POLYMYXINS FOR DELIVERY OF AGENTS TO THE KIDNEY CROSS-REFERENCE TO RELATED APPLICATIONS This application claims the benefit of and priority to U.S. Provisional Patent Application No. 63/585,806, filed on September 27, 2023, and U.S. Provisional Patent Application No. 63/655,321, filed on June 3, 2024, the contents of which are incorporated by reference in their entireties herein. FIELD OF THE INVENTION The instant disclosure relates generally to molecular targeting of compositions to kidney cells, and associated methods. BACKGROUND OF THE INVENTION Modulatory nucleic acid therapeutics have demonstrated significant clinical and commercial success in treating liver disease, at least in part because fenestrations in liver sinusoidal epithelial cells render such cells particularly accessible to injected nucleic acids (especially those carrying N-acetylgalactosamine (GalNAc) modifications). Non-liver tissues, including kidney, have tended to be less accessible to modulatory nucleic acid therapeutics. However, recent discoveries have described successful use of moieties targeting kidney cell surface factors to promote efficient delivery of moiety-linked modulatory nucleic acids to kidney cells (see, e.g., PCT/US23/16319). A need exists for an expanded range of kidney cell-targeting agents capable of delivering payload moieties (e.g., modulatory nucleic acids) to kidney cells. BRIEF SUMMARY OF THE INVENTION The present disclosure provides, among other things, technologies that achieve targeted delivery of therapeutic agents, and/or of nucleic acid agents, particularly to kidney cells, via inclusion of polymyxin compounds and other compounds believed to interact with the megalin cell surface receptor. In some embodiments, provided compositions and technologies achieve delivery by targeting a cell surface factor (e.g., a cell surface receptor) that is internalized when bound by a targeting moiety (e.g., a megalin targeting moiety). In some embodiments, targeted delivery (e.g., megalin targeted delivery) in accordance with the present disclosure may be to kidney cells. In some embodiments, the present disclosure provides technologies particularly
useful for delivery, for example to proximal tubule epithelial cells, to podocytes and/or to kidney cysts (e.g., in polycystic kidney disease). Among other things, the present disclosure appreciates that some of the challenges often associated with targeted delivery (e.g., megalin targeted delivery) is inefficient and/or insufficiently specific delivery; unwanted off-target effects; or effects in cells or tissues that do not represent the intended site of action which can be particularly problematic. The present disclosure provides, among other things, conjugate agents comprising a polymyxin (e.g., polymyxin B, polymyxin E (colistin), etc.) or polymyxin-related compound as a targeting moiety (e.g., a megalin targeting moiety); directly or indirectly conjugated with a payload moiety, where the payload moiety includes a nucleic acid. Without wishing to be bound by theory, a targeting moiety as described herein binds specifically to a factor present on the surface of target cell(s) of interest – e.g., kidney-associated cells. In some embodiments, provided technologies achieve targeted delivery of payload nucleic acid moieties to a target cell, tissue, organ or organism of interest, for example with minimal off-target effects. In some embodiments, a targeting moiety as described herein (e.g., a megalin targeting moiety) binds specifically to a factor that is preferentially present on the surface of target cell(s) or tissue(s) of interest – e.g., relative to one or more non-target cell(s) or tissue(s). In some embodiments, a targeting moiety as described herein (e.g., polymyxin or a polymyxin-related compound as the targeting moiety) binds specifically to a factor that is specific to target cell(s) or tissue(s) of interest. Among other things, the present disclosure provides an insight that targeting megalin with a polymyxin (or polymyxin-related compound)-presenting conjugate represents a particularly useful strategy for delivering certain nucleic acid agents into cells. The present disclosure provides a particular insight that targeting megalin represents a particularly useful strategy for delivering certain agents, and specifically for delivery of nucleic acid agents, into kidney-associated cells (e.g., kidney cells). Moreover, the present specification specifically teaches that conjugate agents as described herein that include a megalin-binding moiety conjugated (optionally by way of a linker) with a nucleic acid agent are particularly useful for delivering such nucleic acid agent into megalin- expressing cells. The present specification particularly establishes usefulness of such conjugate agents in delivering nucleic acid agents to kidney cells.
In some embodiments, conjugate agents disclosed herein are characterized in that, for example, when they are provided to a relevant system (e.g., comprising one or more cell(s), tissue(s), organ(s), or organism(s)) they impact expression and/or activity of one or more targets or form(s) thereof, significantly more as compared to when the system is contacted with an unconjugated nucleic acid payload under otherwise comparable conditions. In one aspect, the disclosure provides for an agent that includes a nucleic acid conjugated to a polymyxin moiety or analog, wherein the nucleic acid is conjugated to the polymyxin moiety or analog by a linker. In certain embodiments, the linker includes a C
2-22 alkylene or branched alkylene chain, wherein the carbon atoms of the alkylene chain are optionally interrupted by one or more -O-. In certain embodiments, the linker includes one or more –(OCH2CH2)- units. Optionally, the linker includes at least two –(OCH2CH2)- units. In some embodiments, the agent is characterized in that when delivered to a cell, tissue, or subject, enhanced delivery of the nucleic acid to the cell, tissue or subject, is observed compared to a comparator. Optionally, the comparator is an otherwise similar cell, tissue, or subject delivered an unconjugated nucleic acid. In a related embodiment, enhanced delivery of the nucleic acid is mediated by the polymyxin moiety or analog. In one embodiment, the agent is characterized in that when delivered to a cell, tissue, or subject, level of a target gene is decreased in the cell, tissue, or subject as compared to a comparator. In a related embodiment, the comparator is an otherwise similar cell, tissue, or subject delivered an unconjugated nucleic acid. In some embodiments, a reduction in the level of a target gene is mediated by the nucleic acid. In another aspect, the disclosure provides a conjugate agent for modulating the expression of a target gene that includes (i) a payload moiety that includes a nucleic acid, conjugated to (ii) the structure of Formula I:

where R
1 is an optionally substituted C3 – C7 alkyl or an optionally substituted C3 – C7 aryl, L
n is an integer from 1 to 16; and AA
1, AA
2, AA
3 are each independently a chemical bond or an amino acid selected from the following:
where L is an optional linker, and
where M is:
, where Y = O, S or NSO
2Me, and Z = nucleic acid. In one embodiment,
In another embodiment, n is an integer from 5 to 12. In certain embodiments,
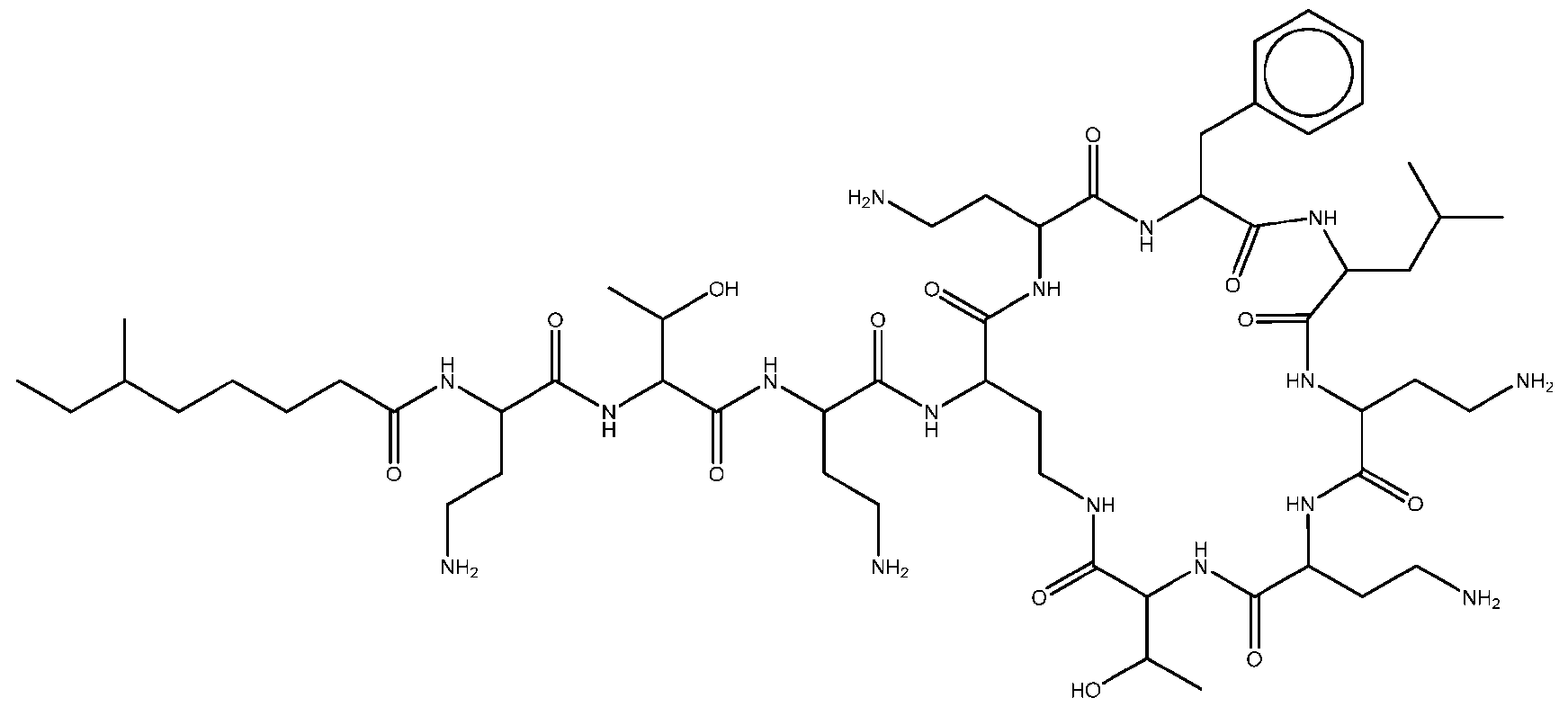
In some embodiments, the structure of Formula I is selected from the following:
,
. In one embodiment, the conjugate includes a plurality of structures of Formula I. Optionally, the nucleic acid conjugate agent includes at least two, at least three, at least four, or at least five structures of Formula I. In one embodiment, the plurality of structures of Formula I is conjugated to the payload moiety through a branched linker (L). Optionally, the branched linker L has a structure selected from the following:
where Comp1, Comp2 and/or Comp3 independently comprises a compound of Formula I':
Formula I' . In one embodiment, the nucleic acid conjugate includes two structures of Formula I'. In another embodiment, the nucleic acid conjugate includes three structures of Formula I'. In certain embodiments, the nucleic acid conjugate consists of two, three, four, or five structures of Formula I' conjugated via one or more linkers (optionally branched) to a nucleic acid payload.
In one embodiment, the nucleic acid is conjugated to a ligand selected from the following:
,
,
,

