WO2025085416A1 - Gspt1 compounds and methods of use of the compounds - Google Patents
Gspt1 compounds and methods of use of the compounds Download PDFInfo
- Publication number
- WO2025085416A1 WO2025085416A1 PCT/US2024/051365 US2024051365W WO2025085416A1 WO 2025085416 A1 WO2025085416 A1 WO 2025085416A1 US 2024051365 W US2024051365 W US 2024051365W WO 2025085416 A1 WO2025085416 A1 WO 2025085416A1
- Authority
- WO
- WIPO (PCT)
- Prior art keywords
- alkyl
- methyl
- membered
- phenyl
- urea
- Prior art date
- Legal status (The legal status is an assumption and is not a legal conclusion. Google has not performed a legal analysis and makes no representation as to the accuracy of the status listed.)
- Pending
Links
Classifications
-
- C—CHEMISTRY; METALLURGY
- C07—ORGANIC CHEMISTRY
- C07D—HETEROCYCLIC COMPOUNDS
- C07D401/00—Heterocyclic compounds containing two or more hetero rings, having nitrogen atoms as the only ring hetero atoms, at least one ring being a six-membered ring with only one nitrogen atom
- C07D401/02—Heterocyclic compounds containing two or more hetero rings, having nitrogen atoms as the only ring hetero atoms, at least one ring being a six-membered ring with only one nitrogen atom containing two hetero rings
- C07D401/04—Heterocyclic compounds containing two or more hetero rings, having nitrogen atoms as the only ring hetero atoms, at least one ring being a six-membered ring with only one nitrogen atom containing two hetero rings directly linked by a ring-member-to-ring-member bond
-
- A—HUMAN NECESSITIES
- A61—MEDICAL OR VETERINARY SCIENCE; HYGIENE
- A61P—SPECIFIC THERAPEUTIC ACTIVITY OF CHEMICAL COMPOUNDS OR MEDICINAL PREPARATIONS
- A61P35/00—Antineoplastic agents
-
- C—CHEMISTRY; METALLURGY
- C07—ORGANIC CHEMISTRY
- C07D—HETEROCYCLIC COMPOUNDS
- C07D401/00—Heterocyclic compounds containing two or more hetero rings, having nitrogen atoms as the only ring hetero atoms, at least one ring being a six-membered ring with only one nitrogen atom
- C07D401/14—Heterocyclic compounds containing two or more hetero rings, having nitrogen atoms as the only ring hetero atoms, at least one ring being a six-membered ring with only one nitrogen atom containing three or more hetero rings
Definitions
- GSPT1 COMPOUNDS AND METHODS OF USE OF THE COMPOUNDS CROSS-REFERENCE TO RELATED APPLICATION [0001]
- This application claims the benefit of US Provisional Application No.63/590,734, filed October 16, 2023, which is incorporated by reference herein in its entirety for any purpose.
- FIELD [0002]
- compounds for treating, preventing, or managing cancer are also provided.
- pharmaceutical compositions comprising the compounds, and methods of use of the compounds and compositions.
- the methods encompass treating, preventing, or managing cancer, including solid tumors and blood borne tumors, using the compounds provided herein.
- the compound provided herein is a compound of Formula I, II, or III.
- the compound provided herein is a pharmaceutically acceptable salt of the compound of Formula I, II, or III.
- the compound provided herein is a solvate of the compound of Formula I, II, or III.
- the compound provided herein is a hydrate of compound of Formula I, II, or III.
- the compound provided herein is a clathrate of the compound of Formula I, II, or III.
- Examples of therapies within the scope of the combination therapies and methods include, but are not limited to, surgery, chemotherapy, radiation therapy, hormonal therapy, biological therapy, immunotherapy, and combinations thereof.
- the compounds or compositions provided herein may be administered simultaneously with, prior to, or after administration of one or more of the above therapies.
- Pharmaceutical compositions containing a compound provided herein and one or more of the above agents are also provided.
- the compounds of the present disclosure may be included in an antibody drug conjugate.
- Antibody drug conjugates or ADCs are highly targeted biopharmaceutical drugs that combine monoclonal antibodies specific to surface antigens present on particular tumor cells with highly potent anti-cancer agents linked via a chemical linker.
- methods provided herein encompass methods of managing various forms of leukemias such as chronic lymphocytic leukemia, chronic myeloid leukemia, acute lymphocytic leukemia, acute myeloid leukemia and acute myeloblastic leukemia.
- the methods provided herein include treatment of leukemias that are relapsed, refractory or resistant.
- the methods provided herein include prevention of leukemias that are relapsed, refractory or resistant.
- the methods provided herein include management of leukemias that are relapsed, refractory or resistant.
- methods provided herein encompass methods of treating acute myeloid leukemia.
- methods provided herein encompass methods of preventing acute myeloid leukemia.
- methods provided herein encompass methods of managing acute myeloid leukemia.
- effective amounts of the compounds or compositions containing therapeutically effective concentrations of the compounds are administered to an individual exhibiting the symptoms of the disease or disorder to be treated. The amounts are effective to ameliorate or eliminate one or more symptoms of the disease or disorder.
- a pharmaceutical pack or kit comprising one or more containers filled with one or more of the ingredients of the pharmaceutical compositions.
- a pharmaceutically acceptable clathrate of a compound of Formula I, II, or III is provided herein.
- a pharmaceutically acceptable polymorph of a compound of Formula I, II, or III is provided herein.
- methods of treating cancer, including solid tumors and blood borne tumors, and pharmaceutical compositions and dosage forms useful for such methods are provided.
- the compounds, methods and compositions are described in detail in the sections below. A.
- Alkyl refers to a straight or branched hydrocarbon chain group consisting solely of carbon and hydrogen atoms, containing no unsaturation, having from one to ten, one to eight, one to six, one to four, or one to three carbon atoms, and which is attached to the rest of the molecule by a single bond, e.g., methyl, ethyl, n-propyl, 1-methylethyl (iso-propyl), n-butyl, n- pentyl, 1,1-dimethylethyl (t-butyl), and the like.
- Alkenyl refers to a straight or branched chain unsaturated group consisting solely of carbon and hydrogen atoms, having from two to eight, two to six or two to four carbon atoms, wherein the unsaturation is present only as double bonds and wherein the double bond can exist between any two carbon atoms in the chain, e.g., ethenyl, prop-1-enyl, but-2-enyl, and the like.
- the straight or branched chain unsaturated group is attached to the rest of the molecule by a single bond.
- Alkoxy refers to the group having the formula —OR wherein R is alkyl or haloalkyl.
- Aryl refers to a 5- to 18-membered, 6- to 18-membered, 6- to 10-membered, or 6- membered carbocylic ring system, including monocyclic, bicyclic, tricyclic, tetracyclic ring systems, wherein at least one of the rings is aromatic.
- the aryl may be fully aromatic, examples of which are phenyl, naphthyl, anthracenyl, acenaphthylenyl, azulenyl, fluorenyl, indenyl and pyrenyl.
- the aryl may also contain an aromatic ring in combination with a non-aromatic ring, examples of which are acenaphene, indene, and fluorene.
- Cycloalkyl refers to a stable monovalent monocyclic or bicyclic hydrocarbon group consisting solely of carbon and hydrogen atoms, having from three to 12, three to ten, or three to seven carbon atoms, which is saturated, e.g., cyclopropyl, cyclobutyl, cyclopentyl, cyclohexyl, decalinyl, norbornane, norbornene, adamantyl, bicyclo[2.2.2]octane and the like.
- Ene or “enyl,” when used as a suffix herein, means that the group being modified with the suffix is attached to the rest of the molecule through two or more points of attachment (typically, two), e.g., alkylene, alkenylene, and the like. The group may be attached to the rest of the molecule through any two suitable atoms in the group.
- Halo, “halogen” or “halide” refers to F, Cl, Br or I.
- Haloalkyl refers to an alkyl group, in certain embodiments, C 1-6 alkyl group, in which one or more of the hydrogen atoms are replaced by halogen.
- Such groups include, but are not limited to, chloromethyl, trifluoromethyl, 1-chloro-2-fluoroethyl, 2,2-difluoroethyl, 2- fluoropropyl, 2-fluoropropan-2-yl, 2,2,2-trifluoroethyl, 1,1-difluoroethyl, 1,3-difluoro-2- methylpropyl, 2,2-difluorocyclopropyl, (trifluoromethyl)cyclopropyl, 4,4-difluorocyclohexyl and 2,2,2-trifluoro-1,1-dimethylethyl.
- Heterocycle or “Heterocyclyl” refers to a stable 3- to 15-membered, 3- to-12 membered, 4- to 12-membered, 4- to 7-membered, 5- to 12-membered, or 5- to 6-membered non-aromatic ring radical which consists of carbon atoms and from one to five heteroatoms selected from a group consisting of nitrogen, oxygen and sulfur.
- the heterocyclic ring system radical may be a monocyclic, bicyclic or tricyclic ring or tetracyclic ring system, which may include fused or bridged ring systems; and the nitrogen or sulfur atoms in the heterocyclic ring system radical may be optionally oxidized; the nitrogen atom may be optionally quaternized; and the heterocyclyl radical may be partially or fully saturated.
- the heterocyclic ring system may be attached to the main structure at any heteroatom or carbon atom which results in the creation of a stable compound.
- heterocyclic radicals include, morpholinyl, piperidinyl, piperazinyl, pyranyl, pyrrolidinyl, oxetanyl, azetidinyl, quinuclidinyl, octahydroquinolizinyl, decahydroquinolizinyl, azabicyclo[3.2.1]octanyl, azabicyclo[2.2.2]octanyl, isoindolinyl, indolinyl and others.
- “Heteroaryl” refers to a heterocyclyl group as defined above which is aromatic.
- heteroaryl groups include, but are not limited to monocyclyl, bicyclyl and tricyclyl groups, and may be attached to the main structure at any heteroatom or carbon atom which results in the creation of a stable compound.
- heteroaryl groups include, but are not limited to: furanyl, imidazolyl, oxazolyl, isoxazolyl, pyrimidinyl, pyridinyl, pyridazinyl, thiazolyl, thienyl, benzimidazolyl, imidazo[4,5-b]pyridinyl, imidazo[1,2-a]pyridinyl, imidazo[1,2- b]pyridazinyl, imidazo[1,2-a]pyrazinyl and others.
- EC50 refers to an amount, concentration or dosage of a particular test compound that achieves a 50% potency or effect of a maximal response, such as cell growth or proliferation measured via any of the in vitro or cell-based assays described herein.
- IC50 refers to an amount, concentration or dosage of a particular test compound that achieves a 50% inhibition of a maximal response, such as cell growth or proliferation, measured via any of the in vitro or cell-based assays described herein.
- Pharmaceutically acceptable salts include, but are not limited to, amine salts, such as but not limited to N,N′-dibenzylethylenediamine, chloroprocaine, choline, ammonia, diethanolamine and other hydroxyalkylamines, ethylenediamine, N-methylglucamine, procaine, N- benzylphenethylamine, 1-para-chlorobenzyl-2-pyrrolidin-1′-ylmethyl-benzimidazole, diethylamine and other alkylamines, piperazine and tris(hydroxymethyl)aminomethane; alkali metal salts, such as but not limited to lithium, potassium and sodium; alkali earth metal salts, such as but not limited to barium, calcium and magnesium; transition metal salts, such as but not limited to zinc; and other metal salts, such as but not limited to sodium hydrogen phosphate and disodium phosphate; and also including, but not limited to, salts of mineral acids, such as but not limited
- hydrate means a compound provided herein or a salt thereof, that further includes a stoichiometric or non-stoichiometeric amount of water bound by non-covalent intermolecular forces.
- solvate means a solvate formed from the association of one or more solvent molecules to a compound provided herein.
- the term “solvate” includes hydrates (e.g., mono-hydrate, dihydrate, trihydrate, tetrahydrate and the like).
- substituents are those found in the exemplary compounds and embodiments disclosed herein, as well as halogen (chloro, iodo, bromo, or fluoro); alkyl; hydroxyl; alkoxy; alkoxyalkyl; amino; alkylamino; carboxy; nitro; cyano; thiol; thioether; imine; imide; amidine; guanidine; enamine; aminocarbonyl; acylamino; phosphonate; phosphine; thiocarbonyl; sulfinyl; sulfone; sulfonamide; ketone; aldehyde; ester; urea; urethane; oxime; hydroxyl amine; alkoxyamine; aryloxyamine, aralkoxyamine; N-oxide; hydrazine; hydrazide; hydrazone; azide; isocyanate; isothiocyanate; cyanate
- alkyl groups described herein are said to be “substituted” or “optionally substituted,” they may be substituted with any substituent or substituents as those found in the exemplary compounds and embodiments disclosed herein, as well as halogen (chloro, iodo, bromo, or fluoro); alkyl; hydroxyl; alkoxy; alkoxyalkyl; amino; alkylamino; carboxy; nitro; cyano; thiol; thioether; imine; imide; amidine; guanidine; enamine; aminocarbonyl; acylamino; phosphonate; phosphine; thiocarbonyl; sulfinyl; sulfone; sulfonamide; ketone; aldehyde; ester; urea; urethane; oxime; hydroxyl amine; alkoxyamine; aryloxyamine, aralkoxyamine; N-oxide; hydrazin
- Embodiments of the disclosure are meant to encompass pharmaceutically acceptable salts, tautomers, isotopologues, and stereoisomers of the compounds provided herein, such as the compounds of Formulas (I), (II), and (III), as well as solvates, hydrates, co-crystals, clathrates, and/or polymorphs thereof.
- pharmaceutically acceptable salts, tautomers, isotopologues, and stereoisomers of the compounds provided herein such as the compounds of Formulas (I), (II), and (III), as well as solvates, hydrates, co-crystals, clathrates, and/or polymorphs thereof.
- a compound may assume alternative tautomeric, regioisomeric and/or stereoisomeric forms, all alternative isomers are intended to be encompassed within the scope of the claimed subject matter. For example, where a compound is described as having one of two tautomeric forms, it is intended that both tautomers be encompassed
- the compounds provided herein may be enantiomerically pure, or be stereoisomeric or diastereomeric mixtures.
- the compounds provided herein may contain chiral centers. Such chiral centers may be of either the (R) or (S) configuration, or may be a mixture thereof. It is to be understood that the chiral centers of the compounds provided herein may undergo epimerization in vivo. As such, one of skill in the art will recognize that administration of a compound in its (R) form is equivalent, for compounds that undergo epimerization in vivo, to administration of the compound in its (S) form.
- Optically active (+) and ( ⁇ ), (R)- and (S)-, or (D)- and (L)-isomers may be prepared using chiral synthons or chiral reagents, or resolved using conventional techniques, such as chromatography on a chiral stationary phase.
- the structure controls.
- the terms “treat,” “treating” and “treatment” refer to alleviating or reducing the severity of a symptom associated with the disease or condition being treated.
- prevention includes the inhibition of a symptom of the particular disease or disorder.
- patients with familial history of cancer are candidates for preventive regimens.
- the term “preventing” refers to administration of the drug prior to the onset of symptoms, particularly to patients at risk of cancer, including solid tumors and blood borne tumors.
- the term “managing” encompasses preventing the recurrence of the particular disease or disorder in a patient who had suffered from it, lengthening the time a patient who had suffered from the disease or disorder remains in remission, reducing mortality rates of the patients, and/or maintaining a reduction in severity or avoidance of a symptom associated with the disease or condition being managed.
- “subject” is an animal, typically a mammal, including a human, such as a human patient.
- tumor refers to all neoplastic cell growth and proliferation, whether malignant or benign, and all pre-cancerous and cancerous cells and tissues.
- Neoplastic refers to any form of dysregulated or unregulated cell growth, whether malignant or benign, resulting in abnormal tissue growth.
- neoplastic cells include malignant and benign cells having dysregulated or unregulated cell growth.
- hematologic malignancy or “blood borne tumor” refers to cancer of the body's blood-forming and immune system—the bone marrow and lymphatic tissue.
- Such cancers include leukemias, lymphomas (Non-Hodgkin's Lymphoma), Hodgkin's disease (also called Hodgkin's Lymphoma) and myeloma.
- leukemia refers to malignant neoplasms of the blood-forming tissues.
- Acute lymphocytic leukemia also known as “acute lymphoblastic leukemia” refers to a malignant disease caused by the abnormal growth and development of early nongranular white blood cells, or lymphocytes.
- T-cell leukemia refers to a disease in which certain cells of the lymphoid system called T lymphocytes or T cells are malignant. T cells are white blood cells that normally can attack virus-infected cells, foreign cells, and cancer cells and produce substances that regulate the immune response.
- the term “relapsed” refers to a situation where patients who have had a remission of leukemia after therapy have a return of leukemia cells in the marrow and a decrease in normal blood cells.
- the term “refractory or resistant” refers to a circumstance where patients, even after intensive treatment, have residual leukemia cells in their marrow.
- the terms “therapeutically effective amount” and “effective amount” of a compound refer to an amount sufficient to provide a therapeutic benefit in the treatment, prevention and/or management of a disease, to delay or minimize one or more symptoms associated with the disease or disorder to be treated.
- terapéuticaally effective amount can encompass an amount that improves overall therapy, reduces or avoids symptoms or causes of disease or disorder, or enhances the therapeutic efficacy of another therapeutic agent.
- co-administration and “in combination with” include the administration of two therapeutic agents (for example, a compound provided herein and another anti-cancer agent) either simultaneously, concurrently or sequentially with no specific time limits.
- both agents are present in the cell or in the patient's body at the same time or exert their biological or therapeutic effect at the same time.
- the two therapeutic agents are in the same composition or unit dosage form.
- the two therapeutic agents are in separate compositions or unit dosage forms.
- the supportive care agent refers to any substance that treats, prevents, or manages an adverse effect from treatment with the compound of Formula I.
- biological therapy refers to administration of biological therapeutics such as cord blood, stem cells, growth factors and the like.
- Anti-cancer agents refers to anti-metabolites (e.g., 5-fluoro-uracil, methotrexate, fludarabine), antimicrotubule agents (e.g., vinca alkaloids such as vincristine, vinblastine; taxanes such as paclitaxel, docetaxel), alkylating agents (e.g., cyclophosphamide, melphalan, carmustine, nitrosoureas such as bischloroethylnitrosurea and hydroxyurea), platinum agents (e.g., 5-fluoro-uracil, methotrexate, fludarabine), antimicrotubule agents (e.g., vinca alkaloids such as vincristine, vinblastine; taxanes such as paclitaxel, docetaxel), alkylating agents (e.g., cyclophosphamide, melphalan, carmustine, nitrosoureas such as bischloroethy
- cisplatin carboplatin, oxaliplatin, JM-216 or satraplatin, CI-973
- anthracyclines e.g., doxorubicin, daunorubicin
- antitumor antibiotics e.g., mitomycin, idarubicin, adriamycin, daunomycin
- topoisomerase inhibitors e.g., etoposide, camptothecins
- anti-angiogenesis agents e.g.
- Sutent® and Bevacizumab or any other cytotoxic agents, (estramustine phosphate, prednimustine), hormones or hormone agonists, antagonists, partial agonists or partial antagonists, kinase inhibitors, and radiation treatment.
- cytotoxic agents estramustine phosphate, prednimustine
- hormones or hormone agonists, antagonists, partial agonists or partial antagonists kinase inhibitors
- radiation treatment estramustine phosphate, prednimustine
- hormones or hormone agonists, antagonists, partial agonists or partial antagonists kinase inhibitors
- a compound of Formula (I): or a pharmaceutically acceptable salt thereof, wherein: (i) b is 1; A is selected from an unsubstituted or substituted 5 to 12 membered aryl or a 5 to 12 membered heteroaryl ring; and B is selected from an unsubstituted or substituted 3 to 12 membered cycloalkyl; or (ii) b is 0; and A is selected from an unsubstituted or substituted 3 to 12 membered cycloalkyl, 4 to 12 membered heterocyclic, 5 to 12 membered aryl, or a 5 to 12 membered heteroaryl ring; and B is selected from an unsubstituted or substituted 3 to 12 membered cycloalkyl, 4 to 12 membered heterocyclic, 5 to 12 membered aryl or a 5 to 12 membered heteroaryl ring; and X is independently selected from:
- b is 0 or 1; A is selected from an unsubstituted or substituted 5 to 12 membered aryl, or a 5 to 12 membered heteroaryl ring; and B is selected from an unsubstituted or substituted 3 to 12 membered cycloalkyl, provided the compound is not 3- ⁇ [2-(2,6-dioxopiperidin-3-yl)-1-oxo-2,3-dihydro-1H-isoindol-5- yl]methyl ⁇ -1-(4- ⁇ [(1r,4r)-4-(aminomethyl)cyclohexyl]methoxy ⁇ phenyl)urea.
- a compound of Formula III provided is a compound of Formula III: , or a pharmaceutically acceptable salt thereof, wherein values for the variables are as described for the compound of Formula (I).
- A is selected from an unsubstituted or substituted 3 to 12 membered cycloalkyl, 4 to 12 membered heterocyclic, 5 to 12 membered aryl, or a 5 to 12 membered heteroaryl ring;
- B is selected from an unsubstituted or substituted 3 to 12 membered cycloalkyl, 4 to 12 membered heterocyclic, 5 to 12 membered aryl or a 5 to 12 membered heteroaryl ring;
- X is independently selected from O or N(R 11 );
- R 1 is independently selected from hydrogen, halogen, -C 1 -C 6 alkyl or a 3
- A is selected from phenylene, pyridinylene, pyrimidinylene, or pyridazinylene, e.g., A is phenylene.
- d is 1.
- R 7 is independently selected from hydrogen, halogen, -C 1 -C 6 alkyl, or -C 1 -C 6 haloalkyl. In further embodiments, R 7 is independently selected from hydrogen, fluoro, chloro, methyl, or trifluoromethyl.
- B is an unsubstituted or substituted 3 to 7 membered cycloalkyl.
- B is cyclohexylene, cyclopentylene, cyclobutylene, or bicyclo[1.1.1]pentanylene, e.g., B is phenylene, pyridinylene, pyrimidinylene, or pyridazinylene. [0104] In some embodiments, c is 1.
- (R 10 )-B(R 9 )c- is selected from: [0109] In other embodiments, (R 10 )-B(R 9 )c- is selected from: [0110] In some embodiments, b is 0. In some alternative embodiments, b is 1. [0111] In some embodiments, X is O. In some alternative embodiments, X is N(H) or N(CH3). [0112] In some embodiments, R 1 is selected from hydrogen or methyl. In further embodiments, R 1 is hydrogen. [0113] In some embodiments, R 2a is hydrogen. In some embodiments R 2b is hydrogen. In some embodiments, R 2a and R 2b are each hydrogen.
- R 3 is hydrogen or fluoro.
- e is 1.
- R 4a is hydrogen.
- R 4b is hydrogen.
- R 4a and R 4b are each hydrogen.
- R 5 is hydrogen.
- R 6 is hydrogen.
- R 5 and R 6 are each hydrogen.
- R 8a is hydrogen.
- R 8b is hydrogen.
- R 8a and R 8b are each hydrogen.
- each R 7 is hydrogen.
- a compound, or a pharmaceutically acceptable salt thereof selected from: 1-(4-((1s,3s)-3-(aminomethyl)cyclobutoxy)phenyl)-3-((2-(2,6-dioxopiperidin-3-yl)-1- oxoisoindolin-5-yl)methyl)urea; 1-(4-((1r,3r)-3-(aminomethyl)cyclobutoxy)phenyl)-3-((2-(2,6-dioxopiperidin-3-yl)-1- oxoisoindolin-5-yl)methyl)urea; 1-[4-[[3-(aminomethyl)-1-bicyclo[1.1.1]pentanyl]methoxy]phenyl]-3-[[2-(2,6-dioxo-3- piperidyl)-1-oxo-isoindolin-5-yl]methyl]urea; 1-(4-(((1s,3s)-3-(amino
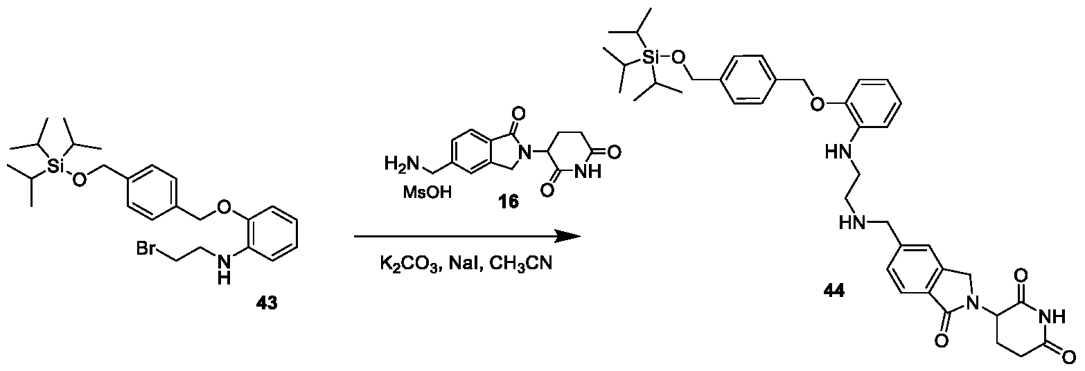
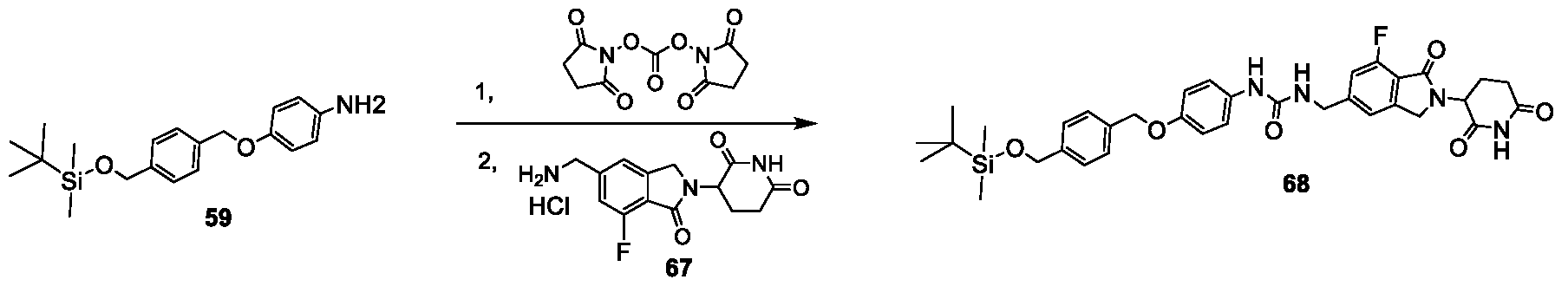
- a compound of any of Examples 1-44, or a pharmaceutically acceptable salt thereof is provided herein.
- isotopically enriched analogs of the compounds provided herein Isotopic enrichment (for example, deuteration) of pharmaceuticals to improve pharmacokinetics (“PK”), pharmacodynamics (“PD”), and toxicity profiles, has been demonstrated previously with some classes of drugs. See, for example, Lijinsky et. al., Food Cosmet. Toxicol., 20: 393 (1982); Lijinsky et. al., J. Nat. Cancer Inst., 69: 1127 (1982); Mangold et. al., Mutation Res.308: 33 (1994); Gordon et.
- isotopic enrichment of a drug can be used, for example, to (1) reduce or eliminate unwanted metabolites, (2) increase the half-life of the parent drug, (3) decrease the number of doses needed to achieve a desired effect, (4) decrease the amount of a dose necessary to achieve a desired effect, (5) increase the formation of active metabolites, if any are formed, and/or (6) decrease the production of deleterious metabolites in specific tissues and/or create a more effective drug and/or a safer drug for combination therapy, whether the combination therapy is intentional or not.
- Replacement of an atom for one of its isotopes often will result in a change in the reaction rate of a chemical reaction.
- KIE Kinetic Isotope Effect
- DKIE Deuterium Kinetic Isotope Effect
- the magnitude of the DKIE can be expressed as the ratio between the rates of a given reaction in which a C—H bond is broken, and the same reaction where deuterium is substituted for hydrogen.
- the DKIE can range from about 1 (no isotope effect) to very large numbers, such as 50 or more, meaning that the reaction can be fifty, or more, times slower when deuterium is substituted for hydrogen.
- high DKIE values may be due in part to a phenomenon known as tunneling, which is a consequence of the uncertainty principle. Tunneling is ascribed to the small mass of a hydrogen atom, and occurs because transition states involving a proton can sometimes form in the absence of the required activation energy.
- tritium As compared with deuterium, a lesser amount of tritium must be consumed before it reaches a hazardous level. Substitution of tritium (“T”) for hydrogen results in yet a stronger bond than deuterium and gives numerically larger isotope effects. [0127] Similarly, substitution of isotopes for other elements, including, but not limited to, 13 C or 14 C for carbon, 33 S, 34 S, or 36 S for sulfur, 15 N for nitrogen, and 17 O or 18 O for oxygen, will provide a similar kinetic isotope effects. [0128] The animal body expresses a variety of enzymes for the purpose of eliminating foreign substances, such as therapeutic agents, from its circulation system.
- cytochrome P450 enzymes include the cytochrome P450 enzymes (“CYPs”), esterases, proteases, reductases, dehydrogenases, and monoamine oxidases, to react with and convert these foreign substances to more polar intermediates or metabolites for renal excretion.
- CYPs cytochrome P450 enzymes
- esterases include the cytochrome P450 enzymes (“CYPs”), esterases, proteases, reductases, dehydrogenases, and monoamine oxidases, to react with and convert these foreign substances to more polar intermediates or metabolites for renal excretion.
- C—H carbon-hydrogen
- C—O carbon-oxygen
- C—C carbon-carbon
- the resultant metabolites may be stable or unstable under physiological conditions, and can have substantially different pharmacokinetic, pharmacodynamic, and acute and long-term toxicity profiles relative to the parent compounds. For many drugs, such oxidations are rapid.
- Isotopic enrichment at certain positions of a compound provided herein may produce a detectable KIE that affects the pharmacokinetic, pharmacologic, and/or toxicological profiles of a compound provided herein in comparison with a similar compound having a natural isotopic composition.
- the deuterium enrichment is performed on the site of C—H bond cleavage during metabolism.
- method of managing cancer which comprises administering to a patient a compound provided herein, e.g., a compound of Formula I, II, or III, or a pharmaceutically acceptable salt thereof.
- a compound provided herein e.g., a compound of Formula I, II, or III, or a pharmaceutically acceptable salt thereof.
- methods of treating patients who have been previously treated for cancer but are non-responsive to standard therapies, as well as those who have not previously been treated are also encompassed. Also encompassed are methods of treating patients regardless of patient's age, although some diseases or disorders are more common in certain age groups. Further encompassed are methods of treating patients who have undergone surgery in an attempt to treat the disease or condition at issue, as well as those who have not.
- cancer includes, but is not limited to, solid tumors and blood borne tumors.
- cancer refers to disease of skin tissues, organs, blood, and vessels, including, but not limited to, cancers of the bladder, bone, blood, brain, breast, cervix, chest, colon, endometrium, esophagus, eye, head, kidney, liver, lymph nodes, lung, mouth, neck, ovaries, pancreas, prostate, rectum, stomach, testis, throat, and uterus.
- Specific cancers include, but are not limited to, advanced malignancy, amyloidosis, neuroblastoma, meningioma, hemangiopericytoma, multiple brain metastases, glioblastoma multiforms, glioblastoma, brain stem glioma, poor prognosis malignant brain tumor, malignant glioma, recurrent malignant glioma, anaplastic astrocytoma, anaplastic oligodendroglioma, neuroendocrine tumor, rectal adenocarcinoma, Dukes C & D colorectal cancer, unresectable colorectal carcinoma, metastatic hepatocellular carcinoma, Kaposi's sarcoma, karotype acute myeloblastic leukemia, Hodgkin's lymphoma, non-Hodgkin's lymphoma, cutaneous T-Cell lymphoma, cutaneous B-Cell lymphoma, diffuse large B-Cell
- the cancer is a solid tumor. In certain embodiments, the solid tumor is metastatic. In certain embodiments, the solid tumor is drug-resistant. In certain embodiments, the solid tumor is hepatocellular carcinoma, prostate cancer, ovarian cancer, or glioblastoma. [0135] In certain embodiments, the cancer is a blood borne tumor. In certain embodiments, the blood borne tumor is metastatic. In certain embodiments, the blood borne tumor is drug resistant. In certain embodiments, the cancer is leukemia.
- methods provided herein encompass treating, preventing or managing various types of leukemias such as chronic lymphocytic leukemia (CLL), chronic myelocytic leukemia (CML), acute lymphoblastic leukemia (ALL), acute myeloid leukemia (AML), and acute myeloblastic leukemia (AML) by administering a therapeutically effective amount of a compound provided herein, e.g., a compound of Formula I, II, or III, or a pharmaceutically acceptable salt thereof.
- the methods provided herein encompass treating, preventing or managing acute leukemia in a subject.
- the acute leukemia is acute myeloid leukemia (AML), which includes, but is not limited to, undifferentiated AML (M0), myeloblastic leukemia (M1), myeloblastic leukemia (M2), promyelocytic leukemia (M3 or M3 variant [M3V]), myelomonocytic leukemia (M4 or M4 variant with eosinophilia [M4E]), monocytic leukemia (M5), erythroleukemia (M6), and megakaryoblastic leukemia (M7).
- AML acute myeloid leukemia
- M0 undifferentiated AML
- M1 myeloblastic leukemia
- M2 myeloblastic leukemia
- M3 or M3 variant [M3V] promyelocytic leukemia
- M4 or M4 variant with eosinophilia [M4E] myelomonocytic leukemia
- the acute myeloid leukemia is myeloblastic leukemia (M1). In one embodiment, the acute myeloid leukemia is myeloblastic leukemia (M2). In one embodiment, the acute myeloid leukemia is promyelocytic leukemia (M3 or M3 variant [M3V]). In one embodiment, the acute myeloid leukemia is myelomonocytic leukemia (M4 or M4 variant with eosinophilia [M4E]). In one embodiment, the acute myeloid leukemia is monocytic leukemia (M5). In one embodiment, the acute myeloid leukemia is erythroleukemia (M6).
- the acute myeloid leukemia is megakaryoblastic leukemia (M7).
- the methods of treating, preventing or managing acute myeloid leukemia in a subject comprise the step of administering to the subject an amount of a compound provided herein effective to treat, prevent or manage acute myeloid leukemia alone or in combination.
- the methods comprise the step of administering to the subject a compound provided herein in combination with a second active agent in amounts effective to treat, prevent or manage acute myeloid leukemia.
- the methods provided herein encompass treating, preventing or managing acute lymphocytic leukemia (ALL) in a subject.
- ALL acute lymphocytic leukemia
- acute lymphocytic leukemia includes leukemia that originates in the blast cells of the bone marrow (B- cells), thymus (T-cells), and lymph nodes.
- the acute lymphocytic leukemia can be categorized according to the French-American-British (FAB) Morphological Classification Scheme as L1— Mature-appearing lymphoblasts (T-cells or pre-B-cells), L2—Immature and pleomorphic (variously shaped) lymphoblasts (T-cells or pre-B-cells), and L3—Lymphoblasts (B-cells; Burkitt's cells).
- FAB French-American-British
- the acute lymphocytic leukemia originates in the blast cells of the bone marrow (B-cells). In one embodiment, the acute lymphocytic leukemia originates in the thymus (T-cells). In one embodiment, the acute lymphocytic leukemia originates in the lymph nodes. In one embodiment, the acute lymphocytic leukemia is L1 type characterized by mature-appearing lymphoblasts (T-cells or pre-B-cells). In one embodiment, the acute lymphocytic leukemia is L2 type characterized by immature and pleomorphic (variously shaped) lymphoblasts (T-cells or pre-B-cells).
- the acute lymphocytic leukemia is L3 type characterized by lymphoblasts (B-cells; Burkitt's cells).
- the acute lymphocytic leukemia is T-cell leukemia.
- the T-cell leukemia is peripheral T-cell leukemia.
- the T-cell leukemia is T-cell lymphoblastic leukemia.
- the T-cell leukemia is cutaneous T-cell leukemia.
- the T-cell leukemia is adult T-cell leukemia.
- the methods of treating, preventing or managing acute lymphocytic leukemia in a subject comprise the step of administering to the subject an amount of a compound provided herein effective to treat, prevent or manage acute lymphocytic leukemia alone or in combination with a second active agent.
- the methods comprise the step of administering to the subject a compound provided herein in combination with a second active agent in amounts effective to treat, prevent or manage acute lymphocytic leukemia.
- the methods provided herein encompass treating, preventing or managing chronic myelogenous leukemia (CML) in a subject.
- CML chronic myelogenous leukemia
- the methods comprise the step of administering to the subject an amount of a compound provided herein effective to treat, prevent or manage chronic myelogenous leukemia.
- the methods comprise the step of administering to the subject a compound provided herein in combination with a second active agent in amounts effective to treat, prevent or manage chronic myelogenous leukemia.
- the methods provided herein encompass treating, preventing or managing chronic lymphocytic leukemia (CLL) in a subject.
- the methods comprise the step of administering to the subject an amount of a compound provided herein effective to treat, prevent or manage chronic lymphocytic leukemia.
- the methods comprise the step of administering to the subject a compound provided herein in combination with a second active agent in amounts effective to treat, prevent or manage chronic lymphocytic leukemia.
- provided herein are methods of treating, preventing, and/or managing disease in patients with impaired renal function.
- provided herein are method of treating, preventing, and/or managing cancer in patients with impaired renal function.
- provided herein are methods of providing appropriate dose adjustments for patients with impaired renal function due to, but not limited to, disease, aging, or other patient factors.
- provided herein are methods of treating, preventing, and/or managing lymphoma, including non-Hodgkin's lymphoma.
- provided herein are methods for the treatment or management of non-Hodgkin's lymphoma (NHL), including but not limited to, diffuse large B-cell lymphoma (DLBCL), using prognostic factors.
- NDL non-Hodgkin's lymphoma
- methods of treating, preventing, and/or managing multiple myeloma, including relapsed/refractory multiple myeloma in patients with impaired renal function or a symptom thereof comprising administering a therapeutically effective amount of a compound provided herein, e.g., a compound of Formula I, II, or III, or a pharmaceutically acceptable salt thereof, to a patient having relapsed/refractory multiple myeloma with impaired renal function.
- a compound provided herein e.g., a compound of Formula I, II, or III, or a pharmaceutically acceptable salt thereof
- a therapeutically or prophylactically effective amount of the compound is from about 0.005 to about 1,000 mg per day, from about 0.01 to about 500 mg per day, from about 0.01 to about 250 mg per day, from about 0.01 to about 100 mg per day, from about 0.1 to about 100 mg per day, from about 0.5 to about 100 mg per day, from about 1 to about 100 mg per day, from about 0.01 to about 50 mg per day, from about 0.1 to about 50 mg per day, from about 0.5 to about 50 mg per day, from about 1 to about 50 mg per day, from about 0.02 to about 25 mg per day, from about 0.05 to about 10 mg per day, from about 0.05 to about 5 mg per day, from about 0.1 to about 5 mg per day, or from about 0.5 to about 5 mg per day.
- the therapeutically or prophylactically effective amount is about 0.1, about 0.2, about 0.5, about 1, about 2, about 3, about 4, about 5, about 6, about 7, about 8, about 9, about 10, about 15, about 20, about 25, about 30, about 40, about 45, about 50, about 60, about 70, about 80, about 90, about 100, or about 150 mg per day. In some such embodiments, the therapeutically or prophylactically effective amount is about 2, about 3, about 4, about 5, about 6 or about 7 mg per day. [0146] In one embodiment, the recommended daily dose range of a compound provided herein for the conditions described herein lie within the range of from about 0.5 mg to about 50 mg per day, preferably given as a single once-a-day dose, or in divided doses throughout a day.
- the dosage ranges from about 1 mg to about 50 mg per day. In other embodiments, the dosage ranges from about 0.5 to about 5 mg per day. Specific doses per day include 0.1, 0.2, 0.5, 1, 2, 3, 4, 5, 6, 7, 8, 9, 10, 11, 12, 13, 14, 15, 16, 17, 18, 19, 20, 21, 22, 23, 24, 25, 26, 27, 28, 29, 30, 31, 32, 33, 34, 35, 36, 37, 38, 39, 40, 41, 42, 43, 44, 45, 46, 47, 48, 49 or 50 mg per day. [0147] In a specific embodiment, the recommended starting dosage may be 0.5, 1, 2, 3, 4, 5, 10, 15, 20, 25 or 50 mg per day. In another embodiment, the recommended starting dosage may be 0.5, 1, 2, 3, 4, or 5 mg per day.
- the dose may be escalated to 15, 20, 25, 30, 35, 40, 45 and 50 mg/day.
- the compound can be administered in an amount of about 25 mg/day to patients with leukemia, including AML.
- the compound can be administered in an amount of about 10 mg/day to patients with leukemia, including AML.
- the compound can be administered in an amount of about 5 mg/day to patients with leukemia, including AML.
- the compound can be administered in an amount of about 4 mg/day to patients with leukemia, including AML.
- the compound can be administered in an amount of about 3 mg/day to patients with leukemia, including AML.
- the therapeutically or prophylactically effective amount is from about 0.001 to about 100 mg/kg/day, from about 0.01 to about 50 mg/kg/day, from about 0.01 to about 25 mg/kg/day, from about 0.01 to about 10 mg/kg/day, from about 0.01 to about 9 mg/kg/day, 0.01 to about 8 mg/kg/day, from about 0.01 to about 7 mg/kg/day, from about 0.01 to about 6 mg/kg/day, from about 0.01 to about 5 mg/kg/day, from about 0.01 to about 4 mg/kg/day, from about 0.01 to about 3 mg/kg/day, from about 0.01 to about 2 mg/kg/day, from about 0.01 to about 1 mg/kg/day, or from about 0.01 to about 0.05 mg/kg/day.
- the administered dose can also be expressed in units other than mg/kg/day.
- doses for parenteral administration can be expressed as mg/m2/day.
- doses for parenteral administration can be expressed as mg/m2/day.
- One of ordinary skill in the art would readily know how to convert doses from mg/kg/day to mg/m 2 /day to given either the height or weight of a subject or both (see, www.fda.gov/cder/cancer/animalframe.htm).
- a dose of 1 mg/kg/day for a 65 kg human is approximately equal to 38 mg/m 2 /day.
- the amount of the compound administered is sufficient to provide a plasma concentration of the compound at steady state, ranging from about 0.001 to about 500 ⁇ M, about 0.002 to about 200 ⁇ M, about 0.005 to about 100 ⁇ M, about 0.01 to about 50 ⁇ M, from about 1 to about 50 ⁇ M, about 0.02 to about 25 ⁇ M, from about 0.05 to about 20 ⁇ M, from about 0.1 to about 20 ⁇ M, from about 0.5 to about 20 ⁇ M, or from about 1 to about 20 ⁇ M.
- the amount of the compound administered is sufficient to provide a plasma concentration of the compound at steady state, ranging from about 5 to about 100 nM, about 5 to about 50 nM, about 10 to about 100 nM, about 10 to about 50 nM or from about 50 to about 100 nM.
- plasma concentration at steady state is the concentration reached after a period of administration of a compound provided herein, e.g., a compound of Formula I, or a pharmaceutically acceptable salt thereof. Once steady state is reached, there are minor peaks and troughs on the time dependent curve of the plasma concentration of the compound.
- the amount of the compound administered is sufficient to provide a maximum plasma concentration (peak concentration) of the compound, ranging from about 0.001 to about 500 ⁇ M, about 0.002 to about 200 ⁇ M, about 0.005 to about 100 ⁇ M, about 0.01 to about 50 ⁇ M, from about 1 to about 50 ⁇ M, about 0.02 to about 25 ⁇ M, from about 0.05 to about 20 ⁇ M, from about 0.1 to about 20 ⁇ M, from about 0.5 to about 20 ⁇ M, or from about 1 to about 20 ⁇ M.
- peak concentration peak concentration
- the amount of the compound administered is sufficient to provide a minimum plasma concentration (trough concentration) of the compound, ranging from about 0.001 to about 500 ⁇ M, about 0.002 to about 200 ⁇ M, about 0.005 to about 100 ⁇ M, about 0.01 to about 50 ⁇ M, from about 1 to about 50 ⁇ M, about 0.01 to about 25 ⁇ M, from about 0.01 to about 20 ⁇ M, from about 0.02 to about 20 ⁇ M, from about 0.02 to about 20 ⁇ M, or from about 0.01 to about 20 ⁇ M.
- the amount of the compound administered is sufficient to provide an area under the curve (AUC) of the compound, ranging from about 100 to about 100,000 ng*hr/mL, from about 1,000 to about 50,000 ng*hr/mL, from about 5,000 to about 25,000 ng*hr/mL, or from about 5,000 to about 10,000 ng*hr/mL.
- AUC area under the curve
- the patient to be treated with one of the methods provided herein has not been treated with anticancer therapy prior to the administration of a compound provided herein.
- the patient to be treated with one of the methods provided herein has been treated with anticancer therapy prior to the administration of a compound provided herein.
- the patient to be treated with one of the methods provided herein has developed drug resistance to the anticancer therapy.
- the methods provided herein encompass treating a patient regardless of patient's age, although some diseases or disorders are more common in certain age groups.
- a compound provided herein may be administered by oral, parenteral (e.g., intramuscular, intraperitoneal, intravenous, CIV, intracistemal injection or infusion, subcutaneous injection, or implant), inhalation, nasal, vaginal, rectal, sublingual, or topical (e.g., transdermal or local) routes of administration.
- a compound provided herein may be formulated, alone or together, in suitable dosage unit with pharmaceutically acceptable excipients, carriers, adjuvants and vehicles, appropriate for each route of administration.
- a compound provided herein e.g., a compound of Formula I, II, or III, or a pharmaceutically acceptable salt thereof
- a compound provided herein, e.g., a compound of Formula I, II, or III, or a pharmaceutically acceptable salt thereof is administered parenterally.
- a compound provided herein, e.g., a compound of Formula I, II, or III, or a pharmaceutically acceptable salt thereof is administered intravenously.
- a compound provided herein e.g., a compound of Formula I, II, or III, or a pharmaceutically acceptable salt thereof, can be delivered as a single dose such as, e.g., a single bolus injection, or oral tablets or pills; or over time, such as, e.g., continuous infusion over time or divided bolus doses over time.
- the compound can be administered repeatedly if necessary, for example, until the patient experiences stable disease or regression, or until the patient experiences disease progression or unacceptable toxicity.
- stable disease for solid tumors generally means that the perpendicular diameter of measurable lesions has not increased by 25% or more from the last measurement.
- a compound provided herein e.g., a compound of Formula I, II, or III, or a pharmaceutically acceptable salt thereof, can be administered once daily (QD), or divided into multiple daily doses such as twice daily (BID), three times daily (TID), and four times daily (QID).
- the administration can be continuous (i.e., daily for consecutive days or every day), intermittent, e.g., in cycles (i.e., including days, weeks, or months of rest without drug).
- intermittent e.g., in cycles (i.e., including days, weeks, or months of rest without drug).
- the term “daily” is intended to mean that a therapeutic compound is administered once or more than once each day, for example, for a period of time.
- continuous is intended to mean that a therapeutic compound, such as the compound of Formula I, is administered daily for an uninterrupted period of at least 10 days to 52 weeks.
- the term “intermittent” or “intermittently” as used herein is intended to mean stopping and starting at either regular or irregular intervals.
- intermittent administration is administration for one to six days per week, administration in cycles (e.g., daily administration for two to eight consecutive weeks, then a rest period with no administration for up to one week), or administration on alternate days.
- cycling as used herein is intended to mean that a therapeutic compound is administered daily or continuously but with a rest period. In some such embodiments, administration is once a day for two to six days, then a rest period with no administration for five to seven days.
- the frequency of administration is in the range of about a daily dose to about a monthly dose.
- administration is once a day, twice a day, three times a day, four times a day, once every other day, twice a week, once every week, once every two weeks, once every three weeks, or once every four weeks.
- a compound provided herein is administered once a day.
- a compound provided herein is administered twice a day.
- a compound provided herein is administered three times a day.
- a compound provided herein is administered four times a day.
- a compound provided herein is administered once per day from one day to six months, from one week to three months, from one week to four weeks, from one week to three weeks, or from one week to two weeks.
- a compound provided herein is administered once per day for one week, two weeks, three weeks, or four weeks. In one embodiment, a compound provided herein is administered once per day for 4 days. In one embodiment, a compound provided herein is administered once per day for 5 days. In one embodiment, a compound provided herein is administered once per day for 6 days. In one embodiment, a compound provided herein is administered once per day for one week. In another embodiment, a compound provided herein is administered once per day for two weeks. In yet another embodiment a compound provided herein is administered once per day for three weeks. In still another embodiment, a compound provided herein is administered once per day for four weeks. C-1.
- a compound provided herein e.g., a compound of Formula I, II, or III, or a pharmaceutically acceptable salt thereof, can also be combined or used in combination with other therapeutic agents useful in the treatment and/or prevention of cancer, such as those described herein.
- a method of treating, preventing, or managing cancer comprising administering to a patient a compound provided herein in combination with one or more second active agents, and/or optionally in combination with radiation therapy, blood transfusions, or surgery. Examples of second active agents are disclosed herein.
- the term “in combination” includes the use of more than one therapy (e.g., one or more prophylactic and/or therapeutic agents). However, the use of the term “in combination” does not restrict the order in which therapies (e.g., prophylactic and/or therapeutic agents) are administered to a patient with a disease or disorder.
- a first therapy e.g., a prophylactic or therapeutic agent such as a compound provided herein
- a first therapy can be administered prior to (e.g., 5 minutes, 15 minutes, 30 minutes, 45 minutes, 1 hour, 2 hours, 4 hours, 6 hours, 12 hours, 24 hours, 48 hours, 72 hours, 96 hours, 1 week, 2 weeks, 3 weeks, 4 weeks, 5 weeks, 6 weeks, 8 weeks, or 12 weeks before), concomitantly with, or subsequent to (e.g., 5 minutes, 15 minutes, 30 minutes, 45 minutes, 1 hour, 2 hours, 4 hours, 6 hours, 12 hours, 24 hours, 48 hours, 72 hours, 96 hours, 1 week, 2 weeks, 3 weeks, 4 weeks, 5 weeks, 6 weeks, 8 weeks, or 12 weeks after) the administration of a second therapy (e.g., a prophylactic or therapeutic agent) to the subject.
- a second therapy e.g., a prophylactic or therapeutic agent
- Triple therapy is also contemplated herein.
- Administration of a compound provided herein and one or more second active agents to a patient can occur simultaneously or sequentially by the same or different routes of administration.
- the suitability of a particular route of administration employed for a particular active agent will depend on the active agent itself (e.g., whether it can be administered orally without decomposing prior to entering the blood stream) and the cancer being treated.
- the route of administration of a compound provided herein is independent of the route of administration of a second therapy. In one embodiment, a compound provided herein is administered orally. In another embodiment, a compound provided herein is administered intravenously.
- the compound provided herein can be administered orally or intravenously, and the second therapy can be administered orally, parenterally, intraperitoneally, intravenously, intraarterially, transdermally, sublingually, intramuscularly, rectally, transbuccally, intranasally, liposomally, via inhalation, vaginally, intraocularly, via local delivery by catheter or stent, subcutaneously, intraadiposally, intraarticularly, intrathecally, or in a slow release dosage form.
- a compound provided herein and a second active agent are administered by the same mode of administration, e.g., orally or by IV.
- a compound provided herein is administered by one mode of administration, e.g., by IV, and a second active agent (e.g., an anticancer agent) is administered by another mode of administration, e.g., orally.
- a second active agent e.g., an anticancer agent
- the second active agent is administered intravenously or subcutaneously and once or twice daily in an amount of from about 1 to about 1000 mg, from about 5 to about 500 mg, from about 10 to about 350 mg, or from about 50 to about 200 mg.
- the specific amount of the second active agent will depend, for example, on the specific agent used, the type of disease being treated or managed, the severity and stage of disease, and the amount of the compound provided herein and any optional additional active agents concurrently administered to the patient.
- Second active agents can be large molecules (e.g., proteins) or small molecules (e.g., synthetic inorganic, organometallic, or organic molecules).
- large molecule active agents include, but are not limited to, hematopoietic growth factors, cytokines, and monoclonal and polyclonal antibodies, particularly, therapeutic antibodies to cancer antigens.
- Typical large molecule active agents are biological molecules, such as naturally occurring or synthetic or recombinant proteins.
- Proteins that are particularly useful in the methods and compositions provided herein include proteins that stimulate the survival and/or proliferation of hematopoietic precursor cells and immunologically active poietic cells in vitro or in vivo. Other useful proteins stimulate the division and differentiation of committed erythroid progenitors in cells in vitro or in vivo.
- interleukins such as IL-2 (including recombinant IL-II (“rIL2”) and canarypox IL-2), IL-10, IL-12, and IL-18
- interferons such as interferon alfa-2a, interferon alfa-2b, interferon alfa-n1, interferon alfa-n3, interferon beta-I a, and interferon gamma-I b
- GM-CF and GM-CSF GM-CF and GM-CSF
- EPO EPO
- GM-CSF, G-CSF, SCF or EPO is administered subcutaneously during about five days in a four- or six-week cycle in an amount ranging from about 1 to about 750 mg/m 2 /day, from about 25 to about 500 mg/m 2 /day, from about 50 to about 250 mg/m 2 /day, or from about 50 to about 200 mg/m 2 /day.
- GM-CSF may be administered in an amount of from about 60 to about 500 mcg/m 2 intravenously over 2 hours or from about 5 to about 12 mcg/m 2 /day subcutaneously.
- G-CSF may be administered subcutaneously in an amount of about 1 mcg/kg/day initially and can be adjusted depending on rise of total granulocyte counts.
- the maintenance dose of G-CSF may be administered in an amount of about 300 (in smaller patients) or 480 mcg subcutaneously.
- EPO may be administered subcutaneously in an amount of 10,000 Unit 3 times per week.
- GM-CSF GM-CSF
- Neupogen® Amgen, Thousand Oaks, Calif.
- sargramostim which is sold in the United States under the trade name Leukine® (Immunex, Seattle, Wash.)
- recombinant EPO which is sold in the United States under the trade name Epogen® (Amgen, Thousand Oaks, Calif.).
- Epogen® Epogen® (Amgen, Thousand Oaks, Calif.)
- Recombinant and mutated forms of GM-CSF can be prepared as described in U.S. Pat. Nos.5,391,485; 5,393,870; and 5,229,496; all of which are incorporated herein by reference.
- Recombinant and mutated forms of G-CSF can be prepared as described in U.S. Pat. Nos. 4,810,643; 4,999,291; 5,528,823; and 5,580,755; the entireties of which are incorporated herein by reference.
- native, naturally occurring, and recombinant proteins are also provided for use in combination with a compound provided herein.
- mutants and derivatives (e.g., modified forms) of naturally occurring proteins that exhibit, in vivo, at least some of the pharmacological activity of the proteins upon which they are based. Examples of mutants include, but are not limited to, proteins that have one or more amino acid residues that differ from the corresponding residues in the naturally occurring forms of the proteins.
- mutants proteins that lack carbohydrate moieties normally present in their naturally occurring forms (e.g., nonglycosylated forms).
- derivatives include, but are not limited to, pegylated derivatives and fusion proteins, such as proteins formed by fusing IgG1 or IgG3 to the protein or active portion of the protein of interest. See, e.g., Penichet, M. L. and Morrison, S. L., J. Immunol. Methods 248:91-101 (2001).
- Antibodies that can be used in combination with a compound provided herein include monoclonal and polyclonal antibodies.
- antibodies include, but are not limited to, trastuzumab (Herceptin®), rituximab (Rituxan®), bevacizumab (AvastinTM), pertuzumab (OmnitargTM), tositumomab (Bexxar®), edrecolomab (Panorex®), and G250.
- the compounds provided herein can also be combined with, or used in combination with, anti-TNF- ⁇ antibodies, and/or anti-EGFR antibodies, such as, for example, Erbitux® or panitumumab.
- Additional anticancer drugs useful in combination therapy in accordance with this disclosure are antibody drug conjugates (ADC).
- An antibody-drug-conjugate consists of three components: Antibody, Payload and Linker.
- the Antibody targets the ADC and may also elicit a therapeutic response.
- the Payload elicits the desired therapeutic response.
- the Linker attaches the payload to the antibody and should be stable in circulation only releasing the payload at the desired target.
- An anticancer drug (Payload) is coupled via the Linker to an Antibody that specifically targets a certain tumor antigen (e.g., a protein that, ideally, is only to be found in or on tumor cells).
- Antibodies attach themselves to the antigens on the surface of cancerous cells.
- the biochemical reaction between the antibody and the target protein (antigen) triggers a signal in the tumor cell, which then absorbs or internalizes the antibody together with the linked Payload. After the ADC is internalized, the Payload kills the cancer. This targeting limits side effects and gives a wider therapeutic window than other chemotherapeutic agents.
- the compounds of Formulas I, II, and III can be incorporated as the Payload linked to the Antibody.
- Large molecule active agents may be administered in the form of anti-cancer vaccines.
- vaccines that secrete, or cause the secretion of, cytokines such as IL-2, G-CSF, and GM-CSF can be used in the methods and pharmaceutical compositions provided.
- Second active agents that are small molecules can be used to alleviate adverse effects associated with the administration of a compound provided herein.
- Other examples of small molecule second active agents include, but are not limited to, anti-cancer agents, antibiotics, immunosuppressive agents, and steroids.
- the second agent is an HSP inhibitor, a proteasome inhibitor, a FLT3 inhibitor, a TOR kinase inhibitor, an antineoplastic, a tyrosine kinase inhibitor, a hedgehog pathway inhibitor, a Bcl-2 inhibitor, or an isocitrate dehydrogenase (IDH) inhibitor.
- HSP inhibitor a proteasome inhibitor
- FLT3 inhibitor a FLT3 inhibitor
- TOR kinase inhibitor an antineoplastic
- a tyrosine kinase inhibitor a hedgehog pathway inhibitor
- Bcl-2 inhibitor a Bcl-2 inhibitor
- IDH isocitrate dehydrogenase
- anti-cancer agents examples include, but are not limited to: acivicin; aclarubicin; acodazole hydrochloride; acronine; adozelesin; aldesleukin; altretamine; ambomycin; ametantrone acetate; amsacrine; anastrozole; anthramycin; asparaginase; asperlin; azacitidine; azetepa; azotomycin; batimastat; benzodepa; bicalutamide; bisantrene hydrochloride; bisnafide dimesylate; bizelesin; bleomycin sulfate; brequinar sodium; bropirimine; busulfan; cactinomycin; calusterone; caracemide; carbetimer; carboplatin; carmustine; carubicin hydrochloride; carzelesin; cedef
- anti-cancer drugs to be included within the methods or compositions include, but are not limited to: 20-epi-1,25 dihydroxyvitamin D3; 5-ethynyluracil; abiraterone; aclarubicin; acylfulvene; adecypenol; adozelesin; aldesleukin; ALL-TK antagonists; altretamine; ambamustine; amidox; amifostine; aminolevulinic acid; amrubicin; amsacrine; anagrelide; anastrozole; andrographolide; angiogenesis inhibitors; antagonist D; antagonist G; antarelix; anti-dorsalizing morphogenetic protein-1; antiandrogen, prostatic carcinoma; antiestrogen; antineoplaston; antisense oligonucleotides; aphidicolin glycinate; apoptosis gene modulators; apoptosis regulators; apurinic
- Specific second active agents particularly useful in the methods or compositions include, but are not limited to, rituximab, oblimersen (Genasense®), remicade, docetaxel, celecoxib, melphalan, dexamethasone (Decadron®), steroids, gemcitabine, cisplatinum, temozolomide, etoposide, cyclophosphamide, temodar, carboplatin, procarbazine, gliadel, tamoxifen, topotecan, methotrexate, Arisa®, taxol, taxotere, fluorouracil, leucovorin, irinotecan, xeloda, CPT-11, interferon alpha, pegylated interferon alpha (e.g., PEG INTRON-A), capecitabine, cisplatin, thiotepa, fludarabine, carboplatin, lipo
- use of a second active agent in combination with a compound provided herein may be modified or delayed during or shortly following administration of a compound provided herein, as deemed appropriate by the practitioner of skill in the art.
- subjects being administered a compound provided herein alone or in combination with other therapies may receive supportive care including antiemetics, myeloid growth factors, and transfusions of platelets, when appropriate.
- subjects being administered a compound provided herein may be administered a growth factor as a second active agent, according to the judgment of the practitioner of skill in the art.
- a compound provided herein in combination with erythropoietin or darbepoetin (Aranesp).
- a compound provided herein e.g., a compound of Formula I, II, or III, or a pharmaceutically acceptable salt thereof, is administered with gemcitabine and cisplatinum to patients with locally advanced or metastatic transitional cell bladder cancer.
- a compound provided herein e.g., a compound of Formula I, II, or III, or a pharmaceutically acceptable salt thereof, is administered in combination with a second active ingredient as follows: temozolomide to pediatric patients with relapsed or progressive brain tumors or recurrent neuroblastoma; celecoxib, etoposide and cyclophosphamide for relapsed or progressive CNS cancer; temodar to patients with recurrent or progressive meningioma, malignant meningioma, hemangiopericytoma, multiple brain metastases, relapased brain tumors, or newly diagnosed glioblastoma multiforms; irinotecan to patients with recurrent glioblastoma; carboplatin to pediatric patients with brain stem glioma; procarbazine to pediatric patients with progressive malignant gliomas; cyclophosphamide to patients with poor prognosis malignant brain tumors, newly diagnosed
- a compound provided herein e.g., a compound of Formula I, II, or III, or a pharmaceutically acceptable salt thereof, is administered with methotrexate, cyclophosphamide, taxane, abraxane, lapatinib, herceptin, aromatase inhibitors, selective estrogen modulators, estrogen receptor antagonists, and/or PLX3397 (Plexxikon) to patients with metastatic breast cancer.
- a compound provided herein, e.g., a compound of Formula I, II, or III, or a pharmaceutically acceptable salt thereof is administered with temozolomide to patients with neuroendocrine tumors.
- a compound provided herein e.g., a compound of Formula I, II, or III, or a pharmaceutically acceptable salt thereof, a compound of Formula I, II, or III, or a pharmaceutically acceptable salt thereof, is administered with gemcitabine to patients with recurrent or metastatic head or neck cancer.
- a compound provided herein, e.g., a compound of Formula I, II, or III, or a pharmaceutically acceptable salt thereof is administered with gemcitabine to patients with pancreatic cancer.
- a compound provided herein e.g., a compound of Formula I, II, or III, or a pharmaceutically acceptable salt thereof
- a compound provided herein is administered with capecitabine and/or PLX4032 (Plexxikon) to patients with refractory colorectal cancer or patients who fail first line therapy or have poor performance in colon or rectal adenocarcinoma.
- a compound provided herein e.g., a compound of Formula I, II, or III, or a pharmaceutically acceptable salt thereof, is administered in combination with fluorouracil, leucovorin, and irinotecan to patients with Dukes C & D colorectal cancer or to patients who have been previously treated for metastatic colorectal cancer.
- a compound provided herein, e.g., a compound of Formula I, II, or III, or a pharmaceutically acceptable salt thereof is administered to patients with refractory colorectal cancer in combination with capecitabine, xeloda, and/or CPT-11.
- a compound provided herein e.g., a compound of Formula I, II, or III, or a pharmaceutically acceptable salt thereof
- a compound provided herein, e.g., a compound of Formula I, II, or III, or a pharmaceutically acceptable salt thereof is administered alone or in combination with interferon alpha or capecitabine to patients with unresectable or metastatic hepatocellular carcinoma; or with cisplatin and thiotepa to patients with primary or metastatic liver cancer.
- a compound provided herein e.g., a compound of Formula I, II, or III, or a pharmaceutically acceptable salt thereof
- a compound provided herein is administered in combination with pegylated interferon alpha to patients with Kaposi's sarcoma.
- a compound provided herein, e.g., a compound of Formula I, II, or III, or a pharmaceutically acceptable salt thereof is administered in combination with fludarabine, carboplatin, and/or topotecan to patients with refractory or relapsed or high-risk acute myeloid leukemia.
- a compound provided herein e.g., a compound of Formula I, II, or III, or a pharmaceutically acceptable salt thereof, is administered in combination with liposomal daunorubicin, topotecan and/or cytarabine to patients with unfavorable karotype acute myeloblastic leukemia.
- a compound provided herein, e.g., a compound of Formula I, II, or III, or a pharmaceutically acceptable salt thereof is administered in combination with gemcitabine, abraxane, erlotinib, geftinib, and/or irinotecan to patients with non-small cell lung cancer.
- a compound provided herein e.g., a compound of Formula I, II, or III, or a pharmaceutically acceptable salt thereof, is administered in combination with carboplatin and/or taxotere, or in combination with carboplatin, pacilitaxel and/or thoracic radiotherapy to patients with non-small cell lung cancer.
- a compound provided herein, e.g., a compound of Formula I, II, or III, or a pharmaceutically acceptable salt thereof is administered in combination with taxotere to patients with stage IIIB or IV non-small cell lung cancer.
- a compound provided herein e.g., a compound of Formula I, II, or III, or a pharmaceutically acceptable salt thereof
- oblimersen Gene®
- a compound provided herein, e.g., a compound of Formula I, II, or III, or a pharmaceutically acceptable salt thereof is administered in combination with ABT- 737 (Abbott Laboratories) and/or obatoclax (GX15-070) to patients with lymphoma and other blood cancers.
- a compound provided herein e.g., a compound of Formula I, II, or III, or a pharmaceutically acceptable salt thereof, is administered alone or in combination with a second active ingredient such as vinblastine or fludarabine to patients with various types of lymphoma, including, but not limited to, Hodgkin's lymphoma, non-Hodgkin's lymphoma, cutaneous T-Cell lymphoma, cutaneous B-Cell lymphoma, diffuse large B-Cell lymphoma or relapsed or refractory low grade follicular lymphoma.
