WO2024261243A1 - Combination comprising a deoxycytidine derivative and a parp inhibitor for use in a method of treating hr proficient cancer - Google Patents
Combination comprising a deoxycytidine derivative and a parp inhibitor for use in a method of treating hr proficient cancer Download PDFInfo
- Publication number
- WO2024261243A1 WO2024261243A1 PCT/EP2024/067440 EP2024067440W WO2024261243A1 WO 2024261243 A1 WO2024261243 A1 WO 2024261243A1 EP 2024067440 W EP2024067440 W EP 2024067440W WO 2024261243 A1 WO2024261243 A1 WO 2024261243A1
- Authority
- WO
- WIPO (PCT)
- Prior art keywords
- cancer
- cells
- 5hm2dc
- 5f2dc
- proficient
- Prior art date
- Legal status (The legal status is an assumption and is not a legal conclusion. Google has not performed a legal analysis and makes no representation as to the accuracy of the status listed.)
- Pending
Links
Classifications
-
- A—HUMAN NECESSITIES
- A61—MEDICAL OR VETERINARY SCIENCE; HYGIENE
- A61K—PREPARATIONS FOR MEDICAL, DENTAL OR TOILETRY PURPOSES
- A61K31/00—Medicinal preparations containing organic active ingredients
- A61K31/33—Heterocyclic compounds
- A61K31/395—Heterocyclic compounds having nitrogen as a ring hetero atom, e.g. guanethidine or rifamycins
- A61K31/495—Heterocyclic compounds having nitrogen as a ring hetero atom, e.g. guanethidine or rifamycins having six-membered rings with two or more nitrogen atoms as the only ring heteroatoms, e.g. piperazine or tetrazines
- A61K31/50—Pyridazines; Hydrogenated pyridazines
- A61K31/502—Pyridazines; Hydrogenated pyridazines ortho- or peri-condensed with carbocyclic ring systems, e.g. cinnoline, phthalazine
-
- A—HUMAN NECESSITIES
- A61—MEDICAL OR VETERINARY SCIENCE; HYGIENE
- A61K—PREPARATIONS FOR MEDICAL, DENTAL OR TOILETRY PURPOSES
- A61K31/00—Medicinal preparations containing organic active ingredients
- A61K31/33—Heterocyclic compounds
- A61K31/395—Heterocyclic compounds having nitrogen as a ring hetero atom, e.g. guanethidine or rifamycins
- A61K31/41—Heterocyclic compounds having nitrogen as a ring hetero atom, e.g. guanethidine or rifamycins having five-membered rings with two or more ring hetero atoms, at least one of which being nitrogen, e.g. tetrazole
- A61K31/4164—1,3-Diazoles
- A61K31/4184—1,3-Diazoles condensed with carbocyclic rings, e.g. benzimidazoles
-
- A—HUMAN NECESSITIES
- A61—MEDICAL OR VETERINARY SCIENCE; HYGIENE
- A61K—PREPARATIONS FOR MEDICAL, DENTAL OR TOILETRY PURPOSES
- A61K31/00—Medicinal preparations containing organic active ingredients
- A61K31/33—Heterocyclic compounds
- A61K31/395—Heterocyclic compounds having nitrogen as a ring hetero atom, e.g. guanethidine or rifamycins
- A61K31/435—Heterocyclic compounds having nitrogen as a ring hetero atom, e.g. guanethidine or rifamycins having six-membered rings with one nitrogen as the only ring hetero atom
- A61K31/44—Non condensed pyridines; Hydrogenated derivatives thereof
- A61K31/445—Non condensed piperidines, e.g. piperocaine
- A61K31/4523—Non condensed piperidines, e.g. piperocaine containing further heterocyclic ring systems
- A61K31/454—Non condensed piperidines, e.g. piperocaine containing further heterocyclic ring systems containing a five-membered ring with nitrogen as a ring hetero atom, e.g. pimozide, domperidone
-
- A—HUMAN NECESSITIES
- A61—MEDICAL OR VETERINARY SCIENCE; HYGIENE
- A61K—PREPARATIONS FOR MEDICAL, DENTAL OR TOILETRY PURPOSES
- A61K31/00—Medicinal preparations containing organic active ingredients
- A61K31/33—Heterocyclic compounds
- A61K31/395—Heterocyclic compounds having nitrogen as a ring hetero atom, e.g. guanethidine or rifamycins
- A61K31/495—Heterocyclic compounds having nitrogen as a ring hetero atom, e.g. guanethidine or rifamycins having six-membered rings with two or more nitrogen atoms as the only ring heteroatoms, e.g. piperazine or tetrazines
- A61K31/50—Pyridazines; Hydrogenated pyridazines
- A61K31/5025—Pyridazines; Hydrogenated pyridazines ortho- or peri-condensed with heterocyclic ring systems
-
- A—HUMAN NECESSITIES
- A61—MEDICAL OR VETERINARY SCIENCE; HYGIENE
- A61K—PREPARATIONS FOR MEDICAL, DENTAL OR TOILETRY PURPOSES
- A61K31/00—Medicinal preparations containing organic active ingredients
- A61K31/33—Heterocyclic compounds
- A61K31/395—Heterocyclic compounds having nitrogen as a ring hetero atom, e.g. guanethidine or rifamycins
- A61K31/495—Heterocyclic compounds having nitrogen as a ring hetero atom, e.g. guanethidine or rifamycins having six-membered rings with two or more nitrogen atoms as the only ring heteroatoms, e.g. piperazine or tetrazines
- A61K31/505—Pyrimidines; Hydrogenated pyrimidines, e.g. trimethoprim
- A61K31/513—Pyrimidines; Hydrogenated pyrimidines, e.g. trimethoprim having oxo groups directly attached to the heterocyclic ring, e.g. cytosine
-
- A—HUMAN NECESSITIES
- A61—MEDICAL OR VETERINARY SCIENCE; HYGIENE
- A61K—PREPARATIONS FOR MEDICAL, DENTAL OR TOILETRY PURPOSES
- A61K31/00—Medicinal preparations containing organic active ingredients
- A61K31/33—Heterocyclic compounds
- A61K31/395—Heterocyclic compounds having nitrogen as a ring hetero atom, e.g. guanethidine or rifamycins
- A61K31/55—Heterocyclic compounds having nitrogen as a ring hetero atom, e.g. guanethidine or rifamycins having seven-membered rings, e.g. azelastine, pentylenetetrazole
-
- A—HUMAN NECESSITIES
- A61—MEDICAL OR VETERINARY SCIENCE; HYGIENE
- A61K—PREPARATIONS FOR MEDICAL, DENTAL OR TOILETRY PURPOSES
- A61K31/00—Medicinal preparations containing organic active ingredients
- A61K31/33—Heterocyclic compounds
- A61K31/395—Heterocyclic compounds having nitrogen as a ring hetero atom, e.g. guanethidine or rifamycins
- A61K31/55—Heterocyclic compounds having nitrogen as a ring hetero atom, e.g. guanethidine or rifamycins having seven-membered rings, e.g. azelastine, pentylenetetrazole
- A61K31/551—Heterocyclic compounds having nitrogen as a ring hetero atom, e.g. guanethidine or rifamycins having seven-membered rings, e.g. azelastine, pentylenetetrazole having two nitrogen atoms, e.g. dilazep
-
- A—HUMAN NECESSITIES
- A61—MEDICAL OR VETERINARY SCIENCE; HYGIENE
- A61K—PREPARATIONS FOR MEDICAL, DENTAL OR TOILETRY PURPOSES
- A61K45/00—Medicinal preparations containing active ingredients not provided for in groups A61K31/00 - A61K41/00
- A61K45/06—Mixtures of active ingredients without chemical characterisation, e.g. antiphlogistics and cardiaca
-
- A—HUMAN NECESSITIES
- A61—MEDICAL OR VETERINARY SCIENCE; HYGIENE
- A61P—SPECIFIC THERAPEUTIC ACTIVITY OF CHEMICAL COMPOUNDS OR MEDICINAL PREPARATIONS
- A61P35/00—Antineoplastic agents
-
- A—HUMAN NECESSITIES
- A61—MEDICAL OR VETERINARY SCIENCE; HYGIENE
- A61P—SPECIFIC THERAPEUTIC ACTIVITY OF CHEMICAL COMPOUNDS OR MEDICINAL PREPARATIONS
- A61P35/00—Antineoplastic agents
- A61P35/02—Antineoplastic agents specific for leukemia
-
- A—HUMAN NECESSITIES
- A61—MEDICAL OR VETERINARY SCIENCE; HYGIENE
- A61P—SPECIFIC THERAPEUTIC ACTIVITY OF CHEMICAL COMPOUNDS OR MEDICINAL PREPARATIONS
- A61P35/00—Antineoplastic agents
- A61P35/04—Antineoplastic agents specific for metastasis
-
- A—HUMAN NECESSITIES
- A61—MEDICAL OR VETERINARY SCIENCE; HYGIENE
- A61K—PREPARATIONS FOR MEDICAL, DENTAL OR TOILETRY PURPOSES
- A61K2300/00—Mixtures or combinations of active ingredients, wherein at least one active ingredient is fully defined in groups A61K31/00 - A61K41/00
Definitions
- the present invention relates to the combination of a compound of Formula (I) as defined herein and a PARP inhibitor in the treatment of cancers that are proficient in homologous recombination (HR).
- Cancer is a disease characterized by the loss of appropriate control of cell growth and proliferation.
- the American Cancer Society has estimated that there were in excess of 1.9 million new cases of cancer within the United States of America in 2022 and approximately 600,000 deaths that year estimated to be attributable to cancer.
- the World Health Organization has estimated that cancer was the leading cause of death globally in 2010, with the number of deaths caused by cancer growing to 12 million per year by 2030.
- WO 2020/157335A1 discloses compounds for use in the treatment of cancer.
- WO 2021/048235 discloses that the combination of PARP inhibitors and hmdU sensitizes HR deficient cancer cells to PARP inhibitors.
- the present inventors have discovered that the combination of a selected class of compounds and PARP inhibitors exhibits a synergistic activity in treating cancers that are HR proficient, i.e. cancers that are not HR deficient.
- Such combination therapies are useful for inhibiting the proliferation of HR proficient cancer cells in general, and so in the treatment of HR proficient cancer.
- the combinations of the invention have been found to be more effective than the predicted sum of each component additively. This synergistic interaction makes the combinations more effective against cancers. This synergy can lead to greater activity, and/or to lower doses of the active components. Beneficially, lower doses of the active components can reduce side effects and can save on costs. Additionally, drug resistant cancers may be more effectively treated, in particular cancers resistant to either of the components as monotherapy.
- a pharmaceutical combination for use in a method of treating an HR proficient cancer comprising a PARP inhibitor and a compound of Formula (I):
- X is a group containing from 1 to 20 non-hydrogen atoms, which contains at least one functional group selected from an aldehyde, an alcohol, a protected alcohol, an ether, an anhydride, an ester and a carboxylic acid;
- Wi and W2 are each independently O, S or NH;
- Y is H or a group containing from 1 to 15 non-hydrogen atoms
- Z is -N(RxRy), where R x and R y are independently H or a group containing from 1 to 10 non-hydrogen atoms;
- Ri is H or a group containing from 1 to 15 non-hydrogen atoms
- R 2 is H, -OH, -OPG, -F, -Cl, -Br, -I, or -N 3 ;
- Rs is H, -F, -Cl, -Br, -I, or -N 3 ; where PG is an alcohol protecting group, such as acetyl (Ac), benzyl (Bn) or benzoyl (Bz).
- PG is an alcohol protecting group, such as acetyl (Ac), benzyl (Bn) or benzoyl (Bz).
- a pharmaceutical combination for use in a method of treating a cancer that is not HR deficient comprising a PARP inhibitor and a compound of Formula (I).
- a PARP inhibitor and a compound of Formula (I) for use in a method of treating an HR proficient cancer.
- the cancer is not HR deficient.
- a method of treating an HR proficient cancer in a subject comprising administering to the subject a pharmaceutical combination comprising a PARP inhibitor and a compound of Formula (I).
- a method of treating an HR proficient cancer in a subject comprising administering to the subject a PARP inhibitor and a compound of Formula (I).
- a method of treating a cancer in a subject, wherein the cancer is not HR deficient comprising administering to the subject a pharmaceutical combination comprising a PARP inhibitor and a compound of Formula (I).
- a method of treating a cancer in a subject, wherein the cancer is not HR deficient comprising administering to the subject a PARP inhibitor and a compound of Formula (I).
- a PARP inhibitor in the manufacture of a medicament for use in a method of treating an HR proficient cancer in a subject, the method comprising the administration of a pharmaceutical combination comprising the PARP inhibitor and a compound of Formula (I) to the subject.
- the cancer is not HR deficient.
- a use of a compound of Formula (I) in the manufacture of a medicament for use in a method of treating an HR proficient cancer in a subject the method comprising the administration of a pharmaceutical combination comprising a PARP inhibitor and the compound of Formula (I) to the subject.
- the cancer is not HR deficient.
- a compound of Formula (I) for use in the treatment of an HR proficient cancer, wherein the compound of Formula (I) is administered with a PARP inhibitor. Alternatively viewed the cancer is not HR deficient.
- a method of treating an HR proficient cancer in a subject comprising administering to the subject a compound of Formula (I), wherein the subject is receiving a PARP inhibitor.
- the cancer is not HR deficient.
- a PARP inhibitor for use in the treatment of an HR proficient cancer, wherein the PARP inhibitor is administered with a compound of Formula (I). Alternatively viewed the cancer is not HR deficient.
- a method of treating an HR proficient cancer in a subject comprising administering to the subject a PARP inhibitor, wherein the subject is receiving a compound of Formula (I).
- the cancer is not HR deficient.
- the administration of the PARP inhibitor and the administration of the compound of Formula (I) may be performed separately, sequentially in any order, or concurrently or simultaneously.
- a PARP inhibitor for use in a method of sensitizing an HR proficient cancer in a subject to treatment with a compound of Formula (I). Alternatively viewed the cancer is not HR deficient. Administration of the PARP inhibitor to the subject sensitizes the HR proficient cancer to treatment with the compound of Formula (I).
- the cancer is not HR deficient.
- Administration of the PARP inhibitor to the subject sensitizes the HR proficient cancer to treatment with the compound of Formula (I).
- a PARP inhibitor in the manufacture of a medicament for use in a method of sensitizing an HR proficient cancer in a subject to treatment with a compound of Formula (I).
- the cancer is not HR deficient.
- a compound of Formula (I) for use in a method of sensitizing an HR proficient cancer in a subject to treatment with a PARP inhibitor. Alternatively viewed the cancer is not HR deficient. Administration of the compound of Formula (I) to the subject sensitizes the HR proficient cancer to treatment with the PARP inhibitor.
- a method of sensitizing an HR proficient cancer in a subject to treatment with a PARP inhibitor comprising administering a compound of Formula (I) to the subject.
- a compound of Formula (I) to the subject.
- the cancer is not HR deficient.
- Administration of the compound of Formula (I) to the subject sensitizes the HR proficient cancer to treatment with the PARP inhibitor.
- the cancer is not HR deficient.
- the method of sensitizing an HR proficient cancer may comprise the administration of a pharmaceutical combination comprising a PARP inhibitor and a compound of Formula (I) to a subject, i.e. one as a sensitizing agent, and the other as the agent to which sensitization is desired.
- a pharmaceutical combination comprising a PARP inhibitor and a compound of Formula (I) to a subject, i.e. one as a sensitizing agent, and the other as the agent to which sensitization is desired.
- the administration of the PARP inhibitor and the administration of the compound of Formula (I) may be performed separately, sequentially in any order, or concurrently or simultaneously.
- the sensitizing agent may be administered prior to, or concurrently or simultaneously with the agent to which sensitization is desired.
- Simultaneous administration means administration of the two compounds (i.e. the two active components / active agents, i.e. the PARP inhibitor and the compound of Formula (I)) in a single dosage form; concurrent administration means administration of the two compounds at about the same time but in separate dosage forms; and sequential administration means administration of one of the compounds, after which the other is administered. Sequential and/or separate administration may also take the form of simultaneous or concurrent administration of the two compounds, followed by cessation of the simultaneous or concurrent administration and then continued administration of one of the two compounds alone. Separate administration is to be understood as meaning that the two compounds are administered separately, e.g. at separate times of day, or on different days and according to different treatment regimens, whereas sequential administration means that the compounds are administered one after the other, in either order.
- the compound of Formula (I) and the PARP inhibitor may be co-formulated into a single composition. However, this is not necessary; they may be separately formulated and may be administered separately, sequentially in any order, concurrently or simultaneously.
- composition comprising a PARP inhibitor and a compound of Formula (I).
- a pharmaceutical composition comprising a PARP inhibitor and a compound of Formula (I) for use in a method of treating an HR proficient cancer (alternatively viewed a cancer that is not HR deficient).
- a method of treating an HR proficient cancer comprising administering to the subject a pharmaceutical composition comprising a PARP inhibitor and a compound of Formula (I).
- composition further comprises one or more pharmaceutically acceptable excipients.
- a product preferably a pharmaceutical composition, comprising a PARP inhibitor and a compound of Formula (I) as a combined preparation for separate, sequential, concurrent or simultaneous use in the treatment of an HR proficient cancer. Alternatively viewed the cancer is not HR deficient.
- the product further comprises one or more pharmaceutically acceptable excipients.
- a product particularly a pharmaceutical product, comprising a PARP inhibitor co-formulated with a compound of Formula (I).
- the product further comprises one or more pharmaceutically acceptable excipients.
- said product for use in a method of treating an HR proficient cancer (alternatively viewed a cancer that is not HR deficient).
- kits comprising a PARP inhibitor and a compound of Formula (I).
- said kit is for the treatment of an HR proficient cancer (alternatively viewed a cancer that is not HR deficient).
- kit is for use in the treatment of an HR proficient cancer (alternatively viewed a cancer that is not HR deficient).
- Each of the compound of Formula (I) and the PARP inhibitor in the kits of the present invention may be provided in a separate compartment or vessel. Where convenient and practical, mixtures of components could be provided.
- the components may be provided in dry, e.g. crystallized, freeze dried or lyophilized, form or in solution, typically such liquid compositions will be aqueous and buffered with a standard buffer such as Tris, HEPES, etc.
- the kit may be for separate, sequential, concurrent or simultaneous use of the compound of Formula (I) and the PARP inhibitor in the treatment of an HR proficient cancer.
- the kit preferably comprises instructions for the use of the components therein in the treatment of the HR proficient cancer.
- each of the compound of Formula (I) and the PARP inhibitor may be as described anywhere else herein, and the preferred and optional embodiments concerning the compounds described in relation to one aspect of the invention apply mutatis mutandis to each and every other aspect of the invention.
- X is a group containing from 1 to 20 non-hydrogen atoms, which contains at least one functional group selected from an aldehyde, an alcohol, a protected alcohol, an ether, an anhydride, an ester and a carboxylic acid.
- X is not -COOH.
- X is not -OH.
- X is not -COOH or - OH.
- X is a group containing from 1 to 10 non-hydrogen atoms, more preferably from 1 to 5 non-hydrogen atoms, even more preferably from 1 to 3 non-hydrogen atoms, and most preferably 2 nonhydrogen atoms.
- X is a group containing at least 2 non-hydrogen atoms, i.e. a group containing from 2 to 20 non-hydrogen atoms.
- X is a group containing from 2 to 10 non-hydrogen atoms, even more preferably from 2 to 5 non-hydrogen atoms, even more preferably from 2 to 3 non-hydrogen atoms, and most preferably 2 non-hydrogen atoms.
- X contains at least one functional group selected from an aldehyde, an alcohol, a protected alcohol, an ether, an anhydride and an ester. More preferably, X contains at least one functional group selected from an aldehyde, an alcohol, an ether and an ester. Most preferably, X contains at least one functional group selected from an aldehyde and an alcohol. For example X preferably contains an aldehyde functional group. For example X preferably contains an alcohol functional group.
- X contains just one functional group.
- X may be defined as -L-X’, wherein:
- L is a bond, alkyl, alkenyl, alkynyl, haloalkyl, alkoxy, haloalkoxy;
- alkyl refers to straight and branched saturated aliphatic hydrocarbon chains. Preferably, alkyl refers to CMO alkyl.
- Example alkyl groups include, but are not limited to, methyl (Me), ethyl (Et), propyl (e.g., n-propyl and isopropyl), butyl (e g., n-butyl, isobutyl, /-butyl), and pentyl (e.g., n-pentyl, isopentyl, neopentyl).
- R may be any alkyl group, such those exemplified above.
- R may be -(CH2) n H, where n is from 1 to 10, preferably from 1 to 5, more preferably from 1 to 3, and most preferably 1.
- n is 1, Ris CH 3 .
- alkenyl refers to straight and branched hydrocarbon chains having one or more, preferably one or two, carbon-carbon double bonds.
- alkenyl refers to C2-10 alkenyl.
- alkenyl groups include, but are not limited to, ethenyl, 1 -propenyl, 2-propenyl, 2-butenyl, 3-butenyl, 2-pentenyl, 3-pentenyl, 4-pentenyl, 2-hexenyl, 3-hexenyl, 4-hexenyl, 5-hexenyl, 2-methyl-2 -propenyl, and 4-methyl-3 -pentenyl.
- alkynyl refers to straight and branched hydrocarbon chains having one or more, preferably one or two, carbon-carbon triple bonds. Preferably, alkynyl refers to C2-10 alkynyl. Examples of alkynyl groups include, but are not limited to, ethynyl, propynyl, and propargyl.
- haloalkyl refers to straight and branched saturated aliphatic hydrocarbon chains substituted with 1 or more halogens (fluoro (F), chloro (Cl), bromo (Br), and iodo (I)).
- haloalkyl refers to CMO haloalkyl.
- haloalkyl groups include, but are not limited to, fluoromethyl, difluoromethyl, trifluoromethyl, trichloromethyl, pentafluoroethyl, pentachloroethyl, 2,2,2-trifluoroethyl, heptafluoropropyl, and heptachloropropyl.
- alkoxy refers to an -O-alkyl group.
- alkoxy refers to CMO alkoxy.
- Example alkoxy groups include, but are not limited to, methoxy, ethoxy, propoxy (e.g., n-propoxy and isopropoxy), and /-butoxy.
- haloalkoxy refers to a haloalkyl group as defined above attached through an oxygen bridge.
- haloalkoxy refers to CMO haloalkoxy.
- Examples of haloalkoxy groups include, but are not limited to, trifluoromethoxy, 2,2,2-trifluoroethoxy, and pentafluorothoxy.
- the X group When X is -L-X’, the X group must still contain the required number of non-hydrogen atoms.
- L is a bond, alkyl, alkenyl or alkynyl, more preferably a bond or alkyl.
- L may be a bond or C1-6 alkyl. More preferably, L is a bond or C1-4 alkyl. Most preferably, L is a bond or Ci alkyl (-CH2-).
- X is -(CH2) n - ', wherein n is from 0 to 6 and X' is -OH or -CHO.
- X is - (CH2) n -X', wherein n is from 0 to 6 and X' is -OH.
- X is -(CH2) n -X', wherein n is from 0 to 6 and X' is -CHO.
- X is -(CH2) n -X', wherein n is from 0 to 4 and X' is -OH or -CHO.
- X is - (CH2) n -X', wherein n is from 0 to 4 and X' is -OH.
- X is -(CH2) n -X', wherein n is from 0 to 4 and X' is -CHO.
- X is -(CH2) n -X', wherein n is from 0 to 2 and X' is -OH or -CHO.
- X is - (CH2) n -X', wherein n is from 0 to 2 and X' is -OH.
- X is -(CH2) n -X', wherein n is from 0 to 2 and X' is -CHO.
- X is -(CH2) n -X', wherein n is 0 or 1 and X' is -OH or -CHO.
- X is - (CH2) n -X', wherein n is 0 or 1 and X' is -OH.
- X is -(CH2) n -X', wherein n is 0 or 1 and X' is - CHO.
- X is -CHO or -CH2OH.
- X is not -COOH, or that X is not -OH. And preferably X is not -COOH or -OH.
- L is not a bond (i.e. n is not 0). In this case, n may be from 1 to 6, preferably from 1 to 4, more preferably from 1 to 2, and most preferably 1.
- Wi and W2 are each independently O, S or NH, preferably O or S, more preferably O.
- Wi is O or S and W2 is O, S or NH; or W2 is O or S and Wi is O, S or NH.
- Wi and W2 are both O or S, and even more preferably Wi is O and W2 is O or S; or W2 is O, and Wi is O or S.
- Wi and W2 are both O.
- Y is H or a group containing from 1 to 15 non-hydrogen atoms.
- Y is H or a group containing from 1 to 10 non-hydrogen atoms. More preferably, Y is H or a group containing from 1 to 5 non-hydrogen atoms.
- Y may be H, -OH, -OPG, -F, -Cl, -Br, -I, -SH, or -N 3 , where PG is an alcohol protecting group, such as acetyl, benzyl or benzoyl.
- Y When Y is H or a group containing from 1 to 5 non-hydrogen atoms, Y may be
- Y is H.
- Z is -N(RxRy), where R x and R y are independently H or a group containing from 1 to 10 non-hydrogen atoms.
- R x and R y may be an amine protecting group, such as acetyl, benzyl or benzoyl.
- R x and R y are independently H or a Ci-s ester. More preferably, R x and R y are independently H or -C(O)O(CH2) n CH3, where n is from 1 to 4, preferably 4.
- R x and R y are H.
- R x is H and R y is independently H or -C(O)O(CH 2 )nCH 3 , where n is from 1 to 4, preferably 4. More preferably, R x and R y are both H.
- Z is therefore preferably -NH 2 .
- Ri is H or a group containing from 1 to 15 non-hydrogen atoms, preferably H or a group containing from 1 to 13 non-hydrogen atoms.
- Ai is O, A 2 is P and A 3 is O; Ai is O, A 2 is S and A 3 is O; Ai is O, A 2 is P and A 3 is S; Ai is NH, A 2 is P and A 3 is O; or Ai is CH 2 , A 2 is P and A 3 is O
- R 2 is H, -OH, -OPG, -F, -Cl, -Br, -I, or -Ns, where PG is an alcohol protecting group, such as acetyl, benzyl or benzoyl.
- R 2 is H, -OH, -F, -Cl, -Br, -I, or -Ns. More preferably, R 2 is H or -OH, and most preferably R 2 is -OH.
- Rs is H, -F, -Cl, -Br, -I, or -Ns, preferably H.
- the compound of Formula (I) is a compound of Formula (II), or a solvate, tautomer or pharmaceutically acceptable salt thereof:
- X is -(CH2) n -X', wherein n is from 0 to 6 and X' is -OH or -CHO.
- X is -(CH2) n -X', wherein n is from 0 to 6 and X' is -OH.
- X is -(CH2) n -X', wherein n is from 0 to 6 and X' is -CHO.
- X is -(CH2) n -X', wherein n is from 0 to 4 and X' is -OH or -CHO.
- X is - (CH2) n -X', wherein n is from 0 to 4 and X' is -OH.
- X is -(CH2) n -X', wherein n is from 0 to 4 and X' is -CHO.
- X is -(CH2) n -X', wherein n is from 0 to 2 and X' is -OH or -CHO.
- X is - (CH2) n -X', wherein n is from 0 to 2 and X' is -OH.
- X is -(CH2) n -X', wherein n is from 0 to 2 and X' is -CHO.
- X is -(CH2) n -X', wherein n is 0 or 1 and X' is -OH or -CHO.
- X is - (CH2) n -X', wherein n is 0 or 1 and X' is -OH.
- X is -(CH2) n -X', wherein n is 0 or 1 and X' is - CHO.
- X is not -COOH, or that X is not -OH.
- X is not -COOH or -OH.
- n is not 0.
- n may be from 1 to 6, preferably from 1 to 4, more preferably from 1 to 2, and most preferably 1.
- the compound of Formula (I) is a compound of Formula (Illa), or (Illb) or a solvate, tautomer or pharmaceutically acceptable salt thereof:
- the compound of Formula (I) is a compound of Formula (Illa) or a solvate, tautomer or pharmaceutically acceptable salt thereof.
- X is -(CH2) n - ', wherein n is from 0 to 6 and X' is -OH or -CHO.
- X is -(CH2) n -X', wherein n is from 0 to 6 and X' is -OH.
- X is -(CH2) n -X', wherein n is from 0 to 6 and X' is -CHO. More preferably X is -(CH2) n - ', wherein n is from 0 to 4 and X' is -OH or -CHO.
- X is - (CH2) n -X', wherein n is from 0 to 4 and X' is -OH.
- X is -(CH2) n -X', wherein n is from 0 to 4 and X' is -CHO.
- X is -(CH2) n -X', wherein n is from 0 to 2 and X' is -OH or -CHO.
- X is - (CH2) n -X', wherein n is from 0 to 2 and X' is -OH.
