WO2025064850A1 - Rna constructs with n-terminal degrons to enhance an immune response - Google Patents
Rna constructs with n-terminal degrons to enhance an immune response Download PDFInfo
- Publication number
- WO2025064850A1 WO2025064850A1 PCT/US2024/047736 US2024047736W WO2025064850A1 WO 2025064850 A1 WO2025064850 A1 WO 2025064850A1 US 2024047736 W US2024047736 W US 2024047736W WO 2025064850 A1 WO2025064850 A1 WO 2025064850A1
- Authority
- WO
- WIPO (PCT)
- Prior art keywords
- rna molecule
- rna
- polypeptide
- ubiquitin
- nucleic acid
- Prior art date
- Legal status (The legal status is an assumption and is not a legal conclusion. Google has not performed a legal analysis and makes no representation as to the accuracy of the status listed.)
- Pending
Links
Classifications
-
- A—HUMAN NECESSITIES
- A61—MEDICAL OR VETERINARY SCIENCE; HYGIENE
- A61K—PREPARATIONS FOR MEDICAL, DENTAL OR TOILETRY PURPOSES
- A61K39/00—Medicinal preparations containing antigens or antibodies
- A61K39/002—Protozoa antigens
- A61K39/015—Hemosporidia antigens, e.g. Plasmodium antigens
-
- A—HUMAN NECESSITIES
- A61—MEDICAL OR VETERINARY SCIENCE; HYGIENE
- A61P—SPECIFIC THERAPEUTIC ACTIVITY OF CHEMICAL COMPOUNDS OR MEDICINAL PREPARATIONS
- A61P33/00—Antiparasitic agents
- A61P33/02—Antiprotozoals, e.g. for leishmaniasis, trichomoniasis, toxoplasmosis
- A61P33/06—Antimalarials
-
- A—HUMAN NECESSITIES
- A61—MEDICAL OR VETERINARY SCIENCE; HYGIENE
- A61K—PREPARATIONS FOR MEDICAL, DENTAL OR TOILETRY PURPOSES
- A61K39/00—Medicinal preparations containing antigens or antibodies
- A61K2039/51—Medicinal preparations containing antigens or antibodies comprising whole cells, viruses or DNA/RNA
- A61K2039/53—DNA (RNA) vaccination
-
- A—HUMAN NECESSITIES
- A61—MEDICAL OR VETERINARY SCIENCE; HYGIENE
- A61K—PREPARATIONS FOR MEDICAL, DENTAL OR TOILETRY PURPOSES
- A61K39/00—Medicinal preparations containing antigens or antibodies
- A61K2039/57—Medicinal preparations containing antigens or antibodies characterised by the type of response, e.g. Th1, Th2
-
- A—HUMAN NECESSITIES
- A61—MEDICAL OR VETERINARY SCIENCE; HYGIENE
- A61K—PREPARATIONS FOR MEDICAL, DENTAL OR TOILETRY PURPOSES
- A61K39/00—Medicinal preparations containing antigens or antibodies
- A61K2039/70—Multivalent vaccine
-
- C—CHEMISTRY; METALLURGY
- C07—ORGANIC CHEMISTRY
- C07K—PEPTIDES
- C07K2319/00—Fusion polypeptide
-
- C—CHEMISTRY; METALLURGY
- C07—ORGANIC CHEMISTRY
- C07K—PEPTIDES
- C07K2319/00—Fusion polypeptide
- C07K2319/95—Fusion polypeptide containing a motif/fusion for degradation (ubiquitin fusions, PEST sequence)
Definitions
- the present disclosure provides a pharmaceutical composition (e.g., immunogenic composition, e.g., vaccine) comprising a nucleic acid molecule, a polypeptide, or a pharmaceutical composition provided herein.
- a pharmaceutical composition e.g., immunogenic composition, e.g., vaccine
- Different medical use applications for a nucleic acid molecule, a polypeptide, a pharmaceutical composition, or a pharmaceutical composition are provided.
- nucleic acid vaccines prevent many millions of illnesses and save numerous lives every year, and recently nucleic acid vaccines, such as pharmaceutical compositions (e.g., immunogenic compositions, e.g., vaccines) using RNA encoding antigens, have emerged as promising alternatives to conventional vaccine approaches.
- Pharmaceutical compositions e.g., immunogenic compositions, e.g., vaccines
- RNA constructs for use in inducing an immune response represent a promising alternative to conventional vaccine approaches because of their potency, capacity for rapid development, and potential for low-cost manufacture and safe administration.
- RNA constructs encoding, e.g., viral antigens, pharmaceutical composition can be similar to the mechanism of, e.g., viral infection.
- pharmaceutical composition e.g., immunogenic composition, e.g., vaccine
- the RNA is translated into proteins. These proteins may undergo post-translational modification and eventually degrade, thus generating antigenic peptides that are transported to the endoplasmic reticulum (ER) and loaded onto major histocompatibility complex (MHC) class I molecules for antigen presentation and recognition by specific T cells.
- MHC major histocompatibility complex
- secreted proteins are taken up by professional antigen-presenting cells, either residing in the tissue or draining lymph nodes, to then be processed and presented on MHC class II molecules.
- RNA constructs encoding antigens e.g., cancer antigens, bacterial antigens, viral antigens, or parasite antigens
- a pharmaceutical composition e.g., immunogenic composition, e.g., vaccine
- an object of the present disclosure to provide effective pharmaceutical means for inducing an immune response (e.g., vaccination).
- a further object of the present disclosure is to provide pharmacological means to improve the CD8 + -specificT cell response.
- nucleic acid molecules of the present disclosure are further achieved by the peptide of the present disclosure, the host cell of the present disclosure, the composition comprising the host cell of the present disclosure, the pharmaceutical composition of the present disclosure, a pharmaceutical composition (e.g., immunogenic composition, e.g., vaccine) of the present disclosure, and the medical uses of the present disclosure.
- a pharmaceutical composition e.g., immunogenic composition, e.g., vaccine
- the present disclosure provides a nucleic acid molecule, in particular an RNA molecule, for eliciting an antigenspecific CD8 + T-cell response in a subject comprising a coding sequence encoding a polypeptide comprising an N-terminal degron and an antigenic peptide.
- the present disclosure further provides a nucleic acid molecule, in particular an RNA molecule, for eliciting an antigen-specific CD8 + T-cell response in a subject comprising a coding sequence encoding a polypeptide comprising an antigenic peptide and an N-terminal degron comprising at least one non-cleavable ubiquitin.
- the present disclosure further provides a nucleic acid molecule, in particular an RNA molecule, for eliciting an antigen-specific CD8 + T-cell response in a subject comprising a coding sequence encoding a polypeptide comprising an antigenic peptide and an N-terminal degron comprising at least one cleavable ubiquitin.
- a nucleic acid molecule in particular an RNA molecule, for eliciting an antigen-specific CD8 + T-cell response in a subject comprising a coding sequence encoding a polypeptide comprising an antigenic peptide and an N-terminal degron comprising at least one cleavable ubiquitin.
- RNA-encoded polypeptide described herein and comprising an antigenic peptide and an N-terminal degron significantly improves degradation of the polypeptide.
- An N-terminal degron advantageously destabilizes the polypeptide, leading to rapid processing by the proteasome system.
- the N-terminal degrons of the present disclosure can specifically elicit an antigen-specific CD8 + T-cell response, thereby providing an efficient targeting by cytotoxic CD8 + T cells.
- a potent CD8 + T-cell response against selected target proteins can be elicited by the nucleic acid molecules of the present disclosure.
- the present disclosure further provides an isolated host cell comprising the nucleic acid molecule of the present disclosure or the polypeptide of the present disclosure, and a composition comprising the isolated host cell.
- the present disclosure further concerns a pharmaceutical composition (e.g., immunogenic composition, e.g., vaccine) comprising a nucleic acid molecule of the present disclosure, a polypeptide of the present disclosure, or the pharmaceutical composition of the present disclosure.
- a pharmaceutical composition e.g., immunogenic composition, e.g., vaccine
- the polypeptide comprises an N-terminal degron and an antigenic peptide
- the ubiquitin has an amino acid sequence as shown in SEQ ID NO. : 7, 8, 9, 10, 11, 12 or 13.
- the polypeptide comprises one or more internal lysines, wherein the internal lysines are located outside the ubiquitin sequence, for example in the antigenic peptide or a linker present in the polypeptide.
- RNA molecule of any one of the preceding embodiments wherein the ubiquitin is immediately followed by arginine.
- the RNA molecule of any one of the preceding embodiments wherein the RNA molecule elicits an antigen-specific CD8 + T-cell response in a subject when administered to said subject.
- the RNA molecule of any one of the preceding embodiments, wherein the RNA molecule increases an antigen-specific CD8 + T-cell response compared to an antigen-specific CD8 + T-cell response elicited by a comparable RNA molecule that does not comprise the N-terminal degron. 12.
- RNA molecule of any one of the preceding embodiments wherein the RNA molecule elicits a twofold, a three-fold, or a five-fold increase in the antigen-specific CD8 + T-cell response compared to an antigen-specific CD4 + T-cell immune response.
- RNA molecule of any one of the preceding embodiments wherein the RNA molecule is a recombinant RNA molecule.
- RNA molecule of any one of the preceding embodiments wherein the RNA molecule is an mRNA, wherein the mRNA can be unmodified or a modified mRNA.
- RNA molecule of any one of the preceding embodiments wherein the RNA molecule comprises a 5' cap, 5'UTR, a coding region, a 3'UTR, a poly(A) tail, or any combination thereof.
- RNA molecule of any one of the preceding embodiments wherein the RNA molecule comprises a 5'-cap, a free 5'-triphosphate group, a free 5'-disphosphate group, a free 5'-diphosphate group, a free 5'- monophosphate group, or a free 5'-OH group, or comprising chemically modified analogues of said 5'-cap, said 5'-triphosphate group, said free 5'-disphosphate group or said free 5'-monophosphate group.
- RNA molecule of any one of the preceding embodiments wherein the RNA molecule comprises a 5'-cap, and wherein the 5'cap comprises G[5']ppp[5']G, m7G[5']ppp[5']G, rri3 2 ' 2 ' 7 G[5']ppp[5']G, rr ⁇ 7 ' 3 - °G[5']ppp[5']G (3'-ARCA), m2 7 - 2 ' 0 GpppG (2'-ARCA), m2 7 - 2 ' 0 GppSpG ( -S-ARCA), or m2 7 ' 3 ' °Gppp(mi 2 '- °)ApG.
- the 5'cap comprises G[5']ppp[5']G, m7G[5']ppp[5']G, rri3 2 ' 2 ' 7 G[5']ppp[5']G
- RNA molecule of any one of the preceding embodiments wherein the RNA molecule comprises an interrupted poly(A) sequence.
- RNA molecule of any one of the preceding embodiments wherein the antigenic peptide is a pathogen-related, tumor-related, or disease-related antigenic peptide.
- the antigenic peptide is a full- length protein or fragment thereof.
- RNA molecule of embodiment 26, wherein the linker comprises at most 8 amino acids, at most 6 amino acids, or at most 5 amino acids, e.g. 1 to 4 amino acids.
- RNA molecule of any one of the preceding embodiments wherein the antigenic peptides comprise a first antigenic peptide and a second antigenic peptide, wherein the first antigenic peptide comprises a first protein or fragment thereof, wherein the second antigenic peptide comprises a second protein or fragment thereof.
- RNA molecule according to embodiment 28 wherein the first antigenic peptide and the second antigenic peptide originate from different proteins or different portions of the same protein and are fused together, optionally such that a first antigenic peptide is adjacent to a second antigenic peptide or such that a first and second antigenic peptide are separated via a linker.
- RNA molecule of embodiment 29, wherein the linker comprises at most 8 amino acids, at most 6 amino acids, or at most 5 amino acids, e.g. 1 to 4 amino acids.
- RNA molecule of any one of the preceding embodiments for use in eliciting an antigen-specific CD8+ T-cell response in a subject.
- composition which comprises the isolated host cell of embodiment 35.
- An isolated host cell which comprises the RNA molecule of any one of embodiments 1-33 and/or the polypeptide of embodiment 34.
- a composition which comprises the isolated host cell of embodiment 35.
- a pharmaceutical composition comprising the RNA molecule of any one of embodiments 1-33 or the polypeptide of embodiment 34 in a pharmaceutically acceptable carrier.
- the pharmaceutical composition of embodiment 37 wherein the pharmaceutical composition elicits an antigen-specific CD8+ T-cell response in a subject.
- the pharmaceutical composition of embodiment 37 or 38, wherein the pharmaceutical composition comprises cationic lipids or is encapsulated into a nanoparticle or liposome.
- a vaccine composition for eliciting an antigen-specific CD8+ T-cell response in a subject comprising an effective dose of the RNA molecule of any one of embodiments 1 to 33, the polypeptide of embodiment 34, or the pharmaceutical composition of embodiment 37-39.
- the vaccine composition of embodiment 40 wherein the RNA molecule is associated with cationic lipids or is encapsulated into a nanoparticle or liposome.
- the vaccine composition of embodiment 40 or 41 for use in eliciting an antigen-specific CD8+ T-cell response in a subject.
- RNA molecule of any one of embodiments 1 to 33, the polypeptide of embodiment 34, the pharmaceutical composition of embodiment 37 to 39, or the vaccine composition of any one of embodiments 40 to 42 for use in a therapeutic or prophylactic treatment.
- the RNA molecule of any one of embodiments 1 to 33, the polypeptide of embodiment 34, the pharmaceutical composition of embodiment 37 to 39, or the vaccine composition of any one of embodiments 40 to 42 for use in a method of eliciting an antigen-specific CD8+ T-cell response in a subject in need thereof, comprising: administering to the subject an effective amount of the RNA molecule, the pharmaceutical composition, or the vaccine composition, thereby stimulating an antigen-specific CD8+ T-cell response in the subject.
- RNA molecule of any one of embodiments 1 to 33, the polypeptide of embodiment 34, the pharmaceutical composition of embodiment 37 to 39, or the vaccine composition of any one of embodiments 40 to 42 for use in a method for inducing the formation of MHC-I/peptide complexes in a cell, the method comprising administering to a subject an effective amount of the RNA molecule, the pharmaceutical composition, or the vaccine composition.
- RNA molecule of any one of embodiments 1 to 33, the polypeptide of embodiment 34, the pharmaceutical composition of embodiment 37 to 39, or the vaccine composition of any one of embodiments 40 to 42 for use in a method for stimulating or activating CD8+ T- cell, wherein the method comprises administering to a subject an effective amount of the RNA molecule, the pharmaceutical composition, or the vaccine composition.
- RNA molecule of any one of embodiments 1 to 33, the polypeptide of embodiment 34, the pharmaceutical composition of embodiment 37-39, or the vaccine composition of any one of embodiments 40 to 42 for use in any of the methods of embodiments 43 to 46, wherein the administration is intravenously.
- a method comprising administering the nucleic acid molecule of any one of embodiments 1 to 33, the polypeptide of embodiment 34, the pharmaceutical composition of embodiment 37-39, or the vaccine composition of any one of embodiments 40 to 42 to a subject.
- a nucleic acid molecule for eliciting an antigen-specific CD8 + T-cell response in a subject comprising a coding sequence encoding a polypeptide comprising an N-terminal degron and an antigenic peptide.
- nucleic acid molecule of any one of the preceding embodiments wherein the nucleic acid molecule is an unmodified RNA or a modified RNA, optionally a modified RNA.
- nucleic acid molecule of any one of the preceding embodiments wherein the nucleic acid molecule comprises a 5' cap, 5'UTR, a coding region, a 3'UTR, a poly(A) tail, or any combination thereof.
- nucleic acid molecule of any one of the preceding embodiments wherein the 5'UTR, if present, comprises a Kozak sequence.
- the nucleic acid molecule of any one of the preceding embodiments comprising a 5'-Cap, a free 5'- triphosphate group, a free 5'-disphosphate group, a free 5'-diphosphate group, a free 5'- monophosphate group, or a free 5'-OH group, or comprising chemically modified analogues of said 5'-Cap, said 5'- triphosphate group, said free 5'-disphosphate group or said free 5'-monophosphate group.
- nucleic acid molecule of any one of the preceding embodiments comprising a 5'cap that is G[5']ppp[5']G, m7G[5']ppp[5']G, m 3 2 - 2 - 7 G[5']ppp[5']G, m 2 7 - 3 ' 0 G[5']ppp[5']G (3'-ARCA), m 2 7 - 2 ' 0 GpppG (2'- ARCA), m 2 7 ' 2 ' °GppSpG (P-S- ARCA), or m 2 7 ' 2 ' °GppSpG ( -S-ARCA) and m 2 7 ' 3 ' °Gppp(mi 2 ' °)ApG.
- nucleic acid molecule of any one of the preceding embodiments comprising an interrupted poly(A) sequence.
- nucleic acid molecule of any one of the preceding embodiments wherein the antigenic peptide is an immunogenic peptide.
- nucleic acid molecule of the preceding embodiment 13 wherein the antigenic peptides are derived from different proteins or different portions of the same protein and fused together, optionally such that a first antigenic peptide is adjacent to a second antigenic peptide or such that a first and second antigenic peptide are separated via a linker.
- nucleic acid molecule of the preceding embodiment 14, wherein the linker comprises at most 8 amino acids, at most 6 amino acids, at most 5 amino acids, e.g. 1 to 4 amino acids.
- nucleic acid molecule of any one of the preceding embodiments wherein the N-terminal degron comprises a ubiquitin.
- the presence of an N- terminal degron reduces the half-life of the polypeptide to 1 hour or less, to 30 minutes or less, e.g. to 10 minutes or less compared to the polypeptide without the N-terminal degron.
- a degrading amino acid such as an arginine
- nucleic acid molecule of the preceding embodiment 20 wherein the non-cleavable ubiquitin comprises a glycine substitution at the amino acid position 76 with reference to SEQ ID NO.: 1, optionally wherein the glycine is substituted by an alanine (G76A) (e.g., as shown in SEQ ID NO.: 30).
- G76A alanine
- nucleic acid molecule of the preceding embodiment 25 wherein the destabilizing amino acid is isoleucine, glutamic acid, threonine, glutamine, phenylalanine, leucine, aspartic acid, arginine, lysine, or histidine, optionally arginine, lysine, or histidine (e.g., as shown in SEQ ID NO. : 2).
- nucleic acid molecule of any one of the preceding embodiments wherein the polypeptide comprises one or more internal lysines, wherein the internal lysines are located outside the ubiquitin sequence, optionally in the antigenic peptide or a linker present in the polypeptide.
- nucleic acid molecule of any one of the preceding embodiments for use in eliciting an antigenspecific CD8 + T-cell response in a subject.
- the nucleic acid molecule of preceding embodiment 28 wherein the subject suffers from a disease, such as a genetic, metabolic or infectious disease.
- nucleic acid molecule of any one of the preceding embodiments 32-38 wherein the subject is a mammal, e.g. a human.
- the nucleic acid molecule of any one of the preceding embodiments 32-39 wherein the nucleic acid molecule elicits a two-fold, a three-fold, or a five-fold increase in the antigen-specific CD8 + T-cell response compared to an antigen-specific CD4 + T-cell immune response.
- 41 The nucleic acid molecule of any one of the preceding embodiments 32-40, wherein the presence of the N-terminal degron reduces the half-life of the polypeptide to 1 hour or less, to 30 minutes or less, e.g. to 10 minutes or less compared to the polypeptide without the N-terminal degron.
- nucleic acid molecule of any one of the preceding embodiments 32-44 wherein the nucleic acid molecule is an unmodified RNA or a modified RNA, optionally a modified RNA.
- nucleic acid molecule of any one of the preceding embodiments 32-46, wherein the 5'UTR, if present, comprises a Kozak sequence.
- nucleic acid molecule of any one of the preceding embodiments 32-47 comprising a 5'-Cap, a free 5'-triphosphate group, a free 5'-disphosphate group, a free 5'-diphosphate group, a free 5'- monophosphate group, or a free 5'-OH group, or comprising chemically modified analogues of said 5'- Cap, said 5'-triphosphate group, said free 5'-disphosphate group or said free 5'-monophosphate group.
- nucleic acid molecule of any one of the preceding embodiments 32-48 comprising a 5'cap that is G[5']ppp[5']G, m7G[5']ppp[5']G, m 3 2 - 2 - 7 G[5']ppp[5']G, m 2 7 - 3 ' °G[5']ppp[5']G (3'-ARCA), m 2 7 - 2 ' °GpppG (2'- ARCA), m 2 7 ' 2 ' °GppSpG (P-S- ARCA), or m 2 7 ' 2 ' °GppSpG ( -S-ARCA) and m 2 7 ' 3 ' °Gppp(mi 2 ' °)ApG.
- nucleic acid molecule of any one of the preceding embodiments 32-50 comprising an interrupted poly(A) sequence.
- 52 The nucleic acid molecule of any one of the preceding embodiments 32-51, wherein the antigenic peptide is an immunogenic peptide.
- a nucleic acid molecule for eliciting an antigen-specific CD8 + T-cell response in a subject comprising a coding sequence encoding a polypeptide comprising an antigenic peptide and an N-terminal degron comprising a cleavable ubiquitin.
- nucleic acid molecule of the preceding embodiment 58 wherein the ubiquitin is immediately followed by a destabilizing amino acid.
- nucleic acid molecule of the preceding embodiment 59 wherein the destabilizing amino acid is isoleucine, glutamic acid, threonine, glutamine, phenylalanine, leucine, aspartic acid, arginine, lysine, or histidine, optionally arginine, lysine, or histidine (e.g., as shown in SEQ ID NO. : 2).
- nucleic acid molecule of any one of the preceding embodiments 58-62 wherein the subject suffers from a disease, such as a genetic, metabolic or infectious disease.
- a disease such as a genetic, metabolic or infectious disease.
- 64. The nucleic acid molecule of any one of the preceding embodiments 58-63, wherein the subject is a mammal, e.g. a human.
- nucleic acid molecule of any one of the preceding embodiments 58-64 wherein the nucleic acid molecule elicits a two-fold, a three-fold, or a five-fold increase in the antigen-specific CD8 + T-cell response compared to an antigen-specific CD4 + T-cell immune response.
- nucleic acid molecule of any one of the preceding embodiments 58-69 wherein the nucleic acid molecule comprises a 5' cap, 5'UTR, a coding region, a 3UTR, a poly(A) tail, or any combination thereof.
- nucleic acid molecule of any one of the preceding embodiments 58-70, wherein the 5'UTR, if present, comprises a Kozak sequence.
- nucleic acid molecule of any one of the preceding embodiments 58-71 comprising a 5'-cap, a free 5'-triphosphate group, a free 5'-disphosphate group, a free 5'-diphosphate group, a free 5'- monophosphate group, or a free 5'-OH group, or comprising chemically modified analogues of said 5'- cap, said 5'-triphosphate group, said free 5'-disphosphate group or said free 5'-monophosphate group.
- nucleic acid molecule of any one of the preceding embodiments 58-72 comprising a 5'cap that is G[5']ppp[5']G, m7G[5']ppp[5']G, m 3 2A7 G[5']ppp[5']G, m2 7 - 3 ' 0 G[5']ppp[5']G (3'-ARCA), m2 7 - 2 ' 0 GpppG (2'- ARCA), m 2 7 ' 2 O GppSpG (P-S- ARCA), orm2 7 ' 2 ' °GppSpG ( -S-ARCA) and m2 7 ' 3 , - 0 Gppp(mi 2 ' 0 )ApG.
- nucleic acid molecule of the preceding embodiment 79 wherein the antigenic peptides are derived from different proteins or different portions of the same protein and fused together, optionally such that a first antigenic peptide is adjacent to a second antigenic peptide or such that a first and second antigenic peptide are separated via a linker.
- nucleic acid molecule of the preceding embodiment 80 wherein the linker comprises at most 8 amino acids, at most 6 amino acids, at most 5 amino acids, e.g. 1 to 4 amino acids.
- a degrading amino acid such as an arginine
- nucleic acid molecule of any one of the preceding embodiments 58-82 wherein the ubiquitin has an amino acid sequence as shown in SEQ ID NO.: 1, or an amino acid sequence that is at least 80%, at least 90%, at least 95, at least 96%, at least 97%, at least 98%, or at least 99% identical to SEQ ID NO. : 1, and/or wherein the ubiquitin comprises a lysine substitution, such as a lysine substitution in one or more of the amino acid positions 6, 11, 27, 29, 33, and 63 or any combination thereof with reference to SEQ ID NO.: 1, optionally wherein the lysine is substituted at the one or more positions by a degrading amino acid (such as an arginine).
- a degrading amino acid such as an arginine
- nucleic acid molecule according to preceding embodiment 86, wherein the two or more ubiquitins can be the same or different ubiquitin sequences.
- nucleic acid molecule of any of the preceding embodiments 1-19, 25-31, 58-82, 83-88 or 90, wherein the polypeptide comprises an amino acid sequence as shown in SEQ ID NO. : 2.
- a pharmaceutical composition comprising a nucleic acid molecule of any one of the preceding embodiments 1-93 or the polypeptide of embodiment 94 in a pharmaceutically acceptable carrier.
- a pharmaceutical composition e.g., immunogenic composition, e.g., vaccine
- a pharmaceutical composition for eliciting an antigen-specific CD8 + T-cell response comprising an effective dose of the nucleic acid molecule of any one of the preceding embodiments 1 to 93, the polypeptide of embodiment 94, or the pharmaceutical composition of embodiment 97.
- composition e.g., immunogenic composition, e.g., vaccine
- composition of the preceding embodiment 98 wherein the nucleic acid molecule is associated with cationic lipids or is encapsulated into a nanoparticle or liposome.
- composition e.g., immunogenic composition, e.g., vaccine
- pharmaceutical composition e.g., immunogenic composition, e.g., vaccine composition of any one of the preceding embodiments 98-99, for use in a therapeutic or prophylactic treatment.
- pharmaceutical composition e.g., immunogenic composition, e.g., vaccine
- RNA molecule can encode an RNA molecule (e.g., by a transcription process that includes a DNA-dependent RNA polymerase enzyme).
- RNA molecule can encode a polypeptide (e.g., by a translation process).
- a gene, a cDNA, or a single-stranded RNA encodes a polypeptide if transcription and translation of mRNA corresponding to that gene produces the polypeptide in a cell or other biological system.
- a coding region of a single-stranded RNA encoding a target polypeptide agent refers to a coding strand, the nucleotide sequence of which is identical to the mRNA sequence of such a target polypeptide agent.
- a coding region of a single-stranded RNA encoding a target polypeptide agent refers to a non-coding strand of such a target polypeptide agent, which may be used as a template for transcription of a gene or cDNA.
- the phrase "nucleic acid molecule encoding a peptide or protein” means that the nucleic acid molecule, if present in the appropriate environment, for example within a cell and/or in a cell-free translation system, can direct the assembly of amino acids to produce the peptide or protein via a process of translation.
- epitope refers to the part of an antigen that, as used herein, refers to an agent that elicits an immune response; and/or an agent that binds to a T cell receptor (e.g., when presented by an MHC molecule) or to an antibody.
- a "major histocompatibility complex” is either an MHC class I (MHC-I) or MHC class II (MHC-II) molecules and is a protein complex present in all vertebrates.
- MHC proteins are important for signalling between lymphocytes and antigen presenting cells or diseased cells in immune reactions, wherein the MHC proteins or molecules bind peptide epitopes and present them for recognition by T cell receptors on T cells.
- epitopes are the discrete, three-dimensional sites on an antigen, which are presented on MHC class I or II and recognized by T cells via T cell receptors.
- Epitopes usually consist of chemically active surface groupings of molecules such as amino acids or sugar side chains and usually have specific three- dimensional structural characteristics, as well as specific charge characteristics. Conformational and non- conformational epitopes are distinguished in that the binding to the former but not the latter is lost in the presence of denaturing solvents.
- the term relates to an immunogenic portion of an antigen comprising the epitope.
- An epitope of a protein may comprise a continuous or discontinuous portion of said protein.
- epitope of a protein may comprise a continuous or discontinuous portion of said protein.
- epitope of a protein may comprise a continuous or discontinuous portion of said protein.
- epitope of a protein may comprise a continuous or discontinuous portion of said protein.
- epitope of a protein may comprise a continuous or discontinuous portion of said protein.
- the epitope in the context of the present disclosure may be a T cell epitope.
- the peptides (epitopes) are typically about 8 to about 15 amino acids long although longer or shorter peptides can also be effective.
- the binding peptides (epitopes) are typically about 10 to about 25 amino acids long and are in particular about 13 to about 18 amino acids long, although longer and shorter peptides may also be effective.
- a "gene” is a DNA sequence in a chromosome that codes for a protein.
- a gene includes coding sequence (i.e., sequence that encodes a particular protein); in some embodiments, a gene includes non-coding sequence.
- a gene may include both coding (e.g., exonic) and non-coding (e.g., intronic) sequences.
- a gene may include one or more regulatory elements that, for example, may control or impact one or more aspects of gene expression (e.g., cell-type- specific expression, inducible expression, etc.).
- an “immune cell” is any cell of hematopoietic lineage involved in regulating an immune response against an antigen (e.g., a bacterial or viral infection or an auto-antigen).
- an immune cell is a leukocyte, such as a white blood cell.
- Immune cells include neutrophils, eosinophils, basophils, lymphocytes, and/or monocytes. Lymphocytes include T lymphocytes and B lymphocytes. Immune cells can also be dendritic cells, natural killer (NK) cells, and/or a mast cell.
- MG-132 or "MG132” is a commercially available 26S proteasome inhibitor.
- MHC is a major histocompatibility complex comprising a polymorphic set of proteins.
- MHC-I is the MHC class I molecule. MHC-I is expressed on the surface of all nucleated cells that present antigenic peptides (epitopes) to CD8 + (including cytotoxic) T cells in the form of proteolytically processed peptides, wherein the epitopes are typically 8-15 amino acids in length.
- MHC-I/peptide complex is the epitope-loaded MHC-I, meaning the MHC-I presenting an epitope to specific T cells.
- operatively linked means that a promoter, or similar regulatory element, is positioned next to an expressible nucleotide sequence or coding region such that the transcription of that coding region is controlled and regulated by that promoter.
- plurality refers to the state of being plural.
- a plurality of antigenic peptides therefore refers to more than one antigenic peptide.
- a plurality of antigenic peptides refers to at least two antigenic peptides, at least three, at least four, or at least five antigenic peptides.
- polypeptide polypeptide
- nucleic acid molecule when used in the context of a nucleic acid molecule means a nucleic acid molecule having nucleotide sequences that are not naturally joined together and can be made by artificially combining two otherwise separated segments of sequence. This artificial combination is often accomplished by chemical synthesis or, more commonly, by the artificial manipulation of isolated segments of nucleic acids, for example, by genetic engineering techniques.
- Recombinant nucleic acid molecules include vectors comprising an amplified or assembled polynucleotide, which can be used to transform or transfect a suitable host cell.
- a host cell that comprises the recombinant nucleic acid molecule is referred to as a "recombinant host cell.”
- the nucleic acid molecule is then expressed in the recombinant host cell to produce a "recombinant polypeptide.”
- a recombinant nucleic acid molecule can also comprise a non-coding function.
- a “string” can be a nucleic acid molecule or polypeptide of the present disclosure.
- a string may comprise a plurality of antigenic peptides strung like beads on a string.
- a "string” can comprise a plurality of antigenic peptides, wherein at least some of these antigenic peptides may be separated by linker sequences.
- a "subject" is a mammal, such as a human, of either gender (a male or a female).
- the subject may be of any age.
- the subject is female.
- the subject is male.
- the subject is a patient having a disease, in particular a female patient having disease and/or a male patient having a disease.
- treating when used in the context of a disease or disease condition means ameliorating, improving or remedying a disease, disorder, or symptom of a disease or condition associated with the disease, or can mean completely or partially stopping, on a molecular level, the biochemical basis of the disease, such as halting replication of a virus, etc. It describes an act that leads to the elimination, reduction, alleviation, reversal, or prevention or delay of onset or recurrence of any symptom of a disease.
- vector refers to a nucleic acid molecule capable of transporting another nucleic acid to which it has been linked.
- Vectors comprise plasmids, cosmid vectors, phagemids such as lambda phage, virus genomes including retroviral, adenoviral or baculoviral vectors, artificial chromosome vectors such as bacterial artificial chromosomes (BAC), yeast artificial chromosomes (YAC), or PI artificial chromosomes (PAC) and functional portions thereof.
- BAC bacterial artificial chromosomes
- YAC yeast artificial chromosomes
- PAC PI artificial chromosomes
- plasmid refers to a circular double stranded DNA into which additional DNA segments may be ligated.
- vectors are capable of autonomous replication in a host cell into which they are introduced (e.g., bacterial vectors having a bacterial origin of replication and episomal mammalian vectors). Other vectors (e.g., non-episomal mammalian vectors) can be integrated into the genome of a host cell upon introduction into the host cell, and thereby are replicated along with the host genome. Moreover, certain vectors are capable of directing the expression of genes to which they are operatively linked. Such vectors are referred to herein as "expression vectors”.
- Expression vectors comprise plasmids as well as viral vectors and generally contain a desired coding sequence and appropriate non-coding sequences necessary for the expression of the operably linked coding sequence in a particular host organism (e.g., bacteria, yeast, plant, insect, or mammal) or in in vitro expression systems.
- Cloning vectors are generally used to engineer and amplify a certain desired DNA fragment and may lack functional sequences needed for expression of the desired DNA fragments.
- nucleic acid comprises deoxyribonucleic acid (DNA), ribonucleic acid (RNA), combinations thereof, and modified forms thereof.
- DNA deoxyribonucleic acid
- RNA ribonucleic acid
- the term comprises genomic DNA, cDNA, mRNA, recombinantly produced and chemically synthesized molecules.
- a nucleic acid is DNA.
- a nucleic acid is RNA.
- a nucleic acid is a mixture of DNA and RNA.
- a nucleic acid may be present as a single-stranded or double-stranded and linear or covalently circularly closed molecule.
- a nucleic acid can be isolated.
- isolated nucleic acid means, according to the present disclosure, that the nucleic acid (i) was amplified in vitro, for example via polymerase chain reaction (PCR) for DNA or in vitro transcription (using, e.g., an RNA polymerase) for RNA, (ii) was produced recombinantly by cloning, (iii) was purified, for example, by cleavage and separation by gel electrophoresis, or (iv) was synthesized, for example, by chemical synthesis.
- PCR polymerase chain reaction
- RNA polymerase RNA polymerase
- nucleoside (abbreviated herein as "N") relates to compounds which can be thought of as nucleotides without a phosphate group. While a nucleoside is a nucleobase linked to a sugar (e.g., ribose or deoxyribose), a nucleotide is composed of a nucleoside and one or more phosphate groups. Examples of nucleosides include cytidine, uridine, pseudouridine, adenosine, and guanosine.
- the five standard nucleosides which usually make up naturally occurring nucleic acids are uridine, adenosine, thymidine, cytidine and guanosine.
- the five nucleosides are commonly abbreviated to their one letter codes U, A, T, C and G, respectively.
- thymidine is more commonly written as “dT” ("d” represents “deoxy") as it contains a 2'-deoxyribofuranose moiety rather than the ribofuranose ring found in uridine. This is because thymidine is found in deoxyribonucleic acid (DNA) and not ribonucleic acid (RNA).
- uridine is found in RNA and not DNA.
- the remaining three nucleosides may be found in both RNA and DNA. In RNA, they would be represented as A, C and G, whereas in DNA they would be represented as dA, dC and dG.
- a modified purine (A or G) or pyrimidine (C, T, or U) base moiety is, in some embodiments, modified by one or more alkyl groups, e.g., one or more Cl-4 alkyl groups, e.g., one or more methyl groups.
- modified purine or pyrimidine base moieties include N7-alkyl-guanine, N6-alkyl-adenine, 5-alkyl-cytosine, 5- alkyl-uracil, and N(l)-alkyl-uracil, such as N7-C1-4 alkyl-guanine, N6-C1-4 alkyl-adenine, 5-C1-4 alkyl-cytosine, 5-C1-4 alkyl-uracil, and N(l)-Cl-4 alkyl-uracil, e.g. N7-methyl-guanine, N6-methyl-adenine, 5-methyl-cytosine, 5-methyl-uracil, and N(l)-methyl-uracil.
- DNA relates to a nucleic acid molecule which is entirely or at least substantially composed of deoxyribonucleotide residues.
- the DNA contains all or a majority of deoxyribonucleotide residues.
- deoxyribonucleotide refers to a nucleotide which lacks a hydroxyl group at the 2'-position of a p-D-ribofuranosyl group.
- DNA encompasses without limitation, double stranded DNA, single stranded DNA, isolated DNA such as partially purified DNA, essentially pure DNA, synthetic DNA, recombinantly produced DNA, as well as modified DNA that differs from naturally occurring DNA by the addition, deletion, substitution and/or alteration of one or more nucleotides. Such alterations may refer to addition of non-nucleotide material to internal DNA nucleotides or to the end(s) of DNA. It is also contemplated herein that nucleotides in DNA may be non-standard nucleotides, such as chemically synthesized nucleotides or ribonucleotides. For the present disclosure, these altered DNAs are considered analogs of naturally-occurring DNA.
- a molecule contains "a majority of deoxyribonucleotide residues" if the content of deoxyribonucleotide residues in the molecule is more than 50% (such as at least 55%, at least 60%, at least 65%, at least 70%, at least 75%, at least 80%, at least 85%, at least 90%, at least 95%, at least 96%, at least 97%, at least 98%, at least 99%), based on the total number of nucleotide residues in the molecule.
- the total number of nucleotide residues in a molecule is the sum of all nucleotide residues (irrespective of whether the nucleotide residues are standard (i.e., naturally occurring) nucleotide residues or analogs thereof).
- DNA may be recombinant DNA and may be obtained by cloning of a nucleic acid, in particular cDNA.
- the cDNA may be obtained by reverse transcription of RNA.
- RNA relates to a nucleic acid molecule which includes ribonucleotide residues.
- the nucleic acid molecule as disclosed herein is an RNA as disclosed herein (also referred to hereinafter as "RNA molecule").
- RNA contains all or a majority of ribonucleotide residues.
- ribonucleotide refers to a nucleotide with a hydroxyl group at the 2'-position of a p- D-ribofuranosyl group.
- RNA encompasses without limitation, double stranded RNA, single stranded RNA, isolated RNA such as partially purified RNA, essentially pure RNA, synthetic RNA, recombinantly produced RNA, as well as modified RNA that differs from naturally occurring RNA by the addition, deletion, substitution and/or alteration of one or more nucleotides. Such alterations may refer to addition of non-nucleotide material to internal RNA nucleotides or to the end(s) of RNA. It is also contemplated herein that nucleotides in RNA may be non-standard nucleotides, such as chemically synthesized nucleotides or deoxynucleotides.
- altered/modified nucleotides can be referred to as analogs of naturally occurring nucleotides, and the corresponding RNAs containing such altered/modified nucleotides (i.e., altered/modified RNAs) can be referred to as analogs of naturally occurring RNAs.
- a molecule contains "a majority of ribonucleotide residues" if the content of ribonucleotide residues in the molecule is more than 50% (such as at least 55%, at least 60%, at least 65%, at least 70%, at least 75%, at least 80%, at least 85%, at least 90%, at least 95%, at least 96%, at least 97%, at least 98%, at least 99%), based on the total number of nucleotide residues in the molecule.
- the total number of nucleotide residues in a molecule is the sum of all nucleotide residues (irrespective of whether the nucleotide residues are standard (i.e., naturally occurring) nucleotide residues or analogs thereof).
- RNA includes mRNA, self-amplifying RNA (saRNA), trans-amplifying RNA (taRNA), single-stranded RNA (ssRNA), or dsRNA.
- IVT in vitro transcription
- the transcription i.e., the generation of RNA
- IVT does not use living/cultured cells but rather the transcription machinery extracted from cells (e.g., cell lysates or the isolated components thereof, including an RNA polymerase (such as T7, T3 or SP6 polymerase)).
- mRNA means "messenger-RNA” and includes a “transcript” which may be generated by using a DNA template.
- mRNA encodes a peptide or polypeptide.
- mRNA is single-stranded but may contain self-complementary sequences that allow parts of the mRNA to fold and pair with itself to form double helices.
- dsRNA means double-stranded RNA and is RNA with two partially or completely complementary strands.
- the RNA e.g., mRNA may encode a peptide or polypeptide has a length of at least 15 nucleotides (such as at least 20, at least 30, at least 40, at least 50, at least 60, at least 70, at least 80, at least 90, at least 100, at least 120, at least 140, at least 160, at least 180, at least 200, at least 250, at least 300, at least 350, at least 400, at least 450, at least 500, at least 600, at least 700, at least 800, at least 900 nucleotides), e.g. up to 15,000, such as up to 12,000, up to 8,000, up to 6,000 nucleotides, or up to 4,000 nucleotides.
- nucleotides such as at least 20, at least 30, at least 40, at least 50, at least 60, at least 70, at least 80, at least 90, at least 100, at least 120, at least 140, at least 160, at least 180, at least 200, at least 250, at least 300,
- RNA e.g., mRNA
- RNA generally contains a 5' untranslated region (5'-UTR), a peptide/polypeptide coding region, and a 3' untranslated region (3'-UTR).
- RNA e.g., mRNA
- the RNA is produced by in vitro transcription using a DNA template. In vitro transcription methodology is known to the skilled person; cf., e.g., Molecular Cloning: A Laboratory Manual, 4th Edition, M.R. Green and J.
- in vitro transcription kits are commercially available, e.g., from Thermo Fisher Scientific (such as TranscriptAidTM T7 kit, MEGAscript® T7 kit, MAXIscript®), New England BioLabs Inc. (such as HiScribeTM T7 kit, HiScribeTM T7 ARCA mRNA kit), Promega (such as RiboMAXTM, HeLaScribe®, Riboprobe® systems), Jena Bioscience (such as SP6 or T7 transcription kits), and Epicentre (such as AmpliScribeTM).
- Thermo Fisher Scientific such as TranscriptAidTM T7 kit, MEGAscript® T7 kit, MAXIscript®), New England BioLabs Inc.
- HiScribeTM T7 kit such as HiScribeTM T7 kit, HiScribeTM T7 ARCA mRNA kit
- Promega such as RiboMAXTM, HeLaScribe®, Riboprobe® systems
- Jena Bioscience such as SP6 or T
- modified RNA e.g., mRNA
- correspondingly modified nucleotides such as modified naturally occurring nucleotides, non-naturally occurring nucleotides and/or modified non-naturally occurring nucleotides, can be incorporated during synthesis (such as in vitro transcription), or modifications can be affected in and/or added to the RNA after transcription.
- RNA is in vitro transcribed RNA (IVT-RNA) and may be obtained by in vitro transcription of an appropriate DNA template.
- the promoter for controlling transcription can be any promoter for any RNA polymerase.
- RNA polymerases are the T7, T3, and SP6 RNA polymerases.
- the in vitro transcription is controlled by a T7 or SP6 promoter.
- a DNA template for in vitro transcription may be obtained by cloning of a nucleic acid, in particular cDNA, and introducing it into an appropriate vector for in vitro transcription.
- the cDNA may be obtained by reverse transcription of RNA.
- the RNA is "replicon RNA” or simply a “replicon”, in particular "self-replicating RNA” or “self-amplifying RNA”.
- the replicon or self-replicating RNA is derived from or comprises elements derived from an ssRNA virus, in particular a positive-stranded ssRNA virus such as an alphavirus.
- Alphaviruses are typical representatives of positive-stranded RNA viruses.
- Alphaviruses replicate in the cytoplasm of infected cells (for review of the alphaviral life cycle see Jose et al., Future Microbiol., 2009, vol. 4, pp. 837-856).
- the total genome length of many alphaviruses typically ranges between 11,000 and 12,000 nucleotides, and the genomic RNA typically has a 5'-cap, and a 3' poly(A) tail.
- the genome of alphaviruses encodes non-structural proteins (involved in transcription, modification and replication of viral RNA and in protein modification) and structural proteins (forming the virus particle). There are typically two open reading frames (ORFs) in the genome.
- the four non-structural proteins (nsPl-nsP4) are typically encoded together by a first ORF beginning near the 5' terminus of the genome, while alphavirus structural proteins are encoded together by a second ORF which is found downstream of the first ORF and extends near the 3' terminus of the genome.
- the first ORF is larger than the second ORF, the ratio being roughly 2: 1.
- the genomic RNA In cells infected by an alphavirus, only the nucleic acid sequence encoding non-structural proteins is translated from the genomic RNA, while the genetic information encoding structural proteins is translatable from a subgenomic transcript, which is an RNA molecule that resembles eukaryotic messenger RNA (mRNA; Gould et al., 2010, Antiviral Res., vol. 87 pp. 111-124). Following infection, e.g., at early stages of the viral life cycle, the (+) stranded genomic RNA directly acts like a messenger RNA for the translation of the open reading frame encoding the non-structural poly-protein (nsP1234).
- mRNA eukaryotic messenger RNA
- Alphavirus-derived vectors have been proposed for delivery of foreign genetic information into target cells or target organisms.
- the open reading frame encoding alphaviral structural proteins is replaced by an open reading frame encoding a protein of interest.
- Alphavirus-based trans-replication (transamplification) systems rely on alphavirus nucleotide sequence elements on two separate nucleic acid molecules: one nucleic acid molecule encodes a viral replicase, and the other nucleic acid molecule is capable of being replicated by said replicase in trans (hence the designation trans-replication system).
- Trans-replication requires the presence of both these nucleic acid molecules in a given host cell.
- the nucleic acid molecule capable of being replicated by the replicase in trans must comprise certain alphaviral sequence elements to allow recognition and RNA synthesis by the alphaviral replicase.
- the RNA e.g., mRNA
- the RNA described herein contains one or more modifications, e.g., in order to increase its stability and/or increase translation efficiency and/or decrease immunogenicity and/or decrease cytotoxicity.
- RNA e.g., mRNA
- it may be modified within the coding region, i.e., the sequence encoding the expressed peptide or polypeptide, optionally without altering the sequence of the expressed peptide or polypeptide.
- Such modifications are described, for example, in WO 2007/036366 and PCT/EP2019/056502, and include the following: a 5'-cap structure; an extension or truncation of the naturally occurring poly(A) tail; an alteration of the 5'- and/or 3'-untranslated regions (UTR) such as introduction of a UTR which is not related to the coding region of said RNA; the replacement of one or more naturally occurring nucleotides with synthetic nucleotides; and codon optimization (e.g., to alter, e.g. increase, the GC content of the RNA).
- UTR 5'-cap structure
- an extension or truncation of the naturally occurring poly(A) tail an alteration of the 5'- and/or 3'-untranslated regions (UTR) such as introduction of a UTR which is not related to the coding region of said RNA
- UTR 5'- and/or 3'-untranslated regions
- codon optimization e.g., to alter,
- a combination of the above described modifications i.e., incorporation of a 5'-cap structure, incorporation of a poly-A sequence, unmasking of a poly-A sequence, alteration of the 5'- and/or 3'-UTR (such as incorporation of one or more 3'-UTRs), replacing one or more naturally occurring nucleotides with synthetic nucleotides (e.g., 5-methylcytidine for cytidine and/or pseudouridine (QJ) or N(l)-methylpseudouridine (mlQJ) or 5-methyluridine (m5U) for uridine), and codon optimization, has a synergistic influence on the stability of RNA (such as mRNA) and increase in translation efficiency.
- synthetic nucleotides e.g., 5-methylcytidine for cytidine and/or pseudouridine (QJ) or N(l)-methylpseudouridine (mlQJ) or 5-methyluridine (m5U
- the RNA (e.g., mRNA) described in the present disclosure contains a combination of at least two, at least three, at least four or all five of the above-mentioned modifications, i.e., (i) incorporation of a 5'-cap structure, (ii) incorporation of a poly-A sequence, unmasking of a poly-A sequence; (iii) alteration of the 5'- and/or 3'-UTR (such as incorporation of one or more 3'-UTRs); (iv) replacing one or more naturally occurring nucleotides with synthetic nucleotides (e.g., 5-methylcytidine for cytidine and/or pseudouridine (QJ) or N(l)- methylpseudouridine (mlQJ) or 5-methyluridine (m5U) for uridine), and (v) codon optimization.
- synthetic nucleotides e.g., 5-methylcytidine for cytidine and/or pseudouridine
- the RNA (e.g., mRNA) described herein comprises a 5'-cap structure.
- the "5'cap” is a cap structure on the 5'-end of mRNAs, which is present in eukaryotic organisms.
- Naturally occurring cap structures comprise a ribo-guanosine residue that is methylated at position N7 of the guanine base, abbreviated 7m Gppp.
- 7m Gppp ribo-guanosine residue that is methylated at position N7 of the guanine base
- the presence of the 7m Gppp fragment on the 5'-end is essential for mRNA maturation, it protects the mRNAs from degradation by exonucleases, facilitates transport of mRNAs from the nucleus to the cytoplasm and plays a key role in assembly of the translation initiation complex.
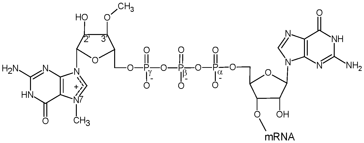
- a 5' cap may be or comprise a dinucleotide cap analog such as G[5']ppp[5']G, m7G[5']ppp[5']G, m 3 2 - 2 - 7 G[5']ppp[5']G, m 2 7 - 3 ' 0 G[5']ppp[5']G (3'-ARCA), m 2 7 - 2 ' 0 GpppG (2'- ARCA), m 2 7 ' 2 '-°GppSpG (P-S-ARCA), or m 2 7 ' 2 ' °GppSpG ( -S-ARCA) and m 2 7 ' 3 , - 0 Gppp(mi 2 ' 0 )ApG (CleanCap413).
- the RNA does not have uncapped 5'-triphosphates.
- the RNA e.g., mRNA
- the RNA may comprise a conventional 5'-cap and/or a 5'-cap analog.
- conventional 5'-cap refers to a cap structure found on the 5'-end of an RNA molecule and generally comprises a guanosine 5'- triphosphate (Gppp) which is connected via its triphosphate moiety to the 5'-end of the next nucleotide of the RNA (i.e., the guanosine is connected via a 5' to 5' triphosphate linkage to the rest of the RNA).
- Gppp guanosine 5'- triphosphate
- the guanosine may be methylated at position N7 (resulting in the cap structure m7Gppp).
- the term "5'-cap analog” includes a 5'-cap which is based on a conventional 5'-cap but which has been modified at either the 2'- or 3'-position of the m7guanosine structure in order to avoid an integration of the 5'-cap analog in the reverse orientation (such 5'-cap analogs are also called anti-reverse cap analogs (ARCAs)).
- Exemplary 5'-cap analogs are those having one or more substitutions at the bridging and non-bridging oxygen in the phosphate bridge, such as phosphorothioate modified 5'-cap analogs at the p-phosphate (such as m2 7 ' 2 O G(5')ppSp(5')G (referred to as beta-S-ARCA or p-S-ARCA)), as described in PCT/EP2019/056502.
- phosphorothioate modified 5'-cap analogs at the p-phosphate such as m2 7 ' 2 O G(5')ppSp(5')G (referred to as beta-S-ARCA or p-S-ARCA)
- RNA e.g., mRNA
- a 5'-cap structure as described herein may be achieved by in vitro transcription of a DNA template in presence of a corresponding 5'-cap compound, wherein said 5'-cap structure is co-transcriptionally incorporated into the generated RNA (e.g., mRNA) strand, or the RNA (e.g., mRNA) may be generated, for example, by in vitro transcription, and the 5'-cap structure may be attached to the RNA post-transcriptionally using capping enzymes, for example, capping enzymes of vaccinia virus.
- capping enzymes for example, capping enzymes of vaccinia virus.
- the RNA (e.g., mRNA) comprises a 5'-cap structure that is m2 7 ' 2 O G(5')ppSp(5')G (in particular its DI diastereomer), m2 7 ' 3 O G(5')ppp(5')G, or m2 7 ' 3 ' 0 Gppp(mi 2 ' 0 )ApG.
- RNA comprises m2 7 ' 2 O G(5')ppSp(5')G (in particular its DI diastereomer) as 5'-cap structure.
- RNA comprises m2 7 ' 3 ' 0 Gppp(mi 2 ' 0 )ApG as 5'-cap structure.
- the RNA comprises a capO, capl, or cap2, e.g. capl or cap2.
- capO means the structure "m 7 GpppN", wherein N is any nucleoside bearing an OH moiety at position 2'.
- capl means the structure "m 7 GpppNm”, wherein Nm is any nucleoside bearing an OCH3 moiety at position 2'.
- cap2 means the structure "m 7 GpppNmNm", wherein each Nm is independently any nucleoside bearing an OCH3 moiety at position 2'.
- the 5'-cap analog beta-S-ARCA (P-S-ARCA) has the following structure:
- the "DI diastereomer of beta-S-ARCA" or “beta-S-ARCA(Dl)” is the diastereomer of beta-S-ARCA which elutes first on an HPLC column compared to the D2 diastereomer of beta-S-ARCA (beta-S-ARCA(D2)) and thus exhibits a shorter retention time.
- the HPLC may be an analytical HPLC.
- a Supelcosil LC-18-T RP column optionally of the format: 5 pm, 4.6 x 250 mm is used for separation, whereby a flow rate of 1.3 ml/min can be applied.
- VWD UV-detection
- FLD fluorescence detection
- the 5'-cap analog m2 7 ' 3 ' 0 Gppp(mi 2 ' 0 )ApG (also referred to as m2 7 ' 30 G(5')ppp(5')m 2, 0 ApG) which is a building block of a capl has the following structure
- An exemplary capO mRNA comprising p-S-ARCA and mRNA has the following structure:
- An exemplary capO mRNA comprising m2 7 ' 3 O G(5')ppp(5')G and mRNA has the following structure:
- An exemplary capl mRNA comprising m2 7 ' 3 O Gppp(mi 2 ' °)ApG and mRNA has the following structure:
- poly-A tail or “poly-A sequence” or “poly(A)-tail” refers to an uninterrupted or interrupted sequence of adenylate residues which is typically located at the 3'-end of an RNA (e.g., mRNA) molecule.
- RNA e.g., mRNA
- poly(A)-tail refers to a chain of adenine nucleotides that is added to a mRNA molecule during RNA processing to increase the stability of the molecule. This process, called polyadenylation, adds a poly(A)-tail that is usually between 100 and 250 residues long. Poly(A) tails play an important role in the translation and stability of the mRNA.
- RNA having an unmasked poly-A sequence is translated more efficiently than RNA having a masked poly-A sequence.
- poly(A) tail relates to a sequence of adenyl (A) residues which typically is located on the 3'-end of an RNA molecule and "unmasked poly-A sequence” means that the poly-A sequence at the 3' end of an RNA molecule ends with an A of the poly-A sequence and is not followed by nucleotides other than A located at the 3' end, i.e. downstream, of the poly-A sequence.
- a long poly-A sequence of about 120 base pairs results in an optimal transcript stability and translation efficiency of RNA.
- Poly-A tails or poly-A sequences are known to those of skill in the art and may follow the 3'-UTR in the RNAs (e.g., mRNAs) described herein.
- An "interrupted poly(A)-tail” is a poly(A)-tail comprising non-adenine nucleotides at regular or irregularly spaced intervals.
- the interrupting sequence is a trinucleotide, dinucleotide or mononucleotide interrupting sequence.
- the poly(A) tail comprises or contains one non-adenine nucleotide or one consecutive stretch of 2 to 10 non-adenine nucleotides every 8 to 50 consecutive adenine nucleotides.
- the poly(A) tail comprises or contains 1, 2, 3, 4, or 5 consecutive non-adenine nucleotides every 8-50 consecutive adenine nucleotides. In some embodiments, wherein the poly(A) tail comprises or contains more than one non-adenine nucleotide or more than one consecutive stretch of 2-10 non-adenine nucleotides. In some embodiments, a poly(A) sequence measuring 110 nucleotides in length, consisting of a stretch of 30 adenosine residues, followed by a 10-nucleotides linking sequence and another 70 adenosine residues is used. An uninterrupted poly-A tail is characterized by consecutive adenylate residues. In nature, an uninterrupted poly-A tail is typical.
- RNAs e.g., mRNAs
- RNAs can have a poly-A tail attached to the free 3'-end of the RNA by a template-independent RNA polymerase after transcription or a poly-A tail encoded by DNA and transcribed by a template-dependent RNA polymerase. It has been demonstrated that a poly-A tail of about 120 A nucleotides has a beneficial influence on the levels of RNA in transfected eukaryotic cells, as well as on the levels of protein that is translated from an open reading frame that is present upstream (S') of the poly-A tail (Holtkamp et al., 2006, Blood, vol. 108, pp. 4009- 4017).
- the poly-A tail may be of any length.
- a poly-A tail comprises, essentially consists of, or consists of at least 20, at least 30, at least 40, at least 80, or at least 100 and up to 500, up to 400, up to 300, up to 200, or up to 150 A nucleotides, and, in particular, about 120 A nucleotides.
- nucleotides in the poly-A tail typically at least 75%, at least 80%, at least 85%, at least 90%, at least 95%, at least 96%, at least 97%, at least 98%, or at least 99% by number of nucleotides in the poly-A tail are A nucleotides, but permits that remaining nucleotides are nucleotides other than A nucleotides, such as U nucleotides (uridylate), G nucleotides (guanylate), or C nucleotides (cytidylate).
- consists of means that all nucleotides in the poly-A tail, i.e., 100% by number of nucleotides in the poly-A tail, are A nucleotides.
- a nucleotide or “A” refers to adenylate.
- the poly(A) cassette present in the coding strand of DNA essentially consists of dA nucleotides, but is interrupted by a random sequence of the four nucleotides (dA, dC, dG, and dT). Such random sequence may be 5 to 50, 10 to 30, or 10 to 20 nucleotides in length.
- a cassette is disclosed in WO 2016/005324 Al, hereby incorporated by reference. Any poly(A) cassette disclosed in WO 2016/005324 Al may be used in the present disclosure.
- a poly(A) cassette that essentially consists of dA nucleotides, but is interrupted by a random sequence having an equal distribution of the four nucleotides (dA, dC, dG, dT) and having a length of e.g., 5 to 50 nucleotides shows, on DNA level, constant propagation of plasmid DNA in E. coli and is still associated, on RNA level, with the beneficial properties with respect to supporting RNA stability and translational efficiency is encompassed.
- the poly-A tail contained in an RNA (e.g., mRNA) molecule described herein essentially consists of A nucleotides, but is interrupted by a random sequence of the four nucleotides (A, C, G, U). Such random sequence may be 5 to 50, 10 to 30, or 10 to 20 nucleotides in length.
- the poly(A) tail comprises 30 adenine nucleotides followed by 70 adenine nucleotides, wherein the 30 adenine nucleotides and 70 adenine nucleotides are separated by a linker sequence of 10 nucleotides.
- no nucleotides other than A nucleotides flank a poly-A tail at its 3'-end, i.e., the poly-A tail is not masked or followed at its 3'-end by a nucleotide other than A.
- a poly-A tail may comprise at least 20, at least 30, at least 40, at least 80, or at least 100 and up to 500, up to 400, up to 300, up to 200, or up to 150 nucleotides. In some embodiments, the poly- A tail may essentially consist of at least 20, at least 30, at least 40, at least 80, or at least 100 and up to 500, up to 400, up to 300, up to 200, or up to 150 nucleotides. In some embodiments, the poly-A tail may consist of at least 20, at least 30, at least 40, at least 80, or at least 100 and up to 500, up to 400, up to 300, up to 200, or up to 150 nucleotides. In some embodiments, the poly-A tail comprises at least 100 nucleotides. In some embodiments, the poly-A tail comprises about 150 nucleotides. In some embodiments, the poly-A tail comprises about 120 nucleotides.
- the term "untranslated region" or “UTR” relates to a region in a DNA molecule which is transcribed but is not translated into an amino acid sequence, or to the corresponding region in an RNA molecule, such as an mRNA molecule.
- An untranslated region (UTR) can be present 5' (upstream) of an open reading frame (5'-UTR) and/or 3' (downstream) of an open reading frame (3'-UTR).
- a 5'-UTR if present, is located at the 5'-end, upstream of the start codon of a protein-encoding region.
- a 5'-UTR is downstream of the 5'-cap (if present), e.g., directly adjacent to the 5'-cap.
- a 3'-UTR if present, is located at the 3'-end, downstream of the termination codon of a protein-encoding region, but the term "3'-UTR" does generally not include the poly-A sequence.
- the 3'-UTR is upstream of the poly-A sequence (if present), e.g., directly adjacent to the poly- A sequence.
- the "3'UTR sequence" or "3'UTR” or “3'-UTR” is a 3' untranslated region known to regulate mRNA-based processes, such as mRNA localization, mRNA stability, and translation.
- 3' UTRs can establish 3' UTR-mediated protein-protein interactions (PPIs), and thus can transmit genetic information encoded in 3' UTRs to proteins.
- PPIs protein-protein interactions
- This function has been shown to regulate diverse protein features, including protein complex formation or posttranslational modifications, but is also expected to alter protein conformations.
- Incorporation of a 3'-UTR into the 3'-non translated region of an RNA (such as mRNA) molecule can result in an enhancement in translation efficiency.
- a synergistic effect may be achieved by incorporating two or more of such 3'-UTRs (which may be arranged in a head-to-tail orientation; cf., e.g., Holtkamp et al., Blood 108, 4009-4017 (2006)).
- the 3'-UTRs may be autologous or heterologous to the RNA (e.g., mRNA) into which they are introduced.
- the 3'-UTR is derived from a globin gene or mRNA, such as a gene or mRNA of alpha2-globin, alphal-globin, or beta-globin, e.g., beta-globin, e.g., human beta-globin.
- the RNA may be modified by the replacement of the existing 3'-UTR with or the insertion of one or more, e.g., two copies of a 3'-UTR derived from a globin gene, such as alpha2-globin, alphal-globin, beta-globin, e.g., beta-globin, e.g., human beta-globin.
- a globin gene such as alpha2-globin, alphal-globin, beta-globin, e.g., beta-globin, e.g., human beta-globin.
- the "5' UTR sequence" or “5'UTR” s to a 5'-untranslated region which lies within the noncoding genome upstream of a coding sequence and plays an important role in regulating gene expression.
- 5'-UTR sequences may be numerous cis-regulatory elements present that can interact with the transcriptional machinery to regulate mRNA abundance.
- the 5'-untranslated region may contain various RNA-based regulatory elements including the secondary structures, RNA-binding protein motifs, upstream open-reading frames (uORFs), internal ribosome entry sites, terminal oligo pyrimidine (TOP) tracts, and G-quadruplexes. These elements can alter the efficiency of mRNA translation; some can also affect mRNA transcript levels via changes in stability or degradation.
- a 5'-UTR is or comprises a modified human alphaglobin 5'-UTR.
- a 3'-UTR comprises a first sequence from the amino terminal enhancer of split (AES) messenger RNA and a second sequence from the mitochondrial encoded 12S ribosomal RNA.
- the RNA (e.g., mRNA) described herein may have modified ribonucleotides in order to increase its stability and/or decrease immunogenicity and/or decrease cytotoxicity.
- uridine in the RNA (e.g., mRNA) described herein is replaced (partially or completely, e.g. completely) by a modified nucleoside.
- the modified nucleoside is a modified uridine.
- the modified uridine replacing uridine is pseudouridine (ip), Nl-methyl-pseudouridine (mlip), 5-methyl-uridine (m5U), or any combination thereof.
- the modified nucleoside replacing (partially or completely, e.g. completely) uridine in the RNA may be any one or more of 3-methyl-uridine (m3U), 5-methoxy-uridine (mo5U), 5-aza-uridine, 6-aza- uridine, 2-thio-5-aza-uridine, 2-thio-uridine (s2U), 4-thio-uridine (s4U), 4-thio-pseudouridine, 2-thio- pseudouridine, 5-hydroxy-uridine (ho5U), 5-aminoallyl-uridine, 5-halo-uridine e.g, 5-iodo-uridineor 5-bromo- uridine), uridine 5-oxyacetic acid (cmo5U), uridine 5-oxyacetic acid methyl ester (mcmo5U), 5 -carboxy methyl - uridine (cm5U), 1-carboxymethyl-pseudouridine, 5-carboxyhydroxymethyl-uridine
- RNA such as mRNA which is modified by pseudouridine (replacing partially or completely, e.g. completely, uridine)
- QJ-modified RNA which is modified by pseudouridine (replacing partially or completely, e.g. completely, uridine)
- mlUJ-modified means that the RNA (such as mRNA) contains N(l)-methylpseudouridine (replacing partially or completely, e.g. completely, uridine).
