WO2025090465A1 - Heteroaryl compounds for the treatment of pain - Google Patents
Heteroaryl compounds for the treatment of pain Download PDFInfo
- Publication number
- WO2025090465A1 WO2025090465A1 PCT/US2024/052361 US2024052361W WO2025090465A1 WO 2025090465 A1 WO2025090465 A1 WO 2025090465A1 US 2024052361 W US2024052361 W US 2024052361W WO 2025090465 A1 WO2025090465 A1 WO 2025090465A1
- Authority
- WO
- WIPO (PCT)
- Prior art keywords
- pain
- compound
- pharmaceutically acceptable
- acceptable salt
- alkyl
- Prior art date
- Legal status (The legal status is an assumption and is not a legal conclusion. Google has not performed a legal analysis and makes no representation as to the accuracy of the status listed.)
- Pending
Links
Classifications
-
- C—CHEMISTRY; METALLURGY
- C07—ORGANIC CHEMISTRY
- C07D—HETEROCYCLIC COMPOUNDS
- C07D471/00—Heterocyclic compounds containing nitrogen atoms as the only ring hetero atoms in the condensed system, at least one ring being a six-membered ring with one nitrogen atom, not provided for by groups C07D451/00 - C07D463/00
- C07D471/02—Heterocyclic compounds containing nitrogen atoms as the only ring hetero atoms in the condensed system, at least one ring being a six-membered ring with one nitrogen atom, not provided for by groups C07D451/00 - C07D463/00 in which the condensed system contains two hetero rings
- C07D471/04—Ortho-condensed systems
-
- A—HUMAN NECESSITIES
- A61—MEDICAL OR VETERINARY SCIENCE; HYGIENE
- A61P—SPECIFIC THERAPEUTIC ACTIVITY OF CHEMICAL COMPOUNDS OR MEDICINAL PREPARATIONS
- A61P25/00—Drugs for disorders of the nervous system
- A61P25/04—Centrally acting analgesics, e.g. opioids
-
- C—CHEMISTRY; METALLURGY
- C07—ORGANIC CHEMISTRY
- C07D—HETEROCYCLIC COMPOUNDS
- C07D405/00—Heterocyclic compounds containing both one or more hetero rings having oxygen atoms as the only ring hetero atoms, and one or more rings having nitrogen as the only ring hetero atom
- C07D405/02—Heterocyclic compounds containing both one or more hetero rings having oxygen atoms as the only ring hetero atoms, and one or more rings having nitrogen as the only ring hetero atom containing two hetero rings
- C07D405/04—Heterocyclic compounds containing both one or more hetero rings having oxygen atoms as the only ring hetero atoms, and one or more rings having nitrogen as the only ring hetero atom containing two hetero rings directly linked by a ring-member-to-ring-member bond
Definitions
- Acute and chronic pain are two common pain states and can be distinguished by the duration of the pain. Acute pain can arise for many reasons (e.g., a hospital procedure) and treatment options are generally limited by poor efficacy and/or adverse events. Like acute pain, chronic pain can arise for many reasons and treatment options are limited by poor efficacy and/or adverse events.
- Neuropathic pain is a form of chronic pain caused by an injury to the sensory nerves (Dieleman, J.P., et al., Incidence rates and treatment of neuropathic pain conditions in the general population. Pain, 2008.137(3): p.681-8). Neuropathic pain can be divided into two categories, pain caused by generalized metabolic damage to the nerve and pain caused by a discrete nerve injury.
- the metabolic neuropathies include post-herpetic neuropathy, diabetic neuropathy, and drug-induced neuropathy.
- Discrete nerve injury indications include post-amputation pain, post-surgical nerve injury pain, and nerve entrapment injuries like neuropathic back pain.
- Voltage-gated sodium channels Na V s are involved in pain signaling. Na V s are biological mediators of electrical signaling as they mediate the rapid upstroke of the action potential of many excitable cell types, for example, neurons, skeletal myocytes, cardiac myocytes (Hille, Bertil, Ion Channels of Excitable Membranes, Third ed. (Sinauer Associates, Inc., Sunderland, MA, 2001)).
- the local anesthetic drugs such as lidocaine block pain by inhibiting Na V channels
- other compounds such as carbamazepine, lamotrigine, and tricyclic antidepressants that have proven effective at reducing pain
- sodium channel inhibition Soderpalm, B., Anticonvulsants: aspects of their mechanisms of action. Eur. J. Pain 6 Suppl. A, p.3-9 (2002); Wang, G. K., Mitchell, J., and Wang, S. Y., Block of persistent late Na + currents by antidepressant sertraline and paroxetine. J. Membr. Biol.222 (2), p.79-90 (2008)).
- the Na V s form a subfamily of the voltage-gated ion channel super-family and comprises 9 isoforms, designated Na V 1.1 – Na V 1.9.
- the tissue localizations of the nine isoforms vary.
- Na V 1.4 is the primary sodium channel of skeletal muscle
- Na V 1.5 is primary sodium channel of cardiac myocytes.
- Na V s 1.7, 1.8 and 1.9 are primarily localized to the peripheral nervous system, while Na V s 1.1, 1.2, 1.3, and 1.6 are neuronal channels found in both the central and peripheral nervous systems.
- the functional behaviors of the nine isoforms are similar but distinct in the specifics of their voltage- dependent and kinetic behavior (Catterall, W. A., Goldin, A.
- Na V 1.8 channels were identified as likely targets for analgesia (Akopian, A.N., L. Sivilotti, and J.N. Wood, A tetrodotoxin-resistant voltage-gated sodium channel expressed by sensory neurons. Nature, 1996.379(6562): p.257-62).
- Na V 1.8 has been shown to be a carrier of the sodium current that maintains action potential firing in small dorsal root ganglia (DRG) neurons (Blair, N.T. and B.P. Bean, Roles of tetrodotoxin (TTX)-sensitive Na + current, TTX-resistant Na + current, and Ca 2+ current in the action potentials of nociceptive sensory neurons. J. Neurosci., 2002.22(23): p.10277-90).
- DRG dorsal root ganglia
- TTX tetrodotoxin
- Na V 1.8 is involved in spontaneous firing in damaged neurons, like those that drive neuropathic pain (Roza, C., et al., The tetrodotoxin-resistant Na + channel Na V 1.8 is essential for the expression of spontaneous activity in damaged sensory axons of mice. J. Physiol., 2003.550(Pt 3): p.921-6; Jarvis, M.F., et al., A-803467, a potent and selective Na V 1.8 sodium channel blocker, attenuates neuropathic and inflammatory pain in the rat. Proc. Natl. Acad. Sci.
- the small DRG neurons where Na V 1.8 is expressed include the nociceptors involved in pain signaling, where Na V 1.8 mediates large amplitude action potentials (Blair, N.T. and B.P. Bean, Roles of tetrodotoxin (TTX)-sensitive Na + current, TTX-resistant Na + current, and Ca 2+ current in the action potentials of nociceptive sensory neurons. J. Neurosci., 2002.22(23): p.10277-90). Na V 1.8 is necessary for rapid repetitive action potentials in nociceptors, and for spontaneous activity of damaged neurons. (Choi, J.S. and S.G.
- Na V 1.8 appears to be a driver of hyper-excitablility (Rush, A.M., et al., A single sodium channel mutation produces hyper- or hypoexcitability in different types of neurons. Proc. Natl. Acad. Sci. USA, 2006. 103(21): p.8245-50).
- Na V 1.8 mRNA expression levels have been shown to increase in the DRG (Sun, W., et al., Reduced conduction failure of the main axon of polymodal nociceptive C-fibers contributes to painful diabetic neuropathy in rats. Brain, 135(Pt 2): p.
- the invention relates to a compound described herein, or a pharmaceutically acceptable salt thereof.
- the invention relates to a pharmaceutical composition comprising the compound, or a pharmaceutically acceptable salt thereof, and one or more pharmaceutically acceptable carriers or vehicles.
- the invention relates to a method of inhibiting a voltage gated sodium channel in a subject by administering the compound, pharmaceutically acceptable salt, or pharmaceutical composition to the subject.
- the invention relates to a method of treating or lessening the severity in a subject of a variety of diseases, disorders, or conditions, including, but not limited to, chronic pain, gut pain, neuropathic pain, musculoskeletal pain, acute pain, inflammatory pain, cancer pain, idiopathic pain, postsurgical pain (e.g., bunionectomy pain, herniorrhaphy pain or abdominoplasty pain), visceral pain, multiple sclerosis, Charcot-Marie-Tooth syndrome, incontinence, pathological cough, and cardiac arrhythmia, by administering the compound, pharmaceutically acceptable salt, or pharmaceutical composition to the subject.
- diseases, disorders, or conditions including, but not limited to, chronic pain, gut pain, neuropathic pain, musculoskeletal pain, acute pain, inflammatory pain, cancer pain, idiopathic pain, postsurgical pain (
- the invention relates to a compound of formula (I-A): ; or a pharmaceutically acceptable salt thereof, wherein: X 1 is C-R 1 or N; X 2 is C-R 2 , N, or N + -O-; X 3 is C-R 3 , N, or N + -O-; X 5 is C-R 5 , N, or N + -O-; p, X a , and X b are defined as follows: (i) p is 1, X a is C-R 11 R 12 , and X b is O; (ii) p is 1, X a is O, and X b is C-R 13 R 14 ; or (iii) p is 0 and X b is O; X s is C-R s or N; X t is C-R t or N; R 1 is H, OH, halo, CN, C 1
- the term “compounds of the invention” refers to the compounds of formula (I-A) and all of the embodiments thereof (e.g., formulas (I-A-1), (I-A-2), (I-B-1), (I-B-2), (I- C-1), (I-C-2), (I-D-1), (I-D-2), etc.), as described herein, and to the compounds identified in Table A, Table B, Table C, Table D, and Table E. [0015] As described herein, the compounds of the invention comprise multiple variable groups (e.g., X 1 , R 1 , R 6 , R u , etc.).
- stable in this context, refers to compounds that are not substantially altered when subjected to conditions to allow for their production, detection, and preferably their recovery, purification, and use for one or more of the purposes disclosed herein.
- a stable compound or chemically feasible compound is one that is not substantially altered when kept at a temperature of 40°C or less, in the absence of moisture or other chemically reactive conditions, for at least a week.
- halo means F, Cl, Br or I.
- alkyl refers to a straight or branched hydrocarbon chain radical group consisting solely of carbon and hydrogen atoms, containing no unsaturation, and having the specified number of carbon atoms, which is attached to the rest of the molecule by a single bond.
- a “C 1 -C 6 alkyl” group is an alkyl group having between one and six carbon atoms.
- cycloalkyl refers to a stable, non-aromatic, mono- or bicyclic (fused, bridged, or spiro) saturated hydrocarbon radical consisting solely of carbon and hydrogen atoms, having the specified number of carbon ring atoms, and which is attached to the rest of the molecule by a single bond.
- a “C 3 -C 8 cycloalkyl” group is a cycloalkyl group having between three and eight carbon atoms.
- alkoxy refers to a radical of the formula -OR a where R a is an alkyl group having the specified number of carbon atoms.
- a “C 1 -C 6 alkoxy” group is a radical of the formula -OR a where R a is an alkyl group having the between one and six carbon atoms.
- the term “haloalkyl” refers to an alkyl group having the specified number of carbon atoms, wherein one or more of the hydrogen atoms of the alkyl group are replaced by halo groups.
- a “C 1 -C 6 haloalkyl” group is an alkyl group having between one and six carbon atoms, wherein one or more of the hydrogen atoms of the alkyl group are replaced by halo groups.
- haloalkoxy refers to an alkoxy group having the specified number of carbon atoms, wherein one or more of the hydrogen atoms of the of the alkyl group are replaced by halo groups.
- heterocyclyl refers to a stable, non-aromatic, mono-, bi-, or tricyclic (fused, bridged, or spiro) radical in which one or more ring atoms is a heteroatom (e.g., a heteroatom independently selected from N, O, P, and S), which has the specified number of ring atoms, and which is attached to the rest of the molecule by a single bond.
- Heterocyclic rings can be saturated, or can contain one or more double or triple bonds.
- the “heterocyclyl” group has the indicated number of ring members, in which one or more ring members is a heteroatom independently selected from oxygen, sulfur, nitrogen, and phosphorus, and each ring in the ring system contains 3 to 7 ring members.
- a 6-membered heterocyclyl includes a total of 6 ring members, at least one of which is a heteroatom (e.g., a heteroatom independently selected from N, O, P, and S).
- heteroaryl refers to a stable mono-, bi-, or tricyclic ring radical having the specified number of ring atoms, wherein at least one ring in the system is aromatic, at least one aromatic ring in the system contains one or more heteroatoms (e.g., one or more heteroatoms independently selected from N, O, P, and S). In some embodiments, each ring in the system contains 3 to 7 ring members.
- a 6-membered heteroaryl includes a total of 6 ring members, at least one of which is a heteroatom selected from N, S, O, and P.
- heteroaryl may be used interchangeably with the term “heteroaryl ring” or the term “heteroaromatic”.
- labels such as “*s” and “*t”, such as those shown in the following structures, designate the carbon atoms to which the corresponding R groups (in this case, the R s and R t groups, respectively) are attached:
- the compounds of the invention whether identified by chemical name or chemical structure, include all stereoisomers (e.g., enantiomers and diastereomers), double bond isomers (e.g., (Z) and (E)), conformational isomers, and tautomers of the compounds identified by the chemical names and chemical structures provided herein.
- stereoisomers single stereoisomers, double bond isomers, conformational isomers, and tautomers as well as mixtures of stereoisomers, double bond isomers, conformational isomers, and tautomers are within the scope of the invention.
- a non-bold, straight bond attached to a stereocenter of a compound denotes that the configuration of the stereocenter is unspecified.
- the compound may have any configuration, or a mixture of configurations, at the stereocenter.
- a bold or hashed straight bond attached to a stereocenter of a compound denotes the relative stereochemistry of the stereocenter, relative to other stereocenter(s) to which bold or hashed straight bonds are attached.
- a bold or hashed wedge bond attached to a stereocenter of a compound denotes the absolute stereochemistry of the stereocenter, as well as the relative stereochemistry of the stereocenter, relative to other stereocenter(s) to which bold or hashed wedge bonds are attached.
- the prefix “rac-,” when used in connection with a chiral compound, refers to a racemic mixture of the compound.
- the (R)- and (S)- designators in the chemical name reflect the relative stereochemistry of the compound.
- the prefix “dia-,” when used in connection with a chiral compound refers to a mixture of two or more diastereomers of the compound.
- the (R)- and (S)- designators are assigned arbitrarily and do not necessarily reflect the absolute or relative configuration of the corresponding stereocenters in any component of the mixture.
- all of the diastereomers in a mixture have a single absolute configuration at one or more stereocenters.
- the stereochemical designators associated with the stereocenters having a single absolute configuration are marked with an asterisk (*), e.g., (R*)- and (S*)-.
- all of the diastereomers in a mixture have the same relative stereochemistry at two or more stereocenters.
- the stereochemical designators associated with such stereocenters are marked with a superscript number ( n ), e.g., (R n )- and (S n )-.
- the stereochemical designators marked with a superscript number reflect the relative stereochemistry of the corresponding stereocenters with respect to other stereocenters associated with stereochemical designators having the same superscript number, e.g., (R 1 )- and (S 1 )-, but they do not necessarily reflect the absolute configuration of such stereocenters.
- the stereochemical designators marked with an asterisk (*) do not necessarily reflect the relative stereochemistry of the corresponding stereocenters with respect to stereocenters associated with stereochemical designators marked with a superscript number ( n ) (and vice versa) or with respect to stereocenters associated with unmarked stereochemical designators.
- the stereochemical designators marked with a superscript number ( n ) do not necessarily reflect the relative stereochemistry of the corresponding stereocenters with respect to stereocenters associated with stereochemical designators marked with a different superscript number ( n ) or with respect to stereocenters associated with unmarked stereochemical designators.
- the prefix “rel-,” when used in connection with a chiral compound, refers to a single enantiomer of unknown absolute configuration.
- the (R)- and (S)- designators in the chemical name reflect the relative stereochemistry of the compound, but do not necessarily reflect the absolute stereochemistry of the compound.
- the absolute configuration of some stereocenters is known, while only the relative configuration of the other stereocenters is known.
- the stereochemical designators associated with the stereocenters of known absolute configuration are marked with an asterisk (*), e.g., (R*)- and (S*)-, while the stereochemical designators associated with stereocenters of unknown absolute configuration are not so marked.
- the unmarked stereochemical designators associated with the stereocenters of unknown absolute configuration reflect the relative stereochemistry of those stereocenters with respect to other stereocenters of unknown absolute configuration, but do not necessarily reflect the relative stereochemistry with respect to the stereocenters of known absolute configuration.
- the term “compound,” when referring to the compounds of the invention, refers to a collection of molecules having identical chemical structures, except that there may be isotopic variation among the constituent atoms of the molecules.
- the term “compound” includes such a collection of molecules without regard to the purity of a given sample containing the collection of molecules.
- the term “compound” includes such a collection of molecules in pure form, in a mixture (e.g., solution, suspension, colloid, or pharmaceutical composition, or dosage form) with one or more other substances, or in the form of a hydrate, solvate, or co-crystal.
- a mixture e.g., solution, suspension, colloid, or pharmaceutical composition, or dosage form
- any atom not specifically designated as a particular isotope in any compound of the invention is meant to represent any stable isotope of the specified element.
- the term “stable,” when referring to an isotope, means that the isotope is not known to undergo spontaneous radioactive decay. Stable isotopes include, but are not limited to, the isotopes for which no decay mode is identified in V.S. Shirley & C.M. Lederer, Isotopes Project, Nuclear Science Division, Lawrence Berkeley Laboratory, Table of Nuclides (January 1980).
- H refers to hydrogen and includes any stable isotope of hydrogen, namely 1 H and D.
- an atom is designated as “H”
- 1 H refers to protium. Where an atom in a compound of the invention, or a pharmaceutically acceptable salt thereof, is designated as protium, protium is present at the specified position with at least the natural abundance concentration of protium.
- the compounds of the invention, and pharmaceutically acceptable salts thereof include each constituent atom at approximately the natural abundance isotopic composition of the specified element.
- the compounds of the invention, and pharmaceutically acceptable salts thereof include one or more atoms having an atomic mass or mass number which differs from the atomic mass or mass number of the most abundant isotope of the specified element (“isotope- labeled” compounds and salts).
- stable isotopes which are commercially available and suitable for the invention include without limitation isotopes of hydrogen, carbon, nitrogen, oxygen, and phosphorus, for example 2 H, 13 C, 15 N, 18 O, 17 O, and 31 P, respectively.
- the isotope-labeled compounds and salts can be used in a number of beneficial ways, including as medicaments.
- the isotope-labeled compounds and salts are deuterium ( 2 H)-labeled.
- Deuterium ( 2 H)-labeled compounds and salts are therapeutically useful with potential therapeutic advantages over the non- 2 H-labeled compounds.
- deuterium ( 2 H)- labeled compounds and salts can have higher metabolic stability as compared to those that are not isotope-labeled owing to the kinetic isotope effect described below. Higher metabolic stability translates directly into an increased in vivo half-life or lower dosages, which under most circumstances would represent a preferred embodiment of the present invention.
- the isotope-labeled compounds and salts can usually be prepared by carrying out the procedures disclosed in the synthesis schemes, the Examples and the related description, replacing a non-isotope-labeled reactant by a readily available isotope-labeled reactant.
- the deuterium ( 2 H)-labeled compounds and salts can manipulate the rate of oxidative metabolism of the compound by way of the primary kinetic isotope effect.
- the primary kinetic isotope effect is a change of the rate for a chemical reaction that results from exchange of isotopic nuclei, which in turn is caused by the change in ground state energies of the covalent bonds involved in the reaction.
- Exchange of a heavier isotope usually results in a lowering of the ground state energy for a chemical bond and thus causes a reduction in the rate-limiting bond breakage. If the bond breakage occurs in or in the vicinity of a saddle-point region along the coordinate of a multi-product reaction, the product distribution ratios can be altered substantially.
- the concentration of an isotope (e.g., deuterium) incorporated at a given position of an isotope-labeled compound of the invention, or a pharmaceutically acceptable salt thereof, may be defined by the isotopic enrichment factor.
- isotopic enrichment factor means the ratio between the abundance of an isotope at a given position in an isotope-labeled compound (or salt) and the natural abundance of the isotope.
- the isotopic enrichment factor is at least 3500 ( ⁇ 52.5% deuterium incorporation), at least 4000 ( ⁇ 60% deuterium incorporation), at least 4500 ( ⁇ 67.5% deuterium incorporation), at least 5000 ( ⁇ 75% deuterium incorporation), at least 5500 ( ⁇ 82.5% deuterium incorporation), at least 6000 ( ⁇ 90% deuterium incorporation), at least 6333.3 ( ⁇ 95% deuterium incorporation), at least 6466.7 ( ⁇ 97% deuterium incorporation), at least 6600 ( ⁇ 99% deuterium incorporation), or at least 6633.3 ( ⁇ 99.5% deuterium incorporation).
- the invention relates to a compound of formula (I-A), or a pharmaceutically acceptable salt thereof, wherein: X a is CH 2 ; X b is O; R 6 and R 7 are each independently H, OH, C 1 -C 6 alkyl, C 1 -C 6 haloalkyl, C 3 -C 6 cycloalkyl, or C 1 -C 6 alkoxy; R 8 and R 9 are each independently H, OH, C 1 -C 6 alkyl, C 1 -C 6 haloalkyl, C 3 -C 6 cycloalkyl, or C 1 -C 6 alkoxy; or R 8 and R 9 , together with the carbon atom to which they are attached, form a C 3 -C 6 cycloalkyl; R s and R t are each independently H, OH, halo, C 1 -C 6 alkyl, C 1 -C 6 alkoxy, C 1 -C 6 hal
- the invention relates to a compound of formula (I-A), or a pharmaceutically acceptable salt thereof, wherein: R 1 is H, OH, halo, CN, C 1 -C 6 alkyl, C 1 -C 6 alkoxy, C 1 -C 6 haloalkoxy, or –C(O)OR b ; R 10 is H; and R s and R t are each independently H, OH, halo, C 1 -C 6 alkyl, C 1 -C 6 alkoxy, C 1 -C 6 haloalkyl, C 1 - C 6 haloalkoxy, –NR b R c , –NO 2 , –SO 3 H, –(CH 2 ) m OR a , or –O(CH 2 ) m OCH 3 , or R s and R t , together with the carbon atoms to which they are attached, form a ring of formula: [0046] In
- the invention relates to a compound of formula (I-A), or a pharmaceutically acceptable salt thereof, wherein R 11 is H. [0048] In some embodiments, the invention relates to a compound of formula (I-A), or a pharmaceutically acceptable salt thereof, wherein R 12 is H. [0049] In some embodiments, the invention relates to a compound of formula (I-A), or a pharmaceutically acceptable salt thereof, wherein p is 1, X a is O, and X b is CR 13 R 14 .
- the invention relates to a compound of formula (I-A), or a pharmaceutically acceptable salt thereof, wherein R 13 is C 1 -C 6 alkyl or C 1 -C 6 haloalkyl. In other embodiments, R 13 is C 1 -C 6 alkyl. In other embodiments, R 13 is C 1 -C 6 haloalkyl. In some embodiments, the invention relates to a compound of formula (I-A), or a pharmaceutically acceptable salt thereof, wherein R 13 is –CH 3 or –CF 3 . In other embodiments, R 13 is –CH 3 . In other embodiments, R 13 is –CF 3 .
- the invention relates to a compound of formula (I-A), or a pharmaceutically acceptable salt thereof, wherein R 14 is C 1 -C 6 alkyl or C 1 -C 6 haloalkyl. In other embodiments, R 14 is C 1 -C 6 alkyl. In other embodiments, R 14 is C 1 -C 6 haloalkyl. In some embodiments, the invention relates to a compound of formula (I-A), or a pharmaceutically acceptable salt thereof, wherein R 14 is –CH 3 or –CF 3 . In other embodiments, R 14 is –CH 3 . In other embodiments, R 14 is –CF 3 .
- the invention relates to a compound of formula (I-A), or a pharmaceutically acceptable salt thereof, wherein R 6 , R 7 , R 8 , and R 9 , together with the carbon atom to which they are attached, form a fused C 6 -C 10 aryl optionally substituted with 1-3 R y .
- the invention relates to a compound of formula (I-A), or a pharmaceutically acceptable salt thereof, wherein R 6 , R 7 , R 8 , and R 9 , together with the carbon atom to which they are attached, form a fused phenyl.
- the invention relates to a compound of formula (I-A), or a pharmaceutically acceptable salt thereof, wherein R 10 is H. In some embodiments, the invention relates to a compound of formula (I-A), or a pharmaceutically acceptable salt thereof, wherein R 10 is CH 3 . [0054] In some embodiments, the invention relates to a compound of formula (I-A), or a pharmaceutically acceptable salt thereof, wherein R w is H. [0055] In some embodiments, the invention relates to a compound of formula (I-A-1): ; or a pharmaceutically acceptable salt thereof, wherein all variable groups are defined as they are defined for the compound of formula (I-A).
- the invention relates to a compound of formula (I-B-1): ; or a pharmaceutically acceptable salt thereof, wherein all variable groups are defined as they are defined for the compound of formula (I-A).
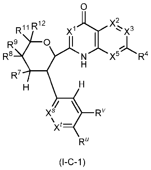
- the invention relates to a compound of formula (I-C-1): ; or a pharmaceutically acceptable salt thereof, wherein all variable groups are defined as they are defined for the compound of formula (I-A).
- the invention relates to a compound of formula (I-D-1): ; or a pharmaceutically acceptable salt thereof, wherein all variable groups are defined as they are defined for the compound of formula (I-A).
- the invention relates to a compound of formula (I-A), (I-A-1), or (I-B-1), or a pharmaceutically acceptable salt thereof, wherein p is 0.
- the invention relates to a compound of formula (I-A), (I-A-1), or (I-B-1), or a pharmaceutically acceptable salt thereof, wherein p is 1.
- the invention relates to a compound of formula (I-A), (I-A-1), (I- B-1), (I-C-1), or (I-D-1), or a pharmaceutically acceptable salt thereof, wherein X 1 is N.
- the invention relates to a compound of formula (I-A), (I-A-1), (I-B-1), (I-C-1), or (I-D- 1), or a pharmaceutically acceptable salt thereof, wherein X 1 is C-R 1 , and R 1 is H, CN, C 1 -C 6 alkyl, C 1 -C 6 alkoxy, or –C(O)OR b .
- X 1 is C-R 1 , and R 1 is H.
- X 1 is C-R 1 , and R 1 is CN.
- X 1 is C-R 1 , and R 1 is C 1 -C 6 alkyl.
- X 1 is C-R 1 , and R 1 is C 1 -C 6 alkoxy. In other embodiments, X 1 is C-R 1 , and R 1 is –C(O)OR b .
- the invention relates to a compound of formula (I- A), (I-A-1), (I-B-1), (I-C-1), or (I-D-1), or a pharmaceutically acceptable salt thereof, wherein X 1 is C-R 1 , and R 1 is H, CN, –CH 3 , –OCH 3 , –C(O)OCH 3 , or –C(O)OCH 2 CH 3 .
- X 1 is C-R 1 , and R 1 is CN. In other embodiments, X 1 is C-R 1 , and R 1 is –CH 3 . In other embodiments, X 1 is C-R 1 , and R 1 is –OCH 3 . In other embodiments, X 1 is C-R 1 , and R 1 is –C(O)OCH 3 . In other embodiments, X 1 is C-R 1 , and R 1 is –C(O)OCH 2 CH 3 .
- the invention relates to a compound of formula (I-A), (I-A-1), (I- B-1), (I-C-1), or (I-D-1), or a pharmaceutically acceptable salt thereof, wherein X 2 is N.
- the invention relates to a compound of formula (I-A) or (I-A-1), or a pharmaceutically acceptable salt thereof, wherein X 2 is C-R 2 , and R 2 is H, OH, CN, halo, C 1 -C 6 alkyl, C 1 -C 6 alkoxy, — NHS(O) 2 (C 1 -C 6 alkyl), –C(O)OR b , –C(O)NR b R c , 5-6 membered heteroaryl, or 5-6 membered heterocyclyl, wherein said 5-6 membered heteroaryl or 5-6 membered heterocyclyl may be unsubstituted or may be substituted with 1-4 substituents independently selected from C 1 -C 6 alkyl and –C(O)NR b R c .
- X 2 is C-R 2 , and R 2 is H. In other embodiments, X 2 is C-R 2 , and R 2 is OH. In other embodiments, X 2 is C-R 2 , and R 2 is CN. In other embodiments, X 2 is C-R 2 , and R 2 is halo. In other embodiments, X 2 is C-R 2 , and R 2 is C 1 -C 6 alkyl. In other embodiments, X 2 is C-R 2 , and R 2 is C 1 -C 6 alkoxy. In other embodiments, X 2 is C-R 2 , and R 2 is –NHS(O) 2 (C 1 -C 6 alkyl).
- X 2 is C-R 2 , and R 2 is –C(O)OR b . In other embodiments, X 2 is C-R 2 , and R 2 is –C(O)NR b R c . In other embodiments, X 2 is C-R 2 , and R 2 is 5-6 membered heteroaryl, wherein said 5- 6 membered heteroaryl may be unsubstituted or may be substituted with 1-4 substituents independently selected from C 1 -C 6 alkyl and –C(O)NR b R c ..
- X 2 is C-R 2
- R 2 is 5-6 membered heterocyclyl, wherein said 5-6 membered heterocyclyl may be unsubstituted or may be substituted with 1-4 substituents independently selected from C 1 -C 6 alkyl and –C(O)NR b R c .
- the invention relates to a compound of formula (I-A), (I-A-1), (I-B-1), (I-C-1), or (I-D-1), or a pharmaceutically acceptable salt thereof, wherein X 2 is C-R 2 , and R 2 is H, Cl, F, OH, CN, –CH 3 , –OCH 3 , –C(O)OH, –C(O)NH 2 , –C(O)N(H)CH 3 , –N(H)S(O) 2 (CH 3 ), .
- the invention relates to a compound of formula (I-A), (I-A-1), (I-B-1), (I-C-1), or (I-D-1), or a pharmaceutically acceptable salt thereof, wherein X 2 is C-R 2 , and R 2 is H, Cl, F, OH, CN, –CH 3 , –OCH 3 , –C(O)OH, –C(O)NH 2 , –C(O)N(H)CH 3 , –N(H)S(O) 2 (CH 3 ), In other embodiments, X 2 is C-R 2 , and R 2 is Cl. In other embodiments, X 2 is C-R 2 , and R 2 is F.
- X 2 is C-R 2 , and R 2 is OH. In other embodiments, X 2 is C-R 2 , and R 2 is CN. In other embodiments, X 2 is C-R 2 , and R 2 is –CH 3 . In other embodiments, X 2 is C-R 2 , and R 2 is –OCH 3 . In other embodiments, X 2 is C-R 2 , and R 2 is –C(O)OH. In other embodiments, X 2 is C-R 2 , and R 2 is –C(O)NH 2 . In other embodiments, X 2 is C-R 2 , and R 2 is –C(O)N(H)CH 3 . In other embodiments, X 2 is C-R 2 , and R 2 is –N(H)S(O) 2 (CH 3 ). In other embodiments, X 2 is C-R 2 , and R 2 is C-R 2 , and R 2 is —N(H)S(O) 2
- the invention relates to a compound of formula (I-A), (I-A-1), (I- B-1), (I-C-1), or (I-D-1), or a pharmaceutically acceptable salt thereof, wherein X 3 is N.
- the invention relates to a compound of formula (I-A), (I-A-1), (I-B-1), (I-C-1), or (I-D- 1), or a pharmaceutically acceptable salt thereof, wherein X 3 is C-R 3 , and R 3 is H, CN, halo, C 1 -C 6 alkoxy, –C(O)OR b , or –C(O)NR b R c .
- X 3 is C-R 3 , and R 3 is H. In other embodiments, X 3 is C-R 3 , and R 3 CN. In other embodiments, X 3 is C-R 3 , and R 3 halo. In other embodiments, X 3 is C-R 3 , and R 3 C 1 -C 6 alkoxy. In other embodiments, X 3 is C-R 3 , and R 3 –C(O)OR b . In other embodiments, X 3 is C-R 3 , and R 3 –C(O)NR b R c .
- the invention relates to a compound of formula (I-A), (I-A-1), (I-B-1), (I-C-1), or (I-D-1), or a pharmaceutically acceptable salt thereof, wherein X 3 is C-R 3 , and R 3 is H, Cl, F, CN, –OCH 3 , –C(O)OCH 3 or –C(O)N(CH 3 ) 2 .
- X 3 is C-R 3
- R 3 is Cl.
- X 3 is C-R 3
- R 3 is F.
- X 3 is C-R 3 , and R 3 is CN.
- X 3 is C-R 3 , and R 3 is –OCH 3 . In other embodiments, X 3 is C-R 3 , and R 3 is –C(O)OCH 3 . In other embodiments, X 3 is C-R 3 , and R 3 is – C(O)N(CH 3 ) 2 .
- the invention relates to a compound of formula (I-A), (I-A-1), (I- B-1), (I-C-1), or (I-D-1), or a pharmaceutically acceptable salt thereof, wherein R 4 is H, halo, C 1 -C 6 alkyl, –C(O)OR b , or –C(O)NR b R c .
- R 4 is H.
- R 4 is halo.
- R 4 is C 1 -C 6 alkyl.
- R 4 is –C(O)OR b .
- R 4 is –C(O)NR b R c .
- the invention relates to a compound of formula (I-A), (I-A-1), (I-B-1), (I-C-1), or (I-D-1), or a pharmaceutically acceptable salt thereof, wherein R 4 is H, Cl, F, –CH 3 , –C(O)OCH 2 CH 3 or –C(O)NH 2 .
- R 4 is Cl.
- R 4 is F.
- R 4 is –CH 3 .
- R 4 is – C(O)OCH 2 CH 3 .
- R 4 is –C(O)NH 2 .
- the invention relates to a compound of formula (I-A), (I-A-1), (I- B-1), (I-C-1), or (I-D-1), or a pharmaceutically acceptable salt thereof, wherein X 5 is N.
- the invention relates to a compound of formula (I-A), (I-A-1), (I-B-1), (I-C-1), or (I-D- 1), or a pharmaceutically acceptable salt thereof, wherein X 5 is CR 5 , and R 5 is H, halo, or – C(O)NR b R c .
- X 5 is CR 5 , and R 5 is H.
- X 5 is CR 5 , and R 5 is halo. In other embodiments, X 5 is CR 5 , and R 5 is –C(O)NR b R c . In some embodiments, the invention relates to a compound of formula (I-A), (I-A-1), (I-B-1), (I-C-1), or (I-D-1), or a pharmaceutically acceptable salt thereof, wherein X 5 is CR 5 , and R 5 is H, F, or –C(O)NH 2 . In other embodiments, X 5 is CR 5 , and R 5 is F. In other embodiments, X 5 is CR 5 , and R 5 is –C(O)NH 2 .
- the invention relates to a compound of formula (I-A), or a pharmaceutically acceptable salt thereof, wherein R 6 is H.
- the invention relates to a compound of formula (I-A), (I-A-1), (I- B-1), (I-C-1), or (I-D-1), or a pharmaceutically acceptable salt thereof, wherein R 7 is H, OH, C 1 -C 6 alkyl, C 3 -C 6 cycloalkyl, or C 1 -C 6 alkoxy.
- R 7 is H.
- R 7 is OH.
- R 7 is C 1 -C 6 alkyl.
- R 7 is C 3 -C 6 cycloalkyl. In other embodiments, R 7 is C 1 -C 6 alkoxy. In some embodiments, the invention relates to a compound of formula (I-A), (I-A-1), (I-B-1), (I-C-1), or (I-D-1), or a pharmaceutically acceptable salt thereof, wherein R 7 is H, OH, –OCH 3 , –CH 3 , or cyclopropyl. In other embodiments, R 7 is –OCH 3 . In other embodiments, R 7 is –CH 3 . In other embodiments, R 7 is cyclopropyl.
- the invention relates to a compound of formula (I-A), (I-A-1), (I- B-1), (I-C-1), or (I-D-1), or a pharmaceutically acceptable salt thereof, wherein R 8 and R 9 are each independently H, C 1 -C 6 alkyl, C 1 -C 6 haloalkyl, or C 3 -C 6 cycloalkyl, or R 8 and R 9 , together with the carbon atom to which they are attached, form a C 3 -C 6 cycloalkyl. In other embodiments, at least one of R 8 and R 9 is H. In other embodiments, at least one of R 8 and R 9 is C 1 -C 6 alkyl.
- At least one of R 8 and R 9 is C 1 -C 6 haloalkyl. In other embodiments, at least one of R 8 and R 9 is C 3 -C 6 cycloalkyl
- the invention relates to a compound of formula (I- A), (I-A-1), (I-B-1), (I-C-1), or (I-D-1), or a pharmaceutically acceptable salt thereof, wherein R 8 is H or C 1 -C 6 alkyl. In other embodiments, R 8 is H. In other embodiments, R 8 is C 1 -C 6 alkyl.
- the invention relates to a compound of formula (I-A), (I-A-1), (I-B-1), (I-C-1), or (I-D- 1), or a pharmaceutically acceptable salt thereof, wherein R 8 is H, –CH 3 , or –CH 2 CH 3 . In other embodiments, R 8 is –CH 3 . In other embodiments, R 8 is –CH 2 CH 3 . In some embodiments, the invention relates to a compound of formula (I-A), (I-A-1), (I-B-1), (I-C-1), or (I-D-1), or a pharmaceutically acceptable salt thereof, wherein R 9 is H, C 1 -C 6 alkyl, or C 1 -C 6 haloalkyl.
- R 9 is H. In other embodiments, R 9 is C 1 -C 6 alkyl. In other embodiments, R 9 is C 1 -C 6 haloalkyl. In some embodiments, the invention relates to a compound of formula (I-A), (I-A-1), (I-B- 1), (I-C-1), or (I-D-1), or a pharmaceutically acceptable salt thereof, wherein R 9 is H, –CH 3 , or –CF 3 . In other embodiments, R 9 is –CH 3 . In other embodiments, R 9 is –CF 3 .
- the invention relates to a compound of formula (I-A), (I-A-1), (I-B-1), (I-C-1), or (I-D-1), or a pharmaceutically acceptable salt thereof, wherein R 8 and R 9 , together with the carbon atom to which they are attached, form a C 3 -C 6 cycloalkyl.
- the invention relates to a compound of formula (I-A), (I-A-1), (I-B-1), (I-C-1), or (I-D-1), or a pharmaceutically acceptable salt thereof, wherein R 8 and R 9 , together with the carbon atom to which they are attached, form a cyclobutane.
- the invention relates to a compound of formula (I-C-1) or (I-D-1), or a pharmaceutically acceptable salt thereof, wherein R 11 is H, and R 12 is H. [0070] In some embodiments, the invention relates to a compound of formula (I-A), (I-A-1), (I- B-1), (I-C-1), or (I-D-1), or a pharmaceutically acceptable salt thereof, wherein X s is N.
- the invention relates to a compound of formula (I-A), (I-A-1), (I-B-1), (I-C-1), or (I-D- 1), or a pharmaceutically acceptable salt thereof, wherein X s is C-R s , and R s is H, OH, halo, C 1 -C 6 alkyl, C 1 -C 6 alkoxy, C 3 -C 6 cycloalkyl, –O-C 3 -C 6 cycloalkyl, –(CH 2 ) m OR b , or –O(CH 2 ) m OCH 3 .
- the invention relates to a compound of formula (I-A), (I-A-1), (I-B-1), (I-C-1), or (I-D-1), or a pharmaceutically acceptable salt thereof, wherein X s is C-R s , and R s is H, OH, halo, C 1 - C 6 alkyl, C 1 -C 6 alkoxy, –(CH 2 ) m OR b , or –O(CH 2 ) m OCH 3 .
- X s is C-R s
- R s is H.
- X s is C-R s
- R s is OH.
- X s is C-R s , and R s is halo. In other embodiments, X s is C-R s , and R s is C 1 -C 6 alkyl. In other embodiments, X s is C-R s , and R s is C 1 -C 6 alkoxy. In other embodiments, X s is C-R s , and R s is C 3 -C 6 cycloalkyl. In other embodiments, X s is C-R s , and R s is –O-C 3 -C 6 cycloalkyl.
- X s is C-R s
- R s is —(CH 2 ) m OR b
- X s is C-R s
- R s is –O(CH 2 ) m OCH 3 .
- the invention relates to a compound of formula (I-A), (I-A-1), (I-B-1), (I-C-1), or (I-D-1), or a pharmaceutically acceptable salt thereof, wherein X s is C-R s , and R s is H, F, Cl, OH, –CH 3 , –CH 2 OH, –CH 2 OCH 3 , – OCH 3 , cyclopropyl, –O-cyclopropyl, –OCH(CH 3 ) 2 , or –OCH 2 CH 2 OCH 3 .
- the invention relates to a compound of formula (I-A), (I-A-1), (I-B-1), (I-C-1), or (I-D-1), or a pharmaceutically acceptable salt thereof, wherein X s is C-R s , and R s is H, F, Cl, OH, –CH 3 , –CH 2 OH, –CH 2 OCH 3 , –OCH 3 , cyclopropyl, –OCH(CH 3 ) 2 , or –OCH 2 CH 2 OCH 3 .
- the invention relates to a compound of formula (I-A), (I-A-1), (I-B-1), (I-C-1), or (I-D-1), or a pharmaceutically acceptable salt thereof, wherein X s is C-R s , and R s is H, F, OH, –CH 3 , –CH 2 OH, – OCH 3 , –OCH(CH 3 ) 2 , or –OCH 2 CH 2 OCH 3 .
- the invention relates to a compound of formula (I-A), (I-A-1), (I-B-1), (I-C-1), or (I-D-1), or a pharmaceutically acceptable salt thereof, wherein X s is C-R s , and R s is H, Cl, F, OH, –CH 3 , –CH 2 OH, –OCH 3 , –OCH 2 CH 3 , – OCH(CH 3 ) 2 , or –OCH 2 CH 2 OCH 3 .
- X s is C-R s
- R s is F.
- X s is C-R s
- R s is Cl.
- X s is C-R s , and R s is –CH 3 . In other embodiments, X s is C-R s , and R s is –CH 2 OH. In other embodiments, X s is C-R s , and R s is – CH 2 OCH 3 . In other embodiments, X s is C-R s , and R s is –OCH 3 . In other embodiments, X s is C-R s , and R s is cyclopropyl. In other embodiments, X s is C-R s , and R s is –O-cyclopropyl.
- X s is C-R s , and R s is —OCH(CH 3 ) 2 . In other embodiments, X s is C-R s , and R s is – OCH 2 CH 2 OCH 3 . [0071] In some embodiments, the invention relates to a compound of formula (I-A), (I-A-1), (I- B-1), (I-C-1), or (I-D-1), or a pharmaceutically acceptable salt thereof, wherein X t is N.
- the invention relates to a compound of formula (I-A), (I-A-1), (I-B-1), (I-C-1), or (I-D- 1), or a pharmaceutically acceptable salt thereof, wherein X t is C-R t , and R t is H, halo, C 1 -C 6 alkyl, C 1 -C 6 alkoxy, or C 3 -C 6 cycloalkyl.
- the invention relates to a compound of formula (I-A), (I-A-1), (I-B-1), (I-C-1), or (I-D-1), or a pharmaceutically acceptable salt thereof, wherein X t is C-R t , and R t is H, halo, C 1 -C 6 alkyl, or C 1 -C 6 alkoxy. In other embodiments, X t is C-R t , and R t is H. In other embodiments, X t is C-R t , and R t is halo. In other embodiments, X t is C-R t , and R t is C 1 -C 6 alkyl.
- X t is C-R t
- R t is C 1 -C 6 alkoxy.
- X t is C-R t
- R t is C 3 -C 6 cycloalkyl.
- the invention relates to a compound of formula (I-A), (I-A-1), (I-B-1), (I-C-1), or (I-D-1), or a pharmaceutically acceptable salt thereof, wherein X t is C-R t , and R t is H, Cl, F, –CH 3 , –OCH 3 , or cyclopropyl.
- the invention relates to a compound of formula (I-A), (I-A-1), (I-B-1), (I-C-1), or (I-D-1), or a pharmaceutically acceptable salt thereof, wherein X t is C-R t , and R t is H, Cl, F, –CH 3 , or –OCH 3 . In other embodiments, X t is C-R t , and R t is Cl. In other embodiments, X t is C-R t , and R t is F. In other embodiments, X t is C-R t , and R t is –CH 3 .
- X t is C-R t
- R t is –OCH 3 .
- X t is C-R t
- R t is cyclopropyl.
- the invention relates to a compound of formula (I-A), (I-A-1), (I- B-1), (I-C-1), or (I-D-1), or a pharmaceutically acceptable salt thereof, wherein X s is C-R s , X t is C-R t , and R s and R t , together with the carbon atoms to which they are attached, form a ring of formula: In other embodiments, X s is C-R s , X t is C-R t , and R s and R t , together with the carbon atoms to which they are attached, form a ring of formula .
- X s is C-R s
- X t is C-R t
- R s and R t together with the carbon atoms to which they are attached, form a ring of formula
- the invention relates to a compound of formula (I-A), (I-A-1), (I- B-1), (I-C-1), or (I-D-1), or a pharmaceutically acceptable salt thereof, wherein X s is C-R s , X t is C-R t , and R s and R t , together with the carbon atoms to which they are attached, form a ring of formula: .
- X s is C-R s
- X t is C-R t
- R s and R t together with the carbon atoms to which they are attached, form a ring of formula
- X s is C-R s
- X t is C-R t
- R s and R t together with the carbon atoms to which they are attached, form a ring of formula
- X s is C-R s
- X t is C-R t
- R s and R t together with the carbon atoms to which they are attached, form a ring of formula .
- the invention relates to a compound of formula (I-A), (I-A-1), (I- B-1), (I-C-1), or (I-D-1), or a pharmaceutically acceptable salt thereof, wherein wherein R u is H, halo, C 1 -C 6 alkyl, C 1 -C 6 alkoxy, C 1 -C 6 haloalkyl.
- R u is H.
- R u is halo.
- R u is C 1 -C 6 alkyl.
- R u is C 1 -C 6 alkoxy.
- R u is C 1 -C 6 haloalkyl.
- the invention relates to a compound of formula (I-A), (I-A-1), (I-B-1), (I-C-1), or (I-D-1), or a pharmaceutically acceptable salt thereof, wherein R u is H, F, or –CH 3 .
- the invention relates to a compound of formula (I-A), (I-A-1), (I-B-1), (I-C-1), or (I-D-1), or a pharmaceutically acceptable salt thereof, wherein R u is H, Cl, F, –CH 3 , or –OCH 3 .
- R u is Cl.
- R u is F.
- R u is –CH 3 .
- R u is –OCH 3 .
- the invention relates to a compound of formula (I-A), (I-A-1), (I- B-1), (I-C-1), or (I-D-1), or a pharmaceutically acceptable salt thereof, wherein R v is H, halo, or C 1 -C 6 alkyl.
- the invention relates to a compound of formula (I-A), (I-A-1), (I-B-1), (I-C-1), or (I-D-1), or a pharmaceutically acceptable salt thereof, wherein R v is H or C 1 -C 6 alkyl. In other embodiments, R v is H.
- R v is halo. In other embodiments, R v is C 1 -C 6 alkyl. In some embodiments, the invention relates to a compound of formula (I-A), (I-A-1), (I-B-1), (I-C-1), or (I-D-1), or a pharmaceutically acceptable salt thereof, wherein R v is H, F, or –CH 3 . In some embodiments, the invention relates to a compound of formula (I-A), (I-A-1), (I-B-1), (I-C-1), or (I-D-1), or a pharmaceutically acceptable salt thereof, wherein R v is H or –CH 3 . In other embodiments, R v is F.
- R v is or –CH 3 .
- the invention relates to a compound of formula (I-A-2): ; or a pharmaceutically acceptable salt thereof, wherein all variable groups are defined as they are defined for the compound of formula (I-A).
- the invention relates to a compound of formula (I-B-2): or a pharmaceutically acceptable salt thereof, wherein all variable groups are defined as they are defined for the compound of formula (I-A).
- the invention relates to a compound of formula (I-C-2): ; or a pharmaceutically acceptable salt thereof, wherein all variable groups are defined as they are defined for the compound of formula (I-A).
- the invention relates to a compound of formula (I-D-2): ; or a pharmaceutically acceptable salt thereof, wherein all variable groups are defined as they are defined for the compound of formula (I-A).
- the invention relates to a compound of formula (I-A), (I-A-1), (I- B-1), (I-A-2), or (I-B-2), or a pharmaceutically acceptable salt thereof, wherein p is 0.
- the invention relates to a compound of formula (I-A), (I-A-1), (I- B-1), (I-A-2), or (I-B-2), or a pharmaceutically acceptable salt thereof, wherein p is 1.
- the invention relates to a compound of formula (I-A), (I-A-1), (I- A-2), (I-B-1), (I-B-2), (I-C-1), (I-C-2), (I-D-1), or (I-D-2), or a pharmaceutically acceptable salt thereof, wherein R 7 is H, C 1 -C 6 alkyl, or C 1 -C 6 alkoxy.
- the invention relates to a compound of formula (I-A), (I-A-1), (I-A-2), (I-B-1), (I-B-2), (I-C-1), (I-C-2), (I-D-1), or (I-D-2), or a pharmaceutically acceptable salt thereof, wherein R 7 is H or C 1 -C 6 alkoxy. In other embodiments, R 7 is H. In other embodiments, R 7 is C 1 -C 6 alkyl. In other embodiments, R 7 is C 1 -C 6 alkoxy.
- the invention relates to a compound of formula (I-A), (I-A-1), (I-A-2), (I-B-1), (I-B-2), (I-C-1), (I-C-2), (I-D-1), or (I-D-2), or a pharmaceutically acceptable salt thereof, wherein R 7 is H, – CH 3 , or –OCH 3 .
- the invention relates to a compound of formula (I-A), (I-A- 1), or (I-A-2), or a pharmaceutically acceptable salt thereof, wherein R 7 is H or –OCH 3 .
- R 7 is –CH 3 .
- R 7 is –OCH 3 .
- the invention relates to a compound of formula (I-A), (I-A-1), (I- A-2), (I-B-1), (I-B-2), (I-C-1), (I-C-2), (I-D-1), or (I-D-2), or a pharmaceutically acceptable salt thereof, wherein R s is H, OH, halo, C 1 -C 6 alkyl, C 1 -C 6 alkoxy, C 3 -C 6 cycloalkyl, –O-C 3 -C 6 cycloalkyl, –(CH 2 ) m OR b , or –O(CH 2 ) m OCH 3 .
- the invention relates to a compound of formula (I-A), (I-A-1), (I-A-2), (I-B-1), (I-B-2), (I-C-1), (I-C-2), (I-D-1), or (I-D-2), or a pharmaceutically acceptable salt thereof, wherein R s is H, halo, C 1 -C 6 alkyl, C 1 -C 6 alkoxy, C 3 -C 6 cycloalkyl, or –(CH 2 ) m OR b .
- the invention relates to a compound of formula (I- A), (I-A-1), (I-A-2), (I-B-1), (I-B-2), (I-C-1), (I-C-2), (I-D-1), or (I-D-2), or a pharmaceutically acceptable salt thereof, wherein R s is C 1 -C 6 alkyl or C 1 -C 6 alkoxy. In other embodiments, R s is H. In other embodiments, R s is halo. In other embodiments, R s is C 1 -C 6 alkyl. In other embodiments, R s is C 1 -C 6 alkoxy. In other embodiments, R s is C 3 -C 6 cycloalkyl.
- R s is –O-C 3 -C 6 cycloalkyl. In other embodiments, R s is –(CH 2 ) m OR b .
- the invention relates to a compound of formula (I-A), (I-A-1), (I-A-2), (I-B-1), (I-B-2), (I-C-1), (I-C-2), (I-D-1), or (I-D-2), or a pharmaceutically acceptable salt thereof, wherein R s is H, F, Cl, OH, –CH 3 , –CH 2 OH, –CH 2 OCH 3 , – OCH 3 , cyclopropyl, –O-cyclopropyl, –OCH(CH 3 ) 2 , or –OCH 2 CH 2 OCH 3 ..
- the invention relates to a compound of formula (I-A), (I-A-1), (I-A-2), (I-B-1), (I-B-2), (I-C-1), (I-C-2), (I-D-1), or (I-D-2), or a pharmaceutically acceptable salt thereof, wherein R s is H, F, Cl, –CH 3 , – OCH 3 , cyclopropyl, or –CH 2 OCH 3 .
- the invention relates to a compound of formula (I-A), (I-A-1), (I-A-2), (I-B-1), (I-B-2), (I-C-1), (I-C-2), (I-D-1), or (I-D-2), or a pharmaceutically acceptable salt thereof, wherein R s is –CH 3 or –OCH 3 .
- R s is F.
- R s is Cl.
- R s is –CH 3 .
- R s is – OCH 3 .
- R s is cyclopropyl.
- R s is –OCH 3 .
- R s is —O-cyclopropyl. In other embodiments, R s is –CH 2 OCH 3 .
- the invention relates to a compound of formula (I-A), (I-A-1), (I- A-2), (I-B-1), (I-B-2), (I-C-1), (I-C-2), (I-D-1), or (I-D-2), or a pharmaceutically acceptable salt thereof, wherein R t is H, halo, C 1 -C 6 alkyl, or C 3 -C 6 cycloalkyl.
- the invention relates to a compound of formula (I-A), (I-A-1), (I-A-2), (I-B-1), (I-B-2), (I-C-1), (I-C-2), (I-D-1), or (I-D-2), or a pharmaceutically acceptable salt thereof, wherein R t is H or halo. In other embodiments, R t is H. In other embodiments, R t is halo. In other embodiments, R t is C 1 -C 6 alkyl. In other embodiments, R t is C 3 -C 6 cycloalkyl.
- the invention relates to a compound of formula (I-A), (I-A-1), (I-A-2), (I-B-1), (I-B-2), (I-C-1), (I-C-2), (I-D-1), or (I-D-2), or a pharmaceutically acceptable salt thereof, wherein R t is H, F, Cl, –CH 3 , or cyclopropyl.
- the invention relates to a compound of formula (I-A), (I-A-1), (I-A-2), (I-B-1), (I-B-2), (I-C-1), (I-C-2), (I-D-1), or (I-D-2), or a pharmaceutically acceptable salt thereof, wherein R t is H or F.
- R t is F. In other embodiments, R t is Cl. In other embodiments, R t is –CH 3 . In other embodiments, R t is cyclopropyl. [0084] In some embodiments, the invention relates to a compound selected from Table A, or a pharmaceutically acceptable salt thereof. In other embodiments, the invention relates to a compound selected from Table A, i.e., the compound in non-salt form.
- the invention relates to a compound selected from Table B, or a pharmaceutically acceptable salt thereof. In other embodiments, the invention relates to a compound selected from Table B, i.e., the compound in non-salt form. [0087] Table B. Compound Structures and Names.
- the invention relates to a compound selected from Table C, or a pharmaceutically acceptable salt thereof. In other embodiments, the invention relates to a compound selected from Table C, i.e., the compound in non-salt form.
- the invention relates to a compound selected from Table D, or a pharmaceutically acceptable salt thereof. In other embodiments, the invention relates to a compound selected from Table D, i.e., the compound in non-salt form.
- the invention relates to a compound selected from Table D, or a pharmaceutically acceptable salt thereof. In other embodiments, the invention relates to a compound selected from Table E, i.e., the compound in non-salt form. [0093] Table E. Compound Structures and Names.
- the invention provides compounds, and pharmaceutically acceptable salts thereof, that are inhibitors of voltage-gated sodium channels, and thus the present compounds, and pharmaceutically acceptable salts thereof, are useful for the treatment of diseases, disorders, and conditions including, but not limited to chronic pain, gut pain, neuropathic pain, musculoskeletal pain, acute pain, inflammatory pain, cancer pain, idiopathic pain, postsurgical pain (e.g., bunionectomy pain, herniorrhaphy pain or abdominoplasty pain), visceral pain, multiple sclerosis, Charcot-Marie- Tooth syndrome, incontinence, pathological cough, or cardiac arrhythmia.
- diseases, disorders, and conditions including, but not limited to chronic pain, gut pain, neuropathic pain, musculoskeletal pain, acute pain, inflammatory pain, cancer pain, idiopathic pain, postsurgical pain (e.g., bunionectomy pain, herniorrhaphy pain or abdominoplasty pain), visceral pain, multiple sclerosis, Charcot-Marie- Tooth syndrome
- compositions comprising a compound as described herein, or a pharmaceutically acceptable salt thereof, and optionally comprise a pharmaceutically acceptable carrier, adjuvant or vehicle.
- these compositions optionally further comprise one or more additional therapeutic agents.
- the additional therapeutic agent is a sodium channel inhibitor.
- pharmaceutically acceptable salt refers to those salts which are, within the scope of sound medical judgment, suitable for use in contact with the tissues of humans and lower animals without undue toxicity, irritation, allergic response and the like, and are commensurate with a reasonable benefit/risk ratio.
- a “pharmaceutically acceptable salt” of a compound of this invention includes any non-toxic salt that, upon administration to a recipient, is capable of providing, either directly or indirectly, a compound of this invention or an inhibitorily active metabolite or residue thereof.
- the salt may be in pure form, in a mixture (e.g., solution, suspension, or colloid) with one or more other substances, or in the form of a hydrate, solvate, or co- crystal.
- the term “inhibitorily active metabolite or residue thereof” means that a metabolite or residue thereof is also an inhibitor of a voltage-gated sodium channel.
- Pharmaceutically acceptable salts are well known in the art. For example, S. M. Berge, et al.
- Pharmaceutically acceptable salts of the compound of this invention include those derived from suitable inorganic and organic acids and bases.
- suitable inorganic and organic acids and bases include those derived from suitable inorganic and organic acids and bases.
- pharmaceutically acceptable, nontoxic acid addition salts are salts of an amino group formed with inorganic acids such as hydrochloric acid, hydrobromic acid, phosphoric acid, sulfuric acid and perchloric acid or with organic acids such as acetic acid, oxalic acid, maleic acid, tartaric acid, citric acid, succinic acid or malonic acid or by using other methods used in the art such as ion exchange.
- salts include adipate, alginate, ascorbate, aspartate, benzenesulfonate, benzoate, bisulfate, borate, butyrate, camphorate, camphorsulfonate, citrate, cyclopentanepropionate, digluconate, dodecylsulfate, ethanesulfonate, formate, fumarate, glucoheptonate, glycerophosphate, gluconate, hemisulfate, heptanoate, hexanoate, hydroiodide, 2- hydroxy-ethanesulfonate, lactobionate, lactate, laurate, lauryl sulfate, malate, maleate, malonate, methanesulfonate, 2-naphthalenesulfonate, nicotinate, nitrate, oleate, oxalate, palmitate, pamoate, pectinate
- Salts derived from appropriate bases include alkali metal, alkaline earth metal, ammonium and N + (C 1-4 alkyl) 4 salts.
- Representative alkali or alkaline earth metal salts include sodium, lithium, potassium, calcium, magnesium, and the like.
- Further pharmaceutically acceptable salts include, when appropriate, nontoxic ammonium, quaternary ammonium, and amine cations formed using counterions such as halide, hydroxide, carboxylate, sulfate, phosphate, nitrate, lower alkyl sulfonate and aryl sulfonate.
- the pharmaceutically acceptable compositions of the invention additionally comprise a pharmaceutically acceptable carrier, adjuvant, or vehicle, which, as used herein, includes any and all solvents, diluents, or other liquid vehicle, dispersion or suspension aids, surface active agents, isotonic agents, thickening or emulsifying agents, preservatives, solid binders, lubricants and the like, as suited to the particular dosage form desired.
- a pharmaceutically acceptable carrier, adjuvant, or vehicle which, as used herein, includes any and all solvents, diluents, or other liquid vehicle, dispersion or suspension aids, surface active agents, isotonic agents, thickening or emulsifying agents, preservatives, solid binders, lubricants and the like, as suited to the particular dosage form desired.
- Remington s Pharmaceutical Sciences, Sixteenth Edition, E. W. Martin (Mack Publishing Co., Easton, Pa., 1980) discloses various carriers used in formulating pharmaceutically acceptable compositions and known
- any conventional carrier medium is incompatible with the compounds of the invention, such as by producing any undesirable biological effect or otherwise interacting in a deleterious manner with any other component(s) of the pharmaceutically acceptable composition, its use is contemplated to be within the scope of this invention.
- materials which can serve as pharmaceutically acceptable carriers include, but are not limited to, ion exchangers, alumina, aluminum stearate, lecithin, serum proteins, such as human serum albumin, buffer substances such as phosphates, glycine, sorbic acid, or potassium sorbate, partial glyceride mixtures of saturated vegetable fatty acids, water, salts or electrolytes, such as protamine sulfate, disodium hydrogen phosphate, potassium hydrogen phosphate, sodium chloride, zinc salts, colloidal silica, magnesium trisilicate, polyvinyl pyrrolidone, polyacrylates, waxes, polyethylene- polyoxypropylene-block polymers, wool fat, sugars such as lactose, glucose and sucrose; starches such as com starch and potato starch; cellulose and its derivatives such as sodium carboxymethyl cellulose, ethyl cellulose and cellulose acetate; powdered tragacanth; malt; gelatin; talc
- tlie invention features a pharmaceutical composition
- a pharmaceutical composition comprising a compound of the invention, or a pharmaceutically acceptable salt thereof, and a pharmaceutically acceptable carrier.
- the invention features a pharmaceutical composition comprising a therapeutically effective amount of a compound, or a pharmaceutically acceptable salt thereof, and one or more pharmaceutically acceptable carriers or vehicles.
- a pharmaceutical composition comprising a therapeutically effective amount of a compound, or a pharmaceutically acceptable salt thereof, and one or more pharmaceutically acceptable carriers or vehicles.
- the invention features a method of inhibiting a voltage-gated sodium channel in a subject comprising administering to the subject a compound of the invention or a pharmaceutically acceptable salt thereof or a pharmaceutical composition thereof.
- the voltage-gated sodium channel is Na V 1.8.
- the invention features a method of treating or lessening the severity in a subject of chronic pain, gut pain, neuropathic pain, musculoskeletal pain, acute pain, inflammatory pain, cancer pain, idiopathic pain, postsurgical pain (e.g., bunionectomy pain, herniorrhaphy pain or abdominoplasty pain), visceral pain, multiple sclerosis, Charcot-Marie-Tooth syndrome, incontinence, pathological cough, or cardiac arrhythmia comprising administering an effective amount of a compound of the invention, a pharmaceutically acceptable salt thereof or a pharmaceutical composition thereof.
- postsurgical pain e.g., bunionectomy pain, herniorrhaphy pain or abdominoplasty pain
- visceral pain e.g., multiple sclerosis, Charcot-Marie-Tooth syndrome, incontinence, pathological cough, or cardiac arrhythmia
- administering an effective amount of a compound of the invention, a pharmaceutically acceptable salt thereof or a pharmaceutical composition thereof.
- the invention features a method of treating or lessening the severity in a subject of chronic pain, gut pain, neuropathic pain, musculoskeletal pain, acute pain, inflammatory pain, cancer pain, idiopathic pain, postsurgical pain, herniorrhaphy pain, bunionectomy pain, multiple sclerosis, Charcot-Marie-Tooth syndrome, incontinence, or cardiac arrhythmia comprising administering an effective amount of a compound of the invention, a pharmaceutically acceptable salt thereof or a pharmaceutical composition thereof.
- the invention features a method of treating or lessening the severity in a subject of gut pain, wherein gut pain comprises inflammatory bowel disease pain, Crohn’s disease pain, irritable bowel syndrome, endometriosis, polycystic ovarian disease, salpingitis, cervicitis or interstitial cystitis pain wherein said method comprises administering an effective amount of a compound of the invention, a pharmaceutically acceptable salt thereof or a pharmaceutical composition thereof.
- the invention features a method of treating or lessening the severity in a subject of neuropathic pain comprising administering an effective amount of a compound of the invention, a pharmaceutically acceptable salt thereof or a pharmaceutical composition thereof.
- the neuropathic pain comprises post-herpetic neuralgia, small fiber neuropathy, diabetic neuropathy, or idiopathic small-fiber neuropathy.
- the neuropathic pain comprises diabetic neuropathy (e.g., diabetic peripheral neuropathy).
- diabetic neuropathy e.g., diabetic peripheral neuropathy.
- idiopathic small-fiber neuropathy shall be understood to include any small fiber neuropathy.
- the invention features a method of treating or lessening the severity in a subject of neuropathic pain, wherein neuropathic pain comprises post-herpetic neuralgia, diabetic neuralgia, painful HIV-associated sensory neuropathy, trigeminal neuralgia, burning mouth syndrome, post-amputation pain, phantom pain, painful neuroma; traumatic neuroma; Morton’s neuroma; nerve entrapment injury, spinal stenosis, carpal tunnel syndrome, radicular pain, sciatica pain; nerve avulsion injury, brachial plexus avulsion injury; complex regional pain syndrome, drug therapy induced neuralgia, cancer chemotherapy induced neuralgia, anti-retroviral therapy induced neuralgia, HIV-induced neuropathy; post spinal cord injury pain, spinal stenosis pain, small fiber neuropathy, idiopathic small-fiber neuropathy, idiopathic sensory neuropathy or trigeminal autonomic cephalalgia where
- the invention features a method of treating or lessening the severity in a subject of musculoskeletal pain comprising administering an effective amount of a compound of the invention, a pharmaceutically acceptable salt thereof or a pharmaceutical composition thereof.
- the musculoskeletal pain comprises osteoarthritis pain.
- the invention features a method of treating or lessening the severity in a subject of musculoskeletal pain, wherein musculoskeletal pain comprises osteoarthritis pain, back pain, cold pain, bum pain or dental pain wherein said method comprises administering an effective amount of a compound of the invention, a pharmaceutically acceptable salt thereof or a pharmaceutical composition thereof.
- the invention features a method of treating or lessening the severity in a subject of inflammatory pain, wherein inflammatory pain comprises rheumatoid arthritis pain, ankylosing spondylitis or vulvodynia wherein said method comprises administering an effective amount of a compound of the invention, a pharmaceutically acceptable salt thereof or a pharmaceutical composition thereof.
- tire invention features a method of treating or lessening the severity in a subject of inflammatory pain, wherein inflammatory pain comprises rheumatoid arthritis pain wherein said method comprises administering an effective amount of a compound of the invention, a pharmaceutically acceptable salt thereof or a pharmaceutical composition thereof.
- tire invention features a method of treating or lessening the severity in a subject of idiopathic pain, wherein idiopathic pain comprises fibromyalgia pain wherein said method comprises administering an effective amount of a compound of tire invention, a pharmaceutically acceptable salt thereof or a pharmaceutical composition thereof.
- the invention features a method of treating or lessening tire severity in a subject of idiopathic pain, wherein idiopathic pain comprises reflex sympathetic dystrophy pain, wherein said method comprises administering an effective amount of a compound of tire invention, a pharmaceutically acceptable salt thereof or a pharmaceutical composition thereof.
- the invention features a method of treating or lessening the severity in a subject of pathological cough wherein said method comprises administering an effective amount of a compound of the invention, a pharmaceutically acceptable salt thereof or a pharmaceutical composition thereof.
- the invention features a method of treating or lessening the severity in a subject of acute pain comprising administering an effective amount of a compound of the invention, a pharmaceutically acceptable salt thereof or a pharmaceutical composition thereof.
- the acute pain comprises acute post-operative pain.
- the invention features a method of treating or lessening the severity in a subject of postsurgical pain (e.g., joint replacement pain, soft tissue surgery pain, post- thoracotomy pain, post-mastectomy pain, hemorrhoidectomy pain, herniorrhaphy pain, bunionectomy pain or abdominoplasty pain) comprising administering an effective amount of a compound of the invention, a pharmaceutically acceptable salt thereof or a pharmaceutical composition thereof.
- postsurgical pain e.g., joint replacement pain, soft tissue surgery pain, post- thoracotomy pain, post-mastectomy pain, hemorrhoidectomy pain, herniorrhaphy pain, bunionectomy pain or abdominoplasty pain
- administering an effective amount of a compound of the invention, a pharmaceutically acceptable salt thereof or a pharmaceutical composition thereof comprising administering an effective amount of a compound of the invention, a pharmaceutically acceptable salt thereof or a pharmaceutical composition thereof.
- the invention features a method of treating or lessening the severity in a subject of shoulder arthroplasty pain or shoulder arthroscopy pain comprising administering an effective amount of a compound of the invention, a pharmaceutically acceptable salt thereof or a pharmaceutical composition thereof.
- the invention features a method of treating or lessening the severity in a subject of herniorrhaphy pain comprising administering an effective amount of a compound of the invention, a pharmaceutically acceptable salt thereof or a pharmaceutical composition thereof.
- the invention features a method of treating or lessening the severity in a subject of abdominoplasty pain comprising administering an effective amount of a compound of the invention, a pharmaceutically acceptable salt thereof or a pharmaceutical composition thereof.
- the invention features a method of treating or lessening the severity in a subject of visceral pain comprising administering an effective amount of a compound of the invention, a pharmaceutically acceptable salt thereof or a pharmaceutical composition thereof.
- the visceral pain comprises visceral pain from abdominoplasty.
- the invention features a method of treating or lessening the severity in a subject of a neurodegenerative disease comprising administering an effective amount of a compound of the invention, a pharmaceutically acceptable salt thereof or a pharmaceutical composition thereof.
- the neurodegenerative disease comprises multiple sclerosis.
- the neurodegenerative disease comprises Pitt Hopkins Syndrome (PTHS).
- PTHS Pitt Hopkins Syndrome
- the invention features a method wherein the subject is treated with one or more additional therapeutic agents administered concurrently with, prior to, or subsequent to treatment with an effective amount of the compound, pharmaceutically acceptable salt or pharmaceutical composition.
- the additional therapeutic agent is a sodium channel inhibitor.
- the invention features a method of inhibiting a voltage-gated sodium channel in a biological sample comprising contacting the biological sample with an effective amount of a compound of the invention, a pharmaceutically acceptable salt thereof or a pharmaceutical composition thereof.
- the voltage-gated sodium channel is Na V 1.8.
- the invention features a method of treating or lessening the severity in a subject of acute pain, sub-acute and chronic pain, nociceptive pain, neuropathic pain, inflammatory pain, nociplastic pain, arthritis, migraine, cluster headaches, tension headaches, and all other forms of headaches, trigeminal neuralgia, herpetic neuralgia, general neuralgias, epilepsy, epilepsy conditions, neurodegenerative disorders, psychiatric disorders, anxiety, depression, bipolar disorder, myotonia, arrhythmia, movement disorders, neuroendocrine disorders, ataxia, central neuropathic pain of multiple sclerosis and irritable bowel syndrome, incontinence, pathological cough, visceral pain, osteoarthritis pain, postherpetic neuralgia, diabetic neuropathy, radicular pain, sciatica, back pain, unspecific chronic back pain, head pain, neck pain, moderate pain, severe pain, intractable pain, nociceptive pain, breakthrough pain, postsurgical
- the invention features a method of treating or lessening the severity in a subject of femur cancer pain; non-malignant chronic bone pain; rheumatoid arthritis; osteoarthritis; spinal stenosis; neuropathic low back pain; myofascial pain syndrome; fibromyalgia; temporomandibular joint pain; chronic visceral pain, abdominal pain; pancreatic pain; IBS pain; chronic and acute headache pain; migraine; tension headache; cluster headaches; chronic and acute neuropathic pain, post-herpetic neuralgia; diabetic neuropathy; HIV-associated neuropathy; trigeminal neuralgia; Charcot-Marie-Tooth neuropathy; hereditary sensory neuropathy; peripheral nerve injury; painful neuromas; ectopic proximal and distal discharges; radiculopathy; chemotherapy induced neuropathic pain; radiotherapy-induced neuropathic pain; persistent/chronic post-surgical pain (e.g., post amputation, post-t
- the invention features a method of treating or lessening the severity in a subject of trigeminal neuralgia, migraines treated with botox, cervical radiculopathy, occipital neuralgia, axillary neuropathy, radial neuropathy, ulnar neuropathy, brachial plexopathy, thoracic radiculopathy, intercostal neuralgia, lumbosacral radiculopathy, iliolingual neuralgia, pudendal neuralgia, femoral neuropathy, meralgia paresthetica, saphenous neuropathy, sciatic neuropathy, peroneal neuropathy, tibial neuropathy, lumbosacral plexopathy, traumatic neuroma stump pain or postamputation pain, comprising administering an effective amount of a compound of the invention, a pharmaceutically acceptable salt thereof or a pharmaceutical composition thereof.
- the invention features a compound of the invention, or a pharmaceutically acceptable salt or pharmaceutical composition thereof, for use as a medicament.
- the invention features a compound of the invention, or a pharmaceutically acceptable salt or pharmaceutical composition thereof, for use in a method of inhibiting a voltage-gated sodium channel in a subject.
- the voltage-gated sodium channel is Na V 1.8.
- the invention features a compound of the invention, or a pharmaceutically acceptable salt or pharmaceutical composition thereof, for use in a method of treating or lessening the severity in a subject of chronic pain, gut pain, neuropathic pain, musculoskeletal pain, acute pain, inflammatory pain, cancer pain, idiopathic pain, postsurgical pain (e.g., herniorrhaphy pain, bunionectomy pain or abdominoplasty pain), visceral pain, multiple sclerosis, Charcot-Marie-Tooth syndrome, incontinence, pathological cough, or cardiac arrhythmia.
- postsurgical pain e.g., herniorrhaphy pain, bunionectomy pain or abdominoplasty pain
- visceral pain e.g., multiple sclerosis, Charcot-Marie-Tooth syndrome, incontinence, pathological cough, or cardiac arrhythmia.
- the invention features a compound of the invention, or a pharmaceutically acceptable salt or pharmaceutical composition thereof, for use in a method of treating or lessening the severity in a subject of chronic pain, gut pain, neuropathic pain, musculoskeletal pain, acute pain, inflammatory pain, cancer pain, idiopathic pain, postsurgical pain, herniorrhaphy pain, bunionectomy pain, multiple sclerosis, Charcot-Marie-Tooth syndrome, incontinence, or cardiac arrhythmia.
- the invention features a compound of the invention, or a pharmaceutically acceptable salt or pharmaceutical composition thereof, for use in a method of treating or lessening the severity in a subject of gut pain, wherein gut pain comprises inflammatory bowel disease pain, Crohn’s disease pain, irritable bowel syndrome, endometriosis, polycystic ovarian disease, salpingitis, cervicitis or interstitial cystitis pain.
- gut pain comprises inflammatory bowel disease pain, Crohn’s disease pain, irritable bowel syndrome, endometriosis, polycystic ovarian disease, salpingitis, cervicitis or interstitial cystitis pain.
- the invention features a compound of the invention, or a pharmaceutically acceptable salt or pharmaceutical composition thereof, for use in a method of treating or lessening the severity in a subject of neuropathic pain.
- the neuropathic pain comprises post-herpetic neuralgia, small fiber neuropathy, diabetic neuropathy, or idiopathic small-fiber neuropathy.
- the neuropathic pain comprises diabetic neuropathy (e.g., diabetic peripheral neuropathy).
- diabetic neuropathy e.g., diabetic peripheral neuropathy.
- idiopathic small-fiber neuropathy shall be understood to include any small fiber neuropathy.
- the invention features a compound of the invention, or a pharmaceutically acceptable salt or pharmaceutical composition thereof, for use in a method of treating or lessening the severity in a subject of neuropathic pain
- neuropathic pain comprises post-herpetic neuralgia, diabetic neuralgia, painful HIV-associated sensory neuropathy, trigeminal neuralgia, burning mouth syndrome, post-amputation pain, phantom pain, painful neuroma; traumatic neuroma; Morton’s neuroma; nerve entrapment injury, spinal stenosis, carpal tunnel syndrome, radicular pain, sciatica pain; nerve avulsion injury, brachial plexus avulsion injury; complex regional pain syndrome, drug therapy induced neuralgia, cancer chemotherapy induced neuralgia, anti- retroviral therapy induced neuralgia, HIV-induced neuropathy; post spinal cord injury pain, spinal stenosis pain, small fiber neuropathy, idiopathic small-fiber neuropathy, id
- the invention features a compound of the invention, or a pharmaceutically acceptable salt or pharmaceutical composition thereof, for use in a method of treating or lessening the severity in a subject of musculoskeletal pain.
- the musculoskeletal pain comprises osteoarthritis pain.
- the invention features a compound of the invention, or a pharmaceutically acceptable salt or pharmaceutical composition thereof, for use in a method of treating or lessening the severity in a subject of musculoskeletal pain, wherein musculoskeletal pain comprises osteoarthritis pain, back pain, cold pain, burn pain or dental pain.
- the invention features a compound of the invention, or a pharmaceutically acceptable salt or pharmaceutical composition thereof, for use in a method of treating or lessening the severity in a subject of inflammatory pain, wherein inflammatory pain comprises rheumatoid arthritis pain, ankylosing spondylitis or vulvodynia.
- the invention features a compound of the invention, or a pharmaceutically acceptable salt or pharmaceutical composition thereof, for use in a method of treating or lessening the severity in a subject of inflammatory pain, wherein inflammatory pain comprises rheumatoid arthritis pain.
- the invention features a compound of the invention, or a pharmaceutically acceptable salt or pharmaceutical composition thereof, for use in a method of treating or lessening the severity in a subject of idiopathic pain, wherein idiopathic pain comprises fibromyalgia pain.
- the invention features a compound of the invention, or a pharmaceutically acceptable salt or pharmaceutical composition thereof, for use in a method of treating or lessening the severity in a subject of idiopathic pain, wherein idiopathic pain comprises reflex sympathetic dystrophy pain.
- the invention features a compound of the invention, or a pharmaceutically acceptable salt or pharmaceutical composition thereof, for use in a method of treating or lessening the severity in a subject of pathological cough.
- the invention features a compound of the invention, or a pharmaceutically acceptable salt or pharmaceutical composition thereof, for use in a method of treating or lessening the severity in a subject of acute pain.
- the acute pain comprises acute post-operative pain.
- the invention features a compound of the invention, or a pharmaceutically acceptable salt or pharmaceutical composition thereof, for use in a method of treating or lessening the severity in a subject of postsurgical pain (e.g., joint replacement pain, soft tissue surgery pain, post-thoracotomy pain, post-mastectomy pain, hemorrhoidectomy pain, herniorrhaphy pain, bunionectomy pain or abdominoplasty pain).
- postsurgical pain e.g., joint replacement pain, soft tissue surgery pain, post-thoracotomy pain, post-mastectomy pain, hemorrhoidectomy pain, herniorrhaphy pain, bunionectomy pain or abdominoplasty pain.
- the invention features a compound of the invention, or a pharmaceutically acceptable salt or pharmaceutical composition thereof, for use in a method of treating or lessening the severity in a subject of bunionectomy pain.
- the invention features a compound of the invention, or a pharmaceutically acceptable salt or pharmaceutical composition thereof, for use in a method of treating or lessening the severity in a subject of shoulder arthroplasty pain or shoulder arthroscopy pain.
- the invention features a compound of the invention, or a pharmaceutically acceptable salt or pharmaceutical composition thereof, for use in a method of treating or lessening the severity in a subject of herniorrhaphy pain.
- the invention features a compound of the invention, or a pharmaceutically acceptable salt or pharmaceutical composition thereof, for use in a method of treating or lessening the severity in a subject of abdominoplasty pain.
- the invention features a compound of the invention, or a pharmaceutically acceptable salt or pharmaceutical composition thereof, for use in a method of treating or lessening the severity in a subject of visceral pain.
- the visceral pain comprises visceral pain from abdominoplasty.
- the invention features a compound of the invention, or a pharmaceutically acceptable salt or pharmaceutical composition thereof, for use in a method of treating or lessening the severity in a subject of a neurodegenerative disease.
- the neurodegenerative disease comprises multiple sclerosis.
- the neurodegenerative disease comprises Pitt Hopkins Syndrome (PTHS).
- the invention features a compound of the invention, or a pharmaceutically acceptable salt or pharmaceutical composition thereof, for use in a method wherein the subject is treated with one or more additional therapeutic agents administered concurrently with, prior to, or subsequent to treatment with an effective amount of the compound, pharmaceutically acceptable salt or pharmaceutical composition.
- the additional therapeutic agent is a sodium channel inhibitor.
- the invention features a compound of the invention, or a pharmaceutically acceptable salt or pharmaceutical composition thereof, for use in a method of inhibiting a voltage-gated sodium channel in a biological sample comprising contacting the biological sample with an effective amount of a compound of the invention, a pharmaceutically acceptable salt thereof or a pharmaceutical composition thereof.
- the voltage-gated sodium channel is Na V 1.8.
- the invention features a compound of the invention, or a pharmaceutically acceptable salt or pharmaceutical composition thereof, for use in a method of treating or lessening the severity in a subject of acute pain, sub-acute and chronic pain, nociceptive pain, neuropathic pain, inflammatory pain, nociplastic pain, arthritis, migraine, cluster headaches, tension headaches, and all other forms of headaches, trigeminal neuralgia, herpetic neuralgia, general neuralgias, epilepsy, epilepsy conditions, neurodegenerative disorders, psychiatric disorders, anxiety, depression, bipolar disorder, myotonia, arrhythmia, movement disorders, neuroendocrine disorders, ataxia, central neuropathic pain of multiple sclerosis and irritable bowel syndrome, incontinence, pathological cough, visceral pain, osteoarthritis pain, postherpetic neuralgia, diabetic neuropathy, radicular pain, sciatic
- the invention features a compound of the invention, or a pharmaceutically acceptable salt or pharmaceutical composition thereof, for use in a method of treating or lessening the severity in a subject of femur cancer pain; non-malignant clironic bone pain; rheumatoid arthritis; osteoarthritis; spinal stenosis; neuropathic low back pain; my ofascial pain syndrome; fibromyalgia; temporomandibular joint pain; clironic visceral pain, abdominal pain; pancreatic pain; IBS pain; chronic and acute headache pain; migraine; tension headache; cluster headaches; chronic and acute neuropathic pain, post-herpetic neuralgia; diabetic neuropathy; HIV- associated neuropathy; trigeminal neuralgia; Charcot-Marie -Tooth neuropathy; hereditary sensory neuropathy; peripheral nerve injury; painful neuromas; ectopic proximal and distal discharges; radiculopathy; chemotherapy induced neuropathic pain; radiotherapy
- the invention features a compound of the invention, or a pharmaceutically acceptable salt or pharmaceutical composition thereof, for use in a method of treating or lessening the severity in a subject of trigeminal neuralgia, migraines treated with botox, cervical radiculopathy, occipital neuralgia, axillary neuropathy, radial neuropathy, ulnar neuropathy, brachial plexopathy, thoracic radiculopathy, intercostal neuralgia, lumbosacral radiculopathy, iliolingual neuralgia, pudendal neuralgia, femoral neuropathy, meralgia paresthetica, saphenous neuropathy, sciatic neuropathy, peroneal neuropathy, tibial neuropathy, lumbosacral plexopathy, traumatic neuroma stump pain or postamputation pain.
- the invention provides the use of a compound of the invention, or a pharmaceutically acceptable salt or pharmaceutical composition thereof, for the manufacture of a medicament.
- the invention provides the use of a compound of the invention, a pharmaceutically acceptable salt thereof, or a pharmaceutical composition thereof for the manufacture of a medicament for use in inhibiting a voltage-gated sodium channel.
- the voltage- gated sodium channel is Na V 1.8.
- the invention provides the use of a compound of the invention, a pharmaceutically acceptable salt thereof, or a pharmaceutical composition thereof for the manufacture of a medicament for use in treating or lessening the severity in a subject of chronic pain, gut pain, neuropathic pain, musculoskeletal pain, acute pain, inflammatory pain, cancer pain, idiopathic pain, postsurgical pain (e.g., herniorrhaphy pain, bunionectomy pain or abdominoplasty pain), visceral pain, multiple sclerosis, Charcot-Marie-Tooth syndrome, incontinence, pathological cough, or cardiac arrhythmia.
- postsurgical pain e.g., herniorrhaphy pain, bunionectomy pain or abdominoplasty pain
- visceral pain e.g., multiple sclerosis, Charcot-Marie-Tooth syndrome, incontinence, pathological cough, or cardiac arrhythmia.
- the invention provides the use of a compound of the invention, a pharmaceutically acceptable salt thereof, or a pharmaceutical composition thereof for the manufacture of a medicament for use in treating or lessening the severity in a subject of chronic pain, gut pain, neuropathic pain, musculoskeletal pain, acute pain, inflammatory pain, cancer pain, idiopathic pain, postsurgical pain, herniorrhaphy pain, bunionectomy pain, multiple sclerosis, Charcot-Marie-Tooth syndrome, incontinence, or cardiac arrhythmia.
- the invention provides tire use of the compound, pharmaceutically acceptable salt, or pharmaceutical composition described herein for the manufacture of a medicament for use in treating or lessening the severity in a subject of gut pain, wherein gut pain comprises inflammatory bowel disease pain, Crohn’s disease pain, irritable bowel syndrome, endometriosis, polycystic ovarian disease, salpingitis, cervicitis or interstitial cystitis pain.
- the invention provides a compound of the invention, a pharmaceutically acceptable salt thereof, or a pharmaceutical composition tiiereof for the manufacture of a medicament for use in treating or lessening the severity in a subject of neuropathic pain.
- the neuropathic pain comprises post-herpetic neuralgia, small fiber neuropathy, diabetic neuropathy, or idiopathic small-fiber neuropathy.
- the neuropathic pain comprises diabetic neuropathy (e.g., diabetic peripheral neuropatiiy).
- the invention provides the use of a compound of the invention, a pharmaceutically acceptable salt thereof, or a pharmaceutical composition thereof for the manufacture of a medicament for use in a treating or lessening the severity in a subject of neuropathic pain
- neuropathic pain comprises post-herpetic neuralgia, diabetic neuralgia, painful HIV- associated sensory neuropathy, trigeminal neuralgia, burning mouth syndrome, post-amputation pain, phantom pain, painful neuroma; traumatic neuroma; Morton’s neuroma; nerve entrapment injury, spinal stenosis, carpal tunnel syndrome, radicular pain, sciatica pain; nerve avulsion injury, brachial plexus avulsion injury; complex regional pain syndrome, drug therapy induced neuralgia, cancer chemotherapy induced neuralgia, anti-retroviral therapy induced neuralgia, HIV-induced neuropatiiy; post spinal cord injury pain, spinal stenosis pain, small fiber neuropathy,
- the invention provides the use of a compound of the invention, a pharmaceutically acceptable salt thereof, or a pharmaceutical composition thereof for the manufacture of a medicament for use in treating or lessening the severity in a subject of musculoskeletal pain.
- the musculoskeletal pain comprises osteoarthritis pain.
- the invention provides the use of a compound of the invention, a pharmaceutically acceptable salt tiiereof, or a pharmaceutical composition tiiereof for the manufacture of a medicament for use in treating or lessening the severity in a subject of musculoskeletal pain, wherein musculoskeletal pain comprises osteoarthritis pain, back pain, cold pain, bum pain or dental pain.
- the invention provides the use of a compound of the invention, a pharmaceutically acceptable salt thereof, or a pharmaceutical composition tiiereof for the manufacture of a medicament for use in treating or lessening the severity in a subject of inflammatory pain, wherein inflammatory pain comprises rheumatoid arthritis pain, ankylosing spondylitis or vulvodynia.
- the invention provides the use of a compound of the invention, a pharmaceutically acceptable salt thereof, or a pharmaceutical composition thereof for the manufacture of a medicament for use in treating or lessening the severity in a subject of inflammatory pain, wherein inflammatory pain comprises rheumatoid arthritis pain.
- the invention provides tire use of a compound of the invention, a pharmaceutically acceptable salt thereof, or a pharmaceutical composition thereof for the manufacture of a medicament for use in treating or lessening the severity in a subject of idiopathic pain, wherein idiopathic pain comprises fibromyalgia pain.
- the invention provides the use of a compound of the invention, a pharmaceutically acceptable salt thereof, or a pharmaceutical composition thereof for the manufacture of a medicament for use in treating or lessening the severity in a subject of idiopathic pain, wherein idiopathic pain comprises reflex sympathetic dystrophy pain.
- the invention provides the use of a compound of the invention, a pharmaceutically acceptable salt thereof, or a pharmaceutical composition thereof for the manufacture of a medicament for use in treating or lessening the severity in a subject of pathological cough.
- the invention provides the use of a compound of the invention, a pharmaceutically acceptable salt thereof, or a pharmaceutical composition thereof for the manufacture of a medicament for use in treating or lessening the severity in a subject of acute pain.
- the acute pain comprises acute post-operative pain.
- tire invention provides the use of a compound of the invention, a pharmaceutically acceptable salt thereof, or a pharmaceutical composition thereof for the manufacture of a medicament for use in treating or lessening the severity in a subject of postsurgical pain (e.g., joint replacement pain, soft tissue surgery pain, post-thoracotomy pain, post-mastectomy pain, hemorrhoidectomy pain, herniorrhaphy pain, bunionectomy pain or abdominoplasty pain).
- postsurgical pain e.g., joint replacement pain, soft tissue surgery pain, post-thoracotomy pain, post-mastectomy pain, hemorrhoidectomy pain, herniorrhaphy pain, bunionectomy pain or abdominoplasty pain.
- tire invention provides tire use of a compound of the invention, a pharmaceutically acceptable salt thereof, or a pharmaceutical composition thereof for the manufacture of a medicament for use in treating or lessening the severity in a subject of herniorrhaphy pain.
- the invention provides tire use of a compound of the invention, a pharmaceutically acceptable salt thereof, or a pharmaceutical composition thereof for the manufacture of a medicament for use in treating or lessening the severity in a subject of bunionectomy pain.
- the invention provides the use of a compound of the invention, a pharmaceutically acceptable salt thereof, or a pharmaceutical composition thereof for the manufacture of a medicament for use in treating or lessening the severity in a subject of shoulder arthroplasty pain or shoulder arthroscopy pain.
- the invention provides the use of a compound of the invention, a pharmaceutically acceptable salt thereof, or a pharmaceutical composition thereof for the manufacture of a medicament for use in treating or lessening the severity in a subject of abdominoplasty pain.
- the invention provides the use of a compound of the invention, a pharmaceutically acceptable salt thereof, or a pharmaceutical composition thereof for the manufacture of a medicament for use in treating or lessening the severity in a subject of visceral pain.
- the visceral pain comprises visceral pain from abdominoplasty.
- the invention features a compound of the invention, or a pharmaceutically acceptable salt or pharmaceutical composition thereof, for the manufacture of a medicament for use in treating or lessening the severity in a subject of a neurodegenerative disease.
- the neurodegenerative disease comprises multiple sclerosis.
- the neurodegenerative disease comprises Pitt Hopkins Syndrome (PTHS).
- the invention provides the use of a compound of the invention, a pharmaceutically acceptable salt thereof, or a pharmaceutical composition thereof for the manufacture of a medicament for use in combination with one or more additional therapeutic agents administered concurrently with, prior to, or subsequent to treatment with the compound or pharmaceutical composition.
- the additional therapeutic agent is a sodium channel inhibitor.
- the invention provides the use of a compound of the invention, a pharmaceutically acceptable salt thereof, or a pharmaceutical composition thereof for the manufacture of a medicament for use in treating or lessening the severity of acute pain, sub-acute and chronic pain, nociceptive pain, neuropathic pain, inflammatory pain, nociplastic pain, arthritis, migraine, cluster headaches, tension headaches, and all other forms of headaches, trigeminal neuralgia, herpetic neuralgia, general neuralgias, epilepsy, epilepsy conditions, neurodegenerative disorders, psychiatric disorders, anxiety, depression, bipolar disorder, myotonia, arrhythmia, movement disorders, neuroendocrine disorders, ataxia, central neuropathic pain of multiple sclerosis and irritable bowel syndrome, incontinence, pathological cough, visceral pain, osteoarthritis pain, postherpetic neuralgia, diabetic neuropathy, radicular pain, sciatica, back pain, unspecific chronic back pain, head pain
- the invention provides the use of a compound of the invention, a pharmaceutically acceptable salt thereof, or a pharmaceutical composition thereof for the manufacture of a medicament for use in treating or lessening the severity of femur cancer pain; non-malignant chronic bone pain; rheumatoid arthritis; osteoarthritis; spinal stenosis; neuropathic low back pain; myofascial pain syndrome; fibromyalgia; temporomandibular joint pain; chronic visceral pain, abdominal pain; pancreatic pain; IBS pain; chronic and acute headache pain; migraine; tension headache; cluster headaches; chronic and acute neuropathic pain, post-herpetic neuralgia; diabetic neuropathy; HIV-associated neuropathy; trigeminal neuralgia; Charcot-Marie-Tooth neuropathy; hereditary sensory neuropathy; peripheral nerve injury; painful neuromas; ectopic proximal and distal discharges; radiculopathy; chemotherapy induced neuropathic pain; radiotherapy -induced
- CRPS complex regional pain syndrome
- type I complex regional pain syndrome
- CRPS complex regional pain syndrome
- the invention provides the use of a compound of the invention, a pharmaceutically acceptable salt thereof, or a pharmaceutical composition thereof for the manufacture of a medicament for use in treating or lessening the severity of trigeminal neuralgia, migraines treated with botox, cervical radiculopathy, occipital neuralgia, axillary neuropathy, radial neuropathy, ulnar neuropathy, brachial plexopathy, thoracic radiculopathy, intercostal neuralgia, lumbosacral radiculopathy, iliolingual neuralgia, pudendal neuralgia, femoral neuropathy, meralgia paresthetica, saphenous neuropathy, sciatic neuropatiiy, peroneal neuropathy, tibial neuropathy, lumbosacral plexopathy, traumatic neuroma stump pain or postamputation pain.
- an “effective amount” of a compound of the invention, a pharmaceutically acceptable salt thereof, or a pharmaceutical composition thereof is that amount effective for treating or lessening the severity of one or more of the conditions recited above.
- the compounds, salts, and compositions, according to the method of the invention may be administered using any amount and any route of administration effective for treating or lessening the severity of one or more of the pain or non-pain diseases recited herein. The exact amount required will vary from subject to subject, depending on the species, age, and general condition of the subject, the severity of the condition, the particular agent, its mode of administration, and the like.
- the compounds, salts, and compositions of the invention are preferably formulated in dosage unit form for ease of administration and uniformity of dosage.
- dosage unit form refers to a physically discrete unit of agent appropriate for the subject to be treated. It will be understood, however, that the total daily usage of the compounds, salts, and compositions of the invention will be decided by the attending physician within the scope of sound medical judgment.
- the specific effective dose level for any particular subject or organism will depend upon a variety of factors including the disorder being treated and the severity of the disorder; the activity of the specific compound or salt employed; the specific composition employed; the age, body weight, general health, sex and diet of the subject; the time of administration, route of administration, and rate of excretion of the specific compound or salt employed; the duration of the treatment; drugs used in combination or coincidental with the specific compound or salt employed, and like factors well known in the medical arts.
- subject or “patient,” as used herein, means an animal, preferably a mammal, and most preferably a human.
- compositions of this invention can be administered to humans and other animals orally, rectally, parenterally, intracisternally, intravaginally, intraperitoneally, topically (as by powders, ointments, or drops), bucally, as an oral or nasal spray, or the like, depending on the severity of the condition being treated.
- the compound, salts, and compositions of the invention may be administered orally or parenterally at dosage levels of about 0.001 mg/kg to about 1000 mg/kg, one or more times a day, effective to obtain the desired therapeutic effect.
- Liquid dosage forms for oral administration include, but are not limited to, pharmaceutically acceptable emulsions, microemulsions, solutions, suspensions, syrups and elixirs.
- the liquid dosage forms may contain inert diluents commonly used in the art such as, for example, water or other solvents, solubilizing agents and emulsifiers such as ethyl alcohol, isopropyl alcohol, ethyl carbonate, ethyl acetate, benzyl alcohol, benzyl benzoate, propylene glycol, 1,3-butylene glycol, dimethylformamide, oils (in particular, cottonseed, groundnut, corn, germ, olive, castor, and sesame oils), glycerol, tetrahydrofurfuryl alcohol, polyethylene glycols and fatty acid esters of sorbitan, and mixtures thereof.
- inert diluents commonly used in the art such as, for example, water or other solvents,
- the oral compositions can also include adjuvants such as wetting agents, emulsifying and suspending agents, sweetening, flavoring, and perfuming agents.
- adjuvants such as wetting agents, emulsifying and suspending agents, sweetening, flavoring, and perfuming agents.
- injectable preparations for example, sterile injectable aqueous or oleaginous suspensions may be formulated according to the known art using suitable dispersing or wetting agents and suspending agents.
- the sterile injectable preparation may also be a sterile injectable solution, suspension or emulsion in a nontoxic parenterally acceptable diluent or solvent, for example, as a solution in 1,3-butanediol.
- the acceptable vehicles and solvents that may be employed are water, Ringer’s solution, U.S.P. and isotonic sodium chloride solution.
- sterile, fixed oils are conventionally employed as a solvent or suspending medium.
- any bland fixed oil can be employed including synthetic mono- or diglycerides.
- fatty acids such as oleic acid are used in the preparation of injectables.
- the injectable formulations can be sterilized, for example, by filtration through a bacterial-retaining filter, or by incorporating sterilizing agents in the form of sterile solid compositions that can be dissolved or dispersed in sterile water or other sterile injectable medium prior to use.
- compositions for rectal or vaginal administration are preferably suppositories which can be prepared by mixing the compound or salt of this invention with suitable non-irritating excipients or carriers such as cocoa butter, polyethylene glycol or a suppository wax which are solid at ambient temperature but liquid at body temperature and therefore melt in the rectum or vaginal cavity and release the active compound.
- Solid dosage forms for oral administration include capsules, tablets, pills, powders, and granules.
- the active compound or salt is mixed with at least one inert, pharmaceutically acceptable excipient or carrier such as sodium citrate or dicalcium phosphate and/or a) fillers or extenders such as starches, lactose, sucrose, glucose, mannitol, and silicic acid, b) binders such as, for example, carboxymethylcellulose, alginates, gelatin, polyvinylpyrrolidinone, sucrose, and acacia, c) humectants such as glycerol, d) disintegrating agents such as agar-agar, calcium carbonate, potato or tapioca starch, alginic acid, certain silicates, and sodium carbonate, e) solution retarding agents such as paraffin, f) absorption accelerators such as quaternary ammonium compounds, g) wetting agents such as, for example, cety
- the dosage form may also comprise buffering agents.
- Solid compositions of a similar type may also be employed as fillers in soft and hard- filled gelatin capsules using such excipients as lactose or milk sugar as well as high molecular weight polyethylene glycols and the like.
- the solid dosage forms of tablets, dragees, capsules, pills, and granules can be prepared with coatings and shells such as enteric coatings and other coatings well known in the pharmaceutical formulating art. They may optionally contain opacifying agents and can also be of a composition that they release the active ingredient(s) only, or preferentially, in a certain part of the intestinal tract, optionally, in a delayed manner.
- embedding compositions examples include polymeric substances and waxes. Solid compositions of a similar type may also be employed as fillers in soft and hard-filled gelatin capsules using such excipients as lactose or milk sugar as well as high molecular weight polyethylene glycols and the like. [0189]
- the active compound or salt can also be in microencapsulated form with one or more excipients as noted above.
- the solid dosage forms of tablets, dragees, capsules, pills, and granules can be prepared with coatings and shells such as enteric coatings, release-controlling coatings and other coatings well known in the pharmaceutical formulating art.
- the active compound or salt may be admixed with at least one inert diluent such as sucrose, lactose or starch.
- inert diluent such as sucrose, lactose or starch.
- Such dosage forms may also comprise, as is normal practice, additional substances other than inert diluents, e.g., tableting lubricants and other tableting aids such a magnesium stearate and microcrystalline cellulose.
- the dosage forms may also comprise buffering agents. They may optionally contain opacifying agents and can also be of a composition that they release the active ingredient(s) only, or preferentially, in a certain part of the intestinal tract, optionally, in a delayed manner.
- Dosage forms for topical or transdermal administration of a compound or salt of this invention include ointments, pastes, creams, lotions, gels, powders, solutions, sprays, inhalants or patches.
- the active component is admixed under sterile conditions with a pharmaceutically acceptable carrier and any needed preservatives or buffers as may be required.
- Ophthalmic formulation, eardrops, and eye drops are also contemplated as being within the scope of this invention.
- the invention contemplates the use of transdermal patches, which have the added advantage of providing controlled delivery of a compound to the body.
- Such dosage forms are prepared by dissolving or dispensing the compound in the proper medium.
- Absorption enhancers can also be used to increase the flux of the compound across the skin.
- the rate can be controlled by either providing a rate controlling membrane or by dispersing the compound in a polymer matrix or gel.
- the compounds of the invention are useful as inhibitors of voltage-gated sodium channels.
- the compounds are inhibitors of Na V 1.8 and thus, without wishing to be bound by any particular theory, the compounds, salts, and compositions are particularly useful for treating or lessening the severity of a disease, condition, or disorder where activation or hyperactivity of Na V 1.8 is implicated in the disease, condition, or disorder.
- the disease, condition, or disorder may also be referred to as a “Na V 1.8-mediated disease, condition or disorder.” Accordingly, in another aspect, the invention provides a method for treating or lessening the severity of a disease, condition, or disorder where activation or hyperactivity of Na V 1.8 is implicated in the disease state.
- the activity of a compound utilized in this invention as an inhibitor of Na V 1.8 may be assayed according to methods described generally in International Publication No. WO 2014/120808 A9 and U.S.
- compositions of the invention can be employed in combination therapies, that is, the compounds, salts, and pharmaceutically acceptable compositions can be administered concurrently with, prior to, or subsequent to, one or more other desired therapeutics or medical procedures.
- therapies therapeutics or procedures
- the particular combination of therapies (therapeutics or procedures) to employ in a combination regimen will take into account compatibility of the desired therapeutics and/or procedures and the desired therapeutic effect to be achieved.
- additional therapeutic agents that are normally administered to treat or prevent a particular disease, or condition, are known as “appropriate for the disease, or condition, being treated.”
- additional therapeutic agents include, but are not limited to: non-opioid analgesics (indoles such as Etodolac, Indomethacin, Sulindac, Tolmetin; naphthylalkanones such as Nabumetone; oxicams such as Piroxicam; para-aminophenol derivatives, such as Acetaminophen; propionic acids such as Fenoprofen, Flurbiprofen, Ibuprofen, Ketoprofen, Naproxen, Naproxen sodium, Oxaprozin; salicylates such as Aspirin
- nondrug analgesic approaches may be utilized in conjunction with administration of one or more compounds of the invention.
- anesthesiologic intraspinal infusion, neural blockade
- neurosurgical neurolysis of CNS pathways
- neurostimulatory transcutaneous electrical nerve stimulation, dorsal column stimulation
- physiatric physical therapy, orthotic devices, diathermy
- psychologic psychologic
- additional appropriate therapeutic agents are selected from the following: [0195] (1) an opioid analgesic, e.g.
- a nonsteroidal antiinflammatory drug e.g., NSAID
- a sedative such as glutethimide, meprobamate, methaqualone or dichloralphenazone
- a skeletal muscle relaxant e.g. baclofen, carisoprodol, chlorzoxazone, cyclobenzaprine, methocarbamol or orphenadrine
- an NMDA receptor antagonist e.g.
- dextromethorphan (+)-3-hydroxy-N- methylmorphinan) or its metabolite dextrorphan ((+)-3-hydroxy-N-methylmorphinan), ketamine, memantine, pyrroloquinoline quinine, cis-4-(phosphonomethyl)-2- piperidinecarboxylic acid, budipine, EN-3231 (MorphiDex®), a combination formulation of morphine and dextromethorphan), topiramate, neramexane or perzinfotel including an NR2B antagonist, e.g.
- doxazosin tamsulosin, clonidine, guanfacine, dexmedetomidine, modafinil, or 4-amino-6,7-dimethoxy-2-(5-methane-sulfonamido-l, 2,3,4- tetrahydroisoquinolin-2-yl)-5-(2-pyridyl) quinazoline;
- a tricyclic antidepressant e.g. desipramine, imipramine, amitriptyline or nortriptyline
- an anticonvulsant e.g.
- a tachykinin (NK) antagonist particularly an NK-3, NK-2 or NK-1 antagonist, e.g.
- a Na V 1.8 blocker such as PF-04531083, PF-06372865 and such as those disclosed in WO2008/135826 (US2009048306), WO2006/011050 (US2008312235), WO2013/061205 (US2014296313), US20130303535, WO2013131018, US8466188, WO2013114250 (US2013274243), WO2014/120808 (US2014213616), WO2014/120815 (US2014228371) WO2014/120820 (US2014221435), WO2015/010065 (US20160152561), WO2015/089361 (US20150166589), WO2019/014352 (US20190016671), WO2018/213426, WO2020/146682, WO2020/146612, WO2020/014243, WO2020/014246, WO2020/092187, WO2020/092667 (US2020140411), WO2020/
- the additional appropriate therapeutic agents are selected from V- 116517, Pregabalin, controlled release Pregabalin, Ezogabine (Potiga®). Ketamine/amitriptyline topical cream (Amiket®), AVP-923, Perampanel (E-2007), Ralfinamide, transdermal bupivacaine (Eladur®), CNV1014802, JNJ-10234094 (Carisbamate), BMS-954561 or ARC-4558.
- the additional appropriate therapeutic agents are selected from N- (6-amino-5-(2,3,5-trichlorophenyl)pyridin-2-yl)acetamide; N-(6-amino-5-(2-chloro-5- methoxyphenyl)pyridin-2-yl)-1-methyl-1H-pyrazole-5-carboxamide; or 3-((4-(4- (trifluoromethoxy)phenyl)-1H-imidazol-2-yl)methyl)oxetan-3-amine.
- the additional therapeutic agent is selected from a GlyT2/5HT2 inhibitor, such as Operanserin (VVZ149), a TRPV modulator such as CA008, CMX-020, NEO6860, FTABS, CNTX4975, MCP101, MDR16523, or MDR652, a EGR1 inhibitor such as Brivoglide (AYX1), an NGF inhibitor such as Tanezumab, Fasinumab, ASP6294, MEDI7352, a Mu opioid agonist such as Cebranopadol, NKTR181 (oxycodegol), a CB-1 agonist such as NEO1940 (AZN1940), an imidazoline 12 agonist such as CR4056 or a p75NTR-Fc modulator such as LEVI-04.
- a GlyT2/5HT2 inhibitor such as Operanserin (VZ149), a TRPV modulator such as CA008, CMX-020, NEO6860, FTABS,
- the additional therapeutic agent is oliceridine or ropivacaine (TLC590).
- the additional therapeutic agent is a Na V 1.7 blocker such as ST- 2427, ST-2578 and those disclosed in WO2010/129864, WO2015/157559, WO2017/059385, WO2018/183781, WO2018/183782, WO2020/072835, and/or WO2022/036297 the entire contents of each application hereby incorporated by reference.
- the additional therapeutic agent is selected from ASP18071, CC- 8464, ANP-230, ANP-231, NOC-100, NTX-1175, ASN008, NW3509, AM-6120, AM-8145, AM- 0422, BL-017881, NTM-006, Opiranserin (Unafra TM ), brivoligide, SR419, NRD.E1, LX9211, LY3016859, ISC-17536, NFX-88, LAT-8881, AP-235, NYX 2925, CNTX-6016, S-600918, S- 637880, RQ-00434739, KLS-2031, MEDI 7352, and XT-150.
- the additional therapeutic agent is selected from Olinvyk, Zynrelef, Seglentis, Neumentum, Nevakar, HTX-034, CPL-01, ACP-044, HRS-4800, Tarlige, BAY2395840, LY3526318, Eliapixant, TRV045, RTA901, NRD1355-E1, MT-8554, LY3556050, AP-325, tetrodotoxin, Otenaproxesul, CFTX-1554, Funapide, iN1011-N17, JMKX000623/ODM- 111, ETX-801, OLP-1002, ANP-230/DSP-2230, iN1011-N17, DSP-3905 and ACD440.
- the additional therapeutic agent is selected from HRS4800, ODM-111/JMKX000623, LX9211, LY3556050, LY3857210, CFTX01554/CFTX-1554, MEDI7352, MEDI0618, BAY3178275, BAY2395840, GSK3858279, STC-004, HALNEURON, OLP-1002, ATX01, ANP230, CC-8464, iN1011-N17, ST-2427, MSD199, FZ008, VYNAV-01, BL-017881, Profervia (Cilnidipine), LS-04, vixotrigine, FX301/PCRX-301, PF-04531083, PF-01247324, and DSP-3905.