- a second active ingredient such as vinblastine or fludarabine
- a compound provided herein e.g., a compound of Formula I, II, or III, or a pharmaceutically acceptable salt thereof, is administered in combination with taxotere, IL-2, IFN, GM-CSF, PLX4032 (Plexxikon) and/or dacarbazine to patients with various types or stages of melanoma.
- a compound provided herein e.g., a compound of Formula I, II, or III, or a pharmaceutically acceptable salt thereof, is administered alone or in combination with vinorelbine to patients with malignant mesothelioma, or stage IIIB non-small cell lung cancer with pleural implants or malignant pleural effusion mesothelioma syndrome.
- a compound provided herein e.g., a compound of Formula I, II, or III, or a pharmaceutically acceptable salt thereof, is administered to patients with various types or stages of multiple myeloma in combination with dexamethasone, zoledronic acid, palmitronate, GM-CSF, biaxin, vinblastine, melphalan, busulphan, cyclophosphamide, IFN, palmidronate, prednisone, bisphosphonate, celecoxib, arsenic trioxide, PEG INTRON-A, vincristine, or a combination thereof.
- a compound provided herein e.g., a compound of Formula I, II, or III, or a pharmaceutically acceptable salt thereof, is administered to patients with relapsed or refractory multiple myeloma in combination with doxorubicin (Doxil®), vincristine and/or dexamethasone (Decadron®).
- a compound provided herein e.g., a compound of Formula I, II, or III, or a pharmaceutically acceptable salt thereof, is administered to patients with various types or stages of ovarian cancer such as peritoneal carcinoma, papillary serous carcinoma, refractory ovarian cancer or recurrent ovarian cancer, in combination with taxol, carboplatin, doxorubicin, gemcitabine, cisplatin, xeloda, paclitaxel, dexamethasone, or a combination thereof.
- ovarian cancer such as peritoneal carcinoma, papillary serous carcinoma, refractory ovarian cancer or recurrent ovarian cancer, in combination with taxol, carboplatin, doxorubicin, gemcitabine, cisplatin, xeloda, paclitaxel, dexamethasone, or a combination thereof.
- a compound provided herein e.g., a compound of Formula I, II, or III, or a pharmaceutically acceptable salt thereof, is administered to patients with various types or stages of prostate cancer, in combination with xeloda, 5 FU/LV, gemcitabine, irinotecan plus gemcitabine, cyclophosphamide, vincristine, dexamethasone, GM-CSF, celecoxib, taxotere, ganciclovir, paclitaxel, adriamycin, docetaxel, estramustine, Emcyt, denderon or a combination thereof.
- a compound provided herein e.g., a compound of Formula I, II, or III, or a pharmaceutically acceptable salt thereof, is administered to patients with various types or stages of renal cell cancer, in combination with capecitabine, IFN, tamoxifen, IL-2, GM-CSF, Celebrex®, or a combination thereof.
- a compound provided herein e.g., a compound of Formula I, II, or III, or a pharmaceutically acceptable salt thereof, is administered to patients with various types or stages of gynecologic, uterus or soft tissue sarcoma cancer in combination with IFN, a COX-2 inhibitor such as Celebrex®, and/or sulindac.
- a compound provided herein e.g., a compound of Formula I, II, or III, or a pharmaceutically acceptable salt thereof, is administered to patients with various types or stages of solid tumors in combination with celebrex, etoposide, cyclophosphamide, docetaxel, apecitabine, IFN, tamoxifen, IL-2, GM-CSF, or a combination thereof.
- a compound provided herein e.g., a compound of Formula I, II, or III, or a pharmaceutically acceptable salt thereof, is administered to patients with scleroderma or cutaneous vasculitis in combination with celebrex, etoposide, cyclophosphamide, docetaxel, apecitabine, IFN, tamoxifen, IL-2, GM-CSF, or a combination thereof.
- Also encompassed herein is a method of increasing the dosage of an anti-cancer drug or agent that can be safely and effectively administered to a patient, which comprises administering to the patient (e.g., a human) a compound provided herein, e.g., a compound of Formula I, II, or III, or a pharmaceutically acceptable salt thereof.
- Patients that can benefit by this method are those likely to suffer from an adverse effect associated with anti-cancer drugs for treating a specific cancer of the skin, subcutaneous tissue, lymph nodes, brain, lung, liver, bone, intestine, colon, heart, pancreas, adrenal, kidney, prostate, breast, colorectal, or combinations thereof.
- a compound provided herein e.g., a compound of Formula I, II, or III, or a pharmaceutically acceptable salt thereof, is administered orally and daily in an amount ranging from about 0.1 to about 150 mg, from about 1 to about 50 mg, or from about 2 to about 25 mg, prior to, during, or after the occurrence of the adverse effect associated with the administration of an anti-cancer drug to a patient.
- a compound provided herein e.g., a compound of Formula I, II, or III, or a pharmaceutically acceptable salt thereof, is administered in combination with specific agents such as heparin, aspirin, coumadin, or G-CSF to avoid adverse effects that are associated with anti-cancer drugs such as but not limited to neutropenia or thrombocytopenia.
- a compound provided herein e.g., a compound of Formula I, II, or III, or a pharmaceutically acceptable salt thereof
- additional active ingredients including, but not limited to, anti-cancer drugs, anti- inflammatories, antihistamines, antibiotics, and steroids.
- a method of treating, preventing and/or managing cancer which comprises administering a compound provided herein, e.g., a compound of Formula I, II, or III, or a pharmaceutically acceptable salt thereof, in conjunction with (e.g.
- conventional therapy including, but not limited to, surgery, immunotherapy, biological therapy, radiation therapy, or other non-drug based therapy presently used to treat, prevent or manage cancer.
- conventional therapy including, but not limited to, surgery, immunotherapy, biological therapy, radiation therapy, or other non-drug based therapy presently used to treat, prevent or manage cancer.
- the combined use of the compound provided herein and conventional therapy may provide a unique treatment regimen that is unexpectedly effective in certain patients.
- encompassed herein is a method of reducing, treating and/or preventing adverse or undesired effects associated with conventional therapy including, but not limited to, surgery, chemotherapy, radiation therapy, hormonal therapy, biological therapy and immunotherapy.
- a compound provided herein e.g., a compound of Formula I, II, or III, or a pharmaceutically acceptable salt thereof, and other active ingredient can be administered to a patient prior to, during, or after the occurrence of the adverse effect associated with conventional therapy.
- a compound provided herein is administered in an amount ranging from about 0.1 to about 150 mg, from about 1 to about 25 mg, or from about 2 to about 10 mg orally and daily alone, or in combination with a second active agent disclosed herein, prior to, during, or after the use of conventional therapy.
- a compound provided herein e.g., a compound of Formula I, II, or III, or a pharmaceutically acceptable salt thereof, and doxetaxol are administered to patients with non-small cell lung cancer who were previously treated with carbo/VP 16 and radiotherapy.
- C-2. Use with Transplantation Therapy [0225]
- the compounds provided herein can be used to reduce the risk of Graft Versus Host Disease (GVHD). Therefore, encompassed herein is a method of treating, preventing and/or managing cancer, which comprises administering a compound provided herein, e.g., a compound of Formula I, II, or III, or a pharmaceutically acceptable salt thereof, in conjunction with transplantation therapy.
- GVHD Graft Versus Host Disease
- the treatment of cancer is often based on the stages and mechanism of the disease. For example, as inevitable leukemic transformation develops in certain stages of cancer, transplantation of peripheral blood stem cells, hematopoietic stem cell preparation or bone marrow may be necessary.
- a method of treating, preventing and/or managing cancer which comprises administering to a patient (e.g., a human) a compound provided herein, e.g., a compound of Formula I, II, or III, or a pharmaceutically acceptable salt thereof, before, during, or after the transplantation of umbilical cord blood, placental blood, peripheral blood stem cell, hematopoietic stem cell preparation, or bone marrow.
- a patient e.g., a human
- a compound provided herein e.g., a compound of Formula I, II, or III, or a pharmaceutically acceptable salt thereof
- hematopoietic stem cell preparation hematopoietic stem cell preparation
- bone marrow hematopoietic stem cell preparation
- a compound provided herein e.g., a compound of Formula I, II, or III, or a pharmaceutically acceptable salt thereof
- a compound provided herein is administered to patients with multiple myeloma before, during, or after the transplantation of autologous peripheral blood progenitor cell.
- a compound provided herein, e.g., a compound of Formula I, II, or III, or a pharmaceutically acceptable salt thereof is administered to patients with NHL (e.g., DLBCL) before, during, or after the transplantation of autologous peripheral blood progenitor cell.
- NHL e.g., DLBCL
- the prophylactic or therapeutic agents provided herein are cyclically administered to a patient.
- Cycling therapy involves the administration of an active agent for a period of time, followed by a rest for a period of time, and repeating this sequential administration. Cycling therapy can reduce the development of resistance to one or more of the therapies, avoid, or reduce the side effects of one of the therapies, and/or improves the efficacy of the treatment. [0231] Consequently, in certain embodiments, a compound provided herein, e.g., a compound of Formula I, II, or III, or a pharmaceutically acceptable salt thereof, is administered daily in a single or divided doses in a four to six week cycle with a rest period of about a week or two weeks. The cycling method further allows the frequency, number, and length of dosing cycles to be increased.
- a compound provided herein e.g., a compound of Formula I, II, or III, or a pharmaceutically acceptable salt thereof
- a compound provided herein, e.g., a compound of Formula I, II, or III, or a pharmaceutically acceptable salt thereof is administered for a greater number of cycles that would typically cause dose-limiting toxicity in a patient to whom a second active ingredient is not also being administered.
- a compound provided herein e.g., a compound of Formula I, II, or III, or a pharmaceutically acceptable salt thereof
- a compound provided herein, e.g., a compound of Formula I, II, or III, or a pharmaceutically acceptable salt thereof, and a second active agent are administered orally, with administration of the compound provided herein occurring 30 to 60 minutes prior to a second active agent, during a cycle of four to six weeks.
- the combination of the compound provided herein and the second active agent is administered by intravenous infusion over about 90 minutes every cycle.
- one cycle comprises the administration from about 0.1 to about 150 mg/day of the compound provided herein, and from about 50 to about 200 mg/m 2 /day of a second active agent daily for three to four weeks and then one or two weeks of rest.
- the number of cycles during which the combinatorial treatment is administered to a patient ranges from about one to about 24 cycles, from about two to about 16 cycles, or from about four to about three cycles.
- D. Patient Population In certain embodiments of the methods provided herein, the subject is an animal, preferably a mammal, more preferably a non-human primate.
- the subject is a human.
- the subject can be a male or female subject.
- Particularly useful subjects for the methods provided herein include human cancer patients, for example, those who have been diagnosed with leukemia, including acute myeloid leukemia, acute lymphocytic leukemia, chronic myelogenous leukemia, and chronic myelogenous leukemia.
- the subject has not been diagnosed with acute promyelocytic leukemia.
- the subject has a higher than normal blast population.
- the subject has a blast population of at least 10%.
- the subject has a blast population of between 10 and 15%.
- the subject has a blast population of at least 15%.
- the subject has a blast population of between 15 and 20%. In some embodiments, the subject has a blast population of at least 20%. In some embodiments, the subject has a blast population of about 10-15%, about 15-20%, or about 20-25%. In other embodiments, the subject has a blast population of less than 10%.
- useful subjects having a blast population of less than 10% includes those subjects that, for any reason according to the judgment of the skilled practitioner in the art, are in need of treatment with a compound provided herein, alone or in combination with a second active agent.
- the subject is treated based on the Eastern Cooperative Oncology Group (ECOG) performance status score of the subject for leukemia.
- ECOG Eastern Cooperative Oncology Group
- ECOG performance status can be scored on a scale of 0 to 5, with 0 denoting asymptomatic; 1 denoting symptomatic but completely ambulant; 2 denoting symptomatic and ⁇ 50% in bed during the day; 3 denoting symptomatic and >50% in bed, but not bed bound; 4 denoting bed bound; and 5 denoting death.
- the subject has an ECOG performance status score of 0 or 1.
- the subject has an ECOG performance status score of 0.
- the subject has an ECOG performance status score of 1.
- the subject has an ECOG performance status score of 2.
- the methods provided herein encompass the treatment of subjects who have not been previously treated for leukemia.
- the subject has not undergone allogeneic bone marrow transplantation.
- the subject has not undergone a stem cell transplantation.
- the subject has not received hydroxyurea treatment.
- the subject has not been treated with any investigational products for leukemia.
- the subject has not been treated with systemic glucocorticoids.
- the methods encompass treating subjects who have been previously treated or are currently being treated for leukemia. For example, the subject may have been previously treated or are currently being treated with a standard treatment regimen for leukemia.
- the subject may have been treated with any standard leukemia treatment regimen known to the practitioner of skill in the art.
- the subject has been previously treated with at least one induction/reinduction or consolidation AML regimen.
- the subject has undergone autologous bone marrow transplantation or stem cell transplantation as part of a consolidation regimen.
- the bone marrow or stem cell transplantation occurred at least 3 months prior to treatment according to the methods provided herein.
- the subject has undergone hydroxyurea treatment.
- the hydroxyurea treatment occurred no later than 24 hours prior to treatment according to the methods provided herein.
- the subject has undergone prior induction or consolidation therapy with cytarabine (Ara-C).
- the subject has undergone treatment with systemic glucocorticosteroids.
- the glucocorticosteroid treatment occurred no later 24 hours prior to treatment according to the methods described herein.
- the methods encompass treating subjects who have been previously treated for cancer, but are non-responsive to standard therapies.
- Also encompassed are methods of treating subjects having relapsed or refractory leukemia.
- the subject has been diagnosed with a relapsed or refractory AML subtype, as defined by the World Health Organization (WHO).
- WHO World Health Organization
- Relapsed or refractory disease may be de novo AML or secondary AML, e.g., therapy-related AML (t-AML).
- the methods provided herein are used to treat drug resistant leukemias, such as chronic myelogenous leukemia (CML).
- CML chronic myelogenous leukemia
- treatment with a compound provided herein could provide an alternative for patients who do not respond to other methods of treatment.
- other methods of treatment encompass treatment with Gleevec® (imatinib mesylate).
- Gleevec® imatinib mesylate
- provided herein are methods of treatment of Philadelphia chromosome positive chronic myelogenous leukemia (Ph+CML).
- Ph+CML Philadelphia chromosome positive chronic myelogenous leukemia
- the subject is at least 18 years old. In some embodiments, the subject is more than 18, 25, 35, 40, 45, 50, 55, 60, 65, or 70 years old. In other embodiments, the subject is less than 65 years old. In some embodiments, the subject is less than 18 years old. In some embodiments, the subject is less than 18, 15, 12, 10, 9, 8 or 7 years old. [0243] In some embodiments, the methods may find use in subjects at least 50 years of age, although younger subjects could benefit from the method as well. In other embodiments, the subjects are at least 55, at least 60, at least 65, and at least 70 years of age.
- the subjects have adverse cytogenetics. “Adverse cytogenetics” is defined as any nondiploid karyotype, or greater than or equal to 3 chromosomal abnormalities.
- the subjects are at least 60 years of age and have adverse cytogenetics.
- the subjects are 60-65 years of age and have adverse cytogenetics.
- the subjects are 65-70 years of age and have adverse cytogenetics.
- the subject treated has no history of myocardial infarction within three months of treatment according to the methods provided herein. In some embodiments, the subject has no history of cerebrovascular accident or transient ischemic attack within three months of treatment according to the methods provided herein.
- the subject has no suffered no thromboembelic event, including deep vein thrombosis or pulmonary embolus, within 28 days of treatment according to the methods provided herein. In other embodiments, the subject has not experienced or is not experiencing uncontrolled disseminated intravascular coagulation.
- the treatment given to a patient may vary, depending on his/her prognosis. The skilled clinician will be able to readily determine without undue experimentation specific secondary agents, types of surgery, and types of non-drug based standard therapy that can be effectively used to treat an individual subject with cancer.
- compositions provided herein contain therapeutically effective amounts of one or more of compounds provided herein and a pharmaceutically acceptable carrier, diluent or excipient.
- suitable pharmaceutical preparations such as solutions, suspensions, tablets, dispersible tablets, pills, capsules, powders, sustained release formulations or elixirs, for oral administration or in sterile solutions or suspensions for ophthalmic or parenteral administration, as well as transdermal patch preparation and dry powder inhalers.
- compositions typically are formulated into pharmaceutical compositions using techniques and procedures well known in the art (see, e.g., Ansel Introduction to Pharmaceutical Dosage Forms, Seventh Edition 1999).
- effective concentrations of one or more compounds or pharmaceutically acceptable salts is (are) mixed with a suitable pharmaceutical carrier or vehicle.
- concentrations of the compounds in the compositions are effective for delivery of an amount, upon administration, that treats, prevents, or ameliorates one or more of the symptoms and/or progression of cancer, including solid tumors and blood borne tumors.
- the compositions are formulated for single dosage administration.
- compositions the weight fraction of compound is dissolved, suspended, dispersed or otherwise mixed in a selected vehicle at an effective concentration such that the treated condition is relieved or ameliorated.
- Pharmaceutical carriers or vehicles suitable for administration of the compounds provided herein include any such carriers known to those skilled in the art to be suitable for the particular mode of administration.
- the compounds may be formulated as the sole pharmaceutically active ingredient in the composition or may be combined with other active ingredients.
- Liposomal suspensions, including tissue-targeted liposomes, such as tumor-targeted liposomes may also be suitable as pharmaceutically acceptable carriers. These may be prepared according to methods known to those skilled in the art. For example, liposome formulations may be prepared as known in the art.
- liposomes such as multilamellar vesicles (MLV's) may be formed by drying down egg phosphatidyl choline and brain phosphatidyl serine (7:3 molar ratio) on the inside of a flask. A solution of a compound provided herein in phosphate buffered saline lacking divalent cations (PBS) is added and the flask shaken until the lipid film is dispersed. The resulting vesicles are washed to remove unencapsulated compound, pelleted by centrifugation, and then resuspended in PBS.
- PBS phosphate buffered saline lacking divalent cations
- the active compound is included in the pharmaceutically acceptable carrier in an amount sufficient to exert a therapeutically useful effect in the absence of undesirable side effects on the patient treated.
- the therapeutically effective concentration may be determined empirically by testing the compounds in in vitro and in vivo systems described herein and then extrapolated therefrom for dosages for humans.
- the concentration of active compound in the pharmaceutical composition will depend, for example, on absorption, tissue distribution, inactivation and excretion rates of the active compound, the physicochemical characteristics of the compound, the dosage schedule, and amount administered as well as other factors known to those of skill in the art.
- the amount that is delivered is sufficient to ameliorate one or more of the symptoms of cancer, including solid tumors and blood borne tumors.
- a therapeutically effective dosage should produce a serum concentration of active ingredient of from about 0.1 ng/mL to about 50-100 ⁇ g/mL.
- the pharmaceutical compositions provide a dosage of from about 0.001 mg to about 2000 mg of compound per kilogram of body weight per day.
- Pharmaceutical dosage unit forms are prepared to provide from about 1 mg to about 1000 mg and in certain embodiments, from about 10 to about 500 mg of the essential active ingredient or a combination of essential ingredients per dosage unit form.
- the active ingredient may be administered at once, or may be divided into a number of smaller doses to be administered at intervals of time.
- the precise dosage and duration of treatment is a function of the disease being treated and may be determined empirically using known testing protocols or by extrapolation from in vivo or in vitro test data. It is to be noted that concentrations and dosage values may also vary with the severity of the condition to be alleviated. It is to be further understood that for any particular subject, specific dosage regimens should be adjusted over time according to the individual need and the professional judgment of the person administering or supervising the administration of the compositions, and that the concentration ranges set forth herein are exemplary only and are not intended to limit the scope or practice of the claimed compositions.
- compositions are mixed with a suitable pharmaceutical carrier or vehicle for systemic, topical or local administration to form pharmaceutical compositions.
- Compounds are included in an amount effective for ameliorating one or more symptoms of, or for treating, retarding progression, or preventing.
- concentration of active compound in the composition will depend on absorption, tissue distribution, inactivation, excretion rates of the active compound, the dosage schedule, amount administered, particular formulation as well as other factors known to those of skill in the art.
- the compositions are intended to be administered by a suitable route, including but not limited to orally, parenterally, rectally, topically and locally. For oral administration, capsules and tablets can be formulated.
- compositions are in liquid, semi-liquid or solid form and are formulated in a manner suitable for each route of administration.
- Solutions or suspensions used for parenteral, intradermal, subcutaneous, or topical application can include any of the following components: a sterile diluent, such as water for injection, saline solution, fixed oil, polyethylene glycol, glycerine, propylene glycol, dimethyl acetamide or other synthetic solvent; antimicrobial agents, such as benzyl alcohol and methyl parabens; antioxidants, such as ascorbic acid and sodium bisulfite; chelating agents, such as ethylenediaminetetraacetic acid (EDTA); buffers, such as acetates, citrates and phosphates; and agents for the adjustment of tonicity such as sodium chloride or dextrose.
- a sterile diluent such as water for injection, saline solution, fixed oil, polyethylene glycol, glycerine, propylene glycol, di
- Parenteral preparations can be enclosed in ampules, pens, disposable syringes or single or multiple dose vials made of glass, plastic or other suitable material.
- methods for solubilizing compounds may be used. Such methods are known to those of skill in this art, and include, but are not limited to, using cosolvents, such as dimethylsulfoxide (DMSO), using surfactants, such as TWEEN®, or dissolution in aqueous sodium bicarbonate.
- cosolvents such as dimethylsulfoxide (DMSO)
- surfactants such as TWEEN®
- dissolution in aqueous sodium bicarbonate such as sodium bicarbonate.
- the resulting mixture may be a solution, suspension, emulsion or the like.
- the form of the resulting mixture depends upon a number of factors, including the intended mode of administration and the solubility of the compound in the selected carrier or vehicle.
- the effective concentration is sufficient for ameliorating the symptoms of the disease, disorder or condition treated and may be empirically determined.
- the pharmaceutical compositions are provided for administration to humans and animals in unit dosage forms, such as tablets, capsules, pills, powders, granules, sterile parenteral solutions or suspensions, and oral solutions or suspensions, and oil water emulsions containing suitable quantities of the compounds or pharmaceutically acceptable salts thereof.
- the pharmaceutically therapeutically active compounds and salts thereof are formulated and administered in unit dosage forms or multiple dosage forms.
- Unit dose forms as used herein refer to physically discrete units suitable for human and animal subjects and packaged individually as is known in the art. Each unit dose contains a predetermined quantity of the therapeutically active compound sufficient to produce the desired therapeutic effect, in association with the required pharmaceutical carrier, vehicle or diluent. Examples of unit dose forms include ampules and syringes and individually packaged tablets or capsules. Unit dose forms may be administered in fractions or multiples thereof.
- a multiple dose form is a plurality of identical unit dosage forms packaged in a single container to be administered in segregated unit dose form. Examples of multiple dose forms include vials, bottles of tablets or capsules or bottles of pints or gallons. Hence, multiple dose form is a multiple of unit doses which are not segregated in packaging.
- sustained-release preparations can also be prepared. Suitable examples of sustained- release preparations include semipermeable matrices of solid hydrophobic polymers containing the compound provided herein, which matrices are in the form of shaped articles, e.g., films, or microcapsule.
- sustained-release matrices include iontophoresis patches, polyesters, hydrogels (for example, poly(2-hydroxyethyl-methacrylate), or poly(vinylalcohol)), polylactides, copolymers of L-glutamic acid and ethyl-L-glutamate, non-degradable ethylene- vinyl acetate, degradable lactic acid-glycolic acid copolymers such as the LUPRON DEPOTTM (injectable microspheres composed of lactic acid-glycolic acid copolymer and leuprolide acetate), and poly-D-( ⁇ )-3-hydroxybutyric acid.
- LUPRON DEPOTTM injectable microspheres composed of lactic acid-glycolic acid copolymer and leuprolide acetate
- poly-D-( ⁇ )-3-hydroxybutyric acid examples include iontophoresis patches, polyesters, hydrogels (for example, poly(2-hydroxyethyl-methacrylate), or
- stabilization may be achieved by modifying sulfhydryl residues, lyophilizing from acidic solutions, controlling moisture content, using appropriate additives, and developing specific polymer matrix compositions.
- Dosage forms or compositions containing active ingredient in the range of 0.005% to 100% with the balance made up from non toxic carrier may be prepared.
- a pharmaceutically acceptable non toxic composition is formed by the incorporation of any of the normally employed excipients, such as, for example pharmaceutical grades of mannitol, lactose, starch, magnesium stearate, talcum, cellulose derivatives, sodium crosscarmellose, glucose, sucrose, magnesium carbonate or sodium saccharin.
- excipients such as, for example pharmaceutical grades of mannitol, lactose, starch, magnesium stearate, talcum, cellulose derivatives, sodium crosscarmellose, glucose, sucrose, magnesium carbonate or sodium saccharin.
- Such compositions include solutions, suspensions, tablets, capsules, powders and sustained release formulations, such as, but not limited to, implants and microencapsulated delivery systems, and biodegradable, biocompatible polymers, such as collagen, ethylene vinyl acetate, polyanhydrides, polyglycolic acid, polyorthoesters, polylactic acid and others. Methods for preparation of these compositions are known to those skilled in the art.
- compositions may contain about 0.001% 100% active ingredient, in certain embodiments, about 0.185% or about 75-95%.
- the active compounds or pharmaceutically acceptable salts may be prepared with carriers that protect the compound against rapid elimination from the body, such as time release formulations or coatings.
- the compositions may include other active compounds to obtain desired combinations of properties.
- the compounds provided herein may also be advantageously administered for therapeutic or prophylactic purposes together with another pharmacological agent known in the general art to be of value in treating one or more of the diseases or medical conditions referred to hereinabove, such as diseases related to oxidative stress. It is to be understood that such combination therapy constitutes a further aspect of the compositions and methods of treatment provided herein.
- Lactose-free compositions provided herein can contain excipients that are well known in the art and are listed, for example, in the U.S. Pharmocopia (USP) SP (XXI)/NF (XVI).
- USP U.S. Pharmocopia
- XXI U.S. Pharmocopia
- NF NF
- lactose-free compositions contain an active ingredient, a binder/filler, and a lubricant in pharmaceutically compatible and pharmaceutically acceptable amounts.
- Exemplary lactose-free dosage forms contain an active ingredient, microcrystalline cellulose, pre-gelatinized starch and magnesium stearate.
- anhydrous pharmaceutical compositions and dosage forms containing a compound provided herein are further encompassed.
- water e.g., 5%
- water e.g., 5%
- 5% 5%
- water and heat accelerate the decomposition of some compounds.
- the effect of water on a formulation can be of great significance since moisture and/or humidity are commonly encountered during manufacture, handling, packaging, storage, shipment and use of formulations.
- Anhydrous pharmaceutical compositions and dosage forms provided herein can be prepared using anhydrous or low moisture containing ingredients and low moisture or low humidity conditions.
- Pharmaceutical compositions and dosage forms that comprise lactose and at least one active ingredient that comprises a primary or secondary amine are anhydrous if substantial contact with moisture and/or humidity during manufacturing, packaging, and/or storage is expected.
- An anhydrous pharmaceutical composition should be prepared and stored such that its anhydrous nature is maintained. Accordingly, anhydrous compositions are packaged using materials known to prevent exposure to water such that they can be included in suitable formulary kits. Examples of suitable packaging include, but are not limited to, hermetically sealed foils, plastics, unit dose containers (e.g., vials), blister packs and strip packs. E-1.
- Oral dosage forms are either solid, gel or liquid.
- the solid dosage forms are tablets, capsules, granules, and bulk powders.
- Types of oral tablets include compressed, chewable lozenges and tablets which may be enteric coated, sugar coated or film coated.
- Capsules may be hard or soft gelatin capsules, while granules and powders may be provided in non effervescent or effervescent form with the combination of other ingredients known to those skilled in the art.
- the formulations are solid dosage forms, such as capsules or tablets.
- the tablets, pills, capsules, troches and the like can contain any of the following ingredients, or compounds of a similar nature: a binder; a diluent; a disintegrating agent; a lubricant; a glidant; a sweetening agent; and a flavoring agent.
- binders include microcrystalline cellulose, gum tragacanth, glucose solution, acacia mucilage, gelatin solution, sucrose and starch paste.
- Lubricants include talc, starch, magnesium or calcium stearate, lycopodium and stearic acid.
- Diluents include, for example, lactose, sucrose, starch, kaolin, salt, mannitol and dicalcium phosphate.
- Glidants include, but are not limited to, colloidal silicon dioxide.
- Disintegrating agents include crosscarmellose sodium, sodium starch glycolate, alginic acid, corn starch, potato starch, bentonite, methylcellulose, agar and carboxymethylcellulose.
- Coloring agents include, for example, any of the approved certified water soluble FD and C dyes, mixtures thereof; and water insoluble FD and C dyes suspended on alumina hydrate.
- Sweetening agents include sucrose, lactose, mannitol and artificial sweetening agents such as saccharin, and any number of spray dried flavors.
- Flavoring agents include natural flavors extracted from plants such as fruits and synthetic blends of compounds which produce a pleasant sensation, such as, but not limited to peppermint and methyl salicylate.
- Wetting agents include propylene glycol monostearate, sorbitan monooleate, diethylene glycol monolaurate and polyoxyethylene laural ether.
- Emetic coatings include fatty acids, fats, waxes, shellac, ammoniated shellac and cellulose acetate phthalates.
- Film coatings include hydroxyethylcellulose, sodium carboxymethylcellulose, polyethylene glycol 4000 and cellulose acetate phthalate.
- the composition may also be formulated in combination with an antacid or other such ingredient.
- the dosage unit form When the dosage unit form is a capsule, it can contain, in addition to material of the above type, a liquid carrier such as a fatty oil.
- dosage unit forms can contain various other materials which modify the physical form of the dosage unit, for example, coatings of sugar and other enteric agents.
- the compounds can also be administered as a component of an elixir, suspension, syrup, wafer, sprinkle, chewing gum or the like.
- a syrup may contain, in addition to the active compounds, sucrose as a sweetening agent and certain preservatives, dyes and colorings and flavors.
- the active materials can also be mixed with other active materials which do not impair the desired action, or with materials that supplement the desired action, such as antacids, H2 blockers, and diuretics.
- the active ingredient is a compound or pharmaceutically acceptable salt thereof as described herein. Higher concentrations, up to about 98% by weight of the active ingredient may be included.
- Pharmaceutically acceptable carriers included in tablets are binders, lubricants, diluents, disintegrating agents, coloring agents, flavoring agents, and wetting agents.
- Enteric coated tablets because of the enteric coating, resist the action of stomach acid and dissolve or disintegrate in the neutral or alkaline intestines.
- Sugar coated tablets are compressed tablets to which different layers of pharmaceutically acceptable substances are applied.
- Liquid oral dosage forms include aqueous solutions, emulsions, suspensions, solutions and/or suspensions reconstituted from non effervescent granules and effervescent preparations reconstituted from effervescent granules.
- Aqueous solutions include, for example, elixirs and syrups.
- Emulsions are either oil in-water or water in oil.
- Elixirs are clear, sweetened, hydroalcoholic preparations.
- Pharmaceutically acceptable carriers used in elixirs include solvents. Syrups are concentrated aqueous solutions of a sugar, for example, sucrose, and may contain a preservative.
- An emulsion is a two phase system in which one liquid is dispersed in the form of small globules throughout another liquid.
- Pharmaceutically acceptable carriers used in emulsions are non aqueous liquids, emulsifying agents and preservatives. Suspensions use pharmaceutically acceptable suspending agents and preservatives.
- Pharmaceutically acceptable substances used in non effervescent granules, to be reconstituted into a liquid oral dosage form include diluents, sweeteners and wetting agents.
- Pharmaceutically acceptable substances used in effervescent granules, to be reconstituted into a liquid oral dosage form include organic acids and a source of carbon dioxide. Coloring and flavoring agents are used in all of the above dosage forms.
- Solvents include glycerin, sorbitol, ethyl alcohol and syrup.
- preservatives include glycerin, methyl and propylparaben, benzoic add, sodium benzoate and alcohol.
- non aqueous liquids utilized in emulsions include mineral oil and cottonseed oil.
- emulsifying agents examples include gelatin, acacia, tragacanth, bentonite, and surfactants such as polyoxyethylene sorbitan monooleate.
- Suspending agents include sodium carboxymethylcellulose, pectin, tragacanth, Veegum and acacia.
- Diluents include lactose and sucrose.
- Sweetening agents include sucrose, syrups, glycerin and artificial sweetening agents such as saccharin.
- Wetting agents include propylene glycol monostearate, sorbitan monooleate, diethylene glycol monolaurate and polyoxyethylene lauryl ether.
- Organic adds include citric and tartaric acid.
- Sources of carbon dioxide include sodium bicarbonate and sodium carbonate.
- Coloring agents include any of the approved certified water soluble FD and C dyes, and mixtures thereof. Flavoring agents include natural flavors extracted from plants such fruits, and synthetic blends of compounds which produce a pleasant taste sensation.
- the solution or suspension in for example propylene carbonate, vegetable oils or triglycerides, is encapsulated in a gelatin capsule. Such solutions, and the preparation and encapsulation thereof, are disclosed in U.S. Pat. Nos.4,328,245; 4,409,239; and 4,410,545.
- liquid dosage form the solution, e.g., for example, in a polyethylene glycol, may be diluted with a sufficient quantity of a pharmaceutically acceptable liquid carrier, e.g., water, to be easily measured for administration.
- a pharmaceutically acceptable liquid carrier e.g., water
- liquid or semi solid oral formulations may be prepared by dissolving or dispersing the active compound or salt in vegetable oils, glycols, triglycerides, propylene glycol esters (e.g., propylene carbonate) and other such carriers, and encapsulating these solutions or suspensions in hard or soft gelatin capsule shells.
- a dialkylated mono- or poly-alkylene glycol including, but not limited to, 1,2-dimethoxymethane, diglyme, triglyme, tetraglyme, polyethylene glycol-350-dimethyl ether, polyethylene glycol-550-dimethyl ether, polyethylene glycol-750-dimethyl ether wherein 350, 550 and 750 refer to the approximate average molecular weight of the polyethylene glycol, and one or more antioxidants, such as butylated hydroxytoluene (BHT), butylated hydroxyanisole (BHA), propyl gallate, vitamin E, hydroquinone, hydroxycoumarins, ethanolamine, lecithin, cephalin, ascorbic acid, malic acid, sorbitol, phosphoric acid, thiodipropionic acid and its esters, and dithiocarbamates.
- BHT butylated hydroxytoluene
- BHA butylated hydroxyanisole
- compositions include, but are not limited to, aqueous alcoholic solutions including a pharmaceutically acceptable acetal.
- Alcohols used in these formulations are any pharmaceutically acceptable water-miscible solvents having one or more hydroxyl groups, including, but not limited to, propylene glycol and ethanol.
- Acetals include, but are not limited to, di(lower alkyl) acetals of lower alkyl aldehydes such as acetaldehyde diethyl acetal.
- tablets and capsules formulations may be coated as known by those of skill in the art in order to modify or sustain dissolution of the active ingredient.
- Injectables, Solutions and Emulsions are also contemplated herein.
- Injectables can be prepared in conventional forms, either as liquid solutions or suspensions, solid forms suitable for solution or suspension in liquid prior to injection, or as emulsions. Suitable excipients are, for example, water, saline, dextrose, glycerol or ethanol.
- compositions to be administered may also contain minor amounts of non toxic auxiliary substances such as wetting or emulsifying agents, pH buffering agents, stabilizers, solubility enhancers, and other such agents, such as for example, sodium acetate, sorbitan monolaurate, triethanolamine oleate and cyclodextrins. Implantation of a slow release or sustained release system, such that a constant level of dosage is maintained is also contemplated herein.
- a compound provided herein is dispersed in a solid inner matrix, e.g., polymethylmethacrylate, polybutylmethacrylate, plasticized or unplasticized polyvinylchloride, plasticized nylon, plasticized polyethyleneterephthalate, natural rubber, polyisoprene, polyisobutylene, polybutadiene, polyethylene, ethylene-vinylacetate copolymers, silicone rubbers, polydimethylsiloxanes, silicone carbonate copolymers, hydrophilic polymers such as hydrogels of esters of acrylic and methacrylic acid, collagen, cross-linked polyvinylalcohol and cross- linked partially hydrolyzed polyvinyl acetate, that is surrounded by an outer polymeric membrane, e.g., polyethylene, polypropylene, ethylene/propylene copolymers, ethylene/ethyl acrylate copolymers, ethylene/vinylacetate copolymers, silicone rubbers, polydimethyl siloxanes
- Parenteral administration of the compositions includes intravenous, subcutaneous and intramuscular administrations. Preparations for parenteral administration include sterile solutions ready for injection, sterile dry soluble products, such as lyophilized powders, ready to be combined with a solvent just prior to use, including hypodermic tablets, sterile suspensions ready for injection, sterile dry insoluble products ready to be combined with a vehicle just prior to use and sterile emulsions. The solutions may be either aqueous or nonaqueous.
- suitable carriers include physiological saline or phosphate buffered saline (PBS), and solutions containing thickening and solubilizing agents, such as glucose, polyethylene glycol, and polypropylene glycol and mixtures thereof.
- suitable carriers include physiological saline or phosphate buffered saline (PBS), and solutions containing thickening and solubilizing agents, such as glucose, polyethylene glycol, and polypropylene glycol and mixtures thereof.
- Pharmaceutically acceptable carriers used in parenteral preparations include aqueous vehicles, nonaqueous vehicles, antimicrobial agents, isotonic agents, buffers, antioxidants, local anesthetics, suspending and dispersing agents, emulsifying agents, sequestering or chelating agents and other pharmaceutically acceptable substances.
- aqueous vehicles include Sodium Chloride Injection, Ringers Injection, Isotonic Dextrose Injection, Sterile Water Injection, Dextrose and Lactated Ringers Injection.
- Nonaqueous parenteral vehicles include fixed oils of vegetable origin, cottonseed oil, corn oil, sesame oil and peanut oil.
- Antimicrobial agents in bacteriostatic or fungistatic concentrations must be added to parenteral preparations packaged in multiple dose containers which include phenols or cresols, mercurials, benzyl alcohol, chlorobutanol, methyl and propyl p hydroxybenzoic acid esters, thimerosal, benzalkonium chloride and benzethonium chloride.
- Isotonic agents include sodium chloride and dextrose. Buffers include phosphate and citrate. Antioxidants include sodium bisulfate. Local anesthetics include procaine hydrochloride. Suspending and dispersing agents include sodium carboxymethylcellulose, hydroxypropyl methylcellulose and polyvinylpyrrolidone. Emulsifying agents include Polysorbate 80 (TWEEN® 80). A sequestering or chelating agent of metal ions include EDTA. Pharmaceutical carriers also include ethyl alcohol, polyethylene glycol and propylene glycol for water miscible vehicles and sodium hydroxide, hydrochloric acid, citric acid or lactic acid for pH adjustment.
- the concentration of the pharmaceutically active compound is adjusted so that an injection provides an effective amount to produce the desired pharmacological effect.
- the exact dose depends on the age, weight and condition of the patient or animal as is known in the art.
- the unit dose parenteral preparations are packaged in an ampule, a vial or a syringe with a needle. All preparations for parenteral administration must be sterile, as is known and practiced in the art.
- intravenous or intraarterial infusion of a sterile aqueous solution containing an active compound is an effective mode of administration.
- a sterile aqueous or oily solution or suspension containing an active material injected as necessary to produce the desired pharmacological effect is designed for local and systemic administration.
- a therapeutically effective dosage is formulated to contain a concentration of at least about 0.1% w/w up to about 90% w/w or more, such as more than 1% w/w of the active compound to the treated tissue(s).
- the active ingredient may be administered at once, or may be divided into a number of smaller doses to be administered at intervals of time. It is understood that the precise dosage and duration of treatment is a function of the tissue being treated and may be determined empirically using known testing protocols or by extrapolation from in vivo or in vitro test data.
- concentrations and dosage values may also vary with the age of the individual treated. It is to be further understood that for any particular subject, specific dosage regimens should be adjusted over time according to the individual need and the professional judgment of the person administering or supervising the administration of the formulations, and that the concentration ranges set forth herein are exemplary only and are not intended to limit the scope or practice of the claimed formulations.
- the compound may be suspended in micronized or other suitable form or may be derivatized to produce a more soluble active product or to produce a prodrug. The form of the resulting mixture depends upon a number of factors, including the intended mode of administration and the solubility of the compound in the selected carrier or vehicle.
- the effective concentration is sufficient for ameliorating the symptoms of the condition and may be empirically determined.
- E-3. Lyophilized Powders [0294] Of interest herein are also lyophilized powders, which can be reconstituted for administration as solutions, emulsions and other mixtures. They may also be reconstituted and formulated as solids or gels. [0295] The sterile, lyophilized powder is prepared by dissolving a compound provided herein, or a pharmaceutically acceptable salt thereof, in a suitable solvent. The solvent may contain an excipient which improves the stability or other pharmacological component of the powder or reconstituted solution, prepared from the powder.
- Excipients that may be used include, but are not limited to, dextrose, sorbital, fructose, corn syrup, xylitol, glycerin, glucose, sucrose or other suitable agent.
- the solvent may also contain a buffer, such as citrate, sodium or potassium phosphate or other such buffer known to those of skill in the art at, in one embodiment, about neutral pH.
- sterile filtration of the solution followed by lyophilization under standard conditions known to those of skill in the art provides the desired formulation.
- the resulting solution will be apportioned into vials for lyophilization. Each vial will contain a single dosage (including but not limited to 10-1000 mg or 100-500 mg) or multiple dosages of the compound.
- the lyophilized powder can be stored under appropriate conditions, such as at about 4° C. to room temperature.
- Reconstitution of this lyophilized powder with water for injection provides a formulation for use in parenteral administration.
- about 1-50 mg, about 5-35 mg, or about 9-30 mg of lyophilized powder is added per mL of sterile water or other suitable carrier. The precise amount depends upon the selected compound. Such amount can be empirically determined.
- E-4. Topical Administration [0297] Topical mixtures are prepared as described for the local and systemic administration.
- the resulting mixture may be a solution, suspension, emulsion or the like and are formulated as creams, gels, ointments, emulsions, solutions, elixirs, lotions, suspensions, tinctures, pastes, foams, aerosols, irrigations, sprays, suppositories, bandages, dermal patches or any other formulations suitable for topical administration.
- the compounds or pharmaceutically acceptable salts thereof may be formulated as aerosols for topical application, such as by inhalation (see, e.g., U.S. Pat. Nos.4,044,126, 4,414,209, and 4,364,923, which describe aerosols for delivery of a steroid useful for treatment of inflammatory diseases, particularly asthma).
- formulations for administration to the respiratory tract can be in the form of an aerosol or solution for a nebulizer, or as a microfine powder for insufflation, alone or in combination with an inert carrier such as lactose.
- the particles of the formulation will have diameters of less than 50 microns or less than 10 microns.
- the compounds may be formulated for local or topical application, such as for topical application to the skin and mucous membranes, such as in the eye, in the form of gels, creams, and lotions and for application to the eye or for intracistemal or intraspinal application.
- Topical administration is contemplated for transdermal delivery and also for administration to the eyes or mucosa, or for inhalation therapies.
- Nasal solutions of the active compound alone or in combination with other pharmaceutically acceptable excipients can also be administered.
- These solutions, particularly those intended for ophthalmic use, may be formulated as 0.01%-10% isotonic solutions, pH about 5-7, with appropriate salts. E-5.
- Compositions for Other Routes of Administration [0301] Other routes of administration, such as topical application, transdermal patches, and rectal administration are also contemplated herein.
- pharmaceutical dosage forms for rectal administration are rectal suppositories, capsules and tablets for systemic effect.
- Rectal suppositories are used herein mean solid bodies for insertion into the rectum which melt or soften at body temperature releasing one or more pharmacologically or therapeutically active ingredients.
- Pharmaceutically acceptable substances utilized in rectal suppositories are bases or vehicles and agents to raise the melting point. Examples of bases include cocoa butter (theobroma oil), glycerin gelatin, carbowax (polyoxyethylene glycol) and appropriate mixtures of mono, di and triglycerides of fatty acids. Combinations of the various bases may be used.
- Agents to raise the melting point of suppositories include spermaceti and wax. Rectal suppositories may be prepared either by the compressed method or by molding.
- An exemplary weight of a rectal suppository is about 2 to 3 grams.
- Tablets and capsules for rectal administration are manufactured using the same pharmaceutically acceptable substance and by the same methods as for formulations for oral administration.
- Sustained Release Compositions [0304] Active ingredients provided herein can be administered by controlled release means or by delivery devices that are well known to those of ordinary skill in the art. Examples include, but are not limited to, those described in U.S. Pat.
- Such dosage forms can be used to provide slow or controlled- release of one or more active ingredients using, for example, hydropropylmethyl cellulose, other polymer matrices, gels, permeable membranes, osmotic systems, multilayer coatings, microparticles, liposomes, microspheres, or a combination thereof to provide the desired release profile in varying proportions.
- Suitable controlled-release formulations known to those of ordinary skill in the art, including those described herein, can be readily selected for use with the active ingredients provided herein. [0305] All controlled-release pharmaceutical products have a common goal of improving drug therapy over that achieved by their non-controlled counterparts.
- the use of an optimally designed controlled-release preparation in medical treatment is characterized by a minimum of drug substance being employed to cure or control the condition in a minimum amount of time.
- advantages of controlled-release formulations include extended activity of the drug, reduced dosage frequency, and increased patient compliance.
- controlled-release formulations can be used to affect the time of onset of action or other characteristics, such as blood levels of the drug, and can thus affect the occurrence of side (e.g., adverse) effects.
- Most controlled-release formulations are designed to initially release an amount of drug (active ingredient) that promptly produces the desired therapeutic effect, and gradually and continually release of other amounts of drug to maintain this level of therapeutic or prophylactic effect over an extended period of time.
- the drug In order to maintain this constant level of drug in the body, the drug must be released from the dosage form at a rate that will replace the amount of drug being metabolized and excreted from the body. Controlled-release of an active ingredient can be stimulated by various conditions including, but not limited to, pH, temperature, enzymes, water, or other physiological conditions or compounds.
- the agent may be administered using intravenous infusion, an implantable osmotic pump, a transdermal patch, liposomes, or other modes of administration.
- a pump may be used (see, Sefton, CRC Crit. Ref Biomed.
- a controlled release system can be placed in proximity of the therapeutic target, i.e., thus requiring only a fraction of the systemic dose (see, e.g., Goodson, Medical Applications of Controlled Release, vol.2, pp.115-138 (1984).
- a controlled release device is introduced into a subject in proximity of the site of inappropriate immune activation or a tumor. Other controlled release systems are discussed in the review by Langer (Science 249:1527-1533 (1990).
- the active ingredient can be dispersed in a solid inner matrix, e.g., polymethylmethacrylate, polybutylmethacrylate, plasticized or unplasticized polyvinylchloride, plasticized nylon, plasticized polyethyleneterephthalate, natural rubber, polyisoprene, polyisobutylene, polybutadiene, polyethylene, ethylene-vinylacetate copolymers, silicone rubbers, polydimethylsiloxanes, silicone carbonate copolymers, hydrophilic polymers such as hydrogels of esters of acrylic and methacrylic acid, collagen, cross-linked polyvinylalcohol and cross- linked partially hydrolyzed polyvinyl acetate, that is surrounded by an outer polymeric membrane, e.g., polyethylene, polypropylene, ethylene/propylene copolymers, ethylene/ethyl acrylate copolymers, ethylene/vinylacetate copolymers, silicone rubbers, polydimethyl siloxanes, ne
- the active ingredient then diffuses through the outer polymeric membrane in a release rate controlling step.
- the percentage of active ingredient contained in such parenteral compositions is highly dependent on the specific nature thereof, as well as the needs of the subject.
- E-7. Targeted Formulations The compounds provided herein, or pharmaceutically acceptable salts thereof, may also be formulated to be targeted to a particular tissue, receptor, or other area of the body of the subject to be treated. Many such targeting methods are well known to those of skill in the art. All such targeting methods are contemplated herein for use in the instant compositions. For non- limiting examples of targeting methods, see, e.g., U.S. Pat.
- liposomal suspensions including tissue-targeted liposomes, such as tumor-targeted liposomes, may also be suitable as pharmaceutically acceptable carriers. These may be prepared according to methods known to those skilled in the art. For example, liposome formulations may be prepared as described in U.S. Pat. No.4,522,811.
- liposomes such as multilamellar vesicles (MLV's) may be formed by drying down egg phosphatidyl choline and brain phosphatidyl serine (7:3 molar ratio) on the inside of a flask. A solution of a compound provided herein in phosphate buffered saline lacking divalent cations (PBS) is added and the flask shaken until the lipid film is dispersed. The resulting vesicles are washed to remove unencapsulated compound, pelleted by centrifugation, and then resuspended in PBS. E-8.
- PBS phosphate buffered saline lacking divalent cations
- the compounds or pharmaceutically acceptable salts can be packaged as articles of manufacture containing packaging material, a compound or pharmaceutically acceptable salt thereof provided herein, which is used for treatment, prevention or amelioration of one or more symptoms or progression of cancer, including solid tumors and blood borne tumors, and a label that indicates that the compound or pharmaceutically acceptable salt thereof is used for treatment, prevention or amelioration of one or more symptoms or progression of cancer, including solid tumors and blood borne tumors.
- the articles of manufacture provided herein contain packaging materials. Packaging materials for use in packaging pharmaceutical products are well known to those of skill in the art. See, e.g., U.S. Pat. Nos.5,323,907, 5,052,558 and 5,033,252.
- Examples of pharmaceutical packaging materials include, but are not limited to, blister packs, bottles, tubes, inhalers, pumps, bags, vials, containers, syringes, pens, bottles, and any packaging material suitable for a selected formulation and intended mode of administration and treatment.
- a wide array of formulations of the compounds and compositions provided herein are contemplated.
- F. Preparation of Compounds [0313] The compounds provided herein can be prepared by methods known to one of skill in the art and following procedures similar to those described in the Examples section herein and routine modifications thereof. Exemplary reaction schemes for the preparation of compounds are illustrated below. [0314] The compounds provided herein may be synthesized by many methods available to those skilled in the art of organic chemistry (Maffrand, J.P.
- the example compounds may be prepared by methods known to give enantiomerically enriched products. These include, but are not limited to, the incorporation of chiral auxiliary functionalities into racemic intermediates which serve to control the diastereoselectivity of transformations, providing enantio-enriched products upon cleavage of the chiral auxiliary.
- the compounds provided herein can be prepared in a number of ways known to one skilled in the art of organic synthesis. The compounds can be synthesized using the methods described below, together with synthetic methods known in the art of synthetic organic chemistry, or by variations thereon as appreciated by those skilled in the art. Preferred methods include, but are not limited to, those described below.
- Scheme I depicts the synthesis of generic compounds I-10. Values for the variables in Scheme I are as defined in the scheme or elsewhere in the specification for the corresponding position of a compound of Formula (I). Suitably protected O or N substituted cycloalkylmethyl halide/tosylate or similarly protected arylmethyl bromide/chloride or heteroarylmethyl bromide/chloride of type I-1 can react with nitrophenol or nitro-heteroaryl alcohol I-2 with base such as potassium carbonate to give compound I-4.
- suitably protected O or N substituted cycloalkylmethyl hydroxy derivative of type I-1 can be reacted with 4- fluoronitrobenzene I-3 in the presence of strong bases such as sodium hydride to give corresponding compound I-4.
- Reduction of the nitro group in I-4 provides aniline I-5, which can react with bis(2,5-dioxopyrrolidin-1-yl)carbonate (I-6) or bis(4-nitrophenyl)carbonate (I-7) and then couple with isoindoline methylamine (I-8) to generate I-9.
- I-9 isoindoline methylamine
- a compound of Formula I: or a pharmaceutically acceptable salt thereof, wherein: (i) b is 1; A is selected from an unsubstituted or substituted 5 to 12 membered aryl or a 5 to 12 membered heteroaryl ring; and B is selected from an unsubstituted or substituted 3 to 12 membered cycloalkyl; (ii) b is 0; and A is selected from an unsubstituted or substituted 3 to 12 membered cycloalkyl, 4 to 12 membered heterocyclic, 5 to 12 membered aryl, or a 5 to 12 membered heteroaryl ring; and B is selected from an unsubstituted or substituted 3 to 12 membered cycloalkyl, 4 to 12 membered heterocyclic, 5 to 12 membered aryl or a 5 to 12 membered heteroaryl ring; and X is independently selected from O or N(R 11 ); R 1 is independently selected from hydrogen, halogen
- Embodiment 2 The compound of embodiment 1, wherein: b is 0 or 1; A is selected from an unsubstituted or substituted 5 to 12 membered aryl, or a 5 to 12 membered heteroaryl ring; and B is selected from an unsubstituted or substituted 3 to 12 membered cycloalkyl, provided the compound is not 3- ⁇ [2-(2,6-dioxopiperidin-3-yl)-1-oxo-2,3-dihydro-1H- isoindol-5-yl]methyl ⁇ -1-(4- ⁇ [(1r,4r)-4-(aminomethyl)cyclohexyl]methoxy ⁇ phenyl)urea.
- Embodiment 3 A compound of Formula II: , or a pharmaceutically acceptable salt thereof, wherein: A is selected from an unsubstituted or substituted 3 to 12 membered cycloalkyl, 4 to 12 membered heterocyclic, 5 to 12 membered aryl, or a 5 to 12 membered heteroaryl ring; B is selected from an unsubstituted or substituted 3 to 12 membered cycloalkyl, 4 to 12 membered heterocyclic, 5 to 12 membered aryl or a 5 to 12 membered heteroaryl ring; X is independently selected from O or N(R 11 ); R 1 is independently selected from hydrogen, halogen, -C 1 -C 6 alkyl or a 3 to 6 membered cycloalkyl; R 2a and R 2b are each independently selected from hydrogen, halogen, -C 1 -C 6 alkyl, a 3 to 6 membered cycloalkyl, wherein the alky
- Embodiment 4 The compound of any one of embodiments 1-3, wherein A is selected from phenylene, pyridinylene, pyrimidinylene, or pyridazinylene. [0323] Embodiment 5. The compound of embodiment 4, wherein A is phenylene. [0324] Embodiment 6. The compound of any one of embodiments 1-5, wherein d is 1. [0325] Embodiment 7. The compound of any one of embodiments 1-6, wherein R 7 is independently selected from hydrogen, halogen, -C1-C6 alkyl, or -C1-C6 haloalkyl. [0326] Embodiment 8.
- Embodiment 7 is independently selected from hydrogen, fluoro, chloro, methyl, or trifluoromethyl.
- Embodiment 9 The compound of any one of embodiments 1-3, wherein -A(R 7 )d- is [0328] Embodiment 10.
- Embodiment 10 The compound of any one of embodiments 1-9, wherein B is an unsubstituted or substituted 3 to 7 membered cycloalkyl.
- Embodiment 11 The compound of embodiment 10, wherein B is cyclohexylene, cyclopentylene, cyclobutylene, or bicyclo[1.1.1]pentanylene.
- Embodiment 13 The compound of any one of embodiments 1 and 3-9, wherein B is phenylene, pyridinylene, pyrimidinylene, or pyridazinylene. [0331] Embodiment 13. The compound of any one of embodiments 1-12, wherein c is 1. [0332] Embodiment 14.
- Embodiment 15 The compound of any one of embodiments 1-14, wherein R 9 is independently selected from hydrogen, fluoro, chloro, C1-C3 alkyl, C1-C3 alkoxy, C1- C3 haloalkyl, 3 or 4 membered cycloalkyl, or oxetanyloxy.
- Embodiment 16 The compound of embodiment 15, wherein R 9 is independently selected from hydrogen or methyl.
- Embodiment 21 The compound of any one of embodiments 1-20, wherein b is 0.
- Embodiment 22 The compound of any one of embodiments 1-20, wherein b is 1.
- Embodiment 23 The compound of any one of embodiments 1-22, wherein X is O.
- Embodiment 24 The compound of any one of embodiments 1-22, wherein X is N(H) or N(CH 3 ).
- Embodiment 25 The compound of any of embodiments 1-24, wherein R 1 is selected from hydrogen or methyl.
- Embodiment 26 The compound of any of embodiments 1-24, wherein R 1 is selected from hydrogen or methyl.
- Embodiment 25 The compound of embodiment 25, wherein R 1 is hydrogen.
- Embodiment 27 The compound of any one of embodiments 1-26, wherein R 2a and R 2b are each hydrogen.
- Embodiment 28 The compound of any one of embodiments 1-27, wherein R 3 is hydrogen or fluoro.
- Embodiment 29 The compound of any one of embodiments 1-28, wherein e is 1.
- Embodiment 30 The compound of any one of embodiments 1-29, wherein R 4a and R 4b are each hydrogen.
- Embodiment 31 The compound of any one of embodiments 1-30, wherein R 5 and R 6 are each hydrogen.
- Embodiment 32 The compound of any one of embodiments 1-30, wherein R 5 and R 6 are each hydrogen.
- Embodiment 33 The compound of any one of embodiments 1, 2, 4-11, 13-19, and 21- 32, wherein the compound is of Formula III: , or a pharmaceutically acceptable salt thereof.
- Embodiment 34 The compound of embodiment 33, wherein each R 7 is hydrogen.
- Embodiment 35 The compound of embodiment 35, wherein each R 7 is hydrogen.
- Embodiment 36 A compound of any of Example Numbers 1-44, or a pharmaceutically acceptable salt thereof.
- Embodiment 37 A pharmaceutical composition comprising a compound of any one of embodiments 1-36, or a pharmaceutically acceptable salt thereof, and a pharmaceutically acceptable carrier.
- Embodiment 38 A method of treating cancer is a mammal in need thereof, comprising administering to the mammal a therapeutically effective amount of a compound of any one of embodiments 1-36, or a pharmaceutically acceptable salt thereof, or pharmaceutical composition of embodiment 37.
- Embodiment 39 The method of embodiment 38, wherein the cancer is leukemia.
- Embodiment 40 Embodiment 40.
- Embodiment 41 The method of any one of embodiments 38-40, further comprising administering to the mammal a second active agent or a support care therapy.
- Embodiment 42 The method of embodiment 41, wherein the second active agent is a therapeutic antibody to a cancer antigen, hematopoietic growth factor, cytokine, anti-cancer agent, antibiotic, cox-2 inhibitor, immunomodulatory agent, immunosuppressive agent, or corticosteroid.
- Step 1-2 tert-butyl (((1s,3s)-3-(4-nitrophenoxy)cyclobutyl)methyl)carbamate
- tert-butyl (((1s,3s )-3-hydroxycyclobutyl)methyl)carbamate (2) (83 mg, 0.413 mmol) in 4.0 mL DMF was added NaH (60 mg, 2.478 mmol) at 0°C and stirred for 10 min at room temperature.
- 1-fluoro-4-nitro-benzene (3) 64 mg, 0.454 mmol. The resulting mixture was stirred for 1 h at room temperature.
- the crude product was purified by reverse phase flash with the following conditions (Spherial C18, 90 g, 20 ⁇ 40 ⁇ m; Mobile Phase A: water (0.05% TFA), Mobile Phase B: ACN; Flow rate: 70 mL/min; Gradient: 0% B to 100% B in 20 min, 220 nm; RT: 14 min) to afford tert-butyl (((1s,3s)-3-(4- nitrophenoxy)cyclobutyl)methyl)carbamate (4)(95 mg, 0.295 mmol, 71.4% yield) as a light yellow solid.
- Step 1-3 tert-butyl (((1s,3s)-3-(4-aminophenoxy)cyclobutyl)methyl)carbamate
- tert-butyl (((1s,3s)-3-(4-aminophenoxy)cyclobutyl)methyl)carbamate (4) 100 mg, 0.310 mmol
- NH 4 Cl 233 mg, 4.402 mmol
- Zn 121 mg, 1.860 mmol
- Step 1-4 tert-butyl (((1s,3s)-3-(4-(3-((2-(2,6-dioxopiperidin-3-yl)-1-oxoisoindolin-5- yl)methyl)ureido)phenoxy)cyclobutyl)methyl)carbamate
- tert-butyl (((1s,3s)-3-(4-aminophenoxy)cyclobutyl)methyl)carbamate (5) (90 mg, 0.308 mmol) in 1.0 mL DCE dropwise slowly.
- the crude product was purified by reverse phase flash with the following conditions (Spherial C18, 80 g, 20 ⁇ 40 ⁇ m; Mobile Phase A: water (0.05% TFA), Mobile Phase B: ACN; Flow rate: 70 mL/min; Gradient: 0% B to 100% B in 20 min, 220 nm; RT: 8.0 min) to afford tert-butyl (((1s,3s)-3-(4-(3-((2-(2,6-dioxopiperidin-3-yl)-1-oxoisoindolin-5- yl)methyl)ureido)phenoxy)cyclobutyl)methyl)carbamate (7) (120 mg, 0.203 mmol, 65.9% yield) as a light yellow solid.
- Step 1-5 1-(4-((1s,3s)-3-(aminomethyl)cyclobutoxy)phenyl)-3-((2-(2,6-dioxopiperidin- 3-yl)-1-oxoisoindolin-5-yl)methyl)urea TFA salt
- tert-butyl (((1s,3s)-3-(4-(3-((2-(2,6-dioxopiperidin-3-yl)-1- oxoisoindolin-5-yl)methyl)ureido)phenoxy)cyclobutyl)methyl)carbamate (7) (100 mg, 0.1700 mmol) in 6.0 mL DCM was added 2.0 mL TFA.
- LCMS Analytic Conditions Column: HALO C18, Column 3.0*30 mm, 2.7 um; Mobile phase A: water/0.05%TFA, Mobile phase B: ACN/0.05%TFA; Flow rate: 1.5000 mL/min; Gradient: 5% B to 40% B in 1.69 min; 40% B to 100% B in 0.60 min;100% B to 100% B in 0.50 min ;100% B to 5 % B in 0.03 min;254 nm; RT: 0.970 min.
- Example 15 1-((2-(2,6-Dioxopiperidin-3-yl)-1-oxoisoindolin-5-yl)methyl)-3-(4-(((1s,4s)-4- (hydroxymethyl)cyclohexyl)methoxy)phenyl)urea [0374] Step 15-1: ((1s,4s)-cyclohexane-1,4-diyl)dimethanol [0375] A mixture of (1s,4s)-4-(methoxycarbonyl)cyclohexane-1-carboxylic acid (8)(2.000 g, 10.74 mmol) in tetrahydrofuran (40 mL) was degassed and purged with nitrogen for 3 times, and then the mixture was stirred at 0 °C
- Step 15-2 ((1s,4s)-4-(hydroxymethyl)cyclohexyl)methyl 4-methylbenzenesulfonate
- Step 15-2 To a solution of ((1s,4s)-cyclohexane-1,4-diyl)dimethanol (9)(0.600 g, 4.16 mmol), 4- methylbenzene-1-sulfonyl chloride (0.634 g, 3.33 mmol) in dichloromethane (30 mL) was added triethylamine (2.2 mL, 12.48 mmol) at 25 °C. After addition, the mixture was stirred at this temperature for 12 h. TLC showed three new spots were detected.
- reaction mixture was diluted with water (50 mL) and extracted with dichloromethane (2X50 mL). The combined organic layers were washed with sat. aq. NaCl solution (50 mL), dried (Na2SO4), filtered and concentrated under reduced pressure to give a residue. The residue was purified by prep-TLC to afford the product ((1s,4s)-4-(hydroxymethyl)cyclohexyl)methyl 4-methylbenzenesulfonate (10)(0.470 g, 1.57 mmol, 37.8% yield) as a yellow solid, which was confirmed by 1 H NMR.
- Step 15-3 ((1s,4s)-4-((4-Nitrophenoxy)methyl)cyclohexyl)methanol
- 4-nitrophenol (11) 0.307 g, 2.21 mmol
- DMF 10 mL
- potassium carbonate 0.508 g, 3.69 mmol
- the reaction mixture was diluted with water (100 mL) and extracted with ethyl acetate (100 mL X 2). The combined organic layers were washed with aq. Sat. NaCl solution (100 mL), dried (Na 2 SO 4 ), filtered and concentrated under reduced pressure to give a residue.
- the residue was purified by silica gel chromatography (10 ⁇ 50% ethyl acetate in petroleum ether) to afford the product ((1s,4s)-4-((4- nitrophenoxy)methyl)cyclohexyl)methanol (12) (0.450 g, 1.69 mmol, 92.0% yield) as a yellow solid, which was confirmed by 1 H NMR.
- Step 15-4 ((1s,4s)-4-((4-Aminophenoxy)methyl)cyclohexyl)methanol
- Step 15-5 4-nitrophenyl (4-(((1s,4s)-4- (hydroxymethyl)cyclohexyl)methoxy)phenyl)carbamate
- ((1s,4s)-4-((4-aminophenoxy)methyl)cyclohexyl)methanol (13)(0.100 g, 0.42 mmol) in tetrahydrofuran (2 mL) was added (4-nitrophenyl) carbonochloridate (14) (0.102 g, 0.51 mmol) and N-ethyl-N-isopropylpropan-2-amine (0.2 mL, 1.27 mmol) at 0 °C.
- Step 15-6 1-((2-(2,6-Dioxopiperidin-3-yl)-1-oxoisoindolin-5-yl)methyl)-3-(4-(((1s,4s)- 4-(hydroxymethyl)cyclohexyl)methoxy)phenyl)urea
- 3-(5-(aminomethyl)-1-oxoisoindolin-2-yl)piperidine-2,6- dione;methanesulfonic acid ⁇ (16) (0.101 g, 0.27 mmol) in DMF (2 mL) was added N-ethyl-N- isopropylpropan-2-amine (0.04 mL, 0.25 mmol) at 25 °C.
