(2-((tert-butoxycarbonyl)amino)ethoxy)propanoyl)-1-carboxy- 32-isopropyl-12,18-dimethyl-13,17,30,33-tetraoxo-35-(3-ureidopropyl)-3,6,9,21,24,27-hexaoxa- 12,15,18,31,34-pentaazahexatriacontan-36-amido)-2-(2,81,81-trimethyl-3,79-dioxo- 7,10,13,16,19,22,25,28,31,34,37,40,43,46,49,52,55,58,61,64,67,70,73,76,80-pentacosaoxa-2,4- diazadooctacontyl)benzyl)-4-(2-(4-(2-(6-(4-((1-(difluoromethyl)-1H-pyrazol-4-yl)(4- hydroxyphenyl)carbamoyl)-1,5-dimethyl-1H-pyrrol-2-yl)-7-((S)-3-methyl-1,2,3,4- tetrahydroisoquinoline-2-carbonyl)-3,4-dihydroisoquinolin-2(1H)-yl)-2- oxoethyl)phenoxy)ethyl)morpholin-4-ium trifluoroacetate
[977] Following PROCEDURE #2 using 4-(4-((2R,5R)-22-(3-(2-((tert- butoxycarbonyl)amino)ethoxy)propanoyl)-5-isopropyl-19,25-dimethyl-4,7,20,24,37-pentaoxo-2-(3- ureidopropyl)-10,13,16,28,31,34,38-heptaoxa-3,6,19,22,25-pentaazahentetracont-40-enamido)-2- (2,81,81-trimethyl-3,79-dioxo- 7,10,13,16,19,22,25,28,31,34,37,40,43,46,49,52,55,58,61,64,67,70,73,76,80-pentacosaoxa-2,4- diazadooctacontyl)benzyl)-4-(2-(4-(2-(6-(4-((1-(difluoromethyl)-1H-pyrazol-4-yl)(4- hydroxyphenyl)carbamoyl)-1,5-dimethyl-1H-pyrrol-2-yl)-7-((S)-3-methyl-1,2,3,4-tetrahydroisoquinoline- 2-carbonyl)-3,4-dihydroisoquinolin-2(1H)-yl)-2-oxoethyl)phenoxy)ethyl)morpholin-4-ium trifluoroacetate (256.5 mg, 76.9 µmol), pyrrolidine (38.3 mg, 538 µmol) and tetrakis(triphenylphosphine)palladium (8.8 mg, 7.7 µmol) was, 4-(4-((32R,35R)-15-(3-(2-((tert- butoxycarbonyl)amino)ethoxy)propanoyl)-1-carboxy-32-isopropyl-12,18-dimethyl-13,17,30,33-tetraoxo- 35-(3-ureidopropyl)-3,6,9,21,24,27-hexaoxa-12,15,18,31,34-pentaazahexatriacontan-36-amido)-2- (2,81,81-trimethyl-3,79-dioxo- 7,10,13,16,19,22,25,28,31,34,37,40,43,46,49,52,55,58,61,64,67,70,73,76,80-pentacosaoxa-2,4- diazadooctacontyl)benzyl)-4-(2-(4-(2-(6-(4-((1-(difluoromethyl)-1H-pyrazol-4-yl)(4- hydroxyphenyl)carbamoyl)-1,5-dimethyl-1H-pyrrol-2-yl)-7-((S)-3-methyl-1,2,3,4-tetrahydroisoquinoline-
2-carbonyl)-3,4-dihydroisoquinolin-2(1H)-yl)-2-oxoethyl)phenoxy)ethyl)morpholin-4-ium trifluoroacetate (171 mg, 67 % yield) was obtained. HRMS: M+=3294.8000 Rt=2.45 min (5 min acidic method). Synthesis of 4-(4-((6S,9S,43S,46S)-1-amino-26-(3-(2-((tert- butoxycarbonyl)amino)ethoxy)propanoyl)-6-((4-((4-(2-(4-(4-((R)-1-carboxy-2-(2-((2-(2- methoxyphenyl)pyrimidin-4-yl)methoxy)phenyl)ethoxy)-6-(4-fluorophenyl)thieno[2,3-d]pyrimidin- 5-yl)-2-chloro-3-methylphenoxy)ethyl)-1-methylpiperazin-1-ium-1-yl)methyl)-3-(78-carboxy-2- methyl-3-oxo-7,10,13,16,19,22,25,28,31,34,37,40,43,46,49,52,55,58,61,64,67,70,73,76-tetracosaoxa- 2,4-diazaoctaheptacontyl)phenyl)carbamoyl)-9,43-diisopropyl-23,29-dimethyl-1,8,11,24,28,41,44- heptaoxo-46-(3-ureidopropyl)-14,17,20,32,35,38-hexaoxa-2,7,10,23,26,29,42,45- octaazaheptatetracontan-47-amido)-2-(2,81,81-trimethyl-3,79-dioxo- 7,10,13,16,19,22,25,28,31,34,37,40,43,46,49,52,55,58,61,64,67,70,73,76,80-pentacosaoxa-2,4- diazadooctacontyl)benzyl)-4-(2-(4-(2-(6-(4-((1-(difluoromethyl)-1H-pyrazol-4-yl)(4- hydroxyphenyl)carbamoyl)-1,5-dimethyl-1H-pyrrol-2-yl)-7-((R)-3-methyl-1,2,3,4- tetrahydroisoquinoline-2-carbonyl)-3,4-dihydroisoquinolin-2(1H)-yl)-2- oxoethyl)phenoxy)ethyl)morpholin-4-ium trifluoroacetate
[978] Following GENERAL PROCEDURE #4 using 4-(4-((32R,35R)-15-(3-(2-((tert- butoxycarbonyl)amino)ethoxy)propanoyl)-1-carboxy-32-isopropyl-12,18-dimethyl-13,17,30,33-tetraoxo- 35-(3-ureidopropyl)-3,6,9,21,24,27-hexaoxa-12,15,18,31,34-pentaazahexatriacontan-36-amido)-2- (2,81,81-trimethyl-3,79-dioxo- 7,10,13,16,19,22,25,28,31,34,37,40,43,46,49,52,55,58,61,64,67,70,73,76,80-pentacosaoxa-2,4- diazadooctacontyl)benzyl)-4-(2-(4-(2-(6-(4-((1-(difluoromethyl)-1H-pyrazol-4-yl)(4- hydroxyphenyl)carbamoyl)-1,5-dimethyl-1H-pyrrol-2-yl)-7-((S)-3-methyl-1,2,3,4-tetrahydroisoquinoline- 2-carbonyl)-3,4-dihydroisoquinolin-2(1H)-yl)-2-oxoethyl)phenoxy)ethyl)morpholin-4-ium trifluoroacetate (170.4 mg, 51.7 µmol), TSTU (15.6 mg, 51.7 µmol), 1-(4-((S)-2-((S)-2-amino-3- methylbutanamido)-5-ureidopentanamido)-2-(78-carboxy-2-methyl-3-oxo- 7,10,13,16,19,22,25,28,31,34,37,40,43,46,49,52,55,58,61,64,67,70,73,76-tetracosaoxa-2,4-
diazaoctaheptacontyl)benzyl)-4-(2-(4-(4-((R)-1-carboxy-2-(2-((2-(2-methoxyphenyl)pyrimidin-4- yl)methoxy)phenyl)ethoxy)-6-(4-fluorophenyl)thieno[2,3-d]pyrimidin-5-yl)-2-chloro-3- methylphenoxy)ethyl)-1-methylpiperazin-1-ium TFA salt (149.2 mg, 59.4 µmol) and DIEA (72 µL, 414 µmol), 4-(4-((6S,9S,43S,46S)-1-amino-26-(3-(2-((tert-butoxycarbonyl)amino)ethoxy)propanoyl)-6-((4- ((4-(2-(4-(4-((R)-1-carboxy-2-(2-((2-(2-methoxyphenyl)pyrimidin-4-yl)methoxy)phenyl)ethoxy)-6-(4- fluorophenyl)thieno[2,3-d]pyrimidin-5-yl)-2-chloro-3-methylphenoxy)ethyl)-1-methylpiperazin-1-ium-1- yl)methyl)-3-(78-carboxy-2-methyl-3-oxo- 7,10,13,16,19,22,25,28,31,34,37,40,43,46,49,52,55,58,61,64,67,70,73,76-tetracosaoxa-2,4- diazaoctaheptacontyl)phenyl)carbamoyl)-9,43-diisopropyl-23,29-dimethyl-1,8,11,24,28,41,44-heptaoxo- 46-(3-ureidopropyl)-14,17,20,32,35,38-hexaoxa-2,7,10,23,26,29,42,45-octaazaheptatetracontan-47- amido)-2-(2,81,81-trimethyl-3,79-dioxo- 7,10,13,16,19,22,25,28,31,34,37,40,43,46,49,52,55,58,61,64,67,70,73,76,80-pentacosaoxa-2,4- diazadooctacontyl)benzyl)-4-(2-(4-(2-(6-(4-((1-(difluoromethyl)-1H-pyrazol-4-yl)(4- hydroxyphenyl)carbamoyl)-1,5-dimethyl-1H-pyrrol-2-yl)-7-((R)-3-methyl-1,2,3,4- tetrahydroisoquinoline-2-carbonyl)-3,4-dihydroisoquinolin-2(1H)-yl)-2- oxoethyl)phenoxy)ethyl)morpholin-4-ium trifluoroacetate (147 mg, 49.6% yield) was obtained. HRMS: (M+2-H+)+=5726.9800, Rt=2.66 min (5 min acidic method). Synthesis of 4-(4-((6S,9S,43S,46S)-1-amino-6-((4-((4-(2-(4-(4-((R)-1-carboxy-2-(2-((2-(2- methoxyphenyl)pyrimidin-4-yl)methoxy)phenyl)ethoxy)-6-(4-fluorophenyl)thieno[2,3-d]pyrimidin- 5-yl)-2-chloro-3-methylphenoxy)ethyl)-1-methylpiperazin-1-ium-1-yl)methyl)-3-(78-carboxy-2- methyl-3-oxo-7,10,13,16,19,22,25,28,31,34,37,40,43,46,49,52,55,58,61,64,67,70,73,76-tetracosaoxa- 2,4-diazaoctaheptacontyl)phenyl)carbamoyl)-26-(1-(2,5-dioxo-2,5-dihydro-1H-pyrrol-1-yl)-15-oxo- 3,6,9,12,19-pentaoxa-16-azadocosan-22-oyl)-9,43-diisopropyl-23,29-dimethyl-1,8,11,24,28,41,44- heptaoxo-46-(3-ureidopropyl)-14,17,20,32,35,38-hexaoxa-2,7,10,23,26,29,42,45- octaazaheptatetracontan-47-amido)-2-(78-carboxy-2-methyl-3-oxo- 7,10,13,16,19,22,25,28,31,34,37,40,43,46,49,52,55,58,61,64,67,70,73,76-tetracosaoxa-2,4- diazaoctaheptacontyl)benzyl)-4-(2-(4-(2-(6-(4-((1-(difluoromethyl)-1H-pyrazol-4-yl)(4- hydroxyphenyl)carbamoyl)-1,5-dimethyl-1H-pyrrol-2-yl)-7-((R)-3-methyl-1,2,3,4- tetrahydroisoquinoline-2-carbonyl)-3,4-dihydroisoquinolin-2(1H)-yl)-2- oxoethyl)phenoxy)ethyl)morpholin-4-ium trifluoroacetate (P1-L12-P3)
[979] Following GENERAL PROCEDURE #5 using 4-(4-((6S,9S,43S,46S)-1-amino-26-(3-(2-((tert- butoxycarbonyl)amino)ethoxy)propanoyl)-6-((4-((4-(2-(4-(4-((R)-1-carboxy-2-(2-((2-(2- methoxyphenyl)pyrimidin-4-yl)methoxy)phenyl)ethoxy)-6-(4-fluorophenyl)thieno[2,3-d]pyrimidin-5-yl)- 2-chloro-3-methylphenoxy)ethyl)-1-methylpiperazin-1-ium-1-yl)methyl)-3-(78-carboxy-2-methyl-3-oxo- 7,10,13,16,19,22,25,28,31,34,37,40,43,46,49,52,55,58,61,64,67,70,73,76-tetracosaoxa-2,4- diazaoctaheptacontyl)phenyl)carbamoyl)-9,43-diisopropyl-23,29-dimethyl-1,8,11,24,28,41,44-heptaoxo- 46-(3-ureidopropyl)-14,17,20,32,35,38-hexaoxa-2,7,10,23,26,29,42,45-octaazaheptatetracontan-47- amido)-2-(2,81,81-trimethyl-3,79-dioxo- 7,10,13,16,19,22,25,28,31,34,37,40,43,46,49,52,55,58,61,64,67,70,73,76,80-pentacosaoxa-2,4- diazadooctacontyl)benzyl)-4-(2-(4-(2-(6-(4-((1-(difluoromethyl)-1H-pyrazol-4-yl)(4- hydroxyphenyl)carbamoyl)-1,5-dimethyl-1H-pyrrol-2-yl)-7-((R)-3-methyl-1,2,3,4- tetrahydroisoquinoline-2-carbonyl)-3,4-dihydroisoquinolin-2(1H)-yl)-2- oxoethyl)phenoxy)ethyl)morpholin-4-ium trifluoroacetate (147 mg, 25.1 µmol), 2,5-dioxopyrrolidin-1-yl 1-(2,5-dioxo-2,5-dihydro-1H-pyrrol-1-yl)-3,6,9,12-tetraoxapentadecan-15-oate (22.2 mg, 50.3 µmol) and DIEA (65.7 µL, 377 µmol), 4-(4-((6S,9S,43S,46S)-1-amino-6-((4-((4-(2-(4-(4-((R)-1-carboxy-2-(2-((2- (2-methoxyphenyl)pyrimidin-4-yl)methoxy)phenyl)ethoxy)-6-(4-fluorophenyl)thieno[2,3-d]pyrimidin-5- yl)-2-chloro-3-methylphenoxy)ethyl)-1-methylpiperazin-1-ium-1-yl)methyl)-3-(78-carboxy-2-methyl-3- oxo-7,10,13,16,19,22,25,28,31,34,37,40,43,46,49,52,55,58,61,64,67,70,73,76-tetracosaoxa-2,4- diazaoctaheptacontyl)phenyl)carbamoyl)-26-(1-(2,5-dioxo-2,5-dihydro-1H-pyrrol-1-yl)-15-oxo- 3,6,9,12,19-pentaoxa-16-azadocosan-22-oyl)-9,43-diisopropyl-23,29-dimethyl-1,8,11,24,28,41,44- heptaoxo-46-(3-ureidopropyl)-14,17,20,32,35,38-hexaoxa-2,7,10,23,26,29,42,45- octaazaheptatetracontan-47-amido)-2-(78-carboxy-2-methyl-3-oxo- 7,10,13,16,19,22,25,28,31,34,37,40,43,46,49,52,55,58,61,64,67,70,73,76-tetracosaoxa-2,4- diazaoctaheptacontyl)benzyl)-4-(2-(4-(2-(6-(4-((1-(difluoromethyl)-1H-pyrazol-4-yl)(4- hydroxyphenyl)carbamoyl)-1,5-dimethyl-1H-pyrrol-2-yl)-7-((R)-3-methyl-1,2,3,4- tetrahydroisoquinoline-2-carbonyl)-3,4-dihydroisoquinolin-2(1H)-yl)-2-
oxoethyl)phenoxy)ethyl)morpholin-4-ium trifluoroacetate (76 mg, 45% yield) was obtained. HRMS: (M+2-H+)+=5897.9502, Rt=2.42 min (5 min acidic method). Synthesis of 4-(2-(((((9H-fluoren-9-yl)methoxy)carbonyl)(methyl)amino)methyl)-4-((2S,5S)-22-(3-(2- ((tert-butoxycarbonyl)amino)ethoxy)propanoyl)-5-isopropyl-19,25-dimethyl-4,7,20,24,37-pentaoxo- 2-(3-ureidopropyl)-10,13,16,28,31,34,38-heptaoxa-3,6,19,22,25-pentaazahentetracont-40- enamido)benzyl)-4-(2-(4-(2-(6-(4-((5-cyano-1,2-dimethyl-1H-pyrrol-3-yl)(4- hydroxyphenyl)carbamoyl)-1,5-dimethyl-1H-pyrrol-2-yl)-7-((R)-3-methyl-1,2,3,4- tetrahydroisoquinoline-2-carbonyl)-3,4-dihydroisoquinolin-2(1H)-yl)-2- oxoethyl)phenoxy)ethyl)morpholin-4-ium trifluoroacetate
[980] Following GENERAL PROCEDURE #3 using 4-(2-(((((9H-fluoren-9- yl)methoxy)carbonyl)(methyl)amino)methyl)-4-((S)-2-((S)-2-amino-3-methylbutanamido)-5- ureidopentanamido)benzyl)-4-(2-(4-(2-(6-(4-((5-cyano-1,2-dimethyl-1H-pyrrol-3-yl)(4- hydroxyphenyl)carbamoyl)-1,5-dimethyl-1H-pyrrol-2-yl)-7-((R)-3-methyl-1,2,3,4- tetrahydroisoquinoline-2-carbonyl)-3,4-dihydroisoquinolin-2(1H)-yl)-2- oxoethyl)phenoxy)ethyl)morpholin-4-ium trifluoroacetate (176.8 mg, 100.7 µmol) and 16-(3-(2-((tert- butoxycarbonyl)amino)ethoxy)propanoyl)-13,19-dimethyl-14,18,31-trioxo-4,7,10,22,25,28,32-heptaoxa- 13,16,19-triazapentatriacont-34-enoic acid (95.2 mg, 115.8 µmol), 4-(2-(((((9H-fluoren-9- yl)methoxy)carbonyl)(methyl)amino)methyl)-4-((2S,5S)-22-(3-(2-((tert- butoxycarbonyl)amino)ethoxy)propanoyl)-5-isopropyl-19,25-dimethyl-4,7,20,24,37-pentaoxo-2-(3- ureidopropyl)-10,13,16,28,31,34,38-heptaoxa-3,6,19,22,25-pentaazahentetracont-40-enamido)benzyl)-4- (2-(4-(2-(6-(4-((5-cyano-1,2-dimethyl-1H-pyrrol-3-yl)(4-hydroxyphenyl)carbamoyl)-1,5-dimethyl-1H- pyrrol-2-yl)-7-((R)-3-methyl-1,2,3,4-tetrahydroisoquinoline-2-carbonyl)-3,4-dihydroisoquinolin-2(1H)- yl)-2-oxoethyl)phenoxy)ethyl)morpholin-4-ium trifluoroacetate (229 mg, 93%) was obtained. HRMS: M+=2331.2100, Rt=2.54 min (5 min acidic method).
Synthesis of 4-(2-(((((9H-fluoren-9-yl)methoxy)carbonyl)(methyl)amino)methyl)-4-((32S,35S)-15-(3- (2-((tert-butoxycarbonyl)amino)ethoxy)propanoyl)-1-carboxy-32-isopropyl-12,18-dimethyl- 13,17,30,33-tetraoxo-35-(3-ureidopropyl)-3,6,9,21,24,27-hexaoxa-12,15,18,31,34- pentaazahexatriacontan-36-amido)benzyl)-4-(2-(4-(2-(6-(4-((5-cyano-1,2-dimethyl-1H-pyrrol-3- yl)(4-hydroxyphenyl)carbamoyl)-1,5-dimethyl-1H-pyrrol-2-yl)-7-((R)-3-methyl-1,2,3,4- tetrahydroisoquinoline-2-carbonyl)-3,4-dihydroisoquinolin-2(1H)-yl)-2- oxoethyl)phenoxy)ethyl)morpholin-4-ium trifluoroacetate
[981] Following GENERAL PROCEDURE #2 using 4-(2-(((((9H-fluoren-9- yl)methoxy)carbonyl)(methyl)amino)methyl)-4-((2S,5S)-22-(3-(2-((tert- butoxycarbonyl)amino)ethoxy)propanoyl)-5-isopropyl-19,25-dimethyl-4,7,20,24,37-pentaoxo-2-(3- ureidopropyl)-10,13,16,28,31,34,38-heptaoxa-3,6,19,22,25-pentaazahentetracont-40-enamido)benzyl)-4- (2-(4-(2-(6-(4-((5-cyano-1,2-dimethyl-1H-pyrrol-3-yl)(4-hydroxyphenyl)carbamoyl)-1,5-dimethyl-1H- pyrrol-2-yl)-7-((R)-3-methyl-1,2,3,4-tetrahydroisoquinoline-2-carbonyl)-3,4-dihydroisoquinolin-2(1H)- yl)-2-oxoethyl)phenoxy)ethyl)morpholin-4-ium Trifluoroacete (229 mg, 93.6 µmol), 4-(2-(((((9H- fluoren-9-yl)methoxy)carbonyl)(methyl)amino)methyl)-4-((32S,35S)-15-(3-(2-((tert- butoxycarbonyl)amino)ethoxy)propanoyl)-1-carboxy-32-isopropyl-12,18-dimethyl-13,17,30,33-tetraoxo- 35-(3-ureidopropyl)-3,6,9,21,24,27-hexaoxa-12,15,18,31,34-pentaazahexatriacontan-36-amido)benzyl)-4- (2-(4-(2-(6-(4-((5-cyano-1,2-dimethyl-1H-pyrrol-3-yl)(4-hydroxyphenyl)carbamoyl)-1,5-dimethyl-1H- pyrrol-2-yl)-7-((R)-3-methyl-1,2,3,4-tetrahydroisoquinoline-2-carbonyl)-3,4-dihydroisoquinolin-2(1H)- yl)-2-oxoethyl)phenoxy)ethyl)morpholin-4-ium trifluoroacetate (144 mg, 62% yield) was obtained. HRMS: M+=2291.2300, Rt=2.39 min (5 min acidic method). Synthesis of 4-(2-(((((9H-fluoren-9-yl)methoxy)carbonyl)(methyl)amino)methyl)-4-((6S,9S,43S,46S)- 1-amino-26-(3-(2-((tert-butoxycarbonyl)amino)ethoxy)propanoyl)-6-((4-((4-(2-(4-(4-((R)-1-carboxy- 2-(2-((2-(2-methoxyphenyl)pyrimidin-4-yl)methoxy)phenyl)ethoxy)-6-(4-fluorophenyl)thieno[2,3- d]pyrimidin-5-yl)-2-chloro-3-methylphenoxy)ethyl)-1-methylpiperazin-1-ium-1-yl)methyl)-3-(78- carboxy-2-methyl-3-oxo-7,10,13,16,19,22,25,28,31,34,37,40,43,46,49,52,55,58,61,64,67,70,73,76- tetracosaoxa-2,4-diazaoctaheptacontyl)phenyl)carbamoyl)-9,43-diisopropyl-23,29-dimethyl-
1,8,11,24,28,41,44-heptaoxo-46-(3-ureidopropyl)-14,17,20,32,35,38-hexaoxa-2,7,10,23,26,29,42,45- octaazaheptatetracontan-47-amido)benzyl)-4-(2-(4-(2-(6-(4-((5-cyano-1,2-dimethyl-1H-pyrrol-3- yl)(4-hydroxyphenyl)carbamoyl)-1,5-dimethyl-1H-pyrrol-2-yl)-7-((R)-3-methyl-1,2,3,4- tetrahydroisoquinoline-2-carbonyl)-3,4-dihydroisoquinolin-2(1H)-yl)-2- oxoethyl)phenoxy)ethyl)morpholin-4-ium trifluoroacetate
[982] Following GENERAL PROCEDURE #4 using 4-(2-(((((9H-fluoren-9- yl)methoxy)carbonyl)(methyl)amino)methyl)-4-((32S,35S)-15-(3-(2-((tert- butoxycarbonyl)amino)ethoxy)propanoyl)-1-carboxy-32-isopropyl-12,18-dimethyl-13,17,30,33-tetraoxo- 35-(3-ureidopropyl)-3,6,9,21,24,27-hexaoxa-12,15,18,31,34-pentaazahexatriacontan-36-amido)benzyl)-4- (2-(4-(2-(6-(4-((5-cyano-1,2-dimethyl-1H-pyrrol-3-yl)(4-hydroxyphenyl)carbamoyl)-1,5-dimethyl-1H- pyrrol-2-yl)-7-((R)-3-methyl-1,2,3,4-tetrahydroisoquinoline-2-carbonyl)-3,4-dihydroisoquinolin-2(1H)- yl)-2-oxoethyl)phenoxy)ethyl)morpholin-4-ium TFA salt (145.8 mg, 60.6 µmol), TSTU (18.97 mg, 63 µmol), 1-(4-((S)-2-((S)-2-amino-3-methylbutanamido)-5-ureidopentanamido)-2-(78-carboxy-2-methyl-3- oxo-7,10,13,16,19,22,25,28,31,34,37,40,43,46,49,52,55,58,61,64,67,70,73,76-tetracosaoxa-2,4- diazaoctaheptacontyl)benzyl)-4-(2-(4-(4-((R)-1-carboxy-2-(2-((2-(2-methoxyphenyl)pyrimidin-4- yl)methoxy)phenyl)ethoxy)-6-(4-fluorophenyl)thieno[2,3-d]pyrimidin-5-yl)-2-chloro-3- methylphenoxy)ethyl)-1-methylpiperazin-1-ium TFA salt (186.8 mg, 69.7 µmol) and DIEA (75 µL, 424 µmol), 4-(2-(((((9H-fluoren-9-yl)methoxy)carbonyl)(methyl)amino)methyl)-4-((6S,9S,43S,46S)-1-amino- 26-(3-(2-((tert-butoxycarbonyl)amino)ethoxy)propanoyl)-6-((4-((4-(2-(4-(4-((R)-1-carboxy-2-(2-((2-(2- methoxyphenyl)pyrimidin-4-yl)methoxy)phenyl)ethoxy)-6-(4-fluorophenyl)thieno[2,3-d]pyrimidin-5-yl)- 2-chloro-3-methylphenoxy)ethyl)-1-methylpiperazin-1-ium-1-yl)methyl)-3-(78-carboxy-2-methyl-3-oxo- 7,10,13,16,19,22,25,28,31,34,37,40,43,46,49,52,55,58,61,64,67,70,73,76-tetracosaoxa-2,4- diazaoctaheptacontyl)phenyl)carbamoyl)-9,43-diisopropyl-23,29-dimethyl-1,8,11,24,28,41,44-heptaoxo- 46-(3-ureidopropyl)-14,17,20,32,35,38-hexaoxa-2,7,10,23,26,29,42,45-octaazaheptatetracontan-47- amido)benzyl)-4-(2-(4-(2-(6-(4-((5-cyano-1,2-dimethyl-1H-pyrrol-3-yl)(4-hydroxyphenyl)carbamoyl)- 1,5-dimethyl-1H-pyrrol-2-yl)-7-((R)-3-methyl-1,2,3,4-tetrahydroisoquinoline-2-carbonyl)-3,4- dihydroisoquinolin-2(1H)-yl)-2-oxoethyl)phenoxy)ethyl)morpholin-4-ium trifluoroacetate (155 mg, 54% yield) was obtained. HRMS: (M+2-H+)+=4723.3198, Rt=2.61 min (5 min acidic method).
Synthesis of 4-(4-((6S,9S,43S,46S)-1-amino-26-(3-(2-((tert- butoxycarbonyl)amino)ethoxy)propanoyl)-6-((4-((4-(2-(4-(4-((R)-1-carboxy-2-(2-((2-(2- methoxyphenyl)pyrimidin-4-yl)methoxy)phenyl)ethoxy)-6-(4-fluorophenyl)thieno[2,3-d]pyrimidin- 5-yl)-2-chloro-3-methylphenoxy)ethyl)-1-methylpiperazin-1-ium-1-yl)methyl)-3-(78-carboxy-2- methyl-3-oxo-7,10,13,16,19,22,25,28,31,34,37,40,43,46,49,52,55,58,61,64,67,70,73,76-tetracosaoxa- 2,4-diazaoctaheptacontyl)phenyl)carbamoyl)-9,43-diisopropyl-23,29-dimethyl-1,8,11,24,28,41,44- heptaoxo-46-(3-ureidopropyl)-14,17,20,32,35,38-hexaoxa-2,7,10,23,26,29,42,45- octaazaheptatetracontan-47-amido)-2-((methylamino)methyl)benzyl)-4-(2-(4-(2-(6-(4-((5-cyano-1,2- dimethyl-1H-pyrrol-3-yl)(4-hydroxyphenyl)carbamoyl)-1,5-dimethyl-1H-pyrrol-2-yl)-7-((R)-3- methyl-1,2,3,4-tetrahydroisoquinoline-2-carbonyl)-3,4-dihydroisoquinolin-2(1H)-yl)-2- oxoethyl)phenoxy)ethyl)morpholin-4-ium trifluoroacetate
[983] To 4-(2-(((((9H-fluoren-9-yl)methoxy)carbonyl)(methyl)amino)methyl)-4-((6S,9S,43S,46S)-1- amino-26-(3-(2-((tert-butoxycarbonyl)amino)ethoxy)propanoyl)-6-((4-((4-(2-(4-(4-((R)-1-carboxy-2-(2- ((2-(2-methoxyphenyl)pyrimidin-4-yl)methoxy)phenyl)ethoxy)-6-(4-fluorophenyl)thieno[2,3- d]pyrimidin-5-yl)-2-chloro-3-methylphenoxy)ethyl)-1-methylpiperazin-1-ium-1-yl)methyl)-3-(78- carboxy-2-methyl-3-oxo-7,10,13,16,19,22,25,28,31,34,37,40,43,46,49,52,55,58,61,64,67,70,73,76- tetracosaoxa-2,4-diazaoctaheptacontyl)phenyl)carbamoyl)-9,43-diisopropyl-23,29-dimethyl- 1,8,11,24,28,41,44-heptaoxo-46-(3-ureidopropyl)-14,17,20,32,35,38-hexaoxa-2,7,10,23,26,29,42,45- octaazaheptatetracontan-47-amido)benzyl)-4-(2-(4-(2-(6-(4-((5-cyano-1,2-dimethyl-1H-pyrrol-3-yl)(4- hydroxyphenyl)carbamoyl)-1,5-dimethyl-1H-pyrrol-2-yl)-7-((R)-3-methyl-1,2,3,4- tetrahydroisoquinoline-2-carbonyl)-3,4-dihydroisoquinolin-2(1H)-yl)-2- oxoethyl)phenoxy)ethyl)morpholin-4-ium TFA salt (155 mg, 31.3 µmol) in DMF (1.5 mL) was added 2M dimethylamine in MeOH (235 µL, 470 µmol). After standing for 1.5 hours, the solution was diluted with DMSO (3 mL) and purified by C18 RP-HPLC yielding 4-(4-((6S,9S,43S,46S)-1-amino-26-(3-(2-((tert- butoxycarbonyl)amino)ethoxy)propanoyl)-6-((4-((4-(2-(4-(4-((R)-1-carboxy-2-(2-((2-(2- methoxyphenyl)pyrimidin-4-yl)methoxy)phenyl)ethoxy)-6-(4-fluorophenyl)thieno[2,3-d]pyrimidin-5-yl)- 2-chloro-3-methylphenoxy)ethyl)-1-methylpiperazin-1-ium-1-yl)methyl)-3-(78-carboxy-2-methyl-3-oxo-
7,10,13,16,19,22,25,28,31,34,37,40,43,46,49,52,55,58,61,64,67,70,73,76-tetracosaoxa-2,4- diazaoctaheptacontyl)phenyl)carbamoyl)-9,43-diisopropyl-23,29-dimethyl-1,8,11,24,28,41,44-heptaoxo- 46-(3-ureidopropyl)-14,17,20,32,35,38-hexaoxa-2,7,10,23,26,29,42,45-octaazaheptatetracontan-47- amido)-2-((methylamino)methyl)benzyl)-4-(2-(4-(2-(6-(4-((5-cyano-1,2-dimethyl-1H-pyrrol-3-yl)(4- hydroxyphenyl)carbamoyl)-1,5-dimethyl-1H-pyrrol-2-yl)-7-((R)-3-methyl-1,2,3,4- tetrahydroisoquinoline-2-carbonyl)-3,4-dihydroisoquinolin-2(1H)-yl)-2- oxoethyl)phenoxy)ethyl)morpholin-4-ium trifluoroacetate (152 mg, 63%). HRMS: (M+2- H+)+=4501.2402, Rt=2.40 min (5 min acidic method). Synthesis of 4-(4-((6S,9S,43S,46S)-1-amino-26-(3-(2-((tert- butoxycarbonyl)amino)ethoxy)propanoyl)-6-((4-((4-(2-(4-(4-((R)-1-carboxy-2-(2-((2-(2- methoxyphenyl)pyrimidin-4-yl)methoxy)phenyl)ethoxy)-6-(4-fluorophenyl)thieno[2,3-d]pyrimidin- 5-yl)-2-chloro-3-methylphenoxy)ethyl)-1-methylpiperazin-1-ium-1-yl)methyl)-3-(78-carboxy-2- methyl-3-oxo-7,10,13,16,19,22,25,28,31,34,37,40,43,46,49,52,55,58,61,64,67,70,73,76-tetracosaoxa- 2,4-diazaoctaheptacontyl)phenyl)carbamoyl)-9,43-diisopropyl-23,29-dimethyl-1,8,11,24,28,41,44- heptaoxo-46-(3-ureidopropyl)-14,17,20,32,35,38-hexaoxa-2,7,10,23,26,29,42,45- octaazaheptatetracontan-47-amido)-2-(78-carboxy-2-methyl-3-oxo- 7,10,13,16,19,22,25,28,31,34,37,40,43,46,49,52,55,58,61,64,67,70,73,76-tetracosaoxa-2,4- diazaoctaheptacontyl)benzyl)-4-(2-(4-(2-(6-(4-((5-cyano-1,2-dimethyl-1H-pyrrol-3-yl)(4- hydroxyphenyl)carbamoyl)-1,5-dimethyl-1H-pyrrol-2-yl)-7-((R)-3-methyl-1,2,3,4- tetrahydroisoquinoline-2-carbonyl)-3,4-dihydroisoquinolin-2(1H)-yl)-2- oxoethyl)phenoxy)ethyl)morpholin-4-ium trifluoroacetate
[984] Following GENERAL PROCEDURE #1 using bis(4-nitrophenyl) carbonate (7.3 mg, 24 µmol, 0.95 equiv), DIEA (13 µL, 76 µmol, 3 equiv.), 1-amino- 3,6,9,12,15,18,21,24,27,30,33,36,39,42,45,48,51,54,57,60,63,66,69,72-tetracosaoxapentaheptacontan-75- oic acid (29 mg, 25 µmol, 1.0 equiv), and then 4-(4-((6S,9S,43S,46S)-1-amino-26-(3-(2-((tert- butoxycarbonyl)amino)ethoxy)propanoyl)-6-((4-((4-(2-(4-(4-((R)-1-carboxy-2-(2-((2-(2- methoxyphenyl)pyrimidin-4-yl)methoxy)phenyl)ethoxy)-6-(4-fluorophenyl)thieno[2,3-d]pyrimidin-5-yl)-
2-chloro-3-methylphenoxy)ethyl)-1-methylpiperazin-1-ium-1-yl)methyl)-3-(78-carboxy-2-methyl-3-oxo- 7,10,13,16,19,22,25,28,31,34,37,40,43,46,49,52,55,58,61,64,67,70,73,76-tetracosaoxa-2,4- diazaoctaheptacontyl)phenyl)carbamoyl)-9,43-diisopropyl-23,29-dimethyl-1,8,11,24,28,41,44-heptaoxo- 46-(3-ureidopropyl)-14,17,20,32,35,38-hexaoxa-2,7,10,23,26,29,42,45-octaazaheptatetracontan-47- amido)-2-((methylamino)methyl)benzyl)-4-(2-(4-(2-(6-(4-((5-cyano-1,2-dimethyl-1H-pyrrol-3-yl)(4- hydroxyphenyl)carbamoyl)-1,5-dimethyl-1H-pyrrol-2-yl)-7-((R)-3-methyl-1,2,3,4- tetrahydroisoquinoline-2-carbonyl)-3,4-dihydroisoquinolin-2(1H)-yl)-2- oxoethyl)phenoxy)ethyl)morpholin-4-ium TFA salt (92 mg, 19 µmol, 0.75 equiv) and DIEA (27 µL, 150 µmol, 6 equiv), 4-(4-((6S,9S,43S,46S)-1-amino-26-(3-(2-((tert- butoxycarbonyl)amino)ethoxy)propanoyl)-6-((4-((4-(2-(4-(4-((R)-1-carboxy-2-(2-((2-(2- methoxyphenyl)pyrimidin-4-yl)methoxy)phenyl)ethoxy)-6-(4-fluorophenyl)thieno[2,3-d]pyrimidin-5-yl)- 2-chloro-3-methylphenoxy)ethyl)-1-methylpiperazin-1-ium-1-yl)methyl)-3-(78-carboxy-2-methyl-3-oxo- 7,10,13,16,19,22,25,28,31,34,37,40,43,46,49,52,55,58,61,64,67,70,73,76-tetracosaoxa-2,4- diazaoctaheptacontyl)phenyl)carbamoyl)-9,43-diisopropyl-23,29-dimethyl-1,8,11,24,28,41,44-heptaoxo- 46-(3-ureidopropyl)-14,17,20,32,35,38-hexaoxa-2,7,10,23,26,29,42,45-octaazaheptatetracontan-47- amido)-2-(78-carboxy-2-methyl-3-oxo- 7,10,13,16,19,22,25,28,31,34,37,40,43,46,49,52,55,58,61,64,67,70,73,76-tetracosaoxa-2,4- diazaoctaheptacontyl)benzyl)-4-(2-(4-(2-(6-(4-((5-cyano-1,2-dimethyl-1H-pyrrol-3-yl)(4- hydroxyphenyl)carbamoyl)-1,5-dimethyl-1H-pyrrol-2-yl)-7-((R)-3-methyl-1,2,3,4- tetrahydroisoquinoline-2-carbonyl)-3,4-dihydroisoquinolin-2(1H)-yl)-2- oxoethyl)phenoxy)ethyl)morpholin-4-ium trifluoroacetate (101 mg, 67% yield) was obtained. HRMS: (M+2-H+)+=5672.8999, Rt=2.52 min (5 min acidic method). Synthesis of 4-(4-((6S,9S,43S,46S)-1-amino-6-((4-((4-(2-(4-(4-((R)-1-carboxy-2-(2-((2-(2- methoxyphenyl)pyrimidin-4-yl)methoxy)phenyl)ethoxy)-6-(4-fluorophenyl)thieno[2,3-d]pyrimidin- 5-yl)-2-chloro-3-methylphenoxy)ethyl)-1-methylpiperazin-1-ium-1-yl)methyl)-3-(78-carboxy-2- methyl-3-oxo-7,10,13,16,19,22,25,28,31,34,37,40,43,46,49,52,55,58,61,64,67,70,73,76-tetracosaoxa- 2,4-diazaoctaheptacontyl)phenyl)carbamoyl)-26-(1-(2,5-dioxo-2,5-dihydro-1H-pyrrol-1-yl)-15-oxo- 3,6,9,12,19-pentaoxa-16-azadocosan-22-oyl)-9,43-diisopropyl-23,29-dimethyl-1,8,11,24,28,41,44- heptaoxo-46-(3-ureidopropyl)-14,17,20,32,35,38-hexaoxa-2,7,10,23,26,29,42,45- octaazaheptatetracontan-47-amido)-2-(78-carboxy-2-methyl-3-oxo- 7,10,13,16,19,22,25,28,31,34,37,40,43,46,49,52,55,58,61,64,67,70,73,76-tetracosaoxa-2,4- diazaoctaheptacontyl)benzyl)-4-(2-(4-(2-(6-(4-((5-cyano-1,2-dimethyl-1H-pyrrol-3-yl)(4- hydroxyphenyl)carbamoyl)-1,5-dimethyl-1H-pyrrol-2-yl)-7-((R)-3-methyl-1,2,3,4-
tetrahydroisoquinoline-2-carbonyl)-3,4-dihydroisoquinolin-2(1H)-yl)-2- oxoethyl)phenoxy)ethyl)morpholin-4-ium trifluoroacetate (P1-L12-P4)
[985] Following GENERAL PROCEDURE #5 and using 4-(4-((6S,9S,43S,46S)-1-amino-26-(3-(2- ((tert-butoxycarbonyl)amino)ethoxy)propanoyl)-6-((4-((4-(2-(4-(4-((R)-1-carboxy-2-(2-((2-(2- methoxyphenyl)pyrimidin-4-yl)methoxy)phenyl)ethoxy)-6-(4-fluorophenyl)thieno[2,3-d]pyrimidin-5-yl)- 2-chloro-3-methylphenoxy)ethyl)-1-methylpiperazin-1-ium-1-yl)methyl)-3-(78-carboxy-2-methyl-3-oxo- 7,10,13,16,19,22,25,28,31,34,37,40,43,46,49,52,55,58,61,64,67,70,73,76-tetracosaoxa-2,4- diazaoctaheptacontyl)phenyl)carbamoyl)-9,43-diisopropyl-23,29-dimethyl-1,8,11,24,28,41,44-heptaoxo- 46-(3-ureidopropyl)-14,17,20,32,35,38-hexaoxa-2,7,10,23,26,29,42,45-octaazaheptatetracontan-47- amido)-2-(78-carboxy-2-methyl-3-oxo- 7,10,13,16,19,22,25,28,31,34,37,40,43,46,49,52,55,58,61,64,67,70,73,76-tetracosaoxa-2,4- diazaoctaheptacontyl)benzyl)-4-(2-(4-(2-(6-(4-((5-cyano-1,2-dimethyl-1H-pyrrol-3-yl)(4- hydroxyphenyl)carbamoyl)-1,5-dimethyl-1H-pyrrol-2-yl)-7-((R)-3-methyl-1,2,3,4- tetrahydroisoquinoline-2-carbonyl)-3,4-dihydroisoquinolin-2(1H)-yl)-2- oxoethyl)phenoxy)ethyl)morpholin-4-ium trifluoroacetate (135.7 mg, 21.1 µmol, 1.0 equiv), 2,5- dioxopyrrolidin-1-yl 1-(2,5-dioxo-2,5-dihydro-1H-pyrrol-1-yl)-3,6,9,12-tetraoxapentadecan-15-oate (16.5 mg, 37.3 µmol, 1.75 equiv.) and DIEA (100 µL, 575 µmol, 27 equiv,), 4-(4-((6S,9S,43S,46S)-1-amino-6- ((4-((4-(2-(4-(4-((R)-1-carboxy-2-(2-((2-(2-methoxyphenyl)pyrimidin-4-yl)methoxy)phenyl)ethoxy)-6- (4-fluorophenyl)thieno[2,3-d]pyrimidin-5-yl)-2-chloro-3-methylphenoxy)ethyl)-1-methylpiperazin-1- ium-1-yl)methyl)-3-(78-carboxy-2-methyl-3-oxo- 7,10,13,16,19,22,25,28,31,34,37,40,43,46,49,52,55,58,61,64,67,70,73,76-tetracosaoxa-2,4- diazaoctaheptacontyl)phenyl)carbamoyl)-26-(1-(2,5-dioxo-2,5-dihydro-1H-pyrrol-1-yl)-15-oxo- 3,6,9,12,19-pentaoxa-16-azadocosan-22-oyl)-9,43-diisopropyl-23,29-dimethyl-1,8,11,24,28,41,44- heptaoxo-46-(3-ureidopropyl)-14,17,20,32,35,38-hexaoxa-2,7,10,23,26,29,42,45- octaazaheptatetracontan-47-amido)-2-(78-carboxy-2-methyl-3-oxo- 7,10,13,16,19,22,25,28,31,34,37,40,43,46,49,52,55,58,61,64,67,70,73,76-tetracosaoxa-2,4- diazaoctaheptacontyl)benzyl)-4-(2-(4-(2-(6-(4-((5-cyano-1,2-dimethyl-1H-pyrrol-3-yl)(4- hydroxyphenyl)carbamoyl)-1,5-dimethyl-1H-pyrrol-2-yl)-7-((R)-3-methyl-1,2,3,4-
tetrahydroisoquinoline-2-carbonyl)-3,4-dihydroisoquinolin-2(1H)-yl)-2- oxoethyl)phenoxy)ethyl)morpholin-4-ium bistrifluoroacetate (102 mg, 78% yield) was obtained. HRMS: (M+2-H+)+=5900.5600, Rt=2.45 min (5 min acidic method). Synthesis of 3,3'-((((1r,1'r,3s,3's,5R,5'R,7S,7'S)-((((((((((2S,5S,39S,42S)-22-(3-(2-((tert- butoxycarbonyl)amino)ethoxy)propanoyl)-5,39-diisopropyl-19,25-dimethyl-4,7,20,24,37,40- hexaoxo-2,42-bis(3-ureidopropyl)-10,13,16,28,31,34-hexaoxa-3,6,19,22,25,38,41- heptaazatritetracontanedioyl)bis(azanediyl))bis(2-(78-carboxy-2-methyl-3-oxo- 7,10,13,16,19,22,25,28,31,34,37,40,43,46,49,52,55,58,61,64,67,70,73,76-tetracosaoxa-2,4- diazaoctaheptacontyl)-4,1-phenylene))bis(methylene))bis(oxy))bis(carbonyl))bis((3- hydroxypropyl)azanediyl))bis(ethane-2,1-diyl))bis(oxy))bis(5,7-dimethyladamantane-3,1- diyl))bis(methylene))bis(5-methyl-1H-pyrazole-1,4-diyl))bis(6-(3-(benzo[d]thiazol-2-ylamino)-4- methyl-6,7-dihydropyrido[2,3-c]pyridazin-8(5H)-yl)picolinic acid)
[986] To a solution of 3-(1-(((1r,3s,5R,7S)-3-(2-((((4-((S)-2-((S)-2-amino-3-methylbutanamido)-5- ureidopentanamido)-2-(78-carboxy-2-methyl-3-oxo- 7,10,13,16,19,22,25,28,31,34,37,40,43,46,49,52,55,58,61,64,67,70,73,76-tetracosaoxa-2,4- diazaoctaheptacontyl)benzyl)oxy)carbonyl)(3-hydroxypropyl)amino)ethoxy)-5,7-dimethyladamantan-1- yl)methyl)-5-methyl-1H-pyrazol-4-yl)-6-(3-(benzo[d]thiazol-2-ylamino)-4-methyl-6,7-dihydropyrido[2,3- c]pyridazin-8(5H)-yl)picolinic acid (110.4 mg, 49 µmol) and bis(2,5-dioxopyrrolidin-1-yl) 16-(3-(2-((tert- butoxycarbonyl)amino)ethoxy)propanoyl)-13,19-dimethyl-14,18-dioxo-4,7,10,22,25,28-hexaoxa- 13,16,19-triazahentriacontanedioate (20.4 mg, 20.9 µmol) in NMP (0.5 mL) was added DIEA (18.2 µL, 104 µmol). After standing for 7 hours, the solution was diluted with DMSO, purified by RP-HPLC with 0.05% formic acid modifier and after lyophilization 3,3'-((((1r,1'r,3s,3's,5R,5'R,7S,7'S)- ((((((((((2S,5S,39S,42S)-22-(3-(2-((tert-butoxycarbonyl)amino)ethoxy)propanoyl)-5,39-diisopropyl- 19,25-dimethyl-4,7,20,24,37,40-hexaoxo-2,42-bis(3-ureidopropyl)-10,13,16,28,31,34-hexaoxa- 3,6,19,22,25,38,41-heptaazatritetracontanedioyl)bis(azanediyl))bis(2-(78-carboxy-2-methyl-3-oxo- 7,10,13,16,19,22,25,28,31,34,37,40,43,46,49,52,55,58,61,64,67,70,73,76-tetracosaoxa-2,4- diazaoctaheptacontyl)-4,1-phenylene))bis(methylene))bis(oxy))bis(carbonyl))bis((3-
hydroxypropyl)azanediyl))bis(ethane-2,1-diyl))bis(oxy))bis(5,7-dimethyladamantane-3,1- diyl))bis(methylene))bis(5-methyl-1H-pyrazole-1,4-diyl))bis(6-(3-(benzo[d]thiazol-2-ylamino)-4-methyl- 6,7-dihydropyrido[2,3-c]pyridazin-8(5H)-yl)picolinic acid) (96 mg, 83 % yield) was obtained. MH+=5569.9702, Rt=2.37 min (5 min acidic method). Synthesis of 3,3'-((((1r,1'r,3s,3's,5R,5'R,7S,7'S)-((((((((((2S,5S,39S,42S)-22-(1-(2,5-dioxo-2,5- dihydro-1H-pyrrol-1-yl)-15-oxo-3,6,9,12,19-pentaoxa-16-azadocosan-22-oyl)-5,39-diisopropyl- 19,25-dimethyl-4,7,20,24,37,40-hexaoxo-2,42-bis(3-ureidopropyl)-10,13,16,28,31,34-hexaoxa- 3,6,19,22,25,38,41-heptaazatritetracontanedioyl)bis(azanediyl))bis(2-(78-carboxy-2-methyl-3-oxo- 7,10,13,16,19,22,25,28,31,34,37,40,43,46,49,52,55,58,61,64,67,70,73,76-tetracosaoxa-2,4- diazaoctaheptacontyl)-4,1-phenylene))bis(methylene))bis(oxy))bis(carbonyl))bis((3- hydroxypropyl)azanediyl))bis(ethane-2,1-diyl))bis(oxy))bis(5,7-dimethyladamantane-3,1- diyl))bis(methylene))bis(5-methyl-1H-pyrazole-1,4-diyl))bis(6-(3-(benzo[d]thiazol-2-ylamino)-4- methyl-6,7-dihydropyrido[2,3-c]pyridazin-8(5H)-yl)picolinic acid) (P5-L12-P5)
[987] Following the first part of GENERAL PROCEDURE #5 and using 3,3'- ((((1r,1'r,3s,3's,5R,5'R,7S,7'S)-((((((((((2S,5S,39S,42S)-22-(3-(2-((tert- butoxycarbonyl)amino)ethoxy)propanoyl)-5,39-diisopropyl-19,25-dimethyl-4,7,20,24,37,40-hexaoxo- 2,42-bis(3-ureidopropyl)-10,13,16,28,31,34-hexaoxa-3,6,19,22,25,38,41- heptaazatritetracontanedioyl)bis(azanediyl))bis(2-(78-carboxy-2-methyl-3-oxo- 7,10,13,16,19,22,25,28,31,34,37,40,43,46,49,52,55,58,61,64,67,70,73,76-tetracosaoxa-2,4- diazaoctaheptacontyl)-4,1-phenylene))bis(methylene))bis(oxy))bis(carbonyl))bis((3- hydroxypropyl)azanediyl))bis(ethane-2,1-diyl))bis(oxy))bis(5,7-dimethyladamantane-3,1- diyl))bis(methylene))bis(5-methyl-1H-pyrazole-1,4-diyl))bis(6-(3-(benzo[d]thiazol-2-ylamino)-4-methyl- 6,7-dihydropyrido[2,3-c]pyridazin-8(5H)-yl)picolinic acid) (153 mg, 27.5 µmol), after removal of volatiles in vacuo the residue was dissolved in DMF (2 mL) and 2M Me2NH in MeOH (275 µL, 550 µmol) was added to clip the trifluoroacetyl ester that had formed. After standing for 2 hours, the solution was diluted with DMSO and after purification by RP-HPLC with 0.05% formic acid modifier the deprotected amine intermediate was isolated. Following the second part of GENERAL PROCEDURE
#5 and using isolated amine (57 mg, 10.4 µmol), 2,5-dioxopyrrolidin-1-yl 1-(2,5-dioxo-2,5-dihydro-1H- pyrrol-1-yl)-3,6,9,12-tetraoxapentadecan-15-oate (6.9 mg, 15.6 µmol) and DIEA (22 µL, 125 µmol), 3,3'-((((1r,1'r,3s,3's,5R,5'R,7S,7'S)-((((((((((2S,5S,39S,42S)-22-(1-(2,5-dioxo-2,5-dihydro-1H-pyrrol-1- yl)-15-oxo-3,6,9,12,19-pentaoxa-16-azadocosan-22-oyl)-5,39-diisopropyl-19,25-dimethyl- 4,7,20,24,37,40-hexaoxo-2,42-bis(3-ureidopropyl)-10,13,16,28,31,34-hexaoxa-3,6,19,22,25,38,41- heptaazatritetracontanedioyl)bis(azanediyl))bis(2-(78-carboxy-2-methyl-3-oxo- 7,10,13,16,19,22,25,28,31,34,37,40,43,46,49,52,55,58,61,64,67,70,73,76-tetracosaoxa-2,4- diazaoctaheptacontyl)-4,1-phenylene))bis(methylene))bis(oxy))bis(carbonyl))bis((3- hydroxypropyl)azanediyl))bis(ethane-2,1-diyl))bis(oxy))bis(5,7-dimethyladamantane-3,1- diyl))bis(methylene))bis(5-methyl-1H-pyrazole-1,4-diyl))bis(6-(3-(benzo[d]thiazol-2-ylamino)-4-methyl- 6,7-dihydropyrido[2,3-c]pyridazin-8(5H)-yl)picolinic acid) (48.5 mg, 30% yield) was obtained after RP- HPLC with 0.05% formic acid modifier and lyophilization. HRMS: MH+=5797.1401, Rt=2.34 min (5 min acidic method). Synthesis of N-(4-((6S,31S,34S)-6-(2-carboxyethyl)-31-isopropyl-2,2-dimethyl-4,7,29,32-tetraoxo-34- (3-ureidopropyl)-3,11,14,17,20,23,26-heptaoxa-5,8,30,33-tetraazapentatriacontan-35-amido)-2- ((methylamino)methyl)benzyl)-3-((R)-2-(4-chloro-2-(4-((5-cyano-1,2-dimethyl-1H-pyrrol-3-yl)(4- hydroxyphenyl)carbamoyl)-1,5-dimethyl-1H-pyrrol-2-yl)benzoyl)-1,2,3,4-tetrahydroisoquinolin-3- yl)-N,N-dimethylpropan-1-aminium trifluoroacetate
[988] To a solution of N-(2-(((((9H-fluoren-9-yl)methoxy)carbonyl)(methyl)amino)methyl)-4-((S)-2- ((S)-2-amino-3-methylbutanamido)-5-ureidopentanamido)benzyl)-3-((R)-2-(4-chloro-2-(4-((5-cyano-1,2- dimethyl-1H-pyrrol-3-yl)(4-hydroxyphenyl)carbamoyl)-1,5-dimethyl-1H-pyrrol-2-yl)benzoyl)-1,2,3,4- tetrahydroisoquinolin-3-yl)-N,N-dimethylpropan-1-aminium trifluoroacetate (300 mg, 208 µmol) and (S)- 6-(3-methoxy-3-oxopropyl)-2,2-dimethyl-4,7-dioxo-3,11,14,17,20,23,26-heptaoxa-5,8-diazanonacosan- 29-oic acid (136 mg, 228 µmol) in DMF (2 mL) was added HATU (87 mg, 228 µmol) and DIEA (145 µL, 850 µmol). After stirring for one hour, LiOH (149 mg, 6230 µmol) was added. After stirring for one hour, acetic acid (480 µL, 8300 µmol) was added to neutralize, the solution was diluted with DMSO and purified by RP-HPLC. Upon lyophilization, N-(4-((6S,31S,34S)-6-(2-carboxyethyl)-31-isopropyl- 2,2-dimethyl-4,7,29,32-tetraoxo-34-(3-ureidopropyl)-3,11,14,17,20,23,26-heptaoxa-5,8,30,33-
tetraazapentatriacontan-35-amido)-2-((methylamino)methyl)benzyl)-3-((R)-2-(4-chloro-2-(4-((5-cyano- 1,2-dimethyl-1H-pyrrol-3-yl)(4-hydroxyphenyl)carbamoyl)-1,5-dimethyl-1H-pyrrol-2-yl)benzoyl)- 1,2,3,4-tetrahydroisoquinolin-3-yl)-N,N-dimethylpropan-1-aminium trifluoroacetate (213 mg, 61 % yield) was obtained. HRMS: M+=1671.8700, Rt=1.87 min (5 min acidic method). [989] [990] Synthesis of N-(4-((6S,31S,34S)-6-(2-carboxyethyl)-31-isopropyl-2,2-dimethyl-4,7,29,32- tetraoxo-34-(3-ureidopropyl)-3,11,14,17,20,23,26-heptaoxa-5,8,30,33-tetraazapentatriacontan-35- amido)-2-(2,81,81-trimethyl-3,79-dioxo- 7,10,13,16,19,22,25,28,31,34,37,40,43,46,49,52,55,58,61,64,67,70,73,76,80-pentacosaoxa-2,4- diazadooctacontyl)benzyl)-3-((R)-2-(4-chloro-2-(4-((5-cyano-1,2-dimethyl-1H-pyrrol-3-yl)(4- hydroxyphenyl)carbamoyl)-1,5-dimethyl-1H-pyrrol-2-yl)benzoyl)-1,2,3,4-tetrahydroisoquinolin-3- yl)-N,N-dimethylpropan-1-aminium trifluoroacetate
[992] Following GENERAL PROCEDURE #1 using bis(4-nitrophenyl) carbonate (21.2 mg, 70 µmol), DIEA (29 µL, 166 µmol), tert-butyl 1-amino- 3,6,9,12,15,18,21,24,27,30,33,36,39,42,45,48,51,54,57,60,63,66,69,72-tetracosaoxapentaheptacontan-75- oate (85 mg, 70 µmol) and then N-(4-((6S,31S,34S)-6-(2-carboxyethyl)-31-isopropyl-2,2-dimethyl- 4,7,29,32-tetraoxo-34-(3-ureidopropyl)-3,11,14,17,20,23,26-heptaoxa-5,8,30,33-tetraazapentatriacontan- 35-amido)-2-((methylamino)methyl)benzyl)-3-((R)-2-(4-chloro-2-(4-((5-cyano-1,2-dimethyl-1H-pyrrol- 3-yl)(4-hydroxyphenyl)carbamoyl)-1,5-dimethyl-1H-pyrrol-2-yl)benzoyl)-1,2,3,4-tetrahydroisoquinolin- 3-yl)-N,N-dimethylpropan-1-aminium trifluoroacetate (111 mg, 66 µmol) and more DIEA (145 µL, 830 µmol), N-(4-((6S,31S,34S)-6-(2-carboxyethyl)-31-isopropyl-2,2-dimethyl-4,7,29,32-tetraoxo-34-(3- ureidopropyl)-3,11,14,17,20,23,26-heptaoxa-5,8,30,33-tetraazapentatriacontan-35-amido)-2-(2,81,81- trimethyl-3,79-dioxo-7,10,13,16,19,22,25,28,31,34,37,40,43,46,49,52,55,58,61,64,67,70,73,76,80- pentacosaoxa-2,4-diazadooctacontyl)benzyl)-3-((R)-2-(4-chloro-2-(4-((5-cyano-1,2-dimethyl-1H-pyrrol- 3-yl)(4-hydroxyphenyl)carbamoyl)-1,5-dimethyl-1H-pyrrol-2-yl)benzoyl)-1,2,3,4-tetrahydroisoquinolin- 3-yl)-N,N-dimethylpropan-1-aminium trifluoroacetate (141 mg, 73%) was obtained. HRMS: M+=2899.5001, Rt=2.39 min (5 min acidic method).