- the additional therapeutic agent is a sodium channel inhibitor (also known as a sodium channel blocker), such as the Na V 1.7 and Na V 1.8 blockers identified above.
- the amount of additional therapeutic agent present in the compositions of this invention may be no more than the amount that would normally be administered in a composition comprising that therapeutic agent as the only active agent.
- the amount of additional therapeutic agent in the presently disclosed compositions may range from about 10% to 100% of the amount normally present in a composition comprising that agent as the only therapeutically active agent.
- the compounds and salts of this invention or pharmaceutically acceptable compositions thereof may also be incorporated into compositions for coating an implantable medical device, such as prostheses, artificial valves, vascular grafts, stents and catheters.
- the invention in another aspect, includes a composition for coating an implantable device comprising a compound or salt of the invention as described generally above, and in classes and subclasses herein, and a carrier suitable for coating said implantable device.
- the invention includes an implantable device coated with a composition comprising a compound or salt of the invention as described generally above, and in classes and subclasses herein, and a carrier suitable for coating said implantable device. Suitable coatings and the general preparation of coated implantable devices are described in US Patents 6,099,562; 5,886,026; and 5,304,121.
- the coatings are typically biocompatible polymeric materials such as a hydrogel polymer, polymethyldisiloxane, polycaprolactone, polyethylene glycol, polylactic acid, ethylene vinyl acetate, and mixtures thereof.
- the coatings may optionally be further covered by a suitable topcoat of fluorosilicone, polysaccharides, polyethylene glycol, phospholipids or combinations thereof to impart controlled release characteristics in the composition.
- Another aspect of the invention relates to inhibiting NaV1.8 activity in a biological sample or a subject, which method comprises administering to the subject, or contacting said biological sample with a compound of the invention, a pharmaceutically acceptable salt thereof, or a pharmaceutical composition thereof.
- biological sample includes, without limitation, cell cultures or extracts thereof; biopsied material obtained from a mammal or extracts thereof; and blood, saliva, urine, feces, semen, tears, or other body fluids or extracts thereof.
- Inhibition of Na V 1.8 activity in a biological sample is useful for a variety of purposes that are known to one of skill in the art. Examples of such purposes include, but are not limited to, the study of sodium channels in biological and pathological phenomena; and the comparative evaluation of new sodium channel inhibitors.
- Synthesis of the Compounds of the Invention [0260] The compounds of the invention can be prepared from known materials by the methods described in the Examples, other similar methods, and other methods known to one skilled in the art.
- the functional groups of the intermediate compounds in the methods described below may need to be protected by suitable protecting groups.
- Protecting groups may be added or removed in accordance with standard techniques, which are well-known to those skilled in the art. The use of protecting groups is described in detail in T.G.M. Wuts et al., Greene’s Protective Groups in Organic Synthesis (4th ed.2006).
- Radiolabeled Analogs of the Compounds of the Invention [0261]
- the invention relates to radiolabeled analogs of the compounds of the invention.
- the term “radiolabeled analogs of the compounds of the invention” refers to compounds that are identical to the compounds of the invention, as described herein, including all embodiments thereof, except that one or more atoms has been replaced with a radioisotope of the atom present in the compounds of the invention.
- the term “radioisotope” refers to an isotope of an element that is known to undergo spontaneous radioactive decay. Examples of radioisotopes include 3 H, 14 C, 32 P, 35 S, 18 F, 36 Cl, and the like, as well as the isotopes for which a decay mode is identified in V.S. Shirley & C.M.
- the radiolabeled analogs can be used in a number of beneficial ways, including in various types of assays, such as substrate tissue distribution assays.
- assays such as substrate tissue distribution assays.
- tritium ( 3 H)- and/or carbon- 14 ( 14 C)-labeled compounds may be useful for various types of assays, such as substrate tissue distribution assays, due to relatively simple preparation and excellent detectability.
- the invention relates to pharmaceutically acceptable salts of the radiolabeled analogs, in accordance with any of the embodiments described herein in connection with the compounds of the invention.
- the invention relates to pharmaceutical compositions comprising the radiolabeled analogs, or pharmaceutically acceptable salts thereof, and a pharmaceutically acceptable carrier, adjuvant or vehicle, in accordance with any of the embodiments described herein in connection with the compounds of the invention.
- the invention relates to methods of inhibiting voltage-gated sodium channels and methods of treating or lessening the severity of various diseases and disorders, including pain, in a subject comprising administering an effective amount of the radiolabeled analogs, pharmaceutically acceptable salts thereof, and pharmaceutical compositions thereof, in accordance with any of the embodiments described herein in connection with the compounds of the invention.
- the invention relates to radiolabeled analogs, pharmaceutically acceptable salts thereof, and pharmaceutical compositions thereof, for use, in accordance with any of the embodiments described herein in connection with the compounds of the invention.
- the invention relates to the use of the radiolabeled analogs, or pharmaceutically acceptable salts thereof, and pharmaceutical compositions thereof, for the manufacture of medicaments, in accordance with any of the embodiments described herein in connection with the compounds of the invention.
- the radiolabeled analogs, pharmaceutically acceptable salts thereof, and pharmaceutical compositions thereof can be employed in combination therapies, in accordance with any of the embodiments described herein in connection with the compounds of the invention.
- ENUMERATED EMBODIMENTS [0270] Further embodiments of the disclosure are set out in the following numbered clauses: 1.
- X 1 is C-R 1 or N
- X 2 is C-R 2 , N, or N + -O-
- X 3 is C-R 3 , N, or N + -O-
- X 5 is C-R 5 , N, or N + -O-
- R 1 is H, OH, halo, CN, C 1 -C 6 alkyl, C 1 -C 6 alkoxy, C 1 -C 6 haloalkoxy, or –C(O)OR b ;
- R 10 is H; and
- R s and R t are each independently H, OH, halo, C 1 -C 6 alkyl, C 1 -C 6 alkoxy, C 1 -C 6 haloalkyl, C 1 -C 6 haloalkoxy, –NR b R c , –NO 2 , –SO 3 H, –(CH 2 ) m OR a , or –O(CH 2 ) m OCH 3 , or R s and R t , together with the carbon atoms to which they are attached, form a ring of formula: 4.
- a pharmaceutical composition comprising a therapeutically effective amount of the compound of any one of clauses 1 to 76, or a pharmaceutically acceptable salt thereof, or the compound of clause 77, and one or more pharmaceutically acceptable carriers or vehicles.
- a pharmaceutical composition comprising the compound of any one of clauses 1 to 76, or a pharmaceutically acceptable salt thereof, or the compound of clause 77, and one or more pharmaceutically acceptable carriers or vehicles.
- 80. A method of inhibiting a voltage-gated sodium channel in a subject comprising administering to the subject the compound of any one of clauses 1 to 76, or a pharmaceutically acceptable salt thereof, the compound of clause 77, or the pharmaceutical composition of clause 78 or 79.
- the method of clause 82, where the method comprises treating or lessening the severity in the subject of neuropathic pain.
- the neuropathic pain comprises post-herpetic neuralgia.
- the method of clause 83, wherein the neuropathic pain comprises small-fiber neuropathy.
- the neuropathic pain comprises idiopathic small-fiber neuropathy.
- the neuropathic pain comprises diabetic neuropathy.
- the diabetic neuropathy comprises diabetic peripheral neuropathy.
- the method comprises treating or lessening the severity in the subject of musculoskeletal pain.
- the musculoskeletal pain comprises osteoarthritis pain.
- the method comprises treating or lessening the severity in the subject of acute pain.
- the acute pain comprises acute post-operative pain.
- the method comprises treating or lessening the severity in the subject of postsurgical pain.
- the postsurgical pain comprises bunionectomy pain.
- the postsurgical pain comprises abdominoplasty pain.
- the postsurgical pain comprises herniorrhaphy pain.
- Step 2 [0278] A solution of 4-(benzyloxy)-2-((2R,3S,4S,5R)-3-(3,4-difluoro-2-methoxyphenyl)-4,5- dimethyl-5-(trifluoromethyl)tetrahydrofuran-2-yl)-1,6-naphthyridine (61.2 mg) in EtOAc (2.7 mL) was added to a 20-mL vial containing Pd/C (10 wt % loading, wet, Degussa, 15 mg, 0.014 mmol). The reaction mixture was degassed with nitrogen for 5 min and stirred under a hydrogen atmosphere for 5 min.
- Pd/C 10 wt % loading, wet, Degussa
- step 1 was carried out using the conditions outlined below:
- Nickel Photochemistry To an oven-dried 20-mL vial, equipped with a stir bar, was added (R)-1-phenylethan-1-aminium (2R,3S,4S,5R)-3-(3,4-difluoro-2-methoxyphenyl)-4,5-dimethyl- 5-(trifluoromethyl)tetrahydrofuran-2-carboxylate (Intermediate A) (100 mg, 0.2 mmol), 4- (benzyloxy)-2-chloroquinoline (110 mg, 0.408 mmol), K 2 CO 3 (55 mg, 0.40 mmol), 2,2'-bipyridine (4 mg, 0.026 mmol), Nickel(II) bromide (5 mg, 0.023 mmol), and 2,4,5,6-tetra(9H-carbazol-9- yl)isophthalonitrile (8 mg
- the mixture was degassed for 15 min by bubbling nitrogen through, then sealed with parafilm.
- the solution was stirred at ambient temperature under the irradiation of a blue LED (450 nm) using a Penn OC Photoreactor M1 for 17 h.
- the mixture was quenched by addition of water (30 mL), then extracted with EtOAc (3 x 10 mL). The combined organic layers were dried (Na 2 SO 4 ), filtered, and concentrated in vacuo.
- Step 2 [0288] 4-Chloro-8-fluoroquinoline (15 mg, 0.083 mmol) and 2,4,5,6-tetra(carbazol-9- yl)benzene-1,3-dicarbonitrile (1 mg, 0.001 mmol) were successively added to a stirring solution of 1,3-dioxoisoindolin-2-yl (2R,3S,4S,5R)-3-(3,4-difluoro-2-methoxyphenyl)-4,5-dimethyl-5- (trifluoromethyl)tetrahydrofuran-2-carboxylate (51 mg, 0.10 mmol) in a mixture of DMSO (900 ⁇ L) and TFA (13 ⁇ L, 0.17 mmol).
- Step 3 [0290] A reaction vial was charged with 4-chloro-2-((2R,3S,4S,5R)-3-(3,4-difluoro-2- methoxyphenyl)-4,5-dimethyl-5-(trifluoromethyl)tetrahydrofuran-2-yl)-8-fluoroquinoline and tBuBrettPhos Pd G3 (7 mg, 0.008 mmol) in a mixture of water (22 ⁇ L, 1.2 mmol) and THF (750 ⁇ L). The mixture was degassed for 5 min by bubbling nitrogen through the mixture.
- step 2 A different coupling partner was used in step 2 for compound 19, and DMA was used as the solvent instead of DMSO: [0293]
- the following compounds were made using the method described in Example 2, except that rac-(2R,3S,4S,5R)-4-cyclopropyl-3-(3,4-difluoro-2-methoxyphenyl)-5-methyl-5- (trifluoromethyl)tetrahydrofuran-2-carboxylic acid was used as starting material in step 1.
- step 2 (Ir[dF(CF 3 )ppy] 2 (dtbpy))PF 6 was used as catalyst in place of 2,4,5,6-tetra(carbazol-9-yl)benzene-1,3- dicarbonitrile.
- step 2 A final benzyl deprotection step was carried out using conditions similar to those described in Example 1, step 2: [0298] The following compound was made using methods similar to those described in Example 2, except that, in step 2, 4-benzyloxy-5-chloro-8-fluoro-1,6-naphthyridine was used as the coupling partner and (Ir[dF(CF 3 )ppy] 2 (dtbpy))PF 6 was used in place of 2,4,5,6-tetra(carbazol-9-yl)benzene-1,3- dicarbonitrile. The product of step 2 was subjected to the conditions outlined below.
- step 2 The product of step 2 was hydrolysed and subjected to amidation conditions before carrying out step 3, as outlined below: [0301] Hydrolysis: Methyl 4-chloro-2-((2R,3S,4S,5R)-3-(3,4-difluoro-2-methoxyphenyl)-4,5- dimethyl-5-(trifluoromethyl)tetrahydrofuran-2-yl)quinoline-6-carboxylate was dissolved in a mixture of MeOH (1 mL), THF (5 mL) and 1 N aqueous LiOH and stirred at ambient temperature overnight. The mixture was concentrated in vacuo.1 N HCl (1 mL) was added, and product was extracted with DCM.
- the reaction mixture was stirred at ambient temperature for 2 h.
- the mixture was diluted with DCM (200 mL) and washed with a saturated aqueous NaHCO 3 solution (100 mL).
- the organic layer was separated, dried (Na 2 SO 4 ), filtered, and concentrated in vacuo.
- Step 2 [0306] To a solution of 4-(benzyloxy)-2-((2R,3S,4S,5R)-3-(3,4-difluoro-2-methoxyphenyl)-4,5- dimethyl-5-(trifluoromethyl)tetrahydrofuran-2-yl)-1,6-naphthyridine 6-oxide (980 mg, 1.75 mmol) in DCM (20 mL) under an atmosphere of nitrogen were successively added trimethylsilyl cyanide (285 ⁇ L, 2.28 mmol) and Et 3 N (490 ⁇ L, 3.52 mmol). The reaction mixture was stirred at ambient temperature for 19 h and concentrated in vacuo.
- Step 3 [0308] A solution of 4-(benzyloxy)-2-((2R,3S,4S,5R)-3-(3,4-difluoro-2-methoxyphenyl)-4,5- dimethyl-5-(trifluoromethyl)tetrahydrofuran-2-yl)-1,6-naphthyridine-5-carbonitrile (100 mg, 0.176 mmol) and trifluoroacetic acid (1.1 mL, 14 mmol) in toluene (1 mL) was heated at 70 °C under nitrogen for 2 h.
- Step 2 [0314] Under a nitrogen atmosphere, NaO t Bu (20.32 g, 211.4 mmol) was added to a solution of (2R,3R,4S,5R)-N-(3-acetylpyridin-4-yl)-3-(3,4-difluoro-2-methylphenyl)-4-methoxy-5-methyl-5- (trifluoromethyl)tetrahydrofuran-2-carboxamide (51.21 g, 104.4 mmol) in 1,4-dioxane (500 mL), causing an exotherm from 23 °C to 27.5 °C.
- NaO t Bu 20.32 g, 211.4 mmol
- the reaction mixture was heated at 56 °C for 10 min and then cooled to ambient temperature and quenched by the addition of water (100 mL). The pH of the solution was adjusted to 5 by careful addition of 2 M HCl. The aqueous phase was extracted with EtOAc (500 mL then 2 x 100 mL). The combined organic phases were dried (MgSO 4 ), filtered, and concentrated in vacuo to give an orange solid.
- the solid (58.28 g) was triturated with a 1:1 mixture of DCM (125 mL) and heptane (125 mL). The mixture was aged for 1 h.
- Step 3 To a suspension of 2-((2R,3S,4S,5R)-3-(3,4-difluoro-2-methylphenyl)-4-methoxy-5- methyl-5-(trifluoromethyl)tetrahydrofuran-2-yl)-1,6-naphthyridin-4(1H)-one (5 g, 11 mmol) in MeCN (50 mL) was added formamide (9 mL, 226 mmol) and the mixture was stirred until complete dissolution. The reaction mixture was heated at 75 °C.
- Step 2 [0322] Et 3 N (1.38 mL, 9.901 mmol) and TMSOTf (1.53 mL, 8.467 mmol) were added to the reaction mixture from Step 1 above, and the mixture was heated at 45 °C for 16 h. The mixture was cooled to ambient temperature, poured over a saturated aqueous NaHCO 3 solution (50 mL) and diluted with DCM (50 mL). The aqueous layer was separated and extracted with DCM (50 mL). The combined organic extracts were washed with brine (50 mL), dried (MgSO 4 ), filtered, and concentrated in vacuo.
- Step 3 [0324] 7-((2R,3S,4S,5R)-3-(3,4-difluoro-2-methoxyphenyl)-4,5-dimethyl-5- (trifluoromethyl)tetrahydrofuran-2-yl)pyrido[2,3-d]pyrimidin-5(8H)-one (100 mg, 0.220 mmol) and K2S2O8 (131 mg, 0.485 mmol) were suspended in MeCN (200 ⁇ L) and water (40 ⁇ L). The mixture was heated to 75 °C and formamide (350 ⁇ L, 8.78 mmol) was added. The resulting mixture was stirred at 75 °C for 2 h.
- reaction mixture was quenched by addition of a saturated aqueous NaHCO 3 solution (2 mL), poured over a saturated aqueous NaHCO 3 solution (10 mL), and diluted with EtOAc (10 mL). The aqueous layer was separated and extracted with EtOAc (2 x 10 mL). The combined organic extracts were washed with brine (10 mL), dried (MgSO 4 ), and concentrated in vacuo.
- step 2 DIPEA was used as the base in place of triethylamine.
- Example 6 2-((2R,3R,4S,5R)-3-(3,4-Difluoro-2-methylphenyl)-4-hydroxy-5-methyl-5- (trifluoromethyl)tetrahydrofuran-2-yl)-4-oxo-1,4-dihydro-1,6-naphthyridine-5-carboxamide (43) [0327]
- Step 1 [0328] To a solution of (2R,3R,4S,5R)-3-(3,4-difluoro-2-methylphenyl)-4-
- T3P (3.5 mL, 50 % w/w solution in EtOAc, 5.9 mmol) was added dropwise and the reaction mixture was stirred at ambient temperature for 2 h. The mixture was quenched by addition of a saturated NaHCO 3 solution (20 mL). The mixture was extracted with EtOAc (2 x 15 mL) and the combined organic extracts were dried (MgSO 4 ), filtered, and concentrated in vacuo.
- Step 2 [0330] Potassium tert-butoxide (130 mg, 1.16 mmol) was added to a stirring solution of (2R,3R,4S,5R)-N-(3-acetylpyridin-4-yl)-3-(3,4-difluoro-2-methylphenyl)-4-hydroxy-5-methyl-5- (trifluoromethyl)tetrahydrofuran-2-carboxamide (270 mg, 0.537 mmol) in 1,4-dioxane (5 mL) at ambient temperature and the reaction mixture was heated at 50 oC for 1 h. The mixture was quenched by addition of a saturated NH 4 Cl solution (10 mL) and extracted with EtOAc (10 mL).
- Steps 3 and 4 [0332] Potassium persulfate (100 mg, 0.370 mmol) was added to a solution of 2-((2R,3S,4S,5R)- 3-(3,4-difluoro-2-methylphenyl)-4-(methoxymethoxy)-5-methyl-5-(trifluoromethyl)tetrahydrofuran- 2-yl)-1,6-naphthyridin-4(1H)-one (160 mg, 0.330 mmol) and formamide (600 ⁇ L, 15.05 mmol) in a mixture of MeCN (2 mL) and water (0.5 mL) and the mixture was heated at 75 oC for 1 h.
- Steps 3 and 4 were omitted.
- the formamide portion of the compound was installed following procedures from Example 3:
- Example 7 2-((2R,3S,4S,5R)-3-(3,4-Difluoro-2-methoxyphenyl)-4,5-dimethyl-5-(trifluoromethyl)tetrahydrofuran- 2-yl)pyrido[4,3-d]pyrimidin-4(1H)-one (46)
- Step 1 [0337] (2R,3S,4S,5R)-3-(3,4-difluoro-2-methoxyphenyl)-4,5-dimethyl-5- (trifluoromethyl)tetrahydrofuran-2-carboxylic acid (Intermediate A, 400 mg, 1.13 mmol) was dissolved in a mixture of DCM (10 mL) and DMF (10 ⁇ L, 0.13 mmol) cooled to 0 oC.
- Oxalyl chloride (990 ⁇ L, 11.4 mmol) was then added dropwise over 2 min, and the mixture was stirred for 1 h.
- the reaction mixture was concentrated in vacuo.
- the residue was dissolved in DCM (10 mL) and added dropwise to an ice-cold solution of methyl 4-aminonicotinate (172 mg, 1.13 mmol), DMAP (3 mg, 0.024 mmol) and DIPEA (200 ⁇ L, 1.15 mmol) in DCM (10 mL).
- the mixture was stirred for 90 min, then slowly warmed to ambient temperature.
- the mixture was quenched with a saturated aqueous NaHCO 3 solution (50 mL).
- the aqueous layer was separated and extracted with DCM (50 mL).
- Step 2 [0339] Methyl 4-((2R,3S,4S,5R)-3-(3,4-difluoro-2-methoxyphenyl)-4,5-dimethyl-5- (trifluoromethyl)tetrahydrofuran-2-carboxamido)nicotinate (530 mg, 1.085 mmol) was dissolved in ammonia (10 mL, 7 M solution in MeOH, 70 mmol) and stirred overnight at ambient temperature. The reaction mixture was concentrated in vacuo.
- reaction mixture was warmed to ambient temperature. After 20 min, the mixture was diluted with DCM (10 mL) and washed with a half-saturated NaHCO 3 solution (10 mL). The aqueous layer was extracted with DCM (10 mL). The combined organic extracts were washed with a saturated Na 2 S 2 O 3 solution, dried (MgSO 4 ), filtered, and concentrated in vacuo.
- Step 2 [0352] 3-Bromo-2-((2R,3S,4S,5R)-3-(3,4-difluoro-2-methoxyphenyl)-4,5-dimethyl-5- (trifluoromethyl)tetrahydrofuran-2-yl)-1,6-naphthyridin-4(1H)-one (218 mg, 0.409 mmol) and CuI (85 mg, 0.45 mmol) were suspended in CPME (1.7 mL) and the mixture was purged with nitrogen. NaOMe (0.28 mL, 25 % w/w solution in MeOH) was added and the reaction mixture was heated at 70 °C for 64 h.
- reaction mixture was concentrated in vacuo and diluted with DCM (20 mL). The mixture was poured over a saturated aqueous NaHCO 3 solution (20 mL) and stirred for 10 min. The aqueous layer was separated and extracted with DCM (2 x 10 mL). The combined organic extracts were washed with brine (10 mL), dried (MgSO 4 ), filtered, and concentrated in vacuo.
- Step 2 [0360] 4-(Benzyloxy)-5-chloro-2-((2R,3S,4S,5R)-3-(3,4-difluoro-2-methoxyphenyl)-4,5- dimethyl-5-(trifluoromethyl)tetrahydrofuran-2-yl)-1,6-naphthyridine (46 mg, 0.079 mmol), methanesulfonamide (12 mg, 0.13 mmol), Pd(OAc) 2 (1 mg, 0.004 mmol), Xantphos (5 mg, 0.008 mmol), and Cs 2 CO 3 (52 mg, 0.16 mmol) were suspended in 1,4-dioxane (500 ⁇ L) and heated at 100 °C for 16 h.
- Step 3 [0362] N-(4-(Benzyloxy)-2-((2R,3S,4S,5R)-3-(3,4-difluoro-2-methoxyphenyl)-4,5-dimethyl-5- (trifluoromethyl)tetrahydrofuran-2-yl)-1,6-naphthyridin-5-yl)methanesulfonamide was dissolved in EtOAc (2 mL) before adding Pd/C (5 mg, 10 % w/w wet, Degussa, 0.005 mmol). N 2 followed by hydrogen were flushed through the mixture for 5 min each. The mixture was stirred under a hydrogen atmosphere for 1.5 h.
- Step 3 was omitted.
- NaOH 85 mg, 2.1 mmol
- the reaction was cooled to ambient temperature, concentrated in vacuo, and the residue was azeotroped with toluene (2 x 10 mL).
- the residue was dissolved in DCM (54 mL) and the mixture cooled in an ice-bath.1-(4-Aminopyridin-3-yl)ethan-1-one (890 mg, 6.54 mmol) was added, followed by pyridine (1.8 g, 1.8 mL, 22 mmol) and the mixture was warmed up to ambient temperature and stirred for 4 h.
- the reaction was diluted with EtOAc (100 mL).
- Step 2 [0376] Et 3 N (0.045 mL, 0.32 mmol) and TMSOTf (0.12 mL, 0.66 mmol) were successively added to a solution of (3S,4R,6R)-N-(3-acetylpyridin-4-yl)-4-(3,4-difluoro-2-methoxyphenyl)-6- methyl-6-(trifluoromethyl)tetrahydro-2H-pyran-3-carboxamide (50 mg, 0.106 mmol) in DCE (1 mL).
- Step 3 [0378] mCPBA (140 mg, 0.625 mmol) was added to a suspension of 2-((3R,4R,6R)-4-(3,4- difluoro-2-methoxyphenyl)-6-methyl-6-(trifluoromethyl)tetrahydro-2H-pyran-3-yl)-1,6-naphthyridin- 4(1H)-one (147.2 mg, 0.324 mmol) in DCM (3.5 mL) and the reaction mixture was stirred at ambient temperature for 4 h.
- the reaction was partitioned between a saturated aqueous KHCO 3 solution (40 mL), brine (100 mL) and EtOAc (50 mL). The aqueous layer was separated and extracted with EtOAc (2 x 50 mL).
- Step 4 [0380] TMSCN (13.0 mL, 97.5 mmol) and dimethylcarbamyl chloride (9.0 mL, 97.8 mmol) were successively added to a stirring solution of 2-((3R,4R,6R)-4-(3,4-difluoro-2-methoxyphenyl)-6- methyl-6-(trifluoromethyl)tetrahydro-2H-pyran-3-yl)-4-oxo-1,4-dihydro-1,6-naphthyridine 6-oxide (72 (below), 23 g, 48.9 mmol) in DCM (230 mL) and the cloudy solution was stirred at ambient temperature for 14h.
- Step 5 [0382] TFA (212 mL, 2.75 mol) was added to a stirring suspension of 2-((3R,4R,6R)-4-(3,4- difluoro-2-methoxyphenyl)-6-methyl-6-(trifluoromethyl)tetrahydro-2H-pyran-3-yl)-4-oxo-1,4- dihydro-1,6-naphthyridine-5-carbonitrile (70 (below), 21.2 g, 44.2 mmol) in toluene (212 mL) and the resulting solution was heated to reflux for 23 h.
- step 1 both the activation and the amide coupling were carried out at ambient temperature. Cyanation step 4 was carried out using conditions similar to those described in Example 17 step 4. In the case of 64, the product of step 5 was further purified by chiral SFC using a Lux TM Cellulose-4 column, 5 ⁇ m particle size, 25 cm x 21.2 mm from Phenomenex Inc.
- step 1 both the activation and the amide coupling were carried out at ambient temperature.
- Cyclisation step 2 was carried out in toluene as the solvent.
- Cyanation step 4 was carried out using conditions similar to those described in Example 17 step 4: [0385]
- the following compound was made using methods similar to those described in Example 15, except that a different coupling partner was used in step 1 and the amide coupling was carried out at ambient temperature.
- Cyanation step 4 was carried out using conditions similar to those described in Example 17 step 4: [0386] The following compounds were made using methods similar to those described in Example 15, except that a different coupling partner was used in step 1 and the amide coupling was carried out at ambient temperature. Cyclisation step 2 was carried out in toluene as the solvent. Cyanation step 4 was carried out using conditions similar to those described in Example 17 step 4. In the case of compound 68, the product of step 5 was further purified by chiral SFC using a Lux TM Cellulose-4 column, 5 ⁇ m particle size, 25 cm x 21.2 mm from Phenomenex Inc.
- step 1 both the activation and the amide coupling steps were carried out from 0 °C to ambient temperature using conditions similar to those described in Example 16 step 1.
- N-Oxide formation step 3 was carried out from 0 °C to ambient temperature.
- Cyanation step 4 was carried out from 0 °C to ambient temperature using conditions similar to those described in Example 17 step 4.
- the product of step 5 was further purified by chiral SFC using a Lux TM Cellulose-4 column, 5 ⁇ m particle size, 25 cm x 21.2 mm from Phenomenex Inc.
- the product of step 5 was further purified by chiral SFC using a Lux TM Cellulose-4 column, 5 ⁇ m particle size, 25 cm x 21.2 mm from Phenomenex Inc.
- the mixture was cooled to 5 °C and added to a suspension of 1-(4-aminopyridin-3-yl)ethan-1-one (218.0 g, 1.601 mol) and Et 3 N (651 mL, 4.67 mol) in DCM (3.4 L) at 5 °C using a solvent pump, at such a rate to keep the temperature below 14 °C.
- the resulting suspension was stirred at ambient temperature overnight.
- the mixture was poured onto an aqueous KHSO 4 solution (5.87 L, 1 M aqueous solution, 5.87 mol).
- Step 2 [0394] TMSOTf (2.38 mL, 13.2 mmol) was added to a stirring solution of (3S,4R,6R)-N-(3- acetylpyridin-4-yl)-4-(3,4-difluoro-2-methylphenyl)-6-methyl-6-(trifluoromethyl)tetrahydro-2H- pyran-3-carboxamide (1 g, 2.2 mmol) and Et 3 N (932 ⁇ L, 6.69 mmol) in toluene (10 mL) at ambient temperature, causing an exotherm to 30 °C.
- Step 3 [0396] mCPBA (85.4 mg, 0.381 mmol) was added to a suspension of 2-((3R,4R,6R)-4-(3,4- difluoro-2-methylphenyl)-6-methyl-6-(trifluoromethyl)tetrahydro-2H-pyran-3-yl)-1,6-naphthyridin- 4(1H)-one (84 mg, 0.191 mmol) in DCM (2 mL) and the reaction mixture was stirred at ambient temperature for 19.5 h.
- Step 4 [0398] TMSCN (372 ⁇ L, 2.79 mmol) and dimethylcarbamyl chloride (257 ⁇ L, 2.79 mmol) were successively added to a suspension of 2-((3R,4R,6R)-4-(3,4-difluoro-2-methylphenyl)-6-methyl-6- (trifluoromethyl)tetrahydro-2H-pyran-3-yl)-4-oxo-1,4-dihydro-1,6-naphthyridine 6-oxide (610 mg, 1.27 mmol) in DCM (6 mL) and the reaction mixture was stirred at ambient temperature for 24 h.
- Step 5 [0400] TFA (105 mL, 1.36 mol) was added to a stirring solution of 2-((3R,4R,6R)-4-(3,4- difluoro-2-methylphenyl)-6-methyl-6-(trifluoromethyl)tetrahydro-2H-pyran-3-yl)-4-oxo-1,4-dihydro- 1,6-naphthyridine-5-carbonitrile (70 (above), 10.5 g, 21.5 mmol) in toluene (105 mL) and the solution was heated at reflux for 19 h.
- the reaction was concentrated in vacuo and co-evaporated with toluene (2 x).
- the residue was partitioned between 2-MeTHF (100 mL) and a saturated NaHCO 3 solution (100 mL) and the emulsion was stirred at 40 to 45 °C for 1.5 h.
- the organic phase was separated and washed with a saturated NaHCO 3 solution (100 mL) and brine (100 mL).
- the combined aqueous phases were back-extracted with 2-MeTHF (200 mL).
- the combined organic phases were dried, filtered and concentrated in vacuo.
- Step 2 [0405] KO t Bu (1.03 g, 9.18 mmol) was added to a stirring solution of (3S,4R,6R)-N-(3- acetylpyridin-4-yl)-4-(4-fluoro-2-methoxyphenyl)-6-methyl-6-(trifluoromethyl)tetrahydro-2H-pyran- 3-carboxamide (1.8 g, 4.0 mmol) in 1,4-dioxane (35 mL) and the reaction mixture was stirred at 100 °C for 17 h under a nitrogen atmosphere.
- Step 3 [0407] mCPBA (466 mg, 2.70 mmol) was added to a solution of 2-((3R,4R,6R)-4-(4-fluoro-2- methoxyphenyl)-6-methyl-6-(trifluoromethyl)tetrahydro-2H-pyran-3-yl)-1,6-naphthyridin-4(1H)-one (90 (below), 592 mg, 1.36 mmol) in DCM (15 mL) and the reaction mixture was stirred at ambient temperature for 2h.
- Step 4 [0409] Et 3 N (2.9 mL, 21 mmol) and TMSCN (1.8 mL, 13.5 mmol) were successively added to a stirring solution of 2-((3R,4R,6R)-4-(4-fluoro-2-methoxyphenyl)-6-methyl-6- (trifluoromethyl)tetrahydro-2H-pyran-3-yl)-4-oxo-1,4-dihydro-1,6-naphthyridine 6-oxide (612 mg) in DCM (20 mL) and the reaction mixture was stirred at ambient temperature for 18 h.
- Step 5 [0411] Water (20 ⁇ L, 1.1 mmol) and TFA (16 mL, 208 mmol) were successively added to a suspension of 2-((3R,4R,6R)-4-(4-fluoro-2-methoxyphenyl)-6-methyl-6-(trifluoromethyl)tetrahydro- 2H-pyran-3-yl)-4-oxo-1,4-dihydro-1,6-naphthyridine-5-carbonitrile (312 mg, 0.676 mmol) in toluene (18 mL) and the reaction mixture was stirred at 70 °C for 16 h.
- Step 5 was not required: [0417] The following compound was made using methods similar to those described in Example 17 except that step 1 was carried out using conditions similar to those described in Example 15 step 1, using respectively a different coupling partner, 1-(4-aminopyridin-3-yl)propan-1-one hydrochloride and DIPEA in place of (3S,4R,6R)-4-(3,4-difluoro-2-methoxyphenyl)-6-methyl-6- (trifluoromethyl)tetrahydro-2H-pyran-3-carboxylic acid (C - 20a), 1-(4-aminopyridin-3-yl)ethan-1- one hydrochloride and pyridine and both the activation and the amide coupling were carried out at ambient temperature.
- step 1 was carried out using conditions similar to those described in Example 15 step 1, using respectively a different coupling partner, 1-(4-aminopyridin-3-yl)propan-1-one hydrochloride and DIPEA in place of (3S,
- Cyclisation step 2 was carried out using conditions similar to those described in Example 16 step 2 and the reaction was respectively carried out at 90 °C in the case of 96 and 99, and at 95 °C in the case of 97 and 98.
- the following compounds were made using methods similar to those described in Example 17, except that different coupling partners were used in step 1.
- Cyclisation step 2 was carried out using conditions similar to those described in Example 16 step 2 and the reaction was carried out at 95 °C.
- Step 5 was carried out in absence of water.
- the following compounds were made using methods similar to those described in Example 17, except that different coupling partners were used in step 1 and the reaction was carried out in DCM as the solvent in place of DMF.
- Cyclisation step 2 was carried out using conditions similar to those described in Example 16 step 2 and the reaction was carried out at 95 °C. Step 5 was carried out in absence of water.
- the following compound was made using methods similar to those described in Example 17, except that a different coupling partner was used in step 1 and the reaction was carried out in a mixture of DCM and DMF as the solvent. Cyclisation step 2 was carried out using conditions similar to those described in Example 16 step 2 and the reaction was carried out at 95 °C.
- Steps 3 to 5 were not required: [0423] The following compounds were made using methods similar to those described in Example 17, except that different coupling partners were used in step 1 and the reaction was carried out in DCM as the solvent in place of DMF. Cyclisation step 2 was carried out using conditions similar to those described in Example 16 step 2 and the reaction was carried out at 95 °C. Hydrolysis step 5 was carried out at 90 °C.
- the product of step 5 was further purified by chiral SFC using a (R,R)-Whelk-O ® 1 column, 5 ⁇ m particle size, 25 cm x 21.1 mm from Regis Technologies, Inc.
- the following compound was made using methods similar to those described in Example 17, except that different coupling partners were used in step 1 and the reaction was carried out in a mixture of DCM and DMF as the solvent.
- Step 2 [0431] HATU (50 mg, 0.13 mmol), DIPEA (0.05 mL, 0.29 mmol) and methanamine hydrochloride (7 mg, 0.104 mmol) were successively added to a solution of 2-((3R,4R,6R)-4-(3,4- difluoro-2-methoxyphenyl)-6-methyl-6-(trifluoromethyl)tetrahydro-2H-pyran-3-yl)-4-oxo-1,4- dihydro-1,6-naphthyridine-5-carboxylic acid in DCM (1 mL) and the reaction mixture was stirred at ambient temperature for 1 h.
- reaction was quenched by addition of ice-cold water (20 mL).
- the mixture was extracted with DCM (2 x 30 mL).
- the combined organic extracts were washed with water (20 mL) and brine (20 mL), dried (Na 2 SO 4 ), filtered and concentrated in vacuo.
- Step 2 [0435] NaH (30 mg, 60 % w/w in mineral oil, 0.75 mmol) was added to a stirring solution of 4- chloro-2-((3R,4R,6R)-4-(3,4-difluoro-2-methoxyphenyl)-6-methyl-6-(trifluoromethyl)tetrahydro-2H- pyran-3-yl)-1,6-naphthyridine 6-oxide (238 mg, 0.464 mmol) and benzyl alcohol (75 mg, 0.69 mmol) in a mixture of THF (12 mL) and DMF (2 mL) at 0 °C under argon and the mixture was stirred at 0 °C for 2 h.
- reaction was quenched by addition of ice-cold water (10 mL) and diluted with water (15 mL). The mixture was extracted with EtOAc (2 x 20 mL). The combined organic extracts were washed with water (20 mL) and brine (20 mL), dried (Na 2 SO 4 ), filtered and concentrated in vacuo.
- Step 3 [0437] POCl 3 (165 mg, 100 ⁇ L, 1.07 mmol) was added to a solution of 4-(benzyloxy)-2- ((3R,4R,6R)-4-(3,4-difluoro-2-methoxyphenyl)-6-methyl-6-(trifluoromethyl)tetrahydro-2H-pyran-3- yl)-1,6-naphthyridine 6-oxide (55 mg, 0.098 mmol) in DCM (1 mL) and the reaction mixture was stirred at ambient temperature for 3 h.
- Step 4 [0439] CataCXium ® A Pd G3 (6 mg, 0.008 mmol) was added to a stirring mixture of 4- (benzyloxy)-5-chloro-2-((3R,4R,6R)-4-(3,4-difluoro-2-methoxyphenyl)-6-methyl-6- (trifluoromethyl)tetrahydro-2H-pyran-3-yl)-1,6-naphthyridine (21.3 mg, 0.037 mmol), 1,5-dimethyl- 4-(4,4,5,5-tetramethyl-1,3,2-dioxaborolan-2-yl)-1H-1,2,3-triazole (23 mg, 0.10 mmol), KOSiMe 3 (12 mg, 0.094 mmol) and B(OMe) 3 (40 ⁇ L, 0.35 mmol) in DME (0.5 mL).
- Step 5 [0441] 4-(Benzyloxy)-2-((3R,4R,6R)-4-(3,4-difluoro-2-methoxyphenyl)-6-methyl-6- (trifluoromethyl)tetrahydro-2H-pyran-3-yl)-5-(1,5-dimethyl-1H-1,2,3-triazol-4-yl)-1,6-naphthyridine was added to a stirred mixture of Pd/C (10 mg, 10 % w/w, 0.009 mmol) in EtOH (4 mL).
- the mixture was degassed (vacuum / nitrogen cycles x 3) and the atmosphere was replaced by a hydrogen atmosphere (vacuum / hydrogen cycles x 3).
- the reaction was stirred under a hydrogen atmosphere for 10 min.
- the mixture was filtered through a pad of Celite ® and the mother liquors were concentrated in vacuo.
- Step 2 [0449] Pd/C (3 mg, 10 % w/w, 0.028 mmol) was added to a stirring solution of (S)-1-(4- (benzyloxy)-2-((3R,4R,6R)-4-(3,4-difluoro-2-methoxyphenyl)-6-methyl-6- (trifluoromethyl)tetrahydro-2H-pyran-3-yl)-1,6-naphthyridin-5-yl)pyrrolidine-3-carboxamide in EtOH (1mL) and the reaction mixture was stirred under a hydrogen atmosphere for 5 min. The mixture was filtered through a pad of Celite ® and the filtrate concentrated in vacuo.
- Step 2 [0456] In a vial, Et 3 N (269 mg, 0.37 mL, 2.66 mmol) and TMSOTf (885 mg, 0.725 mL, 3.98 mmol) were successively added to a solution of (3S,4R,6R)-N-(3-acetylpyridin-4-yl)-4-(5-fluoro-6- methylpyridin-2-yl)-6-methyl-6-(trifluoromethyl)tetrahydro-2H-pyran-3-carboxamide (Second Eluting Diastereomer, 584 mg, 1.33 mmol) in toluene (17 mL).
- Step 3 and 4 [0458] mCPBA (150 mg, 0.669 mmol) was added to a solution of 2-((3R,4R,6R)-4-(5-fluoro-6- methylpyridin-2-yl)-6-methyl-6-(trifluoromethyl)tetrahydro-2H-pyran-3-yl)-1,6-naphthyridin-4(1H)- one (139 mg, 0.316 mmol) in DCM (5.5 mL) and the reaction mixture was stirred at ambient temperature for 23 h.
- Step 5 [0460] In a vial, iron (35 mg, 0.63 mmol) was added to a solution of 6-((2R,4R,5R)-5-(5-cyano- 4-oxo-1,4-dihydro-1,6-naphthyridin-2-yl)-2-methyl-2-(trifluoromethyl)tetrahydro-2H-pyran-4-yl)-3- fluoro-2-methylpyridine 1-oxide (82 mg, 0.18 mmol) in acetic acid (1.5 mL) under nitrogen.
- the vial was sealed, and the reaction mixture was stirred at 70 °C for 16 h.
- the mixture was cooled at ambient temperature, diluted with EtOAc (15 mL), and washed with an aqueous saturated NaHCO 3 solution (2 x 10 mL). The combined aqueous layers were extracted with EtOAc (20 mL).
- Step 6 A solution of 2-((3R,4R,6R)-4-(5-fluoro-6-methylpyridin-2-yl)-6-methyl-6- (trifluoromethyl)tetrahydro-2H-pyran-3-yl)-4-oxo-1,4-dihydro-1,6-naphthyridine-5-carbonitrile (70 mg, 0.13 mmol) and TFA (740 mg, 0.5 mL, 6.5 mmol) in a mixture of toluene (0.6 mL) and water (20 ⁇ L) was stirred at 75 °C for 18 h.
- Step 5 was omitted and step 6 was carried out in absence of water:
- Example 24 2-((2R,3S,4S,5R)-3-(2-cyclopropoxy-3,4-difluorophenyl)-4,5-dimethyl-5- (trifluoromethyl)tetrahydrofuran-2-yl)-4-oxo-1,4-dihydro-1,6-naphthyridine-5-carboxamide (124)
- Step 1 [0465] NaOH (0.26 mL, 1 M solution in water, 0.260 mmol) and H 2 O 2 (0.025 mL, 35 % wt% solution in water, 0.257 mmol) were successively added to a solution of 2-((2R,3S,4S,5R)-3-(2- cyclopropoxy-3,4-difluorophenyl)-4,5-dimethyl-5-(trifluoromethyl)tetrahydrofuran-2-yl)-4-oxo-1
- Step 2 To a solution of 1,1,1-trifluoropropan-2-one (8 mL, 89 mmol) in DCM (80 mL) at -78 oC was added TiCl 4 (70 mL, 1 M solution in DCM, 70 mmol) via cannula.
- Step 3 A solution of rhodium tetraacetate (245 mg, 0.55 mmol) in benzene (32 mL) was heated at reflux for 10 min before a solution of ethyl rac-(4R,5R)-2-diazo-6,6,6-trifluoro-5-hydroxy-4,5- dimethyl-3-oxohexanoate (10 g, 35.4 mmol) in benzene (13 mL) was added slowly via addition funnel while refluxing for 60 min.
- Step 4 To a stirring solution of ethyl dia-(2S 1 ,4R 2 ,5R 2 )-4,5-dimethyl-3-oxo-5- (trifluoromethyl)tetrahydrofuran-2-carboxylate (48 g, 189 mmol) in DCM (400 mL) at -78 °C was added DIPEA (29.7 g, 40 mL, 230 mmol). A solution of Tf 2 O (53.4 g, 32 mL, 189 mmol) in DCM (200 mL) was added to the reaction mixture at the same temperature over 1 h.
- Step 5 [0476] To stirred a solution of ethyl rac-(4R,5R)-4,5-dimethyl-5-(trifluoromethyl)-3- (((trifluoromethyl)sulfonyl)oxy)-4,5-dihydrofuran-2-carboxylate (26 g, 67.3 mmol) in toluene (130 mL) was added (3,4-difluoro-2-methoxyphenyl)boronic acid (14 g, 74.5 mmol) followed by 2 M K 3 PO 4 (100 mL, 200 mmol) under an argon atmosphere.
- the reaction was degassed before Pd(PPh 3 ) 4 ) (4 g, 3.5 mmol) was added. After further degassing, the reaction was heated at 100 °C for 2 h. The reaction was diluted with water and the aqueous layer extracted with EtOAc (2 x 100 mL). The combined organic layers were concentrated in vacuo.
- Step 6 To an ice-cold solution of ethyl dia-(4S 1 ,5R 1 )-3-(3,4-difluoro-2-methoxyphenyl)-4,5- dimethyl-5-(trifluoromethyl)-4,5-dihydrofuran-2-carboxylate (110 g, 243 mmol) in DCM (360 mL) was added BBr 3 (370 mL, 1 M solution in DCM, 370 mmol) dropwise. Upon reaction completion, the mixture was quenched by addition of water and an aqueous NaHCO 3 solution. The aqueous layer was separated and extracted with DCM.
- Recrystallization was carried out by solubilizing the mixture in the smallest possible amount of DCM and adding a layer of heptane on top of this solution (liquid-liquid diffusion). After approximately 1 h, 56.5 g (d.r.97:3 syn:anti) of product from the first and second crystallization was obtained, together with a further 4.6 g (d.r.96:4 syn:anti) from the third crystallization.
- Step 8 [0484] A solution of (1S,2R)-6,7-difluoro-1,2-dimethyl-2-(trifluoromethyl)-1,2-dihydro-4H- furo[2,3-c]chromen-4-one (0.89 kg, 2.78 mol) and 20% Pd(OH) 2 /C (0.39 kg, 50% wet, Degussa, 0.278 mol) in MeOH (12 L) was stirred under a 40 psi pressure of hydrogen overnight.
- Step 9 [0486] K 2 CO 3 (2.0 kg, 14.4 mol) and MeI (800 mL, 12.8 mol) were sequentially added to a stirring solution of methyl (2S,3S,4S,5R)-3-(3,4-difluoro-2-hydroxyphenyl)-4,5-dimethyl-5- (trifluoromethyl)tetrahydrofuran-2-carboxylate (1.0 kg, 2.82 mol) in MeCN (10 L) under nitrogen at ambient temperature. After stirring the reaction mixture overnight, additional MeI (120 mL, 2 mmol) was added and the reaction was stirred overnight. Additional MeI (60 mL, 0.85 mmol) was added and the mixture was stirred for a further 3 days.
- the reaction was diluted with MTBE (30 L), treated with Celite ® (1 kg) and filtered through a bed of Celite ® (1 kg), washing the filtered cake with MTBE (10 L).
- the mother liquors were filtered a second time through Celite ® (1 kg), washing the filtered cake with MTBE (4 L).
- the mother liquors were concentrated in vacuo.
- the residue was dissolved in toluene (4 L) and concentrated in vacuo, and this process was repeated.
- Steps 10 and 11 [0488] NaOMe (65 mL, 25% solution in methanol, 0.28 mol) was added to a stirring solution of methyl (2S,3S,4S,5R)-3-(3,4-difluoro-2-methoxyphenyl)-4,5-dimethyl-5- (trifluoromethyl)tetrahydrofuran-2-carboxylate (0.98 kg, 2.66 mol) in THF (10 L) at ambient temperature under nitrogen. After 5 h, MeOH (1 L), water (1 L) and LiOH.H 2 O (0.168 kg, 4.0 mol) were sequentially added and the mixture was stirred overnight.
- the reaction mixture was poured onto 1 M HCl (4.4 L, 4.4 mol), extracted with MTBE (20 L). The aqueous layer was further extracted with MTBE (2 x 5 L), and the combined organic layers were washed with brine (2 L), dried (Na 2 SO 4 ), filtered, and treated with activated carbon (50 g, 5% w/w) with stirring for 1 h. The mixture was filtered through Celite ® , washing the filtered cake with MTBE (2 x 4 L). The filtrates were concentrated in vacuo.
- Step 12 [0490] Crude (2R,3S,4S,5R)-3-(3,4-difluoro-2-methoxyphenyl)-4,5-dimethyl-5- (trifluoromethyl)tetrahydrofuran-2-carboxylic acid (2.09 kg at 77% purity, 4.54 mol) was dissolved in MTBE (25 L) in a 100 L Chemglass reactor then stirred at 84 rpm at ambient temperature. A mixture of (R)-1-phenylethylamine (0.704 kg, 5.81 mol) and MTBE (2 L) was added to the reactor, followed by additional MTBE to give a total volume of 30 L in the reactor.
- Step 13 To a suspension of (R)-1-phenylethan-1-amine (2R,3S,4S,5R)-3-(3,4-difluoro-2- methoxyphenyl)-4,5-dimethyl-5-(trifluoromethyl)tetrahydrofuran-2-carboxylate (10.6 g, 22.3 mmol) in MTBE (250 mL) was added 2 M HCl (200 mL, 400 mmol).
- Step 2 [0497] A 50-L jacketed reactor was charged with (R)-5-methyl-4-oxo-5-(trifluoromethyl)-4,5- dihydrofuran-2-carboxylic acid (2.072 kg, 8.875 mol) and EtOH (14 L), placed under nitrogen and cooled to 15 °C. H 2 SO 4 (530 mL, 9.94 mol) was added dropwise over 50 min. The reaction mixture was heated at 72 °C for 14 h. The reaction mixture was cooled to 15 °C and concentrated in vacuo. The residual oil was dissolved in EtOAc (10 L) and washed with Na 2 CO 3 (2 x 5 L, 10% w/w aqueous solution). The organic layer was concentrated in vacuo.
- Step 3 To a solution of ethyl (R)-5-methyl-4-oxo-5-(trifluoromethyl)-4,5-dihydrofuran-2- carboxylate (275 g, 736.7 mmol) in THF (4 L) was added a solution of (R)-(+)-2-methyl-CBS- oxazaborolidine in THF (38.4 g, 138.5 mmol) at 16 °C followed by the dropwise addition of a solution of borane dimethyl sulfide complex (668 mL, 2 M solution in THF, 1.34 mol) over 120 min at 16 °C.
- Step 4 [0501] 1,8-Bis(dimethylamino)naphthalene (30.9 g, 144 mmol) and trimethyloxonium tetrafluoroborate (15.8 g, 106.8 mmol) were added to a solution of ethyl (4S,5R)-4-hydroxy-5-methyl- 5-(trifluoromethyl)-4,5-dihydrofuran-2-carboxylate (15.09 g, 61.26 mmol) in DCM (300 mL) and the reaction mixture was stirred at ambient temperature overnight.
- Step 5 [0503] To a solution of ethyl (4S,5R)-4-methoxy-5-methyl-5-(trifluoromethyl)-4,5-dihydrofuran- 2-carboxylate (4.26 g, 16.76 mmol) in MeCN (50 mL) was added AgNO 3 (1.43 g, 8.42 mmol) followed by NIS (5.68 g, 25.25 mmol). The reaction mixture was heated in the dark at 80 °C for 2 h. Another portion of NIS (2.14 g, 9.51 mmol) was added and the reaction was stirred for 1 h.
- NIS NIS 2.15 g, 9.56 mmol
- the reaction was cooled to ambient temperature and quenched by addition of a sodium thiosulfate solution (30 mL, 10% w/w aqueous solution).
- the mixture was extracted with MTBE (3 x 75 mL).
- the combined organic phases were washed with a saturated NaHCO 3 solution (2 x 75 mL) and brine (100 mL), dried (Na 2 SO 4 ), filtered, and concentrated in vacuo.
- Step 6 [0505] To a solution of ethyl (4R,5R)-3-iodo-4-methoxy-5-methyl-5-(trifluoromethyl)-4,5- dihydrofuran-2-carboxylate (6.45 g, 16.95 mmol) in 1,4-dioxane (225 mL) and water (25 mL) was added 2-(3,4-difluoro-2-methylphenyl)-4,4,5,5-tetramethyl-1,3,2-dioxaborolane (6 g, 23.6 mmol) followed by K 3 PO 4 (8.9 g, 41.9 mmol).
- Step 7 [0507] A solution of ethyl (4S,5R)-3-(3,4-difluoro-2-methylphenyl)-4-methoxy-5-methyl-5- (trifluoromethyl)-4,5-dihydrofuran-2-carboxylate (6.05 g, 15.4 mmol) in EtOH (120 mL) was degassed with nitrogen for 15 min followed by the addition of Pd(OH) 2 (21.5 g, 20% wt, 50% wet, 15.3 mmol). The reaction mixture was degassed with nitrogen for 10 min and then stirred under a hydrogen pressure (60 psi) at 50 °C for 48 h.
- Step 8 [0509] To a solution of ethyl (2S,3R,4S,5R)-3-(3,4-difluoro-2-methylphenyl)-4-methoxy-5- methyl-5-(trifluoromethyl)tetrahydrofuran-2-carboxylate (4.11 g, 10.7 mmol) in THF (80 mL) and water (0.66 mL, 36.6 mmol) at 0 °C was added potassium tert-butoxide (4.11 g, 36.6 mmol) and the reaction mixture was stirred at 0 °C for 15 min.
- Step 8 The conditions used in Step 8 were those of Intermediate C - 25f Step 4 and the LiOH hydrolysis was carried out at 65 °C: Intermediate C rac-(2R,3S,4S,5R)-3-(3,4-Difluoro-2-methoxyphenyl)-4-methyl-5-(trifluoromethyl)tetrahydrofuran-2- carboxylic acid (Intermediate C) [0512] Step 1: [0513] A solution of trimethylboroxine (25 g, 50 % w/w solution in THF, 99.6 mmol) and K 2 CO 3 (21.5 g, 155.6 mmol) in water (40 mL) was added to a solution of methyl 4-bromofuran-2- carboxylate (10 g, 48.8 mmol) in 2-MeTHF (200 mL) and the reaction mixture degassed for 10 min.
- Trimethylboroxine 25 g, 50 % w/w solution in THF, 99.6 mmol
- Step 2 [0515] LiOH ⁇ H 2 O (12.3 g, 293 mmol) was added to a stirring solution of methyl 4-methylfuran- 2-carboxylate (10 g, 48.8 mmol) in a mixture of THF (40 mL), water (40 mL) and MeOH (10 mL) at ambient temperature. The reaction was stirred for 2 h before MTBE (100 mL) and water (100 mL) were added. The aqueous layer was isolated and treated with a 6 N HCl solution to adjust the pH to approximately 3-4. The acidic layer was extracted with MTBE (2 x 50 mL).
- Step 3 [0517] Ru(bpy) 3 Cl 2 .6H 2 O (17 mg, 0.023 mmol), pyridine (288 ⁇ L, 3.56 mmol) and triflic anhydride (599 ⁇ L, 3.56 mmol) were successively added dropwise over 5 min to a solution of 4- methylfuran-2-carboxylic acid (150 mg, 1.19 mmol) in DCE (25 mL).
- the mixture was irradiated with blue LEDs for 2 h at ambient temperature stirring at 800 rpm, using a PennPhD Photoreacter m2 (using 450 nm blue LED lights) and an EvoluChem TM PhotoRedOx Box device (using 455 nm blue LED lights) in parallel. This process was repeated in 5 batches and the crude materials were combined for purification.
- the combined reaction mixtures were washed with 1 M Na 2 CO 3 (2 x 80 mL) and the organic layer was discarded.
- the combined aqueous phases were acidified to pH 2 using 1 M HCl and extracted with MTBE (2 x 50 mL).
- Step 4 [0519] n BuLi (14 mL, 2.5 M solution in hexanes, 35 mmol) was added to a solution of 4-methyl- 5-(trifluoromethyl)furan-2-carboxylic acid (2.8 g, 14 mmol) in THF (40 mL) at -78 °C. The solution was stirred at -78 °C for 20 min before adding a solution of iodine (3.9 g, 15.4 mmol) in THF (5 mL).
- Step 5 [0521] K 2 CO 3 (276 mg, 2.0 mmol) and EtI (160 ⁇ L, 2.0 mmol) were added to a solution of 3- iodo-4-methyl-5-(trifluoromethyl)furan-2-carboxylic acid (300 mg at 71% purity, 0.666 mmol) in DMF (5 mL). The reaction mixture was heated to 50 °C for 2 h. The mixture was cooled to ambient temperature and partitioned between MTBE (40 mL) and water (80 mL).
- Step 6 [0523] To a solution of ethyl 3-iodo-4-methyl-5-(trifluoromethyl)furan-2-carboxylate (500 mg at 71% purity, 1.01 mmol) in 1,4-dioxane (2 mL) was added (3,4-difluoro-2-methoxyphenyl)boronic acid (476 mg, 2.53 mmol), Pd(dppf)Cl 2 ⁇ DCM (83 mg, 0.10 mmol) and 2 M aqueous Na 2 CO 3 (2 mL, 4 mmol). The mixture was heated at 80 °C for 1 h before cooling down to ambient temperature.
- Step 7 [0525] A solution of ethyl 3-(3,4-difluoro-2-methoxyphenyl)-4-methyl-5-(trifluoromethyl)furan- 2-carboxylate (410 mg at 70% purity, 0.788 mmol) in EtOH (2 mL) was passed through a 70 mm Pd(OH)2 (90.5 mg, 0.64 mmol) CatCart ® on an H-Cube ® at 60 °C and a pressure of hydrogen of 60 bar.
- Step 8 [0527] KO t Bu (822 mg, 7.33 mmol) was added to a stirring solution of ethyl rac-(2S,3S,4S,5R)- 3-(3,4-difluoro-2-methoxyphenyl)-4-methyl-5-(trifluoromethyl)tetrahydrofuran-2-carboxylate (900 mg at 80% purity, 2.44 mmol) in THF (5 mL) at 0 °C. The reaction mixture was stirred for 30 min before being diluted with MTBE (5 mL) and quenched by addition of 1 M HCl. The aqueous layer was separated and extracted with MTBE (5 mL).
- Step 2 [0531] A solution of 1,1,1-trifluoropropan-2-one (33.8 g, 27 mL, 301 mmol) in DCM (150 mL) was stirred at -78 °C and TiCl 4 (56.8 g, 33 mL, 299 mmol) was added dropwise. The reaction was kept at -78 °C for 10 min before a solution of ethyl 3-((tert-butyldimethylsilyl)oxy)-2-diazobut-3- enoate (64 g, 237 mmol) in DCM (150 mL) was added dropwise. The reaction was kept at -78 °C for 1 h.
- Step 4 [0535] Triflic anhydride (6.0 mL, 35.7 mmol) was added dropwise to a solution of ethyl rac-5- methyl-3-oxo-5-(trifluoromethyl)tetrahydrofuran-2-carboxylate (6.5 g, 27 mmol) and DIPEA (14 mL, 80.4 mmol) in DCM (150 mL) at -78 °C and the reaction was stirred for 2.5 h before saturated aqueous NH4Cl (75 mL) was added. The mixture was warmed to ambient temperature and the layers were separated. The aqueous layer was extracted with DCM (2 x 30 mL).
- Step 5 [0537] To a stirring solution of (3,4-difluoro-2-methoxyphenyl)boronic acid (2.0 g, 10.6 mmol) and ethyl rac-5-methyl-5-(trifluoromethyl)-3-(((trifluoromethyl)sulfonyl)oxy)-4,5-dihydrofuran-2- carboxylate (3 g, 7.90 mmol) in toluene (80 mL) was added K 3 PO 4 (13 mL, 2 M solution in water, 26 mmol). The mixture was degassed with N 2 for 20 min before Pd(PPh 3 ) 4 (466 mg, 0.40 mmol) was added.
- 3 PO 4 13 mL, 2 M solution in water, 26 mmol
- Step 6 [0539] EtOH (200 mL) was added to ethyl rac-3-(3,4-difluoro-2-methoxyphenyl)-5-methyl-5- (trifluoromethyl)-4,5-dihydrofuran-2-carboxylate (5.51 g, 15.0 mmol) and Pd/C (10 wt % loading, wet, Degussa, 2.2 g, 2.07 mmol). The mixture was degassed and stirred under an atmospheric pressure of H 2 for 96 h. The catalyst was removed by filtration and the solid washed with EtOH (50 mL). The filtrates were concentrated in vacuo.
- Step 7 [0541] Ethyl rac-(2S,3S,5R)-3-(3,4-difluoro-2-methoxy-phenyl)-5-methyl-5- (trifluoromethyl)tetrahydrofuran-2-carboxylate (5.19 g, 14.1 mmol) was dissolved in EtOH (100 mL). Cs 2 CO 3 (7.1 g, 21.8 mmol) was added and the suspension heated at 50 °C for 2 h.
- Step 1 [0543] A jacketed glass reactor, dried and placed under nitrogen atmosphere, was charged with (R)-3,3,3-trifluoro-2-hydroxy-2-methylpropanoic acid (1.0 kg, 6.33 mol) and diethyl ether (10 L). Methyllithium lithium bromide complex (3.4 L, 1.5 M solution in Et 2 O, 5.1 mol) was added slowly with evolution of gas and heat formation. The reactor was cooled to maintain a temperature of approximately 16 °C. Additional MeLi.LiBr (6.1 L, 2.2 M solution in Et 2 O, 13.4 mol) was added slowly.
- the mixture was stirred overnight at ambient temperature.
- the reaction mixture was cooled to 0 °C and poured onto a mixture of water (6 L), ice (2 L) and brine (2 L).
- the mixture was neutralized by addition of citric acid (1.6 kg, 961 mL, 8.33 mol) and stirred for 30 min.
- the aqueous phase was separated and extracted with Et 2 O (2 x 2.5 L).
- the combined organic layers were concentrated in vacuo to approximately 2 L.
- the yellow distillate consisted of 0.8 % w/w product. After further distillation, only 25 g of product was recovered from the distillate.
- the distillation residue was further concentrated in a distillation setup with vigreux (30 cm height) at normal pressure.
- the distillation was continued at reduced pressure (770 mbar) and the pressure was gradually lowered (until 200 mbar) with the collection flask cooled in ice and a cold trap between pump and setup. Mixed fractions were collected until the distillation temperature reached 71°C. The major fraction (590 g) was then collected until the distillation temperature dropped below 70 °C. The combined mixed fractions were poured in brine and extracted with Et 2 O (3 x 75 mL). The combined organic layers were dried (Na 2 SO 4 ), filtered, and concentrated in a distillation setup at normal pressure. The product was distilled at reduced pressure (200 mbar) to give the product as a colourless oil (198 g).
- Step 1 [0545] Chlorotrimethylsilane (1.03 g, 1.2 mL, 9.45 mmol) was added to a slurry of zinc powder (7 g, 107 mmol) in anhydrous THF (100 mL), and the mixture was stirred under argon at 60 °C for 2 h. tert-Butyl 2-bromoacetate (17.2 g, 12.9 mL, 88.0 mmol) was slowly added to the reaction mixture.
- Step 2 [0549] NiCl 2 .6H 2 O (2.55 g, 10.7 mmol) was added to a stirred and degassed solution of (R)-3-(3- chloro-2-methoxyphenyl)-4,5-dimethyl-5-(trifluoromethyl)furan-2(5H)-one (3.4 g, 10.4 mmol) in MeOH (100 mL) and THF (30 mL) at -40 oC. NaBH 4 (2 g, 53 mmol) was added portionwise over 30 min and the reaction mixture was stirred at -40 °C.
- Step 3 [0551] DIBAL (37 mL, 1 M solution in hexane, 37 mmol) was added dropwise to a stirring solution of (3S,4S,5R)-3-(3-chloro-2-methoxyphenyl)-4,5-dimethyl-5-(trifluoromethyl)dihydrofuran- 2(3H)-one (6.84 g, 14.8 mmol) in DCM (100 mL) at -78 °C. The reaction mixture was stirred at -78 °C for 1 h. The mixture was quenched by addition of 2 N HCl (30 mL) and diluted with DCM (100 mL).
- Step 4 [0553] Ac 2 O (2.8 g, 2.6 mL, 27.6 mmol) was added to a solution of dia-(2S 1 ,3S * ,4S * ,5R * )-3-(3- chloro-2-methoxyphenyl)-4,5-dimethyl-5-(trifluoromethyl)tetrahydrofuran-2-ol (5.9 g, 13.6 mmol) and Et 3 N (2.75 g, 3.8 mL, 27.3 mmol) in DCM (40 mL) at ambient temperature. The reaction mixture was stirred at ambient temperature for 14 h. The mixture was quenched by addition of water (30 mL).
- Step 5 [0555] TMSCN (3.7 g, 5.1 mL, 37.5 mmol) and BF 3 ⁇ (OEt) 2 (5.4 g, 4.7 mL, 38.1 mmol) were successively added to a stirring solution of dia-(2S 1 ,3S * ,4S * ,5R * )-3-(3-chloro-2-methoxyphenyl)-4,5- dimethyl-5-(trifluoromethyl)tetrahydrofuran-2-yl acetate (6.150 g, 12.576 mmol) in DCM (40 mL) under argon at -78 °C.
- reaction mixture was stirred at -78 °C for 1 h and at ambient temperature for 14 h.
- the mixture was poured over a K 2 CO 3 solution (100 mL) and extracted with DCM (3 x 30 mL).
- the combined organic extracts were dried (Na 2 SO 4 ), filtered, and concentrated in vacuo to give dia-(2R 1 ,3S * ,4S * ,5R * )-3-(3-chloro-2-methoxyphenyl)-4,5-dimethyl-5- (trifluoromethyl)tetrahydrofuran-2-carbonitrile (4.99 g, 78%) as an orange oil.
- Step 6 A stirred mixture of dia-(2R 1 ,3S * ,4S * ,5R * )-3-(3-chloro-2-methoxyphenyl)-4,5-dimethyl- 5-(trifluoromethyl)tetrahydrofuran-2-carbonitrile (325 mg, 0.730 mmol) and KOH (140 mg, 2.495 mmol) in a mixture of MeOH (5 mL) and water (1 mL) was heated at 55 °C for 14 h. A further amount of KOH (164 mg, 2.92 mmol) was added to the mixture, which was stirred at 60 °C for an additional 8 h.
- Step 2 [0562] To a solution of (2S,3R)-4,4,4-trifluoro-2,3-dimethylbutane-1,3-diol (46 g, 265.9 mmol) in pyridine (230 mL) at 0 °C was added TsCl (63.4 g, 332.6 mmol) portionwise at 0 to 5 °C. On complete addition, the mixture was stirred at 0 to 5 °C for 5 h and stored at 10 °C overnight. The mixture was poured onto ice-water (1 L) and extracted with MTBE (2 x 500 mL).
- Step 3 [0564] To a solution of (2S,3R)-4,4,4-trifluoro-3-hydroxy-2,3-dimethylbutyl 4- methylbenzenesulfonate (149.7 g, 458.7 mmol) in DMSO (750 mL) was added NaCN (67.4 g, 1.38 mol), and the reaction mixture was heated at 80 °C overnight. On cooling to ambient temperature, water (2.25 L) was added and the mixture was extracted with MTBE (3 x 1 L).
- Step 4 To a solution of (3S,4R)-5,5,5-trifluoro-4-hydroxy-3,4-dimethylpentanenitrile (203.1 g, 1.054 mol) in EtOH (1 L) and water (1 L) was added KOH (278.3 g, 4.216 mol). The reaction mixture was heated under reflux overnight. On cooling to ambient temperature, EtOH was removed in vacuo and the resultant aqueous solution was washed with MTBE (2 x 500 mL). The aqueous solution was cooled to 0 °C and acidified to pH 1 at 0 to 10 °C, using 36% aqueous HCl (400 mL).
- Step 5 A mixture of (3S,4R)-5,5,5-trifluoro-4-hydroxy-3,4-dimethylpentanoic acid and (4S,5R)- 4,5-dimethyl-5-(trifluoromethyl)dihydrofuran-2(3H)-one (49 g, 115.4 mmol), amberlyst 15 (1 g) and toluene (250 mL) was heated under reflux for 2 h using a Dean-Stark apparatus. On cooling the reaction mixture was decanted from the resin and concentrated in vacuo.
- Step 7 A stirring solution of 1-bromo-3-fluoro-2-methoxybenzene (1.07 g, 5.22 mmol) and (((4S,5R)-4,5-dimethyl-5-(trifluoromethyl)-4,5-dihydrofuran-2-yl)oxy)trimethylsilane (3.48 g, 8.35 mmol) in DMF (25 mL) was purged with argon for 5 min.
- Zinc fluoride 270 mg, 2.61 mmol
- Pd( t Bu 3 P) 2 134 mg, 0.262 mmol
- Step 8 [0574] A solution of (3R,4S,5R)-3-(3-fluoro-2-methoxyphenyl)-4,5-dimethyl-5- (trifluoromethyl)dihydrofuran-2(3H)-one (2.4 g, 7.4 mmol) in THF (25 mL) was added dropwise to a stirring solution of LiHMDS (9.93 mL, 1 M solution in THF, 9.93 mmol) under argon at -25 °C.
- the mixture was warmed to 0 °C and stirred for 1 h, then cooled back down to -25 °C.
- the solution was added via a cannula to a stirring solution of pivalic acid (7.5 g, 73.4 mmol) in THF (50 mL) cooled to -25 °C under argon.
- the reaction mixture was stirred for 20 min at -25 °C then MTBE (125 mL) was added, keeping the temperature below -15 °C.
- the mixture was warmed to 0 °C and 1 M HCl (60 mL) was added, keeping the temperature below 5 °C. NaCl (12 g, 205 mmol) was added and the mixture was warmed to ambient temperature.
- Steps 9 to 12 were carried out using the methods described in Intermediate G except that steps 1 and 2 were omitted: Intermediate I (2R,3R,4S,5R)-3-(3,4-Difluoro-2-methylphenyl)-4-(methoxymethoxy)-5-methyl-5- (trifluoromethyl)tetrahydrofuran-2-carboxylic acid (Intermediate I) [0577] Step 1: [0578] NBS (3 g, 16.9 mmol), pyridine (750 ⁇ L, 9.27 mmol), and DMAP (150 mg, 1.23 mmol) were added to a solution of ethyl (R)-5-methyl-4-oxo-5-(trifluoromethyl)-4,5-dihydrofuran-2- carboxylate (2 g, 8.4 mmol) in DCM (15 mL) at 0 oC and the reaction mixture was stirred at ambient temperature for 2 h.
- DCM 15 mL
- Step 2 [0580] To a nitrogen-degassed solution of ethyl (R)-3-bromo-5-methyl-4-oxo-5- (trifluoromethyl)-4,5-dihydrofuran-2-carboxylate (1.9 g, 5.99 mmol) in 1,4-dioxane (25 mL) was added 2-(3,4-difluoro-2-methylphenyl)-4,4,5,5-tetramethyl-1,3,2-dioxaborolane (1.8 g, 7.1 mmol), Pd(dppf)Cl 2 .DCM (250 mg, 0.306 mmol), and K 3 PO 4 (3.8 g, 17.9 mmol).
- Step 3 [0582] To a solution of ethyl (R)-3-(3,4-difluoro-2-methylphenyl)-5-methyl-4-oxo-5- (trifluoromethyl)-4,5-dihydrofuran-2-carboxylate (280 mg, 0.769 mmol) in MeOH (7 mL) was added NaBH 4 (120 mg, 3.17 mmol) in one portion and the reaction mixture was stirred for 5 min.
- Step 4 [0584] To a solution of ethyl (2S,3R,4S,5R)-3-(3,4-difluoro-2-methylphenyl)-4-hydroxy-5- methyl-5-(trifluoromethyl)tetrahydrofuran-2-carboxylate (450 mg, 1.22 mmol) in THF (7 mL) at 0 oC was added KO t Bu, and the reaction mixture was stirred for 5 min. MOMCl (100 ⁇ L, 1.32 mmol) was added and the reaction mixture was stirred at 0 oC for 10 min. The mixture was diluted with DCM (5 mL) and quenched by addition of water (10 mL).
- Step 1 [0588] To a solution of ethyl (2S,3R,4S,5R)-3-(3,4-difluoro-2- ((methoxymethoxy)methyl)phenyl)-4-hydroxy-5-methyl-5-(trifluoromethyl)tetrahydrofuran-2- carboxylate (110 mg, 0.257 mmol) in THF (2 mL) at 0 oC was added potassium tert-butoxide (115 mg, 1.025 mmol) in one portion, and the reaction mixture was stirred at 0 oC for 5 min.
- Step 1 A stirring solution of 1,6-naphthyridine-2,4-diol (7.5 g, 44.4 mmol) in POCl 3 (82 g, 50 mL, 536 mmol) was heated at 105 °C for 18 h. After cooling to ambient temperature, excess POCl 3 was removed in vacuo. The resulting solution was slowly poured onto a stirred mixture of Na 2 CO 3 (152 g), water (400 mL) and EtOAc (400 mL) and stirred at ambient temperature for 30 min.
- Step 2 [0592] NaH (4.55 g, 60% in mineral oil, 113.8 mmol) was added portionwise to a stirred mixture of 2,4-dichloro-1,6-naphthyridine (20.9 g, 103 mmol) and benzyl alcohol (11.2 g, 10.7 mL, 103 mmol) in a mixture of DMF (200 mL) and 2-MeTHF (200 mL) at 0 °C. The reaction mixture was stirred at 0 °C for 1 h, then at ambient temperature for 70 h.
- reaction mixture was poured onto a stirred mixture of 0.1 M aqueous HCl (500 mL) and 2-MeTHF (500 mL).
- the aqueous layer was separated and extracted with 2-MeTHF (2 x 500 mL).
- the combined organic extracts were washed with water (100 mL) and brine (100 mL), dried (Na 2 SO 4 ), filtered, and concentrated in vacuo.
- Step 2 [0603] A solution of 4-chloro-5-cyanoquinoline 1-oxide (900 mg, 4.40 mmol) in POCl 3 (4 mL, 43 mmol) was heated at 50 °C for 4 h.
- Step 1 2-(3,4-Difluoro-2-(2-methoxyethoxy)phenyl)-4,4,5,5-tetramethyl-1,3,2-dioxaborolane (Intermediate O)
- Step 1 1-Chloro-2-methoxy-ethane (5.3 mL, 58 mmol) was added to a stirred suspension of 6- bromo-2,3-difluorophenol (8.5 g, 40.7 mmol) and Cs 2 CO 3 (35 g, 107.4 mmol) in DMF (100 mL) and the reaction mixture was heated at 90 °C for 30 h.
- Step 2 [0607] Pd(dppf)Cl 2 .DCM (610 mg, 0.747 mmol) was added to a stirred mixture of 1-bromo-3,4- difluoro-2-(2-methoxyethoxy)benzene (2 g, 7.5 mmol), (Bpin) 2 (2.8 g, 11 mmol) and KOAc (1.85 g, 18.7 mmol) in 1,4-dioxane (20 mL) and the reaction mixture was degassed (vacuum / nitrogen cycles x 3), sealed and heated at 100 °C for 16 h. The reaction was cooled to ambient temperature, filtered through a pad of Celite ® and the mother liquors were concentrated in vacuo.
- step 2 was carried out at 80 °C in 2-MeTHF as the solvent.
- Step 1 4-Bromo-7-fluoro-1,3-dihydroisobenzofuran (Intermediate Q) [0611]
- Step 1 A solution of NaNO 2 (1.66 g, 23.7 mmol) in water (20 mL) was added dropwise to a solution of 7-bromo-1,3-dihydroisobenzofuran-4-amine (5 g, 21.5 mmol) in a mixture of concentrated HCl (40 mL) and water (100 mL) at -10 °C and the reaction mixture was stirred at 0 °C for 30 min.
- Step 1 [0614] n BuLi (4.8 mL, 2.5 M solution in hexanes, 12 mmol) was added dropwise to a stirring solution of 1-bromo-3,4-difluoro-2-(2-methoxyethoxy)benzene (2.9 g, 10.9 mmol) in THF (30 mL) at -78 °C and the reaction mixture was stirred at-78 °C for 30 min.
- Step 1 [0617] In a sealed tube, nitrogen was passed through a stirred mixture of methyl 6,6-dimethyl-4- (((trifluoromethyl)sulfonyl)oxy)-5,6-dihydro-2H-pyran-3-carboxylate (1.7 g, 5.3 mmol), (3,4- difluoro-2-methoxyphenyl)boronic acid (1.3 g, 6.9 mmol) and Na 2 CO 3 (1.42 g, 13.4 mmol) in a mixture of toluene (20 mL), MeOH (2 mL) and water (2 mL) for 5 min and Pd(PPh 3 ) 4 (332 mg, 0.287 mmol) was
- Step 2 [0619] Magnesium powder (428 mg, 17.6 mmol) was added portionwise to a solution of methyl 4-(3,4-difluoro-2-methoxyphenyl)-6,6-dimethyl-5,6-dihydro-2H-pyran-3-carboxylate (545 mg, 1.75 mmol) in MeOH (15 mL) and the reaction mixture was stirred at ambient temperature overnight. The mixture was diluted with MeOH, filtered over a pad of Celite ® , washing the filtered cake with MeOH (30 mL). The filtrate was collected and concentrated in vacuo.
- Step 3 [0621] LiOH.H 2 O (515 mg, 12.3 mmol) was added to a stirred solution of methyl rac-4-(3,4- difluoro-2-methoxyphenyl)-6,6-dimethyltetrahydro-2H-pyran-3-carboxylate (1.06 g, 2.40 mmol) in a mixture of MeOH (15 mL) and water (5 mL) and the reaction stirred at 70 °C overnight. The mixture was cooled to ambient temperature and concentrated in vacuo. The residue was partitioned between 1 N aqueous HCl (50 mL) and EtOAc (30 mL).
- Step 2 [0625] Tf 2 O (2.3 mL, 13.3 mmol) was added dropwise over 5 min to a stirring solution of methyl rac-8-oxo-5-oxaspiro[3.5]nonane-7-carboxylate (2.35 g, 11.9 mmol) and DIPEA (5.2 mL, 30.4 mmol) in DCM (25 mL) at 0 °C and the reaction mixture was stirred for 1 h. The reaction was quenched by addition of water (100 mL). The organic phase was separated, dried (MgSO 4 ), filtered and concentrated in vacuo.
- Step 3 [0627] In a vial, nitrogen gas was bubbled through a mixture of methyl 8- (((trifluoromethyl)sulfonyl)oxy)-5-oxaspiro[3.5]non-7-ene-7-carboxylate (3.22 g, 9.75 mmol), PdCl 2 (PPh 3 ) 2 (75 mg, 0.11 mmol) and (3,4-difluoro-2-methoxyphenyl)boronic acid (2.1 g, 11.2 mmol) in a mixture of 1,4-dioxane (25 mL) and a saturated aqueous NaHCO 3 solution (20 mL) for 5 min.
- Step 4 [0629] Methyl 8-(3,4-difluoro-2-methoxyphenyl)-5-oxaspiro[3.5]non-7-ene-7-carboxylate (3.150 g, 9.713 mmol) was treated via the method described in Intermediate C - 12 Step 2 to give methyl 8- (3,4-difluoro-2-methoxyphenyl)-5-oxaspiro[3.5]nonane-7-carboxylate as a crude mixture of syn and anti diastereomers, which was used without further purification in the next step.
- Step 5 [0631] KO t Bu (1.9 g, 16.9 mmol) was added in one portion to a solution of a mixture of syn and anti diastereomers of methyl 8-(3,4-difluoro-2-methoxyphenyl)-5-oxaspiro[3.5]nonane-7-carboxylate in EtOH (20 mL) at ambient temperature and the reaction mixture was stirred at ambient temperature for 18 h. The reaction was quenched by addition of 1 M HCl and extracted with EtOAc (3 x).
- step 3 ethyl (R)-6-methyl-6- (trifluoromethyl)-4-(((trifluoromethyl)sulfonyl)oxy)-5,6-dihydro-2H-pyran-3-carboxylate and different boronic acids or boronic esters were respectively used as starting materials in place of methyl 8-(((trifluoromethyl)sulfonyl)oxy)-5-oxaspiro[3.5]non-7-ene-7-carboxylate and (3,4-difluoro- 2-methoxyphenyl)boronic acid and the reaction was carried out at 50 °C.
- step 3 was respectively carried out at 60°C.
- the conditions used in step 5 were those of Intermediate C - 19a step 8.
- step 5 was carried out at 50 °C:
- step 3 ethyl rac-(4R,5R)-4,5-dimethyl- 5-(trifluoromethyl)-3-(((trifluoromethyl)sulfonyl)oxy)-4,5-dihydrofuran-2-carboxylate and different boronic acids or boronic esters were respectively used as starting materials in place of methyl 8- (((trifluoromethyl)sulfonyl)oxy)-5-oxaspiro[3.5]non-7-ene-7-carboxylate and (3,4-difluoro-2- methoxyphenyl)boronic acid.
- step 5 In the case of C - 25b and C - 25d, the reaction was carried out at 50 °C. In step 4, in the case of C - 25g and C - 25i, the reaction was carried out at 65 °C. The conditions used in step 5 were those of Intermediate C - 19a step 8. In the case of Intermediates C - 25g and C - 25i, step 5 was respectively carried out at 75 °C and 65 °C: [0634] The following Intermediates were made using methods similar to those described in Intermediate C - 14 except that steps 1 and 2 were omitted.
- step 3 ethyl (R)-6-methyl-6- (trifluoromethyl)-4-(((trifluoromethyl)sulfonyl)oxy)-5,6-dihydro-2H-pyran-3-carboxylate and different Suzuki boronic acids or boronic esters were respectively used as starting materials in place of methyl 8-(((trifluoromethyl)sulfonyl)oxy)-5-oxaspiro[3.5]non-7-ene-7-carboxylate and (3,4- difluoro-2-methoxyphenyl)boronic acid and the reaction was carried out at 50 °C.
- Step 5 The conditions used in step 5 were those of Intermediate C - 19a step 8: Intermediate C - 19a dia-(3S 1 ,4R 1 ,5R * ,6R * )-4-(3,4-difluoro-2-methoxyphenyl)-5,6-dimethyl-6-(trifluoromethyl)tetrahydro- 2H-pyran-3-carboxylic acid (Intermediate C - 19a) [0635] Step 1: [0636] MgCl2 (3.79 g, 39.8 mmol) was added to a suspension of potassium 3-ethoxy-3- oxopropanoate (5.71 g, 33.6 mmol) in MeCN (61 mL) at ambient temperature and the reaction mixture was stirred for 15 min.
- Step 2 [0638] A mixture of N,N-dimethylformamide dimethyl acetal (1.75 g, 1.95 mL, 14.7 mmol) and ethyl (4R,5R)-6,6,6-trifluoro-5-hydroxy-4,5-dimethyl-3-oxohexanoate (3.18 g, 11.8 mmol) was stirred at ambient temperature overnight.
- reaction mixture was concentrated in vacuo and coevaporated with toluene (3 x 20 mL) to give ethyl (4R,5R)-2-((dimethylamino)methylene)-6,6,6-trifluoro-5- hydroxy-4,5-dimethyl-3-oxohexanoate (4.06 g, 100%) as a mixture of E- and Z-stereoisomers, which was used without further purification in the next step.
- Step 3 [0640] Amberlyst ® 15 (6.4 g, 20.4 mmol), washed with a 1:1 mixture of MeCN and water (100 mL) before use, was added to a solution of ethyl (4R,5R)-2-((dimethylamino)methylene)-6,6,6- trifluoro-5-hydroxy-4,5-dimethyl-3-oxohexanoate (4.06 g, 12.3 mmol) in a mixture of MeCN (60 mL) and water (15 mL) and the reaction mixture was stirred at ambient temperature for 19 h. MeCN was removed in vacuo and the mixture was partitioned between EtOAc (100 mL) and water (100 mL).
- Step 4 A solution of ethyl dia-(2R * ,3S 1 )-2,3-dimethyl-4-oxo-2-(trifluoromethyl)-3,4-dihydro-2H- pyran-5-carboxylate (1.68 g, 5.84 mmol) in EtOH (20 mL) was added to a stirred and degassed suspension of Pd(OH) 2 (435 mg, 0.310 mmol) in EtOH (60 mL) and the reaction was degassed by bubbling nitrogen gas through the mixture for 5 min. The reaction was stirred under an atmospheric pressure of hydrogen for 3 days at ambient temperature.
- Step 5 A solution of Tf2O (2.7 g, 1.6 mL, 9.5 mmol) in DCM (27 mL) was added dropwise to a stirring solution of ethyl dia-(5R 1 ,6R * )-4-hydroxy-5,6-dimethyl-6-(trifluoromethyl)-5,6-dihydro-2H- pyran-3-carboxylate (1.56 g, 5.53 mmol) and DIPEA (1.93 g, 2.6 mL, 14.9 mmol) in DCM (54 mL) at 0 °C and the reaction mixture was stirred for 17 h at ambient temperature.
- Step 6 to 8 [0648] Ethyl (5S,6R)-5,6-dimethyl-6-(trifluoromethyl)-4-(((trifluoromethyl)sulfonyl)oxy)-5,6- dihydro-2H-pyran-3-carboxylate (First Eluting Isomer, 1.03 g, 2.48 mmol) and (3,4-difluoro-2- methoxyphenyl)boronic acid (617 mg, 3.28 mmol) were treated via the method described in Intermediate C - 12 steps 1 to 3, except that in step 8 the reaction was carried out in the presence of a mixture of MeOH, THF and water as the solvent system.
- step 6 2-(7-fluoro-2,3-dihydro-1H-inden-4-yl)-4,4,5,5-tetramethyl-1,3,2-dioxaborolane was used as the Suzuki coupling partner in place of (3,4-difluoro-2-methoxyphenyl)boronic acid and the reaction was carried out in absence of MeOH: [0651]
- the following Intermediate was made using methods similar to those described in Intermediate C - 19a except that steps 1 to 5 were omitted.
- step 6 ethyl (R)-6-methyl-6- (trifluoromethyl)-4-(((trifluoromethyl)sulfonyl)oxy)-5,6-dihydro-2H-pyran-3-carboxylate and boronic acid or ester were respectively used as starting materials in place of methyl 8- (((trifluoromethyl)sulfonyl)oxy)-5-oxaspiro[3.5]non-7-ene-7-carboxylate and (3,4-difluoro-2- methoxyphenyl)boronic acid.
- the conditions used in step 6 were those of Intermediate C - 20a step 6. In the case of C - 20x, the reaction was carried out at 50 °C. In the case of C - 20v, the reaction was carried out at 65 °C:
- step 6 ethyl rac-(4R,5R)-4,5-dimethyl- 5-(trifluoromethyl)-3-(((trifluoromethyl)sulfonyl)oxy)-4,5-dihydrofuran-2-carboxylate and (2,4- difluoro-3-methylphenyl)boronic acid were respectively used as starting materials in place of methyl 8-(((trifluoromethyl)sulfonyl)oxy)-5-oxaspiro[3.5]non-7-ene-7-carboxylate and (3,4-difluoro-2- methoxyphenyl)boronic acid.
- step 6 The conditions used in step 6 were those of Intermediate A step 5 and the reaction was carried out at 110 °C. In step 7, the reaction was carried out at 0 °C: Intermediate C - 20a (3S,4R,6R)-4-(3,4-Difluoro-2-methoxyphenyl)-6-methyl-6-(trifluoromethyl)tetrahydro-2H-pyran-3- carboxylic acid (Intermediate C - 20a) [0653] Step 1: [0654] A solution of (R)-4,4,4-trifluoro-3-hydroxy-3-methyl-butanoic acid (25 g, 145 mmol) in THF (150 mL) was treated with CDI (30 g, 185 mmol) and the solution was stirred for 5 h under argon atmosphere.
- CDI 30 g, 185 mmol
- Step 2 [0656] To ethyl (R)-6,6,6-trifluoro-5-hydroxy-5-methyl-3-oxo-hexanoate (30.1 g, 124.3 mmol) was added N,N-dimethylformamide dimethyl acetal (17.9 g, 20 mL, 151 mmol). The mixture was stirred for 1 h, then diluted with toluene (50 mL) and concentrated in vacuo.
- Step 3 To a stirring solution of ethyl (R)-2-(dimethylaminomethylene)-6,6,6-trifluoro-5- hydroxy-5-methyl-3-oxo-hexanoate (22.92 g, 77.10 mmol) in a mixture of MeCN (800 mL) and water (200 mL) was added Amberlyst ® 15 (28 g, washed with 1:1 MeCN/water). The mixture was stirred at ambient temperature for 17 h. Additional washed Amberlyst ® 15 (12 g) was added and the mixture stirred for 3 h. The mixture was then filtered and concentrated in vacuo.
- Step 4 [0660] In a round-bottomed flask, nitrogen was bubbled through a solution of ethyl (R)-2- methyl-4-oxo-2-(trifluoromethyl)-3,4-dihydro-2H-pyran-5-carboxylate (17.92 g, 41.92 mmol) in EtOH (40 mL) for 5 min. In a separate three-necked flask, nitrogen was bubbled through a suspension of Pd(OH) 2 (1.47 g, 20% w/w, 2.09 mmol) in EtOH (130 mL) for 10 min.
- Step 5 To a stirring solution of ethyl (R)-4-hydroxy-6-methyl-6-(trifluoromethyl)-5,6-dihydro- 2H-pyran-3-carboxylate (41 g, 161 mmol) in DCM (400 mL) at 0 °C was added DIPEA (70 mL, 409 mmol) followed by the dropwise addition of trifluoromethanesulfonic anhydride (31 mL, 180 mmol) over 15 min. The mixture was stirred at this temperature for 1 h, then diluted with water (100 mL).
- Step 6 Ethyl (R)-6-methyl-6-(trifluoromethyl)-4-(((trifluoromethyl)sulfonyl)oxy)-5,6-dihydro- 2H-pyran-3-carboxylate (30 g, 77.7 mmol) and (3,4-difluoro-2-methoxy-phenyl)boronic acid (17.52 g, 93.22 mmol) were dissolved in dioxane (300 mL), followed by addition of saturated aqueous NaHCO 3 (84 mL). Nitrogen was bubbled through the mixture for 15 min.
- Steps 7 and 8 [0666] Under a nitrogen atmosphere, 5% Pd/C (60.4 g, 50% wet, Johnson Matthey A503032-5, 14.2 mmol) was added to a solution of ethyl (R)-4-(3,4-difluoro-2-methoxyphenyl)-6-methyl-6- (trifluoromethyl)-5,6-dihydro-2H-pyran-3-carboxylate (77.1 g, 202.7 mmol) in EtOH (771 mL) and the reaction mixture was stirred under a pressure of 2 bar of hydrogen gas for 30 h.
- KO t Bu 38.7 g, 344.9 mmol was added to a stirring solution of ethyl (3R,4R,6R)-4-(3,4- difluoro-2-methoxyphenyl)-6-methyl-6-(trifluoromethyl)tetrahydro-2H-pyran-3-carboxylate (76.9 g, 201.1 mmol) in EtOH (463 mL) cooled to 0 °C and the reaction mixture stirred at ambient temperature for 3 days. A solution of LiOH.H 2 O (25.6 g, 610 mmol) in water (463 mL) was added and the mixture was stirred at ambient temperature for 24 h.
- PdCl2(PPh3)2 (3.84 g, 5.47 mmol) was added and the mixture heated at 75 °C for 45 min.
- EtOAc (18 mL), hexanes (158 mL) and water (175 mL) were added and the phases separated. The organic phase was dried (MgSO 4 ), filtered and concentrated.
- DCM 60 mL was added to the crude material, then hexanes (525 mL) was added and the mixture stirred at room temperature overnight. The resulting precipitate was removed by filtration, rinsed with 10% DCM/hexanes and the filtrate concentrated.
- Steps 2 and 3 [0671] A mixture of ethyl (R)-4-(3,4-difluoro-2-methylphenyl)-6-methyl-6-(trifluoromethyl)-5,6- dihydro-2H-pyran-3-carboxylate (13.0 g, 34.7 mmol) and 20% Pd(OH) 2 (4.79 g of 7.2 % w/w wet, 2.46 mmol) in ethanol (130 mL) was stirred at room temperature under hydrogen at 120 psi for 5 d. The mixture was filtered and the filtrate concentrated to a volume of ⁇ 130 mL.
- step 8 was carried out in MeOH as the organic solvent: [0673]
- the following Intermediate was made using methods similar to those described in Intermediate C - 20a except that, in step 1, (4-fluoro-2-methylphenyl)boronic acid was used as the starting material in place of (3,4-difluoro-2-methoxyphenyl)boronic acid.
- the conditions used for the Suzuki coupling step 1 were those of Intermediate C - 14 step 3 and the reaction was carried out at 80 °C.
- Step 1 A solution of ethyl rac-(4R,5R)-4,5-dimethyl-5-(trifluoromethyl)-3- (((trifluoromethyl)sulfonyl)oxy)-4,5-dihydrofuran-2-carboxylate (42 g, 108.7 mmol) in 1,4-dioxane (500 mL) was stirred, degassed (vacuum / nitrogen cycles x 3) and put under a nitrogen atmosphere.
- Step 2 [0677] K 3 PO 4 (10 g, 47.11 mmol) was added to a stirred solution of ethyl rac-(4S,5R)-4,5- dimethyl-3-(4,4,5,5-tetramethyl-1,3,2-dioxaborolan-2-yl)-5-(trifluoromethyl)-4,5-dihydrofuran-2- carboxylate (9.0 g, 24.71 mmol), 2-bromo-5-fluoropyridine (4.4 g, 25 mmol) and Pd(dppf)Cl 2 .DCM (12.1 g, 14.82 mmol) in a mixture of 1,4-dioxane (120 mL) and water (30 mL) and the reaction mixture was degassed with nitrogen for 10 min.
- Step 3 [0679] Magnesium powder (1.5 g, 61.72 mmol) was added to a stirred solution of ethyl rac- (4S,5R)-3-(5-fluoropyridin-2-yl)-4,5-dimethyl-5-(trifluoromethyl)-4,5-dihydrofuran-2-carboxylate (2.7 g, 8.101 mmol) in MeOH (54 mL) and the reaction mixture was vigorously stirred at ambient temperature for 1.5 h. The reaction was partitioned between a 1 N aqueous HCl solution (100 mL) and EtOAc (300 mL). The aqueous layer was separated and extracted with EtOAc (100 mL).
- Step 4 [0681] KO t Bu (1.5 g, 13.37 mmol) was added to a stirred solution of a mixture of ethyl rac- (2R,3R,4S,5R)-3-(5-fluoropyridin-2-yl)-4,5-dimethyl-5-(trifluoromethyl)tetrahydrofuran-2- carboxylate and ethyl rac-(2S,3S,4S,5R)-3-(5-fluoropyridin-2-yl)-4,5-dimethyl-5- (trifluoromethyl)tetrahydrofuran-2-carboxylate (2.6 g, 7.754 mmol) in methanol (26 mL) and the reaction mixture was stirred for 19 h at ambient temperature.
- Benzyl bromide (46.016 g, 32 mL, 269.05 mmol) was added and the reaction mixture was stirred at 0 °C for 15 min and at ambient temperature for18 h. The reaction was quenched by slow addition of a 0.5 N aqueous HCl solution (250 mL), keeping the temperature below 36 °C. Water (300 mL) was added and the mixture was vigorously stirred at ambient temperature for 40 min and extracted with MTBE (1 L, 500 mL then 250 mL).
- Step 2 [0686] A solution of benzyl (R)-2-(benzyloxy)-3,3,3-trifluoro-2-methylpropanoate (46.7 g, 83.649 mmol) and NaOH (84 mL, 2 M aqueous solution, 168.00 mmol) in MeOH (600 mL) was stirred at ambient temperature for 4 h. Most of the organic solvent was removed in vacuo. The residue was partitioned between NaOH (1 L, 0.5 N aqueous solution) and MTBE (100 mL).
- the aqueous layer was separated, extracted with MTBE (100 mL) and a mixture of MTBE and EtOAc (2 x 100 mL, 1:1 mixture; 3 x 100 mL, 1:2 mixture) and acidified to pH 3 by addition of HCl (25 mL, 37% aqueous solution).
- the aqueous mixture was extracted with DCM (4 x 200 mL) and the combined organic layers were washed with water (200 mL) and brine (200 mL), dried (Na 2 SO 4 ), filtered and concentrated in vacuo to give (R)-2-(benzyloxy)-3,3,3-trifluoro-2-methylpropanoic acid (14.87 g, 72%) as a colourless oil.
- Step 3 [0688] LiAlH 4 (34 mL, 2.3 M solution in 2-MeTHF, 78.2 mmol) was added dropwise to a solution of (R)-2-(benzyloxy)-3,3,3-trifluoro-2-methylpropanoic acid (14.8 g, 59.570 mmol) in THF (250 mL) at 0 °C and the reaction mixture was warmed to ambient temperature and stirred for 5.25 h. The reaction mixture was slowly added via canula to a stirred 0.5 N aqueous HCl solution (500 mL) cooled with an ice-bath, while maintaining the internal temperature below 15 °C.
- Step 4 To a solution of (R)-2-(benzyloxy)-3,3,3-trifluoro-2-methylpropan-1-ol (13.87 g, 56.08 mmol) in wet DCM (400 mL) was added Dess-Martin periodinane (30 g, 63.658 mmol) and the reaction mixture was stirred at ambient temperature for 4.5 h. An additional amount of Dess-Martin periodinane (10 g, 21.219 mmol) was added and the mixture was stirred for a further 2 h.
- the reaction was quenched by addition of a saturated aqueous NaHCO 3 solution (200 mL) and a saturated aqueous Na 2 S 2 O 3 solution (200 mL) and the mixture was vigorously stirred for 30 min.
- the aqueous layer was separated and extracted with DCM (2 x 200 mL).
- the combined organic layers were dried (Na 2 SO 4 ), filtered and concentrated in vacuo.
- the residue was disssolved in heptane (50 mL) and the insoluble material was removed by filtration.
- the filtrate was concentrated in vacuo and the operation was repeated using heptane (30 mL).
- Step 5 [0692] Methyl 3-oxo-4-(triphenyl- ⁇ 5 -phosphaneylidene)butanoate (14 g, 37.109 mmol) was added to a stirred solution of (R)-2-(benzyloxy)-3,3,3-trifluoro-2-methylpropanal (8.207 g, 35.31 mmol) in anhydrous toluene (160 mL) at ambient temperature and the reaction mixture was stirred at 105 °C for 5 h. The mixture was concentrated in vacuo.
- Step 6 [0694] Pd (3 g, 10% on carbon, 50% wet, 1.41 mmol) was added under a nitrogen atmosphere to a solution of methyl (R,2Z,4E)-6-(benzyloxy)-7,7,7-trifluoro-3-hydroxy-6-methylhepta-2,4-dienoate (9.45 g, 26.036 mmol) in EtOAc (160 mL). Hydrogen gas was passed through the mixture for 5 min and the reaction mixture was stirred under a hydrogen atmosphere for 16 h.
- Step 7 [0696] Pd(OH) 2 (2.7 g, 20% on wet support, 1.923 mmol) was added under a nitrogen atmosphere to a solution of methyl (R)-6-(benzyloxy)-7,7,7-trifluoro-6-methyl-3-oxoheptanoate (8.98 g, 23.915 mmol) in EtOAc (140 mL). Hydrogen gas was passed through the mixture for 10 min and the reaction was stirred under a hydrogen atmosphere for 1.5 h.
- Step 8 [0698] Et 3 N (5.082 g, 7 mL, 50.222 mmol) and 4-methylbenzenesulfonyl azide (44.16 g, 11 to 15 % w/w solution in toluene, 24.631 mmol) were successively added to a solution of methyl (R)- 7,7,7-trifluoro-6-hydroxy-6-methyl-3-oxoheptanoate (6.32 g, 23.746 mmol) in DCM (88 mL) and the reaction mixture was stirred at ambient temperature for 22 h. The mixture was partitioned between DCM (400 mL) and a saturated aqueous NH 4 Cl solution (200 mL).
- Step 9 [0700] A solution of methyl (R)-2-diazo-7,7,7-trifluoro-6-hydroxy-6-methyl-3-oxoheptanoate (5 g, 18.588 mmol) in nitrogen degassed benzene (20 mL) was slowly added at 75 °C to a solution of Rh 2 (OAc) 4 (85 mg, 0.192 mmol) in nitrogen degassed benzene (80 mL) and the reaction mixture was stirred at 75 °C for 15 min. The reaction was cooled to ambient temperature. Et 2 O (100 mL) was added and the mixture was filtered through a pad of Celite ® .
- Step 10 [0702] Tf 2 O (1.375 g, 0.82 mL, 4.874 mmol) was added dropwise at -20 °C to a stirred solution of methyl (R)-5-hydroxy-2-methyl-2-(trifluoromethyl)-3,4-dihydro-2H-pyran-6-carboxylate (1 g, 3.747 mmol) and DIPEA (1.113 g, 1.5 mL, 8.612 mmol) in DCM (35 mL) and the reaction mixture was stirred at -20 °C for 1.25 h.
- Step 2 [0706] Under a nitrogen atmosphere, Pd (2.3 g, 10% on carbon, 50% wet, 1.0806 mmol) was added to a stirred solution of methyl (R)-5-(3,4-difluoro-2-methoxyphenyl)-2-methyl-2- (trifluoromethyl)-3,4-dihydro-2H-pyran-6-carboxylate (402 mg, 1.092 mmol) in EtOAc (13 mL) and the reaction mixture was stirred at ambient temperature under a 140 psi pressure of hydrogen for 40 h.
- Step 3 [0708] KO t Bu (270 mg, 2.406 mmol) was added to a solution of methyl (2S,3S,6R)-3-(3,4- difluoro-2-methoxyphenyl)-6-methyl-6-(trifluoromethyl)tetrahydro-2H-pyran-2-carboxylate (300 mg, 0.806 mmol) in MeOH (2 mL) at 0 °C and the reaction mixture was stirred at 0 °C for 1.5 h.
- Step 1 [0710] Magnesium turnings (3.7 g, 152.23 mmol) were stirred for 10 min under an argon atmosphere to remove the outer magnesium oxide layer. THF (150 mL) and a crystal of iodine (30 mg, 0.118 mmol) were successively added to the flask containing magnesium.
- Step 2 A solution of rac-2-((3,4-difluoro-2-methoxyphenyl)(hydroxy)methyl)phenol (5 g, 18.192 mmol) in DCM (70 mL) was added to a pre-stirred solution of sodium 4- methylbenzenesulfinate (3.9 g, 21.764 mmol) and PTSA monohydrate (6.1 g, 32.069 mmol) in DCM (100 mL) under an argon atmosphere and the reaction mixture was stirred at ambient temperature for 2.5 h. The reaction was quenched by addition of a saturated NaHCO 3 solution (75 mL) and extracted with DCM (100 mL).
- Step 3 [0714] Cs 2 CO 3 (15.1 g, 46.345 mmol) was added to a stirred mixture of rac-2-((3,4-difluoro-2- methoxyphenyl)(tosyl)methyl)phenol (7.35 g, 17.810 mmol) and (2-ethoxy-2- oxoethyl)dimethylsulfonium bromide (5.1 g, 22.258 mmol) in dry DCM (315 mL) and the reaction mixture was stirred at ambient temperature for 16 h. The reaction was quenched by addition of water (250 mL) and extracted with DCM (2 x 200 mL).
- Step 4 [0716] A solution of LiOH monohydrate (375 mg, 8.936 mmol) in water (10 mL) was added to a solution of ethyl rac-(2R,3S)-3-(3,4-difluoro-2-methoxyphenyl)-2,3-dihydrobenzofuran-2-carboxylate (2 g, 5.683 mmol) in THF (20 mL) and the reaction mixture was stirred at ambient temperature for 2 h.
- Step 2 [0721] MeI (11.4 g, 5 mL, 80.316 mmol) was added dropwise to a stirred solution of 6-bromo-2- cyclopropyl-3-fluorophenol (8.5 g, 36.787 mmol) and K 2 CO 3 (13 g, 94.062 mmol) in DMF (85 mL) at 0 °C and the reaction mixture was stirred for 16 h at ambient temperature. The reaction was partitioned between ice/water (800 mL) and EtOAc (500 mL). The aqueous phase was separated and extracted with EtOAc (500). The combined organic layers were dried (MgSO 4 ), filtered and concentrated in vacuo.
- Step 3 [0723] Under an argon atmosphere, n BuLi (1.5 mL, 1.6 M solution in hexanes, 2.4 mmol) was added dropwise over 15 min to a solution of 1-bromo-3-cyclopropyl-4-fluoro-2-methoxybenzene (450 mg, 1.699 mmol) in toluene (10 mL) at -78°C and the reaction mixture was stirred at -78 °C for 30 min. A solution of ( i PrO)Bpin (570 mg, 3.064 mmol) in THF (1 mL) was added dropwise and the mixture was stirred at -78°C for 2 h.
- n BuLi 1.5 mL, 1.6 M solution in hexanes, 2.4 mmol
- Step 1 [0725] A stirred mixture of 2-bromo-3,4-difluoroaniline (5 g, 24.038 mmol), cyclopropylboronic acid (2.68 g, 31.2 mmol), K3PO 4 (17.8 g, 83.857 mmol) and PPh3 (630 mg, 2.402 mmol) in toluene (120 mL) and water (10 mL) was degassed by passing argon gas through the solution for 10 min.
- Step 2 [0727] A solution of sodium nitrite (1.38 g, 20.0 mmol) in water (34 mL) was added dropwise to a stirred solution of 2-cyclopropyl-3,4-difluoroaniline (3.18 g, 18.166 mmol) and HBr (22.350 g, 15 mL, 33 % w/w solution in AcOH, 276.23 mmol) in MeCN (70 mL), causing an exotherm to 40 °C. The reaction mixture was stirred at ambient temperature for 1 h. CuBr (3.12 g, 21.750 mmol) was added and the reaction mixture was stirred at ambient temperature for 1 h.
- Step 3 [0729] A stirred mixture of 1-bromo-2-cyclopropyl-3,4-difluoro-benzene (250 mg, 0.933 mmol), KOAc (366 mg, 3.729 mmol) and (Bpin) 2 (474 mg, 1.867 mmol) in 1,4-dioxane (10 mL) was purged with argon gas for 10 min. Pd(dppf)Cl 2 .DCM (38 mg, 0.047 mmol) was added and the reaction mixture was heated at 100 °C for 16 h.
- the reaction was partitioned between a 5% aqueous citric acid solution (50 mL) and EtOAc (30 mL). The aqueous layer was separated and extracted with EtOAc (30 mL). The combined organic layers were washed with water (40 mL) and brine (20 mL), dried (Na 2 SO 4 ), filtered and concentrated in vacuo.
- Step 2 [0735] In an autoclave, under a nitrogen atmosphere, Pd/C (3.32 g, 5 % w/w, 1.560 mmol) and TFA (199.80 mg, 135 ⁇ L, 1.752 mmol) were successively added to a solution of (R)-3-(4-fluoro-3- methylphenyl)-4,5-dimethyl-5-(trifluoromethyl)furan-2(5H)-one (9 g, 30.943 mmol) in a mixture of i PrOH (72 mL) and THF (24 mL).
- the autoclave was purged with nitrogen gas, then with hydrogen gas.
- the mixture was heated to 50 °C and the hydrogen pressure was adjusted to 40 psi.
- the mixture was stirred at 50 °C for 18 h.
- the reaction was cooled to ambient temperature, filtered through a pad of Celite ® , washing the filtered cake with EtOAc (2 x 10 mL). The filtrates were concentrated in vacuo.
- Step 3 [0739] NaH (507 mg, 60% in mineral oil, 12.676 mmol) was added portionwise to a solution of (3S,4S,5R)-3-(4-fluoro-3-methylphenyl)-4,5-dimethyl-5-(trifluoromethyl)dihydrofuran-2(3H)-one (3.1 g, 10.670 mmol) and MeI (2.006 g, 0.88 mL, 14.136 mmol) in THF (52 mL) at 0 °C and the reaction mixture was stirred at 0 °C for 30 min and at ambient temperature for 16 h.
- Step 4 [0743] A solution of DIBAL (1.2 mL, 1 M solution in DCM, 1.2 mmol) was added dropwise to a solution of (3S,4S,5R)-3-(4-fluoro-3-methylphenyl)-3,4,5-trimethyl-5-(trifluoromethyl)dihydrofuran- 2(3H)-one (320 mg, 0.952 mmol) in DCM (6 mL) at -78 °C and the reaction mixture was stirred at - 78 °C for 30 min.
