WO2024260930A1 - Half-wave plate - Google Patents
Half-wave plate Download PDFInfo
- Publication number
- WO2024260930A1 WO2024260930A1 PCT/EP2024/066836 EP2024066836W WO2024260930A1 WO 2024260930 A1 WO2024260930 A1 WO 2024260930A1 EP 2024066836 W EP2024066836 W EP 2024066836W WO 2024260930 A1 WO2024260930 A1 WO 2024260930A1
- Authority
- WO
- WIPO (PCT)
- Prior art keywords
- chiral
- group
- atoms
- diyl
- wave plate
- Prior art date
- Legal status (The legal status is an assumption and is not a legal conclusion. Google has not performed a legal analysis and makes no representation as to the accuracy of the status listed.)
- Pending
Links
Classifications
-
- C—CHEMISTRY; METALLURGY
- C09—DYES; PAINTS; POLISHES; NATURAL RESINS; ADHESIVES; COMPOSITIONS NOT OTHERWISE PROVIDED FOR; APPLICATIONS OF MATERIALS NOT OTHERWISE PROVIDED FOR
- C09K—MATERIALS FOR MISCELLANEOUS APPLICATIONS, NOT PROVIDED FOR ELSEWHERE
- C09K19/00—Liquid crystal materials
- C09K19/52—Liquid crystal materials characterised by components which are not liquid crystals, e.g. additives with special physical aspect: solvents, solid particles
- C09K19/58—Dopants or charge transfer agents
- C09K19/586—Optically active dopants; chiral dopants
-
- C—CHEMISTRY; METALLURGY
- C09—DYES; PAINTS; POLISHES; NATURAL RESINS; ADHESIVES; COMPOSITIONS NOT OTHERWISE PROVIDED FOR; APPLICATIONS OF MATERIALS NOT OTHERWISE PROVIDED FOR
- C09K—MATERIALS FOR MISCELLANEOUS APPLICATIONS, NOT PROVIDED FOR ELSEWHERE
- C09K19/00—Liquid crystal materials
- C09K19/04—Liquid crystal materials characterised by the chemical structure of the liquid crystal components, e.g. by a specific unit
- C09K2019/0444—Liquid crystal materials characterised by the chemical structure of the liquid crystal components, e.g. by a specific unit characterized by a linking chain between rings or ring systems, a bridging chain between extensive mesogenic moieties or an end chain group
- C09K2019/0448—Liquid crystal materials characterised by the chemical structure of the liquid crystal components, e.g. by a specific unit characterized by a linking chain between rings or ring systems, a bridging chain between extensive mesogenic moieties or an end chain group the end chain group being a polymerizable end group, e.g. -Sp-P or acrylate
Definitions
- the invention relates to a half-wave plate comprising two layers of a chiral liquid crystal (LC) polymer with a pitch gradient (as a subcategory of liquid crystal material), a method for its preparation, and its use as diffractive optical element in optical or electrooptica I components or devices, especially for digital optics or augmented reality or virtual reality (AR/VR) applications like polarizers, optical compensators, reflective films, diffraction or surface gratings, Bragg polarization gratings (Bragg PG), polarization volume gratings (PVG), polarization volume holograms (PVH), Pancharatnam Berry (PB) gratings, nonmechanical beam steering elements, optical waveguides, optical couplers, optical combiners, polarization beam splitters, partial mirrors or lenses.
- LC chiral liquid crystal
- a pitch gradient as a subcategory of liquid crystal material
- Half-wave plates are extremely important in the field of digital optics. They are used in Pancharatnam-Berry (PB) optical elements also known as cycloidal diffractive waveplates, as described for example in Yun-Han Lee et al., Opt. Data Process. Storage, 3, 79-88 (2017). These are patterned half-wave plates where the director profile continuously changes as a function across the X-Y plane.
- the PB optical elements include PB lenses (PBL) and PB gratings (PBG). In a PBL the director continuously changes along a radial axis in a parabolic fashion as illustrated in Fig. 1a, whereas in a PBG the director profile changes linearly in a longitudinal direction as illustrated in Fig. 1b, both of which are shown in the aforementioned reference.
- the PBLs and PBGs gratings can be active devices made from liquid crystals which can be electrically switched. Alternatively they can be static devices made from polymerisable LCs, also known as reactive mesogens (RMs) to provide thin lenses and gratings on plastic susbtrates.
- RMs reactive mesogens
- a half-wave plate utilising a single film made from RMs has issues with chromaticity due to the optical dispersion of the RMs. Optimizing the thickness of the RM film to get a half-wave plate at a specific wavelength will mean that for all other wavelengths, the film will not be a half-wave plate and so there will be light leakage.
- One common method to improve this light leakage due to the dispersion of the material is to use a negative dispersion RM film. This has advantages in that a single film can compensate across the blue and green areas of the visible spectrum. However there is always a trade off in the red wavelengths as the dispersion flatterns in this area.
- One aim of the present invention is to provide improved polymer films, and methods for their production, which can be used as half-wave plates with reduced chromaticity.
- Other aims of the present invention are immediately evident to the person skilled in the art from the following detailed description.
- the invention relates to a half-wave plate comprising, preferably consisting of, two layers, each layer comprising, preferably consisting of, a polymerised chiral RM mixture with helically twisted structure, wherein in each layer the helical pitch increases or decreases in the film thickness direction, and wherein the two layers have opposite twist sense.
- the half-wave plate is comprising two quarter-wave plates, wherein each of said quarter-wave plates comprises, preferably consists of, a layer of a polymerised chiral RM mixture with helically twisted structure wherein the helical pitch increases or decreases in the film thickness direction, and wherein the two quarter-wave plates have opposite twist sense.
- the chiral RM mixture comprises at least one, preferably exactly one, chiral compound with one or more isomerisable groups, preferably one or more photoisomerisable groups, which is preferably polymerisable.
- the chiral RM mixture comprises at least two, more preferably exactly two, chiral compounds with opposite handedness, one of which contains an isomerisable group, and the other of which does not contain an isomerisable group, and wherein one or both chiral compounds are polymerisable.
- the invention further relates to a process of preparing a half-wave plate as described above and below.
- the invention further relates to an optical, electronic or electro optical component or device as such, comprising a half-wave plate as described above and below.
- the invention further relates to an optical, electrooptical or electronic device or a component comprising a half-wave plate as described above and below.
- Said components include, without limitation, optical retardation films, polarizers, optical compensators, diffraction or surface gratings such as Bragg polarization gratings (Bragg PG), polarization volume gratings (PVG), Pancharatnam Berry gratings (PBG) or Pancharatnam Berry lenses (PBL), furthermore nonmechanical beam steering elements, optical waveguides, optical couplers or combiners, polarization beam splitters, partial mirrors, reflective films, alignment layers, colour filters, antistatic protection sheets, electromagnetic interference protection sheets, lenses for light guides, focusing and optical effects, polarization controlled lenses, and IR reflection films; for example for use in LC displays (LCDs), organic light emitting diodes (OLEDs), autostereoscopic 3D displays, see-through near-eye displays, augmented reality( AR) or virtual reality (VR) systems, switchable windows, spatial light modulators, optical data storage, remote optical sensing, holography, spectroscopy, optical telecommunications, polarimetry or front/
- Said devices include, without limitation, electro optical displays, especially LCDs, OLEDs, non-linear optic (NLO) devices, autostereoscopic 3D displays, see-through near-eye displays, AR/VR systems, goggles for AR/VR applications, switchable windows, spatial light modulators, optical data storage devices, optical sensors, holographic devices, spectrometers, optical telecommunication systems, polarimeters or front-/backlights.
- electro optical displays especially LCDs, OLEDs, non-linear optic (NLO) devices, autostereoscopic 3D displays, see-through near-eye displays, AR/VR systems, goggles for AR/VR applications, switchable windows, spatial light modulators, optical data storage devices, optical sensors, holographic devices, spectrometers, optical telecommunication systems, polarimeters or front-/backlights.
- Fig. 1a and b exemplarily and schematically illustrate the LC director orientation in a PB lens (a) and a PB grating (b).
- Fig. 2 shows the twist profile in a half-wave plate according to Example 1 of the present invention.
- Fig. 3 shows the transmission vs. wavelength plot for a film stack of Example 1 (a) with a half-wave plate according to the present invention, consisting of two quarter- wave plates with a pitch gradient, between crossed polarizers, and for a film stack of Comparison Example 1 (b) with a standard half-wave between crossed polarizers.
- Fig. 4 shows the transmission vs. wavelength plot for a film stack of Example 1 (a) with a half-wave plate according to the present invention, consisting of two quarter- wave plates with a pitch gradient, between crossed polarizers, and for a film stack of Comparison Example 2 (b) with a standard half-wave plate consisting of two standard quarter-wave plates between crossed polarizers.
- the expression “the two layers (or quarter-wave plates) have opposite twist sense” means that the twist sense of the helically twisted structure in the first of the said two layers (or quarter-wave plates) is opposite to the twist sense of the helically twisted structure in the second of the said two layers (or quarter-wave plates).
- film as used herein includes rigid or flexible, self-supporting or free- standing films with mechanical stability, as well as coatings or layers on a supporting substrate or between two substrates.
- monolithic film means a one-layer (or single-layer) film which is consisting of a single layer of a specific material, like for example a polymerised chiral RM mixture as described above and below.
- reactive mesogen and "RM” will be understood to mean a compound containing a mesogenic or liquid crystalline skeleton, and one or more functional groups attached thereto, optionally via spacer groups, which are suitable for polymerisation and are also referred to as “polymerisable group” or "P".
- polymerisable compound as used herein will be understood to mean a polymerisable monomeric compound.
- Polymerisable compounds or RMs with one polymerisable group are also referred to as “monoreactive” compounds, polymerisable compounds or RMs with two polymerisable groups as “direactive” compounds, and polymerisable compounds or RMs with more than two polymerisable groups as “multireactive” compounds.
- Compounds without a polymerisable group are also referred to as “non-reactive” compounds.
- liquid crystal means a compound that under suitable conditions of temperature, pressure and concentration can exist as a mesophase or in particular as a LC phase.
- clearing point means the temperature at which the transition between the mesophase with the highest temperature range and the isotropic phase occurs.
- mesogenic group as used herein is known to the person skilled in the art and described in the literature, and means a group which, due to the anisotropy of its attracting and repelling interactions, essentially contributes to causing a liquid-crystal (LC) phase in low-molecular-weight or polymeric substances.
- Compounds containing mesogenic groups do not necessarily have to have an LC phase themselves. It is also possible for mesogenic compounds to exhibit LC phase behaviour only after mixing with other compounds and/or after polymerisation. Typical mesogenic groups are, for example, rigid rod- or disc-shaped units.
- RM formulation means at least one RM or RM mixture, and one or more other materials added to the at least one RM or RM mixture to provide, or to modify, specific properties of the RM formulation and/or of the at least one RM therein. It will be understood that an RM formulation is also a vehicle for carrying the RM to a substrate to enable the forming of layers or structures thereon. Exemplary materials include, but are not limited to, solvents, polymerisation initiators, surfactants and adhesion promoters, etc. as described in more detail below.
- the percentage of a compound in an RM mixture as given above and below means % by weight of the total RM mixture, excluding solvents or additives as described above and below that are used in the RM formulation.
- PFAS per- and/or polyfluoroalkyl substance
- polyfluorinated alkyl or aryl group as used herein means an alkyl or aryl group which is substituted by two or more F atoms (wherein the F atoms may be attached either to the same or different C atoms), thus including perfluorocarbon groups.
- polymer will be understood to mean a molecule that encompasses a backbone of one or more distinct types of repeating units (the smallest constitutional unit of the molecule) and is inclusive of the commonly known terms “oligomer”, “copolymer”, “homopolymer” and the like. Further, it will be understood that the term polymer is inclusive of, in addition to the polymer itself, residues from initiators, catalysts, and other elements attendant to the synthesis of such a polymer, where such residues are understood as not being covalently incorporated thereto. Further, such residues and other elements, while normally removed during post polymerisation purification processes, are typically mixed or co-mingled with the polymer such that they generally remain with the polymer when it is transferred between vessels or between solvents or dispersion media.
- polymerisation means the chemical process to form a polymer by bonding together multiple polymerisable groups or polymer precursors (polymerisable compounds) containing such polymerisable groups.
- a “polymer network” is a network in which all polymer chains are interconnected to form a single macroscopic entity by many crosslinks.
- a graft polymer molecule is a branched polymer molecule in which one or more the side chains are different, structurally or configurationally, from the main chain.
- a star polymer molecule is a branched polymer molecule in which a single branch point gives rise to multiple linear chains or arms. If the arms are identical, the star polymer molecule is said to be regular. If adjacent arms are composed of different repeating subunits, the star polymer molecule is said to be variegated.
- chiral in general is used to describe an object that is non-superimposable on its mirror image.
- isomerisable I photoisomerisable compound means a compound comprising one or more isomerisable or photoisomerisable groups, respectively.
- isomerisation means a functional group of a molecule that causes a change of the geometry of the molecule, i.e. isomerisation, either by bond rotation, skeletal rearrangement or atom- or group- transfer, or by dimerization, which can be induced, e.g., thermally or photochemically or by adding a catalyst.
- photoisomerisable group means a functional group of a molecule that causes a change of the geometry of the molecule, i.e. isomerisation, either by bond rotation, skeletal rearrangement or atom- or group- transfer, or by dimerization, upon irradiation with light of a suitable wavelength that can be absorbed by the molecule (photoisomerisation).
- a chiral RM mixture in accordance with the present invention can be prepared, for example, by doping a host mixture comprising one or more RMs with a chiral compound having a high twisting power.
- a low value of the pitch is hereinafter also referred to as “short pitch”, and a high value of the pitch is hereinafter also referred to as “long pitch”.
- a short pitch corresponds to a highly twisted structure, i.e. , a higher twist angle
- a long pitch corresponds to a slowly twisted structure, i.e., a lower twist angle, around the helix axis within a given distance.
- the twist angle, 0, through a thickness, d is defined by the following equation: where p is the pitch as defined above.
- HTPtotal ⁇ i ci HTPi wherein q is the concentration of each individual chiral compound and HTPi is the helical twisting power of each individual chiral compound.
- IHTP ⁇ I ( ⁇ s Cs HTPs) - (( ⁇ rCr HTP r ) wherein c s is the concentration of each individual chiral compound with S configuration, HTP S is the helical twisting power of each individual chiral compound having S configuration and wherein c r is the concentration of each individual chiral compound with R configuration and HTPR is the helical twisting power of each individual chiral compound having R configuration.
- the birefringence An is defined as follows
- n av . ((2n 0 2 + n e 2 )/3) 1/2
- the average refractive index n av . and the ordinary refractive index n 0 can be measured using an Abbe refractometer. An can then be calculated from the above equations.
- ⁇ ⁇ n , .
- UV light means electromagnetic radiation with a wavelength in a range from about 400 nm to about 740 nm.
- UV light means electromagnetic radiation with a wavelength in a range from about 200 nm to about 450 nm.
- linearly polarised light means light, which is at least partially linearly polarized.
- the aligning light is linearly polarized with a degree of polarization of more than 5:1.
- Wavelengths, intensity and energy of the linearly polarised light are chosen depending on the photosensitivity of the photoalignable material.
- the wavelengths are in the UV-A, UV-B and/or UV-C range or in the visible range.
- the linearly polarised light comprises light of wavelengths less than 450 nm, more preferably less than 420 nm at the same time the linearly polarised light preferably comprises light of wavelengths longer than 280nm, preferably more than 320nm, more preferably over 350nm.
- the Irradiance (E e ) or radiation power is defined as the power of electromagnetic radiation (d0) per unit area (dA) incident on a surface:
- the radiant exposure or radiation dose (H e ), is as the irradiance or radiation power (E e ) per time (t):
- “Polarisability” means the ease with which the electron distribution in the atom or molecule can be distorted.
- the polarizability increases with greater number of electrons and a more diffuse electron cloud.
- the polarizability can be calculated using a method described in e.g. Jap. J. Appl. Phys. 42, (2003) p. 3463.
- optical retardation at a given wavelength R( ) (in nm) of a layer of liquid crystalline or birefringent material is defined as the product of birefringence at that wavelength ⁇ n( ⁇ ) and layer thickness d (in nm) according to the following equation:
- optical retardation R represents the difference in the optical path lengths in nanometres travelled by S-polarised and P-polarised light whilst passing through the birefringent material.
- On-axis retardation means the retardation at normal incidence to the sample surface.
- the retardation ( R( ⁇ )) of a material can be measured using a spectroscopic ellipsometer, for example the M2000 spectroscopic ellipsometer manufactured by J. A. Woollam Co. This instrument can measure the optical retardance in nanometres of a birefringent sample e.g., Quartz over a range of wavelengths typically, 370nm to 2000nm. From this data it is possible to calculate the dispersion (R(450)/R(550) or An(450)/An(550)) of a material.
- director is known in prior art and means the preferred orientation direction of the long molecular axes (in case of calamitic compounds) or short molecular axes (in case of discotic compounds) of the liquid-crystalline or RM molecules. In case of uniaxial ordering of such anisotropic molecules, the director is the axis of anisotropy.
- alignment or “orientation” relates to alignment (orientational ordering) of anisotropic units of material such as small molecules or fragments of big molecules in a common direction named “alignment direction”.
- alignment direction In an aligned layer of liquid- crystalline or RM material the liquid-crystalline director coincides with the alignment direction so that the alignment direction corresponds to the direction of the anisotropy axis of the material.
- uniform orientation or “uniform alignment” of an liquid-crystalline or RM material, for example in a layer of the material, mean that the long molecular axes (in case of calamitic compounds) or the short molecular axes (in case of discotic compounds) of the liquid-crystalline or RM molecules are oriented substantially in the same direction. In other words, the lines of liquid-crystalline director are parallel.
- homeotropic structure I alignment I orientation refer to a film wherein the optical axis is substantially perpendicular to the film plane.
- planar structure /alignment I orientation refer to a film wherein the optical axis is substantially parallel to the film plane.
- It is preferably straight-chain, has 2, 3, 4, 5, 6 or 7 C atoms and accordingly preferably denotes ethyl, propyl, butyl, pentyl, hexyl, heptyl, ethoxy, propoxy, butoxy, pentoxy, hexyloxy or heptyloxy, furthermore methyl, octyl, nonyl, decyl, undecyl, dodecyl, tridecyl, tetra- decyl, pentadecyl, methoxy, octyloxy, nonyloxy, decyloxy, undecyloxy, dodecyloxy, tridecyloxy or tetradecyloxy.
- R including any variations thereof such as R 1 , R°, R°°, R*°, R 11 , R 22 , R c , R 3 , R 4 etc., or L denotes an alkyl radical and/or an alkoxy radical, this may be straight-chain or branched.
- R including any variations thereof such as R 1 , R°, R°°, R°*, R 11 , R 22 , R c , R 3 , R 4 etc., or L denotes an alkyl radical wherein one or more CH2 groups are replaced by S, this may be straight-chain or branched. It is preferably straight-chain, has 1 , 2, 3, 4, 5, 6 or 7 C atoms and accordingly preferably denotes thiomethyl, thioethyl, thiopropyl, thiobutyl, thiopentyl, thiohexyl or thioheptyl.
- R including any variations thereof such as R 1 , R°, R°°, R*°, R 11 , R 22 , R c , R 3 , R 4 etc., or L denotes an alkoxy or oxaalkyl group it may also contain one or more additional oxygen atoms, provided that oxygen atoms are not linked directly to one another.
- one or more of R including any variations thereof such as R 1 , R°, R°°, R*°, R 11 , R 22 , R c , R 3 , R 4 etc., or L are selected from the group consisting of
- Ci-12-alkyl or C2-i2-alkenyl and very preferably are selected from the group consisting of
- R including any variations thereof such as R 1 , R0, R00, R*0, R 11 , R 22 , R c , R 3 , R 4 etc., or L denotes an alkyl or alkenyl radical which is at least monosubstituted by halogen, this radical is preferably straight- chain, and halogen is preferably F or Cl. In the case of polysubstitution, halogen is preferably F.
- the resultant radicals also include perfluorinated radicals. In the case of monosubstitution, the fluorine or chlorine substituent may be in any desired position, but is preferably in the ⁇ -position.
- Halogen is preferably F or Cl, very preferably F.
- substituents L are, for example, F, Cl, CN, NO2, CH3, C2H5, OCH 3 , SCH 3 , OC2H5, SC2H5, COCH3, COC2H5, COOCH3, COOC2H5, CF 3 , OCF 3 , OCHF2, OC2F5, furthermore phenyl. in which L has one of the meanings indicated above.
- aryl and heteroaryl groups encompass groups, which can be monocyclic or polycyclic, i.e. they can have one ring (such as, for example, phenyl) or two or more rings, which may also be fused (such as, for example, naphthyl) or covalently linked (such as, for example, biphenyl), or contain a combination of fused and linked rings.
- Heteroaryl groups contain one or more heteroatoms, preferably selected from O, N, S and Se.
- Preferred aryl groups are, for example, phenyl, biphenyl, terphenyl, [1 ,1':3',1"]- , -'terphenyl-2'-yl, naphthyl, anthracene, binaphthyl, phenanthrene, pyrene, dihydropyrene, chrysene, perylene, tetracene, pentacene, benzopyrene, fluorene, indene, indenofluorene, spirobifluorene, more preferably 1,4- phenylene, 4,4’-biphenylene, 1 , 4-tephenylene.
- Preferred heteroaryl groups are, for example, 5 membered rings, such as pyrrole, pyrazole, imidazole, 1 ,2,3-triazole, 1 ,2,4-triazole, tetrazole, furan, thiophene, selenophene, oxazole, isoxazole, 1,2 thiazole, 1,3-thiazole, 1 ,2,3-oxadiazole, 1,2,4 oxadiazole, 1,2,5-oxadiazole, 1,3,4-oxadiazole, 1,2,3-thiadiazole, 1,2,4-thiadiazole, 1 ,2,5-thiadiazole, 1,3,4-thiadiazole, 6 membered rings, such as pyridine, pyridazine, pyrimidine, pyrazine, 1 ,3,5-triazine, 1 ,2,4-triazine, 1 ,2,3-triazine, 1 ,2,4,5-t
- the polymerisable group P is a group which is suitable for a polymerisation reaction, such as, for example, free- radical or ionic chain polymerisation, polyaddition or polycondensation, or for a polymer-analogous reaction, for example addition or condensation onto a main polymer chain.
- a polymerisation reaction such as, for example, free- radical or ionic chain polymerisation, polyaddition or polycondensation, or for a polymer-analogous reaction, for example addition or condensation onto a main polymer chain.
- groups which are suitable for polymerisation with ring opening such as, for example, oxetane or epoxide groups.
- CW 1 CH-CO-(O) k3 -
- CW 1 CH-CO-NH-
- CH 2 CW-CO-NH-
- W 1 denotes H, F, Cl, CN, CF3, phenyl or alkyl having 1 to 5 C atoms, in particular H, F, Cl or CH3, W 2 and W 3 each, independently of one another, denote H or alkyl having 1 to 5 C atoms, in particular H, methyl, ethyl or n-propyl, W 4 , V ⁇ and W 5 each, independently of one another, denote Cl, oxaalkyl or oxacarbonylalkyl having 1 to 5 C atoms, W 7 and W 8 each, independently of one another, denote
- Very particularly preferred groups P including any variations thereof such as P°, P 1 ,
- CH 2 CH-CO-O-
- CH 2 C(CH 3 )-CO-O-
- P°, P 1 , P 2 , P*° are selected from the group consisting of vinyloxy, acrylate, methacrylate, fluoroacrylate, chloroacrylate, oxetane and epoxide, most preferably from acrylate and methacrylate.
- all polymerisable groups have the same meaning, and preferably denote acrylate or methacrylate, very preferably acrylate.
- the spacer group including any variations thereof such as Sp0, Sp 1 , Sp 2 , Sp*°, when being different from a single bond, is preferably of the formula Sp"-X", so that the respective radical P-Sp- etc. conforms to the formula P-Sp"-X"-, wherein
- R° and R°° each, independently of one another, denote H or alkyl having 1 to 20 C atoms, and
- Y 2 and Y 3 each, independently of one another, denote H, F, Cl or CN.
- X" is preferably -O-, -S-, -CO-, -COO-, -OCO-, -O-COO-, -CO-NR 0 -, -NR°-CO-, -NR°- CO-NR 00 - or a single bond.
- Typical spacer groups Sp including any variations thereof such as Sp°, Sp 1 , Sp 2 , Sp*°, and -Sp"-X"- are, for example, -(CH 2 ) P1 -, -(CH 2 ) P1 -O-, -(CH 2 ) P1 -O-CO-, -(CH 2 ) P1 -CO-O-, - (CH 2 ) P1 -O-CO-O-, -(CH2CH 2 O) q i-CH 2 CH2-, -CH2CH2-S-CH2CH2-, -CH2CH2-NH-CH2CH2- or -(SiR0R 00 -O) p1 -, in which p1 is an integer from 1 to 12, q1 is an integer from 1 to 3, and R° and R°° have the meanings indicated above.
- Particularly preferred groups Sp including any variations thereof such as Sp°, Sp 1 , Sp 2 , Sp*°, and -Sp"-X"- are -(CH 2 ) P1 -, -(CH 2 ) P1 -O-, -(CH 2 ) P1 -O-CO-, -(CH 2 ) P1 -CO-O-, -(CH 2 ) P1 -O- CO-O-, in which p1 and q1 have the meanings indicated above.
- Particularly preferred groups Sp" are, in each case straight-chain, ethylene, propylene, butylene, pentylene, hexylene, heptylene, octylene, nonylene, decylene, undecylene, dodecylene, octadecylene, ethyleneoxyethylene, methyleneoxybutylene, ethylenethioethylene, ethylene-N-methyliminoethylene, 1 -methylalkylene, ethenylene, propenylene and butenylene.
- the polymerisable compounds as disclosed above and below contain a spacer group Sp, including any variations thereof such as Sp°, Sp 1 , Sp 2 , Sp*°, that is substituted by one or more polymerisable groups P, so that the group Sp- P etc. corresponds to Sp(P) s , with s being >2 (branched polymerisable groups).
- a spacer group Sp including any variations thereof such as Sp°, Sp 1 , Sp 2 , Sp*°, that is substituted by one or more polymerisable groups P, so that the group Sp- P etc. corresponds to Sp(P) s , with s being >2 (branched polymerisable groups).
- Preferred polymerisable compounds according to this preferred embodiment are those wherein s is 2, i.e. , compounds which contain a group Sp(P)2.
- Very preferred polymerisable compounds according to this preferred embodiment contain a group selected from the following formulae:
- X has one of the meanings indicated for X", and is preferably O, CO, SO2, O-CO-, CO-O or a single bond.
- Very preferred spacer groups Sp(P)2 are selected from the following subformulae:
- each quarter-wave plate consisting of a polymer film which is formed from a polymerised chiral RM mixture with helically twisted structure and exhibits a pitch gradient, i.e. , wherein the helical pitch increases or decreases, in the film thickness direction, and wherein the helices in the two quarter-wave plates have opposite twist sense.
- Each quarter-wave plate according to the present invention consists of a monolithic film of a polymerised chiral RM mixture.
- the chiral RM mixture is hereinafter also referred to as “RM mixture (according to the present invention)”.
- the film of the polymerised chiral RM mixture forming the quarter-wave plate is hereinafter also simply referred to as “polymer film (according to the present invention)”.
- a half-wave plate according to the present invention thus comprises, preferably consists, of two polymer films according to the present invention as described above and below.
- the RM mixture used for preparing the polymer film preferably contains at least one RM and at least one chiral compound with one or more isomerisable groups, preferably one or more photoisomerisable groups, like for example cinnamate groups.
- the chiral compound with one or more isomerisable groups is preferably polymerisable.
- the isomerisable group(s) in this chiral compound can undergo a photo driven E/Z isomerisation reaction, and in doing so exhibits a reduction in helical twisting power (HTP).
- HTP helical twisting power
- this allows to replicate a two-layer chiral RM film as described in prior art into a one-layer, or monolithic, film.
- problems related to multilayer film preparation where multiple RM layers with different pitch values have to be coated onto each other, like insufficient alignment transfer between the RM layers, the appearance of alignment defects, damage in the lower RM layer caused by the subsequent layer, or the control of the different pitch values and slant angles in the individual RM layers.
- the polymer film according to the present invention exhibits a non-linear twist profile with an accelerating twist through the film thickness, which can be achieved by use of the photoisomerisable chiral compound that undergoes isomerisation while partial polymerisation occurs.
- the non-linear twist profile can be achieved by a process of preparing a polymer film according to the present invention as described above and below. This process contains two steps of irradiating the chiral RM layer with actinic radiation, for example UV light, which causes both photoisomerisation of the chiral compound and photopolymerisation of the RMs.
- the first irradiation step involves UV irradiation of the RM layer in air rather than in an inert atmosphere such as nitrogen gas.
- an inert atmosphere such as nitrogen gas.
- the polymerised LC medium exhibits an accelerated chiral rotation in a direction perpendicular to the main plane of the polymer film, i.e. , in the film thickness direction, thereby creating a non- linear twist through the film thickness.
- the second irradiation step is carried out in an inert gas atmosphere, for example nitrogen, which completes the polymerisation process also in the upper regions of the RM layer, so that the RM layer is fully polymerised into a polymer film with the non- linear twist locked in.
- an inert gas atmosphere for example nitrogen
- the polymer film according to the present invention has planar alignment, and by adding a small amount of a chiral dopant with high twisting power a helical twist is induced in a direction throughout the film thickness. As a result a perpendicular director orientation can be provided in a single film using only one RM mixture. This enables low material cost and increases market competitiveness.
- the biased helical pitch (or helical pitch gradient), i.e. , wherein the chiral twist angle increases incrementally through the film thickness (i.e., in a direction perpendicular to the film plane), in the polymer film according to the present invention can be already be achieved by application of low intensity UV light.
- the polymer film and its preparation process according to the present invention can provide the following advantages:
- the chiral RM mixture can easily be aligned into the desired orientation, for example on a planar alignment layer or on a PB grating,
- a perpendicular director orientation can be provided in a single film and using only one RM mixture, which enables low material cost and increases market competitiveness,
- the helical pitch gradient in the polymer film can already be achieved by application of low intensity UV light
- the process of preparing the polymer film requires only one additional process step compared to the process of preparing a conventional single, planar aligned RM film
- the said additional process step is a low intensity UV exposure in air to cause photoisomerisation of the chiral compound, and does not require an inert gas atmosphere or additional heating or cooling of the film.
- each quarter-wave plate according to the present invention contains only one polymer film with a pitch gradient formed from the polymerised chiral RM mixture.
- the half-wave plate according to the present invention comprises, preferably consists of, two such polymer films with a pitch gradient formed from the polymerised chiral RM mixture.
- the chiral RM mixture used for preparing a polymer film or quarter-wave plate according to the present invention comprises one or more chiral isomerisable compounds, preferably selected from chiral photoisomerisable compounds.
- the chiral isomerisable compounds can be polymerisable or not polymerisable. They can be non-mesogenic compounds or mesogenic compounds. If the chiral isomerisable compounds are polymerisable they can be monoreactive or multi reactive.
- the chiral RM mixture comprises one or more chiral isomerisable compounds which are polymerisable.
- the chiral RM mixture contains exactly one chiral isomerisable compound.
- the chiral RM mixture contains only chiral isomerisable compounds which are selected from polymerisable, preferably selected from mono- or direactive, chiral isomerisable compounds.
- the chiral RM mixture comprises at least two, more preferably exactly two, chiral compounds with opposite handedness, one of which contains an isomerisable group, and the other of which does not contain an isomerisable group, and wherein one or both, preferably both, chiral compounds are polymerisable.
- the chiral RM mixture does not contain a chiral compound which does not contain an isomerisable group, in particular does not contain a photoisomerisable group.
- the chiral RM mixture does not contain any other chiral compounds in addition to the chiral isomerisable compound(s).
- Suitable and preferred polymerisable chiral isomerisable compounds comprise one or more ring elements, linked together by a direct bond or via a linking group and, where two of these ring elements optionally may be linked to each other, either directly or via a linking group, which may be identical to or different from the linking group mentioned.
- the ring elements are preferably selected from the group of four-, five-, six- or seven-, preferably of five- or six-, membered rings.
- Preferred chiral isomerisable compounds are selected of formula I*:
- R 3 , R 4 H, F, Cl, CN, P-Sp- or an alkyl radical with up to 25 C atoms which may be unsubstituted, mono- or polysubstituted by halogen or CN, it being also possible for one or more non-adjacent CH2 groups to be replaced, in each case independently from one another, by -O-, -S-, -NH-, -N(CH3)-, -CO-, - COO- -OCO-, -OCO-O-, -S-CO-, -CO-S- or -C C- in such a manner that oxygen atoms are not linked directly to one another,
- a 3 , A 4 an alicyclic, heterocyclic, aromatic or heteroaromatic group with 4 to 20 ring atoms, which is monocyclic or polycyclic and which is optionally substituted by one or more groups L or P-Sp-,
- R 3 or R 4 is an alkyl or alkoxy radical, i.e. where the terminal CH2 group is replaced by - O-, this may be straight-chain or branched.
- It is preferably straight-chain, has 2, 3, 4, 5, 6, 7 or 8 carbon atoms and accordingly is preferably ethyl, propyl, butyl, pentyl, hexyl, heptyl, octyl, ethoxy, propoxy, butoxy, pentoxy, hexoxy, heptoxy, or octoxy, furthermore methyl, nonyl, decyl, undecyl, dodecyl, tridecyl, tetradecyl, pentadecyl, methoxy, nonoxy, decoxy, undecoxy, dodecoxy, tridecoxy or tetradecoxy, for example.
- Preferred compounds of formula I* and its subformulae are those wherein at least one of R 3 and R 4 , preferably both R 3 and R 4 , denote P-Sp-.
- R 3 and R 4 are different from P-Sp-, and preferably denotes alkyl or alkoxy with 1 to 12, more preferably 1 to C atoms, and one of R 3 and R 4 may also denote F, Cl or CN.
- a 3 and A 4 are selected from the group consisting of 1,4-phenylene, 1,3-phenylene, naphthalene-1,4-diyl, naphthalene-2,6-diyl, phenanthrene-2,7-diyl, 9,10-dihydro- phenanthrene-2,7-diyl, anthracene-2,7-diyl, anthracene-9,10-diyl, fluorene-2,7-diyl, dibenzothiophene-2, 7-diyl, dibenzofuran-2,7-diyl, benzo[1 ,2-b:4,5-b']dithiophene-2,5- diyl, indole-4, 7-diyl, benzothiophene-4, 7-diyl, coumarine, flavone, where, in addition, one or more CH
- Very preferred compounds of formula I* and its subformulae are those wherein A 3 and A 4 are selected from the group consisting of 1 ,4-phenylene, naphthalene-1 ,4-diyl, naphthalene 2,6-diyl, 1 ,4-cyclohexylene in which, in addition, one or two non-adjacent CH2 groups may be replaced by O and/or S, 1 ,4-cyclohexenylene, 1 ,4- bicyclo(2,2,2)octylene, piperidine-1 ,4-diyl, naphthalene-2,6-diyl, decahydronaphthalene-2,6-diyl, or 1 ,2,3,4-tetrahydro-naphthalene-2,6-diyl, very preferably 1 ,4-phenylene or 1 ,4-cyclohexylene, all of which are optionally substituted by one or more groups L or P-
- L is selected from F, Cl, CN, CH 3 , C 2 H 5 , OCH 3 , OC2H5, COCH 3 , COC2H5, CF 3 , OCF 3 , P- Sp-, in particular F, Cl, CN, CH3, C2H5, OCH3, COCH3 or OCF3 , most preferably F, CH 3 , OCH 3 or COCH 3 .
- P is selected from the group consisting of vinyloxy, acrylate, methacrylate, fluoroacrylate, chloroacrylate, oxetane and epoxide, very preferably from acrylate and methacrylate, most preferably acrylate.
- Further preferred compounds of formula I* and its subformulae are those wherein Sp denotes a single bond or -(CH2) P 1-, -O-(CH2) P1 -, -O-CO-(CH2) P1 , or -CO-O-(CH2) P1 , wherein p1 is an integer from 2 to 10, preferably 2, 3, 4, 5 or 6, and, if Sp is -O- (CH 2 ) P1 -, -O-CO-(CH2) P1 or -CO-O-(CH2) P1 the O-atom or CO-group, respectively, is linked to the benzene ring.
- Further preferred compounds of formula I* and its subformulae are those wherein all polymerisable groups P that are present in the compound have the same meaning, and very preferably denote acrylate or methacrylate, most preferably acrylate.
- Further preferred compounds of formula I* and its subformulae are those wherein at least one group Sp is different from a single bond, and is selected from -(CH2) P1 -, -O- (CH2) P1 -, -O-CO-(CH2) P1 , or -CO-O-(CH2) P 1, wherein p1 is an integer from 2 to 10, preferably 2, 3, 4, 5 or 6, and, if Sp is -O-(CH2) P1 -, -O-CO-(CH2) P1 or -CO-O-(CH2) P1 the O-atom or CO-group, respectively, is linked to the benzene ring.
- R a or R b is a group of formula P-Sp-
- the spacer groups on each side of the mesogenic core may be identical or different.
- m and I are preferably 0 or 1.
- q is preferably 0 or 1 , very preferably 0.
- P, Sp, A 3 , A 4 , Z 3 , Z 4 and G have the meanings given for formula I* or one of their preferred meanings as described above and below
- R* has one of the meanings of R 3 which is different from P-Sp-
- R** has one of the meanings of R 4 which is different from P-Sp-.
- Particularly preferred compounds of the formula l*2, I3, l*5, l*6, l*7, l*9 and 1*10 are those of the following formulae:
- P, Sp, Z 3 , Z 4 and G have the meanings given for formula I* or one of their preferred meanings as described above and below
- R* has one of the meanings of R 3 in formula I* which is different from P-Sp-
- R** has one of the meanings of R 4 in formula I* which is different from P-Sp-.
- R* and R** are independently of each other alkyl or alkoxy with 1 to 12 C atoms, or alkyl or alkoxy with 1 to 12 C atoms and the other is F, Cl or CN.
- -Sp- is preferably alkylene or alkyleneoxy with 1 to 12 C atoms
- P is preferably acrylate or methacrylate
- Preferred compounds of formula I* and its subformulae are those wherein G denotes or contains a photoisomerisable group.
- Further preferred compounds of formula I* and its subformulae are those containing an isomerisable group selected from stilbene, (1,2-difluoro-2-phenyl-vinyl)-benzene, cinnamate, a-cyanocinnamate, 4-phenylbut-3-en-2-one, Schiff base, 2-benzyliden-1- indanone, chaicone, coumarin, chromone, pentalenone or azobenzene.
- an isomerisable group selected from stilbene, (1,2-difluoro-2-phenyl-vinyl)-benzene, cinnamate, a-cyanocinnamate, 4-phenylbut-3-en-2-one, Schiff base, 2-benzyliden-1- indanone, chaicone, coumarin, chromone, pentalenone or azobenzene.
- chiral group G is selected or derived from dianhydrohexitol, preferably isosorbide, isomannide or isoidide, 1,1’-bi-2-naphthol (binol), 1,2-diphenyl-1 ,2-ethanediol (hydrobenzoin), 2-benzylidene-p-menthan-3-one and menthyl cinnamate ((1/ ,2S,5R)- 5-Methyl-2-(1-methylethyl)cyclohexyl (2E)-3-phenyl-2-propenoate).
- Formula A includes the following stereoisomers based on the corresponding dianhydrohexitols:
- X, L and q have the meanings given in formula A, and wherein Ai is based on isosorbide, Aii is based on isomannide and Aiii is based on isoidide. Especially preferred is Ai.
- X, L and q have the meanings given in formula A or one of the preferred meanings as given above and below,
- R 11 and R 12 independently of each other denote -(Z 4 -A 4 )i-R 4 as defined in formula I*, or R 11 and R 12 together with the O atoms form a cyclic group or a spirocyclic group which is optionally substituted by a group -(Z 4 -A 4 )i-R 4 as defined in formula I*, R 13 and R 14 independently of each other denote R 3 -(A 3 -Z 3 ) m - as defined in formula I*, a1 and a2 independently of each other are 0, 1 or 2, and the dashed lines represent a linkage to the adjacent group(s) in formula I*.
- stereoisomers of formula l*A, l*B, l*A1 , l*A2 and l*A3 wherein the central isosorbide unit is replaced by an isomannide or isoidide unit.
- P is preferably acrylate or methacrylate, very preferably acrylate
- Sp is preferably -O-(CH2) P1 -, -O-CO-(CH2) P 1- or -O-(CH2) P1 - ,, very preferably -O-(CH2) P1 -, wherein the O-atom or CO-group, respectively, is linked to the benzene ring
- p1 is an integer from 1 to 6, more preferably 2, 3, 4, 5 or 6, and R 4 is preferably P-Sp-.
- R 16 and R 17 independently of each other denote alkyl with 1 to 12, preferably 1 to 6 C atoms, very preferably methyl, ethyl or propyl, and R 18 denotes P-Sp-, H or alkyl with 1 to 12, preferably 1 to 6 C atoms, very preferably H.
- P is preferably acrylate or methacrylate, very preferably acrylate
- Sp is preferably -O-(CH2) P1 -, -O-CO-(CH2) P1 - or -CO-O- (CH 2 ) P1 -, very preferably -O-(CH2) P1 -, wherein the O-atom or CO-group, respectively, is linked to the benzene ring
- p1 is an integer from 1 to 6, more preferably 2, 3, 4, 5 or 6,
- R* and R** are preferably, independently of each other, alkyl or alkoxy with 1 to 12, very preferably 1 to 6, C atoms.
- the compounds of formula IA* can be prepared for example according to or in analogy to the method described in GB 2314839 A.
- the compounds of formulae l*E1 to l*E15 can be prepared for example according to or in analogy to the method described in WO 02/40614 A1.
- the utilized chiral isomerisable compounds have each alone or in combination with each other an absolute value of the helical twisting power (I HTP total ) of 20 pm -1 or more, preferably of 40 pm -1 or more, more preferably in the range of 60 pm -1 or more, most preferably in the range of 80 pm -1 or more to 260 pm -1 .
