WO2025045777A1 - Inhibitors of pcsk9 - Google Patents
Inhibitors of pcsk9 Download PDFInfo
- Publication number
- WO2025045777A1 WO2025045777A1 PCT/EP2024/073725 EP2024073725W WO2025045777A1 WO 2025045777 A1 WO2025045777 A1 WO 2025045777A1 EP 2024073725 W EP2024073725 W EP 2024073725W WO 2025045777 A1 WO2025045777 A1 WO 2025045777A1
- Authority
- WO
- WIPO (PCT)
- Prior art keywords
- compound according
- methyl
- compound
- cyclopentyl
- amino
- Prior art date
- Legal status (The legal status is an assumption and is not a legal conclusion. Google has not performed a legal analysis and makes no representation as to the accuracy of the status listed.)
- Pending
Links
Classifications
-
- A—HUMAN NECESSITIES
- A61—MEDICAL OR VETERINARY SCIENCE; HYGIENE
- A61P—SPECIFIC THERAPEUTIC ACTIVITY OF CHEMICAL COMPOUNDS OR MEDICINAL PREPARATIONS
- A61P9/00—Drugs for disorders of the cardiovascular system
- A61P9/10—Drugs for disorders of the cardiovascular system for treating ischaemic or atherosclerotic diseases, e.g. antianginal drugs, coronary vasodilators, drugs for myocardial infarction, retinopathy, cerebrovascula insufficiency, renal arteriosclerosis
-
- C—CHEMISTRY; METALLURGY
- C07—ORGANIC CHEMISTRY
- C07D—HETEROCYCLIC COMPOUNDS
- C07D401/00—Heterocyclic compounds containing two or more hetero rings, having nitrogen atoms as the only ring hetero atoms, at least one ring being a six-membered ring with only one nitrogen atom
- C07D401/14—Heterocyclic compounds containing two or more hetero rings, having nitrogen atoms as the only ring hetero atoms, at least one ring being a six-membered ring with only one nitrogen atom containing three or more hetero rings
-
- C—CHEMISTRY; METALLURGY
- C07—ORGANIC CHEMISTRY
- C07D—HETEROCYCLIC COMPOUNDS
- C07D413/00—Heterocyclic compounds containing two or more hetero rings, at least one ring having nitrogen and oxygen atoms as the only ring hetero atoms
- C07D413/14—Heterocyclic compounds containing two or more hetero rings, at least one ring having nitrogen and oxygen atoms as the only ring hetero atoms containing three or more hetero rings
-
- C—CHEMISTRY; METALLURGY
- C07—ORGANIC CHEMISTRY
- C07D—HETEROCYCLIC COMPOUNDS
- C07D417/00—Heterocyclic compounds containing two or more hetero rings, at least one ring having nitrogen and sulfur atoms as the only ring hetero atoms, not provided for by group C07D415/00
- C07D417/02—Heterocyclic compounds containing two or more hetero rings, at least one ring having nitrogen and sulfur atoms as the only ring hetero atoms, not provided for by group C07D415/00 containing two hetero rings
- C07D417/12—Heterocyclic compounds containing two or more hetero rings, at least one ring having nitrogen and sulfur atoms as the only ring hetero atoms, not provided for by group C07D415/00 containing two hetero rings linked by a chain containing hetero atoms as chain links
-
- C—CHEMISTRY; METALLURGY
- C07—ORGANIC CHEMISTRY
- C07D—HETEROCYCLIC COMPOUNDS
- C07D417/00—Heterocyclic compounds containing two or more hetero rings, at least one ring having nitrogen and sulfur atoms as the only ring hetero atoms, not provided for by group C07D415/00
- C07D417/14—Heterocyclic compounds containing two or more hetero rings, at least one ring having nitrogen and sulfur atoms as the only ring hetero atoms, not provided for by group C07D415/00 containing three or more hetero rings
Definitions
- the present disclosure relates to small molecule inhibitors of proprotein convertase subtilisin-like/kexin type 9 (PCSK9) and compositions comprising said compounds.
- PCSK9 proprotein convertase subtilisin-like/kexin type 9
- corthelial heart disease caused by atherosclerosis remains the leading cause of death worldwide.
- a key risk factor in the development of atherosclerosis is hypercholesterolemia, characterized by elevated levels of low-density lipoprotein (LDL) cholesterol in the bloodstream (Mach, et al., 2020).
- LDL low-density lipoprotein
- the LDL receptor (LDLR) plays a crucial role in regulating LDL cholesterol metabolism by facilitating the cellular uptake of LDL particles, thereby reducing circulating LDL cholesterol levels.
- the significance of LDLR in maintaining cholesterol balance is evident in patients with familial hypercholesterolemia, where LDLR deficiency or impairment is observed (Brown & Goldstein, 1986).
- statins inhibit cholesterol synthesis while simultaneously increasing LDLR expression, resulting in reduced circulating LDL cholesterol.
- PCSK9 proprotein convertase subtilisin-like/kexin type 9
- PCSK9 binds to LDLR, impairing its recycling and promoting its lysosomal degradation, thereby reducing cellular LDLR levels (reviewed in Hummelgaard, et al., 2023).
- Gain-of-function mutations in PCSK9 lead to increased LDL cholesterol levels (Abifadel, et al., 2003) due to enhanced degradation of LDLR (Maxwell & Breslow, 2004).
- individuals with loss-of-function mutations in PCSK9 exhibit reduced LDL cholesterol levels and a lower incidence of coronary heart disease (Cohen, et al., 2006).
- PCSK9 as a therapeutic target has been confirmed by two antibodybased PCSK9 inhibitors, alirocumab and evolucumab, which have successfully progressed to clinical application. These inhibitors effectively reduce cholesterol levels and mitigate the risk of atherosclerotic cardiovascular disease events, including myocardial infarction, stroke, and death, without any major adverse effects (Robinson, et al., 2015; Sabatine, et al., 2015). Additionally, an siRNA-based PCSK9 inhibitor (Raal, et al. , 2020) has received FDA approval and is currently awaiting cardiovascular outcome data. Also, cardiovascular diseases often require management over a person’s lifetime, unlike an infection that could be episodic. Thus, ease of dosing and administration become key factors to patient compliance with maintenance drug treatments.
- the present disclosure is directed to novel PCSK9 inhibitors, compositions comprising the disclosed compounds, and uses thereof.
- the compounds disclosed herein modulate the activity of PCSK9.
- the compounds disclosed herein have binding affinity for PCSK9.
- the compound disclosed herein act as inhibitors of PCSK9.
- the compounds disclosed herein provide a solution to the above mentioned problems of lack of suitable small molecules that bind PCSK9.
- the present disclosure provides for a compound according to formula (I): formula (I) or a tautomer, an enantiomer or a diastereoisomer thereof, or a mixture thereof, or a pharmaceutically acceptable salt thereof; wherein: R 1 is H, C1-C5 alkyl, orCa-Cs cycloalkyl, each of which is optionally substituted with one or more, identical or different, substituents R X1 ; wherein each R X1 is halogen;
- Z is a heteroaromatic ring
- A is a heteroaromatic ring
- R 2 is H, C1-C3 alkyl, amide, or sulphonamide, each of which is optionally substituted with one or more, identical or different, substituents R X2 ; wherein each R X2 is -C1-C3 alkyl or C1-C3 alkoxy;
- X A is a absent, carbonyl, or sulfone
- R A is absent, 3 to 6 membered heterocycle, or heteroaryl, wherein the 3 to 6 membered heterocycle or heteroaryl is optionally substituted with one or more, identical or different, substituents R 3 ;
- composition comprising a compound as described herein.
- the present disclosure provides for a compound as described herein, or a pharmaceutically acceptable salt thereof, for use as a medicament.
- the present disclosure provides for a compound as described herein, or a pharmaceutically acceptable salt thereof, for use in a method of modulating the activity of PCSK9 in a subject, the method comprising administering an effective amount of the compound to the subject.
- the present disclosure provides for a compound as described herein, or a pharmaceutically acceptable salt thereof, for use in a method of treatment, prevention or alleviation of a disorder of lipoprotein metabolism in a subject, the method comprising administering an effective amount of the compound to the subject.
- alkyl refers to a linear or branched hydrocarbon moiety wherein hydrogen atom has been removed.
- a C1-C5 alkyl refers to a linear or branched hydrocarbon moiety having 1 to 5 carbons.
- alkyl groups are for example but not limited to methyl, ethyl, propyl, butyl, pentyl, propyl, isopropyl, tert-butyl, sec-butyl, etc.
- alkoxy refers to a group of formula -O- alkyl, wherein alkyl is defined as above.
- C1-C3 -alkoxy is intended to indicate such hydrocarbon having 1 , 2 or 3 carbon atoms.
- alkoxy groups include methoxy, ethoxy, n- propoxy, and isopropoxy.
- haloalkyl refers to an alkyl group wherein one or more hydrogen atoms have been replaced by a halogen atom, for example one or more hydrogen atoms replace by any of F, Cl, Br or I.
- cycloalkyl or “carbocycle” refers to a monocyclic or polycyclic system.
- cycloalkyl also used herein can optionally contain one or more unsaturations or substituents.
- cycloalkyl or “carbocycle” encompasses compounds wherein a ring atom may be substituted with a functional group, such as a carbonyl. For example, but not limited as in the examples shown below:
- heterocyclic or “heterocycle” as used herein, alone or in combination, refers to saturated or unsaturated nonaromatic rings or polycyclic systems where at least one of the ring’s atoms is an heteroatom.
- the saturated or unsaturated nonaromatic ring or polycyclic system may for example comprise 3 to 10 ring atoms.
- heterocycle or “heterocyclic” encompasses compounds wherein a ring atom may be substituted with a functional group, such as a carbonyl or a sulfone.
- aromatic refers to a cyclic or polycyclic moiety having a conjugated unsaturated (4r
- heteroaryl refers to an aromatic ring or an aromatic polycyclic system.
- the heteroaromatic or heteroaryl ring may contain from 5 to 12 ring atoms where at least one of the ring atoms is a heteroatom.
- Polycyclic refers to systems having several, closed rings of atoms wherein the rings share at least one atom. For example, two or more rings of atoms sharing at least one atom, or two or more rings of atoms sharing two or three atoms. Examples of polycyclic systems include, but are not limited to:
- heteroatom particularly as a ring heteroatom, refers to sulfur, oxygen and nitrogen.
- alkenyl refers to a hydrocarbon moiety having at least one carbon-carbon double bond.
- substituted molecules refer to groups which may be used to replace hydrogen.
- the substituted molecule may itself be further substituted in some embodiments of the invention.
- a “substituent derived from” refer to a group of atoms derived from a specific molecule or formula at any position of said molecule or formula.
- a substituent derived from a molecule is the corresponding molecule wherein a hydrogen atom has been removed.
- a substituent derived from CF may be -CH3.
- Stereoisomerism refers to isomerism due to differences in the spatial arrangement of atoms without any differences in connectivity or bond multiplicity between the isomers.
- the compounds described herein may contain one or more stereocenters or stereogenic units, which generate stereoisomerism, such as chiral carbons.
- stereochemistry configuration or “configuration” of an atom as used herein refers to the absolute configuration of that center, which can be R or S, as determined by the Cahn-lngold-Prelog priority rules.
- enantiomer refers to isomers which are mirror images of each other but are non-superposable.
- a specific stereoisomer may also be referred to as an enantiomer, and a mixture of such isomers is often called an enantiomeric mixture.
- a 50:50 mixture of enantiomers is referred to as a racemic mixture or a racemate, which may occur where there has been no stereoselection or stereospecificity in a chemical reaction or process.
- racemic mixture and “racemate” refer to an equimolar mixture of two enantiomeric species (e.g., a pair of enantiomers, devoid of optical activity).
- the disclosure includes all stereoisomers of the compounds described herein. For example, compounds that were obtained or used as a mixture of enantiomers contain the term “rac” in their name before the corresponding stereocenters.
- the compounds disclosed herein may be racemic. In some embodiments, the compounds disclosed herein may be enriched in one enantiomer. For example, a compound of the disclosure may have greater than about 30% enantiomeric excess (ee), about 40% ee, about 50% ee, about 60% ee, about 70% ee, about 80% ee, about 90% ee, or even about 95% or greater ee. In some embodiments, compounds of the disclosure may have more than one stereocenter. In some embodiments, a therapeutic preparation may be enriched to provide predominantly one enantiomer of a compound (e.g., of formula (I)).
- An enantiomerically enriched mixture may comprise, for example, at least about 60 mol percent of one enantiomer, or more preferably at least about 75, about 90, about 95, or even about 99 mol percent.
- the compound enriched in one enantiomer is substantially free of the other enantiomer, wherein substantially free means that the substance in question makes up less than about 10%, or less than about 5%, or less than about 4%, or less than about 3%, or less than about 2%, or less than about 1% as compared to the amount of the other enantiomer, e.g., in the composition or compound mixture.
- diastereoisomers refers to stereoisomers which are not related as mirror images. Diastereomeric mixtures can be separated into their individual diastereoisomers on the basis of their physical chemical differences by methods well known to those skilled in the art, such as by chromatography and/or fractional crystallization. Enantiomers can be separated by converting the enantiomeric mixture into a diastereomeric mixture by reaction with an appropriate optically active compound (e.g., chiral auxiliary such as a chiral alcohol or Mosher's acid chloride), separating the diastereoisomers and converting (e.g., hydrolyzing) the individual diastereoisomers to the corresponding pure enantiomers.
- an appropriate optically active compound e.g., chiral auxiliary such as a chiral alcohol or Mosher's acid chloride
- Enantiomers can also be separated by use of a chiral HPLC column.
- the dissociation constant (KD) or binding affinity is a measure of the extent of a reversible association between two molecular species e.g. the affinity of a small molecule PCSK9 inhibitor for binding to PCSK9. The smaller the dissociation constant, the stronger the affinity of binding.
- the dissociation constant for the equilibrium between a complex A x B y that separates into xA units and yB units is given by the following equation: wherein [A], [B], and [A x B y ] represent the concentration of each of the species at equilibrium.
- Methods to determine the dissociation constant are known in the art. These methods can be based on the measurement of the concentration of free and complexed species at equilibrium, or a property directly correlated to said concentrations.
- methods to determine the dissociation constant include but are not limited to: microscale thermophoresis (MST), surface plasmon resonance (SPR), fluorescence polarization (FP), and nuclear magnetic resonance (NMR).
- the present disclosure provides for a compound according to formula (I): formula (I) or a tautomer, an enantiomer or a diastereoisomer thereof, or a mixture thereof or a pharmaceutically acceptable salt thereof; wherein R 1 is H, C1-C5 alkyl, or C3-C5 cycloalkyl, each of which is optionally substituted with one or more, identical or different, substituents R X1 ; wherein each R X1 is halogen;
- Z is a heteroaromatic ring
- A is a heteroaromatic ring
- R 2 is H, C1-C3 alkyl, amide, or sulphonamide, each of which is optionally substituted with one or more, identical or different, substituents R X2 ; wherein each R X2 is -C1-C3 alkyl or C1-C3 alkoxy;
- X A is a absent, carbonyl, or sulfone
- R A is absent, 3 to 6 membered heterocycle, or heteroaryl, wherein the 3 to 6 membered heterocycle or heteroaryl is each optionally substituted with one or more, identical or different, substituents R 3 ;
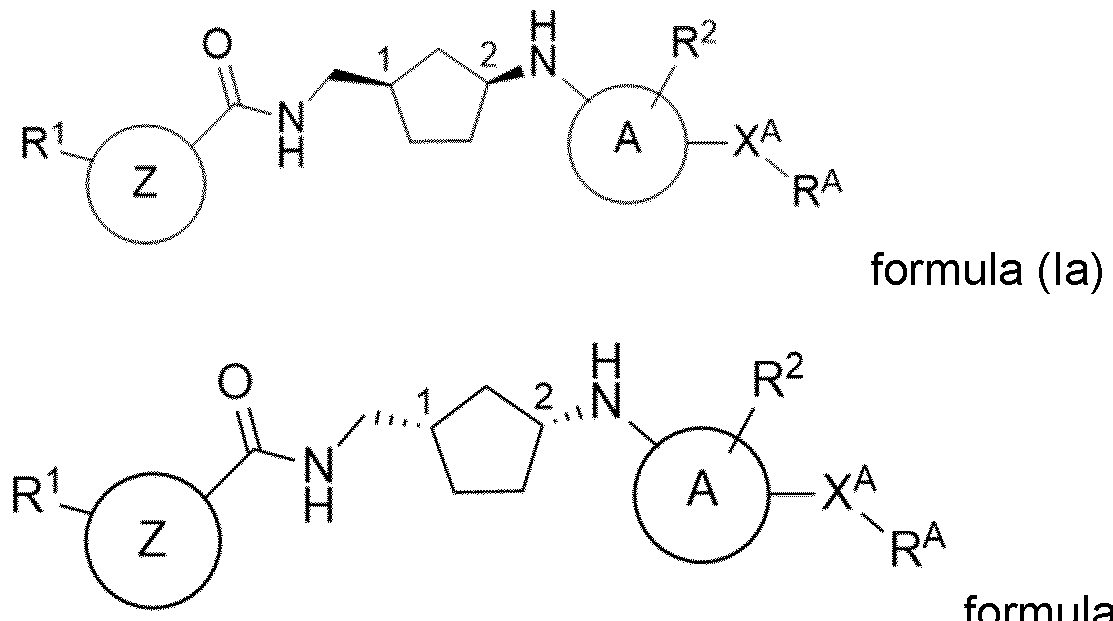
- the compound is according to formula (la) or formula (lb): formula (lb).
- the compound is according to formula (la). In one embodiment, the compound is according to formula (lb). In one embodiment, the compound is a mixture of enantiomers of formula (la) and formula (lb).
- Z is a heteroaromatic ring. In one embodiment, Z is a 5 to 12 membered heteroaromatic ring. In one embodiment, Z is a 5-membered heteroaromatic ring. In one embodiment, Z is a 6-membered heteroaromatic ring. In one embodiment, Z is a 9-membered heteroaromatic ring. In one embodiment, Z is a 12-membered heteroaromatic ring. In one embodiment, Z is selected from:
- Z is selected from:
- the compound is provided such that:
- Z is selected from: one embodiment, Z is In one embodiment, Z is
- Z is
- the compound is according to formula II: formula (II). In one embodiment, the compound is according to any one of formulas Illa or lllb: formula (I I lb), wherein
- R A is absent, 3 to 6 membered heterocycle, or heteroaryl, wherein the 3 to 6 membered heterocycle or heteroaryl is each optionally substituted with one or more, identical or different, substituents R 3 ;
- R 1 and R 2 are as described herein.
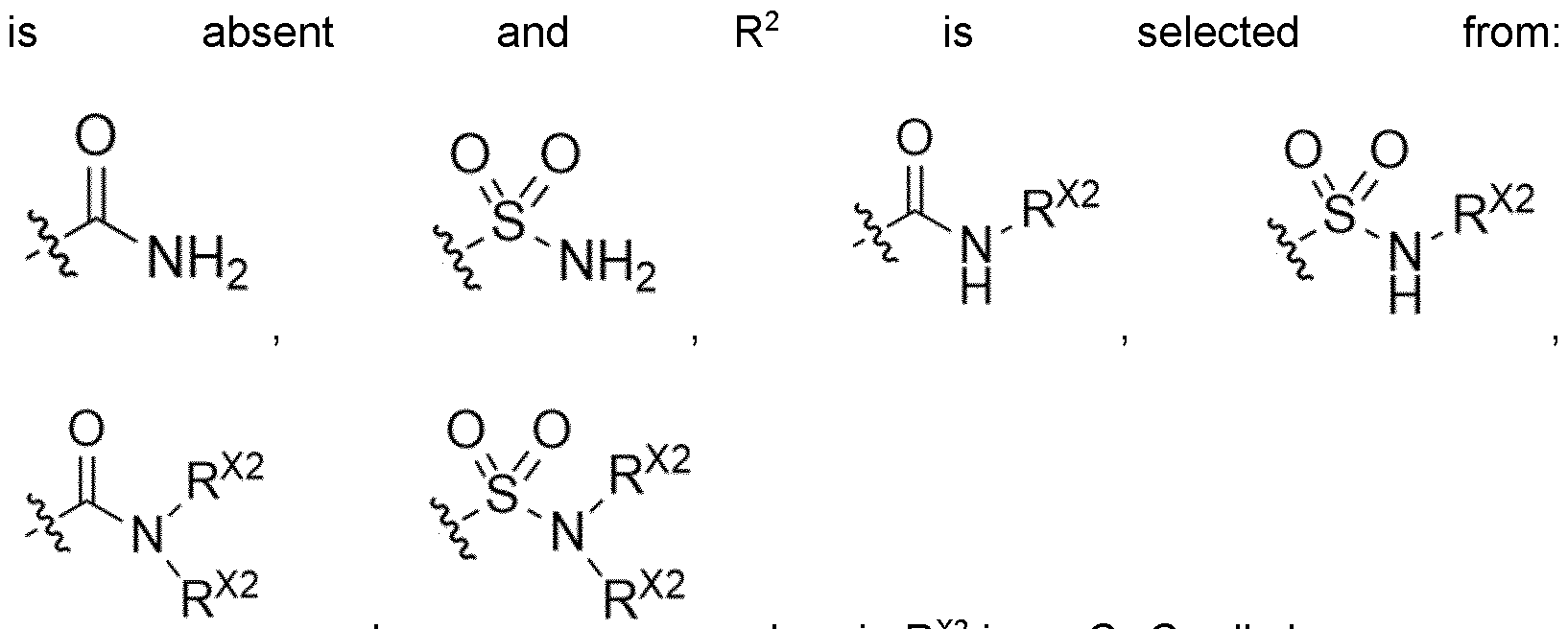
- X A is absent, R A is absent, and R 2 is an N-linked amide or sulfonamide.
- X A is absent, R A is absent, and R 2 is selected from a C-linked amide and an S-linked sulfonamide. In one embodiment, X A is absent, R A is absent, and R 2 is selected from: wherein R X2 is -C1-C3 alkyl. In one embodiment, R X2 is -CH3.
- R A is selected from ; each of which is optionally substituted.
- R A is , wherein B is a 3 to 6 membered heterocycle, and R 3B is H, -OH, or C1-C3 alkyl.
- R A is
- R 3C is selected from H, C1-C3 alkyl, C1-C3 haloalkyl, C1-C3 alkoxy, -CN, amide, and3 to 6 membered heterocycle, each of which is optionally substituted with one or more, identical or different, substituents R X3 ; or R 3C is -NH-R X3 ; wherein R X3 is a group selected from -OH, -OCH3, -CN, C1-C3 alkyl, C3-C5 cycloalkyl, and halogen.
- the compound is according to formula (IV) formula (IV), wherein
- B is a 3 to 6 membered heterocycle
- R 3B is selected from H, -OH and C1-C3 alkyl; and R 1 and R 2 are as described herein.
- X A is In one embodiment, X A is absent. In one embodiment, ring B is selected from:
- R 3B is H. In one embodiment, R 3B is -OH.
- the compound is according to formula (V):
- R 3C is selected from H, C1-C3 alkyl, C1-C3 haloalkyl, C1-C3 alkoxy, -CN, amide, and3 to 6 membered heterocycle, each of which is optionally substituted with one or more, identical or different, substituents R X3 ; or R 3C is -NH-R X3 ; wherein R X3 is a group selected from -OH, -OCH3, -CN, C1-C3 alkyl, C3-C5 cycloalkyl, and halogen; and R 1 and R 2 are as described herein.
- R 3C is selected from H, C1-C3 alkyl, C1-C3 haloalkyl, and -CN; each of which is optionally substituted with one or more, identical or different, substituents R X3 ; wherein R X3 is a group selected from of -OH, -OCH3, -CN, C1-C5 cycloalkyl, and a halogen.
- R 3C is H.
- R 3C is C1-C3 alkyl.
- R 3C is C1-C3 haloalkyl.
- R 3C is C1-C3 alkoxy.
- R 3C is -CN.
- R 3C is -CH2-O-CH3.
- R 3C is -O-CH3.
- the compound is according to formula (Va): formula (Va) wherein
- R 3C is selected from H, C1-C3 alkyl, a C1-C3 haloalkyl, -CN, amide, and3 to 6 membered heterocycle, each of which is optionally substituted with one or more, identical or different, substituents R X3 ; or R 3C is -NH-R X3 ; wherein R X3 is a group selected from -OH, -OCH3, -CN, a C1-C5 cycloalkyl, and halogen; and R 1 and R 2 are as described herein.
- R 3C is a 3 to 6 membered heterocycle, such as a 3, 4, 5 or 6 membered heterocycle.
- R 3C is a 3 membered heterocycle.
- R 3C is a 4 membered heterocycle.
- R 3C is a 5 membered heterocycle.
- R 3C is a 6 membered heterocycle.
- R 3C is wherein n is 0, 1 , or 2;
- R X3a is each independently selected from H, -CN, -OH, -OCH3, and -F.
- n is 0. In one embodiment, n is 1 or 2. In one embodiment, n is 1.
- n is 2.
- R X3a is -CN. In one embodiment, one or more R X3a are -F. In one embodiment, R X3a is -OH. In one embodiment, R X3a is -OCH3.
- R 1 is selected from C1-C3 alkyl.
- R 1 is selected from -CH3, -CH2-CH3 and CF2H. In one embodiment, R 1 is -CH3. In one embodiment, R 1 is -CH2-CH3. In one embodiment, R 1 is -H. In one embodiment, R 1 is -CF2H. In one embodiment, R 1 is a C3-C5 cycloalkyl. In one embodiment, R 1 is cyclopropyl.
- R 2 is -H. In one embodiment, R 2 is -CH3.
- the substituents in the carbons at position 1 and 2 are in a c/s relationship.
- the cis relationship is defined by the substituents pointing towards the same side of a plane defined by the ring, such as in:
- the configuration of the carbon atom in position 1 is R and the configuration of the carbon atom in position 2 is S. In one embodiment, the configuration of the carbon atom in position 1 is S and the configuration of the carbon atom in position 2 is R. In one embodiment, the compound is selected from any one of the group consisting of: a compound shown in Table A, and an enantiomer thereof; or a pharmaceutically acceptable salt thereof.
- the compound disclosed herein is selected from: 3-methyl-N-[[(1R,3S)-3-[[5-(6-oxopyridazin-1-yl)-2- pyridyl]amino]cyclopentyl]methyl]isoxazole-5-carboxamide (A1);
- the compound disclosed herein is selected from:
- PCSK9 modulation In one embodiment, the compound is able to modulate the activity of PCSK9.
- the compound is an inhibitor of PCSK9.
- the compound decreases the activity of PCSK9.
- the compound bindsPCSK9 with a dissociation constant (KD), less than 20 pM, such as less than 5 pM, such as less than 1 pM, such as less than 0.5 pM, such as less than 0.05 pM, such as less than 0.01 pM.
- KD dissociation constant
- the compound binds PCSK9 with a dissociation constant (KD) from about 1 nM to about 20 pM, such as from about 1 nM to about 10 pM, such as from about 1 nM to about 1 pM, such as from about 1 nM to about 0.5 pM, such as from 1 nM to about 200 nM, such as from about 1 nM to about 100 nM, such as from about 1 nM to about 50 nM.
- KD dissociation constant
- the compound binds PCSK9 with a dissociation constant (KD) of less than 200 nM, such as from about 20 nM to about 150 nM.
- KD dissociation constant
- the binding with the target protein or PCSK9 may be measured through different methods as it is known to someone of skill in the art. For example, microscale thermophoresis (MST) or surface plasmon resonance.
- MST microscale thermophoresis
- surface plasmon resonance e.g., surface plasmon resonance
- the pharmaceutical composition comprises a single stereoisomer of the compound described herein. In one embodiment, the pharmaceutical composition comprises a mixture of stereoisomers of the compound as described herein, such as a mixture of enantiomers and/or diastereoisomers. In one embodiment, the pharmaceutical composition comprises a racemate of a pair of enantiomers of the compound as described herein. In one embodiment, the pharmaceutical composition comprises a mixture of stereoisomers of the compound as described herein having the substituents in the carbons at position 1 and 2 of formulas (I), (la), (lb), (II), (Illa), (lllb), (IV), (V) and (Va) in a c/s relationship.
- the present disclosure provides for a compound as described herein, or a pharmaceutically acceptable salt thereof; or a composition as described herein, for use as a medicament.
- the present disclosure provides for a method of treatment of a disease or condition in a subject, the method comprising administering an effective amount of a compound as described herein, or a pharmaceutically acceptable salt thereof; or a pharmaceutical composition as described herein, to the subject.
- the present disclosure provides for a compound described herein, or a pharmaceutically acceptable salt thereof; or a composition as described herein, for use in a method of modulating the activity of PCSK9 in a subject, the method comprising administering an effective amount of the compound to the subject.
- the present disclosure provides for a compound described herein, or a pharmaceutically acceptable salt thereof; or a composition as described herein, for use in a method of treatment, prevention or alleviation of a disorder of lipoprotein metabolism in a subject, the method comprising administering an effective amount of the compound to the subject.
- the present disclosure provides for the use of a compound as described herein, or a pharmaceutically acceptable salt thereof; or a pharmaceutical composition as described herein, for the manufacture of a medicament for the treatment, prevention or alleviation of a disorder of lipoprotein metabolism in a subject.
- the present disclosure provides the present disclosure provides for a compound described herein, or a pharmaceutically acceptable salt thereof; or a composition as described herein, for use in a method of treatment, prevention or alleviation of a cardiovascular disease or disorder in a subject, comprising administering a compound disclosed herein or a pharmaceutically acceptable salt thereof to a subject.
- the cardiovascular disease is selected from hypercholesterolemia, hyperlipidemia, hyperlipoproteinemia, hypertriglyceridemia, dyslipidemia, dyslipoproteinemia, atherosclerosis, hepatic steatosis, metabolic syndrome and coronary artery disease.
- the cardiovascular disease is familial hypercholesterolemia.
- the cardiovascular disease is autosomal dominant hypercholesterolemia.
- the level of circulating serum cholesterol is decreased in the subject.
- the level of circulating serum LDL-cholesterol is decreased in the subject.
- the level of circulating serum triglycerides is decreased in the subject.
- the level of circulating serum lipoprotein A is decreased in the subject.
- the subject has atherosclerosis.
- atherosclerotic plaque formation is decreased in the subject.
- the subject has a gain-of function mutation in PCSK9 gene.
- the disorder a disorder of lipoprotein metabolism.
- the disorder the disorder is selected from dyslipidemia, hypercholesterolemia and coronary heart disease.
- the disorder is dyslipidemia.
- the disorder is hypercholesterolemia.
- the disorder is coronary heart disease.
- the method comprises administering one additional therapeutic agent. In one embodiment, the method comprises administering two additional therapeutic agents. In one embodiment, the method comprises administering three additional therapeutic agents. In one embodiment, the method comprises administering four additional therapeutic agents.
- the additional therapeutic agent is a drug for treating cardiovascular disease. In one embodiment, the additional therapeutic agent is a drug for treating disorder of lipoprotein metabolism.
- the additional therapeutic agent is selected from HMG-CoA reductase inhibitor, a HMG-CoA synthase inhibitor, a HMG-CoA reductase gene expression inhibitor, a HMG-CoA synthase gene expression inhibitor, an MTP/Apo B secretion inhibitor, a cholesteryl ester transfer protein (CETP) inhibitor, a bile acid absorption inhibitor, a cholesterol absorption inhibitor, a cholesterol synthesis inhibitor, a squalene synthetase inhibitor, a squalene epoxidase inhibitor, a squalene cyclase inhibitor, a combined squalene epoxidase/squalene cyclase inhibitor, a fibrate, a niacin, a combination of niacin and lovastatin, an ion-exchange resin, an antioxidant, an ACAT inhibitor, a bile acid sequestrant, a PCSK9 translation inhibitor
- a compound according to formula (I) formula (I) or a tautomer, an enantiomer or a diastereoisomer thereof, or a mixture thereof, or a pharmaceutically acceptable salt thereof;
- R 1 is H, C1-C5 alkyl, or C3-C5 cycloalkyl, each of which is optionally substituted with one or more, identical or different, substituents R X1 ; wherein each R X1 is halogen;
- Z is a heteroaromatic ring
- A is a heteroaromatic ring
- R 2 is H, C1-C3 alkyl, amide, or sulphonamide, each of which is optionally substituted with one or more, identical or different, substituents R X2 ; wherein each R X2 is -C1-C3 alkyl or C1-C3 alkoxy;
- X A is a absent, carbonyl, or sulfone
- R A is absent, 3 to 6 membered heterocycle, or heteroaryl, wherein the 3 to 6 membered heterocycle or heteroaryl is optionally substituted with one or more, identical or different, substituents R 3 ;
- R A is absent, a 3 to 6 membered heterocycle, or heteroaryl, wherein the 3 to 6 membered heterocycle and heteroaryl is each optionally substituted with one or more, identical or different, substituents R 3 ;
- R X2 is a -C1-C3 alkyl.
- B is a 3 to 6 membered heterocycle
- R 3B is selected from H, -OH and C1-C3 alkyl.
- R 3C is selected from H, C1-C3 alkyl, C1-C3 haloalkyl, C1-C3 alkoxy, -CN, amide, and 3 to 6 membered heterocycle, each of which is optionally substituted with one or more, identical or different, substituents R X3 ; or R 3C is -NH-R X3 ; wherein R X3 is a group selected from -OH, -OCH3, -CN, C1-C3 alkyl, C3-C5 cycloalkyl, and halogen.
- R 3C is selected from H, C1-C3 alkyl, C1-C3 haloalkyl, -CN, amide, 3 to 6 membered heterocycle, each of which is optionally substituted with one or more, identical or different, substituents R X3 ; or R 3C is -NH-R X3 ; wherein R X3 is a group selected from -OH, -OCH3, -CN, C1-C5 cycloalkyl, and halogen.
- R 3C is H, C1-C3 alkyl, a C1-C3 haloalkyl, or -CN each of which is optionally substituted with one or more, identical or different, substituents R X3 ; wherein R X3 is a group selected from of -OH, -OCH3, -CN, a C1-C5 cycloalkyl, and a halogen.
- R X3a is each independently selected from H, -CN, -OH, -OCH3, and -F.
- R 1 is selected from -CH3, -CH2-CH3 and CF2H.
- the compound to any one of the preceding items, wherein the compound binds PCSK9 with a dissociation constant (KD) from about 1 nM to about 20 pM, such as from about 1 nM to about 10 pM, such as from about 1 nM to about 1 pM, such as from about 1 nM to about 0.5 pM, such as from 1 nM to about 200 nM, such as from about 1 nM to about 100 nM, such as from about 1 nM to about 50 nM.