- DIBAL 1.2 mL, 1 M solution in DCM, 1.2 mmol
- Step 5 [0745] 4-Nitrobenzoyl chloride (190 mg, 1.003 mmol) was added to a solution of dia- (2R,3S * ,4S * ,5R * )-3-(4-fluoro-3-methylphenyl)-3,4,5-trimethyl-5-(trifluoromethyl)tetrahydrofuran-2-ol (276 mg, 0.856 mmol), Et 3 N (127.05 mg, 175 ⁇ L, 1.256 mmol) and DMAP (2.5 mg, 0.021 mmol) in DCM (7 mL) at 0 °C. The ice-water cooling bath was removed and the mixture was stirred at ambient temperature for 1.5 h.
- Step 7 [0749] In a sealed tube, KOH (2 mL, 40 % w/v aqueous solution, 14.259 mmol) was added to a solution of (2R,3S,4S,5R)-3-(4-fluoro-3-methylphenyl)-3,4,5-trimethyl-5- (trifluoromethyl)tetrahydrofuran-2-carbonitrile (160 mg, 0.489 mmol) in diethylene glycol (4 mL) and the reaction mixture was stirred at 150 °C for 20 h. The reaction was cooled to ambient temperature, diluted with water (15 mL) and washed with MTBE (2 x10 mL).
- Step 2 [0753] KOH (4.9 mL, 1.6 M solution in MeOH, 7.84 mmol) was added to a solution of ethyl rac- 4,4,4-trifluoro-3-methyl-3-(nitromethyl)butanoate (1.187 g, 4.881 mmol) in MeOH (34 mL) cooled in an ice-water bath to 0 °C and the reaction mixture was stirred at 0 °C for 5 min. A solution of KMnO 4 (850 mg, 5.379 mmol) and MgSO 4 (530 mg, 4.403 mmol) in water (100 mL) was added over 55 min and the mixture was stirred in the ice bath for another 40 min.
- KMnO 4 850 mg, 5.379 mmol
- MgSO 4 530 mg, 4.403 mmol
- the reaction was quenched by addition of a 10% aqueous Na 2 S 2 O 3 solution (60 mL) and a 1 M aqueous H 2 SO 4 solution (30 mL) and diluted with MTBE (200 mL). The aqueous layer was separated and extracted with MTBE (100 mL). The combined organic layers were washed with water (100 mL) and brine (100 mL), dried (Na 2 SO 4 ), filtered and concentrated in vacuo.
- Step 3 [0755] NaBH4 (413 mg, 10.917 mmol) was added portionwise to a solution of dia-(4S 1 ,5R 2 )-5- hydroxy-4-methyl-4-(trifluoromethyl)dihydrofuran-2(3H)-one (502 mg, 2.544 mmol) in MeOH (20 mL) at 0 °C and the reaction mixture was stirred at 0 °C for 5 min then at ambient temperature for 18 h. The reaction was quenched by pouring the mixture into a vigorously stirred 1 N aqueous HCl solution (150 mL). The aqueous layer was extracted with MTBE (2 x 100 mL).
- Step 4 [0757] n BuLi (5.2 mL, 2.5 M solution in hexanes, 13 mmol) was added dropwise to a stirred solution of DIPA (1.444 g, 2 mL, 14.270 mmol) in THF (10 mL) at -78 °C and the reaction mixture was stirred at -78 °C for 5 min and at 0 °C for 20 min.
- the reaction was quenched at -78 °C by addition of acetic acid (390.72 mg, 0.37 mL, 6.506 mmol).
- the mixture was removed from the cold bath and diluted with a 5% aqueous citric acid solution (20 mL).
- the reaction was partitioned between a 5% aqueous citric acid solution (80 mL) and EtOAc (50 mL).
- the aqueous layer was separated and extracted with EtOAc (2 x 50 mL).
- the combined organic layers were washed with water (75 mL) and brine (50 mL), dried (Na 2 SO 4 ), filtered and concentrated in vacuo.
- Step 5 A solution of ethyl rac-2-diazo-6,6,6-trifluoro-5-(hydroxymethyl)-5-methyl-3- oxohexanoate (593 mg, 1.971 mmol) in DCE (12 mL) was added dropwise over 40 min to a solution of Rh 2 (OAc) 4 (31 mg, 0.070 mmol) in DCE (12 mL) and the reaction mixture was stirred at ambient temperature for 20 min. The mixture was cooled to 0 °C.
- Step 6 [0762] In a vial, nitrogen gas was passed through a stirred mixture of ethyl rac-3-methyl-3- (trifluoromethyl)-5-(((trifluoromethyl)sulfonyl)oxy)-3,4-dihydro-2H-pyran-6-carboxylate (518 mg, 1.340 mmol), (3,4-difluoro-2-methoxyphenyl)boronic acid (354 mg, 1.884 mmol) and Na 2 CO 3 (1.9 mL, 2 M aqueous solution, 3.8 mmol) in 1,4-dioxane (10 mL) for 5 min.
- Step 7 [0764] Nitrogen gas was passed through a solution of ethyl rac-5-(3,4-difluoro-2- methoxyphenyl)-3-methyl-3-(trifluoromethyl)-3,4-dihydro-2H-pyran-6-carboxylate (317 mg, 0.828 mmol) in EtOH (15 mL) for 10 min.
- Step 8 KO t Bu (130 mg, 1.159 mmol) was added to a solution of ethyl rac-(2S,3S,5S)-3-(3,4-difluoro-2- methoxyphenyl)-5-methyl-5-(trifluoromethyl)tetrahydro-2H-pyran-2-carboxylate (218 mg, 0.570 mmol) in a mixture of THF (4.5 mL) and EtOH (4.5 mL) and the reaction mixture was stirred at ambient temperature for 24 h.
- Sodium ion channels are voltage-dependent proteins that can be activated by inducing membrane voltage changes by applying electric fields.
- the electrical stimulation instrument and methods of use referred to as E-VIPR, are described in International Publication No. WO 2002/008748 A3 and C.-J. Huang et al. Characterization of voltage-gated sodium channel blockers by electrical stimulation and fluorescence detection of membrane potential, 24 Nature Biotech.439-46 (2006), both of which are incorporated by reference in their entirety.
- the instrument comprises a microtiter plate handler, an optical system for exciting the coumarin dye while simultaneously recording the coumarin and oxonol emissions, a waveform generator, a current- or voltage-controlled amplifier, and parallel electrode pairs that are inserted into assay plate wells. Under integrated computer control, this instrument passes user-programmed electrical stimulus protocols to cells within the wells of the microtiter plate.
- HEK cells expressing a truncated form of human Na V 1.8 with full channel activity were seeded into microtiter 384-well plates, pre-coated with matrigel, at a density of 25,000 cells per well.2.5-5% KIR2.1 BacMam virus was added to the final cell suspension before seeding into cell plates.
- HEK cells were grown in Dulbecco's Modified Eagle's Medium (DMEM) supplemented with 10% FBS (Fetal Bovine Serum, qualified; Sigma #F4135), 1% NEAA (Non-Essential Amino Acids, Gibco #11140), 1% HEPES (Gibco #15630), 1% Pen-Strep (Penicillin-Streptomycin; Gibco #15140) and 5 ⁇ g/ml Blasticidin (Gibco #R210-01). Cells were expanded in 5-layer CellSTACK culture chambers or cell culture flasks with vented caps, with 90-95% humidity and 5% CO 2 .
- DMEM Dulbecco's Modified Eagle's Medium
- the concentration used can be dependent on viral titer of each batch.
- DiSBAC 6 (3) The preparation of DiSBAC 6 (3) is analogous to that of DiSBAC 4 (3) as described in Voltage Sensing by Fluorescence Resonance Energy Transfer in Single Cells, Gonzalez, J.E. and Tsien, R.Y. (1995) Biophys. J.69, 1272-1280.
- Voltage Assay Background Suppression Compound (VABSC-1) is prepared in H 2 O (89- 363 mM, range used to maintain solubility)
- Human Serum (HS, Millipore #S1P1-01KL, or Sigma SLBR5469V and SLBR5470V as a 50%/50% mixture, for 25% assay final concentration)
- Bath 1 Buffer Sodium Chloride 160 mM (9.35 g/L), Potassium Chloride, 4.5 mM (0.335 g/L), Glucose 10 mM (1.8 g/L), Magnesium Chloride (Anhydrous) 1 mM (0.095 g/L), Calcium Chloride 2 mM (0.222 g/L), HEPES 10 mM (2.38 g/L) in water.
- Na/TMA Cl Bath 1 Buffer Sodium Chloride 96 mM (5.61 g/L), Potassium Chloride 4.5 mM (0.335 g/L), Tetramethylammonium (TMA)-Cl 64 mM (7.01 g/ L), Glucose 10 mM (1.8 g/L), Magnesium Chloride (Anhydrous) 1 mM (0.095 g/L), Calcium Chloride 2 mM (0.222 g/L) HEPES 10 mM (2.38 g/L) in water.
- Hexyl Dye Solution (2X concentration) Bath 1 Buffer containing 0.5% ⁇ -cyclodextrin (made fresh prior to each use, Sigma #C4767), 8 ⁇ M CC2-DMPE and 2 ⁇ M DiSBAC 6 (3). The solution was made by adding 10% Pluronic F127 stock equal to combined volumes of CC2-DMPE and DiSBAC 6 (3). The order of preparation was first mix Pluronic and CC2-DMPE, then add DiSBAC 6 (3), then while vortexing add Bath 1/ ⁇ -Cyclodextrin.
- Compound Loading Buffer (2X concentration) Na/TMA Cl Bath1 Buffer containing HS (omitted in experiments run in the absence of human serum (HS))50%, VABSC-11 mM, BSA 0.2 mg/ml (in Bath-1), KCl 9 mM, DMSO 0.625%.
- Assay Protocol [0782] 1) To reach the final concentration in each well, 375 nL of each compound was pre- spotted (in neat DMSO) into polypropylene compound plates at 240x desired final concentration from an intermediate stock concentration of either 6 mM, in an 16-point dose response, 3-fold dilution, resulting in a top dose of 25 ⁇ M final concentration in the cell plate, or 0.075 mM in an 11-point dose response, 3-fold dilution, resulting in a top dose of 300 nM final concentration in the cell plate. Vehicle control (neat DMSO), and positive control (an established Na V 1.8 inhibitor, 25 ⁇ M final in assay in DMSO) were added manually to the outermost columns of each plate respectively.
- the compound plate was backfilled with 45 ⁇ L per well of Compound Loading Buffer resulting in a 240- fold dilution of compound following a 1:1 transfer of compound into the cell plate (see Step 6).
- Final DMSO concentration for all wells in the assay was 0.625% (0.75% DMSO was supplemented to the Compound Loading Buffer for a final DMSO concentration of 0.625%).
- This assay dilution protocol was adjusted to enable a higher dose range to be tested in the presence of HS or if the final assay volume was altered.
- Hexyl Dye Solution was prepared.
- Cell plates were prepared.
- the media was aspirated, and the cells were washed three times with 80 ⁇ L of Bath-1 buffer, maintaining 25 ⁇ L residual volume in each well.
- 25 ⁇ L per well of Hexyl Dye Solution was dispensed into the cell plates. The cells were incubated for 20 minutes at room temperature or ambient conditions in darkness.
- 45 ⁇ L per well of Compound Loading Buffer was dispensed into compound plates.
- the mixture was incubated for 30 minutes at room temperature/ambient conditions.
- the cell plate containing compound was read on E-VIPR using the current-controlled amplifier to deliver stimulation wave pulses using a symmetrical biphasic waveform.
- the user- programmed electrical stimulus protocols were 1.25-4 Amps and 4 millisecond pulse width (dependent on electrode composition) were delivered at 10 Hz for 10 seconds.
- a pre-stimulus recording was performed for each well for 0.5 seconds to obtain the un-stimulated intensities baseline.
- the stimulatory waveform was followed by 0.5 seconds of post-stimulation recording to examine the relaxation to the resting state. All E-VIPR responses were measured at 200 Hz acquisition rate.
- Compounds having a measured IC 50 value less than 0.01 ⁇ M in the E-VIPR Assay described above include: 1-18, 21-24, 27, 28, 30-34, 36, 38, 40, 42, 46-48, 50-55, 58, 61, 62, 64-72, 75-80, 82, 84-94, 96, 97, 98, 100, 102-107, 109-112, 114-118, 120, 121, 122, and 124.
- Compounds having a measured IC 50 value less than 0.1 ⁇ M and greater than or equal to 0.01 ⁇ M in the E-VIPR Assay described above include: 29, 39, 44, 49, 59, 60, 63, 81, 83, 95, 101, 113, 119, and 125.
- Compounds having a measured IC 50 value less than 1 ⁇ M and greater than or equal to 0.1 ⁇ M in the E-VIPR Assay described above include: 19, 25, 26, 35, 43, 45, 73, 74, 99, and 123.
Landscapes
- Chemical & Material Sciences (AREA)
- Organic Chemistry (AREA)
- Health & Medical Sciences (AREA)
- Medicinal Chemistry (AREA)
- Pain & Pain Management (AREA)
- Neurology (AREA)
- Neurosurgery (AREA)
- Bioinformatics & Cheminformatics (AREA)
- Chemical Kinetics & Catalysis (AREA)
- General Chemical & Material Sciences (AREA)
- Engineering & Computer Science (AREA)
- Nuclear Medicine, Radiotherapy & Molecular Imaging (AREA)
- Biomedical Technology (AREA)
- Pharmacology & Pharmacy (AREA)
- Life Sciences & Earth Sciences (AREA)
- Animal Behavior & Ethology (AREA)
- General Health & Medical Sciences (AREA)
- Public Health (AREA)
- Veterinary Medicine (AREA)
- Pharmaceuticals Containing Other Organic And Inorganic Compounds (AREA)
- Plural Heterocyclic Compounds (AREA)
Abstract
Compounds, and pharmaceutically acceptable salts thereof, useful as inhibitors of sodium channels are provided. Also provided are pharmaceutical compositions comprising the compounds or pharmaceutically acceptable salts and methods of using the compounds, pharmaceutically acceptable salts, and pharmaceutical compositions in the treatment of various disorders, including pain.
Description
HETEROARYL COMPOUNDS FOR THE TREATMENT OF PAIN CROSS-REFERENCE TO RELATED APPLICATIONS [0001] This application claims the benefit of U.S. Provisional Application No.63/592,362, filed October 23, 2023, U.S. Provisional Application No.63/592,698, filed October 24, 2023, and U.S. Provisional Application No.63/644,192, filed May 8, 2024, each of which is incorporated by reference herein in its entirety. BACKGROUND [0002] Pain is a protective mechanism to avoid tissue damage and to prevent further damage to injured tissue. Nonetheless, there are many conditions where pain persists beyond its usefulness, or where patients would benefit from inhibition of pain. Acute and chronic pain are two common pain states and can be distinguished by the duration of the pain. Acute pain can arise for many reasons (e.g., a hospital procedure) and treatment options are generally limited by poor efficacy and/or adverse events. Like acute pain, chronic pain can arise for many reasons and treatment options are limited by poor efficacy and/or adverse events. [0003] Neuropathic pain is a form of chronic pain caused by an injury to the sensory nerves (Dieleman, J.P., et al., Incidence rates and treatment of neuropathic pain conditions in the general population. Pain, 2008.137(3): p.681-8). Neuropathic pain can be divided into two categories, pain caused by generalized metabolic damage to the nerve and pain caused by a discrete nerve injury. The metabolic neuropathies include post-herpetic neuropathy, diabetic neuropathy, and drug-induced neuropathy. Discrete nerve injury indications include post-amputation pain, post-surgical nerve injury pain, and nerve entrapment injuries like neuropathic back pain. [0004] Voltage-gated sodium channels (NaVs) are involved in pain signaling. NaVs are biological mediators of electrical signaling as they mediate the rapid upstroke of the action potential of many excitable cell types, for example, neurons, skeletal myocytes, cardiac myocytes (Hille, Bertil, Ion Channels of Excitable Membranes, Third ed. (Sinauer Associates, Inc., Sunderland, MA, 2001)). The evidence for the role of these channels in normal physiology, the pathological states arising from mutations in sodium channel genes, preclinical work in animal models, and the clinical pharmacology of known sodium channel modulating agents all point to the central role of NaVs in pain sensation (Rush, A.M. and T.R. Cummins, Painful Research: Identification of a Small-Molecule Inhibitor that Selectively Targets NaV1.8 Sodium Channels. Mol. Interv., 2007.7(4): p.192-5); England, S., Voltage-gated sodium channels: the search for subtype-selective analgesics. Expert Opin. Investig. Drugs 17 (12), p.1849-64 (2008); Krafte, D. S. and Bannon, A. W., Sodium channels and nociception: recent concepts and therapeutic opportunities. Curr. Opin. Pharmacol.8 (1), p.50-56 (2008)). Because of the role NaVs play in the initiation and propagation of neuronal signals,
antagonists that reduce NaV currents can prevent or reduce neural signaling and NaV channels have been considered likely targets to reduce pain in conditions where hyper-excitability is observed (Chahine, M., Chatelier, A., Babich, O., and Krupp, J. J., Voltage-gated sodium channels in neurological disorders. CNS Neurol. Disord. Drug Targets 7 (2), p.144-58 (2008)). Several clinically useful analgesics have been identified as inhibitors of NaV channels. The local anesthetic drugs such as lidocaine block pain by inhibiting NaV channels, and other compounds, such as carbamazepine, lamotrigine, and tricyclic antidepressants that have proven effective at reducing pain have also been suggested to act by sodium channel inhibition (Soderpalm, B., Anticonvulsants: aspects of their mechanisms of action. Eur. J. Pain 6 Suppl. A, p.3-9 (2002); Wang, G. K., Mitchell, J., and Wang, S. Y., Block of persistent late Na+ currents by antidepressant sertraline and paroxetine. J. Membr. Biol.222 (2), p.79-90 (2008)). [0005] The NaVs form a subfamily of the voltage-gated ion channel super-family and comprises 9 isoforms, designated NaV1.1 – NaV1.9. The tissue localizations of the nine isoforms vary. NaV1.4 is the primary sodium channel of skeletal muscle, and NaV1.5 is primary sodium channel of cardiac myocytes. NaVs 1.7, 1.8 and 1.9 are primarily localized to the peripheral nervous system, while NaVs 1.1, 1.2, 1.3, and 1.6 are neuronal channels found in both the central and peripheral nervous systems. The functional behaviors of the nine isoforms are similar but distinct in the specifics of their voltage- dependent and kinetic behavior (Catterall, W. A., Goldin, A. L., and Waxman, S. G., International Union of Pharmacology. XLVII. Nomenclature and structure-function relationships of voltage-gated sodium channels. Pharmacol. Rev.57 (4), p.397 (2005)). [0006] Upon their discovery, NaV1.8 channels were identified as likely targets for analgesia (Akopian, A.N., L. Sivilotti, and J.N. Wood, A tetrodotoxin-resistant voltage-gated sodium channel expressed by sensory neurons. Nature, 1996.379(6562): p.257-62). Since then, NaV1.8 has been shown to be a carrier of the sodium current that maintains action potential firing in small dorsal root ganglia (DRG) neurons (Blair, N.T. and B.P. Bean, Roles of tetrodotoxin (TTX)-sensitive Na+ current, TTX-resistant Na+ current, and Ca2+ current in the action potentials of nociceptive sensory neurons. J. Neurosci., 2002.22(23): p.10277-90). NaV1.8 is involved in spontaneous firing in damaged neurons, like those that drive neuropathic pain (Roza, C., et al., The tetrodotoxin-resistant Na+ channel NaV1.8 is essential for the expression of spontaneous activity in damaged sensory axons of mice. J. Physiol., 2003.550(Pt 3): p.921-6; Jarvis, M.F., et al., A-803467, a potent and selective NaV1.8 sodium channel blocker, attenuates neuropathic and inflammatory pain in the rat. Proc. Natl. Acad. Sci. U S A, 2007.104(20): p.8520-5; Joshi, S.K., et al., Involvement of the TTX-resistant sodium channel NaV1.8 in inflammatory and neuropathic, but not post-operative, pain states. Pain, 2006.123(1-2): pp.75-82; Lai, J., et al., Inhibition of neuropathic pain by decreased expression of the tetrodotoxin-resistant sodium channel, NaV1.8. Pain, 2002.95(1-2): p.143-52; Dong, X.W., et al., Small interfering RNA-mediated selective knockdown of NaV1.8 tetrodotoxin-resistant sodium channel reverses mechanical allodynia in neuropathic rats. Neuroscience, 2007.146(2): p.812-21;
Huang, H.L., et al., Proteomic profiling of neuromas reveals alterations in protein composition and local protein synthesis in hyper-excitable nerves. Mol. Pain, 2008.4: p.33; Black, J.A., et al., Multiple sodium channel isoforms and mitogen-activated protein kinases are present in painful human neuromas. Ann. Neurol., 2008.64(6): p.644-53; Coward, K., et al., Immunolocalization of SNS/PN3 and NaN/SNS2 sodium channels in human pain states. Pain, 2000.85(1-2): p.41-50; Yiangou, Y., et al., SNS/PN3 and SNS2/NaN sodium channel-like immunoreactivity in human adult and neonate injured sensory nerves. FEBS Lett., 2000.467(2-3): p.249-52; Ruangsri, S., et al., Relationship of axonal voltage-gated sodium channel 1.8 (NaV1.8) mRNA accumulation to sciatic nerve injury- induced painful neuropathy in rats. J. Biol. Chem.286(46): p.39836-47). The small DRG neurons where NaV1.8 is expressed include the nociceptors involved in pain signaling, where NaV1.8 mediates large amplitude action potentials (Blair, N.T. and B.P. Bean, Roles of tetrodotoxin (TTX)-sensitive Na+ current, TTX-resistant Na+ current, and Ca2+ current in the action potentials of nociceptive sensory neurons. J. Neurosci., 2002.22(23): p.10277-90). NaV1.8 is necessary for rapid repetitive action potentials in nociceptors, and for spontaneous activity of damaged neurons. (Choi, J.S. and S.G. Waxman, Physiological interactions between NaV1.7 and NaV1.8 sodium channels: a computer simulation study. J. Neurophysiol.106(6): p.3173-84; Renganathan, M., T.R. Cummins, and S.G. Waxman, Contribution of Na(V)1.8 sodium channels to action potential electrogenesis in DRG neurons. J. Neurophysiol., 2001.86(2): p.629-40; Roza, C., et al., The tetrodotoxin-resistant Na+ channel NaV1.8 is essential for the expression of spontaneous activity in damaged sensory axons of mice. J. Physiol., 2003.550(Pt 3): p.921-6). In depolarized or damaged DRG neurons, NaV1.8 appears to be a driver of hyper-excitablility (Rush, A.M., et al., A single sodium channel mutation produces hyper- or hypoexcitability in different types of neurons. Proc. Natl. Acad. Sci. USA, 2006. 103(21): p.8245-50). In some animal pain models, NaV1.8 mRNA expression levels have been shown to increase in the DRG (Sun, W., et al., Reduced conduction failure of the main axon of polymodal nociceptive C-fibers contributes to painful diabetic neuropathy in rats. Brain, 135(Pt 2): p. 359-75; Strickland, I.T., et al., Changes in the expression of NaV1.7, NaV1.8 and NaV1.9 in a distinct population of dorsal root ganglia innervating the rat knee joint in a model of chronic inflammatory joint pain. Eur. J. Pain, 2008.12(5): p.564-72; Qiu, F., et al., Increased expression of tetrodotoxin- resistant sodium channels NaV1.8 and NaV1.9 within dorsal root ganglia in a rat model of bone cancer pain. Neurosci. Lett., 512(2): p.61-6). [0007] The inventors have discovered that some voltage-gated sodium channel inhibitors have limitations as therapeutic agents due to, for example, a poor therapeutic window (e.g., due to a lack of NaV isoform selectivity, low potency, and/or other reasons). Accordingly, there remains a need to develop selective voltage-gated sodium channel inhibitors, such as selective NaV1.8 inhibitors.
SUMMARY [0008] In one aspect, the invention relates to a compound described herein, or a pharmaceutically acceptable salt thereof. [0009] In another aspect, the invention relates to a pharmaceutical composition comprising the compound, or a pharmaceutically acceptable salt thereof, and one or more pharmaceutically acceptable carriers or vehicles. [0010] In still another aspect, the invention relates to a method of inhibiting a voltage gated sodium channel in a subject by administering the compound, pharmaceutically acceptable salt, or pharmaceutical composition to the subject. [0011] In yet another aspect, the invention relates to a method of treating or lessening the severity in a subject of a variety of diseases, disorders, or conditions, including, but not limited to, chronic pain, gut pain, neuropathic pain, musculoskeletal pain, acute pain, inflammatory pain, cancer pain, idiopathic pain, postsurgical pain (e.g., bunionectomy pain, herniorrhaphy pain or abdominoplasty pain), visceral pain, multiple sclerosis, Charcot-Marie-Tooth syndrome, incontinence, pathological cough, and cardiac arrhythmia, by administering the compound, pharmaceutically acceptable salt, or pharmaceutical composition to the subject. DETAILED DESCRIPTION [0012] In one aspect, the invention relates to a compound of formula (I-A):
; or a pharmaceutically acceptable salt thereof, wherein: X1 is C-R1 or N; X2 is C-R2, N, or N+-O-; X3 is C-R3, N, or N+-O-; X5 is C-R5, N, or N+-O-; p, Xa, and Xb are defined as follows: (i) p is 1, Xa is C-R11R12, and Xb is O; (ii) p is 1, Xa is O, and Xb is C-R13R14; or (iii) p is 0 and Xb is O;
Xs is C-Rs or N; Xt is C-Rt or N; R1 is H, OH, halo, CN, C1-C6 alkyl, C1-C6 haloalkyl, C1-C6 alkoxy, C1-C6 haloalkoxy, –(CH2)mOn(CH2)oOCH3, –(CH2)mRa, –C(O)(CH2)mRa, –C(O)ORb, –C(O)Rb, –C(O)NRbRc, –NRbRc, –CRdReRf, –CRbRcNRgC(O)CRhRiRj, –NRbC(O)CRcRgRj, C3-C6 cycloalkyl, 5-6 membered heteroaryl, or 4-10 membered heterocyclyl, wherein said C3-C6 cycloalkyl, 5-6 membered heteroaryl, or 4-10 membered heterocyclyl may be unsubstituted or may be substituted with 1-4 substituents independently selected from halo, C1-C6 alkyl, C1-C6 haloalkyl, C1-C6 alkoxy, and C1-C6 haloalkoxy; R2, R3, R4, and R5 are each independently H, OH, CN, halo, C1-C6 alkyl, C1-C6 alkoxy, C1-C6 haloalkyl, –NHS(O)2(C1-C6 alkyl), –C(O)ORb, –C(O)NRbRc, –(CH2)mO(CH2)oCH3, 5-6 membered heteroaryl, or 5-6 membered heterocyclyl, wherein said 5-6 membered heteroaryl or 5-6 membered heterocyclyl may be unsubstituted or may be substituted with 1-4 substituents independently selected from C1-C6 alkyl and –C(O)NRbRc; R6, R7, R8, and R9 are defined as follows: (i) R6 and R7 are each independently H, OH, C1-C6 alkyl, C1-C6 haloalkyl, C3-C6 cycloalkyl, or C1-C6 alkoxy; and R8 and R9 are each independently H, OH, C1-C6 alkyl, C1-C6 haloalkyl, C3-C6 cycloalkyl, or C1-C6 alkoxy; or (ii) R6 and R7 are each independently H, OH, C1-C6 alkyl, C1-C6 haloalkyl, C3-C6 cycloalkyl, or C1-C6 alkoxy; and R8 and R9, together with the carbon atom to which they are attached, form a C3-C6 cycloalkyl; or (iii) R6, R7, R8, and R9, together with the carbon atom to which they are attached, form a fused C6-C10 aryl optionally substituted with 1-3 Ry; R10 is H or CH3; R11 and R12 are each independently H, OH, C1-C6 alkyl, C1-C6 haloalkyl, C3-C6 cycloalkyl, or C1-C6 alkoxy; R13 and R14 are each independently H, OH, C1-C6 alkyl, C1-C6 haloalkyl, C3-C6 cycloalkyl, or C1-C6 alkoxy; Rs and Rt are each independently H, OH, halo, C1-C6 alkyl, C1-C6 alkoxy, C1-C6 haloalkyl, C1-C6 haloalkoxy, C3-C6 cycloalkyl, –O-C3-C6 cycloalkyl, –NRbRc, –NO2, –SO3H, –(CH2)mORb, or –O(CH2)mOCH3, or Rs and Rt, together with the carbon atoms to which they are attached, form a ring of formula:
Y is O or CH2; Ru, Rv, and Rw are each independently H, OH, halo, C1-C6 alkyl, C1-C6 alkoxy, C1-C6 haloalkyl, C1-C6 haloalkoxy, –NRbRc, –NO2, –SO3H, –(CH2)mORb, or –O(CH2)mOCH3; each Rx is independently H, halo, C1-C6 alkyl, or C1-C6 haloalkyl; each Ry is independently H, OH, C1-C6 alkyl, C1-C6 haloalkyl, C3-C6 cycloalkyl, or C1-C6 alkoxy; Ra is OH, halo, C1-C6 alkoxy, or –NRbRc; Rb, Rc, Rg, Rh, and Ri are each independently H or C1-C6 alkyl, or Rb and Rc, together with the nitrogen atom to which they are attached, form a 3-6 membered heterocyclyl; Rd, Re, and Rf are each independently H, OH, halo, C1-C6 alkyl, or C1-C6 alkoxy; Rj is H, C1-C6 alkyl, –NRbRc, or –N(CH3)3 +; m and o are each independently 0, 1, 2, or 3; and n is 0 or 1. [0013] For purposes of this invention, the chemical elements are identified in accordance with the Periodic Table of the Elements, CAS version, Handbook of Chemistry and Physics, 75th Ed. Additionally, general principles of organic chemistry are described in “Organic Chemistry,” Thomas Sorrell, University Science Books, Sausalito: 1999, and “March’s Advanced Organic Chemistry,” 5th Ed., Ed.: Smith, M.B. and March, J., John Wiley & Sons, New York: 2001, the entire contents of which are hereby incorporated by reference. [0014] As used herein, the term “compounds of the invention” refers to the compounds of formula (I-A) and all of the embodiments thereof (e.g., formulas (I-A-1), (I-A-2), (I-B-1), (I-B-2), (I- C-1), (I-C-2), (I-D-1), (I-D-2), etc.), as described herein, and to the compounds identified in Table A, Table B, Table C, Table D, and Table E. [0015] As described herein, the compounds of the invention comprise multiple variable groups (e.g., X1, R1, R6, Ru, etc.). As one of ordinary skill in the art will recognize, combinations of groups envisioned by this invention are those combinations that result in the formation of stable or chemically feasible compounds. The term “stable,” in this context, refers to compounds that are not substantially altered when subjected to conditions to allow for their production, detection, and preferably their recovery, purification, and use for one or more of the purposes disclosed herein. In some embodiments, a stable compound or chemically feasible compound is one that is not substantially altered when kept at a temperature of 40°C or less, in the absence of moisture or other chemically reactive conditions, for at least a week. [0016] As used herein, the term “halo” means F, Cl, Br or I. [0017] As used herein, the term “alkyl” refers to a straight or branched hydrocarbon chain radical group consisting solely of carbon and hydrogen atoms, containing no unsaturation, and having the specified number of carbon atoms, which is attached to the rest of the molecule by a single bond. For example, a “C1-C6 alkyl” group is an alkyl group having between one and six carbon atoms.
[0018] As used herein, the term “cycloalkyl” refers to a stable, non-aromatic, mono- or bicyclic (fused, bridged, or spiro) saturated hydrocarbon radical consisting solely of carbon and hydrogen atoms, having the specified number of carbon ring atoms, and which is attached to the rest of the molecule by a single bond. For example, a “C3-C8 cycloalkyl” group is a cycloalkyl group having between three and eight carbon atoms. [0019] As used herein, the term “alkoxy” refers to a radical of the formula -ORa where Ra is an alkyl group having the specified number of carbon atoms. For example, a “C1-C6 alkoxy” group is a radical of the formula -ORa where Ra is an alkyl group having the between one and six carbon atoms. [0020] As used herein, the term “haloalkyl” refers to an alkyl group having the specified number of carbon atoms, wherein one or more of the hydrogen atoms of the alkyl group are replaced by halo groups. For example, a “C1-C6 haloalkyl” group is an alkyl group having between one and six carbon atoms, wherein one or more of the hydrogen atoms of the alkyl group are replaced by halo groups. [0021] As used herein, the term “haloalkoxy” refers to an alkoxy group having the specified number of carbon atoms, wherein one or more of the hydrogen atoms of the of the alkyl group are replaced by halo groups. [0022] As used herein, the term “heterocyclyl” refers to a stable, non-aromatic, mono-, bi-, or tricyclic (fused, bridged, or spiro) radical in which one or more ring atoms is a heteroatom (e.g., a heteroatom independently selected from N, O, P, and S), which has the specified number of ring atoms, and which is attached to the rest of the molecule by a single bond. Heterocyclic rings can be saturated, or can contain one or more double or triple bonds. In some embodiments, the “heterocyclyl” group has the indicated number of ring members, in which one or more ring members is a heteroatom independently selected from oxygen, sulfur, nitrogen, and phosphorus, and each ring in the ring system contains 3 to 7 ring members. For example, a 6-membered heterocyclyl includes a total of 6 ring members, at least one of which is a heteroatom (e.g., a heteroatom independently selected from N, O, P, and S). [0023] As used herein, the term “heteroaryl” refers to a stable mono-, bi-, or tricyclic ring radical having the specified number of ring atoms, wherein at least one ring in the system is aromatic, at least one aromatic ring in the system contains one or more heteroatoms (e.g., one or more heteroatoms independently selected from N, O, P, and S). In some embodiments, each ring in the system contains 3 to 7 ring members. For example, a 6-membered heteroaryl includes a total of 6 ring members, at least one of which is a heteroatom selected from N, S, O, and P. The term “heteroaryl” may be used interchangeably with the term “heteroaryl ring” or the term “heteroaromatic”.
[0024] As used herein, labels such as “*s” and “*t”, such as those shown in the following structures, designate the carbon atoms to which the corresponding R groups (in this case, the Rs and Rt groups, respectively) are attached:
[0025] Unless otherwise specified, the compounds of the invention, whether identified by chemical name or chemical structure, include all stereoisomers (e.g., enantiomers and diastereomers), double bond isomers (e.g., (Z) and (E)), conformational isomers, and tautomers of the compounds identified by the chemical names and chemical structures provided herein. In addition, single stereoisomers, double bond isomers, conformational isomers, and tautomers as well as mixtures of stereoisomers, double bond isomers, conformational isomers, and tautomers are within the scope of the invention. [0026] As used herein, in any chemical structure or formula, a non-bold, straight bond attached to a stereocenter of a compound, such as in
, denotes that the configuration of the stereocenter is unspecified. The compound may have any configuration, or a mixture of configurations, at the stereocenter. [0027] As used herein, in any chemical structure or formula, a bold or hashed straight bond attached to a stereocenter of a compound, such as in
, denotes the relative stereochemistry of the stereocenter, relative to other stereocenter(s) to which bold or hashed straight bonds are attached. [0028] As used herein, in any chemical structure or formula, a bold or hashed wedge bond attached to a stereocenter of a compound, such as in
, denotes the absolute stereochemistry of the stereocenter, as well as the relative stereochemistry of the stereocenter, relative to other stereocenter(s) to which bold or hashed wedge bonds are attached. [0029] As used herein, the prefix “rac-,” when used in connection with a chiral compound, refers to a racemic mixture of the compound. In a compound bearing the “rac-” prefix, the (R)- and (S)- designators in the chemical name reflect the relative stereochemistry of the compound. [0030] As used herein, the prefix “dia-,” when used in connection with a chiral compound, refers to a mixture of two or more diastereomers of the compound. In a compound bearing the “dia-“ prefix, the (R)- and (S)- designators are assigned arbitrarily and do not necessarily reflect the absolute or relative configuration of the corresponding stereocenters in any component of the mixture. In some instances, all of the diastereomers in a mixture have a single absolute configuration at one or more stereocenters. In these instances, the stereochemical designators associated with the stereocenters having a single absolute configuration are marked with an asterisk (*), e.g., (R*)- and (S*)-. In some instances, all of the diastereomers in a mixture have the same relative stereochemistry at two or more stereocenters. In these instances, the stereochemical designators associated with such stereocenters are marked with a superscript number (n), e.g., (Rn)- and (Sn)-. The stereochemical designators marked with a superscript number reflect the relative stereochemistry of the corresponding stereocenters with respect to other stereocenters associated with stereochemical designators having the same superscript number, e.g., (R1)- and (S1)-, but they do not necessarily reflect the absolute configuration of such stereocenters. The stereochemical designators marked with an asterisk (*) do not necessarily reflect the relative stereochemistry of the corresponding stereocenters with respect to stereocenters associated with stereochemical designators marked with a superscript number (n) (and vice versa) or with respect to stereocenters associated with unmarked stereochemical designators. Likewise, the stereochemical designators marked with a superscript number (n) do not necessarily reflect the relative stereochemistry of the corresponding stereocenters with respect to stereocenters associated with stereochemical designators marked with a different superscript number (n) or with respect to stereocenters associated with unmarked stereochemical designators. [0031] As used herein, the prefix “rel-,” when used in connection with a chiral compound, refers to a single enantiomer of unknown absolute configuration. In a compound bearing the “rel-” prefix, the (R)- and (S)- designators in the chemical name reflect the relative stereochemistry of the compound, but do not necessarily reflect the absolute stereochemistry of the compound. In some instances, the absolute configuration of some stereocenters is known, while only the relative
configuration of the other stereocenters is known. In these instances, the stereochemical designators associated with the stereocenters of known absolute configuration are marked with an asterisk (*), e.g., (R*)- and (S*)-, while the stereochemical designators associated with stereocenters of unknown absolute configuration are not so marked. The unmarked stereochemical designators associated with the stereocenters of unknown absolute configuration reflect the relative stereochemistry of those stereocenters with respect to other stereocenters of unknown absolute configuration, but do not necessarily reflect the relative stereochemistry with respect to the stereocenters of known absolute configuration. Where a compound contains two or more stereocenters of unknown absolute configuration, and the relative stereochemistry of such stereocenters with respect to each other is unknown, no stereochemical designator is provided for such stereocenters. [0032] As used herein, the term “compound,” when referring to the compounds of the invention, refers to a collection of molecules having identical chemical structures, except that there may be isotopic variation among the constituent atoms of the molecules. The term “compound” includes such a collection of molecules without regard to the purity of a given sample containing the collection of molecules. Thus, the term “compound” includes such a collection of molecules in pure form, in a mixture (e.g., solution, suspension, colloid, or pharmaceutical composition, or dosage form) with one or more other substances, or in the form of a hydrate, solvate, or co-crystal. [0033] In the specification and claims, unless otherwise specified, any atom not specifically designated as a particular isotope in any compound of the invention is meant to represent any stable isotope of the specified element. In the Examples, where an atom is not specifically designated as a particular isotope in any compound of the invention, no effort was made to enrich that atom in a particular isotope, and therefore a person of ordinary skill in the art would understand that such atom likely was present at approximately the natural abundance isotopic composition of the specified element. [0034] As used herein, the term “stable,” when referring to an isotope, means that the isotope is not known to undergo spontaneous radioactive decay. Stable isotopes include, but are not limited to, the isotopes for which no decay mode is identified in V.S. Shirley & C.M. Lederer, Isotopes Project, Nuclear Science Division, Lawrence Berkeley Laboratory, Table of Nuclides (January 1980). [0035] As used herein in the specification and claims, “H” refers to hydrogen and includes any stable isotope of hydrogen, namely 1H and D. In the Examples, where an atom is designated as “H,” no effort was made to enrich that atom in a particular isotope of hydrogen, and therefore a person of ordinary skill in the art would understand that such hydrogen atom likely was present at approximately the natural abundance isotopic composition of hydrogen. [0036] As used herein, “1H” refers to protium. Where an atom in a compound of the invention, or a pharmaceutically acceptable salt thereof, is designated as protium, protium is present at the specified position with at least the natural abundance concentration of protium. [0037] As used herein, “D,” “d,” and “2H” refer to deuterium.
[0038] In some embodiments, the compounds of the invention, and pharmaceutically acceptable salts thereof, include each constituent atom at approximately the natural abundance isotopic composition of the specified element. [0039] In some embodiments, the compounds of the invention, and pharmaceutically acceptable salts thereof, include one or more atoms having an atomic mass or mass number which differs from the atomic mass or mass number of the most abundant isotope of the specified element (“isotope- labeled” compounds and salts). Examples of stable isotopes which are commercially available and suitable for the invention include without limitation isotopes of hydrogen, carbon, nitrogen, oxygen, and phosphorus, for example 2H, 13C, 15N, 18O, 17O, and 31P, respectively. [0040] The isotope-labeled compounds and salts can be used in a number of beneficial ways, including as medicaments. In some embodiments, the isotope-labeled compounds and salts are deuterium (2H)-labeled. Deuterium (2H)-labeled compounds and salts are therapeutically useful with potential therapeutic advantages over the non-2H-labeled compounds. In general, deuterium (2H)- labeled compounds and salts can have higher metabolic stability as compared to those that are not isotope-labeled owing to the kinetic isotope effect described below. Higher metabolic stability translates directly into an increased in vivo half-life or lower dosages, which under most circumstances would represent a preferred embodiment of the present invention. The isotope-labeled compounds and salts can usually be prepared by carrying out the procedures disclosed in the synthesis schemes, the Examples and the related description, replacing a non-isotope-labeled reactant by a readily available isotope-labeled reactant. [0041] The deuterium (2H)-labeled compounds and salts can manipulate the rate of oxidative metabolism of the compound by way of the primary kinetic isotope effect. The primary kinetic isotope effect is a change of the rate for a chemical reaction that results from exchange of isotopic nuclei, which in turn is caused by the change in ground state energies of the covalent bonds involved in the reaction. Exchange of a heavier isotope usually results in a lowering of the ground state energy for a chemical bond and thus causes a reduction in the rate-limiting bond breakage. If the bond breakage occurs in or in the vicinity of a saddle-point region along the coordinate of a multi-product reaction, the product distribution ratios can be altered substantially. For example, if deuterium is bonded to a carbon atom at a non-exchangeable position, rate differences of kH/kD = 2-7 are typical. For a further discussion, see S. L. Harbeson and R. D. Tung, Deuterium In Drug Discovery and Development, Ann. Rep. Med. Chem.2011, 46, 403-417, incorporated in its entirety herein by reference. [0042] The concentration of an isotope (e.g., deuterium) incorporated at a given position of an isotope-labeled compound of the invention, or a pharmaceutically acceptable salt thereof, may be defined by the isotopic enrichment factor. The term “isotopic enrichment factor,” as used herein, means the ratio between the abundance of an isotope at a given position in an isotope-labeled compound (or salt) and the natural abundance of the isotope.
[0043] Where an atom in a compound of the invention, or a pharmaceutically acceptable salt thereof, is designated as deuterium, such compound (or salt) has an isotopic enrichment factor for such atom of at least 3000 (~45% deuterium incorporation). In some embodiments, the isotopic enrichment factor is at least 3500 (~52.5% deuterium incorporation), at least 4000 (~60% deuterium incorporation), at least 4500 (~67.5% deuterium incorporation), at least 5000 (~75% deuterium incorporation), at least 5500 (~82.5% deuterium incorporation), at least 6000 (~90% deuterium incorporation), at least 6333.3 (~95% deuterium incorporation), at least 6466.7 (~97% deuterium incorporation), at least 6600 (~99% deuterium incorporation), or at least 6633.3 (~99.5% deuterium incorporation). [0044] In some embodiments, the invention relates to a compound of formula (I-A), or a pharmaceutically acceptable salt thereof, wherein: Xa is CH2; Xb is O; R6 and R7 are each independently H, OH, C1-C6 alkyl, C1-C6 haloalkyl, C3-C6 cycloalkyl, or C1-C6 alkoxy; R8 and R9 are each independently H, OH, C1-C6 alkyl, C1-C6 haloalkyl, C3-C6 cycloalkyl, or C1-C6 alkoxy; or R8 and R9, together with the carbon atom to which they are attached, form a C3-C6 cycloalkyl; Rs and Rt are each independently H, OH, halo, C1-C6 alkyl, C1-C6 alkoxy, C1-C6 haloalkyl, C1-C6 haloalkoxy, –NRbRc, –NO2, –SO3H, –(CH2)mORb, or –O(CH2)mOCH3, or Rs and Rt, together with the carbon atoms to which they are attached, form a ring of formula:
p is 0 or 1. [0045] In some embodiments, the invention relates to a compound of formula (I-A), or a pharmaceutically acceptable salt thereof, wherein: R1 is H, OH, halo, CN, C1-C6 alkyl, C1-C6 alkoxy, C1-C6 haloalkoxy, or –C(O)ORb; R10 is H; and Rs and Rt are each independently H, OH, halo, C1-C6 alkyl, C1-C6 alkoxy, C1-C6 haloalkyl, C1- C6 haloalkoxy, –NRbRc, –NO2, –SO3H, –(CH2)mORa, or –O(CH2)mOCH3, or Rs and Rt, together with the carbon atoms to which they are attached, form a ring of formula:
[0046] In some embodiments, the invention relates to a compound of formula (I-A), or a pharmaceutically acceptable salt thereof, wherein p is 1, Xa is CR11R12, and Xb is O. [0047] In some embodiments, the invention relates to a compound of formula (I-A), or a pharmaceutically acceptable salt thereof, wherein R11 is H. [0048] In some embodiments, the invention relates to a compound of formula (I-A), or a pharmaceutically acceptable salt thereof, wherein R12 is H. [0049] In some embodiments, the invention relates to a compound of formula (I-A), or a pharmaceutically acceptable salt thereof, wherein p is 1, Xa is O, and Xb is CR13R14. [0050] In some embodiments, the invention relates to a compound of formula (I-A), or a pharmaceutically acceptable salt thereof, wherein R13 is C1-C6 alkyl or C1-C6 haloalkyl. In other embodiments, R13 is C1-C6 alkyl. In other embodiments, R13 is C1-C6 haloalkyl. In some embodiments, the invention relates to a compound of formula (I-A), or a pharmaceutically acceptable salt thereof, wherein R13 is –CH3 or –CF3. In other embodiments, R13 is –CH3. In other embodiments, R13 is –CF3. [0051] In some embodiments, the invention relates to a compound of formula (I-A), or a pharmaceutically acceptable salt thereof, wherein R14 is C1-C6 alkyl or C1-C6 haloalkyl. In other embodiments, R14 is C1-C6 alkyl. In other embodiments, R14 is C1-C6 haloalkyl. In some embodiments, the invention relates to a compound of formula (I-A), or a pharmaceutically acceptable salt thereof, wherein R14 is –CH3 or –CF3. In other embodiments, R14 is –CH3. In other embodiments, R14 is –CF3. [0052] In some embodiments, the invention relates to a compound of formula (I-A), or a pharmaceutically acceptable salt thereof, wherein R6, R7, R8, and R9, together with the carbon atom to which they are attached, form a fused C6-C10 aryl optionally substituted with 1-3 Ry. In some embodiments, the invention relates to a compound of formula (I-A), or a pharmaceutically acceptable salt thereof, wherein R6, R7, R8, and R9, together with the carbon atom to which they are attached, form a fused phenyl. [0053] In some embodiments, the invention relates to a compound of formula (I-A), or a pharmaceutically acceptable salt thereof, wherein R10 is H. In some embodiments, the invention relates to a compound of formula (I-A), or a pharmaceutically acceptable salt thereof, wherein R10 is CH3. [0054] In some embodiments, the invention relates to a compound of formula (I-A), or a pharmaceutically acceptable salt thereof, wherein Rw is H.
[0055] In some embodiments, the invention relates to a compound of formula (I-A-1):
; or a pharmaceutically acceptable salt thereof, wherein all variable groups are defined as they are defined for the compound of formula (I-A). [0056] In some embodiments, the invention relates to a compound of formula (I-B-1):
; or a pharmaceutically acceptable salt thereof, wherein all variable groups are defined as they are defined for the compound of formula (I-A). [0057] In some embodiments, the invention relates to a compound of formula (I-C-1):
; or a pharmaceutically acceptable salt thereof, wherein all variable groups are defined as they are defined for the compound of formula (I-A).
[0058] In some embodiments, the invention relates to a compound of formula (I-D-1):
; or a pharmaceutically acceptable salt thereof, wherein all variable groups are defined as they are defined for the compound of formula (I-A). [0059] In some embodiments, the invention relates to a compound of formula (I-A), (I-A-1), or (I-B-1), or a pharmaceutically acceptable salt thereof, wherein p is 0. [0060] In some embodiments, the invention relates to a compound of formula (I-A), (I-A-1), or (I-B-1), or a pharmaceutically acceptable salt thereof, wherein p is 1. [0061] In some embodiments, the invention relates to a compound of formula (I-A), (I-A-1), (I- B-1), (I-C-1), or (I-D-1), or a pharmaceutically acceptable salt thereof, wherein X1 is N. In some embodiments, the invention relates to a compound of formula (I-A), (I-A-1), (I-B-1), (I-C-1), or (I-D- 1), or a pharmaceutically acceptable salt thereof, wherein X1 is C-R1, and R1 is H, CN, C1-C6 alkyl, C1-C6 alkoxy, or –C(O)ORb. In other embodiments, X1 is C-R1, and R1 is H. In other embodiments, X1 is C-R1, and R1 is CN. In other embodiments, X1 is C-R1, and R1 is C1-C6 alkyl. In other embodiments, X1 is C-R1, and R1 is C1-C6 alkoxy. In other embodiments, X1 is C-R1, and R1 is –C(O)ORb. In some embodiments, the invention relates to a compound of formula (I- A), (I-A-1), (I-B-1), (I-C-1), or (I-D-1), or a pharmaceutically acceptable salt thereof, wherein X1 is C-R1, and R1 is H, CN, –CH3, –OCH3, –C(O)OCH3, or –C(O)OCH2CH3. In other embodiments, X1 is C-R1, and R1 is CN. In other embodiments, X1 is C-R1, and R1 is –CH3. In other embodiments, X1 is C-R1, and R1 is –OCH3. In other embodiments, X1 is C-R1, and R1 is –C(O)OCH3. In other embodiments, X1 is C-R1, and R1 is –C(O)OCH2CH3. [0062] In some embodiments, the invention relates to a compound of formula (I-A), (I-A-1), (I- B-1), (I-C-1), or (I-D-1), or a pharmaceutically acceptable salt thereof, wherein X2 is N. In some embodiments, the invention relates to a compound of formula (I-A) or (I-A-1), or a pharmaceutically acceptable salt thereof, wherein X2 is C-R2, and R2 is H, OH, CN, halo, C1-C6 alkyl, C1-C6 alkoxy, – NHS(O)2(C1-C6 alkyl), –C(O)ORb, –C(O)NRbRc, 5-6 membered heteroaryl, or 5-6 membered heterocyclyl, wherein said 5-6 membered heteroaryl or 5-6 membered heterocyclyl may be unsubstituted or may be substituted with 1-4 substituents independently selected from C1-C6 alkyl and –C(O)NRbRc. In other embodiments, X2 is C-R2, and R2 is H. In other embodiments, X2 is C-R2, and
R2 is OH. In other embodiments, X2 is C-R2, and R2 is CN. In other embodiments, X2 is C-R2, and R2 is halo. In other embodiments, X2 is C-R2, and R2 is C1-C6 alkyl. In other embodiments, X2 is C-R2, and R2 is C1-C6 alkoxy. In other embodiments, X2 is C-R2, and R2 is –NHS(O)2(C1-C6 alkyl). In other embodiments, X2 is C-R2, and R2 is –C(O)ORb. In other embodiments, X2 is C-R2, and R2 is –C(O)NRbRc. In other embodiments, X2 is C-R2, and R2 is 5-6 membered heteroaryl, wherein said 5- 6 membered heteroaryl may be unsubstituted or may be substituted with 1-4 substituents independently selected from C1-C6 alkyl and –C(O)NRbRc.. In other embodiments, X2 is C-R2, and R2 is 5-6 membered heterocyclyl, wherein said 5-6 membered heterocyclyl may be unsubstituted or may be substituted with 1-4 substituents independently selected from C1-C6 alkyl and –C(O)NRbRc. In some embodiments, the invention relates to a compound of formula (I-A), (I-A-1), (I-B-1), (I-C-1), or (I-D-1), or a pharmaceutically acceptable salt thereof, wherein X2 is C-R2, and R2 is H, Cl, F, OH, CN, –CH3, –OCH3, –C(O)OH, –C(O)NH2, –C(O)N(H)CH3, –N(H)S(O)2(CH3),
. In some embodiments, the invention relates to a compound of formula (I-A), (I-A-1), (I-B-1), (I-C-1), or (I-D-1), or a pharmaceutically acceptable salt thereof, wherein X2 is C-R2, and R2 is H, Cl, F, OH, CN, –CH3, –OCH3, –C(O)OH, –C(O)NH2, –C(O)N(H)CH3, –N(H)S(O)2(CH3),
In other embodiments, X2 is C-R2, and R2 is Cl. In other embodiments, X2 is C-R2, and R2
is F. In other embodiments, X2 is C-R2, and R2 is OH. In other embodiments, X2 is C-R2, and R2 is CN. In other embodiments, X2 is C-R2, and R2 is –CH3. In other embodiments, X2 is C-R2, and R2 is –OCH3. In other embodiments, X2 is C-R2, and R2 is –C(O)OH. In other embodiments, X2 is C-R2, and R2 is –C(O)NH2. In other embodiments, X2 is C-R2, and R2 is –C(O)N(H)CH3. In other embodiments, X2 is C-R2, and R2 is –N(H)S(O)2(CH3). In other embodiments, X2 is C-R2, and R2 is
[0063] In some embodiments, the invention relates to a compound of formula (I-A), (I-A-1), (I- B-1), (I-C-1), or (I-D-1), or a pharmaceutically acceptable salt thereof, wherein X3 is N. In some embodiments, the invention relates to a compound of formula (I-A), (I-A-1), (I-B-1), (I-C-1), or (I-D- 1), or a pharmaceutically acceptable salt thereof, wherein X3 is C-R3, and R3 is H, CN, halo, C1-C6 alkoxy, –C(O)ORb, or –C(O)NRbRc. In other embodiments, X3 is C-R3, and R3 is H. In other embodiments, X3 is C-R3, and R3 CN. In other embodiments, X3 is C-R3, and R3 halo. In other embodiments, X3 is C-R3, and R3 C1-C6 alkoxy. In other embodiments, X3 is C-R3, and R3 –C(O)ORb. In other embodiments, X3 is C-R3, and R3 –C(O)NRbRc. In some embodiments, the invention relates to a compound of formula (I-A), (I-A-1), (I-B-1), (I-C-1), or (I-D-1), or a pharmaceutically acceptable salt thereof, wherein X3 is C-R3, and R3 is H, Cl, F, CN, –OCH3, –C(O)OCH3 or –C(O)N(CH3)2. In other embodiments, X3 is C-R3, and R3 is Cl. In other embodiments, X3 is C-R3, and R3 is F. In other embodiments, X3 is C-R3, and R3 is CN. In other embodiments, X3 is C-R3, and R3 is –OCH3. In other embodiments, X3 is C-R3, and R3 is –C(O)OCH3. In other embodiments, X3 is C-R3, and R3 is – C(O)N(CH3)2. [0064] In some embodiments, the invention relates to a compound of formula (I-A), (I-A-1), (I- B-1), (I-C-1), or (I-D-1), or a pharmaceutically acceptable salt thereof, wherein R4 is H, halo, C1-C6 alkyl, –C(O)ORb, or –C(O)NRbRc. In other embodiments, R4 is H. In other embodiments, R4 is halo. In other embodiments, R4 is C1-C6 alkyl. In other embodiments, R4 is –C(O)ORb. In other embodiments, R4 is –C(O)NRbRc. In some embodiments, the invention relates to a compound of formula (I-A), (I-A-1), (I-B-1), (I-C-1), or (I-D-1), or a pharmaceutically acceptable salt thereof, wherein R4 is H, Cl, F, –CH3, –C(O)OCH2CH3 or –C(O)NH2. In other embodiments, R4 is Cl. In
other embodiments, R4 is F. In other embodiments, R4 is –CH3. In other embodiments, R4 is – C(O)OCH2CH3. In other embodiments, R4 is –C(O)NH2. [0065] In some embodiments, the invention relates to a compound of formula (I-A), (I-A-1), (I- B-1), (I-C-1), or (I-D-1), or a pharmaceutically acceptable salt thereof, wherein X5 is N. In some embodiments, the invention relates to a compound of formula (I-A), (I-A-1), (I-B-1), (I-C-1), or (I-D- 1), or a pharmaceutically acceptable salt thereof, wherein X5 is CR5, and R5 is H, halo, or – C(O)NRbRc. In other embodiments, X5 is CR5, and R5 is H. In other embodiments, X5 is CR5, and R5 is halo. In other embodiments, X5 is CR5, and R5 is –C(O)NRbRc. In some embodiments, the invention relates to a compound of formula (I-A), (I-A-1), (I-B-1), (I-C-1), or (I-D-1), or a pharmaceutically acceptable salt thereof, wherein X5 is CR5, and R5 is H, F, or –C(O)NH2. In other embodiments, X5 is CR5, and R5 is F. In other embodiments, X5 is CR5, and R5 is –C(O)NH2. [0066] In some embodiments, the invention relates to a compound of formula (I-A), or a pharmaceutically acceptable salt thereof, wherein R6 is H. [0067] In some embodiments, the invention relates to a compound of formula (I-A), (I-A-1), (I- B-1), (I-C-1), or (I-D-1), or a pharmaceutically acceptable salt thereof, wherein R7 is H, OH, C1-C6 alkyl, C3-C6 cycloalkyl, or C1-C6 alkoxy. In other embodiments, R7 is H. In other embodiments, R7 is OH. In other embodiments, R7 is C1-C6 alkyl. In other embodiments, R7 is C3-C6 cycloalkyl. In other embodiments, R7 is C1-C6 alkoxy. In some embodiments, the invention relates to a compound of formula (I-A), (I-A-1), (I-B-1), (I-C-1), or (I-D-1), or a pharmaceutically acceptable salt thereof, wherein R7 is H, OH, –OCH3, –CH3, or cyclopropyl. In other embodiments, R7 is –OCH3. In other embodiments, R7 is –CH3. In other embodiments, R7 is cyclopropyl. [0068] In some embodiments, the invention relates to a compound of formula (I-A), (I-A-1), (I- B-1), (I-C-1), or (I-D-1), or a pharmaceutically acceptable salt thereof, wherein R8 and R9 are each independently H, C1-C6 alkyl, C1-C6 haloalkyl, or C3-C6 cycloalkyl, or R8 and R9, together with the carbon atom to which they are attached, form a C3-C6 cycloalkyl. In other embodiments, at least one of R8 and R9 is H. In other embodiments, at least one of R8 and R9 is C1-C6 alkyl. In other embodiments, at least one of R8 and R9 is C1-C6 haloalkyl. In other embodiments, at least one of R8 and R9 is C3-C6 cycloalkyl In some embodiments, the invention relates to a compound of formula (I- A), (I-A-1), (I-B-1), (I-C-1), or (I-D-1), or a pharmaceutically acceptable salt thereof, wherein R8 is H or C1-C6 alkyl. In other embodiments, R8 is H. In other embodiments, R8 is C1-C6 alkyl. In some embodiments, the invention relates to a compound of formula (I-A), (I-A-1), (I-B-1), (I-C-1), or (I-D- 1), or a pharmaceutically acceptable salt thereof, wherein R8 is H, –CH3, or –CH2CH3. In other embodiments, R8 is –CH3. In other embodiments, R8 is –CH2CH3. In some embodiments, the invention relates to a compound of formula (I-A), (I-A-1), (I-B-1), (I-C-1), or (I-D-1), or a pharmaceutically acceptable salt thereof, wherein R9 is H, C1-C6 alkyl, or C1-C6 haloalkyl. In other embodiments, R9 is H. In other embodiments, R9 is C1-C6 alkyl. In other embodiments, R9 is C1-C6 haloalkyl. In some embodiments, the invention relates to a compound of formula (I-A), (I-A-1), (I-B-
1), (I-C-1), or (I-D-1), or a pharmaceutically acceptable salt thereof, wherein R9 is H, –CH3, or –CF3. In other embodiments, R9 is –CH3. In other embodiments, R9 is –CF3. In some embodiments, the invention relates to a compound of formula (I-A), (I-A-1), (I-B-1), (I-C-1), or (I-D-1), or a pharmaceutically acceptable salt thereof, wherein R8 and R9, together with the carbon atom to which they are attached, form a C3-C6 cycloalkyl. In some embodiments, the invention relates to a compound of formula (I-A), (I-A-1), (I-B-1), (I-C-1), or (I-D-1), or a pharmaceutically acceptable salt thereof, wherein R8 and R9, together with the carbon atom to which they are attached, form a cyclobutane. [0069] In some embodiments, the invention relates to a compound of formula (I-C-1) or (I-D-1), or a pharmaceutically acceptable salt thereof, wherein R11 is H, and R12 is H. [0070] In some embodiments, the invention relates to a compound of formula (I-A), (I-A-1), (I- B-1), (I-C-1), or (I-D-1), or a pharmaceutically acceptable salt thereof, wherein Xs is N. In some embodiments, the invention relates to a compound of formula (I-A), (I-A-1), (I-B-1), (I-C-1), or (I-D- 1), or a pharmaceutically acceptable salt thereof, wherein Xs is C-Rs, and Rs is H, OH, halo, C1-C6 alkyl, C1-C6 alkoxy, C3-C6 cycloalkyl, –O-C3-C6 cycloalkyl, –(CH2)mORb, or –O(CH2)mOCH3. In some embodiments, the invention relates to a compound of formula (I-A), (I-A-1), (I-B-1), (I-C-1), or (I-D-1), or a pharmaceutically acceptable salt thereof, wherein Xs is C-Rs, and Rs is H, OH, halo, C1- C6 alkyl, C1-C6 alkoxy, –(CH2)mORb, or –O(CH2)mOCH3. In other embodiments, Xs is C-Rs, and Rs is H. In other embodiments, Xs is C-Rs, and Rs is OH. In other embodiments, Xs is C-Rs, and Rs is halo. In other embodiments, Xs is C-Rs, and Rs is C1-C6 alkyl. In other embodiments, Xs is C-Rs, and Rs is C1-C6 alkoxy. In other embodiments, Xs is C-Rs, and Rs is C3-C6 cycloalkyl. In other embodiments, Xs is C-Rs, and Rs is –O-C3-C6 cycloalkyl. In other embodiments, Xs is C-Rs, and Rs is –(CH2)mORb. In other embodiments, Xs is C-Rs, and Rs is –O(CH2)mOCH3. In some embodiments, the invention relates to a compound of formula (I-A), (I-A-1), (I-B-1), (I-C-1), or (I-D-1), or a pharmaceutically acceptable salt thereof, wherein Xs is C-Rs, and Rs is H, F, Cl, OH, –CH3, –CH2OH, –CH2OCH3, – OCH3, cyclopropyl, –O-cyclopropyl, –OCH(CH3)2, or –OCH2CH2OCH3. In some embodiments, the invention relates to a compound of formula (I-A), (I-A-1), (I-B-1), (I-C-1), or (I-D-1), or a pharmaceutically acceptable salt thereof, wherein Xs is C-Rs, and Rs is H, F, Cl, OH, –CH3, –CH2OH, –CH2OCH3, –OCH3, cyclopropyl, –OCH(CH3)2, or –OCH2CH2OCH3. In some embodiments, the invention relates to a compound of formula (I-A), (I-A-1), (I-B-1), (I-C-1), or (I-D-1), or a pharmaceutically acceptable salt thereof, wherein Xs is C-Rs, and Rs is H, F, OH, –CH3, –CH2OH, – OCH3, –OCH(CH3)2, or –OCH2CH2OCH3. In some embodiments, the invention relates to a compound of formula (I-A), (I-A-1), (I-B-1), (I-C-1), or (I-D-1), or a pharmaceutically acceptable salt thereof, wherein Xs is C-Rs, and Rs is H, Cl, F, OH, –CH3, –CH2OH, –OCH3, –OCH2CH3, – OCH(CH3)2, or –OCH2CH2OCH3. In other embodiments, Xs is C-Rs, and Rs is F. In other embodiments, Xs is C-Rs, and Rs is Cl. In other embodiments, Xs is C-Rs, and Rs is –CH3. In other embodiments, Xs is C-Rs, and Rs is –CH2OH. In other embodiments, Xs is C-Rs, and Rs is –
CH2OCH3. In other embodiments, Xs is C-Rs, and Rs is –OCH3. In other embodiments, Xs is C-Rs, and Rs is cyclopropyl. In other embodiments, Xs is C-Rs, and Rs is –O-cyclopropyl. In other embodiments, Xs is C-Rs, and Rs is –OCH(CH3)2. In other embodiments, Xs is C-Rs, and Rs is – OCH2CH2OCH3. [0071] In some embodiments, the invention relates to a compound of formula (I-A), (I-A-1), (I- B-1), (I-C-1), or (I-D-1), or a pharmaceutically acceptable salt thereof, wherein Xt is N. In some embodiments, the invention relates to a compound of formula (I-A), (I-A-1), (I-B-1), (I-C-1), or (I-D- 1), or a pharmaceutically acceptable salt thereof, wherein Xt is C-Rt, and Rt is H, halo, C1-C6 alkyl, C1-C6 alkoxy, or C3-C6 cycloalkyl. In some embodiments, the invention relates to a compound of formula (I-A), (I-A-1), (I-B-1), (I-C-1), or (I-D-1), or a pharmaceutically acceptable salt thereof, wherein Xt is C-Rt, and Rt is H, halo, C1-C6 alkyl, or C1-C6 alkoxy. In other embodiments, Xt is C-Rt, and Rt is H. In other embodiments, Xt is C-Rt, and Rt is halo. In other embodiments, Xt is C-Rt, and Rt is C1-C6 alkyl. In other embodiments, Xt is C-Rt, and Rt is C1-C6 alkoxy. In other embodiments, Xt is C-Rt, and Rt is C3-C6 cycloalkyl. In some embodiments, the invention relates to a compound of formula (I-A), (I-A-1), (I-B-1), (I-C-1), or (I-D-1), or a pharmaceutically acceptable salt thereof, wherein Xt is C-Rt, and Rt is H, Cl, F, –CH3, –OCH3, or cyclopropyl. In some embodiments, the invention relates to a compound of formula (I-A), (I-A-1), (I-B-1), (I-C-1), or (I-D-1), or a pharmaceutically acceptable salt thereof, wherein Xt is C-Rt, and Rt is H, Cl, F, –CH3, or –OCH3. In other embodiments, Xt is C-Rt, and Rt is Cl. In other embodiments, Xt is C-Rt, and Rt is F. In other embodiments, Xt is C-Rt, and Rt is –CH3. In other embodiments, Xt is C-Rt, and Rt is –OCH3. In other embodiments, Xt is C-Rt, and Rt is cyclopropyl. [0072] In some embodiments, the invention relates to a compound of formula (I-A), (I-A-1), (I- B-1), (I-C-1), or (I-D-1), or a pharmaceutically acceptable salt thereof, wherein Xs is C-Rs, Xt is C-Rt, and Rs and Rt, together with the carbon atoms to which they are attached, form a ring of formula:
In other embodiments, Xs is C-Rs, Xt is C-Rt, and Rs and Rt, together with the carbon atoms to which they are attached, form a ring of formula
. In other embodiments, Xs is C-Rs, Xt is C-Rt, and Rs and Rt, together with the carbon atoms to which they are attached, form a ring of formula
. In some embodiments, the invention relates to a compound of formula (I-A), (I-A-1), (I- B-1), (I-C-1), or (I-D-1), or a pharmaceutically acceptable salt thereof, wherein Xs is C-Rs, Xt is C-Rt, and Rs and Rt, together with the carbon atoms to which they are attached, form a ring of formula:
. In other embodiments, Xs is C-Rs, Xt is C-Rt, and Rs and Rt, together with the carbon atoms to which they are attached, form a ring of formula
. In other embodiments, Xs is C-Rs, Xt is C-Rt, and Rs and Rt, together with the carbon atoms to which they are attached, form a ring of formula
. In other embodiments, Xs is C-Rs, Xt is C-Rt, and Rs and Rt, together with the carbon atoms to which they are attached, form a ring of formula
. [0073] In some embodiments, the invention relates to a compound of formula (I-A), (I-A-1), (I- B-1), (I-C-1), or (I-D-1), or a pharmaceutically acceptable salt thereof, wherein wherein Ru is H, halo, C1-C6 alkyl, C1-C6 alkoxy, C1-C6 haloalkyl. In other embodiments, Ru is H. In other embodiments, Ru is halo. In other embodiments, Ru is C1-C6 alkyl. In other embodiments, Ru is C1-C6 alkoxy. In other embodiments, Ru is C1-C6 haloalkyl. In some embodiments, the invention relates to a compound of formula (I-A), (I-A-1), (I-B-1), (I-C-1), or (I-D-1), or a pharmaceutically acceptable salt thereof, wherein Ru is H, F, or –CH3. In some embodiments, the invention relates to a compound of formula (I-A), (I-A-1), (I-B-1), (I-C-1), or (I-D-1), or a pharmaceutically acceptable salt thereof, wherein Ru is H, Cl, F, –CH3, or –OCH3. In other embodiments, Ru is Cl. In other embodiments, Ru is F. In other embodiments, Ru is –CH3. In other embodiments, Ru is –OCH3. [0074] In some embodiments, the invention relates to a compound of formula (I-A), (I-A-1), (I- B-1), (I-C-1), or (I-D-1), or a pharmaceutically acceptable salt thereof, wherein Rv is H, halo, or C1-C6 alkyl. In some embodiments, the invention relates to a compound of formula (I-A), (I-A-1), (I-B-1), (I-C-1), or (I-D-1), or a pharmaceutically acceptable salt thereof, wherein Rv is H or C1-C6 alkyl. In other embodiments, Rv is H. In other embodiments, Rv is halo. In other embodiments, Rv is C1-C6 alkyl. In some embodiments, the invention relates to a compound of formula (I-A), (I-A-1), (I-B-1), (I-C-1), or (I-D-1), or a pharmaceutically acceptable salt thereof, wherein Rv is H, F, or –CH3. In some embodiments, the invention relates to a compound of formula (I-A), (I-A-1), (I-B-1), (I-C-1), or (I-D-1), or a pharmaceutically acceptable salt thereof, wherein Rv is H or –CH3. In other embodiments, Rv is F. In other embodiments, Rv is or –CH3.
[0075] In some embodiments, the invention relates to a compound of formula (I-A-2):
; or a pharmaceutically acceptable salt thereof, wherein all variable groups are defined as they are defined for the compound of formula (I-A). [0076] In some embodiments, the invention relates to a compound of formula (I-B-2):
or a pharmaceutically acceptable salt thereof, wherein all variable groups are defined as they are defined for the compound of formula (I-A). [0077] In some embodiments, the invention relates to a compound of formula (I-C-2):
; or a pharmaceutically acceptable salt thereof, wherein all variable groups are defined as they are defined for the compound of formula (I-A).
[0078] In some embodiments, the invention relates to a compound of formula (I-D-2):
; or a pharmaceutically acceptable salt thereof, wherein all variable groups are defined as they are defined for the compound of formula (I-A). [0079] In some embodiments, the invention relates to a compound of formula (I-A), (I-A-1), (I- B-1), (I-A-2), or (I-B-2), or a pharmaceutically acceptable salt thereof, wherein p is 0. [0080] In some embodiments, the invention relates to a compound of formula (I-A), (I-A-1), (I- B-1), (I-A-2), or (I-B-2), or a pharmaceutically acceptable salt thereof, wherein p is 1. [0081] In some embodiments, the invention relates to a compound of formula (I-A), (I-A-1), (I- A-2), (I-B-1), (I-B-2), (I-C-1), (I-C-2), (I-D-1), or (I-D-2), or a pharmaceutically acceptable salt thereof, wherein R7 is H, C1-C6 alkyl, or C1-C6 alkoxy. In some embodiments, the invention relates to a compound of formula (I-A), (I-A-1), (I-A-2), (I-B-1), (I-B-2), (I-C-1), (I-C-2), (I-D-1), or (I-D-2), or a pharmaceutically acceptable salt thereof, wherein R7 is H or C1-C6 alkoxy. In other embodiments, R7 is H. In other embodiments, R7 is C1-C6 alkyl. In other embodiments, R7 is C1-C6 alkoxy. In some embodiments, the invention relates to a compound of formula (I-A), (I-A-1), (I-A-2), (I-B-1), (I-B-2), (I-C-1), (I-C-2), (I-D-1), or (I-D-2), or a pharmaceutically acceptable salt thereof, wherein R7 is H, – CH3, or –OCH3. In some embodiments, the invention relates to a compound of formula (I-A), (I-A- 1), or (I-A-2), or a pharmaceutically acceptable salt thereof, wherein R7 is H or –OCH3. In other embodiments, R7 is –CH3. In other embodiments, R7 is –OCH3. [0082] In some embodiments, the invention relates to a compound of formula (I-A), (I-A-1), (I- A-2), (I-B-1), (I-B-2), (I-C-1), (I-C-2), (I-D-1), or (I-D-2), or a pharmaceutically acceptable salt thereof, wherein Rs is H, OH, halo, C1-C6 alkyl, C1-C6 alkoxy, C3-C6 cycloalkyl, –O-C3-C6 cycloalkyl, –(CH2)mORb, or –O(CH2)mOCH3. In some embodiments, the invention relates to a compound of formula (I-A), (I-A-1), (I-A-2), (I-B-1), (I-B-2), (I-C-1), (I-C-2), (I-D-1), or (I-D-2), or a pharmaceutically acceptable salt thereof, wherein Rs is H, halo, C1-C6 alkyl, C1-C6 alkoxy, C3-C6 cycloalkyl, or –(CH2)mORb. In some embodiments, the invention relates to a compound of formula (I- A), (I-A-1), (I-A-2), (I-B-1), (I-B-2), (I-C-1), (I-C-2), (I-D-1), or (I-D-2), or a pharmaceutically acceptable salt thereof, wherein Rs is C1-C6 alkyl or C1-C6 alkoxy. In other embodiments, Rs is H. In other embodiments, Rs is halo. In other embodiments, Rs is C1-C6 alkyl. In other embodiments, Rs is
C1-C6 alkoxy. In other embodiments, Rs is C3-C6 cycloalkyl. In other embodiments, Rs is –O-C3-C6 cycloalkyl. In other embodiments, Rs is –(CH2)mORb. In some embodiments, the invention relates to a compound of formula (I-A), (I-A-1), (I-A-2), (I-B-1), (I-B-2), (I-C-1), (I-C-2), (I-D-1), or (I-D-2), or a pharmaceutically acceptable salt thereof, wherein Rs is H, F, Cl, OH, –CH3, –CH2OH, –CH2OCH3, – OCH3, cyclopropyl, –O-cyclopropyl, –OCH(CH3)2, or –OCH2CH2OCH3.. In some embodiments, the invention relates to a compound of formula (I-A), (I-A-1), (I-A-2), (I-B-1), (I-B-2), (I-C-1), (I-C-2), (I-D-1), or (I-D-2), or a pharmaceutically acceptable salt thereof, wherein Rs is H, F, Cl, –CH3, – OCH3, cyclopropyl, or –CH2OCH3. In some embodiments, the invention relates to a compound of formula (I-A), (I-A-1), (I-A-2), (I-B-1), (I-B-2), (I-C-1), (I-C-2), (I-D-1), or (I-D-2), or a pharmaceutically acceptable salt thereof, wherein Rs is –CH3 or –OCH3. In other embodiments, Rs is F. In other embodiments, Rs is Cl. In other embodiments, Rs is –CH3. In other embodiments, Rs is – OCH3. In other embodiments, Rs is cyclopropyl. In other embodiments, Rs is –OCH3. In other embodiments, Rs is –O-cyclopropyl. In other embodiments, Rs is –CH2OCH3. [0083] In some embodiments, the invention relates to a compound of formula (I-A), (I-A-1), (I- A-2), (I-B-1), (I-B-2), (I-C-1), (I-C-2), (I-D-1), or (I-D-2), or a pharmaceutically acceptable salt thereof, wherein Rt is H, halo, C1-C6 alkyl, or C3-C6 cycloalkyl. In some embodiments, the invention relates to a compound of formula (I-A), (I-A-1), (I-A-2), (I-B-1), (I-B-2), (I-C-1), (I-C-2), (I-D-1), or (I-D-2), or a pharmaceutically acceptable salt thereof, wherein Rt is H or halo. In other embodiments, Rt is H. In other embodiments, Rt is halo. In other embodiments, Rt is C1-C6 alkyl. In other embodiments, Rt is C3-C6 cycloalkyl. In some embodiments, the invention relates to a compound of formula (I-A), (I-A-1), (I-A-2), (I-B-1), (I-B-2), (I-C-1), (I-C-2), (I-D-1), or (I-D-2), or a pharmaceutically acceptable salt thereof, wherein Rt is H, F, Cl, –CH3, or cyclopropyl. In some embodiments, the invention relates to a compound of formula (I-A), (I-A-1), (I-A-2), (I-B-1), (I-B-2), (I-C-1), (I-C-2), (I-D-1), or (I-D-2), or a pharmaceutically acceptable salt thereof, wherein Rt is H or F. In other embodiments, Rt is F. In other embodiments, Rt is Cl. In other embodiments, Rt is –CH3. In other embodiments, Rt is cyclopropyl. [0084] In some embodiments, the invention relates to a compound selected from Table A, or a pharmaceutically acceptable salt thereof. In other embodiments, the invention relates to a compound selected from Table A, i.e., the compound in non-salt form.
[0086] In some embodiments, the invention relates to a compound selected from Table B, or a pharmaceutically acceptable salt thereof. In other embodiments, the invention relates to a compound selected from Table B, i.e., the compound in non-salt form. [0087] Table B. Compound Structures and Names.
[0088] In some embodiments, the invention relates to a compound selected from Table C, or a pharmaceutically acceptable salt thereof. In other embodiments, the invention relates to a compound selected from Table C, i.e., the compound in non-salt form.
[0090] In some embodiments, the invention relates to a compound selected from Table D, or a pharmaceutically acceptable salt thereof. In other embodiments, the invention relates to a compound selected from Table D, i.e., the compound in non-salt form.
[0092] In some embodiments, the invention relates to a compound selected from Table D, or a pharmaceutically acceptable salt thereof. In other embodiments, the invention relates to a compound selected from Table E, i.e., the compound in non-salt form. [0093] Table E. Compound Structures and Names.
Salts. Compositions, Uses, Formulation. Administration and Additional Agents
Pharmaceutically acceptable salts and compositions
[0094] As discussed herein, the invention provides compounds, and pharmaceutically acceptable salts thereof, that are inhibitors of voltage-gated sodium channels, and thus the present compounds, and pharmaceutically acceptable salts thereof, are useful for the treatment of diseases, disorders, and conditions including, but not limited to chronic pain, gut pain, neuropathic pain, musculoskeletal pain, acute pain, inflammatory pain, cancer pain, idiopathic pain, postsurgical pain (e.g., bunionectomy
pain, herniorrhaphy pain or abdominoplasty pain), visceral pain, multiple sclerosis, Charcot-Marie- Tooth syndrome, incontinence, pathological cough, or cardiac arrhythmia. Accordingly, in another aspect of the invention, pharmaceutical compositions are provided, wherein these compositions comprise a compound as described herein, or a pharmaceutically acceptable salt thereof, and optionally comprise a pharmaceutically acceptable carrier, adjuvant or vehicle. In certain embodiments, these compositions optionally further comprise one or more additional therapeutic agents. In some embodiments, the additional therapeutic agent is a sodium channel inhibitor. [0095] As used herein, the term “pharmaceutically acceptable salt” refers to those salts which are, within the scope of sound medical judgment, suitable for use in contact with the tissues of humans and lower animals without undue toxicity, irritation, allergic response and the like, and are commensurate with a reasonable benefit/risk ratio. A “pharmaceutically acceptable salt” of a compound of this invention includes any non-toxic salt that, upon administration to a recipient, is capable of providing, either directly or indirectly, a compound of this invention or an inhibitorily active metabolite or residue thereof. The salt may be in pure form, in a mixture (e.g., solution, suspension, or colloid) with one or more other substances, or in the form of a hydrate, solvate, or co- crystal. As used herein, the term “inhibitorily active metabolite or residue thereof” means that a metabolite or residue thereof is also an inhibitor of a voltage-gated sodium channel. [0096] Pharmaceutically acceptable salts are well known in the art. For example, S. M. Berge, et al. describe pharmaceutically acceptable salts in detail in J. Pharmaceutical Sciences, 1977, 66, 1-19, incorporated herein by reference. Pharmaceutically acceptable salts of the compound of this invention include those derived from suitable inorganic and organic acids and bases. Examples of pharmaceutically acceptable, nontoxic acid addition salts are salts of an amino group formed with inorganic acids such as hydrochloric acid, hydrobromic acid, phosphoric acid, sulfuric acid and perchloric acid or with organic acids such as acetic acid, oxalic acid, maleic acid, tartaric acid, citric acid, succinic acid or malonic acid or by using other methods used in the art such as ion exchange. Other pharmaceutically acceptable salts include adipate, alginate, ascorbate, aspartate, benzenesulfonate, benzoate, bisulfate, borate, butyrate, camphorate, camphorsulfonate, citrate, cyclopentanepropionate, digluconate, dodecylsulfate, ethanesulfonate, formate, fumarate, glucoheptonate, glycerophosphate, gluconate, hemisulfate, heptanoate, hexanoate, hydroiodide, 2- hydroxy-ethanesulfonate, lactobionate, lactate, laurate, lauryl sulfate, malate, maleate, malonate, methanesulfonate, 2-naphthalenesulfonate, nicotinate, nitrate, oleate, oxalate, palmitate, pamoate, pectinate, persulfate, 3-phenylpropionate, phosphate, picrate, pivalate, propionate, stearate, succinate, sulfate, tartrate, thiocyanate, p-toluenesulfonate, undecanoate, valerate salts, and the like. Salts derived from appropriate bases include alkali metal, alkaline earth metal, ammonium and N+(C1-4 alkyl)4 salts. Representative alkali or alkaline earth metal salts include sodium, lithium, potassium, calcium, magnesium, and the like. Further pharmaceutically acceptable salts include, when appropriate, nontoxic ammonium, quaternary ammonium, and amine cations formed using
counterions such as halide, hydroxide, carboxylate, sulfate, phosphate, nitrate, lower alkyl sulfonate and aryl sulfonate.
[0097] As described herein, the pharmaceutically acceptable compositions of the invention additionally comprise a pharmaceutically acceptable carrier, adjuvant, or vehicle, which, as used herein, includes any and all solvents, diluents, or other liquid vehicle, dispersion or suspension aids, surface active agents, isotonic agents, thickening or emulsifying agents, preservatives, solid binders, lubricants and the like, as suited to the particular dosage form desired. Remington’s Pharmaceutical Sciences, Sixteenth Edition, E. W. Martin (Mack Publishing Co., Easton, Pa., 1980) discloses various carriers used in formulating pharmaceutically acceptable compositions and known teclmiques for the preparation thereof. Except insofar as any conventional carrier medium is incompatible with the compounds of the invention, such as by producing any undesirable biological effect or otherwise interacting in a deleterious manner with any other component(s) of the pharmaceutically acceptable composition, its use is contemplated to be within the scope of this invention. Some examples of materials which can serve as pharmaceutically acceptable carriers include, but are not limited to, ion exchangers, alumina, aluminum stearate, lecithin, serum proteins, such as human serum albumin, buffer substances such as phosphates, glycine, sorbic acid, or potassium sorbate, partial glyceride mixtures of saturated vegetable fatty acids, water, salts or electrolytes, such as protamine sulfate, disodium hydrogen phosphate, potassium hydrogen phosphate, sodium chloride, zinc salts, colloidal silica, magnesium trisilicate, polyvinyl pyrrolidone, polyacrylates, waxes, polyethylene- polyoxypropylene-block polymers, wool fat, sugars such as lactose, glucose and sucrose; starches such as com starch and potato starch; cellulose and its derivatives such as sodium carboxymethyl cellulose, ethyl cellulose and cellulose acetate; powdered tragacanth; malt; gelatin; talc; excipients such as cocoa butter and suppository waxes; oils such as peanut oil, cottonseed oil; safflower oil; sesame oil; olive oil; com oil and soybean oil; glycols; such a propylene glycol or polyethylene glycol; esters such as ethyl oleate and ethyl laurate; agar; buffering agents such as magnesium hydroxide and aluminum hydroxide; alginic acid; pyrogen-free water; isotonic saline; Ringer’s solution; ethyl alcohol, and phosphate buffer solutions, as well as other non-toxic compatible lubricants such as sodium lauryl sulfate and magnesium stearate, as well as coloring agents, releasing agents, coating agents, sweetening, flavoring and perfuming agents, preservatives and antioxidants can also be present in tlie composition, according to the judgment of the fonnulator.
[0098] In another aspect, tlie invention features a pharmaceutical composition comprising a compound of the invention, or a pharmaceutically acceptable salt thereof, and a pharmaceutically acceptable carrier.
[0099] In another aspect, the invention features a pharmaceutical composition comprising a therapeutically effective amount of a compound, or a pharmaceutically acceptable salt thereof, and one or more pharmaceutically acceptable carriers or vehicles.
Uses of Compounds and Pharmaceutically Acceptable Salts and Compositions [0100] In another aspect, the invention features a method of inhibiting a voltage-gated sodium channel in a subject comprising administering to the subject a compound of the invention or a pharmaceutically acceptable salt thereof or a pharmaceutical composition thereof. In another aspect, the voltage-gated sodium channel is NaV1.8. [0101] In yet another aspect, the invention features a method of treating or lessening the severity in a subject of chronic pain, gut pain, neuropathic pain, musculoskeletal pain, acute pain, inflammatory pain, cancer pain, idiopathic pain, postsurgical pain (e.g., bunionectomy pain, herniorrhaphy pain or abdominoplasty pain), visceral pain, multiple sclerosis, Charcot-Marie-Tooth syndrome, incontinence, pathological cough, or cardiac arrhythmia comprising administering an effective amount of a compound of the invention, a pharmaceutically acceptable salt thereof or a pharmaceutical composition thereof. [0102] In yet another aspect, the invention features a method of treating or lessening the severity in a subject of chronic pain, gut pain, neuropathic pain, musculoskeletal pain, acute pain, inflammatory pain, cancer pain, idiopathic pain, postsurgical pain, herniorrhaphy pain, bunionectomy pain, multiple sclerosis, Charcot-Marie-Tooth syndrome, incontinence, or cardiac arrhythmia comprising administering an effective amount of a compound of the invention, a pharmaceutically acceptable salt thereof or a pharmaceutical composition thereof. [0103] In yet another aspect, the invention features a method of treating or lessening the severity in a subject of gut pain, wherein gut pain comprises inflammatory bowel disease pain, Crohn’s disease pain, irritable bowel syndrome, endometriosis, polycystic ovarian disease, salpingitis, cervicitis or interstitial cystitis pain wherein said method comprises administering an effective amount of a compound of the invention, a pharmaceutically acceptable salt thereof or a pharmaceutical composition thereof. [0104] In yet another aspect, the invention features a method of treating or lessening the severity in a subject of neuropathic pain comprising administering an effective amount of a compound of the invention, a pharmaceutically acceptable salt thereof or a pharmaceutical composition thereof. In some aspects, the neuropathic pain comprises post-herpetic neuralgia, small fiber neuropathy, diabetic neuropathy, or idiopathic small-fiber neuropathy. In some aspects, the neuropathic pain comprises diabetic neuropathy (e.g., diabetic peripheral neuropathy). As used herein, the phrase “idiopathic small-fiber neuropathy” shall be understood to include any small fiber neuropathy. [0105] In yet another aspect, the invention features a method of treating or lessening the severity in a subject of neuropathic pain, wherein neuropathic pain comprises post-herpetic neuralgia, diabetic neuralgia, painful HIV-associated sensory neuropathy, trigeminal neuralgia, burning mouth syndrome, post-amputation pain, phantom pain, painful neuroma; traumatic neuroma; Morton’s neuroma; nerve entrapment injury, spinal stenosis, carpal tunnel syndrome, radicular pain, sciatica pain; nerve
avulsion injury, brachial plexus avulsion injury; complex regional pain syndrome, drug therapy induced neuralgia, cancer chemotherapy induced neuralgia, anti-retroviral therapy induced neuralgia, HIV-induced neuropathy; post spinal cord injury pain, spinal stenosis pain, small fiber neuropathy, idiopathic small-fiber neuropathy, idiopathic sensory neuropathy or trigeminal autonomic cephalalgia wherein said method comprises administering an effective amount of a compound of tire invention, a pharmaceutically acceptable salt thereof or a pharmaceutical composition thereof.
[0106] In yet another aspect, the invention features a method of treating or lessening the severity in a subject of musculoskeletal pain comprising administering an effective amount of a compound of the invention, a pharmaceutically acceptable salt thereof or a pharmaceutical composition thereof. In some aspects, the musculoskeletal pain comprises osteoarthritis pain.
[0107] In yet another aspect, the invention features a method of treating or lessening the severity in a subject of musculoskeletal pain, wherein musculoskeletal pain comprises osteoarthritis pain, back pain, cold pain, bum pain or dental pain wherein said method comprises administering an effective amount of a compound of the invention, a pharmaceutically acceptable salt thereof or a pharmaceutical composition thereof.
[0108] In yet another aspect, the invention features a method of treating or lessening the severity in a subject of inflammatory pain, wherein inflammatory pain comprises rheumatoid arthritis pain, ankylosing spondylitis or vulvodynia wherein said method comprises administering an effective amount of a compound of the invention, a pharmaceutically acceptable salt thereof or a pharmaceutical composition thereof.
[0109] In yet another aspect, tire invention features a method of treating or lessening the severity in a subject of inflammatory pain, wherein inflammatory pain comprises rheumatoid arthritis pain wherein said method comprises administering an effective amount of a compound of the invention, a pharmaceutically acceptable salt thereof or a pharmaceutical composition thereof.
[0110] In yet another aspect, tire invention features a method of treating or lessening the severity in a subject of idiopathic pain, wherein idiopathic pain comprises fibromyalgia pain wherein said method comprises administering an effective amount of a compound of tire invention, a pharmaceutically acceptable salt thereof or a pharmaceutical composition thereof.
[0111] In yet another aspect, the invention features a method of treating or lessening tire severity in a subject of idiopathic pain, wherein idiopathic pain comprises reflex sympathetic dystrophy pain, wherein said method comprises administering an effective amount of a compound of tire invention, a pharmaceutically acceptable salt thereof or a pharmaceutical composition thereof.
[0112] In yet another aspect, the invention features a method of treating or lessening the severity in a subject of pathological cough wherein said method comprises administering an effective amount of a compound of the invention, a pharmaceutically acceptable salt thereof or a pharmaceutical composition thereof.
[0113] In yet another aspect, the invention features a method of treating or lessening the severity in a subject of acute pain comprising administering an effective amount of a compound of the invention, a pharmaceutically acceptable salt thereof or a pharmaceutical composition thereof. In some aspects, the acute pain comprises acute post-operative pain. [0114] In yet another aspect, the invention features a method of treating or lessening the severity in a subject of postsurgical pain (e.g., joint replacement pain, soft tissue surgery pain, post- thoracotomy pain, post-mastectomy pain, hemorrhoidectomy pain, herniorrhaphy pain, bunionectomy pain or abdominoplasty pain) comprising administering an effective amount of a compound of the invention, a pharmaceutically acceptable salt thereof or a pharmaceutical composition thereof. [0115] In yet another aspect, the invention features a method of treating or lessening the severity in a subject of bunionectomy pain comprising administering an effective amount of a compound of the invention, a pharmaceutically acceptable salt thereof or a pharmaceutical composition thereof. [0116] In yet another aspect, the invention features a method of treating or lessening the severity in a subject of shoulder arthroplasty pain or shoulder arthroscopy pain comprising administering an effective amount of a compound of the invention, a pharmaceutically acceptable salt thereof or a pharmaceutical composition thereof. [0117] In yet another aspect, the invention features a method of treating or lessening the severity in a subject of herniorrhaphy pain comprising administering an effective amount of a compound of the invention, a pharmaceutically acceptable salt thereof or a pharmaceutical composition thereof. [0118] In yet another aspect, the invention features a method of treating or lessening the severity in a subject of abdominoplasty pain comprising administering an effective amount of a compound of the invention, a pharmaceutically acceptable salt thereof or a pharmaceutical composition thereof. [0119] In yet another aspect, the invention features a method of treating or lessening the severity in a subject of visceral pain comprising administering an effective amount of a compound of the invention, a pharmaceutically acceptable salt thereof or a pharmaceutical composition thereof. In some aspects, the visceral pain comprises visceral pain from abdominoplasty. [0120] In yet another aspect, the invention features a method of treating or lessening the severity in a subject of a neurodegenerative disease comprising administering an effective amount of a compound of the invention, a pharmaceutically acceptable salt thereof or a pharmaceutical composition thereof. In some aspects, the neurodegenerative disease comprises multiple sclerosis. In some aspects, the neurodegenerative disease comprises Pitt Hopkins Syndrome (PTHS). [0121] In yet another aspect, the invention features a method wherein the subject is treated with one or more additional therapeutic agents administered concurrently with, prior to, or subsequent to treatment with an effective amount of the compound, pharmaceutically acceptable salt or pharmaceutical composition. In some embodiments, the additional therapeutic agent is a sodium channel inhibitor.
[0122] In another aspect, the invention features a method of inhibiting a voltage-gated sodium channel in a biological sample comprising contacting the biological sample with an effective amount of a compound of the invention, a pharmaceutically acceptable salt thereof or a pharmaceutical composition thereof. In another aspect, the voltage-gated sodium channel is NaV1.8. [0123] In another aspect, the invention features a method of treating or lessening the severity in a subject of acute pain, sub-acute and chronic pain, nociceptive pain, neuropathic pain, inflammatory pain, nociplastic pain, arthritis, migraine, cluster headaches, tension headaches, and all other forms of headaches, trigeminal neuralgia, herpetic neuralgia, general neuralgias, epilepsy, epilepsy conditions, neurodegenerative disorders, psychiatric disorders, anxiety, depression, bipolar disorder, myotonia, arrhythmia, movement disorders, neuroendocrine disorders, ataxia, central neuropathic pain of multiple sclerosis and irritable bowel syndrome, incontinence, pathological cough, visceral pain, osteoarthritis pain, postherpetic neuralgia, diabetic neuropathy, radicular pain, sciatica, back pain, unspecific chronic back pain, head pain, neck pain, moderate pain, severe pain, intractable pain, nociceptive pain, breakthrough pain, postsurgical pain (e.g., joint replacement pain, soft tissue surgery pain, post-thoracotomy pain, post-mastectomy pain, herniorrhaphy pain, bunionectomy pain or abdominoplasty pain), cancer pain including chronic cancer pain and breakthrough cancer pain, stroke (e.g., post stroke central neuropathic pain), whiplash associated disorders, fragility fractures, spinal fractures, ankylosing spondylitis, pemphigus, Raynaud’s Disease, scleroderma, systemic lupus erythematosus, Epidermolysis bullosa, gout, juvenile idiopathic arthritis, melorheostosis, polymyalgia reumatica, pyoderma gangrenosum, chronic widespread pain, diffuse idiopathic skeletal hyperostosis, disc degeneration/herniation pain, radiculopathy, facet joint syndrome, failed back surgery syndrome, burns, carpal tunnel syndrome, Paget’s disease pain, spinal canal stenosis, spondylodyscitis, transverse myelitis, Ehlers-Danlos syndrome, Fabry’s disease, mastocytocytosis, neurofibromatosis, ocular neuropathic pain, sarcoidosis, spondylolysis, spondylolisthesis, chemotherapy induced oral mucositis, Charcot neuropathic osteoarhropathy, temporo-mandibular joint disorder, painful joint arthroplasties, non-cardiac chest pain, pudendal neuralgia, renal colic, biliary tract diseases, vascular leg ulcers, pain in Parkinson’s disease, pain in Alzheimer’s disease, cerebral ischemia, traumatic brain injury, amyotrophic lateral sclerosis, stress induced angina, exercise induced angina, palpitations, hypertension, or abnormal gastro-intestinal motility, comprising administering an effective amount of a compound of the invention, a pharmaceutically acceptable salt thereof or a pharmaceutical composition thereof. [0124] In another aspect, the invention features a method of treating or lessening the severity in a subject of femur cancer pain; non-malignant chronic bone pain; rheumatoid arthritis; osteoarthritis; spinal stenosis; neuropathic low back pain; myofascial pain syndrome; fibromyalgia; temporomandibular joint pain; chronic visceral pain, abdominal pain; pancreatic pain; IBS pain; chronic and acute headache pain; migraine; tension headache; cluster headaches; chronic and acute neuropathic pain, post-herpetic neuralgia; diabetic neuropathy; HIV-associated neuropathy; trigeminal
neuralgia; Charcot-Marie-Tooth neuropathy; hereditary sensory neuropathy; peripheral nerve injury; painful neuromas; ectopic proximal and distal discharges; radiculopathy; chemotherapy induced neuropathic pain; radiotherapy-induced neuropathic pain; persistent/chronic post-surgical pain (e.g., post amputation, post-thoracotomy, post-cardiac surgery), post-mastectomy pain; central pain; spinal cord injury pain; post-stroke pain; thalamic pain; phantom pain (e.g., following removal of lower extremity, upper extremity, breast); intractable pain; acute pain, acute post-operative pain; acute musculoskeletal pain; joint pain; mechanical low back pain; neck pain; tendonitis; injury pain; exercise pain; acute visceral pain; pyelonephritis; appendicitis; cholecystitis; intestinal obstruction; hernias; chest pain, cardiac pain; pelvic pain, renal colic pain, acute obstetric pain, labor pain; cesarean section pain; acute inflammatory pain, burn pain, trauma pain; acute intermittent pain, endometriosis; acute herpes zoster pain; sickle cell anemia; acute pancreatitis; breakthrough pain; orofacial pain; sinusitis pain; dental pain; multiple sclerosis (MS) pain; pain in depression; leprosy pain; Behcet's disease pain; adiposis dolorosa; phlebitic pain; Guillain-Barre pain; painful legs and moving toes; Haglund syndrome; erythromelalgia pain; Fabry's disease pain; bladder and urogenital disease; urinary incontinence, pathological cough; hyperactive bladder; painful bladder syndrome; interstitial cystitis (IC); prostatitis; complex regional pain syndrome (CRPS), type I, complex regional pain syndrome (CRPS) type II; widespread pain, paroxysmal extreme pain, pruritus, tinnitus, or angina-induced pain, comprising administering an effective amount of a compound of the invention, a pharmaceutically acceptable salt thereof or a pharmaceutical composition thereof. [0125] In another aspect, the invention features a method of treating or lessening the severity in a subject of trigeminal neuralgia, migraines treated with botox, cervical radiculopathy, occipital neuralgia, axillary neuropathy, radial neuropathy, ulnar neuropathy, brachial plexopathy, thoracic radiculopathy, intercostal neuralgia, lumbosacral radiculopathy, iliolingual neuralgia, pudendal neuralgia, femoral neuropathy, meralgia paresthetica, saphenous neuropathy, sciatic neuropathy, peroneal neuropathy, tibial neuropathy, lumbosacral plexopathy, traumatic neuroma stump pain or postamputation pain, comprising administering an effective amount of a compound of the invention, a pharmaceutically acceptable salt thereof or a pharmaceutical composition thereof. Compounds, Pharmaceutically Acceptable Salts, and Compositions for Use [0126] In another aspect, the invention features a compound of the invention, or a pharmaceutically acceptable salt or pharmaceutical composition thereof, for use as a medicament. [0127] In another aspect, the invention features a compound of the invention, or a pharmaceutically acceptable salt or pharmaceutical composition thereof, for use in a method of inhibiting a voltage-gated sodium channel in a subject. In another aspect, the voltage-gated sodium channel is NaV1.8. [0128] In another aspect, the invention features a compound of the invention, or a pharmaceutically acceptable salt or pharmaceutical composition thereof, for use in a method of
treating or lessening the severity in a subject of chronic pain, gut pain, neuropathic pain, musculoskeletal pain, acute pain, inflammatory pain, cancer pain, idiopathic pain, postsurgical pain (e.g., herniorrhaphy pain, bunionectomy pain or abdominoplasty pain), visceral pain, multiple sclerosis, Charcot-Marie-Tooth syndrome, incontinence, pathological cough, or cardiac arrhythmia. [0129] In another aspect, the invention features a compound of the invention, or a pharmaceutically acceptable salt or pharmaceutical composition thereof, for use in a method of treating or lessening the severity in a subject of chronic pain, gut pain, neuropathic pain, musculoskeletal pain, acute pain, inflammatory pain, cancer pain, idiopathic pain, postsurgical pain, herniorrhaphy pain, bunionectomy pain, multiple sclerosis, Charcot-Marie-Tooth syndrome, incontinence, or cardiac arrhythmia. [0130] In another aspect, the invention features a compound of the invention, or a pharmaceutically acceptable salt or pharmaceutical composition thereof, for use in a method of treating or lessening the severity in a subject of gut pain, wherein gut pain comprises inflammatory bowel disease pain, Crohn’s disease pain, irritable bowel syndrome, endometriosis, polycystic ovarian disease, salpingitis, cervicitis or interstitial cystitis pain. [0131] In another aspect, the invention features a compound of the invention, or a pharmaceutically acceptable salt or pharmaceutical composition thereof, for use in a method of treating or lessening the severity in a subject of neuropathic pain. In some aspects, the neuropathic pain comprises post-herpetic neuralgia, small fiber neuropathy, diabetic neuropathy, or idiopathic small-fiber neuropathy. In some aspects, the neuropathic pain comprises diabetic neuropathy (e.g., diabetic peripheral neuropathy). As used herein, the phrase “idiopathic small-fiber neuropathy” shall be understood to include any small fiber neuropathy. [0132] In another aspect, the invention features a compound of the invention, or a pharmaceutically acceptable salt or pharmaceutical composition thereof, for use in a method of treating or lessening the severity in a subject of neuropathic pain, wherein neuropathic pain comprises post-herpetic neuralgia, diabetic neuralgia, painful HIV-associated sensory neuropathy, trigeminal neuralgia, burning mouth syndrome, post-amputation pain, phantom pain, painful neuroma; traumatic neuroma; Morton’s neuroma; nerve entrapment injury, spinal stenosis, carpal tunnel syndrome, radicular pain, sciatica pain; nerve avulsion injury, brachial plexus avulsion injury; complex regional pain syndrome, drug therapy induced neuralgia, cancer chemotherapy induced neuralgia, anti- retroviral therapy induced neuralgia, HIV-induced neuropathy; post spinal cord injury pain, spinal stenosis pain, small fiber neuropathy, idiopathic small-fiber neuropathy, idiopathic sensory neuropathy or trigeminal autonomic cephalalgia. [0133] In another aspect, the invention features a compound of the invention, or a pharmaceutically acceptable salt or pharmaceutical composition thereof, for use in a method of treating or lessening the severity in a subject of musculoskeletal pain. In some aspects, the musculoskeletal pain comprises osteoarthritis pain.
[0134] In another aspect, the invention features a compound of the invention, or a pharmaceutically acceptable salt or pharmaceutical composition thereof, for use in a method of treating or lessening the severity in a subject of musculoskeletal pain, wherein musculoskeletal pain comprises osteoarthritis pain, back pain, cold pain, burn pain or dental pain. [0135] In another aspect, the invention features a compound of the invention, or a pharmaceutically acceptable salt or pharmaceutical composition thereof, for use in a method of treating or lessening the severity in a subject of inflammatory pain, wherein inflammatory pain comprises rheumatoid arthritis pain, ankylosing spondylitis or vulvodynia. [0136] In another aspect, the invention features a compound of the invention, or a pharmaceutically acceptable salt or pharmaceutical composition thereof, for use in a method of treating or lessening the severity in a subject of inflammatory pain, wherein inflammatory pain comprises rheumatoid arthritis pain. [0137] In another aspect, the invention features a compound of the invention, or a pharmaceutically acceptable salt or pharmaceutical composition thereof, for use in a method of treating or lessening the severity in a subject of idiopathic pain, wherein idiopathic pain comprises fibromyalgia pain. [0138] In another aspect, the invention features a compound of the invention, or a pharmaceutically acceptable salt or pharmaceutical composition thereof, for use in a method of treating or lessening the severity in a subject of idiopathic pain, wherein idiopathic pain comprises reflex sympathetic dystrophy pain. [0139] In another aspect, the invention features a compound of the invention, or a pharmaceutically acceptable salt or pharmaceutical composition thereof, for use in a method of treating or lessening the severity in a subject of pathological cough. [0140] In another aspect, the invention features a compound of the invention, or a pharmaceutically acceptable salt or pharmaceutical composition thereof, for use in a method of treating or lessening the severity in a subject of acute pain. In some aspects, the acute pain comprises acute post-operative pain. [0141] In another aspect, the invention features a compound of the invention, or a pharmaceutically acceptable salt or pharmaceutical composition thereof, for use in a method of treating or lessening the severity in a subject of postsurgical pain (e.g., joint replacement pain, soft tissue surgery pain, post-thoracotomy pain, post-mastectomy pain, hemorrhoidectomy pain, herniorrhaphy pain, bunionectomy pain or abdominoplasty pain). [0142] In another aspect, the invention features a compound of the invention, or a pharmaceutically acceptable salt or pharmaceutical composition thereof, for use in a method of treating or lessening the severity in a subject of bunionectomy pain. [0143] In another aspect, the invention features a compound of the invention, or a pharmaceutically acceptable salt or pharmaceutical composition thereof, for use in a method of
treating or lessening the severity in a subject of shoulder arthroplasty pain or shoulder arthroscopy pain. [0144] In another aspect, the invention features a compound of the invention, or a pharmaceutically acceptable salt or pharmaceutical composition thereof, for use in a method of treating or lessening the severity in a subject of herniorrhaphy pain. [0145] In another aspect, the invention features a compound of the invention, or a pharmaceutically acceptable salt or pharmaceutical composition thereof, for use in a method of treating or lessening the severity in a subject of abdominoplasty pain. [0146] In another aspect, the invention features a compound of the invention, or a pharmaceutically acceptable salt or pharmaceutical composition thereof, for use in a method of treating or lessening the severity in a subject of visceral pain. In some aspects, the visceral pain comprises visceral pain from abdominoplasty. [0147] In another aspect, the invention features a compound of the invention, or a pharmaceutically acceptable salt or pharmaceutical composition thereof, for use in a method of treating or lessening the severity in a subject of a neurodegenerative disease. In some aspects, the neurodegenerative disease comprises multiple sclerosis. In some aspects, the neurodegenerative disease comprises Pitt Hopkins Syndrome (PTHS). [0148] In another aspect, the invention features a compound of the invention, or a pharmaceutically acceptable salt or pharmaceutical composition thereof, for use in a method wherein the subject is treated with one or more additional therapeutic agents administered concurrently with, prior to, or subsequent to treatment with an effective amount of the compound, pharmaceutically acceptable salt or pharmaceutical composition. In some embodiments, the additional therapeutic agent is a sodium channel inhibitor. [0149] In another aspect, the invention features a compound of the invention, or a pharmaceutically acceptable salt or pharmaceutical composition thereof, for use in a method of inhibiting a voltage-gated sodium channel in a biological sample comprising contacting the biological sample with an effective amount of a compound of the invention, a pharmaceutically acceptable salt thereof or a pharmaceutical composition thereof. In another aspect, the voltage-gated sodium channel is NaV1.8. [0150] In another aspect, the invention features a compound of the invention, or a pharmaceutically acceptable salt or pharmaceutical composition thereof, for use in a method of treating or lessening the severity in a subject of acute pain, sub-acute and chronic pain, nociceptive pain, neuropathic pain, inflammatory pain, nociplastic pain, arthritis, migraine, cluster headaches, tension headaches, and all other forms of headaches, trigeminal neuralgia, herpetic neuralgia, general neuralgias, epilepsy, epilepsy conditions, neurodegenerative disorders, psychiatric disorders, anxiety, depression, bipolar disorder, myotonia, arrhythmia, movement disorders, neuroendocrine disorders, ataxia, central neuropathic pain of multiple sclerosis and irritable bowel syndrome, incontinence,
pathological cough, visceral pain, osteoarthritis pain, postherpetic neuralgia, diabetic neuropathy, radicular pain, sciatica, back pain, unspecific chronic back pain, head pain, neck pain, moderate pain, severe pain, intractable pain, nociceptive pain, breakthrough pain, postsurgical pain (e.g., joint replacement pain, soft tissue surgery pain, post-thoracotomy pain, post-mastectomy pain, herniorrhaphy pain, bunionectomy pain or abdominoplasty pain), cancer pain including chronic cancer pain and breakthrough cancer pain, stroke (e.g., post stroke central neuropathic pain), whiplash associated disorders, fragility fractures, spinal fractures, ankylosing spondylitis, pemphigus, Raynaud’s Disease, scleroderma, systemic lupus erythematosus, Epidermolysis bullosa, gout,juvenile idiopathic arthritis, melorheostosis, polymyalgia reumatica, pyodenna gangrenosum, chronic widespread pain, diffuse idiopathic skeletal hyperostosis, disc degeneration/herniation pain, radiculopathy, facet joint syndrome, failed back surgery syndrome, bums, carpal tunnel syndrome, Paget’s disease pain, spinal canal stenosis, spondylodyscitis, transverse myelitis, Ehlers-Danlos syndrome, Fabry ’ s disease, mastocytocytosis, neurofibromatosis, ocular neuropathic pain, sarcoidosis, spondylolysis, spondylolisthesis, chemotherapy induced oral mucositis, Charcot neuropathic osteoarhropathy, temporo-mandibular joint disorder, painful joint arthroplasties, non-cardiac chest pain, pudendal neuralgia, renal colic, biliary tract diseases, vascular leg ulcers, pain in Parkinson’s disease, pain in Alzheimer’s disease, cerebral ischemia, traumatic brain injury, amyotrophic lateral sclerosis, stress induced angina, exercise induced angina, palpitations, hypertension, or abnormal gastro-intestinal motility.