- Step 16-1 Methyl 3-(4-nitrophenoxy)cyclopentane-1-carboxylate [0387] To a mixture of methyl 3-hydroxycyclopentane-1-carboxylate (17) (0.500 g, 3.47 mmol) and 4-nitrophenol (7) (0.579 g, 4.16 mmol) and triphenylphosphine (1.092 g, 4.16 mmol) in THF (10 mL) was added diisopropyl azodicarboxylate (0.842 g, 4.16 mmol) at 0 °C under nitrogen.
- Step 16-2 (3-(4-nitrophenoxy)cyclopentyl)methanol
- methyl methyl 3-(4-nitrophenoxy)cyclopentane-1-carboxylate (8) 0.550 g, 2.07 mmol
- lithium borohydride 0.473 g, 12.44 mmol
- the mixture was stirred at 25 °C for another 2 h. TLC showed the reaction was consumed completely and one new spot was detected.
- the reaction mixture was quenched by hydrochloric acid (1 M, 10 mL) at 0 °C. The mixture was filtered.
- Step 16-3 (3-(4-aminophenoxy)cyclopentyl)methanol
- a mixture of (3-(4-nitrophenoxy)cyclopentyl)methanol (19)(0.300 g, 1.26 mmol) in THF (6 mL) was degassed and purged with nitrogen for 3 times. Then palladium/carbon (0.270 g, 0.13 mmol) was added to the mixture. The reactant mixture was stirred at 25 °C for 12 h under hydrogen atmosphere (15 Psi). TLC showed the reaction was consumed completely and the one new spot was detected. The reaction mixture was filtered. The filtrated was concentrated under reduced pressure to give a residue.
- Step 16-4 ((1R,3R)-3-(4-aminophenoxy)cyclopentyl)methanol and ((1S,3S)-3-(4- aminophenoxy)cyclopentyl)methanol
- (3-(4-Aminophenoxy)cyclopentyl)methanol (20)(0.250 g, 1.21 mmol) was separated by SFC separation (DAICEL CHIRALPAK IC(250mm*30mm,10 ⁇ m), Mobile phase: Phase A for carbon dioxide, and Phase B for IPA (0.1%ammonium hydroxide isopropanol); Gradient elution: IPA (0.1% ammonium hydroxide) in carbon dioxide from 30% to 30%, Flow rate: 150 mL/min;3.8 min) to afford two fractions.
- Step 16-6 1-((2-(2,6-dioxopiperidin-3-yl)-1-oxoisoindolin-5-yl)methyl)-3-(4-(((1R,3R)- 3-(hydroxymethyl)cyclopentyl)oxy)phenyl)urea (absolute stereochemistry not defined) [0399] To a mixture crude 4-nitrophenyl (4-(((1R,3R)-3- (hydroxymethyl)cyclopentyl)oxy)phenyl)carbamate (21)(0.202 g, 0.54 mmol) and 3-(5- (aminomethyl)-1-oxoisoindolin-2-yl)piperidine-2,6-dione methanesulfonic acid salt (16) (0.200 g, 0.54 mmol) in DMF (2 mL) was added N,N-diisopropylethylamine (0.09 mL, 0.54 mmol) at 25 °C under nitrogen.
- the mixture was stirred at 25 °C for 12 h. LCMS showed the desired mass was detected.
- the reaction mixture was filtered. The pH of the filtrate was adjusted to 5 with formic acid.
- the mixture was purified by semi-preparative reverse phase HPLC (15-45% acetonitrile in water + 0.225% formic acid, 15 min).
- Example 17 1-((2-(2,6-Dioxopiperidin-3-yl)-1-oxoisoindolin-5-yl)methyl)-3-(4-(((1S,3S)-3- (hydroxymethyl)cyclopentyl)oxy)phenyl)urea (absolute stereochemistry not defined) [0400]
- EX.17 was prepared starting with 20C in a similar manner to the synthetic steps described for 1-((2-(2,6-dioxopiperidin-3-yl)-1-oxoisoindolin-5-yl)methyl)-3-(4-(((1S,3S)-3- (hydroxymethyl)cyclopentyl)oxy)phenyl)urea (EX.16)(0.008g, 0.02 mmol, 3.1% yield 100.0% purity) as a white solid.
- Example 18 rac-1-((2-(2,6-Dioxopiperidin-3-yl)-1-oxoisoindolin-5-yl)methyl)-3-(4-(((1R,3S)- 3-(hydroxymethyl)cyclopentyl)oxy)phenyl)urea
- 4-nitrophenol 11 (0.579 g, 4.16 mmol)
- rac-methyl (1RS,3RS)-3- hydroxycyclopentane-1-carboxylate (22) (0.500 g, 3.47 mmol)
- triphenylphosphine 1.368 g, 5.20 mmol
- Step 18-2 rac-((1RS,3SR)-3-(4-Nitrophenoxy)cyclopentyl)methanol
- a mixture of methyl rac-methyl (1R,3S)-3-(4-nitrophenoxy)cyclopentane-1-carboxylate (23) (0.260 g, 0.98 mmol) in tetrahydrofuran (10 mL) was degassed and purged with nitrogen for three times and then the mixture was stirred at 0 °C for 0.5 h under nitrogen atmosphere. After 0.5 h lithium borohydride (0.200 g, 5.26 mmol) was added slowly and the mixture was stirred at 25 °C for 2 h under nitrogen atmosphere.
- reaction mixture was quenched by hydrochloric acid (1M, 10 mL) at 0 °C and then diluted with water (50 mL) and extracted with ethyl acetate (50 mL ⁇ 2). The combined organic layers were washed with brine (50 mL), dried over anhydrous sodium sulfate, filtered, and concentrated under reduced pressure to give a residue.
- Step 18-3 rac-((1R,3S)-3-(4-Aminophenoxy)cyclopentyl)methanol
- a mixture of rac-((1R,3S)-3-(4-nitrophenoxy)cyclopentyl)methanol (24) (0.220 g, 0.93 mmol) and palladium active/carbon catalyst (0.493 g, 0.46 mmol) in methanol (10 mL) was degassed and purged with nitrogen for 3 times, and then the mixture was stirred at 25 °C for 12 h under hydrogen atmosphere. TLC showed one new spot was detected. The mixture was filtered through pad of Celite to give the filtrate.
- Step 18-4 rac-4-Nitrophenyl (4-((1R,3S)-3- (hydroxymethyl)cyclopentyl)oxy)phenyl)carbamate
- N-ethyl-N-isopropylpropan-2-amine 0.3 mL, 1.45 mmol
- rac- ((1R,3S)-3-(4-aminophenoxy)cyclopentyl)methanol 25) (0.100 g, 0.48 mmol) in tetrahydrofuran (2 mL)
- 4-nitrophenyl chloroformate(11)(0.127 g, 0.63 mmol) at 25 °C and the mixture was stirred at 25 °C for 6 h.
- Step 18-5 rac-1-((2-(2,6-Dioxopiperidin-3-yl)-1-oxoisoindolin-5-yl)methyl)-3-(4- (((1R,3S)-3-(hydroxymethyl)cyclopentyl)oxy)phenyl)urea
- the crude product was purified by semi-preparative reverse phase-HPLC (18-48% acetonitrile in water + 0.1% trifluoroacetic acid, over 9 min). Then the collected fraction was lyophilized to afford the crude product. The crude product was purified by semi-preparative reverse phase-HPLC(12-42% acetonitrile in water +10 Mm ammonium hydrogen carbonate, over 9 min).
- Step 28-2 tert-butyl N-[[4-[(4-aminophenoxy)methyl]phenyl] methyl]carbamate
- tert-butyl N-[[4-[(4-nitrophenoxy)methyl]phenyl]methyl]carbamate (28) (12 g, 33.5 mmol) in EtOH (150 mL) and H 2 O (30 mL) was added Fe powder (9.35 g, 167 mmol) and NH4Cl (17.9 g, 335 mmol). The mixture was stirred at 80 °C for 2 h. TLC (2:1 petroleum ether/ethyl acetate) showed the reaction was finished.
- Step 28-3 tert-butyl N-[[4-[[4-[[2-(2,6-dioxo-3-piperidyl)-1-oxo-isoindolin-5-yl]methyl carbamoylamino]phenoxy]methyl]phenyl]methyl]carbamate [0417] To a solution of tert-butyl N-[[4-[(4-aminophenoxy)methyl]phenyl]methyl]carbamate (29) (5.65 g, 17.2 mmol) in MeCN (200 mL) was added bis(2,5-dioxopyrrolidin-1-yl) carbonate (5.64 g, 22.0 mmol) and Et3N (6.16 g, 60.9 mmol) at -20 °C under nitrogen.
- Step 28-4 1-[4-[[4-(aminomethyl)phenyl]methoxy]phenyl]-3-[[2-(2,6-dioxo-3- piperidyl)-1-oxo-isoindolin-5-yl]methyl]urea [0419] A solution of tert-butyl N-[[4-[[4-[[2-(2,6-dioxo-3-piperidyl)-1-oxo-isoindolin-5- yl]methyl carbamoylamino]phenoxy]methyl]phenyl]methyl]carbamate (30) (9.0 g, 14.3 mmol) and HCl (30 mL,12 N in dioxane) was stirred at 0°C for 1 h.
- Step 28-5 N-(4-((4-(3-((2-(2,6-dioxopiperidin-3-yl)-1-oxoisoindolin-5- yl)methyl)ureido)phenoxy)methyl)benzyl)acetamide
- 1-(4-((4-(aminomethyl)benzyl)oxy)phenyl)-3-((2-(2,6-dioxopiperidin-3-yl)-1- oxoisoindolin-5-yl)methyl)urea HCl salt (31) 50 mg, 0.095 mmol
- pyridine 1.0 ml
- acetic anhydride 1.0 ml
- Example 29 1-((2-(2,6-dioxopiperidin-3-yl)-1-oxoisoindolin-5-yl)methyl)-3-(4-((4-(2- hydroxypropan-2-yl)benzyl)oxy)phenyl)urea
- 1-(4-(bromomethyl)phenyl)ethan-1-one (32) 500 mg, 2.347 mmol
- THF 2 mL
- methylmagnesium bromide 1.173 mL, 3.52 mmol
- Step 29-2 2-(4-((4-nitrophenoxy)methyl)phenyl)propan-2-ol
- 4-nitrophenol 138 mg, 0.995 mmol
- 2-(4- (bromomethyl)phenyl)propan-2-ol 33) (228 mg, 0.995 mmol)
- Cs 2 CO 3 648 mg, 1.990 mmol
- the reaction was diluted with ethyl acetate/H2O (50 mL/50 mL) and organic layer was isolated and washed with sat.
- Step 29-3 2-(4-((4-aminophenoxy)methyl)phenyl)propan-2-ol
- 2-(4-((4-nitrophenoxy)methyl)phenyl)propan-2-ol 100 mg, 0.348 mmol
- 4,4'-bipyridine 1.087 mg, 6.96 ⁇ mol
- hypodiboric acid 94 mg, 1.044 mmol
- the reaction was stirred for 10 min. and treated with sat. aq. NaCl solution (5ml) and extracted with ethyl acetate (15 mL x 2).
- Step 29-4 1-((2-(2,6-dioxopiperidin-3-yl)-1-oxoisoindolin-5-yl)methyl)-3-(4-((4-(2- hydroxypropan-2-yl)benzyl)oxy)phenyl)urea
- 2-(4-((4-aminophenoxy)methyl)phenyl)propan-2-ol (35) (65 mg, 0.253 mmol) in DMF (1 mL) was added bis(2,5-dioxopyrrolidin-1-yl) carbonate (78 mg, 0.303 mmol) followed by dropwise addition of DIEA (0.265 mL, 1.516 mmol).
- the filtrate was purified using prep-HPLC with the following conditions (Column: Waters BEH C18, 30 mm x 100 mm, 5 ⁇ m particles; Mobile Phase A: H2O with 10 mM Ammonium Acetate, Mobile Phase B: ACN with 10 mM Ammonium Acetate; Flow rate: 40 mL/min; Gradient: 5% B to 95% B in 26 min; Wave Length: 254 nm).
- Step 30-1 (4-((2-nitrophenoxy)methyl)phenyl)methanol [0431] To a solution of (4-(bromomethyl)phenyl)methanol (36)(1.5 g, 7.46 mmol) in MeCN (100 mL) was added 2-nitrophenol (37) (1.038 g, 7.46 mmol) and potassium carbonate (3.09 g, 22.38 mmol).
- Step 30-2 triisopropyl((4-((2-nitrophenoxy)methyl)benzyl)oxy)silane
- reaction was stirred at 80 °C for 12 h.
- DMAP ( ⁇ 10 mg) was added and heated at 80 °C for an additional 4h.
- the reaction mixture was diluted with water (10 mL) and extracted with ethyl acetate (3X25 mL). The organic extracts were combined, dried (Na 2 SO 4 ) and concentrated under reduced pressure.
- Step 31-3 3-[5-(aminomethyl)-4-fluoro-1-oxo-isoindolin-2-yl]piperidine-2,6-dione TFA salt
- Step 31-4 1-(4-benzyloxyphenyl)-3-[[2-(2,6-dioxo-3-piperidyl)-4-fluoro-1-oxo- isoindolin-5-yl]methyl]urea
- 4-benzyloxyaniline 50
- 1,4-Dioxane 3.0 mL
- triphosgene 12 mg, 0.041 mmol
- Step 32-4 tert-butyl benzyl(4-(3-((2-(2,6-dioxopiperidin-3-yl)-1-oxoisoindolin-5- yl)methyl)ureido)phenyl)carbamate
- tert-butyl (4-aminophenyl)(benzyl)carbamate (200 mg, 0.670 mmol) in acetonitrile (2 mL) was added bis(2,5-dioxopyrrolidin-1-yl) carbonate (223 mg, 0.871 mmol) and DIEA (0.351 mL, 2.011 mmol) at -20 °C under nitrogen.
- Step 32-5 1-(4-(benzylamino)phenyl)-3-((2-(2,6-dioxopiperidin-3-yl)-1-oxoisoindolin- [0463] To a suspension of tert-Butyl benzyl(4-(3-((2-(2,6-dioxopiperidin-3-yl)-1-oxoisoindolin- 5-yl)methyl)ureido)phenyl)carbamate (56) (230 mg, 0.385 mmol) in 10 mL DCM was added TFA (1 mL). The mixture was stirred at 25°C for 16h.
- tert-butyldimethyl((4-((4-nitrophenoxy)methyl)benzyl)oxy)silane [0467] To a solution containing (4-((4-nitrophenoxy)methyl)phenyl)methanol (57) (1.26 g, 4.86 mmol) in anhydrous DMF (6.94 ml) at 0 °C was added triethylamine (0.745 ml, 5.35 mmol) followed by the addition of tert-butylchlorodimethylsilane (0.806 g, 5.35 mmol), in one portion. The cloudy suspension was stirred at rt for 1 h.
- Step 33-3 4-((4-(((tert-butyldimethylsilyl)oxy)methyl)benzyl)oxy)aniline
- tert-butyldimethyl((4-((4-nitrophenoxy)methyl)benzyl)oxy)silane (58) (1.5 g, 4.02 mmol) in EtOH (25 mL) and H2O (5 mL) was added iron powder (1.12 g, 20.1 mmol) and ammonium chloride (2.148 g, 40.2 mmol). The mixture was stirred at 80 °C for 2 h. The reaction mixture was cooled to rt. and filtered through a pad of Celite.
- Step 33-5 3-((2-(2,6-dioxopiperidin-3-yl)-1-oxoisoindolin-5-yl)methyl)-1-(4-((4- (hydroxymethyl)benzyl)oxy)phenyl)-1-methylurea
- 1-(4-((4-(((tert- butyldimethylsilyl)oxy)methyl)benzyl)oxy)phenyl)-3-((2-(2,6-dioxopiperidin-3-yl)-4-fluoro-1- oxoisoindolin-5-yl)methyl)urea (61) (38 mg, 0.058 mmol) in DCM (2 mL) was added hydrochloric acid (144 ⁇ l, 0.575 mmol, 4N in dioxane) and stirred for 16 h.
- Example 34 1-((2-(2,6-dioxopiperidin-3-yl)-7-fluoro-1-oxoisoindolin-5-yl)methyl)-3-(4-((4- (hydroxymethyl)benzyl)oxy)phenyl)urea [0475] To a solution of methyl 4-bromo-2-(bromomethyl)-6-fluorobenzoate (62) (7 g, 21.48 mmol) in MeCN (100. mL) was added the N-ethyl-N-isopropylpropan-2-amine (11.90 mL, 64.4 mmol) and 3-aminopiperidine-2,6-dione hydrochloride (63) (4.59 g, 27.9 mmol).
- Step 34-2 2-(2,6-dioxopiperidin-3-yl)-7-fluoro-1-oxoisoindoline-5-carbonitrile
- the reaction was cooled to room temperature, diluted with water (200 mL) and ethyl acetate (300 mL), transferred to a separatory funnel and the organic layer isolated. The aqueous layer was extracted with additional ethyl acetate (2x100 mL). The combined organic layers were dried (MgSO4), filtered, and concentrated under reduced pressure.
- Step 34-3 tert-Butyl ((2-(2,6-dioxopiperidin-3-yl)-7-fluoro-1-oxoisoindolin-5- yl)methyl)carbamate
- 2-(2,6-dioxopiperidin-3-yl)-7-fluoro-1-oxoisoindoline-5-carbonitrile (65) (2.1 g, 7.31 mmol) in deoxygenated THF (10 mL) and deoxygenated DMF (10 mL) was added di-tert-butyl dicarbonate (2.074 g, 9.50 mmol) followed by the addition of Raney-Ni (100 mg).
- the mixture was evacuated under reduced pressure, backfilled with hydrogen gas and pressurized to 50 psi.
- the mixture was stirred at 25 °C for 40 h.
- the reaction was evacuated and backfilled with nitrogen gas.
- Water (100 mL) was added to the reaction and extracted with ethyl acetate (3X100 mL). The combined organic layers were dried (MgSO4), filtered, and concentrated under reduced pressure.
- Step 34-4 3-(5-(Aminomethyl)-7-fluoro-1-oxoisoindolin-2-yl)piperidine-2,6-dione
- tert-butyl ((2-(2,6-dioxopiperidin-3-yl)-7-fluoro-1-oxoisoindolin-5- yl)methyl)carbamate (66) (1.3 g, 3.32 mmol) in CH2Cl2 (100 mL) was added 4N hydrochloric acid in dioxane (4.15 mL, 16.61 mmol)). The reaction was stirred at room temperature for 4h.
- Step 34-6 1-((2-(2,6-dioxopiperidin-3-yl)-7-fluoro-1-oxoisoindolin-5-yl)methyl)-3-(4- ((4-(hydroxymethyl)benzyl)oxy)phenyl)urea
- CELMoDs including immunomodulatory drugs
- CRL4 CRL4
- GSPT1 G1 to S Phase Transition protein 1
- GSPT1 in complex with eRF1 recognizes the mRNA stop codon and functions to terminate protein translation by catalyzing the cleavage of the nascent protein from the terminal tRNA as well as by releasing the ribosomal subunits from the stop site allowing reformation and translation initiation at a new start site.
- GSPT1 plays a key role in protein synthesis and cell proliferation.
- Targeted degradation of GSPT1 by CELMoDs elicits broad antitumor activity in AML and solid tumor cells (1, 2). [0489] 1.
- GSPT1 DiscoverX Degradation Assay. DF15 multiple myeloma cells expressing ePL- tagged GSPT1 were dispensed into a 1536-well plate (Corning #3727) pre-spotted with compound. ⁇ Compounds were dispensed by an Echo 650 Liquid Handler into a 1536-well in a 10-point dose response curve using three-fold dilutions starting at 10 ⁇ M and going down to 0.0005 ⁇ M in DMSO.
- a DMSO control was added to the assay plates.5 ⁇ L of media (RPMI- 1640 + 10% Heat Inactivated FBS + 25mM Hepes + 1mM Na Pyruvate+1X NEAA + 0.1% Pluronic F-68 + 1x Pen Strep Glutamine) containing 800 cells was dispensed per well. ⁇ Assay plates were incubated at 37 °C with 5% CO 2 for twenty hours. ⁇ After incubation, 3 ⁇ l of the InCELL HunterTM Detection Reagent Working Solution (DiscoverX, cat #96-0002, Fremont, CA) was added to each well, and the plate was incubated at room temperature for 1hr protected from light. ⁇ Luminescence was read on a PHERAstar luminometer (BMG Labtech, Cary, NC).
- the minimum Y (Ymin) of the fitted curve is referenced to the Y constant (Yconst).
- ATALUREN ® luciferase inhibitor
- the maximum limit is the maximum Y (Ymax) DMSO control. ⁇ All percent of control GSPT1 degradation curves were processed and evaluated using Dotmatics. Table 4. GSPT1 Degradation Data [0493] The embodiments described above are intended to be merely examples, and those skilled in the art will recognize, or will be able to ascertain using no more than routine experimentation, numerous equivalents of specific compounds, materials, and procedures. All such equivalents are considered to be within the scope of the invention and are encompassed by the appended claims.
Landscapes
- Chemical & Material Sciences (AREA)
- Organic Chemistry (AREA)
- Health & Medical Sciences (AREA)
- General Chemical & Material Sciences (AREA)
- Medicinal Chemistry (AREA)
- Nuclear Medicine, Radiotherapy & Molecular Imaging (AREA)
- Chemical Kinetics & Catalysis (AREA)
- Pharmacology & Pharmacy (AREA)
- Life Sciences & Earth Sciences (AREA)
- Animal Behavior & Ethology (AREA)
- General Health & Medical Sciences (AREA)
- Public Health (AREA)
- Veterinary Medicine (AREA)
- Pharmaceuticals Containing Other Organic And Inorganic Compounds (AREA)
Abstract
Provided herein are compounds of Formula I:, and pharmaceutically acceptable salts thereof for treating, preventing or managing cancer. Also provided are pharmaceutical compositions comprising the compounds and their pharmaceutically acceptable salts, and methods of use of the compounds, salts, and compositions. In certain embodiments, the methods encompass treating, preventing or managing cancer, including solid tumors and blood borne tumors.
Description
GSPT1 COMPOUNDS AND METHODS OF USE OF THE COMPOUNDS CROSS-REFERENCE TO RELATED APPLICATION [0001] This application claims the benefit of US Provisional Application No.63/590,734, filed October 16, 2023, which is incorporated by reference herein in its entirety for any purpose. FIELD [0002] Provided herein are compounds for treating, preventing, or managing cancer. Also provided are pharmaceutical compositions comprising the compounds, and methods of use of the compounds and compositions. In certain embodiments, the methods encompass treating, preventing, or managing cancer, including solid tumors and blood borne tumors, using the compounds provided herein. BACKGROUND [0003] The incidence of cancer continues to climb as the general population ages, as new cancers develop, and as susceptible populations (e.g., people infected with AIDS, the elderly or excessively exposed to sunlight) grow. A tremendous demand therefore exists for new methods, treatments and compositions that can be used to treat patients with cancer including but not limited to those with lymphoma, NHL, multiple myeloma, AML, leukemias, and solid tumors. [0004] There exists a significant need for safe and effective compounds and methods for treating, preventing, and managing cancer, including for cancers that are refractory to standard treatments, such as surgery, radiation therapy, chemotherapy and hormonal therapy, while reducing or avoiding the toxicities and/or side effects associated with the conventional therapies. SUMMARY [0005] Provided herein are compounds, pharmaceutical compositions containing the compounds and methods of use thereof in treating cancer, including solid tumors and blood borne tumors. [0006] In one embodiment, the compound provided herein is a compound of Formula I, II, or III. [0007] In one embodiment, the compound provided herein is a pharmaceutically acceptable salt of the compound of Formula I, II, or III. [0008] In one embodiment, the compound provided herein is a solvate of the compound of Formula I, II, or III. [0009] In one embodiment, the compound provided herein is a hydrate of compound of Formula I, II, or III. [0010] In one embodiment, the compound provided herein is a clathrate of the compound of Formula I, II, or III.
[0011] Also provided are pharmaceutical compositions formulated for administration by an appropriate route and means containing effective concentrations of one or more of the compounds provided herein, and optionally comprising at least one pharmaceutical carrier. [0012] In one embodiment, the pharmaceutical compositions deliver amounts effective for the treatment of cancer, including solid tumors and blood borne tumors. [0013] In one embodiment, the pharmaceutical compositions deliver amounts effective for the prevention of cancer, including solid tumors and blood borne tumors. [0014] In one embodiment, the pharmaceutical compositions deliver amounts effective for the amelioration of cancer, including solid tumors and blood borne tumors. [0015] Also provided herein are combination therapies using one or more compounds or compositions provided herein in combination with a therapy e.g., another pharmaceutical agent with activity against cancer or its symptoms. Examples of therapies within the scope of the combination therapies and methods include, but are not limited to, surgery, chemotherapy, radiation therapy, hormonal therapy, biological therapy, immunotherapy, and combinations thereof. [0016] The compounds or compositions provided herein may be administered simultaneously with, prior to, or after administration of one or more of the above therapies. Pharmaceutical compositions containing a compound provided herein and one or more of the above agents are also provided. [0017] In certain embodiments, the compounds of the present disclosure may be included in an antibody drug conjugate. Antibody drug conjugates or ADCs are highly targeted biopharmaceutical drugs that combine monoclonal antibodies specific to surface antigens present on particular tumor cells with highly potent anti-cancer agents linked via a chemical linker. [0018] In certain embodiments, provided herein are methods of treating, preventing, or ameliorating cancer, including solid tumors and blood borne tumors, or one or more symptoms or causes thereof. [0019] In certain embodiments, provided herein are methods of treating cancer, including solid tumors and blood borne tumors, or one or more symptoms or causes thereof. [0020] In certain embodiments, provided herein are methods of preventing cancer, including solid tumors and blood borne tumors, or one or more symptoms or causes thereof. [0021] In certain embodiments, provided herein are methods of ameliorating cancer, including solid tumors and blood borne tumors, or one or more symptoms or causes thereof. [0022] In certain embodiments, the blood borne tumor is leukemia. In certain embodiments, methods provided herein encompass methods of treating various forms of leukemias such as
chronic lymphocytic leukemia, chronic myeloid leukemia, acute lymphocytic leukemia, acute myeloid leukemia and acute myeloblastic leukemia. [0023] In certain embodiments, methods provided herein encompass methods of preventing various forms of leukemias such as chronic lymphocytic leukemia, chronic myeloid leukemia, acute lymphocytic leukemia, acute myeloid leukemia and acute myeloblastic leukemia. [0024] In certain embodiments, methods provided herein encompass methods of managing various forms of leukemias such as chronic lymphocytic leukemia, chronic myeloid leukemia, acute lymphocytic leukemia, acute myeloid leukemia and acute myeloblastic leukemia. [0025] The methods provided herein include treatment of leukemias that are relapsed, refractory or resistant. [0026] The methods provided herein include prevention of leukemias that are relapsed, refractory or resistant. [0027] The methods provided herein include management of leukemias that are relapsed, refractory or resistant. [0028] In one embodiment, methods provided herein encompass methods of treating acute myeloid leukemia. [0029] In one embodiment, methods provided herein encompass methods of preventing acute myeloid leukemia. [0030] In one embodiment, methods provided herein encompass methods of managing acute myeloid leukemia. [0031] In practicing the methods, effective amounts of the compounds or compositions containing therapeutically effective concentrations of the compounds are administered to an individual exhibiting the symptoms of the disease or disorder to be treated. The amounts are effective to ameliorate or eliminate one or more symptoms of the disease or disorder. [0032] Further provided is a pharmaceutical pack or kit comprising one or more containers filled with one or more of the ingredients of the pharmaceutical compositions. Optionally associated with such container(s) can be a notice in the form prescribed by a governmental agency regulating the manufacture, use or sale of pharmaceuticals or biological products, which notice reflects approval by the agency of manufacture, use of sale for human administration. The pack or kit can be labeled with information regarding mode of administration, sequence of drug administration (e.g., separately, sequentially or concurrently), or the like. [0033] These and other aspects of the subject matter described herein will become evident upon reference to the following detailed description. DETAILED DESCRIPTION [0034] Provided herein are compounds of Formula I, II, or III.
[0035] Provided herein is an enantiomer or diastereomer of compounds of Formula I, II, or III. [0036] Provided herein is a mixture of enantiomers or diastereomers (e.g., a racemic mixture) of compounds of Formula I, II, or III. [0037] Provided herein is a pharmaceutically acceptable salt of a compound of Formula I, II, or III. [0038] Provided herein is a pharmaceutically acceptable solvate of a compound of Formula I, II, or III. [0039] Provided herein is a pharmaceutically acceptable hydrate of a compound of Formula I, II, or III. [0040] Provided herein is a pharmaceutically acceptable co-crystal of a compound of Formula I, II, or III. [0041] Provided herein is a pharmaceutically acceptable clathrate of a compound of Formula I, II, or III. [0042] Provided herein is a pharmaceutically acceptable polymorph of a compound of Formula I, II, or III. [0043] Further provided are methods of treating cancer, including solid tumors and blood borne tumors, and pharmaceutical compositions and dosage forms useful for such methods. [0044] Further provided are methods of preventing cancer, including solid tumors and blood borne tumors, and pharmaceutical compositions and dosage forms useful for such methods. [0045] Further provided are methods of ameliorating cancer, including solid tumors and blood borne tumors, and pharmaceutical compositions and dosage forms useful for such methods. [0046] The compounds, methods and compositions are described in detail in the sections below. A. Definitions [0047] Unless defined otherwise, all technical and scientific terms used herein have the same meaning as is commonly understood by one of ordinary skill in the art. All patents, applications, published applications and other publications cited herein are incorporated herein by reference in their entirety. In the event that there is a plurality of definitions for a term herein, those in this section prevail unless stated otherwise. [0048] The following abbreviations may be used herein:
[0049] The use of the terms “a,” “an,” “the,” and similar referents in the context of this disclosure (including in the context of the claims) are to be construed to cover both the singular and the plural, unless otherwise indicated. Recitation of ranges of values herein merely are intended to serve as a shorthand method of referring individually to each separate value falling within the range, unless otherwise indicated herein, and each separate value is incorporated into the specification as if it were individually recited herein. The use of any and all examples, or exemplary language (e.g., “such as”) provided herein, is intended to illustrate certain embodiments and is not a limitation on the scope of the claimed invention unless otherwise claimed. No language in the specification should be construed as indicating any non-claimed element as essential to the practice of the claimed invention. [0050] “Alkyl” refers to a straight or branched hydrocarbon chain group consisting solely of carbon and hydrogen atoms, containing no unsaturation, having from one to ten, one to eight, one to six, one to four, or one to three carbon atoms, and which is attached to the rest of the molecule by a single bond, e.g., methyl, ethyl, n-propyl, 1-methylethyl (iso-propyl), n-butyl, n- pentyl, 1,1-dimethylethyl (t-butyl), and the like. [0051] “Alkenyl” refers to a straight or branched chain unsaturated group consisting solely of carbon and hydrogen atoms, having from two to eight, two to six or two to four carbon atoms, wherein the unsaturation is present only as double bonds and wherein the double bond can exist between any two carbon atoms in the chain, e.g., ethenyl, prop-1-enyl, but-2-enyl, and the like. The straight or branched chain unsaturated group is attached to the rest of the molecule by a single bond. [0052] “Alkoxy” refers to the group having the formula —OR wherein R is alkyl or haloalkyl. An “optionally substituted alkoxy” refers to the group having the formula —OR wherein R is an optionally substituted alkyl as defined herein.
[0053] “Amino” refers to a radical having the formula —NR′R″ wherein R′ and R″ are each independently hydrogen, alkyl or haloalkyl. An “optionally substituted amino” refers to a radical having the formula —NR′R″ wherein one or both of R′ and R″ are optionally substituted alkyl as defined herein. [0054] “Aryl” refers to a 5- to 18-membered, 6- to 18-membered, 6- to 10-membered, or 6- membered carbocylic ring system, including monocyclic, bicyclic, tricyclic, tetracyclic ring systems, wherein at least one of the rings is aromatic. The aryl may be fully aromatic, examples of which are phenyl, naphthyl, anthracenyl, acenaphthylenyl, azulenyl, fluorenyl, indenyl and pyrenyl. The aryl may also contain an aromatic ring in combination with a non-aromatic ring, examples of which are acenaphene, indene, and fluorene. [0055] “Cycloalkyl” refers to a stable monovalent monocyclic or bicyclic hydrocarbon group consisting solely of carbon and hydrogen atoms, having from three to 12, three to ten, or three to seven carbon atoms, which is saturated, e.g., cyclopropyl, cyclobutyl, cyclopentyl, cyclohexyl, decalinyl, norbornane, norbornene, adamantyl, bicyclo[2.2.2]octane and the like. [0056] “Ene” or “enyl,” when used as a suffix herein, means that the group being modified with the suffix is attached to the rest of the molecule through two or more points of attachment (typically, two), e.g., alkylene, alkenylene, and the like. The group may be attached to the rest of the molecule through any two suitable atoms in the group. [0057] “Halo, “halogen” or “halide” refers to F, Cl, Br or I. [0058] “Haloalkyl” refers to an alkyl group, in certain embodiments, C1-6alkyl group, in which one or more of the hydrogen atoms are replaced by halogen. Such groups include, but are not limited to, chloromethyl, trifluoromethyl, 1-chloro-2-fluoroethyl, 2,2-difluoroethyl, 2- fluoropropyl, 2-fluoropropan-2-yl, 2,2,2-trifluoroethyl, 1,1-difluoroethyl, 1,3-difluoro-2- methylpropyl, 2,2-difluorocyclopropyl, (trifluoromethyl)cyclopropyl, 4,4-difluorocyclohexyl and 2,2,2-trifluoro-1,1-dimethylethyl. [0059] “Heterocycle” or “Heterocyclyl” refers to a stable 3- to 15-membered, 3- to-12 membered, 4- to 12-membered, 4- to 7-membered, 5- to 12-membered, or 5- to 6-membered non-aromatic ring radical which consists of carbon atoms and from one to five heteroatoms selected from a group consisting of nitrogen, oxygen and sulfur. In one embodiment, the heterocyclic ring system radical may be a monocyclic, bicyclic or tricyclic ring or tetracyclic ring system, which may include fused or bridged ring systems; and the nitrogen or sulfur atoms in the heterocyclic ring system radical may be optionally oxidized; the nitrogen atom may be optionally quaternized; and the heterocyclyl radical may be partially or fully saturated. The heterocyclic ring system may be attached to the main structure at any heteroatom or carbon atom which results in the creation of a stable compound. Exemplary heterocyclic radicals include,
morpholinyl, piperidinyl, piperazinyl, pyranyl, pyrrolidinyl, oxetanyl, azetidinyl, quinuclidinyl, octahydroquinolizinyl, decahydroquinolizinyl, azabicyclo[3.2.1]octanyl, azabicyclo[2.2.2]octanyl, isoindolinyl, indolinyl and others. [0060] “Heteroaryl” refers to a heterocyclyl group as defined above which is aromatic. The heteroaryl groups include, but are not limited to monocyclyl, bicyclyl and tricyclyl groups, and may be attached to the main structure at any heteroatom or carbon atom which results in the creation of a stable compound. Examples of such heteroaryl groups include, but are not limited to: furanyl, imidazolyl, oxazolyl, isoxazolyl, pyrimidinyl, pyridinyl, pyridazinyl, thiazolyl, thienyl, benzimidazolyl, imidazo[4,5-b]pyridinyl, imidazo[1,2-a]pyridinyl, imidazo[1,2- b]pyridazinyl, imidazo[1,2-a]pyrazinyl and others. [0061] “EC50” refers to an amount, concentration or dosage of a particular test compound that achieves a 50% potency or effect of a maximal response, such as cell growth or proliferation measured via any of the in vitro or cell-based assays described herein. [0062] “IC50” refers to an amount, concentration or dosage of a particular test compound that achieves a 50% inhibition of a maximal response, such as cell growth or proliferation, measured via any of the in vitro or cell-based assays described herein. [0063] “Oxo” refers to =O. [0064] Pharmaceutically acceptable salts include, but are not limited to, amine salts, such as but not limited to N,N′-dibenzylethylenediamine, chloroprocaine, choline, ammonia, diethanolamine and other hydroxyalkylamines, ethylenediamine, N-methylglucamine, procaine, N- benzylphenethylamine, 1-para-chlorobenzyl-2-pyrrolidin-1′-ylmethyl-benzimidazole, diethylamine and other alkylamines, piperazine and tris(hydroxymethyl)aminomethane; alkali metal salts, such as but not limited to lithium, potassium and sodium; alkali earth metal salts, such as but not limited to barium, calcium and magnesium; transition metal salts, such as but not limited to zinc; and other metal salts, such as but not limited to sodium hydrogen phosphate and disodium phosphate; and also including, but not limited to, salts of mineral acids, such as but not limited to hydrochlorides and sulfates; and salts of organic acids, such as but not limited to acetates, lactates, malates, tartrates, citrates, ascorbates, succinates, butyrates, valerates, fumarates and organic sulfonates. [0065] As used herein and unless otherwise indicated, the term “hydrate” means a compound provided herein or a salt thereof, that further includes a stoichiometric or non-stoichiometeric amount of water bound by non-covalent intermolecular forces. [0066] As used herein and unless otherwise indicated, the term “solvate” means a solvate formed from the association of one or more solvent molecules to a compound provided herein.
The term “solvate” includes hydrates (e.g., mono-hydrate, dihydrate, trihydrate, tetrahydrate and the like). [0067] Unless stated otherwise specifically described in the specification, it is understood that the substitution can occur on any atom of the alkyl, alkenyl, alkynyl, cycloalkyl, heterocyclyl, aryl or heteroaryl group. [0068] Where the number of any given substituent is not specified (e.g., haloalkyl), there may be one or more substituents present. For example, “haloalkyl” may include one or more of the same or different halogens. [0069] When the groups described herein, with the exception of alkyl group, are said to be “substituted” or “optionally substituted,” they may be substituted with any appropriate substituent or substituents. Illustrative examples of substituents are those found in the exemplary compounds and embodiments disclosed herein, as well as halogen (chloro, iodo, bromo, or fluoro); alkyl; hydroxyl; alkoxy; alkoxyalkyl; amino; alkylamino; carboxy; nitro; cyano; thiol; thioether; imine; imide; amidine; guanidine; enamine; aminocarbonyl; acylamino; phosphonate; phosphine; thiocarbonyl; sulfinyl; sulfone; sulfonamide; ketone; aldehyde; ester; urea; urethane; oxime; hydroxyl amine; alkoxyamine; aryloxyamine, aralkoxyamine; N-oxide; hydrazine; hydrazide; hydrazone; azide; isocyanate; isothiocyanate; cyanate; thiocyanate; oxygen (═O); B(OH)2, O(alkyl)aminocarbonyl; cycloalkyl, which may be monocyclic or fused or non-fused polycyclic (e.g., cyclopropyl, cyclobutyl, cyclopentyl, or cyclohexyl), or a heterocyclyl, which may be monocyclic or fused or non-fused polycyclic (e.g., pyrrolidyl, piperidyl, piperazinyl, morpholinyl, or thiazinyl); monocyclic or fused or non-fused polycyclic aryl or heteroaryl (e.g., phenyl, naphthyl, pyrrolyl, indolyl, furanyl, thiophenyl, imidazolyl, oxazolyl, isoxazolyl, thiazolyl, triazolyl, tetrazolyl, pyrazolyl, pyridinyl, quinolinyl, isoquinolinyl, acridinyl, pyrazinyl, pyridazinyl, pyrimidinyl, benzimidazolyl, benzothiophenyl, or benzofuranyl) aryloxy; aralkyloxy; heterocyclyloxy; and heterocyclyl alkoxy. When the alkyl groups described herein are said to be “substituted” or “optionally substituted,” they may be substituted with any substituent or substituents as those found in the exemplary compounds and embodiments disclosed herein, as well as halogen (chloro, iodo, bromo, or fluoro); alkyl; hydroxyl; alkoxy; alkoxyalkyl; amino; alkylamino; carboxy; nitro; cyano; thiol; thioether; imine; imide; amidine; guanidine; enamine; aminocarbonyl; acylamino; phosphonate; phosphine; thiocarbonyl; sulfinyl; sulfone; sulfonamide; ketone; aldehyde; ester; urea; urethane; oxime; hydroxyl amine; alkoxyamine; aryloxyamine, aralkoxyamine; N-oxide; hydrazine; hydrazide; hydrazone; azide; isocyanate; isothiocyanate; cyanate; thiocyanate; B(OH)2, or (alkyl)aminocarbonyl. [0070] Embodiments of the disclosure are meant to encompass pharmaceutically acceptable salts, tautomers, isotopologues, and stereoisomers of the compounds provided herein, such as
the compounds of Formulas (I), (II), and (III), as well as solvates, hydrates, co-crystals, clathrates, and/or polymorphs thereof. [0071] Unless specifically stated otherwise, where a compound may assume alternative tautomeric, regioisomeric and/or stereoisomeric forms, all alternative isomers are intended to be encompassed within the scope of the claimed subject matter. For example, where a compound is described as having one of two tautomeric forms, it is intended that both tautomers be encompassed herein. [0072] Thus, the compounds provided herein may be enantiomerically pure, or be stereoisomeric or diastereomeric mixtures. [0073] It is to be understood that the compounds provided herein may contain chiral centers. Such chiral centers may be of either the (R) or (S) configuration, or may be a mixture thereof. It is to be understood that the chiral centers of the compounds provided herein may undergo epimerization in vivo. As such, one of skill in the art will recognize that administration of a compound in its (R) form is equivalent, for compounds that undergo epimerization in vivo, to administration of the compound in its (S) form. [0074] Optically active (+) and (−), (R)- and (S)-, or (D)- and (L)-isomers may be prepared using chiral synthons or chiral reagents, or resolved using conventional techniques, such as chromatography on a chiral stationary phase. [0075] In the description herein, if there is any discrepancy between a chemical name and chemical structure, the structure controls. [0076] As used herein and unless otherwise indicated, the terms “treat,” “treating” and “treatment” refer to alleviating or reducing the severity of a symptom associated with the disease or condition being treated. [0077] The term “prevention” includes the inhibition of a symptom of the particular disease or disorder. In some embodiments, patients with familial history of cancer, including solid tumors and blood borne tumors, are candidates for preventive regimens. Generally, the term “preventing” refers to administration of the drug prior to the onset of symptoms, particularly to patients at risk of cancer, including solid tumors and blood borne tumors. [0078] As used herein and unless otherwise indicated, the term “managing” encompasses preventing the recurrence of the particular disease or disorder in a patient who had suffered from it, lengthening the time a patient who had suffered from the disease or disorder remains in remission, reducing mortality rates of the patients, and/or maintaining a reduction in severity or avoidance of a symptom associated with the disease or condition being managed. [0079] As used herein, “subject” is an animal, typically a mammal, including a human, such as a human patient.
[0080] As used herein, the term “tumor,” refers to all neoplastic cell growth and proliferation, whether malignant or benign, and all pre-cancerous and cancerous cells and tissues. “Neoplastic,” as used herein, refers to any form of dysregulated or unregulated cell growth, whether malignant or benign, resulting in abnormal tissue growth. Thus, “neoplastic cells” include malignant and benign cells having dysregulated or unregulated cell growth. [0081] As used herein, “hematologic malignancy” or “blood borne tumor” refers to cancer of the body's blood-forming and immune system—the bone marrow and lymphatic tissue. Such cancers include leukemias, lymphomas (Non-Hodgkin's Lymphoma), Hodgkin's disease (also called Hodgkin's Lymphoma) and myeloma. [0082] The term “leukemia” refers to malignant neoplasms of the blood-forming tissues. The leukemia includes, but is not limited to, chronic lymphocytic leukemia, chronic myelocytic leukemia, acute lymphoblastic leukemia, acute myeloid leukemia, and acute myeloblastic leukemia. The leukemia can be relapsed, refractory or resistant to conventional therapy. [0083] As used herein, “promyelocytic leukemia” or “acute promyelocytic leukemia” refers to a malignancy of the bone marrow in which there is a deficiency of mature blood cells in the myeloid line of cells and an excess of immature cells called promyelocytes. It is usually marked by an exchange of regions of chromosomes 15 and 17. [0084] As used herein, “acute lymphocytic leukemia (ALL)”, also known as “acute lymphoblastic leukemia” refers to a malignant disease caused by the abnormal growth and development of early nongranular white blood cells, or lymphocytes. [0085] As used herein, “T-cell leukemia” refers to a disease in which certain cells of the lymphoid system called T lymphocytes or T cells are malignant. T cells are white blood cells that normally can attack virus-infected cells, foreign cells, and cancer cells and produce substances that regulate the immune response. [0086] The term “relapsed” refers to a situation where patients who have had a remission of leukemia after therapy have a return of leukemia cells in the marrow and a decrease in normal blood cells. [0087] The term “refractory or resistant” refers to a circumstance where patients, even after intensive treatment, have residual leukemia cells in their marrow. [0088] As used herein, and unless otherwise specified, the terms “therapeutically effective amount” and “effective amount” of a compound refer to an amount sufficient to provide a therapeutic benefit in the treatment, prevention and/or management of a disease, to delay or minimize one or more symptoms associated with the disease or disorder to be treated. The terms “therapeutically effective amount” and “effective amount” can encompass an amount that
improves overall therapy, reduces or avoids symptoms or causes of disease or disorder, or enhances the therapeutic efficacy of another therapeutic agent. [0089] The terms “co-administration” and “in combination with” include the administration of two therapeutic agents (for example, a compound provided herein and another anti-cancer agent) either simultaneously, concurrently or sequentially with no specific time limits. In one embodiment, both agents are present in the cell or in the patient's body at the same time or exert their biological or therapeutic effect at the same time. In one embodiment, the two therapeutic agents are in the same composition or unit dosage form. In another embodiment, the two therapeutic agents are in separate compositions or unit dosage forms. [0090] The term “the supportive care agent” refers to any substance that treats, prevents, or manages an adverse effect from treatment with the compound of Formula I. [0091] The term “biological therapy” refers to administration of biological therapeutics such as cord blood, stem cells, growth factors and the like. [0092] The term “about,” as used herein, unless otherwise indicated, refers to a value that is no more than 10% above or below the value being modified by the term. For example, the term “about 10 mg/m2” means a range of from 9 mg/m2 to 11 mg/m2. [0093] “Anti-cancer agents” refers to anti-metabolites (e.g., 5-fluoro-uracil, methotrexate, fludarabine), antimicrotubule agents (e.g., vinca alkaloids such as vincristine, vinblastine; taxanes such as paclitaxel, docetaxel), alkylating agents (e.g., cyclophosphamide, melphalan, carmustine, nitrosoureas such as bischloroethylnitrosurea and hydroxyurea), platinum agents (e.g. cisplatin, carboplatin, oxaliplatin, JM-216 or satraplatin, CI-973), anthracyclines (e.g., doxorubicin, daunorubicin), antitumor antibiotics (e.g., mitomycin, idarubicin, adriamycin, daunomycin), topoisomerase inhibitors (e.g., etoposide, camptothecins), anti-angiogenesis agents (e.g. Sutent® and Bevacizumab) or any other cytotoxic agents, (estramustine phosphate, prednimustine), hormones or hormone agonists, antagonists, partial agonists or partial antagonists, kinase inhibitors, and radiation treatment. [0094] As used herein, the abbreviations for any protective groups, amino acids and other compounds, are, unless indicated otherwise, in accord with their common usage, recognized abbreviations, or the IUPAC-IUB Commission on Biochemical Nomenclature (see, Biochem.1972, 11:942-944). B. Compounds [0095] In one aspect, provided herein is a compound of Formula (I):
, or a pharmaceutically acceptable salt thereof, wherein: (i) b is 1; A is selected from an unsubstituted or substituted 5 to 12 membered aryl or a 5 to 12 membered heteroaryl ring; and B is selected from an unsubstituted or substituted 3 to 12 membered cycloalkyl; or (ii) b is 0; and A is selected from an unsubstituted or substituted 3 to 12 membered cycloalkyl, 4 to 12 membered heterocyclic, 5 to 12 membered aryl, or a 5 to 12 membered heteroaryl ring; and B is selected from an unsubstituted or substituted 3 to 12 membered cycloalkyl, 4 to 12 membered heterocyclic, 5 to 12 membered aryl or a 5 to 12 membered heteroaryl ring; and X is independently selected from O or N(R11); R1 is independently selected from hydrogen, halogen, -C1-C6 alkyl or a 3 to 6 membered cycloalkyl; R2a and R2b are each independently selected from hydrogen, halogen, -C1-C6 alkyl, a 3 to 6 membered cycloalkyl, wherein the alkyl or cycloalkyl may be optionally substituted with –R11, -N(R11R11), -NHR11 or –OR11; or R2a and R2b, taken together, form oxo; R3 is independently selected from hydrogen, halogen, -OR11, -N(R11R11), -NHR11, -C1-C6 alkyl, a 3 to 6 membered cycloalkyl, 4 to 12 membered heterocyclic, 5 to 12 membered aryl or a 5 to 12 membered heteroaryl ring, wherein the alkyl, cycloalkyl, heterocyclic and heteroaryl may be optionally substituted with –R11, -N(R11R11), -NHR11 or –OR11; R4a and R4b are each independently selected from hydrogen, halogen, -C1-C6 alkyl, a 3 to 6 membered cycloalkyl, 4 to 12 membered heterocyclic, 5 to 12 membered aryl or a 5 to 12 membered heteroaryl ring, wherein the alkyl, cycloalkyl, heterocyclic and heteroaryl may be optionally substituted with –R11, -NHR11 or –OR11; R5 is selected from hydrogen, -C1-C6 alkyl, a 3 to 6 membered cycloalkyl, 4 to 12 membered heterocyclic, 5 to 12 membered aryl or a 5 to 12 membered heteroaryl
ring, wherein the alkyl, cycloalkyl, heterocyclic and heteroaryl may be optionally substituted with –R11, -N(R11R11), -NHR11 or –OR11; R6 is selected from hydrogen, -C1-C6 alkyl, a 3 to 6 membered cycloalkyl, 4 to 12 membered heterocyclic, 5 to 12 membered aryl or a 5 to 12 membered heteroaryl ring, wherein the alkyl, cycloalkyl, heterocyclic and heteroaryl may be optionally substituted with –R11, -N(R11R11), -NHR11 or –OR11; wherein two R5 and R6 substituents together with the carbon atoms they are attached to, may join to form a 5 or 6 membered ring that may be saturated, partially saturated, and may further optionally be substituted with 1 or 2 R11 substituents; R7 is independently selected from hydrogen, halogen, -OR11, -C1-C6 alkyl, -(C1-C6 haloalkyl), -(C1-C6 alkyl)-O-(C1-C6 alkyl), -NHR11, -N(R11R11), -CN, 3 to 12 membered cycloalkyl, 4 to 12 membered heterocyclic, 5 to 12 membered aryl or a 5 to 12 membered heteroaryl ring, -C2-C6 alkenyl, -O-(C1-C6 haloalkyl)-O-(C1-C6 alkyl), -C(=O)-(C1-C6 alkyl), -C(=O)OH, -C(=O)-O-(C1-C6 alkyl), -C(=O)NH2, -C(=O)NH(R11), -C(=O)N(R11R11), -S(O)2R11, -S(=O)R11, -SR11, -S(=O)2NH2, -S(=O)2NH(C1-C6 alkyl), or -S(=O)2N(C1-C6 alkyl)2, wherein the alkyl, haloalkyl, cycloalkyl, heterocyclic, aryl, or heteroaryl may be optionally substituted with –R11,
-NHR11 or –OR11; R8a and R8b are each independently selected from hydrogen, halogen or a -C1-C6 alkyl, optionally substituted with –R11,
-NHR11 or –OR11; R9 is independently selected from hydrogen, halogen, -OR11, -C1-C6 alkyl, -(C1-C6 haloalkyl), -(C1-C6 alkyl)-O-(C1-C6 alkyl), -NHR11, -N(R11R11), -CN, 3 to 12 membered cycloalkyl, 4 to 12 membered heterocyclic, 5 to 12 membered aryl or a 5 to 12 membered heteroaryl ring, -C2-C6 alkenyl, -O-(C1-C6 haloalkyl)-O-(C1-C6 alkyl), -C(=O)-(C1-C6 alkyl), -C(=O)OH, -C(=O)-O-(C1-C6 alkyl), -C(=O)NH2, -C(=O)NH(R11), -C(=O)N(R11R11), -S(O)2R11, -S(=O)R11, -SR11, -S(=O)2NH2, -S(=O)2NH(C1-C6 alkyl), or -S(=O)2N(C1-C6 alkyl)2, wherein the alkyl, haloalkyl, cycloalkyl, heterocyclic, aryl, or heteroaryl may be optionally substituted with –R11,
-NHR11 or –OR11; R10 is selected from hydrogen, halogen, -OR11, -C1-C6 alkyl, -(C1-C6 alkyl)-N(R11)C(=O)(C1-C6 alkyl), -(C1-C6 haloalkyl), -(C1-C6 alkyl)-O-(C1-C6 alkyl), -NHR11, -N(R11R11), -CN, 3 to 12 membered cycloalkyl, 4 to 12 membered heterocyclic, 5 to 12 membered aryl or a 5 to 12 membered heteroaryl ring, -C2-C6 alkenyl, -O-(C1-C6 haloalkyl)-O-(C1-C6 alkyl), -C(=O)-(C1-C6 alkyl), -C(=O)OH, -C(=O)-O-(C1-C6 alkyl), -C(=O)NH2,
-S(=O)2NH(C1-C6 alkyl), or -S(=O)2N(C1-C6 alkyl)2, wherein the alkyl, haloalkyl, cycloalkyl, heterocyclic, aryl, or heteroaryl may be optionally substituted with –R11,
-NHR11 or –OR11; R11 is independently selected from hydrogen, halogen, -C1-C6 alkyl, -C2-C6 alkenyl, -C1-C6 haloalkyl, a 3 to 12 membered cycloalkyl, 4 to 12 membered heterocyclic, 5 to 12 membered aryl or a 5 to 12 membered heteroaryl ring; wherein the alkyl, alkenyl, haloalkyl, cycloalkyl, heterocyclic, aryl or heteroaryl ring in R11 are each independently unsubstituted or substituted with 1, 2, or 3 R12 substituents; R12 in each instance is independently selected from hydrogen, -C1-C6 alkyl, halogen, -OH, -O-(C1-C6 alkyl), -NH2, a 3 to 12 membered cycloalkyl, 5 to 12 membered heterocyclic, 5 to 12 membered aryl or 5 to 12 membered heteroaryl ring; wherein the alkyl, alkenyl, haloalkyl, cycloalkyl, heterocyclic, aryl or heteroaryl ring in R12 are each independently unsubstituted or substituted with R13; R13 is independently hydrogen, halo, -C1-C6 alkyl, -C1-C6 haloalkyl, -C1-C6 alkoxyalkyl, oxo, hydroxyl or -C1-C6 alkoxy; c is 0, 1, 2, 3, or 4; d is 0, 1, 2, 3, or 4; and e is 0, 1, 2, or 3, and further wherein two R9 substituents on adjacent carbon atoms of the B group may join to form a 5 or 6 membered ring that may be saturated, partially saturated, or aromatic; and may further optionally be substituted with 1 or 2 R13 substituents and may include an oxo substituent if the ring is not an aromatic ring; and wherein the heterocyclic and heteroaryl cyclic ring in each A, B, R3, R4, R5, R6, R7, R9, R10, R11, R12 and R13 may include 1, 2 or 3 heteroatoms independently selected from O, N or S, provided the compound is not 3-{[2-(2,6-dioxopiperidin-3-yl)-1-oxo-2,3-dihydro-1H- isoindol-5-yl]methyl}-1-(4-{[(1r,4r)-4- (aminomethyl)cyclohexyl]methoxy}phenyl)urea. [0096] In a further aspect of the compound of Formula (I): b is 0 or 1; A is selected from an unsubstituted or substituted 5 to 12 membered aryl, or a 5 to 12 membered heteroaryl ring; and B is selected from an unsubstituted or substituted 3 to 12 membered cycloalkyl,
provided the compound is not 3-{[2-(2,6-dioxopiperidin-3-yl)-1-oxo-2,3-dihydro-1H-isoindol-5- yl]methyl}-1-(4-{[(1r,4r)-4-(aminomethyl)cyclohexyl]methoxy}phenyl)urea. [0097] In a yet further aspect of the compound of Formula (I), provided is a compound of Formula III:
, or a pharmaceutically acceptable salt thereof, wherein values for the variables are as described for the compound of Formula (I). [0098] In another aspect, provided herein is a compound of Formula (II):
, or a pharmaceutically acceptable salt thereof, wherein: A is selected from an unsubstituted or substituted 3 to 12 membered cycloalkyl, 4 to 12 membered heterocyclic, 5 to 12 membered aryl, or a 5 to 12 membered heteroaryl ring; B is selected from an unsubstituted or substituted 3 to 12 membered cycloalkyl, 4 to 12 membered heterocyclic, 5 to 12 membered aryl or a 5 to 12 membered heteroaryl ring; X is independently selected from O or N(R11); R1 is independently selected from hydrogen, halogen, -C1-C6 alkyl or a 3 to 6 membered cycloalkyl; R2a and R2b are each independently selected from hydrogen, halogen, -C1-C6 alkyl, a 3 to 6 membered cycloalkyl, wherein the alkyl or cycloalkyl may be optionally substituted with –R11, -N(R11R11), -NHR11 or –OR11; or R2a and R2b, taken together, form oxo; R3 is independently selected from hydrogen, halogen, -OR11, -N(R11R11), -NHR11, -C1-C6 alkyl, a 3 to 6 membered cycloalkyl, 4 to 12 membered heterocyclic, 5 to 12 membered aryl or a 5 to 12 membered heteroaryl ring, wherein the alkyl, cycloalkyl, heterocyclic and heteroaryl may be optionally substituted with –R11, -N(R11R11), -NHR11 or –OR11;
R4a and R4b are each independently selected from hydrogen, halogen, -C1-C6 alkyl, a 3 to 6 membered cycloalkyl, 4 to 12 membered heterocyclic, 5 to 12 membered aryl or a 5 to 12 membered heteroaryl ring, wherein the alkyl, cycloalkyl, heterocyclic and heteroaryl may be optionally substituted with –R11, -NHR11 or –OR11; R5 is selected from hydrogen, -C1-C6 alkyl, a 3 to 6 membered cycloalkyl, 4 to 12 membered heterocyclic, 5 to 12 membered aryl or a 5 to 12 membered heteroaryl ring, wherein the alkyl, cycloalkyl, heterocyclic and heteroaryl may be optionally substituted with –R11, -N(R11R11), -NHR11 or –OR11; R6 is selected from hydrogen, -C1-C6 alkyl, a 3 to 6 membered cycloalkyl, 4 to 12 membered heterocyclic, 5 to 12 membered aryl or a 5 to 12 membered heteroaryl ring, wherein the alkyl, cycloalkyl, heterocyclic and heteroaryl may be optionally substituted with –R11, -N(R11R11), -NHR11 or –OR11; wherein two R5 and R6 substituents together with the carbon atoms they are attached to, may join to form a 5 or 6 membered ring that may be saturated, partially saturated, and may further optionally be substituted with 1 or 2 R11 substituents; R7 is independently selected from hydrogen, halogen, -OR11, -C1-C6 alkyl, -(C1-C6 haloalkyl), -(C1-C6 alkyl)-O-(C1-C6 alkyl), -NHR11, -N(R11R11), -CN, 3 to 12 membered cycloalkyl, 4 to 12 membered heterocyclic, 5 to 12 membered aryl or a 5 to 12 membered heteroaryl ring, -C2-C6 alkenyl, -O-(C1-C6 haloalkyl)-O-(C1-C6 alkyl), -C(=O)-(C1-C6 alkyl), -C(=O)OH, -C(=O)-O-(C1-C6 alkyl), -C(=O)NH2, -C(=O)NH(R11), -C(=O)N(R11R11), -S(O)2R11, -S(=O)R11, -SR11, -S(=O)2NH2, -S(=O)2NH(C1-C6 alkyl), or -S(=O)2N(C1-C6 alkyl)2, wherein the alkyl, haloalkyl, cycloalkyl, heterocyclic, aryl, or heteroaryl may be optionally substituted with –R11,
-NHR11 or –OR11; R8a and R8b are each independently selected from hydrogen, halogen or a -C1-C6 alkyl, optionally substituted with –R11,
-NHR11 or –OR11; R9 is independently selected from hydrogen, halogen, -OR11, -C1-C6 alkyl, -(C1-C6 haloalkyl), -(C1-C6 alkyl)-O-(C1-C6 alkyl), -NHR11, -N(R11R11), -CN, 3 to 12 membered cycloalkyl, 4 to 12 membered heterocyclic, 5 to 12 membered aryl or a 5 to 12 membered heteroaryl ring, -C2-C6 alkenyl, -O-(C1-C6 haloalkyl)-O-(C1-C6 alkyl), -C(=O)-(C1-C6 alkyl), -C(=O)OH, -C(=O)-O-(C1-C6 alkyl), -C(=O)NH2, -C(=O)NH(R11), -C(=O)N(R11R11), -S(O)2R11, -S(=O)R11, -SR11, -S(=O)2NH2, -S(=O)2NH(C1-C6 alkyl), or -S(=O)2N(C1-C6 alkyl)2, wherein the alkyl, haloalkyl, cycloalkyl, heterocyclic, aryl, or heteroaryl may be optionally substituted with –R11,
-NHR11 or –OR11;
R10 is selected from hydrogen, halogen, -OR11, -C1-C6 alkyl, -(C1-C6 alkyl)-N(R11)C(=O)(C1-C6 alkyl), -(C1-C6 haloalkyl), -(C1-C6 alkyl)-O-(C1-C6 alkyl), -NHR11, -N(R11R11), -CN, 3 to 12 membered cycloalkyl, 4 to 12 membered heterocyclic, 5 to 12 membered aryl or a 5 to 12 membered heteroaryl ring, -C2-C6 alkenyl, -O-(C1-C6 haloalkyl)-O-(C1-C6 alkyl), -C(=O)-(C1-C6 alkyl), -C(=O)OH, -C(=O)-O-(C1-C6 alkyl), -C(=O)NH2,
-S(=O)2NH(C1-C6 alkyl), or -S(=O)2N(C1-C6 alkyl)2, wherein the alkyl, haloalkyl, cycloalkyl, heterocyclic, aryl, or heteroaryl may be optionally substituted with –R11,
-NHR11 or –OR11; R11 is independently selected from hydrogen, halogen, -C1-C6 alkyl, -C2-C6 alkenyl, -C1-C6 haloalkyl, a 3 to 12 membered cycloalkyl, 4 to 12 membered heterocyclic, 5 to 12 membered aryl or a 5 to 12 membered heteroaryl ring; wherein the alkyl, alkenyl, haloalkyl, cycloalkyl, heterocyclic, aryl or heteroaryl ring in R11 are each independently unsubstituted or substituted with 1, 2, or 3 R12 substituents; R12 in each instance is independently selected from hydrogen, -C1-C6 alkyl, halogen, -OH, -O-(C1-C6 alkyl), -NH2, a 3 to 12 membered cycloalkyl, 5 to 12 membered heterocyclic, 5 to 12 membered aryl or 5 to 12 membered heteroaryl ring; wherein the alkyl, alkenyl, haloalkyl, cycloalkyl, heterocyclic, aryl or heteroaryl ring in R12 are each independently unsubstituted or substituted with R13; R13 is independently hydrogen, halo, -C1-C6 alkyl, -C1-C6 haloalkyl, -C1-C6 alkoxyalkyl, oxo, hydroxyl or -C1-C6 alkoxy; b is 0 or 1; c is 0, 1, 2, 3, or 4; and d is 0, 1, 2, 3, or 4, and further wherein two R9 substituents on adjacent carbon atoms of the B group may join to form a 5 or 6 membered ring that may be saturated, partially saturated, or aromatic; and may further optionally be substituted with 1 or 2 R13 substituents and may include an oxo substituent if the ring is not an aromatic ring; and wherein the heterocyclic and heteroaryl cyclic ring in each A, B, R3, R4, R5, R6, R7, R9, R10, R11, R12 and R13 may include 1, 2 or 3 heteroatoms independently selected from O, N or S. [0099] In some embodiments, A is selected from phenylene, pyridinylene, pyrimidinylene, or pyridazinylene, e.g., A is phenylene.
[0100] In some embodiments, d is 1. [0101] In some embodiments, R7 is independently selected from hydrogen, halogen, -C1-C6 alkyl, or -C1-C6 haloalkyl. In further embodiments, R7 is independently selected from hydrogen, fluoro, chloro, methyl, or trifluoromethyl.