- KD dissociation constant
- a pharmaceutical composition comprising the compound according to any one of the preceding items.
- the disorder is a disorder of lipoprotein metabolism whereinthe disorder is selected from dyslipidemia, hypercholesterolemia and coronary heart disease.
- a compound according to formula (I) formula (I) or a tautomer, an enantiomer or a diastereoisomer thereof, or a mixture thereof; or a pharmaceutically acceptable salt thereof; wherein
- R 1 is selected from the group consisting of a H, C1-C5 alkyl, and C3-C5 cycloalkyl, each of which is optionally substituted with one or more, identical or different, substituents R X1 ; wherein R X1 is selected from the group consisting of halogen;
- Z is a heteroaromatic ring, selected from the group consisting of: ano
- A is a heteroaromatic ring
- R 2 is selected from the group consisting of H, C1-C3 alkyl, an amide, and a sulfonamide, each of which is optionally substituted with one or more, identical or different, substituents R X2 ; wherein R X2 is selected from the group consisting of -Ci-Ca alkyl and C1-C3 alkoxy;
- X A is a absent or selected from the group consisting of carbonyl or sulfone
- R A is absent or selected from the group consisting of a 3 to 6 membered heterocycle, and heteroaryl, each of which is optionally substituted with one or more, identical or different, substituents R 3 ;
- X A is absent or selected from
- R A is absent or selected from the group consisting of a 3 to 6 membered heterocycle, and heteroaryl, each of which is optionally substituted with one or more, identical or different, substituents R 3 ;
- R A is absent and R 2 is selected from the group consisting of: The compound according to any one of items A1 to A3, wherein the compound is according to formula IV formula IV, wherein
- X A is absent or selected from
- B is a 3 to 6 membered heterocycle
- R 3B is selected from H, -OH and C1-C3 alkyl.
- R 3C is selected from the group consisting of H, C1-C3 alkyl, a C1-C3 haloalkyl, a C1-C3 alkoxy, -CN, an amide, a 3 to 6 membered heterocycle, each of which is optionally substituted with one or more, identical or different, substituents R X3 ; or R 3C is -NH-R X3 ; wherein R X3 is a group selected from the group consisting of -OH, -OCH3, -CN, C1-C3 alkyl, a C3-C5 cycloalkyl, and a halogen.
- R 3C is selected from the group consisting of H, C1-C3 alkyl, a C1-C3 haloalkyl, -CN, an amide, a 3 to 6 membered heterocycle, each of which is optionally substituted with one or more, identical or different, substituents R X3 ; or R 3C is -NH-R x3 ; wherein R X3 is a group selected from the group consisting of -OH, -OCH3, -CN, a C1-C5 cycloalkyl, and a halogen.
- R 3C is H, C1-C3 alkyl, a C1-C3 haloalkyl, or -CN each of which is optionally substituted with one or more, identical or different, substituents R X3 ; wherein R X3 is a group selected from the group consisting of -OH, -OCH3, -CN, a C1-C5 cycloalkyl, and a halogen; or ii) R 3C is wherein n is an integer selected from 0, 1 or 2;
- R X3a is each independently selected from the group consisting of H, -CN, -OH, -OCH3, -F.
- R 1 is selected from -CH 3 , -CH2-CH3 and CF 2 H. 11 .
- R 1 is -CH3.
- a 12-point titration series of compound solutions was prepared in TTP LVDS 384-well plates (SPT Labtech) in a 1.2 pL total volume using an LV Mosquito pipetting robot (SPT Labtech) in a buffer composed of 16.7 % DMSO (v/v) and 0.05 % Tween20 (v/v).
- the plate was spun down before addition of 8.8 pL 56.8 nM PCSK9 and 14.2 nM RED- tris-NTA (Nanotemper) in 28.4 mM Bis-Tris Propane pH 7, 340.9 mM NaCI, 0.05 % Tween20 (v/v) to each well.
- the plate was sealed with adhesive strip and placed on an Eppendorf thermomixer at 600 rpm for 3 min before spinning on a Fisherbrand platespinner for 15 seconds and further incubation 1 hrs at RT.
- MST was measured on a Monolith NT. Automated (Nanotemper) in standard-treated capillaries at 5 % LED-power and high MST-power. Dose-response was extracted at 20 sec hot-time. All experiments were performed in duplicates.
- the compounds according to formula (I) and related formulae of this invention may be prepared from readily available starting materials. If such starting materials are not commercially available, they may be prepared by standard synthetic techniques. In general, the synthesis pathways for any individual compound of formula (I) and related formulae will depend on the specific substituents of each molecule, such factors being appreciated by those having ordinary skill in the art. The following general methods and procedures described hereinafter in the examples may be employed to prepare compounds of formula (I) and related formulae. Reaction conditions depicted in the following schemes, such as temperatures, solvents, or co-reagents, are given as examples only and are not restrictive. It will be appreciated that where typical or preferred experimental conditions (i.e.
- reaction temperatures, time, moles of reagents, solvents etc. are given, other experimental conditions can also be used unless otherwise stated.
- Optimum reaction conditions may vary with the particular reactants or solvents used, but such conditions can be determined by a person skilled in the art, using routine optimisation procedures.
- the two enantiomers in the prepared mixture are: 3-methyl-N-[[(1 R,3S)-3-[[5-(6- oxopyridazin-1-yl)-2-pyridyl]amino]cyclopentyl]methyl]isoxazole-5-carboxamide and 3- methyl-N-[[(1S,3R)-3-[[5-(6-oxopyridazin-1-yl)-2- pyridyl]amino]cyclopentyl]methyl]isoxazole-5-carboxamide
- Example S2 N-[[rac-( 1 R,3S)-3-[[6-(dimethylcarbamoyl)-1 ,3-benzothiazol-2- yl]amino]cyclopentyl]methyl]-3-methyl-isoxazole-5-carboxamide 1.
- General procedure for preparation of 2-chloro-N,N-dimethyl-1,3-benzothiazole- 6-carboxamide
- reaction mixture was filtered and the filtrate was purified by prep-HPLC (basic condition, column: Waters Xbridge Prep OBD C18 150*40mm*10
- the two compounds in the mixture were: N-[[(1 R,3S)-3-[[6-(dimethylcarbamoyl)-1 ,3- benzothiazol-2-yl]amino]cyclopentyl]methyl]-3-methyl-isoxazole-5-carboxamide and N- [[(1S,3R)-3-[[6-(dimethylcarbamoyl)-1 ,3-benzothiazol-2-yl]amino]cyclopentyl]methyl]-3- methyl-isoxazole-5-carboxamide
- the reaction mixture was diluted with H2O (10 mL) and extracted with ethyl acetate (10 mL * 3). The combined organic layers were washed with brine (20 mL * 2), dried over anhydrous Na2SO4, filtered and concentrated under reduced pressure to give a residue.
- reaction mixture was filtered and the filtrate was purified by prep-HPLC (basic condition, column: Waters Xbridge Prep OBD C18 150*40mm*10um; mobile phase: [water(NH3H 2 O+NH 4 HCO3)-ACN];B%: 10%-40%, 8min) to give N-[[rac-(1 R,3S)-3-[[6-(4- hydroxypiperidine-1-carbonyl)-1 ,3-benzothiazol-2-yl]amino]cyclopentyl]methyl]-3- methyl-isoxazole-5-carboxamide (16.8 mg, 34.74 pmol, 13.02% yield, 100% purity) as a light yellow solid.
- the two compounds in the mixture were: N-[[(1 R,3S)-3-[[6-(4-hydroxypiperidine-1- carbonyl)-1 ,3-benzothiazol-2-yl]amino]cyclopentyl]methyl]-3-methyl-isoxazole-5- carboxamide and N-[[(1S,3R)-3-[[6-(4-hydroxypiperidine-1-carbonyl)-1 ,3-benzothiazol- 2-yl]amino]cyclopentyl]methyl]-3-methyl-isoxazole-5-carboxamide
- 1,1 -dioxide To a solution of 3-chloro-N-(2-chloro-1 ,3-benzothiazol-6-yl)propane-1-sulfonamide (400 mg, 1.23 mmol) in ACN (5 mL) was added K2CO3 (424.94 mg, 3.07 mmol). The mixture was stirred at 50 °C for 2 hr. The reaction mixture was partitioned between water (10 mL) and ethyl acetate (5 mL * 2). The organic phase was separated, washed with brine (5 mL * 2), dried over Na2SO4, filtered and concentrated under reduced pressure to give a residue.
- the two compounds in the mixture were: N-[[(1R,3S)-3-[[6-(1,1-dioxo-1,2-thiazolidin-2- yl)-1 ,3-benzothiazol-2-yl]amino]cyclopentyl]methyl]-3-methylisoxazole-5-carboxamide and N-[[(1 S,3R)-3-[[6-(1 , 1 -dioxo-1 , 2-thiazol id i n-2-y I)- 1 ,3-benzothiazol-2- yl]amino]cyclopentyl]methyl]-3-methylisoxazole-5-carboxamide
- the two compounds in the mixture were: N-[[(1R,3S)-3-[[6-(3-hydroxyazetidin-1- yl)sulfonyl-1 ,3-benzothiazol-2-yl]amino]cyclopentyl]methyl]-3-methylisoxazole-5- carboxamide and N-[[(1S,3R)-3-[[6-(3-hydroxyazetidin-1-yl)sulfonyl-1,3-benzothiazol-2- yl]amino]cyclopentyl]methyl]-3-methylisoxazole-5-carboxamide
- Example S6 3-methyl-N-[[rac-( 1 R,3S)-3-[(6-morpholinosulfonyl-1 ,3- benzothiazol-2-yl)amino]cyclopentyl]methyl]isoxazole-5-carboxamide
- the two compounds in the mixture were: 3-methyl-N-[[(1 R,3S)-3-[(6- morpholinosulfonyl-1 ,3-benzothiazol-2-yl)amino]cyclopentyl]methyl]isoxazole-5- carboxamide and 3-methyl-N-[[(1 S,3R)-3-[(6-morpholinosulfonyl-1 ,3-benzothiazol-2- yl)amino]cyclopentyl]methyl]isoxazole-5-carboxamide
- Example S8 S-methyl-N-Rrac-d R,3S)-3-[[5-(6-oxopyridazin-1-yl)-2- pyridyllaminolcyclopentyllmethyllisoxazole-3-carboxamide
- the reaction mixture was concentrated to give a residue.
- the residue was purified by flash silica gel chromatography (ISCO®; 220 g SepaFlash® Silica Flash Column, Eluent of 0-18% Ethyl acetate/Petroleum ether gradient @ 100 mL/min) to give tert-butyl N-[rac-(1S,3R)-3- (benzyloxycarbonylaminomethyl)cyclopentyl]carbamate (6.14 g, 17.62 mmol, 53.95% yield) as a white solid.
- reaction mixture was quenched by addition of H 2 O (10 mL), and extracted with EtOAc (20 mL * 3). The combined organic layers were washed with brine (50 mL * 2), dried over Na 2 SC>4, filtered and concentrated under reduced pressure.
- reaction mixture was quenched by addition of H2O (1 mL), and extracted with EtOAc (5 mL * 3). The combined organic layers were washed with brine (15 mL * 2), dried over Na2SC>4, filtered and concentrated under reduced pressure.
- step 6 The following compounds were prepared according to the general procedure of step 6.
- the starting materials are either commercially available or may be prepared from commercially available reagents using conventional reactions well known in the art.
- the two compounds in the mixture were: 1-methyl-N-[[(1 R,3S)-3-[[5-(6-oxopyridazin-1- yl)-2-pyridyl]amino]cyclopentyl]methyl]triazole-4-carboxamide and 1 -methyl-N- [[(1S,3R)-3-[[5-(6-oxopyridazin-1-yl)-2-pyridyl]amino]cyclopentyl]methyl]triazole-4- carboxamide :in-1 -yl)-2-
- the two compounds in the mixture were: 3-cyclopropyl-N-[[(1 R,3S)-3-[[5-(6- oxopyridazin-1-yl)-2-pyridyl]amino]cyclopentyl]methyl]isoxazole-5-carboxamide and 3- cyclopropyl-N-[[(1S,3R)-3-[[5-(6-oxopyridazin-1-yl)-2- pyridyl]amino]cyclopentyl]methyl]isoxazole-5-carboxamide
- reaction mixture was filtered and the filtrate was purified by prep- HPLC (HCI condition, column: Phenomenex Luna 80*30mm*3pm; mobile phase: [water (HCI)-ACNJ; B%: 1 %-20%, 8 min) to give compound N-[[(1R,3S)-3-[[5-(3-methoxy-2- pyridyl)-2-pyridyl]amino]cyclopentyl]methyl]-3-methyl-isoxazole-5-carboxamide (39.8 mg, 82.85 pmol, 35.31% yield, 100% purity, 2 HCI) as a yellow solid.
- Example S14 3-methyl-N-rr(1R,3S)-3-r[5-(3-methyl-6-oxo-pyridazin-1-yl)-2- pyridyllaminolcyclopentyllmethyllisoxazole-5-carboxamide
- the following compounds were prepared according to the general procedure described for example S14.
- the starting materials are either commercially available or may be prepared from commercially available reagents using conventional reactions well known in the art.
- Example S12 3-methyl-N-H(1 R,3S)-3-H5-r6-oxo-3-(trifluoromethyl)pyridazin-1-yl1-2- pyridyllaminolcyclopentyllmethyllisoxazole-5-carboxamide
- Example S18 N- 3-(cyclobutylamino)-6-oxo-pyridazin-1-yl1-2- pyridyl1amino1cyclopentyl]methyl1-3-methyl-isoxazole-5-carboxamide 1 .
- the starting materials are either commercially available or may be prepared from commercially available reagents using conventional reactions well known in the art.
- Example S22 N-H(1 R,3S)-3-H5-r3-(3-methoxyazetidin-1-yl)-6-oxo-pyridazin-1-yl1-2- pyridyl1amino1cyclopentyl1methyl1-3-methylisoxazole-5-carboxamide
- reaction mixture was partitioned between sat. aq. NH4CI (15 mL) and ethyl acetate (10 mL). The organic phase was separated, washed with brine (10 mL), dried over Na 2 SC>4, filtered and concentrated under reduced pressure to give a residue.
- 6-oxo-1 H-pyridazine-3- carbonyl chloride 5.6 g, 35.32mmol, 1 eq
- DCM 20 mL
- 6-oxo-1 H-pyridazine-3-carboxamide 3.4 g, crude
- the mixture was filtered and the filtrate was purified by prep-HPLC.
- the mixture was purified by prep-HPLC (basic condition; column: Waters Xbridge Prep OBD C18 150*40mm*10pm; mobile phase: [water(NH 3 H 2 O+NH4HCO 3 )-ACN]; B%: 5%-50%, 8 min) to give N-[[(1 R,3S)-3- [[5-[3-(3-hydroxyazetidin-1-yl)-6-oxo-pyridazin-1-yl]-2-pyridyl]amino]cyclopentyl]methyl] -3-methyl-isoxazole-5-carboxamide (11.5 mg, 24.70 pmol, 35.81 % yield, 100% purity) as a yellow solid.
- reaction mixture was partitioned between water (20 mL) and EtOAc (20 mL * 3). The organic phase was separated, washed with brine (40 mL * 2), dried over Na2SO4, filtered and concentrated under reduced pressure to give a residue.
- reaction solution was filtered, the filter cake was collected and dried under reduced pressure to remove AcOH and HBr to give 2-[6-[[(1S,3R)-3-(aminomethyl)cyclopentyl]amino]-3- pyridyl]pyridazin-3-one (540 mg, crude, HBr) as a brown solid.
- reaction mixture was quenched by addition of water (10 mL) and extracted with EtOAc (10 mL * 3). The combined organic layers were washed with brine (20 mL * 3), dried over Na2SO4, filtered and concentrated under reduced pressure to give a residue.
- reaction mixture was filtered and the filtrate was concentrated under reduced pressure to remove most of the solvent.
- Methylamine hydrochloride (11.94 mg, 176.81 pmol, 4 eq) and K2CO3 (48.87 mg, 353.62 pmol, 8 eq) in EtOH (2 mL) was stirred for 0.5 hr at 15°C, then the mixture was filtered and to the filtrate was added methyl 1-[6-[[(1S,3R)-3-[[(3-methylisoxazole-5- carbonyl)amino]methyl]cyclopentyl]amino]-3-pyridyl]-6-oxo-pyridazine-3-carboxylate (20 mg, 44.20 pmol, 1 eq), then the reaction was stirred for 12 hr at 80°C.
Landscapes
- Chemical & Material Sciences (AREA)
- Organic Chemistry (AREA)
- Health & Medical Sciences (AREA)
- Engineering & Computer Science (AREA)
- Bioinformatics & Cheminformatics (AREA)
- Urology & Nephrology (AREA)
- Vascular Medicine (AREA)
- Cardiology (AREA)
- Heart & Thoracic Surgery (AREA)
- Chemical Kinetics & Catalysis (AREA)
- General Chemical & Material Sciences (AREA)
- Medicinal Chemistry (AREA)
- Nuclear Medicine, Radiotherapy & Molecular Imaging (AREA)
- Pharmacology & Pharmacy (AREA)
- Life Sciences & Earth Sciences (AREA)
- Animal Behavior & Ethology (AREA)
- General Health & Medical Sciences (AREA)
- Public Health (AREA)
- Veterinary Medicine (AREA)
- Pharmaceuticals Containing Other Organic And Inorganic Compounds (AREA)
Abstract
The present disclosure relates to small molecule inhibitors of proprotein convertase subtilisin-like/kexin type 9 (PCSK9) pharmaceutical compositions comprising said compounds and their use in prevention and treatment of diseases and conditions associated with PCSK9.
Description
Inhibitors of PCSK9
Technical field
The present disclosure relates to small molecule inhibitors of proprotein convertase subtilisin-like/kexin type 9 (PCSK9) and compositions comprising said compounds.
Background
Coronary heart disease caused by atherosclerosis remains the leading cause of death worldwide. A key risk factor in the development of atherosclerosis is hypercholesterolemia, characterized by elevated levels of low-density lipoprotein (LDL) cholesterol in the bloodstream (Mach, et al., 2020). The LDL receptor (LDLR) plays a crucial role in regulating LDL cholesterol metabolism by facilitating the cellular uptake of LDL particles, thereby reducing circulating LDL cholesterol levels. The significance of LDLR in maintaining cholesterol balance is evident in patients with familial hypercholesterolemia, where LDLR deficiency or impairment is observed (Brown & Goldstein, 1986). As a result, upregulating LDLR expression is a successful approach to lowering LDL cholesterol levels, which is the primary mechanism of action for statin medications widely used today. Statins inhibit cholesterol synthesis while simultaneously increasing LDLR expression, resulting in reduced circulating LDL cholesterol. However, a considerable number of patients either do not respond to or cannot tolerate statins due to various side effects. Moreover, statins have been found to increase the expression of proprotein convertase subtilisin-like/kexin type 9 (PCSK9) (Dubuc, et al., 2004), a potent negative regulator of LDLR, which counteracts the beneficial effects of statins on LDL cholesterol levels.
Targeting PCSK9 has emerged as a promising strategy for lowering plasma LDL cholesterol levels. PCSK9 binds to LDLR, impairing its recycling and promoting its lysosomal degradation, thereby reducing cellular LDLR levels (reviewed in Hummelgaard, et al., 2023). Gain-of-function mutations in PCSK9 lead to increased LDL cholesterol levels (Abifadel, et al., 2003) due to enhanced degradation of LDLR (Maxwell & Breslow, 2004). Conversely, individuals with loss-of-function mutations in PCSK9 exhibit reduced LDL cholesterol levels and a lower incidence of coronary heart disease (Cohen, et al., 2006).
The potential of PCSK9 as a therapeutic target has been confirmed by two antibodybased PCSK9 inhibitors, alirocumab and evolucumab, which have successfully progressed to clinical application. These inhibitors effectively reduce cholesterol levels
and mitigate the risk of atherosclerotic cardiovascular disease events, including myocardial infarction, stroke, and death, without any major adverse effects (Robinson, et al., 2015; Sabatine, et al., 2015). Additionally, an siRNA-based PCSK9 inhibitor (Raal, et al. , 2020) has received FDA approval and is currently awaiting cardiovascular outcome data. Also, cardiovascular diseases often require management over a person’s lifetime, unlike an infection that could be episodic. Thus, ease of dosing and administration become key factors to patient compliance with maintenance drug treatments.
Currently, there are no effective small molecule compounds that can overcome the drawbacks of therapies focused on biologies, such as antibodies or nucleic acids, which suffer from lack of oral bioavailability, possibility of inducing immunogenicity and high cost.
Thus, there is an un-met need for small molecule PCSK9 inhibitors with increased efficacy and greater ease of administration for the treatment of diseases, such as cardiovascular diseases and conditions related conditions with small molecules.
Summary
The present disclosure is directed to novel PCSK9 inhibitors, compositions comprising the disclosed compounds, and uses thereof. In some embodiments, the compounds disclosed herein modulate the activity of PCSK9. In some embodiments, the compounds disclosed herein have binding affinity for PCSK9. In some embodiments, the compound disclosed herein act as inhibitors of PCSK9. Thus, the compounds disclosed herein provide a solution to the above mentioned problems of lack of suitable small molecules that bind PCSK9.
In one aspect, the present disclosure provides for a compound according to formula (I):
formula (I) or a tautomer, an enantiomer or a diastereoisomer thereof, or a mixture thereof, or a pharmaceutically acceptable salt thereof; wherein:
R1 is H, C1-C5 alkyl, orCa-Cs cycloalkyl, each of which is optionally substituted with one or more, identical or different, substituents RX1; wherein each RX1 is halogen;
Z is a heteroaromatic ring;
A is a heteroaromatic ring;
R2 is H, C1-C3 alkyl, amide, or sulphonamide, each of which is optionally substituted with one or more, identical or different, substituents RX2; wherein each RX2 is -C1-C3 alkyl or C1-C3 alkoxy;
XA is a absent, carbonyl, or sulfone;
RA is absent, 3 to 6 membered heterocycle, or heteroaryl, wherein the 3 to 6 membered heterocycle or heteroaryl is optionally substituted with one or more, identical or different, substituents R3;
R3 is H, halogen, C1-C3 alkyl, C1-C3 haloalkyl, C1-C3 alkoxy, -CN, -OH, =0, amide, or a 3 to 6 membered heterocycle, each of which is optionally substituted with one or more, identical or different, substituents RX3; or R3 is -NH-RX3; wherein RX3 is -OH, -OCH3, - CN, a C3-C5 cycloalkyl, halogen, C1-C3 alkoxy, or amide.
One aspect of the present disclosure provides for a composition comprising a compound as described herein.
In one aspect, the present disclosure provides for a compound as described herein, or a pharmaceutically acceptable salt thereof, for use as a medicament.
In one aspect, the present disclosure provides for a compound as described herein, or a pharmaceutically acceptable salt thereof, for use in a method of modulating the activity of PCSK9 in a subject, the method comprising administering an effective amount of the compound to the subject.
In one aspect, the present disclosure provides for a compound as described herein, or a pharmaceutically acceptable salt thereof, for use in a method of treatment, prevention or alleviation of a disorder of lipoprotein metabolism in a subject, the method comprising administering an effective amount of the compound to the subject.
Definitions
The term “alkyl” as used herein refers to a linear or branched hydrocarbon moiety wherein hydrogen atom has been removed. For example, a C1-C5 alkyl refers to a linear or branched hydrocarbon moiety having 1 to 5 carbons. Examples of alkyl groups are for example but not limited to methyl, ethyl, propyl, butyl, pentyl, propyl, isopropyl, tert-butyl, sec-butyl, etc.
The term "alkoxy" as used herein refers to a group of formula -O- alkyl, wherein alkyl is defined as above. In particular, C1-C3 -alkoxy is intended to indicate such hydrocarbon having 1 , 2 or 3 carbon atoms. Examples of alkoxy groups include methoxy, ethoxy, n- propoxy, and isopropoxy.
The term “haloalkyl” as used herein refers to an alkyl group wherein one or more hydrogen atoms have been replaced by a halogen atom, for example one or more hydrogen atoms replace by any of F, Cl, Br or I.
As used herein the term “cycloalkyl” or “carbocycle” refers to a monocyclic or polycyclic system. The term “cycloalkyl” also used herein can optionally contain one or more unsaturations or substituents. As used herein, the term “cycloalkyl” or “carbocycle” encompasses compounds wherein a ring atom may be substituted with a functional group, such as a carbonyl. For example, but not limited as in the examples shown below:
The term "heterocyclic" or “heterocycle” as used herein, alone or in combination, refers to saturated or unsaturated nonaromatic rings or polycyclic systems where at least one of the ring’s atoms is an heteroatom. The saturated or unsaturated nonaromatic ring or polycyclic system may for example comprise 3 to 10 ring atoms. As used herein, the term “heterocycle” or “heterocyclic” encompasses compounds wherein a ring atom may be substituted with a functional group, such as a carbonyl or a sulfone. For example, but not limited to, as in the examples shown below:
The term "aromatic" or “aryl” refers to a cyclic or polycyclic moiety having a conjugated unsaturated (4r|+2)TT electron system (where n is a positive integer), sometimes referred to as a delocalized TT electron system.
The term "heteroaromatic" or “heteroaryl” as used herein, alone or in combination, refers to an aromatic ring or an aromatic polycyclic system. The heteroaromatic or heteroaryl ring may contain from 5 to 12 ring atoms where at least one of the ring atoms is a heteroatom.
“Polycyclic” refers to systems having several, closed rings of atoms wherein the rings share at least one atom. For example, two or more rings of atoms sharing at least one atom, or two or more rings of atoms sharing two or three atoms. Examples of polycyclic systems include, but are not limited to:
As used herein "heteroatom", particularly as a ring heteroatom, refers to sulfur, oxygen and nitrogen.
The term "alkenyl" as used herein refers to a hydrocarbon moiety having at least one carbon-carbon double bond.
The terms "substituents" or "substituted" as used herein, alone or in combination, refer to groups which may be used to replace hydrogen. The substituted molecule may itself be further substituted in some embodiments of the invention. As referred here a “substituent derived from” refer to a group of atoms derived from a specific molecule or formula at any position of said molecule or formula. In some embodiments, a substituent derived from a molecule is the corresponding molecule wherein a hydrogen atom has been removed. For example, a substituent derived from CF may be -CH3.
Some of the compounds disclosed herein may exist with different points of attachment of hydrogen, referred to as “tautomers.” For example, compounds including carbonyl - CH2C(O)- groups (keto forms) may undergo tautomerism to form hydroxyl -CH=C(OH)-
groups (enol forms). Both keto and enol forms, individually as well as mixtures thereof, are also intended to be included where applicable.
Stereoisomerism refers to isomerism due to differences in the spatial arrangement of atoms without any differences in connectivity or bond multiplicity between the isomers. The compounds described herein may contain one or more stereocenters or stereogenic units, which generate stereoisomerism, such as chiral carbons. When referring to a chiral carbon or position, the term “stereochemistry configuration” or “configuration” of an atom as used herein refers to the absolute configuration of that center, which can be R or S, as determined by the Cahn-lngold-Prelog priority rules.
“Stereoisomer” or “optical isomer” means a stable isomer that has at least one chiral atom or restricted rotation giving rise to perpendicular dissymmetric planes (e.g., certain biphenyls, allenes, and spiro compounds) and can rotate plane-polarized light. The compounds according to the present disclosure may comprise asymmetric centers, or structures giving rise to stereoisomerism. The present disclosure contemplates all such stereoisomers or mixtures thereof. The compounds of the disclosure and their salts include asymmetric carbon atoms and may therefore exist as single stereoisomers, racemates, and as mixtures of enantiomers and/or diastereomers.
As used herein the term “enantiomer” refers to isomers which are mirror images of each other but are non-superposable. A specific stereoisomer may also be referred to as an enantiomer, and a mixture of such isomers is often called an enantiomeric mixture. A 50:50 mixture of enantiomers is referred to as a racemic mixture or a racemate, which may occur where there has been no stereoselection or stereospecificity in a chemical reaction or process. The terms “racemic mixture” and “racemate” refer to an equimolar mixture of two enantiomeric species (e.g., a pair of enantiomers, devoid of optical activity). The disclosure includes all stereoisomers of the compounds described herein. For example, compounds that were obtained or used as a mixture of enantiomers contain the term “rac” in their name before the corresponding stereocenters.
For example: “3-methyl-N-[[rac-(1R,3S)-3-[[5-(6-oxopyridazin-1-yl)-2-pyridyl]amino] cyclopentyl]methyl]isoxazole-5-carboxamide’’ refers to the mixture of the following enantiomers:
In some embodiments, the compounds disclosed herein may be racemic. In some embodiments, the compounds disclosed herein may be enriched in one enantiomer. For example, a compound of the disclosure may have greater than about 30% enantiomeric excess (ee), about 40% ee, about 50% ee, about 60% ee, about 70% ee, about 80% ee, about 90% ee, or even about 95% or greater ee. In some embodiments, compounds of the disclosure may have more than one stereocenter. In some embodiments, a therapeutic preparation may be enriched to provide predominantly one enantiomer of a compound (e.g., of formula (I)). An enantiomerically enriched mixture may comprise, for example, at least about 60 mol percent of one enantiomer, or more preferably at least about 75, about 90, about 95, or even about 99 mol percent. In some embodiments, the compound enriched in one enantiomer is substantially free of the other enantiomer, wherein substantially free means that the substance in question makes up less than about 10%, or less than about 5%, or less than about 4%, or less than about 3%, or less than about 2%, or less than about 1% as compared to the amount of the other enantiomer, e.g., in the composition or compound mixture. For example, if a composition or compound mixture contains about 98 grams of a first enantiomer and about 2 grams of a second enantiomer, it would be said to contain about 98 mol percent of the first enantiomer and only about 2% of the second enantiomer.
As used herein, the term “diastereoisomers” refers to stereoisomers which are not related as mirror images. Diastereomeric mixtures can be separated into their individual diastereoisomers on the basis of their physical chemical differences by methods well known to those skilled in the art, such as by chromatography and/or fractional crystallization. Enantiomers can be separated by converting the enantiomeric mixture into a diastereomeric mixture by reaction with an appropriate optically active compound (e.g., chiral auxiliary such as a chiral alcohol or Mosher's acid chloride), separating the diastereoisomers and converting (e.g., hydrolyzing) the individual diastereoisomers to the corresponding pure enantiomers. Enantiomers can also be separated by use of a chiral HPLC column.
The dissociation constant (KD) or binding affinity is a measure of the extent of a reversible association between two molecular species e.g. the affinity of a small molecule PCSK9 inhibitor for binding to PCSK9. The smaller the dissociation constant, the stronger the affinity of binding. The dissociation constant for the equilibrium between a complex AxBy that separates into xA units and yB units is given by the following equation:
wherein [A], [B], and [AxBy] represent the concentration of each of the species at equilibrium.
Methods to determine the dissociation constant are known in the art. These methods can be based on the measurement of the concentration of free and complexed species at equilibrium, or a property directly correlated to said concentrations. For example, methods to determine the dissociation constant include but are not limited to: microscale thermophoresis (MST), surface plasmon resonance (SPR), fluorescence polarization (FP), and nuclear magnetic resonance (NMR).
Detailed description
A compound
In one aspect, the present disclosure provides for a compound according to formula (I):
formula (I) or a tautomer, an enantiomer or a diastereoisomer thereof, or a mixture thereof or a pharmaceutically acceptable salt thereof; wherein
R1 is H, C1-C5 alkyl, or C3-C5 cycloalkyl, each of which is optionally substituted with one or more, identical or different, substituents RX1; wherein each RX1 is halogen;
Z is a heteroaromatic ring;
A is a heteroaromatic ring;
R2 is H, C1-C3 alkyl, amide, or sulphonamide, each of which is optionally substituted with one or more, identical or different, substituents RX2; wherein each RX2 is -C1-C3 alkyl or C1-C3 alkoxy;
XA is a absent, carbonyl, or sulfone;
RA is absent, 3 to 6 membered heterocycle, or heteroaryl, wherein the 3 to 6 membered heterocycle or heteroaryl is each optionally substituted with one or more, identical or different, substituents R3;
R3 is H, halogen, C1-C3 alkyl, C1-C3 haloalkyl, C1-C3 alkoxy, -CN, -OH, =0, amide, or a 3 to 6 membered heterocycle, each of which is optionally substituted with one or more, identical or different, substituents RX3; or R3 is -NH-RX3; wherein RX3 is -OH, -OCH3, - CN, a C3-C5 cycloalkyl, halogen, C1-C3 alkoxy, or amide.
In one embodiment, the compound is according to formula (la). In one embodiment, the compound is according to formula (lb). In one embodiment, the compound is a mixture of enantiomers of formula (la) and formula (lb).
In one embodiment, Z is a heteroaromatic ring. In one embodiment, Z is a 5 to 12 membered heteroaromatic ring. In one embodiment, Z is a 5-membered heteroaromatic ring. In one embodiment, Z is a 6-membered heteroaromatic ring. In one embodiment, Z is a 9-membered heteroaromatic ring. In one embodiment, Z is a 12-membered heteroaromatic ring.
In one embodiment, Z is selected from:
In one embodiment, Z is
In one embodiment, the compound is according to formula II:
formula (II).
In one embodiment, the compound is according to any one of formulas Illa or lllb:
formula (I I lb), wherein
RA is absent, 3 to 6 membered heterocycle, or heteroaryl, wherein the 3 to 6 membered heterocycle or heteroaryl is each optionally substituted with one or more, identical or different, substituents R3;
R3 is selected from H, C1-C3 alkyl, a C1-C3 haloalkyl, a C1-C3 alkoxy, -CN, -OH, =0, amide, and3 to 6 membered heterocycle, each of which is optionally substituted with one or more, identical or different, substituents RX3; or R3 is -NH-RX3; wherein RX3 is a group selected from -OH, -OCH3, -CN, a C3-C5 cycloalkyl, and halogen;
R1 and R2 are as described herein.
In one embodiment, XA is absent, RA is absent, and R2 is an N-linked amide or sulfonamide.
In one embodiment, XA is absent, RA is absent, and R2 is selected from a C-linked amide and an S-linked sulfonamide.
In one embodiment, XA is absent, RA is absent, and R2 is selected from:
wherein RX2 is -C1-C3 alkyl. In one embodiment, RX2 is -CH3.
In some embodiments, RA is , wherein B is a 3 to 6 membered heterocycle, and R3B is H, -OH, or C1-C3 alkyl.
, wherein R3C is selected from H, C1-C3 alkyl, C1-C3 haloalkyl, C1-C3 alkoxy, -CN, amide, and3 to 6 membered heterocycle, each of which is optionally substituted with one or more, identical or different, substituents RX3; or R3C is -NH-RX3; wherein RX3 is a group selected from -OH, -OCH3, -CN, C1-C3 alkyl, C3-C5 cycloalkyl, and halogen.
