WO2024158872A1 - 1,3-indole-propanamide inhibitors of sars-cov-2 plpro/nsp3 and derivatives thereof - Google Patents
1,3-indole-propanamide inhibitors of sars-cov-2 plpro/nsp3 and derivatives thereof Download PDFInfo
- Publication number
- WO2024158872A1 WO2024158872A1 PCT/US2024/012712 US2024012712W WO2024158872A1 WO 2024158872 A1 WO2024158872 A1 WO 2024158872A1 US 2024012712 W US2024012712 W US 2024012712W WO 2024158872 A1 WO2024158872 A1 WO 2024158872A1
- Authority
- WO
- WIPO (PCT)
- Prior art keywords
- methyl
- optionally substituted
- indol
- hydrocarbon
- umol
- Prior art date
- Legal status (The legal status is an assumption and is not a legal conclusion. Google has not performed a legal analysis and makes no representation as to the accuracy of the status listed.)
- Ceased
Links
Classifications
-
- C—CHEMISTRY; METALLURGY
- C07—ORGANIC CHEMISTRY
- C07D—HETEROCYCLIC COMPOUNDS
- C07D209/00—Heterocyclic compounds containing five-membered rings, condensed with other rings, with one nitrogen atom as the only ring hetero atom
- C07D209/02—Heterocyclic compounds containing five-membered rings, condensed with other rings, with one nitrogen atom as the only ring hetero atom condensed with one carbocyclic ring
- C07D209/04—Indoles; Hydrogenated indoles
- C07D209/08—Indoles; Hydrogenated indoles with only hydrogen atoms or radicals containing only hydrogen and carbon atoms, directly attached to carbon atoms of the hetero ring
-
- C—CHEMISTRY; METALLURGY
- C07—ORGANIC CHEMISTRY
- C07D—HETEROCYCLIC COMPOUNDS
- C07D401/00—Heterocyclic compounds containing two or more hetero rings, having nitrogen atoms as the only ring hetero atoms, at least one ring being a six-membered ring with only one nitrogen atom
- C07D401/02—Heterocyclic compounds containing two or more hetero rings, having nitrogen atoms as the only ring hetero atoms, at least one ring being a six-membered ring with only one nitrogen atom containing two hetero rings
- C07D401/12—Heterocyclic compounds containing two or more hetero rings, having nitrogen atoms as the only ring hetero atoms, at least one ring being a six-membered ring with only one nitrogen atom containing two hetero rings linked by a chain containing hetero atoms as chain links
-
- C—CHEMISTRY; METALLURGY
- C07—ORGANIC CHEMISTRY
- C07D—HETEROCYCLIC COMPOUNDS
- C07D403/00—Heterocyclic compounds containing two or more hetero rings, having nitrogen atoms as the only ring hetero atoms, not provided for by group C07D401/00
- C07D403/02—Heterocyclic compounds containing two or more hetero rings, having nitrogen atoms as the only ring hetero atoms, not provided for by group C07D401/00 containing two hetero rings
- C07D403/04—Heterocyclic compounds containing two or more hetero rings, having nitrogen atoms as the only ring hetero atoms, not provided for by group C07D401/00 containing two hetero rings directly linked by a ring-member-to-ring-member bond
-
- C—CHEMISTRY; METALLURGY
- C07—ORGANIC CHEMISTRY
- C07D—HETEROCYCLIC COMPOUNDS
- C07D403/00—Heterocyclic compounds containing two or more hetero rings, having nitrogen atoms as the only ring hetero atoms, not provided for by group C07D401/00
- C07D403/02—Heterocyclic compounds containing two or more hetero rings, having nitrogen atoms as the only ring hetero atoms, not provided for by group C07D401/00 containing two hetero rings
- C07D403/12—Heterocyclic compounds containing two or more hetero rings, having nitrogen atoms as the only ring hetero atoms, not provided for by group C07D401/00 containing two hetero rings linked by a chain containing hetero atoms as chain links
-
- C—CHEMISTRY; METALLURGY
- C07—ORGANIC CHEMISTRY
- C07D—HETEROCYCLIC COMPOUNDS
- C07D403/00—Heterocyclic compounds containing two or more hetero rings, having nitrogen atoms as the only ring hetero atoms, not provided for by group C07D401/00
- C07D403/14—Heterocyclic compounds containing two or more hetero rings, having nitrogen atoms as the only ring hetero atoms, not provided for by group C07D401/00 containing three or more hetero rings
-
- C—CHEMISTRY; METALLURGY
- C07—ORGANIC CHEMISTRY
- C07D—HETEROCYCLIC COMPOUNDS
- C07D471/00—Heterocyclic compounds containing nitrogen atoms as the only ring hetero atoms in the condensed system, at least one ring being a six-membered ring with one nitrogen atom, not provided for by groups C07D451/00 - C07D463/00
- C07D471/02—Heterocyclic compounds containing nitrogen atoms as the only ring hetero atoms in the condensed system, at least one ring being a six-membered ring with one nitrogen atom, not provided for by groups C07D451/00 - C07D463/00 in which the condensed system contains two hetero rings
- C07D471/04—Ortho-condensed systems
-
- C—CHEMISTRY; METALLURGY
- C07—ORGANIC CHEMISTRY
- C07D—HETEROCYCLIC COMPOUNDS
- C07D491/00—Heterocyclic compounds containing in the condensed ring system both one or more rings having oxygen atoms as the only ring hetero atoms and one or more rings having nitrogen atoms as the only ring hetero atoms, not provided for by groups C07D451/00 - C07D459/00, C07D463/00, C07D477/00 or C07D489/00
- C07D491/02—Heterocyclic compounds containing in the condensed ring system both one or more rings having oxygen atoms as the only ring hetero atoms and one or more rings having nitrogen atoms as the only ring hetero atoms, not provided for by groups C07D451/00 - C07D459/00, C07D463/00, C07D477/00 or C07D489/00 in which the condensed system contains two hetero rings
- C07D491/10—Spiro-condensed systems
- C07D491/107—Spiro-condensed systems with only one oxygen atom as ring hetero atom in the oxygen-containing ring
Definitions
- the compounds are generally 1,3- indole-propanamides and derivatives thereof.
- Coronaviruses are readily transmitted enveloped, non-segmented positive-sense single-stranded RNA viruses. They have a 30-kb RNA genome encoding as many as 14 open reading frames (ORFs).
- ORF1a and 1ab encode polyproteins that are processed by two essential viral proteases, papain-like protease (PLpro/NSP3) and 3C-like main protease (3CLpro/NSP5), which in concert auto-excise and then cleave the polyprotein into 16 non-structural proteins (NSP2).
- the NSPs, including PLpro are essential for replication.
- PLpro recognizes an LXGG amino acid motif and cleaves the peptide bonds after the second glycine between the NSP1/2, 2/3, and 3/4 boundaries of the SARS-CoV-2 polyprotein. It is a cysteine protease involving a nucleophilic cysteine thiol residing in a catalytic amino acid triad. The development of cysteine-reactive compounds can be challenging in terms of specificity, stability, and toxicity. PLpro is essential for SARS-CoV-2 replication and can therefore be used as a target to develop treatments for COVID-19.
- the disclosure is directed to compounds, pharmaceutical compositions and methods for inhibiting SARS-CoV-2 viral protease papain-like protease (PLpro/NSP3) and thereby treating SARS-CoV-2 and COVID-19.
- PLpro/NSP3 SARS-CoV-2 viral protease papain-like protease
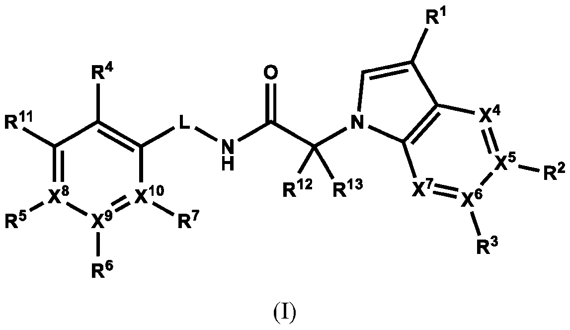
- the disclosure relates to compounds of formula (I): wherein X 4 , X 5 , X 6 , X 7 , and are each independently chosen from C or N, with the proviso that when X 10 is N, R 6 is not H; and R 1 is chosen from H, (C 1 -C 3 )hydrocarbon, or heterocycle optionally substituted with oxo; and R 2 is chosen from S(O) 2 -R 8 , H, halogen, cyano, (C 1 -C 3 )alkoxy, C(O)N(R 9 )(R 10 ), heterocycle, phenylthio, , or optionally substituted (C1-C3)hydrocarbon, wherein said optionally substituted is optionally substituted with one or more aliphatic heterocycle or halogen; and X 11 is NH or NCH3; and R 3 is chosen from H, halogen, C(O)N(R 9 )(R 10 ), cyan
- the disclosure relates to a method of inhibiting SARS-CoV-2 PLpro/NSP3 protein in a patient comprising administering a compound as disclosed herein.
- the disclosure relates to a method of treating Covid-19 in a patient comprising administering a compound as disclosed herein.
- the disclosure relates to a pharmaceutical formulation comprising a pharmaceutically acceptable carrier and a compound as disclosed herein.
- the disclosure relates to compounds of formula (I): wherein X 4 , X 5 , X 6 , X 7 , X 8 , X 9 , and X 10 are each independently chosen from C or N, with the proviso that when X 10 is N, R 6 is not H; and R 1 is chosen from H, (C 1 -C 3 )hydrocarbon, or heterocycle optionally substituted with oxo; and R 2 is chosen from S(O)2-R 8 , H, halogen, cyano, (C1-C3)alkoxy, C(O)N(R 9 )(R 10 ), heterocycle, phenylthio, , or optionally substituted (C 1 -C 3 )hydrocarbon, wherein said optionally substituted is optionally substituted with one or more aliphatic heterocycle or halogen; and X 11 is NH or NCH 3 ; and R 3 is chosen from H,
- X 4 is C. In some embodiments X 4 is N. In some embodiments, X 5 is C. In some embodiments X 5 is N. In some embodiments, X 6 is C. In some embodiments X 6 is N. In some embodiments, X 7 is C. In some embodiments X 7 is N. In some embodiments, X 8 is C. In some embodiments X 8 is N. In some embodiments, X 9 is C. In some embodiments X 9 is N. In some embodiments, X 10 is C.
- X 10 is N.
- R 6 is not H.
- R 1 is H.
- R 1 is hydrocarbon.
- R 1 is methyl.
- R 1 is ethyl.
- R 1 is isopropyl.
- R 1 is heterocycle optionally substituted with oxo.
- R 1 is nitrogen-containing heterocycle optionally substituted with oxo.
- R 1 is pyrrolidinone.
- R 1 is pyrrolyl.
- R 2 is S(O)2-R 8 .
- R 2 is hydrogen.
- R 2 is halogen (e.g., F, Cl, and the like). In some embodiments, R 2 is cyano. In some embodiments, R 2 is (C 1 -C 3 )alkoxy (e.g., methoxy, ethoxy, or propoxy). In some embodiments, R 2 is C(O)N(R 9 )(R 10 ). In some embodiments, R 2 is heterocycle. In some embodiments, R 2 is phenylthiol. In some embodiments, R 2 is phenyloxo. In some embodiments, some embodiments, R 2 is (C 1 -C 3 )hydrocarbon optionally substituted with heterocycle or halogen.
- R 2 is halogen (e.g., F, Cl, and the like). In some embodiments, R 2 is cyano. In some embodiments, R 2 is (C 1 -C 3 )alkoxy (e.g., methoxy, ethoxy, or propoxy). In some embodiments, R 2 is C(
- R 2 is (C1-C3)hydrocarbon optionally substituted with one or more halogen or nitrogen-containing aliphatic heterocycle. In some embodiments, R 2 is nitrogen-containing monocycle optionally substituted with one or more halogen or aliphatic heterocycle. In some embodiments, R 2 is nitrogen-containing monocycle optionally substituted with one or more halogen or nitrogen-containing aliphatic heterocycle. In some embodiments R 2 is triazolyl, piperidinylmethyl, piperidinylethyl, or trifluoromethyl. [0015] In some embodiments, X 11 is NH. In some embodiments, X 11 is NCH3. [0016] In some embodiments, R 3 is H.
- R 3 is halogen (e.g., F, Cl, and the like). In some embodiments, R 3 is C(O)N(R 9 )(R 10 ). In some embodiments, R 3 is cyano. In some embodiments, R 3 is (C1-C3)alkoxy (e.g., methoxy, ethoxy, or propoxy). In some embodiments, R 3 is S(O) 2 -R 8 . In some embodiments, R 3 is haloalkyl. In some embodiments, R 3 is (C1-C3)hydrocarbon optionally substituted with one or more halogen. In some embodiments, R 3 is trifluoromethyl. [0017] In some embodiments, R 4 is H.
- R 4 is (C 1 -C 3 )hydrocarbon. In some embodiments, R 4 is halogen (e.g., Cl, F, and the like). [0018] In some embodiments, R 11 is H. In some embodiments, R 11 is hydroxy. In some embodiments, R 11 is N(R 9 )(R 10 ). In some embodiments, R 11 is heterocycle. In some embodiments, R 11 is nitrogen-containing monocycle. In some embodiments, R 11 is (C 1 - C3)hydrocarbon optionally substituted with one or more N(R 9 )(R 10 ). In some embodiments, R 11 is piperazinyl, methyl, aminomethyl, or aminoethyl.
- R 5 is H. In some embodiments, R 5 is N(R 9 )(R 10 ). In some embodiments, R 5 is methyl. In some embodiments, R 5 is (C 2 -C 3 )hydrocarbon optionally substituted with one or more N(R 9 )(R 10 ) or (C1-C3)alkyl. In some embodiments, R 5 is heterocycle optionally substituted with one or more N(R 9 )(R 10 ) or (C 1 -C 3 )alkyl.
- R 5 is nitrogen-containing monocycle optionally substituted with one or more N(R 9 )(R 10 ) or (C1-C3)alkyl.
- R 5 is (C1-C3)alkoxy optionally substituted with one or more N(R 9 )(R 10 ) or (C1-C3)alkyl.
- R 5 is hydroxy.
- R 5 is cyano.
- R 5 is halogen (e.g., Cl, F, and the like).
- R 5 may be aminomethyl, aminoethyl, aminopropyl, piperazinyl, pyrazolyl, pyrazolylmethyl, or aminoalkoxy.
- R 6 is H. In some embodiments, R 6 is 2-oxopiperizine, In some embodiments, R 6 is 2-oxoimidazoline. In some embodiments, R 6 is heterocycle optionally substituted with one or more morpholinyl, azetadine, hydroxy, (C1-C3)alkoxy, (C1-C3)alkyl, oxo, N(R 9 )(R 10 ), or optionally substituted pyrrolidinyl (e.g., pyrrolidinyl optionally substituted with one or more methyl or halogen).
- R 6 is nitrogen-containing monocycle optionally substituted with one or more morpholinyl, azetadine, hydroxy, (C1-C3)alkoxy, (C1- C3)alkyl, oxo, N(R 9 )(R 10 ), or optionally substituted pyrrolidinyl (e.g., pyrrolidinyl optionally substituted with one or more methyl or halogen).
- R 6 is N(R 9 )(R 10 ).
- R 6 is carboxamide.
- R 6 is (C 1 -C 3 )hydrocarbon optionally substituted with one or more morpholinyl, pyrrolidinyl, or N(R 9 )(R 10 ). In some embodiments, R 6 is (C1-C3)alkoxy. In some embodiments, R 6 is hydroxy. In some embodiments, R 6 may be carboxamidyl, piperazinyl, piperidinyl, pyridinyl, morpholinyl, 2-oxopiperizine, 2- oxoimidazoline, morpholinylethyl, pyrrolidinylpropyl, hydroxy, methoxy, or aminopyrrolidinyl.
- R 6 is -O-R 14 . In some embodiments, R 6 is -O-CH2-R 14 . [0021] In some embodiments, R 14 is heterocycle optionally substituted with one or more (C 1 - C 3 )alkyl. In some embodiments, R 14 is nitrogen-containing heterocycle optionally substituted with one or more (C1-C3)alkyl. In some embodiments, R 14 is pyrrolidine optionally substituted with one or more (C1-C3)alkyl. In some embodiments, R 14 is pyrrolidine substituted with methyl.
- R 11 and R 5 taken together with the atoms to which they are attached form heterocycle optionally substituted with one or more N(R 9 )(R 10 ) or azetidinylmethyl. In some embodiments, R 11 and R 5 taken together with the atoms to which they are attached form nitrogen-containing monocycle optionally substituted with one or more N(R 9 )(R 10 ) or azetidinylmethyl. In some embodiments, R 11 and R 5 taken together with the atoms to which they are attached form aliphatic carbocycle optionally substituted with one or more N(R 9 )(R 10 ) or azetidinylmethyl.
- R 11 and R 5 taken together with the atoms to which they are attached form aminocyclopentanyl, piperidinyl, pyrazolyl, pyrrolyl, pyrrolidinyl, aminopyrrolidinyl, triazolyl, or pyrazole substituted with azetidinylmethyl.
- R 5 and R 6 taken together with the atoms to which they are attached form heterocycle optionally substituted with one or more aminoethyl or azetidinylmethyl.
- R 5 and R 6 taken together with the atoms to which they are attached form nitrogen-containing monocycle optionally substituted with one or more aminoethyl or azetidinylmethyl.
- R 5 and R 6 taken together with the atoms to which they are attached form carbocycle optionally substituted with one or more N(R 9 )(R 10 ). In some embodiments, R 5 and R 6 taken together with the atoms to which they are attached form (i) cyclopentyl substituted with one or more N(R 9 )(R 10 ), (ii) pyrazolyl substituted with one or more azetidinyl, aminoethyl, or azetidinylmethyl, or (iii) pyrrolidinyl substituted with one or more aminoethyl. [0024] In some embodiments, R 7 is H. In some embodiments, R 7 is (C1-C3)hydrocarbon.
- R 7 is methyl.
- R 8 is N(R 9 )(R 10 ). In some embodiments, R 8 is (C1- C6)hydrocarbon. In some embodiments, R 8 is heterocycle optionally substituted with one or more N(R 9 )(R 10 ) or halogen. In some embodiments, R 8 is nitrogen-containing monocycle optionally substituted with one or more N(R 9 )(R 10 ) or halogen. In some embodiments, R 8 may be methyl, phenyl, piperidine, pyrrolidine, or aminopyrrolidinyl. [0026] In some embodiments, R 9 is H.
- R 9 is (C 1 -C 6 )hydrocarbon (e.g., methyl, ethyl, isopropyl, cyclopropyl, and the like). In some embodiments, R 9 is heterocycle. In some embodiments, R 9 is nitrogen-containing monocycle. In some embodiments, R 9 is (C1-C6)oxoalkyl). In some embodiments, R 9 is azetidinylmethyl. [0027] In some embodiments, R 10 is H. In some embodiments, R 10 is (C 1 -C 6 )hydrocarbon (e.g., methyl, ethyl, isopropyl, cyclopropyl, and the like).
- R 10 is heterocycle. In some embodiments, R 10 is nitrogen-containing monocycle. In some embodiments, R 10 is (C 1 -C 6 )oxoalkyl). In some embodiments, R 10 is azetidinylmethyl. [0028] In some embodiments, R 12 is methyl. In some embodiments R 12 is ethyl. [0029] In some embodiments, R 13 is H. [0030] In some embodiments R 12 and R 13 together with the C to which they are attached form a (C 1 -C 6 )hydrocarbon. [0031] In some embodiments, L is direct bond. In some embodiments, L is CH2.
- the disclosure relates to a method of inhibiting coronavirus PLpro/NSP3 protein with a compound described above.
- the coronavirus is SARS-CoV-2.
- the disclosure relates to a method of treating a Covid-19 patient with a compound described above.
- the disclosure relates to treating the disease associated with coronavirus generally.
- the disclosure relates to a pharmaceutical formulation comprising a pharmaceutically acceptable carrier and a compound described above.
- a “patient” or “subject,” as used herein, includes both humans and other animals, particularly mammals. Thus, the methods are applicable to both human therapy and veterinary applications.
- the patient is a mammal, for example, a primate.
- the patient is a human.
- substituents retain their definitions.
- “hydrocarbon” or hydrocarbyl (as a substituent) means any substituent comprised of hydrogen and carbon as the only elemental constituents.
- (C1-Cn)hydrocarbon wherein n may be any integer from 1 to 20 or higher, is intended to include alkyl, cycloalkyl, polycycloalkyl, alkenyl, alkynyl, aryl, and combinations thereof.
- Non-limiting examples of a hydrocarbon include cyclopropylmethyl, benzyl, phenethyl, cyclohexylmethyl, adamantyl, camphoryl, naphthylethyl, etc.
- Hydrocarbyl refers to any substituent comprised of hydrogen and carbon as the only elemental constituents.
- Aliphatic hydrocarbons are hydrocarbons that are not aromatic; they may be saturated or unsaturated, cyclic, linear, or branched.
- Non-limiting examples of aliphatic hydrocarbons include isopropyl, 2-butenyl, 2-butynyl, cyclopentyl, norbornyl, etc.
- Non-limiting examples of aromatic hydrocarbons include benzene (phenyl), naphthalene (naphthyl), anthracene, etc.
- (C 1 -C 10 )hydrocarbon includes all combination therein, i.e., (C 1 -C 2 )hydrocarbon, (C 1 - C3)hydrocarbon, (C1-C4)hydrocarbon, (C1-C5)hydrocarbon, (C1-C6)hydrocarbon, (C1- C7)hydrocarbon, (C1-C8)hydrocarbon, (C1-C9)hydrocarbon, (C1-C10)hydrocarbon, (C2- C 3 )hydrocarbon, (C 2 -C 4 )hydrocarbon, (C 2 -C 5 )hydrocarbon, (C 2 -C 6 )hydrocarbon, (C 2 - C7)hydrocarbon, (C2-C8)hydrocarbon, (C2-C9)hydrocarbon, (C2-C10)hydrocarbon, (C3- C4)hydrocarbon, (C3-C5)hydrocarbon, (C3-C6)hydrocarbon, (C3-C7)hydrocarbon, (C3- C8)
- alkyl (or alkylene) is intended to include linear or branched hydrocarbon structures.
- alkyl refers to alkyl groups from 1 to 20 or higher carbon atoms, in some instances 1 to 10 carbon atoms, in some instances 1 to 6 carbon atoms, in some instances 1 to 4 carbon atoms, and in some instances 1 to 3 carbon atoms.
- Non-limiting examples of alkyl groups include methyl, ethyl, propyl, isopropyl, cyclopropyl, n- butyl, s-butyl, t-butyl, and the like.
- (C1-C10)alkyl includes all combinations therein, i.e., (C1- C 2 )alkyl, (C 1 -C 3 )alkyl, (C 1 -C 4 )alkyl, (C 1 -C 5 )alkyl, (C 1 -C 6 )alkyl, (C 1 -C 7 )alkyl, (C 1 -C 8 )alkyl, (C 1 - C 9 )alkyl, (C 2 -C 3 )alkyl, (C 2 -C 4 )alkyl, (C 2 -C 5 )alkyl, (C 2 -C 6 )alkyl, (C 2 -C 7 )alkyl, (C 2 -C 8 )alkyl, (C 2 - C9)alkyl, (C2-C10)alkyl, (C3-C4)alkyl, (C3-C5)alkyl, (C3-C6)alkyl, (C
- oxoalkyl is intended to include alkyl residues in which one or more carbons (and their associated hydrogens) have been replaced by oxygen.
- Non- limiting examples include methoxypropoxy, 3,6,9-trioxadecyl and the like.
- the term oxoalkyl is intended as it is understood in the art [see Naming and Indexing of Chemical Substances for Chemical Abstracts, published by the American Chemical Society, 196, but without the restriction of 127(a)], i.e., it refers to compounds in which the oxygen is bonded via a single bond to its adjacent atoms (forming ether bonds); it does not refer to doubly bonded oxygen, as would be found in carbonyl groups.
- (C1-C10)oxoalkyl includes all combinations therein, i.e., (C1- C2)oxoalkyl, (C1-C3)oxoalkyl, (C1-C4)oxoalkyl, (C1-C5)oxoalkyl, (C1-C6)oxoalkyl, (C1- C7)oxoalkyl, (C1-C8)oxoalkyl, (C1-C9)oxoalkyl, (C2-C3)oxoalkyl, (C2-C4)oxoalkyl, (C2- C 5 )oxoalkyl, (C 2 -C 6 )oxoalkyl, (C 2 -C 7 )oxoalkyl, (C 2 -C 8 )oxoalkyl, (C 2 -C 9 )oxoalkyl, (C 2 - C10)oxoalkyl, (C3-C4)oxoal
- azaalkyl is intended to include alkyl residues in which one or more carbons (and their associated hydrogens) have been replaced by nitrogen.
- Non- limiting examples include ethylaminoethyl and the like.
- (C1-C10)azaalkyl includes all combinations therein, i.e., (C1-C2)azaalkyl, (C1-C3)azaalkyl, (C1-C4)azaalkyl, (C1-C5)azaalkyl, (C 1 -C 6 )azaalkyl, (C 1 -C 7 )azaalkyl, (C 1 -C 8 )azaalkyl, (C 1 -C 9 )azaalkyl, (C 2 -C 3 )azaalkyl, (C 2 - C 4 )azaalkyl, (C 2 -C 5 )azaalkyl, (C 2 -C 6 )azaalkyl, (C 2 -C 7 )azaalkyl, (C 2 -C 8 )azaalkyl, (C 2 - C9)azaalkyl, (C2-C10)azaalkyl, (C3-C4)azaalkyl, (C3-C5)azaalkyl, (C3-
- thiaalkyl is intended to include alkyl residues in which one or more carbons (and their associated hydrogens) have been replaced by sulfur.
- Non-limiting examples include methylthiopropyl and the like.
- (C1-C10)thiaalkyl includes all combinations therein, i.e., (C1-C2)thiaalkyl, (C1-C3)thiaalkyl, (C1-C4)thiaalkyl, (C1-C5)thiaalkyl, (C1- C 6 )thiaalkyl, (C 1 -C 7 )thiaalkyl, (C 1 -C 8 )thiaalkyl, (C 1 -C 9 )thiaalkyl, (C 2 -C 3 )thiaalkyl, (C 2 - C4)thiaalkyl, (C2-C5)thiaalkyl, (C2-C6)thiaalkyl, (C2-C7)thiaalkyl, (C2-C2-C2-C
- “carbocycle” is intended to include ring systems in which the ring atoms are all carbon but of any oxidation state. If not otherwise limited, “carbocycle” is intended to include both non-aromatic and aromatic systems. In addition, unless otherwise specified herein, “carbocycle” is intended to include monocycles, bicycles, spirocycles, and polycycles.
- (C 3 -C 10 )carbocycle may refer to cyclopropane, cyclohexane, benzene, phenyl, cyclopentadiene, cyclohexene, norbornane, decalin, naphthalene, indane, and the like.
- (C3-C10)carbocycle includes all combinations therein, i.e., (C 3 -C 4 )carbocycle, (C 3 -C 5 )carbocycle, (C 3 -C 6 )carbocycle, (C 3 -C 7 )carbocycle, (C 3 - C 8 )carbocycle, (C 3 -C 9 )carbocycle, (C 3 -C 10 )carbocycle, (C 4 -C 5 )carbocycle, (C 4 -C 6 )carbocycle, (C4-C7)carbocycle, (C4-C8)carbocycle, (C4-C9)carbocycle, (C4-C10)carbocycle, (C5- C 6 )carbocycle, (C 5 -C 7 )carbocycle, (C 5 -C 8 )carbocycle, (C 5 -C 9 )carbocycle, (C 5 -C 10
- cycloalkyl is a subset of hydrocarbyl and is intended to include cyclic hydrocarbon structures. If not otherwise limited, “cycloalkyl” may include cyclic alkyl groups of from 3 to 8 carbon atoms or from 3 to 6 carbon atoms. Non- limiting examples of cycloalkyl include cy-propyl, cy-butyl, cy-pentyl, norbornyl, and the like.
- (C3-C10)cycloalkyl includes all combinations therein, i.e., (C3-C4)cycloalkyl, (C3-C5)cycloalkyl, (C3-C6)cycloalkyl, (C3-C7)cycloalkyl, (C3-C8)cycloalkyl, (C3-C9)cycloalkyl, (C3-C10)cycloalkyl, (C 4 -C 5 )cycloalkyl, (C 4 -C 6 )cycloalkyl, (C 4 -C 7 )cycloalkyl, (C 4 -C 8 )cycloalkyl, (C 4 -C 9 )cycloalkyl, (C4-C10)cycloalkyl, (C5-C6)cycloalkyl, (C5-C7)cycloalkyl, (C5-C8)cycloalkyl, (C5-C9)cycloalkyl, (C5-C10)cycloalkyl,
- Heterocycle means a cycloalkyl or aryl carbocycle residue in which from 1 to 4 carbon atoms (and their associated hydrogens) is replaced by a heteroatom selected from the group consisting of N, O and S.
- the nitrogen and sulfur heteroatoms may optionally be oxidized, and the nitrogen heteroatom may optionally be quaternized.
- a heterocycle may be non-aromatic or aromatic. Heterocycle, if not otherwise limited, refers to monocycles, bicycles, spirocycles, and polycycles.
- 3- to 11-member heterocycle includes all combinations therein, e.g., 3-member heterocycle, 4-member heterocycle, 5-member heterocycle, 6-member heterocycle, 7-member heterocycle, 8-member heterocycle, 9-member heterocycle, 10-member heterocycle, 11-member heterocycle, 5:5 bicyclic heterocycle, 5:6 bicyclic heterocycle, 6:6 bicyclic heterocycle, 6:7 bicyclic heterocycle, 5:3 spiro heterocycle, and the like.
- heterocycles that fall within the scope of the disclosure include pyrrolidine, pyrazole, pyrazine, pyrrole, indole, indazole, indoline, indolin-2-one, dihydroindene, dihydrocyclopentapyridine, dihydrofuropyridine, imidazole, quinoline, dihydroquinolinone, tetrahydroquinoline, isoquinoline, tetrahydroisoquinoline, benzofuran, dihydrobenzofuran, benzodioxan, benzodioxole (commonly referred to as methylenedioxyphenyl, when occurring as a substituent), benzoimidazole, dihydrobenzodioxepine, dihydropyrrolotriazole, triazole, tetrazole, morpholine, thiazole, pyridine, triazolopyridine, pyrazolopyridine, dihydropyrrolotriazo
- Cycloazaalkyl is a subset of heterocycle in which at least 1 carbon atom (and its associated hydrogens) is replaced by N.
- Non-limiting examples of cycloaazaalkyl include azetidine, pyrrolidine, pyrazole, pyrrole, piperidine, pyridazine, pyrimidine and the like.
- (C 3 - C10)cycloazaalkyl includes all combinations therein, i.e., (C3-C4)cycloazaalkyl, (C3- C5)cycloazaalkyl, (C3-C6)cycloazaalkyl, (C3-C7)cycloazaalkyl, (C3-C8)cycloazaalkyl, (C3- C 9 )cycloazaalkyl, (C 3 -C 10 )cycloazaalkyl, (C 4 -C 5 )cycloazaalkyl, (C 4 -C 6 )cycloazaalkyl, (C 4 - C7)cycloazaalkyl, (C4-C8)cycloazaalkyl, (C4-C9)cycloazaalkyl, (C4-C10)cycloazaalkyl, (C5- C6)cycloazaalkyl, (C5-C7)cycloazaalkyl, (C5-C8)cycloazaalkyl, (C5-C9)cycloaza
- Cyclooxoalkyl is a subset of heterocycle in which at least 1 carbon atom (and its associated hydrogens) is replaced by O.
- Non-limiting examples of cyclooxoalkyl include furan, morpholine, chromane, oxazole and the like.
- (C 3 -C 10 )cyclooxoalkyl includes all combinations therein, i.e., (C 3 -C 4 )cyclooxoalkyl, (C 3 -C 5 )cyclooxoalkyl, (C 3 -C 6 )cyclooxoalkyl, (C 3 - C7)cyclooxoalkyl, (C3-C8)cyclooxoalkyl, (C3-C9)cyclooxoalkyl, (C3-C10)cyclooxoalkyl, (C4- C5)cyclooxoalkyl, (C4-C6)cyclooxoalkyl, (C4-C7)cyclooxoalkyl, (C4-C8)cyclooxoalkyl, (C4- C 9 )cyclooxoalkyl, (C 4 -C 10 )cyclooxoalkyl, (C 5 -C 6 )cyclooxoal
- Cyclothiaalkyl is a subset of heterocycle in which at least 1 carbon atom (and its associated hydrogens) is replaced by S.
- Non-limiting examples of cyclothiaalkyl include thiophene and the like.
- (C3-C10)cyclothiaalkyl includes all combinations therein, i.e., (C3- C4)cyclothiaalkyl, (C3-C5)cyclothiaalkyl, (C3-C6)cyclothiaalkyl, (C3-C7)cyclothiaalkyl, (C3- C 8 )cyclothiaalkyl, (C 3 -C 9 )cyclothiaalkyl, (C 3 -C 10 )cyclothiaalkyl, (C 4 -C 5 )cyclothiaalkyl, (C 4 - C6)cyclothiaalkyl, (C4-C7)cyclothiaalkyl, (C4-C8)cyclothiaalkyl, (
- Heteroaryl is a subset of heterocycle in which the heterocycle is aromatic. In some instances, the heteroaryl contains 4, 5, 6, or 7 ring members. In some instances, the heteroaryl is bicyclic and contains 8, 9, 10, or 11 total ring members.
- Non-limiting examples include furan, benzofuran, isobenzofuran, pyrrole, indole, isoindole, thiophene, benzothiophene, imidazole, benzimidazole, purine, pyrazole, indazole, oxazole, benzoxazole, isoxazole, benzisoxazole, thiazole, benzothiazole, triazole, tetrazole, pyridine, quinoline, isoquinoline, pyrazine, quinoxaline, acridine, pyrimidine, quinazoline, pyridazine, cinnoline, phthalazine, and triazine.
- heterocyclyl residues additionally include piperazinyl, 2- oxopiperazinyl, 2-oxopiperidinyl, 2-oxo-pyrrolidinyl, 2-oxoazepinyl, azepinyl, 4-piperidinyl, pyrazolidinyl, imidazolyl, imidazolinyl, imidazolidinyl, pyrazinyl, oxazolidinyl, isoxazolidinyl, thiazolidinyl, isothiazolyl, quinuclidinyl, isothiazolidinyl, benzimidazolyl, thiadiazolyl, benzopyranyl, benzothiazolyl, tetrahydrofuryl, tetrahydropyranyl, thienyl, benzothienyl, thiamorpholinyl, thiamorpholinylsulfoxide, thiamorpholinylsulfone,
- Aryl and heteroaryl mean (i) a phenyl group (or benzene) or a monocyclic 5- or 6- member heteroaromatic ring containing 1-4 heteroatoms selected from O, N, or S; (ii) a bicyclic 9- or 11-member aromatic or heteroaromatic ring system containing 0-4 heteroatoms selected from O, N, or S; or (iii) a tricyclic 13- or 14-member aromatic or heteroaromatic ring system containing 0-5 heteroatoms selected from O, N, or S.
- Non-limiting examples of the aromatic 6- to 14-member carbocyclic rings include benzene, naphthalene, indane, tetralin, and fluorene.
- Non-limiting examples of the 5- to 10-member aromatic heterocyclic rings include imidazole, pyridine, indole, thiophene, benzopyranone, thiazole, furan, benzimidazole, quinoline, isoquinoline, quinoxaline, pyrimidine, pyrazine, tetrazole and pyrazole.
- aryl and heteroaryl refer to residues in which one or more rings are aromatic, but not all need be.
- alkoxy refers to groups of from 1 to 20 carbon atoms, from 1 to 10 carbon atoms, or from 1 to 6 carbon atoms of a straight, branched, or cyclic configuration, and combinations thereof, attached to the parent structure through an oxygen.
- Non-limiting examples include methoxy, ethoxy, propoxy, isopropoxy cyclopropyloxy, cyclohexyloxy, methylenedioxy, ethylenedioxy, and the like.
- (C1-C10)alkoxy includes all combinations therein, i.e., (C1-C2)alkoxy, (C1-C3)alkoxy, (C1-C4)alkoxy, (C1-C5)alkoxy, (C1- C 6 )alkoxy, (C 1 -C 7 )alkoxy, (C 1 -C 8 )alkoxy, (C 1 -C 9 )alkoxy, (C 2 -C 3 )alkoxy, (C 2 -C 4 )alkoxy, (C 2 - C5)alkoxy, (C2-C6)alkoxy, (C2-C7)alkoxy, (C2-C8)alkoxy, (C2-C9)alkoxy, (C2-C10)alkoxy, (C3- C4)alkoxy, (C3-C5)alkoxy, (C3-C6)alkoxy, (C3-C7)alkoxy, (C3-C8)alkoxy, (C3-C9)alkoxy,
- acyl refers to formyl and to groups of 1, 2, 3, 4, 5, 6, 7 or 8 carbon atoms of a straight, branched, or cyclic configuration, saturated or unsaturated, and aromatic, and combinations thereof, attached to the parent structure through a carbonyl functionality.
- One or more carbons in the acyl residue may be replaced by nitrogen, oxygen or sulfur as long as the point of attachment to the parent remains at the carbonyl.
- Non-limiting examples include acetyl, benzoyl, propionyl, isobutyryl, t-butoxycarbonyl, benzyloxycarbonyl, and the like.
- the double bonded oxygen, when referred to as a substituent itself is called “oxo”.
- Arylalkyl refers to a substituent in which an aryl residue is attached to the parent structure through alkyl.
- Non-limiting examples include benzyl, phenethyl and the like.
- Heteroarylalkyl refers to a substituent in which a heteroaryl residue is attached to the parent structure through alkyl.
- the alkyl group of an arylalkyl or a heteroarylalkyl is an alkyl group of from 1 to 6 carbons.
- Non-limiting examples include pyridinylmethyl, pyrimidinylethyl, and the like.
- An oxygen heterocycle is a heterocycle containing at least one oxygen in the ring; it may contain additional oxygens, as well as other heteroatoms.
- a sulphur heterocycle is a heterocycle containing at least one sulphur in the ring; it may contain additional sulphurs, as well as other heteroatoms.
- Oxygen heteroaryl is a subset of oxygen heterocycle; non-limiting examples include furan and oxazole.
- Sulphur heteroaryl is a subset of sulphur heterocycle; non- limiting examples include thiophene and thiazine.
- a nitrogen heterocycle is a heterocycle containing at least one nitrogen in the ring; it may contain additional nitrogens, as well as other heteroatoms.
- Non-limiting examples include piperidine, piperazine, morpholine, pyrrolidine and thiomorpholine.
- Nitrogen heteroaryl is a subset of nitrogen heterocycle; non-limiting examples include pyridine, pyrrole and thiazole.
- halogen means fluorine, chlorine, bromine, or iodine atoms. In one embodiment, halogen may be a fluorine or chlorine atom.
- haloalkyl and “haloalkoxy” mean alkyl or alkoxy, respectively, substituted with one or more halogen atoms.
- optionally substituted may be used interchangeably with “unsubstituted or substituted”.
- substituted refers to the replacement of one or more hydrogen atoms in a specified group with a specified radical. For example, unless otherwise specified, substituted alkyl, aryl, cycloalkyl, heterocyclyl, etc.
- Oxo is also included among the substituents referred to in “optionally substituted”; it will be appreciated by persons of skill in the art that, because oxo is a divalent radical, there are circumstances in which it will not be appropriate as a substituent (e.g., on phenyl).
- 1, 2, or 3 hydrogen atoms are replaced with a specified radical.
- more than three hydrogen atoms can be replaced by fluorine; indeed, all available hydrogen atoms could be replaced by fluorine.
- substituents are halogen, haloalkyl, alkyl, acyl, hydroxyalkyl, hydroxy, alkoxy, haloalkoxy, aminocarbonyl oxoalkyl, carboxy, cyano, acetoxy, nitro, amino, alkylamino, dialkylamino, alkylthio, alkylsulfinyl, alkylsulfonyl, alkylsulfonylamino, arylsulfonyl, arylsulfonylamino, and benzyloxy.
- any alkyl, alkenyl, alkynyl, cycloalkyl and cycloalkenyl moiety described herein can also be an aliphatic group, an alicyclic group or a heterocyclic group.
- An “aliphatic group” is non-aromatic moiety that may contain any combination of carbon atoms, hydrogen atoms, halogen atoms, oxygen, nitrogen or other atoms, and optionally contain one or more units of unsaturation, e.g., double and/or triple bonds.
- An aliphatic group may be straight chained, branched or cyclic and preferably contains between about 1 and about 24 carbon atoms, more typically between about 1 and about 12 carbon atoms.
- aliphatic groups include, for example, polyalkoxyalkyls, such as polyalkylene glycols, polyamines, and polyimines, for example. Such aliphatic groups may be further substituted. It is understood that aliphatic groups may be used in place of the alkyl, alkenyl, alkynyl, alkylene, alkenylene, and alkynylene groups described herein.
- Substituents R n are generally defined when introduced and retain that definition throughout the specification and in all independent claims.
- the terms "subject” or “subject in need thereof” are used interchangeably herein. These terms refer to a patient who has been diagnosed with the underlying disorder to be treated.
- a "subject in need thereof” may be a patient at risk of developing a particular disease, or to a patient reporting one or more of the physiological systems of a disease, even though a diagnosis of this disease may not have been made.
- treatment or “treating” are used interchangeably. These terms refer to an approach for obtaining beneficial or desired results including, but not limited to, therapeutic benefit.
- Therapeutic benefit includes eradication or amelioration of the underlying disorder being treated; it also includes the eradication or amelioration of one or more of the symptoms associated with the underlying disorder such that an improvement is observed in the patient, notwithstanding that the patient may still be afflicted with the underlying disorder.
- Preparation of compounds can involve the protection and deprotection of various chemical groups. The need for protection and deprotection, and the selection of appropriate protecting groups, can be readily determined by one skilled in the art.
- the term “compound of formula” refers to the compound or a pharmaceutically acceptable salt thereof.
- pharmaceutically acceptable salt refers to salts prepared from pharmaceutically acceptable non-toxic acids or bases including inorganic acids and bases and organic acids and bases. When the compounds of the present disclosure are basic, salts may be prepared from pharmaceutically acceptable non-toxic acids including inorganic and organic acids.
- Suitable pharmaceutically acceptable acid addition salts for the compounds of the present disclosure include acetic, adipic, alginic, ascorbic, aspartic, benzenesulfonic (besylate), benzoic, boric, butyric, camphoric, camphorsulfonic, carbonic, citric, ethanedisulfonic, ethanesulfonic, ethylenediaminetetraacetic, formic, fumaric, glucoheptonic, gluconic, glutamic, hydrobromic, hydrochloric, hydroiodic, hydroxynaphthoic, isethionic, lactic, lactobionic, laurylsulfonic, maleic, malic, mandelic, methanesulfonic, mucic, naphthylenesulfonic, nitric, oleic, pamoic, pantothenic, phosphoric, pivalic, polygalacturonic, salicylic, stearic, succin
- suitable pharmaceutically acceptable base addition salts for the compounds of the present disclosure include, but are not limited to, metallic salts made from aluminum, calcium, lithium, magnesium, potassium, sodium and zinc or organic salts made from lysine, arginine, N,N'-dibenzylethylenediamine, chloroprocaine, choline, diethanolamine, ethylenediamine, meglumine (N-methylglucamine) and procaine.
- Further pharmaceutically acceptable salts include, when appropriate, nontoxic ammonium cations and carboxylate, sulfonate and phosphonate anions attached to alkyl having from 1 to 20 carbon atoms.
- compositions comprising a compound disclosed above, or a pharmaceutically acceptable salt thereof, together with one or more pharmaceutically carriers thereof and optionally one or more other therapeutic ingredients.
- the carrier(s) must be "acceptable” in the sense of being compatible with the other ingredients of the formulation and not deleterious to the recipient thereof.
- the formulations include those suitable for oral, parenteral (including subcutaneous, intradermal, intramuscular, intravenous and intraarticular), rectal and topical (including dermal, buccal, sublingual and intraocular) administration. The most suitable route may depend upon the condition and disorder of the recipient.
- the formulations may conveniently be presented in unit dosage form and may be prepared by any of the methods well known in the art of pharmacy.
- All methods include the step of bringing into association a compound of formula I or a pharmaceutically acceptable salt thereof ("active ingredient") with the carrier which constitutes one or more accessory ingredients.
- active ingredient a compound of formula I or a pharmaceutically acceptable salt thereof
- the formulations are prepared by uniformly and intimately bringing into association the active ingredient with liquid carriers or finely divided solid carriers or both and then, if necessary, shaping the product into the desired formulation.
- Formulations of the present disclosure suitable for oral administration may be presented as discrete units such as capsules, cachets or tablets each containing a predetermined amount of the active ingredient; as a powder or granules; as a solution or a suspension in an aqueous liquid or a non-aqueous liquid; or as an oil-in-water liquid emulsion or a water-in-oil liquid emulsion.
- the active ingredient may also be presented as a bolus, electuary or paste.
- a tablet may be made by compression or molding, optionally with one or more accessory ingredients.
- Compressed tablets may be prepared by compressing in a suitable machine the active ingredient in a free-flowing form such as a powder or granules, optionally mixed with a binder, lubricant, inert diluent, lubricating, surface active or dispersing agent. Molded tablets may be made by molding in a suitable machine a mixture of the powdered compound moistened with an inert liquid diluent. The tablets may optionally be coated or scored and may be formulated so as to provide sustained, delayed or controlled release of the active ingredient therein.
- a free-flowing form such as a powder or granules, optionally mixed with a binder, lubricant, inert diluent, lubricating, surface active or dispersing agent.
- Molded tablets may be made by molding in a suitable machine a mixture of the powdered compound moistened with an inert liquid diluent.
- the tablets may optionally be coated or scored and may be
- Formulations for parenteral administration include aqueous and non-aqueous sterile injection solutions which may contain anti-oxidants, buffers, bacteriostats and solutes which render the formulation isotonic with the blood of the intended recipient.
- Formulations for parenteral administration also include aqueous and non-aqueous sterile suspensions, which may include suspending agents and thickening agents.
- the formulations may be presented in unit- dose of multi-dose containers, for example sealed ampoules and vials, and may be stored in a freeze-dried (lyophilized) condition requiring only the addition of a sterile liquid carrier, for example saline, phosphate-buffered saline (PBS) or the like, immediately prior to use.
- a sterile liquid carrier for example saline, phosphate-buffered saline (PBS) or the like, immediately prior to use.
- Extemporaneous injection solutions and suspensions may be prepared from sterile powders, granules and tablets of the kind previously described.
- structures depicted herein are also meant to include all stereoisomeric (e.g., enantiomeric, diastereomeric, and cis-trans isomeric) forms of the structure; for example, the R and S configurations for each asymmetric center, (Z) and (E) double bond isomers, and (Z) and (E) conformational isomers.
- Radiolabeled compounds of the present disclosure can generally be prepared by methods well known to those skilled in the art. Conveniently, such radiolabeled compounds can be prepared by carrying out the procedures disclosed in the Examples and Schemes by substituting a readily available radiolabeled reagent for a non-radiolabeled reagent.
- a “pure” or “substantially pure” enantiomer is intended to mean that the enantiomer is at least 95% of the configuration shown and 5% or less of other enantiomers.
- a “pure” or “substantially pure” diastereomer is intended to mean that the diastereomer is at least 95% of the relative configuration shown and 5% or less of other diastereomers.
- Typical solvent mixtures include A (water) and B (organic i.e., acetonitrile, methanol, etc.). Additives can also be used in the solvent mixture such as HCl, NH4HCO3, and formic acid.
- BINAP ([1,1′-Binaphthalene]-2,2′-diyl)bis(diphenylphosphane)
- BOP benzotriazol-1-yloxytris (dimethylamino)phosphonium hexafluorophosphate
- C (or °C) Degrees Celsius
- DAST diethyl
- Generic-9 contains a protecting group, it can be removed by acidic or basic reaction methods well known to those skilled in the art to give the product Generic -10.
- Generic Scheme A continued: [0085]
- Compounds included in the genus may also be prepared by the Scheme outlined in General Scheme B.
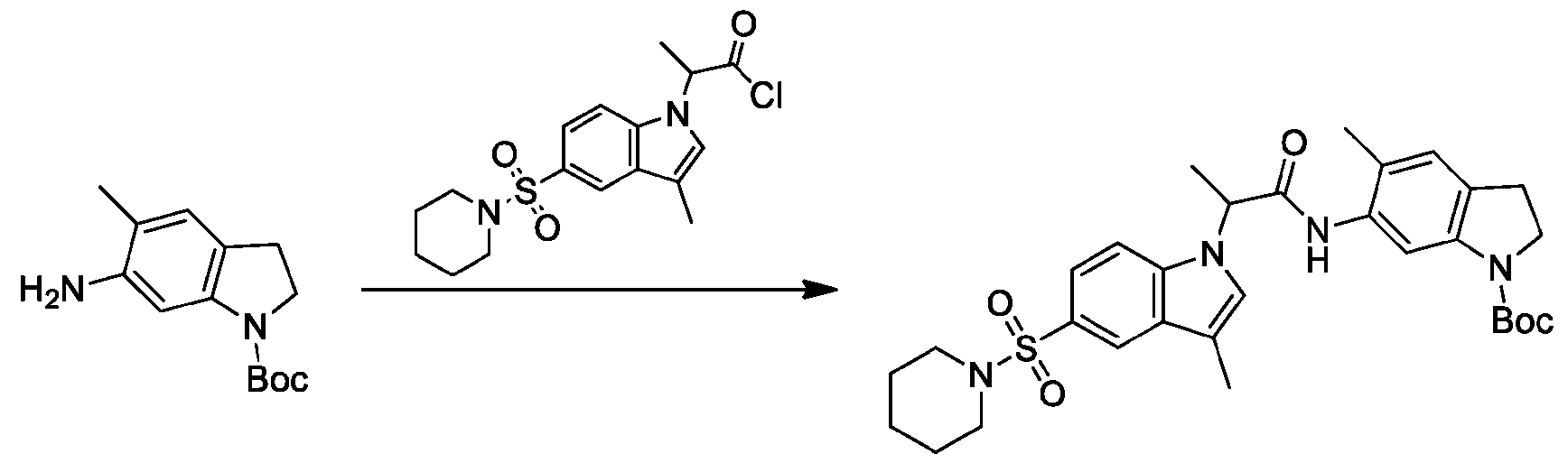
- An appropriately substituted amine Generic-11 can be acylated with 2- bromopropanoyl chloride to give intermediate Generic-12, which can then be reacted with the appropriate intermediate Generic-5 to give intermediate Generic -9 and taken on to product Generic-10.
- Step 2 General procedure for preparation of 1-[5-(1-piperidylsulfonyl)indolin-1- yl]ethanone
- piperidine 3.93 g, 46.21 mmol, 4.56 mL, 2 eq
- Et3N 4.68 g, 46.21 mmol, 6.43 mL, 2 eq
- the reaction mixture was added H2O (30 mL), the H2O phase was then extracted with DCM (50 mL *2).
- Step 4 General procedure for preparation of 5-(1-piperidylsulfonyl)-1H-indole
- Step 5 General procedure for preparation of methyl 2-[5-(1-piperidylsulfonyl)indol- 1-yl]propanoate
- Cs2CO3 10.35 g, 31.78 mmol, 2 eq
- methyl 2-bromopropanoate 3.98 g, 23.83 mmol, 2.65 mL, 1.5 eq
- Step 6 General procedure for preparation of 2-[5-(1-piperidylsulfonyl)indol-1- yl]propanoic acid- Intermediate 1
- a noate (7 g, 19.98 mmol, 1 eq ) in EtOH (60 mL) was added NaOH (4 M, 14.98 mL, 3 eq) at 0 o C, then the mixture was stirred at 20 o C for 0.5 h.
- the reaction mixture was concentrated under reduced pressure to remove the solvent.
- the residue was diluted with H2O (50 mL), and the pH was adjusted to 3 by careful addition of aq. HCl (2 M).
- the mixture was extracted with EtOAc (40 mL x 3).
- the combined organic layers were washed with brine (20 mL x 2), dried over Na2SO4, and filtered.
- the filtrate was concentrated under reduced pressure to furnish (racemic)- 2-[3-methyl-5-(1-piperidylsulfonyl)indol-1-yl]propanoic acid as a light orange solid.
- Step 2 General procedure for preparation of tert-butyl N-[2-[4- (aminomethyl)anilino]ethyl]carbamate [0120] mmol, 1 eq) and Raney-Ni (100 mg, 1.17 mmol, 3.81e-1 eq) in a 7M solution of NH3 in MeOH (10 mL) was hydrogenated at 25°C under 15psi of for 24 h. LCMS showed the starting material was consumed completely and new peak was detected. The reaction mixture was filtered through a pad of Celite and washed with a mixture of MeOH(5mL). The filtrate was evaporated in vacuo to afford the product.
- Step 3 General procedure for preparation of tert-butyl N-[2-[4-[[2-[5-(1- piperidylsulfonyl)indol-1-yl]propanoylamino]methyl]anilino]ethyl]carbamate [ mg, 392.38 umol, 1.1 eq) and 2-[5-(1-piperidylsulfonyl)indol-1-yl]propanoic acid (120 mg, 356.71 umol, 1 eq) in DCM (2 mL) was added HBTU (162.34 mg, 428.06 umol, 1.2 eq) and DIEA (138.31 mg, 1.07 mmol, 186.40 uL, 3 eq).
- Step 4 General procedure for preparation of N-[[4-(2- aminoethylamino)phenyl]methyl]-2-[5-(1-piperidylsulfonyl)indol-1-yl]propanamide (A-1) yl]propanoylamino]methyl]anilino]ethyl]carbamate (150 mg, 256.96 umol, 1 eq) in HCl/EtOAc (4 M, 2 mL, 31.13 eq) was stirred at 20°C for 2h. LCMS showed the starting material was consumed and desired ms was detected. The reaction mixture was concentrated to dryness to give the crude.
- Step 2 General procedure for preparation of N-(5-amino-2-methyl-phenyl)-2-[5-(1- piperidylsulfonyl)indol-1-yl]propanamide
- Step 2 General procedure for preparation of tert-butyl N-[(3S)-1-indolin-5- ylsulfonylpyrrolidin-3-yl]carbamate
- 3- yl]carbamate 600 mg, 1.47 mmol, 1eq
- MeOH MeOH
- NaOH 4 M, 1.83 mL, 5 eq
- the reaction mixture was stirred at 70 °C for 2 hr.
- the reaction mixture was concentrated under reduced pressure to remove EtOH.
- the residue was added water (3ml), then the residue was filtered and the filter cake concentrated in vacuum.
- Step 3 General procedure for preparation of tert-butyl N-[(3S)-1-(1H-indol-5- ylsulfonyl)pyrrolidin-3-yl]carbamate [0147] arbamate (470 mg, 1.28 mmol, 1 eq) in THF (18.8 mL), the DDQ (290.35 mg, 1.28 mmol, 1 eq) in THF (5.8 mL) dropwise added to the mixture at 0 °C, then the mixture was stirred at 20 °C for 1 h.
- Step 4 General procedure for preparation of methyl 2-[5-[(3S)-3-(tert- butoxycarbonylamino)pyrrolidin-1-yl]sulfonylindol-1-yl]propanoate yl]carbamate (220 mg, 602.00 umol, 1 eq) in DMF (2mL) was added Cs 2 CO 3 (294.22 mg, 903.01 umol, 1.5 eq) at 0°C, then the mixture was stirred at 20 °C for 0.5 h, then was added methyl 2-bromopropanoate (150.80 mg, 903.01 umol, 100.54 uL, 1.5 eq) and the mixture was stirred at 20 °C for 2 h.
- Step 5 General procedure for preparation of 2-[5-[(3S)-3-(tert- butoxycarbonylamino)pyrrolidin-1-yl]sulfonylindol-1-yl]propanoate 1- yl]sulfonylindol-1-yl]propanoate (200 mg, 442.93umol, 1 eq) in EtOH (2.5 mL) was added NaOH (4 M, 332.20 uL, 3 eq) at 0 °C, then the mixture was stirred at 20 °C for 0.5 h.
- Step 6 General procedure for preparation of tert-butyl N-[(3S)-1-[1-[2-[5-(tert- butoxycarbonylamino)-2-methyl-anilino]-1-methyl-2-oxo-ethyl]indol-5-yl]sulfonylpyrrolidin-3- yl]carbamate yl]sulfonylindol-1-yl]propanoic acid (150 mg, 342.85umol, 1 eq) in DCM (2 mL) was added HATU (156.43 mg, 411.42 umol, 1.2 eq) and DIEA (132.93 mg, 1.03 mmol, 179.15uL, 3 eq).
- Step 7 General procedure for preparation of N-(5-amino-2-methyl-phenyl)-2-[5- [(3S)-3-aminopyrrolidin-1-yl]sulfonylindol-1-yl]propanamide
- Step 2 General procedure for preparation of tert-butyl N-[(3R)-1-indolin-5- ylsulfonylpyrrolidin-3-yl]carbamate yl]carbamate (500 mg, 1.22 mmol, 1 eq) in MeOH (5 mL) was added NaOH (244.18 mg, 6.11 mmol, 5 eq). The mixture was stirred at 70 °C for 2 h. LCMS showed the starting material was consumed and desired MS was detected. The mixture was collected by filtration, washed with water (5 mL * 3) and dried under reduced pressure to give the product.
- Step 3 General procedure for preparation of tert-butyl N-[(3R)-1-(1H-indol-5- ylsulfonyl)pyrrolidin-3-yl]carbamate (370 mg, 1.01 mmol, 1 eq) in THF (3 mL) was added dropwise DDQ (251.43 mg, 1.11 mmol, 1.1 eq) at 0°C.
- Step 4 General procedure for preparation of methyl 2-[5-[(3R)-3-(tert- butoxycarbonylamino)pyrrolidin-1-yl]sulfonylindol-1-yl]propanoate yl]carbamate (90 mg, 246.27 umol, 1 eq) in DMF (2 mL) was added Cs 2 CO3 (240.72 mg, 738.82 umol, 3 eq) and methyl 2-bromopropanoate (41.13 mg, 246.27 umol, 27.42 uL, 1 eq). The mixture was stirred at 25 °C for 2 hr. LCMS showed the starting material was consumed and desired MS was detected.
- Step 5 General procedure for preparation of 2-[5-[(3R)-3-(tert- butoxycarbonylamino)pyrrolidin-1-yl]sulfonylindol-1-yl]propanoic acid yl]sulfonylindol-1-yl]propanoate (100 mg, 221.47 umol, 1 eq) in EtOH (2 mL) was added NaOH (4 M, 166.10 uL, 3 eq). The mixture was stirred at 25 °C for 1 hr. LCMS showed the starting material was consumed and desired MS was detected.
- Step 6 General procedure for preparation of tert-butyl N-[(3R)-1-[1-[2-[5-(tert- butoxycarbonylamino)-2-methyl-anilino]-1-methyl-2-oxo-ethyl]indol-5-yl]sulfonylpyrrolidin-3- yl]carbamate yl]sulfonylindol-1-yl]propanoic acid (70 mg, 160.00 umol, 1 eq) in DCM (1 mL) was added HATU (73.00 mg, 192.00 umol, 1.2 eq) and a solution of tert-butyl N- (3-amino-4-methyl- phenyl)carbamate (35.56 mg, 160.00 umol, 1 eq) in DCM (1 mL) which was basified by DIEA (62.03 mg, 479.99 umol, 83.60 uL, 3 eq
- Step 7 General procedure for preparation of N-(5-amino-2-methyl-phenyl)-2-[5- [(3R)-3-aminopyrrolidin-1-yl]sulfonylindol-1-yl]propanamide
- EXAMPLE A-6 anilino]-1-methyl-2-oxo-ethyl]indol-5-yl]sulfonylpyrrolidin-3-yl]carbamate (40 mg, 62.33 umol, 1 eq) in DCM (1 mL) was added TFA (7.11 mg, 62.33 umol, 4.61 uL, 1 eq). The mixture was stirred at 25 °C for 1 h.
- Step 2 tert-butyl 3-[(6-amino-5-methyl-2H-indazol-2-yl)methyl]azetidine-1- carboxylate (Int-2a) and tert-butyl 3-[(6-amino-5-methyl-1H-indazol-1-yl)methyl]azetidine-1- carboxylate (Int-2b).
- Step 3 tert-butyl 3-[(5-methyl-6- ⁇ 2-[5-(piperidine-1-sulfonyl)-1H-indol-1- yl]propanamido ⁇ -2H-indazol-2-yl)methyl]azetidine-1-carboxylate (Int-3a) and tert-butyl 3-[(5- methyl-6- ⁇ 2-[5-(piperidine-1-sulfonyl)-1H-indol-1-yl]propanamido ⁇ -1H-indazol-1- yl)methyl]azetidine-1-carboxylate (Int-3b).
- Step 4 [0187] N- ⁇ 2-[(azetidin-3-yl)methyl]-5-methyl-2H-indazol-6-yl ⁇ -2-[5-(piperidine-1- sulfonyl)-1H-indol-1-yl]propanamide (A-7) and N- ⁇ 1-[(azetidin-3-yl)methyl]-5-methyl-1H- indazol-6-yl ⁇ -2-[5-(piperidine-1-sulfonyl)-1H-indol-1-yl]propanamide (A-8) -7 -8 [0188] tert-buty dol-1-yl]propanamido ⁇ - 2H-indazol-2-yl)methyl]azetidine-1-carboxylate Int-3a (0.07g) was treated with dissolved in dichloromethane and treated with TFA at 25 ⁇ C for 3 hours.
- Step 2 General procedure for preparation of tert-butyl 4-(3-amino-4-methyl- phenyl)piperazine-1-carboxylate
- tert-butyl 4-(4- methyl-3-nitro-phenyl)piperazine-1-carboxylate 3 g, 9.34 mmol, 1 eq
- the mixture was degassed and purged with H 2 for three times, the mixture was stirred at 30°C for 5 h under H2(15 psi).
- the mixture was filtered and concentrated under reduced pressure to give the crude product.
- Step 3 General procedure for preparation of tert-butyl 4-[4-methyl-3-[2-[5-(1- piperidylsulfonyl)indol-1-yl]propanoylamino]phenyl]piperazine-1-carboxylate 148.63 umol, 1 eq) in DMF (1 mL) were added tert-butyl 4-(3-amino-4-methyl-phenyl)piperazine-1- carboxylate (56.30 mg, 193.22 umol, 1.3 eq), HATU (84.77 mg, 222.95 umol, 1.5 eq) and DIEA (57.63 mg, 445.89 umol, 77.67 uL, 3 eq), the mixture was stirred at 20°C for 1 h.
- Step 4 General procedure for preparation of N-(2-methyl-5-piperazin-1-yl-phenyl)-2- [5-(1-piperidylsulfonyl)indol-1-yl]propanamide (A-9) [0199] 1- yl]propanoylamino]phenyl]piperazine-1-carboxylate (90 mg, 147.59 umol, 1 eq) in DCM (1 mL) was added TFA (1.54 g, 13.51 mmol, 1 mL, 91.51 eq) , the mixture was stirred at 20°C for 3 h. LCMS showed reactant was consumed completely and the desired ms was detected.
- Step 2 General procedure for preparation of N-(5-amino-2-methyl-phenyl)-2-[3- methyl-5-(1-piperidylsulfonyl)indol-1-yl]propanamide
- the mixture was stirred at 25°C for 1h. LCMS showed the starting material was consumed and desired ms was detected.30 mL of water was added to the reaction, the reaction mixture was extracted with DCM (15 mL*3). The combined organic layers were washed with brine (15 mL) and dried over Na2SO4. The combined organic layer was concentrated to dryness to give the crude.
- the crude was purified by flash column (ISCO 20 g silica, 0-60 % ethyl acetate in petroleum ether, gradient over 20 min).
- the resulting mixture was extracted with CHCl3:i-PrOH ⁇ 3:1 (3 mL*5).
- the combined organic layers were dried over Na2SO4.
- the combined organic layer was concentrated to dryness to give the product.
- Step 2 tert-butyl N-(5-cyanoindan-1-yl)carbamate [0237] To a g, 8.65 mmol, 1 eq) in DMF (30 mL)was added Zn (169.65 mg, 2.59 mmol, 0.3 eq), Zn(CN)2 (1.22 g, 10.38 mmol, 658.72 uL, 1.2 eq)and palladium;tritert-butylphosphane (883.94 mg, 1.73 mmol, 0.2 eq) under N2, Then the mixture was stirred at 110°C for 12 h under N2 atmosphere. LCMS showed the starting material was consumed completely and desired MS was detected.
- Step 4 tert-butyl N-[5-[[2-[3-methyl-5-(1-piperidylsulfonyl)indol-1- yl]propanoylamino]methyl]indan-1-yl]carbamate [024 g, 285.36 umol, 1 eq) in DCM (2 mL) was added 2-[3-methyl-5-(1-piperidylsulfonyl)indol-1- yl]propanoic acid (100 mg, 285.36 umol, 1 eq), HATU (130.20 mg, 342.43 umol, 1.2 eq) and DIEA (110.64 mg, 856.09 umol, 149.11 uL, 3 eq).
- Step 5 N-[(1-aminoindan-5-yl)methyl]-2-[3-methyl-5-(1-piperidylsulfonyl)indol-1- yl]propanamide (A-13) yl]propanoylamino]methyl]indan-1-yl]carbamate (100 mg, 168.13 umol, 1 eq) and HCl/EtOAc (4 M, 2 mL) was stirred at 20 °C for 2 hr. LCMS showed the starting material was consumed completely and desired MS was detected. The reaction mixture was concentrated to dryness to give the crude product.
- Step 2 General procedure for preparation of tert-butyl N-[[4-(aminomethyl)-2- methyl-phenyl]methyl]carbamate [0249] To a arbamate (230 mg, 933.80 umol, 1 eq) in NH3/MeOH (2mL) was added Raney-Ni (115.00 mg, 1.34 mmol, 1.44 eq) under N2 atmosphere. The suspension was degassed and purged with H2 for 3 times.
- Step 3 General procedure for preparation of tert-butylN-[[2-methyl-4-[[2-[3-methyl- 5-(1-piperidylsulfonyl)indol-1-yl]propanoylamino]methyl]phenyl]methyl]carbamate (139.98 mg, 399.46 umol, 1 eq) in DMF (2 mL) was added HATU (182.27 mg, 479.36 umol, 1.2 eq) , tert-butyl N-[[4-(aminomethyl)-2-methyl-phenyl]methyl]carbamate (100mg, 399.46 umol, 1 eq) and DIEA (154.88 mg, 1.20 mmol, 208.73 uL, 3 eq) at 0°C.
- Step 4 General procedure for preparation of N-[[4-(aminomethyl)-3-methyl- phenyl]methyl]-2-[3-methyl-5-(1-piperidylsulfonyl)indol-1-yl]propanamide – EXAMPLE A-14 [0 l-1- yl]propanoylamino]methyl]phenyl]methyl]carbamate (200 mg, 343.20 umol, 1 eq) in HCl/EtOAc (2 mL) was stirred at 20°Cfor 2h. LC-MS showed Reactant was consumed completely and desired mass was detected. The reaction mixture was concentrated to give the crude product.
- the crude product was purified by prep-HPLC (Phenomenex C18 75*30mm*3um;mobile phase: [water(HCl)-ACN];B% column; 5-45 % acetonitrile in an a 0.05% hydrochloricacid solution in water, 8 min gradient).
- Step 2 General procedure for preparation of tert-butyl 3-[4-(aminomethyl)-2-methyl- anilino]azetidine-1-carboxylate (400 mg, 1.39 mmol, 1 eq) in MeOH (4 mL) was added NH3/MeOH (7 M, 198.86 uL, 1 eq) and Raney-Ni (119.25 mg, 1.39mmol, 1eq) . The mixture was stirred at 20 °C for 4hr. LC-MS showed reactant was consumed completely and desired mass was detected. The resultant mixture was filtered and the filter cake was rinsed with DCM (5 mL x 3). Then the combined filtrates were concentrated under reduced pressure.
- Step 3 General procedure for preparation of tert-butyl 3-[2-methyl-4-[[2-[3-methyl- 5-(1-piperidylsulfonyl)indol-1-yl]propanoylamino]methyl]anilino]azetidine-1-carboxylate [0270] To a solution of tert-butyl 3-[4-(aminomethyl)-2-methyl-anilino]azetidine-1- carboxylate (91.47 mg, 313.90 umol, 1.1 eq) and 2-[3-methyl-5-(1-piperidylsulfonyl)indol-1- yl]propanoic acid (100 mg, 285.36 umol, 1 eq) in DCM (1 mL) was added DIEA(110.64 mg, 856.09 umol, 149.11 uL, 3 eq) and HATU (108.50 mg, 285.36 umol,
- Step 4 General procedure for preparation of N-[[4-(azetidin-3-ylamino)-3-methyl- phenyl]methyl]-2-[3-methyl-5-(1-piperidylsulfonyl)indol-1-yl]propanamide –
- Step 2 General procedure for preparation of tert-butyl 4-(3-amino-4-methyl- phenyl)piperazine-1-carboxylate [0278] (200 mg, 622.33 umol, 1 eq) in EtOH (3 mL) and H 2 O (3 mL) was added NH4Cl (332.89 mg, 6.22 mmol, 10 eq) and Fe (278.03 mg, 4.98 mmol, 8 eq). The mixture was stirred at 80°C for 1h. LC- MS showed reactant was consumed completely and one main peak with desired mass was detected.