[0151] In another aspect, the invention features a compound of the invention, or a pharmaceutically acceptable salt or pharmaceutical composition thereof, for use in a method of treating or lessening the severity in a subject of femur cancer pain; non-malignant clironic bone pain; rheumatoid arthritis; osteoarthritis; spinal stenosis; neuropathic low back pain; my ofascial pain syndrome; fibromyalgia; temporomandibular joint pain; clironic visceral pain, abdominal pain; pancreatic pain; IBS pain; chronic and acute headache pain; migraine; tension headache; cluster headaches; chronic and acute neuropathic pain, post-herpetic neuralgia; diabetic neuropathy; HIV- associated neuropathy; trigeminal neuralgia; Charcot-Marie -Tooth neuropathy; hereditary sensory neuropathy; peripheral nerve injury; painful neuromas; ectopic proximal and distal discharges; radiculopathy; chemotherapy induced neuropathic pain; radiotherapy -induced neuropathic pain; persistent/chronic post-surgical pain (e.g., post amputation, post-thoracotomy, post-cardiac surgery), post-mastectomy pain; central pain; spinal cord injury pain; post-stroke pain; thalamic pain; phantom pain (e.g., following removal of lower extremity, upper extremity , breast); intractable pain; acute pain, acute post-operative pain; acute musculoskeletal pain; joint pain; mechanical low back pain; neck pain; tendonitis; injury pain; exercise pain; acute visceral pain; pyelonephritis; appendicitis; cholecystitis; intestinal obstruction; hernias; chest pain, cardiac pain; pelvic pain, renal colic pain, acute obstetric pain, labor pain: cesarean section pain: acute inflammatory pain, bum pain, trauma pain; acute intermittent pain, endometriosis; acute herpes zoster pain; sickle cell anemia; acute
pancreatitis; breakthrough pain; orofacial pain; sinusitis pain; dental pain; multiple sclerosis (MS) pain; pain in depression; leprosy pain; Behcet's disease pain; adiposis dolorosa; phlebitic pain; Guillain-Barre pain; painful legs and moving toes; Haglund syndrome; erythromelalgia pain; Fabry's disease pain; bladder and urogenital disease; urinary incontinence, pathological cough; hyperactive bladder; painful bladder syndrome; interstitial cystitis (IC); prostatitis; complex regional pain syndrome (CRPS), type I, complex regional pain syndrome (CRPS) type II; widespread pain, paroxysmal extreme pain, pruritus, tinnitus, or angina-induced pain. [0152] In another aspect, the invention features a compound of the invention, or a pharmaceutically acceptable salt or pharmaceutical composition thereof, for use in a method of treating or lessening the severity in a subject of trigeminal neuralgia, migraines treated with botox, cervical radiculopathy, occipital neuralgia, axillary neuropathy, radial neuropathy, ulnar neuropathy, brachial plexopathy, thoracic radiculopathy, intercostal neuralgia, lumbosacral radiculopathy, iliolingual neuralgia, pudendal neuralgia, femoral neuropathy, meralgia paresthetica, saphenous neuropathy, sciatic neuropathy, peroneal neuropathy, tibial neuropathy, lumbosacral plexopathy, traumatic neuroma stump pain or postamputation pain. Manufacture of Medicaments [0153] In another aspect, the invention provides the use of a compound of the invention, or a pharmaceutically acceptable salt or pharmaceutical composition thereof, for the manufacture of a medicament. [0154] In another aspect, the invention provides the use of a compound of the invention, a pharmaceutically acceptable salt thereof, or a pharmaceutical composition thereof for the manufacture of a medicament for use in inhibiting a voltage-gated sodium channel. In another aspect, the voltage- gated sodium channel is NaV1.8. [0155] In yet another aspect, the invention provides the use of a compound of the invention, a pharmaceutically acceptable salt thereof, or a pharmaceutical composition thereof for the manufacture of a medicament for use in treating or lessening the severity in a subject of chronic pain, gut pain, neuropathic pain, musculoskeletal pain, acute pain, inflammatory pain, cancer pain, idiopathic pain, postsurgical pain (e.g., herniorrhaphy pain, bunionectomy pain or abdominoplasty pain), visceral pain, multiple sclerosis, Charcot-Marie-Tooth syndrome, incontinence, pathological cough, or cardiac arrhythmia. [0156] In yet another aspect, the invention provides the use of a compound of the invention, a pharmaceutically acceptable salt thereof, or a pharmaceutical composition thereof for the manufacture of a medicament for use in treating or lessening the severity in a subject of chronic pain, gut pain, neuropathic pain, musculoskeletal pain, acute pain, inflammatory pain, cancer pain, idiopathic pain, postsurgical pain, herniorrhaphy pain, bunionectomy pain, multiple sclerosis, Charcot-Marie-Tooth syndrome, incontinence, or cardiac arrhythmia.
[0157] In yet another aspect, the invention provides tire use of the compound, pharmaceutically acceptable salt, or pharmaceutical composition described herein for the manufacture of a medicament for use in treating or lessening the severity in a subject of gut pain, wherein gut pain comprises inflammatory bowel disease pain, Crohn’s disease pain, irritable bowel syndrome, endometriosis, polycystic ovarian disease, salpingitis, cervicitis or interstitial cystitis pain.
[0158] In yet another aspect, the invention provides a compound of the invention, a pharmaceutically acceptable salt thereof, or a pharmaceutical composition tiiereof for the manufacture of a medicament for use in treating or lessening the severity in a subject of neuropathic pain. In some aspects, the neuropathic pain comprises post-herpetic neuralgia, small fiber neuropathy, diabetic neuropathy, or idiopathic small-fiber neuropathy. In some aspects, the neuropathic pain comprises diabetic neuropathy (e.g., diabetic peripheral neuropatiiy).
[0159] In yet another aspect, the invention provides the use of a compound of the invention, a pharmaceutically acceptable salt thereof, or a pharmaceutical composition thereof for the manufacture of a medicament for use in a treating or lessening the severity in a subject of neuropathic pain, wherein neuropathic pain comprises post-herpetic neuralgia, diabetic neuralgia, painful HIV- associated sensory neuropathy, trigeminal neuralgia, burning mouth syndrome, post-amputation pain, phantom pain, painful neuroma; traumatic neuroma; Morton’s neuroma; nerve entrapment injury, spinal stenosis, carpal tunnel syndrome, radicular pain, sciatica pain; nerve avulsion injury, brachial plexus avulsion injury; complex regional pain syndrome, drug therapy induced neuralgia, cancer chemotherapy induced neuralgia, anti-retroviral therapy induced neuralgia, HIV-induced neuropatiiy; post spinal cord injury pain, spinal stenosis pain, small fiber neuropathy, idiopathic small-fiber neuropathy, idiopathic sensory neuropathy or trigeminal autonomic neuropathy.
[0160] In yet another aspect, the invention provides the use of a compound of the invention, a pharmaceutically acceptable salt thereof, or a pharmaceutical composition thereof for the manufacture of a medicament for use in treating or lessening the severity in a subject of musculoskeletal pain. In some aspects, the musculoskeletal pain comprises osteoarthritis pain.
[0161] In yet another aspect, the invention provides the use of a compound of the invention, a pharmaceutically acceptable salt tiiereof, or a pharmaceutical composition tiiereof for the manufacture of a medicament for use in treating or lessening the severity in a subject of musculoskeletal pain, wherein musculoskeletal pain comprises osteoarthritis pain, back pain, cold pain, bum pain or dental pain.
[0162] In yet another aspect, the invention provides the use of a compound of the invention, a pharmaceutically acceptable salt thereof, or a pharmaceutical composition tiiereof for the manufacture of a medicament for use in treating or lessening the severity in a subject of inflammatory pain, wherein inflammatory pain comprises rheumatoid arthritis pain, ankylosing spondylitis or vulvodynia. [0163] In yet another aspect, the invention provides the use of a compound of the invention, a pharmaceutically acceptable salt thereof, or a pharmaceutical composition thereof for the manufacture
of a medicament for use in treating or lessening the severity in a subject of inflammatory pain, wherein inflammatory pain comprises rheumatoid arthritis pain.
[0164] In yet another aspect, the invention provides tire use of a compound of the invention, a pharmaceutically acceptable salt thereof, or a pharmaceutical composition thereof for the manufacture of a medicament for use in treating or lessening the severity in a subject of idiopathic pain, wherein idiopathic pain comprises fibromyalgia pain.
[0165] In yet another aspect, the invention provides the use of a compound of the invention, a pharmaceutically acceptable salt thereof, or a pharmaceutical composition thereof for the manufacture of a medicament for use in treating or lessening the severity in a subject of idiopathic pain, wherein idiopathic pain comprises reflex sympathetic dystrophy pain.
[0166] In yet another aspect, the invention provides the use of a compound of the invention, a pharmaceutically acceptable salt thereof, or a pharmaceutical composition thereof for the manufacture of a medicament for use in treating or lessening the severity in a subject of pathological cough.
[0167] In yet another aspect, the invention provides the use of a compound of the invention, a pharmaceutically acceptable salt thereof, or a pharmaceutical composition thereof for the manufacture of a medicament for use in treating or lessening the severity in a subject of acute pain. In some aspects, the acute pain comprises acute post-operative pain.
[0168] In yet another aspect, tire invention provides the use of a compound of the invention, a pharmaceutically acceptable salt thereof, or a pharmaceutical composition thereof for the manufacture of a medicament for use in treating or lessening the severity in a subject of postsurgical pain (e.g., joint replacement pain, soft tissue surgery pain, post-thoracotomy pain, post-mastectomy pain, hemorrhoidectomy pain, herniorrhaphy pain, bunionectomy pain or abdominoplasty pain).
[0169] In yet another aspect, tire invention provides tire use of a compound of the invention, a pharmaceutically acceptable salt thereof, or a pharmaceutical composition thereof for the manufacture of a medicament for use in treating or lessening the severity in a subject of herniorrhaphy pain.
[0170] In yet another aspect, the invention provides tire use of a compound of the invention, a pharmaceutically acceptable salt thereof, or a pharmaceutical composition thereof for the manufacture of a medicament for use in treating or lessening the severity in a subject of bunionectomy pain.
[0171] In yet another aspect, the invention provides the use of a compound of the invention, a pharmaceutically acceptable salt thereof, or a pharmaceutical composition thereof for the manufacture of a medicament for use in treating or lessening the severity in a subject of shoulder arthroplasty pain or shoulder arthroscopy pain.
[0172] In yet another aspect, the invention provides the use of a compound of the invention, a pharmaceutically acceptable salt thereof, or a pharmaceutical composition thereof for the manufacture of a medicament for use in treating or lessening the severity in a subject of abdominoplasty pain.
[0173] In yet another aspect, the invention provides the use of a compound of the invention, a pharmaceutically acceptable salt thereof, or a pharmaceutical composition thereof for the manufacture
of a medicament for use in treating or lessening the severity in a subject of visceral pain. In some aspects, the visceral pain comprises visceral pain from abdominoplasty. [0174] In another aspect, the invention features a compound of the invention, or a pharmaceutically acceptable salt or pharmaceutical composition thereof, for the manufacture of a medicament for use in treating or lessening the severity in a subject of a neurodegenerative disease. In some aspects, the neurodegenerative disease comprises multiple sclerosis. In some aspects, the neurodegenerative disease comprises Pitt Hopkins Syndrome (PTHS). [0175] In yet another aspect, the invention provides the use of a compound of the invention, a pharmaceutically acceptable salt thereof, or a pharmaceutical composition thereof for the manufacture of a medicament for use in combination with one or more additional therapeutic agents administered concurrently with, prior to, or subsequent to treatment with the compound or pharmaceutical composition. In some embodiments, the additional therapeutic agent is a sodium channel inhibitor. [0176] In another aspect, the invention provides the use of a compound of the invention, a pharmaceutically acceptable salt thereof, or a pharmaceutical composition thereof for the manufacture of a medicament for use in treating or lessening the severity of acute pain, sub-acute and chronic pain, nociceptive pain, neuropathic pain, inflammatory pain, nociplastic pain, arthritis, migraine, cluster headaches, tension headaches, and all other forms of headaches, trigeminal neuralgia, herpetic neuralgia, general neuralgias, epilepsy, epilepsy conditions, neurodegenerative disorders, psychiatric disorders, anxiety, depression, bipolar disorder, myotonia, arrhythmia, movement disorders, neuroendocrine disorders, ataxia, central neuropathic pain of multiple sclerosis and irritable bowel syndrome, incontinence, pathological cough, visceral pain, osteoarthritis pain, postherpetic neuralgia, diabetic neuropathy, radicular pain, sciatica, back pain, unspecific chronic back pain, head pain, neck pain, moderate pain, severe pain, intractable pain, nociceptive pain, breakthrough pain, postsurgical pain (e.g., joint replacement pain, soft tissue surgery pain, post-thoracotomy pain, post-mastectomy pain, herniorrhaphy pain, bunionectomy pain or abdominoplasty pain), cancer pain including chronic cancer pain and breakthrough cancer pain, stroke (e.g., post stroke central neuropathic pain), whiplash associated disorders, fragility fractures, spinal fractures, ankylosing spondylitis, pemphigus, Raynaud’s Disease, scleroderma, systemic lupus erythematosus, Epidermolysis bullosa, gout, juvenile idiopathic arthritis, melorheostosis, polymyalgia reumatica, pyoderma gangrenosum, chronic widespread pain, diffuse idiopathic skeletal hyperostosis, disc degeneration/herniation pain, radiculopathy, facet joint syndrome, failed back surgery syndrome, burns, carpal tunnel syndrome, Paget’s disease pain, spinal canal stenosis, spondylodyscitis, transverse myelitis, Ehlers-Danlos syndrome, Fabry’s disease, mastocytocytosis, neurofibromatosis, ocular neuropathic pain, sarcoidosis, spondylolysis, spondylolisthesis, chemotherapy induced oral mucositis, Charcot neuropathic osteoarhropathy, temporo-mandibular joint disorder, painful joint arthroplasties, non-cardiac chest pain, pudendal neuralgia, renal colic, biliary tract diseases, vascular leg ulcers, pain in Parkinson’s disease, pain in Alzheimer’s disease, cerebral ischemia, traumatic brain injury, amyotrophic lateral
sclerosis, stress induced angina, exercise induced angina, palpitations, hypertension, or abnormal gastro-intestinal motility.
[0177] In another aspect, the invention provides the use of a compound of the invention, a pharmaceutically acceptable salt thereof, or a pharmaceutical composition thereof for the manufacture of a medicament for use in treating or lessening the severity of femur cancer pain; non-malignant chronic bone pain; rheumatoid arthritis; osteoarthritis; spinal stenosis; neuropathic low back pain; myofascial pain syndrome; fibromyalgia; temporomandibular joint pain; chronic visceral pain, abdominal pain; pancreatic pain; IBS pain; chronic and acute headache pain; migraine; tension headache; cluster headaches; chronic and acute neuropathic pain, post-herpetic neuralgia; diabetic neuropathy; HIV-associated neuropathy; trigeminal neuralgia; Charcot-Marie-Tooth neuropathy; hereditary sensory neuropathy; peripheral nerve injury; painful neuromas; ectopic proximal and distal discharges; radiculopathy; chemotherapy induced neuropathic pain; radiotherapy -induced neuropathic pain; persistent/chronic post-surgical pain (e.g., post amputation, post-thoracotomy, post-cardiac surgery), post-mastectomy pain; central pain; spinal cord injury pain; post-stroke pain; thalamic pain; phantom pain (e.g., following removal of lower extremity, upper extremity, breast); intractable pain; acute pain, acute post-operative pain; acute musculoskeletal pain; joint pain; mechanical low back pain; neck pain; tendonitis; injury pain; exercise pain; acute visceral pain; pyelonephritis; appendicitis; cholecystitis; intestinal obstruction; hernias; chest pain, cardiac pain; pelvic pain, renal colic pain, acute obstetric pain, labor pain; cesarean section pain; acute inflammatory pain, bum pain, trauma pain; acute intermittent pain, endometriosis; acute herpes zoster pain; sickle cell anemia; acute pancreatitis; breakthrough pain; orofacial pain; sinusitis pain; dental pain; multiple sclerosis (MS) pain; pain in depression; leprosy pain; Behcet's disease pain; adiposis dolorosa; phlebitic pain;
Guillain-Barre pain; painful legs and moving toes; Haglund syndrome; erythromelalgia pain; Fabry's disease pain; bladder and urogenital disease; urinary incontinence, pathological cough; hyperactive bladder; painful bladder syndrome; interstitial cystitis (IC); prostatitis; complex regional pain syndrome (CRPS), type I, complex regional pain syndrome (CRPS) type II; widespread pain, paroxysmal extreme pain, pruritus, tinnitus, or angina-induced pain.
[0178] In another aspect, the invention provides the use of a compound of the invention, a pharmaceutically acceptable salt thereof, or a pharmaceutical composition thereof for the manufacture of a medicament for use in treating or lessening the severity of trigeminal neuralgia, migraines treated with botox, cervical radiculopathy, occipital neuralgia, axillary neuropathy, radial neuropathy, ulnar neuropathy, brachial plexopathy, thoracic radiculopathy, intercostal neuralgia, lumbosacral radiculopathy, iliolingual neuralgia, pudendal neuralgia, femoral neuropathy, meralgia paresthetica, saphenous neuropathy, sciatic neuropatiiy, peroneal neuropathy, tibial neuropathy, lumbosacral plexopathy, traumatic neuroma stump pain or postamputation pain.
Administration of Compounds, Pharmaceutically Acceptable Salts, and Compositions [0179] In certain embodiments of the invention, an “effective amount” of a compound of the invention, a pharmaceutically acceptable salt thereof, or a pharmaceutical composition thereof is that amount effective for treating or lessening the severity of one or more of the conditions recited above. [0180] The compounds, salts, and compositions, according to the method of the invention, may be administered using any amount and any route of administration effective for treating or lessening the severity of one or more of the pain or non-pain diseases recited herein. The exact amount required will vary from subject to subject, depending on the species, age, and general condition of the subject, the severity of the condition, the particular agent, its mode of administration, and the like. The compounds, salts, and compositions of the invention are preferably formulated in dosage unit form for ease of administration and uniformity of dosage. The expression “dosage unit form” as used herein refers to a physically discrete unit of agent appropriate for the subject to be treated. It will be understood, however, that the total daily usage of the compounds, salts, and compositions of the invention will be decided by the attending physician within the scope of sound medical judgment. The specific effective dose level for any particular subject or organism will depend upon a variety of factors including the disorder being treated and the severity of the disorder; the activity of the specific compound or salt employed; the specific composition employed; the age, body weight, general health, sex and diet of the subject; the time of administration, route of administration, and rate of excretion of the specific compound or salt employed; the duration of the treatment; drugs used in combination or coincidental with the specific compound or salt employed, and like factors well known in the medical arts. The term “subject” or “patient,” as used herein, means an animal, preferably a mammal, and most preferably a human. [0181] The pharmaceutically acceptable compositions of this invention can be administered to humans and other animals orally, rectally, parenterally, intracisternally, intravaginally, intraperitoneally, topically (as by powders, ointments, or drops), bucally, as an oral or nasal spray, or the like, depending on the severity of the condition being treated. In certain embodiments, the compound, salts, and compositions of the invention may be administered orally or parenterally at dosage levels of about 0.001 mg/kg to about 1000 mg/kg, one or more times a day, effective to obtain the desired therapeutic effect. [0182] Liquid dosage forms for oral administration include, but are not limited to, pharmaceutically acceptable emulsions, microemulsions, solutions, suspensions, syrups and elixirs. In addition to the active compound or salt, the liquid dosage forms may contain inert diluents commonly used in the art such as, for example, water or other solvents, solubilizing agents and emulsifiers such as ethyl alcohol, isopropyl alcohol, ethyl carbonate, ethyl acetate, benzyl alcohol, benzyl benzoate, propylene glycol, 1,3-butylene glycol, dimethylformamide, oils (in particular, cottonseed, groundnut, corn, germ, olive, castor, and sesame oils), glycerol, tetrahydrofurfuryl
alcohol, polyethylene glycols and fatty acid esters of sorbitan, and mixtures thereof. Besides inert diluents, the oral compositions can also include adjuvants such as wetting agents, emulsifying and suspending agents, sweetening, flavoring, and perfuming agents. [0183] Injectable preparations, for example, sterile injectable aqueous or oleaginous suspensions may be formulated according to the known art using suitable dispersing or wetting agents and suspending agents. The sterile injectable preparation may also be a sterile injectable solution, suspension or emulsion in a nontoxic parenterally acceptable diluent or solvent, for example, as a solution in 1,3-butanediol. Among the acceptable vehicles and solvents that may be employed are water, Ringer’s solution, U.S.P. and isotonic sodium chloride solution. In addition, sterile, fixed oils are conventionally employed as a solvent or suspending medium. For this purpose any bland fixed oil can be employed including synthetic mono- or diglycerides. In addition, fatty acids such as oleic acid are used in the preparation of injectables. [0184] The injectable formulations can be sterilized, for example, by filtration through a bacterial-retaining filter, or by incorporating sterilizing agents in the form of sterile solid compositions that can be dissolved or dispersed in sterile water or other sterile injectable medium prior to use. [0185] In order to prolong the effect of the compounds of the invention, it is often desirable to slow the absorption of the compounds from subcutaneous or intramuscular injection. This may be accomplished by the use of a liquid suspension of crystalline or amorphous material with poor water solubility. The rate of absorption of the compound then depends upon its rate of dissolution that, in turn, may depend upon crystal size and crystalline form. Alternatively, delayed absorption of a parenterally administered compound form is accomplished by dissolving or suspending the compound in an oil vehicle. Injectable depot forms are made by forming microencapsule matrices of the compound in biodegradable polymers such as polylactide-polyglycolide. Depending upon the ratio of compound to polymer and the nature of the particular polymer employed, the rate of compound release can be controlled. Examples of other biodegradable polymers include poly(orthoesters) and poly(anhydrides). Depot injectable formulations are also prepared by entrapping the compound in liposomes or microemulsions that are compatible with body tissues. [0186] Compositions for rectal or vaginal administration are preferably suppositories which can be prepared by mixing the compound or salt of this invention with suitable non-irritating excipients or carriers such as cocoa butter, polyethylene glycol or a suppository wax which are solid at ambient temperature but liquid at body temperature and therefore melt in the rectum or vaginal cavity and release the active compound. [0187] Solid dosage forms for oral administration include capsules, tablets, pills, powders, and granules. In such solid dosage forms, the active compound or salt is mixed with at least one inert, pharmaceutically acceptable excipient or carrier such as sodium citrate or dicalcium phosphate and/or a) fillers or extenders such as starches, lactose, sucrose, glucose, mannitol, and silicic acid, b) binders
such as, for example, carboxymethylcellulose, alginates, gelatin, polyvinylpyrrolidinone, sucrose, and acacia, c) humectants such as glycerol, d) disintegrating agents such as agar-agar, calcium carbonate, potato or tapioca starch, alginic acid, certain silicates, and sodium carbonate, e) solution retarding agents such as paraffin, f) absorption accelerators such as quaternary ammonium compounds, g) wetting agents such as, for example, cetyl alcohol and glycerol monostearate, h) absorbents such as kaolin and bentonite clay, and i) lubricants such as talc, calcium stearate, magnesium stearate, solid polyethylene glycols, sodium lauryl sulfate, and mixtures thereof. In the case of capsules, tablets and pills, the dosage form may also comprise buffering agents. [0188] Solid compositions of a similar type may also be employed as fillers in soft and hard- filled gelatin capsules using such excipients as lactose or milk sugar as well as high molecular weight polyethylene glycols and the like. The solid dosage forms of tablets, dragees, capsules, pills, and granules can be prepared with coatings and shells such as enteric coatings and other coatings well known in the pharmaceutical formulating art. They may optionally contain opacifying agents and can also be of a composition that they release the active ingredient(s) only, or preferentially, in a certain part of the intestinal tract, optionally, in a delayed manner. Examples of embedding compositions that can be used include polymeric substances and waxes. Solid compositions of a similar type may also be employed as fillers in soft and hard-filled gelatin capsules using such excipients as lactose or milk sugar as well as high molecular weight polyethylene glycols and the like. [0189] The active compound or salt can also be in microencapsulated form with one or more excipients as noted above. The solid dosage forms of tablets, dragees, capsules, pills, and granules can be prepared with coatings and shells such as enteric coatings, release-controlling coatings and other coatings well known in the pharmaceutical formulating art. In such solid dosage forms, the active compound or salt may be admixed with at least one inert diluent such as sucrose, lactose or starch. Such dosage forms may also comprise, as is normal practice, additional substances other than inert diluents, e.g., tableting lubricants and other tableting aids such a magnesium stearate and microcrystalline cellulose. In the case of capsules, tablets and pills, the dosage forms may also comprise buffering agents. They may optionally contain opacifying agents and can also be of a composition that they release the active ingredient(s) only, or preferentially, in a certain part of the intestinal tract, optionally, in a delayed manner. Examples of embedding compositions that can be used include polymeric substances and waxes. [0190] Dosage forms for topical or transdermal administration of a compound or salt of this invention include ointments, pastes, creams, lotions, gels, powders, solutions, sprays, inhalants or patches. The active component is admixed under sterile conditions with a pharmaceutically acceptable carrier and any needed preservatives or buffers as may be required. Ophthalmic formulation, eardrops, and eye drops are also contemplated as being within the scope of this invention. Additionally, the invention contemplates the use of transdermal patches, which have the added advantage of providing controlled delivery of a compound to the body. Such dosage forms are
prepared by dissolving or dispensing the compound in the proper medium. Absorption enhancers can also be used to increase the flux of the compound across the skin. The rate can be controlled by either providing a rate controlling membrane or by dispersing the compound in a polymer matrix or gel. [0191] As described generally above, the compounds of the invention are useful as inhibitors of voltage-gated sodium channels. In one embodiment, the compounds are inhibitors of NaV1.8 and thus, without wishing to be bound by any particular theory, the compounds, salts, and compositions are particularly useful for treating or lessening the severity of a disease, condition, or disorder where activation or hyperactivity of NaV1.8 is implicated in the disease, condition, or disorder. When activation or hyperactivity of NaV1.8 is implicated in a particular disease, condition, or disorder, the disease, condition, or disorder may also be referred to as a “NaV1.8-mediated disease, condition or disorder.” Accordingly, in another aspect, the invention provides a method for treating or lessening the severity of a disease, condition, or disorder where activation or hyperactivity of NaV1.8 is implicated in the disease state. [0192] The activity of a compound utilized in this invention as an inhibitor of NaV1.8 may be assayed according to methods described generally in International Publication No. WO 2014/120808 A9 and U.S. Publication No.2014/0213616 A1, both of which are incorporated by reference in their entirety, methods described herein, and other methods known and available to one of ordinary skill in the art. Additional Therapeutic Agents [0193] It will also be appreciated that the compounds, salts, and pharmaceutically acceptable compositions of the invention can be employed in combination therapies, that is, the compounds, salts, and pharmaceutically acceptable compositions can be administered concurrently with, prior to, or subsequent to, one or more other desired therapeutics or medical procedures. The particular combination of therapies (therapeutics or procedures) to employ in a combination regimen will take into account compatibility of the desired therapeutics and/or procedures and the desired therapeutic effect to be achieved. It will also be appreciated that the therapies employed may achieve a desired effect for the same disorder (for example, an inventive compound may be administered concurrently with another agent used to treat the same disorder), or they may achieve different effects (e.g., control of any adverse effects). As used herein, additional therapeutic agents that are normally administered to treat or prevent a particular disease, or condition, are known as “appropriate for the disease, or condition, being treated.” For example, exemplary additional therapeutic agents include, but are not limited to: non-opioid analgesics (indoles such as Etodolac, Indomethacin, Sulindac, Tolmetin; naphthylalkanones such as Nabumetone; oxicams such as Piroxicam; para-aminophenol derivatives, such as Acetaminophen; propionic acids such as Fenoprofen, Flurbiprofen, Ibuprofen, Ketoprofen, Naproxen, Naproxen sodium, Oxaprozin; salicylates such as Aspirin, Choline magnesium trisalicylate, Diflunisal; fenamates such as meclofenamic acid, Mefenamic acid; and pyrazoles such as
Phenylbutazone); or opioid (narcotic) agonists (such as Codeine, Fentanyl, Hydromorphone, Levorphanol, Meperidine, Methadone, Morphine, Oxycodone, Oxymorphone, Propoxyphene, Buprenorphine, Butorphanol, Dezocine, Nalbuphine, and Pentazocine). Additionally, nondrug analgesic approaches may be utilized in conjunction with administration of one or more compounds of the invention. For example, anesthesiologic (intraspinal infusion, neural blockade), neurosurgical (neurolysis of CNS pathways), neurostimulatory (transcutaneous electrical nerve stimulation, dorsal column stimulation), physiatric (physical therapy, orthotic devices, diathermy), or psychologic (cognitive methods-hypnosis, biofeedback, or behavioral methods) approaches may also be utilized. Additional appropriate therapeutic agents or approaches are described generally in The Merck Manual, Nineteenth Edition, Ed. Robert S. Porter and Justin L. Kaplan, Merck Sharp &Dohme Corp., a subsidiary of Merck & Co., Inc., 2011, and the Food and Drug Administration website, www.fda.gov, the entire contents of which are hereby incorporated by reference. [0194] In another embodiment, additional appropriate therapeutic agents are selected from the following: [0195] (1) an opioid analgesic, e.g. morphine, heroin, hydromorphone, oxymorphone, levorphanol, levallorphan, methadone, meperidine, fentanyl, cocaine, codeine, dihydrocodeine, oxycodone, hydrocodone, propoxyphene, nalmefene, nalorphine, naloxone, naltrexone, buprenorphine, butorphanol, nalbuphine, pentazocine, or difelikefalin; [0196] (2) a nonsteroidal antiinflammatory drug (NSAID), e.g. aspirin, diclofenac, diflunisal, etodolac, fenbufen, fenoprofen, flufenisal, flurbiprofen, ibuprofen (including without limitation intravenous ibuprofen (e.g., Caldolor®)), indomethacin, ketoprofen, ketorolac (including without limitation ketorolac tromethamine (e.g., Toradol®)), meclofenamic acid, mefenamic acid, meloxicam, IV meloxicam (e.g., Anjeso®), nabumetone, naproxen, nimesulide, nitroflurbiprofen, olsalazine, oxaprozin, phenylbutazone, piroxicam, sulfasalazine, sulindac, tolmetin or zomepirac; [0197] (3) a barbiturate sedative, e.g. amobarbital, aprobarbital, butabarbital, butalbital, mephobarbital, metharbital, methohexital, pentobarbital, phenobarbital, secobarbital, talbutal, thiamylal or thiopental; [0198] (4) a benzodiazepine having a sedative action, e.g. chlordiazepoxide, clorazepate, diazepam, flurazepam, lorazepam, oxazepam, temazepam or triazolam; [0199] (5) a histamine (H1) antagonist having a sedative action, e.g. diphenhydramine, pyrilamine, promethazine, chlorpheniramine or chlorcyclizine; [0200] (6) a sedative such as glutethimide, meprobamate, methaqualone or dichloralphenazone; [0201] (7) a skeletal muscle relaxant, e.g. baclofen, carisoprodol, chlorzoxazone, cyclobenzaprine, methocarbamol or orphenadrine; [0202] (8) an NMDA receptor antagonist, e.g. dextromethorphan ((+)-3-hydroxy-N- methylmorphinan) or its metabolite dextrorphan ((+)-3-hydroxy-N-methylmorphinan), ketamine, memantine, pyrroloquinoline quinine, cis-4-(phosphonomethyl)-2- piperidinecarboxylic acid,
budipine, EN-3231 (MorphiDex®), a combination formulation of morphine and dextromethorphan), topiramate, neramexane or perzinfotel including an NR2B antagonist, e.g. ifenprodil, traxoprodil or (- )-(R)-6-{2-[4-(3-fluorophenyl)-4-hydroxy-l- piperidinyl]-l-hydroxyethyl-3,4-dihydro-2(lH)- quinolinone; [0203] (9) an alpha-adrenergic, e.g. doxazosin, tamsulosin, clonidine, guanfacine, dexmedetomidine, modafinil, or 4-amino-6,7-dimethoxy-2-(5-methane-sulfonamido-l, 2,3,4- tetrahydroisoquinolin-2-yl)-5-(2-pyridyl) quinazoline; [0204] (10) a tricyclic antidepressant, e.g. desipramine, imipramine, amitriptyline or nortriptyline; [0205] (11) an anticonvulsant, e.g. carbamazepine (Tegretol®), lamotrigine, topiramate, lacosamide (Vimpat®) or valproate; [0206] (12) a tachykinin (NK) antagonist, particularly an NK-3, NK-2 or NK-1 antagonist, e.g. (alphaR,9R)-7-[3,5-bis(trifluoromethyl)benzyl]-8,9,10,11 -tetrahydro-9-methyl-5-(4- methylphenyl)- 7H-[l,4]diazocino[2,l-g][l,7]-naphthyridine-6-13-dione (TAK-637), 5- [[(2R,3S)-2-[(lR)-l-[3,5- bis(trifluoromethyl)phenyl]ethoxy-3-(4-fluorophenyl)-4-morpholinyl]-methyl]-l,2-dihydro-3H-l,2,4- triazol-3-one (MK-869), aprepitant, lanepitant, dapitant or 3-[[2-methoxy-5- (trifluoromethoxy)phenyl]-methylamino]-2-phenylpiperidine (2S,3S); [0207] (13) a muscarinic antagonist, e.g oxybutynin, tolterodine, propiverine, tropsium chloride, darifenacin, solifenacin, temiverine and ipratropium; [0208] (14) a COX-2 selective inhibitor, e.g. celecoxib, rofecoxib, parecoxib, valdecoxib, deracoxib, etoricoxib, or lumiracoxib; [0209] (15) a coal-tar analgesic, in particular paracetamol; [0210] (16) a neuroleptic such as droperidol, chlorpromazine, haloperidol, perphenazine, thioridazine, mesoridazine, trifluoperazine, fluphenazine, clozapine, olanzapine, risperidone, ziprasidone, quetiapine, sertindole, aripiprazole, sonepiprazole, blonanserin, iloperidone, perospirone, raclopride, zotepine, bifeprunox, asenapine, lurasidone, amisulpride, balaperidone, palindore, eplivanserin, osanetant, rimonabant, meclinertant, Miraxion® or sarizotan; [0211] (17) a vanilloid receptor agonist (e.g. resinferatoxin or civamide) or antagonist (e.g. capsazepine, GRC-15300); [0212] (18) a beta-adrenergic such as propranolol; [0213] (19) a local anesthetic such as mexiletine; [0214] (20) a corticosteroid such as dexamethasone; [0215] (21) a 5-HT receptor agonist or antagonist, particularly a 5-HT1B/1D agonist such as eletriptan, sumatriptan, naratriptan, zolmitriptan or rizatriptan; [0216] (22) a 5-HT2A receptor antagonist such as R(+)-alpha-(2,3-dimethoxy-phenyl)-l-[2-(4- fluorophenylethyl)]-4-piperidinemethanol (MDL-100907);
[0217] (23) a cholinergic (nicotinic) analgesic, such as ispronicline (TC-1734), (E)-N-methyl-4- (3-pyridinyl)-3-buten-l-amine (RJR-2403), (R)-5-(2-azetidinylmethoxy)-2-chloropyridine (ABT-594) or nicotine; [0218] (24) Tramadol®, Tramadol ER (Ultram ER®), IV Tramadol, Tapentadol ER (Nucynta®); [0219] (25) a PDE5 inhibitor, such as 5-[2-ethoxy-5-(4-methyl-l-piperazinyl-sulphonyl)phenyl]- l-methyl-3-n-propyl-l,6-dihydro-7H-pyrazolo[4,3-d]pyrimidin-7-one (sildenafil), (6R,12aR)- 2,3,6,7,12,12a-hexahydro-2-methyl-6-(3,4-methylenedioxyphenyl)-pyrazino[2',l':6,l]-pyrido[3,4- b]indole-l,4-dione (IC-351 or tadalafil), 2-[2-ethoxy-5-(4-ethyl-piperazin-l-yl-l-sulphonyl)-phenyl]-5- methyl-7-propyl-3H-imidazo[5,l-f][l,2,4]triazin-4-one (vardenafil), 5-(5-acetyl-2-butoxy-3-pyridinyl)- 3-ethyl-2-(l-ethyl-3-azetidinyl)-2,6-dihydro-7H- pyrazolo[4,3-d]pyrimidin-7-one, 5-(5-acetyl-2- propoxy-3-pyridinyl)-3-ethyl-2-(l-isopropyl-3-azetidinyl)-2,6-dihydro-7H-pyrazolo[4,3-d]pyrimidin- 7-one, 5-[2-ethoxy-5-(4-ethylpiperazin-l-ylsulphonyl)pyridin-3-yl]-3-ethyl-2-[2-methoxyethyl]-2,6- dihydro-7H- pyrazolo[4,3-d]pyrimidin-7-one, 4-[(3-chloro-4-methoxybenzyl)amino]-2-[(2S)-2- (hydroxymethyl)pyrrolidin-l-yl]-N-(pyrimidin-2-ylmethyl)pyrimidine-5-carboxamide, 3-(l- methyl-7- oxo-3-propyl-6,7-dihydro-lH-pyrazolo[4,3-d]pyrimidin-5-yl)-N-[2-(l-methylpyrrolidin-2-yl)ethyl]-4- propoxybenzenesulfonamide; [0220] (26) an alpha-2-delta ligand such as gabapentin (Neurontin®), gabapentin GR (Gralise®), gabapentin, enacarbil (Horizant®), pregabalin (Lyrica®), 3-methyl gabapentin, (l[alpha],3[alpha],5[alpha])(3-amino-methyl-bicyclo[3.2.0]hept-3-yl)-acetic acid, (3S,5R)-3- aminomethyl-5-methyl-heptanoic acid, (3S,5R)-3-amino-5-methyl-heptanoic acid, (3S,5R)-3-amino- 5-methyl-octanoic acid, (2S,4S)-4-(3-chlorophenoxy)proline, (2S,4S)-4-(3-fluorobenzyl)-proline, [(lR,5R,6S)-6-(aminomethyl)bicyclo[3.2.0]hept-6-yl]acetic acid, 3-(l-aminomethyl- cyclohexylmethyl)-4H-[1,2,4]oxadiazol-5-one, C-[1-(1H-tetrazol-5-ylmethyl)-cycloheptyl]- methylamine, (3S,4S)-(l-aminomethyl-3,4-dimethyl-cyclopentyl)-acetic acid, (3S,5R)-3- aminomethyl-5-methyl-octanoic acid, (3S,5R)-3-amino-5-methyl-nonanoic acid, (3S,5R)-3-amino-5- methyl-octanoic acid, (3R,4R,5R)-3-amino-4,5-dimethyl-heptanoic acid and (3R,4R,5R)-3-amino- 4,5-dimethyl-octanoic acid; [0221] (27) a cannabinoid such as KHK-6188; [0222] (28) metabotropic glutamate subtype 1 receptor (mGluRl) antagonist; [0223] (29) a serotonin reuptake inhibitor such as sertraline, sertraline metabolite demethylsertraline, fluoxetine, norfluoxetine (fluoxetine desmethyl metabolite), fluvoxamine, paroxetine, citalopram, citalopram metabolite desmethylcitalopram, escitalopram, d,l-fenfluramine, femoxetine, ifoxetine, cyanodothiepin, litoxetine, dapoxetine, nefazodone, cericlamine and trazodone; [0224] (30) a noradrenaline (norepinephrine) reuptake inhibitor, such as maprotiline, lofepramine, mirtazepine, oxaprotiline, fezolamine, tomoxetine, mianserin, bupropion, bupropion metabolite hydroxybupropion, nomifensine and viloxazine (Vivalan®), especially a selective noradrenaline reuptake inhibitor such as reboxetine, in particular (S,S)-reboxetine;
[0225] (31) a dual serotonin-noradrenaline reuptake inhibitor, such as venlafaxine, venlafaxine metabolite O-desmethylvenlafaxine, clomipramine, clomipramine metabolite desmethylclomipramine, duloxetine (Cymbalta®), milnacipran and imipramine; [0226] (32) an inducible nitric oxide synthase (iNOS) inhibitor such as S-[2-[(l- iminoethyl)amino]ethyl]-L-homocysteine, S-[2-[(l-iminoethyl)-amino]ethyl]-4,4-dioxo-L-cysteine, S- [2-[(l-iminoethyl)amino]ethyl]-2-methyl-L-cysteine, (2S,5Z)-2-amino-2-methyl-7-[(l- iminoethyl)amino]-5-heptenoic acid, 2-[[(lR,3S)-3-amino-4-hydroxy-l-(5-thiazolyl)-butyl]thio]-S- chloro-S-pyridinecarbonitrile; 2-[[(lR,3S)-3-amino-4-hydroxy-l-(5- thiazolyl)butyl]thio]-4- chlorobenzonitrile, (2S,4R)-2-amino-4-[[2-chloro-5- (trifluoromethyl)phenyl]thio]-5-thiazolebutanol, 2-[[(lR,3S)-3-amino-4-hydroxy-l-(5-thiazolyl) butyl]thio]-6-(trifluoromethyl)-3-pyridinecarbonitrile, 2-[[(lR,3S)-3-amino-4-hydroxy-1-(5-thiazolyl)butyl]thio]-5-chlorobenzonitrile, N-[4-[2-(3- chlorobenzylamino)ethyl]phenyl]thiophene-2-carboxamidine, NXN-462, or guanidinoethyldisulfide; [0227] (33) an acetylcholinesterase inhibitor such as donepezil; [0228] (34) a prostaglandin E2 subtype 4 (EP4) antagonist such as N-[({2-[4-(2-ethyl-4,6- dimethyl-lH-imidazo[4,5-c]pyridin-l-yl)phenyl]ethyl}amino)-carbonyl]-4- methylbenzenesulfonamide or 4-[(15)-l-({[5-chloro-2-(3-fluorophenoxy)pyridin-3- yl]carbonyl}amino)ethyl]benzoic acid; [0229] (35) a leukotriene B4 antagonist; such as l-(3-biphenyl-4-ylmethyl-4-hydroxy-chroman-7- yl)-cyclopentanecarboxylic acid (CP- 105696), 5-[2-(2-Carboxyethyl)-3-[6-(4-methoxyphenyl)-5E- hexenyl]oxyphenoxy]-valeric acid (ONO-4057) or DPC-11870; [0230] (36) a 5-lipoxygenase inhibitor, such as zileuton, 6-[(3-fluoro-5-[4-methoxy-3,4,5,6- tetrahydro-2H-pyran-4-yl])phenoxy-methyl]-l-methyl-2-quinolone (ZD-2138), or 2,3,5- trimethyl-6- (3-pyridylmethyl)-l,4-benzoquinone (CV-6504); [0231] (37) a sodium channel blocker, such as lidocaine, lidocaine plus tetracaine cream (ZRS- 201) or eslicarbazepine acetate; [0232] (38) a NaV1.7 blocker, such as XEN-402, XEN403, TV-45070, PF-05089771, CNV1014802, GDC-0276, RG7893 BIIB-074 (Vixotrigine), BIIB-095, ASP-1807, DSP-3905, OLP- 1002, RQ-00432979, FX-301, DWP-1706, DWP-17061, IMB-110, IMB-111, IMB-112 and such as those disclosed in WO2011/140425 (US2011/306607); WO2012/106499 (US2012196869); WO2012/112743 (US2012245136); WO2012/125613 (US2012264749), WO2012/116440 (US2014187533), WO2011026240 (US2012220605), US8883840, US8466188, WO2013/109521 (US2015005304), CN111217776, WO2020/117626, WO2021/252822, WO2021/252818, WO2021/252820, WO2014/201173, WO2012/125973, WO2013/086229, WO2013/134518, WO2014/201206, or WO2016/141035 the entire contents of each application hereby incorporated by reference; [0233] (38a) a NaV1.7 blocker such as (2-benzylspiro[3,4-dihydropyrrolo[1,2-a]pyrazine-1,4'- piperidine]-1'-yl)-(4-isopropoxy-3-methyl-phenyl)methanone, 2,2,2-trifluoro-1-[1'-[3-methoxy-4-[2- (trifluoromethoxy)ethoxy]benzoyl]-2,4-dimethyl-spiro[3,4-dihydropyrrolo[1,2-a]pyrazine-1,4'-
piperidine]-6-yl]ethanone, [8-fluoro-2-methyl-6-(trifluoromethyl)spiro[3,4-dihydropyrrolo[1,2- a]pyrazine-1,4'-piperidine]-1'-yl]-(4-isobutoxy-3-methoxy-phenyl)methanone, 1-(4- benzhydrylpiperazin-1-yl)-3-[2-(3,4-dimethylphenoxy)ethoxy]propan-2-ol, (4-butoxy-3-methoxy- phenyl)-[2-methyl-6-(trifluoromethyl)spiro[3,4-dihydropyrrolo[1,2-a]pyrazine-1,4'-piperidine]-1'- yl]methanone, [8-fluoro-2-methyl-6-(trifluoromethyl)spiro[3,4-dihydropyrrolo[1,2-a]pyrazine-1,4'- piperidine]-1'-yl]-(5-isopropoxy-6-methyl-2-pyridyl)methanone, (4-isopropoxy-3-methyl-phenyl)-[2- methyl-6-(1,1,2,2,2-pentafluoroethyl)spiro[3,4-dihydropyrrolo[1,2-a]pyrazine-1,4'-piperidine]-1'- yl]methanone, 5-[2-methyl-4-[2-methyl-6-(2,2,2-trifluoroacetyl)spiro[3,4-dihydropyrrolo[1,2- a]pyrazine-1,4'-piperidine]-1'-carbonyl]phenyl]pyridine-2-carbonitrile, (4-isopropoxy-3-methyl- phenyl)-[6-(trifluoromethyl)spiro[3,4-dihydro-2H-pyrrolo[1,2-a]pyrazine-1,4'-piperidine]-1'- yl]methanone, 2,2,2-trifluoro-1-[1'-[3-methoxy-4-[2-(trifluoromethoxy)ethoxy]benzoyl]-2-methyl- spiro[3,4-dihydropyrrolo[1,2-a]pyrazine-1,4'-piperidine]-6-yl]ethanone, 2,2,2-trifluoro-1-[1'-(5- isopropoxy-6-methyl-pyridine-2-carbonyl)-3,3-dimethyl-spiro[2,4-dihydropyrrolo[1,2-a]pyrazine- 1,4'-piperidine]-6-yl]ethanone, 2,2,2-trifluoro-1-[1'-(5-isopentyloxypyridine-2-carbonyl)-2-methyl- spiro[3,4-dihydropyrrolo[1,2-a]pyrazine-1,4'-piperidine]-6-yl]ethanone, (4-isopropoxy-3-methoxy- phenyl)-[2-methyl-6-(trifluoromethyl)spiro[3,4-dihydropyrrolo[1,2-a]pyrazine-1,4'-piperidine]-1'- yl]methanone, 2,2,2-trifluoro-1-[1'-(5-isopentyloxypyridine-2-carbonyl)-2,4-dimethyl-spiro[3,4- dihydropyrrolo[1,2-a]pyrazine-1,4'-piperidine]-6-yl]ethanone, 1-[(3S)-2,3-dimethyl-1'-[4-(3,3,3- trifluoropropoxymethyl)benzoyl]spiro[3,4-dihydropyrrolo[1,2-a]pyrazine-1,4'-piperidine]-6-yl]-2,2,2- trifluoro-ethanone, [8-fluoro-2-methyl-6-(trifluoromethyl)spiro[3,4-dihydropyrrolo[1,2-a]pyrazine- 1,4'-piperidine]-1'-yl]-[3-methoxy-4-[(1R)-1-methylpropoxy]phenyl]methanone, 2,2,2-trifluoro-1-[1'- (5-isopropoxy-6-methyl-pyridine-2-carbonyl)-2,4-dimethyl-spiro[3,4-dihydropyrrolo[1,2-a]pyrazine- 1,4'-piperidine]-6-yl]ethanone, 1-[1'-[4-methoxy-3-(trifluoromethyl)benzoyl]-2-methyl-spiro[3,4- dihydropyrrolo[1,2-a]pyrazine-1,4'-piperidine]-6-yl]-2,2-dimethyl-propan-1-one, (4-isopropoxy-3- methyl-phenyl)-[2-methyl-6-(trifluoromethyl)spiro[3,4-dihydropyrrolo[1,2-a]pyrazine-1,4'- piperidine]-1'-yl]methanone, [2-methyl-6-(1-methylcyclopropanecarbonyl)spiro[3,4- dihydropyrrolo[1,2-a]pyrazine-1,4'-piperidine]-1'-yl]-[4-(3,3,3- trifluoropropoxymethyl)phenyl]methanone, 4-bromo-N-(4-bromophenyl)-3-[(1-methyl-2-oxo-4- piperidyl)sulfamoyl]benzamide or (3-chloro-4-isopropoxy-phenyl)-[2-methyl-6-(1,1,2,2,2- pentafluoroethyl)spiro[3,4-dihydropyrrolo[1,2-a]pyrazine-1,4'-piperidine]-1'-yl]methanone. [0234] (39) a NaV1.8 blocker, such as PF-04531083, PF-06372865 and such as those disclosed in WO2008/135826 (US2009048306), WO2006/011050 (US2008312235), WO2013/061205 (US2014296313), US20130303535, WO2013131018, US8466188, WO2013114250 (US2013274243), WO2014/120808 (US2014213616), WO2014/120815 (US2014228371) WO2014/120820 (US2014221435), WO2015/010065 (US20160152561), WO2015/089361 (US20150166589), WO2019/014352 (US20190016671), WO2018/213426, WO2020/146682, WO2020/146612, WO2020/014243, WO2020/014246, WO2020/092187, WO2020/092667
(US2020140411), WO2020/144375, WO2020/261114, WO2020/140959, WO2020/151728, WO2021/032074, WO2021/047622 (CN112479996), WO2021/257490, WO2021/257420, WO2021/257418, WO2022/263498, WO2022/235558, WO2022/235859, WO2023/138599, WO2024/041613, WO2024/046253, WO2024/046409, CN112390745, CN111808019, CN112225695, CN112457294, CN112300051, CN112300069, CN112441969, and CN114591293, the entire contents of each application hereby incorporated by reference; [0235] (39a) a NaV1.8 blocker such as 4,5-dichloro-2-(4-fluoro-2-methoxyphenoxy)-N-(2-oxo- 1,2-dihydropyridin-4-yl)benzamide, 2-(4-fluoro-2-methoxyphenoxy)-N-(2-oxo-1,2-dihydropyridin-4- yl)-4-(perfluoroethyl)benzamide, 4,5-dichloro-2-(4-fluorophenoxy)-N-(2-oxo-1,2-dihydropyridin-4- yl)benzamide, 4,5-dichloro-2-(3-fluoro-4-methoxyphenoxy)-N-(2-oxo-1,2-dihydropyridin-4- yl)benzamide, 2-(4-fluoro-2-methoxyphenoxy)-N-(2-oxo-1,2-dihydropyridin-4-yl)-5- (trifluoromethyl)benzamide, N-(2-oxo-1,2-dihydropyridin-4-yl)-2-(4-(trifluoromethoxy)phenoxy)-4- (trifluoromethyl)benzamide, 2-(4-fluorophenoxy)-N-(2-oxo-1,2-dihydropyridin-4-yl)-4- (perfluoroethyl)benzamide, 5-chloro-2-(4-fluoro-2-methoxyphenoxy)-N-(2-oxo-1,2-dihydropyridin-4- yl)benzamide, N-(2-oxo-1,2-dihydropyridin-4-yl)-2-(4-(trifluoromethoxy)phenoxy)-5- (trifluoromethyl)benzamide, 2-(4-fluoro-2-methylphenoxy)-N-(2-oxo-1,2-dihydropyridin-4-yl)-5- (trifluoromethyl)benzamide, 2-(2-chloro-4-fluorophenoxy)-N-(2-oxo-1,2-dihydropyridin-4-yl)-5- (trifluoromethyl)benzamide, 5-chloro-2-(4-fluoro-2-methylphenoxy)-N-(2-oxo-1,2-dihydropyridin-4- yl)benzamide, 4-chloro-2-(4-fluoro-2-methylphenoxy)-N-(2-oxo-1,2-dihydropyridin-4-yl)benzamide, 5-chloro-2-(2-chloro-4-fluorophenoxy)-N-(2-oxo-1,2-dihydropyridin-4-yl)benzamide, 2-((5-fluoro-2- hydroxybenzyl)oxy)-N-(2-oxo-1,2-dihydropyridin-4-yl)-4-(trifluoromethyl)benzamide, N-(2-oxo-1,2- dihydropyridin-4-yl)-2-(o-tolyloxy)-5-(trifluoromethyl)benzamide, 2-(2,4-difluorophenoxy)-N-(2- oxo-1,2-dihydropyridin-4-yl)-4-(trifluoromethyl)benzamide, N-(2-oxo-1,2-dihydropyridin-4-yl)-2-(2- (trifluoromethoxy)phenoxy)-5-(trifluoromethyl)benzamide, 2-(4-fluorophenoxy)-N-(2-oxo-1,2- dihydropyridin-4-yl)-5-(trifluoromethyl)benzamide, 2-(4-fluoro-2-methyl-phenoxy)-N-(2-oxo-1H- pyridin-4-yl)-4-(trifluoromethyl)benzamide, [4-[[2-(4-fluoro-2-methyl-phenoxy)-4- (trifluoromethyl)benzoyl]amino]-2-oxo-1-pyridyl]methyl dihydrogen phosphate, 2-(4-fluoro-2- (methyl-d3)phenoxy)-N-(2-oxo-1,2-dihydropyridin-4-yl)-4-(trifluoromethyl)benzamide, (4-(2-(4- fluoro-2-(methyl-d3)phenoxy)-4-(trifluoromethyl)benzamido)-2-oxopyridin-1(2H)-yl)methyl dihydrogen phosphate, 3-(4-fluoro-2-methoxyphenoxy)-N-(3-(methylsulfonyl)phenyl)quinoxaline-2- carboxamide, 3-(2-chloro-4-fluorophenoxy)-N-(3-sulfamoylphenyl)quinoxaline-2-carboxamide, 3-(2- chloro-4-methoxyphenoxy)-N-(3-sulfamoylphenyl)quinoxaline-2-carboxamide, 3-(4-chloro-2- methoxyphenoxy)-N-(3-sulfamoylphenyl)quinoxaline-2-carboxamide, 4-(3-(4- (trifluoromethoxy)phenoxy)quinoxaline-2-carboxamido)picolinic acid, 2-(2,4-difluorophenoxy)-N-(3- sulfamoylphenyl)quinoline-3-carboxamide, 2-(4-fluoro-2-methoxyphenoxy)-N-(3- sulfamoylphenyl)quinoline-3-carboxamide, 3-(2,4-difluorophenoxy)-N-(3- sulfamoylphenyl)quinoxaline-2-carboxamide, N-(3-sulfamoylphenyl)-2-(4-
(trifluoromethoxy)phenoxy)quinoline-3-carboxamide, N-(3-sulfamoylphenyl)-3-(4- (trifluoromethoxy)phenoxy)quinoxaline-2-carboxamide, 3-(4-chloro-2-methylphenoxy)-N-(3- sulfamoylphenyl)quinoxaline-2-carboxamide, 5-(3-(4-(trifluoromethoxy)phenoxy)quinoxaline-2- carboxamido)picolinic acid, 3-(4-fluoro-2-methoxyphenoxy)-N-(2-oxo-2,3-dihydro-1H- benzo[d]imidazol-5-yl)quinoxaline-2-carboxamide, 3-(4-fluoro-2-methoxyphenoxy)-N-(pyridin-4- yl)quinoxaline-2-carboxamide, 3-(4-fluorophenoxy)-N-(3-sulfamoylphenyl)quinoxaline-2- carboxamide, N-(3-cyanophenyl)-3-(4-fluoro-2-methoxyphenoxy)quinoxaline-2-carboxamide, N-(4- carbamoylphenyl)-3-(4-fluoro-2-methoxyphenoxy)quinoxaline-2-carboxamide, 4-(3-(4- (trifluoromethoxy)phenoxy)quinoxaline-2-carboxamido)benzoic acid, N-(4-cyanophenyl)-3-(4-fluoro- 2-methoxyphenoxy)quinoxaline-2-carboxamide, 5-(4,5-dichloro-2-(4-fluoro-2- methoxyphenoxy)benzamido)picolinic acid, 5-(2-(2,4-dimethoxyphenoxy)-4,6- bis(trifluoromethyl)benzamido)picolinic acid, 4-(4,5-dichloro-2-(4-fluoro-2- methoxyphenoxy)benzamido)benzoic acid, 5-(2-(4-fluoro-2-methoxyphenoxy)-4,6- bis(trifluoromethyl)benzamido)picolinic acid, 4-(2-(4-fluoro-2-methoxyphenoxy)-4- (perfluoroethyl)benzamido)benzoic acid, 5-(2-(4-fluoro-2-methoxyphenoxy)-4- (perfluoroethyl)benzamido)picolinic acid, 4-(2-(4-fluoro-2-methylphenoxy)-4- (trifluoromethyl)benzamido)benzoic acid, 5-(4,5-dichloro-2-(4-fluoro-2- methoxyphenoxy)benzamido)picolinic acid, 4-(2-(2-chloro-4-fluorophenoxy)-4- (perfluoroethyl)benzamido)benzoic acid, 4-(2-(4-fluoro-2-methylphenoxy)-4- (perfluoroethyl)benzamido)benzoic acid, 4-(4,5-dichloro-2-(4- (trifluoromethoxy)phenoxy)benzamido)benzoic acid, 4-(4,5-dichloro-2-(4-chloro-2- methylphenoxy)benzamido)benzoic acid, 5-(4-(tert-butyl)-2-(4-fluoro-2- methoxyphenoxy)benzamido)picolinic acid, 5-(4,5-dichloro-2-(4- (trifluoromethoxy)phenoxy)benzamido)picolinic acid, 4-(4,5-dichloro-2-(4-fluoro-2- methylphenoxy)benzamido)benzoic acid, 5-(4,5-dichloro-2-(2,4- dimethoxyphenoxy)benzamido)picolinic acid, 5-(4,5-dichloro-2-(2-chloro-4- fluorophenoxy)benzamido)picolinic acid, 5-(4,5-dichloro-2-(4-fluoro-2- methylphenoxy)benzamido)picolinic acid, 4-(4,5-dichloro-2-(4-chloro-2- methoxyphenoxy)benzamido)benzoic acid, 5-(4,5-dichloro-2-(2,4- difluorophenoxy)benzamido)picolinic acid, 2-(4-fluorophenoxy)-N-(3-sulfamoylphenyl)-5- (trifluoromethyl)benzamide, 2-(4-fluorophenoxy)-N-(3-sulfamoylphenyl)-4- (trifluoromethyl)benzamide, 2-(2-chloro-4-fluorophenoxy)-N-(3-sulfamoylphenyl)-5- (trifluoromethyl)benzamide, 2-(4-fluorophenoxy)-N-(3-sulfamoylphenyl)-4- (trifluoromethyl)benzamide, 2-(2-chloro-4-fluorophenoxy)-N-(3-sulfamoylphenyl)-6- (trifluoromethyl)benzamide, 2-(2-chloro-4-fluorophenoxy)-5-(difluoromethyl)-N-(3- sulfamoylphenyl)benzamide, 2-(4-fluorophenoxy)-4-(perfluoroethyl)-N-(3- sulfamoylphenyl)benzamide, 2-(4-chloro-2-methoxyphenoxy)-4-(perfluoroethyl)-N-(3-
sulfamoylphenyl)benzamide, 2-(4-fluoro-2-methoxyphenoxy)-N-(3-sulfamoylphenyl)-5- (trifluoromethyl)benzamide, 5-chloro-2-(4-fluoro-2-methylphenoxy)-N-(3- sulfamoylphenyl)benzamide, 4,5-dichloro-2-(4-fluoro-2-methoxyphenoxy)-N-(3- sulfamoylphenyl)benzamide, 2,4-dichloro-6-(4-chloro-2-methoxyphenoxy)-N-(3- sulfamoylphenyl)benzamide, 2,4-dichloro-6-(4-fluoro-2-methylphenoxy)-N-(3- sulfamoylphenyl)benzamide, 2-(4-fluoro-2-methoxyphenoxy)-N-(3-sulfamoylphenyl)-4,6- bis(trifluoromethyl)benzamide, 2-(4-fluoro-2-methylphenoxy)-N-(3-sulfamoylphenyl)-4,6- bis(trifluoromethyl)benzamide, 5-chloro-2-(2-chloro-4-fluorophenoxy)-N-(3- sulfamoylphenyl)benzamide, 2-(4-fluoro-2-methoxyphenoxy)-N-(3-sulfamoylphenyl)-4- (trifluoromethoxy)benzamide, 2-(4-fluoro-2-methoxyphenoxy)-N-(3-sulfamoylphenyl)-4- (trifluoromethyl)benzamide, 4,5-dichloro-2-(4-fluorophenoxy)-N-(3-sulfamoylphenyl)benzamide, 2- (4-fluoro-2-methoxyphenoxy)-4-(perfluoroethyl)-N-(3-sulfamoylphenyl)benzamide, 5-fluoro-2-(4- fluoro-2-methylphenoxy)-N-(3-sulfamoylphenyl)benzamide, 2-(2-chloro-4-fluorophenoxy)-4-cyano- N-(3-sulfamoylphenyl)benzamide, N-(3-sulfamoylphenyl)-2-(4-(trifluoromethoxy)phenoxy)-4- (trifluoromethyl)benzamide, N-(3-carbamoyl-4-fluoro-phenyl)-2-fluoro-6-[2-(trideuteriomethoxy)-4- (trifluoromethoxy)phenoxy]-3-(trifluoromethyl)benzamide, N-(3-carbamoyl-4-fluoro-phenyl)-2- fluoro-6-[2-methoxy-4-(trifluoromethoxy)phenoxy]-3-(trifluoromethyl)benzamide, N-(3-carbamoyl- 4-fluoro-phenyl)-2-fluoro-6-[2-(trideuteriomethoxy)-4-(trifluoromethoxy)phenoxy]-3- (trifluoromethoxy)benzamide, 4-[[2-fluoro-6-[2-methoxy-4-(trifluoromethoxy)phenoxy]-3- (trifluoromethyl)benzoyl]amino]pyridine-2-carboxamide, 4-[[3-chloro-2-fluoro-6-[2-methoxy-4- (trifluoromethoxy)phenoxy]benzoyl]amino]pyridine-2-carboxamide, 4-[[2-fluoro-6-[2- (trideuteriomethoxy)-4-(trifluoromethoxy)phenoxy]-3-(trifluoromethyl)benzoyl]amino]pyridine-2- carboxamide, N-(3-carbamoyl-4-fluoro-phenyl)-3-(difluoromethyl)-2-fluoro-6-[2-methoxy-4- (trifluoromethoxy)phenoxy]benzamide, 4-[[2-fluoro-6-[2-(trideuteriomethoxy)-4- (trifluoromethoxy)phenoxy]-3-(trifluoromethoxy)benzoyl]amino]pyridine-2-carboxamide, N-(3- carbamoyl-4-fluoro-phenyl)-6-[2-chloro-4-(trifluoromethoxy)phenoxy]-2-fluoro-3- (trifluoromethyl)benzamide, N-(3-carbamoyl-4-fluoro-phenyl)-2-fluoro-6-[2-methyl-4- (trifluoromethoxy)phenoxy]-3-(trifluoromethyl)benzamide, N-(3-carbamoyl-4-fluoro-phenyl)-2,3,4- trifluoro-6-[2-methoxy-4-(trifluoromethoxy)phenoxy]benzamide, N-(2-carbamoyl-4-pyridyl)-3- fluoro-5-[2-methoxy-4-(trifluoromethoxy)phenoxy]-2-(trifluoromethyl)pyridine-4-carboxamide, 4- [[6-[2-(difluoromethoxy)-4-(trifluoromethoxy)phenoxy]-2-fluoro-3- (trifluoromethyl)benzoyl]amino]pyridine-2-carboxamide, N-(3-carbamoyl-4-fluoro-phenyl)-6-[3- chloro-4-(trifluoromethoxy)phenoxy]-2-fluoro-3-(trifluoromethyl)benzamide, N-(3-carbamoyl-4- fluoro-phenyl)-2-fluoro-6-[4-(trifluoromethoxy)phenoxy]-3-(trifluoromethyl)benzamide, N-(4- carbamoyl-3-fluoro-phenyl)-2-fluoro-6-[2-methoxy-4-(trifluoromethoxy)phenoxy]-3- (trifluoromethyl)benzamide, 4-[[2-fluoro-6-[2-(trideuteriomethoxy)-4-(trifluoromethoxy)phenoxy]-4- (trifluoromethyl)benzoyl]amino]pyridine-2-carboxamide, N-(3-carbamoyl-4-fluoro-phenyl)-2-fluoro-
6-[3-fluoro-4-(trifluoromethoxy)phenoxy]-3-(trifluoromethyl)benzamide, N-(3-carbamoyl-4-fluoro- phenyl)-2-[2-methoxy-4-(trifluoromethoxy)phenoxy]-5-(1,1,2,2,2-pentafluoroethyl)benzamide, 4-[[4- (difluoromethoxy)-2-fluoro-6-[2-methoxy-4-(trifluoromethoxy)phenoxy]benzoyl]amino]pyridine-2- carboxamide, N-(3-carbamoyl-4-fluoro-phenyl)-2-fluoro-6-[2-fluoro-4-(trifluoromethoxy)phenoxy]- 3-(trifluoromethyl)benzamide, 4-[[4-cyclopropyl-2-fluoro-6-[2-methoxy-4- (trifluoromethoxy)phenoxy]benzoyl]amino]pyridine-2-carboxamide, N-(3-carbamoyl-4-fluoro- phenyl)-5-fluoro-2-[2-methoxy-4-(trifluoromethoxy)phenoxy]-4-(trifluoromethyl)benzamide, 5-[[2- fluoro-6-[2-(trideuteriomethoxy)-4-(trifluoromethoxy)phenoxy]-3- (trifluoromethyl)benzoyl]amino]pyridine-2-carboxamide, N-(3-carbamoyl-4-fluoro-phenyl)-2-fluoro- 6-(4-fluorophenoxy)-3-(trifluoromethyl)benzamide, or 4-[[2-fluoro-6-[3-fluoro-2-methoxy-4- (trifluoromethoxy)phenoxy]-3-(trifluoromethyl)benzoyl]amino]pyridine-2-carboxamide; [0236] (40) a combined NaV1.7 and NaV1.8 blocker, such as DSP-2230, Lohocla201 or BL-1021; [0237] (41) a 5-HT3 antagonist, such as ondansetron; [0238] (42) a TPRV 1 receptor agonist, such as capsaicin (NeurogesX®, Qutenza®); and the pharmaceutically acceptable salts and solvates thereof; [0239] (43) a nicotinic receptor antagonist, such as varenicline; [0240] (44) an N-type calcium channel antagonist, such as Z-160; [0241] (45) a nerve growth factor antagonist, such as tanezumab; [0242] (46) an endopeptidase stimulant, such as senrebotase; [0243] (47) an angiotensin II antagonist, such as EMA-401; [0244] (48) acetaminophen (including without limitation intravenous acetaminophen (e.g., Ofirmev®)); [0245] (49) bupivacaine (including without limitation bupivacaine liposome injectable suspension (e.g., Exparel®) bupivacaine ER (Posimir), bupivacaine collagen (Xaracoll) and transdermal bupivacaine (Eladur®)); and [0246] (50) bupivacaine and meloxicam combination (e.g., HTX-011). [0247] In one embodiment, the additional appropriate therapeutic agents are selected from V- 116517, Pregabalin, controlled release Pregabalin, Ezogabine (Potiga®). Ketamine/amitriptyline topical cream (Amiket®), AVP-923, Perampanel (E-2007), Ralfinamide, transdermal bupivacaine (Eladur®), CNV1014802, JNJ-10234094 (Carisbamate), BMS-954561 or ARC-4558. [0248] In another embodiment, the additional appropriate therapeutic agents are selected from N- (6-amino-5-(2,3,5-trichlorophenyl)pyridin-2-yl)acetamide; N-(6-amino-5-(2-chloro-5- methoxyphenyl)pyridin-2-yl)-1-methyl-1H-pyrazole-5-carboxamide; or 3-((4-(4- (trifluoromethoxy)phenyl)-1H-imidazol-2-yl)methyl)oxetan-3-amine. [0249] In another embodiment, the additional therapeutic agent is selected from a GlyT2/5HT2 inhibitor, such as Operanserin (VVZ149), a TRPV modulator such as CA008, CMX-020, NEO6860, FTABS, CNTX4975, MCP101, MDR16523, or MDR652, a EGR1 inhibitor such as Brivoglide
(AYX1), an NGF inhibitor such as Tanezumab, Fasinumab, ASP6294, MEDI7352, a Mu opioid agonist such as Cebranopadol, NKTR181 (oxycodegol), a CB-1 agonist such as NEO1940 (AZN1940), an imidazoline 12 agonist such as CR4056 or a p75NTR-Fc modulator such as LEVI-04. [0250] In another embodiment, the additional therapeutic agent is oliceridine or ropivacaine (TLC590). [0251] In another embodiment, the additional therapeutic agent is a NaV1.7 blocker such as ST- 2427, ST-2578 and those disclosed in WO2010/129864, WO2015/157559, WO2017/059385, WO2018/183781, WO2018/183782, WO2020/072835, and/or WO2022/036297 the entire contents of each application hereby incorporated by reference. [0252] In another embodiment, the additional therapeutic agent is selected from ASP18071, CC- 8464, ANP-230, ANP-231, NOC-100, NTX-1175, ASN008, NW3509, AM-6120, AM-8145, AM- 0422, BL-017881, NTM-006, Opiranserin (UnafraTM), brivoligide, SR419, NRD.E1, LX9211, LY3016859, ISC-17536, NFX-88, LAT-8881, AP-235, NYX 2925, CNTX-6016, S-600918, S- 637880, RQ-00434739, KLS-2031, MEDI 7352, and XT-150. [0253] In another embodiment, the additional therapeutic agent is selected from Olinvyk, Zynrelef, Seglentis, Neumentum, Nevakar, HTX-034, CPL-01, ACP-044, HRS-4800, Tarlige, BAY2395840, LY3526318, Eliapixant, TRV045, RTA901, NRD1355-E1, MT-8554, LY3556050, AP-325, tetrodotoxin, Otenaproxesul, CFTX-1554, Funapide, iN1011-N17, JMKX000623/ODM- 111, ETX-801, OLP-1002, ANP-230/DSP-2230, iN1011-N17, DSP-3905 and ACD440. [0254] In another embodiment, the additional therapeutic agent is selected from HRS4800, ODM-111/JMKX000623, LX9211, LY3556050, LY3857210, CFTX01554/CFTX-1554, MEDI7352, MEDI0618, BAY3178275, BAY2395840, GSK3858279, STC-004, HALNEURON, OLP-1002, ATX01, ANP230, CC-8464, iN1011-N17, ST-2427, MSD199, FZ008, VYNAV-01, BL-017881, Profervia (Cilnidipine), LS-04, vixotrigine, FX301/PCRX-301, PF-04531083, PF-01247324, and DSP-3905. [0255] In another embodiment, the additional therapeutic agent is a sodium channel inhibitor (also known as a sodium channel blocker), such as the NaV1.7 and NaV1.8 blockers identified above. [0256] The amount of additional therapeutic agent present in the compositions of this invention may be no more than the amount that would normally be administered in a composition comprising that therapeutic agent as the only active agent. The amount of additional therapeutic agent in the presently disclosed compositions may range from about 10% to 100% of the amount normally present in a composition comprising that agent as the only therapeutically active agent. [0257] The compounds and salts of this invention or pharmaceutically acceptable compositions thereof may also be incorporated into compositions for coating an implantable medical device, such as prostheses, artificial valves, vascular grafts, stents and catheters. Accordingly, the invention, in another aspect, includes a composition for coating an implantable device comprising a compound or salt of the invention as described generally above, and in classes and subclasses herein, and a carrier
suitable for coating said implantable device. In still another aspect, the invention includes an implantable device coated with a composition comprising a compound or salt of the invention as described generally above, and in classes and subclasses herein, and a carrier suitable for coating said implantable device. Suitable coatings and the general preparation of coated implantable devices are described in US Patents 6,099,562; 5,886,026; and 5,304,121. The coatings are typically biocompatible polymeric materials such as a hydrogel polymer, polymethyldisiloxane, polycaprolactone, polyethylene glycol, polylactic acid, ethylene vinyl acetate, and mixtures thereof. The coatings may optionally be further covered by a suitable topcoat of fluorosilicone, polysaccharides, polyethylene glycol, phospholipids or combinations thereof to impart controlled release characteristics in the composition. [0258] Another aspect of the invention relates to inhibiting NaV1.8 activity in a biological sample or a subject, which method comprises administering to the subject, or contacting said biological sample with a compound of the invention, a pharmaceutically acceptable salt thereof, or a pharmaceutical composition thereof. The term “biological sample,” as used herein, includes, without limitation, cell cultures or extracts thereof; biopsied material obtained from a mammal or extracts thereof; and blood, saliva, urine, feces, semen, tears, or other body fluids or extracts thereof. [0259] Inhibition of NaV1.8 activity in a biological sample is useful for a variety of purposes that are known to one of skill in the art. Examples of such purposes include, but are not limited to, the study of sodium channels in biological and pathological phenomena; and the comparative evaluation of new sodium channel inhibitors. Synthesis of the Compounds of the Invention [0260] The compounds of the invention can be prepared from known materials by the methods described in the Examples, other similar methods, and other methods known to one skilled in the art. As one skilled in the art would appreciate, the functional groups of the intermediate compounds in the methods described below may need to be protected by suitable protecting groups. Protecting groups may be added or removed in accordance with standard techniques, which are well-known to those skilled in the art. The use of protecting groups is described in detail in T.G.M. Wuts et al., Greene’s Protective Groups in Organic Synthesis (4th ed.2006). Radiolabeled Analogs of the Compounds of the Invention [0261] In another aspect, the invention relates to radiolabeled analogs of the compounds of the invention. As used herein, the term “radiolabeled analogs of the compounds of the invention” refers to compounds that are identical to the compounds of the invention, as described herein, including all embodiments thereof, except that one or more atoms has been replaced with a radioisotope of the atom present in the compounds of the invention.
[0262] As used herein, the term “radioisotope” refers to an isotope of an element that is known to undergo spontaneous radioactive decay. Examples of radioisotopes include 3H, 14C, 32P, 35S, 18F, 36Cl, and the like, as well as the isotopes for which a decay mode is identified in V.S. Shirley & C.M. Lederer, Isotopes Project, Nuclear Science Division, Lawrence Berkeley Laboratory, Table of Nuclides (January 1980). [0263] The radiolabeled analogs can be used in a number of beneficial ways, including in various types of assays, such as substrate tissue distribution assays. For example, tritium (3H)- and/or carbon- 14 (14C)-labeled compounds may be useful for various types of assays, such as substrate tissue distribution assays, due to relatively simple preparation and excellent detectability. [0264] In another aspect, the invention relates to pharmaceutically acceptable salts of the radiolabeled analogs, in accordance with any of the embodiments described herein in connection with the compounds of the invention. [0265] In another aspect, the invention relates to pharmaceutical compositions comprising the radiolabeled analogs, or pharmaceutically acceptable salts thereof, and a pharmaceutically acceptable carrier, adjuvant or vehicle, in accordance with any of the embodiments described herein in connection with the compounds of the invention. [0266] In another aspect, the invention relates to methods of inhibiting voltage-gated sodium channels and methods of treating or lessening the severity of various diseases and disorders, including pain, in a subject comprising administering an effective amount of the radiolabeled analogs, pharmaceutically acceptable salts thereof, and pharmaceutical compositions thereof, in accordance with any of the embodiments described herein in connection with the compounds of the invention. [0267] In another aspect, the invention relates to radiolabeled analogs, pharmaceutically acceptable salts thereof, and pharmaceutical compositions thereof, for use, in accordance with any of the embodiments described herein in connection with the compounds of the invention. [0268] In another aspect, the invention relates to the use of the radiolabeled analogs, or pharmaceutically acceptable salts thereof, and pharmaceutical compositions thereof, for the manufacture of medicaments, in accordance with any of the embodiments described herein in connection with the compounds of the invention. [0269] In another aspect, the radiolabeled analogs, pharmaceutically acceptable salts thereof, and pharmaceutical compositions thereof, can be employed in combination therapies, in accordance with any of the embodiments described herein in connection with the compounds of the invention. ENUMERATED EMBODIMENTS [0270] Further embodiments of the disclosure are set out in the following numbered clauses: 1. A compound of formula (I-A):
; or a pharmaceutically acceptable salt thereof, wherein: X1 is C-R1 or N; X2 is C-R2, N, or N+-O-; X3 is C-R3, N, or N+-O-; X5 is C-R5, N, or N+-O-; p, Xa, and Xb are defined as follows: (i) p is 1, Xa is C-R11R12, and Xb is O; (ii) p is 1, Xa is O, and Xb is C-R13R14; or (iii) p is 0 and Xb is O; Xs is C-Rs or N; Xt is C-Rt or N; R1 is H, OH, halo, CN, C1-C6 alkyl, C1-C6 haloalkyl, C1-C6 alkoxy, C1-C6 haloalkoxy, –(CH2)mOn(CH2)oOCH3, –(CH2)mRa, –C(O)(CH2)mRa, –C(O)ORb, –C(O)Rb, –C(O)NRbRc, –NRbRc, –CRdReRf, –CRbRcNRgC(O)CRhRiRj, –NRbC(O)CRcRgRj, C3-C6 cycloalkyl, 5-6 membered heteroaryl, or 4-10 membered heterocyclyl, wherein said C3-C6 cycloalkyl, 5-6 membered heteroaryl, or 4-10 membered heterocyclyl may be unsubstituted or may be substituted with 1-4 substituents independently selected from halo, C1-C6 alkyl, C1-C6 haloalkyl, C1-C6 alkoxy, and C1-C6 haloalkoxy; R2, R3, R4, and R5 are each independently H, OH, CN, halo, C1-C6 alkyl, C1-C6 alkoxy, C1-C6 haloalkyl, –NHS(O)2(C1-C6 alkyl), –C(O)ORb, –C(O)NRbRc, –(CH2)mO(CH2)oCH3, 5-6 membered heteroaryl, or 5-6 membered heterocyclyl, wherein said 5-6 membered heteroaryl or 5-6 membered heterocyclyl may be unsubstituted or may be substituted with 1-4 substituents independently selected from C1-C6 alkyl and –C(O)NRbRc; R6, R7, R8, and R9 are defined as follows: (i) R6 and R7 are each independently H, OH, C1-C6 alkyl, C1-C6 haloalkyl, C3-C6 cycloalkyl, or C1-C6 alkoxy; and R8 and R9 are each independently H, OH, C1-C6 alkyl, C1-C6 haloalkyl, C3-C6 cycloalkyl, or C1-C6 alkoxy; or
(ii) R6 and R7 are each independently H, OH, C1-C6 alkyl, C1-C6 haloalkyl, C3-C6 cycloalkyl, or C1-C6 alkoxy; and R8 and R9, together with the carbon atom to which they are attached, form a C3-C6 cycloalkyl; or (iii) R6, R7, R8, and R9, together with the carbon atom to which they are attached, form a fused C6-C10 aryl optionally substituted with 1-3 Ry; R10 is H or CH3; R11 and R12 are each independently H, OH, C1-C6 alkyl, C1-C6 haloalkyl, C3-C6 cycloalkyl, or C1-C6 alkoxy; R13 and R14 are each independently H, OH, C1-C6 alkyl, C1-C6 haloalkyl, C3-C6 cycloalkyl, or C1-C6 alkoxy; Rs and Rt are each independently H, OH, halo, C1-C6 alkyl, C1-C6 alkoxy, C1-C6 haloalkyl, C1-C6 haloalkoxy, C3-C6 cycloalkyl, –O-C3-C6 cycloalkyl, –NRbRc, –NO2, –SO3H, –(CH2)mORb, or –O(CH2)mOCH3, or Rs and Rt, together with the carbon atoms to which they are attached, form a ring of formula:
Y is O or CH2; Ru, Rv, and Rw are each independently H, OH, halo, C1-C6 alkyl, C1-C6 alkoxy, C1-C6 haloalkyl, C1-C6 haloalkoxy, –NRbRc, –NO2, –SO3H, –(CH2)mORb, or –O(CH2)mOCH3; each Rx is independently H, halo, C1-C6 alkyl, or C1-C6 haloalkyl; each Ry is independently H, OH, C1-C6 alkyl, C1-C6 haloalkyl, C3-C6 cycloalkyl, or C1-C6 alkoxy; Ra is OH, halo, C1-C6 alkoxy, or –NRbRc; Rb, Rc, Rg, Rh, and Ri are each independently H or C1-C6 alkyl, or Rb and Rc, together with the nitrogen atom to which they are attached, form a 3-6 membered heterocyclyl; Rd, Re, and Rf are each independently H, OH, halo, C1-C6 alkyl, or C1-C6 alkoxy; Rj is H, C1-C6 alkyl, –NRbRc, or –N(CH3)3 +; m and o are each independently 0, 1, 2, or 3; and n is 0 or 1. 2. The compound of clause 1, or a pharmaceutically acceptable salt thereof, wherein: Xa is CH2; Xb is O;
R6 and R7 are each independently H, OH, C1-C6 alkyl, C1-C6 haloalkyl, C3-C6 cycloalkyl, or C1-C6 alkoxy; R8 and R9 are each independently H, OH, C1-C6 alkyl, C1-C6 haloalkyl, C3-C6 cycloalkyl, or C1-C6 alkoxy; or R8 and R9, together with the carbon atom to which they are attached, form a C3-C6 cycloalkyl; Rs and Rt are each independently H, OH, halo, C1-C6 alkyl, C1-C6 alkoxy, C1-C6 haloalkyl, C1-C6 haloalkoxy, –NRbRc, –NO2, –SO3H, –(CH2)mORb, or –O(CH2)mOCH3, or Rs and Rt, together with the carbon atoms to which they are attached, form a ring of formula:
p is 0 or 1. 3. The compound of clause 1 or 2, or a pharmaceutically acceptable salt thereof, wherein: R1 is H, OH, halo, CN, C1-C6 alkyl, C1-C6 alkoxy, C1-C6 haloalkoxy, or –C(O)ORb; R10 is H; and Rs and Rt are each independently H, OH, halo, C1-C6 alkyl, C1-C6 alkoxy, C1-C6 haloalkyl, C1-C6 haloalkoxy, –NRbRc, –NO2, –SO3H, –(CH2)mORa, or –O(CH2)mOCH3, or Rs and Rt, together with the carbon atoms to which they are attached, form a ring of formula:
4. The compound of any one of clauses 1 to 3, or a pharmaceutically acceptable salt thereof, wherein p is 0. 5. The compound of any one of clauses 1 to 3, or a pharmaceutically acceptable salt thereof, wherein p is 1. 6. The compound of any one of clauses 1 to 3, or a pharmaceutically acceptable salt thereof, wherein p is 1, Xa is CR11R12, and Xb is O. 7. The compound of clause 6, or a pharmaceutically acceptable salt thereof, wherein R11 is H. 8. The compound of clause 6 or 7, or a pharmaceutically acceptable salt thereof, wherein R12 is H. 9. The compound of any one of clauses 1 to 3, or a pharmaceutically acceptable salt thereof, wherein p is 1, Xa is O, and Xb is CR13R14.
10. The compound of clause 9, or a pharmaceutically acceptable salt thereof, wherein R13 is C1-C6 alkyl or C1-C6 haloalkyl. 11. The compound of clause 10, or a pharmaceutically acceptable salt thereof, wherein R13 is – CH3 or –CF3. 12. The compound of any one of clauses 9 to 11, or a pharmaceutically acceptable salt thereof, wherein R14 is C1-C6 alkyl or C1-C6 haloalkyl. 13. The compound of clause 12, or a pharmaceutically acceptable salt thereof, wherein R14 is – CH3 or –CF3. 14. The compound of any one of clauses 1 to 5, or a pharmaceutically acceptable salt thereof, wherein the compound has a formula (I-A-1):
. 15. The compound of any one of clauses 1 to 14, or a pharmaceutically acceptable salt thereof, wherein X1 is N. 16. The compound of any one of clauses 1 to 15, or a pharmaceutically acceptable salt thereof, wherein X1 is C-R1, and R1 is H, CN, C1-C6 alkyl, C1-C6 alkoxy, or –C(O)ORb. 17. The compound of clause 16, or a pharmaceutically acceptable salt thereof, wherein R1 is H, CN, –CH3, –OCH3, –C(O)OCH3, or –C(O)OCH2CH3. 18. The compound of any one of clauses 1 to 17, or a pharmaceutically acceptable salt thereof, wherein X2 is N. 19. The compound of any one of clauses 1 to 17, or a pharmaceutically acceptable salt thereof, wherein X2 is C-R2, and R2 is H, OH, CN, halo, C1-C6 alkyl, C1-C6 alkoxy, –NHS(O)2(C1-C6 alkyl), –C(O)ORb, –C(O)NRbRc, 5-6 membered heteroaryl, or 5-6 membered heterocyclyl, wherein said 5-6 membered heteroaryl or 5-6 membered heterocyclyl may be unsubstituted or may be substituted with 1-4 substituents independently selected from C1-C6 alkyl and –C(O)NRbRc.
20. The compound of clause 19, or a pharmaceutically acceptable salt thereof, wherein R2 is H, Cl, F, OH, CN, –CH3, –OCH3, –C(O)OH, –C(O)NH2, –C(O)N(H)CH3, –N(H)S(O)2(CH3),
. 21. The compound of any one of clause 1 to 20, or a pharmaceutically acceptable salt thereof, wherein X3 is N. 22. The compound of any one of clauses 1 to 20, or a pharmaceutically acceptable salt thereof, wherein X3 is C-R3, and R3 is H, CN, halo, C1-C6 alkoxy, –C(O)ORb, or –C(O)NRbRc. 23. The compound of clause 22, or a pharmaceutically acceptable salt thereof, wherein R3 is H, Cl, F, CN, –OCH3, –C(O)OCH3 or –C(O)N(CH3)2. 24. The compound of any one of clauses 1 to 23, or a pharmaceutically acceptable salt thereof, wherein R4 is H, halo, C1-C6 alkyl, –C(O)ORb, or –C(O)NRbRc. 25. The compound of clause 24, or a pharmaceutically acceptable salt thereof, wherein R4 is H, Cl, F, –CH3, –C(O)OCH2CH3 or –C(O)NH2. 26. The compound of any one of clause 1 to 25, or a pharmaceutically acceptable salt thereof, wherein X5 is N. 27. The compound of any one of clauses 1 to 25, or a pharmaceutically acceptable salt thereof, wherein X5 is CR5, and R5 is H, halo, or –C(O)NRbRc. 28. The compound of clause 27, or a pharmaceutically acceptable salt thereof, wherein R5 is H, F, or –C(O)NH2. 29. The compound of any one of clauses 1 to 28, or a pharmaceutically acceptable salt thereof, wherein R7 is H, OH, C1-C6 alkyl, C3-C6 cycloalkyl, or C1-C6 alkoxy. 30. The compound of clause 29, or a pharmaceutically acceptable salt thereof, wherein R7 is H, OH, –OCH3, –CH3, or cyclopropyl.
31. The compound of any one of clauses 1 to 30, or a pharmaceutically acceptable salt thereof, wherein R8 and R9 are each independently H, C1-C6 alkyl, C1-C6 haloalkyl, or C3-C6 cycloalkyl, or R8 and R9, together with the carbon atom to which they are attached, form a C3-C6 cycloalkyl. 32. The compound of any one of clauses 1 to 31, or a pharmaceutically acceptable salt thereof, wherein R8 is H or C1-C6 alkyl. 33. The compound of clause 32, or a pharmaceutically acceptable salt thereof, wherein R8 is H, –CH3, or –CH2CH3. 34. The compound of any one of clauses 1 to 33, or a pharmaceutically acceptable salt thereof, wherein R9 is H, C1-C6 alkyl, or C1-C6 haloalkyl. 35. The compound of clause 34, or a pharmaceutically acceptable salt thereof, wherein R9 is H, –CH3, or –CF3. 36. The compound of any of clauses 1 to 31, or a pharmaceutically acceptable salt thereof, wherein R8 and R9, together with the carbon atom to which they are attached, form a C3-C6 cycloalkyl. 37. The compound of clause 36, or a pharmaceutically acceptable salt thereof, wherein R8 and R9, together with the carbon atom to which they are attached, form a cyclobutane. 38. The compound of any one of clauses 1 to 13 or 15 to 28, or a pharmaceutically acceptable salt thereof, wherein R6, R7, R8, and R9, together with the carbon atom to which they are attached, form a fused C6-C10 aryl optionally substituted with 1-3 Ry. 39. The compound of clause 38, or a pharmaceutically acceptable salt thereof, wherein R6, R7, R8, and R9, together with the carbon atom to which they are attached, form a fused phenyl. 40. The compound of any one of clauses 1 to 39, or a pharmaceutically acceptable salt thereof, wherein R10 is H. 41. The compound of any one of clause 1 to 40, or a pharmaceutically acceptable salt thereof, wherein Xs is N. 42. The compound of any one of clauses 1 to 40, or a pharmaceutically acceptable salt thereof, wherein Xs is C-Rs, and Rs is H, OH, halo, C1-C6 alkyl, C1-C6 alkoxy, C3-C6 cycloalkyl, –(CH2)mORb, or –O(CH2)mOCH3.
43. The compound of clause 42, or a pharmaceutically acceptable salt thereof, wherein Xs is C-Rs, and Rs is H, F, Cl, OH, –CH3, –CH2OH, –CH2OCH3, –OCH3, cyclopropyl, –OCH(CH3)2, or –OCH2CH2OCH3. 44. The compound of any one of clauses 1 to 40, or a pharmaceutically acceptable salt thereof, wherein Xs is C-Rs, and Rs is H, OH, halo, C1-C6 alkyl, C1-C6 alkoxy, –(CH2)mORb, or – O(CH2)mOCH3. 45. The compound of clause 44, or a pharmaceutically acceptable salt thereof, wherein Rs is H, F, OH, –CH3, –CH2OH, –OCH3, –OCH(CH3)2, or –OCH2CH2OCH3. 46. The compound of any one of clause 1 to 45, or a pharmaceutically acceptable salt thereof, wherein Xt is N. 47. The compound of any one of clauses 1 to 45, wherein Xt is C-Rt, and Rt is H, halo, C1-C6 alkyl, C1-C6 alkoxy, or C3-C6 cycloalkyl. 48. The compound of clause 47, wherein Xt is C-Rt, and Rt is H, Cl, F, –CH3, –OCH3, or cyclopropyl. 49. The compound of any one of clauses 1 to 45, wherein Xt is C-Rt, and Rt is H, halo, C1-C6 alkyl, or C1-C6 alkoxy. 50. The compound of clause 49, wherein Rt is H, Cl, F, –CH3, or –OCH3. 51. The compound of any one of clause 1 to 40, or a pharmaceutically acceptable salt thereof, wherein Rs and Rt, together with the carbon atoms to which they are attached, form a ring of formula:
. 52. The compound of clause 51, or a pharmaceutically acceptable salt thereof, wherein Rs and Rt, together with the carbon atoms to which they are attached, form a ring of formula:
53. The compound of any of clauses 1 to 52, or a pharmaceutically acceptable salt thereof, wherein Ru is H, halo, C1-C6 alkyl, C1-C6 alkoxy, C1-C6 haloalkyl.
54. The compound of clause 53, or a pharmaceutically acceptable salt thereof, wherein Ru is H, F, or –CH3. 55. The compound of any of clauses 1 to 54, or a pharmaceutically acceptable salt thereof, wherein Rv is H, halo, or C1-C6 alkyl. 56. The compound of clause 55, or a pharmaceutically acceptable salt thereof, wherein Rv is H, F, or –CH3. 57. The compound of any one of clauses 1 to 54, or a pharmaceutically acceptable salt thereof, wherein Rv is H or C1-C6 alkyl. 58. The compound of clause 57, or a pharmaceutically acceptable salt thereof, wherein Rv is H or –CH3. 59. The compound of any of clauses 1 to 58, or a pharmaceutically acceptable salt thereof, wherein Rw is H. 60. The compound of any one of clauses 1 to 5, or a pharmaceutically acceptable salt thereof, wherein the compound has a formula (I-A-2):
. 61. The compound of any one of clauses 1 to 5 and 60, or a pharmaceutically acceptable salt thereof, wherein R7 is H, C1-C6 alkyl, or C1-C6 alkoxy. 62. The compound of clause 60, or a pharmaceutically acceptable salt thereof, wherein R7 is H, –CH3, or –OCH3. 63. The compound of any one of clauses 1 to 5 and 60, or a pharmaceutically acceptable salt thereof, wherein R7 is H or C1-C6 alkoxy.
64. The compound of clause 63, or a pharmaceutically acceptable salt thereof, wherein R7 is H or –OCH3. 65. The compound of any one of clauses 1 to 5 and 60 to 64, or a pharmaceutically acceptable salt thereof, wherein Rs is H, halo, C1-C6 alkyl, C1-C6 alkoxy, C3-C6 cycloalkyl, or –(CH2)mORb. 66. The compound of clause 65, or a pharmaceutically acceptable salt thereof, wherein Rs is H, F, Cl, –CH3, –OCH3, cyclopropyl, or –CH2OCH3. 67. The compound of any one of clauses 1 to 5 and 60 to 64, or a pharmaceutically acceptable salt thereof, wherein Rs is C1-C6 alkyl or C1-C6 alkoxy. 68. The compound of clause 67, or a pharmaceutically acceptable salt thereof, wherein Rs is –CH3 or –OCH3. 69. The compound of any one of clauses 1 to 5 and 60 to 68, or a pharmaceutically acceptable salt thereof, wherein Rt is H, halo, C1-C6 alkyl, or C3-C6 cycloalkyl. 70. The compound of clause 69, or a pharmaceutically acceptable salt thereof, wherein Rt is H, F, Cl, –CH3, or cycloproyl. 71. The compound of any one of clauses 1 to 5 and 60 to 68, or a pharmaceutically acceptable salt thereof, wherein Rt is H or halo. 72. The compound of clause 71, or a pharmaceutically acceptable salt thereof, wherein Rt is H or F. 73. A compound selected from Table A, or a pharmaceutically acceptable salt thereof. 74. A compound selected from Table B, or a pharmaceutically acceptable salt thereof. 75. A compound selected from Table C, or a pharmaceutically acceptable salt thereof. 76. A compound selected from Table D, or a pharmaceutically acceptable salt thereof. 77. The compound of any one of clauses 1 to 76 in non-salt form. 78. A pharmaceutical composition comprising a therapeutically effective amount of the compound of any one of clauses 1 to 76, or a pharmaceutically acceptable salt thereof, or the compound of clause 77, and one or more pharmaceutically acceptable carriers or vehicles.
79. A pharmaceutical composition comprising the compound of any one of clauses 1 to 76, or a pharmaceutically acceptable salt thereof, or the compound of clause 77, and one or more pharmaceutically acceptable carriers or vehicles. 80. A method of inhibiting a voltage-gated sodium channel in a subject comprising administering to the subject the compound of any one of clauses 1 to 76, or a pharmaceutically acceptable salt thereof, the compound of clause 77, or the pharmaceutical composition of clause 78 or 79. 81. The method of clause 80, wherein the voltage-gated sodium channel is NaV1.8. 82. A method of treating or lessening the severity in a subject of chronic pain, gut pain, neuropathic pain, musculoskeletal pain, acute pain, inflammatory pain, cancer pain, idiopathic pain, postsurgical pain, visceral pain, multiple sclerosis, Charcot-Marie-Tooth syndrome, incontinence, pathological cough, or cardiac arrhythmia comprising administering to the subject an effective amount of the compound of any one of clauses 1 to 76, or a pharmaceutically acceptable salt thereof, the compound of clause 77, or the pharmaceutical composition of clause 78 or 79. 83. The method of clause 82, where the method comprises treating or lessening the severity in the subject of neuropathic pain. 84. The method of clause 83, wherein the neuropathic pain comprises post-herpetic neuralgia. 85. The method of clause 83, wherein the neuropathic pain comprises small-fiber neuropathy. 86. The method of clause 83, wherein the neuropathic pain comprises idiopathic small-fiber neuropathy. 87. The method of clause 83, wherein the neuropathic pain comprises diabetic neuropathy. 88. The method of clause 87, wherein the diabetic neuropathy comprises diabetic peripheral neuropathy. 89. The method of clause 82, wherein the method comprises treating or lessening the severity in the subject of musculoskeletal pain. 90. The method of clause 89, wherein the musculoskeletal pain comprises osteoarthritis pain. 91. The method of clause 82, wherein the method comprises treating or lessening the severity in the subject of acute pain. 92. The method of clause 91, wherein the acute pain comprises acute post-operative pain.
93. The method of clause 82, wherein the method comprises treating or lessening the severity in the subject of postsurgical pain. 94. The method of clause 93, wherein the postsurgical pain comprises bunionectomy pain. 95. The method of clause 93, wherein the postsurgical pain comprises abdominoplasty pain. 96. The method of clause 93, wherein the postsurgical pain comprises herniorrhaphy pain. 97. The method of clause 82, wherein the method comprises treating or lessening the severity in the subject of visceral pain. 98. The method of any one of clauses 80 to 97, wherein said subject is treated with one or more additional therapeutic agents administered concurrently with, prior to, or subsequent to treatment with the compound, pharmaceutically acceptable salt, or pharmaceutical composition. 99. Use of the compound of any one of clauses 1 to 76, or a pharmaceutically acceptable salt thereof, the compound of clause 77, or the pharmaceutical composition of clause 78 or 79, as a medicament. EXAMPLES [0271] General methods.1H NMR spectra were obtained as solutions in an appropriate deuterated solvent such as dimethyl sulfoxide-d6 (DMSO-d6). [0272] Compound purity, retention time, and electrospray mass spectrometry (ESI-MS) data were determined by LC/MS analysis. [0273] LC/MS Method:
Abbreviations [0274] Unless otherwise noted, or where the context dictates otherwise, the following abbreviations shall be understood to have the following meanings: Abbreviation Meaning NMR Nuclear magnetic resonance ESI-MS Electrospray mass spectrometry LC/MS Liquid chromatography-mass spectrometry UPLC Ultra performance liquid chromatography HPLC/MS/MS High performance liquid chromatography/tandem mass spectrometry IS Internal standard
Abbreviation Meaning HPLC High performance liquid chromatography SFC Supercritical fluid chromatography ESI Electrospray ionization cm centimeters g grams mg milligrams L Liter(s) mL Milliliters μL Microliters nL nanoliters mmol millimoles hr, h hours min Minutes ms millisecond mm Millimeters μm Micrometers nm nanometer MHz Megahertz Hz Hertz N Normal (concentration) M Molar (concentration) mM Millimolar (concentration) μM Micromolar (concentration) μW Microwave ppm Parts per million % w/v Weight-volume concentration % w/w Weight-weight concentration AcOH Acetic acid (Bpin)2 t Bis(pinacolato)diboron BuOH tert-butyl alcohol CPME Cyclopentyl methyl ether CataCXium® A Pd G3 Mesylate[(di(1-adamantyl)-nbutylphosphine)-2-(2′-amino-1,1′- biphenyl)]palladium(II) CDI 1,1′-Carbonyldiimidazole DCM Dichloromethane DCE Dichloroethane DEA Diethanolamine DIAD Diisopropyl azodicarboxylate DIEA, DIPEA N, N-Diisopropyl ethyl amine DMA N,N-Dimethylacetamide DMF N,N-Dimethylformamide DMSO Dimethyl sulfoxide DRG Dorsal root ganglia EtOH Ethanol EtOAc ethyl acetate HATU 1-[Bis(dimethylamino)methylene]-1H-1,2,3-triazolo[4,5-b]pyridinium 3-oxide hexafluorophosphate EDCI 1-Ethyl-3-(3-dimethylaminopropyl)carbodiimide TFA Trifluoroacetic acid Tf2O Triflic anhydride T3P Propylphosphonic anhydride, i.e., 2,4,6-tripropyl-1,3,5,2,4,6- trioxatriphosphinane 2,4,6-trioxide MeOH Methanol MeCN, ACN Acetonitrile
Abbreviation Meaning mCPBA 3-chloroperbenzoic acid 2-MeTHF 2-Methyltetrahydrofuran MTBE Methyl tert-butyl ether NMP N-Methylpyrrolidone PTSA p-Toluenesulfonic acid Phosphazene base P2-Et 1-Ethyl-2,2,4,4,4-pentakis(dimethylamino)-2λ5,4λ5- i catenadi(phosphazene) (PrO)Bpin 2-Isopropoxy-4,4,5,5-tetramethyl-1,3,2-dioxaborolane POCl3 c Phosphorus oxychloride PrOSO2CF3 Cyclopropyl trifluoromethanesulfonate TBAF Tetrabutylammonium fluoride THF Tetrahydrofuran Tf Trifluoromethanesulfonyl TFA Trifluoroacetic acid TMSCN Trimethylsilyl cyanide TMSOTf Trimethylsilyl trifluoromethanesulfonate RB Round bottom (flask) RT Ambient temperature r.t. Retention time LED Light Emitting Diode ca. Circa (approximately) µwave Microwave E-VIPR Electrical stimulation voltage ion probe reader HEK Human embryonic kidney KIR2.1 Inward-rectifier potassium ion channel 2.1 DMEM Dulbecco's Modified Eagle's Medium FBS Fetal bovine serum NEAA Non-essential amino acids HEPES 2-[4-(2-hydroxyethyl)piperazin-1-yl]ethanesulfonic acid DiSBAC6(3) Bis-(1,3-dihexyl-thiobarbituric acid) trimethine oxonol CC2-DMPE Chlorocoumarin-2-dimyristoyl phosphatidylethanolamine VABSC-1 Voltage Assay Background Suppression Compound HS Human serum BSA Bovine Serum Albumin Example 1 2-((2R,3S,4S,5R)-3-(3,4-Difluoro-2-methoxyphenyl)-4,5-dimethyl-5-(trifluoromethyl)tetrahydrofuran- 2-yl)-1,6-naphthyridin-4(1H)-one (1)
[0275] Step 1: [0276] To a heat-gun-dried 20-mL vial, equipped with a stir bar, was added (2R,3S,4S,5R)-3- (3,4-difluoro-2-methoxyphenyl)-4,5-dimethyl-5-(trifluoromethyl)tetrahydrofuran-2-carboxylic acid (Intermediate A, 96 mg, 0.27 mmol), 4-benzyloxy-2-chloro-1,6-naphthyridine (Intermediate K, 100 mg, 0.369 mmol), K2CO3 (75 mg, 0.543 mmol), 4-methoxy-2-(4-methoxy-2-pyridyl)pyridine (6 mg, 0.028 mmol), nickel(II) chloride dimethoxyethane adduct (6 mg, 0.027 mmol) and (Ir[dF(CF3)ppy]2(dtbpy))PF6 (6 mg, 0.005 mmol). DMF (5.3 mL) was then injected into the tube by syringe under a nitrogen atmosphere. The mixture was degassed for 15 min by bubbling with nitrogen, then sealed with parafilm. The solution was then stirred at 30 °C under irradiation of a blue LED (450 nm) using a Penn OC Photoreactor M2 for 17 h. The mixture was diluted with water (10 mL) and brine (100 mL), and the organic layer was extracted with EtOAc (3 x 50 mL). The combined organic extracts were dried (Na2SO4), filtered, and concentrated in vacuo. Purification by preparative reverse phase HPLC (C18 column, 30 to 99 % ACN in water with 5 mM HCl modifier over 30 min) gave 4-(benzyloxy)-2-((2R,3S,4S,5R)-3-(3,4-difluoro-2-methoxyphenyl)-4,5-dimethyl-5- (trifluoromethyl)tetrahydrofuran-2-yl)-1,6-naphthyridine (61.2 mg, 41%) as a pale yellow solid. ESI- MS m/z calc.544.179, found 545.3 (M+1)+; Retention time: 2.62 minutes using LC/MS method Q. [0277] Step 2: [0278] A solution of 4-(benzyloxy)-2-((2R,3S,4S,5R)-3-(3,4-difluoro-2-methoxyphenyl)-4,5- dimethyl-5-(trifluoromethyl)tetrahydrofuran-2-yl)-1,6-naphthyridine (61.2 mg) in EtOAc (2.7 mL) was added to a 20-mL vial containing Pd/C (10 wt % loading, wet, Degussa, 15 mg, 0.014 mmol). The reaction mixture was degassed with nitrogen for 5 min and stirred under a hydrogen atmosphere for 5 min. The mixture was heated to 40 °C for 15 min under an atmosphere of hydrogen. The reaction mixture was filtered through a pad of Celite® and washed with EtOAc. The filtrates were concentrated in vacuo to give a yellow solid. Purification by preparative reverse phase HPLC (C18 column, 1 to 99% ACN in water with 5 mM HCl modifier over 30 min) gave 2-((2R,3S,4S,5R)-3-(3,4- difluoro-2-methoxyphenyl)-4,5-dimethyl-5-(trifluoromethyl)tetrahydrofuran-2-yl)-1,6-naphthyridin- 4(1H)-one (1, 9.4 mg, 8%) as a pale yellow solid.1H NMR (400 MHz, DMSO-d6) δ 12.53 (s, 1H), 9.27 (s, 1H), 8.69 (s, 1H), 8.09 (s, 1H), 7.30 (ddd, J = 8.3, 5.8, 2.0 Hz, 1H), 7.21 - 7.09 (m, 1H), 6.57 (s, 1H), 5.55 (d, J = 11.3 Hz, 1H), 4.39 (dd, J = 11.3, 8.3 Hz, 1H), 3.92 (d, J = 2.1 Hz, 3H), 2.89 (q, J = 7.7 Hz, 1H), 1.75 (s, 3H), 0.81 - 0.74 (m, 3H) ppm. ESI-MS m/z calc.454.132, found 455.3 (M+1)+; Retention time: 1.81 minutes using LC/MS method Q. [0279] The following compounds were made using methods similar to those described in Example 1, except that different coupling partners were used in step 1. In step 2, EtOH or MeOH were used as the solvent instead of EtOAc, and the reaction was carried out at ambient temperature:
[0280] The following compound was made using the method described in Example 1, except that different coupling partners were used in step 1, and step 2 was not required:
[0281] The following compound was made using the method described in Example 1, except that a different coupling partner was used in step 1, and the debenzylation step 2 was carried out using TFA, in a similar manner to Example 3, step 3:
[0282] The following compound was made using the method described in Example 1, except that step 1 was carried out using the conditions outlined below: [0283] Nickel Photochemistry: To an oven-dried 20-mL vial, equipped with a stir bar, was added (R)-1-phenylethan-1-aminium (2R,3S,4S,5R)-3-(3,4-difluoro-2-methoxyphenyl)-4,5-dimethyl- 5-(trifluoromethyl)tetrahydrofuran-2-carboxylate (Intermediate A) (100 mg, 0.2 mmol), 4- (benzyloxy)-2-chloroquinoline (110 mg, 0.408 mmol), K2CO3 (55 mg, 0.40 mmol), 2,2'-bipyridine (4 mg, 0.026 mmol), Nickel(II) bromide (5 mg, 0.023 mmol), and 2,4,5,6-tetra(9H-carbazol-9- yl)isophthalonitrile (8 mg, 0.01 mmol) in DMF (13 mL) under a nitrogen atmosphere. The mixture was degassed for 15 min by bubbling nitrogen through, then sealed with parafilm. The solution was stirred at ambient temperature under the irradiation of a blue LED (450 nm) using a Penn OC Photoreactor M1 for 17 h. After reaction completion, the mixture was quenched by addition of water (30 mL), then extracted with EtOAc (3 x 10 mL). The combined organic layers were dried (Na2SO4), filtered, and concentrated in vacuo. Purification by preparative reverse phase HPLC (C18 column, 1 to 99% ACN in water with HCl modifier over 15 min) gave 4-(benzyloxy)-2-((2R,3S,4S,5R)-3-(3,4- difluoro-2-methoxyphenyl)-4,5-dimethyl-5-(trifluoromethyl)tetrahydrofuran-2-yl)quinoline (54 mg, 44%) as a white solid. ESI-MS m/z calc.543.183, found 544.6 (M+1)+; Retention time: 2.74 minutes using LC/MS method Q.