- I HTP total the absolute value of the helical twisting power
- the proportion of the chiral isomerisable compounds, especially those selected from formula I* or its subformulae, in the RM mixture according to the present invention as a whole is in the range from 0.1 to 4 % by weight, very preferably in the range from 0.2 to 3 % by weight, most preferably in the range from 0.3 to 2 % by weight.
- the RM mixture contains, in addition to the chiral isomerisable compound, one or more, preferably exactly one, chiral compounds which are not isomerisable.
- the configuration of the isomerisable chiral compound is selected to be different from the configuration of the non-isomerisable chiral compound.
- the nonisomerisable chiral compound of (S) configuration is preferred and vice versa.
- the individual values for the HTP of the individual chiral compounds with different configuration may compensate each other in terms of their individual helical twisting power to give a resulting absolute value of the HTP, hereinafter also named IHTPD I.
- the chiral RM mixture comprises one or more chiral compounds with (S)-configuration, and additionally one or more chiral compounds with (R)-configuration, wherein at least one, preferably exactly one, of said chiral compounds either in (S) configuration or in (R) configuration is selected from isomerisable chiral compounds and the resulting IHTPD I is in the range from 0.1 pm -1 to 100 pm -1 , more preferably in the range of 0.5 pm -1 to 50 pm -1 , most preferably in the range of 1 pm -1 to 25 pm -1 .
- non-isomerisable chiral compounds By adding one or more non-isomerisable chiral compounds it is possible to adjust the central wavelength of the reflection band of the RM mixture.
- the additional non- isomerisable chiral compound can have the same twist sense or opposite twist sense than the chiral isomerisable compound. Accordingly the reflection waveband of the RM mixture will be shifted to shorter or longer wavelengths, respectively.
- the isomerisable and the non-isomerisable chiral compounds have opposite handedness and, as a result, opposite twist sense.
- the RM mixture contains one or more, preferably exactly one, chiral isomerisable compound, which is preferably polymerisable, especially selected from formula I* or its subformulae, and additionally contains one or more, preferably exactly one, non-isomerisable chiral compound, which is optionally polymerisable, and which very preferably has opposite twist sense than the chiral isomerisable compound.
- the additional polymerisable chiral compounds have alone or in combination with each other an absolute value of the helical twisting power (I HTP to tail) of 20 pm -1 or more, preferably of 40 pm -1 or more, more preferably in the range of 60 pm -1 or more, most preferably in the range of 80 pm -1 or more to 260 pm -1 .
- I HTP to tail an absolute value of the helical twisting power
- the additional, non-isomerisable chiral compound is selected from polymerisable compounds, which are preferably mono- or direactive.
- Suitable non-isomerisable, polymerisable chiral compounds preferably comprise one or more ring elements, linked together by a direct bond or via a linking group and, where two of these ring elements optionally may be linked to each other, either directly or via a linking group, which may be identical to or different from the linking group mentioned.
- the ring elements are preferably selected from the group of four-, five-, six- or seven-, preferably of five- or six-, membered rings.
- Preferred non-isomerisable, polymerisable chiral compounds are selected from the formulae CRM1 , CRM2 and CRM3: wherein the individual radicals, independently of each other and on each occurrence identically or differently, have the following meanings P°* a polymerisable group,
- stereoisomers of formula CRM2 wherein the central isosorbide unit is replaced by an isomannide or isoidide unit.
- the compounds of formula CRM1 are preferably selected from the following formula: wherein A 0 , B°, Z 0 *, X 2 , P 0 *, a and b have the meanings given in formula CRMa or one of the preferred meanings given above and below, and (OCO) denotes -O-CO- or a single bond.
- Especially preferred compounds of formula CRM are selected from the group consisting of the following subformulae:
- R* is -X 2 -(CH2)t-P0* as defined in formula CRM1-1 , and the benzene and naphthalene rings are unsubstituted or substituted with 1, 2, 3 or 4 groups L as defined above and below.
- concentration in the RM mixture is preferably from 0.1 to 10 %, more preferably from 0.5 to 8 % by weight of the total RM mixture.
- the additional, non-isomerisable chiral compound is selected from non-polymerisable compounds. These chiral compounds may be non- mesogenic compounds or mesogenic compounds.
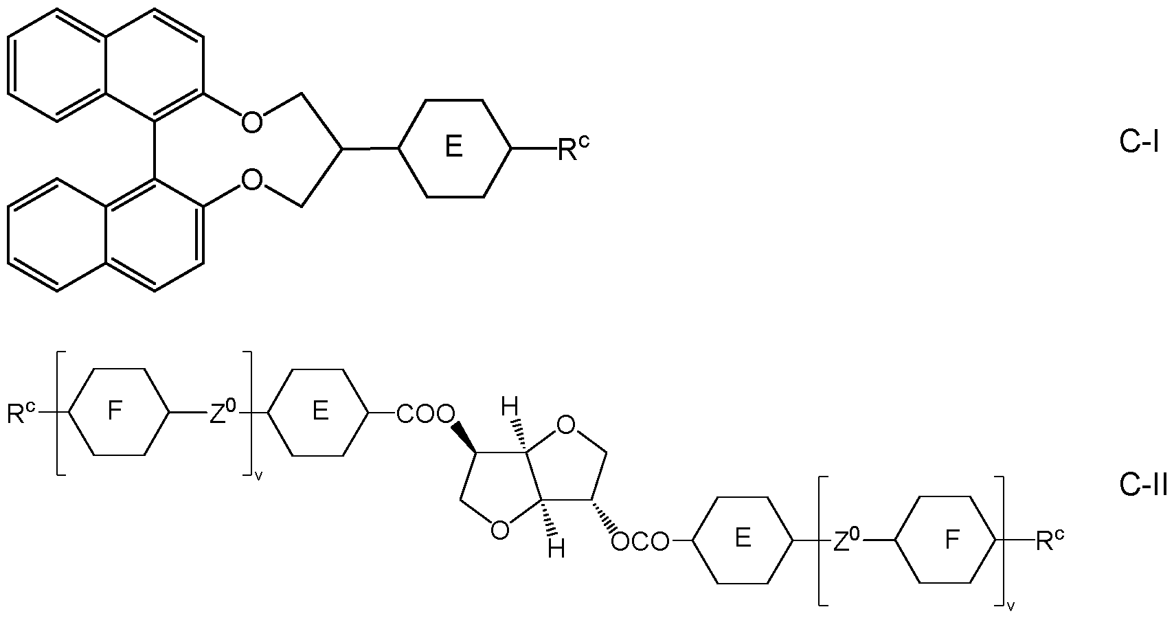
- Preferred non-isomerisable, non-polymerisable chiral compounds are selected from the group consisting of compounds of formulae C-l to C-lll, wherein formula C-ll and C-lll include the respective (S,S) enantiomers, and wherein E and F are each independently 1 ,4-phenylene or trans-1 ,4-cyclohexylene, v is 0 or 1 , Z° is -COO-, -OCO-, -CH2CH2- or a single bond, and R c is alkyl, alkoxy or alkanoyl with 1 to 12 C atoms.
- stereoisomers of formula C-ll wherein the central isosorbide unit is replaced by an isomannide or isoidide unit.
- the compounds of formula C-l and their synthesis are described in EP1389199 A1.
- the compounds of formula C-ll and their synthesis are described in W098/00428 A1.
- the compounds of formula C-lll and their synthesis are described in GB2328207 A.
- Additional chiral dopants are e.g. the commercially available R/S- 6011 , R/S-5011 , R/S-4011 , R/S-3011 , R/S-2011 , R/S-1011 , R/S-811 and CB-15 (from Merck KGaA, Darmstadt, Germany).
- the amount of the non-polymerisable and non-isomerisable chiral dopants in the chiral RM mixture is preferably from 0.1 to 10 %, more preferably from 0.5 to 8 % by weight of all solids.
- the chiral RM mixture comprises, in addition to the chiral compounds, one or more achiral RMs.
- the RM mixture comprises one or more additional, achiral RMs having only one polymerisable functional group (monoreactive RMs) and/or one or more additional, achiral RMs having two or more polymerisable functional groups (di- or multireactive RMs).
- Additional achiral, di- or multireactive RMs are preferably selected of formula DRM:
- P 1 , P 2 independently of each other denote a polymerisable group
- Sp 1 , Sp 2 independently of each other are a spacer group or a single bond
- MG is a rod-shaped mesogenic group, which is preferably selected of formula MG
- a 1 and A 2 denote, in case of multiple occurrence independently of one another, an aromatic or alicyclic group, which optionally contains one or more heteroatoms selected from N, O and S, and is optionally mono- or polysubstituted by L,
- L is P-Sp-, F, Cl, Br, I, -CN, -NO 2 , -NCO, -NCS, -OCN, -SCN, -
- R x and R y independently of each other denote H or alkyl with 1 to 12 C-atoms
- Z 1 denotes, in case of multiple occurrence independently of one another, - single bond, preferably -COO-, -OCO- or a single bond,
- Y 1 and Y 2 independently of each other denote H, F, Cl or CN, n is 1 , 2, 3 or 4, preferably 1 or 2, most preferably 2, n1 is an integer from 1 to 10, preferably 1 , 2, 3 or 4.
- Preferred groups A 1 and A 2 include, without limitation, furan, pyrrol, thiophene, oxazole, thiazole, thiadiazole, imidazole, phenylene, cyclohexylene, bicyclooctylene, cyclohexenylene, pyridine, pyrimidine, pyrazine, azulene, indane, fluorene, naphthalene, tetrahydronaphthalene, anthracene, phenanthrene and dithienothiophene, all of which are unsubstituted or substituted by 1, 2, 3 or 4 groups L as defined above.
- Particular preferred groups A 1 and A 2 are selected from 1,4-phenylene, pyridine-2,5- diyl, pyrimidine-2,5-diyl, thiophene-2, 5-diyl, naphthalene-2,6-diyl, 1,2,3,4-tetrahydro- naphthalene-2,6-diyl, indane-2, 5-diyl, bicyclooctylene or 1,4-cyclohexylene wherein one or two non-adjacent CH2 groups are optionally replaced by O and/or S, wherein these groups are unsubstituted or substituted by 1, 2, 3 or 4 groups L as defined above.
- Preferred RMs of formula DRM are selected of formula DRMa
- P° is, in case of multiple occurrence independently of one another, a polymerisable group, preferably an acryl, methacryl, oxetane, epoxy, vinyl, heptadiene, vinyloxy, propenyl ether or styrene group,
- L has on each occurrence identically or differently one of the meanings given for L 1 in formula I, and is preferably, in case of multiple occurrence independently of one another, selected from F, Cl, CN or optionally halogenated alkyl, alkoxy, alkylcarbonyl, alkoxycarbonyl, alkylcarbonyloxy or alkoxycarbonyloxy with 1 to 5 C atoms, r is 0, 1 , 2, 3 or 4, x and y are independently of each other 0 or identical or different integers from 1 to 12, z is 0 or 1 , with z being 0 if the adjacent x or y is 0.
- Very preferred RMs of formula DRM are selected from the following formulae:
- DRMa7 wherein P°, L, r, x, y and z are as defined in formula DRMa.
- Additional achiral, monoreactive RMs are preferably selected of formula MRM:
- R 22 denotes P-Sp-, F, Cl, Br, I, -CN, -NO 2 , -NCO, -NCS, -OCN, -SCN, -
- X is halogen, preferably F or Cl, and R x and R y are independently of each other H or alkyl with 1 to 12 C-atoms.
- RMs of formula MRM are selected from the following formulae.
- R°, R 01 and R 02 are each an idependently alkyl, alkoxy, thioalkyl, alkylcarbonyl, alkoxycarbonyl, alkylcarbonyloxy or alkoxycarbonyloxy with 1 or more, preferably 1 to 15 C atoms or denotes Y° or P-(CH2) y -(O) z -,
- X° is -O-, -S-, -CO-, -COO-, -OCO-, -O-COO-, -CO-NR 01 -, -NR 01 -CO-, -NR 01 - CO-NR 01 -, -OCH2-, -CH2O-, -SCH2-, -CH2S-, -CF2O-, -OCF2-, -
- Y° is F, Cl, CN, NO 2 , OCH 3 , OCN, SCN, SF 5 , or mono- oligo- or polyfluorinated alkyl or alkoxy with 1 to 4 C atoms,
- a 0 is, in case of multiple occurrence independently of one another, 1,4- phenylene that is unsubstituted or substituted with 1 , 2, 3 or 4 groups L, or trans-1 ,4-cyclohexylene,
- R 01 02 are independently of each other H, R° or Y°, u and v are independently of each other 0, 1 or 2, w is O or 1, and wherein the benzene and naphthalene rings can additionally be substituted with one or more identical or different groups L.
- MRM1 Especially preferred are compounds of formula MRM1 , MRM2, MRM3, MRM4, MRM5, MRM6, MRM7, MRM9 and MRM10, in particular those of formula MRM1 , MRM4, MRM6 and MRM7.
- L is preferably selected from F, Cl, CN, NO2 or straight chain or branched alkyl, alkoxy, alkylcarbonyl, alkoxycarbonyl, alkylcarbonyloxy or alkoxycarbonyloxy with 1 to 12 C atoms, wherein the alkyl groups are optionally perfluorinated, or P-Sp-.
- L is selected from F, Cl, CN, NO2, CH3, C2H5, C(CH3)3, CH(CH3)2, CH 2 CH(CH3)C 2 H5, OCH 3 , OC2H5, COCH3, COC2H5, COOCH3, COOC2H5, CF 3 , OCF 3 , OCHF2, OC2F5 or P-Sp-, in particular F, Cl, CN, CH 3 , C 2 H 5 , C(CH 3 ) 3 , CH(CH 3 ) 2 , OCH 3 , COCH3 or OCF3, most preferably F, Cl, CH3, C(CH3)3, OCH3 or COCH3, or P-Sp-.
- the RM mixture comprises one or more RMs selected from formulae DRM and MRM.
- the concentration of the di- or multireactive RMs of formula DRM and its subformulae is preferably from 15 to 75%, very preferably from 25 to 65%.
- the concentration of the monoreactive RMs, preferably those of formula MRM, in an RM mixture according to this preferred embodiment is preferably from 1 to 50%, very preferably from 5 to 30%.
- the chiral RM mixture comprises, in addition or alternatiely to the compounds of formula DRM and MRM, one or more achiral RMs selected from formula I: wherein the individual radicals, independently of each other and on each occurrence identically or differently, have the following meanings
- A, B, D, and E are selected from the group consisting of 1 ,4-phenylene, naphthalene-
- C is selected from the group consisting of benzene-1 ,4-diyl, naphthalene-1 ,4-diyl, anthracene-9,10-diyl, fluorene-2,7-diyl, dibenzofuran-2,7-diyl, dibenzothiophene-
- -COO-, -OCO-, -C C-, or a single bond, most preferably a single bond, n1 1 , 2, 3 or 4, r 0, 1 , 2, 3 or 4, preferably 0, 1 or 2, s 0, 1 , 2 or 3, preferably 0, 1 or 2, t 0, 1 or 2, preferably 0 or 1 , R°, R 00 H or alkyl having 1 to 12 C atoms,
- Y 1 , Y 2 H, F, Cl, NCS, or CN n 0, 1 , 2, 3 or 4, preferably 0, 1 or 2, more preferably 0 or 1 , most preferably 0, m 0, 1 , 2, 3 or 4, preferably 0, 1 or 2, more preferably 0 or 1 , most preferably 0.
- P is preferably selected from the group consisting of vinyloxy, acrylate, methacrylate, fluoroacrylate, chloroacrylate, oxetane and epoxide, very preferably from acrylate and methacrylate, most preferably acrylate.
- R 11 is different from P-Sp- and is preferably selected from CN, - SCN, alkyl, alkoxy, thioalkyl, alkylcarbonyl, alkoxycarbonyl, alkylcarbonyloxy or alkoxycarbonyloxy preferably with 1 to 12, preferably 1 to 6 C atoms which is optionally fluorinated.
- Sp denotes a single bond or -(CH2) P i-, -O-(CH2) P1 -, -O-CO-(CH2) P1 , or -CO-O-(CH2) P1 , wherein p1 is 2, 3, 4, 5 or 6, and, if Sp is -O-(CH2) P1 -, -O-CO-(CH2) P1 or -CO-O-(CH2) P1 the O-atom or CO-group, respectively, is linked to the benzene ring.
- At least one group Sp is different from a single bond, and is selected from -(CH2) P1 -, -O-(CH2) P1 -, -O-CO-(CH2) P1 , or -CO-O-(CH2) P1 , wherein p1 is an integer from 2 to 10, preferably 2, 3, 4, 5 or 6, and, if Sp is -O-(CH2) P1 -, -O-CO- (CH 2 ) P 1 or -CO-O-(CH2) P 1 the O-atom or CO-group, respectively, is linked to the benzene ring.
- L is straight chain alkyl, alkoxy or thioalkyl having 1 to 6 C atoms, or branched or cyclic alkyl, alkoxy or thioalkyl having 3 to 8 C atoms.
- A, B, D and E in formula I are selected from the group consisting of wherein the individual radicals, independently of each other and on each occurrence identically or differently, have the following meanings
- L P-Sp-, -CN, F, Cl, or alkyl, alkoxy or thioalkyl which is optionally fluorinated and has 1 to 6, preferably 1 to 3, more preferably 1 or 2 C atoms, preferably P-Sp-, - CN, F, Cl, OCH 3 , SCH 3 , C 2 H 5 , OC 2 H 5 , SC 2 H 5 , r 0, 1 , 2, 3 or 4, preferably 0, 1 or 2, s 0, 1 , 2 or 3, preferably 0 or 1 , t 0, 1 or 2, preferably 0 or 1.
- rings A, B, D and/or E in formula I are selected from the group consisting of benzene-1,4-diyl, naphthalene-1,4-diyl, naphthalene 2, 6-diyl, phenanthrene-2,7-diyl, anthracene-9,10-diyl, fluorene-2,7-diyl, dibenzofuran-2,7-diyl, dibenzothiophene-2, 7-diyl, benzo[1 ,2-b:4, 5-b']dithiophene-2, 5-diyl , indole-4, 7-diyl, benzothiophene-4, 7-diyl, all of which are optionally substituted by one or more groups L and/or P-Sp-.
- rings A, B, D and/or E in formula I are selected from the group consisting of wherein L, on each occurrence identically or differently, denotes P-Sp-, -CN, F, Cl, or alkyl, alkoxy or thioalkyl which is optionally fluorinated and has 1 to 6, preferably 1 to 3, more preferably 1 or 2 C atoms, preferably P-Sp-, -CN, F, Cl, OCH 3 , SCH 3 , C 2 Hs, OC 2 H 5 , SC 2 H 5 .
- L on each occurrence identically or differently, denotes P-Sp-, -CN, F, Cl, or alkyl, alkoxy or thioalkyl which is optionally fluorinated and has 1 to 6, preferably 1 to 3, more preferably 1 or 2 C atoms, preferably P-Sp-, -CN, F, Cl, OCH 3 , SCH 3 , C 2 Hs, OC 2 H 5 , SC 2 H 5
- rings B and D are selected from the group consisting of benzene-1 ,4-diyl, naphthalene-1 ,4-diyl, naphthalene-2,6-diyl or anthracene-9,10-diyl, all of which are optionally mono- or disubstituted by L and/or P-Sp-.
- ring C in formula I is selected from the group consisting of wherein the individual radicals, independently of each other and on each occurrence identically or differently, have the following meanings
- L P-Sp-, -CN, F, Cl, or alkyl, alkoxy or thioalkyl which is optionally fluorinated and has 1 to 6, preferably 1 to 3, more preferably 1 or 2 C atoms, preferably P-Sp-, - CN, F, Cl, OCH 3 , SCH 3 , C 2 H 5 , OC 2 H 5 , SC 2 H 5 , r 0, 1 , 2, 3 or 4, preferably 0, 1 or 2, s 0, 1 , 2 or 3, preferably 0 or 1 , t 0, 1 or 2, preferably 0 or 1 .
- C in formula 1, 11 and I2 is selected from the group consisting of wherein L, on each occurrence identically or differently, denotes P-Sp-, -CN, F, Cl, or alkyl, alkoxy or thioalkyl which is optionally fluorinated and has 1 to 6, preferably 1 to 3, more preferably 1 or 2 C atoms, preferably P-Sp-, -CN, F, Cl, OCH3, SCH3, C2H5, OC2H5, SC2H5.
- Very preferably ring C in formula I is selected from the group consisting of benzene- 1 ,4-diyl, naphthalene-1 ,4-diyl or anthracene-9,10-diyl, all of which are optionally mono- or disubstituted by L and/or P-Sp-.
- rings B, C and D form a group selected from the following formulae or their mirror images: wherein the naphthalene and phenanthrene groups are optionally substituted with one or two groups L, and L 1 and L 2 independently of each other denote H or have one of the meanings given for L in formula I, and L and r are as defined in formula I.
- naphthalene and phenanthrene groups are optionally substituted with one or two groups L, and P, Sp, L and r, independently of each other and on each occurrence identically or differently, have the meanings given in formula I or one of the preferred meanings given above and below, and R has one of the meanings given for R 11 in formula 11 , and preferably denotes OCH3 or SCH3, very preferably OCH3.
- L is preferably selected from alkyl, alkoxy or thioalkyl having 1 to 6, more preferably 1 , 2 or 3 C atoms, very preferably from methyl or ethyl.
- P is preferably acrylate.
- - one of ring B and ring D is a single bond
- - ring C denotes naphthalene-1 ,4-diyl or anthracene-9,10-diyl
- - ring C denotes benzene-1 ,4-diyl which is substituted by alkyl, alkoxy or thioalkyl with 1 to 3, preferably 1 or 2 C atoms, more preferably methyl or ethyl, most preferably ethyl, and/or
- rings B and D denotes naphthalene-1 ,4-diyl, naphthalene-2,6- diyl, or anthracene-9,10-diyl, which is optionally substituted by one or more groups L or P-Sp-, and/or
- rings B, C and D denotes naphthalene-1 ,4-diyl, naphthalene-2,6- diyl, or anthracene-9,10-diyl, which is optionally substituted by one or more groups L or P-Sp-, and/or at least one of the rings B, C and D is benzene-1 ,4-diyl that is substituted with an ethyl group,
- - P denotes acrylate or methacrylate and/or
- - Sp denotes Sp”-X”, preferably, -Sp"-X"- denotes -(CH2) P1 -, -(CH2) P1 -O-, -(CH2) P1 -O- CO-, -(CH 2 ) P1 -CO-O-, -(CH 2 ) P1 -O-CO-O-, -(CH2CH 2 O) q 1-CH 2 CH2-, -CH2CH2-S-CH2CH2- , or -CH2CH2-NH-CH2CH2-, in which p1 is an integer from 1 to 12, q1 is an integer from 1 to 3, and/or
- R 11 or R is P-Sp-, one of the groups Sp is a single bond and the other of the groups Sp is different from a single bond, and/or
- - L is selected from methyl, ethyl, methoxy, ethoxy, thiomethyl or thiomethyl, more preferably methyl or ethyl, very preferably ethyl, and r denotes 1 , and/or
- - L is selected from methyl, ethyl, methoxy, ethoxy, thiomethyl or thiomethyl, more preferably methyl or ethyl, very preferably ethyl, and r denotes 2, and/or
- - ring C is substituted by one L which denotes P-Sp-, preferably acrylate, and/or
- - R 11 is P-Sp-, or
- R 11 is F, Cl, CN, OCH3 or SCH3, preferably OCH3 or SCH3, very preferably OCH3.
- the compounds of formula I are characterized by a very high birefringence.
- the synthesis of the compounds of formula I and its subformulae can be carried by methods known per se to the person skilled in the art from the literature or in analogy thereto, as described for example in WO 2022/33908A1.
- the compounds of formula I either taken alone or in combination with other RMs in an RM mixture, exhibit in particular and preferably at the same time, a high birefringence, exhibit a good solubility in commonly known organic solvents used in mass production, show an improved alignment in the RM mixture, have favorable transition temperatures, and show high resistance against yellowing after being exposed to UV light.
- the RM mixture contains one or more, preferably 1 to 5, very preferably 1 , 2 or 3, compounds selected from formulae I, preferably selected from formulae 1-1 to I-97, very preferably selected from formulae 11 to I76.
- the concentration of the compounds of formula I or its subformulae in the RM mixture is preferably from 65 to 99%, very preferably from 25 to 98%.
- the RM mixture contains only a small amount of a compound of formula I.
- an RM mixture mainly consisting of mono-, di- and/or multireactive RMs, preferably selected from formula DRM and MRM and their subformulae, which is doped with a small amount, preferably 5 to 30% of compounds of formula I, and additionally contains one or more chiral isomerisable compounds preferably selected of formula I*.
- the chiral RM mixture comprises at least one RM having a birefringence of >0.25, very preferably >0.28.
- Suitable RMs with high birefringence are for example those selected of formula I and its subformulae as defined above and below.
- the RM mixture preferably exhibits a chiral nematic LC phase, or a chiral smectic LC phase and a chiral nematic LC phase, very preferably a chiral nematic LC phase at room temperature.
- the RM mixture preferably has a birefringence (An) in the range from 0.2 to 0.8, more preferably in the range from 0.25 to 0.7 and even more preferably in the range from 0.35 to 0.6.
- the chiral RM mixture comprises an achiral host mixture and a chiral component.
- the achiral host mixture preferably comprises, very preferably consists of, one or more mono- and/or direactive achiral RMs, which are preferably selected from formula DRM, MRM and I and their subformulae.
- the chiral component preferably comprises, very preferably consists of, one or more chiral compounds, at least one of which is isomerisable, and which are preferably selected from formula I*, CRM1, CRM2 and CRM3 and their subformulae.
- the proportion of the achiral host mixture in the chiral RM mixture is preferably from 90 to 99.7%, very preferably from 94 to 99.5%.
- the proportion of the chiral component in the chiral RM mixure is preferably from 0.3 to 10%, very preferably from 0.5 to 6%.
- the chiral RM mixtures for preparing two quarter- waveplates with opposite twist sense are prepared by adding to the achiral host mixture chiral components inducing opposite twst sense.
- chiral components for example it is possible to use two chiral isomerisable compounds with opposite twist sense.
- two chiral components wherein each chiral component comprises a first, isomerisable chiral compound and a second, non-isomerisable chiral compound which have opposte twist sense, and wherein the concentrations and HTP values of the first and second chiral compounds can be selected such that after the isomerisation process the two chiral components have opposite twist sense.
- the chiral RM mixture for preparing the first quarter- wave plate and the chiral RM mixture for preparing the second quarter-wave plate are based on the same achiral host mixture, to which is added the (R)- or (S)-stereoisomer of the same chiral isomerisable compound, respectively, to prepare two chiral RM mixtures with opposite twist for use in the first and second quarter-wave plate, respectively.
- the chiral RM mixture for the first quarter-wave plate is prepared by adding the (R)-stereoisomer of a chiral isomerisable compound to an achiral RM host mixture
- the chiral RM mixture for the second quarter-wave plate is prepared by adding the corresponding (S)-stereoisomer of the said chiral isomerisable compound to the said achiral RM host mixture, or vice versa.
- Another object of the invention is an RM formulation comprising an RM mixture as described above and below, and further comprising one or more solvents and/or additives.
- the proportion of the RM mixture comprising, preferably consisting of, compounds selected from formulae I and I* and their subformulae, and optionally from formulae CRM1 , CRM2, CRM3, C-l, C-l I, C-lll, DRM and MRM and their subformulae, in the RM formulation is preferably from 85 to 100%, more preferably from 85 to 99%, very preferably from 90 to 99% of total solids and liquid additives, i.e., excluding the solvents.
- the chiral RM mixture does not contain a compound of formula DRM or MRM.
- the chiral RM mixture consists of compounds selected from formula I, I* and optionally CRM1 , CRM2, CRM3, C-l, C-ll and C-lll.
- the RM formulation comprises optionally one or more additives selected from the group consisting of polymerisation initiators, surfactants, stabilisers, catalysts, sensitizers, inhibitors, chain-transfer agents, co-reacting monomers, reactive thinners, surface-active compounds, lubricating agents, wetting agents, dispersing agents, hydrophobing agents, adhesive agents, flow improvers, degassing or defoaming agents, deaerators, diluents, reactive diluents, auxiliaries, colourants, dyes, pigments and nanoparticles.
- additives selected from the group consisting of polymerisation initiators, surfactants, stabilisers, catalysts, sensitizers, inhibitors, chain-transfer agents, co-reacting monomers, reactive thinners, surface-active compounds, lubricating agents, wetting agents, dispersing agents, hydrophobing agents, adhesive agents, flow improvers, degassing or defoaming agents, deaerators, dil
- the RM mixture and/or RM formulation do not contain a compound with at least one CF3 or CF2 group (PFAS), and very preferably the RM mixture and/or RM formulation do not contain a compound with a polyfluorinated alkyl or aryl group or a perfuorocarbon group. More preferably the RM mixture and/or RM formulation do not contain a compound with a fluorinated aliphatic C atom, most preferably the RM mixture and/or RM formulation do not contain a compound with a fluorinated C atom.
- the RM mixtures and RM formulations according to this preferred embodiment do thus enable a reduction of perfluorocarbons.
- RM mixture and/or RM formulation as described above and below which do not contain a PFAS, more preferably do not contain a perfluorocarbon compound, very preferably do not contain compound with a polyfluorinated C atom, and most preferably do not contain a compound with a fluorinated C atom, are another object of the invention.
- the RM formulation comprises one or more specific antioxidant additives, preferably selected from the Irganox® series, e.g. the commercially available antioxidants lrganox®1076 and lrganox®1010, from Ciba, Switzerland.
- the RM formulation comprises a combination of one or more, more preferably of two or more photoinitiators, for example, selected from the commercially available Omnirad® or Darocur® series (from IGM Resins), in particular, Omnirad 127, Omnirad 184, Omnirad 369, Omnirad 651, Omnirad 817, Omnirad 907, Omnirad 1300, Omnirad, Omnirad 2022, Omnirad 2100, Omnirad 2959, or Darocur TPO, further selected from the commercially available OXE02 (Ciba AG), NCI 930, N1919T (Adeka), SPI-03 or SPI-04 (Samyang), TR-PBG 304 or TR-PGB 345 (Tronly).
- Omnirad® or Darocur® series from IGM Resins
- the concentration of the polymerisation initiator(s) as a whole in the RM formulation is preferably from 0.1 to 6%, very preferably from 0.3 to 4%, more preferably from 0.7 to 2%.
- the ratio between the concentration of the photoinitiator and the concentration of the chiral compounds as a whole is in the range from 2:1 to 1 :5, more preferably in the range from 2:1 to 1:4, even more preferably in the range from 2:1 to 1 :3.
- the RM formulation optionally comprises one or more additives selected from polymerisable non-mesogenic compounds (reactive thinners).
- the amount of these additives in the RM formulation is preferably from 0 to 30 %, very preferably from 0 to 25 %.
- the reactive thinners used are not only substances which are referred to in the actual sense as reactive thinners, but also auxiliary compounds already mentioned above which contain one or more complementary reactive units, for example hydroxyl, thiol-, or amino groups, via which a reaction with the polymerisable units of the liquid- crystalline compounds can take place.
- the substances which are usually capable of photopolymerisation include, for example, mono-, bi- and polyfunctional compounds containing at least one olefinic double bond.
- examples thereof are vinyl esters of carboxylic acids, for example of lauric, myristic, palmitic and stearic acid, and of dicarboxylic acids, for example of succinic acid, adipic acid, allyl and vinyl ethers and methacrylic and acrylic esters of monofunctional alcohols, for example of lauryl, myristyl, palmityl and stearyl alcohol, and diallyl and divinyl ethers of bifunctional alcohols, for example ethylene glycol and 1 ,4-butanediol.
- methacrylic and acrylic esters of polyfunctional alcohols are also suitable, for example, methacrylic and acrylic esters of polyfunctional alcohols, in particular those which contain no further functional groups, or at most ether groups, besides the hydroxyl groups.
- examples of such alcohols are bifunctional alcohols, such as ethylene glycol, propylene glycol and their more highly condensed representatives, for example diethylene glycol, triethylene glycol, dipropylene glycol, tripropylene glycol etc., butanediol, pentanediol, hexanediol, neopentyl glycol, alkoxylated phenolic compounds, such as ethoxylated and propoxylated bisphenols, cyclohexanedimethanol, trifunctional and polyfunctional alcohols, such as glycerol, trimethylolpropane, butanetriol, trimethylolethane, pentaerythritol, ditrimethylolpropane, dipenta
- polyester (meth)acrylates which are the (meth)acrylic ester of polyesterols.
- polyesterols examples are those which can be prepared by esterification of polycarboxylic acids, preferably dicarboxylic acids, using polyols, preferably diols.
- the starting materials for such hydroxyl-containing polyesters are known to the person skilled in the art.
- Dicarboxylic acids which can be employed are succinic, glutaric acid, adipic acid, sebacic acid, o-phthalic acid and isomers and hydrogenation products thereof, and esterifiable and transesterifiable derivatives of said acids, for example anhydrides and dialkyl esters.
- Suitable polyols are the abovementioned alcohols, preferably ethyleneglycol, 1,2- and 1,3-propylene glycol, 1,4-butanediol, 1,6- hexanediol, neopentyl glycol, cyclohexanedimethanol and polyglycols of the ethylene glycol and propylene glycol type.
- Suitable reactive thinners are furthermore 1,4-divinylbenzene, triallyl cyanurate, acrylic esters of tricyclodecenyl alcohol of the following formula also known under the name dihydrodicyclopentadienyl acrylate, and the allyl esters of acrylic acid, methacrylic acid and cyanoacrylic acid.
- This group includes, for example, dihydric and polyhydric alcohols, for example ethylene glycol, propylene glycol and more highly condensed representatives thereof, for example diethylene glycol, triethylene glycol, dipropylene glycol, tripropylene glycol etc., butanediol, pentanediol, hexanediol, neopentyl glycol, cyclohexanedimethanol, glycerol, trimethylolpropane, butanetriol, trimethylolethane, pentaerythritol, ditrimethylolpropane, dipentaerythritol, sorbitol, mannitol and the corresponding alkoxylated, in particular ethoxylated and propoxylated alcohols.
- dihydric and polyhydric alcohols for example ethylene glycol, propylene glycol and more highly condensed representatives thereof, for example diethylene glycol, triethylene glycol, dipropylene
- the group furthermore also includes, for example, alkoxylated phenolic compounds, for example ethoxylated and propoxylated bisphenols.
- These reactive thinners may furthermore be, for example, epoxide or urethane (meth)acrylates.
- Epoxide (meth)acrylates are, for example, those as obtainable by the reaction, known to the person skilled in the art, of epoxidized olefins or poly- or diglycidyl ether, such as bisphenol A diglycidyl ether, with (meth)acrylic acid.
- Urethane (meth)acrylates are, in particular, the products of a reaction, likewise known to the person skilled in the art, of hydroxylalkyl (meth)acrylates with poly- or diisocyanates.
- Such epoxide and urethane (meth)acrylates are included amongst the compounds listed above as “mixed forms”.
- the low-crosslinking (high-crosslinking) liquid-crystalline compositions can be prepared, for example, using corresponding reactive thinners which have a relatively low (high) number of reactive units per molecule.
- the group of diluents include, for example:
- C1-C4-alcohols for example methanol, ethanol, n-propanol, isopropanol, butanol, isobutanol, sec-butanol and, in particular, the C5-C12-alcohols n-pentanol, n-hexanol, n-heptanol, n-octanol, n-nonanol, n-decanol, n-undecanol and n-dodecanol, and isomers thereof, glycols, for example 1 ,2-ethylene glycol, 1 ,2- and 1 ,3-propylene glycol, 1 ,2-, 2,3- and 1 ,4-butylene glycol, di- and triethylene glycol and di- and tripropylene glycol, ethers, for example methyl tert-butyl ether, 1 ,2-ethylene glycol mono- and dimethyl ether, 1 ,2-ethylene glyco
- these diluents can also be mixed with water.
- suitable diluents are C1-C4-alcohols, for example methanol, ethanol, n-propanol, isopropanol, butanol, isobutanol and sec-butanol, glycols, for example 1,2-ethylene glycol, 1,2- and 1,3-propylene glycol, 1,2-, 2,3- and 1,4-butylene glycol, di- and triethylene glycol, and di- and tripropylene glycol, ethers, for example tetra hydrofuran and dioxane, ketones, for example acetone, methyl ethyl ketone and diacetone alcohol (4-hydroxy-4-methyl-2-pentanone), and C1-C4-alkyl esters, for example methyl, ethyl esters, for example methyl, ethyl esters, for example methyl, ethyl esters, for example methyl, eth
- the diluents are optionally employed in a proportion of from about 0 to 10.0% by weight, preferably from about 0 to 5.0% by weight, based on the total weight of the RM formulation.
- the antifoams and deaerators (c1 )), lubricants and flow auxiliaries (c2)), thermally curing or radiation-curing auxiliaries (c3)), substrate wetting auxiliaries (c4)), wetting and dispersion auxiliaries (c5)), hydrophobicizing agents (c6)), adhesion promoters (c7)) and auxiliaries for promoting scratch resistance (c8)) cannot strictly be delimited from one another in their action.
- lubricants and flow auxiliaries often also act as antifoams and/or deaerators and/or as auxiliaries for improving scratch resistance.
- Radiation-curing auxiliaries can also act as lubricants and flow auxiliaries and/or deaerators and/or as substrate wetting auxiliaries. In individual cases, some of these auxiliaries can also fulfil the function of an adhesion promoter (c8)).
- a certain additive can therefore be classified in a number of the groups c1) to c8) described below.
- the antifoams in group c1) include silicon-free and silicon-containing polymers.
- the silicon-containing polymers are, for example, unmodified or modified polydialkylsiloxanes or branched copolymers, comb or block copolymers comprising polydialkylsiloxane and polyether units, the latter being obtainable from ethylene oxide or propylene oxide.
- the deaerators in group c1) include, for example, organic polymers, for example polyethers and polyacrylates, dialkylpolysiloxanes, in particular dimethylpolysiloxanes, organically modified polysiloxanes, for example arylalkyl-modified polysiloxanes, and fluorosilicones.
- organic polymers for example polyethers and polyacrylates
- dialkylpolysiloxanes in particular dimethylpolysiloxanes
- organically modified polysiloxanes for example arylalkyl-modified polysiloxanes
- fluorosilicones fluorosilicones.
- the action of the antifoams is essentially based on preventing foam formation or destroying foam that has already formed.
- Antifoams essentially work by promoting coalescence of finely divided gas or air bubbles to give larger bubbles in the medium to be deaerated, for example the compositions according to the invention, and thus accelerate escape of the gas (of the air). Since antifoams can frequently also be employed as deaerators and vice versa, these additives have been included together under group c1).
- auxiliaries are, for example, commercially available from Tego as TEGO® Foamex 800, TEGO® Foamex 805, TEGO® Foamex 810, TEGO® Foamex 815, TEGO® Foamex 825, TEGO® Foamex 835, TEGO® Foamex 840, TEGO® Foamex 842, TEGO® Foamex 1435, TEGO® Foamex 1488, TEGO® Foamex 1495, TEGO® Foamex 3062, TEGO® Foamex 7447, TEGO® Foamex 8020, Tego® Foamex N, TEGO® Foamex K 3, TEGO® Antifoam 2-18, TEGO® Antifoam 2-18, TEGO® Antifoam 2-57, TEGO® Antifoam 2-80, TEGO® Antifoam 2-82, TEGO® Antifoam 2-89, TEGO® Antifoam 2-92, TEGO® Antif
- the lubricants and flow auxiliaries typically include silicon-free, but also silicon-containing polymers, for example polyacrylates or modifiers, low-molecular- weight polydialkylsiloxanes.
- the modification consists in some of the alkyl groups having been replaced by a wide variety of organic radicals. These organic radicals are, for example, polyethers, polyesters or even long-chain alkyl radicals, the former being used the most frequently.
- polyether radicals in the correspondingly modified polysiloxanes are usually built up from ethylene oxide and/or propylene oxide units. Generally, the higher the proportion of these alkylene oxide units in the modified polysiloxane, the more hydrophilic is the resultant product.
- auxiliaries are, for example, commercially available from Tego as TEGO® Glide 100, TEGO® Glide ZG 400, TEGO® Glide 406, TEGO® Glide 410, TEGO® Glide 411 , TEGO® Glide 415, TEGO® Glide 420, TEGO® Glide 435, TEGO® Glide 440, TEGO® Glide 450, TEGO® Glide A 115, TEGO® Glide B 1484 (can also be used as antifoam and deaerator), TEGO® Flow ATF, TEGO® Flow 300, TEGO® Flow 460, TEGO® Flow 425 and TEGO® Flow ZFS 460.
- Suitable radiation-curable lubricants and flow auxiliaries which can also be used to improve the scratch resistance, are the products TEGO® Rad 2100, TEGO® Rad 2200, TEGO® Rad 2500, TEGO® Rad 2600 and TEGO® Rad 2700, which are likewise obtainable from TEGO.
- Such-auxiliaries are available, for example, from BYK as BYK®-300 BYK®-306, BYK®-307, BYK®-310, BYK®-320, BYK®-333, BYK®-341, Byk® 354, Byk®361, Byk®361 N, BYK®388.
- the auxiliaries in group c2) are optionally employed in a proportion of from about 0 to 3.0% by weight, preferably from about 0 to 2.0% by weight, based on the total weight of the RM formulation.
- the radiation-curing auxiliaries include, in particular, polysiloxanes having terminal double bonds which are, for example, a constituent of an acrylate group.
- Such auxiliaries can be crosslinked by actinic or, for example, electron radiation. These auxiliaries generally combine a number of properties together. In the uncrosslinked state, they can act as antifoams, deaerators, lubricants and flow auxiliaries and/or substrate wetting auxiliaries, while, in the crosslinked state, they increase, in particular, the scratch resistance, for example of coatings or films which can be produced using the compositions according to the invention.
- Suitable radiation-curing auxiliaries are the products TEGO® Rad 2100, TEGO® Rad 2200, TEGO® Rad 2500, TEGO® Rad 2600 and TEGO® Rad 2700 available from TEGO and the product BYK®-371 available from BYK.
- Thermally curing auxiliaries in group c3) contain, for example, primary OH groups which are able to react with isocyanate groups, for example of the binder.