- m5U-modified means that the RNA (such as mRNA) contains 5-methyluridine (replacing partially or completely, e.g. completely, uridine).
- RNAs usually exhibit decreased immunogenicity compared to their unmodified forms and, thus, may be useful in applications where the induction of an immune response is to be avoided or minimized.
- the RNA (such as mRNA) contains N(l)-methylpseudouridine replacing completely uridine.
- the codons of the RNA (e.g., mRNA) described in the present disclosure may further be optimized, e.g., to increase the GC content of the RNA and/or to replace codons which are rare in the cell (or subject) in which the peptide or polypeptide of interest is to be expressed by codons which are synonymous frequent codons in said cell (or subject).
- the amino acid sequence encoded by the RNA (e.g., mRNA) described in the present disclosure is encoded by a coding sequence which is codon-optimized and/or the G/C content of which is increased compared to wild type coding sequence.
- This also includes embodiments, wherein one or more sequence regions of the coding sequence are codon-optimized and/or increased in the G/C content compared to the corresponding sequence regions of the wild type coding sequence.
- the codon-optimization and/or the increase in the G/C content optionally does not change the sequence of the encoded amino acid sequence.
- coding regions may be codon-optimized for optimal expression in a subject to be treated using the RNA (e.g., mRNA) described herein. Codon-optimization is based on the finding that the translation efficiency is also determined by a different frequency in the occurrence of tRNAs in cells. Thus, the sequence of RNA (e.g., mRNA) may be modified such that codons for which frequently occurring tRNAs are available are inserted in place of "rare codons".
- the guanosine/cytosine (G/C) content of the coding region of the RNA (e.g., mRNA) described herein is increased compared to the G/C content of the corresponding coding sequence of the wild type RNA, wherein the amino acid sequence encoded by the RNA is optionally not modified compared to the amino acid sequence encoded by the wild type RNA.
- This modification of the RNA sequence is based on the fact that the sequence of any RNA region to be translated is important for efficient translation of that RNA. Sequences having an increased G (guanosine)/C (cytosine) content are more stable than sequences having an increased A (adenosine)/U (uracil) content.
- codons which contain A and/or U nucleotides can be modified by substituting these codons by other codons, which code for the same amino acids but contain no A and/or U or contain a lower content of A and/or U nucleotides.
- the G/C content of the coding region of the RNA (e.g., mRNA) described herein is increased by at least 10%, at least 20%, at least 30%, at least 40%, at least 50%, at least 55%, or even more compared to the G/C content of the coding region of the wild type RNA.
- non-immunogenic RNA refers to RNA that does not induce a response by the immune system upon administration, e.g., to a mammal, or induces a weaker response than would have been induced by the same RNA that differs only in that it has not been subjected to the modifications and treatments that render the non-immunogenic RNA non-immunogenic, i.e., than would have been induced by standard RNA (stdRNA).
- stdRNA standard RNA
- non-immunogenic RNA is rendered non-immunogenic by incorporating modified nucleosides suppressing RNA-mediated activation of innate immune receptors into the RNA and/or limiting the amount of double-stranded RNA (dsRNA), e.g., by limiting the formation of double-stranded RNA (dsRNA), e.g., during in vitro transcription, and/or by removing double-stranded RNA (dsRNA), e.g., following in vitro transcription.
- dsRNA double-stranded RNA
- non-immunogenic RNA is rendered non-immunogenic by incorporating modified nucleosides suppressing RNA-mediated activation of innate immune receptors into the RNA and/or by removing double-stranded RNA (dsRNA), e.g., following in vitro transcription.
- dsRNA double-stranded RNA
- any modified nucleoside may be used as long as it lowers or suppresses immunogenicity of the RNA.
- exemplary nucleosides are modified nucleosides that suppress RNA-mediated activation of innate immune receptors.
- the modified nucleosides comprise a replacement of one or more uridines with a nucleoside comprising a modified nucleobase.
- the modified nucleobase is a modified uracil.
- the nucleoside comprising a modified nucleobase is 3-methyl- uridine (m 3 U), 5-methoxy-uridine (mo 5 U), 5-aza-uridine, 6-aza-uridine, 2-thio-5-aza-uridine, 2-thio-uridine (s 2 U), 4-thio-uridine (s 4 U), 4-thio-pseudouridine, 2-thio-pseudouridine, 5-hydroxy-uridine (ho 5 U), 5-aminoallyl- uridine, 5-halo-uridine e.g, 5-iodo-uridine or 5-bromo-uridine), uridine 5-oxyacetic acid (cmo 5 U), uridine 5- oxyacetic acid methyl ester (mcmo 5 U), 5-carboxymethyl-uridine (cm 5 U), 1-carboxymethyl-pseudouridine, 5- carboxyhydroxymethyl-uridine (chm 5 U), 5-carboxyhydroxymethyl-uridine methyl ester (m
- the nucleoside comprising a modified nucleobase is pseudouridine (i ), Nl-methyl-pseudouridine (mli ) or 5-methyl-uridine (m5U), in particular Nl-methyl- pseudouridine.
- the replacement of one or more uridines with a nucleoside comprising a modified nucleobase comprises a replacement of at least 1%, at least 2%, at least 3%, at least 4%, at least 5%, at least 10%, at least 25%, at least 50%, at least 75%, at least 90%, at least 95%, at least 96%, at least 97%, at least 98%, at least 99% or 100% of the uridines.
- dsRNA double-stranded RNA
- IVT in vitro transcription
- dsRNA double-stranded RNA
- formation of dsRNA can be limited during synthesis of mRNA by in vitro transcription (IVT), for example, by limiting the amount of uridine triphosphate (UTP) during synthesis.
- UTP may be added once or several times during synthesis of mRNA.
- dsRNA can be removed from RNA such as IVT RNA, for example, by ion-pair reversed phase HPLC using a non-porous or porous C-18 polystyrene-divinylbenzene (PS- DVB) matrix.
- PS- DVB polystyrene-divinylbenzene
- an enzymatic based method using E. coli RNaselll that specifically hydrolyzes dsRNA but not ssRNA, thereby eliminating dsRNA contaminants from IVT RNA preparations can be used.
- dsRNA can be separated from ssRNA by using a cellulose material.
- an RNA preparation is contacted with a cellulose material and the ssRNA is separated from the cellulose material under conditions which allow binding of dsRNA to the cellulose material and do not allow binding of ssRNA to the cellulose material.
- Suitable methods for providing ssRNA are disclosed, for example, in WO 2017/182524.
- remove or “removal” refers to the characteristic of a population of first substances, such as non-immunogenic RNA, being separated from the proximity of a population of second substances, such as dsRNA, wherein the population of first substances is not necessarily devoid of the second substance, and the population of second substances is not necessarily devoid of the first substance.
- a population of first substances characterized by the removal of a population of second substances has a measurably lower content of second substances as compared to the non-separated mixture of first and second substances.
- the amount of double-stranded RNA is limited, e.g., dsRNA (especially dsmRNA) is removed from non-immunogenic RNA , such that less than 10%, less than 5%, less than 4%, less than 3%, less than 2%, less than 1%, less than 0.5%, less than 0.3%, less than 0.1%, less than 0.05%, less than 0.03%, less than 0.01%, less than 0.005%, less than 0.004%, less than 0.003%, less than 0.002%, less than 0.001%, or less than 0.0005% of the RNA in the non-immunogenic RNA composition is dsRNA.
- dsRNA double-stranded RNA
- the non-immunogenic RNA (e.g., mRNA) is free or essentially free of dsRNA.
- the non-immunogenic RNA (e.g., mRNA) composition comprises a purified preparation of singlestranded nucleoside modified RNA.
- the non-immunogenic RNA (e.g., mRNA) composition comprises single-stranded nucleoside modified RNA (e.g., mRNA) and is substantially free of double stranded RNA (dsRNA).
- the non-immunogenic RNA (e.g., mRNA) composition comprises at least 90%, at least 91%, at least 92%, at least 93 %, at least 94%, at least 95%, at least 96%, at least 97%, at least 98%, at least 99%, at least 99.5%, at least 99.9%, at least 99.99%, at least 99.991%, at least 99.992%, , at least 99.993%,, at least 99.994%, , at least 99.995%, at least 99.996%, at least 99.997%, or at least 99.998% single stranded nucleoside modified RNA, relative to all other nucleic acid molecules (DNA, dsRNA, etc.).
- mRNA e.g., mRNA
- RNA may be spotted onto a membrane, e.g., nylon blotting membrane. The membrane may be blocked, e.g., in TBS-T buffer (20 mM TRIS pH 7.4, 137 mM NaCI, 0.1% (v/v) TWEEN-20) containing 5% (w/v) skim milk powder.
- the membrane may be incubated with dsRNA-specific antibody, e.g., dsRNA-specific mouse mAb (English & Scientific Consulting, Szirak, Hungary). After washing, e.g., with TBS-T, the membrane may be incubated with a secondary antibody, e.g., HRP-conjugated donkey anti-mouse IgG (Jackson ImmunoResearch, Cat #715-035-150), and the signal provided by the secondary antibody may be detected.
- dsRNA-specific antibody e.g., dsRNA-specific mouse mAb (English & Scientific Consulting, Szirak, Hungary). After washing, e.g., with TBS-T, the membrane may be incubated with a secondary antibody, e.g., HRP-conjugated donkey anti-mouse IgG (Jackson ImmunoResearch, Cat #715-035-150), and the signal provided by the secondary antibody may be detected.
- a secondary antibody e.g.
- the non-immunogenic RNA (e.g., mRNA) is translated in a cell more efficiently than standard RNA with the same sequence.
- translation is enhanced by a factor of 2-fold relative to its unmodified counterpart.
- translation is enhanced by a 3-fold factor.
- translation is enhanced by a 4-fold factor.
- translation is enhanced by a 5-fold factor.
- translation is enhanced by a 6-fold factor.
- translation is enhanced by a 7-fold factor.
- translation is enhanced by an 8-fold factor.
- translation is enhanced by a 9-fold factor.
- translation is enhanced by a 10-fold factor.
- translation is enhanced by a 15-fold factor. In some embodiments, translation is enhanced by a 20-fold factor. In some embodiments, translation is enhanced by a 50-fold factor. In some embodiments, translation is enhanced by a 100-fold factor. In some embodiments, translation is enhanced by a 200-fold factor. In some embodiments, translation is enhanced by a 500-fold factor. In some embodiments, translation is enhanced by a 1000-fold factor. In some embodiments, translation is enhanced by a 2000-fold factor. In some embodiments, the factor is 10-1000-fold. In some embodiments, the factor is 10-100-fold. In some embodiments, the factor is 10-200-fold. In some embodiments, the factor is 10-300-fold.
- the factor is 10-500-fold. In some embodiments, the factor is 20-1000- fold. In some embodiments, the factor is 30-1000-fold. In some embodiments, the factor is 50-1000-fold. In some embodiments, the factor is 100-1000-fold. In some embodiments, the factor is 200-1000-fold. In some embodiments, translation is enhanced by any other significant amount or range of amounts.
- the non-immunogenic RNA exhibits significantly less innate immunogenicity than standard RNA with the same sequence.
- the non-immunogenic RNA e.g., mRNA
- innate immunogenicity is reduced by a 3-fold factor.
- innate immunogenicity is reduced by a 4-fold factor.
- innate immunogenicity is reduced by a 5- fold factor.
- innate immunogenicity is reduced by a 6-fold factor.
- innate immunogenicity is reduced by a 7-fold factor.
- innate immunogenicity is reduced by an 8-fold factor. In some embodiments, innate immunogenicity is reduced by a 9-fold factor. In some embodiments, innate immunogenicity is reduced by a 10-fold factor. In some embodiments, innate immunogenicity is reduced by a 15-fold factor. In some embodiments, innate immunogenicity is reduced by a 20-fold factor. In some embodiments, innate immunogenicity is reduced by a 50-fold factor. In some embodiments, innate immunogenicity is reduced by a 100-fold factor. In some embodiments, innate immunogenicity is reduced by a 200-fold factor. In some embodiments, innate immunogenicity is reduced by a 500-fold factor. In some embodiments, innate immunogenicity is reduced by a 1000-fold factor. In some embodiments, innate immunogenicity is reduced by a 2000-fold factor.
- the term "exhibits significantly less innate immunogenicity" refers to a detectable decrease in innate immunogenicity.
- the term refers to a decrease such that an effective amount of the non-immunogenic RNA (e.g., mRNA) can be administered without triggering a detectable innate immune response.
- the term refers to a decrease such that the non-immunogenic RNA (e.g., mRNA) can be repeatedly administered without eliciting an innate immune response sufficient to detectably reduce production of the protein encoded by the non-immunogenic RNA.
- the decrease is such that the non-immunogenic RNA (e.g., mRNA) can be repeatedly administered without eliciting an innate immune response sufficient to eliminate detectable production of the protein encoded by the non- immunogenic RNA.
- Immunogenicity is the ability of a foreign substance, such as RNA, to provoke an immune response in the body of a human or other animal.
- the innate immune system is the component of the immune system that is relatively unspecific and immediate. It is one of two main components of the vertebrate immune system, along with the adaptive immune system.
- RNA described herein may be delivered for therapeutic applications described herein using any appropriate methods known in the art, including, e.g., delivery as naked RNA, or delivery mediated by delivery vehicles. Some aspects of the disclosure involve the targeted delivery of the RNA disclosed herein to certain cells or tissues.
- RNA e.g., mRNA
- at least a portion of the RNA is delivered to a target cell or target organ.
- at least a portion of the RNA is delivered to the cytosol of the target cell.
- the RNA e.g., mRNA
- the RNA is translated by the target cell to produce the encoded peptide or polypeptide.
- the target cell is a muscle cell. In some embodiments, the target cell is a cell in the liver. In some embodiments, the target cell is a cell in the lung. In some embodiments, the disclosure involves targeting the lymphatic system, in particular secondary lymphoid organs, more specifically spleen. In some embodiments, the target cell is a cell in the lymph nodes. In some embodiments, the target cell is a spleen cell. In some embodiments, the target cell is an antigen presenting cell such as a professional antigen presenting cell in the spleen. In some embodiments, the target cell is a dendritic cell in the spleen.
- RNA e.g., mRNA compositions/formulations described herein may be used for delivering RNA to such target cell.
- the "lymphatic system" is part of the circulatory system and an important part of the immune system, comprising a network of lymphatic vessels that carry lymph.
- the lymphatic system consists of lymphatic organs, a conducting network of lymphatic vessels, and the circulating lymph.
- the primary or central lymphoid organs generate lymphocytes from immature progenitor cells.
- the thymus and the bone marrow constitute the primary lymphoid organs.
- Secondary or peripheral lymphoid organs which include lymph nodes and the spleen, maintain mature naive lymphocytes and initiate an adaptive immune response.
- RNA-based RNA delivery systems have an inherent preference to the liver, where, depending on the composition of the RNA delivery systems used, RNA expression in the liver can be obtained. Liver accumulation is caused by the discontinuous nature of the hepatic vasculature or the lipid metabolism (liposomes and lipid or cholesterol conjugates).
- the target organ for RNA expression is liver and the target tissue is liver tissue.
- the delivery to such target tissue may be useful, in particular, if presence of RNA or of the encoded peptide or polypeptide in this organ or tissue is desired and/or if it is desired to express large amounts of the encoded peptide or polypeptide and/or if systemic presence of the encoded peptide or polypeptide, in particular in significant amounts, is desired or required.
- RNA may be administered with one or more delivery vehicles that protect the RNA from degradation, maximize delivery to on-target cells and minimize exposure to off-target cells.
- RNA delivery vehicles may complex or encapsulate RNA and include a range of materials, including polymers and lipids.
- such RNA delivery vehicles may form particles with RNA.
- RNA e.g., mRNA
- RNA may be present in particles comprising (i) the RNA, and (ii) at least one cationic or cationically ionizable compound such as a polymer or lipid complexing the RNA. Electrostatic interactions between positively charged molecules such as polymers and lipids and negatively charged RNA are involved in particle formation. This results in complexation and spontaneous formation of RNA particles.
- an agent to be delivered to a subject e.g., a nucleic acid, a polypeptide, a small molecule, and the like, is encapsulated in a particle.
- the nucleic acid of the present disclosure is formulated in (e.g., encapsulated in) a particle, as further described herein.
- a particle is a nucleic acid particle wherein the nucleic acid particle comprises a nucleic acid (e.g., DNA and/or RNA), and a cationic lipid, a cationically ionizable lipid, or a cationic polymer.
- nucleic acid particle refers to a particle that encompasses or contains a nucleic acid, and, is part of a composition (e.g., a pharmaceutical composition) comprising multiple nucleic acid particles, that is useful for (i) enhancing nucleic acid stability, e.g., during storage, (ii) improving biodistribution of the nucleic acid or delivering a nucleic acid to a target site of interest (e.g., cell, tissue, organ, and the like), and/or (iii) facilitating cell uptake of the nucleic acid.
- a target site of interest e.g., cell, tissue, organ, and the like
- a nucleic acid particle may be formed from i) at least one cationic or cationically ionizable lipid or lipid-like material; ii) at least one cationic polymer such as polyethyleneimine, protamine, or a mixture thereof (i.e., a mixture of i) and ii)), and iii) a nucleic acid.
- Nucleic acid particles described herein include lipid nanoparticles (LNP), lipoplexes (LPX), liposomes, and polyplexes (PLX).
- Electrostatic interactions between positively charged molecules such as cationic polymers and cationic lipids and negatively charged nucleic acids are involved in particle formation. This results in complexation and spontaneous formation of nucleic acid particles.
- the characteristics of a particle e.g., nanoparticle
- a description of the different types of particles and their structures is provided in ACS Nano 2021, 15, 11, 16982-17015.
- a nucleic acid particle described herein is a nanoparticle.
- nanoparticle refers to a particle having an average diameter suitable for parenteral administration and is less than 1000 nm in diameter.
- a composition comprising nanoparticles can have an average nanoparticle size (e.g., mean diameter) of about 30 nm to about 150 nm, about 40 nm to about 120 nm, about 50 nm to about 100 nm, or about 60 nm to about 90 nm.
- a composition comprising nanoparticles can have an average nanoparticle size (e.g., mean diameter) of about 40 nm to about 120 nm.
- average diameter refers to the mean hydrodynamic diameter of particles as measured by dynamic laser light scattering (DLS) with data analysis using an appropriate algorithm (e.g., the so-called cumulant algorithm for monodisperse samples), which provides as results the so-called Z-average with the dimension of a length, and the polydispersity index (PDI), which is dimensionless (Koppel, D., J. e.g., mRNAChem. Phys. 57, 1972, pp 4814-4820, ISO 13321).
- average diameter “mean diameter,” “diameter,” or “size” for particles is used synonymously with this value of the Z- average.
- a composition comprising nucleic acid particles can be characterized by its polydispersity index, that is, the relative uniformity of particles within a given composition.
- compositions described herein may exhibit a polydispersity index (PDI) less than about 0.5, less than about 0.4, less than about 0.3, or about 0.2 or less of said nanoparticles.
- a composition comprising nucleic acid particles, as described herein may exhibit a PDI less than about 0.3.
- a composition comprising nucleic acid particles described herein can exhibit a PDI in a range of about 0.1 to about 0.3, or about 0.2 to about 0.3.
- the polydispersity index of a given composition can be calculated based on dynamic light scattering measurements by the so-called cumulant analysis as mentioned in the definition of the "average diameter.” Under certain prerequisites, it can be taken as a measure of the size distribution of an ensemble of ribonucleic acid nanoparticles.
- Nucleic acid particles described herein can be characterized by an "N/P ratio,” which is the molar ratio of cationic (nitrogen) groups (the “N” in N/P) in the cationic lipid or polymer to the anionic (phosphate) groups (the “P” in N/P) in RNA.
- N/P ratio is the molar ratio of cationic (nitrogen) groups (the “N” in N/P) in the cationic lipid or polymer to the anionic (phosphate) groups (the "P” in N/P) in RNA.
- N/P ratio is the molar ratio of cationic (nitrogen) groups (the "N” in N/P) in the cationic lipid or polymer to the anionic (phosphate) groups (the "P” in N/P) in RNA.
- a cationic group is one that is either in permanently cationic form (e.g., N + ), or one that is ionizable to become cationic (e.g
- nucleic acid particle e.g., an RNA LNP
- N/P ratio greater than or equal to 1, greater than or equal to 2, or greater than or equal to 4.
- a nucleic acid particle e.g., an RNA LNP described herein has an N/P ratio that is less than 24, less than 18, or less than 12.
- a nucleic acid particle (e.g., an RNA LNP) described herein has an N/P ratio that is from about 2 to about 24, about 4 to about 18, about 4 to about 12, or about 4 to about 8. In some embodiments, a nucleic acid particle (e.g., a ribonucleic acid particle) described herein has an N/P ratio that is about 2, 3, 4, 5, 6, 7, 8, 9, 10, 11, or 12. In some embodiments, an N/P ratio for a nucleic acid particle (e.g., an RNA LNP) described herein is about 6.
- Nucleic acid particles described herein can be prepared using a wide range of methods that may involve obtaining a colloid from at least one cationic or cationically ionizable lipid or lipid-like material and/or at least one cationic polymer and mixing the colloid with nucleic acid to obtain nucleic acid particles.
- an "ionizable" lipid e.g., a "cationically ionizable” lipid or “ionizable” polymer, e.g., a "cationically ionizable” polymer is a lipid or polymer that may be, in some embodiments, neutral at physiological pH, but is capable of becoming cationic (i.e., becoming positively charged) at acidic pH.
- the present disclosure describes particles comprising nucleic acid, at least one cationic or cationically ionizable lipid or lipid-like material, and/or at least one cationic polymer which associate with the nucleic acid to form nucleic acid particles (e.g., RNA nanoparticles) and compositions comprising such particles.
- the nucleic acid particles e.g., RNA nanoparticles
- the particles described herein are not viral particles, in particular, they are not infectious viral particles, i.e., they are not able to virally infect cells.
- each nucleic acid species is separately formulated as an individual nucleic acid particle formulation.
- each individual nucleic acid particle formulation will comprise one nucleic acid species.
- a composition comprises more than one individual nucleic acid particle (e.g., RNA nanoparticle) formulation.
- Respective pharmaceutical compositions are referred to as "mixed particulate formulations.” Such mixed particulate formulations may be obtainable by forming, separately, individual nucleic acid particle formulations, and mixing these to produce a formulation comprising a mixed population of nucleic acid-containing particles.
- nucleic acid species may be formulated together as a "combined particulate formulation.”
- Such formulations may be obtainable by mixing a combined formulation of different nucleic acid species with a particle-forming agent, to produce particles that comprise more than one nucleic acid species.
- LNPs Lipid Nanoparticles
- a particle described herein is a lipid nanoparticle (LNP).
- LNPs have emerged as particularly useful vehicles for delivery of nucleic acids, for example as described in Theranostics, 2022 Oct 24;12(17):7509-7531. It is understood that a LNP is structurally distinct from other nanoparticles previously used for nucleic acid delivery, such as a liposome, or a lipoplex.
- LNPs, as described herein typically do not comprise a bilayer (uni-lamellar), or a concentric series of multiple bilayers (multi-lamellar) separated by aqueous compartments, enclosing a central aqueous compartment.
- LNPs typically do not comprise a central aqueous core or compartment.
- LNPs as described herein typically comprise nucleic acids (e.g., DNA or RNA such as mRNA) and lipids forming a disordered, non-lamellar phase.
- LNPs as described herein may be considered as oil-in-water emulsions in which the LNP core materials may be in liquid state and hence have a melting point below body temperature. See, e.g., ACS Nano 2021, 15, 11, 16982- 17015; Aldosari, et al., Pharmaceutics, 2021, 13, 206.
- LNPs described herein generally comprise four categories of lipids in addition to a nucleic acid agent: a cationically ionizable lipid (typically a cationically ionizable lipid), a polymer-conjugated lipid, a helper lipid, and a steroid.
- a cationically ionizable lipid typically a cationically ionizable lipid
- polymer-conjugated lipid typically a polymer-conjugated lipid
- helper lipid typically a steroid
- steroid a steroid
- a nucleic acid particle comprises a nucleic acid and a cationic or a cationicaiiy ionizable lipid.
- a cationic or cationicaiiy ionizable lipid useful for incorporation into a nucleic acid particle are those lipids having a polar head group and an aliphatic tail.
- a cationic lipid is one where the polar head group has a permanently positive charge (for example, comprising a quaternary ammonium group).
- a cationicaiiy ionizable lipid is a lipid wherein, at a given pH and in the context of an LNP, the lipid becomes positively charged, such as at below physiological pH (e.g., below pH about 7.4) or neutral pH (e.g., a pH around 7 to 7.5), or in some embodiments, at a pH of less than 7 (e.g., less than 6).
- a cationicaiiy ionizable lipid is one comprising polar head group that comprises one or more a tertiary amine groups (or secondary or primary amine group) that can become positively charged.
- LNPs typically comprise cationicaiiy ionizable lipids.
- Suitable cationic or cationicaiiy ionizable lipids are readily identified by those of skill in the art.
- a cationic lipid or cationicaiiy ionizable lipid is one provided in W02012/016184, which is incorporated herein by reference in its entirety.
- a cationic lipid is N-(2,3- dioleyloxy)propyl)-N,N,N-trimethylammonium chloride (DOTMA); N,N-distearyl-N,N-dimethylammonium bromide (DDAB), N-(2,3dioleoyloxy)propyl)-N,N,N-trimethylammonium chloride (DOTAP), N,N-dioleyl-N,N- dimethylammonium chloride (DODAC); 3-(N-(N',N'dimethylaminoethane)-carbamoyl)cholesterol (DC-Chol), , and N-(l,2-dimyristyloxyprop-3-yl)-N,N-dimethyl-N-hydroxyethyl ammonium bromide (DMRIE).
- DOTMA N,N-distearyl-N,N-dimethylammonium bromide
- DOTAP N,N-d
- a cationicaiiy ionizable lipid is selected from l,2-dioleoyl-3-dimethylammonium propane (DODAP); N,N-dimethyl-2,3-dioleoyloxy)propylamine (DODMA); or 4-(dimethylamino)-butanoic acid, (10Z,13Z)-l-(9Z,12Z)-9,12-octadecadien-l-yl-10,13-nonadecadien-l-yl ester (DLin-MC3-DMA).
- DODAP l,2-dioleoyl-3-dimethylammonium propane
- DODMA N,N-dimethyl-2,3-dioleoyloxy)propylamine
- a cationicaiiy ionizable lipid is a lipid described in WO2017/075531 or W02018/081480, each of which is incorporated by reference herein in its entirety.
- a cationicaiiy ionizable lipid is a lipid represented by formula CL-I:
- CL-I or a pharmaceutically acceptable salt thereof, wherein, as applied to formula CL-I: one of L 1 or L 2 is —
- a cationically ionizable lipid is ((4-hydroxybutyl)azanediyl)bis(hexane-6,l-diyl)bis(2- hexyldecanoate) (ALC-0315) or ((3-hydroxypropyl)azanediyl)bis(nonane-9,l-diyl) bis(2-butyloctanoate) (ALC- 366):
- a lipid nanoparticle comprises about 40 mol% to about 50 mol% of a cationically ionizable lipid. In some embodiments, a lipid nanoparticle comprises about 47.0, 47.1, 47.2, 47.3, 47.4, 47.5, 47.6, 47.7, 47.8, 47.9, or 48.0 mol% of a cationic lipid. In some embodiments, a lipid nanoparticle comprises 47.5 mol% of a cationic lipid.
- a cationic lipid is one described in WO2017/049245, which is incorporated by reference in its entirety.
- a cationic lipid is represented by formula CL-II or a pharmaceutically acceptable salt thereof, wherein, as applied to formula CL-II: Ri is selected from the group consisting of C5-30 alkyl, C5-20 alkenyl, — R*YR", —YR", and — R"M'R'; R2 and R 9 are independently selected from the group consisting of H, C1-14 alkyl, C2-14 alkenyl, — R*YR", —YR", and — R*OR", or R2 and R3, together with the atom to which they are attached, form a heterocycle or carbocycle; R 4 is selected from the group consisting of a C3-6 carbocycle, — (CH2) n Q, — (CH2) n CHQR, — CHQR, — CQI2, and unsubstituted C
- each R' is independently selected from the group consisting of CMB alkyl, C2-
- each R*YR is independently selected from the group consisting of C3-14 alkyl and C3-14 alkenyl
- each R* is independently selected from the group consisting of C1-12 alkyl and C2-12 alkenyl
- each Y is independently a C3-6 carbocycle
- each X is independently selected from the group consisting of F, Cl, Br, and I
- m is selected from 5, 6, 7, 8, 9, 10, 11, 12, and 13.
- a cationically ionizable lipid is 42apidated42e-9-yl 8- ⁇ (2-hydroxyethyl)[6-oxo-6- (undecyloxy)hexyl]amino ⁇ -octanoate) (SM-102):
- a lipid nanoparticle comprises about 30 mol% to about 60 mol% of a cationically ionizable lipid. In some embodiments, a lipid nanoparticle comprises about 35 mol% to about 55 mol% of a cationically ionizable lipid. In some embodiments, a lipid nanoparticle comprises about 50 mol% of a cationic lipid.
- a cationically ionizable lipid is a lipid described in W02015/095340, which is incorporated by reference herein in its entirety.
- a cationic lipid is represented by formula CL-IV
- n and p are each, independently, 0, 1 or 2; Li is — OC(O)— , — C(O)O— or a bond; R 1 is heterocyclyl, heterocyclyl-Ci-s-alkyl or heterocyclyl-Ci-s-alkoxyl, each of which may be optionally substituted with 1, 2, 3, 4 or 5 groups, independently selected from halogen, formidamidine, Ci- S -alkyl, C3-7-cycloalkyl, C3-7-cycloalkyl-Ci-s-alkyl, heterocyclyl, — [(Ci-C4)alkylene] v -N(R')R", — 0— [(Ci-C4)alkylene] v -N(R')R" or — N(H)— [(Ci-C4)alkylene] v - N(R')R", where
- R 2 and R 3 are each, independently, C7-22 alkyl, C12-22 alkenyl, C3-8 cycloalkyl optionally substituted with 1, 2, or 3 C1-8 alkyl groups,
- R 4 is selected from hydrogen, C1-14 alkyl,
- a cationically ionizable lipid is represented by
- a cationic lipid is one described in WO2018/087753, which is incorporated herein by reference in its entirety.
- a cationically ionizable lipid is selected from:
- a cationically ionizable lipid is one described in W02022/081750, which is incorporated herein by reference in its entirety.
- a cationically ionizable lipid is represented by formula CL-VII-1: or a pharmaceutically acceptable salt thereof, wherein, as applied to formula CL-VII-1: wherein each R 1 and each R 2 is independently selected from the group consisting of H, an optionally substituted C1-C22 alkyl, optionally substituted C2-C22 alkenyl, optionally substituted C2-C22 alkynyl, optionally substituted C3-C6 cycloalkyl, optionally substituted C4- C 8 heterocycloalkyl, optionally substituted C - C 5 alkylcycloalkyl, optionally substituted C4- Ce, aryl, optionally substituted C3-C6 heteroaryl, optionally substituted C 4 -Cs aryloxy, optionally substituted C7-C10 arylalkyl; optionally substituted C5-C10 heteroaryl alkyl group, optionally substituted amine; or R 1 and R 2 can together form a 3-7
- a cationically ionizable lipid is represented by formula CL-VII-2: or a pharmaceutically acceptable salt thereof, wherein, as applied to CL-VII-2: each R 1 ', R 1 , R 2 , R 11 , and R 12 is independently selected from the group consisting of H, an optionally substituted C1-C22 alkyl, optionally substituted C2-C22 alkenyl, optionally substituted C2-C22 alkynyl, optionally substituted C3-C6 cycloalkyl, optionally substituted C4- C 8 heterocycloalkyl, optionally substituted C - Ce alkylcycloalkyl, optionally substituted C4- C6 aryl, optionally substituted C3-C6 heteroaryl, optionally substituted C4-C8 aryloxy, optionally substituted C7-C10 arylalkyl; optionally substituted C5-C10 heteroarylalkyl group, optionally substituted amine; or R 1 and
- a cationically ionizable lipid is selected from: di(46apidated46e-9-yl) 3,3'-((2-(4- methylpiperazin-l-yl)ethyl)azanediyl)dipropionate (BHD-C2C2-PipZ); bis(2-octyldodecyl) 3,3'-((2-(l- methylpyrrolidin-2-yl)ethyl)azanediyl)dipropionate (BODD-C2C2-lMe-Pyr); bis(2-octyldodecyl) 3,3'-((2- (46apidated46e-l-yl)ethyl)azanediyl)dipropionate (BODD-C2C2-Pyr); bis(2-octyldodecyl) 3,3'-((2-(l- methylpyrrolidin-2-yl)
- a lipid nanoparticle comprises a cationic or cationically ionizable lipid selected from the group consisting of: BHD-C2C2-PipZ, BODD-C2C2-lMe-Pyr, ALC-0315, ALC-366, SM-102, HY-501, EA- 405, HY-405, DODMA, and Dlin-MC3-DMA.
- a LNP comprises a cationic or cationically ionizable lipid selected from the group consisting of: BHD-C2C2-PipZ, BODD-C2C2-lMe-Pyr, ALC-0315, SM- 102, HY-501, and DODMA.
- a LNP comprises about 40 mol% to about 50 mol% (e.g., about 47.5 mol%) (relative to the total amount of lipids in a LNP) of a cationic or cationically ionizable lipid selected from the group consisting of: BHD-C2C2-PipZ; BODD-C2C2-lMe-Pyr; ALC-0315; ALC-0366; SM-102; HY-501; EA-405; HY-405; DODMA; and Dlin-MC3-DMA.
- a LNP comprises about 40 mol% to about 50 mol% (e.g., about 47.5 mol%) (relative to the total amount of lipids in a LNP) of a cationic or cationically ionizable lipid selected from the group consisting of: BHD-C2C2-PipZ; BODD-C2C2-lMe-Pyr; ALC-315, SM-102; HY-501; and DODMA.
- lipid nanoparticles of the present disclosure comprise a helper lipid (also referred to as a neutral lipid).
- a helper lipid is or comprises phosphatidylcholines, phosphatidylethanolamines, phosphatidylglycerols, phosphatidic acids, phosphatidylserines or sphingomyelin.
- a helper lipid is a phospholipid.
- a helper lipid is or comprises
- DSPC 1.2-distearoyl-s77-glycero-3-phosphocholine
- DPPC l,2-dipalmitoyl-sn-glycero-3-phosphocholine
- DMPC 1,2- dimyristoyl-sn-glycero-3- phosphocholine
- POPC l-palmitoyl-2-oleoyl-sn-glycero-3-phosphocholine
- DOPC 1.2-dioleoyl-sn-glycero-3-phosphocholine
- phophatidyl ethanol amines such as 1,2-dioleoyl-sn-glycero- 3-phosphoethanolamine (DOPE), distearoyl-phosphatidylethanolamine (DSPE), sphingomyelins, N-palmitoyl-D- erythro-sphingosylphosphorylcholine (SM), l,2-diacylglyceryl-3-O-4'-(N,N,N-trimethyl)-homoserine (DGTS), ceramides, and their derivatives.
- DOPE 1,2-dioleoyl-sn-glycero- 3-phosphoethanolamine
- DSPE distearoyl-phosphatidylethanolamine
- SM N-palmitoyl-D- erythro-sphingosylphosphorylcholine
- DGTS l,2-diacy
- a helper lipid is DSPC, DOPC, DMPC, DPPC, POPC, DOPE, DSPE, or SM. In some embodiments, the helper lipid is DSPC, DPPC, DMPC, DOPC, POPC, DOPE or SM. In some embodiments, the helper lipid is DSPC.
- Helper lipids may be synthetic or naturally derived. Other helper lipids suitable for use in a lipid nanoparticle are described in WO2021/026358, WO 2017/075531, and WO 2018/081480, the entire contents of each of which are incorporated herein by reference.
- a lipid nanoparticle comprises about 5 to about 15 mol% of a helper lipid. In some embodiments, a lipid nanoparticle comprises about 5 to about 15 mol% of a phospholipid. In some embodiments, a lipid nanoparticle comprises about 8 to about 12 mol% of a phospholipid. In some embodiments, a lipid nanoparticle comprises about 10 mol% of a phospholipid. In some embodiments, a lipid nanoparticle comprises about 5 to about 15 mol% of DSPC. In some embodiments, a lipid nanoparticle comprises about 8 to about 12 mol% of DSPC. In some embodiments, a lipid nanoparticle comprises about 10 mol% of DSPC.
- LNPs of the present disclosure comprise a polymer-conjugated lipid.
- a polymer conjugated lipid is a lipid conjugated to polyethylene glycol (a "PEG-lipid").
- PEG-lipid is pegylated diacylglycerol (PEG-DAG) such as l-(monomethoxy-polyethyleneglycol)-
- PEG-DMG 2.3-dimyristoyl glycerol
- PEG-DMG e.g., l,2-dimyristoyl-rac-glycero-3-methoxypolyethylene glycol-2000 (PEG2000-DMG)
- PEG-PE pegylated phosphatidylethanoloamine
- PEG-S- DAG PEG succinate diacylglycerol
- PEG-S- DAG such as 4-O-(2',3'-di(tetradecanoyloxy)propyl-l-O-(co-methoxy (polyethoxy)ethyl)butanedioate
- PEG-S- DMG l,2-distearoyl-sn-glycero-3-phosphoethanol amine-N-[amino(polyethylene glycol)-2000] (DSPE- PEG2000 amine), a pegylated ceramide (PEG-cer), or a
- a PEG-lipid is DMG-PEG. In some embodiments, a PEG-lipid is PEG2000-DMG:
- a PEG-lipid is provided in WO2021/026358, WO 2017/075531, or WO 2018/081480, each of which is incorporated by reference in its entirety.
- a PEG-lipid is a compound of Formula PCL-I: or a pharmaceutically acceptable salt thereof, wherein, as applied to formula PGL-I, R 8 and R 9 are each independently C10-C30 aliphatic, optionally interrupted by one or more ester bonds, and w is an integer from 30 to 60.
- a compound of Formula PCL-I is 2-[(polyethylene glycol)-2000]-N,N- ditetradecylacetamide (ALC-0159).
- a compound of Formula PCL-I is: or a pharmaceutically acceptable salt thereof, where n' is an integer from about 45 to about 50.
- the PEG-lipid is represented by: wherein n has a mean value ranging from 30 to 60. In some embodiments, n is 50.
- the PEG-conjugated lipid is PEG 2 ooo-C-DMA which may refer to 3-N-[(co-methoxy polyethylene glycol)2000)carbamoyl]-l,2-dimyristyloxy-propylamine (MPEG-(2 kDa)-C-DMA) or methoxy-polyethylene glycol-2,3-bis(tetradecyloxy) propylcarbamate (2000).
- a PEG-lipid is PEG-DAG, PEG-PE, PEG-S-DAG, PEG2000-DMG, ALC-159, PEG2000-C-DMA PEG-S-DMG, PEG-cer, or any combination thereof.
- a PEG-lipid is ALC-0159 or PEG2000-DMG.
- a PEG-lipid is ALC-0159.
- a PEG-lipid is PEG2000-DMG.
- a polymer-conjugated lipid is a polysarcosine-conjugated lipid, also referred to herein as sarcosinylated lipid or pSar-lipid.
- sarcosinylated lipid refers to a molecule comprising both a lipid portion and a polysarcosine (poly(N-methylglycine) portion.
- a polymer-conjugated lipid is one described in WO2024/028325, which is incorporated herein by reference in its entirety.
- a polymer-conjugated lipid is represented by formula PCL-II: or a pharmaceutically acceptable salt thereof, wherein, as applied to formula PCL-II: X 2 and X 1 taken together are optionally substituted amide, optionally substituted thioamide, ester, or thioester; Y is -CH2-, -(0-12)2-, or - (CH 2 )3-; z is 2 to 24; and n is 1 to 100.
- a polymer-conjugated lipid comprises monomers of 2-(2-(2-aminoethoxy)ethoxy)acetic acid.
- the polymer of the polymer-conjugated lipid is or comprises poly-2-(2-(2- aminoethoxy)ethoxy)acetic acid (pAEEA) or poly-2-(2-(2-methylaminoethoxy)ethoxy)acetic acid (pMAEEA), or a derivative thereof, as defined herein.
- a polymer conjugated lipid comprises monomers of unit PCL-II-1: In some embodiments, a polymer conjugated lipid comprises, 5 to 50, 5 to 25 or 10 to 25 monomers of PCL- II-1.
- a polymer conjugated lipid comprises 14 to 17 monomers of PCL-II-1. In some embodiments, a polymer conjugated lipid comprises 8 to 14 monomers of PCL-II-1. In some embodiments, a polymer conjugated lipid is selected from the table below:
- an LNP comprises an polysarcosine-conjugated or a pAEEA/pMAEEA-conjugated lipid, as described herein.
- nucleic acid particles e.g., DNA or RNA particles
- nucleic acid particles described herein comprise a polysarcosine-conjugated or a pAEEA/pMAEEA-conjugated lipid and are substantially free of a pegylated lipid (or do not contain a pegylated lipid).
- a lipid nanoparticle comprises about 0.5 to about 5.0 mol% of a polymer-conjugated lipid. In some embodiments, a lipid nanoparticle comprises about 1.0 to about 2.5 mol% of a polymer- conjugated lipid. In some embodiments, a lipid nanoparticle comprises about 1.5 to about 2.0 mol% of a polymer-conjugated lipid. In some embodiments, a lipid nanoparticle comprises about 1.5 to about 1.8 mol% of a polymer-conjugated lipid.
- a lipid nanoparticle comprises about 1.5 mol% to about 1.8 mol% (relative to the total amount of lipids in a lipid nanoparticle) of a polymer-conjugated lipid, wherein the polymer-conjugated lipid is DSPE-AEEA14-AC; VE-AEEA14-AC; ALC-0159 or PEG2000-DMG.
- a lipid nanoparticle comprises about 1.5 mol% to about 1.8 mol% (relative to the total amount of lipids in a lipid nanoparticle) of a polymer-conjugated lipid, wherein the polymer-conjugated lipid is DSPE- AEEA14-AC, VE-AEEA14-AC, or PEG2000-DMG.
- a molar ratio of a cationic or cationically ionizable lipid to a polymer-conjugated lipid is from about 2: 1 to about 8: 1.
- lipid nanoparticles further comprise a steroid.
- a steroid is a sterol.
- a sterol is p-sitosterol, stigmasterol, cholesterol, cholecalciferol, ergocalciferol, calcipotriol, botulin, lupeol, ursolic acid, oleanolic acid, cycloartenol, lanosterol, or a-tocopherol.
- a sterol is cholesterol.
- a lipid nanoparticle comprises about 39 to about 49 mol% of a steroid.
- a lipid nanoparticle comprises about 40 to about 46 mol% of a steroid.
- a lipid nanoparticle comprises about 40 to about 44 mol% of a steroid.
- a lipid nanoparticle comprises: about 40 to about 50 mol% of a cationically ionizable lipid; about 30 to about 45 mol% of a steroid (e.g., cholesterol); about 5 to about 15 mol% of a helper lipid (e.g., DSPC); and about 1 to about 2.5 mol% of a polymer conjugated lipid.
- a steroid e.g., cholesterol
- helper lipid e.g., DSPC
- a lipid nanoparticle comprises: about 30 to about 60 mol% of a cationically ionizable lipid; about 18.5 to about 48.5 mol% of a steroid (e.g., cholesterol); about 0 to about 30 mol% of a helper lipid (e.g., DSPC); and about 0 to about 10 mol% of a polymer conjugated lipid.
- a steroid e.g., cholesterol
- helper lipid e.g., DSPC
- a lipid nanoparticle comprises: about 35 to about 55 mol% of a cationically ionizable lipid; about 30 to about 40 mol% of a steroid (e.g., cholesterol); about 5 to about 25 mol% of a helper lipid (e.g., DSPC); and about 0 to about 10 mol% of a polymer conjugated lipid.
- a steroid e.g., cholesterol
- helper lipid e.g., DSPC
- a lipid nanoparticle comprises: 47.5 mol% di(51apidated51e-9-yl) 3,3'-((2-(4- methylpiperazin-l-yl)ethyl)azanediyl)dipropionate (BHD-C2C2-PipZ); 10 mol% DSPC; 40.7 mol% cholesterol; and 1.8 mol% VE-AEEA14-AC.
- a lipid nanoparticle comprises: 47.5 mol% di(51apidated51e-9-yl) 3,3'-((2-(4-methylpiperazin-l-yl)ethyl)azanediyl)dipropionate (BHD-C2C2-PipZ); 10 mol% DSPC; 40.7 mol% cholesterol; and 1.8 mol% PEG2000-DMG.
- a lipid nanoparticle comprises: about 47.5 mol% of ALC-0315; about 10 mol% of DSPC; about 40.7 mol% of cholesterol; and about 1.8 mol% of ALC-159.
- a lipid nanoparticle comprises: about 47.5 mol% of ALC- 366; about 10 mol% of DSPC; about 40.7 mol% of cholesterol; and about 1.8 mol% of ALC-159. In some embodiments, a lipid nanoparticle comprises about 50 mol% of SM-102; about 1.5 mol% of PEG2000-DMG; about 10 mol% of DSPC; and about 38.5 mol% of cholesterol.
- a lipid nanoparticle comprises: 47.5 mol% bis(2-octyldodecyl) 3,3'-((2-(l-methylpyrrolidin-2-yl)ethyl)azanediyl)dipropionate (BODD-C2C2-lMe-Pyr); 10 mol% DSPC; 40.7 mol% cholesterol; and 1.8 mol% VE-AEEA14-AC.
- a lipid nanoparticle comprises: 47.5 mol% bis(2-octyldodecyl) 3,3'-((2-(l-methylpyrrolidin-2- yl)ethyl)azanediyl)dipropionate (BODD-C2C2-lMe-Pyr); 10 mol% DSPC; 40.7 mol% cholesterol; and 1.8 mol% PEG2000-DMG.
- Lipids and lipid nanoparticles comprising nucleic acids and their method of preparation are known in the art, including, e.g., as described in U.S. Patent Publication Nos. 2016/0009637, 2015/0273068, 2014/0200257, 2013/0338210, 2013/0245107, 2013/0123338, 2013/0017223, 2012/0183581, 2012/0027803, 2011/0311583, 2011/0216622, 2011/0117125, 2007/0042031, 2006/0083780, 2005/017054, 2004/0142025, 2007/0042031, 1999/009076 and PCT Pub. Nos.
- cationically ionizable lipids, helper lipids, and steroids are solubilized in an organic solvent such as ethanol, at a pre- determined weight or molar ratios/percentages (e.g., ones described herein).
- lipid nanoparticles are prepared at a total lipid to nucleic acid (e.g., RNA) weight ratio of approximately 10: 1 to 50: 1.
- nucleic acid e.g., RNA
- nucleic acid e.g., RNA
- an acidic buffer such as citrate or acetate having a pH of between about 4 to about 6.
- a colloidal lipid dispersion comprising nucleic acids can be formed as follows: an ethanol solution comprising lipids, such as cationic lipids, helper lipids, steroids, and polymer-conjugated lipids, is combined with, e.g., injected into or continuously mixed with, an aqueous solution comprising nucleic acids.
- lipids such as cationic lipids, helper lipids, steroids, and polymer-conjugated lipids
- lipid and nucleic acid (e.g., RNA) solutions can be mixed at room temperature by pumping each solution (e.g., a lipid solution comprising a cationic lipid, a helper lipid, cholesterol, a conjugated lipid, and any other additives) at controlled flow rates into a mixing unit, for example, using piston pumps.
- the flow rates of a lipid solution and a nucleic acid (e.g., RNA) solution into a mixing unit are maintained at a ratio of 1:3.
- nucleic acid-lipid particles are formed as the ethanolic lipid solution is diluted with aqueous nucleic acids (e.g., RNAs). The lipid solubility is decreased, while cationic lipids bearing a positive charge interact with the negatively charged nucleic acid (e.g., RNA).
- a solution comprising nucleic acid (e.g., RNA)-encapsulated lipid nanoparticles can be processed by one or more of concentration adjustment, buffer exchange, formulation, and/or filtration.
- a nucleic acid particle is a liposome, wherein the liposome comprises a cationic lipid and a nucleic acid.
- Liposomes are lipid-based particles that comprise a bilayer (uni-lamellar) or a concentric series of multiple bilayers (multi-lamellar) separated by aqueous compartments, enclosing a central aqueous core that encapsulates the agent for delivery (e.g., a nucleic acid such as RNA).
- a nucleic acid such as RNA
- Different types of liposomes are described, including e.g., small and large unilamellar vesicles, multilamellar vesicles, multivesicular liposomes.
- liposomes Many suitable methods are known for manufacturing liposomes (see e.g., Shah S, et al., Adv Drug Deliv Rev. 2020; 154-155: 102-122), including e.g., solvent evaporation or lipid film hydration, solvent dispersion or reverse phase evaporation, optionally followed by processes to manipulate the size of the liposomes, such as e.g., sonication, homogenization and extrusion.
- nucleic acid e.g., RNA
- PCT App. Pub. No. W02012/006378, W02013/006825, W02019/077053 and WO2022/069632 each of which is incorporated herein by reference in its entirety.
- liposomes may be formed from one or more lipids, wherein the one or more lipid comprise neutral lipids, phospholipids, cholesterol, and/or cationic lipids.
- liposomes may comprise one or more phospholipids and optionally cholesterol. Suitable phospholipids for forming liposomes include DSPC, DPPC, DMPC, DOPC, DOPE, and DSPE.
- a cationic lipid for use in a liposome is l,2-dioleoyl-3-dimethylammonium propane (DODAP), N,N-dimethyl-2,3- dioleoyloxy)propylamine (DODMA), N-(2,3-dioleyloxy)propyl)-N,N,N-trimethylammonium chloride (DOTMA); N,N-distearyl-N,N-dimethylammonium bromide (DDAB), N-(2,3dioleoyloxy)propyl)-N,N,N-trimethylammonium chloride (DOTAP), 4-(dimethylamino)-butanoic acid, or (10Z,13Z)-l-(9Z,12Z)-9,12-octadecadien-l-yl-10,13- nonadecadien-l-yl ester (Dlin-MC3-DMA).
- DODAP dioleo
- a liposome may further comprise an additional lipid.
- an additional lipid is a neutral lipid.
- a neutral lipid refers to a lipid having a net charge of zero. Examples of suitable neutral lipids include, but are not limited to, 1 ,2-di-(9Z-octadecenoyl)-glycero-3- phosphoethanolamine (DOPE), 1 ,2-dioleoyl-glycero-3-phosphocholine (DOPC), diacylphosphatidyl choline, diacylphosphatidyl ethanol amine, ceramide, sphingoemyelin, cephalin, cholesterol, and cerebroside.
- the second lipid is DOPE, cholesterol and/or DOPC.
- a nucleic acid particle is a lipoplex, wherein the lipoplex comprises a cationic lipid and a nucleic acid.
- Lipoplex particles may be prepared by mixing liposomes with nucleic acid (e.g., RNA, where lipoplex particles comprising RNA are referred to as "RNA lipoplex particles").
- RNA LPX particles typically form spontaneously from electrostatic interactions between positively charged liposomes and negatively charged RNA, and typically have a multilamellar structure.
- LPX e.g., RNA LPX
- lipoplexes that are suitable for nucleic acid (e.g., RNA) delivery, as well as methods of manufacture, are described in PCT App. Pub. No. W02019/077053 and WO2022/069632, each of which is incorporated herein by reference in its entirety.
- a cationic lipid for use in a LPX is DODAP, DODMA, DOTMA, DDAB, DOTAP, or Dlin- MC3-DMA.
- a cationic lipid for use in a LPX is DOTMA or DOTAP.
- a cationic lipid for use in a LPX is DOTMA.
- a LPX further comprises an additional lipid.
- an additional lipid is a neutral lipid.
- a neutral lipid refers to a lipid having a net charge of zero.
- Suitable neutral lipids include, but are not limited to, DOPE, DOPC, diacylphosphatidyl choline, diacylphosphatidyl ethanol amine, ceramide, sphingoemyelin, cephalin, cholesterol, and cerebroside.
- the second lipid is DOPE, cholesterol and/or DOPC.
- LPX may be manufactured by first preparing liposomes by injecting a solution of the lipids (e.g., DOTMA and DOPE) in ethanol into water or a suitable aqueous phase to form a liposome colloid. LPX may then be prepared by mixing the liposome colloid with a solution comprising nucleic acid (e.g., RNA).
- RNA LPX particles comprise DOTMA and DOPE in a molar ratio of from about 10:0 to 1:9, from about 4: 1 to 1:2, from about 3: 1 to about 1: 1, or about 2: 1.
- the ratio of positive charges (e.g., in DOTMA) to negative charges (e.g., in the RNA), in the RNA LPX particles is from about 1:2 to 1.9:2, or about 1.3:2.0.
- RNA LPX particles may have an average diameter that ranges from about 200 to about 800 nm, such as from about 300 nm to about 500 nm.
- Polymer-based particles Polyplexes
- other delivery systems Polymer-based particles (Polyplexes) and other delivery systems
- a nucleic acid particle described herein is a polymer-based particle (i.e., a polyplex, PLX).
- a nucleic acid particle is a polyplex particle, and comprises a cationic polymer and a nucleic acid.
- Examples of polyplex particles that are suitable for nucleic acid (e.g., RNA) delivery are described in PCT App. Pub. No. WO 2021/001417, which is incorporated herein by reference in its entirety.
- Nucleic acid polyplex particles typically form spontaneously from electrostatic interactions between positively charged cationic polymer (e.g., PEI) and negatively charged nucleic acid (e.g., RNA).
- a polyplex particle may further comprise one or more lipids, in which case it may be referred to as a 54apidated polyplex (LPLX).
- LPLX 54apidated polyplex
- a cationic polymer is a polycationic polymer, e.g., a polymer having one or more cationic or cationically ionizable groups.
- one or more cationic or ionizable groups comprise a nitrogen atom.
- Cationic polymers useful for preparing complexes described herein can be homopolymers heteropolymers, or block-co-polymers.
- a cationic polymer is poly(ethylenimine), poly(propylenimine), polybrene, polyallylamine, polyvinylamine, polyamidoamine, poly-L-lysine, poly-L-arginine, poly-L-histidine, and poly(2- aminoethyl methacrylate), or a pharmaceutically acceptable salt thereof.
- a cationic polymer is a homopolymer. It is understood that a cationic polymer described herein can be linear or branched. In some embodiments, a cationic polymer is linear. In some embodiments, a cationic polymer is poly(ethylenimine).
- a cationic polymer is a heteropolymer (e.g., a linear heteropolymer) comprising copolymers of one or more of poly(ethylenimine), poly(propylenimine), polybrene, polyallylamine, polyvinylamine, polyamidoamine, poly-L-lysine, poly-L-arginine, poly-L-histidine, and poly(2-aminoethyl methacrylate), or a pharmaceutically acceptable salt thereof.
- a cationic polymer is a heteropolymer comprising poly(ethylenimine) and poly(propylenimine).
- a cationic polymer has between 250 and 2000 repeating monomer units (such as between 1500 and 2000 repeating monomer units). In some embodiments, a cationic polymer is a polymer described herein, having a number average molecular weight (M n ) of about 600 Daltons (Da) to about 400,000 Da (such as about 20,000 to about 120,000 Da).
- a complex comprises a cationic polymer and a nucleic acid, wherein the cationic polymer is or comprises a polyamine derivative (e.g., a carboxylated polyamine derivative).
- a polyamine derivative e.g., a carboxylated polyamine derivative.
- Suitable polyamine derivatives for delivery of nucleic acids, such as RNA, are described in WO2014/053245 and W02014/056590, both of which are incorporated herein by reference in their entirety.
- a polyamine derivative comprises: a polyamine moiety comprising a plurality of amino groups; a plurality of carboxylated substituents comprising a carboxyl group bonded via a hydrophobic linker to amino groups of said polyamine moiety, wherein each of said carboxylated substituents comprises from 6 to 40 carbon atoms, from 6 to 20 carbon atoms, or from 8 to 16 carbon atoms, and each of said hydrophobic linker may comprise from 1 to 3 heteroatoms selected from 0, N, and S; and a plurality of hydrophobic substituents bonded to amino groups of said polyamine moiety, wherein each of said hydrophobic substituents comprises at least 2 carbon atoms, e.g. from 6 to 40 carbon atoms, and may comprise from 1 to 3 heteroatoms selected from 0, N, and S provided said hydrophobic substituent has at least 6 carbon atoms.
- a polyamine derivative which is useful herein as delivery vehicle for polyanions is a polyalkylenimine (e.g., polyethylenimine) derivative having one or more carboxyalkyl substituents comprising from 6 to 40 carbon atoms, and one or more hydrophobic substituents selected from hydrocarbon substituents having at least 2 carbon atoms, e.g. from 6 to 40 carbon atoms, wherein each of said hydrophobic substituents may be or may comprise an alkyl group and/or each of said hydrophobic substituents may be or may comprise an aryl group.
- a polyalkylenimine e.g., polyethylenimine
- hydrophobic substituents selected from hydrocarbon substituents having at least 2 carbon atoms, e.g. from 6 to 40 carbon atoms
- the polyamine derivative has (i) a linear polyethylenimine moiety of from 2 to 500 kDa (in terms of number average molecular weight), or (ii) a branched polyethylenimine moiety of from 0.5 to 200 kDa (in terms of number average molecular weight); and the carboxylated substituents have from 10 to 16 carbon atoms and are n-alkylcarboxylic acids and the hydrophobic substituents have from 1 to 12 carbon atoms and are alkyls, such as n-alkyls, and/or alkylarylalkyls.
- Other suitable polymers include, for example, Viromer® and jetPEI® (Polyplus).
- RNA RNA
- RNA oligosaccharide compounds
- WO2023/067121 WO2023/067123, WO2023/067124, WO2023/067125, and WO2023/067126, all of which are incorporated herein by reference in their entirety.
- compositions comprising one or more RNAs described herein, e.g., in the form of RNA particles, may comprise salts, buffers, or other components as further described below.
- a salt for use in the compositions described herein comprises sodium chloride.
- sodium chloride functions as an ionic osmolality agent for preconditioning RNA prior to mixing with lipids.
- the compositions described herein may comprise alternative organic or inorganic salts.
- Alternative salts include, without limitation, potassium chloride, dipotassium phosphate, monopotassium phosphate, potassium acetate, potassium bicarbonate, potassium sulfate, disodium phosphate, monosodium phosphate, sodium acetate, sodium bicarbonate, sodium sulfate, lithium chloride, magnesium chloride, magnesium phosphate, calcium chloride, and sodium salts of ethylenediaminetetraacetic acid (EDTA).
- EDTA ethylenediaminetetraacetic acid
- compositions for storing RNA particles such as for freezing RNA particles comprise low sodium chloride concentrations, or comprises a low ionic strength.
- the sodium chloride is at a concentration from 0 mM to about 50 mM, from 0 mM to about 40 mM, or from about 10 mM to about 50 mM.
- the RNA particle compositions described herein have a pH suitable for the stability of the RNA particles and, in particular, for the stability of the RNA.
- a buffer system maintains the pH of the particle compositions described herein during manufacturing, storage and use of the compositions.
- the buffer system may comprise a solvent (in particular, water, such as deionized water, in particular water for injection) and a buffering substance.
- the buffering substance may be 2-[4-(2-hydroxyethyl)piperazin-l- yl]ethanesulfonic acid (HEPES), 2-amino-2-(hydroxymethyl)propane-l,3-diol (Tris), acetate, or histidine.
- HEPES 2-hydroxyethyl
- Tris 2-amino-2-(hydroxymethyl)propane-l,3-diol
- acetate or histidine.
- the buffering substance is HEPES.
- the buffering substance is Tris.
- compositions in particular, RNA compositions/formulations described herein may also comprise a cryoprotectant and/or a surfactant as stabilizer to avoid substantial loss of the product quality and, in particular, substantial loss of RNA activity during storage, freezing, and/or lyophilization, for example to reduce or prevent aggregation, particle collapse, RNA degradation and/or other types of damage.
- a cryoprotectant and/or a surfactant as stabilizer to avoid substantial loss of the product quality and, in particular, substantial loss of RNA activity during storage, freezing, and/or lyophilization, for example to reduce or prevent aggregation, particle collapse, RNA degradation and/or other types of damage.
- the cryoprotectant is a carbohydrate.
- carbohydrate refers to and encompasses monosaccharides, disaccharides, trisaccharides, oligosaccharides and polysaccharides.
- the cryoprotectant is a monosaccharide.
- monosaccharide refers to a single carbohydrate unit (e.g., a simple sugar) that cannot be hydrolyzed to simpler carbohydrate units.
- monosaccharide cryoprotectants include glucose, fructose, galactose, xylose, ribose and the like.
- the cryoprotectant is a disaccharide.
- disaccharide refers to a compound or a chemical moiety formed by 2 monosaccharide units that are bonded together through a glycosidic linkage, for example through 1-4 linkages or 1-6 linkages. A disaccharide may be hydrolyzed into two monosaccharides.
- Exemplary disaccharide cryoprotectants include sucrose, trehalose, lactose, maltose and the like. In some embodiments, the cryoprotectant is sucrose.
- trisaccharide means three sugars linked together to form one molecule. Examples of a trisaccharides include raffinose and melezitose.
- the cryoprotectant is an oligosaccharide.
- oligosaccharide refers to a compound or a chemical moiety formed by 3 to about 15, such as 3 to about 10 monosaccharide units that are bonded together through glycosidic linkages, for example through 1-4 linkages or 1-6 linkages, to form a linear, branched or cyclic structure.
- Exemplary oligosaccharide cryoprotectants include cyclodextrins, raffinose, melezitose, maltotriose, stachyose, acarbose, and the like. An oligosaccharide can be oxidized or reduced.
- the cryoprotectant is a cyclic oligosaccharide.
- cyclic oligosaccharide refers to a compound or a chemical moiety formed by 3 to about 15, such as 6, 7, 8, 9, or 10 monosaccharide units that are bonded together through glycosidic linkages, for example through 1-4 linkages or 1-6 linkages, to form a cyclic structure.
- Exemplary cyclic oligosaccharide cryoprotectants include cyclic oligosaccharides that are discrete compounds, such as a cyclodextrin, p cyclodextrin, or y cyclodextrin.
- exemplary cyclic oligosaccharide cryoprotectants include compounds which include a cyclodextrin moiety in a larger molecular structure, such as a polymer that contains a cyclic oligosaccharide moiety.
- a cyclic oligosaccharide can be oxidized or reduced, for example, oxidized to dicarbonyl forms.
- the term "cyclodextrin moiety", as used herein refers to cyclodextrin (e.g., an a, , or y cyclodextrin) radical that is incorporated into, or a part of, a larger molecular structure, such as a polymer.
- a cyclodextrin moiety can be bonded to one or more other moieties directly, or through an optional linker.
- a cyclodextrin moiety can be oxidized or reduced, for example, oxidized to dicarbonyl forms.
- Carbohydrate cryoprotectants e.g., cyclic oligosaccharide cryoprotectants
- the cryoprotectant is a derivatized cyclic oligosaccharide, e.g., a derivatized cyclodextrin, e.g., 2-hydroxypropyl-p-cyclodextrin, e.g., partially etherified cyclodextrins (e.g., partially etherified p cyclodextrins).
- An exemplary cryoprotectant is a polysaccharide.
- polysaccharide refers to a compound or a chemical moiety formed by at least 16 monosaccharide units that are bonded together through glycosidic linkages, for example through 1-4 linkages or 1-6 linkages, to form a linear, branched or cyclic structure, and includes polymers that comprise polysaccharides as part of their backbone structure. In backbones, the polysaccharide can be linear or cyclic.
- Exemplary polysaccharide cryoprotectants include glycogen, amylase, cellulose, dextran, maltodextrin and the like.
- RNA particle compositions may include sucrose.