[0103] In some embodiments, B is an unsubstituted or substituted 3 to 7 membered cycloalkyl. In further embodiments, B is cyclohexylene, cyclopentylene, cyclobutylene, or bicyclo[1.1.1]pentanylene, e.g., B is phenylene, pyridinylene, pyrimidinylene, or pyridazinylene. [0104] In some embodiments, c is 1. [0105] In some embodiments: R9 is independently selected from hydrogen, halogen, -OR11, -C1-C6 alkyl, -(C1-C6 haloalkyl), -(C1-C6 alkyl)-O-(C1-C6 alkyl), -NHR11, -N(R11R11), -CN, 3 to 12 membered cycloalkyl, 4 to 12 membered heterocyclic, 5 to 12 membered aryl or a 5 to 12 membered heteroaryl ring, -C2-C6 alkenyl, -O-(C1-C6 haloalkyl)-O-(C1-C6 alkyl), -C(=O)-(C1-C6 alkyl), -C(=O)OH, -C(=O)-O-(C1-C6 alkyl), -C(=O)NH2, -C(=O)NH(R11), -C(=O)N(R11R11), -S(O)2R11, -S(=O)R11, -SR11, -S(=O)2NH2, -S(=O)2NH(C1-C6 alkyl), or -S(=O)2N(C1-C6 alkyl)2, wherein the alkyl, haloalkyl, cycloalkyl, heterocyclic, aryl, or heteroaryl may be optionally substituted with –R11, -N(R11R11), -NHR11 or –OR11; and R10 is selected from hydrogen, halogen, -OR11, -C1-C6 alkyl, -(C1-C6 alkyl)-N(R11)C(=O)(C1-C6 alkyl), -(C1-C6 haloalkyl), -(C1-C6 alkyl)-O-(C1-C6 alkyl), -NHR11, -N(R11R11), -CN, 3 to 12 membered cycloalkyl, 4 to 12 membered heterocyclic, 5 to 12 membered aryl or a 5 to 12 membered heteroaryl ring, -C2-C6 alkenyl, -O-(C1-C6 haloalkyl)-O-(C1-C6 alkyl), -C(=O)-(C1-C6 alkyl), -C(=O)OH, -C(=O)-O-(C1-C6 alkyl), -C(=O)NH2, -C(=O)NH(R11), -C(=O)N(R11R11), -S(O)2R11, -S(=O)R11, -SR11, -S(=O)2NH2, -S(=O)2NH(C1-C6 alkyl), or -S(=O)2N(C1-C6 alkyl)2, wherein the alkyl, haloalkyl, cycloalkyl, heterocyclic, aryl, or heteroaryl may be optionally substituted with –R11, -N(R11R11), -NHR11 or –OR11.
[0106] In some embodiments, R9 is independently selected from hydrogen, fluoro, chloro, C1- C3 alkyl, C1-C3 alkoxy, C1-C3 haloalkyl, 3 or 4 membered cycloalkyl, or oxetanyloxy. In further embodiments, R9 is independently selected from hydrogen or methyl. [0107] In some embodiments, R10 is selected from hydrogen, -OH, -NH2, -CH2NH2, -CH2OH, -C(CH3)2OH, -COOH, or -CH2N(H)C(=O)CH3. In further embodiments, R10 is -CH2NH2 or -CH2OH. [0108] In some embodiments, (R10)-B(R9)c- is selected from:
[0109] In other embodiments, (R10)-B(R9)c- is selected from:
[0110] In some embodiments, b is 0. In some alternative embodiments, b is 1. [0111] In some embodiments, X is O. In some alternative embodiments, X is N(H) or N(CH3). [0112] In some embodiments, R1 is selected from hydrogen or methyl. In further embodiments, R1 is hydrogen. [0113] In some embodiments, R2a is hydrogen. In some embodiments R2b is hydrogen. In some embodiments, R2a and R2b are each hydrogen. [0114] In some embodiments, R3 is hydrogen or fluoro. [0115] In some embodiments, e is 1.
[0116] In some embodiments, R4a is hydrogen. In some embodiments, R4b is hydrogen. In some embodiments, R4a and R4b are each hydrogen. [0117] In some embodiments, R5 is hydrogen. In some embodiments, R6 is hydrogen. In some embodiments, R5 and R6 are each hydrogen. [0118] In some embodiments, R8a is hydrogen. In some embodiments, R8b is hydrogen. In some embodiments, R8a and R8b are each hydrogen. [0119] In some embodiments, each R7 is hydrogen. [0120] In yet another aspect, provided herein is a compound, or a pharmaceutically acceptable salt thereof, selected from: 1-(4-((1s,3s)-3-(aminomethyl)cyclobutoxy)phenyl)-3-((2-(2,6-dioxopiperidin-3-yl)-1- oxoisoindolin-5-yl)methyl)urea; 1-(4-((1r,3r)-3-(aminomethyl)cyclobutoxy)phenyl)-3-((2-(2,6-dioxopiperidin-3-yl)-1- oxoisoindolin-5-yl)methyl)urea; 1-[4-[[3-(aminomethyl)-1-bicyclo[1.1.1]pentanyl]methoxy]phenyl]-3-[[2-(2,6-dioxo-3- piperidyl)-1-oxo-isoindolin-5-yl]methyl]urea; 1-(4-(((1s,3s)-3-(aminomethyl)-1-methylcyclobutyl)methoxy)phenyl)-3-((2-(2,6- dioxopiperidin-3-yl)-1-oxoisoindolin-5-yl)methyl)urea; 1-(4-(((1r,4r)-4-(aminomethyl)-4-methylcyclohexyl)methoxy)phenyl)-3-((2-(2,6- dioxopiperidin-3-yl)-1-oxoisoindolin-5-yl)methyl)urea; 1-(4-(((1r,4r)-4-(aminomethyl)-1-methylcyclohexyl)methoxy)phenyl)-3-((2-(2,6- dioxopiperidin-3-yl)-1-oxoisoindolin-5-yl)methyl)urea; 1-(4-(((1s,4s)-4-(aminomethyl)-1-methylcyclohexyl)methoxy)phenyl)-3-((2-(2,6- dioxopiperidin-3-yl)-1-oxoisoindolin-5-yl)methyl)urea; 1-[[2-(2,6-dioxo-3-piperidyl)-1-oxo-isoindolin-5-yl]methyl]-3-[4-[[rac-(1R,3R)-3- (aminomethyl)cyclopentyl]methoxy]phenyl]urea; 1-[[2-(2,6-dioxo-3-piperidyl)-1-oxo-isoindolin-5-yl]methyl]-3-[4-[[(1R,3R)-3- (aminomethyl)cyclopentyl]methoxy]phenyl]urea; 1-[[2-(2,6-dioxo-3-piperidyl)-1-oxo-isoindolin-5-yl]methyl]-3-[4-[[(1S,3S)-3- (aminomethyl)cyclopentyl]methoxy]phenyl]urea; 1-[[2-(2,6-dioxo-3-piperidyl)-1-oxo-isoindolin-5-yl]methyl]-3-[4-[[rac-(1S,3R)-3- (aminomethyl)cyclopentyl]methoxy]phenyl]urea; 1-[[2-(2,6-dioxo-3-piperidyl)-1-oxo-isoindolin-5-yl]methyl]-3-[4-[[(1S,3R)-3- (aminomethyl)cyclopentyl]methoxy]phenyl]urea; 1-[[2-(2,6-dioxo-3-piperidyl)-1-oxo-isoindolin-5-yl]methyl]-3-[4-[[(1R,3S)-3- (aminomethyl)cyclopentyl]methoxy]phenyl]urea;
1-(4-(((1s,3s)-3-(aminomethyl)cyclobutyl)methoxy)phenyl)-3-((2-(2,6-dioxopiperidin-3- yl)-1-oxoisoindolin-5-yl)methyl)urea; 1-(4-(((1r,3r)-3-(aminomethyl)cyclobutyl)methoxy)phenyl)-3-((2-(2,6-dioxopiperidin-3- yl)-1-oxoisoindolin-5-yl)methyl)urea; 1-(4-(((1r,4r)-4-(aminomethyl)cyclohexyl)oxy)phenyl)-3-((2-(2,6-dioxopiperidin-3-yl)- 1-oxoisoindolin-5-yl)methyl)urea; 1-(4-(((1s,4s)-4-(aminomethyl)cyclohexyl)oxy)phenyl)-3-((2-(2,6-dioxopiperidin-3-yl)- 1-oxoisoindolin-5-yl)methyl)urea; 1-(4-(((1s,4s)-4-(aminomethyl)cyclohexyl)methoxy)phenyl)-3-((2-(2,6-dioxopiperidin-3- yl)-1-oxoisoindolin-5-yl)methyl)urea; 1-((2-(2,6-Dioxopiperidin-3-yl)-1-oxoisoindolin-5-yl)methyl)-3-(4-(((1s,4s)-4- (hydroxymethyl)cyclohexyl)methoxy)phenyl)urea; 1-((2-(2,6-Dioxopiperidin-3-yl)-1-oxoisoindolin-5-yl)methyl)-3-(4-(((1R,3R)-3- (hydroxymethyl)cyclopentyl)oxy)phenyl)urea; 1-((2-(2,6-Dioxopiperidin-3-yl)-1-oxoisoindolin-5-yl)methyl)-3-(4-(((1S,3S)-3- (hydroxymethyl)cyclopentyl)oxy)phenyl)urea; rac-1-((2-(2,6-Dioxopiperidin-3-yl)-1-oxoisoindolin-5-yl)methyl)-3-(4-(((1R,3S)-3- (hydroxymethyl)cyclopentyl)oxy)phenyl)urea; 1-((2-(2,6-Dioxopiperidin-3-yl)-1-oxoisoindolin-5-yl)methyl)-3-(4-(((1R,3S)-3- (hydroxymethyl)cyclopentyl)oxy)phenyl)urea; 1-((2-(2,6-Dioxopiperidin-3-yl)-1-oxoisoindolin-5-yl)methyl)-3-(4-(((1S,3R)-3- (hydroxymethyl)cyclopentyl)oxy)phenyl)urea; rac-1-((2-(2,6-dioxopiperidin-3-yl)-1-oxoisoindolin-5-yl)methyl)-3-(4-(((1S,3S)-3- (hydroxymethyl)cyclopentyl)methoxy)phenyl)urea; 1-((2-(2,6-dioxopiperidin-3-yl)-1-oxoisoindolin-5-yl)methyl)-3-(4-(((1S,3S)-3- (hydroxymethyl)cyclopentyl)methoxy)phenyl)urea; 1-((2-(2,6-dioxopiperidin-3-yl)-1-oxoisoindolin-5-yl)methyl)-3-(4-(((1R,3R)-3- (hydroxymethyl)cyclopentyl)methoxy)phenyl)urea; rac-1-((2-(2,6-Dioxopiperidin-3-yl)-1-oxoisoindolin-5-yl)methyl)-3-(4-(((1r,4r)-4- (hydroxymethyl)cyclohexyl)oxy)phenyl)urea; 1-((2-(2,6-Dioxopiperidin-3-yl)-1-oxoisoindolin-5-yl)methyl)-3-(4-(((1r,4r)-4- (hydroxymethyl)cyclohexyl)oxy)phenyl)urea; 1-((2-(2,6-Dioxopiperidin-3-yl)-1-oxoisoindolin-5-yl)methyl)-3-(4-(((1s,4s)-4- (hydroxymethyl)cyclohexyl)oxy)phenyl)urea;
rac-1-((2-(2,6-Dioxopiperidin-3-yl)-1-oxoisoindolin-5-yl)methyl)-3-(4-(((1R,3S)-3- (hydroxymethyl)cyclopentyl)methoxy)phenyl)urea; 1-((2-(2,6-Dioxopiperidin-3-yl)-1-oxoisoindolin-5-yl)methyl)-3-(4-(((1R,3S)-3- (hydroxymethyl)cyclopentyl)methoxy)phenyl)urea; 1-((2-(2,6-Dioxopiperidin-3-yl)-1-oxoisoindolin-5-yl)methyl)-3-(4-(((1S,3R)-3- (hydroxymethyl)cyclopentyl)methoxy)phenyl)urea; rac-1-((2-(2,6-Dioxopiperidin-3-yl)-1-oxoisoindolin-5-yl)methyl)-3-(4-((1r,3r)-3- (hydroxymethyl)cyclobutoxy)phenyl)urea; 1-((2-(2,6-Dioxopiperidin-3-yl)-1-oxoisoindolin-5-yl)methyl)-3-(4-((1r,3r)-3- (hydroxymethyl)cyclobutoxy)phenyl)urea; 1-((2-(2,6-Dioxopiperidin-3-yl)-1-oxoisoindolin-5-yl)methyl)-3-(4-((1s,3s)-3- (hydroxymethyl)cyclobutoxy)phenyl)urea; rac-1-((2-(2,6-Dioxopiperidin-3-yl)-1-oxoisoindolin-5-yl)methyl)-3-(4-(((1s,4s)-4- (hydroxymethyl)cyclohexyl)oxy)phenyl)urea; 1-((2-(2,6-Dioxopiperidin-3-yl)-1-oxoisoindolin-5-yl)methyl)-3-(4-(((1s,4s)-4- (hydroxymethyl)cyclohexyl)oxy)phenyl)urea; 1-((2-(2,6-Dioxopiperidin-3-yl)-1-oxoisoindolin-5-yl)methyl)-3-(4-(((1r,4r)-4- (hydroxymethyl)cyclohexyl)oxy)phenyl)urea; rac-1-((2-(2,6-Dioxopiperidin-3-yl)-1-oxoisoindolin-5-yl)methyl)-3-(4-(((1r,4r)-4- (hydroxymethyl)cyclohexyl)methoxy)phenyl)urea; 1-((2-(2,6-Dioxopiperidin-3-yl)-1-oxoisoindolin-5-yl)methyl)-3-(4-(((1r,4r)-4- (hydroxymethyl)cyclohexyl)methoxy)phenyl)urea; 1-((2-(2,6-Dioxopiperidin-3-yl)-1-oxoisoindolin-5-yl)methyl)-3-(4-(((1s,4s)-4- (hydroxymethyl)cyclohexyl)methoxy)phenyl)urea; rac-1-((2-(2,6-Dioxopiperidin-3-yl)-1-oxoisoindolin-5-yl)methyl)-3-(4-(((1s,3s)-3- (hydroxymethyl)cyclobutyl)methoxy)phenyl)urea; 1-((2-(2,6-Dioxopiperidin-3-yl)-1-oxoisoindolin-5-yl)methyl)-3-(4-(((1s,3s)-3- (hydroxymethyl)cyclobutyl)methoxy)phenyl)urea; 1-((2-(2,6-Dioxopiperidin-3-yl)-1-oxoisoindolin-5-yl)methyl)-3-(4-(((1r,3r)-3- (hydroxymethyl)cyclobutyl)methoxy)phenyl)urea; rac-1-((2-(2,6-Dioxopiperidin-3-yl)-1-oxoisoindolin-5-yl)methyl)-3-(4-((1s,3s)-3- (hydroxymethyl)cyclobutoxy)phenyl)urea; 1-((2-(2,6-Dioxopiperidin-3-yl)-1-oxoisoindolin-5-yl)methyl)-3-(4-((1s,3s)-3- (hydroxymethyl)cyclobutoxy)phenyl)urea;
1-((2-(2,6-Dioxopiperidin-3-yl)-1-oxoisoindolin-5-yl)methyl)-3-(4-((1r,3r)-3- (hydroxymethyl)cyclobutoxy)phenyl)urea; rac-1-((2-(2,6-Dioxopiperidin-3-yl)-1-oxoisoindolin-5-yl)methyl)-3-(4-(((1r,3r)-3- (hydroxymethyl)cyclobutyl)methoxy)phenyl)urea; 1-((2-(2,6-Dioxopiperidin-3-yl)-1-oxoisoindolin-5-yl)methyl)-3-(4-(((1r,3r)-3- (hydroxymethyl)cyclobutyl)methoxy)phenyl)urea; 1-((2-(2,6-Dioxopiperidin-3-yl)-1-oxoisoindolin-5-yl)methyl)-3-(4-(((1s,3s)-3- (hydroxymethyl)cyclobutyl)methoxy)phenyl)urea; N-(4-((4-(3-((2-(2,6-dioxopiperidin-3-yl)-1-oxoisoindolin-5- yl)methyl)ureido)phenoxy)methyl)benzyl)acetamide; 1-((2-(2,6-dioxopiperidin-3-yl)-1-oxoisoindolin-5-yl)methyl)-3-(4-((4-(2- hydroxypropan-2-yl)benzyl)oxy)phenyl)urea; 3-(5-((3-(2-((4-(hydroxymethyl)benzyl)oxy)phenyl)-2-oxoimidazolidin-1-yl)methyl)-1- oxoisoindolin-2-yl)piperidine-2,6-dione; 1-(4-benzyloxyphenyl)-3-[[2-(2,6-dioxo-3-piperidyl)-4-fluoro-1-oxo-isoindolin-5- yl]methyl]urea; 1-(4-(benzylamino)phenyl)-3-((2-(2,6-dioxopiperidin-3-yl)-1-oxoisoindolin-5- yl)methyl)urea; 1-((2-(2,6-Dioxopiperidin-3-yl)-4-fluoro-1-oxoisoindolin-5-yl)methyl)-3-(4-((4- (hydroxymethyl)benzyl)oxy)phenyl)urea; 1-(4-(benzyloxy)phenyl)-3-((2-(2,6-dioxopiperidin-3-yl)-7-fluoro-1-oxoisoindolin-5- yl)methyl)urea; 1-((2-(2,6-dioxopiperidin-3-yl)-7-fluoro-1-oxoisoindolin-5-yl)methyl)-3-(4-((4- (hydroxymethyl)benzyl)oxy)phenyl)urea; 4-((4-(3-((2-(2,6-dioxopiperidin-3-yl)-1-oxoisoindolin-5- yl)methyl)ureido)phenoxy)methyl)benzoic acid; 1-(4-(benzyloxy)phenyl)-3-((2-(2,6-dioxopiperidin-3-yl)-7-fluoro-1-oxoisoindolin-5- yl)methyl)urea; 1-(4-(benzyl(methyl)amino)phenyl)-3-((2-(2,6-dioxopiperidin-3-yl)-1-oxoisoindolin-5- yl)methyl)urea; 3-(4-(benzyloxy)phenyl)-1-((2-(2,6-dioxopiperidin-3-yl)-1-oxoisoindolin-5-yl)methyl)- 1-methylurea; 1-(4-((4-(aminomethyl)benzyl)oxy)phenyl)-3-((2-(2,6-dioxopiperidin-3-yl)-7-fluoro-1- oxoisoindolin-5-yl)methyl)urea;
1-(4-((2-chlorobenzyl)oxy)phenyl)-3-((2-(2,6-dioxopiperidin-3-yl)-4-fluoro-1- oxoisoindolin-5-yl)methyl)urea; 1-(4-(benzyloxy)-3-fluorophenyl)-3-((2-(2,6-dioxopiperidin-3-yl)-4-fluoro-1- oxoisoindolin-5-yl)methyl)urea; 1-((2-(2,6-dioxopiperidin-3-yl)-4-fluoro-1-oxoisoindolin-5-yl)methyl)-3-(4-((2- fluorobenzyl)oxy)phenyl)urea; 1-(4-(benzyloxy)-2-fluorophenyl)-3-((2-(2,6-dioxopiperidin-3-yl)-4-fluoro-1- oxoisoindolin-5-yl)methyl)urea; or 1-((2-(2,6-dioxopiperidin-3-yl)-4-fluoro-1-oxoisoindolin-5-yl)methyl)-3-(4-((2- (trifluoromethyl)benzyl)oxy)phenyl)urea. [0121] In another aspect, provided is a compound of any of Examples 1-44, or a pharmaceutically acceptable salt thereof. [0122] Also provided herein are isotopically enriched analogs of the compounds provided herein. Isotopic enrichment (for example, deuteration) of pharmaceuticals to improve pharmacokinetics (“PK”), pharmacodynamics (“PD”), and toxicity profiles, has been demonstrated previously with some classes of drugs. See, for example, Lijinsky et. al., Food Cosmet. Toxicol., 20: 393 (1982); Lijinsky et. al., J. Nat. Cancer Inst., 69: 1127 (1982); Mangold et. al., Mutation Res.308: 33 (1994); Gordon et. al., Drug Metab. Dispos., 15: 589 (1987); Zello et. al., Metabolism, 43: 487 (1994); Gately et. al., J. Nucl. Med., 27: 388 (1986); Wade D, Chem. Biol. Interact.117: 191 (1999). [0123] Without being limited by any particular theory, isotopic enrichment of a drug can be used, for example, to (1) reduce or eliminate unwanted metabolites, (2) increase the half-life of the parent drug, (3) decrease the number of doses needed to achieve a desired effect, (4) decrease the amount of a dose necessary to achieve a desired effect, (5) increase the formation of active metabolites, if any are formed, and/or (6) decrease the production of deleterious metabolites in specific tissues and/or create a more effective drug and/or a safer drug for combination therapy, whether the combination therapy is intentional or not. [0124] Replacement of an atom for one of its isotopes often will result in a change in the reaction rate of a chemical reaction. This phenomenon is known as the Kinetic Isotope Effect (“KIE”). For example, if a C—H bond is broken during a rate-determining step in a chemical reaction (i.e. the step with the highest transition state energy), substitution of a deuterium for that hydrogen will cause a decrease in the reaction rate and the process will slow down. This phenomenon is known as the Deuterium Kinetic Isotope Effect (“DKIE”). (See, e.g, Foster et al., Adv. Drug Res., vol.14, pp.1-36 (1985); Kushner et al., Can. J. Physiol. Pharmacol., vol. 77, pp.79-88 (1999)).
[0125] The magnitude of the DKIE can be expressed as the ratio between the rates of a given reaction in which a C—H bond is broken, and the same reaction where deuterium is substituted for hydrogen. The DKIE can range from about 1 (no isotope effect) to very large numbers, such as 50 or more, meaning that the reaction can be fifty, or more, times slower when deuterium is substituted for hydrogen. Without being limited by a particular theory, high DKIE values may be due in part to a phenomenon known as tunneling, which is a consequence of the uncertainty principle. Tunneling is ascribed to the small mass of a hydrogen atom, and occurs because transition states involving a proton can sometimes form in the absence of the required activation energy. Because deuterium has more mass than hydrogen, it statistically has a much lower probability of undergoing this phenomenon. [0126] Tritium (“T”) is a radioactive isotope of hydrogen, used in research, fusion reactors, neutron generators and radiopharmaceuticals. Tritium is a hydrogen atom that has 2 neutrons in the nucleus and has an atomic weight close to 3. It occurs naturally in the environment in very low concentrations, most commonly found as T2O. Tritium decays slowly (half-life=12.3 years) and emits a low energy beta particle that cannot penetrate the outer layer of human skin. Internal exposure is the main hazard associated with this isotope, yet it must be ingested in large amounts to pose a significant health risk. As compared with deuterium, a lesser amount of tritium must be consumed before it reaches a hazardous level. Substitution of tritium (“T”) for hydrogen results in yet a stronger bond than deuterium and gives numerically larger isotope effects. [0127] Similarly, substitution of isotopes for other elements, including, but not limited to, 13C or 14C for carbon, 33S, 34S, or 36S for sulfur, 15N for nitrogen, and 17O or 18O for oxygen, will provide a similar kinetic isotope effects. [0128] The animal body expresses a variety of enzymes for the purpose of eliminating foreign substances, such as therapeutic agents, from its circulation system. Examples of such enzymes include the cytochrome P450 enzymes (“CYPs”), esterases, proteases, reductases, dehydrogenases, and monoamine oxidases, to react with and convert these foreign substances to more polar intermediates or metabolites for renal excretion. Some of the most common metabolic reactions of pharmaceutical compounds involve the oxidation of a carbon-hydrogen (C—H) bond to either a carbon-oxygen (C—O) or carbon-carbon (C—C) pi-bond. The resultant metabolites may be stable or unstable under physiological conditions, and can have substantially different pharmacokinetic, pharmacodynamic, and acute and long-term toxicity profiles relative to the parent compounds. For many drugs, such oxidations are rapid. As a result, these drugs often require the administration of multiple or high daily doses. [0129] Isotopic enrichment at certain positions of a compound provided herein may produce a detectable KIE that affects the pharmacokinetic, pharmacologic, and/or toxicological profiles of
a compound provided herein in comparison with a similar compound having a natural isotopic composition. In one embodiment, the deuterium enrichment is performed on the site of C—H bond cleavage during metabolism. C. Methods of Treatment and Prevention [0130] In one embodiment, provided herein is a method of treating and/or preventing cancer, which comprises administering to a patient a compound provided herein, e.g., a compound of Formula I, II, or III, or a pharmaceutically acceptable salt thereof. [0131] In another embodiment, provided herein is method of managing cancer, which comprises administering to a patient a compound provided herein, e.g., a compound of Formula I, II, or III, or a pharmaceutically acceptable salt thereof. [0132] Also provided herein are methods of treating patients who have been previously treated for cancer but are non-responsive to standard therapies, as well as those who have not previously been treated. Also encompassed are methods of treating patients regardless of patient's age, although some diseases or disorders are more common in certain age groups. Further encompassed are methods of treating patients who have undergone surgery in an attempt to treat the disease or condition at issue, as well as those who have not. Because patients with cancer have heterogeneous clinical manifestations and varying clinical outcomes, the treatment given to a patient may vary, depending on his/her prognosis. The skilled clinician will be able to readily determine without undue experimentation specific secondary agents, types of surgery, and types of non-drug based standard therapy that can be effectively used to treat an individual patient with cancer. [0133] As used herein, the term “cancer” includes, but is not limited to, solid tumors and blood borne tumors. The term “cancer” refers to disease of skin tissues, organs, blood, and vessels, including, but not limited to, cancers of the bladder, bone, blood, brain, breast, cervix, chest, colon, endometrium, esophagus, eye, head, kidney, liver, lymph nodes, lung, mouth, neck, ovaries, pancreas, prostate, rectum, stomach, testis, throat, and uterus. Specific cancers include, but are not limited to, advanced malignancy, amyloidosis, neuroblastoma, meningioma, hemangiopericytoma, multiple brain metastases, glioblastoma multiforms, glioblastoma, brain stem glioma, poor prognosis malignant brain tumor, malignant glioma, recurrent malignant glioma, anaplastic astrocytoma, anaplastic oligodendroglioma, neuroendocrine tumor, rectal adenocarcinoma, Dukes C & D colorectal cancer, unresectable colorectal carcinoma, metastatic hepatocellular carcinoma, Kaposi's sarcoma, karotype acute myeloblastic leukemia, Hodgkin's lymphoma, non-Hodgkin's lymphoma, cutaneous T-Cell lymphoma, cutaneous B-Cell lymphoma, diffuse large B-Cell lymphoma, low grade follicular lymphoma, malignant melanoma, malignant mesothelioma, malignant pleural effusion mesothelioma syndrome,
peritoneal carcinoma, papillary serous carcinoma, gynecologic sarcoma, soft tissue sarcoma, scleroderma, cutaneous vasculitis, Langerhans cell histiocytosis, leiomyosarcoma, fibrodysplasia ossificans progressive, hormone refractory prostate cancer, resected high-risk soft tissue sarcoma, unresectable hepatocellular carcinoma, Waldenstrom's macroglobulinemia, smoldering myeloma, indolent myeloma, fallopian tube cancer, androgen independent prostate cancer, androgen dependent stage IV non-metastatic prostate cancer, hormone-insensitive prostate cancer, chemotherapy-insensitive prostate cancer, urachal cancer, papillary thyroid carcinoma, follicular thyroid carcinoma, medullary thyroid carcinoma, and leiomyoma. [0134] In certain embodiments, the cancer is a solid tumor. In certain embodiments, the solid tumor is metastatic. In certain embodiments, the solid tumor is drug-resistant. In certain embodiments, the solid tumor is hepatocellular carcinoma, prostate cancer, ovarian cancer, or glioblastoma. [0135] In certain embodiments, the cancer is a blood borne tumor. In certain embodiments, the blood borne tumor is metastatic. In certain embodiments, the blood borne tumor is drug resistant. In certain embodiments, the cancer is leukemia. [0136] In one embodiment, methods provided herein encompass treating, preventing or managing various types of leukemias such as chronic lymphocytic leukemia (CLL), chronic myelocytic leukemia (CML), acute lymphoblastic leukemia (ALL), acute myeloid leukemia (AML), and acute myeloblastic leukemia (AML) by administering a therapeutically effective amount of a compound provided herein, e.g., a compound of Formula I, II, or III, or a pharmaceutically acceptable salt thereof. [0137] In some embodiments, the methods provided herein encompass treating, preventing or managing acute leukemia in a subject. In some embodiments, the acute leukemia is acute myeloid leukemia (AML), which includes, but is not limited to, undifferentiated AML (M0), myeloblastic leukemia (M1), myeloblastic leukemia (M2), promyelocytic leukemia (M3 or M3 variant [M3V]), myelomonocytic leukemia (M4 or M4 variant with eosinophilia [M4E]), monocytic leukemia (M5), erythroleukemia (M6), and megakaryoblastic leukemia (M7). In one embodiment, the acute myeloid leukemia is undifferentiated AML (M0). In one embodiment, the acute myeloid leukemia is myeloblastic leukemia (M1). In one embodiment, the acute myeloid leukemia is myeloblastic leukemia (M2). In one embodiment, the acute myeloid leukemia is promyelocytic leukemia (M3 or M3 variant [M3V]). In one embodiment, the acute myeloid leukemia is myelomonocytic leukemia (M4 or M4 variant with eosinophilia [M4E]). In one embodiment, the acute myeloid leukemia is monocytic leukemia (M5). In one embodiment, the acute myeloid leukemia is erythroleukemia (M6). In one embodiment, the acute myeloid leukemia is megakaryoblastic leukemia (M7). Thus, the methods of treating, preventing or
managing acute myeloid leukemia in a subject comprise the step of administering to the subject an amount of a compound provided herein effective to treat, prevent or manage acute myeloid leukemia alone or in combination. In some embodiments, the methods comprise the step of administering to the subject a compound provided herein in combination with a second active agent in amounts effective to treat, prevent or manage acute myeloid leukemia. [0138] In some embodiments, the methods provided herein encompass treating, preventing or managing acute lymphocytic leukemia (ALL) in a subject. In some embodiments, acute lymphocytic leukemia includes leukemia that originates in the blast cells of the bone marrow (B- cells), thymus (T-cells), and lymph nodes. The acute lymphocytic leukemia can be categorized according to the French-American-British (FAB) Morphological Classification Scheme as L1— Mature-appearing lymphoblasts (T-cells or pre-B-cells), L2—Immature and pleomorphic (variously shaped) lymphoblasts (T-cells or pre-B-cells), and L3—Lymphoblasts (B-cells; Burkitt's cells). In one embodiment, the acute lymphocytic leukemia originates in the blast cells of the bone marrow (B-cells). In one embodiment, the acute lymphocytic leukemia originates in the thymus (T-cells). In one embodiment, the acute lymphocytic leukemia originates in the lymph nodes. In one embodiment, the acute lymphocytic leukemia is L1 type characterized by mature-appearing lymphoblasts (T-cells or pre-B-cells). In one embodiment, the acute lymphocytic leukemia is L2 type characterized by immature and pleomorphic (variously shaped) lymphoblasts (T-cells or pre-B-cells). In one embodiment, the acute lymphocytic leukemia is L3 type characterized by lymphoblasts (B-cells; Burkitt's cells). In certain embodiments, the acute lymphocytic leukemia is T-cell leukemia. In one embodiment, the T-cell leukemia is peripheral T-cell leukemia. In another embodiment, the T-cell leukemia is T-cell lymphoblastic leukemia. In another embodiment, the T-cell leukemia is cutaneous T-cell leukemia. In another embodiment, the T-cell leukemia is adult T-cell leukemia. Thus, the methods of treating, preventing or managing acute lymphocytic leukemia in a subject comprise the step of administering to the subject an amount of a compound provided herein effective to treat, prevent or manage acute lymphocytic leukemia alone or in combination with a second active agent. In some embodiments, the methods comprise the step of administering to the subject a compound provided herein in combination with a second active agent in amounts effective to treat, prevent or manage acute lymphocytic leukemia. [0139] In some embodiments, the methods provided herein encompass treating, preventing or managing chronic myelogenous leukemia (CML) in a subject. The methods comprise the step of administering to the subject an amount of a compound provided herein effective to treat, prevent or manage chronic myelogenous leukemia. In some embodiments, the methods comprise the
step of administering to the subject a compound provided herein in combination with a second active agent in amounts effective to treat, prevent or manage chronic myelogenous leukemia. [0140] In some embodiments, the methods provided herein encompass treating, preventing or managing chronic lymphocytic leukemia (CLL) in a subject. The methods comprise the step of administering to the subject an amount of a compound provided herein effective to treat, prevent or manage chronic lymphocytic leukemia. In some embodiments, the methods comprise the step of administering to the subject a compound provided herein in combination with a second active agent in amounts effective to treat, prevent or manage chronic lymphocytic leukemia. [0141] In certain embodiments, provided herein are methods of treating, preventing, and/or managing disease in patients with impaired renal function. In certain embodiments, provided herein are method of treating, preventing, and/or managing cancer in patients with impaired renal function. In certain embodiments, provided herein are methods of providing appropriate dose adjustments for patients with impaired renal function due to, but not limited to, disease, aging, or other patient factors. [0142] In certain embodiments, provided herein are methods of treating, preventing, and/or managing lymphoma, including non-Hodgkin's lymphoma. In some embodiments, provided herein are methods for the treatment or management of non-Hodgkin's lymphoma (NHL), including but not limited to, diffuse large B-cell lymphoma (DLBCL), using prognostic factors. [0143] In certain embodiments, provided herein are methods of treating, preventing, and/or managing multiple myeloma, including relapsed/refractory multiple myeloma in patients with impaired renal function or a symptom thereof, comprising administering a therapeutically effective amount of a compound provided herein, e.g., a compound of Formula I, II, or III, or a pharmaceutically acceptable salt thereof, to a patient having relapsed/refractory multiple myeloma with impaired renal function. [0144] In certain embodiments, a therapeutically or prophylactically effective amount of the compound is from about 0.005 to about 1,000 mg per day, from about 0.01 to about 500 mg per day, from about 0.01 to about 250 mg per day, from about 0.01 to about 100 mg per day, from about 0.1 to about 100 mg per day, from about 0.5 to about 100 mg per day, from about 1 to about 100 mg per day, from about 0.01 to about 50 mg per day, from about 0.1 to about 50 mg per day, from about 0.5 to about 50 mg per day, from about 1 to about 50 mg per day, from about 0.02 to about 25 mg per day, from about 0.05 to about 10 mg per day, from about 0.05 to about 5 mg per day, from about 0.1 to about 5 mg per day, or from about 0.5 to about 5 mg per day. [0145] In certain embodiments, the therapeutically or prophylactically effective amount is about 0.1, about 0.2, about 0.5, about 1, about 2, about 3, about 4, about 5, about 6, about 7, about 8,
about 9, about 10, about 15, about 20, about 25, about 30, about 40, about 45, about 50, about 60, about 70, about 80, about 90, about 100, or about 150 mg per day. In some such embodiments, the therapeutically or prophylactically effective amount is about 2, about 3, about 4, about 5, about 6 or about 7 mg per day. [0146] In one embodiment, the recommended daily dose range of a compound provided herein for the conditions described herein lie within the range of from about 0.5 mg to about 50 mg per day, preferably given as a single once-a-day dose, or in divided doses throughout a day. In some embodiments, the dosage ranges from about 1 mg to about 50 mg per day. In other embodiments, the dosage ranges from about 0.5 to about 5 mg per day. Specific doses per day include 0.1, 0.2, 0.5, 1, 2, 3, 4, 5, 6, 7, 8, 9, 10, 11, 12, 13, 14, 15, 16, 17, 18, 19, 20, 21, 22, 23, 24, 25, 26, 27, 28, 29, 30, 31, 32, 33, 34, 35, 36, 37, 38, 39, 40, 41, 42, 43, 44, 45, 46, 47, 48, 49 or 50 mg per day. [0147] In a specific embodiment, the recommended starting dosage may be 0.5, 1, 2, 3, 4, 5, 10, 15, 20, 25 or 50 mg per day. In another embodiment, the recommended starting dosage may be 0.5, 1, 2, 3, 4, or 5 mg per day. The dose may be escalated to 15, 20, 25, 30, 35, 40, 45 and 50 mg/day. In a specific embodiment, the compound can be administered in an amount of about 25 mg/day to patients with leukemia, including AML. In a particular embodiment, the compound can be administered in an amount of about 10 mg/day to patients with leukemia, including AML. In a particular embodiment, the compound can be administered in an amount of about 5 mg/day to patients with leukemia, including AML. In a particular embodiment, the compound can be administered in an amount of about 4 mg/day to patients with leukemia, including AML. In a particular embodiment, the compound can be administered in an amount of about 3 mg/day to patients with leukemia, including AML. [0148] In certain embodiments, the therapeutically or prophylactically effective amount is from about 0.001 to about 100 mg/kg/day, from about 0.01 to about 50 mg/kg/day, from about 0.01 to about 25 mg/kg/day, from about 0.01 to about 10 mg/kg/day, from about 0.01 to about 9 mg/kg/day, 0.01 to about 8 mg/kg/day, from about 0.01 to about 7 mg/kg/day, from about 0.01 to about 6 mg/kg/day, from about 0.01 to about 5 mg/kg/day, from about 0.01 to about 4 mg/kg/day, from about 0.01 to about 3 mg/kg/day, from about 0.01 to about 2 mg/kg/day, from about 0.01 to about 1 mg/kg/day, or from about 0.01 to about 0.05 mg/kg/day. [0149] The administered dose can also be expressed in units other than mg/kg/day. For example, doses for parenteral administration can be expressed as mg/m2/day. One of ordinary skill in the art would readily know how to convert doses from mg/kg/day to mg/m2/day to given either the height or weight of a subject or both (see, www.fda.gov/cder/cancer/animalframe.htm). For example, a dose of 1 mg/kg/day for a 65 kg human is approximately equal to 38 mg/m2/day.
[0150] In certain embodiments, the amount of the compound administered is sufficient to provide a plasma concentration of the compound at steady state, ranging from about 0.001 to about 500 μM, about 0.002 to about 200 μM, about 0.005 to about 100 μM, about 0.01 to about 50 μM, from about 1 to about 50 μM, about 0.02 to about 25 μM, from about 0.05 to about 20 μM, from about 0.1 to about 20 μM, from about 0.5 to about 20 μM, or from about 1 to about 20 μM. [0151] In other embodiments, the amount of the compound administered is sufficient to provide a plasma concentration of the compound at steady state, ranging from about 5 to about 100 nM, about 5 to about 50 nM, about 10 to about 100 nM, about 10 to about 50 nM or from about 50 to about 100 nM. [0152] As used herein, the term “plasma concentration at steady state” is the concentration reached after a period of administration of a compound provided herein, e.g., a compound of Formula I, or a pharmaceutically acceptable salt thereof. Once steady state is reached, there are minor peaks and troughs on the time dependent curve of the plasma concentration of the compound. [0153] In certain embodiments, the amount of the compound administered is sufficient to provide a maximum plasma concentration (peak concentration) of the compound, ranging from about 0.001 to about 500 μM, about 0.002 to about 200 μM, about 0.005 to about 100 μM, about 0.01 to about 50 μM, from about 1 to about 50 μM, about 0.02 to about 25 μM, from about 0.05 to about 20 μM, from about 0.1 to about 20 μM, from about 0.5 to about 20 μM, or from about 1 to about 20 μM. [0154] In certain embodiments, the amount of the compound administered is sufficient to provide a minimum plasma concentration (trough concentration) of the compound, ranging from about 0.001 to about 500 μM, about 0.002 to about 200 μM, about 0.005 to about 100 μM, about 0.01 to about 50 μM, from about 1 to about 50 μM, about 0.01 to about 25 μM, from about 0.01 to about 20 μM, from about 0.02 to about 20 μM, from about 0.02 to about 20 μM, or from about 0.01 to about 20 μM. [0155] In certain embodiments, the amount of the compound administered is sufficient to provide an area under the curve (AUC) of the compound, ranging from about 100 to about 100,000 ng*hr/mL, from about 1,000 to about 50,000 ng*hr/mL, from about 5,000 to about 25,000 ng*hr/mL, or from about 5,000 to about 10,000 ng*hr/mL. [0156] In certain embodiments, the patient to be treated with one of the methods provided herein has not been treated with anticancer therapy prior to the administration of a compound provided herein. In certain embodiments, the patient to be treated with one of the methods provided herein has been treated with anticancer therapy prior to the administration of a compound provided
herein. In certain embodiments, the patient to be treated with one of the methods provided herein has developed drug resistance to the anticancer therapy. [0157] The methods provided herein encompass treating a patient regardless of patient's age, although some diseases or disorders are more common in certain age groups. [0158] A compound provided herein may be administered by oral, parenteral (e.g., intramuscular, intraperitoneal, intravenous, CIV, intracistemal injection or infusion, subcutaneous injection, or implant), inhalation, nasal, vaginal, rectal, sublingual, or topical (e.g., transdermal or local) routes of administration. A compound provided herein may be formulated, alone or together, in suitable dosage unit with pharmaceutically acceptable excipients, carriers, adjuvants and vehicles, appropriate for each route of administration. [0159] In one embodiment, a compound provided herein, e.g., a compound of Formula I, II, or III, or a pharmaceutically acceptable salt thereof, is administered orally. In another embodiment, a compound provided herein, e.g., a compound of Formula I, II, or III, or a pharmaceutically acceptable salt thereof, is administered parenterally. In yet another embodiment, a compound provided herein, e.g., a compound of Formula I, II, or III, or a pharmaceutically acceptable salt thereof, is administered intravenously. [0160] A compound provided herein, e.g., a compound of Formula I, II, or III, or a pharmaceutically acceptable salt thereof, can be delivered as a single dose such as, e.g., a single bolus injection, or oral tablets or pills; or over time, such as, e.g., continuous infusion over time or divided bolus doses over time. The compound can be administered repeatedly if necessary, for example, until the patient experiences stable disease or regression, or until the patient experiences disease progression or unacceptable toxicity. For example, stable disease for solid tumors generally means that the perpendicular diameter of measurable lesions has not increased by 25% or more from the last measurement. Response Evaluation Criteria in Solid Tumors (RECIST) Guidelines, Journal of the National Cancer Institute 92(3): 205-216 (2000). Stable disease or lack thereof is determined by methods known in the art such as evaluation of patient symptoms, physical examination, visualization of the tumor that has been imaged using X-ray, CAT, PET, or MRI scan and other commonly accepted evaluation modalities. [0161] A compound provided herein, e.g., a compound of Formula I, II, or III, or a pharmaceutically acceptable salt thereof, can be administered once daily (QD), or divided into multiple daily doses such as twice daily (BID), three times daily (TID), and four times daily (QID). In addition, the administration can be continuous (i.e., daily for consecutive days or every day), intermittent, e.g., in cycles (i.e., including days, weeks, or months of rest without drug). As used herein, the term “daily” is intended to mean that a therapeutic compound is administered once or more than once each day, for example, for a period of time. The term
“continuous” is intended to mean that a therapeutic compound, such as the compound of Formula I, is administered daily for an uninterrupted period of at least 10 days to 52 weeks. The term “intermittent” or “intermittently” as used herein is intended to mean stopping and starting at either regular or irregular intervals. For example, intermittent administration is administration for one to six days per week, administration in cycles (e.g., daily administration for two to eight consecutive weeks, then a rest period with no administration for up to one week), or administration on alternate days. The term “cycling” as used herein is intended to mean that a therapeutic compound is administered daily or continuously but with a rest period. In some such embodiments, administration is once a day for two to six days, then a rest period with no administration for five to seven days. [0162] In some embodiments, the frequency of administration is in the range of about a daily dose to about a monthly dose. In certain embodiments, administration is once a day, twice a day, three times a day, four times a day, once every other day, twice a week, once every week, once every two weeks, once every three weeks, or once every four weeks. In one embodiment, a compound provided herein is administered once a day. In another embodiment, a compound provided herein is administered twice a day. In yet another embodiment, a compound provided herein is administered three times a day. In still another embodiment, a compound provided herein is administered four times a day. [0163] In certain embodiments, a compound provided herein is administered once per day from one day to six months, from one week to three months, from one week to four weeks, from one week to three weeks, or from one week to two weeks. In certain embodiments, a compound provided herein is administered once per day for one week, two weeks, three weeks, or four weeks. In one embodiment, a compound provided herein is administered once per day for 4 days. In one embodiment, a compound provided herein is administered once per day for 5 days. In one embodiment, a compound provided herein is administered once per day for 6 days. In one embodiment, a compound provided herein is administered once per day for one week. In another embodiment, a compound provided herein is administered once per day for two weeks. In yet another embodiment a compound provided herein is administered once per day for three weeks. In still another embodiment, a compound provided herein is administered once per day for four weeks. C-1. Combination Therapy with a Second Active Agent [0164] A compound provided herein, e.g., a compound of Formula I, II, or III, or a pharmaceutically acceptable salt thereof, can also be combined or used in combination with other therapeutic agents useful in the treatment and/or prevention of cancer, such as those described herein.
[0165] In one embodiment, provided herein is a method of treating, preventing, or managing cancer, comprising administering to a patient a compound provided herein in combination with one or more second active agents, and/or optionally in combination with radiation therapy, blood transfusions, or surgery. Examples of second active agents are disclosed herein. [0166] As used herein, the term “in combination” includes the use of more than one therapy (e.g., one or more prophylactic and/or therapeutic agents). However, the use of the term “in combination” does not restrict the order in which therapies (e.g., prophylactic and/or therapeutic agents) are administered to a patient with a disease or disorder. A first therapy (e.g., a prophylactic or therapeutic agent such as a compound provided herein) can be administered prior to (e.g., 5 minutes, 15 minutes, 30 minutes, 45 minutes, 1 hour, 2 hours, 4 hours, 6 hours, 12 hours, 24 hours, 48 hours, 72 hours, 96 hours, 1 week, 2 weeks, 3 weeks, 4 weeks, 5 weeks, 6 weeks, 8 weeks, or 12 weeks before), concomitantly with, or subsequent to (e.g., 5 minutes, 15 minutes, 30 minutes, 45 minutes, 1 hour, 2 hours, 4 hours, 6 hours, 12 hours, 24 hours, 48 hours, 72 hours, 96 hours, 1 week, 2 weeks, 3 weeks, 4 weeks, 5 weeks, 6 weeks, 8 weeks, or 12 weeks after) the administration of a second therapy (e.g., a prophylactic or therapeutic agent) to the subject. Triple therapy is also contemplated herein. [0167] Administration of a compound provided herein and one or more second active agents to a patient can occur simultaneously or sequentially by the same or different routes of administration. The suitability of a particular route of administration employed for a particular active agent will depend on the active agent itself (e.g., whether it can be administered orally without decomposing prior to entering the blood stream) and the cancer being treated. [0168] The route of administration of a compound provided herein is independent of the route of administration of a second therapy. In one embodiment, a compound provided herein is administered orally. In another embodiment, a compound provided herein is administered intravenously. Thus, in accordance with these embodiments, the compound provided herein can be administered orally or intravenously, and the second therapy can be administered orally, parenterally, intraperitoneally, intravenously, intraarterially, transdermally, sublingually, intramuscularly, rectally, transbuccally, intranasally, liposomally, via inhalation, vaginally, intraocularly, via local delivery by catheter or stent, subcutaneously, intraadiposally, intraarticularly, intrathecally, or in a slow release dosage form. In one embodiment, a compound provided herein and a second active agent are administered by the same mode of administration, e.g., orally or by IV. In another embodiment, a compound provided herein is administered by one mode of administration, e.g., by IV, and a second active agent (e.g., an anticancer agent) is administered by another mode of administration, e.g., orally.
[0169] In one embodiment, the second active agent is administered intravenously or subcutaneously and once or twice daily in an amount of from about 1 to about 1000 mg, from about 5 to about 500 mg, from about 10 to about 350 mg, or from about 50 to about 200 mg. The specific amount of the second active agent will depend, for example, on the specific agent used, the type of disease being treated or managed, the severity and stage of disease, and the amount of the compound provided herein and any optional additional active agents concurrently administered to the patient. [0170] One or more second active ingredients or agents can be used together with a compound provided herein in the methods and compositions provided herein. Second active agents can be large molecules (e.g., proteins) or small molecules (e.g., synthetic inorganic, organometallic, or organic molecules). [0171] Examples of large molecule active agents include, but are not limited to, hematopoietic growth factors, cytokines, and monoclonal and polyclonal antibodies, particularly, therapeutic antibodies to cancer antigens. Typical large molecule active agents are biological molecules, such as naturally occurring or synthetic or recombinant proteins. Proteins that are particularly useful in the methods and compositions provided herein include proteins that stimulate the survival and/or proliferation of hematopoietic precursor cells and immunologically active poietic cells in vitro or in vivo. Other useful proteins stimulate the division and differentiation of committed erythroid progenitors in cells in vitro or in vivo. Particular proteins include, but are not limited to: interleukins, such as IL-2 (including recombinant IL-II (“rIL2”) and canarypox IL-2), IL-10, IL-12, and IL-18; interferons, such as interferon alfa-2a, interferon alfa-2b, interferon alfa-n1, interferon alfa-n3, interferon beta-I a, and interferon gamma-I b; GM-CF and GM-CSF; and EPO. [0172] In certain embodiments, GM-CSF, G-CSF, SCF or EPO is administered subcutaneously during about five days in a four- or six-week cycle in an amount ranging from about 1 to about 750 mg/m2/day, from about 25 to about 500 mg/m2/day, from about 50 to about 250 mg/m2/day, or from about 50 to about 200 mg/m2/day. In certain embodiments, GM-CSF may be administered in an amount of from about 60 to about 500 mcg/m2 intravenously over 2 hours or from about 5 to about 12 mcg/m2/day subcutaneously. In certain embodiments, G-CSF may be administered subcutaneously in an amount of about 1 mcg/kg/day initially and can be adjusted depending on rise of total granulocyte counts. The maintenance dose of G-CSF may be administered in an amount of about 300 (in smaller patients) or 480 mcg subcutaneously. In certain embodiments, EPO may be administered subcutaneously in an amount of 10,000 Unit 3 times per week.
[0173] Particular proteins that can be used in the methods and compositions include, but are not limited to: filgrastim, which is sold in the United States under the trade name Neupogen® (Amgen, Thousand Oaks, Calif.); sargramostim, which is sold in the United States under the trade name Leukine® (Immunex, Seattle, Wash.); and recombinant EPO, which is sold in the United States under the trade name Epogen® (Amgen, Thousand Oaks, Calif.). [0174] Recombinant and mutated forms of GM-CSF can be prepared as described in U.S. Pat. Nos.5,391,485; 5,393,870; and 5,229,496; all of which are incorporated herein by reference. Recombinant and mutated forms of G-CSF can be prepared as described in U.S. Pat. Nos. 4,810,643; 4,999,291; 5,528,823; and 5,580,755; the entireties of which are incorporated herein by reference. [0175] Also provided for use in combination with a compound provided herein are native, naturally occurring, and recombinant proteins. Further encompassed are mutants and derivatives (e.g., modified forms) of naturally occurring proteins that exhibit, in vivo, at least some of the pharmacological activity of the proteins upon which they are based. Examples of mutants include, but are not limited to, proteins that have one or more amino acid residues that differ from the corresponding residues in the naturally occurring forms of the proteins. Also encompassed by the term “mutants” are proteins that lack carbohydrate moieties normally present in their naturally occurring forms (e.g., nonglycosylated forms). Examples of derivatives include, but are not limited to, pegylated derivatives and fusion proteins, such as proteins formed by fusing IgG1 or IgG3 to the protein or active portion of the protein of interest. See, e.g., Penichet, M. L. and Morrison, S. L., J. Immunol. Methods 248:91-101 (2001). [0176] Antibodies that can be used in combination with a compound provided herein include monoclonal and polyclonal antibodies. Examples of antibodies include, but are not limited to, trastuzumab (Herceptin®), rituximab (Rituxan®), bevacizumab (Avastin™), pertuzumab (Omnitarg™), tositumomab (Bexxar®), edrecolomab (Panorex®), and G250. The compounds provided herein can also be combined with, or used in combination with, anti-TNF-α antibodies, and/or anti-EGFR antibodies, such as, for example, Erbitux® or panitumumab. [0177] Additional anticancer drugs useful in combination therapy in accordance with this disclosure are antibody drug conjugates (ADC). An antibody-drug-conjugate consists of three components: Antibody, Payload and Linker. The Antibody targets the ADC and may also elicit a therapeutic response. The Payload elicits the desired therapeutic response. The Linker attaches the payload to the antibody and should be stable in circulation only releasing the payload at the desired target. An anticancer drug (Payload) is coupled via the Linker to an Antibody that specifically targets a certain tumor antigen (e.g., a protein that, ideally, is only to be found in or on tumor cells). Antibodies attach themselves to the antigens on the surface of cancerous cells.
The biochemical reaction between the antibody and the target protein (antigen) triggers a signal in the tumor cell, which then absorbs or internalizes the antibody together with the linked Payload. After the ADC is internalized, the Payload kills the cancer. This targeting limits side effects and gives a wider therapeutic window than other chemotherapeutic agents. In certain embodiments, the compounds of Formulas I, II, and III can be incorporated as the Payload linked to the Antibody. [0178] Large molecule active agents may be administered in the form of anti-cancer vaccines. For example, vaccines that secrete, or cause the secretion of, cytokines such as IL-2, G-CSF, and GM-CSF can be used in the methods and pharmaceutical compositions provided. See, e.g., Emens, L. A., et al., Curr. Opinion Mol. Ther.3(1):77-84 (2001). [0179] Second active agents that are small molecules can be used to alleviate adverse effects associated with the administration of a compound provided herein. Other examples of small molecule second active agents include, but are not limited to, anti-cancer agents, antibiotics, immunosuppressive agents, and steroids. [0180] In certain embodiments, the second agent is an HSP inhibitor, a proteasome inhibitor, a FLT3 inhibitor, a TOR kinase inhibitor, an antineoplastic, a tyrosine kinase inhibitor, a hedgehog pathway inhibitor, a Bcl-2 inhibitor, or an isocitrate dehydrogenase (IDH) inhibitor. [0181] Examples of anti-cancer agents to be used within the methods or compositions described herein include, but are not limited to: acivicin; aclarubicin; acodazole hydrochloride; acronine; adozelesin; aldesleukin; altretamine; ambomycin; ametantrone acetate; amsacrine; anastrozole; anthramycin; asparaginase; asperlin; azacitidine; azetepa; azotomycin; batimastat; benzodepa; bicalutamide; bisantrene hydrochloride; bisnafide dimesylate; bizelesin; bleomycin sulfate; brequinar sodium; bropirimine; busulfan; cactinomycin; calusterone; caracemide; carbetimer; carboplatin; carmustine; carubicin hydrochloride; carzelesin; cedefingol; celecoxib (COX-2 inhibitor); cerubidine; chlorambucil; cirolemycin; cisplatin; cladribine; clofarabine; crisnatol mesylate; cytarabine; cyclophosphamide; Ara-C; dacarbazine; dactinomycin; daunorubicin hydrochloride; daunorubicin hydrochloride and cytarabine liposome; daurismo; decitabine; dexormaplatin; dexamethasone; dezaguanine; dezaguanine mesylate; diaziquone; docetaxel; doxorubicin; doxorubicin hydrochloride; droloxifene; droloxifene citrate; dromostanolone propionate; duazomycin; edatrexate; eflornithine hydrochloride; elsamitrucin; enasidenib mesylate; enloplatin; enpromate; epipropidine; epirubicin hydrochloride; erbulozole; esorubicin hydrochloride; estramustine; estramustine phosphate sodium; etanidazole; etoposide; etoposide phosphate; etoprine; fadrozole hydrochloride; fazarabine; fenretinide; floxuridine; fludarabine phosphate; fluorouracil; flurocitabine; fosquidone; fostriecin sodium; gemcitabine; gemcitabine hydrochloride; gemtuzumab ozogamcin; hydroxyurea; ibrutinib; idarubicin hydrochloride;
ifosfamide; ilmofosine; iproplatin; irinotecan; irinotecan hydrochloride; lanreotide acetate; letrozole; leuprolide acetate; liarozole hydrochloride; lometrexol sodium; lomustine; losoxantrone hydrochloride; masoprocol; maytansine; mechlorethamine hydrochloride; megestrol acetate; melengestrol acetate; melphalan; menogaril; mercaptopurine; methotrexate; methotrexate sodium; metoprine; meturedepa; mitindomide; mitocarcin; mitocromin; mitogillin; mitomalcin; mitomycin; mitosper; mitotane; mitoxantrone hydrochloride; mycophenolic acid; nocodazole; nogalamycin; omacetaxine; ormaplatin; oxisuran; paclitaxel; pegaspargase; peliomycin; pentamustine; peplomycin sulfate; perfosfamide; pipobroman; piposulfan; piroxantrone hydrochloride; plicamycin; plomestane; porfimer sodium; porfiromycin; prednimustine; procarbazine hydrochloride; puromycin; puromycin hydrochloride; pyrazofurin; riboprine; safingol; safingol hydrochloride; semustine; simtrazene; sorafenib; sparfosate sodium; sparsomycin; spirogermanium hydrochloride; spiromustine; spiroplatin; streptonigrin; streptozocin; sulofenur; talisomycin; tecogalan sodium; taxotere; tegafur; teloxantrone hydrochloride; temoporfin; teniposide; teroxirone; testolactone; thiamiprine; thioguanine; thiotepa; tiazofurin; tirapazamine; toremifene citrate; trestolone acetate; triciribine phosphate; trimetrexate; trimetrexate glucuronate; triptorelin; tubulozole hydrochloride; uracil mustard; uredepa; vapreotide; venetoclax; verteporfin; vinblastine sulfate; vincristine sulfate; vindesine; vindesine sulfate; vinepidine sulfate; vinglycinate sulfate; vinleurosine sulfate; vinorelbine tartrate; vinrosidine sulfate; vinzolidine sulfate; vorozole; zeniplatin; zinostatin; and zorubicin hydrochloride. [0182] Other anti-cancer drugs to be included within the methods or compositions include, but are not limited to: 20-epi-1,25 dihydroxyvitamin D3; 5-ethynyluracil; abiraterone; aclarubicin; acylfulvene; adecypenol; adozelesin; aldesleukin; ALL-TK antagonists; altretamine; ambamustine; amidox; amifostine; aminolevulinic acid; amrubicin; amsacrine; anagrelide; anastrozole; andrographolide; angiogenesis inhibitors; antagonist D; antagonist G; antarelix; anti-dorsalizing morphogenetic protein-1; antiandrogen, prostatic carcinoma; antiestrogen; antineoplaston; antisense oligonucleotides; aphidicolin glycinate; apoptosis gene modulators; apoptosis regulators; apurinic acid; ara-CDP-DL-PTBA; arginine deaminase; arsenic trioxide; asulacrine; atamestane; atrimustine; axinastatin 1; axinastatin 2; axinastatin 3; azacytidine; azasetron; azatoxin; azatyrosine; baccatin III derivatives; balanol; batimastat; BCR/ABL antagonists; benzochlorins; benzoylstaurosporine; beta lactam derivatives; beta-alethine; betaclamycin B; betulinic acid; bFGF inhibitor; bicalutamide; bisantrene; bisaziridinylspermine; bisnafide; bistratene A; bizelesin; breflate; bropirimine; budotitane; buthionine sulfoximine; calcipotriol; calphostin C; camptothecin derivatives; capecitabine; carboxamide-amino-triazole; carboxyamidotriazole; CaRest M3; CARN 700; cartilage derived inhibitor; carzelesin; casein
kinase inhibitors (ICOS); castanospermine; cecropin B; cetrorelix; chlorlns; chloroquinoxaline sulfonamide; cicaprost; cis-porphyrin; cladribine; clomifene analogues; clotrimazole; collismycin A; collismycin B; combretastatin A4; combretastatin analogue; conagenin; crambescidin 816; crisnatol; cryptophycin 8; cryptophycin A derivatives; curacin A; cyclopentanthraquinones; cyclophosphamide; cycloplatam; cypemycin; Ara-C ocfosfate; cytolytic factor; cytostatin; dacliximab; decitabine; dehydrodidemnin B; deslorelin; dexamethasone; dexifosfamide; dexrazoxane; dexverapamil; diaziquone; didemnin B; didox; diethylnorspermine; dihydro-5-azacytidine; dihydrotaxol, 9-; dioxamycin; diphenyl spiromustine; docetaxel; docosanol; dolasetron; doxifluridine; doxorubicin; droloxifene; dronabinol; duocarmycin SA; ebselen; ecomustine; edelfosine; edrecolomab; eflornithine; elemene; emitefur; enasidenib; epirubicin; epristeride; estramustine analogue; estrogen agonists; estrogen antagonists; etanidazole; etoposide phosphate; exemestane; fadrozole; fazarabine; fenretinide; filgrastim; finasteride; flavopiridol; flezelastine; fluasterone; fludarabine; fluorodaunorunicin hydrochloride; forfenimex; formestane; fostriecin; fotemustine; gadolinium texaphyrin; gallium nitrate; galocitabine; ganirelix; gelatinase inhibitors; gemcitabine; gemtuzumab; gilteritinib; glasdegib; glutathione inhibitors; hepsulfam; heregulin; hexamethylene bisacetamide; hypericin; ibandronic acid; idarubicin; idoxifene; idramantone; ilmofosine; ilomastat; imatinib (e.g., Gleevec®); imiquimod; immunostimulant peptides; insulin-like growth factor-1 receptor inhibitor; interferon agonists; interferons; interleukins; iobenguane; iododoxorubicin; ipomeanol, 4-; iroplact; irsogladine; isobengazole; isohomohalicondrin B; itasetron; ivosidenib; jasplakinolide; kahalalide F; lamellarin-N triacetate; lanreotide; leinamycin; lenograstim; lentinan sulfate; leptolstatin; letrozole; leukemia inhibiting factor; leukocyte alpha interferon; leuprolide+estrogen+progesterone; leuprorelin; levamisole; liarozole; linear polyamine analogue; lipophilic disaccharide peptide; lipophilic platinum compounds; lissoclinamide 7; lobaplatin; lombricine; lometrexol; lonidamine; losoxantrone; loxoribine; lurtotecan; lutetium texaphyrin; lysofylline; lytic peptides; maitansine; mannostatin A; marimastat; masoprocol; maspin; matrilysin inhibitors; matrix metalloproteinase inhibitors; menogaril; merbarone; meterelin; methioninase; metoclopramide; midostaurin; MIF inhibitor; mifepristone; miltefosine; mirimostim; mitoguazone; mitolactol; mitomycin analogues; mitonafide; mitotoxin fibroblast growth factor-saporin; mitoxantrone; mofarotene; molgramostim; Mylotarg; Erbitux, human chorionic gonadotrophin; monophosphoryl lipid A+myobacterium cell wall sk; mopidamol; mustard anticancer agent; mycaperoxide B; mycobacterial cell wall extract; myriaporone; N-acetyldinaline; N-substituted benzamides; nafarelin; nagrestip; naloxone+pentazocine; napavin; naphterpin; nartograstim; nedaplatin; nemorubicin; neridronic acid; nilutamide; nisamycin; nitric oxide modulators; nitroxide
antioxidant; nitrullyn; oblimersen (Genasense®); O6-benzylguanine; octreotide; okicenone; oligonucleotides; onapristone; ondansetron; ondansetron; oracin; oral cytokine inducer; ormaplatin; osaterone; oxaliplatin; oxaunomycin; paclitaxel; paclitaxel analogues; paclitaxel derivatives; palauamine; palmitoylrhizoxin; pamidronic acid; panaxytriol; panomifene; parabactin; pazelliptine; pegaspargase; peldesine; pentosan polysulfate sodium; pentostatin; pentrozole; perflubron; perfosfamide; perillyl alcohol; phenazinomycin; phenylacetate; phosphatase inhibitors; picibanil; pilocarpine hydrochloride; pirarubicin; piritrexim; placetin A; placetin B; plasminogen activator inhibitor; platinum complex; platinum compounds; platinum- triamine complex; porfimer sodium; porfiromycin; prednisone; propyl bis-acridone; prostaglandin J2; proteasome inhibitors; protein A-based immune modulator; protein kinase C inhibitor; protein kinase C inhibitors, microalgal; protein tyrosine phosphatase inhibitors; purine nucleoside phosphorylase inhibitors; purpurins; pyrazoloacridine; pyridoxylated hemoglobin polyoxyethylene conjugate; raf antagonists; raltitrexed; ramosetron; ras farnesyl protein transferase inhibitors; ras inhibitors; ras-GAP inhibitor; retelliptine demethylated; rhenium Re 186 etidronate; rhizoxin; ribozymes; RII retinamide; rohitukine; romurtide; roquinimex; rubiginone B1; ruboxyl; safingol; saintopin; SarCNU; sarcophytol A; sargramostim; Sdi 1 mimetics; semustine; senescence derived inhibitor 1; sense oligonucleotides; signal transduction inhibitors; sizofiran; sobuzoxane; sodium borocaptate; sodium phenylacetate; solverol; somatomedin binding protein; sonermin; sparfosic acid; spicamycin D; spiromustine; splenopentin; spongistatin 1; squalamine; stipiamide; stromelysin inhibitors; sulfinosine; superactive vasoactive intestinal peptide antagonist; suradista; suramin; swainsonine; tallimustine; tamoxifen methiodide; tauromustine; tazarotene; tecogalan sodium; tegafur; tellurapyrylium; telomerase inhibitors; temoporfin; teniposide; tetrachlorodecaoxide; tetrazomine; thaliblastine; thiocoraline; thioguanine; thrombopoietin; thrombopoietin mimetic; thymalfasin; thymopoietin receptor agonist; thymotrinan; thyroid stimulating hormone; tin ethyl etiopurpurin; tirapazamine; titanocene bichloride; topsentin; toremifene; translation inhibitors; tretinoin; triacetyluridine; triciribine; trimetrexate; triptorelin; tropisetron; turosteride; tyrosine kinase inhibitors; tyrphostins; UBC inhibitors; ubenimex; urogenital sinus-derived growth inhibitory factor; urokinase receptor antagonists; vapreotide; variolin B; velaresol; veramine; verdins; verteporfin; vincristine sulfate; vinorelbine; vinxaltine; vitaxin; vorozole; zanoterone; zeniplatin; zilascorb; and zinostatin stimalamer. [0183] Specific second active agents particularly useful in the methods or compositions include, but are not limited to, rituximab, oblimersen (Genasense®), remicade, docetaxel, celecoxib, melphalan, dexamethasone (Decadron®), steroids, gemcitabine, cisplatinum, temozolomide, etoposide, cyclophosphamide, temodar, carboplatin, procarbazine, gliadel, tamoxifen, topotecan,
methotrexate, Arisa®, taxol, taxotere, fluorouracil, leucovorin, irinotecan, xeloda, CPT-11, interferon alpha, pegylated interferon alpha (e.g., PEG INTRON-A), capecitabine, cisplatin, thiotepa, fludarabine, carboplatin, liposomal daunorubicin, Ara-C, doxetaxol, pacilitaxel, vinblastine, IL-2, GM-CSF, dacarbazine, vinorelbine, zoledronic acid, palmitronate, biaxin, busulphan, prednisone, bisphosphonate, arsenic trioxide, vincristine, doxorubicin (Doxil®), paclitaxel, ganciclovir, adriamycin, estramustine sodium phosphate (Emcyt®), sulindac, and etoposide. [0184] In certain embodiments of the methods provided herein, use of a second active agent in combination with a compound provided herein may be modified or delayed during or shortly following administration of a compound provided herein, as deemed appropriate by the practitioner of skill in the art. In certain embodiments, subjects being administered a compound provided herein alone or in combination with other therapies may receive supportive care including antiemetics, myeloid growth factors, and transfusions of platelets, when appropriate. In some embodiments, subjects being administered a compound provided herein may be administered a growth factor as a second active agent, according to the judgment of the practitioner of skill in the art. In some embodiments, provided is administration of a compound provided herein in combination with erythropoietin or darbepoetin (Aranesp). [0185] In certain embodiments, a compound provided herein, e.g., a compound of Formula I, II, or III, or a pharmaceutically acceptable salt thereof, is administered with gemcitabine and cisplatinum to patients with locally advanced or metastatic transitional cell bladder cancer. [0186] In certain embodiments, a compound provided herein, e.g., a compound of Formula I, II, or III, or a pharmaceutically acceptable salt thereof, is administered in combination with a second active ingredient as follows: temozolomide to pediatric patients with relapsed or progressive brain tumors or recurrent neuroblastoma; celecoxib, etoposide and cyclophosphamide for relapsed or progressive CNS cancer; temodar to patients with recurrent or progressive meningioma, malignant meningioma, hemangiopericytoma, multiple brain metastases, relapased brain tumors, or newly diagnosed glioblastoma multiforms; irinotecan to patients with recurrent glioblastoma; carboplatin to pediatric patients with brain stem glioma; procarbazine to pediatric patients with progressive malignant gliomas; cyclophosphamide to patients with poor prognosis malignant brain tumors, newly diagnosed or recurrent glioblastoma multiforms; Gliadel® for high grade recurrent malignant gliomas; temozolomide and tamoxifen for anaplastic astrocytoma; or topotecan for gliomas, glioblastoma, anaplastic astrocytoma or anaplastic oligodendroglioma. [0187] In certain embodiments, a compound provided herein, e.g., a compound of Formula I, II, or III, or a pharmaceutically acceptable salt thereof, is administered with methotrexate,
cyclophosphamide, taxane, abraxane, lapatinib, herceptin, aromatase inhibitors, selective estrogen modulators, estrogen receptor antagonists, and/or PLX3397 (Plexxikon) to patients with metastatic breast cancer. [0188] In certain embodiments, a compound provided herein, e.g., a compound of Formula I, II, or III, or a pharmaceutically acceptable salt thereof, is administered with temozolomide to patients with neuroendocrine tumors. [0189] In certain embodiments, a compound provided herein, e.g., a compound of Formula I, II, or III, or a pharmaceutically acceptable salt thereof, a compound of Formula I, II, or III, or a pharmaceutically acceptable salt thereof, is administered with gemcitabine to patients with recurrent or metastatic head or neck cancer. [0190] In certain embodiments, a compound provided herein, e.g., a compound of Formula I, II, or III, or a pharmaceutically acceptable salt thereof, is administered with gemcitabine to patients with pancreatic cancer. [0191] In certain embodiments, a compound provided herein, e.g., a compound of Formula I, II, or III, or a pharmaceutically acceptable salt thereof, is administered to patients with colon cancer in combination with ARISA®, avastatin, taxol, and/or taxotere. [0192] In certain embodiments, a compound provided herein, e.g., a compound of Formula I, II, or III, or a pharmaceutically acceptable salt thereof, is administered with capecitabine and/or PLX4032 (Plexxikon) to patients with refractory colorectal cancer or patients who fail first line therapy or have poor performance in colon or rectal adenocarcinoma. [0193] In certain embodiments, a compound provided herein, e.g., a compound of Formula I, II, or III, or a pharmaceutically acceptable salt thereof, is administered in combination with fluorouracil, leucovorin, and irinotecan to patients with Dukes C & D colorectal cancer or to patients who have been previously treated for metastatic colorectal cancer. [0194] In certain embodiments, a compound provided herein, e.g., a compound of Formula I, II, or III, or a pharmaceutically acceptable salt thereof, is administered to patients with refractory colorectal cancer in combination with capecitabine, xeloda, and/or CPT-11. [0195] In certain embodiments, a compound provided herein, e.g., a compound of Formula I, II, or III, or a pharmaceutically acceptable salt thereof, is administered with capecitabine and irinotecan to patients with refractory colorectal cancer or to patients with unresectable or metastatic colorectal carcinoma. [0196] In certain embodiments, a compound provided herein, e.g., a compound of Formula I, II, or III, or a pharmaceutically acceptable salt thereof, is administered alone or in combination with interferon alpha or capecitabine to patients with unresectable or metastatic hepatocellular carcinoma; or with cisplatin and thiotepa to patients with primary or metastatic liver cancer.