In certain embodiments, the nucleic acid is or includes an antisense sequence element. Optionally, the antisense sequence element is complementary to at least a portion of one or more of: an exon, an intron, an untranslated region, a splice junction, a promoter region, an enhancer region, or a non-coding region in a target sequence. In certain embodiments, the nucleic acid is or includes a sense sequence element. Optionally, the sense sequence element is substantially similar in sequence to (for example, at least 80% identical to) at least a portion of one or more of: an exon, an intron, an untranslated region, a splice junction, a promoter region, an enhancer region, or a non-coding region in a target sequence. In an embodiment, the nucleic acid includes a sequence element that is at least 80% complementary to a target sequence in a sense strand. In another embodiment, the nucleic acid includes a sequence element that is at least 80% complementary to a target sequence in an antisense strand.
In certain embodiments, the nucleic acid includes at least one sequence element with at least three contiguous nucleotides having at least 80% complementarity to a portion of a target sequence. In one embodiment, the nucleic acid is single-stranded. In another embodiment, the nucleic acid is double-stranded. In certain embodiments, the nucleic acid is or includes RNA. In some embodiments, the nucleic acid is an inhibitory RNA agent (RNAi). Optionally, the RNAi is or includes a short interfering RNA (siRNA). In one embodiment, the nucleic acid includes an oligonucleotide strand of about 15-25 nucleotides in length. In an embodiment, the nucleic acid includes one or more modified nucleotides. In another embodiment, the nucleic acid is or includes DNA. Optionally, the DNA is or includes a DNA analog. Optionally, the DNA analog includes one or more morpholino subunits linked together by a phosphorus-containing linkage. In certain embodiments, the DNA analog is or includes a phosphorodiamidate morpholino nucleic acid (PMO). In some embodiments, the PMO includes about 12-40 nucleotides. In certain embodiments, the nucleic acid is or includes an antisense oligo (ASO). In another embodiment, the nucleic acid is or includes a peptide nucleic acid (PNA). In some embodiments, the nucleic acid includes one or more of the following modifications: a modified backbone, a modified nucleobase, a modified ribose, a modified deoxyribose, or a combination thereof. In certain embodiments, the nucleic acid includes one or more modification to a 5’ end of the nucleic acid. In one embodiment, the payload moiety is conjugated to the remainder of the compound of Formula I at a 5’ end of the payload moiety, or at a 3’ end of the payload moiety. In another embodiment, the nucleic acid of the payload moiety includes one or more extended nucleic acid ("exNA") modifications. Optionally, the one or more exNA modification(s) is/are positioned at or near a 3'-end of the nucleic acid of the payload moiety. In some embodiments, the nucleic acid of the payload moiety includes one or more
phosphoryl guanidine-containing backbone ("PN backbone") and/or mesyl phosphoramidate modifications.
Another aspect of the disclosure provides a pharmaceutical composition that includes a conjugate agent of the disclosure and a pharmaceutically acceptable carrier. An additional aspect of the disclosure provides a cell that includes a conjugate agent of the disclosure bound thereto. In one embodiment, the cell is a kidney cell. Optionally, the cell is a kidney cell of a subject. Optionally, the cell is a kidney cell in vivo. In certain embodiments, the cell can be a mammalian cell, for example, a human cell. In certain embodiments, the cell expresses megalin. In other embodiments, the cell expression cubilin. In still other embodiments, the cell expresses megalin and cubilin. In one particular embodiment, the cell is a human cell expressing megalin and/or cubilin. An additional aspect of the disclosure provides a method of delivering a conjugate agent to a cell, tissue, or subject, the method involving administering to the cell, tissue, or subject, a conjugate agent, pharmaceutical composition, and/or cell of the disclosure to the cell, tissue, or subject, thereby delivering the conjugate agent. A further aspect of the disclosure provides a method of modulating expression of a target gene in a cell, the method involving providing to the cell a conjugate agent, pharmaceutical composition and/or cell of the disclosure. Another aspect of the disclosure provides a method of treating a disease or disorder in a subject suffering from or susceptible to the disease or disorder, the method involving administering to the subject a conjugate agent, pharmaceutical composition and/or cell of the disclosure. In one embodiment, the disease is a disease associated with expression of a cell surface receptor. Optionally, the disease is a disease involving a cell in which both the cell surface receptor and a target recognized by the payload moiety are present. An additional aspect of the disclosure provides a method of improving delivery of an agent to a cell, the method involving contacting a system or subject having at least one cell with a conjugate agent, pharmaceutical composition and/or cell of the disclosure. In one embodiment, the cell is chosen from: kidney cells, thyroid cells, parathyroid cells, cells of the inner ear or nervous system cells, or a combination thereof. Optionally, the kidney cell is chosen from a proximal tubular epithelial cell and/or a podocyte. In certain embodiments, the disclosure provides for administering a conjugate agent of the disclosure to a cell, tissue or subject, thereby delivering the payload moiety to at least 5% more
target cells, as compared to: (a) an otherwise similar cell, tissue or subject delivered an unconjugated payload moiety; (b) a non-target cell; or (c) both (a) and (b). In certain embodiments, the target cell is or includes a kidney cell. In another embodiment, the target cell is or includes a cell that expresses a kidney cell surface factor. Optionally, the kidney cell surface factor is megalin or cubilin. In one embodiment, the nucleic acid payload is an antisense compound having an antisense strand as the first strand of the antisense compound. In an embodiment, the antisense compound includes a second strand of 15 to 60 nucleobases in length and complementary to the first strand. In some embodiments, the compound is an antisense oligonucleotide (ASO). In one embodiment, the payload modulatory nucleic acid compound of the disclosure (e.g., antisense compound, dsRNA, etc.) has at least one modified internucleoside linkage, sugar moiety, or nucleobase. Optionally, the modified internucleoside linkage is or includes a phosphorothioate linkage. In certain embodiments, the at least one modified internucleoside linkage, sugar moiety, or nucleobase includes one or more of the following modifications: a deoxy-nucleoside, a 3’-terminal deoxy-thymine (dT) nucleoside, a 2'-O-methyl (2'-OMe) modified nucleoside, a 2'-fluoro (2'-F) modified nucleoside, a 2'-deoxy-modified nucleoside, a locked nucleotide (LNA), an unlocked nucleoside, a conformationally restricted nucleoside, a constrained ethyl nucleoside, an abasic nucleoside, a 2'-O,4'-C-ethylene-bridged nucleic acid (ENA), a 2’-amino-modified nucleoside, a 2’-O-allyl-modified nucleoside, 2’-C-alkyl-modified nucleoside, 2’-hydroxly-modified nucleoside, a 2’-methoxyethyl (2'-MOE) modified nucleoside, a 2’-O-alkylmodified nucleoside, a morpholino nucleoside, a phosphoramidate, a non-natural base including nucleoside, a tetrahydropyran modified nucleoside, a 1,5-anhydrohexitol modified nucleoside, a cyclohexenyl modified nucleoside, a nucleotide including a 5'-phosphorothioate group, a nucleotide including a 5'-methylphosphonate group, a nucleotide including a 5’ phosphate or 5’ phosphate mimic, a nucleotide including vinyl phosphonate, a nucleoside including adenosine-glycol nucleic acid (GNA), a nucleoside including thymidine-glycol nucleic acid (GNA) S-Isomer, a nucleotide including 2-hydroxymethyl-tetrahydrofurane-5-phosphate, a nucleotide including 2’deoxythymidine-3’phosphate, a nucleotide including 2 ’-deoxyguanosine-3’-phosphate, and a
terminal nucleoside linked to a cholesteryl derivative and a dodecanoic acid bisdecylamide group; and combinations thereof. In certain embodiments, the modified nucleobase is or includes 5-methylcytosine. In certain embodiments, the double stranded region of a double stranded nucleic acid payload of the disclosure is 19-30 nucleotide pairs in length; the double stranded region is 19-25 nucleotide pairs in length; the double stranded region is 19-23 nucleotide pairs in length; each strand is independently no more than 30 nucleotides in length; the sense strand is 21 nucleotides in length and the antisense strand is 23 nucleotides in length; and/or the region of complementarity is at least 17 nucleotides in length. Optionally, the region of complementarity is between 19 and 23 nucleotides in length. Optionally, the region of complementarity is 19 nucleotides in length; and/or at least one strand includes a 3’ overhang of at least 2 nucleotides. In one embodiment, a payload nucleic acid of the disclosure is or includes an exon skipping antisense oligonucleotide. In an embodiment, a nucleic acid payload (e.g., an antisense compound, RNAi compound, exon skipping antisense oligonucleotide, etc.) of the instant disclosure has at least one modified internucleoside linkage, sugar moiety, or nucleobase. Optionally, the modified internucleoside linkage includes a phosphorothioate linkage. In certain embodiments, the at least one modified internucleoside linkage, sugar moiety, or nucleobase includes a modification selected from the following: a deoxy-nucleoside, a 3’-terminal deoxy-thymine (dT) nucleoside, a 2'-O-methyl (2'- OMe) modified nucleoside, a 2'-fluoro (2'-F) modified nucleoside, a 2'-deoxy-modified nucleoside, a locked nucleotide (LNA), an unlocked nucleoside, a conformationally restricted nucleoside, a constrained ethyl nucleoside, an abasic nucleoside, a 2'-O,4'-C-ethylene-bridged nucleic acid (ENA), a 2’-amino-modified nucleoside, a 2’-O-allyl-modified nucleoside, 2’-C- alkyl-modified nucleoside, 2’-hydroxly-modified nucleoside, a 2’-methoxyethyl (2'-MOE) modified nucleoside, a 2’-O-alkylmodified nucleoside, a morpholino nucleoside, a phosphoramidate, a non-natural base comprising nucleoside, a tetrahydropyran modified nucleoside, a 1,5-anhydrohexitol modified nucleoside, a cyclohexenyl modified nucleoside, a nucleotide comprising a 5'-phosphorothioate group, a nucleotide comprising a 5'- methylphosphonate group, a nucleotide comprising a 5’ phosphate or 5’ phosphate mimic, a nucleotide comprising vinyl phosphonate, a nucleoside comprising adenosine-glycol nucleic acid (GNA), a nucleoside comprising thymidine-glycol nucleic acid (GNA) S-Isomer, a nucleotide
comprising 2-hydroxymethyl-tetrahydrofurane-5-phosphate, a nucleotide comprising 2’deoxythymidine-3’phosphate, a nucleotide comprising 2 ’-deoxyguanosine-3’-phosphate, and a terminal nucleoside linked to a cholesteryl derivative and a dodecanoic acid bisdecylamide group; and combinations thereof. Optionally, the nucleic acid payload (e.g., antisense compound, dsRNA agent, exon skipping antisense oligonucleotide, etc.) includes one or more 2’-methoxyethyl (2'- MOE) modified nucleosides. In certain embodiments, all nucleosides of the nucleic acid payload are 2’-methoxyethyl (2'-MOE) modified nucleosides. In some embodiments, the nucleic acid payload includes at least one modified nucleotide. Optionally, substantially all of the nucleotides of the sense strand of the nucleic acid payload; or substantially all of the nucleotides of the antisense strand of the antisense compound of the nucleic acid payload include a modification; or substantially all of the nucleotides of the sense strand and substantially all of the nucleotides of the antisense strand of the nucleic acid payload include a modification. In certain embodiments, all of the nucleotides of the sense strand of a dsRNA agent nucleic acid payload include a modification; all of the nucleotides of the antisense strand of an antisense compound or other nucleic acid payload of the disclosure include a modification; or all of the nucleotides of the sense strand and all of the nucleotides of the antisense strand of the nucleic acid payload include a modification. In one embodiment, at least one of the modified nucleotides is a deoxy-nucleotide, a 3’- terminal deoxy-thymine (dT) nucleotide, a 2'-O-methyl modified nucleotide, a 2'-fluoro modified nucleotide, a 2'-deoxy-modified nucleotide, a locked nucleotide, an unlocked nucleotide, a conformationally restricted nucleotide, a constrained ethyl nucleotide, an abasic nucleotide, a 2’- amino-modified nucleotide, a 2’-O-allyl-modified nucleotide, 2’-C-alkyl-modified nucleotide, 2’- hydroxly-modified nucleotide, a 2’-methoxyethyl modified nucleotide, a 2’-O-alkyl-modified nucleotide, a morpholino nucleotide (e.g., a phosphorodiamidate morpholino nucleic acid (PMO)), a phosphoramidate, a non-natural base including nucleotide, a tetrahydropyran modified nucleotide, a 1,5-anhydrohexitol modified nucleotide, a cyclohexenyl modified nucleotide, a nucleotide including a phosphorothioate group, a nucleotide including a phosphoryl guanidine- based backbone, a nucleotide including a methylphosphonate group, a nucleotide including a 5’- phosphate, a nucleotide including a 5’-phosphate mimic, a thermally destabilizing nucleotide, a
glycol modified nucleotide (GNA), and/or a 2-O-(N-methylacetamide) modified nucleotide; and/or combinations thereof. In some embodiments, modifications on the nucleotides are selected from among the following: LNA, HNA, CeNA, 2′-methoxyethyl, 2′-O-alkyl, 2′-O-allyl, 2′-C- allyl, 2′-fluoro, 2′- deoxy, 2’-hydroxyl, and glycol; and combinations thereof; a C7-modified deaza-adenine, a C7- modified deaza-guanosine, a C5-modified cytosine, a C5-modified uridine, N1-methyl- pseudouridine (m1ψ), 1-ethyl-pseudouridine (e1ψ), 5-methoxy-uridine (mo5U), 5-methyl- cytidine (m5C), pseudouridine (ψ), 5-methoxymethyl uridine, 5-methylthio uridine, 1- methoxymethyl pseudouridine, 5-methyl cytidine, 5-methoxy cytidine, or a combination thereof; a phosphorothioate (PS) modification, a phosphoryl guanidine (PN) modification, a borano- phosphate modification, an alkyl phosphonate nucleic acid (phNA), a peptide nucleic acid (PNA), or a combination thereof; a deoxyribonucleic acid (DNA), optionally where the DNA is or includes a DNA analog, optionally where the DNA analog includes one or more morpholino subunits linked together by phosphorus-containing linkage(s), optionally where the DNA analog is or includes a phosphorodiamidate morpholino nucleic acid (PMO), optionally where the PMO includes about 12-40 nucleotides; a peptide nucleic acid (PNA) modification; and/or one or more modification to a 5’ end of the antisense compound or dsRNA agent, optionally where the modification to the 5' end is a 5’ amino modification. In certain embodiments, at least one of the modified nucleotides is selected from the following: a deoxy-nucleotide, a 2'-O-methyl modified nucleotide, a 2'-fluoro modified nucleotide, a 2'-deoxy-modified nucleotide, a glycol modified nucleotide (GNA), and/or a vinyl-phosphonate nucleotide; and/or combinations thereof. In some embodiments, at least one of the modified nucleotides is selected from the following: a deoxy-nucleotide, a 2'-O-methyl modified nucleotide, and/or a 2'-fluoro modified nucleotide; and/or combinations thereof. In an embodiment, a nucleic acid payload of the disclosure includes one or more deoxy- nucleotides. Optionally, the nucleic acid payload is a component of and/or is a heteroduplex oligonucleotide (HDO). In one embodiment, a linker of the disclosure is a cleavable linker. Optionally, the linker becomes cleaved when exposed to a cell-internal environment.
Optionally, a pharmaceutical composition of the disclosure is formulated for intravenous, subcutaneous, intramuscular, parenteral, or oral delivery. A further aspect of the instant disclosure provides a kit for performing a method disclosed herein, the kit including a conjugated agent that includes a modulatory payload nucleic acid as disclosed herein, and instructions for its use. Optionally, the kit also includes a means for administering the conjugated agent to a subject. Definitions That the present disclosure may be more readily understood, certain terms are first defined. In addition, it should be noted that whenever a value or range of values of a parameter are recited, it is intended that values and ranges intermediate to the recited values are also intended to be part of this disclosure. The articles “a” and “an” are used herein to refer to one or to more than one (i.e., to at least one) of the grammatical object of the article. By way of example, “an element” means one element or more than one element, e.g., a plurality of elements. The term "including" is used herein to mean, and is used interchangeably with, the phrase "including but not limited to". The term "or" is used herein to mean, and is used interchangeably with, the term "and/or," unless context clearly indicates otherwise. The term “about” is used herein to mean within the typical ranges of tolerances in the art. For example, “about” can be understood as about 2 standard deviations from the mean. In certain embodiments, about means ±10%. In certain embodiments, about means ±5%. When about is present before a series of numbers or a range, it is understood that “about” can modify each of the numbers in the series or range. The term “at least” prior to a number or series of numbers is understood to include the number adjacent to the term “at least”, and all subsequent numbers or integers that could logically be included, as clear from context. For example, the number of nucleotides in a nucleic acid molecule must be an integer. For example, “at least 18 nucleotides of a 21 nucleotide nucleic acid molecule” means that 18, 19, 20, or 21 nucleotides have the indicated property. When at least is present before a series of numbers or a range, it is understood that “at least” can modify each of the numbers in the series or range.
As used herein, “no more than” or “less than” is understood as the value adjacent to the phrase and logical lower values or integers, as logical from context, to zero. For example, a duplex with an overhang of “no more than 2 nucleotides” has a 2, 1, or 0 nucleotide overhang. When “no more than” is present before a series of numbers or a range, it is understood that “no more than” can modify each of the numbers in the series or range. As used herein, ranges include both the upper and lower limit. As used herein, methods of detection can include determination that the amount of analyte present is below the level of detection of the method. In the event of a conflict between an indicated target site and the nucleotide sequence for a sense or antisense strand, the indicated sequence takes precedence. In the event of a conflict between a chemical structure and a chemical name, the chemical structure takes precedence. As used herein, the term “linker” means an organic moiety that connects two parts of a compound, e.g., covalently attaches two parts of a compound. Linkers typically comprise a direct bond or an atom such as oxygen or sulfur, a unit such as NH, C(O), C(O)NH, SO, SO2, SO2NH or a chain of atoms, such as substituted or unsubstituted alkyl, substituted or unsubstituted alkenyl, substituted or unsubstituted alkynyl, arylalkyl, arylalkenyl, arylalkynyl, heteroarylalkyl, heteroarylalkenyl, heteroarylalkynyl, heterocyclylalkyl, heterocyclylalkenyl, heterocyclylalkynyl, aryl, heteroaryl, heterocyclyl, cycloalkyl, cycloalkenyl, alkylarylalkyl, alkylarylalkenyl, alkylarylalkynyl, alkenylarylalkyl, alkenylarylalkenyl, alkenylarylalkynyl, alkynylarylalkyl, alkynylarylalkenyl, alkynylarylalkynyl, alkylheteroarylalkyl, alkylheteroarylalkenyl, alkylheteroarylalkynyl, alkenylheteroarylalkyl, alkenylheteroarylalkenyl, alkenylheteroarylalkynyl, alkynylheteroarylalkyl, alkynylheteroarylalkenyl, alkynylheteroarylalkynyl, alkylheterocyclylalkyl, alkylheterocyclylalkenyl, alkylhererocyclylalkynyl, alkenylheterocyclylalkyl, alkenylheterocyclylalkenyl, alkenylheterocyclylalkynyl, alkynylheterocyclylalkyl, alkynylheterocyclylalkenyl, alkynylheterocyclylalkynyl, alkylaryl, alkenylaryl, alkynylaryl, alkylheteroaryl, alkenylheteroaryl, alkynylhereroaryl, where one or more methylenes can be interrupted or terminated by O, S, S(O), SO2, NH, C(O), substituted or unsubstituted aryl, substituted or unsubstituted heteroaryl, substituted or unsubstituted heterocyclic. The terms linker and spacer are used interchangeably herein.
In certain embodiments, a linker or linkage may be a covalent bond that connects two groups or a chain of between 1 and 100 atoms in length, for example a chain of 1, 2, 3, 4, 5, 6, 8, 10, 12, 14, 16, 18, 20 or more carbon atoms in length, where the linker may be linear, branched, cyclic or a single atom. In some cases, the linker is a branched linker that refers to a linking moiety that connects three or more groups. In certain cases, one, two, three, four or five or more carbon atoms of a linker backbone may be optionally substituted with a sulfur, nitrogen or oxygen heteroatom. In some cases, the linker backbone includes a linking functional group, such as an ether, thioether, amino, amide, sulfonamide, carbamate, thiocarbamate, urea, thiourea, ester, thioester or imine. The bonds between backbone atoms may be saturated or unsaturated, and in some cases not more than one, two, or three unsaturated bonds are present in a linker backbone. The linker may include one or more substituent groups, for example with an alkyl, aryl or alkenyl group. A linker may include, without limitations, polyethylene glycol; ethers, thioethers, tertiary amines, alkyls, which may be straight or branched, e.g., methyl, ethyl, n-propyl, 1-methylethyl (iso-propyl), n-butyl, n-pentyl, 1,1-dimethylethyl (t-butyl), and the like. The linker backbone may include a cyclic group, for example, an aryl, a heterocycle or a cycloalkyl group, where 2 or more atoms, e.g., 2, 3, or 4 atoms, of the cyclic group are included in the backbone. A linker may be cleavable or non-cleavable. In some cases, the linker is a branched linker, such as a branched linker as described herein (e.g., a linker that branches to allow for multi-valent targeting moiety, multi- valent payload moiety, or both, within a single conjugate). Certain compositions of the disclosure provide compounds having aliphatic hydrocarbons. An aliphatic chain comprises the classes of alkyl, alkenyl and alkynyl defined below. A straight aliphatic chain is limited to unbranched carbon chain moieties. As used herein, the term “aliphatic group” refers to a straight chain, branched-chain, or cyclic aliphatic hydrocarbon group and includes saturated and unsaturated aliphatic groups, such as an alkyl group, an alkenyl group, or an alkynyl group. “Alkyl” refers to a fully saturated cyclic or acyclic, branched or unbranched carbon chain moiety having the number of carbon atoms specified, or up to 30 carbon atoms if no specification is made. For example, alkyl of 1 to 8 carbon atoms refers to moieties such as methyl, ethyl, propyl, butyl, pentyl, hexyl, heptyl, and octyl, and those moieties which are positional isomers of these moieties. Alkyl of 10 to 30 carbon atoms includes decyl, undecyl, dodecyl, tridecyl, tetradecyl, pentadecyl, hexadecyl, heptadecyl, octadecyl, nonadecyl, eicosyl, heneicosyl, docosyl, tricosyl
and tetracosyl. In certain embodiments, a straight chain or branched chain alkyl has 30 or fewer carbon atoms in its backbone (e.g., C1-C30 for straight chains, C3-C30 for branched chains), and optionally 20 or fewer. Alkyl groups may be substituted or unsubstituted. As used herein, the term “heteroalkyl” refers to an alkyl moiety as hereinbefore defined which contain one or more oxygen, sulfur, nitrogen, phosphorus, or silicon atoms in place of carbon atoms. As used herein, the term “alkylene” refers to an alkyl group having the specified number of carbons, for example from 2 to 12 carbon atoms, that contains two points of attachment to the rest of the compound on its longest carbon chain. Non-limiting examples of alkylene groups include methylene -(CH2)-, ethylene -(CH2CH2)-, n-propylene (CH2CH2CH2)-, isopropylene - (CH2CH(CH3))-, and the like. Alkylene groups can be cyclic or acyclic, branched or unbranched carbon chain moiety, and may be optionally substituted with one or more substituents. "Cycloalkyl" means mono- or bicyclic or bridged or spirocyclic, or polycyclic saturated carbocyclic rings, each having from 3 to 12 carbon atoms. Certain cycloalkyls have from 3-10 carbon atoms in their ring structure, and optionally have 3-6 carbons in the ring structure. Cycloalkyl groups may be substituted or unsubstituted. Unless the number of carbons is otherwise specified, “lower alkyl,” as used herein, means an alkyl group, as defined above, but having from one to ten carbons, optionally from one to six carbon atoms in its backbone structure such as methyl, ethyl, n-propyl, isopropyl, n-butyl, isobutyl, sec-butyl, and tert-butyl. Likewise, “lower alkenyl” and “lower alkynyl” have similar chain lengths. Throughout the disclosure, certain alkyl groups are lower alkyls. In certain embodiments, a substituent designated herein as alkyl is a lower alkyl. “Alkenyl” refers to any cyclic or acyclic, branched or unbranched unsaturated carbon chain moiety having the number of carbon atoms specified, or up to 26 carbon atoms if no limitation on the number of carbon atoms is specified; and having one or more double bonds in the moiety. Alkenyl of 6 to 26 carbon atoms is exemplified by hexenyl, heptenyl, octenyl, nonenyl, decenyl, undecenyl, dodenyl, tridecenyl, tetradecenyl, pentadecenyl, hexadecenyl, heptadecenyl, octadecenyl, nonadecenyl, eicosenyl, heneicosoenyl, docosenyl, tricosenyl, and tetracosenyl, in their various isomeric forms, where the unsaturated bond(s) can be located anywhere in the moiety and can have either the (Ζ) or the (Ε) configuration about the double bond(s).
“Alkynyl” refers to hydrocarbyl moieties of the scope of alkenyl, but having one or more triple bonds in the moiety. The term “aryl” as used herein includes 3- to 12-membered substituted or unsubstituted single-ring aromatic groups in which each atom of the ring is carbon (i.e., carbocyclic aryl) or where one or more atoms are heteroatoms (i.e., heteroaryl). Optionally, aryl groups include 5- to 12-membered rings, optionally 6- to 10-membered rings The term “aryl” also includes polycyclic ring systems having two or more cyclic rings in which two or more carbons are common to two adjoining rings wherein at least one of the rings is aromatic, e.g., the other cyclic rings can be cycloalkyls, cycloalkenyls, cycloalkynyls, aryls, heteroaryls, and/or heterocyclyls. Carboycyclic aryl groups include benzene, naphthalene, phenanthrene, phenol, aniline, and the like. Heteroaryl groups include substituted or unsubstituted aromatic 3- to 12-membered ring structures, optionally 5- to 12-membered rings, optionally 5- to 10-membered rings, whose ring structures include one to four heteroatoms. Heteroaryl groups include, for example, pyrrole, furan, thiophene, imidazole, oxazole, thiazole, triazole, pyrazole, pyridine, pyrazine, pyridazine and pyrimidine, and the like. Aryl and heteroaryl can be monocyclic, bicyclic, or polycyclic. The terms “heterocyclyl” or “heterocyclic group” refer to 3- to 12-membered ring structures, optionally 5- to 12-membered rings, optionally 5- to 10-membered rings, whose ring structures include one to four heteroatoms. Heterocycles can be monocyclic, bicyclic, spirocyclic, or polycyclic. Heterocyclyl groups include, for example, thiophene, thianthrene, furan, pyran, isobenzofuran, chromene, xanthene, phenoxathiin, pyrrole, imidazole, pyrazole, isothiazole, isoxazole, pyridine, pyrazine, pyrimidine, pyridazine, indolizine, isoindole, indole, indazole, purine, quinolizine, isoquinoline, quinoline, phthalazine, naphthyridine, quinoxaline, quinazoline, cinnoline, pteridine, carbazole, carboline, phenanthridine, acridine, pyrimidine, phenanthroline, phenazine, phenarsazine, phenothiazine, furazan, phenoxazine, pyrrolidine, oxolane, thiolane, oxazole, piperidine, piperazine, morpholine, lactones, lactams such as azetidinones and pyrrolidinones, sultams, sultones, and the like. The heterocyclic ring can be substituted at one or more positions with such substituents as described above, as for example, halogen, alkyl, aralkyl, alkenyl, alkynyl, cycloalkyl, hydroxyl, amino, nitro, sulfhydryl, imino, amido, phosphate, phosphonate, phosphinate, carbonyl, carboxyl, silyl, sulfamoyl, sulfinyl, ether, alkylthio, sulfonyl, ketone, aldehyde, ester, a heterocyclyl, an aromatic or heteroaromatic moiety, -CF3, -CN, and the like.
The term “substituted” refers to moieties having substituents replacing a hydrogen on one or more carbons of the backbone. It will be understood that “substitution” or “substituted with” includes the implicit proviso that such substitution is in accordance with permitted valence of the substituted atom and the substituent, and that the substitution results in a stable compound, e.g., which does not spontaneously undergo transformation such as by rearrangement, cyclization, elimination, etc. As used herein, the term “substituted” is contemplated to include all permissible substituents of organic compounds. In a broad aspect, the permissible substituents include acyclic and cyclic, branched and unbranched, carbocyclic and heterocyclic, aromatic and non-aromatic substituents of organic compounds. The permissible substituents can be one or more and the same or different for appropriate organic compounds. For purposes of this disclosure, the heteroatoms such as nitrogen may have hydrogen substituents and/or any permissible substituents of organic compounds described herein which satisfy the valences of the heteroatoms. Substituents can include any substituents described herein, for example, a halogen, a hydroxyl, a carbonyl (such as a carboxyl, an alkoxycarbonyl, a formyl, or an acyl), a thiocarbonyl (such as a thioester, a thioacetate, or a thioformate), an alkoxy, a phosphoryl, a phosphate, a phosphonate, a phosphinate, an amino, an amido, an amidine, an imine, a cyano, a nitro, an azido, a sulfhydryl, an alkylthio, a sulfate, a sulfonate, a sulfamoyl, a sulfonamido, a sulfonyl, a heterocyclyl, an aralkyl, or an aromatic or heteroaromatic moiety. In certain embodiments, the substituents on substituted alkyls are selected from C1-6 alkyl, C3-6 cycloalkyl, halogen, carbonyl, cyano, or hydroxyl. In certain embodiments, the substituents on substituted alkyls are selected from fluoro, carbonyl, cyano, or hydroxyl. It will be understood by those skilled in the art that substituents can themselves be substituted, if appropriate. Unless specifically stated as “unsubstituted,” references to chemical moieties herein are understood to include substituted variants. For example, reference to an “aryl” group or moiety implicitly includes both substituted and unsubstituted variants. As used herein, the term “agent”, may refer to a physical entity or phenomenon. In some embodiments, an agent may be characterized by a particular feature and/or effect. In some embodiments, an agent may be a compound, molecule, or entity of any chemical class including, for example, a small molecule, polypeptide, nucleic acid, saccharide, lipid, metal, or a combination or complex thereof. In some embodiments, the term “agent” may refer to a compound, molecule, or entity that comprises a polymer. In some embodiments, the term may refer to a compound or
entity that comprises one or more polymeric moieties. In some embodiments, the term “agent” may refer to a compound, molecule, or entity that is substantially free of a particular polymer or polymeric moiety. In some embodiments, the term may refer to a compound, molecule, or entity that lacks or is substantially free of any polymer or polymeric moiety. The term "amino acid" in its broadest sense, as used herein, refers to any compound and/or substance that can be incorporated into a polypeptide chain, e.g., through formation of one or more peptide bonds. In some embodiments, an amino acid has the general structure H2N–C(H)(R)– COOH. In some embodiments, an amino acid is a naturally-occurring amino acid. In some embodiments, an amino acid is a non-natural amino acid; in some embodiments, an amino acid is a D-amino acid; in some embodiments, an amino acid is an L-amino acid. “Standard amino acid” refers to any of the twenty standard L-amino acids commonly found in naturally occurring peptides. “Nonstandard amino acid” refers to any amino acid, other than the standard amino acids, regardless of whether it is prepared synthetically or obtained from a natural source. In some embodiments, an amino acid, including a carboxy- and/or amino-terminal amino acid in a polypeptide, can contain a structural modification as compared with the general structure above. For example, in some embodiments, an amino acid may be modified by methylation, amidation, acetylation, pegylation, glycosylation, phosphorylation, and/or substitution (e.g., of the amino group, the carboxylic acid group, one or more protons, and/or the hydroxyl group) as compared with the general structure. In some embodiments, such modification may, for example, alter the circulating half-life of a polypeptide containing the modified amino acid as compared with one containing an otherwise identical unmodified amino acid. In some embodiments, such modification does not significantly alter a relevant activity of a polypeptide containing the modified amino acid, as compared with one containing an otherwise identical unmodified amino acid. As will be clear from context, in some embodiments, the term “amino acid” may be used to refer to a free amino acid; in some embodiments it may be used to refer to an amino acid residue of a polypeptide. In certain embodiments, antisense compounds, including antisense oligonucleotides and other antisense compounds for use in modulating the expression and/or activity of target nucleic acid molecules, including, e.g., modulating the expression of target mRNA molecules, are disclosed. Without wishing to be bound by theory, target mRNA expression modulation can be
accomplished in certain embodiments by providing antisense compounds that hybridize with one or more target nucleic acid molecules, including hybridizing with one or more target mRNAs. In some embodiments, double-stranded RNA (dsRNA) agents (e.g., siRNAs) for use in modulating the expression of nucleic acid molecules encoding a target mRNA are disclosed. Without wishing to be bound by theory, expression modulation of a target gene is accomplished in certain embodiments by providing dsRNA agents that engage the RNA interference machinery (specifically the RNA-induced silencing complex (RISC)) to direct sequence-specific cleavage and degradation of one or more target nucleic acid molecules. In certain other embodiments, dsRNA compositions of the instant disclosure (e.g., heteroduplex oligonucleotides (HDOs), which are known in the art and which include an antisense oligonucleotide strand (typically a "gapmer" antisense oligonucleotide structure) that is duplexed with a complementary RNA oligonucleotide strand) can accomplish expression modulation of a target nucleic acid via an antisense oligonucleotide (ASO) mechanism that does not involve RISC. The terms “iRNA”, “RNAi agent,” “iRNA agent,”, “RNA interference agent” as used interchangeably herein, refer to an agent that contains RNA as that term is defined herein, and which mediates the targeted cleavage of an RNA transcript via an RNA-induced silencing complex (RISC) pathway. iRNA directs the sequence-specific degradation of mRNA through a process known as RNA interference (RNAi). The iRNA modulates, e.g., inhibits, the expression of a target gene in a cell, e.g., a cell within a subject, such as a mammalian subject. In one embodiment, an RNAi agent of the present disclosure includes a single stranded RNA that interacts with a target RNA sequence to direct the cleavage of the target RNA. Without wishing to be bound by theory, it is believed that long double stranded RNA introduced into cells is broken down into siRNA by a Type III endonuclease known as Dicer (Sharp et al. (2001) Genes Dev.15:485). Dicer, a ribonuclease-III-like enzyme, processes the dsRNA into 19-23 base pair short interfering RNAs with characteristic two base 3' overhangs (Bernstein, et al., (2001) Nature 409:363). The siRNAs are then incorporated into an RNA-induced silencing complex (RISC) where one or more helicases unwind the siRNA duplex, enabling the complementary antisense strand to guide target recognition (Nykanen, et al., (2001) Cell 107:309). Upon binding to the appropriate target mRNA, one or more endonucleases within the RISC cleave the target to induce silencing (Elbashir, et al., (2001) Genes Dev.15:188). Thus, in one aspect the present disclosure relates to a single stranded RNA (siRNA) generated within a cell and which promotes the
formation of a RISC complex to effect silencing of the target gene. Accordingly, the term “siRNA” is also used herein to refer to an iRNA as described above. In certain embodiments, the modulatory nucleic acid agent may be a single-stranded antisense oligonucleotide (ASO), or may be a single-stranded siRNA (ssRNAi), either of which is introduced into a cell or organism to inhibit a target mRNA. Without wishing to be bound by theory, single-stranded RNAi agents bind to the RISC endonuclease, Argonaute 2, which then cleaves the target mRNA. Single-stranded siRNAs are generally 15-30 nucleotides and are chemically modified. Design and testing of single-stranded siRNAs are described in U.S. Patent No.8,101,348 and in Lima et al., (2012) Cell 150:883-894, the entire contents of each of which are hereby incorporated herein by reference. Any of the antisense nucleotide sequences described herein may be used as a single-stranded siRNA as described herein or as chemically modified by the methods described in Lima et al., (2012) Cell 150:883-894. In certain embodiments, an “iRNA” for use in the compositions, uses, and methods of the present disclosure is a double stranded RNA and is referred to herein as a “double stranded RNA agent,” “double stranded RNA (dsRNA) molecule,” “dsRNA agent,” or “dsRNA”. The term “dsRNA”, refers to a complex of ribonucleic acid molecules (optionally including modified nucleotides, as defined herein, in substitution at one, multiple, or all such ribonucleic acids of one or both strands of such dsRNA agent), having a duplex structure comprising two anti-parallel and substantially complementary nucleic acid strands, referred to as having “sense” and “antisense” orientations with respect to a target RNA. In some embodiments of the present disclosure, a double stranded RNA (dsRNA) triggers the degradation of a target RNA through a post-transcriptional gene-silencing mechanism referred to herein as RNA interference or RNAi. As used herein, the term “antisense oligonucleotide (ASO)” refers to an oligonucleotide that is capable of interacting with and/or hybridizing to a pre-mRNA or an mRNA having a complementary nucleotide sequence thereby modifying gene expression. As used herein, the term “exon skipping” refers to the modification of pre-mRNA splicing by the targeting of splice donor and/or acceptor and branch sites within a pre-mRNA with one or more complementary antisense oligonucleotide(s) (ASOs). By blocking access of a spliceosome to one or more splice donor, acceptor or branch site, an ASO can prevent a splicing reaction thereby causing the exclusion of one or more exons from a fully-processed mRNA. Exon skipping is achieved in the nucleus during the maturation process of pre-mRNAs. It includes the masking of
key sequences involved in the splicing of targeted exons by using antisense oligonucleotides (ASO) that are complementary to splice donor/acceptor, branch-point sequences and/or by overlapping ESE (in exon)/ISE (in intron) within a pre-mRNA. In general, the majority of nucleotides of each strand of a dsRNA molecule are ribonucleotides, but as described in detail herein, each or both strands can also include one or more non-ribonucleotides, e.g., a deoxyribonucleotide or a modified nucleotide. In addition, as used in this specification, an “iRNA”, or an ASO, may include ribonucleotides with chemical modifications; an iRNA, or an ASO, may include substantial modifications at multiple nucleotides. As used herein, the term “modified nucleotide” refers to a nucleotide having, independently, a modified sugar moiety, a modified internucleotide linkage, or modified nucleobase, or any combination thereof. Thus, the term modified nucleotide encompasses substitutions, additions or removal of, e.g., a functional group or atom, to internucleoside linkages, sugar moieties, or nucleobases. The modifications suitable for use in the agents of the present disclosure include all types of modifications disclosed herein or known in the art. Any such modifications, as used in a siRNA type molecule, are encompassed by “iRNA” or “RNAi agent”, or as used in an ASO type molecule, are encompassed by "antisense oligonucleotide" or "ASO", for the purposes of this specification and claims. In certain embodiments of the instant disclosure, inclusion of a deoxy-nucleotide if present within an RNAi agent, or within an ASO or other modulatory nucleic acid agent, can be considered to constitute a modified nucleotide. The term “targeting moiety” as used herein, refers to a moiety that, when contacted with a system that includes one or more target cells of interest (e.g., in culture, in a tissue, and/or in an organism) binds specifically with such target cells. In many embodiments, a targeting moiety binds to a cell surface factor (e.g., to a factor that is preferentially or specifically found on surface(s) of such target cells of interest). In some embodiments, binding of a targeting moiety to a cell surface factor results in internalization of a targeting moiety. Typically, a targeting moiety useful in accordance with the present disclosure retains its specific binding character when included in a conjugate agent as described herein; in some embodiments, binding of such a conjugate agent to a relevant cell surface factor results in internalization of a conjugate agent. In some embodiments, a targeting moiety binds specifically to a factor on the surface of kidney cells. In some embodiments, a targeting moiety binds specifically to Cubilin. In some embodiments, a targeting moiety binds
specifically to Megalin. In some embodiments, a targeting moiety of the instant disclosure includes a compound of Formula I or Formula I', or as otherwise disclosed herein. The term “cell surface factor” as used herein, refers to a factor (e.g., that is or comprises a polypeptide) that is present on the surface of cell(s) of interest (e.g., of target cell(s) as described herein which, in many embodiments, may be kidney cells). In some embodiments, a cell surface factor is preferentially present on the surface of target cell(s) (e.g., kidney cells) as compared with cells of one or more other tissues. In some embodiments, a cell surface factor is present on certain non-target cells in addition to target cells. In some embodiments, a cell surface factor is not preferentially or specifically present on relevant target cells of interest. In some embodiments, a cell surface factor is or comprises a receptor. In some embodiments, a cell surface factor is internalized when bound by one or more particular ligands (e.g., with a targeting moiety as described herein). In some embodiments, a cell surface factor may interact with (e.g., bind to, form a complex with, etc.) one or more other components of a cell (e.g., with one or more cell membrane components and/or one or more cell surface components and/or one or more cell-internal components) on whose surface it is found. In some embodiments, a cell surface factor, and/or a particular form or variant thereof, and/or a cell surface factor of any of the foregoing, may be associated with a particular cell state or condition (e.g., stage of development, disease state, etc.). In some embodiments, a "conjugate agent" has a structure represented by the following formula: (Xn1 – Yn2 –Zn3), wherein X is a targeting moiety (e.g., a polymyxin or other targeting moiety structure disclosed herein) and n1 is an integer (i.e.1 or greater, typically less than 5); Y is a linker (optionally a branched linker, e.g., to allow for conjugate structures that include multiple targeting moieties associated with one or more payload moieties within a single structure) and n2 is 0 or an integer (i.e., 1 or greater, typically less than 5); and Z is a modulatory nucleic acid of the instant disclosure and n3 is an integer (i.e. 1 or greater, typically less than 5); in many embodiments, n2 = n1 and/or n2 = n3. In many embodiments, n1 and/or n3 is/are 1. In many embodiments, a conjugate agent has a structure represented by the formula (X-Y-Z). In some embodiments, a conjugate agent has a structure represented by a formula of: (X—Y)n–Z, wherein n is an integer greater than 1, and a conjugate agent comprises more than one targeting moiety. In some embodiments, a conjugate agent has structure represented by a formula of: X—(Y–Z)n, wherein n is an integer greater than 1, and a conjugate agent comprises more than one modulatory nucleic acid.
The term “Megalin,” as used herein refers to a receptor which is a member of the low- density lipoprotein receptor (LDLR) family. Megalin is encoded by the LRP2 gene. Amino acid sequences for full length Megalin, and/or for nucleic acids that encode it can be found in a public database such as GenBank, UniProt and Swiss-Prot. For example, the amino acid sequence of human Megalin (SEQ ID NO: 1, for which residues 27-4411 represent an extracellular domain comprising LDL Receptor Class A domains, LDL Receptor Class B domains, and EGF-like domains; residues 4589-4602 represent a DAB2 interaction domain; and residues 4453-4622 represent a cytoplasmic domain comprising NPXY motifs, SH2 binding domains, SH3 binding domains, and proline-rich domains) can be found as UniProt/Swiss-Prot Accession No. P98164 and the nucleic acid sequence encoding human Megalin can be found at Accession No. NM_ 004525.3. Megalin is also known, for example, as Low-density lipoprotein receptor-related protein 2 (LRP2), Glycoprotein 330 (Gp330), Calcium Sensor Protein, or Heymann Nephritis Antigen Homolog. Those skilled in the art will appreciate that the sequence of SEQ ID NO: 1 is exemplary, and certain variations (including, for example, conservative substitutions in SEQ ID NO: 1, as well as codon-optimized variants of associated nucleic acid sequences, etc.) are understood to also be or encode human Megalin. Additionally, those skilled in the art will appreciate that homologs and orthologs of human Megalin are known and/or knowable through the exercise or ordinary skill, for example, based on degree of sequence identity, presence of one or more characteristic sequence elements, and/or one or more shared activities. In some embodiments, Megalin comprises full- length Megalin, or a variant or a fragment thereof. In some embodiments, Megalin that is targeted in accordance with the present disclosure is a Megalin expressed by particular target cell(s) and/or tissue(s) of interest (e.g., in an organism of interest). In some embodiments, a Megalin that is targeted in accordance with the present disclosure is an engineered Megalin. In many embodiments, a Megalin that is targeted in accordance with the present disclosure is present on the surface of target cell(s) of interest (e.g., in target tissue(s) of interest, such as kidney) and that becomes internalized by such cell upon binding of a Megalin binding moiety as described herein. Megalin has been reported to be expressed in one or more of the following tissues and/or cells: immune cells (e.g., bone marrow cells, lymph node cells, thymic cells, peripheral blood mononuclear cells [e.g., myeloid and/or lymphoid cells], erythrocytes, eosinophils, neutrophils, and/or platelets); nervous system cells (e.g., brain tissue, cortex, cerebellum, retinal cells, spinal cord cells, nerve cells, neurons, and/or supporting cells); endothelial cells; muscle (e.g., heart
muscle, smooth muscle, and/or skeletal muscle); small intestine; colon; adipocytes; kidney; liver; lung; spleen; stomach; esophagus; bladder; pancreas; thyroid; salivary gland; adrenal gland; pituitary gland; breast; skin; ovary; uterus; placenta; prostate; and testis. Megalin expression is reported to be enriched (e.g., high relative to one or more other tissues) in the following tissues and/or cells in particular: renal tissue, thyroid tissue, parathyroid tissue, cells of the inner ear, and nervous system tissue. Megalin has been specifically reported to be expressed (e.g., at relatively high level(s)) on surfaces of kidney cells such a proximal tubular epithelial cells and podocytes. See Nielsen R. et al. (2016), Kidney Int.89(1): 58-67. The term “Megalin-binding moiety” as used herein refers to a moiety that binds to Megalin when contacted therewith. Typically, a Megalin-binding moiety useful in accordance with the present disclosure binds specifically to Megalin under the circumstances of the contacting. In some embodiments, a Megalin-binding moiety is or comprises: a polymyxin or related structure disclosed herein, a peptide, an aminoglycoside, an endogenous, a xenobiotic, an antibody or a fragment thereof, or a combination thereof. In some embodiments, a Megalin-binding moiety is internalized upon binding to Megalin on a cell surface. The term “Cubilin,” as used herein refers to a receptor encoded by the CUBN gene. Amino acid sequences for full length Cubilin, and/or for nucleic acids that encode it can be found in a public database such as GenBank, UniProt and Swiss-Prot. For example, the amino acid sequence of human Cubilin (SEQ ID NO: 2, for which residues 1-23 represent a signal peptide; residues 24- 35 represent a propeptide which can be removed in the mature form, and residues 36-3623 represent a mature Cubilin polypeptide) can be found as UniProt/Swiss-Prot Accession No. O60494 and the nucleic acid sequence encoding human Cubilin can be found at Accession No. NM_001081.3. Cubilin is also known, for example, as IFCR, Gp280, Intrinsic Factor-Vitamin B12 Receptor, MGA1, or IGS1. Those skilled in the art will appreciate that the Cubilin sequence of SEQ ID NO: 2 is exemplary, and certain variations (including, for example, conservative substitutions in SEQ ID NO: 2, codon-optimized variants of Cubilin-encoding nucleic acid sequences, etc.) are understood to also be or encode human Cubilin. Additionally, those skilled in the art will appreciate that homologs and orthologs of human Cubilin are known and/or knowable through the exercise or ordinary skill, for example, based on degree of sequence identity, presence of one or more characteristic sequence elements, and/or one or more shared activities. In some embodiments, Cubilin comprises full-length Cubilin, or a variant or a fragment thereof. In some
embodiments, Cubilin that is targeted in accordance with the present disclosure is a Cubilin expressed by particular target cell(s) and/or tissue(s) of interest (e.g., in an organism of interest). In some embodiments, a Cubilin that is targeted in accordance with the present disclosure is an engineered Cubilin. In many embodiments, a Cubilin that is targeted in accordance with the present disclosure is present on the surface of target cell(s) of interest (e.g., in target tissue(s) of interest) and that becomes internalized by such cell upon binding of a Cubilin binding moiety as described herein. Cubilin has been reported to be expressed in one or more of the following tissues and/or cells: immune cells (e.g., bone marrow cells, lymph node cells, thymic cells, peripheral blood mononuclear cells [e.g., myeloid and/or lymphoid cells], erythrocytes, eosinophils, neutrophils, and/or platelets); nervous system (e.g., brain tissue, cortex, cerebellum, retinal cells, spinal cord cells, nerve cells, neurons, and/or supporting cells; endothelial cells; muscle (e.g., heart muscle, smooth muscle, and/or skeletal muscle); small instetine; colon; adipocytes; kidney; liver; lung; spleen; stomach; esophagus; bladder; pancreas; thyroid; salivary gland; adrenal gland; pituitary gland; breast; skin; ovary; uterus; placenta; prostate; and testis. Cubilin expression is reported to be enriched (e.g., high relative to one or more other tissues) in the following tissues and/or cells in particular: renal tissue, thyroid tissue, parathyroid tissue, cells of the inner ear, and nervous system tissue. Cubilin has been specifically reported to be expressed (e.g., at relatively high level(s)) on surfaces of kidney cells such a proximal tubular epithelial cells and podocytes. See Nielsen R. et al. (2016), Kidney Int.89(1):58-67. The term “Cubilin-binding moiety” as used herein refers to a moiety that binds to Cubilin when contacted therewith. Typically, a Cubilin-binding moiety useful in accordance with the present disclosure binds specifically to Cubilin under the circumstances of the contacting. In some embodiments, a Cubilin-binding moiety is internalized upon binding to Cubilin on a cell surface. The phrase “cell associated with a kidney” as used herein refers to a cell that is or can be found in a kidney (e.g., during development, during tissue homeostasis, or in the course of a disease or disorder). In some embodiments, a cell associated with a kidney is also referred to as a "kidney cell" herein. In some embodiments, a cell associated with a kidney includes any one or all of the following cell types: a proximal tubule epithelial cell, a podocyte, a kidney cyst cell (e.g., in polycystic kidney disease), a parietal epithelial cell, a mesangial cell, a renal stem cell, an epithelial progenitor cell, a fibroblast, a myo-fibroblast, a pericyte, an ascending loop of Henle cell, a descending loop of Henle cell, a distal tubule cell, a connecting tubule cell, an intercalated cell, a
principal cell. Exemplary renal cell populations are provided in Schumacher et al., (2021) npj Regen Med 6, 45, the entire contents of which are hereby incorporated by reference. In some embodiments, a kidney cell is or comprises a cell derived from a kidney, e.g., a kidney tumor cell and/or a metastatic kidney tumor cell. As used herein, the term “combination therapy” refers to those situations in which a subject is simultaneously exposed to two or more therapeutic regimens (e.g., two or more therapeutic agents). In some embodiments, the two or more regimens may be administered simultaneously; in some embodiments, such regimens may be administered sequentially (e.g., all “doses” of a first regimen are administered prior to administration of any doses of a second regimen); in some embodiments, such agents are administered in overlapping dosing regimens. In some embodiments, “administration” of combination therapy may involve administration of one or more agent(s) or modality(ies) to a subject receiving the other agent(s) or modality(ies) in the combination. For clarity, combination therapy does not require that individual agents be administered together in a single composition (or even necessarily at the same time), although in some embodiments, two or more agents, or active moieties thereof, may be administered together in a combination composition, or even in a combination compound (e.g., as part of a single chemical complex or covalent entity). A composition or method described herein as "comprising" one or more named elements or steps is open-ended, meaning that the named elements or steps are essential, but other elements or steps may be added within the scope of the composition or method. To avoid prolixity, it is also understood that any composition or method described as "comprising" (or which "comprises") one or more named elements or steps also describes the corresponding, more limited composition or method "consisting essentially of" (or which "consists essentially of") the same named elements or steps, meaning that the composition or method includes the named essential elements or steps and may also include additional elements or steps that do not materially affect the basic and novel characteristic(s) of the composition or method. It is also understood that any composition or method described herein as "comprising" or "consisting essentially of" one or more named elements or steps also describes the corresponding, more limited, and closed-ended composition or method "consisting of" (or "consists of") the named elements or steps to the exclusion of any other unnamed element or step. In any composition or method disclosed herein, known or
disclosed equivalents of any named essential element or step may be substituted for that element or step. The term “peptide” as used herein refers to a polypeptide that is typically relatively short, for example having a length of less than about 100 amino acids, less than about 50 amino acids, less than about 40 amino acids less than about 30 amino acids, less than about 25 amino acids, less than about 20 amino acids, less than about 15 amino acids, or less than 10 amino acids. "Polypeptide" as used herein refers to a polymeric chain of amino acids. In some embodiments, a polypeptide has an amino acid sequence that occurs in nature. In some embodiments, a polypeptide has an amino acid sequence that does not occur in nature. In some embodiments, a polypeptide has an amino acid sequence that is engineered in that it is designed and/or produced through action of the hand of man. In some embodiments, a polypeptide may comprise or consist of natural amino acids, non-natural amino acids, or both. As used herein, the term “pharmaceutical composition” refers to a composition in which an active agent (e.g., a modulatory nucleic acid agent as disclosed herein) is formulated together with one or more pharmaceutically acceptable carriers. In some embodiments, the active agent is present in unit dose amount appropriate for administration in a therapeutic regimen that shows a statistically significant probability of achieving a predetermined therapeutic effect when administered to a relevant population. In some embodiments, a pharmaceutical composition may be specially formulated for administration in a particular form (e.g., in a solid form or a liquid form), and/or may be specifically adapted for, for example: oral administration (for example, as a drenche [aqueous or non-aqueous solutions or suspensions], tablet, capsule, bolus, powder, granule, paste, etc, which may be formulated specifically for example for buccal, sublingual,or systemic absorption); parenteral administration (for example, by subcutaneous, intramuscular, intravenous or epidural injection as, for example, a sterile solution or suspension, or sustained- release formulation, etc); topical application (for example, as a cream, ointment, patch or spray applied for example to skin, lungs, or oral cavity); intravaginal or intrarectal administration (for example, as a pessary, suppository, cream, or foam); ocular administration; nasal or pulmonary administration, etc. As used herein, the term “subject” refers to an organism, for example, a mammal (e.g., a human, a non-human mammal, a non-human primate, a primate, a laboratory animal, a mouse, a rat, a hamster, a gerbil, a cat, a dog). In some embodiments, a human subject is an adult, adolescent,
or pediatric subject. In some embodiments, a subject is suffering from a disease, disorder or condition, e.g., a disease, disorder or condition that can be treated as provided herein. In some embodiments, a subject is susceptible to a disease, disorder, or condition; in some embodiments, a susceptible subject is predisposed to and/or shows an increased risk (as compared to the average risk observed in a reference subject or population) of developing the disease, disorder or condition. In some embodiments, a subject displays one or more symptoms of a disease, disorder or condition. In some embodiments, a subject does not display a particular symptom (e.g., clinical manifestation of disease) or characteristic of a disease, disorder, or condition. In some embodiments, a subject does not display any symptom or characteristic of a disease, disorder, or condition. In some embodiments, a subject is a patient. In some embodiments, a subject is an individual to whom diagnosis and/or therapy is and/or has been administered. In an embodiment, the subject is a human, such as a human being treated or assessed for a disease or disorder that would benefit from reduction in target mRNA expression; a human at risk for a disease or disorder that would benefit from reduction in target mRNA expression; a human having a disease or disorder that would benefit from reduction in target mRNA expression; or human being treated for a disease or disorder that would benefit from reduction in target mRNA expression as described herein. In some embodiments, the subject is a female human. In other embodiments, the subject is a male human. In one embodiment, the subject is an adult subject. In another embodiment, the subject is a pediatric subject. "Reference", as used herein, describes a standard or control relative to which a comparison is performed. For example, in some embodiments, an agent, animal, individual, population, sample, sequence or value of interest is compared with a reference or control agent, animal, individual, population, sample, sequence or value. In some embodiments, a reference or control is tested and/or determined substantially simultaneously with the testing or determination of interest. In some embodiments, a reference or control is a historical reference or control, optionally embodied in a tangible medium. Typically, as would be understood by those skilled in the art, a reference or control is determined or characterized under comparable conditions or circumstances to those under assessment. Those skilled in the art will appreciate when sufficient similarities are present to justify reliance on and/or comparison to a particular possible reference or control. As used herein, the term “specific binding” refers to an ability to discriminate between possible binding partners in the environment in which binding is to occur. A binding agent that
interacts with one particular target when other potential targets are present is said to "bind specifically" to the target with which it interacts. In some embodiments, specific binding is assessed by detecting or determining degree of association between the binding agent and its partner; in some embodiments, specific binding is assessed by detecting or determining degree of dissociation of a binding agent-partner complex; in some embodiments, specific binding is assessed by detecting or determining ability of the binding agent to compete an alternative interaction between its partner and another entity. In some embodiments, specific binding is assessed by performing such detections or determinations across a range of concentrations. The term “specific”, when used herein with reference to an agent having an activity, is understood by those skilled in the art to mean that the agent discriminates between potential target entities or states. For example, an in some embodiments, an agent is said to bind “specifically” to its target if it binds preferentially with that target in the presence of one or more competing alternative targets. In many embodiments, specific interaction is dependent upon the presence of a particular structural feature of the target entity (e.g., an epitope, a cleft, a binding site). It is to be understood that specificity need not be absolute. In some embodiments, specificity may be evaluated relative to that of the binding agent for one or more other potential target entities (e.g., competitors). In some embodiments, specificity is evaluated relative to that of a reference specific binding agent. In some embodiments specificity is evaluated relative to that of a reference non- specific binding agent. In some embodiments, the agent or entity does not detectably bind to the competing alternative target under conditions of binding to its target entity. In some embodiments, binding agent binds with higher on-rate, lower off-rate, increased affinity, decreased dissociation, and/or increased stability to its target entity as compared with the competing alternative target(s). As is known in the art, “specificity” is a measure of the ability of a particular ligand to distinguish its binding partner from other potential binding partners. As used herein, “complementary” refers to a nucleic acid molecule that can form hydrogen bond(s) with another nucleic acid molecule by either traditional Watson-Crick base pairing or other non-traditional types of pairing (e.g., Hoogsteen or reversed Hoogsteen hydrogen bonding) between complementary nucleosides or nucleotides. In reference to the oligonucleotides of the present disclosure, the binding free energy for an antisense oligonucleotide/antisense strand with its complementary sequence is sufficient to allow the relevant function of the oligonucleotide agent to proceed and there is a sufficient degree of complementarity to avoid non-specific binding of the
antisense oligonucleotide/antisense strand to non-target sequences under conditions in which specific binding is desired, i.e., under physiological conditions in the case of in vivo therapeutic treatment. Determination of binding free energies for nucleic acid molecules is well known in the art (see e.g., Turner et ah, CSH Symp. Quant. Biol. 1/7:123-133 (1987); Frier et al, Proc. Nat. Acad. Sci. USA 83:9373-77 (1986); and Turner et al, J. Am. Chem. Soc.109:3783-3785 (1987)). Thus, “complementary” (or “specifically hybridizable”) are terms that indicate a sufficient degree of complementarity or precise pairing such that stable and specific binding occurs between an antisense oligonucleotide/antisense strand and a pre-mRNA or mRNA target. It is understood in the art that a nucleic acid molecule need not be 100% complementary to a target nucleic acid sequence to be specifically hybridizable. That is, two or more nucleic acid molecules may be less than fully complementary. Complementarity is indicated by a percentage of contiguous residues in a nucleic acid molecule that can form hydrogen bonds with a second nucleic acid molecule. For example, if a first nucleic acid molecule has 10 nucleotides and a second nucleic acid molecule has 10 nucleotides, then base pairing of 5, 6, 7, 8, 9, or 10 nucleotides between the first and second nucleic acid molecules represents 50%, 60%, 70%, 80%, 90%, and 100% complementarity, respectively. “Perfectly” or “fully” complementary nucleic acid molecules means those in which all the contiguous residues of a first nucleic acid molecule will hydrogen bond with the same number of contiguous residues in a second nucleic acid molecule, wherein the nucleic acid molecules either both have the same number of nucleotides (i.e., have the same length) or the two molecules have different lengths. The term “variant”, as used herein, refers to a molecule or entity (e.g., that are or comprise a nucleic acid, protein, or small molecule) that shows significant structural identity with a reference molecule or entity but differs structurally from the reference molecule or entity, e.g., in the presence or absence or in the level of one or more chemical moieties as compared to the reference molecule or entity. In some embodiments, a “variant” may be referred to as a “derivative”. In some embodiments, a variant differs functionally from its reference molecule or entity. In many embodiments, whether a particular molecule or entity is properly considered to be a “variant” of a reference is based on its degree of structural identity with the reference molecule. As will be appreciated by those skilled in the art, a biological or chemical reference molecule in typically characterized by certain characteristic structural elements. A variant, by definition, is a distinct
molecule or entity that shares one or more such characteristic structural elements but differs in at least one aspect from the reference molecule or entity. To give but a few examples, a polypeptide may have a characteristic sequence element comprised of a plurality of amino acids having designated positions relative to one another in linear or three-dimensional space and/or contributing to a particular structural motif and/or biological function; a nucleic acid may have a characteristic sequence element comprised of a plurality of nucleotide residues having designated positions relative to on another in linear or three-dimensional space. In some embodiments, a variant polypeptide or nucleic acid may differ from a reference polypeptide or nucleic acid as a result of one or more differences in amino acid or nucleotide sequence and/or one or more differences in chemical moieties (e.g., carbohydrates, lipids, phosphate groups) that are covalently components of the polypeptide or nucleic acid (e.g., that are attached to the polypeptide or nucleic acid backbone). In some embodiments, a variant polypeptide or nucleic acid shows an overall sequence identity with a reference polypeptide or nucleic acid that is at least 85%, 86%, 87%, 88%, 89%, 90%, 91%, 92%, 93%, 94%, 95%, 96%, 97%, or 99%. In some embodiments, a variant polypeptide or nucleic acid does not share at least one characteristic sequence element with a reference polypeptide or nucleic acid. In some embodiments, a reference polypeptide or nucleic acid has one or more biological activities. In some embodiments, a variant polypeptide or nucleic acid shares one or more of the biological activities of the reference polypeptide or nucleic acid. In some embodiments, a variant polypeptide or nucleic acid lacks one or more of the biological activities of the reference polypeptide or nucleic acid. In some embodiments, a variant polypeptide or nucleic acid shows a reduced level of one or more biological activities as compared to the reference polypeptide or nucleic acid. In some embodiments, a polypeptide or nucleic acid of interest is considered to be a “variant” of a reference polypeptide or nucleic acid if it has an amino acid or nucleotide sequence that is identical to that of the reference but for a small number of sequence alterations at particular positions. Typically, fewer than about 20%, about 15%, about 10%, about 9%, about 8%, about 7%, about 6%, about 5%, about 4%, about 3%, or about 2% of the residues in a variant are substituted, inserted, or deleted, as compared to the reference. In some embodiments, a variant polypeptide or nucleic acid comprises about 10, about 9, about 8, about 7, about 6, about 5, about 4, about 3, about 2, or about 1 substituted residues as compared to a reference. Often, a variant polypeptide or nucleic acid comprises a very small number (e.g., fewer than about 5, about 4, about 3, about 2, or about 1) number of substituted, inserted, or deleted,
functional residues (i.e., residues that participate in a particular biological activity) relative to the reference. In some embodiments, a variant polypeptide or nucleic acid comprises not more than about 5, about 4, about 3, about 2, or about 1 addition or deletion, and, in some embodiments, comprises no additions or deletions, as compared to the reference. In some embodiments, a variant polypeptide or nucleic acid comprises fewer than about 25, about 20, about 19, about 18, about 17, about 16, about 15, about 14, about 13, about 10, about 9, about 8, about 7, about 6, and commonly fewer than about 5, about 4, about 3, or about 2 additions or deletions as compared to the reference. In some embodiments, a reference polypeptide or nucleic acid is one found in nature. In some embodiments, a reference polypeptide or nucleic acid is a human polypeptide or nucleic acid. In some embodiments, modulatory RNA compounds (e.g., inhibitory RNA compounds such as siRNAs, antisense compounds including both inhibitory antisense oligonucleotides and those designed to modulate splicing, etc.) are provided for the prevention, amelioration, and/or treatment of diseases or conditions for which delivery of a nucleic acid molecule capable of selectively and specifically modulating target mRNA expression to kidney cells or to cells of other organs of a subject can provide such prevention, amelioration, and/or treatment of the disease(s) or condition(s) in the subject. As used herein, the terms “treating” or “treatment” refer to a beneficial or desired result, such as reducing at least one sign or symptom of a target RNA-associated disorder in a subject. Treatment also includes a reduction of one or more sign or symptoms associated with unwanted target RNA and/or target polypeptide expression; diminishing the extent of unwanted target RNA and/or target polypeptide activation or stabilization; amelioration or palliation of unwanted target RNA and/or target polypeptide activation or stabilization. “Treatment” can also mean prolonging survival as compared to expected survival in the absence of treatment. The term “lower” in the context of the level of target RNA and/or target polypeptide in a subject or a disease marker or symptom refers to a statistically significant decrease in such level. The decrease can be, for example, at least 10%, 15%, 20%, 25%, 30%, %, 40%, 45%, 50%, 55%, 60%, 65%, 70%, 75%, 80%, 85%, 90%, 95%, or more. In certain embodiments, a decrease is at least 20%. In certain embodiments, the decrease is at least 50% in a disease marker, e.g., protein or gene expression level. “Lower” in the context of the level of target RNA and/or target polypeptide in a subject is preferably down to a level accepted as within the range of normal for an individual without such disorder. In certain embodiments, “lower” is the decrease in the difference between the level of a
marker or symptom for a subject suffering from a disease and a level accepted within the range of normal for an individual, e.g., the level of decrease in bodyweight between an obese individual and an individual having a weight accepted within the range of normal. As used herein, “prevention” or “preventing,” when used in reference to a disease, disorder or condition thereof, may be treated or ameliorated by a reduction in expression of a target gene, refers to a reduction in the likelihood that a subject will develop a symptom associated with such a disease, disorder, or condition, e.g., a symptom of unwanted or excessive target RNA and/or target polypeptide expression, such as a metabolic disorder and/or a kidney disease or condition, such as a glomerular disorder, a renal tubular disorder, other renal disorders, an inborn error of metabolism, a systemic metabolic disorder, a disorder of the thyroid, a disorder of the parathyroid, a disorder of the inner ear, a neurological disorder, a viral infection, etc. The likelihood of developing, e.g., a kidney disease or condition, is reduced, for example, when an individual having one or more risk factors for a kidney disease or condition either fails to develop the kidney disease or condition or develops the kidney disease or condition with less severity relative to a population having the same risk factors and not receiving treatment as described herein. The failure to develop a disease, disorder or condition, or the reduction in the development of a symptom associated with such a disease, disorder or condition (e.g., by at least about 10% on a clinically accepted scale for that disease or disorder), or the exhibition of delayed symptoms delayed (e.g., by days, weeks, months or years) is considered effective prevention. As used herein, the term "target RNA-associated disease” is a disease, disorder or a condition that is caused by, or is associated with, unwanted or excessive target RNA levels and/or expression. The term "target RNA-associated disease” includes a disease, disorder or condition that may be treated or ameliorated by a reduction in target RNA expression. The term "target RNA- associated disease” includes metabolic disorders, including nephropathy and various other kidney diseases or conditions, such as glomerular disorders, renal tubular disorders, other renal disorders, inborn errors of metabolism, systemic metabolic disorders, disorders of the thyroid, disorders of the parathyroid, disorders of the inner ear, neurological disorders, viral infections, phenylketonuria (PKU) and related aminoacidopathies, etc. An “effective amount” is an amount sufficient to effect beneficial or desired results. "Therapeutically effective amount," as used herein, is intended to include the amount of a modulatory nucleic acid agent that, when administered to a subject having a target RNA-associated
disease, is sufficient to effect treatment of the disease (e.g., by diminishing, ameliorating, or maintaining the existing disease or one or more symptoms of disease). The "therapeutically effective amount" may vary depending on the modulatory nucleic acid agent, how the agent is administered, the disease and its severity and the history, age, weight, family history, genetic makeup, the types of preceding or concomitant treatments, if any, and other individual characteristics of the subject to be treated. “Prophylactically effective amount,” as used herein, is intended to include the amount of a modulatory nucleic acid agent that, when administered to a subject having a target RNA-associated disorder, is sufficient to prevent or ameliorate the disease or one or more symptoms of the disease. Ameliorating the disease includes slowing the course of the disease or reducing the severity of later-developing disease. The "prophylactically effective amount" may vary depending on the modulatory nucleic acid agent, how the agent is administered, the degree of risk of disease, and the history, age, weight, family history, genetic makeup, the types of preceding or concomitant treatments, if any, and other individual characteristics of the patient to be treated. A "therapeutically-effective amount" or “prophylactically effective amount” also includes an amount of a modulatory nucleic acid agent that produces some desired effect at a reasonable benefit/risk ratio applicable to any treatment. The conjugated modulatory nucleic acid (e.g., conjugated iRNA) employed in the methods of the present disclosure may be administered in a sufficient amount to produce a reasonable benefit/risk ratio applicable to such treatment. The phrase "pharmaceutically acceptable" is employed herein to refer to those compounds, materials, compositions, or dosage forms which are, within the scope of sound medical judgment, suitable for use in contact with the tissues of human subjects and animal subjects without excessive toxicity, irritation, allergic response, or other problem or complication, commensurate with a reasonable benefit/risk ratio. The phrase "pharmaceutically-acceptable carrier" as used herein means a pharmaceutically-acceptable material, composition, or vehicle, such as a liquid or solid filler, diluent, excipient, manufacturing aid (e.g., lubricant, talc magnesium, calcium or zinc stearate, or steric acid), or solvent encapsulating material, involved in carrying or transporting the subject compound from one organ, or portion of the body, to another organ, or portion of the body. Each carrier must be "acceptable" in the sense of being compatible with the other ingredients of the
formulation and not injurious to the subject being treated. Such carriers are known in the art. Pharmaceutically acceptable carriers include carriers for administration by injection. The term “sample,” as used herein, includes a collection of similar fluids, cells, or tissues isolated from a subject, as well as fluids, cells, or tissues present within a subject. Examples of biological fluids include blood, serum and serosal fluids, plasma, cerebrospinal fluid, ocular fluids, lymph, urine, saliva, and the like. Tissue samples may include samples from tissues, organs, or localized regions. For example, samples may be derived from particular organs, parts of organs, or fluids or cells within those organs. In certain embodiments, samples may be derived from the kidney (e.g., whole kidney or certain segments of kidney or certain types of cells in the kidney, such as, e.g., proximal tubular epithelial cells, podocytes, etc.). In some embodiments, a “sample derived from a subject” refers to urine obtained from the subject. A “sample derived from a subject” can refer to blood or blood derived serum or plasma from the subject. As used herein, the terms “target nucleic acid”, “nucleic acid molecule encoding a target RNA”, "nucleic acid molecule encoding a target polypeptide", and "nucleic acid molecule encoding a non-coding RNA" have been used for convenience to encompass RNA (including pre- mRNA and mRNA or portions thereof) transcribed from DNA encoding a target RNA and/or a target polypeptide, and also cDNA derived from such RNA, as well as non-coding RNA and/or regulatory RNA species. In certain embodiments, the target nucleic acid is an mRNA encoding for a human target polypeptide. Modulation of expression of a target nucleic acid can be achieved through alteration of any number of nucleic acid (DNA or RNA) functions. “Modulation” or “Modulation of Expression” means a perturbation of function, for example, either an increase (stimulation or induction) or a decrease (inhibition or reduction) in expression of the target mRNA. As another example, modulation of expression can include perturbing splice site selection of pre-mRNA processing. “Expression” includes all the functions by which a gene's coded information is converted into structures present and operating in a cell. These structures include the products of transcription and translation. The functions of RNA to be modulated can include translocation functions, which include, but are not limited to, translocation of the RNA to a site of protein translation, translocation of the RNA to sites within the cell which are distant from the site of RNA synthesis, and translation of protein from the RNA. RNA processing functions that can be modulated include, but are not limited to, splicing of the RNA to yield one or more RNA species, capping of the RNA,
3′ maturation of the RNA and catalytic activity or complex formation involving the RNA which may be engaged in or facilitated by the RNA. Modulation of expression can result in the increased level of one or more nucleic acid species or the decreased level of one or more nucleic acid species, either temporally or by net steady state level. One result of such interference with target nucleic acid function is modulation of the expression of a target RNA (e.g., target mRNA) and/or target polypeptide. Thus, in one embodiment, modulation of expression can mean increase or decrease in target RNA or protein levels. In another embodiment, modulation of expression can mean an increase or decrease of one or more RNA splice products, or a change in the ratio of two or more splice products. The effect of modulatory RNA compounds on target nucleic acid expression can be tested in any of a variety of cell types provided that the target nucleic acid is present at measurable levels and can be routinely determined using, for example, PCR or Northern blot analysis. Cell lines are derived from both normal tissues and cell types and from cells associated with various disorders (e.g., hyperproliferative disorders). Cell lines derived from multiple tissues and species can be obtained from American Type Culture Collection (ATCC, Manassas, Va.) and other public sources. Primary cells, or those cells which are isolated from an animal and not subjected to continuous culture, can be prepared according to methods known in the art, or obtained from various commercial suppliers. Additionally, primary cells include those obtained from donor human subjects in a clinical setting (i.e., blood donors, surgical patients). These techniques are well known to those skilled in the art. As used herein, the definition of each expression, e.g., alkyl, m, η, etc., when it occurs more than once in any structure, is intended to be independent of its definition elsewhere in the same structure. The present disclosure is further illustrated by the following detailed description. DETAILED DESCRIPTION OF THE INVENTION Disclosed herein, inter alia, are conjugate agents comprising a targeting moiety (e.g., a polymyxin compound, variant or derivative thereof, or other targeting compound disclosed herein), directly or indirectly conjugated with a payload moiety. In some embodiments, the targeting moiety specifically binds to a surface factor on target cells of interest (e.g., on kidney cells). In some embodiments, the payload moiety is or comprises a nucleic acid agent. In some
embodiments, a payload moiety is or comprises a therapeutic agent (e.g., a therapeutic oligonucleotide). Among other things, the present disclosure provides an insight that conjugate agents as described herein may be particularly useful or effective for the delivery of nucleic acid agents to kidney cells and/or to other cells that express or otherwise comprise a surface factor (e.g., megalin) specifically bound by a targeting moiety as described herein. Polymyxin and Polymyxin-Related Targeting Moieties In certain aspects, a conjugate agent of the present disclosure comprises a polybasic structure, e.g., a polymyxin, polymyxin-type, or other related compound, as a targeting moiety. A targeting moiety for use as disclosed herein can bind to, e.g., selectively bind to, a surface factor (e.g., to a moiety or portion thereof, and/or to a particular form, such as a disease-associated form thereof) present on surfaces of target cell(s) of interest (e.g., of kidney cells) as disclosed herein. Polymyxin B (PMB) has the following structure:

Polymyxin E (colistin) has the following structure:
Both PMB and colistin were identified in the art to bind megalin with high affinity, thereby leading to the internalization of such compounds within the kidneys (Moestrup et al. J Clin Invest. 96: 1404-1413). Certain aspects of the disclosure relate to identification and use of a genus of polybasic compounds related to PMB and colistin as a targeting moiety for conjugation with molecular payloads (e.g., nucleic acid agents), via a linker moiety (optionally with connection to such linker including one or more amino acid structures). Targeting moieties of certain of the presently disclosed conjugate compositions therefore i

where R1 is an optionally substituted C3 – C7 alkyl or an optionally substituted C3 – C7 aryl; and L is a linker as disclosed herein. Without wishing to be bound by theory, the present disclosure proposes that binding of a targeting moiety (polymyxin, polymyxin-type, or other related compound) to a cell surface factor present on the surface of a relevant (e.g., kidney) cell, e.g., of a tissue, can achieve internalization
of the cell surface factor, along with the bound targeting moiety (which may, for example, be part of a conjugate agent as described herein). In some embodiments, such internalization may mean that the relevant cell surface factor is no longer (at least for a period of time) available at the surface of the cell, e.g., of a tissue, for, e.g., signaling and/or binding to a ligand. Among other things, the present disclosure provides an insight that triggering internalization of a surface factor may usefully achieve delivery of a targeting moiety (and/or an agent, such as a conjugate agent as described herein, that includes it), e.g., into an internal compartment such as a vesicle and/or an organelle, and/or the cytoplasm of the cell. The present disclosure further provides an insight that such internalization may be particularly useful for delivering a conjugate agent as described herein, and/or a portion thereof (e.g., a payload moiety thereof), into the cell. The present disclosure provides a specific insight that such internalization may be particularly useful for delivery of nucleic acid agents as described herein, including specifically in the context of a conjugate agent (e.g., as a payload moiety thereof) as described herein. In some embodiments, at least 5% of a cell surface factor (for example, at least 10% of a cell surface factor, at least 20% of a cell surface factor, at least 30% of a cell surface factor, at least 40% of a cell surface factor, at least 50% of a cell surface factor, at least 60% of a cell surface factor, at least 75% of a cell surface factor, at least 90% of a cell surface factor, or at least 95% of a cell surface factor) is internalized upon binding to a targeting moiety. In some embodiments, substantially all or all of a cell surface factor is internalized upon binding to a targeting moiety. In some embodiments, binding of a targeting moiety to a cell surface factor on the surface of a cell, e.g., of a tissue, does not internalize the cell surface factor. In some embodiments, a conjugate agent described herein comprises one or more payload moieties and/or one or more targeting moieties. In some embodiments, a conjugate agent described herein comprises one payload moiety and one or more targeting moieties. In some embodiments, a conjugate agent described herein comprises one or more payload moieties and one targeting moiety. In some embodiments, a cell surface factor is or comprises a polypeptide which is present (e.g., can be detected on) on a surface of a cell, e.g., of a tissue. In some embodiments, a cell
surface factor is present on (e.g., can be detected on) a surface of a cell expressing Megalin, e.g., as described herein. In some embodiments, a cell surface factor comprises a receptor. In some embodiments, a cell surface factor is or comprises a kidney cell surface factor. In some embodiments, a kidney cell surface factor is present on (e.g.,can be detected on) a surface of a cell associated with a kidney, e.g., a cell that is or can be found in a kidney, e.g., during development, during tissue homeostasis, or in the course of a disease or disorder. In some embodiments, a kidney cell surface factor is present on, e.g., can be detected on, a proximal tubule epithelial cell, a podocyte and/or a kidney cyst cell. In some embodiments, a kidney cell surface factor is present on, e.g., can be detected on, a surface of a tissue associated with a kidney, e.g., a tissue that is part of or can be found in a kidney, e.g., during development, during tissue homeostasis, and/or in the course of a disease or disorder. In some embodiments, a kidney cell surface factor is or comprises a receptor which is present, e.g., can be detected on, a surface of a cell, e.g., a cell associated with a kidney as described herein, or a tissue associated with a kidney as described herein. In some embodiments, a kidney cell surface factor can bind to one or more co-receptors on the surface of a cell, e.g., of a tissue. In some embodiments, a kidney cell surface factor can be internalized upon binding of a kidney- specific binding moiety in a conjugate agent to a kidney cell surface factor. In some embodiments, internalization of a kidney cell surface factor as a result of binding to a kidney-specific binding moiety in a conjugate agent, also internalizes a conjugate agent (e.g., a portion thereof, e.g., a payload moiety), into a cell. In some embodiments, an internalized conjugate agent (e.g., a portion thereof, e.g., a payload moiety), is delivered to a vesicle in a cell (e.g., a lysosome, an endosome, a clathrin coated pit, or an intracellular membranous organelle, or a combination thereof). In some embodiments, an internalized conjugate agent (e.g., a portion thereof, e.g., a payload moiety), is delivered to a compartment in a cell, e.g., a cytoplasm, a mitochondrion, a ribosome, a nucleus, a nucleolus, or any other compartment in a cell, or a combination thereof. In some embodiments, an internalized conjugate agent (e.g., a portion thereof, e.g., a payload moiety), in a cell (e.g., in a vesicle or a compartment in a cell) can reduce the expression and/or activity of a target of a payload moiety. In some embodiments, internalization of a conjugate agent (e.g., a portion thereof, e.g., a payload moiety) into a cell (e.g., into a vesicle or a compartment in a cell) uncouples, e.g.,
separates, a targeting moiety from a payload moiety. In some embodiments, a targeting moiety is uncoupled, e.g., separated, from a payload moiety by a chemical reaction and/or mechanical separation. In some embodiments, a chemical reaction comprises an enzymatic reaction to cleave a linker linking a targeting moiety to a payload moiety. In some embodiments, internalization of a conjugate agent (e.g., a portion thereof, e.g., a payload moiety) into a cell (e.g., into a vesicle or a compartment in a cell) uncouples a targeting moiety from a payload moiety. In some embodiments, a conjugate agent disclosed herein can be filtered by a glomerular capillary, e.g., into a Bowman’s capsule. In some embodiments, a conjugate agent disclosed herein has a size, charge, conformation, and/or other properties that allows it to be filtered by a glomerular capillary. In some embodiments, a threshold for glomerular filtration is in the range of 30–50 kDa. In some embodiments, a cell surface factor (e.g., a kidney cell surface factor) is or comprises a receptor chosen from Megalin, Cubilin, or both. Linkers Certain aspects of the disclosure feature linkers that join a targeting moiety (e.g., a polybasic moiety as described herein) with a payload moiety (e.g., a nucleic acid agent). In some embodiments, a bioconjugate or conjugate agent includes a modulatory nucleic acid that is chemically conjugated or linked covalently to a targeting moiety. In some embodiments, a conjugate agent is prepared by conjugating or covalently linking a modulatory nucleic acid agent to a targeting moiety. In some embodiments, the modulatory nucleic acid may be linked to a targeting moiety by, for example, reaction of the modulatory nucleic acid in-solution with a targeting moiety. The conjugate agent may also be prepared in a single synthesis, for example using known synthesis methods for preparation of GalNAc- conjugated nucleic acids by solid-phase means. (For example, U.S. Pat. No. 9,422,562, WO2009073809, U.S. Pat. No.8,106,022, U.S. Pat. No.8,828,956, U.S. Pat. No.9,133,461, and U.S. Pat. No., 10,131,907, each of which is incorporated by reference in its entirety). Regardless of how produced and depending on the desired properties of the conjugate agent, it may or may not be advantageous to include a spacer or linker between the modulatory nucleic acid and the binding moiety. If it is advantageous to include a linker, then linkers can be of many different types and chemical compositions.
Generally, linkers are designated as “cleavable” or “non-cleavable”. Cleavable linkers are typically employed when it is desired that the payload and binding moiety to which it is conjugated be released so that either or both can better carry out their function (For example, U.S. Pat. No. 10,808,039 and U.S. Pat. No.9,463,252, each of which is incorporated by reference in its entirety.) Non-cleavable linkers are typically employed to maintain the desired activity, performance and stability of the conjugate agent, for example enzymes linked to probes or (m)Abs to facilitate ELISA assays, to increase affinity, or bi-specificity, etc. Amongst the cleavable linkers are those that are cleaved chemically, for example by hydrolysis, change in pH, reduction or oxidation, and those that are cleaved enzymatically, for example by action of a protease, an esterase, a glucosidase, a glucuronidase, galactosidase, a phosphatase, phosphodiesterase, nuclease, lipase or any enzyme that is capable of cleaving a linker to liberate the biomolecule from the other compound. In some embodiments, a cleavable linker is or comprises a disulfide linkage, an ester, a phosphodiester, a saccharide, or a lipid. In some embodiments, a non-cleavable linker is chemically, enzymatically, or otherwise biochemically and physiologically stable. As such, a non-cleavable linker does not contain linkages that are chemically, biochemically, enzymatically cleavable or are otherwise physiologically unstable. In some embodiments, whether cleavable or non-cleavable, a linker can be installed by a chemical linking reaction between the modulatory nucleic acid and the binding moiety to which it is being conjugated. The modulatory nucleic acid and binding moiety may or may not be first modified to increase or facilitate reactivity towards one another. Such modification can also increase or improve the specificity of the conjugation reaction and degree of conjugation when that is desired. The linkers may be installed in a single reaction or by stepwise reactions until the desired linker and modulatory nucleic acid have been prepared. Non-limiting examples of chemical linking reactions to form conjugate agents include reaction of various thiols to form disulfides, reaction between thiols and alkyl halides or maleimides to form thioethers, reaction of alkynes with azides to form triazoles (“Click Reaction”), reaction between aldehydes and hydrazides or amines, or aminoxy compounds to form hydrazones, imines and oxy imines, reaction between carboxylic acids and amines, thiols or alcohols (i.e., nucleophiles) to form amides, thioesters and esters. The carboxylic acids may be activated in situ
in the presence of the amines, thiols or alcohols so as to be made reactive or may be pre-activated prior to addition of the nucleophile, for example by converting to activated esters of N- hydroxysuccinimide (NHS) or sulfonated-NHS. Many reviews of chemical linking reactions exist for example Spicer et al. (2018) Chem. Rev.2018, 118, 16, 7702–7743. The reaction of thiols with maleimides is very widely used, see for example (Revasco et al (2018) Chem. Eur. J.10.1002/chem.201803174) as is the Click Reaction see for example (Fantoni et al., (2021) Chem. Rev., 121, 12, 7122–7154), as is hydrazide formation (See HyNic Peptide Conjugation Protocol, Dirksen et al (2006) J. Am. Chem. Soc., 128, 49, 15602–15603, Kozlov et al. (2004) Biopolymers73(5):621-30. doi: 10.1002/bip.20009). Numerous companies sell chemical compounds and kits with protocols that enable conjugate agents comprising various linkers to be prepared in a straightforward fashion. As defined generally above and described herein, the linker is a bivalent group that connects or links the binding moiety to the modulatory nucleic acid moiety. In some embodiments, the linker is or comprises a bivalent straight or branched C1-40 aliphatic chain, wherein one or more methylene units of the aliphatic chain are replaced by a group selected from -CH(R
1)-, -C(R
1)
2-, –O-, -S-, -N(R)-, –C(=O)-, -C(=S)-, -C(=NR), -N(R)C(=O)-, -C(=O)N(R)-, -N(R)C(=S)-, -C(=S)N(R)-, -OC(=O)-, -C(=O)O-, -SC(=O)-, -C(=O)S-, -N(R)C(=O)N(R)-, -N(R)C(=O)O-, -OC(=O)N(R)-, -N(R)C(=O)S-, -SC(=O)N(R)-, -OC(=O)O-, -N(R)C(=NR)-, -N(R)C(=NR)N(R)-, a 3- to 6-membered saturated or partially unsaturated carbocyclic ring, phenyl, a 3- to 6-membered saturated or partially unsaturated heterocyclic ring having 1-3 heteroatoms independently selected from nitrogen, oxygen, and sulfur, a 5- to 6-membered heteroaryl ring having 1-4 heteroatoms independently selected from nitrogen, oxygen, and sulfur, wherein: R
1 is an amino acid side chain; and R is selected from hydrogen or an optionally substituted C
1-6 aliphatic, a 3- to 6-membered saturated or partially unsaturated carbocyclic ring, phenyl, a 3- to 6-membered saturated or partially unsaturated heterocyclic ring having 1-3 heteroatoms independently selected from nitrogen, oxygen, and sulfur, and a 5- to 6-membered heteroaryl ring having 1-4 heteroatoms independently selected from nitrogen, oxygen, and sulfur.
In some embodiments, the linker is or comprises a bivalent straight or branched C1-35 aliphatic chain, wherein one or more methylene units of the aliphatic chain are replaced by a group selected from -CH(R
1)-, -C(R
1)
2-, –O-, -S-, -N(R)-, –C(=O)-, -C(=S)-, -C(=NR), -N(R)C(=O)-, -C(=O)N(R)-, -N(R)C(=S)-, -C(=S)N(R)-, -OC(=O)-, -C(=O)O-, -SC(=O)-, -C(=O)S-, -N(R)C(=O)N(R)-, -N(R)C(=O)O-, -OC(=O)N(R)-, -N(R)C(=O)S-, -SC(=O)N(R)-, -OC(=O)O-, -N(R)C(=NR)-, -N(R)C(=NR)N(R)-, a 3- to 6-membered saturated or partially unsaturated carbocyclic ring, phenyl, a 3- to 6-membered saturated or partially unsaturated heterocyclic ring having 1-3 heteroatoms independently selected from nitrogen, oxygen, and sulfur, a 5- to 6-membered heteroaryl ring having 1-4 heteroatoms independently selected from nitrogen, oxygen, and sulfur. In some embodiments, the linker is or comprises a bivalent straight or branched C1-30 aliphatic chain, wherein one or more methylene units of the aliphatic chain are replaced by a group selected from -CH(R
1)-, -C(R
1)
2-, –O-, -S-, -N(R)-, –C(=O)-, -C(=S)-, -C(=NR), -N(R)C(=O)-, -C(=O)N(R)-, -N(R)C(=S)-, -C(=S)N(R)-, -OC(=O)-, -C(=O)O-, -SC(=O)-, -C(=O)S-, -N(R)C(=O)N(R)-, -N(R)C(=O)O-, -OC(=O)N(R)-, -N(R)C(=O)S-, -SC(=O)N(R)-, -OC(=O)O-, -N(R)C(=NR)-, -N(R)C(=NR)N(R)-, a 3- to 6-membered saturated or partially unsaturated carbocyclic ring, phenyl, a 3- to 6-membered saturated or partially unsaturated heterocyclic ring having 1-3 heteroatoms independently selected from nitrogen, oxygen, and sulfur, a 5- to 6-membered heteroaryl ring having 1-4 heteroatoms independently selected from nitrogen, oxygen, and sulfur. In some embodiments, the linker is or comprises a bivalent straight or branched C1-25 aliphatic chain, wherein one or more methylene units of the aliphatic chain are replaced by a group selected from -CH(R
1)-, -C(R
1)
2-, –O-, -S-, -N(R)-, –C(=O)-, -C(=S)-, -C(=NR), -N(R)C(=O)-, -C(=O)N(R)-, -N(R)C(=S)-, -C(=S)N(R)-, -OC(=O)-, -C(=O)O-, -SC(=O)-, -C(=O)S-, -N(R)C(=O)N(R)-, -N(R)C(=O)O-, -OC(=O)N(R)-, -N(R)C(=O)S-, -SC(=O)N(R)-, -OC(=O)O-, -N(R)C(=NR)-, -N(R)C(=NR)N(R)-, a 3- to 6-membered saturated or partially unsaturated carbocyclic ring, phenyl, a 3- to 6-membered saturated or partially unsaturated heterocyclic ring having 1-3 heteroatoms independently selected from nitrogen, oxygen, and sulfur, a 5- to 6-membered heteroaryl ring having 1-4 heteroatoms independently selected from nitrogen, oxygen, and sulfur.
In some embodiments, the linker is or comprises a bivalent straight or branched C1-20 aliphatic chain, wherein one or more methylene units of the aliphatic chain are replaced by a group selected from -CH(R
1)-, -C(R
1)
2-, –O-, -S-, -N(R)-, –C(=O)-, -C(=S)-, -C(=NR), -N(R)C(=O)-, -C(=O)N(R)-, -N(R)C(=S)-, -C(=S)N(R)-, -OC(=O)-, -C(=O)O-, -SC(=O)-, -C(=O)S-, -N(R)C(=O)N(R)-, -N(R)C(=O)O-, -OC(=O)N(R)-, -N(R)C(=O)S-, -SC(=O)N(R)-, -OC(=O)O-, -N(R)C(=NR)-, -N(R)C(=NR)N(R)-, a 3- to 6-membered saturated or partially unsaturated carbocyclic ring, phenyl, a 3- to 6-membered saturated or partially unsaturated heterocyclic ring having 1-3 heteroatoms independently selected from nitrogen, oxygen, and sulfur, a 5- to 6-membered heteroaryl ring having 1-4 heteroatoms independently selected from nitrogen, oxygen, and sulfur. In some embodiments, the linker is or comprises a bivalent straight or branched C1-15 aliphatic chain, wherein one or more methylene units of the aliphatic chain are replaced by a group selected from -CH(R
1)-, -C(R
1)
2-, –O-, -S-, -N(R)-, –C(=O)-, -C(=S)-, -C(=NR), -N(R)C(=O)-, -C(=O)N(R)-, -N(R)C(=S)-, -C(=S)N(R)-, -OC(=O)-, -C(=O)O-, -SC(=O)-, -C(=O)S-, -N(R)C(=O)N(R)-, -N(R)C(=O)O-, -OC(=O)N(R)-, -N(R)C(=O)S-, -SC(=O)N(R)-, -OC(=O)O-, -N(R)C(=NR)-, -N(R)C(=NR)N(R)-, a 3- to 6-membered saturated or partially unsaturated carbocyclic ring, phenyl, a 3- to 6-membered saturated or partially unsaturated heterocyclic ring having 1-3 heteroatoms independently selected from nitrogen, oxygen, and sulfur, a 5- to 6-membered heteroaryl ring having 1-4 heteroatoms independently selected from nitrogen, oxygen, and sulfur. In some embodiments, the linker is or comprises a bivalent straight or branched C1-10 aliphatic chain, wherein one or more methylene units of the aliphatic chain are replaced by a group selected from -CH(R
1)-, -C(R
1)
2-, –O-, -S-, -N(R)-, –C(=O)-, -C(=S)-, -C(=NR), -N(R)C(=O)-, -C(=O)N(R)-, -N(R)C(=S)-, -C(=S)N(R)-, -OC(=O)-, -C(=O)O-, -SC(=O)-, -C(=O)S-, -N(R)C(=O)N(R)-, -N(R)C(=O)O-, -OC(=O)N(R)-, -N(R)C(=O)S-, -SC(=O)N(R)-, -OC(=O)O-, -N(R)C(=NR)-, -N(R)C(=NR)N(R)-, a 3- to 6-membered saturated or partially unsaturated carbocyclic ring, phenyl, a 3- to 6-membered saturated or partially unsaturated heterocyclic ring having 1-3 heteroatoms independently selected from nitrogen, oxygen, and sulfur, a 5- to 6-membered heteroaryl ring having 1-4 heteroatoms independently selected from nitrogen, oxygen, and sulfur.
In some embodiments, the linker is or comprises a bivalent straight or branched C1-5 aliphatic chain, wherein one or more methylene units of the aliphatic chain are replaced by a group selected from -CH(R
1)-, -C(R
1)
2-, –O-, -S-, -N(R)-, –C(=O)-, -C(=S)-, -C(=NR), -N(R)C(=O)-, -C(=O)N(R)-, -N(R)C(=S)-, -C(=S)N(R)-, -OC(=O)-, -C(=O)O-, -SC(=O)-, -C(=O)S-, -N(R)C(=O)N(R)-, -N(R)C(=O)O-, -OC(=O)N(R)-, -N(R)C(=O)S-, -SC(=O)N(R)-, -OC(=O)O-, -N(R)C(=NR)-, -N(R)C(=NR)N(R)-, a 3- to 6-membered saturated or partially unsaturated carbocyclic ring, phenyl, a 3- to 6-membered saturated or partially unsaturated heterocyclic ring having 1-3 heteroatoms independently selected from nitrogen, oxygen, and sulfur, a 5- to 6-membered heteroaryl ring having 1-4 heteroatoms independently selected from nitrogen, oxygen, and sulfur. In some embodiments, the linker is or comprises a structure selected from
, wherein X is NH or O. In some embodiments, the cleavable linker is a cathepsin-cleavable linker. In some such embodiments, the linker is or comprises a valine-citrulline (Val-Cit) motif:
wherein R is hydrogen or C1-6 aliphatic. In some embodiments, the valine-citrulline linker is or comprises
wherein R is hydrogen or C
1-6 aliphatic. In some embodiments, the linker comprises a disulfide linkage. In some embodiments, the linker comprises a poly(ethyleneglycol) moiety (e.g., -(CH2CH2O)b-), wherein b is 1-50. In some embodiments, the linker is or comprises a group selected from


wherein each of k, m, n, p, q, r, s, t, u, v, w, x, y, and z is 1-20; and R is hydrogen or C1-10 aliphatic. In some embodiments, k is 3. In some embodiments, m is 3. In some embodiments, n is 2. In some embodiments, n is 12. In some embodiments, p is 3. In some embodiments, each of m and p is 3. In some embodiments, q is 1. In some embodiments, r is 3. In some embodiments, r is 4. In some embodiments, r is 6. In some embodiments, s is 3. In some embodiments, s is 4. In some embodiments, s is 6. In some embodiments, each of r and s is 3. In some embodiments, each of r and s is 4. In some embodiments, each of r and s is 6. In some embodiments, t is 3. In some embodiments, t is 5. In some embodiments, u is 3. In some embodiments, u is 5. In some embodiments, each of t and u is 3. In some embodiments, each of t and u is 5. In some embodiments, v is 3. In some embodiments, w is 4. In some embodiments, x is 8. In some embodiments, y is 2. In some embodiments, z is 1. In embodiments, as noted in Formula I, certain polybasic structures of the disclosure can optionally be joined with one or more amino acids, which are also joined in exemplified structures with an L linker group as defined herein. Amino acid groups AA1, AA2, AA3 in such embodiments
are each independently contemplated as a chemical bond (where no amino acid is present at that position) or an amino acid selected from the following:

