WO2024240858A1 - Protac molecules directed against dna damage repair system and uses thereof - Google Patents
Protac molecules directed against dna damage repair system and uses thereof Download PDFInfo
- Publication number
- WO2024240858A1 WO2024240858A1 PCT/EP2024/064177 EP2024064177W WO2024240858A1 WO 2024240858 A1 WO2024240858 A1 WO 2024240858A1 EP 2024064177 W EP2024064177 W EP 2024064177W WO 2024240858 A1 WO2024240858 A1 WO 2024240858A1
- Authority
- WO
- WIPO (PCT)
- Prior art keywords
- uniprot
- molecule
- protein
- dna
- molecules
- Prior art date
- Legal status (The legal status is an assumption and is not a legal conclusion. Google has not performed a legal analysis and makes no representation as to the accuracy of the status listed.)
- Pending
Links
Classifications
-
- A—HUMAN NECESSITIES
- A61—MEDICAL OR VETERINARY SCIENCE; HYGIENE
- A61K—PREPARATIONS FOR MEDICAL, DENTAL OR TOILETRY PURPOSES
- A61K47/00—Medicinal preparations characterised by the non-active ingredients used, e.g. carriers or inert additives; Targeting or modifying agents chemically bound to the active ingredient
- A61K47/50—Medicinal preparations characterised by the non-active ingredients used, e.g. carriers or inert additives; Targeting or modifying agents chemically bound to the active ingredient the non-active ingredient being chemically bound to the active ingredient, e.g. polymer-drug conjugates
- A61K47/51—Medicinal preparations characterised by the non-active ingredients used, e.g. carriers or inert additives; Targeting or modifying agents chemically bound to the active ingredient the non-active ingredient being chemically bound to the active ingredient, e.g. polymer-drug conjugates the non-active ingredient being a modifying agent
- A61K47/54—Medicinal preparations characterised by the non-active ingredients used, e.g. carriers or inert additives; Targeting or modifying agents chemically bound to the active ingredient the non-active ingredient being chemically bound to the active ingredient, e.g. polymer-drug conjugates the non-active ingredient being a modifying agent the modifying agent being an organic compound
- A61K47/55—Medicinal preparations characterised by the non-active ingredients used, e.g. carriers or inert additives; Targeting or modifying agents chemically bound to the active ingredient the non-active ingredient being chemically bound to the active ingredient, e.g. polymer-drug conjugates the non-active ingredient being a modifying agent the modifying agent being an organic compound the modifying agent being also a pharmacologically or therapeutically active agent, i.e. the entire conjugate being a codrug, i.e. a dimer, oligomer or polymer of pharmacologically or therapeutically active compounds
-
- A—HUMAN NECESSITIES
- A61—MEDICAL OR VETERINARY SCIENCE; HYGIENE
- A61K—PREPARATIONS FOR MEDICAL, DENTAL OR TOILETRY PURPOSES
- A61K47/00—Medicinal preparations characterised by the non-active ingredients used, e.g. carriers or inert additives; Targeting or modifying agents chemically bound to the active ingredient
- A61K47/50—Medicinal preparations characterised by the non-active ingredients used, e.g. carriers or inert additives; Targeting or modifying agents chemically bound to the active ingredient the non-active ingredient being chemically bound to the active ingredient, e.g. polymer-drug conjugates
- A61K47/51—Medicinal preparations characterised by the non-active ingredients used, e.g. carriers or inert additives; Targeting or modifying agents chemically bound to the active ingredient the non-active ingredient being chemically bound to the active ingredient, e.g. polymer-drug conjugates the non-active ingredient being a modifying agent
- A61K47/54—Medicinal preparations characterised by the non-active ingredients used, e.g. carriers or inert additives; Targeting or modifying agents chemically bound to the active ingredient the non-active ingredient being chemically bound to the active ingredient, e.g. polymer-drug conjugates the non-active ingredient being a modifying agent the modifying agent being an organic compound
- A61K47/549—Sugars, nucleosides, nucleotides or nucleic acids
-
- A—HUMAN NECESSITIES
- A61—MEDICAL OR VETERINARY SCIENCE; HYGIENE
- A61K—PREPARATIONS FOR MEDICAL, DENTAL OR TOILETRY PURPOSES
- A61K47/00—Medicinal preparations characterised by the non-active ingredients used, e.g. carriers or inert additives; Targeting or modifying agents chemically bound to the active ingredient
- A61K47/50—Medicinal preparations characterised by the non-active ingredients used, e.g. carriers or inert additives; Targeting or modifying agents chemically bound to the active ingredient the non-active ingredient being chemically bound to the active ingredient, e.g. polymer-drug conjugates
- A61K47/51—Medicinal preparations characterised by the non-active ingredients used, e.g. carriers or inert additives; Targeting or modifying agents chemically bound to the active ingredient the non-active ingredient being chemically bound to the active ingredient, e.g. polymer-drug conjugates the non-active ingredient being a modifying agent
- A61K47/54—Medicinal preparations characterised by the non-active ingredients used, e.g. carriers or inert additives; Targeting or modifying agents chemically bound to the active ingredient the non-active ingredient being chemically bound to the active ingredient, e.g. polymer-drug conjugates the non-active ingredient being a modifying agent the modifying agent being an organic compound
- A61K47/554—Medicinal preparations characterised by the non-active ingredients used, e.g. carriers or inert additives; Targeting or modifying agents chemically bound to the active ingredient the non-active ingredient being chemically bound to the active ingredient, e.g. polymer-drug conjugates the non-active ingredient being a modifying agent the modifying agent being an organic compound the modifying agent being a steroid plant sterol, glycyrrhetic acid, enoxolone or bile acid
-
- A—HUMAN NECESSITIES
- A61—MEDICAL OR VETERINARY SCIENCE; HYGIENE
- A61P—SPECIFIC THERAPEUTIC ACTIVITY OF CHEMICAL COMPOUNDS OR MEDICINAL PREPARATIONS
- A61P35/00—Antineoplastic agents
-
- C—CHEMISTRY; METALLURGY
- C12—BIOCHEMISTRY; BEER; SPIRITS; WINE; VINEGAR; MICROBIOLOGY; ENZYMOLOGY; MUTATION OR GENETIC ENGINEERING
- C12N—MICROORGANISMS OR ENZYMES; COMPOSITIONS THEREOF; PROPAGATING, PRESERVING, OR MAINTAINING MICROORGANISMS; MUTATION OR GENETIC ENGINEERING; CULTURE MEDIA
- C12N15/00—Mutation or genetic engineering; DNA or RNA concerning genetic engineering, vectors, e.g. plasmids, or their isolation, preparation or purification; Use of hosts therefor
- C12N15/09—Recombinant DNA-technology
- C12N15/11—DNA or RNA fragments; Modified forms thereof; Non-coding nucleic acids having a biological activity
- C12N15/111—General methods applicable to biologically active non-coding nucleic acids
-
- C—CHEMISTRY; METALLURGY
- C12—BIOCHEMISTRY; BEER; SPIRITS; WINE; VINEGAR; MICROBIOLOGY; ENZYMOLOGY; MUTATION OR GENETIC ENGINEERING
- C12N—MICROORGANISMS OR ENZYMES; COMPOSITIONS THEREOF; PROPAGATING, PRESERVING, OR MAINTAINING MICROORGANISMS; MUTATION OR GENETIC ENGINEERING; CULTURE MEDIA
- C12N15/00—Mutation or genetic engineering; DNA or RNA concerning genetic engineering, vectors, e.g. plasmids, or their isolation, preparation or purification; Use of hosts therefor
- C12N15/09—Recombinant DNA-technology
- C12N15/11—DNA or RNA fragments; Modified forms thereof; Non-coding nucleic acids having a biological activity
- C12N15/113—Non-coding nucleic acids modulating the expression of genes, e.g. antisense oligonucleotides; Antisense DNA or RNA; Triplex- forming oligonucleotides; Catalytic nucleic acids, e.g. ribozymes; Nucleic acids used in co-suppression or gene silencing
Definitions
- PROTAC molecules directed against DNA Damage Repair system and uses thereof
- the present invention relates to the field of the medicine, especially the field of the oncology. More particularly, it relates to molecules targeting the DNA damage repair (DDR) system.
- DDR DNA damage repair
- DNA-damage response detects DNA lesions and promotes their repair.
- DNA-repair mechanisms such as mismatch repair (MMR), base-excision repair (BER), nucleotide excision repair (NER), single-strand break repair (SSB) and double-strand break repair (DSB).
- MMR mismatch repair
- BER base-excision repair
- NER nucleotide excision repair
- SSB single-strand break repair
- DSB double-strand break repair
- PARP polyadenyl-ribose polymerase
- NHEJ non- homologous end-joining
- HR homologous recombination
- DSBs are recognized by the Ku proteins that then binds and activates the protein kinase DNA-PKcs, leading to recruitment and activation of end-processing enzymes. It has been demonstrated that the ability of cancer cells to repair therapeutically induced DNA damage impacts therapeutic efficacy.
- DDR proteins are attractive targets for drug discovery with several molecules in clinics. Two major mechanisms of action are identified: small molecule inhibitors against enzymatic activities with the drawback of inducing resistances and displaying toxicity; and, more recently, decoy agonists using a double strand DNA mimicking DNA break and resulting in the hijack of the targets and its hyperactivation.
- Dbait molecules have been designed to mimic double-stranded DNA lesions. They act as a bait for DNA damage signaling enzymes, PARP and DNA-PK, inducing a "false” DNA damage signal and ultimately inhibiting recruitment at the damage site of many proteins involved in DSB and SSB pathways. Dbait molecules have been extensively described in PCT patent applications W02005/040378, W02008/034866 W02008/084087 and WO2017/013237. The most advance Dbait molecule currently in clinical trial is called AsiDNATM.
- OX400's decoy molecules
- WO2020/127965 WO2021/148581, WO2021/255223 and PCT/EP2022/086199 filed On December 15, 2023.
- These OX400's molecules are currently in preclinical studies and the lead molecule referred as 0X425 is now called VIO- 01.
- the present invention relates to molecules capable of binding protein(s) involved in the DNA damage Repair system and of promoting their degradation.
- decoyTAC PROteolysis-TArgeting Chimeras
- decoyTAC combining the DDR decoy molecules with a vectorization/targeting moiety that allows an efficient cell penetration of the molecule into the cells and a moiety including a linker and a E3 ligand, so as to promote the complete degradation of the DDR target.
- DecoyTAC molecules offer several advantages over the other mechanisms for targeting proteins involved in DNA damage response.
- decoyTAC molecules can selectively degrade target proteins while leaving intact other cellular proteins. This limits off-target effects that can lead to unwanted side effects. It has been shown that the addition of a linker and a E3 ligand can add another layer of selectivity due to the availability of surface lysine for ubiquitination by the E3 ligase.
- decoyTAC molecules can target PARP and/or Ku proteins.
- decoyTAC molecules can achieve complete degradation of a target protein, whereas decoy agonist can trap and hyperactivate the target protein inducing a false damage signaling and ultimately the partial inhibition of DNA repair.
- Extended duration of action once the target protein is degraded by a decoyTAC molecule, its effects can persist for much longer than a decoy molecule, which only lasts as long as the drug is present in the system.
- decoyTAC molecules are recycled upon degradation of the target molecule leading to a lower dose needed to achieve similar efficacy and thus lowering toxicity.
- the degradation of the targeted protein through the DNA binding site can abrogate the catalytic activity of the targeted proteins, independently of mutated forms.
- decoyTAC molecules by targeting DNA binding protein, offer a promising approach to target DDR proteins that were previously considered “undruggable” with traditional inhibitors due to their lack of druggable binding sites.
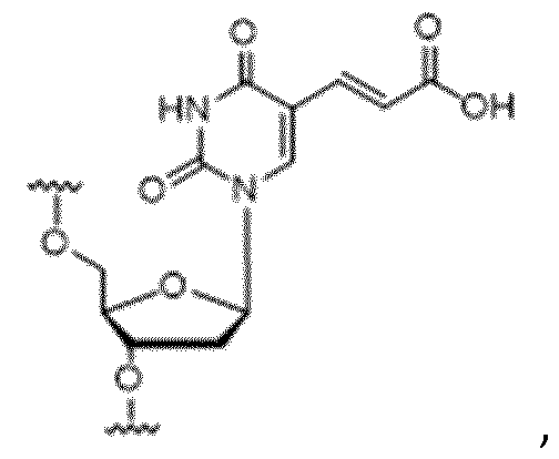
- the present invention relates to a molecule having the structure of formula (I):
- T is a vectorization/delivery moiety
- A is a double-stranded nucleic acid moiety having two complementary strands bound by a loop, being 10-100 base pairs (bp) in length and having less than 80% of identity to any gene in a human genome;
- L is a covalent linker connecting A to B
- B is a E3 ubiquitin ligase ligand.
- the molecule has the one of the following structures ( 11 A) or ( 11 B) : wherein
- T, L and B have the same meaning than in formula (I);
- Loop refers to the loop bound to the two complementary strands
- N is a nucleotide and n is an integer between 5 and 95.
- the double-stranded nucleic acid moiety is capable of being bound by a protein involved in the DDR pathway.
- the protein belongs to any of the following DDR pathways:
- Base Excision Repair pathway including PARP1 (UniProt No P09874) and DNA-(apurinic or apyrimidinic site) endonuclease APE1 (UniProt No P27695);
- MRN complex proteins MRE11 (Double-strand break repair protein, UniProt No P49959), RAD50 (DNA repair protein, UniProt No Q92878); ATM (serine-protein kinase ataxia telangiectasia mutated, UniProt No Q13315) and ATR (Serine/threonine-protein kinase Ataxia telangiectasia and Rad3 related, UniProt No Q13535);
- Non-Homologous End Joining pathway including dimer Ku70 (X-ray repair crosscomplementing protein 6, UniProt No P12956) / Ku80 (X-ray repair cross-complementing protein 5, UniProt No P13010) and DNAPKcs (DNA-dependent protein kinase catalytic subunit, UniProt No P78527);
- MisMatch Repair pathway including MMR complex MSH2 (DNA mismatch repair protein, UniProt No P43246) / MSH3 (DNA mismatch repair protein, UniProt No P20585) and MSH6 (DNA mismatch repair protein, UniProt No P20585);
- Nucleotide excision repair pathway including complex ERCC1 (DNA excision repair protein, UniProt No P07992) / XPF (DNA repair endonuclease, UniProt No Q92889) and TFIIH complex of a 7 subunits core: ERCC2 (General transcription and DNA repair factor IIH helicase subunit XPD, UniProt No P18074); ERCC3 (General transcription and DNA repair factor IIH helicase subunit XPB, UniProt No P19447); GTF2H1 (General transcription factor IIH subunit 1, UniProt No P32780), GTF2H2 (General transcription factor IIH subunit 2, UniProt No Q13888), GTF2H3 (General transcription factor IIH subunit 3, UniProt No Q13889), GTF2H4 (General transcription factor IIH subunit 4, UniProt No Q92759), GTF2H5 (General transcription factor IIH subunit 5, UniProt No Q6ZYL4);
- Interstrand Crosslink repair pathway including FANCM (Fanconi anemia group M protein, UniProt No Q8IYD8) and FAAP24 (Fanconi anemia core complex-associated protein 24, UniProt No Q9BTP7); and
- Translesion synthesis pathway including PCNA (Proliferating cell nuclear antigen, UniProt No P12004) and the polymerases Pol alpha (DNA polymerase alpha catalytic subunit, UniProt No P09884); Pol beta (DNA polymerase beta, UniProt No P06746); Pol eta (DNA polymerase eta, UniProt No Q9Y253); Pol delta (DNA polymerase delta catalytic subunit, UniProt No P28340); and Nucleoside Excision Repair pathway, including Xeroderma pigmentosum complementation group C (XPC) protein complex: XPC (DNA repair protein complementing cells, UniProt No Q01831), RAD23B (UV excision repair protein RAD23 homolog B, UniProt No P54727), CETN2 (Centrin-2, UniProt No P41208).
- PCNA Proliferating cell nuclear antigen, UniProt No P12004
- Pol alpha DNA polymerase alpha cat
- the molecule has the one of the following structures
- T, L and B have the same meaning than in formula (I); internucleotide linkages "s" refer to phosphorothioate internucleotide linkages; and underlined nucleotides are 2'-deoxy-2'-fluoroarabinonucleotides (FANA).
- the molecule has the one of the following structures (X-A) and (X-B):
- T, L and B have the same meaning than in formula (I); internucleotide linkages "s" refer to phosphorothioate internucleotide linkages; and underlined nucleotides are 2'-deoxy-2'-fluoroarabinonucleotides (FANA).
- the molecule has one of the following structures (Xl-A) and (Xl-B):
- T, L and B have the same meaning than in formula (I); internucleotide linkages "s" refer to phosphorothioate internucleotide linkages.
- the molecule has the one of the following structures (Xll-A) and (Xll-B), (XIII- B): wherein
- T, L and B have the same meaning than in formula (I); internucleotide linkages "s" refer to phosphorothioate internucleotide linkages; and the loop being: l,19-bis(phospho)-8-hydraza-2-hydroxy-4-oxa-9-oxo-nonadecane.
- the molecule has the one of the following structures (Xlll-A) and (Xlll-B):
- T, L and B have the same meaning than in formula (I); and internucleotide linkages "s" refer to phosphorothioate internucleotide linkages.
- the vectorization/delivery moiety T is a molecule allowing the specific delivery to the targeted cells, tissues or organs, in particular the cancer cells or tumors, and/or improving cellular uptake of the molecule, in particular a lipid moiety or a ligand, an aptamer or an antibody or a derivative thereof having an affinity for a molecule expressed specifically at the surface of the targeted cells or specifically overexpressed at the surface of the targeted cells.
- the vectorization/delivery moiety T is a cholesterol moiety, optionally with a connecting linker.
- the E3 ubiquitin ligase ligand B is a ligand of an E3 ligase selected from mouse double minute 2 homologue (MDM2), cellular inhibitor of apoptosis (clAP), Von Hippel-Lindau (VHL), cereblon (CRBN), RING-type zinc-finger protein 114 (RNF114), damage-specific DNA binding protein 1 (DDB1)-CUL4 associated factor 16 (DCAF16), and Kelch like ECH-associated protein 1 (KEAP1), preferably VHL or CRBN.
- MDM2 mouse double minute 2 homologue
- clAP cellular inhibitor of apoptosis
- VHL Von Hippel-Lindau
- CRBN cereblon
- RRF114 RING-type zinc-finger protein 114
- DDB1-CUL4 associated factor 16 DCAF16
- Kelch like ECH-associated protein 1 KEAP1
- the combination of E3 ubiquitin ligase ligand B and linker L is selected in the following group (with terminal N3 or H of terminal NH or NH? being replaced by the connecting link to the rest of the molecule after conjugation):
- the molecule is chosen from the molecules of the following table: wherein:
- Structure A corresponds to L-B being linked to the loop: (A)
- Structure B corresponds to L-B being linked to the 5' end of the double-stranded nucleic acid moiety: and wherein T is a radical with a cholesterol.
- the molecules target PARP proteins are chosen from the group consisting of molecules #1, 3, 4, 5, 9, 12, 14, 17, 19, 23, 25, 28, 29, 31, 38, 41, 43, 44, 48, 51, 55, 56, 59, 60, 62 and 63 as numbered in the Table above.
- the molecules target Ku proteins are chosen from the group consisting of molecules #1, 3, 4, 5, 9, 14, 17, 29, 43, 44, 45, 46, 56, 59 and 63 as numbered in the Table above.
- the molecules target both PARP proteins and Ku proteins and are chosen from the group consisting of molecules #1, 3, 4, 5, 9, 14, 17, 19, 29, 42, 43, 44, 56, 59 and 63 as numbered in the Table above.
- the present invention also relates to a pharmaceutical or veterinary composition
- a pharmaceutical or veterinary composition comprising a molecule as defined herein and optionally a pharmaceutically acceptable carrier.
- the pharmaceutical or veterinary composition further comprises another therapeutic agent, in particular another antitumoral therapeutic agent.
- the present invention further relates to a molecule as defined herein or pharmaceutical or veterinary composition as defined herein for use in the treatment of cancer.
- a molecule as defined herein or pharmaceutical or veterinary composition as defined herein for use in the treatment of cancer.
- it is used in combination to radiotherapy or another therapeutic agent, especially another antitumoral therapeutic agent.
- the present invention also relates to the use of a molecule as defined herein for the manufacture of a medicament, especially a medicament for the treatment of cancer. It finally relates to a method for treating a cancer in a subject in need thereof, comprising administering a therapeutically effective amount of a molecule as defined herein or pharmaceutical or veterinary composition as defined herein.
- the present invention relates to a new generation of molecules called decoyTAC, these molecules including a vectorization/delivery moiety and being capable of promoting specific degradation of proteins involved in DNA Damage Repair (DDR) pathways.
- DDR DNA Damage Repair
- a or “an” can refer to one of or a plurality of the elements it modifies (e.g., "a reagent” can mean one or more reagents) unless it is contextually clear either one of the elements or more than one of the elements is described.
- treatment denotes curative, symptomatic, and preventive treatment.
- Pharmaceutical compositions, kits, products and combined preparations of the invention can be used in humans with existing cancer or tumor, including at early or late stages of progression of the cancer.
- the pharmaceutical compositions, kits, products and combined preparations of the invention will not necessarily cure the patient who has the cancer but will delay or slow the progression or prevent further progression of the disease, improving thereby the patients' condition.
- the pharmaceutical compositions, kits, products and combined preparations of the invention reduce the development of tumors, reduce tumor burden, produce tumor regression in a mammalian host and/or prevent metastasis occurrence and cancer relapse.
- the pharmaceutical composition, kit, product and combined preparation of the invention is administered in a therapeutically effective amount.
- kit means especially a "kit-of-parts" in the sense that the combination partners (a) and (b), as defined above can be dosed independently or by use of different fixed combinations with distinct amounts of the combination partners (a) and (b), i.e. simultaneously or at different time points.
- the components of the kit-of-parts can then, e.g., be administered simultaneously or chronologically staggered, that is at different time points and with equal or different time intervals for any part of the kit-of-parts.
- the ratio of the total amounts of the combination partner (a) to the combination partner (b), to be administered in the combined preparation can be varied.
- the combination partners (a) and (b) can be administered by the same route or by different routes.
- an effective amount it is meant the quantity of the pharmaceutical composition, kit, product and combined preparation of the invention which prevents, removes or reduces the deleterious effects of cancer in mammals, including humans, alone or in combination with the other active ingredients of the pharmaceutical composition, kit, product or combined preparation. It is understood that the administered dose may be adapted by those skilled in the art according to the patient, the pathology, the mode of administration, etc.
- the terms “subject”, “individual” or “patient” are interchangeable and refer to an animal, preferably to a mammal, even more preferably to a human.
- the term “subject” can also refer to non-human animals, in particular mammals such as dogs, cats, horses, cows, pigs, sheep and non-human primates, among others.
- “Pharmaceutically acceptable” refers to a generally non-toxic, inert, and/or physiologically compatible composition or component of a composition.
- a “pharmaceutical excipient” or “excipient” comprises a material such as an adjuvant, a carrier, pH- adjusting and buffering agents, tonicity adjusting agents, wetting agents, preservatives, and the like.
- an effective amount or a “therapeutic effective amount” as used herein refers to the amount of active agent required to confer therapeutic effect on the subject, either alone or in combination with one or more other active agents, e.g. the amount of active agent that is needed to treat the targeted disease or disorder, or to produce the desired effect.
- the “effective amount” will vary depending on the agent(s), the disease and its severity, the characteristics of the subject to be treated including age, physical condition, size, gender and weight, the duration of the treatment, the nature of concurrent therapy (if any), the specific route of administration and like factors within the knowledge and expertise of the health practitioner. These factors are well known to those of ordinary skill in the art and can be addressed with no more than routine experimentation. It is generally preferred that a maximum dose of the individual components or combinations thereof be used, that is, the highest safe dose according to sound medical judgment.
- sequence identity refers to an exact nucleotide to nucleotide correspondence of two polynucleotides. Percent of identity can be determined by a direct comparison of the sequence information between two molecules by aligning the sequences, counting the exact number of matches between the two aligned sequences, dividing by the length of the shorter sequence, and multiplying the result by 100.
- complementary and complementarity are interchangeable and refer to the ability of polynucleotides to form base pairs with one another.
- Base pairs are typically formed by hydrogen bonds between nucleotide units in antiparallel polynucleotide strands or regions.
- Complementary polynucleotide strands or regions can base pair in the Watson-Crick manner (e.g., A to T, A to U, C to G).
- 100% complementary refers to the situation in which each nucleotide unit of one polynucleotide strand or region can hydrogen bond with each nucleotide unit of a second polynucleotide strand or region.
- Less than perfect complementarity refers to the situation in which some, but not all, nucleotide units of two strands or two regions can hydrogen bond with each other and can be expressed as a percentage.
- hybridization refers to "nucleic acid hybridization”. Nucleic acid hybridization depends on a principle that two single-stranded nucleic acid molecules that have complementary base sequences will form a thermodynamically favored double-stranded structure if they are mixed under the proper conditions. The double-stranded structure will be formed between two complementary singlestranded nucleic acids even if one is immobilized.
- hybridizing conditions is intended to mean those conditions of time, temperature, and pH, and the necessary amounts and concentrations of reactants and reagents, sufficient to allow at least a portion of complementary sequences to anneal with each other.
- time, temperature, and pH conditions required to accomplish hybridization depend on the size of the oligonucleotide probe or primer to be hybridized, the degree of complementarity between the oligonucleotide probe or primer and the target, the nucleotide type (e.g., RNA, or DNA) of the oligonucleotide probe or primer and the target, and the presence of other materials in the hybridization reaction mixture.
- C x -C y in which x and y are integers, as used in the present disclosure, means that the corresponding hydrocarbon chain comprises from x to y carbon atoms. If, for example, the term C1-C6 is used, it means that the corresponding hydrocarbon chain may comprise from 1 to 6 carbon atoms, especially 1, 2, 3, 4, 5 or 6 carbon atoms. If, for example, the term C2-C5 is used, it means that the corresponding hydrocarbon chain may comprise from 2 to 5 carbon atoms, especially 2, 3, 4, or 5 carbon atoms.
- alkyl refers to a saturated, linear or branched aliphatic group.
- a preferred alkyl is a "C1-C6 alkyl", which refers to an alkyl having 1 to 6 carbon atoms.
- Examples of alkyl (or C1-C6 alkyl) include, but are not limited to methyl, ethyl, propyl, isopropyl, butyl, isobutyl, pentyl, hexyl.
- alkene or “alkenyl” refers to an unsaturated, linear or branched aliphatic group, having at least one carbon-carbon double bond.
- a preferred alkene is a "C2-C6 alkene", which refers to an alkene having 2 to 6 carbon atoms.
- alkyne or “alkynyl” refers to an unsaturated, linear or branched aliphatic group, having at least one carbon-carbon triple bond.
- a preferred alkyne is "C2-C6 alkyne", which refers to an alkyne having 2 to 6 carbon atoms.
- alkyne or C2-C6 alkyne
- examples of alkyne (or C2-C6 alkyne) include for instance ethynyl, propynyl, butynyl, pentynyl, or hexynyl, preferably ethynyl (-CECH).
- alkoxy refers to an alkyl as defined herein, attached to the remainder of the molecule via an ether bond (-O-). In other words, an alkoxy can be written "-O-alkyl".
- a preferred alkoxy is a C1-C6 alkoxy, which has 1 to 6 carbon atoms. Examples of alkoxy (or C1-C6 alkoxy) include for instance, methoxy, ethoxy, propoxy, isopropoxy, butoxy, pentoxy, hexyloxy.
- carbocycle refers to a saturated or unsaturated, aliphatic or aromatic, mono-, bi- ortri-cyclic hydrocarbon group.
- the carbocyclic group may be in particular a cycloalkyl, a cycloalkenyl, or an aryl.
- cycloalkyl refers to a saturated mono-, bi- or tri-cyclic aliphatic group. It also includes fused, bridged, or spiro-connected cycloalkyl groups.
- C3-C6 cycloalkyl refers to a cycloalkyl having 3 to 6 carbon atoms. Examples of cycloalkyl (or C3-C6 cycloalkyl) include, but are not limited to cyclopropyl, cyclobutyl, cyclopentyl, cyclohexyl.
- cycloalkyl may also refer to a bridged carbocyclyl such as bicyclo[2,2,l]heptanyl, bicyclo[2,2,2]octanyl, or adamantyl.
- cycloalkenyl refers to an unsaturated mono-, bi- or tri-cyclic aliphatic group, comprising at least one carbon-carbon double bond. It also includes fused, bridged, or spiro-connected cycloalkenyl groups.
- C3-C6 cycloalkenyl refers to a cycloalkenyl having 3 to 6 carbon atoms. Examples of cycloalkenyl (or C3-C6 cycloalkenyl) include, but are not limited to cyclopentenyl, and cyclohexenyl.
- heterocycle corresponds to a saturated or unsaturated, aliphatic or aromatic, mono-, or polycyclic (e.g. bi-, tri-, or tetra-cyclic) group, comprising at least one heteroatom such as nitrogen, oxygen, or sulphur atom.
- the heterocycle comprises between 3 and 20 ring atoms, for instance between 3 and 6 ring atoms, wherein at least one of the ring atoms is a heteroatom such as nitrogen, oxygen or sulphur atom.
- the "heterocycle” is a heterocycloalkyl, a heterocycloalkenyl, or a heteroaryl.
- the heterocycle is a heterocycloalkyl, a heterocycloalkenyl, or a heteroaryl, fused with one or more carbocyclic or heterocyclic moieties (for instance, a heteroaryl fused with a cycloalkyl).
- heterocycloalkyl corresponds to a cycloalkyl group as above defined in which at least one carbon atom has been replaced with a heteroatom such as nitrogen, oxygen, or sulphur atom.
- heterocycloalkenyl corresponds to a cycloalkenyl group as above defined in which at least one carbon atom has been replaced with a heteroatom such as nitrogen, oxygen, or sulphur atom.
- heterocycles which are heterocycloalkyl or heterocycloalkenyl, include, but are not limited to, aziridinyl, azepanyl, diazepanyl, dioxolanyl, benzo [1,3] dioxolyl, azetidinyl, oxetanyl, pyrazolinyl, pyranyl, thiomorpholinyl, pyrazolidinyl, piperidyl, piperazinyl, 1,4-dioxanyl, imidazolinyl, pyrrolinyl, pyrrolidinyl, piperidinyl, imidazolidinyl, morpholinyl, 1,4-dithianyl, pyrrolidinyl, pyrimidinyl, oxozolinyl, oxazolidinyl, isoxazolinyl, isoxazolidinyl, thiooxetanyl, thio
- aryl refers to an aromatic ring system, which preferably has 6-14 atoms, having at least one ring having a conjugated pi electron system and which optionally may be substituted.
- An "aryl” may contain more than one aromatic ring such as fused ring systems or an aryl group substituted with another aryl group.
- Aryl encompass, without being limited to, phenyl, anthracenyl, naphthyl, indenyl, divalent biphenyl.
- Heteroaryl refers to a heteroaryl group. “Heteroaryl” refers to a chemical group, preferably having 5-14 ring atoms, wherein 1 to 4 heteroatoms are ring atoms in the aromatic ring and the remainder of the ring atoms being carbon atoms. Suitable heteroatoms include oxygen, sulfur, nitrogen, phosphorus, and selenium.
- heterocycles which are heteroaryl groups, include triazolyl, furanyl, thienyl, pyridyl, pyrrolyl, N-alkyl pyrrolyl, pyridyl-N-oxide, pyrimidyl, pyrazinyl, imidazolyl, benzimidazolyl, benzofuranyl, benzothiophenyl, quinazolinyl, and quinolinyl.
- bicyclic heteroaryl groups encompass, without being limited to bicyclic heteroaryl groups that may be mentioned include lH-indazolyl, benzo[l,2,3]thiadiazolyl, benzo[l,2,5]thiadiazolyl, benzothiophenyl, imidazo[l,2-a]pyridyl, quinolinyl, indolyl and isoquinolinyl groups.
- a (C6-C14 aryl)-(C1-C3 alkyl) refers to a C1-C3 alkyl as defined herein, substituted by at least one (preferably, one only) C6-C14 aryl as defined herein.
- a preferred (C6-C14 aryl)-(C1-C3 alkyl) is phenylmethyl (namely benzyl).
- halogen includes chlorine, fluorine, iodine, bromine, preferably chlorine or fluorine.
- aminoalkyl refers to an alkyl as defined above, substituted by one or more (preferably one) amino (-NH?) group.
- alkylaminoalkyl refers to an alkyl as defined above, substituted by one or more (preferably one) alkylamino group as defined above.
- hydroxyalkyl refers to an alkyl as defined above, substituted by one or more (preferably one) hydroxy (-OH) group.
- alkoxyalkyl refers to an alkyl as defined above, substituted by one or more alkoxy as defined above.
- thioalkyl refers to an alkyl as defined above, substituted by one or more (preferably one) -SH group.
- haloalkyl refers to an alkyl as defined above, substituted by one or more halogen atoms.
- Substituted or “optionally substituted” includes groups substituted by one or several substituents, typically 1, 2, 3, 4, 5 or 6 substituents.
- the substituents may be independently selected from C1-C6 alkyl, aryl, C3-C6 cycloalkyl, C3-C6 cycloalkenyl, C3-C6 heterocycle, C1-C6 alkoxy, C1-C6 alkylamino, C1-C6 aminoalkyl-, C1-C6 alkylaminoalkyl-, -Na, -NH2, -F, -I, -Br, -Cl, -CN, C1-C6 alkanoyl, C1-C6 carboxy esters, C1-C6 acylamino, -COOH, -CONH2, OH, -NO2, -SO3H, C1-C6 hydroxyalkyl, C1-C6 haloalkyl, C1-C1-
- the present invention relates to a molecule having the structure of formula (I):
- T is a vectorization/delivery moiety
- A is a double-stranded nucleic acid moiety having two complementary strands bound by a loop, being 10-100 bp in length and having less than 80% of identity to any gene in a human genome;
- L is a covalent linker connecting A to B;
- B is a E3 ubiquitin ligase ligand.
- the molecule has the one of the following structures ( I l-A), ( I l-B) : wherein
- T, L and B have the same meaning than in formula (I);
- Loop refers to the loop bound to the two complementary strands
- N is a nucleotide and n is an integer between 5 and 95.
- the molecule has one of the following structures (lll-A), (lll-B):
- T, L and B have the same meaning than in formula (I);
- N is a nucleotide and n is an integer between 5 and 95.
- the molecule is d 2) wherein - T, L and B have the same meaning than in formula (I); internucleotide linkages "s" refer to phosphorothioate internucleotide linkages; and underlined nucleotides are 2'-deoxy-2'-fluoroarabinonucleotides (FANA).
- the molecule is: (X-B) ( EQ ID NOs l an 2) wherein
- T, L and B have the same meaning than in formula (I); internucleotide linkages "s" refer to phosphorothioate internucleotide linkages; and underlined nucleotides are 2'-deoxy-2'-fluoroarabinonucleotides (FANA).
- the molecule is:
- T, L and B have the same meaning than in formula (I); and internucleotide linkages "s" refer to phosphorothioate internucleotide linkages.
- the molecule AsiDNA-based is: L-B
- T, L and B have the same meaning than in formula (I); internucleotide linkages "s" refer to phosphorothioate internucleotide linkages; and the loop being l,19-bis(phospho)-8-hydraza-2-hydroxy-4-oxa-9-oxo-nonadecane.
- the molecule AsiDNA-based is:
- T, L and B have the same meaning than in formula (I); and internucleotide linkages "s" refer to phosphorothioate internucleotide linkages.
- the double-stranded nucleic acid moiety is capable of being bound by a protein involved in the DNA damage repair (DDR) pathway.