[0197] In certain embodiments, a compound provided herein, e.g., a compound of Formula I, II, or III, or a pharmaceutically acceptable salt thereof, is administered in combination with pegylated interferon alpha to patients with Kaposi's sarcoma. [0198] In certain embodiments, a compound provided herein, e.g., a compound of Formula I, II, or III, or a pharmaceutically acceptable salt thereof, is administered in combination with fludarabine, carboplatin, and/or topotecan to patients with refractory or relapsed or high-risk acute myeloid leukemia. [0199] In certain embodiments, a compound provided herein, e.g., a compound of Formula I, II, or III, or a pharmaceutically acceptable salt thereof, is administered in combination with liposomal daunorubicin, topotecan and/or cytarabine to patients with unfavorable karotype acute myeloblastic leukemia. [0200] In certain embodiments, a compound provided herein, e.g., a compound of Formula I, II, or III, or a pharmaceutically acceptable salt thereof, is administered in combination with gemcitabine, abraxane, erlotinib, geftinib, and/or irinotecan to patients with non-small cell lung cancer. [0201] In certain embodiments, a compound provided herein, e.g., a compound of Formula I, II, or III, or a pharmaceutically acceptable salt thereof, is administered in combination with carboplatin and irinotecan to patients with non-small cell lung cancer. [0202] In certain embodiments, a compound provided herein, e.g., a compound of Formula I, II, or III, or a pharmaceutically acceptable salt thereof, is administered with doxetaxol to patients with non-small cell lung cancer who have been previously treated with carbo/VP 16 and radiotherapy. [0203] In certain embodiments, a compound provided herein, e.g., a compound of Formula I, II, or III, or a pharmaceutically acceptable salt thereof, is administered in combination with carboplatin and/or taxotere, or in combination with carboplatin, pacilitaxel and/or thoracic radiotherapy to patients with non-small cell lung cancer. [0204] In certain embodiments, a compound provided herein, e.g., a compound of Formula I, II, or III, or a pharmaceutically acceptable salt thereof, is administered in combination with taxotere to patients with stage IIIB or IV non-small cell lung cancer. [0205] In certain embodiments, a compound provided herein, e.g., a compound of Formula I, II, or III, or a pharmaceutically acceptable salt thereof, is administered in combination with oblimersen (Genasense®) to patients with small cell lung cancer. [0206] In certain embodiments, a compound provided herein, e.g., a compound of Formula I, II, or III, or a pharmaceutically acceptable salt thereof, is administered in combination with ABT-
737 (Abbott Laboratories) and/or obatoclax (GX15-070) to patients with lymphoma and other blood cancers. [0207] In certain embodiments, a compound provided herein, e.g., a compound of Formula I, II, or III, or a pharmaceutically acceptable salt thereof, is administered alone or in combination with a second active ingredient such as vinblastine or fludarabine to patients with various types of lymphoma, including, but not limited to, Hodgkin's lymphoma, non-Hodgkin's lymphoma, cutaneous T-Cell lymphoma, cutaneous B-Cell lymphoma, diffuse large B-Cell lymphoma or relapsed or refractory low grade follicular lymphoma. [0208] In certain embodiments, a compound provided herein, e.g., a compound of Formula I, II, or III, or a pharmaceutically acceptable salt thereof, is administered in combination with taxotere, IL-2, IFN, GM-CSF, PLX4032 (Plexxikon) and/or dacarbazine to patients with various types or stages of melanoma. [0209] In certain embodiments, a compound provided herein, e.g., a compound of Formula I, II, or III, or a pharmaceutically acceptable salt thereof, is administered alone or in combination with vinorelbine to patients with malignant mesothelioma, or stage IIIB non-small cell lung cancer with pleural implants or malignant pleural effusion mesothelioma syndrome. [0210] In certain embodiments, a compound provided herein, e.g., a compound of Formula I, II, or III, or a pharmaceutically acceptable salt thereof, is administered to patients with various types or stages of multiple myeloma in combination with dexamethasone, zoledronic acid, palmitronate, GM-CSF, biaxin, vinblastine, melphalan, busulphan, cyclophosphamide, IFN, palmidronate, prednisone, bisphosphonate, celecoxib, arsenic trioxide, PEG INTRON-A, vincristine, or a combination thereof. [0211] In certain embodiments, a compound provided herein, e.g., a compound of Formula I, II, or III, or a pharmaceutically acceptable salt thereof, is administered to patients with relapsed or refractory multiple myeloma in combination with doxorubicin (Doxil®), vincristine and/or dexamethasone (Decadron®). [0212] In certain embodiments, a compound provided herein, e.g., a compound of Formula I, II, or III, or a pharmaceutically acceptable salt thereof, is administered to patients with various types or stages of ovarian cancer such as peritoneal carcinoma, papillary serous carcinoma, refractory ovarian cancer or recurrent ovarian cancer, in combination with taxol, carboplatin, doxorubicin, gemcitabine, cisplatin, xeloda, paclitaxel, dexamethasone, or a combination thereof. [0213] In certain embodiments, a compound provided herein, e.g., a compound of Formula I, II, or III, or a pharmaceutically acceptable salt thereof, is administered to patients with various types or stages of prostate cancer, in combination with xeloda, 5 FU/LV, gemcitabine, irinotecan
plus gemcitabine, cyclophosphamide, vincristine, dexamethasone, GM-CSF, celecoxib, taxotere, ganciclovir, paclitaxel, adriamycin, docetaxel, estramustine, Emcyt, denderon or a combination thereof. [0214] In certain embodiments, a compound provided herein, e.g., a compound of Formula I, II, or III, or a pharmaceutically acceptable salt thereof, is administered to patients with various types or stages of renal cell cancer, in combination with capecitabine, IFN, tamoxifen, IL-2, GM-CSF, Celebrex®, or a combination thereof. [0215] In certain embodiments, a compound provided herein, e.g., a compound of Formula I, II, or III, or a pharmaceutically acceptable salt thereof, is administered to patients with various types or stages of gynecologic, uterus or soft tissue sarcoma cancer in combination with IFN, a COX-2 inhibitor such as Celebrex®, and/or sulindac. [0216] In certain embodiments, a compound provided herein, e.g., a compound of Formula I, II, or III, or a pharmaceutically acceptable salt thereof, is administered to patients with various types or stages of solid tumors in combination with celebrex, etoposide, cyclophosphamide, docetaxel, apecitabine, IFN, tamoxifen, IL-2, GM-CSF, or a combination thereof. [0217] In certain embodiments, a compound provided herein, e.g., a compound of Formula I, II, or III, or a pharmaceutically acceptable salt thereof, is administered to patients with scleroderma or cutaneous vasculitis in combination with celebrex, etoposide, cyclophosphamide, docetaxel, apecitabine, IFN, tamoxifen, IL-2, GM-CSF, or a combination thereof. [0218] Also encompassed herein is a method of increasing the dosage of an anti-cancer drug or agent that can be safely and effectively administered to a patient, which comprises administering to the patient (e.g., a human) a compound provided herein, e.g., a compound of Formula I, II, or III, or a pharmaceutically acceptable salt thereof. Patients that can benefit by this method are those likely to suffer from an adverse effect associated with anti-cancer drugs for treating a specific cancer of the skin, subcutaneous tissue, lymph nodes, brain, lung, liver, bone, intestine, colon, heart, pancreas, adrenal, kidney, prostate, breast, colorectal, or combinations thereof. [0219] In one embodiment, a compound provided herein, e.g., a compound of Formula I, II, or III, or a pharmaceutically acceptable salt thereof, is administered orally and daily in an amount ranging from about 0.1 to about 150 mg, from about 1 to about 50 mg, or from about 2 to about 25 mg, prior to, during, or after the occurrence of the adverse effect associated with the administration of an anti-cancer drug to a patient. In certain embodiments, a compound provided herein, e.g., a compound of Formula I, II, or III, or a pharmaceutically acceptable salt thereof, is administered in combination with specific agents such as heparin, aspirin, coumadin, or G-CSF to avoid adverse effects that are associated with anti-cancer drugs such as but not limited to neutropenia or thrombocytopenia.
[0220] In one embodiment, a compound provided herein, e.g., a compound of Formula I, II, or III, or a pharmaceutically acceptable salt thereof, is administered to patients with diseases and disorders associated with or characterized by, undesired angiogenesis in combination with additional active ingredients, including, but not limited to, anti-cancer drugs, anti- inflammatories, antihistamines, antibiotics, and steroids. [0221] In another embodiment, encompassed herein is a method of treating, preventing and/or managing cancer, which comprises administering a compound provided herein, e.g., a compound of Formula I, II, or III, or a pharmaceutically acceptable salt thereof, in conjunction with (e.g. before, during, or after) conventional therapy including, but not limited to, surgery, immunotherapy, biological therapy, radiation therapy, or other non-drug based therapy presently used to treat, prevent or manage cancer. The combined use of the compound provided herein and conventional therapy may provide a unique treatment regimen that is unexpectedly effective in certain patients. [0222] As discussed elsewhere herein, encompassed herein is a method of reducing, treating and/or preventing adverse or undesired effects associated with conventional therapy including, but not limited to, surgery, chemotherapy, radiation therapy, hormonal therapy, biological therapy and immunotherapy. A compound provided herein, e.g., a compound of Formula I, II, or III, or a pharmaceutically acceptable salt thereof, and other active ingredient can be administered to a patient prior to, during, or after the occurrence of the adverse effect associated with conventional therapy. [0223] In one embodiment, a compound provided herein is administered in an amount ranging from about 0.1 to about 150 mg, from about 1 to about 25 mg, or from about 2 to about 10 mg orally and daily alone, or in combination with a second active agent disclosed herein, prior to, during, or after the use of conventional therapy. [0224] In certain embodiments, a compound provided herein, e.g., a compound of Formula I, II, or III, or a pharmaceutically acceptable salt thereof, and doxetaxol are administered to patients with non-small cell lung cancer who were previously treated with carbo/VP 16 and radiotherapy. C-2. Use with Transplantation Therapy [0225] The compounds provided herein can be used to reduce the risk of Graft Versus Host Disease (GVHD). Therefore, encompassed herein is a method of treating, preventing and/or managing cancer, which comprises administering a compound provided herein, e.g., a compound of Formula I, II, or III, or a pharmaceutically acceptable salt thereof, in conjunction with transplantation therapy. [0226] As those of ordinary skill in the art are aware, the treatment of cancer is often based on the stages and mechanism of the disease. For example, as inevitable leukemic transformation
develops in certain stages of cancer, transplantation of peripheral blood stem cells, hematopoietic stem cell preparation or bone marrow may be necessary. [0227] Encompassed herein is a method of treating, preventing and/or managing cancer which comprises administering to a patient (e.g., a human) a compound provided herein, e.g., a compound of Formula I, II, or III, or a pharmaceutically acceptable salt thereof, before, during, or after the transplantation of umbilical cord blood, placental blood, peripheral blood stem cell, hematopoietic stem cell preparation, or bone marrow. Some examples of stem cells suitable for use in the methods provided herein are disclosed in U.S. Pat. No.7,498,171, the disclosure of which is incorporated herein by reference in its entirety. [0228] In one embodiment, a compound provided herein, e.g., a compound of Formula I, II, or III, or a pharmaceutically acceptable salt thereof, is administered to patients with multiple myeloma before, during, or after the transplantation of autologous peripheral blood progenitor cell. [0229] In one embodiment, a compound provided herein, e.g., a compound of Formula I, II, or III, or a pharmaceutically acceptable salt thereof, is administered to patients with NHL (e.g., DLBCL) before, during, or after the transplantation of autologous peripheral blood progenitor cell. C-3. Cycling Therapy [0230] In certain embodiments, the prophylactic or therapeutic agents provided herein are cyclically administered to a patient. Cycling therapy involves the administration of an active agent for a period of time, followed by a rest for a period of time, and repeating this sequential administration. Cycling therapy can reduce the development of resistance to one or more of the therapies, avoid, or reduce the side effects of one of the therapies, and/or improves the efficacy of the treatment. [0231] Consequently, in certain embodiments, a compound provided herein, e.g., a compound of Formula I, II, or III, or a pharmaceutically acceptable salt thereof, is administered daily in a single or divided doses in a four to six week cycle with a rest period of about a week or two weeks. The cycling method further allows the frequency, number, and length of dosing cycles to be increased. Thus, encompassed herein in certain embodiments is the administration of a compound provided herein, e.g., a compound of Formula I, II, or III, or a pharmaceutically acceptable salt thereof, for more cycles than are typical when it is administered alone. In certain embodiments, a compound provided herein, e.g., a compound of Formula I, II, or III, or a pharmaceutically acceptable salt thereof, is administered for a greater number of cycles that would typically cause dose-limiting toxicity in a patient to whom a second active ingredient is not also being administered.
[0232] In one embodiment, a compound provided herein, e.g., a compound of Formula I, II, or III, or a pharmaceutically acceptable salt thereof, is administered daily and continuously for three or four weeks at a dose of from about 0.1 to about 150 mg/day followed by a break of one or two weeks. [0233] In another embodiment, a compound provided herein, e.g., a compound of Formula I, II, or III, or a pharmaceutically acceptable salt thereof, and a second active agent are administered orally, with administration of the compound provided herein occurring 30 to 60 minutes prior to a second active agent, during a cycle of four to six weeks. In certain embodiments, the combination of the compound provided herein and the second active agent is administered by intravenous infusion over about 90 minutes every cycle. In certain embodiments, one cycle comprises the administration from about 0.1 to about 150 mg/day of the compound provided herein, and from about 50 to about 200 mg/m2/day of a second active agent daily for three to four weeks and then one or two weeks of rest. In certain embodiments, the number of cycles during which the combinatorial treatment is administered to a patient ranges from about one to about 24 cycles, from about two to about 16 cycles, or from about four to about three cycles. D. Patient Population [0234] In certain embodiments of the methods provided herein, the subject is an animal, preferably a mammal, more preferably a non-human primate. In particular embodiments, the subject is a human. The subject can be a male or female subject. [0235] Particularly useful subjects for the methods provided herein include human cancer patients, for example, those who have been diagnosed with leukemia, including acute myeloid leukemia, acute lymphocytic leukemia, chronic myelogenous leukemia, and chronic myelogenous leukemia. In certain embodiments, the subject has not been diagnosed with acute promyelocytic leukemia. [0236] In some embodiments, the subject has a higher than normal blast population. In some embodiments, the subject has a blast population of at least 10%. In some embodiments, the subject has a blast population of between 10 and 15%. In some embodiments, the subject has a blast population of at least 15%. In some embodiments, the subject has a blast population of between 15 and 20%. In some embodiments, the subject has a blast population of at least 20%. In some embodiments, the subject has a blast population of about 10-15%, about 15-20%, or about 20-25%. In other embodiments, the subject has a blast population of less than 10%. In the context of the methods described herein, useful subjects having a blast population of less than 10% includes those subjects that, for any reason according to the judgment of the skilled practitioner in the art, are in need of treatment with a compound provided herein, alone or in combination with a second active agent.
[0237] In some embodiments, the subject is treated based on the Eastern Cooperative Oncology Group (ECOG) performance status score of the subject for leukemia. ECOG performance status can be scored on a scale of 0 to 5, with 0 denoting asymptomatic; 1 denoting symptomatic but completely ambulant; 2 denoting symptomatic and <50% in bed during the day; 3 denoting symptomatic and >50% in bed, but not bed bound; 4 denoting bed bound; and 5 denoting death. In some embodiments, the subject has an ECOG performance status score of 0 or 1. In some embodiments, the subject has an ECOG performance status score of 0. In some embodiments, the subject has an ECOG performance status score of 1. In other embodiments, the subject has an ECOG performance status score of 2. [0238] In certain embodiments, the methods provided herein encompass the treatment of subjects who have not been previously treated for leukemia. In some embodiments, the subject has not undergone allogeneic bone marrow transplantation. In some embodiments, the subject has not undergone a stem cell transplantation. In some embodiments, the subject has not received hydroxyurea treatment. In some embodiments, the subject has not been treated with any investigational products for leukemia. In some embodiments, the subject has not been treated with systemic glucocorticoids. [0239] In other embodiments, the methods encompass treating subjects who have been previously treated or are currently being treated for leukemia. For example, the subject may have been previously treated or are currently being treated with a standard treatment regimen for leukemia. The subject may have been treated with any standard leukemia treatment regimen known to the practitioner of skill in the art. In certain embodiments, the subject has been previously treated with at least one induction/reinduction or consolidation AML regimen. In some embodiments, the subject has undergone autologous bone marrow transplantation or stem cell transplantation as part of a consolidation regimen. In some embodiments, the bone marrow or stem cell transplantation occurred at least 3 months prior to treatment according to the methods provided herein. In some embodiments, the subject has undergone hydroxyurea treatment. In some embodiments, the hydroxyurea treatment occurred no later than 24 hours prior to treatment according to the methods provided herein. In some embodiments, the subject has undergone prior induction or consolidation therapy with cytarabine (Ara-C). In some embodiments, the subject has undergone treatment with systemic glucocorticosteroids. In some embodiments, the glucocorticosteroid treatment occurred no later 24 hours prior to treatment according to the methods described herein. In other embodiments, the methods encompass treating subjects who have been previously treated for cancer, but are non-responsive to standard therapies.
[0240] Also encompassed are methods of treating subjects having relapsed or refractory leukemia. In some embodiments, the subject has been diagnosed with a relapsed or refractory AML subtype, as defined by the World Health Organization (WHO). Relapsed or refractory disease may be de novo AML or secondary AML, e.g., therapy-related AML (t-AML). [0241] In some embodiments, the methods provided herein are used to treat drug resistant leukemias, such as chronic myelogenous leukemia (CML). Thus, treatment with a compound provided herein could provide an alternative for patients who do not respond to other methods of treatment. In some embodiments, such other methods of treatment encompass treatment with Gleevec® (imatinib mesylate). In some embodiments, provided herein are methods of treatment of Philadelphia chromosome positive chronic myelogenous leukemia (Ph+CML). In some embodiments, provided herein are methods of treatment of Gleevec® (imatinib mesylate) resistant Philadelphia chromosome positive chronic myelogenous leukemia (Ph+CML). [0242] Also encompassed are methods of treating a subject regardless of the subject's age, although some diseases or disorders are more common in certain age groups. In some embodiments, the subject is at least 18 years old. In some embodiments, the subject is more than 18, 25, 35, 40, 45, 50, 55, 60, 65, or 70 years old. In other embodiments, the subject is less than 65 years old. In some embodiments, the subject is less than 18 years old. In some embodiments, the subject is less than 18, 15, 12, 10, 9, 8 or 7 years old. [0243] In some embodiments, the methods may find use in subjects at least 50 years of age, although younger subjects could benefit from the method as well. In other embodiments, the subjects are at least 55, at least 60, at least 65, and at least 70 years of age. In another embodiment, the subjects have adverse cytogenetics. “Adverse cytogenetics” is defined as any nondiploid karyotype, or greater than or equal to 3 chromosomal abnormalities. In another embodiment, the subjects are at least 60 years of age and have adverse cytogenetics. In another embodiment, the subjects are 60-65 years of age and have adverse cytogenetics. In another embodiment, the subjects are 65-70 years of age and have adverse cytogenetics. [0244] In certain embodiments, the subject treated has no history of myocardial infarction within three months of treatment according to the methods provided herein. In some embodiments, the subject has no history of cerebrovascular accident or transient ischemic attack within three months of treatment according to the methods provided herein. In some embodiments, the subject has no suffered no thromboembelic event, including deep vein thrombosis or pulmonary embolus, within 28 days of treatment according to the methods provided herein. In other embodiments, the subject has not experienced or is not experiencing uncontrolled disseminated intravascular coagulation.
[0245] Because subjects with cancer have heterogeneous clinical manifestations and varying clinical outcomes, the treatment given to a patient may vary, depending on his/her prognosis. The skilled clinician will be able to readily determine without undue experimentation specific secondary agents, types of surgery, and types of non-drug based standard therapy that can be effectively used to treat an individual subject with cancer. [0246] It will be appreciated that every suitable combination of the compounds provided herein with one or more of the aforementioned compounds and optionally one or more further pharmacologically active substances is contemplated herein. E. Formulation of Pharmaceutical Compositions [0247] The pharmaceutical compositions provided herein contain therapeutically effective amounts of one or more of compounds provided herein and a pharmaceutically acceptable carrier, diluent or excipient. [0248] The compounds can be formulated into suitable pharmaceutical preparations such as solutions, suspensions, tablets, dispersible tablets, pills, capsules, powders, sustained release formulations or elixirs, for oral administration or in sterile solutions or suspensions for ophthalmic or parenteral administration, as well as transdermal patch preparation and dry powder inhalers. Typically the compounds described above are formulated into pharmaceutical compositions using techniques and procedures well known in the art (see, e.g., Ansel Introduction to Pharmaceutical Dosage Forms, Seventh Edition 1999). [0249] In the compositions, effective concentrations of one or more compounds or pharmaceutically acceptable salts is (are) mixed with a suitable pharmaceutical carrier or vehicle. In certain embodiments, the concentrations of the compounds in the compositions are effective for delivery of an amount, upon administration, that treats, prevents, or ameliorates one or more of the symptoms and/or progression of cancer, including solid tumors and blood borne tumors. [0250] Typically, the compositions are formulated for single dosage administration. To formulate a composition, the weight fraction of compound is dissolved, suspended, dispersed or otherwise mixed in a selected vehicle at an effective concentration such that the treated condition is relieved or ameliorated. Pharmaceutical carriers or vehicles suitable for administration of the compounds provided herein include any such carriers known to those skilled in the art to be suitable for the particular mode of administration. [0251] In addition, the compounds may be formulated as the sole pharmaceutically active ingredient in the composition or may be combined with other active ingredients. Liposomal suspensions, including tissue-targeted liposomes, such as tumor-targeted liposomes, may also be suitable as pharmaceutically acceptable carriers. These may be prepared according to methods
known to those skilled in the art. For example, liposome formulations may be prepared as known in the art. Briefly, liposomes such as multilamellar vesicles (MLV's) may be formed by drying down egg phosphatidyl choline and brain phosphatidyl serine (7:3 molar ratio) on the inside of a flask. A solution of a compound provided herein in phosphate buffered saline lacking divalent cations (PBS) is added and the flask shaken until the lipid film is dispersed. The resulting vesicles are washed to remove unencapsulated compound, pelleted by centrifugation, and then resuspended in PBS. [0252] The active compound is included in the pharmaceutically acceptable carrier in an amount sufficient to exert a therapeutically useful effect in the absence of undesirable side effects on the patient treated. The therapeutically effective concentration may be determined empirically by testing the compounds in in vitro and in vivo systems described herein and then extrapolated therefrom for dosages for humans. [0253] The concentration of active compound in the pharmaceutical composition will depend, for example, on absorption, tissue distribution, inactivation and excretion rates of the active compound, the physicochemical characteristics of the compound, the dosage schedule, and amount administered as well as other factors known to those of skill in the art. For example, the amount that is delivered is sufficient to ameliorate one or more of the symptoms of cancer, including solid tumors and blood borne tumors. [0254] In certain embodiments, a therapeutically effective dosage should produce a serum concentration of active ingredient of from about 0.1 ng/mL to about 50-100 μg/mL. In one embodiment, the pharmaceutical compositions provide a dosage of from about 0.001 mg to about 2000 mg of compound per kilogram of body weight per day. Pharmaceutical dosage unit forms are prepared to provide from about 1 mg to about 1000 mg and in certain embodiments, from about 10 to about 500 mg of the essential active ingredient or a combination of essential ingredients per dosage unit form. [0255] The active ingredient may be administered at once, or may be divided into a number of smaller doses to be administered at intervals of time. It is understood that the precise dosage and duration of treatment is a function of the disease being treated and may be determined empirically using known testing protocols or by extrapolation from in vivo or in vitro test data. It is to be noted that concentrations and dosage values may also vary with the severity of the condition to be alleviated. It is to be further understood that for any particular subject, specific dosage regimens should be adjusted over time according to the individual need and the professional judgment of the person administering or supervising the administration of the compositions, and that the concentration ranges set forth herein are exemplary only and are not intended to limit the scope or practice of the claimed compositions.
[0256] Thus, effective concentrations or amounts of one or more of the compounds described herein or pharmaceutically acceptable salts thereof are mixed with a suitable pharmaceutical carrier or vehicle for systemic, topical or local administration to form pharmaceutical compositions. Compounds are included in an amount effective for ameliorating one or more symptoms of, or for treating, retarding progression, or preventing. The concentration of active compound in the composition will depend on absorption, tissue distribution, inactivation, excretion rates of the active compound, the dosage schedule, amount administered, particular formulation as well as other factors known to those of skill in the art. [0257] The compositions are intended to be administered by a suitable route, including but not limited to orally, parenterally, rectally, topically and locally. For oral administration, capsules and tablets can be formulated. The compositions are in liquid, semi-liquid or solid form and are formulated in a manner suitable for each route of administration. [0258] Solutions or suspensions used for parenteral, intradermal, subcutaneous, or topical application can include any of the following components: a sterile diluent, such as water for injection, saline solution, fixed oil, polyethylene glycol, glycerine, propylene glycol, dimethyl acetamide or other synthetic solvent; antimicrobial agents, such as benzyl alcohol and methyl parabens; antioxidants, such as ascorbic acid and sodium bisulfite; chelating agents, such as ethylenediaminetetraacetic acid (EDTA); buffers, such as acetates, citrates and phosphates; and agents for the adjustment of tonicity such as sodium chloride or dextrose. Parenteral preparations can be enclosed in ampules, pens, disposable syringes or single or multiple dose vials made of glass, plastic or other suitable material. [0259] In instances in which the compounds exhibit insufficient solubility, methods for solubilizing compounds may be used. Such methods are known to those of skill in this art, and include, but are not limited to, using cosolvents, such as dimethylsulfoxide (DMSO), using surfactants, such as TWEEN®, or dissolution in aqueous sodium bicarbonate. [0260] Upon mixing or addition of the compound(s), the resulting mixture may be a solution, suspension, emulsion or the like. The form of the resulting mixture depends upon a number of factors, including the intended mode of administration and the solubility of the compound in the selected carrier or vehicle. The effective concentration is sufficient for ameliorating the symptoms of the disease, disorder or condition treated and may be empirically determined. [0261] The pharmaceutical compositions are provided for administration to humans and animals in unit dosage forms, such as tablets, capsules, pills, powders, granules, sterile parenteral solutions or suspensions, and oral solutions or suspensions, and oil water emulsions containing suitable quantities of the compounds or pharmaceutically acceptable salts thereof. The pharmaceutically therapeutically active compounds and salts thereof are formulated and
administered in unit dosage forms or multiple dosage forms. Unit dose forms as used herein refer to physically discrete units suitable for human and animal subjects and packaged individually as is known in the art. Each unit dose contains a predetermined quantity of the therapeutically active compound sufficient to produce the desired therapeutic effect, in association with the required pharmaceutical carrier, vehicle or diluent. Examples of unit dose forms include ampules and syringes and individually packaged tablets or capsules. Unit dose forms may be administered in fractions or multiples thereof. A multiple dose form is a plurality of identical unit dosage forms packaged in a single container to be administered in segregated unit dose form. Examples of multiple dose forms include vials, bottles of tablets or capsules or bottles of pints or gallons. Hence, multiple dose form is a multiple of unit doses which are not segregated in packaging. [0262] Sustained-release preparations can also be prepared. Suitable examples of sustained- release preparations include semipermeable matrices of solid hydrophobic polymers containing the compound provided herein, which matrices are in the form of shaped articles, e.g., films, or microcapsule. Examples of sustained-release matrices include iontophoresis patches, polyesters, hydrogels (for example, poly(2-hydroxyethyl-methacrylate), or poly(vinylalcohol)), polylactides, copolymers of L-glutamic acid and ethyl-L-glutamate, non-degradable ethylene- vinyl acetate, degradable lactic acid-glycolic acid copolymers such as the LUPRON DEPOT™ (injectable microspheres composed of lactic acid-glycolic acid copolymer and leuprolide acetate), and poly-D-(−)-3-hydroxybutyric acid. While polymers such as ethylene-vinyl acetate and lactic acid-glycolic acid enable release of molecules for over 100 days, certain hydrogels release proteins for shorter time periods. When encapsulated compounds remain in the body for a long time, they may denature or aggregate as a result of exposure to moisture at 37° C, resulting in a loss of biological activity and possible changes in their structure. Rational strategies can be devised for stabilization depending on the mechanism of action involved. For example, if the aggregation mechanism is discovered to be intermolecular S—S bond formation through thio-disulfide interchange, stabilization may be achieved by modifying sulfhydryl residues, lyophilizing from acidic solutions, controlling moisture content, using appropriate additives, and developing specific polymer matrix compositions. [0263] Dosage forms or compositions containing active ingredient in the range of 0.005% to 100% with the balance made up from non toxic carrier may be prepared. For oral administration, a pharmaceutically acceptable non toxic composition is formed by the incorporation of any of the normally employed excipients, such as, for example pharmaceutical grades of mannitol, lactose, starch, magnesium stearate, talcum, cellulose derivatives, sodium crosscarmellose, glucose, sucrose, magnesium carbonate or sodium saccharin. Such compositions include
solutions, suspensions, tablets, capsules, powders and sustained release formulations, such as, but not limited to, implants and microencapsulated delivery systems, and biodegradable, biocompatible polymers, such as collagen, ethylene vinyl acetate, polyanhydrides, polyglycolic acid, polyorthoesters, polylactic acid and others. Methods for preparation of these compositions are known to those skilled in the art. The contemplated compositions may contain about 0.001% 100% active ingredient, in certain embodiments, about 0.185% or about 75-95%. [0264] The active compounds or pharmaceutically acceptable salts may be prepared with carriers that protect the compound against rapid elimination from the body, such as time release formulations or coatings. [0265] The compositions may include other active compounds to obtain desired combinations of properties. The compounds provided herein may also be advantageously administered for therapeutic or prophylactic purposes together with another pharmacological agent known in the general art to be of value in treating one or more of the diseases or medical conditions referred to hereinabove, such as diseases related to oxidative stress. It is to be understood that such combination therapy constitutes a further aspect of the compositions and methods of treatment provided herein. [0266] Lactose-free compositions provided herein can contain excipients that are well known in the art and are listed, for example, in the U.S. Pharmocopia (USP) SP (XXI)/NF (XVI). In general, lactose-free compositions contain an active ingredient, a binder/filler, and a lubricant in pharmaceutically compatible and pharmaceutically acceptable amounts. Exemplary lactose-free dosage forms contain an active ingredient, microcrystalline cellulose, pre-gelatinized starch and magnesium stearate. [0267] Further encompassed are anhydrous pharmaceutical compositions and dosage forms containing a compound provided herein. For example, the addition of water (e.g., 5%) is widely accepted in the pharmaceutical arts as a means of simulating long-term storage in order to determine characteristics such as shelf-life or the stability of formulations over time. See, e.g., Jens T. Carstensen, Drug Stability: Principles & Practice, 2d. Ed., Marcel Dekker, NY, N.Y., 1995, pp.379-80. In effect, water and heat accelerate the decomposition of some compounds. Thus, the effect of water on a formulation can be of great significance since moisture and/or humidity are commonly encountered during manufacture, handling, packaging, storage, shipment and use of formulations. [0268] Anhydrous pharmaceutical compositions and dosage forms provided herein can be prepared using anhydrous or low moisture containing ingredients and low moisture or low humidity conditions. Pharmaceutical compositions and dosage forms that comprise lactose and at least one active ingredient that comprises a primary or secondary amine are anhydrous if
substantial contact with moisture and/or humidity during manufacturing, packaging, and/or storage is expected. [0269] An anhydrous pharmaceutical composition should be prepared and stored such that its anhydrous nature is maintained. Accordingly, anhydrous compositions are packaged using materials known to prevent exposure to water such that they can be included in suitable formulary kits. Examples of suitable packaging include, but are not limited to, hermetically sealed foils, plastics, unit dose containers (e.g., vials), blister packs and strip packs. E-1. Oral Dosage Forms [0270] Oral pharmaceutical dosage forms are either solid, gel or liquid. The solid dosage forms are tablets, capsules, granules, and bulk powders. Types of oral tablets include compressed, chewable lozenges and tablets which may be enteric coated, sugar coated or film coated. Capsules may be hard or soft gelatin capsules, while granules and powders may be provided in non effervescent or effervescent form with the combination of other ingredients known to those skilled in the art. [0271] In certain embodiments, the formulations are solid dosage forms, such as capsules or tablets. The tablets, pills, capsules, troches and the like can contain any of the following ingredients, or compounds of a similar nature: a binder; a diluent; a disintegrating agent; a lubricant; a glidant; a sweetening agent; and a flavoring agent. [0272] Examples of binders include microcrystalline cellulose, gum tragacanth, glucose solution, acacia mucilage, gelatin solution, sucrose and starch paste. Lubricants include talc, starch, magnesium or calcium stearate, lycopodium and stearic acid. Diluents include, for example, lactose, sucrose, starch, kaolin, salt, mannitol and dicalcium phosphate. Glidants include, but are not limited to, colloidal silicon dioxide. Disintegrating agents include crosscarmellose sodium, sodium starch glycolate, alginic acid, corn starch, potato starch, bentonite, methylcellulose, agar and carboxymethylcellulose. Coloring agents include, for example, any of the approved certified water soluble FD and C dyes, mixtures thereof; and water insoluble FD and C dyes suspended on alumina hydrate. Sweetening agents include sucrose, lactose, mannitol and artificial sweetening agents such as saccharin, and any number of spray dried flavors. Flavoring agents include natural flavors extracted from plants such as fruits and synthetic blends of compounds which produce a pleasant sensation, such as, but not limited to peppermint and methyl salicylate. Wetting agents include propylene glycol monostearate, sorbitan monooleate, diethylene glycol monolaurate and polyoxyethylene laural ether. Emetic coatings include fatty acids, fats, waxes, shellac, ammoniated shellac and cellulose acetate phthalates. Film coatings include hydroxyethylcellulose, sodium carboxymethylcellulose, polyethylene glycol 4000 and cellulose acetate phthalate.
[0273] If oral administration is desired, the compound could be provided in a composition that protects it from the acidic environment of the stomach. For example, the composition can be formulated in an enteric coating that maintains its integrity in the stomach and releases the active compound in the intestine. The composition may also be formulated in combination with an antacid or other such ingredient. [0274] When the dosage unit form is a capsule, it can contain, in addition to material of the above type, a liquid carrier such as a fatty oil. In addition, dosage unit forms can contain various other materials which modify the physical form of the dosage unit, for example, coatings of sugar and other enteric agents. The compounds can also be administered as a component of an elixir, suspension, syrup, wafer, sprinkle, chewing gum or the like. A syrup may contain, in addition to the active compounds, sucrose as a sweetening agent and certain preservatives, dyes and colorings and flavors. [0275] The active materials can also be mixed with other active materials which do not impair the desired action, or with materials that supplement the desired action, such as antacids, H2 blockers, and diuretics. The active ingredient is a compound or pharmaceutically acceptable salt thereof as described herein. Higher concentrations, up to about 98% by weight of the active ingredient may be included. [0276] Pharmaceutically acceptable carriers included in tablets are binders, lubricants, diluents, disintegrating agents, coloring agents, flavoring agents, and wetting agents. Enteric coated tablets, because of the enteric coating, resist the action of stomach acid and dissolve or disintegrate in the neutral or alkaline intestines. Sugar coated tablets are compressed tablets to which different layers of pharmaceutically acceptable substances are applied. Film coated tablets are compressed tablets which have been coated with a polymer or other suitable coating. Multiple compressed tablets are compressed tablets made by more than one compression cycle utilizing the pharmaceutically acceptable substances previously mentioned. Coloring agents may also be used in the above dosage forms. Flavoring and sweetening agents are used in compressed tablets, sugar coated, multiple compressed and chewable tablets. Flavoring and sweetening agents are especially useful in the formation of chewable tablets and lozenges. [0277] Liquid oral dosage forms include aqueous solutions, emulsions, suspensions, solutions and/or suspensions reconstituted from non effervescent granules and effervescent preparations reconstituted from effervescent granules. Aqueous solutions include, for example, elixirs and syrups. Emulsions are either oil in-water or water in oil. [0278] Elixirs are clear, sweetened, hydroalcoholic preparations. Pharmaceutically acceptable carriers used in elixirs include solvents. Syrups are concentrated aqueous solutions of a sugar, for example, sucrose, and may contain a preservative. An emulsion is a two phase system in
which one liquid is dispersed in the form of small globules throughout another liquid. Pharmaceutically acceptable carriers used in emulsions are non aqueous liquids, emulsifying agents and preservatives. Suspensions use pharmaceutically acceptable suspending agents and preservatives. Pharmaceutically acceptable substances used in non effervescent granules, to be reconstituted into a liquid oral dosage form, include diluents, sweeteners and wetting agents. Pharmaceutically acceptable substances used in effervescent granules, to be reconstituted into a liquid oral dosage form, include organic acids and a source of carbon dioxide. Coloring and flavoring agents are used in all of the above dosage forms. [0279] Solvents include glycerin, sorbitol, ethyl alcohol and syrup. Examples of preservatives include glycerin, methyl and propylparaben, benzoic add, sodium benzoate and alcohol. Examples of non aqueous liquids utilized in emulsions include mineral oil and cottonseed oil. Examples of emulsifying agents include gelatin, acacia, tragacanth, bentonite, and surfactants such as polyoxyethylene sorbitan monooleate. Suspending agents include sodium carboxymethylcellulose, pectin, tragacanth, Veegum and acacia. Diluents include lactose and sucrose. Sweetening agents include sucrose, syrups, glycerin and artificial sweetening agents such as saccharin. Wetting agents include propylene glycol monostearate, sorbitan monooleate, diethylene glycol monolaurate and polyoxyethylene lauryl ether. Organic adds include citric and tartaric acid. Sources of carbon dioxide include sodium bicarbonate and sodium carbonate. Coloring agents include any of the approved certified water soluble FD and C dyes, and mixtures thereof. Flavoring agents include natural flavors extracted from plants such fruits, and synthetic blends of compounds which produce a pleasant taste sensation. [0280] For a solid dosage form, the solution or suspension, in for example propylene carbonate, vegetable oils or triglycerides, is encapsulated in a gelatin capsule. Such solutions, and the preparation and encapsulation thereof, are disclosed in U.S. Pat. Nos.4,328,245; 4,409,239; and 4,410,545. For a liquid dosage form, the solution, e.g., for example, in a polyethylene glycol, may be diluted with a sufficient quantity of a pharmaceutically acceptable liquid carrier, e.g., water, to be easily measured for administration. [0281] Alternatively, liquid or semi solid oral formulations may be prepared by dissolving or dispersing the active compound or salt in vegetable oils, glycols, triglycerides, propylene glycol esters (e.g., propylene carbonate) and other such carriers, and encapsulating these solutions or suspensions in hard or soft gelatin capsule shells. Other useful formulations include, but are not limited to, those containing a compound provided herein, a dialkylated mono- or poly-alkylene glycol, including, but not limited to, 1,2-dimethoxymethane, diglyme, triglyme, tetraglyme, polyethylene glycol-350-dimethyl ether, polyethylene glycol-550-dimethyl ether, polyethylene glycol-750-dimethyl ether wherein 350, 550 and 750 refer to the approximate average molecular
weight of the polyethylene glycol, and one or more antioxidants, such as butylated hydroxytoluene (BHT), butylated hydroxyanisole (BHA), propyl gallate, vitamin E, hydroquinone, hydroxycoumarins, ethanolamine, lecithin, cephalin, ascorbic acid, malic acid, sorbitol, phosphoric acid, thiodipropionic acid and its esters, and dithiocarbamates. [0282] Other formulations include, but are not limited to, aqueous alcoholic solutions including a pharmaceutically acceptable acetal. Alcohols used in these formulations are any pharmaceutically acceptable water-miscible solvents having one or more hydroxyl groups, including, but not limited to, propylene glycol and ethanol. Acetals include, but are not limited to, di(lower alkyl) acetals of lower alkyl aldehydes such as acetaldehyde diethyl acetal. [0283] In all embodiments, tablets and capsules formulations may be coated as known by those of skill in the art in order to modify or sustain dissolution of the active ingredient. Thus, for example, they may be coated with a conventional enterically digestible coating, such as phenylsalicylate, waxes and cellulose acetate phthalate. E-2. Injectables, Solutions and Emulsions [0284] Parenteral administration, generally characterized by injection, either subcutaneously, intramuscularly or intravenously is also contemplated herein. Injectables can be prepared in conventional forms, either as liquid solutions or suspensions, solid forms suitable for solution or suspension in liquid prior to injection, or as emulsions. Suitable excipients are, for example, water, saline, dextrose, glycerol or ethanol. In addition, if desired, the pharmaceutical compositions to be administered may also contain minor amounts of non toxic auxiliary substances such as wetting or emulsifying agents, pH buffering agents, stabilizers, solubility enhancers, and other such agents, such as for example, sodium acetate, sorbitan monolaurate, triethanolamine oleate and cyclodextrins. Implantation of a slow release or sustained release system, such that a constant level of dosage is maintained is also contemplated herein. Briefly, a compound provided herein is dispersed in a solid inner matrix, e.g., polymethylmethacrylate, polybutylmethacrylate, plasticized or unplasticized polyvinylchloride, plasticized nylon, plasticized polyethyleneterephthalate, natural rubber, polyisoprene, polyisobutylene, polybutadiene, polyethylene, ethylene-vinylacetate copolymers, silicone rubbers, polydimethylsiloxanes, silicone carbonate copolymers, hydrophilic polymers such as hydrogels of esters of acrylic and methacrylic acid, collagen, cross-linked polyvinylalcohol and cross- linked partially hydrolyzed polyvinyl acetate, that is surrounded by an outer polymeric membrane, e.g., polyethylene, polypropylene, ethylene/propylene copolymers, ethylene/ethyl acrylate copolymers, ethylene/vinylacetate copolymers, silicone rubbers, polydimethyl siloxanes, neoprene rubber, chlorinated polyethylene, polyvinylchloride, vinylchloride copolymers with vinyl acetate, vinylidene chloride, ethylene and propylene, ionomer
polyethylene terephthalate, butyl rubber epichlorohydrin rubbers, ethylene/vinyl alcohol copolymer, ethylene/vinyl acetate/vinyl alcohol terpolymer, and ethylene/vinyloxyethanol copolymer, that is insoluble in body fluids. The compound diffuses through the outer polymeric membrane in a release rate controlling step. The percentage of active compound contained in such parenteral compositions is highly dependent on the specific nature thereof, as well as the activity of the compound and the needs of the subject. [0285] Parenteral administration of the compositions includes intravenous, subcutaneous and intramuscular administrations. Preparations for parenteral administration include sterile solutions ready for injection, sterile dry soluble products, such as lyophilized powders, ready to be combined with a solvent just prior to use, including hypodermic tablets, sterile suspensions ready for injection, sterile dry insoluble products ready to be combined with a vehicle just prior to use and sterile emulsions. The solutions may be either aqueous or nonaqueous. [0286] If administered intravenously, suitable carriers include physiological saline or phosphate buffered saline (PBS), and solutions containing thickening and solubilizing agents, such as glucose, polyethylene glycol, and polypropylene glycol and mixtures thereof. [0287] Pharmaceutically acceptable carriers used in parenteral preparations include aqueous vehicles, nonaqueous vehicles, antimicrobial agents, isotonic agents, buffers, antioxidants, local anesthetics, suspending and dispersing agents, emulsifying agents, sequestering or chelating agents and other pharmaceutically acceptable substances. [0288] Examples of aqueous vehicles include Sodium Chloride Injection, Ringers Injection, Isotonic Dextrose Injection, Sterile Water Injection, Dextrose and Lactated Ringers Injection. Nonaqueous parenteral vehicles include fixed oils of vegetable origin, cottonseed oil, corn oil, sesame oil and peanut oil. Antimicrobial agents in bacteriostatic or fungistatic concentrations must be added to parenteral preparations packaged in multiple dose containers which include phenols or cresols, mercurials, benzyl alcohol, chlorobutanol, methyl and propyl p hydroxybenzoic acid esters, thimerosal, benzalkonium chloride and benzethonium chloride. Isotonic agents include sodium chloride and dextrose. Buffers include phosphate and citrate. Antioxidants include sodium bisulfate. Local anesthetics include procaine hydrochloride. Suspending and dispersing agents include sodium carboxymethylcellulose, hydroxypropyl methylcellulose and polyvinylpyrrolidone. Emulsifying agents include Polysorbate 80 (TWEEN® 80). A sequestering or chelating agent of metal ions include EDTA. Pharmaceutical carriers also include ethyl alcohol, polyethylene glycol and propylene glycol for water miscible vehicles and sodium hydroxide, hydrochloric acid, citric acid or lactic acid for pH adjustment.