In certain embodiments, specific L groups of the disclosure include those where L is
where L is an optional linker, and
NSO
2Me, and Z is a nucleic acid payload. Nucleic Acid Payloads In many embodiments, a payload moiety for use in the present disclosure is or comprises an entity whose presence in a relevant cell, e.g., of a tissue, achieves (e.g., correlates with) a particular effect (e.g., a particular detectable effect). In some embodiments, a relevant effect is or comprises, a particular biological and/or physiological effect. In some embodiments, a relevant
effect is or comprises increase or decrease in level or activity of a particular nucleic acid (or form thereof) in the cell. In some embodiments, a payload moiety is or comprises a nucleic acid. In some embodiments, a payload moiety is or comprises a single-stranded nucleic acid. In other embodiments, a payload moiety is or comprises a double-stranded nucleic acid. In some embodiments, a payload moiety is or comprises an oligonucleotide. In some embodiments, a modulatory nucleic acid of the instant disclosure has a length and/or a strand length (for multi-stranded modulatory nucleic acids, e.g., dsRNAs) within a range of about 10-60 nucleotides, about 10-59 nucleotides, about 10-58 nucleotides, about 10-57 nucleotides, about 10-56 nucleotides, about 10-55 nucleotides, about 10-54 nucleotides, about 10- 53 nucleotides, about 10-52 nucleotides, about 10-51 nucleotides, about 10-50 nucleotides, about 10-49 nucleotides, about 10-48 nucleotides, about 10-47 nucleotides, about 10-46 nucleotides, about 10-45 nucleotides, about 10-44 nucleotides, about 10-43 nucleotides, about 10-42 nucleotides, about 10-41 nucleotides, about 10-40 nucleotides, about 10-39 nucleotides, about 10- 38 nucleotides, about 10-37 nucleotides, about 10-36 nucleotides, about 10-35 nucleotides, about 10-34 nucleotides, about 10-33 nucleotides, about 10-32 nucleotides, about 10-31 nucleotides, about 10-30 nucleotides, about 10-29 nucleotides, about 10-28 nucleotides, about 10-27 nucleotides, about 10-26 nucleotides, about 10-25 nucleotides, about 10-24 nucleotides, about 10- 23 nucleotides, about 10-22 nucleotides, about 10-21 nucleotides, about 10-20 nucleotides, about 10-19 nucleotides, about 10-18 nucleotides, about 10-17 nucleotides, about 10-16 nucleotides, about 10-15 nucleotides, about 10-14 nucleotides, about 10-13 nucleotides, about 10-12 nucleotides, about 10-11 nucleotides. In some embodiments, a modulatory nucleic acid of the instant disclosure has a length and/or a strand length (for multi-stranded modulatory nucleic acids, e.g., dsRNAs) within a range of about 11-60 nucleotides, about 12-60 nucleotides, about 13-60 nucleotides, about 14-60 nucleotides, about 15-60 nucleotides, about 16-60 nucleotides, about 17- 60 nucleotides, about 18-60 nucleotides, about 19-60 nucleotides, about 20-60 nucleotides, about 21-60 nucleotides, about 22-60 nucleotides, about 23-60 nucleotides, about 24-60 nucleotides, about 25-60 nucleotides, about 26-60 nucleotides, about 27-60 nucleotides, about 28-60 nucleotides, about 29-60 nucleotides, about 30-60 nucleotides, about 31-60 nucleotides, about 32- 60 nucleotides, about 33-60 nucleotides, about 34-60 nucleotides, about 35-60 nucleotides, about 36-60 nucleotides, about 37-60 nucleotides, about 38-60 nucleotides, about 39-60 nucleotides,
about 40-60 nucleotides, about 41-60 nucleotides, about 42-60 nucleotides, about 43-60 nucleotides, about 44-60 nucleotides, about 45-60 nucleotides, about 46-60 nucleotides, about 47- 60 nucleotides, about 48-60 nucleotides, about 49-60 nucleotides, about 50-60 nucleotides, about 51-60 nucleotides, about 52-60 nucleotides, about 53-60 nucleotides, about 54-60 nucleotides, about 55-60 nucleotides, about 56-60 nucleotides, about 57-60 nucleotides, about 58-60 nucleotides, about 59-60 nucleotides. In some embodiments, a modulatory nucleic acid of the instant disclosure is about 10 nucleotides, about 11 nucleotides, about 12 nucleotides, about 13 nucleotides, about 14 nucleotides, about 15 nucleotides, about 16 nucleotides, about 17 nucleotides, about 18 nucleotides, about 19 nucleotides, about 20 nucleotides, about 21 nucleotides, about 22 nucleotides, about 23 nucleotides, about 24 nucleotides, about 25 nucleotides, about 26 nucleotides, about 27 nucleotides, about 28 nucleotides, about 29 nucleotides, about 30 nucleotides, about 31 nucleotides, about 32 nucleotides, about 33 nucleotides, about 34 nucleotides, about 35 nucleotides, about 36 nucleotides, about 37 nucleotides, about 38 nucleotides, about 39 nucleotides, about 40 nucleotides, about 41 nucleotides, about 42 nucleotides, about 43 nucleotides, about 44 nucleotides, about 45 nucleotides, about 46 nucleotides, about 47 nucleotides, about 48 nucleotides, about 49 nucleotides, about 50 nucleotides, about 51 nucleotides, about 52 nucleotides, about 53 nucleotides, about 54 nucleotides, about 55 nucleotides, about 56 nucleotides, about 57 nucleotides, about 58 nucleotides, about 59 nucleotides, about 60 nucleotides in length. In some embodiments, a nucleic acid agent, e.g., an oligonucleotide agent, for use in accordance with the present disclosure may comprise a single strand. In some embodiments, a nucleic acid may comprise more than one strand. In some embodiments, a nucleic acid may comprise one or more double-stranded portions. In some such embodiments, some or all of such portion(s) may be formed by self-hybridization of sequences on a single strand; in some embodiments some or all of such portion(s) may be formed by hybridization of separate strands. In some embodiments, a nucleic acid that includes one or more double-stranded portions may include one or more nicks or gaps and/or one or more bulges or loops. In some embodiments, a nucleic acid agent, e.g., an oligonucleotide agent, for use in accordance with the present disclosure may include one or more structural features or characteristics relevant to its mode of action. For example, those skilled in the art are aware of
extensive literature regarding structural features of, for example, oligonucleotides that trigger degradation of their targets (e.g., by recruiting RNase H (such oligonucleotides often being referred to as “antisense” agents or “ASOs”) and/or Dicer and/or other elements of the RNA- Induced Silencing Complex (RISC) (such oligonucleotides often being referred to as “siRNA” agents) and/or that modulate splicing of target transcripts (e.g., to favor production of one splice form over another) and/or that act as guide RNAs to recruit other machinery (e.g., nucleases such as CRISPR/Cas or dsRNA binding proteins, or conjugates thereof, etc.) to particular nucleic acid sequences, or as aptamers that bind to particular targets, etc. In some embodiments, a nucleic acid is or comprises an interfering RNA (RNAi) agent. In some embodiments, an RNA is or comprises a short interfering RNA (siRNA) agent. In some embodiments, an RNA is or comprises a micro-RNA (miRNA) agent. In some embodiments, a nucleic acid is or comprises a guide RNA (gRNA) agent. In some embodiments, a nucleic acid is or comprises a short interfering RNA (siRNA) agent. In some embodiments, a nucleic acid comprising an siRNA agent can be linked to a targeting moiety (e.g., directly or indirectly) at a sense strand. In some embodiments, a nucleic acid comprising an siRNA agent can be linked to a targeting moiety (e.g., directly or indirectly) at an antisense strand. In some embodiments, a nucleic acid comprising an siRNA agent can be linked to a targeting moiety (e.g., directly or indirectly) at a 5’ end of an siRNA agent. In some embodiments, a nucleic acid comprising an siRNA agent can be linked to a targeting moiety (e.g., directly or indirectly) at a 3’ end of an siRNA agent. In some embodiments, a nucleic acid is or comprises an exon skipping agent, an exon inclusion agent, or other splicing modulator. In some embodiments, a nucleic acid is or comprises an aptamer agent. In some embodiments, a nucleic acid agent is or comprises an antisense oligo (ASO). In some embodiments, an ASO modulates gene expression via RNase H mediated mechanisms. In some embodiments, an ASO modulates gene expression via steric hindrance. In some embodiments, a nucleic acid agent is or comprises a phosphorodiamidate morpholino oligonucleotide (PMO). In some embodiments, a nucleic acid agent is or comprises a peptide-nucleic acid (PNA). In some embodiments, a nucleic acid agent is or comprises a nucleic acid analog, e.g., an RNA analog or a DNA analog, or a combination thereof.
In some embodiments, a nucleic acid can be linked to a targeting moiety (e.g., directly or indirectly) at a sense strand. In some embodiments, a nucleic acid can be linked to a targeting moiety (e.g., directly or indirectly) at an antisense strand. In some embodiments, a nucleic acid can be linked to a targeting moiety (e.g., directly or indirectly) at a 5’ end of a nucleic acid. In some embodiments, a nucleic acid can be linked to a targeting moiety (e.g., directly or indirectly) at a 3’ end of a nucleic acid. For example, in some embodiments, a nucleic acid analog includes one or more modified (relative to canonical DNA and/or RNA) nucleotides. In some embodiments, a modified nucleotide comprises one or more of: a modified backbone, a modified nucleobase, a modified sugar (e.g., a modified ribose, or a modified deoxyribose), or a combination thereof. In some embodiments, a modified nucleotide may be or comprise one or more naturally occurring modifications; in some embodiments a modified nucleotide may be or comprise one or more non-naturally-occurring modifications. In some embodiments, a nucleic acid analog comprises one or more linkages that is not a phosphodiester linkage (e.g., that is or comprises a phosphorothioate linkage or a phosphorodiamidate linkage). In some embodiments, a nucleic acid analog comprises one or more morpholino subunits linked together by a phosphorus-containing linkage. In some embodiments, one or more morpholino subunits in an oligonucleotide analog is joined by a phosphorodiamidate linkage. The synthesis, structures, and binding characteristics of morpholino oligomers are detailed in U.S. Pat. Nos.5,698,685, 5,217,866, 5,142,047, 5,034,506, 5,166,315, 5,521,063, and 5,506,337, and PCT Appn. Nos. PCT/US07/11435 (cationic linkages) and U.S. Ser. No. 08/012,804 (improved synthesis), all of which are incorporated herein by reference. Morpholino subunits linked by phosphorodiamidate linkages are disclosed in US Patent 11,071,749 the entire contents of which are hereby incorporated by reference. In some embodiments, a nucleic acid agent is or comprises aPMO. In some embodiments, a PMO is substantially uncharged, e.g., has a neutral charge. In some embodiments, a nucleic acid agent has a negative charge. In some embodiments, a nucleic acid agent is substantially uncharged, e.g., has a neutral charge. Those skilled in the art, reading the present disclosure, will appreciate that, in some embodiments, a nucleic acid agent for use in accordance with the present disclosure may include
one or more DNA residues or analogs thereof, one or more RNA residues or analogs thereof, and/or combinations thereof. Furthermore, such skilled person will appreciate that, in some embodiments, a nucleic acid agent may include one or more, or entirely, phosphodiester linkages, phosphorothioate linkages, or other suitable linkages. In some embodiments, a nucleic acid agent comprises natural residues, e.g., DNA residues and/or RNA residues. In some embodiments a nucleic acid agent comprises one or more analogs, e.g., DNA analogs and/or RNA analogs. In some embodiments, a nucleic acid agent comprises DNA residues and/or RNA residues, e.g., natural residues or analogs. In some embodiments, a nucleic acid comprises one or more chiral centers (e.g., as may be present in, for example, a phosphorothioate linkage). In some embodiments, a preparation of a nucleic acid having a chiral center is stereopure with respect to that center in that it includes only one stereoisomer of that center. In some embodiments, both stereoisomers are present. In some embodiments, the preparation represents a racemic mixture of stereoisomers at that position. In some embodiments, a preparation of a nucleic acid having more than one chiral linkage may be stereopure with respect to one or more centers and mixed (e.g., racemic) with respect to one or more others. In some embodiments, a preparation may be stereopure at all chiral centers. In some embodiments, a preparation may be racemic (e.g., at all chiral centers or overall). In some embodiments, a nucleic acid comprises a structure comprising a first wing sequence, a gap sequence, and a second wing sequence. A nucleic acid comprising such a wing- gap-wing sequence is typically referred to as a gapmer. In some embodiments, a gap sequence is flanked by a first wing sequence and a second wing sequence. In some embodiments, a gap sequence comprises about 6-10 nucleotides. In some embodiments, a wing sequence comprises one or more nucleotides. In some embodiments, a wing sequence comprises one or more modified nucleotides, e.g., as disclosed herein. In some embodiments, a gapmer acts by recruiting RNaseH. In certain embodiments, a gapmer is a chimeric antisense oligonucleotide (ASO) that contains a central sequence of phosphorothioate DNA nucleotides (which form a "DNA gap") flanked by sequences of modified RNA residues at each end. Without wishing to be bound by theory, such wing sequence modified RNA residues are believed to protect the DNA gap region from nuclease
degradation, whereas the central DNA gap region allows RNase-H-mediated cleavage of a target RNA. In some embodiments, a nucleic acid comprises an overhang. In some embodiments, an overhang is a 3’ overhang or a 5’ overhang. In some embodiments, an overhang is a 3’ overhang. In some embodiments, an overhang comprises at least 1, 2, 3, 4, 5, 6, 7, 8, 9, or 10 nucleotides. In some embodiments, a nucleic acid is double-stranded and comprises an overhang. In some embodiments, a nucleic acid comprises at least one stem-loop structure. An oligonucleotide disclosed herein typically comprises at least one sequence element that hybridizes with a target sequence. In some embodiments, a nucleic acid agent, e.g., an oligonucleotide, is or comprises an antisense sequence element. In some embodiments, an antisense sequence element is complementary to at least a portion of one or more of: an exon, an intron, an untranslated region, a splice junction, a promoter region, an enhancer region, or a non- coding region, e.g., in a gene transcript. In some embodiments, an antisense sequence element is complementary to a portion of a target sequence in a sense strand. In some embodiments, a nucleic acid comprises a sequence element that is at least 80%, at least 85%, at least 90%, at least 95%, at least 96%, at least 97%, at least 98%, or at least 99% complementary to a target sequence in a sense strand. In some embodiments, a nucleic acid comprises a sequence element that is complementary (i.e., 100% complementary) to a target sequence in a sense strand. In some embodiments, a nucleic acid comprises a sequence element that is at least 80%, at least 85%, at least 90%, at least 95%, at least 96%, at least 97%, at least 98%, or at least 99% complementary to a target sequence in an antisense strand. In some embodiments, a nucleic acid comprises a sequence element that is complementary (i.e., 100% complementary) to a target sequence in an antisense strand. In some embodiments, a nucleic acid comprises at least one sequence element with at least 3, at least 4, at least 5, at least 6, at least 7, at least 8, at least 9, or at least 10 contiguous nucleotides having at least 80% complementarity to a portion of a target sequence. In some embodiments, a nucleic acid comprises at least one sequence element with at least 3, at least 4, at least 5, at least 6, at least 7, at least 8, at least 9, or at least 10 contiguous nucleotides having at least 85% complementarity to a portion of a target sequence. In some embodiments, a nucleic acid comprises at least one sequence element with at least 3, at least 4, at least 5, at least 6, at least 7, at least 8, at
least 9, or at least 10 contiguous nucleotides having at least 90% complementarity to a portion of a target sequence. In some embodiments, a nucleic acid comprises at least one sequence element with at least 3, at least 4, at least 5, at least 6, at least 7, at least 8, at least 9, or at least 10 contiguous nucleotides having at least 95% complementarity to a portion of a target sequence. In some embodiments, a nucleic acid comprises at least one sequence element with at least 3, at least 4, at least 5, at least 6, at least 7, at least 8, at least 9, or at least 10 contiguous nucleotides having at least 96% complementarity to a portion of a target sequence. In some embodiments, a nucleic acid comprises at least one sequence element with at least 3, at least 4, at least 5, at least 6, at least 7, at least 8, at least 9, or at least 10 contiguous nucleotides having at least 97% complementarity to a portion of a target sequence. In some embodiments, a nucleic acid comprises at least one sequence element with at least 3, at least 4, at least 5, at least 6, at least 7, at least 8, at least 9, or at least 10 contiguous nucleotides having at least 98% complementarity to a portion of a target sequence. In some embodiments, a nucleic acid comprises at least one sequence element with at least 3, at least 4, at least 5, at least 6, at least 7, at least 8, at least 9, or at least 10 contiguous nucleotides having at least 99% complementarity to a portion of a target sequence. In some embodiments, a nucleic acid comprises at least one sequence element with at least 3, at least 4, at least 5, at least 6, at least 7, at least 8, at least 9, or at least 10 contiguous nucleotides having 100% complementarity to a portion of a target sequence. In some embodiments, a nucleic acid comprises 2 or more sequence elements with at least 3, at least 4, at least 5, at least 6, at least 7, at least 8, at least 9, or at least 10 contiguous nucleotides having at least 80% complementarity to a portion of a target sequence. In some embodiments, a nucleic acid binds to at least a portion of a target via Watson- Crick base pairing. In some embodiments, a nucleic acid binds to at least a portion of a target via Hoogsteen base pairing and/or other non-canonical base pairing. In some embodiments, a nucleic acid, e.g., an oligonucleotide, is characterized in that when an oligonucleotide, a composition comprising an oligonucleotide, or a conjugate agent comprising an oligonucleotide is delivered to a cell, tissue, or organism expressing a target, reduced expression and/or activity of a target is observed as compared to a cell, tissue or organism which has not been delivered an oligonucleotide, a composition comprising an oligonucleotide, or a conjugate agent comprising an oligonucleotide.
In some embodiments, a nucleic acid, e.g., an oligonucleotide, is characterized in that when an oligonucleotide, a composition comprising an oligonucleotide, or a conjugate agent comprising an oligonucleotide is delivered to a cell, tissue, or organism expressing a target, reduced expression and/or activity of a target is observed as compared to a cell, tissue or organism which does not express a target (e.g., which has no detectable expression of a target). In some embodiments, a nucleic acid, e.g., an oligonucleotide, is characterized in that when an oligonucleotide, a composition comprising an oligonucleotide, or a conjugate agent comprising an oligonucleotide is delivered to a cell, tissue, or organism expressing a target, altered expression and/or activity of a target is observed relative to that observed with an appropriate reference agent known to have a specified impact on the target. In some embodiments, expression and/or activity of a target is altered in a manner and/or to an extent reasonably comparable to, or otherwise determined relative to, that observed with an appropriate reference agent known to have a specified impact on the target. In some embodiments, a reference agent may be a positive control reference agent. In some embodiments, a reference may be a negative control reference agent. In some embodiments, a nucleic acid, e.g., an oligonucleotide, is characterized in that when delivered to a cell, tissue, or organism expressing a target, expression and/or activity of a target is modulated, e.g., reduced, as compared to a cell, tissue, or organism, which has not been delivered an oligonucleotide. Modulatory nucleic acid agents of the disclosure can be designed to target a human target gene, including portions of such a gene that are conserved in target orthologs of other mammalian species. Without intending to be limited by theory, it is believed that a combination or sub- combination of the foregoing properties and the specific target sites or the specific modifications in these modulatory nucleic acid agents confer to the modulatory nucleic acid agents of the disclosure improved efficacy, stability, potency, durability, and safety. Accordingly, the present disclosure provides methods for treating and/or preventing a target gene- and/or target RNA-associated disorder, e.g., a glomerular disorder, a renal tubular disorder, other renal disorders, an inborn error of metabolism, a systemic metabolic disorder, a disorder of the thyroid, a disorder of the parathyroid, a disorder of the inner ear, a neurological disorder, or a viral infection, or a combination thereof, using conjugates that include modulatory nucleic acid agent compositions which effect the RNase H-mediated degradation and/or the RNA- induced silencing complex (RISC)-mediated cleavage of RNA transcripts of a target gene.
In some embodiments, the conjugated modulatory nucleic acid agents of the disclosure include an RNA strand (the antisense strand) having a region which is up to about 30 nucleotides or less in length, e.g., 19-30, 19-29, 19-28, 19-27, 19-26, 19-25, 19-24, 19-23, 19-22, 19-21, 19- 20, 20-30, 20-29, 20-28, 20-27, 20-26, 20-25, 20-24,20-23, 20-22, 20-21, 21-30, 21-29, 21-28, 21- 27, 21-26, 21-25, 21-24, 21-23, or 21-22 nucleotides in length, which region is substantially complementary to at least part of an mRNA transcript of a target gene. In certain embodiments, an antisense oligonucleotide (ASO) and/or one or both of the strands of a double stranded RNAi agent of the disclosure is up to 66 nucleotides in length, e.g., 36-66, 26-36, 25-36, 31-60, 22-43, 27-53 nucleotides in length, with a region of at least 19 contiguous nucleotides that is substantially complementary to at least a part of an mRNA transcript of a target gene. In some embodiments, such ASO and/or iRNA agents having longer length antisense strands preferably may include a second RNA strand (the sense strand) of 20-60 nucleotides in length wherein the sense and antisense strands form a duplex of 18-30 contiguous nucleotides. The use of ASOs and/or iRNAs of the disclosure enables the targeted inhibition and/or degradation of mRNAs of the corresponding gene (target gene) in mammals. Using in vitro assays, it can be demonstrated that ASOs and/or iRNAs targeting a target gene can potently mediate RNAi, resulting in significant inhibition of expression of a target gene. Thus, methods and compositions including these ASOs and/or iRNAs are useful for treating a subject having a target gene- and/or target RNA-associated disorder, e.g., a glomerular disorder, a renal tubular disorder, other renal disorders, an inborn error of metabolism, a systemic metabolic disorder, a disorder of the thyroid, a disorder of the parathyroid, a disorder of the inner ear, a neurological disorder, a viral infection, etc. Accordingly, the present disclosure provides methods and combination therapies for treating a subject having a disorder that would benefit from modulating (e.g., inhibiting or reducing) the expression of a target gene, e.g., a target gene- and/or target RNA-associated disease, such as a glomerular disorder, a renal tubular disorder, other renal disorders, an inborn error of metabolism, a systemic metabolic disorder, a disorder of the thyroid, a disorder of the parathyroid, a disorder of the inner ear, a neurological disorder, a viral infection, or a combination thereof, etc., using conjugated modulatory nucleic acid agents, such as conjugated ASO and/or iRNA
compositions which effect the RNase H-mediated degradation and/or the RNA-induced silencing complex (RISC)-mediated cleavage of RNA transcripts of a target gene. The present disclosure also provides methods for preventing at least one symptom in a subject having a disorder that would benefit from inhibiting or reducing the expression of a target gene, e.g., a glomerular disorder, a renal tubular disorder, other renal disorders, an inborn error of metabolism, a systemic metabolic disorder, a disorder of the thyroid, a disorder of the parathyroid, a disorder of the inner ear, a neurological disorder, a viral infection, a combination thereof, etc. The current description discloses how to make and use compositions containing modulatory nucleic acid agents, e.g., ASOs and/or iRNAs, among others, to modulate (e.g., inhibit) the expression of a target gene as well as compositions, uses, and methods for treating subjects that would benefit from modulation (e.g., inhibition and/or reduction) of the expression of a target gene, e.g., subjects susceptible to or diagnosed with a target gene- and/or target RNA-associated disorder. In certain aspects, the instant disclosure provides ASOs and/or iRNAs which inhibit the expression of a target gene. In certain embodiments, an iRNA includes double stranded ribonucleic acid (dsRNA) molecules for inhibiting the expression of a target gene in a cell, such as a cell within a subject, e.g., a mammal, such as a human susceptible to developing a target gene- and/or target RNA-associated disorder, e.g., metabolic disorders, including nephropathy and various other kidney diseases or conditions. dsRNA Agents The duplex region of a dsRNA of the instant disclosure may be of any length that permits specific degradation of a desired target RNA through a RISC pathway, and may range from about 19 to 36 base pairs in length, e.g., about 19-30 base pairs in length, for example, about 9, 10, 11, 12, 13, 14, 15, 16, 17, 18, 19, 20, 21, 22, 23, 24, 25, 26, 27, 28, 29, 30, 31, 32, 33, 34, 35, or 36 base pairs in length, such as about 19-30, 19-29, 19-28, 19-27, 19-26, 19-25, 19-24, 19-23, 19-22, 19-21, 19-20, 20-30, 20-29, 20-28, 20-27, 20-26, 20-25, 20-24,20-23, 20-22, 20-21, 21-30, 21-29, 21-28, 21-27, 21-26, 21-25, 21-24, 21-23, or 21-22 base pairs in length. In certain embodiments, the duplex region is 19-21 base pairs in length, e.g., 21 base pairs in length. Ranges and lengths intermediate to the above recited ranges and lengths are also contemplated to be part of the disclosure.
The two strands forming the duplex structure may be different portions of one larger RNA molecule, or they may be separate RNA molecules. Where the two strands are part of one larger molecule, and therefore are connected by an uninterrupted chain of nucleotides between the 3’- end of one strand and the 5’-end of the respective other strand forming the duplex structure, the connecting RNA chain is referred to as a “hairpin loop.” A hairpin loop can comprise at least one unpaired nucleotide. In some embodiments, the hairpin loop can comprise at least 2, 3, 4, 5, 6, 7, 8, 9, 10, 20, 23 or more unpaired nucleotides. In some embodiments, the hairpin loop can be 10 or fewer nucleotides. In some embodiments, the hairpin loop can be 8 or fewer unpaired nucleotides. In some embodiments, the hairpin loop can be 4-10 unpaired nucleotides. In some embodiments, the hairpin loop can be 4-8 nucleotides. Where the two substantially complementary strands of a dsRNA are comprised by separate RNA molecules, those molecules need not be, but can be covalently connected. Where the two strands are connected covalently by means other than an uninterrupted chain of nucleotides between the 3’-end of one strand and the 5’-end of the respective other strand forming the duplex structure, the connecting structure is referred to as a “dsRNA linker.” The RNA strands may have the same or a different number of nucleotides. The maximum number of base pairs is the number of nucleotides in the shortest strand of the dsRNA minus any overhangs that are present in the duplex. In addition to the duplex structure, an RNAi may comprise one or more nucleotide overhangs. In one embodiment of the RNAi agent, at least one strand comprises a 3’ overhang of at least 1 nucleotide. In another embodiment, at least one strand comprises a 3’ overhang of at least 2 nucleotides, e.g., 2, 3, 4, 5, 6, 7, 9, 10, 11, 12, 13, 14, or 15 nucleotides. In other embodiments, at least one strand of the RNAi agent comprises a 5’ overhang of at least 1 nucleotide. In certain embodiments, at least one strand comprises a 5’ overhang of at least 2 nucleotides, e.g., 2, 3, 4, 5, 6, 7, 9, 10, 11, 12, 13, 14, or 15 nucleotides. In still other embodiments, both the 3’ and the 5’ end of one strand of the RNAi agent comprise an overhang of at least 1 nucleotide. In certain embodiments, an iRNA agent of the present disclosure is a dsRNA, each strand of which comprises 19-23 nucleotides, that interacts with a target RNA sequence, e.g., a target gene, to direct cleavage of the target RNA. In some embodiments, an iRNA of the present disclosure is a dsRNA of 24-30 nucleotides that interacts with a target RNA sequence, e.g., a target mRNA sequence, to direct the cleavage of the target RNA.
As used herein, the term “nucleotide overhang” refers to at least one unpaired nucleotide that protrudes from the duplex structure of a double stranded iRNA. For example, when a 3'-end of one strand of a dsRNA extends beyond the 5'-end of the other strand, or vice versa, there is a nucleotide overhang. A dsRNA can comprise an overhang of at least one nucleotide; alternatively, the overhang can comprise at least two nucleotides, at least three nucleotides, at least four nucleotides, at least five nucleotides or more. A nucleotide overhang can comprise or consist of a nucleotide/nucleoside analog, including a deoxynucleotide/nucleoside. The overhang(s) can be on the sense strand, the antisense strand, or any combination thereof. Furthermore, the nucleotide(s) of an overhang can be present on the 5'-end, 3'-end, or both ends of either an antisense or sense strand of a dsRNA. In one embodiment, the antisense strand of a dsRNA has a 1-10 nucleotide, e.g., a 1, 2, 3, 4, 5, 6, 7, 8, 9, or 10 nucleotide, overhang at the 3’-end or the 5’-end. In one embodiment, the sense strand of a dsRNA has a 1-10 nucleotide, e.g., a 1, 2, 3, 4, 5, 6, 7, 8, 9, or 10 nucleotide, overhang at the 3’-end or the 5’-end. In another embodiment, one or more of the nucleotides in the overhang is replaced with a nucleoside thiophosphate. In certain embodiments, the antisense strand of a dsRNA has a 1-10 nucleotide, e.g., 0-3, 1-3, 2-4, 2-5, 4-10, 5-10, e.g., a 1, 2, 3, 4, 5, 6, 7, 8, 9, or 10 nucleotide, overhang at the 3’-end or the 5’-end. In one embodiment, the sense strand of a dsRNA has a 1-10 nucleotide, e.g., a 1, 2, 3, 4, 5, 6, 7, 8, 9, or 10 nucleotide, overhang at the 3’-end or the 5’-end. In another embodiment, one or more of the nucleotides in the overhang is replaced with a nucleoside thiophosphate. In certain embodiments, the antisense strand of a dsRNA has a 1-10 nucleotides, e.g., a 1, 2, 3, 4, 5, 6, 7, 8, 9, or 10 nucleotide, overhang at the 3’-end or the 5’-end. In certain embodiments, the overhang on the sense strand or the antisense strand, or both, can include extended lengths longer than 10 nucleotides, e.g., 1-30 nucleotides, 2-30 nucleotides, 10-30 nucleotides, 10-25 nucleotides, 10-20 nucleotides, or 10-15 nucleotides in length. In certain embodiments, an extended overhang is on the sense strand of the duplex. In certain embodiments, an extended overhang is present on the 3’ end of the sense strand of the duplex. In certain embodiments, an extended overhang is present on the 5’ end of the sense strand of the duplex. In certain embodiments, an extended overhang is on the antisense strand of the duplex. In certain embodiments, an extended overhang is present on the 3’end of the antisense strand of the duplex. In certain embodiments, an extended overhang is present on the 5’end of the antisense strand of
the duplex. In certain embodiments, one or more of the nucleotides in the extended overhang is replaced with a nucleoside thiophosphate. In certain embodiments, the overhang includes a self- complementary portion such that the overhang is capable of forming a hairpin structure that is stable under physiological conditions. “Blunt” or “blunt end” means that there are no unpaired nucleotides at that end of the double stranded RNA agent, i.e., no nucleotide overhang. A “blunt ended” double stranded RNA agent is double stranded over its entire length, i.e., no nucleotide overhang at either end of the molecule. The RNAi agents of the present disclosure include RNAi agents with no nucleotide overhang at one end (i.e., agents with one overhang and one blunt end) or with no nucleotide overhangs at either end. Most often such a molecule will be double-stranded over its entire length. The term “antisense strand” or "guide strand" refers to the strand of an iRNA, e.g., a dsRNA, which includes a region that is substantially complementary to a target sequence, e.g., a target mRNA. As used herein, the term “region of complementarity” refers to the region on the antisense strand that is substantially complementary to a sequence, for example a target sequence, e.g., a target nucleotide sequence, as defined herein. Where the region of complementarity is not fully complementary to the target sequence, the mismatches can be in the internal or terminal regions of the molecule. Generally, the most tolerated mismatches are in the terminal regions, e.g., within 5, 4, or 3 nucleotides of the 5’- or 3’-end of the iRNA. In some embodiments, a double stranded RNA agent of the present disclosure includes a nucleotide mismatch in the antisense strand. In some embodiments, the antisense strand of the double stranded RNA agent of the present disclosure includes no more than 4 mismatches with the target mRNA, e.g., the antisense strand includes 4, 3, 2, 1, or 0 mismatches with the target mRNA. In some embodiments, the antisense strand double stranded RNA agent of the present disclosure includes no more than 4 mismatches with the sense strand, e.g., the antisense strand includes 4, 3, 2, 1, or 0 mismatches with the sense strand. In some embodiments, a double stranded RNA agent of the present disclosure includes a nucleotide mismatch in the sense strand. In some embodiments, the sense strand of the double stranded RNA agent of the present disclosure includes no more than 4 mismatches with the antisense strand, e.g., the sense strand includes 4, 3, 2, 1, or 0 mismatches with the antisense strand. In some embodiments, the nucleotide mismatch is, for example, within 5, 4, 3 nucleotides from the 3’-end of the iRNA. In another embodiment, the nucleotide mismatch is, for example, in the
3’-terminal nucleotide of the iRNA agent. In some embodiments, the mismatch(s) is not in the seed region. Thus, an RNAi agent as described herein can contain one or more mismatches to the target sequence. In one embodiment, a RNAi agent as described herein contains no more than 3 mismatches (i.e., 3, 2, 1, or 0 mismatches). In one embodiment, an RNAi agent as described herein contains no more than 2 mismatches. In one embodiment, an RNAi agent as described herein contains no more than 1 mismatch. In one embodiment, an RNAi agent as described herein contains 0 mismatches. In certain embodiments, if the antisense strand of the RNAi agent contains mismatches to the target sequence, the mismatch can optionally be restricted to be within the last 5 nucleotides from either the 5’- or 3’-end of the region of complementarity. For example, in such embodiments, for a 23 nucleotide RNAi agent, the strand which is complementary to a region of a target gene, generally does not contain any mismatch within the central 13 nucleotides. The methods described herein or methods known in the art can be used to determine whether an RNAi agent containing a mismatch to a target sequence is effective in inhibiting the expression of a target gene. Consideration of the efficacy of RNAi agents with mismatches in inhibiting expression of a target gene is important, especially if the particular region of complementarity in a target gene is known to have polymorphic sequence variation within the population. The term “sense strand” or "passenger strand" as used herein, refers to the strand of an iRNA that includes a region that is substantially complementary to a region of the antisense strand as that term is defined herein. As used herein, “substantially all of the nucleotides are modified” are largely but not wholly modified and can include not more than 5, 4, 3, 2, or 1 unmodified nucleotides. As used herein, the term “cleavage region” refers to a region that is located immediately adjacent to the cleavage site. The cleavage site is the site on the target at which cleavage occurs. In some embodiments, the cleavage region comprises three bases on either end of, and immediately adjacent to, the cleavage site. In some embodiments, the cleavage region comprises two bases on either end of, and immediately adjacent to, the cleavage site. In some embodiments, the cleavage site specifically occurs at the site bound by nucleotides 10 and 11 of the antisense strand, and the cleavage region comprises nucleotides 11, 12 and 13. As used herein, and unless otherwise indicated, the term “complementary,” when used to describe a first nucleotide sequence in relation to a second nucleotide sequence, refers to the ability
of an oligonucleotide or polynucleotide comprising the first nucleotide sequence to hybridize and form a duplex structure under certain conditions with an oligonucleotide or polynucleotide comprising the second nucleotide sequence, as will be understood by the skilled person. Such conditions can, for example, be stringent conditions, where stringent conditions can include: 400 mM NaCl, 40 mM PIPES pH 6.4, 1 mM EDTA, 50
oC or 70
oC for 12-16 hours followed by washing (see, e.g., “Molecular Cloning: A Laboratory Manual, Sambrook, et al. (1989) Cold Spring Harbor Laboratory Press). Other conditions, such as physiologically relevant conditions as can be encountered inside an organism, can apply. The skilled person will be able to determine the set of conditions most appropriate for a test of complementarity of two sequences in accordance with the ultimate application of the hybridized nucleotides. Complementary sequences within an iRNA, e.g., within a dsRNA as described herein, include base-pairing of the oligonucleotide or polynucleotide comprising a first nucleotide sequence to an oligonucleotide or polynucleotide comprising a second nucleotide sequence over the entire length of one or both nucleotide sequences. Such sequences can be referred to as “fully complementary” with respect to each other herein. However, where a first sequence is referred to as “substantially complementary” with respect to a second sequence herein, the two sequences can be fully complementary, or they can form one or more, but generally not more than 5, 4, 3, or 2 mismatched base pairs upon hybridization for a duplex up to 30 base pairs, while retaining the ability to hybridize under the conditions most relevant to their ultimate application, e.g., inhibition of gene expression via a RISC pathway. However, where two oligonucleotides are designed to form, upon hybridization, one or more single stranded overhangs, such overhangs shall not be regarded as mismatches with regard to the determination of complementarity. For example, a dsRNA comprising one oligonucleotide 21 nucleotides in length and another oligonucleotide 23 nucleotides in length, wherein the longer oligonucleotide comprises a sequence of 21 nucleotides that is fully complementary to the shorter oligonucleotide, can yet be referred to as “fully complementary” for the purposes described herein. “Complementary” sequences, as used herein, can also include, or be formed entirely from, non-Watson-Crick base pairs or base pairs formed from non-natural and modified nucleotides, in so far as the above requirements with respect to their ability to hybridize are fulfilled. Such non- Watson-Crick base pairs include, but are not limited to, G:U Wobble or Hoogstein base pairing.
The terms “complementary,” “fully complementary” and “substantially complementary” herein can be used with respect to the base matching between the sense strand and the antisense strand of a dsRNA, or between the antisense strand of a double stranded RNA agent and a target sequence, as will be understood from the context of their use. As used herein, a polynucleotide that is “substantially complementary to at least part of” a messenger RNA (mRNA) refers to a polynucleotide that is substantially complementary to a contiguous portion of the mRNA of interest (e.g., an mRNA encoding a target polypeptide). For example, a polynucleotide is complementary to at least a part of a target mRNA if the sequence is substantially complementary to a non-interrupted portion of an mRNA encoding a target polypeptide. The skilled person is well aware that dsRNAs having a duplex structure of about 20 to 23 base pairs, e.g., 21, base pairs have been hailed as particularly effective in inducing RNA interference (Elbashir et al., EMBO 2001, 20:6877-6888). However, others have found that shorter or longer RNA duplex structures can also be effective (Chu and Rana (2007) RNA 14:1714-1719; Kim et al. (2005) Nat Biotech 23:222-226). In general, an “iRNA” includes ribonucleotides with chemical modifications. Such modifications may include all types of modifications disclosed herein or known in the art. Any such modifications, as used in a dsRNA molecule, are encompassed by “iRNA” for the purposes of this specification and claims. In certain embodiments of the instant disclosure, inclusion of a deoxy-nucleotide if present within an RNAi agent can be considered to constitute a modified nucleotide. dsRNA agents of the disclosure include those having an antisense strand including a region of complementarity which is complementary to at least a part of an mRNA formed in the expression of a target gene. In embodiments, the region of complementarity is about 19-30 nucleotides in length (e.g., about 30, 29, 28, 27, 26, 25, 24, 23, 22, 21, 20, or 19 nucleotides in length). Upon contact with a cell expressing the target gene, the iRNA inhibits the expression of the target gene (e.g., a human, a primate, a non-primate, or a rat target gene) by at least about 50% as assayed by, for example, a PCR or branched DNA (bDNA)-based method, or by a protein-based method, such as by immunofluorescence analysis, using, for example, western blotting or flow cytometric techniques. In certain embodiments, inhibition of expression is determined by a qPCR method known in the art with the siRNA at, e.g., a 10 nM concentration, in an appropriate organism
cell line. In certain embodiments, inhibition of expression in vivo is determined by knockdown of the human gene in a rodent expressing the human gene, e.g., a mouse or an AAV-infected mouse expressing a human target gene, e.g., when administered as single dose, e.g., at 3 mg/kg at the nadir of RNA expression. A dsRNA includes two RNA strands that are complementary and hybridize to form a duplex structure under conditions in which the dsRNA will be used. One strand of a dsRNA (the antisense strand) includes a region of complementarity that is substantially complementary, and generally fully complementary, to a target sequence. The target sequence can be derived from the sequence of an mRNA formed during the expression of a target gene. The other strand (the sense strand) includes a region that is complementary to the antisense strand, such that the two strands hybridize and form a duplex structure when combined under suitable conditions. As described elsewhere herein and as known in the art, the complementary sequences of a dsRNA can also be contained as self-complementary regions of a single nucleic acid molecule, as opposed to being on separate oligonucleotides. Generally, the duplex structure is 15 to 30 base pairs in length, e.g., 15-29, 15-28, 15-27, 15-26, 15-25, 15-24, 15-23, 15-22, 15-21, 15-20, 15-19, 15-18, 15-17, 18-30, 18-29, 18-28, 18-27, 18-26, 18-25, 18-24, 18-23, 18-22, 18-21, 18-20, 19-30, 19-29, 19-28, 19-27, 19-26, 19-25, 19-24, 19-23, 19-22, 19-21, 19-20, 20-30, 20-29, 20-28, 20-27, 20-26, 20-25, 20-24,20-23, 20-22, 20-21, 21-30, 21-29, 21-28, 21-27, 21-26, 21-25, 21-24, 21-23, or 21-22 base pairs in length. In certain embodiments, the duplex structure is 18 to 25 base pairs in length, e.g., 18-25, 18-24, 18-23, 18- 22, 18-21, 18-20, 19-25, 19-24, 19-23, 19-22, 19-21, 19-20, 20-25, 20-24,20-23, 20-22, 20-21, 21- 25, 21-24, 21-23, 21-22, 22-25, 22-24, 22-23, 23-25, 23-24 or 24-25 base pairs in length, for example, 19-21 base pairs in length. Ranges and lengths intermediate to the above recited ranges and lengths are also contemplated to be part of the disclosure. Similarly, the region of complementarity to the target sequence is 15 to 30 nucleotides in length, e.g., 15-29, 15-28, 15-27, 15-26, 15-25, 15-24, 15-23, 15-22, 15-21, 15-20, 15-19, 15-18, 15-17, 18-30, 18-29, 18-28, 18-27, 18-26, 18-25, 18-24, 18-23, 18-22, 18-21, 18-20, 19-30, 19-29, 19-28, 19-27, 19-26, 19-25, 19-24, 19-23, 19-22, 19-21, 19-20, 20-30, 20-29, 20-28, 20-27, 20-26, 20-25, 20-24,20-23, 20-22, 20-21, 21-30, 21-29, 21-28, 21-27, 21-26, 21-25, 21-24, 21-23, or 21- 22 nucleotides in length, for example 19-23 nucleotides in length or 21-23 nucleotides in length.
Ranges and lengths intermediate to the above recited ranges and lengths are also contemplated to be part of the disclosure. In some embodiments, the duplex structure is 19 to 30 base pairs in length. Similarly, the region of complementarity to the target sequence is 19 to 30 nucleotides in length. In some embodiments, the dsRNA is about 19 to about 23 nucleotides in length, or about 25 to about 30 nucleotides in length. In general, the dsRNA is long enough to serve as a substrate for the Dicer enzyme. For example, it is well-known in the art that dsRNAs longer than about 21- 23 nucleotides in length may serve as substrates for Dicer. As the ordinarily skilled person will also recognize, the region of an RNA targeted for cleavage will most often be part of a larger RNA molecule, often an mRNA molecule. Where relevant, a “part” of an mRNA target is a contiguous sequence of an mRNA target of sufficient length to allow it to be a substrate for RNAi-directed cleavage (i.e., cleavage through a RISC pathway). One of skill in the art will also recognize that the duplex region is a primary functional portion of a dsRNA, e.g., a duplex region of about 19 to about 30 base pairs, e.g., about 19-30, 19- 29, 19-28, 19-27, 19-26, 19-25, 19-24, 19-23, 19-22, 19-21, 19-20, 20-30, 20-29, 20-28, 20-27, 20-26, 20-25, 20-24,20-23, 20-22, 20-21, 21-30, 21-29, 21-28, 21-27, 21-26, 21-25, 21-24, 21-23, or 21-22 base pairs. Thus, in one embodiment, to the extent that it becomes processed to a functional duplex, of e.g., 15-30 base pairs, that targets a desired RNA for cleavage, an RNA molecule or complex of RNA molecules having a duplex region greater than 30 base pairs is a dsRNA. Thus, an ordinarily skilled artisan will recognize that in one embodiment, a miRNA is a dsRNA. In another embodiment, a dsRNA is not a naturally occurring miRNA. In another embodiment, an iRNA agent useful to target gene expression is not generated in the target cell by cleavage of a larger dsRNA. A dsRNA as described herein can further include one or more single-stranded nucleotide overhangs e.g., 1-4, 2-4, 1-3, 2-3, 1, 2, 3, or 4 nucleotides. dsRNAs having at least one nucleotide overhang can have superior inhibitory properties relative to their blunt-ended counterparts. A nucleotide overhang can comprise or consist of a nucleotide/nucleoside analog, including a deoxynucleotide/nucleoside. The overhang(s) can be on the sense strand, the antisense strand, or any combination thereof. Furthermore, the nucleotide(s) of an overhang can be present on the 5'- end, 3'-end, or both ends of an antisense or sense strand of a dsRNA.
A dsRNA can be synthesized by standard methods known in the art. Double stranded RNAi compounds of the present disclosure may be prepared using a two-step procedure. First, the individual strands of the double stranded RNA molecule are prepared separately. Then, the component strands are annealed. The individual strands of the siRNA compound can be prepared using solution-phase or solid-phase organic synthesis or both. Organic synthesis offers the advantage that the oligonucleotide strands comprising unnatural or modified nucleotides can be easily prepared. Similarly, single-stranded oligonucleotides of the present disclosure can be prepared using solution-phase or solid-phase organic synthesis or both. Modified Modulatory Nucleic Acids of the Disclosure In some embodiments, a conjugated modulatory nucleic acid agent of the disclosure includes one or more modified (relative to canonical DNA and/or RNA) nucleotides. In some embodiments, a modified nucleotide comprises one or more of: a modified backbone, a modified nucleobase, a modified sugar (e.g., a modified ribose, or a modified deoxyribose), or a combination thereof. In some embodiments, a modified nucleotide may be or comprise one or more naturally occurring modifications; in some embodiments a modified nucleotide may be or comprise one or more non-naturally-occurring modifications. In some embodiments, a modulatory nucleic acid agent comprises one or more linkages that is not a phosphodiester linkage (e.g., that is or comprises a phosphorothioate linkage or a phosphorodiamidate linkage). In some embodiments, a modulatory nucleic acid agent comprises one or more morpholino subunits linked together by a phosphorus-containing linkage. In some embodiments, one or more morpholino subunits in an oligonucleotide agent is joined by a phosphorodiamidate linkage. The synthesis, structures, and binding characteristics of morpholino oligomers are detailed in U.S. Pat. Nos.5,698,685, 5,217,866, 5,142,047, 5,034,506, 5,166,315, 5,521,063, and 5,506,337, and PCT Appn. Nos. PCT/US07/11435 (cationic linkages) and U.S. Ser. No. 08/012,804 (improved synthesis), all of which are incorporated herein by reference. Morpholino subunits linked by phosphorodiamidate linkages are disclosed in US Patent 11,071,749 the entire contents of which are hereby incorporated by reference. In some embodiments, a modulatory nucleic acid agent is or comprises a PMO. In some embodiments, a PMO is substantially uncharged, e.g., has a neutral charge. In some embodiments, a modulatory nucleic acid agent has a negative charge.
In some embodiments, a modulatory nucleic acid agent is substantially uncharged, e.g., has a neutral charge. Those skilled in the art, reading the present disclosure, will appreciate that, in some embodiments, a modulatory nucleic acid agent of the present disclosure may include one or more DNA residues or analogs thereof, one or more RNA residues or analogs thereof, and/or combinations thereof. Furthermore, such skilled person will appreciate that, in some embodiments, a modulatory nucleic acid agent of the instant disclosure may include one or more, or entirely, phosphodiester linkages, phosphorothioate linkages, or other suitable linkages. In some embodiments, a modulatory nucleic acid agent comprises natural residues, e.g., DNA residues and/or RNA residues. In some embodiments a modulatory nucleic acid agent comprises one or more analogs, e.g., DNA analogs and/or RNA analogs. In some embodiments, a modulatory nucleic acid agent comprises DNA residues and/or RNA residues, e.g., natural residues or analogs. In some embodiments, a modulatory nucleic acid of the disclosure comprises one or more chiral centers (e.g., as may be present in, for example, a phosphorothioate linkage). In some embodiments, a preparation of a modulatory nucleic acid having a chiral center is stereopure with respect to that center in that it includes only one stereoisomer of that center. In some embodiments, both stereoisomers are present. In some embodiments, the preparation represents a racemic mixture of stereoisomers at that position. In some embodiments, a preparation of a modulatory nucleic acid having more than one chiral linkage may be stereopure with respect to one or more centers and mixed (e.g., racemic) with respect to one or more others. In some embodiments, a preparation may be stereopure at all chiral centers. In some embodiments, a preparation may be racemic (e.g., at all chiral centers or overall). In some embodiments, a modulatory nucleic acid of the disclosure comprises one or more modified nucleotides. In some embodiments, a modified nucleotide comprises one or more of: a modified backbone, a modified nucleobase, a modified ribose, a modified deoxyribose, or a combination thereof. In some embodiments, a modified nucleotide is chosen from: a 2′-O-methyl modified nucleotide, a 5-methylcytidine, a 5-methyluridine, a nucleotide comprising a 5′-phosphorothioate group, a morpholino nucleotide (e.g., a PMO), a terminal nucleotide linked to a cholesteryl
derivative or a dodecanoic acid bisdecylamide group, a 2′-deoxy-2′-fluoro modified nucleotide, a 2′-deoxy-modified nucleotide, a locked nucleotide, an abasic nucleotide, 2′-amino-modified nucleotide, 2′-alkyl-modified nucleotide, morpholino nucleotide (e.g., PMO), a phosphoramidate, a phosphoryl guanidine (PN) based backbone, or a non-natural base comprising nucleotide, or a combination thereof. In some embodiments, a modified nucleobase comprises a C7-modified deaza-adenine, a C7-modified deaza-guanosine, a C5-modified cytosine, a C5-modified uridine, N1-methyl- pseudouridine (m1ψ), 1-ethyl-pseudouridine (e1ψ), 5-methoxy-uridine (mo5U), 5-methyl- cytidine (m5C), pseudouridine (ψ), 5-methoxymethyl uridine, 5-methylthio uridine, 1- methoxymethyl pseudouridine, 5-methyl cytidine, 5-methoxy cytidine, or a combination thereof. In some embodiments, a modified sugar (e.g., a modified ribose, or a modified deoxyribose) comprises: a 2’fluoro modification, a 2’-O-methyl (2’OMe) modification, a locked nucleic acid (LNA), a 2’-fluoro arabinose nucleic acid (FANA), a hexitol nucleic acid (HNA), a 2’O-methoxyethyl (2’MOE) modification, or a combination thereof. In some embodiments, a modified backbone comprises a phosphorothioate (PS) modification, a phosphoryl guanidine (PN) modification, a borano-phosphate modification, an alkyl phosphonate nucleic acid (phNA), a peptide nucleic acid (PNA), or a combination thereof. In some embodiments, a modulatory nucleic acid agent of the disclosure comprises one or more modifications, e.g., to a 5’ end of an oligonucleotide. In some embodiments, a modulatory nucleic acid agent of the disclosure comprises a 5’ amino modification. In some embodiments, a modulatory nucleic acid agent of the disclosure is partially modified (e.g., at least 5%) for a particular modification, e.g., throughout the length of a sequence. In some embodiments, a modulatory nucleic acid agent of the disclosure is fully modified for a particular modification throughout the length of a sequence. In some embodiments, at least 5% of a particular nucleotide (e.g., A, G, C, T, or U) is modified in an oligonucleotide. In some embodiments, all (e.g., 100%) of a particular nucleotide (e.g., A, G, C, T, or U) is modified in an oligonucleotide. In certain embodiments, the nucleotide sequence of a modulatory nucleic acid agent of the present disclosure e.g., an ASO and/or dsRNA, is un-modified, and does not comprise, e.g., chemical modifications or conjugations known in the art and described herein. In other
embodiments, the nucleotide sequence of a modulatory nucleic acid agent of the present disclosure e.g., an ASO and/or dsRNA, is chemically modified to enhance stability or other beneficial characteristics. In certain embodiments of the present disclosure, substantially all of the nucleotides of a conjugated modulatory nucleic acid (e.g., ASO, dsRNA, etc.) of the present disclosure are modified. In other embodiments of the present disclosure, all of the nucleotides of a conjugated modulatory nucleic acid (e.g., ASO, dsRNA, etc.) or substantially all of the nucleotides of a conjugated modulatory nucleic acid (e.g., ASO, dsRNA, etc.) are modified, i.e., not more than 5, 4, 3, 2, or 1 unmodified nucleotides are present in a strand of the conjugated modulatory nucleic acid (e.g., ASO, dsRNA, etc.). The nucleic acids featured in the present disclosure can be synthesized or modified by methods well established in the art, such as those described in “Current protocols in nucleic acid chemistry,” Beaucage, S.L. et al. (Edrs.), John Wiley & Sons, Inc., New York, NY, USA, which is hereby incorporated herein by reference. Modifications include, for example, end modifications, e.g., 5’-end modifications (phosphorylation, conjugation, inverted linkages) or 3’-end modifications (conjugation, DNA nucleotides, inverted linkages, etc.); base modifications, e.g., replacement with stabilizing bases, destabilizing bases, or bases that base pair with an expanded repertoire of partners, removal of bases (abasic nucleotides), or conjugated bases; sugar modifications (e.g., at the 2’-position or 4’-position) or replacement of the sugar; or backbone modifications, including modification or replacement of the phosphodiester linkages. Specific examples of conjugated modulatory nucleic acid (e.g., ASO, dsRNA, etc.) compounds useful in the embodiments described herein include, but are not limited to RNAs containing modified backbones or no natural internucleoside linkages. RNAs having modified backbones include, among others, those that do not have a phosphorus atom in the backbone. For the purposes of this specification, and as sometimes referenced in the art, modified RNAs that do not have a phosphorus atom in their internucleoside backbone can also be considered to be oligonucleosides. In some embodiments, a modified modulatory nucleic acid (e.g., ASO, dsRNA, etc.) will have a phosphorus atom in its internucleoside backbone. Modified RNA backbones include, for example, phosphorothioates, chiral phosphorothioates, phosphorodithioates, phosphotriesters, aminoalkylphosphotriesters, methyl and other alkyl phosphonates including 3'-alkylene phosphonates and chiral phosphonates, phosphinates, phosphoramidates including 3'-amino phosphoramidate and
aminoalkylphosphoramidates, thionophosphoramidates, thionoalkylphosphonates, thionoalkylphosphotriesters, and boranophosphates having normal 3'-5' linkages, 2'-5'-linked analogs of these, and those having inverted polarity wherein the adjacent pairs of nucleoside units are linked 3'-5' to 5'-3' or 2'-5' to 5'-2'. Various salts, mixed salts and free acid forms are also included. In some embodiments of the present disclosure, the conjugated modulatory nucleic acid (e.g., ASO, dsRNA, etc.) agents of the present disclosure are in a free acid form. In other embodiments of the present disclosure, the conjugated modulatory nucleic acid (e.g., ASO, dsRNA, etc.) agents of the present disclosure are in a salt form. In one embodiment, the conjugated modulatory nucleic acid (e.g., ASO, dsRNA, etc.) agents of the present disclosure are in a sodium salt form. In certain embodiments, when the conjugated modulatory nucleic acid (e.g., ASO, dsRNA, etc.) agents of the present disclosure are in the sodium salt form, sodium ions are present in the agent as counterions for substantially all of the phosphodiester and/or phosphorothiotate groups present in the agent. Agents in which substantially all of the phosphodiester and/or phosphorothioate linkages have a sodium counterion include not more than 5, 4, 3, 2, or 1 phosphodiester and/or phosphorothioate linkages without a sodium counterion. In some embodiments, when the conjugated modulatory nucleic acid (e.g., ASO, dsRNA, etc.) agents of the present disclosure are in the sodium salt form, sodium ions are present in the agent as counterions for all of the phosphodiester and/or phosphorothiotate groups present in the agent. Representative U.S. Patents that teach the preparation of the above phosphorus-containing linkages include, but are not limited to, U.S. Patent Nos.3,687,808; 4,469,863; 4,476,301; 5,023,243; 5,177,195; 5,188,897; 5,264,423; 5,276,019; 5,278,302; 5,286,717; 5,321,131; 5,399,676; 5,405,939; 5,453,496; 5,455,233; 5,466,677; 5,476,925; 5,519,126; 5,536,821; 5,541,316; 5,550,111; 5,563,253; 5,571,799; 5,587,361; 5,625,050; 6,028,188; 6,124,445; 6,160,109; 6,169,170; 6,172,209; 6, 239,265; 6,277,603; 6,326,199; 6,346,614; 6,444,423; 6,531,590; 6,534,639; 6,608,035; 6,683,167; 6,858,715; 6,867,294; 6,878,805; 7,015,315; 7,041,816; 7,273,933; 7,321,029; and U.S. Pat RE39464, the entire contents of each of which are hereby incorporated herein by reference. Modified RNA backbones that do not include a phosphorus atom therein have backbones that are formed by short chain alkyl or cycloalkyl internucleoside linkages, mixed heteroatoms and alkyl or cycloalkyl internucleoside linkages, or one or more short chain heteroatomic or heterocyclic internucleoside linkages. These include those having morpholino linkages (formed in
part from the sugar portion of a nucleoside); siloxane backbones; sulfide, sulfoxide and sulfone backbones; formacetyl and thioformacetyl backbones; methylene formacetyl and thioformacetyl backbones; alkene containing backbones; sulfamate backbones; methyleneimino and methylenehydrazino backbones; sulfonate and sulfonamide backbones; amide backbones; and others having mixed N, O, S, and CH2 component parts. Representative U.S. Patents that teach the preparation of the above oligonucleosides include, but are not limited to, U.S. Patent Nos.5,034,506; 5,166,315; 5,185,444; 5,214,134; 5,216,141; 5,235,033; 5,64,562; 5,264,564; 5,405,938; 5,434,257; 5,466,677; 5,470,967; 5,489,677; 5,541,307; 5,561,225; 5,596,086; 5,602,240; 5,608,046; 5,610,289; 5,618,704; 5,623,070; 5,663,312; 5,633,360; 5,677,437; and 5,677,439, the entire contents of each of which are hereby incorporated herein by reference. Suitable RNA mimetics are contemplated for use in conjugated modulatory nucleic acid (e.g., ASO, dsRNA, etc.) agents provided herein, in which both the sugar and the internucleoside linkage, i.e., the backbone, of the nucleotide units are replaced with novel groups. The base units are maintained for hybridization with an appropriate nucleic acid target compound. One such oligomeric compound in which an RNA mimetic that has been shown to have excellent hybridization properties is referred to as a peptide nucleic acid (PNA). In PNA compounds, the sugar backbone of an RNA is replaced with an amide containing backbone, in particular an aminoethylglycine backbone. The nucleobases are retained and are bound directly or indirectly to aza nitrogen atoms of the amide portion of the backbone. Representative US patents that teach the preparation of PNA compounds include, but are not limited to, U.S. Patent Nos.5,539,082; 5,714,331; and 5,719,262, the entire contents of each of which are hereby incorporated herein by reference. Additional PNA compounds suitable for use in the conjugated modulatory nucleic acid (e.g., ASO, dsRNA, etc.) agents of the present disclosure are described in, for example, in Nielsen et al., Science, 1991, 254, 1497-1500. In certain embodiments, modulatory nucleic acids of the disclosure include RNAs with phosphorothioate backbones and oligonucleosides with heteroatom backbones, and in particular - -CH2--NH--CH2-, --CH2--N(CH3)--O--CH2--[known as a methylene (methylimino) or MMI backbone], --CH2--O--N(CH3)--CH2--, --CH2--N(CH3)--N(CH3)--CH2-- and --N(CH3)--CH2-- CH2--[wherein the native phosphodiester backbone is represented as --O--P--O--CH2--] of U.S. Patent No.5,489,677, and the amide backbones of U.S. Patent No.5,602,240. In some
embodiments, the RNAs featured herein have morpholino backbone structures of U.S. Patent No. 5,034,506. Modified RNAs can also contain one or more substituted sugar moieties. The modulatory nucleic acids, e.g., conjugated modulatory nucleic acid (e.g., ASO, dsRNA, etc.) agents, featured herein can include one of the following at the 2'-position: OH; F; O-, S-, or N-alkyl; O-, S-, or N- alkenyl; O-, S- or N-alkynyl; or O-alkyl-O-alkyl, wherein the alkyl, alkenyl and alkynyl can be substituted or unsubstituted C1 to C10 alkyl or C2 to C10 alkenyl and alkynyl. Exemplary suitable modifications include O[(CH2)nO]mCH3, O(CH2)nOCH3, O(CH2)nNH2, O(CH2)nCH3, O(CH2)nONH2, and O(CH2)nON[(CH2)nCH3)]2, where n and m are from 1 to about 10. In other embodiments, dsRNAs include one of the following at the 2' position: C1 to C10 lower alkyl, substituted lower alkyl, alkaryl, aralkyl, O-alkaryl or O-aralkyl, SH, SCH3, OCN, Cl, Br, CN, CF3, OCF3, SOCH3, SO2CH3, ONO2, NO2, N3, NH2, heterocycloalkyl, heterocycloalkaryl, aminoalkylamino, polyalkylamino, substituted silyl, an RNA cleaving group, a reporter group, an intercalator, a group for improving the pharmacokinetic properties of an ASO and/or an iRNA, or a group for improving the pharmacodynamic properties of an ASO and/or an iRNA, and other substituents having similar properties. In some embodiments, the modification includes a 2'- methoxyethoxy (2'-O--CH2CH2OCH3, also known as 2'-O-(2-methoxyethyl) or 2'-MOE) (Martin et al., Helv. Chim. Acta, 1995, 78:486-504) i.e., an alkoxy-alkoxy group. Another exemplary modification is 2'-dimethylaminooxyethoxy, i.e., a O(CH2)2ON(CH3)2 group, also known as 2'- DMAOE, as described in examples herein below, and 2'-dimethylaminoethoxyethoxy (also known in the art as 2'-O-dimethylaminoethoxyethyl or 2'-DMAEOE), i.e., 2'-O--CH2--O--CH2--N(CH2)2. Further exemplary modifications include: 5’-Me-2’-F nucleotides, 5’-Me-2’-OMe nucleotides, 5’- Me-2’-deoxynucleotides, (both R and S isomers in these three families); 2’-alkoxyalkyl; and 2’- NMA (N-methylacetamide). Other modifications include 2'-methoxy (2'-OCH3), 2'-aminopropoxy (2'- OCH2CH2CH2NH2) and 2'-fluoro (2'-F). Similar modifications can also be made at other positions on the RNA of an ASO and/or iRNA, particularly the 3' position of the sugar on the 3' terminal nucleotide or in 2'-5' linked dsRNAs and the 5' position of 5' terminal nucleotide. ASOs and/or iRNAs can also have sugar mimetics such as cyclobutyl moieties in place of the pentofuranosyl sugar. Representative US patents that teach the preparation of such modified sugar structures include, but are not limited to, U.S. Patent Nos.4,981,957; 5,118,800; 5,319,080; 5,359,044;
5,393,878; 5,446,137; 5,466,786; 5,514,785; 5,519,134; 5,567,811; 5,576,427; 5,591,722; 5,597,909; 5,610,300; 5,627,053; 5,639,873; 5,646,265; 5,658,873; 5,670,633; and 5,700,920, certain of which are commonly owned with the instant application. The entire contents of each of the foregoing are hereby incorporated herein by reference. An ASO and/or an iRNA can also include nucleobase (often referred to in the art simply as “base”) modifications or substitutions. As used herein, “unmodified” or “natural” nucleobases include the purine bases adenine (A) and guanine (G), and the pyrimidine bases thymine (T), cytosine (C), and uracil (U). Modified nucleobases include other synthetic and natural nucleobases such as deoxy-thymine (dT), 5-methylcytosine (5-me-C), 5-hydroxymethyl cytosine, xanthine, hypoxanthine, 2-aminoadenine, 6-methyl and other alkyl derivatives of adenine and guanine, 2- propyl and other alkyl derivatives of adenine and guanine, 2-thiouracil, 2-thiothymine and 2- thiocytosine, 5-halouracil and cytosine, 5-propynyl uracil and cytosine, 6-azo uracil, cytosine and thymine, 5-uracil (pseudouracil), 4-thiouracil, 8-halo, 8-amino, 8-thiol, 8-thioalkyl, 8-hydroxyl anal other 8-substituted adenines and guanines, 5-halo, particularly 5-bromo, 5-trifluoromethyl and other 5-substituted uracils and cytosines, 7-methylguanine and 7-methyladenine, 8-azaguanine and 8-azaadenine, 7-deazaguanine and 7-daazaadenine and 3-deazaguanine and 3-deazaadenine. Further nucleobases include those disclosed in U.S. Pat. No.3,687,808, those disclosed in Modified Nucleosides in Biochemistry, Biotechnology and Medicine, Herdewijn, P. ed. Wiley-VCH, 2008; those disclosed in The Concise Encyclopedia Of Polymer Science And Engineering, pages 858- 859, Kroschwitz, J. L, ed. John Wiley & Sons, 1990, these disclosed by Englisch et al., Angewandte Chemie, International Edition, 1991, 30, 613, and those disclosed by Sanghvi, Y S., Chapter 15, dsRNA Research and Applications, pages 289-302, Crooke, S. T. and Lebleu, B., Ed., CRC Press, 1993. Certain of these nucleobases are particularly useful for increasing the binding affinity of the oligomeric compounds featured in the present disclosure. These include 5- substituted pyrimidines, 6-azapyrimidines and N-2, N-6 and 0-6 substituted purines, including 2- aminopropyladenine, 5-propynyluracil and 5-propynylcytosine.5-methylcytosine substitutions have been shown to increase nucleic acid duplex stability by 0.6-1.2°C (Sanghvi, Y. S., Crooke, S. T. and Lebleu, B., Eds., dsRNA Research and Applications, CRC Press, Boca Raton, 1993, pp.276-278) and are exemplary base substitutions, even more particularly when combined with 2'- O-methoxyethyl sugar modifications.
Representative U.S. Patents that teach the preparation of certain of the above noted modified nucleobases as well as other modified nucleobases include, but are not limited to, the above noted U.S. Patent Nos.3,687,808, 4,845,205; 5,130,30; 5,134,066; 5,175,273; 5,367,066; 5,432,272; 5,457,187; 5,459,255; 5,484,908; 5,502,177; 5,525,711; 5,552,540; 5,587,469; 5,594,121, 5,596,091; 5,614,617; 5,681,941; 5,750,692; 6,015,886; 6,147,200; 6,166,197; 6,222,025; 6,235,887; 6,380,368; 6,528,640; 6,639,062; 6,617,438; 7,045,610; 7,427,672; and 7,495,088, the entire contents of each of which are hereby incorporated herein by reference. The RNA of an ASO or iRNA agent can also be modified to include one or more locked nucleic acids (LNA). A locked nucleic acid is a nucleotide having a modified ribose moiety in which the ribose moiety comprises an extra bridge connecting the 2' and 4' carbons. This structure effectively "locks" the ribose in the 3'-endo structural conformation. The addition of locked nucleic acids to siRNAs has been shown to increase siRNA stability in serum, and to reduce off-target effects (Elmen, J. et al., (2005) Nucleic Acids Research 33(1):439-447; Mook, OR. et al., (2007) Mol Canc Ther 6(3):833-843; Grunweller, A. et al., (2003) Nucleic Acids Research 31(12):3185- 3193). The RNA of an ASO or iRNA agent can also be modified to include one or more constrained ethyl nucleotides. As used herein, a "constrained ethyl nucleotide" or "cEt" is a locked nucleic acid comprising a bicyclic sugar moiety comprising a 4'-CH(CH3)-O-2' bridge. In one embodiment, a constrained ethyl nucleotide is in the S conformation referred to herein as “S-cEt.” An ASO or iRNA agent of the present disclosure may also include one or more “conformationally restricted nucleotides” (“CRN”). CRN are nucleotide analogs with a linker connecting the C2’and C4’ carbons of ribose or the C3 and -C5′ carbons of ribose. CRN lock the ribose ring into a stable conformation and increase the hybridization affinity to mRNA. The linker is of sufficient length to place the oxygen in an optimal position for stability and affinity resulting in less ribose ring puckering. Representative publications that teach the preparation of certain of the above noted CRN include, but are not limited to, U.S. Patent Publication No.2013/0190383; and PCT publication WO 2013/036868, the entire contents of each of which are hereby incorporated herein by reference. In some embodiments, an ASO or iRNA agent of the present disclosure comprises one or more monomers that are UNA (unlocked nucleic acid) nucleotides. UNA is unlocked acyclic
nucleic acid, wherein any of the bonds of the sugar has been removed, forming an unlocked "sugar" residue. In one example, UNA also encompasses monomer with bonds between C1'-C4' have been removed (i.e., the covalent carbon-oxygen-carbon bond between the C1' and C4' carbons). In another example, the C2'-C3' bond (i.e., the covalent carbon-carbon bond between the C2' and C3' carbons) of the sugar has been removed (see Nuc. Acids Symp. Series, 52, 133-134 (2008) and Fluiter et al., Mol. Biosyst., 2009, 10, 1039 hereby incorporated by reference). Representative U.S. publications that teach the preparation of UNA include, but are not limited to, U.S. Patent No.8,314,227; and U.S. Patent Publication Nos.2013/0096289; 2013/0011922; and 2011/0313020, the entire contents of each of which are hereby incorporated herein by reference. Potentially stabilizing modifications to the ends of RNA molecules can include N- (acetylaminocaproyl)-4-hydroxyprolinol (Hyp-C6-NHAc), N-(caproyl-4-hydroxyprolinol (Hyp- C6), N-(acetyl-4-hydroxyprolinol (Hyp-NHAc), thymidine-2'-O-deoxythymidine (ether), N- (aminocaproyl)-4-hydroxyprolinol (Hyp-C
6-amino), 2-docosanoyl-uridine-3"-phosphate, inverted base dT(idT) and others. Disclosure of this modification can be found in PCT Publication No. WO 2011/005861. Other modifications of the nucleotides of an ASO or iRNA agent of the present disclosure include a 5’ phosphate or 5’ phosphate mimic, e.g., a 5’-terminal phosphate or phosphate mimic on the antisense strand of an ASO or iRNA agent. Suitable phosphate mimics are disclosed in, for example U.S. Patent Publication No.2012/0157511, the entire contents of which are incorporated herein by reference. In an aspect of the present disclosure, an agent for use in the methods and compositions of the present disclosure is a single-stranded antisense oligonucleotide (ASO) molecule that inhibits a target mRNA via an antisense inhibition mechanism. The single-stranded antisense oligonucleotide molecule is complementary to a sequence within the target mRNA. The single- stranded antisense oligonucleotides can inhibit translation in a stoichiometric manner by base pairing to the mRNA and physically obstructing the translation machinery, see Dias, N. et al., (2002) Mol Cancer Ther 1:347-355. The single-stranded antisense oligonucleotide molecule may be about 14 to about 30 nucleotides in length and have a sequence that is complementary to a target sequence. For example, the single-stranded antisense oligonucleotide molecule may comprise a sequence that is at least about 14, 15, 16, 17, 18, 19, 20, or more contiguous nucleotides from any one of the antisense sequences described herein.
The phrase “contacting a cell with an iRNA,” such as a dsRNA, as used herein, includes contacting a cell by any possible means. Contacting a cell with an iRNA includes contacting a cell in vitro with the iRNA or contacting a cell in vivo with the iRNA. The contacting may be done directly or indirectly. Thus, for example, the iRNA may be put into physical contact with the cell by the individual performing the method, or alternatively, the iRNA may be put into a situation that will permit or cause it to subsequently come into contact with the cell. Contacting a cell in vitro may be done, for example, by incubating the cell with the iRNA. Contacting a cell in vivo may be done, for example, by injecting the iRNA into or near the tissue where the cell is located, or by injecting the iRNA into another area, e.g., the bloodstream or the subcutaneous space, such that the agent will subsequently reach the tissue where the cell to be contacted is located. For example, the iRNA may contain or be coupled to a ligand, e.g., a Megalin- binding, Cubilin-binding, or other cell surface factor-binding moiety, that directs the iRNA to a site of interest, e.g., kidney cells. Combinations of in vitro and in vivo methods of contacting are also possible. For example, a cell may also be contacted in vitro with an iRNA and subsequently transplanted into a subject. In certain embodiments, contacting a cell with an ASO or iRNA agent includes “introducing” or “delivering the ASO or iRNA agent into the cell” by facilitating or effecting uptake or absorption into the cell. Absorption or uptake of an ASO or iRNA agent can occur through unaided diffusion or active cellular processes, or by auxiliary agents or devices. Introducing an ASO or iRNA agent into a cell may be in vitro or in vivo. For example, for in vivo introduction, an ASO or iRNA agent can be injected into a tissue site or administered systemically. In vitro introduction into a cell includes methods known in the art such as electroporation and lipofection. Further approaches are described herein below or are known in the art. The term “lipid nanoparticle” or “LNP” is a vesicle comprising a lipid layer encapsulating a pharmaceutically active molecule, such as a nucleic acid molecule, e.g., an iRNA or a plasmid from which an iRNA is transcribed. LNPs are described in, for example, U.S. Patent Nos.6,858,225, 6,815,432, 8,158,601, and 8,058,069, the entire contents of which are hereby incorporated herein by reference. Modulatory Nucleic Acids Conjugated to Ligands Another modification of the RNA of a conjugated modulatory nucleic acid (e.g., ASO, dsRNA, etc.) agent of the present disclosure involves chemically linking to the conjugated
modulatory nucleic acid agent one or more ligands, moieties or conjugates that enhance the activity, cellular distribution, or cellular uptake of the conjugated modulatory nucleic acid agent e.g., into a cell. Such moieties include but are not limited to lipid moieties such as a cholesterol moiety (Letsinger et al., Proc. Natl. Acid. Sci. USA, 1989, 86: 6553-6556). In other embodiments, the ligand is cholic acid (Manoharan et al., Biorg. Med. Chem. Let., 1994, 4:1053-1060), a thioether, e.g., beryl-S-tritylthiol (Manoharan et al., Ann. N.Y. Acad. Sci., 1992, 660:306-309; Manoharan et al., Biorg. Med. Chem. Let., 1993, 3:2765-2770), a thiocholesterol (Oberhauser et al., Nucl. Acids Res., 1992, 20:533-538), an aliphatic chain, e.g., dodecandiol or undecyl residues (Saison-Behmoaras et al., EMBO J, 1991, 10:1111-1118; Kabanov et al., FEBS Lett., 1990, 259:327-330; Svinarchuk et al., Biochimie, 1993, 75:49-54), a phospholipid, e.g., di-hexadecyl- rac-glycerol or triethyl-ammonium 1,2-di-O-hexadecyl-rac-glycero-3-phosphonate (Manoharan et al., Tetrahedron Lett., 1995, 36:3651-3654; Shea et al., Nucl. Acids Res., 1990, 18:3777-3783), a polyamine or a polyethylene glycol chain (Manoharan et al., Nucleosides & Nucleotides, 1995, 14:969-973), or adamantane acetic acid (Manoharan et al., Tetrahedron Lett., 1995, 36:3651- 3654), a palmityl moiety (Mishra et al., Biochim. Biophys. Acta, 1995, 1264:229-237), or an octadecylamine or hexylamino-carbonyloxycholesterol moiety (Crooke et al., J. Pharmacol. Exp. Ther., 1996, 277:923-937). In certain embodiments, a ligand alters the distribution, targeting, or lifetime of a conjugated modulatory nucleic acid agent into which it is incorporated. In certain embodiments a ligand provides an enhanced affinity for a selected target, e.g., molecule, cell or cell type, compartment, e.g., a cellular or organ compartment, tissue, organ or region of the body, as, e.g., compared to a species absent such a ligand. Certain ligands do not take part in duplex pairing in a duplexed nucleic acid. Ligands can include a naturally occurring substance, such as a protein (e.g., human serum albumin (HSA), low-density lipoprotein (LDL), or globulin); carbohydrate (e.g., a dextran, pullulan, chitin, chitosan, inulin, cyclodextrin, N-acetylglucosamine, N-acetylgalactosamine, or hyaluronic acid); or a lipid. The ligand can also be a recombinant or synthetic molecule, such as a synthetic polymer, e.g., a synthetic polyamino acid. Examples of polyamino acids include polyamino acid is a polylysine (PLL), poly L-aspartic acid, poly L-glutamic acid, styrene-maleic acid anhydride copolymer, poly(L-lactide-co-glycolied) copolymer, divinyl ether-maleic anhydride copolymer, N-(2-hydroxypropyl)methacrylamide copolymer (HMPA), polyethylene
glycol (PEG), polyvinyl alcohol (PVA), polyurethane, poly(2-ethylacryllic acid), N- isopropylacrylamide polymers, or polyphosphazine. Examples of polyamines include: polyethylenimine, polylysine (PLL), spermine, spermidine, polyamine, pseudopeptide-polyamine, peptidomimetic polyamine, dendrimer polyamine, arginine, amidine, protamine, cationic lipid, cationic porphyrin, quaternary salt of a polyamine, or an alpha helical peptide. Ligands can also include targeting groups, e.g., a cell or tissue targeting agent, e.g., a lectin, glycoprotein, lipid or protein, e.g., an antibody, that binds to a specified cell type such as a kidney cell (kidney cell-targeting moieties are considered in additional detail elsewhere herein). A targeting group can be a thyrotropin, melanotropin, lectin, glycoprotein, surfactant protein A, Mucin carbohydrate, multivalent lactose, multivalent galactose, N-acetyl-galactosamine, N- acetyl-glucosamine multivalent mannose, multivalent fucose, glycosylated polyaminoacids, multivalent galactose, transferrin, bisphosphonate, polyglutamate, polyaspartate, a lipid, cholesterol, a steroid, bile acid, folate, vitamin B12, vitamin A, biotin, or an RGD peptide or RGD peptide mimetic. In certain embodiments, the ligand is a multivalent galactose, e.g., an N-acetyl- galactosamine. Other examples of ligands include dyes, intercalating agents (e.g. acridines), cross-linkers (e.g. psoralene, mitomycin C), porphyrins (TPPC4, texaphyrin, Sapphyrin), polycyclic aromatic hydrocarbons (e.g., phenazine, dihydrophenazine), artificial endonucleases (e.g. EDTA), lipophilic molecules, e.g., cholesterol, cholic acid, adamantane acetic acid, 1-pyrene butyric acid, dihydrotestosterone, 1,3-Bis-O(hexadecyl)glycerol, geranyloxyhexyl group, hexadecylglycerol, borneol, menthol, 1,3-propanediol, heptadecyl group, palmitic acid, myristic acid,O3- (oleoyl)lithocholic acid, O3-(oleoyl)cholenic acid, dimethoxytrityl, or phenoxazine)and peptide conjugates (e.g., antennapedia peptide, Tat peptide), alkylating agents, phosphate, amino, mercapto, PEG (e.g., PEG-40K), MPEG, [MPEG]2, polyamino, alkyl, substituted alkyl, radiolabeled markers, enzymes, haptens (e.g. biotin), transport/absorption facilitators (e.g., aspirin, vitamin E, folic acid), synthetic ribonucleases (e.g., imidazole, bisimidazole, histamine, imidazole clusters, acridine-imidazole conjugates, Eu3+ complexes of tetraazamacrocycles), dinitrophenyl, HRP, or AP. Ligands can be proteins, e.g., glycoproteins, or peptides, e.g., molecules having a specific affinity for a co-ligand, or antibodies e.g., an antibody, that binds to a specified cell type such as a hepatic cell. Ligands can also include hormones and hormone receptors. They can also include
non-peptidic species, such as lipids, lectins, carbohydrates, vitamins, cofactors, multivalent lactose, multivalent galactose, N-acetyl-galactosamine, N-acetyl-glucosamine multivalent mannose, or multivalent fucose. The ligand can be, for example, a lipopolysaccharide, an activator of p38 MAP kinase, or an activator of NF-κB. The ligand can be a substance, e.g., a drug, which can increase the uptake of the conjugated modulatory nucleic acid agent into the cell, for example, by disrupting the cell’s cytoskeleton, e.g., by disrupting the cell’s microtubules, microfilaments, or intermediate filaments. The drug can be, for example, taxol, vincristine, vinblastine, cytochalasin, nocodazole, japlakinolide, latrunculin A, phalloidin, swinholide A, indanocine, or myoservin. In some embodiments, a ligand attached to a conjugated modulatory nucleic acid agent as described herein acts as a pharmacokinetic modulator (PK modulator). PK modulators include lipophiles, bile acids, steroids, phospholipid analogues, peptides, protein binding agents, PEG, vitamins, etc. Exemplary PK modulators include, but are not limited to, cholesterol, fatty acids, cholic acid, lithocholic acid, dialkylglycerides, diacylglyceride, phospholipids, sphingolipids, naproxen, ibuprofen, vitamin E, biotin. Oligonucleotides that comprise a number of phosphorothioate linkages are also known to bind to serum protein, thus short oligonucleotides, e.g., oligonucleotides of about 5 bases, 10 bases, 15 bases, or 20 bases, comprising multiple of phosphorothioate linkages in the backbone are also amenable to the instant disclosure as ligands (e.g., as PK modulating ligands). In addition, aptamers that bind serum components (e.g., serum proteins) are also suitable for use as PK modulating ligands in the embodiments described herein. Ligand-conjugated nucleic acid agents of the present disclosure may be synthesized by the use of an oligonucleotide that bears a pendant reactive functionality, such as that derived from the attachment of a linking molecule onto the oligonucleotide. This reactive oligonucleotide may be reacted directly with commercially-available ligands, ligands that are synthesized bearing any of a variety of protecting groups, or ligands that have a linking moiety attached thereto. The oligonucleotides used in the conjugates of the instant disclosure may be conveniently and routinely made through the well-known technique of solid-phase synthesis. Equipment for such synthesis is sold by several vendors including, for example, Applied Biosystems® (Foster City, Calif.). Any other methods for such synthesis known in the art may additionally or alternatively be employed. It is also known to use similar techniques to prepare other oligonucleotides, such as the phosphorothioates and alkylated derivatives.
In the ligand-conjugated nucleic acid agents and ligand-molecule bearing sequence- specific linked nucleosides of the instant disclosure, the oligonucleotides and oligonucleosides may be assembled on a suitable DNA synthesizer utilizing standard nucleotide or nucleoside precursors, or nucleotide or nucleoside conjugate precursors that already bear the linking moiety, ligand-nucleotide or nucleoside-conjugate precursors that already bear the ligand molecule, or non-nucleoside ligand-bearing building blocks. When using nucleotide-conjugate precursors that already bear a linking moiety, the synthesis of the sequence-specific linked nucleosides is typically completed, and the ligand molecule is then reacted with the linking moiety to form the ligand-conjugated oligonucleotide. In some embodiments, the oligonucleotides or linked nucleosides of the instant disclosure are synthesized by an automated synthesizer using phosphoramidites derived from ligand-nucleoside conjugates in addition to the standard phosphoramidites and non-standard phosphoramidites that are commercially available and routinely used in oligonucleotide synthesis. Carbohydrate Conjugates In some embodiments of the compositions and methods of the present disclosure, a targeting moiety-conjugated nucleic acid agent (e.g., an ASO or iRNA agent) further comprises a carbohydrate. The carbohydrate-conjugated nucleic acid agent is advantageous for the in vivo delivery of nucleic acids, as well as compositions suitable for in vivo therapeutic use. As used herein, “carbohydrate” refers to a compound which is either a carbohydrate per se made up of one or more monosaccharide units having at least 6 carbon atoms (which can be linear, branched or cyclic) with an oxygen, nitrogen or sulfur atom bonded to each carbon atom; or a compound having as a part thereof a carbohydrate moiety made up of one or more monosaccharide units each having at least six carbon atoms (which can be linear, branched or cyclic), with an oxygen, nitrogen or sulfur atom bonded to each carbon atom. Representative carbohydrates include the sugars (mono- , di-, tri-, and oligosaccharides containing from about 4, 5, 6, 7, 8, or 9 monosaccharide units), and polysaccharides such as starches, glycogen, cellulose and polysaccharide gums. Specific monosaccharides include C5 and above (e.g., C5, C6, C7, or C8) sugars; di- and trisaccharides include sugars having two or three monosaccharide units (e.g., C5, C6, C7, or C8). Longer carbohydrate modifications (e.g., C16 or C20 modifications) have also been described as effective for delivery of modulatory nucleic acid agents to the central nervous system (CNS).
In certain embodiments, a carbohydrate conjugate for use in the compositions and methods of the present disclosure is a monosaccharide. In certain embodiments, the monosaccharide is an N-acetylgalactosamine (GalNAc). GalNAc conjugates, which comprise one or more N-acetylgalactosamine (GalNAc) derivatives, are described, for example, in US 8,106,022, the entire content of which is hereby incorporated herein by reference. In some embodiments, the GalNAc conjugate serves as a ligand that targets the modulatory nucleic acid agent to particular cells. In some embodiments, the GalNAc conjugate targets the modulatory nucleic acid agent to liver cells, e.g., by serving as a ligand for the asialoglycoprotein receptor of liver cells (e.g., hepatocytes). Kidney Cell-Targeting Moieties and Conjugates In certain embodiments, a targeting moiety is employed that binds specifically to a factor present on the surface of target cell(s) of interest – e.g., kidney-associated cells. In some embodiments, provided technologies achieve targeted delivery of payload moieties to a target cell, tissue, organ or organism of interest, for example with minimal off-target effects. In some embodiments, a targeting moiety as described herein binds specifically to a factor that is preferentially present on the surface of target cell(s) or tissue(s) of interest – e.g., relative to one or more non-target cell(s) or tissue(s). In some embodiments, a targeting moiety as described herein binds specifically to a factor that is specific to target cell(s) or tissue(s) of interest. In certain embodiments, targeting moieties disclosed herein are associated with (e.g., conjugated with or otherwise linked to) modulatory nucleic acid agents of the instant disclosure target Megalin and/or Cubilin (kidney cell surface factor receptors). Certain examples of such targeting moieties have been previously described (see PCT/US23/16319) as particularly useful for delivering nucleic acid agents into cells, especially into kidney-associated cells (e.g., kidney cells). Conjugate agents that include a Megalin-binding moiety conjugated (optionally by way of a linker) with a nucleic acid agent are particularly useful for delivering such nucleic acid agent into Megalin-expressing cells. Such conjugate agents are particularly useful for delivering nucleic acid agents to kidney cells. A targeting moiety for use as disclosed herein can bind to, e.g., selectively bind to, a surface factor (e.g., to a moiety or portion thereof, and/or to a particular form, such as a disease-associated form thereof) present on surfaces of target cell(s) of interest (e.g., of kidney cells) as disclosed herein.
Without wishing to be bound by theory, certain embodiments of the present disclosure provide for binding of a targeting moiety associated with a modulatory nucleic acid agent of the disclosure to a cell surface factor present on the surface of a relevant (e.g., kidney) cell, e.g., of a tissue, to achieve internalization of the cell surface factor, along with the bound targeting moiety (as part of a conjugate agent that includes a targeting moiety disclosed herein and one or more modulatory nucleic acid compounds). In some embodiments, such internalization may mean that the relevant cell surface factor is no longer (at least for a period of time) available at the surface of the cell, e.g., of a tissue, for, e.g., signaling and/or binding to a ligand. In some embodiments, a kidney cell surface factor is present on, e.g., can be detected on, a surface of a tissue associated with a kidney, e.g., a tissue that is part of or can be found in a kidney, e.g., during development, during tissue homeostasis, and/or in the course of a disease or disorder. In some embodiments, a kidney cell surface factor is present on, e.g., can be detected on, a proximal tubule epithelial cell, a podocyte and/or a kidney cyst cell (e.g., in polycystic kidney disease). In some embodiments, an internalized conjugate agent (e.g., a portion thereof, e.g., a payload moiety), is delivered to a vesicle in a cell (e.g., a lysosome, an endosome, a clathrin coated pit, or an intracellular membranous organelle, or a combination thereof). In some embodiments, an internalized conjugate agent (e.g., a portion thereof, e.g., a payload moiety), is delivered to a compartment in a cell, e.g., a cytoplasm, a mitochondria, a ribosome, a nucleus, a nucleolus, or any other compartment in a cell, or a combination thereof. In some embodiments, an internalized conjugate agent (e.g., a portion thereof, e.g., a modulatory nucleic acid agent associated with a targeting moiety), in a cell (e.g., in a vesicle or a compartment in a cell) can reduce the expression and/or activity of a target of the modulatory nucleic acid agent. In some embodiments, internalization of a conjugate agent (e.g., a portion thereof, e.g., a modulatory nucleic acid agent associated with a targeting moiety) into a cell (e.g., into a vesicle or a compartment in a cell) uncouples, e.g., separates, a targeting moiety from a modulatory nucleic acid agent. In some embodiments, a targeting moiety is uncoupled, e.g., separated, from a modulatory nucleic acid agent by a chemical reaction and/or mechanical separation. In some embodiments, a chemical reaction comprises an enzymatic reaction to cleave a linker linking a targeting moiety to a modulatory nucleic acid agent. In some embodiments, internalization of a conjugate agent (e.g., a portion thereof, e.g., a modulatory nucleic acid agent associated with a targeting moiety) into a cell (e.g., into a vesicle
or a compartment in a cell) uncouples a targeting moiety from a modulatory nucleic acid agent associated with the targeting moiety. In some embodiments, a conjugate agent disclosed herein can be filtered by a glomerular capillary, e.g., into a Bowman’s capsule. In some embodiments, a conjugate agent disclosed herein has a size, charge, conformation, and/or other properties that allows it to be filtered by a glomerular capillary. In some embodiments, a threshold for glomerular filtration is in the range of 30–50 kDa. In some embodiments, a cell surface factor (e.g., a kidney cell surface factor) is or comprises a receptor chosen from Megalin, Cubilin, or both. Megalin Megalin is a receptor of about 600kDa (about 4655 amino acids) and belongs to the low- density lipoprotein receptor family (as disclosed in Nielsen R. et al. (2016), Kidney Int.89(1):58- 67). Megalin is also known as LDL Receptor Related Protein 2 (LRP2), Glycoprotein 330 (Gp330), Calcium Sensor Protein, or Heymann Nephritis Antigen Homolog. Human Megalin protein sequence:


ij

The extracellular domain of Megalin includes clusters of cysteine-rich complement-type repeats. The repeats are separated by beta-propeller domains comprising YWTD motifs and EGF- type repeats. Megalin has one transmembrane domain which positions it in parts of the cell membrane that includes cholesterol and/or glycosphingolipids. Megalin also has an intracellular C-terminal cytoplasmic domain which can regulate receptor trafficking and/or endocytosis. The cytoplasmic domain of Megalin comprises NPXY motifs and several other domains such as proline-rich sequences and PDZ motifs. Megalin’s cytoplasmic domain has been linked to receptor internalization. A typical structure of Megalin is disclosed in Figure 1 of Marzolo and Farfan (2011), Biol Res 44: 89-105, the entire contents of which are hereby incorporated by reference. The extracellular domain of Megalin may also include one or more post-translational modifications, such as glycosylation. Megalin has been described to interact, at least in certain cases, with a co-receptor, Cubilin. Megalin has been identified on surfaces of one or more of the following tissues and/or cells: immune cells (e.g., bone marrow cells, lymph node cells, thymic cells, peripheral blood mononuclear cells [e.g., myeloid and/or lymphoid cells], erythrocytes, eosinophils, neutrophils, and/or platelets); nervous system (e.g., brain tissue, cortex, cerebellum, retinal cells (e.g., retinal pigmental epithelial cells (RPE)), spinal cord cells, nerve cells, neurons, and/or supporting cells; endothelial cells; muscle (e.g., heart muscle, smooth muscle, and/or skeletal muscle); small intestine; colon; adipocytes; kidney; liver; lung; spleen; stomach; esophagus; bladder; pancreas; thyroid; salivary gland; adrenal gland; pituitary gland; breast; skin; ovary; uterus; placenta; prostate; and testis. In kidney tissue, Megalin has been reported to be found on the surface of proximal tubular epithelial cells and podocytes. In proximal tubule epithelia cells of the kidney, Megalin expression has been observed in the brush border, in endocytic vesicles, dense apical tubules and/or lysosomes. Several ligands of Megalin have been identified, some of which are disclosed in Nielsen et al.2016. The polybasic targeting moieties disclosed herein, e.g., polymyxin
B, colistin, and related structures, have been described as high affinity megalin ligands, in particular. In some embodiments, a targeted kidney cell surface factor for delivery of a targeting moiety-associated modulatory nucleic acid compound of the instant disclosure is Megalin, or a fragment, or a variant thereof. In some embodiments, a targeting moiety is or comprises a megalin-binding moiety. In particular embodiments, a targeting moiety binds an extracellular domain (e.g., to a site on the extracellular domain, e.g., a site that is exposed when megalin is on a cell surface) of megalin. In other particular embodiments, a conjugate comprises a targeting moiety that binds an extracellular domain (e.g., to a site on an extracellular domain, e.g., a site that is exposed when megalin is on a cell surface) of megalin and, upon binding to megalin, causes the internalization of megalin. Cubilin Cubilin is a receptor of about 460kDa. Cubilin is also known as IFCR, Gp280, Intrinsic Factor-Vitamin B12 Receptor, MGA1, or IGS1. As an extracellular protein, Cubilin can interact with other membrane proteins, e.g., Megalin. One of the functions of Cubilin is as a receptor for intrinsic factor-vitamin B12 complexes. Human Cubilin protein sequence:


The extracellular domain of Cubilin includes repeats of CUB domains (complement C1r/C1s, Uegf [epidermal growth factor–related sea urchin protein], and bone morphogenic protein 1) and EGF-type repeats. A typical structure of Cubilin is disclosed in Figure 1 of Marzolo and Farfan (2011), Biol Res 44: 89-105, the entire contents of which are hereby incorporated by
reference. The extracellular domain of Cubilin may also include one or more post-translational modifications, such as glycosylation. Cubilin has been reported to be found on surfaces of one or more of the following tissues and/or cells: immune cells (e.g., bone marrow cells, lymph node cells, thymic cells, peripheral blood mononuclear cells [e.g., myeloid and/or lymphoid cells], erythrocytes, eosinophils, neutrophils, and/or platelets); nervous system (e.g., brain tissue, cortex, cerebellum, retinal cells, spinal cord cells, nerve cells, neurons, and/or supporting cells; endothelial cells; muscle (e.g., heart muscle, smooth muscle, and/or skeletal muscle); small intestine; colon; adipocytes; kidney; liver; lung; splenic; stomach; esophagus; bladder; pancreas; thyroid; salivary gland; adrenal gland; pituitary gland; breast; skin; ovary; uterus; placenta; prostate; and testis. In kidney tissue, Cubilin has been reported to be found on the surface of proximal tubular epithelial cells and podocytes. Several ligands of Cubilin have been identified, some of which are disclosed in Nielsen et al.2016. Additional exemplary Cubilin binding moieties or ligands are disclosed in U.S. Patent 10,065,993, International Patent Application WO 2017/100700, International Patent Application WO 2018/232122, and International Patent Application WO 2015/027205, the entire contents of each of which are hereby incorporated by reference. In some embodiments, a kidney cell surface factor is Cubilin, or a fragment, or a variant thereof. In some embodiments, a targeting moiety is or comprises a Cubilin-binding moiety. In some embodiments, a targeting moiety (e.g., a megalin binding moiety) is or comprises a xenobiotic, such as those disclosed elsewhere herein. In some embodiments, a xenobiotic is chosen from: Polymyxins, aprotinin, trichosanthin, or a combination thereof. Other Nucleic Acid Modifications In certain aspects, the kidney cell-targeting moieties disclosed herein are used for delivery of a nucleic acid payload. It is expressly contemplated that such kidney cell-targeting moieties can be used in combination with one or more of a variety of other nucleic acid modifications known in the art. Specific nucleic acid modifications explicitly contemplated for use in combination with the kidney cell-targeting moieties of the instant disclosure include, without limitation, "extended nucleic acid" ("exNA") modifications, and a range of phosphoryl guanidine-containing backbone linkages ("PN chemistry"), among others.
"Extended nucleic acid" ("exNA") modifications typically refer to a form of modification that inserts a methyl group between the 3'-phosphate group of a first nucleoside and the 5'-carbon of a ribose of the next nucleoside (progressing from 5' to 3') in an oligonucleotide chain. Such canonical "exNA" modifications therefore have the following generic structure:

. In certain embodiments, "exNA" modifications that are optionally abasic and/or that possess longer extensions than methyl, and/or that are optionally substituted at one or more of the base, 2'-substituent and/or extended carbon chain, are also expressly contemplated. In some embodiments of the instant disclosure, the term "exNA" can therefore refer to any moiety having the structure:
, where: R
1 is a nucleobase or is an abasic structure (e.g., H, CH
3, or other modified structures, which are optionally substituted); R
2 is a 2' substituent, including, e.g., without limitation, 2'-O-alkyl (e.g., 2'-O-methyl, etc.), 2'-F, etc.; and C1-10 refers to a 1-10 carbon chain that is optionally saturated or unsaturated and that harbors an optionally substituted alkyl (e.g., optionally substituted methyl, ethyl, propyl, butyl, pentyl, hexyl, heptyl, octyl, nonyl, or decyl), alkenyl (e.g., optionally substituted methylene, ethylene, propylene, butylene, pentylene, hexylene, heptylene, octylene, nonylene, or decylene), or alkynyl (e.g., ethynyl, optionally substituted propynyl, butynyl, pentynyl, hexynyl, heptynyl, octynyl, nonynyl, or decynyl) chain. In related embodiments, branching of the C1-10 region shown above is also contemplated for "exNA" modifications. For example, in some embodiments, an "exNA" modification of the
instant disclosure can also be represented by the formula
, where R
1 is a nucleobase or is an abasic structure (e.g., H, CH3, or other modified structures, which are optionally substituted); R
2 is a 2' substituent, including, e.g., without limitation, 2'-O-alkyl (e.g., 2'-O-methyl, etc.), 2'-F, etc.; and the side substitution on the 5’- of the ribose can be 2-11 atoms, with various amounts of substituents at X and Y (from X=Y=H to long n- or branched alkyl structures). In certain embodiments, "exNA" and/or other internucleoside modifications can be positioned at or near the 3'-end of an oligonucleotide therapeutic (e.g., at or near the 3'-end of the guide strand of a siRNA, at or near the 3'-end of an antisense agent, etc.), where, without wishing to be bound by theory, the exNA modification(s) can confer an exNA-modified nucleic acid payload with resistance against 3'-exonuclease-mediated digestion (Yamada, K. et al., Nature Biotechnology 2024). In some embodiments, exNA-phosphorothioate internucleoside linkages can be positioned at the ultimate and optionally also at the penultimate internucleoside linkage(s) of the 3'-terminus of a nucleic acid payload (e.g., exNA-PS modification(s) positioned at the 3'- terminal region of the guide strand of a siRNA and/or ex-NA-PS modification(s) positioned at the 3'-terminal region of an antisense oligonucleotide). As disclosed in WO 2021/195533, exNA modifications can be used in combination with a range of other commonly used oligonucleotide modifications, including, without limitation, the following:

In such embodiments, it is also expressly contemplated that such exNA modifications can be used in concert with effectively any art-recognized base at the above-noted "Base" or R
1 position, including, without limitation, the following representative natural and artificially modified bases known in the art:
. Phosphoryl guanidine-containing backbone ("PN backbone") linkages are also expressly contemplated for use in combination with the kidney cell-targeting moieties of the instant disclosure. Such PN backbone modifications were initially identified in WO 2023/201095 as m
embers of the following genus:
. Exemplified versions of PN backbone modifications include, without limitation, the following:
O or S. In particular embodiments, the PN backbone modifications are selected from among:
"n001" modification of WO 2023/201095). Exemplary PN backbone linkages are also disclosed, e.g., in U.S. Patent No.11,208,430. In addition to expressly contemplating herein use of the above-noted phosphoryl guanidine structures for modification of internucleoside linkages of the nucleic acid agents of the instant disclosure, a range of other guanidine-based moieties is also expressly contemplated herein for attachment to linkage phosphorous groups. Such other guanidine-based moieties include, without limitation, the following:
R
LS is independently -Cl, -Br, -F, N(Me)
2, or NHCOCO
3. Other backbone modifications known in the art are also contemplated for use with the targeting moieties and payloads of the instant disclosure. In particular, inclusion of one or more
mesyl phosphoramidate modification(s) and/or busyl phosphoramidate (and/or other structurally related modification(s)) is expressly contemplated for the nucleic acid agents of the instant disclosure. Mesyl phosphoramidate and busyl phosphoramidate modifications have the following structure, as compared to phosphorothioate modifications (see Sergeeva et al. (2024) Front Chem., 12 – 2024 doi.org/10.3389/fchem.2024.1342178):
. In certain embodiments, oligomeric compounds (including, e.g., antisense oligonucleotides, siRNAs, etc., or portions thereof) comprise or consist of oligonucleotides consisting of linked nucleosides and having at least one internucleoside linking group of the following formula:

, where X is selected from O or S, and R is selected from aryl, a substituted aryl, a heterocycle, a substituted heterocycle, an aromatic heterocycle, a substituted aromatic heterocycle, a diazole, a substituted diazole, a C1-C6 alkoxy, C1-C20 alkyl, C1-C6 alkenyl, C1- C6 alkynyl, substituted C1-C20 alkyl, substituted C1-C6 alkenyl substituted C1-C6 alkynyl, and a conjugate group. In certain embodiments, X is O and R is methyl, and the internucleoside linking group of the above formula is an internucleoside linking group of the formula immediately below. In certain embodiments, oligomeric compounds (including, e.g., antisense oligonucleotides, siRNAs, etc., or portions thereof) comprise or consist of oligonucleotides consisting of linked nucleosides and having at least one internucleoside linking group of the following formula:

(a mesyl phosphoramidate internucleoside linkage; see, e.g., WO 2023/278589). In certain embodiments, oligomeric compounds (including, e.g., antisense oligonucleotides, siRNAs, etc., or portions thereof) comprise or consist of oligonucleotides consisting of linked nucleosides and having at least one internucleoside linking group of the following formula:
. In certain embodiments, oligomeric compounds (including, e.g., antisense oligonucleotides, siRNAs, etc., or portions thereof) comprise or consist of oligonucleotides consisting of linked nucleosides and having at least one internucleoside linking group of the following formula:

. Modifications to the phosphate backbone may be positioned within an oligonucleotide agent of the instant disclosure in any position(s) known in the art and/or disclosed herein. Modified oligonucleotides of the instant disclosure comprise at least one modification relative to an unmodified oligonucleotide (i.e., comprise at least one modified nucleoside (comprising a modified sugar moiety, a stereo-non-standard nucleoside, and/or a modified nucleobase) and/or at least one modified internucleoside linkage). In certain embodiments, the modified internucleoside linkage is a modified internucleoside linking group having any of the above formulas. In certain embodiments, compounds described herein are oligomeric compounds
(including oligomeric compounds that are antisense agents, siRNAs, etc., or portions thereof) having at least one modified internucleoside linking group having any of the above formulas. Assaying Modulation of Expression Modulation of target RNA and/or target polypeptide expression can be assayed in a variety of ways known in the art. For example, target mRNA levels can be quantitated by, e.g., Northern blot analysis, competitive polymerase chain reaction (PCR), or real-time PCR. RNA analysis can be performed on total cellular RNA or poly(A)
+ mRNA by methods known in the art. Methods of RNA isolation are taught in, for example, Ausubel, F. M. et al., Current Protocols in Molecular Biology, Volume 1, pp.4.1.1-4.2.9 and 4.5.1-4.5.3, John Wiley & Sons, Inc., 1993. Northern blot analysis is routine in the art and is taught in, for example, Ausubel, F. M. et al., Current Protocols in Molecular Biology, Volume 1, pp.4.2.1-4.2.9, John Wiley & Sons, Inc., 1996. Real-time quantitative (PCR) can be conveniently accomplished using the commercially available ABI PRISM™ 7700 Sequence Detection System, available from PE-Applied Biosystems, Foster City, Calif. and used according to manufacturer's instructions. The method of analysis of modulation of RNA levels is not a limitation of the instant disclosure. Levels of a target protein encoded by a target mRNA or DNA can be quantitated in a variety of ways well known in the art, such as immunoprecipitation, Western blot analysis (immunoblotting), ELISA or fluorescence-activated cell sorting (FACS). Antibodies directed to a target protein encoded by a target mRNA can be identified and obtained from a variety of sources, such as the MSRS catalog of antibodies (Aerie Corporation, Birmingham, Mich.), or can be prepared via conventional antibody generation methods. Methods for preparation of polyclonal antisera are taught in, for example, Ausubel, F. M. et al., Current Protocols in Molecular Biology, Volume 2, pp. 11.12.1-11.12.9, John Wiley & Sons, Inc., 1997. Preparation of monoclonal antibodies is taught in, for example, Ausubel, F. M. et al., Current Protocols in Molecular Biology, Volume 2, pp.11.4.1-11.11.5, John Wiley & Sons, Inc., 1997. Immunoprecipitation methods are standard in the art and can be found at, for example, Ausubel, F. M. et al., Current Protocols in Molecular Biology, Volume 2, pp.10.16.1-10.16.11, John Wiley & Sons, Inc., 1998. Western blot (immunoblot) analysis is standard in the art and can be found at, for example, Ausubel, F. M. et al., Current Protocols in Molecular Biology, Volume 2, pp.10.8.1-10.8.21, John Wiley & Sons, Inc., 1997.
Active Target Segments The locations on the target nucleic acid defined by having one or more active modulatory RNA compounds targeted thereto are referred to as “active target segments.” There may be substantial variation in activity (e.g., as defined by percent inhibition) of the modulatory RNA compounds within an active target segment. Active modulatory RNA compounds are those that are determined to modulate the expression of their target RNA. In some embodiments, active modulatory RNA compounds are inhibitory, optionally inhibiting expression of their target RNA at least about 50%, optionally at least about 70% and optionally at least about 80%, or more. In some embodiments, the level of inhibition required to define an active inhibitory RNA compound is defined based on the results from a screen used to define the active target segments. Those skilled in the art understand that the percent inhibition by an inhibitory RNA compound on a target mRNA will vary between assays due to factors relating to assay conditions. Hybridization As used herein, “hybridization” means the pairing of complementary strands of antisense compounds to their target sequence and/or the pairing of complementary strands of double- stranded nucleic acid molecules with one another. While not limited to a particular mechanism, the most common mechanism of pairing involves hydrogen bonding, which may be Watson-Crick, Hoogsteen or reversed Hoogsteen hydrogen bonding, between complementary nucleoside or nucleotide bases (nucleobases). For example, the natural base adenine is complementary to the natural nucleobases thymidine and uracil which pair through the formation of hydrogen bonds. The natural base guanine is complementary to the natural base 5-methyl cytosine and the artificial base known as a G-clamp. Hybridization can occur under varying circumstances. A modulatory RNA compound is specifically hybridizable when there is a sufficient degree of complementarity to avoid non-specific binding of the modulatory RNA compound to non-target nucleic acid sequences under conditions in which specific binding is desired, i.e., under physiological conditions in the case of in vivo assays or therapeutic treatment, and under conditions in which assays are performed in the case of in vitro assays. As used herein, “stringent hybridization conditions” or “stringent conditions” refers to conditions under which a modulatory RNA compound will hybridize to its target sequence, but to a minimal number of other sequences. Stringent conditions are sequence-dependent and will be different in different circumstances, and “stringent conditions” under which modulatory RNA
compounds hybridize to a target sequence are determined by the nature and composition of the modulatory RNA compounds and the assays in which they are being investigated. Complementarity “Complementarity,” as used herein, refers to the capacity for precise pairing between two nucleobases on either two oligomeric compound strands or an antisense compound with its target nucleic acid. For example, if a nucleobase at a certain position of an antisense compound is capable of hydrogen bonding with a nucleobase at a certain position of a target nucleic acid, then the position of hydrogen bonding between the oligonucleotide and the target nucleic acid is considered to be a complementary position. The antisense compound and the further DNA or RNA are complementary to each other when a sufficient number of complementary positions in each molecule are occupied by nucleobases which can hydrogen bond with each other. Thus, “specifically hybridizable” and “complementary” are terms which are used to indicate a sufficient degree of precise pairing or complementarity over a sufficient number of nucleobases such that stable and specific binding occurs between the antisense compound and a target nucleic acid, or between respective sense and antisense strands (or subsequences thereof) of a double-stranded nucleic acid molecule. Identity Double-stranded RNA compounds, antisense compounds, or portions thereof, may have a defined percent identity to a target sequence and/or complement thereof. As used herein, a sequence is identical to the sequence disclosed herein if it has the same nucleobase pairing ability. For example, a RNA which contains uracil in place of thymidine in the disclosed sequences would be considered identical as they both pair with adenine. This identity may be over the entire length of the oligomeric compound, or in a portion of a given strand, e.g., in a portion of an antisense compound (e.g., nucleobases 1-20 of a 27-mer may be compared to a 20-mer to determine percent identity of the 27-mer across residues 1-20 to the comparator 20-mer (or to a defined 20 nucleotide sequence within a target nucleic acid molecule. It is understood by those skilled in the art that a modulatory RNA compound (e.g., an siRNA compound or an antisense compound) need not have an identical sequence to those described herein to function similarly to the modulatory RNA compound described herein. Shortened or extended versions – on one or both strands where an siRNA compound – of modulatory RNA compounds taught herein, or non-identical versions of the modulatory RNA compounds taught herein fall within the scope of this disclosure. Non-
identical versions are those wherein each base does not have the same pairing activity as the modulatory RNA compounds disclosed herein. Bases do not have the same pairing activity by being shorter or having at least one abasic site. Alternatively, a non-identical version can include at least one base replaced with a different base with different pairing activity (e.g., G can be replaced by C, A, or T). Percent identity is calculated according to the number of bases that have identical base pairing corresponding to the reference sequence (be it a target sequence, a complementary strand of a dsRNA, an antisense oligonucleotide and/or antisense strand sequence, etc.) to which it is being compared. The non-identical bases may be adjacent to each other, dispersed throughout the oligonucleotide, or both. For example, a 16-mer having the same sequence as nucleobases 2-17 of a 20-mer is 80% identical to the 20-mer across the entire length of the 20-mer. Alternatively, a 20-mer containing four nucleobases not identical to the 20-mer is also 80% identical to the 20-mer. A 14-mer having the same sequence as nucleobases 1-14 of an 18-mer is 78% identical to the 18-mer. Such calculations are well within the ability of those skilled in the art. The percent identity is based on the percent of nucleobases in the original sequence present in a portion of the modified sequence. Therefore, a 30 nucleobase antisense compound comprising the full sequence of the complement of a 20 nucleobase active target segment would have a portion of 100% identity with the complement of the 20 nucleobase active target segment, while further comprising an additional 10 nucleobase portion. The complement of an active target segment may constitute a single portion. In certain embodiments, the oligonucleotides are at least about 80%, optionally at least about 85%, even more preferably at least about 90%, most preferably at least 95% identical to at least a portion of the complement of the active target segments presented herein. It is well known by those skilled in the art that it is possible to increase or decrease the length of a modulatory RNA compound and/or introduce mismatch bases (with either target sequence, complementary strand(s) of a double-stranded RNA, or both) without eliminating activity. For example, in Woolf et al. (Proc. Natl. Acad. Sci. USA 89:7305-7309, 1992, incorporated herein by reference), a series of ASOs 13-25 nucleobases in length were tested for their ability to induce cleavage of a target RNA. ASOs 25 nucleobases in length with 8 or 11 mismatch bases near the ends of the ASOs were able to direct specific cleavage of the target mRNA, albeit to a lesser extent than the ASOs that contained no mismatches. Modulatory RNA compounds having a contiguous nucleobase composition that is shorter or longer (independently
on either or both strands for double-stranded nucleic acid compounds) or that comprises mismatches are contemplated in the instant disclosure so long as the modulatory RNA activity towards target sequence is maintained. Therapeutics Conjugated modulatory nucleic acid compounds of the instant disclosure can be used to modulate the expression of target RNA and/or target polypeptide in an animal, such as a human. In one non-limiting embodiment, the methods comprise the step of administering to said animal in need of therapy for a disease or condition associated with target RNA and/or target polypeptide an effective amount of a modulatory RNA compound that inhibits expression of a target RNA and/or a target polypeptide. A disease or condition associated with a target RNA and/or a target polypeptide includes, but is not limited to, e.g., a glomerular disorder, a renal tubular disorder, other renal disorders, an inborn error of metabolism, a systemic metabolic disorder, a disorder of the thyroid, a disorder of the parathyroid, a disorder of the inner ear, a neurological disorder, or a viral infection, or combinations thereof. In one embodiment, the conjugated modulatory RNA compounds effectively inhibit the levels or function of a target mRNA. Because reduction in target mRNA levels can lead to alteration in levels of encoded protein products of mRNA expression as well, such resultant alterations can also be measured. Modulatory RNA compounds that effectively inhibit the level or function of a target RNA or target protein products of expression are considered active inhibitory RNA compounds. In one embodiment, the modulatory RNA compounds of the instant disclosure inhibit the expression of a target RNA causing a reduction of RNA by at least 10%, by at least 20%, by at least 25%, by at least 30%, by at least 40%, by at least 50%, by at least 60%, by at least 70%, by at least 75%, by at least 80%, by at least 85%, by at least 90%, by at least 95%, by at least 98%, by at least 99%, or by 100%. For example, the reduction of the expression of target RNA and/or target polypeptide can be measured in a bodily fluid, tissue or organ of the animal. Methods of obtaining samples for analysis, such as body fluids (e.g., blood, plasma, urine, saliva, etc.), tissues (e.g., biopsy), or organs, and methods of preparation of the samples to allow for analysis are well known to those skilled in the art. Methods for analysis of RNA and protein levels are discussed above and are well known to those skilled in the art. The effects of treatment can be assessed by measuring biomarkers associated with the target RNA and/or target polypeptide expression in the aforementioned fluids,
tissues or organs, collected from an animal contacted with one or more compounds, by routine clinical methods known in the art. The modulatory nucleic acid agents of the instant disclosure can be utilized in pharmaceutical compositions by adding an effective amount of a compound to a suitable pharmaceutically acceptable diluent or carrier. Acceptable carriers and diluents are well known to those skilled in the art. Selection of a diluent or carrier is based on a number of factors, including, but not limited to, the solubility of the compound and the desired route of administration. Such considerations are well understood by those skilled in the art. In one aspect, the compounds inhibit the expression of target RNA and/or target polypeptide. The modulatory nucleic acid agents can also be used in the manufacture of a medicament for the treatment of diseases and conditions related to target RNA and/or target polypeptide expression. Methods whereby bodily fluids, organs or tissues are contacted with an effective amount of one or more of the modulatory RNA compounds or compositions are also contemplated. Bodily fluids, organs or tissues can be contacted with one or more of the compounds disclosed herein resulting in modulation of target RNA and/or target polypeptide expression in the cells of bodily fluids, organs or tissues. Thus, provided herein is the use of an isolated single- or double-stranded modulatory nucleic acid agent targeted to target RNA and/or target polypeptide in the manufacture of a medicament for the treatment of a disease or disorder by means of the method described above. In certain embodiments, the modulatory nucleic acid agent is a single-stranded antisense compound. In other embodiments, the modulatory nucleic acid agent is a double-stranded inhibitory RNA compound. In some embodiments, a modulatory nucleic acid agent of the disclosure, e.g., an oligonucleotide, is characterized in that when a modulatory nucleic acid agent of the disclosure, a composition comprising a modulatory nucleic acid agent of the disclosure, or a conjugate agent comprising a modulatory nucleic acid agent of the disclosure is delivered to a cell, tissue, or organism expressing a target, reduced expression and/or activity of a target is observed as compared to a cell, tissue or organism which has not been delivered a modulatory nucleic acid agent, a composition comprising a modulatory nucleic acid agent, or a conjugate agent comprising a modulatory nucleic acid agent of the disclosure.
In some embodiments, a modulatory nucleic acid agent of the disclosure, e.g., an oligonucleotide, is characterized in that when a modulatory nucleic acid agent of the disclosure, a composition comprising a modulatory nucleic acid agent of the disclosure, or a conjugate agent comprising a modulatory nucleic acid agent of the disclosure is delivered to a cell, tissue, or organism expressing a target, reduced expression and/or activity of a target is observed as compared to a cell, tissue or organism which does not express a target (e.g., which has no detectable expression of a target). In some embodiments, a modulatory nucleic acid agent of the disclosure, e.g., an oligonucleotide, is characterized in that when a modulatory nucleic acid agent of the disclosure, a composition comprising a modulatory nucleic acid agent of the disclosure, or a conjugate agent comprising a modulatory nucleic acid agent of the disclosure is delivered to a cell, tissue, or organism expressing a target, altered expression and/or activity of a target is observed relative to that observed with an appropriate reference agent known to have a specified impact on the target. In some embodiments, expression and/or activity of a target is altered in a manner and/or to an extent reasonably comparable to, or otherwise determined relative to, that observed with an appropriate reference agent known to have a specified impact on the target. In some embodiments, a reference agent may be a positive control reference agent. In some embodiments, a reference may be a negative control reference agent. In some embodiments, a modulatory nucleic acid agent of the disclosure, e.g., an oligonucleotide, dsRNA, etc., is characterized in that when delivered to a cell, tissue, or organism expressing a target, expression and/or activity of a target is modulated, e.g., reduced, as compared to a cell, tissue, or organism, which has not been delivered a modulatory nucleic acid agent of the disclosure. In some embodiments, a targeting moiety, e.g., a polymyxin or other compound as disclosed herein, can be conjugated to a modulatory nucleic acid agent of the disclosure, e.g., an oligonucleotide, dsRNA, etc. This disclosure also provides a pharmaceutical composition that comprises or delivers a conjugate agent disclosed herein. In some embodiments, a pharmaceutical composition is formulated for intravenous, subcutaneous, intramuscular, parenteral, or oral delivery. In some embodiments, a pharmaceutical composition comprises one or more pharmaceutically or physiologically acceptable carriers, diluents, or excipients. In some embodiments, a
pharmaceutical composition comprises less than 5% of an impurity. In some embodiments, an impurity comprises one or more of: an endotoxin, a cellular component, or an aggregate. In some embodiments, provided herein is a cell comprising a conjugate agent disclosed herein. In some embodiments, a cell is in a tissue, an organ, or an organism. This disclosure provides a payload moiety comprising a nucleic acid agent recognizing a target, linked to a cleaved first portion of a linker. In some embodiments, a payload moiety is in a cell in which a cell surface factor is present. In some embodiments, a cell further comprises a targeting moiety linked to a cleaved second portion of the linker. Provided herein, is a method of delivering a conjugate agent to a subject, the method comprising a step of: administering to a subject, a conjugate agent comprising a targeting moiety directly or indirectly linked with a payload moiety, or a pharmaceutical composition comprising the same. Also disclosed herein is a method of treating a disease or disorder, the method comprising a step of: administering to a subject, a conjugate agent comprising a targeting moiety directly or indirectly linked with a payload moiety, or a pharmaceutical composition comprising the same. Further disclosed herein is a method of treating a disease with a nucleic acid agent, the improvement comprising a step of: administering a nucleic acid agent as a conjugate with a targeting moiety, e.g., as disclosed herein. In some embodiments, the disclosure provides improving delivery of an agent to a cell, the method comprising contacting a system or subject comprising at least one cell with a conjugate agent disclosed herein or a pharmaceutical composition comprising the same. In some embodiments of any of the methods disclosed herein, a conjugate agent is delivered to a cell expressing a cell surface factor. In some embodiments, a cell surface factor is a kidney cell surface factor. In some embodiments, a kidney cell surface factor is chosen from megalin and/or cubilin. In some embodiments of any of the methods disclosed herein, a conjugate agent is delivered to a tissue, organ, or fluid compartment. In some embodiments of any of the methods, conjugate agents, compositions, or cells disclosed herein, a conjugate agent is internalized upon binding to a cell surface factor. In some embodiments, internalization of a conjugate agent delivers a payload moiety into an internal compartment of, or a vesicle in a cell.
In some embodiments of any of the methods, conjugate agents, compositions, or cells disclosed herein, a payload reduces expression and/or activity of a target provided in any one of Tables 1-4, or a combination thereof. In some embodiments of any of the methods disclosed herein, contacting comprises administering a conjugate agent to: a cell; a tissue comprising a cell; or an organism comprising a cell. In some embodiments of any of the methods disclosed herein, administering a conjugate agent to a cell, tissue or organism, delivers a payload moiety to at least 5% more, at least 10% more, 15% more, at least 20% more, at least 25 % more, at least 30 % more, at least 35% more, at least 40% more, at least 45% more, at least 50% more, at least 55% more, at least 60% more, at least 65% more, at least 70% more, at least 75% more, at least 80% more, at least 85% more, at least 90% more, at least 95% more, or at least 99% more target cells compared to an otherwise similar cell, tissue or organism delivered an unconjugated payload moiety. In some embodiments of any of the methods disclosed herein, administering a conjugate agent to a cell, tissue or organism, delivers a payload moiety to at least 5% more, at least 10% more, 15% more, at least 20% more, at least 25 % more, at least 30 % more, at least 35% more, at least 40% more, at least 45% more, at least 50% more, at least 55% more, at least 60% more, at least 65% more, at least 70% more, at least 75% more, at least 80% more, at least 85% more, at least 90% more, at least 95% more, or at least 99% more target cells compared to non-target cells. In some embodiments of any of the methods, conjugate agents, compositions or cells disclosed herein, a target cell is or comprises a kidney cell. In some embodiments of any of the methods, conjugate agents, compositions or cells disclosed herein, a target cell is or comprises a cell that has expression of (e.g., detectable expression of) a cell surface factor. In some embodiments, a cell surface factor is or comprises a kidney cell surface factor. In some embodiments, a kidney cell surface factor is Megalin, or a variant or a fragment thereof. In some embodiments, a kidney cell surface factor is Cubilin, or a variant or a fragment thereof. In some embodiments of any of the methods, conjugate agents, compositions or cells disclosed herein, a target cell is or comprises expresses of one or more targets chosen from: a target provided in any one of Tables 1-4.
In some embodiments of any of the methods, conjugate agents, compositions or cells disclosed herein, a non-target cell is or comprises a cell that has no expression of (e.g., no detectable expression of) a cell surface factor. In some embodiments, a non-target cell is or comprises a cell that does not express (e.g., has no detectable expression of) a kidney cell surface factor (e.g., Megalin and/or Cubilin). In some embodiments of any of the methods disclosed herein, administering a conjugate agent to a cell, tissue or organism, reduces expression and/or activity of a target of the a moiety by at least 5%, at least 10%, at least 15%, at least 20%, at least 25%, at least 30%, at least 35%, at least 40%, at least 45%, at least 50%, at least 55%, at least 60%, at least 65%, at least 70%, at least 75%, at least 80%, at least 85%, at least 90%, or at least 95%, compared to an otherwise similar cell, tissue or organism delivered an unconjugated payload moiety. In some embodiments of any of the methods disclosed herein, a conjugate agent is delivered to a cell expressing a cell surface factor, e.g., as described herein. In some embodiments, a cell surface factor is chosen from: Megalin and/or Cubilin. In some embodiments, a cell is chosen from: immune cells; nervous system cells; muscle cells; small intestine cells; colon cells; adipocytes; kidney cells; liver cells; lung cells; splenic cells; stomach cells; esophagus cells; bladder cells; pancreas cells; thyroid cells; salivary gland cells; adrenal gland cells; pituitary gland cells; breast cells; skin cells; ovary cells; uterus cells; placenta cells; prostate cells; or testis cells, or a combination thereof. In some embodiments, a cell is chosen from: renal cells, thyroid cells, parathyroid cells, cells of the inner ear, or nervous system cells, or a combination thereof. In some embodiments, a cell is chosen from: proximal tubular epithelial cell and/or a podocyte. In some embodiments of any of the methods disclosed herein, a disease is a disease associated with expression of a cell surface receptor. In some embodiments, disease is a disease comprising a cell in which both a cell surface receptor and a target recognized by the payload moiety are present. In some embodiments of any of the methods disclosed herein, a disease or disorder is chosen from: a glomerular disorder, a renal tubular disorder, other renal disorders, an inborn error of metabolism, a systemic metabolic disorder, a disorder of the thyroid, a disorder of the
parathyroid, a disorder of the inner ear, a neurological disorder, a viral infection, or a combination thereof. In some embodiments of any of the methods disclosed herein, a conjugate agent is delivered intravenously, subcutaneously, intramuscularly, parenterally or orally. In some embodiments of any of the methods disclosed herein, a conjugate agent is delivered in one or more doses. In some embodiments of any of the methods disclosed herein, a conjugate agent is delivered in combination with one or more additional conjugate agents. In some embodiments, one or more additional conjugate agents comprises a different payload moiety, a different linker, a different targeting moiety, or a combination thereof. In some embodiments of any of the methods disclosed herein, a conjugate agent is delivered in combination with one or more additional therapeutic modalities. Nucleic Acid Payload target Disclosed herein, among other things, are conjugate agents comprising a payload moiety which can act on one or more targets, e.g., as disclosed herein. In some embodiments, a target is present in a cell or tissue chosen from: immune cells (e.g., bone marrow cells, lymph node cells, thymic cells, peripheral blood mononuclear cells [e.g., myeloid and/or lymphoid cells], erythrocytes, eosinophils, neutrophils, and/or platelets); nervous system (e.g., brain tissue, cortex, cerebellum, retinal cells, spinal cord cells, nerve cells, neurons, and/or supporting cells; endothelial cells; muscle (e.g., heart muscle, smooth muscle, and/or skeletal muscle); small intestine; colon; adipocytes; kidney; liver; lung; spleen; stomach; esophagus; bladder; pancreas; thyroid; salivary gland; adrenal gland; pituitary gland; breast; skin; ovary; uterus; placenta; prostate; or testis, or a combination thereof. In some embodiments, a target is present in a tissue or cells chosen from: renal tissue, thyroid tissue, parathyroid tissue, cells of the inner ear, and nervous system tissue. In some embodiments, a target is present (e.g., at relatively high level(s)) on kidney cells such as proximal tubular epithelial cells and/or podocytes. In some embodiments, a target is present in a cell associated with a kidney, e.g., a cell that is or can be found in a kidney, e.g., during development, during tissue homeostasis, or in the course of a disease or disorder. In some embodiments, a target is present in a tissue associated with a
kidney, e.g., a tissue that is a part of a kidney, e.g., during development, during tissue homeostasis, or in the course of a disease or disorder. In some embodiments, a cell, e.g., of a tissue, expressing a target also expresses a targeting moiety, e.g., as described herein. In some embodiments, a cell, e.g., of a tissue, expressing a target also expresses a kidney- specific targeting moiety, e.g., as disclosed herein. In some embodiments, expression and/or activity of a target can be deregulated in a disease or disorder. In some embodiments, delivery of a conjugate agent to a cell, e.g., of a tissue, expressing a target reduces the expression and/or activity of a target. In some embodiments, delivery of a conjugate agent to an organism with aberrant expression and/or activity of a target in a cell, e.g., of a tissue, treats a disease or disorder and/or ameliorates a symptom of a disease or disorder in an organism. In some embodiments, a target is chosen from a target provided in any one of Tables 1-4, or a combination thereof. In some embodiments, a target is or comprises a gene product (e.g., a transcript) expressed in a particular cell (e.g., cell type) and/or tissue as described herein. In some embodiments, a target is or comprises a non-coding RNA (or other regulatory RNA species) expressed in a particular cell (e.g., cell type) and/or tissue as described herein. In some embodiments, a target is or comprises a long non-coding RNA (lncRNA), a microRNA, a Piwi-interacting RNAs (piRNA), a small nucleolar RNA (snoRNA), or a combination thereof. In some embodiments, a target is expressed in a cell and/or tissue with an internalizing receptor on its surface. In some embodiments, a target is expressed in a cell and/or tissue with megalin on its surface. In some embodiments, a target is expressed in a cell and/or tissue with cubilin on its surface. In some embodiments, a target is expressed in kidney cell(s). In some embodiments, a target is expressed in one or more of: immune cells (e.g., bone marrow cells, lymph node cells, thymic cells, peripheral blood mononuclear cells [e.g., myeloid and/or lymphoid cells], erythrocytes, eosinophils, neutrophils, and/or platelets); nervous system cells (e.g., brain tissue, cortex, cerebellum, retinal cells (e.g., retinal pigmental epithelial cells (RPE)), spinal cord cells, nerve cells, neurons, and/or supporting cells); endothelial cells; muscle (e.g., heart muscle, smooth muscle, and/or skeletal muscle); small instetine cells; colon cells; adipocytes; kidney cells; liver cells; lung cells; splenic cells; stomach cells; esophagus cells; bladder cells; pancreas cells;
thyroid cells; salivary gland cells; adrenal gland cells; pituitary gland cells; breast cells; skin cells; ovary cells; uterus cells; placenta cells; prostate cells; or testis cells, or combinations thereof. In some embodiments, a target is expressed in renal proximal tubular epithelial cells (RPTECs), podocytes, and/or combinations thereof. In some embodiments, a target is or comprises a gene expressed in a renal proximal tubular epithelial cell (RPTEC). In some embodiments, a target is chosen from a RPTEC gene provided in Table 1, or a combination thereof. In some embodiments, a target has one or more characteristics and/or functions provided in Table 2, or a combination thereof. In some embodiments, a target has one or more characteristics and/or functions chosen from: A-kinase anchoring proteins; Acyl-CoA dehydrogenase family; Acyl-CoA thioesterases; Aldo-keto reductases; Ankyrin repeat domain containing protein; Apolipoproteins; Basic helix-loop-helix proteins; Basic leucine zipper proteins; Beta-gamma crystallins; Blood group antigens; BPI fold containing proteins; C-type lectin domain containing proteins; C1q and TNF related; C2 domain containing protein; Cadherins; CAP superfamily; CD molecules; Chemokine ligands; Claudins; Collagens; Complement system; CTAGE family; Cytochrome P450s; Dbl family Rho GEFs; EF- hand domain containing; Erythrocyte membrane protein band 4.1; F-BAR domain containing; Fatty acid binding protein family; Fatty acid desaturases; Fibronectin type III domain containing; G protein-coupled receptors; Galectins; Gelsolin/villins; Glycoside hydrolase family 31; GOLD domain containing; GRAM domain containing; Haloacid dehalogenase like hydrolase domain containing; Heat shock proteins; Histones; Homeoboxes; I-BAR domain containing; Immunoglobulin superfamily domain containing; Interleukin receptors; Intermediate filaments; Ion channels; Kinesins; Late cornified envelope proteins; Ligand gated ion channels; Low density lipoprotein receptors; M14 carboxypeptidases; Maestro heat like repeat containing; Membrane spanning 4-domains; MetallothioneinsMethyltransferase families; Mitochondrial respiratory chain complex assembly factors; Mitochondrial respiratory chain complexes; Mucins; Myosin heavy chains; N-BAR domain containing; N-terminal EF-hand calcium binding proteins; Na+/K+ transporting ATPase interacting; NLR family; Non-coding RNAs; Regulatory RNAs; Oxysterol binding proteins; Paraneoplastic Ma antigens; PDZ domain containing proteins; Phospholipases; Pleckstrin homology domain containing; Protein phosphatase 1 regulatory subunits; PWWP domain containing; Ras association domain family; Ras small GTPase superfamily; Receptor accessory proteins; Receptor kinases; Receptor ligands; RNA binding motif containing proteins;
Serine proteases; Serpin peptidase inhibitors; SH2 domain containing protiens; Short chain dehydrogenase/reductase superfamily; Sideroflexins; Signal transduction and activation of RNA metabolism family; Solute carriers; Sorting nexins; Sterile alpha motif domain containing proteins; STRIPAK complex; Sulfatases; Sushi domain containing proteins; Synapsins; Synaptotagmins; Tetraspanins; Tetratricopeptide repeat domain containing; Tripartite motif containing; Tubulin tyrosine ligase family; Tubulins; WD repeat domain containing; Zinc fingers; ZYG11 cell cycle regulator family, or a combination thereof. In some embodiments, a target is or comprises a gene expressed in a podocyte. In some embodiments, a target is chosen from a podocyte gene provided in Table 3, or a combination thereof. In some embodiments, a target has one or more characteristics and/or functions provided in Table 4, or a combination thereof. In some embodiments, a target has one or more characteristics and/or functions chosen from Abhydrolase domain containing proteins; ADAM metallopeptidases with thrombospondin type 1 motif; Ankyrin repeat domain containing proteins; Apolipoproteins; Armadillo like helical domain containing; Basic leucine zipper proteins; Blood group antigens; Bone morphogenetic proteins; C-type lectin domain containing; C1q and TNF related; Carbonic anhydrases; CD molecules; Chitinases; Cilia and flagella associated; Crumbs complex; Dbl family Rho GEFs; EF-hand domain containing; F-BAR domain containing; Fibronectin type III domain containing; Forkhead boxes; Formins; G protein-coupled receptors; Gla domain containing; Glycosyltransferases; Homeoboxes; Immunoglobulin superfamily domain containing; Ion channels; Junctophilins; Kallikreins; Ligand gated ion channels; Lipocalins; Myosin light chain kinase family; Netrins; PDZ domain containing; Phospholipases; Pleckstrin homology domain containing; Potassium voltage-gated channel regulatory subunits; Protein phosphatases; Ras small GTPase superfamily; Receptor kinases; Receptor ligands; Rho GTPase activating proteins; RNA binding motif containing; Semaphorins; Serine proteases; Serpin peptidase inhibitors; Shisa family members; Solute carriers; Sterile alpha motif domain containing; Stomatin family; T cell receptors; Tetraspan junctional complex superfamily; Transcription elongation factor A like family; Troponin complex subunits; Tubulin polymerization promoting proteins; WD repeat domain containing; Wnt family; Zinc fingers, or a combination thereof.
Table 2. Exemplary characteristics and/or functions of RPTEC genes
PKD1
EPB41L3
IGSF11
MT1X
SLC13A2
SLC5A10
ABLIM3
Table 3. Exemplary Podocyte genes
Table 4. Exemplary characteristics and/or functions of podocytes genes