- Step 3 General procedure for preparation of tert-butyl4-[3-[2-(5-fluoro-6-methoxy- indol-1-yl)propanoylamino]-4-methyl-phenyl]piperazine-1-carboxylate mg, 171.22 umol, 1 eq) in DMF (2 mL) was added tert-butyl 4-(3-amino-4-methyl- phenyl)piperazine-1-carboxylate (44.90 mg, 154.10 umol, 0.9 eq) ,and was added HATU(78.12 mg, 205.46 umol, 1.2 eq) and DIEA (66.38 mg, 513.65 umol, 89.47 uL, 3 eq), The mixture was stirred at 25°C for 12h.
- Step 4 General procedure for preparation of N-(2-methyl-5-piperazin-1-yl-phenyl)-2- [3-methyl-5-(1-piperidylsulfonyl)indol-1-yl]propanamide (A-17) 1- yl]propanoylamino]phenyl]piperazine-1-carboxylate (100 mg, 160.31 umol, 1 eq) in DCM (2 mL) and was added TFA (36.56 mg, 320.61 umol, 23.74 uL, 2 eq). The mixture was stirred at 25°C for 2 h. LC-MS and HPLC showed reactant was consumed completely and one main peak with desired mass was detected.
- the mixture was stirred at 80 °C for 15 hr. LC-MS showed reactant was consumed completely and desired mass was detected.
- the reaction mixture was cooled to room temperature and diluted by water, extracted with ethyl acetate. The combined organics were washed with brine, dried over Na2SO4, filtered and the reaction mixture was concentrated under reduced pressure to give a residue.
- Step 2 General procedure for preparation of tert-butyl N-[2-(6-amino-5-methyl- indazol-1-yl)ethyl]carbamate
- EXAMPLE A-22 In a manner similar to that described for tert-butyl N-[2-(6-nitro-5-methyl-indazol-1- yl)ethyl]carbamate (EXAMPLE A-22,), To a solution of tert-butyl N-[2-(6-nitro-5-methyl- indazol-1-yl)ethyl]carbamate (1 eq) in EtOH (20mL) and H2O was added NH4Cl (3 eq) and Fe (5 eq).
- Step 3 General procedure for preparation of tert-butyl N-[2-[5-methyl-6-[2-[3- methyl-5-(1-piperidylsulfonyl)indol-1-yl]propanoylamino]indazol-1- yl]ethyl]carbamate (82.86 mg, 285.36 umol, 1 eq) in DCM (1 mL) was added HATU (108.50 mg, 285.36 umol, 1 eq) and a solution of 2-[3-methyl-5-(1-piperidylsulfonyl)indol-1-yl]propanoic acid (100 mg, 285.36 umol, 1 eq) in DCM (1 mL) which was basified by DIEA (110.64 mg, 856.08 umol, 149.11 uL, 3 eq) at 0°C.
- Step 4 N-[1-(2-aminoethyl)-5-methyl-indazol-6-yl]-2-[3-methyl-5-(1- piperidylsulfonyl)indol-1-yl]propanamide (A-20) [0298] A solution of tert-butyl N-[2-[5-methyl-6-[2-[3-methyl-5-(1-piperidylsulfonyl)indol- 1-yl]propanoylamino]indazol-1-yl]ethyl]carbamate (100.00 mg, 160.57 umol, 1 eq) in HCl/EtOAc (1.5 mL) was stirred at 20°Cfor 2h.
- the mixture was stirred at 20 °C for 2h. LCMS showed the starting material was consumed completely and desired mass was detected.
- the reaction mixture was diluted by water (3 mL), extracted with ethyl acetate (3 mL * 2) and washed with brine (5 mL), dried over Na2SO4, filtered and The reaction mixture was concentrated under reduced pressure to give the product.
- Step 3 N-[2-(2-aminoethyl)-5-methyl-indazol-6-yl]-2-[3-methyl-5-(1- piperidylsulfonyl)indol-1-yl]propanamide (A-21) 1-yl]propanoylamino]indazol-2-yl]ethyl]carbamate (70.00 mg, 112.40 umol, 1 eq) in HCl/EtOAc (1 mL) was stirred at 20 °C for 1 h. LCMS showed the starting material was consumed and desired MS was detected. The reaction mixture was concentrated to dryness to give the crude product.
- reaction mixture was purified by prep-HPLC (Phenomenex C1875*30mm*3um; 25-65 % acetonitrile in an a 10mM ammonium hydroxide solution in water, 8 min gradient).
- EXAMPLE A-21 N-[2-(2-aminoethyl)-5-methyl-indazol-6-yl]-2-[3-methyl-5-(1- piperidylsulfonyl)indol-1-yl]propanamide (14.1 mg, 26.79 umol, 99.32% purity) was obtained as a white solid.
- the mixture was stirred at 80 °C for 15 hr. LC-MS showed reactant was consumed completely and desired mass was detected.
- the reaction mixture was cooled to room temperature and diluted by water (50 mL), extracted with ethyl acetate (50 mL *3). The combined organics were washed with brine (50 mL), dried over Na2SO4, filtered and the reaction mixture was concentrated under reduced pressure to give a residue. The residue was dissolved in DCM (30 mL), and 20 g of silica gel was added.
- the mixture was stirred at 80 °C for 2 hr. LC-MS showed reactant was consumed completely and desired mass was detected.
- the reaction mixture was cooled to room temperature and diluted by water (8 mL), extracted with dichloromethane (8 mL * 2). The combined organics were washed with brine (8 mL), dried over Na2SO4, filtered and The reaction mixture was concentrated under reduced pressure to give a residue.
- the solid was purified by SFC(column: DAICEL CHIRALPAK AD(250 mm * 30 mm, 10 um); mobile phase: [0.1%NH3H2O IPA];B%: 50%- 50%,14 min).
- the mixture was stirred at 80 °C for 15 hr. LC-MS showed reactant was consumed completely and desired mass was detected.
- the reaction mixture was cooled to room temperature and diluted by water (50 mL), extracted with ethyl acetate (50 mL *3). The combined organics were washed with brine (50 mL), dried over Na2SO4, filtered and The reaction mixture was concentrated under reduced pressure to give a residue. The residue was dissolved in DCM (30 mL), and 20 g of silica gel was added.
- Step 2 General procedure for preparation of tert-butyl 3-(6-amino-5-methyl-indazol- 2-yl)azetidine-1-carboxylate (1.3 g, 3.91 mmol, 1 eq) in EtOH (10mL) and H2O (2 mL) was added Fe (1.09 g, 19.56 mmol, 5 eq) and NH4Cl (627.69 mg, 11.73 mmol, 3 eq) . The mixture was stirred at 80 °C for 2 hr. LC- MS showed reactant was consumed completely and desired mass was detected. The resultant mixture was filtered and the filter cake was rinsed with MeOH (5 mL x 3).
- Step 3 General procedure for preparation of tert-butyl 3-[5-methyl-6-[2-[3-methyl-5- (1-piperidylsulfonyl)indol-1-yl]propanoylamino]indazol-2-yl]azetidine-1-carboxylate (86.29 mg, 285.36 umol, 1 eq) in DCM (2mL) was added DIEA (110.64 mg, 856.09 umol, 149.11 uL, 3 eq) and HATU (108.50 mg, 285.36 umol, 1 eq) and2-[3-methyl-5-(1- piperidylsulfonyl)indol-1-yl]propanoic acid (100 mg, 285.36 umol, 1 eq) . The mixture was stirred at 20 °C for 2 h.
- Step 4 General procedure for preparation of N-[2-(azetidin-3-yl)-5-methyl-indazol-6- yl]-2-[3-methyl-5-(1-piperidylsulfonyl)indol-1-yl]propanamide
- EXAMPLE A-25 1- yl]propanoylamino]indazol-2-yl]azetidine-1-carboxylate (150 mg, 236.30 umol, 1 eq) in DCM (0.5 mL) was added TFA (4.62 g, 40.52 mmol, 3.00 mL, 171.47 eq) . The mixture was stirred at 20 °C for 1 h.
- Step 2 General procedure for preparation N-isoindolin-5-yl-2-[3-methyl-5-(1- piperidylsulfonyl)indol-1-yl]propanamide (A-31) yl]propanoylamino]isoindoline-2-carboxylate (150 mg,264.69 umol, 1 eq) in DCM (3 mL) was added TFA (770.00 mg, 6.75 mmol, 500.00 uL, 25.51 eq). The mixture was stirred at 20 °C for 2 h. The reaction mixture was concentrated under reduced pressure to give a residue.
- Step 2 General procedure for preparation of of tert-butyl 3-(3-amino-4-methyl- anilino)azetidine-1-carboxylate [0402] . anilino)azetidine-1-carboxylate (see EXAMPLE A-42), a solution of tert-butyl 3-(4-methyl-5- nitro-anilino)azetidine-1-carboxylate (1 eq) Pd/C (10% purity) in MeOH was stirred at 30 °C. LCMS showed the starting material was consumed and desired MS was detected.
- Step 3 General procedure for preparation of tert-butyl 3-[4-methyl-3-[2-[3-methyl-5- (1-piperidylsulfonyl)indol-1-yl]propanoylamino]anilino]azetidine-1-carboxylate (39.57 mg, 142.68 umol, 1 eq) in DMF (0.5 mL) were added 2-[3-methyl-5-(1- piperidylsulfonyl)indol-1-yl]propanoic acid (50 mg, 142.68 umol, 1 eq), DIEA (92.20 mg, 713.41 umol, 124.26 uL, 5 eq) and HATU (81.38 mg,
- Step 4 General procedure for preparation of N-[5-(azetidin-3-ylamino)-2-methyl- phenyl]-2-[3-methyl-5-(1-piperidylsulfonyl)indol-1-yl]propanamide (A-35) 1- yl]propanoylamino]anilino]azetidine-1-carboxylate (87 mg, 142.67 umol, 1 eq) in DCM (1 mL) was added TFA (1.54 g, 13.51 mmol, 1 mL, 94.66 eq), the mixture was stirred at 20 °C for 1 h.
- Step 2 General procedure for preparation of 1-(4-methyl-3-nitro-phenyl)imidazolidin-2-one [0412] To a (1 g, 5.12 mmol, 1 eq) in THF (10 mL) was added CDI (830.61 mg, 5.12 mmol, 1 eq), the mixture was stirred at 20°C for 1 h.
- Step 3 General procedure for preparation of 1-(3-amino-4-methyl- phenyl)imidazolidin-2-one
- Pd/C 20 mg, 90.41 umol, 10% purity, 1 eq
- the mixture was stirred at 20 °C for 1 h under H2 atmosphere.
- LCMS showed the reaction was complete.
- the mixture was filtered under reduced pressure to give 1-(3-amino-4-methyl- phenyl)imidazolidin-2-one (20 mg, crude) as a yellow solid.
- Step 4 General procedure for preparation of N-[2-methyl-5-(2-oxoimidazolidin-1- yl)phenyl]-2-[3-methyl-5-(1-piperidylsulfonyl)indol-1-yl]propanamide (A-36)
- reaction was purified by prep-HPLC (column: Phenomenex Luna 80*30mm*3um;mobile phase: [water(HCl)-ACN];B%: 5%-40%,8min).
- EXAMPLE A-37 N-(4-amino-2-methyl- phenyl)-2-[3-methyl-5-(1-piperidylsulfonyl)indol-1-yl]propanamide (65.76 mg, 144.66 umol, 34.89% yield, 100% purity) was obtained as a white solid.
- Step 2 General procedure for the preparation of 2-methyl-5-morpholino-aniline.
- EXAMPLE A-39 [0433] 2-[5-(benzenesulfonyl)-3-methyl-indol-1-yl]-N-(2-methyl-5-piperazin-1-yl- phenyl)propanamide 39 [0434] General -3-methyl-indol- 1-yl]propanoate [0435] In a manner similar to that described for EXAMPLE C-1, 5-bromo-3-methyl indole was treated with methyl 2-bromo propanoate to give methyl 2-(5-bromo-3-methylindol-1- yl)propanoate.
- Step 2 General procedure for preparation of tert-butyl 3-(5-amino-2,4-dimethyl- anilino)azetidine-1-carboxylate [0473] (500 mg, 1.56 mmol, 1 eq) Pd/C (300 mg, 10% purity) in MeOH (2 mL) was stirred at 30 °C for 2 hr. LCMS showed the starting material was consumed and desired MS was detected. The resultant mixture was filtered and the filtrates were concentrated under reduced pressure to give the product. tert-butyl 3-(5-amino-2,4-dimethyl-anilino)azetidine-1-carboxylate (500 mg, crude) was obtained as a yellow oil.
- Step 3 General procedure for preparation of tert-butyl 3-[2,4-dimethyl-5-[2-[3- methyl-5-(1-piperidylsulfonyl) indol-1-yl]propanoylamino]anilino]azetidine-1-carboxylate d (50 mg, 142.68 umol, 1 eq) tert-butyl 3-(5-amino-2,4-dimethyl-anilino)azetidine-1-carboxylate (41.58 mg, 142.68 umol, 1 eq), DIEA (55.32 mg, 428.04 umol, 74.56 uL, 3 eq), HATU (108.50 mg, 285.36 umol, 2 eq) in DCM (1 mL) was stirred at 20°C for 1h.
- Step 4 General procedure for preparation of N-[5-(azetidin-3-ylamino)-2,4-dimethyl- phenyl]-2-[3-methyl-5-(1-piperidylsulfonyl)indol-1-yl] propanamide (A-42) indol- 1-yl]propanoylamino] anilino]azetidine-1-carboxylate (100 mg, 160.31 umol, 1 eq) in DCM (1 mL), TFA (1.54 g, 13.51 mmol, 1 mL, 84.25 eq). The mixture was stirred at 20°C for 2h. LCMS showed the starting material was consumed and desired MS was detected.
- reaction mixture was purified directly by prep-HPLC.
- the crude was purified by prep-HPLC (column: Phenomenex C1880*30mm*3um;mobile phase: [water(TFA)-ACN];B%: 30%-60%,8min gradient).
- EXAMPLE A-42 N-[5-(azetidin-3-ylamino)-2,4-dimethyl-phenyl]-2-[3-methyl-5-(1- piperidylsulfonyl)indol-1-yl] propanamide (36.27 mg, 68.61 umol, 42.80% yield, 99.06% purity) was obtained as a white solid.
- the reaction mixture was purified directly by prep-HPLC.
- the crude was purified by prep-HPLC (column: Phenomenex C1880*30mm*3um;mobile phase: [water(TFA)-ACN];B%: 30%- 60%,8min).
- EXAMPLE A-43 N-(2,4-dimethyl-5-piperazin-1-yl-phenyl)-2-[3-methyl-5-(1- piperidylsulfonyl)indol-1-yl]propanamide was obtained as a white solid. (35.14 mg, 65.35 umol, 41.68% yield, 100% purity) was obtained as a white solid.
- Step 2 General procedure for preparation of N-(5-amino-2,4-dimethyl-phenyl)-2-[3- methyl-5-(1-piperidylsulfonyl)indol-1-yl]propanamide (A-44) [0493] piperidylsulfonyl)indol-1-yl]propanamide (20 mg, 40.11 umol, 1 eq) in MeOH (1 mL) was added Pd/C (40.11 umol, 10% purity, 1 eq), was stirred at 20 °C for 1 h under H 2 15 psi atmosphere. LCMS showed starting material was consumed and desired ms was detected. The mixture was concentrated to dryness to give residue.
- Step 2 General procedure for preparation of N-(3-amino-2,6-dimethyl-phenyl)-2-[3- methyl-5-(1-piperidylsulfonyl)indol-1-yl]propanamide (A-45) [0499] piperidylsulfonyl)indol-1-yl]propanamide (65 mg, 130.37 umol, 1 eq) in MeOH (2 mL) was added Pd/C (130.37 umol, 10% purity, 1 eq), the reaction was stirred at 20 °C for 1 h under H 2 atmosphere. LCMS showed starting material was consumed and desired ms was detected.
- Step 3 General procedure for preparation of tert-butyl tert-butyl 3-[2, 4-dimethyl-3- [2-[3-methyl-5-(1-piperidylsulfonyl) indol-1-yl] propanoylamino] anilino] azetidine-1- carboxylate (50 mg, 171.59 umol, 1 eq) in DCM (0.5 mL) were added 2-[3-methyl-5-(1- piperidylsulfonyl)indol-1-yl]propanoic acid (60.13 mg, 171.59 umol, 1 eq), Et3N (86.82 mg, 857.96 umol, 119.42 uL, 5 eq) and 2-chloro-1-methyl-pyridin-1-ium;iodide (87.68 mg, 343.19 umol, 2 eq), the mixture was stirred at 25C for 2 h.
- Step 4 General procedure for preparation of N-[3-(azetidin-3-ylamino)-2,6-dimethyl- phenyl]-2-[3-methyl-5-(1-piperidylsulfonyl)indol-1-yl]propanamide (A-46) piperidylsulfonyl)indol-1-yl]propanoylamino]anilino]azetidine-1-carboxylate (100 mg, 160.31 umol, 1 eq) in DCM (1 mL) was added TFA (1.54 g, 13.51 mmol, 1.00 mL, 84.25 eq), the mixture was stirred at 25°C for 1 h.
- Step 1 Gene -methyl-4-nitro-2- pyridyl)piperazine-1-carboxylate [0513] To a 1 eq) in dioxane (10 mL) was added tert-butyl piperazine-1-carboxylate (2.16 g, 11.59 mmol, 2 eq), XPhos (276.25 mg, 579.48 umol, 0.1 eq) and K3PO4 (2.46 g, 11.59 mmol, 2 eq).
- tert-butyl 4-(5-methyl-4-nitro-2-pyridyl)piperazine-1-carboxylate 700 mg, 2.13 mmol, 36.68% yield, 97.89% purity
- Step 2 General procedure for preparation of tert-butyl 4-(4-amino-5-methyl-2- pyridyl)piperazine-1-carboxylate
- Pd/C 200 mg, 6.51 mmol, 10% purity, 3 eq).
- Step 3 General procedure for preparation of tert-butyl 4-[5-methyl-4-[2-[3-methyl-5- (1-piperidylsulfonyl)indol-1-yl]propanoylamino]-2-pyridyl]piperazine-1-carboxylate a tert- (200 mg, 684.05 umol, 1 eq) in DCM (3 mL) was added 2-[3-methyl-5-(1- piperidylsulfonyl)indol-1-yl]propanoic acid (239.71 mg, 684.05 umol, 1 eq) and Et3N (207.66 mg, 2.05 mmol, 285.63 uL, 3 eq).Then the mixture was added CMPI (349.53 mg, 1.37 mmol, 2 eq) and stirred at 25 °C for 1 hr.
- Step 4 General procedure for preparation of N-(5-methyl-2-piperazin-1-yl-4- pyridyl)-2-[3-methyl-5-(1-piperidylsulfonyl)indol-1-yl]propanamide (A-47) indol- 1-yl]propanoylamino]-2-pyridyl]piperazine-1-carboxylate (200 mg, 320.11 umol, 1 eq) in DCM (3 mL) was added TFA (1.54 g, 13.51 mmol, 1 mL, 42.19 eq). Then the mixture was stirred at 25 °C for 1 hr.
- Step 2 General procedure for preparation of 2-(5-fluoro-3-methyl-indol-1- yl)propanoic acid [0525] To a (300 mg, 1.28 mmol, 1 eq) in THF (1.5 mL) and MeOH (1.5 mL) was added NaOH (102.01 mg, 2.55 mmol, 212.54 uL, 2 eq), the mixture was stirred at 20 °C for 1 h.
- Step 3 General procedure for preparation of tert-butyl 4-[4-methyl-3-[2-(5-fluoro-3- methylindol-1-yl)butanoylamino]phenyl]piperazine-1-carboxylate (131.71 mg, 452.02 umol, 1 eq) and 2-(5-fluoro-3-methyl-indol-1-yl)propanoic acid (100 mg, 452.02 umol, 1 eq) in DMF (1 mL) was added HATU (257.81 mg, 678.04 umol, 1.5 eq) and DIEA (175.26 mg, 1.36 mmol, 236.20 uL, 3 eq), the mixture was stirred at 20 °C for 1 h.
- Step 4 General procedure for preparation of 2-(5-fluoro-3-methyl-indol-1-yl)-N-(2- methyl-5-piperazin-1-yl-phenyl)propanamide (A-48) -4- methyl-phenyl]piperazine-1-carboxylate (100 mg, 202.18 umol, 1 eq) in TFA (1 mL), the mixture was stirred at 20 °C for 1 h. LCMS and HPLC showed the reaction was complete. The mixture was filtered and the filtrate was purified directly.
- Step 2 General preparation of tert-butyl 4-(3-amino-4-methylphenyl)piperidine-1- carboxylate
- I I -methyl-3- nitrophenyl)-1,2,3,6-tetrahydropyridine-1-carboxylate was dissolved in methanol and treated with Pd/C under a pressurized atmosphere of hydrogen at 25 deg C for 1 hr.
- Step 3 and 4 General preparation of N-[2-methyl-5-(piperidin-4-yl)phenyl]-2-[3- methyl-5-(piperidine-1-sulfonyl)-1H-indol-1-yl]propanamide (A-49) methylphenyl)piperidine-1-carboxylate and 2-[5-(1-piperidylsulfonyl)indol-1-yl]propanoic acid where coupled using HATU, DIEA in DMF at 25 deg C for 1 hr.
- Step 2 General preparation of provide 4-(3-bromoprop-1-ynyl)-1-methyl-2-nitro- benzene [0543] 1 eq) in DCM (20 mL) was added CBr4 (3.95 g, 11.9 mmol, 1.2 eq) at 0 °C.
- Step 3 General preparation of 1-[3-(4-methyl-3-nitro-phenyl)prop-2-ynyl]pyrrolidine [0545] mmol, 1 eq), pyrrolidine (836 mg, 11.8 mmol, 1.5 eq), Cs2CO3 (5.10 g, 15.7 mmol, 2 eq) in DMF (10 mL) was degassed and purged with N2 (3X). The mixture was stirred at 25 °C for 2 h under a N2 atmosphere. The mixture was poured into water (30 mL), and the mixture was extracted with ethyl acetate (20 mL x 3).
- Step 4 General preparation of 2-methyl-5-(3-pyrrolidin-1-ylpropyl)aniline [0547] 1.00 g, 4.09 mmol, 1 eq) in MeOH (10 mL) was added Pd/C (1 g, 10% wt% Pd) under a N 2 atmosphere. The suspension was degassed and purged with H2 (3X). The mixture was stirred under H2 (15 Psi) at 25 °C for 2 h. The mixture was filtered through Celite, and the filtrate was concentrated under reduced pressure to furnish 2-methyl-5-(3-pyrrolidin-1-ylpropyl)aniline as a yellow oil. The material was used directly in the next step without further purification.
- the mixture was stirred at 25 °C for 2 h under a N2 atmosphere.
- the mixture was poured into water (20 mL), and the mixture was extracted with ethyl acetate (15 mL x 3).
- the combined organic phase was washed with brine (15 mL), dried with anhydrous Na2SO4, and filtered. The filtrate was concentrated under vacuum.
- Step 2 General preparation of 4-[2-(4-methyl-3-nitro-phenyl)ethyl]morpholine HN O
- morpholine 123 mg, 1.41 mmol, 1.5 eq
- Cs 2 CO 3 614 mg, 1.88 mmol, 2 eq
- the mixture was stirred at 25 °C for 2 h.
- the reaction mixture was quenched with water (15 mL) at 20 °C.
- the mixture was extracted with ethyl acetate (10 mL x 3).
- Step 3 General preparation of 2-methyl-5-(2-morpholinoethyl)aniline Pd/C, H 2 (15 psi) O
- Pd/C 2-methyl-5-(2-morpholinoethyl)aniline
- Step 4 General Preparation of N-[2-methyl-5-(2-morpholinoethyl)phenyl]-2-[3- methyl-5-(1-piperidylsulfonyl)indol-1-yl]propanamide (A-51) O
- a mixture of 2-[3-methyl-5-(1-piperidylsulfonyl)indol-1-yl]propanoic acid (90 mg, 0.26 mmol, 1 eq)
- 2-methyl-5-(2-morpholinoethyl)aniline 68 mg, 0.31 mmol, 1.2 eq
- HATU 107 mg, 0.28 mmol, 1.1 eq
- DIPEA 100 mg, 0.770 mmol, 3 eq
- the mixture was stirred at 20 °C for 3 h under a N2 atmosphere.
- the mixture was poured into water (5 mL), and the mixture was extracted with ethyl acetate (3 mL x 3).
- the combined organic layers were washed with brine (5 mL x 3), dried over Na2SO4, and filtered. The filtrate was concentrated under reduced pressure.
- EXAMPLE A-52 2-[3-methyl-5-(piperidine-1-sulfonyl)-1H-indol-1-yl]-N-[3-methyl-6-(piperazin-1- yl)pyridin-2-yl]propanamide 52 [0562] Step 1: 6-nitropyridin-2- yl)piperazine-1-carboxylate [0563] In a method similar to that described for EXAMPLE A-47 [0564] To a solution of 6-chloro-3-methyl-2-nitropyridine (1 eq) in dioxane was added tert- butyl piperazine-1-carboxylate (2 eq), XPhos (0.1 eq) and K3PO4 (2 eq).
- Step 2 General procedure for preparation of tert-butyl 4-(6-amino-5-methylpyridin-2- yl)piperazine-1-carboxylate
- a of tert-butyl tert-butyl 4-(5-methyl-6-nitropyridin-2-yl)piperazine-1-carboxylate (1 eq) in MeOH (3 mL) was added Pd/C (3 eq). Then the mixture was stirred. LC-MS showed reactant was consumed completely and one main peak with desired mass was detected. The resultant mixture was filtered and the filter cake was rinsed with MeOH. Then the combined filtrates were concentrated under reduced pressure to give as brown oil.
- Step 3 General procedure for preparation of tert-butyl 4-(5-methyl-6- ⁇ 2-[3-methyl-5- (piperidine-1-sulfonyl)-1H-indol-1-yl]propanamido ⁇ pyridin-2-yl)piperazine-1-carboxylate
- Step 4 General procedure for preparation of 2-[3-methyl-5-(piperidine-1-sulfonyl)- 1H-indol-1-yl]-N-[3-methyl-6-(piperazin-1-yl)pyridin-2-yl]propanamide
- EXAMPLE A-53 N-(2,6-dimethyl-5-piperazin-1-yl-phenyl)-2-[3-methyl-5-(1-piperidylsulfonyl)indol- 1-yl]propanamide 53 [0573] General 5-nitro- phenyl)piperazine-1-carboxylate [0574] In a manner similar to that described for EXAMPLE A-43, a solution of 1-bromo-2,6- dimethyl-5-nitro-benzene (1 eq), tert-butyl piperazine-1-carboxylate (2 eq), RuPhos (0.2 eq), Pd2(dba)3 (0.1 eq), Cs2CO3 (3 eq) in Toluene was stirred under heat and an nitrogen atmosphere.
- N-(6-bromo-3-methyl-2- pyridyl)-2-[3-methyl-5-(1-piperidylsulfonyl)indol-1-yl]propanamide 125 mg, crude was obtained as a white solid.
- Step 2 General preparation of tert-butyl 4-(3-amino-4-methylphenyl)-3- oxopiperazine-1-carboxylate
- 4-(4-methyl-3- nitrophenyl)-3-oxopiperazine-1-carboxylate was dissolved in methanol and treated with iron and ammonium chloride at 70 deg C for 3 hours. Filtration and evaporation gave tert-butyl 4-(3- amino-4-methylphenyl)-3-oxopiperazine-1-carboxylate.
- Step 3 and 4 General preparation of N-[2-methyl-5-(2-oxopiperazin-1-yl)phenyl]-2- [3-methyl-5-(piperidine-1-sulfonyl)-1H-indol-1-yl]propanamide (A-55)
- Step 2 General prep of benzyl 5-(aminomethyl)-2,3-dihydro-1H-isoindole-2- carboxylate.
- 2- carboxylate was dissolved in HCl/EtOAc and stirred at 25 deg C for 1 hr. Isolation gave benzyl 5-(aminomethyl)-2,3-dihydro-1H-isoindole-2-carboxylate.
- Step 3 and 4 General preparation of N-[(2,3-dihydro-1H-isoindol-5-yl)methyl]-2-[3- methyl-5-(piperidine-1-sulfonyl)-1H-indol-1-yl]propanamide EXAMPLE A-56
- EXAMPLE A-57 2-(6-chloro-3-methyl-1H-indol-1-yl)-N-[2-methyl-5-(piperazin-1- yl)phenyl]propanamide [0607] General yl)-N-[2-methyl-5- (piperazin-1-yl)phenyl]propanamide EXAMPLE 1-57 [0608] EXAMPLE A-57 was prepared In a manner similar to that described for EXAMPLE C-1.
- Step 2 [0625] at 0 deg C, then methyl 2-bromopropionate was added and the solution warmed to 20 deg C for 2.5 hours as described for Intermediate 1 to give methyl 2-[5-(1-piperidylsulfonyl)(3-bromo-indol-1- yl]propanoate.
- Step 3 with 4,4,5,5-tetramethyl-2-(prop-1-en-2-yl)-1,3,2-dioxaborolane and K2CO3, Pd(dppf)2Cl and water in DMF at 100 deg C for 12 hours to give the acid 2-(5-(piperidin-1-ylsulfonyl)-3-(prop-1-en-2- yl)-1H-indol-1-yl)propanoic acid.
- Step 4 was dissolved in ethyl acetate and treated with Pd/C under pressurized H2 atmosphere for 12 hours at 25 deg C to give 2-(5-(piperidin-1-ylsulfonyl)-3-(isopropyl)-1H-indol-1-yl)propanoic acid.
- EXAMPLE A-63 Enantiomer B N-(5-amino-2-methyl-phenyl)-2-[3-methyl-5-(1- piperidylsulfonyl)indol-1-yl]propanamide of unknown absolute stereochemistry
- A-63 Racemic N- 5-(1-piperidylsulfonyl)indol-1- yl]propanamide (EXAMPLE A-10) was resolved with chiral chromatography to give its two enantiomers of unknown absolute stereochemistry.
- Step 2 General procedure for preparation of t2-(3-methylindol-1-yl)butanoic acid - Notebook Page: ET58892-6 [0649] To a 1.73 mmol, 1 eq) in MeOH (1.5 mL) and THF (1.5 mL) was added NaOH (2 M, 1.73 mL, 2 eq), the mixture was stirred at 20 °C for 1 h.
- Step 3 General procedure for preparation of tert-butyl 4-[4-methyl-3-[2-(3- methylindol-1-yl)butanoylamino]phenyl]piperazine-1-carboxylate - Notebook Page: ET58892-8
- [0651] 134.12 mg, 460.27 umol, 1 eq
- 2-(3-methylindol-1-yl)butanoic acid 100 mg, 460.27 umol, 1 eq
- DMF 1 mL
- HATU 262.51 mg, 690.41 umol, 1.5 eq
- DIEA 178.46 mg, 1.38 mmol, 240.51 uL, 3 eq
- Step 4 General procedure for preparation of 2-(3-methylindol-1-yl)-N-(2-methyl-5- piperazin-1-yl-phenyl)butanamide -
- the mixture was stirred at 20 °C for 1 h.
- LCMS showed the reaction was complete.
- the mixture was filtered.
- Step 2 General procedure for preparation of tert-butyl 3-[4- (aminomethyl)anilino]azetidine-1-carboxylate mmol, 1 eq) in MeOH (30 mL,NH3 in MeOH(7M)) was added Raney-Ni (940.35 mg, 10.98 mmol, 1 eq) under N2 atmosphere. The suspension was degassed and purged with H2 for 3times. The mixture was stirred under H2 (15 Psi) at 25°Cfor 4h. LCMS showed the starting material was consumed completely and desired MS was detected. The reaction mixture was filtered through a pad of celite and the celite was rinsed with MeOH (10 mL * 3).
- Step 3 General procedure for preparation of tert-butyl 3-[4-[(2- bromopropanoylamino)methyl]anilino]azetidine-1-carboxylate uL, 1 eq) in CH2Cl2 (10 mL) was added TEA (729.66 mg, 7.21 mmol, 1.00 mL, 2 eq) at 0 °C and tert- butyl 3-[4-(aminomethyl)anilino]azetidine-1-carboxylate (1 g, 3.61 mmol, 1 eq). The mixture was stirred at 25 °C for 2 h. LCMS showed the starting material was consumed and desired MS was detected.
- Step 4 General procedure for preparation of tert-butyl tert-butyl 3-[4-[[2-[3-methyl- 5-(1-piperidylsulfonyl)indol-1-yl]propanoylamino]methyl]anilino]azetidine-1-carboxylate 1-carboxylate (100 mg, 242.53 umol, 1 eq) in DMF (2 mL) was added Cs2CO3 (158.04 mg, 485.06 umol, 2 eq) and 3-methyl-5-(1-piperidylsulfonyl)-1H-indole (67.51 mg, 242.53 umol, 1 eq).
- Step 5 General procedure for preparation of tert-butyl N-[[4-(azetidin-3- ylamino)phenyl]methyl]-2-[3-methyl-5-(1-piperidylsulfonyl)indol-1-yl]propanamide
- EXAMPLE B-2 [0668] Enantiomer A N-[[4-(azetidin-3-ylamino)phenyl]methyl]-2-[3-methyl-5-(1- piperidylsulfonyl)indol-1-yl]propanamide of unknown absolute stereochemistry
- EXAMPLE B-2 [0669] 1 H , 1H), 7.46(s, 2H), 7.36(s, 1H), 6.94(d, 2H), 6.44(d, 2H), 5.15(m, 1H), 4.33(m, 1H), 4.15(m, 2H), 3.93(m, 2H), 3.57(m, 2H), 2.93(m, 4H), 2.34(s, 3H), 1.73 (d, 3H), 1.52 (m, 4H), 1.38 (m, 2H).
- Step 2 General procedure for preparation of 2-[5-[(3R)-3-aminopyrrolidin-1- yl]sulfonyl-3-methyl-indol-1-yl]-N-[[4-(azetidin-3-ylamino)phenyl]methyl]propanamide (B-4) 1-yl]sulfonyl-3-methyl-indol-1-yl]propanoylamino]methyl]anilino]azetidine-1-carboxylate (120 mg, 168.80 umol, 1 eq) in DCM (1.5 mL) was added TFA (770.00 mg, 6.75 mmol, 500.00 uL, 40.00 eq) at 0°C.The mixture was stirred at 25°Cfor 1h.
- Step 2 General procedure for preparation of tert-butyl N-[(3R)-1-(3-methylindolin-5- yl) sulfonylpyrrolidin-3-yl] carbamate
- sulfonylpyrrolidin-3-yl] carbamate (1.8 g, 4.25 mmol, 1 eq) in MeOH (20 mL) was added K2CO3 (1.76 g, 12.75 mmol, 3 eq). The reaction was stirred at 80°C for 12 hr.
- Step 3 General procedure for preparation of tert-butyl N-[(3R)-1-[(3-methyl-1H- indol-5-yl) sulfonyl]pyrrolidin-3-yl]carbamate
- 3-yl] carbamate (1.6 g, 4.19 mmol, 1 eq) in THF (20 mL) was added MnO2 (3.65 g, 41.94 mmol, 10 eq). The mixture was stirred at 70°C for 12 hr. LCMS showed the reaction was complete. The resultant mixture was filtered and the filter cake was rinsed with DCM (5 mL x 3). Then the combined filtrates were concentrated under reduced pressure to give as brown oil.
- Step 4 General procedure for preparation of tert-butyl 4-[3-(2- bromopropanoylamino)-4-methyl-phenyl]piperazine-1-carboxylate [0688] In a manner similar to that described for tert-butyl 3-[4-[(2- bromopropanoylamino)methyl]anilino]azetidine-1-carboxylate, SEE EXAMPLE B-1, [0689 A (2 eq) at 0 °C and tert-butyl 4-(3-amino-4-methyl-phenyl)piperazine-1-carboxylate (see EXAMPLE A- 9 )(1 eq).
- Step 5 General procedure for preparation of tert-butyl 4-[3-[2-[5-[(3R)-3-(tert- butoxycarbonylamino) pyrrolidin-1-yl] sulfonyl-3-methyl-indol-1-yl] propanoylamino]-4- methyl-phenyl] piperazine-1-carboxylate - phenyl]piperazine-1-carboxylate (85.97 mg, 263.52 umol, 1 eq) in THF (2 mL) was added NaH (31.62 mg, 790.57 umol, 60% purity, 3 eq) at 0°C. The mixture was stirred at 20 °C for 1hr.
- Step 6 General procedure for preparation of 2-[5-[(3R)-3-aminopyrrolidin-1-yl] sulfonyl-3-methyl-indol-1-yl]-N-(2-methyl-5-piperazin-1-yl-phenyl) propanamide (B-5) sulfonyl-3-methyl-indol-1-yl] propanoylamino]-4-methyl-phenyl] piperazine-1-carboxylate (100 mg, 137.95 umol, 1 eq) was added HCl/EtOAc (3 mL) and stirred at 20°C for 1hr. LCMS showed the reaction was complete.
- the reaction mixture was concentrated under reduced pressure to give a residue. Without purification.
- the residue was purified by preparative HPLC (column: Phenomenex luna C1880*40mm*3 um;mobile phase: [water(HCl)-ACN];B%: 10%- 40%,7min) the HPLC fractions were combined, lyophilized to give the desire comound as a yellow solid.
- Step 4 General procedure for preparation of tert-butyl 4-[4-methyl-3-[2-[3-methyl-5- (triazol-1-yl)indol-1-yl]propanoylamino]phenyl]piperazine-1-carboxylate THF (10 mL) and purged with N2 three times. Then the reaction was cooled to 0°C and NaH (40.35 mg, 1.01 mmol, 60% purity, 2 eq) was added into the stirring reaction at 0°C.
- Step 5 General procedure for preparation of N-(2-methyl-5-piperazin-1-yl-phenyl)-2- [3-methyl-5-(triazol-1-yl)indol-1-yl]propanamide (B-7) yl]propanoylamino]phenyl]piperazine-1-carboxylate (100 mg, 183.94 umol, 1 eq) was dissolved into EtOAc (1 mL) and then HCl/EtOAc (4 M, 1 mL, 21.75 eq) was added. The resulting reaction was stirred at 20°C for 1 hr. LCMS showed starting material was consumed completely and main peak with desired mass was detected. The mixture was concentrated in vacuo.
- Step 2 General procedure for preparation of tert-butyl 4-[3-[2-(6-fluoro-3-methyl- indol-1-yl)propanoylamino]-4-methyl-phenyl]piperazine-1-carboxylate
- Step 3 General procedure for preparation of 2-(6-fluoro-3-methyl-indol-1-yl)-N-(2- methyl-5-piperazin-1-yl-phenyl)propanamide (B-8) methyl-phenyl]piperazine-1-carboxylate (125.38 mg, 253.50 umol, 1 eq) in TFA (1 mL)the mixture was stirred at 20 °C for 1 h.
- Step 2 General procedure for preparation of N, N-dimethyl-1H-indole-6-sulfonamide
- Pd/C 0.5 g, 1.67 mmol, 10% purity
- Step 3 General procedure for preparation of 3-formyl-N, N-dimethyl-1H-indole-6- sulfonamide eq) was added to the DMF (2 mL) at 0 °C, the mixture was stirred at 0 °C for 0.5 h, then N,N-dimethyl-1H-indole-6-sulfonamide (200 mg, 891.75 umol, 1 eq) in DMF (2 mL) was added to the mixture ,the mixture was stirred at 90 °C for 0.5 h.
- Step 4 General procedure for preparation of N, N, 3-trimethyl-1H-indole-6- sulfonamide
- a (0.1 g, 396.37 umol, 1 eq) in THF 15 mL was added LAH (18.05 mg, 475.64 umol, 1.2 eq) in portions at 0 °C .
- the mixture was stirred at 60 °C for 5 hr.
- LCMS showed the starting material was consumed completely and approximate 70% of the desired mass was observed.
- the reaction mixture was cooled to 0 o C, the reaction mixture was quenched by addition of 0.1 mL of H2O, followed by 0.1mL of 15% aqueous NaOH.
- Step 5 General procedure for preparation of tert-butyl 4-[3-[2-[6- (dimethylsulfamoyl)-3-methyl-indol-1-yl] propanoylamino]-4-methyl-phenyl] piperazine-1- carboxylate phenyl]piperazine-1-carboxylate (see EXAMPLE B-5) (100 mg, 234.55 umol, 1 eq) in THF (20 mL) was added NaH (18.76 mg, 469.10 umol, 60% purity, 2 eq) at 0 °C and N,N,3-trimethyl- 1H-indole-6-sulfonamide (55.89 mg, 234.55 umol, 1 eq).
- Step 6 General procedure for preparation of 2-[6-(dimethylsulfamoyl)-3-methyl- indol-1-yl]-N-(2-methyl-5-piperazin-1-yl-phenyl) propanamide (B-9) yl]propanoylamino]-4-methyl-phenyl]piperazine-1-carboxylate (50 mg, 85.65 umol, 1 eq) in EtOAc(1 mL) was added HCl/EtOAc (4 M, 2.50 mL, 116.75 eq).
- Step 2 General procedure for preparation of N-(2-methyl-5-piperazin-1-yl-phenyl)-2- (3- methylpyrrolo [3,2-b] pyridin-1-yl) propanamide (B-11) [0755] To a solution of tert-butyl 4-[4-methyl-3-[2-(3-methylpyrrolo[3,2-b]pyridin-1-yl) propanoylamino]phenyl]piperazine-1-carboxylate (150 mg, 314.07 umol, 1 eq) was added HCl/EtOAc (4 M, 1.67 mL, 21.23 eq) . The mixture was stirred at 20 °C for 1 h.
- Step 3 General procedure for preparation of tert-butyl 4-[4-methyl-3-[2-(3- methylindol-1-yl)propanoylamino]phenyl]piperazine-1-carboxylate
- ne-1-carboxylate 172.05 mg, 590.44 umol, 1.2 eq
- 2-(3-methylindol-1-yl)propanoic acid 100 mg, 492.04 umol, 1 eq
- HATU 374.17 mg, 984.07 umol, 2 eq
- DIEA 190.78 mg, 1.48 mmol, 257.11 uL, 3 eq
- the mixture was stirred at 20°C for 2 hr. LCMS showed the starting material was consumed and desired MS was detected.
- the reaction mixture was diluted by water (5 mL), extracted with ethyl acetate (5 mL * 2). The combined organics were washed with brine (5 mL), dried over Na2SO4, filtered and the reaction mixture was concentrated under reduced pressure to give a residue. The residue was dissolved in DCM (10 mL), and 2 g of silica gel was added.
- Step 4 General procedure for preparation of 2-(3-methylindol-1-yl)-N-(2-methyl-5- piperazin-1-yl-phenyl) propanamide (C-1) [0765] yl)propanoylamino]phenyl]piperazine-1-carboxylate (200 mg, 419.63 umol, 1 eq) and HCl/EtOAc (3 mL). The mixture was stirred at 20°C for 2 hr. LCMS showed the starting material was consumed and desired MS was detected. The reaction mixture was concentrated under reduced pressure to give a residue.
- Step 2 General procedure for preparation of tert-butyl 4-[3-[2-(5-methoxy-3-methyl- indol-1-yl)propanoylamino]-4-methyl-phenyl]piperazine-1-carboxylate 1 eq) in THF (10 mL) was added NaH (93.81 mg, 2.35 mmol, 60% purity, 5 eq) in portions at 0°C, the mixture was stirred at 0°C for 0.5 h, then tert-butyl 4-[3-(2-bromopropanoylamino)-4-methyl- phenyl]piperazine-1-carboxylate (see EXAMPLE B-5) (200 mg, 469.10 umol, 1 eq) was added to the mixture, then mixture was stirred at 20°C for 12 h.
- Step 3 General procedure for preparation of tert-butyl 4-[3-[2-(5-methoxy-3-methyl- indol-1-yl)propanoylamino]-4-methyl-phenyl]piperazine-1-carboxylate (C-2) - 4-methyl-phenyl]piperazine-1-carboxylate (40 mg, 78.95 umol, 1 eq) in DCM (2 mL) was added TFA (90.02 mg, 789.52 umol, 58.46 uL, 10 eq). The mixture was stirred at 20°C for 1 hr. LCMS and HPLC showed the starting material was consumed completely and approximate 80% of the desired MS was observed.
- EXAMPLE C-3 [0775] 3-methyl-1-[1-methyl-2-(2-methyl-5-piperazin-1-yl-anilino)-2-oxo-ethyl] indole-6- carboxamide 3 of 3-methyl-1H-indole-6-carboxamide [0777] To a purity, 1 eq) and 3-methyl-1H-indole-6-carboxylic acid (300 mg, 1.71 mmol, 1 eq) in DCM (3 mL) was added HATU (976.71 mg, 2.57 mmol, 1.5 eq) and DIEA (663.98 mg, 5.14 mmol, 894.85 uL, 3 eq) at 0 °C.
- Step 2 General procedure for preparation of tert-butyl 2-(6-carbamoyl-3-methyl- indol-1-yl)propanoate 4.88 mmol, 1 eq) in DMF (10 mL) was added Cs2CO3 (4.77 g, 14.64 mmol, 3 eq) and tert-butyl 2-bromopropanoate (1.02 g, 4.88 mmol, 1 eq) at 0 °C. The mixture was stirred at 20 °C for 1 h. LCMS showed starting material was consumed completely and main desired MS was detected. The combined reaction mixture was poured into water (10 mL) and extracted with ethyl acetate (10 mL * 2).
- Step 3 General procedure for preparation of 2-(6-carbamoyl-3-methyl-indol-1-yl) propanoic acid (150 mg, 496.09 umol, 1 eq) in TFA (3.08 g, 5.40 mmol, 2 mL, 20% purity, 10.89 eq) was stirred at 20 o C for 1 h. LCMS showed starting material was consumed completely and main desired MS was detected. The mixture was concentrated under reduced pressure to give a crude product.2-(6- carbamoyl-3-methyl-indol-1-yl) propanoic acid (150 mg, crude) was obtained as a pale red oil.
- Step 4 General procedure for preparation of tert-butyl 4-[3-[2-(6-carbamoyl-3- methyl-indol-1-yl) propanoylamino]-4-methyl-phenyl]piperazine-1-carboxylate
- the reaction mixture was quenched by addition H2O 3 mL at 20°C, and then extracted with EA 3 mL (1 mL * 3). The combined organic layers were washed with brine 3 mL (1 mL * 3), dried over Na2SO4, filtered and concentrated under reduced pressure to give a residue.
- Step 5 General procedure for preparation of 3-methyl-1-[1-methyl-2-(2-methyl-5- piperazin-1-yl-anilino)-2-oxo-ethyl] indole-6-carboxamide (C-3) - 4-methyl-phenyl]piperazine-1-carboxylate (200 mg, 384.89 umol, 1 eq) in HCl/EtOAc (4 M, 2 mL, 20.79 eq) was stirred at 20 o C for 1 h. LCMS and HPLC showed starting material was consumed completely and main desired MS was detected. The mixture was concentrated under reduced pressure to give a residue.
- Step 2 General procedure for preparation of 2-(3-methyl-1H-pyrrolo [2, 3-b] pyridin- 1-yl) propanoic acid [0791] To (600 mg, 2.75 mmol, 1 eq) in THF (6 mL) MeOH (3 mL) H2O (3 mL) was added LiOH.H2O (807.54 mg, 19.24 mmol, 7 eq) at 0 °C. Then the reaction was stirred at 20 °C for 2 h.
- Step 3 General procedure for preparation of tert-butyl 4-(4-methyl-3-(2-(3-methyl- 1H-pyrrolo [2, 3-b] pyridin-1-yl)propanamido)phenyl)piperazine-1-carboxylate [0793] mg, 979.31 umol, 1 eq) in DCM (4 mL) were added tert-butyl 4-(3-amino-4-methyl- phenyl)piperazine-1-carboxylate (285.36 mg, 979.31 umol, 1 eq) HATU (1.12 g, 2.94 mmol, 3 eq) and DIEA (189.85 mg, 1.47 mmol, 255.87 uL, 1.5 eq) at 0 °C .
- Step 4 General procedure for preparation of 2-(3-methyl-1H- pyrrolo [2, 3-b] pyridin-1-yl)-N-(2-methyl-5-(piperazin-1-yl) phenyl) propanamide (C-4) 1- yl)propanoylamino]phenyl]piperazine-1-carboxylate (100 mg, 209.38 umol, 1 eq) in HCl/EtOAc (4 M, 52.35 uL, 1 eq) was stirred at 20 °C for 1 h. LC-MS showed starting material were consumed completely and the peak with desired MS was detected. HPLC. The reaction was filtered and the filtrate was purified by prep-HPLC directly.
- Step 2 General procedure for preparation of 2-(3-methylpyrrolo[2,3-c]pyridin-1- yl)propanoic acid [0801] To a (310 mg, 1.42 mmol, 1 eq) in THF (4 mL) and MeOH (2 mL) and H2O (2 mL) was added LiOH.H2O (417.23 mg, 9.94 mmol, 7 eq), then the mixture was stirred at 20°C for 2 h.
- Step 3 General procedure for preparation of tert-butyl 4-[4-methyl-3-[2-(3- methylpyrrolo[2,3-c]pyridin-1-yl)propanoylamino]phenyl]piperazine-1-carboxylate [0803] g, 244.83 umol, 1 eq) and tert-butyl 4-(3-amino-4-methyl-phenyl)piperazine-1-carboxylate (71.34 mg, 244.83 umol, 1 eq) in DMF (1 mL) were added DIEA (63.28 mg, 489.66umol, 85.29 uL, 2 eq) and HATU (139.64 mg, 367.24 umol, 1.5 eq) at 0°C, then the mixture was stirred at 20°C for 2h.
- DIEA 63.28 mg, 489.66umol, 85.29 uL, 2 eq
- HATU 139.64 mg,
- Step 4 General procedure for preparation of N-(2-methyl-5-piperazin-1-yl-phenyl)-2- (3-methylpyrrolo[2,3-c]pyridin-1-yl)propanamide (C-5) yl)propanoylamino]phenyl]piperazine-1-carboxylate (100 mg, 209.38 umol, 1 eq) in DCM (1 mL) was added TFA (770.00 mg, 6.75 mmol, 0.5 mL, 32.25 eq), then the mixture was stirred at 20°C for 1h. LC-MS showed starting material were consumed completely and the peak with desired MS was detected.
- the filtrate was purified by prep-HPLC (column: Waters Xbridge BEH C18 100*30mm*10um; mobile phase: [water (NH4HCO3)-ACN]; B%: 1%-25%, 8min).
- Compound 2-(3-methylpyrrolo [3, 2-c] pyridin-1-yl) propanoic acid (80 mg, 391.73 umol, 35.16% yield) was obtained as a white solid.
- PLpro catalyzed substrate cleavage and to release the Edans fluorescence signal Small molecule compounds were screened at 16.6 ⁇ M final concentration.
- the PLpro biochemical cleavage assay at room temperature is carried out in 384-well flat bottom black polypropylene microplates (Greiner, 781076).
- 1x PLpro reaction buffer 50 mM Tris-HCl, pH 7.3, 1 mM EDTA, 1 mM TCEP, and 0.01% Tween-20
- 0.1 ⁇ l of serially diluted compounds in DMSO are dispensed into columns 1–22 of the assay microplates with a Janus 384 MDT NanoHead (PerkinElmer). In wells of column 23 and 24, which serve as controls, no compounds are added.
- PLpro enzyme reaction 10 ⁇ l of 3x PLpro solution (100 nM, high protein version, or 10 nM, low protein version, in 1x PLpro reaction buffer) are added to columns 1-23 followed by incubation for 5 minutes at RT. Column 24 serves as positive control, so no protein is added, just 10 ⁇ l more of 1x PLpro reaction buffer.
- the PLpro reaction is started by adding 10 ⁇ l of a 3x substrate solution containing FRET-based synthetic peptide (120 ⁇ M) prepared in 1x PLpro reaction buffer. Any addition of reagents is followed by a 30 second centrifugation at 500 ⁇ g to ensure that all liquid was collected at the bottom of the well.
- the final concentrations of PLpro and peptide are 100 nM (high protein version) or 10 nM (low protein version) and 40 ⁇ M, respectively.
- the final reaction volume is 30 ⁇ l. Plates are incubated for 1.5 h at room temperature. [0823] Fluorescence signals of each well are recorded in relative fluorescent units (RFUs) using a Biotek Synergy Neo plate reader (BioTek, Winooski, VT).
- Huh7.5 cells are seeded in 96-well plates (Corning, Product Number 353072) in 10% FBS-containing media at a density of 1.0 ⁇ 10 4 cells per well. Plates are incubated for 24 h at 37 oC, 5% CO 2 . After addition of compounds (100x in DMSO) to cells, plates are transported to the BSL3 facility (laboratory of Dr. Charles Rice, RU), where SARS-CoV-2 (strain USA-WA1/2020 propagated in Vero E6 cells) diluted in assay media is added to achieve ⁇ 30 – 50% infected cells. Plates are incubated for 24 h at 37 oC, 5% CO2, and then fixed with 3.5% formaldehyde.
- SARS-CoV-2 nucleocapsid protein is analyzed for viral infection by immunostaining for SARS-CoV-2 nucleocapsid protein using SARS-CoV-2 (COVID-19) nucleocapsid antibody (Genetex, GTX135357) as the primary antibody and Alexa Fluor 488-conjugated goat anti-rabbit IgG (H+L, Invitrogen by Thermo Fisher Scientific, A11008) as the secondary antibody, and antifade-46-diamidino-2-phenylindole (DAPI; Thermo Fisher Scientific D1306) to stain DNA, with PBS 0.05% Tween-20 washes in between fixation and subsequent primary and secondary antibody staining.
- SARS-CoV-2 SARS-CoV-2 (COVID-19) nucleocapsid antibody
- Alexa Fluor 488-conjugated goat anti-rabbit IgG H+L, Invitrogen by Thermo Fisher Scientific, A110
- Plates are imaged using the ImageXpress Micro Confocal High-Content Imaging System (Molecular Devices) with a 10 ⁇ objective, with 4 fields imaged per well. Images are analyzed using the Multi-Wavelength Cell Scoring Application Module (MetaXpress), with DAPI staining identifying the host-cell nuclei (the total number of cells in the images) and the SARS-CoV-2 immunofluorescence signal leading to identification of infected cells.
- MethodaXpress Multi-Wavelength Cell Scoring Application Module
- the percentage of infection is calculated as the ratio of the number of infected cells stained for coronavirus NP to number of cells stained with DAPI. Treatment of cells with DMSO serves as negative control; treatment of cells with 200 nM Remdesivir serves as positive control.
- Table 5 (SARS-CoV-2/Huh7.5 screening assay) Cell-based (Viral Cell-based (Viral Cell-based (Cell Cell-based (Viral 50) Cell-base Cell-based (Viral Cell-based (Cell Ex infection EC d (Cell infection + P- viabilit + P- p p g [0829] PLpro docking models were generated using SARS-CoV-2 PLpro structures in complex with inhibitors (PDB IDs 7JIR,7CJM, 7JRN, 7LBS, 7LBR, 7LLF, 7LLZ, 7LOS, 7D6H, 7E35). Docking poses were subjected to refinement by 100ns molecular dynamics simulations followed by absolute FEP calculations.
- the refined model that validated using FEP+ for affinity prediction came from the structure with PDB ID 7JRN (Discovery of SARS-CoV-2 Papain-like Protease Inhibitors through a Combination of High-Throughput Screening and a FlipGFP-Based Reporter Assay. Ma et al, ACS Cent. Sci.2021).
Landscapes
- Chemical & Material Sciences (AREA)
- Organic Chemistry (AREA)
- Pharmaceuticals Containing Other Organic And Inorganic Compounds (AREA)
Abstract
Methods and compositions for treating SARS-CoV-2 and COVID-19 are disclosed. 1,3-indole propanamides of the following formula (I) inhibit the SARS-CoV-2 PLpro/NSP3 protein and are therefore useful for treating SARS-CoV-2 and COVID-19.
Description
1,3-INDOLE-PROPANAMIDE INHIBITORS OF SARS-COV-2 PLPRO/NSP3 AND DERIVATIVES THEREOF CROSS REFERENCE TO RELATED APPLICATIONS [0001] This application claims priority to U.S. Provisional Application No.63/481,565, filed January 25, 2023, the entire contents of which are hereby incorporated by reference as if fully set forth herein. TECHNICAL FIELD [0002] The present application relates generally to compounds that inhibit PLpro/NSP3 found in coronaviruses, including SARS-CoV-2. Therefore, these compounds are useful for treating SARS-CoV-2 and its associated disease, COVID-19. The compounds are generally 1,3- indole-propanamides and derivatives thereof. BACKGROUND [0003] Coronaviruses are readily transmitted enveloped, non-segmented positive-sense single-stranded RNA viruses. They have a 30-kb RNA genome encoding as many as 14 open reading frames (ORFs). ORF1a and 1ab encode polyproteins that are processed by two essential viral proteases, papain-like protease (PLpro/NSP3) and 3C-like main protease (3CLpro/NSP5), which in concert auto-excise and then cleave the polyprotein into 16 non-structural proteins (NSP2). The NSPs, including PLpro, are essential for replication. [0004] PLpro recognizes an LXGG amino acid motif and cleaves the peptide bonds after the second glycine between the NSP1/2, 2/3, and 3/4 boundaries of the SARS-CoV-2 polyprotein. It is a cysteine protease involving a nucleophilic cysteine thiol residing in a catalytic amino acid triad. The development of cysteine-reactive compounds can be challenging in terms of specificity, stability, and toxicity. PLpro is essential for SARS-CoV-2 replication and can therefore be used as a target to develop treatments for COVID-19. SUMMARY [0005] The disclosure is directed to compounds, pharmaceutical compositions and methods for inhibiting SARS-CoV-2 viral protease papain-like protease (PLpro/NSP3) and thereby treating SARS-CoV-2 and COVID-19.
[0006] In an aspect, the disclosure relates to compounds of formula (I): wherein
X4, X5, X6, X7, and are each independently chosen from C or N, with the proviso that when X10 is N, R6 is not H; and R1 is chosen from H, (C1-C3)hydrocarbon, or heterocycle optionally substituted with oxo; and R2 is chosen from S(O)2-R8, H, halogen, cyano, (C1-C3)alkoxy, C(O)N(R9)(R10), heterocycle, phenylthio, , or optionally substituted (C1-C3)hydrocarbon, wherein said optionally substituted
is optionally substituted with one or more aliphatic heterocycle or halogen; and X11 is NH or NCH3; and R3 is chosen from H, halogen, C(O)N(R9)(R10), cyano, (C1-C3)alkoxy, S(O)2-R8, or optionally substituted (C1-C3)hydrocarbon, wherein said optionally substituted (C1-C3)hydrocarbon is optionally substituted with one or more halogen; and R4 is chosen from (C1-C3)hydrocarbon, H, or halogen; and R11 is chosen from H, hydroxy, N(R9)(R10), heterocycle, or optionally substituted (C1- C3)hydrocarbon, wherein said optionally substituted (C1-C3)hydrocarbon is optionally substituted with one or more N(R9)(R10); and R5 is chosen from H, N(R9)(R10), methyl, optionally substituted (C2-C3)hydrocarbon, optionally substituted heterocycle, optionally substituted (C1-C3)alkoxy, hydroxy, cyano, or halogen, wherein said optionally substituted (C1-C3)hydrocarbon, said optionally substituted heterocycle,
and said optionally substituted (C1-C3)alkoxy are optionally substituted with one or more N(R9)(R10) or (C1-C3)alkyl; and R6 is chosen from H, 2-oxopiperizine, 2-oxoimidazoline, optionally substituted heterocycle, N(R9)(R10), carboxamide, optionally substituted (C1-C3)hydrocarbon, (C1-C3)alkoxy, -O-R14, -O- CH2-R14, or hydroxy, wherein said optionally substituted heterocycle or said optionally substituted (C1-C3)hydrocarbon is optionally substituted with one or more morpholinyl, optionally substituted pyrrolidinyl, azetadine, hydroxy, (C1-C3)alkoxy, (C1-C3)alkyl, oxo, or N(R9)(R10), wherein said optionally substituted pyrrolidinyl is optionally substituted with one or more methyl or halogen; or R11 and R5 taken together with the atoms to which they are attached form optionally substituted heterocycle or optionally substituted aliphatic carbocycle, wherein said optionally substituted heterocycle or said optionally substituted carbocycle is optionally substituted with one or more N(R9)(R10) or azetidinylmethyl; or R5 and R6 taken together with the atoms to which they are attached form optionally substituted heterocycle or optionally substituted carbocycle, wherein said optionally substituted heterocycle is optionally substituted with one or more aminoethyl or azetidinylmethyl, wherein said optionally substituted carbocycle is optionally substituted with one or more N(R9)(R10); and R14 is optionally substituted heterocycle, wherein said optionally substituted heterocycle is optionally substituted with one or more (C1-C3)alkyl; and R7 is chosen from H and (C1-C3)hydrocarbon; and R8 is chosen from N(R9)(R10), (C1-C6)hydrocarbon, and optionally substituted heterocycle, wherein said optionally substituted heterocycle is optionally substituted with one or more N(R9)(R10) or halogen; and R9 and R10 are each independently chosen from H, (C1-C6)hydrocarbon, heterocycle, (C1- C6)oxoalkyl, or azetidinylmethyl; and R12 is chosen from methyl or ethyl; and R13 is H; or R12 and R13 together with the C to which they are attached form a (C1-C6)hydrocarbon; and L is chosen from direct bond and CH2. [0007] In an aspect, the disclosure relates to a method of inhibiting SARS-CoV-2 PLpro/NSP3 protein in a patient comprising administering a compound as disclosed herein.
[0008] In an aspect, the disclosure relates to a method of treating Covid-19 in a patient comprising administering a compound as disclosed herein. [0009] In an aspect, the disclosure relates to a pharmaceutical formulation comprising a pharmaceutically acceptable carrier and a compound as disclosed herein. DETAILED DESCRIPTION [0010] In an aspect, the disclosure relates to compounds of formula (I): wherein
X4, X5, X6, X7, X8, X9, and X10 are each independently chosen from C or N, with the proviso that when X10 is N, R6 is not H; and R1 is chosen from H, (C1-C3)hydrocarbon, or heterocycle optionally substituted with oxo; and R2 is chosen from S(O)2-R8, H, halogen, cyano, (C1-C3)alkoxy, C(O)N(R9)(R10), heterocycle, phenylthio, , or optionally substituted (C1-C3)hydrocarbon, wherein said optionally substituted
is optionally substituted with one or more aliphatic heterocycle or halogen; and X11 is NH or NCH3; and R3 is chosen from H, halogen, C(O)N(R9)(R10), cyano, (C1-C3)alkoxy, S(O)2-R8, or optionally substituted (C1-C3)hydrocarbon, wherein said optionally substituted (C1-C3)hydrocarbon is optionally substituted with one or more halogen; and R4 is chosen from (C1-C3)hydrocarbon, H, or halogen; and
R11 is chosen from H, hydroxy, N(R9)(R10), heterocycle, or optionally substituted (C1- C3)hydrocarbon, wherein said optionally substituted (C1-C3)hydrocarbon is optionally substituted with one or more N(R9)(R10); and R5 is chosen from H, N(R9)(R10), methyl, optionally substituted (C2-C3)hydrocarbon, optionally substituted heterocycle, optionally substituted (C1-C3)alkoxy, hydroxy, cyano, or halogen, wherein said optionally substituted (C1-C3)hydrocarbon, said optionally substituted heterocycle, and said optionally substituted (C1-C3)alkoxy are optionally substituted with one or more N(R9)(R10) or (C1-C3)alkyl; and R6 is chosen from H, 2-oxopiperizine, 2-oxoimidazoline, optionally substituted heterocycle, N(R9)(R10), carboxamide, optionally substituted (C1-C3)hydrocarbon, (C1-C3)alkoxy, -O-R14, -O- CH2-R14, or hydroxy, wherein said optionally substituted heterocycle or said optionally substituted (C1-C3)hydrocarbon is optionally substituted with one or more morpholinyl, optionally substituted pyrrolidinyl, azetadine, hydroxy, (C1-C3)alkoxy, (C1-C3)alkyl, oxo, or N(R9)(R10), wherein said optionally substituted pyrrolidinyl is optionally substituted with one or more methyl or halogen; or R11 and R5 taken together with the atoms to which they are attached form optionally substituted heterocycle or optionally substituted aliphatic carbocycle, wherein said optionally substituted heterocycle or said optionally substituted carbocycle is optionally substituted with one or more N(R9)(R10) or azetidinylmethyl; or R5 and R6 taken together with the atoms to which they are attached form optionally substituted heterocycle or optionally substituted carbocycle, wherein said optionally substituted heterocycle is optionally substituted with one or more aminoethyl or azetidinylmethyl, wherein said optionally substituted carbocycle is optionally substituted with one or more N(R9)(R10); and R14 is optionally substituted heterocycle, wherein said optionally substituted heterocycle is optionally substituted with one or more (C1-C3)alkyl; and R7 is chosen from H and (C1-C3)hydrocarbon; and R8 is chosen from N(R9)(R10), (C1-C6)hydrocarbon, and optionally substituted heterocycle, wherein said optionally substituted heterocycle is optionally substituted with one or more N(R9)(R10) or halogen; and R9 and R10 are each independently chosen from H, (C1-C6)hydrocarbon, heterocycle, (C1- C6)oxoalkyl, or azetidinylmethyl; and
R12 is chosen from methyl or ethyl; and R13 is H; or R12 and R13 together with the C to which they are attached form a (C1-C6)hydrocarbon; and L is chosen from direct bond and CH2. [0011] It has been found that compounds of formula (I) are useful for inhibiting the SARS- CoV-2 viral protease papain-like protease (PLpro/NSP3). [0012] In some embodiments, X4 is C. In some embodiments X4 is N. In some embodiments, X5 is C. In some embodiments X5 is N. In some embodiments, X6 is C. In some embodiments X6 is N. In some embodiments, X7 is C. In some embodiments X7 is N. In some embodiments, X8 is C. In some embodiments X8 is N. In some embodiments, X9 is C. In some embodiments X9 is N. In some embodiments, X10 is C. In some embodiments X10 is N. When X10 is N, R6 is not H. [0013] In some embodiments, R1 is H. In some embodiments, R1 is hydrocarbon. In some embodiments, R1 is methyl. In some embodiments, R1 is ethyl. In some embodiments, R1 is isopropyl. In some embodiments, R1 is heterocycle optionally substituted with oxo. In some embodiments, R1 is nitrogen-containing heterocycle optionally substituted with oxo. In some embodiments, R1 is pyrrolidinone. In some embodiments, R1 is pyrrolyl. [0014] In some embodiments, R2 is S(O)2-R8. In some embodiments, R2 is hydrogen. In some embodiments, R2 is halogen (e.g., F, Cl, and the like). In some embodiments, R2 is cyano. In some embodiments, R2 is (C1-C3)alkoxy (e.g., methoxy, ethoxy, or propoxy). In some embodiments, R2 is C(O)N(R9)(R10). In some embodiments, R2 is heterocycle. In some embodiments, R2 is phenylthiol. In some embodiments, R2 is phenyloxo. In some embodiments, some embodiments, R2 is (C1-C3)hydrocarbon optionally substituted with
heterocycle or halogen. In some embodiments, R2 is (C1-C3)hydrocarbon optionally substituted with one or more halogen or nitrogen-containing aliphatic heterocycle. In some embodiments, R2 is nitrogen-containing monocycle optionally substituted with one or more halogen or aliphatic heterocycle. In some embodiments, R2 is nitrogen-containing monocycle optionally substituted with one or more halogen or nitrogen-containing aliphatic heterocycle. In some embodiments R2 is triazolyl, piperidinylmethyl, piperidinylethyl, or trifluoromethyl.