[0284] The following compound was made using the method described in Example 1, except that different coupling partners were used in step 1. Step 2 was not required. A final nitrile hydrolysis step was introduced using the method described in Example 15 step 5:
Example 2 2-((2R,3S,4S,5R)-3-(3,4-Difluoro-2-methoxyphenyl)-4,5-dimethyl-5-(trifluoromethyl)tetrahydrofuran- 2-yl)-8-fluoroquinolin-4(1H)-one (10)
[0285] Step 1: [0286] N,N'-diisopropylmethanediimine (190 µL, 1.21 mmol) was added to a stirred mixture of (2R,3S,4S,5R)-3-(3,4-difluoro-2-methoxyphenyl)-4,5-dimethyl-5-(trifluoromethyl)tetrahydrofuran-2- carboxylic acid (Intermediate A, 390 mg, 1.04 mmol), 2-hydroxyisoindoline-1,3-dione (215 mg, 1.32 mmol), and DMAP (135 mg, 1.105 mmol) in DCM (7.8 mL) under nitrogen. The reaction mixture was stirred at ambient temperature under a nitrogen atmosphere for 19 h. Upon reaction completion, the mixture was concentrated in vacuo and purification by flash column chromatography (SiO2, 1 to 100% EtOAc in hexanes) gave 1,3-dioxoisoindolin-2-yl (2R,3S,4S,5R)-3-(3,4-difluoro-2- methoxyphenyl)-4,5-dimethyl-5-(trifluoromethyl)tetrahydrofuran-2-carboxylate (240 mg, 46%) as a clear oil.1H NMR (400 MHz, Chloroform-d) δ 7.85 (dd, J = 5.5, 3.1 Hz, 2H), 7.78 (dd, J = 5.5, 3.1 Hz, 2H), 7.06 - 6.97 (m, 1H), 6.95 - 6.84 (m, 1H), 5.29 (d, J = 9.2 Hz, 1H), 4.44 (t, J = 8.9 Hz, 1H), 4.07 (s, 3H), 2.91 - 2.68 (m, 1H), 1.67 (s, 3H), 0.83 (dq, J = 7.3, 2.3 Hz, 3H) ppm. ESI-MS m/z calc. 499.105, found 500.0 (M+1)+; Retention time: 2.11 minutes using LC/MS method D. [0287] Step 2: [0288] 4-Chloro-8-fluoroquinoline (15 mg, 0.083 mmol) and 2,4,5,6-tetra(carbazol-9- yl)benzene-1,3-dicarbonitrile (1 mg, 0.001 mmol) were successively added to a stirring solution of 1,3-dioxoisoindolin-2-yl (2R,3S,4S,5R)-3-(3,4-difluoro-2-methoxyphenyl)-4,5-dimethyl-5- (trifluoromethyl)tetrahydrofuran-2-carboxylate (51 mg, 0.10 mmol) in a mixture of DMSO (900 µL) and TFA (13 µL, 0.17 mmol). Nitrogen gas was vigorously bubbled through the solution for 5 min. The solution was sealed and placed in a Hepatochem photoreactor (450 nM, 30W). The reaction was stirred and irradiated with blue light for 3 h at ambient temperature. Purification by flash column chromatography (SiO2, 1 to 100% EtOAc in hexanes) gave 4-chloro-2-((2R,3S,4S,5R)-3-(3,4- difluoro-2-methoxyphenyl)-4,5-dimethyl-5-(trifluoromethyl)tetrahydrofuran-2-yl)-8-fluoroquinoline, which was used in the next step without further purification.
[0289] Step 3: [0290] A reaction vial was charged with 4-chloro-2-((2R,3S,4S,5R)-3-(3,4-difluoro-2- methoxyphenyl)-4,5-dimethyl-5-(trifluoromethyl)tetrahydrofuran-2-yl)-8-fluoroquinoline and tBuBrettPhos Pd G3 (7 mg, 0.008 mmol) in a mixture of water (22 µL, 1.2 mmol) and THF (750 µL). The mixture was degassed for 5 min by bubbling nitrogen through the mixture. Phosphazene base P2- Et (82 µL, 0.25 mmol) was added and the reaction mixture was stirred at ambient temperature for 2 h. The reaction mixture was diluted with DMSO (5 mL) and filtered. Purification by reverse phase preparative HPLC (C18 column, 1 to 99% MeCN in water with 5 mM HCl) gave 2-((2R,3S,4S,5R)-3- (3,4-difluoro-2-methoxyphenyl)-4,5-dimethyl-5-(trifluoromethyl)tetrahydrofuran-2-yl)-8- fluoroquinolin-4(1H)-one (10, 3.1 mg, 8% over 2 steps) as a white solid.1H NMR (400 MHz, Methanol-d4) δ 8.04 (d, J = 8.2, 1.3 Hz, 1H), 7.74 - 7.57 (m, 1H), 7.56 - 7.43 (m, 1H), 7.31 - 7.14 (m, 1H), 7.09 - 6.92 (m, 1H), 6.72 - 6.58 (m, 1H), 5.72 (d, J = 11.3 Hz, 1H), 4.29 (dd, J = 11.2, 8.1 Hz, 1H), 3.94 (d, J = 2.5 Hz, 3H), 2.97 - 2.81 (m, 1H), 1.73 (d, J = 1.4 Hz, 3H), 0.92 (d, J = 7.6, 2.5 Hz, 3H) ppm. ESI-MS m/z calc.471.127, found 472.1 (M+1)+; Retention time: 1.80 minutes using LC/MS method D. [0291] The following compounds were made using methods similar to those described in Example 2, except that different coupling partners were used in step 2:
[0292] The following compounds were made using methods similar to those described in Example 2, except that (Ir[dF(CF3)ppy]2(dtbpy))PF6 was used as catalyst in step 2 in place of 2,4,5,6- tetra(carbazol-9-yl)benzene-1,3-dicarbonitrile. A different coupling partner was used in step 2 for compound 19, and DMA was used as the solvent instead of DMSO:
[0293] The following compounds were made using the method described in Example 2, except that rac-(2R,3S,4S,5R)-4-cyclopropyl-3-(3,4-difluoro-2-methoxyphenyl)-5-methyl-5- (trifluoromethyl)tetrahydrofuran-2-carboxylic acid was used as starting material in step 1. In step 2, (Ir[dF(CF3)ppy]2(dtbpy))PF6 was used as catalyst in place of 2,4,5,6-tetra(carbazol-9-yl)benzene-1,3- dicarbonitrile. The product of step 3 was further purified by chiral SFC using a (R,R)-Whelk-O®1 column, 5 µm particle size, 5.0 cm x 3.0 mm from Regis Technologies to give First Eluting Isomer 20 (rt = 2.74 minutes) and Second Eluting Isomer 21 (rt = 8.29 minutes):
[0294] The following compounds were made using the method described in Example 2, except that methyl 5-methoxy-4-oxo-1,4-dihydro-quinoline-3-carboxylate and 4-benzyloxy-5- chloroquinoline were respectively used as coupling partners in step 2. Step 3 was not required:
[0295] The following compounds were made using the method described in Example 2, except that 4-benzyloxy-6-chloroquinoline and 4-benzyloxy-5,7-dimethyl-1,6-naphthyridine were respectively used as coupling partners in step 2. Step 3 was omitted. A final hydrogenation deprotection step was carried out at ambient temperature using Pd/C in EtOH:
[0296] The following compound was made using the method described in Example 2, except that in step 2, 8-benzyloxy-2-methoxy-1,5-naphthyridine was used as the coupling partner and (Ir[dF(CF3)ppy]2(dtbpy))PF6 was used in place of 2,4,5,6-tetra(carbazol-9-yl)benzene-1,3- dicarbonitrile. Step 3 was omitted. A final hydrogenation step was carried out in 1,4-dioxane using conditions similar to those described in Example 1 step 2 with the addition of HCl:
[0297] The following compound was made using the method described in Example 2, except that 4-chloroquinoline-5-carbonitrile was used as the coupling partner in step 2. Step 3 was omitted and replaced by a SNAr step, which was carried out with benzyl alcohol using conditions similar to those described in Intermediate K, step 1. A final benzyl deprotection step was carried out using conditions similar to those described in Example 1, step 2:
[0298] The following compound was made using methods similar to those described in Example 2, except that, in step 2, 4-benzyloxy-5-chloro-8-fluoro-1,6-naphthyridine was used as the coupling partner and (Ir[dF(CF3)ppy]2(dtbpy))PF6 was used in place of 2,4,5,6-tetra(carbazol-9-yl)benzene-1,3- dicarbonitrile. The product of step 2 was subjected to the conditions outlined below. A final benzyl deprotection step was carried out using conditions similar to those described in Example 1, step 2: [0299] Negishi reaction: 4-(Benzyloxy)-5-chloro-2-((2R,3S,4S,5R)-3-(3,4-difluoro-2- methoxyphenyl)-4,5-dimethyl-5-(trifluoromethyl)tetrahydrofuran-2-yl)-8-fluoro-1,6-naphthyridine
(26 mg, 0.044 mmol) and Ni(dppp)Cl2 (5 mg, 0.009 mmol) were dissolved in THF (500 µL) under a nitrogen atmosphere and cooled to 0 °C. MeMgBr (22 µL, 3 M solution in Et2O, 0.07 mmol) was added dropwise at 0 °C. The reaction mixture was warmed to ambient temperature and stirred overnight. THF (500 µL), Ni(dppp)Cl2 (5 mg, 0.009 mmol) and MeMgBr (22 µL, 3 M solution in Et2O, 0.07 mmol) were added to the reaction mixture which was stirred for 24 h. The mixture was quenched with 1 M HCl (2 mL) and poured over water (10 mL). The mixture was extracted with EtOAc (3 x 10 mL). The combined organic layers were washed with brine (10 mL), dried (MgSO4), and concentrated in vacuo. Purification by flash column chromatography (12 g SiO2, 0 to 50% EtOAc in heptane) gave 4-(benzyloxy)-2-((2R,3S,4S,5R)-3-(3,4-difluoro-2-methoxyphenyl)-4,5-dimethyl-5- (trifluoromethyl)tetrahydrofuran-2-yl)-8-fluoro-5-methyl-1,6-naphthyridine (7.6 mg, 30%) as a colourless oil.
[0300] The following compound was made using the method described in Example 2, except that methyl 4-chloroquinoline-6-carboxylate was used as the coupling partner in step 2. The product of step 2 was hydrolysed and subjected to amidation conditions before carrying out step 3, as outlined below: [0301] Hydrolysis: Methyl 4-chloro-2-((2R,3S,4S,5R)-3-(3,4-difluoro-2-methoxyphenyl)-4,5- dimethyl-5-(trifluoromethyl)tetrahydrofuran-2-yl)quinoline-6-carboxylate was dissolved in a mixture of MeOH (1 mL), THF (5 mL) and 1 N aqueous LiOH and stirred at ambient temperature overnight. The mixture was concentrated in vacuo.1 N HCl (1 mL) was added, and product was extracted with DCM. The organic phase was separated and concentrated in vacuo to give 4-chloro-2-((2R,3S,4S,5R)- 3-(3,4-difluoro-2-methoxyphenyl)-4,5-dimethyl-5-(trifluoromethyl)tetrahydrofuran-2-yl)quinoline-6- carboxylic acid (36.2 mg, 70%) as a pale brown solid. ESI-MS m/z calc.515.092, found 516.0 (M+1)+; Retention time: 3.03 minutes using LC/MS method Q.
[0302] Amidation: 4-Chloro-2-((2R,3S,4S,5R)-3-(3,4-difluoro-2-methoxyphenyl)-4,5-dimethyl- 5-(trifluoromethyl)tetrahydrofuran-2-yl)quinoline-6-carboxylic acid (10 mg, 0.019 mmol), dimethylamine hydrochloride (7.9 mg, 8.4 µL, 0.096 mmol) and DIEA (20 mg, 27 µL, 0.16 mmol) were combined in THF (1 mL) and stirred for 5 min. HATU (22 mg, 0.058 mmol) was added and the mixture was stirred at ambient temperature for 2 h before being concentrated in vacuo. Purification by reverse phase preparative HPLC (C18 column, 1 to 99% acetonitrile in water) gave 4-chloro-2- ((2R,3S,4S,5R)-3-(3,4-difluoro-2-methoxyphenyl)-4,5-dimethyl-5-(trifluoromethyl)tetrahydrofuran-2- yl)-N,N-dimethylquinoline-6-carboxamide as a clear colourless solid. ESI-MS m/z calc.542.140, found 543.0 (M+1)+; Retention time: 1.75 minutes using LC/MS method D.
Example 3 2-((2R,3S,4S,5R)-3-(3,4-Difluoro-2-methoxyphenyl)-4,5-dimethyl-5-(trifluoromethyl)tetrahydrofuran- 2-yl)-4-oxo-1,4-dihydro-1,6-naphthyridine-5-carboxamide (30)
[0303] Step 1: [0304] To a solution of 4-(benzyloxy)-2-((2R,3S,4S,5R)-3-(3,4-difluoro-2-methoxyphenyl)-4,5- dimethyl-5-(trifluoromethyl)tetrahydrofuran-2-yl)-1,6-naphthyridine (1.0 g, 1.84 mmol) in DCM (10
mL) at 0 °C was added mCPBA (453 mg, 1.84 mmol). The reaction mixture was stirred at ambient temperature for 2 h. The mixture was diluted with DCM (200 mL) and washed with a saturated aqueous NaHCO3 solution (100 mL). The organic layer was separated, dried (Na2SO4), filtered, and concentrated in vacuo. Purification by flash column chromatography (SiO2, 1 to 10% MeOH in DCM) gave 4-(benzyloxy)-2-((2R,3S,4S,5R)-3-(3,4-difluoro-2-methoxyphenyl)-4,5-dimethyl-5- (trifluoromethyl)tetrahydrofuran-2-yl)-1,6-naphthyridine 6-oxide (980 mg, 95%) as an off-white solid. ESI-MS m/z calc.560.173, found 561.1 (M+1)+; Retention time: 1.93 minutes using LC/MS method D. [0305] Step 2: [0306] To a solution of 4-(benzyloxy)-2-((2R,3S,4S,5R)-3-(3,4-difluoro-2-methoxyphenyl)-4,5- dimethyl-5-(trifluoromethyl)tetrahydrofuran-2-yl)-1,6-naphthyridine 6-oxide (980 mg, 1.75 mmol) in DCM (20 mL) under an atmosphere of nitrogen were successively added trimethylsilyl cyanide (285 µL, 2.28 mmol) and Et3N (490 µL, 3.52 mmol). The reaction mixture was stirred at ambient temperature for 19 h and concentrated in vacuo. Purification by flash chromatography (SiO2, 1 to 100% EtOAc in hexanes) gave 4-(benzyloxy)-2-((2R,3S,4S,5R)-3-(3,4-difluoro-2-methoxyphenyl)- 4,5-dimethyl-5-(trifluoromethyl)tetrahydrofuran-2-yl)-1,6-naphthyridine-5-carbonitrile (740 mg, 74%) as a white solid.1H NMR (400 MHz, Methanol-d4) δ 8.74 (d, J = 5.8 Hz, 1H), 7.97 (d, J = 5.8 Hz, 1H), 7.71 - 7.55 (m, 2H), 7.48 - 7.32 (m, 4H), 7.33 - 7.19 (m, 1H), 7.01 - 6.82 (m, 1H), 5.66 - 5.59 (m, 3H), 4.18 - 4.11 (m, 1H), 3.83 (d, J = 2.3 Hz, 3H), 2.94 - 2.75 (m, 1H), 1.74 - 1.61 (m, 3H), 0.94 - 0.78 (m, 3H) ppm. ESI-MS m/z calc.569.174, found 570.2 (M+1)+; Retention time: 2.23 minutes using LC/MS method D. [0307] Step 3: [0308] A solution of 4-(benzyloxy)-2-((2R,3S,4S,5R)-3-(3,4-difluoro-2-methoxyphenyl)-4,5- dimethyl-5-(trifluoromethyl)tetrahydrofuran-2-yl)-1,6-naphthyridine-5-carbonitrile (100 mg, 0.176 mmol) and trifluoroacetic acid (1.1 mL, 14 mmol) in toluene (1 mL) was heated at 70 °C under nitrogen for 2 h. The reaction was concentrated in vacuo, diluted with DMSO (500 µL), filtered, and purified by reverse phase preparative chromatography (C18, 1 to 99% acetonitrile in water containing 5 mM hydrochloric acid) to give 2-((2R,3S,4S,5R)-3-(3,4-difluoro-2-methoxyphenyl)-4,5-dimethyl-5- (trifluoromethyl)tetrahydrofuran-2-yl)-4-oxo-1,4-dihydro-1,6-naphthyridine-5-carboxamide (30, 30 mg, 33%) as a white solid.1H NMR (400 MHz, Methanol-d4) δ 8.82 (d, J = 6.3 Hz, 1H), 8.25 (d, J = 6.3 Hz, 1H), 7.32 - 7.16 (m, 1H), 7.12 - 6.89 (m, 1H), 6.76 (s, 1H), 5.70 (d, J = 11.2 Hz, 1H), 4.34 (dd, J = 11.2, 8.6 Hz, 1H), 3.97 (d, J = 2.6 Hz, 3H), 3.02 - 2.80 (m, 1H), 1.75 (s, 3H), 1.03 - 0.81 (m, 3H) ppm. ESI-MS m/z calc.497.137, found 498.1 (M+1)+; Retention time: 1.42 minutes using LC/MS method D. [0309] The HPLC purification also afforded 2-((2R,3S,4S,5R)-3-(3,4-difluoro-2- methoxyphenyl)-4,5-dimethyl-5-(trifluoromethyl)tetrahydrofuran-2-yl)-4-oxo-1,4-dihydro-1,6- naphthyridine-5-carbonitrile (31, 14 mg, 16%) as a white solid.1H NMR (400 MHz, Methanol-d4) δ
8.69 (d, J = 5.9 Hz, 1H), 7.90 (d, J = 5.9 Hz, 1H), 7.27 - 7.12 (m, 1H), 7.08 - 6.89 (m, 1H), 6.31 (s, 1H), 5.52 (d, J = 11.2 Hz, 1H), 4.25 (dd, J = 11.2, 8.5 Hz, 1H), 3.95 (d, J = 2.6 Hz, 3H), 2.96 - 2.81 (m, 1H), 1.72 (s, 3H), 0.98 - 0.78 (m, 3H) ppm; NH pyridone not observed. ESI-MS m/z calc. 479.127, found 480.1 (M+1)+; Retention time: 1.63 minutes using LC/MS method D. [0310] The following compounds were made using the method described in Example 1, step 1 followed by Example 3, except that for compound 32 and compound 33, (2R,3R,4S,5R)-3-(3,4- difluoro-2-methoxyphenyl)-4-methoxy-5-methyl-5-(trifluoromethyl)tetrahydrofuran-2-carboxylic acid was used as the starting material. Compound 33 was isolated as a minor product in step 3. In the case of compound 34 and compound 35, rac-(2R,3S,4S,5R)-3-(3,4-difluoro-2-methoxyphenyl)-4-methyl-5- (trifluoromethyl)tetrahydrofuran-2-carboxylic acid (Intermediate C) was used as the starting material. A final SFC purification was carried out using a Chiralpak IG (250 x 20 mm), 5 µm particle size, 250 x 20 mm column from Daicel Corporation to give First Eluting Isomer (rt = 1.90 minutes) 34 and Second Eluting Isomer (rt = 3.60 minutes) 35:
Example 4 2-((2R,3S,4S,5R)-3-(3,4-Difluoro-2-methylphenyl)-4-methoxy-5-methyl-5- (trifluoromethyl)tetrahydrofuran-2-yl)-4-oxo-1,4-dihydro-1,6-naphthyridine-5-carboxamide (36)
[0311] Step 1: [0312] To a solution of (2R,3R,4S,5R)-3-(3,4-difluoro-2-methylphenyl)-4-methoxy-5-methyl-5- (trifluoromethyl)tetrahydrofuran-2-carboxylic acid (Intermediate B, 1.1 g, 2.9 mmol) in DCM (10 mL) under a nitrogen atmosphere was added DMF (11 µL, 0.14 mmol) followed by oxalyl chloride (3 mL, 2.0 M solution in DCM, 6 mmol). The reaction mixture was stirred for 1 h and then concentrated in vacuo. The residue was dissolved in DCM and concentrated in vacuo to remove residual oxalyl chloride (x 3). The acid chloride was dissolved in DCM (10 mL) and added dropwise to solution of 1- (4-aminopyridin-3-yl)ethan-1-one (458 mg, 3.36 mmol) and Et3N (820 µL, 5.88 mmol) in DCM (10 mL). The reaction mixture was stirred at ambient temperature for 1 h. The mixture was quenched with water (20 mL) and washed with a saturated NaHCO3 solution (20 mL) and 1 M citric acid (20 mL). The organic layer was dried (MgSO4), filtered, and concentrated in vacuo to give (2R,3R,4S,5R)-N-(3- acetylpyridin-4-yl)-3-(3,4-difluoro-2-methylphenyl)-4-methoxy-5-methyl-5- (trifluoromethyl)tetrahydrofuran-2-carboxamide (1.31 g, 95%) as an off-white solid.1H NMR (400 MHz, Chloroform-d) δ 12.90 (s, 1H), 9.22 (s, 1H), 8.90 (d, J = 6.5 Hz, 1H), 8.58 (d, J = 6.5 Hz, 1H), 7.36 - 7.32 (m, 1H), 7.12 (q, J = 8.8 Hz, 1H), 5.19 (d, J = 11.5 Hz, 1H), 3.85 (d, J = 4.7 Hz, 1H), 3.74 (dd, J = 11.5, 4.7 Hz, 1H), 2.96 (s, 3H), 2.80 (s, 3H), 2.31 (d, J = 2.4 Hz, 3H), 1.81 (s, 3H) ppm; ESI- MS m/z calc.472.142, found 473.0 (M+1)+; Retention time: 3.37 minutes using LC/MS method A. [0313] Step 2: [0314] Under a nitrogen atmosphere, NaOtBu (20.32 g, 211.4 mmol) was added to a solution of (2R,3R,4S,5R)-N-(3-acetylpyridin-4-yl)-3-(3,4-difluoro-2-methylphenyl)-4-methoxy-5-methyl-5-
(trifluoromethyl)tetrahydrofuran-2-carboxamide (51.21 g, 104.4 mmol) in 1,4-dioxane (500 mL), causing an exotherm from 23 °C to 27.5 °C. The reaction mixture was heated at 56 °C for 10 min and then cooled to ambient temperature and quenched by the addition of water (100 mL). The pH of the solution was adjusted to 5 by careful addition of 2 M HCl. The aqueous phase was extracted with EtOAc (500 mL then 2 x 100 mL). The combined organic phases were dried (MgSO4), filtered, and concentrated in vacuo to give an orange solid. The solid (58.28 g) was triturated with a 1:1 mixture of DCM (125 mL) and heptane (125 mL). The mixture was aged for 1 h. The pale pink solid was collected by filtration, rinsing with a mixture of 1:1 DCM:heptane, to give 2-((2R,3S,4S,5R)-3-(3,4- difluoro-2-methylphenyl)-4-methoxy-5-methyl-5-(trifluoromethyl)tetrahydrofuran-2-yl)-1,6- naphthyridin-4(1H)-one (37.022 g, 78%) as an off-white solid.1H NMR (400 MHz, Chloroform-d) δ 9.38 (s, 1H), 8.52 (d, J = 6.2 Hz, 1H), 7.75 (d, J = 6.2 Hz, 1H), 7.25 (ddd, J = 8.9, 4.9, 1.7 Hz, 1H), 7.03 (p, J = 8.7 Hz, 1H), 6.08 (s, 1H), 5.53 (d, J = 11.1 Hz, 1H), 3.97 (dd, J = 11.3, 4.9 Hz, 1H), 3.86 (d, J = 5.0 Hz, 1H), 2.96 (s, 3H), 2.36 - 2.24 (m, 3H), 1.71 (s, 3H) ppm; NH pyridone not observed. 19F NMR (376 MHz, Chloroform-d) δ -75.13, -137.68 (d, J = 21.1 Hz), -138.56 (d, J = 21.1 Hz) ppm. ESI-MS m/z calc.454.132, found 455.2 (M+1)+; 453.2 (M-1)-; Retention time: 0.76 minutes using LC/MS method C. [0315] Step 3: [0316] To a suspension of 2-((2R,3S,4S,5R)-3-(3,4-difluoro-2-methylphenyl)-4-methoxy-5- methyl-5-(trifluoromethyl)tetrahydrofuran-2-yl)-1,6-naphthyridin-4(1H)-one (5 g, 11 mmol) in MeCN (50 mL) was added formamide (9 mL, 226 mmol) and the mixture was stirred until complete dissolution. The reaction mixture was heated at 75 °C. A solution of (NH4)2S2O8 (5.58 g, 24.5 mmol) in water (7 mL) was added over 6 min via an addition funnel. The mixture was heated at 75 °C until complete disappearance of starting material. An additional amount of (NH4)2S2O8 (1.26 g, 5.521 mmol) in water (1.5 mL) was added to the reaction mixture and the reaction was cooled to ambient temperature. The pH of the solution was adjusted to pH 8 by addition of a saturated NaHCO3 solution. The mixture was extracted with EtOAc (3 x 10 mL). The organic extracts were concentrated in vacuo. Purification by flash chromatography (40 g SiO2, 0 to 60% EtOAc in heptane, then 100% EtOAc) gave 2-((2R,3S,4S,5R)-3-(3,4-difluoro-2-methylphenyl)-4-methoxy-5-methyl-5- (trifluoromethyl)tetrahydrofuran-2-yl)-4-oxo-1,4-dihydro-1,6-naphthyridine-5-carboxamide (36, 1.35 g, 24%).1H NMR (400 MHz, Methanol-d4) δ 8.53 (d, J = 6.0 Hz, 1H), 7.67 (d, J = 6.1 Hz, 1H), 7.39 (ddd, J = 9.0, 5.0, 1.7 Hz, 1H), 7.17 (q, J = 9.0 Hz, 1H), 6.22 (s, 1H), 5.53 (d, J = 11.2 Hz, 1H), 4.16 (d, J = 5.0 Hz, 1H), 3.93 (dd, J = 11.2, 4.9 Hz, 1H), 2.99 (s, 3H), 2.32 (d, J = 2.4 Hz, 3H), 1.74 (d, J = 1.3 Hz, 3H) ppm; NH pyridone and NH2 amide not observed. ESI-MS m/z calc.497.137, found 498.2 (M+1)+; Retention time: 2.50 minutes using LC/MS method A. [0317] 2-((2R,3S,4S,5R)-3-(3,4-Difluoro-2-methylphenyl)-4-methoxy-5-methyl-5- (trifluoromethyl)tetrahydrofuran-2-yl)-4-oxo-1,4-dihydro-1,6-naphthyridine-7,8-dicarboxamide (37,
765 mg, 2.41%) was also isolated. ESI-MS m/z calc.540.439, found 541.1 (M+1)+; Retention time: 2.71 minutes using LC/MS method H. Example 5 7-((2R,3S,4S,5R)-3-(3,4-Difluoro-2-methoxyphenyl)-4,5-dimethyl-5-(trifluoromethyl)tetrahydrofuran- 2-yl)pyrido[2,3-d]pyrimidin-5(8H)-one (38) and 7-((2R,3S,4S,5R)-3-(3,4-difluoro-2-methoxyphenyl)-4,5-dimethyl-5-(trifluoromethyl)tetrahydrofuran- 2-yl)-5-oxo-5,8-dihydropyrido[2,3-d]pyrimidine-4-carboxamide (39)
[0318] Step 1: [0319] To a solution of (2R,3S,4S,5R)-3-(3,4-difluoro-2-methoxyphenyl)-4,5-dimethyl-5- (trifluoromethyl)tetrahydrofuran-2-carboxylic acid (Intermediate A, 500 mg, 1.41 mmol) in DCM (5 mL) was added DMF (6 µL, 0.08 mmol) and oxalyl chloride (250 µL, 2.87 mmol) and the resulting mixture was stirred at ambient temperature for 20 min. The mixture was concentrated in vacuo and azeotroped with DCM (2 x 5 mL) to give (2R,3S,4S,5R)-3-(3,4-difluoro-2-methoxyphenyl)-4,5- dimethyl-5-(trifluoromethyl)tetrahydrofuran-2-carbonyl chloride, which was used without further purification. [0320] (2R,3S,4S,5R)-3-(3,4-difluoro-2-methoxyphenyl)-4,5-dimethyl-5- (trifluoromethyl)tetrahydrofuran-2-carbonyl chloride was dissolved in DCM (5 mL) and added dropwise to a solution of Et3N (400 µL, 2.87 mmol) and 1-(4-aminopyrimidin-5-yl)ethan-1-one (213 mg, 1.55 mmol) in DCM (5 mL). The reaction mixture was stirred at ambient temperature for 1 h, after which the reaction mixture was taken on to the next step.
[0321] Step 2: [0322] Et3N (1.38 mL, 9.901 mmol) and TMSOTf (1.53 mL, 8.467 mmol) were added to the reaction mixture from Step 1 above, and the mixture was heated at 45 °C for 16 h. The mixture was cooled to ambient temperature, poured over a saturated aqueous NaHCO3 solution (50 mL) and diluted with DCM (50 mL). The aqueous layer was separated and extracted with DCM (50 mL). The combined organic extracts were washed with brine (50 mL), dried (MgSO4), filtered, and concentrated in vacuo. Purification by flash chromatography (40 g SiO2, 0 to 100% EtOAc in heptane) gave 7- ((2R,3S,4S,5R)-3-(3,4-difluoro-2-methoxyphenyl)-4,5-dimethyl-5-(trifluoromethyl)tetrahydrofuran-2- yl)pyrido[2,3-d]pyrimidin-5(8H)-one (38, 268 mg, 42% over 2 steps) as an off-white solid.1H NMR (500 MHz, DMSO-d6) δ 12.55 (s, 1H), 9.25 (s, 1H), 9.15 (s, 1H), 7.27 - 7.23 (m, 1H), 7.18 - 7.12 (m, 1H), 6.55 (s, 1H), 5.45 (d, J = 11.3 Hz, 1H), 4.38 (dd, J = 11.3, 8.3 Hz, 1H), 3.90 (d, J = 1.9 Hz, 3H), 2.85 (dq, J = 7.8 Hz, 1H), 1.71 (s, 3H), 0.76 (d, J = 5.3 Hz, 3H) ppm.19F NMR (471 MHz, DMSO-d6) δ -73.15, -137.96, -154.82 ppm. ESI-MS m/z calc.455.127, found 456.3 (M+1)+; 454.2 (M-1)-; Retention time: 2.52 minutes using LC/MS method A. [0323] Step 3: [0324] 7-((2R,3S,4S,5R)-3-(3,4-difluoro-2-methoxyphenyl)-4,5-dimethyl-5- (trifluoromethyl)tetrahydrofuran-2-yl)pyrido[2,3-d]pyrimidin-5(8H)-one (100 mg, 0.220 mmol) and K2S2O8 (131 mg, 0.485 mmol) were suspended in MeCN (200 µL) and water (40 µL). The mixture was heated to 75 °C and formamide (350 µL, 8.78 mmol) was added. The resulting mixture was stirred at 75 °C for 2 h. The reaction mixture was quenched by addition of a saturated aqueous NaHCO3 solution (2 mL), poured over a saturated aqueous NaHCO3 solution (10 mL), and diluted with EtOAc (10 mL). The aqueous layer was separated and extracted with EtOAc (2 x 10 mL). The combined organic extracts were washed with brine (10 mL), dried (MgSO4), and concentrated in vacuo. Purification by reverse phase HPLC (C18 X-bridge column, 15.8 to 30.5% MeCN in H2O with 0.1% ammonium hydroxide) gave 7-((2R,3S,4S,5R)-3-(3,4-difluoro-2-methoxyphenyl)-4,5-dimethyl- 5-(trifluoromethyl)tetrahydrofuran-2-yl)-5-oxo-5,8-dihydropyrido[2,3-d]pyrimidine-4-carboxamide (39, 12.9 mg, 12%).1H NMR (500 MHz, DMSO-d6) δ 12.56 (s, 1H), 9.08 (s, 1H), 7.64 (s, 1H), 7.53 (s, 1H), 7.27 - 7.23 (m, 1H), 7.18 - 7.11 (m, 1H), 6.53 (s, 1H), 5.44 (d, J = 11.3 Hz, 1H), 4.37 (dd, J = 11.3, 8.3 Hz, 1H), 3.90 (d, J = 1.9 Hz, 3H), 2.85 (p, J = 7.7 Hz, 1H), 1.71 (s, 3H), 0.76 (d, J = 7.4 Hz, 3H) ppm.19F NMR (471 MHz, DMSO-d6) δ -73.13, -137.86, -154.75 ppm. ESI-MS m/z calc. 498.133, found 499.4 (M+1)+; 497.2 (M-1)-; Retention time: 2.39 minutes using LC/MS method A. [0325] The following compound was made using the method described in Example 5 except that the conditions used in step 1 were those of Example 6 step 1 and (2R,3S,4S,5R)-3-(3-fluoro-2- methoxyphenyl)-4,5-dimethyl-5-(trifluoromethyl)tetrahydrofuran-2-carboxylic acid (Intermediate H) was used in place of (2R,3S,4S,5R)-3-(3,4-difluoro-2-methoxyphenyl)-4,5-dimethyl-5- (trifluoromethyl)tetrahydrofuran-2-carboxylic acid (Intermediate A):
[0326] The following compounds were made using the method described in Example 5, except that, in step 1, rac-(2R,3S,5R)-3-(3,4-difluoro-2-methoxyphenyl)-5-methyl-5- (trifluoromethyl)tetrahydrofuran-2-carboxylic acid was used as the starting material and 1-(4- aminopyridin-3-yl)ethan-1-one as the coupling partner. In step 2, DIPEA was used as the base in place of triethylamine. The product of step 3 was further purified by chiral SFC using a Chiralpak IB column (250 x 20 mm), 5 µm particle size, 250 x 20 mm column from Daicel Corporation to give First Eluting Isomer 41 (rt = 2.99 minutes) and Second Eluting Isomer 42 (rt = 4.49 minutes):
Example 6 2-((2R,3R,4S,5R)-3-(3,4-Difluoro-2-methylphenyl)-4-hydroxy-5-methyl-5- (trifluoromethyl)tetrahydrofuran-2-yl)-4-oxo-1,4-dihydro-1,6-naphthyridine-5-carboxamide (43)
[0327] Step 1: [0328] To a solution of (2R,3R,4S,5R)-3-(3,4-difluoro-2-methylphenyl)-4-(methoxymethoxy)-5- methyl-5-(trifluoromethyl)tetrahydrofuran-2-carboxylic acid (Intermediate I, 460 mg, 1.20 mmol) in EtOAc (15 mL) at ambient temperature was added 1-(4-aminopyridin-3-yl)ethan-1-one (500 mg, 3.67 mmol) and Et3N (1.2 mL, 8.6 mmol). T3P (3.5 mL, 50 % w/w solution in EtOAc, 5.9 mmol) was added dropwise and the reaction mixture was stirred at ambient temperature for 2 h. The mixture was quenched by addition of a saturated NaHCO3 solution (20 mL). The mixture was extracted with EtOAc (2 x 15 mL) and the combined organic extracts were dried (MgSO4), filtered, and concentrated in vacuo. Purification by flash chromatography (24 g SiO2, 0 to 100% EtOAc in heptane) gave (2R,3R,4S,5R)-N-(3-acetylpyridin-4-yl)-3-(3,4-difluoro-2-methylphenyl)-4-hydroxy-5-methyl-5- (trifluoromethyl)tetrahydrofuran-2-carboxamide (270 mg, 45%). ESI-MS m/z calc.502.153, found 503.2 (M+1)+; 501.1 (M-1)-; Retention time: 0.97 minutes using LC/MS method C. [0329] Step 2: [0330] Potassium tert-butoxide (130 mg, 1.16 mmol) was added to a stirring solution of (2R,3R,4S,5R)-N-(3-acetylpyridin-4-yl)-3-(3,4-difluoro-2-methylphenyl)-4-hydroxy-5-methyl-5- (trifluoromethyl)tetrahydrofuran-2-carboxamide (270 mg, 0.537 mmol) in 1,4-dioxane (5 mL) at ambient temperature and the reaction mixture was heated at 50 ºC for 1 h. The mixture was quenched by addition of a saturated NH4Cl solution (10 mL) and extracted with EtOAc (10 mL). The organic layer was separated, dried (MgSO4), filtered, and concentrated in vacuo to give 2-((2R,3S,4S,5R)-3- (3,4-difluoro-2-methylphenyl)-4-(methoxymethoxy)-5-methyl-5-(trifluoromethyl)tetrahydrofuran-2- yl)-1,6-naphthyridin-4(1H)-one (260 mg, 100%), which was used without further purification in the
next step. ESI-MS m/z calc.484.142, found 485.2 (M+1)+; 483.2 (M-1)-; Retention time: 0.74 minutes using LC/MS method C. [0331] Steps 3 and 4: [0332] Potassium persulfate (100 mg, 0.370 mmol) was added to a solution of 2-((2R,3S,4S,5R)- 3-(3,4-difluoro-2-methylphenyl)-4-(methoxymethoxy)-5-methyl-5-(trifluoromethyl)tetrahydrofuran- 2-yl)-1,6-naphthyridin-4(1H)-one (160 mg, 0.330 mmol) and formamide (600 µL, 15.05 mmol) in a mixture of MeCN (2 mL) and water (0.5 mL) and the mixture was heated at 75 ºC for 1 h. The reaction mixture was quenched by addition of water and diluted with EtOAc. The aqueous phase was separated and extracted with EtOAc (2 x 10 mL). The combined organic layers were dried (MgSO4), filtered, and concentrated in vacuo to give 2-((2R,3S,4S,5R)-3-(3,4-difluoro-2-methylphenyl)-4- (methoxymethoxy)-5-methyl-5-(trifluoromethyl)tetrahydrofuran-2-yl)-4-oxo-1,4-dihydro-1,6- naphthyridine-5-carboxamide, which was used without further purification in the next step. ESI-MS m/z calc.527.148, found 528.2 (M+1)+; 526.2 (M-1)-; Retention time: 0.67 minutes using LC/MS method C. [0333] 2-((2R,3S,4S,5R)-3-(3,4-difluoro-2-methylphenyl)-4-(methoxymethoxy)-5-methyl-5- (trifluoromethyl)tetrahydrofuran-2-yl)-4-oxo-1,4-dihydro-1,6-naphthyridine-5-carboxamide was dissolved in a mixture of toluene (1 mL) and TFA (1 mL) and heated at 75 ºC for 1 h. The reaction mixture was neutralised by addition of a saturated NaHCO3 solution and extracted with EtOAc (3 x 10 mL). The combined organic extracts were dried (MgSO4), filtered and concentrated in vacuo. Purification by flash chromatography (12 g SiO2, 0 to 100% 3:1 EtOAc:EtOH in heptane) gave 2- ((2R,3R,4S,5R)-3-(3,4-difluoro-2-methylphenyl)-4-hydroxy-5-methyl-5- (trifluoromethyl)tetrahydrofuran-2-yl)-4-oxo-1,4-dihydro-1,6-naphthyridine-5-carboxamide (43, 24 mg, 15% over 2 steps).1H NMR (500 MHz, Methanol-d4) δ 8.52 (d, J = 6.0 Hz, 1H), 7.66 (d, J = 6.0 Hz, 1H), 7.33 (ddd, J = 9.1, 4.9, 1.7 Hz, 1H), 7.11 (q, J = 8.9 Hz, 1H), 6.23 (s, 1H), 5.56 (d, J = 11.2 Hz, 1H), 4.46 (d, J = 4.8 Hz, 1H), 3.89 (dd, J = 11.2, 4.8 Hz, 1H), 2.26 (d, J = 2.3 Hz, 3H), 1.70 (s, 3H) ppm; NH pyridone, NH2 amide and OH alcohol not observed.19F NMR (471 MHz, Methanol-d4) δ -76.03, -142.02 - -142.30 (m), -142.74 - -143.01 (m) ppm. ESI-MS m/z calc.483.122, found 484.1 (M+1)+; 482.2 (M-1)-; Retention time: 1.79 minutes using LC/MS method A. [0334] The following compound was made using the method described in Example 6 except that (2R,3R,4S,5R)-3-(3,4-difluoro-2-((methoxymethoxy)methyl)phenyl)-4-methoxy-5-methyl-5- (trifluoromethyl)tetrahydrofuran-2-carboxylic acid (Intermediate J) was used as the starting material in step 1:
[0335] The following compound was made using methods similar to those described in Example 6 except that, in step 1, (2R,3R,4S,5R)-3-(3,4-difluoro-2-methoxy-phenyl)-4-(methoxymethoxy)-5- methyl-5-(trifluoromethyl)tetrahydrofuran-2-carboxylic acid was used as the starting material. Steps 3 and 4 were omitted. After step 2 the formamide portion of the compound was installed following procedures from Example 3:
Example 7 2-((2R,3S,4S,5R)-3-(3,4-Difluoro-2-methoxyphenyl)-4,5-dimethyl-5-(trifluoromethyl)tetrahydrofuran- 2-yl)pyrido[4,3-d]pyrimidin-4(1H)-one (46)
[0336] Step 1: [0337] (2R,3S,4S,5R)-3-(3,4-difluoro-2-methoxyphenyl)-4,5-dimethyl-5- (trifluoromethyl)tetrahydrofuran-2-carboxylic acid (Intermediate A, 400 mg, 1.13 mmol) was dissolved in a mixture of DCM (10 mL) and DMF (10 µL, 0.13 mmol) cooled to 0 ºC. Oxalyl chloride (990 µL, 11.4 mmol) was then added dropwise over 2 min, and the mixture was stirred for 1 h. The reaction mixture was concentrated in vacuo. The residue was dissolved in DCM (10 mL) and added dropwise to an ice-cold solution of methyl 4-aminonicotinate (172 mg, 1.13 mmol), DMAP (3 mg, 0.024 mmol) and DIPEA (200 µL, 1.15 mmol) in DCM (10 mL). The mixture was stirred for 90 min, then slowly warmed to ambient temperature. The mixture was quenched with a saturated aqueous NaHCO3 solution (50 mL). The aqueous layer was separated and extracted with DCM (50 mL). The combined organic extracts were dried (MgSO4), filtered, and concentrated in vacuo to give methyl 4- ((2R,3S,4S,5R)-3-(3,4-difluoro-2-methoxyphenyl)-4,5-dimethyl-5-(trifluoromethyl)tetrahydrofuran-2- carboxamido)nicotinate (530 mg, 96%) as a brown waxy solid.1H NMR (400 MHz, DMSO-d6) δ 11.72 (s, 1H), 9.07 (s, 1H), 8.62 (d, J = 5.9 Hz, 1H), 8.44 (d, J = 5.8 Hz, 1H), 7.37 (ddd, J = 8.5, 5.9, 2.1 Hz, 1H), 7.18 (ddd, J = 10.1, 8.9, 7.7 Hz, 1H), 5.30 (d, J = 11.0 Hz, 1H), 4.19 (dd, J = 11.0, 7.5 Hz, 1H), 4.08 (s, 1H), 3.92 (d, J = 2.1 Hz, 3H), 1.71 (s, 3H), 0.95 (d, J = 6.6 Hz, 3H), 0.73 (dd, J = 7.5, 2.5 Hz, 3H) ppm. ESI-MS m/z calc.488.137, found 489.1 (M+1)+; 487.2 (M-1)-; Retention time: 1.05 minutes using LC/MS method C. [0338] Step 2: [0339] Methyl 4-((2R,3S,4S,5R)-3-(3,4-difluoro-2-methoxyphenyl)-4,5-dimethyl-5- (trifluoromethyl)tetrahydrofuran-2-carboxamido)nicotinate (530 mg, 1.085 mmol) was dissolved in ammonia (10 mL, 7 M solution in MeOH, 70 mmol) and stirred overnight at ambient temperature. The reaction mixture was concentrated in vacuo. The residue was dissolved in EtOAc and washed with a saturated brine solution. The organic layer was separated, dried (MgSO4), filtered and concentrated in vacuo. Purification by flash chromatography (24 g SiO2, 20 to 100% EtOAc in heptane) followed by preparative reverse phase HPLC (C18 X-bridge column from Waters, 47 to 95%
MeCN in H2O with 1% ammonium hydroxide) gave 2-((2R,3S,4S,5R)-3-(3,4-difluoro-2- methoxyphenyl)-4,5-dimethyl-5-(trifluoromethyl)tetrahydrofuran-2-yl)pyrido[4,3-d]pyrimidin-4(1H)- one (46, 180 mg, 35%) as a white solid.1H NMR (400 MHz, Chloroform-d) δ 10.06 (s, 1H), 9.40 (s, 1H), 8.73 (d, J = 5.6 Hz, 1H), 7.30 (d, J = 5.6 Hz, 1H), 7.12 (ddd, J = 8.3, 5.5, 2.2 Hz, 1H), 6.83 (td, J = 9.1, 7.3 Hz, 1H), 5.33 (d, J = 10.9 Hz, 1H), 4.11 (dd, J = 10.9, 8.5 Hz, 1H), 3.90 (d, J = 2.9 Hz, 3H), 2.78 (p, J = 7.8 Hz, 1H), 1.66 (s, 3H), 0.78 (dq, J = 7.6, 2.3 Hz, 3H) ppm. ESI-MS m/z calc.455.127, found 456.1 (M+1)+; 454.1 (M-1)-; Retention time: 0.78 minutes using LC/MS method C. Example 8 2-((2R,3S,4S,5R)-3-(3-Chloro-2-methoxyphenyl)-4,5-dimethyl-5-(trifluoromethyl)tetrahydrofuran-2- yl)-4-oxo-1,4-dihydro-1,6-naphthyridine-5-carboxamide (47)
[0340] Step 1: [0341] The starting material, 2-((2R,3S,4S,5R)-3-(3-chloro-2-methoxyphenyl)-4,5-dimethyl-5- (trifluoromethyl)tetrahydrofuran-2-yl)-4-((4-methoxybenzyl)oxy)-1,6-naphthyridine-5-carbonitrile, was prepared using methods similar to those described in Example 1 step 1 followed by Example 3, steps 1 and 2, except that (2R,3S,4S,5R)-3-(3-chloro-2-methoxyphenyl)-4,5-dimethyl-5- (trifluoromethyl)tetrahydrofuran-2-carboxylic acid (Intermediate G) was used as the acid starting material and 2-chloro-4-((4-methoxybenzyl)oxy)-1,6-naphthyridine as the coupling partner in Example 1 step 1. [0342] The crude residue of 2-((2R,3S,4S,5R)-3-(3-chloro-2-methoxyphenyl)-4,5-dimethyl-5- (trifluoromethyl)tetrahydrofuran-2-yl)-4-((4-methoxybenzyl)oxy)-1,6-naphthyridine-5-carbonitrile was dissolved in DMSO (2 mL). NaOH (285 µL, 6 M aqueous solution, 1.7 mmol) and hydrogen peroxide (350 µL, 30 % w/w solution in water, 3.43 mmol) were added and the mixture was stirred at ambient temperature for 2 h. The mixture was diluted with EtOAc, washed with brine. The organic layer was separated, dried (MgSO4), filtered, and concentrated in vacuo to give 2-((2R,3S,4S,5R)-3-(3- chloro-2-methoxyphenyl)-4,5-dimethyl-5-(trifluoromethyl)tetrahydrofuran-2-yl)-4-((4- methoxybenzyl)oxy)-1,6-naphthyridine-5-carboxamide. [0343] Step 2: [0344] To a solution of 2-((2R,3S,4S,5R)-3-(3-chloro-2-methoxyphenyl)-4,5-dimethyl-5- (trifluoromethyl)tetrahydrofuran-2-yl)-4-((4-methoxybenzyl)oxy)-1,6-naphthyridine-5-carboxamide
in DCM (2 mL) was added TFA (1 mL, 13 mmol) and the mixture was stirred at ambient temperature for 30 min. Purification by preparative reverse phase HPLC (C18 Sunfire column from Waters, 38 to 53% MeCN in H2O with 0.1% trifluoroacetic acid) gave 2-((2R,3S,4S,5R)-3-(3-chloro-2- methoxyphenyl)-4,5-dimethyl-5-(trifluoromethyl)tetrahydrofuran-2-yl)-4-oxo-1,4-dihydro-1,6- naphthyridine-5-carboxamide (47, 12.2 mg, 4% over 2 steps) as a pale yellow solid.1H NMR (400 MHz, DMSO-d6) δ 11.47 (s, 1H), 8.49 (d, J = 5.8 Hz, 1H), 7.56 (d, J = 5.9 Hz, 1H), 7.42 (s, 1H), 7.22 (q, J = 4.3, 2.8 Hz, 3H), 6.40 (s, 1H), 5.52 (d, J = 11.1 Hz, 1H), 4.22 (dd, J = 11.1, 7.8 Hz, 1H), 2.94 (p, J = 7.5 Hz, 1H), 2.28 (d, J = 2.3 Hz, 3H), 1.73 (s, 3H), 0.77 - 0.70 (m, 3H) ppm; NH pyridone not observed. ESI-MS m/z calc.481.143, found 482.1 (M+1)+; 480.1 (M-1)-; Retention time: 2.71 minutes using LC/MS method A. [0345] The following compound was made using methods similar to those described in Example 8, except 2-((2R,3S,4S,5R)-3-(3,4-difluoro-2-methylphenyl)-4,5-dimethyl-5- (trifluoromethyl)tetrahydrofuran-2-yl)-4-((4-methoxybenzyl)oxy)-1,6-naphthyridine was used as the starting material:
[0346] The following compound was made using methods similar to those described in Example 8, except that 2-((2R,3S,4S,5R)-3-(3,4-difluoro-2-methoxyphenyl)-4,5-dimethyl-5- (trifluoromethyl)tetrahydrofuran-2-yl)pyrido[4,3-d]pyrimidin-4(1H)-one (46) was used as the starting material in step 1 and step 2 was not required:
Example 9
2-((2R,35.4S,5R)-3-(3,4-Difluoro-2-methoxyphenyl)-4,5-dimethyl-5-(trifluoromethyl)tetrahydrofuran-
[0347] Steps 1 and 2:
[0348] An ice-cold mixture of hydrogen peroxide (180 pL. 5.87 mmol) and ethyl 2- oxopropanoate (295 μL, 2.66 mmol) was added to an ice-cold and vigorously stirred suspension of 2- ((2R,3S,45,5R)-3-(3,4-difluoro-2-methoxyphenyl)-4,5-dimethyl-5-(trifluoromethyl)tetrahydrofuran-2- yl)-l,6-naphthyridin-4(1H)-one (1, 80 mg, 0.18 mmol), FeSO4.7H2O (490 mg, 1.76 mmol) and sulfuric acid (325 μL, 6.10 mmol) in a mixture of DCM (15 mL) and water (1.5 mL). After reaction completion, the mixture was diluted with ice-water (100 mL) and extracted with EtOAc (50 mL x 2). The combined organic extracts were concentrated in vacuo. The residue was dissolved in methylamine (5 mL, 33 % w/w solution in ethanol) and stirred overnight at ambient temperature. The mixture was concentrated in vacuo. Purification by preparative reverse phase HPLC (C18 Sunfire column from Waters, 38 to 53% MeCN in H2O with 0.1% trifluoroacetic acid) gave 2-((2R,3S.4S.5R)- 3-(3,4-difluoro-2-methoxyphenyl)-4,5-dimethyl-5-(trifluoromethyl)tetrahydrofuran-2-yl)-N-methyl-4- oxo-1, 4-dihydro-l,6-naphthyridine-5-carboxamide 2,2,2-trifluoroacetate (50, 9.0 mg, 8% over 2
steps).1H NMR (400 MHz, Chloroform-d) δ 9.23 (s, 1H), 8.72 (s, 2H), 7.20 (s, 1H), 7.07 (s, 1H), 6.81 (q, J = 8.9, 8.3 Hz, 1H), 5.76 (d, J = 10.4 Hz, 1H), 4.20 (t, J = 9.4 Hz, 1H), 3.90 (s, 1H), 3.85 (d, J = 2.7 Hz, 3H), 3.42 (s, 3H), 3.13 (d, J = 3.3 Hz, 3H), 2.84 - 2.74 (m, 1H), 0.89 - 0.77 (m, 3H) ppm. ESI- MS m/z calc.511.153, found 512.2 (M+1)+; 510.2 (M-1)-; Retention time: 2.77 minutes using LC/MS method B. Example 10 2-((2R,3S,4S,5R)-3-(3,4-Difluoro-2-methoxyphenyl)-4,5-dimethyl-5-(trifluoromethyl)tetrahydrofuran- 2-yl)-3-methoxy-1,6-naphthyridin-4(1H)-one (51)
[0349] Step 1: [0350] Recrystallised NBS (37 mg, 0.21 mmol) was added to a solution of 2-((2R,3S,4S,5R)-3- (3,4-difluoro-2-methoxyphenyl)-4,5-dimethyl-5-(trifluoromethyl)tetrahydrofuran-2-yl)-1,6- naphthyridin-4(1H)-one (1, 100 mg, 0.198 mmol) in a mixture of DCM (0.8 mL) and acetic acid (0.4 mL) at 0 °C. The reaction mixture was warmed to ambient temperature. After 20 min, the mixture was diluted with DCM (10 mL) and washed with a half-saturated NaHCO3 solution (10 mL). The aqueous layer was extracted with DCM (10 mL). The combined organic extracts were washed with a saturated Na2S2O3 solution, dried (MgSO4), filtered, and concentrated in vacuo. Purification by flash chromatography (12 g SiO2, 0 to 20% 3:1 EtOAc:EtOH in heptane) gave 3-bromo-2-((2R,3S,4S,5R)- 3-(3,4-difluoro-2-methoxyphenyl)-4,5-dimethyl-5-(trifluoromethyl)tetrahydrofuran-2-yl)-1,6- naphthyridin-4(1H)-one (72 mg, 68%) as a bright yellow solid.1H NMR (400 MHz, DMSO-d6) δ 11.79 (s, 1H), 9.21 (s, 1H), 8.68 (s, 1H), 7.67 (s, 1H), 7.19 (d, J = 9.0 Hz, 1H), 7.09 (s, 1H), 5.93 (d, J = 10.9 Hz, 1H), 4.58 (s, 1H), 3.87 (s, 3H), 3.04 (s, 1H), 1.75 (s, 3H), 0.80 (d, J = 7.6 Hz, 3H) ppm. ESI-MS m/z calc.532.042, found 535.1 (M+1)+; Retention time: 0.77 minutes using LC/MS method C. [0351] Step 2: [0352] 3-Bromo-2-((2R,3S,4S,5R)-3-(3,4-difluoro-2-methoxyphenyl)-4,5-dimethyl-5- (trifluoromethyl)tetrahydrofuran-2-yl)-1,6-naphthyridin-4(1H)-one (218 mg, 0.409 mmol) and CuI (85 mg, 0.45 mmol) were suspended in CPME (1.7 mL) and the mixture was purged with nitrogen.
NaOMe (0.28 mL, 25 % w/w solution in MeOH) was added and the reaction mixture was heated at 70 °C for 64 h. The mixture was cooled to ambient temperature, diluted with EtOAc, filtered through a plug of Celite®, and concentrated in vacuo. Purification by reverse phase chromatography (C18 column, 25 to 50% MeCN in water with 0.1% NH3OH) gave 2-((2R,3S,4S,5R)-3-(3,4-difluoro-2- methoxyphenyl)-4,5-dimethyl-5-(trifluoromethyl)tetrahydrofuran-2-yl)-3-methoxy-1,6-naphthyridin- 4(1H)-one (51, 98 mg, 49%) as a yellow solid.1H NMR (400 MHz, Methanol-d4) δ 9.37 (s, 1H), 8.58 (s, 1H), 7.69 (s, 1H), 7.15 (ddd, J = 8.2, 5.6, 2.2 Hz, 1H), 6.98 (ddd, J = 10.0, 8.9, 7.6 Hz, 1H), 5.89 (d, J = 11.2 Hz, 1H), 4.42 (dd, J = 11.2, 9.4 Hz, 1H), 3.93 (d, J = 2.5 Hz, 3H), 3.82 (s, 3H), 3.07 - 2.90 (m, 1H), 1.78 (d, J = 1.3 Hz, 3H), 0.89 (dt, J = 7.6, 2.3 Hz, 3H) ppm; NH pyridone not observed. ESI-MS m/z calc.484.142, found 485.3 (M+1)+; 483.3 (M-1)-; Retention time: 0.85 minutes using LC/MS method A. [0353] The following compound was made by subjecting 2-((2R,3S,4S,5R)-3-(3,4-difluoro-2- methoxyphenyl)-4,5-dimethyl-5-(trifluoromethyl)tetrahydrofuran-2-yl)-3-methoxy-1,6-naphthyridin- 4(1H)-one (51) to a benzyl protection step followed by the conditions described in Example 3:
Example 11 6-((2R,3S,4S,5R)-3-(3,4-Difluoro-2-methoxyphenyl)-4,5-dimethyl-5-(trifluoromethyl)tetrahydrofuran- 2-yl)-8-oxo-5,8-dihydro-1,5-naphthyridine 1-oxide (53)
[0354] Step 1: [0355] 2-((2R,3S,4S,5R)-3-(3,4-Difluoro-2-methoxyphenyl)-4,5-dimethyl-5- (trifluoromethyl)tetrahydrofuran-2-yl)-1,5-naphthyridin-4(1H)-one (6.7 mg, 0.015 mmol) in DCM (1 mL) was treated with mCPBA (5.2 mg, 0.030 mmol) and stirred at ambient temperature under nitrogen. The mixture was stirred for 16 h, then concentrated in vacuo. Purification by preparative reverse phase HPLC (C18 X-bridge column, 47% to 95% MeCN in H2O with 0.1% ammonium
hydroxide) gave 6-((2R,3S,4S,5R)-3-(3,4-difluoro-2-methoxyphenyl)-4,5-dimethyl-5- (trifluoromethyl)tetrahydrofuran-2-yl)-8-oxo-5,8-dihydro-1,5-naphthyridine 1-oxide (53, 3.1 mg, 43%).1H NMR (400 MHz, DMSO-d6) δ 16.74 (s, 1H), 8.61 (d, J = 6.0 Hz, 1H), 8.07 - 7.95 (m, 1H), 7.72 (dd, J = 8.9, 6.1 Hz, 1H), 7.31 (ddd, J = 8.5, 5.9, 2.1 Hz, 1H), 7.23 (s, 1H), 7.11 (ddd, J = 10.1, 8.9, 7.7 Hz, 1H), 5.60 (d, J = 11.0 Hz, 1H), 4.34 (dd, J = 11.1, 7.5 Hz, 1H), 3.90 (d, J = 2.1 Hz, 3H), 2.84 (p, J = 7.5 Hz, 1H), 1.69 (s, 3H), 0.83 - 0.75 (m, 3H) ppm. ESI-MS m/z calc.470.127, found 471.6 (M+1)+; Retention time: 3.75 minutes using LC/MS method A. [0356] The following compound was made using methods similar to those described in Example 11 except that 2-((2R,3S,4S,5R)-3-(3,4-difluoro-2-methoxyphenyl)-4,5-dimethyl-5- (trifluoromethyl)tetrahydrofuran-2-yl)-4-oxo-1,4-dihydro-1,6-naphthyridine-5-carboxamide (30), was used as the starting material.
Example 12 N-(2-((2R,3S,4S,5R)-3-(3,4-Difluoro-2-methoxyphenyl)-4,5-dimethyl-5- (trifluoromethyl)tetrahydrofuran-2-yl)-4-oxo-1,4-dihydro-1,6-naphthyridin-5-yl)methanesulfonamide
[0357] Step 1: [0358] 4-(Benzyloxy)-2-((2R,3S,4S,5R)-3-(3,4-difluoro-2-methoxyphenyl)-4,5-dimethyl-5- (trifluoromethyl)tetrahydrofuran-2-yl)-1,6-naphthyridine 6-oxide (154 mg, 0.275 mmol) was dissolved in POCl3 (1.0 mL, 10.7 mmol) and the resulting mixture was stirred at ambient temperature for 1 h. The reaction mixture was concentrated in vacuo and diluted with DCM (20 mL). The mixture was poured over a saturated aqueous NaHCO3 solution (20 mL) and stirred for 10 min. The aqueous layer was separated and extracted with DCM (2 x 10 mL). The combined organic extracts were washed with brine (10 mL), dried (MgSO4), filtered, and concentrated in vacuo. Purification by flash chromatography (12 g SiO2, 0 to 100% EtOAc in heptane) gave 4-(benzyloxy)-5-chloro-2- ((2R,3S,4S,5R)-3-(3,4-difluoro-2-methoxyphenyl)-4,5-dimethyl-5-(trifluoromethyl)tetrahydrofuran-2- yl)-1,6-naphthyridine (91.7 mg, 58%) as a cloudy oil.1H NMR (400 MHz, Chloroform-d) δ 8.36 (d, J = 5.7 Hz, 1H), 7.58 (d, J = 5.7 Hz, 1H), 7.56 - 7.52 (m, 2H), 7.45 - 7.36 (m, 3H), 7.25 - 7.20 (m, 1H), 7.18 (s, 1H), 6.86 - 6.78 (m, 1H), 5.56 (d, J = 10.8 Hz, 1H), 5.45 - 5.35 (m, 2H), 4.02 (dd, J = 10.8, 7.8 Hz, 1H), 3.86 (d, J = 2.6 Hz, 3H), 2.78 (dq, J = 7.8, 7.5 Hz, 1H), 1.66 (s, 3H), 0.88 - 0.84 (m, 3H) ppm.19F NMR (376 MHz, Chloroform-d) δ -74.50, -137.58, -154.81 ppm. ESI-MS m/z calc.578.140, found 579.6 (M+1)+; Retention time: 4.24 minutes using method LC/MS A. [0359] Step 2: [0360] 4-(Benzyloxy)-5-chloro-2-((2R,3S,4S,5R)-3-(3,4-difluoro-2-methoxyphenyl)-4,5- dimethyl-5-(trifluoromethyl)tetrahydrofuran-2-yl)-1,6-naphthyridine (46 mg, 0.079 mmol), methanesulfonamide (12 mg, 0.13 mmol), Pd(OAc)2 (1 mg, 0.004 mmol), Xantphos (5 mg, 0.008
mmol), and Cs2CO3 (52 mg, 0.16 mmol) were suspended in 1,4-dioxane (500 µL) and heated at 100 °C for 16 h. The reaction mixture was cooled to ambient temperature. Purification by flash chromatography (12 g SiO2, 0 to 100% EtOAc in heptane) gave N-(4-(benzyloxy)-2-((2R,3S,4S,5R)- 3-(3,4-difluoro-2-methoxyphenyl)-4,5-dimethyl-5-(trifluoromethyl)tetrahydrofuran-2-yl)-1,6- naphthyridin-5-yl)methanesulfonamide (32 mg, 63%) as a white solid. ESI-MS m/z calc.637.167, found 636.6 (M-1)-; Retention time: 1.16 minutes using LC/MS method C. [0361] Step 3: [0362] N-(4-(Benzyloxy)-2-((2R,3S,4S,5R)-3-(3,4-difluoro-2-methoxyphenyl)-4,5-dimethyl-5- (trifluoromethyl)tetrahydrofuran-2-yl)-1,6-naphthyridin-5-yl)methanesulfonamide was dissolved in EtOAc (2 mL) before adding Pd/C (5 mg, 10 % w/w wet, Degussa, 0.005 mmol). N2 followed by hydrogen were flushed through the mixture for 5 min each. The mixture was stirred under a hydrogen atmosphere for 1.5 h. N2 was flushed through the solution for 5 min and the mixture was filtered using a syringe filter, rinsing with EtOAc. The filtrates were concentrated in vacuo. Purification by reverse phase HPLC (C18 X-bridge column, MeCN in H2O with 0.1% ammonium hydroxide) followed by flash chromatography (12 g SiO2, 0 to 100% EtOAc in heptane) gave N-(2-((2R,3S,4S,5R)-3-(3,4- difluoro-2-methoxyphenyl)-4,5-dimethyl-5-(trifluoromethyl)tetrahydrofuran-2-yl)-4-oxo-1,4-dihydro- 1,6-naphthyridin-5-yl)methanesulfonamide (55, 12.0 mg, 27%) as a white solid.1H NMR (400 MHz, DMSO-d6) δ 12.92 (s, 1H), 11.95 (s, 1H), 8.25 (d, J = 6.0 Hz, 1H), 7.27 - 7.20 (m, 2H), 7.19 - 7.11 (m, 1H), 6.51 (s, 1H), 5.48 (d, J = 11.3 Hz, 1H), 4.26 (dd, J = 11.3, 8.2 Hz, 1H), 3.91 (d, J = 2.2 Hz, 3H), 3.41 (s, 3H), 2.91 - 2.82 (m, 1H), 1.70 (s, 3H), 0.78 (d, J = 6.5 Hz, 3H) ppm.19F NMR (376 MHz, DMSO-d6) δ -73.11, -137.75, -154.68 ppm. ESI-MS m/z calc.547.120, found 548.6 (M+1)+; 546.5 (M-1)-; Retention time: 3.27 minutes using LC/MS method A. [0363] Using a similar procedure, the following compounds were isolated in addition to the product described above: [0364] 5-Chloro-2-((2R,3S,4S,5R)-3-(3,4-difluoro-2-methoxyphenyl)-4,5-dimethyl-5- (trifluoromethyl)tetrahydrofuran-2-yl)-1,6-naphthyridin-4(1H)-one hydrochloride (56, 2 mg, 2%) was isolated as a white solid.1H NMR (400 MHz, Methanol-d4) δ 8.24 (d, J = 5.6 Hz, 1H), 7.25 (d, J = 5.6 Hz, 1H), 6.91 (dd, J = 9.5, 6.3 Hz, 2H), 6.69 (s, 1H), 6.60 ( d, J = 10.7 H z, 1H), 4.26 ( dd, J = 10.7, 7.6 Hz, 1H), 4.07 (d, J = 2.6 Hz, 3H), 2.89 (p, J = 7.0 Hz , 1H), 1.56 (s, 3H), 0.92 (d t, J = 7.6, 2.5 Hz, 3H) ppm; NH pyridone not observed. ESI-MS m/z calc.488.093, found 489.0 (M+1)+; Retention time: 2.49 minutes using LC/MS method D. [0365] 2-((2R,3S,4S,5R)-3-(3,4-Difluoro-2-methoxyphenyl)-4,5-dimethyl-5- (trifluoromethyl)tetrahydrofuran-2-yl)-4-oxo-1,4-dihydro-1,6-naphthyridine 6-oxide hydrochloride (57, 3.1 mg, 3%) was isolated as a clear, colourless solid.1H NMR (400 MHz, Methanol-d4) δ 9.05 (d, J = 2.1 Hz, 1H), 8.59 (dd, J = 7.3, 2.1 Hz, 1H), 7.55 (d, J = 7.3 Hz, 1H), 7.03 - 6.89 (m, 2H), 6.55 (d, J = 1.0 Hz, 1H), 5.90 (d, J = 11.0 Hz, 1H), 4.37 (dd, J = 11.0, 8.0 Hz, 1H), 4.08 (d, J = 2.7 Hz, 3H), 2.95 (p, J = 7.7 Hz, 1H), 1.60 (s, 3H), 0.94 (dt, J = 7.6, 2.3 Hz, 3H) ppm; NH pyridone not observed.
ESI-MS m/z calc.470.127, found 471.1 (M+1)+; Retention time: 1.86 minutes using LC/MS method D. [0366] 2-((2R,3S,4S,5R)-3-(3,4-Difluoro-2-methoxyphenyl)-4,5-dimethyl-5- (trifluoromethyl)tetrahydrofuran-2-yl)-5-hydroxy-1,6-naphthyridin-4(1H)-one (58, 2.1 mg).1H NMR (400 MHz, Chloroform-d) δ 12.72 (s, 1H), 9.00 (s, 1H), 7.23 (ddt, J = 9.2, 5.8, 3.0 Hz, 1H), 7.19 (s, 1H), 7.06 (s, 1H), 6.90 - 6.79 (m, 1H), 6.68 (d, J = 7.4 Hz, 1H), 5.51 (d, J = 11.0 Hz, 1H), 4.11 (dd, J = 11.0, 7.7 Hz, 1H), 3.94 (d, J = 2.5 Hz, 3H), 2.82 (p, J = 7.6 Hz, 1H), 1.74 (d, J = 1.1 Hz, 3H), 0.88 (dt, J = 7.4, 2.4 Hz, 3H) ppm. ESI-MS m/z calc.470.127, found 471.1 (M+1)+; 469.2 (M-1); Retention time: 3.38 minutes using LC/MS method B. Example 13 2-((2R,3S,4S,5R)-3-(3,4-Difluoro-2-hydroxyphenyl)-4,5-dimethyl-5-(trifluoromethyl)tetrahydrofuran- 2-yl)-4-oxo-1,4-dihydro-1,6-naphthyridine-5-carboxamide (59)
[0367] Step 1: [0368] To an ice-cold solution of 2-((2R,3S,4S,5R)-3-(3,4-difluoro-2-methoxyphenyl)-4,5- dimethyl-5-(trifluoromethyl)tetrahydrofuran-2-yl)-4-oxo-1,4-dihydro-1,6-naphthyridine-5- carboxamide (50 mg, 0.098 mmol) in DCM (2 mL) was added BBr3 (300 µL, 1 M solution in heptane, 0.3 mmol). The mixture was stirred under nitrogen and warmed to ambient temperature. After 19 h, additional BBr3 (300 µL, 1 M solution in heptane, 0.3 mmol) was added and the mixture was stirred at ambient temperature for 3 h. The reaction mixture was quenched with brine. The aqueous layer was separated and extracted with DCM. The combined organic extracts were dried (MgSO4), filtered and concentrated in vacuo. Purification by flash chromatography (4 g SiO2, 0 to 44% 3:1 EtOAc:EtOH with 2% NH4OH in heptane) gave 2-((2R,3S,4S,5R)-3-(3,4-difluoro-2-hydroxyphenyl)-4,5-dimethyl- 5-(trifluoromethyl)tetrahydrofuran-2-yl)-4-oxo-1,4-dihydro-1,6-naphthyridine-5-carboxamide (59, 24.4 mg, 49%).1H NMR (500 MHz, Methanol-d4) δ 8.51 (d, J = 6.0 Hz, 1H), 7.71 (d, J = 6.0 Hz, 1H), 7.03 (ddd, J = 8.4, 5.6, 2.2 Hz, 1H), 6.71 (ddd, J = 9.9, 8.8, 7.4 Hz, 1H), 6.31 (s, 1H), 5.54 (d, J = 11.3 Hz, 1H), 4.27 (dd, J = 11.3, 8.3 Hz, 1H), 2.93 (p, J = 7.7 Hz, 1H), 1.71 (s, 3H), 0.90 (dt, J = 7.8, 2.1 Hz, 3H) ppm; NH pyridone and NH2 amide not observed. ESI-MS m/z calc.483.122, found 484.6 (M+1)+; Retention time: 2.15 minutes using LC/MS method A.
[0369] The following compound was made using the method described in Example 13, except that, in step 1, 2-((2R,3S,4S,5R)-3-(3,4-difluoro-2-methoxyphenyl)-4-methoxy-5-methyl-5- (trifluoromethyl)tetrahydrofuran-2-yl)-4-oxo-1,4-dihydro-1,6-naphthyridine-5-carboxamide was used as the starting material in place of 2-((2R,3S,4S,5R)-3-(3,4-difluoro-2-methoxyphenyl)-4,5-dimethyl- 5-(trifluoromethyl)tetrahydrofuran-2-yl)-4-oxo-1,4-dihydro-1,6-naphthyridine-5-carboxamide:
Example 14 2-((2R,3S,4S,5R)-3-(3,4-difluoro-2-methylphenyl)-4-methoxy-5-methyl-5- (trifluoromethyl)tetrahydrofuran-2-yl)-4-oxo-1,4-dihydro-1,6-naphthyridine-5-carboxylic acid (61)
[0370] Step 1: [0371] Starting material 2-((2R,3S,4S,5R)-3-(3,4-difluoro-2-methylphenyl)-4-methoxy-5-methyl- 5-(trifluoromethyl)tetrahydrofuran-2-yl)-4-oxo-1,4-dihydro-1,6-naphthyridine-5-carbonitrile was made using methods described in Example 3 except that compound 7 was used as the starting material in step 1 in place of 4-(benzyloxy)-2-((2R,3S,4S,5R)-3-(3,4-difluoro-2-methoxyphenyl)-4,5-dimethyl- 5-(trifluoromethyl)tetrahydrofuran-2-yl)-1,6-naphthyridine. Step 3 was omitted. [0372] NaOH (85 mg, 2.1 mmol) was added in one portion to a stirring solution of 2- ((2R,3S,4S,5R)-3-(3,4-difluoro-2-methylphenyl)-4-methoxy-5-methyl-5- (trifluoromethyl)tetrahydrofuran-2-yl)-4-oxo-1,4-dihydro-1,6-naphthyridine-5-carbonitrile (50 mg, 0.104 mmol) in a mixture of EtOH (0.5 mL) and water (0.1 mL). The reaction mixture was heated to 100 ºC in a sealed vial for 10 min. The mixture was cooled to ambient temperature, quenched by addition of water, and slowly acidified to pH 0 by addition of a 1 M HCl solution. The mixture was extracted with DCM (3 x 10 mL). The combined organic extracts were dried (MgSO4) and
concentrated in vacuo to give 2-((2R,3S,4S,5R)-3-(3,4-difluoro-2-methylphenyl)-4-methoxy-5- methyl-5-(trifluoromethyl)tetrahydrofuran-2-yl)-4-oxo-1,4-dihydro-1,6-naphthyridine-5-carboxylic acid (61, 51 mg, 94%).1H NMR (500 MHz, DMSO-d6) δ 13.07 (s, 1H), 11.63 (s, 1H), 8.52 (d, J = 5.9 Hz, 1H), 7.60 (d, J = 5.9 Hz, 1H), 7.38 - 7.14 (m, 2H), 6.39 (s, 1H), 5.50 (d, J = 11.3 Hz, 1H), 4.25 (d, J = 4.8 Hz, 1H), 4.05 (ddd, J = 21.4, 12.2, 6.0 Hz, 1H), 2.85 (s, 3H), 2.35 (d, J = 2.3 Hz, 3H), 1.70 (s, 3H) ppm.19F NMR (471 MHz, DMSO-d6) δ -73.92, -139.86 - -140.13 (m), -140.83 (d, J = 32.7 Hz). ESI-MS m/z calc.498.121, found 499.0 (M+1)+; 497.0 (M-1)-; Retention time: 2.14 minutes using LC/MS method A. Example 15 2-((3R,4R,6R)-4-(3,4-Difluoro-2-methoxyphenyl)-6-methyl-6-(trifluoromethyl)tetrahydro-2H-pyran- 3-yl)-4-oxo-1,4-dihydro-1,6-naphthyridine-5-carboxamide (62)
[0373] Step 1: [0374] DMF (38 mg, 40 μL, 0.52 mmol) was added to a stirring solution of (3S,4R,6R)-4-(3,4- difluoro-2-methoxyphenyl)-6-methyl-6-(trifluoromethyl)tetrahydro-2H-pyran-3-carboxylic acid (C - 20a, 1.925 g, 5.434 mmol) in SOCl2 (6.5 g, 4 mL, 55 mmol) and the reaction mixture was heated at 60 °C for 1h. The reaction was cooled to ambient temperature, concentrated in vacuo, and the residue was azeotroped with toluene (2 x 10 mL). The residue was dissolved in DCM (54 mL) and the mixture cooled in an ice-bath.1-(4-Aminopyridin-3-yl)ethan-1-one (890 mg, 6.54 mmol) was added, followed by pyridine (1.8 g, 1.8 mL, 22 mmol) and the mixture was warmed up to ambient temperature and stirred for 4 h. The reaction was diluted with EtOAc (100 mL). The organic phase was separated, washed with a saturated NH4Cl solution (40 mL), a NaHCO3 solution (40 mL) and a half-saturated brine solution (40 mL), dried (Na2SO4), filtered and concentrated in vacuo to give (3S,4R,6R)-N-(3-acetylpyridin-4-yl)-4-(3,4-difluoro-2-methoxyphenyl)-6-methyl-6- (trifluoromethyl)tetrahydro-2H-pyran-3-carboxamide (2.917 g, 100%) as a colourless gum. ESI-MS m/z calc.472.142, found 473.2 (M+1)+; Retention time: 1.04 minutes using LC/MS method P. [0375] Step 2: [0376] Et3N (0.045 mL, 0.32 mmol) and TMSOTf (0.12 mL, 0.66 mmol) were successively added to a solution of (3S,4R,6R)-N-(3-acetylpyridin-4-yl)-4-(3,4-difluoro-2-methoxyphenyl)-6-
methyl-6-(trifluoromethyl)tetrahydro-2H-pyran-3-carboxamide (50 mg, 0.106 mmol) in DCE (1 mL). The reaction was sealed and heated at 95 °C for 2.5 h. The reaction was cooled to ambient temperature and diluted with 2 N K2CO3 (30 mL). The aqueous phase was separated and extracted with DCM. The combined organic layers were dried (MgSO4), filtered and concentrated in vacuo. Purification by flash chromatography (SiO2, 0 to 10% MeOH in DCM) gave 2-((3R,4R,6R)-4-(3,4- difluoro-2-methoxyphenyl)-6-methyl-6-(trifluoromethyl)tetrahydro-2H-pyran-3-yl)-1,6-naphthyridin- 4(1H)-one (48 mg, 94%). ESI-MS m/z calc.454.132, found 455.1 (M+1)+; Retention time: 1.61 minutes using LC/MS method Q. [0377] Step 3: [0378] mCPBA (140 mg, 0.625 mmol) was added to a suspension of 2-((3R,4R,6R)-4-(3,4- difluoro-2-methoxyphenyl)-6-methyl-6-(trifluoromethyl)tetrahydro-2H-pyran-3-yl)-1,6-naphthyridin- 4(1H)-one (147.2 mg, 0.324 mmol) in DCM (3.5 mL) and the reaction mixture was stirred at ambient temperature for 4 h. The reaction was partitioned between a saturated aqueous KHCO3 solution (40 mL), brine (100 mL) and EtOAc (50 mL). The aqueous layer was separated and extracted with EtOAc (2 x 50 mL). The combined organic layers were dried (Na2SO4), filtered and concentrated in vacuo to give 2-((3R,4R,6R)-4-(3,4-difluoro-2-methoxyphenyl)-6-methyl-6-(trifluoromethyl)tetrahydro-2H- pyran-3-yl)-4-oxo-1,4-dihydro-1,6-naphthyridine 6-oxide (72 (below), 173.3 mg, 100%) as a brown solid, which was used without further purification in the next step. ESI-MS m/z calc.470.127, found 471.1 (M+1)+; Retention time: 1.99 minutes using LC/MS method S. [0379] Step 4: [0380] TMSCN (13.0 mL, 97.5 mmol) and dimethylcarbamyl chloride (9.0 mL, 97.8 mmol) were successively added to a stirring solution of 2-((3R,4R,6R)-4-(3,4-difluoro-2-methoxyphenyl)-6- methyl-6-(trifluoromethyl)tetrahydro-2H-pyran-3-yl)-4-oxo-1,4-dihydro-1,6-naphthyridine 6-oxide (72 (below), 23 g, 48.9 mmol) in DCM (230 mL) and the cloudy solution was stirred at ambient temperature for 14h. Additional dimethylcarbamyl chloride (2.25 mL, 24.4 mmol) was added and the mixture was stirred at ambient temperature for a further 24 h. KHCO3 (230 mL, 1 M aqueous solution, 230 mmol) was added and the reaction was stirred at ambient temperature for 15 min. Most of the DCM was removed in vacuo at 30 °C and the suspension was filtered, washing the solid with water. The solid was suspended in a mixture of DCM (250 mL) and EtOH (250 mL) to give a yellow orange solution. Most of the DCM was removed in vacuo at 70 - 80 °C. The resulting suspension was stirred at ambient temperature for 30 min, filtered, washed with EtOH and dried in a vacuum oven at 40 °C with a nitrogen bleed over the weekend to give 2-((3R,4R,6R)-4-(3,4-difluoro-2- methoxyphenyl)-6-methyl-6-(trifluoromethyl)tetrahydro-2H-pyran-3-yl)-4-oxo-1,4-dihydro-1,6- naphthyridine-5-carbonitrile (70 (below), 19.3 g, 82%) as an off-white solid.1H NMR (400 MHz, DMSO-d6) δ 12.02 (s, 1H), 8.66 (d, J = 5.8 Hz, 1H), 7.65 (d, J = 5.8 Hz, 1H), 7.21 (ddd, J = 8.3, 5.9, 2.0 Hz, 1H), 7.17 - 7.00 (m, 1H), 6.38 (s, 1H), 4.10 (dd, J = 11.5, 4.3 Hz, 1H), 4.04 - 3.80 (m, 5H),
3.39 - 3.33 (m, 1H), 2.00 - 1.78 (m, 2H), 1.68 (s, 3H) ppm. ESI-MS m/z calc.479.127, found 480.4 (M+1)+; Retention time: 2.26 minutes using LC/MS method Q. [0381] Step 5: [0382] TFA (212 mL, 2.75 mol) was added to a stirring suspension of 2-((3R,4R,6R)-4-(3,4- difluoro-2-methoxyphenyl)-6-methyl-6-(trifluoromethyl)tetrahydro-2H-pyran-3-yl)-4-oxo-1,4- dihydro-1,6-naphthyridine-5-carbonitrile (70 (below), 21.2 g, 44.2 mmol) in toluene (212 mL) and the resulting solution was heated to reflux for 23 h. The mixture was concentrated in vacuo and co- evaporated with toluene (2 x). The residue was partitioned between 2-MeTHF (250 mL) and a saturated NaHCO3 solution (250 mL) and the mixture stirred in a warm water bath for 3 h. The organic phase was separated and washed with a saturated NaHCO3 solution (200 mL) and brine (200 mL). The aqueous phases were back-extracted with 2-MeTHF (200 mL) and the combined organic phases were dried, filtered and concentrated in vacuo. Purification by recrystallisation from DCM and EtOH gave 2-((3R,4R,6R)-4-(3,4-difluoro-2-methoxyphenyl)-6-methyl-6-(trifluoromethyl)tetrahydro- 2H-pyran-3-yl)-4-oxo-1,4-dihydro-1,6-naphthyridine-5-carboxamide (62, 22.48 g, 94%) as a colourless solid.1H NMR (400 MHz, DMSO-d6) δ 11.60 (s, 1H), 8.43 (d, J = 5.8 Hz, 1H), 7.51 - 7.28 (m, 2H), 7.30 - 7.13 (m, 2H), 7.08 (q, J = 9.1 Hz, 1H), 6.21 (s, 1H), 4.07 (dd, J = 11.6, 4.3 Hz, 1H), 4.02 - 3.80 (m, 5H), 3.31 - 3.19 (m, 1H), 1.95 - 1.75 (m, 2H), 1.68 (s, 3H) ppm. ESI-MS m/z calc. 497.137, found 498.5 (M+1)+; Retention time: 1.91 minutes using LC/MS method Q. [0383] The following compounds were made using methods similar to those described in Example 15, except that different coupling partners were used in step 1. In step 1, both the activation and the amide coupling were carried out at ambient temperature. Cyanation step 4 was carried out using conditions similar to those described in Example 17 step 4. In the case of 64, the product of step 5 was further purified by chiral SFC using a LuxTM Cellulose-4 column, 5 µm particle size, 25 cm x 21.2 mm from Phenomenex Inc. (Mobile phase: 40% MeOH (supplemented with 20 mM ammonia), 60% CO2; Flow rate 75 mL/min) to give Second Eluting Isomer 64 (rt = 6.55 minutes):
[0384] The following compounds were made using methods similar to those described in Example 15, except that different coupling partners were used in step 1. In step 1, both the activation and the amide coupling were carried out at ambient temperature. Cyclisation step 2 was carried out in toluene as the solvent. Cyanation step 4 was carried out using conditions similar to those described in Example 17 step 4:
[0385] The following compound was made using methods similar to those described in Example 15, except that a different coupling partner was used in step 1 and the amide coupling was carried out at ambient temperature. Cyanation step 4 was carried out using conditions similar to those described in Example 17 step 4:
[0386] The following compounds were made using methods similar to those described in Example 15, except that a different coupling partner was used in step 1 and the amide coupling was carried out at ambient temperature. Cyclisation step 2 was carried out in toluene as the solvent. Cyanation step 4 was carried out using conditions similar to those described in Example 17 step 4. In the case of compound 68, the product of step 5 was further purified by chiral SFC using a LuxTM Cellulose-4 column, 5 μm particle size, 25 cm x 21.2 mm from Phenomenex Inc. (Mobile phase: 38%
MeOH (supplemented with 20 mM ammonia), 62% CO2; Flow rate 74 mL/min) to give Second Eluting Isomer 68 (rt = 7.53 minutes):
[0387] The following compound was made using methods similar to those described in Example 15, except that step 5 was not required:
[0388] The following compound was made using methods similar to those described in Example 15, except that steps 3 to 5 were not required:
[0389] The following compound was made using methods similar to those described in Example 15, except that steps 4 and 5 were not required:
[0390] The following compounds were made using methods similar to those described in Example 15, except that a different coupling partner was used in step 1. In step 1, both the activation and the amide coupling steps were carried out from 0 °C to ambient temperature using conditions similar to those described in Example 16 step 1. N-Oxide formation step 3 was carried out from 0 °C to ambient temperature. Cyanation step 4 was carried out from 0 °C to ambient temperature using conditions similar to those described in Example 17 step 4. In the case of compound 73, the product of step 5 was further purified by chiral SFC using a LuxTM Cellulose-4 column, 5 µm particle size, 25 cm x 21.2 mm from Phenomenex Inc. (Mobile phase: 40% MeOH (supplemented with 0.1 % DEA), 60% CO2; Flow rate 60 mL/min) to give First Eluting Isomer 73 (rt = 6.40 minutes). In the case of compound 74, the product of step 5 was further purified by chiral SFC using a LuxTM Cellulose-4 column, 5 µm particle size, 25 cm x 21.2 mm from Phenomenex Inc. (Mobile phase: 45% MeOH
(supplemented with 0.1 % DEA), 55% CO2; Flow rate 65 mL/min) to give First Eluting Isomer 74 (rt = 7.22 minutes):
Example 16 2-((3R,4R,6R)-4-(3,4-Difluoro-2-methylphenyl)-6-methyl-6-(trifluoromethyl)tetrahydro-2H-pyran-3- yl)-4-oxo-1,4-dihydro-1,6-naphthyridine-5-carboxamide (75)
[0391] Step 1: [0392] Oxalyl chloride (122 mL, 1.40 mol) was added over 45 min to a solution of (3S,4R,6R)-4- (3,4-difluoro-2-methylphenyl)-6-methyl-6-(trifluoromethyl)tetrahydro-2H-pyran-3-carboxylic acid (C - 20b, 451.2 g, 1.334 mol) and DMF (5.2 mL, 67 mmol) in DCM (3.4 L) and the reaction mixture was stirred at ambient temperature for 3 h. The mixture was cooled to 5 °C and added to a suspension of
1-(4-aminopyridin-3-yl)ethan-1-one (218.0 g, 1.601 mol) and Et3N (651 mL, 4.67 mol) in DCM (3.4 L) at 5 °C using a solvent pump, at such a rate to keep the temperature below 14 °C. The resulting suspension was stirred at ambient temperature overnight. The mixture was poured onto an aqueous KHSO4 solution (5.87 L, 1 M aqueous solution, 5.87 mol). The organic phase was separated, washed with KHSO4 (4.0 L, 1 M aqueous solution, 4.0 mol) and K2CO3 (4.0 L, 1 M aqueous solution, 4.0 mol), dried (MgSO4), filtered and concentrated in vacuo. Purification by recrystallisation from EtOH gave (3S,4R,6R)-N-(3-acetylpyridin-4-yl)-4-(3,4-difluoro-2-methylphenyl)-6-methyl-6- (trifluoromethyl)tetrahydro-2H-pyran-3-carboxamide (565 g, 91%).1H NMR (400 MHz, DMSO-d6) δ 11.39 (s, 1H), 9.05 (s, 1H), 8.55 (d, J = 5.8 Hz, 1H), 8.08 (d, J = 5.7 Hz, 1H), 7.34 (dd, J = 8.8, 3.0 Hz, 1H), 7.20 (q, J = 9.0 Hz, 1H), 4.21 (dd, J = 11.7, 4.5 Hz, 1H), 3.86 (t, J = 11.2 Hz, 1H), 3.65 - 3.49 (m, 1H), 3.29 (dd, J = 11.0, 4.6 Hz, 1H), 2.60 (s, 3H), 2.30 (s, 3H), 1.88 - 1.74 (m, 2H), 1.57 (s, 3H) ppm. ESI-MS m/z calc.456.147, found 457.5 (M+1)+; Retention time: 2.24 minutes using LC/MS method Q. [0393] Step 2: [0394] TMSOTf (2.38 mL, 13.2 mmol) was added to a stirring solution of (3S,4R,6R)-N-(3- acetylpyridin-4-yl)-4-(3,4-difluoro-2-methylphenyl)-6-methyl-6-(trifluoromethyl)tetrahydro-2H- pyran-3-carboxamide (1 g, 2.2 mmol) and Et3N (932 µL, 6.69 mmol) in toluene (10 mL) at ambient temperature, causing an exotherm to 30 °C. The reaction mixture was heated at 110 °C for 20 h. The mixture was poured onto K2CO3 (10 mL, 2 M aqueous solution, 20 mmol) and stirred at ambient temperature for 2 h. The gelatinous mixture was filtered and washed with water and toluene. Purification by reverse phase chromatography (C18 column, 5 to 100% MeCN in water) gave 2- ((3R,4R,6R)-4-(3,4-difluoro-2-methylphenyl)-6-methyl-6-(trifluoromethyl)tetrahydro-2H-pyran-3-yl)- 1,6-naphthyridin-4(1H)-one (757 mg, 77%) as a cream solid.1H NMR (400 MHz, DMSO-d6) δ 11.69 (s, 1H), 9.04 (s, 1H), 8.54 (d, J = 5.9 Hz, 1H), 7.41 - 7.28 (m, 1H), 7.28 - 7.09 (m, 2H), 6.32 (s, 1H), 4.11 (dd, J = 11.6, 4.3 Hz, 1H), 3.97 (t, J = 11.2 Hz, 1H), 3.79 (td, J = 12.1, 3.6 Hz, 1H), 3.36 (dt, J = 11.6, 5.7 Hz, 1H), 2.31 (d, J = 2.5 Hz, 3H), 1.89 (dd, J = 13.2, 3.6 Hz, 1H), 1.71 (s, 4H) ppm. ESI- MS m/z calc.438.137, found 439.4 (M+1)+; Retention time: 1.82 minutes using LC/MS method Q. [0395] Step 3: [0396] mCPBA (85.4 mg, 0.381 mmol) was added to a suspension of 2-((3R,4R,6R)-4-(3,4- difluoro-2-methylphenyl)-6-methyl-6-(trifluoromethyl)tetrahydro-2H-pyran-3-yl)-1,6-naphthyridin- 4(1H)-one (84 mg, 0.191 mmol) in DCM (2 mL) and the reaction mixture was stirred at ambient temperature for 19.5 h. The mixture was partitioned between a saturated aqueous NaHCO3 solution (30 mL) and EtOAc (20 mL). The aqueous layer was separated and extracted with EtOAc (20 mL). The combined organic extracts were washed with brine (30 mL), dried (Na2SO4), filtered and concentrated in vacuo to give 2-((3R,4R,6R)-4-(3,4-difluoro-2-methylphenyl)-6-methyl-6- (trifluoromethyl)tetrahydro-2H-pyran-3-yl)-4-oxo-1,4-dihydro-1,6-naphthyridine 6-oxide (116 mg,
100%) as an amber oil, which was used without further purification in the next step. ESI-MS m/z calc. 454.132, found 455.2 (M+1)+; Retention time: 1.97 minutes using LC/MS method S. [0397] Step 4: [0398] TMSCN (372 µL, 2.79 mmol) and dimethylcarbamyl chloride (257 µL, 2.79 mmol) were successively added to a suspension of 2-((3R,4R,6R)-4-(3,4-difluoro-2-methylphenyl)-6-methyl-6- (trifluoromethyl)tetrahydro-2H-pyran-3-yl)-4-oxo-1,4-dihydro-1,6-naphthyridine 6-oxide (610 mg, 1.27 mmol) in DCM (6 mL) and the reaction mixture was stirred at ambient temperature for 24 h. The reaction was quenched by addition of a 1 M aqueous KHCO3 solution (6 mL) and the mixture was stirred at ambient temperature for 5 min. DCM was distilled off in vacuo at 40 °C. The suspension was stirred at ambient temperature for 20 min, filtered, washed with water and dried to give 2- ((3R,4R,6R)-4-(3,4-difluoro-2-methylphenyl)-6-methyl-6-(trifluoromethyl)tetrahydro-2H-pyran-3-yl)- 4-oxo-1,4-dihydro-1,6-naphthyridine-5-carbonitrile (70 (above), 588 mg, 90%) as a cream solid. ESI- MS m/z calc.463.132, found 464.4 (M+1)+; Retention time: 2.28 minutes using LC/MS method Q. [0399] Step 5: [0400] TFA (105 mL, 1.36 mol) was added to a stirring solution of 2-((3R,4R,6R)-4-(3,4- difluoro-2-methylphenyl)-6-methyl-6-(trifluoromethyl)tetrahydro-2H-pyran-3-yl)-4-oxo-1,4-dihydro- 1,6-naphthyridine-5-carbonitrile (70 (above), 10.5 g, 21.5 mmol) in toluene (105 mL) and the solution was heated at reflux for 19 h. The reaction was concentrated in vacuo and co-evaporated with toluene (2 x). The residue was partitioned between 2-MeTHF (100 mL) and a saturated NaHCO3 solution (100 mL) and the emulsion was stirred at 40 to 45 °C for 1.5 h. The organic phase was separated and washed with a saturated NaHCO3 solution (100 mL) and brine (100 mL). The combined aqueous phases were back-extracted with 2-MeTHF (200 mL). The combined organic phases were dried, filtered and concentrated in vacuo. Purification by recrystallisation from EtOH followed by purification by chiral SFC using a Chiralpak® IC column, 5 μm particle size, 25 cm x 20 mm from Daicel Corporation (Mobile phase: 40% MeOH (supplemented with 0.1% ammonia), 60% CO2; Flow rate 100 mL/min) gave 2-((3R,4R,6R)-4-(3,4-difluoro-2-methylphenyl)-6-methyl-6- (trifluoromethyl)tetrahydro-2H-pyran-3-yl)-4-oxo-1,4-dihydro-1,6-naphthyridine-5-carboxamide (75, 8.2 g, 79%) as an off-white solid.1H NMR (400 MHz, DMSO-d6) δ 11.63 (s, 1H), 8.43 (d, J = 5.8 Hz, 1H), 7.47 - 7.29 (m, 2H), 7.18 (dt, J = 10.0, 5.0 Hz, 3H), 6.30 (s, 1H), 4.16 - 4.03 (m, 1H), 3.95 (t, J = 11.2 Hz, 1H), 3.88 - 3.70 (m, 1H), 3.39 - 3.33 (m, 1H), 2.31 (d, J = 2.3 Hz, 3H), 1.89 (dd, J = 13.0, 3.5 Hz, 1H), 1.71 (s, 4H) ppm. ESI-MS m/z calc.481.143, found 482.6 (M+1)+; Retention time: 1.93 minutes using LC/MS method Q.