B is a 3 to 6 membered heterocycle;
R3B is selected from H, -OH and C1-C3 alkyl; and R1 and R2 are as described herein.
In one embodiment, XA is
In one embodiment, XA is absent.
In one embodiment, ring B is selected from:
R3C is selected from H, C1-C3 alkyl, C1-C3 haloalkyl, C1-C3 alkoxy, -CN, amide, and3 to 6 membered heterocycle, each of which is optionally substituted with one or more, identical or different, substituents RX3; or R3C is -NH-RX3; wherein RX3 is a group selected from -OH, -OCH3, -CN, C1-C3 alkyl, C3-C5 cycloalkyl, and halogen; and R1 and R2 are as described herein.
In one embodiment, R3C is selected from H, C1-C3 alkyl, C1-C3 haloalkyl, and -CN; each of which is optionally substituted with one or more, identical or different, substituents RX3; wherein RX3 is a group selected from of -OH, -OCH3, -CN, C1-C5 cycloalkyl, and a halogen. In one embodiment, R3C is H. In one embodiment, R3C is C1-C3 alkyl. In one embodiment, R3C is C1-C3 haloalkyl. In one embodiment, R3C is C1-C3 alkoxy. In one embodiment, R3C is -CN. In one embodiment, R3C is -CH2-O-CH3. In one embodiment, R3C is -O-CH3.
R3C is selected from H, C1-C3 alkyl, a C1-C3 haloalkyl, -CN, amide, and3 to 6 membered heterocycle, each of which is optionally substituted with one or more, identical or different, substituents RX3; or R3C is -NH-RX3; wherein RX3 is a group selected from -OH, -OCH3, -CN, a C1-C5 cycloalkyl, and halogen; and R1 and R2 are as described herein.
In one embodiment, R3C is -H. In one embodiment, R3C is not H. In one embodiment, R3C is -C1-C3 alkyl. In one embodiment, R3C is -CH2-O-CH3. In one embodiment, R3C is -CH2-OH. In one embodiment, R3C is C1-C3 haloalkyl. In one embodiment, R3C is -CF3. In one embodiment, R3C is an N-linked amide. In one embodiment, R3C is a C-linked amide. In one embodiment, R3C is -C(=O)NRL1RL2, wherein RL1 and RL2 are each independently selected from H, and C1-C3 alkyl. In one embodiment, R3C is -C(=O)NH-CH3. In one embodiment, R3C is a 3 to 6 membered heterocycle, such as a 3, 4, 5 or 6 membered heterocycle. In some embodiments, R3C is a 3 membered heterocycle. In some embodiments, R3C is a 4 membered heterocycle. In some embodiments, R3C is a 5 membered heterocycle. In some embodiments, R3C is a 6 membered heterocycle.
In one embodiment, R3C is
wherein n is 0, 1 , or 2;
RX3a is each independently selected from H, -CN, -OH, -OCH3, and -F.
In one embodiment, n is 0. In one embodiment, n is 1 or 2. In one embodiment, n is 1.
In one embodiment, n is 2.
In one embodiment, RX3a is -CN. In one embodiment, one or more RX3a are -F. In one embodiment, RX3a is -OH. In one embodiment, RX3a is -OCH3.
In one embodiment, R1 is selected from C1-C3 alkyl.
In one embodiment, R1 is selected from -CH3, -CH2-CH3 and CF2H. In one embodiment, R1 is -CH3. In one embodiment, R1 is -CH2-CH3. In one embodiment, R1 is -H. In one embodiment, R1 is -CF2H. In one embodiment, R1 is a C3-C5 cycloalkyl. In one embodiment, R1 is cyclopropyl.
In one embodiment, R2 is -H. In one embodiment, R2 is -CH3.
In one embodiment, in formulas (I), (la), (lb), (II), (Illa), (lllb), (IV), (V) and (Va), the substituents in the carbons at position 1 and 2 are in a c/s relationship. The cis relationship is defined by the substituents pointing towards the same side of a plane defined by the ring, such as in:
In one embodiment, the configuration of the carbon atom in position 1 is R and the configuration of the carbon atom in position 2 is S. In one embodiment, the configuration of the carbon atom in position 1 is S and the configuration of the carbon atom in position 2 is R.
In one embodiment, the compound is selected from any one of the group consisting of: a compound shown in Table A, and an enantiomer thereof; or a pharmaceutically acceptable salt thereof.
In some embodiments, the compound disclosed herein is selected from: 3-methyl-N-[[(1R,3S)-3-[[5-(6-oxopyridazin-1-yl)-2- pyridyl]amino]cyclopentyl]methyl]isoxazole-5-carboxamide (A1);
N-[[(1 R,3S)-3-[[6-(dimethylcarbamoyl)-1,3-benzothiazol-2-yl]amino]cyclopentyl]methyl]- 3-methyl-isoxazole-5-carboxamide (A2);
N-[[(1 R,3S)-3-[[6-(4-hydroxypiperidine-1-carbonyl)-1 ,3-benzothiazol-2- yl]amino]cyclopentyl]methyl]-3-methyl-isoxazole-5-carboxamide (A3);
N-[[(1 R,3S)-3-[[6-(1 , 1 -dioxo- 1 ,2-thiazolidin-2-yl)-1 ,3-benzothiazol-2- yl]amino]cyclopentyl]methyl]-3-methylisoxazole-5-carboxamide (A4);
N-[[(1 R,3S)-3-[[6-(3-hydroxyazetidin-1-yl)sulfonyl-1 ,3-benzothiazol-2- yl]amino]cyclopentyl]methyl]-3-methylisoxazole-5-carboxamide (A5);
3-methyl-N-[[(1R,3S)-3-[(6-morpholinosulfonyl-1,3-benzothiazol-2- yl)amino]cyclopentyl]methyl]isoxazole-5-carboxamide (A6);
3-methyl-N-[[(1R,3S)-3-[[5-(6-oxopyridazin-1-yl)-2- pyridyl]amino]cyclopentyl]methyl]isoxazole-5-carboxamide (A7);
5-methyl-N-[[(1R,3S)-3-[[5-(6-oxopyridazin-1-yl)-2- pyridyl]amino]cyclopentyl]methyl]isoxazole-3-carboxamide (A8);
1-methyl-N-[[(1R,3S)-3-[[5-(6-oxopyridazin-1-yl)-2- pyridyl]amino]cyclopentyl]methyl]triazole-4-carboxamide (A9);
N-[[(1 R,3S)-3-[[5-(3-methoxy-2-pyridyl)-2-pyridyl]amino]cyclopentyl]methyl]-3-methyl- isoxazole-5-carboxamide (A10);
3-cyclopropyl-N-[[(1 R,3S)-3-[[5-(6-oxopyridazin-1-yl)-2- pyridyl]amino]cyclopentyl]methyl]isoxazole-5-carboxamide (A11);
3-methyl-N-[[(1R,3S)-3-[[5-[6-oxo-3-(trifluoromethyl)pyridazin-1-yl]-2- pyridyl]amino]cyclopentyl]methyl]isoxazole-5-carboxamide (A12);
3-ethyl-N-[[(1 R,3S)-3-[[5-(6-oxopyridazin-1-yl)-2- pyridyl]amino]cyclopentyl]methyl]isoxazole-5-carboxamide (A13);
3-methyl-N-[[(1R,3S)-3-[[5-(3-methyl-6-oxo-pyridazin-1-yl)-2- pyridyl]amino]cyclopentyl]methyl]isoxazole-5-carboxamide (A14);
N-[[(1 R,3S)-3-[[5-[3-(3,3-difluoroazetidin-1-yl)-6-oxo-pyridazin-1-yl]-2- pyridyl]amino]cyclopentyl]methyl]-3-methyl-isoxazole-5-carboxamide (A15);
3-methyl-N-[[(1R,3S)-3-[[5-(1,2,4-triazol-1-yl)-2- pyridyl]amino]cyclopentyl]methyl]isoxazole-5-carboxamide (A16);
3-methyl-N-[[(1R,3S)-3-[[3-methyl-5-(6-oxopyridazin-1-yl)-2- pyridyl]amino]cyclopentyl]methyl]isoxazole-5-carboxamide (A17);
N-[[(1 R,3S)-3-[[5-[3-(cyclobutylamino)-6-oxo-pyridazin-1-yl]-2- pyridyl]amino]cyclopentyl]methyl]-3-methyl-isoxazole-5-carboxamide (A18);
3-methyl-N-[[(1R,3S)-3-[[5-(2-oxo-1-piperidyl)-2- pyridyl]amino]cyclopentyl]methyl]isoxazole-5-carboxamide (A19);
3-methyl-N-[[(1R,3S)-3-[[6-methyl-5-(6-oxopyridazin-1-yl)-2- pyridyl]amino]cyclopentyl]methyl]isoxazole-5-carboxamide (A20);
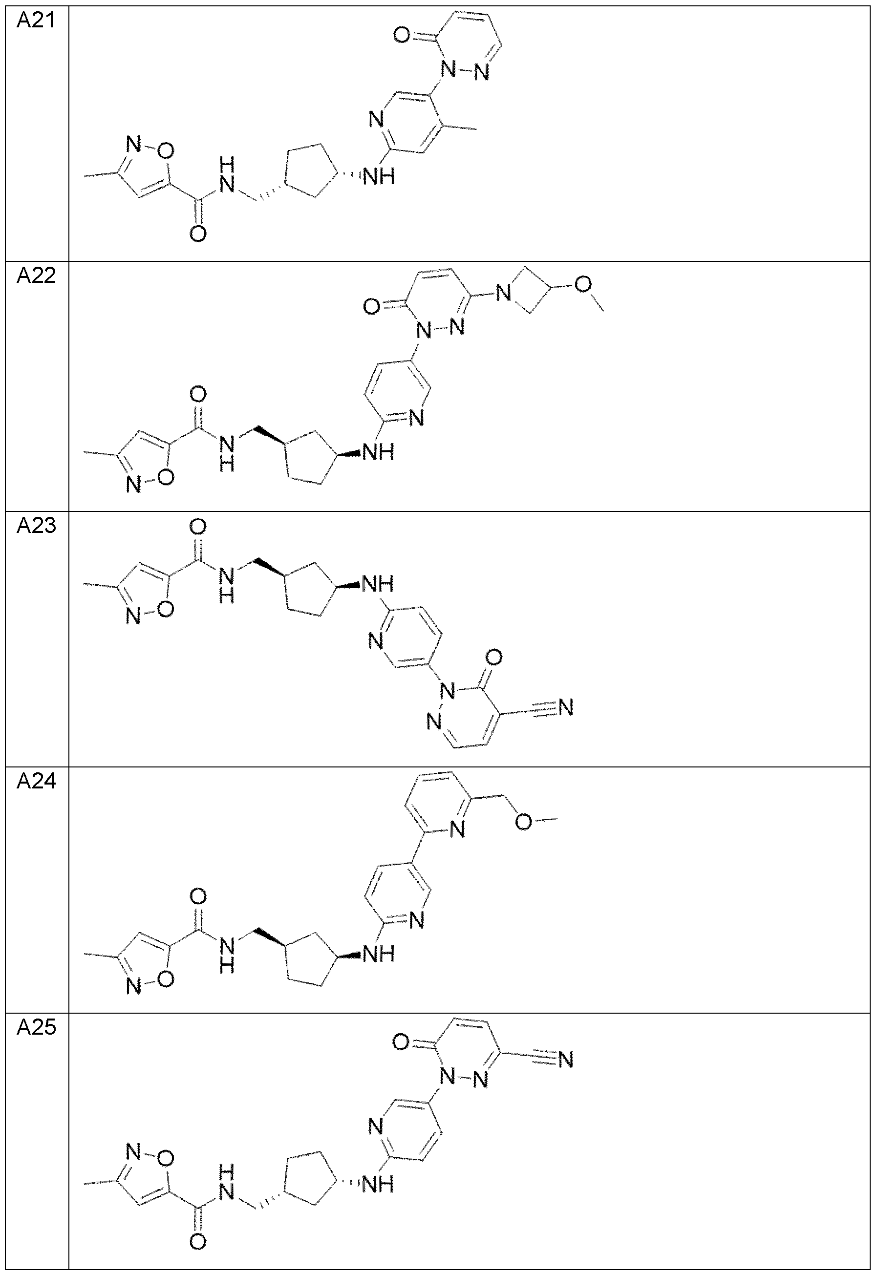
3-methyl-N-[[(1R,3S)-3-[[4-methyl-5-(6-oxopyridazin-1-yl)-2- pyridyl]amino]cyclopentyl]methyl]isoxazole-5-carboxamide (A21);
N-[[(1 R,3S)-3-[[5-[3-(3-methoxyazetidin-1-yl)-6-oxo-pyridazin-1-yl]-2- pyridyl]amino]cyclopentyl]methyl]-3-methylisoxazole-5-carboxamide (A22);
N-[[(1 R,3S)-3-[[5-(5-cyano-6-oxo-pyridazin-1-yl)-2-pyridyl]amino]cyclopentyl]methyl]-3- methyl-isoxazole-5-carboxamide (A23);
N-[[(1 R,3S)-3-[[5-[6-(methoxymethyl)-2-pyridyl]-2-pyridyl]amino]cyclopentyl]methyl]-3- methyl-isoxazole-5-carboxamide (A24);
N-[[(1 R,3S)-3-[[5-(3-cyano-6-oxo-pyridazin-1-yl)-2-pyridyl]amino]cyclopentyl]methyl]-3- methylisoxazole-5-carboxamide (A25);
N-[[(1 R,3S)-3-[[5-[3-(3-hydroxyazetidin-1-yl)-6-oxo-pyridazin-1-yl]-2- pyridyl]amino]cyclopentyl]methyl]-3-methyl-isoxazole-5-carboxamide (A26); 3-(difluoromethyl)-N-[[(1 R,3S)-3-[[5-(6-oxopyridazin-1-yl)-2- pyridyl]amino]cyclopentyl]methyl]isoxazole-5-carboxamide (A27);
N-[[(1 R,3S)-3-[[5-[3-(methoxymethyl)-6-oxo-pyridazin-1-yl]-2- pyridyl]amino]cyclopentyl]methyl]-3-methyl-isoxazole-5-carboxamide (A28);
N-[[(1 R,3S)-3-[[5-[3-(azetidin-1-yl)-6-oxo-pyridazin-1-yl]-2- pyridyl]amino]cyclopentyl]methyl]-3-methyl-isoxazole-5-carboxamide (A29);
N-[[(1 R,3S)-3-[[5-[3-(hydroxymethyl)-6-oxo-pyridazin-1-yl]-2- pyridyl]amino]cyclopentyl]methyl]-3-methyl-isoxazole-5-carboxamide (A30), 3-methyl-N-[[(1R,3S)-3-[[5-[3-(methylcarbamoyl)-6-oxo-pyridazin-1-yl]-2- pyridyl]amino]cyclopentyl]methyl]isoxazole-5-carboxamide (A31);
N-[[(1 R,3S)-3-[[5-[3-(3-cyanoazetidin-1-yl)-6-oxo-pyridazin-1-yl]-2- pyridyl]amino]cyclopentyl]methyl]-3-methylisoxazole-5-carboxamide (A32); or a pharmaceutically acceptable salt thereof.
In some embodiments, the compound disclosed herein is selected from:
3-methyl-N-[[rac-(1S,3R)-3-[[5-(6-oxopyridazin-1-yl)-2- pyridyl]amino]cyclopentyl]methyl]isoxazole-5-carboxamide;
N-[[rac-(1 S,3R)-3-[[6-(dimethylcarbamoyl)-1 ,3-benzothiazol-2- yl]amino]cyclopentyl]methyl]-3-methyl-isoxazole-5-carboxamide;
N-[[rac-(1S,3R)-3-[[6-(4-hydroxypiperidine-1-carbonyl)-1 ,3-benzothiazol-2- yl]amino]cyclopentyl]methyl]-3-methyl-isoxazole-5-carboxamide;
N-[[rac-(1S,3R)-3-[[6-(1,1-dioxo-1 ,2-thiazolidin-2-yl)-1 ,3-benzothiazol-2- yl]amino]cyclopentyl]methyl]-3-methylisoxazole-5-carboxamide;
N-[[rac-(1S,3R)-3-[[6-(3-hydroxyazetidin-1-yl)sulfonyl-1 ,3-benzothiazol-2- yl]amino]cyclopentyl]methyl]-3-methylisoxazole-5-carboxamide;
3-methyl-N-[[rac-(1S,3R)-3-[(6-morpholinosulfonyl-1 ,3-benzothiazol-2- yl)amino]cyclopentyl]methyl]isoxazole-5-carboxamide;
3-methyl-N-[[(1S,3R)-3-[[5-(6-oxopyridazin-1-yl)-2- pyridyl]amino]cyclopentyl]methyl]isoxazole-5-carboxamide;
5-methyl-N-[[rac-(1S,3R)-3-[[5-(6-oxopyridazin-1-yl)-2- pyridyl]amino]cyclopentyl]methyl]isoxazole-3-carboxamide;
1-methyl-N-[[rac-(1S,3R)-3-[[5-(6-oxopyridazin-1-yl)-2- pyridyl]amino]cyclopentyl]methyl]triazole-4-carboxamide;
N-[[(1S,3R)-3-[[5-(3-methoxy-2-pyridyl)-2-pyridyl]amino]cyclopentyl]methyl]-3-methyl- isoxazole-5-carboxamide;
3-cyclopropyl-N-[[rac-(1S,3R)-3-[[5-(6-oxopyridazin-1-yl)-2- pyridyl]amino]cyclopentyl]methyl]isoxazole-5-carboxamide;
3-methyl-N-[[(1S,3R)-3-[[5-[6-oxo-3-(trifluoromethyl)pyridazin-1-yl]-2- pyridyl]amino]cyclopentyl]methyl]isoxazole-5-carboxamide;
3-ethyl-N-[[(1S,3R)-3-[[5-(6-oxopyridazin-1-yl)-2- pyridyl]amino]cyclopentyl]methyl]isoxazole-5-carboxamide;
3-methyl-N-[[(1S,3R)-3-[[5-(3-methyl-6-oxo-pyridazin-1-yl)-2- pyridyl]amino]cyclopentyl]methyl]isoxazole-5-carboxamide;
N-[[(1S,3R)-3-[[5-[3-(3,3-difluoroazetidin-1-yl)-6-oxo-pyridazin-1-yl]-2- pyridyl]amino]cyclopentyl]methyl]-3-methyl-isoxazole-5-carboxamide;
3-methyl-N-[[(1S,3R)-3-[[5-(1,2,4-triazol-1-yl)-2- pyridyl]amino]cyclopentyl]methyl]isoxazole-5-carboxamide;
3-methyl-N-[[(1S,3R)-3-[[3-methyl-5-(6-oxopyridazin-1-yl)-2-
pyridyl]amino]cyclopentyl]methyl]isoxazole-5-carboxamide;
N-[[(1S,3R)-3-[[5-[3-(cyclobutylamino)-6-oxo-pyridazin-1-yl]-2- pyridyl]amino]cyclopentyl]methyl]-3-methyl-isoxazole-5-carboxamide;
3-methyl-N-[[(1S,3R)-3-[[5-(2-oxo-1-piperidyl)-2- pyridyl]amino]cyclopentyl]methyl]isoxazole-5-carboxamide;
3-methyl-N-[[(1S,3R)-3-[[6-methyl-5-(6-oxopyridazin-1-yl)-2- pyridyl]amino]cyclopentyl]methyl]isoxazole-5-carboxamide;
3-methyl-N-[[(1S,3R)-3-[[4-methyl-5-(6-oxopyridazin-1-yl)-2- pyridyl]amino]cyclopentyl]methyl]isoxazole-5-carboxamide;
N-[[(1S,3R)-3-[[5-[3-(3-methoxyazetidin-1-yl)-6-oxo-pyridazin-1-yl]-2- pyridyl]amino]cyclopentyl]methyl]-3-methylisoxazole-5-carboxamide;
N-[[(1S,3R)-3-[[5-(5-cyano-6-oxo-pyridazin-1-yl)-2-pyridyl]amino]cyclopentyl]methyl]-3- methyl-isoxazole-5-carboxamide;
N-[[(1S,3R)-3-[[5-[6-(methoxymethyl)-2-pyridyl]-2-pyridyl]amino]cyclopentyl]methyl]-3- methyl-isoxazole-5-carboxamide;
N-[[(1S,3R)-3-[[5-(3-cyano-6-oxo-pyridazin-1-yl)-2-pyridyl]amino]cyclopentyl]methyl]-3- methylisoxazole-5-carboxamide;
N-[[(1S,3R)-3-[[5-[3-(3-hydroxyazetidin-1-yl)-6-oxo-pyridazin-1-yl]-2- pyridyl]amino]cyclopentyl]methyl]-3-methyl-isoxazole-5-carboxamide;
3-(difluoromethyl)-N-[[(1S,3R)-3-[[5-(6-oxopyridazin-1-yl)-2- pyridyl]amino]cyclopentyl]methyl]isoxazole-5-carboxamide;
N-[[(1S,3R)-3-[[5-[3-(methoxymethyl)-6-oxo-pyridazin-1-yl]-2- pyridyl]amino]cyclopentyl]methyl]-3-methyl-isoxazole-5-carboxamide;
N-[[(1S,3R)-3-[[5-[3-(azetidin-1-yl)-6-oxo-pyridazin-1-yl]-2- pyridyl]amino]cyclopentyl]methyl]-3-methyl-isoxazole-5-carboxamide,
N-[[(1S,3R)-3-[[5-[3-(hydroxymethyl)-6-oxo-pyridazin-1-yl]-2- pyridyl]amino]cyclopentyl]methyl]-3-methyl-isoxazole-5-carboxamide;
3-methyl-N-[[(1S,3R)-3-[[5-[3-(methylcarbamoyl)-6-oxo-pyridazin-1-yl]-2- pyridyl]amino]cyclopentyl]methyl]isoxazole-5-carboxamide;
N-[[(1S,3R)-3-[[5-[3-(3-cyanoazetidin-1-yl)-6-oxo-pyridazin-1-yl]-2- pyridyl]amino]cyclopentyl]methyl]-3-methylisoxazole-5-carboxamide; or a pharmaceutically acceptable salt thereof.
PCSK9 modulation
In one embodiment, the compound is able to modulate the activity of PCSK9.
In one embodiment, the compound is an inhibitor of PCSK9.
In one embodiment, the compound decreases the activity of PCSK9.
In one embodiment, the compound bindsPCSK9 with a dissociation constant (KD), less than 20 pM, such as less than 5 pM, such as less than 1 pM, such as less than 0.5 pM, such as less than 0.05 pM, such as less than 0.01 pM.
In one embodiment, the compound binds PCSK9 with a dissociation constant (KD) from about 1 nM to about 20 pM, such as from about 1 nM to about 10 pM, such as from about 1 nM to about 1 pM, such as from about 1 nM to about 0.5 pM, such as from 1 nM to about 200 nM, such as from about 1 nM to about 100 nM, such as from about 1 nM to about 50 nM.
In one embodiment, the compound binds PCSK9 with a dissociation constant (KD) of less than 200 nM, such as from about 20 nM to about 150 nM.
In one embodiment, the compound binds PCSK9 with a dissociation constant (KD) of less than 25 nM, such as from about 1 nM to about 20 nM.
The binding with the target protein or PCSK9 may be measured through different methods as it is known to someone of skill in the art. For example, microscale thermophoresis (MST) or surface plasmon resonance.
Pharmaceutical composition
In one aspect, the present disclosure provides for a pharmaceutical composition comprising the compound as described herein, or a pharmaceutically acceptable salt thereof.
In one embodiment, the pharmaceutical composition comprises a single stereoisomer of the compound described herein. In one embodiment, the pharmaceutical composition comprises a mixture of stereoisomers of the compound as described herein, such as a mixture of enantiomers and/or diastereoisomers. In one embodiment, the pharmaceutical composition comprises a racemate of a pair of enantiomers of the
compound as described herein. In one embodiment, the pharmaceutical composition comprises a mixture of stereoisomers of the compound as described herein having the substituents in the carbons at position 1 and 2 of formulas (I), (la), (lb), (II), (Illa), (lllb), (IV), (V) and (Va) in a c/s relationship.
In one embodiment, the pharmaceutical composition comprises a compound as described herein, or a pharmaceutically acceptable salt thereof, and at least one acceptable pharmaceutical excipient.
Medical use
In one aspect, the present disclosure provides for a compound as described herein, or a pharmaceutically acceptable salt thereof; or a composition as described herein, for use as a medicament.
In one aspect, the present disclosure provides for the use of a compound as described herein, or a pharmaceutically acceptable salt thereof; or a pharmaceutical composition as described herein, for the manufacture of a medicament for a disease or condition.
In one aspect, the present disclosure provides for a method of treatment of a disease or condition in a subject, the method comprising administering an effective amount of a compound as described herein, or a pharmaceutically acceptable salt thereof; or a pharmaceutical composition as described herein, to the subject.
In one aspect, the present disclosure provides for a compound described herein, or a pharmaceutically acceptable salt thereof; or a composition as described herein, for use in a method of modulating the activity of PCSK9 in a subject, the method comprising administering an effective amount of the compound to the subject.
In one aspect, the present disclosure provides for a compound described herein, or a pharmaceutically acceptable salt thereof; or a composition as described herein, for use in a method of treatment, prevention or alleviation of a disorder of lipoprotein metabolism in a subject, the method comprising administering an effective amount of the compound to the subject.
In one aspect, the present disclosure provides for the use of a compound as described herein, or a pharmaceutically acceptable salt thereof; or a pharmaceutical composition as described herein, for the manufacture of a medicament for the treatment, prevention or alleviation of a disorder of lipoprotein metabolism in a subject.
In one aspect, the present disclosure provides for a method of treatment, prevention or alleviation of a disorder of lipoprotein metabolism in a subject, the method comprising administering an effective amount of a compound as described herein, or a pharmaceutically acceptable salt thereof; or a pharmaceutical composition as described herein, to the subject.
In one aspect, the present disclosure provides the present disclosure provides for a compound described herein, or a pharmaceutically acceptable salt thereof; or a composition as described herein, for use in a method of treatment, prevention or alleviation of a cardiovascular disease or disorder in a subject, comprising administering a compound disclosed herein or a pharmaceutically acceptable salt thereof to a subject.
In one embodiment, the cardiovascular disease is selected from hypercholesterolemia, hyperlipidemia, hyperlipoproteinemia, hypertriglyceridemia, dyslipidemia, dyslipoproteinemia, atherosclerosis, hepatic steatosis, metabolic syndrome and coronary artery disease. In some embodiments, the cardiovascular disease is familial hypercholesterolemia. In some embodiments, the cardiovascular disease is autosomal dominant hypercholesterolemia. In some embodiments, the level of circulating serum cholesterol is decreased in the subject. In some embodiments, the level of circulating serum LDL-cholesterol is decreased in the subject. In some embodiments, the level of circulating serum triglycerides is decreased in the subject. In some embodiments, the level of circulating serum lipoprotein A is decreased in the subject. In some embodiments, the subject has atherosclerosis. In some embodiments, atherosclerotic plaque formation is decreased in the subject. In some embodiments, the subject has a gain-of function mutation in PCSK9 gene.
In one embodiment, the disorder a disorder of lipoprotein metabolism. In a further embodiment, the disorder the disorder is selected from dyslipidemia, hypercholesterolemia and coronary heart disease. In one embodiment, the disorder is
dyslipidemia. In one embodiment, the disorder is hypercholesterolemia. In one embodiment, the disorder is coronary heart disease.
In one embodiment, the method comprises administering one additional therapeutic agent. In one embodiment, the method comprises administering two additional therapeutic agents. In one embodiment, the method comprises administering three additional therapeutic agents. In one embodiment, the method comprises administering four additional therapeutic agents.
In one embodiment, the additional therapeutic agent is a drug for treating cardiovascular disease. In one embodiment, the additional therapeutic agent is a drug for treating disorder of lipoprotein metabolism.
In one embodiment, the additional therapeutic agent is selected from HMG-CoA reductase inhibitor, a HMG-CoA synthase inhibitor, a HMG-CoA reductase gene expression inhibitor, a HMG-CoA synthase gene expression inhibitor, an MTP/Apo B secretion inhibitor, a cholesteryl ester transfer protein (CETP) inhibitor, a bile acid absorption inhibitor, a cholesterol absorption inhibitor, a cholesterol synthesis inhibitor, a squalene synthetase inhibitor, a squalene epoxidase inhibitor, a squalene cyclase inhibitor, a combined squalene epoxidase/squalene cyclase inhibitor, a fibrate, a niacin, a combination of niacin and lovastatin, an ion-exchange resin, an antioxidant, an ACAT inhibitor, a bile acid sequestrant, a PCSK9 translation inhibitor, an ATP citrate lyase inhibitor, an apoC3 inhibitor, an ANGPTL3 inhibitor, an omega-3 fatty acid, an Lp(a) inhibitor, an apoB inhibitor, an apoA1 inhibitor, a low-density lipoprotein receptor inhibitor, a low-density lipoprotein inhibitor, a diacylglycerol acyltransferase inhibitor, a lysosomal acid lipase inhibitor, and a lecithin cholesterol acyl transferase inhibitor.
Items
1. A compound according to formula (I):
formula (I) or a tautomer, an enantiomer or a diastereoisomer thereof, or a mixture thereof, or a pharmaceutically acceptable salt thereof; wherein
R1 is H, C1-C5 alkyl, or C3-C5 cycloalkyl, each of which is optionally substituted with one or more, identical or different, substituents RX1; wherein each RX1 is halogen;
Z is a heteroaromatic ring;
A is a heteroaromatic ring;
R2 is H, C1-C3 alkyl, amide, or sulphonamide, each of which is optionally substituted with one or more, identical or different, substituents RX2; wherein each RX2 is -C1-C3 alkyl or C1-C3 alkoxy;
XA is a absent, carbonyl, or sulfone;
RA is absent, 3 to 6 membered heterocycle, or heteroaryl, wherein the 3 to 6 membered heterocycle or heteroaryl is optionally substituted with one or more, identical or different, substituents R3;
R3 is H, halogen, C1-C3 alkyl, C1-C3 haloalkyl, C1-C3 alkoxy, -CN, -OH, =0, amide, or a 3 to 6 membered heterocycle, each of which is optionally substituted with one or more, identical or different, substituents RX3; or R3 is -NH-RX3; wherein RX3 is -OH, -OCH3, - CN, a C3-C5 cycloalkyl, halogen, C1-C3 alkoxy, or amide.
2. The compound according to item 1 , wherein the compound is according to formula (la) or formula (lb):
formula (la)
formula (lb). he compound according to any one of items 1 or 2, wherein Z is a-membered heteroaromatic ring. he compound according to any one of items 1 to 3, wherein Z is selected from:
he compound according to any one of items 1 to 4, wherein Z is selected from:
he compound according to any one of items 1 to 5, wherein Z is selected from:
and
The compound according to any one of items 1 to 6, wherein Z is
The compound according to any one of items 1 to 7, wherein the compound is according to formula II:
formula (II). The compound according to any one of items 1 to 8, wherein the compound is according to formula (Illa) or (I lib):
formula (I I lb), wherein
RA is absent, a 3 to 6 membered heterocycle, or heteroaryl, wherein the 3 to 6 membered heterocycle and heteroaryl is each optionally substituted with one or more, identical or different, substituents R3;
R3 is selected from H, C1-C3 alkyl, C1-C3 haloalkyl, C1-C3 alkoxy, -CN, -OH, =0, an amide, and a 3 to 6 membered heterocycle, each of which is optionally substituted with one or more, identical or different, substituents RX3; or R3
is -NH-Rx3; wherein RX3 is a group selected from -OH, -OCH3, -CN, C3-C5 cycloalkyl, and halogen.
10. The compound according to item 9, wherein XA is absent, RA is absent and R2 is an N-linked amide or sulfonamide.
11 . The compound according to any one of items 9 to 10, wherein XA is absent, RA is absent and R2 is a C-linked amide or an S-linked sulfonamide.
, and ; wherein RX2 is a -C1-C3 alkyl.
13. The compound according to any one of items 9 to 12, wherein RX2 is -CH3.
14. The compound according to any one of items 1 to 8, wherein the compound is according to formula IV
formula (IV),
wherein
B is a 3 to 6 membered heterocycle; and
R3B is selected from H, -OH and C1-C3 alkyl.
16. The compound according to item 14, wherein XA is absent.
18. The compound according to any one of items 14 to 17, wherein R3B is -H.
19. The compound according to any one of items 14 to 17, wherein R3B is -OH.
, and
21 . The compound according to any one of items 1 to 8, wherein the compound is according to formula (V):
R3C is selected from H, C1-C3 alkyl, C1-C3 haloalkyl, C1-C3 alkoxy, -CN, amide, and 3 to 6 membered heterocycle, each of which is optionally substituted with one or more, identical or different, substituents RX3; or R3C is -NH-RX3; wherein RX3 is a group selected from -OH, -OCH3, -CN, C1-C3 alkyl, C3-C5 cycloalkyl, and halogen.
22. The compound according to item 21 , wherein R3C is H.
23. The compound according to item 21 , wherein R3C is C1-C3 alkyl.
24. The compound according to item 21 , wherein R3C is C1-C3 haloalkyl.
25. The compound according to item 21 , wherein R3C is C1-C3 alkoxy.
26. The compound according to item 21 , wherein R3C is -CN.
27. The compound according to item 21 , wherein R3C is -CH2-O-CH3.
28. The compound according to item 21 , wherein R3C is -O-CH3.
29. The compound according to any one of items 1 to 8 and 21 , wherein the compound is according to formula Va:
formula (Va) wherein
R3C is selected from H, C1-C3 alkyl, C1-C3 haloalkyl, -CN, amide, 3 to 6 membered heterocycle, each of which is optionally substituted with one or more, identical or different, substituents RX3; or R3C is -NH-RX3; wherein RX3 is a group selected from -OH, -OCH3, -CN, C1-C5 cycloalkyl, and halogen.
30. The compound according to item 29, wherein R3C is H, C1-C3 alkyl, a C1-C3 haloalkyl, or -CN each of which is optionally substituted with one or more, identical or different, substituents RX3; wherein RX3 is a group selected from of -OH, -OCH3, -CN, a C1-C5 cycloalkyl, and a halogen.