[0289] The concentration of the pharmaceutically active compound is adjusted so that an injection provides an effective amount to produce the desired pharmacological effect. The exact dose depends on the age, weight and condition of the patient or animal as is known in the art. [0290] The unit dose parenteral preparations are packaged in an ampule, a vial or a syringe with a needle. All preparations for parenteral administration must be sterile, as is known and practiced in the art. [0291] Illustratively, intravenous or intraarterial infusion of a sterile aqueous solution containing an active compound is an effective mode of administration. Another embodiment is a sterile aqueous or oily solution or suspension containing an active material injected as necessary to produce the desired pharmacological effect. [0292] Injectables are designed for local and systemic administration. Typically a therapeutically effective dosage is formulated to contain a concentration of at least about 0.1% w/w up to about 90% w/w or more, such as more than 1% w/w of the active compound to the treated tissue(s). The active ingredient may be administered at once, or may be divided into a number of smaller doses to be administered at intervals of time. It is understood that the precise dosage and duration of treatment is a function of the tissue being treated and may be determined empirically using known testing protocols or by extrapolation from in vivo or in vitro test data. It is to be noted that concentrations and dosage values may also vary with the age of the individual treated. It is to be further understood that for any particular subject, specific dosage regimens should be adjusted over time according to the individual need and the professional judgment of the person administering or supervising the administration of the formulations, and that the concentration ranges set forth herein are exemplary only and are not intended to limit the scope or practice of the claimed formulations. [0293] The compound may be suspended in micronized or other suitable form or may be derivatized to produce a more soluble active product or to produce a prodrug. The form of the resulting mixture depends upon a number of factors, including the intended mode of administration and the solubility of the compound in the selected carrier or vehicle. The effective concentration is sufficient for ameliorating the symptoms of the condition and may be empirically determined. E-3. Lyophilized Powders [0294] Of interest herein are also lyophilized powders, which can be reconstituted for administration as solutions, emulsions and other mixtures. They may also be reconstituted and formulated as solids or gels. [0295] The sterile, lyophilized powder is prepared by dissolving a compound provided herein, or a pharmaceutically acceptable salt thereof, in a suitable solvent. The solvent may contain an
excipient which improves the stability or other pharmacological component of the powder or reconstituted solution, prepared from the powder. Excipients that may be used include, but are not limited to, dextrose, sorbital, fructose, corn syrup, xylitol, glycerin, glucose, sucrose or other suitable agent. The solvent may also contain a buffer, such as citrate, sodium or potassium phosphate or other such buffer known to those of skill in the art at, in one embodiment, about neutral pH. Subsequent sterile filtration of the solution followed by lyophilization under standard conditions known to those of skill in the art provides the desired formulation. Generally, the resulting solution will be apportioned into vials for lyophilization. Each vial will contain a single dosage (including but not limited to 10-1000 mg or 100-500 mg) or multiple dosages of the compound. The lyophilized powder can be stored under appropriate conditions, such as at about 4° C. to room temperature. [0296] Reconstitution of this lyophilized powder with water for injection provides a formulation for use in parenteral administration. For reconstitution, about 1-50 mg, about 5-35 mg, or about 9-30 mg of lyophilized powder, is added per mL of sterile water or other suitable carrier. The precise amount depends upon the selected compound. Such amount can be empirically determined. E-4. Topical Administration [0297] Topical mixtures are prepared as described for the local and systemic administration. The resulting mixture may be a solution, suspension, emulsion or the like and are formulated as creams, gels, ointments, emulsions, solutions, elixirs, lotions, suspensions, tinctures, pastes, foams, aerosols, irrigations, sprays, suppositories, bandages, dermal patches or any other formulations suitable for topical administration. [0298] The compounds or pharmaceutically acceptable salts thereof may be formulated as aerosols for topical application, such as by inhalation (see, e.g., U.S. Pat. Nos.4,044,126, 4,414,209, and 4,364,923, which describe aerosols for delivery of a steroid useful for treatment of inflammatory diseases, particularly asthma). These formulations for administration to the respiratory tract can be in the form of an aerosol or solution for a nebulizer, or as a microfine powder for insufflation, alone or in combination with an inert carrier such as lactose. In such a case, the particles of the formulation will have diameters of less than 50 microns or less than 10 microns. [0299] The compounds may be formulated for local or topical application, such as for topical application to the skin and mucous membranes, such as in the eye, in the form of gels, creams, and lotions and for application to the eye or for intracistemal or intraspinal application. Topical administration is contemplated for transdermal delivery and also for administration to the eyes
or mucosa, or for inhalation therapies. Nasal solutions of the active compound alone or in combination with other pharmaceutically acceptable excipients can also be administered. [0300] These solutions, particularly those intended for ophthalmic use, may be formulated as 0.01%-10% isotonic solutions, pH about 5-7, with appropriate salts. E-5. Compositions for Other Routes of Administration [0301] Other routes of administration, such as topical application, transdermal patches, and rectal administration are also contemplated herein. [0302] For example, pharmaceutical dosage forms for rectal administration are rectal suppositories, capsules and tablets for systemic effect. Rectal suppositories are used herein mean solid bodies for insertion into the rectum which melt or soften at body temperature releasing one or more pharmacologically or therapeutically active ingredients. Pharmaceutically acceptable substances utilized in rectal suppositories are bases or vehicles and agents to raise the melting point. Examples of bases include cocoa butter (theobroma oil), glycerin gelatin, carbowax (polyoxyethylene glycol) and appropriate mixtures of mono, di and triglycerides of fatty acids. Combinations of the various bases may be used. Agents to raise the melting point of suppositories include spermaceti and wax. Rectal suppositories may be prepared either by the compressed method or by molding. An exemplary weight of a rectal suppository is about 2 to 3 grams. [0303] Tablets and capsules for rectal administration are manufactured using the same pharmaceutically acceptable substance and by the same methods as for formulations for oral administration. E-6. Sustained Release Compositions [0304] Active ingredients provided herein can be administered by controlled release means or by delivery devices that are well known to those of ordinary skill in the art. Examples include, but are not limited to, those described in U.S. Pat. Nos.3,845,770; 3,916,899; 3,536,809; 3,598,123; and 4,008,719, 5,674,533, 5,059,595, 5,591,767, 5,120,548, 5,073,543, 5,639,476, 5,354,556, 5,639,480, 5,733,566, 5,739,108, 5,891,474, 5,922,356, 5,972,891, 5,980,945, 5,993,855, 6,045,830, 6,087,324, 6,113,943, 6,197,350, 6,248,363, 6,264,970, 6,267,981, 6,376,461, 6,419,961, 6,589,548, 6,613,358, 6,699,500 and 6,740,634, each of which is incorporated herein by reference. Such dosage forms can be used to provide slow or controlled- release of one or more active ingredients using, for example, hydropropylmethyl cellulose, other polymer matrices, gels, permeable membranes, osmotic systems, multilayer coatings, microparticles, liposomes, microspheres, or a combination thereof to provide the desired release profile in varying proportions. Suitable controlled-release formulations known to those of
ordinary skill in the art, including those described herein, can be readily selected for use with the active ingredients provided herein. [0305] All controlled-release pharmaceutical products have a common goal of improving drug therapy over that achieved by their non-controlled counterparts. In one embodiment, the use of an optimally designed controlled-release preparation in medical treatment is characterized by a minimum of drug substance being employed to cure or control the condition in a minimum amount of time. In certain embodiments, advantages of controlled-release formulations include extended activity of the drug, reduced dosage frequency, and increased patient compliance. In addition, controlled-release formulations can be used to affect the time of onset of action or other characteristics, such as blood levels of the drug, and can thus affect the occurrence of side (e.g., adverse) effects. [0306] Most controlled-release formulations are designed to initially release an amount of drug (active ingredient) that promptly produces the desired therapeutic effect, and gradually and continually release of other amounts of drug to maintain this level of therapeutic or prophylactic effect over an extended period of time. In order to maintain this constant level of drug in the body, the drug must be released from the dosage form at a rate that will replace the amount of drug being metabolized and excreted from the body. Controlled-release of an active ingredient can be stimulated by various conditions including, but not limited to, pH, temperature, enzymes, water, or other physiological conditions or compounds. [0307] In certain embodiments, the agent may be administered using intravenous infusion, an implantable osmotic pump, a transdermal patch, liposomes, or other modes of administration. In one embodiment, a pump may be used (see, Sefton, CRC Crit. Ref Biomed. Eng.14:201 (1987); Buchwald et al., Surgery 88:507 (1980); Saudek et al., N. Engl. J. Med.321:574 (1989). In another embodiment, polymeric materials can be used. In yet another embodiment, a controlled release system can be placed in proximity of the therapeutic target, i.e., thus requiring only a fraction of the systemic dose (see, e.g., Goodson, Medical Applications of Controlled Release, vol.2, pp.115-138 (1984). [0308] In some embodiments, a controlled release device is introduced into a subject in proximity of the site of inappropriate immune activation or a tumor. Other controlled release systems are discussed in the review by Langer (Science 249:1527-1533 (1990). The active ingredient can be dispersed in a solid inner matrix, e.g., polymethylmethacrylate, polybutylmethacrylate, plasticized or unplasticized polyvinylchloride, plasticized nylon, plasticized polyethyleneterephthalate, natural rubber, polyisoprene, polyisobutylene, polybutadiene, polyethylene, ethylene-vinylacetate copolymers, silicone rubbers, polydimethylsiloxanes, silicone carbonate copolymers, hydrophilic polymers such as hydrogels
of esters of acrylic and methacrylic acid, collagen, cross-linked polyvinylalcohol and cross- linked partially hydrolyzed polyvinyl acetate, that is surrounded by an outer polymeric membrane, e.g., polyethylene, polypropylene, ethylene/propylene copolymers, ethylene/ethyl acrylate copolymers, ethylene/vinylacetate copolymers, silicone rubbers, polydimethyl siloxanes, neoprene rubber, chlorinated polyethylene, polyvinylchloride, vinylchloride copolymers with vinyl acetate, vinylidene chloride, ethylene and propylene, ionomer polyethylene terephthalate, butyl rubber epichlorohydrin rubbers, ethylene/vinyl alcohol copolymer, ethylene/vinyl acetate/vinyl alcohol terpolymer, and ethylene/vinyloxyethanol copolymer, that is insoluble in body fluids. The active ingredient then diffuses through the outer polymeric membrane in a release rate controlling step. The percentage of active ingredient contained in such parenteral compositions is highly dependent on the specific nature thereof, as well as the needs of the subject. E-7. Targeted Formulations [0309] The compounds provided herein, or pharmaceutically acceptable salts thereof, may also be formulated to be targeted to a particular tissue, receptor, or other area of the body of the subject to be treated. Many such targeting methods are well known to those of skill in the art. All such targeting methods are contemplated herein for use in the instant compositions. For non- limiting examples of targeting methods, see, e.g., U.S. Pat. Nos.6,316,652, 6,274,552, 6,271,359, 6,253,872, 6,139,865, 6,131,570, 6,120,751, 6,071,495, 6,060,082, 6,048,736, 6,039,975, 6,004,534, 5,985,307, 5,972,366, 5,900,252, 5,840,674, 5,759,542 and 5,709,874. [0310] In one embodiment, liposomal suspensions, including tissue-targeted liposomes, such as tumor-targeted liposomes, may also be suitable as pharmaceutically acceptable carriers. These may be prepared according to methods known to those skilled in the art. For example, liposome formulations may be prepared as described in U.S. Pat. No.4,522,811. Briefly, liposomes such as multilamellar vesicles (MLV's) may be formed by drying down egg phosphatidyl choline and brain phosphatidyl serine (7:3 molar ratio) on the inside of a flask. A solution of a compound provided herein in phosphate buffered saline lacking divalent cations (PBS) is added and the flask shaken until the lipid film is dispersed. The resulting vesicles are washed to remove unencapsulated compound, pelleted by centrifugation, and then resuspended in PBS. E-8. Articles of Manufacture [0311] The compounds or pharmaceutically acceptable salts can be packaged as articles of manufacture containing packaging material, a compound or pharmaceutically acceptable salt thereof provided herein, which is used for treatment, prevention or amelioration of one or more symptoms or progression of cancer, including solid tumors and blood borne tumors, and a label that indicates that the compound or pharmaceutically acceptable salt thereof is used for
treatment, prevention or amelioration of one or more symptoms or progression of cancer, including solid tumors and blood borne tumors. [0312] The articles of manufacture provided herein contain packaging materials. Packaging materials for use in packaging pharmaceutical products are well known to those of skill in the art. See, e.g., U.S. Pat. Nos.5,323,907, 5,052,558 and 5,033,252. Examples of pharmaceutical packaging materials include, but are not limited to, blister packs, bottles, tubes, inhalers, pumps, bags, vials, containers, syringes, pens, bottles, and any packaging material suitable for a selected formulation and intended mode of administration and treatment. A wide array of formulations of the compounds and compositions provided herein are contemplated. F. Preparation of Compounds [0313] The compounds provided herein can be prepared by methods known to one of skill in the art and following procedures similar to those described in the Examples section herein and routine modifications thereof. Exemplary reaction schemes for the preparation of compounds are illustrated below. [0314] The compounds provided herein may be synthesized by many methods available to those skilled in the art of organic chemistry (Maffrand, J.P. et al., Heterocycles, 16(1):35-37 (1981)). General synthetic schemes for preparing compounds provided herein are described below. These schemes are illustrative and are not meant to limit the possible techniques one skilled in the art may use to prepare the compounds disclosed herein. Different methods to prepare the compounds will be evident to those skilled in the art. Additionally, the various steps in the synthesis may be performed in an alternate sequence in order to give the desired compound or compounds. [0315] Examples of compounds prepared by methods described in the general schemes are given in the intermediates and examples section set out hereinafter. Preparation of homochiral examples may be carried out by techniques known to one skilled in the art. For example, homochiral compounds may be prepared by separation of racemic products by chiral phase preparative HPLC. Alternatively, the example compounds may be prepared by methods known to give enantiomerically enriched products. These include, but are not limited to, the incorporation of chiral auxiliary functionalities into racemic intermediates which serve to control the diastereoselectivity of transformations, providing enantio-enriched products upon cleavage of the chiral auxiliary. [0316] The compounds provided herein can be prepared in a number of ways known to one skilled in the art of organic synthesis. The compounds can be synthesized using the methods described below, together with synthetic methods known in the art of synthetic organic chemistry, or by variations thereon as appreciated by those skilled in the art. Preferred methods
include, but are not limited to, those described below. The reactions are performed in a solvent or solvent mixture appropriate to the reagents and materials employed and suitable for the transformations being affected. It will be understood by those skilled in the art of organic synthesis that the functionality present on the molecule should be consistent with the transformations proposed. This will sometimes require a judgment to modify the order of the synthetic steps or to select one particular process scheme over another in order to obtain a desired compound. [0317] It will also be recognized that another major consideration in the planning of any synthetic route in this field is the judicious choice of the protecting group used for protection of the reactive functional groups present in the compounds described herein. An authoritative account describing the many alternatives to the trained practitioner is Greene et al. (Protective Groups in Organic Synthesis, 4th Edition, Wiley-Interscience (2006)). Scheme I. General Synthetic Scheme
[0318] Scheme I depicts the synthesis of generic compounds I-10. Values for the variables in Scheme I are as defined in the scheme or elsewhere in the specification for the corresponding position of a compound of Formula (I). Suitably protected O or N substituted cycloalkylmethyl halide/tosylate or similarly protected arylmethyl bromide/chloride or heteroarylmethyl bromide/chloride of type I-1 can react with nitrophenol or nitro-heteroaryl alcohol I-2 with base such as potassium carbonate to give compound I-4. Alternatively, suitably protected O or N
substituted cycloalkylmethyl hydroxy derivative of type I-1 can be reacted with 4- fluoronitrobenzene I-3 in the presence of strong bases such as sodium hydride to give corresponding compound I-4. Reduction of the nitro group in I-4 provides aniline I-5, which can react with bis(2,5-dioxopyrrolidin-1-yl)carbonate (I-6) or bis(4-nitrophenyl)carbonate (I-7) and then couple with isoindoline methylamine (I-8) to generate I-9. Deprotection of I-9 yields final products I-10. The procedures described here can be used with 3-12 membered saturated ring systems. Regiosomeric and/or enantiomeric products can be separated by chromatographic separation techniques, if necessary. Similarly, the compounds listed in Tables 1, 2 and 3 were prepared using similar procedures with appropriate starting materials and reagents, which are well known and understood by one of ordinary skill in the art of organic chemistry. NUMBERED EMBODIMENTS [0319] Embodiment 1. A compound of Formula I:
, or a pharmaceutically acceptable salt thereof, wherein: (i) b is 1; A is selected from an unsubstituted or substituted 5 to 12 membered aryl or a 5 to 12 membered heteroaryl ring; and B is selected from an unsubstituted or substituted 3 to 12 membered cycloalkyl;
(ii) b is 0; and A is selected from an unsubstituted or substituted 3 to 12 membered cycloalkyl, 4 to 12 membered heterocyclic, 5 to 12 membered aryl, or a 5 to 12 membered heteroaryl ring; and B is selected from an unsubstituted or substituted 3 to 12 membered cycloalkyl, 4 to 12 membered heterocyclic, 5 to 12 membered aryl or a 5 to 12 membered heteroaryl ring; and X is independently selected from O or N(R11); R1 is independently selected from hydrogen, halogen, -C1-C6 alkyl or a 3 to 6 membered cycloalkyl; R2a and R2b are each independently selected from hydrogen, halogen, -C1-C6 alkyl, a 3 to 6 membered cycloalkyl, wherein the alkyl or cycloalkyl may be optionally substituted with –R11, -N(R11R11), -NHR11 or –OR11; or
R2a and R2b, taken together, form oxo; R3 is independently selected from hydrogen, halogen, -OR11, -N(R11R11), -NHR11, -C1-C6 alkyl, a 3 to 6 membered cycloalkyl, 4 to 12 membered heterocyclic, 5 to 12 membered aryl or a 5 to 12 membered heteroaryl ring, wherein the alkyl, cycloalkyl, heterocyclic and heteroaryl may be optionally substituted with –R11, -N(R11R11), -NHR11 or -OR11; R4a and R4b are each independently selected from hydrogen, halogen, -C1-C6 alkyl, a 3 to 6 membered cycloalkyl, 4 to 12 membered heterocyclic, 5 to 12 membered aryl or a 5 to 12 membered heteroaryl ring, wherein the alkyl, cycloalkyl, heterocyclic and heteroaryl may be optionally substituted with –R11, -NHR11 or -OR11; R5 is selected from hydrogen, -C1-C6 alkyl, a 3 to 6 membered cycloalkyl, 4 to 12 membered heterocyclic, 5 to 12 membered aryl or a 5 to 12 membered heteroaryl ring, wherein the alkyl, cycloalkyl, heterocyclic and heteroaryl may be optionally substituted with –R11, -N(R11R11), -NHR11 or -OR11; R6 is selected from hydrogen, -C1-C6 alkyl, a 3 to 6 membered cycloalkyl, 4 to 12 membered heterocyclic, 5 to 12 membered aryl or a 5 to 12 membered heteroaryl ring, wherein the alkyl, cycloalkyl, heterocyclic and heteroaryl may be optionally substituted with –R11, -N(R11R11), -NHR11 or -OR11; wherein two R5 and R6 substituents together with the carbon atoms they are attached to, may join to form a 5 or 6 membered ring that may be saturated, partially saturated, and may further optionally be substituted with 1 or 2 R11 substituents; R7 is independently selected from hydrogen, halogen, -OR11, -C1-C6 alkyl, -(C1- C6 haloalkyl), -(C1-C6 alkyl)-O-(C1-C6 alkyl), -NHR11, -N(R11R11), -CN, 3 to 12 membered cycloalkyl, 4 to 12 membered heterocyclic, 5 to 12 membered aryl or a 5 to 12 membered heteroaryl ring, -C2-C6 alkenyl, -O-(C1-C6 haloalkyl)-O-(C1- C6 alkyl), -C(=O)-(C1-C6 alkyl), -C(=O)OH, -C(=O)-O-(C1-C6 alkyl), -C(=O)NH2, -C(=O)NH(R11), -C(=O)N(R11R11), -S(O)2R11, -S(=O)R11, -SR11, -S(=O)2NH2, -S(=O)2NH(C1-C6 alkyl), or -S(=O)2N(C1-C6 alkyl)2, wherein the alkyl, haloalkyl, cycloalkyl, heterocyclic, aryl, or heteroaryl may be optionally substituted with –R11, -N(R11R11), -NHR11 or –OR11; R8a and R8b are each independently selected from hydrogen, halogen or a -C1-C6 alkyl, optionally substituted with –R11, -N(R11R11), -NHR11 or –OR11; R9 is independently selected from hydrogen, halogen, -OR11, -C1-C6 alkyl, -(C1-C6 haloalkyl), -(C1-C6 alkyl)-O-(C1-C6 alkyl), -NHR11, -N(R11R11), -CN, 3 to 12 membered cycloalkyl, 4 to 12 membered heterocyclic, 5 to 12 membered aryl or a 5
to 12 membered heteroaryl ring, -C2-C6 alkenyl, -O-(C1-C6 haloalkyl)-O-(C1-C6 alkyl), -C(=O)-(C1-C6 alkyl), -C(=O)OH, -C(=O)-O-(C1-C6 alkyl), -C(=O)NH2, -C(=O)NH(R11), -C(=O)N(R11R11), -S(O)2R11, -S(=O)R11, -SR11, -S(=O)2NH2, -S(=O)2NH(C1-C6 alkyl), or -S(=O)2N(C1-C6 alkyl)2, wherein the alkyl, haloalkyl, cycloalkyl, heterocyclic, aryl, or heteroaryl may be optionally substituted with –R11,
-NHR11 or –OR11; R10 is selected from hydrogen, halogen, -OR11, -C1-C6 alkyl, -(C1-C6 alkyl)-N(R11)C(=O)(C1-C6 alkyl), -(C1-C6 haloalkyl), -(C1-C6 alkyl)-O-(C1-C6 alkyl), -NHR11, -N(R11R11), -CN, 3 to 12 membered cycloalkyl, 4 to 12 membered heterocyclic, 5 to 12 membered aryl or a 5 to 12 membered heteroaryl ring, -C2-C6 alkenyl, -O-(C1-C6 haloalkyl)-O-(C1-C6 alkyl), -C(=O)-(C1-C6 alkyl), -C(=O)OH, -C(=O)-O-(C1-C6 alkyl), -C(=O)NH2,
-S(=O)2NH(C1-C6 alkyl), or -S(=O)2N(C1-C6 alkyl)2, wherein the alkyl, haloalkyl, cycloalkyl, heterocyclic, aryl, or heteroaryl may be optionally substituted with –R11,
-NHR11 or –OR11; R11 is independently selected from hydrogen, halogen, -C1-C6 alkyl, -C2-C6 alkenyl, -C1-C6 haloalkyl, a 3 to 12 membered cycloalkyl, 4 to 12 membered heterocyclic, 5 to 12 membered aryl or a 5 to 12 membered heteroaryl ring; wherein the alkyl, alkenyl, haloalkyl, cycloalkyl, heterocyclic, aryl or heteroaryl ring in R11 are each independently unsubstituted or substituted with 1, 2, or 3 R12 substituents; R12 in each instance is independently selected from hydrogen, -C1-C6 alkyl, halogen, -OH, -O-(C1-C6 alkyl), -NH2, a 3 to 12 membered cycloalkyl, 5 to 12 membered heterocyclic, 5 to 12 membered aryl or 5 to 12 membered heteroaryl ring; wherein the alkyl, alkenyl, haloalkyl, cycloalkyl, heterocyclic, aryl or heteroaryl ring in R12 are each independently unsubstituted or substituted with R13; R13 is independently hydrogen, halo, -C1-C6 alkyl, -C1-C6 haloalkyl, -C1-C6 alkoxyalkyl, oxo, hydroxyl or -C1-C6 alkoxy; c is 0, 1, 2, 3, or 4; d is 0, 1, 2, 3, or 4; and e is 0, 1, 2, or 3, and further wherein two R9 substituents on adjacent carbon atoms of the B group may join to form a 5 or 6 membered ring that may be saturated, partially saturated, or aromatic;
and may further optionally be substituted with 1 or 2 R13 substituents and may include an oxo substituent if the ring is not an aromatic ring; and wherein the heterocyclic and heteroaryl cyclic ring in each A, B, R3, R4, R5, R6, R7, R9, R10, R11, R12 and R13 may include 1, 2 or 3 heteroatoms independently selected from O, N or S, provided the compound is not 3-{[2-(2,6-dioxopiperidin-3-yl)-1-oxo-2,3-dihydro-1H- isoindol-5-yl]methyl}-1-(4-{[(1r,4r)-4- (aminomethyl)cyclohexyl]methoxy}phenyl)urea. [0320] Embodiment 2. The compound of embodiment 1, wherein: b is 0 or 1; A is selected from an unsubstituted or substituted 5 to 12 membered aryl, or a 5 to 12 membered heteroaryl ring; and B is selected from an unsubstituted or substituted 3 to 12 membered cycloalkyl, provided the compound is not 3-{[2-(2,6-dioxopiperidin-3-yl)-1-oxo-2,3-dihydro-1H- isoindol-5-yl]methyl}-1-(4-{[(1r,4r)-4-(aminomethyl)cyclohexyl]methoxy}phenyl)urea. [0321] Embodiment 3. A compound of Formula II:
, or a pharmaceutically acceptable salt thereof, wherein: A is selected from an unsubstituted or substituted 3 to 12 membered cycloalkyl, 4 to 12 membered heterocyclic, 5 to 12 membered aryl, or a 5 to 12 membered heteroaryl ring; B is selected from an unsubstituted or substituted 3 to 12 membered cycloalkyl, 4 to 12 membered heterocyclic, 5 to 12 membered aryl or a 5 to 12 membered heteroaryl ring; X is independently selected from O or N(R11); R1 is independently selected from hydrogen, halogen, -C1-C6 alkyl or a 3 to 6 membered cycloalkyl; R2a and R2b are each independently selected from hydrogen, halogen, -C1-C6 alkyl, a 3 to 6 membered cycloalkyl, wherein the alkyl or cycloalkyl may be optionally substituted with –R11, -N(R11R11), -NHR11 or –OR11; or R2a and R2b, taken together, form oxo;
R3 is independently selected from hydrogen, halogen, -OR11, -N(R11R11), -NHR11, -C1-C6 alkyl, a 3 to 6 membered cycloalkyl, 4 to 12 membered heterocyclic, 5 to 12 membered aryl or a 5 to 12 membered heteroaryl ring, wherein the alkyl, cycloalkyl, heterocyclic and heteroaryl may be optionally substituted with –R11, -N(R11R11), -NHR11 or –OR11; R4a and R4b are each independently selected from hydrogen, halogen, -C1-C6 alkyl, a 3 to 6 membered cycloalkyl, 4 to 12 membered heterocyclic, 5 to 12 membered aryl or a 5 to 12 membered heteroaryl ring, wherein the alkyl, cycloalkyl, heterocyclic and heteroaryl may be optionally substituted with –R11, -NHR11 or –OR11; R5 is selected from hydrogen, -C1-C6 alkyl, a 3 to 6 membered cycloalkyl, 4 to 12 membered heterocyclic, 5 to 12 membered aryl or a 5 to 12 membered heteroaryl ring, wherein the alkyl, cycloalkyl, heterocyclic and heteroaryl may be optionally substituted with –R11, -N(R11R11), -NHR11 or –OR11; R6 is selected from hydrogen, -C1-C6 alkyl, a 3 to 6 membered cycloalkyl, 4 to 12 membered heterocyclic, 5 to 12 membered aryl or a 5 to 12 membered heteroaryl ring, wherein the alkyl, cycloalkyl, heterocyclic and heteroaryl may be optionally substituted with –R11, -N(R11R11), -NHR11 or –OR11; wherein two R5 and R6 substituents together with the carbon atoms they are attached to, may join to form a 5 or 6 membered ring that may be saturated, partially saturated, and may further optionally be substituted with 1 or 2 R11 substituents; R7 is independently selected from hydrogen, halogen, -OR11, -C1-C6 alkyl, -(C1-C6 haloalkyl), -(C1-C6 alkyl)-O-(C1-C6 alkyl), -NHR11, -N(R11R11), -CN, 3 to 12 membered cycloalkyl, 4 to 12 membered heterocyclic, 5 to 12 membered aryl or a 5 to 12 membered heteroaryl ring, -C2-C6 alkenyl, -O-(C1-C6 haloalkyl)-O-(C1-C6 alkyl), -C(=O)-(C1-C6 alkyl), alkyl), -C(=O)NH2, -C(=O)NH(R11),
-S(=O)R11, -SR11, -S(=O)2NH2, -S(=O)2NH(C1-C6 alkyl), or -S(=O)2N(C1-C6 alkyl)2, wherein the alkyl, haloalkyl, cycloalkyl, heterocyclic, aryl, or heteroaryl may be optionally substituted with –R11, -N(R11R11), -NHR11 or –OR11; R8a and R8b are each independently selected from hydrogen, halogen or a -C1-C6 alkyl, optionally substituted with –R11, -N(R11R11), -NHR11 or –OR11; R9 is independently selected from hydrogen, halogen, -OR11, -C1-C6 alkyl, -(C1-C6 haloalkyl), -(C1-C6 alkyl)-O-(C1-C6 alkyl), -NHR11, -N(R11R11), -CN, 3 to 12 membered cycloalkyl, 4 to 12 membered heterocyclic, 5 to 12 membered aryl or a 5
to 12 membered heteroaryl ring, -C2-C6 alkenyl, -O-(C1-C6 haloalkyl)-O-(C1-C6 alkyl), -C(=O)-(C1-C6 alkyl), -C(=O)OH, -C(=O)-O-(C1-C6 alkyl), -C(=O)NH2, -C(=O)NH(R11), -C(=O)N(R11R11), -S(O)2R11, -S(=O)R11, -SR11, -S(=O)2NH2, -S(=O)2NH(C1-C6 alkyl), or -S(=O)2N(C1-C6 alkyl)2, wherein the alkyl, haloalkyl, cycloalkyl, heterocyclic, aryl, or heteroaryl may be optionally substituted with –R11,
-NHR11 or –OR11; R10 is selected from hydrogen, halogen, -OR11, -C1-C6 alkyl, -(C1-C6 alkyl)-N(R11)C(=O)(C1-C6 alkyl), -(C1-C6 haloalkyl), -(C1-C6 alkyl)-O-(C1-C6 alkyl), -NHR11, -N(R11R11), -CN, 3 to 12 membered cycloalkyl, 4 to 12 membered heterocyclic, 5 to 12 membered aryl or a 5 to 12 membered heteroaryl ring, -C2-C6 alkenyl, -O-(C1-C6 haloalkyl)-O-(C1-C6 alkyl), -C(=O)-(C1-C6 alkyl), -C(=O)OH, -C(=O)-O-(C1-C6 alkyl), -C(=O)NH2,
-S(=O)2NH(C1-C6 alkyl), or -S(=O)2N(C1-C6 alkyl)2, wherein the alkyl, haloalkyl, cycloalkyl, heterocyclic, aryl, or heteroaryl may be optionally substituted with –R11,
-NHR11 or –OR11; R11 is independently selected from hydrogen, halogen, -C1-C6 alkyl, -C2-C6 alkenyl, -C1-C6 haloalkyl, a 3 to 12 membered cycloalkyl, 4 to 12 membered heterocyclic, 5 to 12 membered aryl or a 5 to 12 membered heteroaryl ring; wherein the alkyl, alkenyl, haloalkyl, cycloalkyl, heterocyclic, aryl or heteroaryl ring in R11 are each independently unsubstituted or substituted with 1, 2, or 3 R12 substituents; R12 in each instance is independently selected from hydrogen, -C1-C6 alkyl, halogen, -OH, -O-(C1-C6 alkyl), -NH2, a 3 to 12 membered cycloalkyl, 5 to 12 membered heterocyclic, 5 to 12 membered aryl or 5 to 12 membered heteroaryl ring; wherein the alkyl, alkenyl, haloalkyl, cycloalkyl, heterocyclic, aryl or heteroaryl ring in R12 are each independently unsubstituted or substituted with R13; R13 is independently hydrogen, halo, -C1-C6 alkyl, -C1-C6 haloalkyl, -C1-C6 alkoxyalkyl, oxo, hydroxyl or -C1-C6 alkoxy; b is 0 or 1; c is 0, 1, 2, 3, or 4; and d is 0, 1, 2, 3, or 4, and further wherein two R9 substituents on adjacent carbon atoms of the B group may join to form a 5 or 6 membered ring that may be saturated, partially saturated, or aromatic;
and may further optionally be substituted with 1 or 2 R13 substituents and may include an oxo substituent if the ring is not an aromatic ring; and wherein the heterocyclic and heteroaryl cyclic ring in each A, B, R3, R4, R5, R6, R7, R9, R10, R11, R12 and R13 may include 1, 2 or 3 heteroatoms independently selected from O, N or S. [0322] Embodiment 4. The compound of any one of embodiments 1-3, wherein A is selected from phenylene, pyridinylene, pyrimidinylene, or pyridazinylene. [0323] Embodiment 5. The compound of embodiment 4, wherein A is phenylene. [0324] Embodiment 6. The compound of any one of embodiments 1-5, wherein d is 1. [0325] Embodiment 7. The compound of any one of embodiments 1-6, wherein R7 is independently selected from hydrogen, halogen, -C1-C6 alkyl, or -C1-C6 haloalkyl. [0326] Embodiment 8. The compound of embodiment 7, wherein R7 is independently selected from hydrogen, fluoro, chloro, methyl, or trifluoromethyl. [0327] Embodiment 9. The compound of any one of embodiments 1-3, wherein -A(R7)d- is
[0328] Embodiment 10. The compound of any one of embodiments 1-9, wherein B is an unsubstituted or substituted 3 to 7 membered cycloalkyl. [0329] Embodiment 11. The compound of embodiment 10, wherein B is cyclohexylene, cyclopentylene, cyclobutylene, or bicyclo[1.1.1]pentanylene. [0330] Embodiment 12. The compound of any one of embodiments 1 and 3-9, wherein B is phenylene, pyridinylene, pyrimidinylene, or pyridazinylene. [0331] Embodiment 13. The compound of any one of embodiments 1-12, wherein c is 1. [0332] Embodiment 14. The compound of any one of embodiments 1-13, wherein: R9 is independently selected from hydrogen, halogen, -OR11, -C1-C6 alkyl, -(C1- C6 haloalkyl), -(C1-C6 alkyl)-O-(C1-C6 alkyl), -NHR11, -N(R11R11), -CN, 3 to 12 membered cycloalkyl, 4 to 12 membered heterocyclic, 5 to 12 membered aryl or a 5 to 12 membered heteroaryl ring, -C2-C6 alkenyl, -O-(C1-C6 haloalkyl)-O-(C1-C6 alkyl), -C(=O)-(C1-C6 alkyl), -C(=O)OH, -C(=O)-O-(C1-C6 alkyl), -C(=O)NH2, -C(=O)NH(R11), -C(=O)N(R11R11), -S(O)2R11, -S(=O)R11, -SR11, -S(=O)2NH2, -S(=O)2NH(C1-C6 alkyl), or -S(=O)2N(C1-C6 alkyl)2, wherein the alkyl, haloalkyl, cycloalkyl, heterocyclic, aryl, or heteroaryl may be optionally substituted with –R11, -N(R11R11), -NHR11 or –OR11; and R10 is selected from hydrogen, halogen, -OR11, -C1-C6 alkyl, -(C1-C6 alkyl)-N(R11)C(=O)(C1-C6 alkyl), -(C1-C6 haloalkyl),
-(C1-C6 alkyl)-O-(C1-C6 alkyl), -NHR11, -N(R11R11), -CN, 3 to 12 membered cycloalkyl, 4 to 12 membered heterocyclic, 5 to 12 membered aryl or a 5 to 12 membered heteroaryl ring, -C2-C6 alkenyl, -O-(C1-C6 haloalkyl)-O-(C1-C6 alkyl), -C(=O)-(C1-C6 alkyl), -C(=O)OH, -C(=O)-O-(C1-C6 alkyl), -C(=O)NH2, -C(=O)NH(R11), -C(=O)N(R11R11), -S(O)2R11, -S(=O)R11, -SR11, -S(=O)2NH2, -S(=O)2NH(C1-C6 alkyl), or -S(=O)2N(C1-C6 alkyl)2, wherein the alkyl, haloalkyl, cycloalkyl, heterocyclic, aryl, or heteroaryl may be optionally substituted with –R11, -N(R11R11), -NHR11 or –OR11. [0333] Embodiment 15. The compound of any one of embodiments 1-14, wherein R9 is independently selected from hydrogen, fluoro, chloro, C1-C3 alkyl, C1-C3 alkoxy, C1- C3 haloalkyl, 3 or 4 membered cycloalkyl, or oxetanyloxy. [0334] Embodiment 16. The compound of embodiment 15, wherein R9 is independently selected from hydrogen or methyl. [0335] Embodiment 17. The compound of any one of embodiments 1-16, wherein R10 is selected from hydrogen, -OH, -NH2, -CH2NH2, -CH2OH, -C(CH3)2OH, -COOH, or -CH2N(H)C(=O)CH3. [0336] Embodiment 18. The compound of embodiment 17, wherein R10 is -CH2NH2 or -CH2OH. [0337] Embodiment 19. The compound of any one of embodiments 1-11, wherein (R10)- B(R9)c- is selected from:
[0338] Embodiment 20. The compound of embodiment 12, wherein (R10)-B(R9)c- is selected from:
[0339] Embodiment 21. The compound of any one of embodiments 1-20, wherein b is 0. [0340] Embodiment 22. The compound of any one of embodiments 1-20, wherein b is 1. [0341] Embodiment 23. The compound of any one of embodiments 1-22, wherein X is O. [0342] Embodiment 24. The compound of any one of embodiments 1-22, wherein X is N(H) or N(CH3). [0343] Embodiment 25. The compound of any of embodiments 1-24, wherein R1 is selected from hydrogen or methyl. [0344] Embodiment 26. The compound of embodiment 25, wherein R1 is hydrogen. [0345] Embodiment 27. The compound of any one of embodiments 1-26, wherein R2a and R2b are each hydrogen. [0346] Embodiment 28. The compound of any one of embodiments 1-27, wherein R3 is hydrogen or fluoro. [0347] Embodiment 29. The compound of any one of embodiments 1-28, wherein e is 1. [0348] Embodiment 30. The compound of any one of embodiments 1-29, wherein R4a and R4b are each hydrogen. [0349] Embodiment 31. The compound of any one of embodiments 1-30, wherein R5 and R6 are each hydrogen. [0350] Embodiment 32. The compound of any one of embodiments 1-31, wherein R8a and R8b are each hydrogen. [0351] Embodiment 33. The compound of any one of embodiments 1, 2, 4-11, 13-19, and 21- 32, wherein the compound is of Formula III:
, or a pharmaceutically acceptable salt thereof.
[0352] Embodiment 34. The compound of embodiment 33, wherein each R7 is hydrogen. [0353] Embodiment 35. A compound, or a pharmaceutically acceptable salt thereof, selected from: 1-(4-((1s,3s)-3-(aminomethyl)cyclobutoxy)phenyl)-3-((2-(2,6-dioxopiperidin-3-yl)-1- oxoisoindolin-5-yl)methyl)urea; 1-(4-((1r,3r)-3-(aminomethyl)cyclobutoxy)phenyl)-3-((2-(2,6-dioxopiperidin-3-yl)-1- oxoisoindolin-5-yl)methyl)urea; 1-[4-[[3-(aminomethyl)-1-bicyclo[1.1.1]pentanyl]methoxy]phenyl]-3-[[2-(2,6-dioxo-3- piperidyl)-1-oxo-isoindolin-5-yl]methyl]urea; 1-(4-(((1s,3s)-3-(aminomethyl)-1-methylcyclobutyl)methoxy)phenyl)-3-((2-(2,6- dioxopiperidin-3-yl)-1-oxoisoindolin-5-yl)methyl)urea; 1-(4-(((1r,4r)-4-(aminomethyl)-4-methylcyclohexyl)methoxy)phenyl)-3-((2-(2,6- dioxopiperidin-3-yl)-1-oxoisoindolin-5-yl)methyl)urea; 1-(4-(((1r,4r)-4-(aminomethyl)-1-methylcyclohexyl)methoxy)phenyl)-3-((2-(2,6- dioxopiperidin-3-yl)-1-oxoisoindolin-5-yl)methyl)urea; 1-(4-(((1s,4s)-4-(aminomethyl)-1-methylcyclohexyl)methoxy)phenyl)-3-((2-(2,6- dioxopiperidin-3-yl)-1-oxoisoindolin-5-yl)methyl)urea; 1-[[2-(2,6-dioxo-3-piperidyl)-1-oxo-isoindolin-5-yl]methyl]-3-[4-[[rac-(1R,3R)-3- (aminomethyl)cyclopentyl]methoxy]phenyl]urea; 1-[[2-(2,6-dioxo-3-piperidyl)-1-oxo-isoindolin-5-yl]methyl]-3-[4-[[(1R,3R)-3- (aminomethyl)cyclopentyl]methoxy]phenyl]urea; 1-[[2-(2,6-dioxo-3-piperidyl)-1-oxo-isoindolin-5-yl]methyl]-3-[4-[[(1S,3S)-3- (aminomethyl)cyclopentyl]methoxy]phenyl]urea; 1-[[2-(2,6-dioxo-3-piperidyl)-1-oxo-isoindolin-5-yl]methyl]-3-[4-[[rac-(1S,3R)-3- (aminomethyl)cyclopentyl]methoxy]phenyl]urea; 1-[[2-(2,6-dioxo-3-piperidyl)-1-oxo-isoindolin-5-yl]methyl]-3-[4-[[(1S,3R)-3- (aminomethyl)cyclopentyl]methoxy]phenyl]urea; 1-[[2-(2,6-dioxo-3-piperidyl)-1-oxo-isoindolin-5-yl]methyl]-3-[4-[[(1R,3S)-3- (aminomethyl)cyclopentyl]methoxy]phenyl]urea; 1-(4-(((1s,3s)-3-(aminomethyl)cyclobutyl)methoxy)phenyl)-3-((2-(2,6-dioxopiperidin-3- yl)-1-oxoisoindolin-5-yl)methyl)urea; 1-(4-(((1r,3r)-3-(aminomethyl)cyclobutyl)methoxy)phenyl)-3-((2-(2,6-dioxopiperidin-3- yl)-1-oxoisoindolin-5-yl)methyl)urea; 1-(4-(((1r,4r)-4-(aminomethyl)cyclohexyl)oxy)phenyl)-3-((2-(2,6-dioxopiperidin-3-yl)- 1-oxoisoindolin-5-yl)methyl)urea;
1-(4-(((1s,4s)-4-(aminomethyl)cyclohexyl)oxy)phenyl)-3-((2-(2,6-dioxopiperidin-3-yl)- 1-oxoisoindolin-5-yl)methyl)urea; 1-(4-(((1s,4s)-4-(aminomethyl)cyclohexyl)methoxy)phenyl)-3-((2-(2,6-dioxopiperidin-3- yl)-1-oxoisoindolin-5-yl)methyl)urea; 1-((2-(2,6-Dioxopiperidin-3-yl)-1-oxoisoindolin-5-yl)methyl)-3-(4-(((1s,4s)-4- (hydroxymethyl)cyclohexyl)methoxy)phenyl)urea; 1-((2-(2,6-Dioxopiperidin-3-yl)-1-oxoisoindolin-5-yl)methyl)-3-(4-(((1R,3R)-3- (hydroxymethyl)cyclopentyl)oxy)phenyl)urea; 1-((2-(2,6-Dioxopiperidin-3-yl)-1-oxoisoindolin-5-yl)methyl)-3-(4-(((1S,3S)-3- (hydroxymethyl)cyclopentyl)oxy)phenyl)urea; rac-1-((2-(2,6-Dioxopiperidin-3-yl)-1-oxoisoindolin-5-yl)methyl)-3-(4-(((1R,3S)-3- (hydroxymethyl)cyclopentyl)oxy)phenyl)urea; 1-((2-(2,6-Dioxopiperidin-3-yl)-1-oxoisoindolin-5-yl)methyl)-3-(4-(((1R,3S)-3- (hydroxymethyl)cyclopentyl)oxy)phenyl)urea; 1-((2-(2,6-Dioxopiperidin-3-yl)-1-oxoisoindolin-5-yl)methyl)-3-(4-(((1S,3R)-3- (hydroxymethyl)cyclopentyl)oxy)phenyl)urea; rac-1-((2-(2,6-dioxopiperidin-3-yl)-1-oxoisoindolin-5-yl)methyl)-3-(4-(((1S,3S)-3- (hydroxymethyl)cyclopentyl)methoxy)phenyl)urea; 1-((2-(2,6-dioxopiperidin-3-yl)-1-oxoisoindolin-5-yl)methyl)-3-(4-(((1S,3S)-3- (hydroxymethyl)cyclopentyl)methoxy)phenyl)urea; 1-((2-(2,6-dioxopiperidin-3-yl)-1-oxoisoindolin-5-yl)methyl)-3-(4-(((1R,3R)-3- (hydroxymethyl)cyclopentyl)methoxy)phenyl)urea; rac-1-((2-(2,6-Dioxopiperidin-3-yl)-1-oxoisoindolin-5-yl)methyl)-3-(4-(((1r,4r)-4- (hydroxymethyl)cyclohexyl)oxy)phenyl)urea; 1-((2-(2,6-Dioxopiperidin-3-yl)-1-oxoisoindolin-5-yl)methyl)-3-(4-(((1r,4r)-4- (hydroxymethyl)cyclohexyl)oxy)phenyl)urea; 1-((2-(2,6-Dioxopiperidin-3-yl)-1-oxoisoindolin-5-yl)methyl)-3-(4-(((1s,4s)-4- (hydroxymethyl)cyclohexyl)oxy)phenyl)urea; rac-1-((2-(2,6-Dioxopiperidin-3-yl)-1-oxoisoindolin-5-yl)methyl)-3-(4-(((1R,3S)-3- (hydroxymethyl)cyclopentyl)methoxy)phenyl)urea; 1-((2-(2,6-Dioxopiperidin-3-yl)-1-oxoisoindolin-5-yl)methyl)-3-(4-(((1R,3S)-3- (hydroxymethyl)cyclopentyl)methoxy)phenyl)urea; 1-((2-(2,6-Dioxopiperidin-3-yl)-1-oxoisoindolin-5-yl)methyl)-3-(4-(((1S,3R)-3- (hydroxymethyl)cyclopentyl)methoxy)phenyl)urea;
rac-1-((2-(2,6-Dioxopiperidin-3-yl)-1-oxoisoindolin-5-yl)methyl)-3-(4-((1r,3r)-3- (hydroxymethyl)cyclobutoxy)phenyl)urea; 1-((2-(2,6-Dioxopiperidin-3-yl)-1-oxoisoindolin-5-yl)methyl)-3-(4-((1r,3r)-3- (hydroxymethyl)cyclobutoxy)phenyl)urea; 1-((2-(2,6-Dioxopiperidin-3-yl)-1-oxoisoindolin-5-yl)methyl)-3-(4-((1s,3s)-3- (hydroxymethyl)cyclobutoxy)phenyl)urea; rac-1-((2-(2,6-Dioxopiperidin-3-yl)-1-oxoisoindolin-5-yl)methyl)-3-(4-(((1s,4s)-4- (hydroxymethyl)cyclohexyl)oxy)phenyl)urea; 1-((2-(2,6-Dioxopiperidin-3-yl)-1-oxoisoindolin-5-yl)methyl)-3-(4-(((1s,4s)-4- (hydroxymethyl)cyclohexyl)oxy)phenyl)urea; 1-((2-(2,6-Dioxopiperidin-3-yl)-1-oxoisoindolin-5-yl)methyl)-3-(4-(((1r,4r)-4- (hydroxymethyl)cyclohexyl)oxy)phenyl)urea; rac-1-((2-(2,6-Dioxopiperidin-3-yl)-1-oxoisoindolin-5-yl)methyl)-3-(4-(((1r,4r)-4- (hydroxymethyl)cyclohexyl)methoxy)phenyl)urea; 1-((2-(2,6-Dioxopiperidin-3-yl)-1-oxoisoindolin-5-yl)methyl)-3-(4-(((1r,4r)-4- (hydroxymethyl)cyclohexyl)methoxy)phenyl)urea; 1-((2-(2,6-Dioxopiperidin-3-yl)-1-oxoisoindolin-5-yl)methyl)-3-(4-(((1s,4s)-4- (hydroxymethyl)cyclohexyl)methoxy)phenyl)urea; rac-1-((2-(2,6-Dioxopiperidin-3-yl)-1-oxoisoindolin-5-yl)methyl)-3-(4-(((1s,3s)-3- (hydroxymethyl)cyclobutyl)methoxy)phenyl)urea; 1-((2-(2,6-Dioxopiperidin-3-yl)-1-oxoisoindolin-5-yl)methyl)-3-(4-(((1s,3s)-3- (hydroxymethyl)cyclobutyl)methoxy)phenyl)urea; 1-((2-(2,6-Dioxopiperidin-3-yl)-1-oxoisoindolin-5-yl)methyl)-3-(4-(((1r,3r)-3- (hydroxymethyl)cyclobutyl)methoxy)phenyl)urea; rac-1-((2-(2,6-Dioxopiperidin-3-yl)-1-oxoisoindolin-5-yl)methyl)-3-(4-((1s,3s)-3- (hydroxymethyl)cyclobutoxy)phenyl)urea; 1-((2-(2,6-Dioxopiperidin-3-yl)-1-oxoisoindolin-5-yl)methyl)-3-(4-((1s,3s)-3- (hydroxymethyl)cyclobutoxy)phenyl)urea; 1-((2-(2,6-Dioxopiperidin-3-yl)-1-oxoisoindolin-5-yl)methyl)-3-(4-((1r,3r)-3- (hydroxymethyl)cyclobutoxy)phenyl)urea; rac-1-((2-(2,6-Dioxopiperidin-3-yl)-1-oxoisoindolin-5-yl)methyl)-3-(4-(((1r,3r)-3- (hydroxymethyl)cyclobutyl)methoxy)phenyl)urea; 1-((2-(2,6-Dioxopiperidin-3-yl)-1-oxoisoindolin-5-yl)methyl)-3-(4-(((1r,3r)-3- (hydroxymethyl)cyclobutyl)methoxy)phenyl)urea;
1-((2-(2,6-Dioxopiperidin-3-yl)-1-oxoisoindolin-5-yl)methyl)-3-(4-(((1s,3s)-3- (hydroxymethyl)cyclobutyl)methoxy)phenyl)urea; N-(4-((4-(3-((2-(2,6-dioxopiperidin-3-yl)-1-oxoisoindolin-5- yl)methyl)ureido)phenoxy)methyl)benzyl)acetamide; 1-((2-(2,6-dioxopiperidin-3-yl)-1-oxoisoindolin-5-yl)methyl)-3-(4-((4-(2- hydroxypropan-2-yl)benzyl)oxy)phenyl)urea; 3-(5-((3-(2-((4-(hydroxymethyl)benzyl)oxy)phenyl)-2-oxoimidazolidin-1-yl)methyl)-1- oxoisoindolin-2-yl)piperidine-2,6-dione; 1-(4-benzyloxyphenyl)-3-[[2-(2,6-dioxo-3-piperidyl)-4-fluoro-1-oxo-isoindolin-5- yl]methyl]urea; 1-(4-(benzylamino)phenyl)-3-((2-(2,6-dioxopiperidin-3-yl)-1-oxoisoindolin-5- yl)methyl)urea; 1-((2-(2,6-Dioxopiperidin-3-yl)-4-fluoro-1-oxoisoindolin-5-yl)methyl)-3-(4-((4- (hydroxymethyl)benzyl)oxy)phenyl)urea; 1-(4-(benzyloxy)phenyl)-3-((2-(2,6-dioxopiperidin-3-yl)-7-fluoro-1-oxoisoindolin-5- yl)methyl)urea; 1-((2-(2,6-dioxopiperidin-3-yl)-7-fluoro-1-oxoisoindolin-5-yl)methyl)-3-(4-((4- (hydroxymethyl)benzyl)oxy)phenyl)urea; 4-((4-(3-((2-(2,6-dioxopiperidin-3-yl)-1-oxoisoindolin-5- yl)methyl)ureido)phenoxy)methyl)benzoic acid; 1-(4-(benzyloxy)phenyl)-3-((2-(2,6-dioxopiperidin-3-yl)-7-fluoro-1-oxoisoindolin-5- yl)methyl)urea; 1-(4-(benzyl(methyl)amino)phenyl)-3-((2-(2,6-dioxopiperidin-3-yl)-1-oxoisoindolin-5- yl)methyl)urea; 3-(4-(benzyloxy)phenyl)-1-((2-(2,6-dioxopiperidin-3-yl)-1-oxoisoindolin-5-yl)methyl)- 1-methylurea; 1-(4-((4-(aminomethyl)benzyl)oxy)phenyl)-3-((2-(2,6-dioxopiperidin-3-yl)-7-fluoro-1- oxoisoindolin-5-yl)methyl)urea; 1-(4-((2-chlorobenzyl)oxy)phenyl)-3-((2-(2,6-dioxopiperidin-3-yl)-4-fluoro-1- oxoisoindolin-5-yl)methyl)urea; 1-(4-(benzyloxy)-3-fluorophenyl)-3-((2-(2,6-dioxopiperidin-3-yl)-4-fluoro-1- oxoisoindolin-5-yl)methyl)urea; 1-((2-(2,6-dioxopiperidin-3-yl)-4-fluoro-1-oxoisoindolin-5-yl)methyl)-3-(4-((2- fluorobenzyl)oxy)phenyl)urea;
1-(4-(benzyloxy)-2-fluorophenyl)-3-((2-(2,6-dioxopiperidin-3-yl)-4-fluoro-1- oxoisoindolin-5-yl)methyl)urea; or 1-((2-(2,6-dioxopiperidin-3-yl)-4-fluoro-1-oxoisoindolin-5-yl)methyl)-3-(4-((2- (trifluoromethyl)benzyl)oxy)phenyl)urea. [0354] Embodiment 36. A compound of any of Example Numbers 1-44, or a pharmaceutically acceptable salt thereof. [0355] Embodiment 37. A pharmaceutical composition comprising a compound of any one of embodiments 1-36, or a pharmaceutically acceptable salt thereof, and a pharmaceutically acceptable carrier. [0356] Embodiment 38. A method of treating cancer is a mammal in need thereof, comprising administering to the mammal a therapeutically effective amount of a compound of any one of embodiments 1-36, or a pharmaceutically acceptable salt thereof, or pharmaceutical composition of embodiment 37. [0357] Embodiment 39. The method of embodiment 38, wherein the cancer is leukemia. [0358] Embodiment 40. The method of embodiment 39, wherein the leukemia is chronic lymphocytic leukemia, chronic myelocytic leukemia, acute lymphoblastic leukemia, or acute myeloid leukemia. [0359] Embodiment 41. The method of any one of embodiments 38-40, further comprising administering to the mammal a second active agent or a support care therapy. [0360] Embodiment 42. The method of embodiment 41, wherein the second active agent is a therapeutic antibody to a cancer antigen, hematopoietic growth factor, cytokine, anti-cancer agent, antibiotic, cox-2 inhibitor, immunomodulatory agent, immunosuppressive agent, or corticosteroid. EXAMPLES Example 1: 1-(4-((1s,3s)-3-(aminomethyl)cyclobutoxy)phenyl)-3-((2-(2,6-dioxopiperidin-3-yl)- 1-oxoisoindolin-5-yl)methyl)ureatrifluroacetic acid salt
[0361] Step 1-1: tert-butyl (((cis-1,3)-3-hydroxycyclobutyl)methyl)carbamate
[0362] To a stirred mixture of (cis-1,3 )-3-(aminomethyl)cyclobutan-1-ol HCl salt (1) (200 mg, 1.459 mmol) in 5.0 mL MeOH was added TEA (295 mg, 2.918 mmol). The resulting mixture was stirred for 1 min at room temperature. To the above mixture was added di-tert-butyl dicarbonate (350 mg, 1.605 mmol). The resulting mixture was stirred for 2 h at room temperature. The reaction mixture was concentrated under reduced pressure to afford tert-butyl (((1s,3s)-3-hydroxycyclobutyl)methyl)carbamate (2) (280 mg, 1.393 mmol, 95.5% yield) as a white solid. LCMS (ESI, m/z): 202 [M+H]+. [0363] Step 1-2: tert-butyl (((1s,3s)-3-(4-nitrophenoxy)cyclobutyl)methyl)carbamate
[0364] To a stirred mixture of tert-butyl (((1s,3s )-3-hydroxycyclobutyl)methyl)carbamate (2) (83 mg, 0.413 mmol) in 4.0 mL DMF was added NaH (60 mg, 2.478 mmol) at 0°C and stirred for 10 min at room temperature. To the above mixture was added 1-fluoro-4-nitro-benzene (3) (64 mg, 0.454 mmol). The resulting mixture was stirred for 1 h at room temperature. The reaction was quenched with 10.0 mL water at 0°C. The resulting mixture was extracted with ethylacetate (3X10.0 mL). The combined organic layers were dried over anhydrous Na2SO4. After filtration, the filtrate was concentrated under reduced pressure. The crude product was purified by reverse phase flash with the following conditions (Spherial C18, 90 g, 20~40 μm; Mobile Phase A: water (0.05% TFA), Mobile Phase B: ACN; Flow rate: 70 mL/min; Gradient: 0% B to 100% B in 20 min, 220 nm; RT: 14 min) to afford tert-butyl (((1s,3s)-3-(4- nitrophenoxy)cyclobutyl)methyl)carbamate (4)(95 mg, 0.295 mmol, 71.4% yield) as a light yellow solid. LCMS (ESI, m/z): 323 [M+H]+. [0365] Step 1-3: tert-butyl (((1s,3s)-3-(4-aminophenoxy)cyclobutyl)methyl)carbamate
[0366] To a stirred mixture of tert-butyl (((1s,3s)-3-(4- nitrophenoxy)cyclobutyl)methyl)carbamate (4) (100 mg, 0.310 mmol) in 3.0 mL THF was added NH4Cl (233 mg, 4.402 mmol) in 1.0 mL water . To the above mixture was added Zn (121 mg, 1.860 mmol). The resulting mixture was stirred for 1 h at room temperature under nitrogen atmosphere. The resulting mixture was filtered. The filter cake was washed with THF (3X5.0 mL). The filtrate was concentrated under reduced pressure. The resulting mixture was
concentrated under reduced pressure. The residue was dissolved in 5.0 mL EA. The resulting mixture was filtered and the filter cake was washed with EA (3X10.0 mL). The filtrate was concentrated under reduced pressure to afford tert-butyl (((1s,3s)-3-(4- aminophenoxy)cyclobutyl)methyl)carbamate (5) (90 mg, 0.308 mmol, 99.4% yield) as a light yellow solid. LCMS (ESI, m/z): 293 [M+H]+. [0367] Step 1-4: tert-butyl (((1s,3s)-3-(4-(3-((2-(2,6-dioxopiperidin-3-yl)-1-oxoisoindolin-5- yl)methyl)ureido)phenoxy)cyclobutyl)methyl)carbamate
[0368] To a stirred mixture of carbonyl diimidazole (1996 mg, 12.320 mmol) in 13.0 ml DCE was added tert-butyl (((1s,3s)-3-(4-aminophenoxy)cyclobutyl)methyl)carbamate (5) (90 mg, 0.308 mmol) in 1.0 mL DCE dropwise slowly. The resulting mixture was stirred for 1 h at room temperature. The resulting mixture was washed with water (3x30.0 mL). The combined organic layers dried over anhydrous Na2SO4. After filtration, the filtrate was concentrated under reduced pressure. The residue was dissolved in 3.0 mL MeCN. To the above mixture was added 3-[5- (aminomethyl)-1-oxo-isoindolin-2-yl]piperidine-2,6-dione HCl salt (6)(95 mg, 0.308 mmol) and TEA (94 mg, 0.924 mmol) in 1.0 mL MeCN. The resulting mixture was stirred 1 h at room temperature. The crude product was purified by reverse phase flash with the following conditions (Spherial C18, 80 g, 20~40 μm; Mobile Phase A: water (0.05% TFA), Mobile Phase B: ACN; Flow rate: 70 mL/min; Gradient: 0% B to 100% B in 20 min, 220 nm; RT: 8.0 min) to afford tert-butyl (((1s,3s)-3-(4-(3-((2-(2,6-dioxopiperidin-3-yl)-1-oxoisoindolin-5- yl)methyl)ureido)phenoxy)cyclobutyl)methyl)carbamate (7) (120 mg, 0.203 mmol, 65.9% yield) as a light yellow solid. LCMS (ESI, m/z): 592 [M+H]+. [0369] Step 1-5: 1-(4-((1s,3s)-3-(aminomethyl)cyclobutoxy)phenyl)-3-((2-(2,6-dioxopiperidin- 3-yl)-1-oxoisoindolin-5-yl)methyl)urea TFA salt
[0370] To a stirred mixture of tert-butyl (((1s,3s)-3-(4-(3-((2-(2,6-dioxopiperidin-3-yl)-1- oxoisoindolin-5-yl)methyl)ureido)phenoxy)cyclobutyl)methyl)carbamate (7) (100 mg, 0.1700 mmol) in 6.0 mL DCM was added 2.0 mL TFA. The resulting mixture was stirred for 30 min at room temperature. The resulting mixture was concentrated under reduced pressure. The crude
product was purified by Prep-HPLC with the following conditions (Column: SunFire Prep C18 OBD Column, 19*150 mm, 5μm; Mobile Phase A: Water(0.1%FA), Mobile Phase B: ACN; Flow rate: 60 mL/min; Gradient: 30% B to 50% B in 7.5 min, 50% B; Wave Length: 254/210 nm; RT: 8 min) to afford 1-(4-((1s,3s)-3-(aminomethyl)cyclobutoxy)phenyl)-3-((2-(2,6- dioxopiperidin-3-yl)-1-oxoisoindolin-5-yl)methyl)urea (Ex.1) TFA salt (33.3 mg, 0.055 mmol, 32.4% yield) as a white solid. LCMS (ESI, m/z):492 [M+H]+. [0371] LCMS Analytic Conditions: Column: HALO C18, Column 3.0*30 mm, 2.7 um; Mobile phase A: water/0.05%TFA, Mobile phase B: ACN/0.05%TFA; Flow rate: 1.5000 mL/min; Gradient: 5% B to 40% B in 1.69 min; 40% B to 100% B in 0.60 min;100% B to 100% B in 0.50 min ;100% B to 5 % B in 0.03 min;254 nm; RT: 0.970 min. [0372] 1H NMR (400 MHz, DMSO-d6): δ 10.99 (s, 1H), 8.48 (s, 1H), 7.73 – 7.66 (m, 3H), 7.51 (s, 1H), 7.44 (dd, J = 7.8, 1.4 Hz, 1H), 7.34 – 7.23 (m, 2H), 6.73 (dd, J = 7.5, 5.3 Hz, 3H), 5.11 (dd, J = 13.3, 5.1 Hz, 1H), 4.53 (p, J = 7.1 Hz, 1H), 4.45 (d, J = 17.4 Hz, 1H), 4.40 (d, J = 5.9 Hz, 2H), 4.31 (d, J = 17.4 Hz, 1H), 2.99 – 2.85 (m, 3H), 2.59 (tdd, J = 12.2, 6.6, 3.3 Hz, 4H), 2.47 – 2.32 (m, 1H), 2.17 (hept, J = 7.8 Hz, 1H), 2.00 (dtd, J = 10.6, 5.4, 2.7 Hz, 1H), 1.80 (tdd, J = 9.6, 7.5, 2.8 Hz, 2H). [0373] The examples listed in Table 1 were prepared using similar procedures to those described in Example 1, with appropriate starting materials and reagents, which are well known and understood by one of ordinary skill in the art of organic chemistry. Table 1.
Example 15: 1-((2-(2,6-Dioxopiperidin-3-yl)-1-oxoisoindolin-5-yl)methyl)-3-(4-(((1s,4s)-4- (hydroxymethyl)cyclohexyl)methoxy)phenyl)urea
[0374] Step 15-1: ((1s,4s)-cyclohexane-1,4-diyl)dimethanol
[0375] A mixture of (1s,4s)-4-(methoxycarbonyl)cyclohexane-1-carboxylic acid (8)(2.000 g, 10.74 mmol) in tetrahydrofuran (40 mL) was degassed and purged with nitrogen for 3 times, and then the mixture was stirred at 0 °C for 0.5 h under nitrogen atmosphere. After 0.5 h lithium aluminum hydride (0.898 g, 23.63 mmol) was added slowly and the mixture was stirred at 25 °C for 4 h under nitrogen atmosphere. TLC showed one new spot was detected. The reaction mixture was quenched by sodium hydroxide solution (0.5 M 8 mL) at 0 °C, and then dried (Na2SO4), filtered and concentrated under reduced pressure to give the crude product ((1s,4s)- cyclohexane-1,4-diyl)dimethanol (9)(0.700 g, 4.85 mmol, 45.2% yield) as a colorless oil. The crude product was used into the next step without further purification. [0376] Step 15-2: ((1s,4s)-4-(hydroxymethyl)cyclohexyl)methyl 4-methylbenzenesulfonate
[0377] To a solution of ((1s,4s)-cyclohexane-1,4-diyl)dimethanol (9)(0.600 g, 4.16 mmol), 4- methylbenzene-1-sulfonyl chloride (0.634 g, 3.33 mmol) in dichloromethane (30 mL) was added triethylamine (2.2 mL, 12.48 mmol) at 25 °C. After addition, the mixture was stirred at this temperature for 12 h. TLC showed three new spots were detected. The reaction mixture was diluted with water (50 mL) and extracted with dichloromethane (2X50 mL). The combined organic layers were washed with sat. aq. NaCl solution (50 mL), dried (Na2SO4), filtered and concentrated under reduced pressure to give a residue. The residue was purified by prep-TLC to afford the product ((1s,4s)-4-(hydroxymethyl)cyclohexyl)methyl 4-methylbenzenesulfonate (10)(0.470 g, 1.57 mmol, 37.8% yield) as a yellow solid, which was confirmed by 1H NMR.1H NMR (400 MHz, DMSO-d6) δ 7.78 (d, J = 8.4 Hz, 2H), 7.48 (d, J = 8.0 Hz, 2H), 4.33 (t, J = 5.2 Hz, 1H), 3.91 (d, J = 7.2 Hz, 2H), 3.22 (dd, J = 5.2, 6.8 Hz, 2H), 2.42 (s, 3H), 1.83 – 1.66 (m, 1H), 1.48 (td, J = 3.2, 6.4z, 1H), 1.40 – 1.19 (m, 8H). [0378] Step 15-3: ((1s,4s)-4-((4-Nitrophenoxy)methyl)cyclohexyl)methanol
[0379] To a solution of ((1s,4s)-4-(hydroxymethyl)cyclohexyl)methyl 4- methylbenzenesulfonate (10)(0.470 g, 1.57 mmol), 4-nitrophenol (11) (0.307 g, 2.21 mmol) in DMF (10 mL) was added potassium carbonate (0.508 g, 3.69 mmol). The mixture was stirred at 80 °C for 12 h. TLC showed one new spot was detected. The reaction mixture was diluted with water (100 mL) and extracted with ethyl acetate (100 mL X 2). The combined organic layers were washed with aq. Sat. NaCl solution (100 mL), dried (Na2SO4), filtered and concentrated under reduced pressure to give a residue. The residue was purified by silica gel chromatography (10~50% ethyl acetate in petroleum ether) to afford the product ((1s,4s)-4-((4- nitrophenoxy)methyl)cyclohexyl)methanol (12) (0.450 g, 1.69 mmol, 92.0% yield) as a yellow solid, which was confirmed by 1H NMR.1H NMR (400 MHz, DMSO-d6) δ 8.18 (d, J = 9.2 Hz, 2H), 7.15 (d, J = 9.2 Hz, 2H), 4.02 (d, J = 7.2 Hz, 2H), 3.32 (s, 2H), 1.96 (s, 1H), 1.59 – 1.32 (m, 10H). [0380] Step 15-4: ((1s,4s)-4-((4-Aminophenoxy)methyl)cyclohexyl)methanol
[0381] A mixture of ((1s,4s)-4-((4-nitrophenoxy)methyl)cyclohexyl)methanol (12)(0.500 g, 1.88 mmol) in tetrahydrofuran (10 mL) was degassed and purged with nitrogen for 3 times, Then palladium active/carbon catalyst (0.200 g, 0.19 mmol) was added and the mixture was stirred at 25 °C for 12 h under hydrogen (15 psi) atmosphere. TLC showed one new spot was detected. The mixture was filtered with diatomite to give the filtrate. The filtrate was concentrated under reduced pressure and purified by prep-TLC to afford the product ((1s,4s)-4- ((4-aminophenoxy)methyl)cyclohexyl)methanol (13)(0.264 g, 1.12 mmol, 59.5% yield) as a yellow solid, which was confirmed by 1H NMR.1H NMR (400 MHz, DMSO-d6) δ 6.63 (d, J = 6.8 Hz, 2H), 6.54 – 6.44 (m, 2H), 4.56 (s, 2H), 4.36 (s, 1H), 3.70 (d, J = 5.2 Hz, 2H), 3.30 (s, 2H), 1.84 (s, 1H), 1.65 – 1.24 (m, 9H). [0382] Step 15-5: 4-nitrophenyl (4-(((1s,4s)-4- (hydroxymethyl)cyclohexyl)methoxy)phenyl)carbamate
[0383] To a solution of ((1s,4s)-4-((4-aminophenoxy)methyl)cyclohexyl)methanol (13)(0.100 g, 0.42 mmol) in tetrahydrofuran (2 mL) was added (4-nitrophenyl) carbonochloridate (14) (0.102 g, 0.51 mmol) and N-ethyl-N-isopropylpropan-2-amine (0.2 mL, 1.27 mmol) at 0 °C. The mixture was stirred at 25 °C for 1 h. TLC showed one new spot was detected. The mixture was concentrated under reduced pressure to give the product 4-nitrophenyl (4-(((1s,4s)-4- (hydroxymethyl)cyclohexyl)methoxy)phenyl)carbamate (15)(0.120 g, 0.30 mmol, 70.5% yield) as a yellow solid. [0384] Step 15-6: 1-((2-(2,6-Dioxopiperidin-3-yl)-1-oxoisoindolin-5-yl)methyl)-3-(4-(((1s,4s)- 4-(hydroxymethyl)cyclohexyl)methoxy)phenyl)urea
[0385] To a solution of 3-(5-(aminomethyl)-1-oxoisoindolin-2-yl)piperidine-2,6- dione;methanesulfonic acid `(16) (0.101 g, 0.27 mmol) in DMF (2 mL) was added N-ethyl-N- isopropylpropan-2-amine (0.04 mL, 0.25 mmol) at 25 °C. After addition, the mixture was stirred at this temperature for 0.5 h and then 4-nitrophenyl (4-(((1s,4s)-4- (hydroxymethyl)cyclohexyl)methoxy)phenyl)carbamate (15) (0.100 g, 0.25 mmol) was added at 25 °C. The resulting mixture was stirred at 25 °C for 12 h. LCMS showed the reaction was completed and desired mass was detected. The mixture was filtered to give the filtrate. The filtrate was purified by semi-preparative reverse phase-HPLC (20-50% acetonitrile in water + 0.225% formic acid, over 10 min). Then the collected fraction was lyophilized to afford the product 1-((2-(2,6-dioxopiperidin-3-yl)-1-oxoisoindolin-5-yl)methyl)-3-(4-(((1s,4s)-4- (hydroxymethyl)cyclohexyl)methoxy)phenyl)urea (EX.15)(0.020 g, 0.03 mmol, 14.7% yield, 97.2% purity) as a white solid, which was confirmed by 1H NMR and QC-LCMS. MS (ESI) m/z: 535.4 [M+1]+.1H NMR (400 MHz, DMSO-d6) δ 10.99 (s, 1H), 8.42 (s, 1H), 7.69 (d, J = 7.6 Hz, 1H), 7.51 (s, 1H), 7.43 (d, J = 8.0 Hz, 1H), 7.28 (d, J = 8.8 Hz, 2H), 6.81 (d, J = 9.2 Hz, 2H), 6.68 - 6.60 (m, 1H), 5.10 (dd, J = 5.2, 13.2 Hz, 1H), 4.48 - 4.28 (m, 5H), 3.79 (d, J = 7.2 Hz, 2H), 3.31 - 3.29 (m, 2H), 2.96 - 2.87 (m, 1H), 2.61 (s, 1H), 2.38 (dd, J = 4.4, 13.6 Hz, 1H), 2.03 - 1.95 (m, 1H), 1.92 - 1.83 (m, 1H), 1.57 - 1.34 (m, 9H). Example 16: ((2-(2,6-Dioxopiperidin-3-yl)-1-oxoisoindolin-5-yl)methyl)-3-(4-(((1R,3R)-3- (hydroxymethyl)cyclopentyl)oxy)phenyl)urea (absolute stereochemistry not defined)
[0386] Step 16-1: Methyl 3-(4-nitrophenoxy)cyclopentane-1-carboxylate
[0387] To a mixture of methyl 3-hydroxycyclopentane-1-carboxylate (17) (0.500 g, 3.47 mmol) and 4-nitrophenol (7) (0.579 g, 4.16 mmol) and triphenylphosphine (1.092 g, 4.16 mmol) in THF (10 mL) was added diisopropyl azodicarboxylate (0.842 g, 4.16 mmol) at 0 °C under nitrogen. The mixture was stirred at 70 °C for another 12 h. TLC showed one new spot was detected and the starting material was consumed completely. The reaction mixture was concentrated under reduced pressure to give a residue. The residue was purified by flash silica gel column to afford product methyl 3-(4-nitrophenoxy)cyclopentane-1-carboxylate (18) (0.563g, 2.24 mmol, 64.6% yield), which was confirmed by 1H NMR.1H NMR (400 MHz, CDCl3) δ 8.22 - 8.17 (m, 2H), 6.93 - 6.86 (m, 2H), 4.96 (s, 1H), 3.71 (s, 3H), 3.17 - 3.05 (m, 1H), 2.29 - 2.12 (m, 4H), 2.01 - 1.90 (m, 2H). [0388] Step 16-2: (3-(4-nitrophenoxy)cyclopentyl)methanol
[0389] To a mixture of methyl methyl 3-(4-nitrophenoxy)cyclopentane-1-carboxylate (8) (0.550 g, 2.07 mmol) in THF (10 mL) was added lithium borohydride (0.473 g, 12.44 mmol) at 0 °C under nitrogen. The mixture was stirred at 25 °C for another 2 h. TLC showed the reaction was consumed completely and one new spot was detected. The reaction mixture was quenched by hydrochloric acid (1 M, 10 mL) at 0 °C. The mixture was filtered. The filtrate was extracted with ethyl acetate (30 mL×3). The combined organic layers were dried over anhydrous sodium sulfate, filtered and concentrated in vacuum to give a residue. The residue was purified by flash silica gel column (0-30% ethyl acetate in petroleum ether) to afford the product (3-(4- nitrophenoxy)cyclopentyl)methanol (9) (0.300 g, 1.27 mmol, 61.0% yield) as a yellow oil, which was confirmed by 1H NMR.1H NMR (400 MHz, CDCl3) δ 8.23 - 8.16 (m, 2H), 6.95 - 6.88 (m, 2H), 4.90 (ddd, J = 2.4, 5.6 Hz, 1H), 3.68 - 3.57 (m, 2H), 2.52 - 2.39 (m, 1H), 2.21 - 2.06 (m, 2H), 2.05 - 1.85 (m, 2H), 1.77 - 1.66 (m, 1H), 1.48 - 1.41 (m, 1H).
[0390] Step 16-3: (3-(4-aminophenoxy)cyclopentyl)methanol
[0391] A mixture of (3-(4-nitrophenoxy)cyclopentyl)methanol (19)(0.300 g, 1.26 mmol) in THF (6 mL) was degassed and purged with nitrogen for 3 times. Then palladium/carbon (0.270 g, 0.13 mmol) was added to the mixture. The reactant mixture was stirred at 25 °C for 12 h under hydrogen atmosphere (15 Psi). TLC showed the reaction was consumed completely and the one new spot was detected. The reaction mixture was filtered. The filtrated was concentrated under reduced pressure to give a residue. The residue was purified by prep-TLC to afford the product (3-(4-aminophenoxy)cyclopentyl)methanol (20) (0.252 g, 1.22 mmol, 96.2% yield) as yellow oil, which was confirmed by 1H NMR.1H NMR (400 MHz, CDCl3) δ 6.67 - 6.61 (m, 2H), 6.58 - 6.53 (m, 2H), 4.61 (dd, J = 2.4, 5.6 Hz, 1H), 3.50 (d, J = 6.8 Hz, 2H), 2.42 - 2.29 (m, 1H), 1.99 - 1.86 (m, 3H), 1.83 - 1.76 (m, 1H), 1.47 (ddd, J = 5.6, 8.8, 13.6 Hz, 1H), 1.34 - 1.25 (m, 1H). [0392] Step 16-4: ((1R,3R)-3-(4-aminophenoxy)cyclopentyl)methanol and ((1S,3S)-3-(4- aminophenoxy)cyclopentyl)methanol
[0393] (3-(4-Aminophenoxy)cyclopentyl)methanol (20)(0.250 g, 1.21 mmol) was separated by SFC separation (DAICEL CHIRALPAK IC(250mm*30mm,10µm), Mobile phase: Phase A for carbon dioxide, and Phase B for IPA (0.1%ammonium hydroxide isopropanol); Gradient elution: IPA (0.1% ammonium hydroxide) in carbon dioxide from 30% to 30%, Flow rate: 150 mL/min;3.8 min) to afford two fractions. [0394] Fraction 1 was concentrated in vacuum to afford pure enantiomer ((1R,3R)-3-(4- aminophenoxy)cyclopentyl)methanol (20B) (0.122 g, 0.59 mmol, 48.8% yield) as yellow oil, which was confirmed by 1H NMR and 2D-NMR..1H NMR (400 MHz, DMSO-d6) δ 6.71 - 6.37 (m, 4H), 4.94 - 4.25 (m, 4H), 3.29 (d, J = 5.2 Hz, 2H), 2.25 - 2.11 (m, 1H), 1.94 - 1.71 (m, 3H), 1.69 - 1.57 (m, 1H), 1.54 - 1.42 (m, 1H), 1.37 - 1.22 (m, 1H). Absolute stereochemistry of enantiomer (20B) was not assigned. [0395] Fraction 2 was concentrated in vacuum to afford second pure enantiomer ((1S,3S)-3-(4- aminophenoxy)cyclopentyl)methanol (20C) (0.125 g, 0.61 mmol, 50.0% yield) as yellow oil.1H NMR (400 MHz, DMSO-d6) δ 6.71 - 6.37 (m, 4H), 4.94 - 4.25 (m, 4H), 3.29 (d, J = 5.2 Hz, 2H), 2.25 - 2.11 (m, 1H), 1.94 - 1.71 (m, 3H), 1.69 - 1.57 (m, 1H), 1.54 - 1.42 (m, 1H), 1.37 - 1.22 (m, 1H). Absolute stereochemistry of enantiomer (20C) was not assigned.