[993] [994] Synthesis of 1-(4-((6S,9S,34S,39S,42S)-1-amino-34-((tert-butoxycarbonyl)amino)-6-((4-(((3- ((R)-2-(4-chloro-2-(4-((5-cyano-1,2-dimethyl-1H-pyrrol-3-yl)(4-hydroxyphenyl)carbamoyl)-1,5- dimethyl-1H-pyrrol-2-yl)benzoyl)-1,2,3,4-tetrahydroisoquinolin-3- yl)propyl)dimethylammonio)methyl)-3-(2,81,81-trimethyl-3,79-dioxo- 7,10,13,16,19,22,25,28,31,34,37,40,43,46,49,52,55,58,61,64,67,70,73,76,80-pentacosaoxa-2,4- diazadooctacontyl)phenyl)carbamoyl)-9,39-diisopropyl-1,8,11,33,37,40-hexaoxo-42-(3- ureidopropyl)-14,17,20,23,26,29-hexaoxa-2,7,10,32,38,41-hexaazatritetracontan-43-amido)-2-(78- carboxy-2-methyl-3-oxo-7,10,13,16,19,22,25,28,31,34,37,40,43,46,49,52,55,58,61,64,67,70,73,76- tetracosaoxa-2,4-diazaoctaheptacontyl)benzyl)-4-(2-(4-(4-((S)-1-carboxy-2-(2-((2-(2- methoxyphenyl)pyrimidin-4-yl)methoxy)phenyl)ethoxy)-6-(4-fluorophenyl)thieno[2,3-d]pyrimidin- 5-yl)-2-chloro-3-methylphenoxy)ethyl)-1-methylpiperazin-1-ium trifluoroacetate [995]
[996] Following GENERAL PROCEDURE #4 using of N-(4-((6S,31S,34S)-6-(2-carboxyethyl)-31- isopropyl-2,2-dimethyl-4,7,29,32-tetraoxo-34-(3-ureidopropyl)-3,11,14,17,20,23,26-heptaoxa-5,8,30,33- tetraazapentatriacontan-35-amido)-2-(2,81,81-trimethyl-3,79-dioxo- 7,10,13,16,19,22,25,28,31,34,37,40,43,46,49,52,55,58,61,64,67,70,73,76,80-pentacosaoxa-2,4- diazadooctacontyl)benzyl)-3-((R)-2-(4-chloro-2-(4-((5-cyano-1,2-dimethyl-1H-pyrrol-3-yl)(4- hydroxyphenyl)carbamoyl)-1,5-dimethyl-1H-pyrrol-2-yl)benzoyl)-1,2,3,4-tetrahydroisoquinolin-3-yl)- N,N-dimethylpropan-1-aminium trifluoroacetate (141 mg, 48 µmol), TSTU (14.6 mg, 48 µmol), DIEA (42 µL, 242 µmol) and then 1-(4-((S)-2-((S)-2-amino-3-methylbutanamido)-5-ureidopentanamido)-2-(78- carboxy-2-methyl-3-oxo-7,10,13,16,19,22,25,28,31,34,37,40,43,46,49,52,55,58,61,64,67,70,73,76- tetracosaoxa-2,4-diazaoctaheptacontyl)benzyl)-4-(2-(4-(4-((R)-1-carboxy-2-(2-((2-(2-
methoxyphenyl)pyrimidin-4-yl)methoxy)phenyl)ethoxy)-6-(4-fluorophenyl)thieno[2,3-d]pyrimidin-5-yl)- 2-chloro-3-methylphenoxy)ethyl)-1-methylpiperazin-1-ium TFA salt (137 mg, 56 µmol) and DIEA (42 µL, 242 µmol), 1-(4-((6S,9S,34S,39S,42S)-1-amino-34-((tert-butoxycarbonyl)amino)-6-((4-(((3-((R)-2- (4-chloro-2-(4-((5-cyano-1,2-dimethyl-1H-pyrrol-3-yl)(4-hydroxyphenyl)carbamoyl)-1,5-dimethyl-1H- pyrrol-2-yl)benzoyl)-1,2,3,4-tetrahydroisoquinolin-3-yl)propyl)dimethylammonio)methyl)-3-(2,81,81- trimethyl-3,79-dioxo-7,10,13,16,19,22,25,28,31,34,37,40,43,46,49,52,55,58,61,64,67,70,73,76,80- pentacosaoxa-2,4-diazadooctacontyl)phenyl)carbamoyl)-9,39-diisopropyl-1,8,11,33,37,40-hexaoxo-42- (3-ureidopropyl)-14,17,20,23,26,29-hexaoxa-2,7,10,32,38,41-hexaazatritetracontan-43-amido)-2-(78- carboxy-2-methyl-3-oxo-7,10,13,16,19,22,25,28,31,34,37,40,43,46,49,52,55,58,61,64,67,70,73,76- tetracosaoxa-2,4-diazaoctaheptacontyl)benzyl)-4-(2-(4-(4-((S)-1-carboxy-2-(2-((2-(2- methoxyphenyl)pyrimidin-4-yl)methoxy)phenyl)ethoxy)-6-(4-fluorophenyl)thieno[2,3-d]pyrimidin-5-yl)- 2-chloro-3-methylphenoxy)ethyl)-1-methylpiperazin-1-ium trifluoroacetate (119 mg, 45% yield) was obtained. HRMS: (M+2-H+)+=5531.7100, Rt=2.62 min (5 min acidic method). [997] [998] Synthesis of 1-(4-((6S,9S,34S,39S,42S)-1-amino-6-((3-(78-carboxy-2-methyl-3-oxo- 7,10,13,16,19,22,25,28,31,34,37,40,43,46,49,52,55,58,61,64,67,70,73,76-tetracosaoxa-2,4- diazaoctaheptacontyl)-4-(((3-((R)-2-(4-chloro-2-(4-((5-cyano-1,2-dimethyl-1H-pyrrol-3-yl)(4- hydroxyphenyl)carbamoyl)-1,5-dimethyl-1H-pyrrol-2-yl)benzoyl)-1,2,3,4-tetrahydroisoquinolin-3- yl)propyl)dimethylammonio)methyl)phenyl)carbamoyl)-34-(1-(2,5-dioxo-2,5-dihydro-1H-pyrrol-1- yl)-3,6,9,12,15,18,21,24-octaoxaheptacosan-27-amido)-9,39-diisopropyl-1,8,11,33,37,40-hexaoxo-42- (3-ureidopropyl)-14,17,20,23,26,29-hexaoxa-2,7,10,32,38,41-hexaazatritetracontan-43-amido)-2-(78- carboxy-2-methyl-3-oxo-7,10,13,16,19,22,25,28,31,34,37,40,43,46,49,52,55,58,61,64,67,70,73,76- tetracosaoxa-2,4-diazaoctaheptacontyl)benzyl)-4-(2-(4-(4-((S)-1-carboxy-2-(2-((2-(2- methoxyphenyl)pyrimidin-4-yl)methoxy)phenyl)ethoxy)-6-(4-fluorophenyl)thieno[2,3-d]pyrimidin- 5-yl)-2-chloro-3-methylphenoxy)ethyl)-1-methylpiperazin-1-ium trifluoroacetate (P2-L14-P1)
[1000] Following the GENERAL PROCEDURE #5 using 1-(4-((6S,9S,34S,39S,42S)-1-amino-34- ((tert-butoxycarbonyl)amino)-6-((4-(((3-((R)-2-(4-chloro-2-(4-((5-cyano-1,2-dimethyl-1H-pyrrol-3-yl)(4- hydroxyphenyl)carbamoyl)-1,5-dimethyl-1H-pyrrol-2-yl)benzoyl)-1,2,3,4-tetrahydroisoquinolin-3- yl)propyl)dimethylammonio)methyl)-3-(2,81,81-trimethyl-3,79-dioxo- 7,10,13,16,19,22,25,28,31,34,37,40,43,46,49,52,55,58,61,64,67,70,73,76,80-pentacosaoxa-2,4- diazadooctacontyl)phenyl)carbamoyl)-9,39-diisopropyl-1,8,11,33,37,40-hexaoxo-42-(3-ureidopropyl)- 14,17,20,23,26,29-hexaoxa-2,7,10,32,38,41-hexaazatritetracontan-43-amido)-2-(78-carboxy-2-methyl-3- oxo-7,10,13,16,19,22,25,28,31,34,37,40,43,46,49,52,55,58,61,64,67,70,73,76-tetracosaoxa-2,4- diazaoctaheptacontyl)benzyl)-4-(2-(4-(4-((S)-1-carboxy-2-(2-((2-(2-methoxyphenyl)pyrimidin-4- yl)methoxy)phenyl)ethoxy)-6-(4-fluorophenyl)thieno[2,3-d]pyrimidin-5-yl)-2-chloro-3- methylphenoxy)ethyl)-1-methylpiperazin-1-ium trifluoroacetate (76.4 mg, 14 µmol), 2,5-dioxopyrrolidin- 1-yl 1-(2,5-dioxo-2,5-dihydro-1H-pyrrol-1-yl)-3,6,9,12,15,18,21,24-octaoxaheptacosan-27-oate (39.4 mg, 64 µmol) and DIEA (45 µL, 55 µmol), 1-(4-((6S,9S,34S,39S,42S)-1-amino-6-((3-(78-carboxy-2-methyl- 3-oxo-7,10,13,16,19,22,25,28,31,34,37,40,43,46,49,52,55,58,61,64,67,70,73,76-tetracosaoxa-2,4- diazaoctaheptacontyl)-4-(((3-((R)-2-(4-chloro-2-(4-((5-cyano-1,2-dimethyl-1H-pyrrol-3-yl)(4- hydroxyphenyl)carbamoyl)-1,5-dimethyl-1H-pyrrol-2-yl)benzoyl)-1,2,3,4-tetrahydroisoquinolin-3- yl)propyl)dimethylammonio)methyl)phenyl)carbamoyl)-34-(1-(2,5-dioxo-2,5-dihydro-1H-pyrrol-1-yl)- 3,6,9,12,15,18,21,24-octaoxaheptacosan-27-amido)-9,39-diisopropyl-1,8,11,33,37,40-hexaoxo-42-(3- ureidopropyl)-14,17,20,23,26,29-hexaoxa-2,7,10,32,38,41-hexaazatritetracontan-43-amido)-2-(78- carboxy-2-methyl-3-oxo-7,10,13,16,19,22,25,28,31,34,37,40,43,46,49,52,55,58,61,64,67,70,73,76- tetracosaoxa-2,4-diazaoctaheptacontyl)benzyl)-4-(2-(4-(4-((S)-1-carboxy-2-(2-((2-(2- methoxyphenyl)pyrimidin-4-yl)methoxy)phenyl)ethoxy)-6-(4-fluorophenyl)thieno[2,3-d]pyrimidin-5-yl)-
2-chloro-3-methylphenoxy)ethyl)-1-methylpiperazin-1-ium trifluoroacetate (61.8 mg, 74% yield) was obtained. HRMS: (M+2-H+)+=5678.8599, Rt=2.49 min (5 min acidic method). [1001] [1002] Synthesis of 1-(4-((S)-2-((S)-2-(2-aminoacetamido)-3-methylbutanamido)-5- ureidopentanamido)-2-(78-carboxy-2-methyl-3-oxo- 7,10,13,16,19,22,25,28,31,34,37,40,43,46,49,52,55,58,61,64,67,70,73,76-tetracosaoxa-2,4- diazaoctaheptacontyl)benzyl)-4-(2-(4-(4-((R)-1-carboxy-2-(2-((2-(2-methoxyphenyl)pyrimidin-4- yl)methoxy)phenyl)ethoxy)-6-(4-fluorophenyl)thieno[2,3-d]pyrimidin-5-yl)-2-chloro-3- methylphenoxy)ethyl)-1-methylpiperazin-1-ium trifluoroacetate
mido)-5-ureidopentanamido)-2-(78-carboxy-2- methyl-3-oxo-7,10,13,16,19,22,25,28,31,34,37,40,43,46,49,52,55,58,61,64,67,70,73,76-tetracosaoxa-2,4- diazaoctaheptacontyl)benzyl)-4-(2-(4-(4-((R)-1-carboxy-2-(2-((2-(2-methoxyphenyl)pyrimidin-4- yl)methoxy)phenyl)ethoxy)-6-(4-fluorophenyl)thieno[2,3-d]pyrimidin-5-yl)-2-chloro-3- methylphenoxy)ethyl)-1-methylpiperazin-1-ium trifluoroacetate (526 mg, 196 µmol) and 2,5- dioxopyrrolidin-1-yl (tert-butoxycarbonyl)glycine (107 mg, 392 µmol) in DMF (3 mL) was added DIEA (205 µL, 1177 µmol). After stirring for 1 hour, the solution was purified by ISCO RP-HPLC. Upon lyophilization the Boc group was removed by treating with 25% TFA/CH2Cl with 0.1% Triethylsilane for 1 hour at which time the volatiles were removed in vacuo, the residue was dissolved in DMSO and purified by ISCO RP-HPLC. Upon lyophilization, 1-(4-((S)-2-((S)-2-(2-aminoacetamido)-3- methylbutanamido)-5-ureidopentanamido)-2-(78-carboxy-2-methyl-3-oxo- 7,10,13,16,19,22,25,28,31,34,37,40,43,46,49,52,55,58,61,64,67,70,73,76-tetracosaoxa-2,4- diazaoctaheptacontyl)benzyl)-4-(2-(4-(4-((R)-1-carboxy-2-(2-((2-(2-methoxyphenyl)pyrimidin-4- yl)methoxy)phenyl)ethoxy)-6-(4-fluorophenyl)thieno[2,3-d]pyrimidin-5-yl)-2-chloro-3- methylphenoxy)ethyl)-1-methylpiperazin-1-ium trifluoroacetate (330 mg, 64% yield) was obtained. HRMS: M+=2508.2200, Rt=2.20 min (5 min acidic method). [1005]
[1006] Synthesis of 1-(4-((6S,9S,34S,42S,45S)-1-amino-34-((tert-butoxycarbonyl)amino)-6-((4-(((3- ((R)-2-(4-chloro-2-(4-((5-cyano-1,2-dimethyl-1H-pyrrol-3-yl)(4-hydroxyphenyl)carbamoyl)-1,5- dimethyl-1H-pyrrol-2-yl)benzoyl)-1,2,3,4-tetrahydroisoquinolin-3- yl)propyl)dimethylammonio)methyl)-3-(2,81,81-trimethyl-3,79-dioxo- 7,10,13,16,19,22,25,28,31,34,37,40,43,46,49,52,55,58,61,64,67,70,73,76,80-pentacosaoxa-2,4- diazadooctacontyl)phenyl)carbamoyl)-9,42-diisopropyl-1,8,11,33,37,40,43-heptaoxo-45-(3- ureidopropyl)-14,17,20,23,26,29-hexaoxa-2,7,10,32,38,41,44-heptaazahexatetracontan-46-amido)-2- (78-carboxy-2-methyl-3-oxo-7,10,13,16,19,22,25,28,31,34,37,40,43,46,49,52,55,58,61,64,67,70,73,76- tetracosaoxa-2,4-diazaoctaheptacontyl)benzyl)-4-(2-(4-(4-((S)-1-carboxy-2-(2-((2-(2- methoxyphenyl)pyrimidin-4-yl)methoxy)phenyl)ethoxy)-6-(4-fluorophenyl)thieno[2,3-d]pyrimidin- 5-yl)-2-chloro-3-methylphenoxy)ethyl)-1-methylpiperazin-1-ium trifluoroacetate
[1008] Following GENERAL PROCEDURE #4 using N-(4-((6S,31S,34S)-6-(2-carboxyethyl)-31- isopropyl-2,2-dimethyl-4,7,29,32-tetraoxo-34-(3-ureidopropyl)-3,11,14,17,20,23,26-heptaoxa-5,8,30,33- tetraazapentatriacontan-35-amido)-2-(2,81,81-trimethyl-3,79-dioxo- 7,10,13,16,19,22,25,28,31,34,37,40,43,46,49,52,55,58,61,64,67,70,73,76,80-pentacosaoxa-2,4- diazadooctacontyl)benzyl)-3-((R)-2-(4-chloro-2-(4-((5-cyano-1,2-dimethyl-1H-pyrrol-3-yl)(4- hydroxyphenyl)carbamoyl)-1,5-dimethyl-1H-pyrrol-2-yl)benzoyl)-1,2,3,4-tetrahydroisoquinolin-3-yl)- N,N-dimethylpropan-1-aminium trifluoroacetate (189 mg, 65 µmol), TSTU (19.6 mg, 65 µmol), DIEA (91 µL, 521 µmol) and then 1-(4-((S)-2-((S)-2-(2-aminoacetamido)-3-methylbutanamido)-5- ureidopentanamido)-2-(78-carboxy-2-methyl-3-oxo- 7,10,13,16,19,22,25,28,31,34,37,40,43,46,49,52,55,58,61,64,67,70,73,76-tetracosaoxa-2,4-
diazaoctaheptacontyl)benzyl)-4-(2-(4-(4-((R)-1-carboxy-2-(2-((2-(2-methoxyphenyl)pyrimidin-4- yl)methoxy)phenyl)ethoxy)-6-(4-fluorophenyl)thieno[2,3-d]pyrimidin-5-yl)-2-chloro-3- methylphenoxy)ethyl)-1-methylpiperazin-1-ium trifluoroacetate (188 mg, 75 µmol) and DIEA (91 µL, 521 µmol), 1-(4-((6S,9S,34S,42S,45S)-1-amino-34-((tert-butoxycarbonyl)amino)-6-((4-(((3-((R)-2-(4- chloro-2-(4-((5-cyano-1,2-dimethyl-1H-pyrrol-3-yl)(4-hydroxyphenyl)carbamoyl)-1,5-dimethyl-1H- pyrrol-2-yl)benzoyl)-1,2,3,4-tetrahydroisoquinolin-3-yl)propyl)dimethylammonio)methyl)-3-(2,81,81- trimethyl-3,79-dioxo-7,10,13,16,19,22,25,28,31,34,37,40,43,46,49,52,55,58,61,64,67,70,73,76,80- pentacosaoxa-2,4-diazadooctacontyl)phenyl)carbamoyl)-9,42-diisopropyl-1,8,11,33,37,40,43-heptaoxo- 45-(3-ureidopropyl)-14,17,20,23,26,29-hexaoxa-2,7,10,32,38,41,44-heptaazahexatetracontan-46-amido)- 2-(78-carboxy-2-methyl-3-oxo-7,10,13,16,19,22,25,28,31,34,37,40,43,46,49,52,55,58,61,64,67,70,73,76- tetracosaoxa-2,4-diazaoctaheptacontyl)benzyl)-4-(2-(4-(4-((S)-1-carboxy-2-(2-((2-(2- methoxyphenyl)pyrimidin-4-yl)methoxy)phenyl)ethoxy)-6-(4-fluorophenyl)thieno[2,3-d]pyrimidin-5-yl)- 2-chloro-3-methylphenoxy)ethyl)-1-methylpiperazin-1-ium trifluoroacetate (141 mg, 40% yield) was obtained. HRMS: (M+2-H+)+=5388.7700, Rt=2.61 min (5 min acidic method). Synthesis of 1-(4-((6S,9S,34S,42S,45S)-1-amino-6-((3-(78-carboxy-2-methyl-3-oxo- 7,10,13,16,19,22,25,28,31,34,37,40,43,46,49,52,55,58,61,64,67,70,73,76-tetracosaoxa-2,4- diazaoctaheptacontyl)-4-(((3-((R)-2-(4-chloro-2-(4-((5-cyano-1,2-dimethyl-1H-pyrrol-3-yl)(4- hydroxyphenyl)carbamoyl)-1,5-dimethyl-1H-pyrrol-2-yl)benzoyl)-1,2,3,4-tetrahydroisoquinolin-3- yl)propyl)dimethylammonio)methyl)phenyl)carbamoyl)-34-(1-(2,5-dioxo-2,5-dihydro-1H-pyrrol-1- yl)-3,6,9,12,15,18,21,24-octaoxaheptacosan-27-amido)-9,42-diisopropyl-1,8,11,33,37,40,43-heptaoxo- 45-(3-ureidopropyl)-14,17,20,23,26,29-hexaoxa-2,7,10,32,38,41,44-heptaazahexatetracontan-46- amido)-2-(78-carboxy-2-methyl-3-oxo- 7,10,13,16,19,22,25,28,31,34,37,40,43,46,49,52,55,58,61,64,67,70,73,76-tetracosaoxa-2,4- diazaoctaheptacontyl)benzyl)-4-(2-(4-(4-((S)-1-carboxy-2-(2-((2-(2-methoxyphenyl)pyrimidin-4- yl)methoxy)phenyl)ethoxy)-6-(4-fluorophenyl)thieno[2,3-d]pyrimidin-5-yl)-2-chloro-3- methylphenoxy)ethyl)-1-methylpiperazin-1-ium trifluoroacetate (P2-L13-P1)
[1009] Following the GENERAL PROCEDURE #5 using 1-(4-((6S,9S,34S,42S,45S)-1-amino-34- ((tert-butoxycarbonyl)amino)-6-((4-(((3-((R)-2-(4-chloro-2-(4-((5-cyano-1,2-dimethyl-1H-pyrrol-3-yl)(4- hydroxyphenyl)carbamoyl)-1,5-dimethyl-1H-pyrrol-2-yl)benzoyl)-1,2,3,4-tetrahydroisoquinolin-3- yl)propyl)dimethylammonio)methyl)-3-(2,81,81-trimethyl-3,79-dioxo- 7,10,13,16,19,22,25,28,31,34,37,40,43,46,49,52,55,58,61,64,67,70,73,76,80-pentacosaoxa-2,4- diazadooctacontyl)phenyl)carbamoyl)-9,42-diisopropyl-1,8,11,33,37,40,43-heptaoxo-45-(3- ureidopropyl)-14,17,20,23,26,29-hexaoxa-2,7,10,32,38,41,44-heptaazahexatetracontan-46-amido)-2-(78- carboxy-2-methyl-3-oxo-7,10,13,16,19,22,25,28,31,34,37,40,43,46,49,52,55,58,61,64,67,70,73,76- tetracosaoxa-2,4-diazaoctaheptacontyl)benzyl)-4-(2-(4-(4-((S)-1-carboxy-2-(2-((2-(2- methoxyphenyl)pyrimidin-4-yl)methoxy)phenyl)ethoxy)-6-(4-fluorophenyl)thieno[2,3-d]pyrimidin-5-yl)- 2-chloro-3-methylphenoxy)ethyl)-1-methylpiperazin-1-ium trifluoroacetate (228 mg, 42 µmol), 2,5- dioxopyrrolidin-1-yl 1-(2,5-dioxo-2,5-dihydro-1H-pyrrol-1-yl)-3,6,9,12,15,18,21,24-octaoxaheptacosan- 27-oate (130 mg, 210 µmol) and DIEA (147 µL, 840 µmol), 1-(4-((6S,9S,34S,42S,45S)-1-amino-6-((3- (78-carboxy-2-methyl-3-oxo-7,10,13,16,19,22,25,28,31,34,37,40,43,46,49,52,55,58,61,64,67,70,73,76- tetracosaoxa-2,4-diazaoctaheptacontyl)-4-(((3-((R)-2-(4-chloro-2-(4-((5-cyano-1,2-dimethyl-1H-pyrrol-3- yl)(4-hydroxyphenyl)carbamoyl)-1,5-dimethyl-1H-pyrrol-2-yl)benzoyl)-1,2,3,4-tetrahydroisoquinolin-3- yl)propyl)dimethylammonio)methyl)phenyl)carbamoyl)-34-(1-(2,5-dioxo-2,5-dihydro-1H-pyrrol-1-yl)- 3,6,9,12,15,18,21,24-octaoxaheptacosan-27-amido)-9,42-diisopropyl-1,8,11,33,37,40,43-heptaoxo-45-(3- ureidopropyl)-14,17,20,23,26,29-hexaoxa-2,7,10,32,38,41,44-heptaazahexatetracontan-46-amido)-2-(78- carboxy-2-methyl-3-oxo-7,10,13,16,19,22,25,28,31,34,37,40,43,46,49,52,55,58,61,64,67,70,73,76- tetracosaoxa-2,4-diazaoctaheptacontyl)benzyl)-4-(2-(4-(4-((S)-1-carboxy-2-(2-((2-(2- methoxyphenyl)pyrimidin-4-yl)methoxy)phenyl)ethoxy)-6-(4-fluorophenyl)thieno[2,3-d]pyrimidin-5-yl)-
2-chloro-3-methylphenoxy)ethyl)-1-methylpiperazin-1-ium trifluoroacetate (86 mg, 34% yield) was obtained. HRMS: (M+2-H+)+=5735.8799, Rt=2.49 min (5 min acidic method). [1010] [1011] Synthesis of N-(2-(((((9H-fluoren-9-yl)methoxy)carbonyl)(methyl)amino)methyl)-4-((2S,5S)- 5-isopropyl-21,21-dimethyl-4,7,19-trioxo-2-(3-ureidopropyl)-10,13,16,20-tetraoxa-3,6- diazadocosanamido)benzyl)-3-((R)-2-(4-chloro-2-(4-((5-cyano-1,2-dimethyl-1H-pyrrol-3-yl)(4- hydroxyphenyl)carbamoyl)-1,5-dimethyl-1H-pyrrol-2-yl)benzoyl)-1,2,3,4-tetrahydroisoquinolin-3- yl)-N,N-dimethylpropan-1-aminium trifluoroacetate
[1013] To a solution of 2,2-dimethyl-4-oxo-3,7,10,13-tetraoxahexadecan-16-oic acid (47.2 mg, 154 µmol) and HATU (51.2 mg, 135 µmol) in DMF (2 mL) was added DIEA (112 µL, 641 µmol). After stirring for 10 minutes, N-(2-(((((9H-fluoren-9-yl)methoxy)carbonyl)(methyl)amino)methyl)-4-((S)-2- ((S)-2-amino-3-methylbutanamido)-5-ureidopentanamido)benzyl)-3-((R)-2-(4-chloro-2-(4-((5-cyano-1,2- dimethyl-1H-pyrrol-3-yl)(4-hydroxyphenyl)carbamoyl)-1,5-dimethyl-1H-pyrrol-2-yl)benzoyl)-1,2,3,4- tetrahydroisoquinolin-3-yl)-N,N-dimethylpropan-1-aminium trifluoroacetate (200 mg, 128 µmol) was added. After stirring an additional 30 minutes, the solution was diluted with DMSO and purified by ISCO RP-HPLC. Upon lyophilization, N-(2-(((((9H-fluoren-9- yl)methoxy)carbonyl)(methyl)amino)methyl)-4-((2S,5S)-5-isopropyl-21,21-dimethyl-4,7,19-trioxo-2-(3- ureidopropyl)-10,13,16,20-tetraoxa-3,6-diazadocosanamido)benzyl)-3-((R)-2-(4-chloro-2-(4-((5-cyano- 1,2-dimethyl-1H-pyrrol-3-yl)(4-hydroxyphenyl)carbamoyl)-1,5-dimethyl-1H-pyrrol-2-yl)benzoyl)- 1,2,3,4-tetrahydroisoquinolin-3-yl)-N,N-dimethylpropan-1-aminium trifluoroacetate (153 mg, 69% yield) was obtained. HRMS: M+=1617.8101, Rt=2.68 min (5 min acidic method). Synthesis of N-(4-((14S,17S)-1-carboxy-14-isopropyl-12,15-dioxo-17-(3-ureidopropyl)-3,6,9-trioxa- 13,16-diazaoctadecan-18-amido)-2-((methylamino)methyl)benzyl)-3-((R)-2-(4-chloro-2-(4-((5- cyano-1,2-dimethyl-1H-pyrrol-3-yl)(4-hydroxyphenyl)carbamoyl)-1,5-dimethyl-1H-pyrrol-2-
yl)benzoyl)-1,2,3,4-tetrahydroisoquinolin-3-yl)-N,N-dimethylpropan-1-aminium trifluoroacetate
[1014] N-(2-(((((9H-fluoren-9-yl)methoxy)carbonyl)(methyl)amino)methyl)-4-((2S,5S)-5-isopropyl- 21,21-dimethyl-4,7,19-trioxo-2-(3-ureidopropyl)-10,13,16,20-tetraoxa-3,6-diazadocosanamido)benzyl)-3- ((R)-2-(4-chloro-2-(4-((5-cyano-1,2-dimethyl-1H-pyrrol-3-yl)(4-hydroxyphenyl)carbamoyl)-1,5- dimethyl-1H-pyrrol-2-yl)benzoyl)-1,2,3,4-tetrahydroisoquinolin-3-yl)-N,N-dimethylpropan-1-aminium trifluoroacetate (153 mg, 88 µmol) was treated with 25% TFA/CH2Cl2 (4 mL) for 1 hour at which time the volatiles were removed in vacuo. The residue was dissolved in DMSO (1 mL) and 2.0 M dimethyl amine in MeOH (1.32 mL, 2650 µmol) was added. After stirring for 1 hour, the solution was directly purified by ISCO RP-HPLC. Upon lyophilization, N-(2-(((((9H-fluoren-9- yl)methoxy)carbonyl)(methyl)amino)methyl)-4-((2S,5S)-5-isopropyl-21,21-dimethyl-4,7,19-trioxo-2-(3- ureidopropyl)-10,13,16,20-tetraoxa-3,6-diazadocosanamido)benzyl)-3-((R)-2-(4-chloro-2-(4-((5-cyano- 1,2-dimethyl-1H-pyrrol-3-yl)(4-hydroxyphenyl)carbamoyl)-1,5-dimethyl-1H-pyrrol-2-yl)benzoyl)- 1,2,3,4-tetrahydroisoquinolin-3-yl)-N,N-dimethylpropan-1-aminium trifluoroacetate (119 mg, 86% yield) was obtained. HRMS: M+=1339.6700, Rt=1.74 min (5 min acidic method). Synthesis of N-(4-((14S,17S)-1-carboxy-14-isopropyl-12,15-dioxo-17-(3-ureidopropyl)-3,6,9-trioxa- 13,16-diazaoctadecan-18-amido)-2-(2,81,81-trimethyl-3,79-dioxo- 7,10,13,16,19,22,25,28,31,34,37,40,43,46,49,52,55,58,61,64,67,70,73,76,80-pentacosaoxa-2,4- diazadooctacontyl)benzyl)-3-((R)-2-(4-chloro-2-(4-((5-cyano-1,2-dimethyl-1H-pyrrol-3-yl)(4- hydroxyphenyl)carbamoyl)-1,5-dimethyl-1H-pyrrol-2-yl)benzoyl)-1,2,3,4-tetrahydroisoquinolin-3- yl)-N,N-dimethylpropan-1-aminium trifluoroacetate
[1015] Following GENERAL PROCEDURE #1 using bis(4-nitrophenyl) carbonate (24.2 mg, 80 µmol), DIEA (199 µL, 1138 µmol), tert-butyl 1-amino- 3,6,9,12,15,18,21,24,27,30,33,36,39,42,45,48,51,54,57,60,63,66,69,72-tetracosaoxapentaheptacontan-75- oate (96 mg, 80 µmol) and then N-(4-((14S,17S)-1-carboxy-14-isopropyl-12,15-dioxo-17-(3- ureidopropyl)-3,6,9-trioxa-13,16-diazaoctadecan-18-amido)-2-((methylamino)methyl)benzyl)-3-((R)-2- (4-chloro-2-(4-((5-cyano-1,2-dimethyl-1H-pyrrol-3-yl)(4-hydroxyphenyl)carbamoyl)-1,5-dimethyl-1H- pyrrol-2-yl)benzoyl)-1,2,3,4-tetrahydroisoquinolin-3-yl)-N,N-dimethylpropan-1-aminium trifluoroacetate (119 mg, 76 µmol) and additional DIEA, N-(4-((14S,17S)-1-carboxy-14-isopropyl-12,15-dioxo-17-(3- ureidopropyl)-3,6,9-trioxa-13,16-diazaoctadecan-18-amido)-2-(2,81,81-trimethyl-3,79-dioxo- 7,10,13,16,19,22,25,28,31,34,37,40,43,46,49,52,55,58,61,64,67,70,73,76,80-pentacosaoxa-2,4- diazadooctacontyl)benzyl)-3-((R)-2-(4-chloro-2-(4-((5-cyano-1,2-dimethyl-1H-pyrrol-3-yl)(4- hydroxyphenyl)carbamoyl)-1,5-dimethyl-1H-pyrrol-2-yl)benzoyl)-1,2,3,4-tetrahydroisoquinolin-3-yl)- N,N-dimethylpropan-1-aminium trifluoroacetate (189 mg, 93%) was obtained. HRMS: M+=2567.3799, Rt=2.38 min (5 min acidic method). Synthesis of N-(4-((2S,5S)-23-(3-(2-((((9H-fluoren-9- yl)methoxy)carbonyl)amino)ethoxy)propanoyl)-35-carboxy-5-isopropyl-20,26-dimethyl-4,7,19,27- tetraoxo-2-(3-ureidopropyl)-10,13,16,30,33-pentaoxa-3,6,20,23,26-pentaazapentatriacontanamido)- 2-(2,81,81-trimethyl-3,79-dioxo- 7,10,13,16,19,22,25,28,31,34,37,40,43,46,49,52,55,58,61,64,67,70,73,76,80-pentacosaoxa-2,4- diazadooctacontyl)benzyl)-3-((R)-2-(4-chloro-2-(4-((5-cyano-1,2-dimethyl-1H-pyrrol-3-yl)(4- hydroxyphenyl)carbamoyl)-1,5-dimethyl-1H-pyrrol-2-yl)benzoyl)-1,2,3,4-tetrahydroisoquinolin-3- yl)-N,N-dimethylpropan-1-aminium trifluoroacetate
[1016] To a solution of N-(4-((14S,17S)-1-carboxy-14-isopropyl-12,15-dioxo-17-(3-ureidopropyl)-3,6,9- trioxa-13,16-diazaoctadecan-18-amido)-2-(2,81,81-trimethyl-3,79-dioxo- 7,10,13,16,19,22,25,28,31,34,37,40,43,46,49,52,55,58,61,64,67,70,73,76,80-pentacosaoxa-2,4- diazadooctacontyl)benzyl)-3-((R)-2-(4-chloro-2-(4-((5-cyano-1,2-dimethyl-1H-pyrrol-3-yl)(4- hydroxyphenyl)carbamoyl)-1,5-dimethyl-1H-pyrrol-2-yl)benzoyl)-1,2,3,4-tetrahydroisoquinolin-3-yl)-
N,N-dimethylpropan-1-aminium trifluoroacetate (60 mg, 22 µmol) and HATU (6.8 mg, 18 µmol) in DMF was added DIEA (39 µL, 224 µmol). After stirring for 10 minutes, 1-(9H-fluoren-9-yl)-14-methyl-11- (2-(methylamino)ethyl)-3,10,15-trioxo-2,7,18,21-tetraoxa-4,11,14-triazatetracosan-24-oic acid (27.4 mg, 22 µmol) was added. After stirring for 15 minutes, the solution was diluted with DMSO and purified by ISCO RP-HPLC. Upon lyophilization, N-(4-((2S,5S)-23-(3-(2-((((9H-fluoren-9- yl)methoxy)carbonyl)amino)ethoxy)propanoyl)-35-carboxy-5-isopropyl-20,26-dimethyl-4,7,19,27- tetraoxo-2-(3-ureidopropyl)-10,13,16,30,33-pentaoxa-3,6,20,23,26-pentaazapentatriacontanamido)-2- (2,81,81-trimethyl-3,79-dioxo- 7,10,13,16,19,22,25,28,31,34,37,40,43,46,49,52,55,58,61,64,67,70,73,76,80-pentacosaoxa-2,4- diazadooctacontyl)benzyl)-3-((R)-2-(4-chloro-2-(4-((5-cyano-1,2-dimethyl-1H-pyrrol-3-yl)(4- hydroxyphenyl)carbamoyl)-1,5-dimethyl-1H-pyrrol-2-yl)benzoyl)-1,2,3,4-tetrahydroisoquinolin-3-yl)- N,N-dimethylpropan-1-aminium trifluoroacetate (34 mg, 45% yield) was obtained. HRMS: M+ = 3205.7200, Rt=2.59 min (5 min acidic method). Synthesis of 1-(4-((6S,9S,42S,45S)-1-amino-27-(3-(2-aminoethoxy)propanoyl)-6-((4-(((3-((R)-2-(4- chloro-2-(4-((5-cyano-1,2-dimethyl-1H-pyrrol-3-yl)(4-hydroxyphenyl)carbamoyl)-1,5-dimethyl-1H- pyrrol-2-yl)benzoyl)-1,2,3,4-tetrahydroisoquinolin-3-yl)propyl)dimethylammonio)methyl)-3- (2,81,81-trimethyl-3,79-dioxo- 7,10,13,16,19,22,25,28,31,34,37,40,43,46,49,52,55,58,61,64,67,70,73,76,80-pentacosaoxa-2,4- diazadooctacontyl)phenyl)carbamoyl)-9,42-diisopropyl-24,30-dimethyl-1,8,11,23,31,40,43-heptaoxo- 45-(3-ureidopropyl)-14,17,20,34,37-pentaoxa-2,7,10,24,27,30,41,44-octaazahexatetracontan-46- amido)-2-(78-carboxy-2-methyl-3-oxo- 7,10,13,16,19,22,25,28,31,34,37,40,43,46,49,52,55,58,61,64,67,70,73,76-tetracosaoxa-2,4- diazaoctaheptacontyl)benzyl)-4-(2-(4-(4-((R)-1-carboxy-2-(2-((2-(2-methoxyphenyl)pyrimidin-4- yl)methoxy)phenyl)ethoxy)-6-(4-fluorophenyl)thieno[2,3-d]pyrimidin-5-yl)-2-chloro-3- methylphenoxy)ethyl)-1-methylpiperazin-1-ium trifluoroacetate
[1017] Following GENERAL PROCEDURE #4 using N-(4-((2S,5S)-23-(3-(2-((((9H-fluoren-9- yl)methoxy)carbonyl)amino)ethoxy)propanoyl)-35-carboxy-5-isopropyl-20,26-dimethyl-4,7,19,27-
tetraoxo-2-(3-ureidopropyl)-10,13,16,30,33-pentaoxa-3,6,20,23,26-pentaazapentatriacontanamido)-2- (2,81,81-trimethyl-3,79-dioxo- 7,10,13,16,19,22,25,28,31,34,37,40,43,46,49,52,55,58,61,64,67,70,73,76,80-pentacosaoxa-2,4- diazadooctacontyl)benzyl)-3-((R)-2-(4-chloro-2-(4-((5-cyano-1,2-dimethyl-1H-pyrrol-3-yl)(4- hydroxyphenyl)carbamoyl)-1,5-dimethyl-1H-pyrrol-2-yl)benzoyl)-1,2,3,4-tetrahydroisoquinolin-3-yl)- N,N-dimethylpropan-1-aminium trifluoroacetate (65.2 mg, 20 µmol), TSTU (5.9 mg, 20 µmol), DIEA (27.4 µL, 157 µmol) and then 1-(4-((S)-2-((S)-2-amino-3-methylbutanamido)-5-ureidopentanamido)-2- (78-carboxy-2-methyl-3-oxo-7,10,13,16,19,22,25,28,31,34,37,40,43,46,49,52,55,58,61,64,67,70,73,76- tetracosaoxa-2,4-diazaoctaheptacontyl)benzyl)-4-(2-(4-(4-((R)-1-carboxy-2-(2-((2-(2- methoxyphenyl)pyrimidin-4-yl)methoxy)phenyl)ethoxy)-6-(4-fluorophenyl)thieno[2,3-d]pyrimidin-5-yl)- 2-chloro-3-methylphenoxy)ethyl)-1-methylpiperazin-1-ium TFA salt (57.9 mg, 22 µmol) with the modification of once coupling was complete treating with 2.0 M dimethyl amine in MeOH (196 µL, 393 µmol) for 2 hours, 1-(4-((6S,9S,42S,45S)-1-amino-27-(3-(2-aminoethoxy)propanoyl)-6-((4-(((3-((R)-2- (4-chloro-2-(4-((5-cyano-1,2-dimethyl-1H-pyrrol-3-yl)(4-hydroxyphenyl)carbamoyl)-1,5-dimethyl-1H- pyrrol-2-yl)benzoyl)-1,2,3,4-tetrahydroisoquinolin-3-yl)propyl)dimethylammonio)methyl)-3-(2,81,81- trimethyl-3,79-dioxo-7,10,13,16,19,22,25,28,31,34,37,40,43,46,49,52,55,58,61,64,67,70,73,76,80- pentacosaoxa-2,4-diazadooctacontyl)phenyl)carbamoyl)-9,42-diisopropyl-24,30-dimethyl- 1,8,11,23,31,40,43-heptaoxo-45-(3-ureidopropyl)-14,17,20,34,37-pentaoxa-2,7,10,24,27,30,41,44- octaazahexatetracontan-46-amido)-2-(78-carboxy-2-methyl-3-oxo- 7,10,13,16,19,22,25,28,31,34,37,40,43,46,49,52,55,58,61,64,67,70,73,76-tetracosaoxa-2,4- diazaoctaheptacontyl)benzyl)-4-(2-(4-(4-((R)-1-carboxy-2-(2-((2-(2-methoxyphenyl)pyrimidin-4- yl)methoxy)phenyl)ethoxy)-6-(4-fluorophenyl)thieno[2,3-d]pyrimidin-5-yl)-2-chloro-3- methylphenoxy)ethyl)-1-methylpiperazin-1-ium trifluoroacetate (55.3 mg, 49% yield) was obtained. HRMS: (M+2- H+)+ = 5415.8398, Rt=2.47 min (5 min acidic method). Synthesis of 1-(4-((6S,9S,42S,45S)-1-amino-6-((3-(78-carboxy-2-methyl-3-oxo- 7,10,13,16,19,22,25,28,31,34,37,40,43,46,49,52,55,58,61,64,67,70,73,76-tetracosaoxa-2,4- diazaoctaheptacontyl)-4-(((3-((R)-2-(4-chloro-2-(4-((5-cyano-1,2-dimethyl-1H-pyrrol-3-yl)(4- hydroxyphenyl)carbamoyl)-1,5-dimethyl-1H-pyrrol-2-yl)benzoyl)-1,2,3,4-tetrahydroisoquinolin-3- yl)propyl)dimethylammonio)methyl)phenyl)carbamoyl)-27-(1-(2,5-dioxo-2,5-dihydro-1H-pyrrol-1- yl)-15-oxo-3,6,9,12,19-pentaoxa-16-azadocosan-22-oyl)-9,42-diisopropyl-24,30-dimethyl- 1,8,11,23,31,40,43-heptaoxo-45-(3-ureidopropyl)-14,17,20,34,37-pentaoxa-2,7,10,24,27,30,41,44- octaazahexatetracontan-46-amido)-2-(78-carboxy-2-methyl-3-oxo- 7,10,13,16,19,22,25,28,31,34,37,40,43,46,49,52,55,58,61,64,67,70,73,76-tetracosaoxa-2,4-
diazaoctaheptacontyl)benzyl)-4-(2-(4-(4-((R)-1-carboxy-2-(2-((2-(2-methoxyphenyl)pyrimidin-4- yl)methoxy)phenyl)ethoxy)-6-(4-fluorophenyl)thieno[2,3-d]pyrimidin-5-yl)-2-chloro-3- methylphenoxy)ethyl)-1-methylpiperazin-1-ium trifluoroacetate (P1-L15-P2)
[1018] Following the GENERAL PROCEDURE #5 using 1-(4-((6S,9S,42S,45S)-1-amino-27-(3-(2- aminoethoxy)propanoyl)-6-((4-(((3-((R)-2-(4-chloro-2-(4-((5-cyano-1,2-dimethyl-1H-pyrrol-3-yl)(4- hydroxyphenyl)carbamoyl)-1,5-dimethyl-1H-pyrrol-2-yl)benzoyl)-1,2,3,4-tetrahydroisoquinolin-3- yl)propyl)dimethylammonio)methyl)-3-(2,81,81-trimethyl-3,79-dioxo- 7,10,13,16,19,22,25,28,31,34,37,40,43,46,49,52,55,58,61,64,67,70,73,76,80-pentacosaoxa-2,4- diazadooctacontyl)phenyl)carbamoyl)-9,42-diisopropyl-24,30-dimethyl-1,8,11,23,31,40,43-heptaoxo-45- (3-ureidopropyl)-14,17,20,34,37-pentaoxa-2,7,10,24,27,30,41,44-octaazahexatetracontan-46-amido)-2- (78-carboxy-2-methyl-3-oxo-7,10,13,16,19,22,25,28,31,34,37,40,43,46,49,52,55,58,61,64,67,70,73,76- tetracosaoxa-2,4-diazaoctaheptacontyl)benzyl)-4-(2-(4-(4-((R)-1-carboxy-2-(2-((2-(2- methoxyphenyl)pyrimidin-4-yl)methoxy)phenyl)ethoxy)-6-(4-fluorophenyl)thieno[2,3-d]pyrimidin-5-yl)- 2-chloro-3-methylphenoxy)ethyl)-1-methylpiperazin-1-ium trifluoroacetate (55.3 mg, 9.6 µmol), 2,5- dioxopyrrolidin-1-yl 1-(2,5-dioxo-2,5-dihydro-1H-pyrrol-1-yl)-3,6,9,12-tetraoxapentadecan-15-oate (8.5 mg, 19 µmol) and DIEA (37 µL, 212 µmol), 1-(4-((6S,9S,42S,45S)-1-amino-6-((3-(78-carboxy-2-methyl- 3-oxo-7,10,13,16,19,22,25,28,31,34,37,40,43,46,49,52,55,58,61,64,67,70,73,76-tetracosaoxa-2,4- diazaoctaheptacontyl)-4-(((3-((R)-2-(4-chloro-2-(4-((5-cyano-1,2-dimethyl-1H-pyrrol-3-yl)(4- hydroxyphenyl)carbamoyl)-1,5-dimethyl-1H-pyrrol-2-yl)benzoyl)-1,2,3,4-tetrahydroisoquinolin-3- yl)propyl)dimethylammonio)methyl)phenyl)carbamoyl)-27-(1-(2,5-dioxo-2,5-dihydro-1H-pyrrol-1-yl)- 15-oxo-3,6,9,12,19-pentaoxa-16-azadocosan-22-oyl)-9,42-diisopropyl-24,30-dimethyl- 1,8,11,23,31,40,43-heptaoxo-45-(3-ureidopropyl)-14,17,20,34,37-pentaoxa-2,7,10,24,27,30,41,44- octaazahexatetracontan-46-amido)-2-(78-carboxy-2-methyl-3-oxo- 7,10,13,16,19,22,25,28,31,34,37,40,43,46,49,52,55,58,61,64,67,70,73,76-tetracosaoxa-2,4- diazaoctaheptacontyl)benzyl)-4-(2-(4-(4-((R)-1-carboxy-2-(2-((2-(2-methoxyphenyl)pyrimidin-4- yl)methoxy)phenyl)ethoxy)-6-(4-fluorophenyl)thieno[2,3-d]pyrimidin-5-yl)-2-chloro-3-
methylphenoxy)ethyl)-1-methylpiperazin-1-ium trifluoroacetate (47 mg, 81% yield) was obtained. HRMS: (M+2- H+)+ = 5686.8799, Rt=2.46 min (5 min acidic method). Synthesis of N-(4-((32S,35S)-15-(3-(2-((tert-butoxycarbonyl)amino)ethoxy)propanoyl)-1-carboxy- 32-isopropyl-13,17,30,33-tetraoxo-35-(3-ureidopropyl)-3,6,9,21,24,27-hexaoxa-12,15,18,31,34- pentaazahexatriacontan-36-amido)-2-((methylamino)methyl)benzyl)-3-((R)-2-(4-chloro-2-(4-((5- cyano-1,2-dimethyl-1H-pyrrol-3-yl)(4-hydroxyphenyl)carbamoyl)-1,5-dimethyl-1H-pyrrol-2- yl)benzoyl)-1,2,3,4-tetrahydroisoquinolin-3-yl)-N,N-dimethylpropan-1-aminium trifluoroacetate
[1019] To a solution of N-(2-(((((9H-fluoren-9-yl)methoxy)carbonyl)(methyl)amino)methyl)-4-((S)-2- ((S)-2-amino-3-methylbutanamido)-5-ureidopentanamido)benzyl)-3-((R)-2-(4-chloro-2-(4-((5-cyano-1,2- dimethyl-1H-pyrrol-3-yl)(4-hydroxyphenyl)carbamoyl)-1,5-dimethyl-1H-pyrrol-2-yl)benzoyl)-1,2,3,4- tetrahydroisoquinolin-3-yl)-N,N-dimethylpropan-1-aminium (190 mg, 131 µmol), 18-(3-(2-((tert- butoxycarbonyl)amino)ethoxy)propanoyl)-3,16,20-trioxo-2,6,9,12,24,27,30-heptaoxa-15,18,21- triazatritriacontan-33-oic acid (101 mg, 131 µmol) and HATU (50 mg, 131 µmol) in DMF (1 mL) was added DIEA (276 µL, 1578 µmol). After stirring for 15 minutes, MeOH (1.35 mL) and H2O (0.5 mL) and 1N LiOH (657 µL, 657 µmol) were added. After stirring for 1 hour, additional 1N LiOH (657 µL, 657 µmol) was added. After stirring an additional 10 minutes, the solution was neutralized by addition of TFA (122 µL, 1578 µmol). The solution was diluted with DMSO and purified by ISCO RP-HPLC and upon lyophilization N-(4-((32S,35S)-15-(3-(2-((tert-butoxycarbonyl)amino)ethoxy)propanoyl)-1- carboxy-32-isopropyl-13,17,30,33-tetraoxo-35-(3-ureidopropyl)-3,6,9,21,24,27-hexaoxa-12,15,18,31,34- pentaazahexatriacontan-36-amido)-2-((methylamino)methyl)benzyl)-3-((R)-2-(4-chloro-2-(4-((5-cyano- 1,2-dimethyl-1H-pyrrol-3-yl)(4-hydroxyphenyl)carbamoyl)-1,5-dimethyl-1H-pyrrol-2-yl)benzoyl)- 1,2,3,4-tetrahydroisoquinolin-3-yl)-N,N-dimethylpropan-1-aminium trifluoroacetate (109 mg, 42% yield) was obtained. HRMS: M+=1843.9600, Rt=1.90 min (5 min acidic method). Synthesis of N-(4-((32S,35S)-15-(3-(2-((tert-butoxycarbonyl)amino)ethoxy)propanoyl)-1-carboxy- 32-isopropyl-13,17,30,33-tetraoxo-35-(3-ureidopropyl)-3,6,9,21,24,27-hexaoxa-12,15,18,31,34- pentaazahexatriacontan-36-amido)-2-(2,81,81-trimethyl-3,79-dioxo- 7,10,13,16,19,22,25,28,31,34,37,40,43,46,49,52,55,58,61,64,67,70,73,76,80-pentacosaoxa-2,4-
diazadooctacontyl)benzyl)-3-((R)-2-(4-chloro-2-(4-((5-cyano-1,2-dimethyl-1H-pyrrol-3-yl)(4- hydroxyphenyl)carbamoyl)-1,5-dimethyl-1H-pyrrol-2-yl)benzoyl)-1,2,3,4-tetrahydroisoquinolin-3- yl)-N,N-dimethylpropan-1-aminium trifluoroacetate
[1020] Following GENERAL PROCEDURE #1 using bis(4-nitrophenyl) carbonate (11.9 mg, 39 µmol), DIEA (98 µL, 560 µmol), tert-butyl 1-amino- 3,6,9,12,15,18,21,24,27,30,33,36,39,42,45,48,51,54,57,60,63,66,69,72-tetracosaoxapentaheptacontan-75- oate (47.1 mg, 39 µmol) and then N-(4-((32S,35S)-15-(3-(2-((tert- butoxycarbonyl)amino)ethoxy)propanoyl)-1-carboxy-32-isopropyl-13,17,30,33-tetraoxo-35-(3- ureidopropyl)-3,6,9,21,24,27-hexaoxa-12,15,18,31,34-pentaazahexatriacontan-36-amido)-2- ((methylamino)methyl)benzyl)-3-((R)-2-(4-chloro-2-(4-((5-cyano-1,2-dimethyl-1H-pyrrol-3-yl)(4- hydroxyphenyl)carbamoyl)-1,5-dimethyl-1H-pyrrol-2-yl)benzoyl)-1,2,3,4-tetrahydroisoquinolin-3-yl)- N,N-dimethylpropan-1-aminium trifluoroacetate (73.1 mg, 37 µmol), N-(4-((32S,35S)-15-(3-(2-((tert- butoxycarbonyl)amino)ethoxy)propanoyl)-1-carboxy-32-isopropyl-13,17,30,33-tetraoxo-35-(3- ureidopropyl)-3,6,9,21,24,27-hexaoxa-12,15,18,31,34-pentaazahexatriacontan-36-amido)-2-(2,81,81- trimethyl-3,79-dioxo-7,10,13,16,19,22,25,28,31,34,37,40,43,46,49,52,55,58,61,64,67,70,73,76,80- pentacosaoxa-2,4-diazadooctacontyl)benzyl)-3-((R)-2-(4-chloro-2-(4-((5-cyano-1,2-dimethyl-1H-pyrrol- 3-yl)(4-hydroxyphenyl)carbamoyl)-1,5-dimethyl-1H-pyrrol-2-yl)benzoyl)-1,2,3,4-tetrahydroisoquinolin- 3-yl)-N,N-dimethylpropan-1-aminium trifluoroacetate (76 mg, 64%) was obtained. HRMS: M+=3071.6799, Rt=2.44 min (5 min acidic method). Synthesis of 1-(4-((6S,9S,43S,46S)-1-amino-26-(3-(2-((tert- butoxycarbonyl)amino)ethoxy)propanoyl)-6-((4-(((3-((R)-2-(4-chloro-2-(4-((5-cyano-1,2-dimethyl- 1H-pyrrol-3-yl)(4-hydroxyphenyl)carbamoyl)-1,5-dimethyl-1H-pyrrol-2-yl)benzoyl)-1,2,3,4- tetrahydroisoquinolin-3-yl)propyl)dimethylammonio)methyl)-3-(2,81,81-trimethyl-3,79-dioxo- 7,10,13,16,19,22,25,28,31,34,37,40,43,46,49,52,55,58,61,64,67,70,73,76,80-pentacosaoxa-2,4- diazadooctacontyl)phenyl)carbamoyl)-9,43-diisopropyl-1,8,11,24,28,41,44-heptaoxo-46-(3-
ureidopropyl)-14,17,20,32,35,38-hexaoxa-2,7,10,23,26,29,42,45-octaazaheptatetracontan-47-amido)- 2-(78-carboxy-2-methyl-3-oxo- 7,10,13,16,19,22,25,28,31,34,37,40,43,46,49,52,55,58,61,64,67,70,73,76-tetracosaoxa-2,4- diazaoctaheptacontyl)benzyl)-4-(2-(4-(4-((R)-1-carboxy-2-(2-((2-(2-methoxyphenyl)pyrimidin-4- yl)methoxy)phenyl)ethoxy)-6-(4-fluorophenyl)thieno[2,3-d]pyrimidin-5-yl)-2-chloro-3- methylphenoxy)ethyl)-1-methylpiperazin-1-ium trifluoroacetate
[1021] Following GENERAL PROCEDURE #4 using N-(4-((32S,35S)-15-(3-(2-((tert- butoxycarbonyl)amino)ethoxy)propanoyl)-1-carboxy-32-isopropyl-13,17,30,33-tetraoxo-35-(3- ureidopropyl)-3,6,9,21,24,27-hexaoxa-12,15,18,31,34-pentaazahexatriacontan-36-amido)-2-(2,81,81- trimethyl-3,79-dioxo-7,10,13,16,19,22,25,28,31,34,37,40,43,46,49,52,55,58,61,64,67,70,73,76,80- pentacosaoxa-2,4-diazadooctacontyl)benzyl)-3-((R)-2-(4-chloro-2-(4-((5-cyano-1,2-dimethyl-1H-pyrrol- 3-yl)(4-hydroxyphenyl)carbamoyl)-1,5-dimethyl-1H-pyrrol-2-yl)benzoyl)-1,2,3,4-tetrahydroisoquinolin- 3-yl)-N,N-dimethylpropan-1-aminium trifluoroacetate (82 mg, 26 µmol), TSTU (7.3 mg, 24 µmol), DIEA (45 µL, 257 µmol) and then 1-(4-((S)-2-((S)-2-amino-3-methylbutanamido)-5-ureidopentanamido)-2-(78- carboxy-2-methyl-3-oxo-7,10,13,16,19,22,25,28,31,34,37,40,43,46,49,52,55,58,61,64,67,70,73,76- tetracosaoxa-2,4-diazaoctaheptacontyl)benzyl)-4-(2-(4-(4-((R)-1-carboxy-2-(2-((2-(2- methoxyphenyl)pyrimidin-4-yl)methoxy)phenyl)ethoxy)-6-(4-fluorophenyl)thieno[2,3-d]pyrimidin-5-yl)- 2-chloro-3-methylphenoxy)ethyl)-1-methylpiperazin-1-ium TFA salt (72.3 mg, 27 µmol), 1-(4- ((6S,9S,43S,46S)-1-amino-26-(3-(2-((tert-butoxycarbonyl)amino)ethoxy)propanoyl)-6-((4-(((3-((R)-2-(4- chloro-2-(4-((5-cyano-1,2-dimethyl-1H-pyrrol-3-yl)(4-hydroxyphenyl)carbamoyl)-1,5-dimethyl-1H- pyrrol-2-yl)benzoyl)-1,2,3,4-tetrahydroisoquinolin-3-yl)propyl)dimethylammonio)methyl)-3-(2,81,81- trimethyl-3,79-dioxo-7,10,13,16,19,22,25,28,31,34,37,40,43,46,49,52,55,58,61,64,67,70,73,76,80- pentacosaoxa-2,4-diazadooctacontyl)phenyl)carbamoyl)-9,43-diisopropyl-1,8,11,24,28,41,44-heptaoxo- 46-(3-ureidopropyl)-14,17,20,32,35,38-hexaoxa-2,7,10,23,26,29,42,45-octaazaheptatetracontan-47- amido)-2-(78-carboxy-2-methyl-3-oxo- 7,10,13,16,19,22,25,28,31,34,37,40,43,46,49,52,55,58,61,64,67,70,73,76-tetracosaoxa-2,4- diazaoctaheptacontyl)benzyl)-4-(2-(4-(4-((R)-1-carboxy-2-(2-((2-(2-methoxyphenyl)pyrimidin-4- yl)methoxy)phenyl)ethoxy)-6-(4-fluorophenyl)thieno[2,3-d]pyrimidin-5-yl)-2-chloro-3-
methylphenoxy)ethyl)-1-methylpiperazin-1-ium trifluoroacetate (65.6 mg, 44% yield) was obtained. HRMS: (M+2- H+)+ = 5503.8701, Rt=2.65 min (5 min acidic method). Synthesis of 1-(4-((6S,9S,43S,46S)-1-amino-6-((3-(78-carboxy-2-methyl-3-oxo- 7,10,13,16,19,22,25,28,31,34,37,40,43,46,49,52,55,58,61,64,67,70,73,76-tetracosaoxa-2,4- diazaoctaheptacontyl)-4-(((3-((R)-2-(4-chloro-2-(4-((5-cyano-1,2-dimethyl-1H-pyrrol-3-yl)(4- hydroxyphenyl)carbamoyl)-1,5-dimethyl-1H-pyrrol-2-yl)benzoyl)-1,2,3,4-tetrahydroisoquinolin-3- yl)propyl)dimethylammonio)methyl)phenyl)carbamoyl)-26-(1-(2,5-dioxo-2,5-dihydro-1H-pyrrol-1- yl)-15-oxo-3,6,9,12,19-pentaoxa-16-azadocosan-22-oyl)-9,43-diisopropyl-1,8,11,24,28,41,44- heptaoxo-46-(3-ureidopropyl)-14,17,20,32,35,38-hexaoxa-2,7,10,23,26,29,42,45- octaazaheptatetracontan-47-amido)-2-(78-carboxy-2-methyl-3-oxo- 7,10,13,16,19,22,25,28,31,34,37,40,43,46,49,52,55,58,61,64,67,70,73,76-tetracosaoxa-2,4- diazaoctaheptacontyl)benzyl)-4-(2-(4-(4-((R)-1-carboxy-2-(2-((2-(2-methoxyphenyl)pyrimidin-4- yl)methoxy)phenyl)ethoxy)-6-(4-fluorophenyl)thieno[2,3-d]pyrimidin-5-yl)-2-chloro-3- methylphenoxy)ethyl)-1-methylpiperazin-1-ium trifluoroacetate (P1-L16-P2)
[1022] Following the GENERAL PROCEDURE #5 using 1-(4-((6S,9S,43S,46S)-1-amino-26-(3-(2- ((tert-butoxycarbonyl)amino)ethoxy)propanoyl)-6-((4-(((3-((R)-2-(4-chloro-2-(4-((5-cyano-1,2-dimethyl- 1H-pyrrol-3-yl)(4-hydroxyphenyl)carbamoyl)-1,5-dimethyl-1H-pyrrol-2-yl)benzoyl)-1,2,3,4- tetrahydroisoquinolin-3-yl)propyl)dimethylammonio)methyl)-3-(2,81,81-trimethyl-3,79-dioxo- 7,10,13,16,19,22,25,28,31,34,37,40,43,46,49,52,55,58,61,64,67,70,73,76,80-pentacosaoxa-2,4- diazadooctacontyl)phenyl)carbamoyl)-9,43-diisopropyl-1,8,11,24,28,41,44-heptaoxo-46-(3- ureidopropyl)-14,17,20,32,35,38-hexaoxa-2,7,10,23,26,29,42,45-octaazaheptatetracontan-47-amido)-2- (78-carboxy-2-methyl-3-oxo-7,10,13,16,19,22,25,28,31,34,37,40,43,46,49,52,55,58,61,64,67,70,73,76- tetracosaoxa-2,4-diazaoctaheptacontyl)benzyl)-4-(2-(4-(4-((R)-1-carboxy-2-(2-((2-(2- methoxyphenyl)pyrimidin-4-yl)methoxy)phenyl)ethoxy)-6-(4-fluorophenyl)thieno[2,3-d]pyrimidin-5-yl)- 2-chloro-3-methylphenoxy)ethyl)-1-methylpiperazin-1-ium trifluoroacetate (65.6 mg, 11 µmol), 2,5- dioxopyrrolidin-1-yl 1-(2,5-dioxo-2,5-dihydro-1H-pyrrol-1-yl)-3,6,9,12-tetraoxapentadecan-15-oate (10.1
mg, 23 µmol) and DIEA (40 µL, 229 µmol), 1-(4-((6S,9S,43S,46S)-1-amino-6-((3-(78-carboxy-2-methyl- 3-oxo-7,10,13,16,19,22,25,28,31,34,37,40,43,46,49,52,55,58,61,64,67,70,73,76-tetracosaoxa-2,4- diazaoctaheptacontyl)-4-(((3-((R)-2-(4-chloro-2-(4-((5-cyano-1,2-dimethyl-1H-pyrrol-3-yl)(4- hydroxyphenyl)carbamoyl)-1,5-dimethyl-1H-pyrrol-2-yl)benzoyl)-1,2,3,4-tetrahydroisoquinolin-3- yl)propyl)dimethylammonio)methyl)phenyl)carbamoyl)-26-(1-(2,5-dioxo-2,5-dihydro-1H-pyrrol-1-yl)- 15-oxo-3,6,9,12,19-pentaoxa-16-azadocosan-22-oyl)-9,43-diisopropyl-1,8,11,24,28,41,44-heptaoxo-46- (3-ureidopropyl)-14,17,20,32,35,38-hexaoxa-2,7,10,23,26,29,42,45-octaazaheptatetracontan-47-amido)- 2-(78-carboxy-2-methyl-3-oxo-7,10,13,16,19,22,25,28,31,34,37,40,43,46,49,52,55,58,61,64,67,70,73,76- tetracosaoxa-2,4-diazaoctaheptacontyl)benzyl)-4-(2-(4-(4-((R)-1-carboxy-2-(2-((2-(2- methoxyphenyl)pyrimidin-4-yl)methoxy)phenyl)ethoxy)-6-(4-fluorophenyl)thieno[2,3-d]pyrimidin-5-yl)- 2-chloro-3-methylphenoxy)ethyl)-1-methylpiperazin-1-ium trifluoroacetate (52.5 mg, 77% yield) was obtained. HRMS: (M+2- H+)+ = 5674.8501, Rt=2.46 min (5 min acidic method). Synthesis of N-(4-((2S,5S)-23-(3-(2-((tert-butoxycarbonyl)amino)ethoxy)propanoyl)-35-carboxy-5- isopropyl-4,7,19,27-tetraoxo-2-(3-ureidopropyl)-10,13,16,30,33-pentaoxa-3,6,20,23,26- pentaazapentatriacontanamido)-2-((methylamino)methyl)benzyl)-3-((R)-2-(4-chloro-2-(4-((5-cyano- 1,2-dimethyl-1H-pyrrol-3-yl)(4-hydroxyphenyl)carbamoyl)-1,5-dimethyl-1H-pyrrol-2-yl)benzoyl)- 1,2,3,4-tetrahydroisoquinolin-3-yl)-N,N-dimethylpropan-1-aminium trifluoroacetate
[1023] A solution of 17-(3-(2-((tert-butoxycarbonyl)amino)ethoxy)propanoyl)-4,13,21-trioxo- 3,7,10,24,27,30-hexaoxa-14,17,20-triazatritriacontan-33-oic acid (153 mg, 200 µmol), HATU (80 mg, 211 µmol) and DIEA (314 µL, 1796 µmol) in DMF (5 mL) was stirred for 5 minutes and then N-(2- (((((9H-fluoren-9-yl)methoxy)carbonyl)(methyl)amino)methyl)-4-((S)-2-((S)-2-amino-3- methylbutanamido)-5-ureidopentanamido)benzyl)-3-((R)-2-(4-chloro-2-(4-((5-cyano-1,2-dimethyl-1H- pyrrol-3-yl)(4-hydroxyphenyl)carbamoyl)-1,5-dimethyl-1H-pyrrol-2-yl)benzoyl)-1,2,3,4- tetrahydroisoquinolin-3-yl)-N,N-dimethylpropan-1-aminium trifluoroacetate (288 mg, 200 µmol) was added. After stirring for 10 minutes, MeOH (2 mL) and 1N LiOH (2 mL, 2000 µmol) were added. After stirring for 15 minutes, acetic acid (228 µL, 3990 µmol) was added to neutralize, DMSO was added and the solution was purified by ISCO RP-HPLC. Upon lyophilization, N-(4-((2S,5S)-23-(3-(2-((tert-
butoxycarbonyl)amino)ethoxy)propanoyl)-35-carboxy-5-isopropyl-4,7,19,27-tetraoxo-2-(3- ureidopropyl)-10,13,16,30,33-pentaoxa-3,6,20,23,26-pentaazapentatriacontanamido)-2- ((methylamino)methyl)benzyl)-3-((R)-2-(4-chloro-2-(4-((5-cyano-1,2-dimethyl-1H-pyrrol-3-yl)(4- hydroxyphenyl)carbamoyl)-1,5-dimethyl-1H-pyrrol-2-yl)benzoyl)-1,2,3,4-tetrahydroisoquinolin-3-yl)- N,N-dimethylpropan-1-aminium trifluoroacetate (278 mg, 68% yield) was obtained. HRMS: [(M+ + H+)/2]+=914.9800, Rt=1.87 min (5 min acidic method). Synthesis of N-(4-((2S,5S)-23-(3-(2-((tert-butoxycarbonyl)amino)ethoxy)propanoyl)-35-carboxy-5- isopropyl-4,7,19,27-tetraoxo-2-(3-ureidopropyl)-10,13,16,30,33-pentaoxa-3,6,20,23,26- pentaazapentatriacontanamido)-2-(2,81,81-trimethyl-3,79-dioxo- 7,10,13,16,19,22,25,28,31,34,37,40,43,46,49,52,55,58,61,64,67,70,73,76,80-pentacosaoxa-2,4- diazadooctacontyl)benzyl)-3-((R)-2-(4-chloro-2-(4-((5-cyano-1,2-dimethyl-1H-pyrrol-3-yl)(4- hydroxyphenyl)carbamoyl)-1,5-dimethyl-1H-pyrrol-2-yl)benzoyl)-1,2,3,4-tetrahydroisoquinolin-3- yl)-N,N-dimethylpropan-1-aminium trifluoroacetate
[1024] Following GENERAL PROCEDURE #1 using bis(4-nitrophenyl) carbonate (20 mg, 66 µmol), DIEA (55 µL, 316 µmol), tert-butyl 1-amino- 3,6,9,12,15,18,21,24,27,30,33,36,39,42,45,48,51,54,57,60,63,66,69,72-tetracosaoxapentaheptacontan-75- oate (80 mg, 66 µmol) and then N-(4-((2S,5S)-23-(3-(2-((tert-butoxycarbonyl)amino)ethoxy)propanoyl)- 35-carboxy-5-isopropyl-4,7,19,27-tetraoxo-2-(3-ureidopropyl)-10,13,16,30,33-pentaoxa-3,6,20,23,26- pentaazapentatriacontanamido)-2-((methylamino)methyl)benzyl)-3-((R)-2-(4-chloro-2-(4-((5-cyano-1,2- dimethyl-1H-pyrrol-3-yl)(4-hydroxyphenyl)carbamoyl)-1,5-dimethyl-1H-pyrrol-2-yl)benzoyl)-1,2,3,4- tetrahydroisoquinolin-3-yl)-N,N-dimethylpropan-1-aminium trifluoroacetate (130 mg, 63 µmol) and additional DIEA (110 µL, 632 mmol), N-(4-((2S,5S)-23-(3-(2-((tert- butoxycarbonyl)amino)ethoxy)propanoyl)-35-carboxy-5-isopropyl-4,7,19,27-tetraoxo-2-(3- ureidopropyl)-10,13,16,30,33-pentaoxa-3,6,20,23,26-pentaazapentatriacontanamido)-2-(2,81,81- trimethyl-3,79-dioxo-7,10,13,16,19,22,25,28,31,34,37,40,43,46,49,52,55,58,61,64,67,70,73,76,80-
pentacosaoxa-2,4-diazadooctacontyl)benzyl)-3-((R)-2-(4-chloro-2-(4-((5-cyano-1,2-dimethyl-1H-pyrrol- 3-yl)(4-hydroxyphenyl)carbamoyl)-1,5-dimethyl-1H-pyrrol-2-yl)benzoyl)-1,2,3,4-tetrahydroisoquinolin- 3-yl)-N,N-dimethylpropan-1-aminium trifluoroacetate (152 mg, 76%) was obtained. HRMS: M+=3055.6799, Rt=2.42 min (5 min acidic method). Synthesis of 1-(4-((6R,9R,42S,45S)-1-amino-27-(3-(2-((tert- butoxycarbonyl)amino)ethoxy)propanoyl)-6-((4-(((3-((S)-2-(4-chloro-2-(4-((5-cyano-1,2-dimethyl- 1H-pyrrol-3-yl)(4-hydroxyphenyl)carbamoyl)-1,5-dimethyl-1H-pyrrol-2-yl)benzoyl)-1,2,3,4- tetrahydroisoquinolin-3-yl)propyl)dimethylammonio)methyl)-3-(2,81,81-trimethyl-3,79-dioxo- 7,10,13,16,19,22,25,28,31,34,37,40,43,46,49,52,55,58,61,64,67,70,73,76,80-pentacosaoxa-2,4- diazadooctacontyl)phenyl)carbamoyl)-9,42-diisopropyl-1,8,11,23,31,40,43-heptaoxo-45-(3- ureidopropyl)-14,17,20,34,37-pentaoxa-2,7,10,24,27,30,41,44-octaazahexatetracontan-46-amido)-2- (78-carboxy-2-methyl-3-oxo-7,10,13,16,19,22,25,28,31,34,37,40,43,46,49,52,55,58,61,64,67,70,73,76- tetracosaoxa-2,4-diazaoctaheptacontyl)benzyl)-4-(2-(4-(4-((R)-1-carboxy-2-(2-((2-(2- methoxyphenyl)pyrimidin-4-yl)methoxy)phenyl)ethoxy)-6-(4-fluorophenyl)thieno[2,3-d]pyrimidin- 5-yl)-2-chloro-3-methylphenoxy)ethyl)-1-methylpiperazin-1-ium trifluoroacetate
[1025] Following GENERAL PROCEDURE #4 using N-(4-((2S,5S)-23-(3-(2-((tert- butoxycarbonyl)amino)ethoxy)propanoyl)-35-carboxy-5-isopropyl-4,7,19,27-tetraoxo-2-(3- ureidopropyl)-10,13,16,30,33-pentaoxa-3,6,20,23,26-pentaazapentatriacontanamido)-2-(2,81,81- trimethyl-3,79-dioxo-7,10,13,16,19,22,25,28,31,34,37,40,43,46,49,52,55,58,61,64,67,70,73,76,80- pentacosaoxa-2,4-diazadooctacontyl)benzyl)-3-((R)-2-(4-chloro-2-(4-((5-cyano-1,2-dimethyl-1H-pyrrol- 3-yl)(4-hydroxyphenyl)carbamoyl)-1,5-dimethyl-1H-pyrrol-2-yl)benzoyl)-1,2,3,4-tetrahydroisoquinolin- 3-yl)-N,N-dimethylpropan-1-aminium trifluoroacetate (138 mg, 44 µmol), TSTU (13.1 mg, 44 µmol), DIEA (38 µL, 215 µmol) and then 1-(4-((S)-2-((S)-2-amino-3-methylbutanamido)-5-ureidopentanamido)- 2-(78-carboxy-2-methyl-3-oxo-7,10,13,16,19,22,25,28,31,34,37,40,43,46,49,52,55,58,61,64,67,70,73,76- tetracosaoxa-2,4-diazaoctaheptacontyl)benzyl)-4-(2-(4-(4-((R)-1-carboxy-2-(2-((2-(2-
methoxyphenyl)pyrimidin-4-yl)methoxy)phenyl)ethoxy)-6-(4-fluorophenyl)thieno[2,3-d]pyrimidin-5-yl)- 2-chloro-3-methylphenoxy)ethyl)-1-methylpiperazin-1-ium TFA salt (133 mg, 50 µmol) and DIEA (76 µL, 430 µmol), 1-(4-((6R,9R,42S,45S)-1-amino-27-(3-(2-((tert- butoxycarbonyl)amino)ethoxy)propanoyl)-6-((4-(((3-((S)-2-(4-chloro-2-(4-((5-cyano-1,2-dimethyl-1H- pyrrol-3-yl)(4-hydroxyphenyl)carbamoyl)-1,5-dimethyl-1H-pyrrol-2-yl)benzoyl)-1,2,3,4- tetrahydroisoquinolin-3-yl)propyl)dimethylammonio)methyl)-3-(2,81,81-trimethyl-3,79-dioxo- 7,10,13,16,19,22,25,28,31,34,37,40,43,46,49,52,55,58,61,64,67,70,73,76,80-pentacosaoxa-2,4- diazadooctacontyl)phenyl)carbamoyl)-9,42-diisopropyl-1,8,11,23,31,40,43-heptaoxo-45-(3- ureidopropyl)-14,17,20,34,37-pentaoxa-2,7,10,24,27,30,41,44-octaazahexatetracontan-46-amido)-2-(78- carboxy-2-methyl-3-oxo-7,10,13,16,19,22,25,28,31,34,37,40,43,46,49,52,55,58,61,64,67,70,73,76- tetracosaoxa-2,4-diazaoctaheptacontyl)benzyl)-4-(2-(4-(4-((R)-1-carboxy-2-(2-((2-(2- methoxyphenyl)pyrimidin-4-yl)methoxy)phenyl)ethoxy)-6-(4-fluorophenyl)thieno[2,3-d]pyrimidin-5-yl)- 2-chloro-3-methylphenoxy)ethyl)-1-methylpiperazin-1-ium trifluoroacetate (149 mg, 54% yield) was obtained. HRMS: (M+2- H+)+ =5487.8398, Rt=2.63 min (5 min acidic method). Synthesis of 1-(4-((6S,9S,42S,45S)-1-amino-6-((3-(78-carboxy-2-methyl-3-oxo- 7,10,13,16,19,22,25,28,31,34,37,40,43,46,49,52,55,58,61,64,67,70,73,76-tetracosaoxa-2,4- diazaoctaheptacontyl)-4-(((3-((R)-2-(4-chloro-2-(4-((5-cyano-1,2-dimethyl-1H-pyrrol-3-yl)(4- hydroxyphenyl)carbamoyl)-1,5-dimethyl-1H-pyrrol-2-yl)benzoyl)-1,2,3,4-tetrahydroisoquinolin-3- yl)propyl)dimethylammonio)methyl)phenyl)carbamoyl)-27-(1-(2,5-dioxo-2,5-dihydro-1H-pyrrol-1- yl)-15-oxo-3,6,9,12,19-pentaoxa-16-azadocosan-22-oyl)-9,42-diisopropyl-1,8,11,23,31,40,43- heptaoxo-45-(3-ureidopropyl)-14,17,20,34,37-pentaoxa-2,7,10,24,27,30,41,44- octaazahexatetracontan-46-amido)-2-(78-carboxy-2-methyl-3-oxo- 7,10,13,16,19,22,25,28,31,34,37,40,43,46,49,52,55,58,61,64,67,70,73,76-tetracosaoxa-2,4- diazaoctaheptacontyl)benzyl)-4-(2-(4-(4-((R)-1-carboxy-2-(2-((2-(2-methoxyphenyl)pyrimidin-4- yl)methoxy)phenyl)ethoxy)-6-(4-fluorophenyl)thieno[2,3-d]pyrimidin-5-yl)-2-chloro-3- methylphenoxy)ethyl)-1-methylpiperazin-1-ium trifluoroacetate (P1-L17-P2)
[1026] Following the GENERAL PROCEDURE #5 using 1-(4-((6R,9R,42S,45S)-1-amino-27-(3-(2- ((tert-butoxycarbonyl)amino)ethoxy)propanoyl)-6-((4-(((3-((S)-2-(4-chloro-2-(4-((5-cyano-1,2-dimethyl- 1H-pyrrol-3-yl)(4-hydroxyphenyl)carbamoyl)-1,5-dimethyl-1H-pyrrol-2-yl)benzoyl)-1,2,3,4- tetrahydroisoquinolin-3-yl)propyl)dimethylammonio)methyl)-3-(2,81,81-trimethyl-3,79-dioxo- 7,10,13,16,19,22,25,28,31,34,37,40,43,46,49,52,55,58,61,64,67,70,73,76,80-pentacosaoxa-2,4- diazadooctacontyl)phenyl)carbamoyl)-9,42-diisopropyl-1,8,11,23,31,40,43-heptaoxo-45-(3- ureidopropyl)-14,17,20,34,37-pentaoxa-2,7,10,24,27,30,41,44-octaazahexatetracontan-46-amido)-2-(78- carboxy-2-methyl-3-oxo-7,10,13,16,19,22,25,28,31,34,37,40,43,46,49,52,55,58,61,64,67,70,73,76- tetracosaoxa-2,4-diazaoctaheptacontyl)benzyl)-4-(2-(4-(4-((R)-1-carboxy-2-(2-((2-(2- methoxyphenyl)pyrimidin-4-yl)methoxy)phenyl)ethoxy)-6-(4-fluorophenyl)thieno[2,3-d]pyrimidin-5-yl)- 2-chloro-3-methylphenoxy)ethyl)-1-methylpiperazin-1-ium trifluoroacetate (149 mg, 26 µmol), 2,5- dioxopyrrolidin-1-yl 1-(2,5-dioxo-2,5-dihydro-1H-pyrrol-1-yl)-3,6,9,12-tetraoxapentadecan-15-oate (13 mg, 29 µmol) and DIEA (26 µL, 149 µmol), 1-(4-((6S,9S,42S,45S)-1-amino-6-((3-(78-carboxy-2-methyl- 3-oxo-7,10,13,16,19,22,25,28,31,34,37,40,43,46,49,52,55,58,61,64,67,70,73,76-tetracosaoxa-2,4- diazaoctaheptacontyl)-4-(((3-((R)-2-(4-chloro-2-(4-((5-cyano-1,2-dimethyl-1H-pyrrol-3-yl)(4- hydroxyphenyl)carbamoyl)-1,5-dimethyl-1H-pyrrol-2-yl)benzoyl)-1,2,3,4-tetrahydroisoquinolin-3- yl)propyl)dimethylammonio)methyl)phenyl)carbamoyl)-27-(1-(2,5-dioxo-2,5-dihydro-1H-pyrrol-1-yl)- 15-oxo-3,6,9,12,19-pentaoxa-16-azadocosan-22-oyl)-9,42-diisopropyl-1,8,11,23,31,40,43-heptaoxo-45- (3-ureidopropyl)-14,17,20,34,37-pentaoxa-2,7,10,24,27,30,41,44-octaazahexatetracontan-46-amido)-2- (78-carboxy-2-methyl-3-oxo-7,10,13,16,19,22,25,28,31,34,37,40,43,46,49,52,55,58,61,64,67,70,73,76- tetracosaoxa-2,4-diazaoctaheptacontyl)benzyl)-4-(2-(4-(4-((R)-1-carboxy-2-(2-((2-(2- methoxyphenyl)pyrimidin-4-yl)methoxy)phenyl)ethoxy)-6-(4-fluorophenyl)thieno[2,3-d]pyrimidin-5-yl)- 2-chloro-3-methylphenoxy)ethyl)-1-methylpiperazin-1-ium trifluoroacetate (63 mg, 41% yield) was obtained. HRMS: (M+2- H+)+ =5658.8398, Rt=2.46 min (5 min acidic method). [1027] [1028] Synthesis of 4-(4-((2S,5S)-23-(3-(2-((tert-butoxycarbonyl)amino)ethoxy)propanoyl)-5- isopropyl-4,7,19,27,36-pentaoxo-2-(3-ureidopropyl)-10,13,16,30,33,37-hexaoxa-3,6,20,23,26- pentaazatetracont-39-enamido)-2-(2,81,81-trimethyl-3,79-dioxo- 7,10,13,16,19,22,25,28,31,34,37,40,43,46,49,52,55,58,61,64,67,70,73,76,80-pentacosaoxa-2,4- diazadooctacontyl)benzyl)-4-(2-(4-(2-(6-(4-((5-cyano-1,2-dimethyl-1H-pyrrol-3-yl)(4- hydroxyphenyl)carbamoyl)-1,5-dimethyl-1H-pyrrol-2-yl)-7-((R)-3-methyl-1,2,3,4- tetrahydroisoquinoline-2-carbonyl)-3,4-dihydroisoquinolin-2(1H)-yl)-2- oxoethyl)phenoxy)ethyl)morpholin-4-ium trifluoroacetate
[1030] Following GENERAL PROCEDURE #3 using 4-(4-((S)-2-((S)-2-amino-3-methylbutanamido)- 5-ureidopentanamido)-2-(2,81,81-trimethyl-3,79-dioxo- 7,10,13,16,19,22,25,28,31,34,37,40,43,46,49,52,55,58,61,64,67,70,73,76,80-pentacosaoxa-2,4- diazadooctacontyl)benzyl)-4-(2-(4-(2-(6-(4-((5-cyano-1,2-dimethyl-1H-pyrrol-3-yl)(4- hydroxyphenyl)carbamoyl)-1,5-dimethyl-1H-pyrrol-2-yl)-7-((R)-3-methyl-1,2,3,4- tetrahydroisoquinoline-2-carbonyl)-3,4-dihydroisoquinolin-2(1H)-yl)-2- oxoethyl)phenoxy)ethyl)morpholin-4-ium (209 mg, 75.7 µmol) and 17-(3-(2-((tert- butoxycarbonyl)amino)ethoxy)propanoyl)-13,21,30-trioxo-4,7,10,24,27,31-hexaoxa-14,17,20- triazatetratriacont-33-enoic acid (67.8 mg, 87 µmol), 4-(4-((2S,5S)-23-(3-(2-((tert- butoxycarbonyl)amino)ethoxy)propanoyl)-5-isopropyl-4,7,19,27,36-pentaoxo-2-(3-ureidopropyl)- 10,13,16,30,33,37-hexaoxa-3,6,20,23,26-pentaazatetracont-39-enamido)-2-(2,81,81-trimethyl-3,79-dioxo- 7,10,13,16,19,22,25,28,31,34,37,40,43,46,49,52,55,58,61,64,67,70,73,76,80-pentacosaoxa-2,4- diazadooctacontyl)benzyl)-4-(2-(4-(2-(6-(4-((5-cyano-1,2-dimethyl-1H-pyrrol-3-yl)(4- hydroxyphenyl)carbamoyl)-1,5-dimethyl-1H-pyrrol-2-yl)-7-((R)-3-methyl-1,2,3,4- tetrahydroisoquinoline-2-carbonyl)-3,4-dihydroisoquinolin-2(1H)-yl)-2- oxoethyl)phenoxy)ethyl)morpholin-4-ium trifluoroacetate (216 mg, 78%) was obtained. HRMS: M+=3292.8401, Rt=2.51 min (5 min acidic method). [1031] [1032] Synthesis of 4-(4-((2S,5S)-23-(3-(2-((tert-butoxycarbonyl)amino)ethoxy)propanoyl)-35- carboxy-5-isopropyl-4,7,19,27-tetraoxo-2-(3-ureidopropyl)-10,13,16,30,33-pentaoxa-3,6,20,23,26- pentaazapentatriacontanamido)-2-(2,81,81-trimethyl-3,79-dioxo- 7,10,13,16,19,22,25,28,31,34,37,40,43,46,49,52,55,58,61,64,67,70,73,76,80-pentacosaoxa-2,4- diazadooctacontyl)benzyl)-4-(2-(4-(2-(6-(4-((5-cyano-1,2-dimethyl-1H-pyrrol-3-yl)(4- hydroxyphenyl)carbamoyl)-1,5-dimethyl-1H-pyrrol-2-yl)-7-((R)-3-methyl-1,2,3,4- tetrahydroisoquinoline-2-carbonyl)-3,4-dihydroisoquinolin-2(1H)-yl)-2- oxoethyl)phenoxy)ethyl)morpholin-4-ium trifluoroacetate
[1034] Following GENERAL PROCEDURE #2 using 4-(4-((2S,5S)-23-(3-(2-((tert- butoxycarbonyl)amino)ethoxy)propanoyl)-35-carboxy-5-isopropyl-4,7,19,27-tetraoxo-2-(3- ureidopropyl)-10,13,16,30,33-pentaoxa-3,6,20,23,26-pentaazapentatriacontanamido)-2-(2,81,81- trimethyl-3,79-dioxo-7,10,13,16,19,22,25,28,31,34,37,40,43,46,49,52,55,58,61,64,67,70,73,76,80- pentacosaoxa-2,4-diazadooctacontyl)benzyl)-4-(2-(4-(2-(6-(4-((5-cyano-1,2-dimethyl-1H-pyrrol-3-yl)(4- hydroxyphenyl)carbamoyl)-1,5-dimethyl-1H-pyrrol-2-yl)-7-((R)-3-methyl-1,2,3,4- tetrahydroisoquinoline-2-carbonyl)-3,4-dihydroisoquinolin-2(1H)-yl)-2- oxoethyl)phenoxy)ethyl)morpholin-4-ium trifluoroacetate (204 mg, 59.8 µmol), morpholine (25.8 µL, 299 µmol) and tetrakis(triphenylphosphine)palladium (10.4 mg, 8.98 µmol), 4-(4-((2S,5S)-23-(3-(2-((tert- butoxycarbonyl)amino)ethoxy)propanoyl)-35-carboxy-5-isopropyl-4,7,19,27-tetraoxo-2-(3- ureidopropyl)-10,13,16,30,33-pentaoxa-3,6,20,23,26-pentaazapentatriacontanamido)-2-(2,81,81- trimethyl-3,79-dioxo-7,10,13,16,19,22,25,28,31,34,37,40,43,46,49,52,55,58,61,64,67,70,73,76,80- pentacosaoxa-2,4-diazadooctacontyl)benzyl)-4-(2-(4-(2-(6-(4-((5-cyano-1,2-dimethyl-1H-pyrrol-3-yl)(4- hydroxyphenyl)carbamoyl)-1,5-dimethyl-1H-pyrrol-2-yl)-7-((R)-3-methyl-1,2,3,4- tetrahydroisoquinoline-2-carbonyl)-3,4-dihydroisoquinolin-2(1H)-yl)-2- oxoethyl)phenoxy)ethyl)morpholin-4-ium trifluoroacetate (163 mg, 81 % yield) was obtained. HRMS: M+=3252.8101, Rt=2.37 min (5 min acidic method). Synthesis of 4-(4-((6S,9S,42S,45S)-1-amino-24-(3-(2-((tert- butoxycarbonyl)amino)ethoxy)propanoyl)-6-((4-((4-(2-(4-(4-((R)-1-carboxy-2-(2-((2-(2- methoxyphenyl)pyrimidin-4-yl)methoxy)phenyl)ethoxy)-6-(4-fluorophenyl)thieno[2,3-d]pyrimidin- 5-yl)-2-chloro-3-methylphenoxy)ethyl)-1-methylpiperazin-1-ium-1-yl)methyl)-3-(78-carboxy-2- methyl-3-oxo-7,10,13,16,19,22,25,28,31,34,37,40,43,46,49,52,55,58,61,64,67,70,73,76-tetracosaoxa- 2,4-diazaoctaheptacontyl)phenyl)carbamoyl)-9,42-diisopropyl-1,8,11,20,28,40,43-heptaoxo-45-(3- ureidopropyl)-14,17,31,34,37-pentaoxa-2,7,10,21,24,27,41,44-octaazahexatetracontan-46-amido)-2- (2,81,81-trimethyl-3,79-dioxo-