[0015] In some embodiments, X11 is NH. In some embodiments, X11 is NCH3. [0016] In some embodiments, R3 is H. In some embodiments, R3 is halogen (e.g., F, Cl, and the like). In some embodiments, R3 is C(O)N(R9)(R10). In some embodiments, R3 is cyano. In some embodiments, R3 is (C1-C3)alkoxy (e.g., methoxy, ethoxy, or propoxy). In some embodiments, R3 is S(O)2-R8. In some embodiments, R3 is haloalkyl. In some embodiments, R3 is (C1-C3)hydrocarbon optionally substituted with one or more halogen. In some embodiments, R3 is trifluoromethyl. [0017] In some embodiments, R4 is H. In some embodiments, R4 is (C1-C3)hydrocarbon. In some embodiments, R4 is halogen (e.g., Cl, F, and the like). [0018] In some embodiments, R11 is H. In some embodiments, R11 is hydroxy. In some embodiments, R11 is N(R9)(R10). In some embodiments, R11 is heterocycle. In some embodiments, R11 is nitrogen-containing monocycle. In some embodiments, R11 is (C1- C3)hydrocarbon optionally substituted with one or more N(R9)(R10). In some embodiments, R11 is piperazinyl, methyl, aminomethyl, or aminoethyl. [0019] In some embodiments, R5 is H. In some embodiments, R5 is N(R9)(R10). In some embodiments, R5 is methyl. In some embodiments, R5 is (C2-C3)hydrocarbon optionally substituted with one or more N(R9)(R10) or (C1-C3)alkyl. In some embodiments, R5 is heterocycle optionally substituted with one or more N(R9)(R10) or (C1-C3)alkyl. In some embodiments, R5 is nitrogen-containing monocycle optionally substituted with one or more N(R9)(R10) or (C1-C3)alkyl.In some embodiments, R5 is (C1-C3)alkoxy optionally substituted with one or more N(R9)(R10) or (C1-C3)alkyl. In some embodiments, R5 is hydroxy. In some embodiments, R5 is cyano. In some embodiments, R5 is halogen (e.g., Cl, F, and the like). In some embodiments, R5 may be aminomethyl, aminoethyl, aminopropyl, piperazinyl, pyrazolyl, pyrazolylmethyl, or aminoalkoxy. [0020] In some embodiments, R6 is H. In some embodiments, R6 is 2-oxopiperizine, In some embodiments, R6 is 2-oxoimidazoline. In some embodiments, R6 is heterocycle optionally substituted with one or more morpholinyl, azetadine, hydroxy, (C1-C3)alkoxy, (C1-C3)alkyl, oxo, N(R9)(R10), or optionally substituted pyrrolidinyl (e.g., pyrrolidinyl optionally substituted with one or more methyl or halogen). In some embodiments, R6 is nitrogen-containing monocycle optionally substituted with one or more morpholinyl, azetadine, hydroxy, (C1-C3)alkoxy, (C1- C3)alkyl, oxo, N(R9)(R10), or optionally substituted pyrrolidinyl (e.g., pyrrolidinyl optionally
substituted with one or more methyl or halogen). In some embodiments, R6 is N(R9)(R10). In some embodiments, R6 is carboxamide. In some embodiments, R6 is (C1-C3)hydrocarbon optionally substituted with one or more morpholinyl, pyrrolidinyl, or N(R9)(R10). In some embodiments, R6 is (C1-C3)alkoxy. In some embodiments, R6 is hydroxy. In some embodiments, R6 may be carboxamidyl, piperazinyl, piperidinyl, pyridinyl, morpholinyl, 2-oxopiperizine, 2- oxoimidazoline, morpholinylethyl, pyrrolidinylpropyl, hydroxy, methoxy, or aminopyrrolidinyl. In some embodiments, R6 is -O-R14. In some embodiments, R6 is -O-CH2-R14. [0021] In some embodiments, R14 is heterocycle optionally substituted with one or more (C1- C3)alkyl. In some embodiments, R14 is nitrogen-containing heterocycle optionally substituted with one or more (C1-C3)alkyl. In some embodiments, R14 is pyrrolidine optionally substituted with one or more (C1-C3)alkyl. In some embodiments, R14 is pyrrolidine substituted with methyl. [0022] In some embodiments, R11 and R5 taken together with the atoms to which they are attached form heterocycle optionally substituted with one or more N(R9)(R10) or azetidinylmethyl. In some embodiments, R11 and R5 taken together with the atoms to which they are attached form nitrogen-containing monocycle optionally substituted with one or more N(R9)(R10) or azetidinylmethyl. In some embodiments, R11 and R5 taken together with the atoms to which they are attached form aliphatic carbocycle optionally substituted with one or more N(R9)(R10) or azetidinylmethyl. In some embodiments, R11 and R5 taken together with the atoms to which they are attached form aminocyclopentanyl, piperidinyl, pyrazolyl, pyrrolyl, pyrrolidinyl, aminopyrrolidinyl, triazolyl, or pyrazole substituted with azetidinylmethyl. [0023] In some embodiments, R5 and R6 taken together with the atoms to which they are attached form heterocycle optionally substituted with one or more aminoethyl or azetidinylmethyl. In some embodiments, R5 and R6 taken together with the atoms to which they are attached form nitrogen-containing monocycle optionally substituted with one or more aminoethyl or azetidinylmethyl. In some embodiments, R5 and R6 taken together with the atoms to which they are attached form carbocycle optionally substituted with one or more N(R9)(R10). In some embodiments, R5 and R6 taken together with the atoms to which they are attached form (i) cyclopentyl substituted with one or more N(R9)(R10), (ii) pyrazolyl substituted with one or more azetidinyl, aminoethyl, or azetidinylmethyl, or (iii) pyrrolidinyl substituted with one or more aminoethyl.
[0024] In some embodiments, R7 is H. In some embodiments, R7 is (C1-C3)hydrocarbon. In some embodiments, R7 is methyl. [0025] In some embodiments, R8 is N(R9)(R10). In some embodiments, R8 is (C1- C6)hydrocarbon. In some embodiments, R8 is heterocycle optionally substituted with one or more N(R9)(R10) or halogen. In some embodiments, R8 is nitrogen-containing monocycle optionally substituted with one or more N(R9)(R10) or halogen. In some embodiments, R8 may be methyl, phenyl, piperidine, pyrrolidine, or aminopyrrolidinyl. [0026] In some embodiments, R9 is H. In some embodiments, R9 is (C1-C6)hydrocarbon (e.g., methyl, ethyl, isopropyl, cyclopropyl, and the like). In some embodiments, R9 is heterocycle. In some embodiments, R9 is nitrogen-containing monocycle. In some embodiments, R9 is (C1-C6)oxoalkyl). In some embodiments, R9 is azetidinylmethyl. [0027] In some embodiments, R10 is H. In some embodiments, R10 is (C1-C6)hydrocarbon (e.g., methyl, ethyl, isopropyl, cyclopropyl, and the like). In some embodiments, R10 is heterocycle. In some embodiments, R10 is nitrogen-containing monocycle. In some embodiments, R10 is (C1-C6)oxoalkyl). In some embodiments, R10 is azetidinylmethyl. [0028] In some embodiments, R12 is methyl. In some embodiments R12 is ethyl. [0029] In some embodiments, R13 is H. [0030] In some embodiments R12 and R13 together with the C to which they are attached form a (C1-C6)hydrocarbon. [0031] In some embodiments, L is direct bond. In some embodiments, L is CH2. [0032] In an aspect, the disclosure relates to a method of inhibiting coronavirus PLpro/NSP3 protein with a compound described above. In one embodiment, the coronavirus is SARS-CoV-2. [0033] In an aspect, the disclosure relates to a method of treating a Covid-19 patient with a compound described above. In one embodiment, the disclosure relates to treating the disease associated with coronavirus generally. [0034] In an aspect, the disclosure relates to a pharmaceutical formulation comprising a pharmaceutically acceptable carrier and a compound described above. Abbreviations and Definitions [0035] Unless defined otherwise, all technical and scientific terms used herein have the same meaning as is commonly understood by one of ordinary skill in the art to which this disclosure
belongs. A comprehensive list of abbreviations utilized by organic chemists (i.e., persons of ordinary skill in the art) appears in the first issue of each volume of the Journal of Organic Chemistry. The list, which is typically presented in a table entitled “Standard List of Abbreviations” is incorporated herein by reference. In the event that there is a plurality of definitions for terms cited herein, those in this section prevail unless otherwise stated. [0036] As used herein, the terms “comprising” and “including,” or grammatical variants thereof are to be taken as specifying the stated features, integers, steps or components but do not preclude the addition of one or more additional features, integers, steps, components or groups thereof. This term encompasses the terms “consisting of” and “consisting essentially of”. [0037] A “patient” or “subject,” as used herein, includes both humans and other animals, particularly mammals. Thus, the methods are applicable to both human therapy and veterinary applications. In some embodiments, the patient is a mammal, for example, a primate. In some embodiments, the patient is a human. [0038] Throughout this specification the terms and substituents retain their definitions. [0039] Unless otherwise specified herein, “hydrocarbon” or hydrocarbyl (as a substituent), means any substituent comprised of hydrogen and carbon as the only elemental constituents. If not otherwise limited, (C1-Cn)hydrocarbon, wherein n may be any integer from 1 to 20 or higher, is intended to include alkyl, cycloalkyl, polycycloalkyl, alkenyl, alkynyl, aryl, and combinations thereof. Non-limiting examples of a hydrocarbon include cyclopropylmethyl, benzyl, phenethyl, cyclohexylmethyl, adamantyl, camphoryl, naphthylethyl, etc. Hydrocarbyl refers to any substituent comprised of hydrogen and carbon as the only elemental constituents. Aliphatic hydrocarbons are hydrocarbons that are not aromatic; they may be saturated or unsaturated, cyclic, linear, or branched. Non-limiting examples of aliphatic hydrocarbons include isopropyl, 2-butenyl, 2-butynyl, cyclopentyl, norbornyl, etc. Non-limiting examples of aromatic hydrocarbons include benzene (phenyl), naphthalene (naphthyl), anthracene, etc. For example, (C1-C10)hydrocarbon includes all combination therein, i.e., (C1-C2)hydrocarbon, (C1- C3)hydrocarbon, (C1-C4)hydrocarbon, (C1-C5)hydrocarbon, (C1-C6)hydrocarbon, (C1- C7)hydrocarbon, (C1-C8)hydrocarbon, (C1-C9)hydrocarbon, (C1-C10)hydrocarbon, (C2- C3)hydrocarbon, (C2-C4)hydrocarbon, (C2-C5)hydrocarbon, (C2-C6)hydrocarbon, (C2- C7)hydrocarbon, (C2-C8)hydrocarbon, (C2-C9)hydrocarbon, (C2-C10)hydrocarbon, (C3- C4)hydrocarbon, (C3-C5)hydrocarbon, (C3-C6)hydrocarbon, (C3-C7)hydrocarbon, (C3-
C8)hydrocarbon, (C3-C9)hydrocarbon, (C3-C10)hydrocarbon, (C4-C5)hydrocarbon, (C4- C6)hydrocarbon, (C4-C7)hydrocarbon, (C4-C8)hydrocarbon, (C4-C9)hydrocarbon, (C4- C10)hydrocarbon, (C5-C6)hydrocarbon, (C5-C7)hydrocarbon, (C5-C8)hydrocarbon, (C5- C9)hydrocarbon, (C5-C10)hydrocarbon, (C6-C7)hydrocarbon, (C6-C8)hydrocarbon, (C6- C9)hydrocarbon, (C6-C10)hydrocarbon, (C7-C8)hydrocarbon, (C7-C9)hydrocarbon, (C7- C10)hydrocarbon, (C8-C9)hydrocarbon, (C8-C10)hydrocarbon, (C9-C10)hydrocarbon, (C1)hydrocarbon, (C2)hydrocarbon, (C3)hydrocarbon, (C4)hydrocarbon, (C5)hydrocarbon, (C6)hydrocarbon, (C7)hydrocarbon, (C8)hydrocarbon, (C9)hydrocarbon, and (C10)hydrocarbon. [0040] Unless otherwise specified, alkyl (or alkylene) is intended to include linear or branched hydrocarbon structures. Unless otherwise specified, alkyl refers to alkyl groups from 1 to 20 or higher carbon atoms, in some instances 1 to 10 carbon atoms, in some instances 1 to 6 carbon atoms, in some instances 1 to 4 carbon atoms, and in some instances 1 to 3 carbon atoms. Non-limiting examples of alkyl groups include methyl, ethyl, propyl, isopropyl, cyclopropyl, n- butyl, s-butyl, t-butyl, and the like. (C1-C10)alkyl includes all combinations therein, i.e., (C1- C2)alkyl, (C1-C3)alkyl, (C1-C4)alkyl, (C1-C5)alkyl, (C1-C6)alkyl, (C1-C7)alkyl, (C1-C8)alkyl, (C1- C9)alkyl, (C2-C3)alkyl, (C2-C4)alkyl, (C2-C5)alkyl, (C2-C6)alkyl, (C2-C7)alkyl, (C2-C8)alkyl, (C2- C9)alkyl, (C2-C10)alkyl, (C3-C4)alkyl, (C3-C5)alkyl, (C3-C6)alkyl, (C3-C7)alkyl, (C3-C8)alkyl, (C3- C9)alkyl, (C3-C10)alkyl, (C4-C5)alkyl, (C4-C6)alkyl, (C4-C7)alkyl, (C4-C8)alkyl, (C4-C9)alkyl, (C4- C10)alkyl, (C5-C6)alkyl, (C5-C7)alkyl, (C5-C8)alkyl, (C5-C9)alkyl, (C5-C10)alkyl, (C6-C7)alkyl, (C6-C8)alkyl, (C6-C9)alkyl, (C6-C10)alkyl, (C7-C8)alkyl, (C7-C9)alkyl, (C7-C10)alkyl, (C8-C9)alkyl, (C8-C10)alkyl, (C9-C10)alkyl, (C1)alkyl, (C2)alkyl, (C3)alkyl, (C4)alkyl, (C5)alkyl, (C6)alkyl, (C7)alkyl, (C8)alkyl, (C9)alkyl, and (C10)alkyl. [0041] Unless otherwise specified, oxoalkyl is intended to include alkyl residues in which one or more carbons (and their associated hydrogens) have been replaced by oxygen. Non- limiting examples include methoxypropoxy, 3,6,9-trioxadecyl and the like. The term oxoalkyl is intended as it is understood in the art [see Naming and Indexing of Chemical Substances for Chemical Abstracts, published by the American Chemical Society, 196, but without the restriction of 127(a)], i.e., it refers to compounds in which the oxygen is bonded via a single bond to its adjacent atoms (forming ether bonds); it does not refer to doubly bonded oxygen, as would be found in carbonyl groups. (C1-C10)oxoalkyl includes all combinations therein, i.e., (C1- C2)oxoalkyl, (C1-C3)oxoalkyl, (C1-C4)oxoalkyl, (C1-C5)oxoalkyl, (C1-C6)oxoalkyl, (C1-
C7)oxoalkyl, (C1-C8)oxoalkyl, (C1-C9)oxoalkyl, (C2-C3)oxoalkyl, (C2-C4)oxoalkyl, (C2- C5)oxoalkyl, (C2-C6)oxoalkyl, (C2-C7)oxoalkyl, (C2-C8)oxoalkyl, (C2-C9)oxoalkyl, (C2- C10)oxoalkyl, (C3-C4)oxoalkyl, (C3-C5)oxoalkyl, (C3-C6)oxoalkyl, (C3-C7)oxoalkyl, (C3- C8)oxoalkyl, (C3-C9)oxoalkyl, (C3-C10)oxoalkyl, (C4-C5)oxoalkyl, (C4-C6)oxoalkyl, (C4- C7)oxoalkyl, (C4-C8)oxoalkyl, (C4-C9)oxoalkyl, (C4-C10)oxoalkyl, (C5-C6)oxoalkyl, (C5- C7)oxoalkyl, (C5-C8)oxoalkyl, (C5-C9)oxoalkyl, (C5-C10)oxoalkyl, (C6-C7)oxoalkyl, (C6- C8)oxoalkyl, (C6-C9)oxoalkyl, (C6-C10)oxoalkyl, (C7-C8)oxoalkyl, (C7-C9)oxoalkyl, (C7- C10)oxoalkyl, (C8-C9)oxoalkyl, (C8-C10)oxoalkyl, (C9-C10)oxoalkyl, (C1)oxoalkyl, (C2)oxoalkyl, (C3)oxoalkyl, (C4)oxoalkyl, (C5)oxoalkyl, (C6)oxoalkyl, (C7)oxoalkyl, (C8)oxoalkyl, (C9)oxoalkyl, and (C10)oxoalkyl. [0042] Unless otherwise specified, azaalkyl is intended to include alkyl residues in which one or more carbons (and their associated hydrogens) have been replaced by nitrogen. Non- limiting examples include ethylaminoethyl and the like. (C1-C10)azaalkyl includes all combinations therein, i.e., (C1-C2)azaalkyl, (C1-C3)azaalkyl, (C1-C4)azaalkyl, (C1-C5)azaalkyl, (C1-C6)azaalkyl, (C1-C7)azaalkyl, (C1-C8)azaalkyl, (C1-C9)azaalkyl, (C2-C3)azaalkyl, (C2- C4)azaalkyl, (C2-C5)azaalkyl, (C2-C6)azaalkyl, (C2-C7)azaalkyl, (C2-C8)azaalkyl, (C2- C9)azaalkyl, (C2-C10)azaalkyl, (C3-C4)azaalkyl, (C3-C5)azaalkyl, (C3-C6)azaalkyl, (C3- C7)azaalkyl, (C3-C8)azaalkyl, (C3-C9)azaalkyl, (C3-C10)azaalkyl, (C4-C5)azaalkyl, (C4- C6)azaalkyl, (C4-C7)azaalkyl, (C4-C8)azaalkyl, (C4-C9)azaalkyl, (C4-C10)azaalkyl, (C5- C6)azaalkyl, (C5-C7)azaalkyl, (C5-C8)azaalkyl, (C5-C9)azaalkyl, (C5-C10)azaalkyl, (C6- C7)azaalkyl, (C6-C8)azaalkyl, (C6-C9)azaalkyl, (C6-C10)azaalkyl, (C7-C8)azaalkyl, (C7- C9)azaalkyl, (C7-C10)azaalkyl, (C8-C9)azaalkyl, (C8-C10)azaalkyl, (C9-C10)azaalkyl, (C1)azaalkyl, (C2)azaalkyl, (C3)azaalkyl, (C4)azaalkyl, (C5)azaalkyl, (C6)azaalkyl, (C7)azaalkyl, (C8)azaalkyl, (C9)azaalkyl, and (C10)azaalkyl. [0043] Unless otherwise specified, thiaalkyl is intended to include alkyl residues in which one or more carbons (and their associated hydrogens) have been replaced by sulfur. Non-limiting examples include methylthiopropyl and the like. (C1-C10)thiaalkyl includes all combinations therein, i.e., (C1-C2)thiaalkyl, (C1-C3)thiaalkyl, (C1-C4)thiaalkyl, (C1-C5)thiaalkyl, (C1- C6)thiaalkyl, (C1-C7)thiaalkyl, (C1-C8)thiaalkyl, (C1-C9)thiaalkyl, (C2-C3)thiaalkyl, (C2- C4)thiaalkyl, (C2-C5)thiaalkyl, (C2-C6)thiaalkyl, (C2-C7)thiaalkyl, (C2-C8)thiaalkyl, (C2- C9)thiaalkyl, (C2-C10)thiaalkyl, (C3-C4)thiaalkyl, (C3-C5)thiaalkyl, (C3-C6)thiaalkyl, (C3-
C7)thiaalkyl, (C3-C8)thiaalkyl, (C3-C9)thiaalkyl, (C3-C10)thiaalkyl, (C4-C5)thiaalkyl, (C4- C6)thiaalkyl, (C4-C7)thiaalkyl, (C4-C8)thiaalkyl, (C4-C9)thiaalkyl, (C4-C10)thiaalkyl, (C5- C6)thiaalkyl, (C5-C7)thiaalkyl, (C5-C8)thiaalkyl, (C5-C9)thiaalkyl, (C5-C10)thiaalkyl, (C6- C7)thiaalkyl, (C6-C8)thiaalkyl, (C6-C9)thiaalkyl, (C6-C10)thiaalkyl, (C7-C8)thiaalkyl, (C7- C9)thiaalkyl, (C7-C10)thiaalkyl, (C8-C9)thiaalkyl, (C8-C10)thiaalkyl, (C9-C10)thiaalkyl, (C1)thiaalkyl, (C2)thiaalkyl, (C3)thiaalkyl, (C4)thiaalkyl, (C5)thiaalkyl, (C6)thiaalkyl, (C7)thiaalkyl, (C8)thiaalkyl, (C9)thiaalkyl, and (C10)thiaalkyl. [0044] Unless otherwise specified herein, “carbocycle” is intended to include ring systems in which the ring atoms are all carbon but of any oxidation state. If not otherwise limited, “carbocycle” is intended to include both non-aromatic and aromatic systems. In addition, unless otherwise specified herein, “carbocycle” is intended to include monocycles, bicycles, spirocycles, and polycycles. In a non-limiting example, (C3-C10)carbocycle may refer to cyclopropane, cyclohexane, benzene, phenyl, cyclopentadiene, cyclohexene, norbornane, decalin, naphthalene, indane, and the like. (C3-C10)carbocycle includes all combinations therein, i.e., (C3-C4)carbocycle, (C3-C5)carbocycle, (C3-C6)carbocycle, (C3-C7)carbocycle, (C3- C8)carbocycle, (C3-C9)carbocycle, (C3-C10)carbocycle, (C4-C5)carbocycle, (C4-C6)carbocycle, (C4-C7)carbocycle, (C4-C8)carbocycle, (C4-C9)carbocycle, (C4-C10)carbocycle, (C5- C6)carbocycle, (C5-C7)carbocycle, (C5-C8)carbocycle, (C5-C9)carbocycle, (C5-C10)carbocycle, (C6-C7)carbocycle, (C6-C8)carbocycle, (C6-C9)carbocycle, (C6-C10)carbocycle, (C7- C8)carbocycle, (C7-C9)carbocycle, (C7-C10)carbocycle, (C8-C9)carbocycle, (C8-C10)carbocycle, (C9-C10)carbocycle, (C3)carbocycle, (C4)carbocycle, (C5)carbocycle, (C6)carbocycle, (C7)carbocycle, (C8)carbocycle, (C9)carbocycle, and (C10)carbocycle. [0045] Unless otherwise specified herein, “cycloalkyl” is a subset of hydrocarbyl and is intended to include cyclic hydrocarbon structures. If not otherwise limited, “cycloalkyl” may include cyclic alkyl groups of from 3 to 8 carbon atoms or from 3 to 6 carbon atoms. Non- limiting examples of cycloalkyl include cy-propyl, cy-butyl, cy-pentyl, norbornyl, and the like. (C3-C10)cycloalkyl includes all combinations therein, i.e., (C3-C4)cycloalkyl, (C3-C5)cycloalkyl, (C3-C6)cycloalkyl, (C3-C7)cycloalkyl, (C3-C8)cycloalkyl, (C3-C9)cycloalkyl, (C3-C10)cycloalkyl, (C4-C5)cycloalkyl, (C4-C6)cycloalkyl, (C4-C7)cycloalkyl, (C4-C8)cycloalkyl, (C4-C9)cycloalkyl, (C4-C10)cycloalkyl, (C5-C6)cycloalkyl, (C5-C7)cycloalkyl, (C5-C8)cycloalkyl, (C5-C9)cycloalkyl, (C5-C10)cycloalkyl, (C6-C7)cycloalkyl, (C6-C8)cycloalkyl, (C6-C9)cycloalkyl, (C6-C10)cycloalkyl,
(C7-C8)cycloalkyl, (C7-C9)cycloalkyl, (C7-C10)cycloalkyl, (C8-C9)cycloalkyl, (C8-C10)cycloalkyl, (C9-C10)cycloalkyl, (C3)cycloalkyl, (C4)cycloalkyl, (C5)cycloalkyl, (C6)cycloalkyl, (C7)cycloalkyl, (C8)cycloalkyl, (C9)cycloalkyl, and (C10)cycloalkyl. [0046] Heterocycle means a cycloalkyl or aryl carbocycle residue in which from 1 to 4 carbon atoms (and their associated hydrogens) is replaced by a heteroatom selected from the group consisting of N, O and S. The nitrogen and sulfur heteroatoms may optionally be oxidized, and the nitrogen heteroatom may optionally be quaternized. Unless otherwise specified, a heterocycle may be non-aromatic or aromatic. Heterocycle, if not otherwise limited, refers to monocycles, bicycles, spirocycles, and polycycles. Accordingly, 3- to 11-member heterocycle includes all combinations therein, e.g., 3-member heterocycle, 4-member heterocycle, 5-member heterocycle, 6-member heterocycle, 7-member heterocycle, 8-member heterocycle, 9-member heterocycle, 10-member heterocycle, 11-member heterocycle, 5:5 bicyclic heterocycle, 5:6 bicyclic heterocycle, 6:6 bicyclic heterocycle, 6:7 bicyclic heterocycle, 5:3 spiro heterocycle, and the like. Non-limiting examples of heterocycles that fall within the scope of the disclosure include pyrrolidine, pyrazole, pyrazine, pyrrole, indole, indazole, indoline, indolin-2-one, dihydroindene, dihydrocyclopentapyridine, dihydrofuropyridine, imidazole, quinoline, dihydroquinolinone, tetrahydroquinoline, isoquinoline, tetrahydroisoquinoline, benzofuran, dihydrobenzofuran, benzodioxan, benzodioxole (commonly referred to as methylenedioxyphenyl, when occurring as a substituent), benzoimidazole, dihydrobenzodioxepine, dihydropyrrolotriazole, triazole, tetrazole, morpholine, thiazole, pyridine, triazolopyridine, pyrazolopyridine, dihydropyridooxazine, imidazopyridine, pyridazine, pyrimidine, thiophene, furan, oxazole, oxazoline, oxadiazole, isoxazole, dioxane, chromane, tetrahydrofuran, 2-oxa-6-azaspiro, and the like. [0047] Cycloazaalkyl is a subset of heterocycle in which at least 1 carbon atom (and its associated hydrogens) is replaced by N. Non-limiting examples of cycloaazaalkyl include azetidine, pyrrolidine, pyrazole, pyrrole, piperidine, pyridazine, pyrimidine and the like. (C3- C10)cycloazaalkyl includes all combinations therein, i.e., (C3-C4)cycloazaalkyl, (C3- C5)cycloazaalkyl, (C3-C6)cycloazaalkyl, (C3-C7)cycloazaalkyl, (C3-C8)cycloazaalkyl, (C3- C9)cycloazaalkyl, (C3-C10)cycloazaalkyl, (C4-C5)cycloazaalkyl, (C4-C6)cycloazaalkyl, (C4- C7)cycloazaalkyl, (C4-C8)cycloazaalkyl, (C4-C9)cycloazaalkyl, (C4-C10)cycloazaalkyl, (C5- C6)cycloazaalkyl, (C5-C7)cycloazaalkyl, (C5-C8)cycloazaalkyl, (C5-C9)cycloazaalkyl, (C5-
C10)cycloazaalkyl, (C6-C7)cycloazaalkyl, (C6-C8)cycloazaalkyl, (C6-C9)cycloazaalkyl, (C6- C10)cycloazaalkyl, (C7-C8)cycloazaalkyl, (C7-C9)cycloazaalkyl, (C7-C10)cycloazaalkyl, (C8- C9)cycloazaalkyl, (C8-C10)cycloazaalkyl, (C9-C10)cycloazaalkyl, (C3)cycloazaalkyl, (C4)cycloazaalkyl, (C5)cycloazaalkyl, (C6)cycloazaalkyl, (C7)cycloazaalkyl, (C8)cycloazaalkyl, (C9)cycloazaalkyl, and (C10)cycloazaalkyl. [0048] Cyclooxoalkyl is a subset of heterocycle in which at least 1 carbon atom (and its associated hydrogens) is replaced by O. Non-limiting examples of cyclooxoalkyl include furan, morpholine, chromane, oxazole and the like. (C3-C10)cyclooxoalkyl includes all combinations therein, i.e., (C3-C4)cyclooxoalkyl, (C3-C5)cyclooxoalkyl, (C3-C6)cyclooxoalkyl, (C3- C7)cyclooxoalkyl, (C3-C8)cyclooxoalkyl, (C3-C9)cyclooxoalkyl, (C3-C10)cyclooxoalkyl, (C4- C5)cyclooxoalkyl, (C4-C6)cyclooxoalkyl, (C4-C7)cyclooxoalkyl, (C4-C8)cyclooxoalkyl, (C4- C9)cyclooxoalkyl, (C4-C10)cyclooxoalkyl, (C5-C6)cyclooxoalkyl, (C5-C7)cyclooxoalkyl, (C5- C8)cyclooxoalkyl, (C5-C9)cyclooxoalkyl, (C5-C10)cyclooxoalkyl, (C6-C7)cyclooxoalkyl, (C6- C8)cyclooxoalkyl, (C6-C9)cyclooxoalkyl, (C6-C10)cyclooxoalkyl, (C7-C8)cyclooxoalkyl, (C7- C9)cyclooxoalkyl, (C7-C10)cyclooxoalkyl, (C8-C9)cyclooxoalkyl, (C8-C10)cyclooxoalkyl, (C9- C10)cyclooxoalkyl, (C3)cyclooxoalkyl, (C4)cyclooxoalkyl, (C5)cyclooxoalkyl, (C6)cyclooxoalkyl, (C7)cyclooxoalkyl, (C8)cyclooxoalkyl, (C9)cyclooxoalkyl, and (C10)cyclooxoalkyl. [0049] Cyclothiaalkyl is a subset of heterocycle in which at least 1 carbon atom (and its associated hydrogens) is replaced by S. Non-limiting examples of cyclothiaalkyl include thiophene and the like. (C3-C10)cyclothiaalkyl includes all combinations therein, i.e., (C3- C4)cyclothiaalkyl, (C3-C5)cyclothiaalkyl, (C3-C6)cyclothiaalkyl, (C3-C7)cyclothiaalkyl, (C3- C8)cyclothiaalkyl, (C3-C9)cyclothiaalkyl, (C3-C10)cyclothiaalkyl, (C4-C5)cyclothiaalkyl, (C4- C6)cyclothiaalkyl, (C4-C7)cyclothiaalkyl, (C4-C8)cyclothiaalkyl, (C4-C9)cyclothiaalkyl, (C4- C10)cyclothiaalkyl, (C5-C6)cyclothiaalkyl, (C5-C7)cyclothiaalkyl, (C5-C8)cyclothiaalkyl, (C5- C9)cyclothiaalkyl, (C5-C10)cyclothiaalkyl, (C6-C7)cyclothiaalkyl, (C6-C8)cyclothiaalkyl, (C6- C9)cyclothiaalkyl, (C6-C10)cyclothiaalkyl, (C7-C8)cyclothiaalkyl, (C7-C9)cyclothiaalkyl, (C7- C10)cyclothiaalkyl, (C8-C9)cyclothiaalkyl, (C8-C10)cyclothiaalkyl, (C9-C10)cyclothiaalkyl, (C3)cyclothiaalkyl, (C4)cyclothiaalkyl, (C5)cyclothiaalkyl, (C6)cyclothiaalkyl, (C7)cyclothiaalkyl, (C8)cyclothiaalkyl, (C9)cyclothiaalkyl, and (C10)cyclothiaalkyl. [0050] Heteroaryl is a subset of heterocycle in which the heterocycle is aromatic. In some instances, the heteroaryl contains 4, 5, 6, or 7 ring members. In some instances, the heteroaryl is
bicyclic and contains 8, 9, 10, or 11 total ring members. Non-limiting examples include furan, benzofuran, isobenzofuran, pyrrole, indole, isoindole, thiophene, benzothiophene, imidazole, benzimidazole, purine, pyrazole, indazole, oxazole, benzoxazole, isoxazole, benzisoxazole, thiazole, benzothiazole, triazole, tetrazole, pyridine, quinoline, isoquinoline, pyrazine, quinoxaline, acridine, pyrimidine, quinazoline, pyridazine, cinnoline, phthalazine, and triazine. Non-limiting examples of heterocyclyl residues additionally include piperazinyl, 2- oxopiperazinyl, 2-oxopiperidinyl, 2-oxo-pyrrolidinyl, 2-oxoazepinyl, azepinyl, 4-piperidinyl, pyrazolidinyl, imidazolyl, imidazolinyl, imidazolidinyl, pyrazinyl, oxazolidinyl, isoxazolidinyl, thiazolidinyl, isothiazolyl, quinuclidinyl, isothiazolidinyl, benzimidazolyl, thiadiazolyl, benzopyranyl, benzothiazolyl, tetrahydrofuryl, tetrahydropyranyl, thienyl, benzothienyl, thiamorpholinyl, thiamorpholinylsulfoxide, thiamorpholinylsulfone, oxadiazolyl, triazolyl and tetrahydroquinolinyl. [0051] Aryl and heteroaryl mean (i) a phenyl group (or benzene) or a monocyclic 5- or 6- member heteroaromatic ring containing 1-4 heteroatoms selected from O, N, or S; (ii) a bicyclic 9- or 11-member aromatic or heteroaromatic ring system containing 0-4 heteroatoms selected from O, N, or S; or (iii) a tricyclic 13- or 14-member aromatic or heteroaromatic ring system containing 0-5 heteroatoms selected from O, N, or S. Non-limiting examples of the aromatic 6- to 14-member carbocyclic rings include benzene, naphthalene, indane, tetralin, and fluorene. Non-limiting examples of the 5- to 10-member aromatic heterocyclic rings include imidazole, pyridine, indole, thiophene, benzopyranone, thiazole, furan, benzimidazole, quinoline, isoquinoline, quinoxaline, pyrimidine, pyrazine, tetrazole and pyrazole. As used herein aryl and heteroaryl refer to residues in which one or more rings are aromatic, but not all need be. [0052] Unless otherwise specified herein, “alkoxy” or “alkoxyl” refers to groups of from 1 to 20 carbon atoms, from 1 to 10 carbon atoms, or from 1 to 6 carbon atoms of a straight, branched, or cyclic configuration, and combinations thereof, attached to the parent structure through an oxygen. Non-limiting examples include methoxy, ethoxy, propoxy, isopropoxy cyclopropyloxy, cyclohexyloxy, methylenedioxy, ethylenedioxy, and the like. (C1-C10)alkoxy includes all combinations therein, i.e., (C1-C2)alkoxy, (C1-C3)alkoxy, (C1-C4)alkoxy, (C1-C5)alkoxy, (C1- C6)alkoxy, (C1-C7)alkoxy, (C1-C8)alkoxy, (C1-C9)alkoxy, (C2-C3)alkoxy, (C2-C4)alkoxy, (C2- C5)alkoxy, (C2-C6)alkoxy, (C2-C7)alkoxy, (C2-C8)alkoxy, (C2-C9)alkoxy, (C2-C10)alkoxy, (C3- C4)alkoxy, (C3-C5)alkoxy, (C3-C6)alkoxy, (C3-C7)alkoxy, (C3-C8)alkoxy, (C3-C9)alkoxy, (C3-
C10)alkoxy, (C4-C5)alkoxy, (C4-C6)alkoxy, (C4-C7)alkoxy, (C4-C8)alkoxy, (C4-C9)alkoxy, (C4- C10)alkoxy, (C5-C6)alkoxy, (C5-C7)alkoxy, (C5-C8)alkoxy, (C5-C9)alkoxy, (C5-C10)alkoxy, (C6- C7)alkoxy, (C6-C8)alkoxy, (C6-C9)alkoxy, (C6-C10)alkoxy, (C7-C8)alkoxy, (C7-C9)alkoxy, (C7- C10)alkoxy, (C8-C9)alkoxy, (C8-C10)alkoxy, (C9-C10)alkoxy, (C1)alkoxy, (C2)alkoxy, (C3)alkoxy, (C4)alkoxy, (C5)alkoxy, (C6)alkoxy, (C7)alkoxy, (C8)alkoxy, (C9)alkoxy, and (C10)alkoxy. [0053] Unless otherwise specified, acyl refers to formyl and to groups of 1, 2, 3, 4, 5, 6, 7 or 8 carbon atoms of a straight, branched, or cyclic configuration, saturated or unsaturated, and aromatic, and combinations thereof, attached to the parent structure through a carbonyl functionality. One or more carbons in the acyl residue may be replaced by nitrogen, oxygen or sulfur as long as the point of attachment to the parent remains at the carbonyl. Non-limiting examples include acetyl, benzoyl, propionyl, isobutyryl, t-butoxycarbonyl, benzyloxycarbonyl, and the like. The double bonded oxygen, when referred to as a substituent itself is called “oxo”. [0054] Arylalkyl refers to a substituent in which an aryl residue is attached to the parent structure through alkyl. Non-limiting examples include benzyl, phenethyl and the like. Heteroarylalkyl refers to a substituent in which a heteroaryl residue is attached to the parent structure through alkyl. In one embodiment, the alkyl group of an arylalkyl or a heteroarylalkyl is an alkyl group of from 1 to 6 carbons. Non-limiting examples include pyridinylmethyl, pyrimidinylethyl, and the like. [0055] An oxygen heterocycle is a heterocycle containing at least one oxygen in the ring; it may contain additional oxygens, as well as other heteroatoms. A sulphur heterocycle is a heterocycle containing at least one sulphur in the ring; it may contain additional sulphurs, as well as other heteroatoms. Oxygen heteroaryl is a subset of oxygen heterocycle; non-limiting examples include furan and oxazole. Sulphur heteroaryl is a subset of sulphur heterocycle; non- limiting examples include thiophene and thiazine. A nitrogen heterocycle is a heterocycle containing at least one nitrogen in the ring; it may contain additional nitrogens, as well as other heteroatoms. Non-limiting examples include piperidine, piperazine, morpholine, pyrrolidine and thiomorpholine. Nitrogen heteroaryl is a subset of nitrogen heterocycle; non-limiting examples include pyridine, pyrrole and thiazole. [0056] The term "halogen" means fluorine, chlorine, bromine, or iodine atoms. In one embodiment, halogen may be a fluorine or chlorine atom.
[0057] The terms "haloalkyl" and "haloalkoxy" mean alkyl or alkoxy, respectively, substituted with one or more halogen atoms. The terms “alkylcarbonyl” and “alkoxycarbonyl” mean –C(=O)alkyl or –C(=O)alkoxy, respectively. [0058] As used herein, the term “optionally substituted” may be used interchangeably with “unsubstituted or substituted”. The term “substituted” refers to the replacement of one or more hydrogen atoms in a specified group with a specified radical. For example, unless otherwise specified, substituted alkyl, aryl, cycloalkyl, heterocyclyl, etc. refer to alkyl, aryl, cycloalkyl, or heterocyclyl, etc., wherein one or more H atoms in each residue are independently replaced with halogen (e.g., fluoro, chloro, etc.), haloalkyl (e.g., difluoromethyl, trifluoromethyl, etc.), alkyl (e.g., methyl, etc.), acyl, alkoxyalkyl, carbonyl (also interchangeably written as =O), phenyl, heteroaryl, benzenesulfonyl, hydroxy, haloalkoxy, oxoalkyl, azaalkyl, cycloazaalkyl, 5:3 spiro heterocycle, azabicyclo 3.1.0 hexane, azabicyclo 2.2.1 heptane, thiaalkyl, cyclothiaalkyl, carboxy, alkoxycarbonyl [-C(=O)O-alkyl], aminocarbonyl (also known as carboxamido) [- C(=O)NH2], alkylaminocarbonyl [-C(=O)NH-alkyl], alkylcarbonylamino [-NH-C(=O)-alkyl], alkoxycarbonylamino [HNC(=O)O-alkyl], cyano, acetoxy, nitro, amino, alkylamino, alkylaminoalkyl, cycloalkylaminoalkyl, dialkylamino, dialkylaminoalkyl, dialkylaminoalkoxy, heterocyclylalkoxy, arylalkyl, (cycloalkyl)alkyl, heterocyclyl, heterocyclylalkyl, alkylaminoalkyl, heterocyclylaminoalkyl, heterocyclylalkylaminoalkyl, cycloalkylaminoalkyl, cycloalkylalkylaminoalkyl, arylaminoalkyl, arylalkylaminoalkyl, (alkyl)(aryl)aminoalkyl, mercapto, alkylthio, sulfoxide, sulfone, sulfonylamino, alkylsulfonyl, alkylsulfinyl, acylaminoalkyl, acylaminoalkoxy, acylamino, aryl, benzyl, heterocyclyl, heterocyclylalkyl, phenoxy, benzyloxy, heteroaryloxy, hydroxyimino, alkoxyimino, oxoalkyl, aminosulfonyl, trityl, amidino, guanidino, ureido, (C1-6)hydrocarbyl, SO2alkyl, SO2NH2, SO2NHalkyl, benzyloxyphenyl, or benzyloxy. “Oxo” is also included among the substituents referred to in “optionally substituted”; it will be appreciated by persons of skill in the art that, because oxo is a divalent radical, there are circumstances in which it will not be appropriate as a substituent (e.g., on phenyl). In one embodiment, 1, 2, or 3 hydrogen atoms are replaced with a specified radical. In the case of alkyl and cycloalkyl, more than three hydrogen atoms can be replaced by fluorine; indeed, all available hydrogen atoms could be replaced by fluorine. In some embodiments, substituents are halogen, haloalkyl, alkyl, acyl, hydroxyalkyl, hydroxy, alkoxy, haloalkoxy, aminocarbonyl oxoalkyl, carboxy, cyano, acetoxy, nitro, amino, alkylamino, dialkylamino,
alkylthio, alkylsulfinyl, alkylsulfonyl, alkylsulfonylamino, arylsulfonyl, arylsulfonylamino, and benzyloxy. [0059] It is understood that any alkyl, alkenyl, alkynyl, cycloalkyl and cycloalkenyl moiety described herein can also be an aliphatic group, an alicyclic group or a heterocyclic group. An “aliphatic group” is non-aromatic moiety that may contain any combination of carbon atoms, hydrogen atoms, halogen atoms, oxygen, nitrogen or other atoms, and optionally contain one or more units of unsaturation, e.g., double and/or triple bonds. An aliphatic group may be straight chained, branched or cyclic and preferably contains between about 1 and about 24 carbon atoms, more typically between about 1 and about 12 carbon atoms. In addition to aliphatic hydrocarbon groups, aliphatic groups include, for example, polyalkoxyalkyls, such as polyalkylene glycols, polyamines, and polyimines, for example. Such aliphatic groups may be further substituted. It is understood that aliphatic groups may be used in place of the alkyl, alkenyl, alkynyl, alkylene, alkenylene, and alkynylene groups described herein. [0060] Substituents Rn are generally defined when introduced and retain that definition throughout the specification and in all independent claims. [0061] The terms "subject" or "subject in need thereof" are used interchangeably herein. These terms refer to a patient who has been diagnosed with the underlying disorder to be treated. The subject may currently be experiencing symptoms associated with the disorder or may have experienced symptoms in the past. Additionally, a "subject in need thereof" may be a patient at risk of developing a particular disease, or to a patient reporting one or more of the physiological systems of a disease, even though a diagnosis of this disease may not have been made. [0062] As used herein, the terms “treatment” or “treating" are used interchangeably. These terms refer to an approach for obtaining beneficial or desired results including, but not limited to, therapeutic benefit. Therapeutic benefit includes eradication or amelioration of the underlying disorder being treated; it also includes the eradication or amelioration of one or more of the symptoms associated with the underlying disorder such that an improvement is observed in the patient, notwithstanding that the patient may still be afflicted with the underlying disorder. [0063] Preparation of compounds can involve the protection and deprotection of various chemical groups. The need for protection and deprotection, and the selection of appropriate protecting groups, can be readily determined by one skilled in the art. Suitable groups for that purpose are discussed in standard textbooks in the field of chemistry, such as Protective Groups
in Organic Synthesis by T.W.Greene and P.G.M.Wuts [John Wiley & Sons, New York, 1999], in Protecting Group Chemistry, 1st Ed., Oxford University Press, 2000; and in March’s Advanced Organic chemistry: Reactions, Mechanisms, and Structure, 5th Ed., Wiley-Interscience Publication, 2001. [0064] As used herein, and as would be understood by the person of skill in the art, the recitation of “a compound” - unless expressly further limited - is intended to include salts of that compound. In a particular embodiment, the term “compound of formula” refers to the compound or a pharmaceutically acceptable salt thereof. [0065] The term "pharmaceutically acceptable salt" refers to salts prepared from pharmaceutically acceptable non-toxic acids or bases including inorganic acids and bases and organic acids and bases. When the compounds of the present disclosure are basic, salts may be prepared from pharmaceutically acceptable non-toxic acids including inorganic and organic acids. Suitable pharmaceutically acceptable acid addition salts for the compounds of the present disclosure include acetic, adipic, alginic, ascorbic, aspartic, benzenesulfonic (besylate), benzoic, boric, butyric, camphoric, camphorsulfonic, carbonic, citric, ethanedisulfonic, ethanesulfonic, ethylenediaminetetraacetic, formic, fumaric, glucoheptonic, gluconic, glutamic, hydrobromic, hydrochloric, hydroiodic, hydroxynaphthoic, isethionic, lactic, lactobionic, laurylsulfonic, maleic, malic, mandelic, methanesulfonic, mucic, naphthylenesulfonic, nitric, oleic, pamoic, pantothenic, phosphoric, pivalic, polygalacturonic, salicylic, stearic, succinic, sulfuric, tannic, tartaric acid, teoclatic, p-toluenesulfonic, and the like. When the compounds contain an acidic side chain, suitable pharmaceutically acceptable base addition salts for the compounds of the present disclosure include, but are not limited to, metallic salts made from aluminum, calcium, lithium, magnesium, potassium, sodium and zinc or organic salts made from lysine, arginine, N,N'-dibenzylethylenediamine, chloroprocaine, choline, diethanolamine, ethylenediamine, meglumine (N-methylglucamine) and procaine. Further pharmaceutically acceptable salts include, when appropriate, nontoxic ammonium cations and carboxylate, sulfonate and phosphonate anions attached to alkyl having from 1 to 20 carbon atoms. [0066] Also provided herein is a pharmaceutical composition comprising a compound disclosed above, or a pharmaceutically acceptable salt thereof, together with one or more pharmaceutically carriers thereof and optionally one or more other therapeutic ingredients. The
carrier(s) must be "acceptable" in the sense of being compatible with the other ingredients of the formulation and not deleterious to the recipient thereof. [0067] The formulations include those suitable for oral, parenteral (including subcutaneous, intradermal, intramuscular, intravenous and intraarticular), rectal and topical (including dermal, buccal, sublingual and intraocular) administration. The most suitable route may depend upon the condition and disorder of the recipient. The formulations may conveniently be presented in unit dosage form and may be prepared by any of the methods well known in the art of pharmacy. All methods include the step of bringing into association a compound of formula I or a pharmaceutically acceptable salt thereof ("active ingredient") with the carrier which constitutes one or more accessory ingredients. In general, the formulations are prepared by uniformly and intimately bringing into association the active ingredient with liquid carriers or finely divided solid carriers or both and then, if necessary, shaping the product into the desired formulation. [0068] Formulations of the present disclosure suitable for oral administration may be presented as discrete units such as capsules, cachets or tablets each containing a predetermined amount of the active ingredient; as a powder or granules; as a solution or a suspension in an aqueous liquid or a non-aqueous liquid; or as an oil-in-water liquid emulsion or a water-in-oil liquid emulsion. The active ingredient may also be presented as a bolus, electuary or paste. [0069] A tablet may be made by compression or molding, optionally with one or more accessory ingredients. Compressed tablets may be prepared by compressing in a suitable machine the active ingredient in a free-flowing form such as a powder or granules, optionally mixed with a binder, lubricant, inert diluent, lubricating, surface active or dispersing agent. Molded tablets may be made by molding in a suitable machine a mixture of the powdered compound moistened with an inert liquid diluent. The tablets may optionally be coated or scored and may be formulated so as to provide sustained, delayed or controlled release of the active ingredient therein. [0070] Formulations for parenteral administration include aqueous and non-aqueous sterile injection solutions which may contain anti-oxidants, buffers, bacteriostats and solutes which render the formulation isotonic with the blood of the intended recipient. Formulations for parenteral administration also include aqueous and non-aqueous sterile suspensions, which may include suspending agents and thickening agents. The formulations may be presented in unit- dose of multi-dose containers, for example sealed ampoules and vials, and may be stored in a
freeze-dried (lyophilized) condition requiring only the addition of a sterile liquid carrier, for example saline, phosphate-buffered saline (PBS) or the like, immediately prior to use. Extemporaneous injection solutions and suspensions may be prepared from sterile powders, granules and tablets of the kind previously described. [0071] Unless otherwise stated or depicted, structures depicted herein are also meant to include all stereoisomeric (e.g., enantiomeric, diastereomeric, and cis-trans isomeric) forms of the structure; for example, the R and S configurations for each asymmetric center, (Z) and (E) double bond isomers, and (Z) and (E) conformational isomers. Therefore, single stereochemical isomers as well as enantiomeric, diastereomeric, and cis-trans isomeric (or conformational) mixtures of the present compounds are within the scope of the disclsoure. Unless otherwise stated, all tautomeric forms of the compounds of the disclosure are within the scope of the disclosure. [0072] Additionally, unless otherwise stated, structures depicted herein are also meant to include compounds that differ only in the presence of one or more isotopically enriched atoms. Radioisotopes of hydrogen, carbon, phosphorous, fluorine, and chlorine include 2H, 3H, 13C, 14C, 15N, 35S, 18F, and 36Cl, respectively. Compounds that contain those radioisotopes and/or other radioisotopes of other atoms are within the scope of this disclosure. Such compounds are useful, for example, as analytical tools or probes in biological assays. Radiolabeled compounds of the present disclosure can generally be prepared by methods well known to those skilled in the art. Conveniently, such radiolabeled compounds can be prepared by carrying out the procedures disclosed in the Examples and Schemes by substituting a readily available radiolabeled reagent for a non-radiolabeled reagent. [0073] For the purpose of the present disclosure, a “pure” or “substantially pure” enantiomer is intended to mean that the enantiomer is at least 95% of the configuration shown and 5% or less of other enantiomers. Similarly, a “pure” or “substantially pure” diastereomer is intended to mean that the diastereomer is at least 95% of the relative configuration shown and 5% or less of other diastereomers. EXPERIMENTAL SECTION [0074] Unless otherwise noted, when ethyl acetate, hexanes, dichloromethane, 2-propanol, and methanol are used in the experiments below, they are Fisher Optima grade solvents.
[0075] Unless otherwise noted, when diethyl ether is used in the experiments described below, it is Fisher ACS certified material and is stabilized with BHT. [0076] Unless otherwise noted, “concentrated to dryness” or “removal of the solvent” means evaporating the solvent from a solution or mixture using a rotary evaporator. [0077] Unless otherwise noted, flash chromatography is carried out on an Isco, Analogix, or Biotage automated chromatography system using a commercially available cartridge as the column. Columns are usually filled with silica gel as the stationary phase. [0078] Unless otherwise noted, preparative HPLC (or prep-HPLC) is carried out with commercial columns in a reverse phase manner (the stationary phase is hydrophobic). Typical solvent mixtures include A (water) and B (organic i.e., acetonitrile, methanol, etc.). Additives can also be used in the solvent mixture such as HCl, NH4HCO3, and formic acid. [0079] Abbreviations used in the experimental section may include the following: ACN = Acetonitrile 1H = proton AcOH = Acetic acid Aq = aqueous BINAP = ([1,1′-Binaphthalene]-2,2′-diyl)bis(diphenylphosphane) Bn = Benzyl Boc = tert-butoxycarbonyl Boc2O = BOC anhydride BOP = benzotriazol-1-yloxytris (dimethylamino)phosphonium hexafluorophosphate C (or °C) = Degrees Celsius Cbz = Benzyloxycarbonyl CMPI = 2-Chloro-1-methylpyridinium iodide DAST = diethyl(trifluorosulfido)amine dba = Dibenzylideneacetone DBU = 1,8-diazabicyclo[5.4.0]undec-7-ene DCM = Dichloromethane DIPEA, DIEA = Disopropylethylamine DME = 1,2-Dimethoxyethane DMEDA = N,N′-Dimethylethane-1,2-diamine
DMF = N,N-Dimethylmethanamide DMSO = Dimethyl sulfoxide DPPA = Diphenoxyphosphoryl azide dppf = 1,1’-(bis-diphenylphosphino) ferrocene Eq = Equivalents EtOAc = Ethyl acetate EtOH = Ethanol g = grams H, hr = hours HATU = 1-[Bis(dimethylamino)methylene]-1H-1,2,3-triazolo[4,5-b]pyridinium 3- oxide hexafluorophosphate HBTU = N,N,N′,N′-Tetramethyl-O-(1H-benzotriazol-1-yl)uronium hexafluorophosphate, O-(Benzotriazol-1-yl)-N,N,N′,N′-tetramethyluronium hexafluorophosphate HOBt = 1-hydroxybenzatriazole HPLC = High pressure liquid chromatography IPAm = iso-propylamine IPA = iso-propanol LAH = Lithium aluminum hydride LDA = Lithium diisopropylamide LiHMDS = lithium hexamethyldisilazide M = Molar mCPBA = meta-Chloroperoxy benzoic acid Me = Methyl MeCN = Acetonitrile MeI = Methyl iodide MeOH = Methanol mg = Milligrams MHz = Megahertz min = Minutes mL (or ml) = Milliliter mmol = millimolar MS = Mass spectroscopy MsCl = Methanesulfonyl chloride
MW = microwave N = Normal NBS = N-bromosuccinimide NCS = N-Chlorosuccinimide NMP = 1-methyl-2-pyrrolidone NMR = Nuclear Magnetic Resonance pin = pinacol PTLC = Preparative thin layer chromatography RT or rt = Room temperature Sat, sat. or sat’d = saturated SEM = 2-(Trimethylsilyl)ethoxy-methyl SEMCl = 2-Chloromethoxyethyl) trimethylsilane SFC = Supercritical fluid chromatography SiO2 = Silica gel T3p = 1-Propanephosphonic anhydride solution, 2,4,6-Tripropyl-1,3,5,2,4,6- trioxatriphosphorinane-2,4,6-trioxide solution, PPACA, T3P® TBAF = Tetrabutylammonium fluoride tBoc = tert-butoxycarbonyl TBS = tert-butyldimethyl silyl t-Bu = tert-butyl TEA = Triethyl amine TFA = Trifluoroacetic acid THF = tetrahydrofuran TLC = Thin layer chromatography Tol. = toluene TsCl = para-Toluenesulfonyl chloride TsOH = para-toluene sulfonic acid Xantphos = (9,9-Dimethyl-9H-xanthene-4,5-diyl)bis(diphenylphosphane) Zhan catalyst = Dichloro(1,3-bis(2,4,6-trimethylphenyl)-2-imidazolidinylidene)((5- ((dimethylamino)sulfonyl)-2-(1-methylethoxy-O)phenyl)methylene-C)ruthenium(II) General Synthetic Scheme
[0080] Generally, compounds of the present invention can be made according to a procedure including but not limited to the following steps: [0081] An acylated indoline of type Generic-1 can be sulfonylated with ClSO3H to give the sulfonylchloride intermediate Generic-2, which can be treated with an appropriately substituted amine to give the sulfonamide Generic-3. Hydrolysis under acidic conditions can remove the acyl protecting group and the resulting indoline Generic-4 oxidized to the indole Generic-5. Acylation with methyl 2-bromopropane carboxylate or methyl 2-bromobutane carboxylate can give intermediate Generic-6 and hydrolysis of the ester to the acid can give intermediate Generic-7. [0082] General Scheme A
[0083] The acid Generic-7 can be coupled with an appropriately substituted amine partner Generic-11 under a variety of coupling conditions to give Generic-9. Similarly, the acid can be transformed to the intermediate acid chloride Generic-8 and then coupled with the amine partner. If Generic-9 contains a protecting group, it can be removed by acidic or basic reaction methods well known to those skilled in the art to give the product Generic -10.
[0084] Generic Scheme A continued: [0085]
[0086] Compounds included in the genus may also be prepared by the Scheme outlined in General Scheme B. An appropriately substituted amine Generic-11 can be acylated with 2- bromopropanoyl chloride to give intermediate Generic-12, which can then be reacted with the appropriate intermediate Generic-5 to give intermediate Generic -9 and taken on to product Generic-10.
[0087 starting with an appropriate indole Generic-13 and acylating with methyl 2-bromopropionic acid or other suitable similar reagent to give intermediate Generic-14 that can be taken through the remaining steps as described in General Scheme A to produce the product Generic-15. [0088] General Scheme C
[0089] General procedure for preparation of (racemic) 2-[5-(1-piperidylsulfonyl)indol-1- yl]propanoic acid -Intermediate 1
[0090] Step 1: General proce etylindoline-5-sulfonyl chloride
[0091] A starting material of sulfurochloridic acid (26.25 g, 225.28 mmol, 15 mL, 7.26 eq) was cooled to 0 oC, then 1-indolin-1-ylethanone (5 g, 31.02 mmol, 1 eq) was added in portions. The reaction was stirred at 70 °C for 2 h. LC-MS showed reactant was consumed completely and desired mass was detected. The mixture was cooled to 20 °C poured into ice water slowly, and a precipitate was formed. The precipitate was filtered and washed with water. Compound 1- acetylindoline-5-sulfonyl chloride (6.8 g, 26.18 mmol, 84.41% yield) was obtained as a off-white solid. LCMS m/z: 260.1 [M+H]+. [0092] 1H NMR (400MHz, DMSO-d6) δ = 7.95 (d, J=8.3 Hz, 1H), 7.46 - 7.42 (m, 1H), 7.40 (br d, J=8.8 Hz, 1H), 4.09 (br t, J=8.5 Hz, 2H), 3.12 (br t, J=8.4 Hz, 2H), 2.15 (s, 3H). [0093] Step 2: General procedure for preparation of 1-[5-(1-piperidylsulfonyl)indolin-1- yl]ethanone [0094] To
1 eq) in DCM (60 mL) was added piperidine (3.93 g, 46.21 mmol, 4.56 mL, 2 eq) and Et3N (4.68 g, 46.21 mmol, 6.43 mL, 2 eq), then the mixture was stirred at 20 oC for 2 h. LC-MS showed reactant was
consumed completely and one main peak with desired mass was detected. The reaction mixture was added H2O (30 mL), the H2O phase was then extracted with DCM (50 mL *2). The combined organic layers were washed with brine (10 mL * 1), dried over Na2SO4, filtered and concentrated under reduced pressure to give a residue.Compound 1-[5-(1- piperidylsulfonyl)indolin-1-yl]ethanone (6 g, 19.46 mmol, 84.21% yield) was obtained as a pale yellow solid. LCMS m/z :309.0 [M+H]+. [0095] 1H NMR (400MHz, CHLOROFORM-d) δ = 8.31 (br d, J=8.4 Hz, 1H), 7.58 (br d, J=8.5 Hz, 1H), 7.53 (s, 1H), 4.22 - 4.08 (m, 2H), 3.32 - 3.20 (m, 2H), 3.03 - 2.90 (m, 4H), 1.63 (quin, J=5.6 Hz, 4H), 1.41 (quin, J=5.7 Hz, 2H). [0096] Step 3: General procedure for preparation of 5-(1-piperidylsulfonyl) [0097]
19.46 mmol, 1 eq) in MeOH (60 mL) was added HCl (9.59 g, 97.28 mmol, 9.40 mL, 37% purity, 5 eq), then the mixture was stirred at 75 oC for 1 h. TLC (Dichloromethane : Methanol= 10:1, Rf = 0.76) showed the reaction was complete. The mixture was basified by NaHCO3 to pH=~9 at 0 oC. Then the mixture was filtered and the filter cake was dried over in vacuo to afford the desired product. Compound 5-(1-piperidylsulfonyl)indoline (4.8 g, 18.02 mmol, 92.63% yield) was obtained as a pale yellow solid. [0098] 1H NMR (400MHz, CHLOROFORM-d) δ = 7.42 - 7.40 (m, 1H), 7.43 (s, 1H), 6.63 - 6.57 (m, 1H), 4.64 - 4.00 (m, 1H), 3.69 (t, J=8.6 Hz, 2H), 3.09 (t, J=8.6 Hz, 2H), 3.01 - 2.89 (m, 4H), 1.64 (quin, J=5.7 Hz, 4H), 1.48 - 1.35 (m, 2H). [0099] Step 4: General procedure for preparation of 5-(1-piperidylsulfonyl)-1H-indole
[0100] To a solution of 5-(1-piperidylsulfonyl)indoline (4.8 g, 18.02 mmol, 1 eq) in THF (50 mL), the DDQ (4.50 g, 19.82 mmol, 1.1 eq) in THF (25 mL) dropwise to the mixture at 0 oC, then the mixture was stirred at 20 oC for 1 h. LC-MS showed reactant was consumed completely and one main peak with desired mass was detected. The reaction mixture was quenched by 4 M NaOH solution to adjust pH > 7, the H2O phase was then extracted with Ethyl acetate (150 mL *3). The combined organic layers were washed with brine (100 mL * 3), dried over Na2SO4, filtered and concentrated under reduced pressure to give a residue. Compound 5-(1- piperidylsulfonyl)-1H-indole (4.3 g, 16.27 mmol, 90.27% yield) was obtained as a brown solid. LCMS m/z: 264.9 [M+H]+. [0101] 1H NMR (400MHz, CHLOROFORM-d) δ = 8.72 (br s, 1H), 8.11 (s, 1H), 7.60 - 7.55 (m, 1H), 7.53 - 7.48 (m, 1H), 7.37 (t, J=2.8 Hz, 1H), 6.68 (t, J=2.1 Hz, 1H), 3.06 - 2.93 (m, 4H), 1.64 (td, J=5.7, 11.2 Hz, 4H), 1.37 (quin, J=5.9 Hz, 2H). [0102] Step 5: General procedure for preparation of methyl 2-[5-(1-piperidylsulfonyl)indol- 1-yl]propanoate
[0103] To a solution of 5-(1-piperidylsulfonyl)-1H-indole (4.2 g, 15.89 mmol, 1 eq) in DMF (40 mL) was added Cs2CO3 (10.35 g, 31.78 mmol, 2 eq) at 0 oC, then the mixture was stirred at 20 oC for 0.5 h, then was added methyl 2-bromopropanoate (3.98 g, 23.83 mmol, 2.65 mL, 1.5 eq) and the mixture was stirred at 20 oC for 2 h. LC-MS showed reactant was consumed completely and one main peak with desired m/z or desired mass was detected. The reaction mixture was quenched by H2O (2 mL) at 0 oC, the H2O phase was then extracted with Ethyl acetate (5 mL *2). The combined organic layers were dried over Na2SO4, filtered and concentrated under reduced pressure to give a residue. The crude product methyl 2-[5-(1- piperidylsulfonyl)indol-1-yl]propanoate (7 g, crude) was used into the next step without further purification as a brown oil. LCMS m/z: 351.2 [M+H]+. [0104] Step 6: General procedure for preparation of 2-[5-(1-piperidylsulfonyl)indol-1- yl]propanoic acid- Intermediate 1
[0105] To a noate (7 g, 19.98 mmol, 1 eq ) in EtOH (60 mL) was added NaOH (4 M, 14.98 mL, 3 eq) at 0 oC, then the mixture was stirred at 20 oC for 0.5 h. TLC (Petroleum ether : Ethyl acetate = 0:1, Rf = 0.52 ) showed the reaction was complete. The reaction mixture was added H2O (50 mL), the H2O phase was then extracted with Ethyl acetate (100 mL *3). The combined organic layers were washed with brine (50 mL * 3), dried over Na2SO4, filtered and concentrated under reduced pressure to give a residue. Compound 2-[5-(1-piperidylsulfonyl)indol-1-yl]propanoic acid (5 g, 13.38 mmol, 66.97% yield, 90% purity) was obtained as a brown oil. LCMS m/z: 337.2 [M+H]+. [0106] 1H NMR (400MHz, CHLOROFORM-d) δ = 8.08 (s, 1H), 7.59 (d, J=8.6 Hz, 1H), 7.43 - 7.38 (m, 2H), 6.71 (d, J=3.3 Hz, 1H), 5.29 - 5.16 (m, 1H), 3.03 - 2.97 (m, 4H), 1.90 (d, J=7.3 Hz, 3H), 1.64 (quin, J=5.5 Hz, 4H), 1.38 (quin, J=5.7 Hz, 2H). [0107] Preparation of (racemic)-2-[3-methyl-5-(1-piperidylsulfonyl)indol-1-yl]propanoic acid Intermediate 2 O
[0108] Chlorosulfonic acid (14.0g, 120 mmol, 7.98 mL, 3 eq) was placed in a vial and cooled to 0 °C. 1-(3-Methylindolin-1-yl)ethanone (7.00 g, 40 mmol, 1 eq) was combined with the acid in small portions assuring a good mixing between additions. The bath was removed, and the reaction mixture was heated at 40 ºC for 1 h. At this time, PCl5 (8.32 g, 40 mmol, 1 eq) was added in one portion. After the resulting exothermic reaction subsided, the mixture was heated at 80 ºC for 1 h. The reaction was carefully poured into ice (100 mL), and the resulting mixture extracted with ethyl acetate (80 mL x 3). The combined organic phase was washed with brine (60 mL x 2), dried with anhydrous Na2SO4, and filtered. The filtrate was concentrated under vacuum to furnish 1-acetyl-3-methyl-indoline-5-sulfonyl chloride as a brown oil. The material was used directly in the next step without further purification.
NH O [0109]
1 eq) and TEA (8.32 g, 82.2 mmol, 11.4 mL, 2.5 eq) in DCM (80 mL) was added piperidine (2.80 g, 32.9 mmol, 3.25 mL, 1 eq). The reaction was degassed and purged with N2 (3X). The mixture was stirred at 25 °C for 3 h under a N2 atmosphere. The reaction mixture was concentrated under reduced pressure to remove solvent. The residue was purified by flash silica gel chromatography (ISCO®; 12 g SepaFlash® Silica Flash Column, gradient elution of 0~100% ethyl acetate/petroleum ether at 40 mL/min) to furnish 1-[3-methyl-5-(1- piperidylsulfonyl)indolin-1-yl]ethanone as a yellow solid. [0110] 1H NMR: (400MHz, chloroform-d) δ 8.31 (br d, J=8.38 Hz, 1 H), 7.61 (dd, J=8.50, 1.50 Hz, 1 H), 7.54 (s, 1 H), 4.31 (br t, J=9.82 Hz, 1 H), 3.68 (dd, J=10.01, 6.88 Hz, 1 H), 3.62- 3.52 (m, 1 H), 2.97 (br t, J=5.32 Hz, 4 H), 2.27 (s, 3 H), 1.65 (dt, J=11.01, 5.75 Hz, 4 H), 1.46- 1.39 (m, 5 H). , 3 h 3
a (8.40 g, 26.1 mmol, 1 eq) in aq. HCl (6 N, 60 mL) was stirred at 100 °C for 3 h. The pH of the mixture was adjusted to 8 by careful addition of aq. NaOH (5 N). The mixture was extracted with ethyl acetate (100 mL x 2). The combined organic phase was washed with brine (50 mL), dried with anhydrous Na2SO4, and filtered. The filtrate was concentrated to furnish 3-methyl-5-(1- piperidylsulfonyl)indoline as a yellow solid. The material was used in the next step without further purification.
DDQ NH [0112]
1 eq) and DDQ (4.86 g, 21.4 mmol, 1 eq) in DCE (100 mL) was degassed and purged with N2 (3X). The mixture was stirred at 80 °C for 2 h under a N2 atmosphere. The reaction mixture was filtered, and the filtrate was concentrated under reduced pressure to give a residue. The residue was purified by flash silica gel chromatography (ISCO®; 80 g SepaFlash® Silica Flash Column, gradient elution of 0~25% ethyl acetate/petroleum ether at 120 mL/min) to furnish 3-methyl-5- (1-piperidylsulfonyl)-1H-indole as a light, purple solid. O O [0113]
mmol, 1 eq) in DMF (50 mL) was added NaH (638 mg, 16.0 mmol, 60 wt% dispersion in oil) at 0 °C. After 30 min, methyl 2-bromopropanoate (2.66 g, 16.0 mmol, 1.78 mL, 1.2 eq) was added to the reaction. The mixture was stirred at 25 °C for 2 h. The reaction mixture was quenched with H2O (100 mL), and the mixture was extracted with EtOAc (80 mL x 3). The combined organic layers were washed with brine (50 mL x 2), dried over Na2SO4, and filtered. The filtrate was concentrated under reduced pressure. The residue was purified by flash silica gel chromatography (ISCO®; 40 g SepaFlash® Silica Flash Column, gradient elution of 0~25% ethyl acetate/petroleum ether at 80 mL/min) to furnish methyl 2-[3-methyl-5-(1- piperidylsulfonyl)indol-1-yl]propanoate as a colorless oil.