[0401] The following compound was made using methods similar to those described in Example 16, except that steps 4 and 5 were not required:
Example 17 2-((3R,4R,6R)-4-(4-Fluoro-2-methoxyphenyl)-6-methyl-6-(trifluoromethyl)tetrahydro-2H-pyran-3- yl)-4-oxo-1,4-dihydro-1,6-naphthyridine-5-carboxamide (77)
[0402] Step 1: [0403] HATU (1.8 g, 4.7 mmol) was added to a solution of (3S,4R,6R)-4-(4-fluoro-2- methoxyphenyl)-6-methyl-6-(trifluoromethyl)tetrahydro-2H-pyran-3-carboxylic acid (C - 20e, 1.335 g, 3.970 mmol), 1-(4-aminopyridin-3-yl)ethan-1-one hydrochloride (822 mg, 4.76 mmol) and DIPEA (2.2 mL, 12.6 mmol) in DMF (36 mL) and the reaction was stirred at ambient temperature for 75 min. The mixture was diluted with EtOAc, washed with water and brine. The organic layer was dried (Na2SO4), filtered and concentrated in vacuo. Purification by flash chromatography (0 to 60% EtOAc in hexanes) gave (3S,4R,6R)-N-(3-acetylpyridin-4-yl)-4-(4-fluoro-2-methoxyphenyl)-6-methyl-6- (trifluoromethyl)tetrahydro-2H-pyran-3-carboxamide (1.80 g, 100%) as a sticky, light yellow solid.1H NMR (400 MHz, Chloroform-d) δ 11.60 (s, 1H), 9.01 (s, 1H), 8.52 (d, J = 5.8 Hz, 1H), 8.46 (d, J = 5.9 Hz, 1H), 7.13 (dd, J = 8.5, 6.5 Hz, 1H), 6.62 - 6.45 (m, 2H), 4.18 - 4.07 (m, 1H), 4.00 (t, J = 11.4 Hz, 1H), 3.81 (s, 3H), 3.68 - 3.57 (m, 1H), 3.22 - 3.10 (m, 1H), 2.64 (s, 3H), 2.24 (t, J = 13.2 Hz, 1H),
1.73 (dd, J = 13.2, 4.0 Hz, 1H), 1.60 (s, 3H) ppm. ESI-MS m/z calc.454.152, found 455.3 (M+1)+; Retention time: 1.94 minutes using LC/MS method Q. [0404] Step 2: [0405] KOtBu (1.03 g, 9.18 mmol) was added to a stirring solution of (3S,4R,6R)-N-(3- acetylpyridin-4-yl)-4-(4-fluoro-2-methoxyphenyl)-6-methyl-6-(trifluoromethyl)tetrahydro-2H-pyran- 3-carboxamide (1.8 g, 4.0 mmol) in 1,4-dioxane (35 mL) and the reaction mixture was stirred at 100 °C for 17 h under a nitrogen atmosphere. The reaction was cooled to ambient temperature and the mixture was partitioned between a saturated aqueous NH4Cl solution and EtOAc. The aqueous layer was separated and extracted with EtOAc (2x). The combined organic extracts were dried (Na2SO4), filtered and concentrated in vacuo. Purification by flash chromatography (SiO2, 0 to 10% MeOH in DCM) gave 2-((3R,4R,6R)-4-(4-fluoro-2-methoxyphenyl)-6-methyl-6-(trifluoromethyl)tetrahydro- 2H-pyran-3-yl)-1,6-naphthyridin-4(1H)-one (90 (below), 620 mg, 36%) as a light yellow solid.1H NMR (400 MHz, DMSO-d6) δ 11.64 (s, 1H), 9.04 (s, 1H), 8.55 (d, J = 5.8 Hz, 1H), 7.37 (d, J = 5.9 Hz, 1H), 7.30 (dd, J = 8.5, 6.8 Hz, 1H), 6.80 (dd, J = 11.4, 2.6 Hz, 1H), 6.66 (td, J = 8.5, 2.5 Hz, 1H), 6.16 (s, 1H), 4.13 - 4.03 (m, 1H), 3.98 - 3.83 (m, 2H), 3.77 (s, 3H), 3.32 - 3.28 (m, 1H), 2.02 - 1.87 (m, 1H), 1.86 - 1.75 (m, 1H), 1.66 (s, 3H) ppm. ESI-MS m/z calc.436.141, found 437.3 (M+1)+; Retention time: 1.14 minutes using LC/MS method D. [0406] Step 3: [0407] mCPBA (466 mg, 2.70 mmol) was added to a solution of 2-((3R,4R,6R)-4-(4-fluoro-2- methoxyphenyl)-6-methyl-6-(trifluoromethyl)tetrahydro-2H-pyran-3-yl)-1,6-naphthyridin-4(1H)-one (90 (below), 592 mg, 1.36 mmol) in DCM (15 mL) and the reaction mixture was stirred at ambient temperature for 2h. The reaction was partitioned between a saturated aqueous KHCO3 solution, brine and EtOAc. The aqueous layer was separated and extracted with EtOAc (3 x). The combined organic extracts were dried (Na2SO4), filtered and concentrated in vacuo to give 2-((3R,4R,6R)-4-(4-fluoro-2- methoxyphenyl)-6-methyl-6-(trifluoromethyl)tetrahydro-2H-pyran-3-yl)-4-oxo-1,4-dihydro-1,6- naphthyridine 6-oxide (612 mg, 100%) as a light brown solid. ESI-MS m/z calc.452.136, found 453.2 (M+1)+; Retention time: 1.24 minutes using LC/MS method D. [0408] Step 4: [0409] Et3N (2.9 mL, 21 mmol) and TMSCN (1.8 mL, 13.5 mmol) were successively added to a stirring solution of 2-((3R,4R,6R)-4-(4-fluoro-2-methoxyphenyl)-6-methyl-6- (trifluoromethyl)tetrahydro-2H-pyran-3-yl)-4-oxo-1,4-dihydro-1,6-naphthyridine 6-oxide (612 mg) in DCM (20 mL) and the reaction mixture was stirred at ambient temperature for 18 h. The mixture was partitioned between a saturated aqueous NaHCO3 solution and EtOAc. The aqueous layer was separated and extracted with EtOAc (2x). The combined organic extracts were washed with brine and water, dried (Na2SO4), filtered and concentrated in vacuo. Purification by flash chromatography (SiO2, 0 to 100% EtOAc in hexanes) gave 2-((3R,4R,6R)-4-(4-fluoro-2-methoxyphenyl)-6-methyl-6- (trifluoromethyl)tetrahydro-2H-pyran-3-yl)-4-oxo-1,4-dihydro-1,6-naphthyridine-5-carbonitrile (317
mg, 51%) as a white solid.1H NMR (400 MHz, DMSO-d6) δ 12.05 (s, 1H), 8.64 (d, J = 5.8 Hz, 1H), 7.65 (d, J = 5.8 Hz, 1H), 7.29 (dd, J = 8.6, 6.7 Hz, 1H), 6.80 (dd, J = 11.4, 2.5 Hz, 1H), 6.66 (td, J = 8.4, 2.5 Hz, 1H), 6.28 (s, 1H), 4.06 (dd, J = 11.5, 4.4 Hz, 1H), 3.96 - 3.86 (m, 2H), 3.77 (s, 4H), 1.96 - 1.86 (m, 1H), 1.79 (dd, J = 12.9, 3.7 Hz, 1H), 1.65 (s, 3H) ppm. ESI-MS m/z calc.461.136, found 462.3 (M+1)+; Retention time: 1.45 minutes using LC/MS method D. [0410] Step 5: [0411] Water (20 µL, 1.1 mmol) and TFA (16 mL, 208 mmol) were successively added to a suspension of 2-((3R,4R,6R)-4-(4-fluoro-2-methoxyphenyl)-6-methyl-6-(trifluoromethyl)tetrahydro- 2H-pyran-3-yl)-4-oxo-1,4-dihydro-1,6-naphthyridine-5-carbonitrile (312 mg, 0.676 mmol) in toluene (18 mL) and the reaction mixture was stirred at 70 °C for 16 h. The reaction mixture was cooled to ambient temperature and concentrated in vacuo. The residue was dissolved in EtOAc and washed with a saturated aqueous NaHCO3 solution. The aqueous layer was extracted with EtOAc (2x). The combined organic extracts were dried (Na2SO4), filtered and concentrated in vacuo. Purification by reverse phase chromatography (C18 column, 1 to 99% MeCN in 5 mM aqueous HCl) gave 2- ((3R,4R,6R)-4-(4-fluoro-2-methoxyphenyl)-6-methyl-6-(trifluoromethyl)tetrahydro-2H-pyran-3-yl)-4- oxo-1,4-dihydro-1,6-naphthyridine-5-carboxamide (77, 265.5 mg, 80%) as an off-white solid.1H NMR (400 MHz, DMSO-d6) δ 11.60 (s, 1H), 8.43 (d, J = 5.8 Hz, 1H), 7.47 - 7.33 (m, 2H), 7.30 (t, J = 7.7 Hz, 1H), 7.19 (s, 1H), 6.85 - 6.77 (m, 1H), 6.71 - 6.62 (m, 1H), 6.13 (s, 1H), 4.09 - 4.00 (m, 2H), 3.90 (t, J = 11.0 Hz, 2H), 3.79 (s, 3H), 1.96 - 1.88 (m, 1H), 1.84 - 1.76 (m, 1H), 1.65 (s, 3H) ppm. ESI-MS m/z calc.479.147, found 480.3 (M+1)+; Retention time: 1.77 minutes using LC/MS method Q. [0412] The following compounds were made using methods similar to those described in Example 17, except that different coupling partners were used in step 1:
[0413] The following compounds were made using methods similar to those described in Example 17, except that different coupling partners were used in step 1. Step 5 was carried out in absence of water. In the case of compound 86, hydrolysis step 5 was carried out at 60 °C:
[0414] The following compound was made using methods similar to those described in Example 17, except that a different coupling partner was used in step 1. Cyanation step 4 was carried out using DIPEA as the base in place of Et3N. Step 5 was carried out in absence of water:
[0415] The following compounds were made using methods similar to those described in Example 17, except that steps 3 to 5 were not required. In the case of compound 89, a different coupling partner was used in step 1:
[0416] The following compound was made using methods similar to those described in Example 17, except that a different coupling partner was used in step 1. Step 5 was not required:
[0417] The following compound was made using methods similar to those described in Example 17 except that step 1 was carried out using conditions similar to those described in Example 15 step 1, using respectively a different coupling partner, 1-(4-aminopyridin-3-yl)propan-1-one hydrochloride and DIPEA in place of (3S,4R,6R)-4-(3,4-difluoro-2-methoxyphenyl)-6-methyl-6- (trifluoromethyl)tetrahydro-2H-pyran-3-carboxylic acid (C - 20a), 1-(4-aminopyridin-3-yl)ethan-1- one hydrochloride and pyridine and both the activation and the amide coupling were carried out at ambient temperature. Step 5 was carried out at 80 °C in absence of water:
[0418] The following compounds were made using methods similar to those described in Example 17, except that different coupling partners were used in step 1. Cyclisation step 2 was carried out using conditions similar to those described in Example 15, step 2. In the case of compound 93, the product of step 5 was further purified by chiral SFC using a LuxTM Cellulose-5 column, 5 μm particle size, 25 cm x 30 mm from Phenomenex Inc. (Mobile phase: 40% MeOH, 60% CO2; Flow rate 100 mL/min) to give Second Eluting Isomer 93 (rt = 7.03 minutes). In the case of compound 95, a step was introduced between steps 4 and 5 to separate the diastereomers by chiral SFC using a LuxTM i- Cellulose-5 column, 5 μm particle size, 25 cm x 30 mm from Phenomenex Inc. (Mobile phase: 30% MeOH, 70% CO2; Flow rate 100 mL/min) to give First Eluting Isomer, precursor of 95 (rt = 3.90 minutes):
[0419] The following compounds were made using methods similar to those described in Example 17, except that different coupling partners were used in step 1. Cyclisation step 2 was carried out using conditions similar to those described in Example 16 step 2 and the reaction was respectively carried out at 90 °C in the case of 96 and 99, and at 95 °C in the case of 97 and 98. In the case of 96, the product of step 5 was further purified by chiral SFC using a LuxTM Cellulose-2 column, 5 µm particle size, 25 cm x 30 mm from Phenomenex Inc. (Mobile phase: 60% MeOH, 40% CO2; Flow rate 100 mL/min) to give Second Eluting Isomer 96 (rt = 2.12 minutes):
[0420] The following compounds were made using methods similar to those described in Example 17, except that different coupling partners were used in step 1. Cyclisation step 2 was carried out using conditions similar to those described in Example 16 step 2 and the reaction was carried out at 95 °C. Step 5 was carried out in absence of water. The product of step 5 was further purified by chiral SFC using a Chiralpak® IC column, 5 µm particle size, 25 cm x 21.2 mm from Daicel Corporation (Mobile phase: 28% MeOH (supplemented with 20 mM ammonia), 72% CO2; Flow rate 68 mL/min) to give Second Eluting Isomer 100 (rt = 6.20 minutes) and Fourth Eluting Isomer 101 (rt = 9.54 minutes):
[0421] The following compounds were made using methods similar to those described in Example 17, except that different coupling partners were used in step 1 and the reaction was carried out in DCM as the solvent in place of DMF. Cyclisation step 2 was carried out using conditions similar to those described in Example 16 step 2 and the reaction was carried out at 95 °C. Step 5 was carried out in absence of water. In the case of 103 and 104, the product of step 5 was further purified by chiral SFC using a Chiralpak® AD column, 5 µm particle size, 25 cm x 21.2 mm from Daicel Corporation (Mobile phase: 24% MeOH (supplemented with 20 mM ammonia), 76% CO2; Flow rate 70 and 72 mL/min respectively) to give First Eluting Isomer 103 (rt = 2.35 minutes) and First Eluting Isomer 104 (rt = 3.26 minutes). In the case of 105, the product of step 5 was further purified by chiral SFC using a Chiralpak® AD column, 5 µm particle size, 25 cm x 21.2 mm from Daicel Corporation (Mobile phase: 20% MeOH (supplemented with 20 mM ammonia), 80% CO2; Flow rate 70 mL/min) to give First Eluting Isomer 105 (rt = 2.95 minutes). In the case of 106, the product of step 5 was further purified by chiral SFC using a Chiralpak® AD column, 5 µm particle size, 25 cm x 21.2 mm from Daicel Corporation (Mobile phase: 22% MeOH (supplemented with 20 mM ammonia), 78% CO2; Flow rate 70 mL/min) to give First Eluting Isomer 106 (rt = 3.10 minutes). In the case of 107, the product of step 5 was further purified by chiral SFC using a Chiralpak® IG column, 5 µm particle size, 25 cm x 21.2 mm from Daicel Corporation (Mobile phase: 30% MeOH (supplemented with 20 mM ammonia), 70% CO2; Flow rate 70 mL/min) to give First Eluting Isomer 107 (rt = 2.51 minutes):
[0422] The following compound was made using methods similar to those described in Example 17, except that a different coupling partner was used in step 1 and the reaction was carried out in a mixture of DCM and DMF as the solvent. Cyclisation step 2 was carried out using conditions similar to those described in Example 16 step 2 and the reaction was carried out at 95 °C. Steps 3 to 5 were not required:
[0423] The following compounds were made using methods similar to those described in Example 17, except that different coupling partners were used in step 1 and the reaction was carried out in DCM as the solvent in place of DMF. Cyclisation step 2 was carried out using conditions similar to those described in Example 16 step 2 and the reaction was carried out at 95 °C. Hydrolysis step 5 was carried out at 90 °C. In the case of 109, the product of step 5 was further purified by chiral SFC using a Chiralpak® IG column, 5 µm particle size, 25 cm x 21.2 mm from Daicel Corporation (Mobile phase: 24% MeOH (supplemented with 20 mM ammonia), 76% CO2; Flow rate 70 mL/min) to give First Eluting Isomer 109 (rt = 2.75 minutes). In the case of 110, the product of step 5 was further purified by chiral SFC using a (R,R)-Whelk-O®1 column, 5 µm particle size, 25 cm x 21.1 mm from Regis Technologies, Inc. (Mobile phase: 45% MeOH (supplemented with 0.1 % DEA), 55% CO2; Flow rate 70 mL/min) to give Second Eluting Isomer 110 (rt = 5.54 minutes):
[0424] The following compound was made using methods similar to those described in Example 17, except that a different coupling partner was used in step 1 and the reaction was carried out in DCM as the solvent in place of DMF. Cyclisation step 2 was carried out using conditions similar to those described in Example 16 step 2 and the reaction was carried out at 100 °C. Step 5 was carried out in absence of water. The product of step 5 was further purified by chiral SFC using a (R,R)- Whelk-O®1 column, 5 μm particle size, 25 cm x 30 mm from Regis Technologies, Inc. (Mobile phase: 45% MeOH (supplemented with 0.1 % DEA), 55% CO2; Flow rate 70 mL/min) to give Second Eluting Isomer 111 (rt = 3.39 minutes):
[0425] The following compound was made using methods similar to those described in Example 17, except that different coupling partners were used in step 1 and the reaction was carried out in a mixture of DCM and DMF as the solvent. Cyclisation step 2 was carried out using conditions similar to those described in Example 16 step 2 and the reaction was carried out at 95 °C. Hydrolysis step 5 was carried out at 90 °C. The product of step 5 was further purified by chiral SFC using a Chiralpak® AD-H column, 5 μm particle size, 25 cm x 30 mm from Daicel Corporation (Mobile phase: 20%
MeOH (supplemented with 0.1 % DEA), 80% CO2; Flow rate 75 mL/min) to give First Eluting Isomer 112 (rt = 2.95 minutes):
Example 18 2-((3R,4R,6R)-4-(3,4-Difluoro-2-hydroxyphenyl)-6-methyl-6-(trifluoromethyl)tetrahydro-2H-pyran- 3-yl)-4-oxo-1,4-dihydro-1,6-naphthyridine-5-carboxamide (113)
[0426] Step 1: [0427] A solution of 2-((3R,4R,6R)-4-(3,4-difluoro-2-methoxyphenyl)-6-methyl-6- (trifluoromethyl)tetrahydro-2H-pyran-3-yl)-4-oxo-1,4-dihydro-1,6-naphthyridine-5-carboxamide (62, 200 mg, 0.402 mmol) and NaI (95 mg, 0.63 mmol) in HBr (1.9 mL, 30 % w/v in AcOH, 7.1 mmol) was stirred at 50 °C for 7 h. The reaction mixture was quenched by addition of water and extracted with EtOAc (3x). The combined organic extracts were washed with a saturated aqueous NaHCO3 solution, dried (MgSO4), filtered and concentrated in vacuo. Purification by flash chromatography (SiO2, 0 to 100% EtOAc in hexanes) followed by reverse phase chromatography (C18 column, 0 to 40% MeCN in water with HCl) gave 2-((3R,4R,6R)-4-(3,4-difluoro-2-hydroxyphenyl)-6-methyl-6- (trifluoromethyl)tetrahydro-2H-pyran-3-yl)-4-oxo-1,4-dihydro-1,6-naphthyridine-5-carboxamide (113, 67 mg, 34%).1H NMR (400 MHz, Chloroform-d) δ 15.84 (s, 1H), 10.46 (s, 1H), 8.92 (s, 1H), 8.70 (d, J = 5.7 Hz, 1H), 8.19 (d, J = 5.7 Hz, 1H), 6.94 - 6.87 (m, 1H), 6.86 (s, 1H), 6.71 - 6.60 (m, 1H), 6.19 (s, 1H), 4.14 - 3.98 (m, 2H), 3.68 (t, J = 11.5 Hz, 1H), 3.29 (td, J = 11.2, 4.7 Hz, 1H), 2.33
(t, J = 13.1 Hz, 1H), 1.83 (dd, J = 13.3, 3.7 Hz, 1H), 1.60 (s, 3H) ppm. ESI-MS m/z calc.483.122, found 484.5 (M+1)+; Retention time: 1.60 minutes using LC/MS method Q. Example 19 2-((3R,4R,6R)-4-(3,4-Difluoro-2-methoxyphenyl)-6-methyl-6-(trifluoromethyl)tetrahydro-2H-pyran- 3-yl)-N-methyl-4-oxo-1,4-dihydro-1,6-naphthyridine-5-carboxamide (114)
[0428] Step 1: [0429] NaOH (50 mg, 1.25 mmol) was added to a stirring solution of 2-((3R,4R,6R)-4-(3,4- difluoro-2-methoxyphenyl)-6-methyl-6-(trifluoromethyl)tetrahydro-2H-pyran-3-yl)-4-oxo-1,4- dihydro-1,6-naphthyridine-5-carbonitrile (70, 50 mg, 0.10 mmol) in EtOH (1 mL) and the reaction mixture was heated at reflux for 30 min. The reaction was cooled to ambient temperature, diluted with water (10 mL) and acidified to pH 5 by addition of 1 N aqueous HCl. The mixture was extracted with EtOAc (2x). The combined organic extracts were dried (MgSO4), filtered and concentrated in vacuo to give 2-((3R,4R,6R)-4-(3,4-difluoro-2-methoxyphenyl)-6-methyl-6-(trifluoromethyl)tetrahydro-2H- pyran-3-yl)-4-oxo-1,4-dihydro-1,6-naphthyridine-5-carboxylic acid, which was used without further purification in the next step. ESI-MS m/z calc.498.121, found 499.1 (M+1)+; Retention time: 0.60 minutes using LC/MS method T. [0430] Step 2: [0431] HATU (50 mg, 0.13 mmol), DIPEA (0.05 mL, 0.29 mmol) and methanamine hydrochloride (7 mg, 0.104 mmol) were successively added to a solution of 2-((3R,4R,6R)-4-(3,4- difluoro-2-methoxyphenyl)-6-methyl-6-(trifluoromethyl)tetrahydro-2H-pyran-3-yl)-4-oxo-1,4- dihydro-1,6-naphthyridine-5-carboxylic acid in DCM (1 mL) and the reaction mixture was stirred at ambient temperature for 1 h. The reaction was diluted with water and the phases were separated. The aqueous phase was extracted with EtOAc. The combined organic layers were washed with brine, dried (MgSO4), filtered and concentrated in vacuo. Purification by flash chromatography (SiO2, 0 to 10% MeOH in DCM) gave 2-((3R,4R,6R)-4-(3,4-difluoro-2-methoxyphenyl)-6-methyl-6- (trifluoromethyl)tetrahydro-2H-pyran-3-yl)-N-methyl-4-oxo-1,4-dihydro-1,6-naphthyridine-5- carboxamide (114, 13.3 mg, 24%).1H NMR (400 MHz, DMSO-d6) δ 11.62 (s, 1H), 8.43 (d, J = 5.8 Hz, 1H), 7.80 (d, J = 5.5 Hz, 1H), 7.36 (d, J = 5.8 Hz, 1H), 7.28 - 7.17 (m, 1H), 7.15 - 7.02 (m, 1H), 6.17 (s, 1H), 4.08 (dd, J = 11.6, 4.3 Hz, 1H), 4.00 - 3.85 (m, 5H), 3.31 - 3.26 (m, 1H), 2.69 (d, J = 4.4
Hz, 3H), 1.94 - 1.78 (m, 2H), 1.68 (s, 3H) ppm. ESI-MS m/z calc.511.153, found 512.2 (M+1)+; Retention time: 1.80 minutes using LC/MS method Q. Example 20 2-((3R,4R,6R)-4-(3,4-Difluoro-2-methoxyphenyl)-6-methyl-6-(trifluoromethyl)tetrahydro-2H-pyran- 3-yl)-5-(1,5-dimethyl-1H-1,2,3-triazol-4-yl)-1,6-naphthyridin-4(1H)-one (115)
[0432] Step 1: [0433] POCl3 (3.3 g, 2 mL, 21.5 mmol) was added to a solution of 2-((3R,4R,6R)-4-(3,4- difluoro-2-methoxyphenyl)-6-methyl-6-(trifluoromethyl)tetrahydro-2H-pyran-3-yl)-4-oxo-1,4- dihydro-1,6-naphthyridine 6-oxide (72, 500 mg, 0.964 mmol) in DCM (20 mL) and the reaction mixture was stirred at ambient temperature for 6 h. The reaction was quenched by addition of ice-cold water (20 mL). The mixture was extracted with DCM (2 x 30 mL). The combined organic extracts were washed with water (20 mL) and brine (20 mL), dried (Na2SO4), filtered and concentrated in vacuo. Purification by flash chromatography (SiO2, 2 to 10% MeOH in EtOAc) gave 4-chloro-2- ((3R,4R,6R)-4-(3,4-difluoro-2-methoxyphenyl)-6-methyl-6-(trifluoromethyl)tetrahydro-2H-pyran-3- yl)-1,6-naphthyridine 6-oxide (350 mg, 71%) as an off-white solid.1H NMR (400 MHz, Chloroform- d) δ 8.94 (d, J = 1.8 Hz, 1H), 8.27 (dd, J = 7.3, 2.3 Hz, 1H), 7.79 (d, J = 7.3 Hz, 1H), 7.25 (s, 1H), 6.88 - 6.83 (m, 1H), 6.74 (td, J = 8.9, 7.3 Hz, 1H), 4.11 - 3.98 (m, 3H), 3.88 (d, J = 12.3 Hz, 3H), 3.51 (td, J = 11.1, 4.9 Hz, 1H), 2.05 (t, J = 13.1 Hz, 1H), 1.84 (dd, J = 13.3, 3.7 Hz, 1H), 1.68 (s, 3H) ppm. ESI-MS m/z calc.488.093, found 489.1 (M+1)+; Retention time: 0.98 minutes using LC/MS method P. [0434] Step 2: [0435] NaH (30 mg, 60 % w/w in mineral oil, 0.75 mmol) was added to a stirring solution of 4- chloro-2-((3R,4R,6R)-4-(3,4-difluoro-2-methoxyphenyl)-6-methyl-6-(trifluoromethyl)tetrahydro-2H- pyran-3-yl)-1,6-naphthyridine 6-oxide (238 mg, 0.464 mmol) and benzyl alcohol (75 mg, 0.69 mmol) in a mixture of THF (12 mL) and DMF (2 mL) at 0 °C under argon and the mixture was stirred at 0 °C for 2 h. The reaction was quenched by addition of ice-cold water (10 mL) and diluted with water (15 mL). The mixture was extracted with EtOAc (2 x 20 mL). The combined organic extracts were washed with water (20 mL) and brine (20 mL), dried (Na2SO4), filtered and concentrated in vacuo.
Purification by flash chromatography (SiO2, 2 to 10% MeOH in EtOAc) gave 4-(benzyloxy)-2- ((3R,4R,6R)-4-(3,4-difluoro-2-methoxyphenyl)-6-methyl-6-(trifluoromethyl)tetrahydro-2H-pyran-3- yl)-1,6-naphthyridine 6-oxide (192 mg, 73%) as a pale yellow solid.1H NMR (400 MHz, Chloroform-d) δ 8.93 (d, J = 1.8 Hz, 1H), 8.22 (dd, J = 7.3, 2.3 Hz, 1H), 7.69 (d, J = 7.3 Hz, 1H), 7.44 - 7.34 (m, 5H), 6.84 - 6.79 (m, 1H), 6.68 (td, J = 9.2, 7.3 Hz, 1H), 6.55 (s, 1H), 5.14 (ABq, J = 11.7 Hz, 2H), 4.07 - 3.97 (m, 3H), 3.83 (d, J = 2.3 Hz, 3H), 3.45 - 3.37 (m, 1H), 2.07 - 2.00 (m, 1H), 1.82 (dd, J = 13.1, 3.9 Hz, 1H), 1.66 (s, 3H) ppm. ESI-MS m/z calc.560.173, found 561.3 (M+1)+; Retention time: 0.57 minutes using LC/MS method P. [0436] Step 3: [0437] POCl3 (165 mg, 100 μL, 1.07 mmol) was added to a solution of 4-(benzyloxy)-2- ((3R,4R,6R)-4-(3,4-difluoro-2-methoxyphenyl)-6-methyl-6-(trifluoromethyl)tetrahydro-2H-pyran-3- yl)-1,6-naphthyridine 6-oxide (55 mg, 0.098 mmol) in DCM (1 mL) and the reaction mixture was stirred at ambient temperature for 3 h. Additional POCl3 (165 mg, 100 μL, 1.07 mmol) was added and the mixture was heated at 50 °C for 2 h. The reaction was cooled to 0 °C and quenched by addition of ice-cold water (5 mL). The mixture was stirred for 15 min then partitioned between water (10 mL) and DCM (20 mL). The organic phase was separated, washed with water (10 mL) and brine (10 mL), dried (Na2SO4), filtered and concentrated in vacuo. Purification by flash chromatography (SiO2, 0 to 50% EtOAc in heptane) gave 4-(benzyloxy)-5-chloro-2-((3R,4R,6R)-4-(3,4-difluoro-2- methoxyphenyl)-6-methyl-6-(trifluoromethyl)tetrahydro-2H-pyran-3-yl)-1,6-naphthyridine (22 mg, 31%). ESI-MS m/z calc.578.140, found 579.3 (M+1)+; Retention time: 1.0 minutes using LC/MS method P. [0438] Step 4: [0439] CataCXium® A Pd G3 (6 mg, 0.008 mmol) was added to a stirring mixture of 4- (benzyloxy)-5-chloro-2-((3R,4R,6R)-4-(3,4-difluoro-2-methoxyphenyl)-6-methyl-6- (trifluoromethyl)tetrahydro-2H-pyran-3-yl)-1,6-naphthyridine (21.3 mg, 0.037 mmol), 1,5-dimethyl- 4-(4,4,5,5-tetramethyl-1,3,2-dioxaborolan-2-yl)-1H-1,2,3-triazole (23 mg, 0.10 mmol), KOSiMe3 (12 mg, 0.094 mmol) and B(OMe)3 (40 µL, 0.35 mmol) in DME (0.5 mL). Argon gas was bubbled through the reaction mixture for 5 min and the reaction was stirred at 85 °C for 1 h. The mixture was cooled to ambient temperature and concentrated in vacuo. Purification by flash chromatography (12 g SiO2, 0 to 100% EtOAc in hexanes) gave 4-(benzyloxy)-2-((3R,4R,6R)-4-(3,4-difluoro-2- methoxyphenyl)-6-methyl-6-(trifluoromethyl)tetrahydro-2H-pyran-3-yl)-5-(1,5-dimethyl-1H-1,2,3- triazol-4-yl)-1,6-naphthyridine as a clear colourless solid, which was used without further purification in the next step. [0440] Step 5: [0441] 4-(Benzyloxy)-2-((3R,4R,6R)-4-(3,4-difluoro-2-methoxyphenyl)-6-methyl-6- (trifluoromethyl)tetrahydro-2H-pyran-3-yl)-5-(1,5-dimethyl-1H-1,2,3-triazol-4-yl)-1,6-naphthyridine was added to a stirred mixture of Pd/C (10 mg, 10 % w/w, 0.009 mmol) in EtOH (4 mL). The mixture
was degassed (vacuum / nitrogen cycles x 3) and the atmosphere was replaced by a hydrogen atmosphere (vacuum / hydrogen cycles x 3). The reaction was stirred under a hydrogen atmosphere for 10 min. The mixture was filtered through a pad of Celite® and the mother liquors were concentrated in vacuo. Purification by reverse phase chromatography (Luna C18 column, 1 to 100% ACN in water with 5 mM HCl) gave 2-((3R,4R,6R)-4-(3,4-difluoro-2-methoxyphenyl)-6-methyl-6- (trifluoromethyl)tetrahydro-2H-pyran-3-yl)-5-(1,5-dimethyl-1H-1,2,3-triazol-4-yl)-1,6-naphthyridin- 4(1H)-one hydrochloride (115, 12.5 mg, 55% over 2 steps) as a white solid.1H NMR (400 MHz, Methanol-d4) δ 8.60 (d, J = 6.8 Hz, 1H), 8.00 (d, J = 6.8 Hz, 1H), 7.16 (ddd, J = 8.3, 5.6, 2.1 Hz, 1H), 6.93 (td, J = 9.3, 7.4 Hz, 1H), 6.47 (s, 1H), 4.18 (dd, J = 11.7, 4.5 Hz, 1H), 4.09 (s, 3H), 4.09 - 3.93 (m, 5H), 3.38 (td, J = 11.3, 4.5 Hz, 1H), 2.24 (s, 3H), 2.15 - 2.01 (m, 1H), 1.90 (dd, J = 13.3, 3.9 Hz, 1H), 1.71 (s, 3H) ppm. ESI-MS m/z calc.549.180, found 550.0 (M+1)+; Retention time: 1.83 minutes using LC/MS method Q. [0442] The following compound was made using methods similar to those described in Example 20, except that, in step 4, 6-(4,4,5,5-tetramethyl-1,3,2-dioxaborolan-2-yl)picolinonitrile was used as the Suzuki coupling partner in place of 1,5-dimethyl-4-(4,4,5,5-tetramethyl-1,3,2-dioxaborolan-2-yl)- 1H-1,2,3-triazole to form a nitrile, which underwent a nitrile hydration step as outlined below: [0443] Nitrile hydration to amide: K2CO3 (12 mg, 0.087 mmol) and H2O2 (200 µL, 6.53 mmol) were successively added to a stirring solution of 6-(2-((3R,4R,6R)-4-(3,4-difluoro-2-methoxyphenyl)- 6-methyl-6-(trifluoromethyl)tetrahydro-2H-pyran-3-yl)-4-oxo-1,4-dihydro-1,6-naphthyridin-5- yl)picolinonitrile (9.6 mg, 0.017 mmol) in DMSO (1 mL) and the reaction mixture stirred at ambient temperature for 10 min. Purification by high pressure reverse phase chromatography (5 cm x 21.2 mm Luna C18 column, 1 to 100% MeCN in water with 5 mM HCl) gave 6-(2-((3R,4R,6R)-4-(3,4-difluoro- 2-methoxyphenyl)-6-methyl-6-(trifluoromethyl)tetrahydro-2H-pyran-3-yl)-4-oxo-1,4-dihydro-1,6- naphthyridin-5-yl)picolinamide (116, 1.6 mg, 16%) as a white solid.1H NMR (400 MHz, Methanol- d4) δ 8.53 (d, J = 5.9 Hz, 1H), 8.13 (d, J = 7.8 Hz, 1H), 7.97 (t, J = 7.7 Hz, 1H), 7.55 (d, J = 2.7 Hz, 1H), 7.53 (s, 1H), 7.10 (t, J = 7.2 Hz, 1H), 6.91 (q, J = 8.8 Hz, 1H), 6.19 (s, 1H), 4.13 (dd, J = 11.7, 4.5 Hz, 1H), 4.01 (d, J = 11.3 Hz, 1H), 3.96 (d, J = 2.4 Hz, 3H), 3.94 - 3.87 (m, 1H), 3.30 (s, 1H), 2.04 (t, J = 12.9 Hz, 1H), 1.92 - 1.82 (m, 1H), 1.68 (s, 3H) ppm; exchangeable H not observed. ESI- MS m/z calc.574.164, found 575.5 (M+1)+; Retention time: 1.90 minutes using LC/MS method Q.
Example 21 2-((3R,4R,6R)-4-(3,4-Difluoro-2-methoxyphenyl)-6-methyl-6-(trifluoromethyl)tetrahydro-2H-pyran- 3-yl)-5-(1,4-dimethyl-1H-imidazol-2-yl)-1,6-naphthyridin-4(1H)-one (117)
[0444] Step 1: [0445] PdCl2(PPh3)2 (16 mg, 0.023 mmol) was added to a stirred mixture of 4-(benzyloxy)-5- chloro-2-((3R,4R,6R)-4-(3,4-difluoro-2-methoxyphenyl)-6-methyl-6-(trifluoromethyl)tetrahydro-2H- pyran-3-yl)-1,6-naphthyridine (20 mg, 0.035 mmol), 1,4-dimethyl-1H-imidazole (18 mg, 0.19 mmol), CuI (1 mg, 0.005 mmol), Cs2CO3 (25 mg, 0.077 mmol) and AgOAc (2 mg, 0.012 mmol) in 1,4- dioxane (330 µL) and the reaction was degassed by bubbling argon gas through the mixture for 5 min. The reaction was heated at 100 °C for 18 h. Purification by high pressure reverse phase chromatography (10 cm x 50 mm SunFire C18 column, 1 to 100% MeCN in water) gave 2- ((3R,4R,6R)-4-(3,4-difluoro-2-methoxyphenyl)-6-methyl-6-(trifluoromethyl)tetrahydro-2H-pyran-3- yl)-5-(1,4-dimethyl-1H-imidazol-2-yl)-1,6-naphthyridin-4(1H)-one (117, 4.4 mg, 22%) as a white solid.1H NMR (400 MHz, Methanol-d4) δ 8.78 (d, J = 5.9 Hz, 1H), 7.79 (d, J = 5.9 Hz, 1H), 7.35 (s, 1H), 7.13 (td, J = 6.3, 3.1 Hz, 1H), 6.92 (q, J = 8.9 Hz, 1H), 6.33 (s, 1H), 4.14 (dd, J = 11.7, 4.5 Hz, 1H), 4.07 - 3.86 (m, 5H), 3.54 (s, 3H), 3.36 (dd, J = 11.5, 4.6 Hz, 1H), 2.37 (d, J = 1.1 Hz, 3H), 2.14 - 2.01 (m, 1H), 1.89 (dd, J = 13.2, 3.9 Hz, 1H), 1.70 (s, 3H) ppm; exchangeable H not observed. ESI- MS m/z calc.548.185, found 549.0 (M+1)+; Retention time: 1.77 minutes using LC/MS method Q.
Example 22 (S)-1-(2-((3R,4R,6R)-4-(3,4-Difluoro-2-methoxyphenyl)-6-methyl-6-(trifluoromethyl)tetrahydro-2H- pyran-3-yl)-4-oxo-1,4-dihydro-1,6-naphthyridin-5-yl)pyrrolidine-3-carboxamide (118)
[0446] Step 1: [0447] K2CO3 (8 mg, 0.06 mmol) was added to a stirring solution of 4-(benzyloxy)-5-chloro-2- ((3R,4R,6R)-4-(3,4-difluoro-2-methoxyphenyl)-6-methyl-6-(trifluoromethyl)tetrahydro-2H-pyran-3- yl)-1,6-naphthyridine (9 mg, 0.016 mmol) and (S)-pyrrolidine-3-carboxamide (4 mg, 0.035 mmol) in THF (0.5 mL) and the reaction mixture was heated to 65 °C for 3 h. The mixture was cooled to ambient temperature. Purification by high pressure reverse phase chromatography (5 cm x 21.2 mm Luna C18 column, 1 to 100% MeCN in water with 5 mM HCl) gave (S)-1-(4-(benzyloxy)-2- ((3R,4R,6R)-4-(3,4-difluoro-2-methoxyphenyl)-6-methyl-6-(trifluoromethyl)tetrahydro-2H-pyran-3- yl)-1,6-naphthyridin-5-yl)pyrrolidine-3-carboxamide, which was used without further purification in the next step. [0448] Step 2: [0449] Pd/C (3 mg, 10 % w/w, 0.028 mmol) was added to a stirring solution of (S)-1-(4- (benzyloxy)-2-((3R,4R,6R)-4-(3,4-difluoro-2-methoxyphenyl)-6-methyl-6- (trifluoromethyl)tetrahydro-2H-pyran-3-yl)-1,6-naphthyridin-5-yl)pyrrolidine-3-carboxamide in EtOH (1mL) and the reaction mixture was stirred under a hydrogen atmosphere for 5 min. The mixture was filtered through a pad of Celite® and the filtrate concentrated in vacuo. Purification by reverse phase chromatography (5 cm x 21.2 mm Luna C18 column, 1 to 100% MeCN in water with 5 mM HCl) gave (S)-1-(2-((3R,4R,6R)-4-(3,4-difluoro-2-methoxyphenyl)-6-methyl-6-(trifluoromethyl)tetrahydro-2H- pyran-3-yl)-4-oxo-1,4-dihydro-1,6-naphthyridin-5-yl)pyrrolidine-3-carboxamide (118, 2.6 mg, 29% over 2 steps) as a white solid.1H NMR (400 MHz, Methanol-d4) δ 7.73 (d, J = 7.1 Hz, 1H), 7.15 - 7.06 (m, 1H), 6.93 (q, J = 8.9 Hz, 1H), 6.84 (d, J = 7.2 Hz, 1H), 6.33 (s, 1H), 4.11 (dd, J = 11.8, 4.5 Hz, 1H), 3.99 (s, 3H), 3.97 - 3.85 (m, 2H), 3.85 - 3.74 (m, 2H), 3.65 (dd, J = 11.8, 6.3 Hz, 1H), 3.60 - 3.49 (m, 1H), 3.28 - 3.16 (m, 2H), 2.43 - 2.30 (m, 1H), 2.29 - 2.16 (m, 1H), 2.06 (t, J = 12.9 Hz, 1H), 1.88 (dd, J = 13.2, 3.9 Hz, 1H), 1.68 (s, 3H) ppm; exchangeable H not observed. ESI-MS m/z calc. 566.195, found 567.2 (M+1)+; Retention time: 1.43 minutes using LC/MS method Q.
[0450] The following compound was made using methods similar to those described in Example 22, except that 1-methylpiperazine was used as the nucleophile in place of (S)-pyrrolidine-3- carboxamide:
Example 23 2-((3R,4R,6R)-4-(5-Fluoro-6-methylpyridin-2-yl)-6-methyl-6-(trifluoromethyl)tetrahydro-2H-pyran- 3-yl)-4-oxo-1,4-dihydro-1,6-naphthyridine-5-carboxamide (120)
[0451] Step 1: [0452] 1-(4-Aminopyridin-3-yl)ethan-1-one (425 mg, 3.12 mmol), HATU (1.25 g, 3.29 mmol) and DIPEA (1.04 g, 1.4 mL, 8.04 mmol) were successively added to a solution of dia-(3S1,4R1,6R*)-4- (5-fluoro-6-methylpyridin-2-yl)-6-methyl-6-(trifluoromethyl)tetrahydro-2H-pyran-3-carboxylic acid (C - 20t, 810 mg, 2.49 mmol) in DMF (22 mL) and the reaction mixture was stirred at ambient temperature for 3 h. The reaction was partitioned between EtOAc (50 mL) and water (50 mL). The organic layer was separated, washed with water (20 mL), a half saturated brine solution (2 x 20 mL) and water (2 x 20 mL), dried (Na2SO4), filtered and concentrated in vacuo. Purification by flash chromatography (SiO2, 20 to 70% EtOAc in heptane) gave: [0453] First Eluting Diastereomer: (3R,4S,6R)-N-(3-acetylpyridin-4-yl)-4-(5-fluoro-6- methylpyridin-2-yl)-6-methyl-6-(trifluoromethyl)tetrahydro-2H-pyran-3-carboxamide (180 mg, 16%) as a colourless oil.1H NMR (400 MHz, Methanol-d4) δ 9.05 (br s, 1H), 8.51 - 8.40 (m, 2H), 7.33 - 7.21 (m, 1H), 7.09 (dd, J = 8.3, 3.7 Hz, 1H), 4.19 - 4.05 (m, 2H), 3.58 - 3.47 (m, 1H), 3.25 - 3.14 (m,
1H), 2.66 (s, 3H), 2.46 (d, J = 2.9 Hz, 3H), 2.29 - 2.20 (m, 1H), 2.08 - 1.98 (m, 1H), 1.40 (s, 3H) ppm; exchangeable H not observed. ESI-MS m/z calc.439.152, found 440.1 (M+1)+; Retention time: 3.09 minutes using LC/MS method E. [0454] Second Eluting Diastereomer: (3S,4R,6R)-N-(3-acetylpyridin-4-yl)-4-(5-fluoro-6- methylpyridin-2-yl)-6-methyl-6-(trifluoromethyl)tetrahydro-2H-pyran-3-carboxamide (584 mg, 53%) as a pink solid.1H NMR (400 MHz, Methanol-d4) δ 9.05 (s, 1H), 8.49 - 8.43 (m, 2H), 7.32 - 7.26 (m, 1H), 7.13 (dd, J = 8.4, 3.5 Hz, 1H), 4.19 - 4.11 (m, 1H), 4.05 - 3.96 (m, 1H), 3.56 - 3.48 (m, 1H), 3.18 (td, J = 11.2, 4.8 Hz, 1H), 2.67 (s, 3H), 2.45 (d, J = 2.9 Hz, 3H), 2.16 (t, J = 13.1 Hz, 1H), 1.85 (dd, J = 13.2, 4.2 Hz, 1H), 1.60 (s, 3H) ppm; exchangeable H not observed. ESI-MS m/z calc.439.152, found 440.1 (M+1)+; Retention time: 3.08 minutes using LC/MS method E. [0455] Step 2: [0456] In a vial, Et3N (269 mg, 0.37 mL, 2.66 mmol) and TMSOTf (885 mg, 0.725 mL, 3.98 mmol) were successively added to a solution of (3S,4R,6R)-N-(3-acetylpyridin-4-yl)-4-(5-fluoro-6- methylpyridin-2-yl)-6-methyl-6-(trifluoromethyl)tetrahydro-2H-pyran-3-carboxamide (Second Eluting Diastereomer, 584 mg, 1.33 mmol) in toluene (17 mL). The vial was sealed, and the reaction mixture was stirred at 80 °C for 2.5 h. In 2 separate occasions, additional amounts of Et3N (269 mg, 0.37 mL, 2.66 mmol) and TMSOTf (885 mg, 0.725 mL, 3.98 mmol) were added and the reaction was stirred at 90 °C for a further 2.5 h and 6 h respectively. The mixture was stirred at ambient temperature for an additional 12 h. The reaction was quenched by addition of a 1 N aqueous NaOH solution (15 mL) and diluted with water (25 mL). The reaction was extracted with EtOAc (2 x 75 mL). The combined organic layers were dried (Na2SO4), filtered and concentrated in vacuo. Purification by reverse phase chromatography (5 to 60% MeCN in water with 0.1% formic acid) gave 2-((3R,4R,6R)-4-(5-fluoro-6-methylpyridin-2-yl)-6-methyl-6-(trifluoromethyl)tetrahydro-2H-pyran-3- yl)-1,6-naphthyridin-4(1H)-one (239 mg, 41%) as a brown solid.1H NMR (400 MHz, Methanol-d4) δ 9.21 (s, 1H), 8.53 (d, J = 5.9 Hz, 1H), 7.43 (d, J = 5.9 Hz, 1H), 7.29 (t, J = 8.9 Hz, 1H), 7.13 (dd, J = 8.3, 3.7 Hz, 1H), 6.35 (s, 1H), 4.14 - 4.08 (m, 1H), 3.97 (t, J = 11.5 Hz, 1H), 3.68 (td, J = 12.0, 4.0 Hz, 1H), 3.43 (td, J = 11.5, 4.6 Hz, 1H), 2.41 (d, J = 2.9 Hz, 3H), 2.20 (t, J = 12.8 Hz, 1H), 1.94 (dd, J = 13.3, 3.8 Hz, 1H), 1.68 (s, 3H) ppm; exchangeable H not observed. ESI-MS m/z calc.421.141, found 422.2 (M+1)+; Retention time: 2.51 minutes using LC/MS method E. [0457] Step 3 and 4: [0458] mCPBA (150 mg, 0.669 mmol) was added to a solution of 2-((3R,4R,6R)-4-(5-fluoro-6- methylpyridin-2-yl)-6-methyl-6-(trifluoromethyl)tetrahydro-2H-pyran-3-yl)-1,6-naphthyridin-4(1H)- one (139 mg, 0.316 mmol) in DCM (5.5 mL) and the reaction mixture was stirred at ambient temperature for 23 h. An additional amount of mCPBA (60 mg, 0.27 mmol) was added and the reaction mixture was stirred at ambient temperature for a further 4 h. Et3N (196 mg, 0.270 mL, 1.94 mmol) and TMSCN (317 mg, 0.4 mL, 3.2 mmol) were successively added and the mixture was stirred at ambient temperature for 18 h. Additional amounts of Et3N (196 mg, 0.27 mL, 1.94 mmol) and
TMSCN (317 mg, 0.4 mL, 3.2 mmol) were added and the mixture was stirred at ambient temperature for 3 h. The mixture was concentrated in vacuo. The residue was diluted with EtOAc (25 mL) and washed with an aqueous saturated NaHCO3 solution (3 x 10 mL). The organic layer was dried (Na2SO4), filtered and concentrated in vacuo. Purification by reverse phase chromatography (5 to 50% MeCN in water with 0.1% formic acid) gave 6-((2R,4R,5R)-5-(5-cyano-4-oxo-1,4-dihydro-1,6- naphthyridin-2-yl)-2-methyl-2-(trifluoromethyl)tetrahydro-2H-pyran-4-yl)-3-fluoro-2-methylpyridine 1-oxide (82 mg, 56%) as a pale yellow solid.1H NMR (400 MHz, Chloroform-d) δ 12.61 - 12.49 (m, 1H), 8.66 (d, J = 5.9 Hz, 1H), 7.61 (d, J = 5.6 Hz, 1H), 7.40 - 7.29 (m, 2H), 6.22 (s, 1H), 4.78 - 4.62 (m, 1H), 4.15 (dd, J = 12.0, 4.9 Hz, 1H), 3.86 (t, J = 11.7 Hz, 1H), 3.31 - 3.21 (m, 1H), 2.56 (d, J = 2.9 Hz, 3H), 2.25 (t, J = 12.6 Hz, 1H), 1.96 (dd, J = 13.0, 3.7 Hz, 1H), 1.61 (s, 3H) ppm. ESI-MS m/z calc.462.132, found 463.1 (M+1)+; Retention time: 1.84 minutes using LC/MS method S. [0459] Step 5: [0460] In a vial, iron (35 mg, 0.63 mmol) was added to a solution of 6-((2R,4R,5R)-5-(5-cyano- 4-oxo-1,4-dihydro-1,6-naphthyridin-2-yl)-2-methyl-2-(trifluoromethyl)tetrahydro-2H-pyran-4-yl)-3- fluoro-2-methylpyridine 1-oxide (82 mg, 0.18 mmol) in acetic acid (1.5 mL) under nitrogen. The vial was sealed, and the reaction mixture was stirred at 70 °C for 16 h. The mixture was cooled at ambient temperature, diluted with EtOAc (15 mL), and washed with an aqueous saturated NaHCO3 solution (2 x 10 mL). The combined aqueous layers were extracted with EtOAc (20 mL). The combined organic layers were washed with brine (10 mL), dried (Na2SO4), filtered and concentrated in vacuo to give 2- ((3R,4R,6R)-4-(5-fluoro-6-methylpyridin-2-yl)-6-methyl-6-(trifluoromethyl)tetrahydro-2H-pyran-3- yl)-4-oxo-1,4-dihydro-1,6-naphthyridine-5-carbonitrile (71 mg, 76%) as a grey solid, which was used without further purification in the next step.1H NMR (400 MHz, Methanol-d4) δ 8.62 (d, J = 5.9 Hz, 1H), 7.61 (d, J = 5.6 Hz, 1H), 7.33 - 7.26 (m, 1H), 7.14 (dd, J = 8.3, 3.7 Hz, 1H), 6.38 (s, 1H), 4.15 - 4.07 (m, 1H, overlapped with EtOAc), 3.95 (t, J = 11.5 Hz, 1H), 3.68 (td, J = 12.1, 3.9 Hz, 1H), 3.42 (td, J = 11.6, 4.3 Hz, 1H), 2.40 (d, J = 2.9 Hz, 3H), 2.18 (t, J = 12.7 Hz, 1H), 1.94 (dd, J = 13.2, 3.9 Hz, 1H), 1.67 (s, 3H) ppm; exchangeable H not observed. ESI-MS m/z calc.446.137, found 447.1 (M+1)+; Retention time: 1.99 minutes using LC/MS method S. [0461] Step 6: [0462] A solution of 2-((3R,4R,6R)-4-(5-fluoro-6-methylpyridin-2-yl)-6-methyl-6- (trifluoromethyl)tetrahydro-2H-pyran-3-yl)-4-oxo-1,4-dihydro-1,6-naphthyridine-5-carbonitrile (70 mg, 0.13 mmol) and TFA (740 mg, 0.5 mL, 6.5 mmol) in a mixture of toluene (0.6 mL) and water (20 μL) was stirred at 75 °C for 18 h. The reaction mixture was concentrated in vacuo. The residue was solubilized in EtOAc (15 mL) and washed with a 20% aqueous K2CO3 solution (3 x 10 mL). The organic layer was dried (Na2SO4), filtered and concentrated in vacuo. Purification by reverse phase chromatography (5 to 50% MeCN in water with 0.1% formic acid) gave 2-((3R,4R,6R)-4-(5-fluoro-6- methylpyridin-2-yl)-6-methyl-6-(trifluoromethyl)tetrahydro-2H-pyran-3-yl)-4-oxo-1,4-dihydro-1,6- naphthyridine-5-carboxamide (120, 34 mg, 55%) as a white solid.1H NMR (400 MHz, DMSO-d6) δ
11.84 - 11.57 (m, 1H), 8.40 (d, J = 5.9 Hz, 1H), 7.47 (t, J = 9.2 Hz, 1H), 7.43 - 7.35 (m, 1H), 7.33 (br d, J = 6.1 Hz, 1H), 7.26 - 7.14 (m, 2H), 6.28 (s, 1H), 4.03 (dd, J = 11.6, 4.3 Hz, 1H), 3.88 - 3.75 (m, 2H), 3.37 - 3.24 (m, 1H, overlapped with water), 2.37 (d, J = 2.7 Hz, 3H), 2.05 - 1.95 (m, 1H), 1.92 - 1.82 (m, 1H), 1.64 (s, 3H) ppm. ESI-MS m/z calc.464.147, found 465.2 (M+1)+; Retention time: 2.42 minutes using LC/MS method E. [0463] The following compounds were made using methods similar to those described in Example 23, except that, in step 1, different acids were used as the amide coupling partner in place of dia-(3S1,4R1,6R*)-4-(5-fluoro-6-methylpyridin-2-yl)-6-methyl-6-(trifluoromethyl)tetrahydro-2H- pyran-3-carboxylic acid (C - 20t) and the reaction was carried out in DCM as the solvent. Step 2 was carried out at 95 °C. Step 5 was omitted and step 6 was carried out in absence of water:
Example 24 2-((2R,3S,4S,5R)-3-(2-cyclopropoxy-3,4-difluorophenyl)-4,5-dimethyl-5- (trifluoromethyl)tetrahydrofuran-2-yl)-4-oxo-1,4-dihydro-1,6-naphthyridine-5-carboxamide (124)
[0464] Step 1: [0465] NaOH (0.26 mL, 1 M solution in water, 0.260 mmol) and H2O2 (0.025 mL, 35 % wt% solution in water, 0.257 mmol) were successively added to a solution of 2-((2R,3S,4S,5R)-3-(2- cyclopropoxy-3,4-difluorophenyl)-4,5-dimethyl-5-(trifluoromethyl)tetrahydrofuran-2-yl)-4-oxo-1,4- dihydro-1,6-naphthyridine-5-carbonitrile (21 mg, prepared using the method described in Example 23 Steps 1 to 4 from Intermediate C - 28, 10.041 mmol) in DMSO (0.8 mL) and the reaction mixture was stirred at ambient temperature for 5.5 h. Purification by reverse phase chromatography (C18 column, 5 to 95% MeCN in water with 0.1% formic acid) gave 2-((2R,3S,4S,5R)-3-(2-cyclopropoxy-3,4- difluorophenyl)-4,5-dimethyl-5-(trifluoromethyl)tetrahydrofuran-2-yl)-4-oxo-1,4-dihydro-1,6- naphthyridine-5-carboxamide (124, 7 mg, 32%) as an off-white solid.1H NMR (400 MHz, DMSO-d6) δ 11.64 - 11.22 (m, 1H), 8.50 (br d, J = 5.1 Hz, 1H), 7.77 - 7.55 (m, 1H), 7.44 (br s, 1H), 7.35 - 7.04 (m, 3H), 6.27 (br s, 1H), 5.43 (br d, J = 10.5 Hz, 1H), 4.33 - 4.24 (m, 1H), 4.17 - 3.97 (m, 1H), 2.79 - 2.66 (m, 1H), 1.69 (s, 3H), 0.88 - 0.63 (m, 5H), 0.62 - 0.45 (m, 2H) ppm. ESI-MS m/z calc.523.153, found 524.2 (M+1)+; Retention time: 2.92 minutes using LC/MS method E. [0466] The following compound was made using methods similar to those described in Example 23, except that, in step 1, rac-(2R,3S,5S)-3-(3,4-difluoro-2-methoxyphenyl)-5-methyl-5-
(trifluoromethyl)tetrahydro-2H-pyran-2-carboxylic acid (C - 30) was used as the amide coupling partner in place of dia-(3S1,4R1,6R*)-4-(5-fluoro-6-methylpyridin-2-yl)-6-methyl-6- (trifluoromethyl)tetrahydro-2H-pyran-3-carboxylic acid (C - 20t). Step 5 was omitted and the conditions used in Step 6 were those of Example 8 step 1:
Intermediate A (2R,3S,4S,5R)-3-(3,4-Difluoro-2-methoxyphenyl)-4,5-dimethyl-5-(trifluoromethyl)tetrahydrofuran-2- carboxylic acid (Int-A)
[0467] Step 1: [0468] NEt3 (7.7 mL, 55 mmol) was added to a stirring solution of ethyl 2-diazo-3-oxo- pentanoate (6.69 g, 39.3 mmol) in DCM (80 mL) at 0 °C under nitrogen. TMSOTf (8.5 mL, 47 mmol) was added dropwise over 5 min and the mixture was stirred at 0 °C for 30 min. The reaction mixture was diluted with pentane (100 mL). The organic phase was separated, washed with a diluted aqueous NaHCO3 solution (100 mL) and brine (100 mL), dried (MgSO4), filtered, and concentrated in vacuo to give ethyl (Z)-2-diazo-3-((trimethylsilyl)oxy)pent-3-enoate (9.4 g, 99%) as a red oil.1H NMR (500 MHz, Chloroform-d) δ 5.33 (q, J = 7.0 Hz, 1H), 4.25 (q, J = 7.1 Hz, 2H), 1.67 (d, J = 7.0 Hz, 3H), 1.29 (t, J = 7.1 Hz, 3H), 0.22 (s, 9H) ppm. [0469] Step 2: [0470] To a solution of 1,1,1-trifluoropropan-2-one (8 mL, 89 mmol) in DCM (80 mL) at -78 ºC was added TiCl4 (70 mL, 1 M solution in DCM, 70 mmol) via cannula. A solution of ethyl (Z)-2- diazo-3-((trimethylsilyl)oxy)pent-3-enoate (36.1 g, 31.3 % w/w solution in DCM, 46.6 mmol) in
DCM (40 mL) was added dropwise over 15 min and the mixture was stirred for 100 min at -78 °C. The reaction was carefully quenched by addition of water, allowing the temperature to rise slowly to ambient temperature. The aqueous phase was separated and extracted with DCM. The combined organic layers were dried (MgSO4), filtered, and concentrated in vacuo. Purification by flash chromatography (330 g SiO2, 0 to 20% EtOAc in heptane) gave ethyl rac-(4R,5R)-2-diazo-6,6,6- trifluoro-5-hydroxy-4,5-dimethyl-3-oxohexanoate (8.82 g, 67%), which was stored as a solution in toluene.1H NMR (500 MHz, Chloroform-d) δ 4.33 (q, J = 7.1 Hz, 2H), 4.14 (q, J = 7.0 Hz, 1H), 3.98 (s, 1H), 1.43 (q, J = 1.2 Hz, 3H), 1.35 (t, J = 7.1 Hz, 3H), 1.31 (dq, J = 7.0, 1.4 Hz, 3H) ppm. ESI-MS m/z calc.282.083, found 283.1 (M+1)+; 281.0 (M-1)-; Retention time: 0.76 minutes using LC/MS method C. [0471] Step 3: [0472] A solution of rhodium tetraacetate (245 mg, 0.55 mmol) in benzene (32 mL) was heated at reflux for 10 min before a solution of ethyl rac-(4R,5R)-2-diazo-6,6,6-trifluoro-5-hydroxy-4,5- dimethyl-3-oxohexanoate (10 g, 35.4 mmol) in benzene (13 mL) was added slowly via addition funnel while refluxing for 60 min. The mixture was concentrated in vacuo to give ethyl dia- (2S1,4R2,5R2)-4,5-dimethyl-3-oxo-5-(trifluoromethyl)tetrahydrofuran-2-carboxylate (9.0 g, 100%) as a green coloured residue containing residual catalyst, and as a mixture of epimers at the position next to the ester. This material was used without further purification in the next step.1H NMR (500 MHz, Chloroform-d) δ 4.83 - 4.57 (m, 1H), 4.38 - 4.16 (m, 2H), 2.60 (dddd, J = 9.3, 8.2, 5.6, 1.4 Hz, 1H), 1.73 - 1.63 (m, 3H), 1.30 (t, J = 7.1 Hz, 3H), 1.24 (ddq, J = 6.4, 4.1, 1.9 Hz, 3H) ppm. [0473] Step 4: [0474] To a stirring solution of ethyl dia-(2S1,4R2,5R2)-4,5-dimethyl-3-oxo-5- (trifluoromethyl)tetrahydrofuran-2-carboxylate (48 g, 189 mmol) in DCM (400 mL) at -78 °C was added DIPEA (29.7 g, 40 mL, 230 mmol). A solution of Tf2O (53.4 g, 32 mL, 189 mmol) in DCM (200 mL) was added to the reaction mixture at the same temperature over 1 h. The reaction mixture was stirred for 30 min at 0 °C before being quenched with a saturated aqueous NaHCO3 solution (100 mL). The aqueous layer was separated and extracted with DCM (160 mL). The combined organic layers were dried (MgSO4), filtered and concentrated in vacuo to give ethyl rac-(4R,5R)-4,5-dimethyl- 5-(trifluoromethyl)-3-(((trifluoromethyl)sulfonyl)oxy)-4,5-dihydrofuran-2-carboxylate (71 g, 97%). 1H NMR (400 MHz, Chloroform-d) δ 4.38 - 4.32 (m, 2H), 3.29 - 3.23 (m, 1H), 1.64 (s, 3H), 1.37 - 1.33 (m, 6H) ppm. [0475] Step 5: [0476] To stirred a solution of ethyl rac-(4R,5R)-4,5-dimethyl-5-(trifluoromethyl)-3- (((trifluoromethyl)sulfonyl)oxy)-4,5-dihydrofuran-2-carboxylate (26 g, 67.3 mmol) in toluene (130 mL) was added (3,4-difluoro-2-methoxyphenyl)boronic acid (14 g, 74.5 mmol) followed by 2 M K3PO4 (100 mL, 200 mmol) under an argon atmosphere. The reaction was degassed before Pd(PPh3)4) (4 g, 3.5 mmol) was added. After further degassing, the reaction was heated at 100 °C for 2 h. The
reaction was diluted with water and the aqueous layer extracted with EtOAc (2 x 100 mL). The combined organic layers were concentrated in vacuo. Purification by flash chromatography (SiO2, 0 to 10% EtOAc in heptane) gave ethyl dia-(4S1,5R1)-3-(3,4-difluoro-2-methoxyphenyl)-4,5-dimethyl-5- (trifluoromethyl)-4,5-dihydrofuran-2-carboxylate (24.4 g, 93%) as a 6:1 diastereomeric mixture, in which the major isomer was ethyl rac-(4S,5R)-3-(3,4-difluoro-2-methoxyphenyl)-4,5-dimethyl-5- (trifluoromethyl)-4,5-dihydrofuran-2-carboxylate. Major isomer: 1H NMR (400 MHz, Chloroform-d) δ 6.88 - 6.79 (m, 2H), 4.17 -4.09 (m, 2H), 3.90 (s, 3H), 3.46 (q, J = 7.4 Hz, 1H), 1.67 (s, 3H), 1.12 (t, J =7.4 Hz, 3H), 1.06 (dd, J =5.4 ,2.7 Hz, 3H) ppm. Minor isomer: 1H NMR (400 MHz, Chloroform-d) δ 6.88 - 6.79 (m, 2H), 4.17 - 4.09 (m, 2H), 3.88 (s, 3H), 3.76 - 3.71 (m, 1H), 1.51 (s, 3H), 1.12 (t, J =7.4 Hz, 3H), 0.99 (dd, J =5.4 ,2.7 Hz, 3H) ppm. ESI-MS m/z calc.380.105, found 381.0 (M+1)+; Retention time: 2.09 minutes using LC/MS method O. [0477] Step 6: [0478] To an ice-cold solution of ethyl dia-(4S1,5R1)-3-(3,4-difluoro-2-methoxyphenyl)-4,5- dimethyl-5-(trifluoromethyl)-4,5-dihydrofuran-2-carboxylate (110 g, 243 mmol) in DCM (360 mL) was added BBr3 (370 mL, 1 M solution in DCM, 370 mmol) dropwise. Upon reaction completion, the mixture was quenched by addition of water and an aqueous NaHCO3 solution. The aqueous layer was separated and extracted with DCM. The combined organic layers were dried (MgSO4), filtered, and concentrated in vacuo. The residue was dissolved in DCM (430 mL) at ambient temperature and TFA (40 mL, 519 mmol) was added, then the reaction was heated at 45 ºC. Upon reaction completion, the reaction was quenched by addition of an aqueous NaHCO3 solution. The aqueous layer was separated and extracted with DCM. The organic extracts were dried (MgSO4), filtered and concentrated in vacuo to give the desired product as a 5:1 mixture of diastereomers. Recrystallization was carried out by solubilizing the mixture in the smallest possible amount of DCM and adding a layer of heptane on top of this solution (liquid-liquid diffusion). After approximately 1 h, 56.5 g (d.r.97:3 syn:anti) of product from the first and second crystallization was obtained, together with a further 4.6 g (d.r.96:4 syn:anti) from the third crystallization. The batches were combined to give dia-(1S1,2R1)-6,7-difluoro- 1,2-dimethyl-2-(trifluoromethyl)-1,2-dihydro-4H-furo[2,3-c]chromen-4-one (61 g, 78%), in which the major isomer was rac-(1S,2R)-6,7-difluoro-1,2-dimethyl-2-(trifluoromethyl)-1,2-dihydro-4H- furo[2,3-c]chromen-4-one. ESI-MS m/z calc.320.047, found 321.5 (M+1)+; 319.6 (M-1)-; Retention time: 3.17 minutes using LC/MS method A. [0479] Step 7: [0480] The isomers of rac-(1S,2R)-6,7-difluoro-1,2-dimethyl-2-(trifluoromethyl)-1,2-dihydro- 4H-furo[2,3-c]chromen-4-one (1348 g, 4.366 mol) were separated by chiral SFC using a (R,R)- Whelk-O®1 column, 5 μm particle size, 15 cm x 3 cm from Regis Technologies on a MultiGram III SFC instrument from Berger Instruments to give:
[0481] First Eluting Isomers (rt = 1.85 min): (1R,2S)-6,7-difluoro-1,2-dimethyl-2- (trifluoromethyl)-1,2-dihydro-4H-furo[2,3-c]chromen-4-one (only an analytical sample was collected).1H NMR (400 MHz, DMSO-d6) δ 7.57 (ddd, J = 9.0, 5.5, 2.0 Hz, 1H), 7.51 (ddd, J = 10.3, 9.0, 7.0 Hz, 1H), 4.03 (q, J = 7.2 Hz, 1H), 1.65 (s, 3H), 1.45 (dt, J = 6.9, 2.2 Hz, 3H) ppm. ESI-MS m/z calc.320.047, found 321.3 (M+1)+; 319.4 (M-1)-; Retention time: 0.92 minutes using LC/MS method C. [0482] Second Eluting Isomer (rt = 2.38 min): (1S,2R)-6,7-difluoro-1,2-dimethyl-2- (trifluoromethyl)-1,2-dihydro-4H-furo[2,3-c]chromen-4-one (366.99 g, 26%).1H NMR (400 MHz, DMSO-d6) δ 7.57 (ddd, J = 9.0, 5.5, 2.0 Hz, 1H), 7.50 (ddd, J = 10.3, 9.0, 7.0 Hz, 1H), 4.03 (q, J = 7.2 Hz, 1H), 1.65 (s, 3H), 1.45 (dt, J = 6.9, 2.2 Hz, 3H) ppm. ESI-MS m/z calc.320.045, found 321.4 (M+1)+; 319.4 (M-1)-; Retention time: 0.92 minutes using LC/MS method C. [0483] Step 8: [0484] A solution of (1S,2R)-6,7-difluoro-1,2-dimethyl-2-(trifluoromethyl)-1,2-dihydro-4H- furo[2,3-c]chromen-4-one (0.89 kg, 2.78 mol) and 20% Pd(OH)2/C (0.39 kg, 50% wet, Degussa, 0.278 mol) in MeOH (12 L) was stirred under a 40 psi pressure of hydrogen overnight. An increase in the reaction temperature to 37 °C was observed after reacting overnight and the mixture was cooled to 24 °C. The hydrogenation was continued for a total of 48 h. The mixture was filtered through Celite®, washing with MeOH (20 L) and the filtrates were concentrated in vacuo. The residue was dissolved in toluene (4 L) and concentrated in vacuo, and this process repeated. The residue was dried under vacuum at 40 °C overnight to give methyl (2S,3S,4S,5R)-3-(3,4-difluoro-2-hydroxyphenyl)-4,5- dimethyl-5-(trifluoromethyl)tetrahydrofuran-2-carboxylate (1.0 kg at 91% purity, 100%) as a beige solid.1H NMR (400 MHz, DMSO-d6) 10.20 (br s, 1H), 6.94 (br t, J = 7.4 Hz, 1H), 6.79 - 6.69 (m, 1H), 5.10 (d, J = 6.0 Hz, 1H), 4.20 (dd, J = 6.1, 8.2 Hz, 1H), 3.43 (s, 3H), 2.94 (quin, J = 7.7 Hz, 1H), 1.46 (s, 3H), 0.77 (br d, J = 6.8 Hz, 3H) ppm. [0485] Step 9: [0486] K2CO3 (2.0 kg, 14.4 mol) and MeI (800 mL, 12.8 mol) were sequentially added to a stirring solution of methyl (2S,3S,4S,5R)-3-(3,4-difluoro-2-hydroxyphenyl)-4,5-dimethyl-5- (trifluoromethyl)tetrahydrofuran-2-carboxylate (1.0 kg, 2.82 mol) in MeCN (10 L) under nitrogen at ambient temperature. After stirring the reaction mixture overnight, additional MeI (120 mL, 2 mmol) was added and the reaction was stirred overnight. Additional MeI (60 mL, 0.85 mmol) was added and the mixture was stirred for a further 3 days. The reaction was diluted with MTBE (30 L), treated with Celite® (1 kg) and filtered through a bed of Celite® (1 kg), washing the filtered cake with MTBE (10 L). The mother liquors were filtered a second time through Celite® (1 kg), washing the filtered cake with MTBE (4 L). The mother liquors were concentrated in vacuo. The residue was dissolved in toluene (4 L) and concentrated in vacuo, and this process was repeated. The residue was dried under vacuum at 40 °C overnight to give methyl (2S,3S,4S,5R)-3-(3,4-difluoro-2-methoxyphenyl)-4,5- dimethyl-5-(trifluoromethyl)tetrahydrofuran-2-carboxylate (0.99 kg at 90% purity, 95%) as a brown
solid.1H NMR (400 MHz, DMSO-d6) 7.14-7.00 (m, 2H), 5.14 (d, J = 6.0 Hz, 1H), 4.15 (dd, J = 6.2, 8.4 Hz, 1H), 3.88 (d, J = 1.7 Hz, 3H), 2.97 (quin, J = 7.8 Hz, 1H), 1.48 (s, 3H), 0.72 (br d, J = 6.6 Hz, 3H) ppm. [0487] Steps 10 and 11: [0488] NaOMe (65 mL, 25% solution in methanol, 0.28 mol) was added to a stirring solution of methyl (2S,3S,4S,5R)-3-(3,4-difluoro-2-methoxyphenyl)-4,5-dimethyl-5- (trifluoromethyl)tetrahydrofuran-2-carboxylate (0.98 kg, 2.66 mol) in THF (10 L) at ambient temperature under nitrogen. After 5 h, MeOH (1 L), water (1 L) and LiOH.H2O (0.168 kg, 4.0 mol) were sequentially added and the mixture was stirred overnight. The reaction mixture was poured onto 1 M HCl (4.4 L, 4.4 mol), extracted with MTBE (20 L). The aqueous layer was further extracted with MTBE (2 x 5 L), and the combined organic layers were washed with brine (2 L), dried (Na2SO4), filtered, and treated with activated carbon (50 g, 5% w/w) with stirring for 1 h. The mixture was filtered through Celite®, washing the filtered cake with MTBE (2 x 4 L). The filtrates were concentrated in vacuo. The residue was dissolved in toluene (4 L) and concentrated in vacuo, then dissolved in MTBE (4 L) and concentrated in vacuo again to give (2R,3S,4S,5R)-3-(3,4-difluoro-2- methoxyphenyl)-4,5-dimethyl-5-(trifluoromethyl)tetrahydrofuran-2-carboxylic acid (1.06 kg, 77.7% purity) as an amber oil, which was used without further purification in the next step. [0489] Step 12: [0490] Crude (2R,3S,4S,5R)-3-(3,4-difluoro-2-methoxyphenyl)-4,5-dimethyl-5- (trifluoromethyl)tetrahydrofuran-2-carboxylic acid (2.09 kg at 77% purity, 4.54 mol) was dissolved in MTBE (25 L) in a 100 L Chemglass reactor then stirred at 84 rpm at ambient temperature. A mixture of (R)-1-phenylethylamine (0.704 kg, 5.81 mol) and MTBE (2 L) was added to the reactor, followed by additional MTBE to give a total volume of 30 L in the reactor. After 2 h, additional MTBE (2 L) was added to the reaction. After a total of 3.5 h, the mixture was filtered, washing with MTBE (2 L). The reactor was rinsed with MTBE (4 L), which was used to rinse the solids, which were then compressed and dried on the Büchner funnel for 2 h. The solid product cake was loosened then dried under a stream of nitrogen and under vacuum overnight on the Büchner funnel. The isolated solids were dried in a convection oven at 40 °C for 24 h to give (R)-1-phenylethan-1-amine (2R,3S,4S,5R)-3- (3,4-difluoro-2-methoxyphenyl)-4,5-dimethyl-5-(trifluoromethyl)tetrahydrofuran-2-carboxylate (1.86 kg at 95.7% purity, 74% over 3 steps) as an off-white solid.1H NMR, 400 MHz, DMSO-d6) 8.34 (br s, 2H), 7.46 - 7.41 (m, 2H), 7.36 - 7.27 (m, 3H), 7.16 - 7.11 (m, 1H), 7.10 - 7.03 (m, 1H), 4.58 (d, J = 9.9 Hz, 1H), 4.23 (q, J = 6.7 Hz, 1H), 3.99 (dd, J = 7.8, 9.8 Hz, 1H), 3.90 (d, J = 2.0 Hz, 3H), 2.60 (quin, J = 7.5 Hz, 1H), 1.50 (s, 3H), 1.40 (d, J = 6.7 Hz, 3H), 0.71 - 0.59 (m, 3H) ppm. [0491] Step 13: [0492] To a suspension of (R)-1-phenylethan-1-amine (2R,3S,4S,5R)-3-(3,4-difluoro-2- methoxyphenyl)-4,5-dimethyl-5-(trifluoromethyl)tetrahydrofuran-2-carboxylate (10.6 g, 22.3 mmol) in MTBE (250 mL) was added 2 M HCl (200 mL, 400 mmol). The organic layer was separated and
washed with water (200 mL), dried (MgSO4), filtered, and concentrated in vacuo to give (2R,3S,4S,5R)-3-(3,4-difluoro-2-methoxyphenyl)-4,5-dimethyl-5-(trifluoromethyl)tetrahydrofuran-2- carboxylic acid (Int-A, 8.4 g, 99%) as an oil.1H NMR (400 MHz, Chloroform-d) δ 6.96 (ddd, J = 7.9, 5.6, 2.0 Hz, 1H), 6.88 (td, J = 9.2, 7.3 Hz, 1H), 4.96 (d, J = 10.5 Hz, 1H), 4.15 (dd, J = 10.5, 8.0 Hz, 1H), 4.02 (d, J = 2.8 Hz, 3H), 2.74 (p, J = 7.6 Hz, 1H), 1.64 (t, J = 1.2 Hz, 3H), 0.79 (dq, J = 7.4, 2.3 Hz, 3H) ppm. [0493] The following intermediate was made using methods similar to those described in the synthesis of Intermediate A except that ethyl 4-cyclopropyl-2-diazo-3-oxobutanoate was used as starting material in place of ethyl 2-diazo-3-oxo-pentanoate. SFC separation step 7 was omitted:
Intermediate B (2R,3R,4S,5R)-3-(3,4-Difluoro-2-methylphenyl)-4-methoxy-5-methyl-5- (trifluoromethyl)tetrahydrofuran-2-carboxylic acid (Int-B)
[0494] Step 1: [0495] A 50-L jacketed reactor, purged with nitrogen, was charged with sodium hydride (499.6 g, 60% in mineral oil, 12.49 mol) and THF (11.5 L). The reactor was cooled to 5 °C under nitrogen. A solution of diethyl oxalate (1.404 kg, 9.607 mol) and (R)-4,4,4-trifluoro-3-hydroxy-3-methylbutan-2- one (1.5 kg, 9.61 mol) in THF (4.5 L) was added at 50 mL/min, increasing to 70 mL/min. The flask
and pump tubing were rinsed with THF (1 L) into the reactor. The reaction mixture was warmed to 20 °C, then heated at 58 °C for 16 h. The reaction mixture was cooled to 15 °C and water (10 L) was added at 50 mL/min increasing to 500 mL/min over 40 min. MTBE (10 L) and water (10 L) were added. The phases were separated. The aqueous phase was acidified with HCl (800 mL, 25.9 mol) and stirred for 30 min. MTBE (10 L) was added and the phases were separated. HCl (200 mL, 6.47 mol) was added to the aqueous phase and the mixture was extracted with MTBE (10 L). The organic phase was concentrated in vacuo and co-evaporated with EtOH to give (R)-5-methyl-4-oxo-5- (trifluoromethyl)-4,5-dihydrofuran-2-carboxylic acid (2071.9 g, 92%).1H NMR (400 MHz, Chloroform-d) δ 6.43 (s, 1H), 1.78 - 1.67 (m, 3H) ppm. [0496] Step 2: [0497] A 50-L jacketed reactor was charged with (R)-5-methyl-4-oxo-5-(trifluoromethyl)-4,5- dihydrofuran-2-carboxylic acid (2.072 kg, 8.875 mol) and EtOH (14 L), placed under nitrogen and cooled to 15 °C. H2SO4 (530 mL, 9.94 mol) was added dropwise over 50 min. The reaction mixture was heated at 72 °C for 14 h. The reaction mixture was cooled to 15 °C and concentrated in vacuo. The residual oil was dissolved in EtOAc (10 L) and washed with Na2CO3 (2 x 5 L, 10% w/w aqueous solution). The organic layer was concentrated in vacuo. Purification by fractional vacuum distillation (4.5 mbar) gave ethyl (R)-5-methyl-4-oxo-5-(trifluoromethyl)-4,5-dihydrofuran-2-carboxylate (1588.32 g, 74%) as a colourless oil.1H NMR (400 MHz, Chloroform-d) δ 6.34 (s, 1H), 4.47 (q, J = 7.2 Hz, 2H), 1.70 (q, J = 0.9 Hz, 3H), 1.44 (t, J = 7.1 Hz, 3H) ppm. [0498] Step 3: [0499] To a solution of ethyl (R)-5-methyl-4-oxo-5-(trifluoromethyl)-4,5-dihydrofuran-2- carboxylate (275 g, 736.7 mmol) in THF (4 L) was added a solution of (R)-(+)-2-methyl-CBS- oxazaborolidine in THF (38.4 g, 138.5 mmol) at 16 °C followed by the dropwise addition of a solution of borane dimethyl sulfide complex (668 mL, 2 M solution in THF, 1.34 mol) over 120 min at 16 °C. The reaction mixture was stirred at 16 °C for 1 h, cooled to 0 °C and 1 N HCl (2 L) was slowly added. MTBE (4 L) was added and the layers were separated. The organic layer was washed with 1 N HCl (2 x 2 L), dried (Na2SO4), filtered, and concentrated in vacuo to afford an orange oil that solidified on standing. The solid was triturated twice with heptane (500 mL), recovered by filtration, and dried in vacuo to afford ethyl (4S,5R)-4-hydroxy-5-methyl-5-(trifluoromethyl)-4,5- dihydrofuran-2-carboxylate (165.5 g, 87%).1H NMR (400 MHz, Chloroform-d) δ 5.99 (d, J = 2.4 Hz, 1H), 4.84 (d, J = 2.7 Hz, 1H), 4.30 (q, J = 7.1 Hz, 2H), 2.43 - 2.05 (br s, 1H), 1.52 (s, 3H), 1.33 (t, J = 7.2 Hz, 3H) ppm. ESI-MS m/z calc.240.061, found 223.0 (M-OH)+; Retention time: 2.20 minutes using LC/MS method E. [0500] Step 4: [0501] 1,8-Bis(dimethylamino)naphthalene (30.9 g, 144 mmol) and trimethyloxonium tetrafluoroborate (15.8 g, 106.8 mmol) were added to a solution of ethyl (4S,5R)-4-hydroxy-5-methyl- 5-(trifluoromethyl)-4,5-dihydrofuran-2-carboxylate (15.09 g, 61.26 mmol) in DCM (300 mL) and the
reaction mixture was stirred at ambient temperature overnight. Additional amounts of 1,8- bis(dimethylamino)naphthalene (6.5 g, 30 mmol) and trimethyloxonium tetrafluoroborate (4.5 g, 30.4 mmol) were added and the mixture was stirred for a further 3 h. The reaction mixture was diluted with MTBE (800 mL) and a 1 M aqueous HCl solution (400 mL), stirred vigorously for 20 min, and then filtered through Celite®, rinsing the filtered cake with MTBE (400 mL). The organic phase was separated and washed with a 1 M aqueous HCl solution (2 x 200 mL) and brine, dried (Na2SO4), filtered, and concentrated in vacuo. Purification by flash chromatography (330 g SiO2, 0 to 30% MTBE in heptane) gave ethyl (4S,5R)-4-methoxy-5-methyl-5-(trifluoromethyl)-4,5-dihydrofuran-2- carboxylate (12.02 g, 77%) as a yellow oil.1H NMR (400 MHz, Chloroform-d) δ 6.07 (d, J = 2.2 Hz, 1H), 4.47 (d, J = 2.4 Hz, 1H), 4.31 (q, J = 7.1 Hz, 2H), 3.44 (s, 3H), 1.58 (s, 3H), 1.34 (t, J = 7.1 Hz, 3H) ppm.19F NMR (376 MHz, Chloroform-d) δ -75.36 (br s, 3F) ppm. ESI-MS m/z calc.254.077, found 223.2 (M-OMe)+; Retention time: 1.85 minutes using LC/MS method S. [0502] Step 5: [0503] To a solution of ethyl (4S,5R)-4-methoxy-5-methyl-5-(trifluoromethyl)-4,5-dihydrofuran- 2-carboxylate (4.26 g, 16.76 mmol) in MeCN (50 mL) was added AgNO3 (1.43 g, 8.42 mmol) followed by NIS (5.68 g, 25.25 mmol). The reaction mixture was heated in the dark at 80 °C for 2 h. Another portion of NIS (2.14 g, 9.51 mmol) was added and the reaction was stirred for 1 h. A further portion of NIS (2.15 g, 9.56 mmol) was added and the reaction mixture was stirred for 3 h. The reaction was cooled to ambient temperature and quenched by addition of a sodium thiosulfate solution (30 mL, 10% w/w aqueous solution). The mixture was extracted with MTBE (3 x 75 mL). The combined organic phases were washed with a saturated NaHCO3 solution (2 x 75 mL) and brine (100 mL), dried (Na2SO4), filtered, and concentrated in vacuo. Purification by flash chromatography (40 g SiO2, 0 to 20% MTBE in heptane) gave ethyl (4R,5R)-3-iodo-4-methoxy-5-methyl-5- (trifluoromethyl)-4,5-dihydrofuran-2-carboxylate (2.88 g, 45%).1H NMR (400 MHz, Chloroform-d) δ 4.38 - 4.29 (m, 3H), 3.62 (s, 3H), 1.61 (s, 3H), 1.37 (t, J = 7.1 Hz, 3H) ppm. ESI-MS m/z calc. 379.973, found 380.9 (M+1)+; Retention time: 1.76 minutes using LC/MS method D. [0504] Step 6: [0505] To a solution of ethyl (4R,5R)-3-iodo-4-methoxy-5-methyl-5-(trifluoromethyl)-4,5- dihydrofuran-2-carboxylate (6.45 g, 16.95 mmol) in 1,4-dioxane (225 mL) and water (25 mL) was added 2-(3,4-difluoro-2-methylphenyl)-4,4,5,5-tetramethyl-1,3,2-dioxaborolane (6 g, 23.6 mmol) followed by K3PO4 (8.9 g, 41.9 mmol). The mixture was sparged with nitrogen for 5 min followed by the addition of Pd(dppf)Cl2.DCM (1.3 g, 1.6 mmol). The reaction mixture was heated at 50 °C for 90 min and partitioned between EtOAc (200 mL) and water (200 mL). The aqueous phase was separated and extracted with EtOAc (2 x 100 mL). The combined organic layers were dried (Na2SO4), filtered, and concentrated in vacuo. Purification by flash chromatography (330 g SiO2, 0 to 10% EtOAc in heptane) gave ethyl (4S,5R)-3-(3,4-difluoro-2-methylphenyl)-4-methoxy-5-methyl-5- (trifluoromethyl)-4,5-dihydrofuran-2-carboxylate (6.05 g, 91%) as a clear oil.1H NMR (400 MHz,
Chloroform-d) δ 7.06 - 6.98 (m, 1H), 6.97 - 6.90 (m, 1H), 4.46 (s, 1H), 4.14 (q, J = 7.2 Hz, 2H), 3.28 (s, 3H), 2.23 (d, J = 2.5 Hz, 3H), 1.71 (s, 3H), 1.11 (t, J = 7.1 Hz, 3H) ppm. ESI-MS m/z calc. 380.105, found 349.2 (M-OMe)+; Retention time: 2.18 minutes using LC/MS method S. [0506] Step 7: [0507] A solution of ethyl (4S,5R)-3-(3,4-difluoro-2-methylphenyl)-4-methoxy-5-methyl-5- (trifluoromethyl)-4,5-dihydrofuran-2-carboxylate (6.05 g, 15.4 mmol) in EtOH (120 mL) was degassed with nitrogen for 15 min followed by the addition of Pd(OH)2 (21.5 g, 20% wt, 50% wet, 15.3 mmol). The reaction mixture was degassed with nitrogen for 10 min and then stirred under a hydrogen pressure (60 psi) at 50 °C for 48 h. The reaction mixture was filtered on Celite®, washing the filtered cake with MeOH (50 mL). The filtrates were concentrated in vacuo. Purification by flash chromatography (220 g SiO2, 0 to 50% MTBE in heptane) gave ethyl (2S,3R,4S,5R)-3-(3,4-difluoro- 2-methylphenyl)-4-methoxy-5-methyl-5-(trifluoromethyl)tetrahydrofuran-2-carboxylate (4.9 g, 83%) as a white solid.1H NMR (400 MHz, Methanol-d4) δ 7.26 - 7.16 (m, 1H), 6.96 (q, J = 9.0 Hz, 1H), 4.96 (d, J = 7.6 Hz, 1H), 4.39 (t, J = 7.7 Hz, 1H), 4.28 (d, J = 7.8 Hz, 1H), 3.88 (qd, J = 7.1, 2.8 Hz, 2H), 3.05 (s, 3H), 2.35 (d, J = 2.4 Hz, 3H), 1.56 (s, 3H), 0.88 (t, J = 7.1 Hz, 3H) ppm.19F NMR (376 MHz, Methanol-d4) δ -75.80 (s, 3F), -142.65 - -143.10 (m, 1F), -143.97 - -144.15 (m, 1F) ppm. ESI- MS m/z calc.382.120, found 383.4 (M+1)+; Retention time: 2.09 minutes using LC/MS method S. [0508] Step 8: [0509] To a solution of ethyl (2S,3R,4S,5R)-3-(3,4-difluoro-2-methylphenyl)-4-methoxy-5- methyl-5-(trifluoromethyl)tetrahydrofuran-2-carboxylate (4.11 g, 10.7 mmol) in THF (80 mL) and water (0.66 mL, 36.6 mmol) at 0 °C was added potassium tert-butoxide (4.11 g, 36.6 mmol) and the reaction mixture was stirred at 0 °C for 15 min. The reaction was quenched by addition of 1 N HCl (100 mL) and extracted with EtOAc (3 x 500 mL). The combined organic layers were dried (Na2SO4), filtered, and concentrated in vacuo. Purification by reverse phase chromatography (C18 column, 5 to 80 % MeCN in water with 0.1 % formic acid) gave (2R,3R,4S,5R)-3-(3,4-difluoro-2-methylphenyl)-4- methoxy-5-methyl-5-(trifluoromethyl)tetrahydrofuran-2-carboxylic acid (Intermediate B, 3.79 g, 98%) as a white gummy oil that crystallized on standing.1H NMR (400 MHz, Chloroform-d) δ 7.24 - 7.16 (m, 1H), 7.09 - 7.00 (m, 1H), 5.03 (d, J = 11.0 Hz, 1H), 3.85 - 3.78 (m, 1H), 3.76 (d, J = 4.9 Hz, 1H), 2.93 (s, 3H), 2.32 (d, J = 2.2 Hz, 3H), 1.59 (s, 3H) ppm; OH acid not observed. ESI-MS m/z calc. 354.089, found 309.1 (M-COOH)+; Retention time: 2.85 minutes using LC/MS method E. [0510] The following intermediate was made using the method described in Intermediate B, except that (3,4-difluoro-2-methoxyphenyl)boronic acid was used as the suzuki coupling partner in step 6:
[0511] The following Intermediates were made using the method described in Intermediate B, except that, in Step 6, different boronic esters were used in place of 2-(3,4-difluoro-2-methylphenyl)- 4,4,5,5-tetramethyl-1,3,2-dioxaborolane and, in the case of C - 25k, the reaction was carried out using Pd(dppf)Cl2 as the catalyst. The conditions used in Step 7 were those of Intermediate C - 25f Step 3 and the reaction was carried out at 0 °C. The conditions used in Step 8 were those of Intermediate C - 25f Step 4 and the LiOH hydrolysis was carried out at 65 °C:
Intermediate C rac-(2R,3S,4S,5R)-3-(3,4-Difluoro-2-methoxyphenyl)-4-methyl-5-(trifluoromethyl)tetrahydrofuran-2- carboxylic acid (Intermediate C)
[0512] Step 1: [0513] A solution of trimethylboroxine (25 g, 50 % w/w solution in THF, 99.6 mmol) and K2CO3 (21.5 g, 155.6 mmol) in water (40 mL) was added to a solution of methyl 4-bromofuran-2- carboxylate (10 g, 48.8 mmol) in 2-MeTHF (200 mL) and the reaction mixture degassed for 10 min. Pd(amphos)Cl2 (1.5 g, 2.1 mmol) was added and the reaction mixture was further degassed for 5 min. The mixture was heated at 60 °C for 4 h before cooling down to ambient temperature. The mixture was filtered through a small pad of Celite®, washing the filter cake with MTBE (200 mL). The layers were separated, and the aqueous phase was extracted with MTBE (2 x 20 mL). The combined organic extracts were dried (Na2SO4), filtered, and carefully concentrated in vacuo (approximately 90 mBar, no heating) to give methyl 4-methylfuran-2-carboxylate (6.836 g, 100%) which was used in the next step without further purification. [0514] Step 2: [0515] LiOH·H2O (12.3 g, 293 mmol) was added to a stirring solution of methyl 4-methylfuran- 2-carboxylate (10 g, 48.8 mmol) in a mixture of THF (40 mL), water (40 mL) and MeOH (10 mL) at ambient temperature. The reaction was stirred for 2 h before MTBE (100 mL) and water (100 mL) were added. The aqueous layer was isolated and treated with a 6 N HCl solution to adjust the pH to approximately 3-4. The acidic layer was extracted with MTBE (2 x 50 mL). The combined organic
extracts were concentrated in vacuo to give 4-methylfuran-2-carboxylic acid (5.5 g, 89%) as an off- white solid.1H NMR (400 MHz, DMSO-d6) δ 12.92 (s, 1H), 7.65 (s, 1H), 7.07 (s, 1H), 2.00 (s, 3H) ppm. [0516] Step 3: [0517] Ru(bpy)3Cl2.6H2O (17 mg, 0.023 mmol), pyridine (288 µL, 3.56 mmol) and triflic anhydride (599 µL, 3.56 mmol) were successively added dropwise over 5 min to a solution of 4- methylfuran-2-carboxylic acid (150 mg, 1.19 mmol) in DCE (25 mL). The mixture was irradiated with blue LEDs for 2 h at ambient temperature stirring at 800 rpm, using a PennPhD Photoreacter m2 (using 450 nm blue LED lights) and an EvoluChemTM PhotoRedOx Box device (using 455 nm blue LED lights) in parallel. This process was repeated in 5 batches and the crude materials were combined for purification. The combined reaction mixtures were washed with 1 M Na2CO3 (2 x 80 mL) and the organic layer was discarded. The combined aqueous phases were acidified to pH 2 using 1 M HCl and extracted with MTBE (2 x 50 mL). The combined organic extracts were washed with brine (20 mL), dried (MgSO4), filtered, and concentrated in vacuo. The residue was redissolved in a small amount of Et2O and slowly triturated by addition of hexanes. The liquid was decanted to afford 4-methyl-5- (trifluoromethyl)furan-2-carboxylic acid (700 mg at 90% purity, 55%) as an off-white solid.1H NMR (400 MHz, DMSO-d6) δ 13.75 (br s, 1H), 7.29 (d, J = 1.2 Hz, 1H), 2.19 (q, J = 2.0 Hz, 3H) ppm. ESI- MS m/z calc.194.019, found 193.3 (M-1)-; Retention time: 0.34 minutes using LC/MS method C. [0518] Step 4: [0519] nBuLi (14 mL, 2.5 M solution in hexanes, 35 mmol) was added to a solution of 4-methyl- 5-(trifluoromethyl)furan-2-carboxylic acid (2.8 g, 14 mmol) in THF (40 mL) at -78 °C. The solution was stirred at -78 °C for 20 min before adding a solution of iodine (3.9 g, 15.4 mmol) in THF (5 mL). The mixture was warmed to ambient temperature, partitioned between MTBE (80 mL) and water (100 mL). The organic layer was discarded. The aqueous layer was acidified to pH 2 with 1 M HCl and extracted with MTBE (2 x 40 mL). The combined extracts were washed with brine (20 mL), dried (MgSO4), filtered, and concentrated in vacuo. Purification by flash chromatography (40 g SiO2, 0 to 100% MTBE in hexanes) gave 3-iodo-4-methyl-5-(trifluoromethyl)furan-2-carboxylic acid (3.1 g, 69%) as an oil. ESI-MS m/z calc.319.916, found 319.3 (M-1)-; Retention time: 0.42 minutes using LC/MS method C. [0520] Step 5: [0521] K2CO3 (276 mg, 2.0 mmol) and EtI (160 µL, 2.0 mmol) were added to a solution of 3- iodo-4-methyl-5-(trifluoromethyl)furan-2-carboxylic acid (300 mg at 71% purity, 0.666 mmol) in DMF (5 mL). The reaction mixture was heated to 50 °C for 2 h. The mixture was cooled to ambient temperature and partitioned between MTBE (40 mL) and water (80 mL). The aqueous phase was separated and extracted with MTBE (30 mL). The combined organic extracts were washed with brine (20 mL), dried (MgSO4), filtered, and concentrated in vacuo. Purification by flash chromatography (80 g SiO2, 0 to 100% EtOAc in petroleum ether) gave ethyl 3-iodo-4-methyl-5-
(trifluoromethyl)furan-2-carboxylate (220 mg at 80% purity, 76%) as an oil.1H NMR (500 MHz, Chloroform-d) δ 4.42 (dq, J = 20.1, 7.1 Hz, 2H), 2.24 - 2.11 (m, 3H), 1.42 (dt, J = 20.2, 7.1 Hz, 3H) ppm. [0522] Step 6: [0523] To a solution of ethyl 3-iodo-4-methyl-5-(trifluoromethyl)furan-2-carboxylate (500 mg at 71% purity, 1.01 mmol) in 1,4-dioxane (2 mL) was added (3,4-difluoro-2-methoxyphenyl)boronic acid (476 mg, 2.53 mmol), Pd(dppf)Cl2·DCM (83 mg, 0.10 mmol) and 2 M aqueous Na2CO3 (2 mL, 4 mmol). The mixture was heated at 80 °C for 1 h before cooling down to ambient temperature. The mixture was partitioned between MTBE (30 mL) and water (30 mL). The aqueous layer was separated and extracted with MTBE (10 mL). The combined organic extracts were washed with brine (20 mL), dried (MgSO4), filtered, and concentrated in vacuo. Purification by flash chromatography (12 g SiO2, 0 to 100% EtOAc in hexanes) gave ethyl 3-(3,4-difluoro-2-methoxyphenyl)-4-methyl-5- (trifluoromethyl)furan-2-carboxylate (330 mg at 80% purity, 71%) as an oil. ESI-MS m/z calc. 364.073, found 365.4 (M+1)+; Retention time: 1.08 minutes using LC/MS method C. [0524] Step 7: [0525] A solution of ethyl 3-(3,4-difluoro-2-methoxyphenyl)-4-methyl-5-(trifluoromethyl)furan- 2-carboxylate (410 mg at 70% purity, 0.788 mmol) in EtOH (2 mL) was passed through a 70 mm Pd(OH)2 (90.5 mg, 0.64 mmol) CatCart® on an H-Cube® at 60 °C and a pressure of hydrogen of 60 bar. The mixture was recirculated for 30 h before being concentrated in vacuo to give ethyl rac- (2S,3S,4S,5R)-3-(3,4-difluoro-2-methoxyphenyl)-4-methyl-5-(trifluoromethyl)tetrahydrofuran-2- carboxylate (300 mg at 75% purity, 58%), which was used without further purification in the next step. ESI-MS m/z calc.368.105, found 369.3 (M+1)+; Retention time: 1.01 minutes using LC/MS method C. [0526] Step 8: [0527] KOtBu (822 mg, 7.33 mmol) was added to a stirring solution of ethyl rac-(2S,3S,4S,5R)- 3-(3,4-difluoro-2-methoxyphenyl)-4-methyl-5-(trifluoromethyl)tetrahydrofuran-2-carboxylate (900 mg at 80% purity, 2.44 mmol) in THF (5 mL) at 0 °C. The reaction mixture was stirred for 30 min before being diluted with MTBE (5 mL) and quenched by addition of 1 M HCl. The aqueous layer was separated and extracted with MTBE (5 mL). The combined organic extracts were dried (MgSO4), filtered, and concentrated in vacuo to give rac-(2R,3S,4S,5R)-3-(3,4-difluoro-2-methoxyphenyl)-4- methyl-5-(trifluoromethyl)tetrahydrofuran-2-carboxylic acid (Intermediate C, 500 mg at 52% purity, 31%) as an oil, which was used without further purification. ESI-MS m/z calc.340.073, found 341.4 (M+1)+; 339.4 (M-1)-; Retention time: 0.54 minutes using LC/MS method C.
Intermediate D rac-(2R,3S,5R)-3-(3,4-Difluoro-2-methoxyphenyl)-5-methyl-5-(trifluoromethyl)tetrahydrofuran-2- carboxylic acid (Intermediate D)
[0528] Step 1: [0529] To a solution of ethyl 2-diazo-3-oxo-butanoate (5.0 g, 31.4 mmol) in DCM (50 mL) at 0 °C was added Et3N (8.05 g, 11.2 mL, 78.8 mmol) followed by TBSOTf (9.24 g, 8.2 mL, 34.3 mmol) slowly. The reaction mixture was stirred at 0 °C for 30 min and washed with a 30% NaHCO3 solution (200 mL) and water (500 mL), dried (MgSO4), filtered, and concentrated in vacuo to give ethyl 3- [tert-butyl(dimethyl)silyl]oxy-2-diazobut-3-enoate (8.22 g, 97%) which was used in the next step without further purification. [0530] Step 2: [0531] A solution of 1,1,1-trifluoropropan-2-one (33.8 g, 27 mL, 301 mmol) in DCM (150 mL) was stirred at -78 °C and TiCl4 (56.8 g, 33 mL, 299 mmol) was added dropwise. The reaction was kept at -78 °C for 10 min before a solution of ethyl 3-((tert-butyldimethylsilyl)oxy)-2-diazobut-3- enoate (64 g, 237 mmol) in DCM (150 mL) was added dropwise. The reaction was kept at -78 °C for 1 h. A saturated solution of NaHCO3 was added and the mixture was diluted with DCM. The organic layer was separated, dried (MgSO4), filtered, and concentrated in vacuo. Purification by flash chromatography (0 to 30% EtOAc in hexane) gave ethyl rac-2-diazo-6,6,6-trifluoro-5-hydroxy-5- methyl-3-oxohexanoate (39 g, 61%) as a pale yellow oil.1H NMR (400 MHz, Chloroform-d) δ 4.92 (s, 1H), 4.32 (q, J = 7.1 Hz, 2H), 3.63 (d, J = 15.5 Hz, 1H), 2.84 (d, J = 15.5 Hz, 1H), 1.41 (s, 3H), 1.33 (t, J = 7.1 Hz, 3H) ppm. [0532] Step 3: [0533] Rhodium (II) acetate (643 mg, 1.45 mmol) was charged into an oven-dried two-necked flask. Toluene (970 mL) was added and the solution was heated at 100 °C for 10 min. The solution
was briefly lifted out of the oil bath while a solution of ethyl rac-2-diazo-6,6,6-trifluoro-5-hydroxy-5- methyl-3-oxohexanoate (39 g, 145.4 mmol) in toluene (200 mL) was added dropwise, and the reaction was heated at reflux for 1 h. The reaction mixture was filtered through filter paper and the filtrate was concentrated in vacuo to give ethyl rac-5-methyl-3-oxo-5-(trifluoromethyl)tetrahydrofuran-2- carboxylate (30.89 g, 88%).1H NMR (400 MHz, Chloroform-d) δ 4.68 (s, 1H), 4.35 - 4.17 (m, 2H), 2.89 (d, J = 18.8, 1H), 2.58 (d, J = 18.8, 1H), 1.70 (s, 3H), 1.30 (t, J = 7.2, Hz, 3H) ppm. [0534] Step 4: [0535] Triflic anhydride (6.0 mL, 35.7 mmol) was added dropwise to a solution of ethyl rac-5- methyl-3-oxo-5-(trifluoromethyl)tetrahydrofuran-2-carboxylate (6.5 g, 27 mmol) and DIPEA (14 mL, 80.4 mmol) in DCM (150 mL) at -78 °C and the reaction was stirred for 2.5 h before saturated aqueous NH4Cl (75 mL) was added. The mixture was warmed to ambient temperature and the layers were separated. The aqueous layer was extracted with DCM (2 x 30 mL). The combined organic extracts were dried (MgSO4), filtered, and concentrated in vacuo to give ethyl rac-5-methyl-5- (trifluoromethyl)-3-(((trifluoromethyl)sulfonyl)oxy)-4,5-dihydrofuran-2-carboxylate (10.1 g, 100%) which was used directly in the next reaction. [0536] Step 5: [0537] To a stirring solution of (3,4-difluoro-2-methoxyphenyl)boronic acid (2.0 g, 10.6 mmol) and ethyl rac-5-methyl-5-(trifluoromethyl)-3-(((trifluoromethyl)sulfonyl)oxy)-4,5-dihydrofuran-2- carboxylate (3 g, 7.90 mmol) in toluene (80 mL) was added K3PO4 (13 mL, 2 M solution in water, 26 mmol). The mixture was degassed with N2 for 20 min before Pd(PPh3)4 (466 mg, 0.40 mmol) was added. The mixture was heated to 100 °C for 1 h. The reaction mixture was filtered through Celite®. The filtrate was diluted with water (50 mL), and the aqueous layer separated and extracted with EtOAc (2 x 50 mL). The combined organic extracts were dried (MgSO4), filtered, and concentrated in vacuo. Purification by flash chromatography (SiO2, 0 to 2% EtOAc in hexanes) gave ethyl rac-3-(3,4- difluoro-2-methoxyphenyl)-5-methyl-5-(trifluoromethyl)-4,5-dihydrofuran-2-carboxylate (2.5 g, 85%) as a light-yellow oil.1H NMR (400 MHz, Chloroform-d) δ 6.87 (pd, J = 8.8, 6.2 Hz, 2H), 4.15 (q, J = 7.1 Hz, 2H), 3.89 (s, 3H), 3.42 (d, J = 17.4 Hz, 1H), 2.93 (d, J = 17.4 Hz,1H), 1.65 (s, 3H), 1.14 (t, J = 7.1 Hz, 3H) ppm. ESI-MS m/z calc.366.089, found 367.2 (M+1)+; Retention time: 2.03 minutes using LC/MS method U. [0538] Step 6: [0539] EtOH (200 mL) was added to ethyl rac-3-(3,4-difluoro-2-methoxyphenyl)-5-methyl-5- (trifluoromethyl)-4,5-dihydrofuran-2-carboxylate (5.51 g, 15.0 mmol) and Pd/C (10 wt % loading, wet, Degussa, 2.2 g, 2.07 mmol). The mixture was degassed and stirred under an atmospheric pressure of H2 for 96 h. The catalyst was removed by filtration and the solid washed with EtOH (50 mL). The filtrates were concentrated in vacuo. A further portion of Pd/C (10 wt % loading, wet, Degussa, 2.2 g, 2.07 mmol) was added to the residue followed by EtOH (200 mL) and the reaction mixture stirred under an atmospheric pressure of H2 at ambient temperature for 24 h. The catalyst was removed by
filtration. The solid was washed with EtOH (50 mL), and the filtrates were concentrated in vacuo. A further portion of Pd/C (10 wt % loading, wet, Degussa, 2.2 g, 2.1 mmol) was added to the residue followed by EtOH (200 mL), and the reaction mixture stirred under an atmospheric pressure of H2 at ambient temperature for 4 days. The catalyst was removed by filtration. The solid was washed with EtOH (50 mL), and the filtrate concentrated in vacuo to give ethyl rac-(2S,3S,5R)-3-(3,4-difluoro-2- methoxyphenyl)-5-methyl-5-(trifluoromethyl)tetrahydrofuran-2-carboxylate (5.19 g, 94%) as a white solid, and as a single diastereomer.1H NMR (500 MHz, Chloroform-d) δ 6.89 - 6.86 (m, 1H), 6.82 - 6.77 (m, 1H), 4.93 (d, J = 8.9 Hz, 1H), 4.23 (dt, J = 13.0, 7.6 Hz, 1H), 4.08 (d, J = 2.9 Hz, 3H), 3.85 - 3.71 (m, 2H), 2.82 (t, J = 12.5 Hz, 1H), 2.04 (dd, J = 12.0, 6.7 Hz, 1H), 1.53 (s, 3H), 0.94 (t, J = 7.1 Hz, 3H) ppm.19F NMR (471 MHz, Chloroform-d) δ -80.15, -136.84 (d, J = 19.4 Hz), -154.77 (d, J = 19.6 Hz) ppm. [0540] Step 7: [0541] Ethyl rac-(2S,3S,5R)-3-(3,4-difluoro-2-methoxy-phenyl)-5-methyl-5- (trifluoromethyl)tetrahydrofuran-2-carboxylate (5.19 g, 14.1 mmol) was dissolved in EtOH (100 mL). Cs2CO3 (7.1 g, 21.8 mmol) was added and the suspension heated at 50 °C for 2 h. The reaction mixture was concentrated in vacuo, and the residue partitioned between 1 M HCl and MTBE. The aqueous layer was separated and extracted with MTBE (x 2). The combined organic extracts were dried (MgSO4), filtered, and concentrated in vacuo to give rac-(2R,3S,5R)-3-(3,4-difluoro-2- methoxyphenyl)-5-methyl-5-(trifluoromethyl)tetrahydrofuran-2-carboxylic acid (Intermediate D, 5.11 g, 96%) as a colourless oil and as a single diastereomer.1H NMR (500 MHz, Chloroform-d) δ 6.99 - 6.96 (m, 1H), 6.92 - 6.87 (m, 1H), 4.68 (d, J = 10.5 Hz, 1H), 4.00 (d, J = 2.7 Hz, 3H), 3.90 (ddd, J = 12.0, 10.6, 8.2 Hz, 1H), 2.58 (t, J = 12.5 Hz, 1H), 2.31 (dd, J = 13.0, 8.2 Hz, 1H), 1.60 (s, 3H) ppm.19F NMR (471 MHz, Chloroform-d) δ -81.56, -136.40 (d, J = 19.6 Hz), -153.60 (d, J = 19.5 Hz) ppm. ESI-MS m/z calc.340.073, found 339.5 (M-1)-; Retention time: 0.52 minutes using LC/MS method C. Intermediate E (R)-4,4,4-Trifluoro-3-hydroxy-3-methylbutan-2-one (Intermediate E)
[0542] Step 1: [0543] A jacketed glass reactor, dried and placed under nitrogen atmosphere, was charged with (R)-3,3,3-trifluoro-2-hydroxy-2-methylpropanoic acid (1.0 kg, 6.33 mol) and diethyl ether (10 L).
Methyllithium lithium bromide complex (3.4 L, 1.5 M solution in Et2O, 5.1 mol) was added slowly with evolution of gas and heat formation. The reactor was cooled to maintain a temperature of approximately 16 °C. Additional MeLi.LiBr (6.1 L, 2.2 M solution in Et2O, 13.4 mol) was added slowly. The mixture was stirred overnight at ambient temperature. The reaction mixture was cooled to 0 °C and poured onto a mixture of water (6 L), ice (2 L) and brine (2 L). The mixture was neutralized by addition of citric acid (1.6 kg, 961 mL, 8.33 mol) and stirred for 30 min. The aqueous phase was separated and extracted with Et2O (2 x 2.5 L). The combined organic layers were concentrated in vacuo to approximately 2 L. The yellow distillate consisted of 0.8 % w/w product. After further distillation, only 25 g of product was recovered from the distillate. The distillation residue was further concentrated in a distillation setup with vigreux (30 cm height) at normal pressure. The distillation was continued at reduced pressure (770 mbar) and the pressure was gradually lowered (until 200 mbar) with the collection flask cooled in ice and a cold trap between pump and setup. Mixed fractions were collected until the distillation temperature reached 71°C. The major fraction (590 g) was then collected until the distillation temperature dropped below 70 °C. The combined mixed fractions were poured in brine and extracted with Et2O (3 x 75 mL). The combined organic layers were dried (Na2SO4), filtered, and concentrated in a distillation setup at normal pressure. The product was distilled at reduced pressure (200 mbar) to give the product as a colourless oil (198 g). The collected mixed fractions were redistilled to afford more product (44.25 g). All portions of product were combined (857 g), dried by addition of K2CO3 (52 g) and left standing for 6 h. The water level dropped below detectable level and the mixture was filtered over a glass filter to give (R)-4,4,4- trifluoro-3-hydroxy-3-methylbutan-2-one (Intermediate E, 815 g, 83%) as a colourless oil (815 g). 1H NMR (300 MHz, Chloroform-d) δ 4.33 (s, 1H), 2.40 (d, J = 1.1 Hz, 3H), 1.57 (d, J = 1.1 Hz, 3H) ppm.19F NMR (282 MHz, Chloroform-d) δ -77.96 ppm. Intermediate F 2-(3-Chloro-2-methoxyphenyl)acetic acid (Intermediate F)
[0544] Step 1: [0545] Chlorotrimethylsilane (1.03 g, 1.2 mL, 9.45 mmol) was added to a slurry of zinc powder (7 g, 107 mmol) in anhydrous THF (100 mL), and the mixture was stirred under argon at 60 °C for 2
h. tert-Butyl 2-bromoacetate (17.2 g, 12.9 mL, 88.0 mmol) was slowly added to the reaction mixture. The mixture was stirred at 60 °C for 1 h, giving a clear solution with a small amount of unreacted zinc dust. In a second flask, a solution of 1-bromo-3-chloro-2-methoxybenzene (15 g, 67.7 mmol), XPhos (1.62 g, 3.408 mmol) and Pd2(dba)3 (1.55 g, 1.69 mmol) in THF (150 mL) was degassed with argon for 10 min before adding the freshly prepared organozincate solution via cannula. The reaction mixture was heated at 60 °C for 2 h, then left to stir at ambient temperature for 16 h. The mixture was quenched by addition of a 10% citric acid solution (60 mL). The mixture was diluted with EtOAc (100 mL). The organic phase was separated, washed with brine (50 mL), dried (Na2SO4), filtered, and concentrated in vacuo to give 2-(3-chloro-2-methoxyphenyl)acetic acid (Intermediate F, 30 g, 99%) as a red solid.1H NMR (400 MHz, Chloroform-d) δ 7.31 (dd, J = 8.0, 1.6 Hz, 1H), 7.15 (dd, J = 7.6, 1.6 Hz, 1H), 7.02 (t, J = 7.8 Hz, 1H), 3.87 (s, 3H), 3.72 (s, 2H) ppm; acid OH not observed. Intermediate G (2R,3S,4S,5R)-3-(3-Chloro-2-methoxyphenyl)-4,5-dimethyl-5-(trifluoromethyl)tetrahydrofuran-2- carboxylic acid (Intermediate G )
[0546] Step 1: [0547] 2-(3-Chloro-2-methoxyphenyl)acetic acid (Intermediate F, 8.17 g, 39.3 mmol), dissolved in MeCN (80 mL) at 40 °C, was added over 5 min to a stirring solution of CDI (7.8 g, 48 mmol) in MeCN (60 mL) at 40 °C. The reaction mixture was stirred for 30 min. (R)-4,4,4-trifluoro-3- hydroxy-3-methylbutan-2-one (Intermediate E, 7.6 g, 48.7 mmol) and K2CO3 (7.34 g, 53.1 mmol) were successively added to the reaction mixture, which was stirred at 60 °C for 16 h. The mixture was filtered and concentrated in vacuo. The residue was dissolved in EtOAc (100 mL), washed with 2 N HCl (100 mL), washed with a saturated aqueous NaHCO3 solution (2 x 30 mL), dried (Na2SO4), filtered, and concentrated in vacuo. Purification by flash chromatography (300 g SiO2, 0 to 90 % EtOAc in heptane) gave (R)-3-(3-chloro-2-methoxyphenyl)-4,5-dimethyl-5-(trifluoromethyl)furan- 2(5H)-one (9 g, 75%) as a white solid.1H NMR (400 MHz, Chloroform-d) δ 7.46 (dd, J = 7.8, 1.8 Hz, 1H), 7.19 (dd, J = 7.8, 1.8 Hz, 1H), 7.14 (t, J = 7.8 Hz, 1H), 3.67 (s, 3H), 2.05 (s, 3H), 1.75 (d, J = 0.9 Hz, 3H) ppm. ESI-MS m/z calc.320.043, found 321.0 (M+1)+; 318.9 (M-1)-; Retention time: 2.74 minutes using LC/MS method J.
[0548] Step 2: [0549] NiCl2.6H2O (2.55 g, 10.7 mmol) was added to a stirred and degassed solution of (R)-3-(3- chloro-2-methoxyphenyl)-4,5-dimethyl-5-(trifluoromethyl)furan-2(5H)-one (3.4 g, 10.4 mmol) in MeOH (100 mL) and THF (30 mL) at -40 ºC. NaBH4 (2 g, 53 mmol) was added portionwise over 30 min and the reaction mixture was stirred at -40 °C. Additional quantities of NiCl2 (1 x 1 eq and 1 x 0.5 eq) and NaBH4 (1 x 5 eq and 1 x 2.5 eq) were added portionwise. Upon reaction completion, the mixture was quenched by addition of a NH4Cl solution (30 mL). The reaction mixture was warmed to ambient temperature and stirred under nitrogen for 15 min. The aqueous phase was separated and extracted with DCM (2 x 100 mL). The combined organic extracts were dried (Na2SO4), filtered, and concentrated in vacuo to give (3S,4S,5R)-3-(3-chloro-2-methoxyphenyl)-4,5-dimethyl-5- (trifluoromethyl)dihydrofuran-2(3H)-one (2.93 g, 72%) as a colourless oil.1H NMR (400 MHz, Chloroform-d) δ 7.36 (dd, J = 7.8, 1.8 Hz, 1H), 7.16 (dd, J = 7.8, 1.8 Hz, 1H), 7.07 (t, J = 7.8 Hz, 1H), 4.57 (d, J = 9.2 Hz, 1H), 3.90 (s, 3H), 2.92 (dd, J = 9.4, 7.6 Hz, 1H), 1.72 (d, J = 0.9 Hz, 3H), 0.81 - 0.78 (m, 3H) ppm. ESI-MS m/z calc.322.058, found 323.0 (M+1)+; Retention time: 2.79 minutes using LC/MS method I. [0550] Step 3: [0551] DIBAL (37 mL, 1 M solution in hexane, 37 mmol) was added dropwise to a stirring solution of (3S,4S,5R)-3-(3-chloro-2-methoxyphenyl)-4,5-dimethyl-5-(trifluoromethyl)dihydrofuran- 2(3H)-one (6.84 g, 14.8 mmol) in DCM (100 mL) at -78 °C. The reaction mixture was stirred at -78 °C for 1 h. The mixture was quenched by addition of 2 N HCl (30 mL) and diluted with DCM (100 mL). The aqueous layer was separated and extracted with DCM (100 mL). The combined organic extracts were washed with 2 N hydrochloric acid (30 mL), dried (Na2SO4), filtered, and concentrated in vacuo to give dia-(2S1,3S*,4S*,5R*)-3-(3-chloro-2-methoxyphenyl)-4,5-dimethyl-5- (trifluoromethyl)tetrahydrofuran-2-ol (5.9 g, 86%) as a colourless oil.1H NMR (400 MHz, Chloroform-d) δ 7.32 - 7.28 (m, 1H), 7.13 (d, J = 7.8 Hz, 1H), 7.03 (t, J = 8.0 Hz, 1H), 5.83 (d, J = 5.0 Hz, 1H), 3.87 - 3.85 (m, 1H), 3.86 (s, 3H), 2.92 - 2.81 (m, 1H), 1.64 - 1.63 (m, 3H), 0.80 (td, J = 4.8, 2.6 Hz, 3H) ppm; alcohol OH not observed. ESI-MS m/z calc.324.074, found 323.0 (M-1)-; Retention time: 2.55 minutes using LC/MS method I. [0552] Step 4: [0553] Ac2O (2.8 g, 2.6 mL, 27.6 mmol) was added to a solution of dia-(2S1,3S*,4S*,5R*)-3-(3- chloro-2-methoxyphenyl)-4,5-dimethyl-5-(trifluoromethyl)tetrahydrofuran-2-ol (5.9 g, 13.6 mmol) and Et3N (2.75 g, 3.8 mL, 27.3 mmol) in DCM (40 mL) at ambient temperature. The reaction mixture was stirred at ambient temperature for 14 h. The mixture was quenched by addition of water (30 mL). The mixture was stirred for 30 min at ambient temperature and diluted with DCM (60 mL). The organic phase was separated, washed with 2 N hydrochloric acid (20 mL), a saturated aqueous NaHCO3 solution (2 x 20 mL) and brine (10 mL), dried (Na2SO4), filtered, and concentrated in vacuo to give dia-(2S1,3S*,4S*,5R*)-3-(3-chloro-2-methoxyphenyl)-4,5-dimethyl-5-
(trifluoromethyl)tetrahydrofuran-2-yl acetate (6.15 g, 92%) as a colourless oil.1H NMR (400 MHz, Chloroform-d) δ 7.32 - 7.27 (m, 1H), 7.24 - 7.19 (m, 1H), 7.05 - 7.01 (m, 1H), 6.58 (d, J = 3.2 Hz, 1H), 4.07 - 4.02 (m, 1H), 3.83 (s, 3H), 2.96 - 2.85 (m, 1H), 2.08 (s, 3H), 1.62 (d, J = 0.9 Hz, 3H), 0.85 - 0.82 (m, 3H) ppm. [0554] Step 5: [0555] TMSCN (3.7 g, 5.1 mL, 37.5 mmol) and BF3·(OEt)2 (5.4 g, 4.7 mL, 38.1 mmol) were successively added to a stirring solution of dia-(2S1,3S*,4S*,5R*)-3-(3-chloro-2-methoxyphenyl)-4,5- dimethyl-5-(trifluoromethyl)tetrahydrofuran-2-yl acetate (6.150 g, 12.576 mmol) in DCM (40 mL) under argon at -78 °C. The reaction mixture was stirred at -78 °C for 1 h and at ambient temperature for 14 h. The mixture was poured over a K2CO3 solution (100 mL) and extracted with DCM (3 x 30 mL). The combined organic extracts were dried (Na2SO4), filtered, and concentrated in vacuo to give dia-(2R1,3S*,4S*,5R*)-3-(3-chloro-2-methoxyphenyl)-4,5-dimethyl-5- (trifluoromethyl)tetrahydrofuran-2-carbonitrile (4.99 g, 78%) as an orange oil.1H NMR (400 MHz, Chloroform-d) δ 7.37 (dd, J = 8.0, 1.6 Hz, 1H), 7.11 - 7.06 (m, 1H), 6.99 - 6.97 (m, 1H), 5.02 (d, J = 10.1 Hz, 1H), 4.29 (dd, J = 10.1, 8.2 Hz, 1H), 3.93 (s, 3H), 2.86 (m, J = 7.8 Hz, 1H), 1.63 (s, 3H), 0.81 - 0.77 (m, 3H) ppm.19F NMR (376 MHz, Chloroform-d) δ -74.5 (s, 3F) ppm. [0556] Step 6: [0557] A stirred mixture of dia-(2R1,3S*,4S*,5R*)-3-(3-chloro-2-methoxyphenyl)-4,5-dimethyl- 5-(trifluoromethyl)tetrahydrofuran-2-carbonitrile (325 mg, 0.730 mmol) and KOH (140 mg, 2.495 mmol) in a mixture of MeOH (5 mL) and water (1 mL) was heated at 55 °C for 14 h. A further amount of KOH (164 mg, 2.92 mmol) was added to the mixture, which was stirred at 60 °C for an additional 8 h. The MeOH was removed in vacuo and the residue was diluted with water (10 mL). The aqueous residue was extracted with MTBE (5 mL), acidified with 6 N HCl (3 mL), and extracted with MTBE (2 x 10 mL). The initial MTBE extracts were discarded. The remaining combined organic extracts were washed with brine (5 mL), dried (Na2SO4), filtered, and concentrated in vacuo to give (2R,3S,4S,5R)-3-(3-chloro-2-methoxyphenyl)-4,5-dimethyl-5-(trifluoromethyl)tetrahydrofuran-2- carboxylic acid (Intermediate G, 265 mg, 87%) as a colourless oil.1H NMR (400 MHz, Chloroform- d) δ 7.32 (dd, J = 8.0, 1.6 Hz, 1H), 7.16 (dd, J = 7.8, 1.4 Hz, 1H), 7.05 (t, J = 7.8 Hz, 1H), 4.94 (d, J = 10.5 Hz, 1H), 4.20 (dd, J = 10.5, 7.8 Hz, 1H), 3.85 (d, J = 5.5 Hz, 3H), 2.76 (td, J = 15.2, 7.6 Hz, 1H), 1.62 (s, 3H), 0.76 (td, J = 4.8, 2.4 Hz, 3H) ppm; acid OH not observed.19F NMR (376 MHz, Chloroform-d) δ -74.4 (s, 3F) ppm. ESI-MS m/z calc.352.069, found 351.0 (M-1)-; Retention time: 2.51 minutes using LC/MS method I. [0558] The following intermediate was made using the methods described in Intermediate G except that 2-(3,4-difluoro-2-methylphenyl)acetic acid was used as the starting material in step 1.