31. The compound according to item 29, wherein R3C is -H.
32. The compound according to item 29, wherein R3C is not H.
33. The compound according to item 29, wherein R3C is -C1-C3 alkyl.
34. The compound according to item 29, wherein R3C is -CH2-O-CH3.
35. The compound according to item 29, wherein R3C is -CH2-OH.
36. The compound according to item 29, wherein R3C is C1-C3 haloalkyl.
37. The compound according to item 29, wherein R3C is -CF3.
38. The compound according to item 29, wherein R3C is -C(=O)NRL1RL2, wherein RL1 and RL2 are each independently selected from H, or C1-C3 alkyl.
39. The compound according to any one of items 29 or 38 wherein R3C is -C(=O)NH-CH3.
40. The compound according to item 29, wherein R3C is a 3 to 6 membered heterocycle, such as a 3, 4, 5 or 6 membered heterocycle.
41 . The compound according to item 29 or 40, wherein R3C is
wherein n is 0, 1 or 2; and
RX3a is each independently selected from H, -CN, -OH, -OCH3, and -F.
42. The compound according to item 41 , wherein n is 0.
43. The compound according to item 41 , wherein n is 1 or 2.
44. The compound according to item 41 , wherein RX3a is -CN.
45. The compound according to item 41 , wherein one or more RX3a are -F.
46. The compound according to item 41 , wherein RX3a is -OH.
47. The compound according to item 41 , wherein RX3a is -OCH3.
48. The compound according to any one of the preceding items wherein R1 is selected from -CH3, -CH2-CH3 and CF2H.
49. The compound according to any one of items 1 to 47, wherein R1 is -CH3.
50. The compound according to any one of items 1 to 47, wherein R1 is -CH2-CH3.
51 . The compound according to any one of items 1 to 47, wherein R1 is -H.
52. The compound according to any one of items 1 to 47, wherein R1 is -CF2H.
53. The compound according to any one of items 1 to 47, wherein R1 is a C3-C5 cycloalkyl.
54. The compound according to any one of items 1 to 47, wherein R1 is cyclopropyl.
55. The compound according to any one of items 1 to 54, wherein R2 is -H or -CH3.
56. The compound according to any one of items 1 to 54, wherein R2 is -H.
57. The compound according to any one of items 1 to 54, wherein R2 is -CH3.
58. The compound according to any one of items 1 to 57, wherein in formulas (I), (II), (III) and (IV), wherein the substituents in the carbons at position 1 and 2 are in a c/s relationship.
59. The compound according to any one of items 1 to 57, wherein the configuration of the carbon in position 1 is R and the configuration of the carbon in position 2 is S.
60. The compound according to any one of one of items 1 to 57, wherein the compound is selected from any one of a compound shown in Table A in the section “A compound”, and an enantiomer thereof, or a mixture thereof, or a pharmaceutically acceptable salt thereof.
61. The compound according to any one of the preceding items, wherein the compound is able to modulate the activity of PCSK9.
62. The compound according to any one of the preceding items, wherein the compound is an inhibitor of PCSK9.
63. The compound according to any one of the preceding items, wherein the compound decreases the activity of PCSK9.
64. The compound according to any one of the preceding items, wherein the compound binds PCSK9 with a dissociation constant (KD), less than 20 pM, such as less than 5 pM, such as less than 1 pM, such as less than 0.5 pM, such as less than 0.05 pM, such as less than 0.01 pM.
65. The compound to any one of the preceding items, wherein the compound binds PCSK9 with a dissociation constant (KD) from about 1 nM to about 20 pM, such as from about 1 nM to about 10 pM, such as from about 1 nM to about 1 pM, such as from about 1 nM to about 0.5 pM, such as from 1 nM to about 200 nM, such as from about 1 nM to about 100 nM, such as from about 1 nM to about 50 nM.
66. A pharmaceutical composition comprising the compound according to any one of the preceding items.
67. A compound according to any one of items 1 to 65, or a pharmaceutical composition according to item 66, for use as a medicament.
68. A compound according to any one of items 1 to 65, or a pharmaceutical composition according to item 66, for use in a method of modulating the activity of PCSK9 in a subject, the method comprising administering an effective amount of the compound to the subject.
69. A compound according to any one of items 1 to 65, or a pharmaceutical composition according to item 66, for use in an method of treatment, prevention or alleviation of a disorder of lipoprotein metabolism in a subject, the method comprising administering an effective amount of the compound to the subject.
70. The compound or the composition for use according to item 69, wherein the disorder is a disorder of lipoprotein metabolism whereinthe disorder is selected from dyslipidemia, hypercholesterolemia and coronary heart disease.
Items A
1 . A compound according to formula (I):
formula (I) or a tautomer, an enantiomer or a diastereoisomer thereof, or a mixture thereof; or a pharmaceutically acceptable salt thereof; wherein
R1 is selected from the group consisting of a H, C1-C5 alkyl, and C3-C5 cycloalkyl, each of which is optionally substituted with one or more, identical or different, substituents RX1; wherein RX1 is selected from the group consisting of halogen;
A is a heteroaromatic ring
R2 is selected from the group consisting of H, C1-C3 alkyl, an amide, and a sulfonamide, each of which is optionally substituted with one or more, identical
or different, substituents RX2; wherein RX2 is selected from the group consisting of -Ci-Ca alkyl and C1-C3 alkoxy;
XA is a absent or selected from the group consisting of carbonyl or sulfone;
RA is absent or selected from the group consisting of a 3 to 6 membered heterocycle, and heteroaryl, each of which is optionally substituted with one or more, identical or different, substituents R3;
R3 is selected from H, a halogen, C1-C3 alkyl, a C1-C3 haloalkyl, a C1-C3 alkoxy, -CN, -OH, =0, an amide, a 3 to 6 membered heterocycle, each of which is optionally substituted with one or more, identical or different, substituents RX3; or R3 is -NH-Rx3; wherein RX3 is a group selected from the group consisting of -OH, a C1-C3 alkyl, -OCH3, -CN, a C3-C5 cycloalkyl, a halogen, a C1-C3 alkoxy, and an amide; with the proviso that:
a) when Z is or , then A is according to
, wherein at least one of RA and XA is not absent; or
b) when Z is or , then A is according to
The compound according to Item A1 , wherein Z is selected from the group consisting of:
and The compound according to any one of items A1 to A2, wherein the compound is according to any one of formula Illa or 111 b:
wherein
RA is absent or selected from the group consisting of a 3 to 6 membered heterocycle, and heteroaryl, each of which is optionally substituted with one or more, identical or different, substituents R3;
R3 is selected from H, C1-C3 alkyl, a C1-C3 haloalkyl, a C1-C3 alkoxy, -CN, -OH, =0, an amide, a 3 to 6 membered heterocycle, each of which is optionally substituted with one or more, identical or different, substituents RX3; or R3 is -NH-Rx3; wherein RX3 is a group selected from the group consisting of -OH, -OCH3, -CN, a C3-C5 cycloalkyl, and a halogen.
The compound according to any one of items A1 to A3, wherein XA is absent,
RA is absent and R2 is selected from the group consisting of:
The compound according to any one of items A1 to A3, wherein the compound is according to formula IV
formula IV, wherein
B is a 3 to 6 membered heterocycle;
, and
The compound according to any one of Items 1 to 3, wherein the compound is according to formula V:
R3C is selected from the group consisting of H, C1-C3 alkyl, a C1-C3 haloalkyl, a C1-C3 alkoxy, -CN, an amide, a 3 to 6 membered heterocycle, each of which is optionally substituted with one or more, identical or different, substituents RX3; or R3C is -NH-RX3; wherein RX3 is a group selected from the group consisting of -OH, -OCH3, -CN, C1-C3 alkyl, a C3-C5 cycloalkyl, and a halogen.
The compound according to any one of items A1 to A3 and A7, wherein the compound is according to formula Va:
formula (Va) wherein
R3C is selected from the group consisting of H, C1-C3 alkyl, a C1-C3 haloalkyl, -CN, an amide, a 3 to 6 membered heterocycle, each of which is optionally substituted with one or more, identical or different, substituents RX3; or R3C is -NH-Rx3; wherein RX3 is a group selected from the group consisting of -OH, -OCH3, -CN, a C1-C5 cycloalkyl, and a halogen. The compound according to any one of items A7 to A8, wherein: i) R3C is H, C1-C3 alkyl, a C1-C3 haloalkyl, or -CN each of which is optionally substituted with one or more, identical or different, substituents RX3; wherein RX3 is a group selected from the group consisting of -OH, -OCH3, -CN, a C1-C5 cycloalkyl, and a halogen; or ii) R3C is
wherein n is an integer selected from 0, 1 or 2;
RX3a is each independently selected from the group consisting of H, -CN, -OH, -OCH3, -F. The compound according to any one of items A1 to A9 wherein R1 is selected from -CH3, -CH2-CH3 and CF2H.
11 . The compound according to any one of items A1 to A10, wherein R1 is -CH3.
12. The compound according to any one of items A1 to A11 , wherein R2 is -H or -CH3.
13. The compound according to any one of items A1 to A12, wherein the substituents in the carbons at position 1 and 2 of formula I, Illa, lllb, IV, V or Va, are in a cis relationship.
14. The compound according to any one of items A1 to A13, wherein the compound is selected from any one the group consisting of: a compound shown in Table A in the section “A compound”, and an enantiomer thereof; or a pharmaceutically acceptable salt thereof..
15. A compound according to any one of items A1 to A14, or a pharmaceutical composition comprising a compound according to any one of items A1 to A14, for use in a method of treatment, prevention or alleviation of a disorder of lipoprotein metabolism in a subject, the method comprising administering an effective amount of the compound to the subject.
Examples
Example 1: Biological activity
Aim
In this example the equilibrium dissociation constant (KD) describing the binding of compounds of the present disclosure to PCSK9, was measured using microscale thermophoresis (MST).
Materials and Methods
A 12-point titration series of compound solutions was prepared in TTP LVDS 384-well plates (SPT Labtech) in a 1.2 pL total volume using an LV Mosquito pipetting robot (SPT Labtech) in a buffer composed of 16.7 % DMSO (v/v) and 0.05 % Tween20 (v/v).
The plate was spun down before addition of 8.8 pL 56.8 nM PCSK9 and 14.2 nM RED- tris-NTA (Nanotemper) in 28.4 mM Bis-Tris Propane pH 7, 340.9 mM NaCI, 0.05 %
Tween20 (v/v) to each well. The plate was sealed with adhesive strip and placed on an Eppendorf thermomixer at 600 rpm for 3 min before spinning on a Fisherbrand platespinner for 15 seconds and further incubation 1 hrs at RT. MST was measured on a Monolith NT. Automated (Nanotemper) in standard-treated capillaries at 5 % LED-power and high MST-power. Dose-response was extracted at 20 sec hot-time. All experiments were performed in duplicates.
Results
The results are shown in Table 1. Table 1. Binding affinity of the compounds disclosed herein to PCSK9 ( *** : 1 < KD^20 200 nM; *: KD >200 nM).
a: These samples were tested as a mixture of enantiomers as isolated from the examples described below.
Conclusion The ability of the compounds disclosed herein to bind and inhibit PCSK9 was established with the representative compounds of formula (I) in table 1 .
Example 2: Preparation of compounds
In general, the compounds according to formula (I) and related formulae of this invention may be prepared from readily available starting materials. If such starting materials are not commercially available, they may be prepared by standard synthetic techniques. In general, the synthesis pathways for any individual compound of formula (I) and related formulae will depend on the specific substituents of each molecule, such factors being appreciated by those having ordinary skill in the art. The following general methods and procedures described hereinafter in the examples may be employed to prepare compounds of formula (I) and related formulae. Reaction conditions depicted in the following schemes, such as temperatures, solvents, or co-reagents, are given as examples only and are not restrictive. It will be appreciated that where typical or preferred experimental conditions (i.e. reaction temperatures, time, moles of reagents, solvents etc.) are given, other experimental conditions can also be used unless otherwise stated. Optimum reaction conditions may vary with the particular reactants or solvents used, but such conditions can be determined by a person skilled in the art, using routine optimisation procedures.
In the following examples, compounds that were obtained or used as a mixture of enantiomers contain the term “rac” in their name before the corresponding stereocenters. For example: “3-methyl-N-[[rac-( 1 R,3S)-3-[[5-(6-oxopyridazin- 1-yl)-2- pyridyl]amino]cyclopentyl]methyl]isoxazole-5-carboxamide” refers to the mixture of the following enantiomers:
Example S1: 3-methyl-N-[[rac-( 1R,3S)-3-[[5-(6-oxopyridazin-1-yl)-2- pyridyl]amino]cyclopentyl]methyl]isoxazole-5-carboxamide
The solution of 2-chloro-5-iodo-pyridine (1 g, 4.18 mmol, 1 eq), 1 H-pyridazin-6-one (601.95 mg, 6.26 mmol, 1.5 eq), Cui (79.54 mg, 417.64 pmol, 0.1 eq) and K2CO3 (1.73 g, 12.53 mmol, 3 eq) in pyridine (10 mL) was stirred at 120°C for 12 h under N2. The reaction mixture was quenched by addition of sat. aq. NH4CI (20 mL), and extracted with EtOAc (10 mL * 3). The combined organic layers were washed with brine (10 mL * 3), dried over Na2SO4, filtered and concentrated under reduced pressure to give a residue. The residue was purified by flash silica gel chromatography (ISCO®; 20 g SepaFlash® Silica Flash Column, Eluent of 0-50% Ethyl acetate/Petroleum ether gradient @ 100 mL/min) to give 2-(6-chloropyridin-3-yl)-2,3-dihydropyridazin-3-one (290 mg, 1.40 mmol, 33.45% yield) as a yellow solid.
LCMS (ESI+): m/z 208.0 (M+H) +
2. General procedure for preparation of 3-methyl-N-[[rac-(1R,3S)-3-[[5-(6- oxopyridazin-1-yl)-2-pyridyl]amino]cyclopentyl]methyl]isoxazole-5- carboxamide :
A mixture of N-[(rac-(1 R,3S)-3-aminocyclopentyl)methyl]-3-methyl-isoxazole-5- carboxamide (100 mg, 385.01 pmol, 1 eq, HCI), 2-(6-chloropyridin-3-yl)-2,3-
dihydropyridazin-3-one (79.93 mg, 385.01 pmol, 1 eq), [2-(2-aminophenyl)phenyl]- methylsulfonyloxy-palladium di-tert-butyl-[2-(2,4,6-tri- isopropylphenyl)phenyl]phosphane (30.58 mg, 38.50 pmol, 0.1 eq), di-tert-butyl-[2- (2,4,6-triisopropylphenyl)phenyl]phosphane (16.35 mg, 38.50 pmol, 0.1 eq) and t- BuONa (74.00 mg, 770.02 pmol, 2 eq) in 2-methylbutan-2-ol (3 mL) was degassed and purged with N2 three times, and then the mixture was stirred at 100°C for 12 h under N2 atmosphere. The reaction mixture was filtered and the filtrate was concentrated to give a residue. The residue was purified by prep-HPLC (neutral condition; column: Phenomenex Gemini-NX 80*40mm*3pm; mobile phase: [water(10mM NH4HCO3)-ACN]; B%: 10%-40%, 8 min) to give 3-methyl-N-[[rac-(1 R,3S)-3-[[5-(6-oxopyridazin-1-yl)-2- pyridyl]amino]cyclopentyl]methyl]isoxazole-5-carboxamide (24.8 mg, 61.35 pmol, 15.93% yield, 97.57% purity) as a white solid.
LCMS (ESI+): m/z 395.2(M+H) +
1H NMR (400 MHz, METHANOL-d4) 5 = 8.14 (d, J = 2.5 Hz, 1 H), 8.02 (dd, J = 1.4, 3.8 Hz, 1 H), 7.59 (dd, J = 2.6, 9.0 Hz, 1 H), 7.46 (dd, J = 3.9, 9.5 Hz, 1 H), 7.06 (dd, J = 1.6, 9.4 Hz, 1 H), 6.80 (s, 1 H), 6.58 (d, J = 9.0 Hz, 1 H), 4.24 - 4.14 (m, 1 H), 3.40 (d, J = 6.8 Hz, 2H), 2.39 - 2.27 (m, 2H), 2.34 (s, 3H), 2.15 - 2.05 (m, 1 H), 1.90 - 1.80 (m, 1 H), 1.67 - 1.50 (m, 2H), 1.31 - 1.19 (m, 1 H).
The two enantiomers in the prepared mixture are: 3-methyl-N-[[(1 R,3S)-3-[[5-(6- oxopyridazin-1-yl)-2-pyridyl]amino]cyclopentyl]methyl]isoxazole-5-carboxamide and 3- methyl-N-[[(1S,3R)-3-[[5-(6-oxopyridazin-1-yl)-2- pyridyl]amino]cyclopentyl]methyl]isoxazole-5-carboxamide
Example S2: N-[[rac-( 1 R,3S)-3-[[6-(dimethylcarbamoyl)-1 ,3-benzothiazol-2- yl]amino]cyclopentyl]methyl]-3-methyl-isoxazole-5-carboxamide
1. General procedure for preparation of 2-chloro-N,N-dimethyl-1,3-benzothiazole- 6-carboxamide :
To a solution of 2-chloro-1 ,3-benzothiazole-6-carboxylic acid (1 g, 4.68 mmol, 1 eq) and N-methylmethanamine hydrochloride (381.69 mg, 4.68 mmol, 1 eq) in DMF (10 mL) was added DIEA (1.21 g, 9.36 mmol, 1.63 mL, 2 eq) and HATU (2.67 g, 7.02 mmol, 1.5 eq) at 0 °C, then the mixture was stirred at 25 °C for 12 hr. The reaction mixture was diluted with H2O (20 mL), and extracted with ethyl acetate (50 mL * 3). The combined organic layers were washed with brine (50 mL * 3), dried over Na2SO4, filtered and concentrated under reduced pressure to give a residue. The residue was purified by column chromatography (SiC>2, Petroleum ether : Ethyl acetate = 50/1 to 3/1) to give 2-chloro- N,N-dimethyl-1 ,3-benzothiazole-6-carboxamide (890 mg, 3.70 mmol, 78.99% yield) as a light yellow oil.
LCMS (ESI+): m/z 241.1 (M+H)
2. General procedure for preparation of N-[[rac-(1 R,3S)-3-[[6- (dimethylcarbamoyl)-1,3-benzothiazol-2-yl]amino]cyclopentyl]methyl]-3- methyl-isoxazole-5-carboxamide :
To a solution of 2-chloro-N,N-dimethyl-1 ,3-benzothiazole-6-carboxamide (85.64 mg, 355.77 pmol, 1.2 eq) and N-[(rac-(1 R,3S)-3-aminocyclopentyl)methyl]-3-methyl- isoxazole-5-carboxamide (100 mg, 296.48 pmol, 1 eq, TFA) in DMF (2 mL) was added K2CO3 (122.93 mg, 889.43 pmol, 3 eq), then the reaction was stirred for 12 hr at 80 °C.
The reaction mixture was filtered and the filtrate was purified by prep-HPLC (basic condition, column: Waters Xbridge Prep OBD C18 150*40mm*10|jm; mobile phase: [water(NH3H2O+NH4HCO3)-ACN]; B% : 15%-45%, 8 min) to give N-[[rac-(1 R,3S)-3-[[6- (dimethylcarbamoyl)-1 ,3-benzothiazol-2-yl]amino]cyclopentyl]methyl]-3-methyl- isoxazole-5-carboxamide (27.1 mg, 62.21 pmol, 20.98% yield, 98.136% purity) as a lightyellow solid.
1H NMR (400 MHz, METHANOL-d4) 6 = 7.70 (d, J = 1.4 Hz, 1 H), 7.48 - 7.43 (m, 1 H), 7.36 - 7.33 (m, 1 H), 6.81 - 6.79 (m, 1 H), 4.29 - 4.20 (m, 1 H), 3.40 (d, J = 6.1 Hz, 2H), 3.08 (br s, 6H), 2.45 - 2.30 (m, 2H), 2.33 (s, 3H), 2.17 - 2.09 (m, 1 H), 1.92 - 1.83 (m, 1 H), 1.76 - 1 .66 (m, 1 H), 1.60 - 1.50 (m, 1 H), 1.40 - 1.28 (m, 1 H)
LCMS (ESI+): m/z 428.2 (M+H)+
The two compounds in the mixture were: N-[[(1 R,3S)-3-[[6-(dimethylcarbamoyl)-1 ,3- benzothiazol-2-yl]amino]cyclopentyl]methyl]-3-methyl-isoxazole-5-carboxamide and N- [[(1S,3R)-3-[[6-(dimethylcarbamoyl)-1 ,3-benzothiazol-2-yl]amino]cyclopentyl]methyl]-3- methyl-isoxazole-5-carboxamide
1. General procedure for preparation of tert-butyl 3-oxo-2-azabicyclo[2.2.1]hept-5- ene-2-carboxylate :
To a stirred solution of 2-azabicyclo[2.2.1]hept-5-en-3-one (30 g, 274.91 mmol, 1 eq) in THF (600 mL) was added DMAP (3.36 g, 27.49 mmol, 0.1 eq), TEA (83.45 g, 824.74
mmol, 114.79 mL, 3 eq) followed by the addition of tert-butoxycarbonyl tert-butyl carbonate (72.00 g, 329.90 mmol, 75.79 mL, 1.2 eq). The resulting reaction mixture was allowed to stir at 20°C for 12 hr. The reaction mixture was concentrated under reduced pressure to remove THF. The residue was diluted with water (100 mL) and the reaction mixture was extracted with EtOAc (100 mL*3). The organic layer was dried over Na2SO4, concentrated to give the crude product. The crude product was purified by column chromatography (Petroleum ether: Ethyl acetate = 4:1 to 1 :1) to give tert-butyl 3-oxo-2- azabicyclo[2.2.1]hept-5-ene-2-carboxylate (57.29 g, 273.80 mmol, 99.59% yield) as a white solid.
To a solution of tert-butyl 3-oxo-2-azabicyclo[2.2.1]hept-5-ene-2-carboxylate (53 g, 253.30 mmol, 1 eq) in MeOH (700 mL) was added Pd/C (5 g, 10% purity) under N2 atmosphere. The suspension was degassed and purged with H2 three times. The mixture was stirred under H2 (15 psi) at 25 °C for 2 hr. The catalyst was removed by filtration through Celite, which was then washed with EtOAc (300 ml). The filtrate was concentrated to give tert-butyl 3-oxo-2-azabicyclo[2.2.1]heptane-2-carboxylate (54 g, crude) as a yellow oil, which was used directly without purification.
LCMS (ESI+): m/z 156.0 (M+H-56)+
3. General procedure for preparation of tert-butyl N-[rac-(1S, 3R)-3- (hydroxymethyl)cyclopentyl]carbamate :
To a solution of tert-butyl 3-oxo-2-azabicyclo[2.2.1]heptane-2-carboxylate (25 g, 118.34 mmol, 1 eq) in MeOH (1000 mL) was added NaBH4 (8.95 g, 236.68 mmol, 2 eq) slowly
at 0°C under N2, then the reaction was stirred at 0°C for 2 h. The reaction mixture was quenched by addition of sat. aq. NH4CI (500 mL), and then extracted with EtOAc (200 mL * 3). The combined organic layers were washed with brine (300 mL), dried over Na2SC>4, filtered and concentrated under reduced pressure to give a residue. The residue was purified by flash silica gel chromatography (ISCO®; 220 g Sepa Flash® Silica Flash Column, Eluent of 0-25% Ethyl acetate/Petroleum ether gradient @ 100 mL/min) to give tert-butyl N-[rac-(1S, 3R)-3-(hydroxymethyl)cyclopentyl]carbamate (13 g, 60.38 mmol, 51.03% yield) as a colorless oil.
4. General procedure for preparation of [rac-(1 R,3S)-3-(tert- butoxycarbonylamino)cyclopentyl]methyl methane sulfonate :
To a solution of tert-butyl N-[rac-(1S, 3R)-3-(hydroxymethyl)cyclopentyl]carbamate (12.90 g, 59.92 mmol, 1 eq) and TEA (18.19 g, 179.76 mmol, 25.02 mL, 3 eq) in DCM (150 mL) was added methylsulfonyl methanesulfonate (15.66 g, 89.88 mmol, 1.5 eq), then the reaction was stirred at 20°C for 12 h. The reaction mixture was diluted with water (100 mL) and extracted with DCM (100 mL * 3). The combined organic layers were washed with brine (100 mL), dried over Na2SO4, filtered and concentrated under reduced pressure to give [rac-(1 R,3S)-3-(tert-butoxycarbonylamino)cyclopentyl]methyl methane sulfonate (18 g, crude) as an orange oil, which was used dirctly without purification.
5. General procedure for preparation of tert-butyl N-[rac-(1S, 3R)-3- (azidomethyl)cyclopentyl]carbamate :
To a solution of [rac-(1 R,3S)-3-(tert-butoxycarbonylamino)cyclopentyl]methyl methanesulfonate (18 g, 61.35 mmol, 1 eq) in DMF (200 mL) was added NaNs (7.98 g, 122.71 mmol, 2 eq), then the reaction was stirred at 60°C for 6 h. The reaction mixture
was diluted with H2O (200 mL) and aq. NaHCCh (200 mL), then extracted with EtOAc (200 mL * 3). The combined organic layers were washed with brine (300 mL * 2), dried over Na2SC>4, filtered and concentrated under reduced pressure to give tert-butyl N-[rac- (1 S, 3R)-3-(azidomethyl)cyclopentyl]carbamate (15 g, crude) as a yellow oil, which was used directly without purification.
6. General procedure for preparation of tert-butyl N-[rac-(1S, 3R)-3- (aminomethyl)cyclopentyl]carbamate :
To a solution of tert-butyl N-[rac-(1S, 3R)-3-(azidomethyl)cyclopentyl]carbamate (15 g, 62.42 mmol, 1 eq) in MeOH (200 mL) was added Pd/C (4 g, 22.39 mmol, 10% purity) under N2. The suspension was degassed under vacuum and purged with H2 several times. The mixture was stirred under H2 (15 psi) at 20°C for 12 hours. The reaction mixture was filtered and filtrate was concentrated to give tert-butyl N-[rac-(1S, 3R)-3- (aminomethyl)cyclopentyl]carbamate (13 g, crude) as a colorless oil, which was used directly without purification.
7. General procedure for preparation of tert-butyl N-[rac-(1S, 3R)-3-[[(3- methylisoxazole-5-carbonyl)amino]methyl]cyclopentyl]carbamate :
To a mixture of 3-methylisoxazole-5-carboxylic acid (299.50 mg, 2.36 mmol, 1.01 eq), tert-butyl N-[rac-(1S, 3R)-3-(aminomethyl)cyclopentyl]carbamate (500.00 mg, 2.33 mmol, 1 eq) in DMF (10 mL) was added DIEA (603.08 mg, 4.67 mmol, 812.78 uL, 2 eq) and HATU (1.77 g, 4.67 mmol, 2 eq) at 0°C, then the reaction was stirred for 12 hr at
15°C. The reaction mixture was diluted with H2O (10 mL) and extracted with ethyl acetate (10 mL * 3). The combined organic layers were washed with brine (20 mL * 2), dried over anhydrous Na2SO4, filtered and concentrated under reduced pressure to give a residue. The residue was purified by prep-TLC (SiC>2, petroleum ether : ethyl acetate = 2:1) to give tert-butyl N-[rac-(1S, 3R)-3-[[(3-methylisoxazole-5- carbonyl)amino]methyl]cyclopentyl]carbamate (280 mg, 865.84 pmol, 37.11% yield) as a yellow solid.
LCMS (ESI+): m/z 224.2 (M+H-100)+
8. General procedure for preparation of N-[(rac-(1 R,3S)-3- aminocyclopentyl)methyl]-3-methyl-isoxazole-5-carboxamide :
A mixture of tert-butyl N-[rac-(1S, 3R)-3-[[(3-methylisoxazole-5- carbonyl)amino]methyl]cyclopentyl]carbamate (280.00 mg, 865.84 pmol, 1 eq) in DCM (3 mL) and TFA (924.00 mg, 8.10 mmol, 0.6 mL, 9.36 eq) was stirred for 4.5 hr at 15°C. The reaction was concentrated to give N-[(rac-(1 R,3S)-3-aminocyclopentyl)methyl]-3- methyl-isoxazole-5-carboxamide (300 mg, crude, TFA) as a yellow oil, which was directly without purification.
LCMS (ESI+): m/z 224.1 (M+H)+
9. General procedure for preparation of (2-chloro-1,3-benzothiazol-6-yl)-(4- hydroxy-1-piperidyl)methanone :
To a solution of 2-chloro-1 ,3-benzothiazole-6-carboxylic acid (200 mg, 936.15 pmol, 1 eq) and piperidin-4-ol (94.69 mg, 936.15 pmol, 1 eq) in DMF (2 mL) was added DIEA
(241.98 mg, 1.87 mmol, 326.11 uL, 2 eq) and HATU (533.93 mg, 1.40 mmol, 1.5 eq). Then the mixture was stirred at 25 °C for 12 hr. The reaction mixture was diluted with H2O (5 mL), and extracted with ethyl acetate (10 mL * 3). The combined organic layers were washed with brine (10 mL * 3), dried over Na2SO4, filtered and concentrated under reduced pressure to give a residue. The residue was purified by prep-TLC (SiO2, Ethyl acetate : Methanol = 3:1) to give (2-chloro-1 ,3-benzothiazol-6-yl)-(4-hydroxy-1- piperidyl)methanone (250 mg, 842.40 pmol, 89.99% yield) as a light yellow oil.
LCMS (ESI+): m/z 297.1 (M+H)+
10. General procedure for preparation of N-[[rac-(1 R,3S)-3-[[6-(4- hydroxypiperidine-1-carbonyl)-1,3-benzothiazol-2-yl]amino]cyclopentyl]methyl]- 3-methyl-isoxazole-5-carboxamide :
To a solution of (2-chloro-1 ,3-benzothiazol-6-yl)-(4-hydroxy-1-piperidyl)methanone (95.03 mg, 320.20 pmol, 1.2 eq) and N-[(rac-(1 R,3S)-(3-aminocyclopentyl)methyl]-3- methyl-isoxazole-5-carboxamide (90 mg, 266.83 pmol, 1 eq, TFA) in DMF (2 mL) was added K2CO3 (110.64 mg, 800.49 pmol, 3 eq), then the reaction was stirred for 12 hr at 80°C. The reaction mixture was filtered and the filtrate was purified by prep-HPLC (basic condition, column: Waters Xbridge Prep OBD C18 150*40mm*10um; mobile phase: [water(NH3H2O+NH4HCO3)-ACN];B%: 10%-40%, 8min) to give N-[[rac-(1 R,3S)-3-[[6-(4- hydroxypiperidine-1-carbonyl)-1 ,3-benzothiazol-2-yl]amino]cyclopentyl]methyl]-3- methyl-isoxazole-5-carboxamide (16.8 mg, 34.74 pmol, 13.02% yield, 100% purity) as a light yellow solid.
LCMS (ESI+): m/z 484.2 (M+H)+
1 H NMR (400 MHz, CHLOROFORM-d) 5 = 7.69 (s, 1 H), 7.52 (d, J = 8.3 Hz, 1 H), 7.35 (dd, J = 1.5, 8.3 Hz, 1 H), 6.76 (s, 1 H), 6.70 (br s, 1 H), 4.21 - 4.11 (m, 1 H), 3.99 (dt, J = 4.0, 7.9 Hz, 2H), 3.59 - 3.51 (m, 1 H), 3.47 - 3.37 (m, 1 H), 3.38 - 3.26 (m, 2H), 2.46 - 2.30 (m, 2H), 2.38 (s, 3H), 2.30 - 2.20 (m, 1 H), 1.98 - 1.88 (m, 3H), 1.85 - 1.50 (m, 5H), 1.44 - 1.34 (m, 1 H).
The two compounds in the mixture were: N-[[(1 R,3S)-3-[[6-(4-hydroxypiperidine-1- carbonyl)-1 ,3-benzothiazol-2-yl]amino]cyclopentyl]methyl]-3-methyl-isoxazole-5- carboxamide and N-[[(1S,3R)-3-[[6-(4-hydroxypiperidine-1-carbonyl)-1 ,3-benzothiazol- 2-yl]amino]cyclopentyl]methyl]-3-methyl-isoxazole-5-carboxamide
1 . General procedure for preparation of 3-chloro-N-(2-chloro-1,3- benzothiazol-6-yl)propane-1 -sulfonamide :
To a solution of 2-chloro-1 ,3-benzothiazol-6-amine (0.5 g, 2.71 mmol) in DCM (5 mL) were added TEA (1.10 g, 10.83 mmol, 1.51 mL) and 3-chloropropane-1 -sulfonyl chloride (479.43 mg, 2.71 mmol, 328.38 uL). The mixture was stirred at 15 °C for 2 hr. LC-MS showed the desired compound was detected. The reaction mixture was partitioned between water (10 mL) and DCM (5 mL * 2). The organic phase was separated, washed with brine (5 mL * 2), dried over Na2SO4, filtered and concentrated under reduced pressure to give a residue. The residue was purified by prep-TLC (SiC>2, Petroleum ether/Ethyl acetate = 1/1) to give 3-chloro-N-(2-chloro-1 ,3-benzothiazol-6- yl)propane-1 -sulfonamide (360 mg, 1.11 mmol, 40.88% yield) as a yellow solid.
LCMS (ESI+): m/z 325.1 (M+H)+
2. General procedure for 2-(2-chloro-1,3-benzothiazol-6-yl)-1,2-thiazolidine
1,1 -dioxide:
To a solution of 3-chloro-N-(2-chloro-1 ,3-benzothiazol-6-yl)propane-1-sulfonamide (400 mg, 1.23 mmol) in ACN (5 mL) was added K2CO3 (424.94 mg, 3.07 mmol). The mixture was stirred at 50 °C for 2 hr. The reaction mixture was partitioned between water (10 mL) and ethyl acetate (5 mL * 2). The organic phase was separated, washed with brine (5 mL * 2), dried over Na2SO4, filtered and concentrated under reduced pressure to give a residue. The residue was purified by prep-TLC (SiC>2, Petroleum ether/Ethyl acetate = 1/1) to give 2-(2-chloro-1 ,3-benzothiazol-6-yl)-1 ,2-thiazolidine 1 ,1-dioxide (200 mg, 692.58 pmol, 56.31% yield) as a yellow solid.