O OH NaOH O
(3.60 g, 9.88 mmol, 1 eq) in MeOH (30 mL) and H2O (6 mL) was added NaOH (474 mg, 11.9 mmol, 1.2 eq). The mixture was stirred at 25 °C for 1 h. The reaction mixture was concentrated under reduced pressure to remove the solvent. The residue was diluted with H2O (50 mL), and the pH was adjusted to 3 by careful addition of aq. HCl (2 M). The mixture was extracted with EtOAc (40 mL x 3). The combined organic layers were washed with brine (20 mL x 2), dried over Na2SO4, and filtered. The filtrate was concentrated under reduced pressure to furnish (racemic)- 2-[3-methyl-5-(1-piperidylsulfonyl)indol-1-yl]propanoic acid as a light orange solid. 1H NMR: (400MHz, DMSO-d6) δ 13.29-12.84 (m, 1 H), 7.87 (d, J = 1.25 Hz, 1 H), 7.62 (d, J = 8.76 Hz, 1 H), 7.42-7.48 (m, 2 H), 5.41 (q, J= 7.25 Hz, 1 H), 2.85 (br t, J = 5.00 Hz, 4 H), 2.31 (s, 3 H), 1.72 (d, J = 7.25 Hz, 3 H), 1.53 (br s, 4 H), 1.32 (br d, J = 3.75 Hz, 2 H). [0115] EXAMPLE A-1 [0116] N-[[4-(2-aminoethylamino)phenyl]methyl]-2-[5-(1-piperidylsulfonyl)indol-1- yl]propanamide 1 [0117] Step 1:
cyanoanilino)ethyl]carbamate
[0118] To a solution of 4-fluorobenzonitrile (1 g, 8.26 mmol, 1 eq) in DMSO (10 mL) was added tert-butyl N-(2-aminoethyl)carbamate (1.46 g, 9.08 mmol, 1.43 mL, 1.1 eq) and TEA (2.51 g, 24.77 mmol, 3.45 mL, 3 eq). The mixture was stirred at 120°C for 12 h. TLC (Petroleum ether : Ethyl acetate = 3:1) showed reactant was consumed completely and a major spot was detected.15 mL of water was added to the reaction, the reaction mixture was extracted with Ethyl acetate (15 mL*3). The combined organic layers were washed with brine (15 mL) and dried over Na2SO4. The combined organic layer was concentrated to dryness to give the crude. The crude was purified by flash column (ISCO 20 g silica, 0-50 % ethyl acetate in petroleum ether, gradient over 15 min). tert-butyl N-[2-(4-cyanoanilino)ethyl]carbamate (1.8 g, 6.89 mmol, 83.42% yield) was obtained as white solid.1H NMR (400 MHz, CHLOROFORM-d) δ = 7.51 - 7.36 (d, J = 8.4 Hz, 2H), 6.65 - 6.46 (d, J = 8.4 Hz, 2H), 4.84 (s, 1H), 3.47 - 3.35 (m, 2H), 3.32 - 3.16 (m, 2H), 1.45 (s, 9H). [0119] Step 2: General procedure for preparation of tert-butyl N-[2-[4- (aminomethyl)anilino]ethyl]carbamate [0120]
mmol, 1 eq) and Raney-Ni (100 mg, 1.17 mmol, 3.81e-1 eq) in a 7M solution of NH3 in MeOH (10 mL) was hydrogenated at 25°C under 15psi of for 24 h. LCMS showed the starting material was consumed completely and new peak was detected. The reaction mixture was filtered through a pad of Celite and washed with a mixture of MeOH(5mL). The filtrate was evaporated in vacuo to afford the product. tert-butyl N-[2-[4-(aminomethyl)anilino]ethyl]carbamate (660 mg, 2.49 mmol, 81.25% yield) was obtained as green oil. LCMS m/z 249.1 [M+H-17]+.1H NMR (400 MHz, CHLOROFORM-d) δ = 7.15 - 7.07 (m, 2H), 6.63 - 6.56 (m, 2H), 4.90 (br s, 1H), 3.75 (br s, 2H), 3.26 - 3.25 (m, 4H), 1.45 (br s, 9H). [0121] Step 3: General procedure for preparation of tert-butyl N-[2-[4-[[2-[5-(1- piperidylsulfonyl)indol-1-yl]propanoylamino]methyl]anilino]ethyl]carbamate
[ mg, 392.38 umol, 1.1 eq) and 2-[5-(1-piperidylsulfonyl)indol-1-yl]propanoic acid (120 mg, 356.71 umol, 1 eq) in DCM (2 mL) was added HBTU (162.34 mg, 428.06 umol, 1.2 eq) and DIEA (138.31 mg, 1.07 mmol, 186.40 uL, 3 eq). The mixture was stirred at 25°C for 2 h. LCMS showed 6% of the starting material remained and 45 % of desired ms was detected. The reaction mixture was concentrated to dryness to give the crude product. Crude tert-butyl N-[2-[4-[[2-[5- (1-piperidylsulfonyl)indol-1-yl]propanoylamino]methyl]anilino]ethyl]carbamate (200 mg, 205.57 umol, 57.63% yield, 60% purity) was obtained as brown oil. MS (M + H)+ = 584.3 [0123] Step 4: General procedure for preparation of N-[[4-(2- aminoethylamino)phenyl]methyl]-2-[5-(1-piperidylsulfonyl)indol-1-yl]propanamide (A-1)
yl]propanoylamino]methyl]anilino]ethyl]carbamate (150 mg, 256.96 umol, 1 eq) in HCl/EtOAc (4 M, 2 mL, 31.13 eq) was stirred at 20°C for 2h. LCMS showed the starting material was consumed and desired ms was detected. The reaction mixture was concentrated to dryness to give the crude. The crude was purified by prep-HPLC (Phenomenex luna C1880*40mm*3 um column; 23-43 % acetonitrile in an a 0.05% hydrochloricacid solution in water, 7 min gradient). [0125] EXAMPLE A-1 N-[[4-(2-aminoethylamino)phenyl]methyl]-2-[5-(1- piperidylsulfonyl)indol-1-yl]propanamide (21.55 mg, 44.56 umol, 17.34% yield, 100% purity) was obtained as pale yellow solid.1H NMR (400 MHz, METHANOL-d4) δ = 8.04 (s 1H), 7.66 - 7.60 (m, 2H), 7.52 - 7.47 (m, 1H), 7.37 - 7.25 (m, 4H), 6.72 – 6.71 (d, J = 3.3 Hz, 1H), 5.37 – 5.35 (q, J = 7.0 Hz, 1H), 4.45 - 4.29 (m, 2H), 3.67 – 3.64 (t, J = 6.6 Hz, 2H), 3.39 - 3.34 (m, 2H),
3.03 - 2.85 (m, 4H), 1.81 (d, J = 7.0 Hz, 3H), 1.60 (br s, 4H), 1.40 - 1.34 (m, 2H). MS (M + H)+ = 484.1. [0126] EXAMPLE A-2 [0127] N-(5-amino-2-methyl-phenyl)-2-[5-(1-piperidylsulfonyl)indol-1-yl]propanamide A-2 [0128] Step 1:
N-[4-methyl-3-[2-[5-(1- piperidylsulfonyl)indol-1-yl]propanoylamino]phenyl]carbamate
umol, 1.2 eq) and 2-[5-(1-piperidylsulfonyl)indol-1-yl]propanoic acid (200 mg, 595 umol, 1 eq) in DMF (2 mL) was added T3P (2,4,6-Tripropyl-1,3,5,2,4,6-trioxatriphosphorinane-2,4,6- trioxide)(567 mg, 892 umol, 53 uL, 50% purity, 1.5 eq) and TEA (180 mg, 1.78 mmol, 248 uL, 3 eq), the mixture was stirred at 25°C for 2 h. LCMS showed the starting material was consumed and 35% of peak with desired MS was detected. The mixture was poured into ice-water (5 mL), the aqueous phase was extracted with Ethyl acetate (5 mL*3). The combined organic phase was washed with brine (10 ml), dried with anhydrous Na2SO4, filtered and concentrated to afford crude product. which was used into the next step without further purification. tert-butyl N-[4- methyl-3-[2-[5-(1-piperidylsulfonyl)indol-1-yl]propanoylamino]phenyl]carbamate (200 mg, 370 umol, 62.22% yield) was obtained as a brown oil. [0130] Step 2: General procedure for preparation of N-(5-amino-2-methyl-phenyl)-2-[5-(1- piperidylsulfonyl)indol-1-yl]propanamide EXAMPLE A-2
[ yl]propanoylamino]phenyl]carbamate (250 mg, 462 umol, 1 eq) in EtOAc (2 mL) was added HCl/EtOAc (4 M, 2 mL, 8.16 eq). The mixture was stirred at 20°C for 1 h .The reaction was monitored by LCMS, LCMS showed the starting material was consumed completely, and approximate 68% desired ms was detected. ms was detected. The reaction mixture was filtered and the filter cake was concentrated under reduced pressure to give a residue. The residue was purified by preparative HPLC(column: Phenomenex C1880*40mm*3um;mobile phase: [water( NH4HCO3)-ACN];B%: 40%-70%,8min) to give desired compound EXAMPLE A-2 N-(5- amino-2-methyl-phenyl)-2-[5-(1-piperidylsulfonyl)indol-1-yl]propanamide (28 mg, 60 umol, 6.08%) as a pale yellow solid.1H NMR (400 MHz, CD3OD, 299 K) δ (ppm) = 8.08 (d, J = 1.0 Hz, 1H), 7.75 - 7.68 (m, 2H), 7.63 - 7.56 (m, 1H), 6.92 (d, J = 8.0 Hz, 1H), 6.76 (dd, J = 2.7, 7.6 Hz, 2H), 6.55 (dd, J = 2.2, 8.1 Hz, 1H), 5.48 (q, J = 7.1 Hz, 1H), 4.65 - 4.55 (m, 1H), 3.02 - 2.91 (m, 4H), 1.95 - 1.88 (m, 6H), 1.67 - 1.60 (m, 4H), 1.41 (quin, J = 5.8 Hz, 2H). LCMS m/z 441.2 [M+H]+ . [0132] EXAMPLE A-3 [0133] N-(5-methoxy-2-methyl-phenyl)-2-[5-(1-piperidylsulfonyl)indol-1-yl]propanamide 3 [0134] General
phenyl)-2-[5-(1- piperidylsulfonyl)indol-1-yl]propanamide
[01 97 umol, 1 eq) in DMF (2 mL) was added 5-methoxy-2-methyl-aniline (40 mg, 297 umol, 1 eq), HATU (113 mg, 297 umol, 1 eq) and DIEA (115 mg, 891 umol, 155 uL, 3 eq). The mixture was stirred at 25°C for 2 h. The reaction was monitored by LCMS, LCMS showed the starting material was consumed completely, and approximate 59% desired ms was detected. ms was detected.5mL of water was added to the mixture, the mixture was extracted with DCM (2 mL*2), and the combined extracts were washed with brine (2 mL), dried with anhydrous Na2SO4 and filtered, the filtrate was concentrated under reduced pressure to give a residue. The residue was purified by preparative HPLC (column: Waters Xbridge Prep OBD C18 150*40mm*10um;mobile phase: [water(NH3H2O+NH4HCO3)-ACN];B%: 30%-65%,8min) to give desired compound. EXAMPLE A-3 N-(5-methoxy-2-methyl-phenyl)-2-[5-(1- piperidylsulfonyl)indol-1-yl]propanamide (41.6 mg, 88 umol, 30 %) was obtained as a white solid.1H NMR (400 MHz, CD3OD) δ = 8.07 (s, 1H),7.67 (s, 1H), 7.58 - 7.57 (m, 2H), 7.61 - 7.55 (m, 1H), 7.07 (d, J = 8.8 Hz, 1H), 6.92 (s, 1H), 6.78 - 6.68 (m, 2H), 5.51 - 5.46 (m, 1H), 3.77 - 3.70 (m, 3H), 2.98 - 2.92 (m, 4H), 1.96 (s, 3H), 1.91 (d, J = 7.0 Hz, 3H), 1.66 - 1.58 (m, 4H), 1.43 - 1.34 (m, 2H). LCMS m/z 456.2 [M+H]+. [0136] EXAMPLE A-4 [0137] N-(o-tolyl)-2-[5-(1-piperidylsulfonyl)indol-1-yl]propanamide 4 [0138] General
(1-piperidylsulfonyl)indol-1- yl]propenamide
[0139 297 umol, 1 eq) in DMF (2 mL) was added 2-methylaniline (32 mg, 297 umol, 32 uL, 1 eq), HBTU (169 mg, 446 umol, 1.5 eq) and DIEA (115 mg, 892 umol, 155 uL, 3 eq). the mixture was stirred at 25°C for 2 h. The reaction was monitored by LCMS, LCMS showed the starting material was consumed completely, and approximate 15% desired ms was detected. ms was detected.5mL of water was added to the mixture, the mixture was extracted with DCM (2 mL*2), and the combined extracts were washed with brine (2 mL), dried with anhydrous Na2SO4 and filtered, the filtrate was concentrated under reduced pressure to give a residue. The residue was purified by preparative HPLC (column: Waters Xbridge Prep OBD C18150*40mm*10um;mobile phase: [water(NH3H2O+NH4HCO3)-ACN];B%: 35%-65%,8min) to give desired compound EXAMPLE A-4 N-(o-tolyl)-2-[5-(1-piperidylsulfonyl)indol-1-yl]propanamide (6.37 mg, 100% purity) as a white solid.1H NMR (400 MHz, CD3SOCD3) δ = 9.78 (s, 1H), 8.02 (d, J = 1.5 Hz, 1H), 7.85 - 7.76 (m,
7.53 (dd, J = 1.5, 8.5 Hz, 1H), 7.34 (d, J = 7.5 Hz, 1H), 7.21 (d, J = 7.5 Hz, 1H), 7.18 - 7.08 (m, 2H), 6.75 (d, J = 3.0 Hz, 1H), 5.64 - 5.52 (m, 1H), 2.90 - 2.82 (m, 4H), 2.12 (s, 3H), 1.84 (d, J = 7.0 Hz, 3H), 1.57 - 1.50 (m, 4H), 1.32 (br d, J = 4.0 Hz, 2H). LCMS m/z 426.2. [M+H]+. [0140] EXAMPLE A-5 [0141] N-(5-amino-2-methyl-phenyl)-2-[5-[(3S)-3-aminopyrrolidin-1-yl]sulfonylindol-1- yl]propanamide 5 [0142] Step 1:
-1-(1-acetylindolin-5- yl)sulfonylpyrrolidin-3-yl]carbamate
[0143] To a solution of 1-acetylindoline-5-sulfonyl chloride (800 mg, 3.08 mmol, 1 eq) in DCM (16 mL) was added Et3N (623.41 mg,6.16 mmol, 857.50 uL, 2 eq) and tert-butyl N-[(3S)- pyrrolidin-3-yl]carbamate (573.72 mg, 3.08 mmol, 1 eq). The mixture was stirred at 25 °C for 1 hr. The reaction mixture was cooled to room temperature and diluted by water (10 mL), extracted with DCM (20 mL * 2), The combined organics were dried over Na2SO4, filtered and the reaction mixture was concentrated under reduced pressure to give a residue. Compound tert- butyl N-[(3S)-1-(1-acetylindolin-5-yl)sulfonylpyrrolidin-3-yl]carbamate (1.5 g, crude) was obtained as a white solid. MS (M + H) + = 410.2. [0144] Step 2: General procedure for preparation of tert-butyl N-[(3S)-1-indolin-5- ylsulfonylpyrrolidin-3-yl]carbamate [0145]
3- yl]carbamate (600 mg, 1.47 mmol, 1eq) in MeOH (6 mL) was added NaOH (4 M, 1.83 mL, 5 eq). The mixture was stirred at 70 °C for 2 hr. The reaction mixture was concentrated under reduced pressure to remove EtOH. The residue was added water (3ml), then the residue was filtered and the filter cake concentrated in vacuum. Compound tert-butyl N-[(3S)-1-indolin-5- ylsulfonylpyrrolidin-3-yl]carbamate (530 mg, 98.44% ) was obtained as a pale white solid. MS (M + H) + = 368.2. [0146] Step 3: General procedure for preparation of tert-butyl N-[(3S)-1-(1H-indol-5- ylsulfonyl)pyrrolidin-3-yl]carbamate
[0147] arbamate (470 mg, 1.28 mmol, 1 eq) in THF (18.8 mL), the DDQ (290.35 mg, 1.28 mmol, 1 eq) in THF (5.8 mL) dropwise added to the mixture at 0 °C, then the mixture was stirred at 20 °C for 1 h. The reaction mixture was quenched by 4 M NaOH solution adjust PH > 7, the H2O phase was then extracted with ethyl acetate (15 mL *3). The combined organic layers were washed with brine (10 mL * 3), dried over Na2SO4, filtered and concentrated under reduced pressure to give a residue. Compound tert-butyl N-[(3S)-1-(1H-indol-5-ylsulfonyl)pyrrolidin-3-yl]carbamate (460 mg, 83.65%) was obtained as a brown solid. MS (M + H) + = 366.2. [0148] Step 4: General procedure for preparation of methyl 2-[5-[(3S)-3-(tert- butoxycarbonylamino)pyrrolidin-1-yl]sulfonylindol-1-yl]propanoate
yl]carbamate (220 mg, 602.00 umol, 1 eq) in DMF (2mL) was added Cs2CO3 (294.22 mg, 903.01 umol, 1.5 eq) at 0°C, then the mixture was stirred at 20 °C for 0.5 h, then was added methyl 2-bromopropanoate (150.80 mg, 903.01 umol, 100.54 uL, 1.5 eq) and the mixture was stirred at 20 °C for 2 h. The reaction mixture was quenched by addition H2O (2 mL) at 0 °C, the H2O phase was then extracted with Ethyl acetate (5 mL*2). The combined organic layers were dried over Na2SO4, filtered and concentrated under reduced pressure to give a residue. Compound methyl 2-[5-[(3S)-3-(tert-butoxycarbonylamino)pyrrolidin-1-yl]sulfonylindol-1- yl]propanoate (200 mg,73.58%) was obtained as a yellow solid.
[0150] Step 5: General procedure for preparation of 2-[5-[(3S)-3-(tert- butoxycarbonylamino)pyrrolidin-1-yl]sulfonylindol-1-yl]propanoate 1-
yl]sulfonylindol-1-yl]propanoate (200 mg, 442.93umol, 1 eq) in EtOH (2.5 mL) was added NaOH (4 M, 332.20 uL, 3 eq) at 0 °C, then the mixture was stirred at 20 °C for 0.5 h. The reaction mixture was concentrated under reduced pressure to give a residue, The mixture was acidified by adding Saturated citric acid solution dropwise to pH = 6.The reaction mixture diluted by water (5 mL), the H2O phase was then extracted with chloroform: isopropyl alcohol =3:1(10 mL *3), dried over Na2SO4, filtered and the reaction mixture was concentrated under reduced pressure to give a residue. Compound 2-[5-[(3S)-3-(tert- butoxycarbonylamino)pyrrolidin-1-yl]sulfonylindol-1-yl]propanoic acid (150 mg, 342.85 umol,77.40% yield) was obtained as a yellow oil. [0152] Step 6: General procedure for preparation of tert-butyl N-[(3S)-1-[1-[2-[5-(tert- butoxycarbonylamino)-2-methyl-anilino]-1-methyl-2-oxo-ethyl]indol-5-yl]sulfonylpyrrolidin-3- yl]carbamate
yl]sulfonylindol-1-yl]propanoic acid (150 mg, 342.85umol, 1 eq) in DCM (2 mL) was added HATU (156.43 mg, 411.42 umol, 1.2 eq) and DIEA (132.93 mg, 1.03 mmol, 179.15uL, 3 eq). Then was added tert-butyl N-(3-amino-4-methyl-phenyl)carbamate (76.21 mg, 342.85 umol, 1 eq) and the mixture was stirred at 20 °C for 2 h. The reaction mixture was quenched by addition H2O (2 mL), the H2O phase was then extracted with Ethyl acetate (5 mL *3), the combined organic layers were dried over Na2SO4, filtered and concentrated under reduced pressure to give a residue. Compound tert-butyl N-[(3S)-1-[1-[2-[5-(tert-butoxycarbonylamino)-2-methyl-
anilino]-1-methyl-2-oxo-ethyl]indol-5-yl]sulfonylpyrrolidin-3-yl]carbamate (100 mg, 45.45%) was obtained as a yellow oil. MS (M + H) + = 642.3. [0154] Step 7: General procedure for preparation of N-(5-amino-2-methyl-phenyl)-2-[5- [(3S)-3-aminopyrrolidin-1-yl]sulfonylindol-1-yl]propanamide EXAMPLE A-5
anilino]-1-methyl-2-oxo-ethyl]indol-5-yl]sulfonylpyrrolidin-3-yl]carbamate (100 mg, 155.82 umol, 1 eq) in DCM (2 mL) was added TFA (539.00 mg, 4.73 mmol,350.00 uL, 30.34 eq). The mixture was stirred at 20 °C for 2 hr. The reaction mixture was added H2O (5 mL), the H2O phase was then extracted with Ethyl acetate (10 mL *3), dried over Na2SO4, filtered and concentrated under reduced pressure to give a residue. The residue was purified by prep-HPLC (C18-1150*30mm*5um column;1-40 % acetonitrile in an a TFA acid solution inwater, 8 min gradient). EXAMPLE A-5 N-(5-amino-2-methyl-phenyl)-2-[5-[(3S)-3-aminopyrrolidin-1- yl]sulfonylindol-1-yl]propanamide (11.50 mg,99.80%) was obtained as a yellow gum. [0156] 1H NMR (400 MHz, ACETONITRILE-d3) δ = 8.14 (d, J = 1.3 Hz, 1H), 8.10 (br d, J = 5.3 Hz, 1H), 7.71 - 7.57 (m, 3H), 7.11 (s,1H), 7.02 (d, J = 8.3 Hz, 1H), 6.76 (d, J = 3.3 Hz, 1H), 6.68 (td, J = 2.1, 8.1 Hz, 1H), 5.41 (q, J = 7.1 Hz, 1H), 3.74 - 3.63 (m,1H), 3.44 - 3.35 (m, 1H), 3.35 - 3.29 (m, 2H), 3.16 - 3.06 (m, 1H), 2.15 - 2.02 (m, 1H), 1.98 (m, 3H), 1.91 - 1.81 (m, 4H). MS (M + H)+ = 442.2. [0157] EXAMPLE A-6 [0158] N-(5-amino-2-methyl-phenyl)-2-[5-[(3R)-3-aminopyrrolidin-1-yl]sulfonylindol-1- yl]propanamide A-6
[0159] Step 1: General procedure for preparation of tert-butyl tert-butyl N-[(3R)-1-(1- acetylindolin-5-yl)sulfonylpyrrolidin-3-yl]carbamate [0160] in DCM
(15 mL) was added Et3N (779.25 mg, 7.70 mmol, 1.07 mL, 2 eq) and tert-butyl N-[(3R)- pyrrolidin-3-yl]carbamate (717.15 mg, 3.85 mmol, 1 eq). The mixture was stirred at 25°C for 2 hr. LCMS showed the reactant was consumed and desired MS was detected. The reaction mixture was cooled to room temperature and diluted by water (15 mL), extracted with ethyl acetate (20 mL * 2), then were washed with brine (15 mL), dried over Na2SO4, filtered and the reaction mixture was concentrated under reduced pressure to give the product. tert-butyl N- [(3R)-1-(1-acetylindolin-5-yl)sulfonylpyrrolidin-3-yl]carbamate (1.44 g, 3.52 mmol, 91.33% yield) was obtained as a white solid. [0161] Step 2: General procedure for preparation of tert-butyl N-[(3R)-1-indolin-5- ylsulfonylpyrrolidin-3-yl]carbamate
yl]carbamate (500 mg, 1.22 mmol, 1 eq) in MeOH (5 mL) was added NaOH (244.18 mg, 6.11 mmol, 5 eq). The mixture was stirred at 70 °C for 2 h. LCMS showed the starting material was consumed and desired MS was detected. The mixture was collected by filtration, washed with water (5 mL * 3) and dried under reduced pressure to give the product. tert-butyl N-[(3R)-1- indolin-5-ylsulfonylpyrrolidin-3-yl]carbamate (0.4 g, 1.09 mmol, 89.15% yield) was obtained as a white solid.
[0163] Step 3: General procedure for preparation of tert-butyl N-[(3R)-1-(1H-indol-5- ylsulfonyl)pyrrolidin-3-yl]carbamate
(370 mg, 1.01 mmol, 1 eq) in THF (3 mL) was added dropwise DDQ (251.43 mg, 1.11 mmol, 1.1 eq) at 0°C. The resulting mixture was stirred at 0 °C for 1h. LCMS showed the starting material was consumed and desired MS was detected. The reaction mixture was diluted by water (15 mL), extracted with ethyl acetate (20 mL * 2),then washed with brine (15 mL), dried over Na2SO4, filtered and The reaction mixture was concentrated under reduced pressure to give the product. tert-butyl N-[(3R)-1-(1H-indol-5-ylsulfonyl)pyrrolidin-3-yl]carbamate (0.25 g, 684.10 umol, 67.94% yield) was obtained as a pale red solid. [0165] Step 4: General procedure for preparation of methyl 2-[5-[(3R)-3-(tert- butoxycarbonylamino)pyrrolidin-1-yl]sulfonylindol-1-yl]propanoate
yl]carbamate (90 mg, 246.27 umol, 1 eq) in DMF (2 mL) was added Cs2CO3 (240.72 mg, 738.82 umol, 3 eq) and methyl 2-bromopropanoate (41.13 mg, 246.27 umol, 27.42 uL, 1 eq). The mixture was stirred at 25 °C for 2 hr. LCMS showed the starting material was consumed and desired MS was detected. The reaction mixture was diluted by water (3 mL), extracted with ethyl acetate (3 mL * 2). The combined organics were washed with brine (3 mL) dried over Na2SO4, filtered and The reaction mixture was concentrated under reduced pressure to give the product. methyl 2-[5-[(3R)-3-(tert-butoxycarbonylamino)pyrrolidin-1-yl]sulfonylindol-1-yl]propanoate (100 mg, 221.47 umol, 89.93% yield) was obtained as a yellow oil.
[0167] Step 5: General procedure for preparation of 2-[5-[(3R)-3-(tert- butoxycarbonylamino)pyrrolidin-1-yl]sulfonylindol-1-yl]propanoic acid
yl]sulfonylindol-1-yl]propanoate (100 mg, 221.47 umol, 1 eq) in EtOH (2 mL) was added NaOH (4 M, 166.10 uL, 3 eq). The mixture was stirred at 25 °C for 1 hr. LCMS showed the starting material was consumed and desired MS was detected. The reaction mixture was diluted by water (2 mL), extracted with extractant (trichloromethane: isopropanol =3:1) (3 mL * 2).The combined organics were washed with brine (2 mL), dried over Na2SO4, filtered and the reaction mixture was concentrated under reduced pressure to give the product.2-[5-[(3R)-3-(tert- butoxycarbonylamino)pyrrolidin-1-yl]sulfonylindol-1-yl]propanoic acid (70 mg, 160.00 umol, 72.24% yield) was obtained as a yellow oil. [0169] Step 6: General procedure for preparation of tert-butyl N-[(3R)-1-[1-[2-[5-(tert- butoxycarbonylamino)-2-methyl-anilino]-1-methyl-2-oxo-ethyl]indol-5-yl]sulfonylpyrrolidin-3- yl]carbamate
yl]sulfonylindol-1-yl]propanoic acid (70 mg, 160.00 umol, 1 eq) in DCM (1 mL) was added HATU (73.00 mg, 192.00 umol, 1.2 eq) and a solution of tert-butyl N- (3-amino-4-methyl- phenyl)carbamate (35.56 mg, 160.00 umol, 1 eq) in DCM (1 mL) which was basified by DIEA (62.03 mg, 479.99 umol, 83.60 uL, 3 eq) at 0°C.The mixture was stirred at 25 °C for 2 h. LCMS showed the starting material was consumed and desired MS was detected. The reaction mixture was diluted by water (2 mL), extracted with ethyl acetate (3 mL * 2), then washed with brine (3 mL), dried over Na2SO4, filtered and the reaction mixture was concentrated under reduced
pressure to give the product. tert-butyl N-[(3R)-1-[1-[2-[5-(tert-butoxycarbonylamino)-2-methyl- anilino]-1-methyl-2-oxo-ethyl]indol-5-yl]sulfonylpyrrolidin-3-yl]carbamate (40 mg, 62.33 umol, 38.96% yield) was obtained as a yellow oil. [0171] Step 7: General procedure for preparation of N-(5-amino-2-methyl-phenyl)-2-[5- [(3R)-3-aminopyrrolidin-1-yl]sulfonylindol-1-yl]propanamide [0172] EXAMPLE A-6
anilino]-1-methyl-2-oxo-ethyl]indol-5-yl]sulfonylpyrrolidin-3-yl]carbamate (40 mg, 62.33 umol, 1 eq) in DCM (1 mL) was added TFA (7.11 mg, 62.33 umol, 4.61 uL, 1 eq). The mixture was stirred at 25 °C for 1 h. LCMS showed the starting material was consumed and desired MS was detected. The TFA and DCM in the solution were blown away with nitrogen to obtain the mixture,then purified directly by prep-HPLC .The crude was purified by prep-HPLC (Phenomenex luna C18100*40mm*3 um column; 1-40 % acetonitrile in an a 0.225% TFA solution in water, 8 min gradient). EXAMPLE A-6 N-(5-amino-2-methyl-phenyl)-2-[5-[(3R)-3- aminopyrrolidin-1-yl]sulfonylindol-1-yl]propanamide (8.5 mg, 19.25 umol, 30.89% yield) was obtained as a pale yellow solid.1H NMR (400 MHz, METHANOL-d4) δ = 8.18 (d, J = 1.4 Hz, 1H), 7.77 - 7.71 (m, 2H), 7.70 - 7.65 (m, 1H), 7.46 (br s, 1H), 7.30 (br d, J = 8.1 Hz, 1H), 7.07 - 7.01 (m, 1H), 6.79 (d, J = 3.4 Hz, 1H), 5.54 – 5.57 (m, 1H)3.83 - 3.66 (m, 1H), 3.61 - 3.43 (m, 1H), 3.41 - 3.33 (m, 2H), 3.15 (ddt, J = 3.5, 6.1, 9.5 Hz, 1H), 2.14 (s, 4H), 1.98 - 1.82 (m, 4H). MS (M + H)+ =442.1. [0174] EXAMPLE A-7 [0175] N-{2-[(azetidin-3-yl)methyl]-5-methyl-2H-indazol-6-yl}-2-[5-(piperidine-1- sulfonyl)-1H-indol-1-yl]propanamide A-7
[0176] EXAMPLE [0177] N-{1-[(azetidin-3-yl)methyl]-5-methyl-1H-indazol-6-yl}-2-[5-(piperidine-1- sulfonyl)-1H-indol-1-yl]propanamide A-8 [0178] Step 1:
azetidine-1- carboxylate (int-1a) and tert-butyl 3-[(5-methyl-6-nitro-1H-indazol-1-yl)methyl]azetidine-1- carboxylate (int-1b). 1b [0179]
tert-butyl 3-(bromomethyl)azetidine-1-carboxylate and K2CO3 at 25 ^C for 15 hours. Aqueous workup and extraction with organic solvent followed by chromatography gave the two regio-isomeric alkylation products Int-1a 2.8g and Int-1b 1.7g. [0180] Step 2: tert-butyl 3-[(6-amino-5-methyl-2H-indazol-2-yl)methyl]azetidine-1- carboxylate (Int-2a) and tert-butyl 3-[(6-amino-5-methyl-1H-indazol-1-yl)methyl]azetidine-1- carboxylate (Int-2b). 2b [0181]
methyl-6- nitro-1H-indazol-1-yl)methyl]azetidine-1-carboxylate Int-1b (1.7g) was treated with ammonium chloride and iron for 1 hr at 70 ^C. Workup and isolation gave 1.3g of Int-2b.
[0182] In a similar way tert-butyl 3-[(6-amino-5-methyl-2H-indazol-2-yl)methyl]azetidine-1- carboxylate Int-1a was transformed to obtain 0.2 g of Int-2a. [0183] Step 3: tert-butyl 3-[(5-methyl-6-{2-[5-(piperidine-1-sulfonyl)-1H-indol-1- yl]propanamido}-2H-indazol-2-yl)methyl]azetidine-1-carboxylate (Int-3a) and tert-butyl 3-[(5- methyl-6-{2-[5-(piperidine-1-sulfonyl)-1H-indol-1-yl]propanamido}-1H-indazol-1- yl)methyl]azetidine-1-carboxylate (Int-3b). 3b [0184] 2-[5-
and tert-butyl 3-[(6- amino-5-methyl-1H-indazol-1-yl)methyl]azetidine-1-carboxylate (Int 2b (0.25g) was combined in DCM and treated with N-methyl morpholine and 2-methylpropyl carbonochloridate at 25 ^C for 12 hours. Aqueous workup and isolation gave 0.17g of tert-butyl 3-[(5-methyl-6-{2-[5- (piperidine-1-sulfonyl)-1H-indol-1-yl]propanamido}-1H-indazol-1-yl)methyl]azetidine-1- carboxylate (Int-3b). [0185] In a similar way 2-[5-(piperidine-1-sulfonyl)-1H-indol-1-yl]propanoic acid (1 eq) and 0.2g tert-butyl 3-[(6-amino-5-methyl-2H-indazol-2-yl)methyl]azetidine-1-carboxylate (Int- 2a) were combined to give 0.07g tert-butyl 3-[(5-methyl-6-{2-[5-(piperidine-1-sulfonyl)-1H- indol-1-yl]propanamido}-2H-indazol-2-yl)methyl]azetidine-1-carboxylate (Int-3a). [0186] Step 4: [0187] N-{2-[(azetidin-3-yl)methyl]-5-methyl-2H-indazol-6-yl}-2-[5-(piperidine-1- sulfonyl)-1H-indol-1-yl]propanamide (A-7) and N-{1-[(azetidin-3-yl)methyl]-5-methyl-1H- indazol-6-yl}-2-[5-(piperidine-1-sulfonyl)-1H-indol-1-yl]propanamide (A-8)
-7 -8 [0188] tert-buty dol-1-yl]propanamido}- 2H-indazol-2-yl)methyl]azetidine-1-carboxylate Int-3a (0.07g) was treated with dissolved in dichloromethane and treated with TFA at 25 ^C for 3 hours. After workup and purification 0.023g of EXAMPLE A-7 was obtained.1H NMR (400 MHz, MeOD) ^ 7.93 (s, 1H), 7.78 (s, 1H), 7.73 (m, 3H), 7.58 (m, 2H), 6.77(s, 1H), 5.58 (m, 1H), 4.01 (m, 4H), 3.42 (m, 1H), 2.95 (m, 4H), 2.18 (s, 3H), 1.97 (m, 3H) 1.62 (m, 4H), 1.40( m 2H). (M+H)+ = 535.2. [0189] In a similar way, tert-butyl 3-[(5-methyl-6-{2-[5-(piperidine-1-sulfonyl)-1H-indol-1- yl]propanamido}-1H-indazol-1-yl)methyl]azetidine-1-carboxylate Int-3b was transformed to give 0.103g of EXAMPLE A-8.1H NMR (400 MHz, MeOD) ^ 8.2 (s, 1H), 8.1(s, 1H), 7.70(m, 3H), 7.68 (m, 1H), 7.49 (s, 1H), 6.77 (s, 1H), 5.53 (m, 1H), 4.65 (m, 2H), 4.2 (m, 4H), 3.51 (m, 1H), 2.95 (bs, 4H), 2.08 (s, 3H), 1.95 (d, 3H), 1.61 (bs, 4H), 1.4(bs, 2H). (M+H)+ = 535.1. [0190] EXAMPLE A-9 [0191] N-(2-methyl-5-piperazin-1-yl-phenyl)-2-[5-(1-piperidylsulfonyl)indol-1- yl]propanamide 9 [0192] Step 1:
3-nitro- phenyl)piperazine-1-carboxylate
[0193] To l, 1.1 eq) in toluene (40 mL) were added tert-butyl piperazine-1-carboxylate;hydrochloride (2.81 g, 12.62 mmol, 1 eq), Cs2CO3 (12.34 g, 37.87 mmol, 3 eq), RuPhos (1.18 g, 2.52 mmol, 0.2 eq) and Pd2(dba)3 (1.16 g, 1.26 mmol, 0.1 eq), the mixture was degassed and purged with N2 for three times, the mixture was heated to 100°C and stirred for 12 h. LCMS showed reactant was consumed completely and the desired ms was detected.50 mL of water was added to the mixture, the mixture was extracted with ethyl acetate (50 mL*2) , and the combined extracts were washed with brine (40 mL), dried with anhydrous Na2SO4 and filtered, the filtrate was concentrated under reduced pressure to give a residue. The residue was purified by flash column (ISCO 40 g silica, 0-8 % ethyl acetate in petroleum ether, gradient over 20 min). tert-butyl 4-(4- methyl-3-nitro-phenyl)piperazine-1-carboxylate (3.6 g, 11.09 mmol, 87.85% yield) was obtained as an orange solid. [0194] Step 2: General procedure for preparation of tert-butyl 4-(3-amino-4-methyl- phenyl)piperazine-1-carboxylate [0195] To
tert-butyl 4-(4- methyl-3-nitro-phenyl)piperazine-1-carboxylate (3 g, 9.34 mmol, 1 eq), the mixture was degassed and purged with H2 for three times, the mixture was stirred at 30°C for 5 h under H2(15 psi). TLC (Petroleum ether : Ethyl acetate = 3:1) showed reactant was consumed completely, a major spot was detected. The mixture was filtered and concentrated under reduced pressure to give the crude product. tert-butyl 4-(3-amino-4-methyl-phenyl)piperazine-1-carboxylate (2.6 g, 8.92 mmol, 95.58% yield) was obtained as a white solid. 1H NMR (400 MHz,
CHLOROFORM-d) δ = 7.01 - 6.87 (m, 1H), 6.39 - 6.25 (m, 2H), 3.69 - 3.43 (m, 6H), 3.12 - 2.96 (m, 4H), 2.17 - 2.04 (m, 3H), 1.49 (s, 9H). [0196] Step 3: General procedure for preparation of tert-butyl 4-[4-methyl-3-[2-[5-(1- piperidylsulfonyl)indol-1-yl]propanoylamino]phenyl]piperazine-1-carboxylate
148.63 umol, 1 eq) in DMF (1 mL) were added tert-butyl 4-(3-amino-4-methyl-phenyl)piperazine-1- carboxylate (56.30 mg, 193.22 umol, 1.3 eq), HATU (84.77 mg, 222.95 umol, 1.5 eq) and DIEA (57.63 mg, 445.89 umol, 77.67 uL, 3 eq), the mixture was stirred at 20°C for 1 h. LCMS showed reactant was consumed completely and the desired ms was detected.3 mL of water was added to the mixture, the mixture was extracted with ethyl acetate (5 mL*3) , and the combined extracts were washed with brine (3 mL), dried with anhydrous Na2SO4 and filtered, the filtrate was concentrated under reduced pressure to give the crude product. tert-butyl 4-(4-methyl-3-{2-[5- (piperidine-1-sulfonyl)-1H-indol-1-yl]propanamido}phenyl)piperazine-1-carboxylate (90 mg, crude) was obtained as a pale yellow gum. [0198] Step 4: General procedure for preparation of N-(2-methyl-5-piperazin-1-yl-phenyl)-2- [5-(1-piperidylsulfonyl)indol-1-yl]propanamide (A-9) [0199]
1- yl]propanoylamino]phenyl]piperazine-1-carboxylate (90 mg, 147.59 umol, 1 eq) in DCM (1 mL)
was added TFA (1.54 g, 13.51 mmol, 1 mL, 91.51 eq) , the mixture was stirred at 20°C for 3 h. LCMS showed reactant was consumed completely and the desired ms was detected. The mixture was concentrated under reduced pressure to give a residue. The residue was purified by prep-HPLC: column: Phenomenex Luna 80*30mm*3um;mobile phase: [water(TFA)-ACN];B%: 20%-50%,8min. EXAMPLE A-9 N-(2-methyl-5-piperazin-1-yl-phenyl)-2-[5-(1- piperidylsulfonyl)indol-1-yl]propanamide (100% purity) was obtained as a white solid.1H NMR (400 MHz, CHLOROFORM-d) δ = 8.18 - 8.10 (m, 1H), 7.60 (dd, J = 1.1, 8.8 Hz, 1H), 7.50 (dd, J = 2.5, 6.0 Hz, 3H), 6.93 (d, J = 8.4 Hz, 1H), 6.86 - 6.80 (m, 1H), 6.61 - 6.52 (m, 1H), 5.29 (q, J = 7.2 Hz, 1H), 3.45 - 3.12 (m, 8H), 2.98 (br t, J = 5.1 Hz, 4H), 2.03 - 1.96 (m, 3H), 1.63 (br d, J = 5.0 Hz, 4H), 1.52 (s, 3H), 1.39 (br d, J = 3.8 Hz, 2H). MS (M + H)+ = 510.2. [0200] EXAMPLE A-10 [0201] N-(5-amino-2-methyl-phenyl)-2-[3-methyl-5-(1-piperidylsulfonyl)indol-1- yl]propanamide 10 [0202] Step 1:
methyl-3-[2-[3-methyl-5- (1-piperidylsulfonyl)indol-1-yl]propanoylamino]phenyl]carbamate
mg, 570.72 umol, 1 eq) in DCM (2 mL) was added HATU (260.41 mg, 684.87 umol, 1.2 eq) and DIEA (221.28 mg, 1.71 mmol, 298.22 uL, 3 eq). Then was added tert-butylN-(3-amino-4- methyl-phenyl)carbamate (126.86 mg, 570.72 umol, 1 eq) and the mixture was stirred at 20 oC for 2 h. The reaction mixture was quenched by addition H2O (2 mL), the H2O phase was then extracted with Ethyl acetate (5 mL *3). The combined organic layers were dried over Na2SO4,
filtered and concentrated under reduced pressure to give a residue. Compound tert-butyl N-[4- methyl-3-[2-[3-methyl-5-(1-piperidylsulfonyl)indol-1-yl]propanoylamino]phenyl]carbamate (200 mg,63.18% yield) was obtained as a yellow oil. MS (M + H) + = 555.3 [0204] Step 2: General procedure for preparation of N-(5-amino-2-methyl-phenyl)-2-[3- methyl-5-(1-piperidylsulfonyl)indol-1-yl]propanamide EXAMPLE A-10 indol-
1-yl]propanoylamino]phenyl]carbamate(200 mg, 360.56 umol, 1 eq) in DCM (2 mL) was added TFA (1.08 g, 9.45 mmol, 26.22 eq), the mixture was stirred at 20 °C for 2 hr. The reaction mixture was added H2O (5 mL), the H2O phase was then extracted with Ethyl acetate (10 mL *3), dried over Na2SO4, filtered and concentrated under reduced pressure to give a residue. The residue was purified by prep-HPLC (Phenomenex Luna 80*30mm*3um column;10-50% acetonitrile in an a TFA acid solution in water, 8 min gradient). EXAMPLE A-10 N-(5-amino-2- methyl-phenyl)-2-[3-methyl-5-(1-piperidylsulfonyl)indol-1-yl]propanamide (45.7 mg,27.48%) was obtained as a white solid. MS (M + H) + = 455.1.1H NMR (400 MHz, ACETONITRILE- d3) δ = 7.61 (s, 1H), 7.59 (s, 1H), 7.55 - 7.54 (m, 2H), 7.49 (s, 1H), 7.18(s, 1H), 6.99 -6.97 (d, J = 8.1 Hz, 1H), 6.61 – 6.58 (dd, J = 2.4, 8.1 Hz, 1H), 5.36 – 5.31 (q, J = 7.2 Hz, 1H), 2.93 - 2.90 (m, 4H), 2.38 (s,3H), 1.88 - 1.82 (m, 6H), 1.59 (quin, J = 5.7 Hz, 4H), 1.40 - 1.32 (m, 2H). [0206] EXAMPLE A-11 [0207] N-(5-amino-2-methyl-phenyl)-2-[5-[(3R)-3-aminopyrrolidin-1-yl]sulfonyl-3-methyl- indol-1-yl]propanamide 11 [0208] General
acetyl-3-methyl- indolin-5-yl)sulfonylpyrrolidin-3-yl]carbamate
[0209] .92 mmol, 1 eq) in DCM (15 mL) was added tert-butyl N-[(3R)-pyrrolidin-3-yl]carbamate (544.32 mg, 2.92 mmol, 1 eq) and TEA (591.46 mg, 5.85 mmol, 813.56 uL, 2 eq). The mixture was stirred at 25°C for 1h. LCMS showed the starting material was consumed and desired ms was detected.30 mL of water was added to the reaction, the reaction mixture was extracted with DCM (15 mL*3). The combined organic layers were washed with brine (15 mL) and dried over Na2SO4. The combined organic layer was concentrated to dryness to give the crude. The crude was purified by flash column (ISCO 20 g silica, 0-60 % ethyl acetate in petroleum ether, gradient over 20 min). tert-butyl N-[(3R)-1-(1-acetyl-3-methyl-indolin-5-yl)sulfonylpyrrolidin-3-yl]carbamate (1 g, 2.36 mmol, 80.79% yield) was obtained as white solid. [0210] General procedure for preparation of tert-butyl N-[(3R)-1-(3-methylindolin-5- yl)sulfonylpyrrolidin-3-yl]carbamate
yl)sulfonylpyrrolidin-3-yl]carbamate (500 mg, 1.18 mmol, 1 eq) in MeOH (6 mL) was added NaOH (4 M, 1.48 mL, 5 eq). The mixture was stirred at 70°C for 2h. LCMS showed the starting material was consumed completely and main peak with desired ms was detected. The reaction solvents were evaporated under reduce pressure, then water (5mL) was added. The resulting mixture was filtered, the filter cake was rinsed by water (2mL*2) and concentrated to dryness to give the product. tert-butyl N-[(3R)-1-(3-methylindolin-5-yl)sulfonylpyrrolidin-3-yl]carbamate (340 mg, 891.25 umol, 75.49% yield) was obtained as white solid. LCMS m/z 382.2 [M+H]+
[0212] General procedure for preparation of tert-butyl N-[(3R)-1-[(3-methyl-1H-indol-5- yl)sulfonyl]pyrrolidin-3-yl]carbamate 3-
yl]carbamate (320.00 mg, 838.82 umol, 1 eq) in THF (3 mL) was added dropwise a solution of DDQ (209.46 mg, 922.70 umol, 1.1 eq) in THF (2 mL) at 0°C. The mixture was stirred at 0°C for 1h. LCMS showed the starting material was consumed completely and desired ms was detected. The reaction mixture was basified by NaOH (2N) in the ice bath, 5 mL of water was added to the reaction, the reaction mixture was extracted with Ethyl acetate (3 mL*3). The combined organic layers were washed with brine (5 mL) and dried over Na2SO4. The combined organic layer was concentrated to dryness to give the product. tert-butyl N-[(3R)-1-[(3-methyl- 1H-indol-5-yl)sulfonyl]pyrrolidin-3-yl]carbamate (250 mg, 658.81 umol, 78.54% yield) was obtained as yellow solid. LCMS m/z 380.2 [M+H]+ [0214] General procedure for preparation of methyl 2-[5-[(3R)-3-(tert- butoxycarbonylamino)pyrrolidin-1-yl]sulfonyl-3-methyl-indol-1-yl]propanoate
3- yl]carbamate (160 mg, 421.64 umol, 1 eq) in DMF (2 mL) was added methyl 2- bromopropanoate (105.62 mg, 632.46 umol, 70.41 uL, 1.5 eq) and Cs2CO3 (274.76 mg, 843.28 umol, 2 eq). The mixture was stirred at 25°C for 2h. LCMS showed the starting material was consumed and main peak with desired ms was detected.5 mL of water was added to the reaction, the reaction mixture was extracted with Ethyl acetate (3 mL*3). The combined organic layers were washed with brine (3mL) and dried over Na2SO4. The combined organic layer was concentrated to dryness to give the crude product. methyl 2-[5-[(3R)-3-(tert-
butoxycarbonylamino)pyrrolidin-1-yl]sulfonyl-3-methyl-indol-1-yl]propanoate (180 mg, 386.63 umol, 91.70% yield) was obtained as yellow oil. LCMS m/z 410.1 [M+H-56]+ [0216] General procedure for preparation of 2-[5-[(3R)-3-(tert- butoxycarbonylamino)pyrrolidin-1-yl]sulfonyl-3-methyl-indol-1-yl]propanoic acid
yl]sulfonyl-3-methyl-indol-1-yl]propanoate (180 mg, 386.63 umol, 1 eq) in EtOH (3 mL) was added NaOH (4 M, 289.97 uL, 3 eq). The mixture was stirred at 25°C for 2 h. LCMS showed the reaction was complete. The reaction solvents was concentrated to dryness to give the crude.5 mL of water was added to the reaction, the reaction mixture was acidified by adding citric acid(sat.) dropwise at 0 °C to pH = 5, and was extracted with CHCl3:i-PrOH~3:1 (3 mL*5). The combined organic layers were washed with brine (5 mL) and dried over Na2SO4. The combined organic layer was concentrated to dryness to give the product.2-[5-[(3R)-3-(tert- butoxycarbonylamino)pyrrolidin-1-yl]sulfonyl-3-methyl-indol-1-yl]propanoic acid (150 mg, 332.20 umol, 85.92% yield) was obtained as pale yellow oil. LCMS m/z 452.1 [M+H]+. [0218] General procedure for preparation of tert-butyl N-[(3R)-1-[1-[2-[5-(tert- butoxycarbonylamino)-2-methyl-anilino]-1-methyl-2-oxo-ethyl]-3-methyl-indol-5- yl]sulfonylpyrrolidin-3-yl]carbamate.
3- methyl-indol-1-yl]propanoic acid (150 mg, 332.20 umol, 1 eq) in DCM (2 mL) was added HATU (151.57 mg, 398.64 umol, 1.2 eq), DIEA (128.80 mg, 996.60 umol, 173.59 uL, 3 eq) and tert-butyl N-(3-amino-4-methyl-phenyl)carbamate (81.23 mg, 365.42 umol, 1.1 eq). The mixture was stirred at 25°C for 2 h. LCMS showed the starting material was consumed and 30% of
desired ms was detected. The reaction mixture was concentrated to dryness to give the crude. The crude was dissolved with water (8mL), and was acidified by adding sat.citric acid solution dropwise at 0 °C to pH = 5. The resulting mixture was extracted with CHCl3:i-PrOH~3:1 (3 mL*5). The combined organic layers were dried over Na2SO4. The combined organic layer was concentrated to dryness to give the product. tert-butyl N-[(3R)-1-[1-[2-[5-(tert- butoxycarbonylamino)-2-methyl-anilino]-1-methyl-2-oxo-ethyl]-3-methyl-indol-5- yl]sulfonylpyrrolidin-3-yl]carbamate (100 mg, 152.48 umol, 45.90% yield) was obtained as yellow oil. LCMS m/z 656.5 [M+H]+. [0220] General procedure for preparation of N-(5-amino-2-methyl-phenyl)-2-[5-[(3R)-3- aminopyrrolidin-1-yl]sulfonyl-3-methyl-indol-1-yl]propanamide (A-11)
anilino]-1-methyl-2-oxo-ethyl]-3-methyl-indol-5-yl]sulfonylpyrrolidin-3-yl]carbamate (100 mg, 152.48 umol, 1 eq) in DCM (2 mL) was added TFA (742.20 mg, 6.51 mmol, 481.95 uL, 42.69 eq). The mixture was stirred at 25°C for 2 h. LCMS showed the starting material was consumed and desired ms was detected. The reaction solvents was removed by nitrogen afford the crude. The crude was purified by prep-HPLC (Phenomenex luna C18100*40mm*3 um column; 1-40% acetonitrile in an a 0.05% trifluoroacetic acid solution in water, 8 min gradient). EXAMPLE A- 11 N-(5-amino-2-methyl-phenyl)-2-[5-[(3R)-3-aminopyrrolidin-1-yl]sulfonyl-3-methyl-indol-1- yl]propanamide (35.5 mg, 77.92 umol, 51.10% yield, 100% purity) was obtained as pale yellow solid.1H NMR (400 MHz, METHANOL-d4) δ = 8.10 (s, 1H), 7.75 - 7.64 (m, 2H), 7.52 (s, 1H), 7.44 (d, J = 2.0 Hz, 1H), 7.30 (d, J = 8.3 Hz, 1H), 7.03 (dd, J = 2.3, 8.1 Hz, 1H), 5.56 - 5.43 (m, 1H), 3.83 - 3.70 (m, 1H), 3.62 - 3.48 (m, 1H), 3.42 - 3.35 (m, 2H), 3.21 - 3.13 (m, 1H), 2.42 (s, 3H), 2.32 - 2.14 (m, 1H), 2.13 (s, 3H), 1.98 - 1.84 (m, 4H). LCMS m/z 456.1 [M+H]+. [0222] EXAMPLE A-12 [0223] N-(5-methyl-1H-indazol-6-yl)-2-(3-methyl-5-(piperidin-1-ylsulfonyl)-1H-indol-1-yl) propanamide
12 [0224] Step 1. Gene ro-1-(tetrahydro-2H- pyran-2-yl)-1H-indazole [0225] To a 1 eq) in MeCN (20
mL) was added 4,5-dichloro-3,6-dioxocyclohexa-1,4-diene-1,2-dicarbonitrile (192.20 mg, 846.69 umol, 0.1 eq) and 3,4-dihydro-2H-pyran (1.42 g, 16.93 mmol, 1.55 mL, 2 eq) .The mixture was stirred at 80 °C for 2 hr. LC-MS showed reactant was consumed completely and one main peak with desired mass was detected. The mixture was cooled to 15 °C and then poured into ice-water (50 mL), the aqueous phase was extracted with Ethyl acetate (25 mL*3). The combined organic phase was washed with brine (10 ml), dried with anhydrous Na2SO4, filtered and concentrated to afford crude product. Compound 5-methyl-6-nitro-1-tetrahydropyran-2-yl- indazole (1 g, 3.83 mmol, 45.20% yield) was obtained as a pale yellow solid. [0226] Step 2. General procedure for preparation of 5-methyl-1-(tetrahydro-2H-pyran-2-yl)- 1H-indazol-6-amine [0227] To a
(1 g, 3.83 mmol, 1 eq) in EtOH (10 mL) and H2O (2 mL) was added Fe (1.07 g, 19.14 mmol, 5 eq) and NH4Cl (614.19 mg, 11.48 mmol, 3 eq). The mixture was stirred at 80 °C for 2 hr. LC-MS showed Reactant 1 was consumed completely and one main peak with desired mass was detected. The mixture was cooled to 15 °C and then filtered, filtrate poured into ice-water (15 mL), extracted with Ethyl acetate (15 mL*3), washed with brine (10 ml), dried with anhydrous Na2SO4, filtered
and concentrated to afford crude product. Compound 5-methyl-1-tetrahydropyran-2-yl-indazol- 6-amine (500 mg, 2.16 mmol, 56.48% yield) was obtained as a pale yellow solid. [0228] Step 3. General procedure for preparation of N-(5-methyl-1-(tetrahydro-2H-pyran-2- yl)-1H-indazol-6-yl)-2-(3-methyl-5-(piperidin-1-ylsulfonyl)-1H-indol-1-yl) propanamide
513.65 umol, 1.2 eq) and 2-[3-methyl-5-(1-piperidylsulfonyl)indol-1-yl]propanoic acid (150 mg, 428.04 umol, 1 eq) in DMF (5 mL) was added HATU (179.03 mg, 470.85 umol, 1.1 eq) and DIEA (165.96 mg, 1.28 mmol, 223.67 uL, 3 eq) at 0 °C. The mixture was stirred at 20 °C for 2 hr. LC-MS showed reactant was consumed completely and one main peak with desired mass was detected. The mixture was cooled to 15 °C and then poured into ice-water (15 mL), extracted with Ethyl acetate (15 mL*3), washed with brine (10 ml), dried with anhydrous Na2SO4, filtered and concentrated to afford crude product. Compound 2-[3-methyl-5-(1-piperidylsulfonyl) indol- 1-yl]-N-(5-methyl-1-tetrahydropyran-2-yl-indazol-6-yl) propanamide (150 mg, 266.09 umol, 62.17% yield) was obtained as a pale yellow gum. [0230] Step 4. General procedure for preparation of N-(5-methyl-1H-indazol-6-yl)-2-(3- methyl-5-(piperidin-1-ylsulfonyl)-1H-indol-1-yl) propanamide– EXAMPLE A-12
[0231] To a solution of 2-[3-methyl-5-(1-piperidylsulfonyl) indol-1-yl]-N-(5-methyl-1- tetrahydropyran-2-yl-indazol-6-yl) propanamide (100 mg, 177.40 umol, 1 eq) in HCl (4 M, 10.00 mL, 225.48 eq). The mixture was stired at 25 °C for 2 h. LC-MS showed reactant was consumed completely and one main peak with desired mass was detected. The residue was purified by prep-HPLC (column: Phenomenex Luna 80*30mm*3um; mobile phase: [water (HCl)-ACN]; B%:40%-65%, 8min). EXAMPLE N-(5-methyl-1H-indazol-6-yl)-2-[3-methyl-5-(1- piperidylsulfonyl) indol-1-yl] propanamide (42.3 mg, 80.53 umol, 45.39% yield, 91.3% purity) was obtained as a white solid.1H NMR (400 MHz, METHANOL-d4) δ = 8.00-7.95 (m, 2H), 7.71 -7.69 (d, J = 8.7 Hz, 2H), 7.61 - 7.56 (m, 2H), 7.50 (s, 1H), 5.50 (d, J = 7.1 Hz, 1H), 2.96 (br t, J = 5.3 Hz, 4H), 2.40 (s, 3H), 2.10 (s, 3H), 1.92 (d, J = 7.1 Hz, 3H), 1.66 - 1.59 (m, 4H), 1.40 (br s, 2H). MS (M + H)+ = 480.1 [0232] EXAMPLE A-13 [0233] N-[(1-aminoindan-5-yl)methyl]-2-[3-methyl-5-(1-piperidylsulfonyl)indol-1- yl]propanamide 13 [0234] Step 1: tert-
[0235] To a
and (Boc)2O (2.06 g, 9.43 mmol, 2.17 mL, 1 eq) in DCM (40 mL) was added TEA (2.39 g, 23.58 mmol, 3.28 mL, 2.5 eq). The mixture was stirred at 25 °C for 2 hr. LCMS showed starting material was consumed completely and one main desired mass was detected. The mixture was poured water (50 ml) and extracted with ethyl acetate(3*30 ml).The organic layer was washed with brine(40 ml),dried over anhydrous Na2SO4,then filtered and concentrated under reduced pressure. The residue was purified by flash silica gel chromatography (ISCO®;40 g SepaFlash® Silica Flash Column,
Eluent of 0~40% Dichloromethane : Methanol @ 80 mL/min). Compound tert-butyl N-(5- bromoindan-1-yl)carbamate (2.8 g, 8.97 mmol, 95.11% yield) was obtained as a brown solid. [0236] Step 2: tert-butyl N-(5-cyanoindan-1-yl)carbamate [0237] To a g, 8.65 mmol, 1 eq)
in DMF (30 mL)was added Zn (169.65 mg, 2.59 mmol, 0.3 eq), Zn(CN)2 (1.22 g, 10.38 mmol, 658.72 uL, 1.2 eq)and palladium;tritert-butylphosphane (883.94 mg, 1.73 mmol, 0.2 eq) under N2, Then the mixture was stirred at 110°C for 12 h under N2 atmosphere. LCMS showed the starting material was consumed completely and desired MS was detected. TLC (Petroleum ether : Ethyl acetate = 5:1) showed the reaction was complete. The mixture was cooled and the solids were filtered.20 mL of water was added to the filtrate and extracted with Ethyl acetate (35 mL*3). The combined organic layers were washed with brine (35 mL) and dried over Na2SO4. The combined organic layer was concentrated to dryness to give residue. The crude product was purified by flash column (ISCO 40 g silica, 0-33 % ethyl acetate in petroleum ether, gradient over 20min). Compound tert-butyl N-(5-cyanoindan-1-yl)carbamate (1.8 g, 6.97 mmol, 80.57% yield) was obtained as a white solid. [0238] Step 3: tert-butyl N-[5-(aminomethyl)indan-1-yl]carbamate [0239] To
1.16 mmol, 1 eq) in MeOH (5 mL) was added Raney-Ni (9.95 mg, 116.14 umol, 0.1 eq). The mixture was stirred at 20 °C for 4h under H2 atmosphere (15 Psi). LCMS showed the starting material was consumed completely and desired MS was detected. The reaction mixture was filtered and the filtrate was concentrated in vacuo. Compound tert-butyl N-[5-(aminomethyl)indan-1- yl]carbamate (260 mg, crude) was obtained as a white solid. [0240] Step 4: tert-butyl N-[5-[[2-[3-methyl-5-(1-piperidylsulfonyl)indol-1- yl]propanoylamino]methyl]indan-1-yl]carbamate
[024 g, 285.36 umol, 1 eq) in DCM (2 mL) was added 2-[3-methyl-5-(1-piperidylsulfonyl)indol-1- yl]propanoic acid (100 mg, 285.36 umol, 1 eq), HATU (130.20 mg, 342.43 umol, 1.2 eq) and DIEA (110.64 mg, 856.09 umol, 149.11 uL, 3 eq). The mixture was stirred at 20 °C for 2 hr. LCMS showed the starting material was consumed completely and desired MS was detected.5 mL of water was added to the reaction, the reaction mixture was extracted with DCM:MeOH=10:1 (5 mL*3). The combined organic layers were washed with brine (5 mL) and dried over Na2SO4. The combined organic layer was concentrated to dryness to give residue. Compound tert-butyl N-[5-[[2-[3-methyl-5-(1-piperidylsulfonyl)indol-1- yl]propanoylamino]methyl]indan-1-yl]carbamate (100 mg, crude) was obtained as a yellow oil. [0242] Step 5: N-[(1-aminoindan-5-yl)methyl]-2-[3-methyl-5-(1-piperidylsulfonyl)indol-1- yl]propanamide (A-13)
yl]propanoylamino]methyl]indan-1-yl]carbamate (100 mg, 168.13 umol, 1 eq) and HCl/EtOAc (4 M, 2 mL) was stirred at 20 °C for 2 hr. LCMS showed the starting material was consumed completely and desired MS was detected. The reaction mixture was concentrated to dryness to give the crude product. The crude product was purified by prep-HPLC (Phenomenex C18 75*30mm*3um column; 15-55% acetonitrile in an a 0.05% hydrochloric acid solution in water, 8 min gradient). EXAMPLE A-13 N-[(1-aminoindan-5-yl)methyl]-2-[3-methyl-5-(1- piperidylsulfonyl)indol-1-yl]propanamide (77.6 mg, 136.72 umol, 81.32% yield, 100% purity, 2HCl) was obtained as a white solid.1H NMR (400 MHz, CHLOROFORM-d) δ = 7.94 (s, 1H),
7.49 - 7.35 (m, 2H), 7.38 (s, 1H), 7.35 - 7.33 (m, 1H), 7.11 - 7.10 (m, 1H), 7.04 - 7.02 (m, 1H), 5.24 - 5.22 (dd, J = 8 Hz, 1H), 4.72 - 4.70 (m, 1H), 4.44 - 4.40 (m, 1H), 4.31 - 4.39 (m, 1H), 4.30 - 4.27 (m, 5H), 3.31 - 2.95 (m, 1H), 2.94 - 2.87 (m, 1H), 2.36 (s, 3H), 2.36 (s, 1H), 1.78 - 1.76 (dd, J = 8 Hz, 3H), 1.62 – 1.60 (m, 4H), 1.41 – 1.38 (m, 2H), MS (M + H)+ = 495.1. [0244] EXAMPLE A-14 [0245] N-[[4-(aminomethyl)-3-methyl-phenyl]methyl]-2-[3-methyl-5-(1- piperidylsulfonyl)indol-1-yl]propanamide [0246] Step 1: tert-
[0247] To a
1 eq) in tert-amyl alcohol (25 mL) was added potassium;(tert-butoxycarbonylamino)methyl-trifluoro-boranuide (2.42 g, 10.20 mmol, 2 eq), H2O (2.5 mL), Cs2CO3 (4.99 g, 15.30 mmol, 3 eq) and [2-(2- aminophenyl)phenyl]-chloro-palladium;bis(1-adamantyl)-butyl-phosphane(341.06 mg, 510.09 umol, 0.1 eq). The mixture was stirred at 110°C for 16h under N2. LC-MS showed reactant was consumed completely and desired mass was detected.15 mL of water was added to the reaction, the reaction mixture was extracted with Ethyl acetate (15 mL*3). The combined organic layers were washed with brine (15 mL) and dried over Na2SO4. The combined organic layer was concentrated to dryness to give residue. The crude product was purified by flash column (ISCO 20 g silica, 0-30 % ethyl acetate in petroleum ether, gradient over 10 min,Petroleum ether : Ethyl acetate = 5:1,Rf = 0.57). Compound tert-butyl N-[(4-cyano-2-methyl-phenyl)methyl]carbamate (253 mg, 914.19 umol, 17.92% yield) was obtained as a colorless oil. [0248] Step 2: General procedure for preparation of tert-butyl N-[[4-(aminomethyl)-2- methyl-phenyl]methyl]carbamate
[0249] To a arbamate (230 mg, 933.80 umol, 1 eq) in NH3/MeOH (2mL) was added Raney-Ni (115.00 mg, 1.34 mmol, 1.44 eq) under N2 atmosphere. The suspension was degassed and purged with H2 for 3 times. The mixture was stirred under H2 (15 Psi ) at 20°C for 2h. LC-MS showed reactant was consumed completely and desired mass was detected. The reaction mixture was concentrated to give the crude product. Compound tert-butyl N-[[4-(aminomethyl)-2-methyl-phenyl]methyl]carbamate (140 mg, 559.25 umol, 59.89% yield) was obtained as a colorless oil. [0250] Step 3: General procedure for preparation of tert-butylN-[[2-methyl-4-[[2-[3-methyl- 5-(1-piperidylsulfonyl)indol-1-yl]propanoylamino]methyl]phenyl]methyl]carbamate
(139.98 mg, 399.46 umol, 1 eq) in DMF (2 mL) was added HATU (182.27 mg, 479.36 umol, 1.2 eq) , tert-butyl N-[[4-(aminomethyl)-2-methyl-phenyl]methyl]carbamate (100mg, 399.46 umol, 1 eq) and DIEA (154.88 mg, 1.20 mmol, 208.73 uL, 3 eq) at 0°C. The mixture was stirred at 20°C for 2h. LC-MS showed reactant was consumed completely and desired mass was detected.2 mL of water was added to the reaction, the reaction mixture was extracted with Ethyl acetate (2 mL*3). The combined organic layers were washed with brine (2 mL) and dried over Na2SO4. The combined organic layer was concentrated to dryness to give residue. Compound tert-butyl N-[[2-methyl-4-[[2-[3-methyl-5-(1-piperidylsulfonyl)indol-1- yl]propanoylamino]methyl]phenyl]methyl]carbamate (200 mg, 343.20 umol, 85.91% yield) was obtained as a white oil. [0252] Step 4: General procedure for preparation of N-[[4-(aminomethyl)-3-methyl- phenyl]methyl]-2-[3-methyl-5-(1-piperidylsulfonyl)indol-1-yl]propanamide – EXAMPLE A-14
[0 l-1- yl]propanoylamino]methyl]phenyl]methyl]carbamate (200 mg, 343.20 umol, 1 eq) in HCl/EtOAc (2 mL) was stirred at 20°Cfor 2h. LC-MS showed Reactant was consumed completely and desired mass was detected. The reaction mixture was concentrated to give the crude product. The crude product was purified by prep-HPLC (Phenomenex C18 75*30mm*3um;mobile phase: [water(HCl)-ACN];B% column; 5-45 % acetonitrile in an a 0.05% hydrochloricacid solution in water, 8 min gradient). EXAMPLE A-14 N-[[4- (aminomethyl)-3-methyl-phenyl]methyl]-2-[3-methyl-5-(1-piperidylsulfonyl)indol-1- yl]propanamide (4.1 mg, 7.90 umol, 2.30% yield) was obtained as a white solid.1H NMR (400 MHz, METHANOL-d4) δ = 7.95 (s, 1H), 7.53 - 7.44 (m, 2H), 7.39 (s, 1H), 7.27 - 7.18 (m, 1H), 7.09 - 6.93 (m, 2H), 5.26 - 5.16 (m, 1H), 4.44 - 4.21 (m, 2H), 4.09 (s, 2H), 2.96 (br t, J = 5.3 Hz, 4H), 2.37 (s, 3H), 2.27 (s, 3H), 1.77 (d, J = 7.1 Hz, 3H), 1.63 (quin, J = 5.6 Hz, 4H), 1.40 (quin, J = 5.7 Hz, 2H). MS (M + H)+ = 483.1. [0254] EXAMPLE A-15 [0255] N-(3-aminoindan-5-yl)-2-[3-methyl-5-(1-piperidylsulfonyl)indol-1-yl]propanamide 15 [0256] Step 1:
1-one [0257] To a
EtOH (5 mL) and H2O (5 mL) was added Fe (2.52 g, 45.16mmol, 8 eq) and NH4Cl (3.02 g, 56.45 mmol, 10 eq). The mixture was stirred at 80 °C for 1 hr. LC-MS showed reactant was consumed completely and one
main peak with desired mass was detected. After cooling to room temperature, the reaction mixture was filtered through a pad of celite and the celite was rinsed with EtOH (5 mL * 3). The filtrate was diluted with water (5 mL), extracted with EtOH (5 mL * 3). The combined organics were washed with brine (5 mL), dried over Na2SO4, filtered and concentrated under reduced pressure to give a residue. The crude product 6-aminoindan-1-one (569 mg, 3.87 mmol, 68.49% yield) was obtained as a brown solid. [0258] General procedure for preparation of 2-[3-methyl-5-(1-piperidylsulfonyl)indol-1-yl]- N-(3-oxoindan-5-yl)propanamide [0259]
DMF (3 mL) was added2-[3-methyl-5-(1-piperidylsulfonyl)indol-1-yl]propanoic acid (150 mg, 428.04 umol, 1 eq) and was added HATU (195.31 mg, 513.65 umol, 1.2eq) and DIEA (165.96 mg, 1.28 mmol, 223.67 uL, 3 eq). The mixture was stirred at 25 °C for 1 hr. LC-MS showed reactant was consumed completely and one main peak with desired mass was detected. The reaction mixture was cooled to room temperature and diluted by water (2 mL), extracted with ethyl acetate (3 mL * 3). The combined organics were washed with brine (5 mL), dried over Na2SO4, filtered and the reaction mixture was concentrated under reduced pressure to give a residue. The crude product 2-[3-methyl-5-(1-piperidylsulfonyl)indol-1-yl]-N-(3-oxoindan-5-yl)propanamide (200 mg, 417.02 umol,97.43% yield) was obtained as a brown solid. [0260] General procedure for preparation of N-(3-aminoindan-5-yl)-2-[3-methyl-5-(1- piperidylsulfonyl)indol-1-yl]propanamide –EXAMPLE A-15
[0261] To a solution of 2-[3-methyl-5-(1-piperidylsulfonyl)indol-1-yl]-N-(3-oxoindan-5- yl)propanamide (100 mg, 208.51 umol, 1eq) in MeOH (2 mL) and was added NH4OAc (321.45 mg, 4.17 mmol, 20 eq) and sodium;cyanoboranuide (13.10 mg, 208.51umol, 1 eq).The mixture was stirred at 60 °C for 12 hr .LC-MS showed reactant was consumed completely and one main peak with desired mass was detected. The reaction mixture was concentrated under reduced pressure to give a residue. The residue was purified by prep-HPLC (column: Phenomenex Luna C1875*30mm*3um;mobile phase: [water(FA)-ACN];B%:25%-65%,8min). EXAMPLE A-15 N-(3-aminoindan-5-yl)-2-[3-methyl-5-(1-piperidylsulfonyl)indol-1-yl]propanamide (6.7 mg, 13.37 umol, 6.41%yield, 95.89% purity) was obtained as a white solid.1H NMR (400 MHz, METHANOL-d4) δ = 8.55 (s, 1H), 7.95 (s, 1H), 7.91 - 7.78 (m, 1H), 7.64 - 7.57 (m, 1H), 7.56 - 7.49 (m,1H), 7.46 (s, 1H), 7.37 - 7.22 (m, 2H), 5.35 (q, J = 7.0 Hz, 1H), 4.72 - 4.52 (m, 1H), 3.16 - 3.00 (m, 1H), 2.98 - 2.89 (m, 5H),2.66 - 2.46 (m, 1H), 2.38 (s, 3H), 2.08 - 1.91 (m, 1H), 1.88 - 1.79 (m, 3H), 1.67 - 1.56 (m, 4H), 1.43 - 1.32 (m, 2H)MS (M + H)+ = 481.1. [0262] EXAMPLE A-16 [0263] N-[[4-(azetidin-3-ylamino)-3-methyl-phenyl]methyl]-2-[3-methyl-5-(1- piperidylsulfonyl)indol-1-yl]propanamide 16 [0264] Step 1:
2-methyl- anilino)azetidine-1-carboxylate [0265] To
16.28 mmol, 1.1 eq) in DMSO (30 mL) was added Et3N (3.00 g, 29.60 mmol, 4.12 mL, 2 eq) and 4-fluoro-3- methyl-benzonitrile (2, 14.80 mmol, 1 eq). The mixture was stirred at 120°C for 24 hr. TLC (Petroleum ether : Ethyl acetate = 1:1) showed reactant was consumed completely and a major
spot was detected. The mixture was poured water (20mL) and extracted with ethyl acetate (30mL*3). The organic layer was washed with brine (20mL), dried over anhydrous Na2SO4, then filtered and concentrated under pressure. The residue was dissolved in ethyl acetate (30 mL), and 10 g of silica gel was added. The resulting mixture was evaporated under reduced pressure to give a dry flowing solid, and then it was loaded to Biotage using a 10 g Agela flash silica gel column, eluted with 0 % to 100 % ethyl acetate in petroleum ether with the flower rate of 80 mL/min. The product fraction was combined and evaporated. Compound tert-butyl 3-(4- cyano-2-methyl-anilino)azetidine-1-carboxylate (400 mg, 1.39 mmol, 9.41% yield) was obtained as a yellow solid. [0266] Step 2: General procedure for preparation of tert-butyl 3-[4-(aminomethyl)-2-methyl- anilino]azetidine-1-carboxylate
(400 mg, 1.39 mmol, 1 eq) in MeOH (4 mL) was added NH3/MeOH (7 M, 198.86 uL, 1 eq) and Raney-Ni (119.25 mg, 1.39mmol, 1eq) .The mixture was stirred at 20 °C for 4hr. LC-MS showed reactant was consumed completely and desired mass was detected. The resultant mixture was filtered and the filter cake was rinsed with DCM (5 mL x 3). Then the combined filtrates were concentrated under reduced pressure. Compound tert-butyl 3-[4-(aminomethyl)-2-methyl- anilino]azetidine-1-carboxylate (402 mg, 1.38 mmol, 99.11% yield) was obtained as a gray solid. [0268] 1H NMR (400 MHz, CHLOROFORM-d) δ = 7.11 - 6.99 (m, 2H), 6.33 - 6.25 (m, 1H), 4.38 - 4.28 (m, 2H), 4.26 - 4.19 (m, 1H),3.82 - 3.71 (m, 5H), 2.22 - 2.11 (m, 3H), 1.45 (s, 9H). [0269] Step 3: General procedure for preparation of tert-butyl 3-[2-methyl-4-[[2-[3-methyl- 5-(1-piperidylsulfonyl)indol-1-yl]propanoylamino]methyl]anilino]azetidine-1-carboxylate
[0270] To a solution of tert-butyl 3-[4-(aminomethyl)-2-methyl-anilino]azetidine-1- carboxylate (91.47 mg, 313.90 umol, 1.1 eq) and 2-[3-methyl-5-(1-piperidylsulfonyl)indol-1- yl]propanoic acid (100 mg, 285.36 umol, 1 eq) in DCM (1 mL) was added DIEA(110.64 mg, 856.09 umol, 149.11 uL, 3 eq) and HATU (108.50 mg, 285.36 umol, 1 eq). The mixture was stirred at 20 °C for 6h. LC-MS showed reactant was consumed completely and desired mass was detected. The resultant mixture was concentrated under reduced pressure. Compound tert-butyl 3-[2-methyl-4-[[2-[3-methyl-5-(1-piperidylsulfonyl)indol-1- yl]propanoylamino]methyl]anilino]azetidine-1-carboxylate (160 mg, 256.49 umol, 89.88% yield) was obtained as a white solid. [0271] Step 4: General procedure for preparation of N-[[4-(azetidin-3-ylamino)-3-methyl- phenyl]methyl]-2-[3-methyl-5-(1-piperidylsulfonyl)indol-1-yl]propanamide – EXAMPLE A-16
indol- 1-yl]propanoylamino]methyl]anilino]azetidine-1-carboxylate (150 mg, 240.46 umol, 1 eq) in DCM (2 mL) was added TFA (1.54g, 13.51 mmol, 1 mL, 56.17 eq). The mixture was stirred at 25 °C for 1 hr. LC-MS and HPLC showed reactant was consumed completely and desired mass was detected. The reaction mixture was concentrated under reduced pressure. The residue was purified by preparative HPLC (column: C18-1150*30mm*5um;mobile phase: [water(TFA)- ACN];B%: 15%-60%,8min) the HPLC fractions were combined, lyophilized to give the desire compound as a yellow solid. EXAMPLE A-16 N-[[4-(azetidin-3-ylamino)-3-methyl- phenyl]methyl]-2-[3-methyl-5-(1-piperidylsulfonyl)indol-1-yl]propanamide. (8.3 mg, 15.56 umol, 6.47% yield, 98.188% purity) was obtained as a white solid.1H NMR (400 MHz, METHANOL-d4) δ = 8.28 - 8.42 (m, 1 H), 7.89 - 7.99 (m, 1 H), 7.33 - 7.54 (m, 3 H), 6.75 - 6.89 (m, 2 H), 6.20 (d, J=8.00 Hz, 1 H), 5.10 - 5.23 (m, 1 H), 4.33 - 4.53 (m, 3 H), 4.23 - 4.31 (m, 1 H), 4.09 - 4.18 (m, 1 H), 3.96 - 4.05 (m, 2 H), 2.89 - 2.99 (m, 3 H), 2.31 - 2.44 (m, 3 H), 2.04 - 2.16 (m, 3 H), 1.72 - 1.81 (m, 3 H), 1.57 - 1.69 (m, 4 H), 1.33 - 1.48 (m, 2 H) MS (M + H)+ = 524.2. [0273] EXAMPLE A-17
[0274] N-(2-methyl-5-piperazin-1-yl-phenyl)-2-[3-methyl-5-(1-piperidylsulfonyl)indol-1- yl]propanamide 17 [0275] Step 1: 3-nitro-
phenyl)piperazine-1-carboxylate
[0276] To a solution of 4-bromo-1-methyl-2-nitro-
1 eq) in dioxane(25 mL) was added Cs2CO3 (1.51 g, 4.63 mmol, 2 eq) and x-antphos (401.76 mg, 694.34 umol, 0.3eq), the mixture was stirred at 25°C for 10min,and was added tert-butyl piperazine-1- carboxylate (517.29 mg, 2.78 mmol, 1.2eq) and Pd2(dba)3 (423.88 mg, 462.89 umol, 0.2 eq) under N2 atmosphere. The mixture was stirred at 90 °C for 12 h. LC-MS showed reactant remained. Several new peaks were shown on LC-MS and the desired compound was detected. The reaction mixture was cooled to room temperature and diluted by water (15 mL), extracted with ethyl acetate (20 mL *3). The combined organics were washed with brine (5 mL), dried over Na2SO4, filtered and The reaction mixture was concentrated under reduced pressure to give a residue. The residue was dissolved in Ethyl acetate (3 mL) and 1 g of silica gel was added. The resultant mixture was evaporated under reduced pressure to give a flowing solid, and then submitted for purification by flash chromatography on silica gel (Petroleum ether/ EtOAc = 3:1~1:1) to give as a yellow solid. Compound tert-butyl 4-(4-methyl-3-nitro-phenyl)piperazine- 1-carboxylate (549 mg, 1.55 mmol, 67.17% yield, 91% purity) was obtained as a yellow solid. 1H NMR (400 MHz, CHLOROFORM-d) δ = 7.49 (d, J = 2.6 Hz, 1H), 7.21 (d, J = 8.5 Hz, 1H), 7.06 (dd, J = 2.6, 8.5 Hz, 1H),3.64 - 3.54 (m, 4H), 3.21 - 3.12 (m, 4H), 2.51 (s, 3H), 1.49 (s, 9H).