- sucrose functions to promote cryoprotection of the compositions, thereby preventing RNA (e.g., mRNA) particle aggregation and maintaining chemical and physical stability of the composition.
- RNA particle compositions may include alternative cryoprotectants to sucrose.
- Alternative stabilizers include, without limitation, trehalose and glucose.
- an alternative stabilizer to sucrose is trehalose or a mixture of sucrose and trehalose.
- An exemplary cryoprotectant is sucrose, trehalose, glucose, or any combination thereof, such as a combination of sucrose and trehalose.
- the cryoprotectant is sucrose.
- chelating agents refer to chemical compounds that are capable of forming at least two coordinate covalent bonds with a metal ion, thereby generating a stable, water-soluble complex. Without wishing to be bound by theory, chelating agents reduce the concentration of free divalent ions, which may otherwise induce accelerated RNA degradation in the present disclosure.
- chelating agents include, without limitation, ethylenediaminetetraacetic acid (EDTA), a salt of EDTA, desferrioxamine B, deferoxamine, dithiocarb sodium, penicillamine, pentetate calcium, a sodium salt of pentetic acid, succimer, trientine, nitrilotriacetic acid, trans-diaminocyclohexanetetraacetic acid (DCTA), diethylenetriaminepentaacetic acid (DTPA), and bis(aminoethyl)glycolether-N,N,N',N'-tetraacetic acid.
- the chelating agent is EDTA or a salt of EDTA.
- the chelating agent is EDTA disodium dihydrate. In some embodiments, the EDTA is at a concentration from about 0.05 mM to about 5 mM, from about 0.1 mM to about 2.5 mM or from about 0.25 mM to about 1 mM.
- RNA particle compositions described herein do not comprise a chelating agent.
- the present disclosure provides a nucleic acid molecule for eliciting an antigen-specific CD8 + T-cell response in a subject comprising a coding sequence encoding a polypeptide comprising an N-terminal degron and one or more antigenic peptides.
- N-terminal is meant in this context in relation to the one or more antigenic peptides, i.e. in the polypeptide of the present disclosure, the N-terminal degron lies more N-terminal as compared to the antigenic peptides (as shown, e.g., in Fig. 2b).
- the N-terminal degron forms the N-terminus of the polypeptide (as shown, e.g., in Fig.
- the term “following” is used with respect to elements of the polypeptide, this is meant to refer to the N- to C-terminus direction, i.e. if it is stated herein that the N-terminal degron (e.g., ubiquitin) is "immediately followed” by the antigenic peptide, this means that the antigenic peptide is attached to the C-terminus of the N-degron.
- the polypeptide of the present disclosure can also be referred to as a fusion protein comprising an N-terminal degron and one or more antigenic peptides.
- the N-terminal degron significantly destabilizes the polypeptide and improves its degradation via the proteasome, thereby increasing the amount of degradation products that are available for antigen presentation as shown by the examples described below and corresponding data depicted in Fig. 2 to 10.
- the N-terminal degrons of the present disclosure can specifically elicit an antigen-specific CD8 + T-cell response, thereby providing a particularly efficient targeting by cytotoxic CD8 + T-cells.
- N-terminal degron one or more of the N-terminal degrons of the present disclosure are meant.
- Polypeptides comprising the N-terminal degron are advantageously turned over more quickly and are more immunogenic than corresponding reference constructs lacking the N-terminal degron.
- the N-terminal degrons of the present disclosure have the potential to be deployed in all T-cell- targeting pharmaceutical compositions (e.g., immunogenic compositions, e.g., vaccines) to enhance immunogenicity and polarize away from CD4 + T-cell responses towards CD8 + T-cell responses. This is important for therapeutic areas and indications in which a pronounced CD4 + T-cell response is not desired or even harmful.
- pharmaceutical compositions e.g., immunogenic compositions, e.g., vaccines
- Antigen-specific CD8 + T-cell response means that in response to immunization with the nucleic acid molecule of the present disclosure, antigen-specific CD8 + T-cells can be detected.
- the antigen-specific CD8 + T-cell response is an antigen-specific CD8 + T-cell specific response, which means that the response is CD8 + T-cell specific, i.e. more antigen-specific CD8 + compared to antigen-specific CD4 + T-cells are activated.
- antigen-specific CD8 + T-cell specific response means that substantially lower (compared to reference nucleic acid molecule not containing the N-degron), substantially no or no antigen-specific CD4 + immune response is elicited by the nucleic acid molecule of the present disclosure.
- the antigenic peptide comprised in the polypeptide encoded by the nucleic acid molecule of the present disclosure makes the elicited immune response antigen-specific.
- Eliciting an antigen-specific CD8 + specific T-cell response is particular advantageous for therapeutic or prophylactic vaccinations against certain diseases. For example, it may be in particular desirable in cases where an antigen-specific CD4 + T cell response could worsen the disease. Exemplary diseases that can be worsened by an antigen-specific CD4 + T cell response are human immunodeficiency virus infections or Epstein- Barr virus infections. Eliciting an antigen-specific CD8 + T-cell response may also be particularly desirable in multi-component pharmaceutical compositions (e.g., immunogenic compositions, e.g., vaccines), where individual components are directed to producing different immune responses.
- multi-component pharmaceutical compositions e.g., immunogenic compositions, e.g., vaccines
- the nucleic acid molecule of the present disclosure encodes the polypeptide of the present disclosure.
- the features and embodiments defined herein for the polypeptide encoded by the nucleic acid molecule are meant to be equally disclosed also for the corresponding nucleic acid molecule of the present disclosure and vice versa.
- the nucleic acid molecule is a recombinant nucleic acid molecule, i.e., wherein the sequence is not naturally joined together, but is artificially combined.
- the nucleic acid molecule is an unmodified mRNA or a modified mRNA, e.g. a modified mRNA.
- the modified mRNA has an increased stability and/or translation compared to an unmodified mRNA.
- the nucleic acid molecule comprises a 5' cap, a 5'UTR, a coding region, a 3'UTR, a poly(A) tail, or any combination thereof.
- the 5' cap, 5'UTR, coding region, and 3'UTR, and poly(A) tail are not specifically limited and can be any one of the 5' cap, the 5'UTR, the coding region, the 3'UTR, and the poly(A) tail disclosed herein and defined above.
- the 5'UTR if present, comprises a Kozak sequence, optionally an optimized Kozak sequence to increase translational efficiency.
- Kozak sequences are known to increase the efficiency of translation of some RNA transcripts but are not necessarily required for all RNAs to enable efficient translation.
- a Kozak sequence typically extends from approximately position -6 to position +6, where +1 is assigned to the adenine of the START codon. The Kozak sequence is known to affect transcription initiation.
- the nucleic acid molecule comprises a 5'-cap, a free 5'-triphosphate group, a free 5'- disphosphate group, a free 5'-diphosphate group, a free 5'- monophosphate group, or a free 5'-OH group, or comprising chemically modified analogues of said 5'-cap, said 5'-triphosphate group, said free 5'-disphosphate group or said free 5'-monophosphate group.
- the 5'cap is G[5']ppp[5']G, m7G[5']ppp[5']G, m 3 2A7 G[5']ppp[5']G, m2 7 - 3 ' 0 G[5']ppp[5']G (3'-ARCA), m2 7 - 2 ' 0 GpppG (2'-ARCA), m 2 7 ' 2 '- °GppSpG CP-S- ARCA), or m2 7 ' 2 ' °GppSpG (P-S-ARCA) and m2 7 ' 3 ' °Gppp(mi 2 ' °)ApG.
- the nucleic acid molecule comprises a 3'UTR comprising an FI element, optionally derived from the "amino terminal enhancer of split" (AES) mRNA (called F) and the mitochondrial encoded 12S ribosomal RNA (called I).
- An "FI element” is a sequence in the 3'-untranslated region known to improve mRNA stability and translation efficiency. The FI element can be positioned in the 3'UTR. Exemplary FI elements suitable for use in the nucleic acid molecule of the present disclosure are descripted in the patent application WO 2017/059902 Al. The FI element thus can be placed between the coding sequence and the poly(A) sequence to assure higher maximum protein levels and prolonged persistence of the mRNA.
- the nucleic acid molecule comprises an interrupted poly(A) sequence (i.e. interrupted poly(A) tail) disclosed herein and defined above.
- the poly(A) sequence essentially consists of dA nucleotides but is interrupted by a random sequence of the four nucleotides (dA, dC, dG, and dT). Such random sequence may be 5 to 50, 10 to 30, or 10 to 20 nucleotides in length.
- the poly-A tail contained in a nucleic acid (e.g., mRNA) molecule described herein essentially consists of A nucleotides, but is interrupted by a random sequence of the four nucleotides (A, C, G, U). Such random sequence may be 5 to 50, 10 to 30, or 10 to 20 nucleotides in length.
- Antigenic peptide as used herein is a peptide comprising an antigen.
- An "antigen” is a substance, such as a peptide that is a target of an immune response and/or that will elicit an immune response. The same applies to the antigenic peptide.
- an “antigenic peptide” is any peptide that reacts specifically with, i.e. binds to antibodies or T-lymphocytes (T-cells), in particular T-cell receptors.
- T-cells T-lymphocytes
- the term “antigenic peptide” comprises any molecule which comprises at least one epitope such as a B cell or T cell epitope.
- the term “antigenic peptide” encompasses full-length protein and fragments of the protein, i.e.
- the antigenic peptide can be an antigenic fragment (or "antigenic peptide fragment").
- An antigenic peptide fragment as used herein, can be an epitope, but can also comprise more than one epitope.
- an antigen in the context of the present disclosure is a molecule which, optionally after processing, induces an immune reaction, which is optionally specific for the antigen or cells expressing the antigen.
- Antigens may include or may be derived from allergens, viruses, bacteria, fungi, parasites and other infectious agents and pathogens or an antigen may also be a tumor antigen.
- the polypeptide encoded by the nucleic acid molecule of the present disclosure comprises several, i.e. more than one antigenic peptides.
- the term "antigenic peptide" as used herein is different from and does not encompass the N-terminal degron.
- “Fragment” as used herein, with reference to an amino acid sequence (polypeptide or protein), relates to a part of a naturally occurring protein amino acid sequence, e.g., a partial sequence that has been shortened at the N-terminus and/or C-terminus compared to the naturally occurring full length sequence.
- An amino acid sequence whose sequence represents two or more discontinuous sequences derived from the same parental amino acid sequence fused together is considered to be two or more fragments of that parental sequence.
- full length with respect to a given polypeptide means the form of the polypeptide naturally translated from the coding sequence, beginning with the ATG start codon, which encodes the first methionine in the amino acid sequence, and ending at the TGA, TAG, or TTA stop codon, or whichever stop codon employed by the organism.
- the antigenic peptides can be artificial peptides, i.e. not being derived from naturally occurring proteins.
- the antigenic peptides are derived from naturally occurring proteins, i.e. are full-length naturally occurring proteins and/or are fragments of such proteins.
- the antigenic peptide is an immunogenic peptide.
- the antigenic polypeptide is a pathogen- related, tumor-related, or disease-related antigenic peptide.
- the antigenic peptide is a full-length protein or fragment thereof.
- an "immunogenic peptide” is a peptide capable of eliciting an immune response in a subject.
- the antigenic peptide is an immunogenic peptide.
- the polypeptide comprises a plurality of antigenic peptides, such as concatenated antigenic peptides.
- the antigenic peptides are each a full-length protein.
- the antigenic peptides are fragments derived from full-length proteins, wherein the fragments can be antigenic peptide fragments.
- at least one antigenic peptide is a full- length protein, while at least one antigenic peptide is a fragment derived from a full-length protein.
- the antigenic peptides do not comprise a full length protein.
- amino acid sequence whose sequence represents two or more discontinuous sequences derived from the same parental amino acid sequence fused together is considered to be two or more antigenic peptides or antigenic peptide fragments of that parental sequence.
- the antigenic peptides can also be artificial peptides, i.e. are not derived from naturally occurring proteins.
- antigenic peptides are concatenated antigenic peptides that are derived from different proteins or different portions of the same protein and fused together, optionally such that a first antigenic peptide is adjacent to a second antigenic peptide or such that a first and second antigenic peptide are separated via a linker.
- a first antigenic peptides is adjacent to a second antigenic peptide.
- the antigenic peptides are linked via a linker sequence.
- all antigenic peptides comprised in the polypeptide are adjacent to another antigenic peptide or separated therefrom by way of a linker.
- a “linker” is a non-naturally occurring amino acid sequence present between, and thereby separating, two peptides of a protein or two peptides of different proteins. Non-naturally occurring means in this context not naturally-occurring in the protein sequence adjacent to the peptide sequence from which the peptides are derived. In exemplary embodiments, some antigenic peptides are separated by a linker, while other antigenic peptides are not separated by a linker.
- linker as used herein does not encompass the N-terminal degron.
- the linker sequence is not particularly limited but can consist of a single amino acid or of two or more amino acids. In some embodiments, the linker sequence consists of 1-20 amino acids, 2-19 amino acids, 3-18 amino acids, 4-17 amino acids, 5-16 amino acids, or 6-15 amino acids.
- the linker can comprise at most 8 amino acids, at most 6 amino acids, at most 5 amino acids, e.g. 1 to 4 amino acids. In this context, it is understood that the linker sequence optionally is not naturally occurring adjacent to the antigenic peptides linked by the linker.
- the antigen-specific CD8 + T- cell response triggered by the nucleic acid molecule disclosed herein can be measured by an ELISpot assay and/or multimer staining following a MACS separation to separate CD4 + T cells from CD8 + T cells. These methods are well known in the art.
- An "antigen-specific CD8 + T-cell response" is an antigen-specific activation of CD8 + T cells, i.e., CD8 + T cells directed to specific antigens, through major histocompatibility complex class I (MHC-I) presentation.
- MHC-I major histocompatibility complex class I
- the antigen-specific CD8 + T-cell response is an antigen-specific CD8 + T-cell specific response.
- antigen-specific CD8 + T-cell specific response means that more antigen-specific CD8 + compared to antigenspecific CD4 + T-cells are activated.
- substantially no or no antigen-specific CD4 + immune response is elicited.
- An exemplary method to evaluate an antigen-specific response is to immunize mice with the nucleic acid molecule of the present disclosure, or the polypeptide of the present disclosure. Afterwards, the immune cells of the immunized mice are analyzed quantitively by separating CD4 + from CD8 + cells via MACS separation, and performing an ELISpot on each set. The successfully induced T cells respond with cytokine (IFNy) production. In some embodiments, an MHC-I tetramer staining known in the art can be performed to demonstrate CD8 + T cell responding to specific antigenic peptides.
- Ubiquitin is a regulatory protein found in most tissues of eukaryotic organisms, which gave it its name as it is found ubiquitously. Ubiquitin is highly conserved across species and typically has about 76 amino acids and is around 8.6 kDa. Ubiquitin serves in the natural environment of an organism as a protein tag marking and therefore serving to rapidly remove unwanted or damaged proteins by acting as a marker for protein degradation. Not only protein can become ubiquitinated, but also ubiquitin attached to other proteins can become further ubiquitinated to form a poly-ubiquitin chain.
- lysines within the ubiquitin or the N- terminus of ubiquitin are ubiquitinated and result in a poly-ubiquitin chain which targets the poly-ubiquitinated protein for proteasomal degradation.
- Ubiquitin is typically a 76-amino acid protein, generated from a precursor that is processed by deubiquitinating enzymes (DUBs) to expose the glycine-glycine sequence at the ubiquitin C-terminus, its site of attachment to target molecules.
- DRBs deubiquitinating enzymes
- ATP-dependent ubiquitin activation can be catalyzed by the El (ubiquitin-activating) enzyme, which adenylates the ubiquitin C-terminus, allowing the subsequent formation of a high-energy thioester bond between the glycine residue of ubiquitin and the cysteine residue on the El active site.
- Ubiquitin is then transferred from the El cysteinyl side chain to a cysteinyl group on one of several E2 (ubiquitin-conjugating) enzymes.
- E3 ubiquitin-ligase
- This naturally occurring mechanism i.e. the ubiquitination of peptides, has divers biological functions such as cell cycle control, transcriptional regulation, signal transduction, inflammatory response, membrane trafficking, receptor endocytosis and downregulation, apoptosis, and development.
- nucleic acid molecule encoding for a polypeptide comprising a ubiquitin and an antigenic peptide significantly increases the antigen-specific CD8 + T- cell response. Further and without wishing to be bound by theory, the ubiquitin leads to improved degradation of the polypeptide, leading to an increased amount of antigenic peptides present for antigen processing and presentation.
- ubiquitin as used herein has a sequence shown in SEQ ID NO. : 1.
- ubiquitin has an amino acid sequence that is at least 80%, at least 90%, at least 95, at least 96%, at least 97%, at least 98%, or at least 99% identical to SEQ ID NO.: 1.
- ubiquitin as used herein may comprise one or more mutations. It is understood, that the mutation will not abrogate the function of ubiquitin to mark a protein for degradation.
- ubiquitin comprises a mutation substituting the glycine at position 76 with reference to SEQ ID NO.
- the ubiquitin is a cleavable or non-cleavable ubiquitin as disclosed herein.
- Specifying amino acid positions "with reference to SEQ ID NO.: 1" means the amino acid position that corresponds to the amino acid position in SEQ ID NO.: 1 that the number refers to. This can easily be determined by aligning a modified ubiquitin sequence with the reference ubiquitin sequence of SEQ ID NO. : 1.
- the N-terminal degron comprises a ubiquitin as disclosed herein. It is however understood that the N-terminal degron can comprise two or more ubiquitins directly adjacent to each other, e.g., a first ubiquitin immediately followed by a second ubiquitin.
- N-terminal degron is a sequence that destabilize a polypeptide and targets it for degradation.
- the N-terminal degron is located towards, in particular at the N-terminus of a polypeptide comprising one or more antigenic peptides.
- the N-terminal degron degradation may operate through the N-end rule pathway (also referred to as “N-degron” or “degron”) or the ubiquitin fusion degradation (UFD) pathway (also referred to as "UFD-degron”) as exemplarily shown in Fig. 1.
- the N-terminal degron comprises a ubiquitin having the amino acid sequence shown in SEQ ID NO. : 1, or a ubiquitin comprising a mutation substituting the glycine at position 76 with reference to SEQ ID NO. : 1 and/or a mutation substituting the lysine at position 6, 11, 27, 29, 33, 48 or 63 or any combination thereof with reference to SEQ ID NO.: 1 as long as one lysine remains in the ubiquitin, or a ubiquitin having a sequence that is at least 80%, at least 90%, at least 95, at least 96%, at least 97%, at least 98%, or at least 99% identical to SEQ ID NO 1.
- the presence of an N-terminal degron reduces the half-life of the polypeptide to 1 hour or less, to 30 minutes or less, e.g. to 10 minutes or less compared to the polypeptide without the N-terminal degron.
- the N-terminal degron degradation operates through the N-end rule pathway C'N- degron").
- the destabilizing effect of the N-end rule pathway depends on the N-terminal amino acid of the polypeptide as shown in Fig. 1A. If the N-terminal amino acid is a destabilizing amino acid ("d" in Fig.
- a cleavable ubiquitin is fused to the N-terminus of a polypeptide, wherein the ubiquitin is immediately followed by a destabilizing amino acid.
- the cleavable ubiquitin immediately followed by a destabilizing amino acid can be cleaved by a deubiquitinase (DUB) enzyme, and resulting in the release of a polypeptide with the destabilizing N-terminal amino acid at position 1.
- the destabilizing N-terminal amino acid results in an enhanced proteasomal degradation rate.
- the destabilizing N-terminal amino acid may be introduced between the cleavable ubiquitin and the antigenic peptide or may be the first amino acid of the antigenic peptide.
- the polypeptide released after ubiquitin cleavage additionally contains internal lysines, such as e.g., N-terminal proximal lysines.
- the released polypeptide is not ubiquitin, but the polypeptide comprising the antigenic peptide.
- the internal lysins may be introduced after the destabilizing amino acid and before the antigenic peptide starts (e.g., as a linker or as part of a linker), included in the antigenic peptide following the destabilizing amino acid (naturally or introduced by mutation), or in a linker separating antigenic peptides.
- a "cleavable ubiquitin” is a ubiquitin located at the N-terminus of a polypeptide comprising one or more antigenic peptides, wherein the ubiquitin can be cleaved off by a deubiquitinating enzyme (DUB). It is understood that in context of the cleavable ubiquitin, the ubiquitin comprises an intact DUB cleavage site, thus that optionally the glycine at position 76 with reference to SEQ ID NO. : 1, i.e. the last glycine of the ubiquitin sequence, is not mutated.
- DUB deubiquitinating enzyme
- the cleavable ubiquitin comprises a destabilizing amino acid at the C-terminus, wherein following cleavage of the ubiquitin the destabilizing amino acid remains at the N- terminus of the polypeptide comprising the antigenic peptide.
- the destabilizing amino acid is immediately following the last amino acid of ubiquitin. It is further understood in context of the cleavable ubiquitin that following the ubiquitin cleavage by DUB the destabilizing amino acid remains at the N- terminus of the polypeptide comprising one or more antigenic peptides.
- the ubiquitin has a sequence as shown in SEQ ID NO.
- an “internal lysine” is a lysine located within the sequence of the polypeptide comprising one or more antigenic peptides, wherein the "internal lysine” is located outside the ubiquitin.
- the internal lysine can be located within an antigenic peptide, or within an optional linker (e.g., after a destabilizing amino acid, or between antigenic peptides).
- the internal lysine is located within the antigenic peptide.
- the internal lysine is a linker or located within a linker.
- the internal lysin may be an N-terminal proximal lysine.
- N-terminal proximal lysine is a lysine located close to the N-terminus of the polypeptide comprising one or more antigenic peptides.
- the N-terminal proximal lysine can be located within an antigenic peptide or within an optional linker.
- one or more internal lysines are included in the polypeptide encoding one or more antigenic peptides, either because they are naturally present in the antigenic peptide(s), or because the antigenic peptide(s) were modified to include one or more lysines, or because they are introduced as linker, or because they are present in linker between antigenic peptides.
- Internal lysines are present in polypeptides with a cleavable ubiquitin and may be present in polypeptides with a non-cleavable ubiquitin.
- a “destabilizing amino acid” is an amino acid located at the C-terminus of the cleavable ubiquitin that remains after ubiquitin cleavage in the resulting polypeptide and, when exposed as N-terminus of the polypeptide after cleavage of the ubiquitin, leads to enhanced proteasomal degradation of the polypeptide comprising the destabilizing amino acid.
- the destabilizing amino acid is located immediately following the last amino acid of the cleavable ubiquitin, and following cleavage of the ubiquitin the destabilizing amino acid remains is at amino acid position 1 at the N-terminus of the polypeptide comprising one or more antigenic peptides.
- destabilization of the polypeptide by the cleavable ubiquitin depends on the destabilizing amino acid at the N-terminus of a polypeptide released after the cleavage of the ubiquitin by DUBs.
- Positively charged polar amino acids such as arginine, lysine, and histidine are exemplary destabilizing amino acids, reducing the half-life of proteins from over one day down to several minutes. Since protein translation begins with a starting methionine residue, destabilizing amino acids cannot be generated by adding the destabilizing amino acid upstream of the start codon.
- a ubiquitin is added to the N-terminus of the protein followed immediately by the destabilizing amino acid.
- the N-terminal ubiquitin can be cleaved by a DUB enzyme, revealing the destabilizing N-terminal amino acid, resulting in an enhanced proteasomal degradation rate as shown in Fig. 4 compared to a polypeptide without the cleavable ubiquitin and without the destabilizing amino acid.
- the destabilizing amino acid is located at amino acid position 77 with reference to SEQ ID NO. : 2 immediately following a cleavable ubiquitin consisting of 76 amino acids (e.g., the ubiquitin of SEQ ID NO. : 1). It is understood, in context of the disclosure, that following cleavage of the ubiquitin the destabilizing amino acid is located at amino acid position 1 of the resulting polypeptide comprising one or more antigenic peptides.
- the destabilizing amino acid is isoleucine, glutamic acid, threonine, glutamine, phenylalanine, leucine, aspartic acid, arginine, lysine, or histidine.
- the destabilizing amino acid is arginine, lysine, or histidine. In some embodiments, the destabilizing amino acid id arginine. Destabilizing amino acids may be introduced immediately following the ubiquitin and before the antigenic peptide sequence starts (e.g., as a linker or as the first amino acid of a linker) or may be the first amino acid sequence of the antigenic peptide.
- the cleavable ubiquitin comprises a sequence shown in SEQ ID NO. : 1, or a sequence being at least 80%, at least 90%, at least 95, at least 96%, at least 97%, at least 98%, or at least 99% identical to the sequence shown in said SEQ ID NO.
- the ubiquitin sequence is immediately followed by an amino acid isoleucine, glutamic acid, threonine, glutamine, phenylalanine, leucine, aspartic acid, arginine, lysine, or histidine, e.g. arginine, lysine, or histidine.
- amino acid at position 77 is a destabilizing amino acid.
- the cleavable ubiquitin has a sequence shown in SEQ ID NO.
- the N-terminal degron degradation may operate through the ubiquitin fusion degradation (UFD) pathway (“UFD-degron”) (see e.g., Fig. IB).
- UFD-degron ubiquitin fusion degradation
- non-cleavable ubiquitin is fused to the N- terminus of the polypeptide.
- a "non-cleavable ubiquitin” is a ubiquitin located at the N-terminus of a polypeptide comprising an antigenic peptide, wherein the ubiquitin cannot be cleaved off by a deubiquitinating enzyme (DUB).
- the ubiquitin can be made non-cleavable e.g., by introducing mutations.
- Cleavage of the ubiquitin by e.g., DUBs can in particular be prevented by a C-terminal glycine mutation, in particular at amino acid position 76 with reference to the amino acid sequence shown in SEQ ID NO.: 1.
- the N-terminal degron is a ubiquitin fusion degradation (UFD) degron.
- the ubiquitin is a non-cleavable ubiquitin.
- the non-cleavable ubiquitin comprises a glycine mutation at the amino acid position 76 with reference to SEQ ID NO. : 1, such that the glycine is deleted or mutated to another amino acid.
- the non-cleavable ubiquitin has with reference to SEQ ID NO. : 1 at amino acid position 76 an alanine (e.g., as shown in SEQ ID NO. : 30).
- an additional amino acid may be added immediately after the ubiquitin, termed "degrading amino acid”.
- a “degrading amino acid” is defined as an amino acid that when added to the C-terminus of ubiquitin (i.e.
- a degrading amino acid is added immediately after the ubiquitin to further enhance degradation of the polypeptide.
- the degrading amino acid may be introduced between ubiquitin and the antigenic polypeptide or may be the first amino acid of the antigenic polypeptide.
- the degrading amino acid is arginine or valine, such as arginine as shown in SEQ ID NO.: 5.
- the non-cleavable ubiquitin has a sequence as shown in SEQ ID NO.: 5 or a ubiquitin comprising a mutation substituting the lysine at position 6, 11, 27, 29, 33, or 63 or any combination thereof with reference to SEQ ID NO.
- non-cleavable ubiquitin sequence has a glycine to alanine mutation at position 76 of SEQ ID NO.: 5 ("G76A") or at a corresponding position and that an arginine is immediately following the alanine.
- G76A glycine to alanine mutation at position 76 of SEQ ID NO.: 5
- an arginine is immediately following the alanine.
- the non-cleavable ubiquitin has an alanine at position 76 and an arginine at position 77 with reference to SEQ ID NO. : 5 (or at corresponding positions).
- UbiAR Such a non-cleavable ubiquitin is also referred to herein as "UbiAR”.
- cleavage of the ubiquitin by DUBs can be inhibited when the ubiquitin is immediately followed by a proline.
- the non-cleavable ubiquitin comprises a proline immediately following the ubiquitin, i.e. at the C-terminus of the non-cleavable ubiquitin (e.g., as shown in Fig. IB).
- the ubiquitin sequence is immediately followed by a proline which results in the ubiquitin being non-cleavable.
- the proline may be introduced between the ubiquitin and the antigenic polypeptide or may be the first amino acid of the antigenic polypeptide.
- the ubiquitin has the sequences as shown in SEQ ID NO. : 1 and the proline immediately following the ubiquitin resulting e.g., in an amino acid sequence as shown in SEQ ID NO. : 3.
- the non-cleavable ubiquitin has the sequence shown in SEQ ID NO. : 3.
- the non-cleavable ubiquitin comprises a sequence comprising a mutation substituting the lysine at position 6, 11, 27, 29, 33, or 63 or any combination thereof with reference to SEQ ID NO.: 3.
- Such a non-cleavable ubiquitin is also referred to herein as "Ubi-P".
- the non-cleavable ubiquitin can comprise therefore at least one, at least 2, at least 3, at least 4, at least 5, at least 6 or 7 lysines.
- one or more of the seven lysines can be mutated, e.g., being substituted by another amino acid, such as arginine.
- at least the lysine at amino acid position 48 is not mutated (an exemplary embodiment being SEQ ID NO. : 7).
- the non-cleavable ubiquitin sequence can comprise a glycine mutation at amino acid position 76 with reference to SEQ ID NO. : 1 immediately followed by a proline, meaning the amino acid at position 76 with reference to SEQ ID NO. : 1 is not glycine, but e.g., an alanine, and the immediately following amino acid is proline, such as shown e.g., in SEQ ID NO. : 23.
- the non-cleavable ubiquitin comprises one C-terminal valine as shown in SEQ ID NO. : 24. In some embodiments, the non-cleavable ubiquitin comprises a G76V mutation with reference to SEQ ID NO. : 24. In some embodiments, the C-terminal valine is immediately followed by a degrading amino acid such as valine or arginine, meaning the glycine at amino acid position 76 is replaced by a valine (G76V) and the degrading amino acid following the position 76 with reference to SEQ ID NO.: 24 is valine or arginine as e.g., shown in SEQ ID NO. : 25 or 26.
- a degrading amino acid such as valine or arginine
- the N-terminal degron may comprise two N- terminal ubiquitins, wherein one ubiquitin comprises a G76V mutation with reference to SEQ ID NO. : 24 immediately followed by a valine or arginine, immediately followed by a second ubiquitin comprising a G76V mutation with reference to SEQ ID NO. : 24 immediately followed by a valine or arginine.
- the N-terminal degron optionally comprises three N-terminal ubiquitins, wherein one ubiquitin comprises a G76V mutation with reference to SEQ ID NO.: 24 immediately followed by a valine or arginine, immediately followed by a second ubiquitin comprising a G76V mutation with reference to SEQ ID NO.: 24 immediately followed by a valine or arginine, immediately followed by a third ubiquitin comprising a G76V mutation with reference to SEQ ID NO. : 24 immediately followed by a valine or arginine.
- the valine or arginine can be located between the last ubiquitin and an antigenic peptide or can be the first amino acid of the antigenic peptide.
- the ubiquitin comprises a lysine substitution, in particular one to six lysine substitutions. In some embodiments, the ubiquitin comprises a plurality of lysine substitutions. In some embodiments, the ubiquitin sequence comprises one or more lysine substitutions, in particular one to six lysine substitutions, wherein the one or more lysine substitutions comprise positions 6, 11, 27, 29, 33, 63, or any combination thereof with reference to SEQ ID NO.: 1. The lysine can be replaced by any other amino acid.
- the one or more lysine substitutions in particular one to six lysine substitutions, comprise K6R, KIIR, K27R, K29R, K33R, K63R, or any combination thereof with reference to SEQ ID NO. : 1.
- These lysine substitutions are contemplated to optimize the proteasomal degradation of the polypeptide encoded by the nucleic acid molecule disclosed herein, by directing the polypeptide away from other pathways.
- the ubiquitin sequence is an amino acid sequence shown in SEQ ID NOs.: 7-13. It is however understood that the ubiquitin can comprise any combination of lysine substitutions at positions 6, 11, 27, 29, 33, and 63 with reference to SEQ ID NO. : 1.
- the ubiquitin comprises 2, 3, 4, 5, or 6 lysine substitutions in any of the positions 6, 11, 27, 29, 33, and 63. In some embodiments, the ubiquitin comprises lysine substitutions, in particular one to six lysine substitutions, at the positions 6, 11, 27, 29, 33, and 63. Optionally the lysine is replaced by arginine. Optionally, the ubiquitin comprises the sequence shown in SEQ ID NO.
- the ubiquitin is non-cleavable and comprises only the lysine substitution K63R.
- An example of this is the construct of SEQ ID NO.: 13. The research leading up to the present disclosure has found that this substitution leads to a particularly strong MHC-I presentation of an antigenic polypeptide connected thereto, and thus leads to a pronounced CD8 + T cell immune response against said antigenic polypeptide.
- the ubiquitin is non-cleavable and comprises substitutions of the lysines at positions K6, Kll, K27, K29, K33 and K63, in particular K6R, KIIR, K27R, K29R, K33R, and K63R, such that only the lysine K48 is non-mutated.
- An example of this is the construct of SEQ ID NO. : 7. This substitution pattern is herein referred to as "K48only".
- the K48only variant - despite its many structural and functional alterations - leads to a particularly strong MHC-I presentation of an antigenic polypeptide connected thereto, and thereby leads to a pronounced CD8 + T cell immune response against said antigenic polypeptide.
- This finding is particularly surprising because the change from lysine to arginine significantly influences the protein surface of the ubiquitin and leads to a shift in the isoelectric point which would have been expected to negatively influence the interaction between the ubiquitin and the proteasome.
- the non-cleavable ubiquitin comprises a sequence as shown in SEQ ID NO. : 8 or a sequence having at least 80%, at least 90%, at least 95, at least 96%, at least 97%, at least 98%, or at least 99% identity to the sequence shown in said SEQ ID NO, with the proviso that the ubiquitin is able to be ubiquitinated and mark the protein for degradation.
- the non-cleavable ubiquitin comprises a sequence as shown in SEQ ID NO. : 9 or a sequence having at least 80%, at least 90%, at least 95, at least 96%, at least 97%, at least 98%, or at least 99% identity to the sequence shown in said SEQ ID NO, with the proviso that the ubiquitin is able to be ubiquitinated and mark the protein for degradation.
- the non-cleavable ubiquitin comprises a sequence as shown in SEQ ID NO. : 10 or a sequence having at least 80%, at least 90%, at least 95, at least 96%, at least 97%, at least 98%, or at least 99% identity to the sequence shown in said SEQ ID NO.
- the non-cleavable ubiquitin comprises a sequence as shown in SEQ ID NO. : 11 or a sequence having at least 80%, at least 90%, at least 95, at least 96%, at least 97%, at least 98%, or at least 99% identity to the sequence shown in said SEQ ID NO, with the proviso that the ubiquitin is able to be ubiquitinated and mark the protein for degradation.
- the non-cleavable ubiquitin comprises a sequence as shown in SEQ ID NO. : 12 or a sequence having at least 80%, at least 90%, at least 95, at least 96%, at least 97%, at least 98%, or at least 99% identity to the sequence shown in said SEQ ID NO, with the proviso that the ubiquitin is able to be ubiquitinated and mark the protein for degradation.
- the non-cleavable ubiquitin comprises a sequence as shown in SEQ ID NO. : 13 or a sequence having at least 80%, at least 90%, at least 95, at least 96%, at least 97%, at least 98%, or at least 99% identity to the sequence shown in said SEQ ID NO, with the proviso that the ubiquitin is able to be ubiquitinated and mark the protein for degradation.
- the non-cleavable ubiquitin or the cleavable ubiquitin is followed by one or more internal lysines, such as N-terminal proximal lysines, wherein the one or more internal lysines may be positioned within one or more of the antigenic peptides or within optional linkers.
- a ubiquitin amino acid position refers to ubiquitin as shown in SEQ ID NO. : 1 unless indicated otherwise.
- SEQ ID NO.: 1 has 76 amino acids.
- position 76 refers to the last glycine of ubiquitin in reference to amino acid sequence of SEQ ID NO.: 1.
- positions 6, 11, 27, 29, 33, 48 and 63 refer to the seven lysine positions present in ubiquitin in reference to amino acid sequence of SEQ ID NO. : 1.
- position 43 refers to a leucine in reference to amino acid sequence of SEQ ID NO. : 1.
- destabilizing amino acids immediately following ubiquitin e.g., in cleavable ubiquitin
- degrading amino acids e.g., in non-cleavable ubiquitin
- amino acid position 77 the amino acid at position 77 is not considered to be part of ubiquitin.
- this position 77 becomes after cleavage of ubiquitin position 1 of the released polypeptide comprising one or more antigenic peptides, wherein the released polypeptide is not ubiquitin.
- the polypeptide comprises malaria antigens Plasmodium antigens) for eliciting a P/asmodium-spec ic CD8 + immune response.
- the polypeptide comprises one or more Piasmodium -c&W antigens, such as at least 2 and at most 10 Plasmodium T-cell antigens.
- the encoded polypeptide comprises at least 25 amino acids and at most 1100 amino acids. In some embodiments, the encoded polypeptide comprises at least 25 amino acids and at most 500 amino acids. In some embodiments, the polypeptide has a sequence as shown in SEQ ID NO. : 27.
- the polypeptide disclosed herein comprises next to an N-terminal degron a malarial T-cell peptide string construct that includes the following antigenic peptides in order: (i) an antigenic Plasmodium CSP (circumsporozoite protein) polypeptide fragment; (ii) an antigenic Plasmodium TRAP (Thrombospondin-related adhesion protein) polypeptide fragment; (iii) an antigenic Plasmodium UIS3 (Upregulated in infective sporozoites gene 3) polypeptide fragment; (iv) an antigenic Plasmodium ETRAMP10.3 polypeptide fragment; and (v) an antigenic Plasmodium LSAP2 polypeptide fragment, wherein the Plasmodium may be Plasmodium falciparum, such as Plasmodium falciparum isolate 3D7.
- the Plasmodium may be Plasmodium falciparum, such as Plasmodium falciparum isolate 3D7.
- the polypeptide includes an amino acid sequence with at least 85% (e.g., at least 90%, 91%, 92%, 93%, 94%, 95%, 96%, 97%, 98%, or 99%) sequence identity to an amino acid sequence according to SEQ ID NO.: 27.
- the polypeptide is encoded by the DNA sequence as shown in SEQ ID NO. : 28, or DNA sequence with at least 85% (e.g., at least 90%, 91%, 92%, 93%, 94%, 95%, 96%, 97%, 98%, or 99%) sequence identity to SEQ ID NO.: 28.
- the polypeptide is encoded by the RNA sequence as shown in SEQ ID NO.: 29, or RNA sequence with at least 85% (e.g., at least 90%, 91%, 92%, 93%, 94%, 95%, 96%, 97%, 98%, or 99%) sequence identity to SEQ ID NO.: 29.
- the nucleic acid molecule is for use in eliciting an antigen-specific CD8 + T-cell response.
- the nucleic acid molecule for use in eliciting an antigen-specific CD8 + T-cell response is a nucleic acid molecule encoding for the polypeptide comprising the cleavable ubiquitin disclosed herein.
- the nucleic acid molecule for use in eliciting an antigen-specific CD8 + T-cell response is a nucleic acid molecule encoding for the polypeptide comprising the non-cleavable ubiquitin disclosed herein.
- the nucleic acid molecule has the advantage of polarizing towards an antigen-specific CD8 + T-cell response, allowing improved modulation of the immune response.
- the nucleic acid molecule can enhance the antigen-specific CD8 + T-cell response.
- the nucleic acid molecule elicits a two-fold, a three-fold, or a five-fold, increase in the antigen-specific CD8 + T-cell response compared to an antigen-specific CD4 + T-cell immune response.
- the subject suffers from a disease, such as a genetic, metabolic or infectious disease.
- the nucleic acid molecule is for use in the prevention and/or treatment of genetic, metabolic, or infectious diseases.
- the subject suffers from cancer.
- the disease may be an infectious disease, such as a viral disease, e.g., a herpes virus infection, a malaria infection, or shingles.
- the subject can be a mammal, e.g. a human.
- the present disclosure further provides a nucleic acid molecule for eliciting an antigen-specific CD8 + T-cell response in a subject comprising a coding sequence encoding a polypeptide comprising an antigenic peptide and an N-terminal degron comprising at least one non-cleavable ubiquitin.
- nucleic acid molecule for eliciting an antigen-specific CD8 + T-cell response in a subject comprising a coding sequence encoding a polypeptide comprising an antigenic peptide and an N-terminal degron comprising at least one cleavable ubiquitin.
- the nucleic acid molecule is for use in eliciting an antigen-specific CD8 + T- cell immune response.
- nucleic acid molecule defined herein and above are meant to be equally disclosed also for the corresponding nucleic acid molecule encoding the polypeptide comprising the non-cleavable ubiquitin.
- the present disclosure further provides a polypeptide encoded by the nucleic acid molecule disclosed herein.
- the polypeptide encoded by the nucleic acid molecule comprises a ubiquitin, e.g. a cleavable or non-cleavable ubiquitin.
- the polypeptide is for use in eliciting an antigen-specific CD8 + T-cell immune response.
- polypeptide encoded by the nucleic acid molecule disclosed herein are meant to be equally disclosed also for the polypeptide of the present disclosure.
- polypeptide of the present disclosure is the polypeptide encoded by the nucleic acid molecule disclosed herein.
- the present disclosure further provides an isolated host cell which comprises the nucleic acid molecule disclosed herein and/or the polypeptide disclosed herein.
- the isolated host cell comprises the nucleic acid molecule disclosed herein or the polypeptide disclosed herein.
- the isolated host cell comprises the nucleic acid molecule disclosed herein and the polypeptide disclosed herein.
- the isolated host cell comprises the nucleic acid molecule disclosed herein.
- the isolated host cell comprises the polypeptide disclosed herein.
- the present disclosure further provides a composition comprising the isolated host cell disclosed herein.
- the term "host cell” is intended to refer to a living cell into which a nucleic acid molecule of the present disclosure and/or a polypeptide of the present disclosure can be introduced, allowing for their expression, replication, and/or modification.
- the host cell may be isolated and/or specifically engineered to incorporate the nucleic acid molecule or polypeptide described, and may facilitate the production of the desired biological components.
- the term "host cell” encompasses a variety of cell types, including mammalian cells, e.g., mammalian cell lines. In one embodiment the host cell is a mammalian cell, in particular a human cell.
- the present disclosure further provides a pharmaceutical composition comprising the nucleic acid molecule disclosed herein or the polypeptide disclosed herein in a pharmaceutically acceptable carrier.
- the pharmaceutical composition can comprise the features and embodiments defined above for pharmaceutical compositions.
- nucleic acid molecule and/or polypeptide described herein may be administered in pharmaceutical compositions or medicaments and may be administered in the form of any suitable pharmaceutical composition.
- the pharmaceutical composition is for therapeutic or prophylactic treatments, e.g., for use in treating or preventing a disease involving an antigen.
- composition relates to a composition comprising a therapeutically effective agent, optionally together with pharmaceutically acceptable carriers, diluents and/or excipients. Said pharmaceutical composition is useful for treating, preventing, or reducing the severity of a disease by administration of said pharmaceutical composition to a subject.
- a “pharmaceutically acceptable carrier” or “pharmaceutically acceptable excipient” is a solvent, dispersion medium, coating, antibacterial agent and antifungal agent, isotonic agent, and absorption delaying agent, and the like, that is compatible with pharmaceutical administration.
- the use of such media and agents for pharmaceutically active substances is well known in the art.
- the pharmaceutically acceptable carrier or excipient is not naturally occurring.
- compositions of the present disclosure may comprise one or more adjuvants or may be administered with one or more adjuvants.
- adjuvant relates to a compound which prolongs, enhances or accelerates an immune response.
- adjuvants comprise a heterogeneous group of compounds such as oil emulsions (e.g., Freund's adjuvants), mineral compounds (such as alum), bacterial products (such as Bordetella pertussis toxin), or immune-stimulating complexes.
- adjuvants include, without limitation, LPS, GP96, CpG oligodeoxynucleotides, growth factors, and cytokines, such as monokines, lymphokines, interleukins, chemokines.
- the chemokines may be IL-1, IL-2, IL-3, IL-4, IL-5, IL-6, IL-7, IL-8, IL- 9, IL-10, IL-12, INFa, INF-y, GM-CSF, or LT-a.
- Further known adjuvants are aluminum hydroxide, Freund's adjuvant or oil such as Montanide® ISA51.
- Suitable adjuvants for use in the present disclosure include lipopeptides, such as Pam3Cys, as well as lipophilic components, such as saponins, trehalose-6,6-dibehenate (TDB), monophosphoryl lipid-A (MPL), monomycoloyl glycerol (MMG), or glucopyranosyl lipid adjuvant (GLA).
- lipopeptides such as Pam3Cys
- lipophilic components such as saponins, trehalose-6,6-dibehenate (TDB), monophosphoryl lipid-A (MPL), monomycoloyl glycerol (MMG), or glucopyranosyl lipid adjuvant (GLA).
- compositions of the present disclosure may be in a storable form (e.g., in a frozen or lyophilized/freeze-dried form) or in a "ready-to-use form" (i.e., in a form which can be immediately administered to a subject, e.g., without any processing such as diluting).
- a storable form e.g., in a frozen or lyophilized/freeze-dried form
- ready-to-use form i.e., in a form which can be immediately administered to a subject, e.g., without any processing such as diluting.
- a frozen pharmaceutical composition has to be thawed, or a freeze- dried pharmaceutical composition has to be reconstituted, e.g., by using a suitable solvent (e.g., deionized water, such as water for injection) or liquid (e.g., an aqueous solution).
- a suitable solvent e.g., deionized water, such as water for injection
- liquid e.g., an aqueous solution
- compositions according to the present disclosure are generally applied in a "pharmaceutically effective amount” and in "a pharmaceutically acceptable preparation".
- An “effective amount” is an amount of a given substance that is sufficient in quantity to produce a desired effect, including an improvement or remediation of the disease, disorder, or symptoms of the disease or condition.
- an effective amount of the pharmaceutical composition e.g., immunogenic composition, e.g., vaccine
- an effective amount of the pharmaceutical composition for eliciting an antigen-specific CD8 + T- cell response in a subject is an amount capable to achieve a detectable increase in antigen-specific CD8 + T cells upon administration to the subject.
- pharmaceutically acceptable refers to the non-toxicity of a material which does not interact with the action of the active component of the pharmaceutical composition.
- the term "pharmaceutically effective amount” refers to the amount which achieves a desired reaction or a desired effect alone or together with further doses.
- the desired reaction may relate to inhibition of the course of the disease. This comprises slowing down the progress of the disease and, in some embodiments, interrupting or reversing the progress of the disease.
- the desired reaction in a treatment of a disease may also be delay of the onset or a prevention of the onset of said disease or said condition, or symptoms thereof.
- an effective amount of the pharmaceutical compositions described herein will depend on the condition to be treated, the severeness of the disease, the individual parameters of the patient, including age, physiological condition, size and weight, the duration of treatment, the type of an accompanying therapy (if present), the specific route of administration and similar factors. Accordingly, the doses administered of the pharmaceutical compositions described herein may depend on various of such parameters. In the case that a reaction in a patient is insufficient with an initial dose, higher doses (or effectively higher doses achieved by a different, more localized route of administration) may be used.
- compositions of the present disclosure may contain buffers, preservatives, and optionally other therapeutic agents.
- the pharmaceutical compositions of the present disclosure comprise one or more pharmaceutically acceptable carriers, diluents and/or excipients.
- Suitable preservatives for use in the pharmaceutical compositions of the present disclosure include, without limitation, benzalkonium chloride, chlorobutanol, paraben and thimerosal.
- excipient refers to a substance which may be present in a pharmaceutical composition of the present disclosure but is not an active ingredient.
- excipients include without limitation, carriers, binders, diluents, lubricants, thickeners, surface active agents, preservatives, stabilizers, emulsifiers, buffers, flavoring agents, or colorants.
- the term "diluent” relates a diluting and/or thinning agent.
- the term “diluent” includes any one or more of fluid, liquid or solid suspension and/or mixing media. Examples of suitable diluents include ethanol, glycerol and water.
- carrier refers to a component which may be natural, synthetic, organic, inorganic in which the active component is combined in order to facilitate, enhance or enable administration of the pharmaceutical composition.
- a carrier as used herein may be one or more compatible solid or liquid fillers, diluents or encapsulating substances, which are suitable for administration to subject.
- Suitable carriers include, without limitation, sterile water, Ringer, Ringer lactate, sterile sodium chloride solution, isotonic saline, polyalkylene glycols, hydrogenated naphthalenes and, in particular, biocompatible lactide polymers, lactide/glycolide copolymers or polyoxyethylene/polyoxy-propylene copolymers.
- the pharmaceutical composition of the present disclosure includes isotonic saline.
- compositions described herein may be administered intravenously, intraarterially, subcutaneously, intradermally, dermally, intranodally, or intramuscularly. In some embodiments, the pharmaceutical compositions described herein may be administered intramuscularly. In some embodiments, the pharmaceutical composition is formulated for local administration or systemic administration.
- Systemic administration may include enteral administration, which involves absorption through the gastrointestinal tract, or parenteral administration.
- parenteral administration refers to the administration in any manner other than through the gastrointestinal tract, such as by intravenous injection.
- the pharmaceutical compositions are formulated for systemic administration.
- systemic administration is by intravenous administration.
- pharmaceutical compositions are formulated for intramuscular administration.
- intramuscular administration comprises administration into the upper arm, in particular into the musculus deltoideus. If more than one dose, e.g., three doses, of a pharmaceutical composition described herein is administered, the different administrations may be into the same arm.
- the present disclosure also provides a pharmaceutical composition (e.g., immunogenic composition, e.g., vaccine) for eliciting an antigen-specific CD8 + T-cell response comprising an effective dose of a nucleic acid molecule disclosed herein or a polypeptide disclosed herein.
- a nucleic acid molecule is associated with cationic lipids or is encapsulated into a nanoparticle or liposome, e.g. as disclosed above.
- a pharmaceutical composition e.g., immunogenic composition, e.g., vaccine
- the present disclosure further provides the nucleic acid molecule disclosed herein, the polypeptide disclosed herein, the pharmaceutical composition disclosed herein, or the vaccine composition disclosed herein for use in a method of eliciting an antigen-specific CD8 + T-cell response in a subject in need thereof, comprising: administering to the subject an effective amount of the nucleic acid molecule, the pharmaceutical composition, or the vaccine composition, thereby stimulating an antigen-specific CD8 + T-cell response in the subject.
- the present disclosure further provides the nucleic acid molecule disclosed herein, the polypeptide disclosed herein, the pharmaceutical composition disclosed herein, or the vaccine composition disclosed herein for use in a method for inducing the formation of MHC-I/peptide complexes in a cell, the method comprising administering to a subject an effective amount of the nucleic acid molecule, the pharmaceutical composition, or the vaccine composition.
- the present disclosure further provides the nucleic acid molecule disclosed herein, the polypeptide disclosed herein, the pharmaceutical composition disclosed herein, or the vaccine composition disclosed herein for use in a method for stimulating or activating CD8 + T-cells, wherein the method comprises administering to a subject an effective amount of the nucleic acid molecule, the pharmaceutical composition, or the vaccine composition.
- the administration is intravenously.
- the administration is intraarterially, subcutaneously, intradermally, dermally, intranodally, or intramuscularly.
- the administration is intramuscularly.
- the admiration is a local administration or systemic administration.
- Systemic administration may include enteral administration, which involves absorption through the gastrointestinal tract, or parenteral administration.
- the administration is a systemic administration.
- the systemic administration is by intravenous administration.
- SEQ ID NO. : 1 is an exemplary amino acid sequence of ubiquitin suitable for use in the N-terminal degron disclosed herein.
- the ubiquitin sequence comprises 76 amino acids.
- SEQ ID NO. : 2 is an exemplary amino acid sequence of a cleavable ubiquitin suitable for use in the N-terminal degron disclosed herein.
- the ubiquitin sequence comprises a destabilizing amino acid at the C-terminus.
- SEQ ID NO. : 3 is an exemplary amino acid sequence of a non-cleavable ubiquitin suitable for use in the N- terminal degron disclosed herein.
- the ubiquitin sequence comprises a proline at the C-terminus.
- SEQ ID NO. : 4 is an exemplary amino acid sequence of a non-cleavable ubiquitin suitable for use in the N- terminal degron disclosed herein, wherein the amino acid G76 is deleted.
- SEQ ID NO. : 5 is an exemplary amino acid sequence of a non-cleavable ubiquitin suitable for use in the N- terminal degron disclosed herein comprising a G76A mutation immediately followed by an arginine.
- SEQ ID NO. : 6 is an exemplary amino acid sequence of GFP.
- SEQ ID NO. : 7 is an exemplary amino acid sequence of a non-cleavable ubiquitin suitable for use in the N- terminal degron disclosed herein based on SEQ ID NO. : 5 and comprising K6R, KIIR, K27R, K29R, K33R, and K63R substitutions.
- SEQ ID NO. : 8 is an exemplary amino acid sequence of a non-cleavable ubiquitin suitable for use in the N- terminal degron disclosed herein based on SEQ ID NO. : 5 and comprising a K6R substitution.
- SEQ ID NO. : 9 is an exemplary amino acid sequence of a non-cleavable ubiquitin suitable for use in the N- terminal degron disclosed herein based on SEQ ID NO. : 5 and comprising a KIIR substitution.
- SEQ ID NO. : 10 is an exemplary amino acid sequence of a non-cleavable ubiquitin suitable for use in the N- terminal degron disclosed herein based on SEQ ID NO. : 5 and comprising a K27R substitution.
- SEQ ID NO. : 11 is an exemplary amino acid sequence of a non-cleavable ubiquitin suitable for use in the N- terminal degron disclosed herein based on SEQ ID NO. : 5 and comprising a K29R substitution.
- SEQ ID NO. : 12 is an exemplary amino acid sequence of a non-cleavable ubiquitin suitable for use in the N- terminal degron disclosed herein based on SEQ ID NO. : 5 and comprising a K33R substitution.
- SEQ ID NO. : 13 is an exemplary amino acid sequence of a non-cleavable ubiquitin suitable for use in the N- terminal degron disclosed herein based on SEQ ID NO. : 5 and comprising a K63R substitution.
- SEQ ID NO. : 14 is an exemplary amino acid sequence of a non-cleavable ubiquitin suitable for use in the N- terminal degron disclosed herein based on SEQ ID NO. : 5 and comprising a L43A substitution and K6R, KIIR, K27R, K29R, K33R, K48R and K63R substitutions.
- SEQ ID NO. : 15 is an exemplary amino acid sequence of a cleavable ubiquitin suitable for use in the N-terminal degron disclosed herein based on SEQ ID NO. : 2 and comprising a L43A substitution and K6R, KIIR, K27R, K29R, K33R, K48R and K63R substitutions.
- SEQ ID NO.: 16 is an exemplary amino acid sequence comprising the cleavable ubiquitin sequence shown in SEQ ID NO. : 2 fused to the GFP sequence shown in SEQ ID NO.: 6.
- SEQ ID NO. : 17 is an exemplary amino acid sequence of a non-cleavable ubiquitin sequence shown in SEQ ID NO. : 5 fused to the GFP sequence shown in SEQ ID NO. : 6.
- SEQ ID NO. : 18 is an exemplary amino acid sequence of a non-cleavable ubiquitin sequence shown in SEQ ID NO. : 13 fused to the GFP sequence shown in SEQ ID NO. : 6.
- SEQ ID NO. : 19 is an exemplary amino acid sequence of a non-cleavable ubiquitin sequence shown in SEQ ID NO. : 7 fused to the GFP sequence shown in SEQ ID NO. : 6.
- SEQ ID NO. : 20 is an exemplary amino acid sequence of a non-cleavable ubiquitin sequence shown in SEQ ID NO. : 14 fused to the GFP sequence shown in SEQ ID NO. : 6.
- SEQ ID NO. : 21 is an exemplary amino acid sequence of a cleavable ubiquitin sequence shown in SEQ ID NO.: 15 fused to the GFP sequence shown in SEQ ID NO.: 6.
- SEQ ID NO. : 22 is an exemplary amino acid sequence of a signal peptide HSV-lgD SP.
- SEQ ID NO. : 23 is an exemplary amino acid sequence of a non-cleavable ubiquitin sequence comprising a glycine mutation at amino acid position 76 with reference to SEQ ID NO. : 1 immediately followed by a proline.
- SEQ ID NO. : 24 is an exemplary amino acid sequence of a non-cleavable ubiquitin comprises a C-terminal valine.
- SEQ ID NO. : 25 is an exemplary amino acid sequence of a non-cleavable ubiquitin comprises a C-terminal valine immediately followed by an arginine.
- SEQ ID NO. : 26 is an exemplary amino acid sequence of a non-cleavable ubiquitin comprises a C-terminal valine immediately followed by a valine.
- SEQ ID NO. : 27 is an exemplary amino acid sequence of a polypeptide according to the invention comprising the N-terminal degron of SEQ ID NO. : 2 followed by the following antigenic peptides: (i) an antigenic Plasmodium CSP (circumsporozoite protein) polypeptide fragment; (ii) an antigenic Plasmodium TRAP (Thrombospondin-related adhesion protein) polypeptide fragment; (iii) an antigenic Plasmodium UIS3 (Upregulated in infective sporozoites gene 3) polypeptide fragment; (iv) an antigenic Plasmodium ETRAMP10.3 polypeptide fragment; and (v) an antigenic Plasmodium LSAP2 polypeptide fragment.
- antigenic Plasmodium CSP circumsporozoite protein
- TRAP Thrombospondin-related adhesion protein
- UIS3 Upregulated in infective sporozoites gene 3
- SEQ ID NO. : 28 is an exemplary DNA sequence encoding for the SEQ ID NO. : 27.
- SEQ ID NO. : 29 is an exemplary RNA sequence encoding for the SEQ ID NO. : 27.
- SEQ ID NO. : 30 is an exemplary amino acid sequence of a non-cleavable ubiquitin suitable for use in the N- terminal degron disclosed herein, comprising a G76A mutation.
- SEQ ID NO. : 31 is an exemplary amino acid sequence of a GFP variant.
- SEQ ID NO. : 32 is an exemplary amino acid sequence of a synthetic construct comprising an HSV signal peptide (SP), the GFP variant sequence shown in SEQ ID NO.: 23 and an MITD sequence.
- SP HSV signal peptide
- SEQ ID NO. : 33 is an exemplary amino acid sequence of comprising the cleavable ubiquitin sequence shown in SEQ ID NO. : 2, a GGS linker and the GFP variant sequence shown in SEQ ID NO.: 23.
- SEQ ID NO. : 34 is an exemplary amino acid sequence comprising the non-cleavable ubiquitin sequence shown in SEQ ID NO. : 5, a GGS linker and the GFP variant sequence shown in SEQ ID NO.: 23.
- SEQ ID NO. : 35 is an exemplary amino acid sequence comprising the non-cleavable ubiquitin sequence shown in SEQ ID NO. : 13, a GGS linker and the GFP variant sequence shown in SEQ ID NO. : 23.
- SEQ ID NO. : 36 is an exemplary amino acid sequence comprising the non-cleavable ubiquitin sequence shown in SEQ ID NO. : 7, a GGS linker and the GFP variant sequence shown in SEQ ID NO.: 23.
- SEQ ID NO. : 37 is an exemplary amino acid sequence comprising the non-cleavable ubiquitin sequence shown in SEQ ID NO. : 14, a GGS linker and the GFP variant sequence shown in SEQ ID NO. : 23.
- SEQ ID NO. : 38 is an exemplary amino acid sequence comprising the non-cleavable ubiquitin sequence shown in SEQ ID NO. : 15, a GGS linker and the GFP variant sequence shown in SEQ ID NO. : 23.
- Example 1 N-terminal deqron increases the amount of protein turn over Approximately 5 x 10 5 HEK293 cells were transfected with 5 pg RNA using Lipofectamine MessengerMax using manufacturer's protocol using as shown in Fig. b:
- SP+MITD (2.) reference RNA construct
- SEQ ID NO. : 22 signal peptide
- CSP, TRAP, UIS3, ETRAMP10.3, and LSAP2 antigenic peptides derived from malaria
- LSAP2 MHC internal transmembrane domain
- RNA construct (“degron”) comprising a cleavable ubiquitin at the N-terminus immediately followed by a destabilizing amino acid, and antigenic peptides derived from malaria (CSP, TRAP, UIS3, ETRAMP10.3, and LSAP2) separated by linkers with the first antigenic malaria peptide comprising N-terminal proximal lysines (N- term proximal lysines).
- the cells were harvested, pelleted, and lysed in an 8M urea lysis buffer. Lysates were cleared of insoluble material by centrifugation and stored at -80C.
- RNA-encoded protein After thawing, expression of the RNA-encoded protein was assessed. Protein concentrations of the supernatants were measured using a BCA kit according to manufacturer's protocols, and concentrations were normalized. Cysteine sulfhydryls were reduced with TCEP and alkylated with iodoacetamide. Proteins were digested using trypsin overnight at 37°C at a ratio of 1 pg trypsin per 50 pg total protein. Digested peptides were further desalted using C18 solid phase extraction. Following desalting, peptides were analyzed by targeted LC-MS/MS analysis to quantify the relative abundance of the transfected protein in the cell lysate.
- Fig. 2a This demonstrates that the degron leads increased turnover of the polypeptide (as measured by the increase in abundance in the presence of MG132) compared to the SP+MITD lacking the degron.
- Example 2 Immunogenicity of the polypeptide comprising the N-terminal deqron and antigens Immunization
- HLA A2.1 transgenic mice were immunized with 2.5 pg RNA as described in Example 1 intramuscularly. Seven days after immunization, spleens were harvested, and serum was collected.
- Single cell suspensions were generated from collected spleens for ELISpot analysis. Spleens were decanted onto 70 pm filters placed on 50 mL conical vials and gently dissociated using the plunger of a 3 mL syringe and rinsing with ⁇ 6 mL of RPMI media to release splenocytes into the tube. Splenocytes were centrifuged for 10 min at 4°C at 1300 revolutions per minute (rpm), the supernatant was decanted and red blood cells were lysed with ammonium-chloride-potassium (ACK) Lysing Buffer for 3 min at RT.
- ACK ammonium-chloride-potassium
- the ACK lysis was stopped by adding 9 mL of RPMI media and cells were centrifuged again and resuspended in 5 mL of serum-free assay media (X-VIVO + 1% Pen-Strep + 1% Glutamax) and refiltered into a fresh tube over a fresh 70 pm filter. Cells were then counted using a Nexcelom Cellaca-MX.
- ELISpot assays with fresh splenocytes were performed according to the manufacturer's protocol (with minor modifications as described below) using R&D systems' mouse IFN-y ELISpot kit. Briefly, 96-well ELISpot plates were blocked with serum-free assay media (X-VIVO + 1% Pen-Strep + 1% Glutamax) for at least 1 h at 37°C. Next, 100 pL of the splenocyte solution (3 x 10 5 cells) were transferred to the respective well of the 96-well ELISpot plate. Another 100 pL of overlapping peptide pools or controls were added in the following concentrations:
- SP+MITD peptide pool (57 peptides, 15mer/llmer overlap): 0.3 pM final concentration per peptide
- Concanavalin A (ConA): 0.3 pM final concentration
- splenocytes were stimulated with ConA.
- medium with DMSO equivalent to the highest volume of peptide mix was added. All stimulations were performed in triplicate.
- the degron efficiently elicits an immune response compared to the SP+MITD lacking the degron, providing an improved immunogenicity.
- HEK293 cells 10 5 HEK293 cells were plated in each well of a 12 well plate. 24 hours after plating, 1 pg of either GFP (control), UbiR-GFP (cleavable ubiquitin), or UbiAR-GFP (non-cleavable ubiquitin) RNA was transfected into cells using Lipofectamine MessengerMax reagent according to manufacturer's protocols. At the same time as transfection, either 0 nM or 100 nM proteasome inhibitor MG132 was added to the cells. Fluorescence from the cells was quantitatively measured using the Incucyte platform for 3 days post-transfection. For quantification, GFP integrated intensity was normalized to cell confluence. As shown in Fig.
- the GFP fused to cleavable ubiquitin (UbiR) or non-cleavable ubiquitin (UbiAR) is degraded significantly faster compared to GFP.
- the presence of different concentrations of the proteasome inhibitor MG132 shows that the degradation of both N-terminal degron constructs occurs via the proteasomal system as increasing inhibition of the proteasome inhibitor MG132 results decreased degradation of the UbiR-GFP and UbiAR-GFP.