LCMS (ESI+): m/z 289.1 (M+H)+
3. General procedure for preparation of N-[[rac-(1 R,3S)-3-[[6-(1,1-dioxo-1,2- thiazolidin-2-yl)-1,3-benzothiazol-2-yl]amino]cyclopentyl]methyl]-3- methylisoxazole-5-carboxamide:
To a solution of 2-(2-chloro-1 ,3-benzothiazol-6-yl)-1 ,2-thiazolidine 1 ,1-dioxide (50 mg, 173.15 pmol) and N-[(rac-(1 R,3S)-3-aminocyclopentyl)methyl]-3-methyl-isoxazole-5- carboxamide (86.83 mg, 192.38 pmol, 2TFA) in DMF (0.5 mL) was added K2CO3 (53.18 mg, 384.77 pmol) and TEA (38.93 mg, 384.77 pmol, 53.55 uL). The mixture was stirred at 80 °C for 12 hr. LC-MS showed the desired compound was detected. The mixture was added to MeOH (2 mL) and the residue was purified by prep-HPLC (basic condition; column: Waters Xbridge Prep OBD C18 150*40mm*10um; mobile phase: [water(NH3H2O+NH4HCO3)-ACN];B%: 15%-45%, 8min) to give N-[[rac-(1 R,3S)-3-[[6- (1 ,1-dioxo-1 ,2-thiazolidin-2-yl)-1 ,3-benzothiazol-2-yl]amino]cyclopentyl]methyl]-3- methylisoxazole-5-carboxamide (13.1 mg, 27.55 pmol, 14.32% yield, 100% purity) as a white solid.
LCMS (ESI+): m/z 476.2 (M+H)+ 1H NMR (400MHz, METHANOL-d4) 5 = 7.55 (d, J=2.0 Hz, 1 H), 7.45 - 7.37 (m, 1 H), 7.26 - 7.19 (m, 1 H), 6.83 - 6.79 (m, 1 H), 4.21 (quin, J=6.9 Hz, 1 H), 3.78 (t, J=6.5 Hz, 2H), 3.46 - 3.38 (m, 4H), 2.50 (quin, J=7.0 Hz, 2H), 2.42 - 2.30 (m, 2H), 2.33 (s, 3H),
2.18 - 2.08 (m, 1 H), 1.93 - 1.83 (m, 1 H), 1.75 - 1.65 (m, 1 H), 1.60 - 1.46 (m, 1H), 1.38 - 1.28 (m, 1 H)
The two compounds in the mixture were: N-[[(1R,3S)-3-[[6-(1,1-dioxo-1,2-thiazolidin-2- yl)-1 ,3-benzothiazol-2-yl]amino]cyclopentyl]methyl]-3-methylisoxazole-5-carboxamide and N-[[(1 S,3R)-3-[[6-(1 , 1 -dioxo-1 , 2-thiazol id i n-2-y I)- 1 ,3-benzothiazol-2- yl]amino]cyclopentyl]methyl]-3-methylisoxazole-5-carboxamide
Example S5: N-[[rac-( 1R,3S)-3-[[6-(3-hydroxyazetidin-1-yl)sulfonyl-1 ,3- benzothiazol-2-yl]amino]cyclopentyl]methyl]-3-methylisoxazole-5-carboxamide
1. General procedure for preparation of 1 -[(2-chloro-1 ,3-benzothiazol-6- yl)sulfonyl]azetidin-3-ol:
To a solution of 2-chloro-1 ,3-benzothiazole-6-sulfonyl chloride (100 mg, 372.94 pmol) in THF (1 mL) were added TEA (150.95 mg, 1.49 mmol, 207.63 uL) and azetidin-3-ol (40.86 mg, 372.94 pmol, HCI). The mixture was stirred at 0 °C for 1 hr. LC-MS showed one main peak with desired mass was detected. The reaction mixture was concentrated under reduced pressure to remove THF to give 1-[(2-chloro-1,3- benzothiazol-6-yl)sulfonyl]azetidin-3-ol (90 mg, crude) as a yellow solid.
Data:
LCMS (ESI+): m/z 305.6 (M+H)+
2. General procedure for preparation of N-[[rac-(1R,3S)-3-[[6-(3-hydroxyazetidin- 1-yl)sulfonyl-1,3-benzothiazol-2-yl]amino]cyclopentyl]methyl]-3- methylisoxazole-5-carboxamide:
To a solution of 1-[(2-chloro-1,3-benzothiazol-6-yl)sulfonyl]azetidin-3-ol (70 mg, 229.68 pmol) and N-[(rac-(1 R,3S)-3-aminocyclopentyl)methyl]-3-methyl-isoxazole-5- carboxamide (115.18 mg, 255.20 pmol, 2TFA) in DMF (1 mL) were added TEA (51.65 mg, 510.40 pmol, 71.04 uL) and K2CO3 (70.54 mg, 510.40 pmol). The mixture was stirred at 80 °C for 6 hr. To the mixture was added MeOH (2mL) and the residue was purified by prep-HPLC (basic condition; column: Waters Xbridge Prep OBD C18 150*40mm*10um; mobile phase: [water(NH3H2O+NH4HCO3)-ACN];B%: 15%-45%, 8min) to give N-[[rac-(1 R,3S)-3-[[6-(3-hydroxyazetidin-1-yl)sulfonyl-1,3-benzothiazol-2- yl]amino]cyclopentyl]methyl]-3-methylisoxazole-5-carboxamide (14.2 mg, 28.89 pmol, 11.32% yield, 100% purity) as a white solid. Data:
LCMS (ESI+): m/z 492.2 (M+H)+ 1H N MR (400MHz, METHANOL-d4) 5 = 8.10 (s, 1 H), 7.74 - 7.68 (m, 1 H), 7.61 - 7.54 (m, 1 H), 6.83 - 6.77 (m, 1H), 4.31 - 4.21 (m, 1H), 3.93 (t, J=7.7 Hz, 2H), 3.52 - 3.44 (m, 3H), 3.41 (br d, J=6.6 Hz, 2H), 2.45 - 2.34 (m, 2H), 2.34 (s, 3H), 2.20 - 2.10 (m, 1 H), 1.95 - 1.85 (m, 1H), 1.78 - 1.68 (m, 1H), 1.61 - 1.51 (m, 1H), 1.39 - 1.29 (m, 1 H)
The two compounds in the mixture were: N-[[(1R,3S)-3-[[6-(3-hydroxyazetidin-1- yl)sulfonyl-1 ,3-benzothiazol-2-yl]amino]cyclopentyl]methyl]-3-methylisoxazole-5- carboxamide and N-[[(1S,3R)-3-[[6-(3-hydroxyazetidin-1-yl)sulfonyl-1,3-benzothiazol-2- yl]amino]cyclopentyl]methyl]-3-methylisoxazole-5-carboxamide
Example S6: 3-methyl-N-[[rac-( 1 R,3S)-3-[(6-morpholinosulfonyl-1 ,3- benzothiazol-2-yl)amino]cyclopentyl]methyl]isoxazole-5-carboxamide
The following procedure was executed using two flasks. In the first flask, 2-chloro-1,3- benzothiazol-6-amine (1 g, 5.42 mmol, 1 eq) was dissolved in concentrated HCI (5 mL), and the resulting solution was cooled to -5 °C, using an ice/NaCI bath. A solution of sodium nitrite (422.24 mg, 6.12 mmol, 1.13 eq) in H2O (5 mL) was added in portions with stirring, while maintaining the temperature below 0 °C, and the mixture was stirred for 10 min. In the second flask, SOCI2 (2.96 g, 24.91 mmol, 1.81 mL, 4.6 eq) was added dropwise to H2O (10 mL), which had been pre-cooled to -5 °C, using an ice/NaCI bath. The resulting solution was allowed to warm to 25 °C, and then CuCI (27.51 mg, 277.83 pmol, 6.64 pL, 0.0513 eq) was added, and then the reaction mixture was re-cooled to -5 °C. With continued cooling and stirring, the contents of the first flask were added in two portions to the contents of the second flask, and the mixture was stirred for 30 min, during which time a precipitate formed. The reaction mixture was quenched by addition of H2O (5 mL), and extracted with DCM (10 mL * 3). The combined organic layers were dried over Na2SO4, filtered and concentrated under reduced pressure. The residue was purified by column chromatography (SiC>2, Petroleum ether/Ethyl acetate = 1/0 to 10/1, Petroleum ether : Ethyl acetate = 3 : 1) to give 2-chloro-1,3-benzothiazole-6-sulfonyl chloride (612 mg, 2.28 mmol, 21.07% yield) as a yellow solid.
2. General procedure for preparation of 4-[(2-chloro-1 ,3-benzothiazol-6- yl)sulfonyl]morpholine :
To a solution of 2-chloro-1 ,3-benzothiazole-6-sulfonyl chloride (100 mg, 372.94 pmol, 1 eq) in THF (1 mL) was added TEA (150.95 mg, 1.49 mmol, 207.63 pL, 4 eq) and morpholine (32.49 mg, 372.94 pmol, 32.82 pL, 1 eq). The mixture was stirred at 0 °C for 1 hr. The reaction mixture was concentrated under reduced pressure to remove THF to give 4-[(2-chloro-1,3-benzothiazol-6-yl)sulfonyl]morpholine (110 mg, crude) as a yellow solid.
Data:
LCMS (ESI+): m/z 319.1 (M+H)+
3. General procedure for preparation of 3-methyl-N-[[rac-(1 R,3S)-3-[(6- morpholinosulfonyl-1 ,3-benzothiazol-2- yl)amino]cyclopentyl]methyl]isoxazole-5-carboxamide :
To a solution of 4-[(2-chloro-1,3-benzothiazol-6-yl)sulfonyl]morpholine (60 mg, 188.21 pmol, 0.9 eq) and N-[(rac-(1 R,3S)-3-aminocyclopentyl)methyl]-3-methyl-isoxazole-5- carboxamide (94.38 mg, 209.12 pmol, 1 eq, 2 TFA) in DMF (1 mL) were added TEA (42.32 mg, 418.24 pmol, 58.21 pL, 2 eq) and K2CO3 (57.80 mg, 418.24 pmol, 2 eq). The mixture was stirred at 80 °C for 6 hr. To the mixture was added MeOH (2 mL). The residue was purified by prep-HPLC (basic condition, column: Waters Xbridge Prep OBD C18 150*40mm*10pm; mobile phase: [water(NH3H2O+NH4HCO3)-ACN];B%: 20%-50%, 8min) to give 3-methyl-N-[[rac-(1 R,3S)-3-[(6-morpholinosulfonyl-1 ,3- benzothiazol-2-yl)amino]cyclopentyl]methyl]isoxazole-5-carboxamide (29.3 mg, 57.95 pmol, 27.71% yield, 100% purity) as a white solid.
LCMS (ESI+): m/z 506.2 (M+H)+
1H NMR (400MHz, METHANOL-d4) 6 = 8.04 (d, J=1 .8 Hz, 1 H), 7.64 (dd, J=1.9, 8.5 Hz, 1 H), 7.57 - 7.53 (m, 1 H), 6.81 - 6.80 (m, 1 H), 4.31 - 4.21 (m, 1 H), 3.72 - 3.68 (m, 4H), 3.43 - 3.39 (m, 2H), 2.97 (br d, J=4.4 Hz, 4H), 2.44 - 2.36 (m, 2H), 2.33 (s, 3H), 2.20 - 2.09 (m, 1 H), 1.94 - 1.83 (m, 1 H), 1.78 - 1.65 (m, 1 H), 1.62 - 1.48 (m, 1 H), 1.42 - 1.25 (m, 1 H)
The two compounds in the mixture were: 3-methyl-N-[[(1 R,3S)-3-[(6- morpholinosulfonyl-1 ,3-benzothiazol-2-yl)amino]cyclopentyl]methyl]isoxazole-5- carboxamide and 3-methyl-N-[[(1 S,3R)-3-[(6-morpholinosulfonyl-1 ,3-benzothiazol-2- yl)amino]cyclopentyl]methyl]isoxazole-5-carboxamide
1 . General procedure for preparation of tert-butyl (1 R,4S)-3-oxo-2- azabicyclo[2.2.1]hept-5-ene-2-carboxylate :
To a solution of (1 R,4S)-2-azabicyclo[2.2.1]hept-5-en-3-one (5 g, 45.82 mmol, 1 eq) in THF (60 mL) was added TEA (9.27 g, 91.64 mmol, 12.75 mL, 2 eq), Boc2O (12.00 g, 54.98 mmol, 12.63 mL, 1.2 eq) and DMAP (559.76 mg, 4.58 mmol, 0.1 eq). The mixture was stirred at 20°C for 12 h. The reaction mixture was quenched by addition of sat. aq. NH4CI (50 mL), and then extracted with EtOAc (50 mL). The combined organic layers were washed with sat. aq. NaCI (50 mL), dried over Na2SO4, filtered and concentrated under reduced pressure to give tert-butyl (1 R,4S)-3-oxo-2- azabicyclo[2.2.1]hept-5-ene-2-carboxylate (9 g, 43.01 mmol, 93.88% yield) as a black oil.
2. General procedure for preparation of tert-butyl (1S, 4R)-3-oxo-2- azabicyclo[2.2.1]heptane-2-carboxylate
To a solution of tert-butyl (1 R,4S)-3-oxo-2-azabicyclo[2.2.1]hept-5-ene-2-carboxylate (9 g, 43.01 mmol, 1eq) in MeOH (100 mL) was added Pd/C (3 g, 10% purity) under N2 atmosphere. The suspension was degassed and purged with H2 three times. The mixture was stirred at 20°C for 12 h under H2 (15 psi). The reaction mixture was filtered and filtrate was concentrated to give tert-butyl (1 S, 4R)-3-oxo-2- azabicyclo[2.2.1]heptane-2-carboxylate (10 g, crude) as an orange oil.
Data:
LCMS (ESI+): m/z 272(M+H) +
3. General procedure for preparation of tert-butyl N-[(1S, 3R)-3-
To a solution of tert-butyl (1S, 4R)-3-oxo-2-azabicyclo[2.2.1]heptane-2-carboxylate (9 g, 42.60 mmol, 1eq) in MeOH (100 mL) was added NaBH4 (3.22 g, 85.20 mmol, 2eq) slowly at 0°C under N2, then the reaction was stirred at 0°C for 2 h. The reaction mixture was quenched by addition of sat. aq. NH4CI 100 mL, and then extracted with EtOAc (100 mL * 3). The combined organic layers were washed with brine (300 mL), dried over Na2SO4, filtered and concentrated under reduced pressure to give a residue. The residue was purified by flash silica gel chromatography (ISCO®; 120 g SepaFlash® Silica Flash Column, Eluent of 0~30%Ethyl acetate/Petroleum ether gradient @ 100 mL/min) to give tert-butyl N-[(1S, 3R)-3- (hydroxymethyl)cyclopentyl]carbamate (4 g, 18.58 mmol, 43.61 % yield) as a white solid.
4. General procedure for preparation of [(1R, 3S)-3-(tert- butoxycarbonylamino)cyclopentyl]methyl methanesulfonate:
To a solution of tert-butyl N-[(1S, 3R)-3-(hydroxymethyl)cyclopentyl]carbamate (4.30 g, 19.97 mmol, 1eq) and TEA (6.06 g, 59.92 mmol, 8.34 mL, 3eq) in DCM (50 mL) was added methylsulfonyl methanesulfonate (5.22 g, 29.96 mmol, 1.5eq), then the reaction was stirred at 20°C for 12 h. The reaction mixture was diluted with water (100 mL) and extracted with DCM (50 mL * 2). The combined organic layers were washed with brine (100 mL), dried over Na2SO4, filtered and concentrated under reduced pressure to give [(1 R, 3S)-3-(tert-butoxycarbonylamino)cyclopentyl]methyl methanesulfonate (6 g, crude) as a white solid.
5. General procedure for preparation of tert-butyl N-[(1S, 3R)-3- (azidomethyl)cyclopentyl] carbamate:
To a solution of [(1 R, 3S)-3-(tert-butoxycarbonylamino)cyclopentyl]methyl methanesulfonate (6 g, 20.45 mmol, 1 eq in DMF (120 mL) was added NalXh (2.66 g, 40.90 mmol, 2 eq), then the reaction was stirred at 60°C for 6 h. The reaction mixture was quenched by addition of H2O (100 mL), and then diluted with aq. NaHCCh (100 mL) and extracted with EtOAc (100 mL * 3). The combined organic layers were washed with brine (100 mL * 2), dried over Na2SO4, filtered and concentrated under reduced pressure to give tert-butyl N-[(1S, 3R)-3-(azidomethyl)cyclopentyl]carbamate (4.5 g, crude) as an orange oil.
6. General procedure for preparation of tert-butyl N-[(1S, 3R)-3- (aminomethyl)cyclopentyl]carbamate:
To a solution of tert-butyl N-[(1S, 3R)-3-(azidomethyl)cyclopentyl]carbamate (4.5 g, 18.73 mmol, 1 eq) in MeOH (100 mL) and NH3.H2O (3 mL, 25% purity) was added Pd/C (1 g, 10% purity) under N2 atmosphere. The suspension was degassed and purged with H2 three times. The mixture was stirred under H2 (15 psi) at 20°C for 2 h.
The reaction mixture was filtered and filtrate was concentrated to give tert-butyl N-[(1S, 3R)-3-(aminomethyl)cyclopentyl]carbamate (6.4 g, crude) as a yellow oil.
7. General procedure for preparation of tert-butyl N-[(1S, 3R)-3-[[(3- methylisoxazole-5-carbonyl)amino]methyl]cyclopentyl] carbamate:
To a solution of tert-butyl N-[(1S,3R)-3-(aminomethyl)cyclopentyl]carbamate (1.00 g, 4.67 mmol, 1 eq), 3-methylisoxazole-5-carboxylic acid (711.69 mg, 5.60 mmol, 1.2 eq) and DIEA (1.21 g, 9.33 mmol, 1.63 mL, 2 eq) in DMF (10 mL) was added HATU (2.13 g, 5.60 mmol, 1.2 eq) slowly at 0°C under N2, then the reaction was stirred at 20°C for 2 h. The reaction mixture was quenched by addition of sat. aq. NH4CI (20 mL) and extracted with EtOAc (10 mL * 3). The combined organic layers were washed with brine (25 mL * 2), dried over Na2SO4, filtered and concentrated under reduced pressure to give a residue. The residue was purified by flash silica gel chromatography (ISCO®; 40 g SepaFlash® Silica Flash Column, Eluent of 0-33% Ethyl acetate/Petroleum ether gradient @ 100 mL/min) to give tert-butyl N-[(1S,3R)-3-[[(3-methylisoxazole-5- carbonyl)amino]methyl]cyclopentyl]carbamate (650 mg, 2.01 mmol, 43.07% yield) as a light-yellow solid.
Data:
LCMS (ESI+): m/z 324(M+H) +
8. General procedure for preparation of N-[[(1R,3S)-3- aminocyclopentyl]methyl]-3-methyl-isoxazole-5-carboxamide:
A solution of tert-butyl N-[(1S, 3R)-3-[[(3-methylisoxazole-5- carbonyl)amino]methyl]cyclopentyl]carbamate (650 mg, 2.01 mmol, 1 eq) in HCI/EtOAc (4 M, 5 mL) was stirred at 20°C for 1 h. The reaction mixture was concentrated to give N-[[(1 R, 3S)-3-aminocyclopentyl]methyl]-3-methyl-isoxazole-5-carboxamide (400 mg, crude, HCI) as yellow solid. SFC Method: AD_EtOH_IPAm_10_50_25_35_5min, t=2.982.
Data:
LCMS (ESI+): m/z 224(M+H)+
9. General procedure for preparation of 3-methyl-N-[[(1 R,3S)-3-[[5-(6- oxopyridazin-1-yl)-2-pyridyl]amino]cyclopentyl]methyl]isoxazole-5- carboxamide :
A mixture of N-[[(1 R,3S)-3-aminocyclopentyl]methyl]-3-methyl-isoxazole-5- carboxamide (400 mg, 1.54 mmol, 1 eq, HCI), 2-(6-chloro-3-pyridyl)pyridazin-3-one
(415.66 mg, 2.00 mmol, 1.3eq), [2-(2-aminophenyl)phenyl]-methylsulfonyloxy- palladium di-tert-butyl-[2-(2,4,6-triisopropylphenyl)phenyl]phosphane (122.34 mg, 154.00 pmol, 0.1 eq), di-tert-butyl-[2-(2,4,6-triisopropylphenyl)phenyl]phosphane (130.79 mg, 308.01 pmol, 0.2eq) and t-BuONa (444.00 mg, 4.62 mmol, 3eq) in 2- methylbutan-2-ol (5 mL) was degassed and purged with N2 three times, and then the mixture was stirred at 80°C for 2.5 h under N2 atmosphere. The reaction mixture was filtered and filtrate was concentrated to give a residue. The residue was purified by prep-HPLC (neutral condition; column: Phenomenex Gemini-NX 80*40mm*3pm;mobile phase: [water (10mM NH4HCO3)-ACN];B%: 10%-40%, 8min) to give 3-methyl-N- [[(1 R,3S)-3-[[5-(6-oxopyridazin-1-yl)-2-pyridyl]amino]cyclopentyl]methyl]isoxazole-5- carboxamide (43.7 mg, 110.12 pmol, 7.15% yield, 99.391% purity) as a white solid. Data:
LCMS (ESI+): m/z 395.2(M+H)+
1H N MR (400 MHz, METHANOL-d4) 5 = 8.14 (d, J = 2.4 Hz, 1 H), 8.06 - 8.00 (m, 1 H), 7.59 (dd, J = 2.5, 9.0 Hz, 1H), 7.46 (dd, J = 3.8, 9.4 Hz, 1H), 7.06 (dd, J = 1.2, 9.4 Hz, 1 H), 6.80 (s, 1 H), 6.58 (d, J = 9.0 Hz, 1 H), 4.23 - 4.13 (m, 1H), 3.40 (br d, J = 6.6 Hz, 2H), 2.41 - 2.30 (m, 2H), 2.34 (s, 3H), 2.16 - 2.06 (m, 1H), 1.90 - 1.80 (m, 1H), 1.65 - 1.51 (m, 2H), 1.30 - 1.20 (m, 1 H)
Example S8, S9 and S11:
Example S8: S-methyl-N-Rrac-d R,3S)-3-[[5-(6-oxopyridazin-1-yl)-2- pyridyllaminolcyclopentyllmethyllisoxazole-3-carboxamide
1. General procedure for preparation of tert-butyl N-[rac-(1S,3R)-3- (benzyloxycarbonylaminomethyl)cyclopentyl]carbamate :
To a solution of tert-butyl N-[rac-(1S,3R)-3-(aminomethyl)cyclopentyl]carbamate (7 g, 32.66 mmol, 1 eq) and DIEA (8.44 g, 65.33 mmol, 11.38 mL, 2 eq) in DCM (80 mL) was added dropwise CbzCI (6.69 g, 39.20 mmol, 5.57 mL, 1.2 eq) at 0 °C, then the reaction was stirred at 20 °C for 3 h. The reaction mixture was concentrated to give a residue. The residue was purified by flash silica gel chromatography (ISCO®; 220 g SepaFlash® Silica Flash Column, Eluent of 0-18% Ethyl acetate/Petroleum ether gradient @ 100 mL/min) to give tert-butyl N-[rac-(1S,3R)-3- (benzyloxycarbonylaminomethyl)cyclopentyl]carbamate (6.14 g, 17.62 mmol, 53.95% yield) as a white solid.
2. General procedure for preparation of benzyl N-[(rac-(1 R,3S)-3- aminocyclopentyl)methyl]carbamate :
A solution of tert-butyl N-[rac-(1S,3R)-3- (benzyloxycarbonylaminomethyl)cyclopentyl]carbamate (6.09 g, 17.48 mmol, 1 eq) in HCI/EtOAc (4 M, 65 mL) was stirred at 20 °C for 1 h. The reaction solution was concentrated to give benzyl N-[(rac-(1 R,3S)-3-aminocyclopentyl)methyl]carbamate (4.9 g, crude, HCI) as an orange solid.
3. General procedure for preparation of benzyl N-[[rac-(1 R,3S)-3-[(5-iodo-2- pyridyl)amino]cyclopentyl]methyl]carbamate :
To a solution of benzyl N-[(rac-(1 R,3S)-3-aminocyclopentyl)methyl]carbamate (1.5 g, 5.27 mmol, 1 eq, HCI) in DMSO (15 mL) was added K2CO3 (2.18 g, 15.80 mmol, 3 eq) and 2-fluoro-5-iodo-pyridine (1.41 g, 6.32 mmol, 1.2 eq). The mixture was stirred at 80 °C for 1 hr. The reaction mixture was quenched by addition of H2O (10 mL), and extracted with EtOAc (30 mL * 3). The combined organic layers were washed with brine (100 mL * 2), dried over Na2SO4, filtered and concentrated under reduced pressure. The residue was purified by column chromatography (SiC>2, Petroleum
ether/Ethyl acetate = 10/1 to 3/1) to give compound benzyl N-[[rac-(1 R,3S)-3-[(5-iodo- 2-pyridyl)amino]cyclopentyl]methyl]carbamate (1.27 g, 2.81 mmol, 53.43% yield) as a light-yellow oil.
Data:
LCMS (ESI+): m/z 452.2 (M+H)+
4. General procedure for preparation of benzyl N-[[rac-(1 R,3S)-3-[[5-(6- oxopyridazin-1-yl)-2-pyridyl]amino]cyclopentyl]methyl]carbamate :
A mixture of benzyl N-[[rac-(1 R,3S)-3-[(5-iodo-2- pyridyl)amino]cyclopentyl]methyl]carbamate (1 g, 2.22 mmol, 1 eq), 1 H-pyridazin-6-one (425.82 mg, 4.43 mmol, 2 eq), Cui (42.20 mg, 221.58 pmol, 0.1 eq), K2CO3 (612.48 mg, 4.43 mmol, 2 eq) and (1S,2S)-N1 ,N2-dimethylcyclohexane-1 ,2-diamine (47.28 mg, 332.37 pmol, 0.15 eq) in DMSO (10 mL) was degassed and purged with N2 three times, and then the mixture was stirred at 120 °C for 12 hr under N2 atmosphere. The reaction mixture was quenched by addition of H2O (10 mL), and extracted with EtOAc (20 mL * 3). The combined organic layers were washed with brine (50 mL * 2), dried over Na2SC>4, filtered and concentrated under reduced pressure. The residue was purified by prep-HPLC (basic condition; column: Waters Xbridge Prep OBD C18 150*40mm*10pm; mobile phase: [water(NH3H2O+NH4HCO3)-ACN];B%: 20%-55%, 8 min) to give benzyl N-[[rac-(1 R,3S)-3-[[5-(6-oxopyridazin-1-yl)-2- pyridyl]amino]cyclopentyl]methyl]carbamate (290 mg, 691.34 pmol, 31.20% yield) as a yellow oil. Data:
LCMS (ESI+): m/z 420.1 (M+H)
5. General procedure for preparation of 2-[6-[[rac-(1S,3R)-3- (aminomethyl)cyclopentyl]amino]-3-pyridyl]pyridazin-3-one :
To a solution of benzyl N-[[rac-(1 R,3S)-3-[[5-(6-oxopyridazin-1-yl)-2- pyridyl]amino]cyclopentyl]methyl]carbamate (270 mg, 643.66 pmol, 1 eq) in MeOH (6
mL) was added Pd/C (2 mg, 10% purity) under N2 atmosphere. The suspension was degassed and purged with H2 three times. The mixture was stirred under H2 (15 psi) at 25 °C for 1 hr. The suspension was filtered through a pad of Celite and the filter cake was washed with MeOH (10 mL). The combined filtrates were concentrated to dryness to give 2-[6-[[rac-(1 S,3R)-3-(aminomethyl)cyclopentyl]amino]-3-pyridyl]pyridazin-3-one (180 mg, crude) as a yellow oil.
Data:
LCMS (ESI+): m/z 286.0 (M+H)+
6. General procedure for preparation of 5-methyl-N-[[rac-(1 R,3S)-3-[[5-(6- oxopyridazin-1-yl)-2-pyridyl]amino]cyclopentyl]methyl]isoxazole-3- carboxamide:
To a solution of 2-[6-[[rac-(1S,3R)-3-(aminomethyl)cyclopentyl]amino]-3- pyridyl]pyridazin-3-one (18.00 mg, 63.08 pmol, 1 eq) and 5-methylisoxazole-3- carboxylic acid (8.02 mg, 63.08 pmol, 1 eq) in DMF (1 mL) was added HATLI (47.97 mg, 126.16 pmol, 2 eq) and DIEA (16.31 mg, 126.16 pmol, 21.97 pL, 2 eq). The mixture was stirred at 25 °C for 2 hr. LC-MS showed desired mass was detected. The reaction mixture was quenched by addition of H2O (1 mL), and extracted with EtOAc (5 mL * 3). The combined organic layers were washed with brine (15 mL * 2), dried over Na2SC>4, filtered and concentrated under reduced pressure. The residue was purified by prep-HPLC (basic condition; column: Phenomenex C18 75*30mm*3pm; mobile phase: [water(NH3H2O+NH4HCO3)-ACN]; B%: 10%-40%, 8 min) to give 5-methyl-N- [[rac-(1 R,3S)-3-[[5-(6-oxopyridazin-1-yl)-2-pyridyl]amino]cyclopentyl]methyl]isoxazole- 3-carboxamide (5.9 mg, 14.55 pmol, 23.07% yield, 97.271% purity) as a white solid. LCMS (ESI+): m/z 395.1 (M+H)+
1H NMR (400 MHz, METHANOL-d4) 6 = 8.14 (d, J = 2.5 Hz, 1 H), 8.04 - 8.01 (m, 1 H), 7.59 (dd, J = 2.6, 9.0 Hz, 1 H), 7.46 (dd, J = 3.9, 9.4 Hz, 1 H), 7.06 (dd, J = 1.1 , 9.4 Hz, 1 H), 6.58 (d, J = 9.1 Hz, 1 H), 6.44 (s, 1 H), 4.23 - 4.13 (m, 1 H), 3.40 (br d, J = 6.6 Hz, 3H), 2.47 (s, 3H), 2.38 - 2.26 (m, 2H), 2.17 - 2.06 (m, 1 H), 1.90 - 1.80 (m, 1 H), 1.65 - 1.50 (m, 2H), 1.30 - 1.20 (m, 1 H)
The two compounds in the mixture were: 5-methyl-N-[[(1 R,3S)-3-[[5-(6-oxopyridazin-1- yl)-2-pyridyl]amino]cyclopentyl]methyl]isoxazole-3-carboxamid and 5-methyl-N- [[(1S,3R)-3-[[5-(6-oxopyridazin-1-yl)-2-pyridyl]amino]cyclopentyl]methyl]isoxazole-3- carboxamid
The following compounds were prepared according to the general procedure of step 6. The starting materials are either commercially available or may be prepared from commercially available reagents using conventional reactions well known in the art.
LC/MS[M+1]: 395.1
1 H NMR (400 MHz, METHANOL-d4) 5 = 8.28 (s, 1 H), 8.13 (d, J = 2.4 Hz, 1 H), 8.02 (dd, J = 1.6, 3.8 Hz, 1 H), 7.59 (dd, J = 2.6, 9.1 Hz, 1 H), 7.46 (dd, J = 3.9, 9.4 Hz, 1 H), 7.06 (dd, J = 1.6, 9.4 Hz, 1 H), 6.58 (d, J = 9.0 Hz, 1 H), 4.22 - 4.17 (m, 1 H), 4.14 (s, 3H), 3.43 (br d, J = 6.6 Hz, 2H), 2.42 - 2.27 (m, 2H), 2.14 - 2.07 (m, 1 H), 1.90 - 1.80 (m, 1 H), 1.68 - 1.3 (m, 2H), 1.35 - 1.25 (m, 1 H)
The two compounds in the mixture were: 1-methyl-N-[[(1 R,3S)-3-[[5-(6-oxopyridazin-1- yl)-2-pyridyl]amino]cyclopentyl]methyl]triazole-4-carboxamide and 1 -methyl-N- [[(1S,3R)-3-[[5-(6-oxopyridazin-1-yl)-2-pyridyl]amino]cyclopentyl]methyl]triazole-4- carboxamide
:in-1 -yl)-2-
LC/MS[M+1]: 421.1
1 H NMR (400 MHz, METHANOL-d4) 5 = 8.14 (d, J = 2.6 Hz, 1 H), 8.02 (dd, J = 1.6, 3.9 Hz, 1 H), 7.59 (dd, J = 2.7, 9.1 Hz, 1 H), 7.46 (dd, J = 3.9, 9.5 Hz, 1 H), 7.06 (dd, J = 1.6, 9.4 Hz, 1 H), 6.67 (s, 1 H), 6.58 (d, J = 9.1 Hz, 1 H), 4.18 (quin, J = 7.0 Hz, 1 H), 3.39 (d, J = 6.6 Hz, 2H), 2.38 - 2.26 (m, 2H), 2.14 - 2.02 (m, 2H), 1.90 - 1.80 (m, 1 H), 1.66 - 1.49 (m, 2H), 1.29 - 1.19 (m, 1 H), 1.15 - 1.06 (m, 2H), 0.87 - 0.83 (m, 2H)
The two compounds in the mixture were: 3-cyclopropyl-N-[[(1 R,3S)-3-[[5-(6- oxopyridazin-1-yl)-2-pyridyl]amino]cyclopentyl]methyl]isoxazole-5-carboxamide and 3- cyclopropyl-N-[[(1S,3R)-3-[[5-(6-oxopyridazin-1-yl)-2- pyridyl]amino]cyclopentyl]methyl]isoxazole-5-carboxamide
Example S10, S12, S14, S16 and S19 :
Example S10: N-[[(1 R,3S)-3-[[5-(3-methoxy-2-pyridyl)-2- pyridyl]amino]cyclopentyl]methyl]-3-methyl-isoxazole-5-carboxamide
1 . General procedure for preparation of N-[[(1 R,3S)-3-[[5-(3-methoxy-2- pyridyl)-2-pyridyl]amino]cyclopentyl]methyl]-3-methyl-isoxazole-5- carboxamide :
A mixture of N-[[(1 R,3S)-3-[(5-iodo-2-pyridyl)amino]cyclopentyl]methyl]-3-methyl- isoxazole-5-carboxamide (100 mg, 234.60 pmol, 1 eq), tributyl-(3-methoxy-2- pyridyl)stannane (112.09 mg, 281.52 pmol, 1.2 eq) and palladium tri-tert- butylphosphane (47.96 mg, 93.84 pmol, 0.4 eq) in dioxane (2 mL) was degassed and purged with N2 three times, and then the mixture was stirred at 100 °C for 12 hr under N2 atmosphere. The reaction mixture was filtered and the filtrate was purified by prep- HPLC (HCI condition, column: Phenomenex Luna 80*30mm*3pm; mobile phase: [water (HCI)-ACNJ; B%: 1 %-20%, 8 min) to give compound N-[[(1R,3S)-3-[[5-(3-methoxy-2- pyridyl)-2-pyridyl]amino]cyclopentyl]methyl]-3-methyl-isoxazole-5-carboxamide (39.8 mg, 82.85 pmol, 35.31% yield, 100% purity, 2 HCI) as a yellow solid.