- X is -(CH2) n -X', wherein n is from 0 to 2 and X' is -CHO.
- X is -(CH2) n -X', wherein n is 0 or 1 and X' is -OH or -CHO.
- X is - (CH2) n -X', wherein n is 0 or 1 and X' is -OH.
- X is -(CH2) n -X', wherein n is 0 or 1 and X' is - CHO.
- X is not -COOH, or that X is not -OH.
- X is not -COOH or -OH.
- n is not 0. In this case, n may be from 1 to 6, preferably from 1 to 4, more preferably from 1 to 2, and most preferably 1.
- the compound of Formula (I) is a compound of Formula (IVa), (IVb), (IVc), or (IVd) or a solvate, tautomer or pharmaceutically acceptable salt thereof:
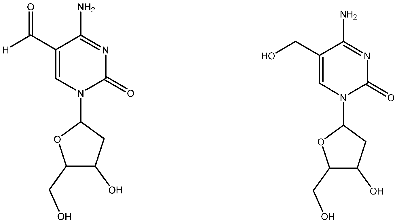
- Formula (IVa) is 5 -formyl -2 ’-deoxy cytidine (also termed 5f2dC, 5fdC, 2d5fC and d5fC herein).
- Formula (IVb) is 5 -hydroxymethyl -2 ’-deoxy cytidine (also termed 5hm2dC, 5hmdC, 2d5hmC and d5hmC herein).
- Formula (IVc) is 5-formyl-2'-deoxycytidine-5'-triphosphate.
- Formula (IVd) is 5- hydroxymethyl-2'-deoxycytidine-5 '-triphosphate .
- the compound of use in the invention is selected from is 5 -formyl -2’- deoxycytidine, 5 -hydroxymethyl-2’ -deoxy cytidine, 5-formyl-2'-deoxycytidine-5'-triphosphate and 5- hydroxymethyl-2'-deoxycytidine-5 '-triphosphate or a solvate, tautomer or pharmaceutically acceptable salt thereof.
- the compound is 5-formyl-2’-deoxycytidine or 5 -hydroxymethyl -2 ’-deoxy cytidine or a solvate, tautomer or pharmaceutically acceptable salt thereof.
- the compounds of Formula (I) of the invention preferably have the stereochemistry shown below: wherein X, Y, Z, Wi, W2, Ri, R2 and R3 are as defined above.
- the compounds of Formula (I) of utility in the present invention i.e. the compounds of Formula (I), (II), (Illa), (Illb), (IVa), (IVb), (IVc), and (IVd)
- are either commercially available, are known in the literature, or may be obtained by conventional synthetic procedures, in accordance with standard techniques, from available starting materials using appropriate reagents and reaction conditions.
- the skilled person may refer to inter alia “ Comprehensive Organic Synthesis” by B. M. Trost and I. Fleming, Pergamon Press, 1991 and " rotective Groups in Organic Synthesis". 3rd edition, T.W. Greene & P.G.M. Wutz, Wiley-Interscience (1999).
- These compounds are also available commercially, for example from Berry and Associates, Toronto Research Chemicals, Sigma Aldrich, Carbosynth, Trilink Biotech and other well-known commercial suppliers.
- PARP refers to Poly (ADP-ribose) polymerases (PARPs), which are a family of related enzymes that share the ability to catalyze the transfer of ADP-ribose to target proteins.
- PARP-1 is the most well-studied target for cancer therapy, but all members of the family are potential cancer therapy targets, including PARP -2, PARP-5a (Vyas and Change (2014) Nat Rev Cancer 14(7): 502-509).
- the PARP inhibitor of use in the present invention may be an inhibitor of any PARP, i.e. any member of the PARP family of enzymes, for instance those disclosed in Arne et al. (2004), Bioessays 26: 882-893.
- PARP 1 Inhibitors of PARP 1 (EC 2.4.2.30, Genbank No: M32721; Gene ID 142) are particularly preferred.
- PARP1 may have the reference amino acid sequence of database accession number NP_001609.2 or a variant thereof and may be encoded by the nucleotide sequence of NM_001618.4 or a variant thereof.
- PARP-1 Poly [ADP-ribose] polymerase 1
- PARP-1 is an enzyme that in humans is encoded by the PARP-1 gene.
- PARP-1 is believed to be involved in the repair of ssDNA through base excision repair (BER) mechanisms.
- PARP-1 inhibition is believed to result in the accumulation of ssDNA lesions, which stall replication forks and ultimately lead to the accumulation of DNA double strand breaks (DSBs).
- DSBs DNA double strand breaks
- repair of these DSBs is important, and may be reliant on processes such as non-homologous end joining (NHEJ), an alternative form of NHEJ - alternative end-joining (AEJ), and homologous recombination repair (HRR).
- NHEJ non-homologous end joining
- AEJ alternative form of NHEJ - alternative end-joining
- HRR homologous recombination repair
- PARP-1 may also participate in AEJ which functions as a backup to
- PARP inhibitor or “PARPi” as used herein preferably refers to PARP-1 inhibitors.
- PARP inhibitor is a compound that inhibits the expression levels or biological activity of poly(adenosine diphosphate [ADP] -ribose) polymerase (PARP).
- a suitable PARP inhibitor may selectively inhibit PARP (preferably PARP-1) with an IC50 of less than 20nM, less than lOnM, less than 5nM or less than 2nM in a cell free assay (Shen et al (2013) Clin Cancer Res 19 (18) 5003-5015).
- a suitable PARP inhibitor may selectively inhibit PARP (preferably PARP-1) in a cancer cell line resulting in cell death with IC50 values of less than 100 pM, less than 10 pM, less than less than 1 pM, less than 100 nM, less than 10 nM, less than 5 nM or less than 2 nM in a cell viability assay.
- IC50 values are widely known in the field and any suitable assay may be used.
- the cell-based assay used to determine cell death with IC50 values may be an MTT cell proliferation assay, e.g. as described in Chapter “Cell Viability Assays” of Markossian S, Grossman A, Brimacombe K, et al., editors.
- the cell viability assay may comprise immunostaining for proliferation markers (e.g, KI67) and/or DNA synthesis measurements (e.g. 3H-dT labelling) in order to assess cell viability, such techniques being well-known and routinely used in the field.
- proliferation markers e.g, KI67
- DNA synthesis measurements e.g. 3H-dT labelling
- Suitable assays for measuring the inhibition of PARP are well known in the art.
- PARP inhibition may be measured by determining the inhibition of PARP mediated NAD+ depletion by coupling NAD+ levels to a cycling assay involving alcohol dehydrogenase and diaphorase which generates a fluorescent molecule, such as resorufin (see for example, Fluorescent Homogenous PARP inhibition Assay Kit Cat. # 4690-096-K, Trevigen Inc MD USA).
- PARP inhibition may cause multiple double strand breaks to form. It is known that in cancer cells which are deficient in HR, these double strand breaks cannot be efficiently repaired, thereby leading to the death of the cells. As normal, non-cancerous cells do not replicate DNA as often as cancer cells, and generally have functional HR, normal cells survive PARP inhibition.
- the present inventors have found, surprisingly, that the combination of PARP inhibitors and compounds of Formula (I) has synergistic effects in the treatment of HR proficient cancers, which can repair DSBs efficiently. Surprisingly, the present inventors have also found that the combination of PARP inhibitors and compounds of Formula (I) does not have synergistic effects in the treatment of HR deficient cancers.
- Nicotinamides such as 5-methyl nicotinamide and O-(2 -hydroxy-3 -piperidino-propyl)-3- carboxylic acid amidoxime, and analogues and derivatives thereof.
- Benzamides including 3-substituted benzamides such as 3 -aminobenzamide, 3- hydroxybenzamide, 3 -nitrosobenzamide, 3 -methoxybenzamide and 3 -chloroprocainamide, and 4- aminobenzamide, 1, 5-di[(3-carbamoylphenyl)aminocarbonyloxy] pentane, and analogues and derivatives thereof.
- Isoquinolinones and Dihydroisoquinolinones including 2H-isoquinolin-l-ones, 3H-quinazolin-4- ones, 5-substituted dihydroisoquinolinones such as 5-hydroxy dihydroisoquinolinone, 5-methyl dihydroisoquinolinone, and 5-hydroxy isoquinolinone, 5-amino isoquinolin- 1 -one, 5- dihydroxyisoquinolinone, 3, 4 dihydroisoquinolin- 1 (2H)-ones such as 3, 4 dihydro-5 -methoxy- isoquinolin-1 (2H)-one and 3, 4 dihydro-5 -methyl- 1 (2H)isoquinolinone, isoquinolin-1 (2H)-ones, 4,5- dihydro-imidazo[4,5,l-ij]quinolin-6-ones, 1, 6,-naphthyridine-5(6H)-ones, 1,8-naphthal
- Phthalazin-1 (2H)-ones and quinazolinones such as Olaparib, 4-hvdroxvquinazoline.
- phthalazinone 5-methoxy-4-methyl-l (2) phthalazinones, 4-substituted phthalazinones, 4-(l-piperazinyl)- 1 (2H)-phthalazinone, tetracyclic benzopyrano[4, 3, 2-de] phthalazinones and tetracyclic indeno [1, 2, 3- de] phthalazinones and 2-substituted quinazolines, such as 8-hydroxy-2-methylquinazolin-4-(3H) one, tricyclic phthalazinones and 2-aminophthalhydrazide, and analogues and derivatives thereof and 1 (2H)- phthalazinone and derivatives thereof, as described in WO02/36576.
- Phenanthridines and phenanthridinones such as 5[H]phenanthridin-6-one, substituted 5[H] phenanthridin-6-ones, especially 2-, 3- substituted 5 [H] phenanthridin-6-ones and sulfonamide/carbamide derivatives of 6(5H)phenanthridinones, thieno[2, 3 -c] isoquinolones such as 9-amino thieno[2, 3- c] isoquinolone and 9-hydroxythieno[2, 3-c]isoquinolone, 9-methoxythieno[2, 3-c]isoquinolone, and N- (6-oxo-5, 6-dihydrophenanthridin-2-yl]-2-(N,N-dimethylamino ⁇ acetamide, substituted 4,9- dihydrocyclopenta[lmn]phenanthridine-5-ones, and analogues and derivatives thereof.
- Benzopyrones such as 1, 2-bcnzopyronc 6-nitrosobenzopyrone, 6-nitroso 1, 2-benzopyrone, and 5-iodo-6-aminobenzopyrone, and analogues and derivatives thereof.
- Unsaturated hydroximic acid derivatives such as 0-(3-piperidino-2 -hydroxy- 1 -propyl)nicotinic amidoxime, and analogues and derivatives thereof.
- Pyridazines including fused pyridazines and analogues and derivatives thereof.
- PARP inhibitors include the hydrochloride salt of N-( -oxo-5, 6 -dihydro -phenanthridin-2-yl)-N, N-dimethylacetamide and other analogues or similar compounds, such as INO-lOOl that show PARP inhibition.
- the PARP inhibitor is a small molecule, which is an organic compound that has molecular weight of less than 900 Daltons. In some embodiments, the PARP inhibitor is a polypeptide with molecular weight more than 900 Daltons. In some embodiments, the PARP inhibitor is an antibody.
- PARP inhibitors that may be used in accordance with the present invention include Olaparib (AZD2281 ; 1 -(Cyclopropylcarbonyl)-4-[5 -[(3,4-dihydro-4-oxo- 1 -phthalazinyl)methyl] - 2-fluorobenzoyl]piperazine; Pubchem CID 23725625), Rucaparib (AGO 14699; 8-Fluoro-2- ⁇ 4- [(methylamino)methyl]phenyl ⁇ - 1 ,3 ,4,5 -tetrahydro-6H-azepino [5 ,4,3 -cd] indol-6-one ; pubchem CID 9931954), Niraparib (MK4827; 2- ⁇ 4-[(3S)-3-Piperidinyl]phenyl ⁇ -2H-indazole-7 -carboxamide; Pubchem CID CID: 24958200), Talazoparib (BMN-6
- the PARP inhibitor is Talazoparib (BMN673), Rucaparib (AGO 14699, PF-01367338), Veliparib(ABT888), Olaparib (AZD2281), Pamiparib (BGB-290) or Niraparib (MK 4827), or any pharmaceutically acceptable salt, analog, derivative thereof, or mixture thereof.
- the PARP inhibitor may be one or more of Talazoparib, Rucaparib, Veliparib, Olaparib, Pamiparib and Niraparib, or any pharmaceutically acceptable salt, analog, derivative thereof, or mixture thereof.
- the PARP inhibitor is Veliparib, Olaparib, Talazoparib, Rucaparib, Pamiparib or Niraparib, or any pharmaceutically acceptable salt thereof.
- the PARP inhibitor may be one or more of Veliparib, Olaparib, Talazoparib, Rucaparib, and Niraparib, or any pharmaceutically acceptable salt thereof.
- the PARP inhibitor may be one or more of Veliparib, Olaparib, and Niraparib, or any pharmaceutically acceptable salt thereof.
- the PARP inhibitor is Veliparib or any pharmaceutically acceptable salt thereof.
- the PARP inhibitor is Olaparib or any pharmaceutically acceptable salt thereof.
- the PARP inhibitor is Niraparib or any pharmaceutically acceptable salt thereof. In a preferred embodiment the PARP inhibitor is Rucaparib or any pharmaceutically acceptable salt thereof. In a preferred embodiment the PARP inhibitor is Talazoparib or any pharmaceutically acceptable salt thereof. In a preferred embodiment the PARP inhibitor is Pamiparib or any pharmaceutically acceptable salt thereof.
- the PARP inhibitors of utility in the present invention are either commercially available, are known in the literature, or may be obtained by conventional synthetic procedures, in accordance with standard techniques, from available starting materials using appropriate reagents and reaction conditions. In this respect, the skilled person may refer to inter alia “Comprehensive Organic Synthesis” by B. M. Trost and I. Fleming, Pergamon Press, 1991 and “Protective Groups in Organic Synthesis”. 3rd edition, T.W. Greene & P.G.M. Wutz, Wiley-Interscience (1999). PARP inhibitors are also available commercially, for example from Selleckchem, Toronto Research Chemicals, Carbosynth, Biosynthesis, Merck, Sigma Aldrich, Fischer Scientific, MedChemExpress and other well-known commercial suppliers.
- Combination I or combination J is particularly preferred.
- treatment refers generally to treatment and therapy in which some desired therapeutic effect is achieved, for example, the inhibition of the progress of the condition, and includes a reduction in the rate of progress, a halt in the rate of progress and amelioration of the condition, and cure of the condition.
- Treatment may be any treatment or therapy, whether of a human or an animal (e.g. in veterinary applications), in which some desired therapeutic effect is achieved, for example, the inhibition or delay of the progress of the condition, and includes a reduction in the rate of progress, a halt in the rate of progress, amelioration of the condition, cure or remission (whether partial or total) of the condition, preventing, delaying, abating or arresting one or more symptoms and/or signs of the condition or prolonging survival of a subject or patient beyond that expected in the absence of treatment.
- Treatment is not limited to curative therapies (e.g.
- tumour regression or reduction includes any therapy which has a beneficial effect on the cancer or the patient, for example, tumour regression or reduction, reduction of metastatic potential, increased overall survival, extension or prolongation of life or remission, induction of remission, a slowdown or reduction of disease progression or the rate of disease progression, or of tumour development, subjective improvement in quality of life, reduced pain or other symptoms related to the disease, improved appetite, reduced nausea, or an alleviation of any symptom of the cancer.
- Treatment as a prophylactic measure is also included.
- a prophylactic measure i.e. prophylaxis
- an individual susceptible to or at risk of the occurrence or re-occurrence of cancer may be treated as described herein. Such treatment may prevent or delay the occurrence or re-occurrence of cancer in the individual. “Treating” therefore refers to treating or preventing.
- treatment may include prevention, delay of progression or treatment of cancer.
- Treatment may include inhibiting cancer growth, including complete cancer remission, and/or inhibiting cancer metastasis.
- Cancer growth generally refers to any one of a number of indices that indicate change within the cancer to a more developed form.
- indices for measuring an inhibition of cancer growth include a decrease in cancer cell survival, a decrease in tumor volume or morphology (for example, as determined using computed tomographic (CT), sonography, or other imaging method), a delayed tumor growth, a destruction of tumor vasculature, or improved performance in delayed hypersensitivity skin test.
- CT computed tomographic
- Treatment may include a reduction in the number of or elimination of cancer cells.
- Treatment is treatment of a subject, i.e. a subject in need thereof.
- treatment may include a reduction in tumour size, or the prevention of tumour growth or further tumour growth, i.e. stabilization of tumour size.
- the combinations, compounds and compositions of the invention have a direct effect on cancer/ tumour cells.
- a “direct effect” as used herein means that the compound of Formula (I) and the PARP inhibitor interact directly with cancer/ tumour cells in order to exert their anti -cancer/ anti -tumour effects.
- the compounds of the invention, i.e. the compounds of Formula (I) and the PARP inhibitors are cytotoxic to cancer/ tumour cells.
- the compounds of the invention are administered to a subject in order to exert a direct effect against cancer/ tumour cells.
- Cancer is characterised by the abnormal proliferation of malignant cancer cells relative to normal cells.
- the cancers treated according to the present invention are homologous recombination proficient (HR proficient) cancers, i.e. they are not homologous recombination deficient (HR deficient) cancers.
- HR proficient and HR deficient are clearly understood by the person of ordinary skill in the art, and are widely used in the oncology field to distinguish cancers that have a normal or increased (HR proficient) or reduced or abrogated (HR deficient) HR capacity, i.e. the capacity to repair DNA doublestrand breaks (DSBs) by HR.
- An HR deficient cancer is a cancer which is deficient in HR dependent DNA DSB repair.
- An HR proficient cancer is a cancer which is proficient in HR-dependent DNA double strand break (DSB) repair, i.e. in which the cancer cells are proficient in HR-dependent DNA DSB repair.
- DSB HR-dependent DNA double strand break
- HR proficient cancers are thus capable of HR, i.e. HR-dependent DNA DSB repair.
- HR proficient cancer or “HR proficient cancer cells” refers to a cancer (or cancer cells therein), having an approximately equal (e.g. equal) or increased HR capacity (i.e. proficiency) as compared to the HR capacity (i.e. proficiency) of normal cells (also termed normal control cells herein).
- Such cancer or cancer cells may have increased HR capacity relative to said normal cells as a consequence of increased levels or activity of one or more HR proteins.
- An increased HR capacity may alleviate oncogene -induced increases in replication stress.
- An HR proficient cancer comprises or consists of cancer cells which have an ability to repair DNA DSBs by HR that is approximately equal to (e.g. equal to), or is increased relative to, the ability of normal cells to repair DNA DSBs by HR, i.e. the HR is functional in the cancer cells and the HR-dependent DNA DSB repair activity is approximately equal to (e.g. equal to), or is increased relative to that in said normal cells.
- HR proficiency, capacity, etc. is meant the proficiency, capacity, etc. of the cancer, or the cancer cells thereof, to repair DNA double-strand breaks (DSBs) by HR.
- the term “approximately equal to” is synonymous with “similar to” and means insignificantly different from, e.g. statistically insignificantly different from.
- the HR proficient cancers herein have an HR proficiency (i.e. activity) that is similar to or greater than the HR proficiency in a normal cell.
- normal cell refers to a cell having normal homologous recombination proficiency (i.e. activity, function, ability or capacity).
- the “normal cells” are HR proficient control cells.
- the “normal” cells may be cancerous or non-cancerous cells.
- a normal non- cancerous cell may be tissue-matched with, i.e. may be of the same cell type or cell lineage, or may be from the same anatomical region as, the cancer cell concerned.
- the “normal cells” may be cancerous cells, e.g. a cancer cell line.
- the “normal cells” are not limited as long as they are cells having normal homologous recombination proficiency (i.e. activity or functionality).
- the “normal cell” may be one of any of a number of known wild-type mammalian cell lines having no loss of function mutation in HR genes (discussed further below). Loss of function mutations include but are not limited to point mutations, haploid insufficiencies and complete deletions.
- mammalian cell lines having normal homologous recombination proficiency, i.e. activity include, but are not limited to, human cell lines such as Nalm-6 (a human pre-B- cell leukemia cell -derived cell line), HT1080 (a human fibrosarcoma cell line), U2OS (a human osteosarcoma-derived cell line), HeLa (a human cervical cancer-derived cell line), HCT116 (a human colon adenocarcinoma-derived cell line), MCF-7 (a human breast adenocarcinoma-derived cell line), HAP 1 (a human chronic myelogenous leukemia-derived cell line), HEK293 (a human embryonic kidney- derived cell line), TIG-7 (a human lung-derived cell line), TIG-3 (a human lung-derived cell line), iPS cells (human induced pluripotent stem cells; established from normal human cells), and ES cells (human embryonic stem cells).
- human cell lines such as Nalm-6 (a human pre-B-
- HR deficient cell lines e.g. cell lines comprising loss of function mutations or partial loss of function (i.e. hypomorphic) mutations in HR genes
- loss of function mutations or partial loss of function (i.e. hypomorphic) mutations in HR genes are inappropriate as normal cells (normal HR proficient control cells).
- cell lines derived from human hereditary breast cancer or hereditary ovarian cancer often have one or more of said mutation(s) in the BRCA1 gene or the BRCA2 gene, which are HR genes.
- Cell lines comprising such mutations and preferably not comprising a loss of function mutation in 53BP1 or a partial loss of function mutation in 53BP1 are deficient in homologous recombination activity, and are inappropriate as normal HR proficient control cells.
- cancer cells possess i.e. display or exhibit
- homologous recombination proficiency approximately equal to e.g. equal to
- normal HR proficient control cells normal cells
- the cancer is determined as being HR proficient (i.e. not being an HR deficient cancer).
- An “HR proficient cancer” may have for instance at least 50%, preferably at least 75%, at least 80%, at least 85%, at least 90%, at least 95%, at least 99% or at least 100% of the HR proficiency (i.e. activity, capacity, etc.) of normal cells.
- An “HR deficient cancer” may have for instance less than 50%, preferably less than 25%, less than 20%, less than 15%, less than 10%, less than 5%, less than 1%, or none of the HR proficiency (i.e. activity, capacity, etc.) of normal cells.
- HR proteins Proteins that mediate the repair of DNA DSBs by HR
- HR proteins include BRCA1, BRCA2, MUS81, RAD52, RAD51, RAD50, ATM, BARD1, CHEK2, PALB2, NBS1, RBBP8 (CtIP), MRE11 (i.e. MRE11A), RAD51C, FANCD2 and RPA (i.e. one or more of, preferably all of, RPA1, RPA2, RPA3 and RPA4).
- HR proteins may further include any one or more, preferably all, of BLM, XRCC2, XRCC3, EXO1 and DNA2.
- HR proteins may include BRCA1, BRCA2, MUS81, RAD52, RAD51, RAD51C, RAD50, ATM/ATR, BARD1, BRIP1, CHEK1, CHEK2, FAM175A, NBN, PALB2, MRE11 (i.e. MRE11A), NBS1, RBBP8 (CtIP) contradict RPA (i.e.
- RPA1, RPA2, RPA3 and RPA4 MMR proteins (preferably one or more of, preferably all of, MLH-1, MSH-2, MSH-6 and PMS- 2), H2AX, EMEI, TP53 and FANC Fanconi anaemia (FA) proteins (preferably one or more of, preferably all of, FANCA, FANCB, FANCC, FANCD2, FANCE, FANCF, FANCG and FANCI).
- MMR proteins preferably one or more of, preferably all of, MLH-1, MSH-2, MSH-6 and PMS- 2
- H2AX H2AX
- EMEI TP53
- FANC Fanconi anaemia (FA) proteins preferably one or more of, preferably all of, FANCA, FANCB, FANCC, FANCD2, FANCE, FANCF, FANCG and FANCI.
- HR proteins may further include any one or more, preferably all, of BLM, XRCC2, XRCC3, EX01 and DNA2.
- HR proficient cancers comprise or consist of cancer cells possessing sufficient activity in HR proteins (e.g. collectively) to mediate the repair of DNA DSBs by HR, i.e. to provide HR proficiency.
- HR protein activity e.g. collectively
- the HR protein activity is approximately equal to (e.g. equal to), or increased relative to the activity of said proteins in a normal cell (a normal HR proficient control cell).
- the activity of the HR proteins BRCA1, BRCA2 and MUS81 is approximately equal to (e.g. equal to), or increased relative to, the activity of said proteins in a normal cell.
- the activity of BRCA1 is approximately equal to (e.g. equal to), or increased relative to, the activity of said protein in a normal cell, i.e. preferably the cancers do not comprise a loss of function mutation (or a partial loss of function mutation) in BRCA1.
- the cancer cells have a wild-type BRCA1, i.e. comprise a functional copy of BRCA1.
- preferred cancers are BRCA1 proficient (positive) (i.e. are not BRCA1 deficient).
- a “normal cell” is any cell with a functional copy of wild-type BRCA1.
- HR genes Genes encoding proteins that mediate the repair of DNA DSBs by HR are termed “HR genes”, and may include BRCA1, BRCA2, MUS81, RAD52, RAD51, RAD50, ATM, BARD1, CHEK2, PALB2, NBS1, RBBP8 (CtIP), MRE11 (i.e. MRE11A), RAD51C, FANCD2 and RPA (i.e. one or more of, preferably all of, RPA1, RPA2, RPA3 and RPA4).
- HR genes may further include one or more, preferably all, of BLM, XRCC2, XRCC3, EX01 and DNA2.
- HR genes may include BRCA1, BRCA2, MUS81, RAD52, RAD51, RAD51C, RAD50, ATM/ATR, BARD1, BRIP1, CHEK1, CHEK2, FAM175A, NBN, PALB2, MRE11 (i.e. MRE11A), NBS1, RBBP8 (CtIP), RPA (i.e.
- RPA1, RPA2, RPA3 and RPA4 MMR genes (preferably one or more of, preferably all of, MLH-1, MSH-2, MSH-6 and PMS-2), H2AX, EMEI, TP53 and FANC Fanconi anaemia (FA) genes (preferably one or more of, preferably all of FANCA, FANCB, FANCC, FANCD2, FANCE, FANCF, FANCG and FANCI).
- HR genes may further include one or more, preferably all, of BLM, XRCC2, XRCC3, EX01 and DNA2.
- HR proficient cancers comprise or consist of cancer cells in which the genes encoding the HR proteins (i.e. collectively), termed HR genes, are sufficiently normally expressed, or over-expressed, to mediate the repair of DNA DSBs by HR, i.e. to provide HR proficiency.
- the level of expression of HR genes i.e. collectively
- the level of expression of HR genes is approximately equal to (e.g. equal to), or increased relative to the expression level of said genes in a normal cell (a normal HR proficient control cell).
- Cancers that are HR proficient are positive for one or more, preferably substantially all, more preferably all, of the above-mentioned HR genes.
- the activity of the protein 53BP1 is approximately equal to (e.g. equal to), or increased relative to, the activity of said proteins in a normal cell, i.e. the cancer cells do not comprise a loss of function mutation (or a partial loss of function mutation) in 53BP1/TP53BP1.
- the cancer cells have a wild-type TP53BP1, i.e. comprise a functional copy of TP53BP1.
- preferred cancers are 53BP1 proficient (positive) (i.e. are not 53BP1 deficient).
- a “normal cell” is any cell with a functional copy of wild-type TP53BP1.
- the cancers treated according to the present invention are not homologous recombination deficient (HR deficient) cancers.
- the cancers (or the cancer cells therein) are not deficient in HR- dependent DNA DSB repair activity (i.e. capacity, proficiency, etc.).
- the cancers treated according to the present invention do not have an abrogated (i.e. abolished), nor preferably a reduced, HR capacity relative to normal cells (also termed normal HR proficient control cells herein, as described above), i.e. the HR is not dysfunctional in the cancer cells of the invention.
- the cancers treated according to the present invention do not have an abrogated, nor preferably a reduced, ability to repair DNA DSBs by HR relative to normal cells, i.e. the HR-dependent DNA DSB repair capacity of the cancer cells is not abolished, nor preferably reduced, as compared to that of normal cells.
- the activity of one or more HR proteins may be reduced or abolished (e.g. relative to normal cells).
- the activity of HR proteins is not reduced or abolished.
- the cancers treated according to the present invention do not comprise reduced or abolished activity of one or more of, preferably any of, the following HR proteins BRCA1, BRCA2 and MUS81.
- the cancers treated according to the present invention do not comprise reduced or abolished activity of BRCA1.
- the cancers treated according to the present invention do not comprise reduced or abolished activity of one or more of, preferably any of, the following HR proteins: BRCA1, BRCA2, MUS81, RAD52, RAD51, RAD50, ATM, BARD1, CHEK2, PALB2, NBS1, RBBP8 (CtIP), MRE11 (i.e. MRE11A), RAD51C, FANCD2 and RPA (i.e. one or more of, preferably all of, RPA1, RPA2, RPA3 and RPA4).