- DDR DNA damage repair
- the DDR proteins may belong to any of the following DDR pathways: Base Excision Repair pathway, including PARP1 (UniProt No P09874) and DNA-(apurinic or apyrimidinic site) endonuclease APE1 (UniProt No P27695);
- Base Excision Repair pathway including PARP1 (UniProt No P09874) and DNA-(apurinic or apyrimidinic site) endonuclease APE1 (UniProt No P27695);
- MRN complex proteins MRE11 (Double-strand break repair protein, UniProt No P49959), RAD50 (DNA repair protein, UniProt No Q92878); ATM (serine-protein kinase ataxia telangiectasia mutated, UniProt No Q13315) and ATR (Serine/threonine-protein kinase Ataxia telangiectasia and Rad3 related, UniProt No Q13535);
- Non-Homologous End Joining pathway including dimer Ku70 (X-ray repair crosscomplementing protein 6, UniProt No P12956) / Ku80 (X-ray repair cross-complementing protein 5, UniProt No P13010) and DNAPKcs (DNA-dependent protein kinase catalytic subunit, UniProt No P78527);
- MisMatch Repair pathway including MMR complex MSH2 (DNA mismatch repair protein, UniProt No P43246) / MSH3 (DNA mismatch repair protein, UniProt No P20585) and MSH6 (DNA mismatch repair protein, UniProt No P20585);
- Nucleotide excision repair pathway including complex ERCC1 (DNA excision repair protein, UniProt No P07992) / XPF (DNA repair endonuclease, UniProt No Q92889) and TFIIH complex of a 7 subunits core: ERCC2 (General transcription and DNA repair factor IIH helicase subunit XPD, UniProt No P18074); ERCC3 (General transcription and DNA repair factor IIH helicase subunit XPB, UniProt No P19447); GTF2H1 (General transcription factor IIH subunit 1, UniProt No P32780), GTF2H2 (General transcription factor IIH subunit 2, UniProt No Q13888), GTF2H3 (General transcription factor IIH subunit 3, UniProt No Q13889), GTF2H4 (General transcription factor IIH subunit 4, UniProt No Q92759), GTF2H5 (General transcription factor IIH subunit 5, UniProt No Q6ZYL4);
- Interstrand Crosslink repair pathway including FANCM (Fanconi anemia group M protein, UniProt No Q8IYD8) and FAAP24 (Fanconi anemia core complex-associated protein 24, UniProt No Q9BTP7); and
- Translesion synthesis pathway including PCNA (Proliferating cell nuclear antigen, UniProt No P12004) and the polymerases Pol alpha (DNA polymerase alpha catalytic subunit, UniProt No P09884); Pol beta (DNA polymerase beta, UniProt No P06746); Pol eta (DNA polymerase eta, UniProt No Q9Y253); Pol delta (DNA polymerase delta catalytic subunit, UniProt No P28340); and Nucleoside Excision Repair pathway, including Xeroderma pigmentosum complementation group C (XPC) protein complex: XPC (DNA repair protein complementing cells, UniProt No Q01831), RAD23B (UV excision repair protein RAD23 homolog B, UniProt No P54727), CETN2 (Centrin-2, UniProt No P41208).
- PCNA Proliferating cell nuclear antigen, UniProt No P12004
- Pol alpha DNA polymerase alpha cat
- Protein involved in the DNA Damage Response are not sequence specific. Majority of these proteins can recognize double strand DNA and some like PARP1 can also recognize single strand DNA. The minimum sequence depends on the protein or complex involved in the recognition of the DNA and is within the range from 12 base pairs up to 100 bp.
- the protein involved in the DNA damage repair is selected from the group consisting of Ku70, Ku 80, PARP1, MRE11, RAD50, ATM and ATR, preferably the group consisting of Ku70, Ku 80 and PARP1.
- the double-stranded nucleic acid moiety has two complementary strands with the 3' end of the first strand and the 5' end of the complementary strand being linked together by a loop. At least one of the other ends of the double-stranded nucleic acid moiety is free.
- the double-stranded nucleic acid moiety preferably present at one free end.
- Said free end may be either a free blunt end or a 5'-/3'- protruding end.
- the "free end” refers herein to a nucleic acid molecule, in particular a double-stranded nucleic acid moiety, having both a 5' end and a 3' end.
- one of the 5' or 3' end can be covalently linked to T or B, optionally through a linker.
- the length of the double-stranded nucleic acid moiety may be variable, as long as it is sufficient to allow appropriate binding by a DDR protein.
- the length of the double-stranded nucleic acid moiety must be greater than 20 bp, preferably about 32 bp, to ensure binding to a Ku complex and allowing DNA- PKcs activation.
- the length of the double-stranded nucleic acid moiety must be greater than 8 bp for allowing appropriate binding and activation of PARP1.
- the length of the double-stranded nucleic acid moiety is from 10 to 100 base pairs.
- the length of the double-stranded nucleic acid moiety is from 10 or 12 to 40, 50, 60, 70, 80, 90 or 100 bp.
- the length could be from 12 to 50, 12 to 45, or 12 to 40.
- the length could be 10, 11, 12, 13, 14, 15, 16, 17, 18, 19, 20, 21, 22, 23, 24, 25, 26, 27, 28, 29, 30, 31, 32, 33, 34 or 35 bp.
- the length could be from 24 to 35 bp, for instance about 32 bp.
- the length could be from 10 to 20 bp, for instance from about 15 to 17 bp.
- bp is intended that the molecule comprise a double stranded portion of the indicated length.
- the double-stranded nucleic acid moiety may comprise one or several base-pair mismatches, especially of 1, 2 or 3 bp, preferably of 1 bp.
- the double-stranded nucleic acid moiety has a single mismatch of 1 bp.
- the double-stranded nucleic acid moiety does not hybridize, under stringent conditions, with human genomic DNA.
- the double-stranded nucleic acid moiety has less than 80% or 70%, even less than 60% or 50% sequence identity to any gene in a human genome.
- the double-stranded nucleic acid moiety is not able to bind a transcription factor and/or has less than 80% or 70%, even less than 60% or 50% sequence identity to a binding site of a transcription factor.
- the double-stranded nucleic acid moiety has preferably no significant degree of sequence homology or identity to known genes, promoters, enhancers, 5'- or 3'- upstream sequences, exons, introns, and the like.
- Methods of determining sequence identity are well known in the art and include, e.g., Blast.
- the identity percentage can be determined with the Human Genome Build 37 (reference GRCh37.p2 and alternate assemblies). Typical stringent conditions are such that they allow the discrimination of fully complementary nucleic acids from partially complementary nucleic acids.
- the sequence of the double-stranded nucleic acid moiety is preferably devoid of 5'-CpG-3' dinucleotide in order to avoid well-known toll-like receptor-mediated immunological reactions.
- the double-stranded nucleic acid moiety comprises or consists of one of the following sequences:
- the sequence may comprise a deletion, substitution or addition of 1, 2, or 3 nucleotides.
- some or all thymidine residues of the sequence can be replaced by uridine.
- the nucleotides of the double-stranded nucleic acid moiety are mainly deoxyribonucleotides.
- at least 40, 50, 60, 70, 80 or 90% of the nucleotides are deoxyribonucleotides.
- some of the deoxynucleotides can be 2' modified deoxynucleotides such as 2'-deoxy-2'-fluoroarabinonucleotides (FANA).
- FANA adopts a DNA-like structure resulting in an unaltered recognition of the nucleic acid molecules by the DDR proteins.
- FANA include the following pyrimidine 2'-fluoroarabinonucleosides and purine 2'- fluoroarabinonucleosides: 9-(2-Deoxy-2-fluoro-R- D-arabinofuranosyl)adenine (2'-FANA-A); 9-(2-Deoxy-2-fluoro-R-D-arabinofuranosyl)guanine (2'-FANA-G); l-(2-Deoxy-2-fluoro-R-D-arabinofuranosyl)cytosine (2'-FANA-C); l-(2-Deoxy-2-fluoro-R-D- arabinofuranosyl)uracil (2'-FANA-U); and l-(2-Deoxy-2-fluoro-R-D-arabinofuranosyl)thymidine (2'-FANA- T).
- the double-stranded nucleic acid moiety can also comprise ribonucleotide and/or other 2' modified nucleotides.
- the 2' modified nucleotides can be independently selected from the group consisting of 2'-deoxy-2'-fluoro (2'-F), 2'-O-methyl (2'-0Me), 2'-O-methoxyethyl (2'-O-MOE), 2'-O- aminopropyl (2'-O-AP), 2'-O-dimethylaminoethyl (2'-O-DMAE), 2'-O-dimethylaminopropyl (2'-O-DMAP), 2'-O-(N,N-dimethylamino)ethyloxyethyl (2'-O-DMAEOE), 2'-O-(N-methylamino)-2-oxoethyl (2'-O-NMA), 2'-deoxy-2' -fluoroarabinonucleotide (FANA
- the double-stranded nucleic acid moiety comprises 2'-deoxy-2'- fluoroarabinonucleotides (FANA).
- FANA 2'-deoxy-2'- fluoroarabinonucleotides
- the double-stranded nucleic acid moiety comprises from 1 to 10, 2 to 9, 3 to 8 or 4 to 7 2'-modified deoxynucleotides, e.g., FANA.
- the FANA nucleotides are located near or at the end of each strand of the double-stranded nucleic acid moiety, for instance as a stretch of 3 to 6 consecutive FANA nucleotides.
- the double-stranded nucleic acid moiety presents a stretch of 6 consecutive FANA nucleotides at the 5' end of each strand and a stretch of 3 consecutive FANA nucleotides at the 3' end of each strand, with optionally an additional unmodified nucleotide at the free 3' end of the double-stranded nucleic acid moiety, preferably with an internucleotidic linkage (e.g., phosphorothioate linkage).
- the molecule may comprise from 3 to 6 modified internucleotidic linkages (e.g., phosphorothioate linkages).
- one or both free ends of the double-stranded nucleic acid moiety comprising an inverted nucleotide.
- the inverted nucleotide is present at the 5' end.
- the inverted nucleotide is present at the 3' end.
- the inverted nucleotide is present at the 5' end and at the 3' end. More particularly, an inverted nucleotide at the 5' free end is bound by a 5'-5' linkage and an inverted nucleotide at the 3' free end is bound by a 3' -3' linkage.
- the inverted nucleotide is an inverted thymidine or an inverted uridine.
- thymidine residues can be replaced by uridine.
- the double-stranded nucleic acid moiety comprises at least 1, 2 or 3 modified internucleotidic linkages.
- said at least 1, 2 or 3 modified internucleotidic linkages are consecutive. They can be located in the middle of the double-stranded nucleic acid moiety.
- the nucleotides at the free end of the double-stranded moiety can have a modified internucleotidic linkages, preferably on both strands.
- the modified internucleotidic linkages can be a phosphorothioate or methylphosphonate backbone.
- the modified internucleotidic linkages are phosphorothioate linkages.
- at least the first internucleotidic linkage at the 3' end of the double-stranded nucleic acid moiety has a modified internucleotidic linkage.
- the loop can be any linker used to connect the two complementary nucleic acid stands. It can be for instance a nucleic acid, or other chemical groups known by skilled person or a mixture thereof.
- the loop preferably comprises a chain of 10 to 100 atoms, preferably from 15 to 25 atoms.
- the loop has been developed so as to be compatible with oligonucleotide solid phase synthesis. Accordingly, it is possible to incorporate the loop during the synthesis of the nucleic acid molecule, thereby facilitating the synthesis and reducing its cost.
- a nucleotide linker may include from 2 to 10 nucleotides, preferably, 3, 4 or 5 nucleotides.
- Non-nucleotide linkers non exhaustively include abasic nucleotide, polyether, polyamine, polyamide, peptide, carbohydrate, lipid, polyhydrocarbon, or other polymeric compounds (e. g. oligoethylene glycols such as those having between 2 and 10 ethylene glycol units, preferably 4, 5, 6, 7 or 8 ethylene glycol units).
- the loop can be N-(5-hydroxymethyl-6-phosphohexyl)-ll-(3-(6-phosphohexythio) succinimido))undecamide, l,3-bis-[5-hydroxylpentylamido]propyl-2-(6-phosphohexyl), hexaethyleneglycol, tetradeoxythymidylate (T4), hexadeoxythymidylate (T6), l,19-bis(phospho)-8- hydraza-2-hydroxy-4-oxa-9-oxo-nonadecane, 2,19-bis(phosphor)-8-hydraza-l-hydroxy-4-oxa-9-oxo- nonadecane.
- the loop can have the following structure:
- X can vary among O and S at each occurrence of -O-P(X)OH-O- in formula (1).
- the sum g + h is preferably from 5 to 7, especially is 6. Accordingly, if r is 0, h can be from 5 to 7 (with s being 1); if g is 1, h can be from 4 to 6 (with r and s being 1); if g is 2, h can be from 3 to 5 (with r and s being 1); if g is 3, h can be from 2 to 4 (with r and s being 1); if g is 4, h can be from 1 to 3 (with r and s being 1); if g is 5, h can be from 1 to 2 (with r being 1 and s being 0 or 1); or if g is 6 or 7, s is 0 (with r being
- i and j can be the same integer or can be different, i and j can be selected from the integer 1, 2, 3, 4, 5 or 6, preferable 1, 2 or 3, still more particularly 1 or 2, especially 1.
- k and I are the same integer.
- k and I are an integer selected from 1, 2 or 3, preferably 1 or 2, more preferably 2.
- K is the loop has the formula (1) and X is S, r is 1, g is 6, s is 0, and K is
- K is -CH 2 -CH(Lf-J)-.
- L f is -C(O)-(CH 2 ) m -NH-[C(O)]t-[(CH 2 ) 2 -O] n -(CH 2 )p-[C(O)] v - or -C(O)-(CH 2 ) m -NH-[C(O)- CH 2 -O]t-[(CH 2 ) 2 -O]n-(CH 2 )p-[C(O)] v - with m being an integer from 0 to 10; n being an integer from 0 to 15; p being an integer from 0 to 4; t and v being an integer 0 or 1 with at least one among t and v being 1.
- Lf can be selected in the group consisting of -C(O)-(CH 2 ) m -NH-[(CH 2 ) 2 -O] n -(CH 2 )p-C(O)-, - C(O)-(CH 2 ) m -NH-C(O)-[(CH 2 ) 2 -O] n -(CH 2 )p-, C(O)-(CH 2 ) m -NH-C(O)-CH 2 -O-[(CH 2 ) 2 -O] n -(CH 2 ) p -, -C(O)-(CH 2 ) m - NH-C(O)-[(CH 2 ) 2 -O] n -(CH 2 )p-C(O)- and -C(O)-(CH 2 ) m -NH-C(O)-CH 2 -O-[(CH 2 ) 2 -O] n -(CH 2
- Lf can be selected in the group consisting of -C(O)-(CH 2 ) 5 -NH-[(CH 2 ) 2 -O]3-i3-CH 2 -C(O)-, -C(O)- (CH 2 ) 5 -NH-C(O)-[(CH 2 ) 2 -O] 3 -13-CH 2 -, C(O)-(CH 2 ) 5 -NH-C(O)-CH 2 -O-[(CH 2 ) 2 -O] 3 -13-CH 2 -, -C(O)-(CH 2 ) 5 -NH-C(O)- [(CH 2 ) 2 -O] 3 -13-CH 2 -C(O)- and -C(O)-(CH 2 ) 5 -NH-C(O)-CH 2 -O-[(CH 2 ) 2 -O] 3 -i3-CH 2 -C(O)-J or -C(O)-
- Lf can be selected from the group consisting of -C(O)-(CH 2 ) 5 -NH-[(CH 2 ) 2 -O]3-(CH 2 ) 2 -C(O)-, - C(O)-(CH 2 ) 5 -NH-C(O)-[(CH 2 ) 2 -O]3-(CH 2 )3-, -C(O)-(CH 2 ) 5 -NH-C(O)-CH 2 -O-[(CH 2 ) 2 -O] 5 -CH 2 -C(O)-J, -C(O)-(CH 2 ) 5 - NH-C(O)-CH 2 -O-[(CH 2 ) 2 -O] 9 -CH 2 -C(O)-, -C(O)-(CH 2 ) 5 -NH-C(O)-CH 2 -O-[(CH 2 ) 2 -O]13-CH 2 -C(O)
- Lf is -C(O)-(CH 2 ) m -NH-[(CH 2 ) 2 -O] n -(CH 2 )p-C(O)- with m being an integer from 0 to 10, preferably from 4 to 6, especially 5; n being an integer from 0 to 6; and p being an integer from 0 to 2.
- m is 5 and, n and p are 0.
- m is 5, n is 3 and p is 2.
- the loop is:
- the loop has the formula (1); K is -CH2-CH(Lf-J)-, and Lf is -CH2-O- [(CH2)2-O] n -(CH2) m -NH-(CH2)p-C(O)-J, with m being 3; n being 3; and p being 0.
- the loop can have the following structure:
- b and c are independently an integer from 0 to 4, and the sum b + c is from 3 to 7; d and e are independently an integer from 1 to 3, preferably from 1 to 2; with R being -(CH2)i-5-C(O)-NH-Lf-J or-(CHz)i- 5 -NH-C(O)-Lf-J.
- d and e can be different in each occurrence of [(CH2)d-C(O)-NH] or -[C(O)-NH- (CH 2 )e].
- b + c is from 3 to 5, in particular 4.
- b can be 0 and c is from 3 to 5; b can be 1 and c is from 2 to 4; b can be 2 and c is from 1 to 3; or b can be from 3 to 5 and c is 0.
- b + c is from 4 to 7, in particular 5 or 6.
- b can be 0 and c is from 3 to 6; b can be 1 and c is from 2 to 5; b can be 2 and c is from 1 to 4; or b can be from 3 to 6 and c is 0.
- b, c, d and e are selected so as the loop comprises a chain from 10 to 100 atoms, preferably from 15 to 25 atoms.
- the loop could be one of the followings:
- Lf can be -(CH 2 )I. 5 -C(O)-J, preferably -CH 2 -C(O)- or -(CH 2 ) 2 -C(O)-.
- Lf can be -(CH2) 4 -NH- [(CH 2 ) 2 -O] n -(CH 2 )p-C(O)- with n being an integer from 0 to 6; and p being an integer from 0 to 2.
- n is 3 and p is 2.
- the double-stranded nucleic acid moiety and the loop can be any one as disclosed in W02005/040378, W02008/034866 W02008/084087, WO2017/013237, WO2020/127965, WO2021/148581, WO2021/255223 and PCT/EP2022/086199 filed On December 15, 2023, the disclosure thereof being incorporated herein by reference.
- the molecule has a structure (lll-B) (lll-B) and More specifically, when T is a cholesterol,
- E3-linker or is attached at the 5' end of the double stranded nucleic acid moiety and the terminal carboxyl group (C(O)OH) is replaced by the connecting link after conjugation with the amine of the E3-linker.
- the molecule has a structure (lll-A)
- the ethynyl being replaced by the connecting link after conjugation with N3 of the E3-linker; or the terminal carboxyl group (C(O)OH) being replaced by the connecting link after conjugation with the amine of the E3-I i n ker.
- T is Ubiquitin ligase ligand (ULL)
- the ULL is a ligand of a E3 ligase.
- E3 ubiquitin ligases (of which over 600 are known in humans) confer substrate specificity for ubiquitination. There are known ligands which bind to these ligases.
- E3 ubiquitin ligases include: von Hippel-Lindau (VHL); cereblon (CRBN); X-linked inhibitor of apoptosis protein (XIAP); E3A; murine double minute 2 homolog (MDM2); Anaphase-promoting complex (APC); UBR5/embryo defective development 1 (EDD1); suppressor of cytokine signaling (SOCS)/ BC-box/ eloBC/ CUL5/ RING; LNXp80; chromobox homolog 4 (CBX4); Casitas B-lineage lymphoma-transforming sequencelike protein 1 (CBLL1); HECT domain and ankyrin repeat containing E3 ubiquitin-protein ligase 1 (HACE1); Homologous to the E6-AP carboxyl terminus domain 1 (HECTD1); HECTD2; HECTD3; HECW1; HECW2; HERC1; HERC2; HERC3;
- the E3 ligase can be more specifically selected in the non-exhaustive list including MDM2, clAP, VHL, CRBN, RING-type zinc-finger protein 114 (RNF114), damage-specific DNA binding protein 1 (DDB1)-CUL4 associated factor 16 (DCAF16), and Kelch like ECH-associated protein 1 (KEAP1).
- the E3 ligase ligand can be selected in the group consisting of
- the E3 ligase ligand can be selected in the group consisting of
- the ULL is a VHL ligand.
- VHL ligands are disclosed in WO2013106643, WO2016146985, US2016/0045607, WO2014/187777, US2014/0356322, and 1159,249,153, the disclosure thereof being incorporated herein by reference.
- the VHL ligand can be for instance: being H or methyl;
- the ULL is cereblon (CRBN) ligand.
- CRBN ligands are disclosed in WO2015160845, WO2016197032, WO2019199816, WO2019148055 and W02023066350, the disclosure thereof being incorporated herein by reference.
- This ligand can be a derivative of pomalidomide or thalidomide, of 4- hydroxythalidomide, of alkylated connected thalidomide, or of lenalidomide. It can be a phenyl glutarimide derivative. More specifically, the CRBN ligand can optionally be selected from the group consisting of thalidomide/pomalidomide and its derivatives, lenalidomide and its derivatives.
- Thalidomide/pomalidomide and its derivatives such as
- the ULL is MDM2 (mouse double minute 2 homologue) ligand and can optionally be selected from the group consisting of nutlin-3a, AMG 232, DS-3032b, idasanutlin, RG7112, Ml 773, CGM-
- AMG 232, MDM2 ligands are disclosed in WO2012/121361; W02014/038606; W02010/082612; W02014/044401;
- W02008/130614 W02008/106507; W02008/106507; W02007/107545; W02007/107543;
- the ULL is IAP ligand.
- IAP ligands are disclosed in W02008/016893, W02008/128171, W02014/060768, W02014/060767, W02015092420, WO2016169989,
- IAP ligand can optionally be selected from the group consisting of
- the ULL is (poma om e-5' derivative), or (pomalidomide-4' derivative).
- the ULL when targeting specifically or more specifically Ku proteins, the ULL is
- the linker L provides a covalent attachment of the DDR targeting moiety to the ULL.
- the linker L is attached to the loop of the DDR targeting moiety.
- the linker L is attached to the 5' end of the double-stranded oligonucleotide of the DDR targeting moiety.
- the linker L is attached to the 3' end of the double-stranded oligonucleotide of the DDR targeting moiety.
- the linker L can be any chemical chain (e.g. hydrocarbon chain) which can comprise heteroatoms as well as cyclic moieties such as cycloalkyl, cycloalkenyl, aromatic groups, or heterocyclic moieties such as heterocycloalkyl or heteroaryl.
- the linker L may comprise up to 500 carbon atoms.
- the linker L is a chemical chain group comprising from 2 to 600 carbon atoms, e.g. from 2 to 200 carbon atoms, 2 to 80 carbon atoms, from 2 to 60 carbon atoms from 2 to 40 carbon atoms or from 2 to 20 atom carbons.
- the linker L can be selected from the group consisting of polymers including homopolymers, copolymers and block polymers, peptides, oligosaccharides, and saturated or unsaturated hydrocarbon chains optionally interrupted by one or several heteroatomic groups (e.g.
- the linker L may comprise several hydrocarbon chains, oligomer chains or polymeric chains (e.g. 2, 3, 4, 5 or 6) linked (or connected) by any appropriate group, such as -O-, -S-, -N(R)- with R being H or C1-C3 alkyl, -C(O)-, -NHC(O)-, -OC(O)-, -C(O)-O-C(O)-, -NH-CO-NH-, -O-CO-NH-, NH-(CS)-NH-, NH-CS-, phosphodiester or phosphorothioate groups as well as cyclic or heterocyclic groups.
- any appropriate group such as -O-, -S-, -N(R)- with R being H or C1-C3 alkyl, -C(O)-, -NHC(O)-, -OC(O)-, -C(O)-O-C(O)-, -
- the linker L may be selected from the group consisting of polyethers such as polyethylene glycol (PEG) and polypropylene glycol (PPG), polyvinyl alcohol (PVA), polyesters such as polylactate, polyacrylate, polymethacrylate, polysilicone, polyamide such as polycaprolactone and poly(N-(2- hydroxypropyl)methacrylamide) (pHPMA), poly(D,L-lactic-co-glycolic acid) (PLGA), polymers of alkyl diamines, unsaturated or saturated, branched or unbranched, hydrocarbon chains optionally having an heteroatom such as O, NH and S on at least one end, and combinations thereof.
- polyethers such as polyethylene glycol (PEG) and polypropylene glycol (PPG), polyvinyl alcohol (PVA), polyesters such as polylactate, polyacrylate, polymethacrylate, polysilicone, polyamide such as polycaprolactone and poly(N-(2- hydroxypropyl)meth
- the linker L is a hydrocarbon chain (for instance an alkyl chain) having from 2 to 200 carbon atoms, 2 to 100 carbon atoms, 2 to 80 carbon atoms, from 2 to 60 carbon atoms, from 2 to 40 carbon atoms from 2 to 30 carbon atoms, or from 2 to 20 carbon atoms, optionally interrupted by: one or more heteroatomic groups chosen from -O-, -S-, -C(O)-, -NHC(O)-, -OC(O)-, -C(O)-O-C(O)-, - N(R)- with R being H or a C1-C3 alkyl, -NH-CO-NH-, -O-CO-NH-, NH-(CS)-NH-, and -NH-CS-; and/or C5-C20 carbocyclic moieties such as cycloalkyl, cycloalkenyl, or aromatic groups; and/or one or more heterocyclic moieties
- the molecule can be prepared by click chemistry.
- the moieties L-B can be added to the moiety A or the B moiety can be added to L-A moieties by any known conjugation method such as amine coupling, thiol conjugation, imine formation or by click chemistry such as Huisgen 1,3-dipolar cycloaddition.
- Bioconjugation reactions are for instance depicted in the below figure:
- biocompatible or biorthogonal click reactions encompass copper(l)-catalyzed alkyne-azide cycloaddition (CuAAC) or metal-free click-reactions (i.e. which do not require metal catalysts) such as strain-promoted azide-alkyne (SPAAC), oxime click reaction, photoclick reactions and thiol-ene click reaction.
- CuAAC copper(l)-catalyzed alkyne-azide cycloaddition
- metal-free click-reactions i.e. which do not require metal catalysts
- SPAAC strain-promoted azide-alkyne
- oxime click reaction oxime click reaction
- photoclick reactions thiol-ene click reaction
- E3 ligand is a pomalidomide derivative and the combination of E3 ligand and linker to be covalently linked to the DDR targeting moiety can be selected in the following group (with terminal
- N3 or H of terminal NH or NHj being replaced by the connecting link to the rest of the molecule after conjugation 2 2 6 2 2 e), (poma om e- - -( 2)3-az e), (poma om e- -pperazny), -(CH2)2-NH2).
- E3 ligand is VH032 and the combination of E3 ligand and linker to be covalently linked to the DDR targeting moiety can be selected in the following group (with terminal N3 or H of terminal NH or NH 2 being replaced by the connecting link to the rest of the molecule after conjugation): ), )-piperazinyl).
- the targeting/delivery moiety is a molecule allowing the specific delivery to the targeted cells, tissues or organs, in particular the cancer cells or tumors, and/or improving cellular uptake of the molecule.
- the targeting/delivery moiety improving cellular uptake can be for instance a lipophilic molecule or a ligand which targets cell receptor enabling receptor mediated endocytosis.
- the targeting/delivery moiety can be lipid moieties such as a cholesterol moiety (Letsinger et al., Proc. Natl. Acid. Sci. USA, 1989, 86: 6553-6556), cholic acid (Manoharan et al., Biorg. Med. Chem. Let., 1994, 4:1053-1060), a thioether, e.g., beryl-S-trityl thiol (Manoharan et al., Ann. N.Y. Acad. Sci., 1992, 660:306-309; Manoharan et al., Biorg. Med. Chem.
- lipid moieties such as a cholesterol moiety (Letsinger et al., Proc. Natl. Acid. Sci. USA, 1989, 86: 6553-6556), cholic acid (Manoharan et al., Biorg. Med. Chem. Let., 1994, 4:1053-1060), a thioether
- a thiocholesterol (Oberhauser et al., Nucl. Acids Res., 1992, 20:533-538), an aliphatic chain, e.g., octodecyl, dioleoyl, dodecanediol or undecyl residues (Saison-Behrnoaras et al., EMBO J, 1991, 10:1111-1118; Kabanov et al., FEBS Lett., 1990, 259:327-330; Svinarchuk et al., Biochimie, 1993, 75:49-54), a phospholipid, e.g., di- hexadecyl-rac-glycerol or triethylammonium l,2-di-0-hexadecyl-rac-glycero-3-H-phosphonate (Manoharan et al., Tetrahedron Lett.,
- Acids Res., 1990, 18:3777- 3783 a polyamine or a polyethylene glycol chain (Manoharan et al., Nucleosides & Nucleotides, 1995, 14:969-973), or adamantane acetic acid (Manoharan et al., Tetrahedron Lett., 1995, 36:3651- 3654), a palmityl moiety (Mishra et al., Biochim. Biophys. Acta, 1995, 1264:229-237), or an octadecylamine or hexylamino-carbonyloxycholesterol moiety (Crooke et al., J. Pharmacol. Exp. Then, 1996, 277:923-937).
- the targeting/delivery moiety can be selected from the group consisting of a cholesterol, tocopherol, sugar such as galactose and mannose and their oligosaccharide, peptide such as RGD and bombesin, and protein such as integrin or a transferrin (Goldstein et al. Ann. Rev. Cell Biol. 1985 1:1-39; Leamon & Lowe, Proc Natl Acad Sci USA. 1991, 88: 5572-5576.).
- a cholesterol tocopherol
- sugar such as galactose and mannose and their oligosaccharide
- peptide such as RGD and bombesin
- protein such as integrin or a transferrin
- the targeting/delivery moiety is a cholesterol.
- the targeting/delivery moiety can be an entity having affinity for the targeted cells, tissues or organs, in particular cancer cells or tumors.
- Such entity can be a small chemical entity, a ligand (e.g., receptor ligand), an aptamer or an antibody or a derivatives thereof such as single-chain variable fragment (scFv) or other functional fragment including an immunoglobulin devoid of light chains, Nanobody®, variable domain of heavy-chain antibodies (VHH), variable new antigen receptor (VNAR), fragment antigen-binding (Fab), Fab', F(ab')2, Fv, antibody fragment, diabody, single chain antibody fragment (scAB), single-domain heavy chain antibody (VH), single- domain light chain antibody (VL), Fd.
- a ligand e.g., receptor ligand
- an aptamer or an antibody or a derivatives thereof such as single-chain variable fragment (scFv) or other functional fragment including an immunoglobulin devoid of light chains, Nanobody®, variable domain of heavy-chain antibodies (VHH), variable new antigen receptor (VNAR), fragment antigen-binding (Fab), Fab
- the entity has an affinity for a molecule expressed specifically at the surface of the targeted cells or specifically overexpressed at the surface of the targeted cells, for instance a tumor associated antigen or a receptor.
- a molecule expressed specifically at the surface of the targeted cells or specifically overexpressed at the surface of the targeted cells, for instance a tumor associated antigen or a receptor.
- the person skilled in the art knows how to prepare an antibody or an aptamer directed against such a molecule.
- the targeting/delivery moiety is a ligand of a sigma-2 receptor (o2R).
- sigma-2 receptor refers to a sigma receptor subtype that has been found highly expressed in malignant cancer cells (e.g. breast, ovarian, lung, brain, bladder, colon, and melanoma).
- the o2R is a cytochrome related protein located in the lipid raft that is most commonly associated with P450 proteins, and is coupled with the progesterone receptor membrane component 1 (PGRMC1) complex, epidermal growth factor receptor (EGFR), mammalian target of rapamycin (mTOR), caspases, and various ion channels.
- PGRMC1 progesterone receptor membrane component 1
- the o2R ligand can be an azabicyclononane analog, more particularly a N-substituted-9-azabicyclo[3.3.1]nonan- 3a-yl carbamate analog as described in Vangveravong et al. Bioorg. Med. Chem (2006).
- ligands are disclosed in WO2020/127965, the disclosure of which being incorporated herein by reference.
- the ligand could be among interleukine-2 (IL-2), IL-4, IL-6, alpha-melanocyte-stimulating hormone (a-MSH), transferrin, folic acid, epidermal growth factor (EGF), transforming growth factor (TGF), Programmed death-1 (PD-1), IL-13, stem cell factor, insulin-like growth factor (IGF), cluster of differentiation 40 (CD40), or CD47, or a truncated form thereof.
- IL-2 interleukine-2
- IL-4 interleukine-2
- IL-6 alpha-melanocyte-stimulating hormone
- transferrin transferrin
- folic acid epidermal growth factor
- EGF epidermal growth factor
- TGF transforming growth factor
- PD-1 Programmed death-1
- IL-13 stem cell factor
- IGF insulin-like growth factor
- CD40 cluster of differentiation 40
- CD47 or a truncated form thereof.
- folate or "folic acid” is meant to refer to folate and folate derivatives, including pteroic acid derivatives and analogs.
- the analogs and derivatives of folic acid include antifolates, dihydrofolates, tetrahydrofolates, folinic acid, pteropolyglutamic acid, 1-deaza, 3-deaza, 5-deaza, 8-deaza, 10-deaza, 1, 5-deaza, 5,10-dideaza, 8,10-dideaza, and 5,8-dideaza folates, antifolates, and pteroic acid derivatives. Additional folate analogs are described in U82004/242582, the disclosure of which being incorporated herein by reference.
- the targeting/delivery moiety is a folate or a derivative thereof.
- the targeting/delivery moiety binds a target on the cancer selected from the group consisting of IL-2 receptor, IL-4 receptor, IL-6 receptor, MSH receptor, transferrin receptor (TR), folate receptor 1 (FOLR), folate hydroxylase (F0LH1), EGF receptor, PD-L1, PD-L2, IL-13 receptor, C-X-C chemokine receptor type 4 (CXCR4), IGF receptor, and CD40L.
- a target on the cancer selected from the group consisting of IL-2 receptor, IL-4 receptor, IL-6 receptor, MSH receptor, transferrin receptor (TR), folate receptor 1 (FOLR), folate hydroxylase (F0LH1), EGF receptor, PD-L1, PD-L2, IL-13 receptor, C-X-C chemokine receptor type 4 (CXCR4), IGF receptor, and CD40L.
- the targeting/delivery moiety binds a tumor associated antigen.
- tumor associated antigens include: human epidermal growth factor receptor 2 (Her2/Neu); CD22; epithelial cell adhesion molecule (EpCAM, CD326); EGFR; prostate-specific membrane antigen (PSMA); CD30; CD20; CD33; membrane IgE; IgE Receptor (CD23), CD80; CD86; CD2; CA125 (cancer antigen- 125); Carbonic Anhydrase IX; CD70; CD74; CD56; CD40; CD19; c-met/HGFR; DRS; PD-1; PDL1; IGF- 1R; vascular endothelial growth factor (VEGF) and VEGFR (Solid tumor and eye AMD), VEGF-R2; prostate stem cell antigen (PSCA); Mucin-1 (MUC1); CanAg; Mesothelin; P-cadherin; Myostatin (GDF8); teratocarcinoma-derived growth factor 1 (Cripto, TDGF1); activin a
- a non-exhaustive list of target for the targeting/delivery moiety includes tumor-associated calcium signal transducer 2 (Trop2), EpCAM, G-protein-coupled receptor class C-5 (GPRC5), FcRH5, receptor tyrosine kinase-like orphan receptor 1 (ROR1), CD 15, CD 16, CD 19, CD20, CD22, CD27, CD30, CD33, CD40, CD47, CD40L, CD66, CD70, CD74, CD79b, CD80, CD95, CD133, CD160, CD166, CD229, MUC1, MUC5, MUC16, IGF-1R, EGFR, HER2, HER3, epithelial glycoprotein 2 (EGP2), human leukocyte antigen-DR isotype (HLA- DR), tumor necrosis factor alpha (TNF-a), tumor-necrosis-factor related apoptosis inducing ligand (TRAIL receptor), inducible costimulateur (ICOS), ICOSL, VEGF,
- a wide range of targeting moieties capable of targeting cancer are known, including DNA aptamers, RNA aptamers, albumins, lipocalins, fibronectins, ankyrins, CH1/2/3 scaffolds (including abdurinsTM (IgG CH2 scaffolds)), fynomers, ObodiesTM, designed ankyrin repeat proteins (DARPins), knottins, avimers, atrimers, anticallins®, affilins®, affibodies®, bicyclic peptides, cys- knots, fibronectin type III domain (FN3) as adnectinsTM, centryrins, pronectinsTM andTN3, and Kunitz domains.
- DNA aptamers DNA aptamers
- RNA aptamers albumins, lipocalins
- fibronectins ankyrins
- CH1/2/3 scaffolds including abdurinsTM (IgG CH2 scaffolds)
- the targeting/delivery moiety can be covalently linked to the double-stranded nucleic acid moiety directly or through a linker.
- decoyTAC molecules f the invention can be chosen from the following molecules:
- Structure A corresponds to L-B being linked to the loop: (A), and
- Structure B corresponds to L-B being linked to the 5' end of the double-stranded nucleic acid moiety:
- T is a radical with a cholesterol.
- the decoyTAC molecules of the invention are able to target PARP proteins.
- these decoyTAC molecules may be of structure (ll-A), (ll-B), (lll-A), (lll-B), (X-A), (X-
- the decoyTAC molecules are of structure (Xl-A) or (Xl-B), as described above, wherein the loop is linked either from 3' end to 5' end or in the other direction from 5' end to 3' end.
- the targeting/delivery moiety T can be lipid moieties such as a cholesterol moiety.
- the double-stranded nucleic acid moiety comprises or consists of one of the following sequences:
- internucleotide linkages "s” refer to phosphorothioate internucleotide linkages.
- the E3 ligand of the decoyTAC molecules able to target PARP proteins is a pomalidomide derivative and the combination of E3 ligand and linker can be selected in the following group: pomalidomide-NH-(O-CH2-CH2)2-(CH2)2, pomalidomide-NH-fO-CI-h-CI-hMCI-bh, pomalidomide-NH-(O- CH2-CH2)5-(CH 2 )2, pomalidomide-NH-(O-CH2-CH2) 6 -(CH2)2, pomalidomide-NH-CO-CH2-(O-CH2-CH2) 3 , pomalidomide-NH-CO-CH2-(O-CH2-CH2)5, pomalidomide-NH-CO-(CH2)3, pomalidomide-NH-CO-(CH2)4, pomalidomide-NH-CO-(CH2)5, pomalidomide-NH-(CH2)4, pomalidomide-NH-NH-(CH2)5, pomalidomide
- some molecules can specifically target PARP proteins.