[0396] Step 16-5: 4-nitrophenyl (4-(((1R,3R)-3- (hydroxymethyl)cyclopentyl)oxy)phenyl)carbamate (absolute stereochemistry not defined)
[0397] To a mixture of pure enantiomer 20B (0.122 g, 0.59 mmol) and 4-nitrophenyl chloroformate (14) (0.142 g, 0.71 mmol) in THF (2 mL) was added N,N-diisopropylethylamine (0.3 mL, 1.77 mmol) at 0 °C under nitrogen. The mixture was stirred at 25 °C for another 1 h. TLC showed one new spot detected and the starting material was consumed completely. The reaction was filtered. The filtrate was concentrated under reduced pressure to afford the crude 4- nitrophenyl (4-(((1R,3R)-3-(hydroxymethyl)cyclopentyl)oxy)phenyl)carbamate (21) (0.202 g, 92.2% yield), as a single enantiomer. [0398] Step 16-6: 1-((2-(2,6-dioxopiperidin-3-yl)-1-oxoisoindolin-5-yl)methyl)-3-(4-(((1R,3R)- 3-(hydroxymethyl)cyclopentyl)oxy)phenyl)urea (absolute stereochemistry not defined)
[0399] To a mixture crude 4-nitrophenyl (4-(((1R,3R)-3- (hydroxymethyl)cyclopentyl)oxy)phenyl)carbamate (21)(0.202 g, 0.54 mmol) and 3-(5- (aminomethyl)-1-oxoisoindolin-2-yl)piperidine-2,6-dione methanesulfonic acid salt (16) (0.200 g, 0.54 mmol) in DMF (2 mL) was added N,N-diisopropylethylamine (0.09 mL, 0.54 mmol) at 25 °C under nitrogen. The mixture was stirred at 25 °C for 12 h. LCMS showed the desired mass was detected. The reaction mixture was filtered. The pH of the filtrate was adjusted to 5 with formic acid. The mixture was purified by semi-preparative reverse phase HPLC (15-45% acetonitrile in water + 0.225% formic acid, 15 min). The collected fraction was lyophilized to afford the product 1-((2-(2,6-dioxopiperidin-3-yl)-1-oxoisoindolin-5-yl)methyl)-3-(4-((( 1R,3R)- 3-(hydroxymethyl)cyclopentyl)oxy)phenyl)urea (EX.16)(0.007 g, 0.01 mmol, 2.6% yield 100.0% purity) as a white solid, which was confirmed by 1H NMR and QC LCMS. Absolute stereochemistry for the enantiomer EX.16 was not established. LCMS: m/z: 507.4 [M+1]+.1H NMR (400 MHz, DMSO-d6) δ 10.97 (s, 1H), 8.44 - 8.36 (m, 1H), 7.69 (d, J = 7.6 Hz, 1H), 7.54 - 7.39 (m, 2H), 7.27 (d, J = 8.8 Hz, 2H), 6.76 (d, J = 9.2 Hz, 2H), 6.67 - 6.59 (m, 1H), 5.10 (dd, J = 5.2, 13.2 Hz, 1H), 4.71 (td, J = 2.8, 5.6 Hz, 1H), 4.54 - 4.25 (m, 5H), 3.35 - 3.32 (m, 2H), 2.95 - 2.87 (m, 1H), 2.64 - 2.56 (m, 1H), 2.38 (dd, J = 4.4, 13.2 Hz, 1H), 2.20 (td, J = 7.2, 14.8
Hz, 1H), 2.03 - 1.91 (m, 2H), 1.84 - 1.73 (m, 2H), 1.71 - 1.61 (m, 1H), 1.55 (ddd, J = 5.6, 8.4, 14.0 Hz, 1H), 1.38 - 1.27 (m, 1H). Example 17: 1-((2-(2,6-Dioxopiperidin-3-yl)-1-oxoisoindolin-5-yl)methyl)-3-(4-(((1S,3S)-3- (hydroxymethyl)cyclopentyl)oxy)phenyl)urea (absolute stereochemistry not defined)
[0400] EX.17 was prepared starting with 20C in a similar manner to the synthetic steps described for 1-((2-(2,6-dioxopiperidin-3-yl)-1-oxoisoindolin-5-yl)methyl)-3-(4-(((1S,3S)-3- (hydroxymethyl)cyclopentyl)oxy)phenyl)urea (EX.16)(0.008g, 0.02 mmol, 3.1% yield 100.0% purity) as a white solid. Absolute stereochemistry for the enantiomer EX.17 was not established. LCMS: m/z: 507.4 [M+1]+.1H NMR (400 MHz, DMSO-d6) δ 10.97 (s, 1H), 8.40 (d, J = 3.6 Hz, 1H), 7.69 (d, J = 8.0 Hz, 1H), 7.55 - 7.40 (m, 2H), 7.27 (d, J = 8.8 Hz, 2H), 6.76 (d, J = 8.8 Hz, 2H), 6.63 (d, J = 5.6 Hz, 1H), 5.10 (dd, J = 5.2, 13.2 Hz, 1H), 4.71 (td, J = 2.8, 5.6 Hz, 1H), 4.53 - 4.24 (m, 5H), 3.33 - 3.32 (m, 2H), 2.95 - 2.86 (m, 1H), 2.59 (dd, J = 2.4, 15.2 Hz, 1H), 2.38 (dd, J = 4.4, 13.2 Hz, 1H), 2.20 (td, J = 7.2, 14.8 Hz, 1H), 2.05 - 1.91 (m, 2H), 1.86 - 1.73 (m, 2H), 1.71 - 1.49 (m, 2H), 1.38 - 1.27 (m, 1H). Example 18: rac-1-((2-(2,6-Dioxopiperidin-3-yl)-1-oxoisoindolin-5-yl)methyl)-3-(4-(((1R,3S)- 3-(hydroxymethyl)cyclopentyl)oxy)phenyl)urea
[0402] A mixture of 4-nitrophenol (11 (0.579 g, 4.16 mmol), rac-methyl (1RS,3RS)-3- hydroxycyclopentane-1-carboxylate (22) (0.500 g, 3.47 mmol) and triphenylphosphine (1.368 g, 5.20 mmol) in tetrahydrofuran (10 mL) was degassed and purged with nitrogen for 3 times, and then the mixture was stirred at 0 °C for 0.5 h under nitrogen atmosphere. After 0.5 h, a solution of diisopropyl azodicarboxylate (1.0 mL, 5.2 mmol) in tetrahydrofuran (2 mL) was added and the mixture was stirred at 70 °C for 12 h under nitrogen atmosphere. The mixture was diluted with water (10 mL) and extracted with ethyl acetate (10 mL × 2), the combined organic layer was dried over anhydrous sodium sulfate, filtered. The filtrate was concentrated in vacuum to
give a residue. The mixture was purified by TLC to afford the product rac-methyl (1R,3S)-3-(4- nitrophenoxy)cyclopentane-1-carboxylate (23) (0.260 g, 0.98 mmol, 28.3% yield) as a colorless oil.1H NMR (400 MHz, DMSO-d6) δ 8.22 - 8.15 (m, 2H), 7.12 - 7.06 (m, 2H), 5.03 - 4.97 (m, 1H), 3.58 (s, 3H), 2.98 - 2.88 (m, 1H), 2.44 - 2.34 (m, 1H), 2.02 - 1.91 (m, 4H), 1.91 - 1.83 (m, 1H), 1.29 - 1.11 (m, 1H). [0403] Step 18-2: rac-((1RS,3SR)-3-(4-Nitrophenoxy)cyclopentyl)methanol
[0404] A mixture of methyl rac-methyl (1R,3S)-3-(4-nitrophenoxy)cyclopentane-1-carboxylate (23) (0.260 g, 0.98 mmol) in tetrahydrofuran (10 mL) was degassed and purged with nitrogen for three times and then the mixture was stirred at 0 °C for 0.5 h under nitrogen atmosphere. After 0.5 h lithium borohydride (0.200 g, 5.26 mmol) was added slowly and the mixture was stirred at 25 °C for 2 h under nitrogen atmosphere. TLC showed one new spot was detected. The reaction mixture was quenched by hydrochloric acid (1M, 10 mL) at 0 °C and then diluted with water (50 mL) and extracted with ethyl acetate (50 mL × 2). The combined organic layers were washed with brine (50 mL), dried over anhydrous sodium sulfate, filtered, and concentrated under reduced pressure to give a residue. The residue was purified by prep-TLC to afford the product rac-((1R,3S)-3-(4-nitrophenoxy)cyclopentyl)methanol (24) (0.220 g, 0.93 mmol, 94.6% yield) as a yellow oil, which was confirmed by 1H NMR and 2D NMR.1H NMR (400 MHz, DMSO-d6) δ 8.21 - 8.16 (m, 2H), 7.14 - 7.07 (m, 2H), 4.97 (dt, J = 3.0, 6.2 Hz, 1H), 4.54 (t, J = 5.2 Hz, 1H), 3.34 - 3.30 (m, 2H), 2.26 - 2.05 (m, 2H), 2.01 - 1.90 (m, 1H), 1.83 - 1.69 (m, 2H), 1.50 - 1.40 (m, 2H). [0405] Step 18-3: rac-((1R,3S)-3-(4-Aminophenoxy)cyclopentyl)methanol
[0406] A mixture of rac-((1R,3S)-3-(4-nitrophenoxy)cyclopentyl)methanol (24) (0.220 g, 0.93 mmol) and palladium active/carbon catalyst (0.493 g, 0.46 mmol) in methanol (10 mL) was degassed and purged with nitrogen for 3 times, and then the mixture was stirred at 25 °C for 12 h under hydrogen atmosphere. TLC showed one new spot was detected. The mixture was filtered through pad of Celite to give the filtrate. The filtrate was concentrated under reduced pressure to give the product rac-((1R,3S)-3-(4-aminophenoxy)cyclopentyl)methanol (25)(0.190 g, 0.92 mmol, 98.9% yield) as a yellow solid.1H NMR (400 MHz, CDCl3) δ 6.75 - 6.70 (m, 2H), 6.66 - 6.60 (m, 2H), 4.67 (tt, J = 3.2, 5.6 Hz, 1H), 3.64 (d, J = 6.0 Hz, 2H), 3.42 (s, 2H),
2.31 - 2.21 (m, 1H), 2.19 - 2.10 (m, 1H), 2.01 - 1.92 (m, 1H), 1.85 - 1.77 (m, 2H), 1.67 - 1.61 (m, 2H). [0407] Step 18-4: rac-4-Nitrophenyl (4-((1R,3S)-3- (hydroxymethyl)cyclopentyl)oxy)phenyl)carbamate
[0408] To a solution of N-ethyl-N-isopropylpropan-2-amine (0.3 mL, 1.45 mmol) and rac- ((1R,3S)-3-(4-aminophenoxy)cyclopentyl)methanol (25) (0.100 g, 0.48 mmol) in tetrahydrofuran (2 mL) was added 4-nitrophenyl chloroformate(11)(0.127 g, 0.63 mmol) at 25 °C and the mixture was stirred at 25 °C for 6 h. TLC showed one new spots were detected. The reaction mixture was diluted with water (5 mL) and extracted with ethyl acetate (5 mL × 2). The combined organic layers were washed with sat. aq. NaCl solution (5 mL), dried over anhydrous sodium sulfate, filtered and concentrated under reduced pressure to give a crude (26), which was used into the next step without further purification. [0409] Step 18-5: rac-1-((2-(2,6-Dioxopiperidin-3-yl)-1-oxoisoindolin-5-yl)methyl)-3-(4- (((1R,3S)-3-(hydroxymethyl)cyclopentyl)oxy)phenyl)urea
[0410] A solution of rac-4-nitrophenyl (4-((1RS,3SR)-3- (hydroxymethyl)cyclopentyl)oxy)phenyl)carbamate (26) (0.119 g, 0.32 mmol) and N-ethyl-N- isopropylpropan-2-amine (0.06 mL, 0.32 mmol) in DMF(2 mL) was stirred at 25 °C for 6 h. Then a solution of 3-(5-(aminomethyl)-1-oxoisoindolin-2-yl)piperidine-2,6-dione methanesulfonic acid salt (16)(0.120 g, 0.32 mmol) in tetrahydrofuran (2 mL) was added. The mixture was stirred at 25 °C for 2 h. LCMS showed the reaction was completed and desired mass was detected. The residue was purified by semi-preparative reverse phase HPLC (20-50% acetonitrile in water + 0.225% formic acid, over 9 min). Then the collected fraction was lyophilized to afford the crude product. The crude product was purified by semi-preparative reverse phase-HPLC (18-48% acetonitrile in water + 0.1% trifluoroacetic acid, over 9 min). Then the collected fraction was lyophilized to afford the crude product. The crude product was purified by semi-preparative reverse phase-HPLC(12-42% acetonitrile in water +10 Mm ammonium hydrogen carbonate, over 9 min). Then the collected fraction was lyophilized to affordthe product rac-1-((2-(2,6-dioxopiperidin-3-yl)-1-oxoisoindolin-5-yl)methyl)-3-(4-
((1R,3S)-3-(hydroxymethyl)cyclopentyl)oxy)phenyl)urea (EX.18)(0.008 g, 0.02 mmol, 5.4% yield) as a white solid. LCMS: MS (ESI) m/z: 507.3 [M+1]+.1H NMR (400 MHz, DMSO-d6) δ 10.97 (s, 1H), 8.38 (s, 1H), 7.69 (d, J = 8.0 Hz, 1H), 7.51 (s, 1H), 7.43 (d, J = 7.6 Hz, 1H), 7.27 (d, J = 8.8 Hz, 2H), 6.76 (d, J = 8.8 Hz, 2H), 6.62 (t, J = 6.0 Hz, 1H), 5.15 - 5.05 (m, 1H), 4.74 - 4.64 (m, 1H), 4.60 - 4.21 (m, 5H), 3.35 (s, 2H), 2.96 - 2.86 (m, 1H), 2.62 (s, 1H), 2.42 - 2.35 (m, 1H), 2.12 - 1.96 (m, 3H), 1.88 - 1.78 (m, 1H), 1.76 - 1.64 (m, 2H), 1.46 - 1.34 (m, 2H). [0411] The examples listed in Table 2 were prepared using procedures modified from those described in EX.15 to 18, with appropriate starting materials and reagents, which are well known and understood by one of ordinary skill in the art of organic chemistry. Table 2.
Example 28: N-(4-((4-(3-((2-(2,6-dioxopiperidin-3-yl)-1-oxoisoindolin-5- yl)methyl)ureido)phenoxy)methyl)benzyl)acetamide
[0412] Step 28-1: tert-Butyl N-[[4-[(4-nitrophenoxy)methyl]phenyl]methyl]carbamate
[0413] To a solution of tert-butyl N-[[4-(bromomethyl)phenyl]methyl]carbamate (27)(10 g, 33.3 mmol) in MeCN (150 mL) was added 4-nitrophenol (11)(4.82 g, 34.6 mmol) and K2CO3 (13.8 g, 100 mmol). The reaction mixture was stirred at 80°C for 16 h. The reaction mixture was
cooled to r.t and concentrated. The residue was diluted with ethyl acetate/H2O (200 mL/200 mL), the organic layer was washed with sat. aq. NaCl solution, dried over anhydrous Na2SO4, filtered, and concentrated to give tert-butyl N-[[4-[(4- nitrophenoxy)methyl]phenyl]methyl]carbamate (28) (12 g, crude) as a light yellow solid.1H NMR: (400 MHz, DMSO-d6) δ 8.27 (d, J = 9.2 Hz, 2H), 7.48 (d, J = 7.6 Hz, 3H), 7.34-7.27 (m, 4H), 5.30 (s, 2H), 4.19 (d, J = 6.0 Hz, 1H), 1.45 (s, 9H). [0414] Step 28-2: tert-butyl N-[[4-[(4-aminophenoxy)methyl]phenyl] methyl]carbamate
[0415] To a solution of tert-butyl N-[[4-[(4-nitrophenoxy)methyl]phenyl]methyl]carbamate (28) (12 g, 33.5 mmol) in EtOH (150 mL) and H2O (30 mL) was added Fe powder (9.35 g, 167 mmol) and NH4Cl (17.9 g, 335 mmol). The mixture was stirred at 80 °C for 2 h. TLC (2:1 petroleum ether/ethyl acetate) showed the reaction was finished. The reaction mixture was cooled to rt and filtered. The cake was washed with ethyl acetate (400 mL), the combined filtrate was concentrated. The residue was diluted with water and ethyl acetate (400 mL/400mL), the organic layer was washed with brine (400 mL), dried over anhydrous Na2SO4, filtrated and concentrated to give tert-butyl N-[[4-[(4-aminophenoxy)methyl]phenyl] methyl]carbamate (29) (9 g, 81.9% yield) as a gray solid. The material was used in the next step without further purification. [0416] Step 28-3: tert-butyl N-[[4-[[4-[[2-(2,6-dioxo-3-piperidyl)-1-oxo-isoindolin-5-yl]methyl carbamoylamino]phenoxy]methyl]phenyl]methyl]carbamate
[0417] To a solution of tert-butyl N-[[4-[(4-aminophenoxy)methyl]phenyl]methyl]carbamate (29) (5.65 g, 17.2 mmol) in MeCN (200 mL) was added bis(2,5-dioxopyrrolidin-1-yl) carbonate (5.64 g, 22.0 mmol) and Et3N (6.16 g, 60.9 mmol) at -20 °C under nitrogen. The mixture was stirred at -20 °C for 1 h. 3-[5-(Aminomethyl)-1-oxo-isoindolin-2-yl]piperidine-2,6-dione methanesulfonic acid salt(16)(6.80 g, 18.4 mmol) was added to the mixture. The mixture was stirred at 20 °C for 15 h. TLC (2:1 petroleum ether/ethyl acetate) showed the reaction was finished. The reaction mixture was filtered, the cake was washed with MeCN (50 mL) and dried to give tert-butyl N-[[4-[[4-[[2-(2,6-dioxo-3-piperidyl)-1-oxo-isoindolin-5-yl]methyl carbamoylamino]phenoxy]methyl]phenyl]methyl]carbamate (30) (9 g, crude) as a gray solid.1H
NMR: (400 MHz, DMSO-d6) δ 10.99 (s, 1H), 8.43 (s, 1H), 7.69 (d, J = 8.0 Hz, 1H), 7.53-7.23 (m, 9H), 6.88 (d, J = 8.8 Hz, 2H), 6.63 (d, J = 6.0 Hz, 1H), 5.14-5.09 (m, 1H), 5.09 (s, 2H), 4.47-4.29 (m, 4H), 4.12 (d, J = 6.0 Hz, 2H), 2.92-2.91 (m, 1H), 2.62-2.51 (m, 1H), 2.41-2.37 (m, 1H), 1.40 (s, 9H). [0418] Step 28-4: 1-[4-[[4-(aminomethyl)phenyl]methoxy]phenyl]-3-[[2-(2,6-dioxo-3- piperidyl)-1-oxo-isoindolin-5-yl]methyl]urea
[0419] A solution of tert-butyl N-[[4-[[4-[[2-(2,6-dioxo-3-piperidyl)-1-oxo-isoindolin-5- yl]methyl carbamoylamino]phenoxy]methyl]phenyl]methyl]carbamate (30) (9.0 g, 14.3 mmol) and HCl (30 mL,12 N in dioxane) was stirred at 0°C for 1 h. LCMS showed the staring material was consumed. MeCN (500 mL) was added into the mixture slowly at 0-10 °C. After stirring for 30 minutes, the resulting solid was filtered and dried to give 1-[4-[[4- (aminomethyl)phenyl]methoxy]phenyl]-3-[[2-(2,6-dioxo-3-piperidyl)-1-oxo-isoindolin-5- yl]methyl]urea HCl salt (31) (7.12 g, 88.0% yield, HCl salt) as an off-white solid.1H NMR: (400 MHz, DMSO-d6 ) δ 10.98 (s, 1H), 8.66 (s, 1H), 9.30 (s, 3H), 7.69 (d, J = 7.6 Hz, 1H), 7.51- 7.43 (m, 6H), 7.31-7.29 (m, 2H), 6.89 (d, J = 2.0 Hz, 2H), 6.88 (s, 1H), 5.13-5.07 (m, 3H), 4.47- 4.29 (m, 4H), 4.01 (t, J = 5.6 Hz, 2H), 2.95-2.87 (m, 1H), 2.62-2.52 (m, 1H), 2.50-2.38 (m, 1H), 2.01-1.94 (m, 1H). [0420] Step 28-5: N-(4-((4-(3-((2-(2,6-dioxopiperidin-3-yl)-1-oxoisoindolin-5- yl)methyl)ureido)phenoxy)methyl)benzyl)acetamide
[0421] 1-(4-((4-(aminomethyl)benzyl)oxy)phenyl)-3-((2-(2,6-dioxopiperidin-3-yl)-1- oxoisoindolin-5-yl)methyl)urea HCl salt (31) (50 mg, 0.095 mmol) was dissolved in pyridine (1.0 ml) and treated with acetic anhydride (1.0 ml). The solution was stirred for 12h at room temperature and concentrated under reduced pressure. The solid was triturated from ethylacetate to give N-(4-((4-(3-((2-(2,6-dioxopiperidin-3-yl)-1-oxoisoindolin-5- yl)methyl)ureido)phenoxy)methyl)benzyl)acetamide (EX.28)(47 mg, 0.083 mmol, 87 % yield).LCMS (ESI) m/z: 570.8 [M+1]+.1H NMR (400 MHz, DMSO-d6) δ ppm 10.82 - 11.17 (m, 1 H), 8.27 - 8.53 (m, 2 H), 7.64 - 7.75 (m, 1 H), 7.49 - 7.55 (m, 1 H), 7.42 - 7.49 (m, 1 H), 7.35 - 7.41 (m, 2 H), 7.22 - 7.34 (m, 4 H), 6.82 - 6.95 (m, 2 H), 6.59 - 6.71 (m, 1 H), 5.08 - 5.22
(m, 1 H), 4.95 - 5.08 (m, 2 H), 4.20 - 4.50 (m, 6 H), 2.86 - 3.02 (m, 1 H), 2.58 - 2.69 (m, 1 H), 2.33 - 2.42 (m, 1 H), 1.96 - 2.11 (m, 1 H), 1.78 - 1.91 (m, 3 H). Example 29: 1-((2-(2,6-dioxopiperidin-3-yl)-1-oxoisoindolin-5-yl)methyl)-3-(4-((4-(2- hydroxypropan-2-yl)benzyl)oxy)phenyl)urea
[0423] To 1-(4-(bromomethyl)phenyl)ethan-1-one (32) (500 mg, 2.347 mmol) in THF (2 mL) at -78 °C was added methylmagnesium bromide (1.173 mL, 3.52 mmol). After stirred at-78 °C for 30 min, the reaction was allowed to warmed to rt over 12h and concentrated. The crude residue was purified using silica gel column chromatography (0-50% Ethyl acetate in Hexane) to afford 2-(4-(bromomethyl)phenyl)propan-2-ol (33)(250 mg, 1.091 mmol, 46.5 % yield). LCMS (ESI, m/z): 211.0 [M+H-H2O] +. [0424] Step 29-2: 2-(4-((4-nitrophenoxy)methyl)phenyl)propan-2-ol
[0425] To a mixture containing 4-nitrophenol (138 mg, 0.995 mmol), and 2-(4- (bromomethyl)phenyl)propan-2-ol (33) (228 mg, 0.995 mmol) in DMF (10 mL) was added Cs2CO3 (648 mg, 1.990 mmol) and stirred at rt for 16 h. The reaction was diluted with ethyl acetate/H2O (50 mL/50 mL) and organic layer was isolated and washed with sat. aq.NaCl (25 mL), dried over anhydrous Na2SO4, filtered, and concentrated. The residue was purified using silica gel column chromatography (0-60% Ethyl acetate in Hexane) to afford 2-(4-((4- nitrophenoxy)methyl)phenyl)propan-2-ol (34) (200 mg, 0.696 mmol, 70.0 % yield). LCMS (ESI, m/z): 270.0 [M+H-H2O]+. [0426] Step 29-3: 2-(4-((4-aminophenoxy)methyl)phenyl)propan-2-ol
[0427] To a mixture containing 2-(4-((4-nitrophenoxy)methyl)phenyl)propan-2-ol (34) (100 mg, 0.348 mmol) and 4,4'-bipyridine (1.087 mg, 6.96 µmol) in DMF (1 mL) was added hypodiboric acid (94 mg, 1.044 mmol) at rt. The reaction was stirred for 10 min. and treated with sat. aq. NaCl solution (5ml) and extracted with ethyl acetate (15 mL x 2). The organic extracts were combined and concentrated in vacuo. The crude residue was purified by reverse-phase chromatography using ISCO Gemini C18 (30mm x 250mm) with 0-50% (0.1% FA in ACN/0.1% FA in water). The fractions containing the product were combined and lyophilized to give 2-(4-((4-aminophenoxy)methyl)phenyl)propan-2-ol (35) (65 mg, 0.253 mmol, 72.2% yield). LCMS (ESI, m/z): 240.2 [M+H-H2O]+. [0428] Step 29-4: 1-((2-(2,6-dioxopiperidin-3-yl)-1-oxoisoindolin-5-yl)methyl)-3-(4-((4-(2- hydroxypropan-2-yl)benzyl)oxy)phenyl)urea
[0429] To 2-(4-((4-aminophenoxy)methyl)phenyl)propan-2-ol (35) (65 mg, 0.253 mmol) in DMF (1 mL) was added bis(2,5-dioxopyrrolidin-1-yl) carbonate (78 mg, 0.303 mmol) followed by dropwise addition of DIEA (0.265 mL, 1.516 mmol). The mixture was stirred at rt for 10 min and 3-(5-(aminomethyl)-1-oxoisoindolin-2-yl)piperidine-2,6-dione methane sulfonic acid salt (16) (90 mg, 0.30 mmol) was added in one portion. The reaction was stirred for an additional 15 min. and filtered through a plug of celite. The filtrate was purified using prep-HPLC with the following conditions (Column: Waters BEH C18, 30 mm x 100 mm, 5 μm particles; Mobile Phase A: H2O with 10 mM Ammonium Acetate, Mobile Phase B: ACN with 10 mM Ammonium Acetate; Flow rate: 40 mL/min; Gradient: 5% B to 95% B in 26 min; Wave Length: 254 nm). The fractions containing the product were combined and lyophilized to afford 1-((2- (2,6-dioxopiperidin-3-yl)-1-oxoisoindolin-5-yl)methyl)-3-(4-((4-(2-hydroxypropan-2- yl)benzyl)oxy)phenyl)urea (EX.29)(6.4 mg, 0.011 mmol, 4.51 % yield). LCMS (ESI, m/z):
539.3 [M+H-H2O] +.1H NMR (500 MHz, DMSO-d6) δ ppm 10.81 - 11.14 (m, 1 H), 8.55 - 8.66 (m, 1 H), 7.65 - 7.74 (m, 1 H), 7.50 - 7.54 (m, 1 H), 7.42 - 7.48 (m, 3 H), 7.26 - 7.38 (m, 4 H), 6.86 - 6.92 (m, 2 H), 6.80 - 6.86 (m, 1 H), 5.05 - 5.21 (m, 1 H), 4.94 -5.02 (m, 3 H), 4.27 - 4.52 (m, 4 H), 2.85 - 3.01 (m, 1 H), 2.58 - 2.67 (m, 1 H), 2.35 - 2.43 (m, 1 H), 1.94 - 2.08 (m, 1 H), 1.35 - 1.47 (m, 6 H). Example 30: 3-(5-((3-(2-((4-(hydroxymethyl)benzyl)oxy)phenyl)-2-oxoimidazolidin-1- yl)methyl)-1-oxoisoindolin-2-yl)piperidine-2,6-dione
[0430] Step 30-1: (4-((2-nitrophenoxy)methyl)phenyl)methanol
[0431] To a solution of (4-(bromomethyl)phenyl)methanol (36)(1.5 g, 7.46 mmol) in MeCN (100 mL) was added 2-nitrophenol (37) (1.038 g, 7.46 mmol) and potassium carbonate (3.09 g, 22.38 mmol). The reaction was stirred at 80°C for 16h. The reaction was cooled to rt and concentrated. The residue was diluted with ethyl acetate/H2O (200 mL/200 mL), the organic layer was isolated and washed with sat. aq. NaCl solution (50 mL), dried over anhydrous Na2SO4, filtered and concentrated to give (4-((2-nitrophenoxy)methyl)phenyl)methanol (38)(1.9 g, 7.33 mmol, 98 % yield), used as such in subsequent reaction. [0432] Step 30-2: triisopropyl((4-((2-nitrophenoxy)methyl)benzyl)oxy)silane
[0433] To a solution containing (4-((2-nitrophenoxy)methyl)phenyl)methanol (38) (1.9 g, 7.33 mmol) in anhydrous DMF (10 mL), was added imidazole (1 g, 14.7 mmol) followed by the slow addition of chlorotriisopropylsilane (2.36 ml, 10.99 mmol). The reaction was stirred for 16 h and diluted with diethyl ether (100 mL) and water added (50 mL). The aqueous layer was decanted, and the organic layer was washed with water (40 mL), dried (MgSO4), filtered and concentrated.
The resulting yellow oil was chromatographed on silica gel (Biotage SNAP, 100 g) with ethylacetate/hexanes to afford triisopropyl((4-((2-nitrophenoxy)methyl)benzyl)oxy)silane (39) (3 g, 98% yield).1H NMR (400 MHz, CHLOROFORM-d) δ 7.89 - 7.75 (m, 1H), 7.54 - 7.45 (m, 1H), 7.44 - 7.33 (m, 4H), 7.16 - 7.07 (m, 1H), 7.06 - 6.97 (m, 1H), 5.25 - 5.15 (m, 2H), 4.89 - 4.78 (m, 2H), 1.22 - 1.14 (m, 3H), 1.07 (d, J=12.7 Hz, 15H). [0434] Step 30-3: 2-((4-(((triisopropylsilyl)oxy)methyl)benzyl)oxy)aniline
[0435] To a solution containing triisopropyl((4-((2-nitrophenoxy)methyl)benzyl)oxy)silane (39) (2.96 g, 7.12 mmol) in EtOH (50 mL) and H2O (10 mL) was added iron powder (1.013 g, 18.14 mmol) and ammonium chloride (1.940 g, 36.3 mmol). The mixture was stirred at 80 °C for 2 hr. The reaction mixture was cooled to rt and filtered though pad of Celite. The pad was were rinsed with ethyl acetate (400 mL). The filtrate was washed with water (100 mL) and with sat. aq. NaCl solution (100 mL), dried over anhydrous Na2SO4, filtrated and concentrated. The crude material was chromatographed on silica gel, eluting with ethylacetate/hexanes, to give 2-((4- (((triisopropylsilyl)oxy)methyl)benzyl)oxy)aniline (40) (2.0 g).1H NMR (400 MHz, CHLOROFORM-d) δ 7.44 - 7.34 (m, 4H), 6.89 - 6.83 (m, 1H), 6.83 - 6.77 (m, 1H), 6.76 - 6.67 (m, 2H), 5.09 - 5.04 (m, 2H), 4.88 - 4.81 (m, 2H), 3.90 - 3.70 (m, 2H), 1.21 - 1.16 (m, 3H), 1.12 - 1.07 (m, 18H). [0436] Step 30-4: 2-((2-((4-(((triisopropylsilyl)oxy)methyl)benzyl)oxy)phenyl)amino)ethan-1-ol
[0437] To a solution of 2-((4-(((triisopropylsilyl)oxy)methyl)benzyl)oxy)aniline (40) (2.0 g, 5.19 mmol) in acetonitrile (10 mL) was added 2-bromoethan-1-ol (41) (0.78 g, 6.2 mmol) followed by addition of sodium bicarbonate (0.87 g, 10.37 mmol). The reaction was heated at 90 °C in a microwave reactor for 1 h. The reaction mixture was filtered, and the filtrate concentrated under reduced pressure to give crude product. Purification using silica gel chromatography, eluting with ethyl acetate/hexanes afforded 2-((2-((4-
(((triisopropylsilyl)oxy)methyl)benzyl)oxy)phenyl)amino)ethan-1-ol (42) (1000 mg, 2.33 mmol, 45 % yield). ). LCMS (ESI, m/z): 430.2 [M+H]+. [0438] Step 30-5: N-(2-bromoethyl)-2-((4-(((triisopropylsilyl)oxy)methyl)benzyl)oxy)aniline
[0439] To a solution of 2-((2-((4- (((triisopropylsilyl)oxy)methyl)benzyl)oxy)phenyl)amino)ethan-1-ol (42) (1400 mg, 3.26 mmol) in dichloromethane (15 mL) at 0 °C, was added carbon tetrabromide (1621 mg, 4.89 mmol) followed by addition of triphenylphosphine (1282 mg, 4.89 mmol), and the mixture was stirred for 12 h at room temperature. The reaction mixture was concentrated under reduced pressure and the crude residue was purified using silica gel chromatography, eluting with ethyl acetate/hexanes, to afford N-(2-bromoethyl)-2-((4- (((triisopropylsilyl)oxy)methyl)benzyl)oxy)aniline (43) (1550 mg, 3.15 mmol, 97 % yield). LCMS (ESI, m/z): 492.2 [M+H]+ [0440] Step 30-6: 3-(1-oxo-5-(((2-((2-((4- (((triisopropylsilyl)oxy)methyl)benzyl)oxy)phenyl)amino)ethyl)amino)methyl)isoindolin-2- yl)piperidine-2,6-dione
[0441] To a solution of N-(2-bromoethyl)-2-((4- (((triisopropylsilyl)oxy)methyl)benzyl)oxy)aniline (43) (290 mg, 0.589 mmol) in acetonitrile (2 mL) was added 3-(5-(aminomethyl)-1-oxoisoindolin-2-yl)piperidine-2,6-dione;methanesulfonic acid (16) (175 mg, 0.60 mmol)) followed by addition of potassium carbonate (163 mg, 1.177 mmol) and sodium iodide (17.65 mg, 0.118 mmol). The reaction was stirred for 12 h at 80 °C. The reaction mixture was diluted with water and extracted with ethyl acetate (3X50 mL). The organic layers were combined, dried over Na2SO4 and concentrated under reduced pressure. The resulting residue was purified using silica gel chromatography, eluting with ethyl acetate/hexanes to afford 3-(1-oxo-5-(((2-((2-((4-
(((triisopropylsilyl)oxy)methyl)benzyl)oxy)phenyl)amino)ethyl)amino)methyl)isoindolin-2- yl)piperidine-2,6-dione (44) (109 mg, 0.159 mmol, 27.0 % yield). LCMS (ESI, m/z): 685.4 [M+H]+. [0442] Step 30-7: 3-(1-oxo-5-((2-oxo-3-(2-((4- (((triisopropylsilyl)oxy)methyl)benzyl)oxy)phenyl)imidazolidin-1-yl)methyl)isoindolin-2- yl)piperidine-2,6-dione
[0443] To a stirred solution of 3-(1-oxo-5-(((2-((2-((4- (((triisopropylsilyl)oxy)methyl)benzyl)oxy)phenyl)amino)ethyl)amino)methyl)isoindolin-2- yl)piperidine-2,6-dione (44) (100 mg, 0.146 mmol) in DMF (2 mL) was added 1,1′- carbonyldiimidazole (71.0 mg, 0.438 mmol) followed by addition of TEA (20.35 µl, 0.146 mmol). The reaction was stirred at 80 °C for 12 h. DMAP (~10 mg) was added and heated at 80 °C for an additional 4h. The reaction mixture was diluted with water (10 mL) and extracted with ethyl acetate (3X25 mL). The organic extracts were combined, dried (Na2SO4) and concentrated under reduced pressure. The crude residue was purified using silica gel chromatography, eluting with ethyl acetate/ hexanes to afford 3-(1-oxo-5-((2-oxo-3-(2-((4- (((triisopropylsilyl)oxy)methyl)benzyl)oxy)phenyl)imidazolidin-1-yl)methyl)isoindolin-2- yl)piperidine-2,6-dione (45) (100 mg, 0.141 mmol, 96 % yield); LCMS (ESI, m/z): 711.2 [M+H]+. [0444] Step 30-8: 3-(5-((3-(2-((4-(hydroxymethyl)benzyl)oxy)phenyl)-2-oxoimidazolidin-1- yl)methyl)-1-oxoisoindolin-2-yl)piperidine-2,6-dione
[0445] To a solution of 3-(1-oxo-5-((2-oxo-3-(2-((4- (((triisopropylsilyl)oxy)methyl)benzyl)oxy)phenyl)imidazolidin-1-yl)methyl)isoindolin-2- yl)piperidine-2,6-dione (45)(100 mg, 0.141 mmol) in acetonitrile (2.5 mL) was added 4- methylbenzenesulfonic acid hydrate (80 mg, 0.422 mmol). The resulting solution was stirred at 80 °C for 2 h. The reaction was cooled to rt, treated with water (10 mL) and extracted with ethyl
acetate (3X15 mL). The combined organic layers were washed with sat. aq. NaCl solution (2X10 mL), dried (Na2SO4) and concentrated under reduced pressure. The crude material was purified via preparative reverse phase HPLC with the following conditions:Column: Xselect CSH C18, 30 mm x 250 mm, 5 μm particles; Flow Rate: 40.00 mL/min; Column Temperature: 25°C. Mobile Phase A: H2O (0.1% FA), Mobile Phase B: ACN ( 0.1% FA); Gradient: 5% B , hold for 3 min, to 95% B in 23 min; Wave Length: 254 nm). The fractions containing the product were combined and lyophilized Fraction collection was triggered by UV (254 nm) and MS (ESI +) and ELSD. Fractions containing the desired product were combined and dried via centrifugal evaporation to obtain 3-(5-((3-(2-((4-(hydroxymethyl)benzyl)oxy)phenyl)-2- oxoimidazolidin-1-yl)methyl)-1-oxoisoindolin-2-yl)piperidine-2,6-dione (EX.30). LCMS (ESI, m/z): 555.2 [M+H]. 1H NMR (400 MHz, DMSO-d6) δ 10.97 - 10.86 (m, 1H), 7.66 - 7.55 (m, 1H), 7.48 - 7.40 (m, 1H), 7.38 - 7.31 (m, 3H), 7.28 - 7.12 (m, 4H), 7.11 - 7.05 (m, 1H), 6.96 - 6.84 (m, 1H), 5.16 - 4.99 (m, 4H), 4.46 - 4.19 (m, 6H), 3.68 - 3.55 (m, 2H), 2.94 - 2.76 (m, 1H), 2.64 - 2.46 (m, 1H), 2.40 - 2.17 (m, 1H), 2.05 - 1.82 (m, 1H). Example 31: 1-(4-benzyloxyphenyl)-3-[[2-(2,6-dioxo-3-piperidyl)-4-fluoro-1-oxo-isoindolin-5- yl]methyl]urea
[0446] Step 31-1: (2,6-dioxo-3-piperidyl)-4-fluoro-1-oxo-isoindoline-5-carbonitrile
[0447] To a stirred mixture of 3-(5-bromo-4-fluoro-1-oxo-isoindolin-2-yl)piperidine-2,6-dione (46) (2 g, 5.862 mmol) in DMF (30.0 mL) was added Zn(CN)2 (482 mg, 4.104 mmol), X-phos (842 mg, 1.765 mmol) and Pd2(dba)3 (539 mg, 0.588 mmol). The resulting mixture was stirred for 3 h at 80oC under nitrogen atmosphere. The reaction was cooled to rt and then poured into 60 mL ice water. The solid was collected by filtration. Trituration of the solid was carried out in 30.0 mL ACN. The solid was collected by filtration to afford 2-(2,6-dioxo-3-piperidyl)-4-fluoro- 1-oxo-isoindoline-5-carbonitrile (47)(1.6 g, 5.570 mmol, 95% yield, 94.4% purity) as a white solid. LCMS (ESI, m/z): [M+H] + 288. [0448] Step 31-2: tert-Butyl N-[[2-(2,6-dioxo-3-piperidyl)-4-fluoro-1-oxo-isoindolin-5- yl]methyl]carbamate
[0449] To a stirred mixture containing 2-(2,6-dioxo-3-piperidyl)-4-fluoro-1-oxo-isoindoline-5- carbonitrile (47) (1.6 g, 5.57 mmol) in mixed solvent of DMF (30.0 mL) and THF (30.0 mL) were added (Boc)2O (2.4 g, 11.14 mmol) and Raney Ni (10.0 g). The resulting mixture was stirred for 2h at room temperature under hydrogen atmosphere. The reaction was purged with nitrogen gas and the solids were removed by filtration and the filtrate was concentrated under reduced pressure. The concentrate was stirred vigorously in 50.0 mL of ethyl acetate/petroleum ether 1:10). The resulting solid was collected by filtration to afford tert-butyl N-[[2-(2,6-dioxo- 3-piperidyl)-4-fluoro-1-oxo-isoindolin-5-yl]methyl]carbamate (48)(1.0 g, 2.558 mmol, 43.2% yield) as a white solid. LCMS (ESI, m/z): [M+H] + 392. [0450] Step 31-3: 3-[5-(aminomethyl)-4-fluoro-1-oxo-isoindolin-2-yl]piperidine-2,6-dione TFA salt
[0451] To a stirred mixture of tert-butyl N-[[2-(2,6-dioxo-3-piperidyl)-4-fluoro-1-oxo- isoindolin-5-yl]methyl]carbamate (48) (1.0 g, 2.558 mmol) in DCM (30.0 mL) was added TFA (10.0 mL). The resulting mixture was stirred for 1h at room temperature. The resulting mixture was concentrated under reduced pressure. The solid were stirred vigorously in 20.0 mL ethyl acetate. The product was collected by filtration to afford 3-[5-(aminomethyl)-4-fluoro-1-oxo- isoindolin-2-yl]piperidine-2,6-dione TFA salt (49)(950 mg, 2.346 mmol, 91.7% yield). LCMS (ESI, m/z): [M+H] + 292. [0452] Step 31-4: 1-(4-benzyloxyphenyl)-3-[[2-(2,6-dioxo-3-piperidyl)-4-fluoro-1-oxo- isoindolin-5-yl]methyl]urea
[0453] To a stirred mixture of 4-benzyloxyaniline (50) (25 mg, 0.126 mmol) in 1,4-Dioxane (3.0 mL) was added triphosgene (12 mg, 0.041 mmol). The resulting mixture was stirred for 2h at 60°C. The reaction mixture was cooled to room temperature. To the cooled reaction was added
3-[5-(aminomethyl)-4-fluoro-1-oxo-isoindolin-2-yl]piperidine-2,6-dione TFA salt (49)(51 mg, 0.126 mmol) and TEA (38 mg, 0.378 mmol) in 1,4-Dioxane (2.0 mL). The resulting mixture was stirred for 1h at room temperature and concentrated under reduced pressure. The crude product was purified by reverse flash chromatography with the following conditions (Spherial C18, 90g, 20~40 μm; Mobile Phase A: water (0.05% TFA), Mobile Phase B: ACN; Flow rate: 70 mL/min; Gradient: 0% B to 100% B in 20 min, 210 nm; RT: 17 min), removal of the solvent via concentration and lyophilization gave 1-(4-benzyloxyphenyl)-3-[[2-(2,6-dioxo-3-piperidyl)- 4-fluoro-1-oxo-isoindolin-5-yl]methyl]urea (EX.31)(50 mg, 0.097 mmol, 77.0% yield) as an off-white solid. LCMS (ESI, m/z): [M+H] + 517.1H NMR (400 MHz, DMSO-d6) δ 11.01 (s, 1H), 8.46 (s, 1H), 7.61 – 7.48 (m, 2H), 7.45 – 7.28 (m, 7H), 6.94 – 6.86 (m, 2H), 6.65 (t, J = 6.0 Hz, 1H), 5.12 (dd, J = 13.3, 5.1 Hz, 1H), 5.04 (s, 2H), 4.57 (d, J = 17.4 Hz, 1H), 4.49 – 4.33 (m, 3H), 2.92 (ddd, J = 18.5, 13.5, 5.4 Hz, 1H), 2.61 (d, J = 17.5 Hz, 1H), 2.43 (td, J = 13.2, 4.5 Hz, 1H), 2.05 – 1.97 (m, 1H). Example 32: 1-(4-(benzylamino)phenyl)-3-((2-(2,6-dioxopiperidin-3-yl)-1-oxoisoindolin-5- yl)methyl)urea
[0454] Step 32-1: N-benzyl-4-nitroaniline
[0455] To a solution of benzylamine (51) (3 g, 28.0 mmol) in DMF (20 mL) was added 1- fluoro-4-nitrobenzene (3) (3.95 g, 28.0 mmol) and potassium carbonate (5.80 g, 42.0 mmol). The reaction mixture was heated at 50°C for 16h. The reaction mixture was cooled to rt, filtered, and concentrated under reduced pressure. The residue was diluted with ethyl acetate/H2O (200 mL/200 mL). The organic layer was isolated and washed with sat. aq. NaCl solution (50 mLX2), dried over anhydrous Na2SO4, filtered and concentrated to give N-benzyl-4-nitroaniline (52) (5.9 g, 25.8 mmol, 92 % yield) as a light yellow solid. LCMS (ESI, m/z): [M+H] + 229. [0456] Step 32-2: tert-butyl benzyl(4-nitrophenyl)carbamate
[0457] To a solution containing N-benzyl-4-nitroaniline (52) (1 g, 4.38 mmol) in THF (35 mL) at 23° C. were added DMAP (71 mg, 0.58 mmol, 10 mol %), sodium hydride (0.210 g, 5.26 mmol), and Boc-anhydride (1.526 ml, 6.57 mmol). After stirring for 1.5 h at 60° C, the reaction mixture was cooled to rt and water (20 mL) was added dropwise. The phases were separated, and the aqueous phase was extracted with ethyl acetate (2x20 mL). The combined organic phases were washed with sat. aq. NaCl solution (20 mL) and dried (MgSO4). The filtrate was concentrated in vacuo and the residue was purified by silica gel column chromatography , eluting with ethyl acetate and hexanes to afford tert-butyl benzyl(4-nitrophenyl)carbamate (53) (1.2 g, 85%). LCMS (ESI, m/z): [M+H] + 273(-tert-butyl). [0458] Step 32-3: tert-butyl (4-aminophenyl)(benzyl)carbamate
[0459] To a solution of tert-butyl benzyl(4-nitrophenyl)carbamate (53) (1 g, 3.05 mmol) in EtOH (50 mL) and H2O (10 mL) was added iron powder (0.850 g, 15.23 mmol) and ammonium chloride (1.629 g, 30.5 mmol). The mixture was stirred at 80 °C for 2 h, cooled to rt and filtered through a pad of Celite. The Celite was washed with ethyl acetate (400 mL). The filtrate was concentrated under reduced pressure. The crude residue was dissolved in ethyl acetate (40 mL) and washed with water (40 mL) and with sat. aq. NaCl solution (40 mL), dried Na2SO4, filtrated and concentrated to give tert-butyl (4-aminophenyl)(benzyl)carbamate (54) as a gray solid; 800 mg (88%), LCMS (ESI, m/z): [M+H] + 299. [0460] Step 32-4: tert-butyl benzyl(4-(3-((2-(2,6-dioxopiperidin-3-yl)-1-oxoisoindolin-5- yl)methyl)ureido)phenyl)carbamate
[0461] To a solution of tert-butyl (4-aminophenyl)(benzyl)carbamate (54) (200 mg, 0.670 mmol) in acetonitrile (2 mL) was added bis(2,5-dioxopyrrolidin-1-yl) carbonate (223 mg, 0.871
mmol) and DIEA (0.351 mL, 2.011 mmol) at -20 °C under nitrogen. The mixture was stirred at -20 °C for 1 h. and 3-(5-(aminomethyl)-1-oxoisoindolin-2-yl)piperidine-2,6-dione 2,2,2- trifluoroacetate salt (55) (260 mg, 0.670 mmol) was added to the stirring reaction. The reaction was stirred at 20 °C for 15 h. Silica gel chromatography using ethyl acetate and hexanes as the eluting solvents afforded tert-butyl benzyl(4-(3-((2-(2,6-dioxopiperidin-3-yl)-1-oxoisoindolin-5- yl)methyl)ureido)phenyl)carbamate (56) (235 mg, 0.393 mmol, 58.7 % yield). [0462] Step 32-5: 1-(4-(benzylamino)phenyl)-3-((2-(2,6-dioxopiperidin-3-yl)-1-oxoisoindolin-
[0463] To a suspension of tert-Butyl benzyl(4-(3-((2-(2,6-dioxopiperidin-3-yl)-1-oxoisoindolin- 5-yl)methyl)ureido)phenyl)carbamate (56) (230 mg, 0.385 mmol) in 10 mL DCM was added TFA (1 mL). The mixture was stirred at 25°C for 16h. The solvent was removed in vacuo and the residue was purified using prepartive HPLC using following conditions: column: (Xselect CSH C18, 30 mm x 100 mm, 5 μm particles; Flow Rate: 40.00 mL/min; Mobile Phase A: Water(0.1%FA), Mobile Phase B: ACN (0.1% FA); Gradient: 5% B to 95% B in 25 min, hold at 95% B for 1 min. Fraction collection was triggered by UV (254 nm) and MS (ESI +) and ELSD. Fractions containing the desired product were combined and dried via centrifugal evaporation to afford 1-(4-(benzylamino)phenyl)-3-((2-(2,6-dioxopiperidin-3-yl)-1- oxoisoindolin-5-yl)methyl)urea (EX.32) (90 mg, 47%). LCMS (ESI, m/z): [M+H] + 498.7.1H NMR (400 MHz, DMSO-d6) δ ppm 10.60 - 11.15 (m, 1 H), 7.95 - 8.32 (m, 1 H), 7.60 - 7.76 (m, 1 H), 7.47 - 7.53 (m, 1 H), 7.40 - 7.45 (m, 1 H), 7.26 - 7.38 (m, 4 H), 7.17 - 7.26 (m, 1 H), 7.01 - 7.09 (m, 2 H), 6.46 - 6.53 (m, 3 H), 5.85 - 5.94 (m, 1 H), 5.06 - 5.16 (m, 1 H), 4.41 - 4.48 (m, 1 H), 4.35 - 4.40 (m, 2 H), 4.27 - 4.34 (m, 1 H), 4.16 - 4.25 (m, 2 H), 2.84 - 2.98 (m, 1 H), 2.55 - 2.65 (m, 1 H), 2.30 - 2.47 (m, 1 H), 1.94 - 2.05 (m, 1 H). Example 33: 1-((2-(2,6-Dioxopiperidin-3-yl)-4-fluoro-1-oxoisoindolin-5-yl)methyl)-3-(4-((4- (hydroxymethyl)benzyl)oxy)phenyl)urea
[0464] Step 33-1: (4-((4-Nitrophenoxy)methyl)phenyl)methanol
[0465] To a solution of (4-(bromomethyl)phenyl)methanol (37) (1 g, 4.97 mmol) in MeCN (70 mL) was added 4-Nitrophenol (11)(0.830 g, 5.97 mmol) and potassium carbonate (2.062 g, 14.92 mmol). The reaction mixture was stirred at 80°C for 16h. The reaction mixture was cooled to rt and concentrated. The residue was diluted with ethyl acetate/H2O (200 mL/200 mL), the organic layer was isolated and washed with sat. aq. NaCl solution (50 mL), dried Na2SO4, filtered and concentrated to give (4-((4-nitrophenoxy)methyl)phenyl)methanol (57)(1.26 g, 4.86 mmol, 98 % yield) as a light yellow solid. LCMS (ESI, m/z): [M+H] + 242 (M+-OH).1H NMR (CHLOROFORM-d, 400 MHz) δ 8.2-8.2 (m, 2H), 7.4-7.5 (m, 4H), 7.0-7.1 (m, 2H), 5.1-5.2 (m, 2H), 4.7-4.8 (m, 2H). [0466] Step 33-2. tert-butyldimethyl((4-((4-nitrophenoxy)methyl)benzyl)oxy)silane
[0467] To a solution containing (4-((4-nitrophenoxy)methyl)phenyl)methanol (57) (1.26 g, 4.86 mmol) in anhydrous DMF (6.94 ml) at 0 °C was added triethylamine (0.745 ml, 5.35 mmol) followed by the addition of tert-butylchlorodimethylsilane (0.806 g, 5.35 mmol), in one portion. The cloudy suspension was stirred at rt for 1 h. Diethyl ether (100 mL) was added to the reaction followed by addition of water (50 mL). The mixture was poured into a separatory funnel and the aqueous layer discarded. The organic layer was washed with water (2X40 mL) and sat. aq. NaCl solution (50 mL), dried MgSO4, filtered and concentrated under reduced pressure. The yellow oil obtained was chromatographed on silica gel (Biotage SNAP, 50 g) using ethylacetate/hexanes as the eluent to afford tert-butyldimethyl((4-((4- nitrophenoxy)methyl)benzyl)oxy)silane (58) is isolated as colorless oil (1.7 g, 94% yield). [0468] Step 33-3: 4-((4-(((tert-butyldimethylsilyl)oxy)methyl)benzyl)oxy)aniline
[0469] To a solution of tert-butyldimethyl((4-((4-nitrophenoxy)methyl)benzyl)oxy)silane (58) (1.5 g, 4.02 mmol) in EtOH (25 mL) and H2O (5 mL) was added iron powder (1.12 g, 20.1 mmol) and ammonium chloride (2.148 g, 40.2 mmol). The mixture was stirred at 80 °C for 2 h.
The reaction mixture was cooled to rt. and filtered through a pad of Celite. The Celite pad was rinsed with ethyl acetate (400 mL) and the combined filtrate was concentrated. The residue was dissolved in ethyl acetate (40 mL) and washed with water (40- mL) and sat. aq. NaCl solution (40 mL), dried (Na2SO4), filtrated and concentrated to give 4-((4-(((tert- butyldimethylsilyl)oxy)methyl)benzyl)oxy)aniline (59), LCMS (ESI, m/z): [M+H] + 344. Used without further purification in subsequent step. [0470] Step 33-4: 1-(4-((4-(((tert-butyldimethylsilyl)oxy)methyl)benzyl)oxy)phenyl)-3-((2-(2,6- dioxopiperidin-3-yl)-4-fluoro-1-oxoisoindolin-5-yl)methyl)urea
[0471] To a solution of 4-((4-(((tert-butyldimethylsilyl)oxy)methyl)benzyl)oxy)aniline (59) (35.4 mg, 0.103 mmol) in acetonitrile (1 mL) was added bis(2,5-dioxopyrrolidin-1-yl) carbonate (34.3 mg, 0.134 mmol) and DIEA (108 µl, 0.618 mmol) under a nitrogen atmosphere, at 0 oC, and stirred for 1h. To the mixture was added 3-(5-(aminomethyl)-4-fluoro-1-oxoisoindolin-2- yl)piperidine-2,6-dione methanesulfonic salt (60)(40 mg, 0.103 mmol), and stirred at 20 °C for 15 h. The reaction was concentrated and the residue was chromatographed on silica gel (Biotage SNAP, 25g) using ethyl acetate/hexanes as the eluting solvents to give 1-(4-((4-(((tert- butyldimethylsilyl)oxy)methyl)benzyl)oxy)phenyl)-3-((2-(2,6-dioxopiperidin-3-yl)-4-fluoro-1- oxoisoindolin-5-yl)methyl)urea (61) (38 mg, 55.8 % yield). [0472] Step 33-5: 3-((2-(2,6-dioxopiperidin-3-yl)-1-oxoisoindolin-5-yl)methyl)-1-(4-((4- (hydroxymethyl)benzyl)oxy)phenyl)-1-methylurea
[0473] To a solution containing 1-(4-((4-(((tert- butyldimethylsilyl)oxy)methyl)benzyl)oxy)phenyl)-3-((2-(2,6-dioxopiperidin-3-yl)-4-fluoro-1- oxoisoindolin-5-yl)methyl)urea (61) (38 mg, 0.058 mmol) in DCM (2 mL) was added hydrochloric acid (144 µl, 0.575 mmol, 4N in dioxane) and stirred for 16 h. The mixture was concentrated under a stream of nitrogen gas, re-dissolved in DMSO (2 mL) and purified via preparative HPLC using following conditions: column: (Xselect CSH C18, 30 mm x 100 mm, 5 μm particles; Flow Rate: 40.00 mL/min; Mobile Phase A: Water(10 mM ammonium acetate), Mobile Phase B: ACN (10 mM ammonium acetate); Gradient: 5% B to 95% B in 25 min, hold at 95% B for 1 min; Wave Length. Fraction collection was triggered by UV (254 nm) and MS
(ESI +) and ELSD. Fractions containing the desired product were combined and dried via centrifugal evaporation to afford 3-((2-(2,6-dioxopiperidin-3-yl)-1-oxoisoindolin-5-yl)methyl)- 1-(4-((4-(hydroxymethyl)benzyl)oxy)phenyl)-1-methylurea (Ex 33), LCMS (ESI, m/z): [M+H] +543.7.1H NMR (400 MHz, DMSO-d6) δ ppm 10.68 - 11.13 (m, 1 H), 8.25 - 8.59 (m, 1 H), 7.49 - 7.54 (m, 1 H), 7.42 - 7.49 (m, 1 H), 7.28 - 7.34 (m, 2 H), 7.17 - 7.27 (m, 4 H), 6.77 - 6.85 (m, 2 H), 6.53 - 6.68 (m, 1 H), 5.00 - 5.14 (m, 2 H), 4.92 - 4.96 (m, 2 H), 4.46 - 4.53 (m, 1 H), 4.39 - 4.45 (m, 2 H), 4.29 - 4.38 (m, 3 H), 2.78 - 2.90 (m, 1 H), 2.50 - 2.61 (m, 2 H), 2.30 - 2.39 (m, 1 H), 1.88 - 1.98 (m, 1 H). Example 34: 1-((2-(2,6-dioxopiperidin-3-yl)-7-fluoro-1-oxoisoindolin-5-yl)methyl)-3-(4-((4- (hydroxymethyl)benzyl)oxy)phenyl)urea
[0475] To a solution of methyl 4-bromo-2-(bromomethyl)-6-fluorobenzoate (62) (7 g, 21.48 mmol) in MeCN (100. mL) was added the N-ethyl-N-isopropylpropan-2-amine (11.90 mL, 64.4 mmol) and 3-aminopiperidine-2,6-dione hydrochloride (63) (4.59 g, 27.9 mmol). The mixture was stirred at 90 °C for 12 h. The mixture was concentrated in vacuum to give the crude product. The residue was triturated in DCM and filtered to give 3-(5-bromo-7-fluoro-1- oxoisoindolin-2-yl)piperidine-2,6-dione (64) (5.8 g, 16.49 mmol, 77 % yield) as a white solid. LCMS (ESI, m/z): [M+H] + 343/344. [0476] Step 34-2: 2-(2,6-dioxopiperidin-3-yl)-7-fluoro-1-oxoisoindoline-5-carbonitrile
[0477] A stirred mixture containing 3-(5-bromo-7-fluoro-1-oxoisoindolin-2-yl)piperidine-2,6- dione (64) (5.8 g, 17.00 mmol), Zn(CN)2 (1.198 g, 10.20 mmol), Pd2(dba)3 (0.311 g, 0.340 mmol) and dppf (0.377 g, 0.680 mmol) in DMF (100 mL) was evacuated under reduced pressure and backfilled with nitrogen gas, the procedure was repeated and the reaction was heated at 120
°C under nitrogen atmosphere for 6 h. The reaction was cooled to room temperature, diluted with water (200 mL) and ethyl acetate (300 mL), transferred to a separatory funnel and the organic layer isolated. The aqueous layer was extracted with additional ethyl acetate (2x100 mL). The combined organic layers were dried (MgSO4), filtered, and concentrated under reduced pressure. The crude mixture was purified via flash chromatography using ethyl acetate/hexanes as the eluent to provide 2-(2,6-dioxopiperidin-3-yl)-7-fluoro-1-oxoisoindoline- 5-carbonitrile (65) (2.1 g, 7.31 mmol, 43.0 % yield), LCMS (ESI, m/z): [M+H] + 288. [0478] Step 34-3: tert-Butyl ((2-(2,6-dioxopiperidin-3-yl)-7-fluoro-1-oxoisoindolin-5- yl)methyl)carbamate
[0479] To a solution of 2-(2,6-dioxopiperidin-3-yl)-7-fluoro-1-oxoisoindoline-5-carbonitrile (65) (2.1 g, 7.31 mmol) in deoxygenated THF (10 mL) and deoxygenated DMF (10 mL) was added di-tert-butyl dicarbonate (2.074 g, 9.50 mmol) followed by the addition of Raney-Ni (100 mg). The mixture was evacuated under reduced pressure, backfilled with hydrogen gas and pressurized to 50 psi. The mixture was stirred at 25 °C for 40 h. The reaction was evacuated and backfilled with nitrogen gas. Water (100 mL) was added to the reaction and extracted with ethyl acetate (3X100 mL). The combined organic layers were dried (MgSO4), filtered, and concentrated under reduced pressure. The crude material was purified via flash chromatography using ethylacetate/hexanes as the eluent to provide tert-butyl ((2-(2,6-dioxopiperidin-3-yl)-7- fluoro-1-oxoisoindolin-5-yl)methyl)carbamate (66)(1.3 g, 3.32 mmol, 45.4 % yield), LCMS (ESI, m/z): [M+H] + 392.0. [0480] Step 34-4: 3-(5-(Aminomethyl)-7-fluoro-1-oxoisoindolin-2-yl)piperidine-2,6-dione
[0481] To a solution of tert-butyl ((2-(2,6-dioxopiperidin-3-yl)-7-fluoro-1-oxoisoindolin-5- yl)methyl)carbamate (66) (1.3 g, 3.32 mmol) in CH2Cl2 (100 mL) was added 4N hydrochloric acid in dioxane (4.15 mL, 16.61 mmol)). The reaction was stirred at room temperature for 4h. The resulting solid were filtered, rinsed with diethyl ether (5x10 mL) and dried under reduced pressure to provide 3-(5-(aminomethyl)-7-fluoro-1-oxoisoindolin-2-yl)piperidine-2,6-dione HCl salt.(67)(1 g, 92%), LCMS (ESI, m/z): [M+H] + 292.0.
[0482] Step 34-5: 1-(4-((4-(((tert-butyldimethylsilyl)oxy)methyl)benzyl)oxy)phenyl)-3-((2-(2,6- dioxopiperidin-3-yl)-7-fluoro-1-oxoisoindolin-5-yl)methyl)urea
[0483] To a solution of 4-((4-(((tert-butyldimethylsilyl)oxy)methyl)benzyl)oxy)aniline (59) (59.0 mg, 0.172 mmol) in MeCN (1 mL), under nitrogen atmosphere, was added bis(2,5- dioxopyrrolidin-1-yl) carbonate (57.2 mg, 0.223 mmol) and DIEA (90 µl, 0.515 mmol). The mixture was stirred at rt for 1h and treated with 3-(5-(aminomethyl)-7-fluoro-1-oxoisoindolin-2- yl)piperidine-2,6-dione HCl salt (67) (50 mg, 0.15 mmol). The reaction was stirred at 20 °C for an additional 15h, treated with sat. aq. NaHCO3 (5 mL) and extracted with ethyl acetate (3x10 mL). The organic extracts were combined, dried (Na2SO4), filtered and concentrated. The crude product was and chromatographed on silica gel using ethyl acetate/hexanes to provide 1-(4-((4- (((tert-butyldimethylsilyl)oxy)methyl)benzyl)oxy)phenyl)-3-((2-(2,6-dioxopiperidin-3-yl)-7- fluoro-1-oxoisoindolin-5-yl)methyl)urea (68) (50 mg, 0.076 mmol, 44.1 % yield), LCMS (ESI, m/z): [M+H] + 661.2. [0484] Step 34-6: 1-((2-(2,6-dioxopiperidin-3-yl)-7-fluoro-1-oxoisoindolin-5-yl)methyl)-3-(4- ((4-(hydroxymethyl)benzyl)oxy)phenyl)urea
[0485] To a solution containing 1-(4-((4-(((tert- butyldimethylsilyl)oxy)methyl)benzyl)oxy)phenyl)-3-((2-(2,6-dioxopiperidin-3-yl)-7-fluoro-1- oxoisoindolin-5-yl)methyl)urea (68) (50 mg, 0.076 mmol) in DCM (2 mL) was added 4N HCl in dioxane (189 µl, 0.757 mmol) stirred for 16 h. The mixture was concentrated under reduced pressure and purified using preparative HPLC using following conditions: column: (Xselect CSH C18, 30 mm x 100 mm, 5 μm particles; Flow Rate: 40.00 mL/min; Mobile Phase A: Water (0.1% FA), Mobile Phase B: ACN (0.1% FA); Gradient: 5% B, hold for 3 min, then to 95% B in 17 min, hold at 95% B for 1 min. Fraction collection was triggered by UV (254 nm) and MS (ESI +) and ELSD. Fractions containing the desired product were combined and dried via centrifugal evaporation to afford 1-((2-(2,6-dioxopiperidin-3-yl)-7-fluoro-1-oxoisoindolin-5- yl)methyl)-3-(4-((4-(hydroxymethyl)benzyl)oxy)phenyl)urea (EX.34) (6 mg, 14%). LCMS (ESI, m/z): [M+H] + 547.7.1H NMR (400 MHz, DMSO-d6) δ ppm 10.84 - 11.09 (m, 1 H), 8.55 - 8.66 (m, 1 H), 7.27 - 7.39 (m, 7 H), 7.15 - 7.22 (m, 1 H), 6.85 - 6.94 (m, 2 H), 6.76 - 6.83 (m, 1
H), 5.13 - 5.24 (m, 1 H), 4.94 - 5.10 (m, 3 H), 4.32 - 4.52 (m, 6 H), 2.80 - 2.95 (m, 1 H), 2.56 - 2.63 (m, 1 H), 2.30 - 2.43 (m, 1 H), 1.95 - 2.09 (m, 1 H). [0486] The examples listed in Table 3 were prepared using procedures modified from those described in EX.28 to 34, with appropriate starting materials and reagents, which are well known and understood by one of ordinary skill in the art of organic chemistry. Table 3
Evaluation of the Activity of the Compounds [0487] Standard physiological, pharmacological and biochemical procedures are available for testing the compounds to identify those that possess the desired anti-proliferative activity. Such assays include, for example, biochemical assays such as binding assays, radioactivity incorporation assays, as well as a variety of cell based assays. BIOLOGY [0488] Targeted protein degradation represents a new paradigm in drug discovery, in which small molecules can be used to induce novel protein–protein interactions and enable destruction of target proteins that drive disease. Induction of protein degradation as a therapeutic strategy has been clinically validated by the class of immunomodulatory drugs developed by Celgene which include lenalidomide and pomalidomide. Removal of disease-driving proteins translates to the therapeutic benefits derived from immunomodulatory drug treatment. Specifically, CELMoDs (including immunomodulatory drugs) have the capacity to induce recruitment followed by ubiquitination of substrate proteins to the CRL4 (CRBN) E3 ubiquitin ligase, after which, ubiquitin tagged proteins are trafficked to and subsequently degraded by the 26S proteasome. GSPT1 (G1 to S Phase Transition protein 1) is a translation termination factor with intrinsic GTPase activity. GSPT1 in complex with eRF1 recognizes the mRNA stop codon and functions to terminate protein translation by catalyzing the cleavage of the nascent protein from the terminal tRNA as well as by releasing the ribosomal subunits from the stop site allowing reformation and translation initiation at a new start site. Thus, GSPT1 plays a key role in protein synthesis and cell proliferation. Targeted degradation of GSPT1 by CELMoDs elicits broad antitumor activity in AML and solid tumor cells (1, 2).