- RNA-encoded protein was assessed. Protein concentrations of the supernatants were measured using a BCA kit according to manufacturer's protocols, and concentrations were normalized. Cysteine sulfhydryls were reduced with TCEP and alkylated with iodoacetamide. Proteins were digested using trypsin overnight at 37°C at a ratio of 1 pg trypsin per 50 pg total protein. Digested peptides were further desalted using C18 solid phase extraction.
- peptides were analyzed by targeted LC-MS/MS analysis to quantify the relative abundance of the transfected protein in the cell lysate.
- Example 5 N-terminal deorons reduce overall expression and HLA-II presentation, but increase HLA-I presentation
- RNA Approximately 50 x 10 5 HEK293 or A375 cells were transfected with 250pg RNA, using Lipofectamine MessengerMax reagent according to manufacturer's protocols:
- HEK293 cells were transfected with 250pg RNA, using Lipofectamine MessengerMax reagent according to manufacturer's protocols:
- SP+MITD comprising a signal peptide (HSV-lgD SP as shown in SEQ ID NO.: 22), GFP, and an MHC internal transmembrane domain (MITD) (SEC-MITD).
- Lysates from the A375 transfection were applied to agarose beads functionalized with the pan-HLA-DR antibody L243.
- Lysates from the HEK293 transfection were applied to agarose beads functionalized with the pan-HLA-I antibody W6/32. HLA pulldown was performed for at least 3 h.
- the supernatant from the A375 transfection was saved for expression analysis (see below), the beads were washed, and bound HLA-peptide complexes were eluted with 10% acetic acid.
- the eluate was ultrafiltered through a 10 kDa molecular weight cutoff filter, cysteine sulfhydryls were reduced with TCEP and alkylated with iodoacetamide, and peptides were further desalted by C18 solid phase extraction. Following desalting, peptides were analyzed by targeted LC-MS/MS analysis to quantify HLA peptides from the transfected protein.
- RNA-encoded protein was done using the supernatants from the HLA pulldown above. Protein concentrations of the supernatants were measured using a BCA kit according to manufacturer's protocols, and concentrations were normalized. Cysteine sulfhydryls were reduced with TCEP and alkylated with iodoacetamide. Detergents from the lysis buffer were removed by SP3 cleanup with carboxylate magnetic beads as described in Hughes CS, Moggridge S, Muller T, Sorensen PH, Morin GB, Krijgsveld J. Single-pot, solid-phase-enhanced sample preparation for proteomics experiments. Nat Protoc.
- the presence of an N-terminal degron such as UbiAR UFD (i.e. UbiAR-GFP) and UbiR N-deg (i.e. UbiR-GFP) lead to significantly enhanced HLA-I presentation and significantly decreased HLA-II presentation compared to GFP alone, demonstrating that the N-terminal degron allows to module the immune response by specifically eliciting an antigen-specific CD8 + T cell response.
- the timepoint shown in Figure 6 was 24 hours after transfection of the GFP constructs, and the expression + HLA-II data was taken from the same sample (A375 cells), while the HLA-I data was taken from a different sample (HEK293T cells)
- a ubiquitin comprising a leucine substitution at the 43 th position is used, wherein the leucine at position 43 of the ubiquitin sequence is replaced by alanine (L43A) as shown in SEQ ID NO. : 14 or 15, wherein the SEQ ID NO. : 14 shows a non-cleavable ubiquitin (UbiAR) comprising a L43A mutation, and SEQ ID NO. : 15 shows a cleavable ubiquitin (UbiR) comprising a L43A mutation.
- UbiAR(L43A)-GFP is shown in SEQ ID NO. : 20 and UbiR(L43A)-GFP is shown in SEQ ID NO. : 21.
- These sequences further comprise K6R, KIIR, K27R, K29R, K33R, and K63R mutations.
- mice are immunized with 2.5 pg RNA intramuscularly. Seven days after immunization, spleens are harvested and serum is collected.
- Spleen processing is done as described above in Example 2 for ELISpot analysis as described in Example 2. Briefly, single cell suspensions are generated from collected spleens for ELISpot analysis. Spleens are decanted onto 70 pm filters placed on 50 mL conical vials and gently dissociated using the plunger of a 3 mL syringe and rinsing with ⁇ 6 mL of RPMI media to release splenocytes into the tube. Splenocytes are centrifuged for 10 min at 4°C at 1300 revolutions per minute (rpm), the supernatant is decanted and red blood cells are lysed with ammonium-chloride-potassium (ACK) Lysing Buffer for 3 min at RT.
- ACK ammonium-chloride-potassium
- the ACK lysis is stopped by adding 9 mL of RPMI media and cells are centrifuged again and resuspended in 5 mL of serum-free assay media (X- VIVO + 1% Pen-Strep + 1% Glutamax) and refiltered into a fresh tube over a fresh 70 pm filter. Cells are then counted using a Nexcelom Cellaca-MX. Pre-isolated cells are saved or CD4 vs CD8 enrichment is performed using Stem Cell's EasySepTM mouse CD8a positive selection kit II and mouse CD4 positive selection kit II with EasyEightsTM EasySepTM magnet according to the manufacturers protocol.
- ELISpot assays with fresh splenocytes are performed according to the manufacturer's protocol (with minor modifications as described below) using R&D systems' mouse IFN-y ELISpot kit as described above in Example
- 96-well ELISpot plates are blocked with serum-free assay media (X-VIVO + 1% Pen-Strep + 1% Glutamax) for at least 1 h at 37°C.
- 100 pL of the splenocyte solution (3 x 105 cells) are transferred to the respective well of the 96-well ELISpot plate.
- Another 100 pL of overlapping peptide pools or controls are added in the following concentrations:
- GFP peptide pool (57 peptides, 15mer/llmer overlap): 0.3 pM final concentration per peptide
- Concanavalin A (ConA): 0.3 pM final concentration
- the GFP peptide pool contains overlapping peptides that span GFP.
- the Ubiquitin peptide pool contains overlapping peptides that span UbiR and UbiAR.
- the splenocytes are stimulated with ConA.
- medium with DMSO equivalent to the highest volume of peptide mix is added. All stimulations are performed in triplicate.
- the examples described herein demonstrate the efficient destabilization of the polypeptides when using the N- terminal degron disclosed herein.
- the N-terminal degron leads to rapid degradation of the polypeptides, thereby eliciting an antigen-specific CD8 + T cell response, allowing to module the immune response upon vaccination.
- Example 8 Analysis of the destabilizing effect of further N-terminal deorons in real time
- RNA was transfected into cells using Lipofectamine MessengerMax reagent according to manufacturer's protocols.
- GFP GFP variant
- UbiR_GFP cleavable ubiquitin fused to GFP
- UbiAR_GFP non-cleavable ubiquitin fused to GFP
- UbiAR-K63R_eGFP non-cleavable ubiquitin comprising the K63R mutation fused to GFP
- UbiAR- K63R_eGFP non-cleavable ubiquitin comprising lysine mutations in the positions 6, 11, 27, 29, 33, and 63, fused to GFP
- UbiAR-K48only_eGFP or non-ubiquitinated GFP comprising a domain for intracellular trafficking to the cell membrane
- SP_GFP_MITD RNA was transfected into cells using Lipofectamine MessengerMax reagent according to manufacturer's protocols.
- Example 9 Analysing GFP expression using the N-terminal deqron Approximately 17 x 10 5 A375 cells cells were transfected with 80 pg RNA using Lipofectamine MessengerMax reagent according to manufacturer's protocols:
- SP_GFP_MITD as shown in SEQ ID NO. : 32 (control)
- UbiAR_K48only_GFP non-cleavable ubiquitin comprising lysine mutations in the positions 6, 11, 27, 29, 33, and 63, i.e.: the only remaining lysine is the one in position 48) as shown in SEQ ID NO.: 36
- UbiAR_K63R_GFP non-cleavable ubiquitin comprising a lysine mutations in the position 63 as shown in SEQ ID NO.: 35
- RNA-encoded protein was assessed. Protein concentrations of the supernatants were measured using a BCA kit according to manufacturer's protocols, and concentrations were normalized to 25 pg. Proteins were denatured with 1% sodium dodecyl sulfate (SDS). Cysteine sulfhydryls were reduced with TCEP and alkylated with iodoacetamide.
- the results are shown in Fig. 8.
- the relative expression of GFP peptides in cells expressing an UbiR-GFP or UbiAR-GFP degron construct is significantly decreased when compared to constructs of GFP without a degron fused thereto, which is attributed to the effective degradation.
- the relative expression of the membrane- localized GFP (SP_GFP_MITD) was found to be lower than the expression of intracellular GFP, which is possibly associated with the different localization.
- the example shows that the N-terminal degrons of the present disclosure reliably lead to an accelerated turnover of the antigenic peptide fused thereto.
- Example 10 N-terminal degrons reduce overall expression and HLA-II presentation, but increase HLA-I presentation
- SP_GFP_MITD as shown in SEQ ID NO. : 32 (control)
- UbiAR_K48only_GFP non-cleavable ubiquitin comprising lysine mutations in the positions 6, 11, 27, 29, 33, and 63, i.e.: the only remaining lysine is the one in position 48) as shown in SEQ ID NO.: 36
- UbiAR_K63R_GFP non-cleavable ubiquitin comprising a lysine mutations in the position 63 as shown in SEQ ID NO.: 35
- UbiR-GFP cleavable ubiquitin as shown in SEQ ID NO.: 33RNA transfections were performed using Lipofectamine MessengerMax reagent according to manufacturer's protocols. Cells were cultured in DMEM medium supplemented with 10% FBS.
- HLA-I and HLA-II molecules were affinity isolated and immunoprecipitated in a tandem pulldown from the same A375 lysate.
- lysates from the A375 transfection were biotinylated and applied to agarose beads functionalized with Neutravidin. HLA pulldown was performed for 30 min.
- affinity isolation of the HLA-I molecule, B*07:02 the flowthrough was applied to agarose beads functionalized with the pan-HLA-DR antibody L243. HLA pulldown was performed for at least 3h.
- HLA-I and HLA-II pulldowns the beads were washed, and bound HLA-peptide complexes were eluted with 10% acetic acid.
- the eluate was ultrafiltered through a 10 kDa molecular weight cutoff filter, cysteine sulfhydryls were reduced with TCEP and alkylated with iodoacetamide, peptides were further desalted by C18 solid phase extraction and dried to dryness with vacuum centrifugation.
- Peptides were analyzed by targeted LC-MS/MS analysis to quantify HLA peptides from the transfected protein.
- RNA-encoded protein was assessed using the supernatants from the HLA pulldown above prior to HLA depletion. Protein concentrations of the supernatants were measured using a BCA kit according to manufacturer's protocols, and concentrations were normalized. Proteins were denatured with 1% SDS.
- Cysteine sulfhydryls were reduced with TCEP and alkylated with iodoacetamide.
- Detergents from the lysis buffer were removed by SP3 cleanup with carboxylate magnetic beads as described in Hughes CS, Moggridge S, Muller T, Sorensen PH, Morin GB, Krijgsveld J. Single-pot, solid-phase-enhanced sample preparation for proteomics experiments. Nat Protoc. 2019 Jan;14(l):68-85, and proteins were digested on-bead using trypsin overnight. Digested peptides were dried to dryness using vacuum centrifugation. Peptides were analyzed by targeted LC-MS/MS analysis to quantify the relative abundance of the transfected protein in the cell lysate. The samples were analyzed 24 hours after transfection of the GFP constructs.
- the epitope presentation data shown in Fig. 9 and 10 is normalized to the level of the membrane-trafficked construct SP_GFP_MITD, which is representative for membrane-localized cellular proteins.
- Constructs containing SP and MITD have demonstrated presentation of the encoded protein by both MHC pathways and thus lead to a combined CD4 + and CD8 + T-cell activation (Kreiter S, Selmi A, Diken M, Sebastian M, Osterloh P, Schild H, Huber C, Tureci O, Sahin U. Increased antigen presentation efficiency by coupling antigens to MHC class I trafficking signals. J Immunol. 2008 Jan l;180(l):309-18.).
- non-tagged GFP results in approx, similar MHC-I presentation (cf. Fig. 9) and reduced MHC-II presentation (cf. Fig. 10).
- an N-terminal degron such as UbiAR UFD (i.e. UbiAR_GFP) or any of its derivatives (i.e. UbiAR_K48only_GFP and UbiAR_K63R_GFP), as well as UbiR N-deg (i.e.
- UbiR_GFP lead to significantly enhanced HLA-I presentation and significantly decreased HLA-II presentation compared to GFP constructs without N-terminal degron, demonstrating that the N-terminal degron according to the present disclosure allows modulating presentation to increase MHC-I and thus increasing the likelihood of a immune response by specifically eliciting an antigen-specific CD8 + T cell response.
- the examples above convincingly show that the N-terminal degrons according to the present disclosure result in an accelerated degradation of an antigenic polypeptide fused thereto, and that the degradation results in an increased MHC-I and reduced MHC-II presentation of the antigenic polypeptide fragments compared to constructs without a degron, which strongly indicates that the RNA molecules according to the present disclosure increase an antigen-specific CD8 + T-cell response compared to an antigenspecific CD8 + T-cell response elicited by comparable RNA molecules that do not comprise an N-terminal degron.
- Fig. la depicts an exemplary schematic representation of the N-end rule pathway ("N-degron”, i.e., cleavable ubiquitin) and Fig. la shows the ubiquitin fusion degradation (UFD) pathway (“UFD degron”, i.e. non-cleavable ubiquitin).
- N-degron i.e., cleavable ubiquitin
- UFD degron ubiquitin fusion degradation pathway
- the degradation of the polypeptide depends on the N-terminal amino acid.
- a ubiquitin is fused to the N-terminus of a polypeptide followed immediately by a destabilizing amino acid.
- the N-terminal ubiquitin (cleavable ubiquitin) can be cleaved by a deubiquitinase enzyme, revealing the destabilizing N-terminal amino acid at the N-terminus of the polypeptide comprising the antigenic peptide.
- the destabilizing amino acid and internal lysines exemplarily here lysines at positions 15 and 17 (K 15 17 )
- lysines at positions 15 and 17 K 15 17
- the degradation of the polypeptide is caused by the presence of a non-cleavable ubiquitin (due to the presence of a proline following the ubiquitin sequence or due to the mutation of the glycine at position 76 to another amino acid, with reference to SEQ ID NO. : 1, such as G76A) fused to the N-terminus of the polypeptide.
- a non-cleavable ubiquitin due to the presence of a proline following the ubiquitin sequence or due to the mutation of the glycine at position 76 to another amino acid, with reference to SEQ ID NO. : 1, such as G76A
- lysines within the ubiquitin are ubiquitinated resulting in a poly-ubiquitin chain, targeting the poly-ubiquitinated polypeptide for degradation.
- Fig. 2a depicts a diagram showing the relative protein abundance under the presence or absence of MG132 of (1) a control, (2) a reference polypeptide (termed “SP+MITD”) comprising a signal peptide (SP), antigenic peptide comprising epitopes derived from malaria (CSP, TRAP, UIS3, ETRAMP10.3, and LSAP2), and a MHC internal transmembrane domain (MITD), and (3) a polypeptide (termed “degron”) comprising a cleavable ubiquitin followed by a destabilizing amino acid, and antigenic peptide comprising epitopes derived from malaria (CSP, TRAP, UIS3, ETRAMP10.3, and LSAP2).
- SP+MITD a reference polypeptide comprising a signal peptide (SP), antigenic peptide comprising epitopes derived from malaria
- CSP, TRAP, UIS3, ETRAMP10.3, and LSAP2 a MHC internal transmembran
- the antigenic polypeptide comprises internal lysines (N-terminal proximal lysines "N-term proximal lysines”) in the first encoded antigenic peptide CSP.
- Fig. 2b depicts a schematic representation of the "SP+MITD” and "degron” polypeptides.
- Figs. 3a-3c include three graphs showing the increased immunogenicity of the "degron” polypeptide compared to the "SP+MITD" polypeptide.
- the black dots represent stimulation with the peptide pool corresponding to the antigen on the X-axis, and white dots represent stimulation with a DMSO control.
- Fig. 4 depicts a diagram of a real time incucyte® microscopy live-cell analysis of samples expressing either GFP (GFP), cleavable ubiquitin fused to GFP (UbiR-GFP), or non-cleavable ubiquitin fused to GFP (UbiAR-GFP) upon increasing MG132 treatments leading to increasing inhibition of the proteasome.
- GFP GFP
- UbiR-GFP cleavable ubiquitin fused to GFP
- UbiAR-GFP non-cleavable ubiquitin fused to GFP
- Fig. 5 depicts a diagram showing the relative expression of GFP peptides in samples expressing GFP (GFP), non-cleavable ubiquitin fused to GFP (UbiAR), and cleavable ubiquitin fused to GFP (UbiR).
- the timepoint was taken at 24 hours after transfection of the GFP constructs (i.e., of GFP, UbiAR, and UbiR).
- Fig. 6 includes three graphs.
- the left graph shows the relative abundance of GFP in samples expressing GFP (GFP), non-cleavable ubiquitin (UbiAR UFD) fused to GFP, and cleavable ubiquitin (UbiR N-deg) fused to GFP.
- GFP GFP
- UbiAR UFD non-cleavable ubiquitin
- UbiR N-deg cleavable ubiquitin
- the middle and left graphs show the GFP MHC class II (HLA-II) presentation and MHC class I (HLA-I) presentation, respectively, that has been quantified in samples expressing (1) GFP (GFP), (2) GFP fused to a signal peptide (SP) and a MHC internal Transmembrane domain (MITD) (SEC+MITD), (3) non-cleavable ubiquitin (UbiAR UFD) fused to GFP, and (3) cleavable ubiquitin (UbiR N-deg) fused to GFP.
- the timepoints were taken 24 hours after transfection of the GFP constructs (i.e., GFP, UbiAR UFD, and UbiR-N-deg).
- A375 cells were used for the GFP expression and GFP HLA-II presentation data, while HEK293T cells were used for the GFP HLA-I presentation.
- Fig. 7 depicts a diagram of a real time incucyte® microscopy live-cell analysis of samples expressing either a GFP variant (GFP), cleavable ubiquitin fused to GFP (UbiR_GFP), non-cleavable ubiquitin fused to GFP (UbiAR_GFP), non-cleavable ubiquitin comprising the K63R mutation fused to GFP (UbiAR-K63R_eGFP), or non-cleavable ubiquitin comprising lysine mutations in the positions 6, 11, 27, 29, 33, and 63, fused to GFP (UbiAR-K48only_eGFP).
- GFP GFP variant
- UbiAR_GFP cleavable ubiquitin fused to GFP
- UbiAR_GFP non-cleavable ubiquitin fused to GFP
- UbiAR_eGFP non-cleavable ubiquitin comprising the K
- Fig. 8 depicts a diagram showing the relative expression of GFP peptides in samples expressing a GFP variant (GFP), membrane-localized GFP (SP_GFP_MITD), non-cleavable ubiquitin fused to GFP (UbiAR_GFP), non- cleavable ubiquitin comprising the K63R mutation fused to GFP (UbiAR-K63R_eGFP), non-cleavable ubiquitin comprising lysine mutations in the positions 6, 11, 27, 29, 33, and 63, fused to GFP (UbiAR-K48only_eGFP), or cleavable ubiquitin fused to GFP (UbiR_GFP).
- An untransfected (UTF) control sample is also shown. The samples were analyzed at a timepoint 24 hours after transfection of the GFP constructs.
- Fig. 9 and Fig. 10 each depict a diagram showing GFP MHC class I (HLA-B) presentation and MHC class II (HLA-DR) presentation, respectively, of GFP-derived epitopes in samples expressing a GFP variant (GFP), membrane-localized GFP (SP_GFP_MITD), non-cleavable ubiquitin fused to GFP (UbiAR_GFP), non-cleavable ubiquitin comprising the K63R mutation fused to GFP (UbiAR-K63R_eGFP), non-cleavable ubiquitin comprising lysine mutations in the positions 6, 11, 27, 29, 33, and 63, fused to GFP (UbiAR-K48only_eGFP), or cleavable ubiquitin fused to GFP (UbiR_GFP).
- An untransfected (UTF) control sample is also shown. The samples were analyzed at a timepoint 24 hours after transfection of the GFP constructs.
Landscapes
- Health & Medical Sciences (AREA)
- Tropical Medicine & Parasitology (AREA)
- Life Sciences & Earth Sciences (AREA)
- Veterinary Medicine (AREA)
- Chemical & Material Sciences (AREA)
- Public Health (AREA)
- Medicinal Chemistry (AREA)
- General Health & Medical Sciences (AREA)
- Animal Behavior & Ethology (AREA)
- Pharmacology & Pharmacy (AREA)
- General Chemical & Material Sciences (AREA)
- Organic Chemistry (AREA)
- Nuclear Medicine, Radiotherapy & Molecular Imaging (AREA)
- Chemical Kinetics & Catalysis (AREA)
- Immunology (AREA)
- Microbiology (AREA)
- Mycology (AREA)
- Epidemiology (AREA)
- Pharmaceuticals Containing Other Organic And Inorganic Compounds (AREA)
- Medicines That Contain Protein Lipid Enzymes And Other Medicines (AREA)
- Medicines Containing Antibodies Or Antigens For Use As Internal Diagnostic Agents (AREA)
Abstract
The present disclosure relates to a nucleic acid molecule for eliciting an antigen-specific CD8+ T-cell response in a subject comprising a coding sequence encoding a polypeptide comprising an N-terminal degron and an antigenic peptide and medical use applications for the nucleic acid molecule of the present disclosure.
Description
RNA Constructs with N-Terminal Degrons to Enhance an Immune Response
FIELD
The present disclosure provides technologies relating to a nucleic acid molecule for eliciting an antigen-specific CD8+ T-cell response in a subject comprising a coding sequence encoding a polypeptide comprising an N- terminal degron and an antigenic peptide. The present disclosure further provides a polypeptide comprising an N-terminal degron and an antigenic peptide. The present disclosure further provides a host cell comprising a nucleic acid molecule as provided herein or a polypeptide as provided herein. The present disclosure also provides a composition comprising a host cell as provided herein, and a pharmaceutical composition comprising a nucleic acid molecule as provide herein or a polypeptide as provided herein. In still another aspect, the present disclosure provides a pharmaceutical composition (e.g., immunogenic composition, e.g., vaccine) comprising a nucleic acid molecule, a polypeptide, or a pharmaceutical composition provided herein. Different medical use applications for a nucleic acid molecule, a polypeptide, a pharmaceutical composition, or a pharmaceutical composition (e.g., immunogenic composition, e.g., vaccine) are provided.
BACKGROUND
Vaccines prevent many millions of illnesses and save numerous lives every year, and recently nucleic acid vaccines, such as pharmaceutical compositions (e.g., immunogenic compositions, e.g., vaccines) using RNA encoding antigens, have emerged as promising alternatives to conventional vaccine approaches. Pharmaceutical compositions (e.g., immunogenic compositions, e.g., vaccines) including RNA constructs for use in inducing an immune response represent a promising alternative to conventional vaccine approaches because of their potency, capacity for rapid development, and potential for low-cost manufacture and safe administration.
The mechanism of action of an RNA constructs encoding, e.g., viral antigens, pharmaceutical composition (e.g., immunogenic composition, e.g., vaccine) can be similar to the mechanism of, e.g., viral infection. By means of the translational machinery of the host cells, the RNA is translated into proteins. These proteins may undergo post-translational modification and eventually degrade, thus generating antigenic peptides that are transported to the endoplasmic reticulum (ER) and loaded onto major histocompatibility complex (MHC) class I molecules for antigen presentation and recognition by specific T cells. Alternatively, secreted proteins are taken up by professional antigen-presenting cells, either residing in the tissue or draining lymph nodes, to then be processed and presented on MHC class II molecules.
Recent improvements in RNA constructs encoding antigens (e.g., cancer antigens, bacterial antigens, viral antigens, or parasite antigens) in a pharmaceutical composition (e.g., immunogenic composition, e.g., vaccine) aim to increase RNA stability, protein translation, modulate innate and adaptive immunogenicity, and improve RNA production and delivery into the cells.
SUMMARY
Against the aforementioned background, it is an object of the present disclosure to provide effective pharmaceutical means for inducing an immune response (e.g., vaccination). A further object of the present disclosure is to provide pharmacological means to improve the CD8+-specificT cell response. It is also an
object of the present disclosure to provide pharmacological means for improved intracellular processing of peptides encodes by pharmaceutical compositions (e.g., immunogenic compositions, e.g., vaccines) provided herein.
These objects are achieved by the nucleic acid molecules of the present disclosure. These objects are further achieved by the peptide of the present disclosure, the host cell of the present disclosure, the composition comprising the host cell of the present disclosure, the pharmaceutical composition of the present disclosure, a pharmaceutical composition (e.g., immunogenic composition, e.g., vaccine) of the present disclosure, and the medical uses of the present disclosure.
The present disclosure provides a nucleic acid molecule, in particular an RNA molecule, for eliciting an antigenspecific CD8+ T-cell response in a subject comprising a coding sequence encoding a polypeptide comprising an N-terminal degron and an antigenic peptide. The present disclosure further provides a nucleic acid molecule, in particular an RNA molecule, for eliciting an antigen-specific CD8+ T-cell response in a subject comprising a coding sequence encoding a polypeptide comprising an antigenic peptide and an N-terminal degron comprising at least one non-cleavable ubiquitin. The present disclosure further provides a nucleic acid molecule, in particular an RNA molecule, for eliciting an antigen-specific CD8+ T-cell response in a subject comprising a coding sequence encoding a polypeptide comprising an antigenic peptide and an N-terminal degron comprising at least one cleavable ubiquitin.
The research underlying the present disclosure has surprisingly found that an RNA-encoded polypeptide described herein and comprising an antigenic peptide and an N-terminal degron significantly improves degradation of the polypeptide. An N-terminal degron advantageously destabilizes the polypeptide, leading to rapid processing by the proteasome system. Furthermore, the N-terminal degrons of the present disclosure can specifically elicit an antigen-specific CD8+ T-cell response, thereby providing an efficient targeting by cytotoxic CD8+ T cells. The research underlying the present disclosure has surprisingly found that a potent CD8+ T-cell response against selected target proteins can be elicited by the nucleic acid molecules of the present disclosure.
The present disclosure further provides an isolated host cell comprising the nucleic acid molecule of the present disclosure or the polypeptide of the present disclosure, and a composition comprising the isolated host cell.
The present disclosure further concerns a pharmaceutical composition comprising the nucleic acid molecule of the present disclosure, or the polypeptide of the present disclosure.
The present disclosure further concerns a pharmaceutical composition (e.g., immunogenic composition, e.g., vaccine) comprising a nucleic acid molecule of the present disclosure, a polypeptide of the present disclosure, or the pharmaceutical composition of the present disclosure.
Further the present disclosure provides a nucleic acid molecule, a polypeptide, or a pharmaceutical composition (e.g., immunogenic composition, e.g., vaccine) as provided herein for use in a method of eliciting
an antigen-specific CD8+ T-cell response in a subject in need thereof. The present disclosure also provides a nucleic acid molecule, a polypeptide, a pharmaceutical composition, or ta pharmaceutical composition (e.g., immunogenic composition, e.g., vaccine) for use in a method for inducing the formation of MHC-I/peptide complexes in a cell. Also provided is a nucleic acid molecule, a polypeptide, a pharmaceutical composition, or a pharmaceutical composition (e.g., immunogenic composition, e.g., vaccine) as provided herein for use in a method for stimulating or activating CD8+ T-cells. These uses are particularly relevant in therapeutic and prophylactic medical applications.
DETAILED DESCRIPTION
Although certain embodiments of the present disclosure are described in detail below, it is to be understood that the present disclosure is not limited to the particular embodiments, methodologies, protocols and reagents described herein as these may vary within the scope set by the claims. It is also to be understood that terminology used herein is for the purpose of describing particular embodiments only, and is not intended to limit the scope of the present disclosure which is defined by the appended claims. Unless defined otherwise, all technical and scientific terms used herein have the same meanings as commonly understood by one of ordinary skill in the art.
In the following description, certain elements of the present disclosure will be described. These elements may be discussed with specific embodiments, however, it should be understood that they may be combined in any manner and in any number to create additional embodiments. The variously described examples, features and particular embodiments should not be construed to limit the present disclosure to only the explicitly described embodiments or to the explicitly described combination of features. This description should be understood to disclose and encompass embodiments which combine the explicitly described embodiments with any number of the disclosed elements. Furthermore, any permutations and combinations of all described elements in this application should be considered disclosed by this description unless the context indicates otherwise. In many instances, embodiments of the present disclosure are described with a more general reference to "the nucleic acid molecule" of the present disclosure. In particularly relevant embodiments, the nucleic acid molecule is an RNA molecule. All embodiments described herein for "the nucleic acid molecule" are to be understood to also refer to, apply to and describe the RNA molecule of the present disclosure.
The above objects are achieved by the following first set of embodiments in accordance with the present disclosure:
1. An RNA molecule comprising a coding sequence encoding a polypeptide, wherein
(i) the polypeptide comprises an N-terminal degron and an antigenic peptide,
(ii) the N-terminal degron comprises a non-cleavable ubiquitin,
(iii) the ubiquitin comprises a mutation at the amino acid position 76 with reference to SEQ ID NO.: 1, such that the glycine at this position is deleted or mutated to another amino acid and
(iv) wherein the ubiquitin comprises one to six lysine substitutions at position 6, 11, 27, 29, 33, 48, 63, or any combination thereof, wherein the positions are with reference to SEQ ID NO. : 1, and/or
(v) wherein the ubiquitin is immediately followed by arginine or valine.
The RNA molecule according to embodiment 1, wherein the glycine is substituted by an alanine (G76A). The RNA molecule according to embodiment 1 or 2, wherein the ubiquitin has a sequence having at least 80% identity to SEQ ID NO.: 4. The RNA molecule according to any one of the preceding embodiments, wherein the ubiquitin has a sequence having at least 90% identity to SEQ ID NO.: 5 with the proviso that the non-cleavable ubiquitin sequence has a glycine to alanine mutation at position 76 of SEQ ID NO.: 5 ("G76A") or at a corresponding position and that an arginine is immediately following the alanine. The RNA molecule according to any one of the preceding embodiments, wherein the lysine substitutions are in one or more of the amino acid positions 6, 11, 27, 29, 33, and 63 or any combination thereof with reference to SEQ ID NO.: 1, optionally wherein the lysine is substituted at the one or more positions by a degrading amino acid (such as an arginine), wherein optionally the one or more lysine substitutions comprising K6R, KIIR, K27R, K29R, K33R, and K63R, or any combination thereof with reference to SEQ ID NO. : 1, wherein optionally the ubiquitin comprises a sequence as shown in SEQ ID NO. : 13. The RNA molecule according to embodiment 5, wherein at least the lysine at amino acid position 48 is not mutated, wherein optionally the ubiquitin comprises a sequence as shown in SEQ ID NO. : 7. The RNA molecule according to any one of the preceding embodiments, wherein the ubiquitin has an amino acid sequence as shown in SEQ ID NO. : 7, 8, 9, 10, 11, 12 or 13. The RNA molecule of any one of the preceding embodiments, wherein the polypeptide comprises one or more internal lysines, wherein the internal lysines are located outside the ubiquitin sequence, for example in the antigenic peptide or a linker present in the polypeptide. The RNA molecule of any one of the preceding embodiments, wherein the ubiquitin is immediately followed by arginine. The RNA molecule of any one of the preceding embodiments, wherein the RNA molecule elicits an antigen-specific CD8+ T-cell response in a subject when administered to said subject. The RNA molecule of any one of the preceding embodiments, wherein the RNA molecule increases an antigen-specific CD8+ T-cell response compared to an antigen-specific CD8+ T-cell response elicited by a comparable RNA molecule that does not comprise the N-terminal degron.
12. The RNA molecule of any one of the preceding embodiments, wherein the RNA molecule elicits a twofold, a three-fold, or a five-fold increase in the antigen-specific CD8+ T-cell response compared to an antigen-specific CD4+ T-cell immune response.
13. The RNA molecule of any one of the preceding embodiments, wherein the presence of the N-terminal degron reduces the half-life of the polypeptide to 1 hour or less, to 30 minutes or less, or to 10 minutes or less compared to the polypeptide without the N-terminal degron.
14. The RNA molecule of any one of the preceding embodiments, wherein the RNA molecule is a recombinant RNA molecule.
15. The RNA molecule of any one of the preceding embodiments, wherein the RNA molecule is an mRNA, wherein the mRNA can be unmodified or a modified mRNA.
16. The RNA molecule of any one of the preceding embodiments, wherein the RNA molecule comprises a 5' cap, 5'UTR, a coding region, a 3'UTR, a poly(A) tail, or any combination thereof.
17. The RNA molecule of any one of the preceding embodiments, wherein the 5'UTR, if present, comprises a Kozak sequence.
18. The RNA molecule of any one of the preceding embodiments, wherein the RNA molecule comprises a 5'-cap, a free 5'-triphosphate group, a free 5'-disphosphate group, a free 5'-diphosphate group, a free 5'- monophosphate group, or a free 5'-OH group, or comprising chemically modified analogues of said 5'-cap, said 5'-triphosphate group, said free 5'-disphosphate group or said free 5'-monophosphate group.
19. The RNA molecule of any one of the preceding embodiments, wherein the RNA molecule comprises a 5'-cap, and wherein the 5'cap comprises G[5']ppp[5']G, m7G[5']ppp[5']G, rri32'2'7G[5']ppp[5']G, rr^7'3 - °G[5']ppp[5']G (3'-ARCA), m27-2' 0GpppG (2'-ARCA), m27-2' 0GppSpG ( -S-ARCA), or m27'3' °Gppp(mi2'- °)ApG.
20. The RNA molecule of any one of the preceding embodiments, wherein the 3'UTR, if present, comprises an FI element.
21. The RNA molecule of any one of the preceding embodiments, wherein the RNA molecule comprises an interrupted poly(A) sequence.
22. The RNA molecule of any one of the preceding embodiments, wherein the antigenic peptide is an immunogenic peptide.
23. The RNA molecule of any one of the preceding embodiments, wherein the antigenic peptide is a pathogen-related, tumor-related, or disease-related antigenic peptide.
24. The RNA molecule of any one of the preceding embodiments, wherein the antigenic peptide is a full- length protein or fragment thereof.
25. The RNA molecule of any one of the preceding embodiments, wherein the encoded polypeptide comprises two or more antigenic peptides.
26. The RNA molecule of embodiment 25, wherein the antigenic peptides are derived from different proteins or different portions of the same protein and fused together, optionally such that a first antigenic peptide is adjacent to a second antigenic peptide or such that a first and second antigenic peptide are separated via a linker.
27. The RNA molecule of embodiment 26, wherein the linker comprises at most 8 amino acids, at most 6 amino acids, or at most 5 amino acids, e.g. 1 to 4 amino acids.
28. The RNA molecule of any one of the preceding embodiments, wherein the antigenic peptides comprise a first antigenic peptide and a second antigenic peptide, wherein the first antigenic peptide comprises a first protein or fragment thereof, wherein the second antigenic peptide comprises a second protein or fragment thereof.
29. The RNA molecule according to embodiment 28, wherein the first antigenic peptide and the second antigenic peptide originate from different proteins or different portions of the same protein and are fused together, optionally such that a first antigenic peptide is adjacent to a second antigenic peptide or such that a first and second antigenic peptide are separated via a linker.
30. The RNA molecule of embodiment 29, wherein the linker comprises at most 8 amino acids, at most 6 amino acids, or at most 5 amino acids, e.g. 1 to 4 amino acids.
31. The RNA molecule of any one of the preceding embodiments, for use in eliciting an antigen-specific CD8+ T-cell response in a subject.
32. The RNA molecule of embodiment 31, wherein the subject suffers from a disease, such as a genetic, metabolic or infectious disease.
33. The RNA molecule of any one of embodiments 31 or 32, wherein the subject is a mammal, in particular a human.
34. A polypeptide encoded by the RNA molecule of any one of embodiments 1 to 33.
35. An isolated host cell which comprises the RNA molecule of any one of embodiments 1-33 and/or the polypeptide of embodiment 34.
A composition which comprises the isolated host cell of embodiment 35. A pharmaceutical composition comprising the RNA molecule of any one of embodiments 1-33 or the polypeptide of embodiment 34 in a pharmaceutically acceptable carrier. The pharmaceutical composition of embodiment 37, wherein the pharmaceutical composition elicits an antigen-specific CD8+ T-cell response in a subject. The pharmaceutical composition of embodiment 37 or 38, wherein the pharmaceutical composition comprises cationic lipids or is encapsulated into a nanoparticle or liposome. A vaccine composition for eliciting an antigen-specific CD8+ T-cell response in a subject comprising an effective dose of the RNA molecule of any one of embodiments 1 to 33, the polypeptide of embodiment 34, or the pharmaceutical composition of embodiment 37-39. The vaccine composition of embodiment 40, wherein the RNA molecule is associated with cationic lipids or is encapsulated into a nanoparticle or liposome. The vaccine composition of embodiment 40 or 41, for use in eliciting an antigen-specific CD8+ T-cell response in a subject. The RNA molecule of any one of embodiments 1 to 33, the polypeptide of embodiment 34, the pharmaceutical composition of embodiment 37 to 39, or the vaccine composition of any one of embodiments 40 to 42, for use in a therapeutic or prophylactic treatment. The RNA molecule of any one of embodiments 1 to 33, the polypeptide of embodiment 34, the pharmaceutical composition of embodiment 37 to 39, or the vaccine composition of any one of embodiments 40 to 42 for use in a method of eliciting an antigen-specific CD8+ T-cell response in a subject in need thereof, comprising: administering to the subject an effective amount of the RNA molecule, the pharmaceutical composition, or the vaccine composition, thereby stimulating an antigen-specific CD8+ T-cell response in the subject. The RNA molecule of any one of embodiments 1 to 33, the polypeptide of embodiment 34, the pharmaceutical composition of embodiment 37 to 39, or the vaccine composition of any one of embodiments 40 to 42 for use in a method for inducing the formation of MHC-I/peptide complexes in a cell, the method comprising administering to a subject an effective amount of the RNA molecule, the pharmaceutical composition, or the vaccine composition. The RNA molecule of any one of embodiments 1 to 33, the polypeptide of embodiment 34, the pharmaceutical composition of embodiment 37 to 39, or the vaccine composition of any one of embodiments 40 to 42 for use in a method for stimulating or activating CD8+ T- cell, wherein the
method comprises administering to a subject an effective amount of the RNA molecule, the pharmaceutical composition, or the vaccine composition.
47. The RNA molecule of any one of embodiments 1 to 33, the polypeptide of embodiment 34, the pharmaceutical composition of embodiment 37-39, or the vaccine composition of any one of embodiments 40 to 42 for use in any of the methods of embodiments 43 to 46, wherein the administration is intravenously.
48. A method comprising administering the nucleic acid molecule of any one of embodiments 1 to 33, the polypeptide of embodiment 34, the pharmaceutical composition of embodiment 37-39, or the vaccine composition of any one of embodiments 40 to 42 to a subject.
49. The method of embodiment 48, wherein the method is a method of treating or preventing a disease, disorder, or condition associated with the antigenic peptide.
50. The method of embodiment 48, wherein the method is a method of eliciting an antigen-specific CD8+ T-cell response in a subject.
51. The method of embodiment 48, wherein the method is a method of increasing an antigen-specific CD8+ T-cell response compared to an antigen-specific CD8+ T-cell response elicited by a comparable nucleic acid molecule that does not comprise the N-terminal degron.
The present disclosure also provides the following second set of embodiments, wherein each feature recited in the embodiment list below can also be combined with one or more of the embodiments listed in the first set of embodiments above:
1. A nucleic acid molecule for eliciting an antigen-specific CD8+ T-cell response in a subject comprising a coding sequence encoding a polypeptide comprising an N-terminal degron and an antigenic peptide.
2. The nucleic acid molecule of embodiment 1, wherein the nucleic acid molecule is a recombinant nucleic acid molecule.
3. The nucleic acid molecule of any one of the preceding embodiments, wherein the nucleic acid molecule is an unmodified RNA or a modified RNA, optionally a modified RNA.
4. The nucleic acid molecule of any one of the preceding embodiments, wherein the nucleic acid molecule comprises a 5' cap, 5'UTR, a coding region, a 3'UTR, a poly(A) tail, or any combination thereof.
5. The nucleic acid molecule of any one of the preceding embodiments, wherein the 5'UTR, if present, comprises a Kozak sequence.
6. The nucleic acid molecule of any one of the preceding embodiments, comprising a 5'-Cap, a free 5'- triphosphate group, a free 5'-disphosphate group, a free 5'-diphosphate group, a free 5'- monophosphate group, or a free 5'-OH group, or comprising chemically modified analogues of said 5'-Cap, said 5'- triphosphate group, said free 5'-disphosphate group or said free 5'-monophosphate group.
7. The nucleic acid molecule of any one of the preceding embodiments, comprising a 5'cap that is G[5']ppp[5']G, m7G[5']ppp[5']G, m3 2-2-7G[5']ppp[5']G, m2 7-3' 0G[5']ppp[5']G (3'-ARCA), m2 7-2' 0GpppG (2'- ARCA), m2 7'2' °GppSpG (P-S- ARCA), or m2 7'2' °GppSpG ( -S-ARCA) and m2 7'3 ' °Gppp(mi2 ' °)ApG.
8. The nucleic acid molecule of any one of the preceding embodiments, wherein the 3'UTR, if present, comprises an FI element.
9. The nucleic acid molecule of any one of the preceding embodiments, comprising an interrupted poly(A) sequence.
10. The nucleic acid molecule of any one of the preceding embodiments, wherein the antigenic peptide is an immunogenic peptide.
11. The nucleic acid molecule of any one of the preceding embodiments, wherein the antigenic polypeptide is a pathogen-related, tumor-related, or disease-related antigenic peptide.
12. The nucleic acid molecule of any one of the preceding embodiments, wherein the antigenic peptide is a full-length protein or fragment thereof.
13. The nucleic acid molecule of any one of the preceding embodiments, wherein the encoded polypeptide comprises two or more antigenic peptides.
14. The nucleic acid molecule of the preceding embodiment 13, wherein the antigenic peptides are derived from different proteins or different portions of the same protein and fused together, optionally such that a first antigenic peptide is adjacent to a second antigenic peptide or such that a first and second antigenic peptide are separated via a linker.
15. The nucleic acid molecule of the preceding embodiment 14, wherein the linker comprises at most 8 amino acids, at most 6 amino acids, at most 5 amino acids, e.g. 1 to 4 amino acids.
16. The nucleic acid molecule of any one of the preceding embodiments, wherein the antigen-specific CD8+ T- cell response is measured by an ELISpot and/or multimer staining following a MACS separation to separate CD4+ T cells from CD8+ T cells.
17. The nucleic acid molecule of any one of the preceding embodiments, wherein the N-terminal degron comprises a ubiquitin.
18. The nucleic acid molecule of any one of the preceding embodiments, wherein the presence of an N- terminal degron reduces the half-life of the polypeptide to 1 hour or less, to 30 minutes or less, e.g. to 10 minutes or less compared to the polypeptide without the N-terminal degron.
19. The nucleic acid molecule of any one of the preceding embodiments 17 or 18, wherein the ubiquitin has an amino acid sequence as shown in SEQ ID NO.: 1, or an amino acid sequence that is at least 80%, at least 90%, at least 95, at least 96%, at least 97%, at least 98%, or at least 99% identical to SEQ ID NO. : 1, optionally wherein the ubiquitin comprises a lysine substitution, such as a lysine substitution in one or more of the amino acid positions 6, 11, 27, 29, 33, and 63 or any combination thereof with reference to SEQ ID NO.: 1, optionally wherein the lysine is substituted at the one or more positions by a degrading amino acid (such as an arginine).
20. The nucleic acid molecule of any one of the preceding embodiments 17-19, wherein the ubiquitin is a non-cleavable ubiquitin.
21. The nucleic acid molecule of the preceding embodiment 20, wherein the non-cleavable ubiquitin comprises a glycine substitution at the amino acid position 76 with reference to SEQ ID NO.: 1, optionally wherein the glycine is substituted by an alanine (G76A) (e.g., as shown in SEQ ID NO.: 30).
22. The nucleic acid molecule of the preceding embodiment 20 or 21, wherein the non-cleavable ubiquitin is immediately followed by a degrading amino acid (such as an arginine, e.g., as shown in SEQ ID NO.: 5).
23. The nucleic acid molecule of the preceding embodiment 20 or 21, wherein the non-cleavable ubiquitin is immediately followed by a proline (e.g., as shown in SEQ ID NO. : 3).
24. The nucleic acid molecule of any of the preceding embodiment 20 to 23, wherein the ubiquitin has an amino acid sequence as shown in SEQ ID NO.: 7, 8, 9, 10, 11, 12 or 13.
25. The nucleic acid molecule of any one of the preceding embodiments 17-19, wherein the ubiquitin is a cleavable ubiquitin immediately followed by a destabilizing amino acid.
26. The nucleic acid molecule of the preceding embodiment 25, wherein the destabilizing amino acid is isoleucine, glutamic acid, threonine, glutamine, phenylalanine, leucine, aspartic acid, arginine, lysine, or histidine, optionally arginine, lysine, or histidine (e.g., as shown in SEQ ID NO. : 2).
27. The nucleic acid molecule of any one of the preceding embodiments, wherein the polypeptide comprises one or more internal lysines, wherein the internal lysines are located outside the ubiquitin sequence, optionally in the antigenic peptide or a linker present in the polypeptide.
28. The nucleic acid molecule of any one of the preceding embodiments, for use in eliciting an antigenspecific CD8+ T-cell response in a subject.
The nucleic acid molecule of preceding embodiment 28, wherein the subject suffers from a disease, such as a genetic, metabolic or infectious disease. The nucleic acid molecule of any one of the preceding embodiments 28 or 29, wherein the subject is a mammal, e.g. a human. The nucleic acid molecule of any one of the preceding embodiments, wherein the nucleic acid molecule elicits a two-fold, a three-fold, or a five-fold increase in the antigen-specific CD8+ T-cell response compared to an antigen-specific CD4+ T-cell immune response. A nucleic acid molecule for eliciting an antigen-specific CD8+ T-cell response in a subject comprising a coding sequence encoding a polypeptide comprising an antigenic peptide and an N-terminal degron comprising a non-cleavable ubiquitin. The nucleic acid molecule of the preceding embodiment 32, wherein the non-cleavable ubiquitin comprises a glycine substitution at the amino acid position 76 with reference to SEQ ID NO.: 1, optionally wherein the glycine is substituted by an alanine (G76A) (e.g., as shown in SEQ ID NO.: 30). The nucleic acid molecule of the preceding embodiment 32 or 33, wherein the non-cleavable ubiquitin is immediately followed by a degrading amino acid (such as an arginine, e.g., as shown in SEQ ID NO.: 5). The nucleic acid molecule of the preceding embodiment 32 or 33, wherein the non-cleavable ubiquitin is immediately followed by a proline (e.g., as shown in SEQ ID NO.: 3). The nucleic acid molecule of any of the preceding embodiment 32 to 35, wherein the ubiquitin has an amino acid sequence as shown in SEQ ID NO.: 7, 8, 9, 10, 11, 12 or 13. The nucleic acid molecule of any one of the preceding embodiments 32-36, for use in eliciting an antigenspecific CD8+ T-cell response. The nucleic acid molecule of any one of the preceding embodiments 32-37, wherein the subject suffers from a disease, such as a genetic, metabolic or infectious disease. The nucleic acid molecule of any one of the preceding embodiments 32-38, wherein the subject is a mammal, e.g. a human. The nucleic acid molecule of any one of the preceding embodiments 32-39, wherein the nucleic acid molecule elicits a two-fold, a three-fold, or a five-fold increase in the antigen-specific CD8+ T-cell response compared to an antigen-specific CD4+ T-cell immune response.
41. The nucleic acid molecule of any one of the preceding embodiments 32-40, wherein the presence of the N-terminal degron reduces the half-life of the polypeptide to 1 hour or less, to 30 minutes or less, e.g. to 10 minutes or less compared to the polypeptide without the N-terminal degron.
42. The nucleic acid molecule of any one of the preceding embodiments 32-41, wherein the N-terminal degron comprises a ubiquitin with the sequence shown in SEQ ID NO.: 1, or a sequence being at least 80%, at least 90%, at least 95, at least 96%, at least 97%, at least 98%, or at least 99% identical to SEQ ID NO. : 1, in particular with the proviso that the amino acid at the position 76 is not glycine.
43. The nucleic acid molecule of any one of the preceding embodiments 32-42, wherein the N-terminal degron comprises a ubiquitin with the sequence shown in SEQ ID NO.: 1, wherein the glycine at amino acid position 76 is mutated to another amino acid, optionally an amino acid with a hydrophilic side chain, for example alanine.
44. The nucleic acid molecule of any one of the preceding embodiments 32-43, wherein the nucleic acid molecule is a recombinant nucleic acid molecule.
45. The nucleic acid molecule of any one of the preceding embodiments 32-44, wherein the nucleic acid molecule is an unmodified RNA or a modified RNA, optionally a modified RNA.
46. The nucleic acid molecule of any one of the preceding embodiments 32-45, wherein the nucleic acid molecule comprises a 5' cap, 5'UTR, a coding region, a 3UTR, a poly(A) tail, or any combination thereof.
47. The nucleic acid molecule of any one of the preceding embodiments 32-46, wherein the 5'UTR, if present, comprises a Kozak sequence.
48. The nucleic acid molecule of any one of the preceding embodiments 32-47, comprising a 5'-Cap, a free 5'-triphosphate group, a free 5'-disphosphate group, a free 5'-diphosphate group, a free 5'- monophosphate group, or a free 5'-OH group, or comprising chemically modified analogues of said 5'- Cap, said 5'-triphosphate group, said free 5'-disphosphate group or said free 5'-monophosphate group.
49. The nucleic acid molecule of any one of the preceding embodiments 32-48, comprising a 5'cap that is G[5']ppp[5']G, m7G[5']ppp[5']G, m3 2-2-7G[5']ppp[5']G, m2 7-3' °G[5']ppp[5']G (3'-ARCA), m2 7-2' °GpppG (2'- ARCA), m2 7'2' °GppSpG (P-S- ARCA), or m2 7'2' °GppSpG ( -S-ARCA) and m2 7'3 ' °Gppp(mi2 ' °)ApG.
50. The nucleic acid molecule of any one of the preceding embodiments 32-49, wherein the 3'UTR, if present, comprises an FI element.
51. The nucleic acid molecule of any one of the preceding embodiments 32-50, comprising an interrupted poly(A) sequence.
52. The nucleic acid molecule of any one of the preceding embodiments 32-51, wherein the antigenic peptide is an immunogenic peptide.
53. The nucleic acid molecule of any one of the preceding embodiments 32-52, wherein the antigenic polypeptide is a pathogen-related, tumor-related, or disease-related antigenic peptide.
54. The nucleic acid molecule of any one of the preceding embodiments 32-53, wherein the antigenic peptide is a full-length protein or fragment thereof.
55. The nucleic acid molecule of any one of the preceding embodiments 32-54, wherein the encoded polypeptide comprises two or more antigenic peptides.
56. The nucleic acid molecule of the preceding embodiment 55, wherein the antigenic peptides are derived from different proteins or different portions of the same protein and fused together, optionally such that a first antigenic peptide is adjacent to a second antigenic peptide or such that a first and second antigenic peptide are separated via a linker.
57. The nucleic acid molecule of any one of the preceding embodiments 32-56, wherein the antigen-specific CD8+ T- cell response is measured by an ELISpot and/or multimer staining following a MACS separation to separate CD4+ T cells from CD8+ T cells.
58. A nucleic acid molecule for eliciting an antigen-specific CD8+ T-cell response in a subject comprising a coding sequence encoding a polypeptide comprising an antigenic peptide and an N-terminal degron comprising a cleavable ubiquitin.
59. The nucleic acid molecule of the preceding embodiment 58, wherein the ubiquitin is immediately followed by a destabilizing amino acid.
60. The nucleic acid molecule of the preceding embodiment 59, wherein the destabilizing amino acid is isoleucine, glutamic acid, threonine, glutamine, phenylalanine, leucine, aspartic acid, arginine, lysine, or histidine, optionally arginine, lysine, or histidine (e.g., as shown in SEQ ID NO. : 2).
61. The nucleic acid molecule of any one of the preceding embodiments 58-60, wherein the polypeptide comprises one or more internal lysines, wherein the internal lysines are located outside the ubiquitin sequence, optionally in the antigenic peptide or a linker present in the polypeptide.
62. The nucleic acid molecule of any one of the preceding embodiments 58-61, for use in eliciting an antigenspecific CD8+ T-cell response.
63. The nucleic acid molecule of any one of the preceding embodiments 58-62, wherein the subject suffers from a disease, such as a genetic, metabolic or infectious disease.
64. The nucleic acid molecule of any one of the preceding embodiments 58-63, wherein the subject is a mammal, e.g. a human.
65. The nucleic acid molecule of any one of the preceding embodiments 58-64, wherein the nucleic acid molecule elicits a two-fold, a three-fold, or a five-fold increase in the antigen-specific CD8+ T-cell response compared to an antigen-specific CD4+ T-cell immune response.
66. The nucleic acid molecule of any one of the preceding embodiments 58-65, wherein the presence of an N-terminal degron reduces the half-life of the polypeptide to 1 hour or less, to 30 minutes or less, e.g. to 10 minutes or less compared to the polypeptide without the N-terminal degron.
67. The nucleic acid molecule of any one of the preceding embodiments 58-66, wherein the N-terminal degron comprises a cleavable ubiquitin with the sequence shown in SEQ ID NO. : 2 that comprises the ubiquitin sequence as shown in SEQ ID NO.: 1 immediately followed by the destabilizing amino acid arginine, or a sequence being at least 80%, at least 90%, at least 95, at least 96%, at least 97%, at least 98%, or at least 99% identical to SEQ ID NO.: 2 with the proviso that position 77 has a destabilizing amino acid.
68. The nucleic acid molecule of any of the preceding embodiments 58-67, wherein the nucleic acid molecule is a recombinant nucleic acid molecule.
69. The nucleic acid molecule of any one of the preceding embodiments 58-68, wherein the nucleic acid molecule is an unmodified mRNA or a modified mRNA, optionally a modified mRNA.
70. The nucleic acid molecule of any one of the preceding embodiments 58-69, wherein the nucleic acid molecule comprises a 5' cap, 5'UTR, a coding region, a 3UTR, a poly(A) tail, or any combination thereof.
71. The nucleic acid molecule of any one of the preceding embodiments 58-70, wherein the 5'UTR, if present, comprises a Kozak sequence.
72. The nucleic acid molecule of any one of the preceding embodiments 58-71, comprising a 5'-cap, a free 5'-triphosphate group, a free 5'-disphosphate group, a free 5'-diphosphate group, a free 5'- monophosphate group, or a free 5'-OH group, or comprising chemically modified analogues of said 5'- cap, said 5'-triphosphate group, said free 5'-disphosphate group or said free 5'-monophosphate group.
73. The nucleic acid molecule of any one of the preceding embodiments 58-72, comprising a 5'cap that is G[5']ppp[5']G, m7G[5']ppp[5']G, m3 2A7G[5']ppp[5']G, m27-3' 0G[5']ppp[5']G (3'-ARCA), m27-2' 0GpppG (2'- ARCA), m2 7'2 OGppSpG (P-S- ARCA), orm27'2' °GppSpG ( -S-ARCA) and m27'3 ,-0Gppp(mi2 ' 0)ApG.
74. The nucleic acid molecule of any one of the preceding embodiments 58-73, wherein the 3'UTR, if present, comprises an FI element.
75. The nucleic acid molecule of any one of the preceding embodiments 58-74, comprising an interrupted poly(A) sequence.
76. The nucleic acid molecule of any one of the preceding embodiments 58-75, wherein the antigenic peptide is an immunogenic peptide.
77. The nucleic acid molecule of any one of the preceding embodiments 58-76, wherein the antigenic polypeptide is a pathogen-related, tumor-related, or disease-related antigenic peptide.
78. The nucleic acid molecule of any one of the preceding embodiments 58-77, wherein the antigenic peptide is a full-length protein or fragment thereof.
79. The nucleic acid molecule of any one of the preceding embodiments 58-78, wherein the encoded polypeptide comprises two or more antigenic peptides.
80. The nucleic acid molecule of the preceding embodiment 79, wherein the antigenic peptides are derived from different proteins or different portions of the same protein and fused together, optionally such that a first antigenic peptide is adjacent to a second antigenic peptide or such that a first and second antigenic peptide are separated via a linker.
81. The nucleic acid molecule of the preceding embodiment 80, wherein the linker comprises at most 8 amino acids, at most 6 amino acids, at most 5 amino acids, e.g. 1 to 4 amino acids.
82. The nucleic acid molecule of any one of the preceding embodiments 58-81, wherein the antigen-specific CD8+ T- cell response is measured by an ELISpot and/or multimer staining following a MACS separation to separate CD4+ T cells from CD8+ T cells.
83. The nucleic acid molecule of any one of the preceding embodiments 32-57, wherein the polypeptide comprises one or more internal lysines, wherein the internal lysines are located outside the ubiquitin sequence, optionally in the antigenic peptide or a linker present in the polypeptide.
84. The nucleic acid molecule of any one of the preceding embodiments 32-57 or 83, wherein the non- cleavable ubiquitin has an amino acid sequence that is at least 80%, at least 90%, at least 95, at least 96%, at least 97%, at least 98%, or at least 99% identical to SEQ ID NO. : 1, and/or wherein the ubiquitin comprises a lysine substitution, optionally a lysine substitution in one or more of the amino acid positions 6, 11, 27, 29, 33, and 63 or any combination thereof with reference to SEQ ID NO.: 1, optionally wherein the lysine is substituted at the one or more positions by a degrading amino acid (such as an arginine).
85. The nucleic acid molecule of any one of the preceding embodiments 58-82, wherein the ubiquitin has an amino acid sequence as shown in SEQ ID NO.: 1, or an amino acid sequence that is at least 80%, at
least 90%, at least 95, at least 96%, at least 97%, at least 98%, or at least 99% identical to SEQ ID NO. : 1, and/or wherein the ubiquitin comprises a lysine substitution, such as a lysine substitution in one or more of the amino acid positions 6, 11, 27, 29, 33, and 63 or any combination thereof with reference to SEQ ID NO.: 1, optionally wherein the lysine is substituted at the one or more positions by a degrading amino acid (such as an arginine).
86. The nucleic acid molecule of any one of the preceding embodiments 1-85, wherein the N-terminal degron comprises two or more ubiquitins, in particular two or more ubiquitins adjacent to each other, wherein the two or more ubiquitins are optionally directly adjacent to each other or separated by a linker.
87. The nucleic acid molecule according to preceding embodiment 86, wherein the two or more ubiquitins can be the same or different ubiquitin sequences.
88. The nucleic acid molecule of any one of the preceding embodiments 86-87, wherein the two or more ubiquitins can be independently cleavable or non-cleavable ubiquitins, in particular including the modified ubiquitin sequences specified herein.
89. The nucleic acid molecule of any one of the preceding embodiments 86-88, wherein the polypeptide only comprises non-cleavable ubiquitins.
90. The nucleic acid molecule of any one of the preceding embodiments 86-88, wherein the polypeptide only comprises cleavable ubiquitins.
91. The nucleic acid molecule of any of the preceding embodiments 1-19, 25-31, 58-82, 83-88 or 90, wherein the polypeptide comprises an amino acid sequence as shown in SEQ ID NO. : 2.
92. The nucleic acid molecule of any of the preceding embodiment 1-23, 27 to 57 and 83 to 89, wherein the non-cleavable ubiquitin comprises a C-terminal valine (e.g., as shown in SEQ ID NO. : 24).
93. The nucleic acid molecule of any of the preceding embodiment 1-23, 27 to 57 and 83 to 89, wherein the non-cleavable ubiquitin has an amino acid sequence as shown in SEQ ID NO.: 3, 4, 5, 23, 24, 25 and/or wherein the polypeptide comprises an amino acid sequence as shown in SEQ ID NO.: 3, 4, 5, 23, 24, 25.
94. A polypeptide encoded by the nucleic acid molecule of any one of embodiment 1 to 93.
95. An isolated host cell which comprises the nucleic acid molecule of any one of the preceding embodiments 1-93 and/or the polypeptide of embodiment 94.
96. A composition which comprises the isolated host cell of embodiment 84.
97. A pharmaceutical composition comprising a nucleic acid molecule of any one of the preceding embodiments 1-93 or the polypeptide of embodiment 94 in a pharmaceutically acceptable carrier.
98. A pharmaceutical composition (e.g., immunogenic composition, e.g., vaccine) composition for eliciting an antigen-specific CD8+ T-cell response comprising an effective dose of the nucleic acid molecule of any one of the preceding embodiments 1 to 93, the polypeptide of embodiment 94, or the pharmaceutical composition of embodiment 97.
99. The pharmaceutical composition (e.g., immunogenic composition, e.g., vaccine) composition of the preceding embodiment 98, wherein the nucleic acid molecule is associated with cationic lipids or is encapsulated into a nanoparticle or liposome.
100. The pharmaceutical composition (e.g., immunogenic composition, e.g., vaccine) composition of any one of the preceding embodiments 98 or 99, for use in eliciting an antigen-specific CD8+ T-cell response.
101. The pharmaceutical composition (e.g., immunogenic composition, e.g., vaccine) composition of any one of the preceding embodiments 98-99, for use in a therapeutic or prophylactic treatment.
102. The nucleic acid molecule of any one of embodiments 1 to 93, the polypeptide of embodiment 94, the pharmaceutical composition of embodiment 97, or the pharmaceutical composition (e.g., immunogenic composition, e.g., vaccine) composition of any one of embodiments 98 to 99 for use in a method of eliciting an antigen-specific CD8+ T-cell response in a subject in need thereof, comprising: administering to the subject an effective amount of the nucleic acid molecule, the pharmaceutical composition, or the pharmaceutical composition (e.g., immunogenic composition, e.g., vaccine) composition, thereby stimulating an antigen-specific CD8+ T-cell response in the subject.
103. The nucleic acid molecule of any one of embodiments 1 to 93, the polypeptide of embodiment 94, the pharmaceutical composition of embodiment 97, or the pharmaceutical composition (e.g., immunogenic composition, e.g., vaccine) composition of any one of embodiments 98 to 99 for use in a method for inducing the formation of MHC-I/peptide complexes in a cell, the method comprising administering to a subject an effective amount of the nucleic acid molecule, the pharmaceutical composition, or the pharmaceutical composition (e.g., immunogenic composition, e.g., vaccine) composition.
104. The nucleic acid molecule of any one of embodiments 1 to 93, the polypeptide of embodiment 94, the pharmaceutical composition of embodiment 97, or the pharmaceutical composition (e.g., immunogenic composition, e.g., vaccine) composition of any one of embodiments 98 to 99 for use in a method for stimulating or activating CD8+ T-cells, wherein the method comprises administering to a subject an effective amount of the nucleic acid molecule, the pharmaceutical composition, or the pharmaceutical composition (e.g., immunogenic composition, e.g., vaccine) composition.
105. The nucleic acid molecule of any one of embodiments 1 to 93, the polypeptide of embodiment 94, the pharmaceutical composition of embodiment 97, or the pharmaceutical composition (e.g., immunogenic composition, e.g., vaccine) composition of any one of embodiments 98 to 99 for use any of the methods of embodiments 100 to 104, wherein the administration is intravenously.
The terms indicated for explanation of embodiments of the present disclosure have the following meaning, unless otherwise indicated in the description or the claims. Additional definitions are set forth throughout the detailed description.
Terms "a" and "an" and "the" and similar reference used in the context of describing embodiments of the present disclosure (especially in the context of the claims) are to be construed to cover both the singular and the plural, unless otherwise indicated herein or clearly contradicted by context. In some embodiments "a" and "an" means "at least one".
The terms "about" or "approximately" as used herein denote a range of ±10% of a reference value. For examples, "about 10" defines a range of 9 to 11. In general, those skilled in the art, familiar with the context, will appreciate the relevant degree of variance encompassed by "about" or "approximately" in that context.