- these molecules are of structure (ll-A), (lll-A), (X-A) or (Xl-A) and have the following combination of E3 ligand and linker: pomalidomide-NH-CO-(CH2)5, pomalidomide-NH-CO-CH2-(O-CH2- CH 2 ) 5 , pomalidomide-NH-(O-CH2-CH2)8-(CH2)2; or these molecules are of structure (II B), (lll-B), (X-B) or (Xl-B) and have the following combination of E3 ligand and linker: pomalidomide-NH-(CH2)4.
- the E3 ligand of the decoyTAC molecules able to target PARP proteins is VH032 and the combination of E3 ligand and linker can be selected in the following group:
- some molecules can specifically target PARP proteins.
- these molecules are of structure (ll-A), (lll-A), (X-A) or (Xl-A)and have the following combination of E3 ligand and linker: VH032-CO-(CH 2 )3, VH032-CO-CH2-(O-CH2-CH 2 )2, VH032-CO-CH 2 -(O- CH 2 -CH 2 ) 6 , VH032-CO-(CH 2 ) 3 , VH032-CO-(CH 2 ) 2 -(O-CH 2 -CH 2 ), VH032-CO-(CH 2 ) 2 -(O-CH 2 -CH 2 ) 4 , VH032-CO- (CH 2 ) 4 ; or these molecules are of structure (ll-B), (lll-B), (X-B) or (Xl-B)and have the following combination of E3 ligand and linker: VH032-CO-CH 2 -(O-CH 2 -CH 2 ) 5 , VH032-CO-
- the decoyTAC molecules of the invention are able to target Ku proteins, in particular Ku70/Ku80 complex.
- These decoyTAC molecules may be of structure (ll-A), (ll-B), (lll-A), (lll-B), (X-A), (X-B), (Xl-A) or (Xl-B)as described above, wherein the loop is linked either from 3' end to 5' end or in the other direction from 5' end to 3' end.
- the decoyTAC molecules are of structure (Xl-A) or (Xl-B), as described above, wherein the loop is linked either from 3' end to 5' end or in the other direction from 5' end to 3' end.
- the targeting/delivery moiety T can be lipid moieties such as a cholesterol moiety.
- the double-stranded nucleic acid moiety comprises or consists of one of the following sequences:
- internucleotide linkages "s” refer to phosphorothioate internucleotide linkages.
- the E3 ligand of the decoyTAC molecules able to target Ku proteins is a pomalidomide derivative and the combination of E3 ligand and linker can be selected in the following group: pomalidomide-NH-(O-CH 2 -CH 2 ) 4 -(CH 2 ) 2 , pomalidomide-NH-(O-CH 2 -CH 2 ) 2 -(CH 2 ) 2 , pomalidomide-4'-NH-(O- CH 2 -CH 2 ) 5 -(CH 2 ) 2 , pomalidomide-4'-NH-(O-CH 2 -CH 2 ) 6 -(CH 2 ) 2 , pomalidomide-NH-CO-CH 2 -(O-CH 2 -CH 2 ) 3 , pomalidomide-NH-CO-(CH 2 ) 3 , pomalidomide-NH-(CH 2 ) 4 , pomalidomide-NH-(CH 2 ) 5
- some molecules can specifically target Ku proteins.
- these molecules are of structure (ll-A), (lll-A), (X-A) or (Xl-A) and have the following combination of E3 ligand and linker: pomalidomide-NH-(CH 2 )6, pomalidomide-NH-CO-(CH 2 ) 3 .
- the E3 ligand of the decoyTAC molecules able to target Ku proteins VH032 and the combination of E3 ligand and linker can be selected in the following group: VH032-CO-CH 2 -(O-CH 2 -CH 2 ), VH032-CO-(CH 2 ) 2 -(O-CH 2 -CH 2 ), VH032-CO-(CH 2 ) 2 -(O-CH 2 -CH 2 ) 4 , VH032-CQ- (CH 2 ) 2 -(O-CH 2 -CH 2 ) 5 , and VH032-CO-(CH 2 ) 4 .
- the decoyTAC molecules of the invention are able to target PARP and Ku proteins. These decoyTAC molecules may be of structure (II-A), (II-B), (III-A), (III-B), (X-A), (X-B), (XI-A) or (XI-B) as described above, wherein the loop is linked either from 3’ end to 5’ end or in the other direc ⁇ on from 5’ end to 3’ end.
- the decoyTAC molecules are of structure (XI-A) or (XI-B), as described above, wherein the loop is linked either from 3’ end to 5’ end or in the other direc ⁇ on from 5’ end to 3’ end.
- the targe ⁇ ng/delivery moiety T can be lipid moie ⁇ es such as a cholesterol moiety.
- the double-stranded nucleic acid moiety comprises or consists of one of the following sequences: 5’CsCsCsAGCAAACAAGCCT (SEQ ID NO: 11) 3’GsGsGsTCGTTTGTTCGGA (SEQ ID NO: 12) wherein internucleo ⁇ de linkages “s” refer to phosphorothioate internucleo ⁇ de linkages.
- the E3 ligand of the decoyTAC molecules able to target PARP and Ku proteins is a pomalidomide deriva ⁇ ve and the combina ⁇ on of E3 ligand and linker can be selected in the following group: pomalidomide-NH-(O-CH 2 -CH 2 ) 4 -(CH 2 ) 2 , pomalidomide-NH-(O-CH 2 -CH 2 ) 2 -(CH 2 ) 2 , pomalidomide-NH-(O- CH 2 -CH 2 ) 5 -(CH 2 ) 2 , pomalidomide-NH-(O-CH 2 -CH 2 ) 6 -(CH 2 ) 2 , pomalidomide-NH-CO-CH 2 -(O-CH 2 -CH 2 ) 3 , pomalidomide-NH-(CH 2 ) 4 , pomalidomide-NH-(CH 2 ) 5 , pomalidomide-NH-(
- these molecules are of structure (II-A), (III-A), (X-A) or (XI-A)and have the following combina ⁇ on of E3 ligand and linker: pomalidomide-NH-(CH2)4, pomalidomide-NH-(CH2)5; or these molecules are of structure (II-B), (III-B), (X-B) or (XI-B) and have the following combina ⁇ on of E3 ligand and linker: pomalidomide-NH-(O-CH 2 -CH 2 ) 4 -(CH 2 ) 2 , pomalidomide-NH-(O-CH 2 -CH 2 ) 2 -(CH 2 ) 2 , pomalidomide-NH-(O-CH 2 -CH 2 ) 5 -(CH 2 ) 2 , pomalidomide-NH-(O-CH 2 -CH 2 ) 6 -(CH 2 ) 2 , pomalidomide-NH- (CH 2 )
- the E3 ligand of the decoyTAC molecules able to target PARP and Ku proteins is VH032 and the combina ⁇ on of E3 ligand and linker can be selected in the following group: VH032-CO-CH2-(O-CH2-CH2), VH032-CO-(CH2)2-(O-CH2-CH2), VH032-CO-(CH2)2-(O-CH2-CH2)4-azide, VH032- CO-(CH 2 ) 2 -(O-CH 2 -CH 2 ) 5 , VH032-CO-(CH 2 ) 4 .
- these molecules are of structure (II-A), (III-A), (X-A) or (XI-A)and have the following combina ⁇ on of E3 ligand and linker: VH032-CO-(CH 2 ) 2 -(O-CH 2 -CH 2 ), VH032- CO-(CH 2 ) 2 -(O-CH 2 -CH 2 ) 4 , VH032-CO-(CH 2 ) 4 e; or these molecules are of structure (II-B), (III-B), (X-B) or (XI-B)and have the following combina ⁇ on of E3 ligand and linker: VH032- CO-CH2-(O-CH2-CH2), VH032- CO-(CH2)2-(O-CH2-CH2)5.
- the present invention relates to a pharmaceutical or veterinary composition
- a pharmaceutical or veterinary composition comprising a molecule according to the present disclosure; a molecule or a pharmaceutical or veterinary composition according to the present disclosure for use as a drug; or the use of a molecule or a pharmaceutical or veterinary composition according to the present disclosure for the manufacture of a medicament.
- the pharmaceutical or veterinary composition further comprises an additional therapeutic agent, more specifically an additional therapeutic agent used for the treatment of cancer.
- the present invention relates to a molecule or a pharmaceutical or veterinary composition according to the present disclosure for use in the treatment of cancer; the use of a molecule or a pharmaceutical or veterinary composition according to the present disclosure for the manufacture of a medicament for the treatment of cancer; or a method for treating a cancer in a subject, wherein the method comprises administering a therapeutically effective amount of a molecule or a pharmaceutical or veterinary composition according to the present disclosure to said subject.
- the method comprises administering repeated cycles of treatment, preferably for at least two cycles of administration, even more preferably at least three or four cycles of administration.
- the subject is a mammal, preferably a human.
- the subject can be an animal such as a farm animal or a pet, especially cat, dog or horse.
- compositions contemplated herein may include a pharmaceutically acceptable carrier in addition to the active ingredient(s).
- pharmaceutically acceptable carrier is meant to encompass any carrier (e.g., support, substance, solvent, etc.) which does not interfere with effectiveness of the biological activity of the active ingredient(s) and that is not toxic to the host to which it is administered.
- the active compounds(s) may be formulated in a unit dosage form for injection in vehicles such as saline, dextrose solution, serum albumin and Ringer's solution.
- the pharmaceutical composition can be formulated as solutions in pharmaceutically compatible solvents or as emulsions, suspensions or dispersions in suitable pharmaceutical solvents or vehicle, or as pills, tablets or capsules that contain solid vehicles in a way known in the art.
- Formulations of the present invention suitable for oral administration may be in the form of discrete units as capsules, sachets, tablets or lozenges, each containing a predetermined amount of the active ingredient; in the form of a powder or granules; in the form of a solution or a suspension in an aqueous liquid or non-aqueous liquid; or in the form of an oil-in-water emulsion or a water-in-oil emulsion.
- Formulations suitable for parental administration conveniently comprise a sterile oily or aqueous preparation of the active ingredient which is preferably isotonic with the blood of the recipient. Every such formulation can also contain other pharmaceutically compatible and nontoxic auxiliary agents, such as, e.g. stabilizers, antioxidants, binders, dyes, emulsifiers or flavoring substances.
- the formulations of the present invention comprise an active ingredient in association with a pharmaceutically acceptable carrier therefore and optionally other therapeutic ingredients.
- the carrier must be "acceptable” in the sense of being compatible with the other ingredients of the formulations and not deleterious to the recipient thereof.
- the pharmaceutical compositions are advantageously applied by injection or intravenous infusion of suitable sterile solutions or as oral dosage by the digestive tract. Methods for the safe and effective administration of most of these chemotherapeutic agents are known to those skilled in the art. In addition, their administration is described in the standard literature.
- cancer refers to or describe the physiological condition in mammals that is typically characterized by unregulated cell growth.
- cancer include, but are not limited to, solid tumors and hematological cancers, including carcinoma, lymphoma, blastoma (including medulloblastoma and retinoblastoma), sarcoma (including liposarcoma and synovial cell sarcoma), neuroendocrine tumors (including carcinoid tumors, gastrinoma, and islet cell cancer), mesothelioma, schwannoma (including acoustic neuroma), meningioma, adenocarcinoma, melanoma, and leukemia or lymphoid malignancies.
- solid tumors and hematological cancers including carcinoma, lymphoma, blastoma (including medulloblastoma and retinoblastoma), sarcoma (including liposarcoma and synovial cell sarcoma),
- cancers include squamous cell cancer (e.g. epithelial squamous cell cancer), lung cancer including small-cell lung cancer, extensive-stage small cell lung cancer (ES-SCLC), non-small cell lung cancer (NSCLC), adenocarcinoma of the lung and squamous carcinoma of the lung, cancer of the peritoneum, hepatocellular cancer, gastric cancer including gastrointestinal cancer, pancreatic cancer, glioblastoma, neuroblastoma, cervical cancer, ovarian cancer, liver cancer, bladder cancer, urinary tract cancer, hepatoma cancer, endometrium cancer, breast cancer, colon cancer, rectal cancer, colorectal cancer, endometrial or uterine carcinoma, salivary gland carcinoma, kidney or renal cancer, prostate cancer, vulval cancer, thyroid cancer, renal cell carcinoma (RCC), hepatic carcinoma, anal carcinoma, penile carcinoma, testicular cancer, esophageal cancer, tumors of the biliary tract, as well as
- the cancer is a homologous recombination deficient tumor.
- the cancer is a homologous recombination proficient tumor.
- the administration route for the molecule as disclosed herein may be oral, parental, intravenous, intratumoral, subcutaneous, intracranial, intra-arterial, topical, rectal, transdermal, intradermal, nasal, intramuscular, intraperitoneal, intraosseous, and the like.
- the molecules are to be administered or injected near the tumoral site(s) to be treated.
- the efficient amount of the molecules be from 0.01 to 1000 mg, for instance preferably from 0.1 to 100 mg.
- the dosage and the regimen can be adapted by the one skilled in the art.
- the molecule or the pharmaceutical composition according to the present invention can be used in combination with an additional therapeutic agent or radiotherapy, more specifically an additional therapeutic agent used for the treatment of cancer.
- the present invention also provides combined therapies in which the molecule of the invention is used simultaneously with, before, or after surgery or radiation treatment; or is administered to patients with, before, or after a treatment with the additional antitumoral therapeutic agent.
- the present invention relates to a pharmaceutical composition
- a pharmaceutical composition comprising a molecule as described herein, optionally an additional therapeutic agent, and a pharmaceutically acceptable carrier, in particular for use in the treatment of cancer; a product or kit containing a molecule as described herein, and optionally b) an additional therapeutic agent, as a combined preparation for simultaneous, separate or sequential use, in particular in the treatment of cancer; a combined preparation which comprises a molecule as described herein, and optionally b) an additional therapeutic agent, for simultaneous, separate or sequential use, in particular in the treatment of cancer; a pharmaceutical composition comprising a molecule as described herein for the use in the treatment of cancer in combination with radiotherapy and/or an additional therapeutic agent; the use of a pharmaceutical composition comprising a molecule as described herein for the manufacture of a medicament for the treatment of cancer in combination with radiotherapy and/or an additional therapeutic agent; the use of a pharmaceutical composition comprising a molecule as described herein and an additional therapeutic agent for the manufacture of a medicament for the treatment of cancer;
- the additional therapeutic agent preferably antitumoral therapeutic agent
- DNA damaging agents
- DecoyTACs are cell permeable and can form ternary complexes with E3 ligase.
- A Diagram displaying the BRET ratio from untreated HEK-293T cells (NaCI) and treated with the small molecules E3 ligands VH298 for the VHL ligase and lenalidomide for the cereblon (CRBN) ligase or decoyTACs. The diminution of the BRET ratio is the consequence of the competition of the tracer by the small molecules and the decoyTACs.
- B Diagram displaying the increase BRET ratio of the decoyTACs due to an increase of proximity between PARP1 and the E3 ligase CRBN compared to untreated HEK-293T cells (NaCI).
- the decoyTAC 41B displays a higher anti-proliferative effect than the decoy molecules.
- A HEK- 293T and
- B HeLa cells were treated with increasing doses of the decoyTAC 41B, the decoy molecules AsiDNA (cholesterol at the 5' end) or AsiDNA' (cholesterol at the opposite position in the loop) and cell survival was assessed using an XTT assay. Cell survival was calculated as the ratio of living treated cells to living not-treated cells. IC50 were calculated according to the dose-response curves using GraphPadPrism software.
- DecoyTAC allow specific degradation of PARP1 and/or Ku.
- A Scheme of tested VHL or pomalidomide linkers added to OX427'sequence at the 5' extremity or in the loop. Colors and symbols are used in order to identify each molecule on other graphs within the same figure.
- B Degradation of PARP1 in cellulo per DecoyTAC with linker and E3 ligase ligand at the 5' extremity of the sequence based on loss of luminescence signal coming from the LgBit-HiBit complementation in percentage. Treatments have been performed at 1 pM.
- Example 1 - DecoyTACs are cell permeable and allow the formation of a stable ternary complex
- Decoy molecules 0X427 and AsiDNA have the faculty to penetrate the cells thanks to the cholesterol moiety that allows both passive and active transport, using the low-density lipoprotein receptor (LDL-R), to cross the cell membrane.
- LDL-R low-density lipoprotein receptor
- the inventors confirmed that their decoy molecules containing a linker and E3 ligase ligands (decoyTACs) displaced the E3 ligase tracers confirming the interaction with both VHL and CRBN ligase (See Table A).
- the inventors compared on intact cells the target engagement toward the E3 ligase between the E3 ligand and the decoyTACs. (Figure 1A).
- the decoy molecules coupled with a linker and the E3 ligand VH298 or Polamidomide were capable to displace the tracer as efficiently as the corresponding E3 ligand alone. This indicates that the decoyTAC which include a double stranded oligonucleotide moiety have a similar permeability as the E3 ligand alone.
- the cholesterol moiety appears to facilitate the internalization of the decoyTAC.
- the displacement of the tracer in intact cells by the decoyTAC was equivalent when the cholesterol moiety is either at the 5' end position or in the loop of the double stranded oligonucleotide moiety. The same was true for the positions of the linker+E3 ligands.
- the displacement was also similar with a decoyTAC based on AsiDNA compared to 0X427 whereas a decoyTAC based on AsiDNA is 2-fold longer (between 16bp and 32bp) (Table A).
- the inventors used NanoBRET technology to measure that the two proteins are in proximity in presence of the molecules.
- the addition of the decoyTACs significantly increased the NanoBRET signal between the protein PARP1 and the Cereblon E3 ligase compared to non-treated cells ( Figure IB).
- Figure IB the ability of the decoyTACs to form a novel protein-protein interaction is confirmed.
- PROTAC derived from DNA decoy molecules have good permeability and can form stable ternary complexes between DDR and E3 ligase proteins. They also indicate that the permeability of the decoyTACs and the formation of the ternary complexes are independent of the cholesterol and the linker+E3 ligand position as well as the length or sequence of the double-stranded oligonucleotide moiety.
- DecoyTACs were generated by conjugating an E3 Ligase Ligand-Linker-Azide to an alkyne DNA decoy molecule using click chemistry.
- the DNA decoy molecules that have been conjugated are OX427which is a PARP decoy agonist and AsiDNA which acts as a DNA-PK decoy agonist.
- the DNA decoy molecule 0X427 consists of sequence SEQ ID NO:11 and 12.
- the DNA decoy molecule AsiDNA consists of sequences SEQ ID NO: 3 and 4.
- the decoyTAC comprising the DNA decoy molecule 0X427 has one of the following structures:
- T is a cholesterol and L-B is VH032-CO-(CH2) 4 or Pomalidomide-NH-fCHzJg; internucleotide linkages "s" refer to phosphorothioate internucleotide linkages.
- the decoyTAC comprising the DNA decoy molecule AsiDNA has one of the following structures:
- T is a cholesterol
- L and B is VH032 or pomalidomide
- internucleotide linkages "s" refer to phosphorothioate internucleotide linkages.
- THPTA tris(3- hydroxypropyltriazolylmethyl)amine
- C 10 mM, 3 eq
- solid copper(O) solid copper(O).
- the mixture was vortexed, sonicated for 30 seconds and shaked for 30 minutes at 60°C. Then, the mixture was again sonicated and shaked for 15 minutes at room temperature. Finally, the oligonucleotide was centrifugated and the supernatant was recovered. The precipitate was washed two times with saturated ethylenediamine
- HEK293T human embryonic kidney cell line was used as it is one of the recommended cell lines to use the NanoBRET assays from Promega.
- Cells were cultured in T75 flask, in Dulbecco's Modified Eagle Medium (DMEM), high glucose, GlutaMAXTM Supplement (61965-026; ThermoFisher), supplemented with 10% fetal bovine serum (FBS, S1400; Biowest), this medium was also called culture medium. When cells reached about 80% confluence, the culture medium was discarded, then the cells were washed with PBS pH 7.4 (10010023; ThermoFisher).
- DMEM Dulbecco's Modified Eagle Medium
- FBS fetal bovine serum
- RT room temperature
- NanoBRETTM Target Engagement (TE) Intracellular E3 Ligase Assays from Promega.
- Transfected cells were washed, detached, centrifuged, and resuspended to reach a density of 2 x 10 5 cells/mL in Opti-MEM (#11058-021, Life Technologies, Carlsbad, CA).
- 85 pL of cell suspension were dispensed into each well of a white, 96-well NBS plate.
- 5 pL of 20X NanoBRETTM TE Tracers (CRBN: N290A or VHL: N292A) were added to the corresponding wells for a final concentration of 1 pM.
- 10 pL of DecoyTACs prepared at 100 pM stock in 90% NaCI 0.9%, 10% DMSO in NaCI 0.9% were added as well for a final concentration of 10 pM.
- the target engagement was measured in two conditions: intact cells and permeabilized cells and compared to permeable E3 ligase control molecules.
- the control molecule used for the VHL E3 ligase was the selective and soluble inhibitor VH298 (SML1896- 5MG; Sigma-Aldrich).
- the permeable control for CRBN-based PROTACs was lenalidomide (461590010; ThermoFisher) which has a strong affinity for CRBN.
- Ternary complex formation assessment The formation of the ternary complex was studied using the NanoBRET Protein Interaction assay from Promega. HEK293T cells were transfected with HaloTag®-VHL or -CRBN and NanoLuc®-PARPl plasmids. The NanoBRET signal was obtained by adding HaloTag® 618 Ligand. A pretreatment with the proteasome inhibitor MG-132 was performed to enhance the signal window of ternary complex.
- the inventors assessed the anti-proliferative activity of decoyTACs on both HEK-293T and HeLa cell lines. They measured the effect of the decoyTAC (41B), which is the most permeable and efficient in the formation of the ternary complex with PARP1. The percentage of survival is significantly reduced on HEK-293T upon the treatment of the decoyTAC compared to the control decoy molecules that are not containing the I inker+E3 ligand, namely AsiDNA with the cholesterol at the 5'end of the double-stranded moiety, and AsiDNA' having the cholesterol on the loop instead on the
- the IC50 of 41B is sub-micromolar while it was in the tens micromolar range for the control decoy molecules that serve as the base for the decoyTAC ( Figure 2A).
- the decoyTAC reduces cell viability upon 4 days of treatment while the control decoy molecules display no effect ( Figure 2B).
- decoyTAC presents a higher anti-proliferative effect than the control decoy molecules.
- DecoyTACs were generated by conjugating an E3 Ligase Ligand-Linker-Azide to an alkyne DNA decoy molecule using click chemistry.
- the DNA decoy molecules that have been conjugated are 0X427 which is a PARP decoy agonist and AsiDNA which acts as a DNA-PK decoy agonist.
- the DNA decoy molecule 0X427 consists of sequence SEQ ID NO: 11 and 12.
- the DNA decoy molecule AsiDNA consists of sequences SEQ ID NO: 3 and 4.
- THPTA tris(3- hydroxypropyltriazolylmethyl)amine
- C 10 mM, 3 eq
- solid copper(O) solid copper(O).
- the mixture was vortexed, sonicated for 30 seconds and shaked for 30 minutes at 60°C. Then, the mixture was again sonicated and shaked for 15 minutes at room temperature. Finally, the oligonucleotide was centrifugated and the supernatant was recovered. The precipitate was washed two times with saturated ethylenediaminetetraace
- Cell viability assay HEK-293T and HeLa cell lines were seeded in 96 well-plates at a density of 2000 cells per well and incubated 24 hours at 37°C before the addition of increasing concentrations of drug up to 2 pM for 4 days. Following drug exposure, cell survival was measured using the XTT assay (Thermo, Cat#: X12223). Briefly, the XTT solution was added directly to each well containing cell culture and the cells incubated for 4 hours at 37°C before reading the absorbance at 485 nm using a microplate reader (VICTOR Nivo Plate Reader, Perkin elmer). Cell survival was calculated as the ratio of living treated cells to living mock-treated cells. The IC50 (which represents the dose at which 50% of the cells are viable) was calculated by a non-linear regression model using GraphPad Prism software (version 5.04) by plotting the percentage viability against the Log of the drug concentration on each cell line.
- Example 3 - DecoyTac can selectively degrade DDR proteins PARP1 and/or Ku70/80
- the inventors measure in cellulo the degradation of PARP1 and Ku70/80 respectively under treatment with their decoy molecules containing a linker and E3 ligase ligands (decoyTACs).
- decoyTACs E3 ligase ligands
- a Pomalidomide ligand with a linker in the loop is more selective for Ku, as illustrated for #42, #44 & #45 where no PARP1 degradation is observed at 1 pM at the opposite of Ku70/80.
- VHL Von-Hippel-Lindeau
- the size of the given linker can change this selectivity to be Ku specific instead of PARP1 specific, as observed for molecules #59 and #63 compared to #60 and #62, respectively.
- DecoyTACs were generated by conjugating an E3 Ligase Ligand-Linker-Azide to an alkyne DNA decoy molecule using click chemistry.
- the DNA decoy molecules that have been conjugated are the following:
- the decoyTAC molecules f the invention can be chosen from the following molecules:
- Structure A corresponds to L-B being linked to the loop: and , the ethynyl being replaced by the connecting link after conjugation with N3 of the E3-linker and and T is Structure B corresponds to L-B being linked to the 5' end of the double-stranded nucleic acid moiety: and is attached at the 5' end of the double stranded nucleic acid moiety and the ethynyl is replaced by the connecting link after conjugation with N3 of the E3-I i n ker
- the molecule has a structure (lll-A)
- the ethynyl being replaced by the connecting link after conjugation with N3 of the E3-linker; or the terminal carboxyl group (C(O)OH) being replaced by the connecting link after conjugation with the amine of the E3-linker.
- T is N
- THPTA tris(3- hydroxypropyltriazolylmethyl)amine
- C 10 mM, 3 eq
- solid copper(O) solid copper(O).
- the mixture was vortexed, sonicated for 30 seconds and shaked for 30 minutes at 60°C. Then, the mixture was again sonicated and shaked for 15 minutes at room temperature. Finally, the oligonucleotide was centrifugated and the supernatant was recovered. The precipitate was washed two times with saturated ethylenediaminetetraace
- PARP1 degradation assessment was studied by using the CRISPR modified KI PARP1- HiBiT HeLa cell line from Promega. Cells were plated in white walled 96-well plates at a density of 10,000 cells per well and were incubated for 24h at 37°C, 5% CO2 in DMEM + GlutaMAX medium (ThermoFisher) supplemented with 10% FBS (Biowest). Afterwards, they were treated with 1 pM of decoyTACs for 24h.
- the degradation of PARP1 was assessed by using the Nano-Gio® HiBiT Lytic Detection system from Promega which is based on the complementation of a split luciferase: HiBiT and LgBiT. It allowed to measure the level of luminescence produced by the intact PARPl-HiBiT proteins that binds to the LgBiT using the Victor Nivo multimode microplate reader. The degradation percentage was determined by normalizing each condition to the non-treated one.
- Ku70/80 degradation through Western Blot To assess Ku70/80 degradation through Western Blot, A2780 cells were seeded in 6-well plates for 24h at 37°C, 5% CO2 in RPM 1-1640 medium (ThermoFisher) supplemented with 10% FBS (Biowest) and 1% Pen/Strep (ThermoFisher). Afterwards, they were treated with decoyTACs at 1 pM for 24h as well before being lysed using the RIPA buffer. After a centrifugation and the collection of the supernatant, the quantity of proteins was assessed by BCA (Biocinchonic acid) assay.
- BCA Biocinchonic acid
- samples were prepared in order to contain 5 pg of proteins diluted in LDS-sample buffer (Thermofisher, Cat#J61894) and NuPAGETM Sample Reducing Agent (Thermofisher, Cat#NP0004).
- LDS-sample buffer Thermofisher, Cat#J61894
- NuPAGETM Sample Reducing Agent Thermofisher, Cat#NP0004
- protein extracts were loaded on Mini-PROTEAN® 4-20% gels (BioRad) and the molecular weight ladder used was PageRuler Plus (ThermoFisher). The gel then migrated at 180 V for approximatively 45 minutes with the Mini-PROTEAN Tetra cell (BioRad) and transferred onto nitrocellulose membranes using the Trans-Blot® TurboTM Transfer System (BioRad).
- the inventors have assessed the potential of decoyTACs to induces cellular death more efficiently than iRucaparib, a PARPl's PROTAC, in ovarian cancer cell line A2780, which are PARPl's inhibitor sensitive (Table B). This cell death can be mediated by Ku70/80, PARP1 or both protein degradation and/or trapping. Both Mechanism of Action, assessed by protein targeted degradation, are in action here at different levels.
- Molecules #3 and #56 which are Pan-decoyTACs, share a short PEG motif in their linkers but different natures of the E3 ligase ligand and/or position in the DNA sequence. Those molecules display a better IC50 than other molecules which could be related to the fact that they degrade at least 2 proteins involved in DDR instead of one. Similarly, #17 and #19, which are a Pan-decoyTAC, present the best IC50. Therefore, the pan activity on both PARP and Ku is an advantage to induce cell death.
- #45 is a selective Ku degrader.
- the IC50 is linked to Ku degradation and is lower than IC50 of some Pan- decoyTACs molecules (#3, #17 and #56).
- IC20 of the tested molecules are better than the IC20 of Irucaparib (a PROTAC molecule using a PARP inhibitor).
- Cell viability assay A2780 cell lines were seeded in 96-well plates at a density of 500 cells for a treatment of 3 days and 250 cells per well for a treatment of 6 days. Cells were incubated for 24h at 37°C; 5% CO2 in RPMI-1640 medium (ThermoFisher) supplemented with 10% FBS (Biowest) and 1% Pen/Strep (ThermoFisher). Afterwards, cells were treated with increasing concentrations of drug up to 2 pM for 3 to
- cell survival was measured using the XTT assay (Sigma-Aldrich, Cat#: 11465015001). XTT solution was added to each well and the plates were incubated for 4h at 37°C, 5% CO2, the absorbance was then measured at 485 nm using a microplate reader (VICTOR Nivo multimode microplate reader, Perkin Elmer). Cell survival was calculated as the ratio of living treated cells to living mock-treated cells. The IC50 (which represents the dose at which 50% of the cells are viable) was calculated by a non-linear regression model using GraphPad Prism software (version 10.0.0) by plotting the percentage viability against the Log of the drug concentration on each cell line.
Landscapes
- Health & Medical Sciences (AREA)
- Life Sciences & Earth Sciences (AREA)
- Engineering & Computer Science (AREA)
- Chemical & Material Sciences (AREA)
- Bioinformatics & Cheminformatics (AREA)
- Genetics & Genomics (AREA)
- Biomedical Technology (AREA)
- General Health & Medical Sciences (AREA)
- Molecular Biology (AREA)
- Organic Chemistry (AREA)
- Pharmacology & Pharmacy (AREA)
- Animal Behavior & Ethology (AREA)
- Veterinary Medicine (AREA)
- Wood Science & Technology (AREA)
- Zoology (AREA)
- General Engineering & Computer Science (AREA)
- Public Health (AREA)
- Biotechnology (AREA)
- Medicinal Chemistry (AREA)
- Epidemiology (AREA)
- Biochemistry (AREA)
- Biophysics (AREA)
- Physics & Mathematics (AREA)
- Plant Pathology (AREA)
- Microbiology (AREA)
- Botany (AREA)
- Chemical Kinetics & Catalysis (AREA)
- General Chemical & Material Sciences (AREA)
- Nuclear Medicine, Radiotherapy & Molecular Imaging (AREA)
- Pharmaceuticals Containing Other Organic And Inorganic Compounds (AREA)
Abstract
The present invenon relates to a new strategy to target the DNA Damage Repair (DDR) system and the molecules designed to this purpose. More parcularly, it relates to molecules suitable for driving the specific proteolysis of proteins involved in the DDR and their use for the treatment of cancer.
Description
PROTAC molecules directed against DNA Damage Repair system and uses thereof
FIELD OF THE INVENTION
The present invention relates to the field of the medicine, especially the field of the oncology. More particularly, it relates to molecules targeting the DNA damage repair (DDR) system.
BACKGROUND OF THE INVENTION
DNA-damage response (DDR) detects DNA lesions and promotes their repair. The wide diversity of DNA- lesion types necessitates multiple, largely distinct DNA-repair mechanisms such as mismatch repair (MMR), base-excision repair (BER), nucleotide excision repair (NER), single-strand break repair (SSB) and double-strand break repair (DSB). For example, the polyadenyl-ribose polymerase (PARP) is involved essentially in repairing SSBs while two principal mechanisms are used for repairing DSBs in DNA: non- homologous end-joining (NHEJ) and homologous recombination (HR). In NHEJ, DSBs are recognized by the Ku proteins that then binds and activates the protein kinase DNA-PKcs, leading to recruitment and activation of end-processing enzymes. It has been demonstrated that the ability of cancer cells to repair therapeutically induced DNA damage impacts therapeutic efficacy.
DNA damage response (DDR) proteins are attractive targets for drug discovery with several molecules in clinics. Two major mechanisms of action are identified: small molecule inhibitors against enzymatic activities with the drawback of inducing resistances and displaying toxicity; and, more recently, decoy agonists using a double strand DNA mimicking DNA break and resulting in the hijack of the targets and its hyperactivation.
In a first project, Dbait molecules have been designed to mimic double-stranded DNA lesions. They act as a bait for DNA damage signaling enzymes, PARP and DNA-PK, inducing a "false" DNA damage signal and ultimately inhibiting recruitment at the damage site of many proteins involved in DSB and SSB pathways. Dbait molecules have been extensively described in PCT patent applications W02005/040378, W02008/034866 W02008/084087 and WO2017/013237. The most advance Dbait molecule currently in clinical trial is called AsiDNA™.
In a second project, decoy molecules, called OX400's, have been designed to be a next-generation of PARP inhibitor that does not induce resistance but triggers a strong immune response through the activation of the STING pathway. OX400's molecules have been described in PCT patent applications WO2020/127965, WO2021/148581, WO2021/255223 and PCT/EP2022/086199 filed On December 15, 2023. These OX400's molecules are currently in preclinical studies and the lead molecule referred as 0X425 is now called VIO- 01.
Despite the great interest of these decoy, there is a constant need to improve them and to design next generation molecules.
SUMMARY OF THE INVENTION
The present invention relates to molecules capable of binding protein(s) involved in the DNA damage Repair system and of promoting their degradation.
The inventors' approach is to generate decoy-PROTAC (PROteolysis-TArgeting Chimeras) called decoyTAC combining the DDR decoy molecules with a vectorization/targeting moiety that allows an efficient cell penetration of the molecule into the cells and a moiety including a linker and a E3 ligand, so as to promote the complete degradation of the DDR target. DecoyTAC molecules offer several advantages over the other mechanisms for targeting proteins involved in DNA damage response.
Non-exhaustive advantages of decoyTAC molecules over simple decoy molecules are:
Selectivity: decoyTAC molecules can selectively degrade target proteins while leaving intact other cellular proteins. This limits off-target effects that can lead to unwanted side effects. It has been shown that the addition of a linker and a E3 ligand can add another layer of selectivity due to the availability of surface lysine for ubiquitination by the E3 ligase.
Selectivity/Targeting: decoyTAC molecules can target PARP and/or Ku proteins.
Potency: decoyTAC molecules can achieve complete degradation of a target protein, whereas decoy agonist can trap and hyperactivate the target protein inducing a false damage signaling and ultimately the partial inhibition of DNA repair.
Extended duration of action: once the target protein is degraded by a decoyTAC molecule, its effects can persist for much longer than a decoy molecule, which only lasts as long as the drug is present in the system.
Limited toxicity: in addition to reduced side effects, decoyTAC molecules are recycled upon degradation of the target molecule leading to a lower dose needed to achieve similar efficacy and thus lowering toxicity.
Overcoming Cancer Drug Resistance: the degradation of the targeted protein through the DNA binding site can abrogate the catalytic activity of the targeted proteins, independently of mutated forms.
Addressing previously "undruggable" targets: decoyTAC molecules, by targeting DNA binding protein, offer a promising approach to target DDR proteins that were previously considered "undruggable" with traditional inhibitors due to their lack of druggable binding sites.
Accordingly, the present invention relates to a molecule having the structure of formula (I):
T-A-L-B (I) wherein
T is a vectorization/delivery moiety;
A is a double-stranded nucleic acid moiety having two complementary strands bound by a loop, being 10-100 base pairs (bp) in length and having less than 80% of identity to any gene in a human genome;
L is a covalent linker connecting A to B; and
B is a E3 ubiquitin ligase ligand.
More particularly, the molecule has the one of the following structures ( 11 A) or ( 11 B) :
wherein
T, L and B have the same meaning than in formula (I);
Loop refers to the loop bound to the two complementary strands; and
N is a nucleotide and n is an integer between 5 and 95.
In particular, the double-stranded nucleic acid moiety is capable of being bound by a protein involved in the DDR pathway.