7,10,13,16,19,22,25,28,31,34,37,40,43,46,49,52,55,58,61,64,67,70,73,76,80-pentacosaoxa-2,4- diazadooctacontyl)benzyl)-4-(2-(4-(2-(6-(4-((5-cyano-1,2-dimethyl-1H-pyrrol-3-yl)(4- hydroxyphenyl)carbamoyl)-1,5-dimethyl-1H-pyrrol-2-yl)-7-((R)-3-methyl-1,2,3,4- tetrahydroisoquinoline-2-carbonyl)-3,4-dihydroisoquinolin-2(1H)-yl)-2- oxoethyl)phenoxy)ethyl)morpholin-4-ium trifluoroacetate
[1035] Following GENERAL PROCEDURE #4 using 4-(4-((2S,5S)-23-(3-(2-((tert- butoxycarbonyl)amino)ethoxy)propanoyl)-35-carboxy-5-isopropyl-4,7,19,27-tetraoxo-2-(3- ureidopropyl)-10,13,16,30,33-pentaoxa-3,6,20,23,26-pentaazapentatriacontanamido)-2-(2,81,81- trimethyl-3,79-dioxo-7,10,13,16,19,22,25,28,31,34,37,40,43,46,49,52,55,58,61,64,67,70,73,76,80- pentacosaoxa-2,4-diazadooctacontyl)benzyl)-4-(2-(4-(2-(6-(4-((5-cyano-1,2-dimethyl-1H-pyrrol-3-yl)(4- hydroxyphenyl)carbamoyl)-1,5-dimethyl-1H-pyrrol-2-yl)-7-((R)-3-methyl-1,2,3,4- tetrahydroisoquinoline-2-carbonyl)-3,4-dihydroisoquinolin-2(1H)-yl)-2- oxoethyl)phenoxy)ethyl)morpholin-4-ium trifluoroacetate (163 mg, 48.4 µmol), TSTU (14.6 mg, 48.4 µmol), 1-(4-((S)-2-((S)-2-amino-3-methylbutanamido)-5-ureidopentanamido)-2-(78-carboxy-2-methyl-3- oxo-7,10,13,16,19,22,25,28,31,34,37,40,43,46,49,52,55,58,61,64,67,70,73,76-tetracosaoxa-2,4- diazaoctaheptacontyl)benzyl)-4-(2-(4-(4-((R)-1-carboxy-2-(2-((2-(2-methoxyphenyl)pyrimidin-4- yl)methoxy)phenyl)ethoxy)-6-(4-fluorophenyl)thieno[2,3-d]pyrimidin-5-yl)-2-chloro-3- methylphenoxy)ethyl)-1-methylpiperazin-1-ium TFA salt (149.2 mg, 55.6 µmol) and DIEA (84 µL, 484 µmol), 4-(4-((6S,9S,42S,45S)-1-amino-24-(3-(2-((tert-butoxycarbonyl)amino)ethoxy)propanoyl)-6-((4- ((4-(2-(4-(4-((R)-1-carboxy-2-(2-((2-(2-methoxyphenyl)pyrimidin-4-yl)methoxy)phenyl)ethoxy)-6-(4- fluorophenyl)thieno[2,3-d]pyrimidin-5-yl)-2-chloro-3-methylphenoxy)ethyl)-1-methylpiperazin-1-ium-1- yl)methyl)-3-(78-carboxy-2-methyl-3-oxo- 7,10,13,16,19,22,25,28,31,34,37,40,43,46,49,52,55,58,61,64,67,70,73,76-tetracosaoxa-2,4- diazaoctaheptacontyl)phenyl)carbamoyl)-9,42-diisopropyl-1,8,11,20,28,40,43-heptaoxo-45-(3- ureidopropyl)-14,17,31,34,37-pentaoxa-2,7,10,21,24,27,41,44-octaazahexatetracontan-46-amido)-2- (2,81,81-trimethyl-3,79-dioxo-
7,10,13,16,19,22,25,28,31,34,37,40,43,46,49,52,55,58,61,64,67,70,73,76,80-pentacosaoxa-2,4- diazadooctacontyl)benzyl)-4-(2-(4-(2-(6-(4-((5-cyano-1,2-dimethyl-1H-pyrrol-3-yl)(4- hydroxyphenyl)carbamoyl)-1,5-dimethyl-1H-pyrrol-2-yl)-7-((R)-3-methyl-1,2,3,4- tetrahydroisoquinoline-2-carbonyl)-3,4-dihydroisoquinolin-2(1H)-yl)-2- oxoethyl)phenoxy)ethyl)morpholin-4-ium trifluoroacetate (138 mg, 48% yield) was obtained. HRMS: (M+2-H+)+=5694.9902, Rt=2.62 min (5 min acidic method). Synthesis of 4-(4-((6S,9S,42S,45S)-1-amino-6-((4-((4-(2-(4-(4-((R)-1-carboxy-2-(2-((2-(2- methoxyphenyl)pyrimidin-4-yl)methoxy)phenyl)ethoxy)-6-(4-fluorophenyl)thieno[2,3-d]pyrimidin- 5-yl)-2-chloro-3-methylphenoxy)ethyl)-1-methylpiperazin-1-ium-1-yl)methyl)-3-(78-carboxy-2- methyl-3-oxo-7,10,13,16,19,22,25,28,31,34,37,40,43,46,49,52,55,58,61,64,67,70,73,76-tetracosaoxa- 2,4-diazaoctaheptacontyl)phenyl)carbamoyl)-24-(1-(2,5-dioxo-2,5-dihydro-1H-pyrrol-1-yl)-15-oxo- 3,6,9,12,19-pentaoxa-16-azadocosan-22-oyl)-9,42-diisopropyl-1,8,11,20,28,40,43-heptaoxo-45-(3- ureidopropyl)-14,17,31,34,37-pentaoxa-2,7,10,21,24,27,41,44-octaazahexatetracontan-46-amido)-2- (78-carboxy-2-methyl-3-oxo-7,10,13,16,19,22,25,28,31,34,37,40,43,46,49,52,55,58,61,64,67,70,73,76- tetracosaoxa-2,4-diazaoctaheptacontyl)benzyl)-4-(2-(4-(2-(6-(4-((5-cyano-1,2-dimethyl-1H-pyrrol-3- yl)(4-hydroxyphenyl)carbamoyl)-1,5-dimethyl-1H-pyrrol-2-yl)-7-((R)-3-methyl-1,2,3,4- tetrahydroisoquinoline-2-carbonyl)-3,4-dihydroisoquinolin-2(1H)-yl)-2- oxoethyl)phenoxy)ethyl)morpholin-4-ium trifluoroacetate (P1-L17-P4)
[1036] Following GENERAL PROCEDURE #5 using 4-(4-((6S,9S,42S,45S)-1-amino-24-(3-(2-((tert- butoxycarbonyl)amino)ethoxy)propanoyl)-6-((4-((4-(2-(4-(4-((R)-1-carboxy-2-(2-((2-(2- methoxyphenyl)pyrimidin-4-yl)methoxy)phenyl)ethoxy)-6-(4-fluorophenyl)thieno[2,3-d]pyrimidin-5-yl)- 2-chloro-3-methylphenoxy)ethyl)-1-methylpiperazin-1-ium-1-yl)methyl)-3-(78-carboxy-2-methyl-3-oxo- 7,10,13,16,19,22,25,28,31,34,37,40,43,46,49,52,55,58,61,64,67,70,73,76-tetracosaoxa-2,4- diazaoctaheptacontyl)phenyl)carbamoyl)-9,42-diisopropyl-1,8,11,20,28,40,43-heptaoxo-45-(3- ureidopropyl)-14,17,31,34,37-pentaoxa-2,7,10,21,24,27,41,44-octaazahexatetracontan-46-amido)-2-
(2,81,81-trimethyl-3,79-dioxo- 7,10,13,16,19,22,25,28,31,34,37,40,43,46,49,52,55,58,61,64,67,70,73,76,80-pentacosaoxa-2,4- diazadooctacontyl)benzyl)-4-(2-(4-(2-(6-(4-((5-cyano-1,2-dimethyl-1H-pyrrol-3-yl)(4- hydroxyphenyl)carbamoyl)-1,5-dimethyl-1H-pyrrol-2-yl)-7-((R)-3-methyl-1,2,3,4- tetrahydroisoquinoline-2-carbonyl)-3,4-dihydroisoquinolin-2(1H)-yl)-2- oxoethyl)phenoxy)ethyl)morpholin-4-ium trifluoroacetate (133 mg, 22.5 µmol), 2,5-dioxopyrrolidin-1-yl 1-(2,5-dioxo-2,5-dihydro-1H-pyrrol-1-yl)-3,6,9,12-tetraoxapentadecan-15-oate (14.9 mg, 33.7 µmol) and DIEA (39 µL, 225 µmol),, 4-(4-((6S,9S,42S,45S)-1-amino-6-((4-((4-(2-(4-(4-((R)-1-carboxy-2-(2-((2-(2- methoxyphenyl)pyrimidin-4-yl)methoxy)phenyl)ethoxy)-6-(4-fluorophenyl)thieno[2,3-d]pyrimidin-5-yl)- 2-chloro-3-methylphenoxy)ethyl)-1-methylpiperazin-1-ium-1-yl)methyl)-3-(78-carboxy-2-methyl-3-oxo- 7,10,13,16,19,22,25,28,31,34,37,40,43,46,49,52,55,58,61,64,67,70,73,76-tetracosaoxa-2,4- diazaoctaheptacontyl)phenyl)carbamoyl)-24-(1-(2,5-dioxo-2,5-dihydro-1H-pyrrol-1-yl)-15-oxo- 3,6,9,12,19-pentaoxa-16-azadocosan-22-oyl)-9,42-diisopropyl-1,8,11,20,28,40,43-heptaoxo-45-(3- ureidopropyl)-14,17,31,34,37-pentaoxa-2,7,10,21,24,27,41,44-octaazahexatetracontan-46-amido)-2-(78- carboxy-2-methyl-3-oxo-7,10,13,16,19,22,25,28,31,34,37,40,43,46,49,52,55,58,61,64,67,70,73,76- tetracosaoxa-2,4-diazaoctaheptacontyl)benzyl)-4-(2-(4-(2-(6-(4-((5-cyano-1,2-dimethyl-1H-pyrrol-3- yl)(4-hydroxyphenyl)carbamoyl)-1,5-dimethyl-1H-pyrrol-2-yl)-7-((R)-3-methyl-1,2,3,4- tetrahydroisoquinoline-2-carbonyl)-3,4-dihydroisoquinolin-2(1H)-yl)-2- oxoethyl)phenoxy)ethyl)morpholin-4-ium trifluoroacetate (102 mg, 74% yield) was obtained. HRMS: (M+2-H+)+=5855.9902, Rt=2.47 min (5 min acidic method). Synthesis of N-(4-((17S,30S,33S)-17-(4-((tert-butoxycarbonyl)amino)butyl)-1-carboxy-30-isopropyl- 15,18,28,31-tetraoxo-33-(3-ureidopropyl)-3,6,9,12,22,25-hexaoxa-16,19,29,32- tetraazatetratriacontan-34-amido)-2-(2,81,81-trimethyl-3,79-dioxo- 7,10,13,16,19,22,25,28,31,34,37,40,43,46,49,52,55,58,61,64,67,70,73,76,80-pentacosaoxa-2,4- diazadooctacontyl)benzyl)-3-((R)-2-(4-chloro-2-(4-((5-cyano-1,2-dimethyl-1H-pyrrol-3-yl)(4- hydroxyphenyl)carbamoyl)-1,5-dimethyl-1H-pyrrol-2-yl)benzoyl)-1,2,3,4-tetrahydroisoquinolin-3- yl)-N,N-dimethylpropan-1-aminium trifluoroacetate
[1037] To a solution of N-(4-((S)-2-((S)-2-amino-3-methylbutanamido)-5-ureidopentanamido)-2- (2,81,81-trimethyl-3,79-dioxo- 7,10,13,16,19,22,25,28,31,34,37,40,43,46,49,52,55,58,61,64,67,70,73,76,80-pentacosaoxa-2,4- diazadooctacontyl)benzyl)-3-((R)-2-(4-chloro-2-(4-((5-cyano-1,2-dimethyl-1H-pyrrol-3-yl)(4- hydroxyphenyl)carbamoyl)-1,5-dimethyl-1H-pyrrol-2-yl)benzoyl)-1,2,3,4-tetrahydroisoquinolin-3-yl)- N,N-dimethylpropan-1-aminium trifluoroacetate (225 mg, 88 µmol) and (S)-20-(4-((tert- butoxycarbonyl)amino)butyl)-3,18,21-trioxo-2,6,9,12,15,25,28-heptaoxa-19,22-diazahentriacontan-31-oic acid (80 mg, 110 µmol) in DMF (0.9 mL) was added DIEA (77 µL, 439 µmol) and HATU (40 mg, 105 µmol). After stirring for 1.5 hours, MeOH (0.5 mL) and 1N LiOH (877 µL, 877 µmol) were added. After stirring for 30 minutes, the solution was diluted with DMSO (10 mL), cooled in an ice bath, neutralized by addition of 1N HCl (1.4 mL, 1400 µmol). The solution was purified by ISCO RP-HPLC and upon lyophilization N-(4-((17S,30S,33S)-17-(4-((tert-butoxycarbonyl)amino)butyl)-1-carboxy-30- isopropyl-15,18,28,31-tetraoxo-33-(3-ureidopropyl)-3,6,9,12,22,25-hexaoxa-16,19,29,32- tetraazatetratriacontan-34-amido)-2-(2,81,81-trimethyl-3,79-dioxo- 7,10,13,16,19,22,25,28,31,34,37,40,43,46,49,52,55,58,61,64,67,70,73,76,80-pentacosaoxa-2,4- diazadooctacontyl)benzyl)-3-((R)-2-(4-chloro-2-(4-((5-cyano-1,2-dimethyl-1H-pyrrol-3-yl)(4- hydroxyphenyl)carbamoyl)-1,5-dimethyl-1H-pyrrol-2-yl)benzoyl)-1,2,3,4-tetrahydroisoquinolin-3-yl)- N,N-dimethylpropan-1-aminium trifluoroacetate (183 mg, 67% yield) was obtained. HRMS: M+=2998.6599, Rt=2.66 min (5 min acidic method). Synthesis of 1-(4-((6R,9R,22S,41S,44S)-1-amino-22-(4-((tert-butoxycarbonyl)amino)butyl)-6-((4- (((3-((S)-2-(4-chloro-2-(4-((5-cyano-1,2-dimethyl-1H-pyrrol-3-yl)(4-hydroxyphenyl)carbamoyl)-1,5- dimethyl-1H-pyrrol-2-yl)benzoyl)-1,2,3,4-tetrahydroisoquinolin-3- yl)propyl)dimethylammonio)methyl)-3-(2,81,81-trimethyl-3,79-dioxo- 7,10,13,16,19,22,25,28,31,34,37,40,43,46,49,52,55,58,61,64,67,70,73,76,80-pentacosaoxa-2,4- diazadooctacontyl)phenyl)carbamoyl)-9,41-diisopropyl-1,8,11,21,24,39,42-heptaoxo-44-(3- ureidopropyl)-14,17,27,30,33,36-hexaoxa-2,7,10,20,23,40,43-heptaazapentatetracontan-45-amido)-2-
(78-carboxy-2-methyl-3-oxo-7,10,13,16,19,22,25,28,31,34,37,40,43,46,49,52,55,58,61,64,67,70,73,76- tetracosaoxa-2,4-diazaoctaheptacontyl)benzyl)-4-(2-(4-(4-((R)-1-carboxy-2-(2-((2-(2- methoxyphenyl)pyrimidin-4-yl)methoxy)phenyl)ethoxy)-6-(4-fluorophenyl)thieno[2,3-d]pyrimidin- 5-yl)-2-chloro-3-methylphenoxy)ethyl)-1-methylpiperazin-1-ium trifluoroacetate
[1038] Following GENERAL PROCEDURE #4 using N-(4-((17S,30S,33S)-17-(4-((tert- butoxycarbonyl)amino)butyl)-1-carboxy-30-isopropyl-15,18,28,31-tetraoxo-33-(3-ureidopropyl)- 3,6,9,12,22,25-hexaoxa-16,19,29,32-tetraazatetratriacontan-34-amido)-2-(2,81,81-trimethyl-3,79-dioxo- 7,10,13,16,19,22,25,28,31,34,37,40,43,46,49,52,55,58,61,64,67,70,73,76,80-pentacosaoxa-2,4- diazadooctacontyl)benzyl)-3-((R)-2-(4-chloro-2-(4-((5-cyano-1,2-dimethyl-1H-pyrrol-3-yl)(4- hydroxyphenyl)carbamoyl)-1,5-dimethyl-1H-pyrrol-2-yl)benzoyl)-1,2,3,4-tetrahydroisoquinolin-3-yl)- N,N-dimethylpropan-1-aminium trifluoroacetate (117 mg, 38 µmol), TSTU (11.3 mg, 38 µmol), DIEA (66 µL, 376 µmol) and then 1-(4-((S)-2-((S)-2-amino-3-methylbutanamido)-5-ureidopentanamido)-2-(78- carboxy-2-methyl-3-oxo-7,10,13,16,19,22,25,28,31,34,37,40,43,46,49,52,55,58,61,64,67,70,73,76- tetracosaoxa-2,4-diazaoctaheptacontyl)benzyl)-4-(2-(4-(4-((R)-1-carboxy-2-(2-((2-(2- methoxyphenyl)pyrimidin-4-yl)methoxy)phenyl)ethoxy)-6-(4-fluorophenyl)thieno[2,3-d]pyrimidin-5-yl)- 2-chloro-3-methylphenoxy)ethyl)-1-methylpiperazin-1-ium TFA salt (108 mg, 40 µmol) and DIEA (66 µL, 376 µmol), 1-(4-((6R,9R,22S,41S,44S)-1-amino-22-(4-((tert-butoxycarbonyl)amino)butyl)-6-((4- (((3-((S)-2-(4-chloro-2-(4-((5-cyano-1,2-dimethyl-1H-pyrrol-3-yl)(4-hydroxyphenyl)carbamoyl)-1,5- dimethyl-1H-pyrrol-2-yl)benzoyl)-1,2,3,4-tetrahydroisoquinolin-3-yl)propyl)dimethylammonio)methyl)- 3-(2,81,81-trimethyl-3,79-dioxo- 7,10,13,16,19,22,25,28,31,34,37,40,43,46,49,52,55,58,61,64,67,70,73,76,80-pentacosaoxa-2,4- diazadooctacontyl)phenyl)carbamoyl)-9,41-diisopropyl-1,8,11,21,24,39,42-heptaoxo-44-(3- ureidopropyl)-14,17,27,30,33,36-hexaoxa-2,7,10,20,23,40,43-heptaazapentatetracontan-45-amido)-2-(78- carboxy-2-methyl-3-oxo-7,10,13,16,19,22,25,28,31,34,37,40,43,46,49,52,55,58,61,64,67,70,73,76- tetracosaoxa-2,4-diazaoctaheptacontyl)benzyl)-4-(2-(4-(4-((R)-1-carboxy-2-(2-((2-(2- methoxyphenyl)pyrimidin-4-yl)methoxy)phenyl)ethoxy)-6-(4-fluorophenyl)thieno[2,3-d]pyrimidin-5-yl)-
2-chloro-3-methylphenoxy)ethyl)-1-methylpiperazin-1-ium trifluoroacetate (104.5 mg, 49% yield) was obtained. HRMS: (M+2-H+)+=5430.8398, Rt=2.66 min (5 min acidic method). Synthesis of 1-(4-((6R,9R,22S,41S,44S)-1-amino-6-((3-(78-carboxy-2-methyl-3-oxo- 7,10,13,16,19,22,25,28,31,34,37,40,43,46,49,52,55,58,61,64,67,70,73,76-tetracosaoxa-2,4- diazaoctaheptacontyl)-4-(((3-((S)-2-(4-chloro-2-(4-((5-cyano-1,2-dimethyl-1H-pyrrol-3-yl)(4- hydroxyphenyl)carbamoyl)-1,5-dimethyl-1H-pyrrol-2-yl)benzoyl)-1,2,3,4-tetrahydroisoquinolin-3- yl)propyl)dimethylammonio)methyl)phenyl)carbamoyl)-22-(1-(2,5-dioxo-2,5-dihydro-1H-pyrrol-1- yl)-15-oxo-3,6,9,12-tetraoxa-16-azaicosan-20-yl)-9,41-diisopropyl-1,8,11,21,24,39,42-heptaoxo-44-(3- ureidopropyl)-14,17,27,30,33,36-hexaoxa-2,7,10,20,23,40,43-heptaazapentatetracontan-45-amido)-2- (78-carboxy-2-methyl-3-oxo-7,10,13,16,19,22,25,28,31,34,37,40,43,46,49,52,55,58,61,64,67,70,73,76- tetracosaoxa-2,4-diazaoctaheptacontyl)benzyl)-4-(2-(4-(4-((R)-1-carboxy-2-(2-((2-(2- methoxyphenyl)pyrimidin-4-yl)methoxy)phenyl)ethoxy)-6-(4-fluorophenyl)thieno[2,3-d]pyrimidin- 5-yl)-2-chloro-3-methylphenoxy)ethyl)-1-methylpiperazin-1-ium trifluoroacetate (P1-L18-P2)
[1039] Following the GENERAL PROCEDURE #5 using 1-(4-((6R,9R,22S,41S,44S)-1-amino-22-(4- ((tert-butoxycarbonyl)amino)butyl)-6-((4-(((3-((S)-2-(4-chloro-2-(4-((5-cyano-1,2-dimethyl-1H-pyrrol-3- yl)(4-hydroxyphenyl)carbamoyl)-1,5-dimethyl-1H-pyrrol-2-yl)benzoyl)-1,2,3,4-tetrahydroisoquinolin-3- yl)propyl)dimethylammonio)methyl)-3-(2,81,81-trimethyl-3,79-dioxo- 7,10,13,16,19,22,25,28,31,34,37,40,43,46,49,52,55,58,61,64,67,70,73,76,80-pentacosaoxa-2,4- diazadooctacontyl)phenyl)carbamoyl)-9,41-diisopropyl-1,8,11,21,24,39,42-heptaoxo-44-(3- ureidopropyl)-14,17,27,30,33,36-hexaoxa-2,7,10,20,23,40,43-heptaazapentatetracontan-45-amido)-2-(78- carboxy-2-methyl-3-oxo-7,10,13,16,19,22,25,28,31,34,37,40,43,46,49,52,55,58,61,64,67,70,73,76- tetracosaoxa-2,4-diazaoctaheptacontyl)benzyl)-4-(2-(4-(4-((R)-1-carboxy-2-(2-((2-(2- methoxyphenyl)pyrimidin-4-yl)methoxy)phenyl)ethoxy)-6-(4-fluorophenyl)thieno[2,3-d]pyrimidin-5-yl)- 2-chloro-3-methylphenoxy)ethyl)-1-methylpiperazin-1-ium trifluoroacetate (105 mg, 18 µmol), 2,5- dioxopyrrolidin-1-yl 1-(2,5-dioxo-2,5-dihydro-1H-pyrrol-1-yl)-3,6,9,12-tetraoxapentadecan-15-oate (12.2
mg, 28 µmol) and DIEA (23.8 mg, 184 µmol), 1-(4-((6R,9R,22S,41S,44S)-1-amino-6-((3-(78-carboxy-2- methyl-3-oxo-7,10,13,16,19,22,25,28,31,34,37,40,43,46,49,52,55,58,61,64,67,70,73,76-tetracosaoxa-2,4- diazaoctaheptacontyl)-4-(((3-((S)-2-(4-chloro-2-(4-((5-cyano-1,2-dimethyl-1H-pyrrol-3-yl)(4- hydroxyphenyl)carbamoyl)-1,5-dimethyl-1H-pyrrol-2-yl)benzoyl)-1,2,3,4-tetrahydroisoquinolin-3- yl)propyl)dimethylammonio)methyl)phenyl)carbamoyl)-22-(1-(2,5-dioxo-2,5-dihydro-1H-pyrrol-1-yl)- 15-oxo-3,6,9,12-tetraoxa-16-azaicosan-20-yl)-9,41-diisopropyl-1,8,11,21,24,39,42-heptaoxo-44-(3- ureidopropyl)-14,17,27,30,33,36-hexaoxa-2,7,10,20,23,40,43-heptaazapentatetracontan-45-amido)-2-(78- carboxy-2-methyl-3-oxo-7,10,13,16,19,22,25,28,31,34,37,40,43,46,49,52,55,58,61,64,67,70,73,76- tetracosaoxa-2,4-diazaoctaheptacontyl)benzyl)-4-(2-(4-(4-((R)-1-carboxy-2-(2-((2-(2- methoxyphenyl)pyrimidin-4-yl)methoxy)phenyl)ethoxy)-6-(4-fluorophenyl)thieno[2,3-d]pyrimidin-5-yl)- 2-chloro-3-methylphenoxy)ethyl)-1-methylpiperazin-1-ium trifluoroacetate (85.6 mg, 80% yield) was obtained. HRMS: (M+2-H+)+=5601.8198, Rt=2.47 min (5 min acidic method). Synthesis of 1,1'-(((((2S,2'S)-2,2'-(((2S,2'S)-2,2'-((((((8-(3-(2-aminoethoxy)propanoyl)-2,5,11,14- tetraoxa-8-azapentadecane-1,15-diyl)bis(1H-1,2,3-triazole-4,1-diyl))bis(ethane-2,1- diyl))bis(oxy))bis(carbonyl))bis(azanediyl))bis(3-methylbutanoyl))bis(azanediyl))bis(5- ureidopentanoyl))bis(azanediyl))bis(2-(80-carboxy-2-methyl-3-oxo- 6,9,12,15,18,21,24,27,30,33,36,39,42,45,48,51,54,57,60,63,66,69,72,75,78-pentacosaoxa-2- azaoctacontyl)-4,1-phenylene))bis(methylene))bis(4-(2-(4-(4-((R)-1-carboxy-2-(2-((2-(2- methoxyphenyl)pyrimidin-4-yl)methoxy)phenyl)ethoxy)-6-(4-fluorophenyl)thieno[2,3-d]pyrimidin- 5-yl)-2-chloro-3-methylphenoxy)ethyl)-1-methylpiperazin-1-ium) trifluoroacetate
[1040] GENERAL PROCEDURE #7: A mixture of 3-(2-aminoethoxy)-N,N-bis(2-(2-(prop-2-yn-1- yloxy)ethoxy)ethyl)propanamide trifluoroacetate (3.9 mg, 7.8 µmol) and 1-(4-((S)-2-((S)-2-(((2- azidoethoxy)carbonyl)amino)-3-methylbutanamido)-5-ureidopentanamido)-2-(80-carboxy-2-methyl-3- oxo-6,9,12,15,18,21,24,27,30,33,36,39,42,45,48,51,54,57,60,63,66,69,72,75,78-pentacosaoxa-2- azaoctacontyl)benzyl)-4-(2-(4-(4-((R)-1-carboxy-2-(2-((2-(2-methoxyphenyl)pyrimidin-4- yl)methoxy)phenyl)ethoxy)-6-(4-fluorophenyl)thieno[2,3-d]pyrimidin-5-yl)-2-chloro-3- methylphenoxy)ethyl)-1-methylpiperazin-1-ium trifluoroacetate (52.8 mg, 20 µmol) in DMSO (1.9 mL)
was degassed by pulling vacuum and purging to balloon of N2 (repeated 3x). Sodium Absorbate 32 mg/mL in H2O solution (174 µL, 28 µmol) was then added followed by degassing (3x). CuSO4 pentahydrate 16 mg/mL in H2O solution (147 µL, 9.4 µmol) was then added followed by degassing. The mixture was stirred under N2 balloon for 2 hours at which time the solution was directly purified by ISCO RP-HPLC. Upon lyophilization, 1,1'-(((((2S,2'S)-2,2'-(((2S,2'S)-2,2'-((((((8-(3-(2- aminoethoxy)propanoyl)-2,5,11,14-tetraoxa-8-azapentadecane-1,15-diyl)bis(1H-1,2,3-triazole-4,1- diyl))bis(ethane-2,1-diyl))bis(oxy))bis(carbonyl))bis(azanediyl))bis(3- methylbutanoyl))bis(azanediyl))bis(5-ureidopentanoyl))bis(azanediyl))bis(2-(80-carboxy-2-methyl-3- oxo-6,9,12,15,18,21,24,27,30,33,36,39,42,45,48,51,54,57,60,63,66,69,72,75,78-pentacosaoxa-2- azaoctacontyl)-4,1-phenylene))bis(methylene))bis(4-(2-(4-(4-((R)-1-carboxy-2-(2-((2-(2- methoxyphenyl)pyrimidin-4-yl)methoxy)phenyl)ethoxy)-6-(4-fluorophenyl)thieno[2,3-d]pyrimidin-5-yl)- 2-chloro-3-methylphenoxy)ethyl)-1-methylpiperazin-1-ium) trifluoroacetate (24.8 mg, 54% yield) was obtained. HRMS: (M+2- H+)+ = 5569.6602, Rt=2.53 min (5 min acidic method). Synthesis of 1,1'-(((((2S,2'S)-2,2'-(((2S,2'S)-2,2'-((((((8-(1-(2,5-dioxo-2,5-dihydro-1H-pyrrol-1-yl)-15- oxo-3,6,9,12,19-pentaoxa-16-azadocosan-22-oyl)-2,5,11,14-tetraoxa-8-azapentadecane-1,15- diyl)bis(1H-1,2,3-triazole-4,1-diyl))bis(ethane-2,1-diyl))bis(oxy))bis(carbonyl))bis(azanediyl))bis(3- methylbutanoyl))bis(azanediyl))bis(5-ureidopentanoyl))bis(azanediyl))bis(2-(80-carboxy-2-methyl- 3-oxo-6,9,12,15,18,21,24,27,30,33,36,39,42,45,48,51,54,57,60,63,66,69,72,75,78-pentacosaoxa-2- azaoctacontyl)-4,1-phenylene))bis(methylene))bis(4-(2-(4-(4-((R)-1-carboxy-2-(2-((2-(2- methoxyphenyl)pyrimidin-4-yl)methoxy)phenyl)ethoxy)-6-(4-fluorophenyl)thieno[2,3-d]pyrimidin- 5-yl)-2-chloro-3-methylphenoxy)ethyl)-1-methylpiperazin-1-ium) trifluoroacetate (P1-L20-P1)
[1041] Following the second part of GENERAL PROCEDURE #5 using 1,1'-(((((2S,2'S)-2,2'- (((2S,2'S)-2,2'-((((((8-(3-(2-aminoethoxy)propanoyl)-2,5,11,14-tetraoxa-8-azapentadecane-1,15- diyl)bis(1H-1,2,3-triazole-4,1-diyl))bis(ethane-2,1-diyl))bis(oxy))bis(carbonyl))bis(azanediyl))bis(3- methylbutanoyl))bis(azanediyl))bis(5-ureidopentanoyl))bis(azanediyl))bis(2-(80-carboxy-2-methyl-3- oxo-6,9,12,15,18,21,24,27,30,33,36,39,42,45,48,51,54,57,60,63,66,69,72,75,78-pentacosaoxa-2-
azaoctacontyl)-4,1-phenylene))bis(methylene))bis(4-(2-(4-(4-((R)-1-carboxy-2-(2-((2-(2- methoxyphenyl)pyrimidin-4-yl)methoxy)phenyl)ethoxy)-6-(4-fluorophenyl)thieno[2,3-d]pyrimidin-5-yl)- 2-chloro-3-methylphenoxy)ethyl)-1-methylpiperazin-1-ium) trifluoroacetate (25 mg, 4.2 µmol), 2,5- dioxopyrrolidin-1-yl 1-(2,5-dioxo-2,5-dihydro-1H-pyrrol-1-yl)-3,6,9,12-tetraoxapentadecan-15-oate (5.6 mg, 13 µmol) and DIEA (11 µL, 63 µmol), 1,1'-(((((2S,2'S)-2,2'-(((2S,2'S)-2,2'-((((((8-(1-(2,5-dioxo-2,5- dihydro-1H-pyrrol-1-yl)-15-oxo-3,6,9,12,19-pentaoxa-16-azadocosan-22-oyl)-2,5,11,14-tetraoxa-8- azapentadecane-1,15-diyl)bis(1H-1,2,3-triazole-4,1-diyl))bis(ethane-2,1- diyl))bis(oxy))bis(carbonyl))bis(azanediyl))bis(3-methylbutanoyl))bis(azanediyl))bis(5- ureidopentanoyl))bis(azanediyl))bis(2-(80-carboxy-2-methyl-3-oxo- 6,9,12,15,18,21,24,27,30,33,36,39,42,45,48,51,54,57,60,63,66,69,72,75,78-pentacosaoxa-2- azaoctacontyl)-4,1-phenylene))bis(methylene))bis(4-(2-(4-(4-((R)-1-carboxy-2-(2-((2-(2- methoxyphenyl)pyrimidin-4-yl)methoxy)phenyl)ethoxy)-6-(4-fluorophenyl)thieno[2,3-d]pyrimidin-5-yl)- 2-chloro-3-methylphenoxy)ethyl)-1-methylpiperazin-1-ium) trifluoroacetate (20 mg, 76% yield) was obtained. HRMS: (M+2- H+)+ = 5896.7700, Rt=2.53 min (5 min acidic method). Synthesis of 1,1'-(((((2S,2'S)-2,2'-(((2S,2'S)-2,2'-(((((((S)-16-amino-15-oxo-2,5,8,11-tetraoxa-14- azaheptadecane-1,17-diyl)bis(1H-1,2,3-triazole-4,1-diyl))bis(ethane-2,1- diyl))bis(oxy))bis(carbonyl))bis(azanediyl))bis(3-methylbutanoyl))bis(azanediyl))bis(5- ureidopentanoyl))bis(azanediyl))bis(2-(75-methyl-74-oxo- 2,5,8,11,14,17,20,23,26,29,32,35,38,41,44,47,50,53,56,59,62,65,68,71-tetracosaoxa-75- azahexaheptacontan-76-yl)-4,1-phenylene))bis(methylene))bis(4-(2-(4-(4-((R)-1-carboxy-2-(2-((2-(2- methoxyphenyl)pyrimidin-4-yl)methoxy)phenyl)ethoxy)-6-(4-fluorophenyl)thieno[2,3-d]pyrimidin- 5-yl)-2-chloro-3-methylphenoxy)ethyl)-1-methylpiperazin-1-ium) trifluoroacetate
[1042] Following the GENERAL PROCEDURE #7 using (S)-2-amino-N-(3,6,9,12-tetraoxapentadec- 14-yn-1-yl)pent-4-ynamide (4 mg, 12 µmol) and 1-(4-((S)-2-((S)-2-(((2-azidoethoxy)carbonyl)amino)-3- methylbutanamido)-5-ureidopentanamido)-2-(75-methyl-74-oxo- 2,5,8,11,14,17,20,23,26,29,32,35,38,41,44,47,50,53,56,59,62,65,68,71-tetracosaoxa-75- azahexaheptacontan-76-yl)benzyl)-4-(2-(4-(4-((R)-1-carboxy-2-(2-((2-(2-methoxyphenyl)pyrimidin-4-
yl)methoxy)phenyl)ethoxy)-6-(4-fluorophenyl)thieno[2,3-d]pyrimidin-5-yl)-2-chloro-3- methylphenoxy)ethyl)-1-methylpiperazin-1-ium trifluoroacetate (79 mg, 32 µmol) in DMSO (1 mL) was degassed by pulling vacuum and purging to balloon of N2 (repeated 3x). Sodium Absorbate 32 mg/mL in H2O solution (228 µL, 37 µmol) was then added followed by degassing (3x). CuSO4 pentahydrate 16 mg/mL in H2O solution (191 µL, 12 µmol) was then added followed by degassing. The mixture was stirred under N2 balloon for 2 hours at which time the solution was directly purified by ISCO RP-HPLC. Upon lyophilization, 1,1'-(((((2S,2'S)-2,2'-(((2S,2'S)-2,2'-(((((((S)-16-amino-15-oxo-2,5,8,11-tetraoxa-14- azaheptadecane-1,17-diyl)bis(1H-1,2,3-triazole-4,1-diyl))bis(ethane-2,1- diyl))bis(oxy))bis(carbonyl))bis(azanediyl))bis(3-methylbutanoyl))bis(azanediyl))bis(5- ureidopentanoyl))bis(azanediyl))bis(2-(75-methyl-74-oxo- 2,5,8,11,14,17,20,23,26,29,32,35,38,41,44,47,50,53,56,59,62,65,68,71-tetracosaoxa-75- azahexaheptacontan-76-yl)-4,1-phenylene))bis(methylene))bis(4-(2-(4-(4-((R)-1-carboxy-2-(2-((2-(2- methoxyphenyl)pyrimidin-4-yl)methoxy)phenyl)ethoxy)-6-(4-fluorophenyl)thieno[2,3-d]pyrimidin-5-yl)- 2-chloro-3-methylphenoxy)ethyl)-1-methylpiperazin-1-ium) trifluoroacetate (33.3 mg, 51% yield) was obtained. HRMS: (M+2- H+)+ = 5307.5098, Rt=2.41 min (5 min acidic method). Synthesis of 1,1'-(((((2S,2'S)-2,2'-(((2S,2'S)-2,2'-(((((((S)-16-(1-(2,5-dioxo-2,5-dihydro-1H-pyrrol-1- yl)-3,6,9,12,15,18,21,24-octaoxaheptacosan-27-amido)-15-oxo-2,5,8,11-tetraoxa-14-azaheptadecane- 1,17-diyl)bis(1H-1,2,3-triazole-4,1-diyl))bis(ethane-2,1- diyl))bis(oxy))bis(carbonyl))bis(azanediyl))bis(3-methylbutanoyl))bis(azanediyl))bis(5- ureidopentanoyl))bis(azanediyl))bis(2-(75-methyl-74-oxo- 2,5,8,11,14,17,20,23,26,29,32,35,38,41,44,47,50,53,56,59,62,65,68,71-tetracosaoxa-75- azahexaheptacontan-76-yl)-4,1-phenylene))bis(methylene))bis(4-(2-(4-(4-((R)-1-carboxy-2-(2-((2-(2- methoxyphenyl)pyrimidin-4-yl)methoxy)phenyl)ethoxy)-6-(4-fluorophenyl)thieno[2,3-d]pyrimidin- 5-yl)-2-chloro-3-methylphenoxy)ethyl)-1-methylpiperazin-1-ium) trifluoroacetate (P1-L21-P1)
triazole-4,1-diyl))bis(ethane-2,1-diyl))bis(oxy))bis(carbonyl))bis(azanediyl))bis(3- methylbutanoyl))bis(azanediyl))bis(5-ureidopentanoyl))bis(azanediyl))bis(2-(75-methyl-74-oxo- 2,5,8,11,14,17,20,23,26,29,32,35,38,41,44,47,50,53,56,59,62,65,68,71-tetracosaoxa-75- azahexaheptacontan-76-yl)-4,1-phenylene))bis(methylene))bis(4-(2-(4-(4-((R)-1-carboxy-2-(2-((2-(2- methoxyphenyl)pyrimidin-4-yl)methoxy)phenyl)ethoxy)-6-(4-fluorophenyl)thieno[2,3-d]pyrimidin-5-yl)- 2-chloro-3-methylphenoxy)ethyl)-1-methylpiperazin-1-ium) trifluoroacetate (33.3 mg, 6.3 µmol), 2,5- dioxopyrrolidin-1-yl 1-(2,5-dioxo-2,5-dihydro-1H-pyrrol-1-yl)-3,6,9,12,15,18,21,24-octaoxaheptacosan- 27-oate (19.4 mg, 31 µmol) and DIEA (22 µL, 125 µmol), 1,1'-(((((2S,2'S)-2,2'-(((2S,2'S)-2,2'-(((((((S)- 16-(1-(2,5-dioxo-2,5-dihydro-1H-pyrrol-1-yl)-3,6,9,12,15,18,21,24-octaoxaheptacosan-27-amido)-15- oxo-2,5,8,11-tetraoxa-14-azaheptadecane-1,17-diyl)bis(1H-1,2,3-triazole-4,1-diyl))bis(ethane-2,1- diyl))bis(oxy))bis(carbonyl))bis(azanediyl))bis(3-methylbutanoyl))bis(azanediyl))bis(5- ureidopentanoyl))bis(azanediyl))bis(2-(75-methyl-74-oxo- 2,5,8,11,14,17,20,23,26,29,32,35,38,41,44,47,50,53,56,59,62,65,68,71-tetracosaoxa-75- azahexaheptacontan-76-yl)-4,1-phenylene))bis(methylene))bis(4-(2-(4-(4-((R)-1-carboxy-2-(2-((2-(2- methoxyphenyl)pyrimidin-4-yl)methoxy)phenyl)ethoxy)-6-(4-fluorophenyl)thieno[2,3-d]pyrimidin-5-yl)- 2-chloro-3-methylphenoxy)ethyl)-1-methylpiperazin-1-ium) trifluoroacetate (18.5 mg, 48% yield) was obtained. HRMS: (M+2- H+)+ = 5810.6602, Rt=2.57 min (5 min acidic method). Synthesis of 1,1'-(((((2S,2'S)-2,2'-(((2S,2'S)-2,2'-((((((8-(3-aminopropanoyl)-2,5,11,14-tetraoxa-8- azapentadecane-1,15-diyl)bis(1H-1,2,3-triazole-4,1-diyl))bis(ethane-2,1- diyl))bis(oxy))bis(carbonyl))bis(azanediyl))bis(3-methylbutanoyl))bis(azanediyl))bis(5- ureidopentanoyl))bis(azanediyl))bis(2-(80-carboxy-2-methyl-3-oxo- 6,9,12,15,18,21,24,27,30,33,36,39,42,45,48,51,54,57,60,63,66,69,72,75,78-pentacosaoxa-2- azaoctacontyl)-4,1-phenylene))bis(methylene))bis(4-(2-(4-(4-((R)-1-carboxy-2-(2-((2-(2- methoxyphenyl)pyrimidin-4-yl)methoxy)phenyl)ethoxy)-6-(4-fluorophenyl)thieno[2,3-d]pyrimidin- 5-yl)-2-chloro-3-methylphenoxy)ethyl)-1-methylpiperazin-1-ium) trifluoroacetate
[1044] Following the GENERAL PROCEDURE #7 using 3-amino-N,N-bis(2-(2-(prop-2-yn-1- yloxy)ethoxy)ethyl)propanamide (3.5 mg, 7.7 µmol), 1-(4-((S)-2-((S)-2-(((2- azidoethoxy)carbonyl)amino)-3-methylbutanamido)-5-ureidopentanamido)-2-(80-carboxy-2-methyl-3- oxo-6,9,12,15,18,21,24,27,30,33,36,39,42,45,48,51,54,57,60,63,66,69,72,75,78-pentacosaoxa-2- azaoctacontyl)benzyl)-4-(2-(4-(4-((R)-1-carboxy-2-(2-((2-(2-methoxyphenyl)pyrimidin-4- yl)methoxy)phenyl)ethoxy)-6-(4-fluorophenyl)thieno[2,3-d]pyrimidin-5-yl)-2-chloro-3- methylphenoxy)ethyl)-1-methylpiperazin-1-ium trifluoroacetate (45 mg, 17 µmol), sodium ascorbate 16 mg/mL in H2O solution (286 µL, 23 µmol) and CuSO4 pentahydrate 4 mg/mL H2O solution (288 µL, 4.6 µmol), 1,1'-(((((2S,2'S)-2,2'-(((2S,2'S)-2,2'-((((((8-(3-aminopropanoyl)-2,5,11,14-tetraoxa-8- azapentadecane-1,15-diyl)bis(1H-1,2,3-triazole-4,1-diyl))bis(ethane-2,1- diyl))bis(oxy))bis(carbonyl))bis(azanediyl))bis(3-methylbutanoyl))bis(azanediyl))bis(5- ureidopentanoyl))bis(azanediyl))bis(2-(80-carboxy-2-methyl-3-oxo- 6,9,12,15,18,21,24,27,30,33,36,39,42,45,48,51,54,57,60,63,66,69,72,75,78-pentacosaoxa-2- azaoctacontyl)-4,1-phenylene))bis(methylene))bis(4-(2-(4-(4-((R)-1-carboxy-2-(2-((2-(2- methoxyphenyl)pyrimidin-4-yl)methoxy)phenyl)ethoxy)-6-(4-fluorophenyl)thieno[2,3-d]pyrimidin-5-yl)- 2-chloro-3-methylphenoxy)ethyl)-1-methylpiperazin-1-ium) trifluoroacetate (38 mg, 80% yield) was obtained. HRMS: (M+2- H+)+ = 5525.6401, Rt=2.56 min (5 min acidic method). Synthesis of 1,1'-(((((2S,2'S)-2,2'-(((2S,2'S)-2,2'-((((((8-(1-(2,5-dioxo-2,5-dihydro-1H-pyrrol-1-yl)-15- oxo-3,6,9,12-tetraoxa-16-azanonadecan-19-oyl)-2,5,11,14-tetraoxa-8-azapentadecane-1,15- diyl)bis(1H-1,2,3-triazole-4,1-diyl))bis(ethane-2,1-diyl))bis(oxy))bis(carbonyl))bis(azanediyl))bis(3- methylbutanoyl))bis(azanediyl))bis(5-ureidopentanoyl))bis(azanediyl))bis(2-(80-carboxy-2-methyl- 3-oxo-6,9,12,15,18,21,24,27,30,33,36,39,42,45,48,51,54,57,60,63,66,69,72,75,78-pentacosaoxa-2- azaoctacontyl)-4,1-phenylene))bis(methylene))bis(4-(2-(4-(4-((R)-1-carboxy-2-(2-((2-(2- methoxyphenyl)pyrimidin-4-yl)methoxy)phenyl)ethoxy)-6-(4-fluorophenyl)thieno[2,3-d]pyrimidin- 5-yl)-2-chloro-3-methylphenoxy)ethyl)-1-methylpiperazin-1-ium) trifluoroacetate (P1-L22-P1)
[1045] Following the second part of GENERAL PROCEDURE #5 using 1,1'-(((((2S,2'S)-2,2'- (((2S,2'S)-2,2'-((((((8-(3-aminopropanoyl)-2,5,11,14-tetraoxa-8-azapentadecane-1,15-diyl)bis(1H-1,2,3- triazole-4,1-diyl))bis(ethane-2,1-diyl))bis(oxy))bis(carbonyl))bis(azanediyl))bis(3- methylbutanoyl))bis(azanediyl))bis(5-ureidopentanoyl))bis(azanediyl))bis(2-(80-carboxy-2-methyl-3- oxo-6,9,12,15,18,21,24,27,30,33,36,39,42,45,48,51,54,57,60,63,66,69,72,75,78-pentacosaoxa-2- azaoctacontyl)-4,1-phenylene))bis(methylene))bis(4-(2-(4-(4-((R)-1-carboxy-2-(2-((2-(2- methoxyphenyl)pyrimidin-4-yl)methoxy)phenyl)ethoxy)-6-(4-fluorophenyl)thieno[2,3-d]pyrimidin-5-yl)- 2-chloro-3-methylphenoxy)ethyl)-1-methylpiperazin-1-ium) trifluoroacetate (38 mg, 6.5 µmol), 2,5- dioxopyrrolidin-1-yl 1-(2,5-dioxo-2,5-dihydro-1H-pyrrol-1-yl)-3,6,9,12-tetraoxapentadecan-15-oate (4.3 mg, 9.7 µmol) and DIEA (23 µL, 129 µmol), 1,1'-(((((2S,2'S)-2,2'-(((2S,2'S)-2,2'-((((((8-(1-(2,5-dioxo- 2,5-dihydro-1H-pyrrol-1-yl)-15-oxo-3,6,9,12-tetraoxa-16-azanonadecan-19-oyl)-2,5,11,14-tetraoxa-8- azapentadecane-1,15-diyl)bis(1H-1,2,3-triazole-4,1-diyl))bis(ethane-2,1- diyl))bis(oxy))bis(carbonyl))bis(azanediyl))bis(3-methylbutanoyl))bis(azanediyl))bis(5- ureidopentanoyl))bis(azanediyl))bis(2-(80-carboxy-2-methyl-3-oxo- 6,9,12,15,18,21,24,27,30,33,36,39,42,45,48,51,54,57,60,63,66,69,72,75,78-pentacosaoxa-2- azaoctacontyl)-4,1-phenylene))bis(methylene))bis(4-(2-(4-(4-((R)-1-carboxy-2-(2-((2-(2- methoxyphenyl)pyrimidin-4-yl)methoxy)phenyl)ethoxy)-6-(4-fluorophenyl)thieno[2,3-d]pyrimidin-5-yl)- 2-chloro-3-methylphenoxy)ethyl)-1-methylpiperazin-1-ium) trifluoroacetate (21.5 mg, 52% yield) was obtained. HRMS: (M+2- H+)+ = 5852.7900, Rt=2.67 min (5 min acidic method). Synthesis of 1,1'-(((((2S,2'S)-2,2'-(((2S,2'S)-2,2'-((((((8-(1-(2,5-dioxo-2,5-dihydro-1H-pyrrol-1-yl)-15- oxo-3,6,9,12,19-pentaoxa-16-azadocosan-22-oyl)-2,5,11,14-tetraoxa-8-azapentadecane-1,15- diyl)bis(1H-1,2,3-triazole-4,1-diyl))bis(ethane-2,1-diyl))bis(oxy))bis(carbonyl))bis(azanediyl))bis(3- methylbutanoyl))bis(azanediyl))bis(5-ureidopentanoyl))bis(azanediyl))bis(2-(78-carboxy-2-methyl- 3-oxo-7,10,13,16,19,22,25,28,31,34,37,40,43,46,49,52,55,58,61,64,67,70,73,76-tetracosaoxa-2,4- diazaoctaheptacontyl)-4,1-phenylene))bis(methylene))bis(4-(2-(4-(4-((R)-1-carboxy-2-(2-((2-(2- methoxyphenyl)pyrimidin-4-yl)methoxy)phenyl)ethoxy)-6-(4-fluorophenyl)thieno[2,3-d]pyrimidin- 5-yl)-2-chloro-3-methylphenoxy)ethyl)-1-methylpiperazin-1-ium) trifluoroacetate (P1-L23-P1)
[1046] Following the GENERAL PROCEDURE #7 using 3-(2-aminoethoxy)-N,N-bis(2-(2-(prop-2- yn-1-yloxy)ethoxy)ethyl)propanamide TFA salt (4.7 mg, 9.5 µmol), 1-(4-((S)-2-((S)-2-(((2- azidoethoxy)carbonyl)amino)-3-methylbutanamido)-5-ureidopentanamido)-2-(78-carboxy-2-methyl-3- oxo-7,10,13,16,19,22,25,28,31,34,37,40,43,46,49,52,55,58,61,64,67,70,73,76-tetracosaoxa-2,4- diazaoctaheptacontyl)benzyl)-4-(2-(4-(4-((R)-1-carboxy-2-(2-((2-(2-methoxyphenyl)pyrimidin-4- yl)methoxy)phenyl)ethoxy)-6-(4-fluorophenyl)thieno[2,3-d]pyrimidin-5-yl)-2-chloro-3- methylphenoxy)ethyl)-1-methylpiperazin-1-ium trifluoroacetate (53 mg, 20 µmol), sodium absorbate 16 mg/mL in H2O solution (367 µL, 30 µmol) and CuSO4 pentahydrate 4 mg/mL H2O solution (370 µL, 5.9 µmol), bisclick product (21 mg, 39% yield) was obtained. HRMS: ((M+2- H+)+ = 5511.6299, Rt=2.39 min (5 min acidic method). [1047] Following the second part of GENERAL PROCEDURE #5 using bisclick product (21 mg, 3.6 µmol), 2,5-dioxopyrrolidin-1-yl 1-(2,5-dioxo-2,5-dihydro-1H-pyrrol-1-yl)-3,6,9,12-tetraoxapentadecan- 15-oate (6 mg, 14 µmol) and DIEA (xx µL, 86 µmol), 1,1'-(((((2S,2'S)-2,2'-(((2S,2'S)-2,2'-((((((8-(1-(2,5- dioxo-2,5-dihydro-1H-pyrrol-1-yl)-15-oxo-3,6,9,12,19-pentaoxa-16-azadocosan-22-oyl)-2,5,11,14- tetraoxa-8-azapentadecane-1,15-diyl)bis(1H-1,2,3-triazole-4,1-diyl))bis(ethane-2,1- diyl))bis(oxy))bis(carbonyl))bis(azanediyl))bis(3-methylbutanoyl))bis(azanediyl))bis(5- ureidopentanoyl))bis(azanediyl))bis(2-(78-carboxy-2-methyl-3-oxo- 7,10,13,16,19,22,25,28,31,34,37,40,43,46,49,52,55,58,61,64,67,70,73,76-tetracosaoxa-2,4- diazaoctaheptacontyl)-4,1-phenylene))bis(methylene))bis(4-(2-(4-(4-((R)-1-carboxy-2-(2-((2-(2- methoxyphenyl)pyrimidin-4-yl)methoxy)phenyl)ethoxy)-6-(4-fluorophenyl)thieno[2,3-d]pyrimidin-5-yl)- 2-chloro-3-methylphenoxy)ethyl)-1-methylpiperazin-1-ium) trifluoroacetate (14.5 mg, 62% yield) was obtained. HRMS: (M+2- H+)+ = 5838.7300, Rt=2.53 min (5 min acidic method). Synthesis of 1,1'-(((((2S,2'S)-2,2'-(((2S,2'S)-2,2'-((((((11-(3-(2-((tert- butoxycarbonyl)amino)ethoxy)propanoyl)-2,5,8,14,17,20-hexaoxa-11-azahenicosane-1,21- diyl)bis(1H-1,2,3-triazole-4,1-diyl))bis(ethane-2,1-diyl))bis(oxy))bis(formyl))bis(azanediyl))bis(3- methylbutanoyl))bis(azanediyl))bis(5-ureidopentanoyl))bis(azanediyl))bis(2-(80-carboxy-2-methyl-
3-oxo-6,9,12,15,18,21,24,27,30,33,36,39,42,45,48,51,54,57,60,63,66,69,72,75,78-pentacosaoxa-2- azaoctacontyl)-4,1-phenylene))bis(methylene))bis(4-(2-(2-chloro-4-(6-(4-fluorophenyl)-4-(((R)-1-((4- methoxybenzyl)oxy)-3-(2-((2-(2-methoxyphenyl)pyrimidin-4-yl)methoxy)phenyl)-1-oxopropan-2- yl)oxy)thieno[2,3-d]pyrimidin-5-yl)-3-methylphenoxy)ethyl)-1-methylpiperazin-1-ium) trifluoroacetate
[1048] Following the GENERAL PROCEDURE #7 using tert-butyl (6-oxo-7-(2-(2-(2-(prop-2-yn-1- yloxy)ethoxy)ethoxy)ethyl)-3,10,13,16-tetraoxa-7-azanonadec-18-yn-1-yl)carbamate (6.0 mg, 10.5 µmol), 1-(4-((S)-2-((S)-2-(((2-azidoethoxy)carbonyl)amino)-3-methylbutanamido)-5- ureidopentanamido)-2-(80-carboxy-2-methyl-3-oxo- 6,9,12,15,18,21,24,27,30,33,36,39,42,45,48,51,54,57,60,63,66,69,72,75,78-pentacosaoxa-2- azaoctacontyl)benzyl)-4-(2-(2-chloro-4-(6-(4-fluorophenyl)-4-(((R)-1-((4-methoxybenzyl)oxy)-3-(2-((2- (2-methoxyphenyl)pyrimidin-4-yl)methoxy)phenyl)-1-oxopropan-2-yl)oxy)thieno[2,3-d]pyrimidin-5-yl)- 3-methylphenoxy)ethyl)-1-methylpiperazin-1-ium trifluoroacetate (77 mg, 27 µmol), sodium ascorbate 16 mg/mL in H2O solution (389 µL, 31 µmol) and CuSO4 pentahydrate 4 mg/mL H2O solution (654 µL, 10.5 µmol), 1,1'-(((((2S,2'S)-2,2'-(((2S,2'S)-2,2'-((((((11-(3-(2-((tert- butoxycarbonyl)amino)ethoxy)propanoyl)-2,5,8,14,17,20-hexaoxa-11-azahenicosane-1,21-diyl)bis(1H- 1,2,3-triazole-4,1-diyl))bis(ethane-2,1-diyl))bis(oxy))bis(formyl))bis(azanediyl))bis(3- methylbutanoyl))bis(azanediyl))bis(5-ureidopentanoyl))bis(azanediyl))bis(2-(80-carboxy-2-methyl-3- oxo-6,9,12,15,18,21,24,27,30,33,36,39,42,45,48,51,54,57,60,63,66,69,72,75,78-pentacosaoxa-2- azaoctacontyl)-4,1-phenylene))bis(methylene))bis(4-(2-(2-chloro-4-(6-(4-fluorophenyl)-4-(((R)-1-((4- methoxybenzyl)oxy)-3-(2-((2-(2-methoxyphenyl)pyrimidin-4-yl)methoxy)phenyl)-1-oxopropan-2- yl)oxy)thieno[2,3-d]pyrimidin-5-yl)-3-methylphenoxy)ethyl)-1-methylpiperazin-1-ium) trifluoroacetate was obtained. HRMS: (M+2- H+)+ = 5997.8838, Rt=2.97 min (5 min acidic method). Synthesis of 1,1'-(((((2S,2'S)-2,2'-(((2S,2'S)-2,2'-((((((11-(1-(2,5-dioxo-2,5-dihydro-1H-pyrrol-1-yl)- 15-oxo-3,6,9,12,19-pentaoxa-16-azadocosan-22-oyl)-2,5,8,14,17,20-hexaoxa-11-azahenicosane-1,21- diyl)bis(1H-1,2,3-triazole-4,1-diyl))bis(ethane-2,1-diyl))bis(oxy))bis(carbonyl))bis(azanediyl))bis(3- methylbutanoyl))bis(azanediyl))bis(5-ureidopentanoyl))bis(azanediyl))bis(2-(80-carboxy-2-methyl-
3-oxo-6,9,12,15,18,21,24,27,30,33,36,39,42,45,48,51,54,57,60,63,66,69,72,75,78-pentacosaoxa-2- azaoctacontyl)-4,1-phenylene))bis(methylene))bis(4-(2-(4-(4-((R)-1-carboxy-2-(2-((2-(2- methoxyphenyl)pyrimidin-4-yl)methoxy)phenyl)ethoxy)-6-(4-fluorophenyl)thieno[2,3-d]pyrimidin- 5-yl)-2-chloro-3-methylphenoxy)ethyl)-1-methylpiperazin-1-ium) trifluoroacetate (P1-L24-P1)
[1049] Following the GENERAL PROCEDURE #5 using 1,1'-(((((2S,2'S)-2,2'-(((2S,2'S)-2,2'- ((((((11-(3-(2-((tert-butoxycarbonyl)amino)ethoxy)propanoyl)-2,5,8,14,17,20-hexaoxa-11-azahenicosane- 1,21-diyl)bis(1H-1,2,3-triazole-4,1-diyl))bis(ethane-2,1-diyl))bis(oxy))bis(formyl))bis(azanediyl))bis(3- methylbutanoyl))bis(azanediyl))bis(5-ureidopentanoyl))bis(azanediyl))bis(2-(80-carboxy-2-methyl-3- oxo-6,9,12,15,18,21,24,27,30,33,36,39,42,45,48,51,54,57,60,63,66,69,72,75,78-pentacosaoxa-2- azaoctacontyl)-4,1-phenylene))bis(methylene))bis(4-(2-(2-chloro-4-(6-(4-fluorophenyl)-4-(((R)-1-((4- methoxybenzyl)oxy)-3-(2-((2-(2-methoxyphenyl)pyrimidin-4-yl)methoxy)phenyl)-1-oxopropan-2- yl)oxy)thieno[2,3-d]pyrimidin-5-yl)-3-methylphenoxy)ethyl)-1-methylpiperazin-1-ium) trifluoroacetate (assumed 10.5 µmol), 2,5-dioxopyrrolidin-1-yl 1-(2,5-dioxo-2,5-dihydro-1H-pyrrol-1-yl)-3,6,9,12- tetraoxapentadecan-15-oate (9.3 mg, 21 µmol) and DIEA (13.6 mg, 105 µmol), 1,1'-(((((2S,2'S)-2,2'- (((2S,2'S)-2,2'-((((((11-(1-(2,5-dioxo-2,5-dihydro-1H-pyrrol-1-yl)-15-oxo-3,6,9,12,19-pentaoxa-16- azadocosan-22-oyl)-2,5,8,14,17,20-hexaoxa-11-azahenicosane-1,21-diyl)bis(1H-1,2,3-triazole-4,1- diyl))bis(ethane-2,1-diyl))bis(oxy))bis(carbonyl))bis(azanediyl))bis(3- methylbutanoyl))bis(azanediyl))bis(5-ureidopentanoyl))bis(azanediyl))bis(2-(80-carboxy-2-methyl-3- oxo-6,9,12,15,18,21,24,27,30,33,36,39,42,45,48,51,54,57,60,63,66,69,72,75,78-pentacosaoxa-2- azaoctacontyl)-4,1-phenylene))bis(methylene))bis(4-(2-(4-(4-((R)-1-carboxy-2-(2-((2-(2- methoxyphenyl)pyrimidin-4-yl)methoxy)phenyl)ethoxy)-6-(4-fluorophenyl)thieno[2,3-d]pyrimidin-5-yl)- 2-chloro-3-methylphenoxy)ethyl)-1-methylpiperazin-1-ium) trifluoroacetate (26 mg, 40% yield) was obtained. HRMS: (M+2- H+)+ = 5984.8555, Rt=2.52 min (5 min acidic method). Synthesis of 1-(4-((14S,17S)-1-(9H-fluoren-9-yl)-14-isopropyl-8-(2-(((4- nitrophenoxy)carbonyl)oxy)ethyl)-3,7,12,15-tetraoxo-17-(3-ureidopropyl)-2,11-dioxa-4,8,13,16- tetraazaoctadecan-18-amido)-2-((prop-2-yn-1-yloxy)methyl)benzyl)-4-(2-(4-(4-((R)-1-carboxy-2-(2-
((2-(2-methoxyphenyl)pyrimidin-4-yl)methoxy)phenyl)ethoxy)-6-(4-fluorophenyl)thieno[2,3- d]pyrimidin-5-yl)-2-chloro-3-methylphenoxy)ethyl)-1-methylpiperazin-1-ium trifluoroacetate
[1050] To a solution of 1-(4-((S)-2-((S)-2-amino-3-methylbutanamido)-5-ureidopentanamido)-2-((prop- 2-yn-1-yloxy)methyl)benzyl)-4-(2-(4-(4-((R)-1-carboxy-2-(2-((2-(2-methoxyphenyl)pyrimidin-4- yl)methoxy)phenyl)ethoxy)-6-(4-fluorophenyl)thieno[2,3-d]pyrimidin-5-yl)-2-chloro-3- methylphenoxy)ethyl)-1-methylpiperazin-1-ium trifluoroacetate (910 mg, 552 µmol) and (9H-fluoren-9- yl)methyl (3-(bis(2-(((4-nitrophenoxy)carbonyl)oxy)ethyl)amino)-3-oxopropyl)carbamate (2120 mg, 2760 µmol) in DMF (4 mL) was added DIEA (962 µL, 5520 µmol). After stirring for 2 hours, the solution was diluted with DMSO and purified by RP-HPLC. After lyophilization, 1-(4-((14S,17S)-1-(9H- fluoren-9-yl)-14-isopropyl-8-(2-(((4-nitrophenoxy)carbonyl)oxy)ethyl)-3,7,12,15-tetraoxo-17-(3- ureidopropyl)-2,11-dioxa-4,8,13,16-tetraazaoctadecan-18-amido)-2-((prop-2-yn-1-yloxy)methyl)benzyl)- 4-(2-(4-(4-((R)-1-carboxy-2-(2-((2-(2-methoxyphenyl)pyrimidin-4-yl)methoxy)phenyl)ethoxy)-6-(4- fluorophenyl)thieno[2,3-d]pyrimidin-5-yl)-2-chloro-3-methylphenoxy)ethyl)-1-methylpiperazin-1-ium trifluoroacetate (755 mg, 72% yield) was obtained. HRMS: M+ = 1893.7000, Rt=3.04 min (5 min acidic method). Synthesis of 1-(4-((6S,9S,21S,24S)-1-amino-15-(3-aminopropanoyl)-6-((4-(((3-((R)-2-(4-chloro-2-(4- ((5-cyano-1,2-dimethyl-1H-pyrrol-3-yl)(4-hydroxyphenyl)carbamoyl)-1,5-dimethyl-1H-pyrrol-2- yl)benzoyl)-1,2,3,4-tetrahydroisoquinolin-3-yl)propyl)dimethylammonio)methyl)-3-((prop-2-yn-1- yloxy)methyl)phenyl)carbamoyl)-9,21-diisopropyl-1,8,11,19,22-pentaoxo-24-(3-ureidopropyl)-12,18- dioxa-2,7,10,15,20,23-hexaazapentacosan-25-amido)-2-((prop-2-yn-1-yloxy)methyl)benzyl)-4-(2-(4- (4-((R)-1-carboxy-2-(2-((2-(2-methoxyphenyl)pyrimidin-4-yl)methoxy)phenyl)ethoxy)-6-(4- fluorophenyl)thieno[2,3-d]pyrimidin-5-yl)-2-chloro-3-methylphenoxy)ethyl)-1-methylpiperazin-1- ium trifluoroacetate
[1051] To a solution of 1-(4-((14S,17S)-1-(9H-fluoren-9-yl)-14-isopropyl-8-(2-(((4- nitrophenoxy)carbonyl)oxy)ethyl)-3,7,12,15-tetraoxo-17-(3-ureidopropyl)-2,11-dioxa-4,8,13,16- tetraazaoctadecan-18-amido)-2-((prop-2-yn-1-yloxy)methyl)benzyl)-4-(2-(4-(4-((R)-1-carboxy-2-(2-((2- (2-methoxyphenyl)pyrimidin-4-yl)methoxy)phenyl)ethoxy)-6-(4-fluorophenyl)thieno[2,3-d]pyrimidin-5- yl)-2-chloro-3-methylphenoxy)ethyl)-1-methylpiperazin-1-ium trifluoroacetate (300 mg, 158 µmol), N- (4-((S)-2-((S)-2-amino-3-methylbutanamido)-5-ureidopentanamido)-2-((prop-2-yn-1- yloxy)methyl)benzyl)-3-((R)-2-(4-chloro-2-(4-((5-cyano-1,2-dimethyl-1H-pyrrol-3-yl)(4- hydroxyphenyl)carbamoyl)-1,5-dimethyl-1H-pyrrol-2-yl)benzoyl)-1,2,3,4-tetrahydroisoquinolin-3-yl)- N,N-dimethylpropan-1-aminium trifluoroacetate (208 mg, 174 µmol) in DMF (2.1 mL) was added DIEA (276 µL, 1584 µmol). After stirring for 16 hours, 2M Me2NH in MeOH (792 µL, 1584 µmol). After stirring for 2 hours, the solution was diluted with DMSO and purified by RP-HPLC to yield 1-(4- ((6S,9S,21S,24S)-1-amino-15-(3-aminopropanoyl)-6-((4-(((3-((R)-2-(4-chloro-2-(4-((5-cyano-1,2- dimethyl-1H-pyrrol-3-yl)(4-hydroxyphenyl)carbamoyl)-1,5-dimethyl-1H-pyrrol-2-yl)benzoyl)-1,2,3,4- tetrahydroisoquinolin-3-yl)propyl)dimethylammonio)methyl)-3-((prop-2-yn-1- yloxy)methyl)phenyl)carbamoyl)-9,21-diisopropyl-1,8,11,19,22-pentaoxo-24-(3-ureidopropyl)-12,18- dioxa-2,7,10,15,20,23-hexaazapentacosan-25-amido)-2-((prop-2-yn-1-yloxy)methyl)benzyl)-4-(2-(4-(4- ((R)-1-carboxy-2-(2-((2-(2-methoxyphenyl)pyrimidin-4-yl)methoxy)phenyl)ethoxy)-6-(4- fluorophenyl)thieno[2,3-d]pyrimidin-5-yl)-2-chloro-3-methylphenoxy)ethyl)-1-methylpiperazin-1-ium trifluoroacetate (320 mg, 76% yield). HRMS: (M+2- H+)+ = 2664.7000, Rt=2.38 min (5 min acidic method). Synthesis of 1-(4-((6S,9S,21S,24S)-1-amino-15-(3-aminopropanoyl)-6-((3-(((1-(74-carboxy- 3,6,9,12,15,18,21,24,27,30,33,36,39,42,45,48,51,54,57,60,63,66,69,72-tetracosaoxatetraheptacontyl)- 1H-1,2,3-triazol-4-yl)methoxy)methyl)-4-(((3-((R)-2-(4-chloro-2-(4-((5-cyano-1,2-dimethyl-1H- pyrrol-3-yl)(4-hydroxyphenyl)carbamoyl)-1,5-dimethyl-1H-pyrrol-2-yl)benzoyl)-1,2,3,4- tetrahydroisoquinolin-3-yl)propyl)dimethylammonio)methyl)phenyl)carbamoyl)-9,21-diisopropyl- 1,8,11,19,22-pentaoxo-24-(3-ureidopropyl)-12,18-dioxa-2,7,10,15,20,23-hexaazapentacosan-25- amido)-2-(((1-(74-carboxy-3,6,9,12,15,18,21,24,27,30,33,36,39,42,45,48,51,54,57,60,63,66,69,72- tetracosaoxatetraheptacontyl)-1H-1,2,3-triazol-4-yl)methoxy)methyl)benzyl)-4-(2-(4-(4-((R)-1- carboxy-2-(2-((2-(2-methoxyphenyl)pyrimidin-4-yl)methoxy)phenyl)ethoxy)-6-(4- fluorophenyl)thieno[2,3-d]pyrimidin-5-yl)-2-chloro-3-methylphenoxy)ethyl)-1-methylpiperazin-1- ium trifluoroacetate
[1052] Following the GENERAL PROCEDURE #7 using 1-(4-((6S,9S,21S,24S)-1-amino-15-(3- aminopropanoyl)-6-((4-(((3-((R)-2-(4-chloro-2-(4-((5-cyano-1,2-dimethyl-1H-pyrrol-3-yl)(4- hydroxyphenyl)carbamoyl)-1,5-dimethyl-1H-pyrrol-2-yl)benzoyl)-1,2,3,4-tetrahydroisoquinolin-3- yl)propyl)dimethylammonio)methyl)-3-((prop-2-yn-1-yloxy)methyl)phenyl)carbamoyl)-9,21-diisopropyl- 1,8,11,19,22-pentaoxo-24-(3-ureidopropyl)-12,18-dioxa-2,7,10,15,20,23-hexaazapentacosan-25-amido)- 2-((prop-2-yn-1-yloxy)methyl)benzyl)-4-(2-(4-(4-((R)-1-carboxy-2-(2-((2-(2-methoxyphenyl)pyrimidin- 4-yl)methoxy)phenyl)ethoxy)-6-(4-fluorophenyl)thieno[2,3-d]pyrimidin-5-yl)-2-chloro-3- methylphenoxy)ethyl)-1-methylpiperazin-1-ium trifluoroacetate (320 mg, 115 µmol), 1-azido- 3,6,9,12,15,18,21,24,27,30,33,36,39,42,45,48,51,54,57,60,63,66,69,72-tetracosaoxapentaheptacontan-75- oic acid (540 mg, 460 µmol), sodium ascorbate 16 mg/mL in H2O solution (4270 µL, 345 µmol) and CuSO4 pentahydrate 4 mg/mL H2O solution (2870 µL, 46 µmol), 1-(4-((6S,9S,21S,24S)-1-amino-15-(3- aminopropanoyl)-6-((3-(((1-(74-carboxy- 3,6,9,12,15,18,21,24,27,30,33,36,39,42,45,48,51,54,57,60,63,66,69,72-tetracosaoxatetraheptacontyl)-1H- 1,2,3-triazol-4-yl)methoxy)methyl)-4-(((3-((R)-2-(4-chloro-2-(4-((5-cyano-1,2-dimethyl-1H-pyrrol-3- yl)(4-hydroxyphenyl)carbamoyl)-1,5-dimethyl-1H-pyrrol-2-yl)benzoyl)-1,2,3,4-tetrahydroisoquinolin-3- yl)propyl)dimethylammonio)methyl)phenyl)carbamoyl)-9,21-diisopropyl-1,8,11,19,22-pentaoxo-24-(3- ureidopropyl)-12,18-dioxa-2,7,10,15,20,23-hexaazapentacosan-25-amido)-2-(((1-(74-carboxy- 3,6,9,12,15,18,21,24,27,30,33,36,39,42,45,48,51,54,57,60,63,66,69,72-tetracosaoxatetraheptacontyl)-1H- 1,2,3-triazol-4-yl)methoxy)methyl)benzyl)-4-(2-(4-(4-((R)-1-carboxy-2-(2-((2-(2- methoxyphenyl)pyrimidin-4-yl)methoxy)phenyl)ethoxy)-6-(4-fluorophenyl)thieno[2,3-d]pyrimidin-5-yl)- 2-chloro-3-methylphenoxy)ethyl)-1-methylpiperazin-1-ium trifluoroacetate (474 mg, 80% yield) was obtained. HRMS: (M+2- H+)+ = 5007.6201, Rt=2.35 min (5 min acidic method). Synthesis of 1-(4-((2S,5S)-11-((6S,9S)-1-amino-6-((3-(((1-(74-carboxy- 3,6,9,12,15,18,21,24,27,30,33,36,39,42,45,48,51,54,57,60,63,66,69,72-tetracosaoxatetraheptacontyl)- 1H-1,2,3-triazol-4-yl)methoxy)methyl)-4-(((3-((R)-2-(4-chloro-2-(4-((5-cyano-1,2-dimethyl-1H- pyrrol-3-yl)(4-hydroxyphenyl)carbamoyl)-1,5-dimethyl-1H-pyrrol-2-yl)benzoyl)-1,2,3,4- tetrahydroisoquinolin-3-yl)propyl)dimethylammonio)methyl)phenyl)carbamoyl)-9-isopropyl- 1,8,11-trioxo-12-oxa-2,7,10-triazatetradecan-14-yl)-42-(2,5-dioxo-2,5-dihydro-1H-pyrrol-1-yl)-5-
isopropyl-4,7,12,16-tetraoxo-2-(3-ureidopropyl)-8,19,22,25,28,31,34,37,40-nonaoxa-3,6,11,15- tetraazadotetracontanamido)-2-(((1-(74-carboxy- 3,6,9,12,15,18,21,24,27,30,33,36,39,42,45,48,51,54,57,60,63,66,69,72-tetracosaoxatetraheptacontyl)- 1H-1,2,3-triazol-4-yl)methoxy)methyl)benzyl)-4-(2-(4-(4-((R)-1-carboxy-2-(2-((2-(2- methoxyphenyl)pyrimidin-4-yl)methoxy)phenyl)ethoxy)-6-(4-fluorophenyl)thieno[2,3-d]pyrimidin- 5-yl)-2-chloro-3-methylphenoxy)ethyl)-1-methylpiperazin-1-ium trifluoroacetate (P1-L19-P2)
[1053] Following the second part of GENERAL PROCEDURE #5 and using 1-(4-((6S,9S,21S,24S)-1- amino-15-(3-aminopropanoyl)-6-((3-(((1-(74-carboxy- 3,6,9,12,15,18,21,24,27,30,33,36,39,42,45,48,51,54,57,60,63,66,69,72-tetracosaoxatetraheptacontyl)-1H- 1,2,3-triazol-4-yl)methoxy)methyl)-4-(((3-((R)-2-(4-chloro-2-(4-((5-cyano-1,2-dimethyl-1H-pyrrol-3- yl)(4-hydroxyphenyl)carbamoyl)-1,5-dimethyl-1H-pyrrol-2-yl)benzoyl)-1,2,3,4-tetrahydroisoquinolin-3- yl)propyl)dimethylammonio)methyl)phenyl)carbamoyl)-9,21-diisopropyl-1,8,11,19,22-pentaoxo-24-(3- ureidopropyl)-12,18-dioxa-2,7,10,15,20,23-hexaazapentacosan-25-amido)-2-(((1-(74-carboxy- 3,6,9,12,15,18,21,24,27,30,33,36,39,42,45,48,51,54,57,60,63,66,69,72-tetracosaoxatetraheptacontyl)-1H- 1,2,3-triazol-4-yl)methoxy)methyl)benzyl)-4-(2-(4-(4-((R)-1-carboxy-2-(2-((2-(2- methoxyphenyl)pyrimidin-4-yl)methoxy)phenyl)ethoxy)-6-(4-fluorophenyl)thieno[2,3-d]pyrimidin-5-yl)- 2-chloro-3-methylphenoxy)ethyl)-1-methylpiperazin-1-ium trifluoroacetate (474 mg, 92 µmol), 2,5- dioxopyrrolidin-1-yl 1-(2,5-dioxo-2,5-dihydro-1H-pyrrol-1-yl)-3,6,9,12,15,18,21,24-octaoxaheptacosan- 27-oate (114 mg, 185 µmol) and DIEA (161 µL, 925 µmol), 1-(4-((2S,5S)-11-((6S,9S)-1-amino-6-((3- (((1-(74-carboxy-3,6,9,12,15,18,21,24,27,30,33,36,39,42,45,48,51,54,57,60,63,66,69,72- tetracosaoxatetraheptacontyl)-1H-1,2,3-triazol-4-yl)methoxy)methyl)-4-(((3-((R)-2-(4-chloro-2-(4-((5- cyano-1,2-dimethyl-1H-pyrrol-3-yl)(4-hydroxyphenyl)carbamoyl)-1,5-dimethyl-1H-pyrrol-2-yl)benzoyl)- 1,2,3,4-tetrahydroisoquinolin-3-yl)propyl)dimethylammonio)methyl)phenyl)carbamoyl)-9-isopropyl- 1,8,11-trioxo-12-oxa-2,7,10-triazatetradecan-14-yl)-42-(2,5-dioxo-2,5-dihydro-1H-pyrrol-1-yl)-5- isopropyl-4,7,12,16-tetraoxo-2-(3-ureidopropyl)-8,19,22,25,28,31,34,37,40-nonaoxa-3,6,11,15- tetraazadotetracontanamido)-2-(((1-(74-carboxy- 3,6,9,12,15,18,21,24,27,30,33,36,39,42,45,48,51,54,57,60,63,66,69,72-tetracosaoxatetraheptacontyl)-1H- 1,2,3-triazol-4-yl)methoxy)methyl)benzyl)-4-(2-(4-(4-((R)-1-carboxy-2-(2-((2-(2-
methoxyphenyl)pyrimidin-4-yl)methoxy)phenyl)ethoxy)-6-(4-fluorophenyl)thieno[2,3-d]pyrimidin-5-yl)- 2-chloro-3-methylphenoxy)ethyl)-1-methylpiperazin-1-ium trifluoroacetate (296 mg, 58% yield) was obtained. HRMS: (M+2- H+)+ = 5510.8701, Rt=2.49 min (5 min acidic method). Synthesis of 1-(4-((6S,9S,21S,24S)-1-amino-15-(3-aminopropanoyl)-6-((4-(((3-(4-(3-(2-(3- (benzo[d]thiazol-2-ylamino)-4-methyl-6,7-dihydropyrido[2,3-c]pyridazin-8(5H)-yl)-4- carboxythiazol-5-yl)propoxy)-3-fluorophenyl)prop-2-yn-1-yl)dimethylammonio)methyl)-3-((prop-2- yn-1-yloxy)methyl)phenyl)carbamoyl)-9,21-diisopropyl-1,8,11,19,22-pentaoxo-24-(3-ureidopropyl)- 12,18-dioxa-2,7,10,15,20,23-hexaazapentacosan-25-amido)-2-((prop-2-yn-1-yloxy)methyl)benzyl)-4- (2-(4-(4-((R)-1-carboxy-2-(2-((2-(2-methoxyphenyl)pyrimidin-4-yl)methoxy)phenyl)ethoxy)-6-(4- fluorophenyl)thieno[2,3-d]pyrimidin-5-yl)-2-chloro-3-methylphenoxy)ethyl)-1-methylpiperazin-1- ium trifluoroacetate
[1054] To a solution of 1-(4-((14S,17S)-1-(9H-fluoren-9-yl)-14-isopropyl-8-(2-(((4- nitrophenoxy)carbonyl)oxy)ethyl)-3,7,12,15-tetraoxo-17-(3-ureidopropyl)-2,11-dioxa-4,8,13,16- tetraazaoctadecan-18-amido)-2-((prop-2-yn-1-yloxy)methyl)benzyl)-4-(2-(4-(4-((R)-1-carboxy-2-(2-((2- (2-methoxyphenyl)pyrimidin-4-yl)methoxy)phenyl)ethoxy)-6-(4-fluorophenyl)thieno[2,3-d]pyrimidin-5- yl)-2-chloro-3-methylphenoxy)ethyl)-1-methylpiperazin-1-ium trifluoroacetate (1020 mg, 508 µmol), N-(4-((S)-2-((S)-2-amino-3-methylbutanamido)-5-ureidopentanamido)-2-((prop-2-yn-1- yloxy)methyl)benzyl)-3-(4-(3-(2-(3-(benzo[d]thiazol-2-ylamino)-4-methyl-6,7-dihydropyrido[2,3- c]pyridazin-8(5H)-yl)-4-carboxythiazol-5-yl)propoxy)-3-fluorophenyl)-N,N-dimethylprop-2-yn-1- aminium trifluoroacetate (971 mg, 559 µmol) in DMF (6 mL) was added DIEA (656 mg, 508 µmol). After stirring for 16 hours, 2M Me2NH in THF (2.54 mL, 5080 µmol). After stirring for 2 hours, the solution was diluted with DMSO and purified by RP-HPLC to yield 1-(4-((6S,9S,21S,24S)-1-amino-15- (3-aminopropanoyl)-6-((4-(((3-(4-(3-(2-(3-(benzo[d]thiazol-2-ylamino)-4-methyl-6,7-dihydropyrido[2,3- c]pyridazin-8(5H)-yl)-4-carboxythiazol-5-yl)propoxy)-3-fluorophenyl)prop-2-yn-1- yl)dimethylammonio)methyl)-3-((prop-2-yn-1-yloxy)methyl)phenyl)carbamoyl)-9,21-diisopropyl- 1,8,11,19,22-pentaoxo-24-(3-ureidopropyl)-12,18-dioxa-2,7,10,15,20,23-hexaazapentacosan-25-amido)- 2-((prop-2-yn-1-yloxy)methyl)benzyl)-4-(2-(4-(4-((R)-1-carboxy-2-(2-((2-(2-methoxyphenyl)pyrimidin-
4-yl)methoxy)phenyl)ethoxy)-6-(4-fluorophenyl)thieno[2,3-d]pyrimidin-5-yl)-2-chloro-3- methylphenoxy)ethyl)-1-methylpiperazin-1-ium trifluoroacetate (780 mg, 52% yield). HRMS: (M+2- H+)+ = 2619.0100, Rt=2.39 min (5 min acidic method). Synthesis of 1-(4-((6S,9S,21S,24S)-1-amino-15-(3-aminopropanoyl)-6-((4-(((3-(4-(3-(2-(3- (benzo[d]thiazol-2-ylamino)-4-methyl-6,7-dihydropyrido[2,3-c]pyridazin-8(5H)-yl)-4- carboxythiazol-5-yl)propoxy)-3-fluorophenyl)prop-2-yn-1-yl)dimethylammonio)methyl)-3-(((1-(74- carboxy-3,6,9,12,15,18,21,24,27,30,33,36,39,42,45,48,51,54,57,60,63,66,69,72- tetracosaoxatetraheptacontyl)-1H-1,2,3-triazol-4-yl)methoxy)methyl)phenyl)carbamoyl)-9,21- diisopropyl-1,8,11,19,22-pentaoxo-24-(3-ureidopropyl)-12,18-dioxa-2,7,10,15,20,23- hexaazapentacosan-25-amido)-2-(((1-(74-carboxy- 3,6,9,12,15,18,21,24,27,30,33,36,39,42,45,48,51,54,57,60,63,66,69,72-tetracosaoxatetraheptacontyl)- 1H-1,2,3-triazol-4-yl)methoxy)methyl)benzyl)-4-(2-(4-(4-((R)-1-carboxy-2-(2-((2-(2- methoxyphenyl)pyrimidin-4-yl)methoxy)phenyl)ethoxy)-6-(4-fluorophenyl)thieno[2,3-d]pyrimidin- 5-yl)-2-chloro-3-methylphenoxy)ethyl)-1-methylpiperazin-1-ium trifluoroacetate
[1055] Following the GENERAL PROCEDURE #7 using 1-(4-((6S,9S,21S,24S)-1-amino-15-(3- aminopropanoyl)-6-((4-(((3-(4-(3-(2-(3-(benzo[d]thiazol-2-ylamino)-4-methyl-6,7-dihydropyrido[2,3- c]pyridazin-8(5H)-yl)-4-carboxythiazol-5-yl)propoxy)-3-fluorophenyl)prop-2-yn-1- yl)dimethylammonio)methyl)-3-((prop-2-yn-1-yloxy)methyl)phenyl)carbamoyl)-9,21-diisopropyl- 1,8,11,19,22-pentaoxo-24-(3-ureidopropyl)-12,18-dioxa-2,7,10,15,20,23-hexaazapentacosan-25-amido)- 2-((prop-2-yn-1-yloxy)methyl)benzyl)-4-(2-(4-(4-((R)-1-carboxy-2-(2-((2-(2-methoxyphenyl)pyrimidin- 4-yl)methoxy)phenyl)ethoxy)-6-(4-fluorophenyl)thieno[2,3-d]pyrimidin-5-yl)-2-chloro-3- methylphenoxy)ethyl)-1-methylpiperazin-1-ium trifluoroacetate (678 mg, 229 µmol), 1-azido- 3,6,9,12,15,18,21,24,27,30,33,36,39,42,45,48,51,54,57,60,63,66,69,72-tetracosaoxapentaheptacontan-75- oic acid (1073 mg, 915 µmol), sodium ascorbate 48 mg/mL in H2O solution (2833 µL, 686 µmol) and CuSO4 pentahydrate 12 mg/mL H2O solution (2858 µL, 137 µmol), 1-(4-((6S,9S,21S,24S)-1-amino-15-