LCMS (ESI+): m/z 408.2 (M+H)+
1H NMR (400 MHz, METHANOL-d4) 5 = 8.48 (d, J = 5.6 Hz, 1 H), 8.45 (br s, 1H), 8.37 (d, J = 8.6 Hz, 1 H), 8.26 (br d, J = 7.0 Hz, 1 H), 8.04 (dd, J = 5.7, 8.8 Hz, 1 H), 7.25 (br d, J = 8.3 Hz, 1 H), 6.83 (s, 1 H), 4.26 - 4.18 (m, 1H), 4.12 (s, 3H), 3.48 - 3.38 (m, 2H), 2.50 - 2.38 (m, 2H), 2.34 (s, 3H), 2.32 - 2.20 (m, 1H), 2.03 - 1.93 (m, 1 H), 1.87 - 1.78 (m, 1 H), 1.70 - 1.61 (m, 1H), 1.53 - 1.46 (m, 1 H)
Example S14: 3-methyl-N-rr(1R,3S)-3-r[5-(3-methyl-6-oxo-pyridazin-1-yl)-2- pyridyllaminolcyclopentyllmethyllisoxazole-5-carboxamide
1. General procedure for preparation of 3-methyl-N-[[(1 R,3S)-3-[[5-(3-methyl- 6-oxo-pyridazin-1-yl)-2-pyridyl]amino]cyclopentyl]methyl]isoxazole-5- carboxamide :
A mixture of N-[[(1 R,3S)-3-[(5-iodo-2-pyridyl)amino]cyclopentyl]methyl]-3-methyl- isoxazole-5-carboxamide (100 mg, 234.60 pmol, 1 eq), 3-methyl-1 H-pyridazin-6-one (51.67 mg, 469.21 pmol, 2 eq), Cui (22.34 mg, 117.30 pmol, 0.5 eq), K2CO3 (64.85 mg, 469.21 pmol, 2 eq) and (1S,2S)-N1 ,N2-dimethylcyclohexane-1 ,2-diamine (6.67 mg, 46.92 pmol, 0.2 eq) in DMSO (3 mL) was degassed and purged with N2 three times, and then the mixture was stirred at 60 °C for 12 hr under N2 atmosphere. The reaction mixture was concentrated under reduced pressure to give a residue. The residue was purified by prep-HPLC (HCI condition; column: Phenomenex Luna 80*30mm*3pm; mobile phase: [water (HCI)-ACN]; B%: 10%-25%, 8 min) to give 3-methyl-N-[[(1 R,3S)- 3-[[5-(3-methyl-6-oxo-pyridazin-1-yl)-2-pyridyl]amino]cyclopentyl]methyl]isoxazole-5- carboxamide (17.4 mg, 39.11 pmol, 16.67% yield, 100% purity, HCI) as a brown solid. Data:
LCMS (ESI+): m/z 409.1 (M+H)+
1H NMR (400 MHz, METHANOL-d4) 5 = 8.36 (d, J = 2.3 Hz, 1 H), 8.22 (dd, J = 2.1 , 9.8 Hz, 1 H), 7.44 (d, J = 9.6 Hz, 1 H), 7.13 (d, J = 9.8 Hz, 1 H), 7.02 (d, J = 9.6 Hz, 1 H), 6.82 (s, 1 H), 4.13 - 4.06 (m, 1 H), 3.43 (d, J = 6.1 Hz, 2H), 2.47 - 2.41 (m, 2H), 2.40 (s, 3H), 2.34 (s, 3H), 2.25 - 2.15 (m, 1 H), 2.00 - 1.90 (m, 1 H), 1.85 - 1.75 (m, 1 H), 1.70 - 1.60 (m, 1 H), 1.48 - 1.40 (m, 1 H)
The following compounds were prepared according to the general procedure described for example S14. The starting materials are either commercially available or may be prepared from commercially available reagents using conventional reactions well known in the art.
Example S12: 3-methyl-N-H(1 R,3S)-3-H5-r6-oxo-3-(trifluoromethyl)pyridazin-1-yl1-2- pyridyllaminolcyclopentyllmethyllisoxazole-5-carboxamide
LC/MS [M+1] 463.1
1H N MR (400 MHz, METHANOL-d4) 6 = 8.16 (br s, 1H), 7.76 (d, J = 9.8 Hz, 1H), 7.61 (dd, J = 2.6, 9.1 Hz,1H), 7.20 (d, J = 9.9 Hz, 1H), 6.80 (s, 1H), 6.59 (brd, J = 9.1 Hz, 1H), 4.25 - 4.15 (m, 1H), 3.40 (br d, J = 6.6 Hz, 2H), 2.38 - 2.27 (m, 2H), 2.34 (s, 3H),
2.13-2.06 (m, 1H), 1.91 -1.81 (m, 1H), 1.67-1.51 (m, 2H), 1.31 - 1.23 (m, 1H)
Example S16: 3-methyl-N-rr(1R,3S)-3-rr5-(1,2,4-triazol-1-yl)-2- pyridyllaminolcyclopentyllmethyllisoxazole-5-carboxamide
LC/MS [M+1] 368.0
1H NMR (400 MHz, METHANOL-d4) 5 = 8.86 (s, 1H), 8.30 (d, J = 2.6 Hz, 1H), 8.13 (s, 1H), 7.73 (dd, J = 2.8, 9.0 Hz, 1H), 6.80 (s, 1H), 6.62 (d, J = 9.1 Hz, 1H), 4.20 (quin, J = 7.0 Hz, 1 H), 3.42 - 3.38 (d, 2H), 2.38 - 2.27 (m, 2H), 2.34 (s, 3H), 2.14 - 2.07 (m, 1H), 1.91 - 1.81 (m, 1H), 1.65- 1.50 (m, 2H), 1.30- 1.20 (m, 1H).
Example S19: 3-methyl-N-[[(1R,3S)-3-[[5-(2-oxo-1-piperidyl)-2- pyridyllaminolcyclopentyllmethyllisoxazole-5-carboxamide
LC/MS [M+1] 398.1
1H N MR (400 MHz, METHANOL-d4) 5 = 7.81 (br s, 1H), 7.30 (dd, J = 2.6, 8.9 Hz, 1H), 6.80 (s, 1H), 6.54 (d, J = 8.9 Hz, 1 H), 4.12 (quin, J = 7.0 Hz, 1 H), 3.60 (br t, J = 5.3 Hz, 2H), 3.38 (br d, J = 6.6 Hz, 2H), 2.49 (br t, J = 6.0 Hz, 2H), 2.34 (s, 3H), 2.34 - 2.27 (s, 2H), 2.11 - 2.03 (m, 1H), 2.01 - 1.90 (m, 4H), 1.89 - 1.80 (m, 1 H), 1.64 - 1.48 (m, 2H), 1.25 -1.15 (m, 1 H)
O
To a solution of hydroxylamine hydrochloride (1.79 g, 25.83 mmol, 1.5 eq) in H2O (5 mL) were added Na2CO3 (1.09 g, 10.33 mmol, 0.6 eq) and a mixture of propanal (1 g, 17.22 mmol, 1.25 mL, 1 eq) in EtOH (4.5 mL). The mixture was stirred at 15°C for 2 hr. The reaction mixture was extracted with ethyl acetate (10 mL * 2). The organic phase was separated, washed with brine (10 mL * 2), dried over Na2SO4, filtered and concentrated under reduced pressure to give (1E)-propanal oxime (728 mg, crude) as a yellow oil. Data:
1H NMR (400 MHz, CHLOROFORM-d) 5 = 9.32 (br s, 1 H), 7.46 (t, J = 5.7 Hz, 1H), 2.41 (dq, J = 5.5, 7.7 Hz, 1 H), 2.24 (dq, J = 5.8, 7.5 Hz, 1 H), 1.09 (t, J = 7.5 Hz, 3H)
2. General procedure for preparation of ethyl 3-ethylisoxazole-5-carboxylate
To a solution of (1 E)-propanal oxime (728 mg, 9.96 mmol, 1 eq) in DMF (7 mL) was added dropwise NCS (1.60 g, 11 .95 mmol, 1.2 eq). After addition, the mixture was stirred at 15°C for 2 hr, and then TEA (1.51 g, 14.94 mmol, 2.08 mL, 1.5 eq) and ethyl prop-2-ynoate (1.47 g, 14.94 mmol, 1.47 mL, 1.5 eq) were added dropwise at 0°C. The resulting mixture was stirred at 15°C for 3 hr. The reaction mixture was partitioned between water (20 mL) and ethyl acetate (20 mL * 2). The organic phase was separated, washed with brine (30 mL * 2), dried over Na2SO4, filtered and concentrated under reduced pressure to give ethyl 3-ethylisoxazole-5-carboxylate (1.33 g, crude) as a brown oil.
Data:
LCMS (ESI+): m/z 170.1 (M+H)
To a solution of ethyl 3-ethylisoxazole-5-carboxylate (1.33 g, 7.86 mmol, 1 eq) in THF (15 mL) and H2O (3 mL) was added LiOH.H2O (659.74 mg, 15.72 mmol, 2 eq). The mixture was stirred at 15°C for 2 hr. The reaction mixture was concentrated under reduced pressure to remove THF. The residue was diluted with water (30 mL) and extracted with ethyl acetate (10 mL * 2). To the aqueous layer was added 1 N HCI untill pH < 1 , then it was extracted with ethyl acetate (20 mL * 2). The combined organic layers were dried over Na2SO4, filtered and concentrated under reduced pressure to give a residue. The residue was purified by prep-HPLC (HCI condition, column: Phenomenex luna C18 250*50mm*10 urn; mobile phase: [water(HCI)-ACN]; B%: 1 %- 40%, 10 min) to give 3-ethylisoxazole-5-carboxylic acid (170 mg, 1.20 mmol, 15.32% yield) as a white solid.
Data:
LCMS (ESI+): m/z 142.0 (M+H) 1H NMR (400 MHz, CHLOROFORM-d) 5 = 6.95 (s, 1 H), 2.80 (q, J = 7.6 Hz, 2H), 1.33 (t, J = 7.6 Hz, 3H)
4. General procedure for preparation of 3-ethyl-N-[[(1 R,3S)-3-[[5-(6- oxopyridazin-1-yl)-2-pyridyl]amino]cyclopentyl]methyl]isoxazole-5- carboxamide :
To a solution of 3-ethylisoxazole-5-carboxylic acid (50 mg, 354.30 pmol, 1 eq) and 2-[6- [[(1S,3R)-3-(aminomethyl)cyclopentyl]amino]-3-pyridyl]pyridazin-3-one (129.76 mg, 354.30 pmol, 1 eq, HBr) in DMF (1 mL) was added DIEA (183.16 mg, 1.42 mmol, 246.85 uL, 4 eq) and then HATLI (202.07 mg, 531.45 pmol, 1.5 eq) was added dropwise at 0°C. The resulting mixture was stirred at 15°C for 2 hr. To the mixture was added MeOH (2 mL) and the residue was purified by prep-HPLC (basic condition, column: Waters Xbridge Prep OBD C18 150*40mm*10um; mobile phase: [water (NH3H2O+NH4HCO3)-ACN]; B%: 10%-40%, 8 min) to give 3-ethyl-N-[[(1 R,3S)-3-[[5-(6- oxopyridazin-1-yl)-2-pyridyl]amino]cyclopentyl]methyl]isoxazole-5-carboxamide (17.1 mg, 41.87 pmol, 11.82% yield, 100% purity) as a white solid.
Data:
LCMS (ESI+): m/z 409.1 (M+H) 1H NMR (400 MHz, METHANOL-d4) 5 = 8.14 (d, J = 2.1 Hz, 1 H), 8.05 - 8.01 (m, 1 H), 7.59 (dd, J = 2.6, 8.9 Hz, 1 H), 7.46 (dd, J = 3.8, 9.4 Hz, 1 H), 7.08 - 7.04 (m, 1 H), 6.85 (s, 1 H), 6.58 (d, J = 9.3 Hz, 1 H), 4.24 - 4.15 (m, 1 H), 3.40 (br d, J = 6.6 Hz, 2H), 2.74 (q, J = 7.6 Hz, 2H), 2.40 - 2.28 (m, 2H), 2.16 - 2.02 (m, 1 H), 1.90 - 1.80 (m, 1 H), 1.69 - 1 .49 (m, 2H), 1.29 (t, J = 7.6 Hz, 3H), 1.29 - 1 .22 (m, 1 H)
1 . General procedure for preparation of 3-chloro-6-(3,3-difluoroazetidin-1 - yl)pyridazine :
To a solution of 3,6-dichloropyridazine (2 g, 13.25 mmol, 1 eq) in DMF (20 mL) was added 3,3-difluoroazetidine (2.06 g, 15.89 mmol, 1.2 eq, HCI), K2CO3 (5.49 g, 39.74 mmol, 3 eq). The mixture was stirred at 80°C for 5 hr. The mixture was diluted with water (20 mL) and then extracted with EtOAc (10 mL * 3). The combined organic layers were washed with sat. aq. NaCI (20 mL), dried over Na2SO4, filtered and concentrated under reduced pressure to give a residue. The crude product was triturated with DCM (4 mL) at 20°C for 30 min, then the mixture was filtered under reduced pressure to give compound 3-chloro-6-(3,3-difluoroazetidin-1-yl)pyridazine (1.3 g, 6.26 mmol, 47.26% yield) as a light-yellow solid.
To a solution of 3-chloro-6-(3,3-difluoroazetidin-1-yl)pyridazine (1.3g, 6.26 mmol, 1 eq) in AcOH (13 mL) was added KOAc (614.55 mg, 6.26 mmol, 1 eq). The mixture was stirred at 120°C for 12 hr. The mixture was diluted with water (10 mL) and sat. aq. NaCI (10 mL), and then extracted with EtOAc (10 mL * 3). The combined organic layers were washed with sat. aq. NaCI (10 mL), dried over Na2SO4, filtered and concentrated under reduced pressure to give a residue. The residue was purified by column chromatography (SiO2, Petroleum ether/Ethyl acetate = 1/1 to Petroleum ether/Ethyl
acetate = 0/1) to give 6-(3,3-difluoroazetidin-1-yl)-2,3-dihydropyridazin-3-one (600 mg,
3.21 mmol, 51.20% yield) as a yellow solid.
Data:
LCMS (ESI+): m/z 188.2 (M+H)
3. General procedure for preparation of N-[[(1R,3S)-3-[[5-[3-(3,3- difluoroazetidin-1 -yl)-6-oxo-pyridazin-1 -yl]-2- pyridyl]amino]cyclopentyl]methyl]-3-methyl-isoxazole-5-carboxamide :
A mixture of 6-(3,3-difluoroazetidin-1-yl)-2,3-dihydropyridazin-3-one (175.62 mg, 938.41 pmol, 4 eq), N-[[(1R,3S)-3-[(5-iodo-2-pyridyl)amino]cyclopentyl]methyl]-3- methyl-isoxazole-5-carboxamide (100 mg, 234.60 pmol, 1 eq), K2CO3 (64.85 mg, 469.21 pmol, 2 eq), Cui (22.34 mg, 117.30 pmol, 0.5 eq) and N1,N2- dimethylcyclohexane-1,2-diamine (16.69 mg, 117.30 pmol, 0.5 eq) in DMSO (2 mL) was degassed and purged with N2 three times, and then the mixture was stirred at 60°C for 8 hr under N2 atmosphere. The mixture was filtered and the filtrate was purified by prep-HPLC (basic condition, column: Waters Xbridge Prep OBD C18 150*40mm*10um; mobile phase: [water (NH3H2O+NH4HCO3)-ACN]; B%: 20%-50%, 8min) to give N-[[(1 R,3S)-3-[[5-[3-(3,3-difluoroazetidin-1-yl)-6-oxo-pyridazin-1-yl]-2- pyridyl]amino]cyclopentyl]methyl]-3-methyl-isoxazole-5-carboxamide (64 mg, 131.83 pmol, 56.19% yield, 100% purity) as a yellow solid.
LCMS (ESI+): m/z 486.1 (M+H) 1H NMR (400 MHz, METHANOL-d4) 5 = 8.16 (d, J=2.13 Hz, 1H), 7.60 (dd, J=9.01 , 2.63 Hz, 1H), 7.21 (d, J=9.76 Hz, 1 H), 7.00 (d, J=9.63 Hz, 1 H), 6.80 (s, 1 H), 6.57 (d, J=9.01 Hz, 1 H), 4.36 (t, J=12.13 Hz, 4H), 4.22 - 4.12 (m, 1H), 3.39 (d, J=6.75 Hz, 2H), 2.38 - 2.27 (m, 2H), 2.33 (s, 3H), 2.14 - 2.05 (m, 1 H), 1.90 - 1.80 (m, 1 H), 1.66 - 1.49 (m, 2H), 1.30 - 1.20 (m, 1 H).
Example S 17 3-methyl-N-[[( 1R, 3S)-3-[[3-methyl-5-(6-oxopyridazin-1-yl)-2- pyridyl]amino]cyclopentyl]methyl]isoxazole-5-carboxamide
1 . General procedure for N-[[(1 R,3S)-3-[(5-iodo-3-methyl-2- pyridyl)amino]cyclopentyl]methyl]-3-methyl-isoxazole-5-carboxamide :
To a solution of N-[[(1 R,3S)-3-aminocyclopentyl]methyl]-3-methyl-isoxazole-5- carboxamide (300 mg, 1.16 mmol, 1 eq, HCI) and 2-fluoro-5-iodo-3-methyl-pyridine (273.76 mg, 1.16 mmol, 1 eq) in DMSO (3 mL) was added K2CO3 (957.80 mg, 6.93 mmol, 6 eq). The mixture was stirred at 100°C for 12 hr. The mixture was filtered and the reaction mixture was partitioned between H2O (30 mL) and ethyl acetate (30 mL). The organic phase was separated, washed with brine (20 mL * 3), dried over Na2SO4, filtered and concentrated under reduced pressure to give a residue. The residue was purified prep-TLC to give N-[[(1 R,3S)-3-[(5-iodo-3-methyl-2- pyridyl)amino]cyclopentyl]methyl]-3-methyl-isoxazole-5-carboxamide (90 mg, 204.42 pmol, 17.70% yield) as a white solid.
Data:
LCMS (ESI+): m/z 441.2 (M+H)+
2. General procedure for 3-methyl-N-[[(1 R,3S)-3-[[3-methyl-5-(6-oxopyridazin-
1-yl)-2-pyridyl]amino]cyclopentyl]methyl]isoxazole-5-carboxamide :
A mixture of N-[[(1 R,3S)-3-[(5-iodo-3-methyl-2-pyridyl)amino]cyclopentyl]methyl]-3- methyl-isoxazole-5-carboxamide (80 mg, 181.70 pmol, 1 eq), 1 H-pyridazin-6-one (26.19 mg, 272.56 pmol, 1.5 eq), Cui (34.61 mg, 181.70 pmol, 1 eq), K2CO3 (75.34 mg, 545.11 pmol, 3 eq) and N1 ,N2-dimethylcyclohexane-1 ,2-diamine (25.85 mg, 181.70 pmol, 1 eq) in DMSO (3 mL) was degassed and purged with N2 three times, and then the mixture was stirred at 80°C for 12 hr under N2 atmosphere. The mixture was filtered and the residue was partitioned between H2O (20 mL) and ethyl acetate (20 mL). The organic phase was separated, washed with brine (10 mL * 3), dried over Na2SC>4, filtered and concentrated under reduced pressure to give a residue. The residue was purified by prep-HPLC (basic condition; column: Waters Xbridge Prep OBD C18 150*40mm*10um; mobile phase: [water (NH3H2O+NH4HCO3)-ACN]; B%: 15%-30%, 8min) to give 3-methyl-N-[[(1 R, 3S)-3-[[3-methyl-5-(6-oxopyridazin-1-yl)-2-pyridyl] amino] cyclopentyl] methyl] isoxazole-5-carboxamide (25.6 mg, 62.21 pmol, 34.24% yield, 99.260% purity) as a white solid.
Data:
LCMS (ESI+): m/z 409.2 (M+H)+ 1H NMR (400 MHz, METHANOL-d4) 5 = 8.06 - 8.00 (m, 2H), 7.50 - 7.43 (m, 2H), 7.06 (dd, J = 1.6, 9.4 Hz, 1 H), 6.80 (s, 1 H), 4.40 (quin, J = 7.3 Hz, 1 H), 3.44 - 3.39 (m, 2H), 2.38 - 2.30 (m, 2H), 2.35 (s, 3H), 2.17 (s, 3H), 2.17 - 2.07 (m, 1 H), 1.90 - 1.81 (m, 1 H), 1.72 - 1.62 (m, 1 H), 1.61 - 1.51 (m, 1 H), 1.37 - 1.27 (m, 1 H).
Example S18, S22:
Example S18: N- 3-(cyclobutylamino)-6-oxo-pyridazin-1-yl1-2-
pyridyl1amino1cyclopentyl]methyl1-3-methyl-isoxazole-5-carboxamide
1 . General procedure for N-[[(1 R,3S)-3-[[5-(3-chloro-6-oxo-pyridazin-1 -y I )-2- pyridyl]amino]cyclopentyl]methyl]-3-methyl-isoxazole-5-carboxamide :
To a solution of N-[[(1 R,3S)-3-[(5-iodo-2-pyridyl)amino]cyclopentyl]methyl]-3-methyl- isoxazole-5-carboxamide (100 mg, 234.60 pmol, 1 eq), 3-chloro-1 H-pyridazin-6-one (45.94 mg, 351.91 pmol, 1.5 eq) in DMSO (4 mL) was added (1S,2S)-N1 ,N2- dimethylcyclohexane-1 ,2-diamine (16.69 mg, 117.30 pmol, 0.5 eq) and Cui (22.34 mg, 117.30 pmol, 0.5 eq) and K2CO3 (97.27 mg, 703.81 pmol, 3 eq). The mixture was stirred at 80°C for 12 hr. The reaction mixture was partitioned between water (10 mL) and ethyl acetate (10 mL). The organic phase was separated, washed with brine (5 mL * 3), dried over Na2SC>4, filtered and concentrated under reduced pressure to give a residue. The residue was purified by prep-TLC to give N-[[(1 R, 3S)-3-[[5-(3-chloro-6-oxo-pyridazin-1- yl)-2-pyridyl]amino]cyclopentyl]methyl]-3-methyl-isoxazole-5-carboxamide (140 mg, crude) as a brown solid.
Data:
LCMS (ESI+): m/z 429.2 (M+H)+
2. General procedure for N-[[(1 R,3S)-3-[[5-[3-(cyclobutylamino)-6-oxo- pyridazin-1-yl]-2-pyridyl]amino]cyclopentyl]methyl]-3-methyl-isoxazole-5- carboxamide :
A mixture of N-[[(1 R,3S)-3-[[5-(3-chloro-6-oxo-pyridazin-1-yl)-2- pyridyl]amino]cyclopentyl]methyl]-3-methyl-isoxazole-5-carboxamide (100 mg, 233.17 pmol, 1 eq), cyclobutanamine (25.08 mg, 233.17 pmol, 30.22 uL, 1 eq, HCI), di-tert- butyl-[2-(2,4,6-triisopropylphenyl)phenyl]phosphane (19.80 mg, 46.63 pmol, 0.2 eq), [2- (2-aminophenyl)phenyl]-methylsulfonyloxy-palladium-di-tert-butyl-[2-(2,4,6- triisopropylphenyl)phenyl]phosphane (18.52 mg, 23.32 pmol, 0.1 eq) and t-BuONa (67.23 mg, 699.51 pmol, 3 eq) in 2-methyl-2-butanol (2 mL) was degassed and purged with N2 three times, and then the mixture was stirred at 80°C for 12 hr under
N2 atmosphere. The mixture was filtered and the residue was purified by prep-HPLC (
basic condition; column: Waters Xbridge Prep OBD C18 150*40mm*10um; mobile phase: [water( NH3H2O+NH4HCO3)-ACN]; B%: 20%-50%, 8 min) to give compound N- [[(1 R,3S)-3-[[5-[3-(cyclobutylamino)-6-oxo-pyridazin-1-yl]-2- pyridyl]amino]cyclopentyl]methyl]-3-methyl-isoxazole-5-carboxamide (22.2 mg, 47.89 pmol, 20.54% yield, 100% purity) as a white solid.
Data:
LCMS (ESI+): m/z 464.3 (M+H)+
1H NMR (400 MHz, METHANOL-d4) 5 = 8.18 (s, 1 H), 7.64 (dd, J = 2.5, 9.0 Hz, 1 H), 7.01 (d, J = 9.6 Hz, 1 H), 6.84 (d, J = 9.8 Hz, 1 H), 6.80 (s, 1 H), 6.56 (d, J = 9.0 Hz, 1 H), 4.21 - 4.07 (m, 2H), 3.40 (br d, J = 6.3 Hz, 2H), 2.39 - 2.29 (m, 7H), 2.14 - 2.04 (m, 1 H), 1.94 - 1.80 (m, 3H), 1.80 - 1.70 (m, 2H), 1.67 - 1.50 (m, 2H), 1.30 - 1.19 (m, 1 H)
The following compounds were prepared according to the general procedure of step 2.
The starting materials are either commercially available or may be prepared from commercially available reagents using conventional reactions well known in the art.
Example S22: N-H(1 R,3S)-3-H5-r3-(3-methoxyazetidin-1-yl)-6-oxo-pyridazin-1-yl1-2- pyridyl1amino1cyclopentyl1methyl1-3-methylisoxazole-5-carboxamide
LC/MS [M+1] 480.1
1 H NMR (400 MHz, METHANOL-d4) 5 = 8.15 (d, J=2.50 Hz, 1 H), 7.60 (dd, J=9.07, 2.56 Hz, 1 H), 7.12 (d, J=9.76 Hz, 1 H), 6.94 (d, J=9.76 Hz, 1 H), 6.80 (s, 1 H), 6.56 (d, J=9.13 Hz, 1 H), 4.36 - 4.30 (m, 1 H), 4.20 - 4.25 (m, 3H), 3.83 (dd, J=8.94, 4.19 Hz, 2H), 3.39 (br d, J=6.50 Hz, 2H), 3.32 (br s, 3H), 2.37 - 2.27 (m, 2H), 2.34 (s, 3H), 2.15 - 2.06 (m, 1 H), 1.90 - 1.80 (m, 1 H), 1.65 - 1.50 (m, 2H), 1.30 - 1.20 (m, 1 H)
1 . General procedure for preparation of 6-fluoro-2-methyl-3-(4, 4,5,5- tetramethyl-1,3,2-dioxaborolan-2-yl)pyridine :
A mixture of 4,4,5,5-tetramethyl-2-(4,4,5,5-tetramethyl-1 ,3,2-dioxaborolan-2-yl)-1 ,3,2- dioxaborolane (642.85 mg, 2.53 mmol, 1.2 eq), 6-fluoro-3-iodo-2-methyl-pyridine (500 mg, 2.11 mmol, 1 eq), Pd(dppf)CI2.CH2CI2 (172.28 mg, 210.96 pmol, 0.1 eq), AcOK (414.07 mg, 4.22 mmol, 2 eq) in DMF (10 mL) was degassed and purged with N2 three times, and then the mixture was stirred at 90 °C for 1 hr under N2 atmosphere. The reaction mixture was partitioned between sat. aq. NH4CI (15 mL) and ethyl acetate (10 mL). The organic phase was separated, washed with brine (10 mL), dried over Na2SC>4, filtered and concentrated under reduced pressure to give a residue. The residue was purified by flash silica gel chromatography (ISCO®; 12 g SepaFlash® Silica Flash Column, Eluent of 0-58% Ethyl acetate/Petroleum ether gradient @ 60 mL/min) to give 6-fluoro-2-methyl-3-(4,4,5,5-tetramethyl-1 ,3,2-dioxaborolan-2-yl)pyridine (221 .9 mg, 935.98 pmol, 44.37% yield) as a white solid.
Data:
LCMS (ESI+): m/z 238.1 (M+H)+
2. General procedure for preparation of 2-(6-fluoro-2-methyl-3- pyridyl)pyridazin-3-one :
A mixture of 6-fluoro-2-methyl-3-(4,4,5,5-tetramethyl-1 ,3,2-dioxaborolan-2-yl)pyridine (200 mg, 843.61 pmol, 1 eq), 1 H-pyridazin-6-one (81.06 mg, 843.61 pmol, 1 eq), CU(OAC)2 (229.84 mg, 1.27 mmol, 1.5 eq), pyridine (200.19 mg, 2.53 mmol, 204.27 pL, 3 eq) in DMF (3 mL) was degassed and purged with O2 three times, and then the mixture was stirred at 90 °C for 3 hr under O2 (15 psi) atmosphere. The reaction mixture was partitioned between sat. aq. NH4CI (15 mL) and ethyl acetate (10 mL). The organic phase was separated, washed with brine (10 mL), dried over Na2SO4, filtered and concentrated under reduced pressure to give a residue. The residue was purified by prep-TLC (SiC>2, Ethyl acetate : Methanol = 10/1 ) to give 2-(6-fluoro-2-methyl-3- pyridyl)pyridazin-3-one (98.2 mg, 478.59 pmol, 56.73% yield) as a white solid. Data:
LCMS (ESI+): m/z 206.2 (M+H)+
3. General procedure for preparation of 3-methyl-N-[[(1 R,3S)-3-[[6-methyl-5- (6-oxopyridazin-1-yl)-2-pyridyl]amino]cyclopentyl]methyl]isoxazole-5- carboxamide :
To a solution of 2-(6-fluoro-2-methyl-3-pyridyl)pyridazin-3-one (90 mg, 438.62 pmol, 1 eq) and N-[[(1 R,3S)-3-aminocyclopentyl]methyl]-3-methyl-isoxazole-5-carboxamide (97.93 mg, 377.05 pmol, 0.86 eq, HCI) in DMSO (3 mL) was added K2CO3 (181.86 mg, 1.32 mmol, 3 eq). The mixture was stirred at 100 °C for 12 hr. The mixture was filtered and the filtrate was concentrated under reduced pressure to give the product. The residue was purified by prep-HPLC (column: Phenomenex C18 75*30mm*3|jm; mobile
phase: [water(NH3H2O+NH4HCO3)-ACN]; B%: 15%-35%, 8 min) to give 3-methyl-N- [[(1 R,3S)-3-[[6-methyl-5-(6-oxopyridazin-1-yl)-2- pyridyl]amino]cyclopentyl]methyl]isoxazole-5-carboxamide (15.8 mg, 38.68 pmol, 8.82% yield, 100% purity) as a white solid.
Data:
LCMS (ESI+): m/z 409.3 (M+H)+
1H NMR (400 MHz, METHANOL-d4) 5 ppm 8.04 (dd, J=3.88, 1.50 Hz, 1 H), 7.51 (dd, J=9.38, 3.88 Hz, 1H), 7.29 (d, J=8.75 Hz, 1H), 7.09 (dd, J=9.51 , 1.63 Hz, 1H), 6.81 (s, 1 H), 6.44 (d, J=8.76 Hz, 1 H), 4.22 - 4.14 (m, 1H), 3.40 (br d, J=5.88 Hz, 2H), 2.39 - 2.30 (m, 2H), 2.34 (s, 3H), 2.13 - 2.05 (m, 1H), 2.10 (s, 3H), 1.90 - 1.80 (m, 1 H), 1.65 - 1.50 (m, 2H), 1.30 - 1.20 (m, 1 H)
A mixture of (6-fluoro-4-methyl-3-pyridyl)boronic acid (5 g, 32.27 mmol, 1 eq), 1H- pyridazin-6-one (2.17 g, 22.59mmol, 0.7 eq), copper diacetate (8.79 g, 48.41 mmol, 1.5 eq), pyridine (7.66 g, 96.82 mmol, 7.81 mL, 3 eq) in DMF (70 mL) was degassed and purged with O2 three times, and then the mixture was stirred at 50 °C for 12 hr under O2 atmosphere (15 psi). The reaction mixture was added to water (70 mL), extracted with ethyl acetate (70 mL * 3). The organic layer was washed with brine (100 ml * 3), dried over Na2SO4, and concentrated to give the crude product. The residue was purified by column chromatography (SiC>2, Petroleum etherEthyl acetate = 5/1 to 0/1)
to give 2-(6-fluoro-4-methyl-3-pyridyl)pyridazin-3-one (3.1 g, 15.11 mmol, 46.82% yield) as a brown solid.
Data:
LCMS (ESI+): m/z 206.1 (M+H)+
2. General procedure for preparation of 3-methyl-N-[[(1 R,3S)-3-[[4-methyl-5- (6-oxopyridazin-1-yl)-2-pyridyl]amino]cyclopentyl]methyl]isoxazole-5- carboxamide:
To a solution of N-[[(1 R,3S)-3-aminocyclopentyl]methyl]-3-methyl-isoxazole-5- carboxamide (200 mg, 770.03 pmol, 1 eq, HCI) and 2-(6-fluoro-4-methyl-3- pyridyl)pyridazin-3-one (110.60 mg, 539.02 pmol, 0.7 eq) in DMSO (3 mL) was added K2CO3 (425.69 mg, 3.08 mmol, 4 eq). The mixture was stirred at 95 °C for 12 hr. The mixture was diluted with water (25 mL), and then extracted with ethyl acetate (25 mL * 3). The combined organic layers were washed with sat. aq. NaCI (30 mL * 2), dried over Na2SC>4, filtered and concentrated under reduced pressure to give a residue. The residue was purified by prep-HPLC (HCI condition; column: Phenomenex luna C18 250*50mm*10 urn; mobile phase: [H20(0.05%HCI)-ACN]; gradient: 5%-35% B over 10.0 min) to give 3-methyl-N-[[(1 R,3S)-3-[[4-methyl-5-(6-oxopyridazin-1-yl)-2- pyridyl]amino]cyclopentyl] methyl]isoxazole-5-carboxamide (216.6 mg, 469.50 pmol, 7.62% yield, 96.439% purity, HCI) as a white solid.
