WO2025038761A1 - Systems, compositions and methods of metalloprotein-catalyzed fluorination, azidation, thiocyanation and hydroxylation - Google Patents
Systems, compositions and methods of metalloprotein-catalyzed fluorination, azidation, thiocyanation and hydroxylation Download PDFInfo
- Publication number
- WO2025038761A1 WO2025038761A1 PCT/US2024/042330 US2024042330W WO2025038761A1 WO 2025038761 A1 WO2025038761 A1 WO 2025038761A1 US 2024042330 W US2024042330 W US 2024042330W WO 2025038761 A1 WO2025038761 A1 WO 2025038761A1
- Authority
- WO
- WIPO (PCT)
- Prior art keywords
- enzyme
- nonheme
- bond
- fluorination
- egtb
- Prior art date
- Legal status (The legal status is an assumption and is not a legal conclusion. Google has not performed a legal analysis and makes no representation as to the accuracy of the status listed.)
- Pending
Links
Classifications
-
- C—CHEMISTRY; METALLURGY
- C12—BIOCHEMISTRY; BEER; SPIRITS; WINE; VINEGAR; MICROBIOLOGY; ENZYMOLOGY; MUTATION OR GENETIC ENGINEERING
- C12N—MICROORGANISMS OR ENZYMES; COMPOSITIONS THEREOF; PROPAGATING, PRESERVING, OR MAINTAINING MICROORGANISMS; MUTATION OR GENETIC ENGINEERING; CULTURE MEDIA
- C12N9/00—Enzymes; Proenzymes; Compositions thereof; Processes for preparing, activating, inhibiting, separating or purifying enzymes
- C12N9/0004—Oxidoreductases (1.)
- C12N9/0071—Oxidoreductases (1.) acting on paired donors with incorporation of molecular oxygen (1.14)
- C12N9/0083—Miscellaneous (1.14.99)
-
- C—CHEMISTRY; METALLURGY
- C12—BIOCHEMISTRY; BEER; SPIRITS; WINE; VINEGAR; MICROBIOLOGY; ENZYMOLOGY; MUTATION OR GENETIC ENGINEERING
- C12N—MICROORGANISMS OR ENZYMES; COMPOSITIONS THEREOF; PROPAGATING, PRESERVING, OR MAINTAINING MICROORGANISMS; MUTATION OR GENETIC ENGINEERING; CULTURE MEDIA
- C12N9/00—Enzymes; Proenzymes; Compositions thereof; Processes for preparing, activating, inhibiting, separating or purifying enzymes
- C12N9/0004—Oxidoreductases (1.)
- C12N9/0071—Oxidoreductases (1.) acting on paired donors with incorporation of molecular oxygen (1.14)
-
- C—CHEMISTRY; METALLURGY
- C12—BIOCHEMISTRY; BEER; SPIRITS; WINE; VINEGAR; MICROBIOLOGY; ENZYMOLOGY; MUTATION OR GENETIC ENGINEERING
- C12P—FERMENTATION OR ENZYME-USING PROCESSES TO SYNTHESISE A DESIRED CHEMICAL COMPOUND OR COMPOSITION OR TO SEPARATE OPTICAL ISOMERS FROM A RACEMIC MIXTURE
- C12P5/00—Preparation of hydrocarbons or halogenated hydrocarbons
-
- C—CHEMISTRY; METALLURGY
- C12—BIOCHEMISTRY; BEER; SPIRITS; WINE; VINEGAR; MICROBIOLOGY; ENZYMOLOGY; MUTATION OR GENETIC ENGINEERING
- C12Y—ENZYMES
- C12Y113/00—Oxidoreductases acting on single donors with incorporation of molecular oxygen (oxygenases) (1.13)
- C12Y113/11—Oxidoreductases acting on single donors with incorporation of molecular oxygen (oxygenases) (1.13) with incorporation of two atoms of oxygen (1.13.11)
- C12Y113/11024—Quercetin 2,3-dioxygenase (1.13.11.24)
-
- C—CHEMISTRY; METALLURGY
- C12—BIOCHEMISTRY; BEER; SPIRITS; WINE; VINEGAR; MICROBIOLOGY; ENZYMOLOGY; MUTATION OR GENETIC ENGINEERING
- C12Y—ENZYMES
- C12Y113/00—Oxidoreductases acting on single donors with incorporation of molecular oxygen (oxygenases) (1.13)
- C12Y113/11—Oxidoreductases acting on single donors with incorporation of molecular oxygen (oxygenases) (1.13) with incorporation of two atoms of oxygen (1.13.11)
- C12Y113/11027—4-Hydroxyphenylpyruvate dioxygenase (1.13.11.27)
-
- C—CHEMISTRY; METALLURGY
- C12—BIOCHEMISTRY; BEER; SPIRITS; WINE; VINEGAR; MICROBIOLOGY; ENZYMOLOGY; MUTATION OR GENETIC ENGINEERING
- C12Y—ENZYMES
- C12Y114/00—Oxidoreductases acting on paired donors, with incorporation or reduction of molecular oxygen (1.14)
- C12Y114/17—Oxidoreductases acting on paired donors, with incorporation or reduction of molecular oxygen (1.14) with reduced ascorbate as one donor, and incorporation of one atom of oxygen (1.14.17)
- C12Y114/17004—Aminocyclopropanecarboxylate oxidase (1.14.17.4), i.e. ethylene-forming enzyme
-
- C—CHEMISTRY; METALLURGY
- C12—BIOCHEMISTRY; BEER; SPIRITS; WINE; VINEGAR; MICROBIOLOGY; ENZYMOLOGY; MUTATION OR GENETIC ENGINEERING
- C12Y—ENZYMES
- C12Y114/00—Oxidoreductases acting on paired donors, with incorporation or reduction of molecular oxygen (1.14)
- C12Y114/99—Miscellaneous (1.14.99)
Definitions
- a method of enzymatic C-H functionalization includes catalyzing the formation of a C-heteroatom bond in an organic compound with a nonheme Fe enzyme.
- a method of enzymatic fluorination includes catalyzing the formation of a C-F bond with nonheme Fe enzyme sufficient to form an organofluorine compound.
- a method of enzymatic fluorination includes transferring a fluorine atom from a fluorine containing compound to a nonheme Fe enzyme to form a nitrogen-centered radical and a Fe(III)-F species, transferring a hydrogen atom to form a carbon-centered radical, and forming an organofluorine with a C-F bond and converting the nonheme Fe enzyme to the ferrous state (Fe 2+ ).
- an enzyme for fluorination of an organic compound includes a mutated variant of ergothioneine synthase (EgtB) including Y377W, W415R, and R87D mutations.
- an enzyme for fluorination of an organic compound includes a mutated variant of aminocyclopropanecarboxylate oxidase (ACCO) including I184A and K158I mutations.
- an enzyme for catalyzing the formation of an azidation product includes a mutated variant of ergothioneine synthase (EgtB) including an H138A mutation. 4059.060PCT1 (2024-841-2) BRIEF DESCRIPTION OF DRAWINGS [0012] This written disclosure describes illustrative embodiments that are non-limiting and non-exhaustive.
- FIG.1 illustrates method 100 of enzymatic C-H functionalization, according to some embodiments.
- FIG. 2 illustrates heme and nonheme Fe enzymes, according to some embodiments.
- FIG. 3 illustrates method 300 of enzymatic fluorination, according to some embodiments.
- FIG. 4 illustrates an example of enzymatic fluorination, according to some embodiments.
- FIG. 5 illustrates method 500 of enzymatic fluorination, according to some embodiments.
- FIG. 6 illustrates a radical mechanism for C-H functionalization, according to some embodiments. [0019] FIG.
- FIG. 7 illustrates an example of enzymatic fluorination, according to some embodiments.
- FIG.8 illustrates an active-site of MthEgtB, according to some embodiments.
- FIG. 9 illustrates an example of enzymatic fluorination, according to some embodiments.
- FIG. 10A illustrates populated structures and hydrogen bond interactions between N-fluoroamide and W415R residue in EgtBCHF1, according to some embodiments.
- FIG.10B illustrates populated structures and hydrogen bond interactions between N-fluoroamide and W415R residue in EgtB CHF2 , according to some embodiments.
- FIG.11 illustrates mutations for ACCO, according to some embodiments. [0025] FIG.
- FIG. 12 illustrates examples of enzymatic fluorination products, according to some embodiments.
- FIG.13 illustrates DFT-computed reaction energy profile of C–H fluorination of N-fluoroamide using a theozyme model, according to some embodiments.
- FIG.14 illustrates optimized geometries of the fluorine atom transfer (TS-1) and fluorine radical rebound (TS-3) transition states, according to some embodiments. 4059.060PCT1 (2024-841-2)
- FIG. 15A illustrates EgtBCHF as C-H azidases via azide rebound, according to some embodiments. [0029] FIG.
- Embodiments of the present disclosure provide novel enzymes and radical mechanisms for C-H functionalization in organic compounds.
- the enzymes of the present disclosure include mutated enzymes for enhanced selectivity and efficiency in these processes.
- Mutated enzymes may include nonheme Fe enzymes, and these enzymes are capable of performing as fluorinases, azidases, and thiocyanases to form C-F, C-N, and C-SCN bonds in organic compounds, respectively.
- the newly evolved nonheme Fe enzymes exhibit excellent efficiency in unnatural C(sp 3 )–H functionalization processes, including fluorination, azidation, thiocyanation, and hydroxylation activities, which have previously remained out of the reach of nonheme Fe enzymology.
- fluorine can lead to enhanced bioavailability, metabolic stability, and desirable protein binding profiles.
- biocatalytic synthesis of organic compounds using nonheme Fe enzymes can produce small drug molecules or intermediates thereof.
- Enzymes of the present disclosure can be used for C-H functionalization.
- C-H functionalization can include converting a C-H bond to a new functional group.
- C-H functionalization can include replacing a C-H bond with a C-X bond, where X can include an element other than hydrogen.
- Examples of C-X bonds include C-F, C-N, and C-SCN bonds.
- Enzymes of the present disclosure include nonheme Fe (iron) enzymes, and these enzymes are capable of performing as fluorinases, azidases, and thiocyanases to form C-F, C-N, and C-SCN bonds in organic compounds, respectively.
- nonheme Fe enzymes do not include a porphyrin type coordination environment like that of heme Fe enzymes.
- nonheme Fe enzymes do not include a porphyrin core.
- the nonheme Fe enzyme includes 4-hydroxy-phenylpyruvate dioxygenase (HppD) from Streptomyces avermitilis (SavHppD), or a variant thereof.
- HppD 4-hydroxy-phenylpyruvate dioxygenase
- SavHppD Streptomyces avermitilis
- This enzyme may include a two-histidine-one-carboxylate facial triad.
- the nonheme Fe enzyme includes Quercetin 2,3-dioxygenase (QueD) from Bacillus subtilis (BsuQueD), or a variant thereof.
- This enzyme may include a three-histidine-one-carboxylate 4059.060PCT1 (2024-841-2) coordination sphere.
- the nonheme Fe enzyme includes ergothioneine synthase (EgtB) from Mycolicibacterium thermoresistibile (MthEgtB), or a variant thereof. This enzyme may include a three-histidine facial triad.
- the nonheme Fe enzyme includes aminocyclopropanecarboxylate oxidase (ACCO), or a variant thereof. ACCO is a nonheme enzyme with a two-histidine, one-carboxylate facial triad.
- Various nonheme Fe enzyme variants of the present disclosure are suitable for C- H functionalization, such as for radical initiation and fluorine atom transfer.
- An enzyme for C- H functionalization may include a mutated variant of the enzymes of the present disclosure.
- the enzyme may include a mutated variant of ergothioneine synthase (EgtB) including at least one of Y377W, W415R, and R87D mutations.
- the nonheme Fe enzyme includes MthEgtB Y377W W415R R87D T141I F83Y R379E V84R H417L.
- the enzyme may include a mutated variant of ergothioneine synthase (EgtB) including at least one Y377W, W415R, R87D, T141I, F83Y, R379E, V84R, H417L, and H138A mutations.
- the enzyme may include a mutated variant of ergothioneine synthase (EgtB) including at least one Y377W, W415R, R87D, T141M, R379A, A145K, Q422D, and H138A mutations.
- the nonheme Fe enzyme includes MthEgtB Y377W W415R R87D T141M R379A A145K Q422D.
- tyrosine at 377 may improve activity and enantioselectivity.
- T141 may modulate enzyme activity and enantiopreference for C-H fluorination.
- W415R may promote fluorine atom transfer.
- an enzyme for catalyzing the formation of an azidation product includes a mutated variant of ergothioneine synthase (EgtB) including an H138A mutation. This enzyme may further include at least one of Y377W, W415R, and R87D mutations.
- An enzyme for C-H functionalization may include a mutated variant of aminocyclopropanecarboxylate oxidase (ACCO) including at least one of I184A and K158I mutations.
- the nonheme Fe enzyme includes ACCO-I184A K158I F91L K172Y K93Q.
- the nonheme Fe enzyme includes ACCO-I184A K158N F250Y F91E L174M K93I. Accordingly, the nonheme Fe enzyme can include ACCO having one or more of I184A, K158I, F91L, K172Y, and K93Q mutations. [0035] Mutations of the present disclosure may improve enzyme activity and enantiopreference.
- mutations of the present disclosure may improve (total turnover number) TTN.
- these mutated/variant nonheme Fe enzymes are capable of acting as fluorinases, azidases, and thiocyanases.
- these nonheme Fe enzymes are capable of 4059.060PCT1 (2024-841-2) switching between the ferric (Fe 3+ ) and the ferrous state (Fe 2+ ) during the reaction.
- nonheme Fe enzyme variants of the present disclosure can provide radical rebound activities for fluorine containing compounds and exogenous anions.
- Method 100 includes the following step: [0037] STEP 102, CATALYZE THE FORMATION OF A C-HETEROATOM BOND IN AN ORGANIC COMPOUND WITH A NONHEME FE ENZYME, includes catalyzing the formation of a C-heteroatom bond (bond other than carbon and hydrogen) in an organic compound with a nonheme Fe enzyme.
- the nonheme Fe enzyme includes an enzyme of the present disclosure.
- the nonheme Fe enzyme includes Aminocyclopropanecarboxylate oxidase (ACCO).