(3-aminopropanoyl)-6-((4-(((3-(4-(3-(2-(3-(benzo[d]thiazol-2-ylamino)-4-methyl-6,7-dihydropyrido[2,3- c]pyridazin-8(5H)-yl)-4-carboxythiazol-5-yl)propoxy)-3-fluorophenyl)prop-2-yn-1- yl)dimethylammonio)methyl)-3-(((1-(74-carboxy- 3,6,9,12,15,18,21,24,27,30,33,36,39,42,45,48,51,54,57,60,63,66,69,72-tetracosaoxatetraheptacontyl)-1H- 1,2,3-triazol-4-yl)methoxy)methyl)phenyl)carbamoyl)-9,21-diisopropyl-1,8,11,19,22-pentaoxo-24-(3- ureidopropyl)-12,18-dioxa-2,7,10,15,20,23-hexaazapentacosan-25-amido)-2-(((1-(74-carboxy- 3,6,9,12,15,18,21,24,27,30,33,36,39,42,45,48,51,54,57,60,63,66,69,72-tetracosaoxatetraheptacontyl)-1H- 1,2,3-triazol-4-yl)methoxy)methyl)benzyl)-4-(2-(4-(4-((R)-1-carboxy-2-(2-((2-(2- methoxyphenyl)pyrimidin-4-yl)methoxy)phenyl)ethoxy)-6-(4-fluorophenyl)thieno[2,3-d]pyrimidin-5-yl)- 2-chloro-3-methylphenoxy)ethyl)-1-methylpiperazin-1-ium trifluoroacetate (839 mg, 69% yield) was obtained. HRMS: (M+2- H+)+ = 4962.3223, Rt=2.37 min (5 min acidic method). Synthesis of 1-(4-((2S,5S)-11-((6S,9S)-1-amino-6-((4-(((3-(4-(3-(2-(3-(benzo[d]thiazol-2-ylamino)-4- methyl-6,7-dihydropyrido[2,3-c]pyridazin-8(5H)-yl)-4-carboxythiazol-5-yl)propoxy)-3- fluorophenyl)prop-2-yn-1-yl)dimethylammonio)methyl)-3-(((1-(74-carboxy- 3,6,9,12,15,18,21,24,27,30,33,36,39,42,45,48,51,54,57,60,63,66,69,72-tetracosaoxatetraheptacontyl)- 1H-1,2,3-triazol-4-yl)methoxy)methyl)phenyl)carbamoyl)-9-isopropyl-1,8,11-trioxo-12-oxa-2,7,10- triazatetradecan-14-yl)-42-(2,5-dioxo-2,5-dihydro-1H-pyrrol-1-yl)-5-isopropyl-4,7,12,16-tetraoxo-2- (3-ureidopropyl)-8,19,22,25,28,31,34,37,40-nonaoxa-3,6,11,15-tetraazadotetracontanamido)-2-(((1- (74-carboxy-3,6,9,12,15,18,21,24,27,30,33,36,39,42,45,48,51,54,57,60,63,66,69,72- tetracosaoxatetraheptacontyl)-1H-1,2,3-triazol-4-yl)methoxy)methyl)benzyl)-4-(2-(4-(4-((R)-1- carboxy-2-(2-((2-(2-methoxyphenyl)pyrimidin-4-yl)methoxy)phenyl)ethoxy)-6-(4- fluorophenyl)thieno[2,3-d]pyrimidin-5-yl)-2-chloro-3-methylphenoxy)ethyl)-1-methylpiperazin-1- ium trifluoroacetate (P1-L19-P6)
[1056] Following the second part of GENERAL PROCEDURE #5 and using 1-(4-((6S,9S,21S,24S)-1- amino-15-(3-aminopropanoyl)-6-((4-(((3-(4-(3-(2-(3-(benzo[d]thiazol-2-ylamino)-4-methyl-6,7-
dihydropyrido[2,3-c]pyridazin-8(5H)-yl)-4-carboxythiazol-5-yl)propoxy)-3-fluorophenyl)prop-2-yn-1- yl)dimethylammonio)methyl)-3-(((1-(74-carboxy- 3,6,9,12,15,18,21,24,27,30,33,36,39,42,45,48,51,54,57,60,63,66,69,72-tetracosaoxatetraheptacontyl)-1H- 1,2,3-triazol-4-yl)methoxy)methyl)phenyl)carbamoyl)-9,21-diisopropyl-1,8,11,19,22-pentaoxo-24-(3- ureidopropyl)-12,18-dioxa-2,7,10,15,20,23-hexaazapentacosan-25-amido)-2-(((1-(74-carboxy- 3,6,9,12,15,18,21,24,27,30,33,36,39,42,45,48,51,54,57,60,63,66,69,72-tetracosaoxatetraheptacontyl)-1H- 1,2,3-triazol-4-yl)methoxy)methyl)benzyl)-4-(2-(4-(4-((R)-1-carboxy-2-(2-((2-(2- methoxyphenyl)pyrimidin-4-yl)methoxy)phenyl)ethoxy)-6-(4-fluorophenyl)thieno[2,3-d]pyrimidin-5-yl)- 2-chloro-3-methylphenoxy)ethyl)-1-methylpiperazin-1-ium trifluoroacetate (988 mg, 186 µmol), 2,5- dioxopyrrolidin-1-yl 1-(2,5-dioxo-2,5-dihydro-1H-pyrrol-1-yl)-3,6,9,12,15,18,21,24-octaoxaheptacosan- 27-oate (230 mg, 372 µmol) and DIEA (241 mg, 1861 µmol), 1-(4-((2S,5S)-11-((6S,9S)-1-amino-6-((4- (((3-(4-(3-(2-(3-(benzo[d]thiazol-2-ylamino)-4-methyl-6,7-dihydropyrido[2,3-c]pyridazin-8(5H)-yl)-4- carboxythiazol-5-yl)propoxy)-3-fluorophenyl)prop-2-yn-1-yl)dimethylammonio)methyl)-3-(((1-(74- carboxy-3,6,9,12,15,18,21,24,27,30,33,36,39,42,45,48,51,54,57,60,63,66,69,72- tetracosaoxatetraheptacontyl)-1H-1,2,3-triazol-4-yl)methoxy)methyl)phenyl)carbamoyl)-9-isopropyl- 1,8,11-trioxo-12-oxa-2,7,10-triazatetradecan-14-yl)-42-(2,5-dioxo-2,5-dihydro-1H-pyrrol-1-yl)-5- isopropyl-4,7,12,16-tetraoxo-2-(3-ureidopropyl)-8,19,22,25,28,31,34,37,40-nonaoxa-3,6,11,15- tetraazadotetracontanamido)-2-(((1-(74-carboxy- 3,6,9,12,15,18,21,24,27,30,33,36,39,42,45,48,51,54,57,60,63,66,69,72-tetracosaoxatetraheptacontyl)-1H- 1,2,3-triazol-4-yl)methoxy)methyl)benzyl)-4-(2-(4-(4-((R)-1-carboxy-2-(2-((2-(2- methoxyphenyl)pyrimidin-4-yl)methoxy)phenyl)ethoxy)-6-(4-fluorophenyl)thieno[2,3-d]pyrimidin-5-yl)- 2-chloro-3-methylphenoxy)ethyl)-1-methylpiperazin-1-ium trifluoroacetate (821 mg, 77% yield) was obtained. HRMS: (M+2- H+)+ = 5465.5601, Rt=2.49 min (5 min acidic method). Synthesis of 4-[2-(4-{4-[(1R)-1-Carboxy-2-(2-{[2-(2-methoxyphenyl)pyrimidin-4- yl]methoxy}phenyl)ethoxy]-6-(4-fluorophenyl)thieno[2,3-d]pyrimidin-5-yl}-2-chloro-3- methylphenoxy)ethyl]-1-{[4-{(2S)-2-[(2S)-2-{[(2-{4-[(5S)-5-{[(2S)-1-({(2S)-1-[4-({4-[2-(4-{4-[(1R)-1- carboxy-2-(2-{[2-(2-methoxyphenyl)pyrimidin-4-yl]methoxy}phenyl)ethoxy]-6-(4- fluorophenyl)thieno[2,3-d]pyrimidin-5-yl}-2-chloro-3-methylphenoxy)ethyl]-1-methylpiperazin-1- ium-1-yl}methyl)-3-(75-methyl-74-oxo- 2,5,8,11,14,17,20,23,26,29,32,35,38,41,44,47,50,53,56,59,62,65,68,71-tetracosaoxa-75- azahexaheptacontan-76-yl)anilino]-1-oxopropan-2-yl}amino)-3-methyl-1-oxobutan-2- yl]carbamoyl}-37-(2,5-dioxo-2,5-dihydro-1H-pyrrol-1-yl)-3,11-dioxo-2,14,17,20,23,26,29,32,35- nonaoxa-4,10-diazaheptatriacontan-1-yl]-1H-1,2,3-triazol-1-yl}ethoxy)carbonyl]amino}-3-
methylbutanamido]propanamido}-2-(75-methyl-74-oxo- 2,5,8,11,14,17,20,23,26,29,32,35,38,41,44,47,50,53,56,59,62,65,68,71-tetracosaoxa-75- azahexaheptacontan-76-yl)phenyl]methyl}-1-methylpiperazin-1-ium trifluoroacetate (P1-L25-P1)
[1057] Following the GENERAL PROCEDURE #7 using 1-(4-((S)-2-((S)-2-(((2- azidoethoxy)carbonyl)amino)-3-methylbutanamido)propanamido)-2-(75-methyl-74-oxo- 2,5,8,11,14,17,20,23,26,29,32,35,38,41,44,47,50,53,56,59,62,65,68,71-tetracosaoxa-75- azahexaheptacontan-76-yl)benzyl)-4-(2-(4-(4-((R)-1-carboxy-2-(2-((2-(2-methoxyphenyl)pyrimidin-4- yl)methoxy)phenyl)ethoxy)-6-(4-fluorophenyl)thieno[2,3-d]pyrimidin-5-yl)-2-chloro-3- methylphenoxy)ethyl)-1-methylpiperazin-1-ium trifluoroacetate (28 mg, 11 µmol), 4-(2-(2-chloro-4-(6- (4-fluorophenyl)-4-(((R)-1-((4-methoxybenzyl)oxy)-3-(2-((2-(2-methoxyphenyl)pyrimidin-4- yl)methoxy)phenyl)-1-oxopropan-2-yl)oxy)thieno[2,3-d]pyrimidin-5-yl)-3-methylphenoxy)ethyl)-1-(4- ((10S,13S,16S)-13-isopropyl-2,2,16-trimethyl-4,11,14-trioxo-10-(((prop-2-yn-1-yloxy)carbonyl)amino)- 3-oxa-5,12,15-triazaheptadecan-17-amido)-2-(75-methyl-74-oxo- 2,5,8,11,14,17,20,23,26,29,32,35,38,41,44,47,50,53,56,59,62,65,68,71-tetracosaoxa-75- azahexaheptacontan-76-yl)benzyl)-1-methylpiperazin-1-ium trifluoroacetate (30 mg, 10.6 µmol), sodium ascorbate 32 mg/mL in H2O solution (327 µL, 53 µmol) and CuSO4 pentahydrate 8 mg/mL H2O solution (330 µL, 10.6 µmol), click product (22.6 mg, 40% yield) was obtained. HRMS: (M+2 - H+)+ = 5126.4302, Rt=2.81 min (5 min acidic method). Following the GENERAL PROCEDURE #5 using click product (26 mg, 4.4 µmol), 2,5-dioxopyrrolidin-1-yl 1-(2,5-dioxo-2,5-dihydro-1H-pyrrol-1-yl)- 3,6,9,12,15,18,21,24-octaoxaheptacosan-27-oate (7.8 mg, 13 µmol) and DIEA (10.9 µL, 63 µmol), 4-[2- (4-{4-[(1R)-1-Carboxy-2-(2-{[2-(2-methoxyphenyl)pyrimidin-4-yl]methoxy}phenyl)ethoxy]-6-(4- fluorophenyl)thieno[2,3-d]pyrimidin-5-yl}-2-chloro-3-methylphenoxy)ethyl]-1-{[4-{(2S)-2-[(2S)-2-{[(2- {4-[(5S)-5-{[(2S)-1-({(2S)-1-[4-({4-[2-(4-{4-[(1R)-1-carboxy-2-(2-{[2-(2-methoxyphenyl)pyrimidin-4- yl]methoxy}phenyl)ethoxy]-6-(4-fluorophenyl)thieno[2,3-d]pyrimidin-5-yl}-2-chloro-3- methylphenoxy)ethyl]-1-methylpiperazin-1-ium-1-yl}methyl)-3-(75-methyl-74-oxo- 2,5,8,11,14,17,20,23,26,29,32,35,38,41,44,47,50,53,56,59,62,65,68,71-tetracosaoxa-75- azahexaheptacontan-76-yl)anilino]-1-oxopropan-2-yl}amino)-3-methyl-1-oxobutan-2-yl]carbamoyl}-37- (2,5-dioxo-2,5-dihydro-1H-pyrrol-1-yl)-3,11-dioxo-2,14,17,20,23,26,29,32,35-nonaoxa-4,10-
diazaheptatriacontan-1-yl]-1H-1,2,3-triazol-1-yl}ethoxy)carbonyl]amino}-3- methylbutanamido]propanamido}-2-(75-methyl-74-oxo- 2,5,8,11,14,17,20,23,26,29,32,35,38,41,44,47,50,53,56,59,62,65,68,71-tetracosaoxa-75- azahexaheptacontan-76-yl)phenyl]methyl}-1-methylpiperazin-1-ium trifluoroacetate (20.9 mg, 80% yield) was obtained. HRMS: (M+2- H+)+ =5409.5898, Rt=2.66 min (5 min acidic method). Synthesis of 1-{[4-{[(33S,36S,39S)-33-{[({1-[(9S,12S)-17-Amino-12-{[4-({4-[2-(4-{4-[(1R)-1-carboxy- 2-(2-{[2-(2-methoxyphenyl)pyrimidin-4-yl]methoxy}phenyl)ethoxy]-6-(4-fluorophenyl)thieno[2,3- d]pyrimidin-5-yl}-2-chloro-3-methylphenoxy)ethyl]-1-methylpiperazin-1-ium-1-yl}methyl)-3-(80- carboxy-2-methyl-3-oxo-6,9,12,15,18,21,24,27,30,33,36,39,42,45,48,51,54,57,60,63,66,69,72,75,78- pentacosaoxa-2-azaoctacontan-1-yl)phenyl]carbamoyl}-4,7,10,17-tetraoxo-9-(propan-2-yl)-3-oxa- 5,8,11,16-tetraazaheptadecan-1-yl]-1H-1,2,3-triazol-4-yl}methoxy)carbonyl]amino}-39-(3- carbamamidopropyl)-1-(2,5-dioxo-2,5-dihydro-1H-pyrrol-1-yl)-27,34,37,40-tetraoxo-36-(propan-2- yl)-3,6,9,12,15,18,21,24-octaoxa-28,35,38-triazatetracontan-40-yl]amino}-2-(80-carboxy-2-methyl-3- oxo-6,9,12,15,18,21,24,27,30,33,36,39,42,45,48,51,54,57,60,63,66,69,72,75,78-pentacosaoxa-2- azaoctacontan-1-yl)phenyl]methyl}-4-[2-(4-{4-[(1R)-1-carboxy-2-(2-{[2-(2- methoxyphenyl)pyrimidin-4-yl]methoxy}phenyl)ethoxy]-6-(4-fluorophenyl)thieno[2,3-d]pyrimidin- 5-yl}-2-chloro-3-methylphenoxy)ethyl]-1-methylpiperazin-1-ium trifluoroacetate (P1-L26-P1)
[1058] Following the GENERAL PROCEDURE #7 using 1-(2-(((((9H-fluoren-9- yl)methoxy)carbonyl)(methyl)amino)methyl)-4-((10S,13S,16S)-13-isopropyl-2,2-dimethyl-4,11,14- trioxo-10-(((prop-2-yn-1-yloxy)carbonyl)amino)-16-(3-ureidopropyl)-3-oxa-5,12,15-triazaheptadecan-17- amido)benzyl)-4-(2-(4-(4-((R)-1-carboxy-2-(2-((2-(2-methoxyphenyl)pyrimidin-4- yl)methoxy)phenyl)ethoxy)-6-(4-fluorophenyl)thieno[2,3-d]pyrimidin-5-yl)-2-chloro-3- methylphenoxy)ethyl)-1-methylpiperazin-1-ium trifluoroacetate (44.2 mg, 21 µmol), 1-(4-((9S,12S)-1- azido-9-isopropyl-4,7,10-trioxo-12-(3-ureidopropyl)-3-oxa-5,8,11-triazatridecan-13-amido)-2- ((methylamino)methyl)benzyl)-4-(2-(4-(4-((R)-1-carboxy-2-(2-((2-(2-methoxyphenyl)pyrimidin-4- yl)methoxy)phenyl)ethoxy)-6-(4-fluorophenyl)thieno[2,3-d]pyrimidin-5-yl)-2-chloro-3- methylphenoxy)ethyl)-1-methylpiperazin-1-ium trifluoroacetate (37.5 mg, 21 µmol), sodium ascorbate 16
mg/mL in H2O solution (777 µL, 63 µmol) and CuSO4 pentahydrate 4 mg/mL H2O solution (653 µL, 10.5 µmol), the click product (26.8 mg, 39% yield) was obtained. HRMS: ((M+2- H+)+ = 3260.3000, Rt=2.76 min (5 min acidic method). The obtained click product (26.8 mg, 8.2 µmol) was dissolved in DMSO (2 mL) and was treated with 2M Me2NH in MeOH (82 µL, 164 µmol). After stirring for 30 minutes, the solution was purified by RP-HPLC to yield after lyophilization FMOC deprotected click product (21.4 mg, 86% yield). HRMS: ((M+2- H+)+ = 3038.2500, Rt=2.41 min (5 min acidic method). To a solution of FMOC deprotected click product (21.4 mg, 6.3 µmol) and 79-((2,5-dioxopyrrolidin-1-yl)oxy)-79-oxo- 4,7,10,13,16,19,22,25,28,31,34,37,40,43,46,49,52,55,58,61,64,67,70,73,76- pentacosaoxanonaheptacontanoic acid (25 mg, 19 µmol) in DMF (1 mL) was added DIEA (8.8 µL, 51 µmol). After stirring for 16 hours, the solution was diluted with DMSO and purified by RP-HPLC. After lyophilization, pegylated click product (15.3 mg, 42% yield) was obtained. HRMS: (M+2- H+)+ = 5439.5498, Rt=2.69 min (5 min acidic method). Following the GENERAL PROCEDURE #5 using pegylated click product (15.3 mg, 2.6 µmol), 2,5-dioxopyrrolidin-1-yl 1-(2,5-dioxo-2,5-dihydro-1H- pyrrol-1-yl)-3,6,9,12,15,18,21,24-octaoxaheptacosan-27-oate (4.9 mg, 7.9 µmol) and DIEA (9.2 µL, 53 µmol), 1-{[4-{[(33S,36S,39S)-33-{[({1-[(9S,12S)-17-Amino-12-{[4-({4-[2-(4-{4-[(1R)-1-carboxy-2-(2- {[2-(2-methoxyphenyl)pyrimidin-4-yl]methoxy}phenyl)ethoxy]-6-(4-fluorophenyl)thieno[2,3- d]pyrimidin-5-yl}-2-chloro-3-methylphenoxy)ethyl]-1-methylpiperazin-1-ium-1-yl}methyl)-3-(80- carboxy-2-methyl-3-oxo-6,9,12,15,18,21,24,27,30,33,36,39,42,45,48,51,54,57,60,63,66,69,72,75,78- pentacosaoxa-2-azaoctacontan-1-yl)phenyl]carbamoyl}-4,7,10,17-tetraoxo-9-(propan-2-yl)-3-oxa- 5,8,11,16-tetraazaheptadecan-1-yl]-1H-1,2,3-triazol-4-yl}methoxy)carbonyl]amino}-39-(3- carbamamidopropyl)-1-(2,5-dioxo-2,5-dihydro-1H-pyrrol-1-yl)-27,34,37,40-tetraoxo-36-(propan-2-yl)- 3,6,9,12,15,18,21,24-octaoxa-28,35,38-triazatetracontan-40-yl]amino}-2-(80-carboxy-2-methyl-3-oxo- 6,9,12,15,18,21,24,27,30,33,36,39,42,45,48,51,54,57,60,63,66,69,72,75,78-pentacosaoxa-2- azaoctacontan-1-yl)phenyl]methyl}-4-[2-(4-{4-[(1R)-1-carboxy-2-(2-{[2-(2-methoxyphenyl)pyrimidin-4- yl]methoxy}phenyl)ethoxy]-6-(4-fluorophenyl)thieno[2,3-d]pyrimidin-5-yl}-2-chloro-3- methylphenoxy)ethyl]-1-methylpiperazin-1-ium trifluoroacetate (8.4 mg, 51% yield) was obtained. HRMS: (M+2- H+)+ = 5842.7300, Rt=2.74 min (5 min acidic method). Synthesis of 1-(3-(3-((S)-6-((((9H-fluoren-9-yl)methoxy)carbonyl)amino)-2-((tert- butoxycarbonyl)amino)hexanamido)propanamido)-4-(((2S,3R,4S,5S,6S)-6-((allyloxy)carbonyl)- 3,4,5-tris(((allyloxy)carbonyl)oxy)tetrahydro-2H-pyran-2-yl)oxy)benzyl)-4-(2-(2-chloro-4-(6-(4- fluorophenyl)-4-(((R)-1-((4-methoxybenzyl)oxy)-3-(2-((2-(2-methoxyphenyl)pyrimidin-4- yl)methoxy)phenyl)-1-oxopropan-2-yl)oxy)thieno[2,3-d]pyrimidin-5-yl)-3-methylphenoxy)ethyl)-1- methylpiperazin-1-ium trifluoroacetate
[1059] A mixture of 4-methoxybenzyl (R)-2-((5-(3-chloro-2-methyl-4-(2-(4-methylpiperazin-1- yl)ethoxy)phenyl)-6-(4-fluorophenyl)thieno[2,3-d]pyrimidin-4-yl)oxy)-3-(2-((2-(2- methoxyphenyl)pyrimidin-4-yl)methoxy)phenyl)propanoate (100 mg, 0.100 mmol), allyl (2S,3S,4S,5R,6S)-6-(2-(3-((S)-6-((((9H-fluoren-9-yl)methoxy)carbonyl)amino)-2-((tert- butoxycarbonyl)amino)hexanamido)propanamido)-4-(chloromethyl)phenoxy)-3,4,5- tris(((allyloxy)carbonyl)oxy)tetrahydro-2H-pyran-2-carboxylate (250 mg, 0.218 mmol), and tetrabutylammonium iodide (15 mg, 0.041 mmol) in DMSO (0.8 mL) was stirred at RT for 17 h. The mixture was loaded onto RP-ISCO column (50g, gold). The column was eluted with MeCN-water (0.1% TFA modifier) to give the title product with minor impurity present as a cream-color solid (302 mg). HRMS: M+= 2106.6699, Rt=3.19 min (5 min acidic method). This product was used in the next step without further purification. Synthesis of 1-(3-(3-((S)-6-amino-2-((tert-butoxycarbonyl)amino)hexanamido)propanamido)-4- (((2S,3R,4S,5S,6S)-6-carboxy-3,4,5-trihydroxytetrahydro-2H-pyran-2-yl)oxy)benzyl)-4-(2-(2- chloro-4-(6-(4-fluorophenyl)-4-(((R)-1-((4-methoxybenzyl)oxy)-3-(2-((2-(2- methoxyphenyl)pyrimidin-4-yl)methoxy)phenyl)-1-oxopropan-2-yl)oxy)thieno[2,3-d]pyrimidin-5- yl)-3-methylphenoxy)ethyl)-1-methylpiperazin-1-ium trifluoroacetate
[1060] A mixture of 1-(3-(3-((S)-6-((((9H-fluoren-9-yl)methoxy)carbonyl)amino)-2-((tert- butoxycarbonyl)amino)hexanamido)propanamido)-4-(((2S,3R,4S,5S,6S)-6-((allyloxy)carbonyl)-3,4,5- tris(((allyloxy)carbonyl)oxy)tetrahydro-2H-pyran-2-yl)oxy)benzyl)-4-(2-(2-chloro-4-(6-(4-fluorophenyl)- 4-(((R)-1-((4-methoxybenzyl)oxy)-3-(2-((2-(2-methoxyphenyl)pyrimidin-4-yl)methoxy)phenyl)-1- oxopropan-2-yl)oxy)thieno[2,3-d]pyrimidin-5-yl)-3-methylphenoxy)ethyl)-1-methylpiperazin-1-ium (302 mg, obtained in the previous step), Pd(Ph3P)4 (16 mg, 0.014 mmol), formic acid (20 µl, 0.52 mmol),
and TEA (96 µl, 0.69 mmol) in THF (3 mL) was stirred at RT for 50 min. To this was then added dimethylamine in THF (2M, 1.4 mL, 2.80 mmol). The mixture was stirred at RT for 1 h. The mixture was diluted with DMSO (4 mL) and loaded onto RP-ISCO column (150 g, gold). The column was eluted with MeCN-water (0.1% TFA modifier). Fractions containing the desired product were combined and lyophilized to give the title product as a white solid with minor impurity present (140 mg). This product was used in the next step without further purification. HRMS: M+=1952.5600, Rt=2.38 min (5 min acidic method). Synthesis of 1-(3-((S)-82-((tert-butoxycarbonyl)amino)-1-carboxy-76,83-dioxo- 3,6,9,12,15,18,21,24,27,30,33,36,39,42,45,48,51,54,57,60,63,66,69,72-tetracosaoxa-75,77,84- triazaheptaoctacontan-87-amido)-4-(((2S,3R,4S,5S,6S)-6-carboxy-3,4,5-trihydroxytetrahydro-2H- pyran-2-yl)oxy)benzyl)-4-(2-(2-chloro-4-(6-(4-fluorophenyl)-4-(((R)-1-((4-methoxybenzyl)oxy)-3-(2- ((2-(2-methoxyphenyl)pyrimidin-4-yl)methoxy)phenyl)-1-oxopropan-2-yl)oxy)thieno[2,3- d]pyrimidin-5-yl)-3-methylphenoxy)ethyl)-1-methylpiperazin-1-ium trifluoroacetate
[1061] A mixture of 1-amino-3,6,9,12,15,18,21,24,27,30,33,36,39,42,45,48,51,54,57,60,63,66,69,72- tetracosaoxapentaheptacontan-75-oic acid (132 mg, 0.115 mmol), bis(4-nitrophenyl) carbonate (35 mg, 0.12 mmol), and DIPEA (34 µL, 0.19 mmol) in DMF (1 mL) was stirred at RT for 5 min. LCMS 1 showed formation of PEG carbamate and consumption of bis-p-nitrophenyl carbonate. To this was added 1-(3-(3-((S)-6-amino-2-((tert-butoxycarbonyl)amino)hexanamido)propanamido)-4- (((2S,3R,4S,5S,6S)-6-carboxy-3,4,5-trihydroxytetrahydro-2H-pyran-2-yl)oxy)benzyl)-4-(2-(2-chloro-4- (6-(4-fluorophenyl)-4-(((R)-1-((4-methoxybenzyl)oxy)-3-(2-((2-(2-methoxyphenyl)pyrimidin-4- yl)methoxy)phenyl)-1-oxopropan-2-yl)oxy)thieno[2,3-d]pyrimidin-5-yl)-3-methylphenoxy)ethyl)-1- methylpiperazin-1-ium (140 mg, obtained from previous step) and DIPEA (100 µL, 0.573 mmol). The mixture was stirred at RT for 70 min. The mixture was diluted with DMSO (5 mL) and loaded onto RP- ISCO column (150g, gold). The column was eluted with MeCN-water (0.1% TFA modifier). Fractions containing the desired product were combined and lyophilized to give the title product as a white solid
(TFA salt, 130 mg, 45% yield over the last three steps). HRMS: M+= 2763.29, Rt=2.72 min (5 min acidic method). [1062] [1063] Synthesis of 1-(3-((S)-82-amino-1-carboxy-76,83-dioxo- 3,6,9,12,15,18,21,24,27,30,33,36,39,42,45,48,51,54,57,60,63,66,69,72-tetracosaoxa-75,77,84- triazaheptaoctacontan-87-amido)-4-(((2S,3R,4S,5S,6S)-6-carboxy-3,4,5-trihydroxytetrahydro-2H- pyran-2-yl)oxy)benzyl)-4-(2-(4-(4-((R)-1-carboxy-2-(2-((2-(2-methoxyphenyl)pyrimidin-4- yl)methoxy)phenyl)ethoxy)-6-(4-fluorophenyl)thieno[2,3-d]pyrimidin-5-yl)-2-chloro-3- methylphenoxy)ethyl)-1-methylpiperazin-1-ium trifluoroacetate
[1065] A mixture of 1-(3-((S)-82-((tert-butoxycarbonyl)amino)-1-carboxy-76,83-dioxo- 3,6,9,12,15,18,21,24,27,30,33,36,39,42,45,48,51,54,57,60,63,66,69,72-tetracosaoxa-75,77,84- triazaheptaoctacontan-87-amido)-4-(((2S,3R,4S,5S,6S)-6-carboxy-3,4,5-trihydroxytetrahydro-2H-pyran- 2-yl)oxy)benzyl)-4-(2-(2-chloro-4-(6-(4-fluorophenyl)-4-(((R)-1-((4-methoxybenzyl)oxy)-3-(2-((2-(2- methoxyphenyl)pyrimidin-4-yl)methoxy)phenyl)-1-oxopropan-2-yl)oxy)thieno[2,3-d]pyrimidin-5-yl)-3- methylphenoxy)ethyl)-1-methylpiperazin-1-ium (TFA salt, 130 mg, 0.0450 mmol) and TFA (2.0 µl, 0.026 mmol) in DCM (5 mL) was stirred at RT for 20 min. The mixture was concentrated. The residue was taken up in DCM and concentrated. The residue was then taken up in MeCN and concentrated. Ether was added to the residual oil, inducing sticky solid formation, which was sonicated. The ether layer was removed, and the residue was dried under vacuum to give the title product as a white solid (bis TFA salt, 103 mg, quantitative yield). HRMS: M+= 2543.1399, Rt=2.14 min (5 min acidic method). [1066] [1067] Synthesis of 1-(3-((S)-82-((S)-6-((tert-butoxycarbonyl)amino)-2-(((prop-2-yn-1- yloxy)carbonyl)amino)hexanamido)-1-carboxy-76,83-dioxo-
3,6,9,12,15,18,21,24,27,30,33,36,39,42,45,48,51,54,57,60,63,66,69,72-tetracosaoxa-75,77,84- triazaheptaoctacontan-87-amido)-4-(((2S,3R,4S,5S,6S)-6-carboxy-3,4,5-trihydroxytetrahydro-2H- pyran-2-yl)oxy)benzyl)-4-(2-(4-(4-((R)-1-carboxy-2-(2-((2-(2-methoxyphenyl)pyrimidin-4- yl)methoxy)phenyl)ethoxy)-6-(4-fluorophenyl)thieno[2,3-d]pyrimidin-5-yl)-2-chloro-3- methylphenoxy)ethyl)-1-methylpiperazin-1-ium trifluoroacetate
[1069] A mixture of N6-(tert-butoxycarbonyl)-N2-((prop-2-yn-1-yloxy)carbonyl)-L-lysine (22 mg, 0.067 mmol), HBTU (16 mg, 0.042 mmol), and DIPEA (0.024 mL, 0.14 mmol) in DMF (0.7 mL) was stirred at RT for 15 min, and the solution was added to 1-(3-((S)-82-amino-1-carboxy-76,83-dioxo- 3,6,9,12,15,18,21,24,27,30,33,36,39,42,45,48,51,54,57,60,63,66,69,72-tetracosaoxa-75,77,84- triazaheptaoctacontan-87-amido)-4-(((2S,3R,4S,5S,6S)-6-carboxy-3,4,5-trihydroxytetrahydro-2H-pyran- 2-yl)oxy)benzyl)-4-(2-(4-(4-((R)-1-carboxy-2-(2-((2-(2-methoxyphenyl)pyrimidin-4- yl)methoxy)phenyl)ethoxy)-6-(4-fluorophenyl)thieno[2,3-d]pyrimidin-5-yl)-2-chloro-3- methylphenoxy)ethyl)-1-methylpiperazin-1-ium (bis TFA salt, 38 mg, 0.014 mmol). The mixture was stirred at RT for 10 min. The mixture was loaded to RP-ISCO column (150g, gold), and the column was eluted with MeCN-water (0.1% TFA modifier). Fractions containing the desired product were combined and lyophilized to give the title product as a white solid, which was used in the next step without further purification. HRMS: M+=2853.33, Rt=2.69 min (5 min acidic method). [1070] [1071] Synthesis of 1-(3-((S)-82-((S)-6-amino-2-(((prop-2-yn-1-yloxy)carbonyl)amino)hexanamido)- 1-carboxy-76,83-dioxo-3,6,9,12,15,18,21,24,27,30,33,36,39,42,45,48,51,54,57,60,63,66,69,72- tetracosaoxa-75,77,84-triazaheptaoctacontan-87-amido)-4-(((2S,3R,4S,5S,6S)-6-carboxy-3,4,5- trihydroxytetrahydro-2H-pyran-2-yl)oxy)benzyl)-4-(2-(4-(4-((R)-1-carboxy-2-(2-((2-(2- methoxyphenyl)pyrimidin-4-yl)methoxy)phenyl)ethoxy)-6-(4-fluorophenyl)thieno[2,3-d]pyrimidin-
5-yl)-2-chloro-3-methylphenoxy)ethyl)-1-methylpiperazin-1-ium trifluoroacetate
[1072] A mixture of 1-(3-((S)-82-((S)-6-((tert-butoxycarbonyl)amino)-2-(((prop-2-yn-1- yloxy)carbonyl)amino)hexanamido)-1-carboxy-76,83-dioxo- 3,6,9,12,15,18,21,24,27,30,33,36,39,42,45,48,51,54,57,60,63,66,69,72-tetracosaoxa-75,77,84- triazaheptaoctacontan-87-amido)-4-(((2S,3R,4S,5S,6S)-6-carboxy-3,4,5-trihydroxytetrahydro-2H-pyran- 2-yl)oxy)benzyl)-4-(2-(4-(4-((R)-1-carboxy-2-(2-((2-(2-methoxyphenyl)pyrimidin-4- yl)methoxy)phenyl)ethoxy)-6-(4-fluorophenyl)thieno[2,3-d]pyrimidin-5-yl)-2-chloro-3- methylphenoxy)ethyl)-1-methylpiperazin-1-ium (TFA salt, obtained in the previous step) and TFA (1.0 mL, 13 mmol) was stirred at RT for 30 min. The mixture was concentrated. The residue was then taken up in MeCN and concentrated. Ether was added to the residual oil to induce precipitation. The mixture was sonicated, and ether was removed. The resulting solid was taken up in MeCN-water and lyophilized to give the title product as a white solid (bis TFA salt, 12 mg, 30% yield over the last two steps). HRMS: [M+ + H+]+2/2=1378.09, Rt=2.06 min (5 min acidic method). [1073] [1074] Synthesis of 1-(4-((9S,12S)-1-azido-9-isopropyl-4,7,10-trioxo-12-(3-ureidopropyl)-3-oxa- 5,8,11-triazatridecan-13-amido)-2-(78-carboxy-2-methyl-3-oxo- 7,10,13,16,19,22,25,28,31,34,37,40,43,46,49,52,55,58,61,64,67,70,73,76-tetracosaoxa-2,4- diazaoctaheptacontyl)benzyl)-4-(2-(4-(4-((R)-1-carboxy-2-(2-((2-(2-methoxyphenyl)pyrimidin-4- yl)methoxy)phenyl)ethoxy)-6-(4-fluorophenyl)thieno[2,3-d]pyrimidin-5-yl)-2-chloro-3- methylphenoxy)ethyl)-1-methylpiperazin-1-ium trifluoroacetate
[1076] A solution of ((2-azidoethoxy)carbonyl)glycine (22.2 mg, 0.106 mmol), HATU (33.7 mg, 0.089 mmol) and DIPEA (0.031 mL, 0.177 mmol) in 0.5 ml of DMF was stirred at RT for 15 min. The resulted solution was added into another solution of 1-(4-((S)-2-((S)-2-amino-3-methylbutanamido)-5- ureidopentanamido)-2-(78-carboxy-2-methyl-3-oxo- 7,10,13,16,19,22,25,28,31,34,37,40,43,46,49,52,55,58,61,64,67,70,73,76-tetracosaoxa-2,4- diazaoctaheptacontyl)benzyl)-4-(2-(4-(4-((R)-1-carboxy-2-(2-((2-(2-methoxyphenyl)pyrimidin-4- yl)methoxy)phenyl)ethoxy)-6-(4-fluorophenyl)thieno[2,3-d]pyrimidin-5-yl)-2-chloro-3- methylphenoxy)ethyl)-1-methylpiperazin-1-ium trifluoroacetate (100 mg, 0.035 mmol) and DIPEA (0.031 mL, 0.177 mmol) in DMF (0.5 mL). The reaction mixture was stirred at RT for 20 min, diluted with DMSO, and purified by RP-ISCO. After lyophilization, the title product (34 mg, 0.012 mmol, 33% yield) was obtained. HRMS: M+=2621.2200, Rt=2.33 min (5 min acidic method). [1077] [1078] Synthesis of 2-{[(82S)-82-{[(33S)-33-{[({1-[(9S,12S)-17-Amino-12-{[4-({4-[2-(4-{4-[(1R)-1- carboxy-2-(2-{[2-(2-methoxyphenyl)pyrimidin-4-yl]methoxy}phenyl)ethoxy]-6-(4- fluorophenyl)thieno[2,3-d]pyrimidin-5-yl}-2-chloro-3-methylphenoxy)ethyl]-1-methylpiperazin-1- ium-1-yl}methyl)-3-(78-carboxy-2-methyl-3-oxo- 7,10,13,16,19,22,25,28,31,34,37,40,43,46,49,52,55,58,61,64,67,70,73,76-tetracosaoxa-2,4- diazaoctaheptacontan-1-yl)phenyl]carbamoyl}-4,7,10,17-tetraoxo-9-(propan-2-yl)-3-oxa-5,8,11,16- tetraazaheptadecan-1-yl]-1H-1,2,3-triazol-4-yl}methoxy)carbonyl]amino}-1-(2,5-dioxo-2,5-dihydro- 1H-pyrrol-1-yl)-27,34-dioxo-3,6,9,12,15,18,21,24-octaoxa-28-azatetratriacontan-34-yl]amino}-1- carboxy-76,83,87-trioxo-3,6,9,12,15,18,21,24,27,30,33,36,39,42,45,48,51,54,57,60,63,66,69,72- tetracosaoxa-75,77,84-triazaheptaoctacontan-87-yl]amino}-4-({4-[2-(4-{4-[(1R)-1-carboxy-2-(2-{[2- (2-methoxyphenyl)pyrimidin-4-yl]methoxy}phenyl)ethoxy]-6-(4-fluorophenyl)thieno[2,3- 0-8=9353036$*$=4?$'$/24797$($51:2=482167<="1:2=4-$&$51:2=483819.>36$&$3;5$&$=4?51:2=4"8216=4 @$ B-glucopyranosiduronic acid (P1-L28-P1)
[1080] Following the GENERAL PROCEDURE #7 using 1-(3-((S)-82-((S)-6-amino-2-(((prop-2-yn-1- yloxy)carbonyl)amino)hexanamido)-1-carboxy-76,83-dioxo-
3,6,9,12,15,18,21,24,27,30,33,36,39,42,45,48,51,54,57,60,63,66,69,72-tetracosaoxa-75,77,84- triazaheptaoctacontan-87-amido)-4-(((2S,3R,4S,5S,6S)-6-carboxy-3,4,5-trihydroxytetrahydro-2H-pyran- 2-yl)oxy)benzyl)-4-(2-(4-(4-((R)-1-carboxy-2-(2-((2-(2-methoxyphenyl)pyrimidin-4- yl)methoxy)phenyl)ethoxy)-6-(4-fluorophenyl)thieno[2,3-d]pyrimidin-5-yl)-2-chloro-3- methylphenoxy)ethyl)-1-methylpiperazin-1-ium (12 mg, 4.02 µmol) and 1-(4-((9S,12S)-1-azido-9- isopropyl-4,7,10-trioxo-12-(3-ureidopropyl)-3-oxa-5,8,11-triazatridecan-13-amido)-2-(78-carboxy-2- methyl-3-oxo-7,10,13,16,19,22,25,28,31,34,37,40,43,46,49,52,55,58,61,64,67,70,73,76-tetracosaoxa-2,4- diazaoctaheptacontyl)benzyl)-4-(2-(4-(4-((R)-1-carboxy-2-(2-((2-(2-methoxyphenyl)pyrimidin-4- yl)methoxy)phenyl)ethoxy)-6-(4-fluorophenyl)thieno[2,3-d]pyrimidin-5-yl)-2-chloro-3- methylphenoxy)ethyl)-1-methylpiperazin-1-ium (11 mg, 4.02 µmol), sodium ascorbate 16 mg/mL in H2O solution (75 µL, 6.1 µmol) and CuSO4 pentahydrate 4 mg/mL H2O solution (75 µL, 1.2 µmol), click product (14 mg, 65% yield) was obtained. HRMS: (M+2- H+)+ = 5373.4902, Rt=2.84 (5 min acidic method). Following the second part of GENERAL PROCEDURE #5 using isolated click product (14 mg, 2.4 µmol), 2,5-dioxopyrrolidin-1-yl 1-(2,5-dioxo-2,5-dihydro-1H-pyrrol-1-yl)-3,6,9,12,15,18,21,24- octaoxaheptacosan-27-oate (8 mg, 13 µmol) and DIEA (5 µL, 29 µmol), 2-{[(82S)-82-{[(33S)-33-{[({1- [(9S,12S)-17-Amino-12-{[4-({4-[2-(4-{4-[(1R)-1-carboxy-2-(2-{[2-(2-methoxyphenyl)pyrimidin-4- yl]methoxy}phenyl)ethoxy]-6-(4-fluorophenyl)thieno[2,3-d]pyrimidin-5-yl}-2-chloro-3- methylphenoxy)ethyl]-1-methylpiperazin-1-ium-1-yl}methyl)-3-(78-carboxy-2-methyl-3-oxo- 7,10,13,16,19,22,25,28,31,34,37,40,43,46,49,52,55,58,61,64,67,70,73,76-tetracosaoxa-2,4- diazaoctaheptacontan-1-yl)phenyl]carbamoyl}-4,7,10,17-tetraoxo-9-(propan-2-yl)-3-oxa-5,8,11,16- tetraazaheptadecan-1-yl]-1H-1,2,3-triazol-4-yl}methoxy)carbonyl]amino}-1-(2,5-dioxo-2,5-dihydro-1H- pyrrol-1-yl)-27,34-dioxo-3,6,9,12,15,18,21,24-octaoxa-28-azatetratriacontan-34-yl]amino}-1-carboxy- 76,83,87-trioxo-3,6,9,12,15,18,21,24,27,30,33,36,39,42,45,48,51,54,57,60,63,66,69,72-tetracosaoxa- 75,77,84-triazaheptaoctacontan-87-yl]amino}-4-({4-[2-(4-{4-[(1R)-1-carboxy-2-(2-{[2-(2- methoxyphenyl)pyrimidin-4-yl]methoxy}phenyl)ethoxy]-6-(4-fluorophenyl)thieno[2,3-d]pyrimidin-5- cVf','NSVY\Y'-'WP^ScVZSPXYbc$P^ScVK'+'WP^ScVZTZP\LdTX'+'T_W'+'cVfWP^ScV$ZSPXcV l'o- glucopyranosiduronic acid as a white solid (8 mg, 43% yield). HRMS: (M+2- H+)+ = 5876.7598, Rt=2.49 (5 min acidic method). [1081] [1082] Synthesis of 1-(3-((S)-82-(((2-azidoethoxy)carbonyl)amino)-1-carboxy-76,83-dioxo- 3,6,9,12,15,18,21,24,27,30,33,36,39,42,45,48,51,54,57,60,63,66,69,72-tetracosaoxa-75,77,84- triazaheptaoctacontan-87-amido)-4-(((2S,3R,4S,5S,6S)-6-carboxy-3,4,5-trihydroxytetrahydro-2H- pyran-2-yl)oxy)benzyl)-4-(2-(4-(4-((R)-1-carboxy-2-(2-((2-(2-methoxyphenyl)pyrimidin-4-
yl)methoxy)phenyl)ethoxy)-6-(4-fluorophenyl)thieno[2,3-d]pyrimidin-5-yl)-2-chloro-3- methylphenoxy)ethyl)-1-methylpiperazin-1-ium trifluoroacetate
[1084] A mixture of 1-(3-((S)-82-amino-1-carboxy-76,83-dioxo- 3,6,9,12,15,18,21,24,27,30,33,36,39,42,45,48,51,54,57,60,63,66,69,72-tetracosaoxa-75,77,84- triazaheptaoctacontan-87-amido)-4-(((2S,3R,4S,5S,6S)-6-carboxy-3,4,5-trihydroxytetrahydro-2H-pyran- 2-yl)oxy)benzyl)-4-(2-(4-(4-((R)-1-carboxy-2-(2-((2-(2-methoxyphenyl)pyrimidin-4- yl)methoxy)phenyl)ethoxy)-6-(4-fluorophenyl)thieno[2,3-d]pyrimidin-5-yl)-2-chloro-3- methylphenoxy)ethyl)-1-methylpiperazin-1-iumtrifluoroacetate (45 mg, 0.016 mmol), 2-azidoethyl (4- nitrophenyl) carbonate (9.14 mg, 0.036 mmol) and DIPEA (0.011 mL, 0.065 mmol) in DMF (0.5 mL) was stirred at RT for 1 hr. The reaction mixture was concentrated, diluted with DMSO (2 ml), and purified by RP-ISCO. The product fractions were lyophilized to afford solid 1-(3-((S)-82-(((2- azidoethoxy)carbonyl)amino)-1-carboxy-76,83-dioxo- 3,6,9,12,15,18,21,24,27,30,33,36,39,42,45,48,51,54,57,60,63,66,69,72-tetracosaoxa-75,77,84- triazaheptaoctacontan-87-amido)-4-(((2S,3R,4S,5S,6S)-6-carboxy-3,4,5-trihydroxytetrahydro-2H-pyran- 2-yl)oxy)benzyl)-4-(2-(4-(4-((S)-1-carboxy-2-(2-((2-(2-methoxyphenyl)pyrimidin-4- yl)methoxy)phenyl)ethoxy)-6-(4-fluorophenyl)thieno[2,3-d]pyrimidin-5-yl)-2-chloro-3- methylphenoxy)ethyl)-1-methylpiperazin-1-ium (29 mg, 63.9 % yield). HRMS: M+=2656.1799, RT=2.27 min (5 min acidic method). [1085] [1086] Synthesis of 4-(2-(4-(4-((S)-1-carboxy-2-(2-((2-(2-methoxyphenyl)pyrimidin-4- yl)methoxy)phenyl)ethoxy)-6-(4-fluorophenyl)thieno[2,3-d]pyrimidin-5-yl)-2-chloro-3- methylphenoxy)ethyl)-1-(4-(((2S,3R,4S,5S,6S)-6-carboxy-3,4,5-trihydroxytetrahydro-2H-pyran-2- yl)oxy)-3-((S)-1-carboxy-82-(((2-(4-((5S,8S)-89-carboxy-8-((3-((5-((4-(2-(4-(4-((R)-1-carboxy-2-(2- ((2-(2-methoxyphenyl)pyrimidin-4-yl)methoxy)phenyl)ethoxy)-6-(4-fluorophenyl)thieno[2,3- d]pyrimidin-5-yl)-2-chloro-3-methylphenoxy)ethyl)-1-methylpiperazin-1-ium-1-yl)methyl)-2- (((2S,3R,4S,5S,6S)-6-carboxy-3,4,5-trihydroxytetrahydro-2H-pyran-2-yl)oxy)phenyl)amino)-3-
oxopropyl)carbamoyl)-5-(1-(2,5-dioxo-2,5-dihydro-1H-pyrrol-1-yl)-27-oxo-3,6,9,12,15,18,21,24- octaoxa-28-azadotriacontan-32-yl)-3,6,14-trioxo- 2,18,21,24,27,30,33,36,39,42,45,48,51,54,57,60,63,66,69,72,75,78,81,84,87-pentacosaoxa-4,7,13,15- tetraazanonaoctacontyl)-1H-1,2,3-triazol-1-yl)ethoxy)carbonyl)amino)-76,83-dioxo- 3,6,9,12,15,18,21,24,27,30,33,36,39,42,45,48,51,54,57,60,63,66,69,72-tetracosaoxa-75,77,84- triazaheptaoctacontan-87-amido)benzyl)-1-methylpiperazin-1-ium trifluoroacetate P1-L27-P1
2- azidoethoxy)carbonyl)amino)-1-carboxy-76,83-dioxo- 3,6,9,12,15,18,21,24,27,30,33,36,39,42,45,48,51,54,57,60,63,66,69,72-tetracosaoxa-75,77,84- triazaheptaoctacontan-87-amido)-4-(((2S,3R,4S,5S,6S)-6-carboxy-3,4,5-trihydroxytetrahydro-2H-pyran- 2-yl)oxy)benzyl)-4-(2-(4-(4-((R)-1-carboxy-2-(2-((2-(2-methoxyphenyl)pyrimidin-4- yl)methoxy)phenyl)ethoxy)-6-(4-fluorophenyl)thieno[2,3-d]pyrimidin-5-yl)-2-chloro-3- methylphenoxy)ethyl)-1-methylpiperazin-1-ium trifluoroacetate (16.6 mg, 6.24 µmol), 1-(3-((S)-82-((S)- 6-amino-2-(((prop-2-yn-1-yloxy)carbonyl)amino)hexanamido)-1-carboxy-76,83-dioxo- 3,6,9,12,15,18,21,24,27,30,33,36,39,42,45,48,51,54,57,60,63,66,69,72-tetracosaoxa-75,77,84- triazaheptaoctacontan-87-amido)-4-(((2S,3R,4S,5S,6S)-6-carboxy-3,4,5-trihydroxytetrahydro-2H-pyran- 2-yl)oxy)benzyl)-4-(2-(4-(4-((R)-1-carboxy-2-(2-((2-(2-methoxyphenyl)pyrimidin-4- yl)methoxy)phenyl)ethoxy)-6-(4-fluorophenyl)thieno[2,3-d]pyrimidin-5-yl)-2-chloro-3- methylphenoxy)ethyl)-1-methylpiperazin-1-ium trifluoroacetate (17.1mg, 5.96 µmol), sodium ascorbate 16 mg/mL in H2O solution (130 µL, 10.4 µmol) and CuSO4 pentahydrate 4 mg/mL H2O solution (130 µL, 2.1 µmol), click product (15 mg, 43% yield) was obtained. HRMS: (M+2- H+)+ = 5408.4102, RT=2.33 min (5 min acidic method). Following the second part of GENERAL PROCEDURE #5 using isolated click product (14 mg, 2.6 µmol), 2,5-dioxopyrrolidin-1-yl 1-(2,5-dioxo-2,5-dihydro-1H-pyrrol-1-yl)- 3,6,9,12,15,18,21,24-octaoxaheptacosan-27-oate (4 mg, 6.5 µmol) and DIEA (6.7 mh, 52 µmol), 4-(2-(4- (4-((S)-1-carboxy-2-(2-((2-(2-methoxyphenyl)pyrimidin-4-yl)methoxy)phenyl)ethoxy)-6-(4- fluorophenyl)thieno[2,3-d]pyrimidin-5-yl)-2-chloro-3-methylphenoxy)ethyl)-1-(4-(((2S,3R,4S,5S,6S)-6- carboxy-3,4,5-trihydroxytetrahydro-2H-pyran-2-yl)oxy)-3-((S)-1-carboxy-82-(((2-(4-((5S,8S)-89- carboxy-8-((3-((5-((4-(2-(4-(4-((R)-1-carboxy-2-(2-((2-(2-methoxyphenyl)pyrimidin-4-
yl)methoxy)phenyl)ethoxy)-6-(4-fluorophenyl)thieno[2,3-d]pyrimidin-5-yl)-2-chloro-3- methylphenoxy)ethyl)-1-methylpiperazin-1-ium-1-yl)methyl)-2-(((2S,3R,4S,5S,6S)-6-carboxy-3,4,5- trihydroxytetrahydro-2H-pyran-2-yl)oxy)phenyl)amino)-3-oxopropyl)carbamoyl)-5-(1-(2,5-dioxo-2,5- dihydro-1H-pyrrol-1-yl)-27-oxo-3,6,9,12,15,18,21,24-octaoxa-28-azadotriacontan-32-yl)-3,6,14-trioxo- 2,18,21,24,27,30,33,36,39,42,45,48,51,54,57,60,63,66,69,72,75,78,81,84,87-pentacosaoxa-4,7,13,15- tetraazanonaoctacontyl)-1H-1,2,3-triazol-1-yl)ethoxy)carbonyl)amino)-76,83-dioxo- 3,6,9,12,15,18,21,24,27,30,33,36,39,42,45,48,51,54,57,60,63,66,69,72-tetracosaoxa-75,77,84- triazaheptaoctacontan-87-amido)benzyl)-1-methylpiperazin-1-ium trifluoroacetate (6 mg, 36% yield) was obtained. HRMS: (M+2- H+)+ = 5911.6099, Rt=2.71 min (5 min acidic method). [1089] [1090] Synthesis of 1-(4-((S)-2-((S)-2-(((2-(4-((5S,8S,11S)-16-amino-5-(4-((tert- butoxycarbonyl)amino)butyl)-11-((4-(((3-((R)-2-(4-chloro-2-(4-((5-cyano-1,2-dimethyl-1H-pyrrol-3- yl)(4-hydroxyphenyl)carbamoyl)-1,5-dimethyl-1H-pyrrol-2-yl)benzoyl)-1,2,3,4- tetrahydroisoquinolin-3-yl)propyl)dimethylammonio)methyl)-3- ((methylamino)methyl)phenyl)carbamoyl)-8-isopropyl-3,6,9,16-tetraoxo-2-oxa-4,7,10,15- tetraazahexadecyl)-1H-1,2,3-triazol-1-yl)ethoxy)carbonyl)amino)-3-methylbutanamido)-5- ureidopentanamido)-2-((methylamino)methyl)benzyl)-4-(2-(4-(4-((R)-1-carboxy-2-(2-((2-(2- methoxyphenyl)pyrimidin-4-yl)methoxy)phenyl)ethoxy)-6-(4-fluorophenyl)thieno[2,3-d]pyrimidin- 5-yl)-2-chloro-3-methylphenoxy)ethyl)-1-methylpiperazin-1-ium trifluoroacetate
-2-(((2- azidoethoxy)carbonyl)amino)-3-methylbutanamido)-5-ureidopentanamido)-2- ((methylamino)methyl)benzyl)-4-(2-(4-(4-((R)-1-carboxy-2-(2-((2-(2-methoxyphenyl)pyrimidin-4- yl)methoxy)phenyl)ethoxy)-6-(4-fluorophenyl)thieno[2,3-d]pyrimidin-5-yl)-2-chloro-3- methylphenoxy)ethyl)-1-methylpiperazin-1-ium trifluoroacetate (70 mg, 43 µmol), 3-((R)-2-(4-chloro-2- (4-((5-cyano-1,2-dimethyl-1H-pyrrol-3-yl)(4-hydroxyphenyl)carbamoyl)-1,5-dimethyl-1H-pyrrol-2- yl)benzoyl)-1,2,3,4-tetrahydroisoquinolin-3-yl)-N-(4-((10S,13S,16S)-13-isopropyl-2,2-dimethyl-4,11,14- trioxo-10-(((prop-2-yn-1-yloxy)carbonyl)amino)-16-(3-ureidopropyl)-3-oxa-5,12,15-triazaheptadecan-17- amido)-2-((methylamino)methyl)benzyl)-N,N-dimethylpropan-1-aminium trifluoroacetate (78 mg, 47
µmol), sodium ascorbate 16 mg/mL in H2O solution (801 µL, 65 µmol) and CuSO4 pentahydrate 4 mg/mL H2O solution (808 µL, 13 µmol), 1-(4-((S)-2-((S)-2-(((2-(4-((5S,8S,11S)-16-amino-5-(4-((tert- butoxycarbonyl)amino)butyl)-11-((4-(((3-((R)-2-(4-chloro-2-(4-((5-cyano-1,2-dimethyl-1H-pyrrol-3- yl)(4-hydroxyphenyl)carbamoyl)-1,5-dimethyl-1H-pyrrol-2-yl)benzoyl)-1,2,3,4-tetrahydroisoquinolin-3- yl)propyl)dimethylammonio)methyl)-3-((methylamino)methyl)phenyl)carbamoyl)-8-isopropyl-3,6,9,16- tetraoxo-2-oxa-4,7,10,15-tetraazahexadecyl)-1H-1,2,3-triazol-1-yl)ethoxy)carbonyl)amino)-3- methylbutanamido)-5-ureidopentanamido)-2-((methylamino)methyl)benzyl)-4-(2-(4-(4-((R)-1-carboxy-2- (2-((2-(2-methoxyphenyl)pyrimidin-4-yl)methoxy)phenyl)ethoxy)-6-(4-fluorophenyl)thieno[2,3- d]pyrimidin-5-yl)-2-chloro-3-methylphenoxy)ethyl)-1-methylpiperazin-1-ium trifluoroacetate (71 mg, 48% yield) was obtained. HRMS: (M+2- H+)+ = 2809.2500, Rt=2.24 min (5 min acidic method). [1093] [1094] Synthesis of 1-(4-((S)-2-((S)-2-(((2-(4-((5S,8S,11S)-16-amino-5-(4-((tert- butoxycarbonyl)amino)butyl)-11-((4-(((3-((R)-2-(4-chloro-2-(4-((5-cyano-1,2-dimethyl-1H-pyrrol-3- yl)(4-hydroxyphenyl)carbamoyl)-1,5-dimethyl-1H-pyrrol-2-yl)benzoyl)-1,2,3,4- tetrahydroisoquinolin-3-yl)propyl)dimethylammonio)methyl)-3-(75-methyl-74-oxo- 2,5,8,11,14,17,20,23,26,29,32,35,38,41,44,47,50,53,56,59,62,65,68,71-tetracosaoxa-75- azahexaheptacontan-76-yl)phenyl)carbamoyl)-8-isopropyl-3,6,9,16-tetraoxo-2-oxa-4,7,10,15- tetraazahexadecyl)-1H-1,2,3-triazol-1-yl)ethoxy)carbonyl)amino)-3-methylbutanamido)-5- ureidopentanamido)-2-(75-methyl-74-oxo- 2,5,8,11,14,17,20,23,26,29,32,35,38,41,44,47,50,53,56,59,62,65,68,71-tetracosaoxa-75- azahexaheptacontan-76-yl)benzyl)-4-(2-(4-(4-((R)-1-carboxy-2-(2-((2-(2-methoxyphenyl)pyrimidin- 4-yl)methoxy)phenyl)ethoxy)-6-(4-fluorophenyl)thieno[2,3-d]pyrimidin-5-yl)-2-chloro-3- methylphenoxy)ethyl)-1-methylpiperazin-1-ium trifluoroacetate
[1096] To a solution of 1-(4-((S)-2-((S)-2-(((2-(4-((5S,8S,11S)-16-amino-5-(4-((tert- butoxycarbonyl)amino)butyl)-11-((4-(((3-((R)-2-(4-chloro-2-(4-((5-cyano-1,2-dimethyl-1H-pyrrol-3- yl)(4-hydroxyphenyl)carbamoyl)-1,5-dimethyl-1H-pyrrol-2-yl)benzoyl)-1,2,3,4-tetrahydroisoquinolin-3- yl)propyl)dimethylammonio)methyl)-3-((methylamino)methyl)phenyl)carbamoyl)-8-isopropyl-3,6,9,16-
tetraoxo-2-oxa-4,7,10,15-tetraazahexadecyl)-1H-1,2,3-triazol-1-yl)ethoxy)carbonyl)amino)-3- methylbutanamido)-5-ureidopentanamido)-2-((methylamino)methyl)benzyl)-4-(2-(4-(4-((R)-1-carboxy-2- (2-((2-(2-methoxyphenyl)pyrimidin-4-yl)methoxy)phenyl)ethoxy)-6-(4-fluorophenyl)thieno[2,3- d]pyrimidin-5-yl)-2-chloro-3-methylphenoxy)ethyl)-1-methylpiperazin-1-ium trifluoroacetate (71 mg, 22 µmol) and 2,5-dioxopyrrolidin-1-yl 2,5,8,11,14,17,20,23,26,29,32,35,38,41,44,47,50,53,56,59,62,65,68,71-tetracosaoxatetraheptacontan-74- oate (79 mg, 65 µmol) in DMF was added DIEA (30 µL, 172 µmol). After standing for 6 hours, the solution was diluted with DMSO and purified by RP-HPLC. After lyophilization, 1-(4-((S)-2-((S)-2-(((2- (4-((5S,8S,11S)-16-amino-5-(4-((tert-butoxycarbonyl)amino)butyl)-11-((4-(((3-((R)-2-(4-chloro-2-(4-((5- cyano-1,2-dimethyl-1H-pyrrol-3-yl)(4-hydroxyphenyl)carbamoyl)-1,5-dimethyl-1H-pyrrol-2-yl)benzoyl)- 1,2,3,4-tetrahydroisoquinolin-3-yl)propyl)dimethylammonio)methyl)-3-(75-methyl-74-oxo- 2,5,8,11,14,17,20,23,26,29,32,35,38,41,44,47,50,53,56,59,62,65,68,71-tetracosaoxa-75- azahexaheptacontan-76-yl)phenyl)carbamoyl)-8-isopropyl-3,6,9,16-tetraoxo-2-oxa-4,7,10,15- tetraazahexadecyl)-1H-1,2,3-triazol-1-yl)ethoxy)carbonyl)amino)-3-methylbutanamido)-5- ureidopentanamido)-2-(75-methyl-74-oxo- 2,5,8,11,14,17,20,23,26,29,32,35,38,41,44,47,50,53,56,59,62,65,68,71-tetracosaoxa-75- azahexaheptacontan-76-yl)benzyl)-4-(2-(4-(4-((R)-1-carboxy-2-(2-((2-(2-methoxyphenyl)pyrimidin-4- yl)methoxy)phenyl)ethoxy)-6-(4-fluorophenyl)thieno[2,3-d]pyrimidin-5-yl)-2-chloro-3- methylphenoxy)ethyl)-1-methylpiperazin-1-ium trifluoroacetate (89 mg, 76 % yield) was obtained. HRMS: (M+2- H+)+ = 5006.5098, Rt=2.60 min (5 min acidic method). [1097] [1098] Synthesis of 4-(2-(4-(4-((R)-1-carboxy-2-(2-((2-(2-methoxyphenyl)pyrimidin-4- yl)methoxy)phenyl)ethoxy)-6-(4-fluorophenyl)thieno[2,3-d]pyrimidin-5-yl)-2-chloro-3- methylphenoxy)ethyl)-1-(4-((S)-2-((S)-2-(((2-(4-((S)-5-(((S)-1-(((S)-1-((4-(((3-((R)-2-(4-chloro-2-(4- ((5-cyano-1,2-dimethyl-1H-pyrrol-3-yl)(4-hydroxyphenyl)carbamoyl)-1,5-dimethyl-1H-pyrrol-2- yl)benzoyl)-1,2,3,4-tetrahydroisoquinolin-3-yl)propyl)dimethylammonio)methyl)-3-(75-methyl-74- oxo-2,5,8,11,14,17,20,23,26,29,32,35,38,41,44,47,50,53,56,59,62,65,68,71-tetracosaoxa-75- azahexaheptacontan-76-yl)phenyl)amino)-1-oxo-5-ureidopentan-2-yl)amino)-3-methyl-1-oxobutan- 2-yl)carbamoyl)-37-(2,5-dioxo-2,5-dihydro-1H-pyrrol-1-yl)-3,11-dioxo-2,14,17,20,23,26,29,32,35- nonaoxa-4,10-diazaheptatriacontyl)-1H-1,2,3-triazol-1-yl)ethoxy)carbonyl)amino)-3- methylbutanamido)-5-ureidopentanamido)-2-(75-methyl-74-oxo- 2,5,8,11,14,17,20,23,26,29,32,35,38,41,44,47,50,53,56,59,62,65,68,71-tetracosaoxa-75- azahexaheptacontan-76-yl)benzyl)-1-methylpiperazin-1-ium trifluoroacetate (P1-L29-P2)
[1100] Following the GENERAL PROCEDURE #5 using 1-(4-((S)-2-((S)-2-(((2-(4-((5S,8S,11S)-16- amino-5-(4-((tert-butoxycarbonyl)amino)butyl)-11-((4-(((3-((R)-2-(4-chloro-2-(4-((5-cyano-1,2- dimethyl-1H-pyrrol-3-yl)(4-hydroxyphenyl)carbamoyl)-1,5-dimethyl-1H-pyrrol-2-yl)benzoyl)-1,2,3,4- tetrahydroisoquinolin-3-yl)propyl)dimethylammonio)methyl)-3-(75-methyl-74-oxo- 2,5,8,11,14,17,20,23,26,29,32,35,38,41,44,47,50,53,56,59,62,65,68,71-tetracosaoxa-75- azahexaheptacontan-76-yl)phenyl)carbamoyl)-8-isopropyl-3,6,9,16-tetraoxo-2-oxa-4,7,10,15- tetraazahexadecyl)-1H-1,2,3-triazol-1-yl)ethoxy)carbonyl)amino)-3-methylbutanamido)-5- ureidopentanamido)-2-(75-methyl-74-oxo- 2,5,8,11,14,17,20,23,26,29,32,35,38,41,44,47,50,53,56,59,62,65,68,71-tetracosaoxa-75- azahexaheptacontan-76-yl)benzyl)-4-(2-(4-(4-((R)-1-carboxy-2-(2-((2-(2-methoxyphenyl)pyrimidin-4- yl)methoxy)phenyl)ethoxy)-6-(4-fluorophenyl)thieno[2,3-d]pyrimidin-5-yl)-2-chloro-3- methylphenoxy)ethyl)-1-methylpiperazin-1-ium trifluoroacetate (89 mg, 17 µmol), 2,5-dioxopyrrolidin-1- yl 1-(2,5-dioxo-2,5-dihydro-1H-pyrrol-1-yl)-3,6,9,12,15,18,21,24-octaoxaheptacosan-27-oate (15 mg, 24 µmol) and DIEA (20 µL, 115 µmol), 4-(2-(4-(4-((R)-1-carboxy-2-(2-((2-(2-methoxyphenyl)pyrimidin-4- yl)methoxy)phenyl)ethoxy)-6-(4-fluorophenyl)thieno[2,3-d]pyrimidin-5-yl)-2-chloro-3- methylphenoxy)ethyl)-1-(4-((S)-2-((S)-2-(((2-(4-((S)-5-(((S)-1-(((S)-1-((4-(((3-((R)-2-(4-chloro-2-(4-((5- cyano-1,2-dimethyl-1H-pyrrol-3-yl)(4-hydroxyphenyl)carbamoyl)-1,5-dimethyl-1H-pyrrol-2-yl)benzoyl)- 1,2,3,4-tetrahydroisoquinolin-3-yl)propyl)dimethylammonio)methyl)-3-(75-methyl-74-oxo- 2,5,8,11,14,17,20,23,26,29,32,35,38,41,44,47,50,53,56,59,62,65,68,71-tetracosaoxa-75- azahexaheptacontan-76-yl)phenyl)amino)-1-oxo-5-ureidopentan-2-yl)amino)-3-methyl-1-oxobutan-2- yl)carbamoyl)-37-(2,5-dioxo-2,5-dihydro-1H-pyrrol-1-yl)-3,11-dioxo-2,14,17,20,23,26,29,32,35- nonaoxa-4,10-diazaheptatriacontyl)-1H-1,2,3-triazol-1-yl)ethoxy)carbonyl)amino)-3-methylbutanamido)- 5-ureidopentanamido)-2-(75-methyl-74-oxo- 2,5,8,11,14,17,20,23,26,29,32,35,38,41,44,47,50,53,56,59,62,65,68,71-tetracosaoxa-75- azahexaheptacontan-76-yl)benzyl)-1-methylpiperazin-1-ium trifluoroacetate (32 mg, 33% yield) was obtained. HRMS: (M+2- H+)+ = 5409.6201, Rt=2.55 min (5 min acidic method). [1101]
[1102] Synthesis of 1-(4-((5S,8S,11S)-1-(1-((6S,9S)-1-amino-6-((4-(((3-((R)-2-(4-chloro-2-(4-((5- cyano-1,2-dimethyl-1H-pyrrol-3-yl)(4-hydroxyphenyl)carbamoyl)-1,5-dimethyl-1H-pyrrol-2- yl)benzoyl)-1,2,3,4-tetrahydroisoquinolin-3-yl)propyl)dimethylammonio)methyl)-3-(75-methyl-74- oxo-2,5,8,11,14,17,20,23,26,29,32,35,38,41,44,47,50,53,56,59,62,65,68,71-tetracosaoxa-75- azahexaheptacontan-76-yl)phenyl)carbamoyl)-9-isopropyl-1,8,11-trioxo-12-oxa-2,7,10- triazatetradecan-14-yl)-1H-1,2,3-triazol-4-yl)-5-(4-aminobutyl)-8-isopropyl-3,6,9-trioxo-11-(3- ureidopropyl)-2-oxa-4,7,10-triazadodecan-12-amido)-2-(75-methyl-74-oxo- 2,5,8,11,14,17,20,23,26,29,32,35,38,41,44,47,50,53,56,59,62,65,68,71-tetracosaoxa-75- azahexaheptacontan-76-yl)benzyl)-4-(2-(4-(4-((R)-1-carboxy-2-(2-((2-(2-methoxyphenyl)pyrimidin- 4-yl)methoxy)phenyl)ethoxy)-6-(4-fluorophenyl)thieno[2,3-d]pyrimidin-5-yl)-2-chloro-3- methylphenoxy)ethyl)-1-methylpiperazin-1-ium trifluoroacetate
[1104] Following the GENERAL PROCEDURE #7 using 1-(4-((2S,5S,8S)-8-(4-aminobutyl)-5- isopropyl-4,7,10-trioxo-2-(3-ureidopropyl)-11-oxa-3,6,9-triazatetradec-13-ynamido)-2-(75-methyl-74- oxo-2,5,8,11,14,17,20,23,26,29,32,35,38,41,44,47,50,53,56,59,62,65,68,71-tetracosaoxa-75- azahexaheptacontan-76-yl)benzyl)-4-(2-(4-(4-((R)-1-carboxy-2-(2-((2-(2-methoxyphenyl)pyrimidin-4- yl)methoxy)phenyl)ethoxy)-6-(4-fluorophenyl)thieno[2,3-d]pyrimidin-5-yl)-2-chloro-3- methylphenoxy)ethyl)-1-methylpiperazin-1-ium trifluoroacetate (220 mg, 81 µmol), N-(4-((S)-2- ((S)-2-(((2-azidoethoxy)carbonyl)amino)-3-methylbutanamido)-5-ureidopentanamido)-2-(75-methyl-74- oxo-2,5,8,11,14,17,20,23,26,29,32,35,38,41,44,47,50,53,56,59,62,65,68,71-tetracosaoxa-75- azahexaheptacontan-76-yl)benzyl)-3-((R)-2-(4-chloro-2-(4-((5-cyano-1,2-dimethyl-1H-pyrrol-3-yl)(4- hydroxyphenyl)carbamoyl)-1,5-dimethyl-1H-pyrrol-2-yl)benzoyl)-1,2,3,4-tetrahydroisoquinolin-3-yl)- N,N-dimethylpropan-1-aminium trifluoroacetate (208 mg, 85 µmol), sodium ascorbate 16 mg/mL in H2O solution (1511 µL, 122 µmol) and CuSO4 pentahydrate 4 mg/mL H2O solution (1523 µL, 24 µmol), 1-(4- ((5S,8S,11S)-1-(1-((6S,9S)-1-amino-6-((4-(((3-((R)-2-(4-chloro-2-(4-((5-cyano-1,2-dimethyl-1H-pyrrol- 3-yl)(4-hydroxyphenyl)carbamoyl)-1,5-dimethyl-1H-pyrrol-2-yl)benzoyl)-1,2,3,4-tetrahydroisoquinolin- 3-yl)propyl)dimethylammonio)methyl)-3-(75-methyl-74-oxo- 2,5,8,11,14,17,20,23,26,29,32,35,38,41,44,47,50,53,56,59,62,65,68,71-tetracosaoxa-75-
azahexaheptacontan-76-yl)phenyl)carbamoyl)-9-isopropyl-1,8,11-trioxo-12-oxa-2,7,10-triazatetradecan- 14-yl)-1H-1,2,3-triazol-4-yl)-5-(4-aminobutyl)-8-isopropyl-3,6,9-trioxo-11-(3-ureidopropyl)-2-oxa- 4,7,10-triazadodecan-12-amido)-2-(75-methyl-74-oxo- 2,5,8,11,14,17,20,23,26,29,32,35,38,41,44,47,50,53,56,59,62,65,68,71-tetracosaoxa-75- azahexaheptacontan-76-yl)benzyl)-4-(2-(4-(4-((R)-1-carboxy-2-(2-((2-(2-methoxyphenyl)pyrimidin-4- yl)methoxy)phenyl)ethoxy)-6-(4-fluorophenyl)thieno[2,3-d]pyrimidin-5-yl)-2-chloro-3- methylphenoxy)ethyl)-1-methylpiperazin-1-ium trifluoroacetate (138 mg, 33% yield) was obtained. HRMS: (M+2- H+)+ = 4906.500, Rt=2.28 min (5 min acidic method). [1105] [1106] Synthesis of 1-(4-((33S,36S,39S)-33-((((1-((6S,9S)-1-amino-6-((4-(((3-((R)-2-(4-chloro-2-(4- ((5-cyano-1,2-dimethyl-1H-pyrrol-3-yl)(4-hydroxyphenyl)carbamoyl)-1,5-dimethyl-1H-pyrrol-2- yl)benzoyl)-1,2,3,4-tetrahydroisoquinolin-3-yl)propyl)dimethylammonio)methyl)-3-(75-methyl-74- oxo-2,5,8,11,14,17,20,23,26,29,32,35,38,41,44,47,50,53,56,59,62,65,68,71-tetracosaoxa-75- azahexaheptacontan-76-yl)phenyl)carbamoyl)-9-isopropyl-1,8,11-trioxo-12-oxa-2,7,10- triazatetradecan-14-yl)-1H-1,2,3-triazol-4-yl)methoxy)carbonyl)amino)-1-(2,5-dioxo-2,5-dihydro- 1H-pyrrol-1-yl)-36-isopropyl-27,34,37-trioxo-39-(3-ureidopropyl)-3,6,9,12,15,18,21,24-octaoxa- 28,35,38-triazatetracontan-40-amido)-2-(75-methyl-74-oxo- 2,5,8,11,14,17,20,23,26,29,32,35,38,41,44,47,50,53,56,59,62,65,68,71-tetracosaoxa-75- azahexaheptacontan-76-yl)benzyl)-4-(2-(4-(4-((R)-1-carboxy-2-(2-((2-(2-methoxyphenyl)pyrimidin- 4-yl)methoxy)phenyl)ethoxy)-6-(4-fluorophenyl)thieno[2,3-d]pyrimidin-5-yl)-2-chloro-3- methylphenoxy)ethyl)-1-methylpiperazin-1-ium trifluoroacetate (P2-L29-P1)
[1108] Following the second part of GENERAL PROCEDURE #5 and using 1-(4-((5S,8S,11S)-1-(1- ((6S,9S)-1-amino-6-((4-(((3-((R)-2-(4-chloro-2-(4-((5-cyano-1,2-dimethyl-1H-pyrrol-3-yl)(4- hydroxyphenyl)carbamoyl)-1,5-dimethyl-1H-pyrrol-2-yl)benzoyl)-1,2,3,4-tetrahydroisoquinolin-3- yl)propyl)dimethylammonio)methyl)-3-(75-methyl-74-oxo- 2,5,8,11,14,17,20,23,26,29,32,35,38,41,44,47,50,53,56,59,62,65,68,71-tetracosaoxa-75- azahexaheptacontan-76-yl)phenyl)carbamoyl)-9-isopropyl-1,8,11-trioxo-12-oxa-2,7,10-triazatetradecan-
14-yl)-1H-1,2,3-triazol-4-yl)-5-(4-aminobutyl)-8-isopropyl-3,6,9-trioxo-11-(3-ureidopropyl)-2-oxa- 4,7,10-triazadodecan-12-amido)-2-(75-methyl-74-oxo- 2,5,8,11,14,17,20,23,26,29,32,35,38,41,44,47,50,53,56,59,62,65,68,71-tetracosaoxa-75- azahexaheptacontan-76-yl)benzyl)-4-(2-(4-(4-((R)-1-carboxy-2-(2-((2-(2-methoxyphenyl)pyrimidin-4- yl)methoxy)phenyl)ethoxy)-6-(4-fluorophenyl)thieno[2,3-d]pyrimidin-5-yl)-2-chloro-3- methylphenoxy)ethyl)-1-methylpiperazin-1-ium trifluoroacetate (109 mg, 22 µmol), 2,5-dioxopyrrolidin- 1-yl 1-(2,5-dioxo-2,5-dihydro-1H-pyrrol-1-yl)-3,6,9,12,15,18,21,24-octaoxaheptacosan-27-oate (26.8 mg, 43 µmol) and DIEA (38 µL, 217 µmol), 1-(4-((33S,36S,39S)-33-((((1-((6S,9S)-1-amino-6-((4-(((3-((R)- 2-(4-chloro-2-(4-((5-cyano-1,2-dimethyl-1H-pyrrol-3-yl)(4-hydroxyphenyl)carbamoyl)-1,5-dimethyl-1H- pyrrol-2-yl)benzoyl)-1,2,3,4-tetrahydroisoquinolin-3-yl)propyl)dimethylammonio)methyl)-3-(75-methyl- 74-oxo-2,5,8,11,14,17,20,23,26,29,32,35,38,41,44,47,50,53,56,59,62,65,68,71-tetracosaoxa-75- azahexaheptacontan-76-yl)phenyl)carbamoyl)-9-isopropyl-1,8,11-trioxo-12-oxa-2,7,10-triazatetradecan- 14-yl)-1H-1,2,3-triazol-4-yl)methoxy)carbonyl)amino)-1-(2,5-dioxo-2,5-dihydro-1H-pyrrol-1-yl)-36- isopropyl-27,34,37-trioxo-39-(3-ureidopropyl)-3,6,9,12,15,18,21,24-octaoxa-28,35,38-triazatetracontan- 40-amido)-2-(75-methyl-74-oxo-2,5,8,11,14,17,20,23,26,29,32,35,38,41,44,47,50,53,56,59,62,65,68,71- tetracosaoxa-75-azahexaheptacontan-76-yl)benzyl)-4-(2-(4-(4-((R)-1-carboxy-2-(2-((2-(2- methoxyphenyl)pyrimidin-4-yl)methoxy)phenyl)ethoxy)-6-(4-fluorophenyl)thieno[2,3-d]pyrimidin-5-yl)- 2-chloro-3-methylphenoxy)ethyl)-1-methylpiperazin-1-ium trifluoroacetate (72 mg, 56% yield) was obtained. HRMS: (M+2- H+)+ = 5409.7002 Rt=2.54 min (5 min acidic method). [1109] [1110] Synthesis of 4-(2-(4-(4-((R)-1-carboxy-2-(2-((2-(2-methoxyphenyl)pyrimidin-4- yl)methoxy)phenyl)ethoxy)-6-(4-fluorophenyl)thieno[2,3-d]pyrimidin-5-yl)-2-chloro-3- methylphenoxy)ethyl)-1-(4-((10S,13S,16S)-10-((((1-(2-(((S)-1-(((S)-1-((4-(((3-((S)-2-(4-chloro-2-(4- ((5-cyano-1,2-dimethyl-1H-pyrrol-3-yl)(4-hydroxyphenyl)carbamoyl)-1,5-dimethyl-1H-pyrrol-2- yl)benzoyl)-1,2,3,4-tetrahydroisoquinolin-3-yl)propyl)dimethylammonio)methyl)-3- ((methylamino)methyl)phenyl)amino)-1-oxo-5-ureidopentan-2-yl)amino)-3-methyl-1-oxobutan-2- yl)amino)-2-oxoethyl)-1H-1,2,3-triazol-4-yl)methoxy)carbonyl)amino)-13-isopropyl-2,2-dimethyl- 4,11,14-trioxo-16-(3-ureidopropyl)-3-oxa-5,12,15-triazaheptadecan-17-amido)-2- ((methylamino)methyl)benzyl)-1-methylpiperazin-1-ium trifluoroacetate
[1112] Following the GENERAL PROCEDURE #7 using 1-(2-(((((9H-fluoren-9- yl)methoxy)carbonyl)(methyl)amino)methyl)-4-((10S,13S,16S)-13-isopropyl-2,2-dimethyl-4,11,14- trioxo-10-(((prop-2-yn-1-yloxy)carbonyl)amino)-16-(3-ureidopropyl)-3-oxa-5,12,15-triazaheptadecan-17- amido)benzyl)-4-(2-(4-(4-((R)-1-carboxy-2-(2-((2-(2-methoxyphenyl)pyrimidin-4- yl)methoxy)phenyl)ethoxy)-6-(4-fluorophenyl)thieno[2,3-d]pyrimidin-5-yl)-2-chloro-3- methylphenoxy)ethyl)-1-methylpiperazin-1-ium trifluoroacetate (116 mg, 60 µmol), N-(4-((S)-2-((S)-2- (2-azidoacetamido)-3-methylbutanamido)-5-ureidopentanamido)-2-((methylamino)methyl)benzyl)-3- ((R)-2-(4-chloro-2-(4-((5-cyano-1,2-dimethyl-1H-pyrrol-3-yl)(4-hydroxyphenyl)carbamoyl)-1,5- dimethyl-1H-pyrrol-2-yl)benzoyl)-1,2,3,4-tetrahydroisoquinolin-3-yl)-N,N-dimethylpropan-1-aminium trifluoroacetate (87 mg, 61 µmol), sodium ascorbate 16 mg/mL in H2O solution (1120 µL, 90 µmol) and CuSO4 pentahydrate 4 mg/mL H2O solution (1130 µL, 81 µmol) and then adding 2M Me2NH in MeOH (602 µL, 1204 µmol) and stirring for 1 hour before then purifying by RP-HPLC, 4-(2-(4-(4-((R)-1- carboxy-2-(2-((2-(2-methoxyphenyl)pyrimidin-4-yl)methoxy)phenyl)ethoxy)-6-(4- fluorophenyl)thieno[2,3-d]pyrimidin-5-yl)-2-chloro-3-methylphenoxy)ethyl)-1-(4-((10S,13S,16S)-10- ((((1-(2-(((S)-1-(((S)-1-((4-(((3-((S)-2-(4-chloro-2-(4-((5-cyano-1,2-dimethyl-1H-pyrrol-3-yl)(4- hydroxyphenyl)carbamoyl)-1,5-dimethyl-1H-pyrrol-2-yl)benzoyl)-1,2,3,4-tetrahydroisoquinolin-3- yl)propyl)dimethylammonio)methyl)-3-((methylamino)methyl)phenyl)amino)-1-oxo-5-ureidopentan-2- yl)amino)-3-methyl-1-oxobutan-2-yl)amino)-2-oxoethyl)-1H-1,2,3-triazol-4- yl)methoxy)carbonyl)amino)-13-isopropyl-2,2-dimethyl-4,11,14-trioxo-16-(3-ureidopropyl)-3-oxa- 5,12,15-triazaheptadecan-17-amido)-2-((methylamino)methyl)benzyl)-1-methylpiperazin-1-ium trifluoroacetate (76 mg, 39% yield) was obtained. HRMS: (M+2- H+)+ = 2779.2400, Rt=2.19 min (5 min acidic method). [1113] [1114] Synthesis of 4-(2-(4-(4-((R)-1-carboxy-2-(2-((2-(2-methoxyphenyl)pyrimidin-4- yl)methoxy)phenyl)ethoxy)-6-(4-fluorophenyl)thieno[2,3-d]pyrimidin-5-yl)-2-chloro-3- methylphenoxy)ethyl)-1-(4-((10S,13S,16S)-10-((((1-(2-(((S)-1-(((S)-1-((4-(((3-((S)-2-(4-chloro-2-(4- ((5-cyano-1,2-dimethyl-1H-pyrrol-3-yl)(4-hydroxyphenyl)carbamoyl)-1,5-dimethyl-1H-pyrrol-2- yl)benzoyl)-1,2,3,4-tetrahydroisoquinolin-3-yl)propyl)dimethylammonio)methyl)-3-(75-methyl-74-
oxo-2,5,8,11,14,17,20,23,26,29,32,35,38,41,44,47,50,53,56,59,62,65,68,71-tetracosaoxa-75- azahexaheptacontan-76-yl)phenyl)amino)-1-oxo-5-ureidopentan-2-yl)amino)-3-methyl-1-oxobutan- 2-yl)amino)-2-oxoethyl)-1H-1,2,3-triazol-4-yl)methoxy)carbonyl)amino)-13-isopropyl-2,2-dimethyl- 4,11,14-trioxo-16-(3-ureidopropyl)-3-oxa-5,12,15-triazaheptadecan-17-amido)-2-(75-methyl-74-oxo- 2,5,8,11,14,17,20,23,26,29,32,35,38,41,44,47,50,53,56,59,62,65,68,71-tetracosaoxa-75- azahexaheptacontan-76-yl)benzyl)-1-methylpiperazin-1-ium trifluoroacetate
[1116] To a solution of 4-(2-(4-(4-((R)-1-carboxy-2-(2-((2-(2-methoxyphenyl)pyrimidin-4- yl)methoxy)phenyl)ethoxy)-6-(4-fluorophenyl)thieno[2,3-d]pyrimidin-5-yl)-2-chloro-3- methylphenoxy)ethyl)-1-(4-((10S,13S,16S)-10-((((1-(2-(((S)-1-(((S)-1-((4-(((3-((S)-2-(4-chloro-2-(4-((5- cyano-1,2-dimethyl-1H-pyrrol-3-yl)(4-hydroxyphenyl)carbamoyl)-1,5-dimethyl-1H-pyrrol-2-yl)benzoyl)- 1,2,3,4-tetrahydroisoquinolin-3-yl)propyl)dimethylammonio)methyl)-3- ((methylamino)methyl)phenyl)amino)-1-oxo-5-ureidopentan-2-yl)amino)-3-methyl-1-oxobutan-2- yl)amino)-2-oxoethyl)-1H-1,2,3-triazol-4-yl)methoxy)carbonyl)amino)-13-isopropyl-2,2-dimethyl- 4,11,14-trioxo-16-(3-ureidopropyl)-3-oxa-5,12,15-triazaheptadecan-17-amido)-2- ((methylamino)methyl)benzyl)-1-methylpiperazin-1-ium trifluoroacetate (76 mg, 23.4 µmol) and 2,5- dioxopyrrolidin-1-yl 2,5,8,11,14,17,20,23,26,29,32,35,38,41,44,47,50,53,56,59,62,65,68,71- tetracosaoxatetraheptacontan-74-oate (46 mg, 54 µmol) in DMF was added DIEA (30 µL, 173 µmol). After stirring for 20 hours, the solution was diluted with DMSO and purified by RP-HPLC. After lyophilization, 4-(2-(4-(4-((R)-1-carboxy-2-(2-((2-(2-methoxyphenyl)pyrimidin-4- yl)methoxy)phenyl)ethoxy)-6-(4-fluorophenyl)thieno[2,3-d]pyrimidin-5-yl)-2-chloro-3- methylphenoxy)ethyl)-1-(4-((10S,13S,16S)-10-((((1-(2-(((S)-1-(((S)-1-((4-(((3-((S)-2-(4-chloro-2-(4-((5- cyano-1,2-dimethyl-1H-pyrrol-3-yl)(4-hydroxyphenyl)carbamoyl)-1,5-dimethyl-1H-pyrrol-2-yl)benzoyl)- 1,2,3,4-tetrahydroisoquinolin-3-yl)propyl)dimethylammonio)methyl)-3-(75-methyl-74-oxo- 2,5,8,11,14,17,20,23,26,29,32,35,38,41,44,47,50,53,56,59,62,65,68,71-tetracosaoxa-75- azahexaheptacontan-76-yl)phenyl)amino)-1-oxo-5-ureidopentan-2-yl)amino)-3-methyl-1-oxobutan-2- yl)amino)-2-oxoethyl)-1H-1,2,3-triazol-4-yl)methoxy)carbonyl)amino)-13-isopropyl-2,2-dimethyl- 4,11,14-trioxo-16-(3-ureidopropyl)-3-oxa-5,12,15-triazaheptadecan-17-amido)-2-(75-methyl-74-oxo-