- thermally curing auxiliaries which can be used are the products BYK®- 370, BYK®-373 and BYK®-375 available from BYK.
- the auxiliaries in group c3) are optionally employed in a proportion of from about 0 to 5.0% by weight, preferably from about 0 to 3.0% by weight, based on the total weight of the RM formulation.
- the substrate wetting auxiliaries in group c4) serve, in particular, to increase the wettability of the substrate to be printed or coated, for example, by printing inks or coating compositions, for example compositions according to the invention.
- the generally attendant improvement in the lubricant and flow behaviour of such printing inks or coating compositions has an effect on the appearance of the finished (for example crosslinked) print or coating.
- auxiliaries are commercially available, for example from Tego as TEGO® Wet KL 245, TEGO® Wet 250, TEGO® Wet 260 and TEGO® Wet ZFS 453 and from BYK as BYK®-306, BYK®-307, BYK®-310, BYK®-333, BYK®-344, BYK®-345, BYK®-346 and Byk®-348.
- the auxiliaries in group c4) are optionally employed in a proportion of from about 0 to 3.0% by weight, preferably from about 0 to 1.5% by weight, based on the total weight of the liquid-crystalline composition.
- the wetting and dispersion auxiliaries in group c5) serve, in particular, to prevent the flooding and floating and the sedimentation of pigments and are therefore, if necessary, suitable in particular in pigmented compositions according to the invention.
- auxiliaries stabilize pigment dispersions essentially through electrostatic repulsion and/or steric hindrance of the pigment particles containing these additives, where, in the latter case, the interaction of the auxiliary with the ambient medium (for example binder) plays a major role.
- Such wetting and dispersion auxiliaries are commercially available, for example from Tego, as TEGO® Dispers 610, TEGO® Dispers 610 S, TEGO® Dispers 630, TEGO® Dispers 700, TEGO® Dispers 705, TEGO® Dispers 710, TEGO® Dispers 720 W, TEGO® Dispers 725 W, TEGO® Dispers 730 W, TEGO® Dispers 735 W and TEGO® Dispers 740 W and from BYK as Disperbyk®, Disperbyk®-107, Disperbyk®-108, Disperbyk®-110, Disperbyk®-111 , Disperbyk®-115, Disperbyk®-130, Disperbyk®- 160, Disperbyk®-161 , Disperbyk®-162, Disperbyk®-163, Disperbyk®-164, Disperbyk®-165, Disperbyk®-166, Disperbyk®- 167, Disperbyk®
- auxiliaries which can be allocated to group c2), c4) or c5), includes wetting-, flow- and leveling agents, in particular based on non-ionic fluorosurfactants, which are commercially available from Synthomer under the PolyfoxTM series, for example PolyfoxTMPF-656.
- the hydrophobicizing agents in group c6) can be used to give water-repellent properties to prints or coatings produced, for example, using compositions according to the invention. This prevents or at least greatly suppresses swelling due to water absorption and thus a change in, for example, the optical properties of such prints or coatings.
- the composition is used, for example, as a printing ink in offset printing, water absorption can thereby be prevented or at least greatly reduced.
- Such hydrophobicizing agents are commercially available, for example, from Tego as Tego® Phobe WF, Tego® Phobe 1000, Tego® Phobe 1000 S, Tego® Phobe 1010, Tego® Phobe 1030, Tego® Phobe 1010, Tego® Phobe 1010, Tego® Phobe 1030, Tego® Phobe 1040, Tego® Phobe 1050, Tego® Phobe 1200, Tego® Phobe 1300, Tego® Phobe 1310 and Tego® Phobe 1400.
- the auxiliaries in group c6) are optionally employed in a proportion of from about 0 to 5.0% by weight, preferably from about 0 to 3.0% by weight, based on the total weight of the RM formulation.
- Adhesion promoters from group c7) serve to improve the adhesion of two interfaces in contact. It is directly evident from this that essentially the only fraction of the adhesion promoter that is effective is that located at one or the other or at both interfaces. If, for example, it is desired to apply liquid or pasty printing inks, coating compositions or paints to a solid substrate, this generally means that the adhesion promoter must be added directly to the latter or the substrate must be pre-treated with the adhesion promoters (also known as priming), i.e. this substrate is given modified chemical and/or physical surface properties.
- the substrate has previously been primed with a primer
- the adhesion properties between the substrate and the primer, but also between the substrate and the printing ink or coating composition or paint play a part in adhesion of the overall multilayer structure on the substrate.
- Adhesion promoters in the broader sense which may be mentioned are also the substrate wetting auxiliaries already listed under group c4), but these generally do not have the same adhesion promotion capacity.
- the multiplicity of adhesion promoter systems is not surprising.
- Adhesion promoters based on silanes are, for example, 3- aminopropyltrimethoxysilane, 3-aminopropyltriethoxysilane, 3- aminopropylmethyldiethoxysilane, N-aminoethyl-3-aminopropyltrimethoxysilane, N- aminoethyl-3-aminopropylmethyldimethoxysilane, N-methyl-3- aminopropyltrimethoxysilane, 3-ureidopropyltriethoxysilane, 3- methacryloyloxypropyltrimethoxysilane, 3-glycidyloxypropyltrimethoxysilane, 3- mercaptopropyltrimethoxysilane, 3-chloropropyltrimethoxysilane and vinyltrimethoxysilane.
- silanes are commercially available from Huis, for example under the tradename DYNASILAN®.
- additives are to be added as auxiliaries from group c7) to the RM formulations according to the invention, their proportion optionally corresponds to from about 0 to 5.0% by weight, based on the total weight of the RM formulation.
- concentration data serve merely as guidance, since the amount and identity of the additive are determined in each individual case by the nature of the substrate and of the printing/coating composition. Corresponding technical information is usually available from the manufacturers of such additives for this case or can be determined in a simple manner by the person skilled in the art through corresponding preliminary experiments.
- the auxiliaries for improving the scratch resistance in group c8) include, for example, the abovementioned products TEGO® Rad 2100, TEGO® Rad 2200, TEGO® Rad 2500, TEGO® Rad 2600 and TEGO® Rad 2700, which are available from Tego.
- the amount data given for group c3) are likewise suitable, i.e. these additives are optionally employed in a proportion of from about 0 to 5.0% by weight, preferably from about 0 to 3.0% by weight, based on the total weight of the liquid-crystalline composition.
- alkylated monophenols such as 2,6-di-tert-butyl-4-methylphenol, 2-tert-butyl-4,6- dimethylphenol, 2,6-di-tert-butyl-4-ethylphenol, 2,6-di-tert-butyl-4-n-butylphenol, 2,6-di- tert-butyl-4-isobutylphenol, 2,6-dicyclopentyl-4-methylphenol, 2-(a-methylcyclohexyl)- 4,6-dimethylphenol, 2,6-dioctadecyl-4-methylphenol, 2,4,6-tricyclohexylphenol, 2,6-di- tert-butyl-4-methoxymethylphenol, nonylphenols which have a linear or branched side chain, for example 2,6-dinonyl-4-methylphenol, 2, 4-dimethyl-6-(1
- Hydroquinones and alkylated hydroquinones such as 2,6-di-tert-butyl-4- methoxyphenol, 2,5-di-tert-butylhydroquinone, 2,5-di-tert-amylhydrocrainone, 2,6- diphenyl-4-octadecyloxyphenol, 2,6-di-tert-butylhydroquinone, 2,5-di-tert-butyl-4- hydroxyanisole, 3,5-di-tert-butyl-4-hydroxyanisole, 3,5-di-tert-butyl-4-hydroxyphenyl stearate and bis(3,5-di-tert-butyl-4-hydroxyphenyl)adipate,
- Tocopherols such as a-tocopherol, ⁇ -tocopherol, y-tocopherol, b-tocopherol and mixtures of these compounds, and tocopherol derivatives, such as tocopheryl acetate, succinate, nicotinate and polyoxyethylenesuccinate (“tocofersolate”), hydroxylated diphenyl thioethers, such as 2,2'-thiobis(6-tert-butyl-4-methylphenol), 2,2'-thiobis(4-octylphenol), 4,4'-thiobis(6-tert-butyl-3-methylphenol), 4,4'-thiobis(6-tert-butyl-2-methylphenol), 4,4'-thiobis(3,6-di-sec-amylphenol) and 4,4'-bis(2,6-dimethyl-4- hydroxyphenyl)disulfide,
- tocopherol derivatives such as tocopheryl acetate, succinate, nico
- Alkylidenebisphenols such as 2,2'-methylenebis(6-tert-butyl-4-methylphenol), 2,2'- methylenebis(6-tert-butyl-4-ethylphenol), 2,2'-methylenebis[4-methyl-6-(a- methylcyclohexyl)phenol], 2,2'-methylenebis(4-methyl-6-cyclohexylphenol), 2,2'- methylenebis(6-nonyl-4-methylphenol), 2,2'-methylenebis(4,6-di-tert-butylphenol), 2,2- ethylidenebis(4,6-di-tert-butylphenol), 2,2'-ethylidenebis(6-tert-butyl-4-isobutylphenol), 2,2'-methylenebis[6-(a-methylbenzyl)-4-nonylphenol], 2,2'-methylenebis[6-(a,a- dimethylbenzyl)-4-nonylphenol
- O-, N- and S-benzyl compounds such as 3,5,3',5'-tetra-tert-butyl-4,4'- dihydroxydibenzyl ether, octadecyl 4-hydroxy-3,5-dimethylbenzylmercaptoacetate, tridecyl 4-hydroxy-3,5-di-tert-butylbenzylmercaptoacetate, tris(3,5-di-tert-butyl-4- hydroxybenzyl)amine, bis(4-tert-butyl-3-hydroxy-2,6- dimethylbenzyl)dithioterephthalate, bis(3,5-di-tert-butyl-4-hydroxybenzyl)sulfide and isooctyl-3,5-di-tert-butyl-4-hydroxybenzylmercaptoacetate, aromatic hydroxybenzyl compounds, such as 1 ,3,5-tris(3,5-di-tert-butyl-4- hydroxybenz
- Triazine compounds such as 2,4-bis(octylmercapto)-6-(3,5-di-tert-butyl-4- hydroxyanilino)-1,3,5-triazine, 2-octylmercapto-4,6-bis(3,5-di-tert-butyl-4- hydroxyanilino)-1,3,5-triazine, 2-octylmercapto-4,6-bis(3,5-di-tert-butyl-4- hydroxyphenoxy)-1 , 3, 5-triazine, 2,4,6-tris(3,5-di-tert-butyl-4-hydroxyphenoxy)-1 ,2,3- triazine, 1 ,3,5-tris(3,5-di-tert-butyl-4-hydroxybenzyl)isocyanurate, 1 , 3, 5-tris(4-tert-butyl-
- Benzylphosphonates such as dimethyl 2,5-di-tert-butyl-4-hydroxybenzylphosphonate, diethyl 3,5-di-tert-butyl-4-hydroxybenzylphosphonate, dioctadecyl 3,5-di-tert-butyl-4- hydroxybenzylphosphonate and dioctadecyl 5-tert-butyl-4-hydroxy-3- methylbenzylphosphonate,
- Acylaminophenols such as 4-hydroxylauroylanilide, 4-hydroxystearoylanilide and octyl N-(3,5-di-tert-butyl-4-hydroxyphenyl)carbamate
- Propionic and acetic esters for example of monohydric or polyhydric alcohols, such as methanol, ethanol, n-octanol, i-octanol, octadecanol, 1,6-hexanediol, 1,9-nonanediol, ethylene glycol, 1,2-propanediol, neopentyl glycol, thiodiethylene glycol, diethylene glycol, triethylene glycol, pentaerythritol, tris(hydroxyethyl)isocyanurate, N,N'- bis(hydroxyethyl)oxalamide, 3-thiaundecanol, 3-thiapentadecanol, trimethyl
- Propionamides based on amine derivatives such as N,N'-bis(3,5-di-tert-butyl-4- hydroxyphenylpropionyl)hexamethylenediamine, N,N'-bis(3,5-di-tert-butyl-4- hydroxyphenylpropionyl)trimethylenediamine and N,N'-bis(3,5-di-tert-butyl-4- hydroxyphenylpropionyl)hydrazine,
- Ascorbic acid (Vitamin C) and ascorbic acid derivatives, such as ascorbyl palmitate, laurate and stearate, and ascorbyl sulfate and phosphate,
- Antioxidants based on amine compounds such as N,N'-diisopropyl-p- phenylenediamine, N,N'-di-sec-butyl-p-phenylenediamine, N, N'-bis(1 ,4- dimethylpentyl)-p-phenylenediamine, N,N'-bis(1-ethyl-3-methylpentyl)-p- phenylenediamine, N,N'-bis(1-methylheptyl)-p-phenylenediamine, N,N'-dicyclohexyl-p- phenylenediamine, N,N'-diphenyl-p-phenylenediamine, N,N'-bis(2-naphthyl)-p- phenylenediamine, N-isopropyl-N'-phenyl-p-phenylenediamine, N-(1 ,3-dimethylbutyl)- N'
- Phosphines, phosphites and phosphonites such as triphenylphosnine triphenylphosphite, diphenyl alkyl phosphite, phenyl dialkyl phosphite, tris(nonylphenyl)phosphite, trilauryl phosphite, trioctadecyl phosphite, distearyl pentaerythritol diphosphite, tris(2,4-di-tert-butylphenyl)phosphite, diisodecyl pentaerythritol diphosphite, bis(2,4-di-tert-butylphenyl)pentaerythritol diphosphite, bis(2,6-di-tert-butyl-4-methylphenyl)pentaerythritol diphosphite, diisodecyloxy pentaery
- 2-(2'-Hydroxyphenyl)benzotriazoles such as 2-(2'-hydroxy-5'- methylphenyl)benzotriazole, 2-(3',5'-di-tert-butyl-2'-hydroxyphenyl)benzotriazole, 2-(5'- tert-butyl-2'-hydroxyphenyl)benzotriazole, 2-(2'-hydroxy-5'-(1 ,1,3,3- tetramethylbutyl)phenyl)benzotriazole, 2-(3',5'-di-tert-butyl-2'-hydroxyphenyl)-5- chlorobenzotriazole, 2-(3'-tert-butyl-2'-hydroxy-5'-methylphenyl)-5-chlorobenzotriazole, 2-(3'-sec-butyl-5'-tert-butyl-2'-hydroxyphenyl)benzotriazole, 2-(2'-hydroxy-4'- octyloxyphen
- 2-hydroxybenzophenones such as the 4-hydroxy, 4-methoxy, 4-octyloxy, 4-decycloxy, 4-dodecyloxy, 4-benzyloxy, 4, 2 ',4 '-tri hydroxy and 2'-hydroxy-4,4'-dimethoxy derivatives,
- Esters of unsubstituted and substituted benzoic acids such as 4-tert-butylphenyl salicylate, phenyl salicylate, octylphenyl salicylate, dibenzoylresorcinol, bis(4-tert- butylbenzoyl)resorcinol, benzoylresorcinol, 2,4-di-tert-butylphenyl 3,5-di-tert-butyl-4- hydroxybenzoate, hexadecyl-3, 5-di-tert-butyl-4-hydroxybenzoate, octadecyl-3, 5-di-tert- butyl-4-hydroxybenzoate and 2-methyl-4,6-di-tert-butylphenyl-3,5-di-tert-butyl-4- hydroxybenzoate,
- Acrylates such as ethyl a-cyano-p,p-diphenylacrylate, isooctyl a-cyano-p,p- diphenylacrylate, methyl a-methoxycarbonylcinnamate, methyl a-cyano-p-methyl-p- methoxycinnamate, butyl-a-cyano-p-methyl-p-methoxycinnamate and methyl-a- methoxycarbonyl-p-methoxycinnamate, sterically hindered amines, such as bis(2,2,6,6-tetramethylpiperidin-4-yl)sebacate, bis(2,2,6,6-tetramethylpiperidin-4- yl)succinate, bis(1,2,2,6,6-pentamethylpiperidin-4-yl)sebacate, bis(1-octyloxy-2, 2,6,6- tetramethylpiperidin-4-yl)sebacate, bis
- Oxalamides such as 4,4'-dioctyloxyoxanilide, 2,2'-diethoxyoxanilide, 2,2'-dioctyloxy- 5,5'-di-tert-butoxanilide, 2,2'-didodecyloxy-5,5'-di-tert-butoxanilide, 2-ethoxy-2'- ethyloxanilide, N,N'-bis(3-dimethylaminopropyl)oxalamide, 2-ethoxy-5-tert-butyl-2'- ethoxanilide and its mixture with 2-ethoxy-2'-ethyl-5,4'-di-tert-butoxanilide, and mixtures of ortho-, para-methoxy-disubstituted oxanilides and mixtures of ortho- and para-ethoxy-disubstituted oxanilides, and
- 2-(2-hydroxyphenyl)-1 ,3,5-triazines such as 2,4,6-tris-(2-hydroxy-4-octyloxyphenyl)- 1 ,3,5-triazine, 2-(2-hydroxy-4-octyloxyphenyl)-4,6-bis(2,4-dimethylphenyl)-1 ,3,5- triazine, 2-(2,4-dihydroxyphenyl)-4,6-bis(2,4-dimethylphenyl)-1 ,3,5-triazine, 2,4-bis(2- hydroxy-4-propyloxyphenyl)-6-(2,4-dimethylphenyl)-1 ,3,5-triazine, 2-(2-hydroxy-4- octyloxyphenyl)-4,6-bis(4-methylphenyl)-1 ,3,5-triazine, 2-(2-hydroxy-4- dodecyloxyphenyl)-4,6-bis(2,4-dimethylphenyl)-1 ,
- the RM formulation is dissolved in a suitable solvent, which are preferably selected from organic solvents.
- the solvents are preferably selected from ketones such as acetone, methyl ethyl ketone, methyl propyl ketone, methyl isobutyl ketone or cyclohexanone; acetates such as methyl, ethyl or butyl acetate or methyl acetoacetate; alcohols such as methanol, ethanol or isopropyl alcohol; aromatic solvents such as toluene or xylene; alicyclic hydrocarbons such as cyclopentane or cyclohexane; halogenated hydrocarbons such as di- or trichloromethane; glycols or their esters such as PGMEA (propyl glycol monomethyl ether acetate), ⁇ -butyrolactone. It is also possible to use binary, ternary or higher mixtures of the above solvents. In particular, for multilayer applications, methyl iso butyl ketone is the preferred utilized solvent
- the total concentration of all solids, including the RMs, in the solvent(s) is preferably from 5 to 60%, more preferably from 10 to 50%, in particular from 10 to 35%.
- the RM formulation comprises, besides one or more compounds or formula I and the chiral isomerisable compounds: a) optionally one or more multi - or direactive polymerisable mesogenic compounds, preferably selected from compounds of formula DRM and corresponding subformulae, and/or b) optionally one or more additional polymerisable chiral compounds, preferably selected from formulae CRM or its subformulae, and/or c) optionally one or more additional non-polymerisable chiral compounds, preferably selected from formulae C-l, C-ll and C-lll, and/or d) optionally one or more monoreactive mesogens, preferably selected from compounds of formula MRM and corresponding subformulae, and/or e) optionally one or more photoinitiators, and/or f) optionally one or more antioxidative additives, and/or g) optionally one or more adhesion promotors, and/or h) optionally one or more surfactants, and
- the RM formulation comprises: a) one or more compounds of formula I, or its corresponding preferred subformulae, b) one or more chiral isomerisable compounds, preferably selected from formula I*, more preferably from formula l*A, or their corresponding preferred subformulae, c) optionally one or more, preferably two or more, direactive polymerisable mesogenic compounds, preferably selected from the compounds of formula DRMa-1, d) optionally one or more, preferably two or more, monoreactive polymerisable mesogenic compounds, preferably selected from compounds of formulae MRM-1 , and/or MRM-4, and/or MRM-6, and/or MRM-7, e) optionally one or more additional polymerisable chiral compounds, preferably selected from formulae CRM or its subformulae, f) optionally one or more additional non-polymerisable chiral compounds, preferably selected from formulae C-l, C-ll and C-lll, g) optionally
- the RM mixture and RM formulation can be prepared in a manner conventional per se, for example by mixing one or more of the above-mentioned chiral isomerisable compounds with one or more RMs as defined above, and optionally with further additives.
- the invention further relates to a process of preparing an individual polymer film comprising, preferably consisting of, the steps of p1) providing a first layer of an RM mixture or RM formulation as described above and below onto a substrate, which is optionally provided with an alignment layer capable of inducing a planar alignment to the adjacent layer of the RM mixture, p2) optionally removing any solvents, if present, p3) optionally annealing the RM mixture (i.e.
- a first step of irradiation of the RM mixture with actinic radiation preferably with UV radiation, in air (1 st UV step)
- p5) optionally annealing the RM mixture preferably at a temperature where it is in the chiral nematic phase
- p6) a second step of irradiation of the RM mixture with actinic radiation preferably with UV radiation, in an inert gas atmosphere (2 nd UV step).
- the process of preparing an individual polymer film according to the present invention comprises the following steps: p11) providing a layer of an RM mixture or RM formulation as described above and below, or a solution thereof, onto a substrate, which is preferably equipped with an alignment layer inducing planar alignment layer, for example a rubbed polyimide layer or a photo alignment layer, for example by spin-coating or printing methods, and optionally removing any solvents present, p22) optionally removing any solvents, if present, p33) optionally annealing the layer of the RM mixture (i.e., without solvent), preferably at a temperature where it is in the chiral nematic phase, p44) exposing the layer of the RM mixture (i.e., without solvent) to UV light, which causes photoisomerisation of the chiral compound comprising the photoisomerisable group and provides the chiral structure with the biased helical pitch, preferably to unpolarised UV light, very preferably to unpolarised
- UV light which causes photopolymerisation of the RMs, preferably to unpolarised UV light, very preferably to unpolarised UVA light, for example with a dose of 200 to 2000 mJ/cm 2 cm 2 , preferably in an inert gas atmosphere, e.g. nitrogen and at ambient temperature ("2 nd UV step").
- an inert gas atmosphere e.g. nitrogen and at ambient temperature
- the invention further relates to a process of process of preparing a half-wave plate comprising, preferably consisting of, the steps of: p1) forming a first quarter-wave plate by a process comprising, preferably consisting of, the following steps p11) providing a layer of a chiral RM mixture as described above and below onto a substrate, which is optionally provided with an alignment layer capable of inducing a planar alignment to the adjacent layer of the chiral reactive mesogen mixture, p12) optionally removing any solvents, if present, p13) optionally annealing the layer of the chiral reactive mesogen mixture, preferably at a temperature where it is in the chiral nematic phase, p14) a first step of irradiation of the chiral reactive mesogen mixture with actinic radiation, preferably with UV radiation, in air (1 st UV step), p15) optionally annealing the layer of the chiral reactive mesogen mixture, preferably at a
- the first and second quarter-wave plate can be combined with each other for example by laminating the films onto each other.
- the second quarter-wave plate can be prepared directly on top of the first quarter-wave plate serving as a substrate. Lamination or coating of the films can also be done in a roll-to-roll process.
- all irradiation or UV exposure steps are carried out at room temperature, and the layer of the RM mixture or RM formulation is not subjected to heat treatment during or between the irradiation or UV exposure steps.
- the first irradiation or 1 st UV step causes photoisomerisation of the chiral compound comprising the photoisomerisable group and provides the chiral structure with the biased helical pitch.
- the second irradiation or 2 nd UV step causes photopolymerisation of the polymerisable mesogenic compounds and thereby fixes the chiral structure.
- this effect allows to use also RMs which have an absorption maximum in the same UV wavelength range as the photoisomerisable chiral compound, and would therefore polymerise unless being hindered. Since it is often difficult to find suitable RMs with very high birefringence as well as suitable chiral photoisomerisable compounds, this allows a broader choice of suitable mixture components, so that the chiral RM mixture composition can be more easily adapted to the specific requirements for the final use of the polymer film as half-wave plate.
- this effect can be advantageously used to polymerise the film only partially, with a gradient in the film thickness direction.
- the RMs at the top of the film, which are exposed to oxygen have a lower rate of polymerisation, whereas the RMs at the bottom of the film, at the substrate interface, are far less exposed to an hindered by oxygen so that they can polymerise more easily.
- the polymerised RM mixture exhibits an accelerated chiral rotation in direction to the main plane of the polymer film or the film thickness.
- the polymerised RM mixture exhibits a biased pitch, such that the chiral rotation angle increases or decreases incrementally through the film thickness.
- the RM mixture or RM formulation can be coated or printed onto the substrate, for example by spin-coating, printing, or other known techniques, and the solvent is evaporated off before polymerisation. In most cases, it is suitable to heat the mixture in order to facilitate the evaporation of the solvent.
- the RM mixture or RM formulation can be applied onto a substrate by conventional coating techniques like spin coating, bar coating or blade coating. It can also be applied to the substrate by conventional printing techniques which are known to the expert, like for example screen printing, offset printing, reel-to-reel printing, letter press printing, gravure printing, rotogravure printing, flexographic printing, intaglio printing, pad printing, heat-seal printing, ink-jet printing or printing by means of a stamp or printing plate.
- Suitable substrate mediums and substrates are known to the expert and described in the literature, as for example conventional substrates used in the optical films industry, such as glass or plastic.
- Especially suitable and preferred substrates for polymerisation are polyester such as polyethyleneterephthalate (PET) or polyethylenenaphthalate (PEN), polyvinylalcohol (PVA), polycarbonate (PC), triacetylcellulose (TAC), cyclo-olefin polymers (COP), or commonly known color filter materials, preferably triacetylcellulose (TAC), cyclo-olefin polymers (COP), or commonly known colour filter materials.
- PET polyethyleneterephthalate
- PEN polyethylenenaphthalate
- PVA polyvinylalcohol
- PC polycarbonate
- TAC triacetylcellulose
- COP cyclo-olefin polymers
- color filter materials preferably triacetylcellulose (TAC), cyclo-olefin polymers (COP), or commonly known colour filter materials.
- the substrate has a surface grating or surface pattern.
- the substrate is prepared from a photoalignment layer (PAL) which is patterned by laser interferometry to create a grating pattern with a defined pitch.
- PAL photoalignment layer
- the Friedel-Creagh-Kmetz rule can be used to predict whether a mixture will adopt planar or homeotropic alignment, by comparing the surface energies of the RM layer ( ⁇ RM) and the substrate (y s ):
- planar alignment layers are known in the art, like for example rubbed polyimide or alignment layers prepared by photoalignment as described in US 5,602,661 , US 5,389,698 or US 6,717,644.
- the process according to the invention contains a process step where the RM mixture is allowed to rest for a period of time in order to evenly redistribute the RM mixture on the substrate (herein referred to as “annealing”).
- the layer stack is annealed for a time between 10 seconds and 1 hour, preferably between 20 seconds and 10 minutes and most preferably between 30 seconds and 2 minutes.
- the annealing is preferably performed at room temperature.
- the RM mixture preferably consists of compounds that align spontaneously when being deposited as a mixture onto the substrate. Therefore, preferably the LC medium is not subjected to heat treatment to align the mesogenic or liquid-crystalline compounds before the UV exposure.
- the layer stack can be cooled down to room temperature after annealing at an elevated temperature.
- the cooling can be performed actively with the help of cooling aids or passively just by letting the layer stack rest for a given time.
- the RM mixture in the 1 st UV step is exposed to actinic radiation as described for example in WO 01/20394, GB 2,315,072 or WO 98/04651.
- Actinic radiation means irradiation with light, like UV light, IR light or visible light, irradiation with X-rays or gamma rays, or irradiation with high-energy particles, such as ions or electrons.
- the 1 st UV step is carried out by photo irradiation, in particular with UV light, especially with UVA light.
- a source for actinic radiation for example a single UV lamp or a set of UV lamps can be used. When using a high lamp power the curing time can be reduced.
- a laser like e.g. a UV laser, an IR laser, or a visible laser.
- the curing time is dependent, inter alia, on the reactivity of the photoreactive compounds, the thickness of the coated layer, and the power and selected wavelength of the UV lamp.
- the curing time is preferably ⁇ 5 minutes, very preferably ⁇ 3 minutes, most preferably ⁇ 1 minute. For mass production, short curing times of ⁇ 30 seconds are preferred.
- a suitable UV radiation power in the 1 st UV step is preferably in the range from 5 to 300 mWcm’ 2 , more preferably in the range from 50 to 250 mWcm’ 2 and most preferably in the range from 100 to 180 mWcm -2 .
- a suitable UV dose is preferably in the range from 20 to 1000 mJcnr 2 , more preferably in the range from 30 to 800 mJcnr 2 , very preferably in the range from 40 to 500 mJcnr 2 , most preferably in the range from 40 to 200 mJcnr 2 .
- the first irradiation step or 1 st UV step are preferably performed in air.
- the first irradiation step or 1 st UV step are preferably performed at room temperature.
- Photopolymerisation in the second irradiation step of the RM mixture is preferably achieved by exposing it to actinic radiation.
- Actinic radiation means irradiation with light, like UV light, IR light or visible light, irradiation with X-rays or gamma rays, or irradiation with high-energy particles, such as ions or electrons.
- polymerisation is carried out by photo irradiation, in particular with UV light.
- a source for actinic radiation for example a single UV lamp or a set of UV lamps can be used. When using a high lamp power the curing time can be reduced.
- Another possible source for photo radiation is a laser, like e.g. a UV laser, an IR laser, or a visible laser.
- the curing time for the photopolymerisation is dependent, inter alia, on the reactivity of the RM mixture, the thickness of the coated layer, the type of polymerisation initiator and the power of the UV lamp.
- the curing time is preferably ⁇ 5 minutes, very preferably ⁇ 3 minutes, most preferably ⁇ 1 minute. For mass production, short curing times of ⁇ 30 seconds are preferred.
- a suitable UV radiation power for the photopolymerisation is preferably in the range from 100 to 1000 mWcm-2, more preferably in the range from 200 to 800 mWcnr 2 and most preferably in the range from 300 to 600 mWcm’ 2 .
- a suitable UV dose is preferably in the range from 25 to 16500 mJcnr 2 , more preferably in the range from 50 to 7200 mJcnr 2 , very preferably in the range from 100 to 3500 mJcnr 2 and most preferably in the range from 200 to 2000 mJcnr 2 .
- Photopolymerisation (the second irradiation step or 2 nd UV step) is preferably performed under an inert gas atmosphere, preferably in a nitrogen atmosphere.
- Photopolymerisation (the second irradiation step or 2 nd UV step) is preferably performed at room temperature.
- the preferred thickness of a polymer film according to the present invention is determined by the optical properties desired from the film or the final product.
- the polymer film preferably has a thickness of from 0.1 to 10 pm, very preferably from 0.2 to 5 pm, in particular from 0.3 to 3 pm.
- the minimum helical pitch is ⁇ 1200 nm, very preferably from 200 to 1200 nm.
- the helical pitch increases from the side of the polymer film close to the substrate on which it is prepared throughout the thickness direction.
- the polymer film according to the present invention shows planar alignment, i.e. , the LC molecules are oriented parallel to the film plane and the helical axis is oriented substantially perpendicular to the film plane.
- the polymer film according to the present invention shows tilted alignment, i.e., the LC molecules are oriented at an angle to the film plane and the helical axis is oriented at an angle to the film plane, also referred as tilt angle.
- the tilt angle between the helix axis and the axis normal to the film plane is from 5° to 45°, very preferably from 15° to 45°.
- the tilt angle between the helix axis and the axis normal to the film plane is from 0 to 15°, very preferably from 0 to 5°.
- Planar alignment can be induced for example by providing an alignment layer on the substrate, for example a polyimide alignment layer, as described above.
- Tilted alignment can be achieved for example by adding an alignment additive to the chiral RM mixture, or by using a substrate with a surface grating or pattern, e.g. a PB grating.
- the birefringence (An) of the polymer film according to the present invention is preferably in the range from 0.20 to 0.60, more preferably from 0.25 to 0.55, very preferably from 0.30 to 0.50.
- the birefringence and accordingly optical retardation depends on the thickness of a film and the tilt angle of optical axis in the film (cf. Berek’s compensator). Therefore, the skilled expert is aware that different optical retardations or different birefringence can be induced by adjusting the orientation of the liquid-crystalline molecules in the polymer film.
- the optical retardation as a function of the thickness of the polymer film according to the present invention is less than 200 nm, preferable less than 180 nm and even more preferable less than 150 nm.
- the optical retardation as a function of the thickness of the polymer film according to the present invention is in the range from 110 nm to 170 nm, very preferably from 130 nm to 150 nm.
- the minimum twist angle is 0°.
- the maximum twist angle is in the range from 70 to 150°, very preferably from 80 to 120°, most preferably from 90 to 110°.
- the twist angle varies from 0° to 150°, very preferably from 0° to 120°, most preferably from 0° to 110° in the direction of the film thickness.
- the lower twist value is at the side of the polymer film adjacent to the substrate on which it is prepared.
- the average twist angle in the polymer film is preferably in the range from 10 to 40°, very preferably from 15 to 35°, most preferably from 20 to 30°.
- the resulting polymer film can be removed from the substrate and combined with other substrates or optical films by a laminating process known by the skilled person.
- Suitable substrates and optical films are given above and include especially polarisers, in particular linear polarisers, photoalignment layers, or diffraction gratings, for example PB gratings.
- the polymer film according to the present invention has good adhesion to plastic substrates, in particular to TAG, COP, and colour filters. Accordingly, it can be used as adhesive or base coating for subsequent LC layers which otherwise would not well adhere to the substrates.
- two polymer films each representing a quarter-wave plate, are combined into a bilayer.
- the two quarter-wave plates can be cobined by laminating one quarter-wave plate directly onto the other quarter wave plate.
- the second quarter-wave plate is directly prepared on the first quarter-wave plate which serves as a substrate.
- the invention thus further relates to a process of preparing a half-wave plate, wherein two quarter-wave plates having a pitch gradient are formed by a process as described above and below comprising, preferably consisting of, process steps p1) to p6), preferably of process steps p11) to p66), and wherein the first quarter-wave plate is laminated onto the second quarter-wave plate or vice versa.
- the invention further relates to a process of preparing a half-wave plate, wherein a first quarter-wave plate having a pitch gradient is formed by a process as described above and below comprising, preferably consisting of, process steps p1) to p6), preferably of process steps p11) to p66), and a second quarter-wave plate is formed by a process as described above and below, wherein the first quarter-wave plate is used as the substrate.
- the two quarter-wave plates are combined such that their surfaces with the higher twist are facing each other (inner sufarces), and their surfaces with the lower twist represent the outer surfaces of the bilayer thus formed. Since the low twist corresponds to a long pitch (i.e. a high pitch value) and the high twist corresponds to a short pitch (i.e. a low pitch value), this means that the two quarter-wave plates in the half-wave plate of this preferred embodiment are combined such that their surfaces with the shorter pitch are facing each other.
- Fig. 2. shows the twist profile in a half-wave plate according to the present invention consisting of two quarter-wave plates L1 and L2, each formed by a layer of a polymerised chiral RM mixture with helically twisted structure and a pitch gradient.
- the black line indicates the boundary between the inner surfaces of the two layers L1 and L2.
- the polymer film of the present invention can also be used as alignment film or substrate for other liquid-crystalline or RM materials.
- the inventors have found that the polymer film obtainable from a RM formulation as described above and below, is in particular useful for multilayer applications due to its improved dewetting characteristics. In this way, stacks of optical films or preferably polymer films can be prepared.
- the invention further relates to an optical, electrooptical or electronic device or a component comprising a half-wave plate as described above and below.
- the component is a diffraction grating, very preferably a PBG, PBL or Bragg PG, comprising a half-wave plate obtained from an RM mixture or RM formulation according to the present invention as described above and below.
- the polymer films and RM mixtures according to the present invention are useful in optical elements like polarisers, compensators, alignment layer, circular polarisers or colour filters in liquid crystal displays or projection systems, decorative images, for the preparation of liquid crystal or effect pigments, and especially in reflective films with spatially varying reflection colours, e.g. as multicolour image for decorative, information storage or security uses, such as non-forgeable documents like identity or credit cards, banknotes etc..
- the polymer film according to the present invention can be used in displays of the transmissive or reflective type. It can be used in conventional OLED displays or LCDs, in particular LCDs.
- m.p. denotes the melting point
- cl.p. denotes the clearing point
- T g glass transition temperature.
- C denotes the crystalline state
- N denotes the nematic phase
- SA, SB etc. denotes the smectic A phase
- Sx denotes an unidentified smectic phase
- X denotes an unidentified mesophase
- I denotes the isotropic phase.
- the values between these symbols represent the transition temperature in °C.
- the optical and electro optical data are measured at 20°C, unless expressly stated otherwise.
- “Clearing point” and “clearing temperature” mean the temperature of the transition from an LC phase into the isotropic phase.
- the percentages of solid components in an RM mixture or RM formulation as described above and below refer to the total amount of solids in the mixture or formulation, i.e. without any solvents.
- optical, electro optical properties and physical parameters like birefringence, permittivity, electrical conductivity, electrical resistivity and sheet resistance, refer to a temperature of 20°C.
- Omnirad®907 is a photoinitiator, being commercially available (IGM Resins).
- BYK®-388 is c surfactant, being commercially available (BYK, Germany).
- the achromaticity of a half-waveplate according to the present invention when put between two crossed polarizers, is compared with the achromaticity of a half- waveplate of prior art.
- a half-waveplate between crossed polarizers will allow a maximum of 50% light through the top polarizer. Any reduction in light intensity across the wavelength range will be a reduction in performance and render the polarizer less suitable for this application. Thus, in this example any reduction in light intensity less than 49% is considered as a failure.
- the achromaticity of a film stack S1 as shown in Table 1 below, including a half- waveplate according to the present invention between two crossed polarizers, is determined using DIMOS 1D software.
- the half-wave plate in Table 1 consists of two layers L1 and L2 of polymerized mixture M2, each layer having a varying twist with a calculated asymmetric twist profile as shown in Table 2 below and having quarter- wave retardation.
- Fig. 2. shows the twist profile in the half-wave plate according to the present invention consisting of the two layers L1 and L2 with asymmetric twist profile.
- the black line indicates the boundary between the inner surfaces of the two layers L1 and L2.
- the achromaticity of a film stack CS1 as shown in Table 3 below, including a half-waveplate according to prior art between two crossed polarizers, is determined using DI MOS 1D software.
- the half-wave plate in Table 3 consists of a non-twisted layer C1 of polymerized mixture M2 having half-wave retardation.
- the achromaticity is determined for unpolarized light input (400-700nm in 1nm steps), with the light detected after it exits the full stack including polarizers.
- Fig. 3(a) and Table 4 show the transmission vs. wavelength for the film stack S1 of Example 1 with a half-wave plate according to the present invention, consisting of two quarter-wave plates L1 and L2 with an asymmetric twist profile, between crossed polarizers (b).
- Fig. 3(b) and Table 5 show the transmission vs. wavelength for the film stack CS1 of Comparison Example 1 with a standard half-wave plate between crossed polarizers.
- the film stack S1 according to the invention with the half- wave plate consisting of two layers with asymmetric twist profile, has a much higher achromaticity than the film stack CS1 according to prior art, with the standard half- wave plate.
- the film stack CS1 with the standard half- wave plate of prior art shows a 49% transmission only at a wavelength of 550nm.
- the film stack S1 with the variable twist half-wave plate of the invention has a spectral bandwidth of more than 200nm, and thus exhibits significantly improved performance over the full visible spectrum.
- the half-waveplate of Example 1 according to the present invention is compared with a half-waveplate of prior art made by stacking two untwisted RM films on top of each other with precise angular control.
- the achromaticity of the film stack of Example 1 with a half-waveplate according to the invention is determined using DIMOS 1D software.
- Fig. 4(a) and Table 7 show the transmission vs. wavelength for the film stack S1 of Example 1 with a half-wave plate according to the present invention, consisting of two quarter-wave plates with an asymmetric twist profile, between crossed polarizers.
- the half-wave plate in stack CS2 consists of two fractional waveplates, each consisting of a non-twisted layer C2 or C3, respectively, of polymerized mixture M2 having quarter-wave retardation.
- the achromaticity is determined for unpolarized light input (400-700nm in 1nm steps), with the light detected after it exits the full stack including polarizers.
- Fig. 4(a) and Table 7 show the transmission vs. wavelength for the film stack S1 of Example 1 with a half-wave plate according to the present invention, consisting of two quarter-wave plates L1 and L2 with an asymmetric twist profile, between crossed polarizers.
- Fig. 4(b) and Table 8 show the transmission vs. wavelength for the film stack CS2 of Comparison Example 2 with a standard half-wave plate, consisting of two non-twisted quarter-wave plates C2 and C3, between crossed polarizers.
- the film stack S1 of the invention with a half-wave plate consisting of two layers with asymmetric twist profile, has a much higher achromaticity, with a spectral bandwidth of more than 200nm and good performance over the full visible spectrum, compared to the film stack CS2 of prior art with a half-wave plate consisting of two non-twisted fractional quarter-wave plates.
- the half-wave plate of the invention also has the advantage of simpler manufacture.
- the first RM layer L1 can act as an alignment layer for the second RM layer L2, and vice versa. Using this approach it is very easy to build an RM film stack by coating an extra layer on top of an already cured RM film.
- the following chiral RM mixture is prepared: . % % % %
- DRMal b lrganox®1076 is a stabilizer, being commercially available (Ciba AG, Basel, Switzerland).
- NCI®-930 is a photoinitiator, being commercially available (Adeka Coorporation, Japan).
- BYK®-310 is a surfactant being commercially available (BYK, Germany).
- RM formulation F1 is prepared by dissolving mixture M1 at 36% solids in a solvent blend of toluene: cyclohexanone (7:3).
- a polymer film is prepared from formulation F1 by the following process:
- An alignment layer is prepared on a TAC substrate with 60pm thickness by barcoating Nissan PAL HSPA-152 with an MB#3 bar, baking the coated substrate at 110°C for 60 seconds and exposed to polarised UV light utilizing a wire grid polariser and a high pressure mercury lamp (LH6 fusion) with 67 mW/cm 2 and 12 mJ/cm 2 UVA.
- the formulation F1 is barcoated onto the alignment layer using a MB#6 bar, and annealed at 60°C for 60 seconds, followed by a first exposure step in an air atmosphere to UV light utilizing a high pressure mercury lamp (LH6 fusion) with 180 mW/cm 2 and 40 mJ/cm 2 UVA.