Unless expressly specified otherwise, the term "comprising" is used in the context of the present disclosure to indicate that further members may optionally be present in addition to the members of the list introduced by "comprising". It is, however, contemplated as specific embodiments of the present disclosure that each time the term "comprising" is used, this shall also encompass the possibility of no further members being present, i.e., for the purpose of this embodiment "comprising" can be understood as having the meaning of "consisting of".
As used herein, the term "encode" or "encoding" refers to sequence information of a first molecule that guides production of a second molecule having a defined sequence of nucleotides (e.g., mRNA) or a defined sequence of amino acids. For example, a DNA molecule can encode an RNA molecule (e.g., by a transcription process that includes a DNA-dependent RNA polymerase enzyme). An RNA molecule can encode a polypeptide (e.g., by a translation process). Thus, a gene, a cDNA, or a single-stranded RNA (e.g., an mRNA) encodes a polypeptide if transcription and translation of mRNA corresponding to that gene produces the polypeptide in a cell or other biological system. In some embodiments, a coding region of a single-stranded RNA encoding a target polypeptide agent refers to a coding strand, the nucleotide sequence of which is identical to the mRNA sequence of such a target polypeptide agent. In some embodiments, a coding region of a single-stranded RNA encoding a target polypeptide agent refers to a non-coding strand of such a target polypeptide agent, which may be used as a template for transcription of a gene or cDNA. As is understood in the art, the phrase "nucleic acid molecule encoding a peptide or protein" means that the nucleic acid molecule, if present in the appropriate environment, for example within a cell and/or in a cell-free translation system, can direct the assembly of amino acids to produce the peptide or protein via a process of translation.
The term "epitope" refers to the part of an antigen that, as used herein, refers to an agent that elicits an immune response; and/or an agent that binds to a T cell receptor (e.g., when presented by an MHC molecule) or to an antibody. A "major histocompatibility complex" (MHC) is either an MHC class I (MHC-I) or MHC class II (MHC-II) molecules and is a protein complex present in all vertebrates. MHC proteins are important for
signalling between lymphocytes and antigen presenting cells or diseased cells in immune reactions, wherein the MHC proteins or molecules bind peptide epitopes and present them for recognition by T cell receptors on T cells. For example, epitopes are the discrete, three-dimensional sites on an antigen, which are presented on MHC class I or II and recognized by T cells via T cell receptors. Epitopes usually consist of chemically active surface groupings of molecules such as amino acids or sugar side chains and usually have specific three- dimensional structural characteristics, as well as specific charge characteristics. Conformational and non- conformational epitopes are distinguished in that the binding to the former but not the latter is lost in the presence of denaturing solvents. Optionally, the term relates to an immunogenic portion of an antigen comprising the epitope. An epitope of a protein may comprise a continuous or discontinuous portion of said protein. In some embodiments, "epitope" means a linear, i.e. not a conformational epitope. For example, the epitope in the context of the present disclosure may be a T cell epitope. In the case of MHC-I/peptide complexes, the peptides (epitopes) are typically about 8 to about 15 amino acids long although longer or shorter peptides can also be effective. In the case of MHC-II/peptide complexes, the binding peptides (epitopes) are typically about 10 to about 25 amino acids long and are in particular about 13 to about 18 amino acids long, although longer and shorter peptides may also be effective.
A "gene" is a DNA sequence in a chromosome that codes for a protein. In some embodiments, a gene includes coding sequence (i.e., sequence that encodes a particular protein); in some embodiments, a gene includes non-coding sequence. In some particular embodiments, a gene may include both coding (e.g., exonic) and non-coding (e.g., intronic) sequences. In some embodiments, a gene may include one or more regulatory elements that, for example, may control or impact one or more aspects of gene expression (e.g., cell-type- specific expression, inducible expression, etc.).
An "immune cell" is any cell of hematopoietic lineage involved in regulating an immune response against an antigen (e.g., a bacterial or viral infection or an auto-antigen). In typical embodiments, an immune cell is a leukocyte, such as a white blood cell. Immune cells include neutrophils, eosinophils, basophils, lymphocytes, and/or monocytes. Lymphocytes include T lymphocytes and B lymphocytes. Immune cells can also be dendritic cells, natural killer (NK) cells, and/or a mast cell.
"MG-132" or "MG132" is a commercially available 26S proteasome inhibitor.
"MHC" is a major histocompatibility complex comprising a polymorphic set of proteins. "MHC-I" is the MHC class I molecule. MHC-I is expressed on the surface of all nucleated cells that present antigenic peptides (epitopes) to CD8+ (including cytotoxic) T cells in the form of proteolytically processed peptides, wherein the epitopes are typically 8-15 amino acids in length. "MHC-I/peptide complex" is the epitope-loaded MHC-I, meaning the MHC-I presenting an epitope to specific T cells.
The term "operatively linked" means that a promoter, or similar regulatory element, is positioned next to an expressible nucleotide sequence or coding region such that the transcription of that coding region is controlled and regulated by that promoter.
The term "plurality" refers to the state of being plural. A plurality of antigenic peptides therefore refers to more than one antigenic peptide. In an embodiment, a plurality of antigenic peptides refers to at least two antigenic peptides, at least three, at least four, or at least five antigenic peptides.
The terms "polypeptide", "peptide", and "protein" are used interchangeably herein to refer to polymers of amino acids.
The term "recombinant" when used in the context of a nucleic acid molecule means a nucleic acid molecule having nucleotide sequences that are not naturally joined together and can be made by artificially combining two otherwise separated segments of sequence. This artificial combination is often accomplished by chemical synthesis or, more commonly, by the artificial manipulation of isolated segments of nucleic acids, for example, by genetic engineering techniques. Recombinant nucleic acid molecules include vectors comprising an amplified or assembled polynucleotide, which can be used to transform or transfect a suitable host cell. A host cell that comprises the recombinant nucleic acid molecule is referred to as a "recombinant host cell." The nucleic acid molecule is then expressed in the recombinant host cell to produce a "recombinant polypeptide." A recombinant nucleic acid molecule can also comprise a non-coding function.
A "string" can be a nucleic acid molecule or polypeptide of the present disclosure. A string may comprise a plurality of antigenic peptides strung like beads on a string. In particular, a "string" can comprise a plurality of antigenic peptides, wherein at least some of these antigenic peptides may be separated by linker sequences.
As used herein, a "subject" is a mammal, such as a human, of either gender (a male or a female). The subject may be of any age. In one embodiment, the subject is female. In another embodiment, the subject is male. In some embodiments, the subject is a patient having a disease, in particular a female patient having disease and/or a male patient having a disease.
The term "treating" when used in the context of a disease or disease condition means ameliorating, improving or remedying a disease, disorder, or symptom of a disease or condition associated with the disease, or can mean completely or partially stopping, on a molecular level, the biochemical basis of the disease, such as halting replication of a virus, etc. It describes an act that leads to the elimination, reduction, alleviation, reversal, or prevention or delay of onset or recurrence of any symptom of a disease.
As used herein, the term "vector" refers to a nucleic acid molecule capable of transporting another nucleic acid to which it has been linked. Vectors comprise plasmids, cosmid vectors, phagemids such as lambda phage, virus genomes including retroviral, adenoviral or baculoviral vectors, artificial chromosome vectors such as bacterial artificial chromosomes (BAC), yeast artificial chromosomes (YAC), or PI artificial chromosomes (PAC) and functional portions thereof. One type of vector is a "plasmid", which refers to a circular double stranded DNA into which additional DNA segments may be ligated. Another type of vector is a viral vector, wherein additional DNA segments may be ligated into the viral genome. Certain vectors are capable of autonomous replication in a host cell into which they are introduced (e.g., bacterial vectors having a bacterial origin of replication and episomal mammalian vectors). Other vectors (e.g., non-episomal mammalian vectors) can be integrated into the genome of a host cell upon introduction into the host cell, and thereby are replicated along
with the host genome. Moreover, certain vectors are capable of directing the expression of genes to which they are operatively linked. Such vectors are referred to herein as "expression vectors". Expression vectors comprise plasmids as well as viral vectors and generally contain a desired coding sequence and appropriate non-coding sequences necessary for the expression of the operably linked coding sequence in a particular host organism (e.g., bacteria, yeast, plant, insect, or mammal) or in in vitro expression systems. Cloning vectors are generally used to engineer and amplify a certain desired DNA fragment and may lack functional sequences needed for expression of the desired DNA fragments.
Recitation of ranges of values herein is merely intended to serve as a shorthand method of referring individually to each separate value falling within the range. Unless otherwise indicated herein, each individual value is incorporated into the specification as if it was individually recited herein. All methods described herein can be performed in any suitable order unless otherwise indicated herein or otherwise clearly contradicted by context. The use of any and all examples, or exemplary language (e.g., "such as"), provided herein is intended merely to better illustrate the present disclosure and does not pose a limitation on the scope of the present disclosure otherwise claimed. No language in the specification should be construed as indicating any nonclaimed element essential to the practice of the present disclosure.
All patents, patent applications, and other publications cited in this application are incorporated by reference.
A "polynucleotide", "nucleic acid molecule" and "nucleic acid" is used interchangeably herein to refer to polymers of nucleotides. The term "nucleic acid" (in particular "nucleic acid molecule") comprises deoxyribonucleic acid (DNA), ribonucleic acid (RNA), combinations thereof, and modified forms thereof. The term comprises genomic DNA, cDNA, mRNA, recombinantly produced and chemically synthesized molecules. In some embodiments, a nucleic acid is DNA. In some embodiments, a nucleic acid is RNA. In some embodiments, a nucleic acid is a mixture of DNA and RNA. A nucleic acid may be present as a single-stranded or double-stranded and linear or covalently circularly closed molecule. A nucleic acid can be isolated. The term "isolated nucleic acid" means, according to the present disclosure, that the nucleic acid (i) was amplified in vitro, for example via polymerase chain reaction (PCR) for DNA or in vitro transcription (using, e.g., an RNA polymerase) for RNA, (ii) was produced recombinantly by cloning, (iii) was purified, for example, by cleavage and separation by gel electrophoresis, or (iv) was synthesized, for example, by chemical synthesis.
The term "nucleoside" (abbreviated herein as "N") relates to compounds which can be thought of as nucleotides without a phosphate group. While a nucleoside is a nucleobase linked to a sugar (e.g., ribose or deoxyribose), a nucleotide is composed of a nucleoside and one or more phosphate groups. Examples of nucleosides include cytidine, uridine, pseudouridine, adenosine, and guanosine.
The five standard nucleosides which usually make up naturally occurring nucleic acids are uridine, adenosine, thymidine, cytidine and guanosine. The five nucleosides are commonly abbreviated to their one letter codes U, A, T, C and G, respectively. However, thymidine is more commonly written as "dT" ("d" represents "deoxy") as it contains a 2'-deoxyribofuranose moiety rather than the ribofuranose ring found in uridine. This is because thymidine is found in deoxyribonucleic acid (DNA) and not ribonucleic acid (RNA). Conversely, uridine is found
in RNA and not DNA. The remaining three nucleosides may be found in both RNA and DNA. In RNA, they would be represented as A, C and G, whereas in DNA they would be represented as dA, dC and dG.
A modified purine (A or G) or pyrimidine (C, T, or U) base moiety is, in some embodiments, modified by one or more alkyl groups, e.g., one or more Cl-4 alkyl groups, e.g., one or more methyl groups. Particular examples of modified purine or pyrimidine base moieties include N7-alkyl-guanine, N6-alkyl-adenine, 5-alkyl-cytosine, 5- alkyl-uracil, and N(l)-alkyl-uracil, such as N7-C1-4 alkyl-guanine, N6-C1-4 alkyl-adenine, 5-C1-4 alkyl-cytosine, 5-C1-4 alkyl-uracil, and N(l)-Cl-4 alkyl-uracil, e.g. N7-methyl-guanine, N6-methyl-adenine, 5-methyl-cytosine, 5-methyl-uracil, and N(l)-methyl-uracil.
Herein, the term "DNA" relates to a nucleic acid molecule which is entirely or at least substantially composed of deoxyribonucleotide residues. In exemplary embodiments, the DNA contains all or a majority of deoxyribonucleotide residues. As used herein, "deoxyribonucleotide" refers to a nucleotide which lacks a hydroxyl group at the 2'-position of a p-D-ribofuranosyl group. DNA encompasses without limitation, double stranded DNA, single stranded DNA, isolated DNA such as partially purified DNA, essentially pure DNA, synthetic DNA, recombinantly produced DNA, as well as modified DNA that differs from naturally occurring DNA by the addition, deletion, substitution and/or alteration of one or more nucleotides. Such alterations may refer to addition of non-nucleotide material to internal DNA nucleotides or to the end(s) of DNA. It is also contemplated herein that nucleotides in DNA may be non-standard nucleotides, such as chemically synthesized nucleotides or ribonucleotides. For the present disclosure, these altered DNAs are considered analogs of naturally-occurring DNA. A molecule contains "a majority of deoxyribonucleotide residues" if the content of deoxyribonucleotide residues in the molecule is more than 50% (such as at least 55%, at least 60%, at least 65%, at least 70%, at least 75%, at least 80%, at least 85%, at least 90%, at least 95%, at least 96%, at least 97%, at least 98%, at least 99%), based on the total number of nucleotide residues in the molecule. The total number of nucleotide residues in a molecule is the sum of all nucleotide residues (irrespective of whether the nucleotide residues are standard (i.e., naturally occurring) nucleotide residues or analogs thereof).
DNA may be recombinant DNA and may be obtained by cloning of a nucleic acid, in particular cDNA. The cDNA may be obtained by reverse transcription of RNA.
The term "RNA" relates to a nucleic acid molecule which includes ribonucleotide residues. In some exemplary embodiments, the nucleic acid molecule as disclosed herein is an RNA as disclosed herein (also referred to hereinafter as "RNA molecule"). In exemplary embodiments, RNA contains all or a majority of ribonucleotide residues. As used herein, "ribonucleotide" refers to a nucleotide with a hydroxyl group at the 2'-position of a p- D-ribofuranosyl group. RNA encompasses without limitation, double stranded RNA, single stranded RNA, isolated RNA such as partially purified RNA, essentially pure RNA, synthetic RNA, recombinantly produced RNA, as well as modified RNA that differs from naturally occurring RNA by the addition, deletion, substitution and/or alteration of one or more nucleotides. Such alterations may refer to addition of non-nucleotide material to internal RNA nucleotides or to the end(s) of RNA. It is also contemplated herein that nucleotides in RNA may be non-standard nucleotides, such as chemically synthesized nucleotides or deoxynucleotides. For the present disclosure, these altered/modified nucleotides can be referred to as analogs of naturally occurring nucleotides, and the corresponding RNAs containing such altered/modified nucleotides (i.e., altered/modified RNAs) can be referred to as analogs of naturally occurring RNAs. A molecule contains "a majority of ribonucleotide residues"
if the content of ribonucleotide residues in the molecule is more than 50% (such as at least 55%, at least 60%, at least 65%, at least 70%, at least 75%, at least 80%, at least 85%, at least 90%, at least 95%, at least 96%, at least 97%, at least 98%, at least 99%), based on the total number of nucleotide residues in the molecule. The total number of nucleotide residues in a molecule is the sum of all nucleotide residues (irrespective of whether the nucleotide residues are standard (i.e., naturally occurring) nucleotide residues or analogs thereof).
In some embodiments, "RNA" includes mRNA, self-amplifying RNA (saRNA), trans-amplifying RNA (taRNA), single-stranded RNA (ssRNA), or dsRNA.
In the present disclosure, all features and embodiments disclosed in connection with a "nucleic acid" or "nucleic acid molecule" apply to the RNA molecule according to the present disclosure.
The term "in vitro transcription" or "IVT" as used herein means that the transcription (i.e., the generation of RNA) is conducted in a cell-free manner. I.e., IVT does not use living/cultured cells but rather the transcription machinery extracted from cells (e.g., cell lysates or the isolated components thereof, including an RNA polymerase (such as T7, T3 or SP6 polymerase)).
According to the present disclosure, the term "mRNA" means "messenger-RNA" and includes a "transcript" which may be generated by using a DNA template. Generally, mRNA encodes a peptide or polypeptide. mRNA is single-stranded but may contain self-complementary sequences that allow parts of the mRNA to fold and pair with itself to form double helices.
According to the present disclosure, "dsRNA" means double-stranded RNA and is RNA with two partially or completely complementary strands.
In some embodiments, the RNA e.g., mRNAmay encode a peptide or polypeptide has a length of at least 15 nucleotides (such as at least 20, at least 30, at least 40, at least 50, at least 60, at least 70, at least 80, at least 90, at least 100, at least 120, at least 140, at least 160, at least 180, at least 200, at least 250, at least 300, at least 350, at least 400, at least 450, at least 500, at least 600, at least 700, at least 800, at least 900 nucleotides), e.g. up to 15,000, such as up to 12,000, up to 8,000, up to 6,000 nucleotides, or up to 4,000 nucleotides.
As established in the art, RNA (e.g., mRNA) generally contains a 5' untranslated region (5'-UTR), a peptide/polypeptide coding region, and a 3' untranslated region (3'-UTR). In some embodiments, RNA (e.g., mRNA) is produced by in vitro transcription or chemical synthesis. In some embodiments, the RNA (e.g., mRNA) is produced by in vitro transcription using a DNA template. In vitro transcription methodology is known to the skilled person; cf., e.g., Molecular Cloning: A Laboratory Manual, 4th Edition, M.R. Green and J.
Sambrook eds., Cold Spring Harbor Laboratory Press, Cold Spring Harbor 2012. Furthermore, a variety of in vitro transcription kits is commercially available, e.g., from Thermo Fisher Scientific (such as TranscriptAidTM T7 kit, MEGAscript® T7 kit, MAXIscript®), New England BioLabs Inc. (such as HiScribe™ T7 kit, HiScribe™ T7
ARCA mRNA kit), Promega (such as RiboMAX™, HeLaScribe®, Riboprobe® systems), Jena Bioscience (such as SP6 or T7 transcription kits), and Epicentre (such as AmpliScribe™). For providing modified RNA (e.g., mRNA), correspondingly modified nucleotides, such as modified naturally occurring nucleotides, non-naturally occurring nucleotides and/or modified non-naturally occurring nucleotides, can be incorporated during synthesis (such as in vitro transcription), or modifications can be affected in and/or added to the RNA after transcription.
In some embodiments, RNA is in vitro transcribed RNA (IVT-RNA) and may be obtained by in vitro transcription of an appropriate DNA template. The promoter for controlling transcription can be any promoter for any RNA polymerase. Particular examples of RNA polymerases are the T7, T3, and SP6 RNA polymerases. Optionally, the in vitro transcription is controlled by a T7 or SP6 promoter. A DNA template for in vitro transcription may be obtained by cloning of a nucleic acid, in particular cDNA, and introducing it into an appropriate vector for in vitro transcription. The cDNA may be obtained by reverse transcription of RNA.
In some embodiments of the present disclosure, the RNA is "replicon RNA" or simply a "replicon", in particular "self-replicating RNA" or "self-amplifying RNA". In certain embodiments, the replicon or self-replicating RNA is derived from or comprises elements derived from an ssRNA virus, in particular a positive-stranded ssRNA virus such as an alphavirus. Alphaviruses are typical representatives of positive-stranded RNA viruses. Alphaviruses replicate in the cytoplasm of infected cells (for review of the alphaviral life cycle see Jose et al., Future Microbiol., 2009, vol. 4, pp. 837-856). The total genome length of many alphaviruses typically ranges between 11,000 and 12,000 nucleotides, and the genomic RNA typically has a 5'-cap, and a 3' poly(A) tail. The genome of alphaviruses encodes non-structural proteins (involved in transcription, modification and replication of viral RNA and in protein modification) and structural proteins (forming the virus particle). There are typically two open reading frames (ORFs) in the genome. The four non-structural proteins (nsPl-nsP4) are typically encoded together by a first ORF beginning near the 5' terminus of the genome, while alphavirus structural proteins are encoded together by a second ORF which is found downstream of the first ORF and extends near the 3' terminus of the genome. Typically, the first ORF is larger than the second ORF, the ratio being roughly 2: 1. In cells infected by an alphavirus, only the nucleic acid sequence encoding non-structural proteins is translated from the genomic RNA, while the genetic information encoding structural proteins is translatable from a subgenomic transcript, which is an RNA molecule that resembles eukaryotic messenger RNA (mRNA; Gould et al., 2010, Antiviral Res., vol. 87 pp. 111-124). Following infection, e.g., at early stages of the viral life cycle, the (+) stranded genomic RNA directly acts like a messenger RNA for the translation of the open reading frame encoding the non-structural poly-protein (nsP1234).
Alphavirus-derived vectors have been proposed for delivery of foreign genetic information into target cells or target organisms. In simple approaches, the open reading frame encoding alphaviral structural proteins is replaced by an open reading frame encoding a protein of interest. Alphavirus-based trans-replication (transamplification) systems rely on alphavirus nucleotide sequence elements on two separate nucleic acid molecules: one nucleic acid molecule encodes a viral replicase, and the other nucleic acid molecule is capable of being replicated by said replicase in trans (hence the designation trans-replication system). Trans-replication requires the presence of both these nucleic acid molecules in a given host cell. The nucleic acid molecule capable of being replicated by the replicase in trans must comprise certain alphaviral sequence elements to allow recognition and RNA synthesis by the alphaviral replicase.
In some embodiments of the present disclosure, the RNA (e.g., mRNA) described herein (e.g., contained in the compositions/formulations of the present disclosure and/or used in the uses and methods of the present disclosure) contains one or more modifications, e.g., in order to increase its stability and/or increase translation efficiency and/or decrease immunogenicity and/or decrease cytotoxicity. For example, in order to increase expression of the RNA (e.g., mRNA), it may be modified within the coding region, i.e., the sequence encoding the expressed peptide or polypeptide, optionally without altering the sequence of the expressed peptide or polypeptide. Such modifications are described, for example, in WO 2007/036366 and PCT/EP2019/056502, and include the following: a 5'-cap structure; an extension or truncation of the naturally occurring poly(A) tail; an alteration of the 5'- and/or 3'-untranslated regions (UTR) such as introduction of a UTR which is not related to the coding region of said RNA; the replacement of one or more naturally occurring nucleotides with synthetic nucleotides; and codon optimization (e.g., to alter, e.g. increase, the GC content of the RNA). A combination of the above described modifications, i.e., incorporation of a 5'-cap structure, incorporation of a poly-A sequence, unmasking of a poly-A sequence, alteration of the 5'- and/or 3'-UTR (such as incorporation of one or more 3'-UTRs), replacing one or more naturally occurring nucleotides with synthetic nucleotides (e.g., 5-methylcytidine for cytidine and/or pseudouridine (QJ) or N(l)-methylpseudouridine (mlQJ) or 5-methyluridine (m5U) for uridine), and codon optimization, has a synergistic influence on the stability of RNA (such as mRNA) and increase in translation efficiency. Thus, in some embodiments, the RNA (e.g., mRNA) described in the present disclosure contains a combination of at least two, at least three, at least four or all five of the above-mentioned modifications, i.e., (i) incorporation of a 5'-cap structure, (ii) incorporation of a poly-A sequence, unmasking of a poly-A sequence; (iii) alteration of the 5'- and/or 3'-UTR (such as incorporation of one or more 3'-UTRs); (iv) replacing one or more naturally occurring nucleotides with synthetic nucleotides (e.g., 5-methylcytidine for cytidine and/or pseudouridine (QJ) or N(l)- methylpseudouridine (mlQJ) or 5-methyluridine (m5U) for uridine), and (v) codon optimization.
In some embodiments, the RNA (e.g., mRNA) described herein comprises a 5'-cap structure. The "5'cap" is a cap structure on the 5'-end of mRNAs, which is present in eukaryotic organisms. Naturally occurring cap structures comprise a ribo-guanosine residue that is methylated at position N7 of the guanine base, abbreviated 7mGppp. The presence of the 7mGppp fragment on the 5'-end is essential for mRNA maturation, it protects the mRNAs from degradation by exonucleases, facilitates transport of mRNAs from the nucleus to the cytoplasm and plays a key role in assembly of the translation initiation complex. Exemplary 5'caps suitable for use in the nucleic acid molecule of the present disclosure are described in the patent application WO 2017/053297 Al. In some embodiments, a 5' cap may be or comprise a dinucleotide cap analog such as G[5']ppp[5']G, m7G[5']ppp[5']G, m3 2-2-7G[5']ppp[5']G, m2 7-3' 0G[5']ppp[5']G (3'-ARCA), m2 7-2' 0GpppG (2'- ARCA), m2 7'2'-°GppSpG (P-S-ARCA), or m2 7'2' °GppSpG ( -S-ARCA) and m2 7'3 ,-0Gppp(mi2 ' 0)ApG (CleanCap413). Various cap analogues are described herein and known in the art, e.g., commercially available.
In some embodiments, the RNA does not have uncapped 5'-triphosphates. In some embodiments, the RNA (e.g., mRNA) may comprise a conventional 5'-cap and/or a 5'-cap analog. The term "conventional 5'-cap" refers to a cap structure found on the 5'-end of an RNA molecule and generally comprises a guanosine 5'- triphosphate (Gppp) which is connected via its triphosphate moiety to the 5'-end of the next nucleotide of the RNA (i.e., the guanosine is connected via a 5' to 5' triphosphate linkage to the rest of the RNA). The guanosine may be methylated at position N7 (resulting in the cap structure m7Gppp). The term "5'-cap analog" includes
a 5'-cap which is based on a conventional 5'-cap but which has been modified at either the 2'- or 3'-position of the m7guanosine structure in order to avoid an integration of the 5'-cap analog in the reverse orientation (such 5'-cap analogs are also called anti-reverse cap analogs (ARCAs)). Exemplary 5'-cap analogs are those having one or more substitutions at the bridging and non-bridging oxygen in the phosphate bridge, such as phosphorothioate modified 5'-cap analogs at the p-phosphate (such as m27'2 OG(5')ppSp(5')G (referred to as beta-S-ARCA or p-S-ARCA)), as described in PCT/EP2019/056502. Providing an RNA (e.g., mRNA) with a 5'- cap structure as described herein may be achieved by in vitro transcription of a DNA template in presence of a corresponding 5'-cap compound, wherein said 5'-cap structure is co-transcriptionally incorporated into the generated RNA (e.g., mRNA) strand, or the RNA (e.g., mRNA) may be generated, for example, by in vitro transcription, and the 5'-cap structure may be attached to the RNA post-transcriptionally using capping enzymes, for example, capping enzymes of vaccinia virus.
In some embodiments, the RNA (e.g., mRNA) comprises a 5'-cap structure that is m27'2 OG(5')ppSp(5')G (in particular its DI diastereomer), m27'3 OG(5')ppp(5')G, or m27'3' 0Gppp(mi2' 0)ApG. In some embodiments, RNA comprises m27'2 OG(5')ppSp(5')G (in particular its DI diastereomer) as 5'-cap structure. In some embodiments, RNA comprises m27'3' 0Gppp(mi2' 0)ApG as 5'-cap structure.
In some embodiments, the RNA (e.g., mRNA) comprises a capO, capl, or cap2, e.g. capl or cap2. According to the present disclosure, the term "capO" means the structure "m7GpppN", wherein N is any nucleoside bearing an OH moiety at position 2'. According to the present disclosure, the term "capl" means the structure "m7GpppNm", wherein Nm is any nucleoside bearing an OCH3 moiety at position 2'. According to the present disclosure, the term "cap2" means the structure "m7GpppNmNm", wherein each Nm is independently any nucleoside bearing an OCH3 moiety at position 2'.
The "DI diastereomer of beta-S-ARCA" or "beta-S-ARCA(Dl)" is the diastereomer of beta-S-ARCA which elutes first on an HPLC column compared to the D2 diastereomer of beta-S-ARCA (beta-S-ARCA(D2)) and thus exhibits a shorter retention time. The HPLC may be an analytical HPLC. In some embodiments, a Supelcosil LC-18-T RP column, optionally of the format: 5 pm, 4.6 x 250 mm is used for separation, whereby a flow rate of 1.3 ml/min can be applied. In some embodiments, a gradient of methanol in ammonium acetate, for example, a 0-25% linear gradient of methanol in 0.05 M ammonium acetate, pH = 5.9, within 15 min is used.
UV-detection (VWD) can be performed at 260 nm and fluorescence detection (FLD) can be performed with excitation at 280 nm and detection at 337 nm.
The 5'-cap analog m27'3' 0Gppp(mi2' 0)ApG (also referred to as m27'30G(5')ppp(5')m2, 0ApG) which is a building block of a capl has the following structure
An exemplary capl mRNA comprising m27'3 OGppp(mi2' °)ApG and mRNA has the following structure:
As used herein, the term "poly-A tail" or "poly-A sequence" or "poly(A)-tail" refers to an uninterrupted or interrupted sequence of adenylate residues which is typically located at the 3'-end of an RNA (e.g., mRNA) molecule. The term "poly(A)-tail" and refers to a chain of adenine nucleotides that is added to a mRNA molecule during RNA processing to increase the stability of the molecule. This process, called polyadenylation, adds a poly(A)-tail that is usually between 100 and 250 residues long. Poly(A) tails play an important role in the translation and stability of the mRNA. RNA having an unmasked poly-A sequence is translated more efficiently than RNA having a masked poly-A sequence. The term "poly(A) tail" relates to a sequence of adenyl (A) residues which typically is located on the 3'-end of an RNA molecule and "unmasked poly-A sequence" means that the poly-A sequence at the 3' end of an RNA molecule ends with an A of the poly-A sequence and is not followed by nucleotides other than A located at the 3' end, i.e. downstream, of the poly-A sequence. Furthermore, a long poly-A sequence of about 120 base pairs results in an optimal transcript stability and translation efficiency of RNA. Poly-A tails or poly-A sequences are known to those of skill in the art and may follow the 3'-UTR in the RNAs (e.g., mRNAs) described herein. An "interrupted poly(A)-tail" is a poly(A)-tail comprising non-adenine nucleotides at regular or irregularly spaced intervals. In some embodiments, the interrupting sequence is a trinucleotide, dinucleotide or mononucleotide interrupting sequence. In some embodiments, the poly(A) tail comprises or contains one non-adenine nucleotide or one consecutive stretch of 2 to 10 non-adenine nucleotides every 8 to 50 consecutive adenine nucleotides. In some embodiments, the poly(A) tail comprises or contains 1, 2, 3, 4, or 5 consecutive non-adenine nucleotides every 8-50 consecutive adenine nucleotides. In some embodiments, wherein the poly(A) tail comprises or contains more than one non-adenine nucleotide or more than one consecutive stretch of 2-10 non-adenine nucleotides. In some embodiments, a poly(A) sequence measuring 110 nucleotides in length, consisting of a stretch of 30 adenosine residues, followed by a 10-nucleotides linking sequence and another 70 adenosine residues is used. An uninterrupted poly-A tail is characterized by consecutive adenylate residues. In nature, an uninterrupted poly-A tail is typical. RNAs (e.g., mRNAs) disclosed herein can have a poly-A tail attached to the free 3'-end of the RNA by a template-independent RNA polymerase after transcription or a poly-A tail encoded by DNA and transcribed by a template-dependent RNA polymerase.
It has been demonstrated that a poly-A tail of about 120 A nucleotides has a beneficial influence on the levels of RNA in transfected eukaryotic cells, as well as on the levels of protein that is translated from an open reading frame that is present upstream (S') of the poly-A tail (Holtkamp et al., 2006, Blood, vol. 108, pp. 4009- 4017).
The poly-A tail may be of any length. In some embodiments, a poly-A tail comprises, essentially consists of, or consists of at least 20, at least 30, at least 40, at least 80, or at least 100 and up to 500, up to 400, up to 300, up to 200, or up to 150 A nucleotides, and, in particular, about 120 A nucleotides. In this context, "essentially consists of" means that most nucleotides in the poly-A tail, typically at least 75%, at least 80%, at least 85%, at least 90%, at least 95%, at least 96%, at least 97%, at least 98%, or at least 99% by number of nucleotides in the poly-A tail are A nucleotides, but permits that remaining nucleotides are nucleotides other than A nucleotides, such as U nucleotides (uridylate), G nucleotides (guanylate), or C nucleotides (cytidylate). In this context, "consists of" means that all nucleotides in the poly-A tail, i.e., 100% by number of nucleotides in the poly-A tail, are A nucleotides. The term "A nucleotide" or "A" refers to adenylate.
In some embodiments, a poly-A tail is attached during RNA transcription, e.g., during preparation of in vitro transcribed RNA, based on a DNA template comprising repeated dT nucleotides (deoxythymidylate) in the strand complementary to the coding strand. The DNA sequence encoding a poly-A tail (coding strand) is referred to as poly(A) cassette.
In some embodiments, the poly(A) cassette present in the coding strand of DNA essentially consists of dA nucleotides, but is interrupted by a random sequence of the four nucleotides (dA, dC, dG, and dT). Such random sequence may be 5 to 50, 10 to 30, or 10 to 20 nucleotides in length. Such a cassette is disclosed in WO 2016/005324 Al, hereby incorporated by reference. Any poly(A) cassette disclosed in WO 2016/005324 Al may be used in the present disclosure. A poly(A) cassette that essentially consists of dA nucleotides, but is interrupted by a random sequence having an equal distribution of the four nucleotides (dA, dC, dG, dT) and having a length of e.g., 5 to 50 nucleotides shows, on DNA level, constant propagation of plasmid DNA in E. coli and is still associated, on RNA level, with the beneficial properties with respect to supporting RNA stability and translational efficiency is encompassed. Consequently, in some embodiments, the poly-A tail contained in an RNA (e.g., mRNA) molecule described herein essentially consists of A nucleotides, but is interrupted by a random sequence of the four nucleotides (A, C, G, U). Such random sequence may be 5 to 50, 10 to 30, or 10 to 20 nucleotides in length.
In some embodiments, the poly(A) tail comprises 30 adenine nucleotides followed by 70 adenine nucleotides, wherein the 30 adenine nucleotides and 70 adenine nucleotides are separated by a linker sequence of 10 nucleotides.
In some embodiments, no nucleotides other than A nucleotides flank a poly-A tail at its 3'-end, i.e., the poly-A tail is not masked or followed at its 3'-end by a nucleotide other than A.
In some embodiments, a poly-A tail may comprise at least 20, at least 30, at least 40, at least 80, or at least 100 and up to 500, up to 400, up to 300, up to 200, or up to 150 nucleotides. In some embodiments, the poly-
A tail may essentially consist of at least 20, at least 30, at least 40, at least 80, or at least 100 and up to 500, up to 400, up to 300, up to 200, or up to 150 nucleotides. In some embodiments, the poly-A tail may consist of at least 20, at least 30, at least 40, at least 80, or at least 100 and up to 500, up to 400, up to 300, up to 200, or up to 150 nucleotides. In some embodiments, the poly-A tail comprises at least 100 nucleotides. In some embodiments, the poly-A tail comprises about 150 nucleotides. In some embodiments, the poly-A tail comprises about 120 nucleotides.
In some embodiments, RNA (e.g., mRNA) described in present disclosure comprises a 5'-UTR and/or a 3'-UTR. The term "untranslated region" or "UTR" relates to a region in a DNA molecule which is transcribed but is not translated into an amino acid sequence, or to the corresponding region in an RNA molecule, such as an mRNA molecule. An untranslated region (UTR) can be present 5' (upstream) of an open reading frame (5'-UTR) and/or 3' (downstream) of an open reading frame (3'-UTR). A 5'-UTR, if present, is located at the 5'-end, upstream of the start codon of a protein-encoding region. A 5'-UTR is downstream of the 5'-cap (if present), e.g., directly adjacent to the 5'-cap. A 3'-UTR, if present, is located at the 3'-end, downstream of the termination codon of a protein-encoding region, but the term "3'-UTR" does generally not include the poly-A sequence. Thus, the 3'-UTR is upstream of the poly-A sequence (if present), e.g., directly adjacent to the poly- A sequence. The "3'UTR sequence" or "3'UTR" or "3'-UTR" is a 3' untranslated region known to regulate mRNA-based processes, such as mRNA localization, mRNA stability, and translation. In addition, 3' UTRs can establish 3' UTR-mediated protein-protein interactions (PPIs), and thus can transmit genetic information encoded in 3' UTRs to proteins. This function has been shown to regulate diverse protein features, including protein complex formation or posttranslational modifications, but is also expected to alter protein conformations. Incorporation of a 3'-UTR into the 3'-non translated region of an RNA (such as mRNA) molecule can result in an enhancement in translation efficiency. A synergistic effect may be achieved by incorporating two or more of such 3'-UTRs (which may be arranged in a head-to-tail orientation; cf., e.g., Holtkamp et al., Blood 108, 4009-4017 (2006)). The 3'-UTRs may be autologous or heterologous to the RNA (e.g., mRNA) into which they are introduced. In certain embodiments, the 3'-UTR is derived from a globin gene or mRNA, such as a gene or mRNA of alpha2-globin, alphal-globin, or beta-globin, e.g., beta-globin, e.g., human beta-globin. For example, the RNA (e.g., mRNA) may be modified by the replacement of the existing 3'-UTR with or the insertion of one or more, e.g., two copies of a 3'-UTR derived from a globin gene, such as alpha2-globin, alphal-globin, beta-globin, e.g., beta-globin, e.g., human beta-globin.
The "5' UTR sequence" or "5'UTR" s to a 5'-untranslated region which lies within the noncoding genome upstream of a coding sequence and plays an important role in regulating gene expression. Within 5'-UTR sequences may be numerous cis-regulatory elements present that can interact with the transcriptional machinery to regulate mRNA abundance. The 5'-untranslated region may contain various RNA-based regulatory elements including the secondary structures, RNA-binding protein motifs, upstream open-reading frames (uORFs), internal ribosome entry sites, terminal oligo pyrimidine (TOP) tracts, and G-quadruplexes. These elements can alter the efficiency of mRNA translation; some can also affect mRNA transcript levels via changes in stability or degradation. In some embodiments, a 5'-UTR is or comprises a modified human alphaglobin 5'-UTR. In some embodiments, a 3'-UTR comprises a first sequence from the amino terminal enhancer of split (AES) messenger RNA and a second sequence from the mitochondrial encoded 12S ribosomal RNA.
The RNA (e.g., mRNA) described herein may have modified ribonucleotides in order to increase its stability and/or decrease immunogenicity and/or decrease cytotoxicity. For example, in some embodiments, uridine in the RNA (e.g., mRNA) described herein is replaced (partially or completely, e.g. completely) by a modified nucleoside. In some embodiments, the modified nucleoside is a modified uridine.
In some embodiments, the modified uridine replacing uridine is pseudouridine (ip), Nl-methyl-pseudouridine (mlip), 5-methyl-uridine (m5U), or any combination thereof.
In some embodiments, the modified nucleoside replacing (partially or completely, e.g. completely) uridine in the RNA may be any one or more of 3-methyl-uridine (m3U), 5-methoxy-uridine (mo5U), 5-aza-uridine, 6-aza- uridine, 2-thio-5-aza-uridine, 2-thio-uridine (s2U), 4-thio-uridine (s4U), 4-thio-pseudouridine, 2-thio- pseudouridine, 5-hydroxy-uridine (ho5U), 5-aminoallyl-uridine, 5-halo-uridine e.g, 5-iodo-uridineor 5-bromo- uridine), uridine 5-oxyacetic acid (cmo5U), uridine 5-oxyacetic acid methyl ester (mcmo5U), 5 -carboxy methyl - uridine (cm5U), 1-carboxymethyl-pseudouridine, 5-carboxyhydroxymethyl-uridine (chm5U), 5- carboxyhydroxymethyl-uridine methyl ester (mchm5U), 5-methoxycarbonylmethyl-uridine (mcm5U), 5- methoxycarbonylmethyl-2-thio-uridine (mcm5s2U), 5-aminomethyl-2-thio-uridine (nm5s2U), 5- methylaminomethyl-uridine (mnm5U), 1-ethyl-pseudouridine, 5-methylaminomethyl-2-thio-uridine (mnm5s2U), 5-methylaminomethyl-2-seleno-uridine (mnm5se2U), 5-carbamoylmethyl-uridine (ncm5U), 5- carboxymethylaminomethyl-uridine (cmnm5U), 5-carboxymethylaminomethyl-2-thio-uridine (cmnm5s2U), 5- propynyl-uridine, 1-propynyl-pseudouridine, 5-taurinomethyl-uridine (Tm5U), 1-taurinomethyl-pseudouridine, 5-taurinomethyl-2-thio-uridine(Tm5s2U), l-taurinomethyl-4-thio-pseudouridine), 5-methyl-2-thio-uridine (m5s2U), l-methyl-4-thio-pseudouridine (mls4ip), 4-thio-l-methyl-pseudouridine, 3-methyl-pseudouridine (m3ip), 2-thio-l-methyl-pseudouridine, 1-methyl-l-deaza-pseudouridine, 2-thio-l-methyl-l-deaza- pseudouridine, dihydrouridine (D), dihydropseudouridine, 5,6-dihydrouridine, 5-methyl-dihydrouridine (m5D), 2-thio-dihydrouridine, 2-thio-dihydropseudouridine, 2-methoxy-uridine, 2-methoxy-4-thio-uridine, 4-methoxy- pseudouridine, 4-methoxy-2-thio-pseudouridine, Nl-methyl-pseudouridine, 3-(3-amino-3-carboxypropyl)uridine (acp3U), l-methyl-3-(3-amino-3-carboxypropyl)pseudouridine (acp3 ip), 5-(isopentenylaminomethyl)uridine (inm5U), 5-(isopentenylaminomethyl)-2-thio-uridine (inm5s2U), a-thio-uridine, 2'-O-methyl-uridine (Um), 5,2'- O-dimethyl-uridine (m5Um), 2'-O-methyl-pseudouridine (ipm), 2-thio-2'-O-methyl-uridine (s2Um), 5- methoxycarbonylmethyl-2'-O-methyl-uridine (mcm5Um), 5-carbamoylmethyl-2'-O-methyl-uridine (ncm5Um), 5-carboxymethylaminomethyl-2'-O-methyl-uridine (cmnm5Um), 3,2'-O-dimethyl-uridine (m3Um), 5- (isopentenylaminomethyl)-2'-O-methyl-uridine (inm5Um), 1-thio-uridine, deoxythymidine, 2'-F-ara-uridine, 2'- F-uridine, 2'-OH-ara-uridine, 5-(2-carbomethoxyvinyl) uridine, 5-[3-(l-E-propenylamino)uridine, or any other modified uridine known in the art.
An RNA (such as mRNA) which is modified by pseudouridine (replacing partially or completely, e.g. completely, uridine) is referred to herein as "QJ-modified", whereas the term "mlUJ-modified" means that the RNA (such as mRNA) contains N(l)-methylpseudouridine (replacing partially or completely, e.g. completely, uridine). Furthermore, the term "m5U-modified" means that the RNA (such as mRNA) contains 5-methyluridine (replacing partially or completely, e.g. completely, uridine). Such i - or mlQJ- or m5U-modified RNAs usually exhibit decreased immunogenicity compared to their unmodified forms and, thus, may be useful in applications
where the induction of an immune response is to be avoided or minimized. In some embodiments, the RNA (such as mRNA) contains N(l)-methylpseudouridine replacing completely uridine.
The codons of the RNA (e.g., mRNA) described in the present disclosure may further be optimized, e.g., to increase the GC content of the RNA and/or to replace codons which are rare in the cell (or subject) in which the peptide or polypeptide of interest is to be expressed by codons which are synonymous frequent codons in said cell (or subject). In some embodiments, the amino acid sequence encoded by the RNA (e.g., mRNA) described in the present disclosure is encoded by a coding sequence which is codon-optimized and/or the G/C content of which is increased compared to wild type coding sequence. This also includes embodiments, wherein one or more sequence regions of the coding sequence are codon-optimized and/or increased in the G/C content compared to the corresponding sequence regions of the wild type coding sequence. In some embodiments, the codon-optimization and/or the increase in the G/C content optionally does not change the sequence of the encoded amino acid sequence.
The term "codon-optimized" refers to the alteration of codons in the coding region of a nucleic acid molecule to reflect the typical codon usage of a host organism, optionally without altering the amino acid sequence encoded by the nucleic acid molecule. Within the context of the present disclosure, coding regions may be codon-optimized for optimal expression in a subject to be treated using the RNA (e.g., mRNA) described herein. Codon-optimization is based on the finding that the translation efficiency is also determined by a different frequency in the occurrence of tRNAs in cells. Thus, the sequence of RNA (e.g., mRNA) may be modified such that codons for which frequently occurring tRNAs are available are inserted in place of "rare codons".
In some embodiments, the guanosine/cytosine (G/C) content of the coding region of the RNA (e.g., mRNA) described herein is increased compared to the G/C content of the corresponding coding sequence of the wild type RNA, wherein the amino acid sequence encoded by the RNA is optionally not modified compared to the amino acid sequence encoded by the wild type RNA. This modification of the RNA sequence is based on the fact that the sequence of any RNA region to be translated is important for efficient translation of that RNA. Sequences having an increased G (guanosine)/C (cytosine) content are more stable than sequences having an increased A (adenosine)/U (uracil) content. In respect to the fact that several codons code for one and the same amino acid (so-called degeneration of the genetic code), the most favorable codons for the stability can be determined (so-called alternative codon usage). Depending on the amino acid to be encoded by the RNA, there are various possibilities for modification of the RNA sequence, compared to its wild type sequence. In particular, codons which contain A and/or U nucleotides can be modified by substituting these codons by other codons, which code for the same amino acids but contain no A and/or U or contain a lower content of A and/or U nucleotides.
In various embodiments, the G/C content of the coding region of the RNA (e.g., mRNA) described herein is increased by at least 10%, at least 20%, at least 30%, at least 40%, at least 50%, at least 55%, or even more compared to the G/C content of the coding region of the wild type RNA.
The term "non-immunogenic RNA" (such as "non-immunogenic mRNA") as used herein refers to RNA that does not induce a response by the immune system upon administration, e.g., to a mammal, or induces a weaker response than would have been induced by the same RNA that differs only in that it has not been subjected to the modifications and treatments that render the non-immunogenic RNA non-immunogenic, i.e., than would have been induced by standard RNA (stdRNA). In certain embodiments, non-immunogenic RNA is rendered non-immunogenic by incorporating modified nucleosides suppressing RNA-mediated activation of innate immune receptors into the RNA and/or limiting the amount of double-stranded RNA (dsRNA), e.g., by limiting the formation of double-stranded RNA (dsRNA), e.g., during in vitro transcription, and/or by removing double-stranded RNA (dsRNA), e.g., following in vitro transcription. In certain embodiments, non-immunogenic RNA is rendered non-immunogenic by incorporating modified nucleosides suppressing RNA-mediated activation of innate immune receptors into the RNA and/or by removing double-stranded RNA (dsRNA), e.g., following in vitro transcription.
For rendering the non-immunogenic RNA (e.g., mRNA) non-immunogenic by the incorporation of modified nucleosides, any modified nucleoside may be used as long as it lowers or suppresses immunogenicity of the RNA. Exemplary nucleosides are modified nucleosides that suppress RNA-mediated activation of innate immune receptors. In some embodiments, the modified nucleosides comprise a replacement of one or more uridines with a nucleoside comprising a modified nucleobase. In some embodiments, the modified nucleobase is a modified uracil. In some embodiments, the nucleoside comprising a modified nucleobase is 3-methyl- uridine (m3U), 5-methoxy-uridine (mo5U), 5-aza-uridine, 6-aza-uridine, 2-thio-5-aza-uridine, 2-thio-uridine (s2U), 4-thio-uridine (s4U), 4-thio-pseudouridine, 2-thio-pseudouridine, 5-hydroxy-uridine (ho5U), 5-aminoallyl- uridine, 5-halo-uridine e.g, 5-iodo-uridine or 5-bromo-uridine), uridine 5-oxyacetic acid (cmo5U), uridine 5- oxyacetic acid methyl ester (mcmo5U), 5-carboxymethyl-uridine (cm5U), 1-carboxymethyl-pseudouridine, 5- carboxyhydroxymethyl-uridine (chm5U), 5-carboxyhydroxymethyl-uridine methyl ester (mchm5U), 5- methoxycarbonylmethyl-uridine (mcm5U), 5-methoxycarbonylmethyl-2-thio-uridine (mcm5s2U), 5-aminomethyl- 2-thio-uridine (nm5s2U), 5-methylaminomethyl-uridine (mnm5U), 1-ethyl-pseudouridine, 5-methylaminomethyl- 2-thio-uridine (mnm5s2U), 5-methylaminomethyl-2-seleno-uridine (mnm5se2U), 5-carbamoylmethyl-uridine (ncm5U), 5-carboxymethylaminomethyl-uridine (cmnm5U), 5-carboxymethylaminomethyl-2-thio-uridine (cmnm5s2U), 5-propynyl-uridine, 1-propynyl-pseudouridine, 5-taurinomethyl-uridine (Tm5U), 1-taurinomethyl- pseudouridine, 5-taurinomethyl-2-thio-uridine(Tm5s2U), l-taurinomethyl-4-thio-pseudouridine), 5-methyl-2- thio-uridine (m5s2U), l-methyl-4-thio-pseudouridine (rrTs4^), 4-thio-l-methyl-pseudouridine, 3-methyl- pseudouridine (m3i ), 2-thio-l-methyl-pseudouridine, 1-methyl-l-deaza-pseudouridine, 2-thio-l-methyl-l- deaza-pseudouridine, dihydrouridine (D), dihydropseudouridine, 5,6-dihydrouridine, 5-methyl-dihydrouridine (m5D), 2-thio-dihydrouridine, 2-thio-dihydropseudouridine, 2-methoxy-uridine, 2-methoxy-4-thio-uridine, 4- methoxy-pseudouridine, 4-methoxy-2-thio-pseudouridine, Nl-methyl-pseudouridine, 3-(3-amino-3- carboxypropyl)uridine (acp3U), l-methyl-3-(3-amino-3-carboxypropyl)pseudouridine (acp3 i ), 5- (isopentenylaminomethyl)uridine (inm5U), 5-(isopentenylaminomethyl)-2-thio-uridine (inm5s2U), a-thio-uridine, 2'-O-methyl-uridine (Um), 5,2'-O-dimethyl-uridine (m5Um), 2'-O-methyl-pseudouridine (ipm), 2-thio-2'-O- methyl-uridine (s2Um), 5-methoxycarbonylmethyl-2'-O-methyl-uridine (mcm5Um), 5-carbamoylmethyl-2'-O- methyl-uridine (ncm5Um), 5-carboxymethylaminomethyl-2'-O-methyl-uridine (cmnm5Um), 3,2'-O-dimethyl- uridine (m3Um), 5-(isopentenylaminomethyl)-2'-O-methyl-uridine (inm5Um), 1-thio-uridine, deoxythymidine, 2'-F-ara-uridine, 2'-F-uridine, 2'-OH-ara-uridine, 5-(2-carbomethoxyvinyl) uridine, or 5-[3-(l-E-
propenylamino)uridine. In certain embodiments, the nucleoside comprising a modified nucleobase is pseudouridine (i ), Nl-methyl-pseudouridine (mli ) or 5-methyl-uridine (m5U), in particular Nl-methyl- pseudouridine.
In some embodiments, the replacement of one or more uridines with a nucleoside comprising a modified nucleobase comprises a replacement of at least 1%, at least 2%, at least 3%, at least 4%, at least 5%, at least 10%, at least 25%, at least 50%, at least 75%, at least 90%, at least 95%, at least 96%, at least 97%, at least 98%, at least 99% or 100% of the uridines.
During synthesis of mRNA by in vitro transcription (IVT) using T7 RNA polymerase significant amounts of aberrant products, including double-stranded RNA (dsRNA) are produced due to unconventional activity of the enzyme. dsRNA induces inflammatory cytokines and activates effector enzymes leading to protein synthesis inhibition. Formation of dsRNA can be limited during synthesis of mRNA by in vitro transcription (IVT), for example, by limiting the amount of uridine triphosphate (UTP) during synthesis. Optionally, UTP may be added once or several times during synthesis of mRNA. Also, dsRNA can be removed from RNA such as IVT RNA, for example, by ion-pair reversed phase HPLC using a non-porous or porous C-18 polystyrene-divinylbenzene (PS- DVB) matrix. Alternatively, an enzymatic based method using E. coli RNaselll that specifically hydrolyzes dsRNA but not ssRNA, thereby eliminating dsRNA contaminants from IVT RNA preparations can be used. Furthermore, dsRNA can be separated from ssRNA by using a cellulose material. In some embodiments, an RNA preparation is contacted with a cellulose material and the ssRNA is separated from the cellulose material under conditions which allow binding of dsRNA to the cellulose material and do not allow binding of ssRNA to the cellulose material. Suitable methods for providing ssRNA are disclosed, for example, in WO 2017/182524.
As the term is used herein, "remove" or "removal" refers to the characteristic of a population of first substances, such as non-immunogenic RNA, being separated from the proximity of a population of second substances, such as dsRNA, wherein the population of first substances is not necessarily devoid of the second substance, and the population of second substances is not necessarily devoid of the first substance. However, a population of first substances characterized by the removal of a population of second substances has a measurably lower content of second substances as compared to the non-separated mixture of first and second substances.
In some embodiments, the amount of double-stranded RNA (dsRNA) is limited, e.g., dsRNA (especially dsmRNA) is removed from non-immunogenic RNA , such that less than 10%, less than 5%, less than 4%, less than 3%, less than 2%, less than 1%, less than 0.5%, less than 0.3%, less than 0.1%, less than 0.05%, less than 0.03%, less than 0.01%, less than 0.005%, less than 0.004%, less than 0.003%, less than 0.002%, less than 0.001%, or less than 0.0005% of the RNA in the non-immunogenic RNA composition is dsRNA. In some embodiments, the non-immunogenic RNA (e.g., mRNA) is free or essentially free of dsRNA. In some embodiments, the non-immunogenic RNA (e.g., mRNA) composition comprises a purified preparation of singlestranded nucleoside modified RNA. In some embodiments, the non-immunogenic RNA (e.g., mRNA) composition comprises single-stranded nucleoside modified RNA (e.g., mRNA) and is substantially free of double stranded RNA (dsRNA). In some embodiments, the non-immunogenic RNA (e.g., mRNA) composition comprises at least 90%, at least 91%, at least 92%, at least 93 %, at least 94%, at least 95%, at least 96%,
at least 97%, at least 98%, at least 99%, at least 99.5%, at least 99.9%, at least 99.99%, at least 99.991%, at least 99.992%, , at least 99.993%,, at least 99.994%, , at least 99.995%, at least 99.996%, at least 99.997%, or at least 99.998% single stranded nucleoside modified RNA, relative to all other nucleic acid molecules (DNA, dsRNA, etc.).
Various methods can be used to determine the amount of dsRNA. For example, a sample may be contacted with dsRNA-specific antibody and the amount of antibody binding to RNA may be taken as a measure for the amount of dsRNA in the sample. A sample containing a known amount of dsRNA may be used as a reference. For example, RNA may be spotted onto a membrane, e.g., nylon blotting membrane. The membrane may be blocked, e.g., in TBS-T buffer (20 mM TRIS pH 7.4, 137 mM NaCI, 0.1% (v/v) TWEEN-20) containing 5% (w/v) skim milk powder. For detection of dsRNA, the membrane may be incubated with dsRNA-specific antibody, e.g., dsRNA-specific mouse mAb (English & Scientific Consulting, Szirak, Hungary). After washing, e.g., with TBS-T, the membrane may be incubated with a secondary antibody, e.g., HRP-conjugated donkey anti-mouse IgG (Jackson ImmunoResearch, Cat #715-035-150), and the signal provided by the secondary antibody may be detected.
In some embodiments, the non-immunogenic RNA (e.g., mRNA) is translated in a cell more efficiently than standard RNA with the same sequence. In some embodiments, translation is enhanced by a factor of 2-fold relative to its unmodified counterpart. In some embodiments, translation is enhanced by a 3-fold factor. In some embodiments, translation is enhanced by a 4-fold factor. In some embodiments, translation is enhanced by a 5-fold factor. In some embodiments, translation is enhanced by a 6-fold factor. In some embodiments, translation is enhanced by a 7-fold factor. In some embodiments, translation is enhanced by an 8-fold factor. In some embodiments, translation is enhanced by a 9-fold factor. In some embodiments, translation is enhanced by a 10-fold factor. In some embodiments, translation is enhanced by a 15-fold factor. In some embodiments, translation is enhanced by a 20-fold factor. In some embodiments, translation is enhanced by a 50-fold factor. In some embodiments, translation is enhanced by a 100-fold factor. In some embodiments, translation is enhanced by a 200-fold factor. In some embodiments, translation is enhanced by a 500-fold factor. In some embodiments, translation is enhanced by a 1000-fold factor. In some embodiments, translation is enhanced by a 2000-fold factor. In some embodiments, the factor is 10-1000-fold. In some embodiments, the factor is 10-100-fold. In some embodiments, the factor is 10-200-fold. In some embodiments, the factor is 10-300-fold. In some embodiments, the factor is 10-500-fold. In some embodiments, the factor is 20-1000- fold. In some embodiments, the factor is 30-1000-fold. In some embodiments, the factor is 50-1000-fold. In some embodiments, the factor is 100-1000-fold. In some embodiments, the factor is 200-1000-fold. In some embodiments, translation is enhanced by any other significant amount or range of amounts.
In some embodiments, the non-immunogenic RNA (e.g., mRNA) exhibits significantly less innate immunogenicity than standard RNA with the same sequence. In some embodiments, the non-immunogenic RNA (e.g., mRNA) exhibits an innate immune response that is 2-fold less than its unmodified counterpart. In some embodiments, innate immunogenicity is reduced by a 3-fold factor. In some embodiments, innate immunogenicity is reduced by a 4-fold factor. In some embodiments, innate immunogenicity is reduced by a 5- fold factor. In some embodiments, innate immunogenicity is reduced by a 6-fold factor. In some embodiments, innate immunogenicity is reduced by a 7-fold factor. In some embodiments, innate immunogenicity is reduced
by an 8-fold factor. In some embodiments, innate immunogenicity is reduced by a 9-fold factor. In some embodiments, innate immunogenicity is reduced by a 10-fold factor. In some embodiments, innate immunogenicity is reduced by a 15-fold factor. In some embodiments, innate immunogenicity is reduced by a 20-fold factor. In some embodiments, innate immunogenicity is reduced by a 50-fold factor. In some embodiments, innate immunogenicity is reduced by a 100-fold factor. In some embodiments, innate immunogenicity is reduced by a 200-fold factor. In some embodiments, innate immunogenicity is reduced by a 500-fold factor. In some embodiments, innate immunogenicity is reduced by a 1000-fold factor. In some embodiments, innate immunogenicity is reduced by a 2000-fold factor.
The term "exhibits significantly less innate immunogenicity" refers to a detectable decrease in innate immunogenicity. In some embodiments, the term refers to a decrease such that an effective amount of the non-immunogenic RNA (e.g., mRNA) can be administered without triggering a detectable innate immune response. In some embodiments, the term refers to a decrease such that the non-immunogenic RNA (e.g., mRNA) can be repeatedly administered without eliciting an innate immune response sufficient to detectably reduce production of the protein encoded by the non-immunogenic RNA. In some embodiments, the decrease is such that the non-immunogenic RNA (e.g., mRNA) can be repeatedly administered without eliciting an innate immune response sufficient to eliminate detectable production of the protein encoded by the non- immunogenic RNA.
"Immunogenicity" is the ability of a foreign substance, such as RNA, to provoke an immune response in the body of a human or other animal. The innate immune system is the component of the immune system that is relatively unspecific and immediate. It is one of two main components of the vertebrate immune system, along with the adaptive immune system.
RNA described herein may be delivered for therapeutic applications described herein using any appropriate methods known in the art, including, e.g., delivery as naked RNA, or delivery mediated by delivery vehicles. Some aspects of the disclosure involve the targeted delivery of the RNA disclosed herein to certain cells or tissues. In some embodiments, after administration of the RNA (e.g., mRNA) compositions/formulations described herein, at least a portion of the RNA is delivered to a target cell or target organ. In some embodiments, at least a portion of the RNA is delivered to the cytosol of the target cell. In some embodiments, the RNA (e.g., mRNA) is translated by the target cell to produce the encoded peptide or polypeptide. In some embodiments, the target cell is a muscle cell. In some embodiments, the target cell is a cell in the liver. In some embodiments, the target cell is a cell in the lung. In some embodiments, the disclosure involves targeting the lymphatic system, in particular secondary lymphoid organs, more specifically spleen. In some embodiments, the target cell is a cell in the lymph nodes. In some embodiments, the target cell is a spleen cell. In some embodiments, the target cell is an antigen presenting cell such as a professional antigen presenting cell in the spleen. In some embodiments, the target cell is a dendritic cell in the spleen. Thus, RNA (e.g., mRNA) compositions/formulations described herein may be used for delivering RNA to such target cell. The "lymphatic system" is part of the circulatory system and an important part of the immune system, comprising a network of lymphatic vessels that carry lymph. The lymphatic system consists of lymphatic organs, a conducting network of lymphatic vessels, and the circulating lymph. The primary or central lymphoid organs generate lymphocytes from immature progenitor cells. The thymus and the bone marrow
constitute the primary lymphoid organs. Secondary or peripheral lymphoid organs, which include lymph nodes and the spleen, maintain mature naive lymphocytes and initiate an adaptive immune response.
Lipid-based RNA delivery systems have an inherent preference to the liver, where, depending on the composition of the RNA delivery systems used, RNA expression in the liver can be obtained. Liver accumulation is caused by the discontinuous nature of the hepatic vasculature or the lipid metabolism (liposomes and lipid or cholesterol conjugates). In some embodiments, the target organ for RNA expression is liver and the target tissue is liver tissue. The delivery to such target tissue may be useful, in particular, if presence of RNA or of the encoded peptide or polypeptide in this organ or tissue is desired and/or if it is desired to express large amounts of the encoded peptide or polypeptide and/or if systemic presence of the encoded peptide or polypeptide, in particular in significant amounts, is desired or required.
To overcome the barriers to safe and effective RNA delivery, RNA may be administered with one or more delivery vehicles that protect the RNA from degradation, maximize delivery to on-target cells and minimize exposure to off-target cells. Such RNA delivery vehicles may complex or encapsulate RNA and include a range of materials, including polymers and lipids. In some embodiments, such RNA delivery vehicles may form particles with RNA.
RNA, e.g., mRNA, described herein may be present in particles comprising (i) the RNA, and (ii) at least one cationic or cationically ionizable compound such as a polymer or lipid complexing the RNA. Electrostatic interactions between positively charged molecules such as polymers and lipids and negatively charged RNA are involved in particle formation. This results in complexation and spontaneous formation of RNA particles.
In some embodiments, an agent to be delivered to a subject, e.g., a nucleic acid, a polypeptide, a small molecule, and the like, is encapsulated in a particle. In some embodiments, the nucleic acid of the present disclosure is formulated in (e.g., encapsulated in) a particle, as further described herein. In some embodiments, a particle is a nucleic acid particle wherein the nucleic acid particle comprises a nucleic acid (e.g., DNA and/or RNA), and a cationic lipid, a cationically ionizable lipid, or a cationic polymer.
A "nucleic acid particle," as used herein, refers to a particle that encompasses or contains a nucleic acid, and, is part of a composition (e.g., a pharmaceutical composition) comprising multiple nucleic acid particles, that is useful for (i) enhancing nucleic acid stability, e.g., during storage, (ii) improving biodistribution of the nucleic acid or delivering a nucleic acid to a target site of interest (e.g., cell, tissue, organ, and the like), and/or (iii) facilitating cell uptake of the nucleic acid. As described herein, a nucleic acid particle may be formed from i) at least one cationic or cationically ionizable lipid or lipid-like material; ii) at least one cationic polymer such as polyethyleneimine, protamine, or a mixture thereof (i.e., a mixture of i) and ii)), and iii) a nucleic acid. Nucleic acid particles described herein include lipid nanoparticles (LNP), lipoplexes (LPX), liposomes, and polyplexes (PLX).
Electrostatic interactions between positively charged molecules such as cationic polymers and cationic lipids and negatively charged nucleic acids are involved in particle formation. This results in complexation and spontaneous formation of nucleic acid particles. The characteristics of a particle (e.g., nanoparticle) are
determined, at least in part, from the components used to form the particle and the process used to prepare the particle. A description of the different types of particles and their structures is provided in ACS Nano 2021, 15, 11, 16982-17015.