2,5,8,11,14,17,20,23,26,29,32,35,38,41,44,47,50,53,56,59,62,65,68,71-tetracosaoxa-75- azahexaheptacontan-76-yl)benzyl)-1-methylpiperazin-1-ium trifluoroacetate (91 mg, 75% yield) was obtained. HRMS: (M+2- H+)+ = 4976.5098, Rt=2.57 min (5 min acidic method). [1117] [1118] Synthesis of 4-(2-(4-(4-((R)-1-carboxy-2-(2-((2-(2-methoxyphenyl)pyrimidin-4- yl)methoxy)phenyl)ethoxy)-6-(4-fluorophenyl)thieno[2,3-d]pyrimidin-5-yl)-2-chloro-3- methylphenoxy)ethyl)-1-(4-((33S,36S,39S)-33-((((1-(2-(((S)-1-(((S)-1-((4-(((3-((R)-2-(4-chloro-2-(4- ((5-cyano-1,2-dimethyl-1H-pyrrol-3-yl)(4-hydroxyphenyl)carbamoyl)-1,5-dimethyl-1H-pyrrol-2- yl)benzoyl)-1,2,3,4-tetrahydroisoquinolin-3-yl)propyl)dimethylammonio)methyl)-3-(75-methyl-74- oxo-2,5,8,11,14,17,20,23,26,29,32,35,38,41,44,47,50,53,56,59,62,65,68,71-tetracosaoxa-75- azahexaheptacontan-76-yl)phenyl)amino)-1-oxo-5-ureidopentan-2-yl)amino)-3-methyl-1-oxobutan- 2-yl)amino)-2-oxoethyl)-1H-1,2,3-triazol-4-yl)methoxy)carbonyl)amino)-1-(2,5-dioxo-2,5-dihydro- 1H-pyrrol-1-yl)-36-isopropyl-27,34,37-trioxo-39-(3-ureidopropyl)-3,6,9,12,15,18,21,24-octaoxa- 28,35,38-triazatetracontan-40-amido)-2-(75-methyl-74-oxo- 2,5,8,11,14,17,20,23,26,29,32,35,38,41,44,47,50,53,56,59,62,65,68,71-tetracosaoxa-75- azahexaheptacontan-76-yl)benzyl)-1-methylpiperazin-1-ium trifluoroacetate (P1-L30-P2)
[1120] Following the GENERAL PROCEDURE #5 using 4-(2-(4-(4-((R)-1-carboxy-2-(2-((2-(2- methoxyphenyl)pyrimidin-4-yl)methoxy)phenyl)ethoxy)-6-(4-fluorophenyl)thieno[2,3-d]pyrimidin-5-yl)- 2-chloro-3-methylphenoxy)ethyl)-1-(4-((10S,13S,16S)-10-((((1-(2-(((S)-1-(((S)-1-((4-(((3-((S)-2-(4- chloro-2-(4-((5-cyano-1,2-dimethyl-1H-pyrrol-3-yl)(4-hydroxyphenyl)carbamoyl)-1,5-dimethyl-1H- pyrrol-2-yl)benzoyl)-1,2,3,4-tetrahydroisoquinolin-3-yl)propyl)dimethylammonio)methyl)-3-(75-methyl- 74-oxo-2,5,8,11,14,17,20,23,26,29,32,35,38,41,44,47,50,53,56,59,62,65,68,71-tetracosaoxa-75- azahexaheptacontan-76-yl)phenyl)amino)-1-oxo-5-ureidopentan-2-yl)amino)-3-methyl-1-oxobutan-2- yl)amino)-2-oxoethyl)-1H-1,2,3-triazol-4-yl)methoxy)carbonyl)amino)-13-isopropyl-2,2-dimethyl- 4,11,14-trioxo-16-(3-ureidopropyl)-3-oxa-5,12,15-triazaheptadecan-17-amido)-2-(75-methyl-74-oxo- 2,5,8,11,14,17,20,23,26,29,32,35,38,41,44,47,50,53,56,59,62,65,68,71-tetracosaoxa-75- azahexaheptacontan-76-yl)benzyl)-1-methylpiperazin-1-ium trifluoroacetate (91 mg, 18 µmol), 2,5-
dioxopyrrolidin-1-yl 1-(2,5-dioxo-2,5-dihydro-1H-pyrrol-1-yl)-3,6,9,12,15,18,21,24-octaoxaheptacosan- 27-oate (21.8 mg, 35 µmol) and DIEA (30 µL, 172 µmol), 4-(2-(4-(4-((R)-1-carboxy-2-(2-((2-(2- methoxyphenyl)pyrimidin-4-yl)methoxy)phenyl)ethoxy)-6-(4-fluorophenyl)thieno[2,3-d]pyrimidin-5-yl)- 2-chloro-3-methylphenoxy)ethyl)-1-(4-((33S,36S,39S)-33-((((1-(2-(((S)-1-(((S)-1-((4-(((3-((R)-2-(4- chloro-2-(4-((5-cyano-1,2-dimethyl-1H-pyrrol-3-yl)(4-hydroxyphenyl)carbamoyl)-1,5-dimethyl-1H- pyrrol-2-yl)benzoyl)-1,2,3,4-tetrahydroisoquinolin-3-yl)propyl)dimethylammonio)methyl)-3-(75-methyl- 74-oxo-2,5,8,11,14,17,20,23,26,29,32,35,38,41,44,47,50,53,56,59,62,65,68,71-tetracosaoxa-75- azahexaheptacontan-76-yl)phenyl)amino)-1-oxo-5-ureidopentan-2-yl)amino)-3-methyl-1-oxobutan-2- yl)amino)-2-oxoethyl)-1H-1,2,3-triazol-4-yl)methoxy)carbonyl)amino)-1-(2,5-dioxo-2,5-dihydro-1H- pyrrol-1-yl)-36-isopropyl-27,34,37-trioxo-39-(3-ureidopropyl)-3,6,9,12,15,18,21,24-octaoxa-28,35,38- triazatetracontan-40-amido)-2-(75-methyl-74-oxo- 2,5,8,11,14,17,20,23,26,29,32,35,38,41,44,47,50,53,56,59,62,65,68,71-tetracosaoxa-75- azahexaheptacontan-76-yl)benzyl)-1-methylpiperazin-1-ium trifluoroacetate (52 mg, 48% yield) was obtained. HRMS: (M+2- H+)+ = 5379.7002, Rt=2.54 min (5 min acidic method). [1121] [1122] Synthesis of 1-(4-((5S,8S,11S)-1-(1-((6R,9R)-1-amino-6-((3-(80-carboxy-2-methyl-3-oxo- 6,9,12,15,18,21,24,27,30,33,36,39,42,45,48,51,54,57,60,63,66,69,72,75,78-pentacosaoxa-2- azaoctacontyl)-4-(((3-((R)-2-(4-chloro-2-(4-((5-cyano-1,2-dimethyl-1H-pyrrol-3-yl)(4- hydroxyphenyl)carbamoyl)-1,5-dimethyl-1H-pyrrol-2-yl)benzoyl)-1,2,3,4-tetrahydroisoquinolin-3- yl)propyl)dimethylammonio)methyl)phenyl)carbamoyl)-9-isopropyl-1,8,11-trioxo-12-oxa-2,7,10- triazatetradecan-14-yl)-1H-1,2,3-triazol-4-yl)-5-(4-aminobutyl)-8-isopropyl-3,6,9-trioxo-11-(3- ureidopropyl)-2-oxa-4,7,10-triazadodecan-12-amido)-2-(80-carboxy-2-methyl-3-oxo- 6,9,12,15,18,21,24,27,30,33,36,39,42,45,48,51,54,57,60,63,66,69,72,75,78-pentacosaoxa-2- azaoctacontyl)benzyl)-4-(2-(4-(4-((R)-1-carboxy-2-(2-((2-(2-methoxyphenyl)pyrimidin-4- yl)methoxy)phenyl)ethoxy)-6-(4-fluorophenyl)thieno[2,3-d]pyrimidin-5-yl)-2-chloro-3- methylphenoxy)ethyl)-1-methylpiperazin-1-ium trifluoroacetate
[1123] Following the GENERAL PROCEDURE #7 using 1-(4-((2S,5S,8S)-8-(4-aminobutyl)-5- isopropyl-4,7,10-trioxo-2-(3-ureidopropyl)-11-oxa-3,6,9-triazatetradec-13-ynamido)-2-(80-carboxy-2- methyl-3-oxo-6,9,12,15,18,21,24,27,30,33,36,39,42,45,48,51,54,57,60,63,66,69,72,75,78-pentacosaoxa- 2-azaoctacontyl)benzyl)-4-(2-(4-(4-((R)-1-carboxy-2-(2-((2-(2-methoxyphenyl)pyrimidin-4- yl)methoxy)phenyl)ethoxy)-6-(4-fluorophenyl)thieno[2,3-d]pyrimidin-5-yl)-2-chloro-3- methylphenoxy)ethyl)-1-methylpiperazin-1-ium trifluoroacetate (64 mg, 23 µmol), N-(4-((S)-2-((S)-2- (((2-azidoethoxy)carbonyl)amino)-3-methylbutanamido)-5-ureidopentanamido)-2-(80-carboxy-2-methyl- 3-oxo-6,9,12,15,18,21,24,27,30,33,36,39,42,45,48,51,54,57,60,63,66,69,72,75,78-pentacosaoxa-2- azaoctacontyl)benzyl)-3-((R)-2-(4-chloro-2-(4-((5-cyano-1,2-dimethyl-1H-pyrrol-3-yl)(4- hydroxyphenyl)carbamoyl)-1,5-dimethyl-1H-pyrrol-2-yl)benzoyl)-1,2,3,4-tetrahydroisoquinolin-3-yl)- N,N-dimethylpropan-1-aminium trifluoroacetate (60.8 mg, 25 µmol), sodium ascorbate 16 mg/mL in H2O solution (424 µL, 34 µmol) and CuSO4 pentahydrate 4 mg/mL H2O solution (427 µL, 6.8 µmol), 1-(4- ((5S,8S,11S)-1-(1-((6R,9R)-1-amino-6-((3-(80-carboxy-2-methyl-3-oxo- 6,9,12,15,18,21,24,27,30,33,36,39,42,45,48,51,54,57,60,63,66,69,72,75,78-pentacosaoxa-2- azaoctacontyl)-4-(((3-((R)-2-(4-chloro-2-(4-((5-cyano-1,2-dimethyl-1H-pyrrol-3-yl)(4- hydroxyphenyl)carbamoyl)-1,5-dimethyl-1H-pyrrol-2-yl)benzoyl)-1,2,3,4-tetrahydroisoquinolin-3- yl)propyl)dimethylammonio)methyl)phenyl)carbamoyl)-9-isopropyl-1,8,11-trioxo-12-oxa-2,7,10- triazatetradecan-14-yl)-1H-1,2,3-triazol-4-yl)-5-(4-aminobutyl)-8-isopropyl-3,6,9-trioxo-11-(3- ureidopropyl)-2-oxa-4,7,10-triazadodecan-12-amido)-2-(80-carboxy-2-methyl-3-oxo- 6,9,12,15,18,21,24,27,30,33,36,39,42,45,48,51,54,57,60,63,66,69,72,75,78-pentacosaoxa-2- azaoctacontyl)benzyl)-4-(2-(4-(4-((R)-1-carboxy-2-(2-((2-(2-methoxyphenyl)pyrimidin-4- yl)methoxy)phenyl)ethoxy)-6-(4-fluorophenyl)thieno[2,3-d]pyrimidin-5-yl)-2-chloro-3- methylphenoxy)ethyl)-1-methylpiperazin-1-ium trifluoroacetate (63 mg, 54% yield) was obtained. HRMS: (M+2- H+)+ = =5110.5098, Rt=2.32 min (5 min acidic method). Synthesis of 1-(4-((33S,36S,39S)-33-((((1-((6R,9R)-1-amino-6-((3-(80-carboxy-2-methyl-3-oxo- 6,9,12,15,18,21,24,27,30,33,36,39,42,45,48,51,54,57,60,63,66,69,72,75,78-pentacosaoxa-2- azaoctacontyl)-4-(((3-((R)-2-(4-chloro-2-(4-((5-cyano-1,2-dimethyl-1H-pyrrol-3-yl)(4- hydroxyphenyl)carbamoyl)-1,5-dimethyl-1H-pyrrol-2-yl)benzoyl)-1,2,3,4-tetrahydroisoquinolin-3- yl)propyl)dimethylammonio)methyl)phenyl)carbamoyl)-9-isopropyl-1,8,11-trioxo-12-oxa-2,7,10- triazatetradecan-14-yl)-1H-1,2,3-triazol-4-yl)methoxy)carbonyl)amino)-1-(2,5-dioxo-2,5-dihydro- 1H-pyrrol-1-yl)-36-isopropyl-27,34,37-trioxo-39-(3-ureidopropyl)-3,6,9,12,15,18,21,24-octaoxa- 28,35,38-triazatetracontan-40-amido)-2-(80-carboxy-2-methyl-3-oxo- 6,9,12,15,18,21,24,27,30,33,36,39,42,45,48,51,54,57,60,63,66,69,72,75,78-pentacosaoxa-2-
azaoctacontyl)benzyl)-4-(2-(4-(4-((R)-1-carboxy-2-(2-((2-(2-methoxyphenyl)pyrimidin-4- yl)methoxy)phenyl)ethoxy)-6-(4-fluorophenyl)thieno[2,3-d]pyrimidin-5-yl)-2-chloro-3- methylphenoxy)ethyl)-1-methylpiperazin-1-ium trifluoroacetate (P1-L31-P2)
Following the second part of GENERAL PROCEDURE #5 using 1-(4-((S)-2-((S)-2-(((2-(4- ((5S,8S,11S)-16-amino-5-(4-aminobutyl)-11-((3-(80-carboxy-2-methyl-3-oxo- 6,9,12,15,18,21,24,27,30,33,36,39,42,45,48,51,54,57,60,63,66,69,72,75,78-pentacosaoxa-2- azaoctacontyl)-4-(((3-((R)-2-(4-chloro-2-(4-((5-cyano-1,2-dimethyl-1H-pyrrol-3-yl)(4- hydroxyphenyl)carbamoyl)-1,5-dimethyl-1H-pyrrol-2-yl)benzoyl)-1,2,3,4-tetrahydroisoquinolin-3- yl)propyl)dimethylammonio)methyl)phenyl)carbamoyl)-8-isopropyl-3,6,9,16-tetraoxo-2-oxa-4,7,10,15- tetraazahexadecyl)-1H-1,2,3-triazol-1-yl)ethoxy)carbonyl)amino)-3-methylbutanamido)-5- ureidopentanamido)-2-(80-carboxy-2-methyl-3-oxo- 6,9,12,15,18,21,24,27,30,33,36,39,42,45,48,51,54,57,60,63,66,69,72,75,78-pentacosaoxa-2- azaoctacontyl)benzyl)-4-(2-(4-(4-((R)-1-carboxy-2-(2-((2-(2-methoxyphenyl)pyrimidin-4- yl)methoxy)phenyl)ethoxy)-6-(4-fluorophenyl)thieno[2,3-d]pyrimidin-5-yl)-2-chloro-3- methylphenoxy)ethyl)-1-methylpiperazin-1-ium trifluoroacetate (67 mg, 13 µmol), 2,5-dioxopyrrolidin-1- yl 1-(2,5-dioxo-2,5-dihydro-1H-pyrrol-1-yl)-3,6,9,12,15,18,21,24-octaoxaheptacosan-27-oate (15.9 mg, 26 µmol) and DIEA (18 µL, 103 µmol), 1-(4-((33S,36S,39S)-33-((((1-((6R,9R)-1-amino-6-((3-(80- carboxy-2-methyl-3-oxo-6,9,12,15,18,21,24,27,30,33,36,39,42,45,48,51,54,57,60,63,66,69,72,75,78- pentacosaoxa-2-azaoctacontyl)-4-(((3-((R)-2-(4-chloro-2-(4-((5-cyano-1,2-dimethyl-1H-pyrrol-3-yl)(4- hydroxyphenyl)carbamoyl)-1,5-dimethyl-1H-pyrrol-2-yl)benzoyl)-1,2,3,4-tetrahydroisoquinolin-3- yl)propyl)dimethylammonio)methyl)phenyl)carbamoyl)-9-isopropyl-1,8,11-trioxo-12-oxa-2,7,10- triazatetradecan-14-yl)-1H-1,2,3-triazol-4-yl)methoxy)carbonyl)amino)-1-(2,5-dioxo-2,5-dihydro-1H- pyrrol-1-yl)-36-isopropyl-27,34,37-trioxo-39-(3-ureidopropyl)-3,6,9,12,15,18,21,24-octaoxa-28,35,38- triazatetracontan-40-amido)-2-(80-carboxy-2-methyl-3-oxo- 6,9,12,15,18,21,24,27,30,33,36,39,42,45,48,51,54,57,60,63,66,69,72,75,78-pentacosaoxa-2- azaoctacontyl)benzyl)-4-(2-(4-(4-((R)-1-carboxy-2-(2-((2-(2-methoxyphenyl)pyrimidin-4-
yl)methoxy)phenyl)ethoxy)-6-(4-fluorophenyl)thieno[2,3-d]pyrimidin-5-yl)-2-chloro-3- methylphenoxy)ethyl)-1-methylpiperazin-1-ium trifluoroacetate (47 mg, 65% yield) was obtained. HRMS: (M+2- H+)+ = 5613.7598, Rt=2.46 min (5 min acidic method). Synthesis of 1-(4-((10S,13S,16S)-10-((((1-((6S,9S)-1-amino-6-((4-(((3-((S)-2-(4-chloro-2-(4-((5-cyano- 1,2-dimethyl-1H-pyrrol-3-yl)(4-hydroxyphenyl)carbamoyl)-1,5-dimethyl-1H-pyrrol-2-yl)benzoyl)- 1,2,3,4-tetrahydroisoquinolin-3-yl)propyl)dimethylammonio)methyl)-3- ((methylamino)methyl)phenyl)carbamoyl)-9-isopropyl-1,8,11,14-tetraoxo-15-oxa-2,7,10,13- tetraazaheptadecan-17-yl)-1H-1,2,3-triazol-4-yl)methoxy)carbonyl)amino)-13-isopropyl-2,2- dimethyl-4,11,14-trioxo-16-(3-ureidopropyl)-3-oxa-5,12,15-triazaheptadecan-17-amido)-2- ((methylamino)methyl)benzyl)-4-(2-(2-chloro-4-(6-(4-fluorophenyl)-4-(((R)-1-((4- methoxybenzyl)oxy)-3-(2-((2-(2-methoxyphenyl)pyrimidin-4-yl)methoxy)phenyl)-1-oxopropan-2- yl)oxy)thieno[2,3-d]pyrimidin-5-yl)-3-methylphenoxy)ethyl)-1-methylpiperazin-1-ium trifluoroacetate
Following the GENERAL PROCEDURE #7 using 1-(2-(((((9H-fluoren-9- yl)methoxy)carbonyl)(methyl)amino)methyl)-4-((10S,13S,16S)-13-isopropyl-2,2-dimethyl-4,11,14- trioxo-10-(((prop-2-yn-1-yloxy)carbonyl)amino)-16-(3-ureidopropyl)-3-oxa-5,12,15-triazaheptadecan-17- amido)benzyl)-4-(2-(2-chloro-4-(6-(4-fluorophenyl)-4-(((R)-1-((4-methoxybenzyl)oxy)-3-(2-((2-(2- methoxyphenyl)pyrimidin-4-yl)methoxy)phenyl)-1-oxopropan-2-yl)oxy)thieno[2,3-d]pyrimidin-5-yl)-3- methylphenoxy)ethyl)-1-methylpiperazin-1-ium trifluoroacetate (64 mg, 33 µmol), N-(4-((9S,12S)-1- azido-9-isopropyl-4,7,10-trioxo-12-(3-ureidopropyl)-3-oxa-5,8,11-triazatridecan-13-amido)-2- ((methylamino)methyl)benzyl)-3-((R)-2-(4-chloro-2-(4-((5-cyano-1,2-dimethyl-1H-pyrrol-3-yl)(4- hydroxyphenyl)carbamoyl)-1,5-dimethyl-1H-pyrrol-2-yl)benzoyl)-1,2,3,4-tetrahydroisoquinolin-3-yl)- N,N-dimethylpropan-1-aminium trifluoroacetate (42.3 mg, 33 µmol), sodium ascorbate 16 mg/mL in H2O solution (615 µL, 50 µmol) and CuSO4 pentahydrate 4 mg/mL H2O solution (620 µL, 9.3 µmol) and then treating with 2M Me2NH in MeOH (199 µL, 398 µM) for 2 hours before purifying by RP-HPLC, 1-(4- ((10S,13S,16S)-10-((((1-((6S,9S)-1-amino-6-((4-(((3-((S)-2-(4-chloro-2-(4-((5-cyano-1,2-dimethyl-1H-
pyrrol-3-yl)(4-hydroxyphenyl)carbamoyl)-1,5-dimethyl-1H-pyrrol-2-yl)benzoyl)-1,2,3,4- tetrahydroisoquinolin-3-yl)propyl)dimethylammonio)methyl)-3- ((methylamino)methyl)phenyl)carbamoyl)-9-isopropyl-1,8,11,14-tetraoxo-15-oxa-2,7,10,13- tetraazaheptadecan-17-yl)-1H-1,2,3-triazol-4-yl)methoxy)carbonyl)amino)-13-isopropyl-2,2-dimethyl- 4,11,14-trioxo-16-(3-ureidopropyl)-3-oxa-5,12,15-triazaheptadecan-17-amido)-2- ((methylamino)methyl)benzyl)-4-(2-(2-chloro-4-(6-(4-fluorophenyl)-4-(((R)-1-((4-methoxybenzyl)oxy)- 3-(2-((2-(2-methoxyphenyl)pyrimidin-4-yl)methoxy)phenyl)-1-oxopropan-2-yl)oxy)thieno[2,3- d]pyrimidin-5-yl)-3-methylphenoxy)ethyl)-1-methylpiperazin-1-ium trifluoroacetate (34 mg, 34% yield) was obtained. HRMS: (M+2- H+)+ = 2986.3501, Rt=2.55 min (5 min acidic method). Synthesis of 1-(4-((10S,13S,16S)-10-((((1-((6S,9S)-1-amino-6-((4-(((3-((S)-2-(4-chloro-2-(4-((5-cyano- 1,2-dimethyl-1H-pyrrol-3-yl)(4-hydroxyphenyl)carbamoyl)-1,5-dimethyl-1H-pyrrol-2-yl)benzoyl)- 1,2,3,4-tetrahydroisoquinolin-3-yl)propyl)dimethylammonio)methyl)-3-(75-methyl-74-oxo- 2,5,8,11,14,17,20,23,26,29,32,35,38,41,44,47,50,53,56,59,62,65,68,71-tetracosaoxa-75- azahexaheptacontan-76-yl)phenyl)carbamoyl)-9-isopropyl-1,8,11,14-tetraoxo-15-oxa-2,7,10,13- tetraazaheptadecan-17-yl)-1H-1,2,3-triazol-4-yl)methoxy)carbonyl)amino)-13-isopropyl-2,2- dimethyl-4,11,14-trioxo-16-(3-ureidopropyl)-3-oxa-5,12,15-triazaheptadecan-17-amido)-2-(75- methyl-74-oxo-2,5,8,11,14,17,20,23,26,29,32,35,38,41,44,47,50,53,56,59,62,65,68,71-tetracosaoxa-75- azahexaheptacontan-76-yl)benzyl)-4-(2-(2-chloro-4-(6-(4-fluorophenyl)-4-(((R)-1-((4- methoxybenzyl)oxy)-3-(2-((2-(2-methoxyphenyl)pyrimidin-4-yl)methoxy)phenyl)-1-oxopropan-2- yl)oxy)thieno[2,3-d]pyrimidin-5-yl)-3-methylphenoxy)ethyl)-1-methylpiperazin-1-ium trifluoroacetate
[1124] To a solution of 1-(4-((10S,13S,16S)-10-((((1-((6S,9S)-1-amino-6-((4-(((3-((S)-2-(4-chloro-2-(4- ((5-cyano-1,2-dimethyl-1H-pyrrol-3-yl)(4-hydroxyphenyl)carbamoyl)-1,5-dimethyl-1H-pyrrol-2- yl)benzoyl)-1,2,3,4-tetrahydroisoquinolin-3-yl)propyl)dimethylammonio)methyl)-3- ((methylamino)methyl)phenyl)carbamoyl)-9-isopropyl-1,8,11,14-tetraoxo-15-oxa-2,7,10,13- tetraazaheptadecan-17-yl)-1H-1,2,3-triazol-4-yl)methoxy)carbonyl)amino)-13-isopropyl-2,2-dimethyl-
4,11,14-trioxo-16-(3-ureidopropyl)-3-oxa-5,12,15-triazaheptadecan-17-amido)-2- ((methylamino)methyl)benzyl)-4-(2-(2-chloro-4-(6-(4-fluorophenyl)-4-(((R)-1-((4-methoxybenzyl)oxy)- 3-(2-((2-(2-methoxyphenyl)pyrimidin-4-yl)methoxy)phenyl)-1-oxopropan-2-yl)oxy)thieno[2,3- d]pyrimidin-5-yl)-3-methylphenoxy)ethyl)-1-methylpiperazin-1-ium trifluoroacetate (56 mg, 19 µmol) and 2,5-dioxopyrrolidin-1-yl 2,5,8,11,14,17,20,23,26,29,32,35,38,41,44,47,50,53,56,59,62,65,68,71- tetracosaoxatetraheptacontan-74-oate (92 mg, 76 µmol) in DMF (0.75 mL) was added DIEA (26.2 µL, 150 µM). After stirring for four hours, the solution was diluted with DMSO and purified by RP-HPLC. After lyophilization, 1-(4-((10S,13S,16S)-10-((((1-((6S,9S)-1-amino-6-((4-(((3-((S)-2-(4-chloro-2-(4-((5- cyano-1,2-dimethyl-1H-pyrrol-3-yl)(4-hydroxyphenyl)carbamoyl)-1,5-dimethyl-1H-pyrrol-2-yl)benzoyl)- 1,2,3,4-tetrahydroisoquinolin-3-yl)propyl)dimethylammonio)methyl)-3-(75-methyl-74-oxo- 2,5,8,11,14,17,20,23,26,29,32,35,38,41,44,47,50,53,56,59,62,65,68,71-tetracosaoxa-75- azahexaheptacontan-76-yl)phenyl)carbamoyl)-9-isopropyl-1,8,11,14-tetraoxo-15-oxa-2,7,10,13- tetraazaheptadecan-17-yl)-1H-1,2,3-triazol-4-yl)methoxy)carbonyl)amino)-13-isopropyl-2,2-dimethyl- 4,11,14-trioxo-16-(3-ureidopropyl)-3-oxa-5,12,15-triazaheptadecan-17-amido)-2-(75-methyl-74-oxo- 2,5,8,11,14,17,20,23,26,29,32,35,38,41,44,47,50,53,56,59,62,65,68,71-tetracosaoxa-75- azahexaheptacontan-76-yl)benzyl)-4-(2-(2-chloro-4-(6-(4-fluorophenyl)-4-(((R)-1-((4- methoxybenzyl)oxy)-3-(2-((2-(2-methoxyphenyl)pyrimidin-4-yl)methoxy)phenyl)-1-oxopropan-2- yl)oxy)thieno[2,3-d]pyrimidin-5-yl)-3-methylphenoxy)ethyl)-1-methylpiperazin-1-ium trifluoroacetate (22.2 mg, 23% yield) was obtained. HRMS: (M+2- H+)+ = 5183.6201, Rt=2.93 min (5 min acidic method). Synthesis of 1-(4-((33S,36S,39S)-33-((((1-((6S,9S)-1-amino-6-((4-(((3-((S)-2-(4-chloro-2-(4-((5-cyano- 1,2-dimethyl-1H-pyrrol-3-yl)(4-hydroxyphenyl)carbamoyl)-1,5-dimethyl-1H-pyrrol-2-yl)benzoyl)- 1,2,3,4-tetrahydroisoquinolin-3-yl)propyl)dimethylammonio)methyl)-3-(75-methyl-74-oxo- 2,5,8,11,14,17,20,23,26,29,32,35,38,41,44,47,50,53,56,59,62,65,68,71-tetracosaoxa-75- azahexaheptacontan-76-yl)phenyl)carbamoyl)-9-isopropyl-1,8,11,14-tetraoxo-15-oxa-2,7,10,13- tetraazaheptadecan-17-yl)-1H-1,2,3-triazol-4-yl)methoxy)carbonyl)amino)-1-(2,5-dioxo-2,5- dihydro-1H-pyrrol-1-yl)-36-isopropyl-27,34,37-trioxo-39-(3-ureidopropyl)-3,6,9,12,15,18,21,24- octaoxa-28,35,38-triazatetracontan-40-amido)-2-(75-methyl-74-oxo- 2,5,8,11,14,17,20,23,26,29,32,35,38,41,44,47,50,53,56,59,62,65,68,71-tetracosaoxa-75- azahexaheptacontan-76-yl)benzyl)-4-(2-(4-(4-((R)-1-carboxy-2-(2-((2-(2-methoxyphenyl)pyrimidin- 4-yl)methoxy)phenyl)ethoxy)-6-(4-fluorophenyl)thieno[2,3-d]pyrimidin-5-yl)-2-chloro-3- methylphenoxy)ethyl)-1-methylpiperazin-1-ium trifluoroacetate (P1-L32-P2)
[1125] Following the GENERAL PROCEDURE #5 using 1-(4-((10S,13S,16S)-10-((((1-((6S,9S)-1- amino-6-((4-(((3-((S)-2-(4-chloro-2-(4-((5-cyano-1,2-dimethyl-1H-pyrrol-3-yl)(4- hydroxyphenyl)carbamoyl)-1,5-dimethyl-1H-pyrrol-2-yl)benzoyl)-1,2,3,4-tetrahydroisoquinolin-3- yl)propyl)dimethylammonio)methyl)-3-(75-methyl-74-oxo- 2,5,8,11,14,17,20,23,26,29,32,35,38,41,44,47,50,53,56,59,62,65,68,71-tetracosaoxa-75- azahexaheptacontan-76-yl)phenyl)carbamoyl)-9-isopropyl-1,8,11,14-tetraoxo-15-oxa-2,7,10,13- tetraazaheptadecan-17-yl)-1H-1,2,3-triazol-4-yl)methoxy)carbonyl)amino)-13-isopropyl-2,2-dimethyl- 4,11,14-trioxo-16-(3-ureidopropyl)-3-oxa-5,12,15-triazaheptadecan-17-amido)-2-(75-methyl-74-oxo- 2,5,8,11,14,17,20,23,26,29,32,35,38,41,44,47,50,53,56,59,62,65,68,71-tetracosaoxa-75- azahexaheptacontan-76-yl)benzyl)-4-(2-(2-chloro-4-(6-(4-fluorophenyl)-4-(((R)-1-((4- methoxybenzyl)oxy)-3-(2-((2-(2-methoxyphenyl)pyrimidin-4-yl)methoxy)phenyl)-1-oxopropan-2- yl)oxy)thieno[2,3-d]pyrimidin-5-yl)-3-methylphenoxy)ethyl)-1-methylpiperazin-1-ium trifluoroacetate (22.2 mg, 4.2 µmol), 2,5-dioxopyrrolidin-1-yl 1-(2,5-dioxo-2,5-dihydro-1H-pyrrol-1-yl)- 3,6,9,12,15,18,21,24-octaoxaheptacosan-27-oate (7.9 mg, 13 µmol) and DIEA (7.4 mg, 57 µmol), 1-(4- ((33S,36S,39S)-33-((((1-((6S,9S)-1-amino-6-((4-(((3-((S)-2-(4-chloro-2-(4-((5-cyano-1,2-dimethyl-1H- pyrrol-3-yl)(4-hydroxyphenyl)carbamoyl)-1,5-dimethyl-1H-pyrrol-2-yl)benzoyl)-1,2,3,4- tetrahydroisoquinolin-3-yl)propyl)dimethylammonio)methyl)-3-(75-methyl-74-oxo- 2,5,8,11,14,17,20,23,26,29,32,35,38,41,44,47,50,53,56,59,62,65,68,71-tetracosaoxa-75- azahexaheptacontan-76-yl)phenyl)carbamoyl)-9-isopropyl-1,8,11,14-tetraoxo-15-oxa-2,7,10,13- tetraazaheptadecan-17-yl)-1H-1,2,3-triazol-4-yl)methoxy)carbonyl)amino)-1-(2,5-dioxo-2,5-dihydro-1H- pyrrol-1-yl)-36-isopropyl-27,34,37-trioxo-39-(3-ureidopropyl)-3,6,9,12,15,18,21,24-octaoxa-28,35,38- triazatetracontan-40-amido)-2-(75-methyl-74-oxo- 2,5,8,11,14,17,20,23,26,29,32,35,38,41,44,47,50,53,56,59,62,65,68,71-tetracosaoxa-75- azahexaheptacontan-76-yl)benzyl)-4-(2-(4-(4-((R)-1-carboxy-2-(2-((2-(2-methoxyphenyl)pyrimidin-4- yl)methoxy)phenyl)ethoxy)-6-(4-fluorophenyl)thieno[2,3-d]pyrimidin-5-yl)-2-chloro-3- methylphenoxy)ethyl)-1-methylpiperazin-1-ium trifluoroacetate (16.2 mg, 63% yield) was obtained. HRMS: (M+2- H+)+ = 5466.6699, Rt=2.60 min (5 min acidic method).
[1126] [1127] Synthesis of 4-(2-(4-(4-((R)-1-carboxy-2-(2-((2-(2-methoxyphenyl)pyrimidin-4- yl)methoxy)phenyl)ethoxy)-6-(4-fluorophenyl)thieno[2,3-d]pyrimidin-5-yl)-2-chloro-3- methylphenoxy)ethyl)-1-(2-(80-carboxy-2-methyl-3-oxo- 6,9,12,15,18,21,24,27,30,33,36,39,42,45,48,51,54,57,60,63,66,69,72,75,78-pentacosaoxa-2- azaoctacontyl)-4-((26S,29S)-26-isopropyl-2,2-dimethyl-4,11,24,27-tetraoxo-12-(2-(2-(prop-2-yn-1- yloxy)ethoxy)ethyl)-29-(3-ureidopropyl)-3,8,15,18,21-pentaoxa-5,12,25,28-tetraazatriacontan-30- amido)benzyl)-1-methylpiperazin-1-ium trifluoroacetate
[1129] To a solution of 2,2-dimethyl-4,11-dioxo-12-(2-(2-(prop-2-yn-1-yloxy)ethoxy)ethyl)- 3,8,15,18,21-pentaoxa-5,12-diazatetracosan-24-oic acid (44.8 mg, 80 µmol) and HATU (30.3 mg, 80 µmol) in DMF (0.8 mL) was added DIEA (84 µL, 478 µmol). After stirring for 30 minutes, 1-(4-((S)-2- ((S)-2-amino-3-methylbutanamido)-5-ureidopentanamido)-2-(80-carboxy-2-methyl-3-oxo- 6,9,12,15,18,21,24,27,30,33,36,39,42,45,48,51,54,57,60,63,66,69,72,75,78-pentacosaoxa-2- azaoctacontyl)benzyl)-4-(2-(4-(4-((R)-1-carboxy-2-(2-((2-(2-methoxyphenyl)pyrimidin-4- yl)methoxy)phenyl)ethoxy)-6-(4-fluorophenyl)thieno[2,3-d]pyrimidin-5-yl)-2-chloro-3- methylphenoxy)ethyl)-1-methylpiperazin-1-ium trifluoroacetate (108 mg, 40 µmol) in DMF (3.5 mL) was added. After stirring for an additional 30 minutes, the solution was diluted with DMSO and purified by ISCO RP-HPLC. Upon lyophilization, 4-(2-(4-(4-((R)-1-carboxy-2-(2-((2-(2-methoxyphenyl)pyrimidin- 4-yl)methoxy)phenyl)ethoxy)-6-(4-fluorophenyl)thieno[2,3-d]pyrimidin-5-yl)-2-chloro-3- methylphenoxy)ethyl)-1-(2-(80-carboxy-2-methyl-3-oxo- 6,9,12,15,18,21,24,27,30,33,36,39,42,45,48,51,54,57,60,63,66,69,72,75,78-pentacosaoxa-2- azaoctacontyl)-4-((26S,29S)-26-isopropyl-2,2-dimethyl-4,11,24,27-tetraoxo-12-(2-(2-(prop-2-yn-1- yloxy)ethoxy)ethyl)-29-(3-ureidopropyl)-3,8,15,18,21-pentaoxa-5,12,25,28-tetraazatriacontan-30- amido)benzyl)-1-methylpiperazin-1-ium trifluoroacetate (92 mg, 73% yield) was obtained. HRMS: M+=3024.5200, Rt=2.62 min (5 min acidic method).
Synthesis of 1-({4-[(2S)-2-{(2S)-2-[2-(4-{8-[(14S,17S)-22-Amino-17-{[4-({4-[2-(4-{4-[(1R)-1-carboxy- 2-(2-{[2-(2-methoxyphenyl)pyrimidin-4-yl]methoxy}phenyl)ethoxy]-6-(4-fluorophenyl)thieno[2,3- d]pyrimidin-5-yl}-2-chloro-3-methylphenoxy)ethyl]-1-methylpiperazin-1-ium-1-yl}methyl)-3-(80- carboxy-2-methyl-3-oxo-6,9,12,15,18,21,24,27,30,33,36,39,42,45,48,51,54,57,60,63,66,69,72,75,78- pentacosaoxa-2-azaoctacontan-1-yl)phenyl]carbamoyl}-12,15,22-trioxo-14-(propan-2-yl)-3,6,9- trioxa-13,16,21-triazadocosan-1-yl]-30-(2,5-dioxo-2,5-dihydro-1H-pyrrol-1-yl)-9,16-dioxo- 2,5,12,19,22,25,28-heptaoxa-8,15-diazatriacontan-1-yl}-1H-1,2,3-triazol-1-yl)acetamido]-3- methylbutanamido}-5-carbamamidopentanamido]-2-(80-carboxy-2-methyl-3-oxo- 6,9,12,15,18,21,24,27,30,33,36,39,42,45,48,51,54,57,60,63,66,69,72,75,78-pentacosaoxa-2- azaoctacontan-1-yl)phenyl}methyl)-4-[2-(4-{4-[(1R)-1-carboxy-2-(2-{[2-(2- methoxyphenyl)pyrimidin-4-yl]methoxy}phenyl)ethoxy]-6-(4-fluorophenyl)thieno[2,3-d]pyrimidin- 5-yl}-2-chloro-3-methylphenoxy)ethyl]-1-methylpiperazin-1-ium trifluoroacetate (P1-L33-P1)
[1130] Following the GENERAL PROCEDURE #7 using 4-(2-(4-(4-((R)-1-carboxy-2-(2-((2-(2- methoxyphenyl)pyrimidin-4-yl)methoxy)phenyl)ethoxy)-6-(4-fluorophenyl)thieno[2,3-d]pyrimidin-5-yl)- 2-chloro-3-methylphenoxy)ethyl)-1-(2-(80-carboxy-2-methyl-3-oxo- 6,9,12,15,18,21,24,27,30,33,36,39,42,45,48,51,54,57,60,63,66,69,72,75,78-pentacosaoxa-2- azaoctacontyl)-4-((26S,29S)-26-isopropyl-2,2-dimethyl-4,11,24,27-tetraoxo-12-(2-(2-(prop-2-yn-1- yloxy)ethoxy)ethyl)-29-(3-ureidopropyl)-3,8,15,18,21-pentaoxa-5,12,25,28-tetraazatriacontan-30- amido)benzyl)-1-methylpiperazin-1-ium trifluoroacetate (55 mg, 18 µmol), 1-(4-((S)-2-((S)-2-(2- azidoacetamido)-3-methylbutanamido)-5-ureidopentanamido)-2-(80-carboxy-2-methyl-3-oxo- 6,9,12,15,18,21,24,27,30,33,36,39,42,45,48,51,54,57,60,63,66,69,72,75,78-pentacosaoxa-2- azaoctacontyl)benzyl)-4-(2-(4-(4-((R)-1-carboxy-2-(2-((2-(2-methoxyphenyl)pyrimidin-4- yl)methoxy)phenyl)ethoxy)-6-(4-fluorophenyl)thieno[2,3-d]pyrimidin-5-yl)-2-chloro-3- methylphenoxy)ethyl)-1-methylpiperazin-1-ium (54 mg, 21 µmol), sodium absorbate 32 mg/mL in H2O solution (407 µL, 66 µmol) and CuSO4 pentahydrate 16 mg/mL H2O solution (342 µL, 22 µmol), click product (51.8 mg, 51% yield) was obtained. HRMS: (M+2- H+)+ = 5586.6602, Rt=2.67 min (5 min acidic method). Following the GENERAL PROCEDURE #5 using click product (51.8 mg, 8.9 µmol), 2,5-
dioxopyrrolidin-1-yl 1-(2,5-dioxo-2,5-dihydro-1H-pyrrol-1-yl)-3,6,9,12-tetraoxapentadecan-15-oate (11.8 mg, 26.7 µmol) and DIEA (23.3 µL, 134 µmol), 1-({4-[(2S)-2-{(2S)-2-[2-(4-{8-[(14S,17S)-22-Amino- 17-{[4-({4-[2-(4-{4-[(1R)-1-carboxy-2-(2-{[2-(2-methoxyphenyl)pyrimidin-4- yl]methoxy}phenyl)ethoxy]-6-(4-fluorophenyl)thieno[2,3-d]pyrimidin-5-yl}-2-chloro-3- methylphenoxy)ethyl]-1-methylpiperazin-1-ium-1-yl}methyl)-3-(80-carboxy-2-methyl-3-oxo- 6,9,12,15,18,21,24,27,30,33,36,39,42,45,48,51,54,57,60,63,66,69,72,75,78-pentacosaoxa-2- azaoctacontan-1-yl)phenyl]carbamoyl}-12,15,22-trioxo-14-(propan-2-yl)-3,6,9-trioxa-13,16,21- triazadocosan-1-yl]-30-(2,5-dioxo-2,5-dihydro-1H-pyrrol-1-yl)-9,16-dioxo-2,5,12,19,22,25,28-heptaoxa- 8,15-diazatriacontan-1-yl}-1H-1,2,3-triazol-1-yl)acetamido]-3-methylbutanamido}-5- carbamamidopentanamido]-2-(80-carboxy-2-methyl-3-oxo- 6,9,12,15,18,21,24,27,30,33,36,39,42,45,48,51,54,57,60,63,66,69,72,75,78-pentacosaoxa-2- azaoctacontan-1-yl)phenyl}methyl)-4-[2-(4-{4-[(1R)-1-carboxy-2-(2-{[2-(2-methoxyphenyl)pyrimidin-4- yl]methoxy}phenyl)ethoxy]-6-(4-fluorophenyl)thieno[2,3-d]pyrimidin-5-yl}-2-chloro-3- methylphenoxy)ethyl]-1-methylpiperazin-1-ium trifluoroacetate (25 mg, 46% yield) was obtained. HRMS: (M+2- H+)+ = 5813.7500, Rt=2.52 min (5 min acidic method). Synthesis of 1-{[4-{[(37S,40S)-23-{2-[2-({1-[(6S,9S)-14-Amino-9-{[4-({4-[2-(4-{4-[(1R)-1-carboxy-2- (2-{[2-(2-methoxyphenyl)pyrimidin-4-yl]methoxy}phenyl)ethoxy]-6-(4-fluorophenyl)thieno[2,3- d]pyrimidin-5-yl}-2-chloro-3-methylphenoxy)ethyl]-1-methylpiperazin-1-ium-1-yl}methyl)-3-(80- carboxy-2-methyl-3-oxo-6,9,12,15,18,21,24,27,30,33,36,39,42,45,48,51,54,57,60,63,66,69,72,75,78- pentacosaoxa-2-azaoctacontan-1-yl)phenyl]carbamoyl}-4,7,14-trioxo-6-(propan-2-yl)-3-oxa-5,8,13- triazatetradecan-1-yl]-1H-1,2,3-triazol-4-yl}methoxy)ethoxy]ethyl}-40-(3-carbamamidopropyl)-1- (2,5-dioxo-2,5-dihydro-1H-pyrrol-1-yl)-15,22,35,38,41-pentaoxo-37-(propan-2-yl)- 3,6,9,12,19,26,29,32-octaoxa-16,23,36,39-tetraazahentetracontan-41-yl]amino}-2-(80-carboxy-2- methyl-3-oxo-6,9,12,15,18,21,24,27,30,33,36,39,42,45,48,51,54,57,60,63,66,69,72,75,78-pentacosaoxa- 2-azaoctacontan-1-yl)phenyl]methyl}-4-[2-(4-{4-[(1R)-1-carboxy-2-(2-{[2-(2- methoxyphenyl)pyrimidin-4-yl]methoxy}phenyl)ethoxy]-6-(4-fluorophenyl)thieno[2,3-d]pyrimidin- 5-yl}-2-chloro-3-methylphenoxy)ethyl]-1-methylpiperazin-1-ium trifluoroacetate (P1-L34-P1)
[1131] Following the GENERAL PROCEDURE #7 using 4-(2-(4-(4-((R)-1-carboxy-2-(2-((2-(2- methoxyphenyl)pyrimidin-4-yl)methoxy)phenyl)ethoxy)-6-(4-fluorophenyl)thieno[2,3-d]pyrimidin-5-yl)- 2-chloro-3-methylphenoxy)ethyl)-1-(2-(80-carboxy-2-methyl-3-oxo- 6,9,12,15,18,21,24,27,30,33,36,39,42,45,48,51,54,57,60,63,66,69,72,75,78-pentacosaoxa-2- azaoctacontyl)-4-((26S,29S)-26-isopropyl-2,2-dimethyl-4,11,24,27-tetraoxo-12-(2-(2-(prop-2-yn-1- yloxy)ethoxy)ethyl)-29-(3-ureidopropyl)-3,8,15,18,21-pentaoxa-5,12,25,28-tetraazatriacontan-30- amido)benzyl)-1-methylpiperazin-1-ium trifluoroacetate (46 mg, 15 µmol), 1-(4-((S)-2-((S)-2-(((2- azidoethoxy)carbonyl)amino)-3-methylbutanamido)-5-ureidopentanamido)-2-(80-carboxy-2-methyl-3- oxo-6,9,12,15,18,21,24,27,30,33,36,39,42,45,48,51,54,57,60,63,66,69,72,75,78-pentacosaoxa-2- azaoctacontyl)benzyl)-4-(2-(4-(4-((R)-1-carboxy-2-(2-((2-(2-methoxyphenyl)pyrimidin-4- yl)methoxy)phenyl)ethoxy)-6-(4-fluorophenyl)thieno[2,3-d]pyrimidin-5-yl)-2-chloro-3- methylphenoxy)ethyl)-1-methylpiperazin-1-ium trifluoroacetate (47.6 mg, 18 µmol), sodium absorbate 32 mg/mL in H2O solution (340 µL, 55 µmol) and CuSO4 pentahydrate 16 mg/mL H2O solution (286 µL, 18 µmol), click product (45 mg, 52% yield) was obtained. HRMS: (M+2- H+)+ = 5616.7300, Rt=2.70 min (5 min acidic method). Following the GENERAL PROCEDURE #5 using click product (32.3 mg, 5.5 µmol), 2,5-dioxopyrrolidin-1-yl 1-(2,5-dioxo-2,5-dihydro-1H-pyrrol-1-yl)-3,6,9,12-tetraoxapentadecan- 15-oate (7.3 mg, 16.6 µmol) and DIEA (14.5 µL, 83 µmol), 1-{[4-{[(37S,40S)-23-{2-[2-({1-[(6S,9S)-14- Amino-9-{[4-({4-[2-(4-{4-[(1R)-1-carboxy-2-(2-{[2-(2-methoxyphenyl)pyrimidin-4- yl]methoxy}phenyl)ethoxy]-6-(4-fluorophenyl)thieno[2,3-d]pyrimidin-5-yl}-2-chloro-3- methylphenoxy)ethyl]-1-methylpiperazin-1-ium-1-yl}methyl)-3-(80-carboxy-2-methyl-3-oxo- 6,9,12,15,18,21,24,27,30,33,36,39,42,45,48,51,54,57,60,63,66,69,72,75,78-pentacosaoxa-2- azaoctacontan-1-yl)phenyl]carbamoyl}-4,7,14-trioxo-6-(propan-2-yl)-3-oxa-5,8,13-triazatetradecan-1-yl]- 1H-1,2,3-triazol-4-yl}methoxy)ethoxy]ethyl}-40-(3-carbamamidopropyl)-1-(2,5-dioxo-2,5-dihydro-1H- pyrrol-1-yl)-15,22,35,38,41-pentaoxo-37-(propan-2-yl)-3,6,9,12,19,26,29,32-octaoxa-16,23,36,39- tetraazahentetracontan-41-yl]amino}-2-(80-carboxy-2-methyl-3-oxo- 6,9,12,15,18,21,24,27,30,33,36,39,42,45,48,51,54,57,60,63,66,69,72,75,78-pentacosaoxa-2- azaoctacontan-1-yl)phenyl]methyl}-4-[2-(4-{4-[(1R)-1-carboxy-2-(2-{[2-(2-methoxyphenyl)pyrimidin-4- yl]methoxy}phenyl)ethoxy]-6-(4-fluorophenyl)thieno[2,3-d]pyrimidin-5-yl}-2-chloro-3- methylphenoxy)ethyl]-1-methylpiperazin-1-ium trifluoroacetate (14 mg, 41% yield) was obtained. HRMS: (M+2- H+)+ = 5843.7500, Rt=2.52 min (5 min acidic method). Synthesis of 1-(4-((2S,5S,18S)-18-(4-aminobutyl)-5-isopropyl-4,7,17,20-tetraoxo-2-(3-ureidopropyl)- 10,13,23,26-tetraoxa-3,6,16,19-tetraazanonacos-28-ynamido)-2-(80-carboxy-2-methyl-3-oxo- 6,9,12,15,18,21,24,27,30,33,36,39,42,45,48,51,54,57,60,63,66,69,72,75,78-pentacosaoxa-2-
azaoctacontyl)benzyl)-4-(2-(4-(4-((R)-1-carboxy-2-(2-((2-(2-methoxyphenyl)pyrimidin-4- yl)methoxy)phenyl)ethoxy)-6-(4-fluorophenyl)thieno[2,3-d]pyrimidin-5-yl)-2-chloro-3- methylphenoxy)ethyl)-1-methylpiperazin-1-ium trifluoroacetate
[1132] Following the GENERAL PROCEDURE #6 using (S)-12-(4-((((9H-fluoren-9- yl)methoxy)carbonyl)amino)butyl)-11,14-dioxo-4,7,17,20-tetraoxa-10,13-diazatricos-22-ynoic acid (27.7 mg, 41 µmol), HATU (15.4 mg, 41 µmol), DIEA (49 µL, 284 µmol) and then 1-(4-((S)-2-((S)-2-amino-3- methylbutanamido)-5-ureidopentanamido)-2-(80-carboxy-2-methyl-3-oxo- 6,9,12,15,18,21,24,27,30,33,36,39,42,45,48,51,54,57,60,63,66,69,72,75,78-pentacosaoxa-2- azaoctacontyl)benzyl)-4-(2-(4-(4-((R)-1-carboxy-2-(2-((2-(2-methoxyphenyl)pyrimidin-4- yl)methoxy)phenyl)ethoxy)-6-(4-fluorophenyl)thieno[2,3-d]pyrimidin-5-yl)-2-chloro-3- methylphenoxy)ethyl)-1-methylpiperazin-1-ium trifluoroacetate (110 mg, 41 µmol); and then 2.0 M Dimethylamine in MeOH (406 µL, 812 µmol), 1-(4-((2S,5S,18S)-18-(4-aminobutyl)-5-isopropyl- 4,7,17,20-tetraoxo-2-(3-ureidopropyl)-10,13,23,26-tetraoxa-3,6,16,19-tetraazanonacos-28-ynamido)-2- (80-carboxy-2-methyl-3-oxo-6,9,12,15,18,21,24,27,30,33,36,39,42,45,48,51,54,57,60,63,66,69,72,75,78- pentacosaoxa-2-azaoctacontyl)benzyl)-4-(2-(4-(4-((R)-1-carboxy-2-(2-((2-(2-methoxyphenyl)pyrimidin- 4-yl)methoxy)phenyl)ethoxy)-6-(4-fluorophenyl)thieno[2,3-d]pyrimidin-5-yl)-2-chloro-3- methylphenoxy)ethyl)-1-methylpiperazin-1-ium trifluoroacetate (101 mg, 79% yield) was obtained. HRMS: (M++H+)+2/2 = 1462.2400, Rt=2.26 min (5 min acidic method). Synthesis of 1-{[4-{(2S)-2-[(2S)-2-{[(2-{4-[(10S,23S,26S)-31-Amino-26-{[4-({4-[2-(4-{4-[(1R)-1- carboxy-2-(2-{[2-(2-methoxyphenyl)pyrimidin-4-yl]methoxy}phenyl)ethoxy]-6-(4- fluorophenyl)thieno[2,3-d]pyrimidin-5-yl}-2-chloro-3-methylphenoxy)ethyl]-1-methylpiperazin-1- ium-1-yl}methyl)-3-(80-carboxy-2-methyl-3-oxo- 6,9,12,15,18,21,24,27,30,33,36,39,42,45,48,51,54,57,60,63,66,69,72,75,78-pentacosaoxa- 2-azaoctacontan-1-yl)phenyl]carbamoyl}-10-[1-(2,5-dioxo-2,5-dihydro-1H-pyrrol-1-yl)-15-oxo- 3,6,9,12-tetraoxa-16-azaicosan-20-yl]-8,11,21,24,31-pentaoxo-23-(propan-2-yl)-2,5,15,18-tetraoxa- 9,12,22,25,30-pentaazahentriacontan-1-yl]-1H-1,2,3-triazol-1-yl}ethoxy)carbonyl]amino}-3-
methylbutanamido]-5-carbamamidopentanamido}-2-(80-carboxy-2-methyl-3-oxo- 6,9,12,15,18,21,24,27,30,33,36,39,42,45,48,51,54,57,60,63,66,69,72,75,78-pentacosaoxa-2- azaoctacontan-1-yl)phenyl]methyl}-4-[2-(4-{4-[(1R)-1-carboxy-2-(2-{[2-(2- methoxyphenyl)pyrimidin-4-yl]methoxy}phenyl)ethoxy]-6-(4-fluorophenyl)thieno[2,3-d]pyrimidin- 5-yl}-2-chloro-3-methylphenoxy)ethyl]-1-methylpiperazin-1-ium trifluoroacetate (P1-L35-P1)
[1133] Following the GENERAL PROCEDURE #7 using 1-(4-((S)-2-((S)-2-(((2- azidoethoxy)carbonyl)amino)-3-methylbutanamido)-5-ureidopentanamido)-2-(80-carboxy-2-methyl-3- oxo-6,9,12,15,18,21,24,27,30,33,36,39,42,45,48,51,54,57,60,63,66,69,72,75,78-pentacosaoxa-2- azaoctacontyl)benzyl)-4-(2-(4-(4-((R)-1-carboxy-2-(2-((2-(2-methoxyphenyl)pyrimidin-4- yl)methoxy)phenyl)ethoxy)-6-(4-fluorophenyl)thieno[2,3-d]pyrimidin-5-yl)-2-chloro-3- methylphenoxy)ethyl)-1-methylpiperazin-1-ium trifluoroacetate (45.8 mg, 16 µmol), 1-(4-((2S,5S,18S)- 18-(4-aminobutyl)-5-isopropyl-4,7,17,20-tetraoxo-2-(3-ureidopropyl)-10,13,23,26-tetraoxa-3,6,16,19- tetraazanonacos-28-ynamido)-2-(80-carboxy-2-methyl-3-oxo- 6,9,12,15,18,21,24,27,30,33,36,39,42,45,48,51,54,57,60,63,66,69,72,75,78-pentacosaoxa-2- azaoctacontyl)benzyl)-4-(2-(4-(4-((R)-1-carboxy-2-(2-((2-(2-methoxyphenyl)pyrimidin-4- yl)methoxy)phenyl)ethoxy)-6-(4-fluorophenyl)thieno[2,3-d]pyrimidin-5-yl)-2-chloro-3- methylphenoxy)ethyl)-1-methylpiperazin-1-ium trifluoroacetate (44.5 mg, 14 µmol), sodium absorbate 16 mg/mL in H2O solution (524 µL, 42 µmol) and CuSO4 pentahydrate 4 mg/mL H2O solution (881 µL, 14 µmol), click product (50 mg, 60% yield) was obtained. HRMS: (M+2- H+)+ = 5513.6602, Rt=2.53 min (5 min acidic method). Following the second part of GENERAL PROCEDURE #5 using click product (25.5 mg, 4.4 µmol), 2,5-dioxopyrrolidin-1-yl 1-(2,5-dioxo-2,5-dihydro-1H-pyrrol-1-yl)-3,6,9,12- tetraoxapentadecan-15-oate (2.9 mg, 6.5 µmol) and DIEA (7.6 µL, 44 µmol), 1-{[4-{(2S)-2-[(2S)-2-{[(2- {4-[(10S,23S,26S)-31-Amino-26-{[4-({4-[2-(4-{4-[(1R)-1-carboxy-2-(2-{[2-(2- methoxyphenyl)pyrimidin-4-yl]methoxy}phenyl)ethoxy]-6-(4-fluorophenyl)thieno[2,3-d]pyrimidin-5- yl}-2-chloro-3-methylphenoxy)ethyl]-1-methylpiperazin-1-ium-1-yl}methyl)-3-(80-carboxy-2-methyl-3- oxo-6,9,12,15,18,21,24,27,30,33,36,39,42,45,48,51,54,57,60,63,66,69,72,75,78-pentacosaoxa- 2-azaoctacontan-1-yl)phenyl]carbamoyl}-10-[1-(2,5-dioxo-2,5-dihydro-1H-pyrrol-1-yl)-15-oxo-3,6,9,12- tetraoxa-16-azaicosan-20-yl]-8,11,21,24,31-pentaoxo-23-(propan-2-yl)-2,5,15,18-tetraoxa-9,12,22,25,30-
pentaazahentriacontan-1-yl]-1H-1,2,3-triazol-1-yl}ethoxy)carbonyl]amino}-3-methylbutanamido]-5- carbamamidopentanamido}-2-(80-carboxy-2-methyl-3-oxo- 6,9,12,15,18,21,24,27,30,33,36,39,42,45,48,51,54,57,60,63,66,69,72,75,78-pentacosaoxa-2- azaoctacontan-1-yl)phenyl]methyl}-4-[2-(4-{4-[(1R)-1-carboxy-2-(2-{[2-(2-methoxyphenyl)pyrimidin-4- yl]methoxy}phenyl)ethoxy]-6-(4-fluorophenyl)thieno[2,3-d]pyrimidin-5-yl}-2-chloro-3- methylphenoxy)ethyl]-1-methylpiperazin-1-ium trifluoroacetate (19 mg, 72% yield) was obtained. HRMS: (M+2- H+)+ = 5840.8101, Rt=2.66 min (5 min acidic method). Synthesis of 1-(4-((2S,5S,21S)-21-(4-aminobutyl)-5-isopropyl-4,7,20,23-tetraoxo-2-(3-ureidopropyl)- 10,13,16,26,29-pentaoxa-3,6,19,22-tetraazadotriacont-31-ynamido)-2-(80-carboxy-2-methyl-3-oxo- 6,9,12,15,18,21,24,27,30,33,36,39,42,45,48,51,54,57,60,63,66,69,72,75,78-pentacosaoxa-2- azaoctacontyl)benzyl)-4-(2-(4-(4-((R)-1-carboxy-2-(2-((2-(2-methoxyphenyl)pyrimidin-4- yl)methoxy)phenyl)ethoxy)-6-(4-fluorophenyl)thieno[2,3-d]pyrimidin-5-yl)-2-chloro-3- methylphenoxy)ethyl)-1-methylpiperazin-1-ium trifluoroacetate
[1134] Following the GENERAL PROCEDURE #6 using (S)-15-(4-((((9H-fluoren-9- yl)methoxy)carbonyl)amino)butyl)-14,17-dioxo-4,7,10,20,23-pentaoxa-13,16-diazahexacos-25-ynoic acid (37.1 mg, 51 µmol), HATU (19.4 mg, 51 µmol), DIEA (46.2 mg, 357 µmol) and 1-(4-((S)-2-((S)-2- amino-3-methylbutanamido)-5-ureidopentanamido)-2-(80-carboxy-2-methyl-3-oxo- 6,9,12,15,18,21,24,27,30,33,36,39,42,45,48,51,54,57,60,63,66,69,72,75,78-pentacosaoxa-2- azaoctacontyl)benzyl)-4-(2-(4-(4-((R)-1-carboxy-2-(2-((2-(2-methoxyphenyl)pyrimidin-4- yl)methoxy)phenyl)ethoxy)-6-(4-fluorophenyl)thieno[2,3-d]pyrimidin-5-yl)-2-chloro-3- methylphenoxy)ethyl)-1-methylpiperazin-1-ium trifluoroacetate (150 mg, 51 µmol); and then 2.0 M Dimethylamine in THF (510 µL, 1020 µmol), 1-(4-((2S,5S,21S)-21-(4-aminobutyl)-5-isopropyl- 4,7,20,23-tetraoxo-2-(3-ureidopropyl)-10,13,16,26,29-pentaoxa-3,6,19,22-tetraazadotriacont-31- ynamido)-2-(80-carboxy-2-methyl-3-oxo- 6,9,12,15,18,21,24,27,30,33,36,39,42,45,48,51,54,57,60,63,66,69,72,75,78-pentacosaoxa-2- azaoctacontyl)benzyl)-4-(2-(4-(4-((R)-1-carboxy-2-(2-((2-(2-methoxyphenyl)pyrimidin-4-
yl)methoxy)phenyl)ethoxy)-6-(4-fluorophenyl)thieno[2,3-d]pyrimidin-5-yl)-2-chloro-3- methylphenoxy)ethyl)-1-methylpiperazin-1-ium trifluoroacetate (117 mg, 72% yield) was obtained. HRMS: (M++H+)+2/2 = 1483.2400, Rt=2.15 min (5 min acidic method). Synthesis of 1-{[4-{(2S)-2-[(2S)-2-{[(2-{4-[(10S,26S,29S)-34-Amino-29-{[4-({4-[2-(4-{4-[(1R)-1- carboxy-2-(2-{[2-(2-methoxyphenyl)pyrimidin-4-yl]methoxy}phenyl)ethoxy]-6-(4- fluorophenyl)thieno[2,3-d]pyrimidin-5-yl}-2-chloro-3-methylphenoxy)ethyl]-1-methylpiperazin-1- ium-1-yl}methyl)-3-(80-carboxy-2-methyl-3-oxo- 6,9,12,15,18,21,24,27,30,33,36,39,42,45,48,51,54,57,60,63,66,69,72,75,78-pentacosaoxa-2- azaoctacontan-1-yl)phenyl]carbamoyl}-10-[1-(2,5-dioxo-2,5-dihydro-1H-pyrrol-1-yl)-15-oxo- 3,6,9,12-tetraoxa-16-azaicosan-20-yl]-8,11,24,27,34-pentaoxo-26-(propan-2-yl)-2,5,15,18,21- pentaoxa-9,12,25,28,33-pentaazatetratriacontan-1-yl]-1H-1,2,3-triazol-1- yl}ethoxy)carbonyl]amino}-3-methylbutanamido]-5-carbamamidopentanamido}-2-(80-carboxy-2- methyl-3-oxo-6,9,12,15,18,21,24,27,30,33,36,39,42,45,48,51,54,57,60,63,66,69,72,75,78-pentacosaoxa- 2-azaoctacontan-1-yl)phenyl]methyl}-4-[2-(4-{4-[(1R)-1-carboxy-2-(2-{[2-(2- methoxyphenyl)pyrimidin-4-yl]methoxy}phenyl)ethoxy]-6-(4-fluorophenyl)thieno[2,3-d]pyrimidin- 5-yl}-2-chloro-3-methylphenoxy)ethyl]-1-methylpiperazin-1-ium trifluoroacetate (P1-L36-P1)
[1135] Following the GENERAL PROCEDURE #7 using 1-(4-((2S,5S,21S)-21-(4-aminobutyl)-5- isopropyl-4,7,20,23-tetraoxo-2-(3-ureidopropyl)-10,13,16,26,29-pentaoxa-3,6,19,22-tetraazadotriacont- 31-ynamido)-2-(80-carboxy-2-methyl-3-oxo- 6,9,12,15,18,21,24,27,30,33,36,39,42,45,48,51,54,57,60,63,66,69,72,75,78-pentacosaoxa-2- azaoctacontyl)benzyl)-4-(2-(4-(4-((R)-1-carboxy-2-(2-((2-(2-methoxyphenyl)pyrimidin-4- yl)methoxy)phenyl)ethoxy)-6-(4-fluorophenyl)thieno[2,3-d]pyrimidin-5-yl)-2-chloro-3- methylphenoxy)ethyl)-1-methylpiperazin-1-ium trifluoroacetate (25 mg, 7.8 µmol), 1-(4-((S)-2-((S)-2- (((2-azidoethoxy)carbonyl)amino)-3-methylbutanamido)-5-ureidopentanamido)-2-(80-carboxy-2-methyl- 3-oxo-6,9,12,15,18,21,24,27,30,33,36,39,42,45,48,51,54,57,60,63,66,69,72,75,78-pentacosaoxa-2- azaoctacontyl)benzyl)-4-(2-(4-(4-((R)-1-carboxy-2-(2-((2-(2-methoxyphenyl)pyrimidin-4- yl)methoxy)phenyl)ethoxy)-6-(4-fluorophenyl)thieno[2,3-d]pyrimidin-5-yl)-2-chloro-3-
methylphenoxy)ethyl)-1-methylpiperazin-1-ium trifluoroacetate (24.3 mg, 8.6 µmol), sodium absorbate 16 mg/mL in H2O solution (291 µL, 23 µmol) and CuSO4 pentahydrate 4 mg/mL H2O solution (488 µL, 7.8 µmol), click product (20.6 mg, 45% yield) was obtained. HRMS: (M+2- H+)+ = 5557.6001, Rt=2.84 min (5 min acidic method). Following the second part of GENERAL PROCEDURE #5 using click product (20.6 mg, 3.5 µmol), 2,5-dioxopyrrolidin-1-yl 1-(2,5-dioxo-2,5-dihydro-1H-pyrrol-1-yl)-3,6,9,12- tetraoxapentadecan-15-oate (2.3 mg, 5.2 µmol) and DIEA (6 µL, 35 µmol), 1-{[4-{(2S)-2-[(2S)-2-{[(2- {4-[(10S,26S,29S)-34-Amino-29-{[4-({4-[2-(4-{4-[(1R)-1-carboxy-2-(2-{[2-(2- methoxyphenyl)pyrimidin-4-yl]methoxy}phenyl)ethoxy]-6-(4-fluorophenyl)thieno[2,3-d]pyrimidin-5- yl}-2-chloro-3-methylphenoxy)ethyl]-1-methylpiperazin-1-ium-1-yl}methyl)-3-(80-carboxy-2-methyl-3- oxo-6,9,12,15,18,21,24,27,30,33,36,39,42,45,48,51,54,57,60,63,66,69,72,75,78-pentacosaoxa-2- azaoctacontan-1-yl)phenyl]carbamoyl}-10-[1-(2,5-dioxo-2,5-dihydro-1H-pyrrol-1-yl)-15-oxo-3,6,9,12- tetraoxa-16-azaicosan-20-yl]-8,11,24,27,34-pentaoxo-26-(propan-2-yl)-2,5,15,18,21-pentaoxa- 9,12,25,28,33-pentaazatetratriacontan-1-yl]-1H-1,2,3-triazol-1-yl}ethoxy)carbonyl]amino}-3- methylbutanamido]-5-carbamamidopentanamido}-2-(80-carboxy-2-methyl-3-oxo- 6,9,12,15,18,21,24,27,30,33,36,39,42,45,48,51,54,57,60,63,66,69,72,75,78-pentacosaoxa-2- azaoctacontan-1-yl)phenyl]methyl}-4-[2-(4-{4-[(1R)-1-carboxy-2-(2-{[2-(2-methoxyphenyl)pyrimidin-4- yl]methoxy}phenyl)ethoxy]-6-(4-fluorophenyl)thieno[2,3-d]pyrimidin-5-yl}-2-chloro-3- methylphenoxy)ethyl]-1-methylpiperazin-1-ium trifluoroacetate (18.6 mg, 89% yield) was obtained. HRMS: (M+2- H+)+ = 5884.8301, Rt=2.65 min (5 min acidic method). Synthesis of (9H-fluoren-9-yl)methyl (5-((S)-2-((S)-2-((tert-butoxycarbonyl)amino)-3- methylbutanamido)-5-ureidopentanamido)-2-(((((1S,9S)-9-ethyl-5-fluoro-9-hydroxy-4-methyl- 10,13-dioxo-2,3,9,10,13,15-hexahydro-1H,12H-benzo[de]pyrano[3',4':6,7]indolizino[1,2-b]quinolin- 1-yl)carbamoyl)oxy)methyl)benzyl)(methyl)carbamate
[1136] To a solution of (1S,9S)-1-amino-9-ethyl-5-fluoro-9-hydroxy-4-methyl-1,2,3,9,12,15-hexahydro- 10H,13H-benzo[de]pyrano[3',4':6,7]indolizino[1,2-b]quinoline-10,13-dione mesylate salt (1.5 g, 2,822 mmol) and (9H-fluoren-9-yl)methyl (5-((S)-2-((S)-2-((tert-butoxycarbonyl)amino)-3-methylbutanamido)- 5-ureidopentanamido)-2-((((4-nitrophenoxy)carbonyl)oxy)methyl)benzyl)(methyl)carbamate (2.44 g, 2.68 mmol) in NMP (10 mL) was added DIEA (1133 µL, 7.07 mmol). After standing for 8 hours, the solution
was diluted with DMSO and purified by RP-HPLC with 0.05% formic acid modifier. After lyophilization, (9H-fluoren-9-yl)methyl (5-((S)-2-((S)-2-((tert-butoxycarbonyl)amino)-3- methylbutanamido)-5-ureidopentanamido)-2-(((((1S,9S)-9-ethyl-5-fluoro-9-hydroxy-4-methyl-10,13- dioxo-2,3,9,10,13,15-hexahydro-1H,12H-benzo[de]pyrano[3',4':6,7]indolizino[1,2-b]quinolin-1- yl)carbamoyl)oxy)methyl)benzyl)(methyl)carbamate (2.197 g, 64% yield) was obtained. HRMS: MH+= 1206.5500, Rt=2.87 min (5 min acidic method). Synthesis of (9H-fluoren-9-yl)methyl (5-((S)-2-((S)-2-amino-3-methylbutanamido)-5- ureidopentanamido)-2-(((((1S,9S)-9-ethyl-5-fluoro-9-hydroxy-4-methyl-10,13-dioxo-2,3,9,10,13,15- hexahydro-1H,12H-benzo[de]pyrano[3',4':6,7]indolizino[1,2-b]quinolin-1- yl)carbamoyl)oxy)methyl)benzyl)(methyl)carbamate
[1137] (9H-fluoren-9-yl)methyl (5-((S)-2-((S)-2-((tert-butoxycarbonyl)amino)-3-methylbutanamido)-5- ureidopentanamido)-2-(((((1S,9S)-9-ethyl-5-fluoro-9-hydroxy-4-methyl-10,13-dioxo-2,3,9,10,13,15- hexahydro-1H,12H-benzo[de]pyrano[3',4':6,7]indolizino[1,2-b]quinolin-1- yl)carbamoyl)oxy)methyl)benzyl)(methyl)carbamate (2.197 g, 1.821 mmol) was treated with 20 mL of 25% TFA/CH2Cl2 with 1% Et3SiH for one hour at which time the volatiles were removed in vacuo. The residue was triturated with Et2O and pumped on to yield 2.07 grams (9H-fluoren-9-yl)methyl (5-((S)-2- ((S)-2-amino-3-methylbutanamido)-5-ureidopentanamido)-2-(((((1S,9S)-9-ethyl-5-fluoro-9-hydroxy-4- methyl-10,13-dioxo-2,3,9,10,13,15-hexahydro-1H,12H-benzo[de]pyrano[3',4':6,7]indolizino[1,2- b]quinolin-1-yl)carbamoyl)oxy)methyl)benzyl)(methyl)carbamate. The material was used directly as is. HRMS: MH+= 1106.5000, Rt=2.09 min (5 min acidic method). Synthesis of allyl (6S,9S)-6-((3-(((((9H-fluoren-9-yl)methoxy)carbonyl)(methyl)amino)methyl)-4- (((((1S,9S)-9-ethyl-5-fluoro-9-hydroxy-4-methyl-10,13-dioxo-2,3,9,10,13,15-hexahydro-1H,12H- benzo[de]pyrano[3',4':6,7]indolizino[1,2-b]quinolin-1- yl)carbamoyl)oxy)methyl)phenyl)carbamoyl)-1-amino-26-(3-(2-((tert- butoxycarbonyl)amino)ethoxy)propanoyl)-9-isopropyl-23,29-dimethyl-1,8,11,24,28-pentaoxo- 14,17,20,32,35,38-hexaoxa-2,7,10,23,26,29-hexaazahentetracontan-41-oate
[1138] Following GENERAL PROCEDURE #3 using (9H-fluoren-9-yl)methyl (5-((S)-2-((S)-2- amino-3-methylbutanamido)-5-ureidopentanamido)-2-(((((1S,9S)-9-ethyl-5-fluoro-9-hydroxy-4-methyl- 10,13-dioxo-2,3,9,10,13,15-hexahydro-1H,12H-benzo[de]pyrano[3',4':6,7]indolizino[1,2-b]quinolin-1- yl)carbamoyl)oxy)methyl)benzyl)(methyl)carbamate TFA salt (2.07 g, 1696 µmol) and 16-(3-(2-((tert- butoxycarbonyl)amino)ethoxy)propanoyl)-13,19-dimethyl-14,18,31-trioxo-4,7,10,22,25,28,32-heptaoxa- 13,16,19-triazapentatriacont-34-enoic acid (1.565 g, 1902 µmol), allyl (6S,9S)-6-((3-(((((9H-fluoren-9- yl)methoxy)carbonyl)(methyl)amino)methyl)-4-(((((1S,9S)-9-ethyl-5-fluoro-9-hydroxy-4-methyl-10,13- dioxo-2,3,9,10,13,15-hexahydro-1H,12H-benzo[de]pyrano[3',4':6,7]indolizino[1,2-b]quinolin-1- yl)carbamoyl)oxy)methyl)phenyl)carbamoyl)-1-amino-26-(3-(2-((tert- butoxycarbonyl)amino)ethoxy)propanoyl)-9-isopropyl-23,29-dimethyl-1,8,11,24,28-pentaoxo- 14,17,20,32,35,38-hexaoxa-2,7,10,23,26,29-hexaazahentetracontan-41-oate (1.80 g, 55% yield) was obtained. HRMS: MH+=1910.9200, Rt=1.85 min (5 min acidic method). Synthesis of (6S,9S)-6-((3-(((((9H-fluoren-9-yl)methoxy)carbonyl)(methyl)amino)methyl)-4- (((((1S,9S)-9-ethyl-5-fluoro-9-hydroxy-4-methyl-10,13-dioxo-2,3,9,10,13,15-hexahydro-1H,12H- benzo[de]pyrano[3',4':6,7]indolizino[1,2-b]quinolin-1- yl)carbamoyl)oxy)methyl)phenyl)carbamoyl)-1-amino-26-(3-(2-((tert- butoxycarbonyl)amino)ethoxy)propanoyl)-9-isopropyl-23,29-dimethyl-1,8,11,24,28-pentaoxo- 14,17,20,32,35,38-hexaoxa-2,7,10,23,26,29-hexaazahentetracontan-41-oic acid
[1139] Following GENERAL PROCEDURE #2 using allyl (6S,9S)-6-((3-(((((9H-fluoren-9- yl)methoxy)carbonyl)(methyl)amino)methyl)-4-(((((1S,9S)-9-ethyl-5-fluoro-9-hydroxy-4-methyl-10,13- dioxo-2,3,9,10,13,15-hexahydro-1H,12H-benzo[de]pyrano[3',4':6,7]indolizino[1,2-b]quinolin-1- yl)carbamoyl)oxy)methyl)phenyl)carbamoyl)-1-amino-26-(3-(2-((tert-
butoxycarbonyl)amino)ethoxy)propanoyl)-9-isopropyl-23,29-dimethyl-1,8,11,24,28-pentaoxo- 14,17,20,32,35,38-hexaoxa-2,7,10,23,26,29-hexaazahentetracontan-41-oate (1.80 g, 942 µmol), phenyl silane (152.9 mg, 1413 µmol), tetrakis(triphenylphosphine)palladium (16.3 mg, 14.13 µmol) in 1:1 CH2Cl2/MeOH, (6S,9S)-6-((3-(((((9H-fluoren-9-yl)methoxy)carbonyl)(methyl)amino)methyl)-4- (((((1S,9S)-9-ethyl-5-fluoro-9-hydroxy-4-methyl-10,13-dioxo-2,3,9,10,13,15-hexahydro-1H,12H- benzo[de]pyrano[3',4':6,7]indolizino[1,2-b]quinolin-1-yl)carbamoyl)oxy)methyl)phenyl)carbamoyl)-1- amino-26-(3-(2-((tert-butoxycarbonyl)amino)ethoxy)propanoyl)-9-isopropyl-23,29-dimethyl- 1,8,11,24,28-pentaoxo-14,17,20,32,35,38-hexaoxa-2,7,10,23,26,29-hexaazahentetracontan-41-oic acid (1.65 g, 93.6% yield) was obtained. HRMS: MH+=1870.8900, Rt=2.63 min (5 min acidic method). Synthesis of 3-(1-(((1r,3s,5R,7S)-3-(2-((((4-((6S,9S,43S,46S)-1-amino-26-(3-(2-((tert- butoxycarbonyl)amino)ethoxy)propanoyl)-6-((4-(((((1S,9S)-9-ethyl-5-fluoro-9-hydroxy-4-methyl- 10,13-dioxo-2,3,9,10,13,15-hexahydro-1H,12H-benzo[de]pyrano[3',4':6,7]indolizino[1,2-b]quinolin- 1-yl)carbamoyl)oxy)methyl)-3-((methylamino)methyl)phenyl)carbamoyl)-9,43-diisopropyl-23,29- dimethyl-1,8,11,24,28,41,44-heptaoxo-46-(3-ureidopropyl)-14,17,20,32,35,38-hexaoxa- 2,7,10,23,26,29,42,45-octaazaheptatetracontan-47-amido)-2-(78-carboxy-2-methyl-3-oxo- 7,10,13,16,19,22,25,28,31,34,37,40,43,46,49,52,55,58,61,64,67,70,73,76-tetracosaoxa-2,4- diazaoctaheptacontyl)benzyl)oxy)carbonyl)(3-hydroxypropyl)amino)ethoxy)-5,7- dimethyladamantan-1-yl)methyl)-5-methyl-1H-pyrazol-4-yl)-6-(3-(benzo[d]thiazol-2-ylamino)-4- methyl-6,7-dihydropyrido[2,3-c]pyridazin-8(5H)-yl)picolinic acid
[1140] Following GENERAL PROCEDURE #4 using (6S,9S)-6-((3-(((((9H-fluoren-9- yl)methoxy)carbonyl)(methyl)amino)methyl)-4-(((((1S,9S)-9-ethyl-5-fluoro-9-hydroxy-4-methyl-10,13- dioxo-2,3,9,10,13,15-hexahydro-1H,12H-benzo[de]pyrano[3',4':6,7]indolizino[1,2-b]quinolin-1- yl)carbamoyl)oxy)methyl)phenyl)carbamoyl)-1-amino-26-(3-(2-((tert- butoxycarbonyl)amino)ethoxy)propanoyl)-9-isopropyl-23,29-dimethyl-1,8,11,24,28-pentaoxo- 14,17,20,32,35,38-hexaoxa-2,7,10,23,26,29-hexaazahentetracontan-41-oic acid (1011 mg, 540.3 µmol),
TSTU (162.7 mg, 540.3 µmol) and DIEA (235 µL, 1351 µmol), followed by 3-(1-(((1r,3s,5R,7S)-3-(2- ((((4-((S)-2-((S)-2-amino-3-methylbutanamido)-5-ureidopentanamido)-2-(78-carboxy-2-methyl-3-oxo- 7,10,13,16,19,22,25,28,31,34,37,40,43,46,49,52,55,58,61,64,67,70,73,76-tetracosaoxa-2,4- diazaoctaheptacontyl)benzyl)oxy)carbonyl)(3-hydroxypropyl)amino)ethoxy)-5,7-dimethyladamantan-1- yl)methyl)-5-methyl-1H-pyrazol-4-yl)-6-(3-(benzo[d]thiazol-2-ylamino)-4-methyl-6,7-dihydropyrido[2,3- c]pyridazin-8(5H)-yl)picolinic acid formic acid salt (1329 mg, 540.3 µmol) and DIEA (235 µL, 1351 µmol), followed then by in situ FMOC deprotection by addition of piperidine (534 µl, 5403 µmol), 3-(1- (((1r,3s,5R,7S)-3-(2-((((4-((6S,9S,43S,46S)-1-amino-26-(3-(2-((tert- butoxycarbonyl)amino)ethoxy)propanoyl)-6-((4-(((((1S,9S)-9-ethyl-5-fluoro-9-hydroxy-4-methyl-10,13- dioxo-2,3,9,10,13,15-hexahydro-1H,12H-benzo[de]pyrano[3',4':6,7]indolizino[1,2-b]quinolin-1- yl)carbamoyl)oxy)methyl)-3-((methylamino)methyl)phenyl)carbamoyl)-9,43-diisopropyl-23,29-dimethyl- 1,8,11,24,28,41,44-heptaoxo-46-(3-ureidopropyl)-14,17,20,32,35,38-hexaoxa-2,7,10,23,26,29,42,45- octaazaheptatetracontan-47-amido)-2-(78-carboxy-2-methyl-3-oxo- 7,10,13,16,19,22,25,28,31,34,37,40,43,46,49,52,55,58,61,64,67,70,73,76-tetracosaoxa-2,4- diazaoctaheptacontyl)benzyl)oxy)carbonyl)(3-hydroxypropyl)amino)ethoxy)-5,7-dimethyladamantan-1- yl)methyl)-5-methyl-1H-pyrazol-4-yl)-6-(3-(benzo[d]thiazol-2-ylamino)-4-methyl-6,7-dihydropyrido[2,3- c]pyridazin-8(5H)-yl)picolinic acid (1310 mg, 55% yield) was obtained. HRMS: MH+=4042.1101, Rt=2.19 min (5 min acidic method). Synthesis of 3-(1-(((1r,3s,5R,7S)-3-(2-((((4-((6S,9S,43S,46S)-1-amino-26-(3-(2-((tert- butoxycarbonyl)amino)ethoxy)propanoyl)-6-((3-(78-carboxy-2-methyl-3-oxo- 7,10,13,16,19,22,25,28,31,34,37,40,43,46,49,52,55,58,61,64,67,70,73,76-tetracosaoxa-2,4- diazaoctaheptacontyl)-4-(((((1S,9S)-9-ethyl-5-fluoro-9-hydroxy-4-methyl-10,13-dioxo-2,3,9,10,13,15- hexahydro-1H,12H-benzo[de]pyrano[3',4':6,7]indolizino[1,2-b]quinolin-1- yl)carbamoyl)oxy)methyl)phenyl)carbamoyl)-9,43-diisopropyl-23,29-dimethyl-1,8,11,24,28,41,44- heptaoxo-46-(3-ureidopropyl)-14,17,20,32,35,38-hexaoxa-2,7,10,23,26,29,42,45- octaazaheptatetracontan-47-amido)-2-(78-carboxy-2-methyl-3-oxo- 7,10,13,16,19,22,25,28,31,34,37,40,43,46,49,52,55,58,61,64,67,70,73,76-tetracosaoxa-2,4- diazaoctaheptacontyl)benzyl)oxy)carbonyl)(3-hydroxypropyl)amino)ethoxy)-5,7- dimethyladamantan-1-yl)methyl)-5-methyl-1H-pyrazol-4-yl)-6-(3-(benzo[d]thiazol-2-ylamino)-4- methyl-6,7-dihydropyrido[2,3-c]pyridazin-8(5H)-yl)picolinic acid
[1141] Following GENERAL PROCEDURE #1 using bis(4-nitrophenyl) carbonate (121.8 mg, 400.4 µmol), DIEA (251 µL, 1441 µmol), 1-amino- 3,6,9,12,15,18,21,24,27,30,33,36,39,42,45,48,51,54,57,60,63,66,69,72-tetracosaoxapentaheptacontan-75- oic acid (186.3 mg, 251 µmol), and then 3-(1-(((1r,3s,5R,7S)-3-(2-((((4-((6S,9S,43S,46S)-1-amino-26- (3-(2-((tert-butoxycarbonyl)amino)ethoxy)propanoyl)-6-((4-(((((1S,9S)-9-ethyl-5-fluoro-9-hydroxy-4- methyl-10,13-dioxo-2,3,9,10,13,15-hexahydro-1H,12H-benzo[de]pyrano[3',4':6,7]indolizino[1,2- b]quinolin-1-yl)carbamoyl)oxy)methyl)-3-((methylamino)methyl)phenyl)carbamoyl)-9,43-diisopropyl- 23,29-dimethyl-1,8,11,24,28,41,44-heptaoxo-46-(3-ureidopropyl)-14,17,20,32,35,38-hexaoxa- 2,7,10,23,26,29,42,45-octaazaheptatetracontan-47-amido)-2-(78-carboxy-2-methyl-3-oxo- 7,10,13,16,19,22,25,28,31,34,37,40,43,46,49,52,55,58,61,64,67,70,73,76-tetracosaoxa-2,4- diazaoctaheptacontyl)benzyl)oxy)carbonyl)(3-hydroxypropyl)amino)ethoxy)-5,7-dimethyladamantan-1- yl)methyl)-5-methyl-1H-pyrazol-4-yl)-6-(3-(benzo[d]thiazol-2-ylamino)-4-methyl-6,7-dihydropyrido[2,3- c]pyridazin-8(5H)-yl)picolinic acid TFA salt (1310 mg, 320.3 µmol) and DIEA (251 µL, 1441 µmol), 3- (1-(((1r,3s,5R,7S)-3-(2-((((4-((6S,9S,43S,46S)-1-amino-26-(3-(2-((tert- butoxycarbonyl)amino)ethoxy)propanoyl)-6-((3-(78-carboxy-2-methyl-3-oxo- 7,10,13,16,19,22,25,28,31,34,37,40,43,46,49,52,55,58,61,64,67,70,73,76-tetracosaoxa-2,4- diazaoctaheptacontyl)-4-(((((1S,9S)-9-ethyl-5-fluoro-9-hydroxy-4-methyl-10,13-dioxo-2,3,9,10,13,15- hexahydro-1H,12H-benzo[de]pyrano[3',4':6,7]indolizino[1,2-b]quinolin-1- yl)carbamoyl)oxy)methyl)phenyl)carbamoyl)-9,43-diisopropyl-23,29-dimethyl-1,8,11,24,28,41,44- heptaoxo-46-(3-ureidopropyl)-14,17,20,32,35,38-hexaoxa-2,7,10,23,26,29,42,45- octaazaheptatetracontan-47-amido)-2-(78-carboxy-2-methyl-3-oxo- 7,10,13,16,19,22,25,28,31,34,37,40,43,46,49,52,55,58,61,64,67,70,73,76-tetracosaoxa-2,4- diazaoctaheptacontyl)benzyl)oxy)carbonyl)(3-hydroxypropyl)amino)ethoxy)-5,7-dimethyladamantan-1- yl)methyl)-5-methyl-1H-pyrazol-4-yl)-6-(3-(benzo[d]thiazol-2-ylamino)-4-methyl-6,7-dihydropyrido[2,3- c]pyridazin-8(5H)-yl)picolinic acid (1438 mg, 85% yield) was obtained. HRMS: MH+=5213.87598, Rt=2.38 min (5 min acidic method).