Optionally, the protein belongs to any of the following DDR pathways:
Base Excision Repair pathway, including PARP1 (UniProt No P09874) and DNA-(apurinic or apyrimidinic site) endonuclease APE1 (UniProt No P27695);
Homologous Recombination Repair pathway, including MRN complex proteins MRE11 (Double-strand break repair protein, UniProt No P49959), RAD50 (DNA repair protein, UniProt No Q92878); ATM (serine-protein kinase ataxia telangiectasia mutated, UniProt No Q13315) and ATR (Serine/threonine-protein kinase Ataxia telangiectasia and Rad3 related, UniProt No Q13535);
Non-Homologous End Joining pathway, including dimer Ku70 (X-ray repair crosscomplementing protein 6, UniProt No P12956) / Ku80 (X-ray repair cross-complementing protein 5, UniProt No P13010) and DNAPKcs (DNA-dependent protein kinase catalytic subunit, UniProt No P78527);
MisMatch Repair pathway, including MMR complex MSH2 (DNA mismatch repair protein, UniProt No P43246) / MSH3 (DNA mismatch repair protein, UniProt No P20585) and MSH6 (DNA mismatch repair protein, UniProt No P20585);
Nucleotide excision repair pathway, including complex ERCC1 (DNA excision repair protein, UniProt No P07992) / XPF (DNA repair endonuclease, UniProt No Q92889) and TFIIH complex of a 7 subunits core: ERCC2 (General transcription and DNA repair factor IIH helicase subunit XPD, UniProt No P18074); ERCC3 (General transcription and DNA repair factor IIH helicase subunit
XPB, UniProt No P19447); GTF2H1 (General transcription factor IIH subunit 1, UniProt No P32780), GTF2H2 (General transcription factor IIH subunit 2, UniProt No Q13888), GTF2H3 (General transcription factor IIH subunit 3, UniProt No Q13889), GTF2H4 (General transcription factor IIH subunit 4, UniProt No Q92759), GTF2H5 (General transcription factor IIH subunit 5, UniProt No Q6ZYL4);
Interstrand Crosslink repair pathway, including FANCM (Fanconi anemia group M protein, UniProt No Q8IYD8) and FAAP24 (Fanconi anemia core complex-associated protein 24, UniProt No Q9BTP7); and
Translesion synthesis pathway, including PCNA (Proliferating cell nuclear antigen, UniProt No P12004) and the polymerases Pol alpha (DNA polymerase alpha catalytic subunit, UniProt No P09884); Pol beta (DNA polymerase beta, UniProt No P06746); Pol eta (DNA polymerase eta, UniProt No Q9Y253); Pol delta (DNA polymerase delta catalytic subunit, UniProt No P28340); and Nucleoside Excision Repair pathway, including Xeroderma pigmentosum complementation group C (XPC) protein complex: XPC (DNA repair protein complementing cells, UniProt No Q01831), RAD23B (UV excision repair protein RAD23 homolog B, UniProt No P54727), CETN2 (Centrin-2, UniProt No P41208).
(SEQ ID NOs l and 2) and wherein
T, L and B have the same meaning than in formula (I);
internucleotide linkages "s" refer to phosphorothioate internucleotide linkages; and underlined nucleotides are 2'-deoxy-2'-fluoroarabinonucleotides (FANA).
In another particular aspect, the molecule has the one of the following structures (X-A) and (X-B):
L-B
T, L and B have the same meaning than in formula (I); internucleotide linkages "s" refer to phosphorothioate internucleotide linkages; and underlined nucleotides are 2'-deoxy-2'-fluoroarabinonucleotides (FANA).
T, L and B have the same meaning than in formula (I); internucleotide linkages "s" refer to phosphorothioate internucleotide linkages.
In another particular aspect, the molecule has the one of the following structures (Xll-A) and (Xll-B), (XIII- B):
wherein
T, L and B have the same meaning than in formula (I); internucleotide linkages "s" refer to phosphorothioate internucleotide linkages; and the loop being: l,19-bis(phospho)-8-hydraza-2-hydroxy-4-oxa-9-oxo-nonadecane.
In another particular aspect, the molecule has the one of the following structures (Xlll-A) and (Xlll-B):
T (Xlll-B) (SEQ ID NOs 3 and 4) wherein
T, L and B have the same meaning than in formula (I); and internucleotide linkages "s" refer to phosphorothioate internucleotide linkages.
Preferably, the vectorization/delivery moiety T is a molecule allowing the specific delivery to the targeted cells, tissues or organs, in particular the cancer cells or tumors, and/or improving cellular uptake of the molecule, in particular a lipid moiety or a ligand, an aptamer or an antibody or a derivative thereof having an affinity for a molecule expressed specifically at the surface of the targeted cells or specifically
overexpressed at the surface of the targeted cells. In a very particular aspect, the vectorization/delivery moiety T is a cholesterol moiety, optionally with a connecting linker.
In a particular aspect, the E3 ubiquitin ligase ligand B is a ligand of an E3 ligase selected from mouse double minute 2 homologue (MDM2), cellular inhibitor of apoptosis (clAP), Von Hippel-Lindau (VHL), cereblon (CRBN), RING-type zinc-finger protein 114 (RNF114), damage-specific DNA binding protein 1 (DDB1)-CUL4 associated factor 16 (DCAF16), and Kelch like ECH-associated protein 1 (KEAP1), preferably VHL or CRBN. In a very specific aspect, the E3 ubiquitin ligase ligand B is selected from the group consisting of
p mide-5' derivative), and
(pomalidomide-4' derivative).
In another very specific aspect, the combination of E3 ubiquitin ligase ligand B and linker L is selected in the following group (with terminal N3 or H of terminal NH or NH? being replaced by the connecting link to the rest of the molecule after conjugation):
In a very specific aspect, the molecule is chosen from the molecules of the following table:
wherein:
Structure A corresponds to L-B being linked to the loop:
(A), and
Structure B corresponds to L-B being linked to the 5' end of the double-stranded nucleic acid moiety:
and wherein T is a radical with a cholesterol.
In another specific aspect, the molecules target PARP proteins and are chosen from the group consisting of molecules #1, 3, 4, 5, 9, 12, 14, 17, 19, 23, 25, 28, 29, 31, 38, 41, 43, 44, 48, 51, 55, 56, 59, 60, 62 and 63 as numbered in the Table above.
In another specific aspect, the molecules target Ku proteins and are chosen from the group consisting of molecules #1, 3, 4, 5, 9, 14, 17, 29, 43, 44, 45, 46, 56, 59 and 63 as numbered in the Table above.
In another specific aspect, the molecules target both PARP proteins and Ku proteins and are chosen from the group consisting of molecules #1, 3, 4, 5, 9, 14, 17, 19, 29, 42, 43, 44, 56, 59 and 63 as numbered in the Table above.
The present invention also relates to a pharmaceutical or veterinary composition comprising a molecule as defined herein and optionally a pharmaceutically acceptable carrier. Optionally, the pharmaceutical or veterinary composition further comprises another therapeutic agent, in particular another antitumoral therapeutic agent.
The present invention further relates to a molecule as defined herein or pharmaceutical or veterinary composition as defined herein for use in the treatment of cancer. Optionally, it is used in combination to radiotherapy or another therapeutic agent, especially another antitumoral therapeutic agent.
The present invention also relates to the use of a molecule as defined herein for the manufacture of a medicament, especially a medicament for the treatment of cancer. It finally relates to a method for treating a cancer in a subject in need thereof, comprising administering a therapeutically effective amount of a molecule as defined herein or pharmaceutical or veterinary composition as defined herein.
DETAILED DESCRIPTION OF THE INVENTION
The present invention relates to a new generation of molecules called decoyTAC, these molecules including a vectorization/delivery moiety and being capable of promoting specific degradation of proteins involved in DNA Damage Repair (DDR) pathways.
Definition
The term "a" or "an" can refer to one of or a plurality of the elements it modifies (e.g., "a reagent" can mean one or more reagents) unless it is contextually clear either one of the elements or more than one of the elements is described.
The term "about" as used herein in connection with any and all values (including lower and upper ends of numerical ranges) means any value having an acceptable range of deviation of up to +/- 10% (e.g., +/- 0.5%, +/-1 %, +/-1 .5%, +/- 2%, +/- 2.5%, +/- 3%, +/- 3.5%, +/- 4%, +/- 4.5%, +/- 5%, +/- 5.5%, +/- 6%, +/- 6.5%, +/- 7%, +/- 7.5%, +/- 8%, +/- 8.5%, +/- 9%, +/-9.5%). The use of the term "about" at the beginning of a string of values modifies each of the values (i.e. "about 1, 2 and 3" refers to about 1, about 2 and about 3). Further, when a listing of values is described herein (e.g. about 50%, 60%, 70%, 80%, 85% or 86%) the listing includes all intermediate and fractional values thereof (e.g., 54%, 85.4%).
Within the context of the invention, the term "treatment" denotes curative, symptomatic, and preventive treatment. Pharmaceutical compositions, kits, products and combined preparations of the invention can be used in humans with existing cancer or tumor, including at early or late stages of progression of the cancer. The pharmaceutical compositions, kits, products and combined preparations of the invention will not necessarily cure the patient who has the cancer but will delay or slow the progression or prevent further progression of the disease, improving thereby the patients' condition. In particular, the pharmaceutical compositions, kits, products and combined preparations of the invention reduce the development of tumors, reduce tumor burden, produce tumor regression in a mammalian host and/or prevent metastasis occurrence and cancer relapse. In treating the cancer, the pharmaceutical composition, kit, product and combined preparation of the invention is administered in a therapeutically effective amount.
The terms "kit", "product" or "combined preparation", as used herein, define especially a "kit-of-parts" in the sense that the combination partners (a) and (b), as defined above can be dosed independently or by use of different fixed combinations with distinct amounts of the combination partners (a) and (b), i.e. simultaneously or at different time points. The components of the kit-of-parts can then, e.g., be administered simultaneously or chronologically staggered, that is at different time points and with equal or different time intervals for any part of the kit-of-parts. The ratio of the total amounts of the combination partner (a) to the combination partner (b), to be administered in the combined preparation can be varied. The combination partners (a) and (b) can be administered by the same route or by different routes.
By "effective amount" it is meant the quantity of the pharmaceutical composition, kit, product and combined preparation of the invention which prevents, removes or reduces the deleterious effects of cancer in mammals, including humans, alone or in combination with the other active ingredients of the pharmaceutical composition, kit, product or combined preparation. It is understood that the administered dose may be adapted by those skilled in the art according to the patient, the pathology, the mode of administration, etc.
As used herein, the terms "subject", "individual" or "patient" are interchangeable and refer to an animal, preferably to a mammal, even more preferably to a human. However, the term "subject" can also refer to
non-human animals, in particular mammals such as dogs, cats, horses, cows, pigs, sheep and non-human primates, among others.
"Pharmaceutically acceptable" refers to a generally non-toxic, inert, and/or physiologically compatible composition or component of a composition.
A "pharmaceutical excipient" or "excipient" comprises a material such as an adjuvant, a carrier, pH- adjusting and buffering agents, tonicity adjusting agents, wetting agents, preservatives, and the like.
"An effective amount" or a "therapeutic effective amount" as used herein refers to the amount of active agent required to confer therapeutic effect on the subject, either alone or in combination with one or more other active agents, e.g. the amount of active agent that is needed to treat the targeted disease or disorder, or to produce the desired effect. The "effective amount" will vary depending on the agent(s), the disease and its severity, the characteristics of the subject to be treated including age, physical condition, size, gender and weight, the duration of the treatment, the nature of concurrent therapy (if any), the specific route of administration and like factors within the knowledge and expertise of the health practitioner. These factors are well known to those of ordinary skill in the art and can be addressed with no more than routine experimentation. It is generally preferred that a maximum dose of the individual components or combinations thereof be used, that is, the highest safe dose according to sound medical judgment.
As used herein, the term "sequence identity" or "identity" refers to an exact nucleotide to nucleotide correspondence of two polynucleotides. Percent of identity can be determined by a direct comparison of the sequence information between two molecules by aligning the sequences, counting the exact number of matches between the two aligned sequences, dividing by the length of the shorter sequence, and multiplying the result by 100.
As used herein, the term "complementary" and "complementarity" are interchangeable and refer to the ability of polynucleotides to form base pairs with one another. Base pairs are typically formed by hydrogen bonds between nucleotide units in antiparallel polynucleotide strands or regions. Complementary polynucleotide strands or regions can base pair in the Watson-Crick manner (e.g., A to T, A to U, C to G). 100% complementary refers to the situation in which each nucleotide unit of one polynucleotide strand or region can hydrogen bond with each nucleotide unit of a second polynucleotide strand or region. Less than perfect complementarity refers to the situation in which some, but not all, nucleotide units of two strands or two regions can hydrogen bond with each other and can be expressed as a percentage.
The term "hybridization", as used herein, refers to "nucleic acid hybridization". Nucleic acid hybridization depends on a principle that two single-stranded nucleic acid molecules that have complementary base sequences will form a thermodynamically favored double-stranded structure if they are mixed under the
proper conditions. The double-stranded structure will be formed between two complementary singlestranded nucleic acids even if one is immobilized.
As used herein, the term "hybridizing conditions" is intended to mean those conditions of time, temperature, and pH, and the necessary amounts and concentrations of reactants and reagents, sufficient to allow at least a portion of complementary sequences to anneal with each other. As it is well known in the art, the time, temperature, and pH conditions required to accomplish hybridization depend on the size of the oligonucleotide probe or primer to be hybridized, the degree of complementarity between the oligonucleotide probe or primer and the target, the nucleotide type (e.g., RNA, or DNA) of the oligonucleotide probe or primer and the target, and the presence of other materials in the hybridization reaction mixture. The actual conditions necessary for each hybridization step are well known in the art or can be determined without undue experimentation. General parameters for specific (i.e., stringent) hybridization conditions for nucleic acids are described in Sambrook, et al., Molecular Cloning: A Laboratory Manual (3rd Edition, 2001). One of skills in the art will in particular appreciate that as the oligonucleotides become shorter, it may become necessary to adjust their length to achieve a relatively uniform melting temperature for satisfactory hybridization results.
The term "Cx-Cy" in which x and y are integers, as used in the present disclosure, means that the corresponding hydrocarbon chain comprises from x to y carbon atoms. If, for example, the term C1-C6 is used, it means that the corresponding hydrocarbon chain may comprise from 1 to 6 carbon atoms, especially 1, 2, 3, 4, 5 or 6 carbon atoms. If, for example, the term C2-C5 is used, it means that the corresponding hydrocarbon chain may comprise from 2 to 5 carbon atoms, especially 2, 3, 4, or 5 carbon atoms.
As used herein, the term "alkyl" refers to a saturated, linear or branched aliphatic group. A preferred alkyl is a "C1-C6 alkyl", which refers to an alkyl having 1 to 6 carbon atoms. Examples of alkyl (or C1-C6 alkyl) include, but are not limited to methyl, ethyl, propyl, isopropyl, butyl, isobutyl, pentyl, hexyl.
As used herein, the term "alkene" or "alkenyl" refers to an unsaturated, linear or branched aliphatic group, having at least one carbon-carbon double bond. A preferred alkene is a "C2-C6 alkene", which refers to an alkene having 2 to 6 carbon atoms. Examples of alkene (or C2-C6 alkene) include for instance ethenyl, propenyl, butenyl, pentenyl, or hexenyl, preferably ethenyl (-CH=CH2).
As used herein, the term "alkyne" or "alkynyl" refers to an unsaturated, linear or branched aliphatic group, having at least one carbon-carbon triple bond. A preferred alkyne is "C2-C6 alkyne", which refers to an alkyne having 2 to 6 carbon atoms. Examples of alkyne (or C2-C6 alkyne) include for instance ethynyl, propynyl, butynyl, pentynyl, or hexynyl, preferably ethynyl (-CECH).
As used herein, the term "alkoxy" refers to an alkyl as defined herein, attached to the remainder of the molecule via an ether bond (-O-). In other words, an alkoxy can be written "-O-alkyl". A preferred alkoxy is
a C1-C6 alkoxy, which has 1 to 6 carbon atoms. Examples of alkoxy (or C1-C6 alkoxy) include for instance, methoxy, ethoxy, propoxy, isopropoxy, butoxy, pentoxy, hexyloxy.
As used herein, the term "carbocycle" (or "carbocyclic group") refers to a saturated or unsaturated, aliphatic or aromatic, mono-, bi- ortri-cyclic hydrocarbon group. The carbocyclic group may be in particular a cycloalkyl, a cycloalkenyl, or an aryl.
As used herein, the term "cycloalkyl" refers to a saturated mono-, bi- or tri-cyclic aliphatic group. It also includes fused, bridged, or spiro-connected cycloalkyl groups. The term "C3-C6 cycloalkyl" refers to a cycloalkyl having 3 to 6 carbon atoms. Examples of cycloalkyl (or C3-C6 cycloalkyl) include, but are not limited to cyclopropyl, cyclobutyl, cyclopentyl, cyclohexyl. The term "cycloalkyl" may also refer to a bridged carbocyclyl such as bicyclo[2,2,l]heptanyl, bicyclo[2,2,2]octanyl, or adamantyl.
As used herein, the term "cycloalkenyl" refers to an unsaturated mono-, bi- or tri-cyclic aliphatic group, comprising at least one carbon-carbon double bond. It also includes fused, bridged, or spiro-connected cycloalkenyl groups. The term "C3-C6 cycloalkenyl" refers to a cycloalkenyl having 3 to 6 carbon atoms. Examples of cycloalkenyl (or C3-C6 cycloalkenyl) include, but are not limited to cyclopentenyl, and cyclohexenyl.
As used herein, the term "heterocycle" corresponds to a saturated or unsaturated, aliphatic or aromatic, mono-, or polycyclic (e.g. bi-, tri-, or tetra-cyclic) group, comprising at least one heteroatom such as nitrogen, oxygen, or sulphur atom. In the case of a bi- or tricycle, wherein the cycles can be fused, bridged or have a spiro configuration. Advantageously, the heterocycle comprises between 3 and 20 ring atoms, for instance between 3 and 6 ring atoms, wherein at least one of the ring atoms is a heteroatom such as nitrogen, oxygen or sulphur atom. In some embodiments, the "heterocycle" is a heterocycloalkyl, a heterocycloalkenyl, or a heteroaryl. In some embodiments, the heterocycle is a heterocycloalkyl, a heterocycloalkenyl, or a heteroaryl, fused with one or more carbocyclic or heterocyclic moieties (for instance, a heteroaryl fused with a cycloalkyl).
As used herein, the term "heterocycloalkyl" corresponds to a cycloalkyl group as above defined in which at least one carbon atom has been replaced with a heteroatom such as nitrogen, oxygen, or sulphur atom. As used herein, the term "heterocycloalkenyl" corresponds to a cycloalkenyl group as above defined in which at least one carbon atom has been replaced with a heteroatom such as nitrogen, oxygen, or sulphur atom.
Examples of heterocycles, which are heterocycloalkyl or heterocycloalkenyl, include, but are not limited to, aziridinyl, azepanyl, diazepanyl, dioxolanyl, benzo [1,3] dioxolyl, azetidinyl, oxetanyl, pyrazolinyl, pyranyl, thiomorpholinyl, pyrazolidinyl, piperidyl, piperazinyl, 1,4-dioxanyl, imidazolinyl, pyrrolinyl, pyrrolidinyl, piperidinyl, imidazolidinyl, morpholinyl, 1,4-dithianyl, pyrrolidinyl, pyrimidinyl, oxozolinyl, oxazolidinyl, isoxazolinyl, isoxazolidinyl, thiooxetanyl, thiopyranyl, thiomorpholinyl, thiazolinyl, thiazolidinyl, isothiazolinyl, isothiazolidinyl, dihydropyranyl, dihydrofuranyl, dihydrothiopyranyl,
dihydrothiophenyl, dihydropiperidinyl, tetrahydropiperidinyl, tetrahydrothiopyranyl, tetrahydropyranyl, tetra hydrofuranyl, and tetrahydrothiophenyl.
As used herein, the term "aryl" refers to an aromatic ring system, which preferably has 6-14 atoms, having at least one ring having a conjugated pi electron system and which optionally may be substituted. An "aryl" may contain more than one aromatic ring such as fused ring systems or an aryl group substituted with another aryl group. Aryl encompass, without being limited to, phenyl, anthracenyl, naphthyl, indenyl, divalent biphenyl.
"Heteroaryl" refers to a heteroaryl group. "Heteroaryl" refers to a chemical group, preferably having 5-14 ring atoms, wherein 1 to 4 heteroatoms are ring atoms in the aromatic ring and the remainder of the ring atoms being carbon atoms. Suitable heteroatoms include oxygen, sulfur, nitrogen, phosphorus, and selenium. Examples of heterocycles, which are heteroaryl groups, include triazolyl, furanyl, thienyl, pyridyl, pyrrolyl, N-alkyl pyrrolyl, pyridyl-N-oxide, pyrimidyl, pyrazinyl, imidazolyl, benzimidazolyl, benzofuranyl, benzothiophenyl, quinazolinyl, and quinolinyl.
Examples of bicyclic heteroaryl groups encompass, without being limited to bicyclic heteroaryl groups that may be mentioned include lH-indazolyl, benzo[l,2,3]thiadiazolyl, benzo[l,2,5]thiadiazolyl, benzothiophenyl, imidazo[l,2-a]pyridyl, quinolinyl, indolyl and isoquinolinyl groups.
As used herein, a (C6-C14 aryl)-(C1-C3 alkyl) refers to a C1-C3 alkyl as defined herein, substituted by at least one (preferably, one only) C6-C14 aryl as defined herein. A preferred (C6-C14 aryl)-(C1-C3 alkyl) is phenylmethyl (namely benzyl).
As used herein, the term "halogen" includes chlorine, fluorine, iodine, bromine, preferably chlorine or fluorine.
As used herein, the term "aminoalkyl" refers to an alkyl as defined above, substituted by one or more (preferably one) amino (-NH?) group.
As used herein, the term "alkylaminoalkyl" refers to an alkyl as defined above, substituted by one or more (preferably one) alkylamino group as defined above.
As used herein, the term "hydroxyalkyl" refers to an alkyl as defined above, substituted by one or more (preferably one) hydroxy (-OH) group.
As used herein, the term "alkoxyalkyl" refers to an alkyl as defined above, substituted by one or more alkoxy as defined above.
As used herein, the term "thioalkyl" refers to an alkyl as defined above, substituted by one or more (preferably one) -SH group.
As used herein, the term "haloalkyl" refers to an alkyl as defined above, substituted by one or more halogen atoms.
"Substituted" or "optionally substituted" includes groups substituted by one or several substituents, typically 1, 2, 3, 4, 5 or 6 substituents. For instance, the substituents may be independently selected from
C1-C6 alkyl, aryl, C3-C6 cycloalkyl, C3-C6 cycloalkenyl, C3-C6 heterocycle, C1-C6 alkoxy, C1-C6 alkylamino, C1-C6 aminoalkyl-, C1-C6 alkylaminoalkyl-, -Na, -NH2, -F, -I, -Br, -Cl, -CN, C1-C6 alkanoyl, C1-C6 carboxy esters, C1-C6 acylamino, -COOH, -CONH2, OH, -NO2, -SO3H, C1-C6 hydroxyalkyl, C1-C6 haloalkyl, C1-C6 alkylthio, C1-C6 thioalkyl, C2-C10 alkoxyalkyl, C3-C6 alkoxycarbonyloxy, -CN, -CF3 and C2-C6 alkoxyalkyl. Preferred substituents are halogens, -NO2, C1-C3 alkyl, C1-C3 alkoxy, C1-C3 hydroxyalkyl, and C1-C3 haloalkyl.
Molecule
The present invention relates to a molecule having the structure of formula (I):
T-A-L-B (I) wherein
T is a vectorization/delivery moiety;
A is a double-stranded nucleic acid moiety having two complementary strands bound by a loop, being 10-100 bp in length and having less than 80% of identity to any gene in a human genome; L is a covalent linker connecting A to B; and
B is a E3 ubiquitin ligase ligand.
More specifically, the molecule has the one of the following structures ( I l-A), ( I l-B) :
wherein
T, L and B have the same meaning than in formula (I);
Loop refers to the loop bound to the two complementary strands; and
N is a nucleotide and n is an integer between 5 and 95.
In a specific aspect, the molecule has one of the following structures (lll-A), (lll-B):
Ln
T, L and B have the same meaning than in formula (I); and
N is a nucleotide and n is an integer between 5 and 95. In a very specific aspect, the molecule is
d 2) wherein - T, L and B have the same meaning than in formula (I); internucleotide linkages "s" refer to phosphorothioate internucleotide linkages; and underlined nucleotides are 2'-deoxy-2'-fluoroarabinonucleotides (FANA).
T, L and B have the same meaning than in formula (I); internucleotide linkages "s" refer to phosphorothioate internucleotide linkages; and underlined nucleotides are 2'-deoxy-2'-fluoroarabinonucleotides (FANA).
In another very specific aspect, the molecule is:
T, L and B have the same meaning than in formula (I); and internucleotide linkages "s" refer to phosphorothioate internucleotide linkages.
‘ (Xll-B) (SEQ ID NOs 3 and 4) wherein
T, L and B have the same meaning than in formula (I); internucleotide linkages "s" refer to phosphorothioate internucleotide linkages; and the loop being l,19-bis(phospho)-8-hydraza-2-hydroxy-4-oxa-9-oxo-nonadecane.
4) wherein
T, L and B have the same meaning than in formula (I); and internucleotide linkages "s" refer to phosphorothioate internucleotide linkages.
The double-stranded nucleic acid moiety is capable of being bound by a protein involved in the DNA damage repair (DDR) pathway.
The DDR proteins may belong to any of the following DDR pathways:
Base Excision Repair pathway, including PARP1 (UniProt No P09874) and DNA-(apurinic or apyrimidinic site) endonuclease APE1 (UniProt No P27695);
Homologous Recombination Repair pathway, including MRN complex proteins MRE11 (Double-strand break repair protein, UniProt No P49959), RAD50 (DNA repair protein, UniProt No Q92878); ATM (serine-protein kinase ataxia telangiectasia mutated, UniProt No Q13315) and ATR (Serine/threonine-protein kinase Ataxia telangiectasia and Rad3 related, UniProt No Q13535);
Non-Homologous End Joining pathway, including dimer Ku70 (X-ray repair crosscomplementing protein 6, UniProt No P12956) / Ku80 (X-ray repair cross-complementing protein 5, UniProt No P13010) and DNAPKcs (DNA-dependent protein kinase catalytic subunit, UniProt No P78527);
MisMatch Repair pathway, including MMR complex MSH2 (DNA mismatch repair protein, UniProt No P43246) / MSH3 (DNA mismatch repair protein, UniProt No P20585) and MSH6 (DNA mismatch repair protein, UniProt No P20585);
Nucleotide excision repair pathway, including complex ERCC1 (DNA excision repair protein, UniProt No P07992) / XPF (DNA repair endonuclease, UniProt No Q92889) and TFIIH complex of a 7 subunits core: ERCC2 (General transcription and DNA repair factor IIH helicase subunit XPD, UniProt No P18074); ERCC3 (General transcription and DNA repair factor IIH helicase subunit XPB, UniProt No P19447); GTF2H1 (General transcription factor IIH subunit 1, UniProt No P32780), GTF2H2 (General transcription factor IIH subunit 2, UniProt No Q13888), GTF2H3 (General transcription factor IIH subunit 3, UniProt No Q13889), GTF2H4 (General transcription factor IIH subunit 4, UniProt No Q92759), GTF2H5 (General transcription factor IIH subunit 5, UniProt No Q6ZYL4);
Interstrand Crosslink repair pathway, including FANCM (Fanconi anemia group M protein, UniProt No Q8IYD8) and FAAP24 (Fanconi anemia core complex-associated protein 24, UniProt No Q9BTP7); and
Translesion synthesis pathway, including PCNA (Proliferating cell nuclear antigen, UniProt No P12004) and the polymerases Pol alpha (DNA polymerase alpha catalytic subunit, UniProt No P09884); Pol beta (DNA polymerase beta, UniProt No P06746); Pol eta (DNA polymerase eta, UniProt No Q9Y253); Pol delta (DNA polymerase delta catalytic subunit, UniProt No P28340); and Nucleoside Excision Repair pathway, including Xeroderma pigmentosum complementation group C (XPC) protein complex: XPC (DNA repair protein complementing cells, UniProt No Q01831), RAD23B (UV excision repair protein RAD23 homolog B, UniProt No P54727), CETN2 (Centrin-2, UniProt No P41208).
Protein involved in the DNA Damage Response are not sequence specific. Majority of these proteins can recognize double strand DNA and some like PARP1 can also recognize single strand
DNA. The minimum sequence depends on the protein or complex involved in the recognition of the DNA and is within the range from 12 base pairs up to 100 bp.
In a particular aspect, the protein involved in the DNA damage repair is selected from the group consisting of Ku70, Ku 80, PARP1, MRE11, RAD50, ATM and ATR, preferably the group consisting of Ku70, Ku 80 and PARP1.
The double-stranded nucleic acid moiety has two complementary strands with the 3' end of the first strand and the 5' end of the complementary strand being linked together by a loop. At least one of the other ends of the double-stranded nucleic acid moiety is free.
In particular, the double-stranded nucleic acid moiety preferably present at one free end. Said free end may be either a free blunt end or a 5'-/3'- protruding end. The "free end" refers herein to a nucleic acid molecule, in particular a double-stranded nucleic acid moiety, having both a 5' end and a 3' end. However, as discussed below, one of the 5' or 3' end can be covalently linked to T or B, optionally through a linker. The length of the double-stranded nucleic acid moiety may be variable, as long as it is sufficient to allow appropriate binding by a DDR protein. For instance, the length of the double-stranded nucleic acid moiety must be greater than 20 bp, preferably about 32 bp, to ensure binding to a Ku complex and allowing DNA- PKcs activation. On the contrary, the length of the double-stranded nucleic acid moiety must be greater than 8 bp for allowing appropriate binding and activation of PARP1.
Accordingly, the length of the double-stranded nucleic acid moiety is from 10 to 100 base pairs. In a particular aspect, the length of the double-stranded nucleic acid moiety is from 10 or 12 to 40, 50, 60, 70, 80, 90 or 100 bp. For instance, the length could be from 12 to 50, 12 to 45, or 12 to 40. For instance, the length could be 10, 11, 12, 13, 14, 15, 16, 17, 18, 19, 20, 21, 22, 23, 24, 25, 26, 27, 28, 29, 30, 31, 32, 33, 34 or 35 bp. In a very specific aspect, the length could be from 24 to 35 bp, for instance about 32 bp. In another very specific aspect, the length could be from 10 to 20 bp, for instance from about 15 to 17 bp. By "bp" is intended that the molecule comprise a double stranded portion of the indicated length.
Optionally, the double-stranded nucleic acid moiety may comprise one or several base-pair mismatches, especially of 1, 2 or 3 bp, preferably of 1 bp. In a particular aspect, the double-stranded nucleic acid moiety has a single mismatch of 1 bp.
Accordingly, the double-stranded nucleic acid moiety does not hybridize, under stringent conditions, with human genomic DNA. The double-stranded nucleic acid moiety has less than 80% or 70%, even less than 60% or 50% sequence identity to any gene in a human genome. In particular, the double-stranded nucleic acid moiety is not able to bind a transcription factor and/or has less than 80% or 70%, even less than 60% or 50% sequence identity to a binding site of a transcription factor. Indeed, in order to avoid any side effect, the double-stranded nucleic acid moiety has preferably no significant degree of sequence homology or identity to known genes, promoters, enhancers, 5'- or 3'- upstream sequences, exons, introns, and the like. Methods of determining sequence identity are well known in the art and include, e.g., Blast. For
instance, the identity percentage can be determined with the Human Genome Build 37 (reference GRCh37.p2 and alternate assemblies). Typical stringent conditions are such that they allow the discrimination of fully complementary nucleic acids from partially complementary nucleic acids. In addition, the sequence of the double-stranded nucleic acid moiety is preferably devoid of 5'-CpG-3' dinucleotide in order to avoid well-known toll-like receptor-mediated immunological reactions.
In a very specific aspect, the double-stranded nucleic acid moiety comprises or consists of one of the following sequences:
5 ' CCCAGCAAACAAGCCT- J (SEQ ID NO 7) 3 ' GGGTCGTTTGTTCGGA-J" (SEQ ID NO 8) or
5 ' CAGCAACAAG- J (SEQ ID NO 5) 3 ' GTCGTTGTTC- J (SEQ ID NO 6) or
5 ' GCTGTGCCCACAACCCAGCAAACAAGCCTAGA-J' (SEQ ID NO 9) 3 ' CGACACGGGTGTTGGGTCGTTTGTTCGGATCT-J’ (SEQ ID NO 10) with "-J" indicating that the nucleotide is linked to the loop.
Optionally, the sequence may comprise a deletion, substitution or addition of 1, 2, or 3 nucleotides. Optionally, some or all thymidine residues of the sequence can be replaced by uridine.
In a particular aspect, the nucleotides of the double-stranded nucleic acid moiety are mainly deoxyribonucleotides. For instance, at least 40, 50, 60, 70, 80 or 90% of the nucleotides are deoxyribonucleotides. Optionally, some of the deoxynucleotides can be 2' modified deoxynucleotides such as 2'-deoxy-2'-fluoroarabinonucleotides (FANA). FANA adopts a DNA-like structure resulting in an unaltered recognition of the nucleic acid molecules by the DDR proteins. FANA include the following pyrimidine 2'-fluoroarabinonucleosides and purine 2'- fluoroarabinonucleosides: 9-(2-Deoxy-2-fluoro-R- D-arabinofuranosyl)adenine (2'-FANA-A); 9-(2-Deoxy-2-fluoro-R-D-arabinofuranosyl)guanine (2'-FANA-G); l-(2-Deoxy-2-fluoro-R-D-arabinofuranosyl)cytosine (2'-FANA-C); l-(2-Deoxy-2-fluoro-R-D- arabinofuranosyl)uracil (2'-FANA-U); and l-(2-Deoxy-2-fluoro-R-D-arabinofuranosyl)thymidine (2'-FANA- T).
The double-stranded nucleic acid moiety can also comprise ribonucleotide and/or other 2' modified nucleotides. For instance, the 2' modified nucleotides can be independently selected from the group consisting of 2'-deoxy-2'-fluoro (2'-F), 2'-O-methyl (2'-0Me), 2'-O-methoxyethyl (2'-O-MOE), 2'-O- aminopropyl (2'-O-AP), 2'-O-dimethylaminoethyl (2'-O-DMAE), 2'-O-dimethylaminopropyl (2'-O-DMAP), 2'-O-(N,N-dimethylamino)ethyloxyethyl (2'-O-DMAEOE), 2'-O-(N-methylamino)-2-oxoethyl (2'-O-NMA), 2'-deoxy-2' -fluoroarabinonucleotide (FANA), and 2'-bridged nucleotides.
In a particular aspect, the double-stranded nucleic acid moiety comprises 2'-deoxy-2'- fluoroarabinonucleotides (FANA).
In a particular aspect, the double-stranded nucleic acid moiety comprises from 1 to 10, 2 to 9, 3 to 8 or 4 to 7 2'-modified deoxynucleotides, e.g., FANA. More specifically, the FANA nucleotides are located near or at the end of each strand of the double-stranded nucleic acid moiety, for instance as a stretch of 3 to 6 consecutive FANA nucleotides. In a very specific aspect, the double-stranded nucleic acid moiety presents a stretch of 6 consecutive FANA nucleotides at the 5' end of each strand and a stretch of 3 consecutive FANA nucleotides at the 3' end of each strand, with optionally an additional unmodified nucleotide at the free 3' end of the double-stranded nucleic acid moiety, preferably with an internucleotidic linkage (e.g., phosphorothioate linkage). In addition, in the middle of the double-stranded nucleic acid moiety, the molecule may comprise from 3 to 6 modified internucleotidic linkages (e.g., phosphorothioate linkages). Optionally, one or both free ends of the double-stranded nucleic acid moiety comprising an inverted nucleotide. Optionally, the inverted nucleotide is present at the 5' end. Optionally, the inverted nucleotide is present at the 3' end. Optionally, the inverted nucleotide is present at the 5' end and at the 3' end. More particularly, an inverted nucleotide at the 5' free end is bound by a 5'-5' linkage and an inverted nucleotide at the 3' free end is bound by a 3' -3' linkage. Optionally, the inverted nucleotide is an inverted thymidine or an inverted uridine.
Optionally, some or all thymidine residues can be replaced by uridine.
Optionally, the double-stranded nucleic acid moiety comprises at least 1, 2 or 3 modified internucleotidic linkages. Optionally, said at least 1, 2 or 3 modified internucleotidic linkages are consecutive. They can be located in the middle of the double-stranded nucleic acid moiety. Alternatively, the nucleotides at the free end of the double-stranded moiety can have a modified internucleotidic linkages, preferably on both strands. The modified internucleotidic linkages can be a phosphorothioate or methylphosphonate backbone. Preferably, the modified internucleotidic linkages are phosphorothioate linkages. In a particular aspect, at least the first internucleotidic linkage at the 3' end of the double-stranded nucleic acid moiety has a modified internucleotidic linkage.
The loop can be any linker used to connect the two complementary nucleic acid stands. It can be for instance a nucleic acid, or other chemical groups known by skilled person or a mixture thereof.
The loop preferably comprises a chain of 10 to 100 atoms, preferably from 15 to 25 atoms.
Preferably, the loop has been developed so as to be compatible with oligonucleotide solid phase synthesis. Accordingly, it is possible to incorporate the loop during the synthesis of the nucleic acid molecule, thereby facilitating the synthesis and reducing its cost.
A nucleotide linker may include from 2 to 10 nucleotides, preferably, 3, 4 or 5 nucleotides.