Data:
LCMS (ESI+): m/z 409.2 (M+H)+
1H NMR (400 MHz, METHANOL-d4) 5 = 8.12 (dd, J=3.81 , 1.43 Hz, 1 H), 8.01 (s, 1 H),
7.59 (dd, J=9.54, 3.93 Hz, 1 H), 7.17 (dd, J=9.54, 1.43 Hz, 1 H), 7.02 (s, 1 H), 6.85 (s, 1 H), 4.09 (quin, J=6.68 Hz, 1 H), 3.45 (d, J=6.56 Hz, 2H), 2.45 - 2.35 (m, 2H), 2.36 (s, 3H), 2.25 - 2.20 (m, 1H), 2.20 (s, 3H), 1.99 - 1.89 (m, 1 H), 1.84 - 1.74 (m, 1 H), 1.69 -
1 . General procedure for preparation of N-[[(1 R,3S)-3-[[5-(5-cyano-6-oxo- pyridazin-1-yl)-2-pyridyl]amino]cyclopentyl]methyl]-3-methyl-isoxazole-5- carboxamide :
A mixture of 6-oxo-1 H-pyridazine-5-carbonitrile (25.33 mg, 209.20 pmol, 1.2 eq), [6- [[(1S,3R)-3-[[(3-methylisoxazole-5-carbonyl)amino]methyl]cyclopentyl]amino]-3- pyridyl]boronic acid (60 mg, 174.33 pmol, 1 eq), Cu(OAc)2 (31.66 mg, 174.33 pmol, 1 eq), pyridine (27.58 mg, 348.66 pmol, 28.14 uL, 2 eq) in DMF (1 mL) was degassed and purged with O2 three times, and then the mixture was stirred at 90 °C for 2 hr under O2 atmosphere (15 psi). The mixture was filtered and the filtrate was purified by prep-HPLC (basic condition: column: Waters Xbridge Prep OBD C18 150*40mm*10um; mobile phase: [water (NH3H2O+NH4HCO3)-ACN]; B%: 15%-45%, 8 min) to give N-[[(1 R,3S)-3-[[5-(5-cyano-6-oxo-pyridazin-1-yl)-2- pyridyl]amino]cyclopentyl]methyl]-3-methyl-isoxazole-5-carboxamide (11.3 mg, 26.94 pmol, 15.45% yield, 100.00% purity) as a yellow solid.
Data:
LCMS (ESI+): 420.2 m/z (M+1)+ 1H NMR (400 MHz, METHANOL-d4) 5 = 8.18 (d, J = 2.4 Hz, 1 H), 8.12 (d, J = 4.2 Hz, 1 H), 7.96 (d, J = 4.2 Hz, 1 H), 7.62 (dd, J = 2.6, 9.0 Hz, 1 H), 6.80 (s, 1 H), 6.58 (d, J = 9.0 Hz, 1 H), 4.23 - 4.15 (m, 1 H), 3.43 - 3.37 (m, 2H), 2.38 - 2.28 (m, 2H), 2.35 (s, 3H), 2.15 - 2.07 (m, 1 H), 1.90 - 1.80 (m, 1 H), 1.65 - 1.50 (m, 2H), 1.30 - 1.20 (m, 1 H)
A mixture of 2-fluoro-5-(4,4,5,5-tetramethyl-1 ,3,2-dioxaborolan-2-yl)pyridine (1 g, 4.48 mmol, 1 eq), (6-bromo-2-pyridyl) methanol (842.95 mg, 4.48 mmol, 1 eq) , Pd(dppf)Ch (328.04 mg, 448.33 pmol, 0.1 eq) , K2CO3 (1.24 g, 8.97 mmol, 2 eq) in dioxane (10 mL) and H2O (1 mL) was degassed and purged with N2 three times, and then the mixture was stirred at 80 °C for 12 hr under N2 atmosphere. The mixture was quenched by addition of water (15 mL), and then extracted with ethyl acetate (15 mL * 3). The combined organic layers were washed with sat. aq. NaCI (15 mL), dried over Na2SO4, filtered and concentrated under reduced pressure to give a residue. The residue was purified by column chromatography (SiC>2, Petroleum ether/Ethyl acetate = 1/0 to 3/1) to give [6-(6-fluoro-3-pyridyl)-2-pyridyl]methanol (900 mg, 4.41 mmol, 98.31 % yield) as a white solid.
Data:
LCMS (ESI+): m/z 205.2 (M+H)+
2. General procedure for preparation of 2-fluoro-5-[6-(methoxymethyl)-2- pyridyl]pyridine :
To a solution of [6-(6-fluoro-3-pyridyl)-2-pyridyl]methanol (300 mg, 1.47 mmol, 1 eq) in THF (3 mL) was added Mel (417.06 mg, 2.94 mmol, 182.92 uL, 2 eq) and NaH (88.14 mg, 2.20 mmol, 60% purity, 1.5 eq) at 0°C. The mixture was stirred at 15°C for 1 hr.
The reaction mixture was quenched by addition of sat. aq. NH4CI (5 mL), and extracted with ethyl acetate (10 mL * 3). The combined organic layers were washed with brine (30 mL * 2), dried over Na2SO4, filtered and concentrated under reduced pressure. The residue was purified by prep-TLC (SiC>2, Petroleum ether: Ethyl acetate = 1 :1) to give 2- fluoro-5-[6-(methoxymethyl)-2-pyridyl]pyridine (90 mg, 412.42 pmol, 28.07% yield) as a yellow solid.
Data:
LCMS (ESI+): m/z 219.2 (M+H)+
3. General procedure for preparation of N-[[(1R,3S)-3-[[5-[6-(methoxymethyl)- 2-pyridyl]-2-pyridyl]amino]cyclopentyl]methyl]-3-methyl-isoxazole-5- carboxamide:
To a solution of 2-fluoro-5-[6-(methoxymethyl)-2-pyridyl]pyridine (90 mg, 412.42 pmol, 1 eq) in DMSO (2 mL) was added K2CO3 (170.99 mg, 1.24 mmol, 3 eq) and N- [[(1 R,3S)-3-aminocyclopentyl]methyl]-3-methyl-isoxazole-5-carboxamide (128.54 mg, 494.90 pmol, 1.20 eq, HCI). The mixture was stirred at 100 °C for 12 hr. The mixture was filtered and the filtrate was purified by prep-HPLC (basic condition; column: Waters Xbridge Prep OBD C18 150*40mm*10um; mobile phase: [water(NH3H2O+NH4HCO3)- ACN]; B%: 20%-50%, 8 min) to give N-[[(1 R,3S)-3-[[5-[6-(methoxymethyl)-2-pyridyl]-2- pyridyl]amino]cyclopentyl]methyl]-3-methyl-isoxazole-5-carboxamide (29.3 mg, 67.53 pmol, 16.37% yield, 97.146% purity) as a light-yellow solid.
Data:
LCMS (ESI+): m/z 422.1 (M+H)+
1H NMR (400 MHz, METHANOL-d4) 5 = 8.57 (d, J=2.00 Hz, 1 H), 8.04 (dd, J=8.82,
2.44 Hz, 1 H), 7.80 (t, J=7.75 Hz, 1 H), 7.61 (d, J=7.88 Hz, 1 H), 7.32 (d, J=7.50 Hz, 1 H),
6.80 (s, 1 H), 6.60 (d, J=8.88 Hz, 1 H), 4.58 (s, 2H), 4.20 (quin, J=6.97 Hz, 1 H), 3.48 (s, 3H), 3.40 (d, J=6.75 Hz, 2 H), 2.39 - 2.29 (m, 2H), 2.31 (s, 3H), 2.17 - 2.07 (m, 1 H), 1.90 - 1.80 (m, 1 H), 1.67 - 1.50 (m, 2 H), 1.31 - 1.20 (m, 1 H)
To a solution of 6-oxo-1 H-pyridazine-3-carboxylic acid (5 g, 35.69 mmol, 1 eq) in DCM (50 mL) was added DMF (260.87 mg, 3.57 mmol, 274.60 uL, 0.1 eq) and (COCI)2 (6.79 g, 53.53 mmol, 4.69 mL, 1.5 eq). The mixture was stirred at 20°C for 1 hr. The reaction mixture was concentrated under reduced pressure to give 6-oxo-1 H-pyridazine-3- carbonyl chloride (5.6 g, crude) as a white solid, which was used directly without purification.
To a solution of NH3.H2O (60 mL, 25% purity) was added 6-oxo-1 H-pyridazine-3- carbonyl chloride (5.6 g, 35.32mmol, 1 eq) in DCM (20 mL). The resulting mixture was stirred at 20°C for 0.5hr. The reaction mixture was filtered and the filter cake was dried
to give 6-oxo-1 H-pyridazine-3-carboxamide (3.4 g, crude) as an off-white solid, which was used directly without purification.
To a solution of 6-oxo-1 H-pyridazine-3-carboxamide (3.4 g, 24.44 mmol, 1 eq) in THF (50 mL) was added Burgess reagent (8.74 g, 36.66 mmol, 1.5 eq). The mixture was stirred at 70 °C for 12 hr. The reaction mixture was concentrated to give a residue. The residue was purified by column chromatography to give 6-oxo-1 H-pyridazine-3- carbonitrile (300 mg, 2.48 mmol, 10.14% yield) as a white solid Data:
1H NMR (400 MHz, METHANOL-d4) 5 ppm 7.04 (d, J=9.88 Hz, 1H), 7.66 (d, J=9.88 Hz, 1 H)
4. General procedure for preparation of N-[[(1R,3S)-3-[[5-(3-cyano-6-oxo- pyridazin-1-yl)-2-pyridyl]amino]cyclopentyl]methyl]-3-methylisoxazole-5- carboxamide :
A mixture of [6-[[(1S,3R)-3-[[(3-methylisoxazole-5- carbonyl)amino]methyl]cyclopentyl]amino]-3-pyridyl]boronic acid (100 mg, 290.55 pmol, 1 eq), 6-oxo-1 H-pyridazine-3-carbonitrile (35.18 mg, 290.55 pmol, 1 eq), Cu(OAc)2 (52.77 mg, 290.55 pmol, 1 eq), pyridine (45.97 mg, 581.10 pmol, 46.90 uL, 2 eq) in DMF (2 mL) was degassed and purged with O2 three times, and then the mixture was stirred at 90°C for 2 hr under O2 atmosphere (15 psi). The reaction mixture was filtered and the filtrate was concentrated to give the residue. The residue was purified by prep- HPLC (TFA condition, column: Phenomenex Luna C18 150*30mm*5um; mobile phase: [water(TFA)-ACN]; B%: 10%-40%, 8 min). Then it was re-purified by prep-HPLC (basic condition, column: Phenomenex C18 75*30mm*3|jm; mobile phase:
[water(NH3H2O+NH4HCO3)-ACN]; B%: 10%-50%, 8 min) to give N-[[(1 R,3S)-3-[[5-(3- cyano-6-oxo-pyridazin-1-yl)-2-pyridyl]amino]cyclopentyl]methyl]-3-methylisoxazole-5- carboxamide (33.9 mg, 78.88 pmol, 27.15% yield, 97.601% purity) as a yellow solid. Data:
LCMS (ESI+): 420.0 m/z (M+1)+
1H NMR (400 MHz, METHANOL-d4) 5 ppm 8.17 (d, J=2.50 Hz, 1 H), 7.70 (d, J=9.63 Hz, 1 H), 7.60 (dd, J=9.07, 2.69 Hz, 1 H), 7.13 (d, J=9.76 Hz, 1 H), 6.81 (s, 1 H), 6.59 (d, J=9.01 Hz, 1 H), 4.25 - 4.17 (m, 1 H), 3.40 (d, J=6.75 Hz, 2H), 2.40 - 2.30 (m, 2H), 2.34 (s, 3 H), 2.17 - 2.05 (m, 1 H), 1.90 - 1.80 (m, 1 H), 1.68 - 1.50 (m, 2 H), 1.32 - 1.20 (m, 1 H).
1 . General procedure for preparation of N-[[(1 R,3S)-3-[(5-iodo-2- pyridyl)amino]cyclopentyl]methyl]-3-methyl-isoxazole-5-carboxamide :
To a solution of N-[[(1 R,3S)-3-aminocyclopentyl]methyl]-3-methyl-isoxazole-5- carboxamide (5.1 g, 19.64 mmol, 1 eq, HCI) and 2-fluoro-5-iodo-pyridine (6.57 g, 29.45 mmol, 1.5 eq) in DMSO (50 mL) was added K2CO3 (10.86 g, 78.54 mmol, 4 eq). The mixture was stirred at 95 °C for 12 hr. The reaction mixture was quenched by addition of H2O (40 mL), and extracted with EtOAc (100 mL * 3). The combined organic layers were washed with brine (300 mL * 2), dried over Na2SO4, filtered and concentrated under reduced pressure. The residue was purified by column chromatography (SiO2, Petroleum ether/Ethyl acetate = 10/1 to 1/1) to give N-[[(1 R,3S)-3-[(5-iodo-2-
pyridyl)amino]cyclopentyl]methyl]-3-methyl-isoxazole-5-carboxamide (3.1 g, 7.27 mmol, 37.04% yield) as a white solid.
Data:
LCMS (ESI+): m/z 427.0 (M+H)+
2. General procedure for preparation of N-[[(1R,3S)-3-[[5-(3-chloro-6-oxo- pyridazin-1-yl)-2-pyridyl]amino]cyclopentyl]methyl]-3-methyl-isoxazole-5- carboxamide :
To a solution of N-[[(1 R,3S)-3-[(5-iodo-2-pyridyl)amino]cyclopentyl]methyl]-3-methyl- isoxazole-5-carboxamide (400 mg, 938.41 pmol, 1 eq), 3-chloro-1 H-pyridazin-6-one (183.74 mg, 1.41 mmol, 1.5 eq) in DMSO (3 mL) was added (1S,2S)-N1 ,N2- dimethylcyclohexane-1,2-diamine (66.74 mg, 469.21 pmol, 0.5 eq) and Cui (89.36 mg, 469.21 pmol, 0.5 eq) and K2CO3 (259.40 mg, 1.88 mmol, 2 eq), then the mixture was degassed and purged with N2 three times. The mixture was stirred at 80 °C for 12 hr under N2 atmosphere. The catalyst was removed by filtration through celite, which was then washed with EtOAc (10 mL). The mixture was diluted with water (10 mL), and then extracted with EtOAc (10 mL * 3). The combined organic layers were washed with sat. aq. NaCI (10 mL), dried over Na2SO4, filtered and concentrated under reduced pressure to give a residue. The residue was purified by prep-TLC (SiO2, Ethyl acetate : Methanol = 10 : 1) to give N-[[(1 R,3S)-3-[[5-(3-chloro-6-oxo-pyridazin-1-yl)-2- pyridyl]amino]cyclopentyl]methyl]-3-methyl-isoxazole-5-carboxamide (210 mg, 489.66 pmol, 52.18% yield) as a yellow solid.
Data:
LCMS (ESI+): m/z 429.2 (M+H)+
3. General procedure for preparation of N-[[(1R,3S)-3-[[5-[3-[3-[tert- butyl(dimethyl)silyl]oxyazetidin-1-yl]-6-oxo-pyridazin-1-yl]-2- pyridyl]amino]cyclopentyl]methyl]-3-methyl-isoxazole-5-carboxamide :
To a solution of azetidin-3-yloxy-tert-butyl-dimethyl-silane (183.48 mg, 979.31 pmol, 2 eq), N-[[(1R,3S)-3-[[5-(3-chloro-6-oxo-pyridazin-1-yl)-2- pyridyl]amino]cyclopentyl]methyl]-3-methyl-isoxazole-5-carboxamide (210 mg, 489.66 pmol, 1 eq) in dioxane (3 mL) was added Pd2(dba)s (44.84 mg, 48.97 pmol, 0.1 eq) and BINAP (30.49 mg, 48.97 pmol, 0.1 eq) and CS2CO3 (319.08 mg, 979.31 pmol, 2 eq). The mixture was stirred at 100 °C for 12 hr. The insoluble material was removed by filtration through celite, which was then washed with EtOAc (10 mL). The mixture was diluted with water (10 mL), and then extracted with EtOAc (10 mL * 3). The combined organic layers were washed with sat. aq. NaCI (10 mL), dried over Na2SO4, filtered and concentrated under reduced pressure to give a residue. The residue was purified by prep-TLC (SiO2, Ethyl acetate : Methanol = 10 : 1) to give N-[[(1 R,3S)-3-[[5-[3-[3-[tert- butyl(dimethyl)silyl]oxyazetidin-1-yl]-6-oxo-pyridazin-1-yl]-2- pyridyl]amino]cyclopentyl]methyl]-3-methyl-isoxazole-5-carboxamide (40 mg, 68.99 pmol, 14.09% yield) as a yellow oil.
Data:
LCMS (ESI+): m/z 580.5 (M+H)+
4. General procedure for preparation of N-[[(1R,3S)-3-[[5-[3-(3- hydroxyazetidin-1 -yl)-6-oxo-pyridazin-1 -yl]-2- pyridyl]amino]cyclopentyl]methyl]-3-methyl-isoxazole-5-carboxamide :
To a solution of N-[[(1 R,3S)-3-[[5-[3-[3-[tert-butyl(dimethyl)silyl]oxyazetidin-1-yl]-6-oxo- pyridazin-1-yl]-2-pyridyl]amino]cyclopentyl]methyl]-3-methyl-isoxazole-5-carboxamide (40 mg, 68.99 pmol, 1 eq) in THF (1 mL) was added 3HF.TEA (33.37 mg, 206.98 pmol,
33.74 pL, 3 eq). The mixture was stirred at 15 °C for 12 hr. The mixture was filtered and the filtrate was purified by prep-HPLC. The mixture was purified by prep-HPLC (basic condition; column: Waters Xbridge Prep OBD C18 150*40mm*10pm; mobile phase: [water(NH3H2O+NH4HCO3)-ACN]; B%: 5%-50%, 8 min) to give N-[[(1 R,3S)-3- [[5-[3-(3-hydroxyazetidin-1-yl)-6-oxo-pyridazin-1-yl]-2-pyridyl]amino]cyclopentyl]methyl] -3-methyl-isoxazole-5-carboxamide (11.5 mg, 24.70 pmol, 35.81 % yield, 100% purity) as a yellow solid.
Data:
LCMS (ESI+): m/z 466.1 (M+H)+
1H NMR (400 MHz, METHANOL-d4) 6 = 8.15 (d, J=2.25 Hz, 1 H), 7.60 (dd, J=9.01 , 2.63 Hz, 1 H), 7.12 (d, J=9.76 Hz, 1 H), 6.94 (d, J=9.63 Hz, 1 H), 6.80 (s, 1 H), 6.56 (d, J=9.01 Hz, 1 H), 4.69 - 4.61 (m, 1 H), 4.23 - 4.13 (m, 3H), 3.78 (dd, J=8.88, 4.75 Hz, 2H), 3.40 - 3.37 (m, 2H), 2.38 - 2.28 (m, 2H), 2.34 (s, 3H), 2.15 - 2.05 (m, 1 H), 1.90 - 1.81 (m, 1 H), 1.66 - 1.50 (m, 2H), 1.29 - 1.19 (m, 1 H)
1 . General procedure for preparation of tert-butyl N-[(1S,3R)-3- (benzyloxycarbonylaminomethyl)cyclopentyl]carbamate :
To a solution of tert-butyl N-[(1S,3R)-3-(aminomethyl)cyclopentyl]carbamate (5 g, 23.33 mmol, 1 eq) in DCM (50 mL) was added DIEA (6.03 g, 46.66 mmol, 8.13 mL, 2 eq) and CbzCI (4.78 g, 28.00 mmol, 3.98 mL, 1.2 eq) at 0°C. The mixture was stirred at 15 °C for 1 hr. The mixture concentrated to give a residue. The residue was purified by column chromatography (SiC>2, Petroleum ether/Ethyl acetate = 1/0 to 3/1) to give tertbutyl N-[(1S,3R)-3-(benzyloxycarbonylaminomethyl)cyclopentyl]carbamate (7.4g, 21.24 mmol, 91 .03% yield) as a white solid.
Data:
LCMS (ESI+): m/z 349.5 (M+H)+
A mixture of tert-butyl N-[(1S,3R)-3-(benzyloxycarbonylaminomethyl)cyclopentyl] carbamate (7 g, 20.09 mmol, 1 eq) in HCI/EtOAc (100 mL, 4 M) was stirred at 15 °C for 1 hr. The reaction mixture was concentrated under reduced pressure to give benzyl N- [[(1 R,3S)-3-aminocyclopentyl]methyl] carbamate (7.5 g, crude, HCI) as a white solid.
Data:
LCMS (ESI+): m/z 249.3 (M+H)+
3. General procedure for preparation of benzyl N-[[(1R,3S)-3-[(5-iodo-2- pyridyl)amino]cyclopentyl]methyl]carbamate :
To a solution of benzyl N-[[(1 R,3S)-3-aminocyclopentyl]methyl]carbamate (7.5 g, 26.34 mmol, 1 eq, HCI) and 2-fluoro-5-iodo-pyridine (6.17 g, 27.65 mmol, 1.05 eq) in DMSO (75 mL) was added K2CO3 (10.92 g, 79.01 mmol, 3 eq). The mixture was stirred at 80 °C for 8 hr. LC-MS showed the desired compound was detected. The reaction mixture was partitioned between water (200 mL) and EtOAc (300 mL). The organic phase was separated, washed with brine (200 mL * 2), dried over Na2SO4, filtered and concentrated under reduced pressure to give a residue. The residue was purified by column chromatography (SiC>2, Petroleum ether/Ethyl acetate = 1/0 to 3/1) to give benzyl N-[[(1 R,3S)-3-[(5-iodo-2-pyridyl)amino]cyclopentyl]methyl]carbamate (2.8 g, 6.20 mmol, 23.56% yield) as a yellow oil.
Data:
LCMS (ESI+): m/z 452.3 (M+H)+
4. General procedure for preparation of benzyl N-[[(1 R,3S)-3-[[5-(6- oxopyridazin-1-yl)-2-pyridyl]amino]cyclopentyl]methyl]carbamate :
A mixture of benzyl N-[[(1 R,3S)-3-[(5-iodo-2- pyridyl)amino]cyclopentyl]methyl]carbamate (1 g, 2.22 mmol, 1 eq), 1 H-pyridazin-6-one (425.82 mg, 4.43 mmol, 2 eq), Cui (84.40 mg, 443.16 pmol, 0.2 eq), (2S)-pyrrolidine-2- carboxylic acid (51.02 mg, 443.16 pmol, 0.2 eq) and tri potassium phosphate (940.69 mg, 4.43 mmol, 2 eq) in DMSO (10 mL) was degassed and purged with N2 three times, and then the mixture was stirred at 80 °C for 12 hr under N2 atmosphere. The reaction mixture was partitioned between water (20 mL) and EtOAc (20 mL * 3). The organic phase was separated, washed with brine (40 mL * 2), dried over Na2SO4, filtered and concentrated under reduced pressure to give a residue. The residue was purified by prep-HPLC (basic condition, column: Waters Xbridge Prep OBD C18 150*40mm*10|jm; mobile phase: [water(NH3H2O+NH4HCO3)-ACN]; B%: 20%-50%, 8 min) to give benzyl N-[[(1 R,3S)-3-[[5-(6-oxopyridazin-1-yl)-2- pyridyl]amino]cyclopentyl]methyl]carbamate (385 mg, 917.81 pmol, 41.42% yield) as a yellow gum.
Data:
LCMS (ESI+): m/z 420.2 (M+H)+ 1H NMR (400 MHz, METHANOL-d4) 6 = 8.13 (d, J = 2.4 Hz, 1 H), 8.03 (dd, J = 1.5, 3.9 Hz, 1 H), 7.59 (dd, J = 2.6, 9.0 Hz, 1 H), 7.46 (dd, J = 3.9, 9.5 Hz, 1 H), 7.37 - 7.32 (m, 4H), 7.32 - 7.27 (m, 1 H), 7.06 (dd, J = 1.5, 9.5 Hz, 1 H), 6.57 (d, J = 8.9 Hz, 1 H), 5.07 (s, 2H), 4.16 (quin, J = 7.3 Hz, 1 H), 3.14 (d, J = 7.1 Hz, 2H), 2.37 - 2.27 (m, 1 H), 2.20 - 2.10 (m, 1 H), 2.10 - 2.03 (m, 1 H), 1.86 - 1.76 (m, 1 H), 1.62 - 1.52 (m, 1 H), 1.52 - 1.42 (m, 1 H), 1.20 - 1.10 (m, 1 H)
5. General procedure for preparation of 2-[6-[[(1S,3R)-3- (aminomethyl)cyclopentyl] amino]-3-pyridyl]pyridazin-3-one :
To a solution of benzyl N-[[(1 R,3S)-3-[[5-(6-oxopyridazin-1-yl)-2-pyridyl]amino] cyclopentyl]methyl]carbamate (370 mg, 882.05 pmol, 1 eq) in AcOH (4 mL) was added HBr (0.8 mL, 33% purity). The mixture was stirred at 15 °C for 2.5 h. The reaction solution was filtered, the filter cake was collected and dried under reduced pressure to remove AcOH and HBr to give 2-[6-[[(1S,3R)-3-(aminomethyl)cyclopentyl]amino]-3- pyridyl]pyridazin-3-one (540 mg, crude, HBr) as a brown solid.
Data:
LCMS (ESI+): m/z 286.6 (M+H)+
6. General procedure for preparation of 3-(difluoromethyl)-N-[[(1 R,3S)-3-[[5- (6-oxopyridazin-1-yl)-2-pyridyl]amino]cyclopentyl]methyl]isoxazole-5- carboxamide :
To a solution of 3-(difluoromethyl)isoxazole-5-carboxylic acid (50 mg, 306.60 pmol, 1 eq) and 2-[6-[[(1S,3R)-3-(aminomethyl)cyclopentyl]amino]-3-pyridyl]pyridazin-3-one (112.29 mg, 306.60 pmol, 1 eq, HBr) in DMF (1 mL) was added DIEA (158.50 mg, 1.23 mmol, 213.61 pL, 4 eq), and then HATLI (174.87 mg, 459.90 pmol, 1.5 eq) was added dropwise at 0 °C. The resulting mixture was stirred at 15 °C for 8 hr. To the mixture was added MeOH (2 mL), without work-up. The residue was purified by prep-HPLC (basic condition, column: Waters Xbridge Prep OBD C18 150*40mm*10pm; mobile phase: [water(NH3H2O+NH4HCO3)-ACN]; B%: 20%-50%, 8 min) to give 3- (difluoromethyl)-N-[[(1 R,3S)-3-[[5-(6-oxopyridazin-1-yl)-2- pyridyl]amino]cyclopentyl]methyl]isoxazole-5-carboxamide (16.9 mg, 38.66 pmol, 12.61% yield, 98.467% purity) as a yellow solid.
Data:
LCMS (ESI+): m/z 431.1 (M+H)+
1H NMR (400 MHz, METHANOL-d4) 6 = 8.14 (d, J = 2.5 Hz, 1 H), 8.03 (dd, J = 1.6, 3.8 Hz, 1H), 7.59 (dd, J = 2.6, 9.0 Hz, 1 H), 7.46 (dd, J = 3.9, 9.4 Hz, 1H), 7.18 - 7.15 (m, 1 H), 7.10 - 7.03 (m, 2H), 6.58 (d, J = 9.0 Hz, 1H), 4.23 - 4.13 (m, 1 H), 3.42 (dd, J = 1.7, 6.8 Hz, 2H), 2.40 - 2.30 (m, 2H), 2.16 - 2.06 (m, 1H), 1.93 - 1.83 (m, 1 H), 1.67 - 1.50 (m, 2H), 1.37 - 1.21 (m, 1 H)
To a solution of (6-methoxypyridazin-3-yl)methanol (300 mg, 2.14 mmol, 1eq) in THF (10 mL) was added NaH (111.32 mg, 2.78 mmol, 60% purity, 1 .3 eq) at 0°C under N2 atmosphere. After stirring for 30 min, then Mel (607.70 mg, 4.28 mmol, 266.54 uL, 2 eq) was added and the reaction was stirred at 15°C for 1 h. The reaction was quenched by addition of MeOH (5 mL), then the solution was concentrated to give a residue. The residue was purified by prep-TLC (SiC>2, Petroleum ether/Ethyl acetate = 1/2) to give 3-methoxy-6-(methoxymethyl)pyridazine (260 mg, 1.69 mmol, 78.78% yield) as an orange oil. Data:
LCMS (ESI+): m/z 155.1 (M+H)+
To a solution of 3-methoxy-6-(methoxymethyl)pyridazine (260 mg, 1.69 mmol, 1 eq) in THF (6 mL) was added HBr (1.03 g, 4.22 mmol, 693.79 uL, 33% purity, 2.5 eq), then the reaction was stirred at 30°C for 12 h. The reaction was quenched by NH3.H2O (0.1 mL) and concentrated to give a residue. The residue was purified by prep-HPLC (neutral condition; column: Waters Xbridge Prep OBD C18 150*40mm*10um;mobile
phase: [water(NH4HCC>3)-ACN]; B%: 1 %-15%, 8 min) to give 6- (methoxymethyl)pyridazin-3-ol (180 mg, 1.28 mmol, 76.16% yield) as a white solid. Data:
LCMS (ESI+): m/z 141.2(M+H)+
3. General procedure for preparation of N-[[(1R,3S)-3-[[5-[3-(methoxymethyl)- 6-oxo-pyridazin-1-yl]-2-pyridyl]amino]cyclopentyl]methyl]-3-methyl- isoxazole-5-carboxamide :
A mixture of 6-(methoxymethyl)pyridazin-3-ol (180 mg, 1.28 mmol, 1eq), N-[[(1 R,3S)-3- [(5-iodo-2-pyridyl)amino]cyclopentyl]methyl]-3-methyl-isoxazole-5-carboxamide (547.49 mg, 1.28 mmol, 1eq), K3PO4 (545.29 mg, 2.57 mmol, 2eq), Cui (24.46 mg, 128.44 pmol, 0.1eq) and (2S)-pyrrolidine-2-carboxylic acid (14.79 mg, 128.44 pmol, 0.1eq) in DMSO (4 mL) was degassed and purged with N2 three times, and then the mixture was stirred at 80°C for 12 h under N2 atmosphere. The reaction mixture was quenched by addition of water (10 mL) and extracted with EtOAc (10 mL * 3). The combined organic layers were washed with brine (20 mL * 3), dried over Na2SO4, filtered and concentrated under reduced pressure to give a residue. The residue was purified by prep-HPLC (basic condition; column: Waters Xbridge Prep OBD C18 150*40mm*10um; mobile phase: [water(NH3H2O+NH4HCO3)-ACN]; B%: 15%-45%, 8 min) to give N-[[(1R,3S)-3-[[5-[3-(methoxymethyl)-6-oxo-pyridazin-1-yl]-2- pyridyl]amino]cyclopentyl]methyl]-3-methyl-isoxazole-5-carboxamide (27.1 mg, 60.65 pmol, 4.72% yield, 98.137% purity) as a light-yellow solid.
Data:
8.13 (br s, 1H), 7.60 - 7.54 (m, 2H), 7.07 (d, J= 9.5 Hz, 1 H), 6.80 (s, 1H), 6.58 (d, J= 9.0 Hz, 1H), 4.40 (s, 2H), 4.24 - 4.14 (m, 1 H), 3.43 (s, 3H), 3.42 - 3.38 (d, 2H), 2.38 - 2.28 (m, 2H), 2.34 (s, 3H), 2.13 - 2.04 (m, 1 H), 1.90 - 1.80 (m, 1H), 1.67 - 1.48 (m, 2H), 1.30 - 1.20 (m, 1 H)
O
1. General procedure for preparation of 3-(azetidin-1 -y I )-1 H-pyridazin-6-one:
t-AmylOH, 80®C, 12 h
A mixture of 3-bromo-1 H-pyridazin-6-one (500 mg, 2.86 mmol, 1 eq), azetidine hydrochloride (400.99 mg, 4.29 mmol, 1.5 eq), tBuONa (823.82 mg, 8.58 mmol, 3 eq), tBuXPhos Pd G3 (226.98 mg, 286.00 pmol, 0.1 eq) and di-tert-butyl-[2-(2,4,6- triisopropylphenyl)phenyl]phosphane (121.34 mg, 286.00 pmol, 0.1 eq) in t-AmylOH (10 mL) was degassed and purged with N2 three times, and then the mixture was stirred at 80 °C for 12 hr under N2 atmosphere. The reaction mixture was filtered and the filtrate was concentrated under reduced pressure to remove most of the solvent. The mixture was purified by (prep-HPLC (basic condition: P1: RT = 0.44 min, column: Waters Xbridge Prep OBD C18 150*40mm*10um; mobile phase: [water(NH3H2O+NH4HCO3)-ACN]; B%: 1 %-20%, 8 min) to give 3-(azetidin-1-yl)-1 H- pyridazin-6-one (94 mg, 621.84 pmol, 21.74% yield) as a white solid.