Synthesis of 3-(1-(((1r,3s,5R,7S)-3-(2-((((4-((6S,9S,43S,46S)-1-amino-6-((3-(78-carboxy-2-methyl-3- oxo-7,10,13,16,19,22,25,28,31,34,37,40,43,46,49,52,55,58,61,64,67,70,73,76-tetracosaoxa-2,4- diazaoctaheptacontyl)-4-(((((1S,9S)-9-ethyl-5-fluoro-9-hydroxy-4-methyl-10,13-dioxo-2,3,9,10,13,15- hexahydro-1H,12H-benzo[de]pyrano[3',4':6,7]indolizino[1,2-b]quinolin-1- yl)carbamoyl)oxy)methyl)phenyl)carbamoyl)-26-(1-(2,5-dioxo-2,5-dihydro-1H-pyrrol-1-yl)-15-oxo- 3,6,9,12,19-pentaoxa-16-azadocosan-22-oyl)-9,43-diisopropyl-23,29-dimethyl-1,8,11,24,28,41,44- heptaoxo-46-(3-ureidopropyl)-14,17,20,32,35,38-hexaoxa-2,7,10,23,26,29,42,45- octaazaheptatetracontan-47-amido)-2-(78-carboxy-2-methyl-3-oxo- 7,10,13,16,19,22,25,28,31,34,37,40,43,46,49,52,55,58,61,64,67,70,73,76-tetracosaoxa-2,4- diazaoctaheptacontyl)benzyl)oxy)carbonyl)(3-hydroxypropyl)amino)ethoxy)-5,7- dimethyladamantan-1-yl)methyl)-5-methyl-1H-pyrazol-4-yl)-6-(3-(benzo[d]thiazol-2-ylamino)-4- methyl-6,7-dihydropyrido[2,3-c]pyridazin-8(5H)-yl)picolinic acid P5-L12-P7
[1142] 3-(1-(((1r,3s,5R,7S)-3-(2-((((4-((6S,9S,43S,46S)-1-amino-26-(3-(2-((tert- butoxycarbonyl)amino)ethoxy)propanoyl)-6-((3-(78-carboxy-2-methyl-3-oxo- 7,10,13,16,19,22,25,28,31,34,37,40,43,46,49,52,55,58,61,64,67,70,73,76-tetracosaoxa-2,4- diazaoctaheptacontyl)-4-(((((1S,9S)-9-ethyl-5-fluoro-9-hydroxy-4-methyl-10,13-dioxo-2,3,9,10,13,15- hexahydro-1H,12H-benzo[de]pyrano[3',4':6,7]indolizino[1,2-b]quinolin-1- yl)carbamoyl)oxy)methyl)phenyl)carbamoyl)-9,43-diisopropyl-23,29-dimethyl-1,8,11,24,28,41,44- heptaoxo-46-(3-ureidopropyl)-14,17,20,32,35,38-hexaoxa-2,7,10,23,26,29,42,45- octaazaheptatetracontan-47-amido)-2-(78-carboxy-2-methyl-3-oxo- 7,10,13,16,19,22,25,28,31,34,37,40,43,46,49,52,55,58,61,64,67,70,73,76-tetracosaoxa-2,4- diazaoctaheptacontyl)benzyl)oxy)carbonyl)(3-hydroxypropyl)amino)ethoxy)-5,7-dimethyladamantan-1- yl)methyl)-5-methyl-1H-pyrazol-4-yl)-6-(3-(benzo[d]thiazol-2-ylamino)-4-methyl-6,7-dihydropyrido[2,3- c]pyridazin-8(5H)-yl)picolinic acid (1.105 grams, 212 µmol) was treated with 18 ml of 25% TFA/CH2Cl2 with 1% Et3SiH for one hour, and after removal of volatiles in vacuo the residue was
dissolved in DMF (6 mL) and this solution was added to 2M Me2NH in MeOH (2.65 mL, 5.3 mmol) to clip the trifluoroacetyl ester that had formed in addition to deBoc amine, hydroxyl alkyl product. After standing for 1 hour, the solution was diluted with DMSO and after purification by RP-HPLC with 0.05% formic acid modifier the deprotected amine hydroxy alkyl intermediate was isolated. Following the second part of GENERAL PROCEDURE #5 and using isolated amine formic acid salt (413.5 mg, 80.1 µmol), 2,5-dioxopyrrolidin-1-yl 1-(2,5-dioxo-2,5-dihydro-1H-pyrrol-1-yl)-3,6,9,12-tetraoxapentadecan- 15-oate (49.6 mg, 112.1 µmol) and DIEA (70 µL, 401 µmol), 3-(1-(((1r,3s,5R,7S)-3-(2-((((4- ((6S,9S,43S,46S)-1-amino-6-((3-(78-carboxy-2-methyl-3-oxo- 7,10,13,16,19,22,25,28,31,34,37,40,43,46,49,52,55,58,61,64,67,70,73,76-tetracosaoxa-2,4- diazaoctaheptacontyl)-4-(((((1S,9S)-9-ethyl-5-fluoro-9-hydroxy-4-methyl-10,13-dioxo-2,3,9,10,13,15- hexahydro-1H,12H-benzo[de]pyrano[3',4':6,7]indolizino[1,2-b]quinolin-1- yl)carbamoyl)oxy)methyl)phenyl)carbamoyl)-26-(1-(2,5-dioxo-2,5-dihydro-1H-pyrrol-1-yl)-15-oxo- 3,6,9,12,19-pentaoxa-16-azadocosan-22-oyl)-9,43-diisopropyl-23,29-dimethyl-1,8,11,24,28,41,44- heptaoxo-46-(3-ureidopropyl)-14,17,20,32,35,38-hexaoxa-2,7,10,23,26,29,42,45- octaazaheptatetracontan-47-amido)-2-(78-carboxy-2-methyl-3-oxo- 7,10,13,16,19,22,25,28,31,34,37,40,43,46,49,52,55,58,61,64,67,70,73,76-tetracosaoxa-2,4- diazaoctaheptacontyl)benzyl)oxy)carbonyl)(3-hydroxypropyl)amino)ethoxy)-5,7-dimethyladamantan-1- yl)methyl)-5-methyl-1H-pyrazol-4-yl)-6-(3-(benzo[d]thiazol-2-ylamino)-4-methyl-6,7-dihydropyrido[2,3- c]pyridazin-8(5H)-yl)picolinic acid (275 mg) was obtained after RP-HPLC with 0.05% formic acid modifier and lyophilization. HRMS: MH+=5440.8198, Rt=2.32 min (5 min acidic method). Synthesis of 4-(2-(((((9H-fluoren-9-yl)methoxy)carbonyl)(methyl)amino)methyl)-4-((2S,5S)-22-(3-(2- ((tert-butoxycarbonyl)amino)ethoxy)propanoyl)-5-isopropyl-19,25-dimethyl-4,7,20,24,37-pentaoxo- 2-(3-ureidopropyl)-10,13,16,28,31,34,38-heptaoxa-3,6,19,22,25-pentaazahentetracont-40- enamido)benzyl)-4-(2-(4-(2-(6-(4-((5-cyano-1,2-dimethyl-1H-pyrrol-3-yl)(4- hydroxyphenyl)carbamoyl)-1,5-dimethyl-1H-pyrrol-2-yl)-7-((R)-3-methyl-1,2,3,4- tetrahydroisoquinoline-2-carbonyl)-3,4-dihydroisoquinolin-2(1H)-yl)-2- oxoethyl)phenoxy)ethyl)morpholin-4-ium trifluoroacetate
[1143] Following GENERAL PROCEDURE #3 using 4-(2-(((((9H-fluoren-9- yl)methoxy)carbonyl)(methyl)amino)methyl)-4-((S)-2-((S)-2-amino-3-methylbutanamido)-5- ureidopentanamido)benzyl)-4-(2-(4-(2-(6-(4-((5-cyano-1,2-dimethyl-1H-pyrrol-3-yl)(4- hydroxyphenyl)carbamoyl)-1,5-dimethyl-1H-pyrrol-2-yl)-7-((R)-3-methyl-1,2,3,4- tetrahydroisoquinoline-2-carbonyl)-3,4-dihydroisoquinolin-2(1H)-yl)-2- oxoethyl)phenoxy)ethyl)morpholin-4-ium trifluoroacetate (277 mg , 168.7 µmol) and 16-(3-(2-((tert- butoxycarbonyl)amino)ethoxy)propanoyl)-13,19-dimethyl-14,18,31-trioxo-4,7,10,22,25,28,32-heptaoxa- 13,16,19-triazapentatriacont-34-enoic acid (145.8, 177.1 µmol), 4-(2-(((((9H-fluoren-9- yl)methoxy)carbonyl)(methyl)amino)methyl)-4-((2S,5S)-22-(3-(2-((tert- butoxycarbonyl)amino)ethoxy)propanoyl)-5-isopropyl-19,25-dimethyl-4,7,20,24,37-pentaoxo-2-(3- ureidopropyl)-10,13,16,28,31,34,38-heptaoxa-3,6,19,22,25-pentaazahentetracont-40-enamido)benzyl)-4- (2-(4-(2-(6-(4-((5-cyano-1,2-dimethyl-1H-pyrrol-3-yl)(4-hydroxyphenyl)carbamoyl)-1,5-dimethyl-1H- pyrrol-2-yl)-7-((R)-3-methyl-1,2,3,4-tetrahydroisoquinoline-2-carbonyl)-3,4-dihydroisoquinolin-2(1H)- yl)-2-oxoethyl)phenoxy)ethyl)morpholin-4-ium trifluoroacetate (284 mg, 68% yield) was obtained. HRMS: (M+Na+-H+)+=2353.2000 and (M-Boc)+=2231.1499, Rt=2.54 min (5 min acidic method). Synthesis of 4-(2-(((((9H-fluoren-9-yl)methoxy)carbonyl)(methyl)amino)methyl)-4-((32S,35S)-15-(3- (2-((tert-butoxycarbonyl)amino)ethoxy)propanoyl)-1-carboxy-32-isopropyl-12,18-dimethyl- 13,17,30,33-tetraoxo-35-(3-ureidopropyl)-3,6,9,21,24,27-hexaoxa-12,15,18,31,34- pentaazahexatriacontan-36-amido)benzyl)-4-(2-(4-(2-(6-(4-((5-cyano-1,2-dimethyl-1H-pyrrol-3- yl)(4-hydroxyphenyl)carbamoyl)-1,5-dimethyl-1H-pyrrol-2-yl)-7-((R)-3-methyl-1,2,3,4- tetrahydroisoquinoline-2-carbonyl)-3,4-dihydroisoquinolin-2(1H)-yl)-2- oxoethyl)phenoxy)ethyl)morpholin-4-ium trifluoroacetate
[1144] Following GENERAL PROCEDURE #2 using 4-(2-(((((9H-fluoren-9- yl)methoxy)carbonyl)(methyl)amino)methyl)-4-((2S,5S)-22-(3-(2-((tert- butoxycarbonyl)amino)ethoxy)propanoyl)-5-isopropyl-19,25-dimethyl-4,7,20,24,37-pentaoxo-2-(3- ureidopropyl)-10,13,16,28,31,34,38-heptaoxa-3,6,19,22,25-pentaazahentetracont-40-enamido)benzyl)-4- (2-(4-(2-(6-(4-((5-cyano-1,2-dimethyl-1H-pyrrol-3-yl)(4-hydroxyphenyl)carbamoyl)-1,5-dimethyl-1H- pyrrol-2-yl)-7-((R)-3-methyl-1,2,3,4-tetrahydroisoquinoline-2-carbonyl)-3,4-dihydroisoquinolin-2(1H)- yl)-2-oxoethyl)phenoxy)ethyl)morpholin-4-ium trifluoroacetate (284, 121.7 µmol), phenyl silane (13.2 mg, 121.7 µmol), tetrakis(triphenylphosphine)palladium (8.4 mg, 7.4 µmol) in 1:1 CH2Cl2/MeOH, 4-(2- (((((9H-fluoren-9-yl)methoxy)carbonyl)(methyl)amino)methyl)-4-((32S,35S)-15-(3-(2-((tert- butoxycarbonyl)amino)ethoxy)propanoyl)-1-carboxy-32-isopropyl-12,18-dimethyl-13,17,30,33-tetraoxo- 35-(3-ureidopropyl)-3,6,9,21,24,27-hexaoxa-12,15,18,31,34-pentaazahexatriacontan-36-amido)benzyl)-4- (2-(4-(2-(6-(4-((5-cyano-1,2-dimethyl-1H-pyrrol-3-yl)(4-hydroxyphenyl)carbamoyl)-1,5-dimethyl-1H- pyrrol-2-yl)-7-((R)-3-methyl-1,2,3,4-tetrahydroisoquinoline-2-carbonyl)-3,4-dihydroisoquinolin-2(1H)- yl)-2-oxoethyl)phenoxy)ethyl)morpholin-4-ium trifluoroacetate (181 mg, 64% yield) was obtained. HRMS: (M+Na+-H+)+=2313.1499 and (M-Boc)+=2191.1201, Rt=2.35 min (5 min acidic method). Synthesis of 4-(2-(((((9H-fluoren-9-yl)methoxy)carbonyl)(methyl)amino)methyl)-4-((6S,9S,43S,46S)- 1-amino-6-((4-((((2-(((1s,3r,5R,7S)-3-((4-(6-(3-(benzo[d]thiazol-2-ylamino)-4-methyl-6,7- dihydropyrido[2,3-c]pyridazin-8(5H)-yl)-2-carboxypyridin-3-yl)-5-methyl-1H-pyrazol-1-yl)methyl)- 5,7-dimethyladamantan-1-yl)oxy)ethyl)(3-hydroxypropyl)carbamoyl)oxy)methyl)-3-(78-carboxy-2- methyl-3-oxo-7,10,13,16,19,22,25,28,31,34,37,40,43,46,49,52,55,58,61,64,67,70,73,76-tetracosaoxa- 2,4-diazaoctaheptacontyl)phenyl)carbamoyl)-26-(3-(2-((tert- butoxycarbonyl)amino)ethoxy)propanoyl)-9,43-diisopropyl-23,29-dimethyl-1,8,11,24,28,41,44- heptaoxo-46-(3-ureidopropyl)-14,17,20,32,35,38-hexaoxa-2,7,10,23,26,29,42,45- octaazaheptatetracontan-47-amido)benzyl)-4-(2-(4-(2-(6-(4-((5-cyano-1,2-dimethyl-1H-pyrrol-3- yl)(4-hydroxyphenyl)carbamoyl)-1,5-dimethyl-1H-pyrrol-2-yl)-7-((R)-3-methyl-1,2,3,4- tetrahydroisoquinoline-2-carbonyl)-3,4-dihydroisoquinolin-2(1H)-yl)-2- oxoethyl)phenoxy)ethyl)morpholin-4-ium formate
[1145] Following GENERAL PROCEDURE #4 using 4-(2-(((((9H-fluoren-9- yl)methoxy)carbonyl)(methyl)amino)methyl)-4-((32S,35S)-15-(3-(2-((tert- butoxycarbonyl)amino)ethoxy)propanoyl)-1-carboxy-32-isopropyl-12,18-dimethyl-13,17,30,33-tetraoxo- 35-(3-ureidopropyl)-3,6,9,21,24,27-hexaoxa-12,15,18,31,34-pentaazahexatriacontan-36-amido)benzyl)-4- (2-(4-(2-(6-(4-((5-cyano-1,2-dimethyl-1H-pyrrol-3-yl)(4-hydroxyphenyl)carbamoyl)-1,5-dimethyl-1H- pyrrol-2-yl)-7-((R)-3-methyl-1,2,3,4-tetrahydroisoquinoline-2-carbonyl)-3,4-dihydroisoquinolin-2(1H)- yl)-2-oxoethyl)phenoxy)ethyl)morpholin-4-ium trifluoroacetate (181 mg, 75.2 µmol), TSTU (22.6 mg, 75.2 µmol) and DIEA (45.9 µL, 263.2 µmol), followed by 3-(1-(((1r,3s,5R,7S)-3-(2-((((4-((S)-2-((S)-2- amino-3-methylbutanamido)-5-ureidopentanamido)-2-(78-carboxy-2-methyl-3-oxo- 7,10,13,16,19,22,25,28,31,34,37,40,43,46,49,52,55,58,61,64,67,70,73,76-tetracosaoxa-2,4- diazaoctaheptacontyl)benzyl)oxy)carbonyl)(3-hydroxypropyl)amino)ethoxy)-5,7-dimethyladamantan-1- yl)methyl)-5-methyl-1H-pyrazol-4-yl)-6-(3-(benzo[d]thiazol-2-ylamino)-4-methyl-6,7-dihydropyrido[2,3- c]pyridazin-8(5H)-yl)picolinic acid formate salt (184.9 mg, 75.2 µmol) and DIEA (45.9 µL, 263.2 µmol), 4-(2-(((((9H-fluoren-9-yl)methoxy)carbonyl)(methyl)amino)methyl)-4-((6S,9S,43S,46S)-1-amino-6-((4- ((((2-(((1s,3r,5R,7S)-3-((4-(6-(3-(benzo[d]thiazol-2-ylamino)-4-methyl-6,7-dihydropyrido[2,3- c]pyridazin-8(5H)-yl)-2-carboxypyridin-3-yl)-5-methyl-1H-pyrazol-1-yl)methyl)-5,7- dimethyladamantan-1-yl)oxy)ethyl)(3-hydroxypropyl)carbamoyl)oxy)methyl)-3-(78-carboxy-2-methyl-3- oxo-7,10,13,16,19,22,25,28,31,34,37,40,43,46,49,52,55,58,61,64,67,70,73,76-tetracosaoxa-2,4- diazaoctaheptacontyl)phenyl)carbamoyl)-26-(3-(2-((tert-butoxycarbonyl)amino)ethoxy)propanoyl)-9,43- diisopropyl-23,29-dimethyl-1,8,11,24,28,41,44-heptaoxo-46-(3-ureidopropyl)-14,17,20,32,35,38- hexaoxa-2,7,10,23,26,29,42,45-octaazaheptatetracontan-47-amido)benzyl)-4-(2-(4-(2-(6-(4-((5-cyano- 1,2-dimethyl-1H-pyrrol-3-yl)(4-hydroxyphenyl)carbamoyl)-1,5-dimethyl-1H-pyrrol-2-yl)-7-((R)-3- methyl-1,2,3,4-tetrahydroisoquinoline-2-carbonyl)-3,4-dihydroisoquinolin-2(1H)-yl)-2- oxoethyl)phenoxy)ethyl)morpholin-4-ium formate (204 mg, 56% yield) was obtained. HRMS: M+=4684.4800, Rt=2.78 min (5 min acidic method).
Synthesis of 4-(4-((6S,9S,43S,46S)-1-amino-6-((4-((((2-(((1s,3r,5R,7S)-3-((4-(6-(3-(benzo[d]thiazol-2- ylamino)-4-methyl-6,7-dihydropyrido[2,3-c]pyridazin-8(5H)-yl)-2-carboxypyridin-3-yl)-5-methyl- 1H-pyrazol-1-yl)methyl)-5,7-dimethyladamantan-1-yl)oxy)ethyl)(3- hydroxypropyl)carbamoyl)oxy)methyl)-3-(78-carboxy-2-methyl-3-oxo- 7,10,13,16,19,22,25,28,31,34,37,40,43,46,49,52,55,58,61,64,67,70,73,76-tetracosaoxa-2,4- diazaoctaheptacontyl)phenyl)carbamoyl)-26-(3-(2-((tert-butoxycarbonyl)amino)ethoxy)propanoyl)- 9,43-diisopropyl-23,29-dimethyl-1,8,11,24,28,41,44-heptaoxo-46-(3-ureidopropyl)-14,17,20,32,35,38- hexaoxa-2,7,10,23,26,29,42,45-octaazaheptatetracontan-47-amido)-2- ((methylamino)methyl)benzyl)-4-(2-(4-(2-(6-(4-((5-cyano-1,2-dimethyl-1H-pyrrol-3-yl)(4- hydroxyphenyl)carbamoyl)-1,5-dimethyl-1H-pyrrol-2-yl)-7-((R)-3-methyl-1,2,3,4- tetrahydroisoquinoline-2-carbonyl)-3,4-dihydroisoquinolin-2(1H)-yl)-2- oxoethyl)phenoxy)ethyl)morpholin-4-ium formate
[1146] A solution of 4-(2-(((((9H-fluoren-9-yl)methoxy)carbonyl)(methyl)amino)methyl)-4- ((6S,9S,43S,46S)-1-amino-6-((4-((((2-(((1s,3r,5R,7S)-3-((4-(6-(3-(benzo[d]thiazol-2-ylamino)-4-methyl- 6,7-dihydropyrido[2,3-c]pyridazin-8(5H)-yl)-2-carboxypyridin-3-yl)-5-methyl-1H-pyrazol-1-yl)methyl)- 5,7-dimethyladamantan-1-yl)oxy)ethyl)(3-hydroxypropyl)carbamoyl)oxy)methyl)-3-(78-carboxy-2- methyl-3-oxo-7,10,13,16,19,22,25,28,31,34,37,40,43,46,49,52,55,58,61,64,67,70,73,76-tetracosaoxa-2,4- diazaoctaheptacontyl)phenyl)carbamoyl)-26-(3-(2-((tert-butoxycarbonyl)amino)ethoxy)propanoyl)-9,43- diisopropyl-23,29-dimethyl-1,8,11,24,28,41,44-heptaoxo-46-(3-ureidopropyl)-14,17,20,32,35,38- hexaoxa-2,7,10,23,26,29,42,45-octaazaheptatetracontan-47-amido)benzyl)-4-(2-(4-(2-(6-(4-((5-cyano- 1,2-dimethyl-1H-pyrrol-3-yl)(4-hydroxyphenyl)carbamoyl)-1,5-dimethyl-1H-pyrrol-2-yl)-7-((R)-3- methyl-1,2,3,4-tetrahydroisoquinoline-2-carbonyl)-3,4-dihydroisoquinolin-2(1H)-yl)-2- oxoethyl)phenoxy)ethyl)morpholin-4-ium formate (204 mg, 43.1 µmol) in DMF was treated with piperidine (42.6 µL, 431 µmol) for 1 hour at which time the solution was diluted with DMSO and purified by ISCO RP-HPLC. Upon lyophilization, 4-(4-((6S,9S,43S,46S)-1-amino-6-((4-((((2-(((1s,3r,5R,7S)-3- ((4-(6-(3-(benzo[d]thiazol-2-ylamino)-4-methyl-6,7-dihydropyrido[2,3-c]pyridazin-8(5H)-yl)-2- carboxypyridin-3-yl)-5-methyl-1H-pyrazol-1-yl)methyl)-5,7-dimethyladamantan-1-yl)oxy)ethyl)(3-
hydroxypropyl)carbamoyl)oxy)methyl)-3-(78-carboxy-2-methyl-3-oxo- 7,10,13,16,19,22,25,28,31,34,37,40,43,46,49,52,55,58,61,64,67,70,73,76-tetracosaoxa-2,4- diazaoctaheptacontyl)phenyl)carbamoyl)-26-(3-(2-((tert-butoxycarbonyl)amino)ethoxy)propanoyl)-9,43- diisopropyl-23,29-dimethyl-1,8,11,24,28,41,44-heptaoxo-46-(3-ureidopropyl)-14,17,20,32,35,38- hexaoxa-2,7,10,23,26,29,42,45-octaazaheptatetracontan-47-amido)-2-((methylamino)methyl)benzyl)-4- (2-(4-(2-(6-(4-((5-cyano-1,2-dimethyl-1H-pyrrol-3-yl)(4-hydroxyphenyl)carbamoyl)-1,5-dimethyl-1H- pyrrol-2-yl)-7-((R)-3-methyl-1,2,3,4-tetrahydroisoquinoline-2-carbonyl)-3,4-dihydroisoquinolin-2(1H)- yl)-2-oxoethyl)phenoxy)ethyl)morpholin-4-ium formate (104.4 mg, 55% yield) was obtained. HRMS: M+ = 4462.3999, Rt=2.69 min (5 min acidic method). Synthesis of 4-(4-((6S,9S,43S,46S)-1-amino-6-((4-((((2-(((1s,3r,5R,7S)-3-((4-(6-(3-(benzo[d]thiazol-2- ylamino)-4-methyl-6,7-dihydropyrido[2,3-c]pyridazin-8(5H)-yl)-2-carboxypyridin-3-yl)-5-methyl- 1H-pyrazol-1-yl)methyl)-5,7-dimethyladamantan-1-yl)oxy)ethyl)(3- hydroxypropyl)carbamoyl)oxy)methyl)-3-(78-carboxy-2-methyl-3-oxo- 7,10,13,16,19,22,25,28,31,34,37,40,43,46,49,52,55,58,61,64,67,70,73,76-tetracosaoxa-2,4- diazaoctaheptacontyl)phenyl)carbamoyl)-26-(3-(2-((tert-butoxycarbonyl)amino)ethoxy)propanoyl)- 9,43-diisopropyl-23,29-dimethyl-1,8,11,24,28,41,44-heptaoxo-46-(3-ureidopropyl)-14,17,20,32,35,38- hexaoxa-2,7,10,23,26,29,42,45-octaazaheptatetracontan-47-amido)-2-(78-carboxy-2-methyl-3-oxo- 7,10,13,16,19,22,25,28,31,34,37,40,43,46,49,52,55,58,61,64,67,70,73,76-tetracosaoxa-2,4- diazaoctaheptacontyl)benzyl)-4-(2-(4-(2-(6-(4-((5-cyano-1,2-dimethyl-1H-pyrrol-3-yl)(4- hydroxyphenyl)carbamoyl)-1,5-dimethyl-1H-pyrrol-2-yl)-7-((R)-3-methyl-1,2,3,4- tetrahydroisoquinoline-2-carbonyl)-3,4-dihydroisoquinolin-2(1H)-yl)-2- oxoethyl)phenoxy)ethyl)morpholin-4-ium formate
[1147] Following GENERAL PROCEDURE #1 using bis(4-nitrophenyl) carbonate (10.1 mg, 33.2 µmol), DIEA (18.2 µL, 104.7 µmol), 1-amino- 3,6,9,12,15,18,21,24,27,30,33,36,39,42,45,48,51,54,57,60,63,66,69,72-tetracosaoxapentaheptacontan-75- oic acid (40 mg, 34.5 µmol), and then 4-(4-((6S,9S,43S,46S)-1-amino-6-((4-((((2-(((1s,3r,5R,7S)-3-((4- (6-(3-(benzo[d]thiazol-2-ylamino)-4-methyl-6,7-dihydropyrido[2,3-c]pyridazin-8(5H)-yl)-2-
carboxypyridin-3-yl)-5-methyl-1H-pyrazol-1-yl)methyl)-5,7-dimethyladamantan-1-yl)oxy)ethyl)(3- hydroxypropyl)carbamoyl)oxy)methyl)-3-(78-carboxy-2-methyl-3-oxo- 7,10,13,16,19,22,25,28,31,34,37,40,43,46,49,52,55,58,61,64,67,70,73,76-tetracosaoxa-2,4- diazaoctaheptacontyl)phenyl)carbamoyl)-26-(3-(2-((tert-butoxycarbonyl)amino)ethoxy)propanoyl)-9,43- diisopropyl-23,29-dimethyl-1,8,11,24,28,41,44-heptaoxo-46-(3-ureidopropyl)-14,17,20,32,35,38- hexaoxa-2,7,10,23,26,29,42,45-octaazaheptatetracontan-47-amido)-2-((methylamino)methyl)benzyl)-4- (2-(4-(2-(6-(4-((5-cyano-1,2-dimethyl-1H-pyrrol-3-yl)(4-hydroxyphenyl)carbamoyl)-1,5-dimethyl-1H- pyrrol-2-yl)-7-((R)-3-methyl-1,2,3,4-tetrahydroisoquinoline-2-carbonyl)-3,4-dihydroisoquinolin-2(1H)- yl)-2-oxoethyl)phenoxy)ethyl)morpholin-4-ium formate (110.2 mg, 24.4 µmol) and DIEA (36.4 µL, 209.4 µmol), 4-(4-((6S,9S,43S,46S)-1-amino-6-((4-((((2-(((1s,3r,5R,7S)-3-((4-(6-(3-(benzo[d]thiazol-2- ylamino)-4-methyl-6,7-dihydropyrido[2,3-c]pyridazin-8(5H)-yl)-2-carboxypyridin-3-yl)-5-methyl-1H- pyrazol-1-yl)methyl)-5,7-dimethyladamantan-1-yl)oxy)ethyl)(3-hydroxypropyl)carbamoyl)oxy)methyl)- 3-(78-carboxy-2-methyl-3-oxo-7,10,13,16,19,22,25,28,31,34,37,40,43,46,49,52,55,58,61,64,67,70,73,76- tetracosaoxa-2,4-diazaoctaheptacontyl)phenyl)carbamoyl)-26-(3-(2-((tert- butoxycarbonyl)amino)ethoxy)propanoyl)-9,43-diisopropyl-23,29-dimethyl-1,8,11,24,28,41,44-heptaoxo- 46-(3-ureidopropyl)-14,17,20,32,35,38-hexaoxa-2,7,10,23,26,29,42,45-octaazaheptatetracontan-47- amido)-2-(78-carboxy-2-methyl-3-oxo- 7,10,13,16,19,22,25,28,31,34,37,40,43,46,49,52,55,58,61,64,67,70,73,76-tetracosaoxa-2,4- diazaoctaheptacontyl)benzyl)-4-(2-(4-(2-(6-(4-((5-cyano-1,2-dimethyl-1H-pyrrol-3-yl)(4- hydroxyphenyl)carbamoyl)-1,5-dimethyl-1H-pyrrol-2-yl)-7-((R)-3-methyl-1,2,3,4- tetrahydroisoquinoline-2-carbonyl)-3,4-dihydroisoquinolin-2(1H)-yl)-2- oxoethyl)phenoxy)ethyl)morpholin-4-ium formate (99 mg, 68% yield) was obtained. HRMS: M+=5634.0298, Rt=2.38 min (5 min acidic method). Synthesis of 4-(4-((6S,9S,43S,46S)-1-amino-6-((4-((((2-(((1s,3r,5R,7S)-3-((4-(6-(3-(benzo[d]thiazol-2- ylamino)-4-methyl-6,7-dihydropyrido[2,3-c]pyridazin-8(5H)-yl)-2-carboxypyridin-3-yl)-5-methyl- 1H-pyrazol-1-yl)methyl)-5,7-dimethyladamantan-1-yl)oxy)ethyl)(3- hydroxypropyl)carbamoyl)oxy)methyl)-3-(78-carboxy-2-methyl-3-oxo- 7,10,13,16,19,22,25,28,31,34,37,40,43,46,49,52,55,58,61,64,67,70,73,76-tetracosaoxa-2,4- diazaoctaheptacontyl)phenyl)carbamoyl)-26-(1-(2,5-dioxo-2,5-dihydro-1H-pyrrol-1-yl)-15-oxo- 3,6,9,12,19-pentaoxa-16-azadocosan-22-oyl)-9,43-diisopropyl-23,29-dimethyl-1,8,11,24,28,41,44- heptaoxo-46-(3-ureidopropyl)-14,17,20,32,35,38-hexaoxa-2,7,10,23,26,29,42,45- octaazaheptatetracontan-47-amido)-2-(78-carboxy-2-methyl-3-oxo- 7,10,13,16,19,22,25,28,31,34,37,40,43,46,49,52,55,58,61,64,67,70,73,76-tetracosaoxa-2,4- diazaoctaheptacontyl)benzyl)-4-(2-(4-(2-(6-(4-((5-cyano-1,2-dimethyl-1H-pyrrol-3-yl)(4-
hydroxyphenyl)carbamoyl)-1,5-dimethyl-1H-pyrrol-2-yl)-7-((R)-3-methyl-1,2,3,4- tetrahydroisoquinoline-2-carbonyl)-3,4-dihydroisoquinolin-2(1H)-yl)-2- oxoethyl)phenoxy)ethyl)morpholin-4-ium formate P5-L12-P4
[1148] 4-(4-((6S,9S,43S,46S)-1-amino-6-((4-((((2-(((1s,3r,5R,7S)-3-((4-(6-(3-(benzo[d]thiazol-2- ylamino)-4-methyl-6,7-dihydropyrido[2,3-c]pyridazin-8(5H)-yl)-2-carboxypyridin-3-yl)-5-methyl-1H- pyrazol-1-yl)methyl)-5,7-dimethyladamantan-1-yl)oxy)ethyl)(3-hydroxypropyl)carbamoyl)oxy)methyl)- 3-(78-carboxy-2-methyl-3-oxo-7,10,13,16,19,22,25,28,31,34,37,40,43,46,49,52,55,58,61,64,67,70,73,76- tetracosaoxa-2,4-diazaoctaheptacontyl)phenyl)carbamoyl)-26-(3-(2-((tert- butoxycarbonyl)amino)ethoxy)propanoyl)-9,43-diisopropyl-23,29-dimethyl-1,8,11,24,28,41,44-heptaoxo- 46-(3-ureidopropyl)-14,17,20,32,35,38-hexaoxa-2,7,10,23,26,29,42,45-octaazaheptatetracontan-47- amido)-2-(78-carboxy-2-methyl-3-oxo- 7,10,13,16,19,22,25,28,31,34,37,40,43,46,49,52,55,58,61,64,67,70,73,76-tetracosaoxa-2,4- diazaoctaheptacontyl)benzyl)-4-(2-(4-(2-(6-(4-((5-cyano-1,2-dimethyl-1H-pyrrol-3-yl)(4- hydroxyphenyl)carbamoyl)-1,5-dimethyl-1H-pyrrol-2-yl)-7-((R)-3-methyl-1,2,3,4- tetrahydroisoquinoline-2-carbonyl)-3,4-dihydroisoquinolin-2(1H)-yl)-2- oxoethyl)phenoxy)ethyl)morpholin-4-ium formate (99 mg, 17.4 µmol) was treated with 8 ml of 25% TFA/CH2Cl2 with 1% Et3SiH for one hour, and after removal of volatiles in vacuo the residue was triturated with Et2O. The material obtained was dissolved in DMF (3 mL) and this solution was added to 2M Me2NH in MeOH (261 µL, 522.5 µmol) to clip the deBoc amine trifluoroacetyl ester byproduct that had formed in addition to deBoc amine, hydroxyl alkyl product. After standing for 30 minutes, the solution was diluted with DMSO and after purification by RP-HPLC with 0.05% formic acid modifier the deprotected amine hydroxy alkyl intermediate (47 mg, 47% yield) was isolated. HRMS: M+=5534.000, Rt=2.15 min (5 min acidic method). Following the second part of GENERAL PROCEDURE #5 and using isolated amine formate salt (47 mg, 8.4 µmol), 2,5-dioxopyrrolidin-1-yl 1-(2,5-dioxo-2,5-dihydro- 1H-pyrrol-1-yl)-3,6,9,12-tetraoxapentadecan-15-oate (7.45 mg, 16.8 µmol) and DIEA (11.7 µL, 67.3 µmol), 4-(4-((6S,9S,43S,46S)-1-amino-6-((4-((((2-(((1s,3r,5R,7S)-3-((4-(6-(3-(benzo[d]thiazol-2-
ylamino)-4-methyl-6,7-dihydropyrido[2,3-c]pyridazin-8(5H)-yl)-2-carboxypyridin-3-yl)-5-methyl-1H- pyrazol-1-yl)methyl)-5,7-dimethyladamantan-1-yl)oxy)ethyl)(3-hydroxypropyl)carbamoyl)oxy)methyl)- 3-(78-carboxy-2-methyl-3-oxo-7,10,13,16,19,22,25,28,31,34,37,40,43,46,49,52,55,58,61,64,67,70,73,76- tetracosaoxa-2,4-diazaoctaheptacontyl)phenyl)carbamoyl)-26-(1-(2,5-dioxo-2,5-dihydro-1H-pyrrol-1-yl)- 15-oxo-3,6,9,12,19-pentaoxa-16-azadocosan-22-oyl)-9,43-diisopropyl-23,29-dimethyl- 1,8,11,24,28,41,44-heptaoxo-46-(3-ureidopropyl)-14,17,20,32,35,38-hexaoxa-2,7,10,23,26,29,42,45- octaazaheptatetracontan-47-amido)-2-(78-carboxy-2-methyl-3-oxo- 7,10,13,16,19,22,25,28,31,34,37,40,43,46,49,52,55,58,61,64,67,70,73,76-tetracosaoxa-2,4- diazaoctaheptacontyl)benzyl)-4-(2-(4-(2-(6-(4-((5-cyano-1,2-dimethyl-1H-pyrrol-3-yl)(4- hydroxyphenyl)carbamoyl)-1,5-dimethyl-1H-pyrrol-2-yl)-7-((R)-3-methyl-1,2,3,4- tetrahydroisoquinoline-2-carbonyl)-3,4-dihydroisoquinolin-2(1H)-yl)-2- oxoethyl)phenoxy)ethyl)morpholin-4-ium formate (36 mg, 69% yield) was obtained. HRMS: M+= 5861.1299, Rt=2.38 min (5 min acidic method). Synthesis of di-tert-butyl (2-(((1S,9S)-9-ethyl-5-fluoro-9-hydroxy-4-methyl-10,13-dioxo- 2,3,9,10,13,15-hexahydro-1H,12H-benzo[de]pyrano[3',4':6,7]indolizino[1,2-b]quinolin-1-yl)amino)- 2-oxoethyl) phosphate
To a mixture of (1S,9S)-9-ethyl-5-fluoro-9-hydroxy-4-methyl-10,13-dioxo-2,3,9,10,13,15- hexahydro-1H,12H-benzo[de]pyrano[3',4':6,7]indolizino[1,2-b]quinolin-1-aminium methanesulfonate (420 mg, 790.2 µmol) and 2-((di-tert-butoxyphosphoryl)oxy)acetic acid (530 mg, 1976 µmol) in DMF (12 mL) was added TSTU (594.6 mg, 1976 µmol) and DIEA (1.39 mL, 7900 mmol). After stirring for 2 hours the solution was diluted with DMSO and purified by ISCO RP-HPLC. Upon lyophilization, di- tert-butyl (2-(((1S,9S)-9-ethyl-5-fluoro-9-hydroxy-4-methyl-10,13-dioxo-2,3,9,10,13,15-hexahydro- 1H,12H-benzo[de]pyrano[3',4':6,7]indolizino[1,2-b]quinolin-1-yl)amino)-2-oxoethyl) phosphate (308.3 mg, 57% yield) was obtained. LC/MS: (M-tBu-tBu+H+)+ = 574.4, Rt=1.05 min (2 min acidic method). Synthesis of 2-(((1S,9S)-9-ethyl-5-fluoro-9-hydroxy-4-methyl-10,13-dioxo-2,3,9,10,13,15-hexahydro- 1H,12H-benzo[de]pyrano[3',4':6,7]indolizino[1,2-b]quinolin-1-yl)amino)-2-oxoethyl dihydrogen phosphate
[1149] di-tert-butyl (2-(((1S,9S)-9-ethyl-5-fluoro-9-hydroxy-4-methyl-10,13-dioxo-2,3,9,10,13,15- hexahydro-1H,12H-benzo[de]pyrano[3',4':6,7]indolizino[1,2-b]quinolin-1-yl)amino)-2-oxoethyl) phosphate (308.3 mg, 449.6 µmol) was treated 25% TFA/CH2Cl2 (6 mL) at 0 C for 15 minutes and then at rt for 30 minutes at which time the volatiles were removed in vacuo. The residue was dissolved in DMSO and purified by ISCO RP-HPLC. Upon lyophilization, 2-(((1S,9S)-9-ethyl-5-fluoro-9-hydroxy- 4-methyl-10,13-dioxo-2,3,9,10,13,15-hexahydro-1H,12H-benzo[de]pyrano[3',4':6,7]indolizino[1,2- b]quinolin-1-yl)amino)-2-oxoethyl dihydrogen phosphate (188 mg, 73% yield) was obtained. LC/MS: MH+ = 574.4, Rt=0.53 min (2 min acidic method). Synthesis of allyl ((2S)-1-(((2S)-1-((4-((((2-(((1S,9S)-9-ethyl-5-fluoro-9-hydroxy-4-methyl-10,13- dioxo-2,3,9,10,13,15-hexahydro-1H,12H-benzo[de]pyrano[3',4':6,7]indolizino[1,2-b]quinolin-1- yl)amino)-2-oxoethoxy)(hydroxy)phosphoryl)oxy)methyl)-3-((methylamino)methyl)phenyl)amino)- 1-oxo-5-ureidopentan-2-yl)amino)-3-methyl-1-oxobutan-2-yl)carbamate
[1150] A solution of 2-(((1S,9S)-9-ethyl-5-fluoro-9-hydroxy-4-methyl-10,13-dioxo-2,3,9,10,13,15- hexahydro-1H,12H-benzo[de]pyrano[3',4':6,7]indolizino[1,2-b]quinolin-1-yl)amino)-2-oxoethyl dihydrogen phosphate (256 mg, 446.4 µmol) in DMF (1.5 mL) and N,N'-dicyclohexylmorpholine-4- carboximidamide (393 mg, 1339 µmol) was stirred for 15 minutes at which time (9H-fluoren-9-yl)methyl (5-((S)-2-((S)-2-(((allyloxy)carbonyl)amino)-3-methylbutanamido)-5-ureidopentanamido)-2- (chloromethyl)benzyl)(methyl)carbamate (500 mg, 670 µmol) was added. After stirring for 20 hours Et2NH (924 uL, 8928 µmol) was added. After stirring an additional 30 minutes the solution was diluted with DMSO and purified by ISCO RP-HPLC. Upon lyophilization, allyl ((2S)-1-(((2S)-1-((4-((((2- (((1S,9S)-9-ethyl-5-fluoro-9-hydroxy-4-methyl-10,13-dioxo-2,3,9,10,13,15-hexahydro-1H,12H- benzo[de]pyrano[3',4':6,7]indolizino[1,2-b]quinolin-1-yl)amino)-2- oxoethoxy)(hydroxy)phosphoryl)oxy)methyl)-3-((methylamino)methyl)phenyl)amino)-1-oxo-5- ureidopentan-2-yl)amino)-3-methyl-1-oxobutan-2-yl)carbamate (158 mg, 33% yield) was obtained as the formic acid salt. HRMS: MH+ = 1062.4000, Rt=1.75 min (5 min acidic method).
Synthesis of allyl ((2S)-1-(((2S)-1-((4-((((2-(((1S,9S)-9-ethyl-5-fluoro-9-hydroxy-4-methyl-10,13- dioxo-2,3,9,10,13,15-hexahydro-1H,12H-benzo[de]pyrano[3',4':6,7]indolizino[1,2-b]quinolin-1- yl)amino)-2-oxoethoxy)(hydroxy)phosphoryl)oxy)methyl)-3-(75-methyl-74-oxo- 2,5,8,11,14,17,20,23,26,29,32,35,38,41,44,47,50,53,56,59,62,65,68,71-tetracosaoxa-75- azahexaheptacontan-76-yl)phenyl)amino)-1-oxo-5-ureidopentan-2-yl)amino)-3-methyl-1-oxobutan- 2-yl)carbamate
[1151] To a solution of 2,5,8,11,14,17,20,23,26,29,32,35,38,41,44,47,50,53,56,59,62,65,68,71- tetracosaoxatetraheptacontan-74-oic acid (433 mg, 387.5 µmol) in DMF (2 mL) was added HATU (433 mg, 387.5 µmol) followed by DIEA (338 uL, 1938 µmol). After stirring for 30 minutes a solution of allyl ((2S)-1-(((2S)-1-((4-((((2-(((1S,9S)-9-ethyl-5-fluoro-9-hydroxy-4-methyl-10,13-dioxo-2,3,9,10,13,15- hexahydro-1H,12H-benzo[de]pyrano[3',4':6,7]indolizino[1,2-b]quinolin-1-yl)amino)-2- oxoethoxy)(hydroxy)phosphoryl)oxy)methyl)-3-((methylamino)methyl)phenyl)amino)-1-oxo-5- ureidopentan-2-yl)amino)-3-methyl-1-oxobutan-2-yl)carbamate (343 mg, 323 µmol) in DMF (2 mL) was added followed by additional DIEA (338 uL, 1938 µmol). After stirring for 1 hour the solution was diluted with DMSO and purified by RP-HPLC. After lyophilization, allyl ((2S)-1-(((2S)-1-((4-((((2- (((1S,9S)-9-ethyl-5-fluoro-9-hydroxy-4-methyl-10,13-dioxo-2,3,9,10,13,15-hexahydro-1H,12H- benzo[de]pyrano[3',4':6,7]indolizino[1,2-b]quinolin-1-yl)amino)-2- oxoethoxy)(hydroxy)phosphoryl)oxy)methyl)-3-(75-methyl-74-oxo- 2,5,8,11,14,17,20,23,26,29,32,35,38,41,44,47,50,53,56,59,62,65,68,71-tetracosaoxa-75- azahexaheptacontan-76-yl)phenyl)amino)-1-oxo-5-ureidopentan-2-yl)amino)-3-methyl-1-oxobutan-2- yl)carbamate (155 mg, 22% yield) was obtained. HRMS: MH+ = 2161.0601, Rt=2.22 min (5 min acidic method). Synthesis of 4-((S)-2-((S)-2-amino-3-methylbutanamido)-5-ureidopentanamido)-2-(75-methyl-74- oxo-2,5,8,11,14,17,20,23,26,29,32,35,38,41,44,47,50,53,56,59,62,65,68,71-tetracosaoxa-75- azahexaheptacontan-76-yl)benzyl (2-(((1S,9S)-9-ethyl-5-fluoro-9-hydroxy-4-methyl-10,13-dioxo- 2,3,9,10,13,15-hexahydro-1H,12H-benzo[de]pyrano[3',4':6,7]indolizino[1,2-b]quinolin-1-yl)amino)- 2-oxoethyl) hydrogen phosphate
[1152] Following GENERAL PROCEDURE #2 using allyl ((2S)-1-(((2S)-1-((4-((((2-(((1S,9S)-9- ethyl-5-fluoro-9-hydroxy-4-methyl-10,13-dioxo-2,3,9,10,13,15-hexahydro-1H,12H- benzo[de]pyrano[3',4':6,7]indolizino[1,2-b]quinolin-1-yl)amino)-2- oxoethoxy)(hydroxy)phosphoryl)oxy)methyl)-3-(75-methyl-74-oxo- 2,5,8,11,14,17,20,23,26,29,32,35,38,41,44,47,50,53,56,59,62,65,68,71-tetracosaoxa-75- azahexaheptacontan-76-yl)phenyl)amino)-1-oxo-5-ureidopentan-2-yl)amino)-3-methyl-1-oxobutan-2- yl)carbamate (155 mg, 71.6 µmol), phenyl silane (23.3 mg, 215 µmol), tetrakis(triphenylphosphine)palladium (0.83 mg, 0.72 µmol) in 1:1 CH2Cl2/MeOH (3 mL), 4-((S)-2-((S)- 2-amino-3-methylbutanamido)-5-ureidopentanamido)-2-(75-methyl-74-oxo- 2,5,8,11,14,17,20,23,26,29,32,35,38,41,44,47,50,53,56,59,62,65,68,71-tetracosaoxa-75- azahexaheptacontan-76-yl)benzyl (2-(((1S,9S)-9-ethyl-5-fluoro-9-hydroxy-4-methyl-10,13-dioxo- 2,3,9,10,13,15-hexahydro-1H,12H-benzo[de]pyrano[3',4':6,7]indolizino[1,2-b]quinolin-1-yl)amino)-2- oxoethyl) hydrogen phosphate (45 mg, 29% yield) was obtained as the TFA salt. HRMS: MH+=2077.0500, Rt=1.85 min (5 min acidic method). Synthesis of 16-(3-(2-((((9H-fluoren-9-yl)methoxy)carbonyl)amino)ethoxy)propanoyl)-13,19- dimethyl-14,18,31-trioxo-4,7,10,22,25,28,32-heptaoxa-13,16,19-triazapentatriacont-34-enoic acid
[1153] 16-(3-(2-((tert-butoxycarbonyl)amino)ethoxy)propanoyl)-13,19-dimethyl-14,18,31-trioxo- 4,7,10,22,25,28,32-heptaoxa-13,16,19-triazapentatriacont-34-enoic acid (114 mg, 138.5 µmol) was treated with 25% TFA/CH2Cl2 (4 mL) for one hour at which the volatiles were removed in vacuo. The residue was dissolved in DMF (1 mL) and (9H-fluoren-9-yl)methyl (2,5-dioxopyrrolidin-1-yl) carbonate (56.1 mg, 166 µmol) was added followed by DIEA (241 uL, 1385 µmol). After stirring for 30 minutes the solution was diluted with DMSO and purified by RP-HPLC. After lyophilization, 16-(3-(2-((((9H- fluoren-9-yl)methoxy)carbonyl)amino)ethoxy)propanoyl)-13,19-dimethyl-14,18,31-trioxo-
4,7,10,22,25,28,32-heptaoxa-13,16,19-triazapentatriacont-34-enoic acid (60.1 mg, 46% yield) was obtained. LC/MS: MH+ = 945.9, Rt=1.01 min (2 min acidic method). Synthesis of allyl (6S,9S)-26-(3-(2-((((9H-fluoren-9-yl)methoxy)carbonyl)amino)ethoxy)propanoyl)- 1-amino-6-((4-((((2-(((1S,9S)-9-ethyl-5-fluoro-9-hydroxy-4-methyl-10,13-dioxo-2,3,9,10,13,15- hexahydro-1H,12H-benzo[de]pyrano[3',4':6,7]indolizino[1,2-b]quinolin-1-yl)amino)-2- oxoethoxy)(hydroxy)phosphoryl)oxy)methyl)-3-(75-methyl-74-oxo- 2,5,8,11,14,17,20,23,26,29,32,35,38,41,44,47,50,53,56,59,62,65,68,71-tetracosaoxa-75- azahexaheptacontan-76-yl)phenyl)carbamoyl)-9-isopropyl-23,29-dimethyl-1,8,11,24,28-pentaoxo- 14,17,20,32,35,38-hexaoxa-2,7,10,23,26,29-hexaazahentetracontan-41-oate
[1154] To a solution of 16-(3-(2-((((9H-fluoren-9-yl)methoxy)carbonyl)amino)ethoxy)propanoyl)-13,19- dimethyl-14,18,31-trioxo-4,7,10,22,25,28,32-heptaoxa-13,16,19-triazapentatriacont-34-enoic acid (27 mg, 28 µmol) in DMF (2 mL) was added TSTU (8.5 mg, 28.3 µmol) followed by DIEA (29.6 uL, 170 µmol). After stirring for 20 minutes a solution of 4-((S)-2-((S)-2-amino-3-methylbutanamido)-5- ureidopentanamido)-2-(75-methyl-74-oxo- 2,5,8,11,14,17,20,23,26,29,32,35,38,41,44,47,50,53,56,59,62,65,68,71-tetracosaoxa-75- azahexaheptacontan-76-yl)benzyl (2-(((1S,9S)-9-ethyl-5-fluoro-9-hydroxy-4-methyl-10,13-dioxo- 2,3,9,10,13,15-hexahydro-1H,12H-benzo[de]pyrano[3',4':6,7]indolizino[1,2-b]quinolin-1-yl)amino)-2- oxoethyl) hydrogen phosphate TFA salt (58.8 mg, 28.3 µmol) in DMF (2 mL) was added followed by additional DIEA (29.6 uL, 170 µmol). After stirring for 3 hours the solution was diluted with DMSO and purified by RP-HPLC. After lyophilization, allyl (6S,9S)-26-(3-(2-((((9H-fluoren-9- yl)methoxy)carbonyl)amino)ethoxy)propanoyl)-1-amino-6-((4-((((2-(((1S,9S)-9-ethyl-5-fluoro-9- hydroxy-4-methyl-10,13-dioxo-2,3,9,10,13,15-hexahydro-1H,12H- benzo[de]pyrano[3',4':6,7]indolizino[1,2-b]quinolin-1-yl)amino)-2- oxoethoxy)(hydroxy)phosphoryl)oxy)methyl)-3-(75-methyl-74-oxo- 2,5,8,11,14,17,20,23,26,29,32,35,38,41,44,47,50,53,56,59,62,65,68,71-tetracosaoxa-75- azahexaheptacontan-76-yl)phenyl)carbamoyl)-9-isopropyl-23,29-dimethyl-1,8,11,24,28-pentaoxo- 14,17,20,32,35,38-hexaoxa-2,7,10,23,26,29-hexaazahentetracontan-41-oate (57 mg, 67% yield) was obtained. HRMS: MH+ = 3003.4900, Rt=2.71 min (5 min acidic method).
Synthesis of (6S,9S)-26-(3-(2-((((9H-fluoren-9-yl)methoxy)carbonyl)amino)ethoxy)propanoyl)-1- amino-6-((4-((((2-(((1S,9S)-9-ethyl-5-fluoro-9-hydroxy-4-methyl-10,13-dioxo-2,3,9,10,13,15- hexahydro-1H,12H-benzo[de]pyrano[3',4':6,7]indolizino[1,2-b]quinolin-1-yl)amino)-2- oxoethoxy)(hydroxy)phosphoryl)oxy)methyl)-3-(75-methyl-74-oxo- 2,5,8,11,14,17,20,23,26,29,32,35,38,41,44,47,50,53,56,59,62,65,68,71-tetracosaoxa-75- azahexaheptacontan-76-yl)phenyl)carbamoyl)-9-isopropyl-23,29-dimethyl-1,8,11,24,28-pentaoxo- 14,17,20,32,35,38-hexaoxa-2,7,10,23,26,29-hexaazahentetracontan-41-oic acid
[1155] Following GENERAL PROCEDURE #2 using allyl (6S,9S)-26-(3-(2-((((9H-fluoren-9- yl)methoxy)carbonyl)amino)ethoxy)propanoyl)-1-amino-6-((4-((((2-(((1S,9S)-9-ethyl-5-fluoro-9- hydroxy-4-methyl-10,13-dioxo-2,3,9,10,13,15-hexahydro-1H,12H- benzo[de]pyrano[3',4':6,7]indolizino[1,2-b]quinolin-1-yl)amino)-2- oxoethoxy)(hydroxy)phosphoryl)oxy)methyl)-3-(75-methyl-74-oxo- 2,5,8,11,14,17,20,23,26,29,32,35,38,41,44,47,50,53,56,59,62,65,68,71-tetracosaoxa-75- azahexaheptacontan-76-yl)phenyl)carbamoyl)-9-isopropyl-23,29-dimethyl-1,8,11,24,28-pentaoxo- 14,17,20,32,35,38-hexaoxa-2,7,10,23,26,29-hexaazahentetracontan-41-oate (57 mg, 19 µmol), phenyl silane (6.2 mg, 56.9 µmol) and tetrakis(triphenylphosphine)palladium (ca.1 mg, ca.1 µmol) in 1:1 CH2Cl2/MeOH (3 mL), (6S,9S)-26-(3-(2-((((9H-fluoren-9- yl)methoxy)carbonyl)amino)ethoxy)propanoyl)-1-amino-6-((4-((((2-(((1S,9S)-9-ethyl-5-fluoro-9- hydroxy-4-methyl-10,13-dioxo-2,3,9,10,13,15-hexahydro-1H,12H- benzo[de]pyrano[3',4':6,7]indolizino[1,2-b]quinolin-1-yl)amino)-2- oxoethoxy)(hydroxy)phosphoryl)oxy)methyl)-3-(75-methyl-74-oxo- 2,5,8,11,14,17,20,23,26,29,32,35,38,41,44,47,50,53,56,59,62,65,68,71-tetracosaoxa-75- azahexaheptacontan-76-yl)phenyl)carbamoyl)-9-isopropyl-23,29-dimethyl-1,8,11,24,28-pentaoxo- 14,17,20,32,35,38-hexaoxa-2,7,10,23,26,29-hexaazahentetracontan-41-oic acid (33.8 mg, 60% yield) was obtained. HRMS: MH+=2963.4600, Rt=2.50 min (5 min acidic method).
Synthesis of 3-(1-(((1r,3s,5R,7S)-3-(2-((((4-((6S,9S,43S,46S)-26-(3-(2-((((9H-fluoren-9- yl)methoxy)carbonyl)amino)ethoxy)propanoyl)-1-amino-6-((4-((((2-(((1S,9S)-9-ethyl-5-fluoro-9- hydroxy-4-methyl-10,13-dioxo-2,3,9,10,13,15-hexahydro-1H,12H- benzo[de]pyrano[3',4':6,7]indolizino[1,2-b]quinolin-1-yl)amino)-2- oxoethoxy)(hydroxy)phosphoryl)oxy)methyl)-3-(75-methyl-74-oxo- 2,5,8,11,14,17,20,23,26,29,32,35,38,41,44,47,50,53,56,59,62,65,68,71-tetracosaoxa-75- azahexaheptacontan-76-yl)phenyl)carbamoyl)-9,43-diisopropyl-23,29-dimethyl-1,8,11,24,28,41,44- heptaoxo-46-(3-ureidopropyl)-14,17,20,32,35,38-hexaoxa-2,7,10,23,26,29,42,45- octaazaheptatetracontan-47-amido)-2-(78-carboxy-2-methyl-3-oxo- 7,10,13,16,19,22,25,28,31,34,37,40,43,46,49,52,55,58,61,64,67,70,73,76-tetracosaoxa-2,4- diazaoctaheptacontyl)benzyl)oxy)carbonyl)(3-hydroxypropyl)amino)ethoxy)-5,7- dimethyladamantan-1-yl)methyl)-5-methyl-1H-pyrazol-4-yl)-6-(3-(benzo[d]thiazol-2-ylamino)-4- methyl-6,7-dihydropyrido[2,3-c]pyridazin-8(5H)-yl)picolinic acid
[1156] To a solution of (6S,9S)-26-(3-(2-((((9H-fluoren-9- yl)methoxy)carbonyl)amino)ethoxy)propanoyl)-1-amino-6-((4-((((2-(((1S,9S)-9-ethyl-5-fluoro-9- hydroxy-4-methyl-10,13-dioxo-2,3,9,10,13,15-hexahydro-1H,12H- benzo[de]pyrano[3',4':6,7]indolizino[1,2-b]quinolin-1-yl)amino)-2- oxoethoxy)(hydroxy)phosphoryl)oxy)methyl)-3-(75-methyl-74-oxo- 2,5,8,11,14,17,20,23,26,29,32,35,38,41,44,47,50,53,56,59,62,65,68,71-tetracosaoxa-75- azahexaheptacontan-76-yl)phenyl)carbamoyl)-9-isopropyl-23,29-dimethyl-1,8,11,24,28-pentaoxo- 14,17,20,32,35,38-hexaoxa-2,7,10,23,26,29-hexaazahentetracontan-41-oic acid (32.6 mg, 10.8 µmol) in DMF (1 mL) was added TSTU (3.3 mg, 10.8 µmol) followed by DIEA (9.4 uL, 54.1 µmol). After stirring for 30 minutes formic acid salt of 3-(1-(((1r,3s,5R,7S)-3-(2-((((4-((S)-2-((S)-2-amino-3- methylbutanamido)-5-ureidopentanamido)-2-(78-carboxy-2-methyl-3-oxo- 7,10,13,16,19,22,25,28,31,34,37,40,43,46,49,52,55,58,61,64,67,70,73,76-tetracosaoxa-2,4- diazaoctaheptacontyl)benzyl)oxy)carbonyl)(3-hydroxypropyl)amino)ethoxy)-5,7-dimethyladamantan-1- yl)methyl)-5-methyl-1H-pyrazol-4-yl)-6-(3-(benzo[d]thiazol-2-ylamino)-4-methyl-6,7-dihydropyrido[2,3- c]pyridazin-8(5H)-yl)picolinic acid (28.7 mg, 11.9 µmol) was added. After stirring for an additional 30
minutes the solution was diluted with DMSO and purified by RP-HPLC. After lyophilization, 3-(1- (((1r,3s,5R,7S)-3-(2-((((4-((6S,9S,43S,46S)-26-(3-(2-((((9H-fluoren-9- yl)methoxy)carbonyl)amino)ethoxy)propanoyl)-1-amino-6-((4-((((2-(((1S,9S)-9-ethyl-5-fluoro-9- hydroxy-4-methyl-10,13-dioxo-2,3,9,10,13,15-hexahydro-1H,12H- benzo[de]pyrano[3',4':6,7]indolizino[1,2-b]quinolin-1-yl)amino)-2- oxoethoxy)(hydroxy)phosphoryl)oxy)methyl)-3-(75-methyl-74-oxo- 2,5,8,11,14,17,20,23,26,29,32,35,38,41,44,47,50,53,56,59,62,65,68,71-tetracosaoxa-75- azahexaheptacontan-76-yl)phenyl)carbamoyl)-9,43-diisopropyl-23,29-dimethyl-1,8,11,24,28,41,44- heptaoxo-46-(3-ureidopropyl)-14,17,20,32,35,38-hexaoxa-2,7,10,23,26,29,42,45- octaazaheptatetracontan-47-amido)-2-(78-carboxy-2-methyl-3-oxo- 7,10,13,16,19,22,25,28,31,34,37,40,43,46,49,52,55,58,61,64,67,70,73,76-tetracosaoxa-2,4- diazaoctaheptacontyl)benzyl)oxy)carbonyl)(3-hydroxypropyl)amino)ethoxy)-5,7-dimethyladamantan-1- yl)methyl)-5-methyl-1H-pyrazol-4-yl)-6-(3-(benzo[d]thiazol-2-ylamino)-4-methyl-6,7-dihydropyrido[2,3- c]pyridazin-8(5H)-yl)picolinic acid (31.9 mg, 55% yield) was obtained. HRMS: MH+ = 5356.7598, Rt=2.56 min (5 min acidic method). Synthesis of 3-(1-(((1r,3s,5R,7S)-3-(2-((((4-((6S,9S,43S,46S)-1-amino-26-(3-(2- aminoethoxy)propanoyl)-6-((4-((((2-(((1S,9S)-9-ethyl-5-fluoro-9-hydroxy-4-methyl-10,13-dioxo- 2,3,9,10,13,15-hexahydro-1H,12H-benzo[de]pyrano[3',4':6,7]indolizino[1,2-b]quinolin-1-yl)amino)- 2-oxoethoxy)(hydroxy)phosphoryl)oxy)methyl)-3-(75-methyl-74-oxo- 2,5,8,11,14,17,20,23,26,29,32,35,38,41,44,47,50,53,56,59,62,65,68,71-tetracosaoxa-75- azahexaheptacontan-76-yl)phenyl)carbamoyl)-9,43-diisopropyl-23,29-dimethyl-1,8,11,24,28,41,44- heptaoxo-46-(3-ureidopropyl)-14,17,20,32,35,38-hexaoxa-2,7,10,23,26,29,42,45- octaazaheptatetracontan-47-amido)-2-(78-carboxy-2-methyl-3-oxo- 7,10,13,16,19,22,25,28,31,34,37,40,43,46,49,52,55,58,61,64,67,70,73,76-tetracosaoxa-2,4- diazaoctaheptacontyl)benzyl)oxy)carbonyl)(3-hydroxypropyl)amino)ethoxy)-5,7- dimethyladamantan-1-yl)methyl)-5-methyl-1H-pyrazol-4-yl)-6-(3-(benzo[d]thiazol-2-ylamino)-4- methyl-6,7-dihydropyrido[2,3-c]pyridazin-8(5H)-yl)picolinic acid
[1157] To a solution of 3-(1-(((1r,3s,5R,7S)-3-(2-((((4-((6S,9S,43S,46S)-26-(3-(2-((((9H-fluoren-9- yl)methoxy)carbonyl)amino)ethoxy)propanoyl)-1-amino-6-((4-((((2-(((1S,9S)-9-ethyl-5-fluoro-9- hydroxy-4-methyl-10,13-dioxo-2,3,9,10,13,15-hexahydro-1H,12H- benzo[de]pyrano[3',4':6,7]indolizino[1,2-b]quinolin-1-yl)amino)-2- oxoethoxy)(hydroxy)phosphoryl)oxy)methyl)-3-(75-methyl-74-oxo- 2,5,8,11,14,17,20,23,26,29,32,35,38,41,44,47,50,53,56,59,62,65,68,71-tetracosaoxa-75- azahexaheptacontan-76-yl)phenyl)carbamoyl)-9,43-diisopropyl-23,29-dimethyl-1,8,11,24,28,41,44- heptaoxo-46-(3-ureidopropyl)-14,17,20,32,35,38-hexaoxa-2,7,10,23,26,29,42,45- octaazaheptatetracontan-47-amido)-2-(78-carboxy-2-methyl-3-oxo- 7,10,13,16,19,22,25,28,31,34,37,40,43,46,49,52,55,58,61,64,67,70,73,76-tetracosaoxa-2,4- diazaoctaheptacontyl)benzyl)oxy)carbonyl)(3-hydroxypropyl)amino)ethoxy)-5,7-dimethyladamantan-1- yl)methyl)-5-methyl-1H-pyrazol-4-yl)-6-(3-(benzo[d]thiazol-2-ylamino)-4-methyl-6,7-dihydropyrido[2,3- c]pyridazin-8(5H)-yl)picolinic acid (31.9 mg, 5.95 µmol) in DMF (0.8 mL) was added Et2NH (12.3 uL, 119 µmol). After stirring for 1 hour, the volatiles were removed in vacuo, the residue was dissolved in DMSO and was purified by ISCO RP-HPLC. Upon lyophilization, 3-(1-(((1r,3s,5R,7S)-3-(2-((((4- ((6S,9S,43S,46S)-1-amino-26-(3-(2-aminoethoxy)propanoyl)-6-((4-((((2-(((1S,9S)-9-ethyl-5-fluoro-9- hydroxy-4-methyl-10,13-dioxo-2,3,9,10,13,15-hexahydro-1H,12H- benzo[de]pyrano[3',4':6,7]indolizino[1,2-b]quinolin-1-yl)amino)-2- oxoethoxy)(hydroxy)phosphoryl)oxy)methyl)-3-(75-methyl-74-oxo- 2,5,8,11,14,17,20,23,26,29,32,35,38,41,44,47,50,53,56,59,62,65,68,71-tetracosaoxa-75- azahexaheptacontan-76-yl)phenyl)carbamoyl)-9,43-diisopropyl-23,29-dimethyl-1,8,11,24,28,41,44- heptaoxo-46-(3-ureidopropyl)-14,17,20,32,35,38-hexaoxa-2,7,10,23,26,29,42,45- octaazaheptatetracontan-47-amido)-2-(78-carboxy-2-methyl-3-oxo- 7,10,13,16,19,22,25,28,31,34,37,40,43,46,49,52,55,58,61,64,67,70,73,76-tetracosaoxa-2,4- diazaoctaheptacontyl)benzyl)oxy)carbonyl)(3-hydroxypropyl)amino)ethoxy)-5,7-dimethyladamantan-1- yl)methyl)-5-methyl-1H-pyrazol-4-yl)-6-(3-(benzo[d]thiazol-2-ylamino)-4-methyl-6,7-dihydropyrido[2,3- c]pyridazin-8(5H)-yl)picolinic acid (22.5 mg, 73% yield) was obtained as the formic acid salt. HRMS: MH+ = 5134.6899, Rt=2.22 min (5 min acidic method). Synthesis of 3-(1-(((1r,3s,5R,7S)-3-(2-((((4-((6S,9S,43S,46S)-1-amino-26-(1-(2,5-dioxo-2,5-dihydro- 1H-pyrrol-1-yl)-15-oxo-3,6,9,12,19-pentaoxa-16-azadocosan-22-oyl)-6-((4-((((2-(((1S,9S)-9-ethyl-5- fluoro-9-hydroxy-4-methyl-10,13-dioxo-2,3,9,10,13,15-hexahydro-1H,12H- benzo[de]pyrano[3',4':6,7]indolizino[1,2-b]quinolin-1-yl)amino)-2- oxoethoxy)(hydroxy)phosphoryl)oxy)methyl)-3-(75-methyl-74-oxo-
2,5,8,11,14,17,20,23,26,29,32,35,38,41,44,47,50,53,56,59,62,65,68,71-tetracosaoxa-75- azahexaheptacontan-76-yl)phenyl)carbamoyl)-9,43-diisopropyl-23,29-dimethyl-1,8,11,24,28,41,44- heptaoxo-46-(3-ureidopropyl)-14,17,20,32,35,38-hexaoxa-2,7,10,23,26,29,42,45- octaazaheptatetracontan-47-amido)-2-(78-carboxy-2-methyl-3-oxo- 7,10,13,16,19,22,25,28,31,34,37,40,43,46,49,52,55,58,61,64,67,70,73,76-tetracosaoxa-2,4- diazaoctaheptacontyl)benzyl)oxy)carbonyl)(3-hydroxypropyl)amino)ethoxy)-5,7- dimethyladamantan-1-yl)methyl)-5-methyl-1H-pyrazol-4-yl)-6-(3-(benzo[d]thiazol-2-ylamino)-4- methyl-6,7-dihydropyrido[2,3-c]pyridazin-8(5H)-yl)picolinic acid P5-L37-P8
[1158] Following the second part of GENERAL PROCEDURE #5 and using 3-(1-(((1r,3s,5R,7S)-3-(2- ((((4-((6S,9S,43S,46S)-1-amino-26-(3-(2-aminoethoxy)propanoyl)-6-((4-((((2-(((1S,9S)-9-ethyl-5-fluoro- 9-hydroxy-4-methyl-10,13-dioxo-2,3,9,10,13,15-hexahydro-1H,12H- benzo[de]pyrano[3',4':6,7]indolizino[1,2-b]quinolin-1-yl)amino)-2- oxoethoxy)(hydroxy)phosphoryl)oxy)methyl)-3-(75-methyl-74-oxo- 2,5,8,11,14,17,20,23,26,29,32,35,38,41,44,47,50,53,56,59,62,65,68,71-tetracosaoxa-75- azahexaheptacontan-76-yl)phenyl)carbamoyl)-9,43-diisopropyl-23,29-dimethyl-1,8,11,24,28,41,44- heptaoxo-46-(3-ureidopropyl)-14,17,20,32,35,38-hexaoxa-2,7,10,23,26,29,42,45- octaazaheptatetracontan-47-amido)-2-(78-carboxy-2-methyl-3-oxo- 7,10,13,16,19,22,25,28,31,34,37,40,43,46,49,52,55,58,61,64,67,70,73,76-tetracosaoxa-2,4- diazaoctaheptacontyl)benzyl)oxy)carbonyl)(3-hydroxypropyl)amino)ethoxy)-5,7-dimethyladamantan-1- yl)methyl)-5-methyl-1H-pyrazol-4-yl)-6-(3-(benzo[d]thiazol-2-ylamino)-4-methyl-6,7-dihydropyrido[2,3- c]pyridazin-8(5H)-yl)picolinic acid formic acid salt (22.5 mg, 4.4 µmol), 2,5-dioxopyrrolidin-1-yl 1-(2,5- dioxo-2,5-dihydro-1H-pyrrol-1-yl)-3,6,9,12-tetraoxapentadecan-15-oate (3.9 mg, 8.8 µmol) and DIEA (6.1 µL, 35.1 µmol), 3-(1-(((1r,3s,5R,7S)-3-(2-((((4-((6S,9S,43S,46S)-1-amino-26-(1-(2,5-dioxo-2,5- dihydro-1H-pyrrol-1-yl)-15-oxo-3,6,9,12,19-pentaoxa-16-azadocosan-22-oyl)-6-((4-((((2-(((1S,9S)-9- ethyl-5-fluoro-9-hydroxy-4-methyl-10,13-dioxo-2,3,9,10,13,15-hexahydro-1H,12H- benzo[de]pyrano[3',4':6,7]indolizino[1,2-b]quinolin-1-yl)amino)-2- oxoethoxy)(hydroxy)phosphoryl)oxy)methyl)-3-(75-methyl-74-oxo-
2,5,8,11,14,17,20,23,26,29,32,35,38,41,44,47,50,53,56,59,62,65,68,71-tetracosaoxa-75- azahexaheptacontan-76-yl)phenyl)carbamoyl)-9,43-diisopropyl-23,29-dimethyl-1,8,11,24,28,41,44- heptaoxo-46-(3-ureidopropyl)-14,17,20,32,35,38-hexaoxa-2,7,10,23,26,29,42,45- octaazaheptatetracontan-47-amido)-2-(78-carboxy-2-methyl-3-oxo- 7,10,13,16,19,22,25,28,31,34,37,40,43,46,49,52,55,58,61,64,67,70,73,76-tetracosaoxa-2,4- diazaoctaheptacontyl)benzyl)oxy)carbonyl)(3-hydroxypropyl)amino)ethoxy)-5,7-dimethyladamantan-1- yl)methyl)-5-methyl-1H-pyrazol-4-yl)-6-(3-(benzo[d]thiazol-2-ylamino)-4-methyl-6,7-dihydropyrido[2,3- c]pyridazin-8(5H)-yl)picolinic acid (17.1 mg, 71% yield) was obtained. HRMS: MH+ = 5461.8198, Rt=2.37 min (5 min acidic method). [1159] Linker-payload P5-L12-P8 was prepared using procedures similar to those described for P5-L37- P8. Example 3. Conjugation and Characterization of ADCs In vitro Cysmab ADC preparation [1160] Antibody (typically 5-10 mg) was incubated with rProtein A Sepharose resin (GE) at a ratio of 10 mg Ab to 1 ml resin in PBS for 15 minutes with mixing in an appropriately sized disposable column. Cysteine HCl was added to a final concentration of 20 mM and incubated with agitation for 30 min at room temperature to allow the reactive cysteines to be deblocked. The resin was rapidly washed with 50 column volumes PBS on a vacuum manifold in multiple additions. The resin was then resuspended in an equal volume PBS containing 250 nM CuCl2. Reformation of antibody interchain disulfides was monitored by taking time points. At each time point, 25 µL of resin slurry was removed, 1 µL of 20 mM MC-valcit-MMAE was added, and the tube flicked several times. The resin was spun down, supernatant removed, and then eluted with 50 µL Antibody elution buffer (Thermo). The resin was pelleted and the supernatant analyzed by reverse phase chromatography using an Agilent PLRP-S 4000A 5um, 4.6x50mm column (Buffer A is water, 0.1% TFA, Buffer B Acetonitrile, 0.1% TFA, column held at 80°C, Flowrate 1.5 ml/min; Gradient 0 minutes – 30%B, 5 minutes – 45%B, 6.5 min – 100%B, 8 minutes – 100%B, 10 minutes – 30%). [1161] Once determined that the antibody has reformed its interchain disulfide bonds, the resin was washed with 10 column volumes PBS and the resin was resuspended in an equal volume PBS and 12 equivalents of the appropriate linker-payload (20 mM) in DMSO was added and then incubated at room temperature for 2 hours. The resin was then washed with 50 column volumes PBS to remove excess linker-payload. The ADC was eluted from the protein A resin with antibody elution buffer. The ADC was then dialyzed into PBS. The material was then concentrated using a centrifugal concentrator using an Amicon Ultra-15, 50KDa, regenerated cellulose (Millipore, UFC0905024), to 4.5 mg/ml and filtered
sterilely through 0.22 µm sterile PVDF Filter, 25mm (Millapore, SLGV013SL) and stored at 4°C. The following analyses were performed - analytical SEC to determine percent monomer, reduced mass spectroscopy to determine DAR, LAL test to determine endotoxin load and protein concentration was determined by A280 utilizing extinction coefficient and molecular weight of antibody. All in vitro materials were >90% monomer. Percent aggregation, as determined by comparison of the area of the high-molecular-weight peak absorbance at 210 and 280 nm with the area of the peak absorbance for monomeric ADC. HRMS data (protein method) indicated a dominant mass of the heavy chain+2 species, giving a DAR of ~4.0 was calculated by comparing MS intensities of peaks for DAR1 DAR2 and DAR3 species. [1162] General Methodology: Drug-to-antibody ratio (DAR) of exemplary ADCs was determined by liquid chromatography-mass spectrometry (LC/MS) according to the following method. For all LC methods, mobile phase A was purified MS grade water (Honeywell, LC015-1), mobile phase B was MS grade 80% Isopropanol (Honeywell LC323-1): 20% acetonitrile (Honeywell, LC015-1), LC323-1), supplemented with 1 % of formic acid (FA) (Thermo Scientific, 85178). The column temperature was set at 80°C. A general MS method was optimized for all ADCs synthesized. The column used for analysis was an Agilent PLRP-S 4000 A; 2.1x150mm, 8um (Agilent, PL1912-3803). Flowrate used was 0.3 ml/min. The gradient used was 0-0.75 minute 95%A, 0.76 -1.9 minute 75%A, 1.91-11.0 minute 50%A, 11.01-11.5010%A, 11.51-13.50 minute 95%A, 13.51-18 minute 95%A on an Acuity Bio H-Class Quaternary UPLC (Waters). MS system was Xevo G2-XS QToF ESI mass spectrometer (Waters) and data acquired from 1.5-11 minutes and masses were analyzed between 15000-80000 daltons. DAR was determined from the deconvoluted spectra or UV chromatogram by summing the integrated MS (total ion current) or UV (280 nm) peak area of unconjugated and conjugated given species (mAb or associated fragment), weighted by multiplying each area by the number of drug attached. The summed, weighted areas were divided by the sum of total area and the results produced a final average DAR value for the full ADC. [1163] Size exclusion chromatography (SEC): SEC was performed to determine the quality of the ADCs and aggregation percentage (%) after purification. The analysis was performed on analytical column Superdex 200 Increase 5/150 GL (GE Healthcare, 28990945) in isocratic conditions 100% PBS pH 7.2 ((Hyclone SH30028.03)), flow 0.45 ml/min for 8 minutes. The % aggregate fraction of the ADC sample was quantified based on the peak area absorbance at 280 nm. Calculation was based on the ratio between the high molecular weight eluent at 280 nm divided by the sum of peak area absorbance at the same wavelength of the high molecular weight and monomeric eluents multiplied by 100%. Data was acquired on an Agilent Bio-Inert 1260 HPLC outfitted with a Wyatt miniDAWN light scattering and Treos refractive index detectors (Wyatt Technologies, Santa Barbara, CA).
In vivo Cysmab ADC preparation [1164] Antibody (25-200 mg) was incubated with rProtein A Sepharose resin (Cytiva) at a ratio of 10 mg Ab to 1 ml resin in PBS for 15 minutes with mixing in an appropriately sized disposable column. Cysteine HCl was added to a final concentration of 20 mM and incubated with agitation for 30 min at room temperature to allow the reactive cysteines to be deblocked. The resin was rapidly washed with 50 column volumes phosphate buffered saline pH 7.2 (PBS) on a vacuum manifold in multiple additions. The resin was then resuspended in an equal volume PBS containing 250 nM CuCl2. Reformation of antibody interchain disulfides was monitored by taking time points. At each time point, 25 µL of resin slurry was removed, 1 µL of 20 mM MC-valcit-MMAE was added, and the tube flicked several times. The resin was spun down, supernatant removed, and then eluted with 50 µL Antibody elution buffer (Thermo). The resin was pelleted and the supernatant analyzed by reverse phase chromatography using an Agilent PLRP-S 4000A 5um, 4.6x50mm column (Buffer A is water, 0.1% TFA, Buffer B Acetonitrile, 0.1% TFA, column held at 80°C, Flowrate 1.5 ml/min; Gradient 0 minutes – 30%B, 5 minutes – 45%B, 6.5 min – 100%B, 8 minutes – 100%B, 10 minutes – 30%). [1165] Once it was determined that the antibody has reformed its interchain disulfide bonds, the resin was washed with 10 column volumes PBS and the resin was resuspended in an equal volume PBS and 12 equivalents of the appropriate linker-payload (20 mM) in DMSO was added and then incubated at room temperature for 2 hours. The resin was then washed with 50 column volumes PBS to remove excess linker-payload. The ADC was eluted from the protein A resin with antibody elution buffer. The ADC was then dialyzed into PBS and preparative SEC using a 16/60 or 26/600 S200increase pg SEC column (GE) with PBS as the mobile phase if needed. The material was then concentrated using a centrifugal concentrator using an Amicon Ultra-15, 50KDa, regenerated cellulose (Millipore, UFC0905024), to 4.5 mg/ml and filtered sterilely through 0.22 µm sterile PVDF Filter, 25mm (Millapore, SLGV013SL) and stored at 4°C. The following analyses were performed - analytical SEC to determine percent monomer, mass spectroscopy to determine DAR, LAL test to determine endotoxin load and protein concentration was determined by A280 utilizing extinction coefficient and molecular weight of antibody. All in vivo materials were >95% monomer. Aggregation was typically <10%. Percent aggregation, as determined by comparison of the area of the high-molecular-weight peak absorbance at 210 and 280 nm with the area of the peak absorbance for monomeric ADC. HRMS data (protein method) indicated a dominant mass of the heavy chain+2 species, giving a DAR of ~4.0 was calculated by comparing MS intensities of peaks for DAR1 DAR2 and DAR3 species. [1166] General Methodology: Drug-to-antibody ratio (DAR) of exemplary ADCs was determined by liquid chromatography-mass spectrometry (LC/MS) according to the following method. For all LC
methods, mobile phase A was purified MS grade water (Honeywell, LC015-1), mobile phase B was MS grade 80% Isopropanol (Honeywell LC323-1): 20% acetonitrile (Honeywell, LC015-1), LC323-1), supplemented with 1 % of formic acid (FA) (Thermo Scientific, 85178). The column temperature was set at 80°C. A general MS method was optimized for all ADCs synthesized. The column used for analysis was an Agilent PLRP-S 4000 A; 2.1x150mm, 8um (Agilent, PL1912-3803). Flowrate used was 0.3 ml/min. The gradient used was 0-0.75 minute 95%A, 0.76 -1.9 minute 75%A, 1.91-11.0 minute 50%A, 11.01-11.5010%A, 11.51-13.50 minute 95%A, 13.51-18 minute 95%A on an Acuity Bio H-Class Quaternary UPLC (Waters). MS system was Xevo G2-XS QToF ESI mass spectrometer (Waters) and data acquired from 1.5-11 minutes and masses were analyzed between 15000-80000 daltons. DAR was determined from the deconvoluted spectra or UV chromatogram by summing the integrated MS (total ion current) or UV (280 nm) peak area of unconjugated and conjugated given species (mAb or associated fragment), weighted by multiplying each area by the number of drug attached. The summed, weighted areas were divided by the sum of total area and the results produced a final average DAR value for the full ADC. [1167] Size exclusion chromatography (SEC): SEC was performed to determine the quality of the ADCs and aggregation percentage (%) after purification. The analysis was performed on analytical column Superdex 200 Increase 5/150 GL (GE Healthcare, 28990945) in isocratic conditions 100% PBS pH 7.2 ((Hyclone SH30028.03)), flow 0.45 ml/min for 8 minutes. The % aggregate fraction of the ADC sample was quantified based on the peak area absorbance at 280 nm. Calculation was based on the ratio between the high molecular weight eluent at 280 nm divided by the sum of peak area absorbance at the same wavelength of the high molecular weight and monomeric eluents multiplied by 100%. Data was acquired on an Agilent Bio-Inert 1260 HPLC outfitted with a Wyatt miniDAWN light scattering and Treos refractive index detectors (Wyatt Technologies, Santa Barbara, CA). Example 4. Synthesis and Characterization of anti-CD7-BclxLi ADCs high DAR and anti-CD7 Dual Bcl2/BclxL ADC [1168] Exemplary antibody-drug conjugates (ADCs) were synthesized using the exemplary methods described below. [1169] 1. Antibodies specifications Exemplary antibody-drug conjugates (ADCs) were synthesized using the exemplary methods described below. All antibodies used for the preparation of the exemplary ADCs were defined respectively by the abbreviation summarized in Table 1. Table 1: Antibodies used for the synthesis of the exemplified ADC
_ *The 2 engineered cysteines, namely E152C and S375C (the amino acid positions corresponding to 152 and 375 in a wild-type (unmodified) IgG1 heavy chain constant domain numbered according to EU numbering system, reference sequence from WO2015138615), were conserved in all the tested antibodies. The exact position of these substitutions is reported in the table above. [1170] The exemplified ADCs were synthesised using site-specific conjugation. The antibodies Ab N,Ab F and Ab G1 were endowed with cysteine mutations incorporated inside the heavy chain and used to conjugate linker-payloads via maleimide group using the method M1, M2 or M3. [1171] 2. Conjugation The exemplified ADCs were synthesized using the linker-payload P5-L12-P5 and P5-L12-P4. [1172] General preparation of the antibody for site-specific cysteine conjugation: The conjugations were performed in a range between 4 and 350 mg antibody. The mAb was bound on rmp Protein A resin (GE Healthcare) at a ratio of 10 mg Ab to 1 ml resin in PBS by mixing in Biorad sized disposable column for 30 minutes. To deblock the reactive cysteines, cysteine hydrochloride monohydrate was added to a final concentration of 20 mM. The mixture was agitated at room temperature for 30 minutes followed by the washing of the resin with 5x50 CV of PBS on a vacuum manifold. The resin was then resuspended in an equal volume of PBS containing 250 nM of CuCl2 and incubated for 1.5 h. Then the conjugation method M1, M2 or M3 were used for the attachment of the linker-payload. [1173] Conjugation method M1: The re-oxidized antibody attached to protein A, was washed 5x50 CV of PBS on a vacuum manifold and resuspended in an equal resin volume of PBS. To the mixture were added 8-fold molar excess of a 10 mM solution of linker-payload and equal volume of DMF. The reaction was incubated at room temperature for 2 h. To monitor the conjugation 20 µl of resin slurry were removed, centrifuged, and after the supernatant was removed, the resin was eluted with 40 µl of the antibody elution buffer (Thermo Fisher Scientific) and analysed by PRLP-s. After eliminating the excess of linker-payload by washing the resin 5x50 CV with 5% DMF in PBS followed by 5x50CV PBS on a vacuum manifold, the ADC was eluted from protein A with the antibody elution buffer and was buffer exchanged by dialysis overnight (Thermo Fisher, 88254) in PBS 1X pH 7.4 (Sigma Life Science, P3813, 10PAK). Exemplified ADCs by method M1 were purified by SEC column HiLoad® 26/600 Superdex® 200 prep grade in 100% PBS. [1174] Conjugation method M2: The re-oxidized antibody attached to protein A, was washed 5x50 CV of PBS on a vacuum manifold and resuspended in an equal resin volume of PBS. To the mixture were added 8-fold molar excess of a 10 mM solution of linker-payload and equal volume of DMF. The reaction
was incubated at room temperature for 2 h. To monitor the conjugation 20 µl of resin slurry were removed, centrifuged, and after the supernatant was removed, the resin was eluted with 40 µl of the antibody elution buffer (Thermo Fisher Scientific) and analysed by PRLP-s. After eliminating the excess of linker-payload by washing the resin 5x50 CV with 5% DMF in PBS followed by 5x50CV PBS on a vacuum manifold, the ADC was eluted from protein A with the antibody elution buffer and was buffer exchanged by dialysis overnight (Thermo Fisher, 88254) in PBS 1X pH 7.4 (Sigma Life Science, P3813, 10PAK). [1175] Conjugation method M3: The re-oxidized antibody attached to protein A, was washed 5x50 CV of PBS on a vacuum manifold and resuspended in an equal resin volume of PBS. To the mixture were added 10-fold molar excess of a 20 mM solution of linker-payload and equal volume of DMF. The reaction was incubated at room temperature for 2 h. To monitor the conjugation 20 µl of resin slurry were removed, centrifuged, and after the supernatant was removed, the resin was eluted with 40 µl of the antibody elution buffer (Thermo Fisher Scientific) and analysed by PRLP-s. After eliminating the excess of linker-payload by washing the resin 5x50 CV with 5% DMF in PBS followed by 5x50CV PBS on a vacuum manifold, the ADC was eluted from protein A with the antibody elution buffer and was buffer exchanged by dialysis overnight (Thermo Fisher, 88254) in PBS 1X pH 7.4 (Sigma Life Science, P3813, 10PAK). Exemplified ADCs by method M1 were purified by SEC column HiLoad® 26/600 Superdex® 200 prep grade in 100% PBS. [1176] All exemplified ADCs were directly concentrated using Vivaspin 20, 50KD, PES (Sartorius Stedim, VS2031), filtered sterilely through 0.2µm sterile PES Filter, 25mm (Whatmann, G896-2502) and stored at 4°C. All ADCs were characterized by analytical size exclusion chromatography Superdex 200 Increase 5/150 GL (GE Healthcare, 28990945) to determine monomer percentage and LC-MS for DAR determination. [1177] To monitor the conjugation, reverse phase chromatography using an Agilent PLRP-S column 4000A 5 um, 4.6 x 50 mm column (Buffer A water, 0.1% TFA, Buffer B Acetonitrile, 0.1% TFA, column held at 80°C, Flowrate 1.5 ml/min) was used. [1178] 3. Characterization LC-MS General Methodology: Drug-to-antibody ratio (DAR) of the exemplary ADCs was determined by liquid chromatography hyphenated with mass spectrometry (LC-MS). LC-MS analysis was performed using a Waters UPLC H-Class Bio chromatography system hyphenated with a Q-TOF Synapt G2 S ESI mass spectrometer (Waters, Manchester, UK). The ADC was analysed following the described method in intact condition with a deglycosylation step using PNGase F enzyme (Genovis ®, G1-PF1-010) or following reduction with dithiothreitol DTT at 5 mM final concentration (Thermo Scientific, Rockford, IL, 20291).