Non-nucleotide linkers non exhaustively include abasic nucleotide, polyether, polyamine, polyamide, peptide, carbohydrate, lipid, polyhydrocarbon, or other polymeric compounds (e. g. oligoethylene glycols such as those having between 2 and 10 ethylene glycol units, preferably 4, 5, 6, 7 or 8 ethylene glycol units).
In a particular aspect, the loop can be N-(5-hydroxymethyl-6-phosphohexyl)-ll-(3-(6-phosphohexythio) succinimido))undecamide, l,3-bis-[5-hydroxylpentylamido]propyl-2-(6-phosphohexyl), hexaethyleneglycol, tetradeoxythymidylate (T4), hexadeoxythymidylate (T6), l,19-bis(phospho)-8- hydraza-2-hydroxy-4-oxa-9-oxo-nonadecane, 2,19-bis(phosphor)-8-hydraza-l-hydroxy-4-oxa-9-oxo- nonadecane.
In another particular aspect, the loop can have the following structure:
-O-P(X)OH-O-{[(CH2)2-O]g-P(X)OH-O}r-K-O-P(X)OH-O-{[(CH2)2-O]h-P(X)OH-O-}S- (1) with r and s being independently an integer 0 or 1; g and h being independently an integer from 1 to 7 and the sum g + h being from 4 to 7; X being O or S; with K being
or -CH2-CH(Lf-J)- with i, j, k and I being independently an integer from 0 to 6, preferably from 1 to 3; and Lf being a linker which is present or absent, and J being either "L-B" or "T" as defined in formula (I).
X can vary among O and S at each occurrence of -O-P(X)OH-O- in formula (1).
The sum g + h is preferably from 5 to 7, especially is 6. Accordingly, if r is 0, h can be from 5 to 7 (with s being 1); if g is 1, h can be from 4 to 6 (with r and s being 1); if g is 2, h can be from 3 to 5 (with r and s being 1); if g is 3, h can be from 2 to 4 (with r and s being 1); if g is 4, h can be from 1 to 3 (with r and s being 1); if g is 5, h can be from 1 to 2 (with r being 1 and s being 0 or 1); or if g is 6 or 7, s is 0 (with r being
1).
Preferably, i and j can be the same integer or can be different, i and j can be selected from the integer 1, 2, 3, 4, 5 or 6, preferable 1, 2 or 3, still more particularly 1 or 2, especially 1.
Preferably, k and I are the same integer. In one aspect, k and I are an integer selected from 1, 2 or 3, preferably 1 or 2, more preferably 2.
In a preferred aspect, K is
the loop has the formula (1) and X is S, r is 1, g is 6, s is 0, and K is
In a preferred aspect, K is -CH2-CH(Lf-J)-.
In a particular aspect, Lf is -C(O)-(CH2)m-NH-[C(O)]t-[(CH2)2-O]n-(CH2)p-[C(O)]v- or -C(O)-(CH2)m-NH-[C(O)- CH2-O]t-[(CH2)2-O]n-(CH2)p-[C(O)]v- with m being an integer from 0 to 10; n being an integer from 0 to 15; p being an integer from 0 to 4; t and v being an integer 0 or 1 with at least one among t and v being 1.
More particularly, Lf can be selected in the group consisting of -C(O)-(CH2)m-NH-[(CH2)2-O]n-(CH2)p-C(O)-, - C(O)-(CH2)m-NH-C(O)-[(CH2)2-O]n-(CH2)p-, C(O)-(CH2)m-NH-C(O)-CH2-O-[(CH2)2-O]n-(CH2)p-, -C(O)-(CH2)m- NH-C(O)-[(CH2)2-O]n-(CH2)p-C(O)- and -C(O)-(CH2)m-NH-C(O)-CH2-O-[(CH2)2-O]n-(CH2)p-C(O)-, with m being an integer from 0 to 10; n being an integer from 0 to 15; and p being an integer from 0 to 3.
Optionally, Lf can be selected in the group consisting of -C(O)-(CH2)5-NH-[(CH2)2-O]3-i3-CH2-C(O)-, -C(O)- (CH2)5-NH-C(O)-[(CH2)2-O]3-13-CH2-, C(O)-(CH2)5-NH-C(O)-CH2-O-[(CH2)2-O]3-13-CH2-, -C(O)-(CH2)5-NH-C(O)- [(CH2)2-O]3-13-CH2-C(O)- and -C(O)-(CH2)5-NH-C(O)-CH2-O-[(CH2)2-O]3-i3-CH2-C(O)-J or -C(O)-(CH2)5-NH-C(O)-
For instance Lf can be selected from the group consisting of -C(O)-(CH2)5-NH-[(CH2)2-O]3-(CH2)2-C(O)-, - C(O)-(CH2)5-NH-C(O)-[(CH2)2-O]3-(CH2)3-, -C(O)-(CH2)5-NH-C(O)-CH2-O-[(CH2)2-O]5-CH2-C(O)-J, -C(O)-(CH2)5- NH-C(O)-CH2-O-[(CH2)2-O]9-CH2-C(O)-, -C(O)-(CH2)5-NH-C(O)-CH2-O-[(CH2)2-O]13-CH2-C(O)-, or -C(O)-(CH2)5- NH-C(O)-.
In a very particular aspect, Lf is -C(O)-(CH2)m-NH-[(CH2)2-O]n-(CH2)p-C(O)- with m being an integer from 0 to 10, preferably from 4 to 6, especially 5; n being an integer from 0 to 6; and p being an integer from 0 to 2. In a particular aspect, m is 5 and, n and p are 0. In another particular aspect, m is 5, n is 3 and p is 2.
In a particularly preferred aspect, the loop is:
- -O-P(S)OH-O-[(CH2)2-O]6-P(O)OH-O-K-(O-P(S)OH-O)-, K being -CH2-CH(Lf-J)-, and Lf is -CH2-O- [(CH2)2-O]n-(CH2)m-NH-(CH2)p-C(O)-J, with m being 3; n being 3; and p being 0; or
- -O-P(S)OH-O-[(CH2)2-O]6-P(S)OH-O-K-(O-P(S)OH-O)-, K being -CH2-CH(Lf-J)-, and Lf is -CH2-O- [(CH2)2-O]n-(CH2)m-NH-(CH2)p-C(O)-J, with m being 3; n being 3; and p being 0, the loop being linked either from 3' end to 5' end or in the other direction from 5' end to 3' end of the double-stranded nucleic acid moiety.
In another particularly preferred aspect, the loop has the formula (1); K is -CH2-CH(Lf-J)-, and Lf is -CH2-O- [(CH2)2-O]n-(CH2)m-NH-(CH2)p-C(O)-J, with m being 3; n being 3; and p being 0.
In another particular aspect, the loop can have the following structure:
-O-P(X)OH-O-[(CH2)d-C(O)-NH]b-CHR-[C(O)-NH-(CH2)e]c-O-P(X)OH-O- (2) with b and c being independently an integer from 0 to 4, and the sum b + c is from 3 to 7; d and e being independently an integer from 1 to 3, preferably from 1 to 2; with X being O or S; and with R being -Lf-J and Lf being a linker which is present or absent, and J being either "L-B" or "T" as defined in formula (I).
Optionally, b and c are independently an integer from 0 to 4, and the sum b + c is from 3 to 7; d and e are independently an integer from 1 to 3, preferably from 1 to 2; with R being -(CH2)i-5-C(O)-NH-Lf-J or-(CHz)i- 5-NH-C(O)-Lf-J.
If b and/or c are 2 or more, d and e can be different in each occurrence of [(CH2)d-C(O)-NH] or -[C(O)-NH- (CH2)e].
For instance, when d and e are 2, the sum b + c is from 3 to 5, in particular 4. For instance, b can be 0 and c is from 3 to 5; b can be 1 and c is from 2 to 4; b can be 2 and c is from 1 to 3; or b can be from 3 to 5 and c is 0.
For instance, when d and e are 1, the sum b + c is from 4 to 7, in particular 5 or 6. For instance, b can be 0 and c is from 3 to 6; b can be 1 and c is from 2 to 5; b can be 2 and c is from 1 to 4; or b can be from 3 to 6 and c is 0.
In one aspect, b, c, d and e are selected so as the loop comprises a chain from 10 to 100 atoms, preferably from 15 to 25 atoms.
In a non-exhaustive list of examples, the loop could be one of the followings:
-O-P(X)OH-O-(CH2)2-C(O)-NH-(CH2)2-C(O)-NH-CHR-C(O)-NH-(CH2)2-C(O)-NH-(CH2)2-O-P(X)OH-O-
-O-P(X)OH-O-(CH2)2-C(O)-NH-CHR-C(O)-NH-(CH2)2-C(O)-NH-(CH2)2-C(O)-NH-(CH2)2-O-P(X)OH-O-
-O-P(X)OH-O-CHR-C(O)-NH-(CH2)2-C(O)-NH-(CH2)2-C(O)-NH-(CH2)2-C(O)-NH-(CH2)2-O-P(X)OH-O-
-O-P(X)OH-O-(CH2)2-C(O)-NH-(CH2)2-C(O)-NH-(CH2)2-C(O)-NH-CHR-C(O)-NH-(CH2)2-O-P(X)OH-O-
-O-P(X)OH-O-(CH2)2-C(O)-NH-(CH2)2-C(O)-NH-(CH2)2-C(O)-NH-(CH2)2-C(O)-NH-CHR-O-P(X)OH-O-
-O-P(X)OH-O-(CH2)2-C(O)-NH-(CH2)-C(O)-NH-CHR-C(O)-NH-(CH2)-C(O)-NH-(CH2)2-O-P(X)OH-O-
-O-P(X)OH-O-(CH2)-C(O)-NH-(CH2)2-C(O)-NH-CHR-C(O)-NH-(CH2)2-C(O)-NH-(CH2)-O-P(X)OH-O-, or
-O-P(X)OH-O-(CH2)-C(O)-NH-(CH2)-C(O)-NH-CHR-C(O)-NH-(CH2)-C(O)-NH-(CH2)-O-P(X)OH-O-.
Lf can be -(CH2)I.5-C(O)-J, preferably -CH2-C(O)- or -(CH2)2-C(O)-. Alternatively, Lf can be -(CH2)4-NH- [(CH2)2-O]n-(CH2)p-C(O)- with n being an integer from 0 to 6; and p being an integer from 0 to 2. In a particular aspect, n is 3 and p is 2.
In a particular aspect, the double-stranded nucleic acid moiety and the loop can be any one as disclosed in W02005/040378, W02008/034866 W02008/084087, WO2017/013237, WO2020/127965, WO2021/148581, WO2021/255223 and PCT/EP2022/086199 filed On December 15, 2023, the disclosure thereof being incorporated herein by reference.
In a preferred aspect, the molecule has a structure (lll-B)
(lll-B) and
More specifically, when T is a cholesterol,
Optionally,
is attached at the 5' end of the double stranded nucleic acid moiety and the -ethynyl is replaced by the connecting link after conjugation with N3 of the
E3-linker; or
is attached at the 5' end of the double stranded nucleic acid moiety and the terminal carboxyl group (C(O)OH) is replaced by the connecting link after conjugation with the amine of the E3-linker.
, the ethynyl being replaced by the connecting link after conjugation with N3 of the E3-linker; or
the terminal carboxyl group (C(O)OH) being replaced by the connecting link after conjugation with the amine of the E3-I i n ker.
The ULL is a ligand of a E3 ligase. E3 ubiquitin ligases (of which over 600 are known in humans) confer substrate specificity for ubiquitination. There are known ligands which bind to these ligases. Specific E3 ubiquitin ligases include: von Hippel-Lindau (VHL); cereblon (CRBN); X-linked inhibitor of apoptosis protein (XIAP); E3A; murine double minute 2 homolog (MDM2); Anaphase-promoting complex (APC); UBR5/embryo defective development 1 (EDD1); suppressor of cytokine signaling (SOCS)/ BC-box/ eloBC/ CUL5/ RING; LNXp80; chromobox homolog 4 (CBX4); Casitas B-lineage lymphoma-transforming sequencelike protein 1 (CBLL1); HECT domain and ankyrin repeat containing E3 ubiquitin-protein ligase 1 (HACE1); Homologous to the E6-AP carboxyl terminus domain 1 (HECTD1); HECTD2; HECTD3; HECW1; HECW2; HERC1; HERC2; HERC3; HERC4; HUWE1; Itchy homolog (ITCH); EDD4; NEDD4L; PPIL2; pre-mRNA- processing factor 19 (PRPF19); protein inhibitor of activated signal transducer and activator of transcription-1 (PIAS1); PIAS2; PIAS3; PIAS4; Ran binding protein 2 (RANBP2); R4; ring box protein 1 (RBX1); Smad specific E3 Ubitiquitin protein ligase 1 (SMURF1); SMURF2; STUB1; topoisomerase 1 binding, arginine/reine-rich (TOPORS); Thyroid hormone receptor interactor 12 (TRIP12); UBE3A; UBE3B; UBE3C; UBE4A; UBE4B; U-box domain containing 5 (UBOX5); N-recognin 5 (UBR5); WW domain 1 (WWP1); WWP2; Parkin; A20/tumor necrosis factor alpha-induced protein 3 (TNFAIP3); autocrine motility factor receptor (AMFR)/gp78; androgen receptor-associated protein 54 (ARA54); beta-transducin-containing proteins (P-TrCPl)/BTRC; breast cancer suppressor protein (BRCA1); Casitas B-lineage lymphoma (CBL); carboxyl terminus of Hsc-70 interacting protein (CHIP)/STUB1; E6; E6AP/UBE3A; F-box protein 15/FBX015; FBXW7/Cdc4; gene related to anergy in lymphocytes (GRAIL)/RNF 128; HOIP/RNF31; clAP-l/HIAP-2; clAP- 2/HIAP-l; cellular inhibitor of apoptosis (clAP, pan); ITCH/AIP4; Kruppel-associated box-A-interacting protein 1 (KAP1); membrane-associated RING-CH-8 (MARCH8); Mind Bomb 1/MIB1; Mind Bomb 2/MIB2; MuRFl/TRFM63 ; DFIP 1; EDD4; NleL; Parkin; R F2; R F4; RNF8; R F 168; R F43; spliceosome associated factor 1 (SART1); S-phase kinase-associated protein 2 (Skp2); SMURF2; tumor necrosis factor receptor associated factor 1 (TRAF-1); TRAF-2; TRAF-3; TRAF-4; TRAF-5; TRAF-6; Tripartite motif-containing protein 5 (TRIM5); TRIM21; TRIM32; UBR5; and Zuotin-related factor 3 (ZRF3).
The E3 ligase can be more specifically selected in the non-exhaustive list including MDM2, clAP, VHL, CRBN, RING-type zinc-finger protein 114 (RNF114), damage-specific DNA binding protein 1 (DDB1)-CUL4 associated factor 16 (DCAF16), and Kelch like ECH-associated protein 1 (KEAP1).
E3 ligase ligands are well-known to the person skilled in the art (Bricelj et al, Frontiers in Chemistry, 2021, 9, doi: 10.3389/fchem.2021.707317) and are commercially available (Enamine, enamine.net, https://enamine.net/building-blocks/medchem/building-blocks-and-linkers-for-protac-synthesis; Tocris, https://www.tocris.com/product-type/degrader-building-blocks; Tenova Pharmaceuticals, https://tenovapharma.com/collections/protac-ligand-linker-azide; Sigma Aldrich, https://www.sigmaaldrich.com/FR/fr/search/e3--ligase-
ligand?focus=products&page=l&perpage=30&sort=relevance&term=E3-
%20ligase%20ligand&type=product; Axis Pharm, https://axispharm.com/product-category/peg-
Iinkers/protac-peg/e3-ligase-ligand/; Asinex, https://www.asinex.com/e3-ligase-ligands
MedChem Express, https://www.medchemexpress.com/Targets/Ligand%20for%20E3%20Ligase.html). Optionally, the E3 ligase ligand can be selected in the group consisting of
wherein each X is independently selected from a bond, NH, O and CH?; each Y is independently selected from halo, alkyl, CN, CF?, OCF3, and OCHF?; and each R is independently selected from H and Ci-galkyl. Optionally, the E3 ligase ligand can be selected in the group consisting of
In a particular aspect, the ULL is a VHL ligand. Among the well-known VHL ligand, there are VH032, VH101 and VH298. VHL ligands are disclosed in WO2013106643, WO2016146985, US2016/0045607, WO2014/187777, US2014/0356322, and 1159,249,153, the disclosure thereof being incorporated herein by reference. The VHL ligand can be for instance:
being H or methyl;
In a particular aspect, the ULL is cereblon (CRBN) ligand. CRBN ligands are disclosed in WO2015160845, WO2016197032, WO2019199816, WO2019148055 and W02023066350, the disclosure thereof being incorporated herein by reference. This ligand can be a derivative of pomalidomide or thalidomide, of 4- hydroxythalidomide, of alkylated connected thalidomide, or of lenalidomide. It can be a phenyl glutarimide derivative. More specifically, the CRBN ligand can optionally be selected from the group consisting of thalidomide/pomalidomide and its derivatives, lenalidomide and its derivatives.
In a particular aspect, the ULL is MDM2 (mouse double minute 2 homologue) ligand and can optionally be selected from the group consisting of nutlin-3a, AMG 232, DS-3032b, idasanutlin, RG7112, Ml 773, CGM-
097, MK-8242 and MI-1061.
AMG 232,
MDM2 ligands are disclosed in WO2012/121361; W02014/038606; W02010/082612; W02014/044401;
W02009/151069; W02008/072655; W02014/100065; W02014/100071; WO2014/123882;
WO2014/120748; W02013/096150; W02015/161032; WO2012/155066; W02012/065022;
WO 2011/060049; W02008/036168; W02006/091646; WO2012/155066; W02012/065022;
W02011/153509; W02013/049250; WO2014/151863; W02014/130470; WO2014/134207; W02014/200937; W02015/070224; WO2015/158648; WO2014/082889; WO2013/178570;
WO2013/135648; WO2012/116989; WO2012/076513; W02012/038307; WO2012/034954;
W02012/022707; W02012/007409; WO2011/134925; WO2011/098398; W02011/101297;
W02011/067185; W02011/061139; WO2011/045257; W02010/121995; W02010/091979;
W02010/094622; W02010/084097; WO2009/115425; W02009/080488; W02009/077357; W02009/047161; WO2008/141975; W02008/141917; WO2008/125487; W02008/034736;
W02008/055812; W02007/104714; W02007/104664; W02007/082805; W02007/063013;
W02006/136606; W02006/097261; WO2005/123691; W02005/110996; W02005/003097;
W02005/002575; W02004/080460; W02003/051360; W02003/051359; WO 1998/001467;
WO2011/023677; WO2011/076786; W02012/066095; WO2012/175487; WO2012/175520;
WO2012/176123; W02013/080141; W02013/111105; WO2013/175417; W02014/115080;
W02014/115077; WO2014/191896; WO2014/198266; WO2016/028391; WO2016/028391;
WO2016/026937; W02016/001376; WO2015/189799; WO2015/155332; W02015/004610;
W02013/105037; WO2012/155066; WO2012/155066; WO2012/033525; WO2012/047587;
WO2012/033525; W02011/106650; W02011/106650; W02011/005219; W02010/058819;
W02010/028862; W02009/037343; W02009/037308; W02008/130614; W02009/019274;
W02008/130614; W02008/106507; W02008/106507; W02007/107545; W02007/107543;
W02006032631; W02000/015657; WO1998/001467; WO 1997/009343; WO1997/009343;
WO1996/002642; US2007/0129416; Med. Chem. Lett, 2013, 4, 466-469; J. Med. Chem., 2015, 58, 1038- 1052; Bioorg. Med. Chem. Lett.25 (2015) 3621-3625; or Bioorg. Med. Chem. Lett.16 (2006) 3310-3314, the disclosure thereof being incorporated herein by reference.
In a particular aspect, the ULL is IAP ligand. IAP ligands are disclosed in W02008/016893, W02008/128171, W02014/060768, W02014/060767, W02015092420, WO2016169989,
W02017011590, WO2016172134, WO2017182418, and WO2017211924, the disclosure thereof being incorporated herein by reference. IAP ligand can optionally be selected from the group consisting of
In a particularly preferred aspect, the ULL is
(poma om e-5' derivative), or
(pomalidomide-4' derivative).
These three ULL are particular suitable for targeting PARP and PARP/Ku proteins.
In a particular aspect, when targeting specifically or more specifically Ku proteins, the ULL is
Linker between DDR targeting moiety and E3 ubiquitin ligase
The linker L provides a covalent attachment of the DDR targeting moiety to the ULL.
In a particular aspect, the linker L is attached to the loop of the DDR targeting moiety.
In an alternative aspect, the linker L is attached to the 5' end of the double-stranded oligonucleotide of the DDR targeting moiety.
In another alternative aspect, the linker L is attached to the 3' end of the double-stranded oligonucleotide of the DDR targeting moiety.
The linker L can be any chemical chain (e.g. hydrocarbon chain) which can comprise heteroatoms as well as cyclic moieties such as cycloalkyl, cycloalkenyl, aromatic groups, or heterocyclic moieties such as heterocycloalkyl or heteroaryl. The linker L may comprise up to 500 carbon atoms. Optionally, the linker L is a chemical chain group comprising from 2 to 600 carbon atoms, e.g. from 2 to 200 carbon atoms, 2 to 80 carbon atoms, from 2 to 60 carbon atoms from 2 to 40 carbon atoms or from 2 to 20 atom carbons.
The linker L can be selected from the group consisting of polymers including homopolymers, copolymers and block polymers, peptides, oligosaccharides, and saturated or unsaturated hydrocarbon chains optionally interrupted by one or several heteroatomic groups (e.g. S, O, Se, P, -C(O)-, -NHC(O)-, -OC(O)-, - N(R)- with R being H or C1-C3 alkyl), and/or by one or several cyclic or heterocyclic moieties, and/or optionally having an heteroatomic group (such as S, O, -C(O)-, -NHC(O)-, -OC(O)-, -N(R)- with R being H or C1-C3 alkyl, -O-N(R)- with R being H or C1-C3 alkyl, or -N(CI-C3 alkoxy)-) at least one of its extremity, and/or optionally being substituted by one or several substituents (e.g. hydroxyl, halogens, C1-C3 alkoxy, -CN, -CF3, or C1-C3 alkyl), and combinations thereof.
Optionally, the linker L may comprise several hydrocarbon chains, oligomer chains or polymeric chains (e.g. 2, 3, 4, 5 or 6) linked (or connected) by any appropriate group, such as -O-, -S-, -N(R)- with R being H or C1-C3 alkyl, -C(O)-, -NHC(O)-, -OC(O)-, -C(O)-O-C(O)-, -NH-CO-NH-, -O-CO-NH-, NH-(CS)-NH-, NH-CS-, phosphodiester or phosphorothioate groups as well as cyclic or heterocyclic groups.
Optionally, the linker L may be selected from the group consisting of polyethers such as polyethylene glycol (PEG) and polypropylene glycol (PPG), polyvinyl alcohol (PVA), polyesters such as polylactate, polyacrylate, polymethacrylate, polysilicone, polyamide such as polycaprolactone and poly(N-(2- hydroxypropyl)methacrylamide) (pHPMA), poly(D,L-lactic-co-glycolic acid) (PLGA), polymers of alkyl diamines, unsaturated or saturated, branched or unbranched, hydrocarbon chains optionally having an heteroatom such as O, NH and S on at least one end, and combinations thereof.
In some aspect, the linker L is a hydrocarbon chain (for instance an alkyl chain) having from 2 to 200 carbon atoms, 2 to 100 carbon atoms, 2 to 80 carbon atoms, from 2 to 60 carbon atoms, from 2 to 40 carbon atoms from 2 to 30 carbon atoms, or from 2 to 20 carbon atoms, optionally interrupted by: one or more heteroatomic groups chosen from -O-, -S-, -C(O)-, -NHC(O)-, -OC(O)-, -C(O)-O-C(O)-, - N(R)- with R being H or a C1-C3 alkyl, -NH-CO-NH-, -O-CO-NH-, NH-(CS)-NH-, and -NH-CS-; and/or C5-C20 carbocyclic moieties such as cycloalkyl, cycloalkenyl, or aromatic groups; and/or one or more heterocyclic moieties having 5 to 20 ring atoms, such as heterocycloalkyls or heteroaryls having 5 to 20 ring atoms; and optionally having at least one of its extremities, an heteroatomic group chosen from -O-, -S-, -N(R)- with R being H or C1-C3 alkyl, -O-N(R)- with R being H or C1-C3 alkyl, -N(CI-C3 alkoxy), -C(O)-, -NHC(O)-, -OC(O)-, -C(O)-O-C(O)-, -NH-, -NH-CO-NH-, -O-CO-NH-, NH-(CS)-NH-, NH-CS-.
In a very particular aspect, the linker comprises or consists in -NH-fCHzh-g-, -NH-(C=O)-(CHz)2-g-, -NH- (CH2)I-3-(O- CHz-CHzh-g-, -NH-(C=O)-(CH2)I-3-(O- CHz-CHzh-g-, -piperazinyl-, -piperazinyl-CHz-piperidinyl-, - piperazinyl-CO-piperidinyl-, or -piperazinyl-CO-piperazinyl-(CH2)i-3-NH-.
More specifically, the linker comprises or consists in -NH-(CH2)3-, -NH-(CH2)4-, -NH-(CHz)5-, -NH-(CHz)6-, - NH-(C=O)-(CH2)2-, -NH-(C=O)-(CH2)3-, -NH-(C=O)-(CH2)4-, -NH-(C=O)-(CH2)5-,-NH-(C=O)-(CH2)6-, -NH-(CH2)2- (O- CH2-CH2)2-, -NH-(CH2)2-(O- CH2-CH2)3-, -NH-(CH2)2-(O- CH2-CH2)4-, -NH-(CH2)2-(O- CH2-CH2)5-, -NH- (CH2)2-(O- CH2-CH2)6-, -NH-(CH2)2-(O- CH2-CH2)7-, -NH-(CH2)2-(O- CH2-CH2)S-, -NH-(C=O)-(CH2)-(O- CH2- CH2)2-, -NH-(C=O)-(CH2)-(O- CH2-CH2)3-, -NH-(C=O)-(CH2)-(O- CH2-CH2)4-, -NH-(C=O)-(CH2)-(O- CH2-CH2)5-, - NH-(C=O)-(CH2)-(O- CH2-CH2)6-, -NH-(C=O)-(CH2)-(O- CH2-CH2)7-, -NH-(C=O)-(CH2)-(O- CH2-CH2)S-, - piperazinyl-, -piperazinyl-CHz-piperidinyl-, -piperazinyl-CO-piperidinyl-, or -piperazinyl-CO-piperazinyl- (CHzh-s-NH-.The person skilled in the art knows the method for preparing the molecules of the present invention. Optionally, the molecule can be prepared by click chemistry. For instance, the moieties L-B can be added to the moiety A or the B moiety can be added to L-A moieties by any known conjugation method such as amine coupling, thiol conjugation, imine formation or by click chemistry such as Huisgen 1,3-dipolar cycloaddition.
For instance, biocompatible or biorthogonal click reactions encompass copper(l)-catalyzed alkyne-azide cycloaddition (CuAAC) or metal-free click-reactions (i.e. which do not require metal catalysts) such as strain-promoted azide-alkyne (SPAAC), oxime click reaction, photoclick reactions and thiol-ene click reaction. Examples of click reactions are depicted hereunder:
Approach 1 : CuAAC Approach 4 :Photoclick reaction
Preferred combinations of E3 ligand and linker
In a particular aspect, E3 ligand is a pomalidomide derivative and the combination of E3 ligand and linker to be covalently linked to the DDR targeting moiety can be selected in the following group (with terminal
N3 or H of terminal NH or NHj being replaced by the connecting link to the rest of the molecule after conjugation):
2 2 6 2 2 e),
(poma om e- - -( 2)3-az e),
(poma om e- -pperazny),
-(CH2)2-NH2).
In another particular aspect, E3 ligand is VH032 and the combination of E3 ligand and linker to be covalently linked to the DDR targeting moiety can be selected in the following group (with terminal N3 or
H of terminal NH or NH2 being replaced by the connecting link to the rest of the molecule after conjugation):
),
)-piperazinyl).
Targeting/Delivery moiety
The targeting/delivery moiety is a molecule allowing the specific delivery to the targeted cells, tissues or organs, in particular the cancer cells or tumors, and/or improving cellular uptake of the molecule.
The targeting/delivery moiety improving cellular uptake can be for instance a lipophilic molecule or a ligand which targets cell receptor enabling receptor mediated endocytosis.
Accordingly, the targeting/delivery moiety can be lipid moieties such as a cholesterol moiety (Letsinger et al., Proc. Natl. Acid. Sci. USA, 1989, 86: 6553-6556), cholic acid (Manoharan et al., Biorg. Med. Chem. Let., 1994, 4:1053-1060), a thioether, e.g., beryl-S-trityl thiol (Manoharan et al., Ann. N.Y. Acad. Sci., 1992, 660:306-309; Manoharan et al., Biorg. Med. Chem. Let., 1993, 3:2765-2770), a thiocholesterol (Oberhauser et al., Nucl. Acids Res., 1992, 20:533-538), an aliphatic chain, e.g., octodecyl, dioleoyl, dodecanediol or undecyl residues (Saison-Behrnoaras et al., EMBO J, 1991, 10:1111-1118; Kabanov et al., FEBS Lett., 1990, 259:327-330; Svinarchuk et al., Biochimie, 1993, 75:49-54), a phospholipid, e.g., di- hexadecyl-rac-glycerol or triethylammonium l,2-di-0-hexadecyl-rac-glycero-3-H-phosphonate (Manoharan et al., Tetrahedron Lett., 1995, 36:3651-3654; Shea et al., Nucl. Acids Res., 1990, 18:3777- 3783), a polyamine or a polyethylene glycol chain (Manoharan et al., Nucleosides & Nucleotides, 1995, 14:969-973), or adamantane acetic acid (Manoharan et al., Tetrahedron Lett., 1995, 36:3651- 3654), a palmityl moiety (Mishra et al., Biochim. Biophys. Acta, 1995, 1264:229-237), or an octadecylamine or hexylamino-carbonyloxycholesterol moiety (Crooke et al., J. Pharmacol. Exp. Then, 1996, 277:923-937).
For instance, the targeting/delivery moiety can be selected from the group consisting of a cholesterol, tocopherol, sugar such as galactose and mannose and their oligosaccharide, peptide such as RGD and bombesin, and protein such as integrin or a transferrin (Goldstein et al. Ann. Rev. Cell Biol. 1985 1:1-39; Leamon & Lowe, Proc Natl Acad Sci USA. 1991, 88: 5572-5576.).
In a very specific aspect, the targeting/delivery moiety is a cholesterol.
Alternatively, the targeting/delivery moiety can be an entity having affinity for the targeted cells, tissues or organs, in particular cancer cells or tumors.
Such entity can be a small chemical entity, a ligand (e.g., receptor ligand), an aptamer or an antibody or a derivatives thereof such as single-chain variable fragment (scFv) or other functional fragment including an immunoglobulin devoid of light chains, Nanobody®, variable domain of heavy-chain antibodies (VHH), variable new antigen receptor (VNAR), fragment antigen-binding (Fab), Fab', F(ab')2, Fv, antibody
fragment, diabody, single chain antibody fragment (scAB), single-domain heavy chain antibody (VH), single- domain light chain antibody (VL), Fd.
The entity has an affinity for a molecule expressed specifically at the surface of the targeted cells or specifically overexpressed at the surface of the targeted cells, for instance a tumor associated antigen or a receptor. The person skilled in the art knows how to prepare an antibody or an aptamer directed against such a molecule.
Optionally, the targeting/delivery moiety is a ligand of a sigma-2 receptor (o2R). The term "sigma-2 receptor" refers to a sigma receptor subtype that has been found highly expressed in malignant cancer cells (e.g. breast, ovarian, lung, brain, bladder, colon, and melanoma). The o2R is a cytochrome related protein located in the lipid raft that is most commonly associated with P450 proteins, and is coupled with the progesterone receptor membrane component 1 (PGRMC1) complex, epidermal growth factor receptor (EGFR), mammalian target of rapamycin (mTOR), caspases, and various ion channels. For instance, the o2R ligand can be an azabicyclononane analog, more particularly a N-substituted-9-azabicyclo[3.3.1]nonan- 3a-yl carbamate analog as described in Vangveravong et al. Bioorg. Med. Chem (2006). For instance, such ligands are disclosed in WO2020/127965, the disclosure of which being incorporated herein by reference. Alternatively, the ligand could be among interleukine-2 (IL-2), IL-4, IL-6, alpha-melanocyte-stimulating hormone (a-MSH), transferrin, folic acid, epidermal growth factor (EGF), transforming growth factor (TGF), Programmed death-1 (PD-1), IL-13, stem cell factor, insulin-like growth factor (IGF), cluster of differentiation 40 (CD40), or CD47, or a truncated form thereof.
As used herein, the term "folate" or "folic acid" is meant to refer to folate and folate derivatives, including pteroic acid derivatives and analogs. The analogs and derivatives of folic acid include antifolates, dihydrofolates, tetrahydrofolates, folinic acid, pteropolyglutamic acid, 1-deaza, 3-deaza, 5-deaza, 8-deaza, 10-deaza, 1, 5-deaza, 5,10-dideaza, 8,10-dideaza, and 5,8-dideaza folates, antifolates, and pteroic acid derivatives. Additional folate analogs are described in U82004/242582, the disclosure of which being incorporated herein by reference.
In another very specific aspect, the targeting/delivery moiety is a folate or a derivative thereof.
In a particular aspect, the targeting/delivery moiety binds a target on the cancer selected from the group consisting of IL-2 receptor, IL-4 receptor, IL-6 receptor, MSH receptor, transferrin receptor (TR), folate receptor 1 (FOLR), folate hydroxylase (F0LH1), EGF receptor, PD-L1, PD-L2, IL-13 receptor, C-X-C chemokine receptor type 4 (CXCR4), IGF receptor, and CD40L.
In a particular aspect, the targeting/delivery moiety binds a tumor associated antigen.
Example of tumor associated antigens include: human epidermal growth factor receptor 2 (Her2/Neu); CD22; epithelial cell adhesion molecule (EpCAM, CD326); EGFR; prostate-specific membrane antigen (PSMA); CD30; CD20; CD33; membrane IgE; IgE Receptor (CD23), CD80; CD86; CD2; CA125 (cancer antigen- 125); Carbonic Anhydrase IX; CD70; CD74; CD56; CD40; CD19; c-met/HGFR; DRS; PD-1; PDL1; IGF-
1R; vascular endothelial growth factor (VEGF) and VEGFR (Solid tumor and eye AMD), VEGF-R2; prostate stem cell antigen (PSCA); Mucin-1 (MUC1); CanAg; Mesothelin; P-cadherin; Myostatin (GDF8); teratocarcinoma-derived growth factor 1 (Cripto, TDGF1); activin a receptor type 1 (ACVRL 1/ALK1); MUC5AC; CEA, in particular CEACAM (carcinoembryonic antigen-related cell adhesion molecules); CD137; CXCR4; Neuropilin 1; Glypicans; HER3; platelet derived growth factor receptor alpha (PDGFRa); Ephrin type- A receptor 2 (EphA2); nucleolin; CD38; CD138; a4-integrin, C5 complement, C3 complement, Mannan-binding lectin serin peptidase 2 (MASP-2), C5aR, CR1, C3b, CA19-9, calretinin, epithelial membrane protein (EMA), epithelial tumor antigen (ETA), tyrosinase, melanoma-associated antigen (MAGE), CD34, CD45, CD99, CD 117, chromogranin, cytokeratin, desmin, glial fibrillary acidic protein (GFAP), gross cystic disease fluid protein (GCDFP-15), human melanoma black antigen (HMB-45), protein melan-A (melanoma antigen recognized by T lymphocytes; MART-1), myo-DI, muscle-specific actin (MSA), neurofilament, neuron-specific enolase (NSE), placental alkaline phosphatase, synaptophysis, thyroglobulin, thyroid transcription factor-1, dimeric form of pyruvate kinase isoenzyme type M2 (tumor M2-PK), an abnormal ras protein, an abnormal p53 protein, diganglioside GD2, interleukin 13 receptor a 2 (IL13Ra2), fibroblast activation protein (FAP), CD133, natural-killer group 2, member D (NKG2D), chondroitin sulfate proteoglycan 4 (CSPG4), CS-1, LI cell adhesion molecule (L1CAM), B-cell maturation antigen (BCMA), alpha-fetoprotein (AFP), and anti-complement factor H (CFH).