- LH6 fusion high pressure mercury lamp
- the sample is purged with nitrogen for 60 seconds and in a second step exposed to UV light utilizing a high pressure mercury lamp (LH6 fusion) with 520 mW/cm 2 and 220 mJ/cm 2 UVA.
- LH6 fusion high pressure mercury lamp
- the resulting polymer film P1 is measured with an Axometrics Axostep, once film up (Light source, Substrate, Polymer Film Detector) and once film down (Light source, Polymer Film, Substrate, Detector).
- the spectral polarisation states are plotted on a Poincare sphere.
- the polarisation ellipse varies for each wavelength, but each has left-handed rotation. Due to the asymmetry of the twist in the z direction the film does not act reversibly.
Landscapes
- Chemical & Material Sciences (AREA)
- Crystallography & Structural Chemistry (AREA)
- Engineering & Computer Science (AREA)
- Materials Engineering (AREA)
- Organic Chemistry (AREA)
- Addition Polymer Or Copolymer, Post-Treatments, Or Chemical Modifications (AREA)
- Polarising Elements (AREA)
- Liquid Crystal (AREA)
Abstract
The invention relates to a half-wave plate comprising two layers of a chiral liquid crystal (LC) polymer with a pitch gradient (as a subcategory of liquid crystal material), a method for its preparation, and its use as diffractive optical element in optical or electrooptical components or devices, especially for digital optics or augmented reality or virtual reality (AR/VR) applications like polarizers, optical compensators, reflective films, diffraction or surface gratings, Bragg polarization gratings (Bragg PG), polarization volume gratings (PVG), polarization volume holograms (PVH), Pancharatnam Berry (PB) gratings, nonmechanical beam steering elements, optical waveguides, optical couplers, optical combiners, polarization beam splitters, partial mirrors or lenses.
Description
Half-Wave Plate
Technical Field of the Invention
The invention relates to a half-wave plate comprising two layers of a chiral liquid crystal (LC) polymer with a pitch gradient (as a subcategory of liquid crystal material), a method for its preparation, and its use as diffractive optical element in optical or electrooptica I components or devices, especially for digital optics or augmented reality or virtual reality (AR/VR) applications like polarizers, optical compensators, reflective films, diffraction or surface gratings, Bragg polarization gratings (Bragg PG), polarization volume gratings (PVG), polarization volume holograms (PVH), Pancharatnam Berry (PB) gratings, nonmechanical beam steering elements, optical waveguides, optical couplers, optical combiners, polarization beam splitters, partial mirrors or lenses.
Background and Prior Art
Half-wave plates are extremely important in the field of digital optics. They are used in Pancharatnam-Berry (PB) optical elements also known as cycloidal diffractive waveplates, as described for example in Yun-Han Lee et al., Opt. Data Process. Storage, 3, 79-88 (2017). These are patterned half-wave plates where the director profile continuously changes as a function across the X-Y plane. The PB optical elements include PB lenses (PBL) and PB gratings (PBG). In a PBL the director continuously changes along a radial axis in a parabolic fashion as illustrated in Fig. 1a, whereas in a PBG the director profile changes linearly in a longitudinal direction as illustrated in Fig. 1b, both of which are shown in the aforementioned reference.
The PBLs and PBGs gratings can be active devices made from liquid crystals which can be electrically switched. Alternatively they can be static devices made from polymerisable LCs, also known as reactive mesogens (RMs) to provide thin lenses and gratings on plastic susbtrates.
It is known in prior art that a half-wave plate utilising a single film made from RMs has issues with chromaticity due to the optical dispersion of the RMs. Optimizing the thickness of the RM film to get a half-wave plate at a specific wavelength will mean that for all other wavelengths, the film will not be a half-wave plate and so there will be light leakage. One common method to improve this light leakage due to the dispersion of the material is to use a negative dispersion RM film. This has advantages in that a
single film can compensate across the blue and green areas of the visible spectrum. However there is always a trade off in the red wavelengths as the dispersion flatterns in this area. While the green and blue regions of the visible spectrum will show low light leakage, the red region of the visible spectrum will leak through the device which is unwanted. The individual RM singles used in negative dispersion RM films are also very expensive and of low birefringence. This compounds to make a half-wave plate made using a negative dispersion RM film prohibitively expensive.
It is known in prior art that by utilising multiple layers of RM films it is possible to improve the achromaticity compared to even a negative dispersion RM film. However, using this approach, usually three or more layers are required to achieve good achromaticity across the visible spectrum. Including this many layers introduces complexity when coating the film and also can introduce issues such as dewetting and alignment problems which can get worse as more layers are added on to the stack. Reducing the number of layers to two or even a single layer while keeping the achromaticity is therefore advantageous.
Therefore, there is still a need for improved polymer films made from RM materials and methods for their production, which can be used as half-wave plates, show reduced chromaticity across a large part of the visible spectrum, do not exhibit the drawbacks of prior art materials, methods and films, or if they do so, only exhibit them to a lesser extent, and can be prepared by simple, time- and cost-effective methods with reproducible quality and large quantity which is compatible for mass production.
One aim of the present invention is to provide improved polymer films, and methods for their production, which can be used as half-wave plates with reduced chromaticity. Other aims of the present invention are immediately evident to the person skilled in the art from the following detailed description.
Surprisingly, the inventors of the present invention have found that one or more of these aims can be achived by providing a polymer film prepared from a chiral RM mixture, and a method for its preparation, as disclosed and claimed hereinafter.
Summary of the Invention
The invention relates to a half-wave plate comprising, preferably consisting of, two layers, each layer comprising, preferably consisting of, a polymerised chiral RM mixture with helically twisted structure, wherein in each layer the helical pitch
increases or decreases in the film thickness direction, and wherein the two layers have opposite twist sense.
Preferably the half-wave plate is comprising two quarter-wave plates, wherein each of said quarter-wave plates comprises, preferably consists of, a layer of a polymerised chiral RM mixture with helically twisted structure wherein the helical pitch increases or decreases in the film thickness direction, and wherein the two quarter-wave plates have opposite twist sense.
Preferably the chiral RM mixture comprises at least one, preferably exactly one, chiral compound with one or more isomerisable groups, preferably one or more photoisomerisable groups, which is preferably polymerisable.
Very preferably the chiral RM mixture comprises at least two, more preferably exactly two, chiral compounds with opposite handedness, one of which contains an isomerisable group, and the other of which does not contain an isomerisable group, and wherein one or both chiral compounds are polymerisable.
The invention further relates to a process of preparing a half-wave plate as described above and below.
The invention further relates to an optical, electronic or electro optical component or device as such, comprising a half-wave plate as described above and below. The invention further relates to an optical, electrooptical or electronic device or a component comprising a half-wave plate as described above and below.
Said components include, without limitation, optical retardation films, polarizers, optical compensators, diffraction or surface gratings such as Bragg polarization gratings (Bragg PG), polarization volume gratings (PVG), Pancharatnam Berry gratings (PBG) or Pancharatnam Berry lenses (PBL), furthermore nonmechanical beam steering elements, optical waveguides, optical couplers or combiners, polarization beam splitters, partial mirrors, reflective films, alignment layers, colour filters, antistatic protection sheets, electromagnetic interference protection sheets, lenses for light guides, focusing and optical effects, polarization controlled lenses, and IR reflection films; for example for use in LC displays (LCDs), organic light emitting diodes (OLEDs), autostereoscopic 3D displays, see-through near-eye displays, augmented reality( AR) or virtual reality (VR) systems, switchable windows, spatial light
modulators, optical data storage, remote optical sensing, holography, spectroscopy, optical telecommunications, polarimetry or front/back-lighting.
Said devices include, without limitation, electro optical displays, especially LCDs, OLEDs, non-linear optic (NLO) devices, autostereoscopic 3D displays, see-through near-eye displays, AR/VR systems, goggles for AR/VR applications, switchable windows, spatial light modulators, optical data storage devices, optical sensors, holographic devices, spectrometers, optical telecommunication systems, polarimeters or front-/backlights.
Brief Description of the Drawings
Fig. 1a and b exemplarily and schematically illustrate the LC director orientation in a PB lens (a) and a PB grating (b).
Fig. 2 shows the twist profile in a half-wave plate according to Example 1 of the present invention.
Fig. 3 shows the transmission vs. wavelength plot for a film stack of Example 1 (a) with a half-wave plate according to the present invention, consisting of two quarter- wave plates with a pitch gradient, between crossed polarizers, and for a film stack of Comparison Example 1 (b) with a standard half-wave between crossed polarizers.
Fig. 4 shows the transmission vs. wavelength plot for a film stack of Example 1 (a) with a half-wave plate according to the present invention, consisting of two quarter- wave plates with a pitch gradient, between crossed polarizers, and for a film stack of Comparison Example 2 (b) with a standard half-wave plate consisting of two standard quarter-wave plates between crossed polarizers.
Terms and Definitions
Above and below, the expression “the two layers (or quarter-wave plates) have opposite twist sense” means that the twist sense of the helically twisted structure in the first of the said two layers (or quarter-wave plates) is opposite to the twist sense of the helically twisted structure in the second of the said two layers (or quarter-wave plates).
Throughout the description and claims of this specification, the words “comprise” and “contain” and variations of the words, for example “comprising” and “comprises”, mean
“including but not limited to”, and are not intended to (and do not) exclude other components.
Unless the context clearly indicates otherwise, as used herein plural forms of the terms herein are to be construed as including the singular form and vice versa.
The term "film" as used herein includes rigid or flexible, self-supporting or free- standing films with mechanical stability, as well as coatings or layers on a supporting substrate or between two substrates.
The term “monolithic film” means a one-layer (or single-layer) film which is consisting of a single layer of a specific material, like for example a polymerised chiral RM mixture as described above and below.
As used herein, the terms "reactive mesogen" and "RM" will be understood to mean a compound containing a mesogenic or liquid crystalline skeleton, and one or more functional groups attached thereto, optionally via spacer groups, which are suitable for polymerisation and are also referred to as "polymerisable group" or "P".
Unless stated otherwise, the term "polymerisable compound" as used herein will be understood to mean a polymerisable monomeric compound.
Polymerisable compounds or RMs with one polymerisable group are also referred to as "monoreactive" compounds, polymerisable compounds or RMs with two polymerisable groups as "direactive" compounds, and polymerisable compounds or RMs with more than two polymerisable groups as "multireactive" compounds. Compounds without a polymerisable group are also referred to as "non-reactive" compounds.
The terms "liquid crystal", "mesogen" and "mesogenic compound" as used herein mean a compound that under suitable conditions of temperature, pressure and concentration can exist as a mesophase or in particular as a LC phase.
The term “clearing point” means the temperature at which the transition between the mesophase with the highest temperature range and the isotropic phase occurs.
The term "mesogenic group" as used herein is known to the person skilled in the art and described in the literature, and means a group which, due to the anisotropy of its
attracting and repelling interactions, essentially contributes to causing a liquid-crystal (LC) phase in low-molecular-weight or polymeric substances. Compounds containing mesogenic groups (mesogenic compounds) do not necessarily have to have an LC phase themselves. It is also possible for mesogenic compounds to exhibit LC phase behaviour only after mixing with other compounds and/or after polymerisation. Typical mesogenic groups are, for example, rigid rod- or disc-shaped units. An overview of the terms and definitions used in connection with mesogenic or LC compounds is given in Pure Appl. Chem. 2001, 73(5), 888 and C. Tschierske, G. Pelzl, S. Diele, Angew. Chem. 2004, 116, 6340-6368.
The term "spacer group", hereinafter also referred to as "Sp", as used herein is known to the person skilled in the art and is described in the literature, see, for example, Pure Appl. Chem. 2001, 73(5), 888 and C. Tschierske, G. Pelzl, S. Diele, Angew. Chem. 2004, 116, 6340-6368. As used herein, the terms "spacer group" or "spacer" mean a flexible group, for example an alkylene group, which connects the mesogenic group and the polymerisable group(s) in a polymerisable mesogenic compound.
As used herein, the term "RM mixture" means a mixture comprising one or more, preferably two or more, more preferably two to ten, very preferably two to six RMs.
As used herein, the term "RM formulation" means at least one RM or RM mixture, and one or more other materials added to the at least one RM or RM mixture to provide, or to modify, specific properties of the RM formulation and/or of the at least one RM therein. It will be understood that an RM formulation is also a vehicle for carrying the RM to a substrate to enable the forming of layers or structures thereon. Exemplary materials include, but are not limited to, solvents, polymerisation initiators, surfactants and adhesion promoters, etc. as described in more detail below.
Unless stated otherwise, the percentage of a compound in an RM mixture as given above and below means % by weight of the total RM mixture, excluding solvents or additives as described above and below that are used in the RM formulation.
Unless stated otherwise, the percentage of a compound in an RM formulation as given above and below means % by weight of all solids in the RM formulation, including liquid additives as described below but excluding solvents.
The term “per- and/or polyfluoroalkyl substance (PFAS)” as used herein (following the definition by the OECD) means a substance or compound that contains at least one
fully fluorinated methyl or methylene C atom (without any H/CI/Br/l atom attached to it), i.e. , a compound with at least one CF3 or CF2 group.
The expression “polyfluorinated alkyl or aryl group” as used herein means an alkyl or aryl group which is substituted by two or more F atoms (wherein the F atoms may be attached either to the same or different C atoms), thus including perfluorocarbon groups.
As used herein, the term "polymer" will be understood to mean a molecule that encompasses a backbone of one or more distinct types of repeating units (the smallest constitutional unit of the molecule) and is inclusive of the commonly known terms “oligomer”, “copolymer”, “homopolymer” and the like. Further, it will be understood that the term polymer is inclusive of, in addition to the polymer itself, residues from initiators, catalysts, and other elements attendant to the synthesis of such a polymer, where such residues are understood as not being covalently incorporated thereto. Further, such residues and other elements, while normally removed during post polymerisation purification processes, are typically mixed or co-mingled with the polymer such that they generally remain with the polymer when it is transferred between vessels or between solvents or dispersion media.
The term “polymerisation” means the chemical process to form a polymer by bonding together multiple polymerisable groups or polymer precursors (polymerisable compounds) containing such polymerisable groups.
A “polymer network” is a network in which all polymer chains are interconnected to form a single macroscopic entity by many crosslinks.
The polymer network can occur in the following types:
A graft polymer molecule is a branched polymer molecule in which one or more the side chains are different, structurally or configurationally, from the main chain. A star polymer molecule is a branched polymer molecule in which a single branch point gives rise to multiple linear chains or arms. If the arms are identical, the star polymer molecule is said to be regular. If adjacent arms are composed of different repeating subunits, the star polymer molecule is said to be variegated.
A comb polymer molecule consists of a main chain with two or more three-way branch points and linear side chains. If the arms are identical the comb polymer molecule is said to be regular.
A brush polymer molecule consists of a main chain with linear, unbranched side chains and where one or more of the branch points has four-way functionality or larger.
The term “chiral” in general is used to describe an object that is non-superimposable on its mirror image.
“Achiral” (non- chiral) objects are objects that are identical to their mirror image.
The terms “chiral nematic” and “cholesteric” are used synonymously in this application, unless explicitly stated otherwise.
The term “isomerisable I photoisomerisable compound” means a compound comprising one or more isomerisable or photoisomerisable groups, respectively.
The term “isomerisable group” means a functional group of a molecule that causes a change of the geometry of the molecule, i.e. isomerisation, either by bond rotation, skeletal rearrangement or atom- or group- transfer, or by dimerization, which can be induced, e.g., thermally or photochemically or by adding a catalyst.
The term “photoisomerisable group” means a functional group of a molecule that causes a change of the geometry of the molecule, i.e. isomerisation, either by bond rotation, skeletal rearrangement or atom- or group- transfer, or by dimerization, upon irradiation with light of a suitable wavelength that can be absorbed by the molecule (photoisomerisation).
Examples of photoisomerisable groups are -C=C- double bonds and azo groups (- N=N-). Examples of molecular structures and sub-structures comprising such photoisomerisable groups are stilbene, (1 ,2-difluoro-2-phenyl-vinyl)-benzene, cinnamate, a-cyanocinnamate, 4-phenylbut-3-en-2-one, Schiff base (i.e., a group R'RiiC=NRiii, wherein R'" is different from H, and is for example alkyl or aryl), 2- benzyliden-1 -indanone, chaicone, coumarin, chromone, pentalenone and azobenzene.
A chiral RM mixture in accordance with the present invention can be prepared, for example, by doping a host mixture comprising one or more RMs with a chiral compound having a high twisting power.
The pitch p (in nm) of the induced cholesteric helix, hereinafter also referred to as “chiral pitch” or “helical pitch”, is then given by the concentration c (in %) and the helical twisting power HTP (in nm-1) of the chiral compound in accordance with the following equation: p = (HTP c)'1
A low value of the pitch is hereinafter also referred to as “short pitch”, and a high value of the pitch is hereinafter also referred to as “long pitch”. A short pitch corresponds to a highly twisted structure, i.e. , a higher twist angle, and a long pitch corresponds to a slowly twisted structure, i.e., a lower twist angle, around the helix axis within a given distance.
The twist angle, 0, through a thickness, d, is defined by the following equation:
where p is the pitch as defined above.
In case more than one chiral compound is used, the total HTP of the chiral compounds having the same configuration or twist sense (HTPtotai) holds then approximately the following equation:
HTPtotal = ∑i ci HTPi wherein q is the concentration of each individual chiral compound and HTPi is the helical twisting power of each individual chiral compound.
The HTP of all chiral compounds within a mixture of different configurations or different twist sense (IHTPΔI) holds then approximately the following equation:
IHTPΔ I = (∑s Cs HTPs) - ((∑rCr HTPr) wherein cs is the concentration of each individual chiral compound with S configuration, HTPS is the helical twisting power of each individual chiral compound having S configuration and wherein cris the concentration of each individual chiral compound
with R configuration and HTPR is the helical twisting power of each individual chiral compound having R configuration.
The birefringence An is defined as follows
Δn = ne -n0 wherein ne is the extraordinary refractive index and n0 is the ordinary refractive index, and the effective average refractive index nav. is given by the following equation: nav. = ((2n0 2 + ne 2)/3) 1/2
The average refractive index nav. and the ordinary refractive index n0 can be measured using an Abbe refractometer. An can then be calculated from the above equations.
The central wavelength and bandwidth Δ of a reflectance band of cholesteric RM or LC material or a cholesteric polymer film are given by the pitch p of the cholesteric helix, the average refractive index nav. and the birefringence An of the cholesteric liquid crystal in accordance with the following equations: = nav. . p
Δλ = Δn , .
The term “visible light” means electromagnetic radiation with a wavelength in a range from about 400 nm to about 740 nm. “Ultraviolet (UV) light” means electromagnetic radiation with a wavelength in a range from about 200 nm to about 450 nm.
According to the present application, the term "linearly polarised light" means light, which is at least partially linearly polarized. Preferably, the aligning light is linearly polarized with a degree of polarization of more than 5:1. Wavelengths, intensity and energy of the linearly polarised light are chosen depending on the photosensitivity of the photoalignable material. Typically, the wavelengths are in the UV-A, UV-B and/or UV-C range or in the visible range. Preferably, the linearly polarised light comprises light of wavelengths less than 450 nm, more preferably less than 420 nm at the same time the linearly polarised light preferably comprises light of wavelengths longer than 280nm, preferably more than 320nm, more preferably over 350nm.
The Irradiance (Ee) or radiation power is defined as the power of electromagnetic radiation (d0) per unit area (dA) incident on a surface:
Ee = de/dA.
The radiant exposure or radiation dose (He), is as the irradiance or radiation power (Ee) per time (t):
He = Ee ■ t.
On the molecular level, the birefringence of a liquid crystal depends on the anisotropy of the polarizability (Aa=a11-aj-). "Polarisability" means the ease with which the electron distribution in the atom or molecule can be distorted. The polarizability increases with greater number of electrons and a more diffuse electron cloud. The polarizability can be calculated using a method described in e.g. Jap. J. Appl. Phys. 42, (2003) p. 3463.
The "optical retardation" at a given wavelength R( ) (in nm) of a layer of liquid crystalline or birefringent material is defined as the product of birefringence at that wavelength Δn(λ) and layer thickness d (in nm) according to the following equation:
R(λ) = Δn(λ) . d
The optical retardation R represents the difference in the optical path lengths in nanometres travelled by S-polarised and P-polarised light whilst passing through the birefringent material. "On-axis" retardation means the retardation at normal incidence to the sample surface.
The retardation ( R(λ)) of a material can be measured using a spectroscopic ellipsometer, for example the M2000 spectroscopic ellipsometer manufactured by J. A. Woollam Co. This instrument can measure the optical retardance in nanometres of a birefringent sample e.g., Quartz over a range of wavelengths typically, 370nm to 2000nm. From this data it is possible to calculate the dispersion (R(450)/R(550) or An(450)/An(550)) of a material.
A method for carrying out these measurements was presented at the National Physics Laboratory (London, UK) by N. Singh in October 2006 and entitled “Spectroscopic Ellipsometry, Parti -Theory and Fundamentals, Part 2 - Practical Examples and Part 3 - measurements”. In accordance with the measurement procedures described
Retardation Measurement (RetMeas) Manual (2002) and Guide to WVASE (2002) (Woollam Variable Angle Spectroscopic Ellipsometer) published by J. A. Woollam Co. Inc (Lincoln, NE, USA). Unless stated otherwise, this method is used to determine the retardation of the materials, films and devices described in this invention.
The term "director" is known in prior art and means the preferred orientation direction of the long molecular axes (in case of calamitic compounds) or short molecular axes (in case of discotic compounds) of the liquid-crystalline or RM molecules. In case of uniaxial ordering of such anisotropic molecules, the director is the axis of anisotropy.
The term “alignment” or “orientation” relates to alignment (orientational ordering) of anisotropic units of material such as small molecules or fragments of big molecules in a common direction named “alignment direction”. In an aligned layer of liquid- crystalline or RM material the liquid-crystalline director coincides with the alignment direction so that the alignment direction corresponds to the direction of the anisotropy axis of the material.
The terms "uniform orientation" or "uniform alignment" of an liquid-crystalline or RM material, for example in a layer of the material, mean that the long molecular axes (in case of calamitic compounds) or the short molecular axes (in case of discotic compounds) of the liquid-crystalline or RM molecules are oriented substantially in the same direction. In other words, the lines of liquid-crystalline director are parallel.
The terms "homeotropic structure I alignment I orientation" refer to a film wherein the optical axis is substantially perpendicular to the film plane.
The terms "planar structure /alignment I orientation" refer to a film wherein the optical axis is substantially parallel to the film plane.
All temperatures, such as, for example, the melting point T(C,N) or T(C,S), the transition from the smectic (S) to the nematic (N) phase T(S,N) and the clearing point T(N,I) of the liquid crystals, are quoted in degrees Celsius. All temperature differences are quoted in differential degrees.
In case of doubt the definitions as given in C. Tschierske, G. Pelzl and S. Diele, Angew. Chem. 2004, 116, 6340-6368 shall apply.
If in the formulae shown above and below a group R, including any variations thereof such as R1, R°, R00, R0*, R11, R*, R**, Rc, R3, R4 etc., or L denotes an alkyl radical and/or an alkoxy radical, this may be straight-chain or branched. It is preferably straight-chain, has 2, 3, 4, 5, 6 or 7 C atoms and accordingly preferably denotes ethyl, propyl, butyl, pentyl, hexyl, heptyl, ethoxy, propoxy, butoxy, pentoxy, hexyloxy or heptyloxy, furthermore methyl, octyl, nonyl, decyl, undecyl, dodecyl, tridecyl, tetra- decyl, pentadecyl, methoxy, octyloxy, nonyloxy, decyloxy, undecyloxy, dodecyloxy, tridecyloxy or tetradecyloxy.
If in the formulae shown above and below a group R including any variations thereof such as R1, R°, R°°, R*°, R11, R22, Rc, R3, R4 etc., or L denotes an alkyl radical and/or an alkoxy radical, this may be straight-chain or branched. It is preferably straight- chain, has 2, 3, 4, 5, 6 or 7 C atoms and accordingly preferably denotes ethyl, propyl, butyl, pentyl, hexyl, heptyl, ethoxy, propoxy, butoxy, pentoxy, hexyloxy or heptyloxy, furthermore methyl, octyl, nonyl, decyl, undecyl, dodecyl, tridecyl, tetradecyl, pentadecyl, methoxy, octyloxy, nonyloxy, decyloxy, undecyloxy, dodecyloxy, tridecyloxy or tetradecyloxy.
If in the formulae shown above and below a group R including any variations thereof such as R1, R°, R°°, R°*, R11, R22, Rc, R3, R4etc., or L denotes an alkyl radical wherein one or more CH2 groups are replaced by S, this may be straight-chain or branched. It is preferably straight-chain, has 1 , 2, 3, 4, 5, 6 or 7 C atoms and accordingly preferably denotes thiomethyl, thioethyl, thiopropyl, thiobutyl, thiopentyl, thiohexyl or thioheptyl.
Oxaalkyl preferably denotes straight-chain 2-oxapropyl (= methoxymethyl), 2-oxabutyl (= ethoxymethyl) or 3-oxabutyl (= 2-methoxyethyl), 2-, 3- or 4-oxapentyl, 2-, 3-, 4- or 5-oxahexyl, 2-, 3-, 4-, 5- or 6-oxaheptyl, 2-, 3-, 4-, 5-, 6- or 7-oxaoctyl, 2-, 3-, 4-, 5-, 6-, 7- or 8-oxanonyl, 2-, 3-, 4-, 5-, 6-, 7-, 8- or 9-oxadecyl.
If in the formulae shown above and below a group R including any variations thereof such as R1, R°, R°°, R*°, R11, R22, Rc, R3, R4 etc., or L denotes an alkoxy or oxaalkyl group it may also contain one or more additional oxygen atoms, provided that oxygen atoms are not linked directly to one another.
In another preferred embodiment, one or more of R including any variations thereof such as R1, R°, R°°, R*°, R11, R22, Rc, R3, R4 etc., or L are selected from the group consisting of
-OCH2OCH3, -O(CH2)2OCH3, -O(CH2)3OCH3, -O(CH2)4OCH3, -O(CH2)2F, -O(CH2)3F and -O(CH2)4F.
If in the formulae shown above and below a group R including any variations thereof such as R1, R°, R00, R*°, R11, R22, Rc, R3, R4 etc., or L denotes an alkyl radical in which one CH2 group has been replaced by -CH=CH-, this may be straight-chain or branched. It is preferably straight-chain and has 2 to 10 C atoms. Accordingly, it denotes, in particular, vinyl, prop-1- or -2-enyl, but-1-, -2- or -3-enyl, pent-1-, -2-, -3- or -4-enyl, hex-1-, -2-, -3-, -4- or -5-enyl, hept-1-, -2-, -3-, -4-, -5- or -6- enyl, oct-1-, -2-, -3-, -4-, -5-, -6- or -7-enyl, non-1-, -2-, -3-, -4-, -5-, -6-, -7- or -8-enyl, dec-1-, -2-, -3-, -4-, -5-, -6-, -7-, -8- or -9-enyl.
If in the formulae shown above and below a group R including any variations thereof such as R1, R0, R00, R*0, R11, R22, Rc, R3, R4 etc., or L denotes an alkyl or alkenyl radical which is at least monosubstituted by halogen, this radical is preferably straight- chain, and halogen is preferably F or Cl. In the case of polysubstitution, halogen is
preferably F. The resultant radicals also include perfluorinated radicals. In the case of monosubstitution, the fluorine or chlorine substituent may be in any desired position, but is preferably in the ω-position.
Halogen is preferably F or Cl, very preferably F.
The group -CR°=CR00- is preferably -CH=CH-.
Preferred substituents L, are, for example, F, Cl, Br, I, -CN, -NO2, -NCO, -NCS, -OCN, -SCN, -C(=O)N(RX)2, -C(=O)Y1, -C(=O)RX, -N(RX)2, straight-chain or branched alkyl, alkoxy, alkylcarbonyl, alkoxycarbonyl, alkylcarbonyloxy or alkoxycarbonyloxy each having 1 to 25 C atoms, in which one or more H atoms may optionally be replaced by F or Cl, optionally substituted silyl having 1 to 20 Si atoms, or optionally substituted aryl having 6 to 25, preferably 6 to 15, C atoms, wherein Rx denotes H, F, Cl, CN, or straight chain, branched or cyclic alkyl having 1 to 25 C atoms, wherein one or more non-adjacent CH2-groups are optionally replaced by -O-, -S-, -CO-, -CO-O-, -O-CO-, -O-CO-O- in such a manner that O- and/or S-atoms are not directly connected with each other, and wherein one or more H atoms are each optionally replaced by F, Cl, P- or P-Sp-, and Y1 denotes halogen.
Particularly preferred substituents L are, for example, F, Cl, CN, NO2, CH3, C2H5, OCH3, SCH3, OC2H5, SC2H5, COCH3, COC2H5, COOCH3, COOC2H5, CF3, OCF3, OCHF2, OC2F5, furthermore phenyl.
in which L has one of the meanings indicated above.
Throughout the application, the term “aryl and heteroaryl groups” encompass groups, which can be monocyclic or polycyclic, i.e. they can have one ring (such as, for
example, phenyl) or two or more rings, which may also be fused (such as, for example, naphthyl) or covalently linked (such as, for example, biphenyl), or contain a combination of fused and linked rings. Heteroaryl groups contain one or more heteroatoms, preferably selected from O, N, S and Se. Particular preference is given to mono-, bi- or tricyclic aryl groups having 6 to 25 C atoms and mono-, bi- or tricyclic heteroaryl groups having 2 to 25 C atoms, which optionally contain fused rings, and which are optionally substituted. Preference is furthermore given to 5 , 6 or 7- membered aryl and heteroaryl groups, in which, in addition, one or more CH groups may be replaced by N, S or O in such a way that O atoms and/or S atoms are not linked directly to one another. Preferred aryl groups are, for example, phenyl, biphenyl, terphenyl, [1 ,1':3',1"]-,-'terphenyl-2'-yl, naphthyl, anthracene, binaphthyl, phenanthrene, pyrene, dihydropyrene, chrysene, perylene, tetracene, pentacene, benzopyrene, fluorene, indene, indenofluorene, spirobifluorene, more preferably 1,4- phenylene, 4,4’-biphenylene, 1 , 4-tephenylene.
Preferred heteroaryl groups are, for example, 5 membered rings, such as pyrrole, pyrazole, imidazole, 1 ,2,3-triazole, 1 ,2,4-triazole, tetrazole, furan, thiophene, selenophene, oxazole, isoxazole, 1,2 thiazole, 1,3-thiazole, 1 ,2,3-oxadiazole, 1,2,4 oxadiazole, 1,2,5-oxadiazole, 1,3,4-oxadiazole, 1,2,3-thiadiazole, 1,2,4-thiadiazole, 1 ,2,5-thiadiazole, 1,3,4-thiadiazole, 6 membered rings, such as pyridine, pyridazine, pyrimidine, pyrazine, 1 ,3,5-triazine, 1 ,2,4-triazine, 1 ,2,3-triazine, 1 ,2,4,5-tetrazine, 1 ,2,3,4-tetrazine, 1 ,2,3,5-tetrazine, or condensed groups, such as indole, iso-indole, indolizine, indazole, benzimidazole, benzotriazole, purine, naphthimidazole, phenanthrimidazole, pyridimidazole, pyrazinimidazole, quinoxalinimidazole, benzoxazole, naphthoxazole, anthroxazole, phen-anthroxazole, isoxazole, benzothiazole, benzofuran, isobenzofuran, dibenzofuran, quinoline, isoquinoline, pteridine, benzo-5,6-quinoline, benzo-6,7-quinoline, benzo-7,8-quinoline, benzoisoquinoline, acridine, phenothiazine, phenoxazine, benzopyridazine, benzopyrimidine, quinoxaline, phenazine, naphthyridine, azacarbazole, benzocarboline, phenanthridine, phenanthroline, thieno[2,3b]thiophene, thieno[3,2b]- thiophene, dithienothiophene, isobenzothiophene, dibenzothiophene, benzothiadiazothiophene, or combinations of these groups. The heteroaryl groups may also be substituted by alkyl, alkoxy, thioalkyl, fluorine, fluoroalkyl or further aryl or heteroaryl groups.
In a group
the single bond shown between the two ring atoms can be attached to any free position of the benzene ring.
-OC-, -CO-, -C(=O)- and -C(O)- denote a carbonyl group, i.e.
The polymerisable group P, including any variations thereof such as P°, P1, P2, P*0, is a group which is suitable for a polymerisation reaction, such as, for example, free- radical or ionic chain polymerisation, polyaddition or polycondensation, or for a polymer-analogous reaction, for example addition or condensation onto a main polymer chain. Particular preference is given to groups for chain polymerisation, in particular those containing a C=C double bond or -C=C- triple bond, and groups which are suitable for polymerisation with ring opening, such as, for example, oxetane or epoxide groups.
Preferred groups P, including any variations thereof such as P°, P1, P2, P*0, are selected from the group consisting of
, CH2=C \2-(O)k3-, CW1=CH-CO-
(O)k3-, CW1=CH-CO-NH-, CH2=CW-CO-NH-, CH3-CH=CH-O-, (CH2=CH)2CH-OCO-, (CH2=CH-CH2)2CH-OCO-, (CH2=CH)2CH-O-, (CH2=CH-CH2)2N-, (CH2=CH-CH2)2N-CO-, HO-CW3-, HS-CW-, HV^N-, HO-CWW-NH-, CH2=CW-CO-NH-, CH2=CH- (COO)ki-Phe-(O)k2-, CH2=CH-(CO)ki-Phe-(O)k2-, Phe-CH=CH-, HOOC-, OCN- and WW 6Si-, in which W1 denotes H, F, Cl, CN, CF3, phenyl or alkyl having 1 to 5 C atoms, in particular H, F, Cl or CH3, W2 and W3 each, independently of one another, denote H or alkyl having 1 to 5 C atoms, in particular H, methyl, ethyl or n-propyl, W4, W5 and W3 each, independently of one another, denote Cl, oxaalkyl or oxacarbonylalkyl having 1 to 5 C atoms, W7 and W8 each, independently of one another, denote H, Cl or alkyl having 1 to 5 C atoms, Phe denotes 1 ,4-phenylene, which is optionally substituted by one or more radicals L as defined above which are other than P-Sp-, ki , k2 and k3 each, independently of one another, denote 0 or 1 , k3 preferably denotes 1 , and k4 denotes an integer from 1 to 10.
Very preferred groups P, including any variations thereof such as P°, P1, P2, P*°, are selected from the group consisting of
CH2=CW1-CO-O-, CH2=CW1-CO-,
CH2=C V2-O-, CH2=W2-,
CW1=CH-CO-(O)k3-, CW1=CH-CO-NH-, CH2=CW-CO-NH-,
(CH2=CH)2CH-OCO-, (CH2=CH-CH2)2CH-OCO-, (CH2=CH)2CH-O-,
(CH2=CH-CH2)2N-, (CH2=CH-CH2)2N-CO-, CH2=CW-CO-NH-, CH2=CH-(COO)ki-Phe-(O)k2-, CH2=CH-(CO)ki-Phe-(O)k2-, Phe-CH=CH- and WWSi- , in which W1 denotes H, F, Cl, CN, CF3, phenyl or alkyl having 1 to 5 C atoms, in particular H, F, Cl or CH3, W2 and W3 each, independently of one another, denote H or alkyl having 1 to 5 C atoms, in particular H, methyl, ethyl or n-propyl, W4, V^ and W5 each, independently of one another, denote Cl, oxaalkyl or oxacarbonylalkyl having 1 to 5 C atoms, W7 and W8 each, independently of one another, denote H, Cl or alkyl having 1 to 5 C atoms, Phe denotes 1 ,4-phenylene, ki, k2 and k3 each, independently of one another, denote 0 or 1 , k3 preferably denotes 1 , and k4 denotes an integer from 1 to 10.
Very particularly preferred groups P, including any variations thereof such as P°, P1,
P2, P*°, are selected from the group consisting of CH2=CW1-CO-O-, in particular
Further preferred polymerisable groups P, including any variations thereof such as P°, P1, P2, P*°, are selected from the group consisting of vinyloxy, acrylate, methacrylate, fluoroacrylate, chloroacrylate, oxetane and epoxide, most preferably from acrylate and methacrylate.
In another preferred embodiment of the invention, in a polymerisable compound as disclosed above and below, including compounds of formula I and its subformulae, all polymerisable groups have the same meaning, and preferably denote acrylate or methacrylate, very preferably acrylate.
The spacer group, including any variations thereof such as Sp0, Sp1, Sp2, Sp*°, when being different from a single bond, is preferably of the formula Sp"-X", so that the respective radical P-Sp- etc. conforms to the formula P-Sp"-X"-, wherein
Sp" denotes linear or branched alkylene having 1 to 20, preferably 1 to 12, C atoms, which is optionally mono- or polysubstituted by F, Cl, Br, I or CN and in which, in addition, one or more non-adjacent CH2 groups may each be replaced, independently of one another, by -O-, -S-, -NH-, -N(R0)-, -Si(R°R00)-, -CO-, -CO- O-, -O-CO-, -O-CO-O-, -S-CO-, -CO-S-, -N(R°°)-CO-O-, -O-CO-N(R0)-, -N(R°)- CO-N(R00)-, -CH=CH- or -C=C- in such a way that O and/or S atoms are not linked directly to one another,
X" denotes -O-, -S-, -CO-, -CO-O-, -O-CO-, -O-CO-O-, -CO-N(R0)-, -N(R°)-CO-, - N(R°)-CO-N(R00)-, -OCH2-, -CH2O-, -SCH2-, -CH2S-, -CF2O-, -OCF2-, -CF2S-, - SCF2-, -CF2CH2-, -CH2CF2-, -CF2CF2-, -CH=N-, -N=CH-, -N=N-, -CH=CR0-, - CY2=CY3-, -C=C-, -CH=CH-CO-O-, -O-CO-CH=CH- or a single bond,
R° and R°° each, independently of one another, denote H or alkyl having 1 to 20 C atoms, and
Y2 and Y3 each, independently of one another, denote H, F, Cl or CN.
X" is preferably -O-, -S-, -CO-, -COO-, -OCO-, -O-COO-, -CO-NR0-, -NR°-CO-, -NR°- CO-NR00- or a single bond.
Typical spacer groups Sp, including any variations thereof such as Sp°, Sp1, Sp2, Sp*°, and -Sp"-X"- are, for example, -(CH2)P1-, -(CH2)P1-O-, -(CH2)P1-O-CO-, -(CH2)P1-CO-O-, - (CH2)P1-O-CO-O-, -(CH2CH2O)qi-CH2CH2-, -CH2CH2-S-CH2CH2-, -CH2CH2-NH-CH2CH2- or -(SiR0R00-O)p1-, in which p1 is an integer from 1 to 12, q1 is an integer from 1 to 3, and R° and R°° have the meanings indicated above.
Particularly preferred groups Sp, including any variations thereof such as Sp°, Sp1, Sp2, Sp*°, and -Sp"-X"- are -(CH2)P1-, -(CH2)P1-O-, -(CH2)P1-O-CO-, -(CH2)P1-CO-O-, -(CH2)P1-O- CO-O-, in which p1 and q1 have the meanings indicated above.
Particularly preferred groups Sp" are, in each case straight-chain, ethylene, propylene, butylene, pentylene, hexylene, heptylene, octylene, nonylene, decylene, undecylene, dodecylene, octadecylene, ethyleneoxyethylene, methyleneoxybutylene,
ethylenethioethylene, ethylene-N-methyliminoethylene, 1 -methylalkylene, ethenylene, propenylene and butenylene.
In another preferred embodiment of the invention, the polymerisable compounds as disclosed above and below, including compounds of formula I and its subformulae, contain a spacer group Sp, including any variations thereof such as Sp°, Sp1, Sp2, Sp*°, that is substituted by one or more polymerisable groups P, so that the group Sp- P etc. corresponds to Sp(P)s, with s being >2 (branched polymerisable groups).
Preferred polymerisable compounds according to this preferred embodiment are those wherein s is 2, i.e. , compounds which contain a group Sp(P)2. Very preferred polymerisable compounds according to this preferred embodiment contain a group selected from the following formulae:
-X-alkyl-CHPP S1
-X-alkyl-CH((CH2)aaP)((CH2)bbP) S2
-X-N((CH2)aaP)((CH2)bbP) S3
-X-alkyl-CHP-CH2-CH2P S4
-X-alkyl-C(CH2P)(CH2P)-CaaH2aa+i S5
-X-alkyl-CHP-CH2P S6
-X-alkyl-CPP-CaaH2aa+i S7
-X-alkyl-CHPCHP-CaaH2aa+i S8 in which P is as defined in formula I, alkyl denotes a single bond or straight-chain or branched alkylene having 1 to 12 C atoms which is unsubstituted or mono- or polysubstituted by F, Cl or CN and in which one or more non-adjacent CH2 groups may each, independently of one another, be replaced by -C(R0)=C(R0)-, -C=C-, -N(R0)-, -O-, -S-, -CO-, -CO-O-, -O- CO-, -O-CO-O- in such a way that O and/or S atoms are not linked directly to one another, where R° has the meaning indicated above,
aa and bb each, independently of one another, denote 0, 1 , 2, 3, 4, 5 or 6,
X has one of the meanings indicated for X", and is preferably O, CO, SO2, O-CO-, CO-O or a single bond.
Preferred spacer groups Sp(P)2 are selected from formulae S1 , S2 and S3.
Very preferred spacer groups Sp(P)2 are selected from the following subformulae:
-CHPP S1a
-O-CHPP S1 b
-CH2-CHPP S1c
-OCH2-CHPP S1d
-CH(CH2-P)(CH2-P) S2a
-OCH(CH2-P)(CH2-P) S2b
-CH2-CH(CH2-P)(CH2-P) S2C
-OCH2-CH(CH2-P)(CH2-P) S2d
-CO-NH((CH2)2P)((CH2)2P) S3a
Detailed Description of the Invention
The inventors of the present invention have surprisingly found that it is possible to provide a half-wave plate by combining two quarter-wave plates with high achromaticity, each quarter-wave plate consisting of a polymer film which is formed from a polymerised chiral RM mixture with helically twisted structure and exhibits a pitch gradient, i.e. , wherein the helical pitch increases or decreases, in the film thickness direction, and wherein the helices in the two quarter-wave plates have opposite twist sense. By combining two such quarter-wave plates of opposite twist
sense it is possible to achieve a half-wave plate with excellent achromaticity across the visible spectrum.