In some embodiments, a nucleic acid particle described herein is a nanoparticle. As used in the present disclosure, "nanoparticle" refers to a particle having an average diameter suitable for parenteral administration and is less than 1000 nm in diameter. In some embodiments, a composition comprising nanoparticles can have an average nanoparticle size (e.g., mean diameter) of about 30 nm to about 150 nm, about 40 nm to about 120 nm, about 50 nm to about 100 nm, or about 60 nm to about 90 nm. In some embodiments, a composition comprising nanoparticles can have an average nanoparticle size (e.g., mean diameter) of about 40 nm to about 120 nm. The term "average diameter" or "mean diameter" refers to the mean hydrodynamic diameter of particles as measured by dynamic laser light scattering (DLS) with data analysis using an appropriate algorithm (e.g., the so-called cumulant algorithm for monodisperse samples), which provides as results the so-called Z-average with the dimension of a length, and the polydispersity index (PDI), which is dimensionless (Koppel, D., J. e.g., mRNAChem. Phys. 57, 1972, pp 4814-4820, ISO 13321). Here "average diameter," "mean diameter," "diameter," or "size" for particles is used synonymously with this value of the Z- average.
A composition comprising nucleic acid particles can be characterized by its polydispersity index, that is, the relative uniformity of particles within a given composition. For example, compositions described herein may exhibit a polydispersity index (PDI) less than about 0.5, less than about 0.4, less than about 0.3, or about 0.2 or less of said nanoparticles. In some embodiments, a composition comprising nucleic acid particles, as described herein, may exhibit a PDI less than about 0.3. By way of example, a composition comprising nucleic acid particles described herein can exhibit a PDI in a range of about 0.1 to about 0.3, or about 0.2 to about 0.3. The polydispersity index of a given composition can be calculated based on dynamic light scattering measurements by the so-called cumulant analysis as mentioned in the definition of the "average diameter." Under certain prerequisites, it can be taken as a measure of the size distribution of an ensemble of ribonucleic acid nanoparticles.
Nucleic acid particles described herein can be characterized by an "N/P ratio," which is the molar ratio of cationic (nitrogen) groups (the "N" in N/P) in the cationic lipid or polymer to the anionic (phosphate) groups (the "P" in N/P) in RNA. It is understood that a cationic group is one that is either in permanently cationic form (e.g., N+), or one that is ionizable to become cationic (e.g., under certain pH conditions). Use of a single number in an N/P ratio (e.g., an N/P ratio of about 5) is intended to refer to that number over 1, e.g., an N/P ratio of about 4 is intended to mean about 4: 1. In some embodiments, a nucleic acid particle (e.g., an RNA LNP) described herein has an N/P ratio greater than or equal to 1, greater than or equal to 2, or greater than or equal to 4. In some embodiments, a nucleic acid particle (e.g., an RNA LNP) described herein has an N/P ratio that is less than 24, less than 18, or less than 12. In some embodiments, a nucleic acid particle (e.g., an RNA LNP) described herein has an N/P ratio that is from about 2 to about 24, about 4 to about 18, about 4 to about 12, or about 4 to about 8. In some embodiments, a nucleic acid particle (e.g., a ribonucleic acid particle) described herein has an N/P ratio that is about 2, 3, 4, 5, 6, 7, 8, 9, 10, 11, or 12. In some embodiments, an N/P ratio for a nucleic acid particle (e.g., an RNA LNP) described herein is about 6.
Nucleic acid particles described herein can be prepared using a wide range of methods that may involve obtaining a colloid from at least one cationic or cationically ionizable lipid or lipid-like material and/or at least one cationic polymer and mixing the colloid with nucleic acid to obtain nucleic acid particles. As used herein, an "ionizable" lipid, e.g., a "cationically ionizable" lipid or "ionizable" polymer, e.g., a "cationically ionizable" polymer is a lipid or polymer that may be, in some embodiments, neutral at physiological pH, but is capable of becoming cationic (i.e., becoming positively charged) at acidic pH.
The present disclosure describes particles comprising nucleic acid, at least one cationic or cationically ionizable lipid or lipid-like material, and/or at least one cationic polymer which associate with the nucleic acid to form nucleic acid particles (e.g., RNA nanoparticles) and compositions comprising such particles. The nucleic acid particles (e.g., RNA nanoparticles) may comprise nucleic acid which is complexed by different non-covalent interactions (e.g. electrostatic, hydrogen bonding, pi-stacking, van der Waals, etc.)to the particle. In some embodiments, the particles described herein are not viral particles, in particular, they are not infectious viral particles, i.e., they are not able to virally infect cells.
In a nucleic acid particle (e.g., RNA nanoparticle) composition, it is possible that each nucleic acid species is separately formulated as an individual nucleic acid particle formulation. In that case, each individual nucleic acid particle formulation will comprise one nucleic acid species. In some embodiments, a composition comprises more than one individual nucleic acid particle (e.g., RNA nanoparticle) formulation. Respective pharmaceutical compositions are referred to as "mixed particulate formulations." Such mixed particulate formulations may be obtainable by forming, separately, individual nucleic acid particle formulations, and mixing these to produce a formulation comprising a mixed population of nucleic acid-containing particles.
Alternatively, different nucleic acid species may be formulated together as a "combined particulate formulation." Such formulations may be obtainable by mixing a combined formulation of different nucleic acid species with a particle-forming agent, to produce particles that comprise more than one nucleic acid species.
Lipid Nanoparticles (LNPs)
In some embodiments, a particle described herein is a lipid nanoparticle (LNP). LNPs have emerged as particularly useful vehicles for delivery of nucleic acids, for example as described in Theranostics, 2022 Oct 24;12(17):7509-7531. It is understood that a LNP is structurally distinct from other nanoparticles previously used for nucleic acid delivery, such as a liposome, or a lipoplex. LNPs, as described herein, typically do not comprise a bilayer (uni-lamellar), or a concentric series of multiple bilayers (multi-lamellar) separated by aqueous compartments, enclosing a central aqueous compartment. Moreover, LNPs, as described herein, typically do not comprise a central aqueous core or compartment. LNPs as described herein typically comprise nucleic acids (e.g., DNA or RNA such as mRNA) and lipids forming a disordered, non-lamellar phase. LNPs as described herein may be considered as oil-in-water emulsions in which the LNP core materials may be in liquid state and hence have a melting point below body temperature. See, e.g., ACS Nano 2021, 15, 11, 16982- 17015; Aldosari, et al., Pharmaceutics, 2021, 13, 206.
LNPs described herein generally comprise four categories of lipids in addition to a nucleic acid agent: a cationically ionizable lipid (typically a cationically ionizable lipid), a polymer-conjugated lipid, a helper lipid, and
a steroid. A person of skill in the art will understand that various combinations of these four categories of lipids can be used to prepare lipid nanoparticles for use in delivering nucleic acid agents.
Cationic or cationicaiiy ionizable lipids
As described generally herein, a nucleic acid particle comprises a nucleic acid and a cationic or a cationicaiiy ionizable lipid. In some embodiments, a cationic or cationicaiiy ionizable lipid useful for incorporation into a nucleic acid particle are those lipids having a polar head group and an aliphatic tail. In some embodiments, a cationic lipid is one where the polar head group has a permanently positive charge (for example, comprising a quaternary ammonium group). In some embodiments, a cationicaiiy ionizable lipid is a lipid wherein, at a given pH and in the context of an LNP, the lipid becomes positively charged, such as at below physiological pH (e.g., below pH about 7.4) or neutral pH (e.g., a pH around 7 to 7.5), or in some embodiments, at a pH of less than 7 (e.g., less than 6). In some embodiments, a cationicaiiy ionizable lipid is one comprising polar head group that comprises one or more a tertiary amine groups (or secondary or primary amine group) that can become positively charged. LNPs typically comprise cationicaiiy ionizable lipids.
Suitable cationic or cationicaiiy ionizable lipids are readily identified by those of skill in the art. In some embodiments, a cationic lipid or cationicaiiy ionizable lipid is one provided in W02012/016184, which is incorporated herein by reference in its entirety. For example, in some embodiments, a cationic lipid is N-(2,3- dioleyloxy)propyl)-N,N,N-trimethylammonium chloride (DOTMA); N,N-distearyl-N,N-dimethylammonium bromide (DDAB), N-(2,3dioleoyloxy)propyl)-N,N,N-trimethylammonium chloride (DOTAP), N,N-dioleyl-N,N- dimethylammonium chloride (DODAC); 3-(N-(N',N'dimethylaminoethane)-carbamoyl)cholesterol (DC-Chol), , and N-(l,2-dimyristyloxyprop-3-yl)-N,N-dimethyl-N-hydroxyethyl ammonium bromide (DMRIE). In some embodiments, a cationicaiiy ionizable lipid is selected from l,2-dioleoyl-3-dimethylammonium propane (DODAP); N,N-dimethyl-2,3-dioleoyloxy)propylamine (DODMA); or 4-(dimethylamino)-butanoic acid, (10Z,13Z)-l-(9Z,12Z)-9,12-octadecadien-l-yl-10,13-nonadecadien-l-yl ester (DLin-MC3-DMA).
In some embodiments, a cationicaiiy ionizable lipid is a lipid described in WO2017/075531 or W02018/081480, each of which is incorporated by reference herein in its entirety. In some embodiments, a cationicaiiy ionizable lipid is a lipid represented by formula CL-I:
CL-I or a pharmaceutically acceptable salt thereof, wherein, as applied to formula CL-I: one of L1 or L2 is —
O(C=O)— , — (C=O)O— , — C(=O)— , —0—, — S(O)x— , — S— S— , — C(=O)S— , SC(=O)— , — NRaC(=O)— , — C(=O)NRa— , NRaC(=O)NRa— , — OC(=O)NRa— or — NRaC(=O)O— , and the other of L1 or L2 is — 0(C=0)— , — (C=0)0— , — C(=0)— , —0—, — S(O)x— , — S— S— , — C(=O)S— , SC(=O)— , — NRaC(=O)— , — C(=O)NRa— , NRaC(=O)NRa— , — OC(=O)NRa— or — NRaC(=O)O— or a direct bond; G1 and G2 are each independently unsubstituted C1-C12 alkylene or C1-C12 alkenylene; G3 is C1-C24 alkylene, C1-C24 alkenylene, C3-C8 cycloalkylene, C3-Cs cycloalkenylene; Ra is H or C1-C12 alkyl; R1 and R2 are each independently C6-C24 alkyl or C6-C24 alkenyl;
R3 is H, OR5, CN, — C(=O)OR4, — OC(=O)R4 or — NR5C(=O)R4; R4 is C1-C12 alkyl; R5 is H or Ci-C6 alkyl; and x is 0, 1 or 2.
In some embodiments, a cationically ionizable lipid is ((4-hydroxybutyl)azanediyl)bis(hexane-6,l-diyl)bis(2- hexyldecanoate) (ALC-0315) or ((3-hydroxypropyl)azanediyl)bis(nonane-9,l-diyl) bis(2-butyloctanoate) (ALC- 366):
ALC-0315 ALC-0366
In some embodiments, a lipid nanoparticle comprises about 40 mol% to about 50 mol% of a cationically ionizable lipid. In some embodiments, a lipid nanoparticle comprises about 47.0, 47.1, 47.2, 47.3, 47.4, 47.5, 47.6, 47.7, 47.8, 47.9, or 48.0 mol% of a cationic lipid. In some embodiments, a lipid nanoparticle comprises 47.5 mol% of a cationic lipid.
In some embodiments, a cationic lipid is one described in WO2017/049245, which is incorporated by reference in its entirety. In some embodiments, a cationic lipid is represented by formula CL-II
or a pharmaceutically acceptable salt thereof, wherein, as applied to formula CL-II: Ri is selected from the group consisting of C5-30 alkyl, C5-20 alkenyl, — R*YR", —YR", and — R"M'R'; R2 and R9 are independently selected from the group consisting of H, C1-14 alkyl, C2-14 alkenyl, — R*YR", —YR", and — R*OR", or R2 and R3, together with the atom to which they are attached, form a heterocycle or carbocycle; R4 is selected from the group consisting of a C3-6 carbocycle, — (CH2)nQ, — (CH2)nCHQR, — CHQR, — CQI2, and unsubstituted C1-6 alkyl, where Q is selected from a carbocycle, heterocycle, —OR, — O(CH2)nNl2, — C(O)OR, — OC(O)R, — CX3, — CX2H, — CXH2, — CN, — NI2, — C(O)NI2, — NIC(O)R, — NIS(O)2R, — NIC(O)NI2, — NIC(S)NI2, — NIRs, — O(CH2)nOR, — NIC(=NR9)NI2, — NIC(=CHR9)NI2, — OC(O)NI2, — NIC(O)OR, — N(OR)C(O)R, — N(OR)S(O)2R, — N(OR)C(O)OR, — N(OR)C(O)NI2, — N(OR)C(S)NI2, — N(OR)C(=NR9)NI2, — N(OR)C(=CHR9)NI2, — C(=NR9)NI2, — C(=NR9)R, — C(O)NIOR, and — CINl2C(O)OR, and each n is independently selected from 1, 2, 3, 4, and 5; each Rs is independently selected from the group consisting of C1-3 alkyl, C2-3 alkenyl, and H; each Re is independently selected from the group consisting of C1-3 alkyl, C2-3 alkenyl, and H; M and M' are independently selected from — C(O)O— , — OC(O)— , — C(O)N(R')— , — N(R')C(O)— , — C(O)— , — C(S)— , — C(S)S— , — SC(S)— , — CH(OH)— , — P(O)(OR')O— , — S(O)2— , — S— S— , an aryl group, and a heteroaryl group; R7 is selected from the group consisting of C1-3 alkyl, C2-3 alkenyl, and H; Rs is selected from the group consisting of C3-6 carbocycle and heterocycle; R9 is selected from the group consisting of H, CN, NO2, C1-6 alkyl, —OR, — S(O)2R, — S(O)2Nl2, C2-
6 alkenyl, C3-6 carbocycle and heterocycle; each R is independently selected from the group consisting of Ci-
3 alkyl, C2-3 alkenyl, and H; each R' is independently selected from the group consisting of CMB alkyl, C2-
18 alkenyl, — R*YR", —YR", and H; each R" is independently selected from the group consisting of C3-14 alkyl and C3-14 alkenyl; each R* is independently selected from the group consisting of C1-12 alkyl and C2-12 alkenyl; each Y is independently a C3-6 carbocycle; each X is independently selected from the group consisting of F, Cl, Br, and I; and m is selected from 5, 6, 7, 8, 9, 10, 11, 12, and 13.
In some embodiments, a cationically ionizable lipid is 42apidated42e-9-yl 8-{(2-hydroxyethyl)[6-oxo-6- (undecyloxy)hexyl]amino}-octanoate) (SM-102):
SM-102
In some embodiments, a lipid nanoparticle comprises about 30 mol% to about 60 mol% of a cationically ionizable lipid. In some embodiments, a lipid nanoparticle comprises about 35 mol% to about 55 mol% of a cationically ionizable lipid. In some embodiments, a lipid nanoparticle comprises about 50 mol% of a cationic lipid.
In some embodiments, a cationically ionizable lipid is a lipid described in W02015/095340, which is incorporated by reference herein in its entirety. In some embodiments, a cationic lipid is represented by formula CL-IV
CL-IV or a pharmaceutically acceptable salt thereof, wherein, as related to formula CL-IV: n and p are each, independently, 0, 1 or 2; Li is — OC(O)— , — C(O)O— or a bond; R1 is heterocyclyl, heterocyclyl-Ci-s-alkyl or heterocyclyl-Ci-s-alkoxyl, each of which may be optionally substituted with 1, 2, 3, 4 or 5 groups, independently selected from halogen, formidamidine, Ci-S-alkyl, C3-7-cycloalkyl, C3-7-cycloalkyl-Ci-s-alkyl, heterocyclyl, — [(Ci-C4)alkylene]v-N(R')R", — 0— [(Ci-C4)alkylene]v-N(R')R" or — N(H)— [(Ci-C4)alkylene]v- N(R')R", where said (CrC4)alkylene is optionally substituted with one or more R groups; v is 0, 1, 2, 3 or 4; R is hydrogen or — Ci-s-alkyl or when v is 0 R is absent; R' and R", are each, independently, hydrogen, — Ci-s- alkyl; or R' and R" combine with the nitrogen to which they are bound, and optionally including another
heteroatom selected from N, 0 and S, to form a 5-8 membered heterocycle or heteroaryl, optionally substituted with an — Ci-g-alkyl, hydroxy or cycloalkyl-Ci-g— ;
R2 and R3 are each, independently, C7-22 alkyl, C12-22 alkenyl, C3-8 cycloalkyl optionally substituted with 1, 2, or 3 C1-8 alkyl groups,
In some embodiments, a cationic lipid is one described in WO2018/087753, which is incorporated herein by reference in its entirety. In some embodiments, a cationic lipid is represented by formula CL-VI:
or a pharmaceutically acceptable salt thereof, wherein, as applied for formula CL-VI: Y is 0 or NH; T is C or S; W is a bond, 0, NH or S; R1 is selected from the group consisting of: (a) NR4R5 wherein R4 and R5 are each independently a C1-C alkyl; or R4 and R5 together with the nitrogen to which they are attached form a 5 or 6 membered heterocyclic or heteroaromatic ring, optionally containing one or more additional heteroatoms selected from the group consisting of 0, N and S; or NR4R5 represent a guanidine group (— NHC(=NH)NH2);
(b) the side chain of a natural or unnatural amino acid; and (c) a 5 or 6 membered heterocyclic or heteroaromatic ring containing one or more heteroatoms selected from the group consisting of 0, N and S; R2 and R3 are selected from the group consisting of: (a) C10-C22 alkyl; (b) C10-C22 alkenyl; (c) C10-C22 alkynyl; (d) C4-C10 alkylene-Z— C4-C22 alkyl; and I C4-C10 alkylene-Z— C4-C22 alkenyl; Z is — 0— C(=0)— , — C(=0)— 0— or — 0—; n is 0, 1, 2, 3, 4, 5 or 6; m is 0 or 1; p is 0 or 1; and z is 0 or 2.
In some embodiments, a cationically ionizable lipid is one described in W02022/081750, which is incorporated herein by reference in its entirety.
In some embodiments, a cationically ionizable lipid is represented by formula CL-VII-1:
or a pharmaceutically acceptable salt thereof, wherein, as applied to formula CL-VII-1: wherein each R1 and each R2 is independently selected from the group consisting of H, an optionally substituted C1-C22 alkyl, optionally substituted C2-C22 alkenyl, optionally substituted C2-C22 alkynyl, optionally substituted C3-C6 cycloalkyl, optionally substituted C4- C8 heterocycloalkyl, optionally substituted C - C5 alkylcycloalkyl, optionally substituted C4- Ce, aryl, optionally substituted C3-C6 heteroaryl, optionally substituted C4-Cs aryloxy, optionally substituted C7-C10 arylalkyl; optionally substituted C5-C10 heteroaryl alkyl group, optionally substituted amine; or R1 and R2 can together form a 3-7 membered heterocycloalkyl or heteroaryl ring; wherein each R3, R4, R13 and R14 is independently selected from the group consisting of an optionally substituted C1-C22 alkyl, optionally substituted C2-C22 alkenyl, optionally substituted C2-C22 alkynyl; wherein each R3, R5, R7, R8, R9, R10, R15, and R15 is independently selected from the group consisting of H, OH, halo, phenyl, benzyl, optionally substituted C1-C22 alkyl, optionally substituted C2-C22 alkenyl, optionally substituted C2-C22 alkynyl; wherein each of w, x, y, and z is independently an integer from 0-10; wherein each Q is independently an atom selected from 0, NH, NR1, and S; wherein each of m is an integer from 0 to 8, e.g. 0, 1, or 2; and wherein each of L1 and L2 is independently selected from the group consisting of -C(=O)-;
OC(=O)-; -OC(=O)O-; -C(=O)O-; -C(=O)O(CR5R5R7); -NH-C(=O)-; -C(=O)NH-; -SO-; - SO2-; -SO3-; -NSO2-; - SO2N-; -NH((C1-C8)alkyl); -N((Cl-C8)alkyl)2; -NH((C6)aryl); - N((C6)aryl)2; -NHC(=O)NH-; -NHC(=O)O-; - OC(=O)NH-; -NHC(=O)NR1-; -NHC(=O)O-; - OC(=O)NR1-; -C(=O)R1-; -CO((Ci-C8)alkyl); -CO((C6)aryl); - CO2((Ci-C8)alkyl); - CO2((C6)aryl); -SO2((Cl-C8)alkyl); and -SO2((C6)aryl).
In some embodiments, a cationically ionizable lipid is represented by formula CL-VII-2:
or a pharmaceutically acceptable salt thereof, wherein, as applied to CL-VII-2: each R1', R1, R2, R11, and R12 is independently selected from the group consisting of H, an optionally substituted C1-C22 alkyl, optionally substituted C2-C22 alkenyl, optionally substituted C2-C22 alkynyl, optionally substituted C3-C6 cycloalkyl, optionally substituted C4- C8 heterocycloalkyl, optionally substituted C - Ce alkylcycloalkyl, optionally substituted C4- C6 aryl, optionally substituted C3-C6 heteroaryl, optionally substituted C4-C8 aryloxy, optionally substituted C7-C10 arylalkyl; optionally substituted C5-C10 heteroarylalkyl group, optionally substituted amine; or R1 and R2 can together form cycloalkyl or heterocycloalkyl ring, wherein if Q is S or 0 the R1 attached to the S or 0 is an electron pair; wherein each R3 and R4 is independently selected from the group consisting of an optionally substituted C1-C22 alkyl, optionally substituted C2-C22 alkenyl, optionally substituted C2-C22 alkynyl; wherein each R5, R5, R7, R8, R9, and R10 is independently selected from the group consisting of H, OH, halo, phenyl, benzyl, optionally substituted Ci- C22 alkyl, optionally substituted C2- C22 alkenyl, optionally substituted C2-C22 alkynyl, wherein each of x, y, and z is independently an integer from 0-10; wherein G and Q are each independently an atom selected from CH, 0, N, and S; wherein each of m and n is an integer from 0-8; and wherein each of L1 and L2 is independently selected from the group consisting of -C(=O)-; OC(=O)-; -OC(=O)O-; -C(=O)O-; -C(=O)O(CR1R2R3); -NH- C(=O)-; -C(=O)NH-; -SO-; - SO2-; -SO3-; -NSO2-; - SO2N-; -NH((Ci-C8)alkyl); -N((Ci-C8)alkyl)2; -NH((C6)aryl); - N((C5)aryl)2; -NHC(=O)NH-; -NHC(=O)O-; -OC(=O)NH-; -NHC(=O)NR1-; -NHC(=O)O-; - OC(=O)NR1-; - C(=O)R1-; -CO((Cl-C8)alkyl); -CO((C6)aryl); -CO2((Cl-C8)alkyl); - CO2((C5)aryl); -SO2((Ci-Cs)alkyl); and - SO2((C5)aryl).
In some embodiments, a cationically ionizable lipid is selected from: di(46apidated46e-9-yl) 3,3'-((2-(4- methylpiperazin-l-yl)ethyl)azanediyl)dipropionate (BHD-C2C2-PipZ); bis(2-octyldodecyl) 3,3'-((2-(l- methylpyrrolidin-2-yl)ethyl)azanediyl)dipropionate (BODD-C2C2-lMe-Pyr); bis(2-octyldodecyl) 3,3'-((2- (46apidated46e-l-yl)ethyl)azanediyl)dipropionate (BODD-C2C2-Pyr); bis(2-octyldodecyl) 3,3'-((2-(l- methylpyrrolidin-2-yl)ethyl)azanediyl)dipropionate (BODD-C2C2-lMePyr); bis(2-octyldodecyl) 3,3'-(((l- methylpiperidin-3-yl) methyl) azanediyl) dipropionate (BODD-C2C2-lMe-3PipD); bis(2-octyldodecyl) 3,3'-((2- (dimethylamino) ethyl) azanediyl) dipropionate (BODD-C2C2-DMA); bis(2-octyldodecyl) 3,3'-((4-(4- methylpiperazin-l-yl)butyl)azanediyl)dipropionate (BODD-C2C4-PipZ); bis(2-octyldodecyl) 3,3'-((4- (46apidated46e-l-yl)butyl) azanediyl)dipropionate (BODD-C2C4-Pyr); and bis(2-hexyldecyl) 3,3'-((4-(4-methyl piperazin-l-yl)butyl)azanediyl)dipropionate (BHD-C2C4-PipZ).
In some embodiments, a lipid nanoparticle (LNP) comprises a cationic or cationically ionizable lipid selected from the group consisting of: BHD-C2C2-PipZ, BODD-C2C2-lMe-Pyr, ALC-0315, ALC-366, SM-102, HY-501, EA- 405, HY-405, DODMA, and Dlin-MC3-DMA. In some embodiments, a LNP comprises a cationic or cationically ionizable lipid selected from the group consisting of: BHD-C2C2-PipZ, BODD-C2C2-lMe-Pyr, ALC-0315, SM- 102, HY-501, and DODMA. In some embodiments, a LNP comprises about 40 mol% to about 50 mol% (e.g.,
about 47.5 mol%) (relative to the total amount of lipids in a LNP) of a cationic or cationically ionizable lipid selected from the group consisting of: BHD-C2C2-PipZ; BODD-C2C2-lMe-Pyr; ALC-0315; ALC-0366; SM-102; HY-501; EA-405; HY-405; DODMA; and Dlin-MC3-DMA. In some embodiments, a LNP comprises about 40 mol% to about 50 mol% (e.g., about 47.5 mol%) (relative to the total amount of lipids in a LNP) of a cationic or cationically ionizable lipid selected from the group consisting of: BHD-C2C2-PipZ; BODD-C2C2-lMe-Pyr; ALC-315, SM-102; HY-501; and DODMA.
(ii) Helper lipids
As described herein, lipid nanoparticles of the present disclosure comprise a helper lipid (also referred to as a neutral lipid). In some embodiments, a helper lipid is or comprises phosphatidylcholines, phosphatidylethanolamines, phosphatidylglycerols, phosphatidic acids, phosphatidylserines or sphingomyelin. In some embodiments, a helper lipid is a phospholipid. In some embodiments, a helper lipid is or comprises
1.2-distearoyl-s77-glycero-3-phosphocholine (DSPC), l,2-dipalmitoyl-sn-glycero-3-phosphocholine (DPPC), 1,2- dimyristoyl-sn-glycero-3- phosphocholine (DMPC), l-palmitoyl-2-oleoyl-sn-glycero-3-phosphocholine (POPC),
1.2-dioleoyl-sn-glycero-3-phosphocholine (DOPC), phophatidyl ethanol amines such as 1,2-dioleoyl-sn-glycero- 3-phosphoethanolamine (DOPE), distearoyl-phosphatidylethanolamine (DSPE), sphingomyelins, N-palmitoyl-D- erythro-sphingosylphosphorylcholine (SM), l,2-diacylglyceryl-3-O-4'-(N,N,N-trimethyl)-homoserine (DGTS), ceramides, and their derivatives. In some embodiments, a helper lipid is DSPC, DOPC, DMPC, DPPC, POPC, DOPE, DSPE, or SM. In some embodiments, the helper lipid is DSPC, DPPC, DMPC, DOPC, POPC, DOPE or SM. In some embodiments, the helper lipid is DSPC.
Helper lipids may be synthetic or naturally derived. Other helper lipids suitable for use in a lipid nanoparticle are described in WO2021/026358, WO 2017/075531, and WO 2018/081480, the entire contents of each of which are incorporated herein by reference.
In some embodiments, a lipid nanoparticle comprises about 5 to about 15 mol% of a helper lipid. In some embodiments, a lipid nanoparticle comprises about 5 to about 15 mol% of a phospholipid. In some embodiments, a lipid nanoparticle comprises about 8 to about 12 mol% of a phospholipid. In some embodiments, a lipid nanoparticle comprises about 10 mol% of a phospholipid. In some embodiments, a lipid nanoparticle comprises about 5 to about 15 mol% of DSPC. In some embodiments, a lipid nanoparticle comprises about 8 to about 12 mol% of DSPC. In some embodiments, a lipid nanoparticle comprises about 10 mol% of DSPC.
Polymer conjugated lipids
As described herein, LNPs of the present disclosure comprise a polymer-conjugated lipid. In some embodiments, a polymer conjugated lipid is a lipid conjugated to polyethylene glycol (a "PEG-lipid"). In some embodiments, a PEG-lipid is pegylated diacylglycerol (PEG-DAG) such as l-(monomethoxy-polyethyleneglycol)-
2.3-dimyristoyl glycerol (PEG-DMG) (e.g., l,2-dimyristoyl-rac-glycero-3-methoxypolyethylene glycol-2000 (PEG2000-DMG)), a pegylated phosphatidylethanoloamine (PEG-PE), a PEG succinate diacylglycerol (PEG-S- DAG) such as 4-O-(2',3'-di(tetradecanoyloxy)propyl-l-O-(co-methoxy (polyethoxy)ethyl)butanedioate (PEG-S- DMG), l,2-distearoyl-sn-glycero-3-phosphoethanol amine-N-[amino(polyethylene glycol)-2000] (DSPE- PEG2000 amine), a pegylated ceramide (PEG-cer), or a PEG dialkoxypropylcarbamate such as co-m ethoxy
(polyethoxy)ethyl-N-(2,3-di(tetradecanoxy)propyl)carbamate, or 2,3-di(tetradecanoxy)propy l-N-(co methoxy(poly ethoxy)ethyl)carbamate. In some embodiments, a PEG group that is part of a PEG-lipid has, on average in a composition comprising one or more PEG-lipid molecules, a number average molecular weight (Mn) of about 2000 g/mol.
In some embodiments, a PEG-lipid is provided in WO2021/026358, WO 2017/075531, or WO 2018/081480, each of which is incorporated by reference in its entirety.
In some embodiments, a PEG-lipid is a compound of Formula PCL-I:
or a pharmaceutically acceptable salt thereof, wherein, as applied to formula PGL-I, R8 and R9 are each independently C10-C30 aliphatic, optionally interrupted by one or more ester bonds, and w is an integer from 30 to 60. In some embodiments, a compound of Formula PCL-I is 2-[(polyethylene glycol)-2000]-N,N- ditetradecylacetamide (ALC-0159). In some embodiments, a compound of Formula PCL-I is:
or a pharmaceutically acceptable salt thereof, where n' is an integer from about 45 to about 50.
In some embodiments, the PEG-lipid is represented by:
wherein n has a mean value ranging from 30 to 60. In some embodiments, n is 50. In one embodiment, the PEG-conjugated lipid (pegylated lipid) is PEG2ooo-C-DMA which may refer to 3-N-[(co-methoxy polyethylene glycol)2000)carbamoyl]-l,2-dimyristyloxy-propylamine (MPEG-(2 kDa)-C-DMA) or methoxy-polyethylene glycol-2,3-bis(tetradecyloxy) propylcarbamate (2000).
In some embodiments, a PEG-lipid is PEG-DAG, PEG-PE, PEG-S-DAG, PEG2000-DMG, ALC-159, PEG2000-C-DMA PEG-S-DMG, PEG-cer, or any combination thereof. In some embodiments, a PEG-lipid is ALC-0159 or PEG2000-DMG. In some embodiments, a PEG-lipid is ALC-0159. In some embodiments, a PEG-lipid is PEG2000-DMG.
In some embodiments, a polymer-conjugated lipid is a polysarcosine-conjugated lipid, also referred to herein as sarcosinylated lipid or pSar-lipid. The term "sarcosinylated lipid" refers to a molecule comprising both a lipid portion and a polysarcosine (poly(N-methylglycine) portion.
In some embodiments, a polymer-conjugated lipid is one described in WO2024/028325, which is incorporated herein by reference in its entirety. In some embodiments, a polymer-conjugated lipid is represented by formula PCL-II:
or a pharmaceutically acceptable salt thereof, wherein, as applied to formula PCL-II: X2 and X1 taken together are optionally substituted amide, optionally substituted thioamide, ester, or thioester; Y is -CH2-, -(0-12)2-, or - (CH2)3-; z is 2 to 24; and n is 1 to 100. In some embodiments of formula PCL-II: (i) when X1 is -C(O)- then X2 is -NR1-; (ii) when X1 is -NR1- then X2 is -C(O)-; (iii) when X1 is -C(S)- then X2 is -NR1-; (iv) when X1 is -NR1- then X2 is -C(S)-; (v) when X1 is -C(O)- then X2 is -O-; (vi) when X1 is -0- then X2 is -C(O)-; (vii) when X1 is - C(S)- then X2 is -O-; (viii) when X1 is -0- then X2 is -C(S)-; (ix) when X1 is -C(O)- then X2 is -S-; or (x) when X1 is -S- then X2 is -C(O)-; wherein R1 is hydrogen or Ci-s alkyl. In some embodiments of formula PCL-II: (i) when X1 is -C(O)- then X2 is -NR1-; (ii) when X1 is -NR1- then X2 is -C(O)-; (iii) when X1 is -C(S)- then X2 is - NR1-; (iv) when X1 is -NR1- then X2 is -C(S)-; (v) when X1 is -C(O)- then X2 is -O-; or (vi) when X1 is -0- then X2 is -C(O)-; wherein R1 is hydrogen or Ci-s alkyl.
In some embodiments, a polymer-conjugated lipid comprises monomers of 2-(2-(2-aminoethoxy)ethoxy)acetic acid. In some embodiments, the polymer of the polymer-conjugated lipid is or comprises poly-2-(2-(2- aminoethoxy)ethoxy)acetic acid (pAEEA) or poly-2-(2-(2-methylaminoethoxy)ethoxy)acetic acid (pMAEEA), or a derivative thereof, as defined herein. In some embodiments, a polymer conjugated lipid comprises monomers of unit PCL-II-1:
In some embodiments, a polymer conjugated lipid comprises, 5 to 50, 5 to 25 or 10 to 25 monomers of PCL- II-1. In some embodiments, a polymer conjugated lipid comprises 14 to 17 monomers of PCL-II-1. In some embodiments, a polymer conjugated lipid comprises 8 to 14 monomers of PCL-II-1. In some embodiments, a polymer conjugated lipid is selected from the table below:
In some embodiments, an LNP comprises an polysarcosine-conjugated or a pAEEA/pMAEEA-conjugated lipid, as described herein. In some embodiments, nucleic acid particles (e.g., DNA or RNA particles) described herein comprise a polysarcosine-conjugated or a pAEEA/pMAEEA-conjugated lipid and are substantially free of a pegylated lipid (or do not contain a pegylated lipid).
In some embodiments, a lipid nanoparticle comprises about 0.5 to about 5.0 mol% of a polymer-conjugated lipid. In some embodiments, a lipid nanoparticle comprises about 1.0 to about 2.5 mol% of a polymer- conjugated lipid. In some embodiments, a lipid nanoparticle comprises about 1.5 to about 2.0 mol% of a polymer-conjugated lipid. In some embodiments, a lipid nanoparticle comprises about 1.5 to about 1.8 mol% of a polymer-conjugated lipid. In some embodiments, a lipid nanoparticle comprises about 1.5 mol% to about 1.8 mol% (relative to the total amount of lipids in a lipid nanoparticle) of a polymer-conjugated lipid, wherein the polymer-conjugated lipid is DSPE-AEEA14-AC; VE-AEEA14-AC; ALC-0159 or PEG2000-DMG. In some embodiments, a lipid nanoparticle comprises about 1.5 mol% to about 1.8 mol% (relative to the total amount
of lipids in a lipid nanoparticle) of a polymer-conjugated lipid, wherein the polymer-conjugated lipid is DSPE- AEEA14-AC, VE-AEEA14-AC, or PEG2000-DMG. In some embodiments, a molar ratio of a cationic or cationically ionizable lipid to a polymer-conjugated lipid is from about 2: 1 to about 8: 1.
Steroids
As described generally herein, lipid nanoparticles further comprise a steroid. In some embodiments, a steroid is a sterol. In some embodiments, a sterol is p-sitosterol, stigmasterol, cholesterol, cholecalciferol, ergocalciferol, calcipotriol, botulin, lupeol, ursolic acid, oleanolic acid, cycloartenol, lanosterol, or a-tocopherol. In some embodiments, a sterol is cholesterol. In some embodiments, a lipid nanoparticle comprises about 39 to about 49 mol% of a steroid. In some embodiments, a lipid nanoparticle comprises about 40 to about 46 mol% of a steroid. In some embodiments, a lipid nanoparticle comprises about 40 to about 44 mol% of a steroid.
In some embodiments, a lipid nanoparticle comprises: about 40 to about 50 mol% of a cationically ionizable lipid; about 30 to about 45 mol% of a steroid (e.g., cholesterol); about 5 to about 15 mol% of a helper lipid (e.g., DSPC); and about 1 to about 2.5 mol% of a polymer conjugated lipid. In some embodiments, a lipid nanoparticle comprises: about 30 to about 60 mol% of a cationically ionizable lipid; about 18.5 to about 48.5 mol% of a steroid (e.g., cholesterol); about 0 to about 30 mol% of a helper lipid (e.g., DSPC); and about 0 to about 10 mol% of a polymer conjugated lipid. In some embodiments, a lipid nanoparticle comprises: about 35 to about 55 mol% of a cationically ionizable lipid; about 30 to about 40 mol% of a steroid (e.g., cholesterol); about 5 to about 25 mol% of a helper lipid (e.g., DSPC); and about 0 to about 10 mol% of a polymer conjugated lipid.
In some embodiments, a lipid nanoparticle comprises: 47.5 mol% di(51apidated51e-9-yl) 3,3'-((2-(4- methylpiperazin-l-yl)ethyl)azanediyl)dipropionate (BHD-C2C2-PipZ); 10 mol% DSPC; 40.7 mol% cholesterol; and 1.8 mol% VE-AEEA14-AC. In some embodiments, a lipid nanoparticle comprises: 47.5 mol% di(51apidated51e-9-yl) 3,3'-((2-(4-methylpiperazin-l-yl)ethyl)azanediyl)dipropionate (BHD-C2C2-PipZ); 10 mol% DSPC; 40.7 mol% cholesterol; and 1.8 mol% PEG2000-DMG. In some embodiments, a lipid nanoparticle comprises: about 47.5 mol% of ALC-0315; about 10 mol% of DSPC; about 40.7 mol% of cholesterol; and about 1.8 mol% of ALC-159. In some embodiments, a lipid nanoparticle comprises: about 47.5 mol% of ALC- 366; about 10 mol% of DSPC; about 40.7 mol% of cholesterol; and about 1.8 mol% of ALC-159. In some embodiments, a lipid nanoparticle comprises about 50 mol% of SM-102; about 1.5 mol% of PEG2000-DMG; about 10 mol% of DSPC; and about 38.5 mol% of cholesterol. In some embodiments, a lipid nanoparticle comprises: 47.5 mol% bis(2-octyldodecyl) 3,3'-((2-(l-methylpyrrolidin-2-yl)ethyl)azanediyl)dipropionate (BODD-C2C2-lMe-Pyr); 10 mol% DSPC; 40.7 mol% cholesterol; and 1.8 mol% VE-AEEA14-AC. In some embodiments, a lipid nanoparticle comprises: 47.5 mol% bis(2-octyldodecyl) 3,3'-((2-(l-methylpyrrolidin-2- yl)ethyl)azanediyl)dipropionate (BODD-C2C2-lMe-Pyr); 10 mol% DSPC; 40.7 mol% cholesterol; and 1.8 mol% PEG2000-DMG.
Manufacturing
Lipids and lipid nanoparticles comprising nucleic acids and their method of preparation are known in the art, including, e.g., as described in U.S. Patent Publication Nos. 2016/0009637, 2015/0273068, 2014/0200257,
2013/0338210, 2013/0245107, 2013/0123338, 2013/0017223, 2012/0183581, 2012/0027803, 2011/0311583, 2011/0216622, 2011/0117125, 2007/0042031, 2006/0083780, 2005/017054, 2004/0142025, 2007/0042031, 1999/009076 and PCT Pub. Nos. WO 99/39741, WO 2018/081480, WO 2017/004143, WO 2017/075531, WO 2015/199952, WO 2013/086322, WO 2013/016058, WO 2013/086373, WO 2011/141705, WO 2022/016089, WO 2022/081752, the full disclosures of which are herein incorporated by reference in their entirety for the purposes described herein.
For example, in some embodiments, cationically ionizable lipids, helper lipids, and steroids are solubilized in an organic solvent such as ethanol, at a pre- determined weight or molar ratios/percentages (e.g., ones described herein). In some embodiments, lipid nanoparticles are prepared at a total lipid to nucleic acid (e.g., RNA) weight ratio of approximately 10: 1 to 50: 1. In some embodiments, such nucleic acid (e.g., RNA) can be diluted to 0.1 to 1.0 mg/mL (e.g., 0.4 mg/mL) in an acidic buffer, such as citrate or acetate having a pH of between about 4 to about 6.
In some embodiments, using an ethanol injection technique, a colloidal lipid dispersion comprising nucleic acids (e.g., RNAs) can be formed as follows: an ethanol solution comprising lipids, such as cationic lipids, helper lipids, steroids, and polymer-conjugated lipids, is combined with, e.g., injected into or continuously mixed with, an aqueous solution comprising nucleic acids.
In some embodiments, lipid and nucleic acid (e.g., RNA) solutions can be mixed at room temperature by pumping each solution (e.g., a lipid solution comprising a cationic lipid, a helper lipid, cholesterol, a conjugated lipid, and any other additives) at controlled flow rates into a mixing unit, for example, using piston pumps. In some embodiments, the flow rates of a lipid solution and a nucleic acid (e.g., RNA) solution into a mixing unit are maintained at a ratio of 1:3. Upon mixing, nucleic acid-lipid particles are formed as the ethanolic lipid solution is diluted with aqueous nucleic acids (e.g., RNAs). The lipid solubility is decreased, while cationic lipids bearing a positive charge interact with the negatively charged nucleic acid (e.g., RNA).
In some embodiments, a solution comprising nucleic acid (e.g., RNA)-encapsulated lipid nanoparticles can be processed by one or more of concentration adjustment, buffer exchange, formulation, and/or filtration.
Liposomes
In some embodiments, a nucleic acid particle is a liposome, wherein the liposome comprises a cationic lipid and a nucleic acid. Liposomes are lipid-based particles that comprise a bilayer (uni-lamellar) or a concentric series of multiple bilayers (multi-lamellar) separated by aqueous compartments, enclosing a central aqueous core that encapsulates the agent for delivery (e.g., a nucleic acid such as RNA). Different types of liposomes are described, including e.g., small and large unilamellar vesicles, multilamellar vesicles, multivesicular liposomes. Many suitable methods are known for manufacturing liposomes (see e.g., Shah S, et al., Adv Drug Deliv Rev. 2020; 154-155: 102-122), including e.g., solvent evaporation or lipid film hydration, solvent dispersion or reverse phase evaporation, optionally followed by processes to manipulate the size of the liposomes, such as e.g., sonication, homogenization and extrusion. Examples of liposomes that may be suitable for nucleic acid (e.g., RNA) delivery are described in PCT App. Pub. No. W02012/006378,
W02013/006825, W02019/077053 and WO2022/069632, each of which is incorporated herein by reference in its entirety.
In some embodiments, liposomes may be formed from one or more lipids, wherein the one or more lipid comprise neutral lipids, phospholipids, cholesterol, and/or cationic lipids. In some embodiments, liposomes may comprise one or more phospholipids and optionally cholesterol. Suitable phospholipids for forming liposomes include DSPC, DPPC, DMPC, DOPC, DOPE, and DSPE. In some embodiments, a cationic lipid for use in a liposome is l,2-dioleoyl-3-dimethylammonium propane (DODAP), N,N-dimethyl-2,3- dioleoyloxy)propylamine (DODMA), N-(2,3-dioleyloxy)propyl)-N,N,N-trimethylammonium chloride (DOTMA); N,N-distearyl-N,N-dimethylammonium bromide (DDAB), N-(2,3dioleoyloxy)propyl)-N,N,N-trimethylammonium chloride (DOTAP), 4-(dimethylamino)-butanoic acid, or (10Z,13Z)-l-(9Z,12Z)-9,12-octadecadien-l-yl-10,13- nonadecadien-l-yl ester (Dlin-MC3-DMA). In some embodiments a cationic lipid for use in a liposome is DOTMA or DOTAP. In some embodiments a cationic lipid is DOTMA.
In some embodiments, a liposome may further comprise an additional lipid. In some embodiments, an additional lipid is a neutral lipid. As used herein, a "neutral lipid" refers to a lipid having a net charge of zero. Examples of suitable neutral lipids include, but are not limited to, 1 ,2-di-(9Z-octadecenoyl)-glycero-3- phosphoethanolamine (DOPE), 1 ,2-dioleoyl-glycero-3-phosphocholine (DOPC), diacylphosphatidyl choline, diacylphosphatidyl ethanol amine, ceramide, sphingoemyelin, cephalin, cholesterol, and cerebroside. In specific embodiments, the second lipid is DOPE, cholesterol and/or DOPC.
Lipoplexes (LPX)
In some embodiments, a nucleic acid particle is a lipoplex, wherein the lipoplex comprises a cationic lipid and a nucleic acid. Lipoplex particles (LPX) may be prepared by mixing liposomes with nucleic acid (e.g., RNA, where lipoplex particles comprising RNA are referred to as "RNA lipoplex particles"). RNA LPX particles typically form spontaneously from electrostatic interactions between positively charged liposomes and negatively charged RNA, and typically have a multilamellar structure. LPX (e.g., RNA LPX) typically comprise one or more cationic lipids and optionally one or more additional lipids. Examples of lipoplexes that are suitable for nucleic acid (e.g., RNA) delivery, as well as methods of manufacture, are described in PCT App. Pub. No. W02019/077053 and WO2022/069632, each of which is incorporated herein by reference in its entirety.
In some embodiments, a cationic lipid for use in a LPX is DODAP, DODMA, DOTMA, DDAB, DOTAP, or Dlin- MC3-DMA. In some embodiments a cationic lipid for use in a LPX is DOTMA or DOTAP. In some embodiments a cationic lipid for use in a LPX is DOTMA. In some embodiments, a LPX further comprises an additional lipid. In some embodiments, an additional lipid is a neutral lipid. As used herein, a "neutral lipid" refers to a lipid having a net charge of zero. Examples of suitable neutral lipids include, but are not limited to, DOPE, DOPC, diacylphosphatidyl choline, diacylphosphatidyl ethanol amine, ceramide, sphingoemyelin, cephalin, cholesterol, and cerebroside. In specific embodiments, the second lipid is DOPE, cholesterol and/or DOPC.
In some embodiments, LPX may be manufactured by first preparing liposomes by injecting a solution of the lipids (e.g., DOTMA and DOPE) in ethanol into water or a suitable aqueous phase to form a liposome colloid. LPX may then be prepared by mixing the liposome colloid with a solution comprising nucleic acid (e.g., RNA).
In one embodiment, RNA LPX particles comprise DOTMA and DOPE in a molar ratio of from about 10:0 to 1:9, from about 4: 1 to 1:2, from about 3: 1 to about 1: 1, or about 2: 1. In one embodiment, the ratio of positive charges (e.g., in DOTMA) to negative charges (e.g., in the RNA), in the RNA LPX particles, is from about 1:2 to 1.9:2, or about 1.3:2.0. RNA LPX particles may have an average diameter that ranges from about 200 to about 800 nm, such as from about 300 nm to about 500 nm.
Polymer-based particles (Polyplexes) and other delivery systems
In some embodiments, a nucleic acid particle described herein is a polymer-based particle (i.e., a polyplex, PLX). In some embodiments, a nucleic acid particle is a polyplex particle, and comprises a cationic polymer and a nucleic acid. Examples of polyplex particles that are suitable for nucleic acid (e.g., RNA) delivery are described in PCT App. Pub. No. WO 2021/001417, which is incorporated herein by reference in its entirety. Nucleic acid polyplex particles typically form spontaneously from electrostatic interactions between positively charged cationic polymer (e.g., PEI) and negatively charged nucleic acid (e.g., RNA). In some embodiments a polyplex particle may further comprise one or more lipids, in which case it may be referred to as a 54apidated polyplex (LPLX). In some embodiments, a cationic polymer is a polycationic polymer, e.g., a polymer having one or more cationic or cationically ionizable groups. In some embodiments, one or more cationic or ionizable groups comprise a nitrogen atom. Cationic polymers useful for preparing complexes described herein can be homopolymers heteropolymers, or block-co-polymers.
In some embodiments, a cationic polymer is poly(ethylenimine), poly(propylenimine), polybrene, polyallylamine, polyvinylamine, polyamidoamine, poly-L-lysine, poly-L-arginine, poly-L-histidine, and poly(2- aminoethyl methacrylate), or a pharmaceutically acceptable salt thereof. In some embodiments, a cationic polymer is a homopolymer. It is understood that a cationic polymer described herein can be linear or branched. In some embodiments, a cationic polymer is linear. In some embodiments, a cationic polymer is poly(ethylenimine).
In some embodiments, a cationic polymer is a heteropolymer (e.g., a linear heteropolymer) comprising copolymers of one or more of poly(ethylenimine), poly(propylenimine), polybrene, polyallylamine, polyvinylamine, polyamidoamine, poly-L-lysine, poly-L-arginine, poly-L-histidine, and poly(2-aminoethyl methacrylate), or a pharmaceutically acceptable salt thereof. In some embodiments, a cationic polymer is a heteropolymer comprising poly(ethylenimine) and poly(propylenimine).
In some embodiments, a cationic polymer has between 250 and 2000 repeating monomer units (such as between 1500 and 2000 repeating monomer units). In some embodiments, a cationic polymer is a polymer described herein, having a number average molecular weight (Mn) of about 600 Daltons (Da) to about 400,000 Da (such as about 20,000 to about 120,000 Da).
In some embodiments, a complex comprises a cationic polymer and a nucleic acid, wherein the cationic polymer is or comprises a polyamine derivative (e.g., a carboxylated polyamine derivative). Suitable polyamine derivatives for delivery of nucleic acids, such as RNA, are described in WO2014/053245 and W02014/056590, both of which are incorporated herein by reference in their entirety.
In some embodiments, a polyamine derivative comprises: a polyamine moiety comprising a plurality of amino groups; a plurality of carboxylated substituents comprising a carboxyl group bonded via a hydrophobic linker to amino groups of said polyamine moiety, wherein each of said carboxylated substituents comprises from 6 to 40 carbon atoms, from 6 to 20 carbon atoms, or from 8 to 16 carbon atoms, and each of said hydrophobic linker may comprise from 1 to 3 heteroatoms selected from 0, N, and S; and a plurality of hydrophobic substituents bonded to amino groups of said polyamine moiety, wherein each of said hydrophobic substituents comprises at least 2 carbon atoms, e.g. from 6 to 40 carbon atoms, and may comprise from 1 to 3 heteroatoms selected from 0, N, and S provided said hydrophobic substituent has at least 6 carbon atoms.
In some embodiments, a polyamine derivative which is useful herein as delivery vehicle for polyanions is a polyalkylenimine (e.g., polyethylenimine) derivative having one or more carboxyalkyl substituents comprising from 6 to 40 carbon atoms, and one or more hydrophobic substituents selected from hydrocarbon substituents having at least 2 carbon atoms, e.g. from 6 to 40 carbon atoms, wherein each of said hydrophobic substituents may be or may comprise an alkyl group and/or each of said hydrophobic substituents may be or may comprise an aryl group.
In some embodiments, the polyamine derivative has (i) a linear polyethylenimine moiety of from 2 to 500 kDa (in terms of number average molecular weight), or (ii) a branched polyethylenimine moiety of from 0.5 to 200 kDa (in terms of number average molecular weight); and the carboxylated substituents have from 10 to 16 carbon atoms and are n-alkylcarboxylic acids and the hydrophobic substituents have from 1 to 12 carbon atoms and are alkyls, such as n-alkyls, and/or alkylarylalkyls. Other suitable polymers include, for example, Viromer® and jetPEI® (Polyplus). Other suitable polymers or lipidoids useful for delivery of nucleic acids, such as RNA, are described in WO2014/207231, WO2016/097377 and WO2024/042236, all of which are incorporated herein by reference in their entirety. Other delivery systems suitable for nucleic acid (e.g., RNA) delivery, which are based on oligosaccharide compounds, are described in WO2023/067121, WO2023/067123, WO2023/067124, WO2023/067125, and WO2023/067126, all of which are incorporated herein by reference in their entirety.
A composition comprising one or more RNAs described herein, e.g., in the form of RNA particles, may comprise salts, buffers, or other components as further described below.
In some embodiments, a salt for use in the compositions described herein comprises sodium chloride. Without wishing to be bound by theory, sodium chloride functions as an ionic osmolality agent for preconditioning RNA prior to mixing with lipids. In some embodiments, the compositions described herein may comprise alternative organic or inorganic salts. Alternative salts include, without limitation, potassium chloride, dipotassium phosphate, monopotassium phosphate, potassium acetate, potassium bicarbonate, potassium sulfate, disodium phosphate, monosodium phosphate, sodium acetate, sodium bicarbonate, sodium sulfate, lithium chloride, magnesium chloride, magnesium phosphate, calcium chloride, and sodium salts of ethylenediaminetetraacetic acid (EDTA).
Generally, compositions for storing RNA particles such as for freezing RNA particles comprise low sodium chloride concentrations, or comprises a low ionic strength. In some embodiments, the sodium chloride is at a concentration from 0 mM to about 50 mM, from 0 mM to about 40 mM, or from about 10 mM to about 50 mM.
According to the present disclosure, the RNA particle compositions described herein have a pH suitable for the stability of the RNA particles and, in particular, for the stability of the RNA. Without wishing to be bound by theory, the use of a buffer system maintains the pH of the particle compositions described herein during manufacturing, storage and use of the compositions. In some embodiments of the present disclosure, the buffer system may comprise a solvent (in particular, water, such as deionized water, in particular water for injection) and a buffering substance. The buffering substance may be 2-[4-(2-hydroxyethyl)piperazin-l- yl]ethanesulfonic acid (HEPES), 2-amino-2-(hydroxymethyl)propane-l,3-diol (Tris), acetate, or histidine. In some embodiments, the buffering substance is HEPES. In some embodiments, the buffering substance is Tris.
Compositions (in particular, RNA compositions/formulations) described herein may also comprise a cryoprotectant and/or a surfactant as stabilizer to avoid substantial loss of the product quality and, in particular, substantial loss of RNA activity during storage, freezing, and/or lyophilization, for example to reduce or prevent aggregation, particle collapse, RNA degradation and/or other types of damage.
In some embodiments, the cryoprotectant is a carbohydrate. The term "carbohydrate", as used herein, refers to and encompasses monosaccharides, disaccharides, trisaccharides, oligosaccharides and polysaccharides.
In some embodiments, the cryoprotectant is a monosaccharide. The term "monosaccharide", as used herein refers to a single carbohydrate unit (e.g., a simple sugar) that cannot be hydrolyzed to simpler carbohydrate units. Exemplary monosaccharide cryoprotectants include glucose, fructose, galactose, xylose, ribose and the like.
In some embodiments, the cryoprotectant is a disaccharide. The term "disaccharide", as used herein refers to a compound or a chemical moiety formed by 2 monosaccharide units that are bonded together through a glycosidic linkage, for example through 1-4 linkages or 1-6 linkages. A disaccharide may be hydrolyzed into two monosaccharides. Exemplary disaccharide cryoprotectants include sucrose, trehalose, lactose, maltose and the like. In some embodiments, the cryoprotectant is sucrose.
The term "trisaccharide" means three sugars linked together to form one molecule. Examples of a trisaccharides include raffinose and melezitose.
In some embodiments, the cryoprotectant is an oligosaccharide. The term "oligosaccharide", as used herein refers to a compound or a chemical moiety formed by 3 to about 15, such as 3 to about 10 monosaccharide units that are bonded together through glycosidic linkages, for example through 1-4 linkages or 1-6 linkages, to form a linear, branched or cyclic structure. Exemplary oligosaccharide cryoprotectants include cyclodextrins, raffinose, melezitose, maltotriose, stachyose, acarbose, and the like. An oligosaccharide can be oxidized or reduced.
In an embodiment, the cryoprotectant is a cyclic oligosaccharide. The term "cyclic oligosaccharide", as used herein refers to a compound or a chemical moiety formed by 3 to about 15, such as 6, 7, 8, 9, or 10 monosaccharide units that are bonded together through glycosidic linkages, for example through 1-4 linkages or 1-6 linkages, to form a cyclic structure. Exemplary cyclic oligosaccharide cryoprotectants include cyclic oligosaccharides that are discrete compounds, such as a cyclodextrin, p cyclodextrin, or y cyclodextrin.
Other exemplary cyclic oligosaccharide cryoprotectants include compounds which include a cyclodextrin moiety in a larger molecular structure, such as a polymer that contains a cyclic oligosaccharide moiety. A cyclic oligosaccharide can be oxidized or reduced, for example, oxidized to dicarbonyl forms. The term "cyclodextrin moiety", as used herein refers to cyclodextrin (e.g., an a, , or y cyclodextrin) radical that is incorporated into, or a part of, a larger molecular structure, such as a polymer. A cyclodextrin moiety can be bonded to one or more other moieties directly, or through an optional linker. A cyclodextrin moiety can be oxidized or reduced, for example, oxidized to dicarbonyl forms.
Carbohydrate cryoprotectants, e.g., cyclic oligosaccharide cryoprotectants, can be derivatized carbohydrates. For example, in an embodiment, the cryoprotectant is a derivatized cyclic oligosaccharide, e.g., a derivatized cyclodextrin, e.g., 2-hydroxypropyl-p-cyclodextrin, e.g., partially etherified cyclodextrins (e.g., partially etherified p cyclodextrins).
An exemplary cryoprotectant is a polysaccharide. The term "polysaccharide", as used herein refers to a compound or a chemical moiety formed by at least 16 monosaccharide units that are bonded together through glycosidic linkages, for example through 1-4 linkages or 1-6 linkages, to form a linear, branched or cyclic structure, and includes polymers that comprise polysaccharides as part of their backbone structure. In backbones, the polysaccharide can be linear or cyclic. Exemplary polysaccharide cryoprotectants include glycogen, amylase, cellulose, dextran, maltodextrin and the like.
In some embodiments, RNA particle compositions may include sucrose. Without wishing to be bound by theory, sucrose functions to promote cryoprotection of the compositions, thereby preventing RNA (e.g., mRNA) particle aggregation and maintaining chemical and physical stability of the composition. In some embodiments, RNA particle compositions may include alternative cryoprotectants to sucrose. Alternative stabilizers include, without limitation, trehalose and glucose. In a specific embodiment, an alternative stabilizer to sucrose is trehalose or a mixture of sucrose and trehalose.
An exemplary cryoprotectant is sucrose, trehalose, glucose, or any combination thereof, such as a combination of sucrose and trehalose. In an exemplary embodiment, the cryoprotectant is sucrose.
Some embodiments of the present disclosure contemplate the use of a chelating agent in an RNA composition described herein. Chelating agents refer to chemical compounds that are capable of forming at least two coordinate covalent bonds with a metal ion, thereby generating a stable, water-soluble complex. Without wishing to be bound by theory, chelating agents reduce the concentration of free divalent ions, which may otherwise induce accelerated RNA degradation in the present disclosure. Examples of suitable chelating agents include, without limitation, ethylenediaminetetraacetic acid (EDTA), a salt of EDTA, desferrioxamine B, deferoxamine, dithiocarb sodium, penicillamine, pentetate calcium, a sodium salt of pentetic acid, succimer,
trientine, nitrilotriacetic acid, trans-diaminocyclohexanetetraacetic acid (DCTA), diethylenetriaminepentaacetic acid (DTPA), and bis(aminoethyl)glycolether-N,N,N',N'-tetraacetic acid. In some embodiments, the chelating agent is EDTA or a salt of EDTA. In some embodiments, the chelating agent is EDTA disodium dihydrate. In some embodiments, the EDTA is at a concentration from about 0.05 mM to about 5 mM, from about 0.1 mM to about 2.5 mM or from about 0.25 mM to about 1 mM.
In an alternative embodiment, the RNA particle compositions described herein do not comprise a chelating agent.
The present disclosure provides a nucleic acid molecule for eliciting an antigen-specific CD8+ T-cell response in a subject comprising a coding sequence encoding a polypeptide comprising an N-terminal degron and one or more antigenic peptides. "N-terminal" is meant in this context in relation to the one or more antigenic peptides, i.e. in the polypeptide of the present disclosure, the N-terminal degron lies more N-terminal as compared to the antigenic peptides (as shown, e.g., in Fig. 2b). In one embodiment, the N-terminal degron forms the N-terminus of the polypeptide (as shown, e.g., in Fig. 2b). If the term "following" is used with respect to elements of the polypeptide, this is meant to refer to the N- to C-terminus direction, i.e. if it is stated herein that the N-terminal degron (e.g., ubiquitin) is "immediately followed" by the antigenic peptide, this means that the antigenic peptide is attached to the C-terminus of the N-degron. The polypeptide of the present disclosure can also be referred to as a fusion protein comprising an N-terminal degron and one or more antigenic peptides.
Without wishing to be bound by theory, the N-terminal degron significantly destabilizes the polypeptide and improves its degradation via the proteasome, thereby increasing the amount of degradation products that are available for antigen presentation as shown by the examples described below and corresponding data depicted in Fig. 2 to 10. As further shown in the Figures, the N-terminal degrons of the present disclosure can specifically elicit an antigen-specific CD8+ T-cell response, thereby providing a particularly efficient targeting by cytotoxic CD8+ T-cells. The research underlying the present disclosure has surprisingly found that a particularly potent antigen-specific CD8+ T-cell specific response against selected target proteins can be elicited by the nucleic acid molecule of the present disclosure and the specific N-degrons used according to the present disclosure. When using the term "N-terminal degron" herein, one or more of the N-terminal degrons of the present disclosure are meant. Polypeptides comprising the N-terminal degron are advantageously turned over more quickly and are more immunogenic than corresponding reference constructs lacking the N-terminal degron. The N-terminal degrons of the present disclosure have the potential to be deployed in all T-cell- targeting pharmaceutical compositions (e.g., immunogenic compositions, e.g., vaccines) to enhance immunogenicity and polarize away from CD4+ T-cell responses towards CD8+ T-cell responses. This is important for therapeutic areas and indications in which a pronounced CD4+ T-cell response is not desired or even harmful.
Antigen-specific CD8+ T-cell response means that in response to immunization with the nucleic acid molecule of the present disclosure, antigen-specific CD8+ T-cells can be detected. In exemplary embodiments, the antigen-specific CD8+ T-cell response is an antigen-specific CD8+ T-cell specific response, which means that the response is CD8+ T-cell specific, i.e. more antigen-specific CD8+ compared to antigen-specific CD4+ T-cells
are activated. In some embodiments, antigen-specific CD8+ T-cell specific response means that substantially lower (compared to reference nucleic acid molecule not containing the N-degron), substantially no or no antigen-specific CD4+ immune response is elicited by the nucleic acid molecule of the present disclosure. The antigenic peptide comprised in the polypeptide encoded by the nucleic acid molecule of the present disclosure makes the elicited immune response antigen-specific. The research leading up to the present disclosure surprisingly found that combining one or more antigenic peptides with one or more N-terminal degrons as described herein make the immune response CD8+ T-cell specific by increasing the CD8+ over the CD4+ T-cell response. Eliciting an antigen-specific CD8+ specific T-cell response is particular advantageous for therapeutic or prophylactic vaccinations against certain diseases. For example, it may be in particular desirable in cases where an antigen-specific CD4+ T cell response could worsen the disease. Exemplary diseases that can be worsened by an antigen-specific CD4+ T cell response are human immunodeficiency virus infections or Epstein- Barr virus infections. Eliciting an antigen-specific CD8+ T-cell response may also be particularly desirable in multi-component pharmaceutical compositions (e.g., immunogenic compositions, e.g., vaccines), where individual components are directed to producing different immune responses.
In an exemplary embodiment, the nucleic acid molecule of the present disclosure encodes the polypeptide of the present disclosure. Thus, the features and embodiments defined herein for the polypeptide encoded by the nucleic acid molecule are meant to be equally disclosed also for the corresponding nucleic acid molecule of the present disclosure and vice versa.