A non-exhaustive list of target for the targeting/delivery moiety includes tumor-associated calcium signal transducer 2 (Trop2), EpCAM, G-protein-coupled receptor class C-5 (GPRC5), FcRH5, receptor tyrosine kinase-like orphan receptor 1 (ROR1), CD 15, CD 16, CD 19, CD20, CD22, CD27, CD30, CD33, CD40, CD47, CD40L, CD66, CD70, CD74, CD79b, CD80, CD95, CD133, CD160, CD166, CD229, MUC1, MUC5, MUC16, IGF-1R, EGFR, HER2, HER3, epithelial glycoprotein 2 (EGP2), human leukocyte antigen-DR isotype (HLA- DR), tumor necrosis factor alpha (TNF-a), tumor-necrosis-factor related apoptosis inducing ligand (TRAIL receptor), inducible costimulateur (ICOS), ICOSL, VEGF, VEGFR, hypoxia inducible factor (HIF), Flt-3, folate receptor, TDGF1, TfR, Mesothelin, PSMA, CEACAM5, CEACAM6, B7, interferon, IL-1 beta, IL2, IL6, IL-6R, IL- 15, IL-15R, IL-17, IL-17R, IL-12, Clr, Cis, C2, C3, C5, C5a, C5aRl, C6, MASPs, MASP2, MASP3, FB, FD, Properdin, Lag-3, cytotoxic T-lymphocyte-associated protein 4 (CTLA-4), PD-1, PD-L1, T-cell immunoglobulin and mucin-domain containing-3 (TIM3), signal regulatory protein alpha (SIRPa), T-cell immunoreceptor with Ig and ITIM domains (TIGIT), 0X40, OX40L, 4- IBB, NKG2A, NKG2B, B and T lymphocyte attenuator (BTLA), glucocorticoid-induced tumor necrosis factor receptor-related protein (GITR), GITRL, T-cell receptor (TCR), Nectin-4, c-Met, LIV1, Mesothelin, DLL3, DLL4, Tissue factor, transforming growth factor beta (TGFP), TGFPreceptor, DKK1, or CLDN18.2.
In alternative to antibodies and derivatives thereof, a wide range of targeting moieties capable of targeting cancer are known, including DNA aptamers, RNA aptamers, albumins, lipocalins, fibronectins, ankyrins, CH1/2/3 scaffolds (including abdurins™ (IgG CH2 scaffolds)), fynomers, Obodies™, designed ankyrin repeat
proteins (DARPins), knottins, avimers, atrimers, anticallins®, affilins®, affibodies®, bicyclic peptides, cys- knots, fibronectin type III domain (FN3) as adnectins™, centryrins, pronectins™ andTN3, and Kunitz domains. A number of non-antibody scaffolds targeting cancer are already under clinical development, with other candidates in the preclinical stage. See Vazquez- Lombardi et al, Drug Discovery Today 20(1): 1271-1283 (2015), Table 1, the disclosure of which being incorporated herein by reference.
The targeting/delivery moiety can be covalently linked to the double-stranded nucleic acid moiety directly or through a linker.
Preferred molecules The decoyTAC molecules f the invention can be chosen from the following molecules:
Wherein:
Structure B corresponds to L-B being linked to the 5' end of the double-stranded nucleic acid moiety:
(B); and
Wherein T is a radical with a cholesterol.
Molecules targeting PARP1
In one aspect, the decoyTAC molecules of the invention are able to target PARP proteins.
In a particular aspect, these decoyTAC molecules may be of structure (ll-A), (ll-B), (lll-A), (lll-B), (X-A), (X-
B), (Xl-A), (Xl-B), (Xll-A), (Xll-B), Xll-A) and (Xll-B) as described above, wherein the loop is linked either from
3' end to 5' end or in the other direction from 5' end to 3' end.
In a very particular aspect, the decoyTAC molecules are of structure (Xl-A) or (Xl-B), as described above, wherein the loop is linked either from 3' end to 5' end or in the other direction from 5' end to 3' end. Optionally, the targeting/delivery moiety T can be lipid moieties such as a cholesterol moiety.
Optionally, the double-stranded nucleic acid moiety comprises or consists of one of the following sequences:
5'CsCsCsAGCAAACAAGCCT (SEQ ID NO: 11)
3'GsGsGsTCGTTTGTTCGGA (SEQ ID NO: 12) wherein internucleotide linkages "s" refer to phosphorothioate internucleotide linkages.
In a particular aspect, the E3 ligand of the decoyTAC molecules able to target PARP proteins is a pomalidomide derivative and the combination of E3 ligand and linker can be selected in the following group: pomalidomide-NH-(O-CH2-CH2)2-(CH2)2, pomalidomide-NH-fO-CI-h-CI-hMCI-bh, pomalidomide-NH-(O- CH2-CH2)5-(CH2)2, pomalidomide-NH-(O-CH2-CH2)6-(CH2)2, pomalidomide-NH-CO-CH2-(O-CH2-CH2)3, pomalidomide-NH-CO-CH2-(O-CH2-CH2)5, pomalidomide-NH-CO-(CH2)3, pomalidomide-NH-CO-(CH2)4, pomalidomide-NH-CO-(CH2)5, pomalidomide-NH-(CH2)4, pomalidomide-NH-(CH2)5, pomalidomide-NH- (CH2)6, and pomalidomide-NH-(O-CH2-CH2)8-(CH2)2.
Among these decoyTAC molecules, some molecules can specifically target PARP proteins.
In particular, these molecules are of structure (ll-A), (lll-A), (X-A) or (Xl-A) and have the following combination of E3 ligand and linker: pomalidomide-NH-CO-(CH2)5, pomalidomide-NH-CO-CH2-(O-CH2- CH2)5, pomalidomide-NH-(O-CH2-CH2)8-(CH2)2; or these molecules are of structure (II B), (lll-B), (X-B) or (Xl-B) and have the following combination of E3 ligand and linker: pomalidomide-NH-(CH2)4.
In another particular aspect, the E3 ligand of the decoyTAC molecules able to target PARP proteins is VH032 and the combination of E3 ligand and linker can be selected in the following group:
VH032-CO-CH2-(O-CH2-CH2), VH032-CO-(CH2)2-(O-CH2-CH2), VH032-CO-CH2-(O-CH2-CH2)2, VH032-CO- (CH2)2-(O-CH2-CH2)4, VH032-CO-(CH2)2-(O-CH2-CH2)5, VH032-CO-CH2-(O-CH2-CH2)6, VH032-CO-CH2-(O-CH2- CH2)5, VH032-CO-(CH2)2-(O-CH2-CH2)5, VH032-CO-(CH2)3, VH032-CO-(CH2)4, .
Among these decoyTAC molecules, some molecules can specifically target PARP proteins.
In particular, these molecules are of structure (ll-A), (lll-A), (X-A) or (Xl-A)and have the following combination of E3 ligand and linker: VH032-CO-(CH2)3, VH032-CO-CH2-(O-CH2-CH2)2, VH032-CO-CH2-(O-
CH2-CH2)6, VH032-CO-(CH2)3, VH032-CO-(CH2)2-(O-CH2-CH2), VH032-CO-(CH2)2-(O-CH2-CH2)4, VH032-CO- (CH2)4; or these molecules are of structure (ll-B), (lll-B), (X-B) or (Xl-B)and have the following combination of E3 ligand and linker: VH032-CO-CH2-(O-CH2-CH2)5, VH032-CO-(CH2)2-(O-CH2-CH2), VH032-CO-(CH2)2-(O-CH2- CH2)4, VH032-CO-(CH2)3, VH032-CO-CH2-(O-CH2-CH2), VH032-CO-(CH2)2-(O-CH2-CH2)5..
Molecules targeting Ku proteins
The decoyTAC molecules of the invention are able to target Ku proteins, in particular Ku70/Ku80 complex. These decoyTAC molecules may be of structure (ll-A), (ll-B), (lll-A), (lll-B), (X-A), (X-B), (Xl-A) or (Xl-B)as described above, wherein the loop is linked either from 3' end to 5' end or in the other direction from 5' end to 3' end.
Preferably, the decoyTAC molecules are of structure (Xl-A) or (Xl-B), as described above, wherein the loop is linked either from 3' end to 5' end or in the other direction from 5' end to 3' end.
Preferably, the targeting/delivery moiety T can be lipid moieties such as a cholesterol moiety.
Preferably, the double-stranded nucleic acid moiety comprises or consists of one of the following sequences:
5'CsCsCsAGCAAACAAGCCT (SEQ ID NO: 11)
3'GsGsGsTCGTTTGTTCGGA (SEQ ID NO: 12) wherein internucleotide linkages "s" refer to phosphorothioate internucleotide linkages.
In a particular aspect, the E3 ligand of the decoyTAC molecules able to target Ku proteins is a pomalidomide derivative and the combination of E3 ligand and linker can be selected in the following group: pomalidomide-NH-(O-CH2-CH2)4-(CH2)2, pomalidomide-NH-(O-CH2-CH2)2-(CH2)2, pomalidomide-4'-NH-(O- CH2-CH2)5-(CH2)2, pomalidomide-4'-NH-(O-CH2-CH2)6-(CH2)2, pomalidomide-NH-CO-CH2-(O-CH2-CH2)3, pomalidomide-NH-CO-(CH2)3, pomalidomide-NH-(CH2)4, pomalidomide-NH-(CH2)5, pomalidomide-NH- (CH2)g, pomalidomide-CO-(CH2)3.
Among these decoyTAC molecules, some molecules can specifically target Ku proteins.
In particular, these molecules are of structure (ll-A), (lll-A), (X-A) or (Xl-A) and have the following combination of E3 ligand and linker: pomalidomide-NH-(CH2)6, pomalidomide-NH-CO-(CH2)3.
In another particular aspect, the E3 ligand of the decoyTAC molecules able to target Ku proteins VH032 and the combination of E3 ligand and linker can be selected in the following group: VH032-CO-CH2-(O-CH2-CH2), VH032-CO-(CH2)2-(O-CH2-CH2), VH032-CO-(CH2)2-(O-CH2-CH2)4, VH032-CQ- (CH2)2-(O-CH2-CH2)5, and VH032-CO-(CH2)4.
Molecules both PARP and Ku
The decoyTAC molecules of the invention are able to target PARP and Ku proteins.
These decoyTAC molecules may be of structure (II-A), (II-B), (III-A), (III-B), (X-A), (X-B), (XI-A) or (XI-B) as described above, wherein the loop is linked either from 3’ end to 5’ end or in the other direc^on from 5’ end to 3’ end. Preferably, the decoyTAC molecules are of structure (XI-A) or (XI-B), as described above, wherein the loop is linked either from 3’ end to 5’ end or in the other direc^on from 5’ end to 3’ end. Preferably, the targe^ng/delivery moiety T can be lipid moie^es such as a cholesterol moiety. Preferably, the double-stranded nucleic acid moiety comprises or consists of one of the following sequences: 5’CsCsCsAGCAAACAAGCCT (SEQ ID NO: 11) 3’GsGsGsTCGTTTGTTCGGA (SEQ ID NO: 12) wherein internucleo^de linkages “s” refer to phosphorothioate internucleo^de linkages. In a par^cular aspect, the E3 ligand of the decoyTAC molecules able to target PARP and Ku proteins is a pomalidomide deriva^ve and the combina^on of E3 ligand and linker can be selected in the following group: pomalidomide-NH-(O-CH2-CH2)4-(CH2)2, pomalidomide-NH-(O-CH2-CH2)2-(CH2)2, pomalidomide-NH-(O- CH2-CH2)5-(CH2)2, pomalidomide-NH-(O-CH2-CH2)6-(CH2)2, pomalidomide-NH-CO-CH2-(O-CH2-CH2)3, pomalidomide-NH-(CH2)4, pomalidomide-NH-(CH2)5, pomalidomide-NH-(CH2)6, pomalidomide-NH-CO- (CH2)4. In par^cular, these molecules are of structure (II-A), (III-A), (X-A) or (XI-A)and have the following combina^on of E3 ligand and linker: pomalidomide-NH-(CH2)4, pomalidomide-NH-(CH2)5; or these molecules are of structure (II-B), (III-B), (X-B) or (XI-B) and have the following combina^on of E3 ligand and linker: pomalidomide-NH-(O-CH2-CH2)4-(CH2)2, pomalidomide-NH-(O-CH2-CH2)2-(CH2)2, pomalidomide-NH-(O-CH2-CH2)5-(CH2)2, pomalidomide-NH-(O-CH2-CH2)6-(CH2)2, pomalidomide-NH- (CH2)6, pomalidomide-CO-CH2-NH-(O-CH2-CH2)3-azide, pomalidomide-NH-CO-(CH2)4. In another par^cular aspect, the E3 ligand of the decoyTAC molecules able to target PARP and Ku proteins is VH032 and the combina^on of E3 ligand and linker can be selected in the following group: VH032-CO-CH2-(O-CH2-CH2), VH032-CO-(CH2)2-(O-CH2-CH2), VH032-CO-(CH2)2-(O-CH2-CH2)4-azide, VH032- CO-(CH2)2-(O-CH2-CH2)5, VH032-CO-(CH2)4. In par^cular, these molecules are of structure (II-A), (III-A), (X-A) or (XI-A)and have the following combina^on of E3 ligand and linker: VH032-CO-(CH2)2-(O-CH2-CH2), VH032- CO-(CH2)2-(O-CH2-CH2)4, VH032-CO-(CH2)4e; or these molecules are of structure (II-B), (III-B), (X-B) or (XI-B)and have the following combina^on of E3 ligand and linker: VH032- CO-CH2-(O-CH2-CH2), VH032- CO-(CH2)2-(O-CH2-CH2)5.
Pharmaceutical composition and therapeutic uses thereof
The present invention relates to a pharmaceutical or veterinary composition comprising a molecule according to the present disclosure; a molecule or a pharmaceutical or veterinary composition according to the present disclosure for use as a drug; or the use of a molecule or a pharmaceutical or veterinary composition according to the present disclosure for the manufacture of a medicament.
Optionally, the pharmaceutical or veterinary composition further comprises an additional therapeutic agent, more specifically an additional therapeutic agent used for the treatment of cancer.
More specifically, the present invention relates to a molecule or a pharmaceutical or veterinary composition according to the present disclosure for use in the treatment of cancer; the use of a molecule or a pharmaceutical or veterinary composition according to the present disclosure for the manufacture of a medicament for the treatment of cancer; or a method for treating a cancer in a subject, wherein the method comprises administering a therapeutically effective amount of a molecule or a pharmaceutical or veterinary composition according to the present disclosure to said subject.
Optionally, the method comprises administering repeated cycles of treatment, preferably for at least two cycles of administration, even more preferably at least three or four cycles of administration.
Optionally, the subject is a mammal, preferably a human. Alternatively, the subject can be an animal such as a farm animal or a pet, especially cat, dog or horse.
The pharmaceutical compositions contemplated herein may include a pharmaceutically acceptable carrier in addition to the active ingredient(s). The term "pharmaceutically acceptable carrier" is meant to encompass any carrier (e.g., support, substance, solvent, etc.) which does not interfere with effectiveness of the biological activity of the active ingredient(s) and that is not toxic to the host to which it is administered. For example, for parental administration, the active compounds(s) may be formulated in a unit dosage form for injection in vehicles such as saline, dextrose solution, serum albumin and Ringer's solution.
The pharmaceutical composition can be formulated as solutions in pharmaceutically compatible solvents or as emulsions, suspensions or dispersions in suitable pharmaceutical solvents or vehicle, or as pills, tablets or capsules that contain solid vehicles in a way known in the art. Formulations of the present invention suitable for oral administration may be in the form of discrete units as capsules, sachets, tablets or lozenges, each containing a predetermined amount of the active ingredient; in the form of a powder or granules; in the form of a solution or a suspension in an aqueous liquid or non-aqueous liquid; or in the form of an oil-in-water emulsion or a water-in-oil emulsion. Formulations suitable for parental administration conveniently comprise a sterile oily or aqueous preparation of the active ingredient which is preferably isotonic with the blood of the recipient. Every such formulation can also contain other pharmaceutically compatible and nontoxic auxiliary agents, such as, e.g. stabilizers, antioxidants, binders, dyes, emulsifiers or flavoring substances. The formulations of the present invention comprise an active
ingredient in association with a pharmaceutically acceptable carrier therefore and optionally other therapeutic ingredients. The carrier must be "acceptable" in the sense of being compatible with the other ingredients of the formulations and not deleterious to the recipient thereof. The pharmaceutical compositions are advantageously applied by injection or intravenous infusion of suitable sterile solutions or as oral dosage by the digestive tract. Methods for the safe and effective administration of most of these chemotherapeutic agents are known to those skilled in the art. In addition, their administration is described in the standard literature.
The terms "cancer" and "cancerous" refer to or describe the physiological condition in mammals that is typically characterized by unregulated cell growth. Examples of cancer include, but are not limited to, solid tumors and hematological cancers, including carcinoma, lymphoma, blastoma (including medulloblastoma and retinoblastoma), sarcoma (including liposarcoma and synovial cell sarcoma), neuroendocrine tumors (including carcinoid tumors, gastrinoma, and islet cell cancer), mesothelioma, schwannoma (including acoustic neuroma), meningioma, adenocarcinoma, melanoma, and leukemia or lymphoid malignancies. More particular examples of such cancers include squamous cell cancer (e.g. epithelial squamous cell cancer), lung cancer including small-cell lung cancer, extensive-stage small cell lung cancer (ES-SCLC), non-small cell lung cancer (NSCLC), adenocarcinoma of the lung and squamous carcinoma of the lung, cancer of the peritoneum, hepatocellular cancer, gastric cancer including gastrointestinal cancer, pancreatic cancer, glioblastoma, neuroblastoma, cervical cancer, ovarian cancer, liver cancer, bladder cancer, urinary tract cancer, hepatoma cancer, endometrium cancer, breast cancer, colon cancer, rectal cancer, colorectal cancer, endometrial or uterine carcinoma, salivary gland carcinoma, kidney or renal cancer, prostate cancer, vulval cancer, thyroid cancer, renal cell carcinoma (RCC), hepatic carcinoma, anal carcinoma, penile carcinoma, testicular cancer, esophageal cancer, tumors of the biliary tract, as well as head and neck cancer. Additional cancer indications are disclosed herein.
In a particular aspect, the cancer is a homologous recombination deficient tumor. Alternatively, the cancer is a homologous recombination proficient tumor.
The administration route for the molecule as disclosed herein may be oral, parental, intravenous, intratumoral, subcutaneous, intracranial, intra-arterial, topical, rectal, transdermal, intradermal, nasal, intramuscular, intraperitoneal, intraosseous, and the like. In a preferred embodiment, the molecules are to be administered or injected near the tumoral site(s) to be treated.
For instance, the efficient amount of the molecules be from 0.01 to 1000 mg, for instance preferably from 0.1 to 100 mg. Of course, the dosage and the regimen can be adapted by the one skilled in the art.
Optionally, the molecule or the pharmaceutical composition according to the present invention can be used in combination with an additional therapeutic agent or radiotherapy, more specifically an additional therapeutic agent used for the treatment of cancer.
The present invention also provides combined therapies in which the molecule of the invention is used simultaneously with, before, or after surgery or radiation treatment; or is administered to patients with, before, or after a treatment with the additional antitumoral therapeutic agent.
Accordingly, the present invention relates to a pharmaceutical composition comprising a molecule as described herein, optionally an additional therapeutic agent, and a pharmaceutically acceptable carrier, in particular for use in the treatment of cancer; a product or kit containing a molecule as described herein, and optionally b) an additional therapeutic agent, as a combined preparation for simultaneous, separate or sequential use, in particular in the treatment of cancer; a combined preparation which comprises a molecule as described herein, and optionally b) an additional therapeutic agent, for simultaneous, separate or sequential use, in particular in the treatment of cancer; a pharmaceutical composition comprising a molecule as described herein for the use in the treatment of cancer in combination with radiotherapy and/or an additional therapeutic agent; the use of a pharmaceutical composition comprising a molecule as described herein for the manufacture of a medicament for the treatment of cancer in combination with radiotherapy and/or an additional therapeutic agent; the use of a pharmaceutical composition comprising a molecule as described herein and an additional therapeutic agent for the manufacture of a medicament for the treatment of cancer; a method for treating a cancer in a subject in need thereof, comprising administering an effective amount of a pharmaceutical composition comprising a molecule as disclosed herein, and optionally an additional therapeutic agent, and a pharmaceutically acceptable carrier; a method for treating a cancer in a subject in need thereof, comprising administering an effective amount of a pharmaceutical composition comprising a molecule as disclosed herein, and an effective amount of a pharmaceutical composition comprising an additional therapeutic agent; or a method for treating a cancer in a subject in need thereof, comprising administering an effective amount of a pharmaceutical composition comprising a molecule as disclosed herein and optionally an effective amount of a pharmaceutical composition comprising an additional therapeutic agent in combination with radiotherapy.
For instance, the additional therapeutic agent, preferably antitumoral therapeutic agent, can be non- exhaustively chemotherapy, in particular by DNA damaging agents preferably selected from the group consisting of an inhibitor of topoisomerases I or II, a DNA crosslinker, a DNA alkylating agent, an anti- metabolic agent and inhibitors of the mitotic spindles, radiotherapy, hormonal therapy, targeted therapy for instance with histone deacetylase (HDAC) inhibitors, PARP inhibitors, kinase inhibitors (e.g., inhibitors
of EGFR, anaplastic lymphoma kinase (ALK), Kirsten rat sarcoma viral oncogene homolog (KRAS)), antiangiogenic agents, hypomethylating agents, cancer vaccines, checkpoints inhibitors, immunotherapies, a T-cell-based cancer immunotherapy including adoptive cell transfer (ACT), genetically modified T-cells or engineered T-cells such as chimeric antigen receptor cells (CAR-T cells), and an antibody drug conjugate.
Further aspects and advantages of the present invention will be disclosed in the following experimental section, which should be regarded as illustrative and not limiting the scope of the present application. A number of references are cited in the present specification; each of these cited references is incorporated herein by reference.
BRIEF DESCRIPTION OF THE FIGURES
Figure 1. DecoyTACs are cell permeable and can form ternary complexes with E3 ligase. (A) Diagram displaying the BRET ratio from untreated HEK-293T cells (NaCI) and treated with the small molecules E3 ligands VH298 for the VHL ligase and lenalidomide for the cereblon (CRBN) ligase or decoyTACs. The diminution of the BRET ratio is the consequence of the competition of the tracer by the small molecules and the decoyTACs. (B) Diagram displaying the increase BRET ratio of the decoyTACs due to an increase of proximity between PARP1 and the E3 ligase CRBN compared to untreated HEK-293T cells (NaCI).
Figure 2. The decoyTAC 41B displays a higher anti-proliferative effect than the decoy molecules. (A) HEK- 293T and (B) HeLa cells were treated with increasing doses of the decoyTAC 41B, the decoy molecules AsiDNA (cholesterol at the 5' end) or AsiDNA' (cholesterol at the opposite position in the loop) and cell survival was assessed using an XTT assay. Cell survival was calculated as the ratio of living treated cells to living not-treated cells. IC50 were calculated according to the dose-response curves using GraphPadPrism software.
Figure 3. DecoyTAC allow specific degradation of PARP1 and/or Ku. (A) Scheme of tested VHL or pomalidomide linkers added to OX427'sequence at the 5' extremity or in the loop. Colors and symbols are used in order to identify each molecule on other graphs within the same figure. (B) Degradation of PARP1 in cellulo per DecoyTAC with linker and E3 ligase ligand at the 5' extremity of the sequence based on loss of luminescence signal coming from the LgBit-HiBit complementation in percentage. Treatments have been performed at 1 pM. (C) Degradation of Ku70/80 in cellulo per DecoyTAC with linker and E3 ligase ligand at the 5' extremity of the sequence based on Western Blot analysis. Treatments have been performed at lpM. (D) Degradation of PARP1 in cellulo per DecoyTAC with linker and E3 ligase ligand in the loop of the sequence based on loss of luminescence signal coming from the LgBit-HiBit complementation in percentage. Treatments have been performed at lpM. (E) Degradation of Ku70/80 in cellulo per DecoyTAC with linker and E3 ligase ligand in the loop of the sequence based on Western Blot analysis. Treatments have been performed at lpM.
EXAMPLES
Example 1 - DecoyTACs are cell permeable and allow the formation of a stable ternary complex
Results
Decoy molecules 0X427 and AsiDNA have the faculty to penetrate the cells thanks to the cholesterol moiety that allows both passive and active transport, using the low-density lipoprotein receptor (LDL-R), to cross the cell membrane. Using the target engagement assay toward the E3 ligases VHL and cereblon (CRBN), the inventors confirmed that their decoy molecules containing a linker and E3 ligase ligands (decoyTACs) displaced the E3 ligase tracers confirming the interaction with both VHL and CRBN ligase (See Table A).
To assess whether the decoyTACs can effectively enter to the cell, the inventors compared on intact cells the target engagement toward the E3 ligase between the E3 ligand and the decoyTACs. (Figure 1A). The decoy molecules coupled with a linker and the E3 ligand VH298 or Polamidomide were capable to displace the tracer as efficiently as the corresponding E3 ligand alone. This indicates that the decoyTAC which include a double stranded oligonucleotide moiety have a similar permeability as the E3 ligand alone. The cholesterol moiety appears to facilitate the internalization of the decoyTAC. The displacement of the tracer in intact cells by the decoyTAC was equivalent when the cholesterol moiety is either at the 5' end position or in the loop of the double stranded oligonucleotide moiety. The same was true for the positions of the linker+E3 ligands. In addition, the displacement was also similar with a decoyTAC based on AsiDNA compared to 0X427 whereas a decoyTAC based on AsiDNA is 2-fold longer (between 16bp and 32bp) (Table A).
To confirm that the decoyTACs can form a stable ternary complex with the E3 ligase in cells, the inventors used NanoBRET technology to measure that the two proteins are in proximity in presence of the molecules. The addition of the decoyTACs significantly increased the NanoBRET signal between the protein PARP1 and the Cereblon E3 ligase compared to non-treated cells (Figure IB). Thus, the ability of the decoyTACs to form a novel protein-protein interaction is confirmed.
These results confirm that PROTAC derived from DNA decoy molecules have good permeability and can form stable ternary complexes between DDR and E3 ligase proteins. They also indicate that the permeability of the decoyTACs and the formation of the ternary complexes are independent of the cholesterol and the linker+E3 ligand position as well as the length or sequence of the double-stranded oligonucleotide moiety.
Materials and Methods
Design and Synthesis of the DecoyTAC molecules: DecoyTACs were generated by conjugating an E3 Ligase Ligand-Linker-Azide to an alkyne DNA decoy molecule using click chemistry. The DNA decoy molecules that have been conjugated are OX427which is a PARP decoy agonist and AsiDNA which acts as a DNA-PK decoy agonist.
The DNA decoy molecule 0X427 consists of sequence SEQ ID NO:11 and 12.
The DNA decoy molecule AsiDNA consists of sequences SEQ ID NO: 3 and 4.
T is a cholesterol and L-B is VH032-CO-(CH2)4 or Pomalidomide-NH-fCHzJg; internucleotide linkages "s" refer to phosphorothioate internucleotide linkages.
The decoyTAC comprising the DNA decoy molecule AsiDNA has one of the following structures:
T wherein
T is a cholesterol, L and B is VH032 or pomalidomide; and internucleotide linkages "s" refer to phosphorothioate internucleotide linkages.
All DNA syntheses were conducted on a Mermade 6 synthesizer by classical phosphoramidite chemistry with commercial phosphoramidites and Control Pore Glass (CPG) solid support using standards conditions. Crude sequences were purified by semi-preparative HPLC Dionex 600 in reverse phase with UV detection at 260 nm, a VP 250/10 Nucleodur C18 Htec 5 pm column, a gradient of buffer B (TEAAc 0.05 M + 80% ACN) in buffer A (TEAAc 0.05 M + 1% ACN) at 30°C at a flow of 4.5 mL/min. Purified DNA samples were analyzed by analytic HPLC with a EC 75/4.5 Nucleodur 100-3 C18 column, a gradient of buffer B (TEAAc 0.05 M + 80% ACN) in buffer A (TEAAc 0.05 M + 1% ACN) at a flow of 1 mL/min. MALDI-TOF mass spectra were recorded on an Axima assurance spectrometer (Shimadzu Biotech) with a N2 laser (337 nm) using 0.5 pL of purified DNA sample mixed with 0.5 pL of diluted 2,4,6-trihydroxyacetphenone (THAP) saturated matrix and ammonium citrate (0.1 M) as co-matrix. Samples were then spotted on a stainless-steel plate
and air dried before analysis. Oligonucleotides dosages were made on a Varian Cary 300 Bio UV spectrometer with a UV detection at 260 nm.
Deprotection and cleavage of the DNA sequences from the solid support was achieved upon mixing with concentrated NH4OH at 55 °C for 5 hours. Ammoniac was then evaporated in SpeedVac and oligonucleotides were analyzed by analytic RP-HPLC and MALDI-TOF with a diluted THAP matrix and ammonium citrate as co-matrix in negative mode. Crude oligonucleotides were then purified by semipreparative RP-HPLC.
The alkyne-modified oligonucleotide was dissolved in water (C = 0.6 mh/l, 1 eq), where then added successively the linker-ligand E3 conjugate dissolved in methanol (C = 5 mh/l, 4 eq), tris(3- hydroxypropyltriazolylmethyl)amine (THPTA) dissolved in water (C = 10 mM, 3 eq) and solid copper(O). The mixture was vortexed, sonicated for 30 seconds and shaked for 30 minutes at 60°C. Then, the mixture was again sonicated and shaked for 15 minutes at room temperature. Finally, the oligonucleotide was centrifugated and the supernatant was recovered. The precipitate was washed two times with saturated ethylenediaminetetraacetic acid (EDTA) and the supernatant was recovered after centrifugation. The DecoyTAC was then purified by semi-preparative RP-HPLC.
Cell culture and cellular transfection: To perform the assays, HEK293T (human embryonic kidney) cell line was used as it is one of the recommended cell lines to use the NanoBRET assays from Promega. Cells were cultured in T75 flask, in Dulbecco's Modified Eagle Medium (DMEM), high glucose, GlutaMAX™ Supplement (61965-026; ThermoFisher), supplemented with 10% fetal bovine serum (FBS, S1400; Biowest), this medium was also called culture medium. When cells reached about 80% confluence, the culture medium was discarded, then the cells were washed with PBS pH 7.4 (10010023; ThermoFisher). Then, cells were detached for 5 minutes at 37°C, 5% CO2 with 0.05% Trypsin-EDTA (25300096; ThermoFisher). After the incubation, trypsin was neutralized by adding culture medium. Cells were then centrifuged at 1,000 rpm for 5 minutes. After aspiration of the supernatant, cells were resuspended in culture medium, were counted, and were dispensed in a T75 flask.
Freshly passaged cells, within 1 or 2 days, were transfected in a T75 flask. Briefly, a 10 pg/mL solution of DNA in Opti-MEM I reduced serum medium, no phenol red was prepared. In the case of the TE assay, the solution contained 1 pg/mL of NanoLuc®-VHL or NanoLuc®-CRBN Fusion Vector and 9 pg/mL of Transfection Carrier DNA. 30 pL FuGENE® HD Transfection Reagent (E2311; Promega) were added to form a complex with the vectors. The solutions were incubated for 20 minutes at room temperature (RT). In a 15 mL Falcon, 1 part of the DNA complex was mixed with 20 parts of HEK293T cells in suspension at 2 x 105 cells/mL. After a gently mix, cells were dispensed into a T75 or a T25 flask according to the quantity needed. About 4 x 106 cells were needed for a T75 flask. Cells were then incubated for 20 to 30 hours at 37°C, 5% CO2.
Permeability and Target Engagement: The target engagement of the DecoyTACs to the E3 ligases VHL and
Cereblon (CRBN) and the availability of the molecules were measured using the Intracellular Availability
NanoBRET™ Target Engagement (TE) Intracellular E3 Ligase Assays from Promega.
Transfected cells were washed, detached, centrifuged, and resuspended to reach a density of 2 x 105 cells/mL in Opti-MEM (#11058-021, Life Technologies, Carlsbad, CA). 85 pL of cell suspension were dispensed into each well of a white, 96-well NBS plate. 5 pL of 20X NanoBRET™ TE Tracers (CRBN: N290A or VHL: N292A) were added to the corresponding wells for a final concentration of 1 pM. For the treatment, 10 pL of DecoyTACs prepared at 100 pM stock in 90% NaCI 0.9%, 10% DMSO in NaCI 0.9% were added as well for a final concentration of 10 pM. The plate was incubated at 37°C, 5% CO2 for 2 hours. In the meantime, a 60 pM Complete Substrate Plus Inhibitor Solution containing 1:166 of NanoBRET™ Nano- Glo® Substrate and 1:500 of Extracellular NanoLuc® Inhibitor was prepared in Opti-MEM medium. This solution was used to mitigate any NanoLuc® luciferase signal that could arise from cells compromised during the experiment, while not affecting NanoLuc® luciferase expressed within healthy living cells. 50 pL of 60 pM Complete Substrate Plus Inhibitor Solution were added to each well at a working concentration of 20 pM. After an incubation of 2-3 minutes, donor emission wavelength (450 nm) and the acceptor emission wavelength (610 nm) were measured using the VICTOR Nivo Multimode Microplate Reader (HH35000500; PerkinElmer).
To measure the permeability of a the DecoyTACs, the target engagement (TE), was measured in two conditions: intact cells and permeabilized cells and compared to permeable E3 ligase control molecules. The control molecule used for the VHL E3 ligase was the selective and soluble inhibitor VH298 (SML1896- 5MG; Sigma-Aldrich). The permeable control for CRBN-based PROTACs was lenalidomide (461590010; ThermoFisher) which has a strong affinity for CRBN.
Ternary complex formation assessment: The formation of the ternary complex was studied using the NanoBRET Protein Interaction assay from Promega. HEK293T cells were transfected with HaloTag®-VHL or -CRBN and NanoLuc®-PARPl plasmids. The NanoBRET signal was obtained by adding HaloTag® 618 Ligand. A pretreatment with the proteasome inhibitor MG-132 was performed to enhance the signal window of ternary complex.
Example 2 - DecoyTAC targeting DNA Damage Response proteins can induce Cell Death Results
To validate a cellular effect of the decoyTAC, the inventors assessed the anti-proliferative activity of decoyTACs on both HEK-293T and HeLa cell lines. They measured the effect of the decoyTAC (41B), which is the most permeable and efficient in the formation of the ternary complex with PARP1. The percentage of survival is significantly reduced on HEK-293T upon the treatment of the decoyTAC compared to the control decoy molecules that are not containing the I inker+E3 ligand, namely AsiDNA with the cholesterol
at the 5'end of the double-stranded moiety, and AsiDNA' having the cholesterol on the loop instead on the
5' position.
In the case of HEK-293T, the IC50 of 41B is sub-micromolar while it was in the tens micromolar range for the control decoy molecules that serve as the base for the decoyTAC (Figure 2A).
In the case of HeLa cell line, the decoyTAC reduces cell viability upon 4 days of treatment while the control decoy molecules display no effect (Figure 2B).
In conclusion, decoyTAC presents a higher anti-proliferative effect than the control decoy molecules.
Materials and Methods
Design and Synthesis of the DecoyTAC molecules: DecoyTACs were generated by conjugating an E3 Ligase Ligand-Linker-Azide to an alkyne DNA decoy molecule using click chemistry. The DNA decoy molecules that have been conjugated are 0X427 which is a PARP decoy agonist and AsiDNA which acts as a DNA-PK decoy agonist.
The DNA decoy molecule 0X427 consists of sequence SEQ ID NO: 11 and 12.
The DNA decoy molecule AsiDNA consists of sequences SEQ ID NO: 3 and 4.
All DNA syntheses were conducted on a Mermade 6 synthesizer by classical phosphoramidite chemistry with commercial phosphoramidites and Control Pore Glass (CPG) solid support using standards conditions. Crude sequences were purified by semi-preparative HPLC Dionex 600 in reverse phase with UV detection at 260 nm, a VP 250/10 Nucleodur C18 Htec 5 pm column, a gradient of buffer B (TEAAc 0.05 M + 80% ACN) in buffer A (TEAAc 0.05 M + 1% ACN) at 30°C at a flow of 4.5 mL/min. Purified DNA samples were analyzed by analytic HPLC with a EC 75/4.5 Nucleodur 100-3 C18 column, a gradient of buffer B (TEAAc 0.05 M + 80% ACN) in buffer A (TEAAc 0.05 M + 1% ACN) at a flow of 1 mL/min. MALDI-TOF mass spectra were recorded on an Axima assurance spectrometer (Shimadzu Biotech) with a N2 laser (337 nm) using 0.5 pL of purified DNA sample mixed with 0.5 pL of diluted 2,4,6-trihydroxyacetphenone (THAP) saturated matrix and ammonium citrate (0.1 M) as co-matrix. Samples were then spotted on a stainless-steel plate and air dried before analysis. Oligonucleotides dosages were made on a Varian Cary 300 Bio UV spectrometer with a UV detection at 260 nm.
Deprotection and cleavage of the DNA sequences from the solid support was achieved upon mixing with concentrated NH4OH at 55 °C for 5 hours. Ammoniac was then evaporated in SpeedVac and oligonucleotides were analyzed by analytic RP-HPLC and MALDI-TOF with a diluted THAP matrix and ammonium citrate as co-matrix in negative mode. Crude oligonucleotides were then purified by semipreparative RP-HPLC.
The alkyne-modified oligonucleotide was dissolved in water (C = 0.6 mM, 1 eq), where then added successively the linker-ligand E3 conjugate dissolved in methanol (C = 5 mM, 4 eq), tris(3- hydroxypropyltriazolylmethyl)amine (THPTA) dissolved in water (C = 10 mM, 3 eq) and solid copper(O). The mixture was vortexed, sonicated for 30 seconds and shaked for 30 minutes at 60°C. Then, the mixture was
again sonicated and shaked for 15 minutes at room temperature. Finally, the oligonucleotide was centrifugated and the supernatant was recovered. The precipitate was washed two times with saturated ethylenediaminetetraacetic acid (EDTA) and the supernatant was recovered after centrifugation. The DecoyTAC was then purified by semi-preparative RP-HPLC.