Intermediate H (2R,3S,4S,5R)-3-(3-Fluoro-2-methoxyphenyl)-4,5-dimethyl-5-(trifluoromethyl)tetrahydrofuran-2- carboxylic acid (Intermediate H)
[0559] Step 1: [0560] To THF (100 mL) under argon was added LiAlH4 (2 g, 2.2 mL, 52.7 mmol) portionwise. The mixture was stirred overnight at ambient temperature, then cooled to 0 °C. A solution of (2R,3R)- 4,4,4-trifluoro-3-hydroxy-2,3-dimethylbutanoic acid (5 g, 26.9 mmol) in THF (50 mL) was added dropwise at 0 to 15 °C. On complete addition, the reaction mixture was heated under reflux for 40
min. LiAlH4 (1 g) was added, and the reaction mixture was heated at reflux for 30 min then cooled to 0 °C. A 1:1 mixture of THF and water (50 mL) was added dropwise at 0 to 20 °C.2 M HCl (250 mL) was then added dropwise at 10 to 20 °C. The mixture was extracted with MTBE (3 x 150 mL), and the combined organic extracts were dried (Na2SO4), filtered, and concentrated in vacuo to give (2S,3R)-4,4,4-trifluoro-2,3-dimethylbutane-1,3-diol (4.7 g, 100%) as a pale yellow oil.1H NMR (400 MHz, Chloroform-d) 3.90 (m, 1H), 3.80 (m, 1H), 3.76 (s, 2H), 2.07 (m, 1H), 1.39 (s,3H), 1.03 (m, 3H) ppm. [0561] Step 2: [0562] To a solution of (2S,3R)-4,4,4-trifluoro-2,3-dimethylbutane-1,3-diol (46 g, 265.9 mmol) in pyridine (230 mL) at 0 °C was added TsCl (63.4 g, 332.6 mmol) portionwise at 0 to 5 °C. On complete addition, the mixture was stirred at 0 to 5 °C for 5 h and stored at 10 °C overnight. The mixture was poured onto ice-water (1 L) and extracted with MTBE (2 x 500 mL). The combined organic extracts were washed with a 2 M aqueous HCl solution (2 x 500 mL) and a saturated aqueous CuSO4 solution (500 mL), dried (Na2SO4), filtered, and concentrated in vacuo to give (2S,3R)-4,4,4- trifluoro-3-hydroxy-2,3-dimethylbutyl 4-methylbenzenesulfonate (86.1 g, 98%) as an orange oil, which was used in the next step without further purification.1H NMR (400 MHz, Chloroform-d) 7.77 (m, 2H), 7.35 (m, 2H), 4.26 (m, 1H), 3.90 (m, 1H), 2.45 (s, 3H), 2.21 - 1.98 (m, 2H), 1.34 (s, 3H), 1.07 (m, 3H) ppm. [0563] Step 3: [0564] To a solution of (2S,3R)-4,4,4-trifluoro-3-hydroxy-2,3-dimethylbutyl 4- methylbenzenesulfonate (149.7 g, 458.7 mmol) in DMSO (750 mL) was added NaCN (67.4 g, 1.38 mol), and the reaction mixture was heated at 80 °C overnight. On cooling to ambient temperature, water (2.25 L) was added and the mixture was extracted with MTBE (3 x 1 L). The combined organic extracts were washed with brine (1 L), dried (Na2SO4), and concentrated in vacuo to give (3S,4R)- 5,5,5-trifluoro-4-hydroxy-3,4-dimethylpentanenitrile (85.3 g, 99%) as an orange oil, which was used in the next step without further purification.1H NMR (400 MHz, Chloroform-d) δ 3.22 (br s, 1H), 2.75 (m, 1H), 2.32 - 2.16 (m, 2H), 1.41 (m, 3H), 1.31 (m, 3H) ppm. [0565] Step 4: [0566] To a solution of (3S,4R)-5,5,5-trifluoro-4-hydroxy-3,4-dimethylpentanenitrile (203.1 g, 1.054 mol) in EtOH (1 L) and water (1 L) was added KOH (278.3 g, 4.216 mol). The reaction mixture was heated under reflux overnight. On cooling to ambient temperature, EtOH was removed in vacuo and the resultant aqueous solution was washed with MTBE (2 x 500 mL). The aqueous solution was cooled to 0 °C and acidified to pH 1 at 0 to 10 °C, using 36% aqueous HCl (400 mL). The mixture was extracted with MTBE (2 x 1 L), and the combined organic extracts were washed with brine (500 mL), dried (Na2SO4), filtered, and concentrated in vacuo to give a mixture of (3S,4R)-5,5,5-trifluoro- 4-hydroxy-3,4-dimethylpentanoic acid and (4S,5R)-4,5-dimethyl-5-(trifluoromethyl)dihydrofuran-
2(3H)-one (203 g, 100%) as an orange oil, which was used in the next step without further purification. [0567] Step 5: [0568] A mixture of (3S,4R)-5,5,5-trifluoro-4-hydroxy-3,4-dimethylpentanoic acid and (4S,5R)- 4,5-dimethyl-5-(trifluoromethyl)dihydrofuran-2(3H)-one (49 g, 115.4 mmol), amberlyst 15 (1 g) and toluene (250 mL) was heated under reflux for 2 h using a Dean-Stark apparatus. On cooling the reaction mixture was decanted from the resin and concentrated in vacuo. Vacuum distillation (100 °C, 25 mbar) gave (4S,5R)-4,5-dimethyl-5-(trifluoromethyl)dihydrofuran-2(3H)-one (45 g, 85%) as a colourless oil.1H NMR (400 MHz, Chloroform-d) 2.65 - 2.43 (m, 3H), 1.56 (d, 3H), 1.25 (m, 3H) ppm. [0569] Step 6: [0570] To a solution of DIPA (7.80 g, 10.8 mL, 77.1 mmol) in THF (45 mL) was added nBuLi (40 mL, 1.6 M solution in hexanes, 64 mmol) over 20 min. The reaction was stirred for 5 min at ambient temperature then, cooled to -78 °C. A solution of (4S,5R)-4,5-dimethyl-5- (trifluoromethyl)dihydrofuran-2(3H)-one (9.11 g, 48.2 mmol) in THF (27 mL) was added dropwise over 15 min and the mixture was stirred at -78 °C for 20 min. TMSCl (6.25 g, 7.3 mL, 57.5 mmol) was added dropwise over 5 min and the cooling bath was removed. The reaction mixture was warmed to ambient temperature. After 2 h the mixture was concentrated in vacuo. The residue was dissolved in heptane (60 mL), and the resultant suspension was filtered. The filtrates were concentrated in vacuo to give (((4S,5R)-4,5-dimethyl-5-(trifluoromethyl)-4,5-dihydrofuran-2-yl)oxy)trimethylsilane (12.18 g, 92%) as an orange oil.1H NMR (400 MHz, Chloroform-d) δ 3.53 - 3.51 (m, 1H), 2.83 - 2.76 (m, 1H), 1.35 - 1.34 (m, 3H), 1.02 - 0.98 (m, 3H), 0.10 (s, 9H) ppm.19F NMR (376 MHz, Chloroform-d) δ -76.1 (s, 3F) ppm. [0571] Step 7: [0572] A stirring solution of 1-bromo-3-fluoro-2-methoxybenzene (1.07 g, 5.22 mmol) and (((4S,5R)-4,5-dimethyl-5-(trifluoromethyl)-4,5-dihydrofuran-2-yl)oxy)trimethylsilane (3.48 g, 8.35 mmol) in DMF (25 mL) was purged with argon for 5 min. Zinc fluoride (270 mg, 2.61 mmol) and Pd(tBu3P)2 (134 mg, 0.262 mmol) were sequentially added and the reaction was heated to 80 °C overnight. The mixture was concentrated in vacuo. Purification by flash chromatography (SiO2, 0 to 17% EtOAc in heptane) gave (3R,4S,5R)-3-(3-fluoro-2-methoxyphenyl)-4,5-dimethyl-5- (trifluoromethyl)dihydrofuran-2(3H)-one (1.07 g, 61%) as a yellow oil.1H NMR (400 MHz, Chloroform-d) δ 7.12 - 7.05 (m, 1H), 7.01 - 6.95 (m, 1H), 6.91 - 6.86 (m, 1H), 3.93 (d, J = 2.6 Hz, 3H), 3.57 (d, J = 12.1 Hz, 1H), 2.78 - 2.67 (m, 1H), 1.66 (s, 3H), 1.20 - 1.15 (m, 3H) ppm.19F NMR (376 MHz, Chloroform-d) δ -76.1 (s, 3F), -129.0 (s, 1F) ppm. ESI-MS m/z calc.306.088, found 307.0 (M+1)+; Retention time: 1.04 minutes using LC/MS method P.
[0573] Step 8: [0574] A solution of (3R,4S,5R)-3-(3-fluoro-2-methoxyphenyl)-4,5-dimethyl-5- (trifluoromethyl)dihydrofuran-2(3H)-one (2.4 g, 7.4 mmol) in THF (25 mL) was added dropwise to a stirring solution of LiHMDS (9.93 mL, 1 M solution in THF, 9.93 mmol) under argon at -25 °C. The mixture was warmed to 0 °C and stirred for 1 h, then cooled back down to -25 °C. The solution was added via a cannula to a stirring solution of pivalic acid (7.5 g, 73.4 mmol) in THF (50 mL) cooled to -25 °C under argon. The reaction mixture was stirred for 20 min at -25 °C then MTBE (125 mL) was added, keeping the temperature below -15 °C. The mixture was warmed to 0 °C and 1 M HCl (60 mL) was added, keeping the temperature below 5 °C. NaCl (12 g, 205 mmol) was added and the mixture was warmed to ambient temperature. The organic layer was separated and concentrated in vacuo. The residue was redissolved in MTBE and washed with aqueous NaHCO3, 0.5 M HCl and brine, dried (MgSO4), filtered, and concentrated in vacuo. Purification by flash chromatography (SiO2, 0 to 25% EtOAc in heptane) gave (3S,4S,5R)-3-(3-fluoro-2-methoxyphenyl)-4,5-dimethyl-5- (trifluoromethyl)dihydrofuran-2(3H)-one (1.743 g, 76%) as a colourless oil.1H NMR (400 MHz, Chloroform-d) δ 7.10 - 6.99 (m, 3H), 4.55 (d, J = 9.2 Hz, 1H), 3.97 (d, J = 2.7 Hz, 3H), 2.90 (dt, J = 16.9, 7.6 Hz, 1H), 1.71 (d, J = 0.9 Hz, 3H), 0.82 - 0.79 (m, 3H) ppm. [0575] Steps 9 to 12: [0576] Steps 9 to 12 were carried out using the methods described in Intermediate G except that steps 1 and 2 were omitted:
Intermediate I (2R,3R,4S,5R)-3-(3,4-Difluoro-2-methylphenyl)-4-(methoxymethoxy)-5-methyl-5- (trifluoromethyl)tetrahydrofuran-2-carboxylic acid (Intermediate I)
[0577] Step 1: [0578] NBS (3 g, 16.9 mmol), pyridine (750 µL, 9.27 mmol), and DMAP (150 mg, 1.23 mmol) were added to a solution of ethyl (R)-5-methyl-4-oxo-5-(trifluoromethyl)-4,5-dihydrofuran-2- carboxylate (2 g, 8.4 mmol) in DCM (15 mL) at 0 ºC and the reaction mixture was stirred at ambient temperature for 2 h. The reaction was quenched by addition of a saturated solution of NH4Cl (30 mL). The mixture was extracted with DCM (10 mL), and the organic layer was dried (MgSO4), filtered, and concentrated in vacuo. Purification by flash chromatography (24 g SiO2, 0 to 100% EtOAc in heptane) gave ethyl (R)-3-bromo-5-methyl-4-oxo-5-(trifluoromethyl)-4,5-dihydrofuran-2-carboxylate (2.6 g, 98%).1H NMR (400 MHz, Chloroform-d) δ 4.48 (q, J = 7.2 Hz, 2H), 1.72 (q, J = 0.9 Hz, 3H), 1.45 (t, J = 7.1 Hz, 3H) ppm.19F NMR (376 MHz, Chloroform-d) δ -78.31 ppm. ESI-MS m/z calc. 315.956; Retention time: 0.89 minutes using LC/MS method C. [0579] Step 2: [0580] To a nitrogen-degassed solution of ethyl (R)-3-bromo-5-methyl-4-oxo-5- (trifluoromethyl)-4,5-dihydrofuran-2-carboxylate (1.9 g, 5.99 mmol) in 1,4-dioxane (25 mL) was added 2-(3,4-difluoro-2-methylphenyl)-4,4,5,5-tetramethyl-1,3,2-dioxaborolane (1.8 g, 7.1 mmol), Pd(dppf)Cl2.DCM (250 mg, 0.306 mmol), and K3PO4 (3.8 g, 17.9 mmol). The reaction mixture was heated at 100 ºC for 4 h and partitioned between water (50 mL) and EtOAc (50 mL). The organic layer was separated, dried (MgSO4), filtered, and concentrated in vacuo. Purification by flash chromatography (40 g SiO2, 0 to 100% EtOAc in heptane) gave ethyl (R)-3-(3,4-difluoro-2- methylphenyl)-5-methyl-4-oxo-5-(trifluoromethyl)-4,5-dihydrofuran-2-carboxylate (700 mg, 32%). 1H NMR (400 MHz, Chloroform-d) δ 7.08 - 6.97 (m, 1H), 6.81 (ddd, J = 8.6, 4.8, 1.9 Hz, 1H), 4.29
(q, J = 7.1 Hz, 2H), 2.08 (d, J = 2.6 Hz, 3H), 1.79 - 1.74 (m, 3H), 1.21 (t, J = 7.1 Hz, 3H) ppm.19F NMR (376 MHz, Chloroform-d) δ -78.33, -136.61 (ddd, J = 21.7, 10.2, 5.3 Hz), -139.81 (d, J = 30.1 Hz) ppm. ESI-MS m/z calc.364.073, found 365.2 (M+1)+; Retention time: 1.03 minutes using LC/MS method C. [0581] Step 3: [0582] To a solution of ethyl (R)-3-(3,4-difluoro-2-methylphenyl)-5-methyl-4-oxo-5- (trifluoromethyl)-4,5-dihydrofuran-2-carboxylate (280 mg, 0.769 mmol) in MeOH (7 mL) was added NaBH4 (120 mg, 3.17 mmol) in one portion and the reaction mixture was stirred for 5 min. A saturated NH4Cl solution (20 mL) was added and the mixture was extracted with DCM (2 x 10 mL). The combined organic extracts were dried (MgSO4), filtered, and concentrated in vacuo to give ethyl (2S,3R,4S,5R)-3-(3,4-difluoro-2-methylphenyl)-4-hydroxy-5-methyl-5- (trifluoromethyl)tetrahydrofuran-2-carboxylate (254 mg, 90%).1H NMR (400 MHz, Chloroform-d) δ 7.78 (ddd, J = 9.0, 5.0, 2.0 Hz, 1H), 7.01 - 6.90 (m, 1H), 4.99 (dt, J = 8.8, 0.7 Hz, 1H), 4.50 (dd, J = 12.7, 4.7 Hz, 1H), 4.35 - 4.24 (m, 1H), 4.02 - 3.86 (m, 3H), 2.35 - 2.25 (m, 3H), 1.52 (q, J = 1.2 Hz, 3H), 0.94 (t, J = 7.1 Hz, 3H) ppm.19F NMR (376 MHz, Chloroform-d) δ -73.97, -138.56 (ddd, J = 21.9, 10.5, 5.6 Hz), -139.41 - -139.61 (m) ppm. ESI-MS m/z calc.368.105, found 369.1 (M+1)+; Retention time: 0.90 minutes using LC/MS method C. [0583] Step 4: [0584] To a solution of ethyl (2S,3R,4S,5R)-3-(3,4-difluoro-2-methylphenyl)-4-hydroxy-5- methyl-5-(trifluoromethyl)tetrahydrofuran-2-carboxylate (450 mg, 1.22 mmol) in THF (7 mL) at 0 ºC was added KOtBu, and the reaction mixture was stirred for 5 min. MOMCl (100 µL, 1.32 mmol) was added and the reaction mixture was stirred at 0 ºC for 10 min. The mixture was diluted with DCM (5 mL) and quenched by addition of water (10 mL). The aqueous layer was acidified with a saturated citric acid solution (5 mL) and extracted with DCM (3 x 10 mL). The combined organic extracts were dried (MgSO4), filtered, and concentrated in vacuo. Purification by flash chromatography (24 g SiO2, 0 to 100% EtOAc in heptane) gave (2R,3R,4S,5R)-3-(3,4-difluoro-2-methylphenyl)-4- (methoxymethoxy)-5-methyl-5-(trifluoromethyl)tetrahydrofuran-2-carboxylic acid (Intermediate I, 460 mg, 98%). ESI-MS m/z calc.384.100, found 383.0 (M-1)-; Retention time: 0.52 minutes using LC/MS method C. [0585] The following intermediate was made using the methods described in Intermediate I except that (3,4-difluoro-2-methoxyphenyl)boronic acid was used as the coupling partner in the suzuki coupling, step 2:
Intermediate J (2R,3R,4S,5R)-3-(3,4-Difluoro-2-((methoxymethoxy)methyl)phenyl)-4-methoxy-5-methyl-5- (trifluoromethyl)tetrahydrofuran-2-carboxylic acid (Intermediate J)
[0586] Starting material ethyl (2S,3R,4S,5R)-3-(3,4-difluoro-2- ((methoxymethoxy)methyl)phenyl)-4-hydroxy-5-methyl-5-(trifluoromethyl)tetrahydrofuran-2- carboxylate was made using the methods described in Intermediate I except that step 4 was omitted. (3,4-Difluoro-2-((2-methoxyethoxy)methyl)phenyl)boronic acid was used as the Suzuki coupling partner in step 2. [0587] Step 1: [0588] To a solution of ethyl (2S,3R,4S,5R)-3-(3,4-difluoro-2- ((methoxymethoxy)methyl)phenyl)-4-hydroxy-5-methyl-5-(trifluoromethyl)tetrahydrofuran-2- carboxylate (110 mg, 0.257 mmol) in THF (2 mL) at 0 ºC was added potassium tert-butoxide (115 mg, 1.025 mmol) in one portion, and the reaction mixture was stirred at 0 ºC for 5 min. MeI (100 µl, 1.61 mmol) was then and the reaction mixture was warmed to ambient temperature and stirred for 15 min. The reaction was quenched by addition of water (5 mL) and extracted with DCM (10 mL). The aqueous layer was acidified with a saturated citric acid solution and extracted with DCM (3 x 10 mL). The combined organic extracts were dried (MgSO4), filtered, and concentrated in vacuo to give (2R,3R,4S,5R)-3-(3,4-difluoro-2-((methoxymethoxy)methyl)phenyl)-4-methoxy-5-methyl-5- (trifluoromethyl)tetrahydrofuran-2-carboxylic acid (Intermediate J , 120 mg, 100%). ESI-MS m/z calc.414.110, found 413.2 (M-1)-; Retention time: 0.52 minutes using LC/MS method C.
Intermediate K 4-Benzyloxy-2-chloro-1,6-naphthyridine (Intermediate K)
[0589] Step 1: [0590] A stirring solution of 1,6-naphthyridine-2,4-diol (7.5 g, 44.4 mmol) in POCl3 (82 g, 50 mL, 536 mmol) was heated at 105 °C for 18 h. After cooling to ambient temperature, excess POCl3 was removed in vacuo. The resulting solution was slowly poured onto a stirred mixture of Na2CO3 (152 g), water (400 mL) and EtOAc (400 mL) and stirred at ambient temperature for 30 min. The mixture was allowed to stand for 18 h and the layers were separated. The aqueous layer was extracted with EtOAc (2 x 200 mL). The combined organic extracts were washed with a saturated aqueous NaHCO3 solution (100 mL), water (100 mL) and brine (100 mL), dried (Na2SO4), filtered, and concentrated in vacuo to give 2,4-dichloro-1,6-naphthyridine (7.92 g, 87%) as a light brown solid.1H NMR (400 MHz, DMSO-d6) δ 9.60 - 9.56 (m, 1H), 8.91 (d, J = 5.9 Hz, 1H), 8.14 (s, 1H), 7.95 (dd, J = 5.9, 0.6 Hz, 1H) ppm. ESI-MS m/z calc.197.975, found 199.0 (M+1)+; Retention time: 1.68 minutes using LC/MS method E. [0591] Step 2: [0592] NaH (4.55 g, 60% in mineral oil, 113.8 mmol) was added portionwise to a stirred mixture of 2,4-dichloro-1,6-naphthyridine (20.9 g, 103 mmol) and benzyl alcohol (11.2 g, 10.7 mL, 103 mmol) in a mixture of DMF (200 mL) and 2-MeTHF (200 mL) at 0 °C. The reaction mixture was stirred at 0 °C for 1 h, then at ambient temperature for 70 h. The reaction mixture was poured onto a stirred mixture of 0.1 M aqueous HCl (500 mL) and 2-MeTHF (500 mL). The aqueous layer was separated and extracted with 2-MeTHF (2 x 500 mL). The combined organic extracts were washed with water (100 mL) and brine (100 mL), dried (Na2SO4), filtered, and concentrated in vacuo. Purification by flash chromatography (SiO2, 10 to 50% EtOAc in heptane), followed by trituration of the residue in a 4:1 mixture of MTBE and pentane (40 mL) gave 4-benzyloxy-2-chloro-1,6- naphthyridine (Intermediate K, 10.53 g, 37%) as a white solid.1H NMR (400 MHz, Chloroform-d) δ 9.60 (s, 1H), 8.79 (d, J = 5.9 Hz, 1H), 7.78 - 7.74 (m, 1H), 7.54 - 7.40 (m, 5H), 6.93 (s, 1H), 5.35 (s, 2H) ppm. ESI-MS m/z calc.270.056, found 271.0 (M+1)+; Retention time: 2.56 minutes using LC/MS method E. [0593] The following intermediate was made using the methods described in Intermediate K except that different starting materials were used in place of 1,6-naphthyridine-2,4-diol:
[0594] The following intermediates were made using the methods described in Intermediate K, except that step 1 was omitted and different starting materials were used in step 2 in place of 2,4- dichloro-1,6-naphthyridine:
Intermediate L 4-Benzyloxy-2-chloroquinoline (Intermediate L)
[0595] Step 1: [0596] DIAD (2.19 mL, 11.16 mmol) was slowly added to a solution of 2-chloroquinolin-4-ol (2 g, 11.14 mmol), Ph3P (5.86 g, 22.34 mmol) and benzyl alcohol (2.40 mL, 23.19 mmol) in THF (40 mL) under nitrogen, keeping the temperature below 30 °C. The reaction mixture was stirred at ambient temperature overnight and concentrated in vacuo. Purification by flash chromatography (SiO2, 0 to 100% EtOAc in hexanes then, SiO2, 100% DCM) gave 4-benzyloxy-2-chloroquinoline (Intermediate L, 1.62 g, 54%) as a white solid.1H NMR (400 MHz, Chloroform-d) δ 8.20 (dd, J = 8.4, 1.5 Hz, 1H), 7.96 (d, J = 8.4, 0.9 Hz, 1H), 7.72 (ddd, J = 8.4, 6.9, 1.5 Hz, 1H), 7.54 - 7.38 (m, 6H), 6.83 (s, 1H), 5.29 (s, 2H) ppm. ESI-MS m/z calc.269.060, found 271.0 (M+1)+; Retention time: 0.71 minutes using LC/MS method T. Intermediate M 4-(Benzyloxy)-6-chloroquinoline (Intermediate M)
[0597] Step 1: [0598] 6-Chloroquinolin-4-ol (1 g, 5.6 mmol) was added to a mixture of benzyl bromide (700 µL, 5.89 mmol) and K2CO3 (1.2 g, 8.7 mmol) in DMF (5.0 mL) and the reaction mixture was heated at 70 °C for 2 h. The mixture was concentrated in vacuo. Purification by flash chromatography (40 g SiO2, 0 to 100% EtOAc in hexanes, then 95% EtOAc in MeOH) gave 4-(benzyloxy)-6- chloroquinoline (Intermediate M, 151 mg, 10%)(ESI-MS m/z calc.269.060, found 270.0 (M+1)+; Retention time: 0.50 minutes using LC/MS method T) and 1-benzyl-6-chloroquinolin-4(1H)-one (916 mg, 61%)(ESI-MS m/z calc.269.060, found 270.0 (M+1)+; Retention time: 0.49 minutes using LC/MS method T). [0599] The following intermediate was made using methods similar to those described in Intermediate M except that 6-methoxy-1,5-naphthyridin-4-ol was used as the starting material in step 1 in place of 6-chloroquinolin-4-ol:
Intermediate N 2,4-Dichloroquinoline-5-carbonitrile (Intermediate N)
[0600] Step 1: [0601] mCPBA (1.36 g, 5.52 mmol) was added to a solution of 4-chloroquinoline-5-carbonitrile (840 mg, 4.45 mmol) in DCM (12 mL) and the reaction mixture was stirred at ambient temperature for 2 h. The reaction was quenched by addition of a saturated NaHCO3 solution. The aqueous layer was separated and extracted with DCM (3 x). The combined organic phases were dried (MgSO4), filtered and concentrated in vacuo to give 4-chloro-5-cyanoquinoline 1-oxide (910 mg, 100%), which was used without further purification in the next step. ESI-MS m/z calc.204.009, found 205.0 (M+1)+; Retention time: 0.31 minutes using LC/MS method T. [0602] Step 2: [0603] A solution of 4-chloro-5-cyanoquinoline 1-oxide (900 mg, 4.40 mmol) in POCl3 (4 mL, 43 mmol) was heated at 50 °C for 4 h. The reaction mixture was cooled to ambient temperature and poured on ice, causing a precipitate to crash out of solution. The solid was filtered, washed with water, dissolved in DCM and washed with a saturated NaHCO3 solution (2 x). The organic layer was dried (MgSO4), filtered and concentrated in vacuo. Purification by flash chromatography (SiO2, 0 to 20% EtOAc in hexanes) gave 2,4-dichloroquinoline-5-carbonitrile (Int-N, 680 mg, 69%). ESI-MS m/z calc.221.975, found 223.0 (M+1)+; Retention time: 0.59 minutes using LC/MS method T. Intermediate O 2-(3,4-Difluoro-2-(2-methoxyethoxy)phenyl)-4,4,5,5-tetramethyl-1,3,2-dioxaborolane (Intermediate O)
[0604] Step 1: [0605] 1-Chloro-2-methoxy-ethane (5.3 mL, 58 mmol) was added to a stirred suspension of 6- bromo-2,3-difluorophenol (8.5 g, 40.7 mmol) and Cs2CO3 (35 g, 107.4 mmol) in DMF (100 mL) and the reaction mixture was heated at 90 °C for 30 h. The reaction was cooled to 0 °C and quenched by addition of water (50 mL). The aqueous layer was separated and extracted with EtOAc (3 x). The combined organic layers were washed with brine (3 x), dried (MgSO4), filtered and concentrated in vacuo. Purification by flash chromatography (SiO2, 0 to 10% EtOAc in hexanes) gave 1-bromo-3,4- difluoro-2-(2-methoxyethoxy)benzene (9.57 g, 88%).1H NMR (400 MHz, Chloroform-d) δ 7.30 - 7.23 (m, 1H), 6.87 - 6.77 (m, 1H), 4.35 - 4.26 (m, 2H), 3.80 - 3.73 (m, 2H), 3.45 (s, 3H) ppm. ESI-MS m/z calc.265.975, found 267.0 (M+1)+; Retention time: 1.21 minutes using LC/MS method D. [0606] Step 2: [0607] Pd(dppf)Cl2.DCM (610 mg, 0.747 mmol) was added to a stirred mixture of 1-bromo-3,4- difluoro-2-(2-methoxyethoxy)benzene (2 g, 7.5 mmol), (Bpin)2 (2.8 g, 11 mmol) and KOAc (1.85 g, 18.7 mmol) in 1,4-dioxane (20 mL) and the reaction mixture was degassed (vacuum / nitrogen cycles x 3), sealed and heated at 100 °C for 16 h. The reaction was cooled to ambient temperature, filtered through a pad of Celite® and the mother liquors were concentrated in vacuo. Purification by flash chromatography (SiO2, 0 to 5% EtOAc in hexanes) gave 2-(3,4-difluoro-2-(2- methoxyethoxy)phenyl)-4,4,5,5-tetramethyl-1,3,2-dioxaborolane (Int-O, 1.7 g, 72%). ESI-MS m/z calc.314.150, found 315.2 (M+1)+; Retention time: 0.72 minutes using LC/MS method T. [0608] The following intermediates were made using methods similar to those described in Intermediate O except that step 1 was omitted and different starting materials were used in step 2 in place of 1-bromo-3,4-difluoro-2-(2-methoxyethoxy)benzene. In the case of tert-butyl((2,3-difluoro-6- (4,4,5,5-tetramethyl-1,3,2-dioxaborolan-2-yl)benzyl)oxy)dimethylsilane, step 2 was carried out at 80 °C in 2-MeTHF as the solvent. In the case of 2-(3-chloro-4-fluoro-2-methylphenyl)-4,4,5,5- tetramethyl-1,3,2-dioxaborolane, the reaction was carried out at 90 °C:
Intermediate P ((6-Bromo-2,3-difluorobenzyl)oxy)(tert-butyl)dimethylsilane (Intermediate P)
[0609] Step 1: [0610] A solution of TBSCl (2.03 g, 13.5 mmol) in DCM (10 mL) was slowly added to a stirred mixture of (6-bromo-2,3-difluorophenyl)methanol (2 g, 9.0 mmol) and imidazole (1.23 g, 18.1 mmol) in DCM (28 mL) at 0 °C and the reaction mixture was stirred at ambient temperature for 3 h. The mixture was washed with a 1 M aqueous HCl solution and brine, dried (Na2SO4), filtered and concentrated in vacuo. Purification by flash chromatography (SiO2, 0 to 20% EtOAc in hexanes) gave ((6-bromo-2,3-difluorobenzyl)oxy)(tert-butyl)dimethylsilane (Int-P, 2.730 g, 90%) as colourless oil. 1H NMR (400 MHz, Chloroform-d) δ 7.31 (ddd, J = 9.0, 4.4, 2.1 Hz, 1H), 7.06 - 6.96 (m, 1H), 4.82 (d, J = 2.5 Hz, 2H), 0.91 (s, 9H), 0.12 (s, 6H) ppm. Intermediate Q 4-Bromo-7-fluoro-1,3-dihydroisobenzofuran (Intermediate Q)
[0611] Step 1: [0612] A solution of NaNO2 (1.66 g, 23.7 mmol) in water (20 mL) was added dropwise to a solution of 7-bromo-1,3-dihydroisobenzofuran-4-amine (5 g, 21.5 mmol) in a mixture of concentrated HCl (40 mL) and water (100 mL) at -10 °C and the reaction mixture was stirred at 0 °C for 30 min. HPF6 (12.4 g, 12.5 mL, 60 % w/w solution in water, 50.9 mmol) was added in one portion and the mixture was stirred at 0 °C for 1 h. The resulting precipitate was filtered, washed successively with water (50 mL), a 4:1 mixture of Et2O and MeOH (50 mL) and Et2O (50 mL). The residue was dried in vacuo at 40 °C then at 150 °C for 90 min. The residue was partitioned between DCM and a saturated NaHCO3 solution. The organic phase was separated, washed with brine, dried (MgSO4), filtered and concentrated in vacuo. Purification by flash chromatography (SiO2, 0 to 3 % EtOAc in heptane) gave
4-bromo-7-fluoro-1,3-dihydroisobenzofuran (Int-Q, 1.67 g, 34%) as a pale cream solid.1H NMR (400 MHz, Chloroform-d) δ 7.34 (dd, J = 8.5, 3.9 Hz, 1H), 6.86 (t, J = 1.0 Hz, 1H), 5.25 (s, 2H), 5.10 - 5.05 (m, 2H) ppm. Intermediate R (3,4-Difluoro-2-(2-methoxyethoxy)phenyl)boronic acid (Intermediate R)
[0613] Step 1: [0614] nBuLi (4.8 mL, 2.5 M solution in hexanes, 12 mmol) was added dropwise to a stirring solution of 1-bromo-3,4-difluoro-2-(2-methoxyethoxy)benzene (2.9 g, 10.9 mmol) in THF (30 mL) at -78 °C and the reaction mixture was stirred at-78 °C for 30 min. B(OMe)3 (1.36 mL, 12.0 mmol) was added rapidly and the mixture was stirred at -78 °C for 30 min, then at ambient temperature for 1 h. The reaction was partitioned between a 1 N aqueous HCl solution (20 mL) and EtOAc (30 mL). The organic layer was separated, washed with brine (2 x), dried (MgSO4), filtered and concentrated in vacuo to give (3,4-difluoro-2-(2-methoxyethoxy)phenyl)boronic acid (Int-R, 2.0 g, 79%), which was used without further purification in the next step. [0615] The following intermediates were made using methods similar to those described in Intermediate R except that 2-isopropoxy-4,4,5,5-tetramethyl-1,3,2-dioxaborolane was used in place of trimethyl borate:
Intermediate C - 12 rac-(3S,4R)-4-(3,4-Difluoro-2-methoxyphenyl)-6,6-dimethyltetrahydro-2H-pyran-3-carboxylic acid (Intermediate C - 12)
[0616] Step 1: [0617] In a sealed tube, nitrogen was passed through a stirred mixture of methyl 6,6-dimethyl-4- (((trifluoromethyl)sulfonyl)oxy)-5,6-dihydro-2H-pyran-3-carboxylate (1.7 g, 5.3 mmol), (3,4- difluoro-2-methoxyphenyl)boronic acid (1.3 g, 6.9 mmol) and Na2CO3 (1.42 g, 13.4 mmol) in a mixture of toluene (20 mL), MeOH (2 mL) and water (2 mL) for 5 min and Pd(PPh3)4 (332 mg, 0.287 mmol) was added. The tube was sealed and stirred at 80 °C overnight. The reaction was cooled to ambient temperature, diluted with water (50 mL) and extracted with EtOAc (3 x 50 mL). The combined organic extracts were washed with brine (50 mL), dried (Na2SO4), filtered and concentrated in vacuo. Purification by flash chromatography (SiO2, 0 to 20% EtOAc in heptane) gave methyl 4- (3,4-difluoro-2-methoxyphenyl)-6,6-dimethyl-5,6-dihydro-2H-pyran-3-carboxylate (1.44 g, 87%) as a light yellow oil.1H NMR (400 MHz, Chloroform-d) δ 6.87 (ddd, J = 9.6, 8.7, 7.3 Hz, 1H), 6.70 (ddd, J = 8.5, 5.9, 2.2 Hz, 1H), 4.50 (t, J = 2.6 Hz, 2H), 3.91 (d, J = 2.0 Hz, 3H), 3.57 (s, 3H), 2.34 - 2.28 (m, 2H), 1.33 (s, 6H) ppm. ESI-MS m/z calc.312.117, found 313.1 (M+1)+; Retention time: 2.26 minutes using LC/MS method S. [0618] Step 2: [0619] Magnesium powder (428 mg, 17.6 mmol) was added portionwise to a solution of methyl 4-(3,4-difluoro-2-methoxyphenyl)-6,6-dimethyl-5,6-dihydro-2H-pyran-3-carboxylate (545 mg, 1.75 mmol) in MeOH (15 mL) and the reaction mixture was stirred at ambient temperature overnight. The mixture was diluted with MeOH, filtered over a pad of Celite®, washing the filtered cake with MeOH (30 mL). The filtrate was collected and concentrated in vacuo. The residue was diluted with 3 N aqueous HCl (50 mL) and extracted with MTBE (3 x 30 mL). The combined organic extracts were washed with brine (30 mL), dried (Na2SO4), filtered and concentrated in vacuo to give methyl rac-4- (3,4-difluoro-2-methoxyphenyl)-6,6-dimethyltetrahydro-2H-pyran-3-carboxylate (480 mg, 80%) as a clear oil, which was used without further purification in the next step. ESI-MS m/z calc.314.133, found 315.2 (M+1)+; Retention time: 2.19 minutes using LC/MS method S.
[0620] Step 3: [0621] LiOH.H2O (515 mg, 12.3 mmol) was added to a stirred solution of methyl rac-4-(3,4- difluoro-2-methoxyphenyl)-6,6-dimethyltetrahydro-2H-pyran-3-carboxylate (1.06 g, 2.40 mmol) in a mixture of MeOH (15 mL) and water (5 mL) and the reaction stirred at 70 °C overnight. The mixture was cooled to ambient temperature and concentrated in vacuo. The residue was partitioned between 1 N aqueous HCl (50 mL) and EtOAc (30 mL). The aqueous phase was separated and extracted with EtOAc (2 x 30 mL). The combined organic extracts were washed with brine (20 mL), dried (Na2SO4), filtered and concentrated in vacuo. Purification by reverse phase chromatography (C18 column, 5 to 50% MeCN in water with 0.1% formic acid) gave rac-(3S,4R)-4-(3,4-difluoro-2-methoxyphenyl)-6,6- dimethyltetrahydro-2H-pyran-3-carboxylic acid (C - 12, 598 mg, 82%) as a clear foam.1H NMR (400 MHz, Chloroform-d) δ 6.94 - 6.79 (m, 2H), 4.09 - 4.00 (m, 1H), 3.97 (d, J = 2.0 Hz, 3H), 3.84 (t, J = 11.2 Hz, 1H), 3.61 (td, J = 12.3, 4.0 Hz, 1H), 2.98 (td, J = 11.4, 4.6 Hz, 1H), 1.69 - 1.61 (m, 1H), 1.58 - 1.49 (m, 1H), 1.38 (s, 3H), 1.27 (s, 3H) ppm; exchangeable H not observed. ESI-MS m/z calc. 300.117, found 301.1 (M+1)+; Retention time: 2.07 minutes using LC/MS method S. Intermediate C - 14 rac-(7S,8R)-8-(3,4-Difluoro-2-methoxyphenyl)-5-oxaspiro[3.5]nonane-7-carboxylic acid (Intermediate C - 14)
[0622] Step 1: [0623] Under a nitrogen atmosphere, NaH (2.7 g, 60% in mineral oil, 67.5 mmol) was added portionwise to a stirred mixture of 5-oxaspiro[3.5]nonan-8-one (4.6 g, 32.8 mmol) and dimethyl carbonate (12 mL, 142 mmol) in 1,4-dioxane (65 mL) at 0 °C and the reaction mixture was stirred at 70 °C for 16 h. The mixture was cooled to ambient temperature, quenched by addition of 1 N aqueous HCl solution (210 mL) and extracted with EtOAc (3 x). The combined organic extracts were washed with brine, dried (Na2SO4), filtered and concentrated in vacuo. Purification by flash chromatography (SiO2, 0 to 50% EtOAc in hexanes) gave methyl rac-8-oxo-5-oxaspiro[3.5]nonane-7-carboxylate (2.35 g, 36%). ESI-MS m/z calc.198.089, found 199.1 (M+1)+; Retention time: 0.54 minutes using LC/MS method T.
[0624] Step 2: [0625] Tf2O (2.3 mL, 13.3 mmol) was added dropwise over 5 min to a stirring solution of methyl rac-8-oxo-5-oxaspiro[3.5]nonane-7-carboxylate (2.35 g, 11.9 mmol) and DIPEA (5.2 mL, 30.4 mmol) in DCM (25 mL) at 0 °C and the reaction mixture was stirred for 1 h. The reaction was quenched by addition of water (100 mL). The organic phase was separated, dried (MgSO4), filtered and concentrated in vacuo. Purification by flash chromatography (SiO2, 0 to 10% EtOAc in hexanes) gave methyl 8-(((trifluoromethyl)sulfonyl)oxy)-5-oxaspiro[3.5]non-7-ene-7-carboxylate (3.22 g, 82%).1H NMR (400 MHz, Chloroform-d) δ 4.43 (t, J = 2.7 Hz, 2H), 3.81 (s, 3H), 2.58 (t, J = 2.7 Hz, 2H), 2.27 - 2.15 (m, 2H), 2.03 - 1.92 (m, 2H), 1.96 - 1.82 (m, 1H), 1.80 - 1.64 (m, 1H) ppm. ESI-MS m/z calc. 330.038, found 331.2 (M+1)+; Retention time: 1.75 minutes using LC/MS method D. [0626] Step 3: [0627] In a vial, nitrogen gas was bubbled through a mixture of methyl 8- (((trifluoromethyl)sulfonyl)oxy)-5-oxaspiro[3.5]non-7-ene-7-carboxylate (3.22 g, 9.75 mmol), PdCl2(PPh3)2 (75 mg, 0.11 mmol) and (3,4-difluoro-2-methoxyphenyl)boronic acid (2.1 g, 11.2 mmol) in a mixture of 1,4-dioxane (25 mL) and a saturated aqueous NaHCO3 solution (20 mL) for 5 min. The vial was sealed and the reaction mixture was stirred at 65 °C for 1 h. The mixture was cooled to ambient temperature and partitioned between a 20% solution of EtOAc in hexanes (100 mL) and water (100 mL). The organic layer was separated, dried (MgSO4), filtered and concentrated in vacuo. Purification by flash chromatography (SiO2, 10 to 75% DCM in hexanes) gave methyl 8-(3,4- difluoro-2-methoxyphenyl)-5-oxaspiro[3.5]non-7-ene-7-carboxylate (3.15 g, 100%).1H NMR (400 MHz, Chloroform-d) δ 6.85 (ddd, J = 9.7, 8.7, 7.2 Hz, 1H), 6.68 (ddd, J = 8.6, 5.7, 2.2 Hz, 1H), 4.46 (t, J = 2.6 Hz, 2H), 3.89 (d, J = 1.9 Hz, 3H), 3.53 (s, 3H), 2.51 (s, 2H), 2.28 - 2.16 (m, 2H), 2.03 - 1.93 (m, 2H), 1.93 - 1.80 (m, 1H), 1.77 - 1.63 (m, 1H) ppm. ESI-MS m/z calc.324.117, found 325.3 (M+1)+; Retention time: 1.83 minutes using LC/MS method D. [0628] Step 4: [0629] Methyl 8-(3,4-difluoro-2-methoxyphenyl)-5-oxaspiro[3.5]non-7-ene-7-carboxylate (3.150 g, 9.713 mmol) was treated via the method described in Intermediate C - 12 Step 2 to give methyl 8- (3,4-difluoro-2-methoxyphenyl)-5-oxaspiro[3.5]nonane-7-carboxylate as a crude mixture of syn and anti diastereomers, which was used without further purification in the next step. ESI-MS m/z calc. 326.133, found 327.4 (M+1)+; Retention time: 1.83 minutes using LC/MS method D. [0630] Step 5: [0631] KOtBu (1.9 g, 16.9 mmol) was added in one portion to a solution of a mixture of syn and anti diastereomers of methyl 8-(3,4-difluoro-2-methoxyphenyl)-5-oxaspiro[3.5]nonane-7-carboxylate in EtOH (20 mL) at ambient temperature and the reaction mixture was stirred at ambient temperature for 18 h. The reaction was quenched by addition of 1 M HCl and extracted with EtOAc (3 x). The combined organic extracts were dried (MgSO4), filtered and concentrated in vacuo. Purification by flash chromatography (SiO2, 0 to 70% EtOAc in hexanes) gave rac-(7S,8R)-8-(3,4-difluoro-2-
methoxyphenyl)-5-oxaspiro[3.5]nonane-7-carboxylic acid (C - 14, 1.24 g, 33% over 2 steps).1H NMR (400 MHz, Chloroform-d) δ 10.50 (s, 1H), 6.87 - 6.78 (m, 2H), 3.99 (dd, J = 11.3, 4.3 Hz, 1H), 3.94 (d, J = 1.9 Hz, 3H), 3.62 - 3.54 (m, 1H), 3.45 - 3.36 (m, 1H), 2.99 - 2.91 (m, 1H), 2.21 - 2.12 (m, 2H), 2.12 - 2.05 (m, 1H), 1.93 (dd, J = 13.2, 3.8 Hz, 1H), 1.90 - 1.77 (m, 2H), 1.65 - 1.54 (m, 2H) ppm. ESI-MS m/z calc.312.117, found 313.3 (M+1)+; Retention time: 2.26 minutes using LC/MS method D. [0632] The following Intermediates were made using methods similar to those described in Intermediate C - 14 except that steps 1 and 2 were omitted. In step 3, ethyl (R)-6-methyl-6- (trifluoromethyl)-4-(((trifluoromethyl)sulfonyl)oxy)-5,6-dihydro-2H-pyran-3-carboxylate and different boronic acids or boronic esters were respectively used as starting materials in place of methyl 8-(((trifluoromethyl)sulfonyl)oxy)-5-oxaspiro[3.5]non-7-ene-7-carboxylate and (3,4-difluoro- 2-methoxyphenyl)boronic acid and the reaction was carried out at 50 °C. In the case of Intermediate C - 20l, step 3 was respectively carried out at 60°C. The conditions used in step 5 were those of Intermediate C - 19a step 8. In the case of Intermediate C - 20d, step 5 was carried out at 50 °C:
[0633] The following Intermediates were made using methods similar to those described in Intermediate C - 14 except that steps 1 and 2 were omitted. In step 3, ethyl rac-(4R,5R)-4,5-dimethyl- 5-(trifluoromethyl)-3-(((trifluoromethyl)sulfonyl)oxy)-4,5-dihydrofuran-2-carboxylate and different boronic acids or boronic esters were respectively used as starting materials in place of methyl 8- (((trifluoromethyl)sulfonyl)oxy)-5-oxaspiro[3.5]non-7-ene-7-carboxylate and (3,4-difluoro-2- methoxyphenyl)boronic acid. In the case of C - 25b and C - 25d, the reaction was carried out at 50 °C. In step 4, in the case of C - 25g and C - 25i, the reaction was carried out at 65 °C. The conditions used in step 5 were those of Intermediate C - 19a step 8. In the case of Intermediates C - 25g and C - 25i, step 5 was respectively carried out at 75 °C and 65 °C:
[0634] The following Intermediates were made using methods similar to those described in Intermediate C - 14 except that steps 1 and 2 were omitted. In step 3, ethyl (R)-6-methyl-6- (trifluoromethyl)-4-(((trifluoromethyl)sulfonyl)oxy)-5,6-dihydro-2H-pyran-3-carboxylate and different Suzuki boronic acids or boronic esters were respectively used as starting materials in place of methyl 8-(((trifluoromethyl)sulfonyl)oxy)-5-oxaspiro[3.5]non-7-ene-7-carboxylate and (3,4- difluoro-2-methoxyphenyl)boronic acid and the reaction was carried out at 50 °C. The conditions used in step 5 were those of Intermediate C - 19a step 8:
Intermediate C - 19a dia-(3S1,4R1,5R*,6R*)-4-(3,4-difluoro-2-methoxyphenyl)-5,6-dimethyl-6-(trifluoromethyl)tetrahydro- 2H-pyran-3-carboxylic acid (Intermediate C - 19a)
[0635] Step 1: [0636] MgCl2 (3.79 g, 39.8 mmol) was added to a suspension of potassium 3-ethoxy-3- oxopropanoate (5.71 g, 33.6 mmol) in MeCN (61 mL) at ambient temperature and the reaction mixture was stirred for 15 min. Et3N (5.2 g, 7.1 mL, 51 mmol) was added dropwise and the suspension was stirred at ambient temperature for 1h. In a separate flask, CDI (2.88 g, 17.8 mmol) was added in 3 portions every 20 min to a solution of (2R,3R)-4,4,4-trifluoro-3-hydroxy-2,3- dimethylbutanoic acid (3.14 g, 15.9 mmol) in MeCN (9 mL) and the reaction mixture was stirred at ambient temperature for 1 h. The resulting solution was added dropwise to the above prepared suspension of magnesium salt at ambient temperature and the suspension was stirred at ambient
temperature for 27 h. The reaction was cooled to 0 °C and the mixture was partitioned between 2 N HCl (70 mL) and DCM (35 mL). The aqueous phase was separated and extracted with DCM (2 x 50 mL). The combined organic extracts were washed with a saturated aqueous NaHCO3 solution (17 mL) and water (34 mL), dried (Na2SO4), filtered and concentrated in vacuo to give ethyl (4R,5R)-6,6,6- trifluoro-5-hydroxy-4,5-dimethyl-3-oxohexanoate (3.18 g, 74%) as a light yellow oil, which was used in the next step without further purification.1H NMR (400 MHz, DMSO-d6) δ 6.28 (s, 1H), 4.13 - 4.05 (m, 2H), 3.81 - 3.74 (m, 1H), 3.60 - 3.55 (m, 1H), 3.02 (q, J = 7.0 Hz, 1H), 1.33 - 1.25 (m, 3H), 1.21 - 1.09 (m, 6H) ppm. ESI-MS m/z calc.256.092, found 257.2 (M+1)+; Retention time: 1.89 minutes using LC/MS method S. [0637] Step 2: [0638] A mixture of N,N-dimethylformamide dimethyl acetal (1.75 g, 1.95 mL, 14.7 mmol) and ethyl (4R,5R)-6,6,6-trifluoro-5-hydroxy-4,5-dimethyl-3-oxohexanoate (3.18 g, 11.8 mmol) was stirred at ambient temperature overnight. The reaction mixture was concentrated in vacuo and coevaporated with toluene (3 x 20 mL) to give ethyl (4R,5R)-2-((dimethylamino)methylene)-6,6,6-trifluoro-5- hydroxy-4,5-dimethyl-3-oxohexanoate (4.06 g, 100%) as a mixture of E- and Z-stereoisomers, which was used without further purification in the next step.1H NMR (400 MHz, Chloroform-d) δ 7.78 (s, 0.5H), 7.67 (s, 0.5H), 4.28 - 4.19 (m, 2H), 3.29 (s, 6H), 2.97 - 2.87 (m, 2H), 1.40 - 1.22 (m, 9H) ppm. ESI-MS m/z calc.311.134, found 312.2 (M+1)+; Retention time: 1.95 minutes using LC/MS method S. [0639] Step 3: [0640] Amberlyst® 15 (6.4 g, 20.4 mmol), washed with a 1:1 mixture of MeCN and water (100 mL) before use, was added to a solution of ethyl (4R,5R)-2-((dimethylamino)methylene)-6,6,6- trifluoro-5-hydroxy-4,5-dimethyl-3-oxohexanoate (4.06 g, 12.3 mmol) in a mixture of MeCN (60 mL) and water (15 mL) and the reaction mixture was stirred at ambient temperature for 19 h. MeCN was removed in vacuo and the mixture was partitioned between EtOAc (100 mL) and water (100 mL). The aqueous phase was separated and extracted with EtOAc (2 x 100 mL). The combined organic extracts were dried (Na2SO4), filtered and concentrated in vacuo. Purification by flash chromatography (SiO2, 0 to 25 % EtOAc in heptane) gave ethyl dia-(2R*,3S1)-2,3-dimethyl-4-oxo-2-(trifluoromethyl)-3,4- dihydro-2H-pyran-5-carboxylate (1.68 g, 47%) as a 1:1 mixture of diastereomers and, as an orange oil.1H NMR (400 MHz, Chloroform-d) δ 8.17 (s, 0.3H), 8.16 (s, 0.7H), 4.27 (q, J = 7.2 Hz, 2H), 3.03 (q, J = 7.0 Hz, 0.7H), 2.75 (q, J = 7.2 Hz, 0.3H), 1.64 (d, J = 1.0 Hz, 1H), 1.49 (d, J = 0.7 Hz, 2H), 1.35 - 1.22 (m, 6H) ppm. ESI-MS m/z calc.266.077, found 267.2 (M+1)+; Retention time: 2.05 minutes using LC/MS method S. [0641] Step 4: [0642] A solution of ethyl dia-(2R*,3S1)-2,3-dimethyl-4-oxo-2-(trifluoromethyl)-3,4-dihydro-2H- pyran-5-carboxylate (1.68 g, 5.84 mmol) in EtOH (20 mL) was added to a stirred and degassed suspension of Pd(OH)2 (435 mg, 0.310 mmol) in EtOH (60 mL) and the reaction was degassed by
bubbling nitrogen gas through the mixture for 5 min. The reaction was stirred under an atmospheric pressure of hydrogen for 3 days at ambient temperature. The suspension was carefully filtered over a pad of Celite®, washing the filtered cake with EtOH (3 x 50 mL). The filtrate was concentrated in vacuo to give ethyl dia-(5R1,6R*)-4-hydroxy-5,6-dimethyl-6-(trifluoromethyl)-5,6-dihydro-2H-pyran- 3-carboxylate (1.56 g, 95%) as a 1:1 mixture of diastereomers and as a yellow oil, which was used without further purification in the next step.1H NMR (400 MHz, Chloroform-d) δ 12.11 (s, 0.67H), 11.96 (s, 0.33H), 4.48 - 4.32 (m, 1H), 4.28 - 4.16 (m, 3H), 2.86 - 2.77 (m, 0.67H), 2.38 (q, J = 6.8 Hz, 0.33H), 1.44 (d, J = 1.1 Hz, 1H), 1.35 (d, J = 1.0 Hz, 2H), 1.33 - 1.22 (m, 6H) ppm. ESI-MS m/z calc. 268.092, found 269.2 (M+1)+; Retention time: 2.09 minutes using LC/MS method S. [0643] Step 5: [0644] A solution of Tf2O (2.7 g, 1.6 mL, 9.5 mmol) in DCM (27 mL) was added dropwise to a stirring solution of ethyl dia-(5R1,6R*)-4-hydroxy-5,6-dimethyl-6-(trifluoromethyl)-5,6-dihydro-2H- pyran-3-carboxylate (1.56 g, 5.53 mmol) and DIPEA (1.93 g, 2.6 mL, 14.9 mmol) in DCM (54 mL) at 0 °C and the reaction mixture was stirred for 17 h at ambient temperature. The mixture was diluted with DCM (50 mL) and quenched by addition of a saturated aqueous NaHCO3 solution (50 mL) and water (50 mL). The aqueous layer was separated and extracted with DCM (2 x 50 mL). The combined organic extracts were dried (Na2SO4), filtered and concentrated in vacuo. Purification by flash chromatography (SiO2, 0 to 15 % EtOAc in heptane) gave: [0645] First Eluting Isomer: ethyl (5S,6R)-5,6-dimethyl-6-(trifluoromethyl)-4- (((trifluoromethyl)sulfonyl)oxy)-5,6-dihydro-2H-pyran-3-carboxylate (1.03 g, 45%) as a light yellow oil.1H NMR (400 MHz, Chloroform-d) δ 4.69 - 4.59 (m, 1H), 4.50 - 4.41 (m, 1H), 4.37 - 4.22 (m, 2H), 2.83 (qt, J = 7.1, 2.4 Hz, 1H), 1.38 (d, J = 0.9 Hz, 3H), 1.33 (t, J = 7.2 Hz, 3H), 1.26 (d, J = 7.1 Hz, 3H) ppm. ESI-MS m/z calc.400.042, found 401.1 (M+1)+; Retention time: 2.38 minutes using LC/MS method S. [0646] Second Eluting Isomer: ethyl (5R,6R)-5,6-dimethyl-6-(trifluoromethyl)-4- (((trifluoromethyl)sulfonyl)oxy)-5,6-dihydro-2H-pyran-3-carboxylate (496 mg, 22%) as a light yellow oil.1H NMR (400 MHz, Chloroform-d) δ 4.68 - 4.60 (m, 1H), 4.50 - 4.43 (m, 1H), 4.37 - 4.24 (m, 2H), 2.51 - 2.42 (m, 1H), 1.48 (d, J = 1.0 Hz, 3H), 1.37 - 1.29 (m, 6H) ppm. ESI-MS m/z calc. 400.042, found 401.1 (M+1)+; Retention time: 2.40 minutes using LC/MS method S. [0647] Step 6 to 8: [0648] Ethyl (5S,6R)-5,6-dimethyl-6-(trifluoromethyl)-4-(((trifluoromethyl)sulfonyl)oxy)-5,6- dihydro-2H-pyran-3-carboxylate (First Eluting Isomer, 1.03 g, 2.48 mmol) and (3,4-difluoro-2- methoxyphenyl)boronic acid (617 mg, 3.28 mmol) were treated via the method described in Intermediate C - 12 steps 1 to 3, except that in step 8 the reaction was carried out in the presence of a mixture of MeOH, THF and water as the solvent system. After purification by reverse phase chromatography (C18 column, 2.5 to 95% MeCN in water with 0.1% formic acid), dia- (3S1,4R1,5R*,6R*)-4-(3,4-difluoro-2-methoxyphenyl)-5,6-dimethyl-6-(trifluoromethyl)tetrahydro-2H-
pyran-3-carboxylic acid (C - 19a, 260 mg, 48%) was obtained as a colourless oil.1H NMR (400 MHz, Chloroform-d) δ 6.93 - 6.71 (m, 2H), 4.17 - 4.08 (m, 1H), 4.03 (br dd, J = 10.8, 1.4 Hz, 0.5H), 3.97 (d, J = 2.0 Hz, 1.5H), 3.95 - 3.88 (m, 1.5H), 3.87 - 3.78 (m, 0.5H), 3.58 - 3.46 (m, 0.5H), 3.31 - 3.19 (m, 0.5H), 3.01 - 2.89 (m, 0.5H), 2.83 - 2.69 (m, 0.5H), 2.37 - 2.27 (m, 0.5H), 2.11 - 2.01 (m, 0.5H), 1.32 - 1.18 (m, 3H), 0.75 (d, J = 7.2 Hz, 1.5H), 0.67 (br d, J = 6.5 Hz, 1.5H) ppm; exchangeable H not observed. [0649] The following Intermediate was made using methods similar to those described in Intermediate C - 19a, except that ethyl (5R,6R)-5,6-dimethyl-6-(trifluoromethyl)-4- (((trifluoromethyl)sulfonyl)oxy)-5,6-dihydro-2H-pyran-3-carboxylate (Second Eluting Isomer formed in step 5) was used as the starting material in step 6:
[0650] The following Intermediate was made using methods similar to those described in Intermediate C - 19a, except that, in step 1, (R)-4,4,4-trifluoro-3-hydroxy-3-methylbutanoic acid was used as the starting material in place of (2R,3R)-4,4,4-trifluoro-3-hydroxy-2,3-dimethylbutanoic acid. In step 6, 2-(7-fluoro-2,3-dihydro-1H-inden-4-yl)-4,4,5,5-tetramethyl-1,3,2-dioxaborolane was used as the Suzuki coupling partner in place of (3,4-difluoro-2-methoxyphenyl)boronic acid and the reaction was carried out in absence of MeOH:
[0651] The following Intermediate was made using methods similar to those described in Intermediate C - 19a except that steps 1 to 5 were omitted. In step 6, ethyl (R)-6-methyl-6- (trifluoromethyl)-4-(((trifluoromethyl)sulfonyl)oxy)-5,6-dihydro-2H-pyran-3-carboxylate and boronic acid or ester were respectively used as starting materials in place of methyl 8- (((trifluoromethyl)sulfonyl)oxy)-5-oxaspiro[3.5]non-7-ene-7-carboxylate and (3,4-difluoro-2- methoxyphenyl)boronic acid. The conditions used in step 6 were those of Intermediate C - 20a step 6. In the case of C - 20x, the reaction was carried out at 50 °C. In the case of C - 20v, the reaction was carried out at 65 °C:
[0652] The following Intermediate was made using methods similar to those described in Intermediate C - 19a except that steps 1 to 5 were omitted. In step 6, ethyl rac-(4R,5R)-4,5-dimethyl- 5-(trifluoromethyl)-3-(((trifluoromethyl)sulfonyl)oxy)-4,5-dihydrofuran-2-carboxylate and (2,4- difluoro-3-methylphenyl)boronic acid were respectively used as starting materials in place of methyl 8-(((trifluoromethyl)sulfonyl)oxy)-5-oxaspiro[3.5]non-7-ene-7-carboxylate and (3,4-difluoro-2- methoxyphenyl)boronic acid. The conditions used in step 6 were those of Intermediate A step 5 and the reaction was carried out at 110 °C. In step 7, the reaction was carried out at 0 °C:
Intermediate C - 20a (3S,4R,6R)-4-(3,4-Difluoro-2-methoxyphenyl)-6-methyl-6-(trifluoromethyl)tetrahydro-2H-pyran-3- carboxylic acid (Intermediate C - 20a)
[0653] Step 1: [0654] A solution of (R)-4,4,4-trifluoro-3-hydroxy-3-methyl-butanoic acid (25 g, 145 mmol) in THF (150 mL) was treated with CDI (30 g, 185 mmol) and the solution was stirred for 5 h under argon atmosphere. In a separate flask, a suspension of potassium 3-ethoxy-3-oxopropanoate (30 g, 176 mmol) in MeCN (150 mL) was treated with MgCl2 (17 g, 179 mmol) and the mixture stirred for 20 min. Pyridine (27.4 g, 28 mL, 346 mmol) was added and the white suspension stirred for 4 h. The above prepared activated acid solution was then added to the magnesium salt suspension and the mixture stirred overnight. The mixture was treated with a solution of 10% aqueous citric acid (300 mL) and concentrated to remove the acetonitrile. The remaining aqueous residue was extracted with EtOAc (800 mL) and then dried (Na2SO4), filtered and concentrated to afford a clear oil. The oil was redissolved in EtOAc (800 mL) and washed with saturated aqueous sodium bicarbonate solution (300 mL), dried (Na2SO4), filtered and concentrated in vacuo. Purification by flash chromatography (SiO2, 10 to 20% EtOAc in hexane) gave ethyl (R)-6,6,6-trifluoro-5-hydroxy-5-methyl-3-oxo-hexanoate (28 g, 80%).1H NMR (400 MHz, Chloroform-d) δ 4.43 (s, 1H), 4.20 (q, J = 7.1 Hz, 2H), 3.55 - 3.46 (m, 2H), 3.09 (d, J = 16.9 Hz, 1H), 2.74 (d, J = 16.9 Hz, 1H), 1.42 (s, 3H), 1.28 (t, J = 7.1 Hz, 3H) ppm. [0655] Step 2: [0656] To ethyl (R)-6,6,6-trifluoro-5-hydroxy-5-methyl-3-oxo-hexanoate (30.1 g, 124.3 mmol) was added N,N-dimethylformamide dimethyl acetal (17.9 g, 20 mL, 151 mmol). The mixture was stirred for 1 h, then diluted with toluene (50 mL) and concentrated in vacuo. The residue was co- evaporated twice with additional toluene (2 x 50 mL) to obtain ethyl (R)-2-
(dimethylaminomethylene)-6,6,6-trifluoro-5-hydroxy-5-methyl-3-oxo-hexanoate (39.21 g, 106%) as a mixture of E- and Z-stereoisomers, which was used without further purification in the next step.1H NMR (300 MHz, Chloroform-d) δ 8.25 (s, 0.2H), 7.94 (s, 0.3H), 7.81 (s, 0.7H), 6.45 (s, 0.7H), 4.32 – 4.03 (m, 3H), 3.39 (d, J = 14.9 Hz, 0.7H), 3.34 – 3.09 (m, 7H), 2.90 (s, 2.5H), 2.78 (d, J = 15.6 Hz, 1H), 2.56 (d, J = 14.9 Hz, 0.6H), 1.69 (s, 0.6H), 1.39 (d, J = 1.3 Hz, 4H), 1.29 (dt, J = 16.9, 7.1 Hz, 4H) ppm. [0657] Step 3: [0658] To a stirring solution of ethyl (R)-2-(dimethylaminomethylene)-6,6,6-trifluoro-5- hydroxy-5-methyl-3-oxo-hexanoate (22.92 g, 77.10 mmol) in a mixture of MeCN (800 mL) and water (200 mL) was added Amberlyst® 15 (28 g, washed with 1:1 MeCN/water). The mixture was stirred at ambient temperature for 17 h. Additional washed Amberlyst® 15 (12 g) was added and the mixture stirred for 3 h. The mixture was then filtered and concentrated in vacuo. Purification through a plug of silica (700 mL silica, eluting sequentially with heptanes/EtOAc: 90:10 (1 L), 80:20 (6 L), and 70:30 (2 L) resulted in two fractions. The first fraction (7.9 g) was repurified using flash chromatography (SiO2330 g, heptanes/EtOAc) to provide 1.43 g of desired compound. This material was combined with the second fraction to afford ethyl (R)-2-methyl-4-oxo-2-(trifluoromethyl)-3,4-dihydro-2H- pyran-5-carboxylate (9.66 g, 45%).1H NMR (300 MHz, Chloroform-d) δ 8.19 (s, 1H), 4.27 (q, J = 7.1 Hz, 2H), 3.00 (d, J = 16.2 Hz, 1H), 2.63 (d, J = 16.2 Hz, 1H), 1.60 (s, 3H), 1.32 (t, J = 7.1 Hz, 3H) ppm. [0659] Step 4: [0660] In a round-bottomed flask, nitrogen was bubbled through a solution of ethyl (R)-2- methyl-4-oxo-2-(trifluoromethyl)-3,4-dihydro-2H-pyran-5-carboxylate (17.92 g, 41.92 mmol) in EtOH (40 mL) for 5 min. In a separate three-necked flask, nitrogen was bubbled through a suspension of Pd(OH)2 (1.47 g, 20% w/w, 2.09 mmol) in EtOH (130 mL) for 10 min. The solution of ethyl (2R)-2-methyl-4-oxo-2-(trifluoromethyl)-3H-pyran-5-carboxylate in EtOH was then added to the suspension of Pd(OH)2 in EtOH. The mixture was bubbled with nitrogen for 5 minutes, then stirred under atmospheric pressure of hydrogen for 18 h at 20 °C. The suspension was carefully filtered over a pad of Celite®, rinsed with EtOH, and concentrated in vacuo. Purification by flash chromatography (SiO2330 g, heptane/EtOAc) provided ethyl (R)-4-hydroxy-6-methyl-6- (trifluoromethyl)-5,6-dihydro-2H-pyran-3-carboxylate (7.75 g, 73%).1H NMR (300 MHz, Chloroform-d) δ 11.86 (s, 1H), 4.46 (ddt, J = 14.5, 1.8, 0.9 Hz, 1H), 4.37 – 4.13 (m, 3H), 2.71 (d, J = 17.8 Hz, 1H), 2.21 (d, J = 16.5 Hz, 1H), 1.43 (s, 3H), 1.30 (t, J = 7.1 Hz, 3H) ppm.19F NMR (282 MHz, Chloroform-d) δ -83.01 ppm. [0661] Step 5: [0662] To a stirring solution of ethyl (R)-4-hydroxy-6-methyl-6-(trifluoromethyl)-5,6-dihydro- 2H-pyran-3-carboxylate (41 g, 161 mmol) in DCM (400 mL) at 0 °C was added DIPEA (70 mL, 409 mmol) followed by the dropwise addition of trifluoromethanesulfonic anhydride (31 mL, 180 mmol)
over 15 min. The mixture was stirred at this temperature for 1 h, then diluted with water (100 mL). The organic layer was separated and washed with 10% aqueous citric acid and water, dried (MgSO4), filtered and concentrated in vacuo. Purification by flash chromatography (SiO2, 0 to 70% DCM in hexanes) provided ethyl (R)-6-methyl-6-(trifluoromethyl)-4-(((trifluoromethyl)sulfonyl)oxy)-5,6- dihydro-2H-pyran-3-carboxylate (61 g, 98%).1H NMR (400 MHz, Chloroform-d) δ 4.72 - 4.62 (m, 1H), 4.49 (dt, J= 17.0, 3.0 Hz, 1H), 4.32 (q, J= 7.1 Hz, 2H), 2.84 (dt, J= 17.9, 3.2 Hz, 1H), 2.32 (dt, J= 17.9, 2.2 Hz, 1H), 1.47 (s, 3H), 1.34 (t, J= 7.1 Hz, 3H). ESI-MS m/z calc.386.026, found 387.2 (M+1)+; Retention time: 1.97 minutes using method D. [0663] Step 6: [0664] Ethyl (R)-6-methyl-6-(trifluoromethyl)-4-(((trifluoromethyl)sulfonyl)oxy)-5,6-dihydro- 2H-pyran-3-carboxylate (30 g, 77.7 mmol) and (3,4-difluoro-2-methoxy-phenyl)boronic acid (17.52 g, 93.22 mmol) were dissolved in dioxane (300 mL), followed by addition of saturated aqueous NaHCO3 (84 mL). Nitrogen was bubbled through the mixture for 15 min. PdCl2(PPh3)2 (3.28 g, 4.67 mmol) was added and the mixture was heated at 75 °C for 30 min. A mixture of 20% EtOAc in hexanes (150 mL) and water (150 mL) were added and the mixture filtered to removed insoluble solids. The phases were separated and the organic phase was dried (MgSO4), filtered and concentrated to give a red oil (32.6 g). DCM (50 mL) was added to the crude material, then hexanes (450 mL) was added and stirred at room temperature overnight. The resulting precipitate was removed by filtration and rinsed with 10% DCM/hexanes, then the filtrate was concentrated to give a red oil (31.5 g). Purification by flash chromatography (SiO2, 10 to 75% DCM in hexanes) gave ethyl (R)-4-(3,4- difluoro-2-methoxyphenyl)-6-methyl-6-(trifluoromethyl)-5,6-dihydro-2H-pyran-3-carboxylate (29.20 g, 99%).1H NMR (400 MHz, Chloroform-d) δ 6.92 - 6.80 (m, 1H), 6.76 - 6.66 (m, 1H), 4.67 (d, J = 17.1 Hz, 1H), 4.50 (dt, J = 17.1, 3.0 Hz, 1H), 3.99 (q, J = 7.1 Hz, 2H), 3.92 (d, J = 2.1 Hz, 3H), 2.90 - 2.57 (m, 1H), 2.41 - 2.12 (m, 1H), 1.49 (s, 3H), 1.02 (t, J = 7.1 Hz, 3H) ppm. ESI-MS m/z calc. 380.105, found 381.5 (M+1)+; Retention time: 2.90 minutes using LC/MS method Q. [0665] Steps 7 and 8: [0666] Under a nitrogen atmosphere, 5% Pd/C (60.4 g, 50% wet, Johnson Matthey A503032-5, 14.2 mmol) was added to a solution of ethyl (R)-4-(3,4-difluoro-2-methoxyphenyl)-6-methyl-6- (trifluoromethyl)-5,6-dihydro-2H-pyran-3-carboxylate (77.1 g, 202.7 mmol) in EtOH (771 mL) and the reaction mixture was stirred under a pressure of 2 bar of hydrogen gas for 30 h. The mixture was filtered through a pad of Celite® and the filtrate concentrated in vacuo to give ethyl (3R,4R,6R)-4-(3,4- difluoro-2-methoxyphenyl)-6-methyl-6-(trifluoromethyl)tetrahydro-2H-pyran-3-carboxylate (76.9 g, 99%) as the major syn diastereomer and as a colourless oil. [0667] KOtBu (38.7 g, 344.9 mmol) was added to a stirring solution of ethyl (3R,4R,6R)-4-(3,4- difluoro-2-methoxyphenyl)-6-methyl-6-(trifluoromethyl)tetrahydro-2H-pyran-3-carboxylate (76.9 g, 201.1 mmol) in EtOH (463 mL) cooled to 0 °C and the reaction mixture stirred at ambient temperature for 3 days. A solution of LiOH.H2O (25.6 g, 610 mmol) in water (463 mL) was added and the mixture
was stirred at ambient temperature for 24 h. The majority of the EtOH was removed in vacuo and the mixture was diluted MTBE (600 mL). The mixture was quenched by addition of HCl (609 mL, 2 M aqueous solution, 1.22 mol) while keeping the temperature between 8 and 22 °C. The organic phase was separated, washed with brine, dried (MgSO4), filtered and concentrated in vacuo. Purification by recrystallisation from MTBE and heptane gave (3S,4R,6R)-4-(3,4-difluoro-2-methoxyphenyl)-6- methyl-6-(trifluoromethyl)tetrahydro-2H-pyran-3-carboxylic acid (C - 20a, 56.4 g, 79%).1H NMR (400 MHz, Chloroform-d) δ 10.55 (s, 1H), 6.96 - 6.73 (m, 2H), 4.16 (dd, J = 11.8, 4.7 Hz, 1H), 3.96 (d, J = 2.3 Hz, 3H), 3.90 - 3.76 (m, 1H), 3.66 - 3.49 (m, 1H), 3.13 - 2.95 (m, 1H), 1.87 (t, J = 13.2 Hz, 1H), 1.70 (dd, J = 13.4, 4.0 Hz, 1H), 1.54 (s, 3H) ppm. ESI-MS m/z calc.354.089, found 355.4 (M+1)+; Retention time: 2.39 minutes using LC/MS method Q. Intermediate C - 20b (3S,4R,6R)-4-(3,4-Difluoro-2-methylphenyl)-6-methyl-6-(trifluoromethyl)tetrahydro-2H-pyran-3- carboxylic acid (Intermediate C - 20b)
[0668] Step 1: [0669] A suspension of ethyl (R)-6-methyl-6-(trifluoromethyl)-4- (((trifluoromethyl)sulfonyl)oxy)-5,6-dihydro-2H-pyran-3-carboxylate (35.17 g, 91.05 mmol) and (3,4- difluoro-2-methyl-phenyl)boronic acid (18.79 g, 109.3 mmol; described in Step 5 of Intermediate C – 20a) in dioxane (352 mL) was treated with saturated aqueous NaHCO3 (99 mL) then nitrogen bubbled through the mixture for 15 min. PdCl2(PPh3)2 (3.84 g, 5.47 mmol) was added and the mixture heated at 75 °C for 45 min. EtOAc (18 mL), hexanes (158 mL) and water (175 mL) were added and the phases separated. The organic phase was dried (MgSO4), filtered and concentrated. DCM (59 mL) was added to the crude material, then hexanes (525 mL) was added and the mixture stirred at room temperature overnight. The resulting precipitate was removed by filtration, rinsed with 10% DCM/hexanes and the filtrate concentrated. Purification by flash chromatography (SiO2, 10 to 75% DCM in hexanes) gave ethyl (R)-4-(3,4-difluoro-2-methylphenyl)-6-methyl-6-(trifluoromethyl)-5,6- dihydro-2H-pyran-3-carboxylate (31.1 g, 91%).1H NMR (400 MHz, Chloroform-d) δ 7.06 - 6.91 (m, 1H), 6.76 - 6.60 (m, 1H), 4.76 - 4.59 (m, 1H), 4.52 (tt, J= 17.2, 3.0 Hz, 1H), 4.03 - 3.88 (m, 2H), 2.75
- 2.62 (m, 1H), 2.27 - 2.06 (m, 4H), 1.50 (d, J= 1.2 Hz, 3H), 1.04 - 0.90 (m, 3H). ESI-MS m/z calc. 364.110, found 365.4 (M+1)+; Retention time: 2.96 minutes using LC/MS method Q. [0670] Steps 2 and 3: [0671] A mixture of ethyl (R)-4-(3,4-difluoro-2-methylphenyl)-6-methyl-6-(trifluoromethyl)-5,6- dihydro-2H-pyran-3-carboxylate (13.0 g, 34.7 mmol) and 20% Pd(OH)2 (4.79 g of 7.2 % w/w wet, 2.46 mmol) in ethanol (130 mL) was stirred at room temperature under hydrogen at 120 psi for 5 d. The mixture was filtered and the filtrate concentrated to a volume of ~130 mL. The resulting solution was cooled to 0 °C, then treated with KOtBu (6.64 g, 59.2 mmol) and stirred at ambient temperature for 17 h. A solution of LiOH.H2O (4.39 g, 104.6 mmol) in water (79 mL) was then added and the mixture stirred for 24 h. The majority of the ethanol was removed under reduced pressure at 45 °C (leaving some water still in the flask), then MTBE (100 mL) was added. Aqueous HCl (105 mL of 2 M, 210 mmol) was added while maintaining the temperature between 10 °C and 25 °C. The organic layer was separated and washed with brine, dried (MgSO4), filtered and then concentrated. Purification by recrystallisation from MTBE and heptane provided (3S,4R,6R)-4-(3,4-difluoro-2- methylphenyl)-6-methyl-6-(trifluoromethyl)tetrahydro-2H-pyran-3-carboxylic acid (C - 20b, 9.56 g, 78% yield).1H NMR (400 MHz, DMSO-d6) δ 12.47 (s, 1H), 7.28 - 7.15 (m, 2H), 4.11 (dd, J = 11.6, 4.7 Hz, 1H), 3.79 (t, J = 11.2 Hz, 1H), 3.44 (td, J = 11.9, 4.4 Hz, 1H), 3.00 (td, J = 11.1, 4.7 Hz, 1H), 2.30 (s, 3H), 1.80 - 1.60 (m, 2H), 1.52 (s, 3H). ESI-MS m/z calc.338.094, found 339.4 (M+1)+; Retention time: 2.39 minutes using LC/MS method Q. [0672] The following Intermediates were made using methods similar to those described in Intermediate C - 20a except that, in step 6, different boronic acids were used as starting materials in place of (3,4-difluoro-2-methoxyphenyl)boronic acid. The conditions used for the Suzuki coupling step 6 were those of Intermediate C - 14 step 3. In the case of Intermediate C - 20m and C - 20t, the Suzuki step 6 was respectively carried out at 50 and 40 °C. In step 7, the reaction was carried out at atmospheric pressure in the case of Intermediate C - 20m. In the case of Intermediate C - 20t, step 7 was carried out in EtOAc as the solvent and with an atmospheric pressure of hydrogen. In the case of C - 20t, step 8 was carried out in MeOH as the organic solvent:
[0673] The following Intermediate was made using methods similar to those described in Intermediate C - 20a except that, in step 1, (4-fluoro-2-methylphenyl)boronic acid was used as the starting material in place of (3,4-difluoro-2-methoxyphenyl)boronic acid. The conditions used for the Suzuki coupling step 1 were those of Intermediate C - 14 step 3 and the reaction was carried out at 80 °C. The conditions used for the reduction step 2 were those of Intermediate C - 14 step 4:
Intermediate C - 25f rac-(2R,3S,4S,5R)-3-(5-Fluoropyridin-2-yl)-4,5-dimethyl-5-(trifluoromethyl)tetrahydrofuran-2- carboxylic acid (Intermediate C - 25f)
[0674] Step 1: [0675] A solution of ethyl rac-(4R,5R)-4,5-dimethyl-5-(trifluoromethyl)-3- (((trifluoromethyl)sulfonyl)oxy)-4,5-dihydrofuran-2-carboxylate (42 g, 108.7 mmol) in 1,4-dioxane (500 mL) was stirred, degassed (vacuum / nitrogen cycles x 3) and put under a nitrogen atmosphere. KOAc (32 g, 326.1 mmol) and (Bpin)2 (32 g, 126.0 mmol) were successively added and the reaction mixture was degassed (vacuum / nitrogen cycles x 3). Pd(dppf)Cl2 (4 g, 5.467 mmol) was added and
the mixture was heated at 80 °C for 20 h. The reaction mixture was cooled to ambient temperature and partitioned between EtOAc (300 mL) and water (100 mL). The mixture was filtered through a pad of Celite®, washing with EtOAc (5 x 100 mL) until no more product came off. The filtrated phases were separated. The aqueous layer was extracted with EtOAc (100 mL x 2). The combined organic layers were passed through a Whatmann phase separation filter paper. The filtrates were concentrated in vacuo to give 47 g of a brown oil. Purification by flash chromatography (Florisil, 100% heptane) gave ethyl rac-(4S,5R)-4,5-dimethyl-3-(4,4,5,5-tetramethyl-1,3,2-dioxaborolan-2-yl)-5-(trifluoromethyl)- 4,5-dihydrofuran-2-carboxylate (47 g, 95%) as a thick viscous yellow oil.1H NMR (500 MHz, Chloroform-d) δ 4.33 - 4.23 (m, 2H), 3.27 - 3.18 (m, 1H), 1.55 (d, J = 1.1 Hz, 3H), 1.32 (s, 12H), 1.28 (d, J = 2.3 Hz, 3H), 1.24 (s, 3H) ppm. ESI-MS m/z calc.364.167, found 365.3 (M+1)+; Retention time: 1.1 minutes using LC/MS method W. [0676] Step 2: [0677] K3PO4 (10 g, 47.11 mmol) was added to a stirred solution of ethyl rac-(4S,5R)-4,5- dimethyl-3-(4,4,5,5-tetramethyl-1,3,2-dioxaborolan-2-yl)-5-(trifluoromethyl)-4,5-dihydrofuran-2- carboxylate (9.0 g, 24.71 mmol), 2-bromo-5-fluoropyridine (4.4 g, 25 mmol) and Pd(dppf)Cl2.DCM (12.1 g, 14.82 mmol) in a mixture of 1,4-dioxane (120 mL) and water (30 mL) and the reaction mixture was degassed with nitrogen for 10 min. The mixture was heated at 100 °C for 1 h. The reaction was cooled to ambient temperature and concentrated in vacuo. Purification by flash chromatography (100 g SiO2, 25% EtOAc in hexanes then, SiO2, 1 to 20% EtOAc in hexanes) gave ethyl rac-(4S,5R)-3-(5-fluoropyridin-2-yl)-4,5-dimethyl-5-(trifluoromethyl)-4,5-dihydrofuran-2- carboxylate (2.9 g, 35%) as a white solid.1H NMR (400 MHz, Chloroform-d) δ 8.38 (d, J = 2.9 Hz, 1H), 7.66 - 7.52 (m, 1H), 7.40 - 7.25 (m, 1H), 4.30 - 4.08 (m, 2H), 3.71 (q, J = 7.3 Hz, 1H), 1.61 (s, 3H), 1.18 (t, J = 7.1 Hz, 3H), 1.14 - 1.04 (m, 3H) ppm. ESI-MS m/z calc.333.099, found 334.1(M+1)+; Retention time: 1.65 minutes using LC/MS method D. [0678] Step 3: [0679] Magnesium powder (1.5 g, 61.72 mmol) was added to a stirred solution of ethyl rac- (4S,5R)-3-(5-fluoropyridin-2-yl)-4,5-dimethyl-5-(trifluoromethyl)-4,5-dihydrofuran-2-carboxylate (2.7 g, 8.101 mmol) in MeOH (54 mL) and the reaction mixture was vigorously stirred at ambient temperature for 1.5 h. The reaction was partitioned between a 1 N aqueous HCl solution (100 mL) and EtOAc (300 mL). The aqueous layer was separated and extracted with EtOAc (100 mL). The combined organic layers were washed with brine (15 mL), dried (MgSO4), filtered and concentrated in vacuo to give a mixture of ethyl rac-(2R,3R,4S,5R)-3-(5-fluoropyridin-2-yl)-4,5-dimethyl-5- (trifluoromethyl)tetrahydrofuran-2-carboxylate and ethyl rac-(2S,3S,4S,5R)-3-(5-fluoropyridin-2-yl)- 4,5-dimethyl-5-(trifluoromethyl)tetrahydrofuran-2-carboxylate (2.6 g, 96%) as a clear oil. ESI-MS m/z calc.335.114, found 336.5 (M+1)+; Retention time: 1.72 minutes using LC/MS method D.
[0680] Step 4: [0681] KOtBu (1.5 g, 13.37 mmol) was added to a stirred solution of a mixture of ethyl rac- (2R,3R,4S,5R)-3-(5-fluoropyridin-2-yl)-4,5-dimethyl-5-(trifluoromethyl)tetrahydrofuran-2- carboxylate and ethyl rac-(2S,3S,4S,5R)-3-(5-fluoropyridin-2-yl)-4,5-dimethyl-5- (trifluoromethyl)tetrahydrofuran-2-carboxylate (2.6 g, 7.754 mmol) in methanol (26 mL) and the reaction mixture was stirred for 19 h at ambient temperature. Water (13 mL) and LiOH monohydrate (650 mg, 15.49 mmol) were added and the reaction was heated at 50 °C for 3 h. The mixture was cooled to ambient temperature and partitioned between a 1N aqueous HCl solution (50 mL) and EtOAc (150 mL). The aqueous layer was separated and extracted with EtOAc (2 x 20 mL). The combined organic layers were dried (MgSO4), filtered and concentrated in vacuo. Purification by flash chromatography (SiO2, 0 to 50% of EtOAc in hexanes) gave rac-(2S,3R,4S,5R)-3-(5-fluoropyridin-2- yl)-4,5-dimethyl-5-(trifluoromethyl)tetrahydrofuran-2-carboxylic acid (C - 25f, 80 mg, 7%) (1H NMR (400 MHz, Methanol-d4) δ 8.39 (d, J = 2.9 Hz, 1H), 7.54 (td, J = 8.5, 3.0 Hz, 1H), 7.41 (dd, J = 8.6, 4.4 Hz, 1H), 4.80 (d, J = 9.5 Hz, 1H), 3.90 (dd, J = 12.5, 9.5 Hz, 1H), 3.20 - 2.93 (m, 1H), 1.66 (s, 3H), 1.11 - 0.95 (m, 3H) ppm. ESI-MS m/z calc.307.083, found 308.3 (M+1)+; Retention time: 1.31 minutes using LC/MS method D) and rac-(2R,3S,4S,5R)-3-(5-fluoropyridin-2-yl)-4,5-dimethyl-5- (trifluoromethyl)tetrahydrofuran-2-carboxylic acid (C - 25f, 318 mg, 27%) (1H NMR (400 MHz, Methanol-d4) δ 8.48 (d, J = 2.9 Hz, 1H), 7.66 - 7.50 (m, 1H), 7.48 - 7.30 (m, 1H), 4.81 (d, J = 9.4 Hz, 1H), 3.53 (t, J = 10.7 Hz, 1H), 2.90 - 2.60 (m, 1H), 1.53 (s, 3H), 1.04 - 0.95 (m, 3H) ppm. ESI-MS m/z calc.307.083, found 308.3 (M+1)+; Retention time: 1.31 minutes using LC/MS method D). [0682] The following Intermediates were made using methods similar to those described in Intermediate C - 25f except that the product of step 2 was prepared by reaction of ethyl rac-(4R,5R)- 4,5-dimethyl-5-(trifluoromethyl)-3-(((trifluoromethyl)sulfonyl)oxy)-4,5-dihydrofuran-2-carboxylate and different boronic acid or esters using the Suzuki conditions of Intermediate C - 14 step 3. In the case of Intermediates C - 25a, C - 25h and C - 25j, the reaction was carried out at 50 °C. In the case of Intermediate C - 25h, the reduction step 3 was carried out at 0 °C:
Intermediate S Methyl (R)-2-methyl-2-(trifluoromethyl)-5-(((trifluoromethyl)sulfonyl)oxy)-3,4-dihydro-2H-pyran-6- carboxylate (Intermediate S)
[0683] Step 1: [0684] NaH (11 g, 60 % w/w dispersion in mineral oil, 275.03 mmol) was added in three portions over 10 min to a solution of (R)-3,3,3-trifluoro-2-hydroxy-2-methylpropanoic acid (20 g, 126.52 mmol) in DMF (700 mL) at 0 °C and the suspension was stirred at 0 °C for 45 min. Benzyl
bromide (46.016 g, 32 mL, 269.05 mmol) was added and the reaction mixture was stirred at 0 °C for 15 min and at ambient temperature for18 h. The reaction was quenched by slow addition of a 0.5 N aqueous HCl solution (250 mL), keeping the temperature below 36 °C. Water (300 mL) was added and the mixture was vigorously stirred at ambient temperature for 40 min and extracted with MTBE (1 L, 500 mL then 250 mL). The combined organic layers were washed with water (5 x 100 mL), brine (300 mL), dried (Na2SO4), filtered and concentrated in vacuo to give benzyl (R)-2-(benzyloxy)- 3,3,3-trifluoro-2-methylpropanoate (46.78 g, 66%) as a pale yellow biphasic oil.1H NMR (400 MHz, Chloroform-d) δ 7.41 - 7.27 (m, 10H), 5.28 (s, 2H), 4.59 (s, 2H), 1.69 (d, J = 1.0 Hz, 3H) ppm. ESI- MS m/z calc.338.113, found 361.1 (M+23)+; Retention time: 2.30 minutes using LC/MS method S. [0685] Step 2: [0686] A solution of benzyl (R)-2-(benzyloxy)-3,3,3-trifluoro-2-methylpropanoate (46.7 g, 83.649 mmol) and NaOH (84 mL, 2 M aqueous solution, 168.00 mmol) in MeOH (600 mL) was stirred at ambient temperature for 4 h. Most of the organic solvent was removed in vacuo. The residue was partitioned between NaOH (1 L, 0.5 N aqueous solution) and MTBE (100 mL). The aqueous layer was separated, extracted with MTBE (100 mL) and a mixture of MTBE and EtOAc (2 x 100 mL, 1:1 mixture; 3 x 100 mL, 1:2 mixture) and acidified to pH 3 by addition of HCl (25 mL, 37% aqueous solution). The aqueous mixture was extracted with DCM (4 x 200 mL) and the combined organic layers were washed with water (200 mL) and brine (200 mL), dried (Na2SO4), filtered and concentrated in vacuo to give (R)-2-(benzyloxy)-3,3,3-trifluoro-2-methylpropanoic acid (14.87 g, 72%) as a colourless oil.1H NMR (400 MHz, Chloroform-d) δ 7.42 - 7.31 (m, 5H), 4.78 - 4.67 (m, 2H), 1.77 (s, 3H) ppm, exchangeable H not observed. ESI-MS m/z calc.248.066, found 247.0 (M-1)-; Retention time: 1.83 minutes using LC/MS method S. [0687] Step 3: [0688] LiAlH4 (34 mL, 2.3 M solution in 2-MeTHF, 78.2 mmol) was added dropwise to a solution of (R)-2-(benzyloxy)-3,3,3-trifluoro-2-methylpropanoic acid (14.8 g, 59.570 mmol) in THF (250 mL) at 0 °C and the reaction mixture was warmed to ambient temperature and stirred for 5.25 h. The reaction mixture was slowly added via canula to a stirred 0.5 N aqueous HCl solution (500 mL) cooled with an ice-bath, while maintaining the internal temperature below 15 °C. The mixture was extracted with MTBE (1 x 500 mL, 2 x 200 mL). The combined organic layers were dried (Na2SO4), filtered and concentrated in vacuo to give (R)-2-(benzyloxy)-3,3,3-trifluoro-2-methylpropan-1-ol (13.88 g, 94%) as a colourless oil.1H NMR (400 MHz, Chloroform-d) δ 7.41 - 7.27 (m, 5H), 4.74 - 4.59 (m, 2H), 3.85 (dd, J = 11.7, 5.1 Hz, 1H), 3.64 (br dd, J = 11.7, 7.1 Hz, 1H), 1.91 (br t, J = 6.8 Hz, 1H), 1.51 (s, 3H) ppm. ESI-MS m/z calc 234.087, no ionization observed; Retention time: 1.95 minutes using LC/MS method S. [0689] Step 4: [0690] To a solution of (R)-2-(benzyloxy)-3,3,3-trifluoro-2-methylpropan-1-ol (13.87 g, 56.08 mmol) in wet DCM (400 mL) was added Dess-Martin periodinane (30 g, 63.658 mmol) and the
reaction mixture was stirred at ambient temperature for 4.5 h. An additional amount of Dess-Martin periodinane (10 g, 21.219 mmol) was added and the mixture was stirred for a further 2 h. The reaction was quenched by addition of a saturated aqueous NaHCO3 solution (200 mL) and a saturated aqueous Na2S2O3 solution (200 mL) and the mixture was vigorously stirred for 30 min. The aqueous layer was separated and extracted with DCM (2 x 200 mL). The combined organic layers were dried (Na2SO4), filtered and concentrated in vacuo. The residue was disssolved in heptane (50 mL) and the insoluble material was removed by filtration. The filtrate was concentrated in vacuo and the operation was repeated using heptane (30 mL). Purification by flash chromatography (SiO2, 0 to 40% EtOAc in heptane gave (R)-2-(benzyloxy)-3,3,3-trifluoro-2-methylpropanal (9.11 g, 70%) as a colourless oil.1H NMR (400 MHz, Chloroform-d) δ 9.64 (q, J = 1.6 Hz, 1H), 7.41 - 7.29 (m, 5H), 4.71 (d, J = 11.2 Hz, 1H), 4.62 (d, J = 11.5 Hz, 1H), 1.57 (d, J = 0.7 Hz, 3H) ppm. ESI-MS m/z calc 232.071, no ionization; Retention time: 1.81 minutes using LC/MS method S. [0691] Step 5: [0692] Methyl 3-oxo-4-(triphenyl-λ5-phosphaneylidene)butanoate (14 g, 37.109 mmol) was added to a stirred solution of (R)-2-(benzyloxy)-3,3,3-trifluoro-2-methylpropanal (8.207 g, 35.31 mmol) in anhydrous toluene (160 mL) at ambient temperature and the reaction mixture was stirred at 105 °C for 5 h. The mixture was concentrated in vacuo. Purification by flash chromatography (SiO2, 0 to 30 % EtOAc in heptane) gave methyl (R,2Z,4E)-6-(benzyloxy)-7,7,7-trifluoro-3-hydroxy-6- methylhepta-2,4-dienoate (9.45 g, 74%) as a colourless oil.1H NMR (400 MHz, Chloroform-d) δ 11.75 (d, J = 1.5 Hz, 1H), 7.39 - 7.27 (m, 5H), 6.63 (d, J = 15.6 Hz, 1H), 6.22 (dd, J = 15.7, 1.5 Hz, 1H), 5.14 (s, 1H), 4.62 - 4.53 (m, 2H), 3.77 (s, 3H), 1.60 (s, 3H) ppm. ESI-MS m/z calc.330.108, found 331.1 (M+1)+; Retention time: 2.26 minutes using LC/MS method S. [0693] Step 6: [0694] Pd (3 g, 10% on carbon, 50% wet, 1.41 mmol) was added under a nitrogen atmosphere to a solution of methyl (R,2Z,4E)-6-(benzyloxy)-7,7,7-trifluoro-3-hydroxy-6-methylhepta-2,4-dienoate (9.45 g, 26.036 mmol) in EtOAc (160 mL). Hydrogen gas was passed through the mixture for 5 min and the reaction mixture was stirred under a hydrogen atmosphere for 16 h. The mixture was filtered through a pad of Celite® and the filtrates were concentrated in vacuo to give methyl (R)-6- (benzyloxy)-7,7,7-trifluoro-6-methyl-3-oxoheptanoate (8.99 g, 92%) as a pale yellow oil.1H NMR (400 MHz, Chloroform-d) δ 7.38 - 7.28 (m, 5H), 4.62 - 4.51 (m, 2H), 3.70 (s, 3H), 3.46 - 3.36 (m, 2H), 2.82 - 2.64 (m, 2H), 2.22 - 2.13 (m, 1H), 2.10 - 2.00 (m, 1H), 1.44 (s, 3H) ppm. ESI-MS m/z calc.332.124, found 331.0 (M-1)-; Retention time: 2.04 minutes using LC/MS method S. [0695] Step 7: [0696] Pd(OH)2 (2.7 g, 20% on wet support, 1.923 mmol) was added under a nitrogen atmosphere to a solution of methyl (R)-6-(benzyloxy)-7,7,7-trifluoro-6-methyl-3-oxoheptanoate (8.98 g, 23.915 mmol) in EtOAc (140 mL). Hydrogen gas was passed through the mixture for 10 min and the reaction was stirred under a hydrogen atmosphere for 1.5 h. The reaction was filtered through a
pad of Celite® and the filtrates were concentrated in vacuo to give methyl (R)-7,7,7-trifluoro-6- hydroxy-6-methyl-3-oxoheptanoate (6.38 g, 100%) as a colourless oil. ESI-MS m/z calc.242.077, found 225.1 (M-17)+; Retention time: 1.70 minutes using LC/MS method S. [0697] Step 8: [0698] Et3N (5.082 g, 7 mL, 50.222 mmol) and 4-methylbenzenesulfonyl azide (44.16 g, 11 to 15 % w/w solution in toluene, 24.631 mmol) were successively added to a solution of methyl (R)- 7,7,7-trifluoro-6-hydroxy-6-methyl-3-oxoheptanoate (6.32 g, 23.746 mmol) in DCM (88 mL) and the reaction mixture was stirred at ambient temperature for 22 h. The mixture was partitioned between DCM (400 mL) and a saturated aqueous NH4Cl solution (200 mL). The aqueous layer was separated and extracted with DCM (2 x 100 mL). The combined organic layers were dried (Na2SO4), filtered and concentrated in vacuo. Purification by flash chromatography (SiO2, 2 to 40% EtOAc in heptane) gave methyl (R)-2-diazo-7,7,7-trifluoro-6-hydroxy-6-methyl-3-oxoheptanoate (5.01 g, 78%) as a yellow oil.1H NMR (400 MHz, Chloroform-d) δ 3.86 (s, 3H), 3.45 (s, 1H), 3.09 (t, J = 6.8 Hz, 2H), 2.20 (dt, J = 14.5, 7.1 Hz, 1H), 1.96 - 1.86 (m, 1H), 1.33 (s, 3H) ppm. ESI-MS m/z calc.268.067, found 269.1 (M+1)+; Retention time: 1.76 minutes using LC/MS method S. [0699] Step 9: [0700] A solution of methyl (R)-2-diazo-7,7,7-trifluoro-6-hydroxy-6-methyl-3-oxoheptanoate (5 g, 18.588 mmol) in nitrogen degassed benzene (20 mL) was slowly added at 75 °C to a solution of Rh2(OAc)4 (85 mg, 0.192 mmol) in nitrogen degassed benzene (80 mL) and the reaction mixture was stirred at 75 °C for 15 min. The reaction was cooled to ambient temperature. Et2O (100 mL) was added and the mixture was filtered through a pad of Celite®. The filtrates were concentrated and dried in vacuo to give methyl (R)-5-hydroxy-2-methyl-2-(trifluoromethyl)-3,4-dihydro-2H-pyran-6- carboxylate (4.23 g, 85%) as a pale green oil, which crystallised on standing.1H NMR (400 MHz, Chloroform-d) δ 10.33 (s, 1H), 3.84 (s, 3H), 2.52 - 2.38 (m, 2H), 2.14 (dt, J = 13.8, 8.3 Hz, 1H), 1.89 (dt, J = 13.6, 5.7 Hz, 1H), 1.41 (s, 3H) ppm. ESI-MS m/z calc.240.061, found 241.1 (M+1)+; Retention time: 1.94 minutes using LC/MS method S. [0701] Step 10: [0702] Tf2O (1.375 g, 0.82 mL, 4.874 mmol) was added dropwise at -20 °C to a stirred solution of methyl (R)-5-hydroxy-2-methyl-2-(trifluoromethyl)-3,4-dihydro-2H-pyran-6-carboxylate (1 g, 3.747 mmol) and DIPEA (1.113 g, 1.5 mL, 8.612 mmol) in DCM (35 mL) and the reaction mixture was stirred at -20 °C for 1.25 h. The mixture was diluted with DCM (100 mL) and quenched by addition of a saturated aqueous NaHCO3 solution (100 mL). The aqueous layer was separated and extracted with DCM (2 x 50 mL). The combined organic layers were dried (Na2SO4), filtered and concentrated in vacuo. Purification by flash chromatography (SiO2, 0 to 30 % EtOAc in heptane) gave methyl (R)-2-methyl-2-(trifluoromethyl)-5-(((trifluoromethyl)sulfonyl)oxy)-3,4-dihydro-2H-pyran-6- carboxylate (S, 975 mg, 70%) as a colourless oil.1H NMR (400 MHz, Chloroform-d) δ 3.87 (s, 3H),
2.65 - 2.50 (m, 2H), 2.26 - 2.15 (m, 1H), 2.00 (dt, J = 13.9, 5.6 Hz, 1H), 1.48 (s, 3H) ppm. ESI-MS m/z calc.372.010, found 373.0 (M+1)+; Retention time: 2.12 minutes using LC/MS method S. Intermediates C - 26a and C - 26b Mixture of (2S,3S,6R)-3-(3,4-difluoro-2-methoxyphenyl)-6-methyl-6-(trifluoromethyl)tetrahydro-2H- pyran-2-carboxylic acid (Intermediate C - 26a) and (2R,3S,6R)-3-(3,4-difluoro-2-methoxyphenyl)-6- methyl-6-(trifluoromethyl)tetrahydro-2H-pyran-2-carboxylic acid (Intermediate C - 26b)
[0703] Step 1: [0704] In a sealed vial, Pd(PPh3)4 (200 mg, 0.1731 mmol) was added to a solution of methyl (R)- 2-methyl-2-(trifluoromethyl)-5-(((trifluoromethyl)sulfonyl)oxy)-3,4-dihydro-2H-pyran-6-carboxylate (970 mg, 2.603 mmol) and (3,4-difluoro-2-methoxyphenyl)boronic acid (590 mg, 3.139 mmol) in a nitrogen degassed mixture of 2-MeTHF (15 mL) and Na2CO3 (3.3 mL, 2 M aqueous solution, 6.6 mmol) and the reaction mixture was stirred at 80 °C for 6 h. The mixture was cooled to ambient temperature and partitioned between MTBE (50 mL) and water (50 mL). The aqueous layer was separated and extracted with MTBE (2 x 50 mL). The combined organic layers were dried (Na2SO4), filtered and concentrated in vacuo. Purification by flash chromatography (SiO2, 0 to 30 % EtOAc in heptane) gave methyl (R)-5-(3,4-difluoro-2-methoxyphenyl)-2-methyl-2-(trifluoromethyl)-3,4- dihydro-2H-pyran-6-carboxylate (857 mg, 89%) as a colourless oil.1H NMR (400 MHz, Chloroform- d) δ 6.88 - 6.80 (m, 1H), 6.75 - 6.69 (m, 1H), 3.89 (d, J = 2.0 Hz, 3H), 3.61 (s, 3H), 2.51 - 2.31 (m, 2H), 2.16 (dt, J = 13.8, 8.0 Hz, 1H), 1.93 (dt, J = 13.6, 5.3 Hz, 1H), 1.52 (s, 3H) ppm. ESI-MS m/z calc.366.089, found 367.1 (M+1)+; Retention time: 2.18 minutes using LC/MS method S. [0705] Step 2: [0706] Under a nitrogen atmosphere, Pd (2.3 g, 10% on carbon, 50% wet, 1.0806 mmol) was added to a stirred solution of methyl (R)-5-(3,4-difluoro-2-methoxyphenyl)-2-methyl-2- (trifluoromethyl)-3,4-dihydro-2H-pyran-6-carboxylate (402 mg, 1.092 mmol) in EtOAc (13 mL) and the reaction mixture was stirred at ambient temperature under a 140 psi pressure of hydrogen for 40 h. Additional Pd (1 g, 10% on carbon, 50% wet, 0.470 mmol) was added and the reaction was further stirred at ambient temperature under a 140 psi pressure of hydrogen for 2 days. The mixture was filtered through a pad of Celite® and the filtrates were concentrated in vacuo to give methyl (2S,3S,6R)-3-(3,4-difluoro-2-methoxyphenyl)-6-methyl-6-(trifluoromethyl)tetrahydro-2H-pyran-2- carboxylate (406 mg, 100%) as a colourless oil, which crystallised on standing to give a white waxy
solid.1H NMR (400 MHz, Chloroform-d) δ 7.52 (ddd, J = 8.7, 6.1, 2.3 Hz, 1H), 6.85 - 6.76 (m, 1H), 4.65 (d, J = 3.7 Hz, 1H), 3.96 (d, J = 2.0 Hz, 3H), 3.74 - 3.68 (m, 1H), 3.57 (s, 3H), 2.27 - 2.15 (m, 1H), 1.93 - 1.80 (m, 2H), 1.50 (s, 3H), 1.43 - 1.35 (m, 1H) ppm. ESI-MS m/z calc.368.105, found 369.1 (M+1)+; Retention time: 2.18 minutes using LC/MS method S. [0707] Step 3: [0708] KOtBu (270 mg, 2.406 mmol) was added to a solution of methyl (2S,3S,6R)-3-(3,4- difluoro-2-methoxyphenyl)-6-methyl-6-(trifluoromethyl)tetrahydro-2H-pyran-2-carboxylate (300 mg, 0.806 mmol) in MeOH (2 mL) at 0 °C and the reaction mixture was stirred at 0 °C for 1.5 h. The mixture was warmed to ambient temperature and stirred for 65 h. Additional amounts of KOtBu (140 mg, 1.248 mmol, 200 mg, 1.782 mmol and 100 mg, 0.891 mmol) were sequentially added and the reaction was stirred at ambient temperature for respectively 6.5 h, 18 h and 6 h. The reaction was further stirred at 40 °C for 18 h. Most of the MeOH was removed in vacuo and the residue was cooled to 0 °C. A 0.25 N aqueous HCl solution (20 mL) was added and the mixture was extracted with MTBE (3 x 20 mL). The combined organic layers were dried (Na2SO4), filtered and concentrated in vacuo to give (2S,3S,6R)-3-(3,4-difluoro-2-methoxyphenyl)-6-methyl-6-(trifluoromethyl)tetrahydro- 2H-pyran-2-carboxylic acid and (2R,3S,6R)-3-(3,4-difluoro-2-methoxyphenyl)-6-methyl-6- (trifluoromethyl)tetrahydro-2H-pyran-2-carboxylic acid (C - 26a and C - 26b, 293 mg, 100%) as a 14:76 mixture of diastereoisomers and as a colourless sticky solid.1H NMR (400 MHz, Chloroform- d) δ 6.79 - 6.68 (m, 2H), 4.60 (d, J = 11.2 Hz, 1H), 3.86 (d, J = 2.4 Hz, 3H), 3.09 (td, J = 11.3, 3.8 Hz, 1H), 2.21 - 2.01 (m, 2H), 1.90 - 1.64 (m, 2H), 1.40 (s, 3H) ppm; exchangeable H not observed. ESI-MS m/z calc.354.089, found 355.1 (M+1)+; Retention time: 2.09 minutes using LC/MS method S. Intermediates C - 27b rac-(2R,3S)-3-(3,4-Difluoro-2-methoxyphenyl)-2,3-dihydrobenzofuran-2-carboxylic acid (Intermediate C - 27b)
[0709] Step 1: [0710] Magnesium turnings (3.7 g, 152.23 mmol) were stirred for 10 min under an argon atmosphere to remove the outer magnesium oxide layer. THF (150 mL) and a crystal of iodine (30 mg, 0.118 mmol) were successively added to the flask containing magnesium. A 5% portion of 1-
bromo-3,4-difluoro-2-methoxybenzene (34 g, 152.46 mmol) was added dropwise to the mixture, which was heated with a heat gun to initiate the reaction. The remaining amount of bromide was added dropwise at such a speed to maintain an internal exotherm of 60-65 °C. The grignard was stirred for 30 min, whilst slowly cooling to ambient temperature. The grignard solution was added dropwise to an argon purged solution of 2-hydroxybenzaldehyde (7.5 g, 61.414 mmol) in dry THF (75 mL) and the mixture was stirred at ambient temperature for 3 h. The reaction was carefully quenched into a saturated NH4Cl solution (150 mL) and extracted with EtOAc (3 x 150 mL). The combined organic layers were washed with brine (200 mL), dried (Na2SO4), filtered and concentrated in vacuo. Purification by flash chromatography (SiO2, 0 to 100% EtOAc in hexanes) gave rac-2-((3,4-difluoro- 2-methoxyphenyl)(hydroxy)methyl)phenol (14.44 g, 86%) as a yellow oil.1H NMR (400 MHz, DMSO-d6) δ 9.36 (s, 1H), 7.30 - 7.23 (m, 1H), 7.13 - 6.97 (m, 3H), 6.83 - 6.71 (m, 2H), 6.19 (d, J = 4.3 Hz, 1H), 5.60 (d, J = 4.9 Hz, 1H), 3.79 (s, 3H) ppm. ESI-MS m/z calc.266.076, found 264.9 (M+1)+; Retention time: 0.78 minutes using LC/MS method P. [0711] Step 2: [0712] A solution of rac-2-((3,4-difluoro-2-methoxyphenyl)(hydroxy)methyl)phenol (5 g, 18.192 mmol) in DCM (70 mL) was added to a pre-stirred solution of sodium 4- methylbenzenesulfinate (3.9 g, 21.764 mmol) and PTSA monohydrate (6.1 g, 32.069 mmol) in DCM (100 mL) under an argon atmosphere and the reaction mixture was stirred at ambient temperature for 2.5 h. The reaction was quenched by addition of a saturated NaHCO3 solution (75 mL) and extracted with DCM (100 mL). The combined organic layers were washed with 1 N HCl (100 mL) and brine (100 mL), dried (Na2SO4), filtered and concentrated in vacuo. Purification by flash chromatography (SiO2, 0 to 100% EtOAc in hexanes) gave rac-2-((3,4-difluoro-2- methoxyphenyl)(tosyl)methyl)phenol (7.35 g, 98%) as a white solid.1H NMR (400 MHz, Chloroform-d) δ 7.92 - 7.82 (m, 1H), 7.65 - 7.56 (m, 3H), 7.26 - 7.20 (m, 3H), 7.04 - 6.93 (m, 2H), 6.88 (dd, J = 8.1, 1.0 Hz, 1H), 6.45 (s, 1H), 6.44 - 6.30 (m, 1H), 3.72 (d, J = 2.1 Hz, 3H), 2.41 (s, 3H) ppm. ESI-MS m/z calc.404.089, found 403.0 (M-1)-; Retention time: 0.97 minutes using LC/MS method P. [0713] Step 3: [0714] Cs2CO3 (15.1 g, 46.345 mmol) was added to a stirred mixture of rac-2-((3,4-difluoro-2- methoxyphenyl)(tosyl)methyl)phenol (7.35 g, 17.810 mmol) and (2-ethoxy-2- oxoethyl)dimethylsulfonium bromide (5.1 g, 22.258 mmol) in dry DCM (315 mL) and the reaction mixture was stirred at ambient temperature for 16 h. The reaction was quenched by addition of water (250 mL) and extracted with DCM (2 x 200 mL). The combined organic layers were washed with brine (200 mL), dried (Na2SO4), filtered and concentrated in vacuo. Purification by flash chromatography (120 g SiO2, 0 to 35 % EtOAc in heptane) gave ethyl rac-(2R,3S)-3-(3,4-difluoro-2- methoxyphenyl)-2,3-dihydrobenzofuran-2-carboxylate (4.4 g, 70%) as a colourless oil.1H NMR (400 MHz, DMSO-d6) δ 7.27 - 7.20 (m, 1H), 7.17 - 7.09 (m, 1H), 7.05 - 6.97 (m, 2H), 6.94 - 6.88 (m, 1H),
6.83 (ddd, J = 8.7, 6.1, 2.1 Hz, 1H), 5.14 (d, J = 5.7 Hz, 1H), 5.01 (d, J = 5.7 Hz, 1H), 4.28 - 4.13 (m, 2H), 3.78 (d, J = 1.8 Hz, 3H), 1.22 (t, J = 7.1 Hz, 3H) ppm. ESI-MS m/z calc.334.102, found 335.1 (M+1)+; Retention time: 1.21 minutes using LC/MS method P. [0715] Step 4: [0716] A solution of LiOH monohydrate (375 mg, 8.936 mmol) in water (10 mL) was added to a solution of ethyl rac-(2R,3S)-3-(3,4-difluoro-2-methoxyphenyl)-2,3-dihydrobenzofuran-2-carboxylate (2 g, 5.683 mmol) in THF (20 mL) and the reaction mixture was stirred at ambient temperature for 2 h. The reaction was quenched by addition of a 1 M aqueous HCl solution (10 mL) and extracted with EtOAc (3 x 20 mL). The combined organic layers were dried (Na2SO4), filtered and concentrated in vacuo to give rac-(2R,3S)-3-(3,4-difluoro-2-methoxyphenyl)-2,3-dihydrobenzofuran-2-carboxylic acid (C - 27b, 1.74 g, 95%) as a white solid.1H NMR (400 MHz, DMSO-d6) δ 7.21 (t, J = 7.5 Hz, 1H), 7.18 - 7.09 (m, 1H), 7.01 (d, J = 7.5 Hz, 1H), 6.96 (d, J = 8.1 Hz, 1H), 6.92 - 6.82 (m, 2H), 5.07 (d, J = 5.7 Hz, 1H), 4.98 (d, J = 5.7 Hz, 1H), 3.77 (d, J = 1.7 Hz, 3H) ppm; exchangeable H not observed. ESI-MS m/z calc.306.070, found 304.9 (M-1)-; Retention time: 0.48 minutes using LC/MS method P. [0717] The following Intermediate was made using methods similar to those described in Intermediate C - 27b except that, in step 1, 1-bromo-3,4-difluoro-2-methylbenzene was used as the starting material in place of 1-bromo-3,4-difluoro-2-methoxybenzene:
Intermediate T 2-(3-Cyclopropyl-4-fluoro-2-methoxyphenyl)-4,4,5,5-tetramethyl-1,3,2-dioxaborolane (Intermediate T)
[0718] Step 1: [0719] NBS (6.4 g, 35.958 mmol) was added portionwise to a stirred solution of 2-cyclopropyl- 3-fluorophenol (9 g, 59.146 mmol) and iPrNH2 (2.856 g, 4.2 mL, 48.316 mmol) in DCM (360 mL) at -10 °C and the reaction mixture was stirred for 30 min at -10 °C. The reaction was quenched by addition of 2 N HCl. The aqueous phase was separated and extracted with DCM (2 x 400 mL). The combined organic phases were dried (Na2SO4), filtered and concentrated in vacuo. Purification by flash chromatography (SiO2, 0 to 2% EtOAc in hexanes) gave 6-bromo-2-cyclopropyl-3-fluorophenol (8.5 g, 62%) as a colourless oil.1H NMR (400 MHz, DMSO-d6) δ 9.43 (s, 1H), 7.34 (dd, J = 8.9, 6.0 Hz, 1H), 6.60 (t, J = 9.6 Hz, 1H), 1.78 -1.71 (m, 1H), 0.92 (dq, J = 6.2, 4.1 Hz, 2H), 0.79 - 0.73 (m, 2H) ppm. [0720] Step 2: [0721] MeI (11.4 g, 5 mL, 80.316 mmol) was added dropwise to a stirred solution of 6-bromo-2- cyclopropyl-3-fluorophenol (8.5 g, 36.787 mmol) and K2CO3 (13 g, 94.062 mmol) in DMF (85 mL) at 0 °C and the reaction mixture was stirred for 16 h at ambient temperature. The reaction was partitioned between ice/water (800 mL) and EtOAc (500 mL). The aqueous phase was separated and extracted with EtOAc (500). The combined organic layers were dried (MgSO4), filtered and concentrated in vacuo. Purification by flash chromatography (SiO2, 0 to 10% EtOAc in hexanes) gave 1-bromo-3- cyclopropyl-4-fluoro-2-methoxybenzene (8 g, 89%) as colourless oil.1H NMR (400 MHz, DMSO-d6) δ 7.47 (dd, J = 8.9, 5.9 Hz, 1H), 6.91 (dd, J = 10.5, 8.9 Hz, 1H), 3.81 (s, 3H), 1.96 - 1.89 (m, 1H), 0.98 – 0.95 (m, 2H), 0.87 (dt, J = 5.5, 2.9 Hz, 2H) ppm. [0722] Step 3: [0723] Under an argon atmosphere, nBuLi (1.5 mL, 1.6 M solution in hexanes, 2.4 mmol) was added dropwise over 15 min to a solution of 1-bromo-3-cyclopropyl-4-fluoro-2-methoxybenzene (450 mg, 1.699 mmol) in toluene (10 mL) at -78°C and the reaction mixture was stirred at -78 °C for 30 min. A solution of (iPrO)Bpin (570 mg, 3.064 mmol) in THF (1 mL) was added dropwise and the mixture was stirred at -78°C for 2 h. The reaction was warmed to 0 °C, quenched by addition of a saturated NH4Cl solution (5 mL), diluted with water (20 mL) and extracted with EtOAc (2 x 25 mL).