[0489] 1. Matyskiela ME, Lu G, Ito T, Pagarigan B, Lu CC, Miller K, Fang W, Wang NY, Nguyen D, Houston J, Carmel G, Tran T, Riley M, Nosaka L, Lander GC, Gaidarova S, Xu S, Ruchelman AL, Handa H, Carmichael J, Daniel TO, Cathers BE, Lopez-Girona A, Chamberlain PP. A novel cereblon modulator recruits GSPT1 to the CRL4(CRBN) ubiquitin ligase. Nature. 2016 Jul 14;535(7611):252-7. doi: 10.1038/nature18611. Epub 2016 Jun 22. PMID: 27338790. [0490] 2. Surka C, Jin L, Mbong N, Lu CC, Jang IS, Rychak E, Mendy D, Clayton T, Tindall E, Hsu C, Fontanillo C, Tran E, Contreras A, Ng SWK, Matyskiela M, Wang K, Chamberlain P, Cathers B, Carmichael J, Hansen J, Wang JCY, Minden MD, Fan J, Pierce DW, Pourdehnad M, Rolfe M, Lopez-Girona A, Dick JE, Lu G. CC-90009, a novel cereblon E3 ligase modulator, targets acute myeloid leukemia blasts and leukemia stem cells. Blood.2021 Feb 4;137(5):661- 677. doi: 10.1182/blood.2020008676. PMID: 33197925; PMCID: PMC8215192. CELL ASSAYS [0491] GSPT1 DiscoverX Degradation Assay. DF15 multiple myeloma cells expressing ePL- tagged GSPT1 were dispensed into a 1536-well plate (Corning #3727) pre-spotted with compound.^Compounds were dispensed by an Echo 650 Liquid Handler into a 1536-well in a 10-point dose response curve using three-fold dilutions starting at 10 µM and going down to 0.0005 µM in DMSO. A DMSO control was added to the assay plates.5 µL of media (RPMI- 1640 + 10% Heat Inactivated FBS + 25mM Hepes + 1mM Na Pyruvate+1X NEAA + 0.1% Pluronic F-68 + 1x Pen Strep Glutamine) containing 800 cells was dispensed per well.^^ Assay plates were incubated at 37 °C with 5% CO2 for twenty hours.^ After incubation, 3 µl of the InCELL Hunter™ Detection Reagent Working Solution (DiscoverX, cat #96-0002, Fremont, CA) was added to each well, and the plate was incubated at room temperature for 1hr protected from light.^ Luminescence was read on a PHERAstar luminometer (BMG Labtech, Cary, NC). [0492] To determine EC50 values for GSPT1 degradation, a four-parameter logistic model (Sigmoidal Dose-Response Model) (FIT = (A+((B-A)/1+((C/x)^D)))) wherein C is the inflection point (EC50), D is the correlation coefficient, A and B are the low and high limits of the fit respectively) was used to determine the compound’s EC50 value, which represents the half maximum effective concentration. The minimum Y (Ymin) of the fitted curve is referenced to the Y constant (Yconst). In the GSPT1 degradation assay, ATALUREN® (luciferase inhibitor) was used as the control with a Y constant = 0. The maximum limit is the maximum Y (Ymax) DMSO control.^ All percent of control GSPT1 degradation curves were processed and evaluated using Dotmatics.
Table 4. GSPT1 Degradation Data
[0493] The embodiments described above are intended to be merely examples, and those skilled in the art will recognize, or will be able to ascertain using no more than routine experimentation, numerous equivalents of specific compounds, materials, and procedures. All such equivalents are considered to be within the scope of the invention and are encompassed by the appended claims.
Claims
CLAIMS What is claimed is: 1. A compound of Formula I:
, or a pharmaceutically acceptable salt thereof, wherein: (i) b is 1; A is selected from an unsubstituted or substituted 5 to 12 membered aryl or a 5 to 12 membered heteroaryl ring; and B is selected from an unsubstituted or substituted 3 to 12 membered cycloalkyl; or (ii) b is 0; and A is selected from an unsubstituted or substituted 3 to 12 membered cycloalkyl, 4 to 12 membered heterocyclic, 5 to 12 membered aryl, or a 5 to 12 membered heteroaryl ring; and B is selected from an unsubstituted or substituted 3 to 12 membered cycloalkyl, 4 to 12 membered heterocyclic, 5 to 12 membered aryl or a 5 to 12 membered heteroaryl ring; and X is independently selected from O or N(R11); R1 is independently selected from hydrogen, halogen, -C1-C6 alkyl or a 3 to 6 membered cycloalkyl; R2a and R2b are each independently selected from hydrogen, halogen, -C1-C6 alkyl, a 3 to 6 membered cycloalkyl, wherein the alkyl or cycloalkyl may be optionally substituted with –R11, -N(R11R11), -NHR11 or –OR11; or R2a and R2b, taken together, form oxo; R3 is independently selected from hydrogen, halogen, -OR11, -N(R11R11), -NHR11, -C1-C6 alkyl, a 3 to 6 membered cycloalkyl, 4 to 12 membered heterocyclic, 5 to 12 membered aryl or a 5 to 12 membered heteroaryl ring, wherein the alkyl, cycloalkyl, heterocyclic and heteroaryl may be optionally substituted with –R11, -N(R11R11), -NHR11 or -OR11; R4a and R4b are each independently selected from hydrogen, halogen, -C1-C6 alkyl, a 3 to 6 membered cycloalkyl, 4 to 12 membered heterocyclic, 5 to 12 membered aryl or a
5 to 12 membered heteroaryl ring, wherein the alkyl, cycloalkyl, heterocyclic and heteroaryl may be optionally substituted with –R11, -NHR11 or -OR11; R5 is selected from hydrogen, -C1-C6 alkyl, a 3 to 6 membered cycloalkyl, 4 to 12 membered heterocyclic, 5 to 12 membered aryl or a 5 to 12 membered heteroaryl ring, wherein the alkyl, cycloalkyl, heterocyclic and heteroaryl may be optionally substituted with –R11, -N(R11R11), -NHR11 or -OR11; R6 is selected from hydrogen, -C1-C6 alkyl, a 3 to 6 membered cycloalkyl, 4 to 12 membered heterocyclic, 5 to 12 membered aryl or a 5 to 12 membered heteroaryl ring, wherein the alkyl, cycloalkyl, heterocyclic and heteroaryl may be optionally substituted with –R11, -N(R11R11), -NHR11 or -OR11; wherein two R5 and R6 substituents together with the carbon atoms they are attached to, may join to form a 5 or 6 membered ring that may be saturated, partially saturated, and may further optionally be substituted with 1 or 2 R11 substituents; R7 is independently selected from hydrogen, halogen, -OR11, -C1-C6 alkyl, -(C1- C6 haloalkyl), -(C1-C6 alkyl)-O-(C1-C6 alkyl), -NHR11, -N(R11R11), -CN, 3 to 12 membered cycloalkyl, 4 to 12 membered heterocyclic, 5 to 12 membered aryl or a 5 to 12 membered heteroaryl ring, -C2-C6 alkenyl, -O-(C1-C6 haloalkyl)-O-(C1- C6 alkyl), -C(=O)-(C1-C6 alkyl), -C(=O)OH, -C(=O)-O-(C1-C6 alkyl), -C(=O)NH2, -C(=O)NH(R11), -C(=O)N(R11R11), -S(O)2R11, -S(=O)R11, -SR11, -S(=O)2NH2, -S(=O)2NH(C1-C6 alkyl), or -S(=O)2N(C1-C6 alkyl)2, wherein the alkyl, haloalkyl, cycloalkyl, heterocyclic, aryl, or heteroaryl may be optionally substituted with –R11,
-NHR11 or –OR11; R8a and R8b are each independently selected from hydrogen, halogen or a -C1-C6 alkyl, optionally substituted with –R11,
-NHR11 or –OR11; R9 is independently selected from hydrogen, halogen, -OR11, -C1-C6 alkyl, -(C1-C6 haloalkyl), -(C1-C6 alkyl)-O-(C1-C6 alkyl), -NHR11, -N(R11R11), -CN, 3 to 12 membered cycloalkyl, 4 to 12 membered heterocyclic, 5 to 12 membered aryl or a 5 to 12 membered heteroaryl ring, -C2-C6 alkenyl, -O-(C1-C6 haloalkyl)-O-(C1-C6 alkyl), -C(=O)-(C1-C6 alkyl), -C(=O)OH, -C(=O)-O-(C1-C6 alkyl), -C(=O)NH2, -C(=O)NH(R11), -C(=O)N(R11R11), -S(O)2R11, -S(=O)R11, -SR11, -S(=O)2NH2, -S(=O)2NH(C1-C6 alkyl), or -S(=O)2N(C1-C6 alkyl)2, wherein the alkyl, haloalkyl, cycloalkyl, heterocyclic, aryl, or heteroaryl may be optionally substituted with –R11,
-NHR11 or –OR11; R10 is selected from hydrogen, halogen, -OR11, -C1-C6 alkyl, -(C1-C6 alkyl)-N(R11)C(=O)(C1-C6 alkyl), -(C1-C6 haloalkyl),
-(C1-C6 alkyl)-O-(C1-C6 alkyl), -NHR11, -N(R11R11), -CN, 3 to 12 membered cycloalkyl, 4 to 12 membered heterocyclic, 5 to 12 membered aryl or a 5 to 12 membered heteroaryl ring, -C2-C6 alkenyl, -O-(C1-C6 haloalkyl)-O-(C1-C6 alkyl), -C(=O)-(C1-C6 alkyl), -C(=O)OH, -C(=O)-O-(C1-C6 alkyl), -C(=O)NH2, -C(=O)NH(R11), -C(=O)N(R11R11), -S(O)2R11, -S(=O)R11, -SR11, -S(=O)2NH2, -S(=O)2NH(C1-C6 alkyl), or -S(=O)2N(C1-C6 alkyl)2, wherein the alkyl, haloalkyl, cycloalkyl, heterocyclic, aryl, or heteroaryl may be optionally substituted with –R11,
-NHR11 or –OR11; R11 is independently selected from hydrogen, halogen, -C1-C6 alkyl, -C2-C6 alkenyl, -C1-C6 haloalkyl, a 3 to 12 membered cycloalkyl, 4 to 12 membered heterocyclic, 5 to 12 membered aryl or a 5 to 12 membered heteroaryl ring; wherein the alkyl, alkenyl, haloalkyl, cycloalkyl, heterocyclic, aryl or heteroaryl ring in R11 are each independently unsubstituted or substituted with 1, 2, or 3 R12 substituents; R12 in each instance is independently selected from hydrogen, -C1-C6 alkyl, halogen, -OH, -O-(C1-C6 alkyl), -NH2, a 3 to 12 membered cycloalkyl, 5 to 12 membered heterocyclic, 5 to 12 membered aryl or 5 to 12 membered heteroaryl ring; wherein the alkyl, alkenyl, haloalkyl, cycloalkyl, heterocyclic, aryl or heteroaryl ring in R12 are each independently unsubstituted or substituted with R13; R13 is independently hydrogen, halo, -C1-C6 alkyl, -C1-C6 haloalkyl, -C1-C6 alkoxyalkyl, oxo, hydroxyl or -C1-C6 alkoxy; c is 0, 1, 2, 3, or 4; d is 0, 1, 2, 3, or 4; and e is 0, 1, 2, or 3, and further wherein two R9 substituents on adjacent carbon atoms of the B group may join to form a 5 or 6 membered ring that may be saturated, partially saturated, or aromatic; and may further optionally be substituted with 1 or 2 R13 substituents and may include an oxo substituent if the ring is not an aromatic ring; and wherein the heterocyclic and heteroaryl cyclic ring in each A, B, R3, R4, R5, R6, R7, R9, R10, R11, R12 and R13 may include 1, 2 or 3 heteroatoms independently selected from O, N or S, provided the compound is not 3-{[2-(2,6-dioxopiperidin-3-yl)-1-oxo-2,3-dihydro-1H- isoindol-5-yl]methyl}-1-(4-{[(1r,4r)-4- (aminomethyl)cyclohexyl]methoxy}phenyl)urea. 2. A compound of Formula II:
, or a pharmaceutically acceptable salt thereof, wherein: A is selected from an unsubstituted or substituted 3 to 12 membered cycloalkyl, 4 to 12 membered heterocyclic, 5 to 12 membered aryl, or a 5 to 12 membered heteroaryl ring; B is selected from an unsubstituted or substituted 3 to 12 membered cycloalkyl, 4 to 12 membered heterocyclic, 5 to 12 membered aryl or a 5 to 12 membered heteroaryl ring; X is independently selected from O or N(R11); R1 is independently selected from hydrogen, halogen, -C1-C6 alkyl or a 3 to 6 membered cycloalkyl; R2a and R2b are each independently selected from hydrogen, halogen, -C1-C6 alkyl, a 3 to 6 membered cycloalkyl, wherein the alkyl or cycloalkyl may be optionally substituted with –R11, -N(R11R11), -NHR11 or –OR11; or R2a and R2b, taken together, form oxo; R3 is independently selected from hydrogen, halogen, -OR11, -N(R11R11), -NHR11, -C1-C6 alkyl, a 3 to 6 membered cycloalkyl, 4 to 12 membered heterocyclic, 5 to 12 membered aryl or a 5 to 12 membered heteroaryl ring, wherein the alkyl, cycloalkyl, heterocyclic and heteroaryl may be optionally substituted with –R11, -N(R11R11), -NHR11 or –OR11; R4a and R4b are each independently selected from hydrogen, halogen, -C1-C6 alkyl, a 3 to 6 membered cycloalkyl, 4 to 12 membered heterocyclic, 5 to 12 membered aryl or a 5 to 12 membered heteroaryl ring, wherein the alkyl, cycloalkyl, heterocyclic and heteroaryl may be optionally substituted with –R11, -NHR11 or –OR11; R5 is selected from hydrogen, -C1-C6 alkyl, a 3 to 6 membered cycloalkyl, 4 to 12 membered heterocyclic, 5 to 12 membered aryl or a 5 to 12 membered heteroaryl ring, wherein the alkyl, cycloalkyl, heterocyclic and heteroaryl may be optionally substituted with –R11, -N(R11R11), -NHR11 or –OR11; R6 is selected from hydrogen, -C1-C6 alkyl, a 3 to 6 membered cycloalkyl, 4 to 12 membered heterocyclic, 5 to 12 membered aryl or a 5 to 12 membered heteroaryl
ring, wherein the alkyl, cycloalkyl, heterocyclic and heteroaryl may be optionally substituted with –R11, -N(R11R11), -NHR11 or –OR11; wherein two R5 and R6 substituents together with the carbon atoms they are attached to, may join to form a 5 or 6 membered ring that may be saturated, partially saturated, and may further optionally be substituted with 1 or 2 R11 substituents; R7 is independently selected from hydrogen, halogen, -OR11, -C1-C6 alkyl, -(C1-C6 haloalkyl), -(C1-C6 alkyl)-O-(C1-C6 alkyl), -NHR11, -N(R11R11), -CN, 3 to 12 membered cycloalkyl, 4 to 12 membered heterocyclic, 5 to 12 membered aryl or a 5 to 12 membered heteroaryl ring, -C2-C6 alkenyl, -O-(C1-C6 haloalkyl)-O-(C1-C6 alkyl), -C(=O)-(C1-C6 alkyl), alkyl), -C(=O)NH2, -C(=O)NH(R11),
-S(=O)R11, -SR11, -S(=O)2NH2, -S(=O)2NH(C1-C6 alkyl), or -S(=O)2N(C1-C6 alkyl)2, wherein the alkyl, haloalkyl, cycloalkyl, heterocyclic, aryl, or heteroaryl may be optionally substituted with –R11,
-NHR11 or –OR11; R8a and R8b are each independently selected from hydrogen, halogen or a -C1-C6 alkyl, optionally substituted with –R11,
-NHR11 or –OR11; R9 is independently selected from hydrogen, halogen, -OR11, -C1-C6 alkyl, -(C1-C6 haloalkyl), -(C1-C6 alkyl)-O-(C1-C6 alkyl), -NHR11, -N(R11R11), -CN, 3 to 12 membered cycloalkyl, 4 to 12 membered heterocyclic, 5 to 12 membered aryl or a 5 to 12 membered heteroaryl ring, -C2-C6 alkenyl, -O-(C1-C6 haloalkyl)-O-(C1-C6 alkyl), -C(=O)-(C1-C6 alkyl), -C(=O)OH, -C(=O)-O-(C1-C6 alkyl), -C(=O)NH2, -C(=O)NH(R11), -C(=O)N(R11R11), -S(O)2R11, -S(=O)R11, -SR11, -S(=O)2NH2, -S(=O)2NH(C1-C6 alkyl), or -S(=O)2N(C1-C6 alkyl)2, wherein the alkyl, haloalkyl, cycloalkyl, heterocyclic, aryl, or heteroaryl may be optionally substituted with –R11,
-NHR11 or –OR11; R10 is selected from hydrogen, halogen, -OR11, -C1-C6 alkyl, -(C1-C6 alkyl)-N(R11)C(=O)(C1-C6 alkyl), -(C1-C6 haloalkyl), -(C1-C6 alkyl)-O-(C1-C6 alkyl), -NHR11, -N(R11R11), -CN, 3 to 12 membered cycloalkyl, 4 to 12 membered heterocyclic, 5 to 12 membered aryl or a 5 to 12 membered heteroaryl ring, -C2-C6 alkenyl, -O-(C1-C6 haloalkyl)-O-(C1-C6 alkyl), -C(=O)-(C1-C6 alkyl), -C(=O)OH, -C(=O)-O-(C1-C6 alkyl), -C(=O)NH2, -C(=O)NH(R11), -C(=O)N(R11R11), -S(O)2R11, -S(=O)R11, -SR11, -S(=O)2NH2, -S(=O)2NH(C1-C6 alkyl), or -S(=O)2N(C1-C6 alkyl)2,
wherein the alkyl, haloalkyl, cycloalkyl, heterocyclic, aryl, or heteroaryl may be optionally substituted with –R11, -N(R11R11), -NHR11 or –OR11; R11 is independently selected from hydrogen, halogen, -C1-C6 alkyl, -C2-C6 alkenyl, -C1-C6 haloalkyl, a 3 to 12 membered cycloalkyl, 4 to 12 membered heterocyclic, 5 to 12 membered aryl or a 5 to 12 membered heteroaryl ring; wherein the alkyl, alkenyl, haloalkyl, cycloalkyl, heterocyclic, aryl or heteroaryl ring in R11 are each independently unsubstituted or substituted with 1, 2, or 3 R12 substituents; R12 in each instance is independently selected from hydrogen, -C1-C6 alkyl, halogen, -OH, -O-(C1-C6 alkyl), -NH2, a 3 to 12 membered cycloalkyl, 5 to 12 membered heterocyclic, 5 to 12 membered aryl or 5 to 12 membered heteroaryl ring; wherein the alkyl, alkenyl, haloalkyl, cycloalkyl, heterocyclic, aryl or heteroaryl ring in R12 are each independently unsubstituted or substituted with R13; R13 is independently hydrogen, halo, -C1-C6 alkyl, -C1-C6 haloalkyl, -C1-C6 alkoxyalkyl, oxo, hydroxyl or -C1-C6 alkoxy; b is 0 or 1; c is 0, 1, 2, 3, or 4; and d is 0, 1, 2, 3, or 4, and further wherein two R9 substituents on adjacent carbon atoms of the B group may join to form a 5 or 6 membered ring that may be saturated, partially saturated, or aromatic; and may further optionally be substituted with 1 or 2 R13 substituents and may include an oxo substituent if the ring is not an aromatic ring; and wherein the heterocyclic and heteroaryl cyclic ring in each A, B, R3, R4, R5, R6, R7, R9, R10, R11, R12 and R13 may include 1,
2 or 3 heteroatoms independently selected from O, N or S.
3. The compound of claim 1 or 2, wherein A is selected from phenylene, pyridinylene, pyrimidinylene, or pyridazinylene.
4. The compound of any one of claims 1-3, wherein R7 is independently selected from hydrogen, halogen, -C1-C6 alkyl, or -C1-C6 haloalkyl.
6. The compound of any one of claims 1-5, wherein B is cyclohexylene, cyclopentylene, cyclobutylene, or bicyclo[1.1.1]pentanylene; or wherein B is phenylene, pyridinylene, pyrimidinylene, or pyridazinylene.
7. The compound of any one of claims 1-6, wherein R9 is independently selected from hydrogen, fluoro, chloro, C1-C3 alkyl, C1-C3 alkoxy, C1-C3 haloalkyl, 3 or 4 membered cycloalkyl, or oxetanyloxy.
8. The compound of any one of claims 1-7, wherein R10 is selected from hydrogen, -OH, -NH2, -CH2NH2, -CH2OH, -C(CH3)2OH, -COOH, or -CH2N(H)C(=O)CH3.
10. The compound of any one of claims 1-9, wherein b is 0.
11. The compound of any one of claims 1-9, wherein b is 1.
12. The compound of any one of claims 1-11, wherein X is O, N(H), or N(CH3).
13. The compound of any one of claims 1-12, wherein R1 is selected from hydrogen or methyl.
14. The compound of any one of claims 1-13, wherein R2a and R2b are each hydrogen.
15. The compound of any one of claims 1-14, wherein R3 is hydrogen or fluoro.
16. The compound of any one of claims 1-15, wherein R4a and R4b are each hydrogen; R5 and R6 are each hydrogen; and R8a and R8b are each hydrogen.
17. The compound of any one of claims 1 and 3-16, wherein the compound is of Formula III:
, or a pharmaceutically acceptable salt thereof.
18. A compound, or a pharmaceutically acceptable salt thereof, selected from: 1-(4-((1s,3s)-3-(aminomethyl)cyclobutoxy)phenyl)-3-((2-(2,6-dioxopiperidin-3-yl)-1- oxoisoindolin-5-yl)methyl)urea; 1-(4-((1r,3r)-3-(aminomethyl)cyclobutoxy)phenyl)-3-((2-(2,6-dioxopiperidin-3-yl)-1- oxoisoindolin-5-yl)methyl)urea; 1-[4-[[3-(aminomethyl)-1-bicyclo[1.1.1]pentanyl]methoxy]phenyl]-3-[[2-(2,6-dioxo-3- piperidyl)-1-oxo-isoindolin-5-yl]methyl]urea; 1-(4-(((1s,3s)-3-(aminomethyl)-1-methylcyclobutyl)methoxy)phenyl)-3-((2-(2,6- dioxopiperidin-3-yl)-1-oxoisoindolin-5-yl)methyl)urea; 1-(4-(((1r,4r)-4-(aminomethyl)-4-methylcyclohexyl)methoxy)phenyl)-3-((2-(2,6- dioxopiperidin-3-yl)-1-oxoisoindolin-5-yl)methyl)urea; 1-(4-(((1r,4r)-4-(aminomethyl)-1-methylcyclohexyl)methoxy)phenyl)-3-((2-(2,6- dioxopiperidin-3-yl)-1-oxoisoindolin-5-yl)methyl)urea; 1-(4-(((1s,4s)-4-(aminomethyl)-1-methylcyclohexyl)methoxy)phenyl)-3-((2-(2,6- dioxopiperidin-3-yl)-1-oxoisoindolin-5-yl)methyl)urea; 1-[[2-(2,6-dioxo-3-piperidyl)-1-oxo-isoindolin-5-yl]methyl]-3-[4-[[rac-(1R,3R)-3- (aminomethyl)cyclopentyl]methoxy]phenyl]urea; 1-[[2-(2,6-dioxo-3-piperidyl)-1-oxo-isoindolin-5-yl]methyl]-3-[4-[[(1R,3R)-3- (aminomethyl)cyclopentyl]methoxy]phenyl]urea; 1-[[2-(2,6-dioxo-3-piperidyl)-1-oxo-isoindolin-5-yl]methyl]-3-[4-[[(1S,3S)-3- (aminomethyl)cyclopentyl]methoxy]phenyl]urea; 1-[[2-(2,6-dioxo-3-piperidyl)-1-oxo-isoindolin-5-yl]methyl]-3-[4-[[rac-(1S,3R)-3- (aminomethyl)cyclopentyl]methoxy]phenyl]urea; 1-[[2-(2,6-dioxo-3-piperidyl)-1-oxo-isoindolin-5-yl]methyl]-3-[4-[[(1S,3R)-3- (aminomethyl)cyclopentyl]methoxy]phenyl]urea; 1-[[2-(2,6-dioxo-3-piperidyl)-1-oxo-isoindolin-5-yl]methyl]-3-[4-[[(1R,3S)-3- (aminomethyl)cyclopentyl]methoxy]phenyl]urea; 1-(4-(((1s,3s)-3-(aminomethyl)cyclobutyl)methoxy)phenyl)-3-((2-(2,6-dioxopiperidin-3- yl)-1-oxoisoindolin-5-yl)methyl)urea;
1-(4-(((1r,3r)-3-(aminomethyl)cyclobutyl)methoxy)phenyl)-3-((2-(2,6-dioxopiperidin-3- yl)-1-oxoisoindolin-5-yl)methyl)urea; 1-(4-(((1r,4r)-4-(aminomethyl)cyclohexyl)oxy)phenyl)-3-((2-(2,6-dioxopiperidin-3-yl)- 1-oxoisoindolin-5-yl)methyl)urea; 1-(4-(((1s,4s)-4-(aminomethyl)cyclohexyl)oxy)phenyl)-3-((2-(2,6-dioxopiperidin-3-yl)- 1-oxoisoindolin-5-yl)methyl)urea; 1-(4-(((1s,4s)-4-(aminomethyl)cyclohexyl)methoxy)phenyl)-3-((2-(2,6-dioxopiperidin-3- yl)-1-oxoisoindolin-5-yl)methyl)urea; 1-((2-(2,6-Dioxopiperidin-3-yl)-1-oxoisoindolin-5-yl)methyl)-3-(4-(((1s,4s)-4- (hydroxymethyl)cyclohexyl)methoxy)phenyl)urea; 1-((2-(2,6-Dioxopiperidin-3-yl)-1-oxoisoindolin-5-yl)methyl)-3-(4-(((1R,3R)-3- (hydroxymethyl)cyclopentyl)oxy)phenyl)urea; 1-((2-(2,6-Dioxopiperidin-3-yl)-1-oxoisoindolin-5-yl)methyl)-3-(4-(((1S,3S)-3- (hydroxymethyl)cyclopentyl)oxy)phenyl)urea; rac-1-((2-(2,6-Dioxopiperidin-3-yl)-1-oxoisoindolin-5-yl)methyl)-3-(4-(((1R,3S)-3- (hydroxymethyl)cyclopentyl)oxy)phenyl)urea; 1-((2-(2,6-Dioxopiperidin-3-yl)-1-oxoisoindolin-5-yl)methyl)-3-(4-(((1R,3S)-3- (hydroxymethyl)cyclopentyl)oxy)phenyl)urea; 1-((2-(2,6-Dioxopiperidin-3-yl)-1-oxoisoindolin-5-yl)methyl)-3-(4-(((1S,3R)-3- (hydroxymethyl)cyclopentyl)oxy)phenyl)urea; rac-1-((2-(2,6-dioxopiperidin-3-yl)-1-oxoisoindolin-5-yl)methyl)-3-(4-(((1S,3S)-3- (hydroxymethyl)cyclopentyl)methoxy)phenyl)urea; 1-((2-(2,6-dioxopiperidin-3-yl)-1-oxoisoindolin-5-yl)methyl)-3-(4-(((1S,3S)-3- (hydroxymethyl)cyclopentyl)methoxy)phenyl)urea; 1-((2-(2,6-dioxopiperidin-3-yl)-1-oxoisoindolin-5-yl)methyl)-3-(4-(((1R,3R)-3- (hydroxymethyl)cyclopentyl)methoxy)phenyl)urea; rac-1-((2-(2,6-Dioxopiperidin-3-yl)-1-oxoisoindolin-5-yl)methyl)-3-(4-(((1r,4r)-4- (hydroxymethyl)cyclohexyl)oxy)phenyl)urea; 1-((2-(2,6-Dioxopiperidin-3-yl)-1-oxoisoindolin-5-yl)methyl)-3-(4-(((1r,4r)-4- (hydroxymethyl)cyclohexyl)oxy)phenyl)urea; 1-((2-(2,6-Dioxopiperidin-3-yl)-1-oxoisoindolin-5-yl)methyl)-3-(4-(((1s,4s)-4- (hydroxymethyl)cyclohexyl)oxy)phenyl)urea; rac-1-((2-(2,6-Dioxopiperidin-3-yl)-1-oxoisoindolin-5-yl)methyl)-3-(4-(((1R,3S)-3- (hydroxymethyl)cyclopentyl)methoxy)phenyl)urea;
1-((2-(2,6-Dioxopiperidin-3-yl)-1-oxoisoindolin-5-yl)methyl)-3-(4-(((1R,3S)-3- (hydroxymethyl)cyclopentyl)methoxy)phenyl)urea; 1-((2-(2,6-Dioxopiperidin-3-yl)-1-oxoisoindolin-5-yl)methyl)-3-(4-(((1S,3R)-3- (hydroxymethyl)cyclopentyl)methoxy)phenyl)urea; rac-1-((2-(2,6-Dioxopiperidin-3-yl)-1-oxoisoindolin-5-yl)methyl)-3-(4-((1r,3r)-3- (hydroxymethyl)cyclobutoxy)phenyl)urea; 1-((2-(2,6-Dioxopiperidin-3-yl)-1-oxoisoindolin-5-yl)methyl)-3-(4-((1r,3r)-3- (hydroxymethyl)cyclobutoxy)phenyl)urea; 1-((2-(2,6-Dioxopiperidin-3-yl)-1-oxoisoindolin-5-yl)methyl)-3-(4-((1s,3s)-3- (hydroxymethyl)cyclobutoxy)phenyl)urea; rac-1-((2-(2,6-Dioxopiperidin-3-yl)-1-oxoisoindolin-5-yl)methyl)-3-(4-(((1s,4s)-4- (hydroxymethyl)cyclohexyl)oxy)phenyl)urea; 1-((2-(2,6-Dioxopiperidin-3-yl)-1-oxoisoindolin-5-yl)methyl)-3-(4-(((1s,4s)-4- (hydroxymethyl)cyclohexyl)oxy)phenyl)urea; 1-((2-(2,6-Dioxopiperidin-3-yl)-1-oxoisoindolin-5-yl)methyl)-3-(4-(((1r,4r)-4- (hydroxymethyl)cyclohexyl)oxy)phenyl)urea; rac-1-((2-(2,6-Dioxopiperidin-3-yl)-1-oxoisoindolin-5-yl)methyl)-3-(4-(((1r,4r)-4- (hydroxymethyl)cyclohexyl)methoxy)phenyl)urea; 1-((2-(2,6-Dioxopiperidin-3-yl)-1-oxoisoindolin-5-yl)methyl)-3-(4-(((1r,4r)-4- (hydroxymethyl)cyclohexyl)methoxy)phenyl)urea; 1-((2-(2,6-Dioxopiperidin-3-yl)-1-oxoisoindolin-5-yl)methyl)-3-(4-(((1s,4s)-4- (hydroxymethyl)cyclohexyl)methoxy)phenyl)urea; rac-1-((2-(2,6-Dioxopiperidin-3-yl)-1-oxoisoindolin-5-yl)methyl)-3-(4-(((1s,3s)-3- (hydroxymethyl)cyclobutyl)methoxy)phenyl)urea; 1-((2-(2,6-Dioxopiperidin-3-yl)-1-oxoisoindolin-5-yl)methyl)-3-(4-(((1s,3s)-3- (hydroxymethyl)cyclobutyl)methoxy)phenyl)urea; 1-((2-(2,6-Dioxopiperidin-3-yl)-1-oxoisoindolin-5-yl)methyl)-3-(4-(((1r,3r)-3- (hydroxymethyl)cyclobutyl)methoxy)phenyl)urea; rac-1-((2-(2,6-Dioxopiperidin-3-yl)-1-oxoisoindolin-5-yl)methyl)-3-(4-((1s,3s)-3- (hydroxymethyl)cyclobutoxy)phenyl)urea; 1-((2-(2,6-Dioxopiperidin-3-yl)-1-oxoisoindolin-5-yl)methyl)-3-(4-((1s,3s)-3- (hydroxymethyl)cyclobutoxy)phenyl)urea; 1-((2-(2,6-Dioxopiperidin-3-yl)-1-oxoisoindolin-5-yl)methyl)-3-(4-((1r,3r)-3- (hydroxymethyl)cyclobutoxy)phenyl)urea;
rac-1-((2-(2,6-Dioxopiperidin-3-yl)-1-oxoisoindolin-5-yl)methyl)-3-(4-(((1r,3r)-3- (hydroxymethyl)cyclobutyl)methoxy)phenyl)urea; 1-((2-(2,6-Dioxopiperidin-3-yl)-1-oxoisoindolin-5-yl)methyl)-3-(4-(((1r,3r)-3- (hydroxymethyl)cyclobutyl)methoxy)phenyl)urea; 1-((2-(2,6-Dioxopiperidin-3-yl)-1-oxoisoindolin-5-yl)methyl)-3-(4-(((1s,3s)-3- (hydroxymethyl)cyclobutyl)methoxy)phenyl)urea; N-(4-((4-(3-((2-(2,6-dioxopiperidin-3-yl)-1-oxoisoindolin-5- yl)methyl)ureido)phenoxy)methyl)benzyl)acetamide; 1-((2-(2,6-dioxopiperidin-3-yl)-1-oxoisoindolin-5-yl)methyl)-3-(4-((4-(2- hydroxypropan-2-yl)benzyl)oxy)phenyl)urea; 3-(5-((3-(2-((4-(hydroxymethyl)benzyl)oxy)phenyl)-2-oxoimidazolidin-1-yl)methyl)-1- oxoisoindolin-2-yl)piperidine-2,6-dione; 1-(4-benzyloxyphenyl)-3-[[2-(2,6-dioxo-3-piperidyl)-4-fluoro-1-oxo-isoindolin-5- yl]methyl]urea; 1-(4-(benzylamino)phenyl)-3-((2-(2,6-dioxopiperidin-3-yl)-1-oxoisoindolin-5- yl)methyl)urea; 1-((2-(2,6-Dioxopiperidin-3-yl)-4-fluoro-1-oxoisoindolin-5-yl)methyl)-3-(4-((4- (hydroxymethyl)benzyl)oxy)phenyl)urea; 1-(4-(benzyloxy)phenyl)-3-((2-(2,6-dioxopiperidin-3-yl)-7-fluoro-1-oxoisoindolin-5- yl)methyl)urea; 1-((2-(2,6-dioxopiperidin-3-yl)-7-fluoro-1-oxoisoindolin-5-yl)methyl)-3-(4-((4- (hydroxymethyl)benzyl)oxy)phenyl)urea; 4-((4-(3-((2-(2,6-dioxopiperidin-3-yl)-1-oxoisoindolin-5- yl)methyl)ureido)phenoxy)methyl)benzoic acid; 1-(4-(benzyloxy)phenyl)-3-((2-(2,6-dioxopiperidin-3-yl)-7-fluoro-1-oxoisoindolin-5- yl)methyl)urea; 1-(4-(benzyl(methyl)amino)phenyl)-3-((2-(2,6-dioxopiperidin-3-yl)-1-oxoisoindolin-5- yl)methyl)urea; 3-(4-(benzyloxy)phenyl)-1-((2-(2,6-dioxopiperidin-3-yl)-1-oxoisoindolin-5-yl)methyl)- 1-methylurea; 1-(4-((4-(aminomethyl)benzyl)oxy)phenyl)-3-((2-(2,6-dioxopiperidin-3-yl)-7-fluoro-1- oxoisoindolin-5-yl)methyl)urea; 1-(4-((2-chlorobenzyl)oxy)phenyl)-3-((2-(2,6-dioxopiperidin-3-yl)-4-fluoro-1- oxoisoindolin-5-yl)methyl)urea;
1-(4-(benzyloxy)-3-fluorophenyl)-3-((2-(2,6-dioxopiperidin-3-yl)-4-fluoro-1- oxoisoindolin-5-yl)methyl)urea; 1-((2-(2,6-dioxopiperidin-3-yl)-4-fluoro-1-oxoisoindolin-5-yl)methyl)-3-(4-((2- fluorobenzyl)oxy)phenyl)urea; 1-(4-(benzyloxy)-2-fluorophenyl)-3-((2-(2,6-dioxopiperidin-3-yl)-4-fluoro-1- oxoisoindolin-5-yl)methyl)urea; or 1-((2-(2,6-dioxopiperidin-3-
1-oxoisoindolin-5-yl)methyl)-3-(4-((2- (trifluoromethyl)benzyl)oxy)phenyl)urea; or a compound of any of Example Numbers 1-44, or a pharmaceutically acceptable salt thereof.
19. A pharmaceutical composition comprising a compound of any one of claims 1-18, or a pharmaceutically acceptable salt thereof, and a pharmaceutically acceptable carrier.
20. A method of treating cancer is a mammal in need thereof, comprising administering to the mammal a therapeutically effective amount of a compound of any one of claims 1-18, or a pharmaceutically acceptable salt thereof, or pharmaceutical composition of claim 19.
Applications Claiming Priority (2)
| Application Number | Priority Date | Filing Date | Title |
|---|---|---|---|
| US202363590734P | 2023-10-16 | 2023-10-16 | |
| US63/590,734 | 2023-10-16 |
Publications (1)
| Publication Number | Publication Date |
|---|---|
| WO2025085416A1 true WO2025085416A1 (en) | 2025-04-24 |
Family
ID=93333653
Family Applications (1)
| Application Number | Title | Priority Date | Filing Date |
|---|---|---|---|
| PCT/US2024/051365 Pending WO2025085416A1 (en) | 2023-10-16 | 2024-10-15 | Gspt1 compounds and methods of use of the compounds |
Country Status (1)
| Country | Link |
|---|---|
| WO (1) | WO2025085416A1 (en) |
Citations (69)
| Publication number | Priority date | Publication date | Assignee | Title |
|---|---|---|---|---|
| US3536809A (en) | 1969-02-17 | 1970-10-27 | Alza Corp | Medication method |
| US3598123A (en) | 1969-04-01 | 1971-08-10 | Alza Corp | Bandage for administering drugs |
| US3845770A (en) | 1972-06-05 | 1974-11-05 | Alza Corp | Osmatic dispensing device for releasing beneficial agent |
| US3916899A (en) | 1973-04-25 | 1975-11-04 | Alza Corp | Osmotic dispensing device with maximum and minimum sizes for the passageway |
| US4008719A (en) | 1976-02-02 | 1977-02-22 | Alza Corporation | Osmotic system having laminar arrangement for programming delivery of active agent |
| US4044126A (en) | 1972-04-20 | 1977-08-23 | Allen & Hanburys Limited | Steroidal aerosol compositions and process for the preparation thereof |
| US4328245A (en) | 1981-02-13 | 1982-05-04 | Syntex (U.S.A.) Inc. | Carbonate diester solutions of PGE-type compounds |
| US4364923A (en) | 1972-04-20 | 1982-12-21 | Allen & Hanburs Limited | Chemical compounds |
| US4409239A (en) | 1982-01-21 | 1983-10-11 | Syntex (U.S.A.) Inc. | Propylene glycol diester solutions of PGE-type compounds |
| US4410545A (en) | 1981-02-13 | 1983-10-18 | Syntex (U.S.A.) Inc. | Carbonate diester solutions of PGE-type compounds |
| US4522811A (en) | 1982-07-08 | 1985-06-11 | Syntex (U.S.A.) Inc. | Serial injection of muramyldipeptides and liposomes enhances the anti-infective activity of muramyldipeptides |
| US4810643A (en) | 1985-08-23 | 1989-03-07 | Kirin- Amgen Inc. | Production of pluripotent granulocyte colony-stimulating factor |
| US4999291A (en) | 1985-08-23 | 1991-03-12 | Amgen Inc. | Production of human pluripotent granulocyte colony-stimulating factor |
| US5033252A (en) | 1987-12-23 | 1991-07-23 | Entravision, Inc. | Method of packaging and sterilizing a pharmaceutical product |
| US5052558A (en) | 1987-12-23 | 1991-10-01 | Entravision, Inc. | Packaged pharmaceutical product |
| US5059595A (en) | 1989-03-22 | 1991-10-22 | Bioresearch, S.P.A. | Pharmaceutical compositions containing 5-methyltetrahydrofolic acid, 5-formyltetrahydrofolic acid and their pharmaceutically acceptable salts in controlled-release form active in the therapy of organic mental disturbances |
| US5073543A (en) | 1988-07-21 | 1991-12-17 | G. D. Searle & Co. | Controlled release formulations of trophic factors in ganglioside-lipsome vehicle |
| US5120548A (en) | 1989-11-07 | 1992-06-09 | Merck & Co., Inc. | Swelling modulated polymeric drug delivery device |
| US5229496A (en) | 1985-08-06 | 1993-07-20 | Immunex Corporation | Analogs of human granulocyte-macrophage colony stimulating factor |
| US5323907A (en) | 1992-06-23 | 1994-06-28 | Multi-Comp, Inc. | Child resistant package assembly for dispensing pharmaceutical medications |
| US5354556A (en) | 1984-10-30 | 1994-10-11 | Elan Corporation, Plc | Controlled release powder and process for its preparation |
| US5528823A (en) | 1992-12-24 | 1996-06-25 | The Whitaker Corporation | Method for retaining wires in a current mode coupler |
| US5591767A (en) | 1993-01-25 | 1997-01-07 | Pharmetrix Corporation | Liquid reservoir transdermal patch for the administration of ketorolac |
| US5639480A (en) | 1989-07-07 | 1997-06-17 | Sandoz Ltd. | Sustained release formulations of water soluble peptides |
| US5639476A (en) | 1992-01-27 | 1997-06-17 | Euro-Celtique, S.A. | Controlled release formulations coated with aqueous dispersions of acrylic polymers |
| US5674533A (en) | 1994-07-07 | 1997-10-07 | Recordati, S.A., Chemical And Pharmaceutical Company | Pharmaceutical composition for the controlled release of moguisteine in a liquid suspension |
| US5709874A (en) | 1993-04-14 | 1998-01-20 | Emory University | Device for local drug delivery and methods for using the same |
| US5733566A (en) | 1990-05-15 | 1998-03-31 | Alkermes Controlled Therapeutics Inc. Ii | Controlled release of antiparasitic agents in animals |
| US5739108A (en) | 1984-10-04 | 1998-04-14 | Monsanto Company | Prolonged release of biologically active polypeptides |
| US5759542A (en) | 1994-08-05 | 1998-06-02 | New England Deaconess Hospital Corporation | Compositions and methods for the delivery of drugs by platelets for the treatment of cardiovascular and other diseases |
| US5840674A (en) | 1990-11-01 | 1998-11-24 | Oregon Health Sciences University | Covalent microparticle-drug conjugates for biological targeting |
| US5891474A (en) | 1997-01-29 | 1999-04-06 | Poli Industria Chimica, S.P.A. | Time-specific controlled release dosage formulations and method of preparing same |
| US5900252A (en) | 1990-04-17 | 1999-05-04 | Eurand International S.P.A. | Method for targeted and controlled release of drugs in the intestinal tract and more particularly in the colon |
| US5922356A (en) | 1996-10-09 | 1999-07-13 | Sumitomo Pharmaceuticals Company, Limited | Sustained release formulation |
| US5972891A (en) | 1992-12-07 | 1999-10-26 | Takeda Chemical Industries, Ltd. | Sustained-release preparation |
| US5972366A (en) | 1994-11-28 | 1999-10-26 | The Unites States Of America As Represented By The Secretary Of The Army | Drug releasing surgical implant or dressing material |
| US5980945A (en) | 1996-01-16 | 1999-11-09 | Societe De Conseils De Recherches Et D'applications Scientifique S.A. | Sustained release drug formulations |
| US5985307A (en) | 1993-04-14 | 1999-11-16 | Emory University | Device and method for non-occlusive localized drug delivery |
| US5993855A (en) | 1995-09-18 | 1999-11-30 | Shiseido Company, Ltd. | Delayed drug-releasing microspheres |
| US6004534A (en) | 1993-07-23 | 1999-12-21 | Massachusetts Institute Of Technology | Targeted polymerized liposomes for improved drug delivery |
| US6039975A (en) | 1995-10-17 | 2000-03-21 | Hoffman-La Roche Inc. | Colon targeted delivery system |
| US6045830A (en) | 1995-09-04 | 2000-04-04 | Takeda Chemical Industries, Ltd. | Method of production of sustained-release preparation |
| US6048736A (en) | 1998-04-29 | 2000-04-11 | Kosak; Kenneth M. | Cyclodextrin polymers for carrying and releasing drugs |
| US6060082A (en) | 1997-04-18 | 2000-05-09 | Massachusetts Institute Of Technology | Polymerized liposomes targeted to M cells and useful for oral or mucosal drug delivery |
| US6071495A (en) | 1989-12-22 | 2000-06-06 | Imarx Pharmaceutical Corp. | Targeted gas and gaseous precursor-filled liposomes |
| US6087324A (en) | 1993-06-24 | 2000-07-11 | Takeda Chemical Industries, Ltd. | Sustained-release preparation |
| US6113943A (en) | 1996-10-31 | 2000-09-05 | Takeda Chemical Industries, Ltd. | Sustained-release preparation capable of releasing a physiologically active substance |
| US6120751A (en) | 1997-03-21 | 2000-09-19 | Imarx Pharmaceutical Corp. | Charged lipids and uses for the same |
| US6131570A (en) | 1998-06-30 | 2000-10-17 | Aradigm Corporation | Temperature controlling device for aerosol drug delivery |
| US6139865A (en) | 1996-10-01 | 2000-10-31 | Eurand America, Inc. | Taste-masked microcapsule compositions and methods of manufacture |
| US6197350B1 (en) | 1996-12-20 | 2001-03-06 | Takeda Chemical Industries, Ltd. | Method of producing a sustained-release preparation |
| US6248363B1 (en) | 1999-11-23 | 2001-06-19 | Lipocine, Inc. | Solid carriers for improved delivery of active ingredients in pharmaceutical compositions |
| US6253872B1 (en) | 1996-05-29 | 2001-07-03 | Gmundner Fertigteile Gesellschaft M.B.H & Co., Kg | Track soundproofing arrangement |
| US6264970B1 (en) | 1996-06-26 | 2001-07-24 | Takeda Chemical Industries, Ltd. | Sustained-release preparation |
| US6267981B1 (en) | 1995-06-27 | 2001-07-31 | Takeda Chemical Industries, Ltd. | Method of producing sustained-release preparation |
| US6271359B1 (en) | 1999-04-14 | 2001-08-07 | Musc Foundation For Research Development | Tissue-specific and pathogen-specific toxic agents and ribozymes |
| US6274552B1 (en) | 1993-03-18 | 2001-08-14 | Cytimmune Sciences, Inc. | Composition and method for delivery of biologically-active factors |
| US6316652B1 (en) | 1995-06-06 | 2001-11-13 | Kosta Steliou | Drug mitochondrial targeting agents |
| US6419961B1 (en) | 1996-08-29 | 2002-07-16 | Takeda Chemical Industries, Ltd. | Sustained release microcapsules of a bioactive substance and a biodegradable polymer |
| US6589548B1 (en) | 1998-05-16 | 2003-07-08 | Mogam Biotechnology Research Institute | Controlled drug delivery system using the conjugation of drug to biodegradable polyester |
| US6613358B2 (en) | 1998-03-18 | 2003-09-02 | Theodore W. Randolph | Sustained-release composition including amorphous polymer |
| US6740634B1 (en) | 1998-01-16 | 2004-05-25 | Takeda Chemical Industries, Ltd. | Sustained release compositions, process for producing the same and utilization thereof |
| US7498171B2 (en) | 2002-04-12 | 2009-03-03 | Anthrogenesis Corporation | Modulation of stem and progenitor cell differentiation, assays, and uses thereof |
| WO2010053732A1 (en) * | 2008-10-29 | 2010-05-14 | Celgene Corporation | Isoindoline compounds for use in the treatment of cancer |
| WO2021069705A1 (en) * | 2019-10-09 | 2021-04-15 | Monte Rosa Therapeutics | Isoindolinone compounds |
| WO2022220625A1 (en) * | 2021-04-14 | 2022-10-20 | 주식회사 레고켐바이오사이언스 | Protein degrader conjugates and use thereof |
| WO2023059609A1 (en) * | 2021-10-04 | 2023-04-13 | Halda Therapeutics Opco, Inc. | Heterobifunctional compounds and their use in treating disease |
| WO2023201282A1 (en) * | 2022-04-14 | 2023-10-19 | Bristol-Myers Squibb Company | Novel gspt1 compounds and methods of use of the novel compounds |
| WO2024169913A1 (en) * | 2023-02-15 | 2024-08-22 | 石药集团巨石生物制药有限公司 | Domide molecular glue derivative and use thereof |
-
2024
- 2024-10-15 WO PCT/US2024/051365 patent/WO2025085416A1/en active Pending
Patent Citations (75)
| Publication number | Priority date | Publication date | Assignee | Title |
|---|---|---|---|---|
| US3536809A (en) | 1969-02-17 | 1970-10-27 | Alza Corp | Medication method |
| US3598123A (en) | 1969-04-01 | 1971-08-10 | Alza Corp | Bandage for administering drugs |
| US4414209A (en) | 1972-04-20 | 1983-11-08 | Allen & Hanburys Limited | Micronized aerosol steroids |
| US4044126A (en) | 1972-04-20 | 1977-08-23 | Allen & Hanburys Limited | Steroidal aerosol compositions and process for the preparation thereof |
| US4364923A (en) | 1972-04-20 | 1982-12-21 | Allen & Hanburs Limited | Chemical compounds |
| US3845770A (en) | 1972-06-05 | 1974-11-05 | Alza Corp | Osmatic dispensing device for releasing beneficial agent |
| US3916899A (en) | 1973-04-25 | 1975-11-04 | Alza Corp | Osmotic dispensing device with maximum and minimum sizes for the passageway |
| US4008719A (en) | 1976-02-02 | 1977-02-22 | Alza Corporation | Osmotic system having laminar arrangement for programming delivery of active agent |
| US4328245A (en) | 1981-02-13 | 1982-05-04 | Syntex (U.S.A.) Inc. | Carbonate diester solutions of PGE-type compounds |
| US4410545A (en) | 1981-02-13 | 1983-10-18 | Syntex (U.S.A.) Inc. | Carbonate diester solutions of PGE-type compounds |
| US4409239A (en) | 1982-01-21 | 1983-10-11 | Syntex (U.S.A.) Inc. | Propylene glycol diester solutions of PGE-type compounds |
| US4522811A (en) | 1982-07-08 | 1985-06-11 | Syntex (U.S.A.) Inc. | Serial injection of muramyldipeptides and liposomes enhances the anti-infective activity of muramyldipeptides |
| US5739108A (en) | 1984-10-04 | 1998-04-14 | Monsanto Company | Prolonged release of biologically active polypeptides |
| US5354556A (en) | 1984-10-30 | 1994-10-11 | Elan Corporation, Plc | Controlled release powder and process for its preparation |
| US5393870A (en) | 1985-08-06 | 1995-02-28 | Immunex Corporation | Analogs of human granulocyte-macrophage colony stimulating factor |
| US5391485A (en) | 1985-08-06 | 1995-02-21 | Immunex Corporation | DNAs encoding analog GM-CSF molecules displaying resistance to proteases which cleave at adjacent dibasic residues |
| US5229496A (en) | 1985-08-06 | 1993-07-20 | Immunex Corporation | Analogs of human granulocyte-macrophage colony stimulating factor |
| US5580755A (en) | 1985-08-23 | 1996-12-03 | Amgen Inc. | Human pluripotent granulocyte colony-stimulating factor |
| US4999291A (en) | 1985-08-23 | 1991-03-12 | Amgen Inc. | Production of human pluripotent granulocyte colony-stimulating factor |
| US4810643A (en) | 1985-08-23 | 1989-03-07 | Kirin- Amgen Inc. | Production of pluripotent granulocyte colony-stimulating factor |
| US5052558A (en) | 1987-12-23 | 1991-10-01 | Entravision, Inc. | Packaged pharmaceutical product |
| US5033252A (en) | 1987-12-23 | 1991-07-23 | Entravision, Inc. | Method of packaging and sterilizing a pharmaceutical product |
| US5073543A (en) | 1988-07-21 | 1991-12-17 | G. D. Searle & Co. | Controlled release formulations of trophic factors in ganglioside-lipsome vehicle |
| US5059595A (en) | 1989-03-22 | 1991-10-22 | Bioresearch, S.P.A. | Pharmaceutical compositions containing 5-methyltetrahydrofolic acid, 5-formyltetrahydrofolic acid and their pharmaceutically acceptable salts in controlled-release form active in the therapy of organic mental disturbances |
| US5639480A (en) | 1989-07-07 | 1997-06-17 | Sandoz Ltd. | Sustained release formulations of water soluble peptides |
| US5120548A (en) | 1989-11-07 | 1992-06-09 | Merck & Co., Inc. | Swelling modulated polymeric drug delivery device |
| US6071495A (en) | 1989-12-22 | 2000-06-06 | Imarx Pharmaceutical Corp. | Targeted gas and gaseous precursor-filled liposomes |
| US5900252A (en) | 1990-04-17 | 1999-05-04 | Eurand International S.P.A. | Method for targeted and controlled release of drugs in the intestinal tract and more particularly in the colon |
| US5733566A (en) | 1990-05-15 | 1998-03-31 | Alkermes Controlled Therapeutics Inc. Ii | Controlled release of antiparasitic agents in animals |
| US5840674A (en) | 1990-11-01 | 1998-11-24 | Oregon Health Sciences University | Covalent microparticle-drug conjugates for biological targeting |
| US5639476A (en) | 1992-01-27 | 1997-06-17 | Euro-Celtique, S.A. | Controlled release formulations coated with aqueous dispersions of acrylic polymers |
| US5323907A (en) | 1992-06-23 | 1994-06-28 | Multi-Comp, Inc. | Child resistant package assembly for dispensing pharmaceutical medications |
| US5972891A (en) | 1992-12-07 | 1999-10-26 | Takeda Chemical Industries, Ltd. | Sustained-release preparation |
| US5528823A (en) | 1992-12-24 | 1996-06-25 | The Whitaker Corporation | Method for retaining wires in a current mode coupler |
| US5591767A (en) | 1993-01-25 | 1997-01-07 | Pharmetrix Corporation | Liquid reservoir transdermal patch for the administration of ketorolac |
| US6274552B1 (en) | 1993-03-18 | 2001-08-14 | Cytimmune Sciences, Inc. | Composition and method for delivery of biologically-active factors |
| US5709874A (en) | 1993-04-14 | 1998-01-20 | Emory University | Device for local drug delivery and methods for using the same |
| US5985307A (en) | 1993-04-14 | 1999-11-16 | Emory University | Device and method for non-occlusive localized drug delivery |
| US6376461B1 (en) | 1993-06-24 | 2002-04-23 | Takeda Chemical Industries, Ltd. | Sustained-release preparation |
| US6087324A (en) | 1993-06-24 | 2000-07-11 | Takeda Chemical Industries, Ltd. | Sustained-release preparation |
| US6004534A (en) | 1993-07-23 | 1999-12-21 | Massachusetts Institute Of Technology | Targeted polymerized liposomes for improved drug delivery |
| US5674533A (en) | 1994-07-07 | 1997-10-07 | Recordati, S.A., Chemical And Pharmaceutical Company | Pharmaceutical composition for the controlled release of moguisteine in a liquid suspension |
| US5759542A (en) | 1994-08-05 | 1998-06-02 | New England Deaconess Hospital Corporation | Compositions and methods for the delivery of drugs by platelets for the treatment of cardiovascular and other diseases |
| US5972366A (en) | 1994-11-28 | 1999-10-26 | The Unites States Of America As Represented By The Secretary Of The Army | Drug releasing surgical implant or dressing material |
| US6316652B1 (en) | 1995-06-06 | 2001-11-13 | Kosta Steliou | Drug mitochondrial targeting agents |
| US6267981B1 (en) | 1995-06-27 | 2001-07-31 | Takeda Chemical Industries, Ltd. | Method of producing sustained-release preparation |
| US6045830A (en) | 1995-09-04 | 2000-04-04 | Takeda Chemical Industries, Ltd. | Method of production of sustained-release preparation |
| US5993855A (en) | 1995-09-18 | 1999-11-30 | Shiseido Company, Ltd. | Delayed drug-releasing microspheres |
| US6039975A (en) | 1995-10-17 | 2000-03-21 | Hoffman-La Roche Inc. | Colon targeted delivery system |
| US5980945A (en) | 1996-01-16 | 1999-11-09 | Societe De Conseils De Recherches Et D'applications Scientifique S.A. | Sustained release drug formulations |
| US6253872B1 (en) | 1996-05-29 | 2001-07-03 | Gmundner Fertigteile Gesellschaft M.B.H & Co., Kg | Track soundproofing arrangement |
| US6264970B1 (en) | 1996-06-26 | 2001-07-24 | Takeda Chemical Industries, Ltd. | Sustained-release preparation |
| US6419961B1 (en) | 1996-08-29 | 2002-07-16 | Takeda Chemical Industries, Ltd. | Sustained release microcapsules of a bioactive substance and a biodegradable polymer |
| US6139865A (en) | 1996-10-01 | 2000-10-31 | Eurand America, Inc. | Taste-masked microcapsule compositions and methods of manufacture |
| US5922356A (en) | 1996-10-09 | 1999-07-13 | Sumitomo Pharmaceuticals Company, Limited | Sustained release formulation |
| US6699500B2 (en) | 1996-10-31 | 2004-03-02 | Takeda Chemical Industries, Ltd. | Sustained-release preparation capable of releasing a physiologically active substance |
| US6113943A (en) | 1996-10-31 | 2000-09-05 | Takeda Chemical Industries, Ltd. | Sustained-release preparation capable of releasing a physiologically active substance |
| US6197350B1 (en) | 1996-12-20 | 2001-03-06 | Takeda Chemical Industries, Ltd. | Method of producing a sustained-release preparation |
| US5891474A (en) | 1997-01-29 | 1999-04-06 | Poli Industria Chimica, S.P.A. | Time-specific controlled release dosage formulations and method of preparing same |
| US6120751A (en) | 1997-03-21 | 2000-09-19 | Imarx Pharmaceutical Corp. | Charged lipids and uses for the same |
| US6060082A (en) | 1997-04-18 | 2000-05-09 | Massachusetts Institute Of Technology | Polymerized liposomes targeted to M cells and useful for oral or mucosal drug delivery |
| US6740634B1 (en) | 1998-01-16 | 2004-05-25 | Takeda Chemical Industries, Ltd. | Sustained release compositions, process for producing the same and utilization thereof |
| US6613358B2 (en) | 1998-03-18 | 2003-09-02 | Theodore W. Randolph | Sustained-release composition including amorphous polymer |
| US6048736A (en) | 1998-04-29 | 2000-04-11 | Kosak; Kenneth M. | Cyclodextrin polymers for carrying and releasing drugs |
| US6589548B1 (en) | 1998-05-16 | 2003-07-08 | Mogam Biotechnology Research Institute | Controlled drug delivery system using the conjugation of drug to biodegradable polyester |
| US6131570A (en) | 1998-06-30 | 2000-10-17 | Aradigm Corporation | Temperature controlling device for aerosol drug delivery |
| US6271359B1 (en) | 1999-04-14 | 2001-08-07 | Musc Foundation For Research Development | Tissue-specific and pathogen-specific toxic agents and ribozymes |
| US6248363B1 (en) | 1999-11-23 | 2001-06-19 | Lipocine, Inc. | Solid carriers for improved delivery of active ingredients in pharmaceutical compositions |
| US7498171B2 (en) | 2002-04-12 | 2009-03-03 | Anthrogenesis Corporation | Modulation of stem and progenitor cell differentiation, assays, and uses thereof |
| WO2010053732A1 (en) * | 2008-10-29 | 2010-05-14 | Celgene Corporation | Isoindoline compounds for use in the treatment of cancer |
| WO2021069705A1 (en) * | 2019-10-09 | 2021-04-15 | Monte Rosa Therapeutics | Isoindolinone compounds |
| WO2022220625A1 (en) * | 2021-04-14 | 2022-10-20 | 주식회사 레고켐바이오사이언스 | Protein degrader conjugates and use thereof |
| WO2023059609A1 (en) * | 2021-10-04 | 2023-04-13 | Halda Therapeutics Opco, Inc. | Heterobifunctional compounds and their use in treating disease |
| WO2023201282A1 (en) * | 2022-04-14 | 2023-10-19 | Bristol-Myers Squibb Company | Novel gspt1 compounds and methods of use of the novel compounds |
| WO2024169913A1 (en) * | 2023-02-15 | 2024-08-22 | 石药集团巨石生物制药有限公司 | Domide molecular glue derivative and use thereof |
Non-Patent Citations (27)
| Title |
|---|
| "Ansel Introduction to Pharmaceutical Dosage Forms", 1999 |
| BUCHWALD ET AL., SURGERY, vol. 88, 1980, pages 507 |
| DATABASE Registry [online] Chemical Abstracts Service; 10 August 2023 (2023-08-10), ANONYMOUS: "N-[[2-(2,6-dioxo-3-piperidinyl)-2,3-dihydro-1,3-dioxo-1H-isoindol-5-yl]methyl]-N'-[3-fluoro-4-(2-methoxy-4-methylphenoxy)phenyl]-urea", XP093227059, Database accession no. 2956551-11-2 * |
| DATABASE Registry [online] Chemical Abstracts Service; 10 August 2023 (2023-08-10), ANONYMOUS: "N-[3-(cyclopentyloxy)-4-methoxyphenyl]-N'-[[2-(2,6-dioxo-3-piperidinyl)-2,3-dihydro-1,3-dioxo-1H-isoindol-5-yl]methyl]-urea", XP093227065, Database accession no. 2956539-71-0 * |
| EMENS, L. A. ET AL., CURR. OPINION MOL. THER., vol. 3, no. 1, 2001, pages 77 - 84 |
| FOSTER ET AL., ADV. DRUG RES., vol. 14, 1985, pages 1 - 36 |
| GATELY, J. NUCL. MED., vol. 27, 1986, pages 388 |
| GOODSON, MEDICAL APPLICATIONS OF CONTROLLED RELEASE, vol. 2, 1984, pages 115 - 138 |
| GORDON, DRUG METAB. DISPOS., vol. 15, 1987, pages 589 |
| GREENE ET AL.: "Protective Groups in Organic Synthesis", 2006, WILEY-INTERSCIENCE |
| GUIDELINES: "Response Evaluation Criteria in Solid Tumors (RECIST", JOURNAL OF THE NATIONAL CANCER INSTITUTE, vol. 92, no. 3, 2000, pages 205 - 216 |
| IUPAC-IUB: "Commission on Biochemical Nomenclature", BIOCHEM., vol. 11, 1972, pages 942 - 944 |
| JENS T. CARSTENSEN: "Drug Stability: Principles & Practice", 1995, MARCEL DEKKER, pages: 379 - 80 |
| JOSHUA D. HANSEN ET AL: "Protein Degradation via CRL4 CRBN Ubiquitin Ligase: Discovery and Structure-Activity Relationships of Novel Glutarimide Analogs That Promote Degradation of Aiolos and/or GSPT1", JOURNAL OF MEDICINAL CHEMISTRY, vol. 61, no. 2, 13 April 2017 (2017-04-13), US, pages 492 - 503, XP055757970, ISSN: 0022-2623, DOI: 10.1021/acs.jmedchem.6b01911 * |
| KUSHNER ET AL., CAN. J. PHYSIOL. PHARMACOL., vol. 77, 1999, pages 79 - 88 |
| LANGER, SCIENCE, vol. 249, 1990, pages 1527 - 1533 |
| LIJINSKY, FOOD COSMET. TOXICOL., vol. 20, 1982, pages 393 |
| LIJINSKY, J. NAT. CANCER INST., vol. 69, 1982, pages 1127 |
| MAFFRANDJ.P. ET AL., HETEROCYCLES, vol. 16, no. 1, 1981, pages 35 - 37 |
| MANGOLD, MUTATION RES., vol. 308, 1994, pages 33 |
| MATYSKIELA MELU GITO TPAGARIGAN BLU CCMILLER KFANG WWANG NYNGUYEN DHOUSTON J: "A novel cereblon modulator recruits GSPT1 to the CRL4(CRBN) ubiquitin ligase", NATURE, vol. 535, no. 7611, 22 June 2016 (2016-06-22), pages 252 - 7 |
| PENICHET, M. L.MORRISON, S. L., J. IMMUNOL. METHODS, vol. 248, 2001, pages 91 - 101 |
| SAUDEK ET AL., N. ENGL. J. MED., vol. 321, 1989, pages 574 |
| SEFTON, CRC CRIT. REF BIOMED. ENG., vol. 14, 1987, pages 201 |
| SURKA CJIN LMBONG NLU CCJANG ISRYCHAK EMENDY DCLAYTON TTINDALL EHSU C: "CC-90009, a novel cereblon E3 ligase modulator, targets acute myeloid leukemia blasts and leukemia stem cells", BLOOD., vol. 137, no. 5, 4 February 2021 (2021-02-04), pages 661 - 677, XP086510755, DOI: 10.1182/blood.2020008676 |
| WADE D, CHEM. BIOL. INTERACT., vol. 117, 1999, pages 191 |
| ZELLO, METABOLISM, vol. 43, 1994, pages 487 |
Similar Documents
| Publication | Publication Date | Title |
|---|---|---|
| US11241423B2 (en) | Antiproliferative compounds and methods of use thereof | |
| US12168668B2 (en) | Compounds for the treatment of cancer and inflammatory disease | |
| US20250092012A1 (en) | Gspt1 compounds and methods of use of the novel compounds | |
| WO2025085416A1 (en) | Gspt1 compounds and methods of use of the compounds | |
| HK1241853A1 (en) | Antiproliferative compounds and methods of use thereof | |
| HK1241853B (en) | Antiproliferative compounds and methods of use thereof | |
| NZ765933B2 (en) | Antiproliferative compounds and methods of use thereof | |
| NZ728127B2 (en) | Antiproliferative compounds and methods of use thereof | |
| HK1262824B (en) | Compounds for the treatment of cancer and inflammatory disease | |
| HK1262824A1 (en) | Compounds for the treatment of cancer and inflammatory disease |
Legal Events
| Date | Code | Title | Description |
|---|---|---|---|
| 121 | Ep: the epo has been informed by wipo that ep was designated in this application |
Ref document number: 24799418 Country of ref document: EP Kind code of ref document: A1 |





























































