Cell viability assay: HEK-293T and HeLa cell lines were seeded in 96 well-plates at a density of 2000 cells per well and incubated 24 hours at 37°C before the addition of increasing concentrations of drug up to 2 pM for 4 days. Following drug exposure, cell survival was measured using the XTT assay (Thermo, Cat#: X12223). Briefly, the XTT solution was added directly to each well containing cell culture and the cells incubated for 4 hours at 37°C before reading the absorbance at 485 nm using a microplate reader (VICTOR Nivo Plate Reader, Perkin elmer). Cell survival was calculated as the ratio of living treated cells to living mock-treated cells. The IC50 (which represents the dose at which 50% of the cells are viable) was calculated by a non-linear regression model using GraphPad Prism software (version 5.04) by plotting the percentage viability against the Log of the drug concentration on each cell line.
Example 3 - DecoyTac can selectively degrade DDR proteins PARP1 and/or Ku70/80
Results
The inventors measure in cellulo the degradation of PARP1 and Ku70/80 respectively under treatment with their decoy molecules containing a linker and E3 ligase ligands (decoyTACs). The inventors demonstrated that, depending on position, nature and size of the linker, but also of the nature of the E3 ligase ligand, DDR proteins, and more precisely PARP1 and Ku70/80, can be selectively degraded (Figure 3).
A Pomalidomide ligand with a linker in the loop is more selective for Ku, as illustrated for #42, #44 & #45 where no PARP1 degradation is observed at 1 pM at the opposite of Ku70/80.
On the other hand, E3 ligase Von-Hippel-Lindeau (VHL) ligand display a higher selectivity against PARP1 or Ku depending on the linker's nature and size. Considering the 13 disclosed molecules, 5 displays no Ku degradation at 1 pM (#23 ,#25 ,#51 ,#55 ,#62) and 3 others a low Ku degradation in comparison with PARP1 degradation (#28, #31, #60). It seems VHL ligand is more prone to degrade PARP1 than Ku in most cases.
The size of the given linker can change this selectivity to be Ku specific instead of PARP1 specific, as observed for molecules #59 and #63 compared to #60 and #62, respectively.
Some molecules also displayed a PAN-decoyTACs activity, degrading both Ku and PARP1, which is particularly true for pomalidomide molecules with linker at the 5' extremity. Molecules #1, #3 and #9 are particularly good examples of such behavior. Nevertheless, it can also be true for VHL ligand as illustrated by molecules #19 and #56.
Materials and Methods
Design and Synthesis of the DecoyTAC molecules: DecoyTACs were generated by conjugating an E3 Ligase Ligand-Linker-Azide to an alkyne DNA decoy molecule using click chemistry. The DNA decoy molecules that have been conjugated are the following: The decoyTAC molecules f the invention can be chosen from the following molecules:
Wherein:
Structure A corresponds to L-B being linked to the loop:
and
, the ethynyl being replaced by the connecting link after conjugation with N3 of the E3-linker and and T is
Structure B corresponds to L-B being linked to the 5' end of the double-stranded nucleic acid moiety:
and
is attached at the 5' end of the double stranded nucleic acid moiety and the ethynyl is replaced by the connecting link after conjugation with N3 of the E3-I i n ker
, the ethynyl being replaced by the connecting link after conjugation with N3 of the E3-linker; or
the terminal carboxyl group (C(O)OH) being replaced by the connecting link after conjugation with the amine of the E3-linker.
All DNA syntheses were conducted on a Mermade 6 synthesizer by classical phosphoramidite chemistry with commercial phosphoramidites and Control Pore Glass (CPG) solid support using standards conditions. Crude sequences were purified by semi-preparative HPLC Dionex 600 in reverse phase with UV detection at 260 nm, a VP 250/10 Nucleodur C18 Htec 5 pm column, a gradient of buffer B (TEAAc 0.05 M + 80% ACN) in buffer A (TEAAc 0.05 M + 1% ACN) at 30°C at a flow of 4.5 mL/min. Purified DNA samples were analyzed by analytic HPLC with a EC 75/4.5 Nucleodur 100-3 C18 column, a gradient of buffer B (TEAAc 0.05 M + 80% ACN) in buffer A (TEAAc 0.05 M + 1% ACN) at a flow of 1 mL/min. MALDI-TOF mass spectra were recorded on an Axima assurance spectrometer (Shimadzu Biotech) with a N2 laser (337 nm) using 0.5 pL of purified DNA sample mixed with 0.5 pL of diluted 2,4,6-trihydroxyacetphenone (THAP) saturated matrix and ammonium citrate (0.1 M) as co-matrix. Samples were then spotted on a stainless-steel plate and air dried before analysis. Oligonucleotides dosages were made on a Varian Cary 300 Bio UV spectrometer with a UV detection at 260 nm.
Deprotection and cleavage of the DNA sequences from the solid support was achieved upon mixing with concentrated NH4OH at 55 °C for 5 hours. Ammoniac was then evaporated in SpeedVac and oligonucleotides were analyzed by analytic RP-HPLC and MALDI-TOF with a diluted THAP matrix and ammonium citrate as co-matrix in negative mode. Crude oligonucleotides were then purified by semipreparative RP-HPLC.
The alkyne-modified oligonucleotide was dissolved in water (C = 0.6 mM, 1 eq), where then added successively the linker-ligand E3 conjugate dissolved in methanol (C = 5 mM, 4 eq), tris(3- hydroxypropyltriazolylmethyl)amine (THPTA) dissolved in water (C = 10 mM, 3 eq) and solid copper(O). The mixture was vortexed, sonicated for 30 seconds and shaked for 30 minutes at 60°C. Then, the mixture was
again sonicated and shaked for 15 minutes at room temperature. Finally, the oligonucleotide was centrifugated and the supernatant was recovered. The precipitate was washed two times with saturated ethylenediaminetetraacetic acid (EDTA) and the supernatant was recovered after centrifugation. The DecoyTAC was then purified by semi-preparative RP-HPLC.
PARP1 degradation assessment: PARP1 degradation was studied by using the CRISPR modified KI PARP1- HiBiT HeLa cell line from Promega. Cells were plated in white walled 96-well plates at a density of 10,000 cells per well and were incubated for 24h at 37°C, 5% CO2 in DMEM + GlutaMAX medium (ThermoFisher) supplemented with 10% FBS (Biowest). Afterwards, they were treated with 1 pM of decoyTACs for 24h. The degradation of PARP1 was assessed by using the Nano-Gio® HiBiT Lytic Detection system from Promega which is based on the complementation of a split luciferase: HiBiT and LgBiT. It allowed to measure the level of luminescence produced by the intact PARPl-HiBiT proteins that binds to the LgBiT using the Victor Nivo multimode microplate reader. The degradation percentage was determined by normalizing each condition to the non-treated one.
Ku70/80 degradation through Western Blot: To assess Ku70/80 degradation through Western Blot, A2780 cells were seeded in 6-well plates for 24h at 37°C, 5% CO2 in RPM 1-1640 medium (ThermoFisher) supplemented with 10% FBS (Biowest) and 1% Pen/Strep (ThermoFisher). Afterwards, they were treated with decoyTACs at 1 pM for 24h as well before being lysed using the RIPA buffer. After a centrifugation and the collection of the supernatant, the quantity of proteins was assessed by BCA (Biocinchonic acid) assay. Then, samples were prepared in order to contain 5 pg of proteins diluted in LDS-sample buffer (Thermofisher, Cat#J61894) and NuPAGE™ Sample Reducing Agent (Thermofisher, Cat#NP0004). After a denaturation of 5 minutes at 95°C, protein extracts were loaded on Mini-PROTEAN® 4-20% gels (BioRad) and the molecular weight ladder used was PageRuler Plus (ThermoFisher). The gel then migrated at 180 V for approximatively 45 minutes with the Mini-PROTEAN Tetra cell (BioRad) and transferred onto nitrocellulose membranes using the Trans-Blot® Turbo™ Transfer System (BioRad). Each membrane was blocked with the EveryBlot blocking buffer from Biorad for 5 minutes and the incubated with the primary antibodies at 4°C overnight. The primary antibodies anti-Ku70/80 (1/1000, abeam) and anti-GAPDH (1/5000, Invitrogen) were diluted in the EveryBlot Blocking buffer. Afterwards, the membranes were washed in PBS with 0,02% of Tween-20 to be incubated for lh at room temperature while shaking and protected from light with the secondary antibodies: StarBright Blue 520 Goat Anti-Rabbit and StarBright Blue 700 Goat Anti-Mouse (Bio-Rad). Once again, the membranes were washed three times with PBS with 0.02% Tween-20. The membranes were revealed with the ChemiDoc Imaging System (Bio-Rad) and were then analyzed using Image Lab (Bio-Rad).
Example 4 - DecoyTacs are able to induces cellular death in cancerous cell lines
Results
The inventors have assessed the potential of decoyTACs to induces cellular death more efficiently than iRucaparib, a PARPl's PROTAC, in ovarian cancer cell line A2780, which are PARPl's inhibitor sensitive (Table B). This cell death can be mediated by Ku70/80, PARP1 or both protein degradation and/or trapping. Both Mechanism of Action, assessed by protein targeted degradation, are in action here at different levels.
Molecules #3 and #56, which are Pan-decoyTACs, share a short PEG motif in their linkers but different natures of the E3 ligase ligand and/or position in the DNA sequence. Those molecules display a better IC50 than other molecules which could be related to the fact that they degrade at least 2 proteins involved in DDR instead of one. Similarly, #17 and #19, which are a Pan-decoyTAC, present the best IC50. Therefore, the pan activity on both PARP and Ku is an advantage to induce cell death.
#25, #31, #41 and #48, which are selective PARP1 degraders, show an efficiency linked to their ability to degrade PARP1.
#45 is a selective Ku degrader. The IC50 is linked to Ku degradation and is lower than IC50 of some Pan- decoyTACs molecules (#3, #17 and #56).
In addition, the inventors observed that IC20 of the tested molecules are better than the IC20 of Irucaparib (a PROTAC molecule using a PARP inhibitor).
Cell viability assay: A2780 cell lines were seeded in 96-well plates at a density of 500 cells for a treatment of 3 days and 250 cells per well for a treatment of 6 days. Cells were incubated for 24h at 37°C; 5% CO2 in RPMI-1640 medium (ThermoFisher) supplemented with 10% FBS (Biowest) and 1% Pen/Strep (ThermoFisher). Afterwards, cells were treated with increasing concentrations of drug up to 2 pM for 3 to
6 days. Following drug exposure, cell survival was measured using the XTT assay (Sigma-Aldrich, Cat#: 11465015001). XTT solution was added to each well and the plates were incubated for 4h at 37°C, 5% CO2, the absorbance was then measured at 485 nm using a microplate reader (VICTOR Nivo multimode microplate reader, Perkin Elmer). Cell survival was calculated as the ratio of living treated cells to living mock-treated cells. The IC50 (which represents the dose at which 50% of the cells are viable) was calculated by a non-linear regression model using GraphPad Prism software (version 10.0.0) by plotting the percentage viability against the Log of the drug concentration on each cell line.
Claims
1- A molecule having the structure of formula (I):
T-A-L-B (I) wherein
T is a vectorization/delivery moiety;
A is a double-stranded nucleic acid moiety having two complementary strands bound by a loop, being 10-100 bp in length and having less than 80% of identity to any gene in a human genome;
L is a covalent linker connecting A to B; and
B is a E3 ubiquitin ligase ligand.
2- The molecule of claim 1, wherein the molecule has the one of the following structures (HA) or ( 11 B) :
wherein
T, L and B have the same meaning than in claim 1;
Loop refers to the loop bound to the two complementary strands; and
N is a nucleotide and n is an integer between 5 and 95.
3- The molecule according to any one of claims 1-2, wherein the double-stranded nucleic acid moiety is capable of being bound by a protein involved in the DNA damage repair (DDR) pathway.
4- The molecule according to claim 3, wherein the protein belongs to any of the following DDR pathways:
Base Excision Repair pathway, including PARP1 (UniProt No P09874) and DNA- (apurinic or apyrimidinic site) endonuclease APE1 (UniProt No P27695);
Homologous Recombination Repair pathway, including MRN complex proteins MRE11 (Double-strand break repair protein, UniProt No P49959), RAD50 (DNA repair protein, UniProt No Q92878); ATM (serine-protein kinase ataxia telangiectasia mutated, UniProt No Q13315) and ATR (Serine/threonine-protein kinase Ataxia telangiectasia and Rad3 related, UniProt No Q13535);
Non-Homologous End Joining pathway, including dimer Ku70 (X-ray repair crosscomplementing protein 6, UniProt No P12955) / Ku80 (X-ray repair cross-complementing protein 5, UniProt No P13010) and DNAPKcs (DNA-dependent protein kinase catalytic subunit, UniProt No P78527);
MisMatch Repair pathway, including MMR complex MSH2 (DNA mismatch repair protein, UniProt No P43246) / MSH3 (DNA mismatch repair protein, UniProt No P20585) and MSH6 (DNA mismatch repair protein, UniProt No P20585);
Nucleotide excision repair pathway, including complex ERCC1 (DNA excision repair protein, UniProt No P07992) / XPF (DNA repair endonuclease, UniProt No Q92889) and TFIIH complex of a 7 subunits core: ERCC2 (General transcription and DNA repair factor IIH helicase subunit XPD, UniProt No P18074); ERCC3 (General transcription and DNA repair factor IIH helicase subunit XPB, UniProt No P19447); GTF2H1 (General transcription factor IIH subunit 1, UniProt No P32780), GTF2H2 (General transcription factor IIH subunit 2, UniProt No Q13888), GTF2H3 (General transcription factor IIH subunit 3, UniProt No Q13889), GTF2H4 (General transcription factor IIH subunit 4, UniProt No Q92759), GTF2H5 (General transcription factor IIH subunit 5, UniProt No Q6ZYL4);
Interstrand Crosslink repair pathway, including FANCM (Fanconi anemia group M protein, UniProt No Q.8IYD8) and FAAP24 (Fanconi anemia core complex-associated protein 24, UniProt No Q9BTP7); and
Translesion synthesis pathway, including PCNA (Proliferating cell nuclear antigen, UniProt No P12004) and the polymerases Pol alpha (DNA polymerase alpha catalytic subunit, UniProt No P09884); Pol beta (DNA polymerase beta, UniProt No P06746); Pol eta (DNA polymerase eta, UniProt No Q9Y253); Pol delta (DNA polymerase delta catalytic subunit, UniProt No P28340); and Nucleoside Excision Repair pathway, including Xeroderma pigmentosum complementation group C (XPC) protein complex: XPC (DNA repair protein complementing cells, UniProt No Q01831), RAD23B (UV excision repair protein RAD23 homolog B, UniProt No P54727), CETN2 (Centrin-2, UniProt No P41208).
5- The molecule according to any one of claims 1-4, wherein the molecule has the one of the following structures (lll-A), (lll-B):
Or
B-L
(lll-B) wherein T, L, B, N and n is as described in claim 1. 6- The molecule according to any one of claims 1-4, wherein the molecule has the one of the following structures
( s an ) and wherein
T, L and B have the same meaning than in claim 1; internucleotide linkages "s" refer to phosphorothioate internucleotide linkages; and underlined nucleotides are 2'-deoxy-2'-fluoroarabinonucleotides (FANA). 7- The molecule according to any one of claims 1-4, wherein the molecule has the one of the following structures
T (SEQ ID NOs 11 and 12) and wherein
T, L and B have the same meaning than in claim 1; and internucleotide linkages "s" refer to phosphorothioate internucleotide linkages.
8- The molecule according to any one of claims 1-4, wherein the molecule has the one of the following structures
wherein
T, L and B have the same meaning than in formula (I); internucleotide linkages "s" refer to phosphorothioate internucleotide linkages; and the loop is l,19-bis(phospho)-8-hydraza-2-hydroxy-4-oxa-9-oxo-nonadecane.
9- The molecule according to any one of claims 1-4, wherein the molecule has the one of the following structures (Xlll-A) and (Xlll-B):
(Xlll-A) (SEQ ID NOs 3 and 4) or
T (Xlll-B) (SEQ ID NOs 3 and 4) wherein
T, L and B have the same meaning than in formula (I); and internucleotide linkages "s" refer to phosphorothioate internucleotide linkages.
10- The molecule according to any one of claims 1-9, wherein the vectorization/delivery moiety T is a molecule allowing the specific delivery to the targeted cells, tissues or organs, in particular the cancer cells or tumors, and/or improving cellular uptake of the molecule, in particular a lipid moiety or a ligand, an aptamer or an antibody or a derivative thereof having an affinity for a molecule expressed specifically at the surface of the targeted cells or specifically overexpressed at the surface of the targeted cells.
11- The molecule according to any one of claims 1-10, wherein the vectorization/delivery moiety T is a cholesterol moiety, optionally with a connecting linker.
12- The molecule according to any one of claims 1-11, wherein the E3 ubiquitin ligase ligand B is a ligand of an E3 ligase selected from mouse double minute 2 homologue (MDM2), cellular inhibitor of apoptosis (clAP), Von Hippel-Lindau (VHL), cereblon (CRBN), RING-type zinc-finger protein 114 (RNF114), damagespecific DNA binding protein 1 (DDB1)-CUL4 associated factor 16 (DCAF16), and Kelch like ECH-associated protein 1 (KEAP1), preferably VHL or CRBN.
13- The molecule according to claim 12, wherein the E3 ubiquitin ligase ligand B is selected from the group consisting of
p 5' derivative), and
(pomalidomide-4' derivative).
14- The molecule according to any one of claims 1-13, wherein the combination of E3 ubiquitin ligase ligand B and linker L to be covalently linked to the DDR targeting moiety is selected in the following group (with terminal N3 or H of terminal NH or NH2 being replaced by the connecting link to the rest of the molecule after conjugation):
Wherein:
Structure B corresponds to L-B being linked to the 5' end of the double-stranded nucleic acid moiety:
(BL and wherein T is a radical with a cholesterol.
16 - The molecule according to any one of claims 1 and 15, wherein the molecules target PARP proteins and are chosen from molecules #1, 3, 4, 5, 9, 12, 14, 17, 19, 23, 25, 28, 29, 31, 38, 41, 43, 44, 48, 51, 55, 56, 59, 60, 62, 63 as numbered in the Table of Claim 15.
17 - The molecule according to any one of claims 1 and 15, wherein the molecules target Ku proteins and are chosen from molecules #1, 3, 4, 5, 9, 14, 17, 29, 43, 44, 45, 46, 56, 59, 63 as numbered in the Table of Claim 15.
18 - The molecule according to any one of claims 1 and 15, wherein the molecules target both PARP proteins and Ku proteins and are chosen from molecules #1, 3, 4, 5, 9, 14, 17, 19, 29, 42 43, 44, 56, 59, 63 as numbered in the Table of Claim 15.
19- A pharmaceutical or veterinary composition comprising a molecule according to any one of claims 1- 18 and optionally a pharmaceutically acceptable carrier.
20- The pharmaceutical or veterinary composition according to claim 19, further comprising another antitumoral therapeutic agent.
21- A molecule according to any one of claims 1-18 or pharmaceutical or veterinary composition according to any one of claims 19-20 for use in the treatment of cancer.
22- The molecule for use according to claim 21 or the pharmaceutical or veterinary composition for use according to claim 21, used in combination to radiotherapy or another antitumoral therapeutic agent.
23- Use of a molecule according to any one of claims 1-18 for the manufacture of a medicament for the treatment of cancer, optionally in combination to radiotherapy or another antitumoral therapeutic agent.
24- A method for treating a cancer in a subject in need thereof, comprising administering a therapeutically effective amount of a molecule according to any one of claims 1-18 to said subject.
Applications Claiming Priority (2)
| Application Number | Priority Date | Filing Date | Title |
|---|---|---|---|
| EP23305811.4 | 2023-05-23 | ||
| EP23305811 | 2023-05-23 |
Publications (1)
| Publication Number | Publication Date |
|---|---|
| WO2024240858A1 true WO2024240858A1 (en) | 2024-11-28 |
Family
ID=86760560
Family Applications (1)
| Application Number | Title | Priority Date | Filing Date |
|---|---|---|---|
| PCT/EP2024/064177 Pending WO2024240858A1 (en) | 2023-05-23 | 2024-05-23 | Protac molecules directed against dna damage repair system and uses thereof |
Country Status (1)
| Country | Link |
|---|---|
| WO (1) | WO2024240858A1 (en) |
Citations (134)
| Publication number | Priority date | Publication date | Assignee | Title |
|---|---|---|---|---|
| WO1996002642A1 (en) | 1994-07-20 | 1996-02-01 | University Of Dundee | INTERRUPTION OF BINDING OF MDM2 AND p53 PROTEIN AND THERAPEUTIC APPLICATION THEREOF |
| WO1997009343A2 (en) | 1995-09-04 | 1997-03-13 | Rhone-Poulenc Rorer S.A. | Antagonists of the oncogenic activity of the protein mdm2, and use thereof in the treatment of cancers |
| WO1998001467A2 (en) | 1996-07-05 | 1998-01-15 | Novartis Ag | Inhibitors of the interaction between p53 and mdm2 |
| WO2000015657A1 (en) | 1998-09-12 | 2000-03-23 | Astrazeneca Ab | Piperizine-4-phenyl derivatives as inhibitors of the interaction between mdm2 and 53 |
| WO2003051360A1 (en) | 2001-12-18 | 2003-06-26 | F. Hoffmann-La Roche Ag | Cis-imidazolines as mdm2 inhibitors |
| WO2003051359A1 (en) | 2001-12-18 | 2003-06-26 | F.Hoffmann-La Roche Ag | Cis-2,4,5- triphenyl-imidazolines and their use in the treatment of tumors |
| WO2004080460A1 (en) | 2003-03-13 | 2004-09-23 | F. Hoffmann-La Roche Ag | SUBSTITUTED PIPERIDINES AS NOVEL MDM2-p53 INHIBITORS |
| US20040242582A1 (en) | 2001-04-24 | 2004-12-02 | Green Mark A | Folate mimetics and folate-receptor binding conjugates thereof |
| WO2005003097A1 (en) | 2003-06-17 | 2005-01-13 | F. Hoffmann-La Roche Ag | Cis-2,4,5-triaryl-imidazolines |
| WO2005002575A1 (en) | 2003-06-17 | 2005-01-13 | F. Hoffmann-La Roche Ag | Cis-imidazolines as mdm2 inhibitors |
| WO2005040378A1 (en) | 2003-10-24 | 2005-05-06 | Institut Curie | Nucleic acids useful for triggering tumor cell lethality |
| WO2005110996A1 (en) | 2004-05-18 | 2005-11-24 | F.Hoffmann-La Roche Ag | Novel cis-imidazolines |
| WO2005123691A1 (en) | 2004-06-17 | 2005-12-29 | F-Hoffmann-La Roche Ag | Novel cis-imidazolines |
| WO2006032631A1 (en) | 2004-09-22 | 2006-03-30 | Janssen Pharmaceutica N.V. | Inhibitors of the interaction between mdm2 and p53 |
| WO2006091646A2 (en) | 2005-02-22 | 2006-08-31 | The Regents Of The University Of Michigan | Small molecule inhibitors of mdm2 and uses thereof |
| WO2006097261A1 (en) | 2005-03-16 | 2006-09-21 | F.Hoffmann-La Roche Ag | Cis-2,4,5-triaryl-imidazolines and their use as anti-cancer medicaments |
| WO2006136606A2 (en) | 2005-06-24 | 2006-12-28 | F. Hoffmann-La Roche Ag | Oxindole derivatives |
| US20070129416A1 (en) | 2005-12-01 | 2007-06-07 | Qingjie Ding | 4,4,5,5, Tetrasubstituted imidazolines |
| WO2007082805A1 (en) | 2006-01-18 | 2007-07-26 | F. Hoffmann-La Roche Ag | Cis-4, 5-biaryl-2-heterocyclic-imidazolines as mdm2 inhibitors |
| WO2007104714A1 (en) | 2006-03-13 | 2007-09-20 | F. Hoffmann-La Roche Ag | Spiroindolinone derivatives |
| WO2007104664A1 (en) | 2006-03-13 | 2007-09-20 | F. Hoffmann-La Roche Ag | Spiroindolinone derivatives |
| WO2007107543A1 (en) | 2006-03-22 | 2007-09-27 | Janssen Pharmaceutica N.V. | Inhibitors of the interaction between mdm2 and p53 |
| WO2007107545A1 (en) | 2006-03-22 | 2007-09-27 | Janssen Pharmaceutica N.V. | Cyclic-alkylaminederivatives as inhibitors of the interaction between mdm2 and p53 |
| WO2008016893A1 (en) | 2006-08-02 | 2008-02-07 | Novartis Ag | Smac peptidomimetics useful as iap inhibitors |
| WO2008034866A2 (en) | 2006-09-21 | 2008-03-27 | Institut Curie | Dbait and uses thereof |
| WO2008034736A2 (en) | 2006-09-21 | 2008-03-27 | F. Hoffmann-La Roche Ag | Oxindole derivatives as anticancer agents |
| WO2008036168A2 (en) | 2006-08-30 | 2008-03-27 | The Regents Of The University Of Michigan | New small molecule inhibitors of mdm2 and the uses thereof |
| WO2008055812A1 (en) | 2006-11-09 | 2008-05-15 | F. Hoffmann-La Roche Ag | Spiroindolinone derivatives |
| WO2008072655A1 (en) | 2006-12-14 | 2008-06-19 | Daiichi Sankyo Company, Limited | Imidazothiazole derivatives |
| WO2008084087A2 (en) | 2007-01-12 | 2008-07-17 | Centre National De La Recherche Scientifique | Dbait and its standalone uses thereof |
| WO2008106507A2 (en) | 2007-02-27 | 2008-09-04 | University Of South Florida | Mdm2/mdmx inhibitor peptide |
| WO2008125487A1 (en) | 2007-04-12 | 2008-10-23 | F. Hoffmann-La Roche Ag | Diphenyl-dihydro-imidazopyridinones |
| WO2008128171A2 (en) | 2007-04-13 | 2008-10-23 | The Regents Of The University Of Michigan | Diazo bicyclic smac mimetics and the uses thereof |
| WO2008130614A2 (en) | 2007-04-20 | 2008-10-30 | University Of Pittsburg-Of The Commonwealth System Of Higher Education | Selective and dual-action p53/mdm2/mdm4 antagonists |
| WO2008141975A1 (en) | 2007-05-23 | 2008-11-27 | F. Hoffmann-La Roche Ag | Spiroindolinone derivatives |
| WO2008141917A1 (en) | 2007-05-17 | 2008-11-27 | F. Hoffmann-La Roche Ag | 3,3-spiroindolinone derivatives |
| WO2009019274A1 (en) | 2007-08-06 | 2009-02-12 | Janssen Pharmaceutica Nv | Substituted phenylenediamines as inhibitors of the interaction between mdm2 and p53 |
| WO2009037343A1 (en) | 2007-09-21 | 2009-03-26 | Janssen Pharmaceutica Nv | Inhibitors of the interaction between mdm2 and p53 |
| WO2009037308A1 (en) | 2007-09-21 | 2009-03-26 | Janssen Pharmaceutica Nv | Inhibitors of the interaction between mdm2 and p53 |
| WO2009047161A1 (en) | 2007-10-09 | 2009-04-16 | F. Hoffmann-La Roche Ag | Chiral cis-imidazolines |
| WO2009077357A1 (en) | 2007-12-14 | 2009-06-25 | F. Hoffmann-La Roche Ag | Spiroindolinone derivatives |
| WO2009080488A1 (en) | 2007-12-19 | 2009-07-02 | F. Hoffmann-La Roche Ag | Spiroindolinone derivatives as anticancer agents |
| WO2009115425A1 (en) | 2008-03-19 | 2009-09-24 | F. Hoffmann-La Roche Ag | Spiroindolinone derivatives |
| WO2009151069A1 (en) | 2008-06-12 | 2009-12-17 | 第一三共株式会社 | Imidazothiazole derivative having 4,7-diazaspiro[2.5]octane ring structure |
| WO2010028862A1 (en) | 2008-09-15 | 2010-03-18 | Priaxon Ag | Pyrrolidin-2-ones as hdm2 ligands |
| WO2010058819A1 (en) | 2008-11-19 | 2010-05-27 | 学校法人 慶應義塾 | Peptide capable of inhibiting interaction between human tumor protein mdm2 and human tumor suppression protein p53, and use thereof |
| WO2010082612A1 (en) | 2009-01-16 | 2010-07-22 | 第一三共株式会社 | Imidazothiazole derivative having proline ring structure |
| WO2010084097A1 (en) | 2009-01-26 | 2010-07-29 | F. Hoffmann-La Roche Ag | Spiroindolinone derivative prodrugs |
| WO2010091979A1 (en) | 2009-02-10 | 2010-08-19 | F. Hoffmann-La Roche Ag | Spiroindolinone pyridine derivative |
| WO2010094622A1 (en) | 2009-02-17 | 2010-08-26 | F. Hoffmann-La Roche Ag | 3, 3' -spiroindolinone derivatives as anticancer agents |
| WO2010121995A1 (en) | 2009-04-23 | 2010-10-28 | F. Hoffmann-La Roche Ag | 3,3'-spiroindolinone derivatives and their use for cancer |
| WO2011005219A1 (en) | 2009-07-07 | 2011-01-13 | Agency For Science, Technology And Research | Novel mdm2 binding peptides and uses thereof |
| WO2011023677A1 (en) | 2009-08-26 | 2011-03-03 | Novartis Ag | Tetra-substituted heteroaryl compounds and their use as mdm2 and/or mdm4 modulators |
| WO2011045257A1 (en) | 2009-10-14 | 2011-04-21 | F. Hoffmann-La Roche Ag | Novel n-substituted-pyrrolidines as inhibitors of mdm2-p-53 interactions |
| WO2011060049A2 (en) | 2009-11-12 | 2011-05-19 | The Regents Of The University Of Michigan | Spiro-oxindole mdm2 antagonists |
| WO2011061139A1 (en) | 2009-11-17 | 2011-05-26 | F. Hoffmann-La Roche Ag | Substituted pyrrolidine-2-carboxamides |
| WO2011067185A1 (en) | 2009-12-02 | 2011-06-09 | F. Hoffmann-La Roche Ag | Spiroindolinone pyrrolidines |
| WO2011076786A1 (en) | 2009-12-22 | 2011-06-30 | Novartis Ag | Substituted isoquinolinones and quinazolinones |
| WO2011098398A1 (en) | 2010-02-09 | 2011-08-18 | F. Hoffmann-La Roche Ag | Substituted pyrrolidine-2-carboxamides |
| WO2011101297A1 (en) | 2010-02-17 | 2011-08-25 | F. Hoffmann-La Roche Ag | Substituted spiroindolinones |
| WO2011106650A2 (en) | 2010-02-27 | 2011-09-01 | University Of Pittsburgh - Of The Commonwealth System Of Higher Education | Novel p53-mdm2/p53-mdm4 antagonists to treat proliferative disease |
| WO2011134925A1 (en) | 2010-04-28 | 2011-11-03 | F. Hoffmann-La Roche Ag | Spiroindolinone pyrrolidines |
| WO2011153509A1 (en) | 2010-06-04 | 2011-12-08 | Amgen Inc. | Piperidinone derivatives as mdm2 inhibitors for the treatment of cancer |
| WO2012007409A1 (en) | 2010-07-12 | 2012-01-19 | F. Hoffmann-La Roche Ag | N-substituted pyrrolidines |
| WO2012022707A1 (en) | 2010-08-18 | 2012-02-23 | F. Hoffmann-La Roche Ag | Substituted heteroaryl spiropyrrolidine mdm2 antagonists |
| WO2012033525A2 (en) | 2010-09-08 | 2012-03-15 | University Of Pittsburgh - Of The Commonwealth System Of Higher Education | P53-mdm2 antagonists |
| WO2012034954A1 (en) | 2010-09-15 | 2012-03-22 | F. Hoffmann-La Roche Ag | Substituted hexahydropyrrolo [1, 2 - c] imidazolones useful as mdm2 inhibitors |
| WO2012038307A1 (en) | 2010-09-20 | 2012-03-29 | F. Hoffmann-La Roche Ag | Spiro substituted pyrrolo[1,2-c]imidazole derivatives useful as mdm2 inhibitors |
| WO2012047587A2 (en) | 2010-09-27 | 2012-04-12 | Serrata, Llc | Mdm2 inhibitors for treatment of ocular conditions |
| WO2012065022A2 (en) | 2010-11-12 | 2012-05-18 | The Regents Of The University Of Michigan | Spiro-oxindole mdm2 antagonists |
| WO2012066095A1 (en) | 2010-11-19 | 2012-05-24 | Novartis Ag | Crystalline form of an inhibitor of mdm2/4 and p53 interaction |
| WO2012076513A1 (en) | 2010-12-09 | 2012-06-14 | F. Hoffmann-La Roche Ag | 3-cyano-1-hydroxymethyl-2-phenylpyrrolidine derivatives as inhibitors of mdm2-p53 interactions useful for the treatment of cancer |
| WO2012116989A1 (en) | 2011-03-03 | 2012-09-07 | F. Hoffmann-La Roche Ag | Substituted heteroaryl 2', 3', 7', 7a' - tetrahydrospiro-[pyrrole-3, 6' - pyrrolo [1, 2-c] imidazole] - 1', 2 (1h, 5'h) -diones as anticancer agents |
| WO2012121361A1 (en) | 2011-03-10 | 2012-09-13 | 第一三共株式会社 | Dispiropyrrolidine derivative |
| WO2012155066A2 (en) | 2011-05-11 | 2012-11-15 | Shaomeng Wang | Spiro-oxindole mdm2 antagonists |
| WO2012176123A1 (en) | 2011-06-22 | 2012-12-27 | Novartis Ag | 3 - imidazolyl- indoles for the treatment of proliferative diseases |
| WO2012175487A1 (en) | 2011-06-20 | 2012-12-27 | Novartis Ag | Cyclohexyl isoquinolinone compounds |
| WO2012175520A1 (en) | 2011-06-20 | 2012-12-27 | Novartis Ag | Hydroxy substituted isoquinolinone derivatives |
| WO2013049250A1 (en) | 2011-09-27 | 2013-04-04 | Amgen Inc. | Heterocyclic compounds as mdm2 inhibitors for the treatment of cancer |
| WO2013080141A1 (en) | 2011-11-29 | 2013-06-06 | Novartis Ag | Pyrazolopyrrolidine compounds |