2. General procedure for preparation of N-[[(1R,3S)-3-[[5-[3-(azetidin-1-yl)-6- oxo-pyridazin-1-yl]-2-pyridyl]amino]cyclopentyl]methyl]-3-methyl- isoxazole-5-carboxamide:
A mixture of [6-[[(1S,3R)-3-[[(3-methylisoxazole-5- carbonyl)amino]methyl]cyclopentyl]amino]-3-pyridyl]boronic acid (30 mg, 87.17 pmol, 1 eq), 3-(azetidin-1-yl)-1 H-pyridazin-6-one (13.18 mg, 87.17 pmol, 1 eq), pyridine (13.79 mg, 174.33 pmol, 14.07 uL, 2 eq) and Cu(OAc)2 (15.83 mg, 87.17 pmol, 1 eq) in DMF (2 mL) was degassed and purged with O2 three times, and then the mixture was stirred at 90 °C for 2 hr under O2 (15 psi) atmosphere. The reaction mixture was filtered and concentrated under reduced pressure to give a residue. The residue was purified by prep-HPLC (basic condition; column: Phenomenex C18 75*30mm*3|jm; mobile phase: [water(NH3H2O+NH4HCO3)-ACN]; B%: 30%-60%, 8 min) to give N-[[(1R,3S)-3-[[5-[3- (azetidin-1-yl)-6-oxo-pyridazin-1-yl]-2-pyridyl]amino]cyclopentyl]methyl]-3-methyl- isoxazole-5-carboxamide (26.2 mg, 58.29 pmol, 33.43% yield, 100% purity) as a yellow solid. Data:
LCMS (ESI+): m/z 450.3 (M+H) +
1H NMR (400 MHz, METHANOL-d4) 5 = 8.16 (br s, 1H), 7.60 (dd, J = 2.5, 9.0 Hz, 1H), 7.09 (d, J = 9.8 Hz, 1H), 6.93 (d, J = 9.8 Hz, 1H), 6.80 (s, 1H), 6.57 (br d, J = 9.0 Hz, 1 H), 4.22 - 4.12 (m, 1H), 4.01 (t, J = 7.4 Hz, 4H), 3.39 (br d, J = 6.6 Hz, 2H), 2.45 - 2.28 (m, 4H), 2.34 (s, 3H), 2.13 - 2.05 (m, 1 H), 1.90 - 1.80 (m, 1H), 1.65 - 1.48 (m, 2H), 1.30 - 1.18 (m, 1 H)
Example S30: N-[[(1R,3S)-3-[[5-[3-(hydroxymethyl)-6-oxo-pyridazin-1-yl]-2- pyridyl]amino]cyclopentyl]methyl]-3-methyl-isoxazole-5-carboxamide
1. General procedure for preparation of [6-[[(1S,3R)-3-[[(3-methylisoxazole-5- carbonyl)amino]methyl]cyclopentyl]amino]-3-pyridyl]boronic acid :
To a solution of N-[[(1 R,3S)-3-aminocyclopentyl]methyl]-3-methyl-isoxazole-5- carboxamide (3 g, 11.55 mmol, 1 eq, HCI) in DMSO (60 mL) was added K2CO3 (4.79 g, 34.65 mmol, 3 eq) and 2-fluoro-5-(4,4,5,5-tetramethyl-1 ,3,2-dioxaborolan-2-yl)pyridine (3.09 g, 13.86 mmol, 1.2 eq). The mixture was stirred at 90 °C for 12 hr. The mixture was filtered and the filtrate was purified by prep-HPLC (basic condition; column: Xtimate C18 10u 250mm*80mm; mobile phase: [water(NH3H2O+NH4HCO3)-ACN]; B%: 0%-35%, 30 min) to give [6-[[(1S,3R)-3-[[(3-methylisoxazole-5- carbonyl)amino]methyl]cyclopentyl]amino]-3-pyridyl]boronic acid (410 mg, 1.19 mmol, 10.31 % yield) as a yellow solid. Data:
LCMS (ESI+): m/z 345.1 (M+H)+
2. General procedure for preparation of methyl 1-[6-[[(1S,3R)-3-[[(3- methylisoxazole-5-carbonyl)amino]methyl]cyclopentyl]amino]-3-pyridyl]- 6-oxo-pyridazine-3-carboxylate :
A mixture of [6-[[(1S,3R)-3-[[(3-methylisoxazole-5- carbonyl)amino]methyl]cyclopentyl]amino]-3-pyridyl]boronic acid (120 mg, 348.66 pmol, 1 eq), methyl 6-oxo-1 H-pyridazine-3-carboxylate (64.48 mg, 418.39 pmol, 1.2 eq), Cu(OAc)2 (63.33 mg, 348.66 pmol, 1 eq), pyridine (55.16 mg, 697.32 pmol, 56.28 uL, 2 eq) in DMF (3 mL) was degassed and purged with O2 three times, and then the mixture was stirred at 90°C for 1 hr under O2 atmosphere (15 psi). The mixture was filtered and the filtrate was concentrated to give a green solid. The green solid was triturated with petroleum ether/ EtOAc (5 mL, 1 :1) at 15°C for 5 min. Then the mixture was filtered and the filter cake was dried to give methyl 1-[6-[[(1S,3R)-3-[[(3-methylisoxazole-5- carbonyl)amino]methyl]cyclopentyl]amino]-3-pyridyl]-6-oxo-pyridazine-3-carboxylate
(270 mg, 596.73 pmol, 85.57% yield) as a yellow solid, which was used directly without purification.
Data:
LCMS (ESI+): m/z 453.2 (M+H)+
3. General procedure for preparation of N-[[(1R,3S)-3-[[5-[3-(hydroxymethyl)- 6-oxo-pyridazin-1-yl]-2-pyridyl]amino]cyclopentyl]methyl]-3-methyl- isoxazole-5-carboxamide :
To a solution of methyl 1-[6-[[(1S,3R)-3-[[(3-methylisoxazole-5- carbonyl)amino]methyl]cyclopentyl]amino]-3-pyridyl]-6-oxo-pyridazine-3-carboxylate (60 mg, 132.61 pmol, 1 eq) in MeOH (2 mL) was added NaBH4 (15.05 mg, 397.82 pmol, 3 eq) carefully at 0°C, then the reaction was stirred for 1 hr at 0°C and stirred for 12 hr at 15°C. Then the mixture was stirred for 12 hr at 30°C. The reaction mixture was quenched by addition of aq. 1 M HCI and extracted with EtOAc (5 mL * 3). The combined organic layers were dried over Na2SO4, filtered and concentrated under reduced pressure to give a crude product which was purified by prep-HPLC (basic condition; column: Waters Xbridge Prep OBD C18 150*40mm*10um; mobile phase: [water(NH3H2O+NH4HCO3)-ACN]; B%: 10%-40%, 8 min) to give N-[[(1 R,3S)-3-[[5-[3- (hydroxymethyl)-6-oxo-pyridazin-1-yl]-2-pyridyl]amino]cyclopentyl]methyl]-3-methyl- isoxazole-5-carboxamide (5.5 mg, 12.96 pmol, 9.77% yield, 100% purity) as a yellow solid.
Data:
LCMS (ESI+): m/z 425.1 (M+H)+
1H NMR (400 MHz, METHANOL-d4) 5 = 8.13 (br s, 1 H), 7.60 (br t, J = 9.7 Hz, 2H), 7.08 (br d, J = 9.6 Hz, 1 H), 6.80 (s, 1 H), 6.58 (br d, J = 9.0 Hz, 1 H), 4.53 (s, 2H), 4.23 - 4.13 (m, 1 H), 3.40 (br d, J = 6.3 Hz, 2H), 2.42 - 2.26 (m, 2H), 2.34 (s, 3H), 2.13 - 2.05 (m, 1 H), 1.90 - 1.80 (m, 1 H), 1.65 - 1.49 (m, 2H), 1.30 - 1.20 (m, 1 H) i-6-oxo-pyridazin-1-yll-2-
1 . General procedure for preparation of 3-methyl-N-[[(1 R,3S)-3-[[5-[3- (methylcarbamoyl)-6-oxo-pyridazin-1-yl]-2- pyridyl]amino]cyclopentyl]methyl]isoxazole-5-carboxamide :
Methylamine hydrochloride (11.94 mg, 176.81 pmol, 4 eq) and K2CO3 (48.87 mg, 353.62 pmol, 8 eq) in EtOH (2 mL) was stirred for 0.5 hr at 15°C, then the mixture was filtered and to the filtrate was added methyl 1-[6-[[(1S,3R)-3-[[(3-methylisoxazole-5- carbonyl)amino]methyl]cyclopentyl]amino]-3-pyridyl]-6-oxo-pyridazine-3-carboxylate (20 mg, 44.20 pmol, 1 eq), then the reaction was stirred for 12 hr at 80°C. LCMS showed desired mass was detected. The mixture was filtered and the filtrate was purified by prep-HPLC (basic condition; column: Waters Xbridge Prep OBD C18 150*40mm*10um; mobile phase: [water(NH3H2O+NH4HCO3)-ACN]; B%: 10%-45%, 8 min) to give 3-methyl-N-[[(1 R,3S)-3-[[5-[3-(methylcarbamoyl)-6-oxo-pyridazin-1-yl]-2- pyridyl]amino]cyclopentyl]methyl]isoxazole-5-carboxamide (13.5 mg, 29.90 pmol, 67.65% yield, 100% purity) as a yellow solid.
LCMS (ESP): m/z 452.1 (M+H)+
1H NMR (400 MHz, METHANOL-d4) 5 = 8.21 (d, J = 2.1 Hz, 1 H), 8.01 (d, J = 9.6 Hz, 1 H), 7.67 (dd, J = 2.6, 9.1 Hz, 1 H), 7.13 (d, J = 9.8 Hz, 1 H), 6.80 (s, 1 H), 6.61 (d, J = 9.0 Hz, 1 H), 4.24 - 4.15 (m, 1 H), 3.40 (br d, J = 6.8 Hz, 2H), 2.89 (s, 3H), 2.39 - 2.30 (m, 2H), 2.34 (s, 3H), 2.15 - 2.05 (m, 1 H), 1.90 - 1.80 (m, 1 H), 1.67 - 1.52 (m, 2H), 1.35 - 1.23 (m, 1 H)
To a solution of 3,6-dichloropyridazine (493.32 mg, 3.31 mmol, 1 eq) in DMF (10 mL) was added K2CO3 (1.37 g, 9.93 mmol, 3 eq) and azetidine-3-carbonitrile (471.14 mg, 3.97 mmol, 1.2 eq, HCI). The mixture was stirred at 80 °C for 12 hr. The mixture was diluted with water (10 mL), and then extracted with EtOAc (10 mL * 3). The combined organic layers were washed with sat. aq. NaCI (10 mL), dried over Na2SO4, filtered and concentrated under reduced pressure. The residue was purified by prep-TLC (SiC>2, Petroleum ether : Ethyl acetate = 1 :1) to give 1-(6-chloropyridazin-3-yl)azetidine-3- carbonitrile (300 mg, 1.54 mmol, 46.55% yield) as a yellow solid.
Data:
LCMS (ESI+): m/z 197.2 (M+H) +
2. General procedure for preparation of 1 -(6-oxo-1 H-pyridazin-3-yl)azetidine-
3-carbonitrile :
To a solution of 1-(6-chloropyridazin-3-yl)azetidine-3-carbonitrile (247.44 mg, 1.27 mmol, 1 eq) in AcOH (3 mL) was added KOAc (124.77 mg, 1.27mmol, 1 eq). The mixture was stirred at 120 °C for 12 hr. The mixture was diluted with water (10 mL) and sat. aq. NaCI (10 mL), and then extracted with EtOAc (10 mL * 3). The combined organic layers were washed with sat. aq. NaCI (10 mL), dried over Na2SC>4, filtered and concentrated under reduced pressure. The residue was purified by prep-TLC (SiC>2, Ethyl acetate : Methanol = 3:1) to give 1-(6-oxo-1 H-pyridazin-3-yl)azetidine-3- carbonitrile (70 mg, 397.33 pmol, 31.25% yield) as a yellow solid. Data:
LCMS (ESI+): m/z 177.2 (M+H) +
3. General procedure for preparation of N-[[(1R,3S)-3-[[5-[3-(3-cyanoazetidin- 1-yl)-6-oxo-pyridazin-1-yl]-2-pyridyl]amino]cyclopentyl]methyl]-3- methylisoxazole-5-carboxamide :
A mixture of [6-[[(1S,3R)-3-[[(3-methylisoxazole-5- carbonyl)amino]methyl]cyclopentyl]amino]-3-pyridyl]boronic acid (60 mg, 174.33 pmol,
1 eq), 1-(6-oxo-1 H-pyridazin-3-yl)azetidine-3-carbonitrile (36.86 mg, 209.20 pmol, 1.2 eq), CU(OAC)2 (31.66 mg, 174.33 pmol, 1 eq), pyridine (2.30 mg, 29.06 pmol, 2.35 uL,
2 eq) in DMF (1 mL) was degassed and purged with O2 three times and then the mixture was stirred at 90°C for 2 h under O2 atmosphere (15 psi). The mixture was filtered and the filtrate was purified by prep- HPLC (basic condition: Waters Xbridge Prep OBD C18 150*40mm*10um; mobile phase: [water(NH3H2O+NH4HCO3)-ACN]; B%: 20%-50%, 8 min) to give N-[[(1R,3S)-3- [[5-[3-(3-cyanoazetidin-1-yl)-6-oxo-pyridazin-1-yl]-2-pyridyl]amino]cyclopentyl]methyl]- 3-methylisoxazole-5-carboxamide (27.5 mg, 57.95 pmol, 33.24% yield, 100% purity) as a yellow solid. Data:
LCMS (ESI+): m/z 475.1 (M+H) +
1 H NMR (400 MHz, METHANOL-d4) 5 ppm 8.15 (d, J=2.25 Hz, 1 H), 7.60 (dd, J=9.07, 2.56 Hz, 1 H), 7.14 (d, J=9.76 Hz, 1 H), 6.98 (d, J=9.63 Hz, 1 H), 6.80 (s, 1 H), 6.56 (d, J=9.01 Hz, 1 H), 4.31 - 4.25 (m, 2H), 4.20 - 4.13 (m, 3H), 3.78 - 3.72 (m, 1 H), 3.39 (d, J=6.63 Hz, 2H), 2.37 - 2.26 (m, 2H), 2.34 (s, 3H), 2.13 - 2.05 (m, 1 H), 1.90 - 1.80 (m, 1 H), 1.65 - 1 .50 (m, 2H) 1.30 - 1 .20 (m, 1 H)
Equivalents and incorporation by reference
While aspects of the present disclosure have been particularly shown and described with reference to certain embodiments and various alternate embodiments, it will be understood by persons skilled in the relevant art that various changes in form and details can be made therein without departing from the spirit and scope of the present disclosure.
All references cited within the body of the instant specification are hereby incorporated by reference in their entirety, for all purposes. In particular, European patent application 23193545.3, filed August 25, 2023, is hereby incorporated by reference in its entirety.
References
Abifadel, M., Varret, M., Rabes, J. P., Allard, D., Ouguerram, K., Devillers, M., Cruaud, C., Benjannet, S., Wickham, L., Erlich, D., Derre, A., Villeger, L., Farnier, M., Beucler, I., Bruckert, E., Chambaz, J., Chanu, B., Lecerf, J. M., Luc, G., Moulin, P., Weissenbach, J., Prat, A., Krempf, M., Junien, C., Seidah, N. G., & Boileau, C. (2003). Mutations in PCSK9 cause autosomal dominant hypercholesterolemia. Nat Genet, 34, 154-156.
Brown, M. S., & Goldstein, J. L. (1986). A receptor-mediated pathway for cholesterol homeostasis. Science, 232, 34-47.
Cohen, J. C., Boerwinkle, E., Mosley, T. H., Jr., & Hobbs, H. H. (2006). Sequence variations in PCSK9, low LDL, and protection against coronary heart disease. N Engl J Med, 354, 1264-1272.
Dubuc, G., Chamberland, A., Wassef, H., Davignon, J., Seidah, N. G., Bernier, L., & Prat, A. (2004). Statins upregulate PCSK9, the gene encoding the proprotein convertase neural apoptosis-regulated convertase-1 implicated in familial hypercholesterolemia. Arterioscler Thromb Vase Biol, 24, 1454-1459.
Hummelgaard, S., Vilstrup, J.P., Gustafsen, C., Glerup, G., Weyer, K. (2023) Targeting PCSK9 to tackle cardiovascular diesase. Pharmacol Then, 2023 Jun 16:108480 Mach, F., Baigent, C., Catapano, A. L., Koskinas, K. C., Casula, M., Badimon, L., Chapman, M. J., De Backer, G. G., Delgado, V., Ference, B. A., Graham, I. M., Halliday, A., Landmesser, II., Mihaylova, B., Pedersen, T. R., Riccardi, G., Richter, D. J., Sabatine, M. S., Taskinen, M. R., Tokgozoglu, L., & Wiklund, O. (2020). 2019 ESC/EAS Guidelines for the management of dyslipidaemias: lipid modification to reduce cardiovascular risk. Eur Heart J, 41 , 111-188.
Maxwell, K. N., & Breslow, J. L. (2004). Adenoviral-mediated expression of Pcsk9 in mice results in a low-density lipoprotein receptor knockout phenotype. Proc Natl Acad Sci U S A, 101, 7100-7105.
Robinson, J. G., Farnier, M., Krempf, M., Bergeron, J., Luc, G., Averna, M., Stroes, E. S., Langslet, G., Raal, F. J., El Shahawy, M., Koren, M. J., Lepor, N. E., Lorenzato, C., Pordy, R., Chaudhari, U., & Kastelein, J. J. (2015). Efficacy and safety of alirocumab in reducing lipids and cardiovascular events. N Engl J Med, 372, 1489-1499.
Raal, F. J., Kallend, D., Ray, K. K., Turner, T., Koenig, W., Wright, R. S., Wijngaard, P. L. J., Curcio, D., Jaros, M. J., Leiter, L. A., & Kastelein, J. J. P. (2020). Inclisiran for the Treatment of Heterozygous Familial Hypercholesterolemia. N Engl J Med, 382, 1520- 1530.
Sabatine, M. S., Giugliano, R. P., Wiviott, S. D., Raal, F. J., Blom, D. J., Robinson, J., Ballantyne, C. M., Somaratne, R., Legg, J., Wasserman, S. M., Scott, R., Koren, M. J., & Stein, E. A. (2015). Efficacy and safety of evolocumab in reducing lipids and cardiovascular events. N Engl J Med, 372, 1500-1509.
Claims
1 . A compound according to formula (I):
formula (I) or a tautomer, an enantiomer or a diastereoisomer thereof, or a mixture thereof, or a pharmaceutically acceptable salt thereof; wherein
R1 is H, C1-C5 alkyl, or C3-C5 cycloalkyl, each of which is optionally substituted with one or more, identical or different, substituents RX1; wherein each RX1 is halogen;
A is a heteroaromatic ring;
R2 is H, C1-C3 alkyl, amide, or sulphonamide, each of which is optionally substituted with one or more, identical or different, substituents RX2; wherein each RX2 is -C1-C3 alkyl, or C1-C3 alkoxy;
XA is a absent, carbonyl, or sulfone;
RA is absent, 3 to 6 membered heterocycle, or heteroaryl, wherein the 3 to 6 membered heterocycle or heteroaryl is each optionally substituted with one or more, identical or different, substituents R3;
R3 is H, halogen, C1-C3 alkyl, C1-C3 haloalkyl, C1-C3 alkoxy, -CN, -OH, =0, amide, or a 3 to 6 membered heterocycle, each of which is optionally substituted with one or more, identical or different, substituents RX3; or R3 is -NH-RX3; wherein RX3 is -OH, -OCH3, - CN, a C3-C5 cycloalkyl, halogen, C1-C3 alkoxy, or amide; with the proviso that:
a) when Z is or , then A is according to
7. The compound according to any one of claims 1 to 6, wherein the compound is according to formula (Illa) or (I lib):
formula (I I lb), wherein
RA is absent, a 3 to 6 membered heterocycle, or heteroaryl, wherein the 3 to 6 membered heterocycle and heteroaryl is each optionally substituted with one or more, identical or different, substituents R3;
R3 is selected from H, C1-C3 alkyl, C1-C3 haloalkyl, C1-C3 alkoxy, -CN, -OH, =0, an amide, and a 3 to 6 membered heterocycle, each of which is optionally substituted with one or more, identical or different, substituents RX3; or R3 is -NH-Rx3; wherein RX3 is a group selected from -OH, -OCH3, -CN, C3-C5 cycloalkyl, and halogen.
8. The compound according to claim 7, wherein XA is absent, RA is absent and R2 is an N-linked amide or sulfonamide.
9. The compound according to any one of claims 7 or 8, wherein XA is absent, RA is absent and R2 is a C-linked amide or an S-linked sulfonamide.
11 . The compound according to any one of claims 7 to 10, wherein RX2 is -CH3.
12. The compound according to any one of claims 1 to 6, wherein the compound is according to formula (IV)
formula (IV), wherein
B is a 3 to 6 membered heterocycle; and R3B is selected from H, -OH and C1-C3 alkyl.
14. The compound according to claim 12, wherein XA is absent.
16. The compound according to any one of claims 12 to 15, wherein R3B is -H.
17. The compound according to any one of claims 12 to 15, wherein R3B is -OH.
19. The compound according to any one of claims 1 to 6, wherein the compound is according to formula (V):
wherein
R3C is selected from H, C1-C3 alkyl, C1-C3 haloalkyl, C1-C3 alkoxy, -CN, amide, and 3 to 6 membered heterocycle, each of which is optionally substituted with one or more, identical or different, substituents RX3; or R3C is -NH-RX3; wherein RX3 is a group selected from -OH, -OCH3, -CN, C1-C3 alkyl, C3-C5 cycloalkyl, and halogen.
20. The compound according to claim 19, wherein R3C is H.
21. The compound according to claim 19, wherein R3C is C1-C3 alkyl.
22. The compound according to claim 19, wherein R3C is C1-C3 haloalkyl.
23. The compound according to claim 19, wherein R3C is C1-C3 alkoxy.
24. The compound according to claim 19, wherein R3C is -CN.
25. The compound according to claim 19, wherein R3C is -CH2-O-CH3.
26. The compound according to claim 19, wherein R3C is -O-CH3.
27. The compound according to any one of claims 1 to 6 and 19, wherein the compound is according to formula Va:
wherein
R3C is selected from H, C1-C3 alkyl, C1-C3 haloalkyl, -CN, amide, 3 to 6 membered heterocycle, each of which is optionally substituted with one or more, identical or
different, substituents RX3; or R3C is -NH-RX3; wherein RX3 is a group selected from -OH, -OCH3, -CN, C1-C5 cycloalkyl, and halogen.
28. The compound according to claim 27, wherein R3C is H, C1-C3 alkyl, a C1-C3 haloalkyl, or -CN each of which is optionally substituted with one or more, identical or different, substituents RX3; wherein RX3 is a group selected from of -OH, -OCH3, -CN, a C1-C5 cycloalkyl, and a halogen.
29. The compound according to claim 27, wherein R3C is -H.
30. The compound according to claim 27, wherein R3C is not H.
31. The compound according to claim 27, wherein R3C is -C1-C3 alkyl.
32. The compound according to claim 27, wherein R3C is -CH2-O-CH3.
33. The compound according to claim 27, wherein R3C is -CH2-OH.
34. The compound according to claim 27, wherein R3C is C1-C3 haloalkyl.
35. The compound according to claim 27, wherein R3C is -CF3.
36. The compound according to claim 27, wherein R3C is -C(=O)NRL1RL2, wherein RL1 and RL2 are each independently selected from H, or C1-C3 alkyl.
37. The compound according to any one of claims 27 or 36 wherein R3C is -C(=O)NH-CH3.
38. The compound according claim 27, wherein R3C is a 3 to 6 membered heterocycle, such as a 3, 4, 5 or 6 membered heterocycle.
RX3a is each independently selected from H, -CN, -OH, -OCH3, and -F.
40. The compound according to claim 39 , wherein n is 0.
41 . The compound according to claim 39, wherein n is 1 or 2.
42. The compound according to claim 39, wherein RX3a is -CN.
43. The compound according to claim 39, wherein one or more RX3a are -F.
44. The compound according to claim 39, wherein RX3a is -OH.
45. The compound according to claim 39, wherein RX3a is -OCH3.
46. The compound according to any one of claims 1 to 45, wherein R1 is selected from -CH3, -CH2-CH3 and CF2H.
47. The compound according to any one of claims 1 to 45, wherein R1 is -CH3.
48. The compound according to any one of claims 1 to 45, wherein R1 is -CH2-CH3.
49. The compound according to any one of claims 1 to 45, wherein R1 is -H.
50. The compound according to any one of claims 1 to 45, wherein R1 is -CF2H.
51. The compound according to any one of claims 1 to 45, wherein R1 is a C3-C5 cycloalkyl.
52. The compound according to any one of claims 1 to 45, wherein R1 is cyclopropyl.
53. The compound according to any one of claims 1 to 52, wherein R2 is -H or-CHs.
54. The compound according to any one of claims 1 to 52, wherein R2 is -H.
55. The compound according to any one of claims 1 to 52, wherein R2 is -CH3.
56. The compound according to any one of claims 1 to 55, wherein in formulas (I), (II), (III) and (IV), wherein the substituents in the carbons at position 1 and 2 are in a c/s relationship.
57. The compound according to any one of claims 1 to 55, wherein the configuration of the carbon in position 1 is R and the configuration of the carbon in position 2 is S.
58. The compound according to any one of one of claims 1 to 55, wherein the compound is selected from a compound shown in Table A in the section “A compound”, an enantiomer thereof, a mixture thereof, or a pharmaceutically acceptable salt thereof.
59. The compound according to any one of the preceding claims, wherein the compound is able to modulate the activity of PCSK9.
60. The compound according to any one of the preceding claims, wherein the compound is an inhibitor of PCSK9.
61. The compound according to any one of the preceding claims, wherein the compound is able to decreases the activity of PCSK9.
62. The compound according to any one of the preceding claims, wherein the compound binds PCSK9 with a dissociation constant (KD), less than 20 pM, such as less than 5 pM, such as less than 1 pM, such as less than 0.5 pM, such as less than 0.05 pM, such as less than 0.01 pM.
63. The compound to any one of the preceding claims, wherein the compound binds PCSK9 with a dissociation constant (KD) from about 1 nM to about 20 pM, such as from about 1 nM to about 10 pM, such as from about 1 nM to about 1 pM, such as from about 1 nM to about 0.5 pM, such as from 1 nM to about 200 nM, such as from about 1 nM to about 100 nM, such as from about 1 nM to about 50 nM.
64. A pharmaceutical composition comprising the compound according to any one of the preceding claims.
65. A compound according to any one of claims 1 to 63, or a pharmaceutical composition according to claim 64, for use as a medicament.
66. A compound according to any one of claims 1 to 63, or a pharmaceutical composition according to claim 64, for use in a method of modulating the activity of PCSK9 in a subject, the method comprising administering an effective amount of the compound to the subject.
67. A compound according to any one of claims 1 to 63, or a pharmaceutical composition according to claim 66, for use in an method of treatment, prevention or alleviation of a disorder of lipoprotein metabolism in a subject, the method comprising administering an effective amount of the compound to the subject.
68. The compound or the composition for use according to claim 67, wherein the disorder is a disorder of lipoprotein metabolism wherein the disorder is selected from dyslipidemia, hypercholesterolemia and coronary heart disease.
Applications Claiming Priority (2)
| Application Number | Priority Date | Filing Date | Title |
|---|---|---|---|
| EP23193545.3 | 2023-08-25 | ||
| EP23193545 | 2023-08-25 |
Publications (1)
| Publication Number | Publication Date |
|---|---|
| WO2025045777A1 true WO2025045777A1 (en) | 2025-03-06 |
Family
ID=87845754
Family Applications (1)
| Application Number | Title | Priority Date | Filing Date |
|---|---|---|---|
| PCT/EP2024/073725 Pending WO2025045777A1 (en) | 2023-08-25 | 2024-08-23 | Inhibitors of pcsk9 |
Country Status (1)
| Country | Link |
|---|---|
| WO (1) | WO2025045777A1 (en) |
Citations (3)
| Publication number | Priority date | Publication date | Assignee | Title |
|---|---|---|---|---|
| WO2004087669A1 (en) * | 2003-03-31 | 2004-10-14 | Taisho Pharmaceutical Co. Ltd. | Novel quinoline, tetrahydroquinazoline, and pyrimidine derivatives and methods of treatment related to the use thereof |
| WO2020150473A2 (en) * | 2019-01-18 | 2020-07-23 | Dogma Therapeutics, Inc. | Pcsk9 inhibitors and methods of use thereof |
| WO2023084449A1 (en) * | 2021-11-12 | 2023-05-19 | Novartis Ag | Diaminocyclopentylpyridine derivatives for the treatment of a disease or disorder |
-
2024
- 2024-08-23 WO PCT/EP2024/073725 patent/WO2025045777A1/en active Pending
Patent Citations (3)
| Publication number | Priority date | Publication date | Assignee | Title |
|---|---|---|---|---|
| WO2004087669A1 (en) * | 2003-03-31 | 2004-10-14 | Taisho Pharmaceutical Co. Ltd. | Novel quinoline, tetrahydroquinazoline, and pyrimidine derivatives and methods of treatment related to the use thereof |
| WO2020150473A2 (en) * | 2019-01-18 | 2020-07-23 | Dogma Therapeutics, Inc. | Pcsk9 inhibitors and methods of use thereof |
| WO2023084449A1 (en) * | 2021-11-12 | 2023-05-19 | Novartis Ag | Diaminocyclopentylpyridine derivatives for the treatment of a disease or disorder |
Non-Patent Citations (10)
| Title |
|---|
| ABIFADEL, M.VARRET, M.RABES, J. P.ALLARD, D.OUGUERRAM, K.DEVILLERS, M.CRUAUD, C.BENJANNET, S.WICKHAM, L.ERLICH, D.: "Mutations in PCSK9 cause autosomal dominant hypercholesterolemia", NAT GENET, vol. 34, 2003, pages 154 - 156, XP055484799, DOI: 10.1038/ng1161 |
| BROWN, M. S.GOLDSTEIN, J. L.: "A receptor-mediated pathway for cholesterol homeostasis", SCIENCE, vol. 232, 1986, pages 34 - 47 |
| COHEN, J. C.BOERWINKLE, E.MOSLEY, T. H., JR.HOBBS, H. H.: "Sequence variations in PCSK9, low LDL, and protection against coronary heart disease", N ENGL J MED, vol. 354, 2006, pages 1264 - 1272, XP093193429, DOI: 10.1056/NEJMoa054013 |
| DUBUC, G.CHAMBERLAND, A.WASSEF, H.DAVIGNON, J.SEIDAH, N. G.BERNIER, L.PRAT, A.: "Statins upregulate PCSK9, the gene encoding the proprotein convertase neural apoptosis-regulated convertase-1 implicated in familial hypercholesterolemia", ARTERIOSCLER THROMB VASC BIOL, vol. 24, 2004, pages 1454 - 1459 |
| HUMMELGAARD, S.VILSTRUP, J.P.GUSTAFSEN, C.GLERUP, G.WEYER, K.: "Targeting PCSK9 to tackle cardiovascular diesase", PHARMACOL THER., 16 June 2023 (2023-06-16), pages 108480 |
| MACH, F.BAIGENT, C.CATAPANO, A. L.KOSKINAS, K. C.CASULA, M.BADIMON, L.CHAPMAN, M. J.DE BACKER, G. G.DELGADO, V.FERENCE, B. A.: "2019 ESC/EAS Guidelines for the management of dyslipidaemias: lipid modification to reduce cardiovascular risk", EUR HEART J, vol. 41, 2020, pages 111 - 188, XP055753486, DOI: 10.1093/eurheartj/ehz455 |
| MAXWELL, K. N.BRESLOW, J. L.: "Adenoviral-mediated expression of Pcsk9 in mice results in a low-density lipoprotein receptor knockout phenotype", PROC NATL ACAD SCI U S A, vol. 101, 2004, pages 7100 - 7105, XP002493244, DOI: 10.1073/pnas.0402133101 |
| RAAL, F. J., KALLEND, D., RAY, K. K., TURNER, T., KOENIG, W., WRIGHT, R. S., WIJNGAARD, P.L. J., CURCIO, D., JAROS, M. J., LEITER,: "Inclisiran for the Treatment of Heterozygous Familial Hypercholesterolemia", N ENGL J MED, vol. 382, 2020, pages 1520 - 1530, XP093145458, DOI: 10.1056/NEJMoa1913805 |
| ROBINSON, J. G.FARNIER, M.KREMPF, M.BERGERON, J.LUC, G.AVERNA, M.STROES, E. S.LANGSLET, G.RAAL, F. J.EL SHAHAWY, M.: "Efficacy and safety of alirocumab in reducing lipids and cardiovascular events", N ENGL J MED, vol. 372, 2015, pages 1489 - 1499, XP009186184, DOI: 10.1056/NEJMoa1501031 |
| SABATINE, M. S.GIUGLIANO, R. P.WIVIOTT, S. D.RAAL, F. J.BLOM, D. J.ROBINSON, J.BALLANTYNE, C. M.SOMARATNE, R.LEGG, J.WASSERMAN, S.: "Efficacy and safety of evolocumab in reducing lipids and cardiovascular events", N ENGL J MED, vol. 372, 2015, pages 1500 - 1509, XP055442697, DOI: 10.1056/NEJMoa1500858 |
Similar Documents
| Publication | Publication Date | Title |
|---|---|---|
| US20240294475A1 (en) | Antagonists of human integrin (alpha4)(beta7) | |
| CN110177788B (en) | Compounds as BCL-2 selective apoptosis inducers | |
| US10442782B2 (en) | Kynurenine-3-monooxygenase inhibitors, pharmaceutical compositions, and methods of use thereof | |
| KR101799007B1 (en) | 1,3,4-Oxadiazole Sulfonamide Derivative Compounds as Histone Deacetylase 6 Inhibitor, and the Pharmaceutical Composition Comprising the same | |
| JP2020524158A (en) | SSAO inhibitor | |
| CA2890664A1 (en) | Therapeutic compounds and compositions and their use as pkm2 modulators | |
| TW201329048A (en) | Aryldihydropyridone and hexahydropyridone MGAT2 inhibitor | |
| JPWO2015020184A1 (en) | Aromatic ring compounds | |
| JP2024512428A (en) | antiviral compounds | |
| JP2016530299A (en) | Spirocyclic compounds as tryptophan hydroxylase inhibitors | |
| JP2023089012A (en) | Aminopyridine derivatives and their use as selective ALK-2 inhibitors | |
| CA2913913A1 (en) | Dihydropyridinone mgat2 inhibitors | |
| JP2023516102A (en) | 1,3,4-oxadiazole derivative compounds as histone deacetylase 6 inhibitors, and pharmaceutical compositions containing the same | |
| WO2025045777A1 (en) | Inhibitors of pcsk9 | |
| CN113015735A (en) | 5-hydroxy-7-oxabicyclo [2.2.1] heptane-2-carboxamide derivatives for inducing chondrogenesis to treat joint damage | |
| KR20230058292A (en) | aryl or heteroaryl derivatives, and pharmaceutical composition thereof for use in preventing or treating kinase-related disease | |
| CN113015736B (en) | 6-Hydroxy-8-oxatricyclo [3.2.1.02,4] octane-2-carboxamide derivatives for inducing chondrogenesis for the treatment of joint damage | |
| US20170240513A1 (en) | Substituted pyrimidines as inhibitors of hif prolyl hydroxylase | |
| US20170247336A1 (en) | Substituted pyrimidines as inhibitors of hif prolyl hydroxylase | |
| WO2014062204A1 (en) | Matrix metalloproteinase inhibitors and methods for the treatment of pain and other diseases | |
| WO2025252600A1 (en) | Activating compounds of potassium channels kv7.2/kv7.3 | |
| WO2024121709A1 (en) | Papain-like protease (plpro) inhibitors | |
| WO2024121046A1 (en) | Amide compounds as activators of the potassium channels kv7.2/kv7.3 useful in the treatment of cns and pns disorders | |
| KR20250030474A (en) | Compounds, compositions and methods of use thereof | |
| HK1233253A1 (en) | Kynurenine-3-monooxygenase inhibitors, pharmaceutical compositions, and methods of use thereof |
Legal Events
| Date | Code | Title | Description |
|---|---|---|---|
| 121 | Ep: the epo has been informed by wipo that ep was designated in this application |
Ref document number: 24758291 Country of ref document: EP Kind code of ref document: A1 |















































































































































































