The combined organic extracts were washed with water (20 mL) and brine (20 mL), dried (Na2SO4), filtered and concentrated in vacuo to give an oil, which crystallised on standing. The resulting crystals were decanted to give 2-(3-cyclopropyl-4-fluoro-2-methoxyphenyl)-4,4,5,5-tetramethyl-1,3,2- dioxaborolane (T, 590 mg, 73%) as a colourless solid.1H NMR (400 MHz, Chloroform-d) δ 7.54 (dd, J = 8.1, 7.2 Hz, 1H), 6.78 (dd, J = 10.5, 8.3 Hz, 1H), 3.87 (s, 3H), 1.96 - 1.87 (m, 1H), 1.38 (s, 12H), 1.02 - 0.98 (m, 2H), 0.96 - 0.92 (m, 2H) ppm. Intermediate U 2-(2-Cyclopropyl-3,4-difluorophenyl)-4,4,5,5-tetramethyl-1,3,2-dioxaborolane (Intermediate U)
[0724] Step 1: [0725] A stirred mixture of 2-bromo-3,4-difluoroaniline (5 g, 24.038 mmol), cyclopropylboronic acid (2.68 g, 31.2 mmol), K3PO4 (17.8 g, 83.857 mmol) and PPh3 (630 mg, 2.402 mmol) in toluene (120 mL) and water (10 mL) was degassed by passing argon gas through the solution for 10 min. Pd(OAc)2 (270 mg, 1.203 mmol) was added and the reaction was heated at 100 °C for 16 h. The mixture was cooled to ambient temperature and partitioned between water (100 mL) and EtOAc (150 mL). The aqueous layer was separated and extracted with EtOAc (2 x 100 mL). The combined organic layers were washed with brine (100 mL), dried (Na2SO4), filtered and concentrated in vacuo. Purification by flash chromatography (SiO2, 0 to 25% EtOAc in heptane) gave 2-cyclopropyl-3,4- difluoroaniline (3.18 g, 76%) as a pale yellow oil.1H NMR (400 MHz, Chloroform-d) δ 6.85 (q, J = 9.0 Hz, 1H), 6.34 (ddd, J = 8.8, 4.1, 1.9 Hz, 1H), 3.96 (br s, 2H), 1.54 - 1.44 (m, 1H), 1.08 - 0.99 (m, 2H), 0.74 - 0.65 (m, 2H) ppm. ESI-MS m/z calc.169.070, mass ion not observed; Retention time: 0.82 min using LC/MS method P. [0726] Step 2: [0727] A solution of sodium nitrite (1.38 g, 20.0 mmol) in water (34 mL) was added dropwise to a stirred solution of 2-cyclopropyl-3,4-difluoroaniline (3.18 g, 18.166 mmol) and HBr (22.350 g, 15 mL, 33 % w/w solution in AcOH, 276.23 mmol) in MeCN (70 mL), causing an exotherm to 40 °C. The reaction mixture was stirred at ambient temperature for 1 h. CuBr (3.12 g, 21.750 mmol) was added and the reaction mixture was stirred at ambient temperature for 1 h. The mixture was diluted with water (100 mL) and extracted with EtOAc (2 x 150 mL). The combined organic extracts were
washed with a saturated NaHCO3 solution (2 x 50 mL) and brine (50 mL), dried (Na2SO4), filtered and concentrated in vacuo. Purification by flash chromatography (SiO2, 0 to 5% EtOAc in heptane) gave 1-bromo-2-cyclopropyl-3,4-difluorobenzene (3.2 g, 66%) as a colourless oil.1H NMR (400 MHz, Chloroform-d) δ 7.31 - 7.28 (m, 1H), 6.90 (q, J = 9.0 Hz, 1H), 1.83 (tt, J = 8.6, 5.6 Hz, 1H), 1.12 - 1.06 (m, 2H), 0.94 - 0.88 (m, 2H) ppm. ESI-MS m/z calc.231.970, mass ion not observed; Retention time: 0.77 minutes using LC/MS method X. [0728] Step 3: [0729] A stirred mixture of 1-bromo-2-cyclopropyl-3,4-difluoro-benzene (250 mg, 0.933 mmol), KOAc (366 mg, 3.729 mmol) and (Bpin)2 (474 mg, 1.867 mmol) in 1,4-dioxane (10 mL) was purged with argon gas for 10 min. Pd(dppf)Cl2.DCM (38 mg, 0.047 mmol) was added and the reaction mixture was heated at 100 °C for 16 h. The mixture was cooled to ambient temperature, diluted with EtOAc (50 mL) and filtered through a pad of Celite®, washing the filtered cake with EtOAc (50 mL). The filtrates were concentrated in vacuo to give a brown oil. Purification by flash chromatography (SiO2, 0 to 8% EtOAc in heptane) gave 2-(2-cyclopropyl-3,4-difluorophenyl)-4,4,5,5-tetramethyl- 1,3,2-dioxaborolane (U, 160 mg, 57%) as a colourless oil, which solidified on standing.1H NMR (400 MHz, Chloroform-d) δ 7.42 - 7.37 (m, 1H), 6.99 - 6.91 (m, 1H), 2.25 (tt, J = 8.7, 5.6 Hz, 1H), 1.36 (s, 12H), 0.99 - 0.92 (m, 2H), 0.90 - 0.83 (m, 2H) ppm. ESI-MS m/z calc.280.145, mass ion not observed; Retention time: 0.89 minutes using LC/MS method X. Intermediate C - 28 (2R,3S,4S,5R)-3-(2-cyclopropoxy-3,4-difluorophenyl)-4,5-dimethyl-5- (trifluoromethyl)tetrahydrofuran-2-carboxylic acid (Intermediate C- 28)
[0730] Step 1 and 2: [0731] cPrOSO2CF3 (430 mg, 2.035 mmol) was added to a stirred mixture of (2R,3S,4S,5R)-3- (3,4-difluoro-2-hydroxyphenyl)-4,5-dimethyl-5-(trifluoromethyl)tetrahydrofuran-2-carboxylic acid (115 mg, 0.338 mmol) and Cs2CO3 (330 mg, 1.013 mmol) in DMF (2 mL) and the reaction mixture was stirred at ambient temperature for 67 h. The reaction was quenched by pouring the mixture to a vigorously stirred 1 N aqueous HCl solution (35 mL) and the aqueous layer was extracted with EtOAc (1 x 20 mL, 2 x 15 mL). The combined organic layers were washed with water (2 x 20 mL) and brine (15 mL), dried (Na2SO4), filtered and concentrated in vacuo. LiOH.H2O (71 mg, 1.692 mmol) was
added to a stirred mixture of the residue in THF (2.5 mL) and water (2.5 mL) and the reaction mixture was stirred at ambient temperature for 18 h. The reaction was partitioned between a 5% aqueous citric acid solution (50 mL) and EtOAc (30 mL). The aqueous layer was separated and extracted with EtOAc (30 mL). The combined organic layers were washed with water (40 mL) and brine (20 mL), dried (Na2SO4), filtered and concentrated in vacuo. Purification by reverse phase chromatography (C18 column, 5 to 100% MeCN in water with 0.01% HCl) gave (2R,3S,4S,5R)-3-(2-cyclopropoxy-3,4- difluorophenyl)-4,5-dimethyl-5-(trifluoromethyl)tetrahydrofuran-2-carboxylic acid (75 mg, 41%) as a pale amber oil. ESI-MS m/z calc.380.105, found 379.0 (M-1)-; Retention time: 2.14 minutes using LC/MS method S. Intermediate C - 29 (2R,3S,4S,5R)-3-(4-Fluoro-3-methylphenyl)-3,4,5-trimethyl-5-(trifluoromethyl)tetrahydrofuran-2- carboxylic acid (Intermediate C- 29)
[0732] Step 1: [0733] CDI (6.72 g, 41.443 mmol) was added to a solution of 2-(4-fluoro-3-methylphenyl)acetic acid (6 g, 35.679 mmol) in MeCN (60 mL) and the reaction mixture was stirred at 45 °C for 80 min. (R)-4,4,4-trifluoro-3-hydroxy-3-methylbutan-2-one (6.66 g, 42.664 mmol) and K2CO3 (6.12 g, 44.282 mmol) were added to the mixture and the reaction was stirred at 45 °C for an additional 16 h. The reaction was cooled to ambient temperature, diluted with water (50 mL) and extracted with MTBE (3 x 100 mL). The combined organic layers were washed with 2 M aqueous HCl (2 x 30 mL), dried (Na2SO4), filtered and concentrated in vacuo. Purification by flash chromatography (SiO2, 0 to 20% EtOAc in heptane) gave (R)-3-(4-fluoro-3-methylphenyl)-4,5-dimethyl-5-(trifluoromethyl)furan- 2(5H)-one (9 g, 87%) as a white solid.1H NMR (400 MHz, Chloroform-d) δ 7.32 (dd, J = 7.3, 1.7 Hz, 1H), 7.29 - 7.23 (m, 1H), 7.10 (t, J = 8.9 Hz, 1H), 2.33 (d, J = 2.0 Hz, 3H), 2.22 (s, 3H), 1.75 (d,
J = 1.0 Hz, 3H) ppm. ESI-MS m/z calc.288.077, found 289.1 (M+1)+; Retention time: 2.13 minutes using LC/MS method S. [0734] Step 2: [0735] In an autoclave, under a nitrogen atmosphere, Pd/C (3.32 g, 5 % w/w, 1.560 mmol) and TFA (199.80 mg, 135 μL, 1.752 mmol) were successively added to a solution of (R)-3-(4-fluoro-3- methylphenyl)-4,5-dimethyl-5-(trifluoromethyl)furan-2(5H)-one (9 g, 30.943 mmol) in a mixture of iPrOH (72 mL) and THF (24 mL). The autoclave was purged with nitrogen gas, then with hydrogen gas. The mixture was heated to 50 °C and the hydrogen pressure was adjusted to 40 psi. The mixture was stirred at 50 °C for 18 h. The reaction was cooled to ambient temperature, filtered through a pad of Celite®, washing the filtered cake with EtOAc (2 x 10 mL). The filtrates were concentrated in vacuo. Purification by flash chromatography (SiO2, 0 to 20% EtOAc in heptane) gave: [0736] First Eluting Diastereomer: (3R,4S,5R)-3-(4-fluoro-3-methylphenyl)-4,5-dimethyl-5- (trifluoromethyl)dihydrofuran-2(3H)-one (975 mg, 11%) as a white solid.1H NMR (400 MHz, Chloroform-d) δ 7.07 - 6.93 (m, 3H), 3.63 (dd, J = 12.8, 1.1 Hz, 1H), 2.55 - 2.44 (m, 1H), 2.29 (d, J = 2.0 Hz, 3H), 1.69 (d, J = 1.0 Hz, 3H), 1.28 - 1.21 (m, 3H) ppm. ESI-MS m/z calc.290.093, found 291.1 (M+1)+; Retention time: 2.13 minutes using LC/MS method S. [0737] Second Eluting Diastereomer: (3S,4S,5R)-3-(4-fluoro-3-methylphenyl)-4,5-dimethyl-5- (trifluoromethyl)dihydrofuran-2(3H)-one (6.12 g, 68%) as a white solid.1H NMR (400 MHz, Chloroform-d) δ 7.08 - 6.95 (m, 3H), 4.29 (d, J = 9.3 Hz, 1H), 2.89 - 2.77 (m, 1H), 2.28 (d, J = 1.7 Hz, 3H), 1.72 (d, J = 0.7 Hz, 3H), 0.89 - 0.79 (m, 3H) ppm. ESI-MS m/z calc.290.093, found 291.1 (M+1)+; Retention time: 2.13 minutes using LC/MS method S. [0738] Step 3: [0739] NaH (507 mg, 60% in mineral oil, 12.676 mmol) was added portionwise to a solution of (3S,4S,5R)-3-(4-fluoro-3-methylphenyl)-4,5-dimethyl-5-(trifluoromethyl)dihydrofuran-2(3H)-one (3.1 g, 10.670 mmol) and MeI (2.006 g, 0.88 mL, 14.136 mmol) in THF (52 mL) at 0 °C and the reaction mixture was stirred at 0 °C for 30 min and at ambient temperature for 16 h. The reaction was cooled to 0 °C and quenched by addition of a saturated aqueous NH4Cl solution (9 mL). The mixture was vigorously stirred at ambient temperature for 15 min and extracted with EtOAc (3 x 60 mL). The combined organic layers were washed with brine (30 mL), dried (Na2SO4), filtered and concentrated in vacuo. Purification by flash chromatography (SiO2, 0 to 20% EtOAc in heptane) gave: [0740] First Eluting Diastereomer: (3R,4S,5R)-3-(4-fluoro-3-methylphenyl)-3,4,5-trimethyl-5- (trifluoromethyl)dihydrofuran-2(3H)-one (1.460 g, 45%) as a white solid.1H NMR (400 MHz, Chloroform-d) δ 7.14 - 7.06 (m, 2H), 7.04 - 6.96 (m, 1H), 2.78 - 2.69 (m, 1H), 2.29 (d, J = 2.0 Hz, 3H), 1.64 (d, J = 1.0 Hz, 3H), 1.57 (s, 3H), 1.27 - 1.21 (m, 3H) ppm. ESI-MS m/z calc.304.109, found 305.1 (M+1)+; Retention time: 2.18 minutes using LC/MS method S. [0741] Second Eluting Diastereomer: (3S,4S,5R)-3-(4-fluoro-3-methylphenyl)-3,4,5-trimethyl- 5-(trifluoromethyl)dihydrofuran-2(3H)-one (1.210 g, 37%) as a light yellow oil.1H NMR (400 MHz,
Chloroform-d) δ 7.00 - 6.93 (m, 3H), 2.61 - 2.53 (m, 1H), 2.27 (d, J = 2.0 Hz, 3H), 1.69 (s, 3H), 1.67 (d, J = 0.7 Hz, 3H), 1.00 - 0.94 (m, 3H) ppm. ESI-MS m/z calc.304.107, found 305.2 (M+1)+; Retention time: 2.15 minutes using LC/MS method S. [0742] Step 4: [0743] A solution of DIBAL (1.2 mL, 1 M solution in DCM, 1.2 mmol) was added dropwise to a solution of (3S,4S,5R)-3-(4-fluoro-3-methylphenyl)-3,4,5-trimethyl-5-(trifluoromethyl)dihydrofuran- 2(3H)-one (320 mg, 0.952 mmol) in DCM (6 mL) at -78 °C and the reaction mixture was stirred at - 78 °C for 30 min. Additional DIBAL (0.6 mL, 1 M solution in DCM, 0.6 mmol) was added and the mixture was stirred at -78 °C for a further 30 min, then warmed to -25 °C. Acetone (0.5 mL, 0.675 M solution in DCM, 0.338 mmol) was added maintaining the temperature at -25 ± 5 °C and the reaction was stirred for 30 min, then warmed to 0 ± 5 °C. Citric acid (3.7 mL, 5 % w/v aqueous solution, 0.963 mmol) was added dropwise to the reaction and the biphasic mixture was stirred at ambient temperature for 30 min. The mixture was extracted with DCM (3 x 20 mL). The combined organic layers were dried (Na2SO4), filtered and concentrated in vacuo to give dia-(2R,3S*,4S*,5R*)-3-(4- fluoro-3-methylphenyl)-3,4,5-trimethyl-5-(trifluoromethyl)tetrahydrofuran-2-ol (278 mg, 91%) as a colourless oil. ESI-MS m/z calc.306.124, found 305.1 (M-1)-; Retention time: 2.11 minutes using LC/MS method S. [0744] Step 5: [0745] 4-Nitrobenzoyl chloride (190 mg, 1.003 mmol) was added to a solution of dia- (2R,3S*,4S*,5R*)-3-(4-fluoro-3-methylphenyl)-3,4,5-trimethyl-5-(trifluoromethyl)tetrahydrofuran-2-ol (276 mg, 0.856 mmol), Et3N (127.05 mg, 175 μL, 1.256 mmol) and DMAP (2.5 mg, 0.021 mmol) in DCM (7 mL) at 0 °C. The ice-water cooling bath was removed and the mixture was stirred at ambient temperature for 1.5 h. The reaction was quenched by addition of a saturated aqueous NH4Cl solution (4 mL), stirred vigorously for 10 min and diluted with a mixture of DCM (25 mL) and water (10 mL). The aqueous phase was separated and extracted with DCM (3 x 25 mL). The combined organic layers were dried (Na2SO4), filtered and concentrated in vacuo to give dia-(2S,3S*,4S*,5R*)-3-(4-fluoro-3- methylphenyl)-3,4,5-trimethyl-5-(trifluoromethyl)tetrahydrofuran-2-yl 4-nitrobenzoate (400 mg, 88%) as a light yellow oil. ESI-MS m/z calc.455.136, found 289.2 (M-166)+; Retention time: 2.38 minutes using LC/MS method S. [0746] Step 6: [0747] TMSCN (206.18 mg, 260 μL, 2.078 mmol) and BF3.OEt2 (713.7 mg, 0.9 mL, 5.029 mmol) were successively added to a solution of dia-(2S,3S*,4S*,5R*)-3-(4-fluoro-3-methylphenyl)- 3,4,5-trimethyl-5-(trifluoromethyl)tetrahydrofuran-2-yl 4-nitrobenzoate (395 mg, 0.743 mmol) in DCM (8 mL) at -78 °C and the reaction mixture was stirred at -78 °C for 30 min and at ambient temperature for 16 h. The reaction was quenched by addition of a saturated aqueous NaHCO3 solution (6 mL) and extracted with DCM (3 x 60 mL). The combined organic extracts were dried (Na2SO4), filtered and concentrated in vacuo. Purification by flash chromatography (SiO2, 0 to 100% EtOAc in
heptane) gave (2R,3S,4S,5R)-3-(4-fluoro-3-methylphenyl)-3,4,5-trimethyl-5- (trifluoromethyl)tetrahydrofuran-2-carbonitrile (162 mg, 67%) as a white solid.1H NMR (400 MHz, Chloroform-d) δ 7.06 - 6.94 (m, 3H), 5.28 (s, 1H), 2.51 (q, J = 7.6 Hz, 1H), 2.29 (d, J = 2.0 Hz, 3H), 1.72 (s, 3H), 1.67 (d, J = 1.2 Hz, 3H), 0.91 - 0.85 (m, 3H) ppm. ESI-MS m/z calc.315.125, found 289.2 (M-26)+; Retention time: 2.2 minutes using LC/MS method S. [0748] Step 7: [0749] In a sealed tube, KOH (2 mL, 40 % w/v aqueous solution, 14.259 mmol) was added to a solution of (2R,3S,4S,5R)-3-(4-fluoro-3-methylphenyl)-3,4,5-trimethyl-5- (trifluoromethyl)tetrahydrofuran-2-carbonitrile (160 mg, 0.489 mmol) in diethylene glycol (4 mL) and the reaction mixture was stirred at 150 °C for 20 h. The reaction was cooled to ambient temperature, diluted with water (15 mL) and washed with MTBE (2 x10 mL). The aqueous layer was separated, acidified to pH 1-2 by addition of a 3 M aqueous HCl solution and extracted with EtOAc (3 x 50 mL). The combined organic layers were dried (Na2SO4) and concentrated in vacuo. Purification by reverse phase chromatography (C18 column, 5 to 100 % MeCN in water with 0.1 % formic acid) gave (2R,3S,4S,5R)-3-(4-fluoro-3-methylphenyl)-3,4,5-trimethyl-5-(trifluoromethyl)tetrahydrofuran-2- carboxylic acid (C - 29, 131 mg, 80%) as a white solid.1H NMR (400 MHz, DMSO-d6) δ 12.90 (br s, 1H), 7.31 (dd, J = 7.3, 2.2 Hz, 1H), 7.27 - 7.20 (m, 1H), 7.06 (t, J = 9.0 Hz, 1H), 5.13 (s, 1H), 2.41 (q, J = 7.5 Hz, 1H), 2.23 (d, J = 1.7 Hz, 3H), 1.57 (s, 3H), 1.44 (s, 3H), 0.69 - 0.61 (m, 3H) ppm. ESI- MS m/z calc.334.119, found 333.1 (M-1)-; Retention time: 2.03 minutes using LC/MS method S.
Intermediate C - 30 rac-(2R,3S,5S)-3-(3,4-Difluoro-2-methoxyphenyl)-5-methyl-5-(trifluoromethyl)tetrahydro-2H-pyran- 2-carboxylic acid (Intermediate C- 30)
[0750] Step 1: [0751] DBU (7.635 g, 7.5 mL, 50.152 mmol) was added over 15 min to a stirred solution of ethyl (Z)-4,4,4-trifluoro-3-methylbut-2-enoate (9.1 g, 49.962 mmol) in MeNO2 (50 mL) and the reaction mixture was stirred at ambient temperature for 27 h. The reaction was partitioned between water (800 mL) and EtOAc (300 mL). The aqueous layer was separated and extracted with EtOAc (200 mL). The combined organic layers were washed with 1 N aqueous HCl (200 mL), a saturated aqueous NaHCO3 solution (200 mL) and brine (200 mL), dried (Na2SO4), filtered and concentrated in vacuo to give ethyl rac-4,4,4-trifluoro-3-methyl-3-(nitromethyl)butanoate (11.5 g, 95%) as an orange oil.1H NMR (400 MHz, Chloroform-d) δ 4.94 (d, J = 11.5 Hz, 1H), 4.84 (d, J = 12.7 Hz, 1H), 4.28 - 4.13 (m, 2H), 2.93 (d, J = 16.6 Hz, 1H), 2.70 (d, J = 16.6 Hz, 1H), 1.42 (s, 3H), 1.30 (t, J = 7.2 Hz, 3H) ppm. [0752] Step 2: [0753] KOH (4.9 mL, 1.6 M solution in MeOH, 7.84 mmol) was added to a solution of ethyl rac- 4,4,4-trifluoro-3-methyl-3-(nitromethyl)butanoate (1.187 g, 4.881 mmol) in MeOH (34 mL) cooled in an ice-water bath to 0 °C and the reaction mixture was stirred at 0 °C for 5 min. A solution of KMnO4 (850 mg, 5.379 mmol) and MgSO4 (530 mg, 4.403 mmol) in water (100 mL) was added over 55 min and the mixture was stirred in the ice bath for another 40 min. The reaction was quenched by addition of a 10% aqueous Na2S2O3 solution (60 mL) and a 1 M aqueous H2SO4 solution (30 mL) and diluted
with MTBE (200 mL). The aqueous layer was separated and extracted with MTBE (100 mL). The combined organic layers were washed with water (100 mL) and brine (100 mL), dried (Na2SO4), filtered and concentrated in vacuo. Purification by flash chromatography (SiO2, 0 to 45% EtOAc in heptane) gave dia-(4S1,5R2)-5-hydroxy-4-methyl-4-(trifluoromethyl)dihydrofuran-2(3H)-one (649 mg, 67%) as a 8:1 mixture of diastereomers and as a colourless oil.1H NMR (400 MHz, Chloroform- d) δ 5.89 (s, 1H), 4.42 (br s, 1H), 2.85 (d, J = 18.1 Hz, 1H), 2.60 (d, J = 18.3 Hz, 1H), 1.42 (s, 3H) ppm. Ethyl rac-4,4,4-trifluoro-3-formyl-3-methylbutanoate (260 mg, 18%) was also collected as a colourless oil.1H NMR (400 MHz, Chloroform-d) δ 9.74 - 9.70 (m, 1H), 4.16 (q, J = 7.1 Hz, 2H), 3.10 (d, J = 16.1 Hz, 1H), 2.69 (d, J = 16.4 Hz, 1H), 1.47 (s, 3H), 1.26 (t, J = 7.2 Hz, 3H) ppm. [0754] Step 3: [0755] NaBH4 (413 mg, 10.917 mmol) was added portionwise to a solution of dia-(4S1,5R2)-5- hydroxy-4-methyl-4-(trifluoromethyl)dihydrofuran-2(3H)-one (502 mg, 2.544 mmol) in MeOH (20 mL) at 0 °C and the reaction mixture was stirred at 0 °C for 5 min then at ambient temperature for 18 h. The reaction was quenched by pouring the mixture into a vigorously stirred 1 N aqueous HCl solution (150 mL). The aqueous layer was extracted with MTBE (2 x 100 mL). The combined organic layers were washed with water (75 mL) and brine (75 mL), dried (Na2SO4), filtered and concentrated in vacuo to give rac-4-methyl-4-(trifluoromethyl)dihydrofuran-2(3H)-one (595 mg, 97%) as a colourless oil.1H NMR (400 MHz, Chloroform-d) δ 4.50 (d, J = 9.8 Hz, 1H), 4.06 (dd, J = 9.8, 0.7 Hz, 1H), 2.91 (d, J = 18.1 Hz, 1H), 2.45 (d, J = 18.1 Hz, 1H), 1.46 (s, 3H) ppm. [0756] Step 4: [0757] nBuLi (5.2 mL, 2.5 M solution in hexanes, 13 mmol) was added dropwise to a stirred solution of DIPA (1.444 g, 2 mL, 14.270 mmol) in THF (10 mL) at -78 °C and the reaction mixture was stirred at -78 °C for 5 min and at 0 °C for 20 min. [0758] In a separate flask, a solution of rac-4-methyl-4-(trifluoromethyl)dihydrofuran-2(3H)-one (553 mg, 3.234 mmol) and ethyl 2-diazoacetate (600 mg, 87 % w/w solution in DCM, 4.575 mmol) in THF (8 mL) was cooled to -78 °C. The above freshly prepared solution of LDA (5.6 mL, 0.75 M solution in THF, 4.2 mmol) was added dropwise over 30 min and the reaction mixture was stirred at - 78 °C for 4.5 h. The reaction was quenched at -78 °C by addition of acetic acid (390.72 mg, 0.37 mL, 6.506 mmol). The mixture was removed from the cold bath and diluted with a 5% aqueous citric acid solution (20 mL). The reaction was partitioned between a 5% aqueous citric acid solution (80 mL) and EtOAc (50 mL). The aqueous layer was separated and extracted with EtOAc (2 x 50 mL). The combined organic layers were washed with water (75 mL) and brine (50 mL), dried (Na2SO4), filtered and concentrated in vacuo. Purification by reverse phase chromatography (C18 column, 5 to 100% MeCN in water with 0.1% formic acid) gave ethyl rac-2-diazo-6,6,6-trifluoro-5-(hydroxymethyl)-5- methyl-3-oxohexanoate (657 mg, 68%) as an amber oil.1H NMR (400 MHz, Chloroform-d) δ 4.33 (q, J = 7.2 Hz, 2H), 3.88 (d, J = 12.2 Hz, 1H), 3.65 (dd, J = 12.2, 0.7 Hz, 1H), 3.41 (d, J = 15.4 Hz, 1H), 3.14 (d, J = 15.4 Hz, 1H), 1.35 (t, J = 7.2 Hz, 3H), 1.21 (s, 3H) ppm; exchangeable H not observed.
ESI-MS m/z calc.282.083, found 265.1 (M-17)+; Retention time: 2.02 minutes using LC/MS method S. [0759] Step 5: [0760] A solution of ethyl rac-2-diazo-6,6,6-trifluoro-5-(hydroxymethyl)-5-methyl-3- oxohexanoate (593 mg, 1.971 mmol) in DCE (12 mL) was added dropwise over 40 min to a solution of Rh2(OAc)4 (31 mg, 0.070 mmol) in DCE (12 mL) and the reaction mixture was stirred at ambient temperature for 20 min. The mixture was cooled to 0 °C. DIPEA (764.26 mg, 1.03 mL, 5.913 mmol) and Tf2O (1.174 g, 0.7 mL, 4.161 mmol) were successively added and the reaction mixture was stirred at 0 °C for an additional 2 h. The reaction was partitioned between a saturated aqueous NaHCO3 solution (100 mL) and DCM (50 mL). The aqueous layer was separated and extracted with DCM (2 x 50 mL). The combined organic layers were dried (Na2SO4), filtered and concentrated in vacuo. Purification by flash chromatography (SiO2, 0 to 25% EtOAc in heptane) gave ethyl rac-3-methyl-3- (trifluoromethyl)-5-(((trifluoromethyl)sulfonyl)oxy)-3,4-dihydro-2H-pyran-6-carboxylate (518 mg, 68%) as a colourless oil.1H NMR (400 MHz, Chloroform-d) δ 4.38 (q, J = 7.1 Hz, 2H), 4.05 - 3.92 (m, 2H), 2.83 (d, J = 18.1 Hz, 1H), 2.29 (dd, J = 17.9, 1.0 Hz, 1H), 1.38 (t, J = 7.1 Hz, 3H), 1.31 (s, 3H) ppm. ESI-MS m/z calc.386.026, found 387.1 (M+1)+; Retention time: 2.27 minutes using LC/MS method S. [0761] Step 6: [0762] In a vial, nitrogen gas was passed through a stirred mixture of ethyl rac-3-methyl-3- (trifluoromethyl)-5-(((trifluoromethyl)sulfonyl)oxy)-3,4-dihydro-2H-pyran-6-carboxylate (518 mg, 1.340 mmol), (3,4-difluoro-2-methoxyphenyl)boronic acid (354 mg, 1.884 mmol) and Na2CO3 (1.9 mL, 2 M aqueous solution, 3.8 mmol) in 1,4-dioxane (10 mL) for 5 min. PdCl2(dppf).DCM (109 mg, 0.134 mmol) was added and the vial was sealed. The reaction mixture was heated at 80 °C for 17 h. The reaction mixture was cooled to ambient temperature and partitioned between a saturated aqueous NaHCO3 solution (100 mL) and EtOAc (50 mL). The aqueous layer was separated and extracted with EtOAc (2 x 50 mL). The combined organic layers were washed with brine (75 mL), dried (Na2SO4), filtered and concentrated in vacuo. Purification by flash chromatography (SiO2, 0 to 25% EtOAc in heptane) gave ethyl rac-5-(3,4-difluoro-2-methoxyphenyl)-3-methyl-3-(trifluoromethyl)-3,4-dihydro- 2H-pyran-6-carboxylate (317 mg, 62%) as a colourless oil.1H NMR (400 MHz, Chloroform-d) δ 6.86 (td, J = 9.2, 7.3 Hz, 1H), 6.79 - 6.71 (m, 1H), 4.10 - 4.00 (m, 4H), 3.91 (d, J = 1.7 Hz, 3H), 2.68 (d, J = 18.6 Hz, 1H), 2.20 (br d, J = 18.3 Hz, 1H), 1.33 (s, 3H), 1.05 (t, J = 7.2 Hz, 3H) ppm. ESI-MS m/z calc.380.105, found 381.1 (M+1)+; Retention time: 2.33 minutes using LC/MS method S. Ethyl rac- 3-methyl-3-(trifluoromethyl)-3,4-dihydro-2H-pyran-6-carboxylate (56 mg, 15%) was also collected as a colourless oil.1H NMR (400 MHz, Chloroform-d) δ 6.11 (dd, J = 5.1, 3.2 Hz, 1H), 4.29 (q, J = 7.2 Hz, 2H), 4.01 (dd, J = 9.8, 1.5 Hz, 1H), 3.92 (d, J = 11.2 Hz, 1H), 2.56 (dd, J = 18.8, 3.2 Hz, 1H), 2.03 (ddd, J = 18.8, 5.1, 2.2 Hz, 1H), 1.34 (t, J = 7.1 Hz, 3H), 1.23 (s, 3H) ppm. ESI-MS m/z calc. 238.082, found 239.1 (M+1)+; Retention time: 2.09 minutes using LC/MS method S.
[0763] Step 7: [0764] Nitrogen gas was passed through a solution of ethyl rac-5-(3,4-difluoro-2- methoxyphenyl)-3-methyl-3-(trifluoromethyl)-3,4-dihydro-2H-pyran-6-carboxylate (317 mg, 0.828 mmol) in EtOH (15 mL) for 10 min. Pd(OH)2 (331 mg, 20 % w/w on carbon, 0.471 mmol) was added and the reaction mixture was stirred under 60 psi of hydrogen gas at 60 °C for 29 h. The mixture was cooled to ambient temperature, filtered through a pad of Celite®, washing the filtered cake with EtOH (200 mL). The filtrates were concentrated in vacuo. Purification by reverse phase chromatography (C18 column, 5 to 100% MeCN in water with 0.1% formic acid) gave ethyl rac-(2S,3S,5S)-3-(3,4- difluoro-2-methoxyphenyl)-5-methyl-5-(trifluoromethyl)tetrahydro-2H-pyran-2-carboxylate (218 mg, 69%) as a white solid.1H NMR (400 MHz, Chloroform-d) δ 6.88 - 6.77 (m, 2H), 4.65 (d, J = 6.4 Hz, 1H), 4.49 (d, J = 11.2 Hz, 1H), 4.08 (d, J = 2.7 Hz, 3H), 3.95 - 3.78 (m, 2H), 3.72 (ddd, J = 13.9, 6.1, 3.7 Hz, 1H), 3.55 (dd, J = 11.2, 2.0 Hz, 1H), 2.62 (t, J = 13.3 Hz, 1H), 1.70 - 1.62 (m, 1H), 1.44 (s, 3H), 0.96 (t, J = 7.1 Hz, 3H) ppm. ESI-MS m/z calc.382.120, found 383.1 (M+1)+; Retention time: 2.45 minutes using LC/MS method S. Another diastereomer of ethyl 3-(3,4-difluoro-2- methoxyphenyl)-5-methyl-5-(trifluoromethyl)tetrahydro-2H-pyran-2-carboxylate (28 mg, 8%) was also recovered as a colourless oil.1H NMR (400 MHz, Chloroform-d) δ 7.08 (ddd, J = 8.6, 5.9, 2.2 Hz, 1H), 6.84 - 6.73 (m, 1H), 4.49 (d, J = 5.4 Hz, 1H), 4.07 (d, J = 2.7 Hz, 1H), 4.02 (d, J = 2.4 Hz, 3H), 3.99 - 3.89 (m, 2H), 3.87 (d, J = 12.2 Hz, 1H), 3.85 - 3.78 (m, 1H), 2.24 - 2.17 (m, 1H), 2.17 - 2.09 (m, 1H), 1.10 (s, 3H), 0.97 (t, J = 7.1 Hz, 3H) ppm. ESI-MS m/z calc.382.120, found 383.1 (M+1)+; Retention time: 2.35 minutes using LC/MS method S. [0765] Step 8: KOtBu (130 mg, 1.159 mmol) was added to a solution of ethyl rac-(2S,3S,5S)-3-(3,4-difluoro-2- methoxyphenyl)-5-methyl-5-(trifluoromethyl)tetrahydro-2H-pyran-2-carboxylate (218 mg, 0.570 mmol) in a mixture of THF (4.5 mL) and EtOH (4.5 mL) and the reaction mixture was stirred at ambient temperature for 24 h. The mixture was partitioned between a 5% aqueous citric acid solution (100 mL) and EtOAc (60 mL). The aqueous layer was separated and extracted with EtOAc (60 mL). The combined organic layers were washed with water (75 mL), brine (75 mL), dried (Na2SO4), filtered and concentrated in vacuo. Purification by reverse phase chromatography (C18 column, 5 to 100% MeCN in water with 0.1% formic acid) gave rac-(2R,3S,5S)-3-(3,4-difluoro-2-methoxyphenyl)- 5-methyl-5-(trifluoromethyl)tetrahydro-2H-pyran-2-carboxylic acid (C - 30, 150 mg, 74%) as a colourless oil, which solidified to a white solid on standing.1H NMR (400 MHz, Chloroform-d) δ 6.89 - 6.77 (m, 2H), 4.19 (d, J = 11.0 Hz, 1H), 3.96 (d, J = 2.4 Hz, 3H), 3.89 (dd, J = 11.4, 2.3 Hz, 1H), 3.74 (d, J = 11.2 Hz, 1H), 3.47 - 3.36 (m, 1H), 2.16 (t, J = 13.2 Hz, 1H), 1.85 - 1.75 (m, 1H), 1.45 (s, 3H) ppm; exchangeable H not observed. ESI-MS m/z calc.354.089, found 355.1 (M+1)+; Retention time: 2.18 minutes using LC/MS
E-VIPR Assay Detecting and Measuring NaV Inhibition Properties [0766] Sodium ion channels are voltage-dependent proteins that can be activated by inducing membrane voltage changes by applying electric fields. The electrical stimulation instrument and methods of use, referred to as E-VIPR, are described in International Publication No. WO 2002/008748 A3 and C.-J. Huang et al. Characterization of voltage-gated sodium channel blockers by electrical stimulation and fluorescence detection of membrane potential, 24 Nature Biotech.439-46 (2006), both of which are incorporated by reference in their entirety. The instrument comprises a microtiter plate handler, an optical system for exciting the coumarin dye while simultaneously recording the coumarin and oxonol emissions, a waveform generator, a current- or voltage-controlled amplifier, and parallel electrode pairs that are inserted into assay plate wells. Under integrated computer control, this instrument passes user-programmed electrical stimulus protocols to cells within the wells of the microtiter plate. [0767] 16-20 hours prior to running the assay on E-VIPR, HEK cells expressing a truncated form of human NaV 1.8 with full channel activity were seeded into microtiter 384-well plates, pre-coated with matrigel, at a density of 25,000 cells per well.2.5-5% KIR2.1 BacMam virus was added to the final cell suspension before seeding into cell plates. HEK cells were grown in Dulbecco's Modified Eagle's Medium (DMEM) supplemented with 10% FBS (Fetal Bovine Serum, qualified; Sigma #F4135), 1% NEAA (Non-Essential Amino Acids, Gibco #11140), 1% HEPES (Gibco #15630), 1% Pen-Strep (Penicillin-Streptomycin; Gibco #15140) and 5 µg/ml Blasticidin (Gibco #R210-01). Cells were expanded in 5-layer CellSTACK culture chambers or cell culture flasks with vented caps, with 90-95% humidity and 5% CO2. [0768] Reagents and Stock Solutions: [0769] 100 mg/mL Pluronic F-127 (Sigma #P2443), in dry DMSO [0770] Compound Plates: Corning 384-well Polypropylene Round Bottom #3656 [0771] Cell Plates: 384-well tissue culture treated plates (Greiner #781091-2B) [0772] 2.5-5% KIR 2.1 Bacmam virus (produced in-house), prepared as described in Section 3.3 of J. A. Fornwald et al., Gene Expression in Mammalian Cells Using BacMam, a Modified Baculovirus System, 1350 Methods in Molecular Biology 95-116 (2016), the entire contents of which are incorporated by reference. The concentration used can be dependent on viral titer of each batch. [0773] 5 mM DiSBAC6(3), a voltage sensitive oxonol acceptor (CAS number 169211-44-3; 5-[3- (1,3-dihexylhexahydro-4,6-dioxo-2-thioxo-5-pyrimidinyl)-2-propen-1-ylidene]-1,3-dihexyldihydro-2- thioxo-4,6(1H,5H)-pyrimidinedione), in dry DMSO. The preparation of DiSBAC6(3) is analogous to that of DiSBAC4(3) as described in Voltage Sensing by Fluorescence Resonance Energy Transfer in Single Cells, Gonzalez, J.E. and Tsien, R.Y. (1995) Biophys. J.69, 1272-1280. [0774] 5 mM CC2-DMPE, a commercially available membrane-bound coumarin phospholipid FRET donor (ThermoFisher Scientific catalog number K1017, CAS number 393782-57-5;
tetradecanoic acid, 1,1'-[(1R)-1-[8-(6-chloro-7-hydroxy-2-oxo-2H-1-benzopyran-3-yl)-3-hydroxy-3- oxido-8-oxo-2,4-dioxa-7-aza-3-phosphaoct-1-yl]-1,2-ethanediyl] ester) was prepared in dry DMSO. See also, Improved indicators of cell membrane potential that use fluorescence resonance energy transfer, Gonzalez, J.E. and Tsien, R.Y. (1997) Chem. Biol.4, 269-277. [0775] Voltage Assay Background Suppression Compound (VABSC-1) is prepared in H2O (89- 363 mM, range used to maintain solubility) [0776] Human Serum (HS, Millipore #S1P1-01KL, or Sigma SLBR5469V and SLBR5470V as a 50%/50% mixture, for 25% assay final concentration) [0777] Bath 1 Buffer: Sodium Chloride 160 mM (9.35 g/L), Potassium Chloride, 4.5 mM (0.335 g/L), Glucose 10 mM (1.8 g/L), Magnesium Chloride (Anhydrous) 1 mM (0.095 g/L), Calcium Chloride 2 mM (0.222 g/L), HEPES 10 mM (2.38 g/L) in water. [0778] Na/TMA Cl Bath 1 Buffer: Sodium Chloride 96 mM (5.61 g/L), Potassium Chloride 4.5 mM (0.335 g/L), Tetramethylammonium (TMA)-Cl 64 mM (7.01 g/ L), Glucose 10 mM (1.8 g/L), Magnesium Chloride (Anhydrous) 1 mM (0.095 g/L), Calcium Chloride 2 mM (0.222 g/L) HEPES 10 mM (2.38 g/L) in water. [0779] Hexyl Dye Solution (2X concentration): Bath 1 Buffer containing 0.5% β-cyclodextrin (made fresh prior to each use, Sigma #C4767), 8 μM CC2-DMPE and 2 μM DiSBAC6(3). The solution was made by adding 10% Pluronic F127 stock equal to combined volumes of CC2-DMPE and DiSBAC6(3). The order of preparation was first mix Pluronic and CC2-DMPE, then add DiSBAC6(3), then while vortexing add Bath 1/β-Cyclodextrin. [0780] Compound Loading Buffer (2X concentration): Na/TMA Cl Bath1 Buffer containing HS (omitted in experiments run in the absence of human serum (HS))50%, VABSC-11 mM, BSA 0.2 mg/ml (in Bath-1), KCl 9 mM, DMSO 0.625%. [0781] Assay Protocol: [0782] 1) To reach the final concentration in each well, 375 nL of each compound was pre- spotted (in neat DMSO) into polypropylene compound plates at 240x desired final concentration from an intermediate stock concentration of either 6 mM, in an 16-point dose response, 3-fold dilution, resulting in a top dose of 25 µM final concentration in the cell plate, or 0.075 mM in an 11-point dose response, 3-fold dilution, resulting in a top dose of 300 nM final concentration in the cell plate. Vehicle control (neat DMSO), and positive control (an established NaV1.8 inhibitor, 25 µM final in assay in DMSO) were added manually to the outermost columns of each plate respectively. The compound plate was backfilled with 45 μL per well of Compound Loading Buffer resulting in a 240-
fold dilution of compound following a 1:1 transfer of compound into the cell plate (see Step 6). Final DMSO concentration for all wells in the assay was 0.625% (0.75% DMSO was supplemented to the Compound Loading Buffer for a final DMSO concentration of 0.625%). This assay dilution protocol was adjusted to enable a higher dose range to be tested in the presence of HS or if the final assay volume was altered. [0783] 2) Hexyl Dye Solution was prepared. [0784] 3) Cell plates were prepared. On the day of the assay, the media was aspirated, and the cells were washed three times with 80 μL of Bath-1 buffer, maintaining 25 μL residual volume in each well. [0785] 4) 25 μL per well of Hexyl Dye Solution was dispensed into the cell plates. The cells were incubated for 20 minutes at room temperature or ambient conditions in darkness. [0786] 5) 45 μL per well of Compound Loading Buffer was dispensed into compound plates. [0787] 6) The cell plates were washed three times with 80 μL per well of Bath-1 Buffer, leaving 25 μL of residual volume. Then 25 μL per well from compound plate was transferred to each cell plate. The mixture was incubated for 30 minutes at room temperature/ambient conditions. [0788] 7) The cell plate containing compound was read on E-VIPR using the current-controlled amplifier to deliver stimulation wave pulses using a symmetrical biphasic waveform. The user- programmed electrical stimulus protocols were 1.25-4 Amps and 4 millisecond pulse width (dependent on electrode composition) were delivered at 10 Hz for 10 seconds. A pre-stimulus recording was performed for each well for 0.5 seconds to obtain the un-stimulated intensities baseline. The stimulatory waveform was followed by 0.5 seconds of post-stimulation recording to examine the relaxation to the resting state. All E-VIPR responses were measured at 200 Hz acquisition rate. [0789] Data Analysis: [0790] Data were analyzed and reported as normalized ratios of emission intensities measured in the 460 nm and 580 nm channels. The response as a function of time was reported as the ratios obtained using the following formula:
[0791] The data were normalized by calculating the initial (Ri) and final (Rf) ratios. These were the average ratio values during part or all of the pre-stimulation period and during sample points during the stimulation period. The fluorescence ratio (Rf/Ri) was then calculated and reported as a function of time. [0792] Control responses were obtained by performing assays in the presence of the positive control, and in the absence of pharmacological agents (DMSO vehicle negative control). Responses to
the negative (N) and positive (P) controls were calculated as above. The compound antagonist % activity A was then defined as:
where X is the maximum amplitude of the ratio response or number of action potential peaks, at the beginning of the pulse train in the presence of test compound. Using this analysis protocol, dose response curves were plotted and IC50 values were generated for various compounds of the present invention. [0793] Compounds having a measured IC50 value less than 0.01 µM in the E-VIPR Assay described above include: 1-18, 21-24, 27, 28, 30-34, 36, 38, 40, 42, 46-48, 50-55, 58, 61, 62, 64-72, 75-80, 82, 84-94, 96, 97, 98, 100, 102-107, 109-112, 114-118, 120, 121, 122, and 124. [0794] Compounds having a measured IC50 value less than 0.1 µM and greater than or equal to 0.01 µM in the E-VIPR Assay described above include: 29, 39, 44, 49, 59, 60, 63, 81, 83, 95, 101, 113, 119, and 125. [0795] Compounds having a measured IC50 value less than 1 µM and greater than or equal to 0.1 µM in the E-VIPR Assay described above include: 19, 25, 26, 35, 43, 45, 73, 74, 99, and 123. [0796] Compounds having a measured IC50 value greater than or equal to 1 µM in the E-VIPR Assay described above include: 20, 41, 56, 57, and 108. [0797] Compounds for which an IC50 value was not determined in the E-VIPR Assay described above include: 37. [0798] Many modifications and variations of the embodiments described herein may be made without departing from the scope, as is apparent to those skilled in the art. The specific embodiments described herein are offered by way of example only.
Claims
CLAIMS What is claimed is: 1. A compound of formula (I-A):
or a pharmaceutically acceptable salt thereof, wherein: X1 is C-R1 or N; X2 is C-R2, N, or N+-O-; X3 is C-R3, N, or N+-O-; X5 is C-R5, N, or N+-O-; p, Xa, and Xb are defined as follows: (i) p is 1, Xa is C-R11R12, and Xb is O; (ii) p is 1, Xa is O, and Xb is C-R13R14; or (iii) p is 0 and Xb is O; Xs is C-Rs or N; Xt is C-Rt or N; R1 is H, OH, halo, CN, C1-C6 alkyl, C1-C6 haloalkyl, C1-C6 alkoxy, C1-C6 haloalkoxy, –(CH2)mOn(CH2)oOCH3, –(CH2)mRa, –C(O)(CH2)mRa, –C(O)ORb, –C(O)Rb, –C(O)NRbRc, –NRbRc, –CRdReRf, –CRbRcNRgC(O)CRhRiRj, –NRbC(O)CRcRgRj, C3-C6 cycloalkyl, 5-6 membered heteroaryl, or 4-10 membered heterocyclyl, wherein said C3-C6 cycloalkyl, 5-6 membered heteroaryl, or 4-10 membered heterocyclyl may be unsubstituted or may be substituted with 1-4 substituents independently selected from halo, C1-C6 alkyl, C1-C6 haloalkyl, C1-C6 alkoxy, and C1-C6 haloalkoxy; R2, R3, R4, and R5 are each independently H, OH, CN, halo, C1-C6 alkyl, C1-C6 alkoxy, C1-C6 haloalkyl, –NHS(O)2(C1-C6 alkyl), –C(O)ORb, –C(O)NRbRc, –(CH2)mO(CH2)oCH3, 5-6 membered heteroaryl, or 5-6 membered heterocyclyl, wherein said 5-6 membered heteroaryl or 5-6 membered heterocyclyl may be unsubstituted or may be substituted with 1-4 substituents independently selected from C1-C6 alkyl and –C(O)NRbRc; R6, R7, R8, and R9 are defined as follows: (i) R6 and R7 are each independently H, OH, C1-C6 alkyl, C1-C6 haloalkyl, C3-C6 cycloalkyl, or C1-C6 alkoxy; and
R8 and R9 are each independently H, OH, C1-C6 alkyl, C1-C6 haloalkyl, C3-C6 cycloalkyl, or C1-C6 alkoxy; or (ii) R6 and R7 are each independently H, OH, C1-C6 alkyl, C1-C6 haloalkyl, C3-C6 cycloalkyl, or C1-C6 alkoxy; and R8 and R9, together with the carbon atom to which they are attached, form a C3-C6 cycloalkyl; or (iii) R6, R7, R8, and R9, together with the carbon atom to which they are attached, form a fused C6-C10 aryl optionally substituted with 1-3 Ry; R10 is H or CH3; R11 and R12 are each independently H, OH, C1-C6 alkyl, C1-C6 haloalkyl, C3-C6 cycloalkyl, or C1-C6 alkoxy; R13 and R14 are each independently H, OH, C1-C6 alkyl, C1-C6 haloalkyl, C3-C6 cycloalkyl, or C1-C6 alkoxy; Rs and Rt are each independently H, OH, halo, C1-C6 alkyl, C1-C6 alkoxy, C1-C6 haloalkyl, C1-C6 haloalkoxy, C3-C6 cycloalkyl, –O-C3-C6 cycloalkyl, –NRbRc, –NO2, –SO3H, –(CH2)mORb, or –O(CH2)mOCH3, or Rs and Rt, together with the carbon atoms to which they are attached, form a ring of formula:
Y is O or CH2; Ru, Rv, and Rw are each independently H, OH, halo, C1-C6 alkyl, C1-C6 alkoxy, C1-C6 haloalkyl, C1-C6 haloalkoxy, –NRbRc, –NO2, –SO3H, –(CH2)mORb, or –O(CH2)mOCH3; each Rx is independently H, halo, C1-C6 alkyl, or C1-C6 haloalkyl; each Ry is independently H, OH, C1-C6 alkyl, C1-C6 haloalkyl, C3-C6 cycloalkyl, or C1-C6 alkoxy; Ra is OH, halo, C1-C6 alkoxy, or –NRbRc; Rb, Rc, Rg, Rh, and Ri are each independently H or C1-C6 alkyl, or Rb and Rc, together with the nitrogen atom to which they are attached, form a 3-6 membered heterocyclyl; Rd, Re, and Rf are each independently H, OH, halo, C1-C6 alkyl, or C1-C6 alkoxy; Rj is H, C1-C6 alkyl, –NRbRc, or –N(CH3)3 +; m and o are each independently 0, 1, 2, or 3; and n is 0 or 1.
2. The compound of claim 1, or a pharmaceutically acceptable salt thereof, wherein: Xa is CH2;
Xb is O; R6 and R7 are each independently H, OH, C1-C6 alkyl, C1-C6 haloalkyl, C3-C6 cycloalkyl, or C1-C6 alkoxy; R8 and R9 are each independently H, OH, C1-C6 alkyl, C1-C6 haloalkyl, C3-C6 cycloalkyl, or C1-C6 alkoxy; or R8 and R9, together with the carbon atom to which they are attached, form a C3-C6 cycloalkyl; Rs and Rt are each independently H, OH, halo, C1-C6 alkyl, C1-C6 alkoxy, C1-C6 haloalkyl, C1-C6 haloalkoxy, –NRbRc, –NO2, –SO3H, –(CH2)mORb, or –O(CH2)mOCH3, or Rs and Rt, together with the carbon atoms to which they are attached, form a ring of formula:
p is 0 or 1.
3. The compound of any one of claims 1 to 2, or a pharmaceutically acceptable salt thereof, wherein p is 0.
4. The compound of any one of claims 1 to 2, or a pharmaceutically acceptable salt thereof, wherein p is 1, optionally wherein: (i) p is 1, Xa is CR11R12, and Xb is O; or (ii) p is 1, Xa is O, and Xb is CR13R14.
6. The compound of any one of claims 1 to 5, or a pharmaceutically acceptable salt thereof, wherein X1 is C-R1, and R1 is H, CN, C1-C6 alkyl, C1-C6 alkoxy, or –C(O)ORb, optionally wherein R1 is H, CN, –CH3, –OCH3, –C(O)OCH3, or –C(O)OCH2CH3.
7. The compound of any one of claims 1 to 6, or a pharmaceutically acceptable salt thereof, wherein X2 is C-R2, and R2 is H, OH, CN, halo, C1-C6 alkyl, C1-C6 alkoxy, –NHS(O)2(C1-C6 alkyl), –C(O)ORb, –C(O)NRbRc, 5-6 membered heteroaryl, or 5-6 membered heterocyclyl, wherein said 5-6 membered heteroaryl or 5-6 membered heterocyclyl may be unsubstituted or may be substituted with 1-4 substituents independently selected from C1-C6 alkyl and –C(O)NRbRc, optionally wherein R2 is H, Cl, F, OH, CN, –CH3, –OCH3, –C(O)OH, –C(O)NH2, –C(O)N(H)CH3, –N(H)S(O)2(CH3),
8. The compound of any one of claim 1 to 7, or a pharmaceutically acceptable salt thereof, wherein X3 is N.
9. The compound of any one of claims 1 to 7, or a pharmaceutically acceptable salt thereof, wherein X3 is C-R3, and R3 is H, CN, halo, C1-C6 alkoxy, –C(O)ORb, or –C(O)NRbRc, optionally wherein R3 is H, Cl, F, CN, –OCH3, –C(O)OCH3 or –C(O)N(CH3)2.
10. The compound of any one of claims 1 to 9, or a pharmaceutically acceptable salt thereof, wherein R4 is H, halo, C1-C6 alkyl, –C(O)ORb, or –C(O)NRbRc, optionally wherein R4 is H, Cl, F, – CH3, –C(O)OCH2CH3 or –C(O)NH2.
11. The compound of any one of claims 1 to 10, or a pharmaceutically acceptable salt thereof, wherein X5 is CR5, and R5 is H, halo, or –C(O)NRbRc, optionally wherein R5 is H, F, or –C(O)NH2.
12. The compound of any one of claims 1 to 11, or a pharmaceutically acceptable salt thereof, wherein R7 is H, OH, C1-C6 alkyl, C3-C6 cycloalkyl, or C1-C6 alkoxy, optionally wherein R7 is H, OH, –OCH3, –CH3, or cyclopropyl.
13. The compound of any one of claims 1 to 12, or a pharmaceutically acceptable salt thereof, wherein R8 and R9 are each independently H, C1-C6 alkyl, C1-C6 haloalkyl, or C3-C6 cycloalkyl, or R8 and R9, together with the carbon atom to which they are attached, form a C3-C6 cycloalkyl, optionally wherein: (i) R8 is H or C1-C6 alkyl, optionally wherein R8 is H, –CH3, or –CH2CH3; (ii) R9 is H, C1-C6 alkyl, or C1-C6 haloalkyl, optionally wherein R9 is H, –CH3, or –CF3; or (iii) R8 and R9, together with the carbon atom to which they are attached, form a C3-C6 cycloalkyl, optionally wherein R8 and R9, together with the carbon atom to which they are attached, form a cyclobutane.
14. The compound of any one of claims 1 to 13, or a pharmaceutically acceptable salt thereof, wherein R10 is H.
15. The compound of any one of claims 1 to 13, or a pharmaceutically acceptable salt thereof, wherein R10 is CH3.
16. The compound of any one of claims 1 to 15, or a pharmaceutically acceptable salt thereof, wherein Xs is C-Rs, and Rs is H, OH, halo, C1-C6 alkyl, C1-C6 alkoxy, C3-C6 cycloalkyl, –O-C3-C6 cycloalkyl, –(CH2)mORb, or –O(CH2)mOCH3, optionally wherein Xs is C-Rs, and Rs is H, F, Cl, OH, – CH3, –CH2OH, –CH2OCH3, –OCH3, cyclopropyl, –O-cyclopropyl, –OCH(CH3)2, or – OCH2CH2OCH3.
17. The compound of any one of claims 1 to 16, or a pharmaceutically acceptable salt thereof, wherein Xt is C-Rt, and Rt is H, halo, C1-C6 alkyl, C1-C6 alkoxy, or C3-C6 cycloalkyl, optionally wherein Xt is C-Rt, and Rt is H, Cl, F, –CH3, –OCH3, or cyclopropyl.
18. The compound of any one of claim 1 to 15, or a pharmaceutically acceptable salt thereof, wherein Rs and Rt, together with the carbon atoms to which they are attached, form a ring of formula:
, optionally wherein Rs and Rt, together with the carbon atoms to which they are attached, form a ring of formula:
.
19. The compound of any of claims 1 to 18, or a pharmaceutically acceptable salt thereof, wherein Ru is H, halo, C1-C6 alkyl, C1-C6 alkoxy, C1-C6 haloalkyl, optionally wherein Ru is H, F, or – CH3.
20. The compound of any of claims 1 to 19, or a pharmaceutically acceptable salt thereof, wherein Rv is H, halo, or C1-C6 alkyl, optionally wherein Rv is H, F, or –CH3.
21. The compound of any of claims 1 to 20, or a pharmaceutically acceptable salt thereof, wherein Rw is H.
23. The compound of any one of claims 1 to 4 and 22, or a pharmaceutically acceptable salt thereof, wherein R7 is H, C1-C6 alkyl, or C1-C6 alkoxy, optionally wherein R7 is H, –CH3, or –OCH3.
24. The compound of any one of claims 1 to 4 and 22 to 23, or a pharmaceutically acceptable salt thereof, wherein Rs is H, halo, C1-C6 alkyl, C1-C6 alkoxy, C3-C6 cycloalkyl, or –(CH2)mORb, optionally wherein Rs is H, F, Cl, –CH3, –OCH3, cyclopropyl, or –CH2OCH3.
25. The compound of any one of claims 1 to 4 and 22 to 24, or a pharmaceutically acceptable salt thereof, wherein Rt is H, halo, C1-C6 alkyl, or C3-C6 cycloalkyl, optionally wherein Rt is H, F, Cl, – CH3, or cycloproyl.
26. A compound selected from Table A, optionally wherein the compound is selected from Table B, or a pharmaceutically acceptable salt thereof.
27. A compound selected from Table C, or a pharmaceutically acceptable salt thereof.
28. A compound selected from Table D, or a pharmaceutically acceptable salt thereof.
29. A compound selected from Table E, or a pharmaceutically acceptable salt thereof.
30. The compound of any one of claims 1 to 29 in non-salt form.
31. A pharmaceutical composition comprising the compound of any one of claims 1 to 29, or a pharmaceutically acceptable salt thereof, or the compound of claim 30, and one or more pharmaceutically acceptable carriers or vehicles.
32. A method of inhibiting a voltage-gated sodium channel in a subject comprising administering to the subject the compound of any one of claims 1 to 29, or a pharmaceutically acceptable salt
thereof, tire compound of claim 30, or the pharmaceutical composition of claim 31, optionally wherein tire voltage-gated sodium channel is Nav1.8.
33. A method of treating or lessening the severity in a subject of chronic pain, gut pain, neuropathic pain, musculoskeletal pain, acute pain, inflammatory pain, cancer pain, idiopathic pain, postsurgical pain, visceral pain, multiple sclerosis, Charcot-Marie-Tooth syndrome, incontinence, pathological cough, or cardiac arrhythmia comprising administering to the subject an effective amount of the compound of any one of claims 1 to 29, or a pharmaceutically acceptable salt thereof, the compound of claim 30, or the pharmaceutical composition of claim 31, optionally wherein:
(i) the method comprises treating or lessening the severity in the subject of neuropathic pain, optionally wherein the neuropathic pain comprises post-herpetic neuralgia, small-fiber neuropathy, idiopathic small-fiber neuropathy, diabetic neuropathy, or diabetic peripheral neuropathy; or
(ii) the method comprises treating or lessening the severity in the subject of musculoskeletal pain, optionally wherein the musculoskeletal pain comprises osteoarthritis pain; or
(iii) the method comprises treating or lessening the severity in the subject of acute pain, optionally wherein tire acute pain comprises acute post-operative pain; or
(iv) the method comprises treating or lessening the severity in the subject of postsurgical pain, optionally wherein the postsurgical pain comprises bunionectomy pain, abdominoplasty pain, or herniorrhaphy pain; or
(v) the method comprises treating or lessening the severity in the subject of visceral pain.
34. The method of any one of claims 32 to 33, wherein said subject is treated with one or more additional therapeutic agents administered concurrently with, prior to, or subsequent to treatment with the compound, pharmaceutically acceptable salt, or pharmaceutical composition.
35. Use of the compound of any one of claims 1 to 29, or a pharmaceutically acceptable salt thereof, the compound of claim 30, or the pharmaceutical composition of claim 31, as a medicament.
Applications Claiming Priority (6)
| Application Number | Priority Date | Filing Date | Title |
|---|---|---|---|
| US202363592362P | 2023-10-23 | 2023-10-23 | |
| US63/592,362 | 2023-10-23 | ||
| US202363592698P | 2023-10-24 | 2023-10-24 | |
| US63/592,698 | 2023-10-24 | ||
| US202463644192P | 2024-05-08 | 2024-05-08 | |
| US63/644,192 | 2024-05-08 |
Publications (1)
| Publication Number | Publication Date |
|---|---|
| WO2025090465A1 true WO2025090465A1 (en) | 2025-05-01 |
Family
ID=93377993
Family Applications (1)
| Application Number | Title | Priority Date | Filing Date |
|---|---|---|---|
| PCT/US2024/052361 Pending WO2025090465A1 (en) | 2023-10-23 | 2024-10-22 | Heteroaryl compounds for the treatment of pain |
Country Status (2)
| Country | Link |
|---|---|
| TW (1) | TW202523313A (en) |
| WO (1) | WO2025090465A1 (en) |
Cited By (5)
| Publication number | Priority date | Publication date | Assignee | Title |
|---|---|---|---|---|
| WO2025223433A1 (en) * | 2024-04-22 | 2025-10-30 | 晶新医药研发(上海)有限公司 | Five-membered heterocycle compound, pharmaceutical composition and use thereof |
| WO2025223429A1 (en) * | 2024-04-22 | 2025-10-30 | 晶新医药研发(上海)有限公司 | Five-membered heterocycle compound, pharmaceutical composition and use thereof |
| WO2025247396A1 (en) * | 2024-05-31 | 2025-12-04 | 熙源安健医药(北京)有限公司 | Heterocyclic derivative, preparation method therefor, and use thereof |
| WO2025252109A1 (en) * | 2024-06-04 | 2025-12-11 | 成都苑东生物制药股份有限公司 | Substituted tetrahydrofuran derivative, and preparation method therefor and use thereof |
| WO2026006674A1 (en) * | 2024-06-28 | 2026-01-02 | Vertex Pharmaceuticals Incorporated | Heteroaryl compounds for the treatment of pain |
Citations (76)
| Publication number | Priority date | Publication date | Assignee | Title |
|---|---|---|---|---|
| US5304121A (en) | 1990-12-28 | 1994-04-19 | Boston Scientific Corporation | Drug delivery system making use of a hydrogel polymer coating |
| US5886026A (en) | 1993-07-19 | 1999-03-23 | Angiotech Pharmaceuticals Inc. | Anti-angiogenic compositions and methods of use |
| US6099562A (en) | 1996-06-13 | 2000-08-08 | Schneider (Usa) Inc. | Drug coating with topcoat |
| WO2002008748A2 (en) | 2000-07-10 | 2002-01-31 | Aurora Biosciences Corporation | Ion channel assay methods |
| WO2006011050A2 (en) | 2004-07-23 | 2006-02-02 | Pfizer Limited | Pyridine derivatives |
| WO2008135826A2 (en) | 2007-05-03 | 2008-11-13 | Pfizer Limited | 2 -pyridine carboxamide derivatives as sodium channel modulators |
| WO2010129864A2 (en) | 2009-05-07 | 2010-11-11 | The Board Of Trustees Of The Leland Stanford Junior University | Methods and compositions for studying, imaging, and treating pain |
| WO2011026240A1 (en) | 2009-09-04 | 2011-03-10 | Zalicus Pharmaceuticals Ltd. | Oxopiperazine derivatives for the treatment of pain and epilepsy |
| WO2011140425A1 (en) | 2010-05-06 | 2011-11-10 | Vertex Pharmaceuticals Incorporated | Heterocyclic chromene-spirocyclic piperidine amides as modulators of ion channels |
| US20120196869A1 (en) | 2011-02-02 | 2012-08-02 | Sara Sabina Hadida Ruah | Pyrrolopyrazine-spirocyclic piperidine amides as modulators of ion channels |
| WO2012112743A1 (en) | 2011-02-18 | 2012-08-23 | Vertex Pharmaceuticals Incorporated | Chroman - spirocyclic piperidine amides as modulators of ion channels |
| WO2012116440A1 (en) | 2011-03-03 | 2012-09-07 | Zalicus Pharmaceuticals Ltd. | Benzimidazole inhibitors of the sodium channel |
| WO2012125613A1 (en) | 2011-03-14 | 2012-09-20 | Vertex Pharmaceuticals Incorporated | Morpholine-spirocyclic piperidine amides as modulators of ion channels |
| WO2012125973A2 (en) | 2011-03-16 | 2012-09-20 | Amgen Inc. | Potent and selective inhibitors of nav1.3 and nav1.7 |
| WO2013061205A2 (en) | 2011-10-26 | 2013-05-02 | Pfizer Limited | Chemical compounds |
| WO2013086229A1 (en) | 2011-12-07 | 2013-06-13 | Amgen Inc. | Bicyclic aryl and heteroaryl sodium channel inhibitors |
| US8466188B2 (en) | 2006-10-12 | 2013-06-18 | Xenon Pharmaceuticals Inc. | Use of spiro-oxindole compounds as therapeutic agents |
| WO2013109521A1 (en) | 2012-01-16 | 2013-07-25 | Vertex Pharmaceuticals Incorporated | Pyran-spirocyclic piperidine amides as modulators of ion channels |
| WO2013114250A1 (en) | 2012-02-03 | 2013-08-08 | Pfizer Inc. | Benziimidazole and imidazopyridine derivatives as sodium channel modulators |
| WO2013131018A1 (en) | 2012-03-02 | 2013-09-06 | Zalicus Pharmaceuticals Ltd. | Biaryl inhibitors of the sodium channel |
| WO2013134518A1 (en) | 2012-03-09 | 2013-09-12 | Amgen Inc. | Sulfamide sodium channel inhibitors |
| US20130303535A1 (en) | 2008-12-26 | 2013-11-14 | Dainippon Sumitomo Pharma Co., Ltd. | Novel bicyclic heterocyclic compound |
| US20140213616A1 (en) | 2013-01-31 | 2014-07-31 | Vertex Pharmaceuticals Incorporated | Pyridone amides as modulators of sodium channels |
| WO2014120815A1 (en) | 2013-01-31 | 2014-08-07 | Vertex Pharmaceuticals Incorporated | Quinoline and quinazoline amides as modulators of sodium channels |
| WO2014120820A1 (en) | 2013-01-31 | 2014-08-07 | Vertex Pharmaceuticals Incorporated | Amides as modulators of sodium channels |
| US8883840B2 (en) | 2009-06-29 | 2014-11-11 | Xenon Pharmaceuticals Inc. | Enantiomers of spiro-oxindole compounds and their uses as therapeutic agents |
| WO2014201173A1 (en) | 2013-06-12 | 2014-12-18 | Amgen Inc. | Bicyclic sulfonamide compounds as sodium channel inhibitors |
| WO2015010065A1 (en) | 2013-07-19 | 2015-01-22 | Vertex Pharmaceuticals Incorporated | Sulfonamides as modulators of sodium channels |
| WO2015089361A1 (en) | 2013-12-13 | 2015-06-18 | Vertex Pharmaceuticals Incorporated | Prodrugs of pyridone amides useful as modulators of sodium channels |
| WO2015157559A2 (en) | 2014-04-09 | 2015-10-15 | Siteone Therapeutics, Inc. | 10',11'-modified saxitoxins for the treatment of pain |
| WO2016141035A1 (en) | 2015-03-02 | 2016-09-09 | Amgen Inc. | Bicyclic ketone sulfonamide compounds |
| WO2017059385A1 (en) | 2015-09-30 | 2017-04-06 | Siteone Therapeutics, Inc. | 11,13-modified saxitoxins for the treatment of pain |
| WO2018183781A1 (en) | 2017-03-29 | 2018-10-04 | Siteone Therapeutics, Inc. | 11,13-modified saxitoxins for the treatment of pain |
| WO2018183782A1 (en) | 2017-03-29 | 2018-10-04 | Siteone Therapeutics, Inc. | 11,13-modified saxitoxins for the treatment of pain |
| WO2018213426A1 (en) | 2017-05-16 | 2018-11-22 | Vertex Pharmaceuticals Incorporated | Deuterated pyridone amides and prodrugs thereof as modulators of sodium channels |
| US20190016671A1 (en) | 2017-07-11 | 2019-01-17 | Vertex Pharmaceuticals Incorporated | Carboxamides as modulators of sodium channels |
| WO2020014246A1 (en) | 2018-07-09 | 2020-01-16 | Lieber Institute, Inc. | Pyridine carboxamide compounds for inhibiting nav1.8 |
| WO2020014243A1 (en) | 2018-07-09 | 2020-01-16 | Lieber Institute, Inc. | PYRIDAZINE COMPOUNDS FOR INHIBITING Nav1.8 |
| WO2020072835A1 (en) | 2018-10-03 | 2020-04-09 | Siteone Therapeutics, Inc. | 11,13-modified saxitoxins for the treatment of pain |
| WO2020092667A1 (en) | 2018-11-02 | 2020-05-07 | Merck Sharp & Dohme Corp. | 2-amino-n-heteroaryl-nicotinamides as nav1.8 inhibitors |
| WO2020092187A1 (en) | 2018-11-02 | 2020-05-07 | Merck Sharp & Dohme Corp. | 2-amino-n-phenyl-nicotinamides as nav1.8 inhibitors |
| CN111217776A (en) | 2020-01-19 | 2020-06-02 | 中国人民解放军军事科学院军事医学研究院 | Amide derivative containing benzo heterocyclic structure, composition and application |
| WO2020117626A1 (en) | 2018-12-05 | 2020-06-11 | Merck Sharp & Dohme Corp. | 4-amino or 4-alkoxy-substituted aryl sulfonamide compounds with selective activity in voltage-gated sodium channels |
| WO2020140959A1 (en) | 2019-01-04 | 2020-07-09 | 江苏恒瑞医药股份有限公司 | 6-oxo-1,6-dihydropyridazine derivative, preparation method therefor and medical use thereof |
| WO2020146682A1 (en) | 2019-01-10 | 2020-07-16 | Vertex Pharmaceuticals Incorporated | Carboxamides as modulators of sodium channels |
| WO2020146612A1 (en) | 2019-01-10 | 2020-07-16 | Vertex Pharmaceuticals Incorporated | Esters and carbamates as modulators of sodium channels |
| WO2020144375A1 (en) | 2019-01-11 | 2020-07-16 | Grünenthal GmbH | Substituted pyrrolidine amides iii |
| WO2020151728A1 (en) | 2019-01-25 | 2020-07-30 | 江苏恒瑞医药股份有限公司 | 2-oxo-1,2-dihydropyridin derivative, preparation method therefor and medical uses thereof |
| CN111808019A (en) | 2020-09-08 | 2020-10-23 | 上海济煜医药科技有限公司 | A kind of cyclic compound and its application |
| WO2020261114A1 (en) | 2019-06-27 | 2020-12-30 | Glaxosmithkline Intellectual Property Development Limited | 2,3-dihydroquinazolin compounds as nav1.8 inhibitors |
| CN112225695A (en) | 2020-12-15 | 2021-01-15 | 上海济煜医药科技有限公司 | Oxynitride and preparation method and application thereof |
| CN112300069A (en) | 2019-07-31 | 2021-02-02 | 明慧医药(上海)有限公司 | A kind of selective sodium channel regulator and its preparation and application |
| CN112300051A (en) | 2019-07-31 | 2021-02-02 | 明慧医药(上海)有限公司 | Selective sodium channel regulator and preparation and application thereof |
| CN112390745A (en) | 2019-08-19 | 2021-02-23 | 江苏恒瑞医药股份有限公司 | Pyridine nicotinamide derivatives, preparation method and medical application thereof |
| WO2021032074A1 (en) | 2019-08-19 | 2021-02-25 | 江苏恒瑞医药股份有限公司 | Benzamide fused aromatic ring derivative, preparation method therefor and application thereof in medicine |
| CN112441969A (en) | 2019-08-30 | 2021-03-05 | 明慧医药(上海)有限公司 | Selective sodium channel regulator and preparation and application thereof |
| CN112457294A (en) | 2021-01-27 | 2021-03-09 | 上海济煜医药科技有限公司 | Compound serving as NaV1.8 retarder and preparation method and application thereof |
| CN112479996A (en) | 2019-09-12 | 2021-03-12 | 上海济煜医药科技有限公司 | Pyridine oxynitride and preparation method and application thereof |
| WO2021252818A1 (en) | 2020-06-10 | 2021-12-16 | Amgen Inc. | Cyclopropyl dihydroquinoline sulfonamide compounds |
| WO2021252820A1 (en) | 2020-06-10 | 2021-12-16 | Amgen Inc. | Cyclobutyl dihydroquinoline sulfonamide compounds |
| WO2021252822A1 (en) | 2020-06-10 | 2021-12-16 | Amgen Inc. | Heteroalkyl dihydroquinoline sulfonamide compounds |
| WO2021257420A1 (en) | 2020-06-17 | 2021-12-23 | Merck Sharp & Dohme Corp. | 5-oxopyrrolidine-3-carboxamides as nav1.8 inhibitors |
| WO2021257418A1 (en) | 2020-06-17 | 2021-12-23 | Merck Sharp & Dohme Corp. | 2-oxo-oxazolidine-5-carboxamides as nav1.8 inhibitors |
| WO2021257490A1 (en) | 2020-06-17 | 2021-12-23 | Merck Sharp & Dohme Corp. | 2-oxoimidazolidine-4-carboxamides as nav1.8 inhibitors |
| WO2022036297A1 (en) | 2020-08-14 | 2022-02-17 | Siteone Therapeutics, Inc. | Non-hydrated ketone inhibitors of nav1.7 for the treatment of pain |
| CN114591293A (en) | 2020-12-07 | 2022-06-07 | 成都康弘药业集团股份有限公司 | Conjunctive compounds as Nav1.8 inhibitors and their uses |
| WO2022235859A1 (en) | 2021-05-07 | 2022-11-10 | Merck Sharp & Dohme Llc | Cycloalkyl 3-oxopiperazine carboxamides and cycloheteroalkyl 3-oxopiperazine carboxamides as nav1.8 inhibitors |
| WO2022235558A1 (en) | 2021-05-07 | 2022-11-10 | Merck Sharp & Dohme Llc | Aryl 3-oxopiperazine carboxamides and heteroaryl 3-oxopiperazine carboxamides as nav1.8 inhibitors |
| WO2022256676A1 (en) * | 2021-06-04 | 2022-12-08 | Vertex Pharmaceuticals Incorporated | Substituted tetrahydrofuran analogs as modulators of sodium channels |
| WO2022256679A1 (en) * | 2021-06-04 | 2022-12-08 | Vertex Pharmaceuticals Incorporated | N-(hydroxyalkyl (hetero)aryl) tetrahydrofuran carboxamide analogs as modulators of sodium channels |
| WO2022256842A1 (en) * | 2021-06-04 | 2022-12-08 | Vertex Pharmaceuticals Incorporated | Hydroxy and (halo)alkoxy substituted tetrahydrofurans as modulators of sodium channels |
| WO2022263498A1 (en) | 2021-06-15 | 2022-12-22 | Grünenthal GmbH | Substituted pyrazole amides |
| WO2023138599A1 (en) | 2022-01-18 | 2023-07-27 | 成都康弘药业集团股份有限公司 | Aromatic fused ring nav1.8 inhibitor, and use thereof |
| WO2024041613A1 (en) | 2022-08-24 | 2024-02-29 | 江苏恒瑞医药股份有限公司 | Heterocyclic compound, method for preparing same, and pharmaceutical use thereof |
| WO2024046253A1 (en) | 2022-08-28 | 2024-03-07 | 上海汇伦医药股份有限公司 | Sodium channel regulator and use thereof |
| WO2024046409A1 (en) | 2022-08-31 | 2024-03-07 | 江苏恒瑞医药股份有限公司 | Heterocyclic compound, preparation method therefor, and pharmaceutical use thereof |
-
2024
- 2024-10-22 WO PCT/US2024/052361 patent/WO2025090465A1/en active Pending
- 2024-10-22 TW TW113140154A patent/TW202523313A/en unknown
Patent Citations (97)
| Publication number | Priority date | Publication date | Assignee | Title |
|---|---|---|---|---|
| US5304121A (en) | 1990-12-28 | 1994-04-19 | Boston Scientific Corporation | Drug delivery system making use of a hydrogel polymer coating |
| US5886026A (en) | 1993-07-19 | 1999-03-23 | Angiotech Pharmaceuticals Inc. | Anti-angiogenic compositions and methods of use |
| US6099562A (en) | 1996-06-13 | 2000-08-08 | Schneider (Usa) Inc. | Drug coating with topcoat |
| WO2002008748A2 (en) | 2000-07-10 | 2002-01-31 | Aurora Biosciences Corporation | Ion channel assay methods |
| WO2006011050A2 (en) | 2004-07-23 | 2006-02-02 | Pfizer Limited | Pyridine derivatives |
| US20080312235A1 (en) | 2004-07-23 | 2008-12-18 | Charlotte Alice Louise Lane | Pyridine Derivatives |
| US8466188B2 (en) | 2006-10-12 | 2013-06-18 | Xenon Pharmaceuticals Inc. | Use of spiro-oxindole compounds as therapeutic agents |
| US20090048306A1 (en) | 2007-05-03 | 2009-02-19 | Pfizer, Inc. | Pyridine derivatives |
| WO2008135826A2 (en) | 2007-05-03 | 2008-11-13 | Pfizer Limited | 2 -pyridine carboxamide derivatives as sodium channel modulators |
| US20130303535A1 (en) | 2008-12-26 | 2013-11-14 | Dainippon Sumitomo Pharma Co., Ltd. | Novel bicyclic heterocyclic compound |
| WO2010129864A2 (en) | 2009-05-07 | 2010-11-11 | The Board Of Trustees Of The Leland Stanford Junior University | Methods and compositions for studying, imaging, and treating pain |
| US8883840B2 (en) | 2009-06-29 | 2014-11-11 | Xenon Pharmaceuticals Inc. | Enantiomers of spiro-oxindole compounds and their uses as therapeutic agents |
| WO2011026240A1 (en) | 2009-09-04 | 2011-03-10 | Zalicus Pharmaceuticals Ltd. | Oxopiperazine derivatives for the treatment of pain and epilepsy |
| US20120220605A1 (en) | 2009-09-04 | 2012-08-30 | Zalicus Pharmaceuticals Ltd. | Oxopiperazine derivatives for the treatment of pain and epilepsy |
| WO2011140425A1 (en) | 2010-05-06 | 2011-11-10 | Vertex Pharmaceuticals Incorporated | Heterocyclic chromene-spirocyclic piperidine amides as modulators of ion channels |
| US20110306607A1 (en) | 2010-05-06 | 2011-12-15 | Vertex Pharmaceuticals Incorporated | Heterocyclic chromene-spirocyclic piperidine amides as modulators of ion channels |
| US20120196869A1 (en) | 2011-02-02 | 2012-08-02 | Sara Sabina Hadida Ruah | Pyrrolopyrazine-spirocyclic piperidine amides as modulators of ion channels |
| WO2012106499A1 (en) | 2011-02-02 | 2012-08-09 | Vertex Pharmaceuticals Incorporated | Pyrrolopyrazine-spirocyclic piperidine amides as modulators of ion channels |
| US20120245136A1 (en) | 2011-02-18 | 2012-09-27 | Sara Sabina Hadida-Ruah | Chroman-spirocyclic piperidine amides as modulators of ion channels |
| WO2012112743A1 (en) | 2011-02-18 | 2012-08-23 | Vertex Pharmaceuticals Incorporated | Chroman - spirocyclic piperidine amides as modulators of ion channels |
| WO2012116440A1 (en) | 2011-03-03 | 2012-09-07 | Zalicus Pharmaceuticals Ltd. | Benzimidazole inhibitors of the sodium channel |
| US20140187533A1 (en) | 2011-03-03 | 2014-07-03 | Zalicus Pharmaceuticals Ltd. | Benzimidazole inhibitors of the sodium channel |
| WO2012125613A1 (en) | 2011-03-14 | 2012-09-20 | Vertex Pharmaceuticals Incorporated | Morpholine-spirocyclic piperidine amides as modulators of ion channels |
| US20120264749A1 (en) | 2011-03-14 | 2012-10-18 | Sara Sabina Hadida-Ruah | Morpholine-spirocyclic piperidine amides as modulators of ion channels |
| WO2012125973A2 (en) | 2011-03-16 | 2012-09-20 | Amgen Inc. | Potent and selective inhibitors of nav1.3 and nav1.7 |
| WO2013061205A2 (en) | 2011-10-26 | 2013-05-02 | Pfizer Limited | Chemical compounds |
| US20140296313A1 (en) | 2011-10-26 | 2014-10-02 | Pfizer Limited | (4-Phenylimidazol-2-yl) Ethylamine Derivatives Useful As Sodium Channel Modulators |
| WO2013086229A1 (en) | 2011-12-07 | 2013-06-13 | Amgen Inc. | Bicyclic aryl and heteroaryl sodium channel inhibitors |
| WO2013109521A1 (en) | 2012-01-16 | 2013-07-25 | Vertex Pharmaceuticals Incorporated | Pyran-spirocyclic piperidine amides as modulators of ion channels |
| US20150005304A1 (en) | 2012-01-16 | 2015-01-01 | Vertex Pharmaceuticals Incorporated | Pyran-Spirocyclic Piperidine Amides as Modulators of Ion Channels |
| US20130274243A1 (en) | 2012-02-03 | 2013-10-17 | Pfizer Limited | Chemical Compounds |
| WO2013114250A1 (en) | 2012-02-03 | 2013-08-08 | Pfizer Inc. | Benziimidazole and imidazopyridine derivatives as sodium channel modulators |
| WO2013131018A1 (en) | 2012-03-02 | 2013-09-06 | Zalicus Pharmaceuticals Ltd. | Biaryl inhibitors of the sodium channel |
| WO2013134518A1 (en) | 2012-03-09 | 2013-09-12 | Amgen Inc. | Sulfamide sodium channel inhibitors |
| WO2014120808A9 (en) | 2013-01-31 | 2015-05-14 | Vertex Parmaceuticals Incorporated | Pyridone amides as modulators of sodium channels |
| WO2014120815A1 (en) | 2013-01-31 | 2014-08-07 | Vertex Pharmaceuticals Incorporated | Quinoline and quinazoline amides as modulators of sodium channels |
| US20140228371A1 (en) | 2013-01-31 | 2014-08-14 | Vertex Pharmaceuticals Incorporated | Quinoline and quinazoline amides as modulators of sodium channels |
| WO2014120820A1 (en) | 2013-01-31 | 2014-08-07 | Vertex Pharmaceuticals Incorporated | Amides as modulators of sodium channels |
| US20140213616A1 (en) | 2013-01-31 | 2014-07-31 | Vertex Pharmaceuticals Incorporated | Pyridone amides as modulators of sodium channels |
| WO2014120808A1 (en) | 2013-01-31 | 2014-08-07 | Vertex Parmaceuticals Incorporated | Pyridone amides as modulators of sodium channels |
| US20140221435A1 (en) | 2013-01-31 | 2014-08-07 | Vertex Pharmaceuticals Incorporated | Amides as modulators of sodium channels |
| WO2014201173A1 (en) | 2013-06-12 | 2014-12-18 | Amgen Inc. | Bicyclic sulfonamide compounds as sodium channel inhibitors |
| WO2014201206A1 (en) | 2013-06-12 | 2014-12-18 | Amgen Inc. | Bicyclic sulfonamide compounds as sodium channel inhibitors |
| WO2015010065A1 (en) | 2013-07-19 | 2015-01-22 | Vertex Pharmaceuticals Incorporated | Sulfonamides as modulators of sodium channels |
| US20160152561A1 (en) | 2013-07-19 | 2016-06-02 | Vertex Pharmaceuticals Incorporated | Sulfonamides as modulators of sodium channels |
| WO2015089361A1 (en) | 2013-12-13 | 2015-06-18 | Vertex Pharmaceuticals Incorporated | Prodrugs of pyridone amides useful as modulators of sodium channels |
| US20150166589A1 (en) | 2013-12-13 | 2015-06-18 | Vertex Pharmaceuticals Incorporated | Prodrugs of pyridone amides useful as modulators of sodium channels |
| WO2015157559A2 (en) | 2014-04-09 | 2015-10-15 | Siteone Therapeutics, Inc. | 10',11'-modified saxitoxins for the treatment of pain |
| WO2016141035A1 (en) | 2015-03-02 | 2016-09-09 | Amgen Inc. | Bicyclic ketone sulfonamide compounds |
| WO2017059385A1 (en) | 2015-09-30 | 2017-04-06 | Siteone Therapeutics, Inc. | 11,13-modified saxitoxins for the treatment of pain |
| WO2018183781A1 (en) | 2017-03-29 | 2018-10-04 | Siteone Therapeutics, Inc. | 11,13-modified saxitoxins for the treatment of pain |
| WO2018183782A1 (en) | 2017-03-29 | 2018-10-04 | Siteone Therapeutics, Inc. | 11,13-modified saxitoxins for the treatment of pain |
| WO2018213426A1 (en) | 2017-05-16 | 2018-11-22 | Vertex Pharmaceuticals Incorporated | Deuterated pyridone amides and prodrugs thereof as modulators of sodium channels |
| US20190016671A1 (en) | 2017-07-11 | 2019-01-17 | Vertex Pharmaceuticals Incorporated | Carboxamides as modulators of sodium channels |
| WO2019014352A1 (en) | 2017-07-11 | 2019-01-17 | Vertex Pharmaceuticals Incorporated | Carboxamides as modulators of sodium channels |
| WO2020014246A1 (en) | 2018-07-09 | 2020-01-16 | Lieber Institute, Inc. | Pyridine carboxamide compounds for inhibiting nav1.8 |
| WO2020014243A1 (en) | 2018-07-09 | 2020-01-16 | Lieber Institute, Inc. | PYRIDAZINE COMPOUNDS FOR INHIBITING Nav1.8 |
| WO2020072835A1 (en) | 2018-10-03 | 2020-04-09 | Siteone Therapeutics, Inc. | 11,13-modified saxitoxins for the treatment of pain |
| WO2020092667A1 (en) | 2018-11-02 | 2020-05-07 | Merck Sharp & Dohme Corp. | 2-amino-n-heteroaryl-nicotinamides as nav1.8 inhibitors |
| WO2020092187A1 (en) | 2018-11-02 | 2020-05-07 | Merck Sharp & Dohme Corp. | 2-amino-n-phenyl-nicotinamides as nav1.8 inhibitors |
| US20200140411A1 (en) | 2018-11-02 | 2020-05-07 | Merck Sharp & Dohme Corp. | 2-amino-n-heteroaryl-nicotinamides as nav1.8 inhibitors |
| WO2020117626A1 (en) | 2018-12-05 | 2020-06-11 | Merck Sharp & Dohme Corp. | 4-amino or 4-alkoxy-substituted aryl sulfonamide compounds with selective activity in voltage-gated sodium channels |
| WO2020140959A1 (en) | 2019-01-04 | 2020-07-09 | 江苏恒瑞医药股份有限公司 | 6-oxo-1,6-dihydropyridazine derivative, preparation method therefor and medical use thereof |
| WO2020146682A1 (en) | 2019-01-10 | 2020-07-16 | Vertex Pharmaceuticals Incorporated | Carboxamides as modulators of sodium channels |
| WO2020146612A1 (en) | 2019-01-10 | 2020-07-16 | Vertex Pharmaceuticals Incorporated | Esters and carbamates as modulators of sodium channels |
| WO2020144375A1 (en) | 2019-01-11 | 2020-07-16 | Grünenthal GmbH | Substituted pyrrolidine amides iii |
| WO2020151728A1 (en) | 2019-01-25 | 2020-07-30 | 江苏恒瑞医药股份有限公司 | 2-oxo-1,2-dihydropyridin derivative, preparation method therefor and medical uses thereof |
| WO2020261114A1 (en) | 2019-06-27 | 2020-12-30 | Glaxosmithkline Intellectual Property Development Limited | 2,3-dihydroquinazolin compounds as nav1.8 inhibitors |
| CN112300069A (en) | 2019-07-31 | 2021-02-02 | 明慧医药(上海)有限公司 | A kind of selective sodium channel regulator and its preparation and application |
| CN112300051A (en) | 2019-07-31 | 2021-02-02 | 明慧医药(上海)有限公司 | Selective sodium channel regulator and preparation and application thereof |
| CN112390745A (en) | 2019-08-19 | 2021-02-23 | 江苏恒瑞医药股份有限公司 | Pyridine nicotinamide derivatives, preparation method and medical application thereof |
| WO2021032074A1 (en) | 2019-08-19 | 2021-02-25 | 江苏恒瑞医药股份有限公司 | Benzamide fused aromatic ring derivative, preparation method therefor and application thereof in medicine |
| CN112441969A (en) | 2019-08-30 | 2021-03-05 | 明慧医药(上海)有限公司 | Selective sodium channel regulator and preparation and application thereof |
| WO2021047622A1 (en) | 2019-09-12 | 2021-03-18 | 上海济煜医药科技有限公司 | Pyridine oxynitride, preparation method therefor and use thereof |
| CN112479996A (en) | 2019-09-12 | 2021-03-12 | 上海济煜医药科技有限公司 | Pyridine oxynitride and preparation method and application thereof |
| CN111217776A (en) | 2020-01-19 | 2020-06-02 | 中国人民解放军军事科学院军事医学研究院 | Amide derivative containing benzo heterocyclic structure, composition and application |
| WO2021252818A1 (en) | 2020-06-10 | 2021-12-16 | Amgen Inc. | Cyclopropyl dihydroquinoline sulfonamide compounds |
| WO2021252820A1 (en) | 2020-06-10 | 2021-12-16 | Amgen Inc. | Cyclobutyl dihydroquinoline sulfonamide compounds |
| WO2021252822A1 (en) | 2020-06-10 | 2021-12-16 | Amgen Inc. | Heteroalkyl dihydroquinoline sulfonamide compounds |
| WO2021257490A1 (en) | 2020-06-17 | 2021-12-23 | Merck Sharp & Dohme Corp. | 2-oxoimidazolidine-4-carboxamides as nav1.8 inhibitors |
| WO2021257420A1 (en) | 2020-06-17 | 2021-12-23 | Merck Sharp & Dohme Corp. | 5-oxopyrrolidine-3-carboxamides as nav1.8 inhibitors |
| WO2021257418A1 (en) | 2020-06-17 | 2021-12-23 | Merck Sharp & Dohme Corp. | 2-oxo-oxazolidine-5-carboxamides as nav1.8 inhibitors |
| WO2022036297A1 (en) | 2020-08-14 | 2022-02-17 | Siteone Therapeutics, Inc. | Non-hydrated ketone inhibitors of nav1.7 for the treatment of pain |
| CN111808019A (en) | 2020-09-08 | 2020-10-23 | 上海济煜医药科技有限公司 | A kind of cyclic compound and its application |
| CN114591293A (en) | 2020-12-07 | 2022-06-07 | 成都康弘药业集团股份有限公司 | Conjunctive compounds as Nav1.8 inhibitors and their uses |
| CN112225695A (en) | 2020-12-15 | 2021-01-15 | 上海济煜医药科技有限公司 | Oxynitride and preparation method and application thereof |
| CN112457294A (en) | 2021-01-27 | 2021-03-09 | 上海济煜医药科技有限公司 | Compound serving as NaV1.8 retarder and preparation method and application thereof |
| WO2022235859A1 (en) | 2021-05-07 | 2022-11-10 | Merck Sharp & Dohme Llc | Cycloalkyl 3-oxopiperazine carboxamides and cycloheteroalkyl 3-oxopiperazine carboxamides as nav1.8 inhibitors |
| WO2022235558A1 (en) | 2021-05-07 | 2022-11-10 | Merck Sharp & Dohme Llc | Aryl 3-oxopiperazine carboxamides and heteroaryl 3-oxopiperazine carboxamides as nav1.8 inhibitors |
| WO2022256676A1 (en) * | 2021-06-04 | 2022-12-08 | Vertex Pharmaceuticals Incorporated | Substituted tetrahydrofuran analogs as modulators of sodium channels |
| WO2022256679A1 (en) * | 2021-06-04 | 2022-12-08 | Vertex Pharmaceuticals Incorporated | N-(hydroxyalkyl (hetero)aryl) tetrahydrofuran carboxamide analogs as modulators of sodium channels |
| WO2022256842A1 (en) * | 2021-06-04 | 2022-12-08 | Vertex Pharmaceuticals Incorporated | Hydroxy and (halo)alkoxy substituted tetrahydrofurans as modulators of sodium channels |
| WO2022263498A1 (en) | 2021-06-15 | 2022-12-22 | Grünenthal GmbH | Substituted pyrazole amides |
| WO2023138599A1 (en) | 2022-01-18 | 2023-07-27 | 成都康弘药业集团股份有限公司 | Aromatic fused ring nav1.8 inhibitor, and use thereof |
| WO2024041613A1 (en) | 2022-08-24 | 2024-02-29 | 江苏恒瑞医药股份有限公司 | Heterocyclic compound, method for preparing same, and pharmaceutical use thereof |
| WO2024046253A1 (en) | 2022-08-28 | 2024-03-07 | 上海汇伦医药股份有限公司 | Sodium channel regulator and use thereof |
| WO2024046409A1 (en) | 2022-08-31 | 2024-03-07 | 江苏恒瑞医药股份有限公司 | Heterocyclic compound, preparation method therefor, and pharmaceutical use thereof |
Non-Patent Citations (40)
Cited By (5)
| Publication number | Priority date | Publication date | Assignee | Title |
|---|---|---|---|---|
| WO2025223433A1 (en) * | 2024-04-22 | 2025-10-30 | 晶新医药研发(上海)有限公司 | Five-membered heterocycle compound, pharmaceutical composition and use thereof |
| WO2025223429A1 (en) * | 2024-04-22 | 2025-10-30 | 晶新医药研发(上海)有限公司 | Five-membered heterocycle compound, pharmaceutical composition and use thereof |
| WO2025247396A1 (en) * | 2024-05-31 | 2025-12-04 | 熙源安健医药(北京)有限公司 | Heterocyclic derivative, preparation method therefor, and use thereof |
| WO2025252109A1 (en) * | 2024-06-04 | 2025-12-11 | 成都苑东生物制药股份有限公司 | Substituted tetrahydrofuran derivative, and preparation method therefor and use thereof |
| WO2026006674A1 (en) * | 2024-06-28 | 2026-01-02 | Vertex Pharmaceuticals Incorporated | Heteroaryl compounds for the treatment of pain |
Also Published As
| Publication number | Publication date |
|---|---|
| TW202523313A (en) | 2025-06-16 |
Similar Documents
| Publication | Publication Date | Title |
|---|---|---|
| US20240294512A1 (en) | Hydroxy and (halo)alkoxy substituted tetrahydrofurans as modulators of sodium channels | |
| US11919887B2 (en) | Substituted tetrahydrofurans as modulators of sodium channels | |
| EP4347031B1 (en) | N-(hydroxyalkyl (hetero)aryl) tetrahydrofuran carboxamides as modulators of sodium channels | |
| US20240400544A1 (en) | N-(hydroxyalkyl (hetero)aryl) tetrahydrofuran carboxamide analogs as modulators of sodium channels | |
| EP4347583A1 (en) | Substituted tetrahydrofuran analogs as modulators of sodium channels | |
| AU2022283934A1 (en) | Substituted tetrahydrofuran-2-carboxamides as modulators of sodium channels | |
| WO2020146612A1 (en) | Esters and carbamates as modulators of sodium channels | |
| WO2025090465A1 (en) | Heteroaryl compounds for the treatment of pain | |
| AU2023255558A1 (en) | Heteroaryl compounds for the treatment of pain | |
| EP4511115A1 (en) | Heteroaryl compounds for the treatment of pain | |
| WO2026006674A1 (en) | Heteroaryl compounds for the treatment of pain | |
| WO2025090480A1 (en) | Heteroaryl compounds for the treatment of pain |
Legal Events
| Date | Code | Title | Description |
|---|---|---|---|
| 121 | Ep: the epo has been informed by wipo that ep was designated in this application |
Ref document number: 24801448 Country of ref document: EP Kind code of ref document: A1 |











































































































































































































