[1179] LC-MS 1 (80% Phase A (Water/0.1% FA), 20% Phase B (Acetonitrile/0.1%FA)): ADC was loaded onto a Bioresolve RP mAb Polyphenyl column, 450A, 2.7µm, 2.1*150mm (Waters, Saint- Quentin-en-Yvelines, France, 186008946). For analysis in both intact and reduced conditions, a desalting step was performed for 1.5 min at 20% of B with a flow rate of 0.6 mL/min. Elution step was performed with a gradient from 1.5 min at 20% B to 16.5 min at 50 % B with a flow rate of 0.6 mL/min. A wash step was set from 16.8 min to 18.8 min at 100% B with a flow rate of 0.6 mL/min. Finally, a conditioning step was used at 19.2 min for 1.8 min at 20 % B with a flow rate of 0.6 mL/min (Total run time=21min). For this method, mobile phase A was ultrapure water obtained with Mili-Q® system and mobile phase B was MS grade acetonitrile (Biosolve, Dieuze, France, 0001204101BS) supplemented with 0.1% of FA (Fisher Chemical: A117-50-50ML). Column temperature was set at 80°C. A general MS method was optimized for all synthesized ADCs in order to estimate average DAR (Table 2). Subsequently, electrospray- ionization time-of-flight mass spectra of the analytes were acquired using UNIFI™ acquisition software (Waters, Manchester, UK). Then, the extracted intensity vs. m/z spectrum was deconvoluted using Maximum Entropy (MaxEnt1) method of MassLynx™ software in order to determine the mass of each intact antibody species or each reduced antibody fragment depending on the treatment. Finally, DAR was estimated from the deconvoluted spectra by summing the integrated MS (total ion current) peak area of unconjugated and conjugated given species (mAb or associated fragment). For the DAR estimation, the percentage of each specie identified was calculated by intensity peak value from deconvoluted spectra. The percentage obtained was multiplied by the number of drugs attached. The summed results produced an estimation of the final average DAR value for the full ADC*2. [1180] Size Exclusion Chromatography: Size exclusion chromatography (SEC) was performed for the quality control of each ADCs by measuring monomer percentage of the conjugate. The analysis was performed on analytical column Superdex 200 Increase 5/150 GL (GE Healthcare, 28990945) in isocratic conditions 100% PBS pH7.4 (Sigma Life Science, P3813, 10PAK), flow 0.45 ml/min for 12 minutes. The % aggregate fraction of the conjugate sample was quantified based on the peak area absorbance at 280 nm. Its calculation was based on the ratio between the high molecular weight eluent at 280 nm divided by the sum of peak area absorbance at the same wavelength of the high molecular weight and monomeric eluents multiplied by 100. [1181] 4. Results Characterization of the exemplary ADCs was summarized in Table 2 (coupling, LC-MS method, DAR and aggregation status). The average DAR values were determined using the above LC-MS method and the percentage of aggregates was measured by size exclusion chromatography (SEC) during the quality control of the ADC. The following exemplified ADCs were prepared using the procedures described above.
Table 2: ADC analytical characterization and coupling methodology
Example 5. In vitro activity of anti-CD7-BclxLi ADCs in BE-13, J45.01 and HNT-34 cell lines (CTG assay 72h): [1182] The CD7 BCL-xL antibody drug conjugates were tested against three endogenous cancer cell lines: • BE-13 (DSMZ) : RPMI 1640 GlutaMAX (LifeTechno #61870 ), 10% FBS (Eurobio # RFQ300 batch CVFSVF00-01), 1% Penicilline-Streptomycine (Gibco #15140), 1% Hepes (Gibco # 15630) • J45.01 (ATCC) : RPMI 1640 GlutaMAX (LifeTechno #61870 ), 10% FBS (Eurobio # RFQ300 batch CVFSVF00-01), 1% Penicilline-Streptomycine (Gibco #15140), 1% Hepes (Gibco # 15630) • HNT-34 (Creative Bioarray) : RPMI 1640 GlutaMAX (LifeTechno #61870 ), 10% FBS (Eurobio # RFQ300 batch CVFSVF00-01), 1% Penicilline-Streptomycine (Gibco #15140), 1% Hepes (Gibco # 15630) Plating conditions • BE-13 : 75 µL/well of 300000 cells/mL for 72h in 96-well plate • J45.01 : 75 µL/well of 750000 cells/mL for 72h in 96-well plate • HNT-34 : 75 µL/well of 700000 cells/mL for 72h in 96-well plate CTG assay protocol: [1183] BE-13, J45.01 and HNT-34 cell lines were cultured in the media described above at 37°C in a humidified atmosphere containing 5% CO2. Cells were seeded in 96 well clear bottom plates (96 well clear-bottom, white, Corning reference 3903) and exposed to the payload or ADCs as single agents or in 1/1 combinations with ABT-199 for 72h (serially diluted; 9 concentrations each, triplicates). Effects of payload or ADCs on cell viability were assessed after 3 days of incubation at 37°C/5% CO2 by [_LX^TQTNL^TYX YQ NPVV_VL\ 7HE VP`PV] _]TXR 9PVVHT^P\' =VY \PLRPX^ #E\YWPRL FPQ4 =1/1+$ L^ 1/nA
reagent/well. All the conditions were tested in triplicates. Luminescence was quantified on a multipurpose plate reader. The concentrations of treatment required to inhibit 50% of cell growth or survival (IC50) were calculated using standard four-parametric curve fitting. IC50 values of the cell lines tested are summarized in Table 1. Each experiment was performed at least twice, with results being reproducible. Results: [1184] As shown in Tables 3 and 4 and in Figures 1, 2 and 3, the payload P5 and the ADCs Ab N – P5- L12-P5 and Ab N – P5-L12-P4 as single agents have shown strong dose dependent effect on the viability of the 3 cell lines tested, while the naked Ab N and the isotype control ADC Ab F – P5-L12-P4 have shown very poor or no activity. When the payload P5 or the ADCs Ab N – P5-L12-P5 or Ab N – P5- L12-P4 were combined with ABT199, we observed improved activity of the combinations as compared to the corresponding single agents, in particulr in J45.01 (T-ALL) and HNT-34 (AML) cell lines. Table 3: IC50 of anti-CD7-BclxLi ADCs in BE-13, J45.01 and HNT-34 cell lines (CTG 72h)
Table 4: Amax (% of viability at the maximal concentration) of anti-CD7-BclxLi ADCs in BE-13, J45.01 and HNT-34 cell lines (CTG 72h)
Example 6. In vivo efficacy of anti-CD7-BclxLi high DAR ADC in BE-13, T-ALL (T cell lymphoblastic leukemia) model [1185] The in vivo therapeutic effect of a CD7-targeting ADC bearing Bclxl inhibitor payloads formulated in Phosphate-Buffered Saline (PBS) in BE-13 T-ALL xenografts was determined after intravenous (IV) administration. Materials and methods [1186] The ADCs below were prepared and characterized according to the conjugation procedure described in Example 4 above.
[1187] BE-13 cells, obtained from DSMZ, were cultured in RPMI supplemented with 20% FBS. Cells were resuspended in 50% Matrigel® (Growth factor reduced, Corning) and 0.1ml containing 1x107 cells were subcutaneously inoculated into the right flank of NOD SCID female mice, provided by Charles River. When tumors reached the appropriate volume, mice were randomized, 6 animals per group, using Easy stat software. Ab N_P5-L12-P5 and Ab G1_P5-L12-P5 ADCs were injected twice IV at day 1 and day 16 in PBS at 2.5 mg/kg. Mice body weight was monitored three times a week and tumor size
measured using electronic calipers. Tumor volume was estimated by measuring the minimum and maximum tumor diameters using the formula: (minimum diameter)2(maximum diameter)/2. [1188] Mice were sacrificed at the first measurement for which tumor volume exceeded 2000 mm3 or at the first signs of animal health deterioration. All experiments were conducted in accordance with the French regulations in force in 2023 after approval by Servier Research Institute (IdRS) Ethical Committee. NOD-SCID mice were maintained according to institutional guidelines. [1189] Results The efficacy of anti-CD7 or isotype IgG1 ADCs on BE-13 xenografts is illustrated in Figure 2. Treatment was started 7 days post tumor cells inoculation (size range: 125-300 mm3). Ab N_ P5-L12-P5 (CD7- targeting ADC Fc-silent) and Ab G1_P5-L12-P5 (non-targeting ADC Fc WT) were administered twice IV at day 1 and day 16 at 2.5 mg/kg. The non-targeting ADC Fc WT had no effect on tumor growth as depicted in Figure 4. On the contrary, the CD7-targeting ADC bearing high DAR of P5 payload induced a complete tumor regression leading to a tumor volume at d14 closed to 0. After the second treatment at day 16, BE- 13 tumor volumes remain stable until day 24 when we observe a rapid relapse. No clinically relevant body weight loss or other clinical signs due to the treatment were observed (Figure 5). Example 7 in vitro Evaluation of anti-CD7 ADCs activity in a panel of cancer cell lines [1190] The antibody drug conjugates were tested against cancer cell lines obtained from ATCC (American Type Culture Collection) or from cell lines derived from patient xenograft models. The cells were cultured in media that is optimal for their growth at 5% CO2, 37°C in a tissue culture incubator. Prior to seeding for the proliferation assay, the cells were split at least 2 days before the assay to ensure optimal growth density. On the day of seeding, cells were lifted off tissue culture flasks using 0.25% trypsin. Cell viability and cell density were determined using a cell counter (Vi-Cell XR Cell Viability Analyzer, Beckman Coulter). Cells with higher than 85% viability were seeded in white clear bottom -2.'aPVV ZVL^P] #=\PTXP\ NL^ " 12+*32$ L^ L OPX]T^c YQ +*** NPVV] ZP\ aPVV TX /* nA YQ ]^LXOL\O R\Ya^S media. Plates were incubated at 37°C overnight in a tissue culture incubator. [1191] The ADCs were prepared in standard phosphate buffered solution to desired concentrations. A series of 10 dilutions were made for each ADC. The prepared drug treatments were then added to the cells resulting in final concentrations of 0.000005 – 300 nM. An acoustic transfer device (Echo555, Beckman Coulter) was used to add the ADCs to the cells. Each treatment was tested in triplicate assay plates. Plates were incubated at 37°C overnight or for 5 days in a tissue culture incubator. The ability of the ADCs to inhibit cell proliferation and survival was assessed using the Promega CellTiter-Glo® proliferation assay. Plates were incubated at room temperature for 20 minutes to stabilize luminescent signals prior to reading using a multimode plate reader (Pherastar, BMG). Luminescent counts of
untreated cells were taken the day after seeding (Day 0 readings), and after 5 days of treatment (Day 5 readings). The Day 5 readings of the untreated cells were compared to the Day 0 readings. Assays with at least one cell doubling during the incubation period were considered valid. To evaluate the effect of the drug treatments, luminescent counts from wells containing untreated cells (100% viability) were used to normalize treated samples. The concentrations of treatment required to inhibit 50% of cell growth or survival (GI50) were calculated using a four parameter logistic regression equation. [1192] The concentrations of treatment required to inhibit 50% of cell growth (GI50) were calculated with representative GC50 values in the panel of T-ALL cell lines tested summarized in Table 5. Table 5 Growth Inhibition (GI50) of the Dual ADCs on T-ALL models
*anti-CD7 antibody = Anti-CD7_hIgG1_TH69_E152C-S375C_G1m3_G1m-1-DANAPA antibody (Ab N)
Claims
CLAIMS 1. An antibody-drug conjugate comprising an antibody or an antigen-binding fragment thereof covalently linked to two antineoplastic payloads through a dual linker, wherein at least one antineoplastic payload is a BH3 mimetic, and wherein the dual linker has one attachment point connected to the antibody and two attachment points to the two antineoplastic payloads, wherein the two antineoplastic payloads can be the same or different and wherein the antibody or antigen-binding fragment thereof binds to target antigen CD7; wherein the antibody is not Ab D. 2. The antibody-drug conjugate of claim 1, wherein the antibody or antigen-binding fragment thereof is an anti-CD7 antibody or antigen-binding fragment thereof comprising three heavy chain complementarity determining regions (CDRs) and three light chain CDRs selected from the group consisting of a) heavy chain CDR1 (HCDR1) consisting of SEQ ID NO:1, heavy chain CDR2 (HCDR2) consisting of SEQ ID NO:2, heavy chain CDR3 (HCDR3) consisting of SEQ ID NO:3, light chain CDR1 (LCDR1) consisting of SEQ ID NO:4, light chain CDR2 (LCDR2) consisting of SEQ ID NO:5, and light chain CDR3 (LCDR3) consisting of SEQ ID NO:6; b) heavy chain CDR1 (HCDR1) consisting of SEQ ID NO:28, heavy chain CDR2 (HCDR2) consisting of SEQ ID NO:29, heavy chain CDR3 (HCDR3) consisting of SEQ ID NO:30; light chain CDR1 (LCDR1) consisting of SEQ ID NO:31, light chain CDR2 (LCDR2) consisting of SEQ ID NO:32, and light chain CDR3 (LCDR3) consisting of SEQ ID NO:6; c) heavy chain CDR1 (HCDR1) consisting of SEQ ID NO:33, heavy chain CDR2 (HCDR2) consisting of SEQ ID NO:34, heavy chain CDR3 (HCDR3) consisting of SEQ ID NO:3; light chain CDR1 (LCDR1) consisting of SEQ ID NO:4, light chain CDR2 (LCDR2) consisting of SEQ ID NO:5, and light chain CDR3 (LCDR3) consisting of SEQ ID NO:6; d) heavy chain CDR1 (HCDR1) consisting of SEQ ID NO:1, heavy chain CDR2 (HCDR2) consisting of SEQ ID NO:2, heavy chain CDR3 (HCDR3) consisting of SEQ ID NO:3; light chain CDR1 (LCDR1) consisting of SEQ ID NO:35, light chain CDR2 (LCDR2) consisting of SEQ ID NO:36, and light chain CDR3 (LCDR3) consisting of SEQ ID NO:6; and e) heavy chain CDR1 (HCDR1) consisting of SEQ ID NO:33, heavy chain CDR2 (HCDR2) consisting of SEQ ID NO:34, heavy chain CDR3 (HCDR3) consisting of SEQ ID NO:3; light chain CDR1 (LCDR1) consisting of SEQ ID NO:35, light chain CDR2 (LCDR2) consisting of SEQ ID NO:36, and light chain CDR3 (LCDR3) consisting of SEQ ID NO:6.
3. The antibody-drug conjugate of claim 1, wherein the antibody or antigen-binding fragment thereof is an anti-CD7 antibody or antigen-binding fragment thereof comprising: (a) a heavy chain variable region comprising the amino acid sequence of SEQ ID NO:26, and a light chain variable region comprising the amino acid sequence of SEQ ID NO:27; (b) a heavy chain variable region comprising the amino acid sequence of SEQ ID NO:7, and a light chain variable region comprising the amino acid sequence of SEQ ID NO:9; (c) a heavy chain variable region comprising the amino acid sequence of SEQ ID NO:7, and a light chain variable region comprising the amino acid sequence of SEQ ID NO:10; (d) a heavy chain variable region comprising the amino acid sequence of SEQ ID NO:8, and a light chain variable region comprising the amino acid sequence of SEQ ID NO:9; or (e) a heavy chain variable region comprising the amino acid sequence of SEQ ID NO:8, and a light chain variable region comprising the amino acid sequence of SEQ ID NO:10. 4. The antibody-drug conjugate of claim 1, wherein the antibody or antigen-binding fragment thereof is an anti-CD7 antibody or antigen-binding fragment thereof comprising: (i) a heavy chain amino acid sequence selected from the group consisting of: SEQ ID NO:11, SEQ ID NO:13, SEQ ID NO: 17, SEQ ID NO: 18, SEQ ID NO: 19, SEQ ID NO: 20, SEQ ID NO: 21, SEQ ID NO: 22, SEQ ID NO: 23, and SEQ ID NO: 24; and (ii) a light chain amino acid sequence selected from the group consisting of: SEQ ID NO:12, SEQ ID NO: 14, SEQ ID NO: 15, and SEQ ID NO: 16. 5. The antibody-drug conjugate of claim 1, wherein the antibody or antigen-binding fragment thereof is an anti-CD7 antibody comprising: (1) a heavy chain amino acid sequence of SEQ ID NO:11 or a sequence that is at least 95% identical to SEQ ID NO:11, and a light chain amino acid sequence of SEQ ID NO:12 or a sequence that is at least 95% identical to SEQ ID NO:12; (2) a heavy chain amino acid sequence of SEQ ID NO:17 or a sequence that is at least 95% identical to SEQ ID NO:17, and a light chain amino acid sequence of SEQ ID NO:14 or a sequence that is at least 95% identical to SEQ ID NO:14; (3) a heavy chain amino acid sequence of SEQ ID NO:18 or a sequence that is at least 95% identical to SEQ ID NO:18, and a light chain amino acid sequence of SEQ ID NO:14 or a sequence that is at least 95% identical to SEQ ID NO:14;
(4) a heavy chain amino acid sequence of SEQ ID NO:19 or a sequence that is at least 95% identical to SEQ ID NO:19, and a light chain amino acid sequence of SEQ ID NO:14 or a sequence that is at least 95% identical to SEQ ID NO:14; (5) a heavy chain amino acid sequence of SEQ ID NO:20 or a sequence that is at least 95% identical to SEQ ID NO:20, and a light chain amino acid sequence of SEQ ID NO:15 or a sequence that is at least 95% identical to SEQ ID NO:15; (6) a heavy chain amino acid sequence of SEQ ID NO:21 or a sequence that is at least 95% identical to SEQ ID NO:21, and a light chain amino acid sequence of SEQ ID NO:15 or a sequence that is at least 95% identical to SEQ ID NO:15; (7) a heavy chain amino acid sequence of SEQ ID NO:22 or a sequence that is at least 95% identical to SEQ ID NO:22, and a light chain amino acid sequence of SEQ ID NO:15 or a sequence that is at least 95% identical to SEQ ID NO:15; (8) a heavy chain amino acid sequence of SEQ ID NO:23 or a sequence that is at least 95% identical to SEQ ID NO:23, and a light chain amino acid sequence of SEQ ID NO:15 or a sequence that is at least 95% identical to SEQ ID NO:15; (9) a heavy chain amino acid sequence of SEQ ID NO:20 or a sequence that is at least 95% identical to SEQ ID NO:20, and a light chain amino acid sequence of SEQ ID NO:16 or a sequence that is at least 95% identical to SEQ ID NO:16; (10) a heavy chain amino acid sequence of SEQ ID NO:24 or a sequence that is at least 95% identical to SEQ ID NO:24, and a light chain amino acid sequence of SEQ ID NO:16 or a sequence that is at least 95% identical to SEQ ID NO:16; or (11) a heavy chain amino acid sequence of SEQ ID NO:24 or a sequence that is at least 95% identical to SEQ ID NO:24, and a light chain amino acid sequence of SEQ ID NO:15 or a sequence that is at least 95% identical to SEQ ID NO:15. 6. The antibody-drug conjugate of any one of claims 1-5, wherein the antibody or antigen binding fragment thereof is an -anti-CD7 antibody or antigen-binding fragment thereof comprising 1) one or more cysteine substitutions selected from E152C, S375C, or both E152C and S375C of the heavy chain of the antibody or antigen binding fragment thereof; or 2) one or more cysteine substitutions selected from V205C, S400C, or both V205C and S400C of the heavy chain of the antibody or antigen binding fragment thereof; wherein the position is numbered according to the EU system.
7. The antibody-drug conjugate of any one of claims 1-6, wherein the antibody or antigen binding fragment thereof is an anti-CD7 antibody or antigen-binding fragment thereof comprising one or more Fc silencing mutations. 8. The antibody-drug conjugate of any one of claims 1-7, wherein one antineoplastic payload is a BH3 mimetic and the other antineoplastic payload is an antineoplastic non-BH3 mimetic. 9. The antibody-drug conjugate of claim 8, wherein the antineoplastic non-BH3 mimetic is a topoisomerase 1 inhibitor or an anti-mitotic drug. 10. The antibody-drug conjugate of claim 9, wherein the topoisomerase 1 inhibitor is selected from topotecan, exatecan, deruxtecan and SN-38. 11. The antibody-drug conjugate of claim 9, wherein the anti-mitotic drug is monomethyl auristatin E (MMAE) or a taxane. 12. The antibody-drug conjugate of claim 11, wherein the taxane is docetaxel, paclitaxel, or cabazitaxel. 13. The antibody-drug conjugate of any one of claims 1-7, wherein said two antineoplastic payloads are two BH3 mimetics. 14. The antibody-drug conjugate of any one of claims 1 to 13, wherein the BH3 mimetic is selected from a Mcl-1 inhibitor, a Bcl-2 inhibitor, and a Bcl-xL inhibitor. 15. The antibody-drug conjugate of any one of claims 13 to 14, wherein the BH3 mimetics of said two antineoplastic payloads are the same. 16. The antibody-drug conjugate of any one of claims 13 to 14, wherein the BH3 mimetics of said two antineoplastic payloads are different. 17. The antibody-drug conjugate of any one of claims 13, 14, and 16, wherein (i) one antineoplastic payload is a Mcl-1 inhibitor and the other antineoplastic payload is a Bcl-2 inhibitor; (ii) one antineoplastic payload is a Mcl-1 inhibitor and the other antineoplastic payload is a Bcl-xL inhibitor; or (iii) one antineoplastic payload is a Bcl-2 inhibitor and the other antineoplastic payload is a Bcl-xL inhibitor.
18. The antibody-drug conjugate of any one of claims 1 to 9, wherein one antineoplastic payload is a Mcl-1 inhibitor, a Bcl-2 inhibitor, and a Bcl-xL inhibitor, and the other antineoplastic payload is a topoisomerase 1 inhibitor or an anti-mitotic drug. 19. The antibody-drug conjugate of any one of claims 1 to 9 and 18, wherein one antineoplastic payload is a Bcl-xL inhibitor and the other antineoplastic payload is a topoisomerase 1 inhibitor. 20. The antibody-drug conjugate of any one of claims 1 to 9 and 18, wherein one antineoplastic payload is a Bcl-xL inhibitor and the other antineoplastic payload is an anti-mitotic drug. 21. The antibody-drug conjugate of any one of claims 1 to 9 and 18, wherein one antineoplastic payload is a Mcl-1 inhibitor and the other antineoplastic payload is a topoisomerase 1 inhibitor. 22. The antibody-drug conjugate of any one of claims 1 to 9 and 18, wherein one antineoplastic payload is a Mcl-1 inhibitor and the other antineoplastic payload is an anti-mitotic drug. 23. The antibody-drug conjugate of any one of claims 1 to 9 and 18, wherein one antineoplastic payload is a Bcl-2 inhibitor and the other antineoplastic payload is a topoisomerase 1 inhibitor. 24. The antibody-drug conjugate of any one of claims 1 to 9 and 18, wherein one antineoplastic payload is a Bcl-2 inhibitor and the other antineoplastic payload is an anti-mitotic drug. 25. The antibody-drug conjugate of any one of claims 1-7, wherein the antibody-drug conjugate is represented by Formula (A):
wherein: Ab is an anti-CD7 antibody or an antigen-binding fragment thereof; R1 is an attachment group; L1 is a bridging spacer; W is branching moiety; L2’ and L3’, are each independently a linker;
D1 and D2 are each independently an antineoplastic payload, wherein at least one of D1 and D2 is a BH3 mimetic; and a is an integer from 1 to 16. 26. The antibody-drug conjugate of claim 25, wherein D1 and D2 are each independently a BH3 mimetic. 27. The antibody-drug conjugate of claim 25, wherein a is an integer from 1 to 6 or from 1 to 4 or a is 1 or 2 or a is determined by liquid chromatography-mass spectrometry (LC-MS). 28. The antibody-drug conjugate of any one of claims 25 to 27, wherein each of L2’ and L3’ comprises a cleavable group, optionally wherein at least one cleavable group comprises a glucuronide group, pyrophosphate group, a peptide group, and/or a self-immolative group. 29. The antibody-drug conjugate of any one of claims 25 to 28, wherein each of L2’ and L3’ comprises a cleavable group, optionally wherein at least one cleavable group comprises a pyrophosphate group, a peptide group, and/or a self-immolative group. 30. The antibody-drug conjugate of any one of claims 1-7 or 25, wherein the antibody-drug conjugate is represented by Formula (B):
wherein: Ab is an anti-CD7 antibody or an antigen-binding fragment thereof; R1 is an attachment group; L1 is a bridging spacer; W is N or CRw; wherein Rw is H or C1-6alkyl; L2 and L3 are each independently a connecting spacer; E1 and E2 are each independently an enzyme cleavage element or a hydrophilic moiety; V1 and V2 each independently comprise i) a self immolative group, ii) an enzyme cleavage element, or iii) a self immolative group and an enzyme cleavage element;
D1 and D2 are each independently an antineoplastic playload, wherein at least one of D1 and D2 is a BH3 mimetic; and a is an integer from 1 to 16. 31. The antibody-drug conjugate of claim 30, wherein V1 and V2 are each independently i) a self immolative group or ii) an enzyme cleavage element; and D1 and D2 are each independently a BH3 mimetic. 32. The antibody-drug conjugate of claim 30 or 31, wherein (i) V1 and V2 each independently comprises a phosphate, a pyrophosphate and/or a self-immolative group; (ii) V1 and V2 each independently comprises a self-immolative group; (iii) V1 and V2 each independently comprises a self- immolative group comprising –CH2-O-, -OC(=O)-, -NH-CH2-, para-aminobenzyl-carbamate, para- aminobenzyl-ammonium, para-amino-(sulfo)benzyl-ammonium, para-amino-(sulfo)benzyl-carbamate, para-amino-(alkoxy-PEG-alkyl)benzyl-carbamate, para-amino- (polyhydroxycarboxytetrahydropyranyl)alkyl-benzyl-carbamate, or para-amino- (polyhydroxycarboxytetrahydropyranyl)alkyl-benzyl-ammonium; or iv) V1 and V2 each independently comprises a group comprising para-aminobenzyl-phosphate or para-aminobenzyl-pyrophosphate. 33. The antibody-drug conjugate of claim 32, wherein (i) V1 and V2 each independently comprises a phosphate, a pyrophosphate and/or a self-immolative group; (ii) V1 and V2 each independently comprises a self-immolative group; or (iii) V1 and V2 each independently comprises a self-immolative group comprising –CH2-O-, -OC(=O)-, -NH-CH2-, para-aminobenzyl-carbamate, para-aminobenzyl-ammonium, para-amino-(sulfo)benzyl-ammonium, para-amino-(sulfo)benzyl-carbamate, para-amino-(alkoxy-PEG- alkyl)benzyl-carbamate, para-amino-(polyhydroxycarboxytetrahydropyranyl)alkyl-benzyl-carbamate, or para-amino-(polyhydroxycarboxytetrahydropyranyl)alkyl-benzyl-ammonium. 34. The antibody-drug conjugate of any one of claims 1-7, 25, and 30, wherein the antibody-drug conjugate is represented by Formula (C):
or pharmaceutically acceptable salt thereof, wherein Ab is an anti-CD7 antibody or an antigen-binding fragment thereof; R1 is an attachment group; L1 is a bridging spacer; W is N or CRw; wherein Rw is H or C1-6alkyl; L2 and L3 are each independently a connecting spacer; E1 and E2 are each independently a peptide group comprising 1 to 6 amino acids, wherein said peptide group is optionally substituted by a hydrophilic group;
O)-* or -OC(=O)N(CH3)C(Ra)2C(Ra)2N(CH3)C(=O)-*, wherein each Ra is independently selected from H, C1-C6 alkyl, and C3-C8 cycloalkyl and the * of A1 or A2 indicates the point of attachment to D1 or D2; D1 and D2 are each independently an antineoplastic playload, wherein at least one of D1 and D2 is a BH3 mimetic; L4 and L5 are each independently a spacer moiety; R2 and R3 are each independently a hydrophilic group or an enzyme cleavage element; m and n are each independently 0 or 1; and a is an integer from 1 to 16.
35. The antibody-drug conjugate of claim 34, wherein D1 and D2 are each independently a BH3 mimetic. 36. The antibody-drug conjugate of any one of claims 1-7, 25, 30, and 34, wherein the antibody-drug conjugate is represented by Formula (D1), (D2), or (D3):
or pharmaceutically acceptable salt thereof, wherein D1 and D2 are each independently an antineoplastic playload, wherein at least one of D1 and D2 is a BH3 mimetic; for Formula (D2), R2 and R3 are each independently an enzyme cleavage element; and for Formula (D3), R2 is a hydrophilic group and R3 is an enzyme cleavage element. 37. The antibody-drug conjugate of claim 36, wherein D1 and D2 are each independently a BH3 mimetic. 38. The antibody-drug conjugate of claim 36 or 37, wherein for Formula (D1), R2 and R3 are each independently a hydrophilic group. 39. The antibody-drug conjugate of any one of claims 25 to 38, wherein a is an integer from 1 to 8, 1 to 6, 1 to 4, or a is 1 or 2, optionally wherein a is determined by liquid chromatography-mass spectrometry (LC-MS). 40. The antibody-drug conjugate of any one of claims 25 to 39, wherein the attachment group is formed by a reaction comprising at least one reactive group. 41. The antibody-drug conjugate of any one of claims 25 to 40, wherein the attachment group is formed by reacting: a first reactive group that is attached to the linker, and a second reactive group that is attached to the antibody or is an amino acid residue of the antibody, wherein optionally,
(i) at least one of the reactive groups comprises: a thiol, a maleimide, a haloacetamide, an azide, an alkyne, a cyclcooctene, a triaryl phosphine, an oxanobornadiene, a cyclooctyne, a diaryl tetrazine, a monoaryl tetrazine, a norbornene, an aldehyde, a hydroxylamine, a hydrazine, NH2-NH-C(=O)-, a ketone, a vinyl sulfone, an aziridine, an amino acid residue,
wherein: each R11 is independently selected from H and C1-C6alkyl; each R12 is 2-pyridyl or 4-pyridyl; each R13 is independently selected from H, C1-C6alkyl, F, Cl, and –OH; each R14 is independently selected from H, C1-C6alkyl, F, Cl, -NH2, -OCH3, -OCH2CH3, - N(CH3)2, -CN, -NO2 and –OH; each R15 is independently selected from H, C1-6alkyl, fluoro, benzyloxy substituted with – C(=O)OH, benzyl substituted with –C(=O)OH, C1-4alkoxy substituted with –C(=O)OH and C1-4alkyl substituted with –C(=O)OH; and/or (ii) the first reactive group and second reactive group comprise: a thiol and a maleimide, a thiol and a haloacetamide, a thiol and a vinyl sulfone, a thiol and an aziridine, an azide and an alkyne, an azide and a cyclooctyne, an azide and a cyclooctene, an azide and a triaryl phosphine, an azide and an oxanobornadiene, a diaryl tetrazine and a cyclooctene, a monoaryl tetrazine and a nonbornene, an aldehyde and a hydroxylamine, an aldehyde and a hydrazine, an aldehyde and NH2-NH-C(=O)-, a ketone and a hydroxylamine,
a ketone and a hydrazine, a ketone and NH2-NH-C(=O)-,
, or a CoA or CoA analogue and a serine residue. 42. The antibody-drug conjugate of any one of claims 25 to 41, wherein the attachment group is selected from:
N O or ; ; ; ; ;
disulfide, wherein: R16 is H, C1-4 alkyl, phenyl, pyrimidine or pyridine; R18 is H, C1-6 alkyl, phenyl or C1-4 alkyl substituted with 1 to 3 –OH groups; each R15 is independently selected from H, C1-6 alkyl, fluoro, benzyloxy substituted with – C(=O)OH, benzyl substituted with –C(=O)OH, C1-4 alkoxy substituted with –C(=O)OH and C1-4 alkyl substituted with –C(=O)OH; R17 is independently selected from H, phenyl and pyridine; q is 0, 1, 2 or 3; R19 is H or methyl; and R20 is H, -CH3 or phenyl. 43. The antibody-drug conjugate of any one of claims 25 to 42, wherein the attachment group is
. 44. The antibody-drug conjugate of any one of claims 25 to 43, wherein: (1) L1 comprises:
*-CH(OH)CH(OH)CH(OH)CH(OH)-**, wherein each n is an integer from 1 to 12, wherein the * of L1 indicates the point of direct or indirect attachment to W, and the ** of L1 indicates the point of direct or indirect attachment to R1;
integer from 1 to 12 or n is 1 or n is 12, wherein the * of L1 indicates the point of direct or indirect attachment to W, and the ** of L1 indicates the point of direct or indirect attachment to R1; (3) L1 is
, and n is an integer from 1 to 12, wherein the * of L1 indicates the point of direct or indirect attachment to W, and the ** of L1 indicates the point of direct or indirect attachment to R1;
*-C(=O)(CH2)mC(=O)NH(CH2)m-**, wherein the * of L1 indicates the point of direct or indirect attachment to W, and the ** of L1 indicates the point of direct or indirect attachment to R1;
each m is independently selected from 1, 2, 3, 4, 5, 6, 7, 8, 9 and 10; each n is independently selected from 1, 2, 3, 4, 5, 6, 7, 8, 9 and 10; and
each t is independently selected from 1, 2, 3, 4, 5, 6, 7, 8, 9, 10, 11, 12, 13, 14, 15, 16, 17, 18, 19, 20, 21, 22, 23, 24, 25, 26, 27, 28, 29 and 30; and each RL1 is independently selected from H and C1-C6alkyl. 45. The antibody-drug conjugate of any one of claims 25 to 44, wherein L1 comprises a moiety represented by
wherein n is an integer from 1 to 12, wherein the * of L1 indicates the point of direct or indirect attachment to W, and the ** of L1 indicates the point of direct or indirect attachment to R1. 46. The antibody-drug conjugate of claim 45, wherein L1 is represented by a formula
, wherein n is an integer from 1 to 12; x is an integer from 0 to 6; y is 0 or 1; z is an integer from 0 to 6; u is 0 or 1; and wherein the * of L1 indicates the point of direct attachment to W, and the ** of L1 indicates the point of direct attachment to R1. 47. The antibody-drug conjugate of any one of claims 25 to 46, wherein L1 is selected from the group consisting of :
48. The antibody-drug conjugate of any one of claims 30 to 47, wherein L2 and L3 are each independently a connecting spacer comprising a moiety represented by:
wherein k is an integer from 0 to 6; r is 0 or 1; o is an integer from 0 to 12; p is an integer from 0 to 6; and wherein the # of L2 or L3 indicates the point of direct or indirect attachment to E1 or E2, respectively, and the ## of L2 or L3 indicates the point of direct or indirect attachment to W. 49. The antibody-drug conjugate of claim 48, wherein L2 and L3 are each independently a connecting spacer selected from a group consisting of
wherein k, in each occurrence, is independently an integer from 0 to 4; r, in each occurrence, is independently 0 or 1; o, in each occurrence, is independently an integer from 0 to 10; p, in each occurrence, is independently an integer from 0 to 4; RL23 is hydrogen or C1-6alkyl; RL is hydrogen or –C(O)-RH; RH is a hydrophilic group; and the # of L2 or L3 indicates the point of direct attachment to E1 or E2, respectively, and the ## of L2 or L3 indicates the point of direct attachment to W; provided that when W is N, L2 and L3 are not (L2c), (L2d), (L2f), or (L2k). 50. The antibody-drug conjugate of claim 49, wherein L2 and L3 are each independently a connecting spacer selected from a group consisting of (L2AA);
wherein k, in each occurrence, is independently an integer from 1 to 3; o, in each occurrence, is independently an integer from 1 to 9; p, in each occurrence, is independently an integer from 1 to 3; RL23 is hydrogen or C1-3alkyl; RL is hydrogen or –C(O)-RH; RH is a hydrophilic group; and the # of L2 or L3 indicates the point of direct attachment to E1 or E2, respectively, and the ## of L2 or L3 indicates the point of direct attachment to W; provided that when W is N, L2 and L3 are not (L2FF), (L2MM), (L2NN), (L2OO), or (L2PP). 51. The antibody-drug conjugate of any one of claims 30 to 50, wherein L2 and L3, independently, are a connecting spacer selected from a group consisting of
wherein the # of L2 or L3 indicates the point of direct attachment to E1 or E2, respectively, the ## of L2 or L3 indicates the point of direct attachment to W; RL is hydrogen or –C(O)-RH; and
, and d is an integer from 20 to 30 (e.g., 20, 21, 22, 23, 24, 25, 26, 27, 28, 29 or 30). 52. The antibody-drug conjugate of claim 51, wherein d is 25. 53. The antibody-drug conjugate of any one of claims 34 to 52, wherein the peptide group comprises 1 to 4, 1 to 3, or 1 to 2 amino acid residues. 54. The antibody-drug conjugate of claim 53, wherein the amino acid residues are selected from glycine (Gly), L-valine (Val), L-citrulline (Cit), L-cysteic acid (sulfo-Ala), L-lysine (Lys), L-isoleucine (Ile), L-phenylalanine (Phe), L-methionine (Met), L-asparagine (Asn), L-proline (Pro), L-alanine (Ala), A'VP_NTXP #AP_$& A'^\cZ^YZSLX #H\Z$& A'^c\Y]TXP #Hc\$ LXO l'LVLXTXP #l'7VL$( 55. The antibody-drug conjugate of any one of claims 1 to 54, wherein the peptide group comprises ILV'9T^& ESP'Ac]& ILV'7VL& ILV'Ac]& AP_'9T^& 9T^'#l'7VL$& =Vc'=Vc'=Vc& =Vc' =Vc'ESP'=Vc& LXO)Y\ ]_VQY' Ala-Val-Ala. 56. The antibody-drug conjugate of any one of claims 53 to 55, wherein the peptide group represented by E1 or E2 is an enzyme cleavage element. 57. The antibody-drug conjugate of any one of claims 53 to 56, or pharmaceutically acceptable salt thereof, wherein the peptide group represented by E1 or E2 is a hydrophilic moiety.
58. The antibody-drug conjugate of claim 56, or pharmaceutically acceptable salt thereof, wherein E1 or E2, independently, is an enzyme cleavage element selected from a group consisting of
wherein ^ of E1 or E2 indicates the point of direct attachment to V1 or V2 in Formula (B) or direct attachment to the –NH- group in Formula (C) and (D); and ^^ of E1 or E2 indicates the point of direct attachment to L2 or L3, respectively. 59. The antibody-drug conjugate of claim 57, or pharmaceutically acceptable salt thereof, wherein E1 or E2, independently, is a hydrophilic moiety represented by
wherein RE is a hydrophilic group RH. 60. The antibody-drug conjugate of claim 59, or pharmaceutically acceptable salt thereof, wherein each hydrophilic group RH in E1 or E2 is independently
; wherein e is an integer between 20 and 30 (e.g., 20, 21, 22, 23, 24, 25, 26, 27, 28, 29 or 30). 61. The antibody-drug conjugate of claim 60, wherein e is 24.
62. The antibody-drug conjugate of any one of claims 34 to 61, or pharmaceutically acceptable salt
thereof, wherein A1 and A2 independently are a bond, -OC(=O)-*, or , wherein * indicates the point of attachment to D1 or D2. 63. The antibody-drug conjugate of any one of claims 34 to 61, or pharmaceutically acceptable salt thereof, wherein A1 and A2 independently are a bond or , wherein * indicates the point of attachment to D1 or D2. 64. The antibody-drug conjugate of any one of claims 34 to 61, or pharmaceutically acceptable salt thereof, wherein A1 and A2 independently are a bond or -OC(=O)-*, wherein * indicates the point of attachment to D1 or D2. 65. The antibody-drug conjugate of any one of claims 34 to 61, or pharmaceutically acceptable salt thereof, wherein: (i) A1 and A2 are - OC(=O)-*; (ii) A1 and A2 are (iii) A1 is - OC(=O)-* and A2 is a bond
(vi) A1 is a bond and A2 is - OC(=O)-*, wherein * indicates the point of attachment to D1 or D2. 66. The antibody-drug conjugate of any one of claims 34 to 65, wherein A1 and A2 are a bond.
67. The antibody-drug conjugate of any one of claims 34 to 66, wherein i) L4 and L5 are each independently a spacer moiety having the structure , wherein:
OC(=O)NH-, -S(O)2NH-, -NHS(O)2-, -C(=O)-, -C(=O)O- or -NH-, wherein each RL45 is independently selected from H, C1-C6alkyl, and C3-C8 cycloalkyl; and X is a bond, triazolyl, or -CH2-triazolyl-, wherein X is connected to R2 or R3; or (ii) L4 and L5, independently, are a spacer moiety having the structure , wherein:
OC(=O)NH-, -S(O)2NH-, -NHS(O)2-, -C(=O)-, -C(=O)O- or -NH-, wherein each RL45 is independently selected from H, C1-C6alkyl, and C3-C8 cycloalkyl; and X is -CH2-triazolyl-C1-4 alkylene-OC(O)NHS(O)2NH-, -C4-6 cycloalkylene-OC(O)NHS(O)2NH-, -(CH2CH2O)n-C(O)NHS(O)2NH-, -(CH2CH2O)n-C(O)NHS(O)2NH-(CH2CH2O)n-, -CH2-triazolyl-C1-4 alkylene-OC(O)NHS(O)2NH-(CH2CH2O)n-, -C4-6cycloalkylene-OC(O)NHS(O)2NH- (CH2CH2O)n-, wherein each n independently is 1, 2, or 3, wherein X is connected to R2 or R3. 68. The antibody-drug conjugate of claim 67, or pharmaceutically acceptable salt thereof, wherein Z is –O-, -CH2NRL45 C(=O)-, -CH2NRL45C(=O)NH- or -CH2O-; X is a bond, triazolyl, or -CH2-triazolyl-; and RL45, in each occurrence, is independently H or C1-3alkyl. 69. The antibody-drug conjugate of any one of claims 34 to 68, or pharmaceutically acceptable salt thereof, wherein L4 and L5 are each independently a spacer moiety selected from a group consisting of
wherein the @ of L4 or L5 indicates the point of direct attachment to the phenyl group, and the @@ of L4 or L5 indicates the point of direct attachment to R2 or R3. 70. The antibody-drug conjugate of any one of claims 34 to 69, wherein the hydrophilic groups represented by R2 and R3 each independently comprises polyethylene glycol, polyalkylene glycol, a polyol, a polysarcosine, a sugar, an oligosaccharide, a polypeptide, C2-C6 alkyl substituted with 1 to 3
, or C2-C6alkyl substituted with 1 to 2 substituents independently selected from -OC(=O)NHS(O)2NHCH2CH2OCH3, -NHC(=O)C1-4alkylene-P(O)(OCH2CH3)2 and -COOH groups. 71. The antibody-drug conjugate of any one of claims 34 to 70, wherein R2 or R3 independently is
. 72. The antibody-drug conjugate of any one of claims 34 to 71, wherein the hydrophilic group represented by R2 or R3 each independently comprises: (i) a polysarcosine with the following moiety:
wherein f is an integer between 3 and 25; and R23 is H, –CH3 or -CH2CH2C(=O)OH; or (ii) a polyethylene glycol of formula:
,wherein g and h are independently an integer between 2 and 30. 73. The antibody-drug conjugate of any one of claims 34 to 69, wherein the enzyme cleavage element represented by R2 or R3 each independently comprises:
. 74. The antibody-drug conjugate of any one of claims 34 to 69, wherein R2 or R3, independently, is selected from a group consisting
, ,
wherein g and h are independently an integer between 20 and 30. 75. The antibody-drug conjugate of claim 72 or 74, wherein g is 23, 24, or 25; and h is 23, 24, or 25. 76. The antibody-drug conjugate of claim 34, wherein the dual linker is represented by the following formula:
(D4j), wherein: A1 and A2 are each independent a bond, –O-C(=O)-*, or , wherein * in A1 and A2 indicates the point of attachment to D1 or D2; g for each occurrence is independently an integer between 20 and 30 (e.g., 20, 21, 22, 23, 24, 25, 26, 27, 28, 29 or 30); o for each occurrence is independently an integer between 1 and 9 (e.g., between 2 and 5); n is an integer between 1 and 12 (e.g., between 2 and 5); indicates the point of attachment to the Ab; and indicates the point of direct attachment to D1 or D2. 77. The antibody-drug conjugate of claim 76, wherein A1 and A2 are each independent a bond or –O-C(=O)-*, wherein * in A1 and A2 indicates the point of attachment to D1 or D2.
78. The antibody-drug conjugate of claim 34, wherein the dual linker is represented by Formula (D5):
A1 and A2 are each independent a bond, –O-C(=O)-*, or , wherein * in A1 and A2 indicates the point of attachment to D1 or D2; g for each occurrence is independently an integer between 20 and 30 (e.g., 20, 21, 22, 23, 24, 25, 26, 27, 28, 29 or 30); o for each occurrence is independently an integer between 1 and 9 (e.g., between 1 and 3); n is an integer between 1 and 12 (e.g., between 5 and 10); indicates the point of attachment to the Ab; and indicates the point of direct attachment to D1 or D2. 79. The antibody-drug conjugate of claim 78, wherein A1 and A2 are each independent a bond or –O- C(=O)-*, wherein * in A1 and A2 indicates the point of attachment to D1 or D2. 80. The antibody-drug conjugate of any one of claims 1-24, or pharmaceutically acceptable salt thereof, wherein the dual linker is represented by the following formula:
wherein each A1 or A2 independently is a bond, -OC(=O)-*, or , wherein * indicates the point of attachment to the antineoplastic payload; indicates the point of attachment to the Ab; and indicates the point of direct attachment to the antineoplastic payload, wherein at least one antineoplastic payload is a BH3 mimetic. 81. The antibody-drug conjugate of claim 80, wherein the antineoplastic payload is D1 or D2 of any one of claims 25-79. 82. The antibody-drug conjugate of claim 81, wherein A1 and A2 are each independent a bond or –O- C(=O)-*, wherein * in A1 and A2 indicates the point of attachment to D1 or D2.
83. The antibody-drug conjugate of claim 81 or 82, wherein D1 and D2 are each independently a BH3 mimetic. 84. The antibody-drug conjugate of any one of claims 25 to 83, wherein one of D1 and D2 is a BH3 mimetic selected from a Mcl-1 inhibitor, a Bcl-2 inhibitor, and a Bcl-xL inhibitor, and the other is an antineoplastic non-BH3 mimetic selected from topoisomerase 1 inhibitor or an anti-mitotic drug. 85. The antibody-drug conjugate of any one of claims 25 to 84, wherein D1 and/or D2 are each independently selected from a Mcl-1 inhibitor, a Bcl-2 inhibitor, and a Bcl-xL inhibitor. 86. The antibody-drug conjugate of any one of claims 25 to 85, wherein both D1 and D2 are (i) a Mcl- 1 inhibitor; (ii) a Bcl-2 inhibitor; or (iii) a Bcl-xL inhibitor. 87. The antibody-drug conjugate of any one of claims 25 to 86, wherein D1 and D2 are the same. 88. The antibody-drug conjugate of any one of claims 25 to 86, wherein D1 and D2 are different. 89. The antibody-drug conjugate of any one of claims 25 to 86, or pharmaceutically acceptable salt thereof, wherein (i) one of D1 and D2 is a Mcl-1 inhibitor and the other is a Bcl-2 inhibitor; (ii) one of D1 and D2 is a Mcl-1 inhibitor and the other is a Bcl-xL inhibitor; or (iii) one of D1 and D2 is a Bcl-2 inhibitor and the other is a Bcl-xL inhibitor. 90. The antibody-drug conjugate of any one of claims 25 to 86, wherein: (i) D1 is a Mcl-1 inhibitor and D2 is a Mcl-1 inhibitor; (ii) D1 is a Mcl-1 inhibitor and D2 is a Bcl-2 inhibitor; (iii) D1 is a Bcl-xL inhibitor and D2 is a Bcl-xL inhibitor: (iv) D1 is a Bcl-xL inhibitor and D2 is a Bcl-2 inhibitor; (v) D1 is a Bcl-2 inhibitor and D2 is a Mcl-1 inhibitor; or. (vi) D1 is a Mcl-1 inhibitor and D2 is a Bcl-xL inhibitor. 91. The antibody-drug conjugate of any one of claims 25 to 80, or pharmaceutically acceptable salt thereof, wherein D1 is a BH3 mimetic and D2 is an antineoplastic non-BH3 mimetic.
92. The antibody-drug conjugate of claim 91, or pharmaceutically acceptable salt thereof, wherein D1 is selected from a Mcl-1 inhibitor, a Bcl-2 inhibitor, and a Bcl-xL inhibitor, and D2 is a topoisomerase 1 inhibitor or an anti-mitotic drug. 93. The antibody-drug conjugate of claim 91 or 92, or pharmaceutically acceptable salt thereof, wherein D1 is a Bcl-xL inhibitor and D2 is a topoisomerase 1 inhibitor. 94. The antibody-drug conjugate of claim 91 or 92, or pharmaceutically acceptable salt thereof, wherein D1 is a Bcl-xL inhibitor and D2 is an anti-mitotic drug. 95. The antibody-drug conjugate of any one of claims 81-90, or pharmaceutically acceptable salt thereof, the Mcl-1 inhibitor is represented by Formula (I):
wherein: Ring D0 is a cycloalkyl group, a heterocycloalkyl group, an aryl group or a heteroaryl group, Ring E0 is a furyl, thienyl or pyrrolyl ring, X01, X03, X04 and X05, independently of one another, are a carbon atom or a nitrogen atom, X02 is a C-R026 group or a nitrogen atom, ^
means that the ring is aromatic,
Y0 is a nitrogen atom or a C-R03 group, Z0 is a nitrogen atom or a C-R04 group, R01 is a halogen atom, a linear or branched (C1-C6)alkyl group, a linear or branched (C2- C6)alkenyl group, a linear or branched (C2-C6)alkynyl group, a linear or branched (C1- C6)haloalkyl group, a hydroxy group, a hydroxy(C1-C6)alkyl group, a linear or branched (C1- C6)alkoxy group, -S-(C1-C6)alkyl group, a cyano group, a nitro group, -Cy08, -(C0-C6)alkyl- NR011R011’, -O-(C1-C6)alkyl-NR011R011’, -O-(C1-C6)alkyl-R012, -C(O)-OR011, -O-C(O)-R011, - C(O)-NR011R011’, -NR011-C(O)-R011’, -NR011-C(O)-OR011’, -(C1-C6)alkyl-NR011-C(O)-R011’, -SO2- NR011R011’, or -SO2-(C1-C6)alkyl, R02, R03, R04 and R05, independently of one another, are a hydrogen atom, a halogen atom, a linear or branched (C1-C6)alkyl group, a linear or branched (C2-C6)alkenyl group, a linear or branched (C2-C6)alkynyl group, a linear or branched (C1-C6)haloalkyl, a hydroxy group, a hydroxy(C1-C6)alkyl group, a linear or branched (C1-C6)alkoxy group, a -S-(C1-C6)alkyl group, a cyano group, a nitro group, -(C0-C6)alkyl-NR011R011’, -O-Cy01, -(C0-C6)alkyl-Cy01, -(C2- C6)alkenyl-Cy01, -(C2-C6)alkynyl-Cy01, -O-(C1-C6)alkyl-NR011R011’, -O-(C1-C6)alkyl-R031, -O-(C1- C6)alkyl-R012, -C(O)-OR011, -O-C(O)-R011, -C(O)-NR011R011’, -NR011-C(O)-R011’, -NR011-C(O)- OR011’, -(C1-C6)alkyl-NR011-C(O)-R011’, -SO2-NR011R011’, or -SO2-(C1-C6)alkyl, or the pair (R01, R02), (R02, R03), (R03, R04), or (R04, R05) together with the carbon atoms to which they are attached form an aromatic or non-aromatic ring containing 5 to 7 ring members, which optionally contains 1 to 3 heteroatoms selected from O, S and N, wherein the resulting ring is optionally substituted by 1 or 2 groups selected from halogen, linear or branched (C1-C6)alkyl, (C0-C6)alkyl-NR011R011’, -NR013R013’, -(C0-C6)alkyl-Cy01 or oxo, R06 and R07, independently of one another, are a hydrogen atom, a halogen atom, a linear or branched (C1-C6)alkyl group, a linear or branched (C2-C6)alkenyl group, a linear or branched (C2-C6)alkynyl group, a linear or branched (C1-C6)haloalkyl, a hydroxy group, a linear or branched (C1-C6)alkoxy group, a -S-(C1-C6)alkyl group, a cyano group, a nitro group, -(C0- C6)alkyl-NR011R011’, -O-(C1-C6)alkyl-NR011R011’, -O-Cy01, -(C0-C6)alkyl-Cy01, -(C2-C6)alkenyl- Cy01, -(C2-C6)alkynyl-Cy01, -O-(C1-C6)alkyl-R012, -C(O)-OR011, -O-C(O)-R011, -C(O)-NR011R011’, -NR011-C(O)-R011’, -NR011-C(O)-OR011’, -(C1-C6)alkyl-NR011-C(O)-R011’, -SO2-NR011R011’, or - SO2-(C1-C6)alkyl, or the pair (R06, R07), when fused with the two adjacent carbon atoms, together with the carbon atoms to which they are attached form an aromatic or non-aromatic ring containing 5 to 7 ring members, which optionally contains 1 to 3 heteroatoms selected from O, S and N, wherein the resulting ring is optionally substituted by a linear or branched (C1-C6)alkyl group,
-NR013R013’, -(C0-C6)alkyl-Cy01 or an oxo, W0 is a -CH2- group, a -NH- group or an oxygen atom, R08 is a hydrogen atom, a linear or branched (C1-C8)alkyl group, a -CHR0aR0b group, an aryl group, a heteroaryl group, an aryl(C1-C6)alkyl group, or a heteroaryl(C1-C6)alkyl group, R09 is a hydrogen atom, a linear or branched (C1-C6)alkyl group, a linear or branched (C2- C6)alkenyl group, a linear or branched (C2-C6)alkynyl group, -Cy02, -(C1-C6)alkyl-Cy02, -(C2- C6)alkenyl-Cy02, -(C2-C6)alkynyl-Cy02, -Cy02-Cy03, -(C2-C6)alkynyl-O-Cy02, -Cy02-(C0-C6)alkyl- O-(C0-C6)alkyl-Cy03, a halogen atom, a cyano group, -C(O)-R014, or -C(O)-NR014R014’, R010 is a hydrogen atom, a linear or branched (C1-C6)alkyl group, a linear or branched (C2-C6)alkenyl group, a linear or branched (C2-C6)alkynyl group, an aryl(C1-C6)alkyl group, a (C1-C6)cycloalkylalkyl group, a linear or branched (C1-C6)haloalkyl, or -(C1-C6)alkyl-O-Cy04, or the pair (R09, R010), when fused with the two adjacent carbon atoms, together with the carbon atoms to which they are attached form an aromatic or non-aromatic ring containing 5 to 7 ring members, which optionally contains 1 to 3 heteroatoms selected from O, S and N, R011 and R011’, independently of one another, are a hydrogen atom, an optionally substituted linear or branched (C1-C6)alkyl group, or -(C0-C6)alkyl-Cy01, or the pair (R011, R011’) together with the nitrogen atom to which they are attached form an aromatic or non-aromatic ring containing 5 to 7 ring members, which optionally contains, in addition to the nitrogen atom, 1 to 3 heteroatoms selected from O, S, and N, wherein the N atom may be substituted by 1 or 2 groups selected from a linear or branched (C1-C6)alkyl group, and wherein one or more of the carbon atoms of the linear or branched (C1-C6)alkyl group is optionally deuterated, R012 is -Cy05, -Cy05-(C0-C6)alkyl-O-(C0-C6)alkyl-Cy06, -Cy05-(C0-C6)alkyl-Cy06, -Cy05- (C0-C6)alkyl-NR011-(C0-C6)alkyl-Cy06, -Cy05-Cy06-O-(C0-C6)alkyl-Cy07, -Cy05-(C0-C6)alkyl-O- (C0-C6)alkyl-Cy09, -Cy05-(C0-C6)alkyl-Cy09, -NH-C(O)-NH-R011, -Cy05-(C0-C6)alkyl-NR011-(C0-C6)alkyl-Cy09, -C(O)-NR011R011’, -NR011R011’, -OR011, -NR011-C(O)-R011’, -O-(C1-C6)alkyl-OR011, -SO2-R011, -C(O)-OR011, R013, R013’, R014 and R014’, independently of one another, are a hydrogen atom, or an optionally substituted linear or branched (C1-C6)alkyl group, R0a is a hydrogen atom or a linear or branched (C1-C6)alkyl group, R0b is a -O-C(O)-O-R0c group, a -O-C(O)-NR0cR0c’ group, or a -O-P(O)(OR0c)2 group, R0c and R0c’, independently of one another, are a hydrogen atom, a linear or branched (C1-C8)alkyl group, a cycloalkyl group, a (C1-C6)alkoxy(C1-C6)alkyl group, or a (C1- C6)alkoxycarbonyl(C1-C6)alkyl group, or the pair (R0c, R0c’) together with the nitrogen atom to which they are attached form a non-aromatic ring composed of from 5 to 7 ring members, which
may contain in addition to the nitrogen atom from 1 to 3 heteroatoms selected from oxygen and nitrogen, wherein the nitrogen is optionally substituted by a linear or branched (C1-C6)alkyl group, Cy01, Cy02, Cy03, Cy04, Cy05, Cy06, Cy07, Cy08 and Cy010, independently of one another, are a cycloalkyl group, a heterocycloalkyl group, an aryl group or a heteroaryl group, each of which is optionally substituted,
or Cy09 is a heteroaryl group which is substituted by a group selected from -O-P(O)(OR020)2; -O- P(O)(O-M+)2; -(CH2)p0-O-(CHR018-CHR019-O)q0-R020; hydroxy; hydroxy(C1-C6)alkyl; -(CH2)r0-U0- (CH2)s0-heterocycloalkyl; and -U0-(CH2)q0-NR021R021’, R015 is a hydrogen atom; a -(CH2)p0-O-(CHR018-CHR019-O)q0-R020 group; a linear or branched (C1-C6)alkoxy(C1-C6)alkyl group; a -U0-(CH2)q0-NR021R021’ group; or a -(CH2)r0-U0- (CH2)s0-heterocycloalkyl group, R016 is a hydrogen atom; a hydroxy group; a hydroxy(C1-C6)alkyl group; a -(CH2)r0-U0- (CH2)s0-heterocycloalkyl group; a (CH2)r0-U0-V0-O-P(O)(OR020)2 group; a -O-P(O)(O-M+)2 group; a -O-S(O)2OR020 group; a -S(O)2OR020 group; a -(CH2)p0-O-(CHR018-CHR019-O)q0-R020 group; a - (CH2)p0-O-C(O)-NR022R023 group; or a -U0-(CH2)q0-NR021R021’ group, R017 is a hydrogen atom; a -(CH2)p0-O-(CHR018-CHR019-O)q0-R020 group; a -CH2- P(O)(OR020)2 group, a -O-P(O)(OR020)2 group; a -O-P(O)(O-M+)2 group; a hydroxy group; a hydroxy(C1-C6)alkyl group; a -(CH2)r0-U0-(CH2)s0-heterocycloalkyl group; a -U0-(CH2)q0- NR021R021’ group; or an aldonic acid, M+ is a pharmaceutically acceptable monovalent cation, U0 is a bond or an oxygen atom, V0 is a -(CH2)s0- group or a -C(O)- group, R018 is a hydrogen atom or a (C1-C6)alkoxy(C1-C6)alkyl group, R019 is a hydrogen atom or a hydroxy(C1-C6)alkyl group, R020 is a hydrogen atom or a linear or branched (C1-C6)alkyl group, R021 and R021’ independently of one are a hydrogen atom, a linear or branched (C1- C6)alkyl group, or a hydroxy(C1-C6)alkyl group, or the pair (R021, R021’) together with the nitrogen
atom to which they are attached form an aromatic or non-aromatic ring containing 5 to 7 ring members, which optionally contains, in addition to the nitrogen atom, 1 to 3 heteroatoms selected from O, S and N, wherein the resulting ring is optionally substituted by a hydrogen atom or a linear or branched (C1-C6)alkyl group, R022 is a (C1-C6)alkoxy(C1-C6)alkyl group, a -(CH2)p0-NR024R024’ group, or a -(CH2)p0-O- (CHR018-CHR019-O)q0-R20 group, R023 is a hydrogen atom or a (C1-C6)alkoxy(C1-C6)alkyl group, or the pair (R022, R023) together with the nitrogen atom to which they are attached form an aromatic or non-aromatic ring containing 5 to 18 ring members, which optionally contains, in addition to the nitrogen atom, 1 to 5 heteroatoms selected from O, S and N, wherein the resulting ring is optionally substituted by a hydrogen atom, a linear or branched (C1-C6)alkyl group or a heterocycloalkyl group, R024 and R024’, independently of one another, are a hydrogen atom or a linear or branched (C1-C6)alkyl group, or the pair (R024, R024’) together with the nitrogen atom to which they are attached form an aromatic or non-aromatic ring composed of from 5 to 7 ring members, which may contain in addition to the nitrogen atom from 1 to 3 heteroatoms selected from O, S and N, and wherein the resulting ring is optionally substituted by a hydrogen atom or a linear or branched (C1-C6)alkyl group, R025 is a hydrogen atom, a hydroxy group, or a hydroxy(C1-C6)alkyl group, R026 is a hydrogen atom, a halogen atom, a linear or branched (C1-C6)alkyl group, or a cyano group, R027 is a hydrogen atom or a linear or branched (C1-C6)alkyl group, R028 is a -O-P(O)(O-)(O-) group, a -O-P(O)(O-)(OR030) group, a -O-P(O)(OR030)(OR030’) group, a -(CH2)p0-O-SO2-O- group, a -(CH2)p0-SO2-O- group, a - (CH2)p0-O-SO2-OR030 group, -Cy010, a -(CH2)p0-SO2-OR030 group, a -O-C(O)-R029 group, a -O- C(O)-OR029 group or a -O-C(O)-NR029R029’ group; R029 and R029’, independently of one another, are a hydrogen atom, a linear or branched (C1-C6)alkyl group or a linear or branched amino(C1-C6)alkyl group, R030 and R030’, independently of one another, are a hydrogen atom, a linear or branched (C1-C6)alkyl group or an aryl(C1-C6)alkyl group,
w ere n t e ammon um opt ona y ex sts as a zwitterionic form or has a monovalent anionic counterion, n0 is an integer equal to 0 or 1, p0 is an integer equal to 0, 1, 2, or 3, q0 is an integer equal to 1, 2, 3 or 4, r0 and s0 are independently an integer equal to 0 or 1; wherein, at most, one of the R03, R09, or R012 groups, if present, is covalently attached to the linker, and wherein the valency of an atom is not exceeded by virtue of one or more substituents bonded thereto, or an enantiomer, diastereoisomer, atropisomer, deuterated derivative, and/or pharmaceutically acceptable salt of any of the foregoing. 96. The antibody-drug conjugate of claim 95, wherein Cy01, Cy02, Cy03, Cy04, Cy05, Cy06, Cy07, Cy08 and Cy010, independently of one another, is a cycloalkyl group, a heterocycloalkyl group, an aryl group or a heteroaryl group, each of which is optionally substituted by one or more groups selected from halo; - (C1-C6)alkoxy; -(C1-C6)haloalkyl; -(C1-C6)haloalkoxy; -(CH2)p0-O-SO2-OR030; -(CH2)p0-SO2-OR030; -O- P(O)(OR020)2; -O-P(O)(O-M+)2; -CH2-P(O)(OR020)2; -(CH2)p0-O-(CHR018-CHR019-O)q0-R020; hydroxy; hydroxy(C1-C6)alkyl; -(CH2)r0-U0-(CH2)s0-heterocycloalkyl; or -U0-(CH2)q0-NR021R021’. 97. The antibody-drug conjugate of claim 95, wherein the Mcl-1 inhibitor is presented by Formula (IA):
wherein: Z0 is a nitrogen atom or a C-R04 group, R01 is a halogen atom, a linear or branched (C1-C6)alkyl group, a linear or branched (C2- C6)alkenyl group, a linear or branched (C2-C6)alkynyl group, a linear or branched (C1- C6)haloalkyl group, a hydroxy group, a linear or branched (C1-C6)alkoxy group, a -S-(C1-C6)alkyl group, a cyano group, -Cy08, -NR011R011’, R02, R03 and R04, independently of one another, are a hydrogen atom, a halogen atom, a linear or branched (C1-C6)alkyl group, a linear or branched (C2-C6)alkenyl group, a linear or branched (C2-C6)alkynyl group, a linear or branched (C1- C6)haloalkyl, a hydroxy group, a linear or branched (C1-C6)alkoxy group, a -S-(C1-C6)alkyl group, a cyano group, a nitro group, -(C0-C6)alkyl-NR011R011’, -O-Cy01, -(C0-C6)alkyl-Cy01, -(C2- C6)alkenyl-Cy01, -(C2-C6)alkynyl-Cy01, -O-(C1-C6)alkyl-NR011R011’, -O-(C1-C6)alkyl-R031, -C(O)- OR011, -O-C(O)-R011, -C(O)-NR011R011’, -NR011-C(O)-R011’, -NR011-C(O)-OR011’, -(C1-C6)alkyl- NR011-C(O)-R011’, -SO2-NR011R011’, or -SO2-(C1-C6)alkyl, or the pair (R02, R03) or (R03, R04) together with the carbon atoms to which they are attached form an aromatic or non-aromatic ring containing 5 to 7 ring members, which optionally contains 1 to 3 heteroatoms selected from O, S and N, wherein the ring is optionally substituted by a group selected from a linear or branched (C1-C6)alkyl, -NR013R013’, -(C0-C6)alkyl-Cy01 and oxo, R06 and R07, independently of one another, are a hydrogen atom, a halogen atom, a linear or branched (C1-C6)alkyl group, a linear or branched (C2-C6)alkenyl group, a linear or branched (C2-C6)alkynyl group, a linear or branched (C1-C6)haloalkyl, a hydroxy group, a linear or branched (C1-C6)alkoxy group, a -S-(C1-C6)alkyl group, a cyano group, a nitro group, -(C0-
C6)alkyl-NR011R011’, -O-Cy01, -(C0-C6)alkyl-Cy01, -(C2-C6)alkenyl-Cy01, -(C2-C6)alkynyl-Cy01, -O-(C1-C6)alkyl-R012, -C(O)-OR011, -O-C(O)-R011, -C(O)-NR011R011’, -NR011-C(O)-R011’, -NR011- C(O)-OR011’, -(C1-C6)alkyl-NR011-C(O)-R011’, -SO2-NR011R011’, or -SO2-(C1-C6)alkyl, or the pair (R06, R07), when fused with two adjacent carbon atoms, together with the carbon atoms to which they are attached form an aromatic or non-aromatic ring containing 5 to 7 ring members, which optionally contains 1 to 3 heteroatoms selected from O, S and N, and wherein the resulting ring is optionally substituted by a group selected from a linear or branched (C1-C6)alkyl group, - NR013R013’, -(C0-C6)alkyl-Cy01 and an oxo, R08 is a hydrogen atom, a linear or branched (C1-C8)alkyl group, an aryl group, a heteroaryl group, an aryl-(C1-C6)alkylgroup, or a heteroaryl(C1-C6)alkyl group, R09 is a linear or branched (C1-C6)alkyl group, a linear or branched (C2-C6)alkenyl group, a linear or branched (C2-C6)alkynyl group, -Cy02, -(C1-C6)alkyl-Cy02, -(C2-C6)alkenyl-Cy02, -(C2-C6)alkynyl-Cy02, -Cy02-Cy03, -(C2-C6)alkynyl-O-Cy02, -Cy02-(C0-C6)alkyl-O-(C0-C6)alkyl-Cy03, a halogen atom, a cyano group, -C(O)-R014, -C(O)-NR014R014’, R011 and R011’, independently of one another, are a hydrogen atom, an optionally substituted linear or branched (C1-C6)alkyl group, or -(C0-C6)alkyl-Cy01, or the pair (R011, R011’) together with the nitrogen atom to which they are attached form an aromatic or non-aromatic ring containing 5 to 7 ring members, which optionally contains, in addition to the nitrogen atom, 1 to 3 heteroatoms selected from O, S and N, wherein the N atom is optionally substituted by a linear or branched (C1- C6)alkyl group, and wherein one or more of the carbon atoms of the linear or branched (C1-C6)alkyl group is optionally deuterated, R012 is -Cy05, -Cy05-(C0-C6)alkyl-Cy06, -Cy05-(C0-C6)alkyl-O-(C0-C6)alkyl-Cy06, -Cy05- (C0-C6)alkyl-NR011-(C0-C6)alkyl-Cy06, -Cy05-Cy06-O-(C0-C6)alkyl-Cy07, -Cy05-(C0-C6)alkyl-Cy09, - NH-C(O)-NH-R011, -C(O)-NR011R011’, -NR011R011’, -OR011, -NR011-C(O)-R011’, -O-(C1-C6)alkyl- OR011, -SO2-R011, or -C(O)-OR011, R013, R013’, R014 and R014’, independently of one another, are a hydrogen atom, or an optionally substituted linear or branched (C1-C6)alkyl group, Cy01, Cy02, Cy03, Cy05, Cy06, Cy07 and Cy08, independently of one another, are a cycloalkyl group, a heterocycloalkyl group, an aryl group or a heteroaryl group, each of which is optionally substituted,
formula (I),
wherein, at most, one of the R03, R09, or R012 groups, if present, is covalently attached to the linker, or an enantiomer, diastereoisomer, atropisomer, deuterated derivative, and/or pharmaceutically acceptable salt of any of the foregoing. 98. The antibody-drug conjugate of claim 95, wherein the Mcl-1 inhibitor is represented by Formula (IB):
wherein: R01 is a linear or branched (C1-C6)alkyl group,
R03 is -O-(C1-C6)alkyl-
wherein R011 and R011’, independently of one another, are a hydrogen atom, an optionally substituted linear or branched (C1-C6)alkyl group, or -(C0-C6)alkyl-Cy01; or the pair (R011, R011’) together with the nitrogen atom to which they are attached form an aromatic or non-aromatic ring containing 5 to 7 ring members, which optionally contains, in addition to the nitrogen atom, 1 to 3 heteroatoms selected from O, S and N, wherein the N atom may be substituted by 1 or 2 groups selected from a hydrogen atom or a linear or branched (C1- C6)alkyl group, and wherein R027 is a hydrogen atom and R028 is a -(CH2)p0-O-SO2-O- group or a -(CH2)p0-SO2-OR030 group; R09 is a linear or branched (C2-C6)alkynyl group or -Cy02, R012 is -Cy05, -Cy05-(C0-C6)alkyl-Cy06, or -Cy05-(C0-C6)alkyl-Cy09, Cy01, Cy02, Cy05 and Cy06 independently of one another, are a cycloalkyl group, a heterocycloalkyl group, an aryl group or a heteroaryl group, each of which is optionally substituted,
R015, R016, and R017 are as defined for formula (I), wherein, at most, one of the R03, R09, or R012 groups, if present, is covalently attached to the linker, or the enantiomer, diastereoisomer, atropisomer, deuterated derivative, and/or pharmaceutically acceptable salt of any of the foregoing. 99. The antibody-drug conjugate of claim 98, wherein R01 is methyl or ethyl.
100. The antibody-drug conjugate of claim 98, wherein R03 is -O-CH2-CH2-NR011R011’ in which R011 and R011’ form, together with the nitrogen atom carrying them, a piperazinyl group which may be substituted by a group being a hydrogen atom or a linear or branched (C1-C6)alkyl group). 101. The antibody-drug conjugate of claim 98, wherein R03 comprises the formula:
, wherein R027 is a hydrogen atom and R028 is a - (CH2)p0-SO2-OR030 group. 102. The antibody-drug conjugate of claim 98, wherein R03 comprises the formula:
, wherein is a bond to the linker. 103. The antibody-drug conjugate of claim 98, wherein R09 is Cy02. 104. The antibody-drug conjugate of claim 103, wherein Cy02 is an optionally substituted aryl group. 105. The antibody-drug conjugate of claim 98, wherein Cy05 comprises a heteroaryl group selected from a pyrazolyl group and a pyrimidinyl group. 106. The antibody-drug conjugate of claim 98, wherein Cy05 is a pyrimidinyl group. 107. The antibody-drug conjugate of any one of claims 98 to 106, wherein the Mcl-1 inhibitor is attached by a covalent bond to R03 of formula (I), (IA), or (IB); or is attached by a covalent bond to R09 of formula (I), (IA), or (IB).