Each quarter-wave plate according to the present invention consists of a monolithic film of a polymerised chiral RM mixture. The chiral RM mixture is hereinafter also referred to as “RM mixture (according to the present invention)”. The film of the polymerised chiral RM mixture forming the quarter-wave plate is hereinafter also simply referred to as “polymer film (according to the present invention)”. A half-wave plate according to the present invention thus comprises, preferably consists, of two polymer films according to the present invention as described above and below.
To achieve a non-linear twist profile, the RM mixture used for preparing the polymer film preferably contains at least one RM and at least one chiral compound with one or more isomerisable groups, preferably one or more photoisomerisable groups, like for example cinnamate groups. The chiral compound with one or more isomerisable groups is preferably polymerisable.
The isomerisable group(s) in this chiral compound can undergo a photo driven E/Z isomerisation reaction, and in doing so exhibits a reduction in helical twisting power (HTP). This allows for rapid photo driven adjustment of the chiral pitch in an RM layer and by varying the formulation and processing conditions it is possible to produce alignment profiles with variable pitch. When aligned on a grating alignment layer it is possible to increase the grating angular bandwidth.
Moreover, this allows to replicate a two-layer chiral RM film as described in prior art into a one-layer, or monolithic, film. Thereby it is possible to avoid problems related to multilayer film preparation where multiple RM layers with different pitch values have to be coated onto each other, like insufficient alignment transfer between the RM layers, the appearance of alignment defects, damage in the lower RM layer caused by the subsequent layer, or the control of the different pitch values and slant angles in the individual RM layers.
Instead, the polymer film according to the present invention exhibits a non-linear twist profile with an accelerating twist through the film thickness, which can be achieved by use of the photoisomerisable chiral compound that undergoes isomerisation while partial polymerisation occurs.
In particular, the non-linear twist profile can be achieved by a process of preparing a polymer film according to the present invention as described above and below. This process contains two steps of irradiating the chiral RM layer with actinic radiation, for example UV light, which causes both photoisomerisation of the chiral compound and photopolymerisation of the RMs.
The first irradiation step involves UV irradiation of the RM layer in air rather than in an inert atmosphere such as nitrogen gas. Without wishing to be bound to specific theory, the inventors believe that the oxygen rich environment during photocuring inhibits free radical polymerisation. This effect is taken advantage of in order to partially polymerise the RM layer with a gradient in the film depth. The top of the RM layer which is exposed to oxygen has a low rate of polymerisation, since polymerisation is partially hindered by the oxygen environment, while the photoisomerisation of the chiral compound still proceeds. At the bottom of the film at the substrate interface is not directly affected by the oxygen so polymerisation is far less hindered by oxygen and occurs more easily.
At the same time, due to the presence of at least one photoisomerisable chiral compound, photoisomerisation occurs during the first UV irradiation step and the helical twisting power (HTP) of the photoreactive chiral compound is reduced when being exposed to the UV light. The change in chiral structure is physically resisted in areas of higher polymer density. Since, as described above, at the top or surface of the RM layer the polymer density is lower, the chiral structure and helical pitch can be modified more freely. At the bottom of the film adjacent to the substrate, where more photopolymerisation occurs, the polymer density is higher so the change in chiral structure and helical pitch is impeded. This leads to a pitch gradient present in the film, wherein the chiral rotation angle increases, or decreases (depending on the viewing direction), incrementally through the film thickness.
Accordingly, after performing the method as described above, the polymerised LC medium exhibits an accelerated chiral rotation in a direction perpendicular to the main plane of the polymer film, i.e. , in the film thickness direction, thereby creating a non- linear twist through the film thickness.
The second irradiation step is carried out in an inert gas atmosphere, for example nitrogen, which completes the polymerisation process also in the upper regions of the RM layer, so that the RM layer is fully polymerised into a polymer film with the non- linear twist locked in.
The polymer film and its preparation process according to the present invention provide several advantages, some of which have already been described described above and below.
The polymer film according to the present invention has planar alignment, and by adding a small amount of a chiral dopant with high twisting power a helical twist is induced in a direction throughout the film thickness. As a result a perpendicular director orientation can be provided in a single film using only one RM mixture. This enables low material cost and increases market competitiveness.
The biased helical pitch (or helical pitch gradient), i.e. , wherein the chiral twist angle increases incrementally through the film thickness (i.e., in a direction perpendicular to the film plane), in the polymer film according to the present invention can be already be achieved by application of low intensity UV light.
In addition to the advantageous effects as described above and below, the polymer film and its preparation process according to the present invention can provide the following advantages:
- the chiral RM mixture can easily be aligned into the desired orientation, for example on a planar alignment layer or on a PB grating,
- by adding only a small amount of a chiral compound with high HTP a helical twist is induced in a direction throughout the film thickness,
- a perpendicular director orientation can be provided in a single film and using only one RM mixture, which enables low material cost and increases market competitiveness,
- the helical pitch gradient in the polymer film can already be achieved by application of low intensity UV light,
- the process of preparing the polymer film requires only one additional process step compared to the process of preparing a conventional single, planar aligned RM film,
- the said additional process step is a low intensity UV exposure in air to cause photoisomerisation of the chiral compound, and does not require an inert gas atmosphere or additional heating or cooling of the film.
Preferably each quarter-wave plate according to the present invention contains only one polymer film with a pitch gradient formed from the polymerised chiral RM mixture.
The half-wave plate according to the present invention comprises, preferably consists of, two such polymer films with a pitch gradient formed from the polymerised chiral RM mixture.
The chiral RM mixture used for preparing a polymer film or quarter-wave plate according to the present invention comprises one or more chiral isomerisable compounds, preferably selected from chiral photoisomerisable compounds.
The chiral isomerisable compounds can be polymerisable or not polymerisable. They can be non-mesogenic compounds or mesogenic compounds. If the chiral isomerisable compounds are polymerisable they can be monoreactive or multi reactive.
In a preferred embodiment the chiral RM mixture comprises one or more chiral isomerisable compounds which are polymerisable.
In another preferred embodiment the chiral RM mixture contains exactly one chiral isomerisable compound.
Further preferably the chiral RM mixture contains only chiral isomerisable compounds which are selected from polymerisable, preferably selected from mono- or direactive, chiral isomerisable compounds.
In another preferred embodiment the chiral RM mixture comprises at least two, more preferably exactly two, chiral compounds with opposite handedness, one of which contains an isomerisable group, and the other of which does not contain an isomerisable group, and wherein one or both, preferably both, chiral compounds are polymerisable.
In another preferred embodiment, the chiral RM mixture does not contain a chiral compound which does not contain an isomerisable group, in particular does not contain a photoisomerisable group. Very preferably according to this preferred embodiment the chiral RM mixture does not contain any other chiral compounds in addition to the chiral isomerisable compound(s).
Suitable and preferred polymerisable chiral isomerisable compounds comprise one or more ring elements, linked together by a direct bond or via a linking group and, where two of these ring elements optionally may be linked to each other, either directly or via a linking group, which may be identical to or different from the linking group
mentioned. The ring elements are preferably selected from the group of four-, five-, six- or seven-, preferably of five- or six-, membered rings.
Preferred chiral isomerisable compounds are selected of formula I*:
R3-(A3-Z3)m-G(-(Z4-A4)i-R4)k I* wherein the individual radicals, independently of each other and on each occurrence identically or differently, have the following meanings
R3, R4 H, F, Cl, CN, P-Sp- or an alkyl radical with up to 25 C atoms which may be unsubstituted, mono- or polysubstituted by halogen or CN, it being also possible for one or more non-adjacent CH2 groups to be replaced, in each case independently from one another, by -O-, -S-, -NH-, -N(CH3)-, -CO-, - COO- -OCO-, -OCO-O-, -S-CO-, -CO-S- or -C=C- in such a manner that oxygen atoms are not linked directly to one another,
P a polymerisable group,
Sp a spacer group or a single bond,
Z3, Z4 -CO-O-, -O-CO-, -CH2CH2-, -OCH2-, -CH2O-, -CH=CH-, -CH=CH-CO-O-, -O- CO-CH=CH-, -CH=C(CN)-CO-O-, -O-CO-C(CN)=CH-, -N=N-, -CH=N-, - N=CH-, -C=C-, or a single bond,
A3, A4 an alicyclic, heterocyclic, aromatic or heteroaromatic group with 4 to 20 ring atoms, which is monocyclic or polycyclic and which is optionally substituted by one or more groups L or P-Sp-,
G a chiral group,
L F, Cl, -CN, -SCN, P-Sp-, or straight chain, branched or cyclic alkyl having 1 to 25 C atoms, wherein one or more non-adjacent CH2-groups are optionally replaced by -O-, -S-, -CO-, -CO-O-, -O-CO-, -O-CO-O-, CR°=CR00-, -C=C-,
in such a manner that O- and/or S-atoms are not directly connected with each other, and wherein one or more H atoms are each optionally replaced by P-Sp- , F or Cl, or two substituents L that are connected to directly adjacent C atoms may also form a cycloalkyl or cycloalkenyl group with 5, 6, 7 or 8 C atoms, m, I independently of each other 0, 1 , 2 or 3, k 0, 1 or 2, wherein the compound contains at least one isomerisable group, which is preferably a photoisomerisable group, and preferably at least one of R3 and R4 denotes P-Sp-.
In the compounds of formula I* and its subformulae as described above and below, if R3or R4 is an alkyl or alkoxy radical, i.e. where the terminal CH2 group is replaced by - O-, this may be straight-chain or branched. It is preferably straight-chain, has 2, 3, 4, 5, 6, 7 or 8 carbon atoms and accordingly is preferably ethyl, propyl, butyl, pentyl, hexyl, heptyl, octyl, ethoxy, propoxy, butoxy, pentoxy, hexoxy, heptoxy, or octoxy, furthermore methyl, nonyl, decyl, undecyl, dodecyl, tridecyl, tetradecyl, pentadecyl, methoxy, nonoxy, decoxy, undecoxy, dodecoxy, tridecoxy or tetradecoxy, for example.
Oxaalkyl, i.e. where one CH2 group is replaced by -O-, is preferably straight-chain 2- oxapropyl (=methoxymethyl), 2- (=ethoxymethyl) or 3-oxabutyl (=2-methoxyethyl), 2-, 3-, or 4-oxapentyl, 2-, 3-, 4-, or 5-oxahexyl, 2-, 3-, 4-, 5-, or 6-oxaheptyl, 2-, 3-, 4-, 5-, 6- or 7-oxaoctyl, 2-, 3-, 4-, 5-, 6-, 7- or 8-oxanonyl or 2-, 3-, 4-, 5-, 6-, 7-, 8- or 9- oxadecyl, for example.
Preferred compounds of formula I* and its subformulae are those wherein at least one of R3 and R4, preferably both R3 and R4, denote P-Sp-.
Further preferred compounds of formula I* and its subformulae are those wherein at least one of R3 and R4, preferably both R3 and R4, is different from P-Sp-, and preferably denotes alkyl or alkoxy with 1 to 12, more preferably 1 to C atoms, and one of R3 and R4 may also denote F, Cl or CN.
Further preferred compounds of formula I* and its subformulae are those wherein A3 and A4 are selected from the group consisting of 1,4-phenylene, 1,3-phenylene, naphthalene-1,4-diyl, naphthalene-2,6-diyl, phenanthrene-2,7-diyl, 9,10-dihydro- phenanthrene-2,7-diyl, anthracene-2,7-diyl, anthracene-9,10-diyl, fluorene-2,7-diyl,
dibenzothiophene-2, 7-diyl, dibenzofuran-2,7-diyl, benzo[1 ,2-b:4,5-b']dithiophene-2,5- diyl, indole-4, 7-diyl, benzothiophene-4, 7-diyl, coumarine, flavone, where, in addition, one or more CH groups in these groups may be replaced by N, cyclohexane-1 ,4-diyl, in which, in addition, one or more non-adjacent CH2 groups may be replaced by O and/or S, 1 ,4-cyclohexenylene, bicycle[1.1.1]pentane-1 ,3-diyl, bicyclo[2.2.2]octane-
1.4-diyl, spiro[3.3]heptane-2,6-diyl, piperidine-1 ,4-diyl, decahydronaphthalene-2,6-diyl,
1 .2.3.4-tetrahydronaphthalene-2,6-diyl, indane-2,5-diyl, octahydro-4, 7-methanoindane- 2,5-diyl, 2-benzylidene-1-indanone, chaicone, chromone and pentalenone, all of which are optionally substituted by one or more groups L or P-Sp-.
Very preferred compounds of formula I* and its subformulae are those wherein A3 and A4 are selected from the group consisting of 1 ,4-phenylene, naphthalene-1 ,4-diyl, naphthalene 2,6-diyl, 1 ,4-cyclohexylene in which, in addition, one or two non-adjacent CH2 groups may be replaced by O and/or S, 1 ,4-cyclohexenylene, 1 ,4- bicyclo(2,2,2)octylene, piperidine-1 ,4-diyl, naphthalene-2,6-diyl, decahydronaphthalene-2,6-diyl, or 1 ,2,3,4-tetrahydro-naphthalene-2,6-diyl, very preferably 1 ,4-phenylene or 1 ,4-cyclohexylene, all of which are optionally substituted by one or more groups L or P-Sp.
Further preferred compounds of formula I* and its subformulae are those wherein Z3 and Z4 independently of each other denote -CO-O-, -O-CO- or a single bond.
Further preferred compounds of formula I* and its subformulae are those wherein L is selected from F, Cl, CN, CH3, C2H5, OCH3, OC2H5, COCH3, COC2H5, CF3, OCF3, P- Sp-, in particular F, Cl, CN, CH3, C2H5, OCH3, COCH3 or OCF3 , most preferably F, CH3, OCH3 or COCH3.
Further preferred compounds of formula I* and its subformulae are those wherein P is selected from the group consisting of vinyloxy, acrylate, methacrylate, fluoroacrylate, chloroacrylate, oxetane and epoxide, very preferably from acrylate and methacrylate, most preferably acrylate.
Further preferred compounds of formula I* and its subformulae are those wherein Sp denotes a single bond or -(CH2)P1-, -O-(CH2)P1-, -O-CO-(CH2)P1 , or -CO-O-(CH2)P1, wherein p1 is an integer from 2 to 10, preferably 2, 3, 4, 5 or 6, and, if Sp is -O- (CH2)P1-, -O-CO-(CH2)P1 or -CO-O-(CH2)P1 the O-atom or CO-group, respectively, is linked to the benzene ring.
Further preferred compounds of formula I* and its subformulae are those wherein all polymerisable groups P that are present in the compound have the same meaning, and very preferably denote acrylate or methacrylate, most preferably acrylate.
Further preferred compounds of formula I* and its subformulae are those which contain one, two, three or four groups P-Sp, very preferably two or three groups P-Sp.
Further preferred compounds of formula I* and its subformulae are those wherein at least one group Sp is a single bond.
Further preferred compounds of formula I* and its subformulae are those wherein at least one group Sp is a single bond and at least one group Sp is different from a single bond.
Further preferred compounds of formula I* and its subformulae are those wherein at least one group Sp is different from a single bond, and is selected from -(CH2)P1-, -O- (CH2)P1-, -O-CO-(CH2)P1 , or -CO-O-(CH2)P1, wherein p1 is an integer from 2 to 10, preferably 2, 3, 4, 5 or 6, and, if Sp is -O-(CH2)P1-, -O-CO-(CH2)P1 or -CO-O-(CH2)P1 the O-atom or CO-group, respectively, is linked to the benzene ring.
In the event that Raor Rb is a group of formula P-Sp-, the spacer groups on each side of the mesogenic core may be identical or different.
In the compounds of formula I* and its subformulae as described above and below, m and I are preferably 0 or 1.
In the compounds of formula I* and its subformulae as described above and below, q is preferably 0 or 1 , very preferably 0.
Of the compounds of formula I*, the following are especially preferred:
R*-G-R** 1*1
R*-A3-Z3-G-R** l*2
R*-A3-Z3-G-Z4-A4-R** l*3
P-Sp-G-R** l*4
P-Sp-A3-Z3-G-R** l*5
P-Sp-G-Z4-A4-R** l*6
P-Sp-A3-Z3-G-Z4-A4-R** l*7
P-Sp-G-Sp-P 1*8
P-Sp-A3-Z3-G-Sp-P 1*9
P-Sp-A3-Z3-G-Z4-A4-Sp-P 1*10
P-Sp-A3-Z3-A3-Z3-G-Z4-A4-Sp-P 1*11
P-Sp-A3-Z3-A3-Z3-G-Z4-A4-Z4-A4-Sp-P 1*12 wherein P, Sp, A3, A4, Z3, Z4 and G have the meanings given for formula I* or one of their preferred meanings as described above and below, R* has one of the meanings of R3 which is different from P-Sp-, and R** has one of the meanings of R4 which is different from P-Sp-.
Of these preferred compounds, particularly preferred are those of formula l*8 to 1*10, very particularly preferred those of formula l*8.
A smaller group of particularly preferred compounds of the formulae 1*1 to 1*10 is listed below. For reasons of simplicity, Phe is 1 ,4-phenylene which is optionally substituted in 2- and/or 3-position with L, and Cyc is 1 ,4-cyclohexylene.
Particularly preferred compounds of the formula l*2, I3, l*5, l*6, l*7, l*9 and 1*10 are those of the following formulae:
R*-Phe-Z3-G-R** 1*2-1
R*-Cyc-Z3-G-R** 1*2-2
R*-Phe-Z3-G-Z4-Phe-R** 1*3-1
R*-Cyc-Z3-G-Z4-Cyc-R** 1*3-2
R*-Phe-Z3-G-Z4-Cyc-R** 1*3-3
P-Sp-Cyc-Z3-G-R** 1*5-1
P-Sp-Phe-Z3-G-R** 1*5-2
P-Sp-G-Z4-Phe-R** 1*6-1
P-Sp-G-Z4-Cyc-R** 1*6-2
P-Sp-Phe-Z3-G-Z4-Phe-R** 1*7-1
P-Sp-Cyc-Z3-G-Z4-Cyc-R** 1*7-2
P-Sp-Phe-Z3-G-Z4-Cyc-R** 1*7-3
P-Sp-Cyc-Z3-G-Z4-Phe-R** 1*7-4
P-Sp-Cyc-Z3-G-Sp-P 1*9-1
P-Sp-Phe-Z3-G-Sp-P 1*9-2
P-Sp-Phe-Z3-G-Z4-Phe-Sp-P 1*10-1
P-Sp-Cyc-Z3-G-Z4-Cyc-Sp-P 1*10-2
P-Sp-Phe-Z3-G-Z4-Cyc-Sp-P 1*10-3
P-Sp-Phe-Z3-Phe-Z3-G-Z4-Phe-Sp-P 1*11-1
P-Sp-Phe-Z3-Cyc-Z3-G-Z4-Phe-Sp-P 1*11-2
P-Sp-Cyc-Z3-Phe-Z3-G-Z4-Phe-Sp-P 1*11-3
P-Sp-Phe-Z3-Phe-Z3-G-Z4-Cyc-Sp-P 1*11-4
P-Sp-Phe-Z3-Cyc-Z3-G-Z4-Cyc-Sp-P 1*11-5
P-Sp-Cyc-Z3-Phe-Z3-G-Z4-Cyc-Sp-P 1*11-6
P-Sp-Cyc-Z3-Cyc-Z3-G-Z4-Cyc-Sp-P 1*11-7
P-Sp-Phe-Z3-Phe-Z3-G-Z4-Phe-Z4-Phe-Sp-P 1*12-1
P-Sp-Phe-Z3-Cyc-Z3-G-Z4-Phe-Z4-Phe-Sp-P 1*12-2
P-Sp-Cyc-Z3-Phe-Z3-G-Z4-Phe-Z4-Phe-Sp-P 1*12-3
P-Sp-Phe-Z3-Cyc-Z3-G-Z4-Cyc-Z4-Phe-Sp-P 1*12-4
P-Sp-Cyc-Z3-Phe-Z3-G-Z4-Phe-Z4-Cyc-Sp-P 1*12-5
P-Sp-Phe-Z3-Phe-Z3-G-Z4-Cyc-Z4-Cyc-Sp-P 1*12-6
P-Sp-Cyc-Z3-Phe-Z3-G-Z4-Cyc-Z4-Cyc-Sp-P 1*12-7
P-Sp-Phe-Z3-Cyc-Z3-G-Z4-Cyc-Z4-Cyc-Sp-P 1*12-8
P-Sp-Cyc-Z3-Cyc-Z3-G-Z4-Cyc-Z4-Cyc-Sp-P 1*12-9 wherein P, Sp, Z3, Z4 and G have the meanings given for formula I* or one of their preferred meanings as described above and below, R* has one of the meanings of R3 in formula I* which is different from P-Sp-, and R** has one of the meanings of R4 in formula I* which is different from P-Sp-.
Preferably in the compounds of formulae 1*2-1 to 1*10-6 R* and R** are independently of each other alkyl or alkoxy with 1 to 12 C atoms, or alkyl or alkoxy with 1 to 12 C atoms and the other is F, Cl or CN. Furthermore -Sp- is preferably alkylene or alkyleneoxy with 1 to 12 C atoms, P is preferably acrylate or methacrylate, and Z3 and Z4 are independently of each other denote - CO-O-, -O-CO- -CH=CH-CO-O-, -O-CO- CH=CH-, -CH=C(CN)-CO-O-, -O-CO-C(CN)=CH-, -CH=N-, -N=CH-, -N=N- or a single bond, more preferably -CO-O-, -O-CO- or a single bond.
Preferred compounds of formula I* and its subformulae are those wherein G denotes or contains a photoisomerisable group.
Further preferred compounds of formula I* and its subformulae are those wherein Z3 and/or Z4 independently of each other denote -CH=CH-CO-O-, -O-CO-CH=CH-, - CH=C(CN)-CO-O-, -O-CO-C(CN)=CH-, -CH=N-, -N=CH- or -N=N-.
Further preferred compounds of formula I* and its subformulae are those containing an isomerisable group selected from stilbene, (1,2-difluoro-2-phenyl-vinyl)-benzene, cinnamate, a-cyanocinnamate, 4-phenylbut-3-en-2-one, Schiff base, 2-benzyliden-1- indanone, chaicone, coumarin, chromone, pentalenone or azobenzene.
Further preferred compounds of formula I* and its subformulae are those wherein the chiral group G is selected or derived from dianhydrohexitol, preferably isosorbide, isomannide or isoidide, 1,1’-bi-2-naphthol (binol), 1,2-diphenyl-1 ,2-ethanediol (hydrobenzoin), 2-benzylidene-p-menthan-3-one and menthyl cinnamate ((1/ ,2S,5R)- 5-Methyl-2-(1-methylethyl)cyclohexyl (2E)-3-phenyl-2-propenoate).
Very preferred compounds of formula I* and its subformulae are those wherein the chiral group G is selected of formula A:
wherein X is -C0-0-, -CH=CH-CO-O-, -CH=C(CN)-CO-O-, in each of which the ester O-atom is linked to the furan ring, or -N=N-, q is 0, 1 , 2, 3 or 4, and L has the meaning of formula I* or one of its preferred meanings as given above and below.
wherein X, L and q have the meanings given in formula A, and wherein Ai is based on isosorbide, Aii is based on isomannide and Aiii is based on isoidide. Especially preferred is Ai.
Further preferred compounds of formula I* and its subformulae are those wherein one or both of Z3 and Z4 independently of each other denote -CH=CH-CO-O-, -O-CO- CH=CH-, -CH=C(CN)-CO-O-, -O-CO-C(CN)=CH-, -CH=N-, -N=CH- or -N=N-, and/or wherein G is of formula A, preferably Ai, and X denotes -CH=CH-CO-O-, -CH=C(CN)- CO-O- or -N=N-.
Further preferred compounds of formula I* and its subformulae are those wherein G is of formula A, preferably formula Ai, and X denotes -CH=CH-CO-O-, -CH=C(CN)-CO- O- or -N=N-, very preferably -CH=CH-CO-O-.
Further preferred compounds of formula I* and its subformulae are those wherein the chiral group G is selected from the following formulae
wherein
X, L and q have the meanings given in formula A or one of the preferred meanings as given above and below,
R11 and R12 independently of each other denote -(Z4-A4)i-R4 as defined in formula I*, or R11 and R12 together with the O atoms form a cyclic group or a spirocyclic group which is optionally substituted by a group -(Z4-A4)i-R4 as defined in formula I*, R13 and R14 independently of each other denote R3-(A3-Z3)m- as defined in formula I*, a1 and a2 independently of each other are 0, 1 or 2, and the dashed lines represent a linkage to the adjacent group(s) in formula I*.
Preferred compounds of formula I* are selected from the following formulae:
wherein R3, R4, Z4, A4, L and q have, independently of each other and on each occurrence identically or differently, the meanings given in formula I* or one of the preferred meanings as given above and below, 11 is 0, 1 or 2, R13, R14, a1 and a2 have the meanings given in formula G or one of the preferred meanings as given above and below, R15 denotes -(Z4-A4)I-R4 as defined in formula I* and X11 and X12 denote -O-CO- CH=CH-.
l*B3
wherein P, Sp, L and q have the meanings given in formula I* or one of the preferred meanings as given above and below, R* has one of the meanings of R3 in formula I* which is different from P-Sp-, and R** has one of the meanings of R4 in formula I* which is different from P-Sp-.
Especially preferred are the compounds of formula l*A3.
Further preferred are the stereoisomers of formula l*A, l*B, l*A1 , l*A2 and l*A3 wherein the central isosorbide unit is replaced by an isomannide or isoidide unit.
In the compounds of formula l*A, l*B, l*A1 , l*A2 and l*A3, P is preferably acrylate or methacrylate, very preferably acrylate, Sp is preferably -O-(CH2)P1-, -O-CO-(CH2)P1- or -O-(CH2)P1- ,, very preferably -O-(CH2)P1-, wherein the O-atom or CO-group, respectively, is linked to the benzene ring, p1 is an integer from 1 to 6, more preferably 2, 3, 4, 5 or 6, and R4 is preferably P-Sp-.
Further preferred compounds of formula I* and its subformulae are selected from the following formulae:
gia*
171,3*
£13*
313
wherein P, Sp, R*, R**, L and q have the meanings given in formula I* and l*A1 or one of the preferred meanings as given above and below, R16 and R17 independently of each other denote alkyl with 1 to 12, preferably 1 to 6 C atoms, very preferably methyl, ethyl or propyl, and R18 denotes P-Sp-, H or alkyl with 1 to 12, preferably 1 to 6 C atoms, very preferably H.
In the compounds of formulae l*C1 to l*G1 , P is preferably acrylate or methacrylate, very preferably acrylate, Sp is preferably -O-(CH2)P1-, -O-CO-(CH2)P1- or -CO-O- (CH2)P1-, very preferably -O-(CH2)P1-, wherein the O-atom or CO-group, respectively, is linked to the benzene ring, p1 is an integer from 1 to 6, more preferably 2, 3, 4, 5 or 6, R* and R** are preferably, independently of each other, alkyl or alkoxy with 1 to 12, very preferably 1 to 6, C atoms.
The compounds of formula IA* can be prepared for example according to or in analogy to the method described in GB 2314839 A. The compounds of formulae l*E1 to l*E15 can be prepared for example according to or in analogy to the method described in WO 02/40614 A1.
Preferably the utilized chiral isomerisable compounds have each alone or in combination with each other an absolute value of the helical twisting power (I HTPtotal ) of 20 pm-1 or more, preferably of 40 pm-1 or more, more preferably in the range of 60 pm-1 or more, most preferably in the range of 80 pm-1 or more to 260 pm-1 .
Preferably the proportion of the chiral isomerisable compounds, especially those selected from formula I* or its subformulae, in the RM mixture according to the present invention as a whole is in the range from 0.1 to 4 % by weight, very preferably in the range from 0.2 to 3 % by weight, most preferably in the range from 0.3 to 2 % by weight.
In a preferred embodiment the RM mixture contains, in addition to the chiral isomerisable compound, one or more, preferably exactly one, chiral compounds which are not isomerisable.
Preferably the configuration of the isomerisable chiral compound is selected to be different from the configuration of the non-isomerisable chiral compound. For instance, if an isomerisable chiral compound is selected with (R) configuration then the nonisomerisable chiral compound of (S) configuration is preferred and vice versa. Accordingly, the individual values for the HTP of the individual chiral compounds with different configuration may compensate each other in terms of their individual helical twisting power to give a resulting absolute value of the HTP, hereinafter also named IHTPD I.
In a preferred embodiment, the chiral RM mixture comprises one or more chiral compounds with (S)-configuration, and additionally one or more chiral compounds with (R)-configuration, wherein at least one, preferably exactly one, of said chiral compounds either in (S) configuration or in (R) configuration is selected from isomerisable chiral compounds and the resulting IHTPD I is in the range from 0.1 pm-1 to 100 pm-1, more preferably in the range of 0.5 pm-1 to 50 pm-1, most preferably in the range of 1 pm-1 to 25 pm-1.
By adding one or more non-isomerisable chiral compounds it is possible to adjust the central wavelength of the reflection band of the RM mixture. The additional non- isomerisable chiral compound can have the same twist sense or opposite twist sense than the chiral isomerisable compound. Accordingly the reflection waveband of the RM mixture will be shifted to shorter or longer wavelengths, respectively. Preferably, the isomerisable and the non-isomerisable chiral compounds have opposite handedness and, as a result, opposite twist sense.
In another preferred embodiment the RM mixture contains one or more, preferably exactly one, chiral isomerisable compound, which is preferably polymerisable, especially selected from formula I* or its subformulae, and additionally contains one or more, preferably exactly one, non-isomerisable chiral compound, which is optionally polymerisable, and which very preferably has opposite twist sense than the chiral isomerisable compound.
Preferably the additional polymerisable chiral compounds have alone or in combination with each other an absolute value of the helical twisting power (I HTPtotail)
of 20 pm-1 or more, preferably of 40 pm-1 or more, more preferably in the range of 60 pm-1 or more, most preferably in the range of 80 pm-1 or more to 260 pm-1 .
In a preferred embodiment the additional, non-isomerisable chiral compound is selected from polymerisable compounds, which are preferably mono- or direactive.
Suitable non-isomerisable, polymerisable chiral compounds preferably comprise one or more ring elements, linked together by a direct bond or via a linking group and, where two of these ring elements optionally may be linked to each other, either directly or via a linking group, which may be identical to or different from the linking group mentioned. The ring elements are preferably selected from the group of four-, five-, six- or seven-, preferably of five- or six-, membered rings.
Preferred non-isomerisable, polymerisable chiral compounds are selected from the formulae CRM1 , CRM2 and CRM3:
wherein the individual radicals, independently of each other and on each occurrence identically or differently, have the following meanings
P°* a polymerisable group,
Sp°* a spacer group or a single bond
R°* F, Cl, CN, alkyl, alkoxy, thioalkyl, alkylcarbonyl, alkoxycarbonyl, alkylcarbonyloxy or alkoxycarbonyloxy with 1 to 15, preferably 1 to 6 C atoms, P0*- or P0*-Sp*-,
A0, B0, E0, F0 1 ,4-phenylene that is unsubstituted or substituted with 1 , 2, 3 or 4 groups L, or trans-1 ,4-cyclohexylene,
L F, Cl, CN, P-Sp-, or alkyl, alkoxy, thioalkyl, alkylcarbonyl, alkoxycarbonyl, alkylcarbonyloxy or alkoxycarbonyloxy with 1 to 5 C atoms that is optionally fluorinated,
X1, X2 -O-, -COO-, -OCO-, -O-CO-O- or a single bond,
Z°* -COO-, -OCO-, -O-CO-O-, -OCH2-, -CH2O-, -CF2O-, -OCF2-, -CH2CH2-, -(CH2)4-, -CF2CH2-, -CH2CF2-, -CF2CF2-, -C=C-, -CH=CH-, -CH=CH-COO-, -OCO- CH=CH- or a single bond, preferably -COO-, -OCO- or a single bond, aO 0, 1 or 2, preferably 0 or 1 , bO 0 or an integer from 1 to 12, preferably 1 to 6, tO 0, 1 , 2 or 3, zO 0 or 1 , preferably 1 , and wherein the naphthalene rings can additionally be substituted with one or more identical or different groups L.
Further preferred are the stereoisomers of formula CRM2 wherein the central isosorbide unit is replaced by an isomannide or isoidide unit.
The compounds of formula CRM1 are preferably selected from the following formula:
wherein A0, B°, Z0*, X2, P0*, a and b have the meanings given in formula CRMa or one of the preferred meanings given above and below, and (OCO) denotes -O-CO- or a single bond.
Especially preferred compounds of formula CRM are selected from the group consisting of the following subformulae:
wherein R* is -X2-(CH2)t-P0* as defined in formula CRM1-1 , and the benzene and naphthalene rings are unsubstituted or substituted with 1, 2, 3 or 4 groups L as defined above and below.
In case one or more non-isomerisable, polymerisable chiral compounds are present, their concentration in the RM mixture is preferably from 0.1 to 10 %, more preferably from 0.5 to 8 % by weight of the total RM mixture.
In another preferred embodiment the additional, non-isomerisable chiral compound is selected from non-polymerisable compounds. These chiral compounds may be non- mesogenic compounds or mesogenic compounds.
Preferred non-isomerisable, non-polymerisable chiral compounds are selected from the group consisting of compounds of formulae C-l to C-lll,
wherein formula C-ll and C-lll include the respective (S,S) enantiomers, and wherein E and F are each independently 1 ,4-phenylene or trans-1 ,4-cyclohexylene, v is 0 or 1 , Z° is -COO-, -OCO-, -CH2CH2- or a single bond, and Rc is alkyl, alkoxy or alkanoyl with 1 to 12 C atoms.
Further preferred are the stereoisomers of formula C-ll wherein the central isosorbide unit is replaced by an isomannide or isoidide unit.
The compounds of formula C-l and their synthesis are described in EP1389199 A1. The compounds of formula C-ll and their synthesis are described in W098/00428 A1. The compounds of formula C-lll and their synthesis are described in GB2328207 A.
Further preferred additional chiral dopants are e.g. the commercially available R/S- 6011 , R/S-5011 , R/S-4011 , R/S-3011 , R/S-2011 , R/S-1011 , R/S-811 and CB-15 (from Merck KGaA, Darmstadt, Germany).
The amount of the non-polymerisable and non-isomerisable chiral dopants in the chiral RM mixture is preferably from 0.1 to 10 %, more preferably from 0.5 to 8 % by weight of all solids.
Preferably the chiral RM mixture comprises, in addition to the chiral compounds, one or more achiral RMs. Preferably the RM mixture comprises one or more additional, achiral RMs having only one polymerisable functional group (monoreactive RMs) and/or one or more additional, achiral RMs having two or more polymerisable functional groups (di- or multireactive RMs).
Additional achiral, di- or multireactive RMs are preferably selected of formula DRM:
P1-Sp1-MG-Sp2-P2 DRM
wherein
P1, P2 independently of each other denote a polymerisable group,
Sp1, Sp2 independently of each other are a spacer group or a single bond, and
MG is a rod-shaped mesogenic group, which is preferably selected of formula MG
-(A1-Z1)n-A2- MG wherein
A1 and A2 denote, in case of multiple occurrence independently of one another, an aromatic or alicyclic group, which optionally contains one or more heteroatoms selected from N, O and S, and is optionally mono- or polysubstituted by L,
L is P-Sp-, F, Cl, Br, I, -CN, -NO2 , -NCO, -NCS, -OCN, -SCN, -
C(=O)NRxRy, -C(=O)ORX, -C(=O)RX, -NRxRy, -OH, -SF5, optionally substituted silyl, aryl or heteroaryl with 1 to 12, preferably 1 to 6 C atoms, and straight chain or branched alkyl, alkoxy, alkylcarbonyl, alkoxycarbonyl, alkylcarbonyloxy or alkoxycarbonyloxy with 1 to 12, preferably 1 to 6 C atoms, wherein one or more H atoms are optionally replaced by F or Cl,
Rx and Ry independently of each other denote H or alkyl with 1 to 12 C-atoms,
Z1 denotes, in case of multiple occurrence independently of one another, -
single bond, preferably -COO-, -OCO- or a single bond,
Y1 and Y2 independently of each other denote H, F, Cl or CN,
n is 1 , 2, 3 or 4, preferably 1 or 2, most preferably 2, n1 is an integer from 1 to 10, preferably 1 , 2, 3 or 4.
Preferred groups A1 and A2 include, without limitation, furan, pyrrol, thiophene, oxazole, thiazole, thiadiazole, imidazole, phenylene, cyclohexylene, bicyclooctylene, cyclohexenylene, pyridine, pyrimidine, pyrazine, azulene, indane, fluorene, naphthalene, tetrahydronaphthalene, anthracene, phenanthrene and dithienothiophene, all of which are unsubstituted or substituted by 1, 2, 3 or 4 groups L as defined above.
Particular preferred groups A1 and A2 are selected from 1,4-phenylene, pyridine-2,5- diyl, pyrimidine-2,5-diyl, thiophene-2, 5-diyl, naphthalene-2,6-diyl, 1,2,3,4-tetrahydro- naphthalene-2,6-diyl, indane-2, 5-diyl, bicyclooctylene or 1,4-cyclohexylene wherein one or two non-adjacent CH2 groups are optionally replaced by O and/or S, wherein these groups are unsubstituted or substituted by 1, 2, 3 or 4 groups L as defined above.
Preferred RMs of formula DRM are selected of formula DRMa
P° is, in case of multiple occurrence independently of one another, a polymerisable group, preferably an acryl, methacryl, oxetane, epoxy, vinyl, heptadiene, vinyloxy, propenyl ether or styrene group,
Z° is -COO-, -OCO-, -CH2CH2-, -CF2O-, -OCF2-, -C=C-, -CH=CH-,-OCO- CH=CH-, -CH=CH-COO-, or a single bond,
L has on each occurrence identically or differently one of the meanings given for L1 in formula I, and is preferably, in case of multiple occurrence independently of one another, selected from F, Cl, CN or optionally
halogenated alkyl, alkoxy, alkylcarbonyl, alkoxycarbonyl, alkylcarbonyloxy or alkoxycarbonyloxy with 1 to 5 C atoms, r is 0, 1 , 2, 3 or 4, x and y are independently of each other 0 or identical or different integers from 1 to 12, z is 0 or 1 , with z being 0 if the adjacent x or y is 0.
Very preferred RMs of formula DRM are selected from the following formulae:
DRMal
DRMa2
DRMa3
DRMa4
DRMa5
DRMa6
Especially preferred are compounds of formula DRMal, DRMa2 and DRMa3, in particular those of formula DRMal.
Additional achiral, monoreactive RMs are preferably selected of formula MRM:
P1-Sp1-MG-R22 MRM wherein P1, Sp1 and MG have the meanings given in formula DRM,
R22 denotes P-Sp-, F, Cl, Br, I, -CN, -NO2 , -NCO, -NCS, -OCN, -SCN, -
C(=O)NRxRy, -C(=O)X, -C(=O)ORX, -C(=O)Ry, -NRxRy, -OH, -SF5, optionally substituted silyl, straight chain or branched alkyl, alkoxy, alkylcarbonyl, alkoxycarbonyl, alkylcarbonyloxy or alkoxycarbonyloxy with 1 to 12, preferably 1 to 6 C atoms, wherein one or more H atoms are optionally replaced by F or Cl,
X is halogen, preferably F or Cl, and
Rx and Ry are independently of each other H or alkyl with 1 to 12 C-atoms.
Preferably the RMs of formula MRM are selected from the following formulae.
MRM1
MRM2
MRM3
MRM4
MRM5
MRM6
MRM7
MRM8
R°, R01
and R02 are each an idependently alkyl, alkoxy, thioalkyl, alkylcarbonyl, alkoxycarbonyl, alkylcarbonyloxy or alkoxycarbonyloxy with 1 or more, preferably 1 to 15 C atoms or denotes Y° or P-(CH2)y-(O)z-,
X° is -O-, -S-, -CO-, -COO-, -OCO-, -O-COO-, -CO-NR01-, -NR01-CO-, -NR01- CO-NR01-, -OCH2-, -CH2O-, -SCH2-, -CH2S-, -CF2O-, -OCF2-, -
CF2S-, -SCF2-, -CF2CH2-, -CH2CF2-, -CF2CF2-, -CH=N-, -N=CH-,
-N=N-, -CH=CR01-, -CF=CF-, -C=C-, -CH=CH-COO-, -OCO-CH=CH- or a single bond
Y° is F, Cl, CN, NO2, OCH3, OCN, SCN, SF5, or mono- oligo- or polyfluorinated alkyl or alkoxy with 1 to 4 C atoms,
Z° is -COO-, -OCO-, -CH2CH2-, -CF2O-, -OCF2-, -CH=CH-,-OCO-CH=CH-, - CH=CH-COO-, or a single bond,
A0 is, in case of multiple occurrence independently of one another, 1,4- phenylene that is unsubstituted or substituted with 1 , 2, 3 or 4 groups L, or trans-1 ,4-cyclohexylene,
R01 02 are independently of each other H, R° or Y°, u and v are independently of each other 0, 1 or 2, w is O or 1, and wherein the benzene and naphthalene rings can additionally be substituted with one or more identical or different groups L.
Especially preferred are compounds of formula MRM1 , MRM2, MRM3, MRM4, MRM5, MRM6, MRM7, MRM9 and MRM10, in particular those of formula MRM1 , MRM4, MRM6 and MRM7.
In formulae DRM, MRM and their preferred subformulae, L is preferably selected from F, Cl, CN, NO2 or straight chain or branched alkyl, alkoxy, alkylcarbonyl, alkoxycarbonyl, alkylcarbonyloxy or alkoxycarbonyloxy with 1 to 12 C atoms, wherein the alkyl groups are optionally perfluorinated, or P-Sp-.