- the nonheme Fe enzyme includes ergothioneine synthase (EgtB).
- the nonheme Fe enzyme includes Quercetin 2,3-dioxygenase (QueD) or 4-hydroxy-phenylpyruvate dioxygenase (HppD).
- the nonheme Fe enzyme may include enzyme variants of the present disclosure, such as a variant of EgtB and/or ACCO.
- STEP 102 may include converting the nonheme Fe enzyme from the ferrous state (Fe 2+ ) to the ferric state (Fe 3+ ). Alternatively, or additionally, STEP 102 may include converting the nonheme Fe enzyme from the ferric state (Fe 3+ ) to the ferrous state (Fe 2+ ).
- the method may include a radical reaction mechanism for forming the C-heteroatom bond, wherein the radical mechanism includes atom transfer and atom rebound.
- the C-heteroatom bond is selected from a C-F bond, a C-N bond, and a C-SCN bond.
- the organic compound may include a fluorination product, an azidation product, and/or a thiocyanation product. Catalyzing the formation of C-F bonds may form organofluorine compounds.
- method 100 may form organic compounds without utilizing a C-H halogenase. In one non-limiting example, method 100 may be used to form the following compounds: . [0039] FIG.
- FIG. 2 illustrates heme and nonheme Fe enzymes, according to some embodiments.
- FIG. 2 shows a P450 enzyme, an ApePgb enzyme, a SavHppD enzyme, a BsuQueD enzyme, a MthEgtB enzyme, and a SyrB2 enzyme.
- the heme Fe enzymes include 4059.060PCT1 (2024-841-2) P450 and ApePgb.
- the nonheme Fe enzymes include SavHppD, BsuQueD, MthEgtB, and SyrB2.
- nonheme Fe enzymes do not include a porphyrin type coordination environment like that of heme Fe enzymes.
- nonheme Fe enzymes do not include a porphyrin core.
- Method 300 includes the following step: [0041] STEP 302, CATALYZE THE FORMATION OF A C-F BOND WITH A NONHEME FE ENZYME SUFFICIENT TO FORM AN ORGANOFLUORINE COMPOUND, includes catalyzing the formation of a C-F bond with a nonheme Fe enzyme, such as ACCO, sufficient to form an organofluorine compound.
- the nonheme Fe enzyme includes an enzyme of the present disclosure.
- the nonheme Fe enzyme includes Aminocyclopropanecarboxylate oxidase (ACCO).
- the nonheme Fe enzyme includes ergothioneine synthase (EgtB).
- the nonheme Fe enzyme includes Quercetin 2,3-dioxygenase (QueD) or 4-hydroxy-phenylpyruvate dioxygenase (HppD).
- the nonheme Fe enzyme may include enzyme variants of the present disclosure, such as a variant of EgtB and/or ACCO.
- STEP 302 may include converting the nonheme Fe enzyme from the ferrous state (Fe 2+ ) to the ferric state (Fe 3+ ).
- STEP 302 may include converting the nonheme Fe enzyme from the ferric state (Fe 3+ ) to the ferrous state (Fe 2+ ).
- the method may include a radical reaction mechanism for forming the C-F bond, wherein the radical mechanism includes fluorine atom transfer and fluorine atom rebound.
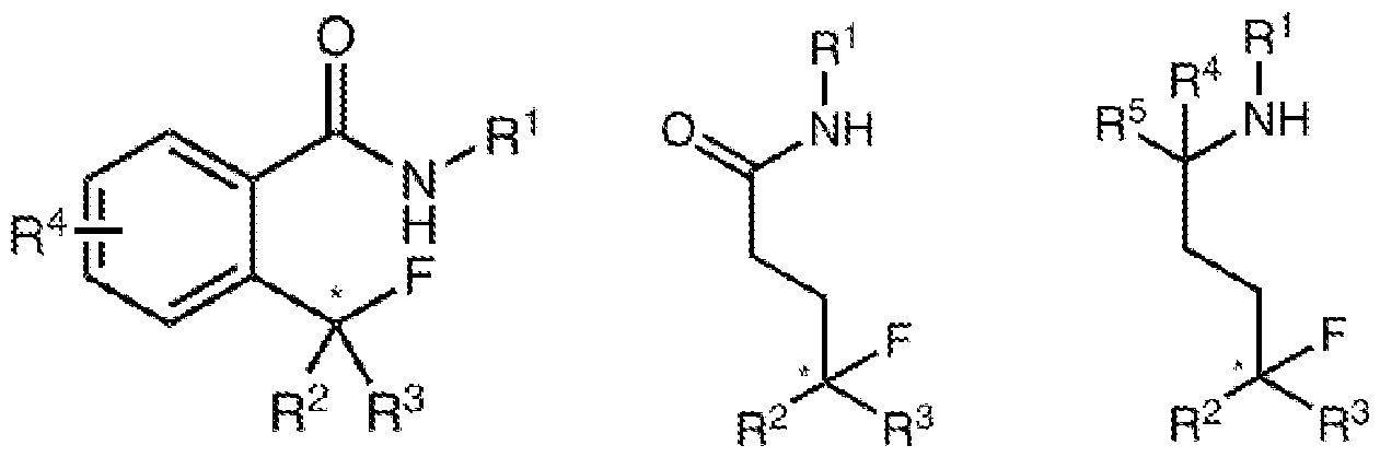
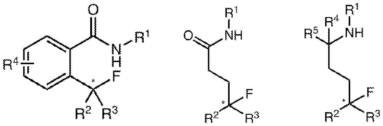
- the organofluorine includes one or more of: , wherein R1, R2, R3, R4, and R5 include generic alkyl, alkenyl, alkynyl, aryl, hetereoaryl substituents, and other functional groups including a carbonyl group, a cyano group, a heteroatom-based substituent such as OR 6 , SR 6 , and NR 6 R 7 .
- FIG.4 illustrates an example of enzymatic fluorination in method 300, according to some embodiments. Further, additional examples of formed organofluorine compounds are illustrated below: [0044] Referring to FIG.5, a method 500 of enzymatic fluorination is illustrated.
- Method 500 includes the following steps: [0045] STEP 502, TRANSFER A FLUORINE ATOM FROM A FLUORINE CONTAINING COMPOUND TO A NONHEME FE ENZYME TO FORM A NITROGEN- CENTERED RADICAL AND A FE(III)-F SPECIES, includes transferring a fluorine atom from a fluorine containing compound, such as N-fluoroamide, to a nonheme Fe enzyme to form a nitrogen-centered radical and a Fe(III)-F species.
- STEP 502 may include radical initiation and fluorine atom transfer. Accordingly, the fluorine may transfer to the Fe(II) enzyme, leading to the nitrogen-centered radical and the Fe(III)-F bond.
- the nitrogen-centered radical may include an amidyl radical.
- the nonheme Fe enzyme includes ergothioneine synthase (EgtB), aminocyclopropanecarboxylate oxidase (ACCO), 4-hydroxy-phenylpyruvate dioxygenase, quercetin 2,3-dioxygenase, or variants thereof.
- the nonheme Fe enzyme includes a mutated variant of EgtB, ACCO, 4-hydroxy-phenylpyruvate dioxygenase, or Quercetin 2,3-dioxygenase.
- the nonheme enzyme includes a mutated variant of Mycobacterium thermoresistible EgtB (MthEgtB).
- MthEgtB Mycobacterium thermoresistible EgtB
- Various nonheme Fe enzyme variants of the present disclosure are suitable for radical initiation and fluorine atom transfer in method 500.
- the nonheme Fe enzyme includes MthEgtB Y377W W415R R87D T141I F83Y R379E V84R H417L.
- the nonheme Fe enzyme includes MthEgtB Y377W W415R R87D T141M R379A A145K Q422D.
- the nonheme Fe enzyme includes ACCO-I184A K158I F91L K172Y K93Q.
- the nonheme Fe enzyme includes ACCO-I184A K158N F250Y F91E L174M K93I; [0047]
- the hydrogen atom transfer occurs due to the high N-H bond dissociation enthalpy; and [0048] STEP 506, FORM AN ORGANOFLUORINE WITH A C-F BOND AND CONVERTING THE NONHEME FE ENZYME TO THE FERROUS STATE (FE 2+ ), includes forming an organofluorine, such as N-(Tert-butyl)-2-(1-fluoroethyl)benzamide, with a C-F bond and converting the nonheme Fe enzyme to the ferrous state. Accordingly, the nonheme Fe enzyme may switch from the ferric state to the ferrous state.
- organofluorine such as N-(Tert-butyl)-2-(1-fluoroethyl)benzamide
- STEP 506 may include radical rebound of the carbon-centered radical with the Fe(III)-F intermediate, leading to C-F bond formation and converting the enzyme back to the ferrous state.
- Method 500 may form the same products as methods 100 and 300. Further, non-limiting examples of formed organofluorine compounds are shown below. [0049] Method 500 may form organofluorine compounds at various temperatures and pH levels. In one example, method 500 forms organofluorine compounds at a pH between about 7 pH and about 8 pH. In another example, method 500 forms organofluorine compound at a pH between about 7.3 pH and about 7.6 pH. E.
- Nonheme Fe enzyme variants of the present disclosure can also provide radical rebound activities, similar to Method 500, in the presence of exogenous anions.
- these nonheme Fe enzyme variants can provide radical rebound activities in the presence of azide ions (N3-) and thiocyanate ions (SCN-).
- this mechanism includes pre- association of the exogenous anion (N 3 - or SCN-) with Fe and rapid radical rebound with the Fe-bound N 3 -/SCN- occupying a coordination site different from that of F-.
- C-H azidation and thiocyanation using two different enzyme variants may form the same enantiomer.
- these nonheme Fe enzymes may be used for form azidation products and thiocyanation products, examples of which are shown below. [0051]
- the newly evolved nonheme Fe enzymes exhibit excellent efficiency in unnatural C(sp 3 )–H functionalization processes.
- nonheme Fe enzymes can be utilized to form fluorination, azidation, and thiocyanation products by providing a radical reaction mechanism.
- the radical reaction mechanism may include radical initiation and rebound.
- nonheme Fe enzyme variants were created to improve total activity and/or enantioselectivity.
- the engineered fluorinases afforded a 28-fold to 181-fold improvement in activity and complementary enantioselectivities.
- Example 1 – Enzyme Variants [0052] pET-28b(+) was used as the cloning and expression vector for Mycobacterium thermoresistible EgtB (MthEgtB) with an N-terminal 6 ⁇ His-tag.
- the gene encoding MthEgtB was codon-optimized for protein production using E. coli as the host organism and purchased as gBlocks. The gene was cloned into pET-28b(+) between restriction sites Nde I and Hind III. Nonheme Fe enzymes with a C-terminal 6 ⁇ His-tag were cloned into pET-22b(+) between Nde I and Xho I. Site-saturation mutagenesis was performed using the “22c-trick” method.
- the PCR products were gel purified and ligated using a Gibson mix prepared from 5X isothermal (ISO) reaction buffer (25% PEG-8000, 500 mM Tris-HCl pH 7.5, 50 mM MgCl2, 50 mM DTT, 1 mM each of the dNTPs, and 5 mM NAD), T5 exonuclease, Phusion DNA polymerase, and Taq DNA ligase.
- the ligation mixture was used directly to transform electrocompetent E. coli strain E. cloni BL21(DE3) cells. 4059.060PCT1 (2024-841-2) [0053] Initially, directed evolution was carried out using 24-well deep-well plates to ensure excellent reproducibility.
- directed evolution was carried out using 96-well deep-well plates to have higher throughput.
- EgtBCHF1 from wt MthEgtB to MthEgtB Y377W W415R R87D T141I, directed evolution was performed in 24-well plates.
- EgtB CHF2 from wt MthEgtB to MthEgtB Y377W W415R R87D T141M R379A, directed evolution of EgtBCHF2 was performed in 24-well plates.
- coli cells in deep-well 24-well plates were then pelleted by centrifugation (4000 rpm, 5 min, 4 °C). After centrifugation, the supernatant was removed, and the cell pellet was resuspended in M9-N buffer (600 ⁇ L) by gentle shaking (800 rpm, 3 min).
- M9-N buffer 600 ⁇ L
- the 24-well plate was then transferred into a Coy anaerobic chamber. In the Coy chamber, the N-fluoroamide substrate (10 ⁇ L, 0.4 M in EtOH) and ferrous ammonium sulfate (10 ⁇ L, 40 mM in ddH 2 O) were added to each well in succession. The plates were sealed with aluminum foil and shaken at room temperature and 680 rpm.
- the 24-well plate was taken out of the anaerobic chamber, the seal was removed, and the analytical scale reactions were worked up following the appropriate method.
- the reaction mixtures were quenched by the addition of 600 ⁇ L extraction solution (2.0 mM 1,3,5-trimethoxybenzene in diisopropyl ether).
- the plate was tightly sealed with a reusable silicone mat, shaken vigorously 30 times, and centrifuged (4500 RPM, 5 min) to completely separate the organic and the aqueous layers.
- the organic layers 350 ⁇ L/well were transferred to 500 ⁇ L vial inserts.
- EgtBCHF1 from MthEgtB Y377W W415R R87D T141I to the final variant, directed evolution was performed in 96-well plates.
- EgtBCHF2 from MthEgtB Y377W W415R R87D T141M R379A to the final variant, directed evolution was performed in 96-well plates. Single colonies from LB kan agar plates were picked using sterile toothpicks and cultured in deep- well 96-well plates containing LB kan (400 ⁇ L/well) at 37 °C, 250 rpm shaking overnight.
- TB kan 1000 ⁇ L/well
- a deep-well 96-well plate was then inoculated with an aliquot (50 ⁇ L/well) of these overnight cultures and allowed to shake for 3 h at 37 °C and 250 rpm.
- the plates were cooled on ice for 20 min before induction with 0.5 mM IPTG (final concentration). Expression was conducted at 22 °C, 220 rpm for 22 h. 4059.060PCT1 (2024-841-2) [0057] E. coli cells were then pelleted by centrifugation (4000 rpm, 5 min, 4 °C).
- the 24-well plate was then transferred into a Coy anaerobic chamber. In the Coy chamber, the N-fluoroamide substrate (10 ⁇ L, 0.4 M in EtOH) and ferrous ammonium sulfate (10 ⁇ L, 40 mM in ddH 2 O) were added in succession. The plates were sealed with aluminum foil and shaken at 680 rpm. After 6–18 h, the 24-well plate was taken out of the anaerobic chamber, the seal was removed, and the analytical scale reactions were worked up.
- E. coli E. cloni BL21(DE3) cells carrying the MthEgtB plasmid in a pET-28b(+) vector were grown overnight in 4 mL LBkan.
- TBkan (30 mL in a 125 mL Erlenmeyer flask) was then inoculated with 1.5 mL preculture and incubated at 37 °C, 230 rpm for 2.5 h until OD600 reached ca.2.0.
- the cultures were cooled on ice for 20 min before induction with 0.5 mM IPTG (final concentration).
- E. coli E. cloni BL21(DE3) cells carrying a plasmid encoding the appropriate heme protein were grown overnight in 4 mL LB amp .
- HB amp (30 mL in a 125 mL Erlenmeyer flask) was then inoculated with 1.5 mL preculture and incubated at 37 °C, 230 rpm for 2 h.
- coli cells were lysed by sonication using an ultrasonic homogenizer equipped with a stepped microtip (6 min in total, 1 sec on, 1 sec off, 45% amplitude, 2 cycles), and samples were carefully submerged in wet ice to avoid overheating (overheating in the sonication step can lead to a significant loss of enzyme activity.)
- the resulting lysed solutions were kept on ice until further use.
- the cell-free lysate of the nonheme enzyme 500 ⁇ L was added to a 2 mL vial.
- ferrous ammonium sulfate (10 ⁇ L, 40 mM in ddH2O), sodium ascorbate (10 ⁇ L, 400 mM in M9-N buffer) and the N-fluoroamide substrate (10 ⁇ L, 0.4 M in EtOH) were added to 500 ⁇ L cell-free lysate in a 2 mL vial in succession.
- the vials were sealed and shaken on a microplate shaker at room temperature and 680 rpm for 20 h. All reactions were run in triplicates.
- cell-free lysates were prepared using the procedure described above.
- ferrous ammonium sulfate (10 ⁇ L, 40 mM in ddH2O)
- sodium ascorbate (10 ⁇ L, 400 mM in M9-N buffer)
- NaN3 or NaSCN (20 ⁇ L, 3.2 M in ddH2O)
- the N-fluoroamide substrate (10 ⁇ L, 0.4 M in EtOH) were added to 500 ⁇ L cell-free lysate in a 2 mL vial in succession.
- the vials were sealed and shaken on a microplate shaker at room temperature and 680 rpm for 20 h. All reactions were run in triplicates.
- the reaction mixtures were quenched by the addition of 600 ⁇ L extraction solution (2.0 mM 1,3,5-trimethoxybenzene in diisopropyl ether).
- the vials were vortexed vigorously to ensure good mixing and extraction.
- the mixture in each vial was transferred to a 1.5 mL microcentrifuge tube, and the layers were separated by centrifugation (15000 rpm, 5 min).
- the organic layer 350 ⁇ L was transferred to a 500 ⁇ L vial insert placed in a 2 mL vial.
- SDS-PAGE analysis was performed. The lysate was diluted by 40 times in M9-N buffer and centrifuged (15,000 rpm, 10 min, 4 °C) using a centrifuge. The resulting supernatant was used for SDS-PAGE analysis. A stock solution of bovine serum albumin (BSA, 1.0 mg/mL in M9-N buffer) was freshly prepared. A series of aliquots (10–100 ⁇ L) of the BSA stock solution was diluted to 1000 ⁇ L in M9-N buffer as the standard solution for SDS-PAGE analysis.
- BSA bovine serum albumin
- the lysate was centrifuged (15,000 rpm, 10 min, 4 °C). In a conical tube, a solution of 0.2 M NaOH, 40% (v/v) pyridine, and 0.5 mM K3Fe(CN)6 was prepared (Solution I).
- FIG.6 illustrates a radical mechanism for C-H functionalization using nonheme Fe enzymes, according to some embodiments.
- fluorine atom transfer to the Fe(II) enzyme (II) leads to a nitrogen-centered radical (i.e., amidyl radical III) and a Fe(III)–F species (IV).
- FIG.7 illustrates an example of enzymatic fluorination, according to some embodiments.
- an Aeropyrum pernix protoglobin (ApePgb) variant ApePgb W59A Y60G F145W featuring a Fe-binding histidine provided 2b in 7% yield with no desired fluorination product 2a being formed (Table 1, entry 3).
- ApePgb Aeropyrum pernix protoglobin
- ApePgb W59A Y60G F145W featuring a Fe-binding histidine provided 2b in 7% yield with no desired fluorination product 2a being formed
- C–H fluorination hits from the nonheme Fe enzyme family emerged. Table 1. Evaluation of Metalloenzymes. 4059.060PCT1 (2024-841-2) [0069]
- these nonheme enzymes encompassed a diverse range of native functions and coordination chemistry of Fe.
- thermoresistibile MthEgtB
- a thermophilic sulfoxide synthase involved in ergothioneine synthase with a three-histidine facial triad furnished fluorinated 2a in 3.5% yield and 42:58 e.r.
- FIG. 8 illustrates an active-site of MthEgtB with mutations, according to some embodiments. Enhancement of total activity and/or enantioselectivity was used as the selection criteria for directed evolution.
- beneficial mutations Y377W, W415R and R87D were identified to improve the enantioselectivity or fluorination activity, leading to an improved fluorinase variant EgtB Y377W W415R R87D, furnishing the fluorinated product 2a (shown in FIG.7) with a total turnover number (TTN) of 34 and 34:66 e.r.
- TTN total turnover number
- tyrosine at 377 was found to be useful in the native function of EgtB to catalyze C–S bond formation and sulfoxidation.
- EgtB Y377W W415R R87D resulted in a 1.8-fold enhancement in total activity with identical stereoselectivity (33:67 e.r.).
- FIG. 9 illustrates an example of enzymatic fluorination with EgtB CHF1 and EgtB CHF2 , according to some embodiments.
- EgtB CHF1 provided C–H fluorination product 2a in (283 ⁇ 5) TTN and 60:40 e.r.
- EgtBCHF2 delivered 2a in (133 ⁇ 2) TTN and 31:69 e.r.
- EgtB CHF1 and EgtB CHF2 gave rise to C–H hydroxylation product 2c (shown below) with 360 and 96 TTN, respectively, indicating their radical rebound 4059.060PCT1 (2024-841-2) promiscuity.
- FIG. 10A illustrates populated structures and hydrogen bond interactions between N-fluoroamide 1 and W415R residue in EgtB CHF1 , according to some embodiments.
- FIG. 10B illustrates populated structures and hydrogen bond interactions between N- fluoroamide 1 and W415R residue in EgtBCHF2, according to some embodiments.
- MD molecular dynamics
- DFT density functional theory
- the N–H ⁇ O distance of this hydrogen bond is less than 2.5 ⁇ in most of the MD simulation times (89.0% and 86.4% for EgtBCHF1 and EgtBCHF2 variants, respectively).
- the hydrogen bond interactions with W415R may promote fluorine atom transfer via two distinct effects. First, it anchors the N-fluoroamide substrate, in particular the N–F moiety, in proximity to the Fe(II) center.
- FIG.11 illustrates mutations for ACCO, according to some embodiments.
- ACCO is a nonheme enzyme with a two-histidine, one-carboxylate facial triad.
- Table 3 and Table 4 show results using a 540 uL cell suspension, a 30uL sub, and 30 uL of 10% Mohr’s salt.
- FIG.12 illustrates example products of enzymatic fluorination, according to some embodiments.
- product 1 was formed with a 75% yield and 95:5 er
- product 2 was formed with a 30% yield and 86:14 er
- product 3 was formed with a 50% yield and 92:8 er
- product 4 was formed with a 10% yield and 72:28 er
- product 5 was formed with a 5% yield and 66:34 er.
- product 6 was formed with a 40% yield and 96:4 er
- product 7 was formed with a 40% yield and 95:5 er
- product 8 was formed with a 40% yield and 95:5 er
- product 9 was formed with a 20% yield and 97:3 er
- product 10 was formed with a 50% yield.
- FIG.13 illustrates DFT-computed reaction energy profile of C–H fluorination of N-fluoroamide 1 using a theozyme model, according to some embodiments.
- the computed reaction energy profile reveals a relatively low barrier of 10.5 kcal/mol for the fluorine atom transfer (TS-1).
- TS-1 fluorine atom transfer
- BDE 82.0 kcal/mol
- FIG. 14 illustrates optimized geometries of the fluorine atom transfer (TS-1 in FIG. 13) and fluorine radical rebound (TS-3 in FIG. 13) transition states, according to some embodiments.
- TS-1 in FIG. 13 fluorine atom transfer
- TS-3 in FIG. 13 fluorine radical rebound
- R1, R2, R3, R4, and R5 include generic alkyl, alkenyl, alkynyl, aryl, hetereoaryl substituents, and other functional groups including a carbonyl group, a cyano group, a heteroatom-based substituent such as OR 6 , SR 6 , and NR 6 R 7 .
- R1, R2, R3, R4, and R5 include generic alkyl, alkenyl, alkynyl, aryl, hetereoaryl substituents, and other functional groups including a carbonyl group, a cyano group, a heteroatom-based substituent such as OR 6 , SR 6 , and NR 6 R 7 .
- EgtBCHF1 and EgtB CHF2 were found to display promiscuous radical rebound activities in the presence of exogenous anions.
- azide ion N3-
- both EgtBCHF1 and EgtBCHF2 exhibited promiscuous azidase activity, affording the corresponding C(sp 3 )–H azidation product 3a with (430 ⁇ 20) TTN (56:44 e.r.) and (144 ⁇ 4) TTN (61:39 e.r.), respectively.
- Azidation product 3a is illustrated in FIG. 15A.
- FIG. 15A illustrates EgtBCHF as C-H azidases via azide rebound, according to some embodiments.
- FIG. 15B illustrates EgtBCHF as C-H thiocyanases via thiocyanate rebound, according to some embodiments.
- the evolved Fe enzymes promote C-H functionalization reactions with excellent efficiency.
- these nonheme Fe enzymes use a radical mechanism for enzymatic C-F, C-N, and C-SCN bond formation.
- Directed evolution of EgtB afforded a set of engineered fluorinases EgtBCHF1 and EgtBCHF2 with up to 28-fold improvement in activity and complementary enantioselectivities.
- Directed evolution of ACCO afforded 181-fold improvement in activity and complementary enantioselectivities.
- nonheme Fe enzymes were repurposed and evolved to promote unnatural C–H fluorination reactions with excellent efficiency.
- These evolved Fe enzymes represent the first unnatural fluorinases capable of catalyzing the formation of C–F bonds, a challenging process that has been long sought after in biocatalysis and bioinorganic chemistry.
- These unnatural Fe-dependent fluorinases can exploit a radical mechanism for enzymatic C–F bond formation.
- a method of enzymatic C-H functionalization includes catalyzing the formation of a C-heteroatom bond in an organic compound with a nonheme Fe enzyme. 4059.060PCT1 (2024-841-2) [0095]
- the method of the preceding paragraph can optionally include, additionally and/or alternatively, any one or more of the following features/steps, configurations, and/or additional components.
- the nonheme Fe enzyme can include ergothioneine synthase (EgtB) or a variant thereof.
- the nonheme Fe enzyme can include aminocyclopropanecarboxylate oxidase (ACCO) or a variant thereof.
- the nonheme Fe enzyme can include Quercetin 2,3-dioxygenase (QueD) or 4- hydroxy-phenylpyruvate dioxygenase (HppD).
- the nonheme Fe enzyme can include a mutated enzyme.
- the method can include converting the nonheme Fe enzyme from a ferrous state (Fe 2+ ) to a ferric (Fe 3+ ) state.
- the method can include converting the nonheme Fe enzyme from a ferric (Fe 3+ ) state to a ferrous state (Fe 2+ ).
- the method can include a radical reaction mechanism for forming the C- heteroatom bond, wherein the radical mechanism includes atom transfer and atom rebound.
- the C-heteroatom bond can be selected from a C-F bond, a C-N bond, and a C- SCN bond.
- the organic compound can be selected from a fluorination product, an azidation product, and a thiocyanation product.
- the method can include catalyzing the formation of C-F bonds to form organofluorine compounds.
- the organic compound can include: .
- the organic compound can be formed without a C-H halogenase.
- a method of enzymatic fluorination includes catalyzing the formation of a C-F bond with nonheme Fe enzyme sufficient to form an organofluorine compound. 4059.060PCT1 (2024-841-2) [00109]
- the method of the preceding paragraph can optionally include, additionally and/or alternatively, any one or more of the following features/steps, configurations, and/or additional components.
- the nonheme Fe enzyme can be selected from ergothioneine synthase (EgtB), aminocyclopropanecarboxylate oxidase (ACCO), 4-hydroxy-phenylpyruvate dioxygenase (HppD), Quercetin 2,3-dioxygenase (QueD), and mutated variants thereof.
- the method can include a radical reaction mechanism for forming the C-F bonds, wherein the radical mechanism includes fluorine atom transfer and fluorine atom rebound.
- a method of enzymatic fluorination includes transferring a fluorine atom from a fluorine containing compound to a nonheme Fe enzyme to form a nitrogen-centered radical and a Fe(III)-F species, transferring a hydrogen atom to form a carbon-centered radical, and forming an organofluorine with a C-F bond and converting the nonheme Fe enzyme to the ferrous state (Fe 2+ ).
- the method of the preceding paragraph can optionally include, additionally and/or alternatively, any one or more of the following features/steps, configurations, and/or additional components.
- the fluorine containing compound can include N-fluoroamide.
- the nonheme Fe enzyme can be selected from ergothioneine synthase (EgtB), aminocyclopropanecarboxylate oxidase (ACCO), 4-hydroxy-phenylpyruvate dioxygenase (HppD), Quercetin 2,3-dioxygenase (QueD), and mutated variants thereof.
- the organofluorine can include one or more of: wherein R1, R2, R3, R4, and R5 include generic alkyl, aryl substituents, and other functional groups.
- the organofluorine can include one or more of: 4059.060PCT1 (2024-841-2) [00118] According to another aspect, an enzyme for fluorination of an organic compound includes a mutated variant of ergothioneine synthase (EgtB) including Y377W, W415R, and R87D mutations. [00119] According to another aspect, an enzyme for fluorination of an organic compound includes a mutated variant of aminocyclopropanecarboxylate oxidase (ACCO) including I184A and K158I mutations.
- EgtB ergothioneine synthase
- ACCO aminocyclopropanecarboxylate oxidase
- an enzyme for catalyzing the formation of an azidation product includes a mutated variant of ergothioneine synthase (EgtB) including an H138A mutation.
- the enzyme of the preceding paragraph can optionally include, additionally and/or alternatively, any one or more of the following features, configurations, and/or additional components.
- the enzyme can include at least one of Y377W, W415R, and R87D mutations.
Landscapes
- Chemical & Material Sciences (AREA)
- Organic Chemistry (AREA)
- Life Sciences & Earth Sciences (AREA)
- Health & Medical Sciences (AREA)
- Engineering & Computer Science (AREA)
- Zoology (AREA)
- Wood Science & Technology (AREA)
- Bioinformatics & Cheminformatics (AREA)
- Genetics & Genomics (AREA)
- General Health & Medical Sciences (AREA)
- General Engineering & Computer Science (AREA)
- Biochemistry (AREA)
- Microbiology (AREA)
- Biotechnology (AREA)
- Molecular Biology (AREA)
- Medicinal Chemistry (AREA)
- Biomedical Technology (AREA)
- General Chemical & Material Sciences (AREA)
- Chemical Kinetics & Catalysis (AREA)
- Enzymes And Modification Thereof (AREA)
- Preparation Of Compounds By Using Micro-Organisms (AREA)
Abstract
A method of enzymatic C-H functionalization includes catalyzing the formation of a C-heteroatom bond in an organic compound with a nonheme Fe enzyme. A method of enzymatic fluorination includes catalyzing the formation of a C-F bond with a nonheme Fe enzyme sufficient to form an organofluorine compound. Methods of enzymatic fluorination, azidation, and thiocyanation are provided in the present disclosure.
Description
SYSTEMS, COMPOSITIONS AND METHODS OF METALLOPROTEIN- CATALYZED FLUORINATION, AZIDATION, THIOCYANATION AND HYDROXYLATION CROSS-REFERENCE TO RELATED APPLICATION [0001] This application claims benefit of US Provisional Application No. 63/532,545, filed on August 14, 2023. US Provisional Application No. 63/532,545 is incorporated herein by reference. A claim of priority is made. STATEMENT OF GOVERNMENT RIGHTS [0002] This invention was made with U.S. government support under Grant No. 5R35GM147387-02, awarded by the National Institutes of Health (NIH). The U.S. Government has certain rights in the invention. SEQUENCE LISTING [0003] The instant application contains a Sequence Listing which has been submitted electronically in XML file format and is hereby incorporated by reference in its entirety. Said XML copy, created on July 24, 2024, is named 4059_060PCT1_SL.xml and is 58115 bytes in size. TECHNICAL FIELD [0004] The subject matter disclosed herein relates to biocatalytic reactions and enzymes generally, and more particularly to enzyme variants and catalyzed C-H functionalization of organic compounds. BACKGROUND [0005] Biocatalysis can be used to form useful compounds for various industries, such as the pharmaceutical and agrochemical industries. Drawing inspiration from synthetic, organic, and organometallic chemistry, biocatalysis researchers have developed a range of unnatural enzymatic activities, including metalloprotein-catalyzed carbene and nitrene transfer reactions and nicotinamide- and flavin-dependent enzyme-catalyzed reductive radical reactions. To 4059.060PCT1 (2024-841-2)
further advance the field of biocatalysis, it would be beneficial to develop enzymes and unnatural enzymatic processes for C-H functionalization of organic compounds, such as C–F, C-N, and C-SCN bond formation. Particularly, the incorporation of fluorine into organic compounds can lead to enhanced bioavailability, metabolic stability, and desirable protein binding profiles. Additionally, it would be beneficial to streamline the synthesis of molecular architecture. SUMMARY [0006] According to one aspect, a method of enzymatic C-H functionalization includes catalyzing the formation of a C-heteroatom bond in an organic compound with a nonheme Fe enzyme. [0007] According to another aspect, a method of enzymatic fluorination includes catalyzing the formation of a C-F bond with nonheme Fe enzyme sufficient to form an organofluorine compound. [0008] According to another aspect, a method of enzymatic fluorination includes transferring a fluorine atom from a fluorine containing compound to a nonheme Fe enzyme to form a nitrogen-centered radical and a Fe(III)-F species, transferring a hydrogen atom to form a carbon-centered radical, and forming an organofluorine with a C-F bond and converting the nonheme Fe enzyme to the ferrous state (Fe2+). [0009] According to another aspect, an enzyme for fluorination of an organic compound includes a mutated variant of ergothioneine synthase (EgtB) including Y377W, W415R, and R87D mutations. [0010] According to another aspect, an enzyme for fluorination of an organic compound includes a mutated variant of aminocyclopropanecarboxylate oxidase (ACCO) including I184A and K158I mutations. [0011] According to another aspect, an enzyme for catalyzing the formation of an azidation product includes a mutated variant of ergothioneine synthase (EgtB) including an H138A mutation. 4059.060PCT1 (2024-841-2)
BRIEF DESCRIPTION OF DRAWINGS [0012] This written disclosure describes illustrative embodiments that are non-limiting and non-exhaustive. Reference is made to illustrative embodiments that are depicted in the figures, in which: [0013] FIG.1 illustrates method 100 of enzymatic C-H functionalization, according to some embodiments. [0014] FIG. 2 illustrates heme and nonheme Fe enzymes, according to some embodiments. [0015] FIG. 3 illustrates method 300 of enzymatic fluorination, according to some embodiments. [0016] FIG. 4 illustrates an example of enzymatic fluorination, according to some embodiments. [0017] FIG. 5 illustrates method 500 of enzymatic fluorination, according to some embodiments. [0018] FIG. 6 illustrates a radical mechanism for C-H functionalization, according to some embodiments. [0019] FIG. 7 illustrates an example of enzymatic fluorination, according to some embodiments. [0020] FIG.8 illustrates an active-site of MthEgtB, according to some embodiments. [0021] FIG. 9 illustrates an example of enzymatic fluorination, according to some embodiments. [0022] FIG. 10A illustrates populated structures and hydrogen bond interactions between N-fluoroamide and W415R residue in EgtBCHF1, according to some embodiments. [0023] FIG.10B illustrates populated structures and hydrogen bond interactions between N-fluoroamide and W415R residue in EgtBCHF2, according to some embodiments. [0024] FIG.11 illustrates mutations for ACCO, according to some embodiments. [0025] FIG. 12 illustrates examples of enzymatic fluorination products, according to some embodiments. [0026] FIG.13 illustrates DFT-computed reaction energy profile of C–H fluorination of N-fluoroamide using a theozyme model, according to some embodiments. [0027] FIG.14 illustrates optimized geometries of the fluorine atom transfer (TS-1) and fluorine radical rebound (TS-3) transition states, according to some embodiments. 4059.060PCT1 (2024-841-2)
[0028] FIG. 15A illustrates EgtBCHF as C-H azidases via azide rebound, according to some embodiments. [0029] FIG. 15B illustrates EgtBCHF as C-H thiocyanases via thiocyanate rebound, according to some embodiments. DETAILED DESCRIPTION [0030] Embodiments of the present disclosure provide novel enzymes and radical mechanisms for C-H functionalization in organic compounds. The enzymes of the present disclosure include mutated enzymes for enhanced selectivity and efficiency in these processes. Mutated enzymes may include nonheme Fe enzymes, and these enzymes are capable of performing as fluorinases, azidases, and thiocyanases to form C-F, C-N, and C-SCN bonds in organic compounds, respectively. The newly evolved nonheme Fe enzymes exhibit excellent efficiency in unnatural C(sp3)–H functionalization processes, including fluorination, azidation, thiocyanation, and hydroxylation activities, which have previously remained out of the reach of nonheme Fe enzymology. For example, the incorporation of fluorine into organic compounds can lead to enhanced bioavailability, metabolic stability, and desirable protein binding profiles. Importantly, biocatalytic synthesis of organic compounds using nonheme Fe enzymes can produce small drug molecules or intermediates thereof. [0031] Enzymes of the present disclosure can be used for C-H functionalization. In one example, C-H functionalization can include converting a C-H bond to a new functional group. C-H functionalization can include replacing a C-H bond with a C-X bond, where X can include an element other than hydrogen. Examples of C-X bonds include C-F, C-N, and C-SCN bonds. Enzymes of the present disclosure include nonheme Fe (iron) enzymes, and these enzymes are capable of performing as fluorinases, azidases, and thiocyanases to form C-F, C-N, and C-SCN bonds in organic compounds, respectively. In one example, nonheme Fe enzymes do not include a porphyrin type coordination environment like that of heme Fe enzymes. For example, nonheme Fe enzymes do not include a porphyrin core. [0032] In one example, the nonheme Fe enzyme includes 4-hydroxy-phenylpyruvate dioxygenase (HppD) from Streptomyces avermitilis (SavHppD), or a variant thereof. This enzyme may include a two-histidine-one-carboxylate facial triad. In another example, the nonheme Fe enzyme includes Quercetin 2,3-dioxygenase (QueD) from Bacillus subtilis (BsuQueD), or a variant thereof. This enzyme may include a three-histidine-one-carboxylate 4059.060PCT1 (2024-841-2)
coordination sphere. In another example, the nonheme Fe enzyme includes ergothioneine synthase (EgtB) from Mycolicibacterium thermoresistibile (MthEgtB), or a variant thereof. This enzyme may include a three-histidine facial triad. In yet another example, the nonheme Fe enzyme includes aminocyclopropanecarboxylate oxidase (ACCO), or a variant thereof. ACCO is a nonheme enzyme with a two-histidine, one-carboxylate facial triad. [0033] Various nonheme Fe enzyme variants of the present disclosure are suitable for C- H functionalization, such as for radical initiation and fluorine atom transfer. An enzyme for C- H functionalization may include a mutated variant of the enzymes of the present disclosure. For example, the enzyme may include a mutated variant of ergothioneine synthase (EgtB) including at least one of Y377W, W415R, and R87D mutations. In one non-limiting example, the nonheme Fe enzyme includes MthEgtB Y377W W415R R87D T141I F83Y R379E V84R H417L. The enzyme may include a mutated variant of ergothioneine synthase (EgtB) including at least one Y377W, W415R, R87D, T141I, F83Y, R379E, V84R, H417L, and H138A mutations. The enzyme may include a mutated variant of ergothioneine synthase (EgtB) including at least one Y377W, W415R, R87D, T141M, R379A, A145K, Q422D, and H138A mutations. In another non-limiting example, the nonheme Fe enzyme includes MthEgtB Y377W W415R R87D T141M R379A A145K Q422D. For example, tyrosine at 377 may improve activity and enantioselectivity. T141 may modulate enzyme activity and enantiopreference for C-H fluorination. Additionally, W415R may promote fluorine atom transfer. [0034] In one example, an enzyme for catalyzing the formation of an azidation product includes a mutated variant of ergothioneine synthase (EgtB) including an H138A mutation. This enzyme may further include at least one of Y377W, W415R, and R87D mutations. An enzyme for C-H functionalization may include a mutated variant of aminocyclopropanecarboxylate oxidase (ACCO) including at least one of I184A and K158I mutations. In one non-limiting example, the nonheme Fe enzyme includes ACCO-I184A K158I F91L K172Y K93Q. In another non-limiting example, the nonheme Fe enzyme includes ACCO-I184A K158N F250Y F91E L174M K93I. Accordingly, the nonheme Fe enzyme can include ACCO having one or more of I184A, K158I, F91L, K172Y, and K93Q mutations. [0035] Mutations of the present disclosure may improve enzyme activity and enantiopreference. Further, mutations of the present disclosure may improve (total turnover number) TTN. Importantly, these mutated/variant nonheme Fe enzymes are capable of acting as fluorinases, azidases, and thiocyanases. Further, these nonheme Fe enzymes are capable of 4059.060PCT1 (2024-841-2)
switching between the ferric (Fe3+) and the ferrous state (Fe2+) during the reaction. Accordingly, nonheme Fe enzyme variants of the present disclosure can provide radical rebound activities for fluorine containing compounds and exogenous anions. [0036] Referring to FIG. 1, a method 100 of enzymatic C-H functionalization is illustrated. Method 100 includes the following step: [0037] STEP 102, CATALYZE THE FORMATION OF A C-HETEROATOM BOND IN AN ORGANIC COMPOUND WITH A NONHEME FE ENZYME, includes catalyzing the formation of a C-heteroatom bond (bond other than carbon and hydrogen) in an organic compound with a nonheme Fe enzyme. The nonheme Fe enzyme includes an enzyme of the present disclosure. In one example, the nonheme Fe enzyme includes Aminocyclopropanecarboxylate oxidase (ACCO). In another example, the nonheme Fe enzyme includes ergothioneine synthase (EgtB). In yet another example, the nonheme Fe enzyme includes Quercetin 2,3-dioxygenase (QueD) or 4-hydroxy-phenylpyruvate dioxygenase (HppD). The nonheme Fe enzyme may include enzyme variants of the present disclosure, such as a variant of EgtB and/or ACCO. [0038] STEP 102 may include converting the nonheme Fe enzyme from the ferrous state (Fe2+) to the ferric state (Fe3+). Alternatively, or additionally, STEP 102 may include converting the nonheme Fe enzyme from the ferric state (Fe3+) to the ferrous state (Fe2+). The method may include a radical reaction mechanism for forming the C-heteroatom bond, wherein the radical mechanism includes atom transfer and atom rebound. In one example, the C-heteroatom bond is selected from a C-F bond, a C-N bond, and a C-SCN bond. Accordingly, the organic compound may include a fluorination product, an azidation product, and/or a thiocyanation product. Catalyzing the formation of C-F bonds may form organofluorine compounds. Importantly, method 100 may form organic compounds without utilizing a C-H halogenase. In one non-limiting example, method 100 may be used to form the following compounds:
. [0039] FIG. 2 illustrates heme and nonheme Fe enzymes, according to some embodiments. FIG. 2 shows a P450 enzyme, an ApePgb enzyme, a SavHppD enzyme, a BsuQueD enzyme, a MthEgtB enzyme, and a SyrB2 enzyme. The heme Fe enzymes include 4059.060PCT1 (2024-841-2)
P450 and ApePgb. The nonheme Fe enzymes include SavHppD, BsuQueD, MthEgtB, and SyrB2. In one example, nonheme Fe enzymes do not include a porphyrin type coordination environment like that of heme Fe enzymes. In another example, nonheme Fe enzymes do not include a porphyrin core. [0040] Referring to FIG.3, a method 300 of enzymatic fluorination is illustrated. Method 300 includes the following step: [0041] STEP 302, CATALYZE THE FORMATION OF A C-F BOND WITH A NONHEME FE ENZYME SUFFICIENT TO FORM AN ORGANOFLUORINE COMPOUND, includes catalyzing the formation of a C-F bond with a nonheme Fe enzyme, such as ACCO, sufficient to form an organofluorine compound. The nonheme Fe enzyme includes an enzyme of the present disclosure. In one example, the nonheme Fe enzyme includes Aminocyclopropanecarboxylate oxidase (ACCO). In another example, the nonheme Fe enzyme includes ergothioneine synthase (EgtB). In yet another example, the nonheme Fe enzyme includes Quercetin 2,3-dioxygenase (QueD) or 4-hydroxy-phenylpyruvate dioxygenase (HppD). The nonheme Fe enzyme may include enzyme variants of the present disclosure, such as a variant of EgtB and/or ACCO. [0042] STEP 302 may include converting the nonheme Fe enzyme from the ferrous state (Fe2+) to the ferric state (Fe3+). Alternatively, or additionally, STEP 302 may include converting the nonheme Fe enzyme from the ferric state (Fe3+) to the ferrous state (Fe2+). The method may include a radical reaction mechanism for forming the C-F bond, wherein the radical mechanism includes fluorine atom transfer and fluorine atom rebound. In one example, the organofluorine includes one or more of:
, wherein R1, R2, R3, R4, and R5 include generic alkyl, alkenyl, alkynyl, aryl, hetereoaryl substituents, and other functional groups including a carbonyl group, a cyano group, a heteroatom-based substituent such as OR6, SR6, and NR6R7. 4059.060PCT1 (2024-841-2)
[0043] FIG.4 illustrates an example of enzymatic fluorination in method 300, according to some embodiments. Further, additional examples of formed organofluorine compounds are illustrated below:
[0044] Referring to FIG.5, a method 500 of enzymatic fluorination is illustrated. Method 500 includes the following steps: [0045] STEP 502, TRANSFER A FLUORINE ATOM FROM A FLUORINE CONTAINING COMPOUND TO A NONHEME FE ENZYME TO FORM A NITROGEN- CENTERED RADICAL AND A FE(III)-F SPECIES, includes transferring a fluorine atom from a fluorine containing compound, such as N-fluoroamide, to a nonheme Fe enzyme to form a nitrogen-centered radical and a Fe(III)-F species. STEP 502 may include radical initiation and fluorine atom transfer. Accordingly, the fluorine may transfer to the Fe(II) enzyme, leading to the nitrogen-centered radical and the Fe(III)-F bond. Further, the nitrogen-centered radical may include an amidyl radical. In one example, the nonheme Fe enzyme includes ergothioneine synthase (EgtB), aminocyclopropanecarboxylate oxidase (ACCO), 4-hydroxy-phenylpyruvate dioxygenase, quercetin 2,3-dioxygenase, or variants thereof. In another example, the nonheme Fe enzyme includes a mutated variant of EgtB, ACCO, 4-hydroxy-phenylpyruvate dioxygenase, or Quercetin 2,3-dioxygenase. In yet another example, the nonheme enzyme includes a mutated variant of Mycobacterium thermoresistible EgtB (MthEgtB). [0046] Various nonheme Fe enzyme variants of the present disclosure are suitable for radical initiation and fluorine atom transfer in method 500. In one non-limiting example, the nonheme Fe enzyme includes MthEgtB Y377W W415R R87D T141I F83Y R379E V84R H417L. In another non-limiting example, the nonheme Fe enzyme includes MthEgtB Y377W W415R R87D T141M R379A A145K Q422D. In yet another non-limiting example, the nonheme Fe enzyme includes ACCO-I184A K158I F91L K172Y K93Q. In yet another non- 4059.060PCT1 (2024-841-2)
limiting example, the nonheme Fe enzyme includes ACCO-I184A K158N F250Y F91E L174M K93I; [0047] STEP 504, TRANSFER A HYDROGEN ATOM TO FORM A CARBON- CENTERED RADICAL, includes transferring a hydrogen atom via 1,5-hydrogen atom transfer to form a new carbon-centered radical. In one example, the hydrogen atom transfer occurs due to the high N-H bond dissociation enthalpy; and [0048] STEP 506, FORM AN ORGANOFLUORINE WITH A C-F BOND AND CONVERTING THE NONHEME FE ENZYME TO THE FERROUS STATE (FE2+), includes forming an organofluorine, such as N-(Tert-butyl)-2-(1-fluoroethyl)benzamide, with a C-F bond and converting the nonheme Fe enzyme to the ferrous state. Accordingly, the nonheme Fe enzyme may switch from the ferric state to the ferrous state. STEP 506 may include radical rebound of the carbon-centered radical with the Fe(III)-F intermediate, leading to C-F bond formation and converting the enzyme back to the ferrous state. Method 500 may form the same products as methods 100 and 300. Further, non-limiting examples of formed organofluorine compounds are shown below.
[0049] Method 500 may form organofluorine compounds at various temperatures and pH levels. In one example, method 500 forms organofluorine compounds at a pH between about 7 pH and about 8 pH. In another example, method 500 forms organofluorine compound at a pH between about 7.3 pH and about 7.6 pH. E. coli cells may be utilized to harbor the nonheme Fe enzymes for the enzymatic fluorination reaction, and the nonheme Fe enzymes may promote hydrogen bond interactions to promote fluorine atom transfer. In one example, the hydrogen bond interactions anchor the substrate close to the Fe(II) center. In another example, the hydrogen bond interactions promote fluorine atom transfer via electronic activation of the amide N-F bond. 4059.060PCT1 (2024-841-2)
[0050] Nonheme Fe enzyme variants of the present disclosure can also provide radical rebound activities, similar to Method 500, in the presence of exogenous anions. For example, these nonheme Fe enzyme variants can provide radical rebound activities in the presence of azide ions (N3-) and thiocyanate ions (SCN-). In one example, this mechanism includes pre- association of the exogenous anion (N3- or SCN-) with Fe and rapid radical rebound with the Fe-bound N3-/SCN- occupying a coordination site different from that of F-. In another example, C-H azidation and thiocyanation using two different enzyme variants may form the same enantiomer. Importantly, these nonheme Fe enzymes may be used for form azidation products and thiocyanation products, examples of which are shown below.
[0051] The newly evolved nonheme Fe enzymes exhibit excellent efficiency in unnatural C(sp3)–H functionalization processes. Importantly, nonheme Fe enzymes can be utilized to form fluorination, azidation, and thiocyanation products by providing a radical reaction mechanism. The radical reaction mechanism may include radical initiation and rebound. Further, nonheme Fe enzyme variants were created to improve total activity and/or enantioselectivity. For example, the engineered fluorinases afforded a 28-fold to 181-fold improvement in activity and complementary enantioselectivities. Example 1 – Enzyme Variants [0052] pET-28b(+) was used as the cloning and expression vector for Mycobacterium thermoresistible EgtB (MthEgtB) with an N-terminal 6×His-tag. The gene encoding MthEgtB was codon-optimized for protein production using E. coli as the host organism and purchased as gBlocks. The gene was cloned into pET-28b(+) between restriction sites Nde I and Hind III. Nonheme Fe enzymes with a C-terminal 6×His-tag were cloned into pET-22b(+) between Nde I and Xho I. Site-saturation mutagenesis was performed using the “22c-trick” method. The PCR products were gel purified and ligated using a Gibson mix prepared from 5X isothermal (ISO) reaction buffer (25% PEG-8000, 500 mM Tris-HCl pH 7.5, 50 mM MgCl2, 50 mM DTT, 1 mM each of the dNTPs, and 5 mM NAD), T5 exonuclease, Phusion DNA polymerase, and Taq DNA ligase. The ligation mixture was used directly to transform electrocompetent E. coli strain E. cloni BL21(DE3) cells. 4059.060PCT1 (2024-841-2)
[0053] Initially, directed evolution was carried out using 24-well deep-well plates to ensure excellent reproducibility. When the total activity of an intermediate fluorinase variant was sufficiently high, directed evolution was carried out using 96-well deep-well plates to have higher throughput. For EgtBCHF1, from wt MthEgtB to MthEgtB Y377W W415R R87D T141I, directed evolution was performed in 24-well plates. For EgtBCHF2, from wt MthEgtB to MthEgtB Y377W W415R R87D T141M R379A, directed evolution of EgtBCHF2 was performed in 24-well plates. Single colonies from LBkan agar plates were picked using sterile toothpicks and cultured in deep- well 96-well plates containing LBkan (400 μL/well) at 37 °C, 250 rpm shaking overnight. TBkan (4.0 mL/well) in four 24-well plates was then inoculated with an aliquot (200 μL/well) of these overnight cultures and allowed to shake for 2.5 h at 37 °C and 230 rpm. The plates were cooled on ice for 20 min before induction with 0.5 mM isopropyl β-D-1-thiogalactopyranoside (IPTG, final concentration). Expression was conducted at 22 °C, 150 rpm for 22 h. [0054] E. coli cells in deep-well 24-well plates were then pelleted by centrifugation (4000 rpm, 5 min, 4 °C). After centrifugation, the supernatant was removed, and the cell pellet was resuspended in M9-N buffer (600 μL) by gentle shaking (800 rpm, 3 min). The 24-well plate was then transferred into a Coy anaerobic chamber. In the Coy chamber, the N-fluoroamide substrate (10 μL, 0.4 M in EtOH) and ferrous ammonium sulfate (10 μL, 40 mM in ddH2O) were added to each well in succession. The plates were sealed with aluminum foil and shaken at room temperature and 680 rpm. After 6–18 h, the 24-well plate was taken out of the anaerobic chamber, the seal was removed, and the analytical scale reactions were worked up following the appropriate method. [0055] For chiral HPLC analysis, the reaction mixtures were quenched by the addition of 600 μL extraction solution (2.0 mM 1,3,5-trimethoxybenzene in diisopropyl ether). The plate was tightly sealed with a reusable silicone mat, shaken vigorously 30 times, and centrifuged (4500 RPM, 5 min) to completely separate the organic and the aqueous layers. The organic layers (350 μL/well) were transferred to 500 μL vial inserts. [0056] For EgtBCHF1, from MthEgtB Y377W W415R R87D T141I to the final variant, directed evolution was performed in 96-well plates. For EgtBCHF2, from MthEgtB Y377W W415R R87D T141M R379A to the final variant, directed evolution was performed in 96-well plates. Single colonies from LBkan agar plates were picked using sterile toothpicks and cultured in deep- well 96-well plates containing LBkan (400 μL/well) at 37 °C, 250 rpm shaking overnight. TBkan (1000 μL/well) in a deep-well 96-well plate was then inoculated with an aliquot (50 μL/well) of these overnight cultures and allowed to shake for 3 h at 37 °C and 250 rpm. The plates were cooled on ice for 20 min before induction with 0.5 mM IPTG (final concentration). Expression was conducted at 22 °C, 220 rpm for 22 h. 4059.060PCT1 (2024-841-2)
[0057] E. coli cells were then pelleted by centrifugation (4000 rpm, 5 min, 4 °C). After centrifugation, the supernatant was removed, and the cell pellet was resuspended in M9-N buffer (400 μL) by gentle shaking. The 24-well plate was then transferred into a Coy anaerobic chamber. In the Coy chamber, the N-fluoroamide substrate (10 μL, 0.4 M in EtOH) and ferrous ammonium sulfate (10 μL, 40 mM in ddH2O) were added in succession. The plates were sealed with aluminum foil and shaken at 680 rpm. After 6–18 h, the 24-well plate was taken out of the anaerobic chamber, the seal was removed, and the analytical scale reactions were worked up. Example 2 – Enzyme Expression and Analysis [0058] For expression of MthEgtB variants and other nonheme Fe enzymes, E. coli (E. cloni BL21(DE3)) cells carrying the MthEgtB plasmid in a pET-28b(+) vector were grown overnight in 4 mL LBkan. TBkan (30 mL in a 125 mL Erlenmeyer flask) was then inoculated with 1.5 mL preculture and incubated at 37 °C, 230 rpm for 2.5 h until OD600 reached ca.2.0. The cultures were cooled on ice for 20 min before induction with 0.5 mM IPTG (final concentration). Expression was conducted at 22 °C, 150 rpm for 22 h. Nonheme enzyme cloned into pET-22b(+) was expressed in TBamp in an analogous manner. [0059] For expression of heme proteins, E. coli (E. cloni BL21(DE3)) cells carrying a plasmid encoding the appropriate heme protein were grown overnight in 4 mL LBamp. HBamp (30 mL in a 125 mL Erlenmeyer flask) was then inoculated with 1.5 mL preculture and incubated at 37 °C, 230 rpm for 2 h. The cultures were cooled on ice for 20 min before induction with IPTG (0.5 mM final concentration) and 5-aminolevulinic acid (ALA, 1.0 mM final concentration). Protein expression was conducted at 22 °C, 150 rpm, for 22 h. [0060] For biocatalytic C-H fluorination using cell-free lysates, E. coli cells were pelleted by centrifugation (3000 RPM, 5 min, 4 °C) using a centrifuge. Supernatant was removed and the resulting cell pellet was resuspended in M9-N buffer to OD600 = 15–60 (typically 40). E. coli cells were lysed by sonication using an ultrasonic homogenizer equipped with a stepped microtip (6 min in total, 1 sec on, 1 sec off, 45% amplitude, 2 cycles), and samples were carefully submerged in wet ice to avoid overheating (overheating in the sonication step can lead to a significant loss of enzyme activity.) The resulting lysed solutions were kept on ice until further use. [0061] The cell-free lysate of the nonheme enzyme (500 μL) was added to a 2 mL vial. In a Coy anaerobic chamber, ferrous ammonium sulfate (10 μL, 40 mM in ddH2O), sodium ascorbate (10 μL, 400 mM in M9-N buffer) and the N-fluoroamide substrate (10 μL, 0.4 M in EtOH) were added to 500 μL cell-free lysate in a 2 mL vial in succession. The vials were sealed and shaken on a microplate shaker at room temperature and 680 rpm for 20 h. All reactions were run in triplicates. 4059.060PCT1 (2024-841-2)
[0062] For biocatalytic azidation and thiocyanation using cell-free lysates, cell-free lysates were prepared using the procedure described above. In an anaerobic chamber, ferrous ammonium sulfate (10 μL, 40 mM in ddH2O), sodium ascorbate (10 μL, 400 mM in M9-N buffer), NaN3 or NaSCN (20 μL, 3.2 M in ddH2O) and the N-fluoroamide substrate (10 μL, 0.4 M in EtOH) were added to 500 μL cell-free lysate in a 2 mL vial in succession. The vials were sealed and shaken on a microplate shaker at room temperature and 680 rpm for 20 h. All reactions were run in triplicates. [0063] For chiral HPLC analysis, the reaction mixtures were quenched by the addition of 600 μL extraction solution (2.0 mM 1,3,5-trimethoxybenzene in diisopropyl ether). The vials were vortexed vigorously to ensure good mixing and extraction. The mixture in each vial was transferred to a 1.5 mL microcentrifuge tube, and the layers were separated by centrifugation (15000 rpm, 5 min). The organic layer (350 μL) was transferred to a 500 μL vial insert placed in a 2 mL vial. [0064] For determination of nonheme enzyme concentration, SDS-PAGE analysis was performed. The lysate was diluted by 40 times in M9-N buffer and centrifuged (15,000 rpm, 10 min, 4 °C) using a centrifuge. The resulting supernatant was used for SDS-PAGE analysis. A stock solution of bovine serum albumin (BSA, 1.0 mg/mL in M9-N buffer) was freshly prepared. A series of aliquots (10–100 μL) of the BSA stock solution was diluted to 1000 μL in M9-N buffer as the standard solution for SDS-PAGE analysis. The nonheme enzyme samples or BSA standards (30 μL) mixed with 10 μL sample buffer were incubated at 90 °C for 10 min and then cooled to room temperature (incubation in a thermalcycler with a heated lid was found to be helpful to ensure excellent reproducibility. Incubation in a thermal mixer without a heated lid will lead to water condensation on PCR tube caps, resulting in a change of protein concentration.) [0065] 10 μL of denatured protein sample was loaded into the wells of a Bio-Rad Mini- PROTEAN TGX Stain-Free gel.5 μL Bio-Rad Precision Plus Protein All Blue Standards was used as the protein marker in electrophoresis. Upon the completion, the SDS-PAGE gel was stained by Coomassie blue by microwaving the gel in Bio-Rad Coomassie Brilliant Blue R-250 Staining Solution for 30 s. The gel was then destained in a destaining solution (AcOH/MeOH/ddH2O = 1:2:7) on a rocker overnight. [0066] For determination of heme protein concentration, the lysate was centrifuged (15,000 rpm, 10 min, 4 °C). In a conical tube, a solution of 0.2 M NaOH, 40% (v/v) pyridine, and 0.5 mM K3Fe(CN)6 was prepared (Solution I). In another 1.5 mL centrifuge tube, 0.5 M Na2S2O4 (sodium dithionite) was freshly prepared in ddH2O.500 μL lysate supernatant and 500 μL Solution I were transferred to a cuvette and mixed by pipetting. The UV-Vis spectrum of the oxidized Fe(III) state was recorded immediately. 10 μL of the sodium dithionite solution was then added to the cuvette. The UV-Vis spectrum of the reduced Fe(II) state was recorded immediately. A cuvette 4059.060PCT1 (2024-841-2)
containing 500 μL of M9-N and 500 μL of Solution I was used as the reference solution. Heme protein concentrations were determined using a published extinction coefficient for heme B, ε557 = 34.7 mM-1 cm-1 . Example 3 – Enzymatic Functionalization [0067] FIG.6 illustrates a radical mechanism for C-H functionalization using nonheme Fe enzymes, according to some embodiments. Starting from an N-fluoroamide I, fluorine atom transfer to the Fe(II) enzyme (II) leads to a nitrogen-centered radical (i.e., amidyl radical III) and a Fe(III)–F species (IV). Due to the high N–H bond dissociation enthalpy, (BDE (N–H) = 103.7 kcal/mol as determined by DFT calculations, rapid 1,5-hydrogen atom transfer (1,5- HAT) of III would lead to a new carbon-centered radical (V). At this stage, radical rebound of V with the Fe(III)–F intermediate IV leads to C–F bond formation VI and the ferric enzyme is converted back to its ferrous state, completing the catalytic cycle. FIG.7 illustrates an example of enzymatic fluorination, according to some embodiments. [0068] Approximately 200 metalloproteins and their variants, including diverse heme and nonheme Fe proteins, were studied by high throughput experimentation using 24- or 96- well plates. All the hits were then validated, and representative results are summarized in Table 1. Among all the heme proteins evaluated, including cytochromes P450, globins, and cytochromes c, only reduced amide 2b derived from the N-fluoroamide substrate 1 was observed in varying yields. P450 atom transfer radical cyclases P450ATRCase1, possessing a Fe- binding serine residue (Table 1, entry 1), and P450ATRCase2 lacking a Fe-binding residue (Table 1, entry 2) provided 2b in 14% and 17% yield, respectively, with no measurable 2a formation. Similarly, an Aeropyrum pernix protoglobin (ApePgb) variant ApePgb W59A Y60G F145W featuring a Fe-binding histidine provided 2b in 7% yield with no desired fluorination product 2a being formed (Table 1, entry 3). In contrast to heme proteins, several C–H fluorination hits from the nonheme Fe enzyme family emerged. Table 1. Evaluation of Metalloenzymes.
4059.060PCT1 (2024-841-2)
[0069] Interestingly, these nonheme enzymes encompassed a diverse range of native functions and coordination chemistry of Fe. Among these, 4-hydroxyphenylpyruvate dioxygenase from Streptomyces avermitilis (SavHppD) with a two-histidine-one-carboxylate facial triad provided the desired C–H fluorination product 2a in 0.4% yield and 62:38 enantiomeric ratio (Table 1, entry 4). Quercetin 2,3-dioxygenase from Bacillus subtilis (BsuQueD) with a three-histidine-one-carboxylate coordination sphere also afforded 1a in 0.2% yield and 71:29 e.r. (Table 1, entry 5). Furthermore, EgtB from Mycolicibacterium thermoresistibile (MthEgtB), a thermophilic sulfoxide synthase involved in ergothioneine synthase with a three-histidine facial triad, furnished fluorinated 2a in 3.5% yield and 42:58 e.r. (Table 1, entry 6). Together, these results demonstrate that diverse nonheme Fe enzymes with varying coordination chemistry can catalyze this unnatural fluorination reaction. Interestingly, Fe- and αKG-dependent C–H halogenases, including SadA D157G (entry 7), SyrB2 (entry 8), WelO5 (entry 9), and BesD (entry 10), were ineffective in facilitating this C– H fluorination. [0070] Due to its higher initial activity, MthEgtB was selected as the starting point for the directed evolution of efficient C(sp3)–H fluorinases (Table 2). Guided by the protein crystal structure (PDB ID: 4X8E) and molecular docking studies, site-saturation mutagenesis (SSM) and screening by targeting active site residues in proximity to the Fe center was performed. For each round of engineering, SSM libraries of MthEgtB were generated using the 22c-trick method, and 88 clones were evaluated in 24- or 96-well plates in the form of whole-cell biocatalysts. Table 2. Directed Evolution of MthEgtB as C-H functionalization enzymes.
4059.060PCT1 (2024-841-2)
[0071] FIG. 8 illustrates an active-site of MthEgtB with mutations, according to some embodiments. Enhancement of total activity and/or enantioselectivity was used as the selection criteria for directed evolution. Initially, beneficial mutations Y377W, W415R and R87D were identified to improve the enantioselectivity or fluorination activity, leading to an improved fluorinase variant EgtB Y377W W415R R87D, furnishing the fluorinated product 2a (shown in FIG.7) with a total turnover number (TTN) of 34 and 34:66 e.r. Among these targeted active site residues, tyrosine at 377 was found to be useful in the native function of EgtB to catalyze C–S bond formation and sulfoxidation. Thus, the identification of Y377W as a beneficial mutation furnishing improved enantioselectivity and similar activity indicated a departure from the mechanism in native enzymatic oxidative C–S coupling. [0072] Next, T141 residing in the same α-helix as Fe-binding residues H134 and H138 was found to be useful in modulating the enzyme activity and enantiopreference for this C–H fluorination. Specifically, the incorporation of T141I mutation led to a 4.4-fold improvement in TTN and a reversal of absolute stereochemistry (59:41 e.r.). On the other hand, introducing T141M into EgtB Y377W W415R R87D resulted in a 1.8-fold enhancement in total activity with identical stereoselectivity (33:67 e.r.). With these enantiocomplementary EgtB variants in hand, further SSM and screening afforded a set of fluorinating enzymes with further improved activities, including EgtB Y377W W415R R87D T141I F83Y R379E V84R H417L (EgtBCHF1, CHF = C–H fluorinase) and EgtB Y377W W415R R87D T141M R379A A145K Q422D (EgtBCHF2). [0073] FIG. 9 illustrates an example of enzymatic fluorination with EgtBCHF1 and EgtBCHF2, according to some embodiments. Under optimized conditions, EgtBCHF1 provided C–H fluorination product 2a in (283 ± 5) TTN and 60:40 e.r. EgtBCHF2 delivered 2a in (133 ± 2) TTN and 31:69 e.r. Importantly, EgtBCHF1 and EgtBCHF2 gave rise to C–H hydroxylation product 2c (shown below) with 360 and 96 TTN, respectively, indicating their radical rebound 4059.060PCT1 (2024-841-2)
promiscuity. Overall, the successful development of efficient Fe fluorinases provides direct evidence for the radical rebound with the transient enzymatic Fe(III)–F intermediate, a key elementary step involved in the elusive nonheme enzyme-catalyzed C–H fluorination.
[0074] For N-(Tert-butyl)-2-ethyl-N-fluorobenzamide (1), the characterization is as follows: 1H NMR (400 MHz, CDCl3) δ: 7.35 (ddd, J = 7.6, 7.6, 1.5 Hz, 1H), 7.33 – 7.25 (m, 1H), 7.26 (s, 1H), 7.21 (ddd, J = 7.4, 7.4, 1.3 Hz, 1H), 2.74 (q, J = 7.6 Hz, 1H), 1.56 (d, J = 2.0 Hz, 9H), 1.24 (t, J = 7.6 Hz, 3H) ppm.13C NMR (101 MHz, CDCl3) δ: 175.2 (d, J = 11.0 Hz), 141.7 (d, J = 2.2 Hz), 134.8, 130.2 (d, J = 1.4 Hz), 129.0, 127.2 (d, J = 4.4 Hz), 125.5, 64.4 (d, J = 10.5 Hz), 27.3 (d, J = 5.7 Hz), 26.2, 15.8 ppm.19F NMR (376 MHz, CDCl3) δ: -63.4 (s) ppm.
[0075] For N-(Tert-butyl)-2-(1-fluoroethyl)benzamide (2a), the characterization is as follows: 1H NMR (400 MHz, CDCl3) δ: 7.57 (d, J = 7.7 Hz, 1H), 7.45 (ddd, J = 7.5, 7.5, 1.6 Hz, 1H), 7.39 – 7.28 (m, 2H), 6.03 (dq, J = 47.7, 6.3 Hz, 1H), 5.77 (s, 1H), 1.68 (dd, J = 24.1, 6.3 Hz, 3H), 1.45 (s, 9H) ppm. 13C NMR (101 MHz, CDCl3) δ: 168.7, 140.0 (d, J = 19.4 Hz), 135.7 (d, J = 5.1 Hz), 130.3, 128.1 (d, J = 1.9 Hz), 126.6, 125.9 (d, J = 8.9 Hz), 88.8 (d, J = 165.1 Hz), 52.1, 28.9, 23.2 (d, J = 25.3 Hz) ppm. 19F NMR (376 MHz, CDCl3) δ: -166.58 (dq, J = 48.4, 24.1 Hz) ppm.
4059.060PCT1 (2024-841-2)
[0076] FIG. 10A illustrates populated structures and hydrogen bond interactions between N-fluoroamide 1 and W415R residue in EgtBCHF1, according to some embodiments. FIG. 10B illustrates populated structures and hydrogen bond interactions between N- fluoroamide 1 and W415R residue in EgtBCHF2, according to some embodiments. To gain insights into the reaction mechanism and the roles of active site residues of this biocatalytic C(sp3)–H fluorination, computational studies using classical molecular dynamics (MD) simulations and density functional theory (DFT) calculations were performed. First, classical MD simulations of the complexes of N-fluoroamide 1 with both EgtBCHF1 and EgtBCHF2 variants were carried out to study the preferred substrate binding modes and to identify key active site residues involved in substrate binding. In order to model the substrate near-attack- conformations that promote the fluorine atom transfer step, the Fe–F distance was restrained to within a range of 3.0–3.2 Å using a harmonic potential of 100 kcal·mol−1·Å−2. [0077] The restrained distance range was determined based on DFT calculations indicating a Fe–F distance of 3.04 Å in an Fe(II)–N-fluoroamide model complex. The restrained MD simulations indicated that the carbonyl group of N-fluoroamide 1 forms relatively strong hydrogen bonds with the guanidinium group on the W415R side chain in both EgtBCHF1 and EgtBCHF2. The N–H···O distance of this hydrogen bond is less than 2.5 Å in most of the MD simulation times (89.0% and 86.4% for EgtBCHF1 and EgtBCHF2 variants, respectively). The hydrogen bond interactions with W415R may promote fluorine atom transfer via two distinct effects. First, it anchors the N-fluoroamide substrate, in particular the N–F moiety, in proximity to the Fe(II) center. Additionally, it promotes the fluorine atom transfer via electronic activation of the amide N–F bond that decreases its bond dissociation enthalpy (BDE) and promotes the electron transfer from the metal center to the fluoroamide substrate during the fluorine atom transfer. [0078] FIG.11 illustrates mutations for ACCO, according to some embodiments. ACCO is a nonheme enzyme with a two-histidine, one-carboxylate facial triad. Table 3 and Table 4 show results using a 540 uL cell suspension, a 30uL sub, and 30 uL of 10% Mohr’s salt. Directed evolution of ACCOCHF as a highly chemo- and enantioselective C(sp3)–H fluorinases (Table 3). For each round of engineering, SSM libraries of ACCO were generated using the 22c-trick method, and 88 clones were evaluated in 24- or 96-well plates in the form of whole- cell biocatalysts. 4059.060PCT1 (2024-841-2)
Table 3. ACCO variant results.
N), (NH4)2Fe(SO4)2 (30 μL, 13.3 mM in degassed H2O), N-fluoroamide substrate (30 μL, 133 mM in MeCN), 680 r.p.m., 24 h. [0079] For example, owing to the incorporation of K158N in to ACCO I184A resulted in 1.4-fold higher yield and similar enantioselectivity, the inverted enantiopreference encouraged us to implement a divergent synthesis. Table 4 shows the directed evolution of ACCOCHF2 as a C(sp3)–H fluorinases to the enantiomers. For example, for each round of engineering, SSM libraries of ACCO were generated using the 22c-trick method, and 88 clones were evaluated in 24- or 96-well plates in the form of whole-cell biocatalysts. 4059.060PCT1 (2024-841-2)
Table 4. ACCO variant results.
Reaction conditions: Suspensions of E. coli cells harbouring ACCO variants (540 μL in M9- N), (NH4)2Fe(SO4)2 (30 μL, 13.3 mM in degassed H2O), N-fluoroamide substrate (30 μL, 133 mM in MeCN), 680 r.p.m., 24 h. [0080] ACCO and ACCO variants were tested using a 10 mol% Mohr’s salt, a M9-N buffer (pH= 7.4), and whole E. coli cells. The reaction is shown below and corresponding ACCO Yields and e.r. are given in Table 5.
Table 5. ACCO Yield and er.
4059.060PCT1 (2024-841-2)
[0081] FIG.12 illustrates example products of enzymatic fluorination, according to some embodiments. The conditions were as follows: Using ACCO-I184A K158I F91L K172Y K93Q T89A, add 540 uL cell suspension (OD = 10), 10 mol% Mohr’s salt in H2O, 4 umol sub in CH3CN, rt, 680 rpm, 24h in anaerobic chamber. As illustrated, product 1 was formed with a 75% yield and 95:5 er, product 2 was formed with a 30% yield and 86:14 er, product 3 was formed with a 50% yield and 92:8 er, product 4 was formed with a 10% yield and 72:28 er, and product 5 was formed with a 5% yield and 66:34 er. As illustrated, product 6 was formed with a 40% yield and 96:4 er, product 7 was formed with a 40% yield and 95:5 er, product 8 was formed with a 40% yield and 95:5 er, product 9 was formed with a 20% yield and 97:3 er, and product 10 was formed with a 50% yield. [0082] To further elucidate the reactivities of fluorine atom transfer and fluorine rebound steps, DFT calculations of the reaction energy profile of this biocatalytic C–H fluorination with EgtBCHF1 were performed. A theozyme model was constructed using side chains and Cα atoms of W415R and the three histidines (H51, H134, and H138) bound to the Fe center. The positions of the Cα atoms were fixed to those in the most populated structure of MD simulations of the N-fluoroamide 1–EgtBCHF1 complex. Based on DFT-computed pKa values of L3Fe(II)(H2O)n2+ and L3Fe(III)(F)(H2O)n2+ complexes (L = imidazole, n = 1-3 for Fe(II), n = 1,2 for Fe(III)–F), 4059.060PCT1 (2024-841-2)
one of the water molecules bound to the Fe center is likely deprotonated under the experimental conditions. The DFT calculations indicate that all the intermediates and transition states in the catalytic cycle feature high-spin quintet Fe(II) and sextet Fe(III). [0083] FIG.13 illustrates DFT-computed reaction energy profile of C–H fluorination of N-fluoroamide 1 using a theozyme model, according to some embodiments. The computed reaction energy profile reveals a relatively low barrier of 10.5 kcal/mol for the fluorine atom transfer (TS-1). The high exothermicity (−19.3 kcal/mol) of converting the activated N–F bond in 4 to a stronger Fe(III)–F bond (BDE = 82.0 kcal/mol) provides favorable thermodynamic driving force for the substrate activation. The additional hydrogen bond interactions with R415 decrease the N–F BDE in 4 from 64.7 to 62.9 kcal/mol, allowing more facile fluorine atom transfer to Fe relative to nonenzymatic systems. In addition, the hydrogen bond electronically promotes the electron transfer from the Fe(II) center to N-fluoroamide (Δe = 0.24). FIG. 14 illustrates optimized geometries of the fluorine atom transfer (TS-1 in FIG. 13) and fluorine radical rebound (TS-3 in FIG. 13) transition states, according to some embodiments. Lastly, the N–H···O distances in TS-1 (1.92 and 2.06 Å) are comparable to those in the substrate complex 4, indicating there is no unfavorable distortion of the hydrogen bonds in the transition state. [0084] The effects of hydrogen bond interactions with the W415R residue in promoting the fluorine atom transfer are consistent with the experimental finding where the W415R mutation improves the fluorination activity. The beneficial role of W415R is further evidenced by comparing with the alternative fluorine atom transfer transition state TS-1’ (FIG.13), where the N-fluoroamide carbonyl forms a hydrogen bond with a water molecule bound to the Fe center rather than the side chain of W415R. This binding mode in 4' is not only 7.0 kcal/mol less favorable than the R415-bound 4, but also provides a higher activation barrier of fluorine atom transfer (TS-1', ΔH TS-1’ = 11.3 kcal/mol with respect to 3'). [0085] After the fluorine atom transfer, the nitrogen-centered radical 5 undergoes rapid 1,5-hydrogen atom transfer via TS-2 to give benzylic radical intermediate 6. Finally, the radical rebound with the Fe(III)–F species leading to C–F bond formation (via TS-3) is also kinetically facile, displaying an activation barrier of 10.1 kcal/mol with respect to 6. The hydrogen bond with R415 anchors the benzylic radical proximal to the Fe(III)–F moiety, allowing the fluorine rebound to proceed with a low barrier. This kinetically facile C–F bond formation involving a Fe(III)–F intermediate has broad implications in repurposing nonheme Fe enzymes as fluorinases to catalyze diverse C–F bond forming reactions, a valuable enzyme function that 4059.060PCT1 (2024-841-2)
previously eluded enzymologists and protein engineers. Examples of enzymatic fluorination are shown below:
wherein R1, R2, R3, R4, and R5 include generic alkyl, alkenyl, alkynyl, aryl, hetereoaryl substituents, and other functional groups including a carbonyl group, a cyano group, a heteroatom-based substituent such as OR6, SR6, and NR6R7. [0086] To further expand the synthetic utility of the newly evolved nonheme enzymes, other C(sp3)–H functionalizations leading to C(sp3)–heteroatom bond formation via a similar radical rebound mechanism were investigated. Biocatalytic C–H functionalization holds significant potential to streamline the synthesis of molecular architecture. Both EgtBCHF1 and EgtBCHF2 were found to display promiscuous radical rebound activities in the presence of exogenous anions. In particular, in the presence of azide ion (N3-), both EgtBCHF1 and EgtBCHF2 exhibited promiscuous azidase activity, affording the corresponding C(sp3)–H azidation product 3a with (430 ± 20) TTN (56:44 e.r.) and (144 ± 4) TTN (61:39 e.r.), respectively. Azidation product 3a is illustrated in FIG. 15A. Furthermore, in the presence of thiocyanate ion (SCN-), EgtBCHF1 and EgtBCHF2 afforded C(sp3)–H thiocyanation product 3b with (210 ± 20) TTN (56:44 e.r.) and (48 ± 2) TTN (61:39 e.r.), respectively. These results represent the first example of C–H thiocyanase activity observed in natural and unnatural nonheme enzymology. [0087] Furthermore, to test the effect of the coordination ligand of the iron center on the radical rebound reaction, ACCO (the two-histidine-one-carboxylate facial triad enzyme) was compared with EgtB (the three-histidine facial triad enzyme). In one example, through respective site-directed mutagenesis of the three histidines in the iron center of EgtB, surprisingly, the selectivity of azide rebound was significantly improved when H138 was 4059.060PCT1 (2024-841-2)
mutated to H138A. The mutants EgtBCHF1-H138A and EgtBCHF2-H138A produced the corresponding C(sp3)–H azidation product 3a with (108 ± 3) TTN (55:45 e.r.) and (104 ± 4) TTN (73:27 e.r.), respectively. [0088] Together, the ability of engineered nonheme fluorinases EgtBCHF to catalyze other types of unnatural C(sp3)–H functionalization without additional protein engineering underscored the utility of these evolved enzymes in other biocatalytic functions. Additionally, in contrast to C–H fluorination, for both C–H azidation and thiocyanation, EgtBCHF1 and EgtBCHF2 furnished the same major enantiomer. This result is consistent with a mechanism involving pre-association of the exogenous anion (N3- and SCN-) with Fe and rapid radical rebound with the Fe-bound N3-/SCN- occupying a coordination site different from that of F-. [0089] FIG. 15A illustrates EgtBCHF as C-H azidases via azide rebound, according to some embodiments. For 2-(1-Azidoethyl)-N-(tert-butyl)benzamide (3a), the characterization is as follows: 1H NMR (400 MHz, CDCl3) δ: 7.50 (dd, J = 7.8, 1.4 Hz, 1H), 7.44 (ddd, J = 7.9, 7.5, 1.6 Hz, 1H), 7.37 (dd, J = 7.6, 1.6 Hz, 1H), 7.31 (td, J = 7.4, 1.4 Hz, 1H), 5.76 (s, 1H), 5.15 (q, J = 6.8 Hz, 1H), 1.58 (d, J = 5.9 Hz, 3H), 1.47 (s, 9H) ppm.13C NMR (101 MHz, CDCl3) δ: 168.9, 139.1, 136.9, 130.4, 128.0, 127.0, 126.7, 57.5, 52.2, 28.9, 21.5 ppm.
[0090] FIG. 15B illustrates EgtBCHF as C-H thiocyanases via thiocyanate rebound, according to some embodiments. For N-(tert-butyl)-2-(1-thiocyanatoethyl)benzamide (3b), the characterization is as follows: 1H NMR (400 MHz, CDCl3) δ = 7.55 (dd, J = 8.0, 1.2 Hz, 1 H), 7.46 (td, J = 7.9, 7.5, 1.9 Hz, 1 H), 7.38–7.29 (m, 2 H), 5.85 (s, 1H), 5.25 (q, J = 7.0 Hz, 1H), 1.85 (d, J = 7.0 Hz, 3H), 1.47 (s, 9H) ppm.13C NMR (101 MHz, CDCl3) δ 168.8, 138.3, 136.9, 130.6, 128.6, 127.1, 127.0, 112.0, 52.4, 43.7, 28.8, 21.7 ppm.
4059.060PCT1 (2024-841-2)
[0091] The evolved Fe enzymes promote C-H functionalization reactions with excellent efficiency. In one example, these nonheme Fe enzymes use a radical mechanism for enzymatic C-F, C-N, and C-SCN bond formation. Directed evolution of EgtB afforded a set of engineered fluorinases EgtBCHF1 and EgtBCHF2 with up to 28-fold improvement in activity and complementary enantioselectivities. Directed evolution of ACCO afforded 181-fold improvement in activity and complementary enantioselectivities. The utility of newly evolved nonheme Fe enzymes was further demonstrated in other unnatural C(sp3)-H functionalization processes, including C-H azidase and thiocyanase activities. [0092] In summary, nonheme Fe enzymes were repurposed and evolved to promote unnatural C–H fluorination reactions with excellent efficiency. These evolved Fe enzymes represent the first unnatural fluorinases capable of catalyzing the formation of C–F bonds, a challenging process that has been long sought after in biocatalysis and bioinorganic chemistry. These unnatural Fe-dependent fluorinases can exploit a radical mechanism for enzymatic C–F bond formation. The utility of newly evolved nonheme Fe enzymes was further demonstrated in other unnatural C(sp3)–H functionalization processes, including C–H azidase and thiocyanase activities, which have previously remained out of the reach of nonheme Fe enzymology. Example 4 – 5’-3’ primer sequences Table 6. DNA templates and 5’-3’ primer sequences.
4059.060PCT1 (2024-841-2)
Table 7. DNA templates and 5’-3’ primer sequences.
Table 8. DNA templates and 5’-3’ primer sequences.
4059.060PCT1 (2024-841-2)
Example 5 – Protein and DNA Sequences Table 9. Protein Sequences.
Table 10. DNA Sequences.
Discussion of Possible Embodiments [0093] The following are non-exclusive descriptions of possible embodiments of the present invention. [0094] According to one aspect, a method of enzymatic C-H functionalization includes catalyzing the formation of a C-heteroatom bond in an organic compound with a nonheme Fe enzyme. 4059.060PCT1 (2024-841-2)
[0095] The method of the preceding paragraph can optionally include, additionally and/or alternatively, any one or more of the following features/steps, configurations, and/or additional components. [0096] The nonheme Fe enzyme can include ergothioneine synthase (EgtB) or a variant thereof. [0097] The nonheme Fe enzyme can include aminocyclopropanecarboxylate oxidase (ACCO) or a variant thereof. [0098] The nonheme Fe enzyme can include Quercetin 2,3-dioxygenase (QueD) or 4- hydroxy-phenylpyruvate dioxygenase (HppD). [0099] The nonheme Fe enzyme can include a mutated enzyme. [00100] The method can include converting the nonheme Fe enzyme from a ferrous state (Fe2+) to a ferric (Fe3+) state. [00101] The method can include converting the nonheme Fe enzyme from a ferric (Fe3+) state to a ferrous state (Fe2+). [00102] The method can include a radical reaction mechanism for forming the C- heteroatom bond, wherein the radical mechanism includes atom transfer and atom rebound. [00103] The C-heteroatom bond can be selected from a C-F bond, a C-N bond, and a C- SCN bond. [00104] The organic compound can be selected from a fluorination product, an azidation product, and a thiocyanation product. [00105] The method can include catalyzing the formation of C-F bonds to form organofluorine compounds. [00106] The organic compound can include:
. [00107] The organic compound can be formed without a C-H halogenase. [00108] According to another aspect, a method of enzymatic fluorination includes catalyzing the formation of a C-F bond with nonheme Fe enzyme sufficient to form an organofluorine compound. 4059.060PCT1 (2024-841-2)
[00109] The method of the preceding paragraph can optionally include, additionally and/or alternatively, any one or more of the following features/steps, configurations, and/or additional components. [00110] The nonheme Fe enzyme can be selected from ergothioneine synthase (EgtB), aminocyclopropanecarboxylate oxidase (ACCO), 4-hydroxy-phenylpyruvate dioxygenase (HppD), Quercetin 2,3-dioxygenase (QueD), and mutated variants thereof. [00111] The method can include a radical reaction mechanism for forming the C-F bonds, wherein the radical mechanism includes fluorine atom transfer and fluorine atom rebound. [00112] According to another aspect, a method of enzymatic fluorination includes transferring a fluorine atom from a fluorine containing compound to a nonheme Fe enzyme to form a nitrogen-centered radical and a Fe(III)-F species, transferring a hydrogen atom to form a carbon-centered radical, and forming an organofluorine with a C-F bond and converting the nonheme Fe enzyme to the ferrous state (Fe2+). [00113] The method of the preceding paragraph can optionally include, additionally and/or alternatively, any one or more of the following features/steps, configurations, and/or additional components. [00114] The fluorine containing compound can include N-fluoroamide. [00115] The nonheme Fe enzyme can be selected from ergothioneine synthase (EgtB), aminocyclopropanecarboxylate oxidase (ACCO), 4-hydroxy-phenylpyruvate dioxygenase (HppD), Quercetin 2,3-dioxygenase (QueD), and mutated variants thereof. [00116] The organofluorine can include one or more of:
wherein R1, R2, R3, R4, and R5 include generic alkyl, aryl substituents, and other functional groups. [00117] The organofluorine can include one or more of: 4059.060PCT1 (2024-841-2)
[00118] According to another aspect, an enzyme for fluorination of an organic compound includes a mutated variant of ergothioneine synthase (EgtB) including Y377W, W415R, and R87D mutations. [00119] According to another aspect, an enzyme for fluorination of an organic compound includes a mutated variant of aminocyclopropanecarboxylate oxidase (ACCO) including I184A and K158I mutations. [00120] According to another aspect, an enzyme for catalyzing the formation of an azidation product includes a mutated variant of ergothioneine synthase (EgtB) including an H138A mutation. [00121] The enzyme of the preceding paragraph can optionally include, additionally and/or alternatively, any one or more of the following features, configurations, and/or additional components. [00122] The enzyme can include at least one of Y377W, W415R, and R87D mutations. [00123] While the disclosure has been described with reference to an exemplary embodiment(s), it will be understood by those skilled in the art that various changes may be made, and equivalents may be substituted for elements thereof without departing from the scope of the embodiment(s). In addition, many modifications may be made to adapt a particular situation or material to the teachings of the embodiment(s) without departing from the essential scope thereof. Therefore, it is intended that the disclosure is not limited to the disclosed embodiment(s), but that the disclosure will include all embodiments falling within the scope of the appended claims. Various examples have been described. These and other examples are within the scope of the following claims. 4059.060PCT1 (2024-841-2)
Claims
WHAT IS CLAIMED IS: 1. A method of enzymatic C-H functionalization, the method comprising: catalyzing the formation of a C-heteroatom bond in an organic compound with a nonheme Fe enzyme.
2. The method of claim 1, wherein the nonheme Fe enzyme includes ergothioneine synthase (EgtB) or a variant thereof.
3. The method of claim 1, wherein the nonheme Fe enzyme includes aminocyclopropanecarboxylate oxidase (ACCO) or a variant thereof.
4. The method of claim 1, wherein the nonheme Fe enzyme includes Quercetin 2,3- dioxygenase (QueD) or 4-hydroxy-phenylpyruvate dioxygenase (HppD).
5. The method of claim 1, wherein the nonheme Fe enzyme includes a mutated enzyme.
6. The method of claim 1, including converting the nonheme Fe enzyme from a ferrous state (Fe2+) to a ferric (Fe3+) state.
7. The method of claim 1, including converting the nonheme Fe enzyme from a ferric (Fe3+) state to a ferrous state (Fe2+).
8. The method of claim 1, including a radical reaction mechanism for forming the C- heteroatom bond, wherein the radical mechanism includes atom transfer and atom rebound.
9. The method of claim 1, wherein the C-heteroatom bond is selected from a C-F bond, a C-N bond, and a C-SCN bond.
10. The method of claim 1, wherein the organic compound is selected from a fluorination product, an azidation product, and a thiocyanation product.
11. The method of claim 1, including catalyzing the formation of C-F bonds to form organofluorine compounds. 4059.060PCT1 (2024-841-2)
13. The method of claim 1, wherein the organic compound is formed without a C-H halogenase.
14. A method of enzymatic fluorination, the method comprising: catalyzing the formation of a C-F bond with a nonheme Fe enzyme sufficient to form an organofluorine compound.
15. The method of claim 14, wherein the nonheme Fe enzyme is selected from ergothioneine synthase (EgtB), aminocyclopropanecarboxylate oxidase (ACCO), 4-hydroxy- phenylpyruvate dioxygenase (HppD), Quercetin 2,3-dioxygenase (QueD), and mutated variants thereof.
16. The method of claim 14, including a radical reaction mechanism for forming the C-F bonds, wherein the radical mechanism includes fluorine atom transfer and fluorine atom rebound.
17. A method of enzymatic fluorination, the method comprising: transferring a fluorine atom from a fluorine containing compound to a nonheme Fe enzyme to form a nitrogen-centered radical and a Fe(III)-F species; transferring a hydrogen atom to form a carbon-centered radical; and forming an organofluorine with a C-F bond and converting the nonheme Fe enzyme to the ferrous state (Fe2+). 4059.060PCT1 (2024-841-2)
18. The method of claim 17, wherein the fluorine containing compound includes N- fluoroamide, and wherein the nonheme Fe enzyme is selected from ergothioneine synthase (EgtB), aminocyclopropanecarboxylate oxidase (ACCO), 4-hydroxy-phenylpyruvate dioxygenase (HppD), Quercetin 2,3-dioxygenase (QueD), and mutated variants thereof.
21. An enzyme for fluorination of an organic compound, the enzyme comprising: a mutated variant of ergothioneine synthase (EgtB) including Y377W, W415R, and R87D mutations.
22. An enzyme for fluorination of an organic compound, the enzyme comprising: a mutated variant of aminocyclopropanecarboxylate oxidase (ACCO) including I184A and K158I mutations. 4059.060PCT1 (2024-841-2)
23. An enzyme for catalyzing the formation of an azidation product, the enzyme comprising: a mutated variant of ergothioneine synthase (EgtB) including an H138A mutation.
24. The enzyme of claim 23 further including at least one of Y377W, W415R, and R87D mutations. 4059.060PCT1 (2024-841-2)
Applications Claiming Priority (2)
| Application Number | Priority Date | Filing Date | Title |
|---|---|---|---|
| US202363532545P | 2023-08-14 | 2023-08-14 | |
| US63/532,545 | 2023-08-14 |
Publications (1)
| Publication Number | Publication Date |
|---|---|
| WO2025038761A1 true WO2025038761A1 (en) | 2025-02-20 |
Family
ID=94633137
Family Applications (1)
| Application Number | Title | Priority Date | Filing Date |
|---|---|---|---|
| PCT/US2024/042330 Pending WO2025038761A1 (en) | 2023-08-14 | 2024-08-14 | Systems, compositions and methods of metalloprotein-catalyzed fluorination, azidation, thiocyanation and hydroxylation |
Country Status (1)
| Country | Link |
|---|---|
| WO (1) | WO2025038761A1 (en) |
Citations (4)
| Publication number | Priority date | Publication date | Assignee | Title |
|---|---|---|---|---|
| US20090209010A1 (en) * | 2006-08-04 | 2009-08-20 | California Institute Of Technology | Methods and systems for selective fluorination of organic molecules |
| US20190127311A1 (en) * | 2011-08-19 | 2019-05-02 | The Trustees Of Princeton University | C-halogen bond formation |
| US20190211367A1 (en) * | 2012-10-09 | 2019-07-11 | California Institute Of Technology | Vivo and in vitro olefin cyclopropanation catalyzed by heme enzymes |
| WO2023225030A2 (en) * | 2022-05-17 | 2023-11-23 | The Johns Hopkins University | Biocatalytic use of nonheme iron proteins for molecular functionalization |
-
2024
- 2024-08-14 WO PCT/US2024/042330 patent/WO2025038761A1/en active Pending
Patent Citations (4)
| Publication number | Priority date | Publication date | Assignee | Title |
|---|---|---|---|---|
| US20090209010A1 (en) * | 2006-08-04 | 2009-08-20 | California Institute Of Technology | Methods and systems for selective fluorination of organic molecules |
| US20190127311A1 (en) * | 2011-08-19 | 2019-05-02 | The Trustees Of Princeton University | C-halogen bond formation |
| US20190211367A1 (en) * | 2012-10-09 | 2019-07-11 | California Institute Of Technology | Vivo and in vitro olefin cyclopropanation catalyzed by heme enzymes |
| WO2023225030A2 (en) * | 2022-05-17 | 2023-11-23 | The Johns Hopkins University | Biocatalytic use of nonheme iron proteins for molecular functionalization |
Non-Patent Citations (2)
| Title |
|---|
| RUI JINYAN, ZHAO QUN, HULS ANTHONY J., SOLER JORDI, PARIS JARED C., CHEN ZHENHONG, RESHETNIKOV VIKTOR, YANG YUNFANG, GUO YISONG, G: "Directed evolution of nonheme iron enzymes to access abiological radical-relay C(sp 3 )−H azidation", SCIENCE - AUTHOR MANUSCRIPT, AMERICAN ASSOCIATION FOR THE ADVANCEMENT OF SCIENCE, US, vol. 376, no. 6595, 20 May 2022 (2022-05-20), US , pages 869 - 874, XP093282463, ISSN: 0036-8075, DOI: 10.1126/science.abj2830 * |
| TIAN GE, SU HAO, LIU YONGJUN: "Mechanism of Sulfoxidation and C–S Bond Formation Involved in the Biosynthesis of Ergothioneine Catalyzed by Ergothioneine Synthase (EgtB)", ACS CATALYSIS, AMERICAN CHEMICAL SOCIETY, US, vol. 8, no. 7, 6 July 2018 (2018-07-06), US , pages 5875 - 5889, XP093282464, ISSN: 2155-5435, DOI: 10.1021/acscatal.8b01473 * |
Similar Documents
| Publication | Publication Date | Title |
|---|---|---|
| Chen et al. | Engineering new catalytic activities in enzymes | |
| Leveson-Gower et al. | The importance of catalytic promiscuity for enzyme design and evolution | |
| Sheldon et al. | The Hitchhiker's guide to biocatalysis: recent advances in the use of enzymes in organic synthesis | |
| Sheldon et al. | Broadening the scope of biocatalysis in sustainable organic synthesis | |
| Patil et al. | Oxidoreductase-catalyzed synthesis of chiral amines | |
| Moore et al. | Effect of proximal ligand substitutions on the carbene and nitrene transferase activity of myoglobin | |
| Brouwer et al. | Noncanonical amino acids: Bringing new-to-nature functionalities to biocatalysis | |
| Ravikumar et al. | Incorporating unnatural amino acids to engineer biocatalysts for industrial bioprocess applications | |
| Ariyasu et al. | Expanding the applicability of cytochrome P450s and other haemoproteins | |
| Zhang et al. | Development of a robust nitrilase by fragment swapping and semi‐rational design for efficient biosynthesis of pregabalin precursor | |
| Chen et al. | Identification of novel thermostable taurine–pyruvate transaminase from Geobacillus thermodenitrificans for chiral amine synthesis | |
| Varga et al. | A novel phenylalanine ammonia-lyase from Pseudozyma antarctica for stereoselective biotransformations of unnatural amino acids | |
| Martínková | Nitrile metabolism in fungi: A review of its key enzymes nitrilases with focus on their biotechnological impact | |
| Zheng et al. | Programing a cyanide-free transformation of aldehydes to nitriles and one-pot synthesis of amides through tandem chemo-enzymatic cascades | |
| Chen et al. | Cyanide-free synthesis of aromatic nitriles from aldoximes: discovery and application of a novel heme-containing aldoxime dehydratase | |
| Sun et al. | Redesign and engineering of a dioxygenase targeting biocatalytic synthesis of 5-hydroxyl leucine | |
| Hollmann et al. | Coupled chemoenzymatic transfer hydrogenation catalysis for enantioselective reduction and oxidation reactions | |
| Xu et al. | Asymmetric synthesis of lipitor chiral intermediate using a robust carbonyl reductase at high substrate to catalyst ratio | |
| US20250263677A1 (en) | Biocatalytic use of nonheme iron proteins for molecular functionalization | |
| Pei et al. | Efficient cloning and expression of a thermostable nitrile hydratase in Escherichia coli using an auto-induction fed-batch strategy | |
| WO2025038761A1 (en) | Systems, compositions and methods of metalloprotein-catalyzed fluorination, azidation, thiocyanation and hydroxylation | |
| CN118755680A (en) | A non-heme iron enzyme BsQueD or its mutant, and its application in synthesizing ortho-trifluoromethyl substituted azide compounds | |
| Xu et al. | Improved o-chlorobenzoylformate bioreduction by stabilizing aldo-keto reductase YtbE with additives | |
| Pei et al. | Enzymatic properties of a non-classical aldoxime dehydratase capable of producing alkyl and arylalkyl nitriles | |
| Ma’ruf et al. | Characterization of thermostable serine hydroxymethyltransferase for β-hydroxy amino acids synthesis |
Legal Events
| Date | Code | Title | Description |
|---|---|---|---|
| 121 | Ep: the epo has been informed by wipo that ep was designated in this application |
Ref document number: 24854882 Country of ref document: EP Kind code of ref document: A1 |






