In some embodiments, the nucleic acid molecule is a recombinant nucleic acid molecule, i.e., wherein the sequence is not naturally joined together, but is artificially combined.
In some embodiments, the nucleic acid molecule is an unmodified mRNA or a modified mRNA, e.g. a modified mRNA. In exemplary embodiments, the modified mRNA has an increased stability and/or translation compared to an unmodified mRNA.
In some embodiments, the nucleic acid molecule comprises a 5' cap, a 5'UTR, a coding region, a 3'UTR, a poly(A) tail, or any combination thereof. The 5' cap, 5'UTR, coding region, and 3'UTR, and poly(A) tail are not specifically limited and can be any one of the 5' cap, the 5'UTR, the coding region, the 3'UTR, and the poly(A) tail disclosed herein and defined above.
In some embodiments, the 5'UTR, if present, comprises a Kozak sequence, optionally an optimized Kozak sequence to increase translational efficiency. Kozak sequences are known to increase the efficiency of translation of some RNA transcripts but are not necessarily required for all RNAs to enable efficient translation. A Kozak sequence typically extends from approximately position -6 to position +6, where +1 is assigned to the adenine of the START codon. The Kozak sequence is known to affect transcription initiation.
In some embodiments, the nucleic acid molecule comprises a 5'-cap, a free 5'-triphosphate group, a free 5'- disphosphate group, a free 5'-diphosphate group, a free 5'- monophosphate group, or a free 5'-OH group, or comprising chemically modified analogues of said 5'-cap, said 5'-triphosphate group, said free 5'-disphosphate group or said free 5'-monophosphate group. In some embodiments, the 5'cap is G[5']ppp[5']G,
m7G[5']ppp[5']G, m3 2A7G[5']ppp[5']G, m27-3' 0G[5']ppp[5']G (3'-ARCA), m27-2' 0GpppG (2'-ARCA), m2 7'2'- °GppSpG CP-S- ARCA), or m27'2' °GppSpG (P-S-ARCA) and m27'3 ' °Gppp(mi2 ' °)ApG.
In some embodiments, the nucleic acid molecule comprises a 3'UTR comprising an FI element, optionally derived from the "amino terminal enhancer of split" (AES) mRNA (called F) and the mitochondrial encoded 12S ribosomal RNA (called I). An "FI element" is a sequence in the 3'-untranslated region known to improve mRNA stability and translation efficiency. The FI element can be positioned in the 3'UTR. Exemplary FI elements suitable for use in the nucleic acid molecule of the present disclosure are descripted in the patent application WO 2017/059902 Al. The FI element thus can be placed between the coding sequence and the poly(A) sequence to assure higher maximum protein levels and prolonged persistence of the mRNA.
In some embodiments, the nucleic acid molecule comprises an interrupted poly(A) sequence (i.e. interrupted poly(A) tail) disclosed herein and defined above. In some embodiments, the poly(A) sequence essentially consists of dA nucleotides but is interrupted by a random sequence of the four nucleotides (dA, dC, dG, and dT). Such random sequence may be 5 to 50, 10 to 30, or 10 to 20 nucleotides in length. In some embodiments, the poly-A tail contained in a nucleic acid (e.g., mRNA) molecule described herein essentially consists of A nucleotides, but is interrupted by a random sequence of the four nucleotides (A, C, G, U). Such random sequence may be 5 to 50, 10 to 30, or 10 to 20 nucleotides in length.
"Antigenic peptide" as used herein is a peptide comprising an antigen. An "antigen" is a substance, such as a peptide that is a target of an immune response and/or that will elicit an immune response. The same applies to the antigenic peptide. In particular, an "antigenic peptide" is any peptide that reacts specifically with, i.e. binds to antibodies or T-lymphocytes (T-cells), in particular T-cell receptors. The term "antigenic peptide" comprises any molecule which comprises at least one epitope such as a B cell or T cell epitope. The term "antigenic peptide" encompasses full-length protein and fragments of the protein, i.e. the antigenic peptide can be an antigenic fragment (or "antigenic peptide fragment"). An antigenic peptide fragment as used herein, can be an epitope, but can also comprise more than one epitope. Optionally, an antigen in the context of the present disclosure is a molecule which, optionally after processing, induces an immune reaction, which is optionally specific for the antigen or cells expressing the antigen. Antigens may include or may be derived from allergens, viruses, bacteria, fungi, parasites and other infectious agents and pathogens or an antigen may also be a tumor antigen. In some embodiments the polypeptide encoded by the nucleic acid molecule of the present disclosure comprises several, i.e. more than one antigenic peptides. The term "antigenic peptide" as used herein is different from and does not encompass the N-terminal degron.
"Fragment" as used herein, with reference to an amino acid sequence (polypeptide or protein), relates to a part of a naturally occurring protein amino acid sequence, e.g., a partial sequence that has been shortened at the N-terminus and/or C-terminus compared to the naturally occurring full length sequence. An amino acid sequence whose sequence represents two or more discontinuous sequences derived from the same parental amino acid sequence fused together is considered to be two or more fragments of that parental sequence.
The term "full length" with respect to a given polypeptide means the form of the polypeptide naturally translated from the coding sequence, beginning with the ATG start codon, which encodes the first methionine
in the amino acid sequence, and ending at the TGA, TAG, or TTA stop codon, or whichever stop codon employed by the organism.
The antigenic peptides can be artificial peptides, i.e. not being derived from naturally occurring proteins. In some embodiments, the antigenic peptides are derived from naturally occurring proteins, i.e. are full-length naturally occurring proteins and/or are fragments of such proteins. In some embodiments, the antigenic peptide is an immunogenic peptide. In some further embodiments, the antigenic polypeptide is a pathogen- related, tumor-related, or disease-related antigenic peptide. In some embodiments, the antigenic peptide is a full-length protein or fragment thereof.
An "immunogenic peptide" is a peptide capable of eliciting an immune response in a subject. In some embodiments, the antigenic peptide is an immunogenic peptide.
In some embodiments, the polypeptide comprises a plurality of antigenic peptides, such as concatenated antigenic peptides. In some such embodiments, the antigenic peptides are each a full-length protein. In some such embodiments, the antigenic peptides are fragments derived from full-length proteins, wherein the fragments can be antigenic peptide fragments. In some embodiments, at least one antigenic peptide is a full- length protein, while at least one antigenic peptide is a fragment derived from a full-length protein. In some embodiments the antigenic peptides do not comprise a full length protein. An amino acid sequence whose sequence represents two or more discontinuous sequences derived from the same parental amino acid sequence fused together is considered to be two or more antigenic peptides or antigenic peptide fragments of that parental sequence. The antigenic peptides can also be artificial peptides, i.e. are not derived from naturally occurring proteins.
In some embodiments, antigenic peptides are concatenated antigenic peptides that are derived from different proteins or different portions of the same protein and fused together, optionally such that a first antigenic peptide is adjacent to a second antigenic peptide or such that a first and second antigenic peptide are separated via a linker. In some embodiments, a first antigenic peptides is adjacent to a second antigenic peptide. In some embodiments, the antigenic peptides are linked via a linker sequence. In some embodiments all antigenic peptides comprised in the polypeptide are adjacent to another antigenic peptide or separated therefrom by way of a linker.
A "linker" is a non-naturally occurring amino acid sequence present between, and thereby separating, two peptides of a protein or two peptides of different proteins. Non-naturally occurring means in this context not naturally-occurring in the protein sequence adjacent to the peptide sequence from which the peptides are derived. In exemplary embodiments, some antigenic peptides are separated by a linker, while other antigenic peptides are not separated by a linker. The term "linker" as used herein does not encompass the N-terminal degron.
The linker sequence is not particularly limited but can consist of a single amino acid or of two or more amino acids. In some embodiments, the linker sequence consists of 1-20 amino acids, 2-19 amino acids, 3-18 amino acids, 4-17 amino acids, 5-16 amino acids, or 6-15 amino acids. The linker can comprise at most 8 amino
acids, at most 6 amino acids, at most 5 amino acids, e.g. 1 to 4 amino acids. In this context, it is understood that the linker sequence optionally is not naturally occurring adjacent to the antigenic peptides linked by the linker.
The antigen-specific CD8+ T- cell response triggered by the nucleic acid molecule disclosed herein can be measured by an ELISpot assay and/or multimer staining following a MACS separation to separate CD4+ T cells from CD8+ T cells. These methods are well known in the art.
An "antigen-specific CD8+ T-cell response" is an antigen-specific activation of CD8+ T cells, i.e., CD8+ T cells directed to specific antigens, through major histocompatibility complex class I (MHC-I) presentation.
Optionally, the antigen-specific CD8+ T-cell response is an antigen-specific CD8+ T-cell specific response. This means that the proportion of CD8+- vs. CD4+-immune response is higher compared to immunization with a corresponding polypeptide not comprising an N-terminal degron of the present disclosure. In particular, antigen-specific CD8+ T-cell specific response means that more antigen-specific CD8+ compared to antigenspecific CD4+ T-cells are activated. In an embodiment, substantially no or no antigen-specific CD4+ immune response is elicited. An exemplary method to evaluate an antigen-specific response is to immunize mice with the nucleic acid molecule of the present disclosure, or the polypeptide of the present disclosure. Afterwards, the immune cells of the immunized mice are analyzed quantitively by separating CD4+ from CD8+ cells via MACS separation, and performing an ELISpot on each set. The successfully induced T cells respond with cytokine (IFNy) production. In some embodiments, an MHC-I tetramer staining known in the art can be performed to demonstrate CD8+ T cell responding to specific antigenic peptides.
"Ubiquitin" is a regulatory protein found in most tissues of eukaryotic organisms, which gave it its name as it is found ubiquitously. Ubiquitin is highly conserved across species and typically has about 76 amino acids and is around 8.6 kDa. Ubiquitin serves in the natural environment of an organism as a protein tag marking and therefore serving to rapidly remove unwanted or damaged proteins by acting as a marker for protein degradation. Not only protein can become ubiquitinated, but also ubiquitin attached to other proteins can become further ubiquitinated to form a poly-ubiquitin chain. For example, lysines within the ubiquitin or the N- terminus of ubiquitin are ubiquitinated and result in a poly-ubiquitin chain which targets the poly-ubiquitinated protein for proteasomal degradation. Ubiquitin is typically a 76-amino acid protein, generated from a precursor that is processed by deubiquitinating enzymes (DUBs) to expose the glycine-glycine sequence at the ubiquitin C-terminus, its site of attachment to target molecules. ATP-dependent ubiquitin activation can be catalyzed by the El (ubiquitin-activating) enzyme, which adenylates the ubiquitin C-terminus, allowing the subsequent formation of a high-energy thioester bond between the glycine residue of ubiquitin and the cysteine residue on the El active site. Ubiquitin is then transferred from the El cysteinyl side chain to a cysteinyl group on one of several E2 (ubiquitin-conjugating) enzymes. Finally, one of hundreds of E3 (ubiquitin-ligase) enzymes, binds the ubiquitin-E2 complex and the target peptide, thus facilitating the transfer of ubiquitin to a lysine residue in the target peptide via an amide (isopeptide) bond. This naturally occurring mechanism, i.e. the ubiquitination of peptides, has divers biological functions such as cell cycle control, transcriptional regulation, signal transduction, inflammatory response, membrane trafficking, receptor endocytosis and downregulation, apoptosis, and development. It has been surprisingly found that the nucleic acid molecule encoding for a polypeptide comprising a ubiquitin and an antigenic peptide significantly increases the antigen-specific CD8+ T-
cell response. Further and without wishing to be bound by theory, the ubiquitin leads to improved degradation of the polypeptide, leading to an increased amount of antigenic peptides present for antigen processing and presentation.
In some embodiments, ubiquitin as used herein has a sequence shown in SEQ ID NO. : 1. In some embodiments, ubiquitin has an amino acid sequence that is at least 80%, at least 90%, at least 95, at least 96%, at least 97%, at least 98%, or at least 99% identical to SEQ ID NO.: 1. In particular, ubiquitin as used herein may comprise one or more mutations. It is understood, that the mutation will not abrogate the function of ubiquitin to mark a protein for degradation. In some embodiments, ubiquitin comprises a mutation substituting the glycine at position 76 with reference to SEQ ID NO. : 1 and/or a mutation substituting a lysine at amino acid position 6, 11, 27, 29, 33, 48 or 63 or any combination thereof with reference to SEQ ID NO. : 1 as long as one lysine remains in the ubiquitin. In some embodiments, further additional mutations that result in a ubiquitin sequence with less than 100% identity with reference to SEQ ID NO.: 1 are encompassed, wherein the presence of such a mutated ubiquitin in an N-terminal degron results in destabilization and degradation of the polypeptide. In some embodiments, the ubiquitin is a cleavable or non-cleavable ubiquitin as disclosed herein. Specifying amino acid positions "with reference to SEQ ID NO.: 1" means the amino acid position that corresponds to the amino acid position in SEQ ID NO.: 1 that the number refers to. This can easily be determined by aligning a modified ubiquitin sequence with the reference ubiquitin sequence of SEQ ID NO. : 1.
In some embodiments, the N-terminal degron comprises a ubiquitin as disclosed herein. It is however understood that the N-terminal degron can comprise two or more ubiquitins directly adjacent to each other, e.g., a first ubiquitin immediately followed by a second ubiquitin.
An "N-terminal degron" is a sequence that destabilize a polypeptide and targets it for degradation. In the context of the present disclosure, the N-terminal degron is located towards, in particular at the N-terminus of a polypeptide comprising one or more antigenic peptides. The N-terminal degron degradation may operate through the N-end rule pathway (also referred to as "N-degron" or "degron") or the ubiquitin fusion degradation (UFD) pathway (also referred to as "UFD-degron") as exemplarily shown in Fig. 1.
In some embodiments, the N-terminal degron comprises a ubiquitin having the amino acid sequence shown in SEQ ID NO. : 1, or a ubiquitin comprising a mutation substituting the glycine at position 76 with reference to SEQ ID NO. : 1 and/or a mutation substituting the lysine at position 6, 11, 27, 29, 33, 48 or 63 or any combination thereof with reference to SEQ ID NO.: 1 as long as one lysine remains in the ubiquitin, or a ubiquitin having a sequence that is at least 80%, at least 90%, at least 95, at least 96%, at least 97%, at least 98%, or at least 99% identical to SEQ ID NO 1.
In some embodiments, the presence of an N-terminal degron reduces the half-life of the polypeptide to 1 hour or less, to 30 minutes or less, e.g. to 10 minutes or less compared to the polypeptide without the N-terminal degron.
In some embodiments, the N-terminal degron degradation operates through the N-end rule pathway C'N- degron"). The destabilizing effect of the N-end rule pathway depends on the N-terminal amino acid of the polypeptide as shown in Fig. 1A. If the N-terminal amino acid is a destabilizing amino acid ("d" in Fig. 1A), such as isoleucine, glutamic acid, threonine, glutamine, phenylalanine, leucine, aspartic acid, arginine, lysine, and histidine, optionally arginine, lysine, or histidine, the half-life of the polypeptide can be reduced to several minutes. To create an N-terminal degron for the N-end rule pathway, in some embodiments a cleavable ubiquitin is fused to the N-terminus of a polypeptide, wherein the ubiquitin is immediately followed by a destabilizing amino acid. The cleavable ubiquitin immediately followed by a destabilizing amino acid can be cleaved by a deubiquitinase (DUB) enzyme, and resulting in the release of a polypeptide with the destabilizing N-terminal amino acid at position 1. The destabilizing N-terminal amino acid results in an enhanced proteasomal degradation rate. The destabilizing N-terminal amino acid may be introduced between the cleavable ubiquitin and the antigenic peptide or may be the first amino acid of the antigenic peptide. The polypeptide released after ubiquitin cleavage additionally contains internal lysines, such as e.g., N-terminal proximal lysines. This means that the released polypeptide is not ubiquitin, but the polypeptide comprising the antigenic peptide. The internal lysins may be introduced after the destabilizing amino acid and before the antigenic peptide starts (e.g., as a linker or as part of a linker), included in the antigenic peptide following the destabilizing amino acid (naturally or introduced by mutation), or in a linker separating antigenic peptides.
A "cleavable ubiquitin" is a ubiquitin located at the N-terminus of a polypeptide comprising one or more antigenic peptides, wherein the ubiquitin can be cleaved off by a deubiquitinating enzyme (DUB). It is understood that in context of the cleavable ubiquitin, the ubiquitin comprises an intact DUB cleavage site, thus that optionally the glycine at position 76 with reference to SEQ ID NO. : 1, i.e. the last glycine of the ubiquitin sequence, is not mutated. In such embodiments, the cleavable ubiquitin comprises a destabilizing amino acid at the C-terminus, wherein following cleavage of the ubiquitin the destabilizing amino acid remains at the N- terminus of the polypeptide comprising the antigenic peptide. In some embodiments, the destabilizing amino acid is immediately following the last amino acid of ubiquitin. It is further understood in context of the cleavable ubiquitin that following the ubiquitin cleavage by DUB the destabilizing amino acid remains at the N- terminus of the polypeptide comprising one or more antigenic peptides. For example, in some embodiments the ubiquitin has a sequence as shown in SEQ ID NO. : 1 and has 76 amino acids and the destabilizing amino acid immediately follows after amino acid position 76 of ubiquitin. This means that cleavage of the ubiquitin results in removal of the ubiquitin sequence and the first amino acid of the resulting polypeptide starts with the destabilizing amino acid at position 1.
An "internal lysine" is a lysine located within the sequence of the polypeptide comprising one or more antigenic peptides, wherein the "internal lysine" is located outside the ubiquitin. In this context it is understood that the internal lysine can be located within an antigenic peptide, or within an optional linker (e.g., after a destabilizing amino acid, or between antigenic peptides). In some embodiments, the internal lysine is located within the antigenic peptide. In some embodiments, the internal lysine is a linker or located within a linker. In some embodiments, the internal lysin may be an N-terminal proximal lysine. An "N-terminal proximal lysine" is a lysine located close to the N-terminus of the polypeptide comprising one or more antigenic peptides. In some embodiments, the N-terminal proximal lysine can be located within an antigenic peptide or within an optional linker. In some embodiments, one or more internal lysines are included in the polypeptide encoding one or more
antigenic peptides, either because they are naturally present in the antigenic peptide(s), or because the antigenic peptide(s) were modified to include one or more lysines, or because they are introduced as linker, or because they are present in linker between antigenic peptides. Internal lysines are present in polypeptides with a cleavable ubiquitin and may be present in polypeptides with a non-cleavable ubiquitin.
A "destabilizing amino acid" is an amino acid located at the C-terminus of the cleavable ubiquitin that remains after ubiquitin cleavage in the resulting polypeptide and, when exposed as N-terminus of the polypeptide after cleavage of the ubiquitin, leads to enhanced proteasomal degradation of the polypeptide comprising the destabilizing amino acid. In other words, the destabilizing amino acid is located immediately following the last amino acid of the cleavable ubiquitin, and following cleavage of the ubiquitin the destabilizing amino acid remains is at amino acid position 1 at the N-terminus of the polypeptide comprising one or more antigenic peptides. Without wishing to be bound by theory, destabilization of the polypeptide by the cleavable ubiquitin depends on the destabilizing amino acid at the N-terminus of a polypeptide released after the cleavage of the ubiquitin by DUBs. Positively charged polar amino acids such as arginine, lysine, and histidine are exemplary destabilizing amino acids, reducing the half-life of proteins from over one day down to several minutes. Since protein translation begins with a starting methionine residue, destabilizing amino acids cannot be generated by adding the destabilizing amino acid upstream of the start codon. To create a destabilizing amino acid, a ubiquitin is added to the N-terminus of the protein followed immediately by the destabilizing amino acid. The N-terminal ubiquitin can be cleaved by a DUB enzyme, revealing the destabilizing N-terminal amino acid, resulting in an enhanced proteasomal degradation rate as shown in Fig. 4 compared to a polypeptide without the cleavable ubiquitin and without the destabilizing amino acid.
In some embodiments, the destabilizing amino acid is located at amino acid position 77 with reference to SEQ ID NO. : 2 immediately following a cleavable ubiquitin consisting of 76 amino acids (e.g., the ubiquitin of SEQ ID NO. : 1). It is understood, in context of the disclosure, that following cleavage of the ubiquitin the destabilizing amino acid is located at amino acid position 1 of the resulting polypeptide comprising one or more antigenic peptides. In some embodiments, the destabilizing amino acid is isoleucine, glutamic acid, threonine, glutamine, phenylalanine, leucine, aspartic acid, arginine, lysine, or histidine. In some exemplary embodiments, the destabilizing amino acid is arginine, lysine, or histidine. In some embodiments, the destabilizing amino acid id arginine. Destabilizing amino acids may be introduced immediately following the ubiquitin and before the antigenic peptide sequence starts (e.g., as a linker or as the first amino acid of a linker) or may be the first amino acid sequence of the antigenic peptide. In some embodiments, the cleavable ubiquitin comprises a sequence shown in SEQ ID NO. : 1, or a sequence being at least 80%, at least 90%, at least 95, at least 96%, at least 97%, at least 98%, or at least 99% identical to the sequence shown in said SEQ ID NO. : 1, with the proviso that the ubiquitin sequence is immediately followed by an amino acid isoleucine, glutamic acid, threonine, glutamine, phenylalanine, leucine, aspartic acid, arginine, lysine, or histidine, e.g. arginine, lysine, or histidine. This means with reference to SEQ ID NO. : 2 that the amino acid at position 77 is a destabilizing amino acid. In some embodiments, the cleavable ubiquitin has a sequence shown in SEQ ID NO. : 2, or a sequence having at least 80%, at least 90%, at least 95, at least 96%, at least 97%, at least 98%, or at least 99% identity to the sequence shown in SEQ ID NO.: 2 with the proviso that immediately following the cleavable ubiquitin a destabilizing amino acid, such as arginine, is present.
In some embodiments, the N-terminal degron degradation may operate through the ubiquitin fusion degradation (UFD) pathway ("UFD-degron") (see e.g., Fig. IB). A UFD-degron functions through a different mechanism. To create a UFD-degron for the UFD pathway, a non-cleavable ubiquitin is fused to the N- terminus of the polypeptide. A "non-cleavable ubiquitin" is a ubiquitin located at the N-terminus of a polypeptide comprising an antigenic peptide, wherein the ubiquitin cannot be cleaved off by a deubiquitinating enzyme (DUB). The ubiquitin can be made non-cleavable e.g., by introducing mutations. Cleavage of the ubiquitin by e.g., DUBs can in particular be prevented by a C-terminal glycine mutation, in particular at amino acid position 76 with reference to the amino acid sequence shown in SEQ ID NO.: 1. In some embodiments, the N-terminal degron is a ubiquitin fusion degradation (UFD) degron. In some embodiments, the ubiquitin is a non-cleavable ubiquitin.
In some embodiments, the non-cleavable ubiquitin comprises a glycine mutation at the amino acid position 76 with reference to SEQ ID NO. : 1, such that the glycine is deleted or mutated to another amino acid. In some embodiments the non-cleavable ubiquitin has with reference to SEQ ID NO. : 1 at amino acid position 76 an alanine (e.g., as shown in SEQ ID NO. : 30). In some embodiments, an additional amino acid may be added immediately after the ubiquitin, termed "degrading amino acid". A "degrading amino acid" is defined as an amino acid that when added to the C-terminus of ubiquitin (i.e. immediately after amino acid position 76 with reference to SEQ ID NO. : 1) leads to further enhanced degradation of the polypeptide in comparison with the respective polypeptide comprising ubiquitin without the degrading amino acid. Accordingly, in some embodiments, a degrading amino acid is added immediately after the ubiquitin to further enhance degradation of the polypeptide. The degrading amino acid may be introduced between ubiquitin and the antigenic polypeptide or may be the first amino acid of the antigenic polypeptide. In some embodiments, the degrading amino acid is arginine or valine, such as arginine as shown in SEQ ID NO.: 5.
In some exemplary embodiments, the non-cleavable ubiquitin has a sequence as shown in SEQ ID NO.: 5 or a ubiquitin comprising a mutation substituting the lysine at position 6, 11, 27, 29, 33, or 63 or any combination thereof with reference to SEQ ID NO. : 1 or a sequence having at least 80%, at least 90%, at least 95, at least 96%, at least 97%, at least 98%, or at 99% identity to SEQ ID NO.: 5 with the proviso that the non-cleavable ubiquitin sequence has a glycine to alanine mutation at position 76 of SEQ ID NO.: 5 ("G76A") or at a corresponding position and that an arginine is immediately following the alanine. In other words, in some embodiments the non-cleavable ubiquitin has an alanine at position 76 and an arginine at position 77 with reference to SEQ ID NO. : 5 (or at corresponding positions). Such a non-cleavable ubiquitin is also referred to herein as "UbiAR".
In some embodiments, cleavage of the ubiquitin by DUBs can be inhibited when the ubiquitin is immediately followed by a proline. In some embodiments, the non-cleavable ubiquitin comprises a proline immediately following the ubiquitin, i.e. at the C-terminus of the non-cleavable ubiquitin (e.g., as shown in Fig. IB). In other words, the ubiquitin sequence is immediately followed by a proline which results in the ubiquitin being non-cleavable. The proline may be introduced between the ubiquitin and the antigenic polypeptide or may be the first amino acid of the antigenic polypeptide. In some embodiments, the ubiquitin has the sequences as shown in SEQ ID NO. : 1 and the proline immediately following the ubiquitin resulting e.g., in an amino acid sequence as shown in SEQ ID NO. : 3. In some embodiments, the non-cleavable ubiquitin has the sequence
shown in SEQ ID NO. : 3. In some embodiments, the non-cleavable ubiquitin comprises a sequence comprising a mutation substituting the lysine at position 6, 11, 27, 29, 33, or 63 or any combination thereof with reference to SEQ ID NO.: 3. Such a non-cleavable ubiquitin is also referred to herein as "Ubi-P".
Both modifications described above, i.e. the mutation of glycine at position 76 with reference to SEQ ID NO.: 1 or the addition of proline at the C-terminal end of ubiquitin (such as having a proline at position 77 of SEQ ID NO. : 3) result in a non-cleavable ubiquitin that cannot be removed by DUBs. During intracellular processing of the polypeptide comprising the N-terminal non-cleavable ubiquitin, lysines within the ubiquitin are ubiquitinated resulting in a poly-ubiquitin chain, targeting the poly-ubiquitinated polypeptide for proteasomal degradation. In some exemplary embodiments, the non-cleavable ubiquitin can comprise therefore at least one, at least 2, at least 3, at least 4, at least 5, at least 6 or 7 lysines. In some embodiments, one or more of the seven lysines can be mutated, e.g., being substituted by another amino acid, such as arginine. In some exemplary embodiments, at least the lysine at amino acid position 48 is not mutated (an exemplary embodiment being SEQ ID NO. : 7).
In some embodiments, the non-cleavable ubiquitin sequence can comprise a glycine mutation at amino acid position 76 with reference to SEQ ID NO. : 1 immediately followed by a proline, meaning the amino acid at position 76 with reference to SEQ ID NO. : 1 is not glycine, but e.g., an alanine, and the immediately following amino acid is proline, such as shown e.g., in SEQ ID NO. : 23.
In some embodiments, the non-cleavable ubiquitin comprises one C-terminal valine as shown in SEQ ID NO. : 24. In some embodiments, the non-cleavable ubiquitin comprises a G76V mutation with reference to SEQ ID NO. : 24. In some embodiments, the C-terminal valine is immediately followed by a degrading amino acid such as valine or arginine, meaning the glycine at amino acid position 76 is replaced by a valine (G76V) and the degrading amino acid following the position 76 with reference to SEQ ID NO.: 24 is valine or arginine as e.g., shown in SEQ ID NO. : 25 or 26. In some such embodiments, the N-terminal degron may comprise two N- terminal ubiquitins, wherein one ubiquitin comprises a G76V mutation with reference to SEQ ID NO. : 24 immediately followed by a valine or arginine, immediately followed by a second ubiquitin comprising a G76V mutation with reference to SEQ ID NO. : 24 immediately followed by a valine or arginine. In some embodiments, the N-terminal degron optionally comprises three N-terminal ubiquitins, wherein one ubiquitin comprises a G76V mutation with reference to SEQ ID NO.: 24 immediately followed by a valine or arginine, immediately followed by a second ubiquitin comprising a G76V mutation with reference to SEQ ID NO.: 24 immediately followed by a valine or arginine, immediately followed by a third ubiquitin comprising a G76V mutation with reference to SEQ ID NO. : 24 immediately followed by a valine or arginine. In this context, the valine or arginine can be located between the last ubiquitin and an antigenic peptide or can be the first amino acid of the antigenic peptide.
In some embodiments, the ubiquitin comprises a lysine substitution, in particular one to six lysine substitutions. In some embodiments, the ubiquitin comprises a plurality of lysine substitutions. In some embodiments, the ubiquitin sequence comprises one or more lysine substitutions, in particular one to six lysine substitutions, wherein the one or more lysine substitutions comprise positions 6, 11, 27, 29, 33, 63, or any combination thereof with reference to SEQ ID NO.: 1. The lysine can be replaced by any other amino acid.
Optionally, the one or more lysine substitutions, in particular one to six lysine substitutions, comprise K6R, KIIR, K27R, K29R, K33R, K63R, or any combination thereof with reference to SEQ ID NO. : 1. These lysine substitutions are contemplated to optimize the proteasomal degradation of the polypeptide encoded by the nucleic acid molecule disclosed herein, by directing the polypeptide away from other pathways. In some exemplary embodiments, the ubiquitin sequence is an amino acid sequence shown in SEQ ID NOs.: 7-13. It is however understood that the ubiquitin can comprise any combination of lysine substitutions at positions 6, 11, 27, 29, 33, and 63 with reference to SEQ ID NO. : 1. In some embodiments, the ubiquitin comprises 2, 3, 4, 5, or 6 lysine substitutions in any of the positions 6, 11, 27, 29, 33, and 63. In some embodiments, the ubiquitin comprises lysine substitutions, in particular one to six lysine substitutions, at the positions 6, 11, 27, 29, 33, and 63. Optionally the lysine is replaced by arginine. Optionally, the ubiquitin comprises the sequence shown in SEQ ID NO. : 7 or a sequence being at least 80%, at least 90%, at least 95, at least 96%, at least 97%, at least 98%, or at least 99% identical to the sequence shown in said SEQ ID NO, with the proviso that the ubiquitin is able to be ubiquitinated and mark the protein for degradation.
In some embodiments, the ubiquitin is non-cleavable and comprises only the lysine substitution K63R. An example of this is the construct of SEQ ID NO.: 13. The research leading up to the present disclosure has found that this substitution leads to a particularly strong MHC-I presentation of an antigenic polypeptide connected thereto, and thus leads to a pronounced CD8+ T cell immune response against said antigenic polypeptide.
In some embodiments, the ubiquitin is non-cleavable and comprises substitutions of the lysines at positions K6, Kll, K27, K29, K33 and K63, in particular K6R, KIIR, K27R, K29R, K33R, and K63R, such that only the lysine K48 is non-mutated. An example of this is the construct of SEQ ID NO. : 7. This substitution pattern is herein referred to as "K48only". The research leading up to the present disclosure has surprisingly found that the K48only variant - despite its many structural and functional alterations - leads to a particularly strong MHC-I presentation of an antigenic polypeptide connected thereto, and thereby leads to a pronounced CD8+ T cell immune response against said antigenic polypeptide. This finding is particularly surprising because the change from lysine to arginine significantly influences the protein surface of the ubiquitin and leads to a shift in the isoelectric point which would have been expected to negatively influence the interaction between the ubiquitin and the proteasome.
In some embodiments, the non-cleavable ubiquitin comprises a sequence as shown in SEQ ID NO. : 8 or a sequence having at least 80%, at least 90%, at least 95, at least 96%, at least 97%, at least 98%, or at least 99% identity to the sequence shown in said SEQ ID NO, with the proviso that the ubiquitin is able to be ubiquitinated and mark the protein for degradation.
In some embodiments, the non-cleavable ubiquitin comprises a sequence as shown in SEQ ID NO. : 9 or a sequence having at least 80%, at least 90%, at least 95, at least 96%, at least 97%, at least 98%, or at least 99% identity to the sequence shown in said SEQ ID NO, with the proviso that the ubiquitin is able to be ubiquitinated and mark the protein for degradation.
In some embodiments, the non-cleavable ubiquitin comprises a sequence as shown in SEQ ID NO. : 10 or a sequence having at least 80%, at least 90%, at least 95, at least 96%, at least 97%, at least 98%, or at least 99% identity to the sequence shown in said SEQ ID NO.
In some embodiments, the non-cleavable ubiquitin comprises a sequence as shown in SEQ ID NO. : 11 or a sequence having at least 80%, at least 90%, at least 95, at least 96%, at least 97%, at least 98%, or at least 99% identity to the sequence shown in said SEQ ID NO, with the proviso that the ubiquitin is able to be ubiquitinated and mark the protein for degradation.
In some embodiments, the non-cleavable ubiquitin comprises a sequence as shown in SEQ ID NO. : 12 or a sequence having at least 80%, at least 90%, at least 95, at least 96%, at least 97%, at least 98%, or at least 99% identity to the sequence shown in said SEQ ID NO, with the proviso that the ubiquitin is able to be ubiquitinated and mark the protein for degradation.
In some embodiments, the non-cleavable ubiquitin comprises a sequence as shown in SEQ ID NO. : 13 or a sequence having at least 80%, at least 90%, at least 95, at least 96%, at least 97%, at least 98%, or at least 99% identity to the sequence shown in said SEQ ID NO, with the proviso that the ubiquitin is able to be ubiquitinated and mark the protein for degradation.
In some embodiments, the non-cleavable ubiquitin or the cleavable ubiquitin is followed by one or more internal lysines, such as N-terminal proximal lysines, wherein the one or more internal lysines may be positioned within one or more of the antigenic peptides or within optional linkers.
In the context of the present disclosure, the reference to a ubiquitin amino acid position refers to ubiquitin as shown in SEQ ID NO. : 1 unless indicated otherwise. SEQ ID NO.: 1 has 76 amino acids. For example, position 76 refers to the last glycine of ubiquitin in reference to amino acid sequence of SEQ ID NO.: 1. For example, positions 6, 11, 27, 29, 33, 48 and 63 refer to the seven lysine positions present in ubiquitin in reference to amino acid sequence of SEQ ID NO. : 1. For example, position 43 refers to a leucine in reference to amino acid sequence of SEQ ID NO. : 1. The addition of destabilizing amino acids immediately following ubiquitin (e.g., in cleavable ubiquitin) or of degrading amino acids (e.g., in non-cleavable ubiquitin) result in the introduction of one additional amino acid after position 76 in reference to amino acid sequence of SEQ ID NO. : 1 and in the context of ubiquitin is referred to as amino acid position 77. However, the amino acid at position 77 is not considered to be part of ubiquitin. In case of cleavable ubiquitin, this position 77 becomes after cleavage of ubiquitin position 1 of the released polypeptide comprising one or more antigenic peptides, wherein the released polypeptide is not ubiquitin.
In some embodiments, the polypeptide comprises malaria antigens Plasmodium antigens) for eliciting a P/asmodium-spec ic CD8+ immune response. In some such embodiments, the polypeptide comprises one or more Piasmodium -c&W antigens, such as at least 2 and at most 10 Plasmodium T-cell antigens. In some embodiments, the encoded polypeptide comprises at least 25 amino acids and at most 1100 amino acids. In some embodiments, the encoded polypeptide comprises at least 25 amino acids and at most 500 amino acids. In some embodiments, the polypeptide has a sequence as shown in SEQ ID NO. : 27. In such embodiments,
the polypeptide disclosed herein comprises next to an N-terminal degron a malarial T-cell peptide string construct that includes the following antigenic peptides in order: (i) an antigenic Plasmodium CSP (circumsporozoite protein) polypeptide fragment; (ii) an antigenic Plasmodium TRAP (Thrombospondin-related adhesion protein) polypeptide fragment; (iii) an antigenic Plasmodium UIS3 (Upregulated in infective sporozoites gene 3) polypeptide fragment; (iv) an antigenic Plasmodium ETRAMP10.3 polypeptide fragment; and (v) an antigenic Plasmodium LSAP2 polypeptide fragment, wherein the Plasmodium may be Plasmodium falciparum, such as Plasmodium falciparum isolate 3D7. In some embodiments, the polypeptide includes an amino acid sequence with at least 85% (e.g., at least 90%, 91%, 92%, 93%, 94%, 95%, 96%, 97%, 98%, or 99%) sequence identity to an amino acid sequence according to SEQ ID NO.: 27. In some embodiments, the polypeptide is encoded by the DNA sequence as shown in SEQ ID NO. : 28, or DNA sequence with at least 85% (e.g., at least 90%, 91%, 92%, 93%, 94%, 95%, 96%, 97%, 98%, or 99%) sequence identity to SEQ ID NO.: 28. In some embodiments, the polypeptide is encoded by the RNA sequence as shown in SEQ ID NO.: 29, or RNA sequence with at least 85% (e.g., at least 90%, 91%, 92%, 93%, 94%, 95%, 96%, 97%, 98%, or 99%) sequence identity to SEQ ID NO.: 29.
In some embodiments, the nucleic acid molecule is for use in eliciting an antigen-specific CD8+ T-cell response. In some exemplary embodiments, the nucleic acid molecule for use in eliciting an antigen-specific CD8+ T-cell response is a nucleic acid molecule encoding for the polypeptide comprising the cleavable ubiquitin disclosed herein. In some exemplary embodiments, the nucleic acid molecule for use in eliciting an antigen-specific CD8+ T-cell response is a nucleic acid molecule encoding for the polypeptide comprising the non-cleavable ubiquitin disclosed herein. The nucleic acid molecule has the advantage of polarizing towards an antigen-specific CD8+ T-cell response, allowing improved modulation of the immune response. The nucleic acid molecule can enhance the antigen-specific CD8+ T-cell response. In some embodiments, the nucleic acid molecule elicits a two-fold, a three-fold, or a five-fold, increase in the antigen-specific CD8+ T-cell response compared to an antigen-specific CD4+ T-cell immune response.
In some embodiments, the subject suffers from a disease, such as a genetic, metabolic or infectious disease. In some embodiments, the nucleic acid molecule is for use in the prevention and/or treatment of genetic, metabolic, or infectious diseases. In some embodiments, the subject suffers from cancer. The disease may be an infectious disease, such as a viral disease, e.g., a herpes virus infection, a malaria infection, or shingles. The subject can be a mammal, e.g. a human.
The present disclosure further provides a nucleic acid molecule for eliciting an antigen-specific CD8+ T-cell response in a subject comprising a coding sequence encoding a polypeptide comprising an antigenic peptide and an N-terminal degron comprising at least one non-cleavable ubiquitin.
The features and embodiments defined herein for the nucleic acid molecule defined herein and above are meant to be equally disclosed also for the corresponding nucleic acid molecule encoding the polypeptide comprising the non-cleavable ubiquitin.
The present disclosure further provides a nucleic acid molecule for eliciting an antigen-specific CD8+ T-cell response in a subject comprising a coding sequence encoding a polypeptide comprising an antigenic peptide and an N-terminal degron comprising at least one cleavable ubiquitin.
In some exemplary embodiments, the nucleic acid molecule is for use in eliciting an antigen-specific CD8+ T- cell immune response.
The features and embodiments defined herein for the nucleic acid molecule defined herein and above are meant to be equally disclosed also for the corresponding nucleic acid molecule encoding the polypeptide comprising the non-cleavable ubiquitin.
The present disclosure further provides a polypeptide encoded by the nucleic acid molecule disclosed herein. In some embodiments, the polypeptide encoded by the nucleic acid molecule comprises a ubiquitin, e.g. a cleavable or non-cleavable ubiquitin.
In some exemplary embodiments, the polypeptide is for use in eliciting an antigen-specific CD8+ T-cell immune response.
The features and embodiments defined herein for the polypeptide encoded by the nucleic acid molecule disclosed herein are meant to be equally disclosed also for the polypeptide of the present disclosure. In some exemplary embodiments, the polypeptide of the present disclosure is the polypeptide encoded by the nucleic acid molecule disclosed herein.
The present disclosure further provides an isolated host cell which comprises the nucleic acid molecule disclosed herein and/or the polypeptide disclosed herein. In some embodiments, the isolated host cell comprises the nucleic acid molecule disclosed herein or the polypeptide disclosed herein. In some embodiments, the isolated host cell comprises the nucleic acid molecule disclosed herein and the polypeptide disclosed herein. In some embodiments, the isolated host cell comprises the nucleic acid molecule disclosed herein. In some embodiments, the isolated host cell comprises the polypeptide disclosed herein. The present disclosure further provides a composition comprising the isolated host cell disclosed herein.
In the context of the present disclosure, the term "host cell" is intended to refer to a living cell into which a nucleic acid molecule of the present disclosure and/or a polypeptide of the present disclosure can be introduced, allowing for their expression, replication, and/or modification. In the context of the present disclosure, the host cell may be isolated and/or specifically engineered to incorporate the nucleic acid molecule or polypeptide described, and may facilitate the production of the desired biological components. The term "host cell" encompasses a variety of cell types, including mammalian cells, e.g., mammalian cell lines. In one embodiment the host cell is a mammalian cell, in particular a human cell.
The present disclosure further provides a pharmaceutical composition comprising the nucleic acid molecule disclosed herein or the polypeptide disclosed herein in a pharmaceutically acceptable carrier. The
pharmaceutical composition can comprise the features and embodiments defined above for pharmaceutical compositions.
The nucleic acid molecule and/or polypeptide described herein may be administered in pharmaceutical compositions or medicaments and may be administered in the form of any suitable pharmaceutical composition. In some embodiments, the pharmaceutical composition is for therapeutic or prophylactic treatments, e.g., for use in treating or preventing a disease involving an antigen.
The term "pharmaceutical composition" relates to a composition comprising a therapeutically effective agent, optionally together with pharmaceutically acceptable carriers, diluents and/or excipients. Said pharmaceutical composition is useful for treating, preventing, or reducing the severity of a disease by administration of said pharmaceutical composition to a subject.
A "pharmaceutically acceptable carrier" or "pharmaceutically acceptable excipient" is a solvent, dispersion medium, coating, antibacterial agent and antifungal agent, isotonic agent, and absorption delaying agent, and the like, that is compatible with pharmaceutical administration. The use of such media and agents for pharmaceutically active substances is well known in the art. In certain embodiments, the pharmaceutically acceptable carrier or excipient is not naturally occurring.
The pharmaceutical compositions of the present disclosure may comprise one or more adjuvants or may be administered with one or more adjuvants. The term "adjuvant" relates to a compound which prolongs, enhances or accelerates an immune response. Adjuvants comprise a heterogeneous group of compounds such as oil emulsions (e.g., Freund's adjuvants), mineral compounds (such as alum), bacterial products (such as Bordetella pertussis toxin), or immune-stimulating complexes. Examples of adjuvants include, without limitation, LPS, GP96, CpG oligodeoxynucleotides, growth factors, and cytokines, such as monokines, lymphokines, interleukins, chemokines. The chemokines may be IL-1, IL-2, IL-3, IL-4, IL-5, IL-6, IL-7, IL-8, IL- 9, IL-10, IL-12, INFa, INF-y, GM-CSF, or LT-a. Further known adjuvants are aluminum hydroxide, Freund's adjuvant or oil such as Montanide® ISA51. Other suitable adjuvants for use in the present disclosure include lipopeptides, such as Pam3Cys, as well as lipophilic components, such as saponins, trehalose-6,6-dibehenate (TDB), monophosphoryl lipid-A (MPL), monomycoloyl glycerol (MMG), or glucopyranosyl lipid adjuvant (GLA).
The pharmaceutical compositions of the present disclosure may be in a storable form (e.g., in a frozen or lyophilized/freeze-dried form) or in a "ready-to-use form" (i.e., in a form which can be immediately administered to a subject, e.g., without any processing such as diluting). Thus, prior to administration of a storable form of a pharmaceutical composition, this storable form has to be processed or transferred into a ready-to-use or administrable form. E.g., a frozen pharmaceutical composition has to be thawed, or a freeze- dried pharmaceutical composition has to be reconstituted, e.g., by using a suitable solvent (e.g., deionized water, such as water for injection) or liquid (e.g., an aqueous solution).
The pharmaceutical compositions according to the present disclosure are generally applied in a "pharmaceutically effective amount" and in "a pharmaceutically acceptable preparation". An "effective amount" is an amount of a given substance that is sufficient in quantity to produce a desired effect, including an
improvement or remediation of the disease, disorder, or symptoms of the disease or condition. For example, an effective amount of the pharmaceutical composition (e.g., immunogenic composition, e.g., vaccine) composition for eliciting an antigen-specific CD8+ T- cell response in a subject is an amount capable to achieve a detectable increase in antigen-specific CD8+ T cells upon administration to the subject. The term "pharmaceutically acceptable" refers to the non-toxicity of a material which does not interact with the action of the active component of the pharmaceutical composition. The term "pharmaceutically effective amount" refers to the amount which achieves a desired reaction or a desired effect alone or together with further doses. In some embodiments relating to the treatment of a particular disease, the desired reaction may relate to inhibition of the course of the disease. This comprises slowing down the progress of the disease and, in some embodiments, interrupting or reversing the progress of the disease. The desired reaction in a treatment of a disease may also be delay of the onset or a prevention of the onset of said disease or said condition, or symptoms thereof. An effective amount of the pharmaceutical compositions described herein will depend on the condition to be treated, the severeness of the disease, the individual parameters of the patient, including age, physiological condition, size and weight, the duration of treatment, the type of an accompanying therapy (if present), the specific route of administration and similar factors. Accordingly, the doses administered of the pharmaceutical compositions described herein may depend on various of such parameters. In the case that a reaction in a patient is insufficient with an initial dose, higher doses (or effectively higher doses achieved by a different, more localized route of administration) may be used.
The pharmaceutical compositions of the present disclosure may contain buffers, preservatives, and optionally other therapeutic agents. In some embodiments, the pharmaceutical compositions of the present disclosure comprise one or more pharmaceutically acceptable carriers, diluents and/or excipients. Suitable preservatives for use in the pharmaceutical compositions of the present disclosure include, without limitation, benzalkonium chloride, chlorobutanol, paraben and thimerosal. The term "excipient" as used herein refers to a substance which may be present in a pharmaceutical composition of the present disclosure but is not an active ingredient. Examples of excipients, include without limitation, carriers, binders, diluents, lubricants, thickeners, surface active agents, preservatives, stabilizers, emulsifiers, buffers, flavoring agents, or colorants. The term "diluent" relates a diluting and/or thinning agent. Moreover, the term "diluent" includes any one or more of fluid, liquid or solid suspension and/or mixing media. Examples of suitable diluents include ethanol, glycerol and water. The term "carrier" refers to a component which may be natural, synthetic, organic, inorganic in which the active component is combined in order to facilitate, enhance or enable administration of the pharmaceutical composition. A carrier as used herein may be one or more compatible solid or liquid fillers, diluents or encapsulating substances, which are suitable for administration to subject. Suitable carriers include, without limitation, sterile water, Ringer, Ringer lactate, sterile sodium chloride solution, isotonic saline, polyalkylene glycols, hydrogenated naphthalenes and, in particular, biocompatible lactide polymers, lactide/glycolide copolymers or polyoxyethylene/polyoxy-propylene copolymers. In some embodiments, the pharmaceutical composition of the present disclosure includes isotonic saline. Pharmaceutically acceptable carriers, excipients or diluents for therapeutic use are well known in the pharmaceutical art, and are described, for example, in Remington's Pharmaceutical Sciences, Mack Publishing Co. (A. R Gennaro edit. 1985). Pharmaceutical carriers, excipients or diluents can be selected with regard to the intended route of administration and standard pharmaceutical practice.
In some embodiments, the pharmaceutical compositions described herein may be administered intravenously, intraarterially, subcutaneously, intradermally, dermally, intranodally, or intramuscularly. In some embodiments, the pharmaceutical compositions described herein may be administered intramuscularly. In some embodiments, the pharmaceutical composition is formulated for local administration or systemic administration. Systemic administration may include enteral administration, which involves absorption through the gastrointestinal tract, or parenteral administration. As used herein, "parenteral administration" refers to the administration in any manner other than through the gastrointestinal tract, such as by intravenous injection. In some embodiments, the pharmaceutical compositions are formulated for systemic administration.
In some embodiments, the systemic administration is by intravenous administration. In some embodiments, the pharmaceutical compositions are formulated for intramuscular administration.
In some embodiments, intramuscular administration comprises administration into the upper arm, in particular into the musculus deltoideus. If more than one dose, e.g., three doses, of a pharmaceutical composition described herein is administered, the different administrations may be into the same arm.
The present disclosure also provides a pharmaceutical composition (e.g., immunogenic composition, e.g., vaccine) for eliciting an antigen-specific CD8+ T-cell response comprising an effective dose of a nucleic acid molecule disclosed herein or a polypeptide disclosed herein. In some embodiments, a nucleic acid molecule is associated with cationic lipids or is encapsulated into a nanoparticle or liposome, e.g. as disclosed above. In exemplary embodiments, a pharmaceutical composition (e.g., immunogenic composition, e.g., vaccine) is for use in eliciting an antigen-specific CD8+ T-cell response and/or for use in a therapeutic or prophylactic treatment.
The present disclosure further provides the nucleic acid molecule disclosed herein, the polypeptide disclosed herein, the pharmaceutical composition disclosed herein, or the vaccine composition disclosed herein for use in a method of eliciting an antigen-specific CD8+ T-cell response in a subject in need thereof, comprising: administering to the subject an effective amount of the nucleic acid molecule, the pharmaceutical composition, or the vaccine composition, thereby stimulating an antigen-specific CD8+ T-cell response in the subject.
The present disclosure further provides the nucleic acid molecule disclosed herein, the polypeptide disclosed herein, the pharmaceutical composition disclosed herein, or the vaccine composition disclosed herein for use in a method for inducing the formation of MHC-I/peptide complexes in a cell, the method comprising administering to a subject an effective amount of the nucleic acid molecule, the pharmaceutical composition, or the vaccine composition.
The present disclosure further provides the nucleic acid molecule disclosed herein, the polypeptide disclosed herein, the pharmaceutical composition disclosed herein, or the vaccine composition disclosed herein for use in a method for stimulating or activating CD8+ T-cells, wherein the method comprises administering to a subject an effective amount of the nucleic acid molecule, the pharmaceutical composition, or the vaccine composition.
In some embodiments, the administration is intravenously. In some embodiments, the administration is intraarterially, subcutaneously, intradermally, dermally, intranodally, or intramuscularly. In some embodiments, the administration is intramuscularly. In some embodiments, the admiration is a local administration or systemic administration. Systemic administration may include enteral administration, which involves absorption through the gastrointestinal tract, or parenteral administration. In some embodiments, the administration is a systemic administration. In some embodiments, the systemic administration is by intravenous administration.
SEQUENCE LISTING
This application contains a Sequence Listing which has been submitted electronically and is hereby incorporated by reference in its entirety. Said Sequence Listing file is named 230089WQ_new_Sequence Listing. xml and 44,424 Bytes in size.
SEQ ID NO. : 1 is an exemplary amino acid sequence of ubiquitin suitable for use in the N-terminal degron disclosed herein. The ubiquitin sequence comprises 76 amino acids.
SEQ ID NO. : 2 is an exemplary amino acid sequence of a cleavable ubiquitin suitable for use in the N-terminal degron disclosed herein. The ubiquitin sequence comprises a destabilizing amino acid at the C-terminus.
SEQ ID NO. : 3 is an exemplary amino acid sequence of a non-cleavable ubiquitin suitable for use in the N- terminal degron disclosed herein. The ubiquitin sequence comprises a proline at the C-terminus.
SEQ ID NO. : 4 is an exemplary amino acid sequence of a non-cleavable ubiquitin suitable for use in the N- terminal degron disclosed herein, wherein the amino acid G76 is deleted.
SEQ ID NO. : 5 is an exemplary amino acid sequence of a non-cleavable ubiquitin suitable for use in the N- terminal degron disclosed herein comprising a G76A mutation immediately followed by an arginine.
SEQ ID NO. : 6 is an exemplary amino acid sequence of GFP.
SEQ ID NO. : 7 is an exemplary amino acid sequence of a non-cleavable ubiquitin suitable for use in the N- terminal degron disclosed herein based on SEQ ID NO. : 5 and comprising K6R, KIIR, K27R, K29R, K33R, and K63R substitutions.
SEQ ID NO. : 8 is an exemplary amino acid sequence of a non-cleavable ubiquitin suitable for use in the N- terminal degron disclosed herein based on SEQ ID NO. : 5 and comprising a K6R substitution.
SEQ ID NO. : 9 is an exemplary amino acid sequence of a non-cleavable ubiquitin suitable for use in the N- terminal degron disclosed herein based on SEQ ID NO. : 5 and comprising a KIIR substitution.
SEQ ID NO. : 10 is an exemplary amino acid sequence of a non-cleavable ubiquitin suitable for use in the N- terminal degron disclosed herein based on SEQ ID NO. : 5 and comprising a K27R substitution.
SEQ ID NO. : 11 is an exemplary amino acid sequence of a non-cleavable ubiquitin suitable for use in the N- terminal degron disclosed herein based on SEQ ID NO. : 5 and comprising a K29R substitution.
SEQ ID NO. : 12 is an exemplary amino acid sequence of a non-cleavable ubiquitin suitable for use in the N- terminal degron disclosed herein based on SEQ ID NO. : 5 and comprising a K33R substitution.
SEQ ID NO. : 13 is an exemplary amino acid sequence of a non-cleavable ubiquitin suitable for use in the N- terminal degron disclosed herein based on SEQ ID NO. : 5 and comprising a K63R substitution.
SEQ ID NO. : 14 is an exemplary amino acid sequence of a non-cleavable ubiquitin suitable for use in the N- terminal degron disclosed herein based on SEQ ID NO. : 5 and comprising a L43A substitution and K6R, KIIR, K27R, K29R, K33R, K48R and K63R substitutions.
SEQ ID NO. : 15 is an exemplary amino acid sequence of a cleavable ubiquitin suitable for use in the N-terminal degron disclosed herein based on SEQ ID NO. : 2 and comprising a L43A substitution and K6R, KIIR, K27R, K29R, K33R, K48R and K63R substitutions.
SEQ ID NO.: 16 is an exemplary amino acid sequence comprising the cleavable ubiquitin sequence shown in SEQ ID NO. : 2 fused to the GFP sequence shown in SEQ ID NO.: 6.
SEQ ID NO. : 17 is an exemplary amino acid sequence of a non-cleavable ubiquitin sequence shown in SEQ ID NO. : 5 fused to the GFP sequence shown in SEQ ID NO. : 6.
SEQ ID NO. : 18 is an exemplary amino acid sequence of a non-cleavable ubiquitin sequence shown in SEQ ID NO. : 13 fused to the GFP sequence shown in SEQ ID NO. : 6.
SEQ ID NO. : 19 is an exemplary amino acid sequence of a non-cleavable ubiquitin sequence shown in SEQ ID NO. : 7 fused to the GFP sequence shown in SEQ ID NO. : 6.
SEQ ID NO. : 20 is an exemplary amino acid sequence of a non-cleavable ubiquitin sequence shown in SEQ ID NO. : 14 fused to the GFP sequence shown in SEQ ID NO. : 6.
SEQ ID NO. : 21 is an exemplary amino acid sequence of a cleavable ubiquitin sequence shown in SEQ ID NO.: 15 fused to the GFP sequence shown in SEQ ID NO.: 6.
SEQ ID NO. : 22 is an exemplary amino acid sequence of a signal peptide HSV-lgD SP.
SEQ ID NO. : 23 is an exemplary amino acid sequence of a non-cleavable ubiquitin sequence comprising a glycine mutation at amino acid position 76 with reference to SEQ ID NO. : 1 immediately followed by a proline.
SEQ ID NO. : 24 is an exemplary amino acid sequence of a non-cleavable ubiquitin comprises a C-terminal valine.
SEQ ID NO. : 25 is an exemplary amino acid sequence of a non-cleavable ubiquitin comprises a C-terminal valine immediately followed by an arginine.
SEQ ID NO. : 26 is an exemplary amino acid sequence of a non-cleavable ubiquitin comprises a C-terminal valine immediately followed by a valine.
SEQ ID NO. : 27 is an exemplary amino acid sequence of a polypeptide according to the invention comprising the N-terminal degron of SEQ ID NO. : 2 followed by the following antigenic peptides: (i) an antigenic Plasmodium CSP (circumsporozoite protein) polypeptide fragment; (ii) an antigenic Plasmodium TRAP (Thrombospondin-related adhesion protein) polypeptide fragment; (iii) an antigenic Plasmodium UIS3 (Upregulated in infective sporozoites gene 3) polypeptide fragment; (iv) an antigenic Plasmodium ETRAMP10.3 polypeptide fragment; and (v) an antigenic Plasmodium LSAP2 polypeptide fragment.
SEQ ID NO. : 28 is an exemplary DNA sequence encoding for the SEQ ID NO. : 27.
SEQ ID NO. : 29 is an exemplary RNA sequence encoding for the SEQ ID NO. : 27.
SEQ ID NO. : 30 is an exemplary amino acid sequence of a non-cleavable ubiquitin suitable for use in the N- terminal degron disclosed herein, comprising a G76A mutation.
SEQ ID NO. : 31 is an exemplary amino acid sequence of a GFP variant.
SEQ ID NO. : 32 is an exemplary amino acid sequence of a synthetic construct comprising an HSV signal peptide (SP), the GFP variant sequence shown in SEQ ID NO.: 23 and an MITD sequence.
SEQ ID NO. : 33 is an exemplary amino acid sequence of comprising the cleavable ubiquitin sequence shown in SEQ ID NO. : 2, a GGS linker and the GFP variant sequence shown in SEQ ID NO.: 23.
SEQ ID NO. : 34 is an exemplary amino acid sequence comprising the non-cleavable ubiquitin sequence shown in SEQ ID NO. : 5, a GGS linker and the GFP variant sequence shown in SEQ ID NO.: 23.
SEQ ID NO. : 35 is an exemplary amino acid sequence comprising the non-cleavable ubiquitin sequence shown in SEQ ID NO. : 13, a GGS linker and the GFP variant sequence shown in SEQ ID NO. : 23.
SEQ ID NO. : 36 is an exemplary amino acid sequence comprising the non-cleavable ubiquitin sequence shown in SEQ ID NO. : 7, a GGS linker and the GFP variant sequence shown in SEQ ID NO.: 23.
SEQ ID NO. : 37 is an exemplary amino acid sequence comprising the non-cleavable ubiquitin sequence shown in SEQ ID NO. : 14, a GGS linker and the GFP variant sequence shown in SEQ ID NO. : 23.
SEQ ID NO. : 38 is an exemplary amino acid sequence comprising the non-cleavable ubiquitin sequence shown in SEQ ID NO. : 15, a GGS linker and the GFP variant sequence shown in SEQ ID NO. : 23.
EXAMPLES
Example 1: N-terminal deqron increases the amount of protein turn over Approximately 5 x 105 HEK293 cells were transfected with 5 pg RNA using Lipofectamine MessengerMax using manufacturer's protocol using as shown in Fig. b:
(1.) control (untransfected cells)
(2.) reference RNA construct ("SP+MITD") comprising a signal peptide (HSV-lgD SP; shown in SEQ ID NO. : 22), antigenic peptides derived from malaria (CSP, TRAP, UIS3, ETRAMP10.3, and LSAP2) separated by linkers, and an MHC internal transmembrane domain (MITD),
(3.) RNA construct ("degron") comprising a cleavable ubiquitin at the N-terminus immediately followed by a destabilizing amino acid, and antigenic peptides derived from malaria (CSP, TRAP, UIS3, ETRAMP10.3, and LSAP2) separated by linkers with the first antigenic malaria peptide comprising N-terminal proximal lysines (N- term proximal lysines).
After 24 hours, the cells were harvested, pelleted, and lysed in an 8M urea lysis buffer. Lysates were cleared of insoluble material by centrifugation and stored at -80C.
After thawing, expression of the RNA-encoded protein was assessed. Protein concentrations of the supernatants were measured using a BCA kit according to manufacturer's protocols, and concentrations were normalized. Cysteine sulfhydryls were reduced with TCEP and alkylated with iodoacetamide. Proteins were digested using trypsin overnight at 37°C at a ratio of 1 pg trypsin per 50 pg total protein. Digested peptides were further desalted using C18 solid phase extraction. Following desalting, peptides were analyzed by targeted LC-MS/MS analysis to quantify the relative abundance of the transfected protein in the cell lysate.
The results are shown in Fig. 2a. This demonstrates that the degron leads increased turnover of the polypeptide (as measured by the increase in abundance in the presence of MG132) compared to the SP+MITD lacking the degron.
Example 2: Immunogenicity of the polypeptide comprising the N-terminal deqron and antigens Immunization
HLA A2.1 transgenic mice were immunized with 2.5 pg RNA as described in Example 1 intramuscularly. Seven days after immunization, spleens were harvested, and serum was collected.
Spleen processing
Single cell suspensions were generated from collected spleens for ELISpot analysis. Spleens were decanted onto 70 pm filters placed on 50 mL conical vials and gently dissociated using the plunger of a 3 mL syringe and rinsing with ~6 mL of RPMI media to release splenocytes into the tube. Splenocytes were centrifuged for 10 min at 4°C at 1300 revolutions per minute (rpm), the supernatant was decanted and red blood cells were
lysed with ammonium-chloride-potassium (ACK) Lysing Buffer for 3 min at RT. The ACK lysis was stopped by adding 9 mL of RPMI media and cells were centrifuged again and resuspended in 5 mL of serum-free assay media (X-VIVO + 1% Pen-Strep + 1% Glutamax) and refiltered into a fresh tube over a fresh 70 pm filter. Cells were then counted using a Nexcelom Cellaca-MX.
EliSpot Assay
ELISpot assays with fresh splenocytes were performed according to the manufacturer's protocol (with minor modifications as described below) using R&D systems' mouse IFN-y ELISpot kit. Briefly, 96-well ELISpot plates were blocked with serum-free assay media (X-VIVO + 1% Pen-Strep + 1% Glutamax) for at least 1 h at 37°C. Next, 100 pL of the splenocyte solution (3 x 105 cells) were transferred to the respective well of the 96-well ELISpot plate. Another 100 pL of overlapping peptide pools or controls were added in the following concentrations:
1. SP+MITD peptide pool (57 peptides, 15mer/llmer overlap): 0.3 pM final concentration per peptide
2. Degron peptide pool (18 peptides, 15mer/llmer overlap): 0.3 pM final concentration per peptide
3. Concanavalin A (ConA): 0.3 pM final concentration
For positive control, the splenocytes were stimulated with ConA. For a non-stimulation control, medium with DMSO equivalent to the highest volume of peptide mix was added. All stimulations were performed in triplicate.
Plates were incubated overnight in a 37°C humidified incubator with 5% CCh and after approximately 20 h, cells were removed from the plates and the detection protocol was initiated. To this end, the detection antibody, Streptavidin- Alkaline Phosphatase (AP), and the ready-to-use substrate were added to the wells according to the manufacturer's protocol with an overnight incubation at 4°C. After plate drying for several days, an ELISpot plate reader (ImmunoSpot® S6 Core Analyzer, CTL) was used to count and analyze spot numbers per well. The counting size threshold was adjusted for this prime/boost experiment to a minimum spot size of 0.0075 sq.mm and a maximum spot size of 0.1080 sq.mm. Spots falling into this size range were counted.
As shown in Fig. 3a and 3b, the degron efficiently elicits an immune response compared to the SP+MITD lacking the degron, providing an improved immunogenicity.
Example 3: Analysis of the destabilizing effect of the N-terminal degron in real time
105 HEK293 cells were plated in each well of a 12 well plate. 24 hours after plating, 1 pg of either GFP (control), UbiR-GFP (cleavable ubiquitin), or UbiAR-GFP (non-cleavable ubiquitin) RNA was transfected into cells using Lipofectamine MessengerMax reagent according to manufacturer's protocols. At the same time as transfection, either 0 nM or 100 nM proteasome inhibitor MG132 was added to the cells. Fluorescence from the cells was quantitatively measured using the Incucyte platform for 3 days post-transfection. For quantification, GFP integrated intensity was normalized to cell confluence.