Characterization of Conjugate Agents In some embodiments, conjugate agent(s) as provided and/or utilized in accordance with the present disclosure are characterized in that, for example, when they are provided to a relevant system (e.g., comprising one or more cell(s), tissue(s), organ(s), or organism(s)) they impact expression and/or activity of one or more targets or form(s) thereof. In some embodiments, a relevant agent is characterized by its impact on RNA (e.g., mRNA) and/or protein (e.g., encoded by an mRNA) targeted by its nucleic acid payload. In some such embodiments, such impact is assessed in vivo (i.e., in an organism). Alternatively or additionally, in some such embodiments, impact is assessed in vitro (e.g., in cell lines). In some embodiments, conjugate agent(s) as described and/or utilized in accordance with the present disclosure are characterized relative to an unconjugated nucleic acid agent (as payload). In some embodiments, when assessed under comparable conditions, significantly greater impact is observed when an appropriate in vivo or in vitro system is contacted with a conjugate agent described herein than is observed when the system is contacted with an unconjugated nucleic acid agent under otherwise comparable conditions. Pharmaceutical Compositions The present disclosure, among other things, provides pharmaceutical compositions that comprise or otherwise deliver a conjugated modulatory nucleic acid agent; typically, such pharmaceutical compositions comprise an active agent (e.g., an ASO or iRNA agent or a composition comprising the same) conjugated to a targeting agent as disclosed herein and one or more pharmaceutically or physiologically acceptable carriers, diluents, or excipients. The pharmaceutical compositions containing the iRNA are useful for preventing or treating a target RNA-associated disorder, e.g., metabolic disorders, including nephropathy and various other kidney diseases or conditions. Such pharmaceutical compositions are formulated based on the mode of delivery. One example is compositions that are formulated for systemic administration via parenteral delivery, e.g., by subcutaneous (SC), intramuscular (IM), or intravenous (IV)
delivery. The pharmaceutical compositions of the present disclosure may be administered in dosages sufficient to inhibit expression of a target gene. In some embodiments, the pharmaceutical compositions of the present disclosure are sterile. In another embodiment, the pharmaceutical compositions of the present disclosure are pyrogen free. The pharmaceutical compositions of the present disclosure may be administered in dosages sufficient to inhibit expression of a target gene. In general, a suitable dose of an ASO or iRNA agent of the present disclosure will be in the range of about 0.001 to about 200.0 milligrams per kilogram body weight of the recipient per day, generally in the range of about 1 to 50 mg per kilogram body weight per day. Typically, a suitable dose of an ASO or iRNA agent of the present disclosure will be in the range of about 0.1 mg/kg to about 5.0 mg/kg, optionally about 0.3 mg/kg and about 3.0 mg/kg. A repeat-dose regimen may include administration of a therapeutic amount of ASO or iRNA agent on a regular basis, such as every month, once every 3-6 months, or once a year. In certain embodiments, the ASO or iRNA agent is administered about once per month to about once per six months. After an initial treatment regimen, the treatments can be administered on a less frequent basis. Duration of treatment can be determined based on the severity of disease. In other embodiments, a single dose of the pharmaceutical compositions can be long lasting, such that doses are administered at not more than 1, 2, 3, or 4 month intervals. In some embodiments of the present disclosure, a single dose of the pharmaceutical compositions of the present disclosure is administered about once per month. In other embodiments of the present disclosure, a single dose of the pharmaceutical compositions of the present disclosure is administered quarterly (i.e., about every three months). In other embodiments of the present disclosure, a single dose of the pharmaceutical compositions of the present disclosure is administered twice per year (i.e., about once every six months). The skilled artisan will appreciate that certain factors can influence the dosage and timing required to effectively treat a subject, including but not limited to mutations present in the subject, previous treatments, the general health or age of the subject, and other diseases present. Moreover, treatment of a subject with a prophylactically or therapeutically effective amount, as appropriate, of a composition can include a single treatment or a series of treatments. The iRNA can be delivered in a manner to target a particular tissue (e.g., kidney cells).
Pharmaceutical compositions of the instant disclosure include, but are not limited to, solutions, emulsions, and liposome-containing formulations. These compositions can be generated from a variety of components that include, but are not limited to, preformed liquids, self- emulsifying solids, and self-emulsifying semisolids. Formulations include those that target the kidneys. The pharmaceutical formulations of the instant disclosure, which can conveniently be presented in unit dosage form, can be prepared according to conventional techniques well known in the pharmaceutical industry. Such techniques include the step of bringing into association the active ingredients with the pharmaceutical carrier(s) or excipient(s). In general, the formulations are prepared by uniformly and intimately bringing into association the active ingredients with liquid carriers. In some embodiments, pharmaceutical compositions described herein may comprise buffers including neutral buffered saline or phosphate buffered saline (PBS); carbohydrates, such as glucose, mannose, sucrose, dextrans, or mannitol; proteins, polypeptides, or amino acids (e.g., glycine); antioxidants; chelating agents, such as EDTA or glutathione; adjuvants (e.g., aluminum hydroxide); and preservatives. In some embodiments, a pharmaceutical composition is substantially free of contaminants, e.g., there are no detectable levels of a contaminant (e.g., an endotoxin). In some embodiments, pharmaceutical compositions described herein may be administered in a manner appropriate to the disease, disorder, or condition to be treated or prevented. In some embodiments, quantity and/or frequency of administration may be determined by such factors as condition of a patient, and/or type and/or severity of a patient’s disease, disorder, or condition, although appropriate dosages may be determined by clinical trials. In some embodiments, a pharmaceutical composition provided by the present disclosure may be in a form such as, for example, liquid, semi-solid and solid dosage forms, such as liquid solutions (e.g., injectable and infusible solutions), dispersions or suspensions, liposomes, and suppositories. Typically, pharmaceutical compositions that comprise or deliver antibody agents are injectable or infusible solutions; in some such embodiments, such compositions can be formulated for administration intravenously, subcutaneously, intradermally, intratumorally, intranodally, intramedullary, intramuscularly, transarterially, sublingually, intranasally, topically or intraperitoneally. In some embodiments, provided pharmaceutical compositions are formulated
for intravenous administration. In some embodiments, provided pharmaceutical compositions are formulated for subcutaneous administration. Pharmaceutical compositions described herein can be formulated for administration by using infusion techniques that are commonly known in the field (See, e.g., Rosenberg et al., New Eng. J. of Med.319:1676, 1988, which is hereby incorporated by reference in its entirety). In some embodiments, pharmaceutical compositions described herein are administered in combination with (e.g., before, simultaneously, or following) an additional therapy for a symptom, disease or disorder, e.g., a SOC therapy for a symptom, disease or disorder. In some embodiments, pharmaceutical compositions described herein may be administered before or following surgery. In some embodiments, a dosage of any aforementioned therapy to be administered to a subject will vary with a disease, disorder, or condition being treated and based on a specific subject. Scaling of dosages for human administration can be performed according to art-accepted practices. Use of Conjugated Modulatory Nucleic Acid Compounds Cell type for delivery In some embodiments, a modulatory nucleic acid agent of the instant disclosure – e.g., a conjugate agent that includes a targeting moiety disclosed herein and one or more modulatory nucleic acid compounds – is delivered to a cell, e.g., of a tissue, optionally in which a cell surface factor is present. In some embodiments, a cell is or comprises a cell (e.g., of a tissue) chosen from: kidney cells; immune cells (e.g., bone marrow cells, lymph node cells, thymic cells, peripheral blood mononuclear cells [e.g., myeloid and/or lymphoid cells], erythrocytes, eosinophils, neutrophils, and/or platelets); nervous system cells (e.g., brain tissue, cortex, cerebellum, retinal cells (e.g., retinal pigmental epithelial cells (RPE)), spinal cord cells, nerve cells, neurons, and/or supporting cells; endothelial cells; muscle (e.g., heart muscle, smooth muscle, and/or skeletal muscle); small instetine cells; colon cells; adipocytes; liver cells; lung cells; splenic cells; stomach cells; esophagus cells; bladder cells; pancreas cells; thyroid cells; salivary gland cells; adrenal gland cells; pituitary gland cells; breast cells; skin cells; ovary cells; uterus cells; placenta cells; prostate cells; or testis cells, or a combination thereof. In some embodiments, a cell is or comprises a cell (e.g., of a tissue) chosen from: renal cells, thyroid cells, parathyroid cells, cells of the inner ear, or nervous system cells.
In some embodiments, a cell is or comprises a kidney cell, e.g., as described herein. In some embodiments, a cell is a kidney cyst cell (e.g., in polycystic kidney disease (PKD)). In some embodiments, a cell is or comprises a proximal tubular epithelial cell, a podocyte, or both. In some embodiments, a cell to which a conjugate disclosed herein is delivered expresses both a cell surface factor (e.g., Megalin and/or Cubilin) and a target of a payload moiety. In some embodiments, a modulatory nucleic acid agent of the instant disclosure – e.g., a conjugate agent that includes a targeting moiety disclosed herein and one or more modulatory nucleic acid compounds – is administered to a subject having a disease or disorder, e.g., as disclosed herein. In some embodiments, a disease or disorder comprises a cell in which a surface cell factor (e.g., Megalin and/or Cubilin) and/or a target RNA is present. Indications In some embodiments, a modulatory nucleic acid agent of the instant disclosure – e.g., a conjugate agent that includes a targeting moiety disclosed herein and one or more modulatory nucleic acid compounds – is used to treat and/or prevent a symptom of, a disease or disorder disclosed herein. In some embodiments, a disease or disorder to which a modulatory nucleic acid compound disclosed herein is provided, has elevated or aberrant expression of a cell surface factor such as Megalin and/or Cubilin. In some embodiments, Megalin expression is reported to be enriched in the following tissues and/or cells in particular: renal tissue, thyroid tissue, parathyroid tissue, cells of the inner ear, and nervous system tissue. In some embodiments, Megalin is expressed (e.g., at relatively high level(s)) on surfaces of kidney cells such as proximal tubular epithelial cells and podocytes. In some embodiments, a disease or disorder is chosen from: a glomerular disorder, a renal tubular disorder, other renal disorders, an inborn error of metabolism, a systemic metabolic disorder, a disorder of the thyroid, a disorder of the parathyroid, a disorder of the inner ear, a neurological disorder, or a viral infection, or a combination thereof. In some embodiments, a disease or disorder is or comprises a glomerular disorder. In some embodiments, a glomerular disorder is chosen from: Lupus nephritis, Goodpasture syndrome, IgA nephropathy, Alport syndrome, glomerulosclerosis, diabetic nephropathy, focal segmental glomerulosclerosis, membranous nephropathy, minimal change disease, ApoL1 nephropathy, post-infection glomerulonephritis, membranoproliferative glomerulonephritis,
mesangioproliferative glomerulonephritis, nephrotic syndrome, nephritic syndrome, Anti-LRP2 nephropathy, C3 glomerulopathy, or a combination thereof. In some embodiments, a disease or disorder is or comprises a renal tubular disorder. In some embodiments, a renal tubular disorder is chosen from: Fanconi syndrome, cystinuria, Lowe syndrome, Dent syndrome, Light Chain Proximal Tubulopathy, Gitelman syndrome, renal tubular acidosis, nephrogenic diabetes insipidus, Bartter syndrome, Liddle syndrome, hereditary aminoaciduria, hereditary salt wasting disorders, hereditary phosphate wasting disorders, porphyria associated renal disease, nephropathic cystinosis, autosomal dominant tubulointerstitial kidney disease, or a combination thereof. In some embodiments, a disease or disorder is or comprises other renal disorders. In some embodiments, other renal disoders are chosen from: ADPKD, ARPKD, Nephronophthisis, Chronic Kidney Disease, nephrolithiasis, acute kidney injury, Alagille syndrome, cardiorenal syndrome, renal cell carcinoma, renal osteodystrophy, or a combination thereof. In some embodiments, a disease or disorder is or comprises an inborn error of metabolism. In some embodiments, an inborn error of metabolism is chosen from: phenylketonuria, urea cycle disorder, maple syrup urine disease, galactosemia, hereditary tyrosinemia, glutamic academia, isovaleric acidemia, very long/long/medium/short chain acyl-CoA dehydrogenase deficiency, methylmalonic academia, primary hyperoxaluria, propionic academia, porphyria, Wilson disease, Pyruvate dehydrogenase deficiency, homocystinuria, hereditary fructose intolerance, nonketotic hyperglycinemia, or a combination thereof. In some embodiments, a disease or disorder is or comprises a systemic metabolic disorder. In some embodiments, a systemic metabolic disorder is chosen from: diabetes, obesity, hypertension, gout, polyneuropathy, hypoglycemia, vitamin B deficiencies, liver cirrhosis, coronary heart disease, stroke, lipodystrophy, or a combination thereof. In some embodiments, a disease or disorder is or comprises a disorder of the thyroid. In some embodiments, a disorder of the thyroid is chosen from: Hashimoto disease, Graves' disease, hypothyroidism, hyperthyroidism, goiter, thyroid nodules, thyroiditis, thyroid cancer, thyrotropinoma, thyroid hormone resistance, MCT8 deficiency, Riedel’s thyroiditis, Pendred syndrome, sarcoidosis, McCune-Albright syndrome, familial dysalbuminemic hyperthyroxinemia, thyroxin binding globulin (TBG) deficiency, or a combination thereof.
In some embodiments, a disease or disorder is or comprises a disorder of the parathyroid. In some embodiments, a disorder of the parathyroid is chosen from: hyperparathyroidism/hypercalcemia, hypoparathyroidism/hypocalcemia, nephrolithiasis (kidney stone), pancreatitis, granulomatous disease, Addison’s disease, pernicious anemia (many of these belong to hyperparathyroidism and hypoparathyroidism). In some embodiments, a disease or disorder is or comprises a disorder of the inner ear. In some embodiments, a disorder of the inner ear is chosen from: inherited sensorineural hearing loss, vestibular neuritis, Meniere’s syndrome, benign paroxysmal positional vertigo, tinnitus, age related hearing loss, bilateral vestibular loss, perilymphatic fistula (PLF), superior semicircular canal dehiscence syndrome (SCD), drug-induced ototoxicity, herpes zoster oticus, purulent labyrinthitis, vestibular schwannoma. In some embodiments, a disease or disorder is or comprises a neurological disorder, e.g., a neurodegenerative disease. In some embodiments, a neurological disorder is chosen from: Alzheimer's disease, Parkinson's disease, Huntington's disease, A.L.S., multiple sclerosis, neuro- AIDS, brain cancer, stroke, brain injury, spinal cord injury, autism, lysosomal storage disorders, fragile X syndrome, inherited mental retardation, inherited ataxias, blindness, paralysis, stroke, traumatic brain injury and spinal cord injury, and lysosomal storage diseases such as MPS I, MPS II, MPS III A, MPS III B, Metachromatic Leukodystrophy, Gaucher, Krabbe, Pompe, CLN2, Niemann-Pick and Tay-Sachs disease, or a combination thereof. In some embodiments, a disease or disorder is or comprises a viral infection. In some embodiments, a viral infection comprises a polyoma virus (e.g., BK virus)-mediated nephropathy. Delivery of a Modulatory Nucleic Acid Agent The delivery of a conjugated modulatory nucleic acid agent of the present disclosure to a cell, e.g., a cell within a subject, such as a human subject (e.g., a subject in need thereof, such as a subject susceptible to or diagnosed with a target RNA-associated disorder, e.g., kidney disease, metabolic disorders, including nephropathy and various other kidney diseases or conditions) can be achieved in a number of different ways. For example, delivery may be performed by contacting a cell with a conjugated modulatory nucleic acid agent of the present disclosure either in vitro or in vivo. In vivo delivery may also be performed directly by administering a composition comprising a conjugated modulatory nucleic acid agent, e.g., a polymyxin-linked dsRNA, to a
subject. Alternatively, in vivo delivery may be performed indirectly by administering one or more vectors that encode and direct the expression of the conjugated modulatory nucleic acid agent. In general, any method of delivering a nucleic acid molecule (in vitro or in vivo) can be adapted for use with a conjugated modulatory nucleic acid agent of the present disclosure (see e.g., Akhtar S. and Julian RL. (1992) Trends Cell. Biol.2(5):139-144 and WO94/02595, which are incorporated herein by reference in their entireties). For in vivo delivery, factors to consider in order to deliver a conjugated modulatory nucleic acid agent include, for example, biological stability of the delivered molecule, prevention of non-specific effects, and accumulation of the delivered molecule in the target tissue. RNA interference has also shown success with local delivery to the CNS by direct injection (Dorn, G., et al. (2004) Nucleic Acids 32:e49; Tan, PH., et al (2005) Gene Ther.12:59-66; Makimura, H., et al (2002) BMC Neurosci.3:18; Shishkina, GT., et al (2004) Neuroscience 129:521-528; Thakker, ER., et al (2004) Proc. Natl. Acad. Sci. U.S.A. 101:17270-17275; Akaneya,Y., et al (2005) J. Neurophysiol.93:594-602). Modification of the RNA or the pharmaceutical carrier can also permit targeting of the conjugated modulatory nucleic acid agent to the target tissue and avoid undesirable off-target effects. Conjugated modulatory nucleic acid agent molecules can be further modified by chemical conjugation to lipophilic groups such as cholesterol to enhance cellular uptake and prevent degradation. For example, an iRNA agent directed against ApoB conjugated to a lipophilic cholesterol moiety was injected systemically into mice and resulted in knockdown of apoB mRNA in both the liver and jejunum (Soutschek, J., et al (2004) Nature 432:173-178). In an alternative embodiment, the conjugated modulatory nucleic acid agent can be delivered using drug delivery systems such as a nanoparticle, a dendrimer, a polymer, liposomes, or a cationic delivery system. Positively charged cationic delivery systems facilitate binding of a conjugated modulatory nucleic acid agent (the modulatory nucleic acid being negatively charged) and also enhance interactions at the negatively charged cell membrane to permit efficient uptake of a conjugated modulatory nucleic acid agent by the cell. Cationic lipids, dendrimers, or polymers can either be bound to a conjugated modulatory nucleic acid agent, or induced to form a vesicle or micelle (see e.g., Kim SH, et al (2008) Journal of Controlled Release 129(2):107-116) that encases a conjugated modulatory nucleic acid agent. The formation of vesicles or micelles further prevents degradation of the conjugated modulatory nucleic acid agent when administered systemically. Methods for making and administering cationic-conjugated modulatory nucleic acid agent
complexes are well within the abilities of one skilled in the art (see e.g., Sorensen, DR, et al (2003) J. Mol. Biol 327:761-766; Verma, UN, et al (2003) Clin. Cancer Res.9:1291-1300; Arnold, AS et al (2007) J. Hypertens.25:197-205, which are incorporated herein by reference in their entirety). Some non-limiting examples of drug delivery systems useful for systemic delivery of ASOs or iRNA agents include DOTAP (Sorensen, DR., et al (2003), supra; Verma, UN, et al (2003), supra), "solid nucleic acid lipid particles" (Zimmermann, TS, et al (2006) Nature 441:111-114), cardiolipin (Chien, PY, et al (2005) Cancer Gene Ther.12:321-328; Pal, A, et al (2005) Int J. Oncol.26:1087-1091), polyethyleneimine (Bonnet ME, et al (2008) Pharm. Res. Aug 16 Epub ahead of print; Aigner, A. (2006) J. Biomed. Biotechnol.71659), Arg-Gly-Asp (RGD) peptides (Liu, S. (2006) Mol. Pharm. 3:472-487), and polyamidoamines (Tomalia, DA, et al (2007) Biochem. Soc. Trans.35:61-67; Yoo, H., et al (1999) Pharm. Res.16:1799-1804). In some embodiments, a conjugated modulatory nucleic acid agent forms a complex with cyclodextrin for systemic administration. Methods for administration and pharmaceutical compositions of iRNA agents and cyclodextrins can be found in U.S. Patent No.7,427,605, which is herein incorporated by reference in its entirety. In some embodiments, a conjugate agent is characterized in that when delivered to a cell, tissue or organism, a payload moiety is delivered to, and/or expressed in, at least 5%, at least 10%, at least 15%, at least 20%, at least 25%, at least 30%, at least 35%, at least 40%, at least 45%, at least 50%, at least 55%, at least 60%, at least 65%, at least 70%, at least 75%, at least 80%, at least 85%, at least 90%, or at least 95%, more target cells compared to an otherwise similar cell, tissue or organism delivered an unconjugated payload moiety. In some embodiments, a conjugate agent is characterized in that when delivered to a tissue or organism, a payload moiety is delivered to, and/or expressed in, at least 5%, at least 10%, at least 15%, at least 20%, at least 25%, at least 30%, at least 35%, at least 40%, at least 45%, at least 50%, at least 55%, at least 60%, at least 65%, at least 70%, at least 75%, at least 80%, at least 85%, at least 90%, or at least 95%, more target cells compared to non-target cells. In some embodiments, a conjugate agent is characterized in that when delivered to a cell, tissue or organism, expression and/or activity of a target of a payload moiety is modulated, e.g., reduced, by at least 5%, at least 10%, at least 15%, at least 20%, at least 25%, at least 30%, at least 35%, at least 40%, at least 45%, at least 50%, at least 55%, at least 60%, at least 65%, at least 70%,
at least 75%, at least 80%, at least 85%, at least 90%, or at least 95%, compared to an otherwise similar cell, tissue or organism delivered an unconjugated payload moiety. In some embodiments, this disclosure provides a conjugate agent comprising: (i) a targeting moiety specific for an internalizing cell surface factor; and (ii) a payload moiety comprising a nucleic acid agent, wherein the binding moiety and nucleic acid agent are conjugated to one another by way of a cleavable linker so that the conjugate agent is in a first, associated state, when extracellular to a kidney cell and a second, disassociated state, when internal to a cell in which a cell surface factor is present. Dosing regimens Those skilled in the art will be able to determine, according to known methods, the appropriate amount, dose or dosage of a conjugate agent, to administer to a patient, taking into account factors such as age, weight, general health, the route of administration, the nature of the symptom, disease or disorder requiring treatment, and the presence of other medications. For example, various dosing regimens for antibodies are disclosed in Hendrikx J et al. (2017) Oncologist 22(10): 1212-1221, PMID: 28754722, the entire contents of which is hereby incorporated by reference. In some embodiments, a conjugated modulatory nucleic acid agent of the instant disclosure – e.g., a conjugate agent that includes a targeting moiety disclosed herein and one or more modulatory nucleic acid compounds – is administered at a fixed dose, i.e., independent of body weight. In some embodiments, a fixed dose reduces interpatient variability, e.g., efficacy and/or PK/PD parameters. In some embodiments, a modulatory nucleic acid agent of the instant disclosure – e.g., a conjugate agent that includes a targeting moiety disclosed herein and one or more modulatory nucleic acid compounds – is administered based on body weight, e.g., in a mg/kg dosing. In some embodiments, a conjugated modulatory nucleic acid agent of the instant disclosure – e.g., a conjugate agent that includes a targeting moiety disclosed herein and one or more modulatory nucleic acid compounds – is administered at an initial dose. In some embodiments, an initial dose may be followed by one or more subsequent doses. In some embodiments, one or more subsequent dose may be administered daily, weekly, or monthly, or at other intervals in between. In some embodiments, a dosing regimen disclosed herein may be repeated for one or more times. Methods For Inhibiting Target Gene Expression
The instant disclosure also provides methods of inhibiting expression of a target gene in a cell. The methods include contacting a cell with a conjugated modulatory nucleic acid agent, e.g., a target moiety-conjugated double-stranded RNA agent, in an amount effective to inhibit expression of the target gene in the cell, thereby inhibiting expression of target gene in the cell. Contacting of a cell with a conjugated modulatory nucleic acid agent, e.g., a targeting moiety-conjugated double stranded RNA agent, may be done in vitro or in vivo. Contacting a cell in vivo with the conjugated modulatory nucleic acid agent includes contacting a cell or group of cells within a subject, e.g., a human subject, with the conjugated modulatory nucleic acid agent. Combinations of in vitro and in vivo methods of contacting a cell are also possible. Contacting a cell may be direct or indirect, as discussed above. Furthermore, contacting a cell may be accomplished via a targeting ligand, including any ligand described herein or known in the art. In certain embodiments, the targeting ligand is a binder of a cell surface factor (e.g., binder of megalin or cubilin), or any other ligand that directs the conjugated modulatory nucleic acid agent to a site of interest. The term “inhibiting,” as used herein, is used interchangeably with “reducing,” “silencing,” “downregulating”, “suppressing”, and other similar terms, and includes any level of inhibition. In some embodiments of the methods of the present disclosure, expression of a target gene is inhibited by at least 50%, 55%, 60%, 65%, 70%, 75%, 80%, 85%, 90%, or 95%, or to below the level of detection of the assay. In certain embodiments, expression of a target gene is inhibited by at least 70%. It is further understood that inhibition of target gene expression in certain tissues, e.g., in kidney, without a significant inhibition of expression in other tissues, e.g., brain, may be desirable. A control cell, a group of cells, or subject sample that may be used to assess the inhibition of the expression of a target gene includes a cell, group of cells, or subject sample that has not yet been contacted with a conjugated modulatory nucleic acid agent of the present disclosure. For example, the control cell, group of cells, or subject sample may be derived from an individual subject (e.g., a human or animal subject) prior to treatment of the subject with a conjugated modulatory nucleic acid agent or an appropriately matched population control. In certain embodiments, the level of a target mRNA that is expressed by a cell or group of cells may be determined using any method known in the art for assessing mRNA expression. In one embodiment, the level of expression of a target RNA in a sample is determined by detecting a
transcribed polynucleotide, or portion thereof, e.g., mRNA of the target gene. RNA may be extracted from cells using RNA extraction techniques including, for example, using acid phenol/guanidine isothiocyanate extraction (RNAzol B; Biogenesis), RNeasy
TM RNA preparation kits (Qiagen®) or PAXgene
TM (PreAnalytix
TM, Switzerland). Typical assay formats utilizing ribonucleic acid hybridization include nuclear run-on assays, RT-PCR, RNase protection assays, northern blotting, in situ hybridization, and microarray analysis. In some embodiments, the level of expression of a target RNA is determined using a nucleic acid probe. The term “probe”, as used herein, refers to any molecule that is capable of selectively binding to a specific target. Probes can be synthesized by one of skill in the art, or derived from appropriate biological preparations. Probes may be specifically designed to be labeled. Examples of molecules that can be utilized as probes include, but are not limited to, RNA, DNA, proteins, antibodies, and organic molecules. Isolated mRNA can be used in hybridization or amplification assays that include, but are not limited to, Southern or northern analyses, polymerase chain reaction (PCR) analyses and probe arrays. One method for the determination of mRNA levels involves contacting the isolated mRNA with a nucleic acid molecule (probe) that can hybridize to a target mRNA. In one embodiment, the mRNA is immobilized on a solid surface and contacted with a probe, for example by running the isolated mRNA on an agarose gel and transferring the mRNA from the gel to a membrane, such as nitrocellulose. In an alternative embodiment, the probe(s) are immobilized on a solid surface and the mRNA is contacted with the probe(s), for example, in an Affymetrix® gene chip array. A skilled artisan can readily adapt known mRNA detection methods for use in determining the level of target mRNA. An alternative method for determining the level of expression of target RNA in a sample involves the process of nucleic acid amplification or reverse transcriptase (to prepare cDNA) of for example mRNA in the sample, e.g., by RT-PCR (the experimental embodiment set forth in Mullis, 1987, U.S. Patent No.4,683,202), ligase chain reaction (Barany (1991) Proc. Natl. Acad. Sci. USA 88:189-193), self sustained sequence replication (Guatelli et al. (1990) Proc. Natl. Acad. Sci. USA 87:1874-1878), transcriptional amplification system (Kwoh et al. (1989) Proc. Natl. Acad. Sci. USA 86:1173-1177), Q-Beta Replicase (Lizardi et al. (1988) Bio/Technology 6:1197), rolling circle replication (Lizardi et al., U.S. Patent No.5,854,033) or any other nucleic acid amplification method, followed by the detection of the amplified molecules using techniques well
known to those of skill in the art. These detection schemes are especially useful for the detection of nucleic acid molecules if such molecules are present in very low numbers. In particular aspects of the present disclosure, the level of expression of target RNA is determined by quantitative fluorogenic RT-PCR (i.e., the TaqMan
TM System). The expression levels of target mRNA may be monitored using a membrane blot (such as used in hybridization analysis such as northern, Southern, dot, and the like), or microwells, sample tubes, gels, beads or fibers (or any solid support comprising bound nucleic acids). See U.S. Patent Nos.5,770,722, 5,874,219, 5,744,305, 5,677,195 and 5,445,934, which are incorporated herein by reference. The determination of target RNA expression level may also comprise using nucleic acid probes in solution. In certain embodiments, the level of mRNA expression is assessed using branched DNA (bDNA) assays or real time PCR (qPCR). The level of target protein expression may be determined using any method known in the art for the measurement of protein levels. Such methods include, for example, electrophoresis, capillary electrophoresis, high performance liquid chromatography (HPLC), thin layer chromatography (TLC), hyperdiffusion chromatography, fluid or gel precipitin reactions, absorption spectroscopy, a colorimetric assays, spectrophotometric assays, flow cytometry, immunodiffusion (single or double), immunoelectrophoresis, western blotting, radioimmunoassay (RIA), enzyme-linked immunosorbent assays (ELISAs), immunofluorescent assays, electrochemiluminescence assays, and the like. In some embodiments, the efficacy of the methods of the present disclosure are assessed by a decrease in target mRNA or target protein level (e.g., in a kidney biopsy). In some embodiments of the methods of the present disclosure, the conjugated modulatory nucleic acid agent is administered to a subject such that the conjugated modulatory nucleic acid agent is delivered to a specific site within the subject. The inhibition of expression of target RNA may be assessed using measurements of the level or change in the level of target mRNA or target protein in a sample derived from fluid or tissue from the specific site within the subject (e.g., kidney or blood). As used herein, the terms detecting or determining a level of an analyte are understood to mean performing the steps to determine if a material, e.g., protein, RNA, is present. As used herein,
methods of detecting or determining include detection or determination of an analyte level that is below the level of detection for the method used. Prophylactic and Treatment Methods of the Disclosure The instant disclosure also provides methods of using a conjugated modulatory nucleic acid agent of the present disclosure or a composition containing a conjugated modulatory nucleic acid agent of the present disclosure to inhibit expression of a target RNA, thereby preventing or treating a target RNA-associated disorder, e.g., kidney disease, metabolic disorders, including a glomerular disorder, a renal tubular disorder, other renal disorders, an inborn error of metabolism, a systemic metabolic disorder, a disorder of the thyroid, a disorder of the parathyroid, a disorder of the inner ear, a neurological disorder, a viral infection, or a combination thereof. etc. A cell suitable for treatment using the methods of the present disclosure may be any cell that expresses a target gene, e.g., a kidney cell, a urinary bladder cell, a gastrointestinal tract cell (e.g., a duodenum or small intestine cell), or a gall bladder cell, but optionally a kidney cell. A cell suitable for use in the methods of the present disclosure may be a mammalian cell, e.g., a primate cell (such as a human cell, including human cell in a chimeric non-human animal, or a non-human primate cell, e.g., a monkey cell or a chimpanzee cell), or a non-primate cell. In certain embodiments, the cell is a human cell, e.g., a human kidney cell. In the methods of the present disclosure, target gene expression is inhibited in the cell by at least 50, 55, 60, 65, 70, 75, 80, 85, 90, or 95, or to a level below the level of detection of the assay. The in vivo methods of the present disclosure may include administering to a subject a composition containing a conjugated modulatory nucleic acid agent, where the conjugated modulatory nucleic acid agent includes a nucleotide sequence that is complementary to at least a part of an RNA transcript of the target gene of the mammal to which the ASO or iRNA agent is to be administered. The composition can be administered by any means known in the art including, but not limited to oral, intraperitoneal, or parenteral routes, including intracranial (e.g., intraventricular, intraparenchymal, and intrathecal), intravenous, intramuscular, subcutaneous, transdermal, airway (aerosol), nasal, rectal, and topical (including buccal and sublingual) administration. In certain embodiments, the compositions are administered by intravenous infusion or injection. In certain embodiments, the compositions are administered by subcutaneous injection. In certain embodiments, the compositions are administered by intramuscular injection.
In one aspect, the instant disclosure also provides methods for inhibiting the expression of a target gene in a mammal. The methods include administering to the mammal a composition comprising a conjugated modulatory nucleic acid agent that targets a target gene in a cell of the mammal and maintaining the mammal for a time sufficient to obtain degradation of the mRNA transcript of the target gene, thereby inhibiting expression of the target gene in the cell. Reduction in gene expression can be assessed by any methods known in the art and by methods, e.g., qRT-PCR, described herein. Reduction in protein production can be assessed by any methods known it the art, e.g., ELISA. In certain embodiments, a kidney biopsy sample serves as the tissue material for monitoring the reduction in the target gene or protein expression. In other embodiments, a blood sample serves as the subject sample for monitoring the reduction in the target protein expression. The instant disclosure further provides methods of treatment in a subject in need thereof, e.g., a subject diagnosed with a target RNA-associated disorder, such as, a kidney disease, glomerular disorder, a renal tubular disorder, other renal disorders, an inborn error of metabolism, a systemic metabolic disorder, a disorder of the thyroid, a disorder of the parathyroid, a disorder of the inner ear, a neurological disorder, a viral infection, a combination thereof, etc. The instant disclosure further provides methods of prophylaxis in a subject in need thereof. The treatment methods of the present disclosure include administering a conjugated modulatory nucleic acid agent of the present disclosure to a subject, e.g., a subject that would benefit from a reduction of target RNA expression, in a prophylactically effective amount of a conjugated modulatory nucleic acid agent targeting a target gene or a pharmaceutical composition comprising a conjugated modulatory nucleic acid agent targeting a target gene. In one embodiment, a target RNA-associated disease is selected from the group consisting of kidney diseases or conditions, including glomerular disorders, renal tubular disorders, other renal disorders, inborn errors of metabolism, systemic metabolic disorders, disorders of the thyroid, disorders of the parathyroid, disorders of the inner ear, neurological disorders, or viral infections. In one embodiment, a target RNA-associated disease is a glomerular disorder, including Lupus nephritis, Goodpasture syndrome, IgA nephropathy, Alport syndrome, glomerulosclerosis, diabetic nephropathy, focal segmental glomerulosclerosis, membranous nephropathy, minimal change disease, ApoL1 nephropathy, post-infection glomerulonephritis, membranoproliferative
glomerulonephritis, mesangioproliferative glomerulonephritis, nephrotic syndrome, nephritic syndrome, Anti-LRP2 nephropathy, C3 glomerulopathy, or a combination thereof. In one embodiment, a target RNA-associated disease is a renal tubular disorder, including Fanconi syndrome, cystinuria, Lowe syndrome, Dent syndrome, Light Chain Proximal Tubulopathy, Gitelman syndrome, renal tubular acidosis, nephrogenic diabetes insipidus, Bartter syndrome, Liddle syndrome, hereditary aminoaciduria, hereditary salt wasting disorders, hereditary phosphate wasting disorders, porphyria associated renal disease, nephropathic cystinosis, autosomal dominant tubulointerstitial kidney disease, or a combination thereof. In another embodiment, a target RNA-associated disease is an other renal disorder, including Autosomal dominant polycystic kidney disease (ADPKD), Autosomal recessive polycystic kidney disease (ARPKD), Nephronophthisis, Chronic Kidney Disease, nephrolithiasis, acute kidney injury, Alagille syndrome, cardiorenal syndrome, renal cell carcinoma, renal osteodystrophy, or a combination thereof. In a further embodiment, a target RNA-associated disease is an inborn error of metabolism, including phenylketonuria, urea cycle disorder, maple syrup urine disease, galactosemia, hereditary tyrosinemia, glutamic academia, isovaleric acidemia, very long/long/medium/short chain acyl-CoA dehydrogenase deficiency, methylmalonic academia, primary hyperoxaluria, propionic academia, porphyria, Wilson disease, Pyruvate dehydrogenase deficiency, homocystinuria, hereditary fructose intolerance, nonketotic hyperglycinemia, or a combination thereof. A conjugated modulatory nucleic acid agent of the present disclosure may be administered as a "free conjugated modulatory nucleic acid agent". A free conjugated modulatory nucleic acid agent is administered in the absence of a pharmaceutical composition. The naked conjugated modulatory nucleic acid agent may be in a suitable buffer solution. The buffer solution may comprise acetate, citrate, prolamine, carbonate, or phosphate, or any combination thereof. In one embodiment, the buffer solution is phosphate buffered saline (PBS). The pH and osmolarity of the buffer solution containing the ASO or iRNA can be adjusted such that it is suitable for administering to a subject. Alternatively, free conjugated modulatory nucleic acid agent of the present disclosure may be administered as a pharmaceutical composition, such as an ASO or dsRNA liposomal formulation.
Subjects that would benefit from an inhibition of target gene expression are subjects susceptible to or diagnosed with a target RNA-associated disorder, such as metabolic disorders, including nephropathy and various other kidney diseases or conditions, etc. In an embodiment, the method includes administering a composition featured herein such that expression of the target gene is decreased, such as for about 1, 2, 3, 4, 5, 6, 1-6, 1-3, or 3-6 months per dose. In certain embodiments, the composition is administered once every 3-6 months. Optionally, the conjugated modulatory nucleic acid agent useful for the methods and compositions featured herein specifically target RNAs (primary or processed) of the target gene. Compositions and methods for inhibiting the expression of genes using conjugated modulatory nucleic acid agent can be prepared and performed as described herein. Administration of the conjugated modulatory nucleic acid agent according to the methods of the present disclosure may result in prevention or treatment of a target RNA-associated disorder, e.g., metabolic disorders, including nephropathy and various other kidney diseases or conditions. Subjects can be administered a therapeutic amount of iRNA of a conjugated modulatory nucleic acid agent, such as about 0.01 mg/kg to about 200 mg/kg. The conjugated modulatory nucleic acid agent is optionally administered intravenously or subcutaneously, i.e., by intravenous or subcutaneous injection. One or more injections may be used to deliver the desired dose of conjugated modulatory nucleic acid agent to a subject. The injections may be repeated over a period of time. The administration may be repeated on a regular basis. In certain embodiments, after an initial treatment regimen, the treatments can be administered on a less frequent basis. A repeat- dose regimen may include administration of a therapeutic amount of conjugated modulatory nucleic acid agent on a regular basis, such as once per month to once a year. In certain embodiments, the conjugated modulatory nucleic acid agent is administered about once per month to about once every three months, or about once every three months to about once every six months. The present disclosure provides methods and uses of a conjugated modulatory nucleic acid agent or a pharmaceutical composition thereof for treating a subject that would benefit from reduction and/or inhibition of target gene expression, e.g., a subject having a target gene-associated disease, in combination with other pharmaceuticals and/or other therapeutic methods, e.g., with
known pharmaceuticals and/or known therapeutic methods, such as, for example, those which are currently employed for treating these disorders. Accordingly, in some aspects of the present disclosure, the methods which include either a single conjugated modulatory nucleic acid agent of the present disclosure, further include administering to the subject one or more additional therapeutic agents. The conjugated modulatory nucleic acid agent and an additional therapeutic agent and/or treatment may be administered at the same time and/or in the same combination, e.g., parenterally, or the additional therapeutic agent can be administered as part of a separate composition or at separate times and/or by another method known in the art or described herein. Examples of additional therapeutic agents include those known to treat metabolic disorders, including nephropathy and various other kidney diseases or conditions and other diseases that are caused by, associated with or are a consequence of metabolic disorders, including nephropathy and various other kidney diseases or conditions. The conjugated modulatory nucleic acid agent and an additional therapeutic agent and/or treatment may be administered at the same time and/or in the same combination, e.g., parenterally, or the additional therapeutic agent can be administered as part of a separate composition or at separate times and/or by another method known in the art or described herein. Combination Therapies In some embodiments, a conjugated modulatory nucleic acid agent of the instant disclosure – e.g., a conjugate agent that includes a targeting moiety disclosed herein and one or more modulatory nucleic acid compounds, or a composition comprising the same – is administered in combination with an additional agent, e.g., additional therapy. In some embodiments, an additional therapy comprises a therapy for a disease or disorder, e.g., a standard of care (SOC) therapy, for a symptom, disease or disorder. In some embodiments, a modulatory nucleic acid agent is administered before, concurrently with or after administration of an additional therapy, e.g., a SOC therapy. Kits In certain aspects, the instant disclosure provides kits that include a suitable container containing a pharmaceutical formulation of a conjugated nucleic acid agent that includes a targeting moiety disclosed herein and one or more modulatory nucleic acid compounds. Specifically contemplated modulatory nucleic acid compounds of the disclosure include, without
limitation, an ASO or iRNA agent compound, e.g., an ASO, a double-stranded siRNA compound, or ssiRNA compound, (e.g., a precursor, e.g., a larger siRNA compound which can be processed into a ssiRNA compound, or a DNA which encodes an ASO or dsRNA compound, e.g., a double- stranded siRNA compound, or ssiRNA compound, or precursor thereof). Such kits include one or more conjugated nucleic acid agent(s) and instructions for use, e.g., instructions for administering a prophylactically or therapeutically effective amount of conjugated nucleic acid agent(s). The conjugated nucleic acid agent may be in a vial or a pre-filled syringe. The kits may optionally further comprise means for administering the conjugated nucleic acid agent (e.g., an injection device, such as a pre-filled syringe), or means for measuring the inhibition of target RNA (e.g., means for measuring the inhibition of target mRNA, target protein, and/or target activity). Such means for measuring the inhibition of target RNA may comprise a means for obtaining a sample from a subject, such as, e.g., a plasma sample. The kits of the present disclosure may optionally further comprise means for determining the therapeutically effective or prophylactically effective amount. In certain embodiments the individual components of the pharmaceutical formulation may be provided in one container, e.g., a vial or a pre-filled syringe. Alternatively, it may be desirable to provide the components of the pharmaceutical formulation separately in two or more containers, e.g., one container for a conjugated nucleic acid compound preparation, and at least another for a carrier compound. The kit may be packaged in a number of different configurations such as one or more containers in a single box. The different components can be combined, e.g., according to instructions provided with the kit. The components can be combined according to a method described herein, e.g., to prepare and administer a pharmaceutical composition. The kit can also include a delivery device. INCORPORATION BY REFERENCE All publications, patent applications, patents, and other references mentioned herein, including GenBank Accession Numbers, are incorporated by reference in their entirety. In addition, the materials, methods, and examples are illustrative only and not intended to be limiting. Unless otherwise defined, all technical and scientific terms used herein have the same meaning as commonly understood by one of ordinary skill in the art to which this disclosure belongs. Although
methods and materials similar or equivalent to those described herein can be used in the practice or testing of the present disclosure, suitable methods and materials are described herein. This present disclosure is further illustrated by the following examples which should not be construed as limiting the scope or content of the disclosure in any way. The entire contents of all references, patents and published patent applications cited throughout this application, as well as the informal Sequence Listing and Figures, are hereby incorporated herein by reference. EXAMPLES EXAMPLE 1. GENERAL PROCEDURE FOR SINGLE STRAND OLIGONUCLEOTIDES SYNTHESIS a. Solid phase synthesis of oligonucleotides Oligonucleotides synthesis was performed on a MerMade 12 (LGC) DNA/RNA synthesizer using standard solid-phase oligonucleotides synthesis protocols. All 2'-OMe and 2’-F modified RNA phosphoramidites were purchased from Hongene Biotech Corporation, including 2'-OMe-rA(Bz), 2'-OMe-rC(Ac), 2'-OMe-rU, 2'-OMe-rG(iBu), and 2'-F-rA(Bz), 2'-F-rC(Ac), 2'-F-rU, 2'-F- rG(iBu).5’- amino modifier was introduced by using 5'-Amino-Modifier C6-TFA amidite (Glen Research).2'-OMe-rU was dissolved in a mixed solvent of DMF/acetonitrile (1:4, v/v), while all other phosphoramidites were dissolved in acetonitrile and molecular sieves (3 Å) were added. Unylinker CPG was used as the solid support unless otherwise noted. As for Cy5 or Cy5.5 labelled sequeces, Cy5 or Cy5.5 phospohoramidites was first assembled on a 3’-Spacer-C3 CPG support, followed by installation of oligonucleotide sequences. The synthesis cycle for adding one nucleotide (or non-nucleic acid) unit consists of four individual steps, detritylation, coupling, oxidation (or sulfurization), and capping.5-Ethylthio-1H-tetrazole (ETT, 0.25 M in acetonitrile) was used as activator solution. A 0.05 M solution of 3-((N,N-dimethylaminomethylidene)amino)- 3H-1,2,4-dithiazole-5-thione (DDTT) in pyridine or 0.2 M PADS in 50% pyridine/50% acetonitrile was employed to introduce phosphorothioate linkages. b. Post-synthetic manipulations Upon completion of solid-phase oligonucleotides synthesis, the phosphate protecting group (2- cyanoethyl group) was removed by a 20% solution of diethylamine (DEA) in acetonitrile for 1 h. Cleavage from solid support and nucleobase deprotection (C&D) were performed in NH
4OH/EtOH (3:1) at 45 °C for 20 h. The crude oligonucleotides solution was concentrated by centrifugal evaporation under elevated temperature (45 °C) and reduced pressure (5.6 Torr) for 24
h to give crude oligonucleotides as a solid. The resulting solid was subjected to prep-HPLC purification. c. HPLC Purification and salt conversion of single strand oligonucleotides i. HPLC purification The crude oligonucleotides was purified by ion-pairing reverse phase HPLC, with detailed conditions outlined in the table below. The appropriate fractions were pooled and lyophilized to give the purified product as triethylammonium (TEA) salt. F