[0277] Step 2: General procedure for preparation of tert-butyl 4-(3-amino-4-methyl- phenyl)piperazine-1-carboxylate [0278] (200
mg, 622.33 umol, 1 eq) in EtOH (3 mL) and H2O (3 mL) was added NH4Cl (332.89 mg, 6.22 mmol, 10 eq) and Fe (278.03 mg, 4.98 mmol, 8 eq). The mixture was stirred at 80°C for 1h. LC- MS showed reactant was consumed completely and one main peak with desired mass was detected. The reaction mixture was cooled to room temperature and diluted by water (2 mL), extracted with ethyl acetate (3 mL * 3).The combined organics were washed with brine (3 mL), dried over Na2SO4, filtered and The reaction mixture was concentrated under reduced pressure to give a residue. The crude product tert-butyl 4-(3-amino-4-methyl-phenyl) piperazine-1- carboxylate (118 mg, 404.96 umol, 65% yield) was obtained as a brown solid. [0279] Step 3: General procedure for preparation of tert-butyl4-[3-[2-(5-fluoro-6-methoxy- indol-1-yl)propanoylamino]-4-methyl-phenyl]piperazine-1-carboxylate
mg, 171.22 umol, 1 eq) in DMF (2 mL) was added tert-butyl 4-(3-amino-4-methyl- phenyl)piperazine-1-carboxylate (44.90 mg, 154.10 umol, 0.9 eq) ,and was added HATU(78.12 mg, 205.46 umol, 1.2 eq) and DIEA (66.38 mg, 513.65 umol, 89.47 uL, 3 eq), The mixture was stirred at 25°C for 12h. LC-MS showed reactant was consumed completely and one main peak with desired mass was detected. The reaction mixture was cooled to room temperature and diluted by water (2 mL), extracted with ethyl acetate (2 mL * 3).The combined organics were washed with brine (2 mL), dried over Na2SO4, filtered and The reaction mixture was
concentrated under reduced pressure to give a residue. The crude product tert-butyl 4-[4-methyl- 3-[2-[3-methyl-5-(1-piperidylsulfonyl)indol-1-yl]propanoylamino]phenyl]piperazine-1- carboxylate (100 mg, 160.31 umol, 93.63% yield) was obtained as a Brown oil. [0281] Step 4: General procedure for preparation of N-(2-methyl-5-piperazin-1-yl-phenyl)-2- [3-methyl-5-(1-piperidylsulfonyl)indol-1-yl]propanamide (A-17) 1-
yl]propanoylamino]phenyl]piperazine-1-carboxylate (100 mg, 160.31 umol, 1 eq) in DCM (2 mL) and was added TFA (36.56 mg, 320.61 umol, 23.74 uL, 2 eq). The mixture was stirred at 25°C for 2 h. LC-MS and HPLC showed reactant was consumed completely and one main peak with desired mass was detected. The reaction mixture was concentrated under reduced pressure to give a residue. The residue was purified by prep-HPLC (column: C18-1 150*30mm*5um;mobile phase: [water(TFA)-ACN];B%: 20%-65%,8min). [0283] EXAMPLE A-17: N-(2-methyl-5-piperazin-1-yl-phenyl)-2-[3-methyl-5-(1- piperidylsulfonyl)indol-1-yl]propanamide (40.6 mg, 77.53umol, 48.36% yield, 100% purity) was obtained as a white solid.1H NMR (400 MHz, CHLOROFORM-d) δ = 9.81 - 9.58 (m, 2H), 8.09 (s, 1H), 7.67 - 7.57 (m, 2H), 7.48 - 7.39 (m, 1H), 7.26 -7.23 (m, 1H), 6.94 (br d, J = 8.4 Hz, 1H), 6.79 - 6.70 (m, 1H), 6.58 (br d, J = 7.3 Hz, 1H), 5.29 - 5.11 (m, 1H), 3.47 - 3.21 (m,8H), 3.09 - 2.92 (m, 4H), 2.42 (s, 3H), 2.18 - 2.01 (m, 3H), 2.01 - 1.93 (m, 3H), 1.71 - 1.61 (m, 4H), 1.43 - 1.34 (m, 2H).1H NMR (400 MHz, METHANOL-d4) δ = 7.98 (s, 1H), 7.68 - 7.62 (m, 1H), 7.60 - 7.54 (m, 1H), 7.48 (s, 1H), 7.16 - 7.07 (m,1H), 7.05 (s, 1H), 6.82 (dd, J = 2.3, 8.4 Hz, 1H), 5.44 (br d, J = 7.1 Hz, 1H), 3.31 (br s, 8H), 2.95 (br d, J =5.1 Hz, 4H), 2.39 (s, 3H), 2.00 (s, 3H), 1.89 (d, J = 7.0 Hz, 3H), 1.69 - 1.57 (m, 4H), 1.44 - 1.36 (m, 2H). MS (M + H)+ = 524.2. [0284] EXAMPLE A-18 and EXAMPLE A-19 [0285] (Enantiomer A)-N-(2-methyl-5-(piperazin-1-yl)phenyl)-2-(3-methyl-5-(piperidin-1- ylsulfonyl)-1H-indol-1-yl)propanamide (EXAMPLE A-18) and (Enantiomer B)-N-(2-methyl-5-
(piperazin-1-yl)phenyl)-2-(3-methyl-5-(piperidin-1-ylsulfonyl)-1H-indol-1-yl)propanamide (EXAMPLE A-19) EXAMPLE first to elute
EXAMPLE A-
second to elute [0286] N-(2-methyl-5-piperazin-1-yl-phenyl)-2-[3-methyl-5-(1-piperidylsulfonyl) indol-1- yl]propanamide (40 mg, 76.38 umol, 1 eq) under SFC. The residue was purified by prep-HPLC (column: ChiralPak IH, 250*30mm, 10um; mobile phase: [0.1%NH3H2O MEOH]; B%: 35%- 35%, 15min). EXAMPLE A-18 (Enantiomer A, first to elute, 2.34 minutes)-N-(2-methyl-5- piperazin-1-yl-phenyl)-2-[3-methyl-5-(1-piperidylsulfonyl) indol-1-yl] propanamide (9 mg, 17.05 umol, 22.32% yield, 99.22% purity) was obtained as a light yellow solid. EXAMPLE A-19 (Enantiomer B, second to elute, 2.57 minutes)-N-(2-methyl-5-piperazin-1-yl-phenyl)-2-[3- methyl-5-(1-piperidylsulfonyl) indol-1-yl] propanamide (9 mg, 17.19 umol, 22.50% yield, 100% purity) was obtained as a light yellow solid. [0287] EXAMPLE A-18: 1H NMR (400 MHz, CHLOROFORM-d) δ = 8.12 (s, 1H), 7.71 - 7.59 (m, 2H), 7.51 - 7.41 (m, 1H), 7.27 - 7.24 (m, 1H), 6.91 (d, J = 8.4 Hz, 1H), 6.68 (s, 1H), 6.60 (dd, J = 2.6, 8.3 Hz, 1H), 5.22 (d, J = 7.3 Hz, 1H), 3.18 (br d, J = 5.4 Hz, 4H), 3.10 (br d, J = 5.0 Hz, 4H), 3.02 (br t, J = 5.3 Hz, 4H), 2.44 (s, 3H), 2.01 (d, J = 7.3 Hz, 3H), 1.55-1.52 (m, 7H), 1.50 - 1.39 (m, 2H). MS (M + H)+ = 524.2. [0288] EXAMPLE A-19: 1H NMR (400 MHz, CHLOROFORM-d) δ = 8.02 (s, 1H), 7.59 - 7.54 (m, 2H), 7.36 (d, J = 8.8 Hz, 1H), 7.17 - 7.14 (m, 1H), 6.83 (br d, J = 8.5 Hz, 1H), 6.59 (s,
1H), 6.50 (br d, J = 8.3 Hz, 1H), 5.16 - 5.09 (m, 1H), 3.21 - 3.12 (m, 8H), 3.09 (br s, 4H), 2.34 (s, 3H), 1.91 (d, J = 7.3 Hz, 3H), 1.57 - 1.57 (m, 6H), 1.19 (s, 2H). MS (M + H)+ = 524.2. [0289] EXAMPLE A-20 [0290] N-[1-(2-aminoethyl)-5-methyl-indazol-6-yl]-2-[3-methyl-5-(1- piperidylsulfonyl)indol-1-yl]propanamide 20 [0291] Step 1:
indazol-1- yl)ethyl]carbamate 2 steps
[0292] Step 1: In a manner similar to that described for tert-butyl 3-(5-methyl-6-nitro- indazol-1-yl)azetidine-1-carboxylate (EXAMPLE A-22), to a solution of tert-butyl N-(2- bromoethyl)carbamate (1 eq) and 5-methyl-6-nitro-1H-indazole (1 eq) in DMF was added Cs2CO3 (3 eq). The mixture was stirred at 80 °C for 15 hr. LC-MS showed reactant was consumed completely and desired mass was detected. The reaction mixture was cooled to room temperature and diluted by water, extracted with ethyl acetate. The combined organics were washed with brine, dried over Na2SO4, filtered and the reaction mixture was concentrated under reduced pressure to give a residue. The residue was separated into the two regio- isomeric products by prep-TLC and prep-HPLC to give tert-butyl N-[2-(6-nitro-5-methyl-indazol-1- yl)ethyl]carbamate and tert-butyl N-[2-(6-nitro-5-methyl-indazol-2-yl)ethyl]carbamate. [0293] Step 2: General procedure for preparation of tert-butyl N-[2-(6-amino-5-methyl- indazol-1-yl)ethyl]carbamate
[0294] In a manner similar to that described for tert-butyl N-[2-(6-nitro-5-methyl-indazol-1- yl)ethyl]carbamate (EXAMPLE A-22,), To a solution of tert-butyl N-[2-(6-nitro-5-methyl- indazol-1-yl)ethyl]carbamate (1 eq) in EtOH (20mL) and H2O was added NH4Cl (3 eq) and Fe (5 eq). The mixture was stirred at 80 °C for 6 hr. LCMS showed reactant was consumed completely and desired mass was detected. The resultant mixture was filtered and the filter cake was rinsed with DCM. Then the combined filtrates were concentrated under reduced pressure. Compound tert-butyl N-[2-(6-amino-5-methyl-indazol-1-yl)ethyl]carbamate was obtained. [0295] Step 3: General procedure for preparation of tert-butyl N-[2-[5-methyl-6-[2-[3- methyl-5-(1-piperidylsulfonyl)indol-1-yl]propanoylamino]indazol-1- yl]ethyl]carbamate
(82.86 mg, 285.36 umol, 1 eq) in DCM (1 mL) was added HATU (108.50 mg, 285.36 umol, 1 eq) and a solution of 2-[3-methyl-5-(1-piperidylsulfonyl)indol-1-yl]propanoic acid (100 mg, 285.36 umol, 1 eq) in DCM (1 mL) which was basified by DIEA (110.64 mg, 856.08 umol, 149.11 uL, 3 eq) at 0°C. The mixture was stirred at 20°C for 2h. LC-MS showed Reactant 1 was consumed completely and one main peak with desired mass was detected. The mixture was poured into ice-water(5 mL), extracted with DCM (5 mL*3), washed with brine (2 ml), dried with anhydrous Na2SO4, filtered and concentrated to afford crude product. which was used into the next step without further purification. Compound tert-butyl N-[2-[5-methyl-6-[2-[3-methyl- 5-(1-piperidylsulfonyl)indol-1-yl]propanoylamino]indazol-1-yl]ethyl]carbamate (150 mg, 240.86 umol, 84.40% yield) was obtained as a pale yellow gum. [0297] Step 4: N-[1-(2-aminoethyl)-5-methyl-indazol-6-yl]-2-[3-methyl-5-(1- piperidylsulfonyl)indol-1-yl]propanamide (A-20)
[0298] A solution of tert-butyl N-[2-[5-methyl-6-[2-[3-methyl-5-(1-piperidylsulfonyl)indol- 1-yl]propanoylamino]indazol-1-yl]ethyl]carbamate (100.00 mg, 160.57 umol, 1 eq) in HCl/EtOAc (1.5 mL) was stirred at 20°Cfor 2h. LC-MS showed reactant was consumed completely and desired mass was detected.2 mL of NaHCO3 was added to the reaction, the reaction mixture was extracted with Ethyl acetate (3 mL*3). The combined organic layers were washed with brine (3 mL) and dried over Na2SO4. The combined organic layer was concentrated to dryness to give residue. The crude was purified by prep-HPLC (Phenomenex C18 75*30mm*3um;mobile phase: [water(NH3H2O+NH4HCO3)-ACN] column; 25-65 % acetonitrile in an a 10mM ammonium bicarbonate solution in water, 8 min gradient). EXAMPLE A-20 N-[1-(2-aminoethyl)-5-methyl-indazol-6-yl]-2-[3-methyl-5-(1-piperidylsulfonyl)indol-1- yl]propanamide (5 mg, 9.57 umol, 5.96% yield) was obtained as a white solid.1H NMR (400 MHz,CHLOROFORM-d) δ = 8.28 (s, 1H), 8.12 (s, 1H), 7.84 (br s, 1H), 7.72 - 7.59 (m, 1H), 7.46 (d, J = 8.6 Hz, 1H), 7.37 - 7.32 (m, 1H), 6.92 (s, 1H), 5.26 (q, J = 7.3 Hz, 1H), 4.39 (br s, 2H), 3.33 - 3.15 (m, 2H), 3.22 – 3.02 (m, 4H), 3.01 - 2.99(m, 1H), 2.44 (s, 3H), 2.03 (d, J = 7.4 Hz, 3H), 1.73 - 1.59 (m, 5H), 1.58 - 1.55 (m, 3H), 1.41 - 1.40 (m, 2H). MS (M + H)+ = 523.3. [0299] EXAMPLE A-21 21 [0300] N-[2-
piperidylsulfonyl)indol-1-yl]propanamide [0301] Step 1. General procedure for preparation of tert-butyl N-[2-(6-amino-5-methyl- indazol-2-yl)ethyl]carbamate
5-methyl-indazol-1- yl)ethyl]carbamate (EXAMPLE A-22), to a solution of tert-butyl N-[2-(6-nitro-5-methyl- indazol-2-yl)ethyl]carbamate (from EXAMPLE A-20) (1 eq) in EtOH (20mL) and H2O was added NH4Cl (3 eq) and Fe (5 eq). The mixture was stirred at 80 °C for 6 hr. LCMS showed
reactant was consumed completely and desired mass was detected. The resultant mixture was filtered and the filter cake was rinsed with DCM. Then the combined filtrates were concentrated under reduced pressure. Compound tert-butyl N-[2-(6-amino-5-methyl-indazol-2- yl)ethyl]carbamate was obtained. [0303] Step 2. tert-butyl N-[2-[5-methyl-6-[2-[3-methyl-5-(1-piperidylsulfonyl)indol-1- yl]propanoylamino]indazol-2- yl]ethyl]carbamate
mg, 285.36 umol, 1 eq) in DCM (1 mL) was added HATU (108.50 mg, 285.36 umol, 1 eq) and a solution of tert-butyl N-[2-(6-amino-5-methylindazol-2-yl)ethyl]carbamate (82.86 mg, 285.36 umol, 1 eq) in DCM (1 mL) which was basified by DIEA (110.64 mg, 856.08 umol, 149.11 uL, 3 eq) at 0 °C. The mixture was stirred at 20 °C for 2h. LCMS showed the starting material was consumed completely and desired mass was detected. The reaction mixture was diluted by water (3 mL), extracted with ethyl acetate (3 mL * 2) and washed with brine (5 mL), dried over Na2SO4, filtered and The reaction mixture was concentrated under reduced pressure to give the product. tert-butyl N-[2-[5-methyl-6-[2-[3-methyl-5-(1-piperidylsulfonyl)indol-1- yl]propanoylamino]indazol-2- yl]ethyl]carbamate (70 mg, 112.40 umol, 39.39% yield) was obtained as a yellow oil. [0305] Step 3: N-[2-(2-aminoethyl)-5-methyl-indazol-6-yl]-2-[3-methyl-5-(1- piperidylsulfonyl)indol-1-yl]propanamide (A-21)
1-yl]propanoylamino]indazol-2-yl]ethyl]carbamate (70.00 mg, 112.40 umol, 1 eq) in HCl/EtOAc (1 mL) was stirred at 20 °C for 1 h. LCMS showed the starting material was consumed and desired MS was detected. The reaction mixture was concentrated to dryness to give the crude product. The reaction mixture was purified by prep-HPLC (Phenomenex C1875*30mm*3um; 25-65 % acetonitrile in an a 10mM ammonium hydroxide solution in water, 8 min gradient).
EXAMPLE A-21 N-[2-(2-aminoethyl)-5-methyl-indazol-6-yl]-2-[3-methyl-5-(1- piperidylsulfonyl)indol-1-yl]propanamide (14.1 mg, 26.79 umol, 99.32% purity) was obtained as a white solid.1H NMR (400 MHz, DMSO-d6) δ =8.31 (s, 1H), 8.12 - 8.10 (m, 1H), 7.80 - 7.78 (m, 1H), 7.67 - 7.62 (m,1H), 7.50 - 7.45 (m, 1H), 7.29 - 7.28 (m, 2H), 6.82 - 6.79 (m, 1H), 5.24 (q, J = 7.4 Hz, 1H), 4.40 (t, J = 5.6 Hz, 2H), 3.29 - 3.24 (m, 2H), 3.01 (br t, J = 5.3 Hz, 4H), 2.43 (s, 3H), 2.02 (d, J = 7.3 Hz, 3H), 1.66 (quin, J = 5.6 Hz, 4H), 1.55 (s, 3H), 1.40 (br d, J = 5.5 Hz, 2H). MS (M + H)+ = 523.3. [0307] EXAMPLE A-22 [0308] N-[1-(azetidin-3-yl)-5-methyl-indazol-6-yl]-2-[3-methyl-5-(1- piperidylsulfonyl)indol-1-yl]propanamide 22 [0309] Step 1:
methyl-6-nitro-indazol-1- yl)azetidine-1-carboxylate and tert-butyl 3-(5-methyl-6-nitro-indazol-2-yl)azetidine-1- carboxylate
and 5-methyl-6-nitro-1H-indazole (2 g,11.29 mmol, 1 eq) in DMF (50 mL) was added Cs2CO3 (11.03 g, 33.87 mmol, 3 eq). The mixture was stirred at 80 °C for 15 hr. LC-MS showed reactant was consumed completely and desired mass was detected. The reaction mixture was cooled to room temperature and diluted by water (50 mL), extracted with ethyl acetate (50 mL *3). The combined organics were washed with brine (50 mL), dried over Na2SO4, filtered and the reaction mixture was concentrated under reduced pressure to give a residue. The residue was
dissolved in DCM (30 mL), and 20 g of silica gel was added. The resulting mixture was evaporated under reduced pressure to give a dry flowing solid, and then it was loaded to Biotage using a 20 g Agela flash silica gel column, eluted with 0 % to 100 % ethyl acetate in petroleum ether with the flower rate of 80 mL/min. The product fraction was combined and evaporated. Compound tert-butyl 3-(5-methyl-6-nitro-indazol-1-yl)azetidine-1-carboxylate (1.6 g, 4.81 mmol, 42.64% yield) was obtained as a white solid.1H NMR (400 MHz, CHLOROFORM-d) δ = 8.15 - 8.09 (m, 2H), 7.72 - 7.66 (m, 1H), 5.44 - 5.35 (m, 1H), 4.56 - 4.46 (m, 4H),2.66 (s, 3H), 1.50 (s, 9H). [0311] Compound tert-butyl 3-(5-methyl-6-nitro-indazol-2-yl)azetidine-1-carboxylate (1.3 g, 3.91 mmol, 34.65% yield) was obtained as a white solid.1H NMR (400 MHz, CHLOROFORM- d) δ = 8.03 - 8.00 (m, 2H), 7.58 - 7.54 (m, 1H), 5.38 - 5.29 (m, 1H), 4.57 - 4.42 (m, 4H),2.63 - 2.56 (m, 3H), 1.48 (s, 9H). [0312] General procedure for preparation of tert-butyl 3-(6-amino-5-methyl-indazol-1- yl)azetidine-1-carboxylate [0313]
(1.6 g, 4.81 mmol, 1 eq) in EtOH (20mL) and H2O (4 mL) was added NH4Cl (772.53 mg, 14.44 mmol, 3 eq) and Fe (1.34 g, 24.07 mmol, 5 eq). The mixture was stirred at 80 °C for 2 hr. LCMS showed reactant was consumed completely and desired mass was detected. The resultant mixture was filtered and the filter cake was rinsed with DCM (5 mL x 3). Then the combined filtrates were concentrated under reduced pressure. Compound tert-butyl 3-(6-amino-5-methyl- indazol-1-yl)azetidine-1-carboxylate (1.12 g, 3.70 mmol, 76.94% yield) was obtained as a yellow solid.1H NMR (400 MHz, CHLOROFORM-d) δ = 7.86 - 7.78 (m, 1H), 7.39 (s, 1H), 6.68 - 6.56 (m, 1H), 5.30 - 5.18 (m, 1H), 4.57 -4.46 (m, 2H), 4.44 - 4.33 (m, 2H), 4.05 - 3.84 (m, 2H), 2.32 - 2.19 (m, 3H), 1.49 (s, 9H).
[0314] General procedure for preparation of tert-butyl 3-[5-methyl-6-[2-[3-methyl-5-(1- piperidylsulfonyl)indol-1-yl]propanoylamino]indazol-1-yl]azetidine-1-carboxylate
(86.29 mg, 285.36 umol, 1 eq) in DCM (2mL) and 2-[3-methyl-5-(1-piperidylsulfonyl)indol-1- yl]propanoic acid (100 mg, 285.36 umol, 1 eq) was added HATU (108.50mg, 285.36 umol, 1 eq) and DIEA (110.64 mg, 856.09 umol, 149.11 uL, 3 eq). The mixture was stirred at 80 °C for 2 hr. LC-MS showed reactant was consumed completely and desired mass was detected. The reaction mixture was cooled to room temperature and diluted by water (8 mL), extracted with dichloromethane (8 mL * 2). The combined organics were washed with brine (8 mL), dried over Na2SO4, filtered and The reaction mixture was concentrated under reduced pressure to give a residue. Compound tert-butyl 3-[5-methyl-6-[2-[3-methyl-5-(1-piperidylsulfonyl)indol-1- yl]propanoylamino]indazol-1-yl]azetidine-1-carboxylate (150 mg, 236.30 umol, 82.81% yield) was obtained as a yellow solid. [0316] General procedure for preparation of N-[1-(azetidin-3-yl)-5-methyl-indazol-6-yl]-2- [3-methyl-5-(1-piperidylsulfonyl)indol-1-yl]propanamide A-22
indol-1- yl]propanoylamino]indazol-1-yl]azetidine-1-carboxylate (150 mg, 236.30 umol, 1 eq) in DCM (2 mL) was added TFA (26.94 mg, 236.30 umol, 17.50 uL, 1 eq). The mixture was stirred at 20 ° C for 2 hr. LC-MS showed reactant was consumed completely and desired mass was detected. The reaction mixture was concentrated under reduced pressure. The residue was purified by preparative HPLC (column: Phenomenex Luna C18150*30mm*5um;mobile phase:[water(TFA)-ACN];B%: 20%-50%,8min) the HPLC fractions were combined, lyophilized to give the desire compound as a yellow solid. EXAMPLE A-11 N-[1-(azetidin-3-yl)-5-methyl-
indazol-6-yl]-2-[3-methyl-5-(1-piperidylsulfonyl)indol-1-yl]propanamide (51.3 mg,95.95 umol, 40.60% yield, 100% purity) was obtained as a white solid.1H NMR (400 MHz, METHANOL- d4) δ =1.34 - 1.44 (m, 2 H) 1.57 - 1.68 (m, 4 H) 1.89 - 1.96 (m, 3 H) 2.12 - 2.19 (m, 3 H) 2.35 - 2.42 (m, 3 H) 2.92 - 3.00 (m, 4 H) 4.49 - 4.61 (m, 4 H) 5.47 - 5.56 (m, 1 H) 5.66 - 5.75 (m, 1 H) 7.48 - 7.52 (m, 1 H) 7.53- 7.61 (m, 2 H) 7.65 - 7.72 (m, 2 H) 7.97 - 8.02 (m, 1 H) 8.10 (s, 1 H). MS (M + H)+ = 535.1. [0318] EXAMPLE A-23 [0319] (Enantiomer A)-N-[1-(azetidin-3-yl)-5-methyl-indazol-6-yl]-2-[3-methyl-5-(1- piperidylsulfonyl)indol-1-yl]propanamide A-23 of unknown absolute configuration 23 [0320] General
6-[[(2 Enantiomer A)-2- [3-methyl-5-(1-piperidylsulfonyl)indol-1-yl]propanoyl]amino]indazol-1-yl]azetidine-1- carboxylate
g, 570.72 umol, 1 eq) in DMF(4 mL) was added tert-butyl 3-(6-amino-5-methyl-indazol-1- yl)azetidine-1-carboxylate(155.31 mg, 513.65 umol, 0.9 eq), HATU(260.41 mg, 684.86 umol, 1.2 eq) and DIEA(221.29 mg, 1.71 mmol, 298.23 uL, 3 eq) ,the reaction mixture was stirred at 25 °C for 12 hr. LC-MS showed starting material was consumed completely and major peak with desired mass was detected. The reaction mixture was poured into water (6 ml) and extracted with ethyl acetate (3 * 5 mL). The organic layer was washed with brine (5 mL), dried over anhydrous Na2SO4, then filtered and concentrated under reduced pressure to give a residue. The residue was purified by flash column(ISCO 12 g silica, 5-25 % ethyl acetate in DCM, gradient over 20 min) to give the product as white solid. The solid was purified by SFC(column: DAICEL
CHIRALPAK AD(250 mm * 30 mm, 10 um); mobile phase: [0.1%NH3H2O IPA];B%: 50%- 50%,14 min). tert-butyl 3-[5-methyl-6-[[(2 Enantiomer A)-2-[3-methyl-5-(1- piperidylsulfonyl)indol-1-yl]propanoyl]amino]indazol-1-yl]azetidine-1-carboxylate(0.04 g, 63.01 umol, 11.04% yield, 100% purity) was obtained as white solid. [0322] 1H NMR (400 MHz, DMSO-d6) δ = 9.79 (s, 1H), 8.08 (s, 1H), 7.90 (d, J = 1.1 Hz, 1H), 7.80 - 7.68 (m, 2H), 7.63 - 7.48 (m, 3H), 5.64 - 5.50 (m, 2H), 4.37 - 4.14 (m, 4H), 2.86 (br s, 4H), 2.34 (s, 3H), 2.21 (s, 3H), 1.82 (br d, J = 6.9 Hz, 3H), 1.55 (br d, J = 6.9 Hz, 4H), 1.40 (s, 9H), 1.32 (br d, J = 3.8 Hz, 2H). [0323] General procedure for preparation of (Enantiomer A)-N-[1-(azetidin-3-yl)-5-methyl- indazol-6-yl]-2-[3-methyl-5-(1-piperidylsulfonyl)indol-1-yl]propanamide EXAMPLE A-23
piperidylsulfonyl)indol-1-yl]propanoyl]amino]indazol-1-yl]azetidine-1-carboxylate(0.04 g, 63.01 umol, 1 eq) in DCM(2.5 mL) and TFA(0.5 mL) was stirred at 25 °C for 2 hr. LC-MS showed starting material was consumed completely and major peak with desired mass was detected. The reaction mixture was adjusted pH (7-8) with TEA and then concentrated under reduced pressure to give a residue. The residue was purified by prep-HPLC (column: Phenomenex C1875 * 30 mm * 3 um; mobile phase: [water(NH3H2O+NH4HCO3)-ACN]; B%: 20%-60%,8min). After prep-HPLC purification, the eluent was concentrated to remove organic solvents. The residual aqueous solution was lyophilized to give a residue. (2Enantiomer A)-N-[1- (azetidin-3-yl)-5-methyl-indazol-6-yl]-2-[3-methyl-5-(1-piperidylsulfonyl)indol-1- yl]propanamide(14.5 mg, 25.83 umol, 41.00% yield, 95.258% purity) was obtained as white solid. Under chiral column conditions AD_EtOH_IPAm_5_50_34_35_3min, EXAMPLE A-23 is the first to elute at 1.49 min.1H NMR (400 MHz, ACETONITRILE-d3) δ = 8.00 (s, 1H), 7.95 - 7.88 (m, 2H), 7.84 (br s, 1H), 7.66 - 7.55 (m, 2H), 7.47 (br d, J = 11.6 Hz, 2H), 5.46 - 5.37 (m, 2H), 4.13 (t, J = 7.4 Hz, 2H), 3.89 - 3.82 (m, 2H), 2.97 - 2.87 (m, 4H), 2.39 (s, 3H), 2.00 (s, 3H), 1.88 (d, J = 7.1 Hz, 3H), 1.59 (quin, J = 5.7 Hz, 4H), 1.36 (br d, J = 5.6 Hz, 2H), MS (M + H)+ = 535.2.
[0325] EXAMPLE A-24 [0326] (Enantiomer B)-N-[1-(azetidin-3-yl)-5-methyl-indazol-6-yl]-2-[3-methyl-5-(1- piperidylsulfonyl)indol-1-yl]propenamide A-24 of unknown absolute configuration 24 [0327] General (azetidin-3-yl)-5-methyl-
indazol-6-yl]-2-[3-methyl-5-(1-piperidylsulfonyl)indol-1-yl]propanamide EXAMPLE A-24
piperidylsulfonyl)indol-1-yl]propanoyl]amino]indazol-1-yl]azetidine-1-carboxylate(0.04 g, 63.01 umol, 1 eq) in DCM (2.5 mL) and TFA(0.5 mL) was stirred at 25 °C for 2 hr. LC-MS showed starting material was consumed completely and major peak with desired mass was detected. The reaction mixture was adjusted pH(7-8) with TEA, and then concentrated under reduced pressure to give a residue. The residue was purified by prep-HPLC(column: Phenomenex C1875 * 30 mm * 3 um;mobile phase:[water(NH3H2O+NH4HCO3)-ACN];B%: 20%-60%,8min). After prep-HPLC purification, the eluent was concentrated to remove organic solvents. The residual aqueous solution was lyophilized to give a residue. (2S)-N-[1-(azetidin-3- yl)-5-methyl-indazol-6-yl]-2-[3-methyl-5-(1-piperidylsulfonyl)indol-1-yl]propanamide(19.5 mg, 36.47 umol, 57.88% yield, 100% purity) was obtained as white solid. Under chiral column conditions AD_EtOH_IPAm_5_50_34_35_3min, EXAMPLE A-24 is the second to elute at 1.67 min.1H NMR (400 MHz, ACETONITRILE-d3) δ = 8.00 (s, 1H), 7.95 - 7.86 (m, 3H), 7.66 - 7.54 (m, 2H), 7.47 (br d, J = 14.3 Hz, 2H), 5.53 - 5.33 (m, 2H), 4.19 (t, J = 7.5 Hz, 2H), 3.96 (t, J = 8.3 Hz, 2H), 2.95 - 2.88 (m, 4H), 2.39 (s, 3H), 2.01 (s, 3H), 1.88 (d, J = 7.3 Hz, 3H), 1.64 - 1.55 (m, 4H), 1.36 (br t, J = 5.8 Hz, 2H). MS (M + H)+ = 535.2. [0329] EXAMPLE A-25
[0330] N-[2-(azetidin-3-yl)-5-methyl-indazol-6-yl]-2-[3-methyl-5-(1- piperidylsulfonyl)indol-1-yl]propanamide 25 [0331] Step 1: 6-nitro-indazol-1-
yl)azetidine-1-carboxylate and tert-butyl 3-(5-methyl-6-nitro-indazol-2-yl)azetidine-1- carboxylate
and 5-methyl-6-nitro-1H-indazole (2 g,11.29 mmol, 1 eq) in DMF (50 mL) was added Cs2CO3 (11.03 g, 33.87 mmol, 3 eq). The mixture was stirred at 80 °C for 15 hr. LC-MS showed reactant was consumed completely and desired mass was detected. The reaction mixture was cooled to room temperature and diluted by water (50 mL), extracted with ethyl acetate (50 mL *3).The combined organics were washed with brine (50 mL), dried over Na2SO4, filtered and The reaction mixture was concentrated under reduced pressure to give a residue. The residue was dissolved in DCM (30 mL), and 20 g of silica gel was added. The resulting mixture was evaporated under reduced pressure to give a dry flowing solid, and then it was loaded to Biotage using a 20 g Agela flash silica gel column, eluted with 0 % to 100 % ethyl acetate in petroleum ether with the flower rate of 80 mL/min. The product fraction was combined and evaporated. Compound tert-butyl 3-(5-methyl-6-nitro-indazol-1-yl)azetidine-1-carboxylate (1.6 g, 4.81 mmol, 42.64% yield) was obtained as a white solid.1H NMR (400 MHz, CHLOROFORM-d) δ = 8.15 - 8.09 (m, 2H), 7.72 - 7.66 (m, 1H), 5.44 - 5.35 (m, 1H), 4.56 - 4.46 (m, 4H),2.66 (s, 3H), 1.50 (s, 9H).
[0333] Compound tert-butyl 3-(5-methyl-6-nitro-indazol-2-yl)azetidine-1-carboxylate (1.3 g, 3.91 mmol, 34.65% yield) was obtained as a white solid.1H NMR (400 MHz, CHLOROFORM- d) δ = 8.03 - 8.00 (m, 2H), 7.58 - 7.54 (m, 1H), 5.38 - 5.29 (m, 1H), 4.57 - 4.42 (m, 4H),2.63 - 2.56 (m, 3H), 1.48 (s, 9H). [0334] Step 2: General procedure for preparation of tert-butyl 3-(6-amino-5-methyl-indazol- 2-yl)azetidine-1-carboxylate
(1.3 g, 3.91 mmol, 1 eq) in EtOH (10mL) and H2O (2 mL) was added Fe (1.09 g, 19.56 mmol, 5 eq) and NH4Cl (627.69 mg, 11.73 mmol, 3 eq) .The mixture was stirred at 80 °C for 2 hr. LC- MS showed reactant was consumed completely and desired mass was detected. The resultant mixture was filtered and the filter cake was rinsed with MeOH (5 mL x 3). Then the combined filtrates were concentrated under reduced pressure. Compound tert-butyl 3-(6-amino-5-methyl- indazol-2-yl)azetidine-1-carboxylate (700 mg, 2.32 mmol, 59.19% yield) was obtained as a yellow solid.1H NMR (400 MHz, CHLOROFORM-d) δ = 7.84 (s, 1H), 7.34 - 7.31 (m, 1H), 6.87 (s, 1H), 5.28 - 5.19 (m, 1H), 4.46 - 4.43 (m,4H), 2.30 - 2.25 (m, 3H), 1.48 (s, 9H). [0336] Step 3: General procedure for preparation of tert-butyl 3-[5-methyl-6-[2-[3-methyl-5- (1-piperidylsulfonyl)indol-1-yl]propanoylamino]indazol-2-yl]azetidine-1-carboxylate
(86.29 mg, 285.36 umol, 1 eq) in DCM (2mL) was added DIEA (110.64 mg, 856.09 umol, 149.11 uL, 3 eq) and HATU (108.50 mg, 285.36 umol, 1 eq) and2-[3-methyl-5-(1- piperidylsulfonyl)indol-1-yl]propanoic acid (100 mg, 285.36 umol, 1 eq) .The mixture was stirred at 20 °C for 2 h. LC-MS showed reactant was consumed completely and desired mass was detected. The reaction mixture was cooled to room temperature and diluted by water (2 mL), extracted with dichloromethane (3 mL * 2).The combined organics were washed with brine (5 mL), dried over Na2SO4, filtered and The reaction mixture was concentrated under reduced
pressure to give a residue.Compound tert-butyl 3-[5-methyl-6-[2-[3-methyl-5-(1- piperidylsulfonyl)indol-1-yl]propanoylamino]indazol-2-yl]azetidine-1-carboxylate (150 mg, 236.30 umol, 82.81% yield) was obtained as a yellow solid. [0338] Step 4: General procedure for preparation of N-[2-(azetidin-3-yl)-5-methyl-indazol-6- yl]-2-[3-methyl-5-(1-piperidylsulfonyl)indol-1-yl]propanamide EXAMPLE A-25 1-
yl]propanoylamino]indazol-2-yl]azetidine-1-carboxylate (150 mg, 236.30 umol, 1 eq) in DCM (0.5 mL) was added TFA (4.62 g, 40.52 mmol, 3.00 mL, 171.47 eq) . The mixture was stirred at 20 °C for 1 h. LC-MS showed reactant was consumed completely and desired mass was detected. The reaction mixture was concentrated under reduced pressure. The residue was purified by preparative HPLC (column: Phenomenex Luna C18150*30mm*5um;mobile phase:[water(TFA)-ACN];B%: 20%-50%,8min) the HPLC fractions were combined, lyophilized to give the desire compound as a yellow solid . EXAMPLE A-25 N-[2-(azetidin-3-yl)-5-methyl- indazol-6-yl]-2-[3-methyl-5-(1-piperidylsulfonyl)indol-1-yl]propanamide (17.3 mg,32.36 umol, 13.69% yield, 100% purity) was obtained as a white solid. 1H NMR (400 MHz, METHANOL- d4) δ = 8.14 (s, 1 H) 7.99 (s, 1 H) 7.77 - 7.85 (m, 1 H) 7.65 - 7.70 (m, 1 H) 7.54 - 7.60 (m, 1 H) 7.44 - 7.51(m, 2 H) 5.58 - 5.68 (m, 1 H) 5.43 - 5.54 (m, 1 H) 4.57 - 4.69 (m, 4 H) 2.89 - 3.04 (m, 4 H) 2.33 - 2.44 (m, 3 H) 1.99 -2.11 (m, 3 H) 1.92 (d, J=7.00 Hz, 3 H) 1.62 (m, 4 H) 1.31 - 1.46 (m, 2 H). MS (M + H)+ = 535.1. [0340] EXAMPLE A-26 [0341] 2-[3-methyl-5-(1-piperidylsulfonyl)indol-1-yl]-N-[[4-(1H-pyrazol-5- yl)phenyl]methyl]propanamide 26
[0342] Step 1: General procedure for preparation of tert-butyl N-[[4-(2-tetrahydropyran-2- ylpyrazol-3-yl)phenyl]methyl]carbamate [0343] 0.1 eq)
was added to the mixture of tert-butyl N-[(4-bromophenyl)methyl]carbamate (450 mg, 1.57 mmol, 1 eq) and 1-tetrahydropyran-2-yl-5-(4,4,5,5-tetramethyl-1,3,2-dioxaborolan-2-yl)pyrazole (656.11 mg, 2.36 mmol, 1.5 eq) in toluene (6 mL) and H2O (3 mL). The reaction mixture was added H2O (20 mL), and then extracted with EtOAc (20mL * 3). The combined organic layers were dried over Na2SO4, filtered and concentrated under reduced pressure to give a residue. Compound tert-butyl N-[[4-(2-tetrahydropyran-2-ylpyrazol-3-yl)phenyl]methyl]carbamate (500 mg, 839.29 umol, 53.37% yield, 60% purity) was obtained as a white solid. [0344] General procedure for preparation of [4-(1H-pyrazol-5-yl)phenyl]methanamine [0345] To
yl)phenyl]methyl]carbamate (500 mg, 1.40 mmol, 1eq) in EtOAc (6 mL) was added HCl/EtOAc (4 M, 2.50 mL, 7.15 eq). The mixture was stirred at 20 °C for 2 hr. The reaction mixture was concentrated under reduced pressure to give a residue as a white solid. The crude product [4- (1H-pyrazol-5-yl)phenyl]methanamine (400 mg, crude, HCl) as a white solid used next step directly. [0346] General procedure for preparation of 2-[3-methyl-5-(1-piperidylsulfonyl)indol-1-yl]- N-[[4-(1H-pyrazol-5-yl)phenyl]methyl]propanamide EXAMPLE A-26
[0 zol- 5-yl)phenyl]methanamine (60 mg, 346.39umol, 1 eq) and 2-[3-methyl-5-(1- piperidylsulfonyl)indol-1-yl]propanoic acid (121.39 mg, 346.39 umol, 1 eq) in DMF (1mL) at 0 °C. Then the DIEA (134.31 mg, 1.04 mmol, 181.01 uL, 3 eq) was added to the mixture at 0 °C, the reaction was stirred at 20 °C for 1 h. The reaction mixture was concentrated under reduced pressure to give a residue. The organic layer was washed with brine (3 mL), dried over Na2SO4 and concentrated to give crude product. The residue was purified by prep-HPLC (column: Waters Xbridge BEH C18100*30mm*10um;mobile phase:[water(NH4HCO3)-ACN];B%:60%- 80%,8min). EXAMPLE A-262-[3-methyl-5-(1-piperidylsulfonyl)indol-1-yl]-N-[[4-(1H- pyrazol-5-yl)phenyl]methyl]propanamide (25 mg, 49.44 umol, 14.27% yield) was obtained as a white solid.1H NMR (400 MHz, ACETONITRILE-d3) δ = 8.0 (s, 1H), 7.66 - 7.68 (m, 2H), 7.60 (d, J = 8.4 Hz, 1H), 7.50 (s, 2H), 7.34 (s, 1H), 7.14 - 7.21 (m, 2H),7.04 - 6.99 (m, 1H), 6.59 (d, J = 8.4 Hz, 1H), 5.19 - 5.12 (m, 1H), 4.42 (d, J = 6.0 Hz, 2H), 2.92 - 2.86 (m, 4H), 2.36 - 2.33 (m, 3H), 1.75 (d, J = 7.1 Hz, 3H), 1.63 - 1.54 (m, 4H), 1.38 - 1.30 (m, 2H), MS (M + H)+ = 506.1. [0348] EXAMPLE A-27 [0349] 4-[[2-[3-methyl-5-(1-piperidylsulfonyl)indol-1yl]propanoylamino]methyl]benzamide 27 [0350] General
indol- [0351] 1yl]propanoylamino]methyl]benzamide
100 mg, 285.36 umol, 1 eq) and 4-(aminomethyl)benzamide;hydrochloride (63.91 mg, 342.43 umol, 1.2 eq) in DMF (2 mL) was added HATU (162.75 mg, 428.04umol, 1.5 eq) and DIEA (110.64 mg, 856.09 umol, 149.11 uL, 3 eq) at 0°C.The mixture was stirred at 25°C for 2 hr. LC-MS showed reactant was consumed completely and one main peak with desired MS was detected. The reaction mixture was added H2O (2 mL), and then extracted with EtOAc (2 mL * 3). The combined organic layers were dried over Na2SO4, filtered and concentrated under reduced pressure to give a residue. The residue was purified by prep-HPLC (column: Phenomenex Luna C18150*30mm*5um;mobile phase: [water(TFA)- ACN];B%: 30%-60%,8min). Compound EXAMPLE A-274-[[2-[3-methyl-5-(1-piperidylsulfonyl)indol- 1yl]propanoylamino]methyl]benzamide (51 mg, 105.68 umol, 37.03%yield, 100% purity) was obtained as a pale yellow solid.1H NMR(400 MHz, DMSO-d6) δ = 8.83 (t, J = 5.8 Hz, 1H), 7.96 - 7.83 (m, 2H), 7.77 (d, J = 8.1 Hz, 2H), 7.65 (d, J = 8.6 Hz, 1H), 7.53 -7.42 (m, 2H), 7.31 (br s, 1H), 7.24 (d, J = 8.1 Hz, 2H), 5.41 - 5.10 (m, 1H), 4.32 (d, J = 5.9 Hz, 2H), 2.85 (br t, J = 5.1 Hz, 4H),2.31 (s, 3H), 1.68 (d, J = 7.1 Hz, 3H), 1.54 (br s, 4H), 1.31 (br d, J = 4.1 Hz, 2H). MS (M + H)+ = 483.1. [0353] EXAMPLE A-28 A-28 [0354] N-(5-
- indol-1-yl]propanamide
[0355] Step 1: General procedure for preparation of tert-butyl 5-methyl-6-nitro-indoline-1- carboxylate [0356] To a solution 1 eq) in dioxane (10 mL)
was added NaHCO3 (942.90 mg, 11.22 mmol, 436.53 uL, 2 eq) and Boc2O (1.59 g, 7.30 mmol, 1.68 mL, 1.3 eq),H2O (5 mL). The mixture was stirred at 20 °C for 12 hr. The reaction mixture was added H2O (30mL), and then extracted with EtOAc (30mL * 3). The combined organic layers were [0357] dried over Na2SO4, filtered and concentrated under reduced pressure to give a residue. The residue was dissolved in DCM (20 mL) and 2 g of silica gel was added. The resultant mixture was evaporated under reduced pressure to give a flowing solid, and then submitted for purification by flash chromatography on silica gel (Petroleum ether/EtOAc = 20:1~1:1) to give tert-butyl 5-methyl-6-nitro-indoline-1-carboxylate (450 mg, 1.62 mmol, 28.81% yield) as a yellow solid. [0358] General procedure for preparation of tert-butyl 6-amino-5-methyl-indoline-1- carboxylate
[0359] To a solution of tert-butyl 5-methyl-6-nitro-indoline-1-carboxylate (450 mg, 1.62 mmol, 1 eq) in EtOAc (10 mL) was added Pd/C (300 mg, 4.85 mmol, 10% purity, 3 eq) under N2 atmosphere. The suspension was degassed and purged with H2 (2 Pa) for 3 times. The suspension was degassed and purged with H2 for 3 times. The mixture was stirred under H2 (2 Psi) at 20 °C for 6 hr. The reaction mixture was filtered through a pad of Celite and the celite was rinsed with ethyl acetate (20 mL * 3). The filtrate was diluted with water (20 mL), extracted with ethyl acetate (20 mL * 3). The combined organics were washed with brine (10 mL), dried over Na2SO4, filtered and concentrated under reduced pressure to give a residue. Compound
tert-butyl 6-amino-5-methyl-indoline-1-carboxylate (350 mg, crude) was obtained as a yellow solid. [0360] General procedure for preparation of 2-[3-methyl-5-(1-piperidylsulfonyl)indol-1- yl]propanoyl chloride [0361] To a propanoic acid in
DMF at 0 deg C was added oxalyl chloride in DCM. The reaction was allowed to warm to 20 deg C over 0.5 hr, then evaporated to dryness and used as is in the next step. [0362] General procedure for preparation of tert-butyl 5-methyl-6-[2-[3-methyl-5-(1- piperidylsulfonyl)indol-1-yl]propanoylamino]indoline-1-carboxylate
umol, 1 eq) in DCM (1 mL) was added TEA (67.24 mg, 664.47 umol, 92.49 uL, 3 eq), 2-[3- methyl-5-(1-piperidylsulfonyl)indol-1-yl]propanoyl chloride (81.70 mg, 221.49 umol, 1 eq) at 0 °C. The mixture was stirred at 20 °C for 1 hr. The reaction mixture was concentrated under reduced pressure to give a residue. The reaction mixture was concentrated under reduced pressure to give a residue. Compound tert-butyl 5-methyl-6-[2-[3-methyl-5-(1- piperidylsulfonyl)indol-1-yl]propanoylamino]indoline-1-carboxylate (100 mg, crude) was obtained as a yellow solid. [0364] General procedure for preparation of N-(5-methylindolin-6-yl)-2-[3-methyl-5-(1- piperidylsulfonyl)indol-1-yl]propanamide (A-28)
[0 yl]propanoylamino]indoline-1-carboxylate (95.24 mg,163.99 umol, 1 eq) was added HCl/EtOAc (4 M, 3 mL, 73.17 eq). The mixture was stirred at 20 °C for 12 h. The reaction mixture was concentrated under reduced pressure to give a residue. The residue was purified by prep-HPLC (HPLC: column: Phenomenex C1875*30mm*3um;mobile phase: [water( NH4HCO3)- ACN];B%: 35%-70%,8min).Compound EXAMPLE A-28 N-(5-methylindolin-6-yl)-2-[3- methyl-5-(1-piperidylsulfonyl)indol-1-yl]propanamide (22.7 mg, 46.35 umol, 28.26% yield, 98.14% purity) was obtained as a pale yellow solid.1H NMR (400 MHz, ACETONITRILE-d3) δ = 8.02 (d, J = 1.0 Hz, 1H), 7.75 - 7.68 (m, 1H), 7.65 - 7.56 (m, 2H), 7.45 (s, 1H),6.87 (s, 1H), 6.70 (s, 1H), 5.32 (q, J = 7.1 Hz, 1H), 4.36 - 4.16 (m, 1H), 3.45 (t, J = 8.4 Hz, 2H), 2.99 - 2.92 (m, 4H), 2.89 (t, J =8.3 Hz, 2H), 2.41 (s, 3H), 1.88 - 1.83 (m, 6H), 1.63 (td, J = 5.7, 11.1 Hz, 4H), 1.43 - 1.36 (m, 2H). MS (M + H)+ = 481.1. [0366] EXAMPLE A-29 and EXAMPLE A-30 [0367] (Enantiomer A)-2-(3-methyl-5-(piperidin-1-ylsulfonyl)-1H-indol-1-yl)-N-(5- methylindolin-6-yl)propanamide A-29 of unknown absolute configuration and (Enantiomer B)- 2-(3-methyl-5-(piperidin-1-ylsulfonyl)-1H-indol-1-yl)-N-(5-methylindolin-6-yl)propanamide A- 30 of unknown absolute configuration
propanamide (40 mg, 83.23 umol, 1 eq) was purified by chiral separation. The residue was purified by prep-HPLC (column: REGIS(S,S) WHELK-O1(250mm*25mm,10um);mobile phase: [0.1%NH3H2O ETOH];B%: 56%-56%,20min). EXAMPLE A-29 (Enantiomer A)-N-(5- methylindolin-6-yl)-2-[3-methyl-5-(1-piperidylsulfonyl) indol-1-yl] propanamide (23 mg, 44.31 umol, 53.24% yield, 92.59% purity) eluted first at 2.84 minutes and was obtained as a light yellow solid. EXAMPLE A-30 (Enantiomer B)-N-(5-methylindolin-6-yl)-2-[3-methyl-5-(1- piperidylsulfonyl) indol-1-yl] propanamide (23 mg, 44.31 umol, 53.24% yield, 92.59% purity) eluted second at 4.0 minutes and was obtained as a light yellow solid. [0369] A-29: 1H NMR (400 MHz, ACETONITRILE-d3) δ = 8.03 - 7.98 (m, 1H), 7.69 - 7.53 (m, 2H), 7.48 -7.39 (m, 1H), 6.94 - 6.80 (m, 1H), 6.74 - 6.66 (m, 1H), 5.88 - 5.75 (m, 1 H), 4.37 - 4.12 (br, 1H), 3.52 - 3.38 (m, 2 H), 2.96 - 2.85 (m, 6 H), 2.62 (s, 3H), 1.83 - 1.71 (m, 6H), 1.64 - 1.56 (m, 4H), 1.42 - 1.34 (m, 2H). MS (M + H)+ = 481.2 [0370] A-30: 1H NMR (400 MHz, ACETONITRILE-d3) δ = 8.04 - 7.97 (m, 1H), 7.67 - 7.52 (m, 2H), 7.48 -7.38 (m, 1H), 6.94 - 6.80 (m, 1H), 6.74 - 6.66 (m, 1H), 5.88 - 5.75 (m, 1 H), 4.37 - 4.12 (br, 1H), 3.52 - 3.38 (m, 2 H), 2.96 - 2.85 (m, 6 H), 2.62 (s, 3H), 1.83 - 1.71 (m, 6H), 1.64 - 1.56 (m, 4H), 1.43 - 1.34 (m, 2H). MS (M + H)+ = 481.2 [0371] EXAMPLE A-31 [0372] N-isoindolin-5-yl-2-[3-methyl-5-(1-piperidylsulfonyl)indol-1-yl]propanamide 31 [0373] Step 1:
methyl-5-(1- piperidylsulfonyl)indol-1-yl]propanoylamino]isoindoline-2-carboxylate
4 umol, 1 eq), 2-[3-methyl-5-(1-piperidylsulfonyl)indol-1-yl]propanoic acid (209.40 mg, 597.54 umol, 1 eq) in DMF (2 mL) was added HATU (340.80 mg,896.31 umol, 1.5 eq) and DIEA (231.68 mg, 1.79 mmol, 312.24 uL, 3 eq) at 0°C.The mixture was stirred at 20 °C for 2 hr. The reaction mixture was concentrated under reduced pressure to give a residue. The residue was purified by column chromatography on silica gel (PE:EtOAc = 100:1/20:1) to give. Compound tert-butyl 5- [2-[3-methyl-5-(1-piperidylsulfonyl)indol-1-yl]propanoylamino]isoindoline-2-carboxylate (200 mg, 352.91 umol, 59.06% yield) was obtained as a red solid. [0375] Step 2: General procedure for preparation N-isoindolin-5-yl-2-[3-methyl-5-(1- piperidylsulfonyl)indol-1-yl]propanamide (A-31)
yl]propanoylamino]isoindoline-2-carboxylate (150 mg,264.69 umol, 1 eq) in DCM (3 mL) was added TFA (770.00 mg, 6.75 mmol, 500.00 uL, 25.51 eq). The mixture was stirred at 20 °C for 2 h. The reaction mixture was concentrated under reduced pressure to give a residue. The residue was purified by prep-HPLC (HPLC: column: Phenomenex Luna C18150*30mm*5um;mobile phase: [water(TFA)-ACN];B%: 20%-50%,8min). EXAMPLE A-31 N-isoindolin-5-yl-2-[3- methyl-5-(1-piperidylsulfonyl)indol-1-yl]propanamide (67.6 mg, 142.79 umol, 53.95% yield, 98.56% purity) was obtained as a yellow solid.1H NMR (400 MHz, ACETONITRILE-d3) δ = 9.25 -9.35 (s, 1H), 8.97(s, 1H), 7.97 - 7.93 (m, 1H), 7.64 - 7.59 (m, 1H), 7.55 - 7.51 (m, 1H), 7.48 (br d, J = 8.3 Hz, 2H), 7.45 (s, 1H), 7.35 (d, J = 8.4 Hz, 1H), 5.44 - 5.34 (m, 1H), 4.42 - 4.52
(m, 4H), 3.00 - 2.91 (m, 4H), 2.37 (s, 3H), 1.83 (d, J = 7.1 Hz, 3H), 1.66 - 1.57 (m, 4H), 1.42 - 1.34 (m, 2H), MS (M + H)+ = 467.1. [0377] EXAMPLE A-32 [0378] N-[2-(2-aminoethyl)isoindolin-5-yl]-2-[3-methyl-5-(1-piperidylsulfonyl)indol-1- yl]propanamide 32 [0379] General
indol-1- yl]propanoylamino]isoindolin-2-yl]ethyl]carbamate
yl]propanamide (180 mg, 385.77 umol, 1eq) in DMF (2 mL) was added TEA (117.11 mg, 1.16 mmol, 161.08 uL, 3 eq) and tert-butyl N-(2-bromoethyl)carbamate(259.35 mg, 1.16 mmol, 3 eq). The mixture was stirred at 20 °C for 12 hr. LC-MS showed reactant was consumed completely and one main peak with desired MS was detected. The reaction mixture was diluted with H2O 10 mL and extracted with EA 20 mL (10 mL * 2). The combined organic layers were washed with aqueous NaCl 10 mL , dried over Na2SO4, filtered and concentrated under reduced pressure to give a residue. The residue was purified by column chromatography on silica gel (PE:EtOAc = 100:1/3:1). Compound tert-butyl N-[2-[5-[2-[3-methyl-5-(1-piperidylsulfonyl)indol-1- yl]propanoylamino]isoindolin-2-yl]ethyl]carbamate(100 mg, 163.99 umol, 42.51% yield) was obtained as a yellow solid. [0381] General procedure for preparation N-[2-(2-aminoethyl)isoindolin-5-yl]-2-[3-methyl- 5-(1-piperidylsulfonyl)indol-1-yl]propanamide (A-32)
yl]propanoylamino]isoindolin-2-yl]ethyl]carbamate (100 mg, 163.99 umol, 1 eq) in HCl/EtOAc (4 M, 4 mL, 97.56 eq) at 0 °C. The mixture was stirred at 20 °C for 2 hr. LC-MS showed reactant was consumed completely and one main peak with desired MS was detected. The reaction mixture was concentrated under reduced pressure to give a residue. EXAMPLE A-32 N- [2-(2-aminoethyl)isoindolin-5-yl]-2-[3-methyl-5-(1-piperidylsulfonyl)indol-1-yl]propanamide (44.4 mg, 87.12umol, 53.12% yield, 100% purity) was obtained as a white slid.1H NMR (400 MHz, METHANOL-d4) δ = 7.97 - 7.93 (m, 1H), 7.81 (s, 1H), 7.64 - 7.59 (m, 1H), 7.55 - 7.51 (m, 1H), 7.48 (br d, J = 8.3 Hz, 1H), 7.45 (s, 1H), 7.35 (d, J = 8.4 Hz, 1H), 5.44 - 5.34 (m, 1H), 4.82 - 4.67 (m, 4H), 3.75 (t, J = 7.2 Hz, 2H), 3.51 -3.43 (m, 2H), 3.00 - 2.91 (m, 4H), 2.37 (s, 3H), 1.83 (d, J = 7.1 Hz, 3H), 1.66 - 1.57 (m, 4H), 1.42 - 1.34 (m, 2H). MS (M + H)+ = 510.2. [0383] EXAMPLE A-33 [0384] N-[1-(2-aminoethyl)-5-methyl-indolin-6-yl]-2-[3-methyl-5-(1- piperidylsulfonyl)indol-1-yl]propanamide 33 [0385] General
5-methyl-indol-1- yl)ethyl]carbamate
[0386] To a soultion of tert-butyl N-[2-(5-methyl-6-nitro-indol-1-yl)ethyl]carbamate (200 mg, 626.26 umol, 1 eq) in EtOAc (10 mL)was added Pd/C (200 mg, 31.31 umol, 10% purity)under Ar atmosphere. The suspension was degassed and purged with H2. The mixture was stirred under H2 (15 Psi, atm) at 20 °C for 12 h. LCMS showed starting material was consumed and desired ms was detected. The resultant mixture was filtered and the filter cake was rinsed with MeOH (5 mL). Then the combined filtrates were concentrated under reduced pressure to provide a brown oil. tert-butyl N-[2-(6-amino-5-methyl-indol-1-yl)ethyl]carbamate (77 mg, 266.09 umol, 42.49% yield) was obtained as a brown oil. [0387] General procedure for preparation of tert-butyl N-[2-(6-amino-5-methyl-indolin-1- yl)ethyl]carbamate [0388]
(60 mg, 207.35 umol, 1 eq) in AcOH (1 mL) was added NaBH3CN (26.06 mg, 414.69 umol, 2 eq) at 0 °C, then under N2 the mixture was stirred at 20 °C for 1 h. LCMS showed starting material was consumed and desired ms was detected. The mixture was basified by slowly adding NaHCO3 (15mL) at 0 °C to pH = 9. Extracted with ethyl acetate (5mL*2). The combined organics were washed with brine (15 mL), dried over Na2SO4, filtered and concentrated under reduced pressure to give a yellow oil. The oil checked by. tert-butyl N-[2-(6-amino-5-methyl-indolin-1- yl)ethyl]carbamate (60 mg, 205.91 umol, 99.31% yield) was obtained as a yellow oil. [0389] General procedure for preparation of tert-butyl (2-(5-methyl-6-(2-(3-methyl-5- (piperidin-1-ylsulfonyl)-1H-indol-1-yl)propanamido)indolin-1-yl)ethyl)carbamate
[0390] To a solution of tert-butyl N-[2-(6-amino-5-methyl-indolin-1-yl)ethyl]carbamate (60 mg, 205.91 umol, 1 eq) in DCM (1 mL) was added Et3N (41.67 mg, 411.82 umol, 57.32 uL, 2 eq) ,then the mixture was added a solution of 2-[3-methyl-5-(1- piperidylsulfonyl)indol-1- yl]propanoyl chloride (see EXAMPLE A-28) (37.98 mg, 102.96 umol, 0.5 eq) in DCM (0.5 mL) at 0 °C. Then the mixture was stirred at 20 °C for 2 h. LCMS showed 5% starting material was remained and desired ms was detected. Water (10 mL) was added to the reaction, the reaction mixture was extracted with DCM (10 mL*2). The combined organics were washed with brine (15 mL) and dried over Na2SO4 and filtered. The combined organic layer was concentrated under reduced pressure to afford a brown oil. Without purification. tert-butyl N-[2-[5-methyl-6-[2-[3- methyl-5-(1-piperidylsulfonyl)indol-1-yl]propanoylamino]indolin-1-yl]ethyl]carbamate (100 mg, 160.31 umol, 77.85% yield) was obtained as a brown oil. [0391] General procedure for preparation of N-[1-(2-aminoethyl)-5-methyl-indolin-6-yl]-2- [3-methyl-5-(1-piperidylsulfonyl)indol-1-yl]propanamide (A-33)
piperidylsulfonyl)indol-1-yl]propanoylamino]indolin-1-yl]ethyl]carbamate (100 mg, 160.31 umol, 1 eq) in DCM (1 mL) was added TFA (770.00 mg, 6.75 mmol, 0.5 mL, 42.13 eq), then the mixture was stirred at 20 °C for 1 h. LCMS showed starting material was consumed and desired ms was detected. The resultant mixture was filtered. The residue was purified by prep-HPLC (column: Phenomenex C1880*30mm*3um;mobile phase: [water(TFA)-ACN];B%: 30%- 60%,8min). EXAMPLE A-33 N-[1-(2-aminoethyl)-5-methyl-indolin-6-yl]-2-[3-methyl-5-(1- piperidylsulfonyl)indol-1-yl]propanamide (9.7 mg, 18.06 umol, 11.26% yield, 97.48% purity) was obtained as a white solid.1H NMR (400 MHz, METHANOL-d4) δ = 7.99 (d, J = 1.1 Hz, 1H), 7.68 - 7.64 (m, 1H), 7.58 (br d, J = 1.5 Hz, 1H), 7.48 (s, 1H), 6.93 (s, 1H), 6.56 (s, 1H), 5.43 (d, J = 7.1 Hz, 1H), 3.26 - 3.20 (m, 2H), 3.18 - 3.11 (m, 2H), 3.00 - 2.90 (m, 8H), 2.39 (s, 3H), 1.97 (s, 3H), 1.89 (d, J = 7.1 Hz, 3H), 1.67 - 1.60 (m, 4H), 1.41 (br d, J = 5.5 Hz, 2H). MS (M + H)+ = 524.2. [0393] EXAMPLE A-34
[0394] 4-methyl-3-[2-[3-methyl-5-(1-piperidylsulfonyl)indol-1- yl]propanoylamino]benzamide 34 [0395] General 5-(piperidin-1-
ylsulfonyl)-1H-indol-1-yl)propanamido)benzamide (A-34)
(1 mL) was added 2-[3-methyl-5-(1-piperidylsulfonyl)indol-1-yl]propanoic acid (233.35 mg, 665.88 umol, 1 eq) ,DIEA (258.18 mg, 2.00 mmol, 347.95 uL, 3 eq), HATU (379.78 mg, 998.82 umol, 1.5 eq) at 0 °C, the mixture was stirred at 25°C for 2hr. LCMS showed the reaction was complete. The reaction mixture was concentrated under reduced pressure to give crude product. The crude product was purified by Prep-HPLC (column: C18-1150*30mm*5um;mobile phase: [water(TFA)-ACN];B%: 15%- 60%,8min). EXAMPLE A-344-methyl-3-[2-[3-methyl-5-(1- piperidylsulfonyl)indol-1-yl]propanoylamino]benzamide (55 mg, 17.12% yield, 100% purity) was obtained as a pale yellow solid.1H NMR (400 MHz, DMSO-d6) δ = 9.89 - 9.83 (m, 1H), 7.89 (s, 2H), 7.81 (s, 1H), 7.74 (d, J = 8.8 Hz, 1H), 7.62 (dd, J = 1.3, 7.9 Hz, 1H), 7.57 (s, 1H), 7.54 - 7.49 (m, 1H), 7.31 - 7.22 (m, 2H), 5.55 - 5.48 (m, 1H), 2.86 (br s, 4H), 2.33 (s, 3H), 2.15 (s, 3H), 1.81 (d, J = 6.9 Hz, 3H), 1.53 (br s, 4H), 1.31 (br d, J = 3.4 Hz, 2H). MS (M + H)+ = 483.1. [0397] EXAMPLE A-35 [0398] N-[5-(azetidin-3-ylamino)-2-methyl-phenyl]-2-[3-methyl-5-(1- piperidylsulfonyl)indol-1-yl]propanamide
35 [0399] Step 1: Ge ethyl-5-nitro- anilino)azetidine-1-carboxylate [0400]
anilino)azetidine-1-carboxylate (see EXAMPLE A-42), a solution of 1-bromo-4-methyl-5-nitro- benzene (1 eq) tert-butyl 3-aminoazetidine-1-carboxylate (2 eq), RuPhos (0.2 eq), Pd2(dba)3 (0.1 eq), dicesium carbonate (3 eq) in Toluene was stirred at 100 °C under N2. LCMS showed the starting material was consumed and desired MS was detected. TLC showed the reaction was complete. The reaction mixture was cooled to room temperature and concentrated in vauco to remove toluene. The mixture was diluted with water and extracted with ethyl acetate The combined organic layers were dried over sodium sulphate and concentrated in vacuo. The residue was purified by column chromatography (silica gel, 100-200 mesh, 20-30 % ethyl acetate in petroleum ether) to give 3-(4-methyl-5-nitro-anilino)azetidine-1-carboxylate. [0401] Step 2: General procedure for preparation of of tert-butyl 3-(3-amino-4-methyl- anilino)azetidine-1-carboxylate [0402]
. anilino)azetidine-1-carboxylate (see EXAMPLE A-42), a solution of tert-butyl 3-(4-methyl-5- nitro-anilino)azetidine-1-carboxylate (1 eq) Pd/C (10% purity) in MeOH was stirred at 30 °C.