As shown in Fig. 4, the GFP fused to cleavable ubiquitin (UbiR) or non-cleavable ubiquitin (UbiAR) is degraded significantly faster compared to GFP. The presence of different concentrations of the proteasome inhibitor MG132 shows that the degradation of both N-terminal degron constructs occurs via the proteasomal system as increasing inhibition of the proteasome inhibitor MG132 results decreased degradation of the UbiR-GFP and UbiAR-GFP.
Example 4: Analysing GFP expression using the N-terminal degron
Approximately 5 x 105 HEK293 cells were transfected with 5 pg RNA, using cells using Lipofectamine MessengerMax reagent according to manufacturer's protocols:
1. GFP (control)
2. UbiAR-GFP (non-cleavable ubiquitin) as shown in SEQ ID NO. : 17
3. UbiR-GFP (cleavable ubiquitin) as shown in SEQ ID NO.: 16
After 24 hours, the cells were harvested, pelleted, and lysed in a urea lysis buffer. Lysates were cleared of insoluble material by centrifugation and stored at -80°C. After thawing, expression of the RNA-encoded protein was assessed. Protein concentrations of the supernatants were measured using a BCA kit according to manufacturer's protocols, and concentrations were normalized. Cysteine sulfhydryls were reduced with TCEP and alkylated with iodoacetamide. Proteins were digested using trypsin overnight at 37°C at a ratio of 1 pg trypsin per 50 pg total protein. Digested peptides were further desalted using C18 solid phase extraction.
Following desalting, peptides were analyzed by targeted LC-MS/MS analysis to quantify the relative abundance of the transfected protein in the cell lysate.
The results are shown in Fig. 5, the relative expression of GFP peptides in cells expressing UbiR-GFP and UbiAR-GFP is significantly decreased due to the effective degradation. This timepoint was taken at 24 hours after transfection of the GFP constructs. Two tryptic peptides derived from GFP are shown.
Example 5: N-terminal deorons reduce overall expression and HLA-II presentation, but increase HLA-I presentation
Approximately 50 x 105 HEK293 or A375 cells were transfected with 250pg RNA, using Lipofectamine MessengerMax reagent according to manufacturer's protocols:
1. GFP (control)
2. UbiAR-GFP (non-cleavable ubiquitin) as shown in SEQ ID NO.: 17
3. UbiR-GFP (cleavable ubiquitin) as shown in SEQ ID NO.: 16
As further reference for analyzing the HLA-I presentation, HEK293 cells were transfected with 250pg RNA, using Lipofectamine MessengerMax reagent according to manufacturer's protocols:
4. SP+MITD comprising a signal peptide (HSV-lgD SP as shown in SEQ ID NO.: 22), GFP, and an MHC internal transmembrane domain (MITD) (SEC-MITD).
After 24 h, the cells were harvested, pelleted, and lysed in a non-denaturing lysis buffer. Lysates were cleared of insoluble material by centrifugation and stored at -80°C. Upon thawing, lysates were again cleared of insoluble material by centrifugation. Lysates from the A375 transfection were applied to agarose beads
functionalized with the pan-HLA-DR antibody L243. Lysates from the HEK293 transfection were applied to agarose beads functionalized with the pan-HLA-I antibody W6/32. HLA pulldown was performed for at least 3 h. Following immunoprecipitation, the supernatant from the A375 transfection was saved for expression analysis (see below), the beads were washed, and bound HLA-peptide complexes were eluted with 10% acetic acid. The eluate was ultrafiltered through a 10 kDa molecular weight cutoff filter, cysteine sulfhydryls were reduced with TCEP and alkylated with iodoacetamide, and peptides were further desalted by C18 solid phase extraction. Following desalting, peptides were analyzed by targeted LC-MS/MS analysis to quantify HLA peptides from the transfected protein.
Expression of the RNA-encoded protein was done using the supernatants from the HLA pulldown above. Protein concentrations of the supernatants were measured using a BCA kit according to manufacturer's protocols, and concentrations were normalized. Cysteine sulfhydryls were reduced with TCEP and alkylated with iodoacetamide. Detergents from the lysis buffer were removed by SP3 cleanup with carboxylate magnetic beads as described in Hughes CS, Moggridge S, Muller T, Sorensen PH, Morin GB, Krijgsveld J. Single-pot, solid-phase-enhanced sample preparation for proteomics experiments. Nat Protoc. 2019 Jan;14(l):68-85, and proteins were digested on-bead using trypsin overnight. Digested peptides were further desalted using C18 solid phase extraction. Following desalting, peptides were analyzed by targeted LC-MS/MS analysis to quantify the relative abundance of the transfected protein in the cell lysate.
As shown in Fig. 6, the presence of an N-terminal degron such as UbiAR UFD (i.e. UbiAR-GFP) and UbiR N-deg (i.e. UbiR-GFP) lead to significantly enhanced HLA-I presentation and significantly decreased HLA-II presentation compared to GFP alone, demonstrating that the N-terminal degron allows to module the immune response by specifically eliciting an antigen-specific CD8+ T cell response. The timepoint shown in Figure 6 was 24 hours after transfection of the GFP constructs, and the expression + HLA-II data was taken from the same sample (A375 cells), while the HLA-I data was taken from a different sample (HEK293T cells)
Example 6: Analyzing the immunogenicity of degraded ubiquitin
To analyze the effect of enhanced ubiquitin degradation (rather than ubiquitin recycling) on immunogenicity ELISpot assay and mass spectrometry are performed. This control serves to determine whether enhanced ubiquitin degradation (rather than recycling) results in increased immunogenicity rather than antigenic peptides itself.
To this end, a ubiquitin comprising a leucine substitution at the 43th position is used, wherein the leucine at position 43 of the ubiquitin sequence is replaced by alanine (L43A) as shown in SEQ ID NO. : 14 or 15, wherein the SEQ ID NO. : 14 shows a non-cleavable ubiquitin (UbiAR) comprising a L43A mutation, and SEQ ID NO. : 15 shows a cleavable ubiquitin (UbiR) comprising a L43A mutation. This mutation leads to degradation of the ubiquitin rather than its recycling. As used herein, UbiAR(L43A)-GFP is shown in SEQ ID NO. : 20 and UbiR(L43A)-GFP is shown in SEQ ID NO. : 21. These sequences further comprise K6R, KIIR, K27R, K29R, K33R, and K63R mutations.
Immunization
Balb/C mice are immunized with 2.5 pg RNA intramuscularly. Seven days after immunization, spleens are harvested and serum is collected.
Spleen processing
Spleen processing is done as described above in Example 2 for ELISpot analysis as described in Example 2. Briefly, single cell suspensions are generated from collected spleens for ELISpot analysis. Spleens are decanted onto 70 pm filters placed on 50 mL conical vials and gently dissociated using the plunger of a 3 mL syringe and rinsing with ~6 mL of RPMI media to release splenocytes into the tube. Splenocytes are centrifuged for 10 min at 4°C at 1300 revolutions per minute (rpm), the supernatant is decanted and red blood cells are lysed with ammonium-chloride-potassium (ACK) Lysing Buffer for 3 min at RT. The ACK lysis is stopped by adding 9 mL of RPMI media and cells are centrifuged again and resuspended in 5 mL of serum-free assay media (X- VIVO + 1% Pen-Strep + 1% Glutamax) and refiltered into a fresh tube over a fresh 70 pm filter. Cells are then counted using a Nexcelom Cellaca-MX. Pre-isolated cells are saved or CD4 vs CD8 enrichment is performed using Stem Cell's EasySepTM mouse CD8a positive selection kit II and mouse CD4 positive selection kit II with EasyEightsTM EasySepTM magnet according to the manufacturers protocol.
ELISpot
ELISpot assays with fresh splenocytes are performed according to the manufacturer's protocol (with minor modifications as described below) using R&D systems' mouse IFN-y ELISpot kit as described above in Example
2. Briefly, 96-well ELISpot plates are blocked with serum-free assay media (X-VIVO + 1% Pen-Strep + 1% Glutamax) for at least 1 h at 37°C. Next, 100 pL of the splenocyte solution (3 x 105 cells) are transferred to the respective well of the 96-well ELISpot plate. Another 100 pL of overlapping peptide pools or controls are added in the following concentrations:
1. GFP peptide pool (57 peptides, 15mer/llmer overlap): 0.3 pM final concentration per peptide
2. Ubiquitin peptide pool (18 peptides, 15mer/llmer overlap): 0.3 pM final concentration per peptide
3. Concanavalin A (ConA): 0.3 pM final concentration
The GFP peptide pool contains overlapping peptides that span GFP. The Ubiquitin peptide pool contains overlapping peptides that span UbiR and UbiAR.
For positive control, the splenocytes are stimulated with ConA. For a non-stimulation control, medium with DMSO equivalent to the highest volume of peptide mix is added. All stimulations are performed in triplicate.
Plates are incubated overnight in a 37°C humidified incubator with 5% CO2 and after approximately 20 h, cells are removed from the plates and the detection protocol was initiated. To this end, the detection antibody, Streptavidin- Alkaline Phosphatase (AP), and the ready-to-use substrate are added to the wells according to the manufacturer's protocol with an overnight incubation at 4°C. After plate drying for several days, an ELISpot plate reader (ImmunoSpot® S6 Core Analyzer, CTL) is used to count and analyze spot numbers per well. The counting size threshold is adjusted for this prime/boost experiment to a minimum spot size of 0.0075 sq.mm and a maximum spot size of 0.1080 sq.mm. Spots falling into this size range are counted.
Example 7: Analyzing N-terminal dearons comprising lysine mutations
To analyze the effect of the K6R, KIIR, K27R, K29R, K33R, and K63R mutations on the degradation and immunogenicity of the non-cleavable ubiquitin (UbiAR), mass spectrometry and an ELISpot assay as described in example 6 is performed.
The examples described herein demonstrate the efficient destabilization of the polypeptides when using the N- terminal degron disclosed herein. In particular, the N-terminal degron leads to rapid degradation of the polypeptides, thereby eliciting an antigen-specific CD8+ T cell response, allowing to module the immune response upon vaccination.
The examples, methods and explanations disclosed herein allow the identification of combinations of explicitly mentioned mutations within ubiquitin as well as the identification of additional mutations not explicitly described herein in ubiquitin in order to create N-terminal degrons according to the present disclosure that destabilize a polypeptide, lead to its rapid degradation and eliciting an antigen-specific CD8+ T cell specific response.
Example 8: Analysis of the destabilizing effect of further N-terminal deorons in real time
105 A375 cells were plated in each well of a 12 well plate. 24 hours after plating, 5 pg of an RNA molecule encoding either a GFP variant (GFP), cleavable ubiquitin fused to GFP (UbiR_GFP), non-cleavable ubiquitin fused to GFP (UbiAR_GFP), non-cleavable ubiquitin comprising the K63R mutation fused to GFP (UbiAR- K63R_eGFP), non-cleavable ubiquitin comprising lysine mutations in the positions 6, 11, 27, 29, 33, and 63, fused to GFP (UbiAR-K48only_eGFP) or non-ubiquitinated GFP comprising a domain for intracellular trafficking to the cell membrane (SP_GFP_MITD) RNA was transfected into cells using Lipofectamine MessengerMax reagent according to manufacturer's protocols. Fluorescence from the cells was quantitatively measured by live cell microscopy using the Incucyte platform to measure GFP fluorescence for 72 hours post-transfection. For quantification, GFP integrated intensity was normalized to cell confluence. Fig. 7 depicts the results.
As shown in Fig. 7, all samples containing intracellular GFP, either alone (GFP) or fused to a degron (UbiR_GFP, UbiAR_GFP, UbiAR-K48only_GFP, UbiAR-K63R_GFP) exhibited a detectable expression of intracellular GFP. Of note, the membrane-anchored GFP construct (SP_GFP_MITD) is not detected in this assay as it does not lead to intracellular expression of GFP; rather, the GFP is localized to the cell membrane. This shows that all RNA constructs comprising a degron of the present disclosure elicit an expression of the antigenic peptide by host cells transfected therewith.
As indicated in Fig. 7, all degron containing constructs reached a maximum GFP intensity between 8-10 hours post transfection, whereas the GFP only construct reached maximum intensity after 14 hours post transfection, whereafter the GFP concentration decreased in all samples due to degradation of the protein. From the change between the GFP synthesis rate (i.e., the upward slope of the curve) and the GFP degradation rate (i.e., the downward slope of the curve), the degradation efficiency of the respective degron can be deduced. Therein, GFP without any degron fused thereto had a comparably slow degradation rate, with more than half of the maximum intensity persisting through the endpoint of the analysis at 72 hours post transfection. In contrast, all constructs comprising a degron led to a degradation of GFP within approx. 30-40 hours post transfection.
This shows that all tested N-degrons are indeed functional, i.e. lead to an accelerated degradation of the antigenic peptide fused thereto.
Example 9: Analysing GFP expression using the N-terminal deqron Approximately 17 x 105 A375 cells cells were transfected with 80 pg RNA using Lipofectamine MessengerMax reagent according to manufacturer's protocols:
1. untransfected (UTF; control)
2. GFP as shown in SEQ ID NO. : 31 (control)
3. SP_GFP_MITD as shown in SEQ ID NO. : 32 (control)
4. UbiAR-GFP (non-cleavable ubiquitin) as shown in SEQ ID NO. : 34
5. UbiAR_K48only_GFP (non-cleavable ubiquitin comprising lysine mutations in the positions 6, 11, 27, 29, 33, and 63, i.e.: the only remaining lysine is the one in position 48) as shown in SEQ ID NO.: 36
6. UbiAR_K63R_GFP (non-cleavable ubiquitin comprising a lysine mutations in the position 63) as shown in SEQ ID NO.: 35
7. UbiR-GFP (cleavable ubiquitin) as shown in SEQ ID NO.: 33
After 24 hours, the cells were harvested, pelleted, and lysed in a non-denaturing lysis buffer. Lysates were cleared of insoluble material by centrifugation. After centrifugation, expression of the RNA-encoded protein was assessed. Protein concentrations of the supernatants were measured using a BCA kit according to manufacturer's protocols, and concentrations were normalized to 25 pg. Proteins were denatured with 1% sodium dodecyl sulfate (SDS). Cysteine sulfhydryls were reduced with TCEP and alkylated with iodoacetamide. Detergents from the lysis buffer were removed by SP3 cleanup with carboxylate magnetic beads as described in Hughes CS, Moggridge S, Muller T, Sorensen PH, Morin GB, Krijgsveld J. Single-pot, solid-phase-enhanced sample preparation for proteomics experiments. Nat Protoc. 2019 Jan; 14(1): 68-85, and proteins were digested on-bead using trypsin overnight at 37°C at a ratio of 1 pg trypsin per 50 pg total protein SP3 beads were removed and digested peptides were dried to dryness using vacuum centrifugation. Peptides were analyzed by targeted LC-MS/MS to quantify the relative abundance of the transfected protein in the cell lysate. The samples were analyzed at 24 hours after transfection of the GFP constructs for the average expression of three known tryptic peptides derived from GFP.
The results are shown in Fig. 8. The relative expression of GFP peptides in cells expressing an UbiR-GFP or UbiAR-GFP degron construct is significantly decreased when compared to constructs of GFP without a degron fused thereto, which is attributed to the effective degradation. The relative expression of the membrane- localized GFP (SP_GFP_MITD) was found to be lower than the expression of intracellular GFP, which is possibly associated with the different localization. Thus, the example shows that the N-terminal degrons of the present disclosure reliably lead to an accelerated turnover of the antigenic peptide fused thereto.
Example 10: N-terminal degrons reduce overall expression and HLA-II presentation, but increase HLA-I presentation
Approximately 16 x 105 A375 cells stably expressing affinity-tagged B*07:02 were transfected with 80pg RNA encoding the constructs described below:
1. untransfected (UTF; control)
. GFP as shown in SEQ ID NO. : 31 (control)
3. SP_GFP_MITD as shown in SEQ ID NO. : 32 (control)
4. UbiAR-GFP (non-cleavable ubiquitin) as shown in SEQ ID NO. : 34
5. UbiAR_K48only_GFP (non-cleavable ubiquitin comprising lysine mutations in the positions 6, 11, 27, 29, 33, and 63, i.e.: the only remaining lysine is the one in position 48) as shown in SEQ ID NO.: 36
6. UbiAR_K63R_GFP (non-cleavable ubiquitin comprising a lysine mutations in the position 63) as shown in SEQ ID NO.: 35
7. UbiR-GFP (cleavable ubiquitin) as shown in SEQ ID NO.: 33RNA transfections were performed using Lipofectamine MessengerMax reagent according to manufacturer's protocols. Cells were cultured in DMEM medium supplemented with 10% FBS.
After 24 h, the cells were harvested, pelleted, and lysed in a non-denaturing lysis buffer. Lysates were cleared of insoluble material by centrifugation. HLA-I and HLA-II molecules were affinity isolated and immunoprecipitated in a tandem pulldown from the same A375 lysate. First, lysates from the A375 transfection were biotinylated and applied to agarose beads functionalized with Neutravidin. HLA pulldown was performed for 30 min. Following affinity isolation of the HLA-I molecule, B*07:02, the flowthrough was applied to agarose beads functionalized with the pan-HLA-DR antibody L243. HLA pulldown was performed for at least 3h. For both HLA-I and HLA-II pulldowns, the beads were washed, and bound HLA-peptide complexes were eluted with 10% acetic acid. The eluate was ultrafiltered through a 10 kDa molecular weight cutoff filter, cysteine sulfhydryls were reduced with TCEP and alkylated with iodoacetamide, peptides were further desalted by C18 solid phase extraction and dried to dryness with vacuum centrifugation. Peptides were analyzed by targeted LC-MS/MS analysis to quantify HLA peptides from the transfected protein.
Expression of the RNA-encoded protein was assessed using the supernatants from the HLA pulldown above prior to HLA depletion. Protein concentrations of the supernatants were measured using a BCA kit according to manufacturer's protocols, and concentrations were normalized. Proteins were denatured with 1% SDS.
Cysteine sulfhydryls were reduced with TCEP and alkylated with iodoacetamide. Detergents from the lysis buffer were removed by SP3 cleanup with carboxylate magnetic beads as described in Hughes CS, Moggridge S, Muller T, Sorensen PH, Morin GB, Krijgsveld J. Single-pot, solid-phase-enhanced sample preparation for proteomics experiments. Nat Protoc. 2019 Jan;14(l):68-85, and proteins were digested on-bead using trypsin overnight. Digested peptides were dried to dryness using vacuum centrifugation. Peptides were analyzed by targeted LC-MS/MS analysis to quantify the relative abundance of the transfected protein in the cell lysate. The samples were analyzed 24 hours after transfection of the GFP constructs.
The epitope presentation data shown in Fig. 9 and 10 is normalized to the level of the membrane-trafficked construct SP_GFP_MITD, which is representative for membrane-localized cellular proteins. Constructs containing SP and MITD have demonstrated presentation of the encoded protein by both MHC pathways and thus lead to a combined CD4+ and CD8+ T-cell activation (Kreiter S, Selmi A, Diken M, Sebastian M, Osterloh P, Schild H, Huber C, Tureci O, Sahin U. Increased antigen presentation efficiency by coupling antigens to MHC class I trafficking signals. J Immunol. 2008 Jan l;180(l):309-18.). Compared thereto, non-tagged GFP results in approx, similar MHC-I presentation (cf. Fig. 9) and reduced MHC-II presentation (cf. Fig. 10).
As shown in Fig. 9 and 10, the presence of an N-terminal degron such as UbiAR UFD (i.e. UbiAR_GFP) or any of its derivatives (i.e. UbiAR_K48only_GFP and UbiAR_K63R_GFP), as well as UbiR N-deg (i.e. UbiR_GFP) lead to significantly enhanced HLA-I presentation and significantly decreased HLA-II presentation compared to GFP constructs without N-terminal degron, demonstrating that the N-terminal degron according to the present disclosure allows modulating presentation to increase MHC-I and thus increasing the likelihood of a immune response by specifically eliciting an antigen-specific CD8+ T cell response.
The above effects were particularly pronounced for the UbiAR_K48only_GFP construct, indicating that by precisely modulating the ubiquitin sequence of the N-terminal degron, the MHC presentation can be controlled towards increased MHC-I presentation and decreased MHC-II presentation, which in turn results in an increased CD8+ immune response. This effect is particularly surprising because the multitude of mutational changes from lysine to arginine would have been expected to negatively influence the functionality of the protein, especially in view of the intricate interactions defining the ubiquitin-driven degradation pathways. Without wishing to be bound by theory, it is currently assumed that by mitigating other polyubiquitin structures which are not targeted by the proteasome, a larger fraction of the antigenic peptide is trafficked to the proteasome (instead of being degraded elsewhere) where it is directly processed for presentation in the MHC-I pathway, thus resulting in an increased CD8+ T-cell response while not increasing the CD4+ response. This response is expected to be even more favorable than the response elicited by an UbiR degron, as indicated by Fig. 9 and 10.
Collectively, the examples above convincingly show that the N-terminal degrons according to the present disclosure result in an accelerated degradation of an antigenic polypeptide fused thereto, and that the degradation results in an increased MHC-I and reduced MHC-II presentation of the antigenic polypeptide fragments compared to constructs without a degron, which strongly indicates that the RNA molecules according to the present disclosure increase an antigen-specific CD8+ T-cell response compared to an antigenspecific CD8+ T-cell response elicited by comparable RNA molecules that do not comprise an N-terminal degron.
BRIEF DESCRIPTION OF THE DRAWINGS
Fig. la depicts an exemplary schematic representation of the N-end rule pathway ("N-degron", i.e., cleavable ubiquitin) and Fig. la shows the ubiquitin fusion degradation (UFD) pathway ("UFD degron", i.e. non-cleavable ubiquitin). In the N-degron pathway (Fig. la), the degradation of the polypeptide depends on the N-terminal amino acid. A ubiquitin is fused to the N-terminus of a polypeptide followed immediately by a destabilizing amino acid. The N-terminal ubiquitin (cleavable ubiquitin) can be cleaved by a deubiquitinase enzyme, revealing the destabilizing N-terminal amino acid at the N-terminus of the polypeptide comprising the antigenic peptide. During intracellular processing of the polypeptide the destabilizing amino acid and internal lysines (exemplarily here lysines at positions 15 and 17 (K15 17)) are ubiquitinated resulting in a poly-ubiquitin chain, targeting the poly-ubiquitinated polypeptide for degradation. In the UFD pathway (Fig. lb), the degradation of the polypeptide is caused by the presence of a non-cleavable ubiquitin (due to the presence of a proline following the ubiquitin sequence or due to the mutation of the glycine at position 76 to another amino acid, with reference to SEQ ID NO. : 1, such as G76A) fused to the N-terminus of the polypeptide. During intracellular processing of the polypeptide comprising the N-terminal non-cleavable ubiquitin, lysines within the
ubiquitin are ubiquitinated resulting in a poly-ubiquitin chain, targeting the poly-ubiquitinated polypeptide for degradation.
Fig. 2a depicts a diagram showing the relative protein abundance under the presence or absence of MG132 of (1) a control, (2) a reference polypeptide (termed "SP+MITD") comprising a signal peptide (SP), antigenic peptide comprising epitopes derived from malaria (CSP, TRAP, UIS3, ETRAMP10.3, and LSAP2), and a MHC internal transmembrane domain (MITD), and (3) a polypeptide (termed "degron") comprising a cleavable ubiquitin followed by a destabilizing amino acid, and antigenic peptide comprising epitopes derived from malaria (CSP, TRAP, UIS3, ETRAMP10.3, and LSAP2). In both constructs, the antigenic polypeptide comprises internal lysines (N-terminal proximal lysines "N-term proximal lysines") in the first encoded antigenic peptide CSP. Fig. 2b depicts a schematic representation of the "SP+MITD" and "degron" polypeptides.
Figs. 3a-3c include three graphs showing the increased immunogenicity of the "degron" polypeptide compared to the "SP+MITD" polypeptide. The black dots represent stimulation with the peptide pool corresponding to the antigen on the X-axis, and white dots represent stimulation with a DMSO control.
Fig. 4 depicts a diagram of a real time incucyte® microscopy live-cell analysis of samples expressing either GFP (GFP), cleavable ubiquitin fused to GFP (UbiR-GFP), or non-cleavable ubiquitin fused to GFP (UbiAR-GFP) upon increasing MG132 treatments leading to increasing inhibition of the proteasome.
Fig. 5 depicts a diagram showing the relative expression of GFP peptides in samples expressing GFP (GFP), non-cleavable ubiquitin fused to GFP (UbiAR), and cleavable ubiquitin fused to GFP (UbiR). The timepoint was taken at 24 hours after transfection of the GFP constructs (i.e., of GFP, UbiAR, and UbiR).
Fig. 6 includes three graphs. The left graph shows the relative abundance of GFP in samples expressing GFP (GFP), non-cleavable ubiquitin (UbiAR UFD) fused to GFP, and cleavable ubiquitin (UbiR N-deg) fused to GFP. The middle and left graphs show the GFP MHC class II (HLA-II) presentation and MHC class I (HLA-I) presentation, respectively, that has been quantified in samples expressing (1) GFP (GFP), (2) GFP fused to a signal peptide (SP) and a MHC internal Transmembrane domain (MITD) (SEC+MITD), (3) non-cleavable ubiquitin (UbiAR UFD) fused to GFP, and (3) cleavable ubiquitin (UbiR N-deg) fused to GFP. The timepoints were taken 24 hours after transfection of the GFP constructs (i.e., GFP, UbiAR UFD, and UbiR-N-deg). A375 cells were used for the GFP expression and GFP HLA-II presentation data, while HEK293T cells were used for the GFP HLA-I presentation.
Fig. 7 depicts a diagram of a real time incucyte® microscopy live-cell analysis of samples expressing either a GFP variant (GFP), cleavable ubiquitin fused to GFP (UbiR_GFP), non-cleavable ubiquitin fused to GFP (UbiAR_GFP), non-cleavable ubiquitin comprising the K63R mutation fused to GFP (UbiAR-K63R_eGFP), or non-cleavable ubiquitin comprising lysine mutations in the positions 6, 11, 27, 29, 33, and 63, fused to GFP (UbiAR-K48only_eGFP). Untransfected (UTF) and membrane-localized GFP (SP_GFP_MITD) controls are also shown.
Fig. 8 depicts a diagram showing the relative expression of GFP peptides in samples expressing a GFP variant (GFP), membrane-localized GFP (SP_GFP_MITD), non-cleavable ubiquitin fused to GFP (UbiAR_GFP), non- cleavable ubiquitin comprising the K63R mutation fused to GFP (UbiAR-K63R_eGFP), non-cleavable ubiquitin comprising lysine mutations in the positions 6, 11, 27, 29, 33, and 63, fused to GFP (UbiAR-K48only_eGFP), or cleavable ubiquitin fused to GFP (UbiR_GFP). An untransfected (UTF) control sample is also shown. The samples were analyzed at a timepoint 24 hours after transfection of the GFP constructs.
Fig. 9 and Fig. 10 each depict a diagram showing GFP MHC class I (HLA-B) presentation and MHC class II (HLA-DR) presentation, respectively, of GFP-derived epitopes in samples expressing a GFP variant (GFP), membrane-localized GFP (SP_GFP_MITD), non-cleavable ubiquitin fused to GFP (UbiAR_GFP), non-cleavable ubiquitin comprising the K63R mutation fused to GFP (UbiAR-K63R_eGFP), non-cleavable ubiquitin comprising lysine mutations in the positions 6, 11, 27, 29, 33, and 63, fused to GFP (UbiAR-K48only_eGFP), or cleavable ubiquitin fused to GFP (UbiR_GFP). An untransfected (UTF) control sample is also shown. The samples were analyzed at a timepoint 24 hours after transfection of the GFP constructs.
Claims
1. An RNA molecule comprising a coding sequence encoding a polypeptide, wherein
(i) the polypeptide comprises an N-terminal degron and an antigenic peptide,
(ii) the N-terminal degron comprises a non-cleavable ubiquitin,
(iii) the ubiquitin comprises a mutation at the amino acid position 76 with reference to SEQ ID NO. : 1, such that the glycine at this position is deleted or mutated to another amino acid and
(iv) wherein the ubiquitin comprises one to six lysine substitutions at position 6, 11, 27, 29, 33, 48, 63, or any combination thereof, wherein the positions are with reference to SEQ ID NO. : 1, and/or
(v) wherein the ubiquitin is immediately followed by arginine or valine.
2. The RNA molecule according to claim 1, wherein the glycine is substituted by an alanine (G76A).
3. The RNA molecule according to claim 1 or 2, wherein the ubiquitin has a sequence having at least 80% identity to SEQ ID NO. : 4.
4. The RNA molecule according to any one of the preceding claims, wherein the ubiquitin has a sequence having at least 90% identity to SEQ ID NO. : 5 with the proviso that the non-cleavable ubiquitin sequence has a glycine to alanine mutation at position 76 of SEQ ID NO. : 5 ("G76A") or at a corresponding position and that an arginine is immediately following the alanine.
5. The RNA molecule according to any one of the preceding claims, wherein the lysine substitutions are in one or more of the amino acid positions 6, 11, 27, 29, 33, and 63 or any combination thereof with reference to SEQ ID NO.: 1, optionally wherein the lysine is substituted at the one or more positions by a degrading amino acid (such as an arginine), wherein optionally the one or more lysine substitutions comprising K6R, KIIR, K27R, K29R, K33R, and K63R, or any combination thereof with reference to SEQ ID NO.: 1, wherein optionally the ubiquitin comprises a sequence as shown in SEQ ID NO.: 13.
6. The RNA molecule according to claim 5, wherein at least the lysine at amino acid position 48 is not mutated, wherein optionally the ubiquitin comprises the sequence shown in SEQ ID NO. : 7.
7. The RNA molecule according to any one of the preceding claims, wherein the ubiquitin has an amino acid sequence as shown in SEQ ID NO. : 7, 8, 9, 10, 11, 12 or 13.
8. The RNA molecule of any one of the preceding claims, wherein the polypeptide comprises one or more internal lysines, wherein the internal lysines are located outside the ubiquitin sequence, for example in the antigenic peptide or a linker present in the polypeptide.
9. The RNA molecule of any one of the preceding claims, wherein the ubiquitin is immediately followed by arginine.
10. The RNA molecule of any one of the preceding claims, wherein the RNA molecule elicits an antigenspecific CD8+ T-cell response in a subject when administered to said subject.
11. The RNA molecule of any one of the preceding claims, wherein the RNA molecule increases an antigenspecific CD8+ T-cell response compared to an antigen-specific CD8+ T-cell response elicited by a comparable RNA molecule that does not comprise the N-terminal degron.
12. The RNA molecule of any one of the preceding claims, wherein the RNA molecule elicits a two-fold, a three-fold, or a five-fold increase in the antigen-specific CD8+ T-cell response compared to an antigenspecific CD4+ T-cell immune response.
13. The RNA molecule of any one of the preceding claims, wherein the presence of the N-terminal degron reduces the half-life of the polypeptide to 1 hour or less, to 30 minutes or less, or to 10 minutes or less compared to the polypeptide without the N-terminal degron.
14. The RNA molecule of any one of the preceding claims, wherein the RNA molecule is a recombinant RNA molecule.
15. The RNA molecule of any one of the preceding claims, wherein the RNA molecule is an mRNA, wherein the mRNA can be unmodified or a modified mRNA.
16. The RNA molecule of any one of the preceding claims, wherein the RNA molecule comprises a 5' cap, 5'UTR, a coding region, a 3'UTR, a poly(A) tail, or any combination thereof.
17. The RNA molecule of any one of the preceding claims, wherein the 5'UTR, if present, comprises a Kozak sequence.
18. The RNA molecule of any one of the preceding claims, wherein the RNA molecule comprises a 5'-cap, a free 5'-triphosphate group, a free 5'-disphosphate group, a free 5'-diphosphate group, a free 5'- monophosphate group, or a free 5'-OH group, or comprising chemically modified analogues of said 5'- cap, said 5'-triphosphate group, said free 5'-disphosphate group or said free 5'-monophosphate group.
19. The RNA molecule of any one of the preceding claims, wherein the RNA molecule comprises a 5'-cap, and wherein the 5'cap comprises G[5']ppp[5']G, m7G[5']ppp[5']G, rri32'2'7G[5']ppp[5']G, m27'3’ °G[5']ppp[5']G (3'-ARCA), m27-2' 0GpppG (2'-ARCA), m27-2' 0GppSpG ( -S-ARCA), or m2 7'3' 0Gppp(mi2'- °)ApG.
20. The RNA molecule of any one of the preceding claims, wherein the 3'UTR, if present, comprises an FI element.
21. The RNA molecule of any one of the preceding claims, wherein the RNA molecule comprises an interrupted poly(A) sequence.
22. The RNA molecule of any one of the preceding claims, wherein the antigenic peptide is an immunogenic peptide.
23. The RNA molecule of any one of the preceding claims, wherein the antigenic peptide is a pathogen- related, tumor-related, or disease-related antigenic peptide.
24. The RNA molecule of any one of the preceding claims, wherein the antigenic peptide is a full-length protein or fragment thereof.
25. The RNA molecule of any one of the preceding claims, wherein the encoded polypeptide comprises two or more antigenic peptides.
26. The RNA molecule of claim 25, wherein the antigenic peptides are derived from different proteins or different portions of the same protein and fused together, optionally such that a first antigenic peptide is adjacent to a second antigenic peptide or such that a first and second antigenic peptide are separated via a linker.
27. The RNA molecule of claim 26, wherein the linker comprises at most 8 amino acids, at most 6 amino acids, or at most 5 amino acids, e.g. 1 to 4 amino acids.
28. The RNA molecule of any one of the preceding claims, wherein the antigenic peptides comprise a first antigenic peptide and a second antigenic peptide, wherein the first antigenic peptide comprises a first protein or fragment thereof, wherein the second antigenic peptide comprises a second protein or fragment thereof.
29. The RNA molecule according to claim 28, wherein the first antigenic peptide and the second antigenic peptide originate from different proteins or different portions of the same protein and are fused together, optionally such that a first antigenic peptide is adjacent to a second antigenic peptide or such that a first and second antigenic peptide are separated via a linker.
30. The RNA molecule of claim 29, wherein the linker comprises at most 8 amino acids, at most 6 amino acids, or at most 5 amino acids, e.g. 1 to 4 amino acids.
31. The RNA molecule of any one of the preceding claims, for use in eliciting an antigen-specific CD8+ T-cell response in a subject.
32. The RNA molecule of claim 31, wherein the subject suffers from a disease, such as a genetic, metabolic or infectious disease.
33. The RNA molecule of any one of claims 31 or 32, wherein the subject is a mammal, in particular a human.
34. A polypeptide encoded by the RNA molecule of any one of claims 1 to 33.
35. An isolated host cell which comprises the RNA molecule of any one of claims 1-33 and/or the polypeptide of claim 34.
36. A composition which comprises the isolated host cell of claim 35.
37. A pharmaceutical composition comprising the RNA molecule of any one of claims 1-33 or the polypeptide of claim 34 in a pharmaceutically acceptable carrier.
38. The pharmaceutical composition of claim 37, wherein the pharmaceutical composition elicits an antigenspecific CD8+ T-cell response in a subject.
39. The pharmaceutical composition of claim 37 or 38, wherein the pharmaceutical composition comprises cationic lipids or is encapsulated into a nanoparticle or liposome.
40. A vaccine composition for eliciting an antigen-specific CD8+ T-cell response in a subject comprising an effective dose of the RNA molecule of any one of claims 1 to 33, the polypeptide of claim 34, or the pharmaceutical composition of claim 37-39.
41. The vaccine composition of claim 40, wherein the RNA molecule is associated with cationic lipids or is encapsulated into a nanoparticle or liposome.
42. The vaccine composition of claim 40 or 41, for use in eliciting an antigen-specific CD8+ T-cell response in a subject.
43. The RNA molecule of any one of claims 1 to 33, the polypeptide of claim 34, the pharmaceutical composition of claim 37 to 39, or the vaccine composition of any one of claims 40 to 42, for use in a therapeutic or prophylactic treatment.
44. The RNA molecule of any one of claims 1 to 33, the polypeptide of claim 34, the pharmaceutical composition of claim 37 to 39, or the vaccine composition of any one of claims 40 to 42 for use in a method of eliciting an antigen-specific CD8+ T-cell response in a subject in need thereof, comprising: administering to the subject an effective amount of the RNA molecule, the pharmaceutical composition, or the vaccine composition, thereby stimulating an antigen-specific CD8+ T-cell response in the subject.
45. The RNA molecule of any one of claims 1 to 33, the polypeptide of claim 34, the pharmaceutical composition of claim 37 to 39, or the vaccine composition of any one of claims 40 to 42 for use in a
method for inducing the formation of MHC-I/peptide complexes in a cell, the method comprising administering to a subject an effective amount of the RNA molecule, the pharmaceutical composition, or the vaccine composition.
46. The RNA molecule of any one of claims 1 to 33, the polypeptide of claim 34, the pharmaceutical composition of claim 37 to 39, or the vaccine composition of any one of claims 40 to 42 for use in a method for stimulating or activating CD8+ T- cell, wherein the method comprises administering to a subject an effective amount of the RNA molecule, the pharmaceutical composition, or the vaccine composition.
47. The RNA molecule of any one of claims 1 to 33, the polypeptide of claim 34, the pharmaceutical composition of claim 37-39, or the vaccine composition of any one of claims 40 to 42 for use in any of the methods of claims 43 to 46, wherein the administration is intravenously.
48. A method comprising administering the nucleic acid molecule of any one of claims 1 to 33, the polypeptide of claim 34, the pharmaceutical composition of claim 37-39, or the vaccine composition of any one of claims 40 to 42 to a subject.
49. The method of claim 48, wherein the method is a method of treating or preventing a disease, disorder, or condition associated with the antigenic peptide.
50. The method of claim 48, wherein the method is a method of eliciting an antigen-specific CD8+ T-cell response in a subject.
51. The method of claim 48, wherein the method is a method of increasing an antigen-specific CD8+ T-cell response compared to an antigen-specific CD8+ T-cell response elicited by a comparable nucleic acid molecule that does not comprise the N-terminal degron.
Applications Claiming Priority (2)
| Application Number | Priority Date | Filing Date | Title |
|---|---|---|---|
| USPCT/US2023/074891 | 2023-09-22 | ||
| PCT/US2023/074891 WO2024064886A1 (en) | 2022-09-23 | 2023-09-22 | Using n-terminal degrons to enhance rna t cell vaccine immunogenicity |
Publications (1)
| Publication Number | Publication Date |
|---|---|
| WO2025064850A1 true WO2025064850A1 (en) | 2025-03-27 |
Family
ID=92931772
Family Applications (1)
| Application Number | Title | Priority Date | Filing Date |
|---|---|---|---|
| PCT/US2024/047736 Pending WO2025064850A1 (en) | 2023-09-22 | 2024-09-20 | Rna constructs with n-terminal degrons to enhance an immune response |
Country Status (1)
| Country | Link |
|---|---|
| WO (1) | WO2025064850A1 (en) |
Citations (55)
| Publication number | Priority date | Publication date | Assignee | Title |
|---|---|---|---|---|
| WO1999039741A2 (en) | 1998-02-03 | 1999-08-12 | Inex Pharmaceuticals Corporation | Systemic delivery of serum stable plasmid lipid particles for cancer therapy |
| WO2004035085A1 (en) * | 2002-10-17 | 2004-04-29 | Kyushu Tlo Company, Limited | Gene vaccine |
| US20040142025A1 (en) | 2002-06-28 | 2004-07-22 | Protiva Biotherapeutics Ltd. | Liposomal apparatus and manufacturing methods |
| WO2004067040A1 (en) * | 2003-01-31 | 2004-08-12 | Kyushu Tlo Company, Limited | Gene vaccine against intracellular parasite |
| US20050017054A1 (en) | 2003-07-23 | 2005-01-27 | Tom Iverson | Flyback transformer wire attach method to printed circuit board |
| US20060083780A1 (en) | 2004-06-07 | 2006-04-20 | Protiva Biotherapeutics, Inc. | Cationic lipids and methods of use |
| US20070042031A1 (en) | 2005-07-27 | 2007-02-22 | Protiva Biotherapeutics, Inc. | Systems and methods for manufacturing liposomes |
| WO2007036366A2 (en) | 2005-09-28 | 2007-04-05 | Johannes Gutenberg-Universität Mainz, Vertreten Durch Den Präsidenten | Modification of rna, producing an increased transcript stability and translation efficiency |
| US20110117125A1 (en) | 2008-01-02 | 2011-05-19 | Tekmira Pharmaceuticals Corporation | Compositions and methods for the delivery of nucleic acids |
| WO2011141705A1 (en) | 2010-05-12 | 2011-11-17 | Protiva Biotherapeutics, Inc. | Novel cationic lipids and methods of use thereof |
| US20110311583A1 (en) | 2008-11-10 | 2011-12-22 | Alnylam Pharmaceuticals, Inc. | Novel lipids and compositions for the delivery of therapeutics |
| WO2012006378A1 (en) | 2010-07-06 | 2012-01-12 | Novartis Ag | Liposomes with lipids having an advantageous pka- value for rna delivery |
| US20120027803A1 (en) | 2010-06-03 | 2012-02-02 | Alnylam Pharmaceuticals, Inc. | Biodegradable lipids for the delivery of active agents |
| WO2012016184A2 (en) | 2010-07-30 | 2012-02-02 | Alnylam Pharmaceuticals, Inc. | Methods and compositions for delivery of active agents |
| US20120183581A1 (en) | 2008-04-15 | 2012-07-19 | Protiva Biotherapeutics, Inc | Novel lipid formulations for nucleic acid delivery |
| WO2012159754A2 (en) * | 2011-05-24 | 2012-11-29 | Biontech Ag | Individualized vaccines for cancer |
| WO2013006825A1 (en) | 2011-07-06 | 2013-01-10 | Novartis Ag | Liposomes having useful n:p ratio for delivery of rna molecules |
| US20130017223A1 (en) | 2009-12-18 | 2013-01-17 | The University Of British Columbia | Methods and compositions for delivery of nucleic acids |
| WO2013016058A1 (en) | 2011-07-22 | 2013-01-31 | Merck Sharp & Dohme Corp. | Novel bis-nitrogen containing cationic lipids for oligonucleotide delivery |
| WO2013086373A1 (en) | 2011-12-07 | 2013-06-13 | Alnylam Pharmaceuticals, Inc. | Lipids for the delivery of active agents |
| WO2013086322A1 (en) | 2011-12-07 | 2013-06-13 | Alnylam Pharmaceuticals, Inc. | Branched alkyl and cycloalkyl terminated biodegradable lipids for the delivery of active agents |
| US20130245107A1 (en) | 2011-12-16 | 2013-09-19 | modeRNA Therapeutics | Dlin-mc3-dma lipid nanoparticle delivery of modified polynucleotides |
| US20130338210A1 (en) | 2009-12-07 | 2013-12-19 | Alnylam Pharmaceuticals, Inc. | Compositions for nucleic acid delivery |
| WO2014053245A1 (en) | 2012-10-05 | 2014-04-10 | Lipocalyx Gmbh | Hydroxylated polyamine derivatives as transfection reagents |
| WO2014056590A1 (en) | 2012-10-08 | 2014-04-17 | Lipocalyx Gmbh | Carboxylated polyamine derivatives as transfection reagents |
| US20140200257A1 (en) | 2011-01-11 | 2014-07-17 | Alnylam Pharmaceuticals, Inc. | Pegylated lipids and their use for drug delivery |
| WO2014207231A1 (en) | 2013-06-28 | 2014-12-31 | Ethris Gmbh | Compositions for introducing rna into cells |
| WO2015069044A1 (en) * | 2013-11-08 | 2015-05-14 | 삼성전자 주식회사 | Fusion protein comprising p53 protein and p15 protein bound to each other, and composition containing the same for preventing or treating cancer |
| WO2015095340A1 (en) | 2013-12-19 | 2015-06-25 | Novartis Ag | Lipids and lipid compositions for the delivery of active agents |
| US20150273068A1 (en) | 2011-12-07 | 2015-10-01 | Alnylam Pharmaceuticals, Inc. | Biodegradable lipids for the delivery of active agents |
| WO2015199952A1 (en) | 2014-06-25 | 2015-12-30 | Acuitas Therapeutics Inc. | Novel lipids and lipid nanoparticle formulations for delivery of nucleic acids |
| WO2016005324A1 (en) | 2014-07-11 | 2016-01-14 | Biontech Rna Pharmaceuticals Gmbh | Stabilization of poly(a) sequence encoding dna sequences |
| WO2016097377A1 (en) | 2014-12-19 | 2016-06-23 | Ethris Gmbh | Compositions for introducing nucleic acid into cells |
| WO2017004143A1 (en) | 2015-06-29 | 2017-01-05 | Acuitas Therapeutics Inc. | Lipids and lipid nanoparticle formulations for delivery of nucleic acids |
| WO2017049245A2 (en) | 2015-09-17 | 2017-03-23 | Modernatx, Inc. | Compounds and compositions for intracellular delivery of therapeutic agents |
| WO2017053297A1 (en) | 2015-09-21 | 2017-03-30 | Trilink Biotechnologies, Inc. | Compositions and methods for synthesizing 5'-capped rnas |
| WO2017059902A1 (en) | 2015-10-07 | 2017-04-13 | Biontech Rna Pharmaceuticals Gmbh | 3' utr sequences for stabilization of rna |
| WO2017075531A1 (en) | 2015-10-28 | 2017-05-04 | Acuitas Therapeutics, Inc. | Novel lipids and lipid nanoparticle formulations for delivery of nucleic acids |
| WO2017182524A1 (en) | 2016-04-22 | 2017-10-26 | Biontech Rna Pharmaceuticals Gmbh | Methods for providing single-stranded rna |
| WO2018081480A1 (en) | 2016-10-26 | 2018-05-03 | Acuitas Therapeutics, Inc. | Lipid nanoparticle formulations |
| WO2018087753A1 (en) | 2016-11-08 | 2018-05-17 | Technology Innovation Momentum Fund (Israel) Limited Partnership | Cationic lipids for nucleic acid delivery and preparation thereof |
| WO2019077053A1 (en) | 2017-10-20 | 2019-04-25 | Biontech Rna Pharmaceuticals Gmbh | Preparation and storage of liposomal rna formulations suitable for therapy |
| WO2020128031A2 (en) * | 2018-12-21 | 2020-06-25 | Curevac Ag | Rna for malaria vaccines |
| WO2021001417A1 (en) | 2019-07-02 | 2021-01-07 | Biontech Rna Pharmaceuticals Gmbh | Rna formulations suitable for therapy |
| WO2021026358A1 (en) | 2019-08-07 | 2021-02-11 | Moderna TX, Inc. | Compositions and methods for enhanced delivery of agents |
| WO2022016089A2 (en) | 2020-07-17 | 2022-01-20 | Generation Bio Co. | Methods for encapsulating polynucleotides into reduced sizes of lipid nanoparticles and novel formulation thereof |
| WO2022069632A1 (en) | 2020-10-01 | 2022-04-07 | BioNTech SE | Preparation and storage of liposomal rna formulations suitable for therapy |
| WO2022081752A1 (en) | 2020-10-14 | 2022-04-21 | George Mason Research Foundation, Inc. | Methods of lipid nanoparticle manufacture and compostions derived therefrom |
| WO2023067124A1 (en) | 2021-10-22 | 2023-04-27 | BioNTech SE | Disulfide oligosaccharide compounds and complexes |
| WO2023067126A1 (en) | 2021-10-22 | 2023-04-27 | BioNTech SE | Oligosaccharide compounds and complexes |
| WO2023067123A1 (en) | 2021-10-22 | 2023-04-27 | BioNTech SE | Oligosaccharide complexes and uses |
| WO2023067125A1 (en) | 2021-10-22 | 2023-04-27 | BioNTech SE | Oligosaccharide complexes and uses |
| WO2023067121A1 (en) | 2021-10-22 | 2023-04-27 | BioNTech SE | Oligosaccharide compounds and complexes |
| WO2024028325A1 (en) | 2022-08-01 | 2024-02-08 | BioNTech SE | Nucleic acid compositions comprising amphiphilic oligo ethylene glycol (oeg)-conjugated compounds and methods of using such compounds and compositions |
| WO2024042236A1 (en) | 2022-08-26 | 2024-02-29 | Ethris Gmbh | Stable lipid or lipidoid nanoparticle suspensions |
-
2024
- 2024-09-20 WO PCT/US2024/047736 patent/WO2025064850A1/en active Pending
Patent Citations (59)
| Publication number | Priority date | Publication date | Assignee | Title |
|---|---|---|---|---|
| WO1999039741A2 (en) | 1998-02-03 | 1999-08-12 | Inex Pharmaceuticals Corporation | Systemic delivery of serum stable plasmid lipid particles for cancer therapy |
| US20110216622A1 (en) | 2002-06-28 | 2011-09-08 | Protiva Biotherapeutics, Inc. | Liposomal apparatus and manufacturing method |
| US20040142025A1 (en) | 2002-06-28 | 2004-07-22 | Protiva Biotherapeutics Ltd. | Liposomal apparatus and manufacturing methods |
| WO2004035085A1 (en) * | 2002-10-17 | 2004-04-29 | Kyushu Tlo Company, Limited | Gene vaccine |
| WO2004067040A1 (en) * | 2003-01-31 | 2004-08-12 | Kyushu Tlo Company, Limited | Gene vaccine against intracellular parasite |
| US20050017054A1 (en) | 2003-07-23 | 2005-01-27 | Tom Iverson | Flyback transformer wire attach method to printed circuit board |
| US20060083780A1 (en) | 2004-06-07 | 2006-04-20 | Protiva Biotherapeutics, Inc. | Cationic lipids and methods of use |
| US20070042031A1 (en) | 2005-07-27 | 2007-02-22 | Protiva Biotherapeutics, Inc. | Systems and methods for manufacturing liposomes |
| WO2007036366A2 (en) | 2005-09-28 | 2007-04-05 | Johannes Gutenberg-Universität Mainz, Vertreten Durch Den Präsidenten | Modification of rna, producing an increased transcript stability and translation efficiency |
| US20110117125A1 (en) | 2008-01-02 | 2011-05-19 | Tekmira Pharmaceuticals Corporation | Compositions and methods for the delivery of nucleic acids |
| US20120183581A1 (en) | 2008-04-15 | 2012-07-19 | Protiva Biotherapeutics, Inc | Novel lipid formulations for nucleic acid delivery |
| US20110311583A1 (en) | 2008-11-10 | 2011-12-22 | Alnylam Pharmaceuticals, Inc. | Novel lipids and compositions for the delivery of therapeutics |
| US20130338210A1 (en) | 2009-12-07 | 2013-12-19 | Alnylam Pharmaceuticals, Inc. | Compositions for nucleic acid delivery |
| US20130017223A1 (en) | 2009-12-18 | 2013-01-17 | The University Of British Columbia | Methods and compositions for delivery of nucleic acids |
| WO2011141705A1 (en) | 2010-05-12 | 2011-11-17 | Protiva Biotherapeutics, Inc. | Novel cationic lipids and methods of use thereof |
| US20130123338A1 (en) | 2010-05-12 | 2013-05-16 | Protiva Biotherapeutics, Inc. | Novel cationic lipids and methods of use thereof |
| US20120027803A1 (en) | 2010-06-03 | 2012-02-02 | Alnylam Pharmaceuticals, Inc. | Biodegradable lipids for the delivery of active agents |
| US20160009637A1 (en) | 2010-06-03 | 2016-01-14 | Alnylam Pharmaceuticals, Inc. | Biodegradable lipids for the delivery of active agents |
| WO2012006378A1 (en) | 2010-07-06 | 2012-01-12 | Novartis Ag | Liposomes with lipids having an advantageous pka- value for rna delivery |
| WO2012016184A2 (en) | 2010-07-30 | 2012-02-02 | Alnylam Pharmaceuticals, Inc. | Methods and compositions for delivery of active agents |
| US20140200257A1 (en) | 2011-01-11 | 2014-07-17 | Alnylam Pharmaceuticals, Inc. | Pegylated lipids and their use for drug delivery |
| WO2012159754A2 (en) * | 2011-05-24 | 2012-11-29 | Biontech Ag | Individualized vaccines for cancer |
| WO2013006825A1 (en) | 2011-07-06 | 2013-01-10 | Novartis Ag | Liposomes having useful n:p ratio for delivery of rna molecules |
| WO2013016058A1 (en) | 2011-07-22 | 2013-01-31 | Merck Sharp & Dohme Corp. | Novel bis-nitrogen containing cationic lipids for oligonucleotide delivery |
| WO2013086373A1 (en) | 2011-12-07 | 2013-06-13 | Alnylam Pharmaceuticals, Inc. | Lipids for the delivery of active agents |
| WO2013086322A1 (en) | 2011-12-07 | 2013-06-13 | Alnylam Pharmaceuticals, Inc. | Branched alkyl and cycloalkyl terminated biodegradable lipids for the delivery of active agents |
| US20150273068A1 (en) | 2011-12-07 | 2015-10-01 | Alnylam Pharmaceuticals, Inc. | Biodegradable lipids for the delivery of active agents |
| US20130245107A1 (en) | 2011-12-16 | 2013-09-19 | modeRNA Therapeutics | Dlin-mc3-dma lipid nanoparticle delivery of modified polynucleotides |
| WO2014053245A1 (en) | 2012-10-05 | 2014-04-10 | Lipocalyx Gmbh | Hydroxylated polyamine derivatives as transfection reagents |
| WO2014056590A1 (en) | 2012-10-08 | 2014-04-17 | Lipocalyx Gmbh | Carboxylated polyamine derivatives as transfection reagents |
| WO2014207231A1 (en) | 2013-06-28 | 2014-12-31 | Ethris Gmbh | Compositions for introducing rna into cells |
| WO2015069044A1 (en) * | 2013-11-08 | 2015-05-14 | 삼성전자 주식회사 | Fusion protein comprising p53 protein and p15 protein bound to each other, and composition containing the same for preventing or treating cancer |
| WO2015095340A1 (en) | 2013-12-19 | 2015-06-25 | Novartis Ag | Lipids and lipid compositions for the delivery of active agents |
| WO2015199952A1 (en) | 2014-06-25 | 2015-12-30 | Acuitas Therapeutics Inc. | Novel lipids and lipid nanoparticle formulations for delivery of nucleic acids |
| WO2016005324A1 (en) | 2014-07-11 | 2016-01-14 | Biontech Rna Pharmaceuticals Gmbh | Stabilization of poly(a) sequence encoding dna sequences |
| WO2016097377A1 (en) | 2014-12-19 | 2016-06-23 | Ethris Gmbh | Compositions for introducing nucleic acid into cells |
| WO2017004143A1 (en) | 2015-06-29 | 2017-01-05 | Acuitas Therapeutics Inc. | Lipids and lipid nanoparticle formulations for delivery of nucleic acids |
| WO2017049245A2 (en) | 2015-09-17 | 2017-03-23 | Modernatx, Inc. | Compounds and compositions for intracellular delivery of therapeutic agents |
| WO2017053297A1 (en) | 2015-09-21 | 2017-03-30 | Trilink Biotechnologies, Inc. | Compositions and methods for synthesizing 5'-capped rnas |
| WO2017059902A1 (en) | 2015-10-07 | 2017-04-13 | Biontech Rna Pharmaceuticals Gmbh | 3' utr sequences for stabilization of rna |
| WO2017075531A1 (en) | 2015-10-28 | 2017-05-04 | Acuitas Therapeutics, Inc. | Novel lipids and lipid nanoparticle formulations for delivery of nucleic acids |
| WO2017182524A1 (en) | 2016-04-22 | 2017-10-26 | Biontech Rna Pharmaceuticals Gmbh | Methods for providing single-stranded rna |
| WO2018081480A1 (en) | 2016-10-26 | 2018-05-03 | Acuitas Therapeutics, Inc. | Lipid nanoparticle formulations |
| WO2018087753A1 (en) | 2016-11-08 | 2018-05-17 | Technology Innovation Momentum Fund (Israel) Limited Partnership | Cationic lipids for nucleic acid delivery and preparation thereof |
| WO2019077053A1 (en) | 2017-10-20 | 2019-04-25 | Biontech Rna Pharmaceuticals Gmbh | Preparation and storage of liposomal rna formulations suitable for therapy |
| WO2020128031A2 (en) * | 2018-12-21 | 2020-06-25 | Curevac Ag | Rna for malaria vaccines |
| WO2021001417A1 (en) | 2019-07-02 | 2021-01-07 | Biontech Rna Pharmaceuticals Gmbh | Rna formulations suitable for therapy |
| WO2021026358A1 (en) | 2019-08-07 | 2021-02-11 | Moderna TX, Inc. | Compositions and methods for enhanced delivery of agents |
| WO2022016089A2 (en) | 2020-07-17 | 2022-01-20 | Generation Bio Co. | Methods for encapsulating polynucleotides into reduced sizes of lipid nanoparticles and novel formulation thereof |
| WO2022069632A1 (en) | 2020-10-01 | 2022-04-07 | BioNTech SE | Preparation and storage of liposomal rna formulations suitable for therapy |
| WO2022081752A1 (en) | 2020-10-14 | 2022-04-21 | George Mason Research Foundation, Inc. | Methods of lipid nanoparticle manufacture and compostions derived therefrom |
| WO2022081750A1 (en) | 2020-10-14 | 2022-04-21 | George Mason Research Foundation, Inc. | Ionizable lipids and methods of manufacture and use thereof |
| WO2023067124A1 (en) | 2021-10-22 | 2023-04-27 | BioNTech SE | Disulfide oligosaccharide compounds and complexes |
| WO2023067126A1 (en) | 2021-10-22 | 2023-04-27 | BioNTech SE | Oligosaccharide compounds and complexes |
| WO2023067123A1 (en) | 2021-10-22 | 2023-04-27 | BioNTech SE | Oligosaccharide complexes and uses |
| WO2023067125A1 (en) | 2021-10-22 | 2023-04-27 | BioNTech SE | Oligosaccharide complexes and uses |
| WO2023067121A1 (en) | 2021-10-22 | 2023-04-27 | BioNTech SE | Oligosaccharide compounds and complexes |
| WO2024028325A1 (en) | 2022-08-01 | 2024-02-08 | BioNTech SE | Nucleic acid compositions comprising amphiphilic oligo ethylene glycol (oeg)-conjugated compounds and methods of using such compounds and compositions |
| WO2024042236A1 (en) | 2022-08-26 | 2024-02-29 | Ethris Gmbh | Stable lipid or lipidoid nanoparticle suspensions |
Non-Patent Citations (16)
| Title |
|---|
| "Molecular Cloning: A Laboratory Manual", 2012, COLD SPRING HARBOR LABORATORY PRESS |
| "Remington's Pharmaceutical Sciences", 1985, MACK PUBLISHING CO. |
| ACS NANO, vol. 15, no. 11, 2021, pages 16982 - 17015 |
| ALDOSARI ET AL., PHARMACEUTICS, vol. 13, 2021, pages 206 |
| DOBANO C ET AL: "Enhancing the immunogenicity and protective efficacy of malaria DNA vaccines by ubiquitination and the N-terminal rule", THE AMERICAN SOCIETY OF TROPICAL MEDICINE AND HYGIENE, AMERICAN SOCIETY OF TROPICAL MEDICINE AND HYGIENE, US, vol. 62, no. 3, 29 October 2000 (2000-10-29), pages 175, XP002979641, ISSN: 0002-9637 * |
| GOULD ET AL., ANTIVIRAL RES., vol. 87, 2010, pages 111 - 124 |
| HOLTKAMP ET AL., BLOOD, vol. 108, 2006, pages 4009 - 4017 |
| HUGHES CSMOGGRIDGE SMÜLLER TSORENSEN PHMORIN GBKRIJGSVELD J: "Single-pot, solid-phase-enhanced sample preparation for proteomics experiments", NAT PROTOC., vol. 14, no. 1, January 2019 (2019-01-01), pages 68 - 85, XP036660405, DOI: 10.1038/s41596-018-0082-x |
| JOSE ET AL., FUTURE MICROBIOL., vol. 4, 2009, pages 837 - 856 |
| KOPPEL, D., J., MRNACHEM. PHYS., vol. 57, 1972, pages 4814 - 4820 |
| KREITER SSELMI ADIKEN MSEBASTIAN MOSTERLOH PSCHILD HHUBER CTURECI OSAHIN U: "Increased antigen presentation efficiency by coupling antigens to MHC class I trafficking signals", J IMMUNOL., vol. 180, no. 1, 1 January 2008 (2008-01-01), pages 309 - 18, XP002527745 |
| SHAH S ET AL., ADV DRUG DELIV REV., vol. 154-155, 2020, pages 102 - 122 |
| TAI WANBO ET AL: "An mRNA-based T-cell-inducing antigen strengthens COVID-19 vaccine against SARS-CoV-2 variants", vol. 14, no. 1, 23 May 2023 (2023-05-23), UK, XP093114197, ISSN: 2041-1723, Retrieved from the Internet <URL:https://www.nature.com/articles/s41467-023-38751-8.pdf> DOI: 10.1038/s41467-023-38751-8 * |
| THERANOSTICS, vol. 12, no. 17, 24 October 2022 (2022-10-24), pages 7509 - 7531 |
| VARSHAVSKY ALEXANDER: "The N-end rule pathway and regulation by proteolysis", vol. 20, no. 8, 1 August 2011 (2011-08-01), US, pages 1298 - 1345, XP093113093, ISSN: 0961-8368, Retrieved from the Internet <URL:https://api.wiley.com/onlinelibrary/tdm/v1/articles/10.1002%2Fpro.666> DOI: 10.1002/pro.666 * |
| ZHAO JINGHUA ET AL: "A Comprehensive Analysis of Plasmodium Circumsporozoite Protein Binding to Hepatocytes", PLOS ONE, vol. 11, no. 8, 29 August 2016 (2016-08-29), US, pages e0161607, XP093113035, ISSN: 1932-6203, DOI: 10.1371/journal.pone.0161607 * |
Similar Documents
| Publication | Publication Date | Title |
|---|---|---|
| WO2021183564A1 (en) | Compositions and methods for inducing immune responses | |
| EP2197497B1 (en) | Use of liposomes in a carrier comprising a continuous hydrophobic phase for delivery of polynucleotides in vivo | |
| WO2023073190A9 (en) | Rna constructs and uses thereof | |
| US20230219996A1 (en) | Rna vaccines | |
| AU2022268706A9 (en) | Immunogenic composition against influenza | |
| JP7446527B2 (en) | Efficacy assay for therapeutic potential of coding nucleic acids | |
| EP4398882A1 (en) | Lipid-based rna formulations suitable for therapy | |
| WO2024256962A1 (en) | Method for stabilizing rna | |
| WO2024064886A1 (en) | Using n-terminal degrons to enhance rna t cell vaccine immunogenicity | |
| WO2025064850A1 (en) | Rna constructs with n-terminal degrons to enhance an immune response | |
| AU2023357989A1 (en) | Rna constructs and uses thereof | |
| JP2025510777A (en) | Messenger ribonucleic acid with extended half-life | |
| WO2024027910A1 (en) | Rna for preventing or treating tuberculosis | |
| RU2852319C1 (en) | Immunogenic composition against influenza | |
| KR20260020489A (en) | How to stabilize RNA | |
| WO2024213776A1 (en) | Rna for preventing or treating tuberculosis | |
| WO2024216217A1 (en) | Hiv vaccine | |
| WO2026015857A1 (en) | Vaccine composition for eliciting an ebv-specific cd8+ t cell response | |
| WO2024216212A1 (en) | Rna for preventing or treating tuberculosis | |
| HK40110708A (en) | Rna vaccines | |
| WO2025061863A1 (en) | Method | |
| WO2025223684A1 (en) | Methods and compositions for stimulating immune response | |
| WO2024180363A1 (en) | Linker sequence potency assays for multiple coding nucleic acids | |
| CN117597144A (en) | Immunogenic compositions against influenza |
Legal Events
| Date | Code | Title | Description |
|---|---|---|---|
| 121 | Ep: the epo has been informed by wipo that ep was designated in this application |
Ref document number: 24782750 Country of ref document: EP Kind code of ref document: A1 |

