Very preferably L is selected from F, Cl, CN, NO2, CH3, C2H5, C(CH3)3, CH(CH3)2, CH2CH(CH3)C2H5, OCH3, OC2H5, COCH3, COC2H5, COOCH3, COOC2H5, CF3, OCF3, OCHF2, OC2F5 or P-Sp-, in particular F, Cl, CN, CH3, C2H5, C(CH3)3, CH(CH3)2, OCH3, COCH3 or OCF3, most preferably F, Cl, CH3, C(CH3)3, OCH3 or COCH3, or P-Sp-.
Preferably the RM mixture comprises one or more RMs selected from formulae DRM and MRM.
In an RM mixture according to this preferred embodiment, the concentration of the di- or multireactive RMs of formula DRM and its subformulae is preferably from 15 to 75%, very preferably from 25 to 65%. The concentration of the monoreactive RMs, preferably those of formula MRM, in an RM mixture according to this preferred embodiment is preferably from 1 to 50%, very preferably from 5 to 30%.
In another preferred embodiment of the present invention, the chiral RM mixture comprises, in addition or alternatiely to the compounds of formula DRM and MRM, one or more achiral RMs selected from formula I:
wherein the individual radicals, independently of each other and on each occurrence identically or differently, have the following meanings
P a polymerisable group,
Sp a spacer group or a single bond,
R11 H, F, Cl, CN, alkyl, alkoxy, thioalkyl, alkylcarbonyl, alkoxycarbonyl, alkylcarbonyloxy or alkoxycarbonyloxy with 1 to 15, preferably with 1 to 5, C atoms which is optionally optionally fluorinated, or P-Sp,
A, B, D, and E are selected from the group consisting of 1 ,4-phenylene, naphthalene-
1.4-diyl, naphthalene-2,6-diyl, phenanthrene-2,7-diyl, anthracene-9,10-diyl, fluorene-2,7-diyl, dibenzothiophene-2, 7-diyl, dibenzofuran-2,7-diyl, benzo[1 ,2- b:4,5-b']dithiophene-2,5-diyl, indole-4, 7-diyl, benzothiophene-4, 7-diyl, 9,10- dihydro-phenanthrene-2, 7-diyl, 1 ,2,3,4-tetrahydronaphthalene-5,8-diyl or indane-
2.5-diyl , where, in addition, one or more CH groups in these groups may be
replaced by N, all of which are optionally substituted by one or more groups L or P-Sp-.
C is selected from the group consisting of benzene-1 ,4-diyl, naphthalene-1 ,4-diyl, anthracene-9,10-diyl, fluorene-2,7-diyl, dibenzofuran-2,7-diyl, dibenzothiophene-
2.7-diyl, benzo[1 ,2-b:4,5-b']dithiophene-2,5-diyl, indole-4, 7-diyl, benzothiophene-
4.7-diyl, all of which are optionally substituted by one or more groups L or P-Sp. and one of rings C and D may also denote a single bond,
L F, Cl, -CN, -SCN, P-Sp-, or straight chain, branched or cyclic alkyl having 1 to 25 C atoms, wherein one or more non-adjacent CH2-groups are optionally replaced by -O-, -S-, -CO-, -CO-O-, -O-CO-, -O-CO-O-, CR°=CR00-, -C=C-,
in such a manner that O- and/or S-atoms are not directly connected with each other, and wherein one or more H atoms are each optionally replaced by P-Sp-, F or Cl, or two substituents L that are connected to directly adjacent C atoms may also form a cycloalkyl or cycloalkenyl group with 5, 6, 7 or 8 C atoms,
Z11, Z12 -O-, -S-, -CO-, -COO-, -OCO-, -S-CO-, -CO-S-, -O-COO-, -CO-NR0-, - NR°-CO-, -NR°-CO-NR00, -NR°-CO-O-, -O-CO-NR0-, -OCH2-, -CH2O-, -SCH2-, -CH2S-, -CF2O-, -OCF2-, -CF2S-, -SCF2-, -CH2CH2-, -(CH2)ni, -CF2CH2-, -CH2CF2-, -CF2CF2-, -CH=N-, -N=CH-, -N=N-, -CH=CR0-, -CY1=CY2-, -C=C-,
-CH=CH-COO-, -OCO-CH=CH- or a single bond, preferably
-COO-, -OCO-, -C=C-, or a single bond, most preferably a single bond, n1 1 , 2, 3 or 4, r 0, 1 , 2, 3 or 4, preferably 0, 1 or 2, s 0, 1 , 2 or 3, preferably 0, 1 or 2, t 0, 1 or 2, preferably 0 or 1 ,
R°, R00 H or alkyl having 1 to 12 C atoms,
Y1, Y2 H, F, Cl, NCS, or CN, n 0, 1 , 2, 3 or 4, preferably 0, 1 or 2, more preferably 0 or 1 , most preferably 0, m 0, 1 , 2, 3 or 4, preferably 0, 1 or 2, more preferably 0 or 1 , most preferably 0.
In the compounds of formula I and its subformulae as described above and below, P is preferably selected from the group consisting of vinyloxy, acrylate, methacrylate, fluoroacrylate, chloroacrylate, oxetane and epoxide, very preferably from acrylate and methacrylate, most preferably acrylate.
Further preferred are compounds of formula I and its subformulae as described above and below, wherein all polymerisable groups P that are present in the compound have the same meaning, and very preferably denote acrylate or methacrylate, most preferably acrylate.
Further preferred are compounds of formula I and its subformulae as described above and below, which contain one, two, three or four groups P-Sp, very preferably two or three groups P-Sp.
Further preferred are compounds of formula I and its subformulae as described above and below, wherein R11 is P-Sp-.
Further preferred are compounds of formula I and its subformulae as described above and below, wherein R11 is different from P-Sp- and is preferably selected from CN, - SCN, alkyl, alkoxy, thioalkyl, alkylcarbonyl, alkoxycarbonyl, alkylcarbonyloxy or alkoxycarbonyloxy preferably with 1 to 12, preferably 1 to 6 C atoms which is optionally fluorinated.
Further preferred are compounds of formula I and its subformulae as described above and below, wherein Sp denotes a single bond or -(CH2)Pi-, -O-(CH2)P1-, -O-CO-(CH2)P1 , or -CO-O-(CH2)P1, wherein p1 is 2, 3, 4, 5 or 6, and, if Sp is -O-(CH2)P1-, -O-CO-(CH2)P1 or -CO-O-(CH2)P1 the O-atom or CO-group, respectively, is linked to the benzene ring.
Further preferred are compounds of formula I and its subformulae as described above and below, wherein at least one group Sp is a single bond.
Further preferred are compounds of formula I and its subformulae as described above and below, wherein at least one group Sp is a single bond and at least one group Sp is different from a single bond.
Further preferred are compounds of formula I and its subformulae as described above and below, wherein at least one group Sp is different from a single bond, and is selected from -(CH2)P1-, -O-(CH2)P1-, -O-CO-(CH2)P1 , or -CO-O-(CH2)P1, wherein p1 is an integer from 2 to 10, preferably 2, 3, 4, 5 or 6, and, if Sp is -O-(CH2)P1-, -O-CO- (CH2)P1 or -CO-O-(CH2)P1 the O-atom or CO-group, respectively, is linked to the benzene ring.
Further preferred are compounds of formula I and its subformulae as described above and below, wherein L is P-Sp-, -CN, or straight chain, branched or cyclic alkyl having 1 to 25 C atoms, wherein one or more non-adjacent CH2-groups are optionally replaced by -O-, -S-, -CO-, -CO-O-, -O-CO-, -O-CO-O-, CR0=CR00-, -C=C-,
in such a manner that O- and/or S-atoms are not directly connected with each other, and wherein one or more H atoms are each optionally replaced by P-Sp-, F or Cl, or two substituents L that are connected to directly adjacent C atoms may also form a cycloalkyl or cycloalkenyl group with 5, 6, 7 or 8 C atoms.
Very preferred are compounds of formula I and its subformulae as described above and below, wherein L is straight chain alkyl, alkoxy or thioalkyl having 1 to 6 C atoms, or branched or cyclic alkyl, alkoxy or thioalkyl having 3 to 8 C atoms.
Further preferred are compounds of formula I and its subformulae as described above and below, wherein Z11 and Z12 denote -COO-, -OCO-, -C=C- or a single bond, more preferably -C=C- or a single bond, most preferably a single bond.
Preferably A, B, D and E in formula I are selected from the group consisting of
wherein the individual radicals, independently of each other and on each occurrence identically or differently, have the following meanings
L P-Sp-, -CN, F, Cl, or alkyl, alkoxy or thioalkyl which is optionally fluorinated and has 1 to 6, preferably 1 to 3, more preferably 1 or 2 C atoms, preferably P-Sp-, - CN, F, Cl, OCH3, SCH3, C2H5, OC2H5, SC2H5, r 0, 1 , 2, 3 or 4, preferably 0, 1 or 2, s 0, 1 , 2 or 3, preferably 0 or 1 , t 0, 1 or 2, preferably 0 or 1.
More preferably rings A, B, D and/or E in formula I are selected from the group consisting of benzene-1,4-diyl, naphthalene-1,4-diyl, naphthalene 2, 6-diyl, phenanthrene-2,7-diyl, anthracene-9,10-diyl, fluorene-2,7-diyl, dibenzofuran-2,7-diyl, dibenzothiophene-2, 7-diyl, benzo[1 ,2-b:4, 5-b']dithiophene-2, 5-diyl , indole-4, 7-diyl, benzothiophene-4, 7-diyl, all of which are optionally substituted by one or more groups L and/or P-Sp-.
Very preferably one, two, three, four or more of rings A, B, D and/or E in formula I are selected from the group consisting of
wherein L, on each occurrence identically or differently, denotes P-Sp-, -CN, F, Cl, or alkyl, alkoxy or thioalkyl which is optionally fluorinated and has 1 to 6, preferably 1 to 3, more preferably 1 or 2 C atoms, preferably P-Sp-, -CN, F, Cl, OCH3, SCH3, C2Hs, OC2H5, SC2H5.
Especially preferred are compounds of formula I, in particular wherein n=m=0, wherein the rings B and D are selected from the group consisting of benzene-1 ,4-diyl, naphthalene-1 ,4-diyl, naphthalene-2,6-diyl or anthracene-9,10-diyl, all of which are optionally mono- or disubstituted by L and/or P-Sp-.
Preferably ring C in formula I is selected from the group consisting of
wherein the individual radicals, independently of each other and on each occurrence identically or differently, have the following meanings
L P-Sp-, -CN, F, Cl, or alkyl, alkoxy or thioalkyl which is optionally fluorinated and has 1 to 6, preferably 1 to 3, more preferably 1 or 2 C atoms, preferably P-Sp-, - CN, F, Cl, OCH3, SCH3, C2H5, OC2H5, SC2H5, r 0, 1 , 2, 3 or 4, preferably 0, 1 or 2, s 0, 1 , 2 or 3, preferably 0 or 1 , t 0, 1 or 2, preferably 0 or 1 .
More preferably C in formula 1, 11 and I2 is selected from the group consisting of
wherein L, on each occurrence identically or differently, denotes P-Sp-, -CN, F, Cl, or alkyl, alkoxy or thioalkyl which is optionally fluorinated and has 1 to 6, preferably 1 to 3, more preferably 1 or 2 C atoms, preferably P-Sp-, -CN, F, Cl, OCH3, SCH3, C2H5, OC2H5, SC2H5.
Very preferably ring C in formula I is selected from the group consisting of benzene- 1 ,4-diyl, naphthalene-1 ,4-diyl or anthracene-9,10-diyl, all of which are optionally mono- or disubstituted by L and/or P-Sp-.
Further preferred are compounds of formula I, preferably those wherein n=m=0, wherein the rings B, C and D form a group selected from the following formulae or their mirror images:
wherein the naphthalene and phenanthrene groups are optionally substituted with one or two groups L, and L1 and L2 independently of each other denote H or have one of the meanings given for L in formula I, and L and r are as defined in formula I.
In formulae T1 to T28, preferably L on each occurrence identically or differently denotes P-Sp-, -CN, F, Cl, or alkyl, alkoxy or thioalkyl which is optionally fluorinated and has 1 to 6, preferably 1 to 3, more preferably 1 or 2 C atoms, very preferably P- Sp-, methyl, ethyl, methoxy, ethoxy, thiomethyl or thioethyl, most preferably methyl or ethyl, and r is preferably 0, 1, 2 or 3, very preferably 0, 1 or 2.
Especially preferred are the groups of formulae T1 to T7.
Very preferred compounds of formula I are selected from the following subformulae:
I-3
wherein the naphthalene and phenanthrene groups are optionally substituted with one or two groups L, and P, Sp, L and r, independently of each other and on each occurrence identically or differently, have the meanings given in formula I or one of the preferred meanings given above and below, and R has one of the meanings given for R11 in formula 11 , and preferably denotes OCH3 or SCH3, very preferably OCH3. L is preferably selected from alkyl, alkoxy or thioalkyl having 1 to 6, more preferably 1 , 2 or 3 C atoms, very preferably from methyl or ethyl. P is preferably acrylate.
Further preferred are compounds of the formulae 11 and 11-1 to 11-103 wherein one of the two groups Sp is a single bond and the other group Sp is different from a single bond.
Further preferred compounds of the formulae I and 1-1 to 11-103 are selected from the following preferred embodiments including any combination thereof:
- n = m = 0, or
- n = 1 and m = 0, or
- n = m = 1 , and/or
- one of ring B and ring D is a single bond, and/or
- ring C denotes naphthalene-1 ,4-diyl or anthracene-9,10-diyl, or
- ring C denotes benzene-1 ,4-diyl which is substituted by alkyl, alkoxy or thioalkyl with 1 to 3, preferably 1 or 2 C atoms, more preferably methyl or ethyl, most preferably ethyl, and/or
- at least one of the rings B and D denotes naphthalene-1 ,4-diyl, naphthalene-2,6- diyl, or anthracene-9,10-diyl, which is optionally substituted by one or more groups L or P-Sp-, and/or
- at least one of the rings B, C and D denotes naphthalene-1 ,4-diyl, naphthalene-2,6- diyl, or anthracene-9,10-diyl, which is optionally substituted by one or more groups L or P-Sp-, and/or at least one of the rings B, C and D is benzene-1 ,4-diyl that is substituted with an ethyl group,
- P denotes acrylate or methacrylate and/or
- Sp denotes Sp”-X”, preferably, -Sp"-X"- denotes -(CH2)P1-, -(CH2)P1-O-, -(CH2)P1-O- CO-, -(CH2)P1-CO-O-, -(CH2)P1-O-CO-O-, -(CH2CH2O)q1-CH2CH2-, -CH2CH2-S-CH2CH2- , or -CH2CH2-NH-CH2CH2-, in which p1 is an integer from 1 to 12, q1 is an integer from 1 to 3, and/or
- if R11 or R is P-Sp-, both groups P-Sp- are identical, or
- if R11 or R is P-Sp-, one of the groups Sp is a single bond and the other of the groups Sp is different from a single bond, and/or
- L is selected from methyl, ethyl, methoxy, ethoxy, thiomethyl or thiomethyl, more preferably methyl or ethyl, very preferably ethyl, and r denotes 1 , and/or
- L is selected from methyl, ethyl, methoxy, ethoxy, thiomethyl or thiomethyl, more preferably methyl or ethyl, very preferably ethyl, and r denotes 2, and/or
- ring C is substituted by one L which denotes P-Sp-, preferably acrylate, and/or
- R11 is P-Sp-, or
- R11 is F, Cl, CN, OCH3 or SCH3, preferably OCH3 or SCH3, very preferably OCH3.
Especially preferred are the compounds of formula I-3, 1-19, 1-21 , I-24, I-25, I-30, I-47, I-50, I-53, I-59, I-67, I-69, I-70, I-72 and I-73.
The compounds of formula I are characterized by a very high birefringence. The synthesis of the compounds of formula I and its subformulae can be carried by methods known per se to the person skilled in the art from the literature or in analogy thereto, as described for example in WO 2022/33908A1.
The compounds of formula I, either taken alone or in combination with other RMs in an RM mixture, exhibit in particular and preferably at the same time, a high birefringence, exhibit a good solubility in commonly known organic solvents used in mass production, show an improved alignment in the RM mixture, have favorable transition temperatures, and show high resistance against yellowing after being exposed to UV light.
Preferably the RM mixture contains one or more, preferably 1 to 5, very preferably 1 , 2 or 3, compounds selected from formulae I, preferably selected from formulae 1-1 to I-97, very preferably selected from formulae 11 to I76.
The concentration of the compounds of formula I or its subformulae in the RM mixture is preferably from 65 to 99%, very preferably from 25 to 98%.
In another preferred embodiment the RM mixture contains only a small amount of a compound of formula I. Thus, it is possible to provide an RM mixture mainly consisting of mono-, di- and/or multireactive RMs, preferably selected from formula DRM and
MRM and their subformulae, which is doped with a small amount, preferably 5 to 30% of compounds of formula I, and additionally contains one or more chiral isomerisable compounds preferably selected of formula I*.
Preferably the chiral RM mixture comprises at least one RM having a birefringence of >0.25, very preferably >0.28. Suitable RMs with high birefringence are for example those selected of formula I and its subformulae as defined above and below.
The RM mixture preferably exhibits a chiral nematic LC phase, or a chiral smectic LC phase and a chiral nematic LC phase, very preferably a chiral nematic LC phase at room temperature.
The RM mixture preferably has a birefringence (An) in the range from 0.2 to 0.8, more preferably in the range from 0.25 to 0.7 and even more preferably in the range from 0.35 to 0.6.
Preferably the chiral RM mixture comprises an achiral host mixture and a chiral component. The achiral host mixture preferably comprises, very preferably consists of, one or more mono- and/or direactive achiral RMs, which are preferably selected from formula DRM, MRM and I and their subformulae. The chiral component preferably comprises, very preferably consists of, one or more chiral compounds, at least one of which is isomerisable, and which are preferably selected from formula I*, CRM1, CRM2 and CRM3 and their subformulae.
The proportion of the achiral host mixture in the chiral RM mixture is preferably from 90 to 99.7%, very preferably from 94 to 99.5%. The proportion of the chiral component in the chiral RM mixure is preferably from 0.3 to 10%, very preferably from 0.5 to 6%.
In a preferred embodiment, the chiral RM mixtures for preparing two quarter- waveplates with opposite twist sense are prepared by adding to the achiral host mixture chiral components inducing opposite twst sense. For example it is possible to use two chiral isomerisable compounds with opposite twist sense. Alternatively it is possible to use two chiral components, wherein each chiral component comprises a first, isomerisable chiral compound and a second, non-isomerisable chiral compound which have opposte twist sense, and wherein the concentrations and HTP values of the first and second chiral compounds can be selected such that after the isomerisation process the two chiral components have opposite twist sense.
In another preferred embodiment the chiral RM mixture for preparing the first quarter- wave plate and the chiral RM mixture for preparing the second quarter-wave plate are based on the same achiral host mixture, to which is added the (R)- or (S)-stereoisomer of the same chiral isomerisable compound, respectively, to prepare two chiral RM mixtures with opposite twist for use in the first and second quarter-wave plate, respectively.
Thus, for example, the chiral RM mixture for the first quarter-wave plate is prepared by adding the (R)-stereoisomer of a chiral isomerisable compound to an achiral RM host mixture, and the chiral RM mixture for the second quarter-wave plate is prepared by adding the corresponding (S)-stereoisomer of the said chiral isomerisable compound to the said achiral RM host mixture, or vice versa.
Another object of the invention is an RM formulation comprising an RM mixture as described above and below, and further comprising one or more solvents and/or additives.
The proportion of the RM mixture comprising, preferably consisting of, compounds selected from formulae I and I* and their subformulae, and optionally from formulae CRM1 , CRM2, CRM3, C-l, C-l I, C-lll, DRM and MRM and their subformulae, in the RM formulation is preferably from 85 to 100%, more preferably from 85 to 99%, very preferably from 90 to 99% of total solids and liquid additives, i.e., excluding the solvents.
In another preferred embodiment of the present invention the chiral RM mixture does not contain a compound of formula DRM or MRM. In another preferred embodiment the chiral RM mixture consists of compounds selected from formula I, I* and optionally CRM1 , CRM2, CRM3, C-l, C-ll and C-lll.
In another preferred embodiment the RM formulation comprises optionally one or more additives selected from the group consisting of polymerisation initiators, surfactants, stabilisers, catalysts, sensitizers, inhibitors, chain-transfer agents, co-reacting monomers, reactive thinners, surface-active compounds, lubricating agents, wetting agents, dispersing agents, hydrophobing agents, adhesive agents, flow improvers, degassing or defoaming agents, deaerators, diluents, reactive diluents, auxiliaries, colourants, dyes, pigments and nanoparticles.
In another preferred embodiment the present invention, the RM mixture and/or RM formulation do not contain a compound with at least one CF3 or CF2 group (PFAS),
and very preferably the RM mixture and/or RM formulation do not contain a compound with a polyfluorinated alkyl or aryl group or a perfuorocarbon group. More preferably the RM mixture and/or RM formulation do not contain a compound with a fluorinated aliphatic C atom, most preferably the RM mixture and/or RM formulation do not contain a compound with a fluorinated C atom. The RM mixtures and RM formulations according to this preferred embodiment do thus enable a reduction of perfluorocarbons.
The RM mixture and/or RM formulation as described above and below, which do not contain a PFAS, more preferably do not contain a perfluorocarbon compound, very preferably do not contain compound with a polyfluorinated C atom, and most preferably do not contain a compound with a fluorinated C atom, are another object of the invention.
In another preferred embodiment the RM formulation comprises one or more specific antioxidant additives, preferably selected from the Irganox® series, e.g. the commercially available antioxidants lrganox®1076 and lrganox®1010, from Ciba, Switzerland.
In another preferred embodiment, the RM formulation comprises a combination of one or more, more preferably of two or more photoinitiators, for example, selected from the commercially available Omnirad® or Darocur® series (from IGM Resins), in particular, Omnirad 127, Omnirad 184, Omnirad 369, Omnirad 651, Omnirad 817, Omnirad 907, Omnirad 1300, Omnirad, Omnirad 2022, Omnirad 2100, Omnirad 2959, or Darocur TPO, further selected from the commercially available OXE02 (Ciba AG), NCI 930, N1919T (Adeka), SPI-03 or SPI-04 (Samyang), TR-PBG 304 or TR-PGB 345 (Tronly).
The concentration of the polymerisation initiator(s) as a whole in the RM formulation is preferably from 0.1 to 6%, very preferably from 0.3 to 4%, more preferably from 0.7 to 2%.
In another preferred embodiment, in the chiral RM mixture the ratio between the concentration of the photoinitiator and the concentration of the chiral compounds as a whole is in the range from 2:1 to 1 :5, more preferably in the range from 2:1 to 1:4, even more preferably in the range from 2:1 to 1 :3.
In another preferred embodiment the RM formulation optionally comprises one or more additives selected from polymerisable non-mesogenic compounds (reactive thinners).
The amount of these additives in the RM formulation is preferably from 0 to 30 %, very preferably from 0 to 25 %.
The reactive thinners used are not only substances which are referred to in the actual sense as reactive thinners, but also auxiliary compounds already mentioned above which contain one or more complementary reactive units, for example hydroxyl, thiol-, or amino groups, via which a reaction with the polymerisable units of the liquid- crystalline compounds can take place.
The substances which are usually capable of photopolymerisation include, for example, mono-, bi- and polyfunctional compounds containing at least one olefinic double bond. Examples thereof are vinyl esters of carboxylic acids, for example of lauric, myristic, palmitic and stearic acid, and of dicarboxylic acids, for example of succinic acid, adipic acid, allyl and vinyl ethers and methacrylic and acrylic esters of monofunctional alcohols, for example of lauryl, myristyl, palmityl and stearyl alcohol, and diallyl and divinyl ethers of bifunctional alcohols, for example ethylene glycol and 1 ,4-butanediol.
Also suitable are, for example, methacrylic and acrylic esters of polyfunctional alcohols, in particular those which contain no further functional groups, or at most ether groups, besides the hydroxyl groups. Examples of such alcohols are bifunctional alcohols, such as ethylene glycol, propylene glycol and their more highly condensed representatives, for example diethylene glycol, triethylene glycol, dipropylene glycol, tripropylene glycol etc., butanediol, pentanediol, hexanediol, neopentyl glycol, alkoxylated phenolic compounds, such as ethoxylated and propoxylated bisphenols, cyclohexanedimethanol, trifunctional and polyfunctional alcohols, such as glycerol, trimethylolpropane, butanetriol, trimethylolethane, pentaerythritol, ditrimethylolpropane, dipentaerythritol, sorbitol, mannitol, and the corresponding alkoxylated, in particular ethoxylated and propoxylated alcohols.
Other suitable reactive thinners are polyester (meth)acrylates, which are the (meth)acrylic ester of polyesterols.
Examples of suitable polyesterols are those which can be prepared by esterification of polycarboxylic acids, preferably dicarboxylic acids, using polyols, preferably diols. The starting materials for such hydroxyl-containing polyesters are known to the person skilled in the art. Dicarboxylic acids which can be employed are succinic, glutaric acid, adipic acid, sebacic acid, o-phthalic acid and isomers and hydrogenation products
thereof, and esterifiable and transesterifiable derivatives of said acids, for example anhydrides and dialkyl esters. Suitable polyols are the abovementioned alcohols, preferably ethyleneglycol, 1,2- and 1,3-propylene glycol, 1,4-butanediol, 1,6- hexanediol, neopentyl glycol, cyclohexanedimethanol and polyglycols of the ethylene glycol and propylene glycol type.
Suitable reactive thinners are furthermore 1,4-divinylbenzene, triallyl cyanurate, acrylic esters of tricyclodecenyl alcohol of the following formula
also known under the name dihydrodicyclopentadienyl acrylate, and the allyl esters of acrylic acid, methacrylic acid and cyanoacrylic acid.
Of the reactive thinners which are mentioned by way of example, those containing photopolymerisable groups are used in particular and in view of the abovementioned preferred compositions.
This group includes, for example, dihydric and polyhydric alcohols, for example ethylene glycol, propylene glycol and more highly condensed representatives thereof, for example diethylene glycol, triethylene glycol, dipropylene glycol, tripropylene glycol etc., butanediol, pentanediol, hexanediol, neopentyl glycol, cyclohexanedimethanol, glycerol, trimethylolpropane, butanetriol, trimethylolethane, pentaerythritol, ditrimethylolpropane, dipentaerythritol, sorbitol, mannitol and the corresponding alkoxylated, in particular ethoxylated and propoxylated alcohols.
The group furthermore also includes, for example, alkoxylated phenolic compounds, for example ethoxylated and propoxylated bisphenols.
These reactive thinners may furthermore be, for example, epoxide or urethane (meth)acrylates.
Epoxide (meth)acrylates are, for example, those as obtainable by the reaction, known to the person skilled in the art, of epoxidized olefins or poly- or diglycidyl ether, such as bisphenol A diglycidyl ether, with (meth)acrylic acid.
Urethane (meth)acrylates are, in particular, the products of a reaction, likewise known to the person skilled in the art, of hydroxylalkyl (meth)acrylates with poly- or diisocyanates.
Such epoxide and urethane (meth)acrylates are included amongst the compounds listed above as “mixed forms”.
If reactive thinners are used, their amount and properties must be matched to the respective conditions in such a way that, on the one hand, a satisfactory desired effect, for example the desired colour of the composition according to the invention, is achieved, but, on the other hand, the phase behaviour of the liquid-crystalline composition is not excessively impaired. The low-crosslinking (high-crosslinking) liquid-crystalline compositions can be prepared, for example, using corresponding reactive thinners which have a relatively low (high) number of reactive units per molecule.
The group of diluents include, for example:
C1-C4-alcohols, for example methanol, ethanol, n-propanol, isopropanol, butanol, isobutanol, sec-butanol and, in particular, the C5-C12-alcohols n-pentanol, n-hexanol, n-heptanol, n-octanol, n-nonanol, n-decanol, n-undecanol and n-dodecanol, and isomers thereof, glycols, for example 1 ,2-ethylene glycol, 1 ,2- and 1 ,3-propylene glycol, 1 ,2-, 2,3- and 1 ,4-butylene glycol, di- and triethylene glycol and di- and tripropylene glycol, ethers, for example methyl tert-butyl ether, 1 ,2-ethylene glycol mono- and dimethyl ether, 1 ,2-ethylene glycol mono- and -diethylether, 3- methoxypropanol, 3-isopropoxypropanol, tetrahydrofuran and dioxane, ketones, for example acetone, methyl ethyl ketone, methyl isobutyl ketone and diacetone alcohol (4-hydroxy-4-methyl-2-pentanone), C1-C5-alkyl esters, for example methyl acetate, ethyl acetate, propyl acetate, butyl acetate and amyl acetate, aliphatic and aromatic hydrocarbons, for example pentane, hexane, heptane, octane, isooctane, petroleum ether, toluene, xylene, ethylbenzene, tetralin, decalin, dimethylnaphthalene, white spirit, Shellsol® and Solvesso® mineral oils, for example gasoline, kerosine, diesel oil and heating oil, but also natural oils, for example olive oil, soya oil, rapeseed oil, linseed oil and sunflower oil.
It is of course also possible to use mixtures of these diluents in the compositions according to the invention.
So long as there is at least partial miscibility, these diluents can also be mixed with water. Examples of suitable diluents here are C1-C4-alcohols, for example methanol, ethanol, n-propanol, isopropanol, butanol, isobutanol and sec-butanol, glycols, for example 1,2-ethylene glycol, 1,2- and 1,3-propylene glycol, 1,2-, 2,3- and 1,4-butylene glycol, di- and triethylene glycol, and di- and tripropylene glycol, ethers, for example tetra hydrofuran and dioxane, ketones, for example acetone, methyl ethyl ketone and diacetone alcohol (4-hydroxy-4-methyl-2-pentanone), and C1-C4-alkyl esters, for example methyl, ethyl, propyl and butyl acetate.
The diluents are optionally employed in a proportion of from about 0 to 10.0% by weight, preferably from about 0 to 5.0% by weight, based on the total weight of the RM formulation.
The antifoams and deaerators (c1 )), lubricants and flow auxiliaries (c2)), thermally curing or radiation-curing auxiliaries (c3)), substrate wetting auxiliaries (c4)), wetting and dispersion auxiliaries (c5)), hydrophobicizing agents (c6)), adhesion promoters (c7)) and auxiliaries for promoting scratch resistance (c8)) cannot strictly be delimited from one another in their action.
For example, lubricants and flow auxiliaries often also act as antifoams and/or deaerators and/or as auxiliaries for improving scratch resistance. Radiation-curing auxiliaries can also act as lubricants and flow auxiliaries and/or deaerators and/or as substrate wetting auxiliaries. In individual cases, some of these auxiliaries can also fulfil the function of an adhesion promoter (c8)).
Corresponding to the above-said, a certain additive can therefore be classified in a number of the groups c1) to c8) described below.
The antifoams in group c1) include silicon-free and silicon-containing polymers. The silicon-containing polymers are, for example, unmodified or modified polydialkylsiloxanes or branched copolymers, comb or block copolymers comprising polydialkylsiloxane and polyether units, the latter being obtainable from ethylene oxide or propylene oxide.
The deaerators in group c1) include, for example, organic polymers, for example polyethers and polyacrylates, dialkylpolysiloxanes, in particular dimethylpolysiloxanes,
organically modified polysiloxanes, for example arylalkyl-modified polysiloxanes, and fluorosilicones.
The action of the antifoams is essentially based on preventing foam formation or destroying foam that has already formed. Antifoams essentially work by promoting coalescence of finely divided gas or air bubbles to give larger bubbles in the medium to be deaerated, for example the compositions according to the invention, and thus accelerate escape of the gas (of the air). Since antifoams can frequently also be employed as deaerators and vice versa, these additives have been included together under group c1).
Such auxiliaries are, for example, commercially available from Tego as TEGO® Foamex 800, TEGO® Foamex 805, TEGO® Foamex 810, TEGO® Foamex 815, TEGO® Foamex 825, TEGO® Foamex 835, TEGO® Foamex 840, TEGO® Foamex 842, TEGO® Foamex 1435, TEGO® Foamex 1488, TEGO® Foamex 1495, TEGO® Foamex 3062, TEGO® Foamex 7447, TEGO® Foamex 8020, Tego® Foamex N, TEGO® Foamex K 3, TEGO® Antifoam 2-18, TEGO® Antifoam 2-18, TEGO® Antifoam 2-57, TEGO® Antifoam 2-80, TEGO® Antifoam 2-82, TEGO® Antifoam 2-89, TEGO® Antifoam 2-92, TEGO® Antifoam 14, TEGO® Antifoam 28, TEGO® Antifoam 81 , TEGO® Antifoam D 90, TEGO® Antifoam 93, TEGO® Antifoam 200, TEGO® Antifoam 201 , TEGO® Antifoam 202, TEGO® Antifoam 793, TEGO® Antifoam 1488, TEGO® Antifoam 3062, TEGOPREN® 5803, TEGOPREN® 5852, TEGOPREN® 5863, TEGOPREN® 7008, TEGO® Antifoam 1-60, TEGO® Antifoam 1-62, TEGO® Antifoam 1-85, TEGO® Antifoam 2-67, TEGO® Antifoam WM 20, TEGO® Antifoam 50, TEGO® Antifoam 105, TEGO® Antifoam 730, TEGO® Antifoam MR 1015, TEGO® Antifoam MR 1016, TEGO® Antifoam 1435, TEGO® Antifoam N, TEGO® Antifoam KS 6, TEGO® Antifoam KS 10, TEGO® Antifoam KS 53, TEGO® Antifoam KS 95, TEGO® Antifoam KS 100, TEGO® Antifoam KE 600, TEGO® Antifoam KS 911 , TEGO® Antifoam MR 1000, TEGO® Antifoam KS 1100, Tego® Ai rex 900, Tego® Airex 910, Tego® Airex 931 , Tego® Airex 935, Tego® Airex 936, Tego® Airex 960, Tego® Airex 970, Tego® Airex 980 and Tego® Airex 985 and from BYK as BYK®-011 , BYK®-019, BYK®-020, BYK®-021 , BYK®-022, BYK®-023, BYK®-024, BYK®-025, BYK®-027, BYK®-031 , BYK®-032, BYK®-033, BYK®-034, BYK®-035, BYK®-036, BYK®-037, BYK®-045, BYK®-051 , BYK®-052, BYK®-053, BYK®-055, BYK®-057, BYK®-065, BYK®-066, BYK®-070, BYK®-080, BYK®-088, BYK®-141 and BYK®-A 530.
The auxiliaries in group c1) are optionally employed in a proportion of from about 0 to 3.0% by weight, preferably from about 0 to 2.0% by weight, based on the total weight of the RM formulation.
In group c2), the lubricants and flow auxiliaries typically include silicon-free, but also silicon-containing polymers, for example polyacrylates or modifiers, low-molecular- weight polydialkylsiloxanes. The modification consists in some of the alkyl groups having been replaced by a wide variety of organic radicals. These organic radicals are, for example, polyethers, polyesters or even long-chain alkyl radicals, the former being used the most frequently.
The polyether radicals in the correspondingly modified polysiloxanes are usually built up from ethylene oxide and/or propylene oxide units. Generally, the higher the proportion of these alkylene oxide units in the modified polysiloxane, the more hydrophilic is the resultant product.
Such auxiliaries are, for example, commercially available from Tego as TEGO® Glide 100, TEGO® Glide ZG 400, TEGO® Glide 406, TEGO® Glide 410, TEGO® Glide 411 , TEGO® Glide 415, TEGO® Glide 420, TEGO® Glide 435, TEGO® Glide 440, TEGO® Glide 450, TEGO® Glide A 115, TEGO® Glide B 1484 (can also be used as antifoam and deaerator), TEGO® Flow ATF, TEGO® Flow 300, TEGO® Flow 460, TEGO® Flow 425 and TEGO® Flow ZFS 460. Suitable radiation-curable lubricants and flow auxiliaries, which can also be used to improve the scratch resistance, are the products TEGO® Rad 2100, TEGO® Rad 2200, TEGO® Rad 2500, TEGO® Rad 2600 and TEGO® Rad 2700, which are likewise obtainable from TEGO.
Such-auxiliaries are available, for example, from BYK as BYK®-300 BYK®-306, BYK®-307, BYK®-310, BYK®-320, BYK®-333, BYK®-341, Byk® 354, Byk®361, Byk®361 N, BYK®388.
The auxiliaries in group c2) are optionally employed in a proportion of from about 0 to 3.0% by weight, preferably from about 0 to 2.0% by weight, based on the total weight of the RM formulation.
In group c3), the radiation-curing auxiliaries include, in particular, polysiloxanes having terminal double bonds which are, for example, a constituent of an acrylate group. Such auxiliaries can be crosslinked by actinic or, for example, electron radiation. These auxiliaries generally combine a number of properties together. In the uncrosslinked
state, they can act as antifoams, deaerators, lubricants and flow auxiliaries and/or substrate wetting auxiliaries, while, in the crosslinked state, they increase, in particular, the scratch resistance, for example of coatings or films which can be produced using the compositions according to the invention. The improvement in the gloss properties, for example of precisely those coatings or films, is regarded essentially as a consequence of the action of these auxiliaries as antifoams, deaerators and/or lubricants and flow auxiliaries (in the uncrosslinked state).
Examples of suitable radiation-curing auxiliaries are the products TEGO® Rad 2100, TEGO® Rad 2200, TEGO® Rad 2500, TEGO® Rad 2600 and TEGO® Rad 2700 available from TEGO and the product BYK®-371 available from BYK.
Thermally curing auxiliaries in group c3) contain, for example, primary OH groups which are able to react with isocyanate groups, for example of the binder.
Examples of thermally curing auxiliaries which can be used are the products BYK®- 370, BYK®-373 and BYK®-375 available from BYK.
The auxiliaries in group c3) are optionally employed in a proportion of from about 0 to 5.0% by weight, preferably from about 0 to 3.0% by weight, based on the total weight of the RM formulation.
The substrate wetting auxiliaries in group c4) serve, in particular, to increase the wettability of the substrate to be printed or coated, for example, by printing inks or coating compositions, for example compositions according to the invention. The generally attendant improvement in the lubricant and flow behaviour of such printing inks or coating compositions has an effect on the appearance of the finished (for example crosslinked) print or coating.
A wide variety of such auxiliaries are commercially available, for example from Tego as TEGO® Wet KL 245, TEGO® Wet 250, TEGO® Wet 260 and TEGO® Wet ZFS 453 and from BYK as BYK®-306, BYK®-307, BYK®-310, BYK®-333, BYK®-344, BYK®-345, BYK®-346 and Byk®-348.
The auxiliaries in group c4) are optionally employed in a proportion of from about 0 to 3.0% by weight, preferably from about 0 to 1.5% by weight, based on the total weight of the liquid-crystalline composition.
The wetting and dispersion auxiliaries in group c5) serve, in particular, to prevent the flooding and floating and the sedimentation of pigments and are therefore, if necessary, suitable in particular in pigmented compositions according to the invention.
These auxiliaries stabilize pigment dispersions essentially through electrostatic repulsion and/or steric hindrance of the pigment particles containing these additives, where, in the latter case, the interaction of the auxiliary with the ambient medium (for example binder) plays a major role.
Since the use of such wetting and dispersion auxiliaries is common practice, for example in the technical area of printing inks and paints, the selection of a suitable auxiliary of this type generally does not present the person skilled in the art with any difficulties, if they are used.
Such wetting and dispersion auxiliaries are commercially available, for example from Tego, as TEGO® Dispers 610, TEGO® Dispers 610 S, TEGO® Dispers 630, TEGO® Dispers 700, TEGO® Dispers 705, TEGO® Dispers 710, TEGO® Dispers 720 W, TEGO® Dispers 725 W, TEGO® Dispers 730 W, TEGO® Dispers 735 W and TEGO® Dispers 740 W and from BYK as Disperbyk®, Disperbyk®-107, Disperbyk®-108, Disperbyk®-110, Disperbyk®-111 , Disperbyk®-115, Disperbyk®-130, Disperbyk®- 160, Disperbyk®-161 , Disperbyk®-162, Disperbyk®-163, Disperbyk®-164, Disperbyk®-165, Disperbyk®-166, Disperbyk®- 167, Disperbyk®-170, Disperbyk®- 174, Disperbyk®-180, Disperbyk®-181, Disperbyk®- 182, Disperbyk®-183, Disperbyk®-184, Disperbyk®- 185, Disperbyk®-190, Anti-Terra®-U, Anti-Terra®-U 80, Anti-Terra®-P, Anti-Terra®-203, Anti-Terra®-204, Anti-Terra®-206, BYK®-151 , BYK®- 154, BYK®-155, BYK®-P 104 S, BYK®-P 105, Lactimon®, Lactimon®-WS and Bykumen®.
The amount of the auxiliaries in group c5) used on the mean molecular weight of the auxiliary. In any case, a preliminary experiment is therefore advisable, but this can be accomplished simply by the person skilled in the art.
Another preferred group of auxiliaries, which can be allocated to group c2), c4) or c5), includes wetting-, flow- and leveling agents, in particular based on non-ionic fluorosurfactants, which are commercially available from Synthomer under the Polyfox™ series, for example Polyfox™PF-656.
The hydrophobicizing agents in group c6) can be used to give water-repellent properties to prints or coatings produced, for example, using compositions according to the invention. This prevents or at least greatly suppresses swelling due to water absorption and thus a change in, for example, the optical properties of such prints or coatings. In addition, when the composition is used, for example, as a printing ink in offset printing, water absorption can thereby be prevented or at least greatly reduced.
Such hydrophobicizing agents are commercially available, for example, from Tego as Tego® Phobe WF, Tego® Phobe 1000, Tego® Phobe 1000 S, Tego® Phobe 1010, Tego® Phobe 1030, Tego® Phobe 1010, Tego® Phobe 1010, Tego® Phobe 1030, Tego® Phobe 1040, Tego® Phobe 1050, Tego® Phobe 1200, Tego® Phobe 1300, Tego® Phobe 1310 and Tego® Phobe 1400.
The auxiliaries in group c6) are optionally employed in a proportion of from about 0 to 5.0% by weight, preferably from about 0 to 3.0% by weight, based on the total weight of the RM formulation.
Adhesion promoters from group c7) serve to improve the adhesion of two interfaces in contact. It is directly evident from this that essentially the only fraction of the adhesion promoter that is effective is that located at one or the other or at both interfaces. If, for example, it is desired to apply liquid or pasty printing inks, coating compositions or paints to a solid substrate, this generally means that the adhesion promoter must be added directly to the latter or the substrate must be pre-treated with the adhesion promoters (also known as priming), i.e. this substrate is given modified chemical and/or physical surface properties.
If the substrate has previously been primed with a primer, this means that the interfaces in contact are that of the primer on the one hand and of the printing ink or coating composition or paint on the other hand. In this case, not only the adhesion properties between the substrate and the primer, but also between the substrate and the printing ink or coating composition or paint play a part in adhesion of the overall multilayer structure on the substrate.
Adhesion promoters in the broader sense which may be mentioned are also the substrate wetting auxiliaries already listed under group c4), but these generally do not have the same adhesion promotion capacity.
In view of the widely varying physical and chemical natures of substrates and of printing inks, coating compositions and paints intended, for example, for their printing or coating, the multiplicity of adhesion promoter systems is not surprising.
Adhesion promoters based on silanes are, for example, 3- aminopropyltrimethoxysilane, 3-aminopropyltriethoxysilane, 3- aminopropylmethyldiethoxysilane, N-aminoethyl-3-aminopropyltrimethoxysilane, N- aminoethyl-3-aminopropylmethyldimethoxysilane, N-methyl-3- aminopropyltrimethoxysilane, 3-ureidopropyltriethoxysilane, 3- methacryloyloxypropyltrimethoxysilane, 3-glycidyloxypropyltrimethoxysilane, 3- mercaptopropyltrimethoxysilane, 3-chloropropyltrimethoxysilane and vinyltrimethoxysilane. These and other silanes are commercially available from Huis, for example under the tradename DYNASILAN®.
Corresponding technical information from the manufacturers of such additives should generally be used or the person skilled in the art can obtain this information in a simple manner through corresponding preliminary experiments.
However, if these additives are to be added as auxiliaries from group c7) to the RM formulations according to the invention, their proportion optionally corresponds to from about 0 to 5.0% by weight, based on the total weight of the RM formulation. These concentration data serve merely as guidance, since the amount and identity of the additive are determined in each individual case by the nature of the substrate and of the printing/coating composition. Corresponding technical information is usually available from the manufacturers of such additives for this case or can be determined in a simple manner by the person skilled in the art through corresponding preliminary experiments.
The auxiliaries for improving the scratch resistance in group c8) include, for example, the abovementioned products TEGO® Rad 2100, TEGO® Rad 2200, TEGO® Rad 2500, TEGO® Rad 2600 and TEGO® Rad 2700, which are available from Tego.
For these auxiliaries, the amount data given for group c3) are likewise suitable, i.e. these additives are optionally employed in a proportion of from about 0 to 5.0% by weight, preferably from about 0 to 3.0% by weight, based on the total weight of the liquid-crystalline composition.
Examples which may be mentioned of light, heat and/or oxidation stabilizers are the following: alkylated monophenols, such as 2,6-di-tert-butyl-4-methylphenol, 2-tert-butyl-4,6- dimethylphenol, 2,6-di-tert-butyl-4-ethylphenol, 2,6-di-tert-butyl-4-n-butylphenol, 2,6-di- tert-butyl-4-isobutylphenol, 2,6-dicyclopentyl-4-methylphenol, 2-(a-methylcyclohexyl)- 4,6-dimethylphenol, 2,6-dioctadecyl-4-methylphenol, 2,4,6-tricyclohexylphenol, 2,6-di- tert-butyl-4-methoxymethylphenol, nonylphenols which have a linear or branched side chain, for example 2,6-dinonyl-4-methylphenol, 2, 4-dimethyl-6-(1 '-methylundec- T- yl)phenol, 2,4-dimethyl-6-(1'-methylheptadec-1'-yl)phenol, 2,4-dimethyl-6-(1'- methyltridec-1'-yl)phenol and mixtures of these compounds, alkylthiomethylphenols, such as 2,4-dioctylthiomethyl-6-tert-butylphenol, 2,4-dioctylthiomethyl-6-methylphenol, 2,4-dioctylthiomethyl-6-ethylphenol and 2,6-didodecylthiomethyl-4-nonylphenol,
Hydroquinones and alkylated hydroquinones, such as 2,6-di-tert-butyl-4- methoxyphenol, 2,5-di-tert-butylhydroquinone, 2,5-di-tert-amylhydrocrainone, 2,6- diphenyl-4-octadecyloxyphenol, 2,6-di-tert-butylhydroquinone, 2,5-di-tert-butyl-4- hydroxyanisole, 3,5-di-tert-butyl-4-hydroxyanisole, 3,5-di-tert-butyl-4-hydroxyphenyl stearate and bis(3,5-di-tert-butyl-4-hydroxyphenyl)adipate,
Tocopherols, such as a-tocopherol, β-tocopherol, y-tocopherol, b-tocopherol and mixtures of these compounds, and tocopherol derivatives, such as tocopheryl acetate, succinate, nicotinate and polyoxyethylenesuccinate (“tocofersolate”), hydroxylated diphenyl thioethers, such as 2,2'-thiobis(6-tert-butyl-4-methylphenol), 2,2'-thiobis(4-octylphenol), 4,4'-thiobis(6-tert-butyl-3-methylphenol), 4,4'-thiobis(6-tert- butyl-2-methylphenol), 4,4'-thiobis(3,6-di-sec-amylphenol) and 4,4'-bis(2,6-dimethyl-4- hydroxyphenyl)disulfide,
Alkylidenebisphenols, such as 2,2'-methylenebis(6-tert-butyl-4-methylphenol), 2,2'- methylenebis(6-tert-butyl-4-ethylphenol), 2,2'-methylenebis[4-methyl-6-(a- methylcyclohexyl)phenol], 2,2'-methylenebis(4-methyl-6-cyclohexylphenol), 2,2'- methylenebis(6-nonyl-4-methylphenol), 2,2'-methylenebis(4,6-di-tert-butylphenol), 2,2- ethylidenebis(4,6-di-tert-butylphenol), 2,2'-ethylidenebis(6-tert-butyl-4-isobutylphenol), 2,2'-methylenebis[6-(a-methylbenzyl)-4-nonylphenol], 2,2'-methylenebis[6-(a,a- dimethylbenzyl)-4-nonylphenol], 4,4'-methylenebis(2,6-di-tert-butylphenol), 4,4'- methylenebis(6-tert-butyl-2-methylphenol), 1,1-bis(5-tert-butyl-4-hydroxy-2- methylphenyl)butane, 2,6-bis(3-tert-butyl-5-methyl-2-hydroxybenzyl)-4-methylphenol,
1 , 1 ,3-tris(5-tert-butyl-4-hydroxy-2-methylphenyl)butane, 1,1-bis(5-tert-butyl-4-hydroxy- 2-methylphenyl)-3-n-dodecyl-mercaptobutane, ethylene glycol bis[3,3-bis(3'-tert-butyl- 4'-hydroxyphenyl)butyrate], bis(3-tert-butyl-4-hydroxy-5- methylphenyl)dicyclopentadiene, bis[2-(3'-tert-butyl-2'-hydroxy-5'-methylbenzyl)-6-tert- butyl-4-methylphenyl]terephthalate, 1,1-bis(3,5-dimethyl-2-hydroxyphenyl)butane, 2,2- bis(3,5-di-tert-butyl-4-hydroxyphenyl)propane, 2,2-bis(5-tert-butyl-4-hydroxy-2- methylphenyl)-4-n-dodecyl-mercaptobutane and 1 ,1 ,5,5-tetrakis(5-tert-butyl-4-hydroxy-
2-methylphenyl)pentane,
O-, N- and S-benzyl compounds, such as 3,5,3',5'-tetra-tert-butyl-4,4'- dihydroxydibenzyl ether, octadecyl 4-hydroxy-3,5-dimethylbenzylmercaptoacetate, tridecyl 4-hydroxy-3,5-di-tert-butylbenzylmercaptoacetate, tris(3,5-di-tert-butyl-4- hydroxybenzyl)amine, bis(4-tert-butyl-3-hydroxy-2,6- dimethylbenzyl)dithioterephthalate, bis(3,5-di-tert-butyl-4-hydroxybenzyl)sulfide and isooctyl-3,5-di-tert-butyl-4-hydroxybenzylmercaptoacetate, aromatic hydroxybenzyl compounds, such as 1 ,3,5-tris(3,5-di-tert-butyl-4- hydroxybenzyl)-2,4,6-trimethyl-benzene, 1,4-bis(3,5-di-tert-butyl-4-hydroxybenzyl)- 2,3,5,6-tetramethyl-benzene and 2,4,6-tris(3,5-di-tert-butyl-4-hydroxybenzyl)phenol,
Triazine compounds, such as 2,4-bis(octylmercapto)-6-(3,5-di-tert-butyl-4- hydroxyanilino)-1,3,5-triazine, 2-octylmercapto-4,6-bis(3,5-di-tert-butyl-4- hydroxyanilino)-1,3,5-triazine, 2-octylmercapto-4,6-bis(3,5-di-tert-butyl-4- hydroxyphenoxy)-1 , 3, 5-triazine, 2,4,6-tris(3,5-di-tert-butyl-4-hydroxyphenoxy)-1 ,2,3- triazine, 1 ,3,5-tris(3,5-di-tert-butyl-4-hydroxybenzyl)isocyanurate, 1 , 3, 5-tris(4-tert-butyl-
3-hydroxy-2,6-dimethylbenzyl)isocyanurate, 2,4,6-tris(3,5-di-tert-butyl-4- hydroxyphenylethyl)-1 ,3, 5-triazine, 1 , 3, 5-tris-(3, 5-di-tert-butyl-4- hydroxyphenylpropionyl)hexahydro-1 ,3, 5-triazine, 1 ,3,5-tris(3,5-dicyclohexyl-4- hydroxybenzyl)isocyanurate and 1 ,3,5-tris(2-hydroxyethyl)isocyanurate,
Benzylphosphonates, such as dimethyl 2,5-di-tert-butyl-4-hydroxybenzylphosphonate, diethyl 3,5-di-tert-butyl-4-hydroxybenzylphosphonate, dioctadecyl 3,5-di-tert-butyl-4- hydroxybenzylphosphonate and dioctadecyl 5-tert-butyl-4-hydroxy-3- methylbenzylphosphonate,
Acylaminophenols, such as 4-hydroxylauroylanilide, 4-hydroxystearoylanilide and octyl N-(3,5-di-tert-butyl-4-hydroxyphenyl)carbamate,
Propionic and acetic esters, for example of monohydric or polyhydric alcohols, such as methanol, ethanol, n-octanol, i-octanol, octadecanol, 1,6-hexanediol, 1,9-nonanediol, ethylene glycol, 1,2-propanediol, neopentyl glycol, thiodiethylene glycol, diethylene glycol, triethylene glycol, pentaerythritol, tris(hydroxyethyl)isocyanurate, N,N'- bis(hydroxyethyl)oxalamide, 3-thiaundecanol, 3-thiapentadecanol, trimethylhexanediol, trimethylolpropane and 4-hydroxymethyl-1-phospha-2,6,7-trioxabicyclo[2.2.2]-octane,
Propionamides based on amine derivatives, such as N,N'-bis(3,5-di-tert-butyl-4- hydroxyphenylpropionyl)hexamethylenediamine, N,N'-bis(3,5-di-tert-butyl-4- hydroxyphenylpropionyl)trimethylenediamine and N,N'-bis(3,5-di-tert-butyl-4- hydroxyphenylpropionyl)hydrazine,
Ascorbic acid (Vitamin C) and ascorbic acid derivatives, such as ascorbyl palmitate, laurate and stearate, and ascorbyl sulfate and phosphate,
Antioxidants based on amine compounds, such as N,N'-diisopropyl-p- phenylenediamine, N,N'-di-sec-butyl-p-phenylenediamine, N, N'-bis(1 ,4- dimethylpentyl)-p-phenylenediamine, N,N'-bis(1-ethyl-3-methylpentyl)-p- phenylenediamine, N,N'-bis(1-methylheptyl)-p-phenylenediamine, N,N'-dicyclohexyl-p- phenylenediamine, N,N'-diphenyl-p-phenylenediamine, N,N'-bis(2-naphthyl)-p- phenylenediamine, N-isopropyl-N'-phenyl-p-phenylenediamine, N-(1 ,3-dimethylbutyl)- N'-phenyl-p-phenylenediamine, N-(1-methylheptyl)-N'-phenyl-p-phenylenediamine, N- cyclohexyl-N'-phenyl-p-phenylenediamine, 4-(p-toluenesulfamoyl)diphenylamine, N,N'- dimethyl-N,N'-di-sec-butyl-p-phenylenediamine, diphenylamine, N-allyldiphenylamine, 4-isopropoxydiphenylamine, N-phenyl-1 -naphthylamine, N-(4-tert-octyl phenyl)- 1- naphthylamine, N-phenyl-2-naphthylamine, octyl-substituted diphenylamine, such as p,p'-di-tert-octyldiphenylamine, 4-n-butylaminophenol, 4-butyrylaminophenol, 4- nonanoylaminophenol, 4-dodecanoylaminophenol, 4-octadecanoylaminophenol, bis[4- methoxyphenyl)amine, 2,6-di-tert-butyl-4-dimethylaminomethylphenol, 2,4- diaminodiphenylmethane, 4,4'-diaminodiphenylmethane, N,N,N',N'-tetramethyl-4,4'- diaminodiphenylmethane, 1 ,2-bis[(2-methylphenyl)amino]ethane, 1 ,2- bis(phenylamino)propane, (o-tolyl)biguanide, bis[4-(1 ',3'-dimethylbutyl)phenyl]amine, tert-octyl-substituted N-phenyl-1 -naphthylamine, a mixture of mono- and dialkylated tert-butyl/tert-octyldiphenylamine, a mixture of mono- and dialkylated nonyldiphenylamine, a mixture of mono- and dialkylated dodecyldiphenylamine, a mixture of mono- and dialkylated isopropyl/isohexyldiphenylamine, a mixture of mono- and dialkylated tert-butyldiphenylamine, 2,3-dihydro-3,3-dimethyl-4H-1,4- benzothiazine, phenothiazine, a mixture of mono- and dialkylated tert-butyl/tert-
octylphenothiazine, a mixture of mono- and dialkylated tert-octylphenothiazine, N- allylphenothiazine, N, N,N',N '-tetraphenyl- 1 ,4-diaminobut-2-ene, N, N-bis(2, 2,6,6- tetramethylpiperidin-4-yl)hexamethylenediamine, bis(2,2,6,6-tetramethylpiperidin-4- yl)sebacate, 2,2,6,6-tetramethylpiperidin-4-one and 2,2,6,6-tetramethylpiperidin-4-ol,
Phosphines, phosphites and phosphonites, such as triphenylphosnine triphenylphosphite, diphenyl alkyl phosphite, phenyl dialkyl phosphite, tris(nonylphenyl)phosphite, trilauryl phosphite, trioctadecyl phosphite, distearyl pentaerythritol diphosphite, tris(2,4-di-tert-butylphenyl)phosphite, diisodecyl pentaerythritol diphosphite, bis(2,4-di-tert-butylphenyl)pentaerythritol diphosphite, bis(2,6-di-tert-butyl-4-methylphenyl)pentaerythritol diphosphite, diisodecyloxy pentaerythritol diphosphite, bis(2,4-di-tert-butyl-6-methylphenyl)pentaerythritol diphosphite, bis(2,4,6-tris(tert-butylphenyl))pentaerythritol diphosphite, tristearyl sorbitol triphosphite, tetrakis(2,4-di-tert-butylphenyl)4,4'-biphenylenediphosphonite, 6- isooctyloxy-2,4,8,10-tetra-tert-butyl-12H-dibenz[d,g]-1,3,2-dioxaphosphocine, 6-fluoro- 2,4,8,10-tetra-tert-butyl-12-methyl-dibenz[d,g]-1,3,2-dioxaphosphocine, bis(2,4-di-tert- butyl-6-methylphenyl)methyl phosphite and bis(2,4-di-tert-butyl-6-methylphenyl)ethyl phosphite,
2-(2'-Hydroxyphenyl)benzotriazoles, such as 2-(2'-hydroxy-5'- methylphenyl)benzotriazole, 2-(3',5'-di-tert-butyl-2'-hydroxyphenyl)benzotriazole, 2-(5'- tert-butyl-2'-hydroxyphenyl)benzotriazole, 2-(2'-hydroxy-5'-(1 ,1,3,3- tetramethylbutyl)phenyl)benzotriazole, 2-(3',5'-di-tert-butyl-2'-hydroxyphenyl)-5- chlorobenzotriazole, 2-(3'-tert-butyl-2'-hydroxy-5'-methylphenyl)-5-chlorobenzotriazole, 2-(3'-sec-butyl-5'-tert-butyl-2'-hydroxyphenyl)benzotriazole, 2-(2'-hydroxy-4'- octyloxyphenyl)benzotriazole, 2-(3',5'-di-tert-amyl-2'-hydroxyphenyl)benzotriazole, 2- (3,5'-bis-(a,a-dimethylbenzyl)-2'-hydroxyphenyl)benzotriazole, a mixture of 2-(3'-tert- butyl-2'-hydroxy-5'-(2-octyloxycarbonylethyl)phenyl)-5-chlorobenzotriazole, 2-(3'-tert- butyl-5'-[2-(2-ethylhexyloxy)carbonylethyl]-2'-hydroxy phenyl)-5-chlorobenzotriazole, 2- (3'-tert-butyl-2'-hydroxy-5'-(2-methoxycarbonylethyl)phenyl)-5-chlorobenzotriazole, 2- (3'-tert-butyl-2'-hydroxy-5'-(2-methoxycarbonylethyl)phenyl)benzotriazole, 2-(3'-tert- butyl-2'-hydroxy-5'-(2-octyloxycarbonylethyl)phenyl)benzotriazole, 2-(3'-tert-butyl-5'-[2- (2-ethylhexyloxy)carbonylethyl]-2'-hydroxy phenyl)benzotriazole, 2-(3'-dodecyl-2'- hydroxy-5'-methylphenyl)benzotriazole and 2-(3'-tert-butyl-2'-hydroxy-5'-(2- isooctyloxycarbonylethyl)phenyl benzotriazole, 2,2'-methylenebis[4-(1 ,1,3,3- tetramethylbutyl)-6-benzotriazol-2-ylphenol]; the product of complete esterification of 2-[3'-tert-butyl-5'-(2-methoxycarbonylethyl)-2'-hydroxyphenyl]-2H-benzotriazole with polyethylene glycol 300;
sulfur-containing peroxide scavengers and sulfur-containing antioxidants, such as esters of 3,3'-thiodipropionic acid, for example the lauryl, stearyl, myristyl and tridecyl esters, mercaptobenzimidazole and the zinc salt of 2-mercaptobenzimidazole, dibutylzinc dithiocarbamates, dioctadecyl disulfide and pentaerythritol tetrakis(P- dodecylmercapto)propionate,
2-hydroxybenzophenones, such as the 4-hydroxy, 4-methoxy, 4-octyloxy, 4-decycloxy, 4-dodecyloxy, 4-benzyloxy, 4, 2 ',4 '-tri hydroxy and 2'-hydroxy-4,4'-dimethoxy derivatives,
Esters of unsubstituted and substituted benzoic acids, such as 4-tert-butylphenyl salicylate, phenyl salicylate, octylphenyl salicylate, dibenzoylresorcinol, bis(4-tert- butylbenzoyl)resorcinol, benzoylresorcinol, 2,4-di-tert-butylphenyl 3,5-di-tert-butyl-4- hydroxybenzoate, hexadecyl-3, 5-di-tert-butyl-4-hydroxybenzoate, octadecyl-3, 5-di-tert- butyl-4-hydroxybenzoate and 2-methyl-4,6-di-tert-butylphenyl-3,5-di-tert-butyl-4- hydroxybenzoate,
Acrylates, such as ethyl a-cyano-p,p-diphenylacrylate, isooctyl a-cyano-p,p- diphenylacrylate, methyl a-methoxycarbonylcinnamate, methyl a-cyano-p-methyl-p- methoxycinnamate, butyl-a-cyano-p-methyl-p-methoxycinnamate and methyl-a- methoxycarbonyl-p-methoxycinnamate, sterically hindered amines, such as bis(2,2,6,6-tetramethylpiperidin-4-yl)sebacate, bis(2,2,6,6-tetramethylpiperidin-4- yl)succinate, bis(1,2,2,6,6-pentamethylpiperidin-4-yl)sebacate, bis(1-octyloxy-2, 2,6,6- tetramethylpiperidin-4-yl)sebacate, bis(1 ,2,2,6,6-pentamethylpiperidin-4-yl)-n-butyl-3,5- di-tert-butyl-4-hydroxybenzylmalonate, the condensation product of 1-(2-hydroxyethyl)- 2,2,6,6-tetramethyl-4-hydroxypiperidine and succinic acid, the condensation product of N,N'-bis(2,2,6,6-tetramethylpiperidin-4-yl)hexamethylenediamine and 4-tert- octylamino-2,6-dichloro-1 ,3,5-triazine, tris(2,2,6,6-tetramethylpiperidin-4- yl)nitrilotriacetate, tetrakis(2, 2,6, 6-tetramethylpiperidin-4-yl)1 , 2,3,4- butanetetracarboxylate, 1,1'-(1,2-ethylene)bis(3,3,5,5-tetramethylpiperazinone), 4- benzoyl-2,2,6,6-tetramethylpiperidine, 4-stearyloxy-2,2,6,6-tetramethylpiperidine, bis(1, 2,2,6, 6-pentamethylpiperidin-4-yl)2-n-butyl-2-(2-hydroxy-3,5-di-tert- butylbenzyl)malonate, 3-n-octyl-7,7,9,9-tetramethyl-1 ,3,8-triazaspiro[4.5]decane-2,4- dione, bis(1-octyloxy-2,2,6,6-tetramethylpiperidin-4-yl)sebacate, bis(1-octyloxy-2, 2,6,6- tetramethylpiperidin-4-yl)succinate, the condensation product of N, N'-bis(2, 2,6,6- tetramethylpiperidin-4-yl)hexamethylenediamine and 4-morpholino-2,6-dichloro-1 ,3,5- triazine, the condensation product of 2-chloro-4,6-bis(4-n-butylamino-2,2,6,6-
tetramethylpiperidin-4-yl)-1 ,3,5-triazine and 1,2-bis(3-aminopropylamino)ethane, the condensation product of 2-chloro-4,6-di(4-n-butylamino-1 , 2, 2,6,6- pentamethylpiperidin-4-yl)-1,3,5-triazine and 1,2-bis(3-aminopropylamino)ethane, 8- acetyl-3-dodecyl-7,7,9,9-tetramethyl-1,3,8-triazaspiro[4.5]-decane-2,4-dione, 3- dodecyl-1-(2,2,6,6-tetramethylpiperidin-4-yl)pyrrolidine-2,5-dione, 3-dodecyl-1- (1 ,2,2,6,6-pentamethylpiperidin-4-yl)pyrrolidine-2,5-dione, a mixture of 4- hexadecyloxy- and 4-stearyloxy-2,2,6,6-tetramethylpiperidine, the condensation product of N,N'-bis(2,2,6,6-tetramethylpiperidin-4-yl)hexamethylenediamine and 4- cyclohexylamino-2,6-dichloro-1,3,5-triazine, the condensation product of 1 ,2-bis(3- aminopropylamino)ethane and 2,4,6-trichloro-1 ,3,5-triazine, 4-butylamino-2, 2,6,6- tetramethylpiperidine, N-(2,2,6,6-tetramethylpiperidin-4-yl)-n-dodecylsuccinimide, N- (1 ,2,2,6,6-pentamethylpiperidin-4-yl)-n-dodecylsuccinimide, 2-undecyl-7, 7,9,9- tetramethyl-1-oxa-3,8-diaza-4-oxo-spiro[4.5]-decane, the condensation product of 7,7,9,9-tetramethyl-2-cycloundecyl-1-oxa-3,8-diaza-4-oxospiro-[4.5]decane and epichlorohydrin, the condensation products of 4-amino-2,2,6,6-tetramethylpiperidine with tetramethylolacetylenediureas and poly(methoxypropyl-3-oxy)-[4(2, 2,6,6- tetramethyl)piperidinyl]-siloxane,
Oxalamides, such as 4,4'-dioctyloxyoxanilide, 2,2'-diethoxyoxanilide, 2,2'-dioctyloxy- 5,5'-di-tert-butoxanilide, 2,2'-didodecyloxy-5,5'-di-tert-butoxanilide, 2-ethoxy-2'- ethyloxanilide, N,N'-bis(3-dimethylaminopropyl)oxalamide, 2-ethoxy-5-tert-butyl-2'- ethoxanilide and its mixture with 2-ethoxy-2'-ethyl-5,4'-di-tert-butoxanilide, and mixtures of ortho-, para-methoxy-disubstituted oxanilides and mixtures of ortho- and para-ethoxy-disubstituted oxanilides, and
2-(2-hydroxyphenyl)-1 ,3,5-triazines, such as 2,4,6-tris-(2-hydroxy-4-octyloxyphenyl)- 1 ,3,5-triazine, 2-(2-hydroxy-4-octyloxyphenyl)-4,6-bis(2,4-dimethylphenyl)-1 ,3,5- triazine, 2-(2,4-dihydroxyphenyl)-4,6-bis(2,4-dimethylphenyl)-1 ,3,5-triazine, 2,4-bis(2- hydroxy-4-propyloxyphenyl)-6-(2,4-dimethylphenyl)-1 ,3,5-triazine, 2-(2-hydroxy-4- octyloxyphenyl)-4,6-bis(4-methylphenyl)-1 ,3,5-triazine, 2-(2-hydroxy-4- dodecyloxyphenyl)-4,6-bis(2,4-dimethylphenyl)-1 ,3,5-triazine, 2-(2-hydroxy-4- tridecyloxyphenyl)-4,6-bis(2,4-dimethylphenyl)-1 ,3,5-triazine, 2-[2-hydroxy-4-(2- hydroxy-3-butyloxypropoxy)phenyl]-4,6-bis(2,4-dimethyl)-1,3,5-triazine, 2-[2-hydroxy- 4-(2-hydroxy-3-octyloxypropoxy)phenyl]-4,6-bis(2,4-dimethyl)-1 ,3,5-triazine, 2-[4- (dodecyloxy/tridecyloxy-2-hydroxypropoxy)-2-hydroxyphenyl]-4,6-bis(2,4- dimethylphenyl)-1 ,3,5-triazine, 2-[2-hydroxy-4-(2-hydroxy-3- dodecyloxypropoxy)phenyl]-4,6-bis-(2,4-dimethylphenyl)-1 ,3,5-triazine, 2-(2-hydroxy-4- hexyloxyphenyl)-4,6-diphenyl-1 ,3,5-triazine, 2-(2-hydroxy-4-methoxyphenyl)-4,6-
diphenyl-1 ,3,5-triazine, 2,4,6-tris[2-hydroxy-4-(3-butoxy-2-hydroxypropoxy)phenyl]- 1 ,3,5-triazine and 2-(2-hydroxyphenyl)-4-(4-methoxyphenyl)-6-phenyl-1 ,3,5-triazine.
In a preferred embodiment the RM formulation is dissolved in a suitable solvent, which are preferably selected from organic solvents.
The solvents are preferably selected from ketones such as acetone, methyl ethyl ketone, methyl propyl ketone, methyl isobutyl ketone or cyclohexanone; acetates such as methyl, ethyl or butyl acetate or methyl acetoacetate; alcohols such as methanol, ethanol or isopropyl alcohol; aromatic solvents such as toluene or xylene; alicyclic hydrocarbons such as cyclopentane or cyclohexane; halogenated hydrocarbons such as di- or trichloromethane; glycols or their esters such as PGMEA (propyl glycol monomethyl ether acetate), γ-butyrolactone. It is also possible to use binary, ternary or higher mixtures of the above solvents. In particular, for multilayer applications, methyl iso butyl ketone is the preferred utilized solvent
In case the RM formulation contains one or more solvents, the total concentration of all solids, including the RMs, in the solvent(s) is preferably from 5 to 60%, more preferably from 10 to 50%, in particular from 10 to 35%.
Preferably, the RM formulation comprises, besides one or more compounds or formula I and the chiral isomerisable compounds: a) optionally one or more multi - or direactive polymerisable mesogenic compounds, preferably selected from compounds of formula DRM and corresponding subformulae, and/or b) optionally one or more additional polymerisable chiral compounds, preferably selected from formulae CRM or its subformulae, and/or c) optionally one or more additional non-polymerisable chiral compounds, preferably selected from formulae C-l, C-ll and C-lll, and/or d) optionally one or more monoreactive mesogens, preferably selected from compounds of formula MRM and corresponding subformulae, and/or e) optionally one or more photoinitiators, and/or f) optionally one or more antioxidative additives, and/or g) optionally one or more adhesion promotors, and/or h) optionally one or more surfactants, and/or i) optionally one or more mono-, di- or multireactive polymerisable non- mesogenic compounds, and/or
j) optionally one or more dyes showing an absorption maximum at the wavelength used to initiate photo polymerisation, and/or k) optionally one or more chain transfer agents, and/or l) optionally one or more (UV) stabilizers, and/or m) optionally one or more lubricants and flow auxiliaries, and n) optionally one or more diluents, and/or o) optionally a non-polymerisable nematic component, and/or p) optionally one or more organic solvents.
More preferably, the RM formulation comprises: a) one or more compounds of formula I, or its corresponding preferred subformulae, b) one or more chiral isomerisable compounds, preferably selected from formula I*, more preferably from formula l*A, or their corresponding preferred subformulae, c) optionally one or more, preferably two or more, direactive polymerisable mesogenic compounds, preferably selected from the compounds of formula DRMa-1, d) optionally one or more, preferably two or more, monoreactive polymerisable mesogenic compounds, preferably selected from compounds of formulae MRM-1 , and/or MRM-4, and/or MRM-6, and/or MRM-7, e) optionally one or more additional polymerisable chiral compounds, preferably selected from formulae CRM or its subformulae, f) optionally one or more additional non-polymerisable chiral compounds, preferably selected from formulae C-l, C-ll and C-lll, g) optionally one or more antioxidative additives, h) optionally one or more photoinitiators, i) optionally one or more organic solvents.
The RM mixture and RM formulation can be prepared in a manner conventional per se, for example by mixing one or more of the above-mentioned chiral isomerisable compounds with one or more RMs as defined above, and optionally with further additives.
The invention further relates to a process of preparing an individual polymer film comprising, preferably consisting of, the steps of p1) providing a first layer of an RM mixture or RM formulation as described above and below onto a substrate, which is optionally provided with an alignment layer capable of inducing a planar alignment to the adjacent layer of the RM mixture, p2) optionally removing any solvents, if present, p3) optionally annealing the RM mixture (i.e. , without solvent), preferably at a temperature where it is in the chiral nematic phase, p4) a first step of irradiation of the RM mixture with actinic radiation, preferably with UV radiation, in air (1st UV step), p5) optionally annealing the RM mixture, preferably at a temperature where it is in the chiral nematic phase, and p6) a second step of irradiation of the RM mixture with actinic radiation, preferably with UV radiation, in an inert gas atmosphere (2nd UV step).
More preferably the process of preparing an individual polymer film according to the present invention comprises the following steps: p11) providing a layer of an RM mixture or RM formulation as described above and below, or a solution thereof, onto a substrate, which is preferably equipped with an alignment layer inducing planar alignment layer, for example a rubbed polyimide layer or a photo alignment layer, for example by spin-coating or printing methods, and optionally removing any solvents present, p22) optionally removing any solvents, if present, p33) optionally annealing the layer of the RM mixture (i.e., without solvent), preferably at a temperature where it is in the chiral nematic phase, p44) exposing the layer of the RM mixture (i.e., without solvent) to UV light, which causes photoisomerisation of the chiral compound comprising the photoisomerisable group and provides the chiral structure with the biased helical pitch, preferably to unpolarised UV light, very preferably to unpolarised UVA light, for example with a dose of 40 to 500 mJ/cm2, preferably in an air environment at ambient temperature ("1st UV step"), p55) optionally annealing the RM mixture, preferably at a temperature where it is in the chiral nematic phase,
P66) exposing the layer of the RM mixture to UV light, which causes photopolymerisation of the RMs, preferably to unpolarised UV light, very preferably to unpolarised UVA light, for example with a dose of 200 to 2000 mJ/cm2cm2 , preferably in an inert gas atmosphere, e.g. nitrogen and at ambient temperature ("2nd UV step").
The invention further relates to a process of process of preparing a half-wave plate comprising, preferably consisting of, the steps of: p1) forming a first quarter-wave plate by a process comprising, preferably consisting of, the following steps p11) providing a layer of a chiral RM mixture as described above and below onto a substrate, which is optionally provided with an alignment layer capable of inducing a planar alignment to the adjacent layer of the chiral reactive mesogen mixture, p12) optionally removing any solvents, if present, p13) optionally annealing the layer of the chiral reactive mesogen mixture, preferably at a temperature where it is in the chiral nematic phase, p14) a first step of irradiation of the chiral reactive mesogen mixture with actinic radiation, preferably with UV radiation, in air (1st UV step), p15) optionally annealing the layer of the chiral reactive mesogen mixture, preferably at a temperature where it is in the chiral nematic phase, and p16) a second step of irradiation of the chiral reactive mesogen mixture with actinic radiation, preferably with UV radiation, in an inert gas atmosphere (2nd UV step), p2) forming a second quarter-wave plate by a process comprising, preferably consisting of, steps p11) to p16) as described above, wherein the chiral RM mixture of the first and second quarter-wave plate have opposite twist, p3) combining the first and second quarter-wave plate to form a half-have plate.
The first and second quarter-wave plate can be combined with each other for example by laminating the films onto each other. Alternatively the second quarter-wave plate can be prepared directly on top of the first quarter-wave plate serving as a substrate. Lamination or coating of the films can also be done in a roll-to-roll process.
Preferably in a process according to the present invention all irradiation or UV exposure steps are carried out at room temperature, and the layer of the RM mixture or RM formulation is not subjected to heat treatment during or between the irradiation or UV exposure steps.
The first irradiation or 1st UV step causes photoisomerisation of the chiral compound comprising the photoisomerisable group and provides the chiral structure with the
biased helical pitch. The second irradiation or 2nd UV step causes photopolymerisation of the polymerisable mesogenic compounds and thereby fixes the chiral structure.
Without wishing to be bound to a specific theory the inventors believe that the presence of oxygen in air during the 1st UV step inhibits free-radical polymerisation. This effect provides several advantages.
Firstly, this effect allows to use also RMs which have an absorption maximum in the same UV wavelength range as the photoisomerisable chiral compound, and would therefore polymerise unless being hindered. Since it is often difficult to find suitable RMs with very high birefringence as well as suitable chiral photoisomerisable compounds, this allows a broader choice of suitable mixture components, so that the chiral RM mixture composition can be more easily adapted to the specific requirements for the final use of the polymer film as half-wave plate.
Secondly, this effect can be advantageously used to polymerise the film only partially, with a gradient in the film thickness direction. Thus, the RMs at the top of the film, which are exposed to oxygen, have a lower rate of polymerisation, whereas the RMs at the bottom of the film, at the substrate interface, are far less exposed to an hindered by oxygen so that they can polymerise more easily.
Due to the presence of the photoisomerisable chiral compound, photoisomerisation occurs during the 1st UV step and the helical twisting power (HTP) of the photoisomerisable chiral compound is reduced when being exposed to the UV light. The change in chiral structure is physically resisted in areas of higher polymer density. At the top or surface of the film the polymer density is low so the chiral structure can be modified more freely. However, at the bottom of the film adjacent to the substrate, where more photopolymerisation occurs, the polymer density is higher so the change in chiral structure is impeded. This leads to a chiral pitch gradient present in the film. Accordingly, after performing the method as described above, the polymerised RM mixture exhibits an accelerated chiral rotation in direction to the main plane of the polymer film or the film thickness. Preferably the polymerised RM mixture exhibits a biased pitch, such that the chiral rotation angle increases or decreases incrementally through the film thickness.
The RM mixture or RM formulation can be coated or printed onto the substrate, for example by spin-coating, printing, or other known techniques, and the solvent is
evaporated off before polymerisation. In most cases, it is suitable to heat the mixture in order to facilitate the evaporation of the solvent.
The RM mixture or RM formulation can be applied onto a substrate by conventional coating techniques like spin coating, bar coating or blade coating. It can also be applied to the substrate by conventional printing techniques which are known to the expert, like for example screen printing, offset printing, reel-to-reel printing, letter press printing, gravure printing, rotogravure printing, flexographic printing, intaglio printing, pad printing, heat-seal printing, ink-jet printing or printing by means of a stamp or printing plate.
Suitable substrate mediums and substrates are known to the expert and described in the literature, as for example conventional substrates used in the optical films industry, such as glass or plastic. Especially suitable and preferred substrates for polymerisation are polyester such as polyethyleneterephthalate (PET) or polyethylenenaphthalate (PEN), polyvinylalcohol (PVA), polycarbonate (PC), triacetylcellulose (TAC), cyclo-olefin polymers (COP), or commonly known color filter materials, preferably triacetylcellulose (TAC), cyclo-olefin polymers (COP), or commonly known colour filter materials.
In another preferred embodiment the substrate has a surface grating or surface pattern. In another preferred embodiment the substrate is prepared from a photoalignment layer (PAL) which is patterned by laser interferometry to create a grating pattern with a defined pitch.
The Friedel-Creagh-Kmetz rule can be used to predict whether a mixture will adopt planar or homeotropic alignment, by comparing the surface energies of the RM layer (γRM) and the substrate (ys):
If γRM > γs the reactive mesogenic compounds will display homeotropic alignment, If γRM < ys the reactive mesogenic compounds will display homogeneous alignment.
Without wishing to be bound to a specific theory, when the surface energy of a substrate is relatively low, the intermolecular forces between the reactive mesogens are stronger than the forces across the RM-substrate interface and consequently, reactive mesogens align perpendicular to the substrate (homeotropic alignment) in order to maximise the intermolecular forces. Accordingly, an additional alignment layer capable of inducing a planar alignment to the adjacent RM mixture is required.
When the surface tension of the substrate is greater than the surface tension of the RMs, the force across the interface dominates. The interface energy is minimised if the reactive mesogens align parallel with the substrate, so the long axis of the RM can interact with the substrate. One way planar alignment can be promoted is by coating the substrate with a polyimide layer, and then rubbing the alignment layer with a velvet cloth.
Other suitable planar alignment layers are known in the art, like for example rubbed polyimide or alignment layers prepared by photoalignment as described in US 5,602,661 , US 5,389,698 or US 6,717,644.
In general, reviews of alignment techniques are given for example by I. Sage in "Thermotropic Liquid Crystals", edited by G. W. Gray, John Wiley & Sons, 1987, pages 75-77; and by T. Uchida and H. Seki in "Liquid Crystals - Applications and Uses Vol.
3", edited by B. Bahadur, World Scientific Publishing, Singapore 1992, pages 1-63. A further review of alignment materials and techniques is given by J. Cognard, Mol. Cryst. Liq. Cryst. 78, Supplement 1 (1981), pages 1-77.
In a preferred embodiment, the process according to the invention contains a process step where the RM mixture is allowed to rest for a period of time in order to evenly redistribute the RM mixture on the substrate (herein referred to as “annealing”).
In a preferred embodiment, after providing the RM mixture or RM formulation onto the substrate, the layer stack is annealed for a time between 10 seconds and 1 hour, preferably between 20 seconds and 10 minutes and most preferably between 30 seconds and 2 minutes. The annealing is preferably performed at room temperature.
The RM mixture preferably consists of compounds that align spontaneously when being deposited as a mixture onto the substrate. Therefore, preferably the LC medium is not subjected to heat treatment to align the mesogenic or liquid-crystalline compounds before the UV exposure.
If necessary, the layer stack can be cooled down to room temperature after annealing at an elevated temperature. The cooling can be performed actively with the help of cooling aids or passively just by letting the layer stack rest for a given time.
In a preferred embodiment, in the 1st UV step the RM mixture is exposed to actinic radiation as described for example in WO 01/20394, GB 2,315,072 or WO 98/04651.
Actinic radiation means irradiation with light, like UV light, IR light or visible light, irradiation with X-rays or gamma rays, or irradiation with high-energy particles, such as ions or electrons. Preferably, the 1st UV step is carried out by photo irradiation, in particular with UV light, especially with UVA light.
As a source for actinic radiation, for example a single UV lamp or a set of UV lamps can be used. When using a high lamp power the curing time can be reduced. Another possible source for photo radiation is a laser, like e.g. a UV laser, an IR laser, or a visible laser.
The curing time is dependent, inter alia, on the reactivity of the photoreactive compounds, the thickness of the coated layer, and the power and selected wavelength of the UV lamp. The curing time is preferably < 5 minutes, very preferably < 3 minutes, most preferably < 1 minute. For mass production, short curing times of < 30 seconds are preferred.
A suitable UV radiation power in the 1st UV step is preferably in the range from 5 to 300 mWcm’2, more preferably in the range from 50 to 250 mWcm’2 and most preferably in the range from 100 to 180 mWcm-2.
In connection with the applied UV radiation and as a function of time, a suitable UV dose is preferably in the range from 20 to 1000 mJcnr2, more preferably in the range from 30 to 800 mJcnr2, very preferably in the range from 40 to 500 mJcnr2, most preferably in the range from 40 to 200 mJcnr2.
The first irradiation step or 1st UV step are preferably performed in air.
The first irradiation step or 1st UV step are preferably performed at room temperature.
Photopolymerisation in the second irradiation step of the RM mixture is preferably achieved by exposing it to actinic radiation. Actinic radiation means irradiation with light, like UV light, IR light or visible light, irradiation with X-rays or gamma rays, or irradiation with high-energy particles, such as ions or electrons. Preferably, polymerisation is carried out by photo irradiation, in particular with UV light. As a source for actinic radiation, for example a single UV lamp or a set of UV lamps can be
used. When using a high lamp power the curing time can be reduced. Another possible source for photo radiation is a laser, like e.g. a UV laser, an IR laser, or a visible laser.
The curing time for the photopolymerisation is dependent, inter alia, on the reactivity of the RM mixture, the thickness of the coated layer, the type of polymerisation initiator and the power of the UV lamp. The curing time is preferably < 5 minutes, very preferably < 3 minutes, most preferably < 1 minute. For mass production, short curing times of < 30 seconds are preferred.
A suitable UV radiation power for the photopolymerisation is preferably in the range from 100 to 1000 mWcm-2, more preferably in the range from 200 to 800 mWcnr2 and most preferably in the range from 300 to 600 mWcm’2.
In connection with the applied UV radiation and as a function of time, a suitable UV dose is preferably in the range from 25 to 16500 mJcnr2, more preferably in the range from 50 to 7200 mJcnr2, very preferably in the range from 100 to 3500 mJcnr2 and most preferably in the range from 200 to 2000 mJcnr2.
Photopolymerisation (the second irradiation step or 2nd UV step) is preferably performed under an inert gas atmosphere, preferably in a nitrogen atmosphere.
Photopolymerisation (the second irradiation step or 2nd UV step) is preferably performed at room temperature.
The preferred thickness of a polymer film according to the present invention is determined by the optical properties desired from the film or the final product.
For optical applications of the polymer film, it preferably has a thickness of from 0.1 to 10 pm, very preferably from 0.2 to 5 pm, in particular from 0.3 to 3 pm.
As mentioned above, due to the photoisomerization of the chiral compound during the first UV step its HTP is reduced and the helical pitch is lengthened to a greater value, wherein this effect is stronger at the top or surface of the film than at the bottom of the polymer film adjacent to the substrate, leading to a pitch gradient in the film, wherein the helical pitch increases or decreases incrementally through the film thickness, depending on the viewing direction.
Preferably, in the polymer film according to the present invention the minimum helical pitch is < 1200 nm, very preferably from 200 to 1200 nm. Further preferably the helical pitch increases from the side of the polymer film close to the substrate on which it is prepared throughout the thickness direction.
In a preferred embodiment, the polymer film according to the present invention shows planar alignment, i.e. , the LC molecules are oriented parallel to the film plane and the helical axis is oriented substantially perpendicular to the film plane.
In another preferred embodiment the polymer film according to the present invention shows tilted alignment, i.e., the LC molecules are oriented at an angle to the film plane and the helical axis is oriented at an angle to the film plane, also referred as tilt angle. In a tilted film, the tilt angle between the helix axis and the axis normal to the film plane is from 5° to 45°, very preferably from 15° to 45°.
In another preferred embodiment, the tilt angle between the helix axis and the axis normal to the film plane is from 0 to 15°, very preferably from 0 to 5°.
Planar alignment can be induced for example by providing an alignment layer on the substrate, for example a polyimide alignment layer, as described above. Tilted alignment can be achieved for example by adding an alignment additive to the chiral RM mixture, or by using a substrate with a surface grating or pattern, e.g. a PB grating.
The birefringence (An) of the polymer film according to the present invention is preferably in the range from 0.20 to 0.60, more preferably from 0.25 to 0.55, very preferably from 0.30 to 0.50.
The optical retardation (δ(λ)) of a polymer film as a function of the wavelength of the incident beam (λ) is given by the following equation (7): δ(λ) = (2π Δn-d)/λ (7) wherein (An) is the birefringence of the film, (d) is the thickness of the film and is the wavelength of the incident beam.
The birefringence and accordingly optical retardation depends on the thickness of a film and the tilt angle of optical axis in the film (cf. Berek’s compensator). Therefore,
the skilled expert is aware that different optical retardations or different birefringence can be induced by adjusting the orientation of the liquid-crystalline molecules in the polymer film.
The optical retardation as a function of the thickness of the polymer film according to the present invention is less than 200 nm, preferable less than 180 nm and even more preferable less than 150 nm.
In another preferred embodiment, the optical retardation as a function of the thickness of the polymer film according to the present invention is in the range from 110 nm to 170 nm, very preferably from 130 nm to 150 nm.
In the polymer film according to the present invention, preferably the minimum twist angle is 0°. Further preferably the maximum twist angle is in the range from 70 to 150°, very preferably from 80 to 120°, most preferably from 90 to 110°. Preferably the twist angle varies from 0° to 150°, very preferably from 0° to 120°, most preferably from 0° to 110° in the direction of the film thickness.
Preferably the lower twist value is at the side of the polymer film adjacent to the substrate on which it is prepared. The average twist angle in the polymer film is preferably in the range from 10 to 40°, very preferably from 15 to 35°, most preferably from 20 to 30°.
After photopolymerisation, the resulting polymer film can be removed from the substrate and combined with other substrates or optical films by a laminating process known by the skilled person. Suitable substrates and optical films are given above and include especially polarisers, in particular linear polarisers, photoalignment layers, or diffraction gratings, for example PB gratings.
The polymer film according to the present invention has good adhesion to plastic substrates, in particular to TAG, COP, and colour filters. Accordingly, it can be used as adhesive or base coating for subsequent LC layers which otherwise would not well adhere to the substrates.
For preparing a half-wave plate according to the present invention two polymer films, each representing a quarter-wave plate, are combined into a bilayer.
The two quarter-wave plates can be cobined by laminating one quarter-wave plate directly onto the other quarter wave plate. In another preferred embodiment the second quarter-wave plate is directly prepared on the first quarter-wave plate which serves as a substrate.
The invention thus further relates to a process of preparing a half-wave plate, wherein two quarter-wave plates having a pitch gradient are formed by a process as described above and below comprising, preferably consisting of, process steps p1) to p6), preferably of process steps p11) to p66), and wherein the first quarter-wave plate is laminated onto the second quarter-wave plate or vice versa.
The invention further relates to a process of preparing a half-wave plate, wherein a first quarter-wave plate having a pitch gradient is formed by a process as described above and below comprising, preferably consisting of, process steps p1) to p6), preferably of process steps p11) to p66), and a second quarter-wave plate is formed by a process as described above and below, wherein the first quarter-wave plate is used as the substrate.
Preferably the two quarter-wave plates are combined such that their surfaces with the higher twist are facing each other (inner sufarces), and their surfaces with the lower twist represent the outer surfaces of the bilayer thus formed. Since the low twist corresponds to a long pitch (i.e. a high pitch value) and the high twist corresponds to a short pitch (i.e. a low pitch value), this means that the two quarter-wave plates in the half-wave plate of this preferred embodiment are combined such that their surfaces with the shorter pitch are facing each other.
This is exemplarily and schematically illustrated in Fig. 2., which shows the twist profile in a half-wave plate according to the present invention consisting of two quarter-wave plates L1 and L2, each formed by a layer of a polymerised chiral RM mixture with helically twisted structure and a pitch gradient. The black line indicates the boundary between the inner surfaces of the two layers L1 and L2.
The polymer film of the present invention can also be used as alignment film or substrate for other liquid-crystalline or RM materials. The inventors have found that the polymer film obtainable from a RM formulation as described above and below, is in particular useful for multilayer applications due to its improved dewetting characteristics. In this way, stacks of optical films or preferably polymer films can be prepared.
The invention further relates to an optical, electrooptical or electronic device or a component comprising a half-wave plate as described above and below.
Preferably, the component is a diffraction grating, very preferably a PBG, PBL or Bragg PG, comprising a half-wave plate obtained from an RM mixture or RM formulation according to the present invention as described above and below.
In summary, the polymer films and RM mixtures according to the present invention are useful in optical elements like polarisers, compensators, alignment layer, circular polarisers or colour filters in liquid crystal displays or projection systems, decorative images, for the preparation of liquid crystal or effect pigments, and especially in reflective films with spatially varying reflection colours, e.g. as multicolour image for decorative, information storage or security uses, such as non-forgeable documents like identity or credit cards, banknotes etc..
The polymer film according to the present invention can be used in displays of the transmissive or reflective type. It can be used in conventional OLED displays or LCDs, in particular LCDs.
The present invention is described above and below with particular reference to the preferred embodiments. It should be understood that various changes and modifications might be made therein without departing from the spirit and scope of the invention.
Many of the compounds or mixtures thereof mentioned above and below are commercially available. All of these compounds are either known or can be prepared by methods which are known per se, as described in the literature (for example in the standard works such as Houben-Weyl, Methoden der Organischen Chemie [Methods of Organic Chemistry], Georg-Thieme-Verlag, Stuttgart), to be precise under reaction conditions which are known and suitable for said reactions. Use may also be made here of variants which are known per se, but are not mentioned here.
It will be appreciated that variations to the foregoing embodiments of the invention can be made while still falling within the scope of the invention. Alternative features serving the same, equivalent, or similar purpose may replace each feature disclosed in this specification, unless stated otherwise. Thus, unless stated otherwise, each feature disclosed is one example only of a generic series of equivalent or similar features.
All of the features disclosed in this specification may be combined in any combination, except combinations where at least some of such features and/or steps are mutually exclusive. In particular, the preferred features of the invention are applicable to all aspects of the invention and may be used in any combination. Likewise, features described in non-essential combinations may be used separately (not in combination).
It will be appreciated that many of the features described above, particularly of the preferred embodiments, are inventive in their own right and not just as part of an embodiment of the present invention. Independent protection may be sought for these features in addition to or alternative to any invention presently claimed.
Unless explicitly noted otherwise, all temperature values indicated in the present application, such as, for example, for the melting point T(K,N), the transition from the smectic (S) to the nematic (N) phase T(S,N) and the clearing point T(N,I), are quoted in degrees Celsius (°C). Furthermore, K denotes the crystalline state, N denotes the nematic phase, and I denotes the isotropic phase. The data between these symbols represent the transition temperatures.
All physical properties have been and are determined according to "Merck Liquid Crystals, Physical Properties of Liquid Crystals", Status Nov. 1997, Merck KGaA, Germany and are given for a temperature of 20 °C, unless explicitly stated otherwise.
Above and below, percentages are per cent by weight unless stated otherwise. All temperatures are given in degrees Celsius.
Above and below, m.p. denotes the melting point, cl.p. denotes the clearing point, Tg denotes glass transition temperature. Furthermore, C denotes the crystalline state, N denotes the nematic phase, SA, SB etc. denotes the smectic A phase, smectic B phase etc., Sx denotes an unidentified smectic phase, X denotes an unidentified mesophase and I denotes the isotropic phase. The values between these symbols represent the transition temperature in °C. An denotes the optical anisotropy or birefringence (An = ne - n0, where n0 denotes the refractive index perpendicular to the longitudinal molecular axes and ne denotes the refractive index parallel thereto) at 589 nm and 20°C. The optical and electro optical data are measured at 20°C, unless expressly stated otherwise. "Clearing point" and "clearing temperature" mean the temperature of the transition from an LC phase into the isotropic phase.
Unless stated otherwise, the percentages of solid components in an RM mixture or RM formulation as described above and below refer to the total amount of solids in the mixture or formulation, i.e. without any solvents.
Unless stated otherwise, all optical, electro optical properties and physical parameters like birefringence, permittivity, electrical conductivity, electrical resistivity and sheet resistance, refer to a temperature of 20°C.
The invention will now be described in more detail by reference to the following working examples, which are illustrative only and do not limit the scope of the invention.
Example 1
The following RM mixture is prepared:
M2 Cone.
BYKO-388 0.50%
Omnirad®907 5.00%
DRMalb
Omnirad®907 is a photoinitiator, being commercially available (IGM Resins). BYK®-388 is c surfactant, being commercially available (BYK, Germany).
The achromaticity of a half-waveplate according to the present invention, when put between two crossed polarizers, is compared with the achromaticity of a half- waveplate of prior art.
A half-waveplate between crossed polarizers will allow a maximum of 50% light through the top polarizer. Any reduction in light intensity across the wavelength range will be a reduction in performance and render the polarizer less suitable for this application. Thus, in this example any reduction in light intensity less than 49% is considered as a failure.
The achromaticity of a film stack S1 as shown in Table 1 below, including a half- waveplate according to the present invention between two crossed polarizers, is determined using DIMOS 1D software. The half-wave plate in Table 1 consists of two layers L1 and L2 of polymerized mixture M2, each layer having a varying twist with a calculated asymmetric twist profile as shown in Table 2 below and having quarter- wave retardation.
Fig. 2. shows the twist profile in the half-wave plate according to the present invention consisting of the two layers L1 and L2 with asymmetric twist profile. The black line indicates the boundary between the inner surfaces of the two layers L1 and L2.
For comparison purposes, the achromaticity of a film stack CS1 as shown in Table 3 below, including a half-waveplate according to prior art between two crossed polarizers, is determined using DI MOS 1D software. The half-wave plate in Table 3 consists of a non-twisted layer C1 of polymerized mixture M2 having half-wave retardation.
The achromaticity is determined for unpolarized light input (400-700nm in 1nm steps), with the light detected after it exits the full stack including polarizers.
Fig. 3(a) and Table 4 show the transmission vs. wavelength for the film stack S1 of Example 1 with a half-wave plate according to the present invention, consisting of two quarter-wave plates L1 and L2 with an asymmetric twist profile, between crossed polarizers (b).
Fig. 3(b) and Table 5 show the transmission vs. wavelength for the film stack CS1 of Comparison Example 1 with a standard half-wave plate between crossed polarizers.
As can be seen in the data, the film stack S1 according to the invention, with the half- wave plate consisting of two layers with asymmetric twist profile, has a much higher achromaticity than the film stack CS1 according to prior art, with the standard half- wave plate.
Due to the dispersion of the RM mixture, the film stack CS1 with the standard half- wave plate of prior art shows a 49% transmission only at a wavelength of 550nm. In contrast thereto, the film stack S1 with the variable twist half-wave plate of the invention has a spectral bandwidth of more than 200nm, and thus exhibits significantly improved performance over the full visible spectrum.
Example 2
In this example, the half-waveplate of Example 1 according to the present invention is compared with a half-waveplate of prior art made by stacking two untwisted RM films on top of each other with precise angular control.
The achromaticity of the film stack of Example 1 with a half-waveplate according to the invention is determined using DIMOS 1D software.
Fig. 4(a) and Table 7 show the transmission vs. wavelength for the film stack S1 of Example 1 with a half-wave plate according to the present invention, consisting of two quarter-wave plates with an asymmetric twist profile, between crossed polarizers.
For comparison purpose, the achromaticity of a film stack CS2 as shown in Table 6 below is determined using DIMOS 1 D software. The half-wave plate in stack CS2 consists of two fractional waveplates, each consisting of a non-twisted layer C2 or C3, respectively, of polymerized mixture M2 having quarter-wave retardation.
The achromaticity is determined for unpolarized light input (400-700nm in 1nm steps), with the light detected after it exits the full stack including polarizers.
Fig. 4(a) and Table 7 show the transmission vs. wavelength for the film stack S1 of Example 1 with a half-wave plate according to the present invention, consisting of two quarter-wave plates L1 and L2 with an asymmetric twist profile, between crossed polarizers.
Fig. 4(b) and Table 8 show the transmission vs. wavelength for the film stack CS2 of Comparison Example 2 with a standard half-wave plate, consisting of two non-twisted quarter-wave plates C2 and C3, between crossed polarizers.
Table 8 - Achromaticity of the Film Stack CS2 of Comparison Example 2
As can be seen in the data, the film stack S1 of the invention, with a half-wave plate consisting of two layers with asymmetric twist profile, has a much higher achromaticity, with a spectral bandwidth of more than 200nm and good performance over the full visible spectrum, compared to the film stack CS2 of prior art with a half-wave plate consisting of two non-twisted fractional quarter-wave plates.
The half-wave plate of the invention also has the advantage of simpler manufacture. Thus, the first RM layer L1 can act as an alignment layer for the second RM layer L2, and vice versa. Using this approach it is very easy to build an RM film stack by coating an extra layer on top of an already cured RM film.
Example 3 - Preparation of a quarter-wave plate with asymmetric twist profile
DRMal b lrganox®1076 is a stabilizer, being commercially available (Ciba AG, Basel, Switzerland). NCI®-930 is a photoinitiator, being commercially available (Adeka Coorporation, Japan). BYK®-310 is a surfactant being commercially available (BYK, Germany).
RM formulation F1 is prepared by dissolving mixture M1 at 36% solids in a solvent blend of toluene: cyclohexanone (7:3).
A polymer film is prepared from formulation F1 by the following process:
An alignment layer is prepared on a TAC substrate with 60pm thickness by barcoating Nissan PAL HSPA-152 with an MB#3 bar, baking the coated substrate at 110°C for 60
seconds and exposed to polarised UV light utilizing a wire grid polariser and a high pressure mercury lamp (LH6 fusion) with 67 mW/cm2 and 12 mJ/cm2 UVA.
The formulation F1 is barcoated onto the alignment layer using a MB#6 bar, and annealed at 60°C for 60 seconds, followed by a first exposure step in an air atmosphere to UV light utilizing a high pressure mercury lamp (LH6 fusion) with 180 mW/cm2 and 40 mJ/cm2 UVA.
After the first UV exposure step, the sample is purged with nitrogen for 60 seconds and in a second step exposed to UV light utilizing a high pressure mercury lamp (LH6 fusion) with 520 mW/cm2 and 220 mJ/cm2 UVA.
The resulting polymer film P1 is measured with an Axometrics Axostep, once film up (Light source, Substrate, Polymer Film Detector) and once film down (Light source, Polymer Film, Substrate, Detector). The spectral polarisation states are plotted on a Poincare sphere. The polarisation ellipse varies for each wavelength, but each has left-handed rotation. Due to the asymmetry of the twist in the z direction the film does not act reversibly.
Claims
1 . A half-wave plate comprising two layers of a polymerised chiral RM mixture with helically twisted structure wherein in each layer the helical pitch increases or decreases in the film thickness direction, and wherein the two layers have opposite twist sense
2. The half-wave plate according to claim 1 , characterized in that the two layers of the polymerised chiral RM mixture are arranged such that their surfaces with the shorter pitch are facing each other.
3. The half-wave plate according to claim 1 or 2, characterized in that the chiral RM mixture comprises at least one, preferably exactly one, chiral compound with one or more isomerisable groups, preferably one or more photoisomerisable groups, which is preferably polymerisable.
4. The half-wave plate according to one or more of claims 1 to 3, characterized in that the chiral RM mixture additionally comprises at least one, preferably exactly one, chiral compound which does not contain an isomerisable group.
5. The half-wave plate according to claim 4, characterized in that the chiral compound with one or more isomerisable groups and the chiral compound which does not contain an isomerisable group have opposite twist sense.
6. The half-wave plate according to one or more of Claims 1 to 5, characterized in that the chiral RM mixture contains an isomerisable chiral compound selected of formula I*:
R3-(A3-Z3)m-G(-(Z4-A4)i -R4)k I* wherein the individual radicals, independently of each other and on each occurrence identically or differently, have the following meanings
R3, R4 H, F, Cl, CN, P-Sp- or an alkyl radical with up to 25 C atoms which may be unsubstituted, mono- or polysubstituted by halogen or CN, it being also possible for one or more non-adjacent CH2 groups to be replaced, in each case independently from one another, by -O-, -S-, -NH-, -
N(CH3)-, -CO-, -COO- -OCO-, -OCO-O-, -S-CO-, -CO-S- or -C=C- in such a manner that oxygen atoms are not linked directly to one another,
P a polymerisable group,
Sp a spacer group or a single bond,
Z3, Z4 -CO-O-, -O-CO-, -CH2CH2-, -OCH2-, -CH2O-, -CH=CH-, -CH=CH-CO-O- , -O-CO-CH=CH-, -CH=C(CN)-CO-O-, -O-CO-C(CN)=CH-, -N=N-, - CH=N-, -N=CH-, -C=C-, or a single bond,
A3, A4 an alicyclic, heterocyclic, aromatic or heteroaromatic group with 4 to 20 ring atoms, which is monocyclic or polycyclic and which is optionally substituted by one or more groups L or P-Sp-,
G a chiral group,
L F, Cl, -CN, -SCN, P-Sp-, or straight chain, branched or cyclic alkyl having 1 to 25 C atoms, wherein one or more non-adjacent CH2-groups are optionally replaced by -O-, -S-, -CO-, -CO-O-, -O-CO-, -O-CO-O-, CR0=CR00- -C=C-
in such a manner that O- and/or S-atoms are not directly connected with each other, and wherein one or more H atoms are each optionally replaced by P-Sp-, F or Cl, or two substituents L that are connected to directly adjacent C atoms may also form a cycloalkyl or cycloalkenyl group with 5, 6, 7 or 8 C atoms, m, I independently of each other 0, 1 , 2 or 3, k 0, 1 or 2, wherein the compound contains at least one isomerisable group which is preferably a photoisomerisable group.
7. The half-wave plate according to Claim 6, characterized in that the compound of formula I* contains an isomerisable group selected from stilbene, (1,2-difluoro-2- phenyl-vinyl)-benzene, cinnamate, a-cyanocinnamate, 4-phenylbut-3-en-2-one, 2-benzyliden-1-indanone, Schiff base, chaicone, coumarin, chromone, pentalenone or azobenzenegroup and/or Z3 and/or Z4 independently of each other denote -CH=CH-CO-O-, -O-CO-CH=CH-, -CH=C(CN)-CO-O-, -O-CO- C(CN)=CH-, -CH=N-, -N=CH- or -N=N-.
8. The half-wave plate according to Claim 6 or 7, characterized in that in the compound of formula I* the chiral group G is selected or derived from a dianhydrohexitol, preferably isosorbide, isomannide or isoidide, 1,1’-bi-2- naphthol or 1,2-diphenyl-1 ,2-ethanediol group.
9. The half-wave plate according to one or more of claims 1 to 8, characterized in that the chiral RM mixture contains an non-isomerisable chiral compound selected from the formulae CRM1 , CRM2 and CRM3:
wherein the individual radicals, independently of each other and on each occurrence identically or differently, have the following meanings
P°* a polymerisable group,
Sp°* a spacer group or a single bond
R°* F, Cl, CN, alkyl, alkoxy, thioalkyl, alkylcarbonyl, alkoxycarbonyl, alkylcarbonyloxy or alkoxycarbonyloxy with 1 to 15, preferably 1 to 6 C atoms, P0*- or P°*-Sp*-,
A0, B°, E°, F° 1 ,4-phenylene that is unsubstituted or substituted with 1 , 2, 3 or 4 groups L, or trans-1 ,4-cyclohexylene,
L F, Cl, CN, P-Sp-, or alkyl, alkoxy, thioalkyl, alkylcarbonyl, alkoxycarbonyl, alkylcarbonyloxy or alkoxycarbonyloxy with 1 to 5 C atoms that is optionally fluorinated,
X1, X2 -O-, -COO-, -OCO-, -O-CO-O- or a single bond,
Z°* -COO-, -OCO-, -O-CO-O-, -OCH2-, -CH2O-, -CF2O-, -OCF2-, -CH2CH2-, - (CH2)4-, -CF2CH2-, -CH2CF2-, -CF2CF2-, -C=C-, -CH=CH-, -CH=CH-COO-, -OCO-CH=CH- or a single bond, preferably -COO-, -OCO- or a single bond, aO 0, 1 or 2, preferably 0 or 1 , bO 0 or an integer from 1 to 12, preferably 1 to 6, tO 0, 1 , 2 or 3, zO 0 or 1 , preferably 1 , and wherein the naphthalene rings can additionally be substituted with one or more identical or different groups L.
10. The half-wave plate according to one or more of claims 1 to 9, characterized in that the chiral RM mixture contains one or more RMs selected from formulae DRM and MRM
P1-Sp1-MG-Sp2-P2 DRM
P1-Sp1-MG-R22 MRM wherein
P1, P2 independently of each other denote a polymerisable group,
Sp1, Sp2 independently of each other are a spacer group or a single bond, and
MG is a rod-shaped mesogenic group, which is preferably selected of formula MG
-(A1-Z1)n-A2- MG wherein
A1 and A2 denote, in case of multiple occurrence independently of one another, an aromatic or alicyclic group, which optionally contains one or more heteroatoms selected from N, O and S, and is optionally mono- or polysubstituted by L,
L is P-Sp-, F, Cl, Br, I, -CN, -NO2 , -NCO, -NCS, -OCN, -SCN, -
C(=O)NRxRy, -C(=O)ORX, -C(=O)RX, -NRxRy, -OH, -SF5, optionally substituted silyl, aryl or heteroaryl with 1 to 12, preferably 1 to 6 C atoms, and straight chain or branched alkyl, alkoxy, alkylcarbonyl, alkoxycarbonyl, alkylcarbonyloxy or alkoxycarbonyloxy with 1 to 12, preferably 1 to 6 C atoms, wherein one or more H atoms are optionally replaced by F or Cl,
Rx and Ry independently of each other denote H or alkyl with 1 to 12 C-atoms,
Z1 denotes, in case of multiple occurrence independently of one another, -O-, -S-, -CO-, -COO-, -OCO-, -S-CO-, -CO-S-, -O-COO-, - CO-NR00-, -NR00-CO-, -NR00-CO-NR000, -NR00-CO-O-, -O-CO-NR00-, -OCH2-, -CH2O-, -SCH2-, -CH2S-, -CF2O-, -OCF2-, -CF2S-, -SCF2-, - CH2CH2-, -(CH2)ni, -CF2CH2-, -CH2CF2-, -CF2CF2-, -CH=N-, -N=CH-,
-N=N-, -CH=CR00-, -CY1=CY2-, -C=C-, -CH=CH-COO-, -OCO- CH=CH- or a single bond, preferably -COO-, -OCO- or a single bond,
Y1 and Y2 independently of each other denote H, F, Cl or CN,
R22 denotes P-Sp-, F, Cl, Br, I, -CN, -NO2 , -NCO, -NCS, -OCN, -SCN, - C(=O)NRxRy, -C(=O)X, -C(=O)ORX, -C(=O)Ry, -NRxRy, -OH, -SF5, optionally substituted silyl, straight chain or branched alkyl, alkoxy, alkylcarbonyl, alkoxycarbonyl, alkylcarbonyloxy or alkoxycarbonyloxy with 1 to 12, preferably 1 to 6 C atoms, wherein one or more H atoms are optionally replaced by F or Cl,
X is halogen, preferably F or Cl, n is 1 , 2, 3 or 4, preferably 1 or 2, most preferably 2, n1 is an integer from 1 to 10, preferably 1 , 2, 3 or 4.
11. The half-wave plate according to one or more of claims 1 to 10, characterized in that the chiral RM mixture comprises one or more compounds of formula I:
wherein the individual radicals, independently of each other and on each occurrence identically or differently, have the following meanings
P a polymerisable group,
Sp a spacer group or a single bond,
R11 H, F, Cl, CN, alkyl, alkoxy, thioalkyl, alkylcarbonyl, alkoxycarbonyl, alkylcarbonyloxy or alkoxycarbonyloxy with 1 to 15, preferably with 1 to 5, C atoms which is optionally optionally fluorinated, or P-Sp,
A, B, D, and E are selected from the group consisting of 1 ,4-phenylene, naphthalene-1 ,4-diyl, naphthalene-2,6-diyl, phenanthrene-2,7-diyl, anthracene-9,10-diyl, fluorene-2,7-diyl, dibenzothiophene-2, 7-diyl,
dibenzofuran-2, 7-diyl , benzo[1 ,2-b:4, 5-b']dithiophene-2, 5-diyl , indole-4, 7- diyl, benzothiophene-4, 7-diyl, 9, 10-dihydro-phenanthrene-2, 7-diyl, 1 , 2,3,4- tetrahydronaphthalene-5,8-diyl or indane-2, 5-diyl, where, in addition, one or more CH groups in these groups may be replaced by N, all of which are optionally substituted by one or more groups L or P-Sp-,
C is selected from the group consisting of benzene-1 ,4-diyl, naphthalene-1 ,4- diyl, anthracene-9,10-diyl, fluorene-2, 7-diyl, dibenzofuran-2, 7-diyl, dibenzothiophene-2, 7-diyl, benzo[1 ,2-b:4,5-b']dithiophene-2, 5-diyl, indole- 4, 7-diyl, benzothiophene-4, 7-diyl, all of which are optionally substituted by one or more groups L or P-Sp, and one of rings C and D may also denote a single bond,
L F, Cl, -CN, -SCN, P-Sp-, or straight chain, branched or cyclic alkyl having 1 to 25 C atoms, wherein one or more non-adjacent CH2-groups are optionally replaced by -O-, -S-, -CO-, -CO-O-, -O-CO-, -O-CO-O-,
in such a manner that O- and/or S-atoms are not directly connected with each other, and wherein one or more H atoms are each optionally replaced by P-Sp-, F or Cl, or two substituents L that are connected to directly adjacent C atoms may also form a cycloalkyl or cycloalkenyl group with 5, 6, 7 or 8 C atoms,
n1 1 , 2, 3 or 4,
r 0, 1 , 2, 3 or 4, preferably 0, 1 or 2, s 0, 1 , 2 or 3, preferably 0, 1 or 2, t 0, 1 or 2, preferably 0 or 1 ,
R°, R00 H or alkyl having 1 to 12 C atoms,
Y1, Y2 H, F, Cl, NCS, or CN, n 0, 1 , 2, 3 or 4, preferably 0, 1 or 2, more preferably 0 or 1 , most preferably 0, m 0, 1 , 2, 3 or 4, preferably 0, 1 or 2, more preferably 0 or 1 , most preferably 0.
12. The half-wave plate according to one or more of Claims 6 to 11 , characterized in that in the compounds of formula I*, CRM1, CRM2, CRM3, DRM, MRM and I the polymerisable group is selected from acrylate and methacrylate, preferably acrylate, and the spacer group is selected from -(CH2)P1-, -(CH2)P1-O-, -(CH2)P1-O- CO-, -(CH2)P1-CO-O- and -(CH2)P1-O-CO-O-, in which p1 is an integer from 1 to 6.
13. A process of preparing a half-wave plate according to one or more of Claims 1 to
12, comprising, preferably consisting of, the steps of: p1) forming a first quarter-wave plate by a process comprising, preferably consisting of, the following steps p11) providing a layer of a chiral RM mixture as defined in one or more of Claims 1 to 15 onto a substrate, which is optionally provided with an alignment layer capable of inducing a planar alignment to the adjacent layer of the chiral reactive mesogen mixture, p12) optionally removing any solvents, if present, p13) optionally annealing the layer of the chiral reactive mesogen mixture, preferably at a temperature where it is in the chiral nematic phase, p14) a first step of irradiation of the chiral reactive mesogen mixture with actinic radiation, preferably with UV radiation, in air (1st UV step), p15) optionally annealing the layer of the chiral reactive mesogen mixture, preferably at a temperature where it is in the chiral nematic phase, and p16) a second step of irradiation of the chiral reactive mesogen mixture with actinic radiation, preferably with UV radiation, in an inert gas atmosphere (2nd UV step),
p2) forming a second quarter-wave plate by a process comprising, preferably consisting of, steps p11) to p16) as described above, wherein the chiral RM mixture of the first and second quarter-wave plate have opposite twist, p3) combining the first and second quarter-wave plate to form a half-have plate.
14. The process according to Claim 13, characterized in that the substrate has a surface grating or pattern.
15. The process according to Claim 13 or 14, characterized in that the first quarter- wave plate is laminated onto the second quarter-wave plate or vice versa.
16. The process according to Claim 15, characterized in that the first quarter-wave plate is used as a substrate for preparing the second quarter-wave plate.
17. An optical, electrooptical or electronic device or a component thereof, comprising a half-wave plate according to one or more of Claims 1 to 12.
18. The component of Claim 17, which is selected from optical retardation films, polarizers, optical compensators, diffraction or surface gratings, Bragg polarization gratings (Bragg PG), polarization volume gratings (PVG), Pancharatnam Berry gratings (PBG) or Pancharatnam Berry lenses (PBL), furthermore nonmechanical beam steering elements, optical waveguides, optical couplers or combiners, polarization beam splitters, partial mirrors, reflective films, alignment layers, colour filters, antistatic protection sheets, electromagnetic interference protection sheets, lenses for light guides, focusing and optical effects, polarization controlled lenses, and IR reflection films.
19. The device of Claim 17, which is selected from liquid crystal displays, organic light emitting diodes, autostereoscopic 3D displays, see-through near-eye displays, AR/VR systems, goggles for AR/VR applications, switchable windows, spatial light modulators, optical data storage devices, optical sensors, holographic devices, spectrometers, optical telecommunication systems, polarimeters or front-/backlights.
Applications Claiming Priority (2)
| Application Number | Priority Date | Filing Date | Title |
|---|---|---|---|
| EP23180281 | 2023-06-20 | ||
| EP23180281.0 | 2023-06-20 |
Publications (1)
| Publication Number | Publication Date |
|---|---|
| WO2024260930A1 true WO2024260930A1 (en) | 2024-12-26 |
Family
ID=86904386
Family Applications (1)
| Application Number | Title | Priority Date | Filing Date |
|---|---|---|---|
| PCT/EP2024/066836 Pending WO2024260930A1 (en) | 2023-06-20 | 2024-06-17 | Half-wave plate |
Country Status (2)
| Country | Link |
|---|---|
| TW (1) | TW202517763A (en) |
| WO (1) | WO2024260930A1 (en) |
Citations (16)
| Publication number | Priority date | Publication date | Assignee | Title |
|---|---|---|---|---|
| WO1989002093A1 (en) * | 1987-08-24 | 1989-03-09 | Molecular Control Corporation | Liquid crystal micelles, display, having concentric spheres |
| US5389698A (en) | 1991-07-26 | 1995-02-14 | Hoffmann-La Roche Inc. | Process for making photopolymers having varying molecular orientation using light to orient and polymerize |
| US5602661A (en) | 1993-02-17 | 1997-02-11 | Hoffmann-La Roche Inc. | Optical component |
| WO1998000428A1 (en) | 1996-07-01 | 1998-01-08 | Merck Patent Gmbh | Chiral dopants |
| GB2314839A (en) | 1996-07-01 | 1998-01-14 | Merck Patent Gmbh | Chiral reactive mesogens |
| GB2315072A (en) | 1996-07-04 | 1998-01-21 | Merck Patent Gmbh | Circular UV polariser |
| WO1998004651A1 (en) | 1996-07-26 | 1998-02-05 | Merck Patent Gmbh | Combination of optical elements |
| GB2328207A (en) | 1997-08-13 | 1999-02-17 | Merck Patent Gmbh | Chiral hydrobenzoin derivatives for use as dopants in liquid crystalline mixtures |
| WO2001020394A1 (en) | 1999-09-16 | 2001-03-22 | Merck Patent Gmbh | Optical compensator and liquid crystal display i |
| WO2002040614A1 (en) | 2000-11-20 | 2002-05-23 | Merck Patent Gmbh | Chiral photoisomerizable compounds |
| EP1389199A1 (en) | 2001-05-21 | 2004-02-18 | MERCK PATENT GmbH | Chiral compounds |
| US6717644B2 (en) | 1993-02-17 | 2004-04-06 | Rolic Ag | Optical component and method of manufacture |
| US7749577B2 (en) * | 2005-05-26 | 2010-07-06 | E.I. Du Pont De Nemours And Company | High strength multilayer laminates comprising twisted nematic liquid crystals |
| US20210011295A1 (en) * | 2018-03-29 | 2021-01-14 | Fujifilm Corporation | Optical element, light guide element, and image display device |
| WO2022033908A1 (en) | 2020-08-11 | 2022-02-17 | Cup&Cino Kaffeesystem-Vertrieb Gmbh & Co. Kg | Mechanical brewing unit |
| WO2022233908A1 (en) * | 2021-05-07 | 2022-11-10 | Merck Patent Gmbh | Reactive mesogens |
-
2024
- 2024-06-17 WO PCT/EP2024/066836 patent/WO2024260930A1/en active Pending
- 2024-06-20 TW TW113122791A patent/TW202517763A/en unknown
Patent Citations (16)
| Publication number | Priority date | Publication date | Assignee | Title |
|---|---|---|---|---|
| WO1989002093A1 (en) * | 1987-08-24 | 1989-03-09 | Molecular Control Corporation | Liquid crystal micelles, display, having concentric spheres |
| US5389698A (en) | 1991-07-26 | 1995-02-14 | Hoffmann-La Roche Inc. | Process for making photopolymers having varying molecular orientation using light to orient and polymerize |
| US6717644B2 (en) | 1993-02-17 | 2004-04-06 | Rolic Ag | Optical component and method of manufacture |
| US5602661A (en) | 1993-02-17 | 1997-02-11 | Hoffmann-La Roche Inc. | Optical component |
| WO1998000428A1 (en) | 1996-07-01 | 1998-01-08 | Merck Patent Gmbh | Chiral dopants |
| GB2314839A (en) | 1996-07-01 | 1998-01-14 | Merck Patent Gmbh | Chiral reactive mesogens |
| GB2315072A (en) | 1996-07-04 | 1998-01-21 | Merck Patent Gmbh | Circular UV polariser |
| WO1998004651A1 (en) | 1996-07-26 | 1998-02-05 | Merck Patent Gmbh | Combination of optical elements |
| GB2328207A (en) | 1997-08-13 | 1999-02-17 | Merck Patent Gmbh | Chiral hydrobenzoin derivatives for use as dopants in liquid crystalline mixtures |
| WO2001020394A1 (en) | 1999-09-16 | 2001-03-22 | Merck Patent Gmbh | Optical compensator and liquid crystal display i |
| WO2002040614A1 (en) | 2000-11-20 | 2002-05-23 | Merck Patent Gmbh | Chiral photoisomerizable compounds |
| EP1389199A1 (en) | 2001-05-21 | 2004-02-18 | MERCK PATENT GmbH | Chiral compounds |
| US7749577B2 (en) * | 2005-05-26 | 2010-07-06 | E.I. Du Pont De Nemours And Company | High strength multilayer laminates comprising twisted nematic liquid crystals |
| US20210011295A1 (en) * | 2018-03-29 | 2021-01-14 | Fujifilm Corporation | Optical element, light guide element, and image display device |
| WO2022033908A1 (en) | 2020-08-11 | 2022-02-17 | Cup&Cino Kaffeesystem-Vertrieb Gmbh & Co. Kg | Mechanical brewing unit |
| WO2022233908A1 (en) * | 2021-05-07 | 2022-11-10 | Merck Patent Gmbh | Reactive mesogens |
Non-Patent Citations (10)
| Title |
|---|
| "Merck Liquid Crystals, Physical Properties of Liquid Crystals", November 1997, MERCK KGAA |
| "Retardation Measurement (RetMeas) Manual", 2002, J. A. WOOLLAM CO. INC, article "Woollam Variable Angle Spectroscopic Ellipsometer" |
| C. TSCHIERSKEG. PELZLS. DIELE, ANGEW. CHEM., vol. 116, 2004, pages 6340 - 6368 |
| I. SAGE: "Thermotropic Liquid Crystals", 1987, JOHN WILEY & SONS, pages: 75 - 77 |
| J. COGNARD, MOL. CRYST. LIQ. CRYST., vol. 78, 1981, pages 1 - 77 |
| JAP. J. APPL. PHYS., vol. 42, 2003, pages 3463 |
| N. SINGH: "Spectroscopic Ellipsometry, Part1-Theory and Fundamentals, Part 2 - Practical Examples and Part 3", October 2006, NATIONAL PHYSICS LABORATORY |
| PURE APPL. CHEM., vol. 73, no. 5, 2001, pages 888 |
| T. UCHIDAH. SEKI: "Liquid Crystals - Applications and Uses", vol. 3, 1992, WORLD SCIENTIFIC PUBLISHING, pages: 1 - 63 |
| YUN-HAN LEE ET AL., OPT. DATA PROCESS. STORAGE, vol. 3, 2017, pages 79 - 88 |
Also Published As
| Publication number | Publication date |
|---|---|
| TW202517763A (en) | 2025-05-01 |
Similar Documents
| Publication | Publication Date | Title |
|---|---|---|
| KR102864859B1 (en) | Polymerizable liquid crystal materials and polymerized liquid crystal films | |
| TWI850317B (en) | Method for the preparation of a liquid crystal polymer film | |
| EP4217442B1 (en) | Polymerizable liquid crystal material and polymerized liquid crystal film | |
| EP4334408A1 (en) | Reactive mesogens | |
| WO2019034590A1 (en) | Polymerisable liquid crystal material and polymerised liquid crystal film | |
| GB2603274A (en) | Polymerizable liquid crystal material and polymerized liquid crystal film | |
| KR102494750B1 (en) | Polymerizable liquid crystal substances and polymerized liquid crystal films | |
| EP4536775A1 (en) | Polymerisable liquid crystal medium and polymerised liquid crystal film | |
| KR20230031361A (en) | Polymerizable liquid crystal material and polymerized liquid crystal film | |
| WO2024260930A1 (en) | Half-wave plate | |
| WO2024235946A1 (en) | Optical element comprising a chiral lc polymer film | |
| WO2024235947A1 (en) | Chiral reactive mesogen mixture | |
| EP4689002A1 (en) | Reactive mesogens with high birefringence | |
| EP4689004A1 (en) | Chiral reactive mesogen mixture | |
| KR20260010403A (en) | Chiral-reactive mesogen mixtures | |
| KR20260010402A (en) | Optical device comprising a chiral LC polymer film | |
| WO2025252654A1 (en) | Polymerizable liquid crystal composition | |
| WO2025114344A1 (en) | Process of preparing a polymer film from a homeotropically aligned reactive mesogen mixture | |
| WO2025214945A1 (en) | Polymerizable liquid crystal formulations | |
| WO2024061796A1 (en) | Polymerisable liquid crystal medium and polymerised liquid crystal film | |
| EP4584345A1 (en) | Polymerizable liquid crystal material and polymerized liquid crystal film | |
| EP4577615A1 (en) | Polymerizable liquid crystal material and polymerized liquid crystal film |
Legal Events
| Date | Code | Title | Description |
|---|---|---|---|
| 121 | Ep: the epo has been informed by wipo that ep was designated in this application |
Ref document number: 24732340 Country of ref document: EP Kind code of ref document: A1 |
|
| WWE | Wipo information: entry into national phase |
Ref document number: 1020267001805 Country of ref document: KR |
|
| WWE | Wipo information: entry into national phase |
Ref document number: 2024732340 Country of ref document: EP |


























































