LCMS showed the starting material was consumed and desired MS was detected. The resultant mixture was filtered and the filtrates were concentrated under reduced pressure to give the product tert-butyl 3-(5-amino-4-methyl-anilino)azetidine-1-carboxylate. [0403] Step 3: General procedure for preparation of tert-butyl 3-[4-methyl-3-[2-[3-methyl-5- (1-piperidylsulfonyl)indol-1-yl]propanoylamino]anilino]azetidine-1-carboxylate
(39.57 mg, 142.68 umol, 1 eq) in DMF (0.5 mL) were added 2-[3-methyl-5-(1- piperidylsulfonyl)indol-1-yl]propanoic acid (50 mg, 142.68 umol, 1 eq), DIEA (92.20 mg, 713.41 umol, 124.26 uL, 5 eq) and HATU (81.38 mg, 214.02 umol, 1.5 eq) at 0 °C, the mixture was stirred at 20 °C for 1 h. The reaction was monitored by LCMS, which showed reactant was consumed completely and the desired ms was detected.3mL of water was added to the mixture, the mixture was extracted with ethyl acetate (5 mL*2) and the combined extracts was dried with anhydrous Na2SO4 and filtered, the filtrate was concentrated under reduced pressure to give a residue. tert-butyl 3-[4-methyl-3-[2-[3-methyl-5-(1-piperidylsulfonyl)indol-1- yl]propanoylamino]anilino]azetidine-1-carboxylate (87 mg, crude) was obtained as a brown oil. [0405] Step 4: General procedure for preparation of N-[5-(azetidin-3-ylamino)-2-methyl- phenyl]-2-[3-methyl-5-(1-piperidylsulfonyl)indol-1-yl]propanamide (A-35)
1- yl]propanoylamino]anilino]azetidine-1-carboxylate (87 mg, 142.67 umol, 1 eq) in DCM (1 mL) was added TFA (1.54 g, 13.51 mmol, 1 mL, 94.66 eq), the mixture was stirred at 20 °C for 1 h. The reaction was monitored by LCMS, which showed reactant was consumed completely and the desired ms was detected. The mixture was concentrated under reduced pressure to give the
crude product. The residue was purified by prep-HPLC: column: Waters Xbridge BEH C18 100*30mm*10um;mobile phase: [water( NH4HCO3)-ACN];B%: 30%-65%,8min. EXAMPLE A-35 N-[5-(azetidin-3-ylamino)-2-methyl-phenyl]-2-[3-methyl-5-(1-piperidylsulfonyl)indol-1- yl]propanamide (25.08 mg, 49.21 umol, 34.49% yield, 100% purity) was obtained as a pale yellow solid.1H NMR (400 MHz, METHANOL-d4) δ = 8.03 - 7.93 (m, 1H), 7.70 - 7.61 (m, 1H), 7.60 - 7.53 (m, 1H), 7.46 (s, 1H), 6.99 - 6.87 (m, 1H), 6.59 (br d, J = 1.9 Hz, 1H), 6.41 - 6.34 (m, 1H), 5.45 - 5.35 (m, 1H), 4.36 - 4.23 (m, 1H), 3.95 (br t, J = 7.8 Hz, 2H), 3.65 - 3.54 (m, 2H), 3.01 - 2.92 (m, 4H), 2.38 (s, 3H), 1.97 - 1.81 (m, 6H), 1.62 (br d, J = 4.5 Hz, 4H), 1.46 - 1.32 (m, 2H). MS (M + H)+ = 510.3. [0407] EXAMPLE A-36 [0408] N-[2-methyl-5-(2-oxoimidazolidin-1-yl)phenyl]-2-[3-methyl-5-(1- piperidylsulfonyl)indol-1-yl]propanamide 36 [0409] Step 1:
phenyl)ethane-1,2- diamine [0410] A
eq) in ethane-1,2- diamine (1.94 g, 32.23 mmol, 2.16 mL, 5 eq), the mixture was stirred at 100°C for 16 h. LCMS showed the reaction was complete. 10 mL of water was added to the mixture, the mixture was extracted with chloroform (20 mL*2), and the combined extracts was dried with anhydrous Na2SO4 and filtered, the filtrate was concentrated under reduced pressure to give N'-(4-methyl- 3-nitro-phenyl)ethane-1,2-diamine (1 g, crude) as a yellow solid
[0411] Step 2: General procedure for preparation of 1-(4-methyl-3-nitro- phenyl)imidazolidin-2-one [0412] To a (1 g, 5.12 mmol, 1
eq) in THF (10 mL) was added CDI (830.61 mg, 5.12 mmol, 1 eq), the mixture was stirred at 20°C for 1 h. LCMS showed the reaction was complete.10 mL of water was added to the mixture, the mixture was extracted with ethyl acetate (20 mL*2), and the combined extracts was dried with anhydrous Na2SO4 and filtered, the filtrate was concentrated under reduced pressure to give a residue. The residue was purified by flash column (ISCO 20 g silica, 20-80 % ethyl acetate in petroleum ether, gradient over 20 min). 1-(4-methyl-3-nitro-phenyl)imidazolidin-2- one (120 mg, crude) was obtained as a yellow solid. [0413] Step 3: General procedure for preparation of 1-(3-amino-4-methyl- phenyl)imidazolidin-2-one [0414] To a
mg, 90.41 umol, 1 eq) in MeOH (1 mL) was added Pd/C (20 mg, 90.41 umol, 10% purity, 1 eq), the mixture was stirred at 20 °C for 1 h under H2 atmosphere. LCMS showed the reaction was complete. The mixture was filtered under reduced pressure to give 1-(3-amino-4-methyl- phenyl)imidazolidin-2-one (20 mg, crude) as a yellow solid. [0415] Step 4: General procedure for preparation of N-[2-methyl-5-(2-oxoimidazolidin-1- yl)phenyl]-2-[3-methyl-5-(1-piperidylsulfonyl)indol-1-yl]propanamide (A-36)
[0416] To a panoic acid (30.54 mg, 87.16 umol, 1 eq) and 1-(3-amino-4-methyl-phenyl)imidazolidin-2-one (20 mg, 104.59 umol, 1.2 eq) in DMF (1 mL) was added DIEA (33.79 mg, 261.47 umol, 45.54 uL, 3 eq) and HATU (66.28 mg, 174.31 umol, 2 eq), the mixture was stirred at 20°C for 1 h. LCMS showed the reaction was complete. The mixture was filtered and the filterate was purified directly. The residue was purified by prep-HPLC: column: Phenomenex Luna 80*30mm*3um;mobile phase: [water(FA)-ACN];B%: 10%-40%,8min. EXAMPLE A-36 N-[2-methyl-5-(2-oxoimidazolidin-1- yl)phenyl]-2-[3-methyl-5-(1-piperidylsulfonyl)indol-1-yl]propanamide (17.1 mg, 30.98 umol, 35.55% yield, 94.88% purity) was obtained as a white solid.1H NMR (400 MHz, CHLOROFORM-d) δ = 8.10 (d, J = 1.5 Hz, 1H), 7.89 (d, J = 2.5 Hz, 1H), 7.69 - 7.60 (m, 1H), 7.38 (s, 2H), 7.26 - 7.23 (m, 1H), 7.05 - 6.97 (m, 1H), 6.78 - 6.68 (m, 1H), 5.26 - 5.11 (m, 2H), 4.00 - 3.87 (m, 2H), 3.64 - 3.52 (m, 2H), 3.03 - 2.99 (m, 4H), 2.42 (s, 3H), 1.98 (d, J = 7.0 Hz, 3H), 1.68 - 1.64 (m, 4H), 1.55 - 1.52 (m, 3H), 1.43 - 1.37 (m, 2H). MS (M + H)+ = 524.2. [0417] EXAMPLE A-37 [0418] N-(4-amino-2-methyl-phenyl)-2-[3-methyl-5-(1-piperidylsulfonyl)indol-1- yl]propanamide 37 [0419] General
4-[2-[3-methyl-5- (1-piperidylsulfonyl)indol-1-yl]propanoylamino]phenyl]carbamate
[ 0 mg, 428.04 umol, 1 eq) in DMF (3 mL)was HATU (195.31 mg, 513.65 umol, 1.2 eq) and DIEA (165.96 mg, 1.28 mmol, 223.67 uL, 3 eq), then was added tert-butyl N-(4-amino-3-methyl- phenyl)carbamate (95.15 mg, 428.04 umol, 1 eq) and the mixture was stirred at 20 oC for 2 h. LC-MS showed reactant was consumed completely and one main peak with desired mass was detected. The reaction mixture was added H2O (2 mL) , the H2O phase was extracted with ethyl acetate (10 mL *2) . The combined organic layers were washed with brine (10 mL * 1), dried over Na2SO4, filtered and concentrated under reduced pressure to [0421] Give a residue. The crude product tert-butyl N-[3-methyl-4-[2-[3-methyl-5-(1- piperidylsulfonyl)indol-1-yl]propanoylamino]phenyl]carbamate [0422] (230 mg, 373.18 umol, 87.18% yield, 90% purity) was as a pale yellow solid. General procedure for preparation of N-(4-amino-2-methyl-phenyl)-2-[3-methyl-5-(1- piperidylsulfonyl)indol-1-yl]propanamide (A-37)
1-yl]propanoylamino]phenyl]carbamate (230 mg, 414.64 umol, 1 eq) in HCl/EtOAc (4 mL). The mixture was stirred at 20 °C for 1 hr. LC-MS showed reactant was consumed completely and one main peak with desired mass was detected. The reaction mixture was concentrated in vacuum. The reaction was purified by prep-HPLC (column: Phenomenex Luna 80*30mm*3um;mobile phase: [water(HCl)-ACN];B%: 5%-40%,8min). EXAMPLE A-37 N-(4-amino-2-methyl- phenyl)-2-[3-methyl-5-(1-piperidylsulfonyl)indol-1-yl]propanamide (65.76 mg, 144.66 umol, 34.89% yield, 100% purity) was obtained as a white solid. 1H NMR (400 MHz, METHANOL- d4) δ = 7.98 (d, J = 1.4 Hz, 1H), 7.68 - 7.62 (m, 1H), 7.59 - 7.55 (m, 1H), 7.50 (d, J = 8.4 Hz,
1H), 7.47 (s, 1H), 7.24 - 7.14 (m, 2H), 5.46 (br d, J = 7.1 Hz, 1H), 3.01 - 2.91 (m, 4H), 2.38 (d, J = 0.8 Hz, 3H), 2.11 (s, 3H), 1.88 (d, J = 7.1 Hz, 3H), 1.68 - 1.56 (m, 4H), 1.40 (br d, J = 5.6 Hz, 2H). MS (M + H)+ = 455.2. [0424] EXAMPLE A-38 [0425] N-(2-methyl-5-morpholino-phenyl)-2-[3-methyl-5-(1-piperidylsulfonyl)indol-1- yl]propanamide 38 [0426] General
morpholine
[0427] In a . nitro- phenyl)piperazine-1-carboxylate (see EXAMPLE A-9), to a solution of 4-bromo-1-methyl-2- nitro-benzene 1.1 eq) in toluene were added morpholine (1 eq), Cs2CO3 (3 eq), RuPhos (0.2 eq) and Pd2(dba)3 (0.1 eq), the mixture was degassed and purged with N2 for three times, the mixture was heated to 100°C and stirred. LCMS showed reactant was consumed completely and the desired ms was detected. Water was added to the mixture, the mixture was extracted with ethyl acetate , and the combined extracts were washed with brine, dried with anhydrous Na2SO4 and filtered, the filtrate was concentrated under reduced pressure to give a residue. The residue was purified by flash column and4-(4-methyl-3-nitrophenyl)morpholine was obtained. [0428] Step 2: General procedure for the preparation of 2-methyl-5-morpholino-aniline.
[0429] In a manner similar to that described for tert-butyl 4-(3-amino-4-methyl- phenyl)piperazine-1-carboxylate (SEE EXAMPLE A-9) to a solution of Pd/C in EtOH was added tert-butyl 4-(4-methyl-3-nitrophenyl)morpholine (1 eq), the mixture was degassed and purged with H2 for three times, the mixture was stirred at 30°C under H2(15 psi). TLC (Petroleum ether : Ethyl acetate = 3:1) showed reactant was consumed completely, a major spot was detected. The mixture was filtered and concentrated under reduced pressure to give the crude product.4-(4-methyl-3-nitrophenyl)morpholine. [0430] General procedure for preparation of N-(2-methyl-5-morpholino-phenyl)-2-[3- methyl-5-(1-piperidylsulfonyl)indol-1-yl]propanamide (A-38)
mg, 285.36 umol, 1 eq) in DMF (2 mL) was added HATU (130.20 mg, 342.43 umol, 1.2 eq) and DIEA (110.64 mg, 856.09 umol, 149.11 uL, 3 eq), then the mixture was added 2-methyl-5- morpholino-aniline (54.86 mg, 285.36 umol, 1 eq) and the mixture was stirred at 20 oC for 2 h. LC-MS showed reactant was consumed completely and one main peak with desired mass was detected. The reaction mixture was added H2O (5 mL), the H2O phase was then extracted with ethyl acetate (20 mL *2). The combined organic layers were washed with brine (5 mL * 1), dried over Na2SO4, filtered and concentrated under reduced pressure to give a residue. The mixture was purified by prep-HPLC Waters Xbridge BEH C18100*30mm*10um;mobile phase: [water( NH4HCO3)-ACN];B%: 40%-70%,8min. EXAMPLE A-38 N-(2-methyl-5-morpholino-phenyl)- 2-[3-methyl-5-(1-piperidylsulfonyl)indol-1-yl]propanamide (20 mg, 36.66 umol, 12.85% yield, 96.17% purity) was obtained as a white solid.1H NMR (400 MHz, CHLOROFORM-d) δ = 8.10 (s, 1H), 7.67 - 7.61 (m, 2H), 7.44 (d, J = 8.6 Hz, 1H), 7.24 (s, 1H), 6.91 (d, J = 8.4 Hz, 1H), 6.69 (s, 1H), 6.58 (br d, J = 7.6 Hz, 1H), 5.25 - 5.15 (m, 1H), 3.89 - 3.79 (m, 4H), 3.16 - 3.08 (m, 8H), 2.42 (s, 3H), 1.99 (d, J = 7.4 Hz, 3H), 1.74 - 1.54 (m, 4H), 1.44 (s, 5H).MS (M + H)+ = 525.2. [0432] EXAMPLE A-39
[0433] 2-[5-(benzenesulfonyl)-3-methyl-indol-1-yl]-N-(2-methyl-5-piperazin-1-yl- phenyl)propanamide 39 [0434] General -3-methyl-indol-
1-yl]propanoate [0435] In a manner similar to that described for EXAMPLE C-1, 5-bromo-3-methyl indole was treated with methyl 2-bromo propanoate to give methyl 2-(5-bromo-3-methylindol-1- yl)propanoate. This material was treated with sodium benzenesulfinate, Cs2CO3, Pd(dba)2, Xantphos in toluene to give methyl 2-[5-(benzenesulfonyl)-3-methyl-indol-1-yl]propanoate. [0436] General procedure for preparation of 2-[5-(benzenesulfonyl)-3-methyl-indol-1-yl] propanoic acid [0437]
(110 mg, 307.76 umol, 1 eq) in MeOH (1 mL) was added LiOH (29.48 mg, 1.23 mmol, 4 eq) in H2O (1 mL). The mixture was stirred at 20 °C for 2 hr. LC-MS showed reactant was consumed completely and one main peak with desired mass was detected. The mixture was acidified by adding hydrochloric acid (1 M, 1 mL) dropwise at 0 °C to pH = 7.Solid precipitation, filtration to obtain solid, dried under reduced pressure. No purifiaction was carried out. The crude product 2- [5-(benzenesulfonyl)-3-methyl-indol-1-yl]propanoic acid (100 mg, crude) was obtained as a yellow solid. [0438] General procedure for preparation of tert-butyl 4-[3-[2-[5-(benzenesulfonyl)-3- methyl-indol-1-yl] propanoylamino]-4-methyl-phenyl] piperazine-1-carboxylate
[0 0 mg, 291.21 umol, 1 eq) , tert-butyl 4-(3-amino-4-methyl-phenyl)piperazine-1-carboxylate (84.85 mg, 291.21 umol, 1 eq) in DMF (1 mL) was added HATU (166.09 mg, 436.81 umol, 1.5 eq) and DIEA (112.91 mg, 873.63 umol, 152.17 uL, 3 eq)at 0°C. The mixture was stirred at 20 °C for 2 h. LC-MS showed reactant was consumed completely and one main peak with desired mass was detected. The mixture was poured into ice-water (15 mL), extracted with Ethyl acetate (15 mL*3), washed with brine (10 ml), dried with anhydrous Na2SO4, filtered and concentrated to afford crude product. The crude product was purified chromatography (silica, petroleum ether/ethyl acetate from 10:1 to 1:2). Compound tert-butyl 4-[3-[2-[5-(benzenesulfonyl)-3- methyl-indol-1-yl] propanoylamino]-4-methyl-phenyl] piperazine-1-carboxylate (100 mg, 162.14 umol, 55.68% yield) was obtained as a yellow solid. [0440] General procedure for preparation of 2-[5-(benzenesulfonyl)-3-methyl-indol-1-yl]-N- (2-methyl-5-piperazin-1-yl-phenyl) propanamide (A-39)
yl]propanoylamino]-4-methyl-phenyl]piperazine-1-carboxylate (100 mg, 162.14 umol, 1 eq) in HCl/EtOAc (4 M, 3 mL, 74.01 eq) was stirred at 20 °C for 1 h. LC-MS showed reactant was consumed completely and one main peak with desired mass was detected. The reaction mixture was concentrated under reduced pressure to give a residue. The crude residue was purified by prep-HPLC (column: Phenomenex Luna 80*30mm*3um;mobile phase: [water(HCl)-ACN];B%: 15%-55%,8min). EXAMPLE A-392-[5-(benzenesulfonyl)-3-methyl-indol-1-yl]-N-(2-methyl-5- piperazin-1-yl-phenyl)propanamide (30 mg, 57.71 umol, 35.59% yield, 99.39% purity) was
obtained as a white solid.1H NMR (400 MHz, DMSO-d6) δ = 9.72 (s, 1H), 9.00 - 8.87 (m, 1H), 8.17 (d, J = 1.4 Hz, 1H), 7.98 - 7.92 (m, 2H), 7.78 - 7.68 (m, 2H), 7.65 - 7.54 (m, 4H), 7.06 (d, J = 8.6 Hz, 1H), 7.00 (d, J = 2.3 Hz, 1H), 6.73 (dd, J = 2.4, 8.3 Hz, 1H), 5.55 (q, J = 6.8 Hz, 1H), 3.25 - 3.13 (m, 9H), 2.32 - 2.31 (m, 1H), 2.33 (s, 3H), 2.03 (s, 3H), 1.74 (d, J = 7.0 Hz, 3H). MS(M+1)+=517.1. [0442] EXAMPLE A-40 [0443] N-(2-methyl-5-piperazin-1-yl-phenyl)-2-[3-methyl-5-(1-piperidylmethyl)indol-1- yl]propanamide 40 [0444] General
1-yl-phenyl)-2-[3- methyl-5-(1-piperidylmethyl)indol-1-yl]propanamide [0445]
mg, 2.38 mmol, 1 eq) in Tol. (10 mL) and H2O (2.5mL) were added 5-bromo-3-methyl-1H-indole (550.00 mg, 2.62 mmol, 1.1 eq), Cs2CO3 (2.33 g, 7.14 mmol, 3 eq) and 4-ditert-butylphosphanyl-N,N- dimethyl-aniline;dichloropalladium (84.27 mg, 119.01 umol, 84.27 uL, 0.05 eq). Then the mixture was stirred at 100°C for 12h under N2. LC-MS showed starting material were consumed completely and the peak with desired MS was detected. The reaction mixture was cooled to room temperature. Water (10 mL) was added to the reaction, the reaction mixture was extracted with ethyl acetate (30 mL*2). The combined organics were washed with brine (15 mL) and dried over Na2SO4 and filtered. The combined organic layer was concentrated under reduced pressure to afford a crude.The crude product was purified by flash column (ISCO 20 g silica, 40-50 % ethyl acetate in petroleum ether, gradient over 20min). Compound 3-methyl-5-(1-piperidylmethyl)- 1H-indole (214 mg, 749.79 umol, 31.50% yield, 80% purity) was obtained as a yellow oil.
[0446] General procedure for preparation of N-(2-methyl-5-piperazin-1-yl-phenyl)-2-[3- methyl-5-(1-piperidylmethyl)indol-1-yl]propanamide [0447] umol,
80% purity, 1 eq) in DMF (5 mL) was added Cs2CO3 (547.95 mg, 1.68 mmol, 3 eq) at 0°C, then the mixture was stirred at 0°C for 0.5h. Then the mixture was added methyl 2-bromopropanoate (93.62 mg, 560.59 umol, 62.41 uL, 1 eq) and stirred at 20°C for 12 h. LC-MS showed starting material were consumed completely and the peak with desired MS was detected. Water (5 mL) was added to the reaction, the reaction mixture was extracted with ethyl acetate (30 mL*2). The combined organics were washed with brine (15 mL) and dried over Na2SO4 and filtered. The combined organic layer was concentrated under reduced pressure to afford a crude. The crude product was purified by flash column (ISCO 4 g silica, 20-30 % ethyl acetate in petroleum ether, gradient over 20min).Compound methyl 2-[3-methyl-5-(1-piperidylmethyl)indol-1- yl]propanoate (163 mg, 518.41umol, 92.48% yield) was obtained as a yellow solid. [0448] General procedure for preparation of N-(2-methyl-5-piperazin-1-yl-phenyl)-2-[3- methyl-5-(1-piperidylmethyl)indol-1-yl]propanamide
(150 mg, 477.07 umol, 1 eq) in THF (2mL) and MeOH (1 mL) and H2O (1 mL) was added LiOH.H2O (140.14 mg, 3.34 mmol, 7 eq), then the mixture was stirred at 20°C for 2 h. LC-MS showed starting material were consumed completely and the peak with desired MS was detected. The mixture was acidified by adding saturated citric acid dropwise at 0°C to pH ~ 5-6. The reaction was filtered and the filtrate was purified by prep-HPLC (column: Waters Xbridge BEH C18100*30mm*10um;mobile phase: [water(NH4HCO3)-ACN];B%: 1%-35%,8min) base
on LC-MS (ET60351-10-P1A). Compound 2-[3-methyl-5-(1-piperidylmethyl)indol-1- yl]propanoic acid (45 mg, 149.80 umol, 31.40% yield, 100% purity) was obtained as a white solid. [0450] General procedure for preparation of N-(2-methyl-5-piperazin-1-yl-phenyl)-2-[3- methyl-5-(1-piperidylmethyl)indol-1-yl]propanamide
133.16 umol, 1 eq) in DMF (1 mL) was added tert-butyl 4-(3-amino-4-methyl- phenyl)piperazine-1-carboxylate (38.80 mg, 133.16 umol, 1 eq) ,then the mixture were added DIEA (34.42 mg, 266.32 umol, 46.39 uL, 2 eq) and HATU (75.95 mg, 199.74 umol, 1.5 eq) at 0°C. Then the reaction mixture was stirred at 20°C for 2h. LC-MS showed starting material were consumed completely and the peak with desired MS was detected. Water (5 mL) was added to the reaction, the reaction mixture was extracted with ethyl acetate (5 mL*2). The combined organics were washed with brine (5 mL) and dried over Na2SO4 and filtered. The combined organic layer was concentrated under reduced pressure to afford a crude. Compound tert-butyl 4- [4-methyl-3-[2-[3-methyl-5-(1-piperidylmethyl)indol-1-yl]propanoylamino]phenyl]piperazine-1- carboxylate (147mg, crude) was obtained as a yellow oil. [0452] General procedure for preparation of N-(2-methyl-5-piperazin-1-yl-phenyl)-2-[3- methyl-5-(1-piperidylmethyl)indol-1-yl]propanamide (A-40)
1- yl]propanoylamino]phenyl]piperazine-1-carboxylate (60 mg, 104.57 umol, 1 eq) in DCM (1 mL) was added TFA (770.00 mg, 6.75 mmol, 0.5 mL, 64.58 eq) and stirred at 20°C for 0.5h.. LC-MS showed starting material were consumed completely and the peak with desired MS was detected. The reaction was filtered and the filtrate was purified by prep-HPLC (column: Phenomenex C18
80*30mm*3um;mobile phase: [water(TFA)-ACN];B%:5%-35%,8min). EXAMPLE A-40 N-(2- methyl-5-piperazin-1-yl-phenyl)-2-[3-methyl-5-(1-piperidylmethyl)indol-1-yl]propanamide (18.35 mg, 31.22 umol, 29.86% yield, 100% purity, TFA) was obtained as a white solid.1H NMR (400 MHz, METHANOL-d4) δ = 7.71 (s, 1H), 7.57 (d, J = 8.5 Hz, 1H), 7.39 (s, 1H), 7.28 (dd, J = 1.3, 8.4 Hz, 1H), 7.14 - 7.07 (m, 2H), 6.80 (dd, J = 2.5, 8.4 Hz, 1H), 5.39 (d, J = 7.1 Hz, 1H), 4.38 (s, 2H), 3.50 - 3.42 (m, 2H), 3.33 (s, 8H), 2.96 (br s, 2H), 2.37 (s, 3H), 1.92 (s, 5H), 1.87 (d, J = 7.1 Hz, 3H), 1.83 - 1.78 (m, 1H), 1.77 - 1.65 (m, 2H), 1.58 - 1.44 (m, 1H). MS (M + H)+ = 474.2. [0454] EXAMPLE A-41 [0455] N-(2-methyl-5-piperazin-1-yl-phenyl)-2-(3-pyrrol-1-ylindol-1-yl)propanamide 41 [0456] General
1-yl)propanoate [0457] To a
DMF (5 mL) was added Cs2CO3 (1.81 g, 5.55 mmol, 3 eq) and methyl 2-bromopropanoate (370.78 mg, 2.22 mmol, 247.19 uL, 1.2 eq)and stirred at 20°C for 2h. LCMS showed the reaction was complete. Water (10 mL) was added to the reaction, the reaction mixture was extracted with ethyl acetate (15 mL*2). The combined organics were washed with brine (5 mL) and dried over Na2SO4 and filtered. The combined organic layer was concentrated under reduced pressure to afford a residue. The crude product was purified by flash column (ISCO 12 g silica, 0-20 % ethyl acetate in petroleum ether, gradient over 20 min). methyl 2-(3-nitroindol-1-yl)propanoate (450 mg, 1.81 mmol, 97.98% yield) was obtained as a red gum. [0458] General procedure for preparation of methyl 2-(3-aminoindol-1-yl) propanoate
[0459] To a so , 1.14 mmol, 1 eq) in EtOAc (2 mL) was added Pd/C (100 mg, 20.14 uL, 10% purity), then the mixture was stirred at 20°C for 1 h under H2 atmosophere. LCMS showed staring material was consumed and desired ms was detected. The reaction mixture was filtered and the filter cake was concentrated under reduced pressure. methyl 2-(3-aminoindol-1-yl)propanoate (249 mg, 1.14 mmol, 99.72% yield) was obtained as a red gum. [0460] General procedure for preparation of methyl 2-(3-pyrrol-1-ylindol-1-yl)propanoate [0461] To a
mg, 1.14 mmol, 1 eq) in dioxane (5 mL) was added 4-chloropyridine;hydrochloride (171.14 mg, 1.14 mmol, 1 eq), then the mixture was stirred at 20°C for 20min, Then 2,5-dimethoxytetrahydrofuran (150.78 mg, 1.14 mmol, 147.82 uL, 1 eq) was added to the above mixture and stirred at 110°C for 2h. LCMS showed the staring material was consumed and desired ms was detected. The reaction mixture was concentrated under reduced pressure. The residue was purified by prep-HPLC(column: Phenomenex Luna C1875*30mm*3um;mobile phase: [water(FA)-ACN];B%: 45%-75%,8min). methyl 2-(3-pyrrol-1-ylindol-1-yl)propanoate (50 mg, 186.35 umol, 16.33% yield) was obtained as a brown solid. [0462] General procedure for preparation of 2-(3-pyrrol-1-ylindol-1-yl)propanoic acid
[0463] To a solution of methyl 2-(3-pyrrol-1-ylindol-1-yl)propanoate (20 mg, 74.54 umol, 1 eq) in THF (1 mL) was added LiOH.H2O (3.57 mg, 85.08 umol, 18.64 uL, 1.14 eq). Then the mixture was stirred at 20 °C for 1hr. LCMS showed staring material was consumed and desired ms was detected. The mixture was concentrated under reduced pressure, water(2 mL) was added, acidizing by adding HCl dropwise at 0°C to pH= 3-4.Water(3 mL) was added to the reaction, the reaction mixture was extracted with ethyl acetate (3 mL*2). The combined organics were washed with brine (5 mL) and dried over Na2SO4 and filtered. The combined organic layer was concentrated under reduced pressure to afford a residue. Without purification.2-(3-pyrrol-1- ylindol-1-yl)propanoic acid (18 mg, 70.79 umol, 94.96% yield) was obtained as a yellow gum. [0464] General procedure for preparation of tert-butyl 4-[4-methyl-3-[2-(3-pyrrol-1-ylindol- 1-yl)propanoylamino]phenyl]piperazine-1-carboxylate [0465] To
umol, 1 eq) in DMF (1 mL) ,tert-butyl 4-(3-amino-4-methyl-phenyl)piperazine-1-carboxylate (20.63 mg, 70.79 umol, 1 eq), HATU (40.37 mg, 106.18 umol, 1.5 eq), DIEA (27.45 mg, 212.36 umol, 36.99 uL, 3 eq) were added. Then the mixture was stirred at 20°C for 2 hr. LCMS showed staring material was consumed and desired ms was detected. Water (3 mL) was added to the reaction, the reaction mixture was extracted with ethyl acetate (3 mL*2). The combined organics were washed with brine (15 mL) and dried over Na2SO4 and filtered. The combined organic layer was concentrated under reduced pressure to afford a residue. Without purification. tert- butyl 4-[4-methyl-3-[2-(3-pyrrol-1-ylindol-1-yl)propanoylamino]phenyl]piperazine-1- carboxylate (20 mg, 37.90 umol, 53.55% yield) was obtained as a yellow oil.
[0466] General procedure for preparation of N-(2-methyl-5-piperazin-1-yl-phenyl)-2-(3- pyrrol-1-ylindol-1-yl)propanamide (A-41) pyrrol-1-ylindol-1-
yl)propanoylamino]phenyl]piperazine-1-carboxylate (15 mg, 28.43 umol, 1 eq) in DCM (1 mL) was added TFA (2.05 mg, 17.98 umol, 1.34 uL, 6.32e-1 eq). Then the mixture was stirred at 20°C for 0.5hr. LCMS and HPLC showed staring material was consumed and desired ms was detected. The mixture was concentrated under reduced pressure to afford a residue. The crude product was purified by prep-HPLC(column: Phenomenex Luna 80*30mm*3um;mobile phase: [water(TFA)-ACN];B%: 30%-60%,8min). EXAMPLE A-41 N-(2-methyl-5-piperazin-1-yl- phenyl)-2-(3-pyrrol-1-ylindol-1-yl)propanamide (2.8 mg, 4.85 umol, 17.06% yield, 93.81% purity, TFA) was obtained as a pale yellow solid.1H NMR (400 MHz, CHLOROFORM-d) δ = 9.62 - 9.58 (s, 1H), 7.80 - 7.78 (d, 1H), 7.71-7.06(m,1H), 7.45-7.42(m, 1H), 7.41-7.36(m, 2H), 7.39-7.30(m, 1H), 7.36-7.27(m, 2H),7.06-7.05(m, 1H), 6.93-6.91(m, 1H),6.83-6.40(m, 1H),6.39-6.37 (s, 2H), 5.28-5.22(m, 1H), 3.32-3.17(d, 8H), 1.99 - 1.88 (d, 3H), 1.48 - 1.41 (s, 3H). MS (M + H)+ = 428.1. [0468] EXAMPLE A-42 [0469] N-[5-(azetidin-3-ylamino)-2,4-dimethyl-phenyl]-2-[3-methyl-5-(1- piperidylsulfonyl)indol-1-yl]propanamide 42 [0470] Step
5-nitro- anilino)azetidine-1-carboxylate
[0471 ert-butyl 3-aminoazetidine-1-carboxylate (1.50 g, 8.69 mmol, 2 eq), RuPhos (405.67 mg, 869.34 umol, 0.2 eq), Pd2(dba)3 (398.04 mg, 434.67 umol, 0.1 eq), dicesium carbonate (4.25 g, 13.04 mmol, 3 eq) in Tol. (20 mL) was stirred at 100 °C for 12 hr under N2. LCMS showed the starting material was consumed and desired MS was detected. TLC showed the reaction was complete. The reaction mixture was cooled to room temperature and concentrated in vauco to remove toluene. The mixture was diluted with water (20 mL) and extracted with ethyl acetate (3 * 50 mL). The combined organic layers were dried over sodium sulphate and concentrated in vacuo. The residue was purified by column chromatography (silica gel, 100-200 mesh, 20-30 % ethyl acetate in petroleum ether) to give tert-butyl 3-(2,4-dimethyl-5-nitro-anilino)azetidine-1-carboxylate (1.4 g, 4.31 mmol, 99.17% yield) as a yellow solid. [0472] Step 2: General procedure for preparation of tert-butyl 3-(5-amino-2,4-dimethyl- anilino)azetidine-1-carboxylate [0473]
(500 mg, 1.56 mmol, 1 eq) Pd/C (300 mg, 10% purity) in MeOH (2 mL) was stirred at 30 °C for 2 hr. LCMS showed the starting material was consumed and desired MS was detected. The resultant mixture was filtered and the filtrates were concentrated under reduced pressure to give the product. tert-butyl 3-(5-amino-2,4-dimethyl-anilino)azetidine-1-carboxylate (500 mg, crude) was obtained as a yellow oil. [0474] Step 3: General procedure for preparation of tert-butyl 3-[2,4-dimethyl-5-[2-[3- methyl-5-(1-piperidylsulfonyl) indol-1-yl]propanoylamino]anilino]azetidine-1-carboxylate
d (50 mg, 142.68 umol, 1 eq) tert-butyl 3-(5-amino-2,4-dimethyl-anilino)azetidine-1-carboxylate (41.58 mg, 142.68 umol, 1 eq), DIEA (55.32 mg, 428.04 umol, 74.56 uL, 3 eq), HATU (108.50 mg, 285.36 umol, 2 eq) in DCM (1 mL) was stirred at 20°C for 1h. LCMS showed the starting material was consumed and desired MS was detected. The mixture was diluted with water (2 mL) and extracted with dichloromethane (3 * 3 mL). The combined organic layers were dried over Na2SO4 and concentrated in vacuo. The product was used directly without purification,tert- butyl-3-[[4-[[2-[5-(1-piperidylsulfonyl)indol-1-yl]propanoylamino]methyl]anilino]methyl] azetidine-1-carboxylate (100 mg, crude) was obtained as a yellow oil. [0476] Step 4: General procedure for preparation of N-[5-(azetidin-3-ylamino)-2,4-dimethyl- phenyl]-2-[3-methyl-5-(1-piperidylsulfonyl)indol-1-yl] propanamide (A-42)
indol- 1-yl]propanoylamino] anilino]azetidine-1-carboxylate (100 mg, 160.31 umol, 1 eq) in DCM (1 mL), TFA (1.54 g, 13.51 mmol, 1 mL, 84.25 eq). The mixture was stirred at 20°C for 2h. LCMS showed the starting material was consumed and desired MS was detected. The reaction mixture was purified directly by prep-HPLC. The crude was purified by prep-HPLC (column: Phenomenex C1880*30mm*3um;mobile phase: [water(TFA)-ACN];B%: 30%-60%,8min gradient). EXAMPLE A-42 N-[5-(azetidin-3-ylamino)-2,4-dimethyl-phenyl]-2-[3-methyl-5-(1- piperidylsulfonyl)indol-1-yl] propanamide (36.27 mg, 68.61 umol, 42.80% yield, 99.06% purity) was obtained as a white solid.1H NMR (400 MHz, METHANOL-d4) δ = 7.98 (s, 1H), 7.67 - 7.62 (m, 1H), 7.59 - 7.53 (m, 1H), 7.47 (s, 1H), 6.88 (s, 1H), 6.39 (s, 1H), 5.42 (br d, J = 7.0 Hz, 1H), 4.42 - 4.29 (m, 3H), 3.98 (br dd, J = 6.5, 10.8 Hz, 2H), 2.97 (br t, J = 5.3 Hz, 4H), 2.38 (s,
3H), 2.12 (s, 3H), 1.93 (s, 3H), 1.88 (d, J = 7.1 Hz, 3H), 1.65 - 1.59 (m, 4H), 1.41 (br d, J = 4.9 Hz, 2H). MS (M + H)+ = 524.2. [0478] EXAMPLE A-43 [0479] N-(2,4-dimethyl-5-piperazin-1-yl-phenyl)-2-[3-methyl-5-(1-piperidylsulfonyl)indol- 1-yl]propanamide 43 [0480] General
5-nitro- phenyl)piperazine-1-carboxylate
[0481] A solution of 1-bromo-2,4-dimethyl-5-nitro-benzene (1 g, 4.35 mmol, 1 eq), tert- butyl piperazine-1-carboxylate (1.62 g, 8.69 mmol, 2 eq), RuPhos (405.67 mg, 869.34 umol, 0.2 eq), Pd2(dba)3 (398.04 mg, 434.67 umol, 0.1 eq), Cs2CO3 (4.25 g, 13.04 mmol, 3 eq) in Tol. (20 mL) was stirred at 100°C for 12hr under N2. LCMS showed the starting material was consumed and desired MS was detected. TLC showed the reaction was complete. The reaction mixture was cooled to room temperature and concentrated in vauco to remove toluene. The mixture was diluted with water (20 mL) and extracted with ethyl acetate (3 * 50 mL). The combined organic layers were dried over sodium sulphate and concentrated in vacuo. The residue was purified by column chromatography (silica gel, 100-200 mesh, 0-10 % ethyl acetate in petroleum ether) to give tert-butyl 4-(2,4-dimethyl-5-nitro-phenyl)piperazine-1-carboxylate (1.4 g, 4.17 mmol, 96.03% yield, 100% purity) was obtained as a yellow solid.
[0482] General procedure for preparation of tert-butyl 3-(5-amino-2,4-dimethyl- anilino)azetidine-1-carboxylate [0483] A
1-carboxylate (500 mg, 1.49 mmol, 1 eq) Pd/C (300 mg, 10% purity) in MeOH (2 mL) was stirred at 30°C for 2h. LCMS showed the starting material was consumed and desired MS was detected. The resultant mixture was filtered and the filtrates were concentrated under reduced pressure to give the product. tert-butyl 4-(5-amino-2,4-dimethyl-phenyl)piperazine-1-carboxylate (500 mg, crude) was obtained as a yellow oil. [0484] General procedure for preparation of tert-butyl 4-[2,4-dimethyl-5-[2-[3-methyl-5-(1- piperidylsulfonyl) indol-1-yl]propanoylamino] phenyl]piperazine-1-carboxylate
142.68 umol, 1 eq) tert-butyl 4-(5-amino-2,4-dimethyl-phenyl)piperazine-1-carboxylate (43.58 mg, 142.68 umol, 1 eq), DIEA (55.32 mg, 428.04 umol, 74.56 uL, 3 eq), HATU (108.50 mg, 285.36 umol, 2 eq) in DCM (1 mL) was stirred at 25°C for 1hr. LCMS showed the starting material was consumed and desired MS was detected. The mixture was diluted with water (2 mL) and extracted with dichloromethane (3 x 3 mL). The combined organic layers were dried over sodium sulphate and concentrated in vacuo. tert-butyl 4-[2,4-dimethyl-5-[2-[3-methyl-5-(1-
piperidylsulfonyl)indol-1-yl]propanoylamino] phenyl]piperazine-1-carboxylate (100 mg, crude) was obtained as a yellow oil. [0486] General procedure for preparation of N-(2,4-dimethyl-5-piperazin-1-yl-phenyl)-2-[3- methyl-5-(1-piperidylsulfonyl)indol-1-yl]propanamide (A-43) [0487]
indol- 1-yl]propanoylamino] phenyl]piperazine-1-carboxylate (100 mg, 156.78 umol, 1 eq) in DCM (1 mL) was added TFA (1.54 g, 13.51 mmol, 1 mL, 86.15 eq). The mixture was stirred at 25°C for 1h. LCMS showed the starting material was consumed and desired MS was detected. The reaction mixture was purified directly by prep-HPLC. The crude was purified by prep-HPLC (column: Phenomenex C1880*30mm*3um;mobile phase: [water(TFA)-ACN];B%: 30%- 60%,8min). EXAMPLE A-43 N-(2,4-dimethyl-5-piperazin-1-yl-phenyl)-2-[3-methyl-5-(1- piperidylsulfonyl)indol-1-yl]propanamide was obtained as a white solid. (35.14 mg, 65.35 umol, 41.68% yield, 100% purity) was obtained as a white solid.1H NMR (400 MHz, CHLOROFORM-d) δ = 9.51-9.48 (m, 2H), 8.05 (s, 1H), 7.59 - 7.52 (m, 1H), 7.45 - 7.39 (m, 1H), 7.37 - 7.32 (m, 1H), 7.30 - 7.24 (m, 1H), 7.21 - 7.18 (m, 1H), 6.91 - 6.86 (m, 1H), 5.28 - 5.17 (m, 1H), 3.30 (br s, 4H), 3.08 - 2.95 (m, 8H), 2.43 - 2.37 (m, 3H), 2.19 - 2.13 (m, 3H), 1.96 (d, J = 7.3 Hz, 3H), 1.68 - 1.62 (m, 7H), 1.44 - 1.35 (m, 2H). MS (M + H)+ = 538.2. [0488] EXAMPLE A-44 [0489] N-(5-amino-2,4-dimethyl-phenyl)-2-[3-methyl-5-(1-piperidylsulfonyl)indol-1- yl]propanamide
44 [0490] Step 1: Gene yl-5-nitro-phenyl)-2-[3- methyl-5-(1-piperidylsulfonyl)indol-1-yl]propanamide [0491]
2-[3- methyl-5-(1-piperidylsulfonyl)indol-1-yl]propanoic acid (46.39 mg, 132.39 umol, 1.1 eq) in DCM (1 mL) was added HATU (68.64 mg, 180.53 umol, 1.5 eq) and DIEA (46.66 mg, 361.06 umol, 62.89 uL, 3 eq), the reaction was stirred at 20 °C for 1 h. LCMS showed starting material was consumed and desired ms was detected. The mixture was concentrated reduced pressure. N- (2,4-dimethyl-5-nitro-phenyl)-2-[3-methyl-5-(1-piperidylsulfonyl)indol-1-yl]propanamide (20 mg, 40.11 umol, 33.33% yield) was obtained as a green gum. [0492] Step 2: General procedure for preparation of N-(5-amino-2,4-dimethyl-phenyl)-2-[3- methyl-5-(1-piperidylsulfonyl)indol-1-yl]propanamide (A-44) [0493]
piperidylsulfonyl)indol-1-yl]propanamide (20 mg, 40.11 umol, 1 eq) in MeOH (1 mL) was added Pd/C (40.11 umol, 10% purity, 1 eq), was stirred at 20 °C for 1 h under H2 15 psi
atmosphere. LCMS showed starting material was consumed and desired ms was detected. The mixture was concentrated to dryness to give residue. The residue was purified by preparative HPLC (column: Waters Xbridge Prep OBD C18150*40mm*10um;mobile phase: [water( NH4HCO3)-ACN];B%: 35%-65%,8min). EXAMPLE A-44 N-(5-amino-2,4-dimethyl-phenyl)- 2-[3-methyl-5-(1-piperidylsulfonyl)indol-1-yl]propanamide (5 mg, 10.14 umol, 25.27% yield, 95% purity) was obtained as a white solid.1H NMR (400 MHz, METHANOL-d4) δ = 7.97 (d, J = 1.4 Hz, 1H), 7.74 - 7.52 (m, 2H), 7.49 - 7.34 (m, 1H), 6.89 - 6.77 (m, 1H), 6.72 - 6.62 (m, 1H), 5.44 - 5.32 (m, 1H), 3.02 - 2.91 (m, 4H), 2.38 (d, J = 0.9 Hz, 3H), 2.08 (s, 3H), 1.92 - 1.80 (m, 6H), 1.66 - 1.59 (m, 4H), 1.44 - 1.36 (m, 2H). MS (M + H)+ = 469.1. [0494] EXAMPLE A-45 [0495] N-(3-amino-2,6-dimethyl-phenyl)-2-[3-methyl-5-(1-piperidylsulfonyl)indol-1- yl]propanamide 45 [0496] Step 1:
3-nitro-phenyl)-2-[3- methyl-5-(1-piperidylsulfonyl)indol-1-yl]propanamide [0497]
eq) and 3-[3- methyl-5-(1-piperidylsulfonyl)indol-1-yl]butan-2-one (50 mg, 143.49 umol, 1 eq) in DCM (0.5 mL) was added POCl3 (24.20 mg, 157.84 umol, 14.67 uL, 1.1 eq) and Py (56.75 mg, 717.44 umol, 57.91 uL, 5 eq), the reaction was stirred at 20 °C for 1 h. LCMS showed starting material was consumed and desired ms was detected. The reaction mixture was extracted with EtOAc (10
mL*2) and H2O (20 mL). The combined organic layers were washed with brine (10 mL) and dried over Na2SO4. The combined organic layer was concentrated to dryness to give residue. Without purification. N-(2,6-dimethyl-3-nitro-phenyl)-2-[3-methyl-5-(1-piperidylsulfonyl)indol- 1-yl]propanamide (70 mg, 140.39 umol, 97.84% yield) was obtained as a yellow gum. [0498] Step 2: General procedure for preparation of N-(3-amino-2,6-dimethyl-phenyl)-2-[3- methyl-5-(1-piperidylsulfonyl)indol-1-yl]propanamide (A-45) [0499]
piperidylsulfonyl)indol-1-yl]propanamide (65 mg, 130.37 umol, 1 eq) in MeOH (2 mL) was added Pd/C (130.37 umol, 10% purity, 1 eq), the reaction was stirred at 20 °C for 1 h under H2 atmosphere. LCMS showed starting material was consumed and desired ms was detected. The mixture was concentrated to dryness to give residue.The residue was purified by preparative HPLC (column: Waters Xbridge Prep OBD C18150*40mm*10um;mobile phase: [water( NH4HCO3)-ACN];B%: 5%-35%,8min). EXAMPLE A-45 N-(3-amino-2,6-dimethyl-phenyl)-2- [3-methyl-5-(1-piperidylsulfonyl)indol-1-yl]propanamide (4.89 mg, 9.91 umol, 7.60% yield, 95% purity) was obtained as a white solid.1H NMR (400 MHz, METHANOL-d4) δ = 8.00 - 7.98 (m, 1H), 7.74 - 7.70 (m, 1H), 7.62 - 7.55 (m, 1H), 7.51 - 7.48 (m, 1H), 6.86 - 6.80 (m, 1H), 6.66 - 6.62 (m, 1H), 5.49 - 5.42 (m, 1H), 3.00 - 2.96 (m, 4H), 2.42 - 2.37 (m, 3H), 1.99 - 1.94 (m, 3H), 1.93 (d, J = 7.1 Hz, 3H), 1.91 - 1.84 (m, 3H), 1.68 - 1.62 (m, 4H), 1.46 - 1.38 (m, 2H) MS (M + H)+ = 469.1. [0500] EXAMPLE A-46 [0501] N-[3-(azetidin-3-ylamino)-2,6-dimethyl-phenyl]-2-[3-methyl-5-(1- piperidylsulfonyl)indol-1-yl]propanamide
46 [0502] Step 1: Ge 4-dimethyl-3-nitro- anilino) azetidine-1-carboxylate [0503] To a
434.67 umol, 1 eq) in toluene (1.5 mL) were added tert-butyl 3-aminoazetidine-1-carboxylate (112.29 mg, 652.01 umol, 1.5 eq) , Cs2CO3 (424.87 mg, 1.30 mmol, 3 eq) , RuPhos (40.57 mg, 86.93 umol, 0.2 eq) and Pd2(dba)3 (39.80 mg, 43.47 umol, 0.1 eq) , the mixture was bubbled with N2, then the mixture was heated to 100°C and stirred for 12 h. TLC (Petroleum ether: Ethyl acetate = 3:1) showed reactant was consumed completely, a major spot was detected.5 mL of water was added to the mixture, the mixture was extracted with ethyl acetate (10 mL*2), and the combined extracts were washed with brine (10 mL), dried with anhydrous Na2SO4 and filtered, the filtrate was concentrated under reduced pressure to give a residue. The residue was purified by flash column (ISCO 4 g silica, 0-10 % ethyl acetate in petroleum ether, gradient over 20 min) to give tert-butyl 3-(2,4-dimethyl-3-nitro-anilino)azetidine-1-carboxylate (130 mg, 242.71 umol, 55.84% yield, 60% purity) as an orange gum.1H NMR (400 MHz, CHLOROFORM-d) δ = 7.04 - 6.97 (m, 1H), 6.36 - 6.29 (m, 1H), 4.37 - 4.30 (m, 2H), 4.25 - 4.16 (m, 1H), 3.91 - 3.83 (m, 1H), 3.75 (dd, J = 4.6, 9.1 Hz, 2H), 2.22 - 2.16 (m, 3H), 2.09 - 2.04 (m, 3H), 1.46 (s, 9H) [0504] Step 2: General procedure for preparation of tert-butyl 3-(3-amino-2, 4-dimethyl- anilino) azetidine -1- carboxylate
[0505] d tert-butyl 3- (2,4-dimethyl-3-nitro-anilino)azetidine-1-carboxylate (130 mg, 404.52 umol, 1 eq), the mixture was degassed and purged with H2 for three times, the mixture was stirred at 30°C for 2 h under H2(15 psi). TLC (Petroleum ether: Ethyl acetate = 3:1) showed reactant 1 was consumed completely, a major spot was detected. The mixture was filtered and the filterate was concentrated under reduced pressure to give a residue. The residue was purified by flash column (ISCO 4 g silica, 0-10 % ethyl acetate in petroleum ether, gradient over 20 min) affording tert- butyl 3-(3-amino-2,4-dimethyl-anilino)azetidine-1-carboxylate (100 mg, 298.57 umol, 73.81% yield, 87% purity) as a pale yellow gum. [0506] Step 3: General procedure for preparation of tert-butyl tert-butyl 3-[2, 4-dimethyl-3- [2-[3-methyl-5-(1-piperidylsulfonyl) indol-1-yl] propanoylamino] anilino] azetidine-1- carboxylate
(50 mg, 171.59 umol, 1 eq) in DCM (0.5 mL) were added 2-[3-methyl-5-(1- piperidylsulfonyl)indol-1-yl]propanoic acid (60.13 mg, 171.59 umol, 1 eq), Et3N (86.82 mg, 857.96 umol, 119.42 uL, 5 eq) and 2-chloro-1-methyl-pyridin-1-ium;iodide (87.68 mg, 343.19 umol, 2 eq), the mixture was stirred at 25C for 2 h. LCMS showed reactant was consumed completely and the desired ms was detected.1 mL of water was added to the mixture, the mixture was extracted with dichloromethane (2 mL*2), and the combined extracts were dried with anhydrous Na2SO4 and filtered, the filtrate was concentrated under reduced pressure to give the crude product affording tert-butyl-3-[2,4-dimethyl-3-[2-[3-methyl-5-(1-
piperidylsulfonyl)indol-1-yl]propanoylamino]anilino]azetidine-1-carboxylate ( crude) as a pale yellow gum. [0508] Step 4: General procedure for preparation of N-[3-(azetidin-3-ylamino)-2,6-dimethyl- phenyl]-2-[3-methyl-5-(1-piperidylsulfonyl)indol-1-yl]propanamide (A-46)
piperidylsulfonyl)indol-1-yl]propanoylamino]anilino]azetidine-1-carboxylate (100 mg, 160.31 umol, 1 eq) in DCM (1 mL) was added TFA (1.54 g, 13.51 mmol, 1.00 mL, 84.25 eq), the mixture was stirred at 25°C for 1 h. LCMS showed the reaction was consumed directly. The mixture was concentrated under reduced pressure to give a residue. The residue was purified by prep-HPLC: column: Phenomenex Luna 80*30mm*3um;mobile phase: [water(TFA)-ACN];B%: 20%-50%,8min affording EXAMPLE A-46 N-[3-(azetidin-3-ylamino)-2,6-dimethyl-phenyl]-2- [3-methyl-5-(1-piperidylsulfonyl)indol-1-yl]propanamide (30.7 mg, 58.64 umol, 36.56% yield, 100% purity) as a white solid.1H NMR (400 MHz, DMSO-d6) δ = 7.97 (s, 1H), 7.70 - 7.68 (d, J = 6 Hz, 1H), 7.57 - 7.54 (m, 1H), 7.46 (s, 1H), 6.92 - 6.90 (d J = 8 Hz, 1H), 6.26 - 6.24 (d, J = 8 Hz, 1H), 5.47 - 5.42 (m, 1H), 4.43 - 4.34 (m, 3H), 3.99 - 3.95 (m, 2H), 2.97 - 2.94 (m, 4H), 2.36 (s, 3H), 1.95 - 1.90 (m, 9H), 1.64 - 1.59(m,4 ), 1.42 - 1.37 (m, 2H). MS (M + H)+ = 524.2. [0510] EXAMPLE A-47 [0511] N-(5-methyl-2-piperazin-1-yl-4-pyridyl)-2-[3-methyl-5-(1-piperidylsulfonyl)indol-1- yl]propanamide
47 [0512] Step 1: Gene -methyl-4-nitro-2- pyridyl)piperazine-1-carboxylate [0513] To a
1 eq) in dioxane (10 mL) was added tert-butyl piperazine-1-carboxylate (2.16 g, 11.59 mmol, 2 eq), XPhos (276.25 mg, 579.48 umol, 0.1 eq) and K3PO4 (2.46 g, 11.59 mmol, 2 eq). The reaction mixture was added Pd2(dba)3 (530.64 mg, 579.48 umol, 0.1 eq)under N2 atmosphere and heated to 100 °C, stirred for12 hr under N2 atmosphere. The mixture was poured water (5 mL) and extracted with ethyl acetate (3 * 5mL). The organic layer dried over anhydrous Na2SO4, then filtered and concentrated under reduced pressure. The residue was purified by preparative HPLC (column: Waters Xbridge BEH C18250*50mm*10um;mobile phase: [water( NH4HCO3)-ACN];B%: 40%-70%,10min) the HPLC fractions were combined, lyophilized to give the desire compound as a red solid. tert-butyl 4-(5-methyl-4-nitro-2-pyridyl)piperazine-1-carboxylate (700 mg, 2.13 mmol, 36.68% yield, 97.89% purity) was obtained as a orange solid. [0514] Step 2: General procedure for preparation of tert-butyl 4-(4-amino-5-methyl-2- pyridyl)piperazine-1-carboxylate
[0515] To solution of tert-butyl 4-(5-methyl-4-nitro-2-pyridyl) piperazine-1-carboxylate (700 mg, 2.17 mmol, 1 eq) in MeOH (3 mL) was added Pd/C (200 mg, 6.51 mmol, 10% purity, 3 eq). Then the mixture was stirred at 20 °C for 1hr. LC-MS showed reactant was consumed completely and one main peak with desired mass was detected. The resultant mixture was filtered and the filter cake was rinsed with MeOH (1 mL x 3). Then the combined filtrates were concentrated under reduced pressure to give as brown oil. tert-butyl 4-(4-amino-5-methyl-2- pyridyl)piperazine-1-carboxylate (500 mg, 1.71 mmol, 78.75% yield) was obtained as a yellow oil. [0516] Step 3: General procedure for preparation of tert-butyl 4-[5-methyl-4-[2-[3-methyl-5- (1-piperidylsulfonyl)indol-1-yl]propanoylamino]-2-pyridyl]piperazine-1-carboxylate
a tert- (200 mg, 684.05 umol, 1 eq) in DCM (3 mL) was added 2-[3-methyl-5-(1- piperidylsulfonyl)indol-1-yl]propanoic acid (239.71 mg, 684.05 umol, 1 eq) and Et3N (207.66 mg, 2.05 mmol, 285.63 uL, 3 eq).Then the mixture was added CMPI (349.53 mg, 1.37 mmol, 2 eq) and stirred at 25 °C for 1 hr. LCMS showed the reaction was complete. The reaction mixture was cooled to room temperature and diluted by water (5 mL), extracted with ethyl acetate (5 mL * 3).The combined organics were washed with brine (5 mL), dried over Na2SO4, filtered and
The reaction mixture was concentrated under reduced pressure to give a residue. tert-butyl 4-[5- methyl-4-[2-[3-methyl-5-(1-piperidylsulfonyl)indol-1-yl]propanoylamino]-2-pyridyl]piperazine- 1-carboxylate (300 mg, 480.16 umol, 70.19% yield) was obtained as a brown solid. [0518] Step 4: General procedure for preparation of N-(5-methyl-2-piperazin-1-yl-4- pyridyl)-2-[3-methyl-5-(1-piperidylsulfonyl)indol-1-yl]propanamide (A-47)
indol- 1-yl]propanoylamino]-2-pyridyl]piperazine-1-carboxylate (200 mg, 320.11 umol, 1 eq) in DCM (3 mL) was added TFA (1.54 g, 13.51 mmol, 1 mL, 42.19 eq). Then the mixture was stirred at 25 °C for 1 hr. LCMS showed starting material was consumed completely and one peak with desired mass was detected. The reaction mixture was concentrated under reduced pressure to give a residue. The residue was purified by preparative HPLC (neutral condition, the detailed condition is shown below) the HPLC fractions were combined, lyophilized to give the desire compound as a yellow solid. EXAMPLE A-47 N-(5-methyl-2-piperazin-1-yl-4-pyridyl)-2-[3- methyl-5-(1-piperidylsulfonyl)indol-1-yl]propanamide (82.4 mg, 157.05 umol, 49.06% yield) was obtained as a white solid.1H NMR (400 MHz, ACETONITRILE-d3) δ = 8.11 (br s, 1H), 7.99 (d, J = 1.3 Hz, 1H), 7.88 - 7.76 (m, 2H), 7.61 - 7.52 (m, 2H), 7.43 (d, J = 0.8 Hz, 1H), 5.53 (q, J = 7.0 Hz, 1H), 3.78 - 3.74 (m, 4H), 3.30 - 3.24 (m, 4H), 2.93 - 2.87 (m, 4H), 2.37 (d, J = 0.9 Hz, 3H), 1.91 (s, 3H), 1.87 (d, J = 7.1 Hz, 3H), 1.58 (quin, J = 5.7 Hz, 4H), 1.39 - 1.31 (m, 2H). MS (M + H)+ = 525.2. [0520] EXAMPLE A-48 [0521] 2-(5-fluoro-3-methyl-indol-1-yl)-N-(2-methyl-5-piperazin-1-yl-phenyl)propanamide
48 [0522] Step 1: Gener fluoro-3-methyl-indol-1- yl)propanoate [0523] To a
223.91 uL, 1.5 eq) and 5-fluoro-3-methyl-1H-indole (200.00 mg, 1.34 mmol, 1 eq) in DMF (5 mL) was added Cs2CO3 (1.31 g, 4.02 mmol, 3 eq) ,the mixture was stirred at 20 °C for 1 h. LCMS showed the reaction was complete.10 mL of water was added to the mixture, the mixture was extracted with ethyl acetate (20 mL*2) , and the combined extracts was dried with anhydrous Na2SO4 and filtered, the filtrate was concentrated under reduced pressure to give a residue. The residue was purified by flash column (ISCO 20 g silica, 0-20 % ethyl acetate in petroleum ether, gradient over 20 min). methyl 2-(5-fluoro-3-methyl-indol-1-yl) propanoate (330 mg, crude) was obtained as a yellow solid. [0524] Step 2: General procedure for preparation of 2-(5-fluoro-3-methyl-indol-1- yl)propanoic acid [0525] To a
(300 mg, 1.28 mmol, 1 eq) in THF (1.5 mL) and MeOH (1.5 mL) was added NaOH (102.01 mg, 2.55 mmol, 212.54 uL, 2 eq), the mixture was stirred at 20 °C for 1 h. LCMS showed the reaction was complete.10 mL of water was added to the mixture, the mixture was extracted with ethyl acetate
(20 mL*2) , and the combined extracts was dried with anhydrous Na2SO4 and filtered, the filtrate was concentrated under reduced pressure to give a residue.2-(5-fluoro-3-methyl-indol-1- yl)propanoic acid (330 mg, crude) was obtained as a yellow solid. [0526] Step 3: General procedure for preparation of tert-butyl 4-[4-methyl-3-[2-(5-fluoro-3- methylindol-1-yl)butanoylamino]phenyl]piperazine-1-carboxylate
(131.71 mg, 452.02 umol, 1 eq) and 2-(5-fluoro-3-methyl-indol-1-yl)propanoic acid (100 mg, 452.02 umol, 1 eq) in DMF (1 mL) was added HATU (257.81 mg, 678.04 umol, 1.5 eq) and DIEA (175.26 mg, 1.36 mmol, 236.20 uL, 3 eq), the mixture was stirred at 20 °C for 1 h. LCMS showed the reaction was complete.10 mL of water was added to the mixture, the mixture was extracted with ethyl acetate (20 mL*2), and the combined extracts was dried with anhydrous Na2SO4 and filtered, the filtrate was concentrated under reduced pressure to give a residue. Used directly without purification. tert-butyl 4-[4-methyl-3-[2-(5-fluoro-3-methylindol-1- yl)butanoylamino]phenyl]piperazine-1-carboxylate (120 mg, crude) was obtained as a brown oil. [0528] Step 4: General procedure for preparation of 2-(5-fluoro-3-methyl-indol-1-yl)-N-(2- methyl-5-piperazin-1-yl-phenyl)propanamide (A-48)
-4- methyl-phenyl]piperazine-1-carboxylate (100 mg, 202.18 umol, 1 eq) in TFA (1 mL), the mixture was stirred at 20 °C for 1 h. LCMS and HPLC showed the reaction was complete. The mixture was filtered and the filtrate was purified directly. The residue was purified by prep- HPLC:column: Phenomenex Luna 80*30mm*3um;mobile phase: [water(TFA)-ACN];B%: 25%- 55%,8min. EXAMPLE A-482-(5-fluoro-3-methyl-indol-1-yl)-N-(2-methyl-5-piperazin-1-yl- phenyl)propanamide (25.15 mg, 63.75 umol, 31.53% yield, 100% purity)was obtained as a white
solid. 1H NMR (400 MHz, METHANOL-d4) δ = 7.40 (dd, J = 4.0, 9.0 Hz, 1H), 7.33 - 7.30 (m, 1H), 7.22 - 7.17 (m, 1H), 7.10 - 7.06 (m, 2H), 6.97 - 6.90 (m, 1H), 6.81 - 6.76 (m, 1H), 5.37 - 5.22 (m, 1H), 3.31 - 3.29 (m, 8H), 2.29 (s, 3H), 1.90 (s, 3H), 1.84 (d, J = 7.0 Hz, 3H). MS (M + H)+ = 395.2. [0530] EXAMPLE A-49 [0531] N-[2-methyl-5-(piperidin-4-yl)phenyl]-2-[3-methyl-5-(piperidine-1-sulfonyl)-1H- indol-1-yl]propanamide [0532] Step 1:
-1,2,3,6- tetrahydropyridine-1-carboxylate [0533]
toluene was dissolved in CH2Cl2 and dioxane and treated with Na2CO3, Pd(dppf)Cl2, heated to 70 deg C for 2 hrs. After aqueous workup and purification tert-butyl 4-(4-methyl-3-nitrophenyl)-1,2,3,6- tetrahydropyridine-1-carboxylate was obtained. [0534] Step 2: General preparation of tert-butyl 4-(3-amino-4-methylphenyl)piperidine-1- carboxylate
[0535] I -methyl-3- nitrophenyl)-1,2,3,6-tetrahydropyridine-1-carboxylate was dissolved in methanol and treated with Pd/C under a pressurized atmosphere of hydrogen at 25 deg C for 1 hr. After evaporation tert-butyl 4-(3-amino-4-methylphenyl)piperidine-1-carboxylate was obtained. [0536] Step 3 and 4: General preparation of N-[2-methyl-5-(piperidin-4-yl)phenyl]-2-[3- methyl-5-(piperidine-1-sulfonyl)-1H-indol-1-yl]propanamide (A-49)
methylphenyl)piperidine-1-carboxylate and 2-[5-(1-piperidylsulfonyl)indol-1-yl]propanoic acid where coupled using HATU, DIEA in DMF at 25 deg C for 1 hr. The resulting product was deprotected using TFA in DCM and the product purified to provide EXAMPLE A-49 N-[2-
methyl-5-(piperidin-4-yl)phenyl]-2-[3-methyl-5-(piperidine-1-sulfonyl)-1H-indol-1- yl]propanamide.1H NMR (400 MHz, MeOD) δ 7.97(s, 1H), 7.65(d,1H), 7.57(d,1H), 7.47(s, 1H), 7.23(s, 1H), 7.17(d, 1H), 7.04 (d, 1H), 5.43 (m, 1H), 3.43 (m, 2H), 3.08(m, 2H), 2.96 (m, 4H), 2.8(m, 1H), 2.38(s, 3H), 2.02(s, 4H), 2.01 (m, 1H), 1.88(d, 3H), 1.82 m, 2H), 1.62 (m, 5H), 1.40 (m, 2H). (M+H)+ = 523.2. [0538] EXAMPLE A-50 [0539] 2-[3-methyl-5-(1-piperidylsulfonyl) indol-1-yl]-N-[2-methyl-5-(3-pyrrolidin-1- ylpropyl)phenyl]propanamide 50 [0540] Step
yn-1-ol [0541]
, prop-2-yn- 1-ol (1.39 g, 24.7 mmol, 1.46 mL, 1.3 eq), Pd(PPh3)2Cl2 (1.33 g, 1.90 mmol, 0.1 eq), TEA (3.85 g, 38.0 mmol, 5.29 mL, 2 eq) and CuI (724 mg, 3.80 mmol, 0.2 eq) in DMF (50 mL) was degassed and purged with N2 (3X), and then the mixture was stirred at 100 ℃ for 12 h under a N2 atmosphere. The mixture was poured into ice water (50 mL), and the mixture was extracted with ethyl acetate (30 mL x 3). The combined organic phase was washed with brine (30 mL), dried with anhydrous Na2SO4, and filtered. The filtrate was concentrated under vacuum. The residue was purified by flash silica gel chromatography (ISCO®; 80 g SepaFlash® Silica Flash Column, gradient elution of 0~50% ethyl acetate/petroleum ether at 150 mL/min) to furnish 3-(4-methyl- 3-nitro-phenyl)prop-2-yn-1-ol as a black-brown solid.1H NMR: (400 MHz, methanol-d4) δ 7.96 (d, J = 1.5 Hz, 1H), 7.58 (dd, J = 1.6, 7.9 Hz, 1H), 7.41 (d, J = 7.9 Hz, 1H), 4.40 (s, 2H), 2.55 (s, 3H).