- HR proteins i.e. MRE11A
- RAD51C RAD51C
- FANCD2 i.e. one or more of, preferably all of, RPA1, RPA2, RPA3 and RPA4
- the cancers treated according to the present invention also do not comprise reduced or abolished activity in one or more of, preferably any of, BLM, XRCC2, XRCC3, EX01 and DNA2.
- the cancers treated according to the present invention do not comprise reduced or abolished activity of one or more of, preferably any of, the following HR proteins: BRCA1, BRCA2, MUS81, RAD52, RAD51, RAD51C, RAD50, ATM/ATR, BARD1, BRIP1, CHEK1, CHEK2, FAM175A, NBN, PALB2, MRE11 (i.e. MRE11A), NBS1, RBBP8 (CtIP), RPA (i.e.
- RPA1, RPA2, RPA3 and RPA4 MMR proteins (preferably one or more of, preferably all of, MLH-1, MSH-2, MSH-6 and PMS-2), H2AX, EMEI, TP53 and FANC Fanconi anaemia (FA) proteins (preferably one or more of, preferably all of, FANCA, FANCB, FANCC, FANCD2, FANCE, FANCF, FANCG and FANCI).
- the cancers treated according to the present invention also do not comprise reduced or abolished activity in one or more of, preferably any of, BLM, XRCC2, XRCC3, EX01 and DNA2.
- the cancers treated according to the present invention i.e. the cancer cells thereof
- one or more HR genes may be mutated. Mutations in one or more HR genes may abolish the expression or activity of an HR protein and thereby abolish HR activity in the cancer cells. Such mutations are referred to herein as “loss of function” mutations. Alternatively, mutations in one or more HR genes may reduce the expression or activity of an HR protein and thereby reduce HR activity in the cancer cells. Such mutations are referred to herein as “hypomorphic” mutations.
- the cancers treated according to the present invention i.e. the cancer cells thereof
- the cancers treated according to the present invention do not comprise a loss of function mutation and/or do not comprise a hypomorphic mutation in one or more of, preferably any of, BRCA1, BRCA2 or MUS81.
- the cancers treated according to the present invention do not have a BRCA1 deficient, a BRCA2 deficient and/or a MUS81 deficient phenotype, i.e. are BRCA1 positive (i.e. proficient), BRCA2 positive and/or MUS81 positive (preferably BRCA1 positive, BRCA2 positive and MUS81 positive).
- the cancers treated according to the present invention do not comprise a loss of function mutation in BRCA1 and/or do not comprise a hypomorphic mutation in BRCA1, i.e. the cancers do not have a BRCA1 deficient phenotype (the cancers are BRCA1 positive (i.e. proficient)).
- the cancers treated according to the present invention comprise a functional copy of one or more of, preferably all (each) of BRCA1, BRCA2 and MUS81.
- the cancers treated according to the present invention may comprise wild-type BRCA1, BRCA2 and/or MUS81, preferably all.
- Preferred cancers treated according to the present invention comprise a functional copy of BRCA1 and/or comprise wild-type BRCA1.
- cancer cells which have a loss of function mutation in BRCA1 may acquire further mutations in BRCA1 which may partially restore the functionality (i.e. the activity) of BRCA1.
- revertant mutations or “reversion mutations” and may result in an altered sequence of the BRCA1 gene/protein (i.e. compared to wild-type sequence of the BRCA1 gene/protein).
- sequence of known BRCA1 revertant mutations, and methods of detecting such mutations are described in the art.
- the cancers treated according to the present invention do not comprise one or more BRCA1 revertant (i.e. reversion) mutation(s), i.e. the cancer cells comprise a wildtype BRCA1.
- the cancers treated according to the present invention do not comprise loss of function mutations and/or do not comprise hypomorphic mutations in one or more of, preferably any of, the following HR genes: BRCA1, BRCA2, MUS81, RAD52, RAD51, RAD50, ATM, BARD1, CHEK2, PALB2, NBS1, RBBP8 (CtIP), MRE11 (i.e. MRE11A), RAD51C, FANCD2 and RPA (i.e. one or more of, preferably all of, RPA1, RPA2, RPA3 and RPA4).
- HR genes BRCA1, BRCA2, MUS81, RAD52, RAD51, RAD50, ATM, BARD1, CHEK2, PALB2, NBS1, RBBP8 (CtIP), MRE11 (i.e. MRE11A), RAD51C, FANCD2 and RPA (i.e. one or more of, preferably all of, RPA1, RPA2, RPA3 and RPA4).
- the cancers treated according to the present invention further do not comprise loss of function mutations and/or do not comprise hypomorphic mutations in one or more of, preferably any of, BLM, XRCC2, XRCC3, EX01 and DNA2.
- the cancers treated according to the present invention do not comprise loss of function mutations and/or do not comprise hypomorphic mutations in one or more of, preferably any of, the following HR genes: BRCA1, BRCA2, MUS81, RAD52, RAD51, RAD51C, RAD50, ATM/ATR, BARD1, BRIP1, CHEK1, CHEK2, FAM175A, NBN, PALB2, MRE11 (i.e. MRE11A), NBS1, RBBP8 (CtIP), RPA (i.e.
- RPA1, RPA2, RPA3 and RPA4 MMR genes (preferably one or more of, preferably all of, MLH-1, MSH-2, MSH-6 and PMS-2), H2AX, EMEI, TP53 and FANC Fanconi anaemia (FA) genes (preferably one or more of, preferably all of, FANCA, FANCB, FANCC, FANCD2, FANCE, FANCF, FANCG and FANCI).
- the cancers treated according to the present invention further do not comprise loss of function mutations and/or do not comprise hypomorphic mutations in one or more of, preferably any of, BLM, XRCC2, XRCC3, EX01 and DNA2.
- the cancers treated according to the present invention comprise a functional copy of one or more, preferably (each) of the above-mentioned HR genes.
- the cancers treated according to the present invention may comprise wild-type HR genes, such as those listed above.
- the cancers treated according to the present invention preferably do not comprise loss of function mutations in any HR genes and/or do not comprise hypomorphic mutations in any HR genes.
- Mutations (or polymorphisms) in one or more genes encoding a regulatory factor for one or more HR genes may also reduce or abolish the expression or activity of an HR protein and thereby reduce or abolish HR activity in the cancer cells.
- Such mutations (or polymorphisms) of such regulatory factors may be gain of function or loss of function mutations in relation to the regulatory factor itself, but the phenotypic effect on the cancer (or cancer cells thereof) is reduction or abolishment of HR activity.
- the cancers treated according to the present invention also do not comprise mutations (or polymorphisms) in genes encoding regulatory components that cause a reduction or abolishment of HR.
- a cancer in an individual may have been previously identified as being HR proficient.
- a method as described herein may comprise the step of identifying a cancer in an individual as HR proficient. Suitable methods of identifying an HR proficient cancer are well known in the art.
- HR proficiency i.e. activity, capacity, efficiency etc.
- assays may include HR recombination assays, which for example are based on the transfection of one or more plasmids into cells, wherein HR proficiency (i.e. activity, capacity, efficiency etc.) can be measured or quantified by detecting or quantifying a “HR reporter” nucleic acid molecule that is only produced in said cells as a result of HR activity in said cells (i.e.
- said HR reporter molecule being specifically detectable or quantifiable (e.g. by due to having a characteristic (i.e. unique) nucleotide sequence).
- the Norgen Homologous Recombination Assay Kit (Norgen Biotek Corporation, Product #35600) is one such assay based on the co-transfection of a first plasmid and a second plasmid into cells, wherein HR between a nucleotide sequence in the first plasmid and a nucleotide sequence in the second plasmid produces a HR reporter nucleic acid molecule that can be specifically detected and quantified (e.g. by quantitative PCR (qPCR)).
- HR proficiency i.e. activity, capacity, efficiency etc.
- primers may be used that comprise a detectable label (e.g. a fluorescent reporter dye, i.e. said primers are fluorescently labelled), wherein said primers are specific for the HR reporter nucleic acid molecule.
- a detectable label e.g. a fluorescent reporter dye, i.e. said primers are fluorescently labelled
- the PCR reaction will then produce a PCR product (which is the amplified HR reporter nucleic acid molecule), and the detectable label (e.g. fluorescent label) may be detected (preferably quantifying) to determine the presence of or absence of, or amount or level of, the PCR product.
- the fluorescence intensity of the PCR product corresponds to the level of or activity of or efficiency of HR (i.e. the proficiency of HR) between the co-transfected plasmids (and so the cells’ HR capability). If no HR occurs between the two plasmids, there will be no HR reporter nucleic acid molecule detected (e.g. the fluorescence intensity will not exceed a minimum threshold). Detection of the HR reporter nucleic acid molecule thus provides a direct readout for HR proficiency (i.e. activity, capacity, efficiency etc.), and can be used to identify cancer cells that are HR proficient.
- HR proficiency i.e. activity, capacity, efficiency etc.
- a preferred assay to determine whether a cancer is HR proficient comprises: i) co-transfecting a first plasmid and a second plasmid into the cancer cells (referred to as the “subject cancer cells” elsewhere herein), wherein said first plasmid comprises a first nucleotide sequence and said second plasmid comprises a second nucleotide sequence, wherein should HR occur between said first and second nucleotide sequences, a “HR reporter” nucleic acid molecule is produced, said HR reporter nucleic acid molecule having a characteristic (i.e.
- the detection of the HR reporter nucleic acid molecule is indicative of the cancer being a HR proficient cancer.
- a particularly preferred assay is the Norgen Homologous Recombination Assay Kit (Norgen Biotek Corporation, Product #35600), i.e. an assay comprising the following steps: i) co-transfecting (e.g. 0.5 pg of each of) a first plasmid and a second plasmid into the cancer cells (referred to as the “subject cancer cells” elsewhere herein) (e.g. seeded in a 24-well plate), wherein said first plasmid comprises a first sequence and said second plasmid comprises a second sequence, wherein should HR occur between said first and second sequences, a “HR reporter” nucleic acid molecule is produced, said HR reporter nucleic acid molecule having a characteristic (i.e.
- the detection of the HR reporter nucleic acid molecule is indicative of the cancer being a HR proficient cancer.
- qPCR comprises adding to the isolated plasmid DNA obtained in step ii) a pair of primers specific for the HR reporter nucleic acid molecule, wherein said primers are detectably labelled, e.g. fluorescently labelled (i.e. comprise a fluorescent reporter dye), subsequently performing a PCR reaction (preferably a qPCR reaction) to produce a PCR product (i.e. amplified HR reporter nucleic acid molecule) and subsequently detecting (preferably quantifying) the level of said PCR product.
- fluorescently labelled i.e. comprise a fluorescent reporter dye
- the qPCR reaction may be performed using standard qPCR steps, which are widely known and routine in the field.
- the qPCR reaction preferably comprises the following steps (i.e. PCR thermocycler conditions): initial denaturation at 95 °C for 3 minutes, then 95 °C for 15 seconds, 61 °C for 15 seconds, and 72°C for 15 seconds, repeated for 40 cycles followed by performing a melt curve analysis.
- detection can be performed by detecting (preferably quantifying) the amount of fluorescence intensity. Fluorescence intensity can be plotted against cycle number. Alternatively or in addition, the cycle threshold (i.e. the Ct value) can be determined, which is the cycle number at which the qPCR reaction exceeds a fluorescence threshold.
- Such an assay may comprise obtaining internal calibration controls (positive and negative), by repeating the above steps with a separate sample of the same cancer cells but wherein, in place of the first and second plasmid, either i) a positive calibration control plasmid, or a ii) a negative calibration control plasmid is used, to obtain positive and negative calibration controls, respectively).
- a negative calibration control plasmid may be either of the first or second plasmids alone (i.e. without the other) such that HR between them cannot occur, and so the HR reporter nucleic acid molecule cannot be produced.
- a positive calibration control plasmid may be a plasmid expressing the HR reporter nucleic acid molecule such that the HR reporter nucleic acid molecule is present in the cell without requiring production via HR.
- the HR proficiency (i.e. activity, capacity etc.) of cancer cells is determined relative to (i.e. compared to) positive or negative control cells.
- the positive control cells may be cells which are known in the art to have normal HR proficiency (e.g. as described elsewhere herein).
- the negative control cells may be HR deficient cells which are known to be HR deficient (e.g.
- the positive control cells e.g. a HR proficient cell line
- negative control cells e.g. a HR deficient cell line
- HR proficiency i.e. activity, capacity, efficiency etc.
- identifying cancer cells as HR proficient may be performed by comparing the level of said PCR product (i.e. the amplified HR reporter nucleic acid molecule), e.g. the amount of fluorescence intensity, or the cycle threshold (i.e. the Ct value, the cycle number at which the qPCR reaction exceeds a fluorescence threshold) determined using the subject cancer cells with the level determined with positive control cells (e.g. HR proficient cells) or negative control cells (e.g. HR deficient cells or cells transfected with a negative control plasmid).
- the level of said PCR product i.e. the amplified HR reporter nucleic acid molecule
- the cycle threshold i.e. the Ct value, the cycle number at which the qPCR reaction exceeds a fluorescence threshold
- a cancer is identified as a HR proficient cancer by determining an increase (preferably a statistically significant increase) in the level of said PCR product (i.e. the amplified HR reporter nucleic acid molecule) in (or with) the subject cancer cells, compared to the level determined in (or with) the negative control cells.
- an increase may be determined, for instance, by determining an increase (preferably a statistically significant increase) in fluorescence intensity, or by determining a decrease (preferably a statistically significant decrease) in the Ct value, in the subject cancer cells, compared to the level determined in (or with) the negative control cells.
- a cancer is identified as a HR proficient cancer when the level of said PCR product (i.e. the amplified HR reporter nucleic acid molecule) determined in (or with) the subject cancer cells, is the same as (or equivalent to, or not statistically significantly different from) the level determined in (or with) the positive control cells.
- the levels compared may be for instance the levels of fluorescence intensity, or Ct value.
- a cancer may be identified as a HR proficient cancer by determining an increase (preferably a statistically significant increase) in the level of said PCR product (i.e. the amplified HR reporter nucleic acid molecule) in (or with) the subject cancer cells, compared to the level determined in (or with ) the positive control cells.
- Such an increase may be determined, for instance, by determining an increase (preferably a statistically significant increase) in fluorescence intensity, or by determining a decrease (preferably a statistically significant decrease) in the Ct value, in the subject cancer cells, compared to the level determined in (or with) the negative control cells.
- a cancer may be identified as an “HR proficient cancer”, for instance, if it is (i.e.
- the subject cancer cells are) determined to have at least 50%, at least 55%, at least 60%, at least 65%, preferably at least 70%, at least 75%, at least 80%, at least 85%, at least 90%, at least 95%, or at least 100% of the HR proficiency (i.e. activity, capacity or efficiency) of the HR proficiency of the positive control cells (e.g. HR proficient cells), preferably wherein HR proficiency is analysed or quantified using a homologous recombination assay (e.g. as described above).
- HR proficiency i.e. activity, capacity or efficiency
- a cancer may be identified as an “HR proficient cancer”, for instance if the level of said PCR product (i.e. the amplified HR reporter nucleic acid molecule), determined in (or with) said cancer (i.e. said subject cancer cells) is at least 50%, at least 55%, at least 60%, at least 65%, preferably at least 70%, at least 75%, at least 80%, at least 85%, at least 90%, at least 95%, or at least 100% of the level determined in (or with) the positive control cells, preferably wherein HR proficiency is analysed or quantified using a homologous recombination assay (e.g. as described above).
- HR proficiency is analysed or quantified using a homologous recombination assay (e.g. as described above).
- online databases may be used to identify cancer cells as HR proficient, for example using such databases (e.g. Cancer Cell Line Encyclopedia, found at htp s : //sites .broadinstitute .org/ccle/; DepMap Portal, found at htps://depmap.org/portal/; cBioPortal, found at https://www.cbioportal.org/; Catalogue of Somatic Mutations in Cancer (COSMIC), found at https://cancer.sanger.ac.uk/cosmic; The Network of Cancer Genes (NCG), found at http://network-cancer-genes.org; or American Association for Cancer Research (AACR) Project GENIE, found at https://www.aacr.org/professionals/research/aacr- project-genie/aacr-proj ect-genie-data/) to determine the expression level and/or the presence of functional mutations in “HR genes” (as defined elsewhere herein) in a cancer cell line.
- the HR proficiency (i.e. activity, capacity etc.) of cancer cells may be determined relative to (i.e. compared to) positive or negative control cells, for example comparing the expression level of known “HR genes” (as defined elsewhere herein) to that of positive or negative control cells also available on the above-mentioned online databases.
- the positive control cells may be a known cell line having normal HR proficiency (e.g. as described elsewhere herein).
- the negative control cells may be cells which are known in the art to be HR deficient (e.g. cell lines derived from human hereditary breast cancer or hereditary ovarian cancer which have one or more mutation in the BRCA1 or BRCA2 gene).
- the above-mentioned methods and assays for determining HR activity in cancer cells may not be required if the expression and/or function of “HR genes” (as defined elsewhere herein) can be determined, and thus HR proficiency be identified, using suitable online databases. However, such methods and assays can be used to confirm the HR proficiency status of cancer cells after interrogation of the above-mentioned online databases.
- the cancers treated in accordance with the present invention are DNA damage response proficient (i.e. are not DNA damage response deficient).
- the cancers treated in accordance with the present invention i.e. the cancer cells thereof
- preferred cancers treated in accordance with the present invention are not deficient in homologous recombination and are not deficient in one or more of, preferably all of, the following DNA damage response pathways: base excision repair (BER), nucleotide excision repair (NER), mismatch repair (MMR), non-homologous end joining (NHEJ), alternative NHEJ (alt-NHEJ), microhomology-mediated end joining (MMEJ), and translesion synthesis (TLS).
- BER base excision repair
- NER nucleotide excision repair
- MMR mismatch repair
- NHEJ non-homologous end joining
- NHEJ alternative NHEJ
- alt-NHEJ alternative NHEJ
- MMEJ microhomology-mediated end joining
- TLS translesion synthesis
- the cancers treated in accordance with the present invention are homologous recombination proficient (HR proficient) and base excision repair proficient (BER proficient) (i.e. are not HR deficient and are not BER deficient).
- a BER proficient cancer is a cancer which is proficient in BER-dependent DNA repair, i.e. in which the cancer cells are proficient in BER-dependent DNA repair.
- BER proficient cancer or “BER proficient cancer cells” refers to a cancer (or cancer cells therein), having an approximately equal (e.g. equal) or increased BER capacity (i.e. proficiency) as compared to the BER capacity (i.e. proficiency) of normal cells (also termed normal control cells herein), i.e. BER is functional in the cancer cells and BER-dependent DNA repair activity is approximately equal to (e.g. equal to), or is increased relative to that in said normal cells.
- normal cells refers to a cell having normal BER proficiency (i.e. activity, function, ability or capacity) and are not limited as long as they are cells having normal BER proficiency (i.e. activity or functionality).
- BER deficient cell lines e.g. cell lines in which BER is inhibited, reduced or abrogated (i.e. abolished), are inappropriate as normal cells (normal BER proficient control cells).
- cell lines comprising a loss of function mutation in XRCC1, or comprising reduced or abrogated (i.e. abolished) expression of XRCC1 are BER deficient. Cell lines comprising such mutations are inappropriate as normal BER proficient control cells.
- the preferred HR proficient and BER proficient cancers are BER proficient (i.e. are not BER deficient) prior to the first or initial addition of the pharmaceutical combination according to the present invention (i.e. prior to the addition of the compound of Formula (I) and the PARP inhibitor).
- DNPH1 2'-deoxynucleoside 5'-phosphate N-hydrolase 1
- DNPH1 is glycohydrolase that cleaves the N-glycosidic bond of deoxyribonucleoside 5 '-phosphates.
- DNPH1 is a c-myc stimulated transcription factor that participates in the regulation of cell proliferation, differentiation, and apoptosis.
- DNPH1 may have the reference amino acid sequence of NP_006434. 1 or NP_954653.1 or a variant thereof and may be encoded by the nucleotide sequence of NM_006443.3 or NM_199184.2 or a variant thereof.
- DNPH1 activity may, for example, be determined spectrophotometrically by incubating DNPH1 with dGMP and by following the production of 2-deoxyribose 5-phosphate (Dupouy et al (2010) J. Biol. Chem. 285 53 41806-41814).
- the cancers treated according to the present invention preferably do not have a reduced or abrogated (abolished) DNPH1 activity, for example caused by a reduced or abrogated (i.e. abolished) level of expression of DNPH1.
- the cancers treated according to the present invention i.e. the cancer cells thereof
- the cancers treated according to the present invention preferably do not have a DNPH1 deficient phenotype, i.e. are DNPH1 positive (cells).
- the cancers treated according to the present invention preferably comprise a functional copy of DNPH1, i.e. comprise normal DNPH1 activity (i.e. functionality).
- the cancers treated according to the present invention preferably comprise wild-type DNPH1.
- treatment according to the invention does not comprise any step of reducing DNPH1 activity.
- treatment according to the invention does not comprise administration of any agent(s) for reducing DNPH1 activity, i.e. any DNPH1 inhibitor(s) or antagonist(s).
- the subject has not been previously received treatment with any agent(s) for reducing DNPH1 activity, i.e. DNPH1 inhibitors(s) or antagonist(s).
- X-ray repair cross complementing 1 (XRCC1; Gene ID 7515) is a protein involved in DNA single strand break repair (SSB repair) and base excision repair (BER).
- XRCC1 may have the reference amino acid sequence of NP_006288.2 or a variant thereof and may be encoded by the nucleotide sequence of NM_006297.3 or a variant thereof.
- the cancers treated according to the present invention preferably do not have a reduced or abrogated (i.e. abolished) XRCC1 activity, for example caused by a reduced or abrogated (i.e. abolished) level of expression of XRCC1, or by a loss of function mutation in XRCC1 or a hypomorphic mutation in XRCC1, which results in a reduced or abrogated (i.e. abolished) XRCC1 activity, as compared to a normal cell (i.e. an XRCC1 positive (i.e. proficient) cell, e.g. a cell with a functional copy of XRCC1).
- a normal cell i.e. an XRCC1 positive (i.e. proficient) cell, e.g. a cell with a functional copy of XRCC1.
- the cancers treated according to the present invention preferably do not have an XRCC1 deficient phenotype, i.e. are XRCC1 positive (cells), i.e. are XRCC1 proficient (cells).
- the cancers treated according to the present invention preferably comprise a functional copy of XRCC1, i.e. comprise normal XRCC1 activity (i.e. functionality).
- the cancers treated according to the present invention preferably comprise wild-type XRCC1.
- Suitable assays for measuring the level of expression of XRCC1 are known in the art.
- the level of expression of XRCC1 mRNA or protein may be determined by quantitative reverse transcription polymerase chain reaction (RT-qPCR) or western blot respectively.
- RT-qPCR quantitative reverse transcription polymerase chain reaction
- treatment according to the invention does not comprise any step of reducing XRCC1 activity.
- treatment according to the invention does not comprise administration of any agent(s) for reducing the level of expression of XRCC1 or reducing XRCC1 activity, i.e. any XRCC1 inhibitor(s) or antagonist(s).
- the subject has not been previously received treatment with any agent(s) for reducing the level of expression of XRCC1 or reducing XRCC1 activity, i.e. XRCC1 inhibitors(s) or antagonist(s).
- the cancers treated according to the present invention i.e. the cancer cells thereof
- the preferred cancers treated according to the present invention do not comprise a loss of function mutation and/or do not comprise a hypomorphic mutation in one or more of, preferably any of, BRCA1, BRCA2, MUS81, DNPH1 or XRCC1.
- the cancers treated according to the present invention do not have a BRCA1 deficient, a BRCA2 deficient, a MUS81 deficient, a DNPH1 deficient and/or an XRCC1 deficient phenotype, i.e. the cancers are one or more of, preferably all of: BRCA1 positive (i.e. proficient), BRCA2 positive, MUS81 positive, DNPH1 positive and XRCC1 positive.
- the cancers treated according to the present invention comprise a functional copy of one or more of, preferably all (each) of BRCA1, BRCA2, MUS81, DNPH1 and XRCC1.
- the cancers treated according to the present invention may comprise wild-type BRCA1, BRCA2, MUS81, DNPH1 and/or XRCC1.
- the cancers treated according to the present invention are BRCA1 positive (i.e. proficient), BRCA2 positive, MUS81 positive and DNPH1 positive.
- the cancers treated according to the present invention are BRCA1 positive (i.e. proficient), BRCA2 positive, MUS81 positive, DNPH1 positive and XRCC1 positive.
- the cancers treated according to the present invention are MUS81 positive (i.e. proficient) and DNPH1 positive, i.e. are MUS81 positive and DNPH1 positive HR proficient cancers.
- the cancers treated according to the present invention do not comprise reduced or abrogated (i.e. abolished) expression of PARP-1 protein and/or do not comprise a loss of function mutation in PARP-1.
- preferred cancers are PARP-1 positive (i.e. proficient), i.e. are PARP-1 positive HR proficient cancers.
- the cancers treated according to the present invention i.e. the cancer cells thereof
- preferred cancers treated according to the present invention are PARP-1 positive (i.e.
- the cancers treated according to the present invention are also PARP-3 positive (i.e. proficient) and/or PARP-16 positive, i.e. do not comprise reduced or abrogated (i.e. abolished) expression of PARP-3 protein and/or PARP-16 protein, and/or do not comprise a loss of function mutation in PARP- 3 and/or PARP-16.
- the cancers treated according to the present invention may comprise at least one, preferably at least two, wildtype alleles of the p53 gene.
- the cancers treated according to the present invention optionally do not comprise a loss of function mutation in at least one, preferably in at least two, p53 alleles.
- the HR proficient cancer of any aspect of the invention may be resistant (i.e. insensitive) to treatment with a compound of Formula (I) as described above.
- the HR proficient cancer may have developed resistance (insensitivity) following treatment with a compound of Formula (I), i.e. the subject may previously have been treated with the compound of Formula (I) and developed resistance thereto.
- the HR proficient cancer of any aspect of the invention may be resistant to PARP inhibition, i.e. to treatment with a PARP inhibitor, such as described above.
- the HR proficient cancer may have developed PARP inhibition resistance (i.e. insensitivity) following treatment with a PARP inhibitor, i.e. the subject may previously have been treated with a PARP inhibitor and developed resistance thereto.
- the cancer may not be resistant (e.g. may not have developed resistance) to treatment with a compound of Formula (I) or may not be resistant to treatment with a PARP inhibitor, or may not be resistant to treatment with either.
- the cancer is not resistant to PARP inhibitors.
- the HR proficient cancer or the subject suffering therefrom
- the HR proficient cancer has preferably not previously been treated with a PARP inhibitor.
- the HR proficient cancer or the subject suffering therefrom
- the HR proficient cancer may occur in (be present in) or be derived from any tissue or organ of the body.
- the present invention can be used in the treatment or prevention of any of the following cancers in a patient or subject:
- the HR proficient cancer may be any solid cancer or any blood cancer.
- the HR proficient cancer is a blood cancer.
- Blood cancers include leukaemia, such as acute myeloid leukaemia (AML), chronic myeloid leukaemia (CML), acute lymphoblastic leukaemia (ALL) and chronic lymphocytic leukaemia (CLL), lymphoma, such as Hodgkin lymphoma, non-Hodgkin lymphoma and multiple myeloma.
- the HR proficient cancer is not Chronic Myeloid Leukemia. ALL, AML, CML and lymphoma are preferred cancers treated according to the present invention.
- Solid cancers include sarcomas, skin cancer, melanoma, bladder cancer, breast cancer, uterine cancer, oral cancer, ovarian cancer, prostate cancer, lung cancer, colorectal cancer, cervical cancer, liver cancer, head and neck cancer, oesophageal cancer, kidney cancer, pancreatic cancer, renal cancer, adrenal cancer, stomach cancer, testicular cancer, cancer of the gall bladder and biliary tracts, thyroid cancer, thymus cancer, cancer of bone, cerebral cancer and cancer of the central nervous system. Cancers of the central nervous system and cervical cancers are preferred cancers treated according to the present invention.
- the HR proficient cancer is an HR proficient human cancer (i.e. a human HR proficient cancer).
- Cancers may be familial or sporadic.
- the cells of a human embryo are arranged into distinct germ layers: an outer ectoderm an inner endoderm, and the mesoderm, which develops between the ectoderm and the endoderm. All the organs of the body develop or differentiate in an orderly fashion from these three primary germ layers.
- the HR proficient cancer is a cancer of a tissue derived from the ectoderm, paraxial mesoderm, or lateral plate mesoderm, preferably from the ectoderm.
- the HR proficient cancer is not derived from the bone marrow.
- the HR proficient cancer is not Chronic Myeloid Leukemia.
- the HR proficient cancer is not a breast cancer.
- the HR proficient cancer is not a lung cancer, for example nonsmall cell lung cancer (NSCLC) or squamous cell lung cancer.
- the HR proficient cancer is not a colorectal cancer.
- the cancer is not a glioma, or is not a brain cancer.
- the HR proficient cancer is not Chronic Myeloid Leukemia, a breast cancer, a lung cancer or a colorectal cancer.
- the cancer is not any of these cancers.
- the HR proficient cancer is not Chronic Myeloid Leukemia, a breast cancer or a colorectal cancer.
- the cancer is not any of these cancers.
- the HR proficient cancer is a cancer of the central nervous system, preferably brain cancer.
- brain cancer is considered in the field and herein to be a cancer of the central nervous system.
- the central nervous system comprises the brain and the spinal cord.
- the tumour is a tumour of the central nervous system, preferably a brain tumour.
- the cancers/tumour of the CNS is selected from the group consisting of CNS lymphoma, Rhabdoid Tumour, Embryonal Tumours, Germ Cell Tumour and Chordoma, or is a brain cancer/tumour.
- the brain cancer/tumour is selected from the group consisting of Glioma, Acoustic Neuroma, CNS Lymphoma, Craniopharyngioma, Medulloblastoma, Meningioma, Metastatic Brain Tumor, Pituitary Tumors, Primitive Neuroectodermal (PNET), Schwannoma, Pineal Tumor, Trilateral Retinoblastoma and Rhabdoid Tumor.
- the cancer/tumour is brain cancer/ a brain tumour, more preferably glioma.
- the glioma may be any type of glioma, for instance astrocytoma, ependymoma, subependymoma, oligodendroglioma, brainstem glioma, optic nerve glioma or a mixed glioma.
- the glioma is astrocytoma.
- the astrocytoma may be Grade I Astrocytoma (preferably Pilocytic Astrocytoma or Subependymal giant cell astrocytoma), Grade II (preferably Low-grade Astrocytoma, Pleomorphic xanthoastrocytoma or Mixed oligoastrocytoma), Grade III (Anaplastic Astrocytoma) or most preferably Grade IV (Glioblastoma).
- the WHO grading scheme is well-known in the field and is based on the appearance of certain characteristics: atypia, mitosis, endothelial proliferation, and necrosis, which reflect the malignant potential of the tumor in terms of invasion and growth rate.
- Gliomas may also be classified according to whether they are above or below the tentorium; a membrane which separates the cerebrum from the cerebellum. Supratentorial gliomas are found above the tentorium, in the cerebrum, whilst infratentorial gliomas are found below the tentorium, in the cerebellum.
- the glioma treated according to the present invention may be supratentorial glioma or infratentorial glioma.
- the cancer/tumour is glioma, most preferably Glioma, Grade IV, i.e. glioblastoma multiforme.
- Glioblastoma multiforme is a malignant astrocytoma and the most common primary brain tumor among adults.
- Glioblastoma multiforme is also known as Glioma, Grade IV, glioblastoma and GBM.
- the co-administration of compounds of Formula (I) have been shown to sensitize brain cancers to PARP inhibitor, thus reducing the concentration of PARP inhibitor required to achieve a therapeutic effect in these cancers.
- the pharmaceutical combination according to the present invention has the advantageous property of sensitizing HR proficient brain cancers to PARP inhibitor, i.e. lowering or reducing the therapeutically effective concentration of PARP inhibitor required for treating HR proficient brain cancers.
- the compound of Formula (I) is 5 -hydroxymethyl-2’ -deoxycytidine or a solvate, tautomer or pharmaceutically acceptable salt thereof.
- a preferred pharmaceutical combination according to the present invention is 5 -hydroxymethyl -2 ’-deoxy cytidine and Veliparib, Olaparib, Talazoparib, Rucaparib, Pamiparib, Niraparib or AZD9574.
- the PARP inhibitor is Pamiparib or AZD9574, preferably Pamiparib.
- the compound of Formula (I) is 5-hydroxymethyl-2’-deoxycytidine (or a solvate, tautomer or pharmaceutically acceptable salt thereof) and the PARP inhibitor is Pamiparib or AZD9574, preferably Pamiparib.
- the HR proficient cancer may be carcinoma, sarcoma or germ cell tumor.
- the cancer is an ovarian cancer, a pancreatic cancer, a skin cancer (preferably a melanoma), a gastric cancer, a prostate cancer, a colon cancer, a colorectal cancer, a renal cancer, a blood cancer (preferably as defined above, preferably ALL, AML, CML or lymphoma), a cervical cancer or a cancer of the central nervous system (as defined above, preferably glioma or glioblastoma).
- a skin cancer preferably a melanoma
- a gastric cancer preferably a melanoma
- a prostate cancer preferably a melanoma
- a colon cancer preferably a colorectal cancer
- a renal cancer preferably as defined above, preferably ALL, AML, CML or lymphoma
- a cervical cancer preferably a cancer of the central nervous system (as defined above, preferably glioma or glioblastoma).
- the cancer is a skin cancer (preferably a melanoma), a colorectal cancer, a renal cancer, a blood cancer (preferably as defined above, preferably ALL, AML, CML or lymphoma), a cervical cancer or a cancer of the central nervous system (as defined above, preferably glioma or glioblastoma).
- a skin cancer preferably a melanoma
- a colorectal cancer preferably a renal cancer
- a blood cancer preferably as defined above, preferably ALL, AML, CML or lymphoma
- a cervical cancer preferably a cancer of the central nervous system (as defined above, preferably glioma or glioblastoma).
- the HR proficient cancers to be treated in accordance with the present invention are glioma, glioblastoma, cervical cancer, ALL, renal cancer, colorectal cancer, melanoma, CML, lymphoma and AML.
- the HR proficient cancers to be treated in accordance with the present invention are glioma, glioblastoma, cervical cancer, ALL, renal cancer, melanoma, lymphoma and AML.
- the HR proficient cancer of any aspect of the invention may be a cancer in which the human protein cytidine deaminase (CD A) is not over-expressed.
- the CDA expression level is not greater than 90% of the CDA expression level in a reference cancer cell line (as determined using the same method under the same conditions), wherein said reference cancer cell line is MDA-MB-231.
- the CDA expression level as compared to the CDA expression level in the reference cancer cell line is determined by reference to a database selected from the EMBL-EBI expression atlas database (https://www.ebi.ac.uk/gxa/home), the GENEVESTIGATOR® database (https://genevestigator.com/gv/ ), the Cancer Cell Line Encyclopaedia (https://portals.broadinstitute.org/ccle ) and the human protein atlas (https://www.proteinatlas.org/).
- EMBL-EBI expression atlas database https://www.ebi.ac.uk/gxa/home
- the GENEVESTIGATOR® database https://genevestigator.com/gv/
- the Cancer Cell Line Encyclopaedia https://portals.broadinstitute.org/ccle
- human protein atlas https://www.proteinatlas.org/).
- the MDA-MB-231 cell line is an epithelial, human breast cancer cell line that was established from a pleural effusion of a 51 -year-old Caucasian female with a metastatic mammary adenocarcinoma and is one of the most commonly used breast cancer cell lines in medical research laboratories. It can be obtained, for instance, from the European Collection of Authenticated Cell Cultures (ECACC), catalogue no. 92020424.
- the expression level of CDA in the MDA-MB-231 cell line is 153 TPM.
- the CDA expression level is not greater than 80%, preferably not greater than 70%, preferably not greater than 60%, preferably not greater than 50%, preferably not greater than 40%, preferably not greater than 30%, preferably not greater 25% of the CDA expression level in a reference cancer cell line (as determined using the same method under the same conditions), wherein said reference cancer cell line is MDA-MB-231.
- the cancer contains CDA RNA transcripts at a level ⁇ 140 TPM (less than or equal to 140 TPM).
- preferred cancers of the invention have a CDA expression level of ⁇ 140 TPM.
- particularly preferred cancers to be treated in accordance with the present invention are those which express CDA to a level of ⁇ 140 TPM, more preferably ⁇ 100 TPM, more preferably ⁇ 50 TPM.
- the method and conditions used to determine the CDA expression level may be any suitable method and conditions.
- the person of ordinary skill in the art is readily able to determine the expression level of a gene of interest, e.g. CDA, in cancerous cells. Such methods are part of the common general knowledge in the field and any suitable method may be used in the context of the present invention.
- the expression level may be measured at the protein level e.g. by Western blot, immunoblot, enzyme-linked immunosorbant assay (ELISA), enzyme-linked immunospot (ELISPOT), radioimmunoassay (RIA), immunohistochemistry and immunoprecipitation, fluorescence activated cell sorting (FACS), etc.
- the gene expression level e.g. the CDA expression level
- the method used is RNA-seq or microarray.
- RNA transcript in terms of TPM can be obtained by the skilled person by routine methods such as quantitative real time PCR or RNA sequencing methods, and such information is available from resources such as TCGA, the EMBL-EBI expression atlas, the GENEVESTIGATOR® database (https://genevestigator.com/gv/ ), the Cancer Cell Line Encyclopaedia (https://portals.broadinstitute.org/ccle ) and the human protein atlas (https://www.proteinatlas.org/), amongst others. Such methods are preferred herein.
- the HR proficient cancer i.e. the cancer cells thereof
- the HR proficient cancer does not comprise a Philadelphia Chromosome.
- the HR proficient cancer i.e. the cancer cells thereof
- the HR proficient cancer of any aspect of the invention may be hormone resistant. Alternatively, it may be hormone sensitive.
- the HR proficient cancer may be of any stage (e.g. stage 0, stage 1, stage 2, stage 3, or stage 4) or of any grade (e.g. grade 1, grade 2, grade 3, or grade 4).
- treatment may be of malignant or benign tumours; the treatment of malignant tumours is preferred.
- the “subject” suitable for treatment as described herein is a subject suffering from the indicated condition, i.e. is a subject in need of said treatment (“a subject in need thereof’).
- a subject suitable for treatment as described herein may be a mammal, such as a rodent (e.g. a guinea pig, a hamster, a rat, a mouse), murine (e.g. a mouse), canine (e.g. a dog), feline (e.g. a cat), equine (e.g. a horse), a primate, simian (e.g. a monkey or ape), a monkey (e.g. marmoset, baboon), an ape (e.g. gorilla, chimpanzee, orang-utan, gibbon), or a human.
- the subject is a human.
- the subject is a non-human mammal, especially those selected from mammals that are conventionally used as models for demonstrating therapeutic efficacy in humans (e.g. murine, primate, porcine, canine, or rabbit animals)
- mammals that are conventionally used as models for demonstrating therapeutic efficacy in humans (e.g. murine, primate, porcine, canine, or rabbit animals)
- An individual with an HR proficient cancer may display at least one identifiable sign, symptom, or laboratory finding that is sufficient to make a diagnosis of cancer in accordance with clinical standards known in the art. Examples of such clinical standards can be found in textbooks of medicine such as Harrison’s Principles of Internal Medicine, 15th Ed., Fauci AS et al., eds., McGraw-Hill, New York, 2001.
- a diagnosis of a cancer in an individual may include identification of a particular cell type (e.g. a cancer cell) in a sample of a body fluid or tissue obtained from the individual.
- the form of the combinations, compounds and pharmaceutical compositions, the route of administration, the dosage and the regimen naturally depend upon the nature of the cancer to be treated, the severity of the illness, the age, weight, and sex of the subject (e.g. patient), etc., or alternatively of the desired duration of treatment. It is within the competencies of the practitioner to determine the appropriate dosage form, route of administration, dosage and regimen for a given subject.
- the compounds of Formula (I) and the PARP inhibitor may be administered to a subject via any appropriate route.
- the compounds of Formula (I) and the PARP inhibitor may be administered to a subject via the same or different routes.
- the compounds of Formula (I), and PARP inhibitors may be presented, for example, in a form suitable for oral, nasal, parenteral, intravenal, topical, rectal or intrathecal administration.
- forms suitable for systemic (e.g. intravenous) administration are preferred.
- any mode of administration common or standard in the art may be used, e.g. injection, infusion, topical administration, inhalation, transdermal administration, both to internal and external body surfaces etc. by any suitable method known in the medicinal arts.
- modes of administration include oral, nasal, enteral, rectal, vaginal, transmucosal, topical, or parenteral administration or by inhalation.
- Administration may be direct to the tumour (intratumoral administration).
- Oral or parenteral administration is preferred.
- Preferred parenteral means of administration are intravenous, intramuscular, intraperitoneal, intracranial and subcutaneous administration, and administration to the cerebrospinal fluid (intrathecal administration). More preferably, the administration is intraperitoneal or intravenous administration, most preferably intravenous administration.
- Intravenous administration may be intravenous injection or intravenous infusion, most preferably intravenous infusion (e.g. by infusion pump).
- X is -CHO
- administration is intravenous.
- X is -CH2OH
- administration is oral.
- Administration of combinations of anticancer agents as described herein, such as a compound of Formula (I) and a PARP inhibitor, can be effected in one dose, continuously or intermittently (e.g., in divided doses at appropriate intervals) throughout the course of treatment.
- Methods of determining the most effective means and dosage of administration are well known to those of skill in the art and will vary with the formulation used for therapy, the purpose of the therapy, the target cell being treated, and the subject being treated. Single or multiple administrations can be carried out with the dose level and pattern being selected by the treating physician.
- the compound of Formula (I) and the PARP inhibitor may be administered separately, sequentially, concurrently or simultaneously.
- the compound of Formula (I) and the PARP inhibitor are administered sequentially, e.g. at separate times, i.e. not together in the same composition.
- the compound of Formula (I) and the PARP inhibitor are administered together at the same time, for example in the same composition or in separate compositions.
- the timing of the separate administrations may be determined according to the particular compound of Formula (I) or the particular PARP inhibitor, formulations and/or modes of administration used.
- the compound of Formula (I) may be administered before or after the PARP inhibitor.
- the PARP inhibitor may be administered first and the compound of Formula (I) may be administered at a suitable time interval afterwards to align with the optimum time of PARP inhibitor delivery to the target site, or vice versa.
- the compound of Formula (I) may be administered, preferably parenterally, more preferably intravenously or orally, at least or up to 20, 30, 40, 50, 60, 70, or 90 minutes or 2, 3, 4, 5, 6, 12 or 18 hours or 1, 2, 3, 4, 5, 6, 7 or 14 days before or after the PARP inhibitor.
- Doses and dosages may be determined in a routine manner and may depend upon the nature of the molecule, purpose of treatment, age of patient, mode of administration etc. Any therapeutic agent of the invention as above described may be combined with pharmaceutically acceptable excipients to form therapeutic compositions.
- a dose refers to a specified amount of medication taken at one time, i.e. the terms “single dose” and dose are used interchangeably.
- a course of treatment may comprise multiple doses, i.e. multiple single doses, over a period of time.
- a dosage refers to a specified amount of medication taken over a specific time period.
- a therapeutically effective amount of the compound of Formula (I) is administered, and a therapeutically effective amount of the PARP inhibitor is administered.
- a dose or dosage preferably comprises a therapeutically effective amount of the compound of Formula (I), and a therapeutically effective amount of the PARP inhibitor.
- the present invention provides a method of treating an HR proficient cancer in a subject in need thereof, the method comprising administering to the subject a therapeutically effective amount of a compound of Formula (I) and a therapeutically effective amount of a PARP inhibitor.
- the combination is preferably a synergistic combination.
- the compound of Formula (I) and the PARP inhibitor are each present in a synergistic amount.
- the terms “synergy” or “synergistic” are used to mean that the result of the combination of two or more compounds (agents) is greater than the sum of each agent together.
- the terms “synergy” or “synergistic” also means that there is an improvement in the disease condition or disorder being treated, over the use of the two or more compounds (agents) individually. This improvement in the disease condition or disorder being treated is a “synergistic effect”.
- a “synergistic amount” is an amount of the combination of the two compounds (agents) that results in a synergistic effect, as “synergistic” is defined herein.
- the optimum range for the effect and absolute dose ranges of each for the effect may be definitively measured by administration of the compounds over different ratio ranges and doses to patients in need of treatment.
- the observation of synergy in in vitro models or in vivo models can be predictive of the effect in humans and other species, and can be used to measure a synergistic effect and to predict effective dose and plasma concentration ratio ranges, as well as the absolute doses and plasma concentrations required in humans and other species by the application of pharmacokinetic/pharmacodynamic methods.
- the compound of Formula (I) may be administered at a dose of ⁇ lOOOmg/kg, preferably ⁇ 750 mg/kg, ⁇ 500 mg/kg, ⁇ 400 mg/kg, ⁇ 300 mg/kg, ⁇ 250 mg/kg, ⁇ 200 mg/kg, ⁇ 150 mg/kg, or ⁇ 100 mg/kg.
- the compound of Formula (I) may be administered at a dose of at least 10 mg/kg, more preferably at least 20 mg/kg, more preferably at least 30 mg/kg, more preferably at least 40 mg/kg, more preferably at least 50 mg/kg, more preferably at least 100 mg/kg.
- the compound of Formula (I) may be administered at a dose of from about 10 mg/kg to about 1000 mg/kg; from about 50 mg/kg to about 1000 mg/kg; from about 100 mg/kg to about 1000 mg/kg; from about 50 mg/kg to about 800 mg/kg; from about 100 mg/kg to about 800 mg/kg; from about 50 mg/kg to about 600 mg/kg; from about 100 mg/kg to about 600 mg/kg; from about 50 mg/kg to about 500 mg/kg; from about 100 mg/kg to about 500 mg/kg; from about 50 mg/kg to about 400 mg/kg; from about 100 mg/kg to about 400 mg/kg; from about 50 mg/kg to about 300 mg/kg; from about 100 mg/kg to about 300 mg/kg; from about 50 mg/kg to about 200 mg/kg; and from about 100 mg/kg to about 200 mg/kg.
- the compound of Formula (I) may preferably be administered at a dose between about 100 mg/kg and about 500 mg/kg.
- Suitable dose(s), administration regime(s) and administration route(s) for PARP inhibitors include those described in the NCCN Clinical Practice Guidelines in Oncology (NCCN guidelines).
- the PARP inhibitor may be administered at a dose of from about 10 mg/kg to about 1000 mg/kg; from about 50 mg/kg to about 1000 mg/kg; from about 100 mg/kg to about 1000 mg/kg; from about 50 mg/kg to about 800 mg/kg; from about 100 mg/kg to about 800 mg/kg; from about 50 mg/kg to about 600 mg/kg; from about 100 mg/kg to about 600 mg/kg; from about 50 mg/kg to about 500 mg/kg; from about 100 mg/kg to about 500 mg/kg; from about 50 mg/kg to about 400 mg/kg; from about 100 mg/kg to about 400 mg/kg; from about 50 mg/kg to about 300 mg/kg; from about 100 mg/kg to about 300 mg/kg; from about 50 mg/kg to about 200 mg/kg; and from about 100 mg/kg to about 200 mg/kg.
- the PARP inhibitor may be administered at a dose of 50 to 1000 mg, 50 to 800 mg, 50 to 700 mg, 50 to 600 mg, 50 to 500 mg.
- the PARP inhibitor may be administered at a dose of 100 to 1000 mg, 100 to 800 mg, 100 to 700 mg, 100 to 600 mg, 100 to 500 mg.
- the PARP inhibitor may be administered at a dose of about 50, 100, 150, 200, 250, 300, 350, 400, 450 or 500 mg.
- the PARP inhibitor may be administered once, twice or three times daily, preferably once or twice daily.
- the PARP inhibitor may be administered at a dosage of 100 to 800 mg once per day or at a dosage of 50 mg to 400 mg administered twice or three times daily.
- the PARP inhibitor may be administered at a dosage of 50 mg, 100 mg, 150 mg, 200 mg, 250 mg, 300 mg, 400 mg, 500 mg, 600mg or 800 mg once per day or at a dosage of 50 mg, 100 mg, 150 mg, 200 mg, 250mg, 300 mg or 400 mg administered twice or three times daily.
- the ratio of the compound of Formula (I) to the PARP inhibitor is selected from any one of 100000: I to 1: 100000, 10000: 1 to 1: 10000, 5000: 1 to 1:5000, preferably 2500: 1 to 1:2500, 2000: 1 to 1:2000, 1000: 1 to 1: 1000, 500: 1 to 1:500, 100: 1 to 1: 100, 50: 1 to 1:50, 20: 1 to 1:20, 10: 1 to 1: 10, 5: 1 to 1:5, 2: 1 to 1:2, 1: 1.5 to 1.5: 1 and 1: 1.
- the PARP inhibitor is present in a greater molar quantity than the compound of Formula (I).
- the PARP inhibitor is present in a lower molar quantity than the compound of Formula (I).
- the ratio is the ratio of the molar concentrations (M) of the two agents.
- Dosages, and dosage regimens may vary based on parameters such as the age, weight, condition and sex of the subject, the purpose of treatment, the disease being treated, the age and/or condition of the patient, the mode of administration etc.
- Appropriate dosages and regimens can be readily established. Appropriate dosage units can readily be prepared. Dosing regimens may be determined in a routine manner
- Treatment may comprise a single administration of the compound of Formula (I), and a single administration of the PARP inhibitor, or may comprise repeated administrations of either or both agents.
- the dosing regimen of the compound of Formula (I) and the PARP inhibitor need not be identical.
- Treatment may comprise a single administration of the compound of Formula (I) and repeated administrations of the PARP inhibitor, or vice versa.
- At least one of the compound of Formula (I) and the PARP inhibitor (the agents in the combination therapy) is administered using the same dosage regimen (dose, frequency and duration of treatment) that is typically employed when the agent is used as a monotherapy for treating the same cancer.
- the subject received a lower total amount of at least one of the therapeutic agents in the combination therapy than when the same agent is used as a monotherapy, for example a lower dose of therapeutic agent, a reduced frequency of dosing and / or a shorter duration of dosing.
- dosage levels below the lower limit of the aforesaid range may be more than adequate, while in other cases still larger doses may be employed without causing any harmful side effect, provided that such larger doses are first divided into several small doses for administration throughout the day.
- the PARP inhibitor may be administered at a dosage of 200 mg, 250 mg, 300 mg, 400 mg, 500 mg, 600mg or 800 mg once per day or at a dosage of 50 mg, 100 mg, 150 mg, 200 mg, 250mg, 300 mg or 400 mg administered twice or three times daily.
- the specific initial and continuing dosage regimen for each patient will vary according to the nature and severity of the condition as determined by the attending diagnostician, the activity of the specific compounds employed, the age and general condition of the patient, time of administration, route of administration, rate of excretion of the drug, drug combinations, and the like.
- the desired mode of treatment and number of doses of a compound of the present invention or a pharmaceutically acceptable salt or ester or composition thereof can be ascertained by those skilled in the art using conventional treatment tests.
- Dosage amounts provided herein refer to the dose of the free base form of the PARP inhibitor, or are calculated as the free base equivalent of an administered salt form.
- the dosage regimen may be adjusted to provide the optimal therapeutic response. For example, the dose may be proportionally reduced or increased as indicated by the exigencies of the therapeutic situation.
- the PARP inhibitor is administered daily.
- the compound of Formula (I) may be administered at a dosage of 1 to 4000 mg, 10 to 2000 mg, 50 to 1000 mg, 100 to 500 mg, once or twice daily, preferably twice daily.
- the compound of Formula (I) is administered daily.
- the pharmaceutical combination comprising a compound of Formula (I) and a PARP inhibitor may optionally be used in combination with a further, i.e. one or more further, anticancer agent(s).
- the pharmaceutical combination may be administered in combination with one or more other therapies, such as cytotoxic chemotherapy or radiotherapy.
- the combinations, compositions and kits of the invention may comprise one or more further anticancer agents.
- the further anticancer agent may be any suitable anti -cancer agent known in the art. A wide range of different types of agents are known or proposed for use in the treatment of cancer and any of these may be used, regardless of chemical nature or mode of action.
- Anticancer agents thus included chemical molecules whether naturally or synthetically derived or prepared (e.g. organic small chemical molecules) and biological molecules such as proteins and peptides (e.g. immunotherapy agents).
- Anticancer drugs thus include chemotherapeutic agents or drugs, which may be in a wide range of different chemical or functional classes, as well as antibodies or antibody derivatives and other biological molecules which act for example to stimulate, activate or enhance various physiological processes or cells in the body, for example immune and/or anti-inflammatory responses or cells etc.
- Anticancer agents may include kinase inhibitors, phosphatase inhibitors, ATPase inhibitors, tyrphostins, protease inhibitors, herbimycin A, genistein, erbstatin, and lavendustin A.
- the anticancer agent may be selected from, but is not limited to, one or a combination of the following class of agents: alkylating agents, plant alkaloids, DNA topoisomerase inhibitors, anti-folates, pyrimidine analogs, purine analogs, DNA antimetabolites, taxanes, podophyllotoxin, hormonal therapies, retinoids, photosensitizers or agents for use in photodynamic therapies, angiogenesis inhibitors, antimitotic agents, isoprenylation inhibitors, cell cycle inhibitors, actinomycins, bleomycins, anthracy clines, MDR inhibitors and Ca2+ ATPase inhibitors.
- Anticancer agents may be selected from, but are not limited to, cytokines, chemokines, growth factors, growth inhibitory factors, hormones, soluble receptors, decoy receptors, monoclonal or polyclonal antibodies, mono-specific, bispecific or multi-specific antibodies, monobodies, polybodies.
- Alternative anticancer agents may be selected from, but are not limited to, growth or hematopoietic factors such as erythropoietin and thrombopoietin, and growth factor mimetics thereof.
- chemoactive agents include chemoactive agents, for example alkylating agents such as Temozolomide (Temodal (RTM)ZTemodar (RTM))( 4-methyl-5-oxo-2,3,4,6,8- pentazabicyclo[4.3.0]nona-2,7,9-triene-9-carboxamide), platinum complexes including cisplatin, mono(platinum), bis(platinum), tri-nuclear platinum complexes, oxaliplatin, and carboplatin, thiotepa and cyclosphosphamide (CYTOXAN); alkyl sulfonates such as busulfan, improsulfan and piposulfan; aziridines such as benzodopa, carboquone, meturedopa, and uredopa; ethylenimines and methylamelamines including altretamine, triethylenemelamine, trietylenephosphoramide, triethylene
- paclitaxel TAXOL
- docetaxel TAXOTERE
- chlorambucil gemcitabine
- 6-thioguanine mercaptopurine
- platinum analogs such as cisplatin and carboplatin
- vinblastine platinum
- etoposide VP-16
- ifosfamide mitomycin C
- mitoxantrone vinca alkaloids
- vinblastine, vincristine, vinorelbine and vindesine
- navelbine novantrone
- teniposide daunomycin; aminopterin; ibandronate; CPT11; topoisomerase inhibitor RFS 2000; difluoromethylomithine (DMFO); retinoic acid; esperamicins; capecitabine (XELODA);
- Topoisomerase inhibitors such as doxorubicin HCI, daunorubicin citrate, mitoxantrone HCI, actinomycin D, etoposide, topotecan HCI, teniposide (VM-26), levamisole and irinotecan, hydroxyurea, cyclophosphamide, nitrosoureas, camptothecins, bleomycin, L- asparaginase, leucovorin, imatinib mesylate, hexamethylenediamine and pharmaceutically acceptable salts, acids or derivatives of any of the above.
- doxorubicin HCI daunorubicin citrate
- mitoxantrone HCI actinomycin D
- etoposide topotecan HCI
- teniposide (VM-26) levamisole and irinotecan
- hydroxyurea cyclophosphamide
- nitrosoureas campto
- the further anticancer agent(s) may be selected from the group consisting of temozolomide, 5- fluorouracil, gemcitabine, cytarabine, doxorubicin, daunorubicin, cisplatin and carmustine (preferably gliadel (RTM) (Carmustine wafer)(l,3-Bis(2-chloroethyl)-l-nitrosourea)).
- RTM gliadel
- the further anticancer agent is an immunotherapy agent.
- Immunotherapy can involve, for example, cell-based therapies, antibody therapies or cytokine therapies.
- the further anti- cancer agent is an antibody, optionally selected from the group consisting of Alemtuzumab, Bevacizumab, Brentuximab vedotin, Cetuximab, Gemtuzumab ozogamicin, Ibritumomab tiuxetan, Ipilimumab, Ofatumumab, Panitumumab, Rituximab, Tositumomab and Trastuzumab.
- the further anticancer agent is a checkpoint inhibitor.
- checkpoint inhibitors are known and can be used in the present invention, for example those inhibitors described in Creelan (2014) Cancer Control 21:80-89.
- checkpoint inhibitors include: Tremelimumab (CP-675,206); Ipilimumab (MDX-010); Nivolumab (BMS-936558); MK-3475 (formerly lambrolizumab); Urelumab (BMS-663513); anti-LAG-3 monoclonal antibody (BMS-986016); and Bavituximab (chimeric 3G4). All of these checkpoint inhibitors can be used in the present invention.
- each “anticancer agents”) is used in combination with one or more additional anticancer agents
- the various agents may be administered separately, sequentially, concurrently or simultaneously by any convenient route.
- an anticancer agent is used in combination with an additional anticancer agent active against the same disease
- the dose of each anticancer agent in the combination may differ from that when the agents are used alone. Appropriate doses will be readily appreciated by those skilled in the art.
- the one or more additional anticancer agents may be administered by any convenient means.
- Administration of combinations of anticancer agents as described herein, such as a compound of Formula (I) and a PARP inhibitor, optionally in combination with one or more further anticancer agents, can be effected in one dose, continuously or intermittently (e.g., in divided doses at appropriate intervals) throughout the course of treatment.
- Methods of determining the most effective means and dosage of administration are well known to those of skill in the art and will vary with the formulation used for therapy, the purpose of the therapy, the target cell being treated, and the subject being treated. Single or multiple administrations can be carried out with the dose level and pattern being selected by the treating physician.
- the pharmaceutical combination of the invention may be used according to the present invention in the form of a product, i.e. a pharmaceutical composition.
- a product i.e. a pharmaceutical composition.
- the present invention provides products, particularly pharmaceutical compositions, comprising a compound of Formula (I) and a PARP inhibitor, optionally comprising one or more pharmaceutically acceptable excipients.
- the pharmaceutical combination, the product, or the pharmaceutical composition may comprise one or more pharmaceutically acceptable excipients.
- compositions may be formulated in any convenient manner according to techniques and procedures known in the pharmaceutical art, e.g. using one or more pharmaceutically acceptable diluents, carriers or excipients. Such formulations may be for pharmaceutical or veterinary use. Suitable diluents, excipients and carriers for use in such formulations are known to the skilled person. "Pharmaceutically acceptable” as referred to herein refers to ingredients that are compatible with other ingredients of the combinations, compounds and compositions as well as physiologically acceptable to the recipient. The nature of the composition and carriers or excipient materials, dosages etc. may be selected in routine manner according to choice and the desired route of administration, purpose of treatment etc.
- pharmaceutically or “pharmaceutically acceptable” refers to molecular entities and compositions that do not produce an adverse, allergic or other untoward reaction when administered to a mammal, especially a human, as appropriate.
- a pharmaceutically acceptable carrier or excipient refers to a non-toxic solid, semi -solid or liquid filler, diluent, encapsulating material or formulation auxiliary of any type.
- the combinations, compounds and compositions may contain vehicles which are pharmaceutically acceptable for formulation. These may be in particular isotonic, sterile, saline solutions (monosodium or disodium phosphate, sodium, potassium, calcium or magnesium chloride and the like or mixtures of such salts), or dry, freeze-dried compositions which upon addition, depending on the case, of sterilized water or physiological saline, permit the administration of solutions.
- vehicles which are pharmaceutically acceptable for formulation.
- saline solutions monosodium or disodium phosphate, sodium, potassium, calcium or magnesium chloride and the like or mixtures of such salts
- dry, freeze-dried compositions which upon addition, depending on the case, of sterilized water or physiological saline, permit the administration of solutions.
- compositions provided may be presented in the conventional pharmacological forms of administration, such as tablets, coated tablets, nasal sprays, solutions, emulsions, liposomes, powders, capsules or sustained release forms.
- Conventional pharmaceutical excipients as well as the usual methods of production may be employed for the preparation of these forms.
- compositions may comprise any known carrier, diluent or excipient.
- formulations which are suitable for parenteral administration conveniently comprise sterile aqueous solutions and/or suspensions of pharmaceutically active ingredients preferably made isotonic with the blood of the recipient, generally using sodium chloride, glycerin, glucose, mannitol, sorbitol and the like.
- Excipients that may be included in any pharmaceutical composition include preservatives (such as p-hydroxybenzoates), chelating agents (such as EDTA), stabilizing agents, tonicity adjusting agents, antimicrobial agents, flocculating / suspending agents, wetting agents, solvents and solvent systems, antioxidants and buffering agents, amongst others. It is within the competencies of the person of ordinary skill in the art to select and optimise such excipients and their amounts when formulating a pharmaceutical composition for a particular desired purpose.
- compositions are preferably in the form of aqueous solutions. Such solutions are prepared according to known methods in the art and then fdled into injection vials or ampoules. The invention will be further described with reference to the following non-limiting Examples in which:
- Figure 1 shows cell viability of U-87 MG cells. After incubation for 96 hours in the presence or absence of 5hm2dC, Olaparib, Veliparib, Niraparib, or a combination of 5hm2dC with either Olaparib, Veliparib, or Niraparib, the metabolic activity was determined using the MTT cell proliferation assay.
- A Treatment with either 5hm2dC, Olaparib, Veliparib, or Niraparib.
- B Treatment with 5hm2dC, Olaparib, or the combination of the two.
- C Treatment with 5hm2dC, Veliparib, or the combination of the two.
- D Treatment with 5hm2dC, Niraparib, or the combination of the two.
- the assay was performed in triplicate, and the data represented is the mean.
- the concentration refers to the total combined concentration of both compounds.
- the highest concentration of Olaparib (200 pM) and 5hm2dC+01aparib (400 pM) has been omitted from the data set due to precipitate formation.
- Figure 2 shows IC50 (pM) value of U-87 MG cells after drug treatment. After incubation for 96 hours in the presence or absence of 5hm2dC, Olaparib, Veliparib, Niraparib, or a combination of 5hm2dC with either Olaparib, Veliparib, or Niraparib, the metabolic activity was determined using the MTT cell proliferation assay and the IC50 value was determined by 4 parameter logistic regression analysis. IC50: the half maximal inhibitory concentration (pM).
- Figure 3 shows cell viability of HeLa cells. After incubation for 96 hours and 35 minutes in the presence or absence of 5hm2dC, Olaparib, Veliparib, Niraparib, or a combination of 5hm2dC with either Olaparib, Veliparib, or Niraparib, the metabolic activity was determined using the MTT cell proliferation assay.
- A Treatment with either 5hm2dC, or 5hm2dC in combination with Olaparib.
- B Treatment with either 5hm2dC, or 5hm2dC in combination with Veliparib.
- C Treatment with either 5hm2dC, or 5hm2dC in combination with Niraparib.
- the assay was performed in triplicate, and the data represented is the mean.
- the two reference lines on each graph show the effect of 1 pM and 10 pM of the PARP inhibitor on HeLa cells without the addition of 5hm2dC.
- Figure 4 shows cell viability of HeLa cells after Olaparib treatment. After incubation for 96 hours in the presence or absence of 5f2dC, or a combination of 5f2dC with either 0.1 pM or 1 pM of Olaparib, the metabolic activity was determined using the MTT cell proliferation assay.
- A Treatment with either 5f2dC, or 5f2dC in combination with 0.1 pM of Olaparib.
- B Treatment with either 5f2dC, or 5f2dC in combination with 1 pM of Olaparib.
- the assay was performed in triplicate, and the data represented is the mean.
- the reference lines on each graph show the effect of 0. 1 pM and 1 pM of Olaparib on HeLa cells without the addition of 5f2dC. The predicted additive effect is theoretical, and based on the effect of 5f2dC and Olaparib individually.
- Figure 5 shows cell viability of HeLa cells after Veliparib treatment. After incubation for 96 hours in the presence or absence of 5f2dC, or a combination of 5f2dC with either 5 pM or 10 pM of Veliparib, the metabolic activity was determined using the MTT cell proliferation assay.
- A Treatment with either 5f2dC, or 5f2dC in combination with 5 pM of Veliparib.
- B Treatment with either 5f2dC, or 5f2dC in combination with 10 pM of Veliparib.
- the assay was performed in triplicate, and the data represented is the mean.
- the reference lines on each graph show the effect of 5 pM and 10 pM of Veliparib on HeLa cells without the addition of 5f2dC.
- the predicted additive effect is based on the effect of 5f2dC and Veliparib individually.
- Figure 6 shows cell viability of HeLa cells after Niraparib treatment. After incubation for 96 hours in the presence or absence of 5f2dC, or a combination of 5f2dC with either 0.1 pM or 1 pM of Niraparib, the metabolic activity was determined using the MTT cell proliferation assay.
- A Treatment with either 5f2dC, or 5f2dC in combination with 0.1 pM of Niraparib.
- B Treatment with either 5f2dC, or 5f2dC in combination with 1 pM of Niraparib.
- the assay was performed in triplicate, and the data represented is the mean.
- the reference lines on each graph show the effect of 0.1 pM and 1 pM of Niraparib on HeLa cells without the addition of 5f2dC. The predicted additive effect is based on the effect of 5f2dC and Niraparib individually.
- Figure 7 shows cell viability of Loucy cells after 5hm2dC and PARPi treatment. After incubation for 95 hours in the presence or absence of 5hm2dC, or a combination of 5hm2dC with either 1 pM or 10 pM of Olaparib, Veliparib, or Niraparib, the metabolic activity was determined using the MTT cell proliferation assay.
- A Treatment with either 5hm2dC, or 5hm2dC in combination with 1 pM or 10 pM of Olaparib.
- B Treatment with either 5hm2dC, or 5hm2dC in combination with 1 pM or 10 pM of Veliparib.
- Figure 8 shows cell viability of Loucy cells after 5f2dC and PARPi treatment. After incubation for 95 hours in the presence or absence of 5f2dC, or a combination of 5f2dC with either 1 pM or 10 pM of Olaparib, Veliparib, or Niraparib, the metabolic activity was determined using the MTT cell proliferation assay.
- A Treatment with either 5f2dC, or 5f2dC in combination with 1 pM or 10 pM of Olaparib.
- B Treatment with either 5f2dC, or 5f2dC in combination with 1 pM or 10 pM of Veliparib.
- Figure 9 shows cell viability of DBTRG-05MG cells after 5hm2dC and PARPi treatment. After incubation for 95 hours in the presence or absence of 5hm2dC, or a combination of 5hm2dC with either 1 pM or 10 pM of Olaparib, Veliparib, or Niraparib, the metabolic activity was determined using the MTT cell proliferation assay.
- A Treatment with either 5hm2dC, or 5hm2dC in combination with 1 pM or 10 pM of Olaparib.
- B Treatment with either 5hm2dC, or 5hm2dC in combination with 1 pM or 10 pM of Veliparib.
- Figure 11 shows cell viability of Caki-1 cells after 5hm2dC and PARPi treatment. After incubation for 96 hours in the presence or absence of 5hm2dC, or a combination of 5hm2dC with either 1 pM or 10 pM of Olaparib, Veliparib, or Niraparib, the metabolic activity was determined using the MTT cell proliferation assay.
- A Treatment with either 5hm2dC, or 5hm2dC in combination with 1 pM or 10 pM of Olaparib.
- B Treatment with either 5hm2dC, or 5hm2dC in combination with 1 pM or 10 pM of Veliparib.
- Figure 12 shows cell viability of Caki-1 cells after 5f2dC and PARPi treatment. After incubation for 96 hours in the presence or absence of 5f2dC, or a combination of 5f2dC with either 1 pM or 10 pM of Olaparib, Veliparib, or Niraparib, the metabolic activity was determined using the MTT cell proliferation assay.
- A Treatment with either 5f2dC, or 5f2dC in combination with 1 pM or 10 pM of Olaparib.
- B Treatment with either 5f2dC, or 5f2dC in combination with 1 pM or 10 pM of Veliparib.
- Figure 13 shows cell viability of CCRF-CEM cells after 5hm2dC and PARPi treatment. After incubation for 96 hours in the presence or absence of 5hm2dC, or a combination of 5hm2dC with either 1 pM or 10 pM of Olaparib, Veliparib, or Niraparib, the metabolic activity was determined using the MTT cell proliferation assay.
- A Treatment with either 5hm2dC, or 5hm2dC in combination with 1 pM or 10 pM of Olaparib.
- B Treatment with either 5hm2dC, or 5hm2dC in combination with 1 pM or 10 pM of Veliparib.
- Figure 14 shows cell viability of CCRF-CEM cells after 5f2dC and PARPi treatment. After incubation for 96 hours in the presence or absence of 5f2dC, or a combination of 5f2dC with either 1 pM or 10 pM of Olaparib, Veliparib, or Niraparib, the metabolic activity was determined using the MTT cell proliferation assay.
- A Treatment with either 5f2dC, or 5f2dC in combination with 1 pM or 10 pM of Olaparib.
- B Treatment with either 5f2dC, or 5f2dC in combination with 1 pM or 10 pM of Veliparib.
- Figure 15 shows cell viability of HT-29 cells after 5hm2dC and PARPi treatment. After incubation for 96 hours in the presence or absence of 5hm2dC, or a combination of 5hm2dC with either 1 pM or 10 pM of Olaparib, Veliparib, or Niraparib, the metabolic activity was determined using the MTT cell proliferation assay.
- A Treatment with either 5hm2dC, or 5hm2dC in combination with 1 pM or 10 pM of Olaparib.
- B Treatment with either 5hm2dC, or 5hm2dC in combination with 1 pM or 10 pM of Veliparib.
- Figure 16 shows cell viability of HT-29 cells after 5f2dC and PARPi treatment. After incubation for 96 hours in the presence or absence of 5f2dC, or a combination of 5f2dC with either 1 pM or 10 pM of Olaparib, Veliparib, or Niraparib, the metabolic activity was determined using the MTT cell proliferation assay.
- A Treatment with either 5f2dC, or 5f2dC in combination with 1 pM or 10 pM of Olaparib.
- B Treatment with either 5f2dC, or 5f2dC in combination with 1 pM or 10 pM of Veliparib.
- Figure 17 shows cell viability of M14 cells after 5hm2dC and PARPi treatment.
- the metabolic activity was determined using the MTT cell proliferation assay.
- the assay was performed in triplicate, and the data represented is the mean.
- the concentration of 5hm2dC (pM) is plotted on the x-axis. The predicted additive effect is theoretical, and is based on the sum of the effect of 5hm2dC and the PARP inhibitors individually on M14 cells.
- Figure 18 shows cell viability of M14 cells after 5f2dC and PARPi treatment. After incubation for 96 hours in the presence or absence of 5f2dC, or a combination of 5f2dC with varying concentrations of Rucaparib or Talazoparib, the metabolic activity was determined using the MTT cell proliferation assay.
- A Treatment with either 5f2dC, or 5f2dC in combination with 1 pM or 10 pM of Rucaparib.
- B Treatment with either 5f2dC, or 5f2dC in combination with 0.01 pM or 0. 1 pM Talazoparib. The assay was performed in triplicate, and the data represented is the mean.
- the concentration of 5f2dC (pM) is plotted on the x-axis.
- the predicted additive effect is theoretical, and is based on the sum of the effect of 5f2dC and the PARP inhibitors individually on M14 cells.
- Figure 19 shows cell viability of SN12C cells after 5hm2dC and PARPi treatment. After incubation for 96 hours in the presence or absence of 5hm2dC, or a combination of 5hm2dC with varying concentrations of Rucaparib or Talazoparib, the metabolic activity was determined using the MTT cell proliferation assay.
- Figure 20 shows cell viability of SN12C cells after 5f2dC and PARPi treatment. After incubation for 96 hours in the presence or absence of 5f2dC, or a combination of 5f2dC with varying concentrations of Rucaparib or Talazoparib, the metabolic activity was determined using the MTT cell proliferation assay.
- A Treatment with either 5f2dC, or 5f2dC in combination with 1 pM or 10 pM of Rucaparib.
- B Treatment with either 5f2dC, or 5f2dC in combination with 0.01 pM or 0. 1 pM Talazoparib. The assay was performed in triplicate, and the data represented is the mean. The concentration of 5f2dC (pM) is plotted on the x-axis. The predicted additive effect is theoretical, and is based on the sum of the effect of 5f2dC and the PARP inhibitors individually on SN12C cells.
- Figure 21 shows cell viability of He La cells after 5hm2dC and PARPi treatment.
- the metabolic activity was determined using the MTT cell proliferation assay.
- the assay was performed in triplicate, and the data represented is the mean.
- the concentration of 5hm2dC (pM) is plotted on the x-axis. The predicted additive effect is theoretical, and is based on the sum of the effect of 5hm2dC and the PARP inhibitors individually on He La cells.
- Figure 22 shows cell viability of He La cells after 5f2dC and PARPi treatment.
- the metabolic activity was determined using the MTT cell proliferation assay.
- the assay was performed in triplicate, and the data represented is the mean.
- the concentration of 5f2dC (pM) is plotted on the x-axis. The predicted additive effect is theoretical, and is based on the sum of the effect of 5f2dC and the PARP inhibitors individually on He La cells.
- Figure 23 shows cell viability of KCL-22 cells after 5hm2dC and PARPi treatment. After incubation for 96 hours in the presence or absence of 5hm2dC, or a combination of 5hm2dC with varying concentrations of Olaparib, Veliparib or Niraparib, the metabolic activity was determined using the MTT cell proliferation assay.
- A Treatment with either 5hm2dC, or 5hm2dC in combination with 1 pM or 5 pM of Olaparib.
- B Treatment with either 5hm2dC, or 5hm2dC in combination with 10 pM or 20 pM of Veliparib.
- Figure 24 shows cell viability of KCL-22 cells after 5f2dC and PARPi treatment. After incubation for 96 hours in the presence or absence of 5f2dC, or a combination of 5f2dC with varying concentrations of Olaparib, Veliparib or Niraparib, the metabolic activity was determined using the MTT cell proliferation assay.
- B Treatment with either 5f2dC, or 5f2dC in combination with 10 pM or 20 pM of Veliparib.
- C Treatment with either 5f2dC, or 5f2dC in combination with 1 pM or 5 pM of Niraparib.
- the assay was performed in triplicate, and the data represented is the mean.
- concentration of 5f2dC (pM) is plotted on the x-axis.
- the predicted additive effect is theoretical, and is based on the sum of the effect of 5f2dC and the PARP inhibitors individually on KCL-22 cells.
- Figure 25 shows cell viability of U937 cells after 5hm2dC and PARPi treatment. After incubation for 96 hours in the presence or absence of 5hm2dC, or a combination of 5hm2dC with varying concentrations of Olaparib, Veliparib or Niraparib, the metabolic activity was determined using the MTT cell proliferation assay.
- B Treatment with either 5hm2dC, or 5hm2dC in combination with 10 pM or 20 pM of Veliparib.
- Figure 26 shows cell viability of U937 cells after 5f2dC and PARPi treatment. After incubation for 96 hours in the presence or absence of 5f2dC, or a combination of 5f2dC with varying concentrations of Olaparib, Veliparib or Niraparib, the metabolic activity was determined using the MTT cell proliferation assay.
- B Treatment with either 5f2dC, or 5f2dC in combination with 10 pM or 20 pM of Veliparib.
- C Treatment with either 5f2dC, or 5f2dC in combination with 10 pM or 20 pM of Niraparib.
- the assay was performed in triplicate, and the data represented is the mean.
- concentration of 5f2dC (pM) is plotted on the x- axis.
- the predicted additive effect is theoretical, and is based on the sum of the effect of 5f2dC and the PARP inhibitors individually on U937 cells.
- Figure 27 shows cell viability of OCI-AML3 cells after 5hm2dC and PARPi treatment. After incubation for 96 hours in the presence or absence of 5hm2dC, or a combination of 5hm2dC with varying concentrations of Olaparib, Veliparib or Niraparib, the metabolic activity was determined using the MTT cell proliferation assay.
- A Treatment with either 5hm2dC, or 5hm2dC in combination with 1 pM or 5 pM of Olaparib.
- B Treatment with either 5hm2dC, or 5hm2dC in combination with 10 pM or 20 pM of Veliparib.
- Figure 28 shows cell viability of 0CI-AML3 cells after 5f2dC and PARPi treatment. After incubation for 96 hours in the presence or absence of 5f2dC, or a combination of 5f2dC with varying concentrations of Olaparib, Veliparib or Niraparib, the metabolic activity was determined using the MTT cell proliferation assay.
- B Treatment with either 5f2dC, or 5f2dC in combination with 10 pM or 20 pM of Veliparib.
- Figure 29 shows cell viability of SNB19 cells after 5hm2dC, 5f2dC, and Pamiparib treatment.
- the metabolic activity was determined using the MTT cell proliferation assay.
- the assay was performed in triplicate, and the data represented is the mean.
- the concentration of 5hm2dC or 5f2dC (pM) is plotted on the x-axis.
- the predicted additive effect is theoretical, and is based on the sum of the effect of 5hm2dC or 5f2dC and Pamiparib individually on SNB19 cells.
- Figure 30 shows cell viability of U-87 MG cells after 5hm2dC, 5f2dC, and Pamiparib treatment. After incubation for 96 hours in the presence or absence of 5hm2dC, 5f2dC, or a combination of 5hm2dC or 5f2dC with either 5 or 20 pM of Pamiparib, the metabolic activity was determined using the MTT cell proliferation assay.
- A Treatment with either 5hm2dC, or 5hm2dC in combination with 5 or 20 pM of Pamiparib.
- B Treatment with either 5f2dC, or 5f2dC in combination with 5 or 20 pM of Pamiparib.
- the assay was performed in triplicate, and the data represented is the mean.
- concentration of 5hm2dC or 5f2dC (pM) is plotted on the x-axis.
- the predicted additive effect is theoretical, and is based on the sum of the effect of 5hm2dC or 5f2dC and Pamiparib individually on U-87 MG cells.
- PBS Phosphate buffered saline
- SDS Sodium dodecyl sulfate
- U Units MATERIALS
- All compounds were prepared as a 100 mM solution in 100% DMSO and further diluted with PBS with a final DMSO concentration of 0.2%.
- the negative control chosen was DMSO in PBS with a final concentration of 0.2% DMSO.
- the cells were passaged eleven times before seeding, passaged every 3-4 days, or until a maximum of 90% confluence was reached.
- the cells were passaged twelve times before seeding, passaged every 3-4 days, or until a maximum of 90% confluence was reached.
- T-ALL Acute lymphoblastic leukaemia, T-cell (T-ALL)
- the cells were passaged ten times before seeding, passaged every 3-4 days, or until a maximum confluency of 2* 10 6 cells/ml was reached.
- DBTRG-05MG Tissue Brain Supplier: ATCC CRL-2020 Disease: Glioblastoma
- the cells were passaged three times before seeding, passaged every 3-4 days, or until a maximum of 90% confluency was reached.
- the cells were passaged nine times before seeding, passaged every 3-4 days, or until a maximum confluency of 90% was reached.
- ALL Acute lymphoblastic leukemia
- the cells were passaged nine times before seeding, passaged every 3-4 days, or until a maximum confluency of 2* 10 6 cells/ml was reached.
- the cells were passaged nine times before seeding, passaged every 3-4 days, or until a maximum confluency of 90% was reached.
- the cells were passaged four times before seeding, passaged every 3-4 days, or until a maximum confluency of 90% was reached.
- the cells were passaged eleven times before seeding, passaged every 3-4 days, or until a maximum confluency of 2xl0 6 cells/mL was reached.
- the cells were passaged eleven times before seeding, passaged every 3-4 days, or until a maximum confluency of 2xl0 6 cells/mL was reached.
- the cells were passaged eleven times before seeding, passaged every 3-4 days, or until a maximum confluency of 2xl0 6 cells/mL was reached.
- the cells were passaged thirteen times before seeding, passaged every 3-4 days, or until a maximum confluency of 90% was reached.
- EXAMPLE 1 Combined Effects of 5hm2dC with PARP Inhibitors on HR Proficient Cancer Cell Viability (U-87 MG)
- the objective of the study was to determine whether 5hm2dC can be used in combination with the PARP inhibitors Olaparib, Veliparib, and Niraparib in order to enhance the efficacy of 5hm2dC or PARP inhibitors as a HR proficient cancer therapeutic compared to when used individually.
- the HR proficient glioblastoma cell line U-87 MG was cultured for 96 hours in the presence or absence of 5hm2dC, Olaparib, Veliparib, Niraparib, or 5hm2dC combined with either Olaparib, Veliparib, or Niraparib.
- An MTT cell proliferation assay was performed to determine cell viability.
- the cells used were BRCA1 positive (i.e. proficient), BRCA2 positive, MUS81 positive, DNPH1 positive, XRCC1 positive cells.
- the cells were grown in GlutaMAX Dulbecco's Modified Eagle Medium (Gibco, cat. 31966047), supplemented with a final concentration of 10% Fetal Bovine Serum (BioSera, cat. FB-1001/500) and 100 U/mL penicillin, 100 U/mL streptomycin. They were kept at 37°C in a 5% CO2 humidified atmosphere.
- the U-87 MG cells were collected and seeded at 2000 cells per well into three 96-well plates. Each drug was diluted in an eighth-point dilution series with a dilution factor of 2.5, with final concentrations of 200pM, 80 pM, 32 pM, 12.8 pM, 5.12 pM, 2.05 pM, 0.82 pM, and 0.33 pM for the wells with singledrug additions, and the combined final concentrations of 400 pM, 160 pM, 64 pM, 25.6 pM, 10.24 pM, 4.10 pM, 1.64 pM, and 0.66 pM for the wells with two-drug additions. The drugs were added in triplicate four hours after cell seeding, and the plates were kept at 37°C in a 5% CO2 humidified atmosphere for 96 hours.
- MTT reagent prepared by making a 5 mg/mL solution in PBS and filter sterilized, was added to each well, with a final concentration of 0.45 mg/mL.
- 100 pL of MTT solubilization reagent (10% SDS in 0.01 M HC1) was added to each well, and the plate was kept light-protected overnight before reading the absorbance at 570 nm after 30 seconds of shaking.
- Table 1 Cell viability of U-87 MG cells (%). After incubation for 96 hours in the presence of either 5hm2dC, Olaparib, Veliparib, Niraparib, the metabolic activity was determined using the MTT cell proliferation assay, and the data was normalized to cells grown in the absence of any drug treatment. The data represented is the mean of each triplicate. The highest concentration of Olaparib (200 pM) has been omitted from the data set due to precipitate formation.
- Table 2 Cell viability of U-87 MG cells (%). After incubation for 96 hours in the presence of 5hm2dC combined with either Olaparib, Veliparib, or Niraparib, the metabolic activity was determined using the MTT cell proliferation assay, and the data was normalized to cells grown in the absence of any drug treatment. The data represented is the mean of each triplicate, and the concentration refers to the total combined concentration of both compounds. The highest concentration of 5hm2dC+01aparib (400 pM) has been omitted from the data set due to precipitate formation.
- Table 3 The IC50 value after each drug treatment. Determined by the MTT cell proliferation assay after incubation of U-87 MG cells for 96 hours in the presence or absence of 5hm2dC, Olaparib, Veliparib, Niraparib, or a combination of 5hm2dC with either Olaparib, Veliparib, or Niraparib.
- IC50 the half maximal inhibitory concentration (pM).
- the combination of 5hm2dC with the PARP inhibitors Olaparib, Veliparib, and Niraparib had a synergistic effect on the viability of U-87 MG cells, with particularly notable results at low concentrations (Figure 1, Table 2).
- the combined effects also lowered the IC50 value synergistically, by magnitudes, when compared to the effect of the individual drug (Table 3, Figure 2).
- 5hm2dC combined with the PARP inhibitors Olaparib, Veliparib, and Niraparib have pronounced effects on the cell viability of HR proficient U-87 MG cells, particularly improving drug efficacy at low drug concentrations.
- EXAMPLE 2 Combined Effects of 5hm2dC with PARP Inhibitors on HR Proficient Cancer Cell Viability (HeLa)
- the objective of the study was to determine whether 5hm2dC can be used in combination with the PARP inhibitors Olaparib, Veliparib, and Niraparib in order to enhance the efficacy of 5hm2dC or PARP inhibitors as an HR proficient cancer therapeutic compared to when used individually.
- HeLa cells were specifically chosen as they are i) HR proficient, and ii) insensitive to 5hm2dC at a concentration of up to 100 pM based on previous tests.
- the cells used were BRCA1 positive (i.e. proficient), BRCA2 positive, MUS81 positive, DNPH1 positive, XRCC1 positive cells.
- the HeLa cells were cultured for 96 hours and 35 minutes in the presence or absence of 5hm2dC, Olaparib, Veliparib, Niraparib, or 5hm2dC combined with either Olaparib, Veliparib, or Niraparib.
- An MTT cell proliferation assay was performed to determine cell viability.
- the cells were grown in GlutaMAX Dulbecco's Modified Eagle Medium (Gibco, cat. 31966047), supplemented with a final concentration of 10% Fetal Bovine Serum (BioSera, cat. FB-1001/500) and 100 U/mL penicillin, 100 U/mL streptomycin. They were kept at 37°C in a 5% CO2 humidified atmosphere.
- the HeLa cells were collected and seeded at 2000 cells per well into three 96-well plates.
- 5hm2dC was diluted in an five-point dilution series with a dilution factor of 2.5, with final concentrations of 10 pM, 2.5 pM, 0.63 pM, 0.16 pM, and 0.04 pM
- the PARP inhibitors was added to the 5hm2dC dilution series at a concentration of either 1 pM or 10 pM.
- the cell seeding volume was 90 pL, and the drug volume was 5 pL per drug addition.
- the wells where only one drug was added had an additional 5 pL of a PBS solution with the same DMSO concentration as the drug dilutions added, in order to keep the final volume constant at 100 pL.
- the drugs were added in triplicate two hours after cell seeding, and the plates were kept at 37°C in a 5% CO2 humidified atmosphere for 96 hours and 35 minutes.
- MTT reagent prepared by making a 5 mg/mL solution in PBS and filter sterilized, was added to each well, with a final concentration of 0.45 mg/mL.
- 100 pL of MTT solubilization reagent (10% SDS in 0.01 M HC1) was added to each well, and the plate was kept light-protected overnight before reading the absorbance at 570 nm after 30 seconds of shaking.
- Table 4 Cell viability of HeLa cells after 5hm2dC and Olaparib treatment (%). After incubation for 96 hours and 35 minutes in the presence of either 5hm2dC, Olaparib, or 5hm2dC in combination with Olaparib at either 1 pM or 10 pM, the metabolic activity was determined using the MTT cell proliferation assay, and the data was normalized to cells grown in the absence of any drug treatment. The data represented is the mean of each triplicate.
- Table 5 Cell viability of HeLa cells after 5hm2dC and Veliparib treatment (%).
- Table 6 Cell viability of HeLa cells after 5hm2dC and Niraparib treatment (%). After incubation for 96 hours and 35 minutes in the presence of either 5hm2dC, Niraparib, or 5hm2dC in combination with Niraparib at either 1 pM or 10 pM, the metabolic activity was determined using the MTT cell proliferation assay, and the data was normalized to cells grown in the absence of any drug treatment. The data represented is the mean of each triplicate.
- Table 7 IC50 values after each drug treatment. Determined by the MTT cell proliferation assay after incubation of HeLa cells for 96 hours and 35 minutes in the presence or absence of 5hm2dC, Olaparib, Veliparib, Niraparib, or a combination of 5hm2dC with either Olaparib, Veliparib, or Niraparib. IC50: the half maximal inhibitory concentration (pM).
- the MTT Assay confirmed that HeLa cells were as expected insensitive to 5hm2dC up to the maximum concentration in this assay of 10 pM, with no cell death for all concentrations (Table 4, 5, 6).
- 5hm2dC was combined with a concentration of 1 or 10 pM of either Olaparib, Veliparib, or Niraparib
- the HeLa cells became sensitive to 5hm2dC, where a higher 5hm2dC concentration corresponded to more cell death, even as the PARP inhibitor concentration remained the same ( Figure 3). From these results, a synergistic effect is demonstrated between 5hm2dC and PARP inhibitors.
- the use of 5hm2dC combined with PARP inhibitors has a clear effect as a combinational treatment in HR proficient cancer.
- EXAMPLE 3 Combined Effects of 5f2dC with PARP Inhibitors on Cancer Cell Viability (HeLa)
- the objective of the study was to determine whether 5f2dC can be used in combination with the PARP inhibitors (PARPi) Olaparib, Veliparib, and Niraparib in order to enhance the efficacy of 5f2dC or PARP inhibitors as a cancer therapeutic compared to when used individually.
- the HeLa cells were cultured for 96 hours in the presence or absence of 5f2dC, Olaparib, Veliparib, Niraparib, or 5f2dC combined with either Olaparib, Veliparib, or Niraparib.
- the cells used were BRCA1 positive (i.e. proficient), BRCA2 positive, MUS81 positive, DNPH1 positive, XRCC1 positive cells.
- the cells were grown in GlutaMAX Dulbecco's Modified Eagle Medium (Gibco, cat. 31966047), supplemented with a final concentration of 10% Fetal Bovine Serum (BioSera, cat. FB-1001/500) and 100 U/mL penicillin, 100 U/mL streptomycin. They were kept at 37°C in a 5% CO2 humidified atmosphere.
- the HeLa cells were collected and seeded at 1000 cells per well into three 96-well plates.
- 5f2dC was diluted in a five-point dilution series with a dilution factor of 4, with final concentrations of 1 pM, 0.25 pM, 0.063 pM, 0.016 pM, and 0.004 pM.
- HeLa cells were previously shown to be highly sensitive to 5f2dC around 1.5 pM, so a starting concentration of 1 pM was chosen in order to avoid major cell death.
- the PARP inhibitors were added to the 5f2dC dilution series with final concentrations of 0.1 or 1 pM of either Olaparib or Niraparib, or 5 or 10 pM of Veliparib.
- the cell seeding volume was 90 pL, and the drug volume was 5 pL per drug addition.
- the wells where only one drug was added had an additional 5 pL of a PBS solution with the same DMSO concentration as the drug dilutions added, in order to keep the final volume constant at 100 pL.
- the drugs were added in triplicate five hours after cell seeding, and the plates were kept at 37°C in a 5% CO2 humidified atmosphere for 96 hours.
- MTT reagent prepared by making a 5 mg/mL solution in PBS and filter sterilized, was added to each well, with a final concentration of 0.45 mg/mL. After two hours, 100 pL of MTT solubilization reagent (10% SDS in 0.01 M HC1) was added to each well, and the plate was kept light-protected overnight before reading the absorbance at 570 nm after 30 seconds of shaking.
- Table 8 Cell viability of HeLa cells after 5f2dC and Olaparib treatment (%). After incubation for 96 hours in the presence of either 5f2dC, Olaparib, or 5f2dC in combination with Olaparib at either 0. 1 pM or 1 pM, the metabolic activity was determined using the MTT cell proliferation assay, and the data was normalized to cells grown in the absence of any drug treatment. The data represented is the mean of each triplicate.
- Table 9 Cell viability of HeLa cells after 5f2dC and Veliparib treatment (%). After incubation for 96 hours in the presence of either 5f2dC, Veliparib, or 5f2dC in combination with Veliparib at either 5 pM or 10 pM, the metabolic activity was determined using the MTT cell proliferation assay, and the data was normalized to cells grown in the absence of any drug treatment. The data represented is the mean of each triplicate.
- Table 10 Cell viability of HeLa cells after 5f2dC and Niraparib treatment (%). After incubation for 96 hours in the presence of either 5f2dC, Niraparib, or 5f2dC in combination with Niraparib at either 0.1 pM or 1 pM, the metabolic activity was determined using the MTT cell proliferation assay, and the data was normalized to cells grown in the absence of any drug treatment. The data represented is the mean of each triplicate.
- Table 11 IC50 values of HeLa cells after each drug treatment. Determined by the MTT cell proliferation assay after incubation of HeLa cells for 96 hours in the presence or absence of 5f2dC, Olaparib, Veliparib, Niraparib, or a combination of 5f2dC with either Olaparib, Veliparib, or Niraparib. IC50: the half maximal inhibitory concentration (pM).
- EXAMPLE 4 Combined Effects of PARP Inhibitors with 5hm2dC or 5f2dC on Cancer Cell Viability (Loucy cells)
- the objective of the study was to determine whether 5hm2dC or 5f2dC can be used in combination with the PARP inhibitors (PARPi) Olaparib, Veliparib, and Niraparib in order to enhance the efficacy of 5hm2dC, 5f2dC or PARP inhibitors in Loucy cells (an acute lymphoblastic leukaemia, T-cell (T-ALL) cell line) as a cancer therapeutic compared to when used individually.
- the cells used were BRCA1 positive (i.e. proficient), BRCA2 positive, MUS81 positive, DNPH1 positive, XRCC1 positive cells.
- Loucy cells were cultured for 95 hours in the presence or absence of 5hm2dC, 5f2dC, Olaparib, Veliparib, Niraparib, or 5hm2dC combined with either Olaparib, Veliparib, Niraparib, or 5f2dC combined with either Olaparib, Veliparib, Niraparib.
- An MTT cell proliferation assay was performed to determine cell viability, and it was shown that both 5hm2dC and 5f2dC and the PARP inhibitors have a synergistic effect.
- the combination of 5hm2dC or 5f2dC together with each PARPi in Loucy cells all indicated a synergistic effect.
- the Loucy cells were collected and seeded at 40,000 cells per well into six 96-well plates.5hm2dC and 5f2dC were diluted in a five-point dilution series with a dilution factor of 4, with final concentrations of 1 pM, 0.25 pM, 0.063 pM, 0.016 pM, and 0.004 pM.
- the PARP inhibitors were added to the 5hm2dC or 5f2dC dilution series with final concentrations of 1 or 10 pM of either Olaparib, Veliparib, or Niraparib.
- the cell seeding volume was 90 pL, and the drug volume was 5 pL per drug addition.
- the wells where only one drug was added had an additional 5 pL of a PBS solution with the same DMSO concentration as the drug dilutions added, in order to keep the final volume constant at 100 pL.
- the drugs were added in triplicate five hours after cell seeding, and the plates were kept at 37°C in a 5% CO2 humidified atmosphere for 95 hours.
- MTT reagent prepared by making a 5 mg/mL solution in PBS and filter sterilized, was added to each well, with a final concentration of 0.45 mg/mL. After two hours, 100 pL of MTT solubilization reagent (10% SDS in 0.01 M HC1) was added to each well, and the plate was kept light-protected overnight before reading the absorbance at 570 nm after 30 seconds of shaking.
- Table 12 Cell viability of Loucy cells after 5hm2dC/5f2dC and Olaparib treatment (%). After incubation for 95 hours in the presence of either 5hm2dC or 5f2dC, Olaparib, or a combination of Olaparib (at either 1 pM or 10 pM) with 5hm2dC or 5f2dC, the metabolic activity was determined using the MTT cell proliferation assay, and the data was normalized to cells grown in the absence of any drug treatment. The data represented is the mean of each triplicate.
- Table 13 Cell viability of Loucy cells after 5hm2dC/5f2dC and Veliparib treatment (%). After incubation for 95 hours in the presence of either 5hm2dC or 5f2dC, Veliparib, or a combination of Veliparib (at either 1 pM or 10 pM) with 5hm2dC or 5f2dC, the metabolic activity was determined using the MTT cell proliferation assay, and the data was normalized to cells grown in the absence of any drug treatment. The data represented is the mean of each triplicate.
- Table 14 Cell viability of Loucy cells after 5hm2dC/5f2dC and Niraparib treatment (%). After incubation for 95 hours in the presence of either 5hm2dC, 5f2dC, Niraparib, or a combination of Niraparib (at either 1 pM or 10 pM) with 5hm2dC or 5f2dC, the metabolic activity was determined using the MTT cell proliferation assay, and the data was normalized to cells grown in the absence of any drug treatment. The data represented is the mean of each triplicate.
- EXAMPLE 5 Combined Effects of PARP Inhibitors with 5hm2dC or 5f2dC on Cancer Cell Viability (DBTRG-05MG cells)
- the objective of the study was to determine whether 5hm2dC can be used in combination with the PARP inhibitors (PARPi) Olaparib, Veliparib, and Niraparib, or 5f2dC in combination with the PARP inhibitor Olaparib, in order to enhance the efficacy of 5hm2dC, 5f2dC or PARP inhibitors in DBTRG- 05MG cells (a glioblastoma cell line) as a cancer therapeutic compared to when used individually.
- the cells used were BRCA1 positive (i.e. proficient), BRCA2 positive, MUS81 positive, DNPH1 positive, XRCC1 positive cells.
- DBTRG-05MG cells were cultured for 95 hours in the presence or absence of 5hm2dC, 5f2dC, Olaparib, Veliparib, Niraparib, or 5hm2dC combined with either Olaparib, Veliparib, Niraparib, or 5f2dC combined with Olaparib.
- An MTT cell proliferation assay was performed to determine cell viability, and it was shown that both 5hm2dC and 5f2dC and the PARP inhibitors have a synergistic effect.
- the combination of 5hm2dC with each PARPi, or 5f2dC together with Olaparib, in DBTRG-05MG cells all indicated a synergistic effect.
- the DBTRG-05MG cells were collected and seeded at 1000 cells per well into six 96-well plates.
- 5hm2dC and 5f2dC were diluted in a five-point dilution series with a dilution factor of 4, with final concentrations of 1 pM, 0.25 pM, 0.063 pM, 0.016 pM, and 0.004 pM.
- the PARP inhibitors were added to the 5hm2dC or 5f2dC dilution series with final concentrations of 1 or 10 pM of either Olaparib, Veliparib, or Niraparib for 5hm2dC, or final concentrations of 1 or 10 pM of Olaparib for 5f2dC.
- the cell seeding volume was 90 pL, and the drug volume was 5 pL per drug addition.
- the wells where only one drug was added had an additional 5 pL of a PBS solution with the same DMSO concentration as the drug dilutions added, in order to keep the final volume constant at 100 pL.
- the drugs were added in triplicate five hours after cell seeding, and the plates were kept at 37°C in a 5% CO2 humidified atmosphere for 95 hours.
- MTT reagent prepared by making a 5 mg/mL solution in PBS and filter sterilized, was added to each well, with a final concentration of 0.45 mg/mL. After two hours, 100 pL of MTT solubilization reagent (10% SDS in 0.01 M HC1) was added to each well, and the plate was kept light-protected overnight before reading the absorbance at 570 nm after 30 seconds of shaking.
- Table 15 Cell viability of DBTRG-05MG cells after 5hm2dC/5f2dC and Olaparib treatment (%). After incubation for 95 hours in the presence of either 5hm2dC or 5f2dC, Olaparib, or a combination of Olaparib (at either 1 pM or 10 pM) with 5hm2dC or 5f2dC, the metabolic activity was determined using the MTT cell proliferation assay, and the data was normalized to cells grown in the absence of any drug treatment. The data represented is the mean of each triplicate.
- Table 16 Cell viability of DBTRG-05MG cells after 5hm2dC and Veliparib/Niraparib treatment (%). After incubation for 95 hours in the presence of 5hm2dC, Veliparib, Niraparib, a combination of Veliparib (at either 1 pM or 10 pM) with 5hm2dC, or a combination of Niraparib (at either 1 pM or 10 pM) with 5hm2dC, the metabolic activity was determined using the MTT cell proliferation assay, and the data was normalized to cells grown in the absence of any drug treatment. The data represented is the mean of each triplicate.
- EXAMPLE 6 Combined Effects of PARP Inhibitors with 5hm2dC or 5f2dC on Cancer Cell Viability (Caki-1, CCRF-CEM and HT-29 cells)
- the objective of the study was to determine whether 5hm2dC or 5f2dC can be used in combination with the PARP inhibitors (PARPi) Olaparib, Veliparib, and Niraparib in order to enhance the efficacy of 5hm2dC, 5f2dC or PARP inhibitors in Caki-1 cells (a clear cell carcinoma cell line), CCRF-CEM cells (an acute lymphoblastic leukaemia (ALL) cell line), and HT-29 cells (an adenocarcinoma cell line) as a cancer therapeutic compared to when used individually.
- the cells used were BRCA1 positive (i.e. proficient), BRCA2 positive, MUS81 positive, DNPH1 positive, XRCC1 positive cells.
- Caki-1, CCRF-CEM, and HT-29 cells were cultured for 96 hours in the presence or absence of 5hm2dC, 5f2dC, Olaparib, Veliparib, Niraparib, or 5hm2dC combined with either Olaparib, Veliparib, Niraparib, or 5f2dC combined with either Olaparib, Veliparib, Niraparib.
- An MTT cell proliferation assay was performed to determine cell viability, and it was shown that both 5hm2dC and 5f2dC and the PARP inhibitors have a synergistic effect in these cell lines.
- the combination of 5hm2dC or 5f2dC together with each PARPi in Caki-1, CCRF-CEM and HT-29 cells all indicated a synergistic effect.
- the Caki-1, CCRF-CEM, and HT-29 cells were collected and seeded at 4000, 10000, and 3000 cells per well respectively into six 96-well plates.
- 5hm2dC and 5f2dC were diluted in a five-point dilution series with a dilution factor of 4, with final concentrations of either 10 pM, 2.5 pM, 0.63 pM, 0.16 pM, and 0.04 pM, or 1 pM, 0.25 pM, 0.063 pM, 0.016 pM, and 0.004 pM, depending on the cell line.
- the CCRF-CEM dilution series had starting concentrations of 1 pM for both 5hm2dC and 5f2dC
- Caki-1 had starting concentrations of 10 pM for 5hm2dC and 1 pM for 5f2dC
- HT-29 had starting concentrations of 10 pM for both 5hm2dC and 5f2dC.
- the PARP inhibitors were added to the 5hm2dC or 5f2dC dilution series with final concentrations of 1 or 10 pM of either Olaparib, Veliparib, or Niraparib.
- the cell seeding volume was 90 pL
- the drug volume was 5 pL per drug addition.
- the wells where only one drug was added had an additional 5 pL of a PBS solution with the same DMSO concentration as the drug dilutions added, in order to keep the final volume constant at 100 pL.
- the drugs were added in triplicate five hours after cell seeding, and the plates were kept at 37°C in a 5% CO2 humidified atmosphere for 96 hours.
- MTT reagent prepared by making a 5 mg/mL solution in PBS and filter sterilized, was added to each well, with a final concentration of 0.45 mg/mL. After 2-3 hours, depending on the confluency of the cell line, 100 pL of MTT solubilization reagent (10% SDS in 0.01 M HC1) was added to each well, and the plate was kept light-protected overnight before reading the absorbance at 570 nm after 30 seconds of shaking.
- Table 17 Cell viability of Caki-1 cells after 5hm2dC/5f2dC and Olaparib treatment (%). After incubation for 96 hours in the presence of either 5hm2dC or 5f2dC, Olaparib, or a combination of Olaparib (at either 1 pM or 10 pM) with 5hm2dC or 5f2dC, the metabolic activity was determined using the MTT cell proliferation assay, and the data was normalized to cells grown in the absence of any drug treatment. The data represented is the mean of each triplicate.
- Table 18 Cell viability of Caki-1 cells after 5hm2dC/5f2dC and Veliparib treatment (%). After incubation for 96 hours in the presence of either 5hm2dC or 5f2dC, Veliparib, or a combination of Veliparib (at either 1 pM or 10 pM) with 5hm2dC or 5f2dC, the metabolic activity was determined using the MTT cell proliferation assay, and the data was normalized to cells grown in the absence of any drug treatment. The data represented is the mean of each triplicate.
- Table 19 Cell viability of Caki-1 cells after 5hm2dC/5f2dC and Niraparib treatment (%). After incubation for 96 hours in the presence of either 5hm2dC or 5f2dC, Niraparib, or a combination of Niraparib (at either 1 pM or 10 pM) with 5hm2dC or 5f2dC, the metabolic activity was determined using the MTT cell proliferation assay, and the data was normalized to cells grown in the absence of any drug treatment. The data represented is the mean of each triplicate.
- Table 20 Cell viability of CCRF-CEM cells after 5hm2dC/5f2dC and Olaparib treatment (%).
- Table 21 Cell viability of CCRF-CEM cells after 5hm2dC/5f2dC and Veliparib treatment (%).
- Table 22 Cell viability of CCRF-CEM cells after 5hm2dC/5f2dC and Niraparib treatment (%).
- Table 23 Cell viability of HT-29 cells after 5hm2dC/5f2dC and Olaparib treatment (%). After incubation for 96 hours in the presence of either 5hm2dC or 5f2dC, Olaparib, or a combination of Olaparib (at either 1 pM or 10 pM) with 5hm2dC or 5f2dC, the metabolic activity was determined using the MTT cell proliferation assay, and the data was normalized to cells grown in the absence of any drug treatment. The data represented is the mean of each triplicate.
- Table 24 Cell viability of HT-29 cells after 5hm2dC/5f2dC and Veliparib treatment (%). After incubation for 96 hours in the presence of either 5hm2dC or 5f2dC, Veliparib, or a combination of Veliparib (at either 1 pM or 10 pM) with 5hm2dC or 5f2dC, the metabolic activity was determined using the MTT cell proliferation assay, and the data was normalized to cells grown in the absence of any drug treatment. The data represented is the mean of each triplicate.
- Table 25 Cell viability of HT-29 cells after 5hm2dC/5f2dC and Niraparib treatment (%).
- EXAMPLE 7 Combined Effects of PARP Inhibitors with 5hm2dC or 5f2dC on Cancer Cell Viability (M14, SN12C and HeLa cells)
- the objective of the study was to determine whether 5hm2dC or 5f2dC can be used in combination with the PARP inhibitors (PARPi) Rucaparib and Talazoparib in order to enhance the efficacy of 5hm2dC, 5f2dC or PARP inhibitors in M14 cells (an amelanotic melanoma cell line), SN12C cells (a renal cell carcinoma cell line), and HeLa cells (an adenocarcinoma cell line) as a cancer therapeutic, compared to when used individually.
- the cells used were BRCA1 positive (i.e. proficient), BRCA2 positive, MUS81 positive, DNPH1 positive, XRCC1 positive cells.
- M14, SN12C, and HeLa cells were cultured for 96 hours in the presence or absence of 5hm2dC combined with either Rucaparib and Talazoparib, or 5f2dC combined with either Rucaparib and Talazoparib.
- An MTT cell proliferation assay was performed to determine cell viability, and it was shown that both 5hm2dC and 5f2dC and the PARP inhibitors have a synergistic effect in these cell lines.
- the combination of 5hm2dC or 5f2dC together with each PARPi in M14, SN12C, and HeLa cells all indicated a synergistic effect.
- the M14, SN12C, and HeLa cells were collected and seeded at 3500, 3000, and 1000 cells per well respectively into four 96-well plates per cell line.
- 5hm2dC and 5f2dC were diluted in a five-point dilution series with a dilution factor of 4, with final concentrations of 10 pM, 2.5 pM, 0.63 pM, 0.16 pM, and 0.04pM, or final concentrations of 1 pM, 0.25 pM, 0.063 pM, 0.016 pM, and 0.004 pM, depending on the cell line.
- Rucaparib was added to the 5hm2dC or 5f2dC dilution series with final concentrations of 1, 5, or 10 pM, and Talazoparib with final concentrations of 0.01 or 0.1 pM.
- the cell seeding volume was 90 pL, and the drug volume was 5 pL per drug addition.
- the wells where only one drug was added had an additional 5 pL of a PBS solution with the same DMSO concentration as the drug dilutions added, in order to keep the final volume constant at 100 pL.
- the drugs were added in triplicate two hours after cell seeding, and the plates were kept at 37°C in a 5% CO2 humidified atmosphere for 96 hours.
- MTT reagent prepared by making a 5 mg/mL solution in PBS and filter sterilized, was added to each well, with a final concentration of 0.45 mg/mL. After 2-4 hours, depending on the confluency of the cell line, 100 pL of MTT solubilization reagent (10% SDS in 0.01 M HC1) was added to each well, and the plate was kept light-protected overnight before reading the absorbance at 570 nm after 30 seconds of shaking.
- Table 26 Cell viability of M14 cells after 5hm2dC/5f2dC and Rucaparib treatment (%). After incubation for 96 hours in the presence of either 5hm2dC or 5f2dC, Rucaparib, or a combination of Rucaparib (at either 1 pM or 10 pM) with 5hm2dC or 5f2dC, the metabolic activity was determined using the MTT cell proliferation assay, and the data was normalized to cells grown in the absence of any drug treatment. The data represented is the mean of each triplicate.
- Table 27 Cell viability of M14 cells after 5hm2dC/5f2dC and Talazoparib treatment (%). After incubation for 96 hours in the presence of either 5hm2dC or 5f2dC, Talazoparib, or a combination of Talazoparib (at either 0.01 pM or 0.1 pM) with 5hm2dC or 5f2dC, the metabolic activity was determined using the MTT cell proliferation assay, and the data was normalized to cells grown in the absence of any drug treatment. The data represented is the mean of each triplicate.
- Table 28 Cell viability of SN12C cells after 5hm2dC/5f2dC and Rucaparib treatment (%).
- Table 29 Cell viability of SN12C cells after 5hm2dC/5f2dC and Talazoparib treatment (%).
- Table 30 Cell viability of HeLa cells after 5hm2dC/5f2dC and Rucaparib treatment (%). After incubation for 96 hours in the presence of either 5hm2dC or 5f2dC, Rucaparib, or a combination of Rucaparib (at either 1 pM or 5 pM) with 5hm2dC or 5f2dC, the metabolic activity was determined using the MTT cell proliferation assay, and the data was normalized to cells grown in the absence of any drug treatment. The data represented is the mean of each triplicate.
- Table 31 Cell viability of HeLa cells after 5hm2dC/5f2dC and Talazoparib treatment (%).
- EXAMPLE 8 Combined Effects of PARP Inhibitors with 5hm2dC or 5f2dC on Cancer Cell Viability (KCL-22, U937 and OCLAML3 cells)
- the objective of the study was to determine whether 5hm2dC or 5f2dC can be used in combination with the PARP inhibitors (PARPi) Olaparib, Veliparib, and Niraparib in order to enhance the efficacy of 5hm2dC, 5f2dC or PARP inhibitors in KCL-22 cells (a chronic myeloid leukemia cell line), U937 cells (a histiocytic lymphoma cell line), and OCI-AML3 cells (an acute myeloid leukemia cell line) as a cancer therapeutic compared to when used individually.
- the cells used were BRCA1 positive (i.e. proficient), BRCA2 positive, MUS81 positive, DNPH1 positive, XRCC1 positive cells.
- KCL-22, U937, and OCI-AML3 cells were cultured for 96 hours in the presence or absence of 5hm2dC combined with either Olaparib, Veliparib, Niraparib, or 5f2dC combined with either Olaparib, Veliparib, Niraparib.
- An MTT cell proliferation assay was performed to determine cell viability, and it was shown that both 5hm2dC and 5f2dC combined with the PARP inhibitors have a synergistic effect in these cell lines.
- the combination of 5hm2dC or 5f2dC together with each PARPi in KCL-22, U937, and OCI-AML3 cells all indicated a synergistic effect.
- the KCL-22, U937, and OCI-AML3 cells were collected and seeded at 16,000, 20,000, and 20,000 cells per well respectively into six 96-well plates per cell line.
- the sensitivity of the cell line to each drug was determined prior to this setup, and used to optimize the final concentrations.
- 5hm2dC and 5f2dC were diluted in a five-point dilution series with a dilution factor of 4, with final concentrations of 10 pM, 2.5 pM, 0.63 pM, 0.16 pM, and 0.04 pM for 5hm2dC, and 1 pM, 0.25 pM, 0.063 pM, 0.016 pM, and 0.004 pM for 5f2dC.
- the PARP inhibitors were added to the 5hm2dC or 5f2dC dilution series with final concentrations of 1, 5, 10, or 20 pM of either Olaparib, Veliparib, or Niraparib.
- the cell seeding volume was 90 pL, and the drug volume was 5 pL per drug addition.
- the wells where only one drug was added had an additional 5 pL of a PBS solution with the same DMSO concentration as the drug dilutions added, in order to keep the final volume constant at 100 pL.
- the drugs were added in triplicate one to two hours after cell seeding, and the plates were kept at 37°C in a 5% CO2 humidified atmosphere for 96 hours.
- MTT reagent prepared by making a 5 mg/mL solution in PBS and filter sterilized, was added to each well, with a final concentration of 0.45 mg/mL. After 2-3 hours, depending on the confluency of the cell line, 100 pL of MTT solubilization reagent (10% SDS in 0.01 M HC1) was added to each well, and the plate was kept light-protected overnight before reading the absorbance at 570 nm after 30 seconds of shaking.
- Table 32 Cell viability of KCL-22 cells after 5hm2dC/5f2dC and Olaparib treatment (%). After incubation for 96 hours in the presence of either 5hm2dC or 5f2dC, Olaparib, or a combination of Olaparib (at either 1 pM or 5 pM) with 5hm2dC or 5f2dC, the metabolic activity was determined using the MTT cell proliferation assay, and the data was normalized to cells grown in the absence of any drug treatment. The data represented is the mean of each triplicate.
- Table 33 Cell viability of KCL-22 cells after 5hm2dC/5f2dC and Veliparib treatment (%). After incubation for 96 hours in the presence of either 5hm2dC or 5f2dC, Veliparib, or a combination of Veliparib (at either 10 pM or 20 pM) with 5hm2dC or 5f2dC, the metabolic activity was determined using the MTT cell proliferation assay, and the data was normalized to cells grown in the absence of any drug treatment. The data represented is the mean of each triplicate.
- Table 34 Cell viability of KCL-22 cells after 5hm2dC/5f2dC and Niraparib treatment (%). After incubation for 96 hours in the presence of either 5hm2dC or 5f2dC, Niraparib, or a combination of Niraparib (at either 1 pM or 5 pM) with 5hm2dC or 5f2dC, the metabolic activity was determined using the MTT cell proliferation assay, and the data was normalized to cells grown in the absence of any drug treatment. The data represented is the mean of each triplicate.
- Table 35 Cell viability of U937 cells after 5hm2dC/5f2dC and Olaparib treatment (%). After incubation for 96 hours in the presence of either 5hm2dC or 5f2dC, Olaparib, or a combination of Olaparib (at either 1 pM or 5 pM) with 5hm2dC or 5f2dC, the metabolic activity was determined using the MTT cell proliferation assay, and the data was normalized to cells grown in the absence of any drug treatment. The data represented is the mean of each triplicate.
- Table 36 Cell viability of U937 cells after 5hm2dC/5f2dC and Veliparib treatment (%).
- Table 37 Cell viability of U937 cells after 5hm2dC/5f2dC and Niraparib treatment (%). After incubation for 96 hours in the presence of either 5hm2dC or 5f2dC, Niraparib, or a combination of Niraparib (at either 10 pM or 20 pM) with 5hm2dC or 5f2dC, the metabolic activity was determined using the MTT cell proliferation assay, and the data was normalized to cells grown in the absence of any drug treatment. The data represented is the mean of each triplicate.
- Table 38 Cell viability of OCI-AML3 cells after 5hm2dC/5f2dC and Olaparib treatment (%). After incubation for 96 hours in the presence of either 5hm2dC or 5f2dC, Olaparib, or a combination of Olaparib (at either 1 pM or 5 pM) with 5hm2dC or 5f2dC, the metabolic activity was determined using the MTT cell proliferation assay, and the data was normalized to cells grown in the absence of any drug treatment. The data represented is the mean of each triplicate.
- Table 39 Cell viability of OCI-AML3 cells after 5hm2dC/5f2dC and Veliparib treatment (%). After incubation for 96 hours in the presence of either 5hm2dC or 5f2dC, Veliparib, or a combination of Veliparib (at either 10 pM or 20 pM) with 5hm2dC or 5f2dC, the metabolic activity was determined using the MTT cell proliferation assay, and the data was normalized to cells grown in the absence of any drug treatment. The data represented is the mean of each triplicate.
- Table 40 Cell viability of OCI-AML3 cells after 5hm2dC/5f2dC and Niraparib treatment (%).
- EXAMPLE 9 Combined Effects of the PARP Inhibitor Pamiparib with 5hm2dC or 5f2dC on Cancer Cell Viability (SNB19 and U-87 MG cells)
- the objective of the study was to determine whether 5hm2dC or 5f2dC can be used in combination with the blood-brain barrier (BBB) penetrant PARP inhibitor (PARPi) Pamiparib in order to enhance the efficacy of 5hm2dC, 5f2dC or Pamiparib in the glioblastoma cells lines SNB19 and U-87 MG as a cancer therapeutic compared to when used individually.
- the cells used were BRCA1 positive (i.e. proficient), BRCA2 positive, MUS81 positive, DNPH1 positive, XRCC1 positive cells.
- SNB19 and U-87 MG cells were cultured for 96 hours in the presence or absence of 5hm2dC combined with Pamiparib, or 5f2dC combined with Pamiparib.
- An MTT cell proliferation assay was performed to determine cell viability, and it was shown that both 5hm2dC and 5f2dC combined with Pamiparib have a synergistic effect in these cell lines.
- SNB19 and U-87 MG cells were collected and seeded at 3500 and 2000 cells per well respectively into six 96-well plates per cell line. The sensitivity of the cell line to each drug was determined prior to this setup, and used to optimize the final concentrations. 5hm2dC and 5f2dC were diluted in a five-point dilution series with a dilution factor of 4, with final concentrations of 10 pM, 2.5 pM. 0.63 pM, 0.16 pM, and 0.04 pM.
- Pamiparib was added to the 5hm2dC or 5f2dC dilution series with final concentrations of 5 and 20 pM.
- the cell seeding volume was 90 pL, and the drug volume was 5 pL per drug addition.
- the wells where only one drug was added had an additional 5 pL of a PBS solution with the same DMSO concentration as the drug dilutions added, in order to keep the final volume constant at 100 pL.
- the drugs were added in triplicate one to two hours after cell seeding, and the plates were kept at 37°C in a 5% CO2 humidified atmosphere for 96 hours.
- MTT reagent prepared by making a 5 mg/mL solution in PBS and filter sterilized, was added to each well, with a final concentration of 0.45 mg/mL. After 2-3 hours, depending on the confluency of the cell line, 100 pL of MTT solubilization reagent (10% SDS in 0.01 M HC1) was added to each well, and the plate was kept light-protected overnight before reading the absorbance at 570 nm after 30 seconds of shaking.
- Table 41 Cell viability of SNB19 cells after 5hm2dC/5f2dC and Pamiparib treatment (%). After incubation for 96 hours in the presence of either 5hm2dC or 5f2dC, Pamiparib, or a combination of Pamiparib (at either 5 pM or 20 pM) with 5hm2dC or 5f2dC, the metabolic activity was determined using the MTT cell proliferation assay, and the data was normalized to cells grown in the absence of any drug treatment. The data represented is the mean of each triplicate.
- Table 42 Cell viability of U-87 MG cells after 5hm2dC/5f2dC and Pamiparib treatment (%). After incubation for 96 hours in the presence of either 5hm2dC or 5f2dC, Pamiparib, or a combination of Pamiparib (at either 5 pM or 20 pM) with 5hm2dC or 5f2dC, the metabolic activity was determined using the MTT cell proliferation assay, and the data was normalized to cells grown in the absence of any drug treatment. The data represented is the mean of each triplicate. The results demonstrate that in SNB19 and U-87 MG cells, 5hm2dC and 5f2dC synergized with Pamiparib.
- EXAMPLE 10 Combined Effects of PARP Inhibitor with 5hm2dC or 5f2dC on the viability of HR Deficient Cancer Cells
- the objective of this study was to determine whether 5hm2dC or 5f2dC can be used in combination with the PARP inhibitors (PARPi) Olaparib, Veliparib, and Niraparib in order to enhance the efficacy of 5hm2dC, 5f2dC or PARP inhibitors in HR deficient cell lines.
- the cells used were HT-29 cells (an adenocarcinoma cell line), Caki-1 cells (a clear cell carcinoma cell line), He La cells (an adenocarcinoma cell line), and SN12C cells (a renal cell carcinoma cell line), wherein HR deficiency was induced in these cells by knockdown of the HR gene BRCA1.
- HR deficient HT-29, Caki-1, HeLa, and SN12C cells were then cultured for 96 hours in the presence or absence of 5hm2dC combined with either Olaparib, Veliparib, Niraparib, or 5f2dC combined with either Olaparib, Veliparib, Niraparib.
- An MTT cell proliferation assay was performed to determine cell viability. The results indicate that the combination of 5hm2dC or 5f2dC with any of the PARP inhibitors did not produce a synergistic effect in HR deficient HT-29, Caki-1, HeLa, and SN12C cells.
- Caki-1 and SN12C cells were collected and seeded in triplicate at 4000 cells per well in 96-well plates.
- HT-29 and HeLa cells were seeded in triplicate at 3000 and 1000 cells per well respectively in 96- well plates.
- BRCA1 siRNAs BRCA1 siRNAs: s459, s457 and s458; Thermo Fisher Scientific; cat no’s: 4390824_s459, 4390824_s457 and 4390824_s458), negative control siRNA (si Negative Control n.5, Thermo Fisher Scientific, cat. AM4642) or Mock transfection.
- Transfection reagent RNAiMax Lipofectamine RNAiMAX, Thermo Fisher Scientific, cat. 13778-150
- Opti-MEM Medium Gibco, cat. 31985062
- the BRCA1 siRNA were also diluted in Opti-MEM Medium in a separate tube.
- the diluted siRNA was added to the diluted lipofectamine RNAiMAX reagent in a 1: 1 ratio.
- the final concentration of BRCA1 siRNA and negative control siRNA was 1 pmol per well, and the total volume of siRNA-lipid complex was 10 pL per well.
- 5hm2dC and 5f2dC were diluted in a five-point dilution series with a dilution factor of 4, with final concentrations of either 10 pM, 2.5 pM, 0.63 pM, 0.16 pM, and 0.04 pM, or 1 pM, 0.25 pM, 0.063 pM, 0.016 pM, and 0.004 pM.
- the PARP inhibitors were added to the 5hm2dC or 5f2dC dilution series with final concentrations of 1 or 10 pM of either Olaparib, Veliparib, or Niraparib.
- the cell seeding volume was 90 pL, and the drug volume was 5 pL per drug addition.
- the wells where only one drug was added had an additional 5 pL of a PBS solution with the same DMSO concentration as the drug dilutions added, in order to keep the final volume constant at 100 pL.
- the drugs were added in triplicate 24 hours after transfection, and the plates were kept at 37°C in a 5% CO2 humidified atmosphere for 96 hours.
- qPCR Quantitative PCR
- MTT reagent prepared by making a 5 mg/mL solution in PBS and filter sterilized, was added to each well, with a final concentration of 0.45 mg/mL. After 2-3 hours, depending on the confluency of the cell line, 100 pL of MTT solubilization reagent (10% SDS in 0.01 M HC1) was added to each well, and the plate was kept light-protected overnight before reading the absorbance at 570 nm after 30 seconds of shaking.
Landscapes
- Health & Medical Sciences (AREA)
- Public Health (AREA)
- Animal Behavior & Ethology (AREA)
- Veterinary Medicine (AREA)
- General Health & Medical Sciences (AREA)
- Medicinal Chemistry (AREA)
- Pharmacology & Pharmacy (AREA)
- Chemical & Material Sciences (AREA)
- Life Sciences & Earth Sciences (AREA)
- Epidemiology (AREA)
- Organic Chemistry (AREA)
- Nuclear Medicine, Radiotherapy & Molecular Imaging (AREA)
- General Chemical & Material Sciences (AREA)
- Chemical Kinetics & Catalysis (AREA)
- Oncology (AREA)
- Hematology (AREA)
- Pharmaceuticals Containing Other Organic And Inorganic Compounds (AREA)
Abstract
Description
Claims
Priority Applications (3)
| Application Number | Priority Date | Filing Date | Title |
|---|---|---|---|
| CN202480041449.4A CN121398822A (en) | 2023-06-21 | 2024-06-21 | Combinations comprising deoxycytidine derivatives and PARP inhibitors for use in methods of treating cancers with normal heart rate function. |
| AU2024312126A AU2024312126A1 (en) | 2023-06-21 | 2024-06-21 | Combination comprising a deoxycytidine derivative and a parp inhibitor for use in a method of treating hr proficient cancer |
| IL325458A IL325458A (en) | 2023-06-21 | 2025-12-18 | Combination comprising a deoxycytidine derivative and a parp inhibitor for use in a method of treating hr proficient cancer |
Applications Claiming Priority (2)
| Application Number | Priority Date | Filing Date | Title |
|---|---|---|---|
| GB202309340 | 2023-06-21 | ||
| GB2309340.4 | 2023-06-21 |
Publications (1)
| Publication Number | Publication Date |
|---|---|
| WO2024261243A1 true WO2024261243A1 (en) | 2024-12-26 |
Family
ID=91699942
Family Applications (1)
| Application Number | Title | Priority Date | Filing Date |
|---|---|---|---|
| PCT/EP2024/067440 Pending WO2024261243A1 (en) | 2023-06-21 | 2024-06-21 | Combination comprising a deoxycytidine derivative and a parp inhibitor for use in a method of treating hr proficient cancer |
Country Status (4)
| Country | Link |
|---|---|
| CN (1) | CN121398822A (en) |
| AU (1) | AU2024312126A1 (en) |
| IL (1) | IL325458A (en) |
| WO (1) | WO2024261243A1 (en) |
Citations (95)
| Publication number | Priority date | Publication date | Assignee | Title |
|---|---|---|---|---|
| EP0412848A2 (en) | 1989-08-11 | 1991-02-13 | Zeneca Limited | Quinoline derivatives, process for their preparation and their use as medicaments |
| WO1991007404A1 (en) | 1989-11-20 | 1991-05-30 | Imperial Chemical Industries Plc | Diazine derivatives |
| EP0453210A2 (en) | 1990-04-19 | 1991-10-23 | Zeneca Limited | Pyridine derivatives |
| WO1995024379A1 (en) | 1994-03-09 | 1995-09-14 | Newcastle University Ventures Limited | Benzamide analogs, useful as parp (adp-ribosyltransferase, adprt) dna repair enzyme inhibitors |
| US5587384A (en) | 1994-02-04 | 1996-12-24 | The Johns Hopkins University | Inhibitors of poly(ADP-ribose) synthetase and use thereof to treat NMDA neurotoxicity |
| WO2000042040A1 (en) | 1999-01-11 | 2000-07-20 | Agouron Pharmaceuticals, Inc. | Tricyclic inhibitors of poly(adp-ribose) polymerases |
| WO2000042025A1 (en) | 1999-01-14 | 2000-07-20 | Meiji Seika Kaisha, Ltd. | Poly(adp-ribose) polymerase inhibitors consisting of pyrimidine derivatives |
| WO2001012199A2 (en) | 1999-08-13 | 2001-02-22 | Case Western Reserve University | Methoxyamine potentiation of temozolomide anti-cancer activity |
| WO2001016136A2 (en) | 1999-08-31 | 2001-03-08 | Agouron Pharmaceuticals, Inc. | Tricyclic inhibitors of poly(adp-ribose) polymerases |
| WO2001016137A1 (en) | 1999-09-01 | 2001-03-08 | Guilford Pharmaceuticals Inc. | Compounds, methods and pharmaceutical compositions for treating cellular damage, such as neural or cardiovascular tissue damage |
| WO2001021615A1 (en) | 1999-09-17 | 2001-03-29 | Yamanouchi Pharmaceutical Co., Ltd. | Benzimidazole derivatives |
| WO2001023390A2 (en) | 1999-09-28 | 2001-04-05 | Basf Aktiengesellschaft | Azepinoindole derivatives, the production and use thereof |
| WO2001057038A1 (en) | 2000-02-01 | 2001-08-09 | Basf Aktiengesellschaft | Heterocyclic compounds and their use as parp inhibitors |
| WO2001079184A1 (en) | 2000-04-18 | 2001-10-25 | Sumitomo Pharmaceuticals Company, Limited | Substituted piperazine compounds |
| WO2001085686A2 (en) | 2000-05-09 | 2001-11-15 | Cephalon, Inc. | Multicyclic compounds and the use as inhibitors of parp, vegfr2 and mlk3 enzymes |
| WO2001085687A1 (en) | 2000-05-11 | 2001-11-15 | Basf Ag | Substituted indoles as parp inhibitors |
| WO2001090077A1 (en) | 2000-05-19 | 2001-11-29 | Guilford Pharmaceuticals, Inc. | Sulfonamide and carbamide derivatives of 6(5h)phenanthridinones and their uses |
| WO2001091796A2 (en) | 2000-06-01 | 2001-12-06 | Guilford Pharmaceuticals Inc. | Methods, compounds and compositions for treating gout |
| WO2002036576A1 (en) | 2000-10-30 | 2002-05-10 | Kudos Pharmaceuticals Limited | Phthalazinone derivatives |
| WO2002044157A2 (en) | 2000-12-01 | 2002-06-06 | Iconix Pharmaceuticals, Inc. | Parb inhibitors |
| US6426415B1 (en) | 1997-09-03 | 2002-07-30 | Guilford Pharmaceuticals Inc. | Alkoxy-substituted compounds, methods and compositions for inhibiting parp activity |
| US6444676B1 (en) | 1999-12-20 | 2002-09-03 | Iok-Hou Pang | Use of PARP inhibitors in the treatment of glaucoma |
| US6476048B1 (en) | 1999-12-07 | 2002-11-05 | Inotek Pharamaceuticals Corporation | Substituted phenanthridinones and methods of use thereof |
| WO2002094790A1 (en) | 2001-05-23 | 2002-11-28 | Mitsubishi Pharma Corporation | Fused heterocyclic compound and medicinal use thereof |
| WO2003000805A1 (en) | 2001-06-26 | 2003-01-03 | Sakata Inx Corp. | Process for producing aqueous pigment dispersion and aqueous pigment dispersion obtained by the process |
| WO2003007959A1 (en) | 2001-07-16 | 2003-01-30 | Fujisawa Pharmaceutical Co., Ltd. | Quinoxaline derivatives which have parp inhibitory action |
| US6514983B1 (en) | 1997-09-03 | 2003-02-04 | Guilford Pharmaceuticals Inc. | Compounds, methods and pharmaceutical compositions for treating neural or cardiovascular tissue damage |
| WO2003051879A1 (en) | 2001-12-14 | 2003-06-26 | Altana Pharma Ag | Known and novel 4,5-dihydro-imidazo[4,5,1-ij]quinolin-6-ones useful as poly(adp-ribose)polymerase inhibitors |
| WO2003057699A1 (en) | 2002-01-10 | 2003-07-17 | Abbott Gmbh & Co. Kg | Dibenzodiazepine derivates, their preparation and use |
| WO2003057145A2 (en) | 2001-12-31 | 2003-07-17 | Guilford Pharmaceuticals Inc. | SUBSTITUTED 4,9-DIHYDROCYCLOPENTA[imn]PHENANTHRIDINE-5-ONES DERIVATIVES THEREOF AND THEIR USES |
| US6635642B1 (en) | 1997-09-03 | 2003-10-21 | Guilford Pharmaceuticals Inc. | PARP inhibitors, pharmaceutical compositions comprising same, and methods of using same |
| WO2004048339A1 (en) | 2002-11-22 | 2004-06-10 | Mitsubishi Pharma Corporation | Isoquinoline compounds and medicinal use thereof |
| WO2004080976A1 (en) | 2003-03-12 | 2004-09-23 | Kudos Pharmaceuticals Limited | Phthalazinone derivatives |
| WO2004087713A1 (en) | 2003-03-31 | 2004-10-14 | Pfizer Inc. | Salts of tricyclic inhibitors of poly(adp-ribose) polymerases |
| WO2004096779A1 (en) | 2003-04-30 | 2004-11-11 | Suemegi Balazs | Quinazolinone-derivatives and their use for preparation of pharmaceutical compositions having parp enzyme inhibitory effect |
| WO2004105700A2 (en) | 2003-05-28 | 2004-12-09 | Guildford Pharmaceuticals, Inc. | Compounds, methods and pharmaceutical compositions for inhibiting parp |
| US20040254372A1 (en) | 2001-08-07 | 2004-12-16 | Weizheng Xu | Compounds, derivatives, compositions, preparation and uses |
| WO2004108723A1 (en) | 2003-06-04 | 2004-12-16 | Altana Pharma Ag | 4,5-dihydro-imidazo[4,5,1-ii]quinolin-6-ones as parp inhibitors |
| WO2005012305A2 (en) | 2003-07-25 | 2005-02-10 | Cancer Research Technology Limited | Tricyclic parp inhibitors |
| WO2005023800A1 (en) | 2003-09-04 | 2005-03-17 | Warner-Lambert Company Llc | Halo substituted benzo`b! thiophenes with pi3k inhibitory activity as therapeutic agents |
| WO2005023246A1 (en) | 2003-09-04 | 2005-03-17 | Aventis Pharmaceuticals Inc. | Substituted indoles as inhibitors of poly (adp-ribose) polymerase (parp) |
| US6903101B1 (en) | 2000-08-10 | 2005-06-07 | Bayer Pharmaceuticals Corporation | Substituted pyridazines and fused pyridazines with angiogenesis inhibiting activity |
| WO2005054201A1 (en) | 2003-11-20 | 2005-06-16 | Janssen Pharmaceutica N.V. | 6-alkenyl and 6-phenylalkyl substituted 2-quinolinones and 2-quinoxalinones as poly(adp-ribose) polymerase inhibitors |
| WO2005054210A1 (en) | 2003-12-05 | 2005-06-16 | Janssen Pharmaceutica N.V. | 6-substituted 2-quinolinones and 2-quinoxalinones as poly(adp-ribose) polymerase inhibitors |
| WO2005054209A1 (en) | 2003-11-20 | 2005-06-16 | Janssen Pharmaceutica N.V. | 7-phenylalkyl substituted 2-quinolinones and 2 quinoxalinones as poly(adp-ribose) polymerase inhibitors |
| WO2005058843A1 (en) | 2003-12-10 | 2005-06-30 | Janssen Pharmaceutica N.V. | Substituted 6-cyclohexylalkyl substituted 2-quinolinones and 2-quinoxalinones as poly(adp-ribose) polymerase inhibitors |
| US20050148575A1 (en) | 2000-12-01 | 2005-07-07 | Guilford Pharmaceuticals Inc. | Compounds and their uses |
| WO2005080096A2 (en) | 2004-02-25 | 2005-09-01 | Kronospan Technical Company Ltd. | Decorative paper comprising electrically charged fibres |
| EP1582520A1 (en) | 2002-11-12 | 2005-10-05 | Mochida Pharmaceutical Co., Ltd. | Novel parp inhibitors |
| WO2005097750A1 (en) | 2004-03-30 | 2005-10-20 | Aventis Pharmaceuticals Inc. | Substituted pyridones as inhibitors of poly(adp-ribose) polymerase (parp) |
| US6964960B2 (en) | 2000-07-17 | 2005-11-15 | Novartis Ag | Indoloquinazolinones |
| WO2005108400A1 (en) | 2004-05-11 | 2005-11-17 | Mochida Pharmaceutical Co. Ltd. | Pyridoquinazoline derivatives having heterobicyclic substituents |
| WO2005112935A1 (en) | 2004-05-13 | 2005-12-01 | Vanderbilt University | Phosphoinositide 3-kinase delta selective inhibitors for inhibiting angiogenesis |
| WO2005123687A1 (en) | 2004-06-16 | 2005-12-29 | Sanofi-Aventis Deutschland Gmbh | Substituted tetrahydro-2h-isoquinolin-1-one derivatives, method for the production thereof, and use of the same as medicaments |
| WO2006003150A1 (en) | 2004-06-30 | 2006-01-12 | Janssen Pharmaceutica N.V. | Substituted 2-alkyl quinazolinone derivatives as parp inhibitors |
| WO2006003148A1 (en) | 2004-06-30 | 2006-01-12 | Janssen Pharmaceutica N.V. | Quinazolinedione derivatives as parp inhibitors |
| WO2006003147A1 (en) | 2004-06-30 | 2006-01-12 | Janssen Pharmaceutica N.V. | Phthalazine derivatives as parp inhibitors |
| US6989388B2 (en) | 2000-10-31 | 2006-01-24 | Roberto Pellicciari | Thieno[2,3-c]iosquinolines for use as inhibitors of PARP |
| WO2006008119A1 (en) | 2004-07-16 | 2006-01-26 | Proteosys Ag | Muscarinic antagonists with parp and sir modulatng activity as agents for inflammatory diseases |
| US20060063926A1 (en) | 2004-09-22 | 2006-03-23 | Agouron Pharmaceuticals, Inc. | Method of preparing poly(ADP-ribose) polymerases inhibitors |
| WO2006033006A2 (en) | 2004-09-22 | 2006-03-30 | Pfizer Inc., | Therapeutic combinations comprising poly(adp-ribose) polymerases inhibitor |
| WO2006033007A2 (en) | 2004-09-22 | 2006-03-30 | Pfizer Inc. | Polymorphic and amorphous forms of the phosphate salt of 8-fluoro-2-{4-[(methylamino)methyl]phenyl}-1,3,4,5-tetrahydro-6h-azepino[5,4,3-cd]indol-6-one |
| WO2006042638A1 (en) | 2004-10-15 | 2006-04-27 | Sanofi-Aventis Deutschland Gmbh | 3,6-substituted 5-arylamino-1h-pyidine-2-one derivatives and related compounds as poly(adp-ribose)polymerase (parp) inhibitors in the treatment of tissue damage or disease caused by necrosis or apoptosis |
| WO2006046035A1 (en) | 2004-10-25 | 2006-05-04 | Piramed Limited | Pharmaceutical compounds |
| WO2006065392A2 (en) | 2004-11-05 | 2006-06-22 | Cephalon, Inc. | Cancer treatments |
| WO2006066172A1 (en) | 2004-12-17 | 2006-06-22 | Amgen, Inc. | Aminopyrimidine compounds and methods of use |
| WO2006078711A2 (en) | 2005-01-19 | 2006-07-27 | Mgi Gp, Inc. | Diazabenzo[de]anthracen-3-one compounds and methods for inhibiting parp |
| WO2006078503A2 (en) | 2005-01-07 | 2006-07-27 | Arqule, Inc. | Compositions for modulation of parp and methods for screening for same |
| US20060229351A1 (en) | 2005-04-11 | 2006-10-12 | Gui-Dong Zhu | 2-Substituted-1 H-benzimidazile-4-carboxamides are PARP inhibitors |
| US20060229289A1 (en) | 2005-04-11 | 2006-10-12 | Gui-Dong Zhu | 1H-benzimidazole-4-carboxamides substituted with a quaternary carbon at the 2-position are potent PARP inhibitors |
| WO2006135873A2 (en) | 2005-06-10 | 2006-12-21 | Bipar Sciences, Inc. | Parp modulators and treatment of cancer |
| WO2006137510A1 (en) | 2005-06-24 | 2006-12-28 | Ono Pharmaceutical Co., Ltd. | Agent for reduction of bleeding in cerebrovascular disorder |
| WO2007011962A2 (en) | 2005-07-18 | 2007-01-25 | Bipar Sciences, Inc. | Treatment of cancer |
| WO2007041357A1 (en) | 2005-09-29 | 2007-04-12 | Abbott Laboratories | 1h-benzimidazole-4-carboxamides substituted with phenyl at the 2-position are potent parp inhibitors |
| WO2007113596A1 (en) | 2006-04-03 | 2007-10-11 | Istituto Di Ricerche Di Biologia Molecolare P. Angeletti Spa | Amide substituted indazole and benzotriazole derivatives as poly(adp-ribose)polymerase (parp) inhibitors |
| WO2007138351A2 (en) | 2006-05-31 | 2007-12-06 | Istituto Di Ricerche Di Biologia Molecolare P. Angeletti Spa | Pyridinone and pyridazinone derivatives as inhibitors of poly(adp-ribose)polymerase (parp) |
| WO2007144637A1 (en) | 2006-06-15 | 2007-12-21 | Kudos Pharmaceuticals Limited | 2 -oxyheteroarylamide derivatives as parp inhibitors |
| WO2007144652A2 (en) | 2006-06-15 | 2007-12-21 | Kudos Pharmaceuticals Limited | Parp inhibitors |
| WO2007144639A1 (en) | 2006-06-15 | 2007-12-21 | Kudos Pharmaceuticals Limited | 2 -oxybenzamide derivatives as parp inhibitors |
| WO2007149451A2 (en) | 2006-06-19 | 2007-12-27 | Cephalon, Inc. | Cycloalkanopyrrolocarbazole derivatives and the use thereof as parp, vegfr2 and mlk3 inhibitors |
| WO2008015429A2 (en) | 2006-08-01 | 2008-02-07 | Sentinel Oncology Limited | Pharmaceutical compounds |
| WO2008146035A1 (en) | 2007-05-25 | 2008-12-04 | Astrazeneca Ab | Combination of chk and parp inhibitors for the treatment of cancers |
| WO2009046205A1 (en) | 2007-10-03 | 2009-04-09 | Eisai Research Institute | Parp inhibitor compounds, compositions and methods of use |
| WO2009155402A1 (en) | 2008-06-19 | 2009-12-23 | Wyeth | Thiazolyl- and oxazolyl-isoquinolinones and methods for using them |
| WO2010091140A1 (en) | 2009-02-04 | 2010-08-12 | Bipar Sciences, Inc. | Treatment of lung cancer with a parp inhibitor in combination with a growth factor inhibitor |
| WO2012141990A1 (en) | 2011-04-11 | 2012-10-18 | Abb Vie Inc. | Parp inhibitors for the treatment of cipn |
| EP2604610A1 (en) | 2010-08-09 | 2013-06-19 | Jiangsu Hansoh Pharmaceutical Co., Ltd. | Phthalazinone ketone derivative, preparation method thereof, and pharmaceutical use thereof |
| CN104003979A (en) | 2013-02-21 | 2014-08-27 | 上海汇伦生命科技有限公司 | Benzimidazole-2-piperazine compound, pharmaceutical composition of compound and preparing method and application of pharmaceutical composition |
| CN104140426A (en) | 2013-05-07 | 2014-11-12 | 上海汇伦生命科技有限公司 | Pyrimidoimidazole compound and pharmaceutical composition and preparation method and use thereof |
| WO2014201972A1 (en) | 2013-06-17 | 2014-12-24 | 上海汇伦生命科技有限公司 | Benzimidazole-2-piperazine heterocyclic compound, pharmaceutical composition thereof, preparation method and use thereof |
| US20190365745A1 (en) * | 2018-06-01 | 2019-12-05 | Cornell University | Use of chronic treatment with atr inhibitors to sensitize cancer cells to parp inhibitors |
| WO2020068407A1 (en) | 2018-09-27 | 2020-04-02 | Snap Inc. | Separable distortion disparity determination |
| WO2020157335A1 (en) | 2019-02-01 | 2020-08-06 | Hemispherian As | Deoxy- cytidine or uridine derivatives for use in cancer therapies |
| WO2021048235A1 (en) | 2019-09-10 | 2021-03-18 | The Francis Crick Institute Limited | Treatment of hr deficient cancer |
| EP4130283A1 (en) | 2020-02-14 | 2023-02-08 | Public University Corporation Yokohama City University | Nucleic acid construct that can measure homologous recombination activity, and method for using same |
-
2024
- 2024-06-21 WO PCT/EP2024/067440 patent/WO2024261243A1/en active Pending
- 2024-06-21 AU AU2024312126A patent/AU2024312126A1/en active Pending
- 2024-06-21 CN CN202480041449.4A patent/CN121398822A/en active Pending
-
2025
- 2025-12-18 IL IL325458A patent/IL325458A/en unknown
Patent Citations (113)
| Publication number | Priority date | Publication date | Assignee | Title |
|---|---|---|---|---|
| EP0412848A2 (en) | 1989-08-11 | 1991-02-13 | Zeneca Limited | Quinoline derivatives, process for their preparation and their use as medicaments |
| WO1991007404A1 (en) | 1989-11-20 | 1991-05-30 | Imperial Chemical Industries Plc | Diazine derivatives |
| EP0454831A1 (en) | 1989-11-20 | 1991-11-06 | Ici Plc | Diazine derivatives as angiotensin II receptor antagonists. |
| EP0453210A2 (en) | 1990-04-19 | 1991-10-23 | Zeneca Limited | Pyridine derivatives |
| US5587384A (en) | 1994-02-04 | 1996-12-24 | The Johns Hopkins University | Inhibitors of poly(ADP-ribose) synthetase and use thereof to treat NMDA neurotoxicity |
| WO1995024379A1 (en) | 1994-03-09 | 1995-09-14 | Newcastle University Ventures Limited | Benzamide analogs, useful as parp (adp-ribosyltransferase, adprt) dna repair enzyme inhibitors |
| EP0879820A1 (en) | 1994-03-09 | 1998-11-25 | Newcastle University Ventures Limited | Benzamide analogues, useful as PARP (ADP-Ribosyltransferase, ADPRT) DNA repair enzyme inhibitors |
| US6514983B1 (en) | 1997-09-03 | 2003-02-04 | Guilford Pharmaceuticals Inc. | Compounds, methods and pharmaceutical compositions for treating neural or cardiovascular tissue damage |
| US6635642B1 (en) | 1997-09-03 | 2003-10-21 | Guilford Pharmaceuticals Inc. | PARP inhibitors, pharmaceutical compositions comprising same, and methods of using same |
| US6426415B1 (en) | 1997-09-03 | 2002-07-30 | Guilford Pharmaceuticals Inc. | Alkoxy-substituted compounds, methods and compositions for inhibiting parp activity |
| WO2000042040A1 (en) | 1999-01-11 | 2000-07-20 | Agouron Pharmaceuticals, Inc. | Tricyclic inhibitors of poly(adp-ribose) polymerases |
| WO2000042025A1 (en) | 1999-01-14 | 2000-07-20 | Meiji Seika Kaisha, Ltd. | Poly(adp-ribose) polymerase inhibitors consisting of pyrimidine derivatives |
| WO2001012199A2 (en) | 1999-08-13 | 2001-02-22 | Case Western Reserve University | Methoxyamine potentiation of temozolomide anti-cancer activity |
| WO2001016136A2 (en) | 1999-08-31 | 2001-03-08 | Agouron Pharmaceuticals, Inc. | Tricyclic inhibitors of poly(adp-ribose) polymerases |
| WO2001016137A1 (en) | 1999-09-01 | 2001-03-08 | Guilford Pharmaceuticals Inc. | Compounds, methods and pharmaceutical compositions for treating cellular damage, such as neural or cardiovascular tissue damage |
| EP1212328A1 (en) | 1999-09-01 | 2002-06-12 | Guilford Pharmaceuticals Inc. | Compounds, methods and pharmaceutical compositions for treating cellular damage, such as neural or cardiovascular tissue damage |
| WO2001021615A1 (en) | 1999-09-17 | 2001-03-29 | Yamanouchi Pharmaceutical Co., Ltd. | Benzimidazole derivatives |
| WO2001023390A2 (en) | 1999-09-28 | 2001-04-05 | Basf Aktiengesellschaft | Azepinoindole derivatives, the production and use thereof |
| US6476048B1 (en) | 1999-12-07 | 2002-11-05 | Inotek Pharamaceuticals Corporation | Substituted phenanthridinones and methods of use thereof |
| US6444676B1 (en) | 1999-12-20 | 2002-09-03 | Iok-Hou Pang | Use of PARP inhibitors in the treatment of glaucoma |
| WO2001057038A1 (en) | 2000-02-01 | 2001-08-09 | Basf Aktiengesellschaft | Heterocyclic compounds and their use as parp inhibitors |
| US7041675B2 (en) | 2000-02-01 | 2006-05-09 | Abbott Gmbh & Co. Kg | Heterocyclic compounds and their use as PARP inhibitors |
| WO2001079184A1 (en) | 2000-04-18 | 2001-10-25 | Sumitomo Pharmaceuticals Company, Limited | Substituted piperazine compounds |
| WO2001085686A2 (en) | 2000-05-09 | 2001-11-15 | Cephalon, Inc. | Multicyclic compounds and the use as inhibitors of parp, vegfr2 and mlk3 enzymes |
| WO2001085687A1 (en) | 2000-05-11 | 2001-11-15 | Basf Ag | Substituted indoles as parp inhibitors |
| US7087637B2 (en) | 2000-05-11 | 2006-08-08 | Basf Ag | Substituted indoles which are PARP inhibitors |
| WO2001090077A1 (en) | 2000-05-19 | 2001-11-29 | Guilford Pharmaceuticals, Inc. | Sulfonamide and carbamide derivatives of 6(5h)phenanthridinones and their uses |
| WO2001091796A2 (en) | 2000-06-01 | 2001-12-06 | Guilford Pharmaceuticals Inc. | Methods, compounds and compositions for treating gout |
| US6964960B2 (en) | 2000-07-17 | 2005-11-15 | Novartis Ag | Indoloquinazolinones |
| US6903101B1 (en) | 2000-08-10 | 2005-06-07 | Bayer Pharmaceuticals Corporation | Substituted pyridazines and fused pyridazines with angiogenesis inhibiting activity |
| WO2002036576A1 (en) | 2000-10-30 | 2002-05-10 | Kudos Pharmaceuticals Limited | Phthalazinone derivatives |
| US6989388B2 (en) | 2000-10-31 | 2006-01-24 | Roberto Pellicciari | Thieno[2,3-c]iosquinolines for use as inhibitors of PARP |
| US20060094746A1 (en) | 2000-10-31 | 2006-05-04 | Roberto Pellicciari | Thieno[2,3-c] isoquinolines for use as inhibitors of PARP |
| US20060003987A1 (en) | 2000-12-01 | 2006-01-05 | Guilford Pharmaceuticals, Inc. | Compounds and their uses |
| WO2002044157A2 (en) | 2000-12-01 | 2002-06-06 | Iconix Pharmaceuticals, Inc. | Parb inhibitors |
| US20050148575A1 (en) | 2000-12-01 | 2005-07-07 | Guilford Pharmaceuticals Inc. | Compounds and their uses |
| WO2002094790A1 (en) | 2001-05-23 | 2002-11-28 | Mitsubishi Pharma Corporation | Fused heterocyclic compound and medicinal use thereof |
| WO2003000805A1 (en) | 2001-06-26 | 2003-01-03 | Sakata Inx Corp. | Process for producing aqueous pigment dispersion and aqueous pigment dispersion obtained by the process |
| WO2003007959A1 (en) | 2001-07-16 | 2003-01-30 | Fujisawa Pharmaceutical Co., Ltd. | Quinoxaline derivatives which have parp inhibitory action |
| US20040254372A1 (en) | 2001-08-07 | 2004-12-16 | Weizheng Xu | Compounds, derivatives, compositions, preparation and uses |
| WO2003051879A1 (en) | 2001-12-14 | 2003-06-26 | Altana Pharma Ag | Known and novel 4,5-dihydro-imidazo[4,5,1-ij]quinolin-6-ones useful as poly(adp-ribose)polymerase inhibitors |
| WO2003057145A2 (en) | 2001-12-31 | 2003-07-17 | Guilford Pharmaceuticals Inc. | SUBSTITUTED 4,9-DIHYDROCYCLOPENTA[imn]PHENANTHRIDINE-5-ONES DERIVATIVES THEREOF AND THEIR USES |
| WO2003057699A1 (en) | 2002-01-10 | 2003-07-17 | Abbott Gmbh & Co. Kg | Dibenzodiazepine derivates, their preparation and use |
| EP1582520A1 (en) | 2002-11-12 | 2005-10-05 | Mochida Pharmaceutical Co., Ltd. | Novel parp inhibitors |
| US20060004028A1 (en) | 2002-11-12 | 2006-01-05 | Mochida Pharmaceutical Co., Ltd. | Novel PARP inhibitor |
| US20060094743A1 (en) | 2002-11-22 | 2006-05-04 | Mitsubishi Pharma Corporation | Isoquinoline compounds and medicinal use thereof |
| WO2004048339A1 (en) | 2002-11-22 | 2004-06-10 | Mitsubishi Pharma Corporation | Isoquinoline compounds and medicinal use thereof |
| WO2004080976A1 (en) | 2003-03-12 | 2004-09-23 | Kudos Pharmaceuticals Limited | Phthalazinone derivatives |
| WO2004087713A1 (en) | 2003-03-31 | 2004-10-14 | Pfizer Inc. | Salts of tricyclic inhibitors of poly(adp-ribose) polymerases |
| WO2004096779A1 (en) | 2003-04-30 | 2004-11-11 | Suemegi Balazs | Quinazolinone-derivatives and their use for preparation of pharmaceutical compositions having parp enzyme inhibitory effect |
| WO2004105700A2 (en) | 2003-05-28 | 2004-12-09 | Guildford Pharmaceuticals, Inc. | Compounds, methods and pharmaceutical compositions for inhibiting parp |
| WO2004108723A1 (en) | 2003-06-04 | 2004-12-16 | Altana Pharma Ag | 4,5-dihydro-imidazo[4,5,1-ii]quinolin-6-ones as parp inhibitors |
| WO2005012305A2 (en) | 2003-07-25 | 2005-02-10 | Cancer Research Technology Limited | Tricyclic parp inhibitors |
| US20070072841A1 (en) | 2003-07-25 | 2007-03-29 | Cancer Research Technology Limited | Therapeutic compounds |
| WO2005023246A1 (en) | 2003-09-04 | 2005-03-17 | Aventis Pharmaceuticals Inc. | Substituted indoles as inhibitors of poly (adp-ribose) polymerase (parp) |
| WO2005023800A1 (en) | 2003-09-04 | 2005-03-17 | Warner-Lambert Company Llc | Halo substituted benzo`b! thiophenes with pi3k inhibitory activity as therapeutic agents |
| WO2005054209A1 (en) | 2003-11-20 | 2005-06-16 | Janssen Pharmaceutica N.V. | 7-phenylalkyl substituted 2-quinolinones and 2 quinoxalinones as poly(adp-ribose) polymerase inhibitors |
| WO2005054201A1 (en) | 2003-11-20 | 2005-06-16 | Janssen Pharmaceutica N.V. | 6-alkenyl and 6-phenylalkyl substituted 2-quinolinones and 2-quinoxalinones as poly(adp-ribose) polymerase inhibitors |
| WO2005054210A1 (en) | 2003-12-05 | 2005-06-16 | Janssen Pharmaceutica N.V. | 6-substituted 2-quinolinones and 2-quinoxalinones as poly(adp-ribose) polymerase inhibitors |
| WO2005058843A1 (en) | 2003-12-10 | 2005-06-30 | Janssen Pharmaceutica N.V. | Substituted 6-cyclohexylalkyl substituted 2-quinolinones and 2-quinoxalinones as poly(adp-ribose) polymerase inhibitors |
| WO2005080096A2 (en) | 2004-02-25 | 2005-09-01 | Kronospan Technical Company Ltd. | Decorative paper comprising electrically charged fibres |
| WO2005097750A1 (en) | 2004-03-30 | 2005-10-20 | Aventis Pharmaceuticals Inc. | Substituted pyridones as inhibitors of poly(adp-ribose) polymerase (parp) |
| US20070032489A1 (en) | 2004-03-30 | 2007-02-08 | Aventis Pharmaceuticals Inc. | Substituted pyridones as inhibitors of poly(adp-ribose) polymerase (parp) |
| WO2005108400A1 (en) | 2004-05-11 | 2005-11-17 | Mochida Pharmaceutical Co. Ltd. | Pyridoquinazoline derivatives having heterobicyclic substituents |
| WO2005112935A1 (en) | 2004-05-13 | 2005-12-01 | Vanderbilt University | Phosphoinositide 3-kinase delta selective inhibitors for inhibiting angiogenesis |
| WO2005123687A1 (en) | 2004-06-16 | 2005-12-29 | Sanofi-Aventis Deutschland Gmbh | Substituted tetrahydro-2h-isoquinolin-1-one derivatives, method for the production thereof, and use of the same as medicaments |
| WO2006003146A1 (en) | 2004-06-30 | 2006-01-12 | Janssen Pharmaceutica N.V. | Quinazolinone derivatives as parp inhibitors |
| WO2006003148A1 (en) | 2004-06-30 | 2006-01-12 | Janssen Pharmaceutica N.V. | Quinazolinedione derivatives as parp inhibitors |
| WO2006003150A1 (en) | 2004-06-30 | 2006-01-12 | Janssen Pharmaceutica N.V. | Substituted 2-alkyl quinazolinone derivatives as parp inhibitors |
| WO2006003147A1 (en) | 2004-06-30 | 2006-01-12 | Janssen Pharmaceutica N.V. | Phthalazine derivatives as parp inhibitors |
| WO2006008118A1 (en) | 2004-07-16 | 2006-01-26 | Proteosys Ag | Muscarinic antagonists with parp and sir modulating activity as cytoprotective agents |
| WO2006008119A1 (en) | 2004-07-16 | 2006-01-26 | Proteosys Ag | Muscarinic antagonists with parp and sir modulatng activity as agents for inflammatory diseases |
| WO2006033007A2 (en) | 2004-09-22 | 2006-03-30 | Pfizer Inc. | Polymorphic and amorphous forms of the phosphate salt of 8-fluoro-2-{4-[(methylamino)methyl]phenyl}-1,3,4,5-tetrahydro-6h-azepino[5,4,3-cd]indol-6-one |
| WO2006033006A2 (en) | 2004-09-22 | 2006-03-30 | Pfizer Inc., | Therapeutic combinations comprising poly(adp-ribose) polymerases inhibitor |
| US20060063926A1 (en) | 2004-09-22 | 2006-03-23 | Agouron Pharmaceuticals, Inc. | Method of preparing poly(ADP-ribose) polymerases inhibitors |
| EP1802578A1 (en) | 2004-10-15 | 2007-07-04 | Sanofi-Aventis Deutschland GmbH | 3,6-substituted 5-arylamino-1h-pyidine-2-one derivatives and related compounds as poly(adp-ribose)polymerase (parp) inhibitors in the treatment of tissue damage or disease caused by necrosis or apoptosis |
| WO2006042638A1 (en) | 2004-10-15 | 2006-04-27 | Sanofi-Aventis Deutschland Gmbh | 3,6-substituted 5-arylamino-1h-pyidine-2-one derivatives and related compounds as poly(adp-ribose)polymerase (parp) inhibitors in the treatment of tissue damage or disease caused by necrosis or apoptosis |
| WO2006046035A1 (en) | 2004-10-25 | 2006-05-04 | Piramed Limited | Pharmaceutical compounds |
| WO2006065392A2 (en) | 2004-11-05 | 2006-06-22 | Cephalon, Inc. | Cancer treatments |
| WO2006066172A1 (en) | 2004-12-17 | 2006-06-22 | Amgen, Inc. | Aminopyrimidine compounds and methods of use |
| WO2006078503A2 (en) | 2005-01-07 | 2006-07-27 | Arqule, Inc. | Compositions for modulation of parp and methods for screening for same |
| WO2006078711A2 (en) | 2005-01-19 | 2006-07-27 | Mgi Gp, Inc. | Diazabenzo[de]anthracen-3-one compounds and methods for inhibiting parp |
| WO2006110816A2 (en) | 2005-04-11 | 2006-10-19 | Abbott Laboratories | 1h-benzimidazole-4-carboxamides substituted with a quaternary carbon at the 2-position are potent parp inhibitors |
| US20060229289A1 (en) | 2005-04-11 | 2006-10-12 | Gui-Dong Zhu | 1H-benzimidazole-4-carboxamides substituted with a quaternary carbon at the 2-position are potent PARP inhibitors |
| US20060229351A1 (en) | 2005-04-11 | 2006-10-12 | Gui-Dong Zhu | 2-Substituted-1 H-benzimidazile-4-carboxamides are PARP inhibitors |
| WO2006135873A2 (en) | 2005-06-10 | 2006-12-21 | Bipar Sciences, Inc. | Parp modulators and treatment of cancer |
| US20070015814A1 (en) | 2005-06-10 | 2007-01-18 | Ernest Kun | Parp Modulators and Treatment of Cancer |
| WO2006137510A1 (en) | 2005-06-24 | 2006-12-28 | Ono Pharmaceutical Co., Ltd. | Agent for reduction of bleeding in cerebrovascular disorder |
| WO2007011962A2 (en) | 2005-07-18 | 2007-01-25 | Bipar Sciences, Inc. | Treatment of cancer |
| WO2007041357A1 (en) | 2005-09-29 | 2007-04-12 | Abbott Laboratories | 1h-benzimidazole-4-carboxamides substituted with phenyl at the 2-position are potent parp inhibitors |
| WO2007113596A1 (en) | 2006-04-03 | 2007-10-11 | Istituto Di Ricerche Di Biologia Molecolare P. Angeletti Spa | Amide substituted indazole and benzotriazole derivatives as poly(adp-ribose)polymerase (parp) inhibitors |
| WO2007138351A2 (en) | 2006-05-31 | 2007-12-06 | Istituto Di Ricerche Di Biologia Molecolare P. Angeletti Spa | Pyridinone and pyridazinone derivatives as inhibitors of poly(adp-ribose)polymerase (parp) |
| WO2007144637A1 (en) | 2006-06-15 | 2007-12-21 | Kudos Pharmaceuticals Limited | 2 -oxyheteroarylamide derivatives as parp inhibitors |
| WO2007144652A2 (en) | 2006-06-15 | 2007-12-21 | Kudos Pharmaceuticals Limited | Parp inhibitors |
| WO2007144639A1 (en) | 2006-06-15 | 2007-12-21 | Kudos Pharmaceuticals Limited | 2 -oxybenzamide derivatives as parp inhibitors |
| WO2007149451A2 (en) | 2006-06-19 | 2007-12-27 | Cephalon, Inc. | Cycloalkanopyrrolocarbazole derivatives and the use thereof as parp, vegfr2 and mlk3 inhibitors |
| WO2008015429A2 (en) | 2006-08-01 | 2008-02-07 | Sentinel Oncology Limited | Pharmaceutical compounds |
| WO2008146035A1 (en) | 2007-05-25 | 2008-12-04 | Astrazeneca Ab | Combination of chk and parp inhibitors for the treatment of cancers |
| WO2009046205A1 (en) | 2007-10-03 | 2009-04-09 | Eisai Research Institute | Parp inhibitor compounds, compositions and methods of use |
| WO2009155402A1 (en) | 2008-06-19 | 2009-12-23 | Wyeth | Thiazolyl- and oxazolyl-isoquinolinones and methods for using them |
| WO2010091140A1 (en) | 2009-02-04 | 2010-08-12 | Bipar Sciences, Inc. | Treatment of lung cancer with a parp inhibitor in combination with a growth factor inhibitor |
| EP2604610A1 (en) | 2010-08-09 | 2013-06-19 | Jiangsu Hansoh Pharmaceutical Co., Ltd. | Phthalazinone ketone derivative, preparation method thereof, and pharmaceutical use thereof |
| WO2012141990A1 (en) | 2011-04-11 | 2012-10-18 | Abb Vie Inc. | Parp inhibitors for the treatment of cipn |
| CN104003979A (en) | 2013-02-21 | 2014-08-27 | 上海汇伦生命科技有限公司 | Benzimidazole-2-piperazine compound, pharmaceutical composition of compound and preparing method and application of pharmaceutical composition |
| CN104140426A (en) | 2013-05-07 | 2014-11-12 | 上海汇伦生命科技有限公司 | Pyrimidoimidazole compound and pharmaceutical composition and preparation method and use thereof |
| WO2014201972A1 (en) | 2013-06-17 | 2014-12-24 | 上海汇伦生命科技有限公司 | Benzimidazole-2-piperazine heterocyclic compound, pharmaceutical composition thereof, preparation method and use thereof |
| US20190365745A1 (en) * | 2018-06-01 | 2019-12-05 | Cornell University | Use of chronic treatment with atr inhibitors to sensitize cancer cells to parp inhibitors |
| WO2020068407A1 (en) | 2018-09-27 | 2020-04-02 | Snap Inc. | Separable distortion disparity determination |
| WO2020157335A1 (en) | 2019-02-01 | 2020-08-06 | Hemispherian As | Deoxy- cytidine or uridine derivatives for use in cancer therapies |
| WO2021048235A1 (en) | 2019-09-10 | 2021-03-18 | The Francis Crick Institute Limited | Treatment of hr deficient cancer |
| US20220339179A1 (en) * | 2019-09-10 | 2022-10-27 | The Francis Crick Institute Limited | Treatment of hr deficient cancer |
| EP4130283A1 (en) | 2020-02-14 | 2023-02-08 | Public University Corporation Yokohama City University | Nucleic acid construct that can measure homologous recombination activity, and method for using same |
| US20230151391A1 (en) | 2020-02-14 | 2023-05-18 | Public University Corporation Yokohama City University | Nucleic acid construct that can measure homologous recombination activity, and method for using same |
Non-Patent Citations (21)
| Title |
|---|
| "Assay Guidance Manual", 2004, ELI LILLY & COMPANY, article "Cell Viability Assays" |
| "Genbank", Database accession no. M32721 |
| "Harrison's Principles of Internal Medicine", 2001, MCGRAW-HILL |
| "Protective Groups in Organic Synthesis", 1999, WILEY-INTERSCIENCE |
| ABBOTTS RACHEL ET AL: "Pharmacologic Induction of BRCAness in BRCA-Proficient Cancers: Expanding PARP Inhibitor Use", CANCERS, vol. 14, no. 11, 26 May 2022 (2022-05-26), CH, pages 2640, XP093191731, ISSN: 2072-6694, Retrieved from the Internet <URL:https://www.ncbi.nlm.nih.gov/pmc/articles/PMC9179544/> [retrieved on 20240731], DOI: 10.3390/cancers14112640 * |
| AMÉ, BIOESSAYS, vol. 26, 2004, pages 882 - 893 |
| B. M. TROSTI. FLEMING: "Comprehensive Organic Synthesis", 1991, PERGAMON PRESS |
| BANASIK ET AL., J. BIOL. CHEM., vol. 267, no. 3, 1992, pages 1569 - 75 |
| BANASIK ET AL., MOLEC. CELL. BIOCHEM, vol. 138, 1994, pages 185 - 97 |
| COSI ET AL., EXPERT OPIN. THER. PATENTS, vol. 12, no. 7, 2002 |
| CREELAN, CANCER CONTROL, vol. 21, 2014, pages 80 - 89 |
| DUPOUY ET AL., J. BIOL. CHEM., vol. 285, no. 53, 2010, pages 41806 - 41814 |
| MORTAZAVI A ET AL.: "Mapping and quantifying mammalian transcriptomes by RNA-Seq", NATURE METHODS, vol. 5, no. 7, 2008, pages 621 - 8, XP008148418, DOI: 10.1038/nmeth.1226 |
| MURAI J ET AL., J. PHARMACOL. EXP. THER., vol. 349, 2014, pages 408 - 416 |
| no. 1446261-44-4 |
| SHEN ET AL., CLIN CANCER RES, vol. 19, no. 18, 2013, pages 5003 - 5015 |
| SOUTHANSZABO, CURR MED CHEM, vol. 10, 2003, pages 321 - 340 |
| UNDERHILL C ET AL., ANNALS OF ONCOLOGY, 2010, pages 1 - 12 |
| VYASCHANGE, NAT REV CANCER, vol. 14, no. 7, 2014, pages 502 - 509 |
| WAGNER ET AL., THEORY BIOSCI, vol. 131, no. 4, 2012, pages 281 - 285 |
| WOOD ET AL., SCIENCE, vol. 291, 2001, pages 1284 - 1289 |
Also Published As
| Publication number | Publication date |
|---|---|
| AU2024312126A1 (en) | 2025-12-11 |
| IL325458A (en) | 2026-02-01 |
| CN121398822A (en) | 2026-01-23 |
Similar Documents
| Publication | Publication Date | Title |
|---|---|---|
| JP6963146B1 (en) | Administration of KRAS inhibitors to treat cancer | |
| US12527780B2 (en) | Methods of treating ovarian cancer | |
| Michels et al. | Predictive biomarkers for cancer therapy with PARP inhibitors | |
| US20210093730A1 (en) | Biomarkers for antibody-drug conjugate monotherapy or combination therapy | |
| JP6783224B2 (en) | Use of dianehydrogalactitol and its analogs or derivatives to treat non-small cell lung cancer and ovarian cancer | |
| Underhill et al. | A review of PARP inhibitors: from bench to bedside | |
| JP2021508704A (en) | How to treat cancer | |
| TWI631949B (en) | Method of treating cancer using TOR kinase inhibitor combination therapy | |
| CN112472699A (en) | Combination methods for improving the therapeutic benefit of bisantrene and derivatives | |
| CA2869557A1 (en) | Novel compositions of combinations of non-covalent dna binding agents and anti-cancer and/or anti-inflammatory agents and their use in disease treatment | |
| JP2018524382A (en) | Chiral diaryl macrocycles and uses thereof | |
| US20220339179A1 (en) | Treatment of hr deficient cancer | |
| Park et al. | Poly (Adenosine Diphosphate–Ribose) Polymerase Inhibitors in Cancer Treatment | |
| Yang et al. | Perspectives on the combination of radiotherapy and targeted therapy with DNA repair inhibitors in the treatment of pancreatic cancer | |
| Leonetti et al. | Targeted therapy for brain tumours: role of PARP inhibitors | |
| Comen et al. | Inhibition of poly (ADP)-ribose polymerase as a therapeutic strategy for breast cancer | |
| Ampolini et al. | The development of ATM inhibitors in cancer therapy | |
| US20160208339A1 (en) | Biomarkers correlated to parp inhibitor treatment success in aml patients | |
| WO2017031156A1 (en) | Use of ureidomustine (bo-1055) in cancer treatment | |
| WO2024261243A1 (en) | Combination comprising a deoxycytidine derivative and a parp inhibitor for use in a method of treating hr proficient cancer | |
| TW202535405A (en) | Alc1 inhibitors for use in treating cancer by potentiating the effects of several classes of approved cancer drugs | |
| US11957677B2 (en) | Cancer treatment using FGFR inhibitors and PLK1 inhibitors | |
| WO2024054898A1 (en) | Onvansertib and parp inhibitor combination | |
| HK40113232A (en) | Methods of treating ovarian cancer | |
| HK40098135A (en) | Methods of treating ovarian cancer |
Legal Events
| Date | Code | Title | Description |
|---|---|---|---|
| 121 | Ep: the epo has been informed by wipo that ep was designated in this application |
Ref document number: 24736724 Country of ref document: EP Kind code of ref document: A1 |
|
| WWE | Wipo information: entry into national phase |
Ref document number: AU2024312126 Country of ref document: AU |
|
| ENP | Entry into the national phase |
Ref document number: 2024312126 Country of ref document: AU Date of ref document: 20240621 Kind code of ref document: A |
|
| WWE | Wipo information: entry into national phase |
Ref document number: 325458 Country of ref document: IL |
|
| REG | Reference to national code |
Ref country code: BR Ref legal event code: B01A Ref document number: 112025028365 Country of ref document: BR |
|
| WWE | Wipo information: entry into national phase |
Ref document number: 1020267000472 Country of ref document: KR |
|
| WWE | Wipo information: entry into national phase |
Ref document number: 2024736724 Country of ref document: EP |


































