| WO2013096150A1 (en) | 2011-12-21 | 2013-06-27 | Merck Sharp & Dohme Corp. | Substituted piperidines as hdm2 inhibitors |
| WO2013106643A2 (en) | 2012-01-12 | 2013-07-18 | Yale University | Compounds & methods for the enhanced degradation of targeted proteins & other polypeptides by an e3 ubiquitin ligase |
| WO2013105037A1 (en) | 2012-01-09 | 2013-07-18 | Universidade Do Porto | Inhibitors of p53-mdm2 interaction |
| WO2013111105A1 (en) | 2012-01-26 | 2013-08-01 | Novartis Ag | Imidazopyrrolidinone compounds |
| WO2013135648A1 (en) | 2012-03-15 | 2013-09-19 | F. Hoffmann-La Roche Ag | Substituted pyrrolidine-2-carboxamides |
| WO2013175417A1 (en) | 2012-05-24 | 2013-11-28 | Novartis Ag | Pyrrolopyrrolidinone compounds |
| WO2013178570A1 (en) | 2012-05-30 | 2013-12-05 | F. Hoffmann-La Roche Ag | Substituted pyrrolidine-2-carboxamides |
| WO2014038606A1 (en) | 2012-09-06 | 2014-03-13 | 第一三共株式会社 | Crystal of dispiropyrrolidine derivative |
| WO2014044401A2 (en) | 2012-09-24 | 2014-03-27 | Glanzstoff Bohemia S.R.O. | Yarn having flame-retardant effect and textile fabric formed therefrom |
| WO2014060768A1 (en) | 2012-10-19 | 2014-04-24 | Astex Therapeutics Limited | Bicyclic heterocycle compounds and their uses in therapy |
| WO2014060767A1 (en) | 2012-10-19 | 2014-04-24 | Astex Therapeutics Limited | Bicyclic heterocycle compounds and their uses in therapy |
| WO2014082889A1 (en) | 2012-11-28 | 2014-06-05 | F. Hoffmann-La Roche Ag | Novel imidazolines as dual inhibitors of mdm2 and mdmx |
| WO2014100071A2 (en) | 2012-12-20 | 2014-06-26 | Merck Sharp & Dohme Corp. | Substituted pyrrolopyrimidines as hdm2 inhibitors |
| WO2014100065A1 (en) | 2012-12-20 | 2014-06-26 | Merck Sharp & Dohme Corp. | Substituted imidazopyridines as hdm2 inhibitors |
| WO2014115077A1 (en) | 2013-01-22 | 2014-07-31 | Novartis Ag | Substituted purinone compounds |
| WO2014115080A1 (en) | 2013-01-22 | 2014-07-31 | Novartis Ag | Pyrazolo[3,4-d]pyrimidinone compounds as inhibitors of the p53/mdm2 interaction |
| WO2014120748A1 (en) | 2013-01-30 | 2014-08-07 | Merck Sharp & Dohme Corp. | 2,6,7,8 substituted purines as hdm2 inhibitors |
| WO2014123882A1 (en) | 2013-02-07 | 2014-08-14 | Merck Sharp & Dohme Corp. | 2,6,7 substituted purines as hdm2 inhibitors |
| WO2014130470A1 (en) | 2013-02-19 | 2014-08-28 | Amgen Inc. | Cis-morpholinone and other compounds as mdm2 inhibitors for the treatment of cancer |
| WO2014134207A2 (en) | 2013-03-01 | 2014-09-04 | Google Inc. | Auxiliary content suggestions relating to user generated content |
| WO2014151863A1 (en) | 2013-03-14 | 2014-09-25 | Amgen Inc. | Heteroaryl acid morpholinone compounds as mdm2 inhibitors for the treatment of cancer |
| WO2014187777A1 (en) | 2013-05-21 | 2014-11-27 | Mediapharma S.R.L. | Novel inhibitors of pvhl-elongin c binding |
| WO2014191896A1 (en) | 2013-05-27 | 2014-12-04 | Novartis Ag | Pyrazolopyrrolidine derivatives and their use in the treatment of disease |
| WO2014200937A1 (en) | 2013-06-10 | 2014-12-18 | Amgen Inc. | Processes of making and crystalline forms of a mdm2 inhibitor |
| WO2014198266A1 (en) | 2013-06-12 | 2014-12-18 | Schaeffler Technologies Gmbh & Co. Kg | Bicycle drive and bicycle comprising a bicycle drive |
| WO2015004610A1 (en) | 2013-07-11 | 2015-01-15 | Adamed Sp. Z O.O. | 1,5-dihydropyrrol-2-one derivatives as inhibitors of p53-mdm2/mdm4 protein-protein interaction |
| WO2015070224A2 (en) | 2013-11-11 | 2015-05-14 | Amgen Inc. | Combination therapy including an mdm2 inhibitor and one or more additional pharmaceutically active agents for the treatment of cancers |
| WO2015092420A1 (en) | 2013-12-20 | 2015-06-25 | Astex Therapeutics Limited | Bicyclic heterocycle compounds and their uses in therapy |
| WO2015155332A1 (en) | 2014-04-11 | 2015-10-15 | Boehringer Ingelheim International Gmbh | Spiro[3h-indole-3,2'-pyrrolidin]-2(1h)-one derivatives and their use as mdm2-p53 inhibitors |
| WO2015158648A1 (en) | 2014-04-15 | 2015-10-22 | F. Hoffmann-La Roche Ag | Solid forms of a pharmaceutically active compound |
| WO2015161032A1 (en) | 2014-04-17 | 2015-10-22 | The Regents Of The University Of Michigan | Mdm2 inhibitors and therapeutic methods using the same |
| WO2015160845A2 (en) | 2014-04-14 | 2015-10-22 | Arvinas, Inc. | Imide-based modulators of proteolysis and associated methods of use |
| WO2015189799A1 (en) | 2014-06-12 | 2015-12-17 | Adamed Sp. Z O.O. | Compounds comprising 1,1',2,5'-tetrahydrospiro[indole-3,2'-pyrrole]-2,5'-dione system as inhibitors p53-mdm2 protein-protein interaction |
| WO2016001376A1 (en) | 2014-07-03 | 2016-01-07 | Boehringer Ingelheim International Gmbh | New spiro[3h-indole-3,2´-pyrrolidin]-2(1h)-one compounds and derivatives as mdm2-p53 inhibitors |
| US9249153B2 (en) | 2011-03-18 | 2016-02-02 | Pusan National University Industry-University Cooperation Foundation | Pharmaceutical composition for treating aging-associated diseases, containing progerin expression inhibitor as active ingredient, and screening method of said progerin expression inhibitor |
| US20160045607A1 (en) | 2014-08-11 | 2016-02-18 | Yale University | Estrogen-related receptor alpha based protac compounds and associated methods of use |
| WO2016028391A2 (en) | 2014-08-18 | 2016-02-25 | Hudson Biopharma Inc. | Spiropyrrolidines as mdm2 inhibitors |
| WO2016026937A1 (en) | 2014-08-21 | 2016-02-25 | Boehringer Ingelheim International Gmbh | New spiro[3h-indole-3,2´-pyrrolidin]-2(1h)-one compounds and derivatives as mdm2-p53 inhibitors |
| WO2016146985A1 (en) | 2015-03-13 | 2016-09-22 | University Of Dundee | Derivatives of 1-[(cyclopentyl or 2-pyrrolidinyl)carbonylaminomethyl]-4-(1,3-thiazol-5-yl) benzene which are useful for the treatment of proliferative, autoimmune or inflammatory diseases |
| WO2016169989A1 (en) | 2015-04-22 | 2016-10-27 | Glaxosmithkline Intellectual Property Development Limited | Iap e3 ligase directed proteolysis targeting chimeric molecules |
| WO2016172134A2 (en) | 2015-04-22 | 2016-10-27 | Glaxosmithkline Intellectual Property Development Limited | Novel compounds |
| WO2016197032A1 (en) | 2015-06-04 | 2016-12-08 | Arvinas, Inc. | Imide-based modulators of proteolysis and associated methods of use |
| WO2017011590A1 (en) | 2015-07-13 | 2017-01-19 | Arvinas, Inc. | Alanine-based modulators of proteolysis and associated methods of use |
| WO2017013237A1 (en) | 2015-07-23 | 2017-01-26 | Institut Curie | Use of a combination of dbait molecule and parp inhibitors to treat cancer |
| WO2017148976A1 (en) * | 2016-03-01 | 2017-09-08 | Onxeo | Treatment of cancer by systemic administration of dbait molecules |
| WO2017182418A1 (en) | 2016-04-20 | 2017-10-26 | Glaxosmithkline Intellectual Property Development Limited | Conjugates comprising ripk2 inhibitors |
| WO2017211924A1 (en) | 2016-06-10 | 2017-12-14 | Glaxosmithkline Intellectual Property Development Limited | Novel compounds |
| WO2019148055A1 (en) | 2018-01-26 | 2019-08-01 | Yale University | Imide-based modulators of proteolysis and methods of use |
| WO2019199816A1 (en) | 2018-04-13 | 2019-10-17 | Arvinas Operations, Inc. | Cereblon ligands and bifunctional compounds comprising the same |
| WO2020127965A1 (en) | 2018-12-21 | 2020-06-25 | Onxeo | New conjugated nucleic acid molecules and their uses |
| WO2021148581A1 (en) | 2020-01-22 | 2021-07-29 | Onxeo | Novel dbait molecule and its use |
| WO2021255223A1 (en) | 2020-06-19 | 2021-12-23 | Onxeo | New conjugated nucleic acid molecules and their uses |
| US20220098196A1 (en) * | 2019-02-05 | 2022-03-31 | The Board Of Regents Of The University Of Texas System | Trapping-free parp inhibitors |
| WO2023066350A1 (en) | 2021-10-22 | 2023-04-27 | 标新生物医药科技(上海)有限公司 | Crbn e3 ligase ligand compound, protein degrading agent developed on the basis of ligand compound, and their applications |
-
2024
- 2024-05-23 WO PCT/EP2024/064177 patent/WO2024240858A1/en active Pending
Patent Citations (136)
| Publication number | Priority date | Publication date | Assignee | Title |
|---|---|---|---|---|
| WO1996002642A1 (en) | 1994-07-20 | 1996-02-01 | University Of Dundee | INTERRUPTION OF BINDING OF MDM2 AND p53 PROTEIN AND THERAPEUTIC APPLICATION THEREOF |
| WO1997009343A2 (en) | 1995-09-04 | 1997-03-13 | Rhone-Poulenc Rorer S.A. | Antagonists of the oncogenic activity of the protein mdm2, and use thereof in the treatment of cancers |
| WO1998001467A2 (en) | 1996-07-05 | 1998-01-15 | Novartis Ag | Inhibitors of the interaction between p53 and mdm2 |
| WO2000015657A1 (en) | 1998-09-12 | 2000-03-23 | Astrazeneca Ab | Piperizine-4-phenyl derivatives as inhibitors of the interaction between mdm2 and 53 |
| US20040242582A1 (en) | 2001-04-24 | 2004-12-02 | Green Mark A | Folate mimetics and folate-receptor binding conjugates thereof |
| WO2003051360A1 (en) | 2001-12-18 | 2003-06-26 | F. Hoffmann-La Roche Ag | Cis-imidazolines as mdm2 inhibitors |
| WO2003051359A1 (en) | 2001-12-18 | 2003-06-26 | F.Hoffmann-La Roche Ag | Cis-2,4,5- triphenyl-imidazolines and their use in the treatment of tumors |
| WO2004080460A1 (en) | 2003-03-13 | 2004-09-23 | F. Hoffmann-La Roche Ag | SUBSTITUTED PIPERIDINES AS NOVEL MDM2-p53 INHIBITORS |
| WO2005003097A1 (en) | 2003-06-17 | 2005-01-13 | F. Hoffmann-La Roche Ag | Cis-2,4,5-triaryl-imidazolines |
| WO2005002575A1 (en) | 2003-06-17 | 2005-01-13 | F. Hoffmann-La Roche Ag | Cis-imidazolines as mdm2 inhibitors |
| WO2005040378A1 (en) | 2003-10-24 | 2005-05-06 | Institut Curie | Nucleic acids useful for triggering tumor cell lethality |
| WO2005110996A1 (en) | 2004-05-18 | 2005-11-24 | F.Hoffmann-La Roche Ag | Novel cis-imidazolines |
| WO2005123691A1 (en) | 2004-06-17 | 2005-12-29 | F-Hoffmann-La Roche Ag | Novel cis-imidazolines |
| WO2006032631A1 (en) | 2004-09-22 | 2006-03-30 | Janssen Pharmaceutica N.V. | Inhibitors of the interaction between mdm2 and p53 |
| WO2006091646A2 (en) | 2005-02-22 | 2006-08-31 | The Regents Of The University Of Michigan | Small molecule inhibitors of mdm2 and uses thereof |
| WO2006097261A1 (en) | 2005-03-16 | 2006-09-21 | F.Hoffmann-La Roche Ag | Cis-2,4,5-triaryl-imidazolines and their use as anti-cancer medicaments |
| WO2006136606A2 (en) | 2005-06-24 | 2006-12-28 | F. Hoffmann-La Roche Ag | Oxindole derivatives |
| US20070129416A1 (en) | 2005-12-01 | 2007-06-07 | Qingjie Ding | 4,4,5,5, Tetrasubstituted imidazolines |
| WO2007063013A1 (en) | 2005-12-01 | 2007-06-07 | F. Hoffmann-La Roche Ag | 2,4,5-triphenyl imidazoline derivatives as inhibitors of the interaction between p53 and mdm2 proteins for use as anticancer agents |
| WO2007082805A1 (en) | 2006-01-18 | 2007-07-26 | F. Hoffmann-La Roche Ag | Cis-4, 5-biaryl-2-heterocyclic-imidazolines as mdm2 inhibitors |
| WO2007104714A1 (en) | 2006-03-13 | 2007-09-20 | F. Hoffmann-La Roche Ag | Spiroindolinone derivatives |
| WO2007104664A1 (en) | 2006-03-13 | 2007-09-20 | F. Hoffmann-La Roche Ag | Spiroindolinone derivatives |
| WO2007107543A1 (en) | 2006-03-22 | 2007-09-27 | Janssen Pharmaceutica N.V. | Inhibitors of the interaction between mdm2 and p53 |
| WO2007107545A1 (en) | 2006-03-22 | 2007-09-27 | Janssen Pharmaceutica N.V. | Cyclic-alkylaminederivatives as inhibitors of the interaction between mdm2 and p53 |
| WO2008016893A1 (en) | 2006-08-02 | 2008-02-07 | Novartis Ag | Smac peptidomimetics useful as iap inhibitors |
| WO2008036168A2 (en) | 2006-08-30 | 2008-03-27 | The Regents Of The University Of Michigan | New small molecule inhibitors of mdm2 and the uses thereof |
| WO2008034866A2 (en) | 2006-09-21 | 2008-03-27 | Institut Curie | Dbait and uses thereof |
| WO2008034736A2 (en) | 2006-09-21 | 2008-03-27 | F. Hoffmann-La Roche Ag | Oxindole derivatives as anticancer agents |
| WO2008055812A1 (en) | 2006-11-09 | 2008-05-15 | F. Hoffmann-La Roche Ag | Spiroindolinone derivatives |
| WO2008072655A1 (en) | 2006-12-14 | 2008-06-19 | Daiichi Sankyo Company, Limited | Imidazothiazole derivatives |
| WO2008084087A2 (en) | 2007-01-12 | 2008-07-17 | Centre National De La Recherche Scientifique | Dbait and its standalone uses thereof |
| WO2008106507A2 (en) | 2007-02-27 | 2008-09-04 | University Of South Florida | Mdm2/mdmx inhibitor peptide |
| WO2008125487A1 (en) | 2007-04-12 | 2008-10-23 | F. Hoffmann-La Roche Ag | Diphenyl-dihydro-imidazopyridinones |
| WO2008128171A2 (en) | 2007-04-13 | 2008-10-23 | The Regents Of The University Of Michigan | Diazo bicyclic smac mimetics and the uses thereof |
| WO2008130614A2 (en) | 2007-04-20 | 2008-10-30 | University Of Pittsburg-Of The Commonwealth System Of Higher Education | Selective and dual-action p53/mdm2/mdm4 antagonists |
| WO2008141917A1 (en) | 2007-05-17 | 2008-11-27 | F. Hoffmann-La Roche Ag | 3,3-spiroindolinone derivatives |
| WO2008141975A1 (en) | 2007-05-23 | 2008-11-27 | F. Hoffmann-La Roche Ag | Spiroindolinone derivatives |
| WO2009019274A1 (en) | 2007-08-06 | 2009-02-12 | Janssen Pharmaceutica Nv | Substituted phenylenediamines as inhibitors of the interaction between mdm2 and p53 |
| WO2009037343A1 (en) | 2007-09-21 | 2009-03-26 | Janssen Pharmaceutica Nv | Inhibitors of the interaction between mdm2 and p53 |
| WO2009037308A1 (en) | 2007-09-21 | 2009-03-26 | Janssen Pharmaceutica Nv | Inhibitors of the interaction between mdm2 and p53 |
| WO2009047161A1 (en) | 2007-10-09 | 2009-04-16 | F. Hoffmann-La Roche Ag | Chiral cis-imidazolines |
| WO2009077357A1 (en) | 2007-12-14 | 2009-06-25 | F. Hoffmann-La Roche Ag | Spiroindolinone derivatives |
| WO2009080488A1 (en) | 2007-12-19 | 2009-07-02 | F. Hoffmann-La Roche Ag | Spiroindolinone derivatives as anticancer agents |
| WO2009115425A1 (en) | 2008-03-19 | 2009-09-24 | F. Hoffmann-La Roche Ag | Spiroindolinone derivatives |
| WO2009151069A1 (en) | 2008-06-12 | 2009-12-17 | 第一三共株式会社 | Imidazothiazole derivative having 4,7-diazaspiro[2.5]octane ring structure |
| WO2010028862A1 (en) | 2008-09-15 | 2010-03-18 | Priaxon Ag | Pyrrolidin-2-ones as hdm2 ligands |
| WO2010058819A1 (en) | 2008-11-19 | 2010-05-27 | 学校法人 慶應義塾 | Peptide capable of inhibiting interaction between human tumor protein mdm2 and human tumor suppression protein p53, and use thereof |
| WO2010082612A1 (en) | 2009-01-16 | 2010-07-22 | 第一三共株式会社 | Imidazothiazole derivative having proline ring structure |
| WO2010084097A1 (en) | 2009-01-26 | 2010-07-29 | F. Hoffmann-La Roche Ag | Spiroindolinone derivative prodrugs |
| WO2010091979A1 (en) | 2009-02-10 | 2010-08-19 | F. Hoffmann-La Roche Ag | Spiroindolinone pyridine derivative |
| WO2010094622A1 (en) | 2009-02-17 | 2010-08-26 | F. Hoffmann-La Roche Ag | 3, 3' -spiroindolinone derivatives as anticancer agents |
| WO2010121995A1 (en) | 2009-04-23 | 2010-10-28 | F. Hoffmann-La Roche Ag | 3,3'-spiroindolinone derivatives and their use for cancer |
| WO2011005219A1 (en) | 2009-07-07 | 2011-01-13 | Agency For Science, Technology And Research | Novel mdm2 binding peptides and uses thereof |
| WO2011023677A1 (en) | 2009-08-26 | 2011-03-03 | Novartis Ag | Tetra-substituted heteroaryl compounds and their use as mdm2 and/or mdm4 modulators |
| WO2011045257A1 (en) | 2009-10-14 | 2011-04-21 | F. Hoffmann-La Roche Ag | Novel n-substituted-pyrrolidines as inhibitors of mdm2-p-53 interactions |
| WO2011060049A2 (en) | 2009-11-12 | 2011-05-19 | The Regents Of The University Of Michigan | Spiro-oxindole mdm2 antagonists |
| WO2011061139A1 (en) | 2009-11-17 | 2011-05-26 | F. Hoffmann-La Roche Ag | Substituted pyrrolidine-2-carboxamides |
| WO2011067185A1 (en) | 2009-12-02 | 2011-06-09 | F. Hoffmann-La Roche Ag | Spiroindolinone pyrrolidines |
| WO2011076786A1 (en) | 2009-12-22 | 2011-06-30 | Novartis Ag | Substituted isoquinolinones and quinazolinones |
| WO2011098398A1 (en) | 2010-02-09 | 2011-08-18 | F. Hoffmann-La Roche Ag | Substituted pyrrolidine-2-carboxamides |
| WO2011101297A1 (en) | 2010-02-17 | 2011-08-25 | F. Hoffmann-La Roche Ag | Substituted spiroindolinones |
| WO2011106650A2 (en) | 2010-02-27 | 2011-09-01 | University Of Pittsburgh - Of The Commonwealth System Of Higher Education | Novel p53-mdm2/p53-mdm4 antagonists to treat proliferative disease |
| WO2011134925A1 (en) | 2010-04-28 | 2011-11-03 | F. Hoffmann-La Roche Ag | Spiroindolinone pyrrolidines |
| WO2011153509A1 (en) | 2010-06-04 | 2011-12-08 | Amgen Inc. | Piperidinone derivatives as mdm2 inhibitors for the treatment of cancer |
| WO2012007409A1 (en) | 2010-07-12 | 2012-01-19 | F. Hoffmann-La Roche Ag | N-substituted pyrrolidines |
| WO2012022707A1 (en) | 2010-08-18 | 2012-02-23 | F. Hoffmann-La Roche Ag | Substituted heteroaryl spiropyrrolidine mdm2 antagonists |
| WO2012033525A2 (en) | 2010-09-08 | 2012-03-15 | University Of Pittsburgh - Of The Commonwealth System Of Higher Education | P53-mdm2 antagonists |
| WO2012034954A1 (en) | 2010-09-15 | 2012-03-22 | F. Hoffmann-La Roche Ag | Substituted hexahydropyrrolo [1, 2 - c] imidazolones useful as mdm2 inhibitors |
| WO2012038307A1 (en) | 2010-09-20 | 2012-03-29 | F. Hoffmann-La Roche Ag | Spiro substituted pyrrolo[1,2-c]imidazole derivatives useful as mdm2 inhibitors |
| WO2012047587A2 (en) | 2010-09-27 | 2012-04-12 | Serrata, Llc | Mdm2 inhibitors for treatment of ocular conditions |
| WO2012065022A2 (en) | 2010-11-12 | 2012-05-18 | The Regents Of The University Of Michigan | Spiro-oxindole mdm2 antagonists |
| WO2012066095A1 (en) | 2010-11-19 | 2012-05-24 | Novartis Ag | Crystalline form of an inhibitor of mdm2/4 and p53 interaction |
| WO2012076513A1 (en) | 2010-12-09 | 2012-06-14 | F. Hoffmann-La Roche Ag | 3-cyano-1-hydroxymethyl-2-phenylpyrrolidine derivatives as inhibitors of mdm2-p53 interactions useful for the treatment of cancer |
| WO2012116989A1 (en) | 2011-03-03 | 2012-09-07 | F. Hoffmann-La Roche Ag | Substituted heteroaryl 2', 3', 7', 7a' - tetrahydrospiro-[pyrrole-3, 6' - pyrrolo [1, 2-c] imidazole] - 1', 2 (1h, 5'h) -diones as anticancer agents |
| WO2012121361A1 (en) | 2011-03-10 | 2012-09-13 | 第一三共株式会社 | Dispiropyrrolidine derivative |
| US9249153B2 (en) | 2011-03-18 | 2016-02-02 | Pusan National University Industry-University Cooperation Foundation | Pharmaceutical composition for treating aging-associated diseases, containing progerin expression inhibitor as active ingredient, and screening method of said progerin expression inhibitor |
| WO2012155066A2 (en) | 2011-05-11 | 2012-11-15 | Shaomeng Wang | Spiro-oxindole mdm2 antagonists |
| WO2012175487A1 (en) | 2011-06-20 | 2012-12-27 | Novartis Ag | Cyclohexyl isoquinolinone compounds |
| WO2012175520A1 (en) | 2011-06-20 | 2012-12-27 | Novartis Ag | Hydroxy substituted isoquinolinone derivatives |
| WO2012176123A1 (en) | 2011-06-22 | 2012-12-27 | Novartis Ag | 3 - imidazolyl- indoles for the treatment of proliferative diseases |
| WO2013049250A1 (en) | 2011-09-27 | 2013-04-04 | Amgen Inc. | Heterocyclic compounds as mdm2 inhibitors for the treatment of cancer |
| WO2013080141A1 (en) | 2011-11-29 | 2013-06-06 | Novartis Ag | Pyrazolopyrrolidine compounds |
| WO2013096150A1 (en) | 2011-12-21 | 2013-06-27 | Merck Sharp & Dohme Corp. | Substituted piperidines as hdm2 inhibitors |
| WO2013105037A1 (en) | 2012-01-09 | 2013-07-18 | Universidade Do Porto | Inhibitors of p53-mdm2 interaction |
| WO2013106643A2 (en) | 2012-01-12 | 2013-07-18 | Yale University | Compounds & methods for the enhanced degradation of targeted proteins & other polypeptides by an e3 ubiquitin ligase |
| US20140356322A1 (en) | 2012-01-12 | 2014-12-04 | Yale University | Compounds & Methods for the Enhanced Degradation of Targeted Proteins & Other Polypeptides by an E3 Ubiquitin Ligase |
| WO2013111105A1 (en) | 2012-01-26 | 2013-08-01 | Novartis Ag | Imidazopyrrolidinone compounds |
| WO2013135648A1 (en) | 2012-03-15 | 2013-09-19 | F. Hoffmann-La Roche Ag | Substituted pyrrolidine-2-carboxamides |
| WO2013175417A1 (en) | 2012-05-24 | 2013-11-28 | Novartis Ag | Pyrrolopyrrolidinone compounds |
| WO2013178570A1 (en) | 2012-05-30 | 2013-12-05 | F. Hoffmann-La Roche Ag | Substituted pyrrolidine-2-carboxamides |
| WO2014038606A1 (en) | 2012-09-06 | 2014-03-13 | 第一三共株式会社 | Crystal of dispiropyrrolidine derivative |
| WO2014044401A2 (en) | 2012-09-24 | 2014-03-27 | Glanzstoff Bohemia S.R.O. | Yarn having flame-retardant effect and textile fabric formed therefrom |
| WO2014060768A1 (en) | 2012-10-19 | 2014-04-24 | Astex Therapeutics Limited | Bicyclic heterocycle compounds and their uses in therapy |
| WO2014060767A1 (en) | 2012-10-19 | 2014-04-24 | Astex Therapeutics Limited | Bicyclic heterocycle compounds and their uses in therapy |
| WO2014082889A1 (en) | 2012-11-28 | 2014-06-05 | F. Hoffmann-La Roche Ag | Novel imidazolines as dual inhibitors of mdm2 and mdmx |
| WO2014100071A2 (en) | 2012-12-20 | 2014-06-26 | Merck Sharp & Dohme Corp. | Substituted pyrrolopyrimidines as hdm2 inhibitors |
| WO2014100065A1 (en) | 2012-12-20 | 2014-06-26 | Merck Sharp & Dohme Corp. | Substituted imidazopyridines as hdm2 inhibitors |
| WO2014115077A1 (en) | 2013-01-22 | 2014-07-31 | Novartis Ag | Substituted purinone compounds |
| WO2014115080A1 (en) | 2013-01-22 | 2014-07-31 | Novartis Ag | Pyrazolo[3,4-d]pyrimidinone compounds as inhibitors of the p53/mdm2 interaction |
| WO2014120748A1 (en) | 2013-01-30 | 2014-08-07 | Merck Sharp & Dohme Corp. | 2,6,7,8 substituted purines as hdm2 inhibitors |
| WO2014123882A1 (en) | 2013-02-07 | 2014-08-14 | Merck Sharp & Dohme Corp. | 2,6,7 substituted purines as hdm2 inhibitors |
| WO2014130470A1 (en) | 2013-02-19 | 2014-08-28 | Amgen Inc. | Cis-morpholinone and other compounds as mdm2 inhibitors for the treatment of cancer |
| WO2014134207A2 (en) | 2013-03-01 | 2014-09-04 | Google Inc. | Auxiliary content suggestions relating to user generated content |
| WO2014151863A1 (en) | 2013-03-14 | 2014-09-25 | Amgen Inc. | Heteroaryl acid morpholinone compounds as mdm2 inhibitors for the treatment of cancer |
| WO2014187777A1 (en) | 2013-05-21 | 2014-11-27 | Mediapharma S.R.L. | Novel inhibitors of pvhl-elongin c binding |
| WO2014191896A1 (en) | 2013-05-27 | 2014-12-04 | Novartis Ag | Pyrazolopyrrolidine derivatives and their use in the treatment of disease |
| WO2014200937A1 (en) | 2013-06-10 | 2014-12-18 | Amgen Inc. | Processes of making and crystalline forms of a mdm2 inhibitor |
| WO2014198266A1 (en) | 2013-06-12 | 2014-12-18 | Schaeffler Technologies Gmbh & Co. Kg | Bicycle drive and bicycle comprising a bicycle drive |
| WO2015004610A1 (en) | 2013-07-11 | 2015-01-15 | Adamed Sp. Z O.O. | 1,5-dihydropyrrol-2-one derivatives as inhibitors of p53-mdm2/mdm4 protein-protein interaction |
| WO2015070224A2 (en) | 2013-11-11 | 2015-05-14 | Amgen Inc. | Combination therapy including an mdm2 inhibitor and one or more additional pharmaceutically active agents for the treatment of cancers |
| WO2015092420A1 (en) | 2013-12-20 | 2015-06-25 | Astex Therapeutics Limited | Bicyclic heterocycle compounds and their uses in therapy |
| WO2015155332A1 (en) | 2014-04-11 | 2015-10-15 | Boehringer Ingelheim International Gmbh | Spiro[3h-indole-3,2'-pyrrolidin]-2(1h)-one derivatives and their use as mdm2-p53 inhibitors |
| WO2015160845A2 (en) | 2014-04-14 | 2015-10-22 | Arvinas, Inc. | Imide-based modulators of proteolysis and associated methods of use |
| WO2015158648A1 (en) | 2014-04-15 | 2015-10-22 | F. Hoffmann-La Roche Ag | Solid forms of a pharmaceutically active compound |
| WO2015161032A1 (en) | 2014-04-17 | 2015-10-22 | The Regents Of The University Of Michigan | Mdm2 inhibitors and therapeutic methods using the same |
| WO2015189799A1 (en) | 2014-06-12 | 2015-12-17 | Adamed Sp. Z O.O. | Compounds comprising 1,1',2,5'-tetrahydrospiro[indole-3,2'-pyrrole]-2,5'-dione system as inhibitors p53-mdm2 protein-protein interaction |
| WO2016001376A1 (en) | 2014-07-03 | 2016-01-07 | Boehringer Ingelheim International Gmbh | New spiro[3h-indole-3,2´-pyrrolidin]-2(1h)-one compounds and derivatives as mdm2-p53 inhibitors |
| US20160045607A1 (en) | 2014-08-11 | 2016-02-18 | Yale University | Estrogen-related receptor alpha based protac compounds and associated methods of use |
| WO2016028391A2 (en) | 2014-08-18 | 2016-02-25 | Hudson Biopharma Inc. | Spiropyrrolidines as mdm2 inhibitors |
| WO2016026937A1 (en) | 2014-08-21 | 2016-02-25 | Boehringer Ingelheim International Gmbh | New spiro[3h-indole-3,2´-pyrrolidin]-2(1h)-one compounds and derivatives as mdm2-p53 inhibitors |
| WO2016146985A1 (en) | 2015-03-13 | 2016-09-22 | University Of Dundee | Derivatives of 1-[(cyclopentyl or 2-pyrrolidinyl)carbonylaminomethyl]-4-(1,3-thiazol-5-yl) benzene which are useful for the treatment of proliferative, autoimmune or inflammatory diseases |
| WO2016169989A1 (en) | 2015-04-22 | 2016-10-27 | Glaxosmithkline Intellectual Property Development Limited | Iap e3 ligase directed proteolysis targeting chimeric molecules |
| WO2016172134A2 (en) | 2015-04-22 | 2016-10-27 | Glaxosmithkline Intellectual Property Development Limited | Novel compounds |
| WO2016197032A1 (en) | 2015-06-04 | 2016-12-08 | Arvinas, Inc. | Imide-based modulators of proteolysis and associated methods of use |
| WO2017011590A1 (en) | 2015-07-13 | 2017-01-19 | Arvinas, Inc. | Alanine-based modulators of proteolysis and associated methods of use |
| WO2017013237A1 (en) | 2015-07-23 | 2017-01-26 | Institut Curie | Use of a combination of dbait molecule and parp inhibitors to treat cancer |
| WO2017148976A1 (en) * | 2016-03-01 | 2017-09-08 | Onxeo | Treatment of cancer by systemic administration of dbait molecules |
| WO2017182418A1 (en) | 2016-04-20 | 2017-10-26 | Glaxosmithkline Intellectual Property Development Limited | Conjugates comprising ripk2 inhibitors |
| WO2017211924A1 (en) | 2016-06-10 | 2017-12-14 | Glaxosmithkline Intellectual Property Development Limited | Novel compounds |
| WO2019148055A1 (en) | 2018-01-26 | 2019-08-01 | Yale University | Imide-based modulators of proteolysis and methods of use |
| WO2019199816A1 (en) | 2018-04-13 | 2019-10-17 | Arvinas Operations, Inc. | Cereblon ligands and bifunctional compounds comprising the same |
| WO2020127965A1 (en) | 2018-12-21 | 2020-06-25 | Onxeo | New conjugated nucleic acid molecules and their uses |
| US20220098196A1 (en) * | 2019-02-05 | 2022-03-31 | The Board Of Regents Of The University Of Texas System | Trapping-free parp inhibitors |
| WO2021148581A1 (en) | 2020-01-22 | 2021-07-29 | Onxeo | Novel dbait molecule and its use |
| WO2021255223A1 (en) | 2020-06-19 | 2021-12-23 | Onxeo | New conjugated nucleic acid molecules and their uses |
| WO2023066350A1 (en) | 2021-10-22 | 2023-04-27 | 标新生物医药科技(上海)有限公司 | Crbn e3 ligase ligand compound, protein degrading agent developed on the basis of ligand compound, and their applications |
Non-Patent Citations (26)
| Title |
|---|
| "UniProt", Database accession no. P41208 |
| BIOORG. MED. CHEM. LETT, vol. 16, 2006, pages 3310 - 3314 |
| BIOORG. MED. CHEM. LETT, vol. 25, 2015, pages 3621 - 3625 |
| BRICELJ ET AL., FRONTIERS IN CHEMISTRY, 2021, pages 9 |
| CROOKE ET AL., J. PHARMACOL. EXP. THEN, vol. 277, 1996, pages 923 - 937 |
| GOLDSTEIN ET AL., ANN. REV. CELL BIOL, vol. 1, 1985, pages 1 - 39 |
| HE SHIPENG ET AL: "Aptamer-PROTAC Conjugates (APCs) for Tumor-Specific Targeting in Breast Cancer", vol. 60, no. 43, 11 August 2021 (2021-08-11), Hoboken, USA, pages 23299 - 23305, XP093003286, ISSN: 1433-7851, Retrieved from the Internet <URL:https://onlinelibrary.wiley.com/doi/full-xml/10.1002/anie.202107347> DOI: 10.1002/anie.202107347 * |
| J. MED. CHEM., vol. 58, 2015, pages 1038 - 1052 |
| KABANOV ET AL., FEBS LETT., vol. 259, 1990, pages 327 - 330 |
| LEAMONLOWE, PROC NATL ACAD SCI USA., vol. 88, 1991, pages 5572 - 5576 |
| LETSINGER ET AL., PROC. NATL. ACID. SCI. USA, vol. 86, 1989, pages 6553 - 6556 |
| MANOHARAN ET AL., ANN. N.Y. ACAD. SCI, vol. 660, 1992, pages 306 - 309 |
| MANOHARAN ET AL., BIORG. MED. CHEM. LET., vol. 3, 1993, pages 2765 - 2770 |
| MANOHARAN ET AL., BIORG. MED. CHEM. LET., vol. 4, 1994, pages 1053 - 1060 |
| MANOHARAN ET AL., NUCLEOSIDES & NUCLEOTIDES, vol. 14, 1995, pages 969 - 973 |
| MANOHARAN ET AL., TETRAHEDRON LETT., vol. 36, 1995, pages 3651 - 3654 |
| MED. CHEM. LETT, vol. 4, 2013, pages 466 - 469 |
| MISHRA ET AL., BIOCHIM. BIOPHYS. ACTA, vol. 1264, 1995, pages 229 - 237 |
| OBERHAUSER ET AL., NUCL. ACIDS RES., vol. 20, 1992, pages 533 - 538 |
| SAISON-BEHRNOARAS ET AL., EMBO J, vol. 10, 1991, pages 1111 - 1118 |
| SALERNO ALESSANDRA ET AL: "Enriching Proteolysis Targeting Chimeras with a Second Modality: When Two Are Better Than One", vol. 65, no. 14, 28 July 2022 (2022-07-28), US, pages 9507 - 9530, XP093031530, ISSN: 0022-2623, Retrieved from the Internet <URL:https://www.ncbi.nlm.nih.gov/pmc/articles/PMC9340767/pdf/jm2c00302.pdf> DOI: 10.1021/acs.jmedchem.2c00302 * |
| SAMBROOK ET AL.: "Molecular Cloning: A Laboratory Manual", 2001 |
| SHEA ET AL., NUCL. ACIDS RES., vol. 18, 1990, pages 3777 - 3783 |
| SVINARCHUK ET AL., BIOCHIMIE, vol. 75, 1993, pages 49 - 54 |
| VANGVERAVONG ET AL., BIOORG. MED. CHEM, 2006 |
| VAZQUEZ- LOMBARDI ET AL., DRUG DISCOVERY TODAY, vol. 20, no. 1, 2015, pages 1271 - 1283 |
Similar Documents
| Publication | Publication Date | Title |
|---|---|---|
| US10765758B2 (en) | Optimized in vivo delivery system with endosomolytic agents for nucleic acid conjugates | |
| KR102441432B1 (en) | Cancer treatment by systemic administration of DBD molecules | |
| ES2985036T3 (en) | Methods and compositions for the treatment of cancer | |
| CN113166762B (en) | New coupled nucleic acid molecules and their uses | |
| JP2022526713A (en) | Dbait molecule in combination with a kinase inhibitor for the treatment of cancer | |
| WO2021255223A1 (en) | New conjugated nucleic acid molecules and their uses | |
| US20250002921A1 (en) | SPHERICAL NUCLEIC ACIDS FOR cGAS-STING AND STAT3 PATHWAY MODULATION FOR THE IMMUNOTHERAPEUTIC TREATMENT OF CANCER | |
| WO2024240858A1 (en) | Protac molecules directed against dna damage repair system and uses thereof | |
| WO2023111203A1 (en) | New conjugated nucleic acid molecules and their uses | |
| WO2025015097A1 (en) | Dna-based proteolysis targeting chimera (sdtac) and methods of their use for treating diseases | |
| WO2025015018A1 (en) | Conditional proteolysis gene silencing targeting chimera and methods of use thereof | |
| KR20260005404A (en) | Completely modified miR-34a and related conjugates, compositions and methods of use | |
| AU2015202211B2 (en) | Optimized in vivo delivery system with endosomolytic agents for nucleic acid conjugates | |
| Lin | Molecular and cellular evaluation of novel DNA sequence selective polyamides | |
| Al Shamaileh | Aptamer-mediated siRNA delivery to target colon cancer stem cells |
Legal Events
| Date | Code | Title | Description |
|---|---|---|---|
| 121 | Ep: the epo has been informed by wipo that ep was designated in this application |
Ref document number: 24729207 Country of ref document: EP Kind code of ref document: A1 |
|
| NENP | Non-entry into the national phase |
Ref country code: DE |
































































