108. The antibody-drug conjugate of any one of claims 98 to 107, wherein the Mcl-1 inhibitor is represented by any one of the following formulas:
or an enantiomer, diastereoisomer, atropisomer, deuterated derivative, and/or pharmaceutically acceptable salt of any of the foregoing. 109. The antibody-drug conjugate of any one of claims 81-90, wherein the Bcl-xL inhibitor is represented by Formula (II) or Formula (III):
, or an enantiomer, a diastereoisomer, and/or a pharmaceutically acceptable salt of any one of the foregoing, wherein: R1 and R2, independently of one another, represent a group selected from the group consisting of: hydrogen; a linear or branched C1-C6alkyl optionally substituted by a hydroxyl or a C1-C6alkoxy group; a C3-C6cycloalkyl; a trifluoromethyl; and a linear or branched C1-C6alkylene-heterocycloalkyl wherein the heterocycloalkyl group is optionally substituted by a linear or branched C1-C6alkyl group; or R1 and R2 form with the carbon atoms carrying them a C3-C6cycloalkylene group, R3 represents a group selected from the group consisting of: hydrogen; a C3-C6cycloalkyl; a linear or branched C1-C6alkyl; -X1-NRaRb; -X1-N+RaRbRc; -X1-O-Rc; -X1-COORc; -X1-PO(OH)2; -X1- SO2(OH); -X1-N3 and:
, Ra and Rb, independently of one another, represent a group selected from the group consisting of: hydrogen; a heterocycloalkyl; -SO2-phenyl wherein the phenyl may be substituted by a linear or branched C1-C6alkyl; a linear or branched C1-C6alkyl optionally substituted by one or two hydroxyl groups; a C1-C6alkylene-SO2OH; a C1-C6alkylene-SO2O-; a C1-C6alkylene-COOH; a C1-C6alkylene-
PO(OH)2; a C1-C6alkylene-NRdRe; a C1-C6alkylene-N+RdReRf; a C1-C6alkylene-phenyl wherein the phenyl may be substituted by a C1-C6alkoxy group; and the group:
, or Ra and Rb form with the nitrogen atom carrying them a cycle B1; or Ra, Rb and Rc form with the nitrogen atom carrying them a bridged C3-C8hetero cycloalkyl, Rc, Rd, Re, Rf, independently of one another, represents a hydrogen or a linear or branched C1- C6alkyl group, or Rd and Re form with the nitrogen atom carrying them a cycle B2, or Rd, Re and Rf form with the nitrogen atom carrying them a bridged C3-C8heterocycloalkyl, Het1 represents a group selected from the group consisting of:
, Het2 represents a group selected from the group consisting of:
, A1 is –NH-, -N(C1-C3alkyl), O, S or Se, A2 is N, CH or C(R5), G is selected from the group consisting of: -C(O)ORG3, -C(O)NRG1RG2, -C(O)RG2, -NRG1C(O)RG2, -NRG1C(O)NRG1RG2, -OC(O)NRG1RG2, -NRG1C(O)ORG3, -C(=NORG1)NRG1RG2, -NRG1C(=NCN)NRG1RG2, -NRG1S(O)2NRG1RG2, -S(O)2RG3, -S(O)2NRG1RG2, -NRG1S(O)2RG2, -NRG1C(=NRG2)NRG1RG2, -C(=S)NRG1RG2, -C(=NRG1)NRG1RG2, -C1-C6alkyl optionally substituted by a hydroxyl group, a halogen, -NO2, and -CN, in which: - RG1 and RG2 at each occurrence are each independently selected from the group consisting of hydrogen, a C1-C6alkyl optionally substituted by 1 to 3 halogen atoms, a C1-C6alkyl substituted by a hydroxyl, a C1-C6alkyl substituted by a C1-C6alkoxy group, a C2-C6alkenyl, a C2-C6alkynyl, a C3- C6cycloalkyl, phenyl and –(CH2)1-4-phenyl; - RG3 is selected from the group consisting of a C1-C6alkyl optionally substituted by 1 to 3 halogen atoms, a C2-C6alkenyl, a C2-C6alkynyl, a C3-C6cycloalkyl, phenyl and –(CH2)1-4-phenyl; or RG1 and RG2, together with the atom to which each is attached are combined to form a C3- C8heterocycloalkyl; or in the alternative, G is selected from the group consisting of:
wherein RG4 is selected from the group consisting of hydrogen, a C1-C6alkyl optionally substituted by 1 to 3 halogen atoms, a C1-C6alkyl substituted by a hydroxyl, a C1-C6alkyl substituted by a C1-C6alkoxy group, a C2-C6alkenyl, a C2-C6alkynyl and a C3-C6cycloalkyl, and RG5 represents a hydrogen atom or a C1-C6alkyl group optionally substituted by 1 to 3 halogen atoms, R4 represents a hydrogen, fluorine, chlorine or bromine atom, a methyl, a hydroxyl or a methoxy group, R5 represents a group selected from the group consisting of: a C1-C6alkyl optionally substituted by 1 to 3 halogen atoms; a C2-C6alkenyl; a C2-C6alkynyl; a halogen; and –CN, R6 represents a group selected from the group consisting of: hydrogen; a linear or branched –C1-C6alkylene-R8 group; a -C2-C6alkenyl; -X2-O-R7;
; -X2-NSO2-R7 ; , -C=C(R9)-Y1-O-R7 ; a C3-C6cycloalkyl; a C3-C6heterocycloalkyl optionally substituted by a hydroxyl group; a C3-C6cycloalkylene-Y2-R7;
a C3-C6heterocycloalkylene-Y2-R7 group, and a heteroarylene-R7 group optionally substituted by a linear or branched C1-C6alkyl group, R7 represents a group selected from the group consisting of: a linear or branched C1-C6alkyl group; a (C3-C6)cycloalkylene-R8;
wherein Cy represents a C3-C8cycloalkyl, R8 represents a group selected from the group consisting of: hydrogen; a linear or branched C1- C6alkyl, -NR’aR’b; -NR’a-CO-OR’c; -NR’a-CO-R’c; -N+R’aR’bR’c; -O-R’c; -NH-X’2-N+R’aR’bR’c; -O-
R9 represents a group selected from the group consisting of a linear or branched C1-C6alkyl, trifluoromethyl, hydroxyl, halogen, and a C1-C6alkoxy, R10 represents a group selected from the group consisting of hydrogen, fluorine, chlorine, bromine, -CF3 and methyl,
R11 represents a group selected from the group consisting of hydrogen, a C1-C3alkylene-R8, a -O- C1-C3alkylene-R8, -CO-NRhRi and a -CH=CH-C1-C4alkylene-NRhRi, -CH=CH-CHO, a C3- C8cycloalkylene-CH2-R8, and a C3-C8heterocycloalkylene-CH2-R8, R12 and R13, independently of one another, represent a hydrogen atom or a methyl group, R14 and R15, independently of one another, represent a hydrogen or a methyl group, or R14 and R15 form with the carbon atom carrying them a cyclohexyl, Rh and Ri, independently of one another, represent a hydrogen or a linear or branched C1-C6alkyl group, X1 and X2, independently of one another, represent a linear or branched C1-C6alkylene group optionally substituted by one or two groups selected from the group consisting of trifluoromethyl, hydroxyl, a halogen, and a C1-C6alkoxy, X’2 represents a linear or branched C1-C6alkylene, R’a and R’b, independently of one another, represent a group selected from the group consisting of: hydrogen; a heterocycloalkyl; -SO2-phenyl wherein the phenyl may be substituted by a linear or branched C1-C6alkyl; a linear or branched C1-C6alkyl optionally substituted by one or two hydroxyl or C1-C6alkoxy groups; a C1-C6alkylene-SO2OH; a C1-C6alkylene-SO2O-; a C1-C6alkylene-COOH; a C1- C6alkylene-PO(OH)2; a C1-C6alkylene-NR’dR’e; a C1-C6alkylene-N+R’dR’eR’f; a C1-C6alkylene-O-C1- C6alkylene-OH; a C1-C6alkylene-phenyl wherein the phenyl may be substituted by a hydroxyl or a C1-C6alkoxy group; and the group:
, or R’a and R’b form with the nitrogen atom carrying them a cycle B3, or R’a, R’b and R’c form with the nitrogen atom carrying them a bridged C3-C8hetero cycloalkyl, R’c, R’d, R’e, R’f, independently of one another, represents a hydrogen or a linear or branched C1- C6alkyl group, or R’d and R’e form with the nitrogen atom carrying them a cycle B4, or R’d, R’e and R’f form with the nitrogen atom carrying them a bridged C3-C8 Dheterocycloalkyl, Y1 represents a linear or branched C1-C4alkylene, Y2 represents a bond, -O-, -O-CH2-, -O-CO-, -O-SO2-, -CH2-, -CH2-O, -CH2-CO-, -CH2-SO2-,- C2H5-, -CO-, -CO-O-, -CO-CH2-, -CO-NH-CH2-, -SO2-, -SO2-CH2-, -NH-CO-, or -NH-SO2-, m=0, 1 or 2,
B1, B2, B3 and B4, independently of one another, represents a C3-C8heterocycloalkyl group, which group can: (i) be a mono- or bi-cyclic group, wherein bicyclic group includes fused, bridged or spiro ring system, (ii) can contain, in addition to the nitrogen atom, one or two hetero atoms selected independently from oxygen, sulphur and nitrogen, (iii) be substituted by one or two groups selected from the group consisting of: fluorine, bromine, chlorine, a linear or branched C1-C6alkyl, hydroxyl, – NH2, oxo and piperidinyl, wherein one of the R3 and R8 groups, if present, is covalently attached to the linker, and wherein the valency of an atom is not exceeded by virtue of one or more substituents bonded thereto; or
, or an enantiomer, a diastereoisomer, and/or a pharmaceutically acceptable salt of any one of the foregoing, wherein: n=0, 1 or 2, ------ represents a single or a double bond, A4 and A5, independently of one another, represent a carbon or a nitrogen atom, Z1 represents a bond, -N(R)-, or –O-, wherein R represents a hydrogen or a linear or branched C1- C6alkyl, R1 represents a group selected from the group consisting of: hydrogen; a linear or branched C1- C6alkyl optionally substituted by a hydroxyl or a C1-C6alkoxy group; a C3-C6cycloalkyl; trifluoromethyl; and a linear or branched C1-C6alkylene-heterocycloalkyl wherein the heterocycloalkyl group is optionally substituted by a linear or branched C1-C6alkyl group; R2 represents a hydrogen or a methyl; R3 represents a group selected from the group consisting of: hydrogen; a linear or branched C1- C4alkyl; -X1-NRaRb; -X1-N+RaRbRc; -X1-O-Rc; -X1-COORc; -X1-PO(OH)2; -X1-SO2(OH); -X1-N3 and : , Ra and Rb, independently of one another, represent a group selected from the group consisting of: hydrogen; a heterocycloalkyl; -SO2-phenyl wherein the phenyl may be substituted by a linear or branched C1-C6alkyl; a linear or branched C1-C6alkyl optionally substituted by one or two hydroxyl groups; a C1-C6alkylene-SO2OH; a C1-C6alkylene-SO2O-; a C1-C6alkylene-COOH; a C1-C6alkylene-
PO(OH)2; a C1-C6alkylene-NRdRe; a C1-C6alkylene-N+RdReRf; a C1-C6alkylene-phenyl wherein the phenyl may be substituted by a C1-C6alkoxy group; and the group:
or Ra and Rb form with the nitrogen atom carrying them a cycle B1; or Ra, Rb and Rc form with the nitrogen atom carrying them a bridged C3-C8 heterocycloalkyl, Rc, Rd, Re, Rf, independently of one another, represents a hydrogen or a linear or branched C1- C6alkyl group, or Rd and Re form with the nitrogen atom carrying them a cycle B2, or Rd, Re and Rf form with the nitrogen atom carrying them a bridged C3-C8 heterocycloalkyl, Het1 represents a group selected from the group consisting of:
Het2 represents a group selected from the group consisting of:
, A1 is –NH-, -N(C1-C3alkyl), O, S or Se, A2 is N, CH or C(R5), G is selected from the group consisting of: -C(O)ORG3, -C(O)NRG1RG2, -C(O)RG2, -NRG1C(O)RG2, -NRG1C(O)NRG1RG2, -OC(O)NRG1RG2, -NRG1C(O)ORG3, -C(=NORG1)NRG1RG2, -NRG1C(=NCN)NRG1RG2, -NRG1S(O)2NRG1RG2, -S(O)2RG3, -S(O)2NRG1RG2, -NRG1S(O)2RG2, -NRG1C(=NRG2)NRG1RG2, -C(=S)NRG1RG2, -C(=NRG1)NRG1RG2, -C1-C6alkyl optionally substituted by a hydroxyl group, halogen, -NO2, and -CN, in which: - RG1 and RG2 at each occurrence are each independently selected from the group consisting of hydrogen, a C1-C6alkyl optionally substituted by 1 to 3 halogen atoms, a C1-C6alkyl substituted by a hydroxyl, a C1-C6alkyl substituted by a C1-C6alkoxy group, a C2-C6alkenyl, a C2-C6 alkynyl, a C3- C6cycloalkyl, phenyl and –(CH2)1-4-phenyl; - RG3 is selected from the group consisting of a C1-C6alkyl optionally substituted by 1 to 3 halogen atoms, a C2-C6alkenyl, a C2-C6alkynyl, a C3-C6cycloalkyl, phenyl and –(CH2)1-4-phenyl; or RG1 and RG2, together with the atom to which each is attached are combined to form a C3-C8heterocycloalkyl ; or in the alternative, G is selected from the group consisting of:
wherein RG4 is selected from the group consisting of hydrogen, a C1-C6alkyl optionally substituted by 1 to 3 halogen atoms, a C1-C6alkyl substituted by a hydroxyl, a C1-C6alkyl substituted by a C1-C6alkoxy group, a C2-C6 alkenyl, a C2-C6alkynyl and a C3-C6cycloalkyl, and RG5 represents a hydrogen atom or a C1-C6alkyl group optionally substituted by 1 to 3 halogen atoms, R4 represents a hydrogen, fluorine, chlorine or bromine atom, a methyl, a hydroxyl or a methoxy group, R5 represents a group selected from the group consisting of: a C1-C6alkyl optionally substituted by 1 to 3 halogen atoms; a C2-C6alkenyl; a C2-C6alkynyl; a halogen; and –CN, R6 represents a group selected from the group consisting of: hydrogen; a linear or branched –C1-C6alkylene-R8 group; a -C2-C6alkenyl; -X2-O-R7;
; -X2-NSO2-R7 ; -C=C(R9)-Y1-O-R7 ; a C3-C6cycloalkyl; a C3-C6heterocycloalkyl optionally substituted by a hydroxyl group; a C3-C6cycloalkylene-Y2-R7 ;
a C3-C6heterocycloalkylene-Y2-R7 group, and a heteroarylene-R7 group optionally substituted by a linear or branched C1-C6alkyl group, R7 represents a group selected from the group consisting of: a linear or branched C1-C6alkyl group; a (C3-C6)cycloalkylene-R8;
wherein Cy represents a C3-C8cycloalkyl, R8 represents a group selected from the group consisting of: hydrogen; a linear or branched C1- C6alkyl, -NR’aR’b; -NR’a-CO-OR’c; -NR’a-CO-R’c; -N+R’aR’bR’c; -O-R’c; -NH-X’2-N+R’aR’bR’c; -O- X’2-NR’aR’b, -X’2-NR’aR’b, -NR’c-X’2-N3 and: , R9 represents a group selected from the group consisting of a linear or branched C1-C6alkyl, trifluoromethyl, hydroxyl, a halogen, and a C1-C6alkoxy, R10 represents a group selected from the group consisting of hydrogen, fluorine, chlorine, bromine, -CF3 and methyl,
R11 represents a group selected from the group consisting of hydrogen, a halogen, a C1- C3alkylene-R8, a -O-C1-C3alkylene-R8, -CO-NRhRi and a -CH=CH-C1-C4alkylene-NRhRi, -CH=CH- CHO, a C3-C8cycloalkylene-CH2-R8, and a C3-C8heterocycloalkylene-CH2-R8, R12 and R13, independently of one another, represent a hydrogen atom or a methyl group, R14 and R15, independently of one another, represent a hydrogen or a methyl group, or R14 and R15 form with the carbon atom carrying them a cyclohexyl, Rh and Ri, independently of one another, represent a hydrogen or a linear or branched C1-C6alkyl group, X1 represents a linear or branched C1-C4alkylene group optionally substituted by one or two groups selected from the group consisting of trifluoromethyl, hydroxyl, a halogen, and a C1-C6alkoxy, X2 represents a linear or branched C1-C6alkylene group optionally substituted by one or two groups selected from the group consisting of trifluoromethyl, hydroxyl, a halogen, and a C1-C6alkoxy, X’2 represents a linear or branched C1-C6alkylene, R’a and R’b, independently of one another, represent a group selected from the group consisting of: hydrogen; a heterocycloalkyl; -SO2-phenyl wherein the phenyl may be substituted by a linear or branched C1-C6alkyl; a linear or branched C1-C6alkyl optionally substituted by one or two hydroxyl or C1-C6alkoxy groups; a C1-C6alkylene-SO2OH; a C1-C6alkylene-SO2O-; a C1-C6alkylene-COOH; a C1- C6alkylene-PO(OH)2; a C1-C6alkylene-NR’dR’e; a C1-C6alkylene-N+R’dR’eR’f; a C1-C6alkylene-O-C1- C6alkylene-OH; a C1-C6alkylene-phenyl wherein the phenyl may be substituted by a hydroxyl or a C1-C6alkoxy group; and the group:
or R’a and R’b form with the nitrogen atom carrying them a cycle B3, or R’a, R’b and R’c form with the nitrogen atom carrying them a bridged C3-C8 heterocycloalkyl, R’c, R’d, R’e, R’f, independently of one another, represents a hydrogen or a linear or branched C1- C6alkyl group, or R’d and R’e form with the nitrogen atom carrying them a cycle B4, or R’d, R’e and R’f form with the nitrogen atom carrying them a bridged C3-C8 heterocycloalkyl, Y1 represents a linear or branched C1-C4alkylene,
Y2 represents a bond, -O-, -O-CH2-, -O-CO-, -O-SO2-, -CH2-, -CH2-O, -CH2-CO-, -CH2-SO2-,-C2H5-, -CO-, -CO-O-, -CO-CH2-, -CO-NH-CH2-, -SO2-, -SO2-CH2-, -NH-CO-, or -NH-SO2-, m=0, 1 or 2, B1, B2, B3 and B4, independently of one another, represents a C3-C8heterocycloalkyl group, which group can: (i) be a mono- or bi-cyclic group, wherein bicyclic group includes fused, bridged or spiro ring system, (ii) can contain, in addition to the nitrogen atom, one or two hetero atoms selected independently from oxygen, sulphur and nitrogen, (iii) be substituted by one or two groups selected from the group consisting of: fluorine, bromine, chlorine, a linear or branched C1-C6alkyl, hydroxyl, – NH2, oxo and piperidinyl, wherein one of the R3, R8 and G groups, if present, is covalently attached to the linker, and wherein the valency of an atom is not exceeded by virtue of one or more substituents bonded thereto. 110. The antibody-drug conjugate of claim 109, wherein the Bcl-xL inhibitor is represented by formula (IIA) or (IIIA):
(IIIA), or an enantiomer, a diastereoisomer, and/or a pharmaceutically acceptable salt of any one of the foregoing, wherein: Z1 represents a bond or –O-,
R3 represents a group selected from the group consisting of: hydrogen; a C3-C6cycloalkyl; a linear or branched C1-C6alkyl; -X1-NRaRb; -X1-N+RaRbRc; -X1-O-Rc; -X1-N3 and , Ra and Rb, independently of one another, represent a group selected from the group consisting of: hydrogen; a linear or branched C1-C6alkyl optionally substituted by one or two hydroxyl groups; and a C1-C6alkylene-SO2O-, Rc represents a hydrogen or a linear or branched C1-C6alkyl group, Het2 represents a group selected from the group consisting of:
, A1 is –NH-, -N(C1-C3alkyl), O, S or Se, A2 is N, CH or C(R5), G is selected from the group consisting of: -C(O)OH, -C(O)ORG3, -C(O)NRG1RG2, -C(O)RG2, -NRG1C(O)RG2, -NRG1C(O)NRG1RG2, -OC(O)NRG1RG2, -NRG1C(O)ORG3, -C(=NORG1)NRG1RG2, -NRG1C(=NCN)NRG1RG2, -NRG1S(O)2NRG1RG2, -S(O)2RG3, -S(O)2NRG1RG2, -NRG1S(O)2RG2, -NRG1C(=NRG2)NRG1RG2, -C(=S)NRG1RG2, -C(=NRG1)NRG1RG2, -C1-C6alkyl optionally substituted by a hydroxyl group, -C(O)NRG5S(O)2RG4, halogen, -NO2, and -CN, in which: - RG1, RG2, RG4 and RG5 at each occurrence are each independently selected from the group consisting of hydrogen, and a C1-C6alkyl optionally substituted by 1 to 3 halogen atoms; - RG3 is a C1-C6alkyl optionally substituted by 1 to 3 halogen atoms; or RG1 and RG2, together with the atom to which each is attached are combined to form a C3- C8heterocycloalkyl; R4 represents a hydrogen, fluorine, chlorine or bromine atom, a methyl, a hydroxyl or a methoxy group,
R5 represents a group selected from the group consisting of: a C1-C6alkyl optionally substituted by 1 to 3 halogen atoms; a halogen and –CN, R6 represents a group selected from the group consisting of: a linear or branched –C1-C6alkylene-R8 group; -X2-O-R7; and a heteroarylene-R7 group optionally substituted by a linear or branched C1-C6alkyl group, R7 represents a group selected from the group consisting of: a linear or branched C1-C6alkyl group; (C3-C6)cycloalkylene-R8;
wherein Cy represents a C3-C8cycloalkyl, R8 represents a group selected from the group consisting of: hydrogen; a linear or branched C1- C6alkyl, -NR’aR’b; -NR’a-CO-OR’c; -NR’a-CO-R’c; -N+R’aR’bR’c; -O-R’c; -NH-X’2-N+R’aR’bR’c; -O-X’2-NR’aR’b; -X’2-NR’aR’b; -NR’c-X’2-N3 and: , R10 represents a group selected from the group consisting of hydrogen, fluorine, chlorine, bromine, -CF3 and methyl,
R11 represents a group selected from the group consisting of hydrogen, a C1-C3alkylene-R8, -O- C1-C3alkylene-R8, -CO-NRhRi, -CH=CH-C1-C4alkylene-NRhRi, -CH=CH-CHO, a C3- C8cycloalkylene-CH2-R8, and a C3-C8heterocycloalkylene-CH2-R8, R12 and R13, independently of one another, represent a hydrogen atom or a methyl group, R14 and R15, independently of one another, represent a hydrogen or a methyl group, or R14 and R15 form with the carbon atom carrying them a a cyclohexyl, Rh and Ri, independently of one another, represent a hydrogen or a linear or branched C1-C6alkyl group, X1 and X2, independently of one another, represent a linear or branched C1-C6alkylene group optionally substituted by one or two groups selected from the group consisting of trifluoromethyl, hydroxyl, a halogen, and C1-C6alkoxy, X’2 represents a linear or branched C1-C6alkylene, R’a and R’b, independently of one another, represent a group selected from the group consisting of: hydrogen; a heterocycloalkyl; -SO2-phenyl wherein the phenyl may be substituted by a linear or branched C1-C6alkyl; a linear or branched C1-C6alkyl optionally substituted by one or two hydroxyl or C1-C6alkoxy groups; a C1-C6alkylene-SO2OH; a C1-C6alkylene-SO2O-; a C1- C6alkylene-COOH; a C1-C6alkylene-PO(OH)2; a C1-C6alkylene-NR’dR’e; a C1-C6alkylene- N+R’dR’eR’f; a C1-C6alkylene-O-C1-C6alkylene-OH; a C1-C6alkylene-phenyl wherein the phenyl may be substituted by a hydroxyl or a C1-C6alkoxy group; and the group:
or R’a and R’b form with the nitrogen atom carrying them a cycle B3, or R’a, R’b and R’c form with the nitrogen atom carrying them a bridged C3-C8heterocycloalkyl, R’c, R’d, R’e, R’f, independently of one another, represents a hydrogen or a linear or branched C1- C6alkyl group, or R’d and R’e form with the nitrogen atom carrying them a cycle B4, or R’d, R’e and R’f form with the nitrogen atom carrying them a bridged C3-C8heterocycloalkyl, m=0, 1 or 2,
p=1, 2, 3 or 4, B3 and B4, independently of one another, represents a C3-C8heterocycloalkyl group, which group can: (i) be a mono- or bi-cyclic group, wherein bicyclic group includes fused, bridged or spiro ring system, (ii) can contain, in addition to the nitrogen atom, one or two hetero atoms selected independently from oxygen, sulphur and nitrogen, (iii) be substituted by one or two groups selected from the group consisting of: fluorine, bromine, chlorine, a linear or branched C1- C6alkyl, hydroxyl, –NH2, oxo and piperidinyl. 111. The antibody-drug conjugate of claim 110, wherein G is selected from the group consisting of: - C(O)OH, -C(O)ORG3, -C(O)NRG1RG2, -C(O)RG2, -NRG1C(O)RG2, -NRG1C(O)NRG1RG2, -OC(O)NRG1RG2, -NRG1C(O)ORG3, -C(=NORG1)NRG1RG2, -NRG1C(=NCN)NRG1RG2, -NRG1S(O)2NRG1RG2, -S(O)2RG3, - S(O)2NRG1RG2, -NRG1S(O)2RG2, -NRG1C(=NRG2)NRG1RG2, -C(=S)NRG1RG2, -C(=NRG1)NRG1RG2, halogen, -NO2, and –CN. 112. The antibody-drug conjugate of any one of claims 109-111, wherein R7 represents a group selected from the group consisting of: a linear or branched C1-C6alkyl group; a (C3-C6)cycloalkylene-R8;
113. The antibody-drug conjugate of any one of claims 109-111, wherein R7 represents a group selected from the group consisting of:
. 114. The antibody-drug conjugate of claim 109, wherein the Bcl-xL inhibitor is represented by formula (IIB), (IIC), (IIB) or (IIIC):
7
or an enantiomer, a diastereoisomer, and/or a pharmaceutically acceptable salt of any one of the foregoing, wherein: for formula (IIB) or (IIC), R3 represents a group selected from: hydrogen; linear or branched C1- C6alkyl; -X1-NRaRb; -X1-N+RaRbRc; and -X1-O-Rc; for formula (IIIB) or (IIIC), Z1 represents a bond, and R3 represents hydrogen; or Z1 represents – O-, and R3 represents –X1-NRaRb, Ra and Rb, independently of one another, represent a group selected from: hydrogen; linear or branched C1-C6alkyl optionally substituted by one or two hydroxyl groups; and C1-C6alkylene- SO2O-, Rc represents a hydrogen or a linear or branched C1-C6alkyl group R6 represents –X2-O-R7 or an heteroarylene-R7 group optionally substituted by a linear or branched C1-C6alkyl group, R7 represents a group selected from:
, R8 represents a group selected from: -NR’aR’b; -O-X’2-NR’aR’b; and -X’2-NR’aR’b, R10 represents fluorine, R12 and R13, independently of one another, represent a hydrogen atom or a methyl group, R14 and R15, independently of one another, represent a hydrogen or a methyl group, X1 and X2, independently of one another, represent a linear or branched C1-C6alkylene group optionally substituted by one or two groups selected from trifluoromethyl, hydroxyl, halogen, C1-C6alkoxy, X’2 represents a linear or branched C1-C6alkylene, R’a and R’b independently of one another, represent a group selected from: hydrogen; linear or branched C1-C6alkyl optionally substituted by one or two hydroxyl or C1-C6alkoxy groups; C1- C6alkylene-NR’dR’e; or R’a and R’b form with the nitrogen atom carrying them a cycle B3, R’d, R’e, independently of one another, represents a hydrogen or a linear or branched C1-C6alkyl group, B3 represents a C3-C8heterocycloalkyl group, which group can: (i) be a mono- or bi-cyclic group, wherein bicyclic group includes fused, bridged or spiro ring system, (ii) can contain, in addition to the nitrogen atom, one or two hetero atoms selected independently from oxygen and nitrogen, (iii) be substituted by one or two groups selected from: fluorine, bromine, chlorine, linear or branched C1-C6alkyl, hydroxyl, and oxo. 115. The antibody-drug conjugate of any one of claims 109-114, wherein R7 represents the following group:
. 116. The antibody-drug conjugate of any one of claims 109 to 114, wherein R7 represents a group selected from:
. 117. The antibody-drug conjugate of any one of claims 109 to 116, wherein R8 represents a group selected from:
, wherein represents a bond to the linker. 118. The antibody-drug conjugate of any one of claims 109 to 117, wherein B3 represents a C3-C8heterocycloalkyl group selected from a pyrrolidinyl group, a piperidinyl group, a piperazinyl group, a morpholinyl group, an azepanyl group, and a 4,4-difluoropiperidin-1-yl group. 119. The antibody-drug conjugate of any one of claims 109-118, wherein the Bcl-xL inhibitor is represented by any one of the following:
or an enantiomer, a diastereoisomer, and/or a pharmaceutically acceptable salt of any one of the foregoing. 120. The antibody-drug conjugate of any one of claims 81-90, or pharmaceutically acceptable salt thereof, wherein the Bcl-2 inhibitor is represented by Formula (IV) or Formula (V):
(IV), or an enantiomer, a diastereoisomer, and/or a pharmaceutically acceptable salt of any one of the foregoing, wherein: A1 represents a hydrogen or halogen atom, a linear or branched (C1-C6)polyhaloalkyl group, a linear or branched (C1-C6)alkyl group or a cycloalkyl group, A2 represents a linear or branched (C1-C6)alkyl group optionally substituted by a group selected from halogen, hydroxy, linear or branched (C1-C6)alkoxy, NR'R" and morpholine, or A2 represents a linear or branched (C1-C6)polyhaloalkyl group or a cyclopropyl group, it being understood that R' and R", each independently of the other, represent a hydrogen atom or a linear or branched (C1-C6)alkyl group, 731
T represents a hydrogen atom, a linear or branched (C1-C6)alkyl group optionally substituted by from one to three halogen atoms, a group (C1-C4)alkyl-NR1R2, or a group (C1-C4)alkyl-OR6, R1 and R2, each independently of the other, represent a hydrogen atom or a linear or branched (C1-C6)alkyl group, or R1 and R2 form with the nitrogen atom carrying them a heterocycloalkyl, R3 represents an aryl or heteroaryl group, it being understood that one or more carbon atoms of the preceding groups, or of their possible substituents, may be deuterated, R4 represents a phenyl group, a 4-hydroxyphenyl group, a 3-fluoro-4-hydroxyphenyl group, a 2-hydroxypyrimidine group or a 3-hydroxypyridine group, it being understood that one or more carbon atoms of the preceding groups, or of their possible substituents, may be deuterated, R5 represents a hydrogen or halogen atom, a linear or branched (C1-C6)alkyl group, or a linear or branched (C1-C6)alkoxy group, R6 represents a hydrogen atom or a linear or branched (C1-C6)alkyl group, Ra and Rd each represent a hydrogen atom and (Rb,Rc) form together with the carbon atoms carrying them a 1,3-dioxolane group or a 1,4-dioxane group, or Ra, Rc and Rd each represent a hydrogen atom and Rb represents a hydrogen or halogen atom or a methoxy group, or Ra and Rd each represent a hydrogen atom, Rb represents a hydrogen or halogen atom and Rc represents a hydroxy or methoxy group, or: Ra and Rd each represent a hydrogen atom, Rb represents a hydroxy or methoxy group and Rc represents a halogen atom, or
or an enantiomer, a diastereoisomer, and/or a pharmaceutically acceptable salt of any one of the foregoing, wherein: Z1 and Z2 represent both a methyl group or they form together with the atoms carrying them a fused piperidine group, T represents a hydrogen atom, a linear or branched (C1-C6)alkyl group optionally substituted by one to three halogen atoms, a (C1-C4)alkylene-NR1R2 group, a (C1-C4)alkylene-ORi group, R1 and R2, independently of one another, represent a hydrogen atom or a linear or branched (C1- C6)alkyl group, or R1 and R2 form with the nitrogen atom carrying them a heterocycloalkyl group, which heterocycloalkyl is optionally substituted by one to three groups selected from: (C1-C6)alkyl group and halogen atom, R3 represents a group selected from:
R4 represents a group selected from:
R5 represents a hydrogen atom, a halogen atom or a hydroxy group, R6 represents a hydrogen, a linear or branched (C1-C6)alkyl group, or a halogen atom, Alk represents a linear or branched (C1-C6)alkyl group, A1 represents a C-Y4 or a nitrogen atom, A2 represents a C-H or a nitrogen atom, Cy1 represents a phenyl, a heteroaryl, a cycloalkyl or a heterocycloalkyl group, wherein the phenyl, the heteroaryl, the cycloalkyl and the heterocycloalkyl groups are optionally substituted by one to three groups selected from: linear or branched (C1-C6)alkyl group optionally substituted by 1 to 3 halogen atoms, hydroxy group, cycloalkyl group, and halogen atom and the heterocycloalkyl group is optionally further substituted by an oxo group, Cy2 represent a phenyl or a heteroaryl group, wherein the phenyl and the heteroaryl groups are 734
optionally substituted by one to three groups selected from: linear or branched (C1-C6)alkyl group optionally substituted by 1 to 3 halogen atoms, hydroxy group, and halogen atom X represents a bond, -O-, -S- or NRk, Y1 and Y5, independently of one another, represent a group selected from: hydrogen atom, halogen atom, cyano, linear or branched (C1-C6)alkyl group, and linear or branched (C1-C6)alkoxy group, Y2 and Y4, independently of one another, represent a group selected from: hydrogen atom, halogen atom, linear or branched (C1-C6)alkyl group, linear or branched (C1-C6)alkoxy group, and heterocycloalkyl group optionally substituted by a linear or branched (C1-C6)alkyl group, Y3 represents a group selected from: hydrogen atom, halogen atom, linear or branched (C1-C6)alkyl, linear or branched (C1-C6)alkynyl, -(C1-C4)alkylene-ORl, linear or branched (C1-C6)alkoxy group, -O-phenyl, -S-phenyl, -O-(C1-C4)alkylene-Cy3, -O-(C1-C4)alkylene-Cy4, -O-Cy3, -O-(C1- C4)alkylene-NRgRh, -(C1-C4)alkylene-Cy3, -(C1-C4)alkylene-Cy4, Cy3, Cy4, and:
, wherein the alkylene moiety of the preceding groups may be linear or branched, Cy3 represents a heterocycloalkyl optionally substituted by one to three groups selected from: linear or branched (C1-C6)alkyl group optionally substituted by 1 to 3 halogen atoms, hydroxy group, cycloalkyl group, heterocycloalkyl group, and halogen atom, Cy4 represents a cycloalkyl optionally substituted by one to three groups selected from: linear or branched (C1-C6)alkyl group optionally substituted by 1 to 3 halogen atoms, hydroxy group, cycloalkyl group, heterocycloalkyl group, and halogen atom Ra and Rb, independently of one another, represent a hydrogen atom or a halogen atom, Rc represents a group selected from: hydrogen, linear or branched (C1-C6)alkyl group optionally substituted by 1 to 3 halogen atoms, (C1-C6)alkylene-NRdRe, (C1-C6)alkylene-ORj, cycloalkyl, heterocycloalkyl, and (C1-C6)alkylene-heterocycloalkyl group, R’c and R’’c, independently of one another, represent a hydrogen atom or a linear or branched (C1- C6)alkyl, Rd and Re, independently of one another, represent a hydrogen atom, a linear or branched (C1- C6)alkyl group, a cycloalkyl group or a heterocycloalkyl group, Rf represents a hydrogen atom, a halogen atom or a cyano group, R’f represents a hydrogen atom or a halogen atom, Rg and Rh, independently of one another, represent a hydrogen atom, a linear or branched (C1- C6)alkyl group optionally substituted by one to three halogen atoms, a cycloalkyl group, a
heterocycloalkyl group, or a –(C1-C6)alkylene-heterocycloalkyl, Ri, Rj, and Rk, independently of one another, represent a hydrogen atom, a linear or branched (C1- C6)alkyl group, or a –(C1-C6)alkylene-cycloalkyl group, Rl represents a hydrogen atom, a linear or branched (C1-C6)alkyl group or a linear or branched (C1- C6)alkylene-heterocycloalkyl group, Rm represents a hydrogen or a linear or branched (C1-C6)alkyl group. 121. The antibody-drug conjugate of claim 120, or a pharmaceutically acceptable salt thereof, wherein the Bcl-2 inhibitor is represented by Formula (IV) or an enantiomer, a diastereoisomer, and/or a pharmaceutically acceptable salt of any one of the foregoing. 122. The antibody-drug conjugate of claim 120 or 121, wherein, in Formula (IV), (i) A1 represents a hydrogen atom or a methyl group; or (ii) A1 and A2 both represent a methyl group. 123. The antibody-drug conjugate of any one of claims 120 to 122, wherein, in Formula (IV), T represents a methyl, aminomethyl, (morpholin-4-yl)methyl, (4-methylpiperazin-1-yl)methyl, 2- (morpholin-4-yl)ethyl, [2-(morpholin-4-yl)ethoxy]methyl, hydroxymethyl, [2- (dimethylamino)ethoxy]methyl, hexahydropyrazino[2,1-c][1,4]oxazin-8(1H)-ylmethyl, 1-oxa-6- azaspiro[3.3]hept-6-ylmethyl, 3-(morpholin-4-yl)propyl or trifluoromethyl group. 124. The antibody-drug conjugate of any one of claims 120 to 123, wherein, in Formula (IV), R3 represents a group selected from phenyl, 1H-pyrazole, 1H-indole, 1H-indazole, pyridine, pyrimidine, 1H- pyrrolo[2,3-b]pyridine, 2,3-dihydro-1H-pyrrolo[2,3-b]pyridine, 1H-benzimidazole, 1H-pyrrole, 1H- pyrrolo[2,3-c]pyridine, 1H-pyrrolo[3,2-b]pyridine, 5H-pyrrolo[3,2-d]pyrimidine, thiophene, pyrazine, 1H-pyrazolo[3,4-b]pyridine, 1,2-oxazole, and pyrazolo[1,5-a]pyrimidine, those groups optionally having one or more substituents selected from halogen, linear or branched (C1-C6)alkyl, linear or branched (C1-C6)alkoxy, cyano, cyclopropyl, oxetane, tetrahydrofuran, -CO-O-CH3, trideuteriomethyl, 2- (morpholin-4-yl)ethyl and 2-(morpholin-4-yl)ethoxy. 125. The antibody-drug conjugate of claim 120, wherein the Bcl-2 inhibitor is represented by Formula (V) or an enantiomer, a diastereoisomer, and/or a pharmaceutically acceptable salt of any one of the foregoing.
126. The antibody-drug conjugate of claim 120, wherein the Bcl-2 inhibitor is represented by Formula (Va):
or an enantiomer, a diastereoisomer, and/or a pharmaceutically acceptable salt of any one of the foregoing. 127. The antibody-drug conjugate of claim 125 or 126, wherein R3 in Formula (V) or (Va) represents the following group:
and Rc represents a group selected from: hydrogen, linear or branched (C1-C6)alkyl group optionally substituted by 1 to 3 halogen atoms, (C1-C6)alkylene-NRdRe, (C1-C6)alkylene-ORj, cycloalkyl, heterocycloalkyl, and (C1-C6)alkylene-heterocycloalkyl group. 128. The antibody-drug conjugate of claim 127, wherein Rc represents a methyl group. 129. The antibody-drug conjugate of any one of claims 125 to 127, wherein R4 in Formula (V) or (Va) represents the following group:
. 130. The antibody-drug conjugate of claim 125, wherein the Bcl-2 inhibitor is represented by Formula (Vb):
or an enantiomer, a diastereoisomer, and/or a pharmaceutically acceptable salt of any one of the foregoing. 131. The antibody-drug conjugate of claim 130, wherein R
c in Formula (Vb) represents a methyl group. 132. The antibody-drug conjugate of claim 125, wherein the Bcl-2 inhibitor is represented by Formula (Vc), (Vd), (Ve), (Vf), (Vg), (Vh), (Vi) or (Vj):
or an enantiomer, a diastereoisomer, and/or a pharmaceutically acceptable salt of any one of the foregoing. 133. The antibody-drug conjugate of any one of claims 125 to 132, wherein in Formula (V), (Va), (Vb), (Vc), (Vd), (Ve), (Vf), (Vg), (Vh), (Vi) or (Vj) : (i) X represents a bond; (ii) A1 represents C-Y4; (iii) Ra and Rb both represent a hydrogen atom; (iv) R5 represents a hydrogen atom, a hydroxy group or a fluorine atom, preferably a hydroxy group;
(v) R6 represents a hydrogen atom, or a fluorine atom, preferably a hydrogen atom; (vi) A1 represents C-H and Y2 represents a hydrogen atom; (vii) Y1 and Y5 represent both a hydrogen atom, or: Y1 and Y5 represent a fluoro atom and a hydrogen atom, respectively; (viii) Y3 represents a -O-(C1-C6)alkylene-heterocycloalkyl group or a -O-(C1-C4)alkylene-Cy3 group; (ix) Y3 represents a group selected from: 2-(morpholin-4-yl)ethoxy, 2-(oxan-4-yl)ethoxy, 2-(4- hydroxypiperidin-1-yl)ethoxy, 2-(4-cyclopropylpiperazin-1-yl)ethoxy, 2-[4-(2,2,2- trifluoroethyl)piperazin-1-yl]ethoxy, 2-[(9aS)-octahydropyrazino[2,1-c][1,4]oxazin-8-yl]ethoxy, 2-{2-[4- #,'e+&+'OTYbY'+mq'^STL'0'LdL]ZT\YJ-(-KSPZ^LX'0'cVfP^SYbc& ,'J,&0'OTWP^ScVWY\ZSYVTX'.'cVKP^SYbc& ,'J.' (2,2-difluoroethyl)piperazin-1-yl]ethoxy, 2-(3-fluoroazetidin-1-yl)ethoxy, 2-(3,3-difluoropyrrolidin-1- yl)ethoxy, 2-(4-fluoropiperidin-1-yl)ethoxy, 2-(thiomorpholin-4-yl)ethoxy, 2-(2-methylmorpholin-4- yl)ethoxy, 2-{6-oxa-9-azaspiro[4.5]decan-9-yl}ethoxy, 2-{4-oxa-7-azaspiro[2.5]octan-7-yl}ethoxy, 2-[4- (2-fluoroethyl)piperazin-1-yl]ethoxy, 2-(4-methylpiperazin-1-yl)ethoxy, 2-(2,2-dimethylmorpholin-4- cV$P^SYbc& ,'#WY\ZSYVTX'.'cV$Z\YZYbc& J,pWP^ScVp+p#WY\ZSYVTXp.pcV$Z\YZLXp,pcVKYbc& ,'#-&-' dimethylmorpholin-4-yl)ethoxy, 2-(3-methylmorpholin-4-yl)ethoxy, 2-(1,4-dioxan-2-yl)ethoxy; (x) the group:
; (xi) T represents a linear or branched (C1-C6)alkyl group or a (C1-C4)alkylene-NR1R2 group; and/or (xii) T represents a group selected from: methyl group, (piperidin-1-yl)methyl, (morpholin-4- yl)methyl, (piperidin-1-yl)ethyl, [(3R)-3-fluoropyrrolidin-1-yl]methyl, (4-fluoropiperidin-1- yl)methyl, [methyl(propan-2-yl)amino]methyl, (azepan-1-yl)methyl, (pyrrolidin-1-yl)methyl, [(3S)-3- methylpiperidin-1-yl]methyl, [(3R)-3-methylpiperidin-1-yl]methyl, [(1RS,5SR)-3- azabicyclo[3.1.0]hexan-3-yl]methyl, [(2S)-2-methylpiperidin-1-yl]methyl, {6-azaspiro[2.5]octan-6- yl}methyl, (4,4-difluoropiperidin-1-yl)methyl, (diethylamino)methyl, (4-methylpiperidin-1-
yl)methyl, [ethyl(propan-2-yl)amino]methyl, {5-azaspiro[2.3]hexan-5-yl}methyl, (3,3- dimethylpyrrolidin-1-yl)methyl, (diisopropylamino)methyl, [ethyl(isopropyl) amino]methyl, [(3R)-3- methylpyrrolidin-1-yl]methyl, [(3S)-3-methylpyrrolidin-1-yl]methyl, [(2S)-2-methylpyrrolidin-1- yl]methyl, 5-azaspiro[2.4]heptan-5-ylmethyl, 2-azaspiro[3.3]heptan-2-ylmethyl, and aminomethyl. 134. The antibody-drug conjugate of any one of claims 125 to 132, wherein in Formula (V), (Va), (Vb), (Vc), (Vd), (Ve), (Vf), (Vg), (Vh), (Vi) or (Vj) : (i) X represents a bond; (ii) A1 represents C-Y4; (iii) Ra and Rb both represent a hydrogen atom; (iv) R5 represents a hydrogen atom, a hydroxy group or a fluorine atom, preferably a hydroxy group; (v) R6 represents a hydrogen atom, or a fluorine atom, preferably a hydrogen atom; (vi) A1 represents C-H and Y2 represents a hydrogen atom; (vii) Y1 and Y5 represent both a hydrogen atom, or: Y1 and Y5 represent a fluoro atom and a hydrogen atom, respectively; (viii) Y3 represents a -O-(C1-C6)alkylene-heterocycloalkyl group; (ix) Y3 represents a group selected from: 2-(morpholin-4-yl)ethoxy, 2-[4-(2,2- difluoroethyl)piperazin-1-yl]ethoxy, 2-(3-fluoroazetidin-1-yl)ethoxy, 2-(3,3-difluoropyrrolidin-1- yl)ethoxy, 2-(oxan-4-yl)ethoxy, 2-(4-fluoropiperidin-1-yl)ethoxy, 2-(thiomorpholin-4-yl)ethoxy, 2-(2- methylmorpholin-4-yl)ethoxy, 2-{6-oxa-9-azaspiro[4.5]decan-9-yl}ethoxy, 2-(3,3-difluoropyrrolidin-1- yl)ethoxy, 2-{4-oxa-7-azaspiro[2.5]octan-7-yl}ethoxy, 2,6-dimethylmorpholin-4-yl]ethoxy, 2- [cyclopropyl(methyl)amino]ethoxy, 2-{methyl[(oxetan-3-yl)methyl]amino}ethoxy, 2-[methyl(oxetan-3- yl)amino]ethoxy, 2-(4-fluoropiperidin-1-yl)ethoxy, 2-[(2-fluoroethyl)(methyl)amino]ethoxy, 2-[4-(2- fluoroethyl)piperazin-1-yl]ethoxy, 2-(4-methylpiperazin-1-yl)ethoxy, 2-(2,2-dimethylmorpholin-4- cV$P^SYbc& ,'#WY\ZSYVTX'.'cV$Z\YZYbc& ,'#.&.'OTQV_Y\YZTZP\TOTX'+'cV$P^ScV& J,pWP^ScVp+p#WY\ZSYVTXp.p cV$Z\YZLXp,pcVKYbc& ,'#-&-'OTWP^ScVWY\ZSYVTX'.'cV$P^SYbc& LXO J#YbLX'.'cV$WP^SYbcKWP^ScV5 (x) the group:
; (xi) T represents a linear or branched (C1-C6)alkyl group or a (C1-C4)alkylene-NR1R2 group; and/or (xii) T represents a group selected from: methyl, (piperidin-1-yl)methyl, (morpholin-4-yl)methyl, [(3R)-3-fluoropyrrolidin-1-yl]methyl, [methyl(propan-2-yl)amino]methyl, (azepan-1-yl)methyl, (pyrrolidin-1-yl)methyl, [(3S)-3-methylpiperidin-1-yl]methyl, [(3R)-3-methylpiperidin-1-yl]methyl, [(1RS,5SR)-3-azabicyclo[3.1.0]hexan-3-yl]methyl, [(2S)-2-methylpiperidin-1-yl]methyl, {6- azaspiro[2.5]octan-6-yl}methyl, (4,4-difluoropiperidin-1-yl)methyl, (4-methylpiperidin-1-yl)methyl, [ethyl(propan-2-yl)amino]methyl, (3R)-3-methylpyrrolidin-1-yl]methyl, and (3S)-3-{[(3S)-3- methylpyrrolidin-1-yl]methyl. 135. The antibody-drug conjugate of claim 133 or 134, wherein in Formula (V), (Va), (Vb), (Vc), (Vd), (Ve), (Vf), (Vg), (Vh), (Vi) or (Vj), R5 represents a hydroxy group and R6 represents a hydrogen atom. 136. The antibody-drug conjugate of 133 or 134, wherein in Formula (V), (Va), (Vb), (Vc), (Vd), (Ve), (Vf), (Vg), (Vh), (Vi) or (Vj), Y3 represents a -O-(C1-C4)alkylene-Cy3 group. 137. The antibody-drug conjugate of any one of claims 120-136, wherein the Bcl-2 inhibitor is re r nt d b n n f th f ll in
745
D D F D
138. The antibody-drug conjugate of claim 92 or 93, wherein the topoisomerase 1 inhibitor is: 748
139. The antibody-drug conjugate of claim 92 or 94, wherein the anti-mitotic drug is monomethyl auristatin E (MMAE) or a taxane. 140. The antibody-drug conjugate of claim 139, wherein the taxane is selected from docetaxel, paclitaxel, or cabazitaxel. 141. The antibody drug conjugate of any one of claims 25-80, wherein the linker-payload portion of the conjugate is selected from the group consisting of:
wherein indicates the point of attachment to the Ab. 142. The antibody drug conjugate of claim 141, where the linker-payload portion of the conjugate is
. 143. The antibody drug conjugate of claim 141, where the linker-payload portion of the conjugate is
. 144. The antibody drug conjugate of claim 141, where the linker-payload portion of the conjugate is
. 145. The antibody drug conjugate of claim 141, where the linker-payload portion of the conjugate is
. 146. A composition comprising multiple copies of the antibody-drug conjugate of any one of claims 1 to 145, wherein the average a of the antibody-drug conjugates in the composition is from about 1 to about 8, e.g., about 1 to about 6, about 1 to about 4, or about 1 to about 2. 147. A pharmaceutical composition comprising the antibody-drug conjugate of any one of claims 1 to 145 or the composition of claim 146, and a pharmaceutically acceptable carrier.
148. A method of treating a subject having or suspected of having a cancer, comprising administering to the subject a therapeutically effective amount of the antibody-drug conjugate of any one of claims 1 to 145, the composition of claim 146, or the pharmaceutical composition of claim 147. 149. The method of claim 148, wherein the cancer expresses the target antigen CD7. 150. The method of claim 148 or 149, wherein the cancer is a tumor or a hematological cancer, optionally, the cancer is a multiple myeloma, plasma cell myeloma, leukemia, lymphoma, sarcoma, acute myeloid leukemia, bone marrow cancer, chronic lymphocytic leukemia, lymphoblastic leukemia including acute lymphoblastic leukemia, follicular lymphoma, lymphoid malignancies of T-cell or B-cell origin, melanoma, myelogenous leukemia, myeloma or spleen cancer. 151. A method of reducing or inhibiting the growth of a tumor in a subject, comprising administering to the subject a therapeutically effective amount of the antibody-drug conjugate of any one of claims 1 to 145, the composition of claim 146, or the pharmaceutical composition of claim 147. 152. The method of claim 151, wherein the tumor expresses the target antigen CD7. 153. A method of reducing or inhibiting a hematological cancer in a subject, comprising administering to the subject a therapeutically effective amount of the antibody-drug conjugate of any one of claims 1 to 145, the composition of claim 146, or the pharmaceutical composition of claim 147. 154. The method of claim 153, wherein the hematological cancer expresses the target antigen CD7. 155. The method of claim 153 or 154, wherein the hematological cancer is chronic lymphocytic leukemia (CLL), follicular lymphoma, mantle cell lymphoma, diffuse large B-cell lymphoma, acute lymphoblastic leukemia (ALL), acute myeloid leukemia (AML), chronic lymphocytic leukemia (CLL), chronic myelogenous leukemia (CML), chronic myelomonocytic leukemia (CMML), acute monocytic leukemia (AMoL), Hodgkin's lymphoma, non-Hodgkin's lymphoma or myelodysplasia syndrome (MDS). 156. The method of any one of claims 151 to 155, wherein administration of the antibody-drug conjugate, composition, or pharmaceutical composition reduces or inhibits the growth of the tumor or hematological cancer by at least about 10%, at least about 20%, at least about 30%, at least about 40%, at least about 50%, at least about 60%, at least about 70%, at least about 80%, at least about 90%, at least about 95%, or at least about 99%.
157. A method of reducing or slowing the expansion of a cancer cell population in a subject, comprising administering to the subject a therapeutically effective amount of the antibody-drug conjugate of any one of claims 1 to 145, the composition of claim 146, or the pharmaceutical composition of claim 147. 158. The method of claim 157, wherein the cancer cell population expresses the target antigen CD7. 159. The method of claim 157 or 158, wherein the cancer cell population is from a tumor or a hematological cancer, optionally wherein the cancer cell population is from a multiple myeloma, plasma cell myeloma, leukemia, lymphoma, sarcoma, acute myeloid leukemia, bone marrow cancer, chronic lymphocytic leukemia, lymphoblastic leukemia including acute lymphoblastic leukemia, follicular lymphoma, lymphoid malignancies of T-cell or B-cell origin, melanoma, myelogenous leukemia, myeloma, or spleen cancer. 160. The method of any one of claims 157 to 158, wherein administration of the antibody-drug conjugate, composition, or pharmaceutical composition reduces the cancer cell population or slows the expansion of the cancer cell population by at least about 10%, at least about 20%, at least about 30%, at least about 40%, at least about 50%, at least about 60%, at least about 70%, at least about 80%, at least about 90%, at least about 95%, or at least about 99%. 161. The method of any one of claims 148 to 160, wherein the antibody-drug conjugate is administered as monotherapy. 162. The method of any one of claims 148 to 160, wherein the antibody-drug conjugate is administered adjunctive to another therapeutic agent or radiation therapy. 163. The method of claim 162, wherein the antibody-drug conjugate is administered in an amount effective to sensitize the tumor cells to one or more additional therapeutic agents and/or radiation therapy. 164. The method of any one of claims 148 to 160, further comprising administering to the subject in need thereof at least one additional therapeutic agent.
165. The method of claim 164, wherein the one additional therapeutic agent is a vinca alkaloid, topoisomerase inhibitor, hypomethylating agent, or glucocorticoid . 166. Use of an antibody-drug conjugate of any one of claims 1 to 145, a composition of claim 146, or a pharmaceutical composition of claim 147, for the manufacture of a medicament for (i) treating a subject having or suspected of having a cancer, (ii) reducing or inhibiting the growth of a tumor in a subject, (iii) reducing or inhibiting a hematological cancer in a subject, or (iv) reducing or slowing the expansion of a cancer cell population in a subject. 167. An antibody-drug conjugate of any one of claims 1 to 145, a composition of claim 146, or a pharmaceutical composition of claim 147 for use in (i) treating a subject having or suspected of having a cancer, (ii) reducing or inhibiting the growth of a tumor in a subject, (iii) reducing or inhibiting a hematological cancer in a subject, or (iv) reducing or slowing the expansion of a cancer cell population in a subject. 168. A process for producing an antibody-drug conjugate of any one of clams 1 to 145, comprising conjugating the linker-payload moiety to Ab to form the antibody-drug conjugate.
Applications Claiming Priority (2)
| Application Number | Priority Date | Filing Date | Title |
|---|---|---|---|
| US202363602277P | 2023-11-22 | 2023-11-22 | |
| US63/602,277 | 2023-11-22 |
Publications (1)
| Publication Number | Publication Date |
|---|---|
| WO2025111431A1 true WO2025111431A1 (en) | 2025-05-30 |
Family
ID=93842121
Family Applications (1)
| Application Number | Title | Priority Date | Filing Date |
|---|---|---|---|
| PCT/US2024/056834 Pending WO2025111431A1 (en) | 2023-11-22 | 2024-11-21 | Anti-cd7 antibody-drug conjugates and methods of use thereof |
Country Status (3)
| Country | Link |
|---|---|
| AR (1) | AR134424A1 (en) |
| TW (1) | TW202540186A (en) |
| WO (1) | WO2025111431A1 (en) |
Citations (41)
| Publication number | Priority date | Publication date | Assignee | Title |
|---|---|---|---|---|
| US4816567A (en) | 1983-04-08 | 1989-03-28 | Genentech, Inc. | Recombinant immunoglobin preparations |
| US6703199B1 (en) | 1997-06-12 | 2004-03-09 | Research Corporation Technologies, Inc. | Artificial antibody polypeptides |
| WO2006034488A2 (en) | 2004-09-23 | 2006-03-30 | Genentech, Inc. | Cysteine engineered antibodies and conjugates |
| WO2010080503A1 (en) | 2008-12-19 | 2010-07-15 | Genentech, Inc. | Heterocyclic compounds and methods of use |
| WO2010080478A1 (en) | 2008-12-19 | 2010-07-15 | Genentech, Inc. | Compounds and methods of use |
| WO2011005481A1 (en) | 2009-06-22 | 2011-01-13 | Medimmune, Llc | ENGINEERED Fc REGIONS FOR SITE-SPECIFIC CONJUGATION |
| WO2013055895A1 (en) | 2011-10-14 | 2013-04-18 | Abbvie Inc. | Apoptosis-inducing agents for the treatment of cancer and immune and autoimmune diseases |
| WO2013055897A1 (en) | 2011-10-14 | 2013-04-18 | Abbvie Inc. | 8 - carbamoyl - 2 - (2,3- di substituted pyrid - 6 - yl) -1,2,3,4 -tetrahydroisoquinoline derivatives as apoptosis - inducing agents for the treatment of cancer and immune and autoimmune diseases |
| WO2013110890A1 (en) | 2012-01-24 | 2013-08-01 | Les Laboratoires Servier | New indolizine derivatives, method for preparing same and pharmaceutical compositions containing same |
| US20140069822A1 (en) | 2012-09-10 | 2014-03-13 | Antec Leyden B.V. | Electrochemical reduction of disulfide bonds in proteinaceous substances and electrochemical cell for carrying out such reduction |
| WO2014083505A1 (en) | 2012-11-30 | 2014-06-05 | Novartis Ag | Methods for making conjugates from disulfide-containing proteins |
| WO2014124316A2 (en) | 2013-02-08 | 2014-08-14 | Irm Llc | Specific sites for modifying antibodies to make immunoconjugates |
| WO2015011164A1 (en) | 2013-07-23 | 2015-01-29 | Les Laboratoires Servier | New isoindoline or isoquinoline compounds, a process for their preparation and pharmaceutical compositions containing them |
| WO2015011399A1 (en) | 2013-07-23 | 2015-01-29 | Les Laboratoires Servier | Novel phosphate derivatives, method for the production thereof, and pharmaceutical compositions containing same |
| WO2015011400A1 (en) | 2013-07-23 | 2015-01-29 | Les Laboratoires Servier | Novel pyrrole derivatives, method for the production thereof and pharmaceutical compositions containing same |
| WO2015011396A1 (en) | 2013-07-23 | 2015-01-29 | Les Laboratoires Servier | Novel derivatives of indole and pyrrole, method for the production thereof and pharmaceutical compositions containing same |
| WO2015011397A1 (en) | 2013-07-23 | 2015-01-29 | Les Laboratoires Servier | Novel indolizine derivatives, method for the production thereof and pharmaceutical compositions containing same |
| WO2015097123A1 (en) | 2013-12-23 | 2015-07-02 | Les Laboratoires Servier | New thienopyrimidine derivatives, a process for their preparation and pharmaceutical compositions containing them |
| WO2015138615A2 (en) | 2014-03-12 | 2015-09-17 | Irm Llc | Specific sites for modifying antibodies to make immunoconjugates |
| WO2016033486A1 (en) | 2014-08-29 | 2016-03-03 | Amgen Inc. | Tetrahydronaphthalene derivatives that inhibit mcl-1 protein |
| WO2016094517A1 (en) | 2014-12-09 | 2016-06-16 | Abbvie Inc. | Bcl-xl inhibitory compounds and antibody drug conjugates including the same |
| WO2016094509A1 (en) | 2014-12-09 | 2016-06-16 | Abbvie Inc. | Bcl xl inhibitory compounds having low cell permeability and antibody drug conjugates including the same |
| WO2016094505A1 (en) | 2014-12-09 | 2016-06-16 | Abbvie Inc. | Antibody drug conjugates with cell permeable bcl-xl inhibitors |
| WO2016207226A1 (en) | 2015-06-23 | 2016-12-29 | Les Laboratoires Servier | New aminoacid derivatives, a process for their preparation and pharmaceutical compositions containing them |
| WO2016207225A1 (en) | 2015-06-23 | 2016-12-29 | Les Laboratoires Servier | New hydroxyester derivatives, a process for their preparation and pharmaceutical compositions containing them |
| WO2016207217A1 (en) | 2015-06-23 | 2016-12-29 | Les Laboratoires Servier | New bicyclic derivatives, a process for their preparation and pharmaceutical compositions containing them |
| WO2016207216A1 (en) | 2015-06-23 | 2016-12-29 | Les Laboratoires Servier | New hydroxyacid derivatives, a process for their preparation and pharmaceutical compositions containing them |
| WO2017125224A1 (en) | 2016-01-19 | 2017-07-27 | Les Laboratoires Servier | New ammonium derivatives, a process for their preparation and pharmaceutical compositions containing them |
| WO2017147410A1 (en) | 2016-02-25 | 2017-08-31 | Amgen Inc. | Compounds that inhibit mcl-1 protein |
| WO2017182625A1 (en) | 2016-04-22 | 2017-10-26 | Astrazeneca Ab | Macrocyclic mcl1 inhibitors for treating cancer |
| WO2018015526A1 (en) | 2016-07-22 | 2018-01-25 | Les Laboratoires Servier | Combination of a bcl-2 inhibitor and a mcl-1 inhibitor, uses and pharmaceutical compositions thereof |
| WO2018098306A1 (en) | 2016-11-22 | 2018-05-31 | National University Of Singapore | Blockade of cd7 expression and chimeric antigen receptors for immunotherapy of t-cell malignancies |
| WO2018183418A1 (en) | 2017-03-30 | 2018-10-04 | Amgen Inc. | Compounds that inhibit mcl-1 protein |
| WO2019035911A1 (en) | 2017-08-15 | 2019-02-21 | Abbvie Inc. | Macrocyclic mcl-1 inhibitors and methods of use |
| WO2019035927A1 (en) | 2017-08-15 | 2019-02-21 | Abbvie Inc. | Macrocyclic mcl-1 inhibitors and methods of use |
| US20190055264A1 (en) | 2017-08-15 | 2019-02-21 | Abbvie Inc. | Macrocyclic MCL-1 inhibitors and methods of use |
| WO2019081559A1 (en) | 2017-10-25 | 2019-05-02 | Les Laboratoires Servier | Novel macrocyclic derivatives, process for preparing same and pharmaceutical compositions containing same |
| WO2021018857A1 (en) | 2019-07-29 | 2021-02-04 | Les Laboratoires Servier | 3,6-diamino-pyridazin-3-yl derivatives, pharmaceutical compositions containing them and their uses as pro-apoptotic agents |
| WO2021018858A1 (en) | 2019-07-29 | 2021-02-04 | Les Laboratoires Servier | 6,7-dihydro-5h-pyrido[2,3-c]pyridazine derivatives and related compounds as bcl-xl protein inhibitors and pro-apoptotic agents for treating cancer |
| WO2022115451A1 (en) * | 2020-11-24 | 2022-06-02 | Novartis Ag | Mcl-1 inhibitor antibody-drug conjugates and methods of use |
| WO2022115477A1 (en) * | 2020-11-24 | 2022-06-02 | Novartis Ag | Bcl-xl inhibitor antibody-drug conjugates and methods of use thereof |
-
2024
- 2024-11-21 WO PCT/US2024/056834 patent/WO2025111431A1/en active Pending
- 2024-11-21 TW TW113144962A patent/TW202540186A/en unknown
- 2024-11-21 AR ARP240103197A patent/AR134424A1/en unknown
Patent Citations (44)
| Publication number | Priority date | Publication date | Assignee | Title |
|---|---|---|---|---|
| US4816567A (en) | 1983-04-08 | 1989-03-28 | Genentech, Inc. | Recombinant immunoglobin preparations |
| US6703199B1 (en) | 1997-06-12 | 2004-03-09 | Research Corporation Technologies, Inc. | Artificial antibody polypeptides |
| WO2006034488A2 (en) | 2004-09-23 | 2006-03-30 | Genentech, Inc. | Cysteine engineered antibodies and conjugates |
| WO2010080503A1 (en) | 2008-12-19 | 2010-07-15 | Genentech, Inc. | Heterocyclic compounds and methods of use |
| WO2010080478A1 (en) | 2008-12-19 | 2010-07-15 | Genentech, Inc. | Compounds and methods of use |
| WO2011005481A1 (en) | 2009-06-22 | 2011-01-13 | Medimmune, Llc | ENGINEERED Fc REGIONS FOR SITE-SPECIFIC CONJUGATION |
| WO2013055895A1 (en) | 2011-10-14 | 2013-04-18 | Abbvie Inc. | Apoptosis-inducing agents for the treatment of cancer and immune and autoimmune diseases |
| WO2013055897A1 (en) | 2011-10-14 | 2013-04-18 | Abbvie Inc. | 8 - carbamoyl - 2 - (2,3- di substituted pyrid - 6 - yl) -1,2,3,4 -tetrahydroisoquinoline derivatives as apoptosis - inducing agents for the treatment of cancer and immune and autoimmune diseases |
| WO2013110890A1 (en) | 2012-01-24 | 2013-08-01 | Les Laboratoires Servier | New indolizine derivatives, method for preparing same and pharmaceutical compositions containing same |
| US20140069822A1 (en) | 2012-09-10 | 2014-03-13 | Antec Leyden B.V. | Electrochemical reduction of disulfide bonds in proteinaceous substances and electrochemical cell for carrying out such reduction |
| WO2014083505A1 (en) | 2012-11-30 | 2014-06-05 | Novartis Ag | Methods for making conjugates from disulfide-containing proteins |
| WO2014124316A2 (en) | 2013-02-08 | 2014-08-14 | Irm Llc | Specific sites for modifying antibodies to make immunoconjugates |
| WO2015011164A1 (en) | 2013-07-23 | 2015-01-29 | Les Laboratoires Servier | New isoindoline or isoquinoline compounds, a process for their preparation and pharmaceutical compositions containing them |
| WO2015011399A1 (en) | 2013-07-23 | 2015-01-29 | Les Laboratoires Servier | Novel phosphate derivatives, method for the production thereof, and pharmaceutical compositions containing same |
| WO2015011400A1 (en) | 2013-07-23 | 2015-01-29 | Les Laboratoires Servier | Novel pyrrole derivatives, method for the production thereof and pharmaceutical compositions containing same |
| US20150031673A1 (en) * | 2013-07-23 | 2015-01-29 | Les Laboratoires Servier | Pyrrole compounds, a process for their preparation and pharmaceutical compositions containing them |
| WO2015011396A1 (en) | 2013-07-23 | 2015-01-29 | Les Laboratoires Servier | Novel derivatives of indole and pyrrole, method for the production thereof and pharmaceutical compositions containing same |
| WO2015011397A1 (en) | 2013-07-23 | 2015-01-29 | Les Laboratoires Servier | Novel indolizine derivatives, method for the production thereof and pharmaceutical compositions containing same |
| WO2015097123A1 (en) | 2013-12-23 | 2015-07-02 | Les Laboratoires Servier | New thienopyrimidine derivatives, a process for their preparation and pharmaceutical compositions containing them |
| WO2015138615A2 (en) | 2014-03-12 | 2015-09-17 | Irm Llc | Specific sites for modifying antibodies to make immunoconjugates |
| WO2016033486A1 (en) | 2014-08-29 | 2016-03-03 | Amgen Inc. | Tetrahydronaphthalene derivatives that inhibit mcl-1 protein |
| WO2016094517A1 (en) | 2014-12-09 | 2016-06-16 | Abbvie Inc. | Bcl-xl inhibitory compounds and antibody drug conjugates including the same |
| WO2016094509A1 (en) | 2014-12-09 | 2016-06-16 | Abbvie Inc. | Bcl xl inhibitory compounds having low cell permeability and antibody drug conjugates including the same |
| WO2016094505A1 (en) | 2014-12-09 | 2016-06-16 | Abbvie Inc. | Antibody drug conjugates with cell permeable bcl-xl inhibitors |
| WO2016207226A1 (en) | 2015-06-23 | 2016-12-29 | Les Laboratoires Servier | New aminoacid derivatives, a process for their preparation and pharmaceutical compositions containing them |
| WO2016207225A1 (en) | 2015-06-23 | 2016-12-29 | Les Laboratoires Servier | New hydroxyester derivatives, a process for their preparation and pharmaceutical compositions containing them |
| WO2016207217A1 (en) | 2015-06-23 | 2016-12-29 | Les Laboratoires Servier | New bicyclic derivatives, a process for their preparation and pharmaceutical compositions containing them |
| WO2016207216A1 (en) | 2015-06-23 | 2016-12-29 | Les Laboratoires Servier | New hydroxyacid derivatives, a process for their preparation and pharmaceutical compositions containing them |
| WO2017125224A1 (en) | 2016-01-19 | 2017-07-27 | Les Laboratoires Servier | New ammonium derivatives, a process for their preparation and pharmaceutical compositions containing them |
| WO2017147410A1 (en) | 2016-02-25 | 2017-08-31 | Amgen Inc. | Compounds that inhibit mcl-1 protein |
| WO2017182625A1 (en) | 2016-04-22 | 2017-10-26 | Astrazeneca Ab | Macrocyclic mcl1 inhibitors for treating cancer |
| WO2018015526A1 (en) | 2016-07-22 | 2018-01-25 | Les Laboratoires Servier | Combination of a bcl-2 inhibitor and a mcl-1 inhibitor, uses and pharmaceutical compositions thereof |
| WO2018098306A1 (en) | 2016-11-22 | 2018-05-31 | National University Of Singapore | Blockade of cd7 expression and chimeric antigen receptors for immunotherapy of t-cell malignancies |
| WO2018183418A1 (en) | 2017-03-30 | 2018-10-04 | Amgen Inc. | Compounds that inhibit mcl-1 protein |
| WO2019035911A1 (en) | 2017-08-15 | 2019-02-21 | Abbvie Inc. | Macrocyclic mcl-1 inhibitors and methods of use |
| WO2019035927A1 (en) | 2017-08-15 | 2019-02-21 | Abbvie Inc. | Macrocyclic mcl-1 inhibitors and methods of use |
| US20190055264A1 (en) | 2017-08-15 | 2019-02-21 | Abbvie Inc. | Macrocyclic MCL-1 inhibitors and methods of use |
| WO2019035914A1 (en) | 2017-08-15 | 2019-02-21 | Abbvie Inc. | Macrocyclic mcl-1 inhibitors and methods of use |
| WO2019035899A1 (en) | 2017-08-15 | 2019-02-21 | Abbvie Inc. | Macrocyclic mcl-1 inhibitors and methods of use |
| WO2019081559A1 (en) | 2017-10-25 | 2019-05-02 | Les Laboratoires Servier | Novel macrocyclic derivatives, process for preparing same and pharmaceutical compositions containing same |
| WO2021018857A1 (en) | 2019-07-29 | 2021-02-04 | Les Laboratoires Servier | 3,6-diamino-pyridazin-3-yl derivatives, pharmaceutical compositions containing them and their uses as pro-apoptotic agents |
| WO2021018858A1 (en) | 2019-07-29 | 2021-02-04 | Les Laboratoires Servier | 6,7-dihydro-5h-pyrido[2,3-c]pyridazine derivatives and related compounds as bcl-xl protein inhibitors and pro-apoptotic agents for treating cancer |
| WO2022115451A1 (en) * | 2020-11-24 | 2022-06-02 | Novartis Ag | Mcl-1 inhibitor antibody-drug conjugates and methods of use |
| WO2022115477A1 (en) * | 2020-11-24 | 2022-06-02 | Novartis Ag | Bcl-xl inhibitor antibody-drug conjugates and methods of use thereof |
Non-Patent Citations (97)
| Title |
|---|
| "Roche Molecular Biochemicals", BIOCHEMICA, vol. 2, 1999, pages 34 - 7 |
| AB ET AL., MOL CANCER THER, vol. 14, 2015, pages 1605 - 13 |
| ACKLER ET AL., CANCER CHEMOTHER. PHARMACOL., vol. 66, no. 5, October 2010 (2010-10-01), pages 869 - 80 |
| AL-LAZIKANI ET AL., J MOL BIOL., vol. 273, no. 4, 1997, pages 927 - 48 |
| AMUNDSON ET AL., CANCER RES, vol. 60, no. 21, 1 November 2000 (2000-11-01), pages 6101 - 10 |
| ANGEW. CHEM. INT. ED., vol. 54, 2015, pages 7492 - 7509 |
| BAH ET AL., CELL DEATH AND DISEASE, vol. 5, 2014, pages 1291 |
| BARDWELL ET AL., J CLIN INVEST, vol. 99, no. 3, 1 February 1997 (1997-02-01), pages 439 - 46 |
| BAUM W ET AL., BR J HAEMATOL, vol. 95, no. 2, November 1996 (1996-11-01), pages 327 - 38 |
| BENNETT ET AL., OPEN BIOL, vol. 6, 2016, pages 160134 |
| BERGE ET AL.: "Pharmaceutical Salts", J. PHARMACEUTICAL SCIENCES, vol. 66, no. 1, 1977, XP002675560, DOI: 10.1002/jps.2600660104 |
| BEROUKHIM ET AL., NATURE, vol. 463, no. 7283, 18 February 2010 (2010-02-18), pages 899 - 905 |
| CAENEPEEL ET AL., CANCER DISCOV, vol. 8, no. 12, December 2018 (2018-12-01), pages 1582 - 1597 |
| CASARA ET AL., ONCOTARGET, vol. 9, no. 28, 13 April 2018 (2018-04-13), pages 20075 - 20088 |
| CHAN AS ET AL., J IMMUNOL., vol. 159, no. 2, 15 July 1997 (1997-07-15), pages 934 - 42 |
| CHANG H ET AL., LEUK RES, vol. 28, no. 1, January 2004 (2004-01-01), pages 43 - 8 |
| CHEN ET AL., MOL. CANCER THER., vol. 10, no. 12, December 2011 (2011-12-01), pages 2340 - 9 |
| CIPPA ET AL., TRANSPL INT, vol. 24, no. 7, 25 May 2011 (2011-05-25), pages 722 - 32 |
| CLACKSON ET AL., NATURE, vol. 352, 1991, pages 624 - 8 |
| CONTRIBUTORS CREATE A BARRIER TO ROTATION, ED, vol. 44, 2005, pages 5384 - 5427 |
| CZABOTAR ET AL., NAT. REV. MOL. CELL BIOL., vol. 15, no. 1, January 2014 (2014-01-01), pages 49 - 63 |
| DEL POETA G ET AL., LEUK LYMPHOMA, vol. 17, no. 1-2, March 1995 (1995-03-01), pages 111 - 9 |
| DROIN ET AL., BIOCHIM BIOPHYS ACTA, vol. 1644, no. 2-3, 1 March 2004 (2004-03-01), pages 179 - 88 |
| DUCRYSTUMP, BIOCONJUGATE CHEM, vol. 21, 2010, pages 5 - 13 |
| DUKECOHEN ET AL.: "Current Protocols in Immunology", 1992, pages: 1 - 16 |
| FRANKEL AE ET AL., LEUK LYMPHOMA, vol. 26, no. 3-4, July 1997 (1997-07-01), pages 287 - 98 |
| GERSHONI ET AL., BIODRUGS, vol. 21, 2007, pages 145 - 56 |
| GOMES-SILVA ET AL., BLOOD, vol. 130, no. 3, 2017, pages 285 - 296 |
| GROSS ET AL., GENES DEV, vol. 13, no. 15, 1 August 1999 (1999-08-01), pages 1899 - 911 |
| GRUNDY ET AL., ONCOTARGET, vol. 9, no. 102, 28 December 2018 (2018-12-28), pages 37777 - 37789 |
| HAGER-BRAUNTOMER, EXPERT REV PROTEOMICS, vol. 2, 2005, pages 745 - 56 |
| HANAHANWEINBERG, CELL, vol. 100, no. 1, 7 January 2000 (2000-01-07), pages 57 - 70 |
| HANAHANWEINBERG, CELL, vol. 144, no. 5, 4 March 2011 (2011-03-04), pages 646 - 74 |
| HARLOWLANE: "Antibodies, A Laboratory Manual", 1988, COLD SPRING HARBOR LABORATORY |
| HAYNES ET AL.: "Commentary: Occurrence of Pharmaceutically Acceptable Anions and Cations in the Cambridge Structural Database", J. PHARMACEUTICAL SCIENCES, vol. 94, no. 10, 2005, pages 1289 - 1329, XP002593272 |
| HAYWARD ET AL., CLIN CANCER RES, vol. 9, no. 7, July 2003 (2003-07-01), pages 2856 - 65 |
| HOLLIGERHUDSON, NAT BIOTECHNOL., vol. 23, no. 9, 2005, pages 1126 - 36 |
| JUNUTULA JR ET AL., NAT BIOTECHNOL, vol. 26, no. 8, 2008, pages 884 - 885 |
| KLEIN ET AL., NATURE MED, vol. 3, 1997, pages 402 - 8 |
| KNAPPIK ET AL., J MOL BIOL., vol. 296, no. 1, 2000, pages 57 - 86 |
| KOHLER ET AL., NATURE, vol. 256, 1975, pages 495 |
| KOTSCHY ET AL., NATURE, vol. 538, 2016, pages 477 - 482 |
| KUMAR AMIT ET AL: "Synthesis of a heterotrifunctional linker for the site-specific preparation of antibody-drug conjugates with two distinct warheads", BIOORGANIC & MEDICINAL CHEMISTRY LETTERS, ELSEVIER, AMSTERDAM NL, vol. 28, no. 23, 26 October 2018 (2018-10-26), pages 3617 - 3621, XP085555747, ISSN: 0960-894X, DOI: 10.1016/J.BMCL.2018.10.043 * |
| LALAZAR ET AL., CANCER DISCOV, vol. 11, no. 10, October 2021 (2021-10-01), pages 2544 - 2563 |
| LEFRANC ET AL., DEV COMP IMMUNOL, vol. 27, no. 1, 2003, pages 55 - 77 |
| LEFRANC, NUCLEIC ACIDS RES., vol. 29, no. 1, 2001, pages 207 - 9 |
| LEVENGOOD MATTHEW R. ET AL: "Orthogonal Cysteine Protection Enables Homogeneous Multi-Drug Antibody-Drug Conjugates", ANGEWANDTE CHEMIE INTERNATIONAL EDITION, vol. 56, no. 3, 14 December 2016 (2016-12-14), Hoboken, USA, pages 733 - 737, XP055915094, ISSN: 1433-7851, Retrieved from the Internet <URL:https://onlinelibrary.wiley.com/doi/full-xml/10.1002/anie.201608292> DOI: 10.1002/anie.201608292 * |
| LEVERSON ET AL., CELL DEATH DIS, vol. 6, 15 January 2015 (2015-01-15), pages 1590 |
| LEVERSON ET AL., SCI TRANSL MED, vol. 7, no. 279, 18 March 2015 (2015-03-18), pages 279 - 40 |
| LEVERSON ET AL., SCI. TRANSL. MED., vol. 7, no. 279, 18 March 2015 (2015-03-18), pages 279 - 40 |
| LEVERSON ET AL., SCIENCE TRANSLATION MEDICINE, vol. 7, no. 279, 18 March 2015 (2015-03-18), pages 279 - 40 |
| LYON ET AL., METHODS ENZYMOL., vol. 502, 2012, pages 123 - 38 |
| LYONS ET AL., PROTEIN ENG, vol. 3, 1990, pages 703 - 708 |
| MARAGNO ET AL., AACR, 2019 |
| MARKS, J MOL BIOL., vol. 222, 1991, pages 581 - 97 |
| MARSDENSTRASSER, ANNU REV IMMUNOL, vol. 21, 2003, pages 71 - 105 |
| MARTIN-HENAO ET AL., AM J HEMATOL, vol. 61, no. 3, 1999, pages 178 - 86 |
| MERINO ET AL., APOPTOSIS, vol. 14, no. 4, April 2009 (2009-04-01), pages 570 - 83 |
| MERINO ET AL., SCIENCE TRANSLATIONAL MEDICINE, vol. 9, no. 401, 2 August 2017 (2017-08-02), pages 7049 |
| MEYERSMILLER, CABIOS, vol. 4, 1989, pages 11 - 17 |
| MOUJALLED ET AL., BLOOD ADV, vol. 4, no. 12, 23 June 2020 (2020-06-23), pages 2762 - 2767 |
| MOUJALLED ET AL., LEUKEMIA, vol. 33, no. 4, April 2019 (2019-04-01), pages 905 - 917 |
| NEEDLEMANWUNSCH, J MOL BIOL., vol. 48, 1970, pages 444 - 53 |
| NGUYEN ET AL., CLIN CANCER RES, vol. 17, no. 6, 15 March 2011 (2011-03-15), pages 1394 - 1404 |
| PAGE ET AL., INTL J ONCOLOGY, vol. 3, 1993, pages 473 - 6 |
| PAIS H ET AL., SCI REP, vol. 9, no. 1, 8 April 2019 (2019-04-08), pages 5760 |
| PARK ET AL., J. MED. CHEM., vol. 51, no. 21, 13 November 2008 (2008-11-13), pages 6902 - 15 |
| PEIPP M ET AL., CANCER RES., vol. 62, no. 10, 15 May 2002 (2002-05-15), pages 2848 - 55 |
| POPE ET AL., NAT REV IMMUNOL, vol. 2, no. 7, July 2002 (2002-07-01), pages 527 - 35 |
| REINHOLD U ET AL., IMMUNOLOGY, vol. 89, no. 3, November 1996 (1996-11-01), pages 391 - 6 |
| ROBERTS ET AL., J. CLIN. ONCOL., vol. 30, no. 5, 10 February 2012 (2012-02-10), pages 488 - 96 |
| SANGLE ET AL., APPLIED IMMUNOHISTOCHEMISTRY & MOLECULAR MORPHOLOGY, vol. 19, no. 6, 2011, pages 579 - 583 |
| SARAH KEHR ET AL., CANCER LETT, vol. 482, 10 July 2020 (2020-07-10), pages 19 - 32 |
| SCHERR ET AL., CELL DEATH AND DISEASE, vol. 11, 2020, pages 875 |
| SHOEMAKER ET AL., CLIN. CANCER RES., vol. 14, no. 11, 1 June 2008 (2008-06-01), pages 3268 - 77 |
| SINGH, S.K., PHARM RES, vol. 32, no. 11, 2015, pages 3541 - 71 |
| SODERQUIST ET AL., NAT COMMUN, vol. 9, no. 1, 29 August 2018 (2018-08-29), pages 3513 |
| SOUERS ET AL., NAT MED, vol. 19, no. 2, February 2013 (2013-02-01), pages 202 - 8 |
| STEFANO, METHODS MOL BIOL, vol. 1045, 2013, pages 145 - 71 |
| STILLWELL RBIERER BE, IMMUNOL RES, vol. 24, no. 1, 2001, pages 31 - 52 |
| TANG J ET AL., ONCOTARGET, vol. 7, no. 23, 7 June 2016 (2016-06-07), pages 34070 - 83 |
| TAO ET AL., ACS MED CHEM LETT, vol. 5, no. 10, 26 August 2014 (2014-08-26), pages 1088 - 93 |
| TAO ET AL., ACS MED. CHEM. LETT., vol. 5, no. 10, 26 August 2014 (2014-08-26), pages 1088 - 93 |
| TAO ET AL., ACS MEDICINAL CHEMISTRY LETTERS, vol. 5, no. 10, 2014, pages 1088 - 109 |
| TOLCHER ET AL., CANCER CHEMOTHERAPY AND PHARMACOLOGY, vol. 76, 2015, pages 1041 - 1049 |
| TOPHAM ET AL., CANCER CELL, vol. 28, 2015, pages 129 - 140 |
| TRON ET AL., NAT. COMMUN., vol. 9, no. 1, 17 December 2018 (2018-12-17), pages 5341 |
| TZARTOS: "Methods in Molecular Biology", vol. 66, 1998, pages: 55 - 66 |
| VAN OOSTERHOUT YV ET AL., BLOOD, vol. 95, no. 12, 15 June 2000 (2000-06-15), pages 3693 - 701 |
| VAUXFLAVELL, CURR OPIN IMMUNOL, vol. 12, no. 6, December 2000 (2000-12-01), pages 719 - 24 |
| WANG ET AL., ACS MEDICINAL CHEMISTRY LETTERS, vol. 11, no. 10, 2020, pages 1829 - 1836 |
| WARD SG ET AL., EUR J IMMUNOL, vol. 25, no. 2, February 1995 (1995-02-01), pages 502 - 7 |
| WEEDEN ET AL., ONCOGENE, vol. 37, no. 32, August 2018 (2018-08-01), pages 4475 - 4488 |
| WILSON ET AL., LANCET ONCOL, vol. 11, no. 12, December 2010 (2010-12-01), pages 1149 - 59 |
| WONG ET AL., MOL CANCER THER, vol. 11, no. 4, April 2012 (2012-04-01), pages 1026 - 1035 |
| YAMAZAKI CHISATO M. ET AL: "Antibody-drug conjugates with dual payloads for combating breast tumor heterogeneity and drug resistance", NATURE COMMUNICATIONS, vol. 12, no. 1, 1 December 2021 (2021-12-01), XP055940303, Retrieved from the Internet <URL:https://www.nature.com/articles/s41467-021-23793-7.pdf> DOI: 10.1038/s41467-021-23793-7 * |
| YOULESTRASSER, NAT. REV. MOL. CELL BIOL., vol. 9, no. 1, January 2008 (2008-01-01), pages 47 - 59 |
Also Published As
| Publication number | Publication date |
|---|---|
| AR134424A1 (en) | 2026-01-14 |
| TW202540186A (en) | 2025-10-16 |
Similar Documents
| Publication | Publication Date | Title |
|---|---|---|
| US20250387504A1 (en) | Antibody-drug conjugates of antineoplastic compounds and methods of use thereof | |
| EP3972651A2 (en) | Mcl-1 inhibitor antibody-drug conjugates and methods of use | |
| WO2024189481A1 (en) | Panras inhibitor antibody-drug conjugates and methods of use thereof | |
| US20240269304A1 (en) | Bcl-xl inhibitor antibody-drug conjugates and methods of use thereof | |
| KR20250011947A (en) | Antibody drug conjugate | |
| WO2025111431A1 (en) | Anti-cd7 antibody-drug conjugates and methods of use thereof | |
| US20250339547A1 (en) | Met bcl-xl inhibitor antibody-drug conjugates and methods of use thereof | |
| US20260027220A1 (en) | Epha2 bcl-xl inhibitor antibody-drug conjugates and methods of use thereof |
Legal Events
| Date | Code | Title | Description |
|---|---|---|---|
| 121 | Ep: the epo has been informed by wipo that ep was designated in this application |
Ref document number: 24820913 Country of ref document: EP Kind code of ref document: A1 |
























































































































































































































































































































































































































































































































































































































































































































































































