[0542] Step 2: General preparation of provide 4-(3-bromoprop-1-ynyl)-1-methyl-2-nitro- benzene [0543] 1 eq)
in DCM (20 mL) was added CBr4 (3.95 g, 11.9 mmol, 1.2 eq) at 0 °C. After stirring the mixture for 10 min, PPh3 (3.91 g, 14.9 mmol, 1.5 eq) was then added. The resulting solution was stirred for another 10 min at 00C. The mixture was then stirred at 25 ℃ for 2 h. The reaction mixture was concentrated under reduced pressure to remove solvent. The residue was purified by flash silica gel chromatography (ISCO®; 12 g SepaFlash® Silica Flash Column, gradient elution of 0~50% ethyl acetate/petroleum ether at 30 mL/min) to provide 4-(3-bromoprop-1-ynyl)-1- methyl-2-nitro-benzene as a yellow oil.1H NMR: (400 MHz, methanol-d4) δ 7.96 (d, J = 1.3 Hz, 1H), 7.58 (dd, J = 1.4, 7.9 Hz, 1H), 7.42 (d, J = 8.0 Hz, 1H), 4.29 (s, 2H), 2.55 (s, 3H). [0544] Step 3: General preparation of 1-[3-(4-methyl-3-nitro-phenyl)prop-2-ynyl]pyrrolidine [0545]
mmol, 1 eq), pyrrolidine (836 mg, 11.8 mmol, 1.5 eq), Cs2CO3 (5.10 g, 15.7 mmol, 2 eq) in DMF (10 mL) was degassed and purged with N2 (3X). The mixture was stirred at 25 °C for 2 h under a N2 atmosphere. The mixture was poured into water (30 mL), and the mixture was extracted with ethyl acetate (20 mL x 3). The combined organic phase was washed with brine (20 mL), dried with anhydrous Na2SO4, and filtered. The filtrate was concentrated under vacuum. The residue was purified by flash silica gel chromatography (ISCO®; 20g SepaFlash® Silica Flash Column, gradient elution of 0~50% ethyl acetate/petroleum ether at 60 mL/min) to furnish 1-[3-(4- methyl-3-nitro-phenyl)prop-2-ynyl]pyrrolidine as a black brown oil. [0546] Step 4: General preparation of 2-methyl-5-(3-pyrrolidin-1-ylpropyl)aniline
[0547] 1.00 g, 4.09 mmol, 1 eq) in MeOH (10 mL) was added Pd/C (1 g, 10% wt% Pd) under a N2 atmosphere. The suspension was degassed and purged with H2 (3X). The mixture was stirred under H2 (15 Psi) at 25 °C for 2 h. The mixture was filtered through Celite, and the filtrate was concentrated under reduced pressure to furnish 2-methyl-5-(3-pyrrolidin-1-ylpropyl)aniline as a yellow oil. The material was used directly in the next step without further purification. LCMS: (M+H+):219.3. [0548] General preparation of 2-[3-methyl-5-(1-piperidylsulfonyl) indol-1-yl]-N-[2-methyl- 5-(3-pyrrolidin-1-ylpropyl)phenyl]propanamide (A-50)
1 eq), 2-[3-methyl-5-(1-piperidylsulfonyl)indol-1-yl]propanoic acid (161 mg, 0.458 mmol, 1 eq), HATU (209 mg, 0.550 mmol, 1.2 eq), DIPEA (178 mg, 1.37 mmol, 3 eq) in DMF (1 mL) was degassed and purged with N2 (3X). The mixture was stirred at 25 °C for 2 h under a N2 atmosphere. The mixture was poured into water (20 mL), and the mixture was extracted with ethyl acetate (15 mL x 3). The combined organic phase was washed with brine (15 mL), dried with anhydrous Na2SO4, and filtered. The filtrate was concentrated under vacuum. The residue was purified by preparative-HPLC (column: Phenomenex Luna 80*30mm*3um;mobile phase: [water(HCl)-ACN]; B%: 25%-55%, 8min) to furnish EXAMPLE A-502-[3-methyl-5-(1- piperidylsulfonyl) indol-1-yl]-N-[2-methyl-5-(3-pyrrolidin-1-ylpropyl)phenyl]propanamide as a white solid. LCMS: (M+H+):551.2; 1H NMR: (400 MHz, DMSO-d6) δ 10.34-10.13 (m, 1H), 9.86 (s, 1H), 7.89 (d, J = 1.5 Hz, 1H), 7.79 (d, J = 8.6 Hz, 1H), 7.57 (s, 1H), 7.50 (dd, J = 1.6,
8.8 Hz, 1H), 7.23 (d, J = 1.1 Hz, 1H), 7.13 (d, J = 7.9 Hz, 1H), 6.96 (dd, J = 1.5, 7.8 Hz, 1H), 5.60 (q, J = 7.0 Hz, 1H), 3.53-3.41 (m, 2H), 3.10-3.00 (m, 2H), 2.97-2.78 (m, 6H), 2.55 (br t, J = 7.7 Hz, 2H), 2.33 (s, 3H), 2.10 (s, 3H), 2.01-1.81 (m, 6H), 1.79 (d, J = 7.0 Hz, 3H), 1.53 (br s, 4H), 1.31 (br d, J = 4.3 Hz, 2H). [0550] EXAMPLE A-51 [0551] N-[2-methyl-5-(2-morpholinoethyl)phenyl]-2-[3-methyl-5-(1-piperidylsulfonyl)indol- 1-yl]propanamide 51 [0552] Step 1:
2-nitro-benzene CBr4, PPh3 Br
[0553] To a solution of 2-(4-methyl-3-nitro-phenyl)ethanol (270 mg, 1.49 mmol, 1 eq) in DCM (3 mL) was added CBr4 (593 mg, 1.79 mmol, 1.2 eq) at 0 °C. After stirring the mixture for 15 min, PPh3 (586 mg, 2.24 mmol, 1.5 eq) was added, and the solution was stirred for another 15 min at 0 °C. After stirring at 25 °C for 2 h, the reaction mixture was concentrated under reduced pressure to remove solvent. The residue was purified by column chromatography (SiO2, petroleum-ether/ethyl acetate=3/1) to furnish 4-(2-bromoethyl)-1-methyl-2-nitro-benzene as a yellow oil. 1H NMR: (400MHz, chloroform-d) δ 7.84 (d, J = 1.5 Hz, 1H), 7.39-7.34 (m, 1H), 7.31-7.27 (m, 1H), 3.58 (t, J = 7.1 Hz, 2H), 3.21 (t, J = 7.1 Hz, 2H), 2.57 (s, 3H). [0554] Step 2: General preparation of 4-[2-(4-methyl-3-nitro-phenyl)ethyl]morpholine HN O
[0555] To a solution of 4-(2-bromoethyl)-1-methyl-2-nitro-benzene (230 mg, 0.942 mmol, 1 eq) in DMF (5 mL) was added morpholine (123 mg, 1.41 mmol, 1.5 eq) and Cs2CO3 (614 mg, 1.88 mmol, 2 eq). The mixture was stirred at 25 °C for 2 h. The reaction mixture was quenched with water (15 mL) at 20 °C. The mixture was extracted with ethyl acetate (10 mL x 3). The combined organic layers were washed with brine 90 mL (30 mL x 3), dried over anhydrous Na2SO4, and filtered. The filtrate was concentrated under reduced pressure. The residue was purified by column chromatography (SiO2, petroleum-ether/ethyl acetate=1/1) to furnish 4-[2-(4- methyl-3-nitro-phenyl)ethyl]morpholine as a white solid. [0556] Step 3: General preparation of 2-methyl-5-(2-morpholinoethyl)aniline Pd/C, H2(15 psi) O
[0557] To a solution of 4-[2-(4-methyl-3-nitro-phenyl)ethyl]morpholine (130 mg, 0.519 mmol, 1 eq) in MeOH (3 mL) was added Pd/C (2 mg, 10 wt % Pd) under a N2 atmosphere. The suspension was degassed and purged with H2 (3X). The mixture was stirred under H2 (15 Psi) at 25 °C for 2 h. The reaction mixture was filtered, and the filtrate was concentrated to furnish 2- methyl-5-(2-morpholinoethyl)aniline as a white solid. The material was used without further purification. [0558] Step 4: General Preparation of N-[2-methyl-5-(2-morpholinoethyl)phenyl]-2-[3- methyl-5-(1-piperidylsulfonyl)indol-1-yl]propanamide (A-51) O
[0559] A mixture of 2-[3-methyl-5-(1-piperidylsulfonyl)indol-1-yl]propanoic acid (90 mg, 0.26 mmol, 1 eq), 2-methyl-5-(2-morpholinoethyl)aniline (68 mg, 0.31 mmol, 1.2 eq), HATU (107 mg, 0.28 mmol, 1.1 eq) and DIPEA (100 mg, 0.770 mmol, 3 eq) in DMF (1 mL) was
degassed and purged with N2 (3X). The mixture was stirred at 20 °C for 3 h under a N2 atmosphere. The mixture was poured into water (5 mL), and the mixture was extracted with ethyl acetate (3 mL x 3). The combined organic layers were washed with brine (5 mL x 3), dried over Na2SO4, and filtered. The filtrate was concentrated under reduced pressure. The residue was purified by preparative-HPLC (column: Phenomenex C1880*40mm*3um; mobile phase: [water(NH4HCO3)-ACN];B%: 35%-60%,8 min) to furnish EXAMPLE A-51 N-[2-methyl-5-(2- morpholinoethyl)phenyl]-2-[3-methyl-5-(1-piperidylsulfonyl)indol-1-yl]propanamide as a white solid. LCMS: (M+H+): 553.3; 1H NMR: (400MHz, DMSO-d6) δ 9.68 (s, 1H), 7.89 (d, J = 1.3 Hz, 1H), 7.73 (d, J = 8.8 Hz, 1H), 7.57 (s, 1H), 7.50 (dd, J = 1.5, 8.8 Hz, 1H), 7.19 (s, 1H), 7.09 (d, J = 7.9 Hz, 1H), 6.95 (dd, J = 1.4, 7.8 Hz, 1H), 5.50 (q, J = 7.0 Hz, 1H), 3.54 (t, J = 4.5 Hz, 4H), 2.85 (br t, J = 5.0 Hz, 4H), 2.67-2.61 (m, 2H), 2.44-2.36 (m, 6H), 2.33 (s, 3H), 2.07 (s, 3H), 1.79 (d, J = 7.0 Hz, 3H), 1.53 (br s, 4H), 1.34-1.27 (m, 2H). [0560] EXAMPLE A-52 [0561] 2-[3-methyl-5-(piperidine-1-sulfonyl)-1H-indol-1-yl]-N-[3-methyl-6-(piperazin-1- yl)pyridin-2-yl]propanamide 52 [0562] Step 1:
6-nitropyridin-2- yl)piperazine-1-carboxylate
[0563] In a method similar to that described for EXAMPLE A-47 [0564] To a solution of 6-chloro-3-methyl-2-nitropyridine (1 eq) in dioxane was added tert- butyl piperazine-1-carboxylate (2 eq), XPhos (0.1 eq) and K3PO4 (2 eq). The reaction mixture was added Pd2(dba)3 (0.1 eq)under N2 atmosphere and heated to 100 °C, stirred under N2 atmosphere. The mixture was poured water and extracted with ethyl acetate. The organic layer dried over anhydrous Na2SO4, then filtered and concentrated under reduced pressure. The residue was purified by preparative HPLC to give tert-butyl 4-(5-methyl-6-nitropyridin-2- yl)piperazine-1-carboxylate. [0565] Step 2: General procedure for preparation of tert-butyl 4-(6-amino-5-methylpyridin-2- yl)piperazine-1-carboxylate [0566] In a
of tert-butyl tert-butyl 4-(5-methyl-6-nitropyridin-2-yl)piperazine-1-carboxylate (1 eq) in MeOH (3 mL) was added Pd/C (3 eq). Then the mixture was stirred. LC-MS showed reactant was consumed completely and one main peak with desired mass was detected. The resultant mixture was filtered and the filter cake was rinsed with MeOH. Then the combined filtrates were concentrated under reduced pressure to give as brown oil. tert-butyl 4-(6-amino-5-methylpyridin-2- yl)piperazine-1-carboxylate was obtained. [0567] Step 3: General procedure for preparation of tert-butyl 4-(5-methyl-6-{2-[3-methyl-5- (piperidine-1-sulfonyl)-1H-indol-1-yl]propanamido}pyridin-2-yl)piperazine-1-carboxylate
[0568] In a manner similar to that described for EXAMPLE A-47, to a solution of tert-butyl 4-(6-amino-5-methylpyridin-2-yl)piperazine-1-carboxylate (1 eq) in DCM (3 mL) was added 2- [3-methyl-5-(1-piperidylsulfonyl)indol-1-yl]propanoic acid (1 eq) and Et3N (3 eq).Then the mixture was added CMPI (2-Chloro-1-methylpyridinium iodide, 2 eq) and stirred. LCMS showed the reaction was complete. The reaction mixture was cooled to room temperature and diluted by water, extracted with ethyl acetate. The combined organics were washed with brine, dried over Na2SO4, filtered and The reaction mixture was concentrated under reduced pressure to give a residue. tert-butyl 4-(5-methyl-6-{2-[3-methyl-5-(piperidine-1-sulfonyl)-1H-indol-1- yl]propanamido}pyridin-2-yl)piperazine-1-carboxylate was obtained. [0569] Step 4: General procedure for preparation of 2-[3-methyl-5-(piperidine-1-sulfonyl)- 1H-indol-1-yl]-N-[3-methyl-6-(piperazin-1-yl)pyridin-2-yl]propanamide EXAMPLE A-52
butyl 4-(5-methyl-6-{2-[3-methyl-5-(piperidine-1-sulfonyl)-1H-indol-1-yl]propanamido}pyridin-2- yl)piperazine-1-carboxylate (1 eq) in DCM (3 mL) was added TFA (42.19 eq). Then the mixture was stirred. LCMS showed starting material was consumed completely and one peak with
desired mass was detected. The reaction mixture was concentrated under reduced pressure to give a residue. The residue was purified by preparative HPLC. EXAMPLE A-522-[3-methyl-5- (piperidine-1-sulfonyl)-1H-indol-1-yl]-N-[3-methyl-6-(piperazin-1-yl)pyridin-2-yl]propanamide was obtained. [0571] EXAMPLE A-53 [0572] N-(2,6-dimethyl-5-piperazin-1-yl-phenyl)-2-[3-methyl-5-(1-piperidylsulfonyl)indol- 1-yl]propanamide 53 [0573] General
5-nitro- phenyl)piperazine-1-carboxylate
[0574] In a manner similar to that described for EXAMPLE A-43, a solution of 1-bromo-2,6- dimethyl-5-nitro-benzene (1 eq), tert-butyl piperazine-1-carboxylate (2 eq), RuPhos (0.2 eq), Pd2(dba)3 (0.1 eq), Cs2CO3 (3 eq) in Toluene was stirred under heat and an nitrogen atmosphere. LCMS showed the starting material was consumed and desired MS was detected. TLC showed the reaction was complete. The reaction mixture was cooled to room temperature and concentrated in vauco to remove toluene. The mixture was diluted with water and extracted with ethyl acetate. The combined organic layers were dried over sodium sulphate and concentrated in vacuo. The residue was purified by column to give tert-butyl 4-(2,6-dimethyl-5-nitro- phenyl)piperazine-1-carboxylate.
[0575] General procedure for preparation of tert-butyl 3-(5-amino-2,6-dimethyl- anilino)azetidine-1-carboxylate [0576] In a
of tert-butyl 4- (2,6-dimethyl-5-nitro-phenyl)piperazine-1-carboxylate (1 eq) Pd/C (10% purity) in MeOH was stirred. LCMS showed the starting material was consumed and desired MS was detected. The resultant mixture was filtered and the filtrates were concentrated under reduced pressure to give the product. tert-butyl 4-(5-amino-2,6-dimethyl-phenyl)piperazine-1-carboxylate. [0577] General procedure for preparation of tert-butyl 4-[2,6-dimethyl-5-[2-[3-methyl-5-(1- piperidylsulfonyl) indol-1-yl]propanoylamino] phenyl]piperazine-1-carboxylate
5-(1-piperidylsulfonyl)indol-1-yl]propanoic acid (1 eq) tert-butyl 4-(5-amino-2,6-dimethyl- phenyl)piperazine-1-carboxylate (1 eq), DIEA (3 eq), HATU (2 eq) in DCM was stirred at 25°C. LCMS showed the starting material was consumed and desired MS was detected. The mixture was diluted with water and extracted with dichloromethane. The combined organic layers were dried over sodium sulphate and concentrated in vacuo. tert-butyl 4-[2,6-dimethyl-5-[2-[3-methyl- 5-(1-piperidylsulfonyl)indol-1-yl]propanoylamino] phenyl]piperazine-1-carboxylate (100 mg, crude) was obtained as a yellow oil. [0579] General procedure for preparation of N-(2,6-dimethyl-5-piperazin-1-yl-phenyl)-2-[3- methyl-5-(1-piperidylsulfonyl)indol-1-yl]propanamide(A-53)
[0580] tert-butyl 4- [2,6-dimethyl-5-[2-[3-methyl-5-(1-piperidylsulfonyl)indol-1-yl]propanoylamino] phenyl]piperazine-1-carboxylate (1 eq) in DCM was added TFA (86.15 eq). The mixture was stirred at 25°C. LCMS showed the starting material was consumed and desired MS was detected. The reaction mixture was purified directly by prep-HPLC. EXAMPLE A-53 N-(2,6-dimethyl-5- piperazin-1-yl-phenyl)-2-[3-methyl-5-(1-piperidylsulfonyl)indol-1-yl]propanamide was obtained. [0581] EXAMPLE A-54 [0582] N-(6-amino-3-methyl-2-pyridyl)-2-[3-methyl-5-(1-piperidylsulfonyl)indol-1- yl]propanamide 54 [0583] Step 1:
-2-[3-methyl-5-(1- piperidylsulfonyl)indol-1-yl]propanamide
[0584] To a solution of 2-[3-methyl-5-(1-piperidylsulfonyl)indol-1-yl] propanoic acid (50 mg, 142.68 umol, 1 eq) and 6-bromo-3-methyl-pyridin-2-amine (26.69 mg, 142.68 umol, 1 eq) in DCM (1 mL), POCl3 (24.07 mg, 156.95 umol, 14.59 uL, 1.1 eq) and PYRIDINE (56.43 mg, 713.41 umol, 57.58 uL, 5 eq) was added at 0°C. Then the mixture was stirred at 20°C for 12 hr. LCMS showed staring material was consumed and desired ms was detected.5 mL of water was added to the mixture, the mixture was extracted with DCM (10 mL*2), and the combined extracts was dried with anhydrous Na2SO4 and filtered, the filtrate was concentrated under reduced pressure to give a residue. The crude product was purified by flash column (ISCO 4 g silica, 0-50 %Petroleum ether in Ethyl acetate, gradient over 20 min). N-(6-bromo-3-methyl-2- pyridyl)-2-[3-methyl-5-(1-piperidylsulfonyl)indol-1-yl]propanamide (125 mg, crude) was obtained as a white solid. [0585] General procedure for preparation of tert-butyl N-[5-methyl-6-[2-[3-methyl-5-(1- piperidylsulfonyl)indol-1-yl]propanoylamino]-2-pyridyl]carbamate
piperidylsulfonyl)indol-1-yl]propanamide (100 mg, 192.51 umol, 1 eq) in dioxane (1 mL), NH2Boc (33.83 mg, 288.77 umol, 1.5 eq), t-BuONa (37.00 mg, 385.02 umol, 2 eq), [2-(2- aminophenyl)phenyl]-methylsulfonyloxy-palladium;dicyclohexyl-[3,6-dimethoxy-2-(2,4,6- triisopropylphenyl)phenyl]phosphane (17.45 mg, 19.25 umol, 0.1 eq) was added, then the mixture was stirred at 110°C for 12 h under N2 atmosphere. LCMS showed staring material was consumed and desired ms was detected.5ml water was added to the mixture, the mixture was extracted with ethyl acetate (5 mL*2), and the combined extracts was dried with anhydrous Na2SO4 and filtered, the filtrate was concentrated under reduced pressure to give a residue. tert- butyl N-[5-methyl-6-[2-[3-methyl-5-(1-piperidylsulfonyl)indol-1-yl]propanoylamino]-2- pyridyl]carbamate (crude) was obtained as a yellow gum. [0587] General procedure for preparation of 5-amino-2-methyl-N-[1-(1-methylindol-3- yl)ethyl]benzamide (A-54)
ulfonyl)indol- 1-yl]propanoylamino]-2-pyridyl]carbamate (50 mg, 89.98 umol, 1 eq) in HCl/EtOAc (4 M, 10.00 mL, 444.55 eq) was stirred at 20°C for 0.5hr. LCMS showed the reaction was complete. The mixture was filtered and the filter was purified directly. The residue was purified by prep-HPLC: column: column: Phenomenex luna C1880*40mm*3 um;mobile phase: [water(HCl)-ACN];B%: 10%-50%,7min. EXAMPLE A-54 N-(6-amino-3-methyl-2-pyridyl)-2-[3-methyl-5-(1- piperidylsulfonyl)indol-1-yl]propanamide (5.5 mg, 11.74 umol, 13.05% yield, 97.28% purity) was obtained as a yellow solid.1H NMR (400 MHz, CHLOROFORM-d) δ = 10.39 - 10.21 (m, 1H), 7.79 - 7.69 (m, 2H), 7.41 - 7.29 (m, 3H), 6.68 - 6.50 (m, 1H), 5.94 - 5.74 (m, 1H), 2.97 - 2.85 (m, 4H), 2.25 (s, 3H), 2.11 - 1.98 (m, 3H), 1.94 - 1.81 (m, 3H), 1.61 (br s, 4H), 1.43 - 1.28 (m, 2H). MS (M+H)+ = 456.1. [0589] EXAMPLE A-55 [0590] N-[2-methyl-5-(2-oxopiperazin-1-yl)phenyl]-2-[3-methyl-5-(piperidine-1-sulfonyl)- 1H-indol-1-yl]propanamide 55 [0591] Step 1:
-3-oxopiperazine- 1-carboxylate [0592] In a manner similar to that described for Example A-9, 2-nitro-4-bromo toluene was dissolved in toluene and treated with tert-butyl 3-oxopiperazine-1-carboxylate, CuI, K3PO4, (1R,2R)-(-)-N,N'-Dimethyl-1,2-cyclohexanediamine at 110 deg C for 12 hr. Aqueous workup and purification gave tert-butyl 4-(4-methyl-3-nitrophenyl)-3-oxopiperazine-1-carboxylate.
[0593] Step 2: General preparation of tert-butyl 4-(3-amino-4-methylphenyl)-3- oxopiperazine-1-carboxylate [0594] In a
4-(4-methyl-3- nitrophenyl)-3-oxopiperazine-1-carboxylate was dissolved in methanol and treated with iron and ammonium chloride at 70 deg C for 3 hours. Filtration and evaporation gave tert-butyl 4-(3- amino-4-methylphenyl)-3-oxopiperazine-1-carboxylate. [0595] Step 3 and 4: General preparation of N-[2-methyl-5-(2-oxopiperazin-1-yl)phenyl]-2- [3-methyl-5-(piperidine-1-sulfonyl)-1H-indol-1-yl]propanamide (A-55)
[0 piperidylsulfonyl)indol-1-yl]propanoic acid and tert-butyl 4-(3-amino-4-methylphenyl)-3- oxopiperazine-1-carboxylate were coupled using CMPI, Et3N in DCM at 25 deg C for 1 hr. The resulting product was deprotected using HCl in EtOAc similar to EXAMPLE A-1 and the product purified to provide EXAMPLE A-55 N-[2-methyl-5-(2-oxopiperazin-1-yl)phenyl]-2-[3- methyl-5-(piperidine-1-sulfonyl)-1H-indol-1-yl]propanamide.1H NMR (400 MHz, MeOH-d) δ 7.97(m, 1H), 7.63(m, 1H), 7.55 (m, 1H), 7.47(s, 1H), 7.40 (s, 1H), 7.29 (m, 1H), 7.10 (m, 1H), 5.45 (m, 1H), 3.95 (s, 2H), 3.89, (s, 2H), 3.63 (s, 2H), 2.95, s(4H), 2.38 (s, 3H), 2.11 (s, 3H), 1.88(m, 3H), 1.62(s, 4H), 1.39(s, 2H). (M+H)+ = 538.2. [0597] EXAMPLE A-56 [0598] N-[(2,3-dihydro-1H-isoindol-5-yl)methyl]-2-[3-methyl-5-(piperidine-1-sulfonyl)-1H- indol-1-yl]propanamide
56 [0599] Step 1: Gene bonyl]amino}methyl)-2,3- dihydro-1H-isoindole-2-carboxylate
[0600] Benzyl 5-bromo-2,3-dihydro-1H-isoindole-2-carboxylate was dissolved in tert-amyl alcohol and treated with Cs2CO3, cataCXiumA Pd G2 and potassium tert-butyl N- [(difluoroboranyl)methyl]carbamate fluoride at 100 deg C for 12 hours. Aqueous workup and purification gave benzyl 5-({[(tert-butoxy)carbonyl]amino}methyl)-2,3-dihydro-1H-isoindole-2- carboxylate. [0601] Step 2: General prep of benzyl 5-(aminomethyl)-2,3-dihydro-1H-isoindole-2- carboxylate [0602]
2- carboxylate was dissolved in HCl/EtOAc and stirred at 25 deg C for 1 hr. Isolation gave benzyl 5-(aminomethyl)-2,3-dihydro-1H-isoindole-2-carboxylate. [0603] Step 3 and 4: General preparation of N-[(2,3-dihydro-1H-isoindol-5-yl)methyl]-2-[3- methyl-5-(piperidine-1-sulfonyl)-1H-indol-1-yl]propanamide EXAMPLE A-56
piperidylsulfonyl)indol-1-yl]propanoic acid and benzyl 5-(aminomethyl)-2,3-dihydro-1H- isoindole-2-carboxylate were coupled using CMPI, Et3N in DCM at 25 deg C for 1 hr. The resulting product was deprotected using TFA similar to xxx and the product purified to provide EXAMPLE A-56 N-[(2,3-dihydro-1H-isoindol-5-yl)methyl]-2-[3-methyl-5-(piperidine-1- sulfonyl)-1H-indol-1-yl]propanamide.1H NMR (400 MHz, MeOH-d) δ 7.95 (s, 1H), 7.46 (s, 2H), 7.37 (s, 1H), 7.27 (d, 1H), 7.17 (d, 2H), 7.01 (s, 1H) 5.17 (m, 1H), 4.54 (s, 2 H), 4.43 (s, 2H), 4.35 (dd, 2H), 2.97 (m, 4 H), 2.35 (s, 3H), 1.76 (d, 3H), 1.61 (m, 4H), 1.4 (m, 2H). (M+H)+ = 481.2. [0605] EXAMPLE A-57 [0606] 2-(6-chloro-3-methyl-1H-indol-1-yl)-N-[2-methyl-5-(piperazin-1- yl)phenyl]propanamide [0607] General
yl)-N-[2-methyl-5- (piperazin-1-yl)phenyl]propanamide EXAMPLE 1-57 [0608] EXAMPLE A-57 was prepared In a manner similar to that described for EXAMPLE C-1.
[0609] 1H NMR (400 MHz, DMSO-d6) δ 9.52 (s, 1H), 7.67 (s, 1H),, 7.51 (d, 1H), 7.38 (s, 1H), 7.05 (m, 2H), 6.93 (m, 1H), 6.67 (m, 1H), 5.38 (m, 1H), 2.92 (m, 4H), 2.78 (m, 4H), 2.26 (s, 3H), 2.00 (s, 3H), 1.73 (d, 3H). (M+H)+ = 411.1. [0610] The following examples were prepared in a manner similar to that described for EXAMPLE A-1: [0611] EXAMPLE A-58 [0612] N-[(4-aminophenyl)methyl]-2-[5-(1-piperidylsulfonyl)indol-1-yl]propanamide [0613] 1H NMR
Hz, 1H), 7.61 (d, J=3.4 Hz, 1H), 7.57 - 7.52 (m, 1H), 7.52 - 7.47 (m, 1H), 6.95 (d, J=8.3 Hz, 2H), 6.70 (d, J=3.3 Hz, 1H), 6.66 - 6.59 (m, 2H), 5.23 (q, J=7.1 Hz, 1H), 4.22 (s, 2H), 2.98 - 2.90 (m, 4H), 1.78 (d, J=7.1 Hz, 3H), 1.62 (quin, J=5.6 Hz, 4H), 1.38 (quin, J=5.8 Hz, 2H). (M+H)+ = 441.2. [0614] EXAMPLE A-59 [0615] N-[(4-hydroxyphenyl)methyl]-2-[5-(1-piperidylsulfonyl)indol-1-yl]propanamide [0616] 1H NMR (400
– 7.614 (m, 1H), 7.55 – 7.53 (m, 1H), 7.50 – 7.49 (m, 1H), 7.02 (d, 2H), 6.71 – 6.66 (m, 3H), 5.24 -5.22 (m, 1H), 4.23 (s, 2H), 2.94 -2.91 (m, 4H), 1.79 – 1.78 (m, 3H), 1.60 (m, 4H), 1.39 – 1.37 (m, 2H). (M+H)+ = 442.2. [0617] EXAMPLE A-60 [0618] N-[5-(azetidin-3-ylamino)-2-methyl-phenyl]-2-[5-(1-piperidylsulfonyl)indol-1- yl]propanamide
[0619] EXAMPLE A-60 AMPLE A-35. [0620] 1H NMR (400 MHz, MeOH-d) δ 8.07 (s, 1H), 7.70(m, 2H), 7.56 (m, 1H), 6.98 (m, 1H), 6.75 (m, 1H), 6.61 (m, 1H), 6.39 (dd, 1H), 5.48 (m, 1H), 4.41 (m, 1H), 4.31 (m, 2H), 3.90(m, 2H), 2.96 (m, 4H), 1.95 (s, 3H), 1.91(d, 3H), 1.62 (m, 4H), 1.39(m, 2H). (M+H)+ = 496.2. [0621] EXAMPLE A-61 [0622] N-(5-(azetidin-3-ylamino)-2-methylphenyl)-2-(3-isopropyl-5-(piperidin-1- ylsulfonyl)-1H-indol-1-yl)propanamide
1 was treated with NBS in DMF from 0-20 deg C for 0.5 hours to give 5-(1-piperidylsulfonyl)-1H-3- bromoindole.
[0624] Step 2 [0625] at 0 deg
C, then methyl 2-bromopropionate was added and the solution warmed to 20 deg C for 2.5 hours as described for Intermediate 1 to give methyl 2-[5-(1-piperidylsulfonyl)(3-bromo-indol-1- yl]propanoate. [0626] Step 3
with 4,4,5,5-tetramethyl-2-(prop-1-en-2-yl)-1,3,2-dioxaborolane and K2CO3, Pd(dppf)2Cl and water in DMF at 100 deg C for 12 hours to give the acid 2-(5-(piperidin-1-ylsulfonyl)-3-(prop-1-en-2- yl)-1H-indol-1-yl)propanoic acid. [0628] Step 4
was dissolved in ethyl acetate and treated with Pd/C under pressurized H2 atmosphere for 12 hours at 25 deg C to give 2-(5-(piperidin-1-ylsulfonyl)-3-(isopropyl)-1H-indol-1-yl)propanoic acid.
ylsulfonyl)-3-(isopropyl)-1H-indol-1-yl)propanoic acid was coupled with product tert-butyl 3-(5- amino-4-methyl-anilino)azetidine-1-carboxylate and then deprotected with TFA to give EXAMPLE A-61 N-(5-(azetidin-3-ylamino)-2-methylphenyl)-2-(3-isopropyl-5-(piperidin-1- ylsulfonyl)-1H-indol-1-yl)propanamide.1H NMR(400 MHz, DMSO-d6) ^ 9.51 (s, 1H), 8.67- 8.60(bs, 1H), 7.93 (s, 1H), 7.74 (d, 1H), 7.49(m, 2H), 6.93 (m, 1H), 6.68 (s, 1H), 6.26 (dd, 1H), 6.22 (bs, 1H), 5.51 (m, 1H), 4.21 (br, 3H), 3.73 (m, 2H), 3.23 m, 1H), 2.85 (m, 4H), 1.97 (s, 3H), 1.79 (d, 3H), 1.53 (bs, 4H), 1.32 (m, 8 H). (M+H)+ = 538.2. [0631] EXAMPLE A-62 [0632] Enantiomer A N-(5-amino-2-methyl-phenyl)-2-[3-methyl-5-(1- piperidylsulfonyl)indol-1-yl]propanamide of unknown absolute stereochemistry [0633] Racemic N-
indol-1- yl]propanamide (EXAMPLE A-10) was resolved with chiral chromatography to give its two enantiomers of unknown absolute stereochemistry. Enantiomer A (EXAMPLE A-62) was the first to elute.1H NMR(400 MHz, CD3CN) ^ 7.98(s, 1H), 7.56 (m, 3H), 7.41 (s, 1H), 6.85(m,
2H), 6.38(m, 1H), 5.30(m, 1H), 4.0(m, 1H), 2.91(m, 4H), 2.37(s, 3H), 1.82 (m, 3H), 1.79 (m, 3H), 1.60(m, 3H), 1.35 (m, 2H). (M+H)+ = 455.1. [0634] EXAMPLE A-63 [0635] Enantiomer B N-(5-amino-2-methyl-phenyl)-2-[3-methyl-5-(1- piperidylsulfonyl)indol-1-yl]propanamide of unknown absolute stereochemistry A-63 [0636] Racemic N-
5-(1-piperidylsulfonyl)indol-1- yl]propanamide (EXAMPLE A-10) was resolved with chiral chromatography to give its two enantiomers of unknown absolute stereochemistry. Enantiomer B (EXAMPLE A-62) was the second to elute.1H NMR(400 MHz, CD3CN) ^ 7.98(s, 1H), 7.56 (m, 3H), 7.41 (s, 1H), 6.85(m, 2H), 6.38(m, 1H), 5.30(m, 1H), 4.0(m, 1H), 2.91(m, 4H), 2.37(s, 3H), 1.94 (m, 6H), 1.60(m, 3H), 1.35 (m, 2H). (M+H)+ = 455.1. [0637] EXAMPLE A-64 [0638] In a manner similar to that described for Example A-17, A-23 and A-28, N-(5- amino-2-methyl-phenyl)-2-[5-[(3R)-3-aminopyrrolidin-1-yl]sulfonyl-3-methyl-indol-1- yl]propanamide EXAMPLE A-11 could be separated into its diastereomers of unknown absolute stereochemistry to give: [0639] Diastereomer A N-(5-amino-2-methyl-phenyl)-2-[5-[(3R)-3-aminopyrrolidin-1- yl]sulfonyl-3-methyl-indol-1-yl]propanamide of unknown absolute stereochemistry 64
[0640] 1H NMR(400 MHz, MeOD) ^= ^.95(s, 1H), 7.56(s, 2H), 7.36(s, 1H), 6.80 (d, 1H), 6.62 (s, 1H), 6.43 (dd, 1H), 5.30(m, 1H), 3.31(m, 3H), 3.20(m, 1H), 2.85 (m, 1H), 2.28(s, 3H), 1.82 (m, 7H), 1.45 (m, 1H). (M+H)+ = 456.1. [0641] EXAMPLE A-65 [0642] Diastereomer B N-(5-amino-2-methyl-phenyl)-2-[5-[(3R)-3-aminopyrrolidin-1- yl]sulfonyl-3-methyl-indol-1-yl]propanamide of unknown absolute stereochemistry 65 [0643] 1H NMR
(s, 1H), 6.80(d, 1H), 6.62 (s, 1H), 6.41 (dd, 1H), 5.29 (m, 1H), 3.31 (m, 3H), 3.14 (m, 1H), 2.85 (m, 1H), 2.28 (m, 3H), 1.85-1.77 (m, 7H), 1.47 (m, 1H). (M+H)+ = 456.1. [0644] EXAMPLE A-66 [0645] 2-(3-methylindol-1-yl)-N-(2-methyl-5-piperazin-1-yl-phenyl)butanamide
and 3-methyl-1H-indole (1 g, 7.62 mmol, 1 eq) in DMF (15 mL) was added Cs2CO3 (7.45 g, 22.87 mmol, 3 eq), the mixture was stirred at 20 °C for 2 h. LCMS showed the reaction was complete.10 mL of water was added to the mixture, the mixture was extracted with ethyl acetate (20 mL*2), and the combined extracts was dried with anhydrous Na2SO4 and filtered, the filtrate
was concentrated under reduced pressure to give a residue. The residue was purified by flash column (ISCO 20 g silica, 0-20 % ethyl acetate in petroleum ether, gradient over 20 min). methyl 2-(3-methylindol-1-yl)butanoate (1.4 g, 5.60 mmol, 73.44% yield, 92.5% purity) was obtained as a yellow oil. [0648] Step 2: General procedure for preparation of t2-(3-methylindol-1-yl)butanoic acid - Notebook Page: ET58892-6 [0649] To a 1.73 mmol, 1 eq)
in MeOH (1.5 mL) and THF (1.5 mL) was added NaOH (2 M, 1.73 mL, 2 eq), the mixture was stirred at 20 °C for 1 h. LCMS showed the reaction was complete.10 mL of water was added to the mixture, the mixture was extracted with ethyl acetate (20 mL*2), and the combined extracts was dried with anhydrous Na2SO4 and filtered, the filtrate was concentrated under reduced pressure to give a residue.2-(3-methylindol-1-yl)butanoic acid (300 mg, crude) was obtained as a yellow solid. [0650] Step 3: General procedure for preparation of tert-butyl 4-[4-methyl-3-[2-(3- methylindol-1-yl)butanoylamino]phenyl]piperazine-1-carboxylate - Notebook Page: ET58892-8 [0651]
(134.12 mg, 460.27 umol, 1 eq) and 2-(3-methylindol-1-yl)butanoic acid (100 mg, 460.27 umol, 1 eq) in DMF (1 mL) was added HATU (262.51 mg, 690.41 umol, 1.5 eq) and DIEA (178.46 mg, 1.38 mmol, 240.51 uL, 3 eq), the mixture was stirred at 20 °C for 1 h. LCMS showed the reaction was complete.10 mL of water was added to the mixture, the mixture was extracted with ethyl acetate (20 mL*2), and the combined extracts was dried with anhydrous Na2SO4 and filtered, the filtrate was concentrated under reduced pressure to give a residue. The residue was
purified by flash column (ISCO 20 g silica, 0-20 % ethyl acetate in petroleum ether, gradient over 20 min). tert-butyl 4-[4-methyl-3-[2-(3-methylindol-1-yl)butanoylamino]phenyl]piperazine- 1-carboxylate (150 mg, crude) was obtained as a yellow solid. [0652] Step 4: General procedure for preparation of 2-(3-methylindol-1-yl)-N-(2-methyl-5- piperazin-1-yl-phenyl)butanamide - Notebook Page: ET58892-10
yl)butanoylamino]phenyl]piperazine-1-carboxylate (100 mg, 203.82 umol, 1 eq) in TFA (1 mL), the mixture was stirred at 20 °C for 1 h. LCMS showed the reaction was complete. The mixture was filtered. The residue was purified by prep-HPLC:column: Phenomenex Luna 80*30mm*3um;mobile phase: [water(TFA)-ACN];B%: 30%-60%,8min.2-(3-methylindol-1-yl)- N-(2-methyl-5-piperazin-1-yl-phenyl)butanamide (30.32 mg, 77.64 umol, 38.09% yield, 100% purity) was obtained as a white solid.1H NMR (400 MHz, CHLOROFORM-d) δ = 9.74 (br s, 1H), 7.72 (d, J = 2.5 Hz, 1H), 7.64 (d, J = 8.0 Hz, 1H), 7.37 - 7.31 (m, 1H), 7.20 (d, J = 7.5 Hz, 1H), 7.05 (s, 1H), 6.90 (d, J = 8.5 Hz, 1H), 6.79 (s, 1H), 6.54 (dd, J = 2.5, 8.5 Hz, 1H), 4.90 (dd, J = 4.5, 11.5 Hz, 1H), 3.41 - 3.35 (m, 4H), 3.34 - 3.28 (m, 4H), 2.63 (ddd, J = 4.5, 7.5, 14.5 Hz, 1H), 2.39 (s, 3H), 2.32 - 2.18 (m, 1H), 1.43 (s, 3H), 1.02 (t, J = 7.3 Hz, 3H).MS (M + H)+ = 391.2. [0654] EXAMPLE B-1 [0655] N-[[4-(azetidin-3-ylamino)phenyl]methyl]-2-[3-methyl-5-(1-piperidylsulfonyl)indol- 1-yl]propanamide 1
[0656] Step 1: General procedure for preparation of tert-butyl 3-(4-cyanoanilino)azetidine-1- carboxylate [0657]
(100 mL) was added Et3N (13.37 g, 132.11 mmol, 18.39 mL, 2 eq) and tert-butyl 3-aminoazetidine-1- carboxylate (12.51 g, 72.66 mmol, 1.1 eq). The mixture was stirred at 120 °C for 12 h. TLC(Petroleum ether : Ethyl acetate = 3:1) showed the reaction was complete. The reaction mixture was filtered, the filter cake was concentrated to dryness to give the product (1.5g). The mixture was added 15 mL of water, and was extracted with Ethyl acetate (30 mL*2). The combined organic layers were washed with brine (15 mL) and dried over Na2SO4. The combined organic layer was concentrated to dryness to give the product(1.5g). tert-butyl 3-(4- cyanoanilino)azetidine-1-carboxylate (3 g, 10.98 mmol, 16.62% yield) was obtained as a white solid.1H NMR (400 MHz, DMSO-d6) δ = 7.51 - 7.46 (m, J = 8.9 Hz, 2H), 7.25 (br d, J = 4.6 Hz, 1H), 6.61 - 6.54 (m, 2H), 4.27 - 4.15 (m, 3H), 3.64 (br d, J = 4.3 Hz, 2H), 1.38 (s, 9H). [0658] Step 2: General procedure for preparation of tert-butyl 3-[4- (aminomethyl)anilino]azetidine-1-carboxylate
mmol, 1 eq) in MeOH (30 mL,NH3 in MeOH(7M)) was added Raney-Ni (940.35 mg, 10.98 mmol, 1 eq) under N2 atmosphere. The suspension was degassed and purged with H2 for 3times. The mixture was stirred under H2 (15 Psi) at 25°Cfor 4h. LCMS showed the starting material was consumed completely and desired MS was detected. The reaction mixture was filtered through a pad of celite and the celite was rinsed with MeOH (10 mL * 3). The filtrate was concentrated under reduced pressure to give the product. tert-butyl 3-[4- (aminomethyl)anilino]azetidine-1-carboxylate (3 g, 10.82 mmol, 98.55% yield) was obtained as a blue oil.1H NMR (400 MHz, CHLOROFORM-d) δ = 7.20 - 7.08 (m, 2H), 6.56 - 6.44 (m, J = 8.3 Hz, 2H), 4.34 - 4.13 (m, 2H), 3.78 - 3.70 (m, 4H), 3.53 - 3.43 (m, 1H), 1.45 (s, 9H).
[0660] Step 3: General procedure for preparation of tert-butyl 3-[4-[(2- bromopropanoylamino)methyl]anilino]azetidine-1-carboxylate uL, 1 eq)
in CH2Cl2 (10 mL) was added TEA (729.66 mg, 7.21 mmol, 1.00 mL, 2 eq) at 0 °C and tert- butyl 3-[4-(aminomethyl)anilino]azetidine-1-carboxylate (1 g, 3.61 mmol, 1 eq). The mixture was stirred at 25 °C for 2 h. LCMS showed the starting material was consumed and desired MS was detected. The reaction mixture was diluted by water (5 mL) and extracted with DCM (15 mL * 3), then washed with brine (10 mL), dried over Na2SO4, filtered and The reaction mixture was concentrated under reduced pressure to give the product. tert-butyl 3-[4-[(2- bromopropanoylamino)methyl]anilino]azetidine-1-carboxylate (600 mg, 1.46 mmol, 40.36% yield) was obtained as a yellow oil.1H NMR (400 MHz, CHLOROFORM-d) δ = 7.11 (d, J = 8.4 Hz, 2H),6.53 - 6.44 (m, 2H), 4.46 - 4.25 (m, 4H), 4.22 - 4.15 (m, 1H), 3.72 (dd, J = 4.6, 9.1 Hz, 2H), 3.62 - 3.46 (m, 1H), 1.89 (d, J = 7.1 Hz, 2H), 1.81 - 1.71 (m, 1H), 1.68 - 1.42 (m, 9H). [0662] Step 4: General procedure for preparation of tert-butyl tert-butyl 3-[4-[[2-[3-methyl- 5-(1-piperidylsulfonyl)indol-1-yl]propanoylamino]methyl]anilino]azetidine-1-carboxylate
1-carboxylate (100 mg, 242.53 umol, 1 eq) in DMF (2 mL) was added Cs2CO3 (158.04 mg, 485.06 umol, 2 eq) and 3-methyl-5-(1-piperidylsulfonyl)-1H-indole (67.51 mg, 242.53 umol, 1 eq). The mixture was stirred at 80 °C for 2 hr. LCMS showed the starting material was consumed completely and desired MS was observed. The reaction mixture was diluted by water (15 mL), extracted with ethyl acetate (20 mL * 2), then washed with brine (15 mL), dried over Na2SO4,
filtered and The reaction mixture was concentrated under reduced pressure to give the product. tert-butyl 3-[4-[[2-[3-methyl-5-(1-piperidylsulfonyl)indol-1- yl]propanoylamino]methyl]anilino]azetidine-1-carboxylate (120 mg, 196.79 umol, 81.14% yield) was obtained as a yellow oil. [0664] Step 5: General procedure for preparation of tert-butyl N-[[4-(azetidin-3- ylamino)phenyl]methyl]-2-[3-methyl-5-(1-piperidylsulfonyl)indol-1-yl]propanamide EXAMPLE B-1
yl]propanoylamino]methyl]anilino]azetidine-1-carboxylate (120 mg, 196.79 umol, 1 eq) in DCM (5 mL) was added TFA (22.44 mg, 196.79 umol, 14.57 uL, 1 eq). The mixture was stirred at 25 °C for 1 hr. LCMS showed the starting material was consumed and desired MS was detected. The reaction mixture was purified directly by prep-HPLC. The crude product was purified by prep-HPLC (Phenomenex Luna C18150*30mm*5um column; 10-45 % acetonitrile in a TFA solution in water, 8 min gradient). EXAMPLE B-1 N-[[4-(azetidin-3-ylamino)phenyl]methyl]-2- [3-methyl-5-(1-piperidylsulfonyl)indol-1-yl]propanamide (25.4 mg, 49.84 umol, 25.32% yield, 100% purity)was obtained as a white solid.1H NMR (400 MHz, METHANOL-d4) δ = 8.37 (br s, 1H), 7.93 (s, 1H), 7.46 - 7.41 (m, 2H), 7.37 (d, J = 0.9 Hz, 1H), 6.97 - 6.92 (m, J = 8.3 Hz, 2H), 6.47 - 6.41 (m, J = 8.3 Hz, 2H), 5.19 - 5.11 (m, 1H), 4.49 - 4.32 (m, 3H), 4.29 - 4.13 (m, 2H), 3.92 (br dd, J = 6.6, 10.8 Hz, 2H), 2.99 - 2.90 (m, 4H), 2.35 (d, J = 0.9 Hz, 3H), 1.76 (d, J = 7.1 Hz, 3H), 1.63 (quin, J = 5.7 Hz, 4H), 1.39 (quin, J = 5.8 Hz, 2H). MS (M + H)+ = 510.1. [0666] In a manner similar to that described for Example A-17, A-23 and A-28, (racemic N- [[4-(azetidin-3-ylamino)phenyl]methyl]-2-[3-methyl-5-(1-piperidylsulfonyl)indol-1- yl]propanamide could be separated into its enantiomers of unknown absolute stereochemistry to give EXAMPLE B-2 and EXAMPLE B-3. [0667] EXAMPLE B-2 [0668] Enantiomer A N-[[4-(azetidin-3-ylamino)phenyl]methyl]-2-[3-methyl-5-(1- piperidylsulfonyl)indol-1-yl]propanamide of unknown absolute stereochemistry
EXAMPLE B-2 [0669] 1H , 1H), 7.46(s, 2H), 7.36(s, 1H), 6.94(d, 2H), 6.44(d, 2H), 5.15(m, 1H), 4.33(m, 1H), 4.15(m, 2H), 3.93(m, 2H), 3.57(m, 2H), 2.93(m, 4H), 2.34(s, 3H), 1.73 (d, 3H), 1.52 (m, 4H), 1.38 (m, 2H). (M+H)+ = 510.1. [0670] EXAMPLE B-3 [0671] Enantiomer B N-[[4-(azetidin-3-ylamino)phenyl]methyl]-2-[3-methyl-5-(1- piperidylsulfonyl)indol-1-yl]propanamide of unknown absolute stereochemistry EXAMPLE B-3 [0672]
1H), 7.46(s, 2H), 7.36(s, 1H), 6.94(d, 2H), 6.44(d, 2H), 5.15(m, 1H), 4.34(m, 1H), 4.19(m, 2H), 3.94(m, 2H), 3.59(m, 2H), 2.94(m, 4H), 2.35(s, 3H), 1.73 (d, 3H), 1.62 (m, 4H), 1.38 (m, 2H). (M+H)+ = 510.1. [0673] EXAMPLE B-4 [0674] 2-[5-[(3R)-3-aminopyrrolidin-1-yl]sulfonyl-3-methyl-indol-1-yl]-N-[[4-(azetidin-3- ylamino)phenyl]methyl]propanamide 4 [0675] Step
[(3R)-3-(tert- butoxycarbonylamino)pyrrolidin-1-yl]sulfonyl-3-methyl-indol-1- yl]propanoylamino]methyl]anilino]azetidine-1-carboxylate
din-3- yl]carbamate (80.99 mg, 213.43 umol, 1.1 eq) in DMF (1 mL) was added tert-butyl 3-[4-[(2- bromopropanoylamino)methyl]anilino]azetidine-1-carboxylate (see EXAMPLE B-1) (80 mg, 194.02 umol, 1 eq) and Cs2CO3 (126.43 mg, 388.05 umol, 2 eq). The mixture was stirred at 80°C for 2h. LCMS showed the starting material was consumed and desired ms was detected.5 mL of water was added to the reaction, the reaction mixture was extracted with Ethyl acetate (3 mL*3). The combined organic layers were washed with brine (3 mL) and dried over Na2SO4. The combined organic layer was concentrated to dryness to give the crude product. tert-butyl 3- [4-[[2-[5-[(3R)-3-(tert-butoxycarbonylamino)pyrrolidin-1-yl]sulfonyl-3-methyl-indol-1- yl]propanoylamino]methyl]anilino]azetidine-1-carboxylate (120 mg, 168.80 umol, 87.00% yield) was obtained as yellow oil. LCMS m/z 711.4 [M+H]+. [0677] Step 2: General procedure for preparation of 2-[5-[(3R)-3-aminopyrrolidin-1- yl]sulfonyl-3-methyl-indol-1-yl]-N-[[4-(azetidin-3-ylamino)phenyl]methyl]propanamide (B-4)
1-yl]sulfonyl-3-methyl-indol-1-yl]propanoylamino]methyl]anilino]azetidine-1-carboxylate (120 mg, 168.80 umol, 1 eq) in DCM (1.5 mL) was added TFA (770.00 mg, 6.75 mmol, 500.00 uL, 40.00 eq) at 0°C.The mixture was stirred at 25°Cfor 1h. LCMS showed the starting material was consumed and desired ms was detected. The reaction solvents was removed by nitrogen afford the crude. The crude was purified by prep-HPLC (Phenomenex luna C18100*40mm*3 um column; 5-50% acetonitrile in an a 0.05% trifluoroacetic acid solution in water, 8 min gradient). EXAMPLE B-42-[5-[(3R)-3-aminopyrrolidin-1-yl]sulfonyl-3-methyl-indol-1-yl]-N-[[4- (azetidin-3-ylamino)phenyl]methyl]propanamide (27.3 mg, 52.11 umol, 30.87% yield, 97.48% purity) was obtained as white solid.1H NMR (400 MHz, METHANOL-d4) δ = 8.06 (s, 1H), 7.60 (d, J = 8.5 Hz, 1H), 7.54 (d, J = 8.8 Hz, 2H), 7.43 (s, 1H), 7.04 - 7.00 (m, J = 8.4 Hz, 2H),
6.52 - 6.48 (m, J = 8.4 Hz, 2H), 5.19 (q, J = 7.3 Hz, 1H), 4.54 - 4.35 (m, 3H), 4.23 (br d, J = 4.9 Hz, 2H), 3.95 (dd, J = 6.8, 11.0 Hz, 2H), 3.77 (br s, 1H), 3.57 - 3.49 (m, 1H), 3.36 (br s, 2H), 3.16 (br d, J = 9.4 Hz, 1H), 2.39 (s, 3H), 2.23 - 2.15 (m, 1H), 1.91 (br d, J = 5.5 Hz, 1H), 1.77 (d, J = 7.0 Hz, 3H). LCMS m/z 511.1 [M+H]+. [0679] EXAMPLE B-5 [0680] 2-[5-[(3R)-3-aminopyrrolidin-1-yl]sulfonyl-3-methyl-indol-1-yl]-N-(2-methyl-5- piperazin-1-yl-phenyl)propanamide 5 [0681] Step 1:
-1-(1-acetyl-3-methyl- indolin-5-yl) sulfonylpyrrolidin-3-yl] carbamate
1.2 eq) in DCM (20 mL) was added Et3N (1.48 g, 14.61 mmol, 2.03 mL, 2 eq) and 1-acetyl-3- methyl-indoline-5-sulfonyl chloride (2 g, 7.31 mmol, 1 eq) at 0°C.The mixture was stirred at 25°C for 2 hr. LCMS showed the reaction was complete. The reaction mixture was cooled to room temperature and diluted by water (15 mL), extracted with ethyl acetate (20 mL * 2). Compound tert-butyl N-[(3R)-1-(1-acetyl-3-methyl-indolin-5-yl) sulfonylpyrrolidin-3-yl] carbamate (1.8 g, 4.25 mmol, 58.17% yield) was obtained as a yellow oil. [0683] Step 2: General procedure for preparation of tert-butyl N-[(3R)-1-(3-methylindolin-5- yl) sulfonylpyrrolidin-3-yl] carbamate
[0684] sulfonylpyrrolidin-3-yl] carbamate (1.8 g, 4.25 mmol, 1 eq) in MeOH (20 mL) was added K2CO3 (1.76 g, 12.75 mmol, 3 eq). The reaction was stirred at 80°C for 12 hr. The mixture was acidified by adding citric acid dropwise at 0 °C to pH = 2.The reaction mixture was diluted by water (20 mL), extracted with ethyl acetate (20 mL * 3).The combined organics were washed with brine (20 mL), dried over Na2SO4, filtered and The reaction mixture was concentrated under reduced pressure to give a residue. Tert-butylN-[(3R)-1-(3-methylindolin-5-yl) sulfonylpyrrolidin-3-yl] carbamate (1.6 g, 4.19 mmol, 98.68% yield) was obtained as a yellow oil. [0685] Step 3: General procedure for preparation of tert-butyl N-[(3R)-1-[(3-methyl-1H- indol-5-yl) sulfonyl]pyrrolidin-3-yl]carbamate [0686]
3-yl] carbamate (1.6 g, 4.19 mmol, 1 eq) in THF (20 mL) was added MnO2 (3.65 g, 41.94 mmol, 10 eq).The mixture was stirred at 70°C for 12 hr. LCMS showed the reaction was complete. The resultant mixture was filtered and the filter cake was rinsed with DCM (5 mL x 3). Then the combined filtrates were concentrated under reduced pressure to give as brown oil. tert-butyl N- [(3R)-1-[(3-methyl-1H-indol-5-yl)sulfonyl]pyrrolidin-3-yl]carbamate (1.5 g, 3.95 mmol, 94.25% yield) was obtained as a yellow solid. [0687] Step 4: General procedure for preparation of tert-butyl 4-[3-(2- bromopropanoylamino)-4-methyl-phenyl]piperazine-1-carboxylate [0688] In a manner similar to that described for tert-butyl 3-[4-[(2- bromopropanoylamino)methyl]anilino]azetidine-1-carboxylate, SEE EXAMPLE B-1,
[0689 A (2 eq) at 0 °C and tert-butyl 4-(3-amino-4-methyl-phenyl)piperazine-1-carboxylate (see EXAMPLE A- 9 )(1 eq). The mixture was stirred at 25 °C. LCMS showed the starting material was consumed and desired MS was detected. The reaction mixture was diluted by water and extracted with DCM then washed with brine dried over Na2SO4, filtered and The reaction mixture was concentrated under reduced pressure to give the product tert-butyl 4-[3-(2- bromopropanoylamino)-4-methyl-phenyl]piperazine-1-carboxylate. [0690] Step 5: General procedure for preparation of tert-butyl 4-[3-[2-[5-[(3R)-3-(tert- butoxycarbonylamino) pyrrolidin-1-yl] sulfonyl-3-methyl-indol-1-yl] propanoylamino]-4- methyl-phenyl] piperazine-1-carboxylate -
phenyl]piperazine-1-carboxylate (85.97 mg, 263.52 umol, 1 eq) in THF (2 mL) was added NaH (31.62 mg, 790.57 umol, 60% purity, 3 eq) at 0°C. The mixture was stirred at 20 °C for 1hr. Then the mixture was added tert-butyl N-[(3R)-1-[(3-methyl-1H-indol-5-yl) sulfonyl] pyrrolidin- 3-yl] carbamate (100 mg, 263.52 umol, 1 eq) and stirred at 20°C for 1h. LCMS showed the reaction was complete. The reaction mixture was poured into saturated ice slowly at 0°C, and then stirred for 1h. The mixture was cooled to room temperature and diluted by water (2 mL), extracted with ethyl acetate (2 mL * 2). The combined organics were washed with brine (2 mL), dried over Na2SO4, filtered and .The reaction mixture was concentrated under reduced pressure to give a residue. tert-butyl 4-[3-[2-[5-[(3R)-3-(tert-butoxycarbonylamino)pyrrolidin-1- yl]sulfonyl-3-methyl-indol-1-yl]propanoylamino]-4-methyl-phenyl]piperazine-1-carboxylate (100 mg, 137.95 umol, 52.35% yield) was obtained as a yellow oil.