ii. Salt conversion After prep-HPLC purification, the appropriate fractions were pooled and lyophilized to give the purified product as triethylammonium (TEA) salt. The TEA salt can be converted to sodium salt using EtOH precipitation. The TEA salt was reconstituted in 0.3 M AcONa (1 µmol oligonucleotides in 1 mL), and 95% EtOH (3 times the volume of AcONa aq) was added to the solution. The resulting mixture was vortexed and stored at -20 °C for 2 h, then the mixture was centrifuged at high speed for 10 min. The supernatant was carefully removed, and the pellet was resuspended in 0.3 M AcONa and repeat EtOH precipitation. The pellets were then dissolved in water, filtered through a sterile filter and lyophilized to give the products as sodium salt. EXAMPLE 2. ANNEALING TO FORM DUPLEX Duplex oligonucleotides were obtained by mixing equivalent amount of sense strand and antisense strand in aqueous solution. The formation of duplex was confirmed by size-exclusion HPLC (SEC- HPLC), using the conditions outlined in the table below.
F

General procedure for annealing A solution of one single strand oligonucleotides (Na salt, 2.5 µmol in 1 mL Milli Q water) and a solution of its complimentary strand (Na salt, 2.5 μmol in 1 mL Milli Q water) were mixed in a Eppendorf tube, and incubated at 94 °C for 5 min, and then cooled to room temperature in 2 h. After confirmation by SEC-HPLC, the mixture was lyophilized to afford duplex oligonucleotides. EXAMPLE 3. NUCLEIC ACID SEQUENCES a. siRNA Sequences The passenger strand and guide strands of the siRNA duplexes were synthesized according to the methods in Example 1 and annealed when appropriate using the methods in Example 2. For the purposes of conjugating to a targeting moiety, an aminehexamethylene linker (M1) or 18- amino-1-((2S,4R)-4-hydroxy-2-(hydroxymethyl)pyrrolidin-1-yl)octadecane-1,12-dione (M2) was attached to the 5’ or 3’ end of the passenger strand via a phosphodiester linkage. Where indicated the guide strand has been modified to include a terminal 5'-vinyl phosphonate (VP) or the passenger strand has been modified to include a 5' or 3’-mesylphosphoramidate (MsPa) terminal linkage (M3). The guide and passenger strands have the compositions and sequences shown in the table below:


b. ASO sequences The antisense oligonucleotides were synthesized according to the methods in Example 1. For the purposes of conjugating to a targeting moiety, an aminehexamethylene linker was attached to the 5’ end of ASO via a phosphodiester linkage. The ASOs have the compositions and sequences shown in the table below:
EXAMPLE 4. LINKER ADDITION TO OLIGONUCLEOTIDES a. General procedure for 5’or 3’-linker installation i. General procedure using a pre-activated carboxylic acid
To a solution of corresponding carboxylic acid N-hydroxysuccinimide ester (4.0 eq.) and N,N- diisopropylethylamine (50 eq.) in acetonitrile (0.5 mL) was added a solution of 5’ or 3’-amine modified oligonucleotides (1 µmol) in water (0.5 mL) at room temperature. The resulting solution was shaken at room temperature for 2 h. Upon completion, the resulting solution was lyophilized to give a crude product as an off-white solid, which was further purified by prep-HPLC to afford the desired product as a TEA salt. The TEA salt was converted to Na salt by EtOH precipitation to afford the desired as sodium salt. ii. General procedure using in situ activation of a carboxylic acid

To a solution of corresponding carboxylic acid (4.0 eq.) and N,N-diisopropylethylamine (40 eq.) in acetonitrile (0.5 mL) was added pentafluorophenyl trifluoroacetate (20 eq.), and the solution was shaken at room temperature for 2 h before quenching with Milli-Q water (50 µL). The above solution was added to a solution of 5’ or 3’-amine modified oligonucleotides (1 µmol, 1.0 eq.) and N,N-diisopropylethylamine (20 eq.) in water (0.5 mL) at room temperature. The resulting solution was shaken at room temperature overnight (~18 h). Upon completion, the resulting solution was lyophilized to give a crude product as off-white solid, which was further purified by prep-HPLC to give the desired product as TEA salt. The TEA salt was converted to Na salt by EtOH precipitation to afford the desired as sodium salt. iii. General procedure for the synthesis of multi-valent BCN-alkyne linkers

To a solution of corresponding trivalent amine linker (2.0 eq.) and N,N-diisopropylethylamine (120 eq.) in acetonitrile (0.5 mL) was added pentafluorophenyl trifluoroacetate (20 eq.), and the solution was shaken at room temperature for 2 h before quenching with Milli-Q water (50 uL). The above solution was added to a solution of 5’ or 3’-amine modified oligonucleotides (1 µmol, 1.0 eq.) and N,N-diisopropylethylamine (60 eq.) in water (0.5 mL) at room temperature. The resulting solution was shaken at room temperature overnight (~18 h). A solution of 28% ammonium hydroxide was added to the above solution, and shaken for 2 h. The mixture was
lyophilized to give a crude product as off-white solid, which was reconstituted in water (0.5 mL). A solution of pentafluorophenyl trifluoroacetate (9 eq.) and N,N-diisopropylethylamine (50 eq.) in acetonitrile (0.5 mL) was added to the above solution, and shaken for 2 h. Upon completion, the resulting solution was lyophilized to give a crude product as an off-white solid, which was purified by prep-HPLC to give the desired product as TEA salt. The TEA salt was converted to Na salt by EtOH precipitation to afford the desired as sodium salt. EXAMPLE 5. GENERAL PROCEDURE FOR CLICK CONJUGATION a. General procedure for copper-catalyzed azide-alkyne cycloadditions (CuAAC) The 5’ or 3’-alkyne modified oligonucleotides (purified product) was used for copper- catalyzed alkyne azide cyclization (CuAAC) with azide using conditions outlined in the table below: s

Note: For di-valent and tri-valent alkyne modified oligonucleotides, the equivalent of CuSO
4, THPTA, azide, sodium ascorbate, and siliaMetS® TAAcONa resin was increased by 2 and 3 times respectively. Cu-THPTA solution preparation A solution of CuSO
4 (aq., 25 mM) and 50 mM tris(3-hydroxypropyltrizaolylmethyl)amine (THPTA) aq. were mixed (1:1, v/v, 1:2 molar ratio) and allowed to stand at room temperature for 1 h, which was used for CuAAC conjugation. Note: For di-valent and tri-valent alkyne modified oligonucleotides, the equivalents of CuSO
4 and THPTA was increased by 2 and 3 times respectively. CuAAC conjugation

To a solution of 1 μmol 5’ or 3’-alkyne modified oligonucleotides in 0.62 mL milli Q water and 0.1 mL tert-BuOH (10% of final volume) in a 4 mL centrifugal tube were added a solution of azide in water (75 mM, 0.04 mL), pre-formed Cu-THPTA solution (0.12 mL), followed by sodium ascorbate aqueous solution (150 mM, 0.12 mL). The resulting mixture was shaken at room temperature for 3 h under Argon atmosphere. siliaMetS® TAAcONa resin (510 μmol/g, 30 mg) was added, and the resulting mixture was further shaken at room temperature for 1 h. The mixture was filtrated through a 0.45 μm filter, and the filtrate was lyophilized to afford crude product as a yellow solid, which was purified by prep-HPLC to give the desired product as TEA salt. The TEA salt was converted to Na salt by EtOH precipitation to afford the desired as sodium salt. Note: For di-valent and tri-valent alkyne modified oligonucleotides, the equivalent of azide, CuSO4 -THPTA complex, and sodium ascorbate was increased by 2 and 3 times respectively. b. General procedure for Strain-Promoted Azide-Alkyne Cycloadditions (SPAAC) in water

To a solution of 1 μmol 5’ or 3’-BCN modified oligonucleotides in 0.5 mL milli Q water in a 4 mL centrifugal tube were added a solution of azide in milli Q water (3 mM, 0.5 mL). The resulting mixture was shaken at room temperature for 3 h. The mixture was lyophilized to afford crude product as a yellow solid, which was purified by prep-HPLC to give the desired product as TEA salt. The TEA salt was converted to Na salt by EtOH precipitation to afford the desired as sodium salt. Note: For di-valent and tri-valent BCN modified oligonucleotides, the equivalent of azide was increased by 2 and 3 times respectively. c. General procedure for SPAAC conjugations in DMSO
T
he 5’ or 3’-BCN modified oligonucleotides (sodium salt) was converted to cetyltrimethylammonium salt (CTA salt) using cetyltrimethylammonium chloride (CTACI), and thereafter carried forward to click conjugation using conditions summarized in general procedure 5, except for DMSO instead of milli Q water as the reaction solvent.
Converting from sodium salt to CTA salt To a solution of 5’ or 3’-BCN modified oligonucleotides (23 μmol) in 2.5 mL DMSO, was added an aqueous solution of cetyltrimethylammonium chloride (CTACI) (96 mg, 0.304 mmol) in 2.5 mL DMSO while stirring. This amount corresponds to 1.1 equivalent per "phosphate" group present in the oligonucleotide. (12 phosphorothioate groups were present: 0.304 mmol /(23 μmol *12) = 1.1). The addition of the CTACI solution caused precipitation of the desired cetyltrimethylammonium salt of the oligonucleotide to occur. The precipitate was isolated by centrifugation, and hereafter washed with water. The solid was dried by lyophilization overnight. SPAAC conjugation To a solution of 1 μmol 5’ or 3’-BCN modified oligonucleotides in 0.5 mL DMSO in a 4 mL centrifugal tube were added a solution of azide in DMSO (3 mM, 0.5 mL). The resulting mixture was shaken at room temperature for 4 h. Note: For tri-valent BCN modified oligonucleotides, the equivalent of azide was increased by 3 times respectively. Converting from CTA salt to sodium salt To 1 mL of the DMSO solution of conjugated oligonucleotide CTA salt was added 2 mL of an aqueous solution of AcONa (1 M), followed by ethanol (18 mL), which caused the sodium salt of the oligonucleotide to precipitate. The precipitate was recovered using centrifugation, and the mixture was lyophilized to afford crude product as a yellow solid, which was reconstituted in water for prep-HPLC purification to give the desired product as TEA salt. The resulting TEA salt was converted to sodium salt by EtOH precipitation to give the desired product as sodium salt. Note: For di-valent and tri-valent BCN modified oligonucleotides, the equivalents of azide was increased by 2 and 3 times respectively.
EXAMPLE 6. SYNTHESIS OF POLYMYXIN B LIGANDS a. Synthesis of PMB heptapeptide-PEG5

1. Synthesis of Compound 2 :2 was synthesized according to the reported procedure (WO 2017218922). 2. Synthesis of Compound 3
To a solution of 2a (473 mg, 1.41 mmol, 1.5 eq) and DIEA (608 mg, 4.71 mmol, 0.82 mL, 5 eq) in DMF (14 mL) was added HBTU (1.07 g, 2.82 mmol, 3 eq). The mixture was stirred for 1 h, before 1 (1 g, 0.941 mmol, 1 eq) in DMF (10 mL) was added. After stirring at 20 °C for 15 h, LCMS showed the reaction was completed. The reaction mixture was diluted with EtOAc (50 mL) and H2O (30 mL). The organic layers were separated out and washed with NaCl (sat. aq., 30 mL × 4), dried over sodium sulfate, filtered and concentrated under reduced pressure to give the crude product as a yellow solid, which was used in the next step without further purification.
ESI-MS: m/z calcd. for C63H108N14O20
2+ ([M+2H]
2+), 690.7; found 690.7 [M+2H]
2+. 3. Synthesis of Compound 4: PMB heptapeptide-PEG5
A mixture of 3 (1.2 g, 0.870 mmol, 1 eq) in 4 M HCl in dioxane (12 mL) was stirred at 20 °C for 1 h. The mixture was concentrated in vacuum to afford a white solid, which was purified by HPLC (column: Welch Xtimate C18 100*40mm*3um; mobile phase A: 0.3% TFA in H
2O; mobile phase B: ACN; gradient: 0%-30% B over 8 min) to afford 4: PMB-heptapeptide-PEG5 (600 mg, 0.552 mmol, 63% yield, 99% purity) as a white solid. ESI-MS: m/z calcd. for C48H84N14O14
2+ ([M+2H]
2+), 540.3; found 540.6 [M+2H]
2+.
1HNMR (400 MHz, D
2O) δ = 7.40 - 7.24 (m, 3H), 7.19 (d, J = 6.8 Hz, 2H), 4.52 - 4.42 (m, 2H), 4.24 (dt, J = 5.7, 9.0 Hz, 2H), 4.18 (dd, J = 4.0, 9.5 Hz, 1H), 4.16 - 4.04 (m, 3H), 3.71 (t, J = 5.9 Hz, 2H), 3.67 - 3.58 (m, 20H), 3.46 - 3.40 (m, 2H), 3.38 - 3.29 (m, 1H), 3.14 - 2.94 (m, 7H), 2.89 - 2.70 (m, 2H), 2.63 - 2.46 (m, 2H), 2.26 - 1.78 (m, 8H), 1.48 - 1.30 (m, 2H), 1.13 (d, J = 6.1 Hz, 3H), 0.73 - 0.68 (m, 3H), 0.61 (d, J = 5.7 Hz, 3H) b. Synthesis of PMB heptapeptide-PEG12
1. Synthesis of Compound 3 Compound 3 was synthesized according to the same method as in PMB heptapeptide-PEG5.
2. Synthesis of Compound 3: Compound 3: PMB heptapeptide-PEG12 was synthesized according to the same method as in PMB heptapeptide-PEG5 described above. ESI-MS: m/z calcd. for C62H112N14O21
2+ ([M+2H]
2+), 694.4; found 694.8 [M+2H]
2+.
1HNMR (400 MHz, D2O) δ = 7.36 - 7.25 (m, 3H), 7.19 (d, J = 6.8 Hz, 2H), 4.53 - 4.41 (m, 2H), 4.28 - 4.08 (m, 6H), 3.71 (t, J = 6.1 Hz, 2H), 3.67 - 3.60 (m, 47H), 3.45 - 3.41 (m, 2H), 3.37 - 3.28 (m, 1H), 3.16 - 2.93 (m, 7H), 2.90 - 2.67 (m, 2H), 2.61 - 2.48 (m, 2H), 2.26 - 1.96 (m, 5H), 1.92 - 1.74 (m, 3H), 1.46 - 1.29 (m, 2H), 1.13 (d, J = 6.1 Hz, 3H), 0.75 (br s, 1H), 0.72 - 0.67 (m, 3H), 0.62 (d, J = 6.0 Hz, 3H) c. Synthesis of PMB octapeptide-PEG5
1. Synthesis of Compound 3 Compound 3 was synthesized according to the reported procedure (WO 2017218922). 2. Synthesis of Compound 5 Compound 5: PMB Octapeptide-PEG5 was synthesized according to the same method as in PMB heptapeptide-PEG5 described above. ESI-MS: m/z calcd. for C52H92N16O15
2+ ([M+2H]
2+), 590.4; found 590.6 [M+2H]
2+.
1HNMR (400 MHz, D2O) δ = 7.34 - 7.21 (m, 3H), 7.17 (br d, J = 7.3 Hz, 2H), 4.47 (t, J = 8.2 Hz, 1H), 4.40 (dd, J = 5.4, 8.8 Hz, 1H), 4.33 (dd, J = 5.3, 9.3 Hz, 1H), 4.23 - 4.08 (m, 6H), 3.69 (br t, J = 6.1 Hz, 2H), 3.65 - 3.54 (m, 18H), 3.43 - 3.37 (m, 2H), 3.31 - 3.24 (m, 1H), 3.13 - 2.91 (m, 10H), 2.83 - 2.75 (m, 1H), 2.73 - 2.65 (m, 1H), 2.57 - 2.47 (m, 2H), 2.21 - 2.04 (m, 5H), 2.00 -
1.77 (m, 5H), 1.41 - 1.26 (m, 2H), 1.10 (d, J = 6.1 Hz, 3H), 0.79 - 0.70 (m, 1H), 0.69 - 0.64 (m, 3H), 0.59 (br d, J = 5.7 Hz, 3H) d. Synthesis of PMB octapeptide-PEG12
1. Synthesis of Compound 3: Compound 3: PMB Octapeptide-PEG12 was synthesized according to the same method as in PMB heptapeptide-PEG5 described above. ESI-MS: m/z calcd. for C66H120N16O22
2+ ([M+2H]
2+), 744.4; found 744.8 [M+2H]
2+.
1HNMR (400 MHz, D2O) δ = 7.34 - 7.21 (m, 3H), 7.16 (br d, J = 7.5 Hz, 2H), 4.47 (t, J = 8.2 Hz, 1H), 4.39 (dd, J = 5.4, 8.7 Hz, 1H), 4.32 (dd, J = 5.3, 9.2 Hz, 1H), 4.24 - 4.07 (m, 6H), 3.69 (br t, J = 6.1 Hz, 2H), 3.65 - 3.54 (m, 45H), 3.42 - 3.38 (m, 2H), 3.27 (td, J = 7.2, 14.0 Hz, 1H), 3.10 - 2.93 (m, 9H), 2.83 - 2.74 (m, 1H), 2.73 - 2.64 (m, 1H), 2.59 - 2.44 (m, 2H), 2.25 - 2.03 (m, 5H), 2.02 - 1.77 (m, 5H), 1.41 - 1.25 (m, 2H), 1.09 (d, J = 6.1 Hz, 3H), 0.70 (br d, J = 6.5 Hz, 1H), 0.69 - 0.64 (m, 3H), 0.59 (d, J = 5.9 Hz, 3H)
e. Synthesis of PMB decapeptide-PEG5
1. Synthesis of Compound 2: Compound 2 was synthesized according to the reported procedure (WO 2017218922). 2. Synthesis of Compound 4: PMB octapeptide-PEG5 was synthesized according to the same method as in PMB heptapeptide-PEG5. ESI-MS: m/z calcd. for C60H107N19O18
2+ ([M+2H]
2+), 690.9; found 691.2 [M+H]
2+.
1HNMR (400 MHz, D
2O) δ = 7.40 - 7.29 (m, 3H), 7.23 (br d, J = 6.8 Hz, 2H), 4.60 - 4.43 (m, 5H), 4.33 (d, J = 4.6 Hz, 1H), 4.29 - 4.17 (m, 7H), 3.77 (dt, J = 2.0, 6.0 Hz, 2H), 3.72 - 3.63 (m, 18H), 3.50 - 3.44 (m, 2H), 3.33 - 3.26 (m, 1H), 3.16 - 3.00 (m, 11H), 2.87 - 2.72 (m, 2H), 2.64 - 2.55 (m, 2H), 2.27 - 2.12 (m, 6H), 2.11 - 1.99 (m, 3H), 1.96 - 1.82 (m, 3H), 1.49 - 1.34 (m, 2H), 1.17 (t, J = 6.3 Hz, 6H), 0.85 - 0.78 (m, 1H), 0.78 - 0.72 (m, 3H), 0.67 (br d, J = 6.2 Hz, 3H)
f. Synthesis of PMB decapeptide-PEG12
1. Synthesis of Compound 4: Compound 4: PMB detapeptide-PEG12 was synthesized according to the same method as in PMB heptapeptide-PEG5. ESI-MS: m/z calcd. for C74H135N19O25
2+ ([M+2H]
2+), 845.0; found 845.4 [M+H]
2+.
1HNMR (400 MHz, D2O) δ = 7.43 - 7.30 (m, 3H), 7.25 (br d, J = 7.2 Hz, 2H), 4.58 - 4.46 (m, 4H), 4.35 (br d, J = 4.4 Hz, 1H), 4.31 - 4.15 (m, 7H), 3.80 - 3.76 (m, 2H), 3.72 - 3.63 (m, 44H), 3.51 - 3.46 (m, 2H), 3.38 - 3.29 (m, 1H), 3.18 - 3.00 (m, 11H), 2.92 - 2.75 (m, 2H), 2.68 - 2.55 (m, 2H), 2.30 - 2.13 (m, 6H), 2.07 (ddd, J = 8.6, 14.0, 19.9 Hz, 3H), 1.99 - 1.83 (m, 3H), 1.50 - 1.34 (m, 2H), 1.19 (br t, J = 6.2 Hz, 6H), 0.88 - 0.77 (m, 1H), 0.75 (br s, 3H), 0.67 (br d, J = 5.4 Hz, 3H) g. Synthesis of PMB octapeptide PEG5 guanidine
PMB octapeptide PEG5 guanidine was synthesized following the analagous method as for PMB octapeptide-PEG5, with 2-(Fmoc-amino)-4-(bis-Boc-guanidino)-L-butyric acid used as
amino acid derivative for incorporation of the guanidine group into position 3 (L-diaminobutyric acid, polymyxin numbering system) of the parent polymyxin B structure. ESI-MS: m/z calcd. for C53H94N18O15
2+ ([M+2H]
2+), 611.35; found 611.5 [M+2H]
2+. h. Synthesis of PMB decapeptide PEG5 diguanidine
PMB decapeptide PEG5 diguanidine was synthesized following the analagous method as for PMB decpeptide-PEG5, with 2-(Fmoc-amino)-4-(bis-Boc-guanidino)-L-butyric acid used as amino acid for incorporation of the guanidine groups into positions 1 and 3 (L-diaminobutyric acid, polymyxin numbering system) of the parent polymyxin B structure. ESI-MS: m/z calcd. for C62H111N23O18
2+ ([M+2H]
2+), 732.93; found 732.9 [M+2H]
2+.
EXAMPLE 7. SYNTHESIS OF PMB CONJUGATES
a. siRNA conjugate synthesis, isolation, and purification siRNA conjugates were synthesized by the following methods: first, siRNA sense strand (SS) and antisense strands (AS) were synthesized following the general procedures in Example 1. The siRNA SS were further functionalized by installation of an alkyne-containing linker onto the SS- 5’-amine modification, following the general procedures in Example 4. Subsequent conjugation with ligands, synthesized according to the procedures in Example 6, was accomplished through the azide-alkyne cycloaddition reactions described in Example 5. Finally, the conjugated SS and AS strands were annealed according to the general procedure in Example 2. i. Synthesis of monovalent siRNA conjugate CMPD-2314

The SS of siRNA SI-01 was reacted with mono-valent linker1, following the procedure in Example 4(a)(i). PMB heptapeptide-PEG5 ligand was then conjugated via CuAAC reaction, following Example 5(a). The conjugated SS was then annealed to form the final duplex siRNA conjugate SI-01, using the procedure in Example 2. Analysis of conjugated SS, AS, and duplex showed purity of SS, AS, and duplex.
ii. Synthesis of trivalent siRNA conjugate CMPD-2533

The SS of siRNA SI-01 was reacted with trivalent linker4, following the procedure in Example 4(a)(iii). PMB decapeptide-PEG5 ligand was then conjugated via SPAAC reaction, following Example 5(c). The conjugated SS was then annealed to form the final duplex siRNA conjugate, using the procedure in Example 2. Analysis of conjugated SS, AS, and duplex showed purity of SS, AS, and duplex. b. ASO conjugate synthesis, isolation and purification ASO conjugates were synthesized by the following methods: first, the antisense oligonucleotides were synthesized following the general procedures in Example 1. The siRNA SS was further functionalized by installation of an alkyne-containing linker onto the SS-5’-amine modification, following the general procedures in Example 4. Subsequent conjugation with ligands, synthesized according to the procedures in Example 1, was accomplished through the azide-alkyne cycloaddition reactions described in Example 5.
i. Synthesis of monovalent ASO conjugate CMPD-2593

The 5’-amine-modified AS01 was reacted with monovalent linker2, utilizing the procedure in Example 4(a)(i). PMB octapeptide-PEG5 ligand was then conjugated via SPAAC reaction, following Example 5(b), to yield a final ASO conjugate. Analysis showed the purity to be 95%. The following conjugates have been synthesized, combining the oligonucleotides (siRNA and ASO) and ligands via the linkers using the conjugation procedures as provided in the table below: Table 5. Summary Table of Conjugate Synthesis Procedures
Table 6. Summary Table of Conjugate Analytical Data



EXAMPLE 8. KIDNEY UPTAKE OF CONJUGATES a. General Methods for LC/MS-based exposure determination Kidney uptake of polymyxin- based siRNA conjugates (as shown in Tables 7 and 8 below) were evaluated in C57BL6 male mice following a single IV bolus administration at dose around 5 mg/kg to 10 mg/kg. Plasma and kidney tissues were taken at 15 minutes, 30 minutes, 1 hour, 2 hours, 4 hours, 8 hours, 16 hours, 24 hours, 48 hours, and up to 72 hours post dose for the evaluation of oligonucleotide concentration in plasma and kidney tissues. Kidney tissue homogenates were prepared using homogenizing solution. Analysis oligonucleotide in plasma and kidney homogenates was carried out by ion-pair reverse phase HPLC coupled with a triple quadrupole mass spectrometer (LC-MS/MS, Sciex Triple Quad 6500+, AB Sciex LLC, Toronto, Canada) following proteinase K digestion and sample preparation by liquid-liquid extraction (LLE) and solid phase extraction (SPE) for plasma and kidney homogenate, respectively. The LC mobile phases contain HFIP, DIPEA as ion-pair reagents. The MS/MS was run at negative mode with SRM detection of the antisense strand (AS) or sense strand (SS), with or without conjugate, of siRNA and internal standard (IS). Reference standard, conjugated or unconjugated siRNA, was used for quantitation of tissue concentration. Kidney uptake of siRNA was represented by comparing the dose-normalized kidney exposure (AUC, area under the curve) of an siRNA conjugate to the unconjugated siRNA control at 24 h or 72 h post dose. Pharmacokinetic parameter AUC was calculated using Phoenix WinNonlin 8.3.5 (Certara, Princeton, NJ) or GraphPad Prism (GraphPad Software LLC). As shown in Table 7, PMB conjugation resulted in an increase of kidney uptake of siRNA, compared to unconjugated siRNA. The enhanced kidney uptake was significant with mono- and multi-valent conjugation, up to 53-fold. There exists a general trend of multi-valent conjugate exhibiting higher kidney uptake.
Table 7: Summary of Kidney uptake of siRNA with mono- and multivalent PMB conjugation

b. General method for stem-loop qPCR-based exposure determination Kidney uptake of polymyxin-based siRNA conjugates (as shown in Table 8) was evaluated in C57BL6 male mice (6-8 weeks old, n=4 per group) following a single subcutaneous bolus administration of 10 mg/kg of siRNA conjugates, unconjugated siRNA control, or vehicle. Seven days post dose the animals were weighed and sacrificed. Kidneys were collected and snap frozen using liquid nitrogen for further processing. Frozen tissue was pulverized and ground to make tissue powder. The powder was weighed and processed for measuring drug levels in the tissue. The siRNA levels in tissues were measured by the method described in the paper McDougall et al., Drug Metab Dispos 50:781–797, June 2022. Briefly, around 10 mg of tissue powder was weighed, reconstituted in 1x PBST and denatured at 95 °C for 10 min. Samples were vortexed, snap chilled at 4 °C, and centrifuged at 16,000g. The general strategies previously published were employed to design primers and probes using a TaqMan-based approach (Chen et al., Nucleic Acids Res 2005, 33:e179.; Landesman et al. Silence 2010, 1:16; Castellanos- Rizaldos et al., Nucleic Acid Ther.2020;30:133–142). SI-04 Stem-loop RT primer set:
GTCGTATCCAGTGCAGGGTCCGAGGTATTCGCACTGGATACGACGACTTTGAGAA SI-04 Forward qPCR primer: GCCGGCTTTCAGATCGACCTT SI-04 Reverse qPCR primer: GTGCAGGGTCCGAGGTA SI-04 qPCR probe: 6FAM/GATACGACGACTTTGAG/MGBNFQ For measuring siRNA concentrations using isolated RNA, total RNA was isolated using MagMAX mirVana kits (Thermo Fisher) following manufacturer’s instructions. siRNA or miR- 16 RNA were serially diluted to run standard curves on each plate with every assay run. The siRNA levels measured were normalized to levels of miR-16 in each animal sample. The relative value of siRNA, normalized to miR-16 were used to calculate the fold change in exposure of conjugated siRNA with respect to unconjugated siRNA, and shown in Table 8. Table 8: Aminoglycoside Conjugate kidney uptake by stem-loop qPCR analysis

* To determine the increase in kidney uptake of CMPD-3814, it was dosed at 22 mg/kg and compared to CMPD-2935 (unconjugated control) dosed at 20 mg/kg. All other experimental methods were identical to those described in Example 8b above. EQUIVALENTS Those skilled in the art will recognize, or be able to ascertain using no more than routine experimentation, many equivalents to the specific embodiments and methods described herein. Such equivalents are intended to be encompassed by the scope of the following claims.