WO2024261477A1 - Combination of tlr4 antagonist, ornithine and phenylacetate or phenylbutyrate - Google Patents
Combination of tlr4 antagonist, ornithine and phenylacetate or phenylbutyrate Download PDFInfo
- Publication number
- WO2024261477A1 WO2024261477A1 PCT/GB2024/051572 GB2024051572W WO2024261477A1 WO 2024261477 A1 WO2024261477 A1 WO 2024261477A1 GB 2024051572 W GB2024051572 W GB 2024051572W WO 2024261477 A1 WO2024261477 A1 WO 2024261477A1
- Authority
- WO
- WIPO (PCT)
- Prior art keywords
- group
- tlr4
- mitochondrial
- phenylacetate
- ornithine
- Prior art date
- Legal status (The legal status is an assumption and is not a legal conclusion. Google has not performed a legal analysis and makes no representation as to the accuracy of the status listed.)
- Pending
Links
Classifications
-
- A—HUMAN NECESSITIES
- A61—MEDICAL OR VETERINARY SCIENCE; HYGIENE
- A61K—PREPARATIONS FOR MEDICAL, DENTAL OR TOILETRY PURPOSES
- A61K31/00—Medicinal preparations containing organic active ingredients
- A61K31/185—Acids; Anhydrides, halides or salts thereof, e.g. sulfur acids, imidic, hydrazonic or hydroximic acids
- A61K31/19—Carboxylic acids, e.g. valproic acid
- A61K31/195—Carboxylic acids, e.g. valproic acid having an amino group
- A61K31/197—Carboxylic acids, e.g. valproic acid having an amino group the amino and the carboxyl groups being attached to the same acyclic carbon chain, e.g. gamma-aminobutyric acid [GABA], beta-alanine, epsilon-aminocaproic acid or pantothenic acid
- A61K31/198—Alpha-amino acids, e.g. alanine or edetic acid [EDTA]
-
- A—HUMAN NECESSITIES
- A61—MEDICAL OR VETERINARY SCIENCE; HYGIENE
- A61K—PREPARATIONS FOR MEDICAL, DENTAL OR TOILETRY PURPOSES
- A61K31/00—Medicinal preparations containing organic active ingredients
- A61K31/185—Acids; Anhydrides, halides or salts thereof, e.g. sulfur acids, imidic, hydrazonic or hydroximic acids
- A61K31/19—Carboxylic acids, e.g. valproic acid
- A61K31/192—Carboxylic acids, e.g. valproic acid having aromatic groups, e.g. sulindac, 2-aryl-propionic acids, ethacrynic acid
-
- A—HUMAN NECESSITIES
- A61—MEDICAL OR VETERINARY SCIENCE; HYGIENE
- A61K—PREPARATIONS FOR MEDICAL, DENTAL OR TOILETRY PURPOSES
- A61K31/00—Medicinal preparations containing organic active ingredients
- A61K31/21—Esters, e.g. nitroglycerine, selenocyanates
- A61K31/215—Esters, e.g. nitroglycerine, selenocyanates of carboxylic acids
- A61K31/216—Esters, e.g. nitroglycerine, selenocyanates of carboxylic acids of acids having aromatic rings, e.g. benactizyne, clofibrate
-
- A—HUMAN NECESSITIES
- A61—MEDICAL OR VETERINARY SCIENCE; HYGIENE
- A61P—SPECIFIC THERAPEUTIC ACTIVITY OF CHEMICAL COMPOUNDS OR MEDICINAL PREPARATIONS
- A61P1/00—Drugs for disorders of the alimentary tract or the digestive system
- A61P1/16—Drugs for disorders of the alimentary tract or the digestive system for liver or gallbladder disorders, e.g. hepatoprotective agents, cholagogues, litholytics
Definitions
- the invention relates to therapeutic agents, a combination of therapeutic agents, and to medical uses of said agents and combination.
- Ammonia is a nitrogenous metabolite that is mainly derived from bacterial production and amino acid metabolism in the gut. In healthy conditions, ammonia is metabolized in the liver by the urea cycle and the enzyme glutamine synthetase (GS). In liver cirrhosis and urea cycle enzyme disorders (UCDs), these metabolic pathways are significantly impaired, which is the main cause of hyperammonaemia in these patients. Hyperammonaemia is known to be central in the pathophysiology of hepatic encephalopathy (HE), a severe complication of end-stage liver disease which can manifest across a wide spectrum of symptoms ranging from subclinical alterations to coma. There are several mechanisms through which ammonia exerts its direct neurotoxic effects, involving glutamine-related astrocyte swelling, oxidative stress, neuroinflammation, disturbed neurotransmitter homeostasis and mitochondrial dysfunction.
- HE hepatic encephalopathy
- ammonia is more than a neurotoxin and that it induces immune dysfunction and sarcopenia. More recently, ammonia has been shown to activate stellate cells, thereby worsening fibrosis and portal hypertension. In addition, ammonia was found to induce oxidative stress and hepatocyte apoptosis via increased cyclin A and DI in a rat model of hyperammonemia. This ability of ammonia to induce multi-organ toxicity may explain why circulating ammonia levels hold important prognostic information for both clinically stable outpatients with cirrhosis and for hospitalized patients with acute decompensation of liver cirrhosis (AD) and acute-on- chronic liver failure (ACLF), regardless of the presence of HE. The mechanisms underlying these widespread deleterious effects of ammonia are not clear.
- a common therapy for patients with hepatic encephalopathy involves strategies to reduce the concentration of ammonia. These include restriction of dietary protein intake; administration of lactulose, neomycin, L-omithine L-aspartate (LOLA), or sodium benzoate; and cleansing enemas.
- LOLA L-omithine L-aspartate
- phenylacetic acid e.g., AMMONUL®
- prodrugs of phenylacetic acid e.g., phenylbutyrate (BUP
- RAVICTI® has also been evaluated in clinical trials and shown preliminary efficacy for the treatment of hepatic encephalopathy. See, for example, Rockey D. et al., “Randomized, Double-Blind, Controlled Study of Glycerol Phenylbutyrate in Hepatic Encephalopathy,” Hepatology, 2014, 59(3): 1073-1083.
- L-omithine phenylacetate has been reported to be an effective treatment of hyperammonaemia and hepatic encephalopathy. Jalan et al., reported a clinical study where the data showed that L-omithine phenylacetate is useful in ammonia lowering. See Jalan et al., “L-Omithine phenylacetate (OP): a novel treatment for hyperammonaemia and hepatic encephalopathy,” Med Hypotheses 2007; 69(5): 1064-69. See also, U.S. Publication Nos. 2008/0119554, 2010/0280119, and 2013/0211135, each of such is hereby incorporated by reference in its entirety.
- L-Omithine monohydrochloride and other L-omithine salts are available for their use in the treatment of hyperammonemia and hepatic encephalopathy.
- U.S. Publication No. 2008/0119554 which is hereby incorporated by reference in its entirety, describes compositions of L-omithine and phenyl acetate for the treatment of hepatic encephalopathy.
- L-omithine has been prepared by enzymatic conversion methods.
- U.S. Patent Nos. 5,405,761 and 5,591,613, both of which are hereby incorporated by reference in their entirety, describe enzymatic conversion of arginine to form L-omithine salts.
- L-omithine phenylacetate has been granted orphan drug status by the United States Food and Drug Administration and was granted fast track designation for the treatment of hyperammonaemia and resultant hepatic encephalopathy.
- L-omithine phenylacetate is under clinical investigation for the treatment of overt HE in patients with decompensated liver cirrhosis. Patients receive continuous intravenous infusion of L- ornithine phenylacetate at doses of 10, 15 or 20 g per day for 5 days depending on the baseline severity of the liver impairment.
- TLR4 Toll-like receptor 4
- PAMPs pathogen associated molecular patterns
- This plasma membrane receptor is expressed by a wide range of cells, including hepatocytes and hepatic stellate cells. Its most important ligand is lipopolysaccharide (LPS), the binding of which leads to an intracellular signalling pathway which induces NF-KB and subsequent cytokine production.
- LPS lipopolysaccharide
- Recent studies have uncovered a central role for TLR4 signalling in hepatic fibrogenesis and in mediating multi-organ injury in acute liver failure and ACLF. Knocking out TLR4 in rodents improved coma-free survival in models of acute HE.
- the present inventors have shown that ammonia impacts on hepatic mitochondrial function, thereby inducing a vicious cycle by further impairing ammonia detoxification through the urea cycle, which takes largely place in the liver mitochondria.
- TLR4 and ornithine phenylacetate (OP) modulate ammonia metabolism.
- OP ornithine phenylacetate
- a combination of OP and an antagonist of TLR4 is a surprisingly effective therapy for the treatment or prevention of diseases such as hyperammonaemia, liver disease, mitochondrial dysfunction and cancer.
- the invention provides:
- the invention also provides: A method of preventing or treating disease, comprising administering the combination as described herein to a subject in need thereof, and thereby preventing or treating the disease.
- Figure 1 Effect of TLR4 inhibition on circulating ammonia, urea and amino acid concentrations.
- FIG. 3 Metabolomic analysis reveals hyperammonemia-induced changes in urea cycle metabolism and related pathways, which is prevented by TLR4 inhibtion.
- FIG. 4 Hyperammonemia induces significant downregulation of UCEs, which is restored by TLR4 inhibition.
- Al Microscopy images of multiplex liver immunohistochemistry for GS and E-Cad. a2, Graphs relative intensity of E-Cad throughout zone 1-3, and mean fluorescence intensity/per field area of GS, respectively. Data are presented as mean ⁇ standard deviation.
- Bl Microscopy images of multiplex liver immunohistochemistry for CPS1, OTC, and GLUD1.
- Cl Microscopy images of multiplex liver immunohistochemistry for GS and Tom-20.
- FIG. 5 Liver transcriptomic analysis reveals hyperammonemia-induced changes in regulation of pathways related to ammonia metabolism and oxidative stress.
- TLR4 inhibition in a rat model of acute-on-chronic liver failure reduces plasma ammonia levels and recovers LPS-induced downregulation of the urea cycle enzyme genes.
- FIG. 7 TLR4 inhibition in a mouse model of OTC-deficiency (OTCspf-ash) reduces plasma ammonia levels and ROS production.
- Figure 8 Diagram showing Synergy between OP and TLR4 antagonist as they work on different pathways to reduce ammonia concentration.
- Figure 9 The effect of ornithine phenylacetate (OP), Toll-like 4 antagonist (TAK- 242) and the combination of the two in the treatment of hyperammonemia in animal models of cirrhosis.
- This figure shows the effect of ornithine phenylacetate (OP), Toll-like 4 antagonist (TAK-242) and the combination of the two in the treatment of hyperammonemia in animal models of cirrhosis (bile duct ligation, BDL) and ACLF (BDL + lipopolysaccharide, LPS).
- Figure 10 The effect of ornithine phenylacetate (OP), Toll-like 4 antagonist (TAK- 242) and the combination of the two in the treatment of hyperammonaemia in Ornithine Transcarbamylase (OTC) deficiency model.
- This figure shows the effect of ornithine phenylacetate (OP), Toll-like 4 antagonist (TAK-242) and the combination of the two in the treatment of hyperammonaemia in Ornithine Transcarbamylase (OTC) deficiency model.
- BUN blood urea nitrogen.
- the present invention relates to a combination of ornithine, or a pharmaceutically acceptable salt thereof, at least one of phenylacetate and phenylbutyrate, or a pharmaceutically acceptable salt thereof, and an antagonist of TLR4.
- the present invention relates to a combination of ornithine phenylacetate, or a pharmaceutically acceptable salt thereof, and an antagonist of TLR4.
- the present invention relates to a combination of L-omithine phenylacetate, or a pharmaceutically acceptable salt thereof, and an antagonist of TLR4.
- the ornithine, or a pharmaceutically acceptable salt thereof, the at least one of phenylacetate and phenylbutyrate, or a pharmaceutically acceptable salt thereof, and an antagonist of TLR4 may be present in a single formulation as described herein.
- the ornithine, or a pharmaceutically acceptable salt thereof, the at least one of phenylacetate and phenylbutyrate, or a pharmaceutically acceptable salt thereof, and an antagonist of TLR4 may be present in separate formulations as described herein.
- the ornithine, or a pharmaceutically acceptable salt thereof, the at least one of phenylacetate and phenylbutyrate, or a pharmaceutically acceptable salt thereof and the TLR4 antagonist may be formulated for simultaneous, subsequent or sequential delivery.
- the TLR4 antagonist may be administered before, at the same time, or after, the ornithine, or a pharmaceutically acceptable salt thereof, and the at least one of phenylacetate and phenylbutyrate, or a pharmaceutically acceptable salt thereof.
- the ornithine, or a pharmaceutically acceptable salt thereof, and the at least one of phenylacetate and phenylbutyrate, or a pharmaceutically acceptable salt thereof can be administered before, at the same time, or after, the TLR4 antagonist.
- a pharmaceutical composition of the invention may comprise ornithine, or a pharmaceutically acceptable salt thereof, the at least one of phenylacetate and phenylbutyrate, or a pharmaceutically acceptable salt thereof and the TLR4 antagonist.
- the ornithine phenylacetate, or a pharmaceutically acceptable salt thereof, and an antagonist of TLR4 may be present in separate formulations as described herein.
- the ornithine phenylacetate, or a pharmaceutically acceptable salt thereof and the TLR4 antagonist may be formulated for simultaneous, subsequent or sequential delivery.
- the TLR4 antagonist may be administered before, at the same time, or after, the ornithine phenylacetate, or a pharmaceutically acceptable salt thereof.
- the ornithine phenylacetate, or a pharmaceutically acceptable salt thereof can be administered before, at the same time, or after, the TLR4 antagonist.
- a pharmaceutical composition of the invention may comprise ornithine phenylacetate, or a pharmaceutically acceptable salt thereof and the TLR4 antagonist.
- the ornithine phenylacetate, or a pharmaceutically acceptable salt thereof, and an antagonist of TLR4 may be present in separate pharmaceutical compositions as described herein.
- the present inventors have shown that ammonia impacts on hepatic mitochondrial function, thereby inducing a vicious cycle by further impairing ammonia detoxification through the urea cycle, which takes largely place in the liver mitochondria.
- OP ornithine phenylacetate
- the invention provides: A method of preventing or treating mitochondrial dysfunction in a subject comprising administering a combination of ornithine, or a pharmaceutically acceptable salt thereof, and at least one of phenylacetate and phenylbutyrate, or a pharmaceutically acceptable salt thereof, to the subject in need thereof, and thereby preventing or treating the mitochondrial dysfunction.
- the invention also provides:
- a method of preventing or treating cancer in a subject comprising administering a combination of ornithine, or a pharmaceutically acceptable salt thereof, and at least one of phenylacetate and phenylbutyrate, or a pharmaceutically acceptable salt thereof, to the subject in need thereof, and thereby preventing or treating the cancer.
- the amino acids used in the present invention may be pure crystalline amino acids. In general, the amino acids are in the L-form, rather than the D-form, or a mixture of D and L. Isolated forms of the amino acids are typically used. Any active form of the amino acid may be used to prevent or treat the liver decompensation or hepatic encephalopathy. A pharmaceutically acceptable form of the amino acid may be used.
- the amino acids may be employed as free amino acids or amino acid salts or derivatives.
- Ornithine may be in pure crystalline amino acid form. In general, ornithine is in the L-form, rather than the D-form, or a mixture of D and L. Isolated forms of ornithine are typically used. Any active form of ornithine may be used or a pharmaceutically acceptable form of ornithine may be used. Ornithine may be employed as a free amino acid or an amino acid salt or derivative.
- ornithine is used as a single, monomeric amino acid.
- Ornithine may be used in salt form, for example ornithine hydrochloride may be used.
- Ornithine may be in the form of a physiologically acceptable salt in free form. Therefore, the ornithine or the ornithine salt are typically not chemically bound, or covalently linked to any other agent.
- keto or hydroxy analogs of ornithine may be administered as sodium or calcium salts.
- Keto acids of ornithine include ornithine ketoglutarate, ornithine ketoleucine and ornithine ketovaline.
- Salts or derivatives of ornithine may be used in place of or in addition to free ornithine.
- At least one of phenylacetate and phenylbutyrate may be used. Phenylacetate and/or phenylbutyrate may be in physiologically acceptable salt form, such as an alkali metal or alkaline earth metal salt.
- the salt may be sodium phenylacetate or sodium phenylbutyrate.
- the salt form of phenylacetate and phenylbutyrate may be in free form. Therefore the phenylacetate and phenylbutyrate or phenylacetate salt and phenylbutyrate salt are typically not chemically bound, or covalently linked to any other agent.
- isoleucine is used.
- Isoleucine may be in pure crystalline amino acid form.
- isoleucine is in the L-form, rather than the D-form, or a mixture of D and L.
- Isolated forms of isoleucine are typically used. Any active form of isoleucine may be used or a pharmaceutically acceptable form of isoleucine may be used.
- Isoleucine may be employed as a free amino acid or an amino acid salt or derivative.
- isoleucine is used as a single, monomeric amino acid.
- Isoleucine may be used in salt form, for example isoleucine hydrochloride may be used.
- Isoleucine may be in the form of a physiologically acceptable salt in free form. Therefore, the isoleucine or the isoleucine salt are typically not chemically bound, or covalently linked to any other agent.
- immediate release has its ordinary meaning as understood by those skilled in the art and thus includes, by way of non-limiting example, release of a drug from a dosage form in a relatively brief period of time after administration.
- controlled release and the term “extended release” as used herein, each has its ordinary meaning as understood by those skilled in the art and thus includes, by way of non-limiting example, controlled release of a drug from a dosage form over an extended period of time.
- controlled release or extended release formulations are those that have a release rate that is substantially longer than that of a comparable immediate release form. The two terms can be used interchangeably.
- the term “about” as used herein, refers to a quantity, value, number, percentage, amount, or weight that varies from the reference quantity, value, number, percentage, amount, or weight by a variance considered acceptable by one of ordinary skill in the art for that type of quantity, value, number, percentage, amount, or weight. In various embodiments, the term “about” refers to a variance of 20, 15, 10, 9, 8, 7, 6, 5, 4, 3, 2 or 1% relative to the reference quantity, value, number, percentage, amount, or weight.
- oral dosage form has its ordinary meaning as understood by those skilled in the art and thus includes, by way of non-limiting examples, a formulation of a drug or drugs in a form orally administrable to a human, including pills, tablets, cores, capsules, caplets, loose powder, liquid solution or suspension.
- phenylacetic acid as used herein, is also known as benzeneacetic acid or
- phenylacetate refers to the anionic form of phenylacetic
- L-omithine phenylacetate refers to a compound consisting of L-omithine cation and phenylacetate anion. It has the following chemical
- phenylacetylglutamine refers to the product formed by the conjugation of phenylacetic acid and glutamine. It is a common metabolite that can be found in human urine. It has the following chemical structure:
- pharmaceutically acceptable carrier or “pharmaceutically acceptable excipient” includes any and all solvents, dispersion media, coatings, antibacterial and antifungal agents, isotonic and absorption delaying agents and the like.
- the use of such media and agents for pharmaceutically active substances is well known in the art. Except insofar as any conventional media or agent is incompatible with the active ingredient, its use in the therapeutic compositions or formulations is contemplated. Supplementary active ingredients can also be incorporated into the compositions or formulations.
- various adjuvants such as are commonly used in the art may be included. These and other such compounds are described in the literature, e.g., in the Merck Index, Merck & Company, Rahway, NJ.
- pharmaceutically acceptable salt refers to salts that retain the biological effectiveness and properties of the compounds of the preferred embodiments and, which are not biologically or otherwise undesirable.
- the compounds of the preferred embodiments are capable of forming acid and/or base salts by virtue of the presence of amino and/or carboxyl groups or groups similar thereto.
- Pharmaceutically acceptable acid addition salts can be formed with inorganic acids and organic acids. Inorganic acids from which salts can be derived include, for example, hydrochloric acid, hydrobromic acid, sulfuric acid, nitric acid, phosphoric acid, and the like.
- Organic acids from which salts can be derived include, for example, acetic acid, propionic acid, glycolic acid, pyruvic acid, oxalic acid, maleic acid, malonic acid, succinic acid, fumaric acid, tartaric acid, citric acid, benzoic acid, cinnamic acid, mandelic acid, methanesulfonic acid, ethanesulfonic acid, p-toluenesulfonic acid, salicylic acid, and the like.
- Pharmaceutically acceptable base addition salts can be formed with inorganic and organic bases.
- Inorganic bases from which salts can be derived include, for example, sodium, potassium, lithium, ammonium, calcium, magnesium, iron, zinc, copper, manganese, aluminum, and the like; particularly preferred are the ammonium, potassium, sodium, calcium and magnesium salts.
- Organic bases from which salts can be derived include, for example, primary, secondary, and tertiary amines, substituted amines including naturally occurring substituted amines, cyclic amines, basic ion exchange resins, and the like, specifically such as isopropylamine, trimethylamine, diethylamine, triethylamine, tripropylamine, and ethanolamine. Many such salts are known in the art, as described in WO 87/05297, Johnston et al., published September 11, 1987 (incorporated by reference herein in its entirety).
- Subject as used herein, means a human or a non-human mammal, e.g., a dog, a cat, a mouse, a rat, a cow, a sheep, a pig, a goat, a non-human primate or a bird, e.g., a chicken, as well as any other vertebrate or invertebrate.
- Treatment refers to administering a pharmaceutical composition/formulation for prophylactic and/or therapeutic purposes.
- prophylactic treatment refers to treating a patient who is not yet suffering from a disease, but who is susceptible to, or otherwise at risk of, a particular liver disease, whereby the treatment reduces the likelihood that the patient will develop a liver disease.
- therapeutic treatment refers to administering treatment to a patient already suffering from a liver disease.
- compositions or formulations described herein are preferably provided in unit dosage form.
- a "unit dosage form" is a composition/ formulation containing an amount of a compound that is suitable for administration to an animal, preferably mammal subject, in a single administration, according to good medical practice.
- the preparation of a single or unit dosage form does not imply that the dosage form is administered once per day or once per course of therapy, or that the unit dosage form contains all of the dose to be administered at a single time.
- Such dosage forms are contemplated to be administered once, twice, thrice or more per day, and may be given more than once during a course of therapy, though a single administration is not specifically excluded.
- multiple unit dosage forms may be administered at substantially the same time to achieve the full dose intended (e.g., two or more tablets may be swallowed by the patient to achieve a complete dose).
- the formulation does not specifically contemplate the entire course of therapy and such decisions are left for those skilled in the art of treatment rather than formulation.
- the act of “providing” includes supplying, acquiring, or administering (including self-administering) a composition described herein.
- administering includes an individual obtaining and taking a drug on their own.
- an individual obtains a drug from a pharmacy and self-administers the drug in accordance with the methods provided herein.
- methods of treatment can alternatively entail use claims, such as Swiss-type use claims.
- a method of treating fibrosis with a composition can alternatively entail the use of a composition in the manufacture of a medicament for the treatment of fibrosis, or the use of a composition for the treatment of fibrosis.
- pharmacokinetic parameters may be determined by comparison to a reference standard using clinical trial methods known and accepted by those skilled in the art, e.g., as described in the examples set forth herein. Since the pharmacokinetics of a drug can vary from patient to patient, such clinical trials generally involve multiple patients and appropriate statistical analyses of the resulting data (e.g., ANOVA at 90% confidence). Comparisons of pharmacokinetic parameters can be on a dose-adjusted basis, as understood by those skilled in the art.
- a combination of ornithine, or a pharmaceutically acceptable salt thereof, and at least one of phenylacetate and phenylbutyrate, or a pharmaceutically acceptable salt thereof is used.
- the at least one of phenylacetate and phenylbutyrate is administered as a sodium phenylacetate or sodium phenylbutyrate.
- the ornithine is administered as a free monomeric amino acid or physiologically acceptable salt thereof.
- the ornithine and phenylacetate is administered as ornithine phenylacetate.
- the ornithine phenylacetate is L-omithine phenylacetate.
- L- omithine phenylacetate and L-omithine phenyl acetate are used interchangeable in the disclosure herein.
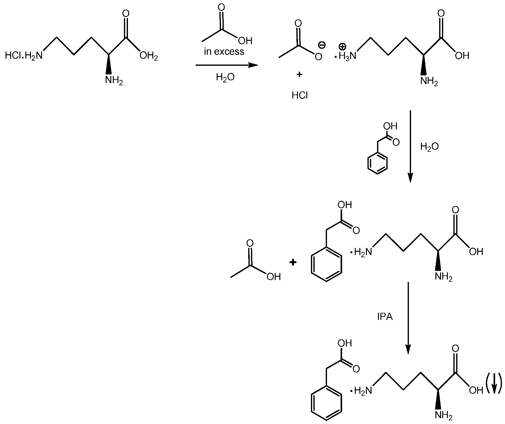
- L-Omithine phenyl acetate salt L-Omithine phenyl acetate may be produced, for example, through an intermediate salt, such as L- omithine benzoate. As shown in Scheme 1, an L-omithine salt of Formula I can be reacted with a benzoate salt of Formula II to obtain the intermediate L-omithine benzoate.
- X in Formula I can be any ion capable of forming a salt with L-omithine other than benzoic acid or phenyl acetic acid.
- X can be a monoatomic anion, such as, but not limited to, a halide (e.g., fluoride, chloride, bromide, and iodide).
- X can also be a polyatomic anion, such as, but not limited to, acetate, aspartate, formate, oxalate, bicarbonate, carbonate, bitrate, sulfate, nitrate, isonicotinate, salicylate, citrate, tartrate, pantothenate, bitartrate, ascorbate, succinate, maleate, gentisinate, fumarate, gluconate, glucaronate, saccharate, formate, glutamate, methanesulfonate, ethanesulfonate, benzensulfonate, p-toluenesulfonate, pamoate (i.e., l,l'-methylene-bis-(2-hydroxy-3- naphthoate), phosphate and the like.
- X is a monovalent ion.
- X is chloride.
- Y in Formula II can be any appropriate ion capable of forming a salt with benzoic acid.
- Y can be a monoatomic cation, such as an alkali metal ion (e.g., Li + , Na + , and K + ) and other monovalent ions (e.g., Ag + ).
- Y may also be a polyatomic cation, such as ammonium, L-arginine, diethylamine, choline, ethanolamine, IH-imidazole, trolamine, and the like.
- Y is an inorganic ion.
- Y is silver.
- the intermediate L-omithine benzoate (z'.e., Formula III) can be prepared by intermixing solutions including compounds of Formulae I and II.
- the compounds of Formulae I and II may be separately dissolved in water and dimethyl sulfoxide (DMSO), respectively.
- DMSO dimethyl sulfoxide
- the two solutions may then be intermixed so that the L- omithine and benzoic acid react to form the salt of Formula III.
- the two salt compounds can be directly dissolved into a single solution.
- L- omithine and benzoic acid are dissolved in separate solvents, and subsequently intermixed.
- L-omithine is dissolved in an aqueous solution
- benzoic acid is dissolved in an organic solvent
- the L-omithine and benzoic acid solutions are subsequently intermixed.
- Non-limiting examples of solvents which may be used when intermixing L- omithine and benzoate salts include acetonitrile, dimethylsulfoxide (DMSO), cyclohexane, ethanol, acetone, acetic acid, 1 -propanol, dimethylcarbonate, N-methyl-2-pyrrolidone (NMP), ethyl acetate (EtOAc), toluene, isopropyl alcohol (IP A), diisopropoyl ether, nitromethane, water, 1 ,4 dioxane, tdiethyl ether, ethylene glycol, methyl acetate (MeOAc), methanol, 2-butanol, cumene, ethyl formate, isobutyl acetate, 3 -methyl- 1 -butanol, anisole, and combinations thereof.
- the L-omithine benzoate solution includes water.
- counterions X and Y may form a precipitate that can be removed from the intermixed solution using known methods, such as filtration, centrifugation, and the like.
- X is chloride
- Y is silver
- the reaction produces a precipitate having AgCl.
- Scheme 1 shows the compounds of Formulae I and II as salts, it is also within the scope of the present application to intermix the free base of L-omithine and benzoic acid to form the intermediate of L-omithine benzoate. Consequently, forming and isolating the precipitate is optional.
- the relative amount of L-omithine and benzoate salts that are intermixed is not limited; however the molar ratio of L-omithine to benzoic acid may optionally be in the range of about 10:90 and 90:10. In some embodiments, the molar ratio of L-omithine benzoate can be in the range of about 30:70 and 30:70. In some embodiments, the molar ratio of L-omithine to benzoate can be in the range of about 40:60 and 60:40. In some embodiments, the molar ratio of L-omithine to benzoate is about 1:1.
- additional amounts of X-containing salt may be added to encourage further precipitation of the counterion Y.
- X is chloride and Y is silver
- the molar ratio of L-omithine hydrochloride to silver benzoate may be greater than 1 : 1 so that an excess of chloride is present relative to silver.
- the molar ratio of L-omithine to benzoic acid is greater than about 1:1.
- the additional chloride salt is not required to be derived from an L-omithine salt (e.g., L-omithine hydrochloride).
- dilute solutions of hydrochloric acid may be added to the solution to further remove silver.
- the L-omithine benzoate can be reacted with a phenyl acetate salt of Formula IV to form L-omithine phenyl acetate.
- a phenyl acetate salt of Formula IV for example, sodium phenyl acetate can be intermixed with a solution of L-omithine benzoate to form L- omithine phenyl acetate.
- Various salts of phenyl acetate may be used, and therefore Z in Formula IV can be any cation capable of forming a salt with phenyl acetate other than benzoic acid or L-omithine.
- Z can be a monoatomic cation, such as an alkali metal ion (e.g., Li + , Na + , and K + ) and other monovalent ions (e.g., Ag + ).
- Z may also be a polyatomic cation, such as ammonium, L-arginine, diethylamine, choline, ethanolamine, IH-imidazole, trolamine, and the like.
- Z is an inorganic ion.
- Z is sodium.
- the relative amount of L-omithine and phenyl acetate salts that are intermixed is also not limited; however the molar ratio of L-omithine to phenyl acetate may optionally be in the range of about 10:90 and 90:10. In some embodiments, the molar ratio of L-omithine to phenyl acetate can be in the range of about 30:70 and 30:70. In some embodiments, the molar ratio of L-omithine to phenyl acetate can be in the range of about 40:60 and 60:40. In some embodiments, the molar ratio of L-omithine to benzoic acid is about 1:1.
- the L-omithine phenyl acetate of Formula V may then be isolated from solution using known techniques. For example, by evaporating any solvent until the L-omithine phenyl acetate crystallizes, or alternatively by the adding an anti-solvent miscible in the L- omithine phenyl acetate solution until the L-omithine phenyl acetate precipitates from solution.
- Another possible means for isolating the L-omithine phenyl acetate is to adjust the temperature of the solution (e.g., lower the temperature) until the L-omithine phenyl acetate precipitates. As will be discussed in further detail in a later section, the method of isolating the L-omithine phenyl acetate affects the crystalline form that is obtained.
- the isolated L-omithine phenyl acetate may be subjected to various additional processing, such as drying and the like.
- L-omithine phenyl acetate may be subsequently intermixed with a dilute HC1 solution to precipitate residual silver.
- the L-omithine phenyl acetate may again be isolated from solution using similar methods disclosed above.
- L-omithine phenyl acetate may similarly be prepared using an intermediate salt other than L-omithine benzoate.
- L-omithine or a salt thereof e.g., L-omithine hydrochloride
- L-Omithine acetate may then be intermixed with phenyl acetic acid, or a salt thereof (e.g., sodium phenyl acetate), to obtain L-omithine phenyl acetate.
- Scheme 4 illustrates an exemplary process of forming L-omithine phenyl acetate using L-omithine acetate as an intermediate salt.
- the intermediate salt can be a pharmaceutically acceptable salt of L-omithine.
- the intermediate L-omithine salt can be an acetate, aspartate, formate, oxalate, bicarbonate, carbonate, bitrate, sulfate, nitrate, isonicotinate, salicylate, citrate, tartrate, pantothenate, bitartrate, ascorbate, succinate, maleate, gentisinate, fumarate, gluconate, glucaronate, saccharate, formate, benzoate, glutamate, methanesulfonate, ethanesulfonate, benzensulfonate, p-toluenesulfonate, pamoate (i.e., 1 , l'-methylene-bis-(2-hydroxy-3 -naphthoate) or phosphate.
- the free acid of the intermediate is preferably a weaker acid relative to phenyl acetic acid.
- the intermediate is an L-omithine salt with an anion component that exhibits a pKa value that is higher than the pKa value of phenyl acetic acid.
- a pKa value that is higher than the pKa value of phenyl acetic acid.
- acetic acid and phenyl acetic acid exhibit pKa values of about 4.76 and 4.28, respectively.
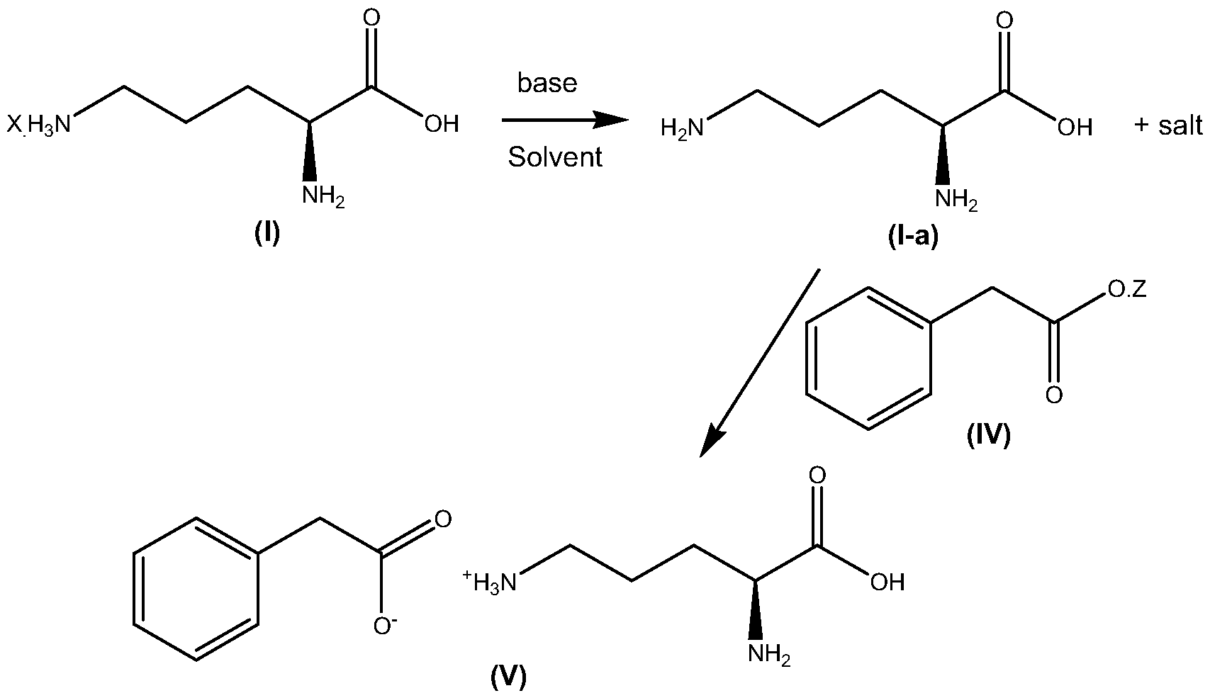
- L-Omithine phenyl acetate may also be prepared, in some embodiments, without forming an intermediate salt, such as L-omithine benzoate.
- Scheme 4 illustrates an exemplary process for preparing L-omithine phenyl acetate without an intermediate salt.
- a pH modifier may be added to a solution of L-omithine salt (e.g., as illustrated in Scheme 4 by the compound of Formula I) until a salt precipitates from solution, where the salt is not an L-omithine salt.
- L-omithine salt e.g., as illustrated in Scheme 4 by the compound of Formula I
- sodium methoxide (NaOMe) can be added to a solution of L-omithine hydrochloride until sodium chloride precipitates from solution to leave a free base of L-omithine.
- the precipitate may optionally be isolated from solution using known techniques, such as filtration, centrifugation, and the like.
- L-omithine e.g., as illustrated in Scheme 4 by the compound of Formula I-a
- phenyl acetic acid or a salt thereof (e.g., as illustrated in Scheme 4 by the compound of Formula IV), to obtain L-omithine phenyl acetate.
- the L-omithine phenyl acetate of Formula V may then be isolated as previously described.
- a pH modifier can include a basic compound, or anhydrous precursor thereof, and/or a chemically protected base.
- pH modifiers include sodium hydroxide, potassium hydroxide, sodium methoxide, potassium t-butoxide, sodium carbonate, calcium carbonate, dibutylamine, tryptamine, sodium hydride, calcium hydride, butyllithium, ethylmagnesium bromide and combinations thereof.
- the amount of pH modifier to be added is not particularly limited; however the molar ratio of L-omithine to pH modifier may optionally be in the range of about 10:90 and 90: 10. In some embodiments, the molar ratio of L-omithine to pH modifier can be in the range of about 30:70 and 30:70.
- the molar ratio of L-omithine to pH modifier can be in the range of about 40:60 and 60:40. In some embodiments, the molar ratio of L- omithine to pH modifier is about 1:1.
- the pH modifier may, in some embodiments be added to adjust the pH value to at least about 8.0; at least about 9.0; or at least about 9.5.
- L-omithine phenyl acetate includes reacting an alkali metal salt of L-omithine with a phenyl acetate salt.
- L-omithine hydrochloride may be intermixed with silver phenyl acetate and a solvent. AgCl may then precipitate and is optionally isolated from the solution.
- the remaining L-omithine phenyl acetate can also be isolated using known methods. This process can be completed using generally the same procedures and conditions outlined above.
- the relative molar amounts of L-omithine to phenyl acetate can be 10:90 to 90:10; 30:70 to 70:30; 40:60 to 60:40; or about 1:1.
- the L-omithine phenyl acetate may be isolated by evaporating the solvent, adding an anti-solvent, and/or reducing the temperature.
- compositions of L-omithine phenyl acetate are also disclosed herein.
- the compositions of the present application advantageously have low amounts of inorganic salts, particularly alkali metal salts and/or halide salts, and therefore are particularly suited for oral and/or intravenous administration to patients with hepatic encephalopathy. Meanwhile, these compositions may exhibit similar stability profiles compared to other salts (e.g., mixtures of L-omithine hydrochloride and sodium phenyl acetate).
- the compositions may, in some embodiments, be obtained by one of the processes disclosed in the present application. For example, any of the disclosed processes using L-omithine benzoate as an intermediate may yield the compositions of the present application.
- amorphous forms of L- omithine phenyl acetate are also within the scope of the present application.
- Various methods are known in the art for preparing amorphous forms.
- a solution of L-omithine phenyl acetate may be dried under vacuum by lyophilization to obtain an amorphous composition. See P.C.T. Application WO 2007/058634, which published in English and designates the U.S., and is hereby incorporated by reference for disclosing methods of lyophilization.
- compositions may also include residual amounts of the anion from an intermediate salt formed during the process of making the L-omithine phenyl acetate composition.
- some of the processes disclosed herein yield compositions having benzoic acid or a salt thereof.
- the composition comprises at least about 0.01% by weight benzoic acid or a salt thereof (preferably at least about 0.05% by weight, and more preferably about 0.1% by weight).
- the composition comprises no more than about 3% by weight benzoic acid or a salt thereof (preferably no more than about 1% by weight, and more preferably no more than about 0.5% by weight).
- the composition includes a salt, or an acid thereof, in the range of about 0.01% to about 3% by weight (preferably about 0.1% to about 1%), wherein the salt is selected from acetate, aspartate, formate, oxalate, bicarbonate, carbonate, bitrate, sulfate, nitrate, isonicotinate, salicylate, citrate, tartrate, pantothenate, bitartrate, ascorbate, succinate, maleate, gentisinate, fumarate, gluconate, glucaronate, saccharate, formate, benzoate, glutamate, methanesulfonate, ethanesulfonate, benzensulfonate, p-toluenesulfonate, pamoate (i.e., l,l'-methylene-bis-(2-hydroxy-3- naphthoate) or phosphate.
- the salt is selected from acetate, aspartate, formate, oxa
- Ornithine phenylacetate as described herein is typically formulated for administration with a pharmaceutically acceptable carrier or diluent. Ornithine phenylacetate may thus be formulated as a medicament with a standard pharmaceutically acceptable carrier(s) and/or excipient(s) as is routine in the pharmaceutical art. The exact nature of the formulation will depend upon several factors including the desired route of administration. Typically, Ornithine phenylacetate may be formulated for oral, intravenous, intragastric, intravascular or intraperitoneal administration.
- the pharmaceutical carrier or diluent may be, for example, an isotonic solution such as physiological saline.
- Solid oral forms may contain, together with the active compound, diluents, e.g. lactose, dextrose, saccharose, cellulose, com starch or potato starch; lubricants, e.g. silica, talc, stearic acid, magnesium or calcium stearate, and/or polyethylene glycols; binding agents; e.g. starches, gum arabic, gelatin, methylcellulose, carboxymethylcellulose or polyvinyl pyrrolidone; disaggregating agents, e.g.
- Liquid dispersions for oral administration may be syrups, emulsions or suspensions.
- the syrups may contain as carriers, for example, saccharose or saccharose with glycerine and/or mannitol and/or sorbitol.
- Suspensions and emulsions may contain as carrier, for example a natural gum, agar, sodium alginate, pectin, methylcellulose, carboxymethylcellulose, or polyvinyl alcohol.
- the suspensions or solutions for intramuscular injections may contain, together with ornithine and at least one of phenylacetate and phenylbutyrate, a pharmaceutically acceptable carrier, e.g. sterile water, olive oil, ethyl oleate, glycols, e.g. propylene glycol, and if desired, a suitable amount of lidocaine hydrochloride.
- a pharmaceutical formulation in accordance with the present invention may further comprise one or more additional therapeutic agents.
- the formulation may comprise OP as described herein and also one or more additional therapeutic agents.
- the additional therapeutic agent(s) are agents which will assist in the treatment or prevention of the disease or condition in the subject to be treated.
- one or more agents that are effective at treating or preventing mitochondrial dysfunction or cancer may be administered as part of a formulation as described herein.
- One or more agents that are effective at treating or preventing a mitochondrial dysfunction or cancer or a symptom of a mitochondrial dysfunction or cancer in the subject may be administered as part of a formulation as described herein.
- ORAL pharmaceutical formulations comprising L-omithine phenylacetate in a dosage of about 0.1 g to about 10 g, and one or more pharmaceutically acceptable excipients or carriers.
- the formulation provides an immediate release profile of L-omithine phenylacetate upon administration (for example, an immediate-release oral formulation in the form of a liquid solution or suspension).
- Other embodiments provide a controlled-release or extended release profile.
- the pharmaceutical formulation is an oral pharmaceutical formulation.
- the L-omithine phenylacetate is in a dosage of about 0.5 g, about 1 g, about 1.5 g, about 2 g, about 2.5 g, about 3 g, about 3.5 g, about 4 g, about 4.5 g, about 5 g, about 5.5 g, about 6 g, about 6.5 g, about 7 g, about 7.5 g, about 8 g, about 8.5 g, about 9 g, about 9.5 g, or about 10 g, or in a dosage range defined by any of the two preceding values (for example, about 1 g to about 9 g, about 2 g to about 8 g, about 3 g to about 7g, about 4 g to about 6 g, about 1 g to about 6 g, about 1 g to about 5 g, about 1 g to about 4 g, about 1 g to about 3 g, about 2 g to about 6 g, about 2 g to about 5 g, or about 2 g
- the pharmaceutical formulation is in a single unit dosage form. In some other embodiments, the pharmaceutical formulation is in two or more unit dosage forms (i.e., a divided dose). For example, where an oral dosage is about 5 g, it may be provided in the form of four or five tablets, each containing about 1.25 g or 1 g of L- ornithine phenylacetate.
- the unit dosage form is a tablet, a capsule, a pill, pellets, free-flowing powder, or liquid. In one embodiment, the unit dosage form is a liquid solution comprising 5 g of L-ornithine phenylacetate.
- the pharmaceutical formulation provides conversion of phenylacetate to phenylacetylglutamine over 24 hours of greater than about 30%, greater than about 40%, greater than about 50%, greater than about 60%, greater than about 70%, greater than about 80%, or greater than about 90%. In some further embodiments, the formulation provides conversion of phenylacetate to phenylacetylglutamine over 24 hours of greater than about 80%. In some embodiments, the conversion efficiency is determined based on excreted urinary phenylacetylglutamine.
- the pharmaceutical formulation provides conversion of phenylacetate to phenylacetylglutamine over 12 hours of greater than about 30%, greater than about 40%, greater than about 50%, greater than about 60%, greater than about 70%, greater than about 80%, or greater than about 90%. In some further embodiments, the formulation provides conversion of phenylacetate to phenylacetylglutamine over 12 hours of greater than about 60%. In some embodiments, the conversion efficiency is determined based on excreted urinary phenylacetylglutamine.
- the low dose pharmaceutical formulations described herein may be administered by any suitable route, for example, it may be administered by oral, intravenous, intragastric, intraperitoneal or intravasular routes.
- the pharmaceutical formulation of L-omithine is an oral dosage form, for example, a oral solution.
- the pharmaceutical formulation is an intravenous dosage form.
- L-omithine phenylacetate is administered in an amount from about 0.1 g to about 50 g per day, from about 0.5 g to about 45 g per day, from about 1 g to about 40 g per day, from about 1.5 g to about 35 g per day, from about 2 g to about 30 g per day, from about 2.5 g to about 25 g per day, from about 3 g to about 20 g per day, or from about 5 g to about 15 g per day.
- the pharmaceutical formulation is for administration at least once a day. In some further embodiments, the pharmaceutical formulation is for administration two or more times per day. In one embodiment, the pharmaceutical formulation is for thrice daily oral administration.
- L-omithine phenylacetate is administered as a single dose in an amount from about 1.0 g to about 10.0 g. In some further embodiments, L-omithine phenylacetate is administered as a single dose in an amount from about 2 g to about 8 g.
- L-omithine phenylacetate is administered as a single dose in a range of about 1 g to about 9 g, about 2 g to about 8 g, about 3 g to about 7g, about 4 g to about 6 g, about 1 g to about 6 g, about 1 g to about 5 g, about 1 g to about 4 g, about 1 g to about 3 g, about 2 g to about 6 g, about 2 g to about 5 g, or about 2 g to about 4 g.
- L-omithine phenylacetate is administered as a single dose in an amount about 2.5 g.
- L-omithine phenylacetate is administered as a single dose in an amount about 5 g.
- the pharmaceutical formulation containing such amount of L-omithine phenylacetate is in a single oral dosage form.
- the pharmaceutical formulation containing such amount of L-omithine phenylacetate is in two or more unit dosage forms. For example, some embodiments comprise administering 1 to 5 unit dosage forms each comprising from about 0.1 g to about 2 g of L-omithine phenylacetate, or about 2 to 4 unit dosage forms each comprising from about 0.5 g to about 1.25 g of L-omithine phenylacetate.
- Some embodiments comprise administering 4 unit dosage forms each comprising about 1.25 g of L-omithine phenylacetate. Some embodiments comprise administering 5 unit dosage forms each comprising about 1 g of L-omithine phenylacetate. Some other embodiments comprise administering 1 unit dosage form comprising about 5 g of L-omithine phenylacetate.
- the pharmaceutical formulation is administered three times a day. For example, where multiple unit dosage forms are administered at a time, the multiple unit dosage administration is repeated three time a day. In another embodiment, the pharmaceutical formulation is administered once a day.
- substances that can serve as pharmaceutically-acceptable carriers or excipients thereof are sugars, such as lactose, glucose and sucrose; starches, such as com starch and potato starch; cellulose and its derivatives, such as sodium carboxymethyl cellulose, ethyl cellulose, and methyl cellulose; powdered tragacanth; malt; gelatin; talc; solid lubricants, such as stearic acid and magnesium stearate; calcium sulfate; vegetable oils, such as peanut oil, cottonseed oil, sesame oil, olive oil, com oil and oil of theobroma; polyols such as propylene glycol, glycerine, sorbitol, mannitol, and polyethylene glycol; alginic acid; emulsifiers, such as the TWEENS; wetting agents, such sodium lauryl sulfate; coloring agents; flavoring agents; tableting agents, stabilizers; antioxidants; preservatives;
- the oral dosage form of L-omithine phenylacetate may be in the form of a liquid, in particular a liquid solution.
- the oral dosage formulation may also comprise conventional pharmaceutical compatible adjuvants, excipients or carriers, including those commonly used in the oral solution formulation as discussed herein.
- the oral formulation described herein provides for lower doses than previously expected.
- RAVICTI® glycerol phenylbutyrate, a pre-prodrug of phenylacetate
- a dose of 6 mL delivering about 1.02 g/mL of phenylbutyrate
- Both the immediate release and the controlled release oral pharmaceutical formulations of L- omithine phenylacetate described herein provide similar percentage of PAGN urinary excretion, permitting use of substantially lower API doses, compared to RAVICTI® or other phenylacetate formulations.
- compositions of L-omithine phenyl acetate of the present application may also be formulated for administration to a subject (e.g., a human).
- L-Omithine phenyl acetate, and accordingly the compositions disclosed herein may be formulated for administration with a pharmaceutically acceptable carrier or diluent.
- L-omithine phenyl acetate may thus be formulated as a medicament with a standard pharmaceutically acceptable carrier(s) and/or excipient(s) as is routine in the pharmaceutical art. The exact nature of the formulation will depend upon several factors including the desired route of administration.
- L-omithine phenyl acetate is formulated for oral, intravenous, intragastric, subcutaneous, intravascular or intraperitoneal administration.
- the pharmaceutical carrier or diluent may be, for example, water or an isotonic solution, such as 5% dextrose in water or normal saline.
- Solid oral forms may contain, together with the active compound, diluents, e.g. lactose, dextrose, saccharose, cellulose, com starch or potato starch; lubricants, e.g. silica, talc, stearic acid, magnesium or calcium stearate, and/or polyethylene glycols; binding agents, e.g. starches, gum arabic, gelatin, methylcellulose, carboxymethylcellulose or polyvinyl pyrrolidone; disaggregating agents, e.g.
- Such pharmaceutical preparations may be manufactured in known manners, for example, by means of mixing, granulating, tabletting, sugar-coating, or film-coating processes.
- Liquid dispersions for oral administration may be syrups, emulsions or suspensions.
- the syrups may contain as carriers, for example, saccharose or saccharose with glycerine and/or mannitol and/or sorbitol.
- Suspensions and emulsions may contain a carrier, for example a natural gum, agar, sodium alginate, pectin, methylcellulose, carboxymethylcellulose, or polyvinyl alcohol.
- the suspensions or solutions for intramuscular injections may contain, together with L- omithine phenyl acetate, a pharmaceutically acceptable carrier, e.g. sterile water, olive oil, ethyl oleate, glycols, e.g. propylene glycol, and if desired, a suitable amount of lidocaine hydrochloride.
- the medicament may consist essentially of L-omithine phenyl acetate and a pharmaceutically acceptable carrier. Such a medicament therefore contains substantially no other amino acids in addition to L-omithine and phenyl acetate. Furthermore, such a medicament contains insubstantial amounts of other salts in addition to L-omithine phenyl acetate.
- Oral formulations may generally include dosages of L-omithine phenyl acetate in the range of about 500 mg to about 100 g. Accordingly, in some embodiments, the oral formulation includes the L-omithine phenyl acetate compositions disclosed herein in the range of about 500 mg to about 50 g. In some embodiments, the oral formulation is substantially free of alkali metal salts and halides (e.g., contains no more than trace amounts of alkali metal salts and halides).
- Intravenous formulations may also generally include dosages of L-omithine phenyl acetate in the range of about 500 mg to about 100 g (preferably about 1 g to about 50 g).
- the intravenous formulation is substantially free of alkali metal salts and halides (e.g., contains no more than trace amounts of alkali metal salts and halides).
- the intravenous formulation has a concentration of about 5 to about 300 mg/mL of L-omithine phenyl acetate (preferably about 25 to about 200 mg/mL, and more preferably about 40 to about 60 mg/mL).
- the composition, or medicament containing said composition may optionally be placed is sealed packaging.
- the sealed packaging may reduce or prevent moisture and/or ambient air from contacting the composition or medicament.
- the packaging includes a hermetic seal.
- the packaging sealed under vacuum or with an inert gas (e.g., argon) within the sealed package. Accordingly, the packaging can inhibit or reduce the rate of degradation for the composition or medicament stored within the packaging.
- an inert gas e.g., argon
- the present inventors have shown that ammonia impacts on hepatic mitochondrial function, thereby inducing a vicious cycle by further impairing ammonia detoxification through the urea cycle, which takes largely place in the liver mitochondria.
- TLR4 modulates ammonia metabolism.
- the inventors have shown that inhibition of TLR4 is a novel therapy for mitochondrial dysfunction.
- the inventors have shown that inhibition of TLR4 is a novel therapy for cancer, for example cancer that is characterised by mitochondrial dysfunction.
- the invention provides:
- a method for treating or preventing mitochondrial dysfunction in a subject comprising administering to the subject a therapeutically effective amount of a Toll like receptor 4 (TLR4) antagonist.
- TLR4 Toll like receptor 4
- the invention also provides:
- a method for treating or preventing cancer in a subject comprising administering to the subject a therapeutically effective amount of a Toll like receptor 4 (TLR4) antagonist.
- TLR4 Toll like receptor 4
- An antagonist of Toll like receptor 4 may be any compound or molecule that inhibits or decreases the activity, function or amount of TLR4.
- the antagonist functions in the liver and/or kidney and/or brain of the patient.
- the antagonist may act preferentially in the liver and/or kidney or may act at a number of locations including the liver and/or kidney and/or brain.
- the antagonist leads to a decrease in TLR4 activity, function or amount in the organs of an individual to whom the antagonist is administered, such as in one of more of the liver, kidneys, brain, and the heart of the individual.
- the antagonist may be targeted to the liver, kidney or other organs such as those listed above during administration as discussed further below.
- Preferred antagonists are those that decrease the activity or amount of TLR4 by at least 10%, at least 20%, at least 30%, at least 40%, at least 50%, at least 60%, at least 70%, at least 80% or at least 90% compared to the amount seen in the absence of the antagonist. For example, decreases of these sizes may be seen in the liver or liver tissue of a subject to whom the agonist has been administered. Decreases of these sizes may be seen in other tissues or organs of the individual, such as in the kidney and/or heart of the individual.
- An antagonist of TLR4 may reduce the activity or amount of TLR4 to an amount or activity that is the same, similar to, or equivalent to, that seen in an individual not suffering from a disease or condition as recited herein.
- TLR4 antagonist in accordance with the present invention may lead to a reduction in TLR4 expression in the liver and/or kidneys and/or brain of the individual being treated to a normal level, such as a level that would be seen or would be expected in an individual not suffering from a disease or condition as recited herein.
- the antagonist may act specifically to antagonise TLR4. That is, the effect of the antagonist on TLR4 may be greater than any other biological effect of the antagonist.
- Such an antagonist may be specific to the inhibition of TLR4, that is it may decrease the activity of TLR4, but not other receptors such as other Toll like receptors.
- Such an antagonist may additionally or alternatively be specific to the expression of TLR4, that is it may decrease the expression of TLR4 but not other receptors such as other Toll like receptors.
- An antagonist for use in accordance with the present invention may be an antagonist of TLR4 as described herein, that does not act as an antagonist of other Toll like receptors.
- An antagonist for use in accordance with the present invention may act on TLR4 in preference to other Toll like receptors.
- an antagonist of TLR4 for use in accordance with the present invention may have one or more of the characteristics of an TLR4 antagonist as described herein, but may not have such characteristics in relation to other Toll like receptors, or may have such characteristics to a lower level in relation to other Toll like receptors when compared to TLR4.
- an antagonist that decreases the activity of TLR4 may not decrease the activity of other Toll like receptors, or may decrease the activity of other Toll like receptors to a lesser extent, such as a lower percentage decrease, than its effect on TLR4.
- An antagonist that decreases the expression or amount of TLR4 may not decrease the expression or amount of other Toll like receptors, or may decrease the expression of other Toll like receptors to a lesser extent, such as a lower percentage decrease, than its effect on TLR4.
- An TLR4 antagonist as described herein may have an effect on other Toll like receptors, such as antagonism of the activity, signalling or expression of one or more other Toll like receptors, that is less than 25%, less than 20%, less than 15%, less than 10%, less than 5%, less than 1%, or less than 0.1% the effect of that antagonist on the activity, signalling or expression of TLR4.
- Toll like receptors herein is meant any Toll like receptor that is not TLR4. At least 13 groups of Toll like receptor have been identified in mammals.
- the other Toll like receptor may be any such Toll like receptor that is not TLR4.
- the other Toll like receptor may be one or more of these Toll like receptors.
- the other Toll like receptor may be all other Toll like receptors that are not TLR4.
- the specificity of the TLR4 antagonist may apply within the whole body of the individual to be treated, that is the actions of the TLR4 antagonist may be specific as discussed above throughout the body of the individual.
- the specificity of the TLR4 antagonist may apply within particular tissues of the individual, such as the liver, kidneys and/or heart and/or brain. That is, in one embodiment, the TLR4 antagonist may act specifically to antagonise TLR4 as discussed above within the liver and/or kidney and/or other organs of the individual being treated.
- the TLR4 antagonist may therefore be a specific antagonist of TLR4 as described above.
- the TLR4 antagonist may not be an antagonist of other Toll like receptors, or may have no significant effect on the activity or expression of other Toll like receptors.
- TLR4 Any compound or molecule capable of inhibiting the activity or function of TLR4 may be suitable for use in the methods of the present invention.
- Antagonists for use in accordance with the present invention may be direct or indirect antagonists of TLR4.
- Direct antagonists are compounds or molecules whose activity is directly on TLR4.
- direct antagonists may be compounds or molecules that act directly on the TLR4 receptor to decrease its activity.
- a direct antagonist may be a compound or molecule that disrupts TLR4 function or that destabilises the TLR4 receptor.
- a direct antagonist may decrease the amount of TLR4 by destroying or disrupting TLR4 molecules within the patient.
- a direct antagonist may be a compound or molecule that acts on the TLR4 gene, promoter or other gene regulatory regions to decrease expression of the TLR4.
- a direct antagonist may decrease expression of TLR4 by preventing or reducing expression from the endogenous TLR4 gene.
- a TLR4 antagonist may act to disrupt the activity of TLR4.
- the antagonist may act by preventing activation of TLR4 or by preventing formation of functional complexes comprising TLR4.
- any compound or molecule having the properties described above may be used as an TLR4 antagonist in accordance with the present invention.
- the compound or molecule may be, or may comprise, for example, a peptide, polypeptide, protein, antibody, polynucleotide, small molecule or other compound that may be designed through rational drug design starting from known antagonists of TLR4.
- TLR4 antagonists or inhibitors examples include:
- E5564 contains eritoran tetrasodium as an active ingredient. E5564 blocks receptor signal transduction and inhibits the release of the inflammatory cytokines IL-1 and TNF.
- NI-0101 is an anti-TLR4 monoclonal antibody that binds to an epitope on TLR4 which interferes with its dimerisation required for intracellular signalling and induction of pro-inflammatory pathways.
- NI-0101 is a product ofNovImmune SA.
- OxPAPC (1 -palmitoyl -2-arachidonyl-sn-glycero-3 -phosphorylcholine), which is an oxidized phospholipid that has been shown to inhibit the signalling induced by bacterial lipopeptide and lipopolysaccharide (LPS).
- IAXO compounds such as IAXO-101 (Methyl 6-deoxy-6-N-dimethyl-N- cyclopentylammonium-2, 3-di-O-tetradecyl-a-D-glucopyranoside iodide), IAXO-102 Methyl 6-Deoxy-6-amino-2,3-di-O-tetradecyl-a-D-glucopyranoside, or IAXO-103 (N- (3,4-Bis-tetradecyloxy-benzyl)-N-cyclopentyl-N,N-dimethylammonium iodide) Compounds that target TLRs such as TLR4 are reviewed in Hennessy et al (2010) Nature Reviews Drug Discovery 9: 293-307.
- the TLR4 antagonist is not LPS.
- the TLR4 antagonist or inhibitor is a compound disclosed in WO03084527, which is herein incorporated by reference in its entirety.
- the TLR4 antagonist or inhibitor comprises a compound represented by the formula (I): wherein
- R represents an aliphatic hydrocarbon group optionally having substituents, an aromatic hydrocarbon group optionally having substituents, a heterocyclic group optionally having substituents, a group represented by the formula: - OR 1 wherein R represents a hydrogen atom or an aliphatic hydrocarbon group optionally having substituents, or a group represented by the formula:
- R lb and R lc are the same or different and each represents a hydrogen atom or an aliphatic hydrocarbon group optionally having substituents,
- R° represents a hydrogen atom or an aliphatic hydrocarbon group, or R and R° in combination form a bond
- ring A 1 represents a cycloalkene optionally substituted by 1 to 4 substituents selected from the group consisting of
- R 11 represents a hydrogen atom or an aliphatic hydrocarbon group optionally having substituents
- Ar represents an aromatic hydrocarbon group optionally having substituents, a group represented by the formula: represents a group represented by the formula:
- n represents an integer of 1 to 4, or a salt thereof or a prodrug thereof, or a compound represented by the formula (II): wherein Rl' represents an aliphatic hydrocarbon group optionally having substituents, an aromatic hydrocarbon group optionally having substituents, a heterocyclic group optionally having substituents, a group represented by the formula: -OR la ' wherein R la ' represents a hydrogen atom or an aliphatic hydrocarbon group optionally having substituents, or a group represented by the formula: wherein R lb ' and R lc ' are the same or different and each represents a hydrogen atom or an aliphatic hydrocarbon group optionally having substituents,
- X represents a methylene group, NH, a sulfur atom or an oxygen atom
- Y represents a methylene group optionally having substituents or NH optionally having substituents
- ring A' represents a 5- to 8-membered ring optionally having 1 to 4 substituents selected from the group consisting of (1) an aliphatic hydrocarbon group optionally having substituents, (2) an aromatic hydrocarbon group optionally having substituents, (3) a group represented by the formula: -OR 2 ' wherein R 2 ' represents a hydrogen atom or an aliphatic hydrocarbon group optionally having substituents and (4) a halogen atom, Ar' represents an aromatic hydrocarbon group optionally having substituents, a group represented by the formula: represents a group represented by the formula:
- (fell (b2) s represents an integer of 0 to 2, t represents an integer of 1 to 3, and the total of s and t is not more than 4; provided that when X is a methylene group, Y represents a methylene group optionally having substituents, or a salt thereof or a prodrug thereof.
- the compound is of the above- mentioned formula (I), wherein the formula (I) is the formula (la): wherein R la represents a Cl -6 alkyl, R 2a represents a hydrogen atom or a C 1-6 alkyl and AC represents a phenyl group substituted by 1 or 2 halogen atoms, and the formula (II) is the formula (Ila): wherein R la " represents a Cl -6 alkyl, X a represents a methylene group or an oxygen atom, Y a represents a methylene group or - NH- and AC' represents a phenyl group optionally having 1 or 2 substituents selected from a halogen atom and a Cl -6 alkoxy group.
- aliphatic hydrocarbon group of the "aliphatic hydrocarbon group optionally having substituents” represented by R, R1 , R11 , Rib and Rlc and the "aliphatic hydrocarbon group” represented by RO and R2 , for example, an alkyl group, a cycloalkyl group, a cyclo alkylalkyl group, an alkenyl group, an alkynyl group, etc. are preferable.
- alkyl group for example, a linear or branched alkyl group having 1 to 20 carbon atoms (e.g., a methyl group, an ethyl group, an n-propyl group, an isopropyl group, an n-butyl group, an isobutyl group, a sec-butyl group, a tert-butyl group, a pentyl group, a hexyl group, a heptyl group, an octyl group, a nonyl group, a decyl group, a dodecyl group, etc.) and the like are preferable, and particularly, for example, a lower alkyl group having 1 to 6 carbon atoms (e.g., a methyl group, an ethyl group, an n-propyl group, an isopropyl group, an n-butyl group, an isobutyl group, a sec-butyl group
- a cycloalkyl group having 3 to 10 carbon atoms e.g., a cyclopropyl group, a cyclobutyl group, a cyclopentyl group, a cyclohexyl group, a cycloheptyl group, a cyclooctyl group, etc.
- a cycloalkyl group having 3 to 6 carbon atoms e.g., a cyclopropyl group, a cyclobutyl group, a cyclopentyl group, a cyclohexyl group, etc.
- a cycloalkylalkyl group having 4 to 12 carbon atoms e.g., a cyclopropylmethyl group, a cyclopentylmethyl group, a cyclohexylmethyl group, a cycloheptylmethyl group, etc.
- a cycloalkylalkyl group having 4 to 8 (particularly 4 to 7) carbon atoms e.g., a cyclopropylmethyl group, a cyclopentylmethyl group, a cyclohexylmethyl group, etc.
- alkenyl group for example, a lower alkenyl group having 3 to 6 carbon atoms (e.g., a propenyl group, a butenyl group, a pentenyl group, etc.) and the like are preferable, and particularly, for example, a lower alkenyl group having 3 or 4 carbon atoms (e.g., a propenyl group, a butenyl group, etc.) and the like are preferable.
- a lower alkenyl group having 3 or 4 carbon atoms e.g., a propenyl group, a butenyl group, etc.
- alkynyl group for example, a lower alkynyl group having 3 to 6 carbon atoms (e.g., a propynyl group, a butynyl group, a pentynyl group, etc.) and the like are preferable, and particularly, for example, a lower alkynyl group having 3 or 4 carbon atoms (e.g., a propynyl group, a butynyl group, etc.) and the like are preferable.
- a lower alkynyl group having 3 or 4 carbon atoms e.g., a propynyl group, a butynyl group, etc.
- substituted hydrocarbon group optionally having substituents for example, a heterocyclic group, an oxo group, a hydroxy group, a Cl -6 alkoxy group, a C3-10 (particularly C3-6 ) cycloalkyloxy group, a C6-10 aryloxy group, a C7-19 (particularly C7-12 ) aralkyloxy group, a heterocyclic-oxy group, a Cl-6 alkylthio group (sulfur atom may be oxidized), a C3-10 (particularly C3-6 ) cycloalkylthio group (sulfur atom may be oxidized), a C6-10 arylthio group (sulfur atom may be oxidized), a C7-19 (particularly C7-12 ) aralkylthio group (sulfur atom may be oxidized), a heterocyclic-thio group, a heterocyclic-sulfmyl
- substituents are substituted at substitutable positions in the above-mentioned "aliphatic hydrocarbon group", wherein the substituents are not limited to a single substituent but may be the same or different plural (preferably 2 to 4) substituents.
- Cl-6 alkoxy group for example, a methoxy group, an ethoxy group, an n- propoxy group, an isopropoxy group, an n-butoxy group, a tert-butoxy group, an n- pentyloxy group, an n-hexyloxy group, etc.
- C3-10 cycloalkyloxy group for example, a cyclopropyloxy group, a cyclohexyloxy group, etc.
- C6-10 aryloxy group for example, a phenoxy group, a naphthyloxy group, etc.
- C7-19 aralkyloxy group for example, a benzyloxy group, a 1 -phenyl ethyloxy group, a 2-phenylethyloxy group, a benzhydryloxy group, a 1 -naphthylmethyloxy group, etc.
- Cl-6 alkylthio group sulfur atom may be oxidized
- a methylthio group for example, a methylthio group, an ethylthio group, an n-propylthio group, an n-butylthio group, a methylsulfinyl group, a methylsulfonyl group, etc.
- C3-10 cycloalkylthio group (sulfur atom may be oxidized)"
- a cyclopropylthio group for example, a cyclohexylthio group, a cyclopentylsulfinyl group, a cyclohexylsulfonyl group, etc.
- C6-10 arylthio group for example, a phenylthio group, a naphthylthio group, a phenylsulfinyl group, a phenylsulfonyl group, etc.
- C7-19 aralkylthio group (sulfur atom may be oxidized)"
- a benzylthio group for example, a benzylthio group, a phenylethylthio group, a benzhydrylthio group, a benzylsulfinyl group, a benzylsulfonyl group, etc.
- halogen atom a fluorine atom, a chlorine atom, a bromine atom and an iodine atom are used, as the "Cl-10 alkoxy-carbonyl group", for example, a methoxycarbonyl group, an ethoxycarbonyl group, an n- propoxycarbonyl group, an isopropoxycarbonyl group, an n-butoxycarbonyl group, an isobutoxycarbonyl group, a tert-butoxycarbonyl group, etc.
- C3-6 cycloalkyloxy-carbonyl group for example, a cyclopropyloxycarbonyl group, a cyclopentyloxycarbonyl group, a cyclohexyloxycarbonyl group, etc.
- C6- 10 aryloxy-carbonyl group for example, a phenoxycarbonyl group, a naphthyloxycarbonyl group, etc.
- C7-19 aralkyloxy-carbonyl group for example, a benzyloxycarbonyl group, a benzhydryloxycarbonyl group, a 2- phenethyloxycarbonyl group, etc.
- C6-10 aryl-carbonyl group for example, a benzoyl group, a naphthoyl group, etc.
- Cl -6 alkanoyl group for example, a formyl group, an acetyl group, a propionyl group, a butyryl group, a valeryl group, a pivaloyl group, etc.
- C3-5 alkenoyl group for example, an acryloyl group, a crotonoyl group, etc.
- C6-10 aryl-carbonyloxy group for example, a benzoyloxy group, a naphthoyloxy group, etc.
- C2-6 alkanoyloxy group for example, an acetoxy group, a propionyloxy group, a butyryloxy group, a valeryloxy group, a pivaloyloxy group, etc.
- C3-5 alkenoyloxy group for example, an acryloyloxy group, a crotonoyloxy group, etc. are used.
- a carbamoyl group or a cyclic-amino e.g., pyrrolidinyl, piperidinyl, piperazinyl, morpholinyl, etc.
- carbonyl group which may be substituted by 1 or 2 substituents selected from a Cl -4 alkyl (e.g., methyl, ethyl, etc.), a phenyl, a Cl-7 acyl (e.g., acetyl, propionyl, benzoyl, etc.), a Cl-4 alkoxy-phenyl (e.g., methoxyphenyl, etc.), etc., and the like are used, and specifically, for example, a carbamoyl group, an N-methylcarbamoyl group, an N- ethylcarbamoyl group, an N,N-dimethylcarbamoyl group, an N,
- thiocarbamoyl group optionally having substituents for example, a thiocarbamoyl group which may be substituted by 1 or 2 substituents selected from Cl-4 alkyl (e.g., methyl, ethyl, etc.), phenyl, etc. are used, and specifically, for example, a thiocarbamoyl group, an N-methylthiocarbamoyl group, an N-phenylthiocarbamoyl group, etc. are used.
- carbamoyloxy group optionally having substituents for example, a carbamoyloxy group which may be substituted by 1 or 2 substituents selected from Cl-4 alkyl (e.g., methyl, ethyl, etc.), phenyl, etc. are used, and specifically, for example, a carbamoyloxy group, an N-methylcarbamoyloxy group, an N,N-dimethylcarbamoyloxy group, an N-ethylcarbamoyloxy group, an N-phenylcarbamoyloxy group, etc. are used.
- Cl -6 alkanoylamino group for example, an acetamido group, a propionamido group, a butyramido group, a valeramido group, a pivalamido group, etc. are used, as the "C6-10 aryl-carbonylamino group”, for example, a benzamido group, a naphthamido group, a phthalimido group, etc.
- Cl -10 alkoxy-carboxamido group for example, a methoxycarboxamido (CH3 OCONH-) group, an ethoxycarboxamido group, a tert-butoxycarboxamido group, etc.
- C6-10 aryloxy-carboxamido group for example, a phenoxycarboxamido (C6 H5 OCONH-) group, etc.
- C7-19 aralkyloxy-carboxamido group for example, a benzyloxycarboxamido (C6 H5 CH2 OCONH-) group, a benzhydryloxycarboxamido group, etc.
- Cl-10 alkoxy-carbonyloxy group for example, a methoxycarbonyloxy group, an ethoxycarbonyloxy group, an n-propoxycarbonyloxy group, an isopropoxycarbonyloxy group, an n-butoxycarbonyloxy group, a tertbutoxycarbonyloxy group, an n-pentyloxycarbonyloxy group, an n-hexyloxycarbonyloxy group, etc.
- C6-10 aryloxy-carbonyloxy group for example, a phenoxycarbonyloxy group, a naphthyloxycarbonyloxy group, etc.
- C7-19 aralkyloxy-carbonyloxy group for example, a benzyloxycarbonyloxy group, a 1- phenylethyloxycarbonyloxy group, a 2-phenylethyloxycarbonyloxy group, a benzhydryloxycarbonyloxy group, etc. are used, and as the "C3-10 cycloalkyloxycarbonyloxy group", for example, a cyclopropyloxycarbonyloxy group, a cyclohexyloxycarbonyloxy group, etc. are used.
- ureido group optionally having substituents for example, a ureido group optionally substituted by 1 to 3 (preferably 1 or 2) substituents selected from a Cl -4 alkyl group (e.g., a methyl group, an ethyl group, etc.), a phenyl group, etc. are used, and, for example, a ureido group, a 1-methylureido group, a 3-methylureido group, a 3,3- dimethylureido group, a 1,3-dimethylureido group, a 3-phenylureido group, etc. are used.
- a ureido group, a 1-methylureido group, a 3-methylureido group, a 3,3- dimethylureido group, a 1,3-dimethylureido group, a 3-phenylureido group, etc. are used.
- heterocyclic group When a heterocyclic group, a hetero cyclic-oxy group, a hetero cyclic-thio group, a heterocyclic-sulfinyl group, a hetero cyclic-sulfonyl group or a heterocyclic-oxy-carbonyl group is used as the "substituents" of the "aliphatic hydrocarbon group optionally having substituents", the heterocyclic group represents a group formed by excluding one hydrogen atom that binds to the heterocycle.
- a 5- to 8-membered ring (preferably 5- or 6-membered ring) group containing 1 to a few, preferably 1 to 4 hetero atoms such as a nitrogen atom (optionally oxidized), an oxygen atom, a sulfur atom, etc., or its condensed cyclic group.
- heterocyclic groups for example, a pyrrolyl group, a pyrazolyl group, an imidazolyl group, a 1,2,3-triazolyl group, a 1,2,4-triazolyl group, a tetrazolyl group, a furyl group, a thienyl group, an oxazolyl group, an isoxazolyl group, a
- heterocyclic groups may be substituted at substitutable positions by 1 to 3 substituents selected from a Cl -4 alkyl (e.g., methyl, ethyl, etc.), a hydroxy, an oxo, a Cl -4 alkoxy (e.g., methoxy, ethoxy, etc.), and the like.
- a Cl -4 alkyl e.g., methyl, ethyl, etc.
- a hydroxy e.g., an oxo
- a Cl -4 alkoxy e.g., methoxy, ethoxy, etc.
- C6-10 aryl group of the "C6-10 aryl group optionally having substituents"
- a phenyl group, a naphthyl group, etc. are used.
- the C6-10 aryl group may be substituted at a substitutable position by a substituent selected from those exemplified as the "substituent” (except for a C6-10 aryl group optionally having substituents) of the "aliphatic hydrocarbon group optionally having substituents” described above.
- substituent is not limited to a single substituent, but the same or different, more than one (preferably 2 to 4) substituents may be used.
- the substituent together with the aliphatic hydrocarbon group may form an optionally substituted fused ring group, and as such fused ring group, an indanyl group, a 1,2,3,4-tetrahydronaphthyl group, etc. are used.
- This fused ring group may be substituted at a substitutable position by a substituent selected from those exemplified as the "substituent" of the "aliphatic hydrocarbon group optionally having substituents” described above.
- substituent is substituted at a substitutable position of the fused ring group, wherein the substituent is not limited to a single substituent, but the same or different, more than one (preferably 2 to 4) substituents may be used.
- aliphatic hydrocarbon group optionally having substituents for R, R1 , R11 , Rib and Rlc , for example, a lower alkyl group having 1 to 6 carbon atoms (e.g., a methyl group, an ethyl group, an n-propyl group, an isopropyl group, an n-butyl group, an isobutyl group, a tert-butoxycarbonylmethyl group, a hydroxyethyl group etc.) optionally having substituents, etc., are used.
- a lower alkyl group having 1 to 6 carbon atoms e.g., a methyl group, an ethyl group, an n-propyl group, an isopropyl group, an n-butyl group, an isobutyl group, a tert-butoxycarbonylmethyl group, a hydroxyethyl group etc.
- a methyl group, an ethyl group, an n-propyl group, an isopropyl group, an n-butyl group, an isobutyl group, etc. are preferable.
- a methyl group, an ethyl group, an n- propyl group and the like are more preferable, and particularly, an ethyl group, etc. are preferable.
- an aromatic hydrocarbon group having 6 to 14 carbon atoms e.g., a phenyl group, a naphthyl group, an anthryl group, an indenyl group etc.
- an aryl group having 6 to 10 carbon atoms e.g., phenyl, naphthyl groups etc.
- a phenyl group and the like are particularly preferable.
- substituents for example, a halogen atom (fluorine atom, chlorine atom, bromine atom, iodine atom), a lower (Cl -4 )alkyl group (e.g., a methyl group, an ethyl group, a propyl group, a butyl group etc.), a lower (Cl -4 )alkoxy group (e.g., a methoxy group, an ethoxy group, a propoxy group, a butoxy group etc.), a lower (C3-4 )alkoxy- carbonyl group (e.g., a methoxycarbonyl group, an ethoxycarbonyl group, a propoxycarbonyl group, a butoxycarbonyl group etc.), a carboxyl group, a nitro group, a cyano group, a hydroxyl group, an acyla
- a halogen atom fluorine atom, chlorine atom, bromine atom,
- substituents are substituted at substitutable positions of the aromatic hydrocarbon group, and the number of the substituents is preferably 1 to 5, more preferably 1 to 3, most preferably 1 or 2. When two or more of such substituents are present, they may be the same or different.
- heterocyclic group of the “heterocyclic group optionally having substituents” represented by R is, for example, a 5 to 8-membered ring (particularly 5 or 6-membered ring) group containing 1 to several, preferably 1 to 4, hetero atoms such as nitrogen atom (optionally oxidized), oxygen atom, sulfur atom and the like, and a fused ring group thereof.
- heterocyclic group for example, pyrrolyl group, pyrazolyl group, imidazolyl group, 1,2,3-triazolyl group, 1,2,4-triazolyl group, tetrazolyl group, furyl group, thienyl group, oxazolyl group, isoxazolyl group, 1,2,3-oxadiazolyl group, 1,2,4- oxadiazolyl group, 1,2,5-oxadiazolyl group, 1,3,4-oxadiazolyl group, thiazolyl group, isothiazolyl group, 1,2,3-thiadiazolyl group, 1,2,4-thiadiazolyl group, 1,2,5-thiadiazolyl group, 1,3,4-thiadiazolyl group, pyridyl group, pyridazinyl group, pyrimidinyl group, pyrazinyl group, indolyl group, pyranyl group, thiopyranyl group, dioxinyl
- heterocyclic groups are optionally substituted by 1 to 3 substituents selected from Cl-4 alkyl (e.g., methyl, ethyl etc.), hydroxy, oxo, Cl-4 alkoxy (e.g., methoxy, ethoxy etc.) and the like at substitutable positions.
- Cl-4 alkyl e.g., methyl, ethyl etc.
- hydroxy, oxo e.g., methoxy, ethoxy etc.
- an aromatic hydrocarbon group having 6 to 14 carbon atoms e.g., a phenyl group, a naphthyl group, an anthryl group, an indenyl group etc.
- an aryl group having 6 to 10 carbon atoms e.g., phenyl, naphthyl groups etc.
- a phenyl group and the like are particularly preferable.
- substituents for example, a halogen atom (fluorine, chlorine, bromine, iodine atoms), a lower (Cl-4 ) alkyl group (e.g., a methyl group, an ethyl group, a propyl group, an isopropyl group, a butyl group etc.), a lower (Cl-4 ) alkoxy group (e.g., a methoxy group, an ethoxy group, a propoxy group, a butoxy group etc.), a lower (Cl-4 ) alkoxy-carbonyl group (e.g., a methoxycarbonyl group, an ethoxycarbonyl group, a propoxycarbonyl group, a butoxycarbonyl group etc.), a carboxyl group, a nitro group, a cyano group, a hydroxyl group
- substituents are substituted at substitutable positions of the aromatic hydrocarbon group, and the number of the substituents is preferably 1 to 5, more preferably 1 to 3, most preferably 1 or 2. When two or more of such substituents are present, they may be the same or different.
- a phenyl group optionally having substituents is preferable.
- a halogenophenyl group, a lower (Cl -4 ) alkylphenyl group, a halogen- and lower (Cl-4 ) alkoxycarbonyl-substituted phenyl group, a halogen- and lower (Cl -4 ) alkyl-substituted phenyl group and the like are preferably used.
- halogen atom represented by R4 and R5 a fluorine atom or a chlorine atom is preferable.
- halogenophenyl group for example, a 2,3-difluorophenyl group, a 2,3- dichlorophenyl group, a 2,4-difluorophenyl group, a 2,4-dichlorophenyl group, a 2,5- difluorophenyl group, a 2, 5 -dichlorophenyl group, a 2,6-difluorophenyl group, a 2,6- dichlorophenyl group, a 3,4-difluorophenyl group, a 3,4-dichlorophenyl group, a 3,5- difluorophenyl group, a 3, 5 -dichlorophenyl group, a 2-fluorophenyl group, a 2- chlorophenyl group, a 3 -fluorophenyl group, a 3 -chlorophenyl group, a 4-fluorophenyl group, a 4-chlorophenyl group, a 4-
- the lower (Cl -4 ) alkylphenyl group for example, a 2-ethylphenyl group, a 2,6- diisopropylphenyl group and the like are preferably used, and as the lower (Cl -4 ) alkoxyphenyl group, for example, a 4-methoxyphenyl and the like are preferably used.
- the lower (Cl -4 ) alkoxy-carbonylphenyl group for example, a 2- ethoxycarbonylphenyl group, a 2-methoxycarbonylphenyl group, a 4- methoxycarbonylphenyl group and the like are preferably used, and as the halogeno-lower (Cl -4 ) alkylphenyl group, for example, a 2-trifluoromethylphenyl group and the like are preferably used, and as the halogeno-lower (Cl -4 ) alkoxyphenyl group, for example, a 2- trifluoromethoxyphenyl group, a 4-(2,2,3,3,3-pentafluoropropoxy)phenyl group and the like are preferably used.
- the lower (Cl -4) alkanoylphenyl group for example, a 2-acetylphenyl group and the like are preferably used, and as the 5 -membered aromatic heterocycle-substituted phenyl group, for example, a 4-(2H-l,2,3-triazol-2-yl)phenyl group, a 4-(2H-tetrazol-2- yl)phenyl group, a 4-(lH-tetrazol-l-yl)phenyl group, a 4-(lH-l,2,3-triazol-l-yl)phenyl group and the like are preferably used, and as the lower (Cl -4 ) alkoxy-carbonyl-lower (Cl -4 ) alkyl-carbamoylphenyl group, for example, a 4-(N- ethoxycarbonylmethylcarbamoyl)phenyl group and the like are preferably used, and as the 1,3-
- phenyl group substituted by halogen atom and lower (Cl -4 ) alkyl group for example, a 2-fluoro-4-methylphenyl group, a 2-chloro-4-methylphenyl group, a 4-fluoro-2- methylphenyl group and the like are preferably used, and as the phenyl group substituted by halogen atom and lower (Cl -4 ) alkoxy-carbonyl group, for example, a 2-chloro-4- methoxycarbonylphenyl group and the like are preferably used, and the phenyl group substituted by halogen atom and cyano group, a 2-chloro-4-cyanophenyl group and the like are preferably used, and as the phenyl group substituted by halogen atom and 5-membered aromatic heterocyclic group, for example, a 2-fluoro-4-(lH-l,2,4-triazol-l-yl)phenyl group and the like are preferably used
- a phenyl group a phenyl group substituted by 1 to 3 (particularly 1 or 2) halogen atoms (e.g., a 2,3-difluorophenyl group, a 2,3-dichlorophenyl group, a 2,4-difluorophenyl group, a 2,4-dichlorophenyl group, a 2, 5 -difluorophenyl group, a 2,5-dichlorophenyl group, a 2,6-difluorophenyl group, a 2,6-dichlorophenyl group, a 3,4- difluorophenyl group, a 3,4-dichlorophenyl group, a 3, 5 -difluorophenyl group, a 3,5- dichlorophenyl group, a 4-bromo-2-fluorophenyl group, a 2-fluorophenyl group, a 2- chlorophenyl group,
- a phenyl group substituted by 1 to 3 (particularly 1 or 2) halogen atoms e.g., a 2,3-dichlorophenyl group, a 2,4-difluorophenyl group, a 2,4-dichlorophenyl group, a 2,6-dichlorophenyl group, a 2-fluorophenyl group, a 2-chlorophenyl group, a 3- chlorophenyl group, a 2-chloro-4-fluorophenyl group, a 2,4,5-trifluorophenyl group etc.), a phenyl group substituted by halogen atom and lower (Cl -4 ) alkyl group (e.g., a 2-chloro- 4-methylphenyl group, a 4-fluoro-2-methylphenyl group etc.), etc.
- halogen atoms e.g., a 2,3-dichlorophenyl group, a 2,4-difluor
- a 2,4-difluorophenyl group, a 2-chlorophenyl group, a 2-chloro-4- fluorophenyl group, a 2-chloro-4-methylphenyl group and the like are preferable, and a 2,4-difluorophenyl group, a 2-chloro-4-fluorophenyl group and the like are preferable.
- the ring Al represents a cycloalkene optionally substituted by 1 to 4 substituents selected from (i) an aliphatic hydrocarbon group optionally having substituents, (ii) an aromatic hydrocarbon group optionally having substituents, (iii) a group represented by the formula -OR11 (wherein R11 is a hydrogen atom or an aliphatic hydrocarbon group optionally having substituents) and (iv) a halogen atom, and a cycloalkene optionally substituted by 1 to 4 substituents selected from (i) an aliphatic hydrocarbon group optionally having substituents, (ii) an aromatic hydrocarbon group optionally having substituents and (iv) a halogen atom is preferable.
- substituents (i) - (iv) are substituted on substitutable carbon atoms in the ring Al , and when the ring Al is substituted by two or more of such substituents, the substituents may be the same or different.
- a single carbon atom may be substituted by two substituents, and different carbon atoms may be substituted by two or more substituents.
- aromatic hydrocarbon group optionally having substituents as a substituent on the ring Al
- substituents as those of the "aromatic hydrocarbon group optionally having substituents” represented by Ar described above may be used.
- heterocyclic group optionally having substituents as a substituent on the ring Al
- those similar to the "heterocyclic group” which is a “substituent” on the "aliphatic hydrocarbon group optionally having substituents” represented by R and the like described above may be used.
- 1 or 2 Cl-6 alkyl groups e.g., a Cl-4 alkyl group such as a methyl group, a tert-butyl group, etc.
- a phenyl group e.g., a phenyl group, a halogen atom (fluorine, chlorine, bromine, iodine atoms), etc. are preferably used.
- the TLR4 antagonist or inhibitor compound according to the formulae above is Ethyl (6R)-6-[N-(2-chloro-4- fluorophenyl)sulfamoyl] cyclohex- 1-ene-l -carboxylate (TAK-242 ).
- the TLR4 antagonist may be a molecule that is capable of binding to and preventing or disrupting the activity of TLR4.
- TLR4 antagonists for use in accordance with this invention are anti-TLR4 antibodies.
- Such an antibody may be monoclonal or polyclonal or may be an antigen-binding fragment thereof.
- an antigen-binding fragment may be or comprise a F(ab)2, Fab or Fv fragment, i.e. a fragment of the “variable” region of the antibody, which comprises the antigen binding site.
- An antibody or fragment thereof may be a single chain antibody, a chimeric antibody, a CDR grafted antibody or a humanised antibody.
- An antibody may be directed to the TLR4 molecule, i.e. it may bind to epitopes present on TLR4 and thus bind selectively and/or specifically to TLR4.
- An antibody may be directed to another molecule that is involved in the expression and/or activity of TLR4.
- a polyclonal antibody may be produced which has a broad spectrum effect against one or more epitopes on TLR4 and/or one or more other molecules that are involved in the expression and/or activity of TLR4.
- Antibodies can be produced by any suitable method. Means for preparing and characterising antibodies are well known in the art, see for example Harlow and Lane (1988) “Antibodies: A Laboratory Manual”, Cold Spring Harbor Laboratory Press, Cold Spring Harbor, NY. For example, an antibody may be produced by raising antibody in a host animal against the whole polypeptide or a fragment thereof, for example an antigenic epitope thereof, herein after the “immunogen”.
- An antibody, or other compound “specifically binds” to a molecule when it binds with preferential or high affinity to the molecule for which it is specific but does substantially bind not bind or binds with only low affinity to other molecules.
- a variety of protocols for competitive binding or immunoradiometric assays to determine the specific binding capability of an antibody are well known in the art (see for example Maddox et al, J. Exp. Med. 158, 1211-1226, 1993). Such immunoassays typically involve the formation of complexes between the specific protein and its antibody and the measurement of complex formation.
- the TLR4 antagonist may be an antisense oligonucleotide, such as an antisense oligonucleotide against the gene encoding a TLR4 protein.
- antisense oligonucleotide as used herein means a nucleotide sequence that is complementary to the mRNA for a desired gene. Such an antisense oligonucleotide may selectively hybridise with the desired gene.
- the desired gene may be the gene encoding TLR4.
- the TLR4 antagonist may modulate expression of the TLR4 gene.
- the TLR4 antagonist may be a short interfering nucleic acid (siRNA) molecule, double stranded RNA (dsRNA), micro RNA, deoxyribose nucleic acid interference (DNAi) or short hairpin RNA (shRNA) molecule.
- siRNA short interfering nucleic acid
- dsRNA double stranded RNA
- micro RNA micro RNA
- DNAi deoxyribose nucleic acid interference
- shRNA short hairpin RNA
- selective hybridise refers to the ability of a nucleic acid to bind detectably and specifically to a second nucleic acid.
- Oligonucleotides selectively hybridise to target nucleic acid strands under hybridisation and wash conditions that minimise appreciable amounts of detectable binding to non-specific nucleic acids.
- High stringency conditions can be used to achieve selective hybridisation conditions as known in the art.
- hybridisation and washing conditions are performed at high stringency according to conventional hybridisation procedures. Washing conditions are typically 1- 3xSSC, 0.1-1% SDS, 50-70°C. with a change of wash solution after about 5-30 minutes.
- the TLR4 antagonist may be a nucleic acid molecule such as an antisense molecule or an aptamer.
- the nucleic acid molecule may bind a specific target molecule. Aptamers can be engineered completely in vitro, are readily produced by chemical synthesis, possess desirable storage properties, and elicit little or no immunogenicity in therapeutic applications. These characteristics make them particularly useful in pharmaceutical and therapeutic utilities.
- nucleic acid molecule and “polynucleotide” are used interchangeably herein and refer to a polymeric form of nucleotides of any length, either deoxyribonucleotides or ribonucleotides, or analogs thereof.
- a nucleic acid may comprise conventional bases, sugar residues and inter- nucleotide linkages, but may also comprise modified bases, modified sugar residues or modified linkages.
- a nucleic acid molecule may be single stranded or double stranded.
- aptamers may comprise oligonucleotides that are at least 5, at least 10 or at least 15 nucleotides in length.
- Aptamers may comprise sequences that are up to 40, up to 60 or up to 100 or more nucleotides in length.
- aptamers may be from 5 to 100 nucleotides, from 10 to 40 nucleotides, or from 15 to 40 nucleotides in length. Where possible, aptamers of shorter length are preferred as these will often lead to less interference by other molecules or materials.
- Aptamers may be generated using routine methods such as the Systematic Evolution of Ligands by EXonential enrichment (SELEX) procedure.
- SELEX is a method for the in vitro evolution of nucleic acid molecules with highly specific binding to target molecules. It is described in, for example, US 5,654,151, US 5,503,978, US 5,567,588 and WO 96/38579.
- the SELEX method involves the selection of nucleic acid aptamers and in particular single stranded nucleic acids capable of binding to a desired target, from a collection of oligonucleotides.
- a collection of single-stranded nucleic acids (e.g., DNA, RNA, or variants thereof) is contacted with a target, under conditions favourable for binding, those nucleic acids which are bound to targets in the mixture are separated from those which do not bind, the nucleic acid-target complexes are dissociated, those nucleic acids which had bound to the target are amplified to yield a collection or library which is enriched in nucleic acids having the desired binding activity, and then this series of steps is repeated as necessary to produce a library of nucleic acids (aptamers) having specific binding affinity for the relevant target.
- a target e.g., DNA, RNA, or variants thereof
- any of the antagonists described herein may therefore be used to antagonise TLR4, i.e. to decrease the amount of TLR4 that is present, and/or the activity or the function of the TLR4.
- these antagonising effects take place in the liver and/or kidney and/or brain.
- An antagonist of TLR4 may be an agent that decreases the production of endogenous TLR4.
- the agent may act within the cells of the subject to inhibit or prevent the expression of TLR4.
- Such an agent may be a transcription factor or enhancer that acts on the TLR4 gene to inhibit or prevent gene expression.
- the antagonist of TLR4 is an agent capable of reducing injury and/or organ dysfunction caused by administration of a hepatotoxin, such as acetaminophen.
- a hepatotoxin such as acetaminophen.
- this ability may be tested in a suitable animal model, such as a non-human animal (e.g. a mouse or rat), that is treated with such a hepatotoxin.
- the effects of the potential TLR4 antagonist on such an animal may be assessed.
- the TLR4 antagonist may be administered prior to, at the same time as, or after, administration of the hepatotoxin to the animal.
- the effects of the hepatotoxin in the presence of the antagonist may be compared to the effects of the hepatotoxin in the absence of the TLR4 antagonist, for example in a vehicle-treated animal.
- a suitable TLR4 antagonist for use in accordance with the present invention may reduce injury or organ dysfunction in the animal compared to that seen in the absence of the TLR4 antagonist.
- This reduced injury or dysfunction may be characterised using any of the criteria discussed further herein, such as a reduction in liver enzymes, a reduction in plasma creatinine and/or ammonia levels, an alteration in inflammatory modulator levels such as levels of NFKB or TNFa, a reduction in the level of interleukin la in the liver, a decrease in brain water, a decrease in tissue damage in the organ, or other characteristics of injury or organ dysfunction that would be expected to result from treatment with a hepatotoxin.
- the organ may be, for example, the liver, the kidney, the heart and/or the brain.
- a suitable TLR4 antagonist would be expected to have such improved effects compared with the effects that are seen with administration the hepatotoxin in the absence of the TLR4 antagonist.
- a suitable TLR4 antagonist as described herein is typically formulated for administration with a pharmaceutically acceptable carrier or diluent.
- the antagonist may be any antagonist as defined herein.
- the antagonist may thus be formulated as a medicament with a standard pharmaceutically acceptable carrier(s) and/or excipient(s) as is routine in the pharmaceutical art. The exact nature of the formulation will depend upon several factors including the desired route of administration.
- the antagonist may be formulated for oral, intravenous, intragastric, intravascular or intraperitoneal administration.
- the pharmaceutical carrier or diluent may be, for example, an isotonic solution such as physiological saline.
- Solid oral forms may contain, together with the active compound, diluents, e.g. lactose, dextrose, saccharose, cellulose, com starch or potato starch; lubricants, e.g. silica, talc, stearic acid, magnesium or calcium stearate, and/or polyethylene glycols; binding agents; e.g. starches, gum arabic, gelatin, methylcellulose, carboxymethylcellulose or polyvinyl pyrrolidone; disaggregating agents, e.g.
- Such pharmaceutical preparations may be manufactured in known manner, for example, by means of mixing, granulating, tabletting, sugar-coating, or film-coating processes.
- Liquid dispersions for oral administration may be syrups, emulsions or suspensions.
- the syrups may contain as carriers, for example, saccharose or saccharose with glycerine and/or mannitol and/or sorbitol.
- Suspensions and emulsions may contain as carrier, for example a natural gum, agar, sodium alginate, pectin, methylcellulose, carboxymethylcellulose, or polyvinyl alcohol.
- the suspensions or solutions for intramuscular injections may contain, together with ornithine and at least one of phenylacetate and phenylbutyrate, a pharmaceutically acceptable carrier, e.g. sterile water, olive oil, ethyl oleate, glycols, e.g. propylene glycol, and if desired, a suitable amount of lidocaine hydrochloride.
- the antagonist to be administered is a nucleic acid molecule
- certain facilitators of nucleic acid uptake and/or expression (“transfection facilitating agents”) can also be included in the compositions, for example, facilitators such as bupivacaine, cardiotoxin and sucrose, and transfection facilitating vehicles such as liposomal or lipid preparations that are routinely used to deliver nucleic acid molecules.
- a pharmaceutical formulation in accordance with the present invention may further comprise one or more additional therapeutic agents.
- the formulation may comprise one or more TLR4 antagonists as defined herein.
- the formulation may comprise one or more TLR4 antagonists as described herein and also one or more additional therapeutic agents.
- the additional therapeutic agent(s) are agents which will assist in the treatment or prevention of the disease or condition in the subject to be treated.
- one or more agents that are effective at treating or preventing mitochondrial dysfunction or cancer may be administered as part of a formulation as described herein.
- One or more agents that are effective at treating or preventing a mitochondrial dysfunction or cancer or a symptom of a mitochondrial dysfunction or cancer in the subject may be administered as part of a formulation as described herein.
- agents are administered to a subject already suffering from a disorder or condition, in an amount sufficient to cure, alleviate or partially arrest the condition or one or more of its symptoms.
- Such therapeutic treatment may result in a decrease in severity of disease symptoms, or an increase in frequency or duration of symptom-free periods.
- An amount adequate to accomplish this is defined as "therapeutically effective amount”. Effective amounts for a given purpose will depend on the severity of the disease or injury as well as the weight and general state of the subject.
- the term "subject” includes any human.
- the present invention provides methods for the treatment or prevention of disease in a subject comprising administering to the subject a therapeutically effective amount of the agent or agents as described herein.
- the present invention provides methods for the treatment or prevention of disease in a subject comprising administering to the subject a therapeutically effective amount of the combination as described herein.
- the present invention provides methods for the treatment or prevention of liver disease, acute liver failure, acute-on-chronic failure (ACLF), mitochondrial dysfunction, Hepatic Encephalopathy (HE), a urea cycle enzyme disorder, a disease associated with urea cycle enzyme abnormalities, maintenance of memory T-cell function, portal hypertension, sarcopenia, fibrosis or cancer in a subject comprising administering to the subject a therapeutically effective amount of the combination as described herein.
- the subject or individual to be treated may be suffering from cirrhosis, such as alcoholic cirrhosis.
- the individual to be treated may be suffering from liver failure.
- the individual to be treated may be suffering from paracetamol overdose.
- the individual may be suffering from hepatorenal syndrome (HRS).
- the individual may be suffering from, or at risk of one or more of the following, when compared to a subject not suffering from liver disease: renal dysfunction; renal failure; HRS; brain dysfunction and brain swelling; increased plasma creatinine; increased plasma ammonia; increased liver enzyme concentrations; increased inflammation, injury or dysfunction in the liver and/or kidney and/or brain and/or blood circulation; liver tissue damage resulting from liver failure; acute liver failure, alcoholic hepatitis, and/or reperfusion injury of the liver.
- the individual is suffering from ACLF.
- the individual is suffering from ALF.
- the individual is suffering from alcoholic hepatitis (AH).
- NAFLD nonalcoholic fatty liver disease
- NASH nonalcoholic steatohepatitis
- the individual suffering from AH, NAFLD or NASH may also be suffering from ACLF.
- the present invention provides methods for the treatment or prevention of hyperammonaemia in a subject comprising administering to the subject a therapeutically effective amount of the combination as described herein.
- the present invention provides methods for the treatment or prevention of liver disease in a subject comprising administering to the subject a therapeutically effective amount of the combination as described herein.
- the present invention provides methods for the treatment or prevention of acute liver failure in a subject comprising administering to the subject a therapeutically effective amount of the combination as described herein.
- the present invention provides methods for the treatment or prevention of acute on chronic liver failure in a subject comprising administering to the subject a therapeutically effective amount of the combination as described herein.
- the present invention provides the combination descried herein for use in a method for the treatment or prevention of hyperammonaemia in a subject comprising administering to the subject a therapeutically effective amount of the combination as described herein.
- the present invention provides the combination descried herein for use in a method for the treatment or prevention of liver disease in a subject comprising administering to the subject a therapeutically effective amount of the combination as described herein.
- the present invention provides the combination descried herein for use in a method for the treatment or prevention of acute liver failure in a subject comprising administering to the subject a therapeutically effective amount of the combination as described herein.
- the present invention provides the combination descried herein for use in a method for the treatment or prevention of acute on chronic liver failure in a subject comprising administering to the subject a therapeutically effective amount of the combination as described herein.
- the present invention provides the combination descried herein for use in the manufacture of a medicament for the treatment or prevention of hyperammonaemia in a subject comprising administering to the subject a therapeutically effective amount of the combination as described herein.
- the present invention provides the combination descried herein for use in the manufacture of a medicament for the treatment or prevention of liver disease in a subject comprising administering to the subject a therapeutically effective amount of the combination as described herein.
- the present invention provides the combination descried herein for use in the manufacture of a medicament for the treatment or prevention of acute liver failure in a subject comprising administering to the subject a therapeutically effective amount of the combination as described herein.
- the present invention provides the combination descried herein for use for use in the manufacture of a medicament for the treatment or prevention of acute on chronic liver failure in a subject comprising administering to the subject a therapeutically effective amount of the combination as described herein.
- the present invention provides methods for the treatment or prevention of mitochondrial dysfunction in a subject comprising administering to the subject a therapeutically effective amount of the agent or agents as described herein.
- the mitochondrial dysfunction is a mitochondrial hepatopathy.
- the mitochondrial hepatopathy is an inherited mitochondrial hepatopathy or an acquired mitochondrial hepatopathy.
- the mitochondrial dysfunction/ hepatopathy is characterized by a urea cycle enzyme disorder (UCD), impaired urea cycle function, impaired mitochondrial beta-oxidation, impaired Krebs cycle, increased polyamine, pyrimidine and/or purine synthesis pathways, downregulation of urea cycle enzymes (UCE)s, upregulation of ammonia lyases-related pathways, downregulation of pathways related to transmembrane transport of citrate, upregulation of lactate dehydrogenase (LDH)-related pathways, downregulation of pathways related to negative regulation of oxidative stress and/or upregulation of pathways related to positive regulation of oxidative stress.
- UTD urea cycle enzyme disorder
- impaired urea cycle function impaired mitochondrial beta-oxidation
- impaired Krebs cycle impaired polyamine
- polyamine pyrimidine and/or purine synthesis pathways
- UAE urea cycle enzyme disorder
- LDH lactate dehydrogenase
- the present invention provides methods for the treatment or prevention of mitochondrial dysfunction in a subject comprising administering to the subject a therapeutically effective amount of the combination as described herein.
- the mitochondrial dysfunction is a mitochondrial hepatopathy.
- the mitochondrial hepatopathy is an inherited mitochondrial hepatopathy or an acquired mitochondrial hepatopathy.
- the mitochondrial dysfunction/ hepatopathy is characterized by a urea cycle enzyme disorder (UCD), impaired urea cycle function, impaired mitochondrial beta-oxidation, impaired Krebs cycle, increased polyamine, pyrimidine and/or purine synthesis pathways, downregulation of urea cycle enzymes (UCE)s, upregulation of ammonia lyases-related pathways, downregulation of pathways related to transmembrane transport of citrate, upregulation of lactate dehydrogenase (LDH)-related pathways, downregulation of pathways related to negative regulation of oxidative stress and/or upregulation of pathways related to positive regulation of oxidative stress.
- UTD urea cycle enzyme disorder
- impaired urea cycle function impaired mitochondrial beta-oxidation
- impaired Krebs cycle impaired polyamine
- polyamine pyrimidine and/or purine synthesis pathways
- UAE urea cycle enzyme disorder
- LDH lactate dehydrogenase
- the combination normalizes/ upregulates/ restores UCE expression, reduces plasma ammonia levels and recover LPS-induced downregulation of UCE genes and/or reduces plasma ammonia levels and ROS production.
- the combination treats or prevents mitochondrial dysfunction by normalizing/ upregulating/ restoring UCE expression, reducing plasma ammonia levels and recovering LPS-induced downregulation of UCE genes and/or reducing plasma ammonia levels and ROS production.
- the acquired mitochondrial hepatopathy is selected from the group consisting of valproate toxicity, Reyes syndrome and Ac Fatty liver of pregnancy.
- the present invention provides methods for the treatment or prevention of cancer in a subject comprising administering to the subject a therapeutically effective amount of the agent or agents as described herein.
- the cancer is selected from the group consisting of liver cancer or extrahepatic cancer.
- the cancer is characterised by mitochondrial dysfunction.
- the cancer is characterised by mitochondrial hepatopathy.
- the present invention provides methods for the treatment or prevention of cancer in a subject comprising administering to the subject a therapeutically effective amount of a combination as described herein.
- the cancer is selected from the group consisting of liver cancer or extrahepatic cancer.
- the cancer is characterised by mitochondrial dysfunction.
- the cancer is characterised by mitochondrial hepatopathy.
- the mitochondrial dysfunction/ hepatopathy is characterized by a urea cycle enzyme disorder (UCD), impaired urea cycle function, impaired mitochondrial beta-oxidation, impaired Krebs cycle, increased polyamine, pyrimidine and/or purine synthesis pathways, downregulation of UCEs, upregulation of ammonia lyases-related pathways, downregulation of pathways related to transmembrane transport of citrate, upregulation of lactate dehydrogenase (LDH)-related pathways, downregulation of pathways related to negative regulation of oxidative stress and/or upregulation of pathways related to positive regulation of oxidative stress.
- UCD urea cycle enzyme disorder
- impaired urea cycle function impaired mitochondrial beta-oxidation
- impaired Krebs cycle increased polyamine, pyrimidine and/or purine synthesis pathways
- downregulation of UCEs upregulation of ammonia lyases-related pathways
- downregulation of pathways related to transmembrane transport of citrate upregulation of lactate dehydrogenase (LDH)-related pathways
- LDH lac
- the combination normalizes/ upregulates/ restores UCE expression, reduces plasma ammonia levels and recover LPS-induced downregulation of UCE genes and/or reduces plasma ammonia levels and ROS production.
- the combination treats or prevents cancer by normalizing/ upregulating/ restoring UCE expression, reducing plasma ammonia levels and recovering LPS-induced downregulation of UCE genes and/or reducing plasma ammonia levels and ROS production.
- the present invention also encompasses a combination as described herein for use in a method of treatment of prevention of mitochondrial dysfunction as described herein.
- the present invention also encompasses a combination as described herein for use in a method of treatment of prevention of cancer as described herein.
- the present invention also encompasses a combination as described herein for use in the manufacture of a medicament for the treatment or prevention of mitochondrial dysfunction as described herein.
- the present invention also encompasses a combination as described herein for use in the manufacture of a medicament for the treatment or prevention of cancer as described herein.
- the present invention provides methods for the treatment or prevention of neuro inflammation in a subject comprising administering to the subject a therapeutically effective amount of a combination as described herein.
- the neuroinflammation is characterised by mitochondrial dysfunction.
- the neuroinflammation is characterised by mitochondrial hepatopathy.
- the mitochondrial dysfunction/ hepatopathy is characterized by a urea cycle enzyme disorder (UCD), impaired urea cycle function, impaired mitochondrial beta-oxidation, impaired Krebs cycle, increased polyamine, pyrimidine and/or purine synthesis pathways, downregulation of UCEs, upregulation of ammonia lyases-related pathways, downregulation of pathways related to transmembrane transport of citrate, upregulation of lactate dehydrogenase (LDH)-related pathways, downregulation of pathways related to negative regulation of oxidative stress and/or upregulation of pathways related to positive regulation of oxidative stress.
- UCD urea cycle enzyme disorder
- impaired urea cycle function impaired mitochondrial beta-oxidation
- impaired Krebs cycle increased polyamine, pyrimidine and/or purine synthesis pathways
- downregulation of UCEs upregulation of ammonia lyases-related pathways
- downregulation of pathways related to transmembrane transport of citrate upregulation of lactate dehydrogenase (LDH)-related pathways
- LDH lac
- the combination normalizes/ upregulates/ restores UCE expression, reduces plasma ammonia levels and recover LPS-induced downregulation of UCE genes and/or reduces plasma ammonia levels and ROS production.
- the combination treats or prevents neuroinflammation by normalizing/ upregulating/ restoring UCE expression, reducing plasma ammonia levels and recovering LPS-induced downregulation of UCE genes and/or reducing plasma ammonia levels and ROS production.
- the present invention also encompasses a combination as described herein for use in a method of treatment of prevention of neuroinflammation as described herein.
- the present invention also encompasses a combination as described herein for use in the manufacture of a medicament for the treatment or prevention of neuroinflammation as described herein.
- the diseases to be treated or prevented described herein may be treated or prevented by the administration of a pharmaceutical composition of the invention comprising ornithine phenylacetate, or a pharmaceutically acceptable salt thereof and the TLR4 antagonist.
- the diseases to be treated or prevented described herein may be treated or prevented by the administration of a pharmaceutical composition of the invention comprising ornithine phenylacetate, or a pharmaceutically acceptable salt thereof and a pharmaceutical composition of the invention comprising a TLR4 antagonist.
- the subject to be treated may be any individual who is susceptible to mitochondrial dysfunction or cancer.
- the subject may be male or female.
- the subject to be treated may be a human.
- the subject to be treated may be a nonhuman animal.
- the subject to be treated may be a farm animal for example, a cow or bull, sheep, pig, ox, goat or horse or may be a domestic animal such as a dog or cat.
- the subject may or may not be an animal model for liver disease.
- the animal may be any age, but will often be a mature adult subject.
- the TLR4 antagonist TAK-242 (Takeda, JP - lot number M342-017) was used to study the effect of TLR4 inhibition on hyperammonemia and ammonia metabolism.
- the ammonia scavenging drug ornithine phenylacetate (OP) served as a positive control for ammonia-lowering.
- Both drugs were administered intraperitoneally (i.p.) twice daily during the last 4 days of the model (i.e., day 10-14) at a dose of 10 mg/kg (TAK-242) and 300 mg/kg (OP) (Fig. 1A).
- TAK-242 is a small molecule that selectively disrupts TLR4 signaling by targeting the intracellular TIR domain, leading to impaired recruitment of TIRAP and TRAM [4], This eventually results in reduced production of inflammatory cytokines, tumor necrosis factor (TNF)-alpha and nitric oxide.
- TAK-242 has been previously studied up to a Phase 3 trials in patients with severe sepsis and shock or respiratory failure. That study demonstrated that TAK-242 was well tolerated and safe in this patient cohort.
- TLR4KO mice The Jackson Laboratory, B6.B10ScN-Tlr4 lps ' del /JthJ, stock number 007227, Fig. 1A).
- OTC Ornithine Transcarbamylase
- the spf-ash (sparse fur, abnormal skin and hair) mutation has a unique effect on OTC biogenesis: in single-mutant males, two OTC enzyme precursors are produced, together resulting in only 10% of wild type precursor levels. They give rise to the residual 5-10% hepatic OTC activity in QTC spf - ash mice. These mice become quickly hyperammonemic upon factors such as high protein intake, stress and inflammation.
- mice In male QTC spf ' ash mice (25 ⁇ 5g), hyperammonaemia was induced by a high protein diet (HPD) for the duration of 7 days.
- the diet consisted of DietGel® 76A (Datesand group, Cat. No. 72-07-5022) to which cassein powder (MPBio, Cat. No. 901293) was added to achieve a total protein content of 36%. DietGel® 76 A without added cassein powder served as the CD.
- mice were treated with either TAK-242 (10 mg/kg i.p.) or sodium phenylacetate (SP, 300 mg/kg/day, mixed with feed). SP is currently standard of care in the treatment of patients with OTC deficiency and was therefore used as a positive control for ammonia-lowering.
- BUN blood biochemistry
- IF liver multiplex immunofluorescence
- mRNA expression measurements of liver mitochondrial reactive oxygen species (ROS) production and membrane potential were assessed.
- RNA sequencing data muss musculus Ontology gene sets as Gene Symbols were downloaded from Broad Institute (gsea-msigdb.org). The database used was the 7.1 release. Pathways of interest were manually selected, and 5 different clusters were identified based on their biological function: ammonia metabolism, citrate metabolism, oxidative stress, purine pathways and pyrimidine pathways.
- Example 1 Effect of TLR4 inhibition on circulating levels of ammonia, urea and amino acids in hyperammonemic mice
- TLR4KO-AA mice had significantly lower blood ammonia levels as compared to WT-AA (149.9 ⁇ 104.6 vs. 333.4 ⁇ 54.47 mmol/L, pO.OOOl; Fig, 1A).
- the AA diet led to a significant rise in BUN levels in TLR4K0 mice (TLR4K0-NP: 7.71 ⁇ 1.19 mmol/L vs. TLR4KO-AA: 14.25 ⁇ 3.38 mmol/L, pO.OOOl) (Fig. 1A).
- ammonia is a product of protein and amino acid metabolism, it is also an important source of nitrogen and amino acid synthesis. Therefore, we performed plasma amino acid profiling to investigate the effect of hyperammonaemia and the interventions on amino acid metabolism. Most importantly, amino acids that were included in the diet were found to be increased and those not included in the diet were decreased in WT-AA as compared to WT-NP. Interestingly, concentrations of several amino acids (e.a., phenylalanine and tryptophan) were insignificantly reduced by OP and TAK-242 treatment.
- plasma ornithine was significantly increased in WT-AA as compared to WT-NP (304.8 ⁇ 103.3 umol/L vs.
- Example 2 Hyperammonemia induced changes in liver metabolomics are restored by TLR4 inhibition
- liver metabolomics analysis was performed in both the WT and TLR4KO mouse models.
- Untargeted metabolomics experiments were performed by liquid chromatography coupled to high- resolution mass spectrometry (LC-HRMS), using a combination of two complementary chromatographic methods consisting of reverse-phase chromatography (C 18 chromatographic column) and hydrophilic interaction chromatography (HILIC) for the analysis of hydrophobic and polar metabolites, respectively.
- LC-HRMS liquid chromatography coupled to high- resolution mass spectrometry
- HILIC hydrophilic interaction chromatography
- PCA and PLS-DA analysis for the metabolomic data revealed a distinct metabolomic fingerprint of the WT-AA mice as compared to WT-NP and the treatment groups.
- PCA unsupervised learning
- PCI principal component 1
- PC2 PC2
- metabolites that were most significantly impacted by hyperammonemia in the WT-AA vs. WT-NP (according to ANOVA p-values) group were identified for the HILIC and Cl 8 data (Fig. 2).
- metabolites it was observed that in the setting of hyperammonemia, several groups of metabolites involved in mitochondrial metabolism were modified, which was prevented by OP and TAK-242 treatment.
- These metabolites included intermediates of the urea cycle, Krebs cycle and those related to mitochondrial beta-oxidation.
- changes in pathways that are interrelated with the urea cycle were observed, namely polyamine, pyrimidine and purine metabolic pathways (Fig. 3A).
- WT-AA Wild type animals Apart from glutamine and arginine, all metabolites related to the urea cycle were increased in WT-AA as compared to WT-NP.
- OP and TAK-242 treatment significantly reduced hepatic glutamate levels compared to WT- AA (p ⁇ 0.0001, and pO.OOOl respectively).
- the rate limiting step of the urea cycle comprises the conversion of ammonia into carbamoyl phosphate by carbamoyl phosphate synthetase 1 (CPS1).
- CPS1 carbamoyl phosphate synthetase 1
- NAG hepatic N-acetylglutamic acid
- WT-AA WT-NP
- OP and TAK-242 treated mice NAG levels were significantly reduced as compared to WT-AA (both p ⁇ 0.001).
- Carbamoyl phosphate is subsequently converted into citrulline by the mitochondrial enzyme ornithine transcarbamoylase (OTC), after which the urea cycle proceeds in the cytosol.
- OTC mitochondrial enzyme ornithine transcarbamoylase
- cytosolic intermediates of the urea cycle i.e., ornithine, citrulline, argininosuccinic acid and aspartic acid
- ornithine citrulline
- argininosuccinic acid aspartic acid
- Metabolites related to mitochondrial beta-oxidation and Krebs cycle Changes in metabolites involved in mitochondrial beta-oxidation were observed, a complex catabolic pathway in which fatty acids are broken down to generate acetyl-CoA (entering the Krebs cycle) and NADH and FADH2 (co-factors of the electron transport chain).
- the carnitine shuttle is essential for the transport of long chain fatty acids into the mitochondria where they undergo oxidation. Defects in fatty acid oxidation or the carnitine cycle can lead to hyperammonemia by inhibition of the urea cycle via multiple pathways. Increased levels of acetyl-camitines are considered markers of metabolic dysfunction and can be a consequence of reduced mitochondrial activity.
- Fig. 5A In green: 1) pathways related to the removal of ammonia (i.e., the urea cycle), and 2) pathways related to the generation of ammonia by amino acid catabolism (i.e., ammonia lyases-related pathways).
- the urea cycle-related pathways mainly consisting of UCE-encoding genes, were downregulated in the WT-AA group compared to WT-NP. This was restored by the treatment with OP and TAK-242.
- LDH lactate dehydrogenase
- Oxidative stress Generally, pathways related to negative regulation of oxidative stress were downregulated in WT-AA, whereas pathways related to positive regulation of oxidative stress were upregulated (Fig. 5A).
- WT- AA vs. WT-NP pathways related to oxidative stress were Vnnl and Car3 (downregulated) and Nr4a3, Apoa4, Slc7al l (upregulated).
- Vnnl vascular non-inflammatory molecule-1, vanin 1
- Vnnl KO mice have been found to have a higher resistance to oxidative stress exposure as compared to WT mice and were better protected against oxidative stress- induced tissue inflammation.
- OP and TAK-242 treatment led to a significant upregulation of Vnnl as compared to WT-AA (OP: FC 2.456, FDR 0.0012; TAK-242: FC 1.212, FDR 0.016).
- Car3 encodes for carbonic anhydrase III, a member of the carbonic anhydrase family which catalyze the carboxylation of water into carbonic acid which then spontaneously dissociates into bicarbonate and protons.
- Carbonic anhydrases are involved in a wide variety of functions, including respiration, acid base homeostasis, ion transport, ureagenesis and gluconeogenesis.
- the specific function of Car3 is unknown, but data suggest that it is involved in metabolism, oxidative stress, and mitochondrial ATP synthesis.
- Hepatic Car3 expression was significantly increased in WT-AA-OP and WT- AA-TAK-242 as compared to WT-AA (OP: FC 1.545, FDR0.027; TAK-242: FC 1.282, FDR 0.056).
- Nr4a3 belongs to the Nr4a family of nuclear hormone receptors and consists of three members (Nr4al/Nur77, Nr4a2/Nurrl and Nr4a3/Norl). These transcription factors are widely expressed across various tissues including the liver. They are involved in various cellular processes, but focus in the literature has been on its role in cellular proliferation, apoptosis and energy metabolism (glucose and lipid metabolism and mitochondrial function). OP and TAK-242 treatment led to a reduction in the expression of Nr4a3 as compared to WT-AA (OP: FC -3,33, FDR 0.0019; TAK-242: FC -0.363, FDR0.783).
- Apoa4 encodes for apolipoprotein A-IV, a lipid-binding protein that is produced by enterocytes as a major component of high-density lipoprotein (HDL). It is involved in satiation signals, lipid transport, glucose metabolism and LPS-induced inflammation.
- HDL high-density lipoprotein
- Apoa4 protects against CC14-induced hepatotoxicity by reducing oxidative stress in hepatocytes and preventing hepatic infiltration of pro-inflammatory monocytes.
- Apoa4 expression was significantly reduced in WT-AA-OP and WT-AA- TAK-242 as compared to WT-AA (OP: FC -2.64, FDR 0.013; TAK-242: FC -1.993, FDR 0.05).
- Slc7al 1 (solute carrier family 7 member 11) encodes for a sodium-independent cystine/glutamate antiporter. It takes up extracellular cystine in exchange for intracellular glutamate in a 1:1 ratio. This antiporter plays a central role in providing cysteine for the biosynthesis of glutathione, an important antioxidant.
- Slc7al 1 Several important functions of Slc7al 1 include regulation of ferroptosis and the oxidative stress response. Scl7al 1 has been found to protect cells from undergoing ferroptosis and helps cells to re-establish redox homeostasis in response to cellular stresses.
- OP and TAK-242 treatment restored expression of Slc7al l (OP: FC -7.05, FDR 0.015; TAK-242: FC -4.451, FDR 0.126).
- acpp encoding prostatic acid phosphatase
- dctd encoding deoxycytidylate deaminase
- Expression levels of acpp were restored by OP and TAK-242 treatment (OP: FC 2.67, FDR 0.0035; TAK-242: FC 3.311, FDR 0.006).
- OP and TAK-242 treatment also led to a downregulation of Dctd as compared to WT-AA (OP: FDR -2.22, FDR 0.073; TAK-242: FC -2.211, FDR 0.0313).
- TLR4 receptor Knock-out of the TLR4 receptor was found to prevent changes in the enrichment of urea cycle, citrate metabolism, oxidative stress, and purine/pyrimidine-related pathways (Fig. 5A). Profound overlap in the top- 10 most significantly altered genes was observed between the comparison of WT-AA vs WT-NP and TLR4KO-AA vs. WT-AA (i.e., Slcl3a4, Car3, Dctd and Slc7al 1). Slcl3a4 and Car3, which were found to be downregulated in hyperammonemic mice (i.e., WT-AA), were significantly higher expressed in TLR4KO- AA as compared to WT-AA.
- TLR4KO-AA Dctd and Slc7al 1, upregulated in hyperammonemic mice, were significantly downregulated in TLR4KO-AA as compared to WT-AA.
- TLR4 was the most significantly downregulated gene in both TRL4KO-AA vs WT-AA and TLR4KO-NP vs. WT-NP.
- the comparison TLR4KO-NP vs. TLR4KO-AA showed only 4 significantly altered genes (Fig. 5B-C), which are all involved in hepatic oxidative stress (i.e., smpd3 and axl, mmp9, gclc).
- OTC-HPD mice were found to have significantly higher circulating ammonia levels as compared to WT mice fed with a control diet (WT-CD) (261.3 ⁇ 60.49 umol/L vs. 43.91 ⁇ 10.95 umol/L, p ⁇ 0.0001; Fig. 7A).
- WT-CD control diet
- Treatment with TAK-242 led to significantly lower circulating ammonia levels as compared OTC-HPD groups (HPD-TAK-242: 183.9 ⁇ 68.52 umol/L, p 0.035).
- Treatment with sodium phenylacetate added to their diet SP; 300 mg/kg
- SP sodium phenylacetate added to their diet
- Example 5 TLR4 inhibition reduces hepatic mitochondrial ROS production
- Example 6 Synergistic effects of the combination of TLR4 inhibition and ornithine phenylacetate
- TLR4 antagonist TAK242 reduces ammonia is through targeting the mitochondrial metabolism that is induced by elevated ammonia. This opens up a novel application of the TAK242 with OP and other ammonia lowering drugs to treat hyperammonaemia, including hyperammonaemia that occurs in inherited mitochondrial hepatopathies, which are rare diseases with high unmet need.
- Figure 8 provides a diagram showing mechanism for how TLR4 antagonists and OP work to reduce mitochondrial dysfunction.
- Figure 9 shows that TAK-242 and OP act synergistically to reduce plasma ammonia (left panel) in animal models of cirrhosis (bile duct ligation, BDL) and ACLF (BDL + lipopolysaccharide, LPS) (left panel).
- FIG. 9 shows that coma- free survival is returned to 100% in the models of cirrhosis and ACLF when the combination is administered.
- Figure 10 shows that TAK-242 and OP act synergistically to treat hyperammonaemia in an Ornithine Transcarbamylase (OTC) deficiency model.
- OTC Ornithine Transcarbamylase
- Ammonia is a cytotoxic metabolite that is metabolized into urea in the mitochondria of hepatocytes.
- the results of this study show that chronic hyperammonemia induces downregulation of UCEs on a gene and protein level, which is associated with impaired ureagenesis, accumulation of urea cycle metabolites and downregulation of key UCEs on a protein and gene level.
- hyperammonemia induces changes in mitochondrial metabolism, which is associated with oxidative stress and further hyperammonemia.
- TLR4 inhibition of the TLR4 pathway by using a TLR4 antagonist restored mitochondrial dysfunction and urea cycle enzyme function, which was associated with correction of hyperammonemia. This observation was validated by using TLR4KO mice. The potential of TLR4 antagonism as a novel therapy for mitochondrial dysfunction was further validated in clinically relevant rodent models of chronic liver disease and OTC-deficiency.
- ammonia is a cerebral mitochondrial toxin which induces oxidative stress, disturbances of energy metabolism and mitochondrial dysfunction. Very little is known about the impact of hyperammonemia on hepatic mitochondrial function, which is the site of ammonia detoxification by the urea cycle.
- key urea cycle metabolites (mainly ornithine) were increased in the plasma of hyperammonemic mice, which was reduced by the ammonia scavenger OP.
- Glutaminase is a mitochondrial enzyme that is believed to (at least partly) determine the flow of nitrogen derived from glutamine through the urea cycle.
- pathways interrelated with the urea cycle i.e., polyamine, purine and pyrimidine synthesis
- pathways interrelated with the urea cycle were found to be affected by hyperammonemia.
- the biological meaning of increased polyamine synthesis in the setting of hyperammonemia is unclear.
- previous studies in rodent models of liver regeneration suggest that in a regenerating liver, the urea cycle provides precursors for both polyamine and pyrimidine synthesis.
- urea cycle dysregulation alters nitrogen utilization from ureagenesis towards pyrimidine synthesis, thereby promoting cancer cell proliferation.
- the targeted transcriptomic analysis showed downregulation of pathways related to the urea cycle in the setting of hyperammonemia, which was restored by OP and TAK- 242 treatment.
- TLR4 inhibition protected against hyperammonemia induced mitochondrial dysfunction and downregulation of UCE expression, thereby preventing the development of hyperammonaemia and mitochondrial dysfunction. This was also associated with reduced hepatic mitochondrial ROS production.
- TLR4 inhibition reduces oxidative stress and thereby protects mitochondrial metabolism, and thus urea cycle function.
- a recent study in skeletal muscle cells and tissue indeed revealed that hyperammonemia induces metabolomic reprogramming leading to mitochondrial dysfunction and postmitotic senescence.
- the NF-KB pathway was found to be involved in ammonia-induced mitochondrial dysfunction in astroglia.
- TLR4 inhibition is known to protect against hepatic oxidative stress in models of alcoholic and non-alcoholic fatty liver disease.
- TLR4 is a potential novel therapeutic target for hyperammonaemia, for example in UCE disorders and cirrhosis.
- TAK-242 might be an interesting add-on therapy to current ammonia-lowering therapies used in clinical practice, as it not only protect against hyperammonemia and oxidative stress, but also targets neuroinflammation.
- TLR4 antagonism and administration of OP prevents this ammonia- induced mitochondrial dysfunction.
- the combination of TLR4 antagonism and administration of OP is unexpectedly effective at preventing this ammonia- induced mitochondrial dysfunction.
- the preserved number of liver mitochondria in the multiplex immunofluorescence analysis suggests that the problem mainly relies in disturbed metabolism. The data supports the hypothesis that ammonia impacts negatively on mitochondrial function.
- a method for treating or preventing mitochondrial dysfunction in a subject comprising administering to the subject a therapeutically effective amount of a Toll like receptor 4 (TLR4) antagonist.
- TLR4 Toll like receptor 4
- a method for treating or preventing cancer in a subject comprising administering to the subject a therapeutically effective amount of a Toll like receptor 4 (TLR4) antagonist.
- TLR4 Toll like receptor 4
- the mitochondrial hepatopathy is an inherited mitochondrial hepatopathy or an acquired mitochondrial hepatopathy.
- the mitochondrial hepatopathy is characterised by a urea cycle enzyme disorder (UCD), impaired urea cycle function, impaired mitochondrial beta-oxidation, impaired Krebs cycle, increased polyamine, pyrimidine and/or purine synthesis pathways, downregulation of UCEs, upregulation of ammonia lyases-related pathways, downregulation of pathways related to transmembrane transport of citrate, upregulation of lactate dehydrogenase (LDH)-related pathways, downregulation of pathways related to negative regulation of oxidative stress and/or upregulation of pathways related to positive regulation of oxidative stress.
- UCD urea cycle enzyme disorder
- impaired urea cycle function impaired mitochondrial beta-oxidation
- impaired Krebs cycle increased polyamine, pyrimidine and/or purine synthesis pathways
- downregulation of UCEs upregulation of ammonia lyases-related pathways
- R represents an aliphatic hydrocarbon group optionally having substituents, an aromatic hydrocarbon group optionally having substituents, a heterocyclic group optionally having substituents, a group represented by the formula: - OR 1 wherein R represents a hydrogen atom or an aliphatic hydrocarbon group optionally having substituents, or a group represented by the formula:
- R lb and R lc are the same or different and each represents a hydrogen atom or an aliphatic hydrocarbon group optionally having substituents,
- R° represents a hydrogen atom or an aliphatic hydrocarbon group, or R and R° in combination form a bond
- ring A 1 represents a cycloalkene optionally substituted by 1 to 4 substituents selected from the group consisting of
- R 11 represents a hydrogen atom or an aliphatic hydrocarbon group optionally having substituents
- Ar represents an aromatic hydrocarbon group optionally having substituents, a group represented by the formula: represents a group represented by the formula: and n represents an integer of 1 to 4, or a salt thereof or a prodrug thereof.
- TLR4 antagonist selected from the group consisting of STM28, TAK-242, eritoran, an anti- TLR4 monoclonal antibody, OxPAPC, and IAXO compounds.
- TLR4 Toll like receptor 4
- TLR4 Ethyl (6R)-6-[A-(2-chloro-4- fluorophenyl)sulfamoyl]cyclohex- 1 -ene- 1 -carboxylate (TAK-242).
- Shangraw RE Jahoor F. Effect of liver disease and transplantation on urea synthesis in humans: relationship to acid-base status.
- Toll-like receptor 4 is a therapeutic target for prevention and treatment of liver failure. J Hepatol 2020;73:102-112.
- TLR toll-like receptor
- TLR4 with NAD(P)H oxidase 4 isozyme is essential for lipopolysaccharide-induced production of reactive oxygen species and activation of NF-KB. Journal of Immunology 2004;173:3589-3593.
- Carbonic anhydrase III protects cells from hydrogen peroxide-induced apoptosis.
- FASEB journal official publication of the Federation of American Societies for Experimental Biology 1999;13:513-522.
- Apolipoprotein A-IV A multifunctional protein involved in protection against atherosclerosis and diabetes. Cells 2019;8:319.
- Ferroptosis a regulated cell death nexus linking metabolism, redox biology, and disease. Cell 2017;171:273-285.
- Zaccherini G Aguilar F, Caraceni P, Claria J, Lozano JJ, Fenaille F, et al. Assessing the role of amino acids in systemic inflammation and organ failure in patients with ACLF. J Hepatol 2021;74:1117-1131.
- Adlimoghaddam A Albensi BC.
- the nuclear factor kappa B (NF-kB) signalling pathway is involved in ammonia-induced mitochondrial dysfunction. Mitochondrion 2021;57:63-57.
- Oxidative stress is a key modulator in the development of nonalcoholic fatty liver disease.
Landscapes
- Health & Medical Sciences (AREA)
- Animal Behavior & Ethology (AREA)
- Public Health (AREA)
- Veterinary Medicine (AREA)
- Chemical & Material Sciences (AREA)
- General Health & Medical Sciences (AREA)
- Pharmacology & Pharmacy (AREA)
- Medicinal Chemistry (AREA)
- Life Sciences & Earth Sciences (AREA)
- Epidemiology (AREA)
- Engineering & Computer Science (AREA)
- Nuclear Medicine, Radiotherapy & Molecular Imaging (AREA)
- General Chemical & Material Sciences (AREA)
- Gastroenterology & Hepatology (AREA)
- Chemical Kinetics & Catalysis (AREA)
- Organic Chemistry (AREA)
- Bioinformatics & Cheminformatics (AREA)
- Emergency Medicine (AREA)
- Acyclic And Carbocyclic Compounds In Medicinal Compositions (AREA)
Abstract
The invention relates to ornithine, or a pharmaceutically acceptable salt thereof, and at least one of phenylacetate and phenylbutyrate, to antagonists of TLR4, and to a combination of ornithine, or a pharmaceutically acceptable salt thereof, at least one of phenylacetate and phenylbutyrate, or a pharmaceutically acceptable salt thereof, and an antagonist of TLR4, and to medical uses of said agents and combination.
Description
COMBINATION OF TLR4 ANTAGONIST, ORNITHINE AND PHENYLACETATE OR PHENYLBUTYRATE
Field of the invention
The invention relates to therapeutic agents, a combination of therapeutic agents, and to medical uses of said agents and combination.
Background to the invention
Ammonia is a nitrogenous metabolite that is mainly derived from bacterial production and amino acid metabolism in the gut. In healthy conditions, ammonia is metabolized in the liver by the urea cycle and the enzyme glutamine synthetase (GS). In liver cirrhosis and urea cycle enzyme disorders (UCDs), these metabolic pathways are significantly impaired, which is the main cause of hyperammonaemia in these patients. Hyperammonaemia is known to be central in the pathophysiology of hepatic encephalopathy (HE), a severe complication of end-stage liver disease which can manifest across a wide spectrum of symptoms ranging from subclinical alterations to coma. There are several mechanisms through which ammonia exerts its direct neurotoxic effects, involving glutamine-related astrocyte swelling, oxidative stress, neuroinflammation, disturbed neurotransmitter homeostasis and mitochondrial dysfunction.
Recent studies revealed that ammonia is more than a neurotoxin and that it induces immune dysfunction and sarcopenia. More recently, ammonia has been shown to activate stellate cells, thereby worsening fibrosis and portal hypertension. In addition, ammonia was found to induce oxidative stress and hepatocyte apoptosis via increased cyclin A and DI in a rat model of hyperammonemia. This ability of ammonia to induce multi-organ toxicity may explain why circulating ammonia levels hold important prognostic information for both clinically stable outpatients with cirrhosis and for hospitalized patients with acute decompensation of liver cirrhosis (AD) and acute-on- chronic liver failure (ACLF), regardless of the presence of HE. The mechanisms underlying these widespread deleterious effects of ammonia are not clear.
A common therapy for patients with hepatic encephalopathy involves strategies to reduce the concentration of ammonia. These include restriction of dietary protein intake;
administration of lactulose, neomycin, L-omithine L-aspartate (LOLA), or sodium benzoate; and cleansing enemas. There are currently marketed products that contain phenylacetic acid (e.g., AMMONUL®) or prodrugs of phenylacetic acid, e.g., phenylbutyrate (BUPHENYL®) or glycerol phenylbutyrate (RAVICTI®) as the ammonia scavenger (binding agent) for the treatment of hyperammonaemia due to urea cycle disorder (UCDs). RAVICTI® has also been evaluated in clinical trials and shown preliminary efficacy for the treatment of hepatic encephalopathy. See, for example, Rockey D. et al., “Randomized, Double-Blind, Controlled Study of Glycerol Phenylbutyrate in Hepatic Encephalopathy,” Hepatology, 2014, 59(3): 1073-1083.
In addition, L-omithine phenylacetate has been reported to be an effective treatment of hyperammonaemia and hepatic encephalopathy. Jalan et al., reported a clinical study where the data showed that L-omithine phenylacetate is useful in ammonia lowering. See Jalan et al., “L-Omithine phenylacetate (OP): a novel treatment for hyperammonaemia and hepatic encephalopathy,” Med Hypotheses 2007; 69(5): 1064-69. See also, U.S. Publication Nos. 2008/0119554, 2010/0280119, and 2013/0211135, each of such is hereby incorporated by reference in its entirety.
L-Omithine monohydrochloride and other L-omithine salts are available for their use in the treatment of hyperammonemia and hepatic encephalopathy. For example, U.S. Publication No. 2008/0119554, which is hereby incorporated by reference in its entirety, describes compositions of L-omithine and phenyl acetate for the treatment of hepatic encephalopathy. L-omithine has been prepared by enzymatic conversion methods. For example, U.S. Patent Nos. 5,405,761 and 5,591,613, both of which are hereby incorporated by reference in their entirety, describe enzymatic conversion of arginine to form L-omithine salts.
L-omithine phenylacetate has been granted orphan drug status by the United States Food and Drug Administration and was granted fast track designation for the treatment of hyperammonaemia and resultant hepatic encephalopathy. Currently, L-omithine phenylacetate is under clinical investigation for the treatment of overt HE in patients with decompensated liver cirrhosis. Patients receive continuous intravenous infusion of L-
ornithine phenylacetate at doses of 10, 15 or 20 g per day for 5 days depending on the baseline severity of the liver impairment.
Toll-like receptor 4 (TLR4) belongs to the pattern recognition receptor family, which recognize pathogen associated molecular patterns (PAMPs) and play a crucial role in innate immunity. This plasma membrane receptor is expressed by a wide range of cells, including hepatocytes and hepatic stellate cells. Its most important ligand is lipopolysaccharide (LPS), the binding of which leads to an intracellular signalling pathway which induces NF-KB and subsequent cytokine production. Recent studies have uncovered a central role for TLR4 signalling in hepatic fibrogenesis and in mediating multi-organ injury in acute liver failure and ACLF. Knocking out TLR4 in rodents improved coma-free survival in models of acute HE.
Summary of the invention
The present inventors have shown that ammonia impacts on hepatic mitochondrial function, thereby inducing a vicious cycle by further impairing ammonia detoxification through the urea cycle, which takes largely place in the liver mitochondria.
Furthermore, the present inventors have shown that TLR4 and ornithine phenylacetate (OP) modulate ammonia metabolism. The inventors have shown that a combination of OP and an antagonist of TLR4 is a surprisingly effective therapy for the treatment or prevention of diseases such as hyperammonaemia, liver disease, mitochondrial dysfunction and cancer.
As such, the invention provides:
A combination of:
(a) ornithine, or a pharmaceutically acceptable salt thereof, and at least one of phenylacetate and phenylbutyrate, or a pharmaceutically acceptable salt thereof; and
(b) an antagonist of TLR4.
The invention also provides:
A method of preventing or treating disease, comprising administering the combination as described herein to a subject in need thereof, and thereby preventing or treating the disease.
Brief description of the drawings
Figure 1: Effect of TLR4 inhibition on circulating ammonia, urea and amino acid concentrations.
A) Study design of the WT and TRL4KO mouse model of chronic hyperammonemia, whole blood ammonia and plasma BUN concentrations. B) Sum of plasma total amino acids, total essential amino acids, total non-essential amino acids, BCAA’s, AAA’s and the BCAA/AAA ratio. C) Plasma concentrations of amino acids related to ammonia metabolism.
All data are presented as mean ± standard deviation. Groups are compared by ordinary one-way ANOVA with post-hoc Tukey HSD test, ns, non-significant, *p<0.05, **p<0.01, ***p<0.001, ****p<0.0001. BUN, blood urea nitrogen.
Figure 2: Untargeted liver metabolomic analysis.
A) B) Heatmaps representing the top-50 regulated metabolites significantly different between WT-NP and WT-AA according to ANOVA p-values (p<0.05) for A, HILIC data and B, C18 data.
Figure 3: Metabolomic analysis reveals hyperammonemia-induced changes in urea cycle metabolism and related pathways, which is prevented by TLR4 inhibtion.
A) Schematic representation of selected metabolites belonging to the top-50 regulated metabolites related to mitochondrial metabolism of ammonia and beta-oxidation (yellow), pyrimidine and purine synthesis (green), the urea cycle and krebs cycle (blue), and polyamine synthesis (red). B-H) Bar graphs of selected metabolites related to ammonia metabolism (b), urea cycle (c), mitochondrial beta-oxidation (d), Krebs cycle (e), polyamine synthesis (f) and pyrimidine and purine synthesis (g, h) in the wild type and TLR4 knock-out mouse model of chronic hyperammonemia. All data are presented as mean ± standard deviation. Groups are compared by ordinary one-way ANOVA with post- hoc Tukey HSD test, ns, non-significant, *p<0.05, **p<0.01, ***p<0.001, ****p<0.0001.
Figure 4: Hyperammonemia induces significant downregulation of UCEs, which is restored by TLR4 inhibition.
Al) Microscopy images of multiplex liver immunohistochemistry for GS and E-Cad. a2, Graphs relative intensity of E-Cad throughout zone 1-3, and mean fluorescence intensity/per field area of GS, respectively. Data are presented as mean ± standard deviation. Bl) Microscopy images of multiplex liver immunohistochemistry for CPS1, OTC, and GLUD1. B2), Bar graphs showing mean fluorescence intensity/per field area for CPS, OTC and GLUD1. Cl) Microscopy images of multiplex liver immunohistochemistry for GS and Tom-20. C2) Bar graphs showing mean fluorescence intensity/per field area for Tom-20 and its ratio with OTC, CPS and GLUD1. Groups are compared by ordinary oneway ANOVA with post-hoc Tukey HSD test, ns, non-significant, *p<0.05, **p<0.01, ***p<0.001, ****p<0.0001.
Figure 5: Liver transcriptomic analysis reveals hyperammonemia-induced changes in regulation of pathways related to ammonia metabolism and oxidative stress.
A) Heatmap showing hierarchical clustering of Gene Ontology enrichment analysis of pathways of interest, clustered according to their biological function (i.e., ammonia and citrate metabolism, oxidative stress and purine and pyrimidine metabolism). High expression is indicated in red and low expression in purple. B) Volcano plots showing the top differentially expressed genes of each comparison. Each dot represents an individual gene. The colour of the dots represents the biological function of the pathway as indicated in the figure legend. C) Tables showing the individual gene names, fold-change and FDR of the top 10 up- and downregulated genes of each comparison. FC, fold-change; FDR, false discovery rate.
Figure 6: TLR4 inhibition in a rat model of acute-on-chronic liver failure reduces plasma ammonia levels and recovers LPS-induced downregulation of the urea cycle enzyme genes.
A) Study design, plasma ammonia levels (data presented as mean ± standard deviation), and coma-free survival rate (data presented as percentage) in the ACLF rat model. Ammonia levels between groups were compared using ordinary one-way ANOVA with post-hoc Tukey HSD test. B) Relative mRNA expression of the 5 urea cycle enzymes. Data are indicated as double delta cycle threshold (Ct) values with standard deviations, ns, non-significant, *p<0.05, **p<0.01, ***p<0.001, ****p<0.0001.
Figure 7: TLR4 inhibition in a mouse model of OTC-deficiency (OTCspf-ash) reduces plasma ammonia levels and ROS production.
A) Study design, plasma ammonia and urea levels. Data are presented as mean ± standard deviation. Groups were compared using ordinary one-way ANOVA with post-hoc Tukey HSD test. B) ROS production and mitochondrial membrane potential. Data are presented as percentual change in fluorescence intensity of each group from WT-CD mice and groups are compared using one-sample t-test where each group was compared to the WT- CD group (100%).
Figure 8: Diagram showing Synergy between OP and TLR4 antagonist as they work on different pathways to reduce ammonia concentration.
Figure 9: The effect of ornithine phenylacetate (OP), Toll-like 4 antagonist (TAK- 242) and the combination of the two in the treatment of hyperammonemia in animal models of cirrhosis. This figure shows the effect of ornithine phenylacetate (OP), Toll-like 4 antagonist (TAK-242) and the combination of the two in the treatment of hyperammonemia in animal models of cirrhosis (bile duct ligation, BDL) and ACLF (BDL + lipopolysaccharide, LPS).
*P<0.05; **P<0.01; ***P<0.001; ****P<0.0001
Figure 10: The effect of ornithine phenylacetate (OP), Toll-like 4 antagonist (TAK- 242) and the combination of the two in the treatment of hyperammonaemia in Ornithine Transcarbamylase (OTC) deficiency model. This figure shows the effect of ornithine phenylacetate (OP), Toll-like 4 antagonist (TAK-242) and the combination of the two in the treatment of hyperammonaemia in Ornithine Transcarbamylase (OTC) deficiency model. BUN: blood urea nitrogen.
*P<0.05; **P<0.01; ***P<0.001; ****P<0.0001
Detailed description of the invention
It is to be understood that different applications of the disclosed methods may be tailored to the specific needs in the art. It is also to be understood that the terminology used herein is for the purpose of describing particular embodiments of the invention only, and is not intended to be limiting.
In addition as used in this specification and the appended claims, the singular forms “a”, “an”, and “the” include plural references unless the content clearly dictates otherwise. Thus, for example, reference to “an antagonist” includes “antagonists”, reference to “an antibody” includes two or more such antibodies, and the like.
All publications, patents and patent applications cited herein, whether supra or infra, are hereby incorporated by reference in their entirety.
Throughout this specification, the word “comprise”, or variations such as “comprised” or “comprising”, will be understood to imply the inclusion of a stated element, integer or step, or group of elements, integers or steps, but not the exclusion of any other element, integer or step, or group of elements, integers or steps.
The reference to any prior art in this specification is not, and should not be taken as, an acknowledgement or any form of suggestion that that prior art forms part of the general knowledge.
Combination
The present invention relates to a combination of ornithine, or a pharmaceutically acceptable salt thereof, at least one of phenylacetate and phenylbutyrate, or a pharmaceutically acceptable salt thereof, and an antagonist of TLR4.
The present invention relates to a combination of ornithine phenylacetate, or a pharmaceutically acceptable salt thereof, and an antagonist of TLR4.
The present invention relates to a combination of L-omithine phenylacetate, or a pharmaceutically acceptable salt thereof, and an antagonist of TLR4.
The ornithine, or a pharmaceutically acceptable salt thereof, the at least one of phenylacetate and phenylbutyrate, or a pharmaceutically acceptable salt thereof, and an antagonist of TLR4 may be present in a single formulation as described herein.
The ornithine, or a pharmaceutically acceptable salt thereof, the at least one of phenylacetate and phenylbutyrate, or a pharmaceutically acceptable salt thereof, and an antagonist of TLR4 may be present in separate formulations as described herein.
The ornithine, or a pharmaceutically acceptable salt thereof, the at least one of phenylacetate and phenylbutyrate, or a pharmaceutically acceptable salt thereof and the TLR4 antagonist may be formulated for simultaneous, subsequent or sequential delivery. The TLR4 antagonist may be administered before, at the same time, or after, the ornithine, or a pharmaceutically acceptable salt thereof, and the at least one of phenylacetate and phenylbutyrate, or a pharmaceutically acceptable salt thereof. The ornithine, or a pharmaceutically acceptable salt thereof, and the at least one of phenylacetate and phenylbutyrate, or a pharmaceutically acceptable salt thereof can be administered before,
at the same time, or after, the TLR4 antagonist. A pharmaceutical composition of the invention may comprise ornithine, or a pharmaceutically acceptable salt thereof, the at least one of phenylacetate and phenylbutyrate, or a pharmaceutically acceptable salt thereof and the TLR4 antagonist.
The ornithine phenylacetate, or a pharmaceutically acceptable salt thereof, and an antagonist of TLR4 may be present in separate formulations as described herein.
The ornithine phenylacetate, or a pharmaceutically acceptable salt thereof and the TLR4 antagonist may be formulated for simultaneous, subsequent or sequential delivery. The TLR4 antagonist may be administered before, at the same time, or after, the ornithine phenylacetate, or a pharmaceutically acceptable salt thereof. The ornithine phenylacetate, or a pharmaceutically acceptable salt thereof can be administered before, at the same time, or after, the TLR4 antagonist. A pharmaceutical composition of the invention may comprise ornithine phenylacetate, or a pharmaceutically acceptable salt thereof and the TLR4 antagonist.
The ornithine phenylacetate, or a pharmaceutically acceptable salt thereof, and an antagonist of TLR4 may be present in separate pharmaceutical compositions as described herein.
Ornithine Phenylacetate (OP)
The disclosures of W02006056794, WO2010115055, WO2010144498, W02012048043, WO2016172112, WO2017083758, and W02021076709 are hereby incorporated by reference in their entirety.
The present inventors have shown that ammonia impacts on hepatic mitochondrial function, thereby inducing a vicious cycle by further impairing ammonia detoxification through the urea cycle, which takes largely place in the liver mitochondria.
Furthermore, the present inventors have shown that ornithine phenylacetate (OP) modulates ammonia metabolism. The inventors show that OP is a novel therapy for mitochondrial dysfunction. The inventors show that OP is a novel therapy for cancer.
As such, the invention provides:
A method of preventing or treating mitochondrial dysfunction in a subject comprising administering a combination of ornithine, or a pharmaceutically acceptable salt thereof, and at least one of phenylacetate and phenylbutyrate, or a pharmaceutically acceptable salt thereof, to the subject in need thereof, and thereby preventing or treating the mitochondrial dysfunction.
The invention also provides:
A method of preventing or treating cancer in a subject comprising administering a combination of ornithine, or a pharmaceutically acceptable salt thereof, and at least one of phenylacetate and phenylbutyrate, or a pharmaceutically acceptable salt thereof, to the subject in need thereof, and thereby preventing or treating the cancer.
The amino acids used in the present invention may be pure crystalline amino acids. In general, the amino acids are in the L-form, rather than the D-form, or a mixture of D and L. Isolated forms of the amino acids are typically used. Any active form of the amino acid may be used to prevent or treat the liver decompensation or hepatic encephalopathy. A pharmaceutically acceptable form of the amino acid may be used. The amino acids may be employed as free amino acids or amino acid salts or derivatives.
Ornithine may be in pure crystalline amino acid form. In general, ornithine is in the L-form, rather than the D-form, or a mixture of D and L. Isolated forms of ornithine are typically used. Any active form of ornithine may be used or a pharmaceutically acceptable form of ornithine may be used. Ornithine may be employed as a free amino acid or an amino acid salt or derivative.
Typically, ornithine is used as a single, monomeric amino acid. Ornithine may be used in salt form, for example ornithine hydrochloride may be used. Ornithine may be in the form of a physiologically acceptable salt in free form. Therefore, the ornithine or the ornithine salt are typically not chemically bound, or covalently linked to any other agent.
Derivatives of ornithine may be used. For example, keto or hydroxy analogs of ornithine may be administered as sodium or calcium salts. Keto acids of ornithine include ornithine ketoglutarate, ornithine ketoleucine and ornithine ketovaline. Salts or derivatives of ornithine may be used in place of or in addition to free ornithine.
At least one of phenylacetate and phenylbutyrate may be used. Phenylacetate and/or phenylbutyrate may be in physiologically acceptable salt form, such as an alkali metal or alkaline earth metal salt. The salt may be sodium phenylacetate or sodium phenylbutyrate. The salt form of phenylacetate and phenylbutyrate may be in free form. Therefore the phenylacetate and phenylbutyrate or phenylacetate salt and phenylbutyrate salt are typically not chemically bound, or covalently linked to any other agent.
Optionally isoleucine is used. Isoleucine may be in pure crystalline amino acid form. In general, isoleucine is in the L-form, rather than the D-form, or a mixture of D and L. Isolated forms of isoleucine are typically used. Any active form of isoleucine may be used or a pharmaceutically acceptable form of isoleucine may be used. Isoleucine may be employed as a free amino acid or an amino acid salt or derivative.
Typically, isoleucine is used as a single, monomeric amino acid. Isoleucine may be used in salt form, for example isoleucine hydrochloride may be used. Isoleucine may be in the form of a physiologically acceptable salt in free form. Therefore, the isoleucine or the isoleucine salt are typically not chemically bound, or covalently linked to any other agent.
The term “immediate release” as used herein, has its ordinary meaning as understood by those skilled in the art and thus includes, by way of non-limiting example, release of a drug from a dosage form in a relatively brief period of time after administration.
The term “controlled release” and the term “extended release” as used herein, each has its ordinary meaning as understood by those skilled in the art and thus includes, by way of non-limiting example, controlled release of a drug from a dosage form over an extended period of time. For example, in some embodiments, controlled release or extended release formulations are those that have a release rate that is substantially longer than that of a comparable immediate release form. The two terms can be used interchangeably.
The term “about” as used herein, refers to a quantity, value, number, percentage, amount, or weight that varies from the reference quantity, value, number, percentage, amount, or weight by a variance considered acceptable by one of ordinary skill in the art for that type of quantity, value, number, percentage, amount, or weight. In various embodiments, the term “about” refers to a variance of 20, 15, 10, 9, 8, 7, 6, 5, 4, 3, 2 or 1% relative to the reference quantity, value, number, percentage, amount, or weight.
The term “oral dosage form” as used herein, has its ordinary meaning as understood by those skilled in the art and thus includes, by way of non-limiting examples, a formulation of a drug or drugs in a form orally administrable to a human, including pills, tablets, cores, capsules, caplets, loose powder, liquid solution or suspension.
The term “phenylacetic acid” as used herein, is also known as benzeneacetic acid or
The term “phenylacetate” as used herein, refers to the anionic form of phenylacetic
The term “L-omithine phenylacetate” as used herein, refer to a compound consisting of L-omithine cation and phenylacetate anion. It has the following chemical
The term “phenylacetylglutamine” as used herein, refers to the product formed by the conjugation of phenylacetic acid and glutamine. It is a common metabolite that can be found in human urine. It has the following chemical structure:
The term “pharmaceutically acceptable carrier” or “pharmaceutically acceptable excipient” includes any and all solvents, dispersion media, coatings, antibacterial and antifungal agents, isotonic and absorption delaying agents and the like. The use of such media and agents for pharmaceutically active substances is well known in the art. Except insofar as any conventional media or agent is incompatible with the active ingredient, its use in the therapeutic compositions or formulations is contemplated. Supplementary active ingredients can also be incorporated into the compositions or formulations. In addition, various adjuvants such as are commonly used in the art may be included. These and other such compounds are described in the literature, e.g., in the Merck Index, Merck & Company, Rahway, NJ. Considerations for the inclusion of various components in
pharmaceutical compositions are described, e.g., in Gilman et al. (Eds.) (1990); Goodman and Gilman’s: The Pharmacological Basis of Therapeutics, 8th Ed., Pergamon Press.
The term “pharmaceutically acceptable salt” refers to salts that retain the biological effectiveness and properties of the compounds of the preferred embodiments and, which are not biologically or otherwise undesirable. In many cases, the compounds of the preferred embodiments are capable of forming acid and/or base salts by virtue of the presence of amino and/or carboxyl groups or groups similar thereto. Pharmaceutically acceptable acid addition salts can be formed with inorganic acids and organic acids. Inorganic acids from which salts can be derived include, for example, hydrochloric acid, hydrobromic acid, sulfuric acid, nitric acid, phosphoric acid, and the like. Organic acids from which salts can be derived include, for example, acetic acid, propionic acid, glycolic acid, pyruvic acid, oxalic acid, maleic acid, malonic acid, succinic acid, fumaric acid, tartaric acid, citric acid, benzoic acid, cinnamic acid, mandelic acid, methanesulfonic acid, ethanesulfonic acid, p-toluenesulfonic acid, salicylic acid, and the like. Pharmaceutically acceptable base addition salts can be formed with inorganic and organic bases. Inorganic bases from which salts can be derived include, for example, sodium, potassium, lithium, ammonium, calcium, magnesium, iron, zinc, copper, manganese, aluminum, and the like; particularly preferred are the ammonium, potassium, sodium, calcium and magnesium salts. Organic bases from which salts can be derived include, for example, primary, secondary, and tertiary amines, substituted amines including naturally occurring substituted amines, cyclic amines, basic ion exchange resins, and the like, specifically such as isopropylamine, trimethylamine, diethylamine, triethylamine, tripropylamine, and ethanolamine. Many such salts are known in the art, as described in WO 87/05297, Johnston et al., published September 11, 1987 (incorporated by reference herein in its entirety).
“Subject” as used herein, means a human or a non-human mammal, e.g., a dog, a cat, a mouse, a rat, a cow, a sheep, a pig, a goat, a non-human primate or a bird, e.g., a chicken, as well as any other vertebrate or invertebrate.
“Treat,” “treatment,” or “treating,” as used herein refers to administering a pharmaceutical composition/formulation for prophylactic and/or therapeutic purposes. The term “prophylactic treatment” refers to treating a patient who is not yet suffering from a disease, but who is susceptible to, or otherwise at risk of, a particular liver disease,
whereby the treatment reduces the likelihood that the patient will develop a liver disease. The term “therapeutic treatment” refers to administering treatment to a patient already suffering from a liver disease.
The compositions or formulations described herein are preferably provided in unit dosage form. As used herein, a "unit dosage form" is a composition/ formulation containing an amount of a compound that is suitable for administration to an animal, preferably mammal subject, in a single administration, according to good medical practice. The preparation of a single or unit dosage form however, does not imply that the dosage form is administered once per day or once per course of therapy, or that the unit dosage form contains all of the dose to be administered at a single time. Such dosage forms are contemplated to be administered once, twice, thrice or more per day, and may be given more than once during a course of therapy, though a single administration is not specifically excluded. In addition, multiple unit dosage forms may be administered at substantially the same time to achieve the full dose intended (e.g., two or more tablets may be swallowed by the patient to achieve a complete dose). The skilled artisan will recognize that the formulation does not specifically contemplate the entire course of therapy and such decisions are left for those skilled in the art of treatment rather than formulation.
As used herein, the act of “providing” includes supplying, acquiring, or administering (including self-administering) a composition described herein.
As used herein, the term “administering” a drug includes an individual obtaining and taking a drug on their own. For example, in some embodiments, an individual obtains a drug from a pharmacy and self-administers the drug in accordance with the methods provided herein.
In any of the embodiments described herein, methods of treatment can alternatively entail use claims, such as Swiss-type use claims. For example, a method of treating fibrosis with a composition can alternatively entail the use of a composition in the manufacture of a medicament for the treatment of fibrosis, or the use of a composition for the treatment of fibrosis.
Those skilled in the art will understand that pharmacokinetic parameters may be determined by comparison to a reference standard using clinical trial methods known and accepted by those skilled in the art, e.g., as described in the examples set forth herein. Since the pharmacokinetics of a drug can vary from patient to patient, such clinical trials
generally involve multiple patients and appropriate statistical analyses of the resulting data (e.g., ANOVA at 90% confidence). Comparisons of pharmacokinetic parameters can be on a dose-adjusted basis, as understood by those skilled in the art.
In a preferred embodiment of the invention, a combination of ornithine, or a pharmaceutically acceptable salt thereof, and at least one of phenylacetate and phenylbutyrate, or a pharmaceutically acceptable salt thereof is used. In a preferred embodiment of the invention, the at least one of phenylacetate and phenylbutyrate is administered as a sodium phenylacetate or sodium phenylbutyrate. In a preferred embodiment of the invention the ornithine is administered as a free monomeric amino acid or physiologically acceptable salt thereof. In a preferred embodiment of the invention the ornithine and phenylacetate is administered as ornithine phenylacetate. In a preferred embodiment of the invention the ornithine phenylacetate is L-omithine phenylacetate. L- omithine phenylacetate and L-omithine phenyl acetate are used interchangeable in the disclosure herein.
Method of Making L-Omithine Phenyl Acetate Salt
Disclosed herein is a method of making L-omithine phenyl acetate salt. L-Omithine phenyl acetate may be produced, for example, through an intermediate salt, such as L- omithine benzoate. As shown in Scheme 1, an L-omithine salt of Formula I can be reacted with a benzoate salt of Formula II to obtain the intermediate L-omithine benzoate.
Scheme 1
Various salts of L-omithine may be used in the compound of Formula I, and therefore X in Formula I can be any ion capable of forming a salt with L-omithine other than benzoic acid or phenyl acetic acid. X can be a monoatomic anion, such as, but not limited to, a halide (e.g., fluoride, chloride, bromide, and iodide). X can also be a polyatomic anion, such as, but not limited to, acetate, aspartate, formate, oxalate, bicarbonate, carbonate, bitrate, sulfate, nitrate, isonicotinate, salicylate, citrate, tartrate, pantothenate, bitartrate, ascorbate, succinate, maleate, gentisinate, fumarate, gluconate, glucaronate, saccharate, formate, glutamate, methanesulfonate, ethanesulfonate, benzensulfonate, p-toluenesulfonate, pamoate (i.e., l,l'-methylene-bis-(2-hydroxy-3- naphthoate), phosphate and the like. In some embodiments, X is a monovalent ion. In some embodiments, X is chloride.
Similarly, the benzoate salt of Formula II is not particularly limited, and therefore Y in Formula II can be any appropriate ion capable of forming a salt with benzoic acid. In some embodiments, Y can be a monoatomic cation, such as an alkali metal ion (e.g., Li+, Na+, and K+) and other monovalent ions (e.g., Ag+). Y may also be a polyatomic cation, such as ammonium, L-arginine, diethylamine, choline, ethanolamine, IH-imidazole,
trolamine, and the like. In some embodiments, Y is an inorganic ion. In some embodiments, Y is silver.
Many other possible salts of L-omithine and benzoic acid may be used for the compounds of Formulae I and II, respectively, and can readily be prepared by those skilled in the art. See, for example, Bighley L.D., et al., “Salt forms of drugs and absorption,” In: Swarbrick J., Horlan J.C., eds. Encyclopedia of pharmaceutical technology, Vol. 12. New York: Marcel Dekker, Inc. pp. 452-499, which is hereby incorporated by reference in its entirety.
The intermediate L-omithine benzoate (z'.e., Formula III) can be prepared by intermixing solutions including compounds of Formulae I and II. As an example, the compounds of Formulae I and II may be separately dissolved in water and dimethyl sulfoxide (DMSO), respectively. The two solutions may then be intermixed so that the L- omithine and benzoic acid react to form the salt of Formula III. Alternatively, the two salt compounds can be directly dissolved into a single solution. In some embodiments, L- omithine and benzoic acid are dissolved in separate solvents, and subsequently intermixed. In some embodiments, L-omithine is dissolved in an aqueous solution, benzoic acid is dissolved in an organic solvent, and the L-omithine and benzoic acid solutions are subsequently intermixed.
Non-limiting examples of solvents which may be used when intermixing L- omithine and benzoate salts include acetonitrile, dimethylsulfoxide (DMSO), cyclohexane, ethanol, acetone, acetic acid, 1 -propanol, dimethylcarbonate, N-methyl-2-pyrrolidone (NMP), ethyl acetate (EtOAc), toluene, isopropyl alcohol (IP A), diisopropoyl ether, nitromethane, water, 1 ,4 dioxane, tdiethyl ether, ethylene glycol, methyl acetate (MeOAc), methanol, 2-butanol, cumene, ethyl formate, isobutyl acetate, 3 -methyl- 1 -butanol, anisole, and combinations thereof. In some embodiments, the L-omithine benzoate solution includes water. In some embodiments, the L-omithine benzoate solution includes DMSO.
Upon intermixing L-omithine and benzoate salts, counterions X and Y may form a precipitate that can be removed from the intermixed solution using known methods, such as filtration, centrifugation, and the like. In some embodiments, X is chloride, Y is silver, and the reaction produces a precipitate having AgCl. Although Scheme 1 shows the compounds of Formulae I and II as salts, it is also within the scope of the present application to intermix the free base of L-omithine and benzoic acid to form the
intermediate of L-omithine benzoate. Consequently, forming and isolating the precipitate is optional.
The relative amount of L-omithine and benzoate salts that are intermixed is not limited; however the molar ratio of L-omithine to benzoic acid may optionally be in the range of about 10:90 and 90:10. In some embodiments, the molar ratio of L-omithine benzoate can be in the range of about 30:70 and 30:70. In some embodiments, the molar ratio of L-omithine to benzoate can be in the range of about 40:60 and 60:40. In some embodiments, the molar ratio of L-omithine to benzoate is about 1:1.
In embodiments where X and Y are both inorganic ions (e.g. , X and Y are chloride and silver, respectively), additional amounts of X-containing salt may be added to encourage further precipitation of the counterion Y. For example, if X is chloride and Y is silver, the molar ratio of L-omithine hydrochloride to silver benzoate may be greater than 1 : 1 so that an excess of chloride is present relative to silver. Accordingly, in some embodiments, the molar ratio of L-omithine to benzoic acid is greater than about 1:1. Nevertheless, the additional chloride salt is not required to be derived from an L-omithine salt (e.g., L-omithine hydrochloride). For example, dilute solutions of hydrochloric acid may be added to the solution to further remove silver. Although it is not particularly limited when the additional X-containing salt is added, it is preferably added before the AgCl is initially isolated.
As shown in Scheme 2, the L-omithine benzoate can be reacted with a phenyl acetate salt of Formula IV to form L-omithine phenyl acetate. For example, sodium phenyl acetate can be intermixed with a solution of L-omithine benzoate to form L- omithine phenyl acetate. Various salts of phenyl acetate may be used, and therefore Z in Formula IV can be any cation capable of forming a salt with phenyl acetate other than benzoic acid or L-omithine. In some embodiments, Z can be a monoatomic cation, such as an alkali metal ion (e.g., Li+, Na+, and K+) and other monovalent ions (e.g., Ag+). Z may also be a polyatomic cation, such as ammonium, L-arginine, diethylamine, choline, ethanolamine, IH-imidazole, trolamine, and the like. In some embodiments, Z is an inorganic ion. In some embodiments, Z is sodium.
The relative amount of L-omithine and phenyl acetate salts that are intermixed is also not limited; however the molar ratio of L-omithine to phenyl acetate may optionally be in the range of about 10:90 and 90:10. In some embodiments, the molar ratio of L-omithine
to phenyl acetate can be in the range of about 30:70 and 30:70. In some embodiments, the molar ratio of L-omithine to phenyl acetate can be in the range of about 40:60 and 60:40. In some embodiments, the molar ratio of L-omithine to benzoic acid is about 1:1.
The L-omithine phenyl acetate of Formula V may then be isolated from solution using known techniques. For example, by evaporating any solvent until the L-omithine phenyl acetate crystallizes, or alternatively by the adding an anti-solvent miscible in the L- omithine phenyl acetate solution until the L-omithine phenyl acetate precipitates from solution. Another possible means for isolating the L-omithine phenyl acetate is to adjust the temperature of the solution (e.g., lower the temperature) until the L-omithine phenyl acetate precipitates. As will be discussed in further detail in a later section, the method of isolating the L-omithine phenyl acetate affects the crystalline form that is obtained.
The isolated L-omithine phenyl acetate may be subjected to various additional processing, such as drying and the like. In some embodiments, L-omithine phenyl acetate may be subsequently intermixed with a dilute HC1 solution to precipitate residual silver. The L-omithine phenyl acetate may again be isolated from solution using similar methods disclosed above.
As would be appreciated by a person of ordinary, guided by the teachings of the present application, L-omithine phenyl acetate may similarly be prepared using an intermediate salt other than L-omithine benzoate. Thus, for example, L-omithine, or a salt thereof e.g., L-omithine hydrochloride), can be intermixed with a solution having acetic acid. L-Omithine acetate may then be intermixed with phenyl acetic acid, or a salt thereof (e.g., sodium phenyl acetate), to obtain L-omithine phenyl acetate. Scheme 4 illustrates an exemplary process of forming L-omithine phenyl acetate using L-omithine acetate as an intermediate salt. In some embodiments, the intermediate salt can be a pharmaceutically acceptable salt of L-omithine. For example, the intermediate L-omithine salt can be an acetate, aspartate, formate, oxalate, bicarbonate, carbonate, bitrate, sulfate, nitrate, isonicotinate, salicylate, citrate, tartrate, pantothenate, bitartrate, ascorbate, succinate, maleate, gentisinate, fumarate, gluconate, glucaronate, saccharate, formate, benzoate, glutamate, methanesulfonate, ethanesulfonate, benzensulfonate, p-toluenesulfonate, pamoate (i.e., 1 , l'-methylene-bis-(2-hydroxy-3 -naphthoate) or phosphate. The free acid of the intermediate is preferably a weaker acid relative to phenyl acetic acid. In some embodiments, the intermediate is an L-omithine salt with an anion component that exhibits a pKa value that is higher than the pKa value of phenyl acetic acid. As an example, for L- omithine acetate, acetic acid and phenyl acetic acid exhibit pKa values of about 4.76 and 4.28, respectively.
L-Omithine phenyl acetate may also be prepared, in some embodiments, without forming an intermediate salt, such as L-omithine benzoate. Scheme 4 illustrates an exemplary process for preparing L-omithine phenyl acetate without an intermediate salt.
A pH modifier may be added to a solution of L-omithine salt (e.g., as illustrated in Scheme 4 by the compound of Formula I) until a salt precipitates from solution, where the salt is not an L-omithine salt. As an example, sodium methoxide (NaOMe) can be added to a solution of L-omithine hydrochloride until sodium chloride precipitates from solution to leave a free base of L-omithine. The precipitate may optionally be isolated from solution using known techniques, such as filtration, centrifugation, and the like. The free base of L- omithine (e.g., as illustrated in Scheme 4 by the compound of Formula I-a) may be intermixed with phenyl acetic acid, or a salt thereof (e.g., as illustrated in Scheme 4 by the compound of Formula IV), to obtain L-omithine phenyl acetate. The L-omithine phenyl acetate of Formula V may then be isolated as previously described.
Scheme 4
A pH modifier can include a basic compound, or anhydrous precursor thereof, and/or a chemically protected base. Non-limiting examples of pH modifiers include sodium hydroxide, potassium hydroxide, sodium methoxide, potassium t-butoxide, sodium carbonate, calcium carbonate, dibutylamine, tryptamine, sodium hydride, calcium hydride, butyllithium, ethylmagnesium bromide and combinations thereof. Also, the amount of pH modifier to be added is not particularly limited; however the molar ratio of L-omithine to pH modifier may optionally be in the range of about 10:90 and 90: 10. In some embodiments, the molar ratio of L-omithine to pH modifier can be in the range of about 30:70 and 30:70. In some embodiments, the molar ratio of L-omithine to pH modifier can be in the range of about 40:60 and 60:40. In some embodiments, the molar ratio of L- omithine to pH modifier is about 1:1. The pH modifier may, in some embodiments be added to adjust the pH value to at least about 8.0; at least about 9.0; or at least about 9.5.
Another process for forming L-omithine phenyl acetate, in some embodiments, includes reacting an alkali metal salt of L-omithine with a phenyl acetate salt. As an example, L-omithine hydrochloride may be intermixed with silver phenyl acetate and a solvent. AgCl may then precipitate and is optionally isolated from the solution. The remaining L-omithine phenyl acetate can also be isolated using known methods. This process can be completed using generally the same procedures and conditions outlined above. For example, the relative molar amounts of L-omithine to phenyl acetate can be
10:90 to 90:10; 30:70 to 70:30; 40:60 to 60:40; or about 1:1. Also, the L-omithine phenyl acetate may be isolated by evaporating the solvent, adding an anti-solvent, and/or reducing the temperature.
Compositions of L-Omithine Phenyl Acetate
Also disclosed herein are compositions of L-omithine phenyl acetate. The compositions of the present application advantageously have low amounts of inorganic salts, particularly alkali metal salts and/or halide salts, and therefore are particularly suited for oral and/or intravenous administration to patients with hepatic encephalopathy. Meanwhile, these compositions may exhibit similar stability profiles compared to other salts (e.g., mixtures of L-omithine hydrochloride and sodium phenyl acetate). The compositions may, in some embodiments, be obtained by one of the processes disclosed in the present application. For example, any of the disclosed processes using L-omithine benzoate as an intermediate may yield the compositions of the present application.
Also within the scope of the present application are amorphous forms of L- omithine phenyl acetate. Various methods are known in the art for preparing amorphous forms. For example, a solution of L-omithine phenyl acetate may be dried under vacuum by lyophilization to obtain an amorphous composition. See P.C.T. Application WO 2007/058634, which published in English and designates the U.S., and is hereby incorporated by reference for disclosing methods of lyophilization.
The compositions may also include residual amounts of the anion from an intermediate salt formed during the process of making the L-omithine phenyl acetate composition. For example, some of the processes disclosed herein yield compositions having benzoic acid or a salt thereof. In some embodiments, the composition comprises at least about 0.01% by weight benzoic acid or a salt thereof (preferably at least about 0.05% by weight, and more preferably about 0.1% by weight). In some embodiments, the composition comprises no more than about 3% by weight benzoic acid or a salt thereof (preferably no more than about 1% by weight, and more preferably no more than about 0.5% by weight). In some embodiments, the composition includes a salt, or an acid thereof, in the range of about 0.01% to about 3% by weight (preferably about 0.1% to about 1%), wherein the salt is selected from acetate, aspartate, formate, oxalate, bicarbonate, carbonate, bitrate, sulfate, nitrate, isonicotinate, salicylate, citrate, tartrate,
pantothenate, bitartrate, ascorbate, succinate, maleate, gentisinate, fumarate, gluconate, glucaronate, saccharate, formate, benzoate, glutamate, methanesulfonate, ethanesulfonate, benzensulfonate, p-toluenesulfonate, pamoate (i.e., l,l'-methylene-bis-(2-hydroxy-3- naphthoate) or phosphate.
Pharmaceutical formulations
Ornithine phenylacetate as described herein is typically formulated for administration with a pharmaceutically acceptable carrier or diluent. Ornithine phenylacetate may thus be formulated as a medicament with a standard pharmaceutically acceptable carrier(s) and/or excipient(s) as is routine in the pharmaceutical art. The exact nature of the formulation will depend upon several factors including the desired route of administration. Typically, Ornithine phenylacetate may be formulated for oral, intravenous, intragastric, intravascular or intraperitoneal administration.
The pharmaceutical carrier or diluent may be, for example, an isotonic solution such as physiological saline. Solid oral forms may contain, together with the active compound, diluents, e.g. lactose, dextrose, saccharose, cellulose, com starch or potato starch; lubricants, e.g. silica, talc, stearic acid, magnesium or calcium stearate, and/or polyethylene glycols; binding agents; e.g. starches, gum arabic, gelatin, methylcellulose, carboxymethylcellulose or polyvinyl pyrrolidone; disaggregating agents, e.g. starch, alginic acid, alginates or sodium starch glycolate; effervescing mixtures; dyestuffs; sweeteners; wetting agents, such as lecithin, polysorbates, laurylsulphates; and, in general, non-toxic and pharmacologically inactive substances used in pharmaceutical formulations. Such pharmaceutical preparations may be manufactured in known manner, for example, by means of mixing, granulating, tabletting, sugar-coating, or film-coating processes. Liquid dispersions for oral administration may be syrups, emulsions or suspensions. The syrups may contain as carriers, for example, saccharose or saccharose with glycerine and/or mannitol and/or sorbitol.
Suspensions and emulsions may contain as carrier, for example a natural gum, agar, sodium alginate, pectin, methylcellulose, carboxymethylcellulose, or polyvinyl alcohol. The suspensions or solutions for intramuscular injections may contain, together with ornithine and at least one of phenylacetate and phenylbutyrate, a pharmaceutically
acceptable carrier, e.g. sterile water, olive oil, ethyl oleate, glycols, e.g. propylene glycol, and if desired, a suitable amount of lidocaine hydrochloride.
A pharmaceutical formulation in accordance with the present invention may further comprise one or more additional therapeutic agents. The formulation may comprise OP as described herein and also one or more additional therapeutic agents. Preferably the additional therapeutic agent(s) are agents which will assist in the treatment or prevention of the disease or condition in the subject to be treated. For example, one or more agents that are effective at treating or preventing mitochondrial dysfunction or cancer may be administered as part of a formulation as described herein. One or more agents that are effective at treating or preventing a mitochondrial dysfunction or cancer or a symptom of a mitochondrial dysfunction or cancer in the subject may be administered as part of a formulation as described herein.
Some embodiments of the present disclosure relate to ORAL pharmaceutical formulations, comprising L-omithine phenylacetate in a dosage of about 0.1 g to about 10 g, and one or more pharmaceutically acceptable excipients or carriers. In some embodiments, the formulation provides an immediate release profile of L-omithine phenylacetate upon administration (for example, an immediate-release oral formulation in the form of a liquid solution or suspension). Other embodiments provide a controlled-release or extended release profile. In preferred embodiments, the pharmaceutical formulation is an oral pharmaceutical formulation. In some embodiments, the L-omithine phenylacetate is in a dosage of about 0.5 g, about 1 g, about 1.5 g, about 2 g, about 2.5 g, about 3 g, about 3.5 g, about 4 g, about 4.5 g, about 5 g, about 5.5 g, about 6 g, about 6.5 g, about 7 g, about 7.5 g, about 8 g, about 8.5 g, about 9 g, about 9.5 g, or about 10 g, or in a dosage range defined by any of the two preceding values (for example, about 1 g to about 9 g, about 2 g to about 8 g, about 3 g to about 7g, about 4 g to about 6 g, about 1 g to about 6 g, about 1 g to about 5 g, about 1 g to about 4 g, about 1 g to about 3 g, about 2 g to about 6 g, about 2 g to about 5 g, or about 2 g to about 4 g). In one embodiment, the oral dosage is about 2.5 g. In another embodiment, the oral dosage is about 5 g.
In some embodiments, the pharmaceutical formulation is in a single unit dosage form. In some other embodiments, the pharmaceutical formulation is in two or more unit dosage forms (i.e., a divided dose). For example, where an oral dosage is about 5 g, it may be provided in the form of four or five tablets, each containing about 1.25 g or 1 g of L-
ornithine phenylacetate. In some embodiments, the unit dosage form is a tablet, a capsule, a pill, pellets, free-flowing powder, or liquid. In one embodiment, the unit dosage form is a liquid solution comprising 5 g of L-ornithine phenylacetate.
In some embodiments, the pharmaceutical formulation provides conversion of phenylacetate to phenylacetylglutamine over 24 hours of greater than about 30%, greater than about 40%, greater than about 50%, greater than about 60%, greater than about 70%, greater than about 80%, or greater than about 90%. In some further embodiments, the formulation provides conversion of phenylacetate to phenylacetylglutamine over 24 hours of greater than about 80%. In some embodiments, the conversion efficiency is determined based on excreted urinary phenylacetylglutamine.
In some embodiments, the pharmaceutical formulation provides conversion of phenylacetate to phenylacetylglutamine over 12 hours of greater than about 30%, greater than about 40%, greater than about 50%, greater than about 60%, greater than about 70%, greater than about 80%, or greater than about 90%. In some further embodiments, the formulation provides conversion of phenylacetate to phenylacetylglutamine over 12 hours of greater than about 60%. In some embodiments, the conversion efficiency is determined based on excreted urinary phenylacetylglutamine.
The low dose pharmaceutical formulations described herein may be administered by any suitable route, for example, it may be administered by oral, intravenous, intragastric, intraperitoneal or intravasular routes. In a preferred embodiment, the pharmaceutical formulation of L-omithine is an oral dosage form, for example, a oral solution. In another embodiment, the pharmaceutical formulation is an intravenous dosage form.
In some embodiments of the methods described herein, L-omithine phenylacetate is administered in an amount from about 0.1 g to about 50 g per day, from about 0.5 g to about 45 g per day, from about 1 g to about 40 g per day, from about 1.5 g to about 35 g per day, from about 2 g to about 30 g per day, from about 2.5 g to about 25 g per day, from about 3 g to about 20 g per day, or from about 5 g to about 15 g per day. In some embodiments, the pharmaceutical formulation is for administration at least once a day. In some further embodiments, the pharmaceutical formulation is for administration two or more times per day. In one embodiment, the pharmaceutical formulation is for thrice daily oral administration.
In some embodiments of the methods described herein, L-omithine phenylacetate is administered as a single dose in an amount from about 1.0 g to about 10.0 g. In some further embodiments, L-omithine phenylacetate is administered as a single dose in an amount from about 2 g to about 8 g. In various other embodiments, L-omithine phenylacetate is administered as a single dose in a range of about 1 g to about 9 g, about 2 g to about 8 g, about 3 g to about 7g, about 4 g to about 6 g, about 1 g to about 6 g, about 1 g to about 5 g, about 1 g to about 4 g, about 1 g to about 3 g, about 2 g to about 6 g, about 2 g to about 5 g, or about 2 g to about 4 g. In one embodiment, L-omithine phenylacetate is administered as a single dose in an amount about 2.5 g. In another embodiment, L-omithine phenylacetate is administered as a single dose in an amount about 5 g. In some such embodiment, the pharmaceutical formulation containing such amount of L-omithine phenylacetate is in a single oral dosage form. In some other such embodiments, the pharmaceutical formulation containing such amount of L-omithine phenylacetate is in two or more unit dosage forms. For example, some embodiments comprise administering 1 to 5 unit dosage forms each comprising from about 0.1 g to about 2 g of L-omithine phenylacetate, or about 2 to 4 unit dosage forms each comprising from about 0.5 g to about 1.25 g of L-omithine phenylacetate. Some embodiments comprise administering 4 unit dosage forms each comprising about 1.25 g of L-omithine phenylacetate. Some embodiments comprise administering 5 unit dosage forms each comprising about 1 g of L-omithine phenylacetate. Some other embodiments comprise administering 1 unit dosage form comprising about 5 g of L-omithine phenylacetate. In one embodiment, the pharmaceutical formulation is administered three times a day. For example, where multiple unit dosage forms are administered at a time, the multiple unit dosage administration is repeated three time a day. In another embodiment, the pharmaceutical formulation is administered once a day.
Some examples of substances that can serve as pharmaceutically-acceptable carriers or excipients thereof, are sugars, such as lactose, glucose and sucrose; starches, such as com starch and potato starch; cellulose and its derivatives, such as sodium carboxymethyl cellulose, ethyl cellulose, and methyl cellulose; powdered tragacanth; malt; gelatin; talc; solid lubricants, such as stearic acid and magnesium stearate; calcium sulfate; vegetable oils, such as peanut oil, cottonseed oil, sesame oil, olive oil, com oil and oil of theobroma; polyols such as propylene glycol, glycerine, sorbitol, mannitol, and polyethylene glycol; alginic acid; emulsifiers, such as the TWEENS; wetting agents, such sodium lauryl sulfate; coloring
agents; flavoring agents; tableting agents, stabilizers; antioxidants; preservatives; pyrogen- free water; isotonic saline; and phosphate buffer solutions.
In some embodiments, the oral dosage form of L-omithine phenylacetate may be in the form of a liquid, in particular a liquid solution. The oral dosage formulation may also comprise conventional pharmaceutical compatible adjuvants, excipients or carriers, including those commonly used in the oral solution formulation as discussed herein.
In some embodiments, the oral formulation described herein provides for lower doses than previously expected. For example, RAVICTI® (glycerol phenylbutyrate, a pre-prodrug of phenylacetate) was found in clinical studies at a dose of 6 mL (delivering about 1.02 g/mL of phenylbutyrate) twice daily to lower the incidence of hepatic encephalopathy events. Both the immediate release and the controlled release oral pharmaceutical formulations of L- omithine phenylacetate described herein provide similar percentage of PAGN urinary excretion, permitting use of substantially lower API doses, compared to RAVICTI® or other phenylacetate formulations.
The compositions of L-omithine phenyl acetate of the present application may also be formulated for administration to a subject (e.g., a human). L-Omithine phenyl acetate, and accordingly the compositions disclosed herein, may be formulated for administration with a pharmaceutically acceptable carrier or diluent. L-omithine phenyl acetate may thus be formulated as a medicament with a standard pharmaceutically acceptable carrier(s) and/or excipient(s) as is routine in the pharmaceutical art. The exact nature of the formulation will depend upon several factors including the desired route of administration. Typically, L-omithine phenyl acetate is formulated for oral, intravenous, intragastric, subcutaneous, intravascular or intraperitoneal administration.
The pharmaceutical carrier or diluent may be, for example, water or an isotonic solution, such as 5% dextrose in water or normal saline. Solid oral forms may contain, together with the active compound, diluents, e.g. lactose, dextrose, saccharose, cellulose, com starch or potato starch; lubricants, e.g. silica, talc, stearic acid, magnesium or calcium stearate, and/or polyethylene glycols; binding agents, e.g. starches, gum arabic, gelatin, methylcellulose, carboxymethylcellulose or polyvinyl pyrrolidone; disaggregating agents, e.g. starch, alginic acid, alginates or sodium starch glycolate; effervescing mixtures; dyestuffs; sweeteners; wetting agents, such as lecithin, polysorbates, laurylsulphates; and, in general, non-toxic and pharmacologically inactive substances used in pharmaceutical
formulations. Such pharmaceutical preparations may be manufactured in known manners, for example, by means of mixing, granulating, tabletting, sugar-coating, or film-coating processes.
Liquid dispersions for oral administration may be syrups, emulsions or suspensions. The syrups may contain as carriers, for example, saccharose or saccharose with glycerine and/or mannitol and/or sorbitol.
Suspensions and emulsions may contain a carrier, for example a natural gum, agar, sodium alginate, pectin, methylcellulose, carboxymethylcellulose, or polyvinyl alcohol. The suspensions or solutions for intramuscular injections may contain, together with L- omithine phenyl acetate, a pharmaceutically acceptable carrier, e.g. sterile water, olive oil, ethyl oleate, glycols, e.g. propylene glycol, and if desired, a suitable amount of lidocaine hydrochloride.
The medicament may consist essentially of L-omithine phenyl acetate and a pharmaceutically acceptable carrier. Such a medicament therefore contains substantially no other amino acids in addition to L-omithine and phenyl acetate. Furthermore, such a medicament contains insubstantial amounts of other salts in addition to L-omithine phenyl acetate.
Oral formulations may generally include dosages of L-omithine phenyl acetate in the range of about 500 mg to about 100 g. Accordingly, in some embodiments, the oral formulation includes the L-omithine phenyl acetate compositions disclosed herein in the range of about 500 mg to about 50 g. In some embodiments, the oral formulation is substantially free of alkali metal salts and halides (e.g., contains no more than trace amounts of alkali metal salts and halides).
Intravenous formulations may also generally include dosages of L-omithine phenyl acetate in the range of about 500 mg to about 100 g (preferably about 1 g to about 50 g). In some embodiments, the intravenous formulation is substantially free of alkali metal salts and halides (e.g., contains no more than trace amounts of alkali metal salts and halides). In some embodiments, the intravenous formulation has a concentration of about 5 to about 300 mg/mL of L-omithine phenyl acetate (preferably about 25 to about 200 mg/mL, and more preferably about 40 to about 60 mg/mL).
The composition, or medicament containing said composition, may optionally be placed is sealed packaging. The sealed packaging may reduce or prevent moisture and/or
ambient air from contacting the composition or medicament. In some embodiments, the packaging includes a hermetic seal. In some embodiments, the packaging sealed under vacuum or with an inert gas (e.g., argon) within the sealed package. Accordingly, the packaging can inhibit or reduce the rate of degradation for the composition or medicament stored within the packaging. Various types of sealed packaging are known in the art. For example, U.S. Patent Number 5,560,490, is hereby incorporate by reference in its entirety, discloses an exemplary sealed package for medicaments.
TLR4 antagonists
The present inventors have shown that ammonia impacts on hepatic mitochondrial function, thereby inducing a vicious cycle by further impairing ammonia detoxification through the urea cycle, which takes largely place in the liver mitochondria.
Furthermore, the present inventors have shown that TLR4 modulates ammonia metabolism. The inventors have shown that inhibition of TLR4 is a novel therapy for mitochondrial dysfunction. The inventors have shown that inhibition of TLR4 is a novel therapy for cancer, for example cancer that is characterised by mitochondrial dysfunction.
As such, the invention provides:
A method for treating or preventing mitochondrial dysfunction in a subject comprising administering to the subject a therapeutically effective amount of a Toll like receptor 4 (TLR4) antagonist.
The invention also provides:
A method for treating or preventing cancer in a subject comprising administering to the subject a therapeutically effective amount of a Toll like receptor 4 (TLR4) antagonist.
An antagonist of Toll like receptor 4 (TLR4) may be any compound or molecule that inhibits or decreases the activity, function or amount of TLR4. In one embodiment, the antagonist functions in the liver and/or kidney and/or brain of the patient. The antagonist may act preferentially in the liver and/or kidney or may act at a number of
locations including the liver and/or kidney and/or brain. In one embodiment, the antagonist leads to a decrease in TLR4 activity, function or amount in the organs of an individual to whom the antagonist is administered, such as in one of more of the liver, kidneys, brain, and the heart of the individual. The antagonist may be targeted to the liver, kidney or other organs such as those listed above during administration as discussed further below.
Preferred antagonists are those that decrease the activity or amount of TLR4 by at least 10%, at least 20%, at least 30%, at least 40%, at least 50%, at least 60%, at least 70%, at least 80% or at least 90% compared to the amount seen in the absence of the antagonist. For example, decreases of these sizes may be seen in the liver or liver tissue of a subject to whom the agonist has been administered. Decreases of these sizes may be seen in other tissues or organs of the individual, such as in the kidney and/or heart of the individual. An antagonist of TLR4 may reduce the activity or amount of TLR4 to an amount or activity that is the same, similar to, or equivalent to, that seen in an individual not suffering from a disease or condition as recited herein. For example, use of an TLR4 antagonist in accordance with the present invention may lead to a reduction in TLR4 expression in the liver and/or kidneys and/or brain of the individual being treated to a normal level, such as a level that would be seen or would be expected in an individual not suffering from a disease or condition as recited herein.
The antagonist may act specifically to antagonise TLR4. That is, the effect of the antagonist on TLR4 may be greater than any other biological effect of the antagonist. Such an antagonist may be specific to the inhibition of TLR4, that is it may decrease the activity of TLR4, but not other receptors such as other Toll like receptors. Such an antagonist may additionally or alternatively be specific to the expression of TLR4, that is it may decrease the expression of TLR4 but not other receptors such as other Toll like receptors. An antagonist for use in accordance with the present invention may be an antagonist of TLR4 as described herein, that does not act as an antagonist of other Toll like receptors. An antagonist for use in accordance with the present invention may act on TLR4 in preference to other Toll like receptors. For example, an antagonist of TLR4 for use in accordance with the present invention may have one or more of the characteristics of an TLR4 antagonist as described herein, but may not have such characteristics in relation to other Toll like receptors, or may have such characteristics to a lower level in relation to other
Toll like receptors when compared to TLR4. For example, an antagonist that decreases the activity of TLR4 may not decrease the activity of other Toll like receptors, or may decrease the activity of other Toll like receptors to a lesser extent, such as a lower percentage decrease, than its effect on TLR4. An antagonist that decreases the expression or amount of TLR4 may not decrease the expression or amount of other Toll like receptors, or may decrease the expression of other Toll like receptors to a lesser extent, such as a lower percentage decrease, than its effect on TLR4. An TLR4 antagonist as described herein may have an effect on other Toll like receptors, such as antagonism of the activity, signalling or expression of one or more other Toll like receptors, that is less than 25%, less than 20%, less than 15%, less than 10%, less than 5%, less than 1%, or less than 0.1% the effect of that antagonist on the activity, signalling or expression of TLR4.
By other Toll like receptors herein is meant any Toll like receptor that is not TLR4. At least 13 groups of Toll like receptor have been identified in mammals. The other Toll like receptor may be any such Toll like receptor that is not TLR4. The other Toll like receptor may be one or more of these Toll like receptors. The other Toll like receptor may be all other Toll like receptors that are not TLR4.
The specificity of the TLR4 antagonist may apply within the whole body of the individual to be treated, that is the actions of the TLR4 antagonist may be specific as discussed above throughout the body of the individual. The specificity of the TLR4 antagonist may apply within particular tissues of the individual, such as the liver, kidneys and/or heart and/or brain. That is, in one embodiment, the TLR4 antagonist may act specifically to antagonise TLR4 as discussed above within the liver and/or kidney and/or other organs of the individual being treated.
The TLR4 antagonist may therefore be a specific antagonist of TLR4 as described above. For example, the TLR4 antagonist may not be an antagonist of other Toll like receptors, or may have no significant effect on the activity or expression of other Toll like receptors.
Any compound or molecule capable of inhibiting the activity or function of TLR4 may be suitable for use in the methods of the present invention. Antagonists for use in accordance with the present invention may be direct or indirect antagonists of TLR4.
Direct antagonists are compounds or molecules whose activity is directly on TLR4. For example, direct antagonists may be compounds or molecules that act directly on the
TLR4 receptor to decrease its activity. A direct antagonist may be a compound or molecule that disrupts TLR4 function or that destabilises the TLR4 receptor. A direct antagonist may decrease the amount of TLR4 by destroying or disrupting TLR4 molecules within the patient. A direct antagonist may be a compound or molecule that acts on the TLR4 gene, promoter or other gene regulatory regions to decrease expression of the TLR4. A direct antagonist may decrease expression of TLR4 by preventing or reducing expression from the endogenous TLR4 gene.
A TLR4 antagonist may act to disrupt the activity of TLR4. For example, the antagonist may act by preventing activation of TLR4 or by preventing formation of functional complexes comprising TLR4.
Any compound or molecule having the properties described above may be used as an TLR4 antagonist in accordance with the present invention. The compound or molecule may be, or may comprise, for example, a peptide, polypeptide, protein, antibody, polynucleotide, small molecule or other compound that may be designed through rational drug design starting from known antagonists of TLR4.
Examples of TLR4 antagonists or inhibitors that may be used in accordance with the present invention include:
The peptide STM28 as described in Sugiyama et al (European Journal of Pharmacology 594 (2008) 152-156);
Ethyl (6R)-6-[N-(2-chloro-4-fluorophenyl)sulfamoyl]cyclohex-l-ene-l -carboxylate (TAK-242 ) which acts by blocking the signalling mediated by the intracellular domain of TLR4, but not the extracellular domain;
Tetrasodium [(2R,3R,4R,5S,6R)-4-decoxy-5-hydroxy-6-[[(2R,3R,4R,5S,6R)-4- [(3R)-3-methoxydecoxy]-6-(methoxymethyl)-3-[[(Z)-octadec-l 1 -enoyl] amino] -5- phosphonatooxyoxan-2-yl]oxymethyl]-3-(3-oxotetradecanoylamino)oxan-2-yl] phosphate (eritoran), which may be provided as E5564. E5564 contains eritoran tetrasodium as an active ingredient. E5564 blocks receptor signal transduction and inhibits the release of the inflammatory cytokines IL-1 and TNF.
NI-0101 is an anti-TLR4 monoclonal antibody that binds to an epitope on TLR4 which interferes with its dimerisation required for intracellular signalling and induction of pro-inflammatory pathways. NI-0101 is a product ofNovImmune SA.
OxPAPC (1 -palmitoyl -2-arachidonyl-sn-glycero-3 -phosphorylcholine), which is an oxidized phospholipid that has been shown to inhibit the signalling induced by bacterial lipopeptide and lipopolysaccharide (LPS).
IAXO compounds such as IAXO-101 (Methyl 6-deoxy-6-N-dimethyl-N- cyclopentylammonium-2, 3-di-O-tetradecyl-a-D-glucopyranoside iodide), IAXO-102 Methyl 6-Deoxy-6-amino-2,3-di-O-tetradecyl-a-D-glucopyranoside, or IAXO-103 (N- (3,4-Bis-tetradecyloxy-benzyl)-N-cyclopentyl-N,N-dimethylammonium iodide) Compounds that target TLRs such as TLR4 are reviewed in Hennessy et al (2010) Nature Reviews Drug Discovery 9: 293-307.
Preferably the TLR4 antagonist is not LPS.
In a preferred embodiment of the invention, the TLR4 antagonist or inhibitor is a compound disclosed in WO03084527, which is herein incorporated by reference in its entirety.
In a preferred embodiment of the invention, the TLR4 antagonist or inhibitor comprises a compound represented by the formula (I):
wherein
R represents an aliphatic hydrocarbon group optionally having substituents, an aromatic hydrocarbon group optionally having substituents, a heterocyclic group optionally having substituents, a group represented by the formula: - OR1 wherein R represents a hydrogen atom or an aliphatic hydrocarbon group optionally having substituents, or a group represented by the formula:
Rlb and Rlc are the same or different and each represents a hydrogen atom or an aliphatic hydrocarbon group optionally having substituents,
R° represents a hydrogen atom or an aliphatic hydrocarbon group, or R and R° in combination form a bond, ring A1 represents a cycloalkene optionally substituted by 1 to 4 substituents selected from the group consisting of
(1) an aliphatic hydrocarbon group optionally having substituents,
(2) an aromatic hydrocarbon group optionally having substituents,
(3) a group represented by the formula: -OR11 wherein R11 represents a hydrogen atom or an aliphatic hydrocarbon group optionally having substituents and
(4) a halogen atom,
Ar represents an aromatic hydrocarbon group optionally having substituents, a group represented by the formula:
represents a group represented by the formula:
and n represents an integer of 1 to 4, or a salt thereof or a prodrug thereof, or a compound represented by the formula (II):
wherein Rl' represents an aliphatic hydrocarbon group optionally having substituents, an aromatic hydrocarbon group optionally having substituents, a heterocyclic group optionally having substituents, a group represented by the formula: -ORla' wherein Rla' represents a hydrogen atom or an aliphatic hydrocarbon group optionally having substituents, or a group represented by the formula:
wherein Rlb' and Rlc' are the same or different and each represents a hydrogen atom or an aliphatic hydrocarbon group optionally having substituents,
X represents a methylene group, NH, a sulfur atom or an oxygen atom,
Y represents a methylene group optionally having substituents or NH optionally having substituents, ring A' represents a 5- to 8-membered ring optionally having 1 to 4 substituents selected from the group consisting of (1) an aliphatic hydrocarbon group optionally having substituents, (2) an aromatic hydrocarbon group optionally having substituents, (3) a group
represented by the formula: -OR2' wherein R2' represents a hydrogen atom or an aliphatic hydrocarbon group optionally having substituents and (4) a halogen atom, Ar' represents an aromatic hydrocarbon group optionally having substituents, a group represented by the formula:
represents a group represented by the formula:
(fell (b2) s represents an integer of 0 to 2, t represents an integer of 1 to 3, and the total of s and t is not more than 4; provided that when X is a methylene group, Y represents a methylene group optionally having substituents, or a salt thereof or a prodrug thereof.
In a preferred embodiment of the invention, the compound is of the above- mentioned formula (I), wherein the formula (I) is the formula (la):
wherein Rla represents a Cl -6 alkyl, R2a represents a hydrogen atom or a C 1-6 alkyl and AC represents a phenyl group substituted by 1 or 2 halogen atoms, and the formula (II) is the formula (Ila):
wherein Rla" represents a Cl -6 alkyl, Xa represents a methylene group or an oxygen atom, Ya represents a methylene group or - NH- and AC' represents a phenyl group optionally having 1 or 2 substituents selected from a halogen atom and a Cl -6 alkoxy group.
As the "aliphatic hydrocarbon group" of the "aliphatic hydrocarbon group optionally having substituents" represented by R, R1 , R11 , Rib and Rlc and the "aliphatic hydrocarbon group" represented by RO and R2 , for example, an alkyl group, a cycloalkyl group, a cyclo alkylalkyl group, an alkenyl group, an alkynyl group, etc. are preferable.
As the alkyl group, for example, a linear or branched alkyl group having 1 to 20 carbon atoms (e.g., a methyl group, an ethyl group, an n-propyl group, an isopropyl group, an n-butyl group, an isobutyl group, a sec-butyl group, a tert-butyl group, a pentyl group, a hexyl group, a heptyl group, an octyl group, a nonyl group, a decyl group, a dodecyl group, etc.) and the like are preferable, and particularly, for example, a lower alkyl group having 1 to 6 carbon atoms (e.g., a methyl group, an ethyl group, an n-propyl group, an isopropyl group, an n-butyl group, an isobutyl group, a sec-butyl group, a tert-butyl group, etc.) and the like are preferable.
As the cycloalkyl group, for example, a cycloalkyl group having 3 to 10 carbon atoms (e.g., a cyclopropyl group, a cyclobutyl group, a cyclopentyl group, a cyclohexyl group, a cycloheptyl group, a cyclooctyl group, etc.) and the like are preferable, and particularly, for example, a cycloalkyl group having 3 to 6 carbon atoms (e.g., a
cyclopropyl group, a cyclobutyl group, a cyclopentyl group, a cyclohexyl group, etc.) and the like are preferable.
As the cycloalkylalkyl group, for example, a cycloalkylalkyl group having 4 to 12 carbon atoms (e.g., a cyclopropylmethyl group, a cyclopentylmethyl group, a cyclohexylmethyl group, a cycloheptylmethyl group, etc.) and the like are preferable, and particularly, for example, a cycloalkylalkyl group having 4 to 8 (particularly 4 to 7) carbon atoms (e.g., a cyclopropylmethyl group, a cyclopentylmethyl group, a cyclohexylmethyl group, etc.) and the like are preferable.
As the alkenyl group, for example, a lower alkenyl group having 3 to 6 carbon atoms (e.g., a propenyl group, a butenyl group, a pentenyl group, etc.) and the like are preferable, and particularly, for example, a lower alkenyl group having 3 or 4 carbon atoms (e.g., a propenyl group, a butenyl group, etc.) and the like are preferable.
As the alkynyl group, for example, a lower alkynyl group having 3 to 6 carbon atoms (e.g., a propynyl group, a butynyl group, a pentynyl group, etc.) and the like are preferable, and particularly, for example, a lower alkynyl group having 3 or 4 carbon atoms (e.g., a propynyl group, a butynyl group, etc.) and the like are preferable.
As the "substituents" of the above-mentioned "aliphatic hydrocarbon group optionally having substituents", for example, a heterocyclic group, an oxo group, a hydroxy group, a Cl -6 alkoxy group, a C3-10 (particularly C3-6 ) cycloalkyloxy group, a C6-10 aryloxy group, a C7-19 (particularly C7-12 ) aralkyloxy group, a heterocyclic-oxy group, a Cl-6 alkylthio group (sulfur atom may be oxidized), a C3-10 (particularly C3-6 ) cycloalkylthio group (sulfur atom may be oxidized), a C6-10 arylthio group (sulfur atom may be oxidized), a C7-19 (particularly C7-12 ) aralkylthio group (sulfur atom may be oxidized), a heterocyclic-thio group, a heterocyclic-sulfmyl group, a heterocyclic- sulfonyl group, a nitro group, a halogen atom, a cyano group, a carboxyl group, a Cl-10 (particularly Cl-6 ) alkoxy-carbonyl group, a C3-6 cycloalkyloxy-carbonyl group, a C6-10 aryloxy-carbonyl group, a C7-19 (particularly C7-12 ) aralkyloxy-carbonyl group, a heterocyclic-oxy-carbonyl group, a C6-10 aryl-carbonyl group, Cl-6 alkanoyl group, C3-5 alkenoyl group, a C6-10 aryl-carbonyloxy group, a C2-6 alkanoyloxy group, a C3-5 alkenoyloxy group, a carbamoyl group optionally having substituents, a thiocarbamoyl group optionally having substituents, a carbamoyloxy group optionally having substituents, a Cl-6 alkanoylamino group, a C6-10 arylcarbonylamino group, a Cl-10 (particularly Cl-
6 ) alkoxy-carboxamido group, a C6-10 aryloxy-carboxamido group, a C7-19 (particularly C7-12 ) aralkyloxy-carboxamido group, a Cl-10 (particularly Cl-6 ) alkoxy-carbonyloxy group, a C6-10 aryloxy-carbonyloxy group, a C7-19 (particularly C7-12 ) aralkyloxycarbonyloxy group, a C3-10 (particularly C3-6 ) cycloalkyloxy-carbonyloxy group, a ureido group optionally having substituents, a C6-10 aryl group optionally having substituents, etc. are used.
These substituents are substituted at substitutable positions in the above-mentioned "aliphatic hydrocarbon group", wherein the substituents are not limited to a single substituent but may be the same or different plural (preferably 2 to 4) substituents.
As the "Cl-6 alkoxy group", for example, a methoxy group, an ethoxy group, an n- propoxy group, an isopropoxy group, an n-butoxy group, a tert-butoxy group, an n- pentyloxy group, an n-hexyloxy group, etc. are used, as the "C3-10 cycloalkyloxy group", for example, a cyclopropyloxy group, a cyclohexyloxy group, etc. are used, as the "C6-10 aryloxy group", for example, a phenoxy group, a naphthyloxy group, etc. are used, as the "C7-19 aralkyloxy group", for example, a benzyloxy group, a 1 -phenyl ethyloxy group, a 2-phenylethyloxy group, a benzhydryloxy group, a 1 -naphthylmethyloxy group, etc. are used, as the "Cl-6 alkylthio group (sulfur atom may be oxidized)", for example, a methylthio group, an ethylthio group, an n-propylthio group, an n-butylthio group, a methylsulfinyl group, a methylsulfonyl group, etc. are used, as the "C3-10 cycloalkylthio group (sulfur atom may be oxidized)", for example, a cyclopropylthio group, a cyclohexylthio group, a cyclopentylsulfinyl group, a cyclohexylsulfonyl group, etc. are used, as the "C6-10 arylthio group (sulfur atom may be oxidized)", for example, a phenylthio group, a naphthylthio group, a phenylsulfinyl group, a phenylsulfonyl group, etc. are used, as the "C7-19 aralkylthio group (sulfur atom may be oxidized)", for example, a benzylthio group, a phenylethylthio group, a benzhydrylthio group, a benzylsulfinyl group, a benzylsulfonyl group, etc. are used, as the "halogen atom", a fluorine atom, a chlorine atom, a bromine atom and an iodine atom are used, as the "Cl-10 alkoxy-carbonyl group", for example, a methoxycarbonyl group, an ethoxycarbonyl group, an n- propoxycarbonyl group, an isopropoxycarbonyl group, an n-butoxycarbonyl group, an isobutoxycarbonyl group, a tert-butoxycarbonyl group, etc. are used, as the "C3-6 cycloalkyloxy-carbonyl group", for example, a cyclopropyloxycarbonyl group, a cyclopentyloxycarbonyl group, a cyclohexyloxycarbonyl group, etc. are used, as the "C6-
10 aryloxy-carbonyl group", for example, a phenoxycarbonyl group, a naphthyloxycarbonyl group, etc. are used, as the "C7-19 aralkyloxy-carbonyl group", for example, a benzyloxycarbonyl group, a benzhydryloxycarbonyl group, a 2- phenethyloxycarbonyl group, etc. are used, as the "C6-10 aryl-carbonyl group", for example, a benzoyl group, a naphthoyl group, etc. are used, as the "Cl -6 alkanoyl group", for example, a formyl group, an acetyl group, a propionyl group, a butyryl group, a valeryl group, a pivaloyl group, etc. are used, as the "C3-5 alkenoyl group", for example, an acryloyl group, a crotonoyl group, etc. are used, as the "C6-10 aryl-carbonyloxy group", for example, a benzoyloxy group, a naphthoyloxy group, etc. are used, as the "C2-6 alkanoyloxy group", for example, an acetoxy group, a propionyloxy group, a butyryloxy group, a valeryloxy group, a pivaloyloxy group, etc. are used, and as the "C3-5 alkenoyloxy group", for example, an acryloyloxy group, a crotonoyloxy group, etc. are used.
As the "carbamoyl group optionally having substituents", for example, a carbamoyl group or a cyclic-amino (e.g., pyrrolidinyl, piperidinyl, piperazinyl, morpholinyl, etc.) carbonyl group, which may be substituted by 1 or 2 substituents selected from a Cl -4 alkyl (e.g., methyl, ethyl, etc.), a phenyl, a Cl-7 acyl (e.g., acetyl, propionyl, benzoyl, etc.), a Cl-4 alkoxy-phenyl (e.g., methoxyphenyl, etc.), etc., and the like are used, and specifically, for example, a carbamoyl group, an N-methylcarbamoyl group, an N- ethylcarbamoyl group, an N,N-dimethylcarbamoyl group, an N,N-diethylcarbamoyl group, an N-phenylcarbamoyl group, an N-acetylcarbamoyl group, an N-benzoylcarbamoyl group, an N-(p-methoxyphenyl)carbamoyl group, a 1-pyrrolidinylcarbonyl group, a piperidinocarbonyl group, a 1-piperazinylcarbonyl group, a morpholinocarbonyl group, etc. are used. As the "thiocarbamoyl group optionally having substituents", for example, a thiocarbamoyl group which may be substituted by 1 or 2 substituents selected from Cl-4 alkyl (e.g., methyl, ethyl, etc.), phenyl, etc. are used, and specifically, for example, a thiocarbamoyl group, an N-methylthiocarbamoyl group, an N-phenylthiocarbamoyl group, etc. are used. As the "carbamoyloxy group optionally having substituents", for example, a carbamoyloxy group which may be substituted by 1 or 2 substituents selected from Cl-4 alkyl (e.g., methyl, ethyl, etc.), phenyl, etc. are used, and specifically, for example, a carbamoyloxy group, an N-methylcarbamoyloxy group, an N,N-dimethylcarbamoyloxy group, an N-ethylcarbamoyloxy group, an N-phenylcarbamoyloxy group, etc. are used.
As the "Cl -6 alkanoylamino group", for example, an acetamido group, a propionamido group, a butyramido group, a valeramido group, a pivalamido group, etc. are used, as the "C6-10 aryl-carbonylamino group", for example, a benzamido group, a naphthamido group, a phthalimido group, etc. are used, as the "Cl -10 alkoxy-carboxamido group", for example, a methoxycarboxamido (CH3 OCONH-) group, an ethoxycarboxamido group, a tert-butoxycarboxamido group, etc. are used, as the "C6-10 aryloxy-carboxamido group", for example, a phenoxycarboxamido (C6 H5 OCONH-) group, etc. are used, as the "C7-19 aralkyloxy-carboxamido group", for example, a benzyloxycarboxamido (C6 H5 CH2 OCONH-) group, a benzhydryloxycarboxamido group, etc. are used, as the "Cl-10 alkoxy-carbonyloxy group", for example, a methoxycarbonyloxy group, an ethoxycarbonyloxy group, an n-propoxycarbonyloxy group, an isopropoxycarbonyloxy group, an n-butoxycarbonyloxy group, a tertbutoxycarbonyloxy group, an n-pentyloxycarbonyloxy group, an n-hexyloxycarbonyloxy group, etc. are used, as the "C6-10 aryloxy-carbonyloxy group", for example, a phenoxycarbonyloxy group, a naphthyloxycarbonyloxy group, etc. are used, as the "C7-19 aralkyloxy-carbonyloxy group", for example, a benzyloxycarbonyloxy group, a 1- phenylethyloxycarbonyloxy group, a 2-phenylethyloxycarbonyloxy group, a benzhydryloxycarbonyloxy group, etc. are used, and as the "C3-10 cycloalkyloxycarbonyloxy group", for example, a cyclopropyloxycarbonyloxy group, a cyclohexyloxycarbonyloxy group, etc. are used.
As the "ureido group optionally having substituents", for example, a ureido group optionally substituted by 1 to 3 (preferably 1 or 2) substituents selected from a Cl -4 alkyl group (e.g., a methyl group, an ethyl group, etc.), a phenyl group, etc. are used, and, for example, a ureido group, a 1-methylureido group, a 3-methylureido group, a 3,3- dimethylureido group, a 1,3-dimethylureido group, a 3-phenylureido group, etc. are used.
When a heterocyclic group, a hetero cyclic-oxy group, a hetero cyclic-thio group, a heterocyclic-sulfinyl group, a hetero cyclic-sulfonyl group or a heterocyclic-oxy-carbonyl group is used as the "substituents" of the "aliphatic hydrocarbon group optionally having substituents", the heterocyclic group represents a group formed by excluding one hydrogen atom that binds to the heterocycle. It represents, for example, a 5- to 8-membered ring (preferably 5- or 6-membered ring) group containing 1 to a few, preferably 1 to 4 hetero atoms such as a nitrogen atom (optionally oxidized), an oxygen atom, a sulfur atom, etc.,
or its condensed cyclic group. As these heterocyclic groups, for example, a pyrrolyl group, a pyrazolyl group, an imidazolyl group, a 1,2,3-triazolyl group, a 1,2,4-triazolyl group, a tetrazolyl group, a furyl group, a thienyl group, an oxazolyl group, an isoxazolyl group, a
1.2.3-oxadiazolyl group, a 1,2,4-oxadiazolyl group, a 1,2,5-oxadiazolyl group, a 1,3,4- oxadiazolyl group, a thiazolyl group, an isothiazolyl group, a 1,2,3-thiadiazolyl group, a
1.2.4-thiadiazolyl group, a 1,2,5-thiadiazolyl group, a 1,3,4-thiadiazolyl group, a pyridyl group, a pyridazinyl group, a pyrimidinyl group, a pyrazinyl group, an indolyl group, a pyranyl group, a thiopyranyl group, a dioxinyl group, a dioxolyl group, a quinolyl group, a pyrido[2,3-d]pyrimidyl group, a 1,5-, 1,6-, 1,7-, 1,8-, 2,6-or 2,7-naphthyridyl group, a thieno[2,3-d]pyridyl group, a benzopyranyl group, a tetrahydrofuryl group, a tetrahydropyranyl group, a dioxolanyl group, a dioxanyl group, etc. are used.
These heterocyclic groups may be substituted at substitutable positions by 1 to 3 substituents selected from a Cl -4 alkyl (e.g., methyl, ethyl, etc.), a hydroxy, an oxo, a Cl -4 alkoxy (e.g., methoxy, ethoxy, etc.), and the like.
As the "C6-10 aryl group" of the "C6-10 aryl group optionally having substituents", for example, a phenyl group, a naphthyl group, etc. are used. The C6-10 aryl group may be substituted at a substitutable position by a substituent selected from those exemplified as the "substituent" (except for a C6-10 aryl group optionally having substituents) of the "aliphatic hydrocarbon group optionally having substituents" described above. Such substituent is not limited to a single substituent, but the same or different, more than one (preferably 2 to 4) substituents may be used.
In the "aliphatic hydrocarbon group optionally having substituents", the substituent together with the aliphatic hydrocarbon group may form an optionally substituted fused ring group, and as such fused ring group, an indanyl group, a 1,2,3,4-tetrahydronaphthyl group, etc. are used. This fused ring group may be substituted at a substitutable position by a substituent selected from those exemplified as the "substituent" of the "aliphatic hydrocarbon group optionally having substituents" described above. Such substituent is substituted at a substitutable position of the fused ring group, wherein the substituent is not limited to a single substituent, but the same or different, more than one (preferably 2 to 4) substituents may be used.
As preferable examples of the above-mentioned "aliphatic hydrocarbon group optionally having substituents" for R, R1 , R11 , Rib and Rlc , for example, a lower alkyl
group having 1 to 6 carbon atoms (e.g., a methyl group, an ethyl group, an n-propyl group, an isopropyl group, an n-butyl group, an isobutyl group, a tert-butoxycarbonylmethyl group, a hydroxyethyl group etc.) optionally having substituents, etc., are used. Of these, a methyl group, an ethyl group, an n-propyl group, an isopropyl group, an n-butyl group, an isobutyl group, etc. are preferable. For example, a methyl group, an ethyl group, an n- propyl group and the like are more preferable, and particularly, an ethyl group, etc. are preferable.
As the "aromatic hydrocarbon group" of the "aromatic hydrocarbon group optionally having substituents" represented by R, an aromatic hydrocarbon group having 6 to 14 carbon atoms (e.g., a phenyl group, a naphthyl group, an anthryl group, an indenyl group etc.) and the like are preferable, and particularly for example, an aryl group having 6 to 10 carbon atoms (e.g., phenyl, naphthyl groups etc.) and the like are preferable and, of these, a phenyl group and the like are particularly preferable.
As the "substituent" of the "aromatic hydrocarbon group optionally having substituents" represented by R, for example, a halogen atom (fluorine atom, chlorine atom, bromine atom, iodine atom), a lower (Cl -4 )alkyl group (e.g., a methyl group, an ethyl group, a propyl group, a butyl group etc.), a lower (Cl -4 )alkoxy group (e.g., a methoxy group, an ethoxy group, a propoxy group, a butoxy group etc.), a lower (C3-4 )alkoxy- carbonyl group (e.g., a methoxycarbonyl group, an ethoxycarbonyl group, a propoxycarbonyl group, a butoxycarbonyl group etc.), a carboxyl group, a nitro group, a cyano group, a hydroxyl group, an acylamino group (e.g., an alkanoylamino group having 1 to 4 carbon atoms such as an acetylamino group, a propionylamino group, a butyrylamino group and the like, etc.), a cycloalkyl group having 3 to 6 carbon atoms (e.g., a cyclopropyl group, a cyclopentyl group etc.), an aryl group having 6 to 10 carbon atoms (e.g., a phenyl group, a naphthyl group, an indenyl group etc.), a halogeno-lower (Cl-4 )alkyl group (e.g., a trifluoromethyl group, a trifluoroethyl group etc.), a halogeno-lower (Cl-4 ) alkoxy group (e.g., a trifluoromethoxy group, a 1,1, 2, 2 -tetrafluoro ethoxy group, a 2,2,3,3,3-pentafluoropropoxy group etc.), a lower (Cl-4 )alkylthio group (e.g., a methylthio group, an ethylthio group, a propylthio group etc.), a lower (Cl-4 ) alkanesulfonyl group (e.g., a methanesulfonyl group, an ethanesulfonyl group, a propanesulfonyl group etc.), a lower (Cl-4 )alkanoyl group (e.g., a formyl group, an acetyl group, a propionyl group etc.), a 5-membered aromatic heterocyclic group (e.g., a 1,2,3-
triazolyl group, a 1,2,4-triazolyl group, a tetrazolyl group, a thiazolyl group, an isothiazolyl group, an oxazolyl group, an isoxazolyl group, a thiadiazolyl group, a thienyl group, a furyl group etc.), a carbamoyl group, a lower (Cl -4 ) alkyl-carbamoyl group (e.g., a methylcarbamoyl group, a dimethylcarbamoyl group, a propylcarbamoyl group etc.), a lower (Cl-4 ) alkoxy-carbonyl-lower (Cl-4 ) alkyl-carbamoyl group (e.g., a butoxycarbonylmethylcarbamoyl group, an ethoxycarbonylmethylcarbamoyl group etc.), a 1,3-diacylguanidino-lower (Cl-4 ) alkyl group (e.g., 1,3 -diacetyl guanidino methyl, 1,3-bis- (tert-butoxycarbonyl)guanidinomethyl etc.) and the like are used, and a halogen atom (fluorine, chlorine, bromine, iodine atoms), a lower (Cl-4 ) alkyl group (e.g., a methyl group, an ethyl group, a propyl group, a butyl group etc.) and the like are preferably used, and a fluorine atom, a chlorine atom and a methyl group are more preferably used.
These substituents are substituted at substitutable positions of the aromatic hydrocarbon group, and the number of the substituents is preferably 1 to 5, more preferably 1 to 3, most preferably 1 or 2. When two or more of such substituents are present, they may be the same or different.
The "heterocyclic group" of the "heterocyclic group optionally having substituents" represented by R is, for example, a 5 to 8-membered ring (particularly 5 or 6-membered ring) group containing 1 to several, preferably 1 to 4, hetero atoms such as nitrogen atom (optionally oxidized), oxygen atom, sulfur atom and the like, and a fused ring group thereof. As such heterocyclic group, for example, pyrrolyl group, pyrazolyl group, imidazolyl group, 1,2,3-triazolyl group, 1,2,4-triazolyl group, tetrazolyl group, furyl group, thienyl group, oxazolyl group, isoxazolyl group, 1,2,3-oxadiazolyl group, 1,2,4- oxadiazolyl group, 1,2,5-oxadiazolyl group, 1,3,4-oxadiazolyl group, thiazolyl group, isothiazolyl group, 1,2,3-thiadiazolyl group, 1,2,4-thiadiazolyl group, 1,2,5-thiadiazolyl group, 1,3,4-thiadiazolyl group, pyridyl group, pyridazinyl group, pyrimidinyl group, pyrazinyl group, indolyl group, pyranyl group, thiopyranyl group, dioxinyl group, dioxolyl group, quinolyl group, pyrido[2,3-d]pyrimidyl group, 1,5-, 1,6-, 1,7-, 1,8-, 2,6- or 2,7- naphthyridinyl group, thieno[2,3-d]pyridyl group, benzopyranyl group, tetrahydrofuryl group, tetrahydropyranyl group, dioxolanyl group, dioxanyl group and the like are used.
These heterocyclic groups are optionally substituted by 1 to 3 substituents selected from Cl-4 alkyl (e.g., methyl, ethyl etc.), hydroxy, oxo, Cl-4 alkoxy (e.g., methoxy, ethoxy etc.) and the like at substitutable positions.
As the "aromatic hydrocarbon group" of the "aromatic hydrocarbon group optionally having substituents" represented by Ar, an aromatic hydrocarbon group having 6 to 14 carbon atoms (e.g., a phenyl group, a naphthyl group, an anthryl group, an indenyl group etc.) and the like are preferable, and particularly for example, an aryl group having 6 to 10 carbon atoms (e.g., phenyl, naphthyl groups etc.) and the like are preferable and, of these, a phenyl group and the like are particularly preferable.
As the "substituent" of the "aromatic hydrocarbon group optionally having substituents" represented by Ar and Ara , for example, a halogen atom (fluorine, chlorine, bromine, iodine atoms), a lower (Cl-4 ) alkyl group (e.g., a methyl group, an ethyl group, a propyl group, an isopropyl group, a butyl group etc.), a lower (Cl-4 ) alkoxy group (e.g., a methoxy group, an ethoxy group, a propoxy group, a butoxy group etc.), a lower (Cl-4 ) alkoxy-carbonyl group (e.g., a methoxycarbonyl group, an ethoxycarbonyl group, a propoxycarbonyl group, a butoxycarbonyl group etc.), a carboxyl group, a nitro group, a cyano group, a hydroxyl group, an acylamino group (e.g., an alkanoylamino group having 1 to 4 carbon atoms such as an acetylamino group, a propionylamino group, a butyrylamino group and the like, etc.), a cycloalkyl group having 3 to 6 carbon atoms (e.g., a cyclopropyl group, a cyclopentyl group etc.), an aryl group having 6 to 10 carbon atoms (e.g., a phenyl group, a naphthyl group, an indenyl group etc.), a halogeno-lower (Cl-4 ) alkyl group (e.g., a trifluoromethyl group, a trifluoroethyl group etc.), a halogeno-lower (Cl-4 ) alkoxy group (e.g., a trifluoromethoxy group, a 1,1, 2, 2 -tetrafluoro ethoxy group, a 2,2,3,3,3-pentafluoropropoxy group etc.), a lower (Cl-4 ) alkylthio group (e.g., a methylthio group, an ethylthio group, a propylthio group etc.), a lower (Cl-4 ) alkanesulfonyl group (e.g., a methanesulfonyl group, an ethanesulfonyl group, a propanesulfonyl group etc.), a lower (Cl-4 ) alkanoyl group (e.g., a formyl group, an acetyl group, a propionyl group etc.), a 5-membered aromatic heterocyclic group (e.g., a 1,2,3- triazolyl group, a 1,2,4-triazolyl group, a tetrazolyl group, a thiazolyl group, an isothiazolyl group, an oxazolyl group, an isoxazolyl group, a thiadiazolyl group, a thienyl group, a furyl group etc.), a carbamoyl group, a lower (Cl-4 ) alkyl-carbamoyl group (e.g., a methylcarbamoyl group, a dimethylcarbamoyl group, a propionylcarbamoyl group etc.), a lower (Cl-4 ) alkoxy-carbonyl-lower (C3-4 ) alkyl-carbamoyl group (e.g., a butoxycarbonylmethylcarbamoyl group, a tert-butoxycarbonylmethylcarbamoyl group, an ethoxycarbonylmethylcarbamoyl group etc.), a 1,3 -diacyl guanidino-lower (Cl-4 ) alkyl
group (e.g., 1,3 -diacetyl guanidinomethyl, l,3-bis-(tert-butoxycarbonyl)guanidinomethyl etc.) and the like are used, and a halogen atom (fluorine, chlorine, bromine, iodine atoms), a lower (Cl-4 ) alkyl group (e.g., a methyl group, an ethyl group, a propyl group, a butyl group etc.) and the like are preferably used, and a fluorine atom, a chlorine atom and a methyl group are more preferably used.
These substituents are substituted at substitutable positions of the aromatic hydrocarbon group, and the number of the substituents is preferably 1 to 5, more preferably 1 to 3, most preferably 1 or 2. When two or more of such substituents are present, they may be the same or different.
Typically, as Ar, for example, a phenyl group, a halogenophenyl group, a lower (Cl-4 ) alkylphenyl group, a lower (Cl-4 ) alkoxyphenyl group, a lower (Cl-4 ) alkoxycarbonylphenyl group, a carboxylphenyl group, a nitrophenyl group, a cyanophenyl group, a halogeno-lower (Cl-4 ) alkylphenyl group, a halogeno-lower (Cl-4 ) alkoxyphenyl group, a lower (Cl-4 ) alkanoyl phenyl group, a 5 -membered aromatic heterocyclesubstituted phenyl group, a lower (Cl-4 ) alkoxy-carbonyl-lower (Cl-4 ) alkylcarbamoylphenyl group, 1,3-diacylguanidino-lower (Cl -9 ) alkylphenyl group, a halogen- and lower (Cl-4 ) alkyl-substituted phenyl group, a halogen- and lower (Cl-4 ) alkoxycarbonyl-substituted phenyl group, a halogen- and cyano-substituted phenyl group, a halogen- and 5-membered aromatic heterocycle-substituted phenyl group, a halogen- and lower (Cl-4 ) alkoxy-carbonyl-lower (Cl-4 ) alkyl-carbamoyl-substituted phenyl group and the like are used.
As Ar, a phenyl group optionally having substituents is preferable. Of these, a halogenophenyl group, a lower (Cl -4 ) alkylphenyl group, a halogen- and lower (Cl-4 ) alkoxycarbonyl-substituted phenyl group, a halogen- and lower (Cl -4 ) alkyl-substituted phenyl group and the like are preferably used.
As Ar, a group represented by the formula:
wherein R4 and R5 are the same or different and each represents a halogen atom or a lower (Cl -4 ) alkyl group, and n is an integer of 0 to 2, is more preferable, in which a group wherein at least one of R4 and R5 is a halogen atom is still more preferable.
As the halogen atom represented by R4 and R5 , a fluorine atom or a chlorine atom is preferable.
As the halogenophenyl group, for example, a 2,3-difluorophenyl group, a 2,3- dichlorophenyl group, a 2,4-difluorophenyl group, a 2,4-dichlorophenyl group, a 2,5- difluorophenyl group, a 2, 5 -dichlorophenyl group, a 2,6-difluorophenyl group, a 2,6- dichlorophenyl group, a 3,4-difluorophenyl group, a 3,4-dichlorophenyl group, a 3,5- difluorophenyl group, a 3, 5 -dichlorophenyl group, a 2-fluorophenyl group, a 2- chlorophenyl group, a 3 -fluorophenyl group, a 3 -chlorophenyl group, a 4-fluorophenyl group, a 4-chlorophenyl group, a 4-chloro-2-fluorophenyl group, a 2-chloro-4- fluorophenyl group, a 4-bromo-2-fluorophenyl group, a 2,3,4-trifluorophenyl group, a 2,4,5-trifluorophenyl group, a 2,4,6-trifluorophenyl and the like are used.
As the lower (Cl -4 ) alkylphenyl group, for example, a 2-ethylphenyl group, a 2,6- diisopropylphenyl group and the like are preferably used, and as the lower (Cl -4 ) alkoxyphenyl group, for example, a 4-methoxyphenyl and the like are preferably used.
As the lower (Cl -4 ) alkoxy-carbonylphenyl group, for example, a 2- ethoxycarbonylphenyl group, a 2-methoxycarbonylphenyl group, a 4- methoxycarbonylphenyl group and the like are preferably used, and as the halogeno-lower (Cl -4 ) alkylphenyl group, for example, a 2-trifluoromethylphenyl group and the like are preferably used, and as the halogeno-lower (Cl -4 ) alkoxyphenyl group, for example, a 2- trifluoromethoxyphenyl group, a 4-(2,2,3,3,3-pentafluoropropoxy)phenyl group and the like are preferably used.
As the lower (Cl -4) alkanoylphenyl group, for example, a 2-acetylphenyl group and the like are preferably used, and as the 5 -membered aromatic heterocycle-substituted phenyl group, for example, a 4-(2H-l,2,3-triazol-2-yl)phenyl group, a 4-(2H-tetrazol-2- yl)phenyl group, a 4-(lH-tetrazol-l-yl)phenyl group, a 4-(lH-l,2,3-triazol-l-yl)phenyl group and the like are preferably used, and as the lower (Cl -4 ) alkoxy-carbonyl-lower (Cl -4 ) alkyl-carbamoylphenyl group, for example, a 4-(N- ethoxycarbonylmethylcarbamoyl)phenyl group and the like are preferably used, and as the
1,3-diacylguanidino-lower (Cl -4 ) alkylphenyl group, for example, a 4-(l,3-bis-tert- butoxycarbonylguanidinomethyl)phenyl group and the like are preferably used.
As the phenyl group substituted by halogen atom and lower (Cl -4 ) alkyl group, for example, a 2-fluoro-4-methylphenyl group, a 2-chloro-4-methylphenyl group, a 4-fluoro-2- methylphenyl group and the like are preferably used, and as the phenyl group substituted by halogen atom and lower (Cl -4 ) alkoxy-carbonyl group, for example, a 2-chloro-4- methoxycarbonylphenyl group and the like are preferably used, and the phenyl group substituted by halogen atom and cyano group, a 2-chloro-4-cyanophenyl group and the like are preferably used, and as the phenyl group substituted by halogen atom and 5-membered aromatic heterocyclic group, for example, a 2-fluoro-4-(lH-l,2,4-triazol-l-yl)phenyl group and the like are preferably used, and as the phenyl group substituted by halogen atom and lower (Cl -4 ) alkoxy-carbonyl-lower (Cl -4 ) alkyl-carbamoyl group, for example, a 2- chloro-4-(N-tert-butoxycarbonylmethylcarbamoyl)phenyl group, a 2-chloro-4-(N- ethoxycarbonylmethylcarbamoyl)phenyl group and the like are preferably used.
More specifically, as Ar, a phenyl group, a phenyl group substituted by 1 to 3 (particularly 1 or 2) halogen atoms (e.g., a 2,3-difluorophenyl group, a 2,3-dichlorophenyl group, a 2,4-difluorophenyl group, a 2,4-dichlorophenyl group, a 2, 5 -difluorophenyl group, a 2,5-dichlorophenyl group, a 2,6-difluorophenyl group, a 2,6-dichlorophenyl group, a 3,4- difluorophenyl group, a 3,4-dichlorophenyl group, a 3, 5 -difluorophenyl group, a 3,5- dichlorophenyl group, a 4-bromo-2-fluorophenyl group, a 2-fluorophenyl group, a 2- chlorophenyl group, a 3 -fluorophenyl group, a 3 -chlorophenyl group, a 4-fluorophenyl group, a 4-chlorophenyl group, a 2-fluoro-4-chlorophenyl group, a 2-chloro-4- fluorophenyl group, a 2,3,4-trifhiorophenyl group, a 2, 4, 5 -trifluorophenyl group etc.), a phenyl group substituted by halogen atom and lower (Cl -4 ) alkyl group (e.g., a 2-chloro- 4-methylphenyl group, a 4-fluoro-2-methylphenyl group etc.), etc. are particularly preferable. Of these, a phenyl group substituted by 1 to 3 (particularly 1 or 2) halogen atoms (e.g., a 2,3-dichlorophenyl group, a 2,4-difluorophenyl group, a 2,4-dichlorophenyl group, a 2,6-dichlorophenyl group, a 2-fluorophenyl group, a 2-chlorophenyl group, a 3- chlorophenyl group, a 2-chloro-4-fluorophenyl group, a 2,4,5-trifluorophenyl group etc.), a phenyl group substituted by halogen atom and lower (Cl -4 ) alkyl group (e.g., a 2-chloro- 4-methylphenyl group, a 4-fluoro-2-methylphenyl group etc.), etc. are preferable. Particularly, a 2,4-difluorophenyl group, a 2-chlorophenyl group, a 2-chloro-4-
fluorophenyl group, a 2-chloro-4-methylphenyl group and the like are preferable, and a 2,4-difluorophenyl group, a 2-chloro-4-fluorophenyl group and the like are preferable.
In this specification, the ring Al represents a cycloalkene optionally substituted by 1 to 4 substituents selected from (i) an aliphatic hydrocarbon group optionally having substituents, (ii) an aromatic hydrocarbon group optionally having substituents, (iii) a group represented by the formula -OR11 (wherein R11 is a hydrogen atom or an aliphatic hydrocarbon group optionally having substituents) and (iv) a halogen atom, and a cycloalkene optionally substituted by 1 to 4 substituents selected from (i) an aliphatic hydrocarbon group optionally having substituents, (ii) an aromatic hydrocarbon group optionally having substituents and (iv) a halogen atom is preferable.
These substituents (i) - (iv) are substituted on substitutable carbon atoms in the ring Al , and when the ring Al is substituted by two or more of such substituents, the substituents may be the same or different. A single carbon atom may be substituted by two substituents, and different carbon atoms may be substituted by two or more substituents.
As the "aliphatic hydrocarbon group optionally having substituents" as a substituent on the ring Al ,for example, the same substituents as those of the "aliphatic hydrocarbon group optionally having substituents" represented by R and the like described above may be used.
As the "aromatic hydrocarbon group optionally having substituents" as a substituent on the ring Al , for example, the same substituents as those of the "aromatic hydrocarbon group optionally having substituents" represented by Ar described above may be used.
As the "heterocyclic group optionally having substituents" as a substituent on the ring Al , for example, those similar to the "heterocyclic group" which is a "substituent" on the "aliphatic hydrocarbon group optionally having substituents" represented by R and the like described above may be used.
As the substituents for the ring Al , 1 or 2 Cl-6 alkyl groups (e.g., a Cl-4 alkyl group such as a methyl group, a tert-butyl group, etc.), a phenyl group, a halogen atom (fluorine, chlorine, bromine, iodine atoms), etc. are preferably used.
As the integer of 1 to 4 represented by n, 1 to 3 is preferable, and 2 is particularly preferable.
As the compound represented by the formula (I), the compound represented by the formula (la):
wherein Ria represents a Cl -6 alkyl, R2a represents a hydrogen atom or a Cl -6 alkyl and Ara represents a phenyl group substituted by 1 or 2 halogen atoms is preferable.
In a preferred embodiment of the invention, the TLR4 antagonist or inhibitor compound according to the formulae above is Ethyl (6R)-6-[N-(2-chloro-4- fluorophenyl)sulfamoyl] cyclohex- 1-ene-l -carboxylate (TAK-242 ).
The TLR4 antagonist may be a molecule that is capable of binding to and preventing or disrupting the activity of TLR4.
Accordingly, one group of TLR4 antagonists for use in accordance with this invention are anti-TLR4 antibodies. Such an antibody may be monoclonal or polyclonal or may be an antigen-binding fragment thereof. For example, an antigen-binding fragment may be or comprise a F(ab)2, Fab or Fv fragment, i.e. a fragment of the “variable” region of the antibody, which comprises the antigen binding site. An antibody or fragment thereof may be a single chain antibody, a chimeric antibody, a CDR grafted antibody or a humanised antibody.
An antibody may be directed to the TLR4 molecule, i.e. it may bind to epitopes present on TLR4 and thus bind selectively and/or specifically to TLR4. An antibody may be directed to another molecule that is involved in the expression and/or activity of TLR4. For example, a polyclonal antibody may be produced which has a broad spectrum effect against one or more epitopes on TLR4 and/or one or more other molecules that are involved in the expression and/or activity of TLR4.
Antibodies can be produced by any suitable method. Means for preparing and characterising antibodies are well known in the art, see for example Harlow and Lane
(1988) “Antibodies: A Laboratory Manual”, Cold Spring Harbor Laboratory Press, Cold Spring Harbor, NY. For example, an antibody may be produced by raising antibody in a host animal against the whole polypeptide or a fragment thereof, for example an antigenic epitope thereof, herein after the “immunogen”.
An antibody, or other compound, “specifically binds” to a molecule when it binds with preferential or high affinity to the molecule for which it is specific but does substantially bind not bind or binds with only low affinity to other molecules. A variety of protocols for competitive binding or immunoradiometric assays to determine the specific binding capability of an antibody are well known in the art (see for example Maddox et al, J. Exp. Med. 158, 1211-1226, 1993). Such immunoassays typically involve the formation of complexes between the specific protein and its antibody and the measurement of complex formation.
The TLR4 antagonist may be an antisense oligonucleotide, such as an antisense oligonucleotide against the gene encoding a TLR4 protein. The term “antisense oligonucleotide” as used herein means a nucleotide sequence that is complementary to the mRNA for a desired gene. Such an antisense oligonucleotide may selectively hybridise with the desired gene. In the context of the present invention, the desired gene may be the gene encoding TLR4.
The TLR4 antagonist may modulate expression of the TLR4 gene. For example, the TLR4 antagonist may be a short interfering nucleic acid (siRNA) molecule, double stranded RNA (dsRNA), micro RNA, deoxyribose nucleic acid interference (DNAi) or short hairpin RNA (shRNA) molecule.
The term “selectively hybridise” as used herein refers to the ability of a nucleic acid to bind detectably and specifically to a second nucleic acid. Oligonucleotides selectively hybridise to target nucleic acid strands under hybridisation and wash conditions that minimise appreciable amounts of detectable binding to non-specific nucleic acids. High stringency conditions can be used to achieve selective hybridisation conditions as known in the art. Typically, hybridisation and washing conditions are performed at high stringency according to conventional hybridisation procedures. Washing conditions are typically 1- 3xSSC, 0.1-1% SDS, 50-70°C. with a change of wash solution after about 5-30 minutes. The TLR4 antagonist may be a nucleic acid molecule such as an antisense molecule or an aptamer. The nucleic acid molecule may bind a specific target molecule.
Aptamers can be engineered completely in vitro, are readily produced by chemical synthesis, possess desirable storage properties, and elicit little or no immunogenicity in therapeutic applications. These characteristics make them particularly useful in pharmaceutical and therapeutic utilities.
The terms “nucleic acid molecule” and “polynucleotide” are used interchangeably herein and refer to a polymeric form of nucleotides of any length, either deoxyribonucleotides or ribonucleotides, or analogs thereof. A nucleic acid may comprise conventional bases, sugar residues and inter- nucleotide linkages, but may also comprise modified bases, modified sugar residues or modified linkages. A nucleic acid molecule may be single stranded or double stranded.
In general, aptamers may comprise oligonucleotides that are at least 5, at least 10 or at least 15 nucleotides in length. Aptamers may comprise sequences that are up to 40, up to 60 or up to 100 or more nucleotides in length. For example, aptamers may be from 5 to 100 nucleotides, from 10 to 40 nucleotides, or from 15 to 40 nucleotides in length. Where possible, aptamers of shorter length are preferred as these will often lead to less interference by other molecules or materials.
Aptamers may be generated using routine methods such as the Systematic Evolution of Ligands by EXonential enrichment (SELEX) procedure. SELEX is a method for the in vitro evolution of nucleic acid molecules with highly specific binding to target molecules. It is described in, for example, US 5,654,151, US 5,503,978, US 5,567,588 and WO 96/38579. The SELEX method involves the selection of nucleic acid aptamers and in particular single stranded nucleic acids capable of binding to a desired target, from a collection of oligonucleotides. A collection of single-stranded nucleic acids (e.g., DNA, RNA, or variants thereof) is contacted with a target, under conditions favourable for binding, those nucleic acids which are bound to targets in the mixture are separated from those which do not bind, the nucleic acid-target complexes are dissociated, those nucleic acids which had bound to the target are amplified to yield a collection or library which is enriched in nucleic acids having the desired binding activity, and then this series of steps is repeated as necessary to produce a library of nucleic acids (aptamers) having specific binding affinity for the relevant target.
Any of the antagonists described herein may therefore be used to antagonise TLR4, i.e. to decrease the amount of TLR4 that is present, and/or the activity or the function of
the TLR4. In one embodiment, these antagonising effects take place in the liver and/or kidney and/or brain.
An antagonist of TLR4 may be an agent that decreases the production of endogenous TLR4. For example, the agent may act within the cells of the subject to inhibit or prevent the expression of TLR4. Such an agent may be a transcription factor or enhancer that acts on the TLR4 gene to inhibit or prevent gene expression.
In one embodiment, the antagonist of TLR4 is an agent capable of reducing injury and/or organ dysfunction caused by administration of a hepatotoxin, such as acetaminophen. For example, this ability may be tested in a suitable animal model, such as a non-human animal (e.g. a mouse or rat), that is treated with such a hepatotoxin. The effects of the potential TLR4 antagonist on such an animal may be assessed. The TLR4 antagonist may be administered prior to, at the same time as, or after, administration of the hepatotoxin to the animal. The effects of the hepatotoxin in the presence of the antagonist may be compared to the effects of the hepatotoxin in the absence of the TLR4 antagonist, for example in a vehicle-treated animal. A suitable TLR4 antagonist for use in accordance with the present invention may reduce injury or organ dysfunction in the animal compared to that seen in the absence of the TLR4 antagonist. This reduced injury or dysfunction may be characterised using any of the criteria discussed further herein, such as a reduction in liver enzymes, a reduction in plasma creatinine and/or ammonia levels, an alteration in inflammatory modulator levels such as levels of NFKB or TNFa, a reduction in the level of interleukin la in the liver, a decrease in brain water, a decrease in tissue damage in the organ, or other characteristics of injury or organ dysfunction that would be expected to result from treatment with a hepatotoxin. The organ may be, for example, the liver, the kidney, the heart and/or the brain. A suitable TLR4 antagonist would be expected to have such improved effects compared with the effects that are seen with administration the hepatotoxin in the absence of the TLR4 antagonist.
Pharmaceutical formulations of TLR4 antagonists
A suitable TLR4 antagonist as described herein is typically formulated for administration with a pharmaceutically acceptable carrier or diluent. The antagonist may be any antagonist as defined herein. The antagonist may thus be formulated as a medicament with a standard pharmaceutically acceptable carrier(s) and/or excipient(s) as is
routine in the pharmaceutical art. The exact nature of the formulation will depend upon several factors including the desired route of administration. Typically, the antagonist may be formulated for oral, intravenous, intragastric, intravascular or intraperitoneal administration.
The pharmaceutical carrier or diluent may be, for example, an isotonic solution such as physiological saline. Solid oral forms may contain, together with the active compound, diluents, e.g. lactose, dextrose, saccharose, cellulose, com starch or potato starch; lubricants, e.g. silica, talc, stearic acid, magnesium or calcium stearate, and/or polyethylene glycols; binding agents; e.g. starches, gum arabic, gelatin, methylcellulose, carboxymethylcellulose or polyvinyl pyrrolidone; disaggregating agents, e.g. starch, alginic acid, alginates or sodium starch glycolate; effervescing mixtures; dyestuffs; sweeteners; wetting agents, such as lecithin, polysorbates, laurylsulphates; and, in general, non-toxic and pharmacologically inactive substances used in pharmaceutical formulations. Such pharmaceutical preparations may be manufactured in known manner, for example, by means of mixing, granulating, tabletting, sugar-coating, or film-coating processes.
Liquid dispersions for oral administration may be syrups, emulsions or suspensions. The syrups may contain as carriers, for example, saccharose or saccharose with glycerine and/or mannitol and/or sorbitol.
Suspensions and emulsions may contain as carrier, for example a natural gum, agar, sodium alginate, pectin, methylcellulose, carboxymethylcellulose, or polyvinyl alcohol. The suspensions or solutions for intramuscular injections may contain, together with ornithine and at least one of phenylacetate and phenylbutyrate, a pharmaceutically acceptable carrier, e.g. sterile water, olive oil, ethyl oleate, glycols, e.g. propylene glycol, and if desired, a suitable amount of lidocaine hydrochloride.
Where the antagonist to be administered is a nucleic acid molecule, for example where the antagonist is in the form of an expression vector, certain facilitators of nucleic acid uptake and/or expression (“transfection facilitating agents”) can also be included in the compositions, for example, facilitators such as bupivacaine, cardiotoxin and sucrose, and transfection facilitating vehicles such as liposomal or lipid preparations that are routinely used to deliver nucleic acid molecules.
A pharmaceutical formulation in accordance with the present invention may further comprise one or more additional therapeutic agents. For example, the formulation may
comprise one or more TLR4 antagonists as defined herein. The formulation may comprise one or more TLR4 antagonists as described herein and also one or more additional therapeutic agents. Preferably the additional therapeutic agent(s) are agents which will assist in the treatment or prevention of the disease or condition in the subject to be treated. For example, one or more agents that are effective at treating or preventing mitochondrial dysfunction or cancer may be administered as part of a formulation as described herein. One or more agents that are effective at treating or preventing a mitochondrial dysfunction or cancer or a symptom of a mitochondrial dysfunction or cancer in the subject may be administered as part of a formulation as described herein.
Diseases to be treated
In therapeutic applications, agents are administered to a subject already suffering from a disorder or condition, in an amount sufficient to cure, alleviate or partially arrest the condition or one or more of its symptoms. Such therapeutic treatment may result in a decrease in severity of disease symptoms, or an increase in frequency or duration of symptom-free periods. An amount adequate to accomplish this is defined as "therapeutically effective amount”. Effective amounts for a given purpose will depend on the severity of the disease or injury as well as the weight and general state of the subject. As used herein, the term "subject" includes any human.
The present invention provides methods for the treatment or prevention of disease in a subject comprising administering to the subject a therapeutically effective amount of the agent or agents as described herein.
The present invention provides methods for the treatment or prevention of disease in a subject comprising administering to the subject a therapeutically effective amount of the combination as described herein.
The present invention provides methods for the treatment or prevention of liver disease, acute liver failure, acute-on-chronic failure (ACLF), mitochondrial dysfunction, Hepatic Encephalopathy (HE), a urea cycle enzyme disorder, a disease associated with urea cycle enzyme abnormalities, maintenance of memory T-cell function, portal hypertension, sarcopenia, fibrosis or cancer in a subject comprising administering to the subject a therapeutically effective amount of the combination as described herein.
The subject or individual to be treated may be suffering from cirrhosis, such as alcoholic cirrhosis. The individual to be treated may be suffering from liver failure. The individual to be treated may be suffering from paracetamol overdose. The individual may be suffering from hepatorenal syndrome (HRS). The individual may be suffering from, or at risk of one or more of the following, when compared to a subject not suffering from liver disease: renal dysfunction; renal failure; HRS; brain dysfunction and brain swelling; increased plasma creatinine; increased plasma ammonia; increased liver enzyme concentrations; increased inflammation, injury or dysfunction in the liver and/or kidney and/or brain and/or blood circulation; liver tissue damage resulting from liver failure; acute liver failure, alcoholic hepatitis, and/or reperfusion injury of the liver. In a preferred embodiment, the individual is suffering from ACLF. In a preferred embodiment, the individual is suffering from ALF. In a preferred embodiment, the individual is suffering from alcoholic hepatitis (AH). In a preferred embodiment, the individual is suffering from nonalcoholic fatty liver disease (NAFLD) or nonalcoholic steatohepatitis (NASH). The individual suffering from AH, NAFLD or NASH may also be suffering from ACLF.
The present invention provides methods for the treatment or prevention of hyperammonaemia in a subject comprising administering to the subject a therapeutically effective amount of the combination as described herein.
The present invention provides methods for the treatment or prevention of liver disease in a subject comprising administering to the subject a therapeutically effective amount of the combination as described herein.
The present invention provides methods for the treatment or prevention of acute liver failure in a subject comprising administering to the subject a therapeutically effective amount of the combination as described herein.
The present invention provides methods for the treatment or prevention of acute on chronic liver failure in a subject comprising administering to the subject a therapeutically effective amount of the combination as described herein.
The present invention provides the combination descried herein for use in a method for the treatment or prevention of hyperammonaemia in a subject comprising administering to the subject a therapeutically effective amount of the combination as described herein.
The present invention provides the combination descried herein for use in a method for the treatment or prevention of liver disease in a subject comprising administering to the subject a therapeutically effective amount of the combination as described herein.
The present invention provides the combination descried herein for use in a method for the treatment or prevention of acute liver failure in a subject comprising administering to the subject a therapeutically effective amount of the combination as described herein.
The present invention provides the combination descried herein for use in a method for the treatment or prevention of acute on chronic liver failure in a subject comprising administering to the subject a therapeutically effective amount of the combination as described herein.
The present invention provides the combination descried herein for use in the manufacture of a medicament for the treatment or prevention of hyperammonaemia in a subject comprising administering to the subject a therapeutically effective amount of the combination as described herein.
The present invention provides the combination descried herein for use in the manufacture of a medicament for the treatment or prevention of liver disease in a subject comprising administering to the subject a therapeutically effective amount of the combination as described herein.
The present invention provides the combination descried herein for use in the manufacture of a medicament for the treatment or prevention of acute liver failure in a subject comprising administering to the subject a therapeutically effective amount of the combination as described herein.
The present invention provides the combination descried herein for use for use in the manufacture of a medicament for the treatment or prevention of acute on chronic liver failure in a subject comprising administering to the subject a therapeutically effective amount of the combination as described herein.
The present invention provides methods for the treatment or prevention of mitochondrial dysfunction in a subject comprising administering to the subject a therapeutically effective amount of the agent or agents as described herein. In a preferred embodiment, the mitochondrial dysfunction is a mitochondrial hepatopathy. In a preferred embodiment, the mitochondrial hepatopathy is an inherited mitochondrial hepatopathy or an acquired mitochondrial hepatopathy. In a preferred embodiment, the mitochondrial
dysfunction/ hepatopathy is characterized by a urea cycle enzyme disorder (UCD), impaired urea cycle function, impaired mitochondrial beta-oxidation, impaired Krebs cycle, increased polyamine, pyrimidine and/or purine synthesis pathways, downregulation of urea cycle enzymes (UCE)s, upregulation of ammonia lyases-related pathways, downregulation of pathways related to transmembrane transport of citrate, upregulation of lactate dehydrogenase (LDH)-related pathways, downregulation of pathways related to negative regulation of oxidative stress and/or upregulation of pathways related to positive regulation of oxidative stress.
The present invention provides methods for the treatment or prevention of mitochondrial dysfunction in a subject comprising administering to the subject a therapeutically effective amount of the combination as described herein. In a preferred embodiment, the mitochondrial dysfunction is a mitochondrial hepatopathy. In a preferred embodiment, the mitochondrial hepatopathy is an inherited mitochondrial hepatopathy or an acquired mitochondrial hepatopathy. In a preferred embodiment, the mitochondrial dysfunction/ hepatopathy is characterized by a urea cycle enzyme disorder (UCD), impaired urea cycle function, impaired mitochondrial beta-oxidation, impaired Krebs cycle, increased polyamine, pyrimidine and/or purine synthesis pathways, downregulation of urea cycle enzymes (UCE)s, upregulation of ammonia lyases-related pathways, downregulation of pathways related to transmembrane transport of citrate, upregulation of lactate dehydrogenase (LDH)-related pathways, downregulation of pathways related to negative regulation of oxidative stress and/or upregulation of pathways related to positive regulation of oxidative stress.
In a preferred embodiment, the combination normalizes/ upregulates/ restores UCE expression, reduces plasma ammonia levels and recover LPS-induced downregulation of UCE genes and/or reduces plasma ammonia levels and ROS production.
In a preferred embodiment, the combination treats or prevents mitochondrial dysfunction by normalizing/ upregulating/ restoring UCE expression, reducing plasma ammonia levels and recovering LPS-induced downregulation of UCE genes and/or reducing plasma ammonia levels and ROS production.
In a preferred embodiment, the acquired mitochondrial hepatopathy is selected from the group consisting of valproate toxicity, Reyes syndrome and Ac Fatty liver of pregnancy.
The present invention provides methods for the treatment or prevention of cancer in a subject comprising administering to the subject a therapeutically effective amount of the agent or agents as described herein. In a preferred embodiment, the cancer is selected from the group consisting of liver cancer or extrahepatic cancer. In a preferred embodiment, the cancer is characterised by mitochondrial dysfunction. In a preferred embodiment, the cancer is characterised by mitochondrial hepatopathy.
The present invention provides methods for the treatment or prevention of cancer in a subject comprising administering to the subject a therapeutically effective amount of a combination as described herein. In a preferred embodiment, the cancer is selected from the group consisting of liver cancer or extrahepatic cancer. In a preferred embodiment, the cancer is characterised by mitochondrial dysfunction. In a preferred embodiment, the cancer is characterised by mitochondrial hepatopathy.
In a preferred embodiment, the mitochondrial dysfunction/ hepatopathy is characterized by a urea cycle enzyme disorder (UCD), impaired urea cycle function, impaired mitochondrial beta-oxidation, impaired Krebs cycle, increased polyamine, pyrimidine and/or purine synthesis pathways, downregulation of UCEs, upregulation of ammonia lyases-related pathways, downregulation of pathways related to transmembrane transport of citrate, upregulation of lactate dehydrogenase (LDH)-related pathways, downregulation of pathways related to negative regulation of oxidative stress and/or upregulation of pathways related to positive regulation of oxidative stress.
In a preferred embodiment, the combination normalizes/ upregulates/ restores UCE expression, reduces plasma ammonia levels and recover LPS-induced downregulation of UCE genes and/or reduces plasma ammonia levels and ROS production.
In a preferred embodiment, the combination treats or prevents cancer by normalizing/ upregulating/ restoring UCE expression, reducing plasma ammonia levels and recovering LPS-induced downregulation of UCE genes and/or reducing plasma ammonia levels and ROS production.
The present invention also encompasses a combination as described herein for use in a method of treatment of prevention of mitochondrial dysfunction as described herein.
The present invention also encompasses a combination as described herein for use in a method of treatment of prevention of cancer as described herein.
The present invention also encompasses a combination as described herein for use in the manufacture of a medicament for the treatment or prevention of mitochondrial dysfunction as described herein.
The present invention also encompasses a combination as described herein for use in the manufacture of a medicament for the treatment or prevention of cancer as described herein.
The present invention provides methods for the treatment or prevention of neuro inflammation in a subject comprising administering to the subject a therapeutically effective amount of a combination as described herein. In a preferred embodiment, the neuroinflammation is characterised by mitochondrial dysfunction. In a preferred embodiment, the neuroinflammation is characterised by mitochondrial hepatopathy.
In a preferred embodiment, the mitochondrial dysfunction/ hepatopathy is characterized by a urea cycle enzyme disorder (UCD), impaired urea cycle function, impaired mitochondrial beta-oxidation, impaired Krebs cycle, increased polyamine, pyrimidine and/or purine synthesis pathways, downregulation of UCEs, upregulation of ammonia lyases-related pathways, downregulation of pathways related to transmembrane transport of citrate, upregulation of lactate dehydrogenase (LDH)-related pathways, downregulation of pathways related to negative regulation of oxidative stress and/or upregulation of pathways related to positive regulation of oxidative stress.
In a preferred embodiment, the combination normalizes/ upregulates/ restores UCE expression, reduces plasma ammonia levels and recover LPS-induced downregulation of UCE genes and/or reduces plasma ammonia levels and ROS production.
In a preferred embodiment, the combination treats or prevents neuroinflammation by normalizing/ upregulating/ restoring UCE expression, reducing plasma ammonia levels and recovering LPS-induced downregulation of UCE genes and/or reducing plasma ammonia levels and ROS production.
The present invention also encompasses a combination as described herein for use in a method of treatment of prevention of neuroinflammation as described herein.
The present invention also encompasses a combination as described herein for use in the manufacture of a medicament for the treatment or prevention of neuroinflammation as described herein.
The diseases to be treated or prevented described herein may be treated or prevented by the administration of a pharmaceutical composition of the invention comprising ornithine phenylacetate, or a pharmaceutically acceptable salt thereof and the TLR4 antagonist.
The diseases to be treated or prevented described herein may be treated or prevented by the administration of a pharmaceutical composition of the invention comprising ornithine phenylacetate, or a pharmaceutically acceptable salt thereof and a pharmaceutical composition of the invention comprising a TLR4 antagonist.
The subject to be treated may be any individual who is susceptible to mitochondrial dysfunction or cancer. The subject may be male or female.
The subject to be treated may be a human. The subject to be treated may be a nonhuman animal. The subject to be treated may be a farm animal for example, a cow or bull, sheep, pig, ox, goat or horse or may be a domestic animal such as a dog or cat. The subject may or may not be an animal model for liver disease. The animal may be any age, but will often be a mature adult subject.
Examples
The following Examples illustrate the invention:
Materials and Methods
All experimental procedures were performed in compliance with the United Kingdom Animal (Scientific Procedures) Act of 1986 and with the European directive 2010/63/EU, approved by the UCL Animal Welfare and Ethical Review Body under full project license (No.: 14378). Experiments were conducted in accordance with the ‘three Rs principle’. The rodents were group housed in individually ventilated cages and kept on a 12-hour light-dark cycle with ad libitum access to water and food.
Animal models
Chronic hyperammonemia in wild type mice Hyperammonemia was induced in male wild type C57BL/6 mice (25±5 g) by the addition of an amino acid (AA) mixture (see for composition Supplementary table 1) to their
normal powdered (NP) diet in a 1:2 ratio for 14 days. Dose finding studies of the AA diet revealed that with this dose and duration of the diet circulating ammonia levels between 300 and 400 umol/L were achieved, which are pathophysiologically relevant concentrations.
The TLR4 antagonist TAK-242 (Takeda, JP - lot number M342-017) was used to study the effect of TLR4 inhibition on hyperammonemia and ammonia metabolism. The ammonia scavenging drug ornithine phenylacetate (OP) served as a positive control for ammonia-lowering. Both drugs were administered intraperitoneally (i.p.) twice daily during the last 4 days of the model (i.e., day 10-14) at a dose of 10 mg/kg (TAK-242) and 300 mg/kg (OP) (Fig. 1A). TAK-242 is a small molecule that selectively disrupts TLR4 signaling by targeting the intracellular TIR domain, leading to impaired recruitment of TIRAP and TRAM [4], This eventually results in reduced production of inflammatory cytokines, tumor necrosis factor (TNF)-alpha and nitric oxide. TAK-242 has been previously studied up to a Phase 3 trials in patients with severe sepsis and shock or respiratory failure. That study demonstrated that TAK-242 was well tolerated and safe in this patient cohort.
Finally, in order to validate our results found in the TAK-242 treated mice, we performed the AA diet-induced hyperammonemia model in male TLR4-knock out (TLR4KO) mice (The Jackson Laboratory, B6.B10ScN-Tlr4lps'del/JthJ, stock number 007227, Fig. 1A).
The following groups were studied:
1. WT + NP diet + vehicle (WT-NP; n=7)
2. WT + AA diet + vehicle (WT-AA; n=5)
3. WT + AA diet + TAK-242 (WT-AA-TAK-242; n=8)
4. WT + AA diet + OP (WT-AA-OP; n=8)
5. TLR4KO diet + NP + vehicle (TLRKO-NP; n=9)
6. TLR4KO diet + AA + vehicle (TLR4KO-AA; n=9)
Hyperammonaemia in Ornithine Transcarbamylase-deficient mice
To validate our findings in the AA-diet induced hyperammonemia models, we aimed at
studying the effect of TLR4 inhibition in a clinically relevant model of UCD. Ornithine Transcarbamylase (OTC) is a key enzyme of the urea cycle and OTC-deficiency, an X- linked genetic disease, is the commonest type of UCD in human. We studied male OTCspf" ashmice (The Jackson Laboratory, B6EiC3Sn a/A-Otcspf'ash/J, stock number 001811). The spf-ash (sparse fur, abnormal skin and hair) mutation has a unique effect on OTC biogenesis: in single-mutant males, two OTC enzyme precursors are produced, together resulting in only 10% of wild type precursor levels. They give rise to the residual 5-10% hepatic OTC activity in QTCspf-ash mice. These mice become quickly hyperammonemic upon factors such as high protein intake, stress and inflammation.
In male QTCspf'ash mice (25±5g), hyperammonaemia was induced by a high protein diet (HPD) for the duration of 7 days. The diet consisted of DietGel® 76A (Datesand group, Cat. No. 72-07-5022) to which cassein powder (MPBio, Cat. No. 901293) was added to achieve a total protein content of 36%. DietGel® 76 A without added cassein powder served as the CD. During the last 4 days of the model (i.e., day 4-7), mice were treated with either TAK-242 (10 mg/kg i.p.) or sodium phenylacetate (SP, 300 mg/kg/day, mixed with feed). SP is currently standard of care in the treatment of patients with OTC deficiency and was therefore used as a positive control for ammonia-lowering.
The following groups were studied:
1. WT + CD + vehicle (WT-CD; n=l 1)
2. OTCspf'ash+ HPD + vehicle (OTC-HPD; n=10)
3. OTCspf'ash+ HPD + TAK-242 (OTC-HPD-TAK-242; n=7)
4. OTCspf'ash+ HPD + SP + vehicle (OTC-HPD-SP; n=8)
Hyperammonemia in a rodent model of acute-on-chronic liver failure
This rat model of ACLF has been described in more detail previously. Briefly, Sprague Dawley rats (weights 260 +/-20 g, age 8-10 weeks) were studied four weeks after sham or bile duct ligation (BDL) surgery. ACLF was induced by the i.p. injection of 0.025 mg/kg LPS (Klebsiella pneumonia, Sigma, UK). TAK-242 (10 mg/kg i.p.) was administered prophylactically 3 hours prior to LPS injection.
The following groups were studied:
1. Sham + vehicle + vehicle (Sham; n = 9)
2. BDL + vehicle + vehicle (BDL; n = 8)
3. BDL + LPS + vehicle (BDL-LPS; n = 7)
4. BDL + TAK-242 + LPS (BDL-TAK-242-LPS; n = 7)
Sampling and storage of blood and tissues
All experiments were terminated by exsanguination under general anesthesia with isoflurane (2% isoflurane in oxygen, Piramal Healthcare, USA) in the mornings. Arterial blood samples were taken from the left ventricle of the heart. Whole blood ammonia levels were measured straight away following blood collection in an EDTA tube using a portable ammonia analyser (DRI-CHEM 100, FujiFilm Co., Saitama, Japan). The remaining blood sample was centrifuged at 2500 rpm for 10 minutes and stored at -80°C. Liver tissue was snap frozen in liquid nitrogen and stored at -80°C. In addition, liver tissue was preserved in 10% neutral buffered formalin for 24 hours prior to embedding in paraffin.
Endpoint analyses
Blood biochemistry (ammonia and plasma blood urea nitrogen (BUN)), blood amino acid profiling, liver metabolomics, liver RNA sequencing, liver multiplex immunofluorescence (IF) staining, mRNA expression, and measurements of liver mitochondrial reactive oxygen species (ROS) production and membrane potential were assessed.
Statistical analysis
Data analysis and graph preparation was performed using PRISM (GraphPad, USA, version 9). In case of a Gaussian distribution, group comparisons for continuous variables were performed using one-way ANOVA with post hoc Tukey HSD test. In case of a skewed distribution, a Kruskal- Wallis test with post hoc Dunn test was performed. A p- value <0.05 was considered statistically significant.
For the liver metabolomics, statistical analyses, principal component analyses (PCA), partial least-square-discriminant analyses (PLS-DA) and heatmaps were performed and plotted with PRISM and the free online web-based platform Metabo Analyst 5.0.
For the statistical analysis of the RNA sequencing data, muss musculus Ontology gene sets as Gene Symbols were downloaded from Broad Institute (gsea-msigdb.org). The database used was the 7.1 release. Pathways of interest were manually selected, and 5 different clusters were identified based on their biological function: ammonia metabolism, citrate metabolism, oxidative stress, purine pathways and pyrimidine pathways. Transcriptomic counts from the samples were log2 transformed and used to perform a Single Sample Geneset Enrichment Analysis (ssGSEA) using the previously mentioned selected pathways. The mean enrichment score was computed across groups. The fold-change and p-values of the genes included in the pathways of interest were computed and Volcano plots for different comparisons were drawn. Adjustment of p-values was assessed by the False Discovery Rate (FDR).
Example 1: Effect of TLR4 inhibition on circulating levels of ammonia, urea and amino acids in hyperammonemic mice
Ammonia and urea
Wild type animals
A significant increase in circulating ammonia levels was observed in mice fed with the AA diet as compared to those fed with the NP diet (333.4 ± 54.5 umol/L vs. 47 ± 11.9 umol/L, p<0.0001). Treatment with OP or TAK-242 led to a significant reduction in ammonia levels (131.6 ± 79.8 umol/L, pO.OOOl and 121.1 ± 51.5 umol/L, pO.OOOl respectively) (Fig, 1A), Induction of hyperammonemia in WT-AA was not associated with an increase in plasma BUN compared to WT-NP (10.8 ± 1.4 mmol/L vs. 10.6 ± 3.3, p=l). OP and TAK-242 treatment resulted in a significant increase in plasma BUN as compared to WT- AA (15.82 ± 1.72 mmol/L, p=0.004 and 15.9 ± 0.1 mmol/L, p=0.003 respectively) (Fig, 1A). This may reflect insufficient ammonia detoxification by the urea cycle in the setting of hyperammonemia.
TLR4 knock-out animals
TLR4KO-AA mice had significantly lower blood ammonia levels as compared to WT-AA (149.9±104.6 vs. 333.4 ± 54.47 mmol/L, pO.OOOl; Fig, 1A). In contrast to the WT model,
the AA diet led to a significant rise in BUN levels in TLR4K0 mice (TLR4K0-NP: 7.71 ± 1.19 mmol/L vs. TLR4KO-AA: 14.25 ± 3.38 mmol/L, pO.OOOl) (Fig. 1A).
Amino Acids
Wild type animals
Besides the fact that ammonia is a product of protein and amino acid metabolism, it is also an important source of nitrogen and amino acid synthesis. Therefore, we performed plasma amino acid profiling to investigate the effect of hyperammonaemia and the interventions on amino acid metabolism. Most importantly, amino acids that were included in the diet were found to be increased and those not included in the diet were decreased in WT-AA as compared to WT-NP. Interestingly, concentrations of several amino acids (e.a., phenylalanine and tryptophan) were insignificantly reduced by OP and TAK-242 treatment.
The total amino acids and branched chain amino acids (BCAAs) were not significantly different between any of the groups, but there was a significant increase in the aromatic amino acids (AAAs) in the WT-AA group as compared to WT-NP [792.4 ± 235.5 (sum) vs. 328.5 ± 36.77 (sum), p=0.01; Fig. IB], Treatment with TAK-242, but not OP, significantly reduced the level of AAAs as compared to WT-AA [AA-TAK-242: 401.7 ± 85.81, p=0.029]. For the ammonia metabolism-associated amino acids, plasma ornithine was significantly increased in WT-AA as compared to WT-NP (304.8 ± 103.3 umol/L vs. 121.0 ± 25.67 umol/L, p=0.003; Fig. 1C), which was prevented by both OP and TAK-242 treatment (156.9 ± 74.68 umol/L and 170.5 ± 37.71 umol/L, respectively). Statistically insignificant increases in plasma glutamine and glutamate were observed in WT-AA, which was insignificantly reduced in the OP and TAK-242 groups. No significant changes in any of the other amino acids were observed.
TLR4 knock-out animals
In contrast to the findings in the WT model, no significant changes in plasma amino acid levels were observed in the TLR4KO mice treated with or without the AA diet. TLR4KO- AA mice had significantly lower plasma ornithine concentrations as compared to WT-AA (132.7 ± 1002 umol/L vs. 304.8 ± 103.3 umol/L, p=0.0053; Fig. 1C).
Example 2: Hyperammonemia induced changes in liver metabolomics are restored by TLR4 inhibition
To study the effect of TLR4 inhibition on ammonia metabolism, liver metabolomics analysis was performed in both the WT and TLR4KO mouse models. Untargeted metabolomics experiments were performed by liquid chromatography coupled to high- resolution mass spectrometry (LC-HRMS), using a combination of two complementary chromatographic methods consisting of reverse-phase chromatography (C 18 chromatographic column) and hydrophilic interaction chromatography (HILIC) for the analysis of hydrophobic and polar metabolites, respectively. PCA and PLS-DA analysis for the metabolomic data revealed a distinct metabolomic fingerprint of the WT-AA mice as compared to WT-NP and the treatment groups. PCA (unsupervised learning) was performed for principal component 1 (PCI) and 2 (PC2). The PCA plot showed clear separation of especially the WT AA-vehicle group, whereas there was considerable overlap among WT NP -vehicle and WT AA-vehicle. The two principal components were accounting for 39.6% of total variation (PCI: 24.4% and PC2: 15.2%) for the HILIC data and for 43.5% of total variation (PCI: 25.7% and PC2: 17.8%) for the C18 data. For supervised learning, PLS-DA analysis was performed for both HILIC and Cl 8 data.
Similarly to the PCA analysis, clear separation of AA+vehicle was observed, whereas there was unclear separation between the other groups.
The top 50 metabolites that were most significantly impacted by hyperammonemia in the WT-AA vs. WT-NP (according to ANOVA p-values) group were identified for the HILIC and Cl 8 data (Fig. 2). Among these metabolites, it was observed that in the setting of hyperammonemia, several groups of metabolites involved in mitochondrial metabolism were modified, which was prevented by OP and TAK-242 treatment. These metabolites included intermediates of the urea cycle, Krebs cycle and those related to mitochondrial beta-oxidation. In addition, changes in pathways that are interrelated with the urea cycle were observed, namely polyamine, pyrimidine and purine metabolic pathways (Fig. 3A).
Urea cycle metabolites
Wild type animals
Apart from glutamine and arginine, all metabolites related to the urea cycle were increased in WT-AA as compared to WT-NP. Glutamate, which is generated during the conversion of glutamine into glutamate and ammonia by liver-type glutaminase in the mitochondria of periportal cells, was increased in WT-AA as compared to WT-NP (p=0.049, Fig. 3B). OP and TAK-242 treatment significantly reduced hepatic glutamate levels compared to WT- AA (p<0.0001, and pO.OOOl respectively).
The rate limiting step of the urea cycle comprises the conversion of ammonia into carbamoyl phosphate by carbamoyl phosphate synthetase 1 (CPS1). The obligatory activator of CPS1, hepatic N-acetylglutamic acid (NAG), was significantly increased in WT-AA compared to WT-NP (p<0.0001, Fig. 3B). In OP and TAK-242 treated mice, NAG levels were significantly reduced as compared to WT-AA (both p<0.001). Carbamoyl phosphate is subsequently converted into citrulline by the mitochondrial enzyme ornithine transcarbamoylase (OTC), after which the urea cycle proceeds in the cytosol. The cytosolic intermediates of the urea cycle (i.e., ornithine, citrulline, argininosuccinic acid and aspartic acid) were all found to be increased in WT-AA as compared to WT-NP. This was most pronounced for ornithine (p<0.0001, Fig. 3C). In OP and TAK-242 treated mice, levels of these intermediates were reduced significantly and comparable to those in WT-NP (both p<0.0001).
TLR4 knock-out animals
In the TLR4K0 model, no diet-induced changes in glutamate and glutamine levels were observed. Also, there were no significant changes in the urea cycle intermediates between TLR4KO-NP and TLR4K0-AA (Fig. 3B).
In summary, we observed accumulation of key urea cycle intermediates in WT-AA, suggesting impaired urea cycle function in the setting of hyperammonemia. This was prevented by TLR4 inhibition.
Metabolites related to mitochondrial beta-oxidation and Krebs cycle Wild type animals
Changes in metabolites involved in mitochondrial beta-oxidation were observed, a complex catabolic pathway in which fatty acids are broken down to generate acetyl-CoA (entering the Krebs cycle) and NADH and FADH2 (co-factors of the electron transport chain). The carnitine shuttle is essential for the transport of long chain fatty acids into the mitochondria where they undergo oxidation. Defects in fatty acid oxidation or the carnitine cycle can lead to hyperammonemia by inhibition of the urea cycle via multiple pathways. Increased levels of acetyl-camitines are considered markers of metabolic dysfunction and can be a consequence of reduced mitochondrial activity. In the current study, L-camitine, acetyl-L-camitine and propionyl-L-camitine were all found to be significantly increased in AA-vehicle as compared to WT-NP (p=0.0002, p=0.008 and p=0.0054, respectively), which was prevented by OP and TAK-242 treatment (Fig. 3C). In contrast, an insignificant decrease in the medium chain octanoyl-L-camitine was observed in WT-AA compared to WT-NP.
Among the metabolites involved in the Krebs cycle, a significant increase in malic acid was observed in WT-AA as compared to WT-NP (p<0.001), which was prevented by OP and TAK-242 treatment (Fig. 3D). This might be explained by increased levels of argininosuccinate, which is broken down into arginine and fumarate during passage through the urea cycle. The transport of cytosolic fumarate into the mitochondria is the first step of the metabolic interaction between ureagenesis and the citric acid cycle shunt, where fumarate is converted into malic acid by fumarase. We observed no changes in pyruvic acid and citric acid among groups.
TLR4 knock-out animals
No changes in metabolites related to mitochondrial beta-oxidation and the Krebs cycle were observed in TLR4K0-AA vs. TLR4KO-NP (Fig. 3C, D).
Metabolites related to polyamine, pyrimidine, and purine synthesis Wild type animals
Apart from changes in urea cycle metabolites, we observed marked changes in metabolites included in metabolic pathways that are interrelated with the urea cycle, namely the polyamine, pyrimidine and purine synthesis pathways (Fig. 3A).
In brief, for the polyamine synthesis pathway, we observed significantly increased levels of hepatic putrescine (p=0.012) and N-acetyl-spermidine (p<0.0001) in WT-AA as compared to WT-NP (Fig. 3E), which was prevented by OP and TAK-242 treatment. Similar levels of spermidine were observed in WT-AA as compared to WT-NP. However, OP and TAK- 242 treatment led to a significant reduction in spermidine levels as compared to WT-AA (both p<0.0001). A similar pattern was observed for spermine, although changes were not significant.
For the pyrimidine synthesis pathway, significantly increased levels of both orotic acid and dihydroorotic acid as compared to WT-NP were observed (p<0.0001 and p=0.0387, Fig. 3F). TAK-242 and OP treatment significantly lowered hepatic orotic acid levels as compared to WT-AA (both p<0.0001), whereas this was not the case for dihydroorotic acid. This resulted in significantly increased levels of the pyrimidine cytidine (p=0.0375), whereas uridine concentrations were significantly decreased in WT-AA as compared to WT-NP (p<0.0001). OP and TAK-242 treatment led to an even further decrease in uridine levels as compared to WT-AA (p=0.0002 and p=0.00028, respectively).
For the purine synthesis pathway, no significant changes in metabolites were observed between WT-NP and WT-AA (Fig. 3G). There was a trend towards a decrease in inosine production in AA-veh as compared to WT-NP. OP and TAK-242 treatment led to a significant increase in inosine synthesis as compared WT-AA (p=0.005 and p<0.0001, respectively).
In summary, the observed changes in concentrations of metabolites involved in polyamine, pyrimidine and purine synthesis pathways in hyperammonemic mice, go along with the accumulation of their precursors derived from the urea cycle.
TLR4 knock-out mice
No significant changes in metabolites related to polyamine, purine and pyrimidine metabolism were observed between TLRKO-NP and TLR4KO-AA (Fig. 3E-H).
Multiplex immunofluorescence of urea cycle enzymes and mitochondrial markers Multiplex IF in liver tissue of the WT mouse model was performed to validate the findings of the metabolomic data. In WT-AA, a significantly stronger signal of the periportal zonation marker E-Cad was observed, which was reduced by OP treatment, but increased by TAK-242 (Fig. 4A). The signal of the pericentral zonation marker (and key enzyme in the metabolism of ammonia that bypasses the urea cycle) GS was also significantly stronger in WT-AA as compared to WT-NP. As expected, relative GS expression was even further increased in WT-AA-OP, as this drug is known to induce increased expression and activity of GS in order to reduce ammonia levels. Mean fluorescence intensity per field area was restored in the WT-AA-TAK-242 animals.
Mean IF intensity per field area of the key mitochondrial UCEs, CPS1 and OTC, was profoundly weaker in WT-AA as compared to WT-NP (both p<0.01; Fig. 4B). For both CPS1 and OTC, OP and TAK-242 treatment led to a significant stronger signal of both enzymes as compared to WT-AA (p<0.01 and p<0.05, respectively; Fig. 4B). The same pattern was observed for glutamate dehydrogenase (GLUD1), a mitochondrial enzyme which converts glutamate to alpha-keto glutarate. This reaction yields ammonia as a substrate for the urea cycle. OP and TAK-242 treatment significantly increased the mean IF intensity per field area of GLUD1 as compared to WT-AA (p<0.001 and p<0.01, respectively; Fig. 4B).
There was a trend towards weaker signal of the mitochondrial marker Tom-20 in WT-AA as compared to WT-NP, although this was not significant. TAK-242 and OP led to a slight increase in the Tom-20 signal, but also these changes were insignificant (Fig. 4C).
Example 3: Hyperammonemia-induced changes in liver transcriptomics are restored by TLR4 inhibition
To better understand the possible mechanism underlying the effect of TLR4 antagonism, we performed whole liver RNA sequencing and focused on the pathways related to ammonia metabolism, citrate metabolism, oxidative stress and purine and pyrimidine synthesis.
Wild type animals
Ammonia metabolism
With respect to the GO-pathways related to ammonia metabolism, two groups could be distinguished within this cluster (Fig. 5A, in green): 1) pathways related to the removal of ammonia (i.e., the urea cycle), and 2) pathways related to the generation of ammonia by amino acid catabolism (i.e., ammonia lyases-related pathways). It was found that the urea cycle-related pathways, mainly consisting of UCE-encoding genes, were downregulated in the WT-AA group compared to WT-NP. This was restored by the treatment with OP and TAK-242. These data are in correspondence with the multiplex IF data of the key UCEs (OTC, CPS1, GLUD1). In contrast, the ammonia lyases-related pathways were found to be upregulated in WT-AA as compared to WT-NP, which was restored by OP and TAK-242 treatment. Interestingly, when analyzing the top 10 up- and downregulated genes (Fig. 5C) based on the Volcano plots (Fig. 5B), no genes related to ammonia metabolism were involved.
Citrate metabolism
When studying the cluster of pathways related to citrate metabolism, downregulation of pathways related to transmembrane transport of citrate was observed in WT-AA as compared to WT-NP and restored by OP and TAK-242 treatment. These pathways mainly consisted of genes belonging to the solute-carrier gene 13 (SLC13) family, which encodes plasma membrane bound transporters that mediate Na+-coupled anion substrate movement of sulfate (SLC13A1, SLC13A4) and Krebs cycle intermediates (SLC13A2, SLC13A3, SLC13A5; Fig. 5A). The gene SLC13A4 was among the most significantly downregulated genes in the comparison WT-AA vs WT-NP (FC -4.712, FDR 0.024; Fig. 5C). In OP and TAK-242 treated mice, this gene was significantly upregulated as compared to WT-AA (OP: FC 2.668, FDR 0.007; TAK-242: FC 3.511, FDR 0.004).
In addition, pathways that consisted of genes encoding for the lactate dehydrogenase (LDH) isoenzymes were found to be upregulated in WT-AA as compared to WT-NP. OP and TAK-242 treatment reduced the enrichment of LDH-related pathways.
Oxidative stress
Generally, pathways related to negative regulation of oxidative stress were downregulated in WT-AA, whereas pathways related to positive regulation of oxidative stress were upregulated (Fig. 5A). Among the most significantly up- and downregulated genes (WT- AA vs. WT-NP) within the cluster of pathways related to oxidative stress were Vnnl and Car3 (downregulated) and Nr4a3, Apoa4, Slc7al l (upregulated).
Vnnl (vascular non-inflammatory molecule-1, vanin 1) is a member of the aminohydrolase family of pantetheinases. It breaks down pantetheine in cysteamine and pantothenic acid, a precursor of coenzyme A. In addition, it plays a role in lipid metabolism and energy production. Vnnl KO mice have been found to have a higher resistance to oxidative stress exposure as compared to WT mice and were better protected against oxidative stress- induced tissue inflammation. OP and TAK-242 treatment led to a significant upregulation of Vnnl as compared to WT-AA (OP: FC 2.456, FDR 0.0012; TAK-242: FC 1.212, FDR 0.016).
Car3 encodes for carbonic anhydrase III, a member of the carbonic anhydrase family which catalyze the carboxylation of water into carbonic acid which then spontaneously dissociates into bicarbonate and protons. Carbonic anhydrases are involved in a wide variety of functions, including respiration, acid base homeostasis, ion transport, ureagenesis and gluconeogenesis. The specific function of Car3 is unknown, but data suggest that it is involved in metabolism, oxidative stress, and mitochondrial ATP synthesis. Hepatic Car3 expression was significantly increased in WT-AA-OP and WT- AA-TAK-242 as compared to WT-AA (OP: FC 1.545, FDR0.027; TAK-242: FC 1.282, FDR 0.056).
Nr4a3 belongs to the Nr4a family of nuclear hormone receptors and consists of three members (Nr4al/Nur77, Nr4a2/Nurrl and Nr4a3/Norl). These transcription factors are widely expressed across various tissues including the liver. They are involved in various cellular processes, but focus in the literature has been on its role in cellular proliferation, apoptosis and energy metabolism (glucose and lipid metabolism and mitochondrial function). OP and TAK-242 treatment led to a reduction in the expression of Nr4a3 as compared to WT-AA (OP: FC -3,33, FDR 0.0019; TAK-242: FC -0.363, FDR0.783).
Apoa4 encodes for apolipoprotein A-IV, a lipid-binding protein that is produced by enterocytes as a major component of high-density lipoprotein (HDL). It is involved in satiation signals, lipid transport, glucose metabolism and LPS-induced inflammation.
It was recently found that Apoa4 protects against CC14-induced hepatotoxicity by reducing oxidative stress in hepatocytes and preventing hepatic infiltration of pro-inflammatory monocytes. Apoa4 expression was significantly reduced in WT-AA-OP and WT-AA- TAK-242 as compared to WT-AA (OP: FC -2.64, FDR 0.013; TAK-242: FC -1.993, FDR 0.05).
Slc7al 1 (solute carrier family 7 member 11) encodes for a sodium-independent cystine/glutamate antiporter. It takes up extracellular cystine in exchange for intracellular glutamate in a 1:1 ratio. This antiporter plays a central role in providing cysteine for the biosynthesis of glutathione, an important antioxidant. Several important functions of Slc7al 1 include regulation of ferroptosis and the oxidative stress response. Scl7al 1 has been found to protect cells from undergoing ferroptosis and helps cells to re-establish redox homeostasis in response to cellular stresses. OP and TAK-242 treatment restored expression of Slc7al l (OP: FC -7.05, FDR 0.015; TAK-242: FC -4.451, FDR 0.126).
Purine and pyrimidine pathways
In brief, most pathways related to purine metabolism were downregulated in the WT-AA group (Fig. 5A). Among the top 10 up- and downregulated genes were Pklr (FC -2.09, FDR 0.004) and Dntt (FC 1.85, FDR 0.020), which encode for the enzymes pyruvate kinase and DNA Nucleotidylexotransferase, respectively.
For the pyrimidine pathways, acpp (encoding prostatic acid phosphatase) and dctd (encoding deoxycytidylate deaminase) were among the significantly up- and downregulated genes when comparing WT-NP and WT-AA. Expression levels of acpp were restored by OP and TAK-242 treatment (OP: FC 2.67, FDR 0.0035; TAK-242: FC 3.311, FDR 0.006). OP and TAK-242 treatment also led to a downregulation of Dctd as compared to WT-AA (OP: FDR -2.22, FDR 0.073; TAK-242: FC -2.211, FDR 0.0313).
TLR4 knock-out animals
Knock-out of the TLR4 receptor was found to prevent changes in the enrichment of urea cycle, citrate metabolism, oxidative stress, and purine/pyrimidine-related pathways (Fig. 5A). Profound overlap in the top- 10 most significantly altered genes was observed between the comparison of WT-AA vs WT-NP and TLR4KO-AA vs. WT-AA (i.e., Slcl3a4, Car3, Dctd and Slc7al 1). Slcl3a4 and Car3, which were found to be downregulated in hyperammonemic mice (i.e., WT-AA), were significantly higher expressed in TLR4KO- AA as compared to WT-AA. Dctd and Slc7al 1, upregulated in hyperammonemic mice, were significantly downregulated in TLR4KO-AA as compared to WT-AA. As expected, TLR4 was the most significantly downregulated gene in both TRL4KO-AA vs WT-AA and TLR4KO-NP vs. WT-NP. The comparison TLR4KO-NP vs. TLR4KO-AA showed only 4 significantly altered genes (Fig. 5B-C), which are all involved in hepatic oxidative stress (i.e., smpd3 and axl, mmp9, gclc).
Example 4: Effect of TLR4 inhibition in clinically relevant animal models of hyperammonemia
To validate our findings in the AA-diet induced hyperammonemia models, we aimed at studying the effect of TLR4 inhibition in clinically relevant rodent models of ACLF and UCD.
Bile duct ligated rats
A stepwise increase in plasma ammonia levels was observed throughout the sham, BDL and BDL-LPS groups (sham: 22.46 ± 29.87 umol/L, BDL: 158.6 ± 46.3 umol/L, BDL- LPS: 255.0 ± 107.6 umol/L, Fig. 6A). BDL-LPS rats pre-treated with TAK-242 had significantly lower plasma ammonia levels as compared to those in the BDL-LPS group (BDL-TAK-242-LPS: 113.2 ± 76.01 umol/L, p=0.02) and had a lower coma rate (85% vs. 0%). The opposite pattern was shown for hepatic gene expression of all urea cycle enzymes: a stepwise decrease throughout sham, BDL and BDL-LPS rats (Fig. 6B). Prophylactic administration of TAK-242 prevented the significant LPS-induced downregulation of UCEs. This was most pronounced for the key, rate-limiting enzyme CPS1 and ASS1 (argininosuccinaatsynthetase), for which expression levels in the TAK- 242 group were restored to that of the sham-operated animals.
OTCspf~ash mice
OTC-HPD mice were found to have significantly higher circulating ammonia levels as compared to WT mice fed with a control diet (WT-CD) (261.3 ± 60.49 umol/L vs. 43.91 ± 10.95 umol/L, p<0.0001; Fig. 7A). Treatment with TAK-242 led to significantly lower circulating ammonia levels as compared OTC-HPD groups (HPD-TAK-242: 183.9 ± 68.52 umol/L, p=0.035). Treatment with sodium phenylacetate added to their diet (SP; 300 mg/kg) was used a positive control for ammonia-lowering, as it is involved in the standard of care in patients with OTC-deficiency. However, it did not lead to a reduction in blood ammonia levels as compared to OTC-HPD (Fig. 7A).
There was a clear trend in increased levels of plasma urea in OTC-HPD as compared to WT-CD (11.94 ± 6.041 mmol/L vs. 7.33 ± 0.82 mmol/L, p=0.056). Both SP and TAK-242 treatment did not lead to a change in plasma urea concentrations as compared to OTC-HPD (Fig. 7A).
Example 5: TLR4 inhibition reduces hepatic mitochondrial ROS production
In the OTCspf'ash model, hepatic ROS production and mitochondrial membrane potential were assessed to further explore the hypothesis that hyperammonemia induces mitochondrial dysfunction. For mitochondrial ROS production, no changes were observed between OTC-HPD and WT-NP. Both OP and TAK-242 treatment led to significantly reduced levels of ROS (p=0.0015 and p=0.0035, respectively; Fig. 7B).
A similar pattern was observed for mitochondrial membrane potential, although the changes were not significant (Fig. 7B).
Example 6: Synergistic effects of the combination of TLR4 inhibition and ornithine phenylacetate
The mechanism of how TLR4 antagonist TAK242 reduces ammonia is through targeting the mitochondrial metabolism that is induced by elevated ammonia. This opens up a novel application of the TAK242 with OP and other ammonia lowering drugs to treat hyperammonaemia, including hyperammonaemia that occurs in inherited mitochondrial
hepatopathies, which are rare diseases with high unmet need. Figure 8 provides a diagram showing mechanism for how TLR4 antagonists and OP work to reduce mitochondrial dysfunction. Figure 9 shows that TAK-242 and OP act synergistically to reduce plasma ammonia (left panel) in animal models of cirrhosis (bile duct ligation, BDL) and ACLF (BDL + lipopolysaccharide, LPS) (left panel). The right panel of Figure 9 shows that coma- free survival is returned to 100% in the models of cirrhosis and ACLF when the combination is administered. Figure 10 shows that TAK-242 and OP act synergistically to treat hyperammonaemia in an Ornithine Transcarbamylase (OTC) deficiency model.
DISCUSSION
Ammonia is a cytotoxic metabolite that is metabolized into urea in the mitochondria of hepatocytes. In the present studies, we used in-vivo models of chronic hyperammonemia and complementary metabolomic and transcriptomic analyses to investigate the impact of hyperammonemia on hepatic mitochondrial metabolism. The results of this study show that chronic hyperammonemia induces downregulation of UCEs on a gene and protein level, which is associated with impaired ureagenesis, accumulation of urea cycle metabolites and downregulation of key UCEs on a protein and gene level. In addition, it was observed that hyperammonemia induces changes in mitochondrial metabolism, which is associated with oxidative stress and further hyperammonemia. Inhibition of the TLR4 pathway by using a TLR4 antagonist (TAK-242) restored mitochondrial dysfunction and urea cycle enzyme function, which was associated with correction of hyperammonemia. This observation was validated by using TLR4KO mice. The potential of TLR4 antagonism as a novel therapy for mitochondrial dysfunction was further validated in clinically relevant rodent models of chronic liver disease and OTC-deficiency.
Emerging evidence in models of HE has revealed that ammonia is a cerebral mitochondrial toxin which induces oxidative stress, disturbances of energy metabolism and mitochondrial dysfunction. Very little is known about the impact of hyperammonemia on hepatic mitochondrial function, which is the site of ammonia detoxification by the urea cycle. We observed that the induction of hyperammonemia in WT mice by an AA diet was associated with a lack of increase in plasma urea levels, whereas treatment with the ammonia scavenger OP led to a significant increase in plasma urea. In addition, key urea cycle
metabolites (mainly ornithine) were increased in the plasma of hyperammonemic mice, which was reduced by the ammonia scavenger OP. This seemingly insufficient increase in ureagenesis in combination with accumulation of urea cycle metabolites is potentially important and indicates that hyperammonemia induces impairment of urea cycle function. In agreement with the plasma amino acid profiling results, data of the unbiased liver metabolomic analysis revealed accumulation of urea cycle-related metabolites (mainly ornithine an aspartic acid) and the CPS1 activator NAG. In addition, hepatic glutamate was increased, whereas glutamine levels were insignificantly decreased. This may be explained by increased activity of liver-type glutaminase during hyperammonaemia.
Glutaminase is a mitochondrial enzyme that is believed to (at least partly) determine the flow of nitrogen derived from glutamine through the urea cycle.
Apart from changes in ammonia metabolism, we observed changes in other mitochondrial metabolic pathways, namely mitochondrial beta-oxidation and the Krebs cycle. Hyperammonemia was associated with significantly increased levels of metabolites involved in the carnitine shuttle. We observed significantly increased levels of L-camitine, acetyl-L-camitine and propionyl-L-camitine in the setting of hyperammonemia, which may reflect metabolic dysfunction and decreased mitochondrial activity [48-50]. Among metabolites involved in the Krebs cycle, hyperammonemia was associated with increased levels of malic acid. This is likely to be a consequence of the increased levels of argininosuccinate, which is broken down into arginine and fumarate during the urea cycle. The transport of cytosolic fumarate into the mitochondria is the first step of the metabolic interaction between ureagenesis and the citric acid cycle shunt, where fumarate is converted into malic acid by fumarase. The biological relevance of this finding is unclear.
Furthermore, pathways interrelated with the urea cycle (i.e., polyamine, purine and pyrimidine synthesis) were found to be affected by hyperammonemia. Putrescine and N- acetyl-Spermidine, key intermediates of the polyamine synthesis pathway, were found to be significantly increased in hyperammonemia. This is most likely explained by the marked increase in hepatic ornithine in hyperammonemic mice, which is the first precursor of the polyamine synthesis pathway (Fig. 3). The biological meaning of increased polyamine synthesis in the setting of hyperammonemia is unclear. However, previous
studies in rodent models of liver regeneration (partial hepatectomy) suggest that in a regenerating liver, the urea cycle provides precursors for both polyamine and pyrimidine synthesis.
This suggests a possible role for the urea cycle in liver regeneration. Previous studies in cancer models also suggest that urea cycle dysregulation alters nitrogen utilization from ureagenesis towards pyrimidine synthesis, thereby promoting cancer cell proliferation. In the present study, we also observed insufficient ureagenesis in association with downregulation of urea cycle enzymes on a gene and protein level, together with a significant increase in metabolites associated with pyrimidine synthesis (especially orotic acid production through aspartate). This was associated with a significant increase in cytidine, but a significant decrease in uridine.
The biological consequence of this indicate an interaction of urea cycle disturbance with oncogenesis and indicate that antagonists of TLR4 will be useful in the treatment of cancer.
In the present study, no significant changes in metabolites of the purine synthesis pathway were observed, although a trend towards decreased hepatic inosine was found. OP treatment led to a significant increase in hepatic inosine compared to WT-AA, which is consistent with recent data that describe excess of pyrimidine versus purine nucleotides when urea cycle genes are downregulated. Our findings are in consistent with previous data from Zaccherini et al. in a cohort of patients with ACLF, suggesting that in the setting of increased nucleotide demand, the urea cycle channels towards purine and pyrimidine synthesis.
Consistent with the multiplex IF data showing reduced expression of OTC and CPS proteins, the targeted transcriptomic analysis showed downregulation of pathways related to the urea cycle in the setting of hyperammonemia, which was restored by OP and TAK- 242 treatment.
In addition, it confirmed hyperammonemia-induced changes in the purine and pyrimidine
synthesis pathways. Importantly, a wide variety of pathways related to oxidative stress were found to be affected in hyperammonemia. Especially genes known to be involved in the antioxidant defence (Nr4a3, Apoa4, Slc7al 1) were upregulated in hyperammonemia, which was restored by OP and TAK-242 treatment. In combination with our finding that TAK-242 reduces ROS production in hyperammonaemic OTCspf'ashmice along with ammonia-lowering, these data suggest that hyperammonemia induces hepatic oxidative stress.
TLR4 inhibition protected against hyperammonemia induced mitochondrial dysfunction and downregulation of UCE expression, thereby preventing the development of hyperammonaemia and mitochondrial dysfunction. This was also associated with reduced hepatic mitochondrial ROS production. We hypothesize that the inhibition of the TLR4 pathway reduces oxidative stress and thereby protects mitochondrial metabolism, and thus urea cycle function. A recent study in skeletal muscle cells and tissue indeed revealed that hyperammonemia induces metabolomic reprogramming leading to mitochondrial dysfunction and postmitotic senescence. In addition, the NF-KB pathway was found to be involved in ammonia-induced mitochondrial dysfunction in astroglia. Furthermore, TLR4 inhibition is known to protect against hepatic oxidative stress in models of alcoholic and non-alcoholic fatty liver disease.
Taken together, the data suggest that TLR4 is a potential novel therapeutic target for hyperammonaemia, for example in UCE disorders and cirrhosis. TAK-242 might be an interesting add-on therapy to current ammonia-lowering therapies used in clinical practice, as it not only protect against hyperammonemia and oxidative stress, but also targets neuroinflammation.
Evidence presented here indicates that induction of hyperammonemia produces mitochondrial oxidative stress and dysfunction, which results in urea cycle enzyme dysfunction leading to further hyperammonemia. TLR4 antagonism and administration of OP prevents this ammonia- induced mitochondrial dysfunction. The combination of TLR4 antagonism and administration of OP is unexpectedly effective at preventing this ammonia- induced mitochondrial dysfunction. The preserved number of liver mitochondria
in the multiplex immunofluorescence analysis suggests that the problem mainly relies in disturbed metabolism. The data supports the hypothesis that ammonia impacts negatively on mitochondrial function.
In summary, in this study we showed for the first time that hyperammonemia induces downregulation of UCEs on a gene and protein level and is associated with a change in the metabolic fingerprint, primarily involving mitochondrial metabolism. Inhibition of the TLR4 pathway and administration of OP, either alone, or in synergy together, corrects this mitochondrial dysfunction. These data provide the experimental rationale to for the use of a combination of antagonists of TLR4 and OP for the treatment of hyperammonaemia, the treatment of liver disease, and for the treatment, mitochondrial dysfunction, including for patients with conditions characterised by mitochondrial dysfunction such as cancer or neuroinflammation.
EMBODIMENTS
1. A method for treating or preventing mitochondrial dysfunction in a subject comprising administering to the subject a therapeutically effective amount of a Toll like receptor 4 (TLR4) antagonist.
2. A method for treating or preventing cancer in a subject comprising administering to the subject a therapeutically effective amount of a Toll like receptor 4 (TLR4) antagonist.
3. The method of embodiment 2, wherein the subject has a mitochondrial dysfunction.
4. The method according to embodiment 1 or embodiment 3, wherein the mitochondrial dysfunction is a mitochondrial hepatopathy.
5. The method according to embodiment 4, wherein the mitochondrial hepatopathy is an inherited mitochondrial hepatopathy or an acquired mitochondrial hepatopathy.
6. The method according to embodiment 5, wherein the mitochondrial hepatopathy is characterised by a urea cycle enzyme disorder (UCD), impaired urea cycle function, impaired mitochondrial beta-oxidation, impaired Krebs cycle, increased polyamine, pyrimidine and/or purine synthesis pathways, downregulation of UCEs, upregulation of ammonia lyases-related pathways, downregulation of pathways related to transmembrane transport of citrate, upregulation of lactate dehydrogenase (LDH)-related pathways, downregulation of pathways related to negative regulation of oxidative stress and/or upregulation of pathways related to positive regulation of oxidative stress.
7. The method according to embodiment 5, wherein the acquired mitochondrial hepatopathy is selected from the group consisting of valproate toxicity, Reyes syndrome and Ac Fatty liver of pregnancy.
8. The method according to embodiment 2 or embodiment 3, wherein the cancer is selected from the group consisting of liver cancer or extrahepatic cancer.
9. The method according to any of embodiments 1-8, wherein the antagonist of TLR4 antagonist a compound represented by the formula (I):
wherein
R represents an aliphatic hydrocarbon group optionally having substituents, an aromatic hydrocarbon group optionally having substituents, a heterocyclic group optionally having substituents, a group represented by the formula: - OR1 wherein R represents a hydrogen atom or an aliphatic hydrocarbon group optionally having substituents, or a group represented by the formula:
Rlb and Rlc are the same or different and each represents a hydrogen atom or an aliphatic hydrocarbon group optionally having substituents,
R° represents a hydrogen atom or an aliphatic hydrocarbon group, or R and R° in combination form a bond, ring A1 represents a cycloalkene optionally substituted by 1 to 4 substituents selected from the group consisting of
(1) an aliphatic hydrocarbon group optionally having substituents,
(2) an aromatic hydrocarbon group optionally having substituents,
(3) a group represented by the formula: -OR11 wherein R11 represents a hydrogen atom or an aliphatic hydrocarbon group optionally having substituents and
(4) a halogen atom,
Ar represents an aromatic hydrocarbon group optionally having substituents, a group represented by the formula:
represents a group represented by the formula:
and n represents an integer of 1 to 4, or a salt thereof or a prodrug thereof.
10. The method according to any of embodiments 1-8, wherein the antagonist of TLR4 antagonist is selected from the group consisting of STM28, TAK-242, eritoran, an anti- TLR4 monoclonal antibody, OxPAPC, and IAXO compounds.
11. The method according to embodiment 9 or embodiment 10, wherein the antagonist of Toll like receptor 4 (TLR4) is Ethyl (6R)-6-[A-(2-chloro-4- fluorophenyl)sulfamoyl]cyclohex- 1 -ene- 1 -carboxylate (TAK-242).
REFERENCES
1. Haussinger D. Regulation of hepatic ammonia metabolism: the intercellular glutamine cycle. Adv Enzyme Regul 1986;25:159-180.
2. Rudman D, DiFulco JT, Galambos JT, Smith RBD, Salam AA, Warren WD. Maximal rates of excretion and synthesis of urea in normal and cirrhotic subjects. J Clin Invest 1973;52: 2241-2249.
3. Kaiser S, Gerok W, Haussinger D. Ammonia and glutamine metabolism in human liver slices: new aspects on the pathogenesis of hyperammonaemia in chronic liver disease.
Eur J Clin Invest 1988;18:535-542.
4. Fabbri A, Marchesini G, Bianchi G, Bugianesi E, Bortoluzzi L, Zoli M, et al. Unresponsiveness of hepatic nitrogen metabolism to glucagon infusion in patients with cirrhosis: dependence on liver cell failure. Hepatology 1993;18:28-35.
5. Shangraw RE, Jahoor F. Effect of liver disease and transplantation on urea synthesis in
humans: relationship to acid-base status.
6. Shawcross DL, Olde Damink SWM, Butterworth RF, Jalan R. Ammonia and hepatic encephalopathy: the more things change, the more they remain the same. Met Brain Dis 2005;20:169-179.
7. Vilstrup H, Amodio P, Bajaj J, Cordoba J, Ferenci P, Mullen KD, et al. Hepatic encephalopathy in chronic liver disease: 2014 practice guideline by the American Association for the Study of Liver Diseases and the European Association for the Study of the Liver. Hepatology 2014;60:715-735.
8. Bosoi CR and Rose CF. Identifying the direct effects of ammonia on the brain. Metab Brain Dis 2009;24:95-102.
9. Shawcross DL, Wright GAK, Stadlbauer V, Hodges SJ, Davies NA, Wheeler-Jones C, et al. Ammonia impairs neutrophil phagocytic function in liver disease. Hepatology 2008;48:1202-12. 10. Shawcross DL, Shabbir SS, Taylor NJ, Hughes RD. Ammonia and the neutrophil in the pathogenesis of hepatic encephalopathy in cirrhosis. Hepatology 2010;51:1062-1069.
11. Luo C, Shen G, Liu N, Gong F, Wei X, Yao S, et al. Ammonia drives dendritic cells into dysfunction. J Immunol 2014;1:1080-1089.
12. Dam G, Ott P, Aagaard N, Vilstrup H. Branched-chain amino acids and muscle ammonia detoxification in cirrhosis. Metab Brain Dis 2013;28:217-220.
13. Dasarathy S, Hatzoglou M. Hyperammonemia and proteostasis in cirrhosis. Curr Opin Clin Nutr Metab Care 2018;21:30-36.
14. Qiu J, Thapaliya S, Runkana A, Yang Y, Tsien C, Mohan ML, et al. Hyperammonemia in cirrhosis induces transcriptional regulation of myostatin by an NF-kB-mediated mechanism. Proc Natl Acad Sci USA 2013; 110:18162-18167.
15. Davuluri G, Allawy A, Thapaliya S, Rennison JH, Singh D, Kumar A, et al. Hyperammonaemia-induced skeletal muscle mitochondrial dysfunction results in cataplerosis and oxidative stress. J Physiol 2016;594:7341-7360.
16. Kumar A, Davuluri G, Silva RNE, Engelen MPKJ, Ten Have GAM, Prayson R, et al. Ammonia lowering reverses sarcopenia of cirrhosis by restoring skeletal muscle proteostasis. Hepatology 2017;65:2045-2058.
17. De Chiara F, Thomsen KL, Habtesion A, Jones H, Davies N, Gracia-Sancho J, et al. Ammonia scavenging prevents progression of fibrosis in experimental non-alcoholic fatty
liver disease. Hepatology 2020;71:874-892.
18. Jia B, Yu Z, Duan Z, Lii X, li J, Liu X, et al. Hyperammonaemia induces hepatic injury with alteration of gene expression profiles. Liver Int 2014;34:748-758.
19. Tranah TH, Ballester MP, Carbonell-Asins JA, Ampuero J, Alexandrino G, Caracostea A, et al. Plasma ammonia levels predict hospitalization with liver-related complications and mortality in clinically stable outpatients with cirrhosis. J Hepatol 2022; in press. 20. Patwardhan VR, Jiang ZG, Risech-Neiman Y, Piatkowski G, Afdhal NH, Mukamal K, et al. Serum ammonia is associated with transplant-free survival in hospitalized patients with cirrhosis. J Clin Gastroenterol 2016;50:345-350.
21. Shalimar, Sheikh MF, Mookeijee RP, Agarwal B, Acharya SK, Jalan R. Prognostic role of ammonia in patients with cirrhosis. Hepatology 2019;70:982-994.
22. Hu C, Huang K, Zhao L, Zhang F, Wu Z, Li L. Serum ammonia is a strong prognostic factor for patients with acute-on-chronic liver failure. Sci Rep 2020; 10: 16970.
23. Angelova PR, Kerbert AJC, Habtesion A, Hall A, Abramov AY, Jalan R. Hyperammonaemia induces mitochondrial dysfunction and neuronal cell death. JHEP Rep 2022;4:100510.
24. Niknahad H, Jamshidzadeh A, Heidari R, Zarei M, Ommati MM. Ammonia-induced mitochondrial dysfunction and energy metabolism disturbances in isolated brain and liver mitochondria, and the effect of taurine administration: relevance to hepatic encephalopathy treatment. Clin Exp Hepatol 2017;3:141-151.
25. Drews L, Zimmerman M, Westhoff P, Brilhaus D, Poss RE, Bergmann L, et al. Ammonia inhibits energy metabolism in astrocytes in a rapid and glutamate dehydrogenase 2-dependent manner. Dis Model Meeh 2020;13:dmm047134.
26. Rama Rao KV, Jayakumar AR, Norenberg MD. Role of oxidative stress in the ammonia-induced mitochondrial permeability transition in cultures astrocytes. Neurochem Int 2005;47:31-38.
27. Scott MJ, Billiar TR. p2-Integrin-induced p38 MAPK activation is a key mediator in the CD14/TLR4/MD2-dependent uptake of lipopolysaccharide by hepatocytes. J Biol Chem 2008;283:29433-29466.
28. Poltorak A, He X, Smirnova I, Liu M, van Huffel C, Du X, et al. Defective LPS signaling in C3H/HeJ and C57BL/10ScCr mice: mutations in Tlr4 gene. Science 1998;282:2085-2088. 29. MatsunagaN, Tsuchimori N, Matsumoto T, Li M. TAK-242
(Resatorvid), a small-molecule inhibitor of Toll-like receptor (TLR) 4 signaling, binds selectively to TLR4 and interferes with interactions between TLR4 and its adaptor molecules. Mol Pharm 2011;79:34-41.
30. Guo J, Friedmann SL. Toll-like receptor 4 signaling in liver injury and hepatic fibrogenesis. Fibrogenesis Tissue Repair 2010;21.
31. Sha N, Montes de Oca M, Jover-Cobos M, Tanamoto K, Muroi M, Sugiyama, et al. Role of toll-like receptor 4 in mediating multiorgan dysfunction in mice with acetaminophen induced acute liver failure. Liver Transpl 2013;751-761.
32. Engelmann C, Sheikh M, Sharma S, Kondo T, Loeffler-Wirth H, Zheng YB, et al. Toll-like receptor 4 is a therapeutic target for prevention and treatment of liver failure. J Hepatol 2020;73:102-112.
33. Jayakumar AR, Tong XY, Curtis KM, Ruiz-Cordero R, Abreu MT, Norenberg MD. Increased toll-like receptor 4 in cerebral endothelial cells contributes to the astrocyte swelling and brain edema in acute hepatic encephalopathy. J Neurochem 2014; 128: 890- 903.
34. Gill R, Tsung A, Billiar TR. Linking oxidative stress to inflammation: Toll-like receptors. Free Radic Biol Med 2010;48: 1121-1132.
35. Seki E, De Minicis S, Osterreicher CH, Kluwe J, Osawa Y, Brenner DA, Schwabe RF. TLR4 enhances TGF-beta signaling and hepatic fibrosis. Nat Med 2007;13:1324-1332.
36. Gustot T, Lemmers A, Moreno C, Nagy N, Quertinmont E, Nicaise C, et al. Differential liver sensitization to toll-like receptor pathways in mice with alcoholic fatty liver. Hepatology 2006;43:989-1000.
37. Hritz K, Mandrekar P, Velayudham A, Catalano D, Dolganiuc A, Kodys K, et al. The critical role of toll-like receptor (TLR) 4 in alcoholic liver disease is independent of the common TLR adapter MyD88. Hepatology 2008;48:1224-1231. 38. Park HS, Jung HY, Park EY, Kim J, Lee WJ, Bae YS. Cutting edge: direct interaction of
TLR4 with NAD(P)H oxidase 4 isozyme is essential for lipopolysaccharide-induced production of reactive oxygen species and activation of NF-KB. Journal of Immunology 2004;173:3589-3593.
39. Rice TW, Wheeler AP, Bernard GR, Vincent J, Angus DC, AikawaN, et al. A randomized, double-blind, placebo-controlled trial of TAK-242 for the treatment of severe sepsis. Crit Care Med 2010;38:1685-1694.
40. Matsumoto S, Haberle J, Kido J, Mitsubuchi H, Endo F and Nakamura K. Urea cycle disorders - update. J Hum Genet 2019;64:833-847.
41. Allegri G, Deplazes S, Rimann N, Causton B, Scherer T, Leff JW, et al. Comprehensive characterization of ureagenesis in the spfash mouse, a model of human ornithine transcarbamylase deficiency, reveals age-dependency of ammonia detoxification. J Inherit Metab Dis 2019;42:1064-1076.
42. Pang Z, Chong J, Zhou G, de Lima Morais DA, Chang L, Barrette M, et al. MetaboAnalyst 5.0: narrowing the gap between raw spectra and functional insights. Nucleic Acids Res 2021;49(Wl):W388-396.
43. Imbert A, Rompais M, Selloum M, Castelli F, Mouton-Barbosa E, Brandolini-Bunlon M, et al. ProMetlS, deep phenotyping of mouse models by combined proteomics and metabolomics analysis. Sci Data 2021;8:311.
44. Boudah S, Olivier M, Aros-Calt S, Oliveira L, Fenaille F, Tabet J, Junot C. Annotation of the human serum metabolome by coupling three liquid chromatography methods to high-resolution mass spectrometry. J Chromatogr B Analyt Technol Biomed Life Sci 2014;966:34-47.
45. Corvi MM, Soltys CL, Berthiaume LG. Regulation of mitochondrial carbamoylphosphate synthetase 1 activity by active site fatty acylation. J Biol Chem 2001;276:45704-12. 46. Corkey BE, Hale DE, Glennon MC, Kelley RI, Coates PM, Kilpatrick L, Stanley CA. Relationship between unusual hepatic acyl coenzyme A profiles and the pathogenesis of Reye syndrome. J Clin Invest 1988;82:782-8.
47. Costell M, O’Connor JE, Miguez MP, Grisolia S. Effects of L-camitine on urea synthesis following acute ammonia intoxication in mice. Biochem Biophys Res Commun 1984;120:726-33.
48. McGill MR, Li F, Sharpe MR, David Williams C, Curry SC, Ma X, Jaeschke H. Circulating acylcamitines as biomarkers of mitochondrial dysfunction after acetaminophen overdose in mice and humans. Arch toixcol 2014;88:391-401.
49. Muoio DM. Metabolic inflexibility: when mitochondrial indecision leads to metabolic gridlock. Cell 2014;159: 1253-1262.
50. Hunter WG, Kelly JP, McGarrahlll RW, Khouri MG, Crag D, Haynes C, et al. Metabolomic profiling identifies novel circulating biomarkers of mitochondrial dysfunction differentially elevated in heart failure with preserved versus reduced ejection
fraction: evidence for shared metabolic impairments in clinical heart failure. J Am Heart Assoc 2016;5: e003190
51. Atlante A, Passarella S, Giannattasio S, Quagliariello E. Fumarate permeation in rat liver mitochondria: fumarate/malate and fumarate/phosphate translocators. Biochem Biophys Res Commun 1985;132:8-18.
52. Alexandrowicz Z, Swierczynski J. Fumarate transport by rat liver mitochondria. FEBS Lett 1971;15:269-272.
53. Jover-Cobos M, Noiret L, Lee K, Sharma V, Habtesion A, Romero-Gomez M, et al. Ornithine phenylacetate targets alterations in the expression and activity of glutamine synthase and glutaminase to reduce ammonia levels in bile duct ligated rates. J Hepatol 2014;60:545-553. 54. Berruyer C, Martin FM, Castellano R, Macone A, Malergue F, Garrido-Urbani S, et al. Vanin-1-/- Mice Exhibit a Glutathione-Mediated Tissue Resistance to Oxidative Stress Mol Cell Biol 2004;24:7214-7224.
55. Seelig GF, Meister A. Cystamine-Sepharose: A probe for the active site of gammaglutamylcysteine synthetase. J Biol Chem 1982;257:5092-5096.
56. Meldrum NU, Roughton FJ. Carbonic anhydrase. Its preparation and properties. J Physiol. 1933;80:113-42.
57. Lindskog S, Silverman DN. The catalytic mechanism of mammalian carbonic anhydrases. EXS 2000;90:175-95.
58. Dodgson SJ. Why are there carbonic anhydrases in the liver? Biochem Cell Biol 1991;69:761-763.
59. Shah GN, Rubbelke TS, Hendin J, Nguyen H, Waheed A, Shoemaker JD, et al. Targeted mutagenesis of mitochondrial carbonic anhydrases VA and VB implicates both enzymes in ammonia detoxification and glucose metabolism. Proceedings of the National Academy of Sciences of the United States of America 2013; 110:7423-7428.
60. Sly WS, Hu PY. Human carbonic anhydrases and carbonic anhydrase deficiencies. Annu Rev Biochem 1995;64:375-401.
61. Alver A, Ucar F, Keha EE, Kalay E, Ovali E. Effects of leptin and insulin on CA III expression in rat adipose tissue. Journal of enzyme inhibition and medicinal chemistry. 2004;19:279-281.
62. Mitterberger MC, Kim G, Rostek U, Levine RL, Zwerschke W. Carbonic anhydrase III regulates peroxisome proliferator-activated receptor-y2. Experimental Cell Research
2012;318:877-886.
63. Liu M, Walter GA, Pathare NC, Forster RE, Vandenbome K. A quantitative study of bioenergetics in skeletal muscle lacking carbonic anhydrase III using 3 IP magnetic resonance spectroscopy. Proceedings of the National Academy of Sciences of the United States of America 2007;104:371-376.
64. Raisanen SR, Lehenkari P, Tasanen M, Rahkila P, Harkonen PL, Vaananen
HK. Carbonic anhydrase III protects cells from hydrogen peroxide-induced apoptosis. FASEB journal: official publication of the Federation of American Societies for Experimental Biology 1999;13:513-522.
65. Zimmerman UJ, Wang P, Zhang X, Bogdanovich S, Forster R. Anti-oxidative response of carbonic anhydrase III in skeletal muscle. IUBMB Life 2004;56:343-347.
66. Herring JA, Elison WS, Tessem JS. Function of Nr4a Orphan Nuclear Receptors in proliferation, apoptosis and fuel utilization across tissues.
67. Qu J, Ko C, Tso P, Bhargava A. Apolipoprotein A-IV: A multifunctional protein involved in protection against atherosclerosis and diabetes. Cells 2019;8:319.
68. Wang F, Kohan AB, Kindel TL, Tso P. Apolipoprotein A-IV improves glucose homeostasis by enhancing insulin secretion. Proc Natl Acad Sci 2012;109:9641-9646.
69. Li X, Xu M, Wang F, Kohan AB, Haas MK, Yang Q, Lou D. Apolipoprotein A-IV reduces hepatic gluconeogenesis through nuclear receptor NR1D1. J Biol Chem 2014;289:2396-2404.
70. Li X, Wang F, Xu M, Howies P, Tso P. ApoA-IV improves insulin sensitivity and glucose uptake in mouse adipocytes via PI3K-Akt signaling. Sci Rep 2017;7:41289.
71. Li X, Liu X, Zhang Y, Cheng C, Fan J, Zhou J, Garstka MA, Li Z. Hepatoprotective effect of apolipoprotein A4 against carbon tetrachloride induced acute liver injury through mediating hepatic antioxidant and inflammation response in mice. Biochm Biophys Res Commun 2021;534:659-665.
72. Bannai S. Exchange of cystine and glutamate across plasma membrane of human fibroblasts. J Biol Chem 1986;261:2256-63. 73. Stockwell BR, Friedmann Angeli JP, Bayir H, Bush Al, Conrad M, Dixon SJ, et al.
Ferroptosis: a regulated cell death nexus linking metabolism, redox biology, and disease. Cell 2017;171:273-285.
74. Dixon SJ, Lemberg KM, Lamprecht MR, Skouta R, Zaitsev EM, Gleason CE, et al.
Ferroptosis: an iron-dependent form of nonapoptotic cell death. Cell 2012;149:1060- 1072.
75. Haussinger D, Sies H. Hepatic glutamine metabolism under the influence of the portal ammonia concentration in the perfused rat liver. Eur J Biochem 1979;101:179-184.
76. Squires SA, Ewart H, McCarthy C, Brosnan ME, Brosnan JT. Regulation of hepatic glutaminase in the streptozotocin-induced diabetic rat. Diabetes 1994;46:1945-1949.
77. Moorman AF, de Boer PA, Watford M, Dingemanse MA, Larners WH. Hepatic glutaminase mRNA is confined to part of the urea cycle domain in the adult rodent liver lobule. FEBS Lett 1994;356:76-80.
78. Fausto N, Brandt JT, Kesner L. Possible interactions between the urea cycle and synthesis of pyrimidines and polyamines in regenerating liver. Cancer Res 1975;35:397- 404.
79. Sang Lee J, Adler L, Karathia H, Carmel N, Rabinovich S, Auslander N, et al. Urea cycle dysregulation generates clinically relevant genomic and biochemical signature. Cell 2018;174:1559-1570.
80. Kumar A, Welch N, Mishra S, Bellar A, Silva RN, Li L, et al. Metabolic reprogramming during hyperammonemia targets mitochondrial function and postmitotic senescence. JCI Insight 2021;6:el54089.
81. Zaccherini G, Aguilar F, Caraceni P, Claria J, Lozano JJ, Fenaille F, et al. Assessing the role of amino acids in systemic inflammation and organ failure in patients with ACLF. J Hepatol 2021;74:1117-1131.
82. Adlimoghaddam A, Albensi BC. The nuclear factor kappa B (NF-kB) signalling pathway is involved in ammonia-induced mitochondrial dysfunction. Mitochondrion 2021;57:63-57.
83. Ma Y, Lee G, Heo S, Roh Y. Oxidative stress is a key modulator in the development of nonalcoholic fatty liver disease. Antioxidants 2022; 11:91.
84. Jia L, Chang X, Qian S, Liu C, Lord CC, Ahmed N, et al. Hepatocyte toll-like receptor 4 deficiency protects against alcohol-induced fatty liver disease. Mol Met 2018; 14: 121- 129.
Claims
1. A combination of ornithine, or a pharmaceutically acceptable salt thereof, at least one of phenylacetate and phenylbutyrate, or a pharmaceutically acceptable salt thereof, and an antagonist of TLR4.
2. The combination of claim 1, wherein the at least one of phenylacetate and phenylbutyrate is administered as a sodium phenylacetate, sodium phenylbutyrate or glycerolphenylbutyrate.
3. The combination of claim 1 or claim 2, wherein the ornithine is administered as a free monomeric amino acid or physiologically acceptable salt thereof.
4. The combination of any one of claim 1 to 3, wherein the ornithine and phenylacetate is administered as ornithine phenylacetate.
5. The combination of any one of claims 1 to 4, wherein the ornithine phenylacetate is L-omithine phenylacetate.
6. The combination of any one of claims 1 to 5, wherein the antagonist of TLR4 antagonist a compound represented by the formula (I):
wherein
R represents an aliphatic hydrocarbon group optionally having substituents, an aromatic hydrocarbon group optionally having substituents, a heterocyclic group optionally having substituents, a group represented by the formula: -
OR1 wherein R represents a hydrogen atom or an aliphatic hydrocarbon group optionally having substituents, or a group represented by the formula:
wherein
Rlb and Rlc are the same or different and each represents a hydrogen atom or an aliphatic hydrocarbon group optionally having substituents,
R° represents a hydrogen atom or an aliphatic hydrocarbon group, or R and R° in combination form a bond, ring A1 represents a cycloalkene optionally substituted by 1 to 4 substituents selected from the group consisting of
(1) an aliphatic hydrocarbon group optionally having substituents,
(2) an aromatic hydrocarbon group optionally having substituents,
(3) a group represented by the formula: -OR11 wherein R11 represents a hydrogen atom or an aliphatic hydrocarbon group optionally having substituents and
(4) a halogen atom,
7. The combination of any one of claims 1 to 5, wherein the antagonist of TLR4 antagonist is selected from the group consisting of STM28, TAK-242, eritoran, an anti- TLR4 monoclonal antibody, OxPAPC, and IAXO compounds.
8. The combination of claim 6 or claim 7, wherein the antagonist of Toll like receptor 4 (TLR4) is Ethyl (6R)-6-[A-(2-chloro-4-fhiorophenyl)sulfamoyl] cyclohex- 1-ene-l- carboxylate (TAK-242).
9. A method of preventing or treating disease, comprising administering the combination of any one of claims 1 to 8 to a subject in need thereof, and thereby preventing or treating the disease.
10. The method of claim 9, wherein the administration of ornithine, or a pharmaceutically acceptable salt thereof, and the at least one of phenylacetate and phenylbutyrate or a pharmaceutically acceptable salt thereof, precedes the administration of the TLR4 antagonist to the subject, is at the same time as the administration of TLR4 antagonist to the subject, is sequential to the administration of the TLR4 antagonist to the subject, or is subsequent to the administration of the TLR4 antagonist to the subject.
11. The method of claim 9 or claim 10, wherein the disease to be prevented or treated is hyperammonaemia, or involves hyperammonaemia.
12. The method of any one of claims 9 to 11, wherein the disease to be prevented or treated is liver disease, acute liver failure, acute-on-chronic failure (ACLF), mitochondrial dysfunction, Hepatic Encephalopathy (HE), a urea cycle enzyme disorder, a disease associated with urea cycle enzyme abnormalities, maintenance of memory T-cell function, portal hypertension, sarcopenia, fibrosis or cancer.
13. The method of claim 12, wherein the cancer is liver cancer or extrahepatic cancer.
14. The method of claim 12, wherein the mitochondrial dysfunction is a mitochondrial hepatopathy.
15. The method of claim 14, wherein the mitochondrial hepatopathy is an inherited mitochondrial hepatopathy or an acquired mitochondrial hepatopathy.
16. The method of claim 15, wherein the mitochondrial hepatopathy is characterised by a urea cycle enzyme disorder (UCD), impaired urea cycle function, impaired mitochondrial beta-oxidation, impaired Krebs cycle, increased polyamine, pyrimidine and/or purine synthesis pathways, downregulation of UCEs, upregulation of ammonia lyases-related pathways, downregulation of pathways related to transmembrane transport of citrate, upregulation of lactate dehydrogenase (LDH)-related pathways, downregulation of pathways related to negative regulation of oxidative stress and/or upregulation of pathways related to positive regulation of oxidative stress.
17. The method of claim 15, wherein the acquired mitochondrial hepatopathy is selected from the group consisting of valproate toxicity, Reyes syndrome and Ac Fatty liver of pregnancy.
18. A method of preventing or treating cancer in a subject comprising administering a combination of ornithine, or a pharmaceutically acceptable salt thereof, and at least one of phenylacetate and phenylbutyrate, or a pharmaceutically acceptable salt thereof, to the subject in need thereof, and thereby preventing or treating the cancer.
19. The method of claim 18, wherein the subject has a mitochondrial dysfunction.
20. A method of preventing or treating mitochondrial dysfunction in a subject comprising administering a combination of ornithine, or a pharmaceutically acceptable salt thereof, and at least one of phenylacetate and phenylbutyrate, or a pharmaceutically acceptable salt thereof, to the subject in need thereof, and thereby preventing or treating the mitochondrial dysfunction.
21. The method of any one of claims 18 to 20, wherein the at least one of phenylacetate and phenylbutyrate is administered as a sodium phenylacetate, sodium phenylbutyrate or glycerolphenylbutyrate.
22. The method of any one of claims 18 to 21, wherein the ornithine is administered as a free monomeric amino acid or physiologically acceptable salt thereof.
23. The method of any one of claims 18 to 22, wherein the ornithine and phenylacetate is administered as ornithine phenylacetate.
24. The method of any one of claims 18 to 23, wherein the ornithine phenylacetate is L-omithine phenylacetate.
25. The method of any one of claims 19 to 23, wherein the mitochondrial dysfunction is a mitochondrial hepatopathy.
26. The method of claim 25, wherein the mitochondrial hepatopathy is an inherited mitochondrial hepatopathy or an acquired mitochondrial hepatopathy.
27. The method of claim 25, wherein the mitochondrial hepatopathy is characterised by a urea cycle enzyme disorder (UCD), impaired urea cycle function, impaired mitochondrial beta-oxidation, impaired Krebs cycle, increased polyamine, pyrimidine and/or purine synthesis pathways, downregulation of UCEs, upregulation of ammonia lyases-related pathways, downregulation of pathways related to transmembrane transport of citrate,
upregulation of lactate dehydrogenase (LDH)-related pathways, downregulation of pathways related to negative regulation of oxidative stress and/or upregulation of pathways related to positive regulation of oxidative stress.
28. The method of claim 26, wherein the acquired mitochondrial hepatopathy is selected from the group consisting of valproate toxicity, Reyes syndrome and Ac Fatty liver of pregnancy.
29. The method of claim 18 or claim 19, wherein the cancer is selected from the group consisting of liver cancer or extrahepatic cancer.
Applications Claiming Priority (6)
| Application Number | Priority Date | Filing Date | Title |
|---|---|---|---|
| GB2309266.1 | 2023-06-20 | ||
| GB202309262 | 2023-06-20 | ||
| GB2309262.0 | 2023-06-20 | ||
| GB2309260.4 | 2023-06-20 | ||
| GB202309260 | 2023-06-20 | ||
| GB202309266 | 2023-06-20 |
Publications (1)
| Publication Number | Publication Date |
|---|---|
| WO2024261477A1 true WO2024261477A1 (en) | 2024-12-26 |
Family
ID=91737744
Family Applications (1)
| Application Number | Title | Priority Date | Filing Date |
|---|---|---|---|
| PCT/GB2024/051572 Pending WO2024261477A1 (en) | 2023-06-20 | 2024-06-20 | Combination of tlr4 antagonist, ornithine and phenylacetate or phenylbutyrate |
Country Status (1)
| Country | Link |
|---|---|
| WO (1) | WO2024261477A1 (en) |
Citations (17)
| Publication number | Priority date | Publication date | Assignee | Title |
|---|---|---|---|---|
| WO1987005297A1 (en) | 1986-03-03 | 1987-09-11 | The University Of Chicago | Cephalosporin derivatives |
| US5405761A (en) | 1990-07-02 | 1995-04-11 | Degussa Aktiengesellschaft | Method for the preparation of salts of L-ornithine |
| US5503978A (en) | 1990-06-11 | 1996-04-02 | University Research Corporation | Method for identification of high affinity DNA ligands of HIV-1 reverse transcriptase |
| US5560490A (en) | 1992-09-09 | 1996-10-01 | Fisons Plc | Pharmaceutical packaging with capsule sealing means |
| US5567588A (en) | 1990-06-11 | 1996-10-22 | University Research Corporation | Systematic evolution of ligands by exponential enrichment: Solution SELEX |
| WO1996038579A1 (en) | 1995-06-02 | 1996-12-05 | Nexstar Pharmaceuticals, Inc. | High-affinity oligonucleotide ligands to growth factors |
| US5591613A (en) | 1990-07-02 | 1997-01-07 | Degussa Aktiengesellschaft | Method for the preparation of D-arginine and L-ornithine |
| US5654151A (en) | 1990-06-11 | 1997-08-05 | Nexstar Pharmaceuticals, Inc. | High affinity HIV Nucleocapsid nucleic acid ligands |
| WO2003084527A1 (en) | 2002-04-08 | 2003-10-16 | Takeda Chemical Industries, Ltd. | Severe sepsis preventive therapeutic agent |
| WO2006056794A1 (en) | 2004-11-26 | 2006-06-01 | Ucl Business Plc | Compositions comprising ornithine and phenylacetate or phenylbutyrate for treating hepatic encephalopathy |
| WO2007058634A1 (en) | 2005-11-17 | 2007-05-24 | Diagen Smartno Pri Ljubljani, D.O.O. | Stable formulation of amorphous perindopril salts, a process for their preparation, especially industrial preparation, and their use in the therapy of hypertension |
| WO2010115055A1 (en) | 2009-04-03 | 2010-10-07 | Ocera Therapeutics, Inc. | L-ornithine phenyl acetate and methods of making thereof |
| WO2010144498A2 (en) | 2009-06-08 | 2010-12-16 | Ucl Business Plc | Treatment of portal hypertension and restoration of liver function using l-ornithine phenylacetate |
| WO2012048043A1 (en) | 2010-10-06 | 2012-04-12 | Ocera Therapeutics, Inc. | Methods of making l-ornithine phenyl acetate |
| WO2016172112A1 (en) | 2015-04-20 | 2016-10-27 | Ocera Therapeutics, Inc. | Formulations of l-ornithine phenylacetate |
| WO2017083758A1 (en) | 2015-11-13 | 2017-05-18 | Ocera Therapeutics, Inc. | Formulation of l-ornithine phenylacetate |
| WO2021076709A1 (en) | 2019-10-16 | 2021-04-22 | Ocera Therapeutics, Inc. | Dosages and uses of ornithine phenylacetate for treating hyperammonemia |
-
2024
- 2024-06-20 WO PCT/GB2024/051572 patent/WO2024261477A1/en active Pending
Patent Citations (20)
| Publication number | Priority date | Publication date | Assignee | Title |
|---|---|---|---|---|
| WO1987005297A1 (en) | 1986-03-03 | 1987-09-11 | The University Of Chicago | Cephalosporin derivatives |
| US5503978A (en) | 1990-06-11 | 1996-04-02 | University Research Corporation | Method for identification of high affinity DNA ligands of HIV-1 reverse transcriptase |
| US5567588A (en) | 1990-06-11 | 1996-10-22 | University Research Corporation | Systematic evolution of ligands by exponential enrichment: Solution SELEX |
| US5654151A (en) | 1990-06-11 | 1997-08-05 | Nexstar Pharmaceuticals, Inc. | High affinity HIV Nucleocapsid nucleic acid ligands |
| US5405761A (en) | 1990-07-02 | 1995-04-11 | Degussa Aktiengesellschaft | Method for the preparation of salts of L-ornithine |
| US5591613A (en) | 1990-07-02 | 1997-01-07 | Degussa Aktiengesellschaft | Method for the preparation of D-arginine and L-ornithine |
| US5560490A (en) | 1992-09-09 | 1996-10-01 | Fisons Plc | Pharmaceutical packaging with capsule sealing means |
| WO1996038579A1 (en) | 1995-06-02 | 1996-12-05 | Nexstar Pharmaceuticals, Inc. | High-affinity oligonucleotide ligands to growth factors |
| WO2003084527A1 (en) | 2002-04-08 | 2003-10-16 | Takeda Chemical Industries, Ltd. | Severe sepsis preventive therapeutic agent |
| US20080119554A1 (en) | 2004-11-26 | 2008-05-22 | Rajiv Jalan | Compositions Comprising Ornithine And Phenylacetate Or Phenylbutyrate For Treating Hepatic Encephalopathy |
| WO2006056794A1 (en) | 2004-11-26 | 2006-06-01 | Ucl Business Plc | Compositions comprising ornithine and phenylacetate or phenylbutyrate for treating hepatic encephalopathy |
| WO2007058634A1 (en) | 2005-11-17 | 2007-05-24 | Diagen Smartno Pri Ljubljani, D.O.O. | Stable formulation of amorphous perindopril salts, a process for their preparation, especially industrial preparation, and their use in the therapy of hypertension |
| WO2010115055A1 (en) | 2009-04-03 | 2010-10-07 | Ocera Therapeutics, Inc. | L-ornithine phenyl acetate and methods of making thereof |
| US20100280119A1 (en) | 2009-04-03 | 2010-11-04 | Ocera Therapeutics, Inc. | L-ornithine phenyl acetate and methods of making thereof |
| WO2010144498A2 (en) | 2009-06-08 | 2010-12-16 | Ucl Business Plc | Treatment of portal hypertension and restoration of liver function using l-ornithine phenylacetate |
| WO2012048043A1 (en) | 2010-10-06 | 2012-04-12 | Ocera Therapeutics, Inc. | Methods of making l-ornithine phenyl acetate |
| US20130211135A1 (en) | 2010-10-06 | 2013-08-15 | Ocera Therapeutics, Inc. | Methods of making l-ornithine phenyl acetate |
| WO2016172112A1 (en) | 2015-04-20 | 2016-10-27 | Ocera Therapeutics, Inc. | Formulations of l-ornithine phenylacetate |
| WO2017083758A1 (en) | 2015-11-13 | 2017-05-18 | Ocera Therapeutics, Inc. | Formulation of l-ornithine phenylacetate |
| WO2021076709A1 (en) | 2019-10-16 | 2021-04-22 | Ocera Therapeutics, Inc. | Dosages and uses of ornithine phenylacetate for treating hyperammonemia |
Non-Patent Citations (93)
| Title |
|---|
| ADLIMOGHADDAM AALBENSI BC: "The nuclear factor kappa B (NF-kB) signalling pathway is involved in ammonia-induced mitochondrial dysfunction", MITOCHONDRION, vol. 57, 2021, pages 63 - 57 |
| ALEXANDROWICZ ZSWIERCZYNSKI J.: "Fumarate transport by rat liver mitochondria", FEBS LETT, vol. 15, 1971, pages 269 - 272 |
| ALLEGRI GDEPLAZES SRIMANN NCAUSTON BSCHERER TLEFF JW ET AL.: "Comprehensive characterization of ureagenesis in the spfash mouse, a model of human ornithine transcarbamylase deficiency, reveals age-dependency of ammonia detoxification", J INHERIT METAB DIS, vol. 42, 2019, pages 1064 - 1076 |
| ALVER AUCAR FKEHA EEKALAY EOVALI E: "Effects of leptin and insulin on CA III expression in rat adipose tissue", JOURNAL OF ENZYME INHIBITION AND MEDICINAL CHEMISTRY., vol. 19, 2004, pages 279 - 281 |
| ANGELOVA PRKERBERT AJCHABTESION AHALL AABRAMOV AYJALAN R: "Hyperammonaemia induces mitochondrial dysfunction and neuronal cell death", JHEP, vol. 4, 2022, pages 100510 |
| ATLANTE APASSARELLA SGIANNATTASIO SQUAGLIARIELLO E: "Fumarate permeation in rat liver mitochondria: fumarate/malate and fumarate/phosphate translocators", BIOCHEM BIOPHYS RES COMMUN, vol. 132, 1985, pages 8 - 18, XP024768513, DOI: 10.1016/0006-291X(85)90981-7 |
| BANNAI S: "Exchange of cystine and glutamate across plasma membrane of human fibroblasts", J BIOL CHEM, vol. 261, 1986, pages 2256 - 63 |
| BERRUYER CMARTIN FMCASTELLANO RMACONE AMALERGUE FGARRIDO-URBANI S ET AL., VANIN-1-/- MICE EXHIBIT A GLUTATHIONE-MEDIATED TISSUE RESISTANCE TO OXIDATIVE STRESS MOL CELL BIOL, vol. 24, 2004, pages 7214 - 7224 |
| BIGHLEY L.D. ET AL.: "Encyclopedia of pharmaceutical technology", vol. 12, MARCEL DEKKER, INC., article "Salt forms of drugs and absorption", pages: 452 - 499 |
| BOSOI CRROSE CF: "Identifying the direct effects of ammonia on the brain", METAB BRAIN DIS, vol. 24, 2009, pages 95 - 102, XP019684292 |
| BOUDAH SOLIVIER MAROS-CALT SOLIVEIRA LFENAILLE FTABET JJUNOT C: "Annotation of the human serum metabolome by coupling three liquid chromatography methods to high-resolution mass spectrometry", J CHROMATOGR B ANALYT TECHNOL BIOMED LIFE SCI, vol. 966, 2014, pages 34 - 47, XP029037448, DOI: 10.1016/j.jchromb.2014.04.025 |
| CORKEY BEHALE DEGLENNON MCKELLEY RICOATES PMKILPATRICK LSTANLEY CA: "Relationship between unusual hepatic acyl coenzyme A profiles and the pathogenesis of Reye syndrome", J CLIN INVEST, vol. 82, 1988, pages 782 - 8 |
| CORVI MMSOLTYS CLBERTHIAUME LG: "Regulation of mitochondrial carbamoyl-phosphate synthetase 1 activity by active site fatty acylation", J BIOL CHEM, vol. 276, 2001, pages 45704 - 12 |
| COSTELL MO'CONNOR JEMIGUEZ MPGRISOLIA S: "Effects of L-carnitine on urea synthesis following acute ammonia intoxication in mice", BIOCHEM BIOPHYS RES COMMUN, vol. 120, 1984, pages 726 - 33 |
| DAM GOTT PAAGAARD NVILSTRUP H: "Branched-chain amino acids and muscle ammonia detoxification in cirrhosis", METAB BRAIN DIS, vol. 28, 2013, pages 217 - 220 |
| DASARATHY SHATZOGLOU M: "Hyperammonemia and proteostasis in cirrhosis", CURR OPIN CLIN NUTR METAB CARE, vol. 21, 2018, pages 30 - 36 |
| DAVULURI GALLAWY ATHAPALIYA SRENNISON JHSINGH DKUMAR A ET AL.: "Hyperammonaemia-induced skeletal muscle mitochondrial dysfunction results in cataplerosis and oxidative stress", J PHYSIOL, vol. 594, 2016, pages 7341 - 7360, XP055748357, DOI: 10.1113/JP272796 |
| DE CHIARA FTHOMSEN KLHABTESION AJONES HDAVIES NGRACIA-SANCHO J ET AL.: "Ammonia scavenging prevents progression of fibrosis in experimental non-alcoholic fatty liver disease", HEPATOLOGY, vol. 71, 2020, pages 874 - 892 |
| DIXON SJLEMBERG KMLAMPRECHT MRSKOUTA RZAITSEV EMGLEASON CE ET AL.: "Ferroptosis: an iron-dependent form of nonapoptotic cell death", CELL, vol. 149, 2012, pages 1060 - 1072, XP055213838, DOI: 10.1016/j.cell.2012.03.042 |
| DODGSON SJ: "Why are there carbonic anhydrases in the liver?", BIOCHEM CELL BIOL, vol. 69, 1991, pages 761 - 763 |
| DREWS LZIMMERMAN MWESTHOFF PBRILHAUS DPOSS REBERGMANN L ET AL.: "Ammonia inhibits energy metabolism in astrocytes in a rapid and glutamate dehydrogenase 2-dependent manner", DIS MODEL MECH, vol. 13, 2020, pages dmm047134 |
| ENGELMANN CORNELIUS ET AL: "Toll-like receptor 4 is a therapeutic target for prevention and treatment of liver failure", JOURNAL OF HEPATOLOGY, ELSEVIER, AMSTERDAM, NL, vol. 73, no. 1, 24 January 2020 (2020-01-24), pages 102 - 112, XP086188903, ISSN: 0168-8278, [retrieved on 20200124], DOI: 10.1016/J.JHEP.2020.01.011 * |
| ENGELMANN CSHEIKH MSHARMA SKONDO TLOEFFLER-WIRTH HZHENG YB ET AL.: "Toll-like receptor 4 is a therapeutic target for prevention and treatment of liver failure", J HEPATOL, vol. 73, 2020, pages 102 - 112, XP086188903, DOI: 10.1016/j.jhep.2020.01.011 |
| FABBRI AMARCHESINI GBIANCHI GBUGIANESI EBORTOLUZZI LZOLI M ET AL.: "Unresponsiveness of hepatic nitrogen metabolism to glucagon infusion in patients with cirrhosis: dependence on liver cell failure", HEPATOLOGY, vol. 18, 1993, pages 28 - 35 |
| FAUSTO NBRANDT JTKESNER L: "Possible interactions between the urea cycle and synthesis of pyrimidines and polyamines in regenerating liver", CANCER RES, vol. 35, 1975, pages 397 - 404 |
| GILL RTSUNG ABILLIAR TR: "Linking oxidative stress to inflammation: Toll-like receptors", FREE RADIC BIOL MED, vol. 48, 2010, pages 1121 - 1132, XP055569978, DOI: 10.1016/j.freeradbiomed.2010.01.006 |
| GUO JFRIEDMANN SL: "Toll-like receptor 4 signaling in liver injury and hepatic fibrogenesis", FIBROGENESIS TISSUE REPAIR, vol. 21, 2010 |
| GUSTOT TLEMMERS AMORENO CNAGY NQUERTINMONT ENICAISE C ET AL.: "Differential liver sensitization to toll-like receptor pathways in mice with alcoholic fatty liver", HEPATOLOGY, vol. 43, 2006, pages 989 - 1000 |
| HAUSSINGER D.: "Regulation of hepatic ammonia metabolism: the intercellular glutamine cycle", ADV ENZYME REGUL, vol. 25, 1986, pages 159 - 180, XP025888370, DOI: 10.1016/0065-2571(86)90013-0 |
| HAUSSINGER DSIES H.: "Hepatic glutamine metabolism under the influence of the portal ammonia concentration in the perfused rat liver", EUR J BIOCHEM, vol. 101, 1979, pages 179 - 184 |
| HENNESSY ET AL., NATURE REVIEWS DRUG DISCOVERY, vol. 9, 2010, pages 293 - 307 |
| HERRING JAELISON WSTESSEM JS, FUNCTION OF NR4A ORPHAN NUCLEAR RECEPTORS IN PROLIFERATION, APOPTOSIS AND FUEL UTILIZATION ACROSS TISSUES. |
| HRITZ KMANDREKAR PVELAYUDHAM ACATALANO DDOLGANIUC AKODYS K ET AL.: "The critical role of toll-like receptor (TLR) 4 in alcoholic liver disease is independent of the common TLR adapter MyD88", HEPATOLOGY, vol. 48, 2008, pages 1224 - 1231 |
| HU CHUANG KZHAO LZHANG FWU ZLI L: "Serum ammonia is a strong prognostic factor for patients with acute-on-chronic liver failure", SCI REP, vol. 10, 2020, pages 16970 |
| HUNTER WGKELLY JPMCGARRAHLLL RWKHOURI MGCRAG DHAYNES C ET AL.: "Metabolomic profiling identifies novel circulating biomarkers of mitochondrial dysfunction differentially elevated in heart failure with preserved versus reduced ejection fraction: evidence for shared metabolic impairments in clinical heart failure", J AM HEART ASSOC, vol. 5, 2016, pages e003190 |
| IMBERT AROMPAIS MSELLOUM MCASTELLI FMOUTON-BARBOSA EBRANDOLINI-BUNLON M ET AL.: "ProMetIS, deep phenotyping of mouse models by combined proteomics and metabolomics analysis", SCI DATA, vol. 8, 2021, pages 311 |
| JALAN ET AL.: "L-Omithine phenylacetate (OP): a novel treatment for hyperammonaemia and hepatic encephalopathy", MED HYPOTHESES, vol. 69, no. 5, 2007, pages 1064 - 69 |
| JAYAKUMAR ARTONG XYCURTIS KMRUIZ-CORDERO RABREU MTNORENBERG MD: "Increased toll-like receptor 4 in cerebral endothelial cells contributes to the astrocyte swelling and brain edema in acute hepatic encephalopathy", J NEUROCHEM, vol. 128, 2014, pages 890 - 903 |
| JIA BYU ZDUAN ZLÜ XLI JLIU X ET AL.: "Hyperammonaemia induces hepatic injury with alteration of gene expression profiles", LIVER INT, vol. 34, 2014, pages 748 - 758 |
| JIA LCHANG XQIAN SLIU CLORD CCAHMED N ET AL.: "Hepatocyte toll-like receptor 4 deficiency protects against alcohol-induced fatty liver disease", MOL MET, vol. 14, 2018, pages 121 - 129 |
| JOVER-COBOS MNOIRET LLEE KSHARMA VHABTESION AROMERO-GOMEZ M ET AL.: "Ornithine phenylacetate targets alterations in the expression and activity of glutamine synthase and glutaminase to reduce ammonia levels in bile duct ligated rates", J HEPATOL, vol. 60, 2014, pages 545 - 553, XP028612093, DOI: 10.1016/j.jhep.2013.10.012 |
| KAISER SGEROK WHAUSSINGER D: "Ammonia and glutamine metabolism in human liver slices: new aspects on the pathogenesis of hyperammonaemia in chronic liver disease", EUR J CLIN INVEST, vol. 18, 1988, pages 535 - 542 |
| KUMAR ADAVULURI GSILVA RNEENGELEN MPKJTEN HAVE GAMPRAYSON R ET AL.: "Ammonia lowering reverses sarcopenia of cirrhosis by restoring skeletal muscle proteostasis", HEPATOLOGY, vol. 65, 2017, pages 2045 - 2058, XP071563611, DOI: 10.1002/hep.29107 |
| KUMAR AWELCH NMISHRA SBELLAR ASILVA RNLI L ET AL.: "Metabolic reprogramming during hyperammonemia targets mitochondrial function and postmitotic senescence", JCI INSIGHT, vol. 6, 2021, pages e154089 |
| LI XLIU XZHANG YCHENG CFAN JZHOU JGARSTKA MALI Z: "Hepatoprotective effect of apolipoprotein A4 against carbon tetrachloride induced acute liver injury through mediating hepatic antioxidant and inflammation response in mice", BIOCHM BIOPHYS RES COMMUN, vol. 534, 2021, pages 659 - 665, XP086429297, DOI: 10.1016/j.bbrc.2020.11.024 |
| LI XWANG FXU MHOWLES PTSO P: "ApoA-IV improves insulin sensitivity and glucose uptake in mouse adipocytes via PI3K-Akt signaling", SCI REP, vol. 7, 2017, pages 41289 |
| LI XXU MWANG FKOHAN ABHAAS MKYANG QLOU D: "Apolipoprotein A-IV reduces hepatic gluconeogenesis through nuclear receptor NR1D1", J BIOL CHEM, vol. 289, 2014, pages 2396 - 2404 |
| LINDSKOG SSILVERMAN DN: "The catalytic mechanism of mammalian carbonic anhydrases", EXS, vol. 90, 2000, pages 175 - 95 |
| LIU MWALTER GAPATHARE NCFORSTER REVANDENBORNE K: "A quantitative study of bioenergetics in skeletal muscle lacking carbonic anhydrase III using 31P magnetic resonance spectroscopy", PROCEEDINGS OF THE NATIONAL ACADEMY OF SCIENCES OF THE UNITED STATES OF AMERICA, vol. 104, 2007, pages 371 - 376 |
| LUO CSHEN GLIU NGONG FWEI XYAO S ET AL.: "Ammonia drives dendritic cells into dysfunction", J IMMUNOL, vol. 1, 2014, pages 1080 - 1089 |
| MA YLEE GHEO SROH Y: "Oxidative stress is a key modulator in the development of nonalcoholic fatty liver disease", ANTIOXIDANTS, vol. 11, 2022, pages 91 |
| MADDOX ET AL., J. EXP. MED., vol. 158, 1993, pages 1211 - 1226 |
| MATSUMOTO SHÄBERLE JKIDO JMITSUBUCHI HENDO FNAKAMURA K.: "Urea cycle disorders - update", J HUM GENET, vol. 64, 2019, pages 833 - 847, XP036928756, DOI: 10.1038/s10038-019-0614-4 |
| MATSUNAGA NTSUCHIMORI NMATSUMOTO TLI M: "TAK-242 (Resatorvid), a small-molecule inhibitor of Toll-like receptor (TLR) 4 signaling, binds selectively to TLR4 and interferes with interactions between TLR4 and its adaptor molecules", MOL PHARM, vol. 79, 2011, pages 34 - 41, XP055053425, DOI: 10.1124/mol.110.068064 |
| MCGILL MRLI FSHARPE MRDAVID WILLIAMS CCURRY SCMA XJAESCHKE H: "Circulating acylcarnitines as biomarkers of mitochondrial dysfunction after acetaminophen overdose in mice and humans", ARCH TOIXCOL, vol. 88, 2014, pages 391 - 401 |
| MELDRUM NUROUGHTON FJ: "Carbonic anhydrase. Its preparation and properties", J PHYSIOL., vol. 80, 1933, pages 113 - 42 |
| MILEWSKI K ET AL: "What we know: the inflammatory basis of hepatic encephalopathy", METABOLIC BRAIN DISEASE, KLUWER ACADEMIC - PLENUM PUBLISHERS, NEW YORK, NY, US, vol. 31, no. 6, 26 October 2015 (2015-10-26), pages 1239 - 1247, XP036115788, ISSN: 0885-7490, [retrieved on 20151026], DOI: 10.1007/S11011-015-9740-7 * |
| MITTERBERGER MCKIM GROSTEK ULEVINE RLZWERSCHKE W: "Carbonic anhydrase III regulates peroxisome proliferator-activated receptor-y2", EXPERIMENTAL CELL RESEARCH, vol. 318, 2012, pages 877 - 886 |
| MOORMAN AFDE BOER PAWATFORD MDINGEMANSE MALAMERS WH: "Hepatic glutaminase mRNA is confined to part of the urea cycle domain in the adult rodent liver lobule", FEBS LETT, vol. 356, 1994, pages 76 - 80, XP025813869, DOI: 10.1016/0014-5793(94)01230-X |
| MUOIO DM: "Metabolic inflexibility: when mitochondrial indecision leads to metabolic gridlock", CELL, vol. 159, 2014, pages 1253 - 1262, XP029110676, DOI: 10.1016/j.cell.2014.11.034 |
| NIKNAHAD HJAMSHIDZADEH AHEIDARI RZAREI MOMMATI MM: "Ammonia-induced mitochondrial dysfunction and energy metabolism disturbances in isolated brain and liver mitochondria, and the effect of taurine administration: relevance to hepatic encephalopathy treatment", CLIN EXP HEPATOL, vol. 3, 2017, pages 141 - 151 |
| PANG ZCHONG JZHOU GDE LIMA MORAIS DACHANG LBARRETTE M ET AL.: "MetaboAnalyst 5.0: narrowing the gap between raw spectra and functional insights", NUCLEIC ACIDS RES, vol. 49, no. W1, 2021, pages W388 - 396 |
| PARK HS, JUNG HY, PARK EY, KIM J, LEE WJ, BAE YS.: " Cutting edge: direct interaction of TLR4 with NAD(P)H oxidase 4 isozyme is essential for lipopolysaccharide-induced production of reactive oxygen species and activation of NF-KB.", JOURNAL OF IMMUNOLOGY, vol. 173, 2004, pages 3589 - 3593 |
| PATWARDHAN VRJIANG ZGRISECH-NEIMAN YPIATKOWSKI GAFDHAL NHMUKAMAL K ET AL.: "Serum ammonia is associated with transplant-free survival in hospitalized patients with cirrhosis", J CLIN GASTROENTEROL, vol. 50, 2016, pages 345 - 350 |
| POLTORAK AHE XSMIRNOVA ILIU MVAN HUFFEL CDU X ET AL.: "Defective LPS signaling in C3H/HeJ and C57BL/10ScCr mice: mutations in Tlr4 gene", SCIENCE, vol. 282, 1998, pages 2085 - 2088, XP002145980, DOI: 10.1126/science.282.5396.2085 |
| QIU JTHAPALIYA SRUNKANA AYANG YTSIEN CMOHAN ML ET AL.: "Hyperammonemia in cirrhosis induces transcriptional regulation of myostatin by an NF-kB-mediated mechanism", PROC NATL ACAD SCI USA, vol. 110, 2013, pages 18162 - 18167, XP055367228, DOI: 10.1073/pnas.1317049110 |
| QU JKO CTSO PBHARGAVA A: "Apolipoprotein A-IV: A multifunctional protein involved in protection against atherosclerosis and diabetes", CELLS, vol. 8, 2019, pages 319 |
| RAISANEN SRLEHENKARI PTASANEN MRAHKILA PHARKONEN PLVAANANEN HK: "Carbonic anhydrase III protects cells from hydrogen peroxide-induced apoptosis", FASEB JOURNAL: OFFICIAL PUBLICATION OF THE FEDERATION OF AMERICAN SOCIETIES FOR EXPERIMENTAL BIOLOGY, vol. 13, 1999, pages 513 - 522 |
| RAMA RAO KVJAYAKUMAR ARNORENBERG MD: "Role of oxidative stress in the ammonia-induced mitochondrial permeability transition in cultures astrocytes", NEUROCHEM INT, vol. 47, 2005, pages 31 - 38 |
| RICE TWWHEELER APBERNARD GRVINCENT JANGUS DCAIKAWA N ET AL.: "A randomized, double-blind, placebo-controlled trial of TAK-242 for the treatment of severe sepsis", CRIT CARE MED, vol. 38, 2010, pages 1685 - 1694, XP055115621, DOI: 10.1097/CCM.0b013e3181e7c5c9 |
| ROCKEY D. ET AL.: "Randomized, Double-Blind, Controlled Study of Glycerol Phenylbutyrate in Hepatic Encephalopathy", HEPATOLOGY, vol. 59, no. 3, 2014, pages 1073 - 1083 |
| ROSE CHRISTOPHER F ET AL: "Hepatic encephalopathy: Novel insights into classification, pathophysiology and therapy", JOURNAL OF HEPATOLOGY, ELSEVIER, AMSTERDAM, NL, vol. 73, no. 6, 21 October 2020 (2020-10-21), pages 1526 - 1547, XP086344998, ISSN: 0168-8278, [retrieved on 20201021], DOI: 10.1016/J.JHEP.2020.07.013 * |
| RUDMAN DDIFULCO JTGALAMBOS JTSMITH RBDSALAM AAWARREN WD: "Maximal rates of excretion and synthesis of urea in normal and cirrhotic subjects", J CLIN INVEST, vol. 52, 1973, pages 2241 - 2249 |
| SANG LEE JADLER LKARATHIA HCARMEL NRABINOVICH SAUSLANDER N ET AL.: "Urea cycle dysregulation generates clinically relevant genomic and biochemical signature", CELL, vol. 174, 2018, pages 1559 - 1570 |
| SCOTT MJBILLIAR TR: "β2-Integrin-induced p38 MAPK activation is a key mediator in the CD14/TLR4/MD2-dependent uptake of lipopolysaccharide by hepatocytes", J BIOL CHEM, vol. 283, 2008, pages 29433 - 29466 |
| SEELIG GFMEISTER A: "Cystamine-Sepharose: A probe for the active site of gamma-glutamylcysteine synthetase", J BIOL CHEM, vol. 257, 1982, pages 5092 - 5096 |
| SEKI EDE MINICIS SOSTERREICHER CHKLUWE JOSAWA YBRENNER DASCHWABE RF: "TLR4 enhances TGF-beta signaling and hepatic fibrosis", NAT MED, vol. 13, 2007, pages 1324 - 1332, XP009152040, DOI: 10.1038/nm1663 |
| SHA NMONTES DE OCA MJOVER-COBOS MTANAMOTO KMUROI M, SUGIYAMA ET AL.: "Role of toll-like receptor 4 in mediating multiorgan dysfunction in mice with acetaminophen induced acute liver failure", LIVER TRANSPL, 2013, pages 751 - 761 |
| SHAH GNRUBBELKE TSHENDIN JNGUYEN HWAHEED ASHOEMAKER JD ET AL.: "Targeted mutagenesis of mitochondrial carbonic anhydrases VA and VB implicates both enzymes in ammonia detoxification and glucose metabolism", PROCEEDINGS OF THE NATIONAL ACADEMY OF SCIENCES OF THE UNITED STATES OF AMERICA, vol. 110, 2013, pages 7423 - 7428 |
| SHALIMAR, SHEIKH MFMOOKERJEE RPAGARWAL BACHARYA SKJALAN R.: "Prognostic role of ammonia in patients with cirrhosis", HEPATOLOGY, vol. 70, 2019, pages 982 - 994, XP071565647, DOI: 10.1002/hep.30534 |
| SHANGRAW REJAHOOR F, EFFECT OF LIVER DISEASE AND TRANSPLANTATION ON UREA SYNTHESIS IN HUMANS: RELATIONSHIP TO ACID-BASE STATUS |
| SHAWCROSS DLOLDE DAMINK SWMBUTTERWORTH RFJALAN R: "Ammonia and hepatic encephalopathy: the more things change, the more they remain the same", MET BRAIN DIS, vol. 20, 2005, pages 169 - 179, XP019289092 |
| SHAWCROSS DLSHABBIR SSTAYLOR NJHUGHES RD: "Ammonia and the neutrophil in the pathogenesis of hepatic encephalopathy in cirrhosis", HEPATOLOGY, vol. 51, 2010, pages 1062 - 1069, XP055873717, DOI: 10.1002/hep.23367 |
| SHAWCROSS DLWRIGHT GAKSTADLBAUER VHODGES SJDAVIES NAWHEELER-JONES C ET AL.: "Ammonia impairs neutrophil phagocytic function in liver disease", HEPATOLOGY, vol. 48, 2008, pages 1202 - 12 |
| SLY WSHU PY: "Human carbonic anhydrases and carbonic anhydrase deficiencies", ANNU REV BIOCHEM, vol. 64, 1995, pages 375 - 401, XP000943172, DOI: 10.1146/annurev.bi.64.070195.002111 |
| SQUIRES SAEWART HMCCARTHY CBROSNAN MEBROSNAN JT: "Regulation of hepatic glutaminase in the streptozotocin-induced diabetic rat", DIABETES, vol. 46, 1994, pages 1945 - 1949 |
| STOCKWELL BR, FRIEDMANN ANGELI JP BAYIR H, BUSH AL, CONRAD M, DIXON SJ: "Ferroptosis: a regulated cell death nexus linking metabolism, redox biology, and disease", CELL, vol. 171, 2017, pages 273 - 285, XP085207521, DOI: 10.1016/j.cell.2017.09.021 |
| SUGIYAMA ET AL., EUROPEAN JOURNAL OF PHARMACOLOGY, vol. 594, 2008, pages 152 - 156 |
| TRANAH THBALLESTER MPCARBONELL-ASINS JAAMPUERO JALEXANDRINO GCARACOSTEA A ET AL.: "Plasma ammonia levels predict hospitalization with liver-related complications and mortality in clinically stable outpatients with cirrhosis", J HEPATOL, 2022 |
| VILSTRUP HAMODIO PBAJAJ JCORDOBA JFERENCI PMULLEN KD ET AL.: "Hepatic encephalopathy in chronic liver disease: 2014 practice guideline by the American Association for the Study of Liver Diseases and the European Association for the Study of the Liver", HEPATOLOGY, vol. 60, 2014, pages 715 - 735, XP071561456, DOI: 10.1002/hep.27210 |
| WANG FKOHAN ABKINDEL TLTSO P: "Apolipoprotein A-IV improves glucose homeostasis by enhancing insulin secretion", PROC NATL ACAD SCI, vol. 109, 2012, pages 9641 - 9646, XP002696576, DOI: 10.1073/pnas.1201433109 |
| ZACCHERINI GAGUILAR FCARACENI PCLARIA JLOZANO JJFENAILLE F ET AL.: "Assessing the role of amino acids in systemic inflammation and organ failure in patients with ACLF", J HEPATOL, vol. 74, 2021, pages 1117 - 1131, XP086538227, DOI: 10.1016/j.jhep.2020.11.035 |
| ZIMMERMAN UJWANG PZHANG XBOGDANOVICH SFORSTER R: "Anti-oxidative response of carbonic anhydrase III in skeletal muscle", IUBMB LIFE, vol. 56, 2004, pages 343 - 347 |
Similar Documents
| Publication | Publication Date | Title |
|---|---|---|
| JP6913137B2 (en) | New 2,4-dinitrophenol preparation and its usage | |
| US20230241071A1 (en) | Combination treatment of liver disorders | |
| US20250213507A1 (en) | Methods for treating neurodegenerative disorders | |
| US20110003757A1 (en) | Pharmaceutical compositions for treating fatty liver disease | |
| AU2020316632A1 (en) | Ferroportin-inhibitors for the use in the treatment of transfusion-dependent beta-thalassemia (TDT) | |
| US11311508B2 (en) | Medicinal composition for preventing or treating secondary hyperparathyroidism under maintenance dialysis | |
| JP2018066742A (en) | Drug efficacy measuring method of gastric acid inhibitor using 13c carbonate | |
| JP7466520B2 (en) | Sulfopropanoic acid derivatives for treating neurodegenerative disorders | |
| WO2024261477A1 (en) | Combination of tlr4 antagonist, ornithine and phenylacetate or phenylbutyrate | |
| US11510886B2 (en) | Metformin amino acid compounds and methods of using the same | |
| KR20190141773A (en) | Modified release nicotinamide | |
| WO2017217071A1 (en) | Pulmonary hypertension preventative or therapeutic agent containing component exhibiting selenoprotein p activity-inhibiting effect | |
| JP5634985B2 (en) | Pharmaceutical composition comprising limepolido for treating diseases associated with insulin resistance and β-cell dysfunction | |
| CA3108150C (en) | Methods for treating neurodegenerative disorders | |
| JP7327788B2 (en) | Saccharification product production inhibitor and pharmaceutical composition | |
| Oliveira | N-Acetylcysteine (NAC): Impacts on Human Health | |
| WO2023230560A1 (en) | Treatment of organic acidemias or pantothenate kinase associated neurodegeneration with modulators of pantothenate kinases | |
| EA048644B1 (en) | TREATMENT METHODS FOR NEURODEGENERATIVE DISORDERS | |
| US20210052617A1 (en) | Methods and compositions for treating pre-eclampsia | |
| EP4673126A1 (en) | Compositions and methods of use thereof | |
| HK40031634A (en) | Medicinal composition for preventing or treating secondary hyperparathyroidism under maintenance dialysis | |
| HK40056250A (en) | 3-sulfopropanoic acid for treating neurodegenerative disorders | |
| HK40056250B (en) | 3-sulfopropanoic acid for treating neurodegenerative disorders | |
| WO2015026939A1 (en) | Chemical inducers of fetal hemoglobin |
Legal Events
| Date | Code | Title | Description |
|---|---|---|---|
| 121 | Ep: the epo has been informed by wipo that ep was designated in this application |
Ref document number: 24737165 Country of ref document: EP Kind code of ref document: A1 |



