[0692] Step 6: General procedure for preparation of 2-[5-[(3R)-3-aminopyrrolidin-1-yl] sulfonyl-3-methyl-indol-1-yl]-N-(2-methyl-5-piperazin-1-yl-phenyl) propanamide (B-5)
sulfonyl-3-methyl-indol-1-yl] propanoylamino]-4-methyl-phenyl] piperazine-1-carboxylate (100 mg, 137.95 umol, 1 eq) was added HCl/EtOAc (3 mL) and stirred at 20°C for 1hr. LCMS showed the reaction was complete. The reaction mixture was concentrated under reduced pressure to give a residue. Without purification. The residue was purified by preparative HPLC (column: Phenomenex luna C1880*40mm*3 um;mobile phase: [water(HCl)-ACN];B%: 10%- 40%,7min) the HPLC fractions were combined, lyophilized to give the desire comound as a yellow solid. EXAMPLE B-5 2-[5-[(3R)-3-aminopyrrolidin-1-yl]sulfonyl-3-methyl-indol-1-yl]- N-(2-methyl-5-piperazin-1-yl-phenyl)propanamide (35.3 mg, 61.94 umol, 44.90% yield, 92.06% purity) was obtained as a white solid. Checked by HNMR, LC-MS and SFC. [0694] 1H NMR (400 MHz, METHANOL-d4) δ = 8.08 (s, 1H), 7.76 - 7.63 (m, 2H), 7.53 - 7.49 (m, 1H), 7.16 - 7.10 (m, 1H), 7.10 - 7.03 (m, 1H), 6.89 - 6.82 (m, 1H), 5.55 - 5.45 (m, 1H), 3.80 - 3.72 (m, 1H), 3.57 - 3.49 (m, 1H), 3.41 - 3.34 (m, 10H), 3.18 - 3.11 (m, 1H), 2.42 - 2.36 (m, 3H), 2.23 - 2.14 (m, 1H), 2.07 - 2.01 (m, 3H), 1.96 - 1.90 (m, 1H), 1.88 (d, J = 7.1 Hz, 3H).MS(M+1)+=525.3. [0695] EXAMPLE B-6 [0696] 2-[5-(dimethylsulfamoyl)-3-methyl-indol-1-yl]-N-(2-methyl-5-piperazin-1-yl- phenyl)propanamide B-6 [0697] Step 1:
N,N,3-trimethyl-indoline-5- sulfonamide
[0698] To a 5 g, 5.48 mmol, 1 eq) in DCM (15 mL) was added TEA (1.66 g, 16.44 mmol, 2.29 mL, 3 eq) and N- methylmethanamine hydrochloride (893.68 mg, 10.96 mmol, 2 eq). The mixture was stirred at 20°C for 2h. LC-MS showed reactant was consumed completely and desired mass was detected. 15 mL of water was added to the reaction, the reaction mixture was extracted with Ethyl acetate (30 mL*3). The combined organic layers were washed with brine (15 mL) and dried over Na2SO4. The combined organic layer was concentrated to dryness to give residue. The crude product was purified by flash column (ISCO 20 g silica, 40-50 % ethyl acetate in petroleum ether, gradient over 10 min). Compound 1-acetyl-N,N,3-trimethyl-indoline-5-sulfonamide (720 mg, 1.86 mmol, 33.96% yield) was obtained as a pale yellow solid. [0699] General procedure for preparation of N,N,3-trimethylindoline-5-sulfonamide [0700] A
mg, 2.55 mmol, 1 eq), HCl (12 M, 2.12 mL, 10 eq) in EtOH (8 mL) was stirred at 70°C for 3h. LC-MS showed reactant was consumed completely and desired mass was detected. The reaction mixture was concentrated to dryness to give N,N,3-trimethylindoline-5-sulfonamide (420 mg, 1.75 mmol, 68.54% yield) as a yellow solid. [0701] General procedure for preparation of N,N,3-trimethyl-1H-indole-5-sulfonamide [0702] To a
mg, 1.66 mmol, 1 eq) in THF (9 mL) was added MnO2 (1.45 g, 16.64 mmol, 10 eq). The mixture was stirred at 70°C for
16h. LC-MS showed reactant was consumed completely and desired mass was detected. The reaction mixture was concentrated to dryness to give N,N,3-trimethyl-1H-indole-5-sulfonamide (470 mg, crude) as a brown solid. [0703] General procedure for preparation of tert-butyl 4-[3-[2-[5-(dimethylsulfamoyl)-3- methyl-indol-1-yl]propanoylamino]-4-methyl-phenyl]piperazine-1-carboxylate [0704] umol, 1
eq) in THF (2 mL) was added NaH (26.86 mg, 671.41 umol, 60% purity, 2 eq) at 0°C and stirred at 0°C for 0.5h. Then the mixture was added tert-butyl 4-[3-(2-bromopropanoylamino)-4-methyl- phenyl]piperazine-1-carboxylate (see EXAMPLE B-5)(143.13 mg, 335.70 umol, 1 eq) at 0°C and stirred at 20°C for 1h. LC-MS showed Reactant was consumed completely and desired mass was detected.2 mL of water was added to the reaction at 0°C, the reaction mixture was extracted with Ethyl acetate (2 mL*3). The combined organic layers were washed with brine (2 mL) and dried over Na2SO4. The combined organic layer was concentrated to dryness to give residue. Compound tert-butyl 4-[3-[2-[5-(dimethylsulfamoyl)-3-methyl-indol-1-yl]propanoylamino]-4- methyl-phenyl]piperazine-1-carboxylate (120 mg, 205.57 umol, 61.24% yield) was obtained as a pale yellow solid. [0705] General procedure for preparation of 2-[5-(dimethylsulfamoyl)-3-methyl-indol-1-yl]- N-(2-methyl-5-piperazin-1-yl-phenyl)propanamide (B-6)
yl]propanoylamino]-4-methyl-phenyl]piperazine-1-carboxylate (120 mg, 205.57 umol, 1 eq) in HCl/EtOAc (2 mL) was stirred at 20°C for 1h. LC-MS showed reactant was consumed completely and desired mass was detected. The reaction mixture was concentrated to dryness to give the crude product. The crude was purified by prep-HPLC (Phenomenex luna C18
100*40mm*3 um column; 15-60 % acetonitrile in an a 0.225% formic acid solution in water, 8 min gradient). EXAMPLE B-62-[5-(dimethylsulfamoyl)-3-methyl-indol-1-yl]-N-(2-methyl-5- piperazin-1-yl-phenyl)propanamide (14.6 mg, 27.09 umol, 13.18% yield, HCl) was obtained as a white solid.1H NMR (400 MHz, ACETONITRILE-d3) δ = 8.56 - 8.49 (m, 1H), 8.02 - 8.00 (m, 1H), 7.86 - 7.82 (m, 1H), 7.64 - 7.56 (m, 2H), 7.43 (s, 1H), 7.18 - 7.16 (m, 1H), 7.06 (d, J = 8.2 Hz, 1H), 6.73 - 6.68 (m, 1H), 5.39 - 5.31 (m, 1H), 3.30 - 3.25 (m, 8H), 2.63 - 2.61 (m, 6H), 2.43 - 2.35 (m, 3H), 1.90 (s, 3H), 1.86 - 1.82 (m, 3H). MS (M + H)+ = 484.2. [0707] EXAMPLE B-7 [0708] N-(2-methyl-5-piperazin-1-yl-phenyl)-2-[3-methyl-5-(triazol-1-yl)indol-1- yl]propanamide 7 [0709] Step 1:
nitro-phenyl)triazole [0710] To a
19.09 mmol, 1 eq) and 1H-triazole (1.32 g, 19.09 mmol, 1.11 mL, 1 eq) in DMF (10 mL) was added K2CO3 (5.28 g, 38.18 mmol, 2 eq) and stirred at 80°C for 12 h. LCMS showed starting material was consumed completely and two main peak with desired mass was detected. The reaction was cooled to 15°C. The mixture was poured water (20 mL) and extracted with ethyl acetate (3 * 20 mL). The organic layer was washed with brine (20 mL), dried over anhydrous Na2SO4, then filtered and concentrated in vacuo. The crude product was purified by flash column (ISCO 20 g silica, 10- 100 % ethyl acetate in petroleum ether, gradient over 20 min).1-(3-bromo-4-nitro- phenyl)triazole (2.6 g, 9.19 mmol, 48.13% yield, 95.09% purity) was obtained as a pale yellow solid. [0711] 1H NMR (400 MHz, DMSO-d6) δ = 9.05 (d, J = 1.3 Hz, 1H), 8.52 (d, J = 2.1 Hz, 1H), 8.31 - 8.26 (m, 1H), 8.26 - 8.20 (m, 1H), 8.05 (d, J = 1.3 Hz, 1H)
[0712] Step 2: General procedure for preparation of 7-bromo-3-methyl-5-(triazol-1-yl)-1H- indole [0713] 1- to a three
bottom flask with a argon atmosphere. The flask was purged three times with argon before adding dry THF (20 mL) and cooled to between -40~-45°C. The Grignard reagent bromo-[(E)- prop-1-enyl]magnesium (0.5 M, 22.30 mL, 3 eq) was then rapidly in one portion to the THF solution and stirring continued for further 1 h. LCMS showed starting material was consumed completely and 32% of peak with desired mass was detected. Then the reaction was warmed to 20°C and quenched by adding 10 mL saturated ammonium chloride solution. The mixture was extracted with ethyl acetate (3*10 mL). The organic layer was washed with brine (20 mL), dried over anhydrous Na2SO4, then filtered and concentrated in vacuo. The residue was purified by prep-HPLC (column: Phenomenex luna C18250*50mm*10 um;mobile phase: [water(TFA)- ACN];B%: 30%-50%,10min). 7-bromo-3-methyl-5-(triazol-1-yl)-1H-indole (200 mg, 721.71 umol, 19.42% yield) was obtained as a brown solid.1H NMR (400 MHz, DMSO-d6) δ = 11.35 (br s, 1H), 8.85 - 8.79 (m, 1H), 8.03 (d, J = 1.6 Hz, 1H), 7.97 - 7.93 (m, 1H), 7.85 (d, J = 1.8 Hz, 1H), 7.34 (s, 1H), 2.31 (s, 3H). [0714] Step 3: General procedure for preparation of 3-methyl-5-(triazol-1-yl)-1H-indole [0715] 7-
1 eq) was dissolved in MeOH (10 mL) and added Pd/C (200 mg, 10% purity). Then the reaction mixture was purged with H2 three times and stirred at 20°C under H2 (15 psi) for 5 hr. LCMS showed starting material was consumed completely and main peak with desired mass was detected. The mixture was filtered and the filtrate was concentrated in vacuo to afford the desired product.3-
methyl-5-(triazol-1-yl)-1H-indole (200 mg, 706.27 umol, 97.86% yield, 70% purity) was obtained as a yellow solid. [0716] Step 4: General procedure for preparation of tert-butyl 4-[4-methyl-3-[2-[3-methyl-5- (triazol-1-yl)indol-1-yl]propanoylamino]phenyl]piperazine-1-carboxylate
THF (10 mL) and purged with N2 three times. Then the reaction was cooled to 0°C and NaH (40.35 mg, 1.01 mmol, 60% purity, 2 eq) was added into the stirring reaction at 0°C. After 30 mins, tert-butyl 4-[3-(2-bromopropanoylamino)-4-methyl-phenyl]piperazine-1-carboxylate (see EXAMPLE B-5) reaction was stirred at 20°C for 2h. LCMS showed starting material was consumed completely and 43% of peak with desired mass was detected. The reaction was quenched by adding 10 mL aq. saturated NH4Cl solution at 0°C. The mixture was extracted with ethyl acetate (3 * 10 mL). The organic layer was washed with brine (20 mL), dried over anhydrous Na2SO4, then filtered and concentrated in vacuo. No purification and the crude product was used for next step directly. tert-butyl 4-[4-methyl-3-[2-[3-methyl-5-(triazol-1- yl)indol-1-yl]propanoylamino]phenyl]piperazine-1-carboxylate (250 mg, 459.85 umol, 91.15% yield) was obtained as a yellow oil. [0718] Step 5: General procedure for preparation of N-(2-methyl-5-piperazin-1-yl-phenyl)-2- [3-methyl-5-(triazol-1-yl)indol-1-yl]propanamide (B-7)
yl]propanoylamino]phenyl]piperazine-1-carboxylate (100 mg, 183.94 umol, 1 eq) was dissolved into EtOAc (1 mL) and then HCl/EtOAc (4 M, 1 mL, 21.75 eq) was added. The resulting reaction was stirred at 20°C for 1 hr. LCMS showed starting material was consumed completely and main peak with desired mass was detected. The mixture was concentrated in vacuo. The
residue was purified by prep-HPLC (column: Phenomenex Luna 80*30mm*3um;mobile phase: [water(HCl)-ACN];B%: 5%-40%,8min). EXAMPLE B-7 N-(2-methyl-5-piperazin-1-yl- phenyl)-2-[3-methyl-5-(triazol-1-yl)indol-1-yl]propanamide (44.2 mg, 89.48 umol, 48.64% yield, 97.17% purity, HCl) was obtained as a pale yellow solid.1H NMR (400 MHz, DMSO-d6) δ = 9.73 (br s, 1H), 8.97 (br s, 2H), 8.77 (s, 1H), 8.01 - 7.96 , 7.96 - 7.92 (m, 1H), 7.79 -
7.72 (m, 1H), 7.72 - 7.64 (m, 1H), 7.50 (s, 1H), 7.10 - 7.01 (m, 2H), 6.74 (dd, J = 2.1, 8.4 Hz, 1H), 5.55 (br d, J = 7.0 Hz, 1H), 3.25 - 3.14 (m, 8H), 2.33 (s, 3H), 2.05 (s, 3H), 1.78 (br d, J = 7.0 Hz, 3H). LCMS (M+H) = 444.1. [0720] EXAMPLE B-8 [0721] 2-(6-fluoro-3-methyl-indol-1-yl)-N-(2-methyl-5-piperazin-1-yl-phenyl)propanamide 8 [0722] Step 1:
1H-indole [0723]
(300 mg, 1.84 mmol, 1 eq) in THF (5 mL) was added LiAlH4 (209.37 mg, 5.52 mmol, 3 eq), the mixture was stirred at 0 °C for 1 h. LCMS showed the reaction was complete. The reaction was quenched by water (0.1mL) at 0°C, 15% aq.NaOH ( 0.3mL) and water (0.1ml) were added to the mixture at 0°C and stirred for 20 min and dried over MgSO4 and filtered. The combined organic layer was concentrated under reduced pressure to afford a product.6-fluoro-3-methyl-1H-indole (300 mg, crude) was obtained as a yellow solid.1H NMR (400 MHz, CHLOROFORM-d) δ = 8.09 - 7.91 (m, 1H), 7.48 (dd, J = 5.5, 8.5 Hz, 1H), 7.09 - 6.99 (m, 1H), 6.96 - 6.83 (m, 2H), 2.32 (d, J = 1.0 Hz, 3H). [0724] Step 2: General procedure for preparation of tert-butyl 4-[3-[2-(6-fluoro-3-methyl- indol-1-yl)propanoylamino]-4-methyl-phenyl]piperazine-1-carboxylate
eq) in THF (2 mL) was added NaH (67.03 mg, 1.68 mmol, 60% purity, 5 eq) and tert-butyl 4-[3-(2- bromopropanoylamino)-4-methyl-phenyl]piperazine-1-carboxylate (see EXAMPLE B-5) (142.91 mg, 335.20 umol, 1 eq), the mixture was stirred at 0 °C for 12 h. LCMS showed the reaction was complete. The reaction was quenched by water (5 mL) at 0°C was stirred for 20 min and dried over Na2SO4 and filtered. The combined organic layer was concentrated under reduced pressure to afford a product. tert-butyl 4-[3-[2-(6-fluoro-3-methyl-indol-1-yl)propanoylamino]-4- methyl-phenyl]piperazine-1-carboxylate (100 mg, crude) was obtained as a yellow solid. [0726] Step 3: General procedure for preparation of 2-(6-fluoro-3-methyl-indol-1-yl)-N-(2- methyl-5-piperazin-1-yl-phenyl)propanamide (B-8)
methyl-phenyl]piperazine-1-carboxylate (125.38 mg, 253.50 umol, 1 eq) in TFA (1 mL)the mixture was stirred at 20 °C for 1 h. LCMS and HPLC showed the reaction was complete. The mixture was filtered. The residue was purified by prep-HPLC:column: Phenomenex C18 80*30mm*3um;mobile phase: [water(TFA)-ACN];B%: 25%-55%,8min. EXAMPLE B-82-(6- fluoro-3-methyl-indol-1-yl)-N-(2-methyl-5-piperazin-1-yl-phenyl)propanamide (49.08 mg, 124.42 umol, 49.08% yield, 100% purity) was obtained as a white solid. 1H NMR (400 MHz, CHLOROFORM-d) δ = 9.76 - 9.71 (m, 1H), 7.71 (d, J = 2.5 Hz, 1H), 7.54 (dd, J = 5.3, 8.8 Hz, 1H), 7.09 - 6.89 (m, 4H), 6.73 (s, 1H), 6.55 (dd, J = 2.5, 8.5 Hz, 1H), 5.05 (q, J = 7.5 Hz, 1H),
3.41 - 3.36 (m, 4H), 3.32 (br s, 4H), 2.36 (s, 3H), 1.95 (d, J = 7.0 Hz, 3H), 1.46 (s, 3H). MS (M + H)+ = 395.2. [0728] EXAMPLE B-9 [0729] 2-[6-(dimethylsulfamoyl)-3-methyl-indol-1-yl]-N-(2-methyl-5-piperazin-1-yl- phenyl)propanamide 9 [0730] Step 1:
vinyl]-N, N- dimethyl-3-nitro-benzenesulfonamide [0731]
mmol, 1 eq) , DMF-DMA (731.75 mg, 6.14 mmol, 815.78 uL, 3 eq), DMF (6 mL) was degassed and purged with N2 for 3 times, and then the mixture was stirred at 100 °C for 2 hr under N2 atmosphere. TLC (Petroleum ether: Ethyl acetate = 1:1) showed the starting material was consumed completely and a major spot was detected. The reaction mixture was cooled to room temperature and diluted by water (15 mL), extracted with ethyl acetate (20 mL * 2).The combined organics were washed with brine (15 mL), dried over Na2SO4, filtered. The reaction mixture was concentrated under reduced pressure to give a residue. The residue was purified by flash silica gel chromatography (ISCO; 20g SepaFlash Silica Flash Column, Eluent of 10~50% Ethyl acetate/Petroleum ether gradient 50 mL/min).4-[(E)-2-(dimethylamino)vinyl]-N,N-dimethyl-3- nitro-benzenesulfonamide (0.5 g, 1.67 mmol, 81.60% yield) was obtained as a yellow solid.1H NMR (400 MHz, CHLOROFORM-d) δ = 8.02 (s, 1H), 7.64 - 7.59 (m, 1H), 7.58 - 7.50 (m, 1H), 7.19 (d, J = 13.1 Hz, 1H), 5.93 (d, J = 13.3 Hz, 1H), 3.01 (s, 6H), 2.73 (s, 6H). [0732] Step 2: General procedure for preparation of N, N-dimethyl-1H-indole-6-sulfonamide
[0733] To a itro- benzenesulfonamide (0.5 g, 1.67 mmol, 1 eq) in MeOH (10 mL) was added Pd/C (0.5 g, 1.67 mmol, 10% purity) under Ar. The suspension was degassed under vacuum and purged with H2 several times. The mixture was stirred under H2 (50 psi) at 20 °C for 12 hours. LCMS showed the starting material was consumed completely. The suspension was filtered through a pad of Celite or silica gel and the pad or filter cake was washed with MeOH (20 mL*3). The combined filtrates were concentrated to dryness to give product N,N-dimethyl-1H-indole-6-sulfonamide (0.35 g, 1.56 mmol, 93.43% yield) was obtained as a yellow oil. [0734] Step 3: General procedure for preparation of 3-formyl-N, N-dimethyl-1H-indole-6- sulfonamide
eq) was added to the DMF (2 mL) at 0 °C, the mixture was stirred at 0 °C for 0.5 h, then N,N-dimethyl-1H-indole-6-sulfonamide (200 mg, 891.75 umol, 1 eq) in DMF (2 mL) was added to the mixture ,the mixture was stirred at 90 °C for 0.5 h. TLC (Petroleum ether : Ethyl acetate = 1:1) showed the starting material (Rf = 0.5 ) was consumed completely and a major spot (Rf = 0.2) was detected. The reaction mixture was cooled to room temperature, then adjusted pH = 9 by adding saturated 1N NaOH aqueous solution slowly at 0 °C, extracted with ethyl acetate (20 mL * 2).The combined organics were washed with brine (15 mL), dried over Na2SO4, filtered and The reaction mixture was concentrated under reduced pressure to give a residue. The residue was purified by flash silica gel chromatography (ISCO; 12 g SepaFlash Silica Flash Column, Eluent of 10~60% Ethyl acetate/Petroleum ether gradient 60 mL/min).3-formyl-N,N-dimethyl-1H-indole-6-sulfonamide (0.2 g, 792.74 umol, 88.90% yield, 100% purity) was obtained as a yellow solid.1H NMR (400
MHz, CHLOROFORM-d) δ = 10.12 (s, 1H), 8.48 (d, J = 8.4 Hz, 1H), 8.05 (s, 2H), 7.70 (dd, J = 1.4, 8.4 Hz, 1H) 2.73 (s, 6H). [0736] Step 4: General procedure for preparation of N, N, 3-trimethyl-1H-indole-6- sulfonamide [0737] To a (0.1 g, 396.37
umol, 1 eq) in THF (15 mL) was added LAH (18.05 mg, 475.64 umol, 1.2 eq) in portions at 0 °C .The mixture was stirred at 60 °C for 5 hr. LCMS showed the starting material was consumed completely and approximate 70% of the desired mass was observed. After the reaction mixture was cooled to 0oC, the reaction mixture was quenched by addition of 0.1 mL of H2O, followed by 0.1mL of 15% aqueous NaOH. After being stirred at room temperature for 0.5 hour, the solid was removed by filtration The filtrate was concentrated to dryness to give crude product.N, N, 3-trimethyl-1H-indole-6-sulfonamide (80 mg, 335.70 umol, 84.69% yield) was obtained as a colourless oil. [0738] Step 5: General procedure for preparation of tert-butyl 4-[3-[2-[6- (dimethylsulfamoyl)-3-methyl-indol-1-yl] propanoylamino]-4-methyl-phenyl] piperazine-1- carboxylate
phenyl]piperazine-1-carboxylate (see EXAMPLE B-5) (100 mg, 234.55 umol, 1 eq) in THF (20 mL) was added NaH (18.76 mg, 469.10 umol, 60% purity, 2 eq) at 0 °C and N,N,3-trimethyl- 1H-indole-6-sulfonamide (55.89 mg, 234.55 umol, 1 eq). The mixture was stirred at 0 °C for 2
hr. LCMS and HPLC showed the starting material was consumed completely and approximate 50% of the desired mass was observed. The reaction mixture was quenched by water (15 mL), extracted with ethyl acetate (20 mL * 2).The combined organics were washed with brine (15 mL), dried over Na2SO4, filtered and The reaction mixture was concentrated under reduced pressure to give a residue. The residue was purified by prep-HPLC (TFA condition; column: Phenomenex Luna C18150*30mm*5um;mobile phase: [water(TFA)-ACN];B%: 45%-75%, 8min). tert-butyl4-[3-[2-[6-(dimethylsulfamoyl)-3-methyl-indol-1-yl]propanoylamino]-4-methyl- phenyl]piperazine-1-carboxylate (50 mg, 85.65 umol, 36.52% yield) was obtained as a yellow solid. [0740] Step 6: General procedure for preparation of 2-[6-(dimethylsulfamoyl)-3-methyl- indol-1-yl]-N-(2-methyl-5-piperazin-1-yl-phenyl) propanamide (B-9)
yl]propanoylamino]-4-methyl-phenyl]piperazine-1-carboxylate (50 mg, 85.65 umol, 1 eq) in EtOAc(1 mL) was added HCl/EtOAc (4 M, 2.50 mL, 116.75 eq). The mixture was stirred at 20 °C for 1 hr. LCMS showed the starting material was consumed completely and approximate 80% of the desired mass was observed. the mixture was concentrated under reduced pressure to give a residue. The residue was purified by prep-HPLC (HCl condition; column: Phenomenex Luna 80*30mm*3um;mobile phase: [water (HCl)-ACN]; B%: 10%-40%, 8min).EXAMPLE B- 9C2-[6-(dimethylsulfamoyl)-3-methyl-indol-1-yl]-N-(2-methyl-5-piperazin-1-yl- phenyl)propanamide (6.5 mg, 13.36 umol, 15.60% yield, 99.43% purity) was obtained as a white solid.1H NMR (400 MHz, METHANOL-d4) δ = 7.96 (d, J = 1.0 Hz, 1H), 7.73 (d, J = 8.3 Hz, 1H), 7.53 (s, 1H), 7.46 (dd, J = 1.4, 8.3 Hz, 1H), 7.10 (d, J = 8.4 Hz, 1H), 7.00 (d, J = 2.4 Hz, 1H), 6.80 (dd, J = 2.6, 8.4 Hz, 1H), 5.40 (d, J = 7.1 Hz, 1H), 3.31 (br d, J = 3.5 Hz, 8H), 2.63 (s, 6H), 2.36 (s, 3H), 2.04 (s, 3H), 1.89 (d, J = 7.1 Hz, 3H) MS (M+H)+=484.2. [0742] EXAMPLE B-10
[0743] N,N,3-trimethyl-1-[1-methyl-2-(2-methyl-5-piperazin-1-yl-anilino)-2-oxo- ethyl]indole-6-carboxamide 10 [0744] Step 1: 1H-indole-6-
carboxamide [0745] To
uL, 1 eq, HCl) and 3-methyl-1H-indole-6-carboxylic acid (500 mg, 2.85 mmol, 1 eq) in DCM (2 mL) was added HATU (1.63 g, 4.28 mmol, 1.5 eq) and DIEA (1.11 g, 8.56 mmol, 1.49 mL, 3 eq)at 0°C.The mixture was stirred at 25°C for 2 hr. LCMS showed starting material was consumed and 100% of peak with desired MS was detected. The reaction mixture was concentrated under reduced pressure to give a residue. The residue was purified by prep-HPLC(column: Phenomenex Luna C1875*30mm*3um;mobile phase: [water(TFA)-ACN];B%: 15%- 45%,8min). Compound N,N,3-trimethyl-1H-indole-6-carboxamide (350 mg, 1.73 mmol, 60.63% yield) was obtained as a yellow solid. [0746] General procedure for preparation of tert-butyl 4-[3-[2-[6-(dimethylcarbamoyl)-3- methyl-indol-1-yl]propanoylamino]-4-methyl-phenyl]piperazine-1-carboxylate
[0747] To a solution of tert-butyl 4-[3-(2-bromopropanoylamino)-4-methyl- phenyl]piperazine-1-carboxylate (see EXAMPLE B-5) (527.00 mg, 1.24 mmol, 1 eq) and N,N,3- trimethyl-1H-indole-6-carboxamide (250 mg, 1.24 mmol, 1 eq) in THF (5 mL) was added NaH (98.88 mg, 2.47 mmol, 60% purity, 2 eq) at 0°C.The mixture was stirred at 20°C for 2 hr. LC- MS showed desired MS was detected. The reaction mixture was quenched by addition saturated aqueous H2O (10 mL) at 0°C, and then extracted with EtOAc (10 mL * 3). The combined organic layers were dried over Na2SO4, filtered and concentrated under reduced pressure to give a residue. The crude product was purified by flash column (ISCO 20 g silica, 0-20 % ethyl acetate in petroleum ether, gradient over 20 min). Compound tert-butyl 4-[3-[2-[6- (dimethylcarbamoyl)-3-methyl-indol-1-yl]propanoylamino]-4-methyl-phenyl]piperazine-1- carboxylate (500 mg, 912.93 umol, 73.86% yield) was obtained as a yellow solid. [0748] General procedure for preparation of N,N,3-trimethyl-1-[1-methyl-2-(2-methyl-5- piperazin-1-yl-anilino)-2-oxo-ethyl]indole-6-carboxamide (B-10)
yl]propanoylamino]-4-methyl-phenyl]piperazine-1-carboxylate (150 mg, 273.88 umol, 1 eq) in HCl/EtOAc (2 mL). The mixture was stirred at 20 °C for 1 hr. LC-MS showed reactant was consumed completely and one main peak with desired MS was detected. The reaction mixture was concentrated under reduced pressure to give a residue. The residue was purified by prep- HPLC (column: Phenomenex Luna C18150*30mm*5um;mobile phase: [water(TFA)- ACN];B%: 5%-35%,8min). EXAMPLE B-10 N,N,3-trimethyl-1-[1-methyl-2-(2-methyl-5- piperazin-1-yl-anilino)-2-oxo-ethyl]indole-6-carboxamide (91.94 mg, 205.42 umol, 75.00% yield, 100% purity) was obtained as a yellow solid.1H NMR (400 MHz, CHLOROFORM-d) δ = 9.19 (br d, J = 3.9 Hz, 2H), 8.01 (br s, 1H), 7.34 - 7.22 (m, 2H), 6.99 (d, J = 11.0 Hz, 1H), 6.92 - 6.78 (m, 2H), 6.63 (d, J = 8.4 Hz, 1H), 6.29 - 6.07 (m, 1H), 5.44 - 4.97 (m, 2H), 2.90 - 2.50 (m, 14H), 2.05 (s, 3H), 1.59 (br d, J = 7.1 Hz, 3H), 1.46 (s, 3H). MS (M + H)+ = 448.2. [0750] EXAMPLE B-11
[0751] N-(2-methyl-5-piperazin-1-yl-phenyl)-2-(3-methylpyrrolo [3, 2-b] pyridin-1-yl) propanamide 11 [0752] Step 1: General 4-[4-methyl-3-[2-(3-
methylpyrrolo [3, 2-b] pyridin-1-yl) propanoylamino] phenyl] piperazine-1-carboxylate [0753]
1 eq) in THF (2 mL) was added NaH (28.14 mg, 703.65 umol, 60% purity, 2 eq) and tert-butyl 4-[3- (2-bromopropanoylamino)-4-methyl-phenyl]piperazine-1-carboxylate (see EXAMPLE B-5) (150 mg, 351.83 umol, 1 eq) at 0 °C for 1 h .Then the mixture was stirred at 20 °C for 1.5 hr. LC-MS showed starting material were consumed completely and the peak with desired MS was detected. The reaction mixture was quenched by addition H2O 5mL at 0°C, and then extracted with EA6 mL (2 mL * 3). The combined organic layers were dried over Na2SO4 filtered and concentrated under reduced pressure to give a residue. Compound tert-butyl 4-[4-methyl-3-[2-(3- methylpyrrolo [3, 2-b] pyridin-1-yl) propanoylamino] phenyl] piperazine-1-carboxylate (150 mg, 314.07 umol, 89.27% yield) was obtained as a white solid. [0754] Step 2: General procedure for preparation of N-(2-methyl-5-piperazin-1-yl-phenyl)-2- (3- methylpyrrolo [3,2-b] pyridin-1-yl) propanamide (B-11)
[0755] To a solution of tert-butyl 4-[4-methyl-3-[2-(3-methylpyrrolo[3,2-b]pyridin-1-yl) propanoylamino]phenyl]piperazine-1-carboxylate (150 mg, 314.07 umol, 1 eq) was added HCl/EtOAc (4 M, 1.67 mL, 21.23 eq) .The mixture was stirred at 20 °C for 1 h. LC-MS showed starting material were consumed completely and the peak with desired MS was detected. The reaction was filtered and the filtrate was purified by prep-HPLC directly. The filtrate was purified by prep-HPLC (Phenomenex Luna 80*30mm*3um; mobile phase: [water (HCl)-ACN]; B%: 1%-20%, 8min). EXAMPLE B-11 N-(2-methyl-5-piperazin-1-yl-phenyl)-2-(3- methylpyrrolo [3, 2-b] pyridin-1-yl) propanamide (18.38 mg, 48.69 umol, 15.50% yield, 100% purity) was obtained as a white solid.1H NMR (400 MHz, METHANOL-d4) δ = 8.74 (d, J = 8.4 Hz, 1H), 8.57 (d, J = 5.4 Hz, 1H), 8.22 (s, 1H), 7.72 (dd, J = 5.8, 8.3 Hz, 1H), 7.15 (d, J = 8.3 Hz, 1H), 7.04 (d, J = 2.6 Hz, 1H), 6.86 (dd, J = 2.6, 8.3 Hz, 1H), 5.75 - 5.66 (m, 1H), 3.34 (s, 8H), 2.49 (s, 3H), 2.11 (s, 3H), 1.99 (d, J = 7.1 Hz, 3H). MS (M+1)+ = 378.2. [0756] EXAMPLE C-1 [0757] 2-(3-methylindol-1-yl)-N-(2-methyl-5-piperazin-1-yl-phenyl)propanamide 1 [0758] Step 1: General
2-(3-methylindol-1- yl)propanoate [0759] To a
848.75 uL, 1 eq) in DMF (10 mL) was added Cs2CO3 (4.97 g, 15.25 mmol, 2 eq) and 3-methyl-1H-indole (1 g, 7.62 mmol, 1 eq). The mixture was stirred at 25°C for 2 hr. LC-MS showed reactant was consumed completely and one main peak with desired mass was detected. TLC (Petroleum ether: Ethyl
acetate=1:1) indicated reactant was consumed completely and one new spot formed. The reaction mixture was cooled to room temperature and diluted by water (10 mL), extracted with ethyl acetate (10 mL * 4). The combined organics were washed with brine (10 mL), dried over Na2SO4, filtered and the reaction mixture was concentrated under reduced pressure to give a residue. The residue was dissolved in DCM (30 mL), and 20 g of silica gel was added. The resulting mixture was evaporated under reduced pressure to give a dry flowing solid, and then it was loaded to Biotage using a 40 g Agela flash silica gel column, eluted with 0 % to 85 % ethyl acetate in petroleum ether with the flower rate of 80 mL/min. The product fraction was combined and evaporated. Methyl 2-(3-methylindol-1-yl)propanoate (1 g, 2.76 mmol, 36.23% yield, 60% purity) was obtained as a white solid. [0760] Step 2: General procedure for preparation of 2-(3-methylindol-1-yl)propanoic acid [0761] A
mmol, 60% purity, 1 eq), LiOH.H2O (811.22 mg, 19.33 mmol, 7 eq) in THF (6 mL), MeOH (3 mL) and H2O (3 mL) was stirred at 20°C for 1h. LCMS showed the starting material was consumed and desired MS was detected. The reaction mixture was cooled to room temperature and diluted by water (15 mL), extracted with ethyl acetate (20 mL * 2). The combined water were acidified by adding citric acid dropwise at 0°C to pH = 2. The mixture was extracted with ethyl acetate (20 mL * 2). The combined organics were washed with brine (15 mL), dried over Na2SO4, filtered and the reaction mixture was concentrated under reduced pressure to give a residue..2-(3-methylindol-1- yl)propanoic acid (550 mg, 2.71 mmol, 97.99% yield) was obtained as a white oil. [0762] Step 3: General procedure for preparation of tert-butyl 4-[4-methyl-3-[2-(3- methylindol-1-yl)propanoylamino]phenyl]piperazine-1-carboxylate
[0763] To a so ne-1-carboxylate (172.05 mg, 590.44 umol, 1.2 eq) and 2-(3-methylindol-1-yl)propanoic acid (100 mg, 492.04 umol, 1 eq) in DCM (2 mL) was added HATU (374.17 mg, 984.07 umol, 2 eq) and DIEA (190.78 mg, 1.48 mmol, 257.11 uL, 3 eq) at 0°C. The mixture was stirred at 20°C for 2 hr. LCMS showed the starting material was consumed and desired MS was detected. The reaction mixture was diluted by water (5 mL), extracted with ethyl acetate (5 mL * 2). The combined organics were washed with brine (5 mL), dried over Na2SO4, filtered and the reaction mixture was concentrated under reduced pressure to give a residue. The residue was dissolved in DCM (10 mL), and 2 g of silica gel was added. The resulting mixture was evaporated under reduced pressure to give a dry flowing solid, and then it was loaded to Biotage using a 4 g Agela flash silica gel column, eluted with 0 % to 55 % ethyl acetate in petroleum ether with the flower rate of 80 mL/min. Compound tert-butyl 4-[4-methyl-3-[2-(3-methylindol-1- yl)propanoylamino]phenyl]piperazine-1-carboxylate (230 mg, 482.58 umol, 98.08% yield, 100% purity) was obtained as a white oil. [0764] Step 4: General procedure for preparation of 2-(3-methylindol-1-yl)-N-(2-methyl-5- piperazin-1-yl-phenyl) propanamide (C-1) [0765]
yl)propanoylamino]phenyl]piperazine-1-carboxylate (200 mg, 419.63 umol, 1 eq) and
HCl/EtOAc (3 mL). The mixture was stirred at 20°C for 2 hr. LCMS showed the starting material was consumed and desired MS was detected. The reaction mixture was concentrated under reduced pressure to give a residue. The residue was purified by preparative HPLC (column: Phenomenex Luna 80*30mm*3um; mobile phase: [water(HCl)-ACN];B%: 20%- 50%,8min). EXAMPLE C-12-(3-methylindol-1-yl)-N-(2-methyl-5-piperazin-1-yl- phenyl)propanamide (55.1 mg, 142.94 umol, 34.06% yield, 97.67% purity) was obtained as a white oil.1H NMR (400 MHz, METHANOL-d4) δ ppm = 7.49 - 7.56 (m, 1 H) 7.42 - 7.47 (m, 1 H) 7.37 - 7.41 (m, 1 H) 7.23 - 7.27 (m, 1 H) 7.14 - 7.21 (m, 2 H) 7.06 - 7.11 (m, 1 H) 6.98 - 7.03 (m, 1 H) 5.31 - 5.39 (m, 1 H) 3.49 - 3.54 (m, 4 H) 3.43 - 3.48 (m, 4 H) 2.30 - 2.34 (m, 3 H) 1.89 - 1.92 (m, 3 H) 1.82 - 1.88 (m, 3 H). MS (M + H)+ = 377.2. [0766] EXAMPLE C-2 [0767] 2-(5-methoxy-3-methyl-indol-1-yl)-N-(2-methyl-5-piperazin-1-yl- phenyl)propanamide 2 [0768] Step 1:
methyl-1H-indole [0769] To a
mmol, 1 eq) in THF (20 mL) was added LAH (520.07 mg, 13.70 mmol, 1.2 eq) dropwised at 0°C under N2 atmosphere, The mixture was stirred at 20°C for 2 hr. LCMS showed reactant was consumed completely and ~60% desired ms product was detected. After the reaction mixture was cooled to 0oC, the reaction mixture was quenched by addition of 1 mL of H2O, followed by 1 mL of 15% aqueous NaOH. After being stirred at room temperature for 0.5 hour, the solid was removed by filtration, The filtrate was concentrated to dryness to give crude product. The residue was purified by flash silica gel chromatography (ISCO®; 20 g SepaFlash® Silica Flash Column, Eluent of 10~30% Ethylacetate/Petroleum ethergradient @ 60 mL/min).5-methoxy-3-methyl-
1H-indole (1 g, 6.20 mmol, 54.32% yield, 100% purity) was obtained as a gray solid.1H NMR (400 MHz, CHLOROFORM-d) δ = 7.82 (br s, 1H), 7.30 (d, J = 4.4 Hz, 1H), 7.07 (d, J = 2.4 Hz, 1H), 7.00 (s, 1H), 3.83-3.81 (m, 1H), 3.75 (s, 1H), 2.36 (d, J = 0.9 Hz, 3H). [0770] Step 2: General procedure for preparation of tert-butyl 4-[3-[2-(5-methoxy-3-methyl- indol-1-yl)propanoylamino]-4-methyl-phenyl]piperazine-1-carboxylate
1 eq) in THF (10 mL) was added NaH (93.81 mg, 2.35 mmol, 60% purity, 5 eq) in portions at 0°C, the mixture was stirred at 0°C for 0.5 h, then tert-butyl 4-[3-(2-bromopropanoylamino)-4-methyl- phenyl]piperazine-1-carboxylate (see EXAMPLE B-5) (200 mg, 469.10 umol, 1 eq) was added to the mixture, then mixture was stirred at 20°C for 12 h. LCMS showed~60% starting material remained and approximate 10% of the desired ms was observed. The mixture was quenched by ice water (15 mL), extracted with ethyl acetate (20 mL * 2). The combined organics were washed with brine (15 mL), dried over Na2SO4, filtered and The reaction mixture was concentrated under reduced pressure to give a residue. The residue was purified by flash silica gel chromatography (ISCO®; 20 g SepaFlash® Silica Flash Column, Eluent of 10%~30% Ethyl acetate/Petroleum ether gradient @ 60 mL/min). tert-butyl4-[3-[2-(5-methoxy-3-methyl-indol-1- yl)propanoylamino]-4-methyl-phenyl]piperazine-1-carboxylate (40 mg, 78.95 umol, 16.83% yield, 100% purity) was obtained as a yellow solid. [0772] Step 3: General procedure for preparation of tert-butyl 4-[3-[2-(5-methoxy-3-methyl- indol-1-yl)propanoylamino]-4-methyl-phenyl]piperazine-1-carboxylate (C-2)
- 4-methyl-phenyl]piperazine-1-carboxylate (40 mg, 78.95 umol, 1 eq) in DCM (2 mL) was added
TFA (90.02 mg, 789.52 umol, 58.46 uL, 10 eq). The mixture was stirred at 20°C for 1 hr. LCMS and HPLC showed the starting material was consumed completely and approximate 80% of the desired MS was observed. The reaction mixture was concentrated under reduced pressure to give a residue. The residue was purified by prep-HPLC ( netural condition;column: Waters Xbridge BEH C18100*30mm*10um;mobile phase: [water( NH4HCO3)-ACN];B%: 30%- 60%,8min). EXAMPLE C-22-(5-methoxy-3-methyl-indol-1-yl)-N-(2-methyl-5-piperazin-1-yl- phenyl)propanamide (15.79 mg, 38.84 umol, 49.20% yield, 100% purity) was obtained as a white solid.1H NMR (400 MHz, CHLOROFORM-d) δ = 7.67 (d, J = 2.5 Hz, 1H), 7.28 - 7.26 (m, 1H), 7.07 - 7.03 (m, 2H), 6.95 - 6.85 (m, 2H), 6.72 (br s, 1H), 6.55 (dd, J = 2.4, 8.4 Hz, 1H), 5.09 (d, J = 7.4 Hz, 1H), 3.89 (s, 3H), 3.15 - 2.96 (m, 9H), 2.34 (s, 3H), 1.97 - 1.92 (m, 3H), 1.73 (br s, 3H), 1.42 (s, 3H). MS (M + H)+ = 407.2. [0774] EXAMPLE C-3 [0775] 3-methyl-1-[1-methyl-2-(2-methyl-5-piperazin-1-yl-anilino)-2-oxo-ethyl] indole-6- carboxamide 3
of 3-methyl-1H-indole-6-carboxamide [0777] To a
purity, 1 eq) and 3-methyl-1H-indole-6-carboxylic acid (300 mg, 1.71 mmol, 1 eq) in DCM (3 mL) was added HATU (976.71 mg, 2.57 mmol, 1.5 eq) and DIEA (663.98 mg, 5.14 mmol, 894.85 uL, 3 eq) at 0 °C. The reaction was stirred at 20 °C for 2 h. LCMS showed starting material was consumed completely and main desired MS was detected. The mixture was poured into water (5 mL) and extracted with DCM (3 * 5 mL). The organic layer was washed with brine (5 mL), dried over anhydrous Na2SO4, then filtered and concentrated under reduced pressure to give a crude product. The crude product was purified by flash column (ISCO 12 g silica, 0-50 % ethyl acetate
in petroleum ether, gradient over 20 min).3-methyl-1H-indole-6-carboxamide (1.1 g, crude) was obtained as a pale yellow solid. [0778] Step 2: General procedure for preparation of tert-butyl 2-(6-carbamoyl-3-methyl- indol-1-yl)propanoate 4.88 mmol, 1 eq) in
DMF (10 mL) was added Cs2CO3 (4.77 g, 14.64 mmol, 3 eq) and tert-butyl 2-bromopropanoate (1.02 g, 4.88 mmol, 1 eq) at 0 °C. The mixture was stirred at 20 °C for 1 h. LCMS showed starting material was consumed completely and main desired MS was detected. The combined reaction mixture was poured into water (10 mL) and extracted with ethyl acetate (10 mL * 2). The combined organic phase was concentrated in vacuo. The crude product was purified by flash column (ISCO 12 g silica, 0-50 % ethyl acetate in petroleum ether, gradient over 20 min). tert- butyl 2-(6-carbamoyl-3-methyl-indol-1-yl) propanoate (220 mg, 727.59 umol, 14.91% yield) as a yellow solid. [0780] Step 3: General procedure for preparation of 2-(6-carbamoyl-3-methyl-indol-1-yl) propanoic acid
(150 mg, 496.09 umol, 1 eq) in TFA (3.08 g, 5.40 mmol, 2 mL, 20% purity, 10.89 eq) was stirred at 20 oC for 1 h. LCMS showed starting material was consumed completely and main desired MS was detected. The mixture was concentrated under reduced pressure to give a crude product.2-(6- carbamoyl-3-methyl-indol-1-yl) propanoic acid (150 mg, crude) was obtained as a pale red oil. [0782] Step 4: General procedure for preparation of tert-butyl 4-[3-[2-(6-carbamoyl-3- methyl-indol-1-yl) propanoylamino]-4-methyl-phenyl]piperazine-1-carboxylate
09.11 umol, 1 eq) in DCM (2 mL) was added tert-butyl 4-(3-amino-4-methyl-phenyl)piperazine-1- carboxylate (177.49 mg, 609.11 umol, 1 eq), T3P (581.42 mg, 913.66 umol, 543.38 uL, 50% purity, 1.5 eq) and TEA (184.91 mg, 1.83 mmol, 254.34 uL, 3 eq) at 0 oC. The reaction was stirred at 20 oC for 2 h. LCMS showed starting material was consumed completely and main desired MS was detected. The reaction mixture was quenched by addition H2O 3 mL at 20°C, and then extracted with EA 3 mL (1 mL * 3). The combined organic layers were washed with brine 3 mL (1 mL * 3), dried over Na2SO4, filtered and concentrated under reduced pressure to give a residue. The crude product was purified by flash column (ISCO 12 g silica, 0-100 % ethyl acetate in petroleum ether, gradient over 20 min). Based on TLC (petroleum ether: ethyl acetate = 1 : 1). tert-butyl 4-[3-[2-(6-carbamoyl-3-methyl-indol-1-yl)propanoylamino]-4-methyl- phenyl]piperazine-1-carboxylate (200 mg, 384.89 umol, 63.19% yield) was obtained as a yellow oil. [0784] Step 5: General procedure for preparation of 3-methyl-1-[1-methyl-2-(2-methyl-5- piperazin-1-yl-anilino)-2-oxo-ethyl] indole-6-carboxamide (C-3)
- 4-methyl-phenyl]piperazine-1-carboxylate (200 mg, 384.89 umol, 1 eq) in HCl/EtOAc (4 M, 2 mL, 20.79 eq) was stirred at 20 oC for 1 h. LCMS and HPLC showed starting material was consumed completely and main desired MS was detected. The mixture was concentrated under
reduced pressure to give a residue. The crude residue was poured into DMF (1 mL) and purified by prep-HPLC (column: Phenomenex Luna 80*30mm*3um; mobile phase: [water (HCl)-ACN]; B%: 5%-35%, 8min). EXAMPLE C-33-methyl-1-[1-methyl-2-(2-methyl-5-piperazin-1-yl- anilino)-2-oxo-ethyl] indole-6-carboxamide (88.1 mg, 205.17 umol, 53.31% yield, 97.7% purity) was obtained as a pale yellow solid.1H NMR (400 MHz, DMSO-d6) δ = 9.86 (s, 1H), 9.19 - 9.00 (m, 2H), 8.36 (s, 1H), 7.94 (br s, 1H), 7.72 - 7.57 (m, 1H), 7.55 - 7.42 (m, 2H), 7.21 (br s, 1H), 7.12 - 6.97 (m, 2H), 6.74 (dd, J = 2.4, 8.3 Hz, 1H), 5.57 (br d, J = 7.0 Hz, 1H), 3.27 - 3.13 (m, 8H), 2.28 (s, 3H), 2.03 (s, 3H), 1.76 (br d, J = 7.0 Hz, 3H). MS (M+1) +=420.3. [0786] EXAMPLE C-4 [0787] N-(2-methyl-5-piperazin-1-yl-phenyl)-2-(3- methylpyrrolo [2, 3-b] pyridin-1-yl) propanamide 4 [0788] Step 1: General
2-(3-methyl-1H- pyrrolo[2,3-b]pyridin-1-yl) propanoate [0789] To a
3.78 mmol, 1 eq) in DMF (15 mL) was added Cs2CO3 (3.70 g, 11.35 mmol, 3 eq) at 0 °C for 1 h. Then was added methyl 2-bromopropanoate (631.80 mg, 3.78 mmol, 421.20 uL, 1 eq) in the solution. The solution was stirred at 20 °C for 1 h. LC-MS showed starting material were consumed completely and the peak with desired MS was detected. The reaction mixture was diluted with H2O 5 mL and extracted with EA 15 mL (5 mL * 3). The combined organic layers were, dried over Na2SO4, filtered and concentrated under reduced pressure to give a residue. The crude product was purified by flash column (ISCO 20 g silica, 0~80% ethyl acetate in petroleum ether,
gradient over 40 min). Compound methyl 2-(3- methylpyrrolo [2, 3-b] pyridin-1-yl) propanoate (770 mg, 3.53 mmol, 93.25% yield) was obtained as a colorless oil. [0790] Step 2: General procedure for preparation of 2-(3-methyl-1H-pyrrolo [2, 3-b] pyridin- 1-yl) propanoic acid [0791] To (600
mg, 2.75 mmol, 1 eq) in THF (6 mL) MeOH (3 mL) H2O (3 mL) was added LiOH.H2O (807.54 mg, 19.24 mmol, 7 eq) at 0 °C. Then the reaction was stirred at 20 °C for 2 h. LC-MS showed starting material were consumed completely and the peak with desired MS was detected. The mixture was acidified by adding citric acid dropwise at 20 °C to pH = 2. Extracted with EtOAc (15 mL * 3), an aqueous layer was washed several times and then aseparated aqueous layer was vacuum evaporated. Compound 2-(3-methylpyrrolo [2, 3-b] pyridin-1-yl) propanoic acid (500 mg, 2.45 mmol, 89.06% yield) was obtained as a colorless oil. [0792] Step 3: General procedure for preparation of tert-butyl 4-(4-methyl-3-(2-(3-methyl- 1H-pyrrolo [2, 3-b] pyridin-1-yl)propanamido)phenyl)piperazine-1-carboxylate [0793]
mg, 979.31 umol, 1 eq) in DCM (4 mL) were added tert-butyl 4-(3-amino-4-methyl- phenyl)piperazine-1-carboxylate (285.36 mg, 979.31 umol, 1 eq) HATU (1.12 g, 2.94 mmol, 3 eq) and DIEA (189.85 mg, 1.47 mmol, 255.87 uL, 1.5 eq) at 0 °C . Then the solution was stirred at 20 °C for 1 h. LC-MS showed starting material were consumed completely and the peak with desired MS was detected. The reaction mixture was diluted with H2O 5 mL and extracted with EA 15 mL (5 mL * 3). The combined organic layers were dried over Na2SO4, filtered and
concentrated under reduced pressure to give a residue. Compound tert-butyl 4-[4-methyl-3-[2-(3- methylpyrrolo [2, 3-b] pyridin-1-yl) propanoylamino] phenyl] piperazine-1-carboxylate (200 mg, crude) was obtained as a brown solid. [0794] Step 4: General procedure for preparation of 2-(3-methyl-1H- pyrrolo [2, 3-b] pyridin-1-yl)-N-(2-methyl-5-(piperazin-1-yl) phenyl) propanamide (C-4)
1- yl)propanoylamino]phenyl]piperazine-1-carboxylate (100 mg, 209.38 umol, 1 eq) in HCl/EtOAc (4 M, 52.35 uL, 1 eq) was stirred at 20 °C for 1 h. LC-MS showed starting material were consumed completely and the peak with desired MS was detected. HPLC. The reaction was filtered and the filtrate was purified by prep-HPLC directly. The filtrate was purified by prep- HPLC (Phenomenex luna C1880*40mm*3 um;mobile phase: [water(HCl)-ACN];B%: 10%- 50%,7min). EXAMPLE C-4 N-(2-methyl-5-piperazin-1-yl-phenyl)-2-(3- methylpyrrolo [2, 3-b] pyridin-1-yl) propanamide (17.28 mg, 40.95 umol, 19.56% yield, 98.10% purity, HCl) was obtained as a brown oil.1H NMR (400 MHz, METHANOL-d4) δ = 8.69 (d, J = 7.9 Hz, 1H), 8.44 (d, J = 5.4 Hz, 1H), 7.69 (s, 1H), 7.61 (dd, J = 6.0, 7.9 Hz, 1H), 7.17 (d, J = 8.4 Hz, 1H), 7.12 (d, J = 2.5 Hz, 1H), 6.87 (dd, J = 2.6, 8.4 Hz, 1H), 5.77 (q, J = 7.3 Hz, 1H), 3.35 (s, 8H), 2.44 (d, J = 1.0 Hz, 3H), 2.17 (s, 3H), 2.00 (d, J = 7.1 Hz, 3H). MS (M+1) += 378.1. [0796] EXAMPLE C-5. [0797] N-(2-methyl-5-piperazin-1-yl-phenyl)-2-(3-methylpyrrolo[2,3-c]pyridin-1- yl)propanamide 5 [0798] Step 1: General
(3-methylpyrrolo[2,3- c]pyridin-1-yl)propanoate
[0799] To a solu 3.40 mmol, 1 eq) in DMF (5 mL) was added Cs2CO3 (3.33 g,10.21 mmol, 3 eq) at 0°C, then the mixture was stirred at 0°C for 1h. Then methyl 2-bromopropanoate (568.62 mg, 3.40 mmol,379.08 uL, 1 eq) was added to the mixture and was stirred at 20°C for 1h. LC-MS showed starting material were consumed completely and the peak with desired MS was detected. Water (10 mL) was added to the reaction, the reaction mixture was extracted with ethyl acetate (10 mL*2). The combined organics were washed with brine (15 mL) and dried over Na2SO4 and filtered. The combined organic layer was concentrated under reduced pressure to afford a crude. The crude product was purified by flash column (ISCO 12 g silica, 50-60 % ethyl acetate in petroleum ether, gradient over 20min). Compound methyl 2-(3-methylpyrrolo[2,3-c]pyridin-1-yl)propanoate (320 mg, 1.47 mmol, 43.06% yield) was obtained as a yellow oil. [0800] Step 2: General procedure for preparation of 2-(3-methylpyrrolo[2,3-c]pyridin-1- yl)propanoic acid [0801] To a
(310 mg, 1.42 mmol, 1 eq) in THF (4 mL) and MeOH (2 mL) and H2O (2 mL) was added LiOH.H2O (417.23 mg, 9.94 mmol, 7 eq), then the mixture was stirred at 20°C for 2 h. LC-MS showed starting material were consumed completely and the peak with desired MS was detected. The mixture was acidified by adding nitric acid dropwise at 0°C to pH =4~5.The reaction was filtered and the filtrate was purified by prep-HPLC (column: Phenomenex C1875*30mm*3um;mobile phase: [water( NH4HCO3)-ACN];B%: 1%-30%,8min). Compound 2-(3-methylpyrrolo[2,3- c]pyridin-1-yl)propanoic acid (92 mg, 450.48 umol, 31.72% yield) was obtained as a white solid. [0802] Step 3: General procedure for preparation of tert-butyl 4-[4-methyl-3-[2-(3- methylpyrrolo[2,3-c]pyridin-1-yl)propanoylamino]phenyl]piperazine-1-carboxylate
[0803] g, 244.83 umol, 1 eq) and tert-butyl 4-(3-amino-4-methyl-phenyl)piperazine-1-carboxylate (71.34 mg, 244.83 umol, 1 eq) in DMF (1 mL) were added DIEA (63.28 mg, 489.66umol, 85.29 uL, 2 eq) and HATU (139.64 mg, 367.24 umol, 1.5 eq) at 0°C, then the mixture was stirred at 20°C for 2h. LC-MS showed starting material were consumed completely and the peak with desired MS was detected. Water (1 mL) was added to the reaction, the reaction mixture was extracted with ethyl acetate (3 mL*2). The combined organics were washed with brine (1 mL) and dried over Na2SO4 and filtered. The combined organic layer was concentrated under reduced pressure to afford a crude. Compound tert-butyl 4-[4-methyl-3-[2-(3-methylpyrrolo[2,3-c]pyridin-1- yl)propanoylamino]phenyl]piperazine-1-carboxylate (270 mg, crude) was obtained as a brown oil. [0804] Step 4: General procedure for preparation of N-(2-methyl-5-piperazin-1-yl-phenyl)-2- (3-methylpyrrolo[2,3-c]pyridin-1-yl)propanamide (C-5)
yl)propanoylamino]phenyl]piperazine-1-carboxylate (100 mg, 209.38 umol, 1 eq) in DCM (1 mL) was added TFA (770.00 mg, 6.75 mmol, 0.5 mL, 32.25 eq), then the mixture was stirred at 20°C for 1h. LC-MS showed starting material were consumed completely and the peak with desired MS was detected. The reaction was filtered and the filtrate was purified by prep-HPLC (column: Phenomenex C1880*30mm*3um;mobile phase: [water(TFA)-ACN];B%:1%- 30%,8min). Compound EXAMPLE C-5 N-(2-methyl-5-piperazin-1-yl-phenyl)-2-(3- methylpyrrolo[2,3-c]pyridin-1-yl)propanamide (11.7 mg, 23.70 umol,11.32% yield, 99.55% purity, TFA) was obtained as a white solid.1H NMR (400 MHz, CHLOROFORM-d) δ = 9.94 (s,
1H), 9.82 - 9.68 (m, 1H), 9.49 (br s, 1H), 8.13 - 8.06 (m, 2H), 7.85 (d, J = 6.4 Hz, 1H), 7.07 (d, J = 8.4 Hz, 1H), 6.87 (d, J = 2.3 Hz, 1H), 6.61 (dd, J = 2.3, 8.3 Hz, 1H), 5.95 (br d, J = 7.0 Hz, 1H), 3.18 (br s, 4H), 3.08 (br d, J = 3.8 Hz, 4H), 2.44 (s, 3H), 2.05 (s, 3H), 1.96 (d, J = 6.9 Hz, 3H).MS (M + H)+ = 378.1. [0806] EXAMPLE C-6 [0807] Compound N-(2-methyl-5-piperazin-1-yl-phenyl)-2-(3- methylpyrrolo [3, 2-c] pyridin-1-yl)propanamide 6 [0808] Step 1: General
2-(3-methyl-1H- pyrrolo[3,2- c]pyridin-1-yl)propanoate
[0809] To a solution of 3-methyl-1H-pyrrolo[3,2-c]pyridine (150 mg, 1.13 mmol, 1 eq) in THF (3 mL) was added NaH (90.79 mg, 2.27 mmol, 60% purity, 2 eq) and tert-butyl 2- bromopropanoate (237.30 mg, 1.13 mmol, 1 eq) at 0 °C .The mixture was stirred at 20 °C for 1 hr. LC-MS showed starting material were consumed completely and the peak with desired MS was detected. The reaction mixture was quenched by addition H2O 9 mL at 20°C, and then extracted with EA 9 mL (3 mL * 3). The combined organic layers were = dried over Na2SO4 filtered and concentrated under reduced pressure to give a residue. Compound tert-butyl 2-(3- methylpyrrolo [3, 2-c] pyridin-1-yl) propanoate (290 mg, 1.11 mmol, 98.15% yield) was obtained as a white solid. [0810] General procedure for preparation of 2-(3-methyl-1H- pyrrolo[3,2-c]pyridin-1- yl)propanoic acid
[0811] To a s propanoate (290 mg, 1.11 mmol, 1 eq) in TFA (1 mL) was added DCM (3 mL) at 0 °C .The mixture was stirred at 20 °C for 1 hr . LC-MS showed starting material were consumed completely and the peak with desired MS was detected. The reaction was filtered and the filtrate was purified by prep-HPLC directly. The filtrate was purified by prep-HPLC (column: Waters Xbridge BEH C18 100*30mm*10um; mobile phase: [water (NH4HCO3)-ACN]; B%: 1%-25%, 8min). Compound 2-(3-methylpyrrolo [3, 2-c] pyridin-1-yl) propanoic acid (80 mg, 391.73 umol, 35.16% yield) was obtained as a white solid. [0812] General procedure for preparation of tert-butyl 4-(4-methyl-3-(2-(3-methyl-1H- pyrrolo [3, 2-c] pyridin-1-yl) propanamido) phenyl) piperazine-1-carboxylate [0813]
mg, 244.83 umol, 1 eq) and tert-butyl 4-(3-amino-4-methyl-phenyl)piperazine-1-carboxylate (71.34 mg, 244.83 umol, 1 eq) in DCM (2 mL) was added HATU (279.27 mg, 734.49 umol, 3 eq) and DIEA (47.46 mg, 367.24 umol, 63.97 uL, 1.5 eq) at 0 °C. The mixture was stirred at 20 °C for 1 hr. LC-MS showed starting material were consumed completely and the peak with desired MS was detected. TLC (Petroleum ether: Ethyl acetate =1:1) showed was consumed completely and a major spot was detected. The reaction mixture was quenched by addition solvent H2O 5mL at 20 °C, and then diluted with solvent 5 mL and extracted with EA 9 mL (3 mL * 3). The combined organic layers were dried over Na2SO4, filtered and concentrated under reduced pressure to give a residue. The crude product was purified by flash column (ISCO 20 g silica, 0~100% Ethyl
acetate in petroleum ehter, gradient over 40 min). Compound tert-butyl 4-[4-methyl-3-[2-(3- methylpyrrolo [3, 2-c] pyridin-1-yl) propanoylamino] phenyl] piperazine-1-carboxylate (80 mg, 167.51 umol, 68.42% yield) was obtained as a pale yellow solid. [0814] General procedure for preparation of 2-(3-methyl-1H- pyrrolo [3, 2-c] pyridin-1-yl)- N-(2-methyl-5-(piperazin-1-yl) phenyl) propanamide (C-6)
yl)propanoylamino]phenyl]piperazine-1-carboxylate (80 mg, 167.51 umol, 1 eq) was added DCM (2 mL) and TFA (1 mL) at 0 °C .The mixture was stirred at 20 °C for 1 hr. LC-MS showed starting material were consumed completely and the peak with desired MS was detected. The reaction was filtered and the filtrate was purified by prep-HPLC directly. The filtrate was purified by prep-HPLC (column: Phenomenex C1880*30mm*3um; mobile phase: [water (TFA)-ACN]; B%: 1%-25%, 8min). EXAMPLE C-6 N-(2-methyl-5-piperazin-1-yl-phenyl)-2- (3- methylpyrrolo [3, 2-c] pyridin-1-yl) propanamide (6.1 mg, 16.16 umol, 9.65% yield, 100% purity) was obtained as a pale yellow solid. Checked by LCMS and HNMR.1H NMR (400 MHz, METHANOL-d4) δ = 9.15 (s, 1H), 8.38 (d, J = 6.9 Hz, 1H), 8.05 (br d, J = 6.9 Hz, 1H), 7.90 - 7.84 (m, 1H), 7.15 (d, J = 8.4 Hz, 1H), 7.04 (s, 1H), 6.85 (dd, J = 2.1, 8.3 Hz, 1H), 5.64 (q, J = 7.2 Hz, 1H), 3.33 (s, 8H), 2.49 (s, 3H), 2.11 (s, 3H), 1.96 (d, J = 7.1 Hz, 3H). MS (M+1) += 378.2. Ex. Name Structure Mass spec
Ex. Name Structure Mass spec data
Ex. Name Structure Mass spec data
Ex. Name Structure Mass spec data
Ex. Name Structure Mass spec data
Ex. Name Structure Mass spec data
Ex. Name Structure Mass spec data
Ex. Name Structure Mass spec data
Ex. Name Structure Mass spec data
Ex. Name Structure Mass spec data
e o ow g ea pes a e wee pepae y e os s a o ose described above: Table 1 Ex. Structure IUPAC Name LCMS NMR 3 (s, H), (d, 8.7 z, H), 78 - (m, H), , 2 - .5 H), (d, 3.3 z, 3.01 7.1 H), .
Ex. Structure IUPAC Name LCMS NMR D-3 N-[(4- 4681 1H NMR (400 MHz MeOD) 66 – 7.56 1 Hz, – (m, , – 4 (s, ), 7 , 6.51 (q, ), 1.81 , 3 (s, 7.55 (m, 7.16 H), s, 1.80 0 H)
Ex. Structure IUPAC Name LCMS NMR D-7 N-[[3- 4551 1H NMR (400 MHz 3 (s, 7.55 (m, 7.16 1 H), s, 1.80 0 H). 4 (d, (m, ), .3 z, ), .2 1.1 H). .11 , (m, ), 69 60 - m, 1.91 .63 H).
Ex. Structure IUPAC Name LCMS NMR D11 253 4582 1H NMR 400 MH 7 (d, 5 z, H), .79 (m, 6 z, O) ), .70 z, H), .76 br d, 5 H), m, 2.92 0 H), O ) ), .74 = J = .5 Hz, H), , (s, 3.07 ddd, 2.09 -
Ex. Structure IUPAC Name LCMS NMR D-14 2-[5-[3- 4713 1H NMR (400 MHz 3 (s, H), (d, J 8.7 z, H), - = .73 J = , J = m, D) ), .57 (m, 6.72 (m, 2.97 = 5.8, (m, 4 (s, 3 = m, 3 = m, 2.73 (m, 1.46
Ex. Structure IUPAC Name LCMS NMR D-17 N-[[4-(2- 4853 1H NMR (400 MHz CD3OD) 02 H), - (m, 6.74 3 (m, 4.23 4 (m, 1.84 0 (m, 4 .60 – 7.51 = d, J 3 (d, J = m, 3.94 z, 1.79 , (br 9 .65 – 7.55 1 (m, .4 = dd, J br s, .0 H), 1 = m,
Ex. Structure IUPAC Name LCMS NMR D-20 N-[(4- 444.2 1H NMR (400 MHz, 3 (s, 7.64 5 (m, 7.05 0 (m, .35 H), .59 H). SO- ), - (m, 7.33 (d, J = 3.2 H), - (m, 1.36 2 (d, J = m, .4 Hz, .4 Hz, 4.18 J = d, J 3.32 H), (d, J , J = =
Ex. Structure IUPAC Name LCMS NMR D-23 N-[[1-(azetidin- 5493 1H NMR (400 MHz (br d, 55 H), .31 z, 1 .30 0 H), ), 09 4 H), ). O- (m, .37 (m, 2.97 (m, 94 z, 1.39 (d, J ), 8.4 H), .92 (m, H), -
Ex. Structure IUPAC Name LCMS NMR D-26 N-(2H- 4811 1H NMR (400 MHz - (m, H), .29 (m, 4.45 1.0 z, 1.37 .09 z, J = 1.0, .6 H), = m, 2.36 z, 1 .02 (s, , 7.14 z, (d, J = , J = m,
Ex. Structure IUPAC Name LCMS NMR D-29 N-[(4- 465.1 1H NMR (400 MHz, .03 H), ), br s, z, z, z, r d, J J = m, SO- 7 (s, 7.59 H), (q, J 4H), .52 4.0 SO- 4 (br , H), ), 1.6, m, H), .04 - (m, z, 2.32 3 4
Ex. Structure IUPAC Name LCMS NMR D-32 N-(2-eth l-5- 5382 1H NMR (400 MHz .67 ), , 7.45 (br s, 1H), 2.0, 7.1 H), ), 7.2 , 7.5 .3 .5 z, .04 , z, - (m, 3.71 , (br Hz, (br 1H), (d, J ), (d, J (m, 6.74 5.45 - ), 7.0
Ex. Structure IUPAC Name LCMS NMR D-35 2-(3-meth l-5- 4852 1H NMR (400 MHz DMSO) 01 - m, 7.40 ), m, 2.24 ), 9 (d, H), s, 2.99 = m, 8 (d, 8 H), m, 4.50 (m, H), m, 1.44 0 (d, 5 - m, , 3.34 (m, J =
[0817] The following examples in Table 2 below were made in a similar fashion to that described above. Table 2 Ex. Name Structure LCMS (MH+) 1H NMR (400 MHz) , , 7 0 = J 4- d, br - 9 = , ), 7 9 5 , 1- J 9 0 = 5 =
Ex. Name Structure LCMS (MH+) 1H NMR (400 MHz) , 7 - J d, ), 8- ), 9 s, , z, z, z, z, , = , ),
Ex. Name Structure LCMS (MH+) 1H NMR (400 MHz) , 6, z, , s, 1 t, d, d, 5 ), 8 = z, 5 ), 8 ),
Ex. Name Structure LCMS (MH+) 1H NMR (400 MHz) 1 - J , 8 1 , br 9 , z, ), ), = 8- 4 ),
Ex. Name Structure LCMS (MH+) 1H NMR (400 MHz) ), 4 5 4 8 ), 7- , 6 z, 9 2 = , ), , - s,
Ex. Name Structure LCMS (MH+) 1H NMR (400 MHz) , 2 0 z, ), 9- ), 1 7 ), , ) z, z, z, z, 6 ),
Ex. Name Structure LCMS (MH+) 1H NMR (400 MHz) 9 , z, z, - 6 , ), 0 ), 3 ), 1 5 , z, ), 3 = , 0 , 5 = , 5
Ex. Name Structure LCMS (MH+) 1H NMR (400 MHz) 4 9 z, z, 0 = 6- 3 δ 2 5 6 z, z, z, , = 9 , = , 1 2 1 , 1 =
Ex. Name Structure LCMS (MH+) 1H NMR (400 MHz) r 8 9 , 4 , ), ), .9 , 8 , - J J 9 , l .0 3 6 , z, 9 , ), , ), ), , ) l , ), 2 ,
Ex. Name Structure LCMS (MH+) 1H NMR (400 MHz) z, ), 5- J , ), 0 δ = = , = = 5 , ), 7 z, 9 , d 4 6 6 = = ), 8 z, ), 7-
Ex. Name Structure LCMS (MH+) 1H NMR (400 MHz) 2 = , , 7 z, z, , , br 6 δ 1 6- J 2 , ), 2- 7 7 ), , z, z,
Ex. Name Structure LCMS (MH+) 1H NMR (400 MHz) 8 ), ), ), 3 = , br δ z, , ), , ), 7- s, , 6 ), 7 6 7 z, ), 2-
Ex. Name Structure LCMS (MH+) 1H NMR (400 MHz) 0 = , , z, z, z, z, , = J 3 J 2 ), 4 0 , ), 1 4 , 7 ), 5 ), ),
Ex. Name Structure LCMS (MH+) 1H NMR (400 MHz) = ), ), d 7 3 6 z, 5 z, , ), ), 6 0 ,
Ex. Name Structure LCMS (MH+) 1H NMR (400 MHz) 1 , z, z, 0 6- d, br 6 0 , br δ s, ), J 4 z, 3 3 J 9 7 0-
Ex. Name Structure LCMS (MH+) 1H NMR (400 MHz) 0 , ) ), 8- 9 4 - 5 ), l 9 s, ), z, z, 0 = 1 7 ), 0- z, z, ), 3-
Ex. Name Structure LCMS (MH+) 1H NMR (400 MHz) 1 8 9 1 , 7 , , z, z, ), = = = , 3 ), =
Ex. Name Structure LCMS (MH+) 1H NMR (400 MHz) z, ), ), ), 9- ), 8 ), 9 , ), 2- z, z, , = = 1 ,
Ex. Name Structure LCMS (MH+) 1H NMR (400 MHz) 1 ,
[0818] Chiral chromatography conditions used for resolving racemic mixtures for select analogs is shown in Table 3 below. Table 3 (chiral chromatography conditions) Example Isomer Elution Conditions n : n
Example Isomer Elution Conditions l HELK 1 4 I D ; , ; ,
[0819] To identify non-covalent SARS-CoV-2 PLpro inhibitors, we cloned, expressed and purified the 315 aa peptidase domain of PLpro comprising residues R745–I1059 starting with viral RNA (provided by Ben ten’Oever, Mt. Sinai Medical School, NYC). We established a statistically robust biochemical HTS assay in 384-well format using a commercially available FRET-based synthetic peptide conjugated to a fluorescent-dye (Edans) and quencher (Dabcyl) as substrate (Fig.1). In an example, Edans- and Dabcyl-conjugated peptide (40 µM) was incubated with recomb. PLpro (100 nM) to release Edans fluorescence upon substrate cleavage. [0820] Following extensive enzyme reaction optimization, the HTS was run by incubating the FRET-based peptide substrate (40 µM) with PLpro (100 nM) for 90 min at room temperature. PLpro catalyzed substrate cleavage and to release the Edans fluorescence signal. Small molecule compounds were screened at 16.6 µM final concentration. [0821] The PLpro biochemical cleavage assay at room temperature is carried out in 384-well flat bottom black polypropylene microplates (Greiner, 781076). Per well, 10 µl of 1x PLpro reaction buffer (50 mM Tris-HCl, pH 7.3, 1 mM EDTA, 1 mM TCEP, and 0.01% Tween-20) are
dispensed in columns 1–24 using a Thermo Multidrop Combi dispenser (Thermo Scientific).0.1 µl of serially diluted compounds in DMSO are dispensed into columns 1–22 of the assay microplates with a Janus 384 MDT NanoHead (PerkinElmer). In wells of column 23 and 24, which serve as controls, no compounds are added. [0822] For the PLpro enzyme reaction, 10 µl of 3x PLpro solution (100 nM, high protein version, or 10 nM, low protein version, in 1x PLpro reaction buffer) are added to columns 1-23 followed by incubation for 5 minutes at RT. Column 24 serves as positive control, so no protein is added, just 10 µl more of 1x PLpro reaction buffer. The PLpro reaction is started by adding 10 µl of a 3x substrate solution containing FRET-based synthetic peptide (120 µM) prepared in 1x PLpro reaction buffer. Any addition of reagents is followed by a 30 second centrifugation at 500 ×g to ensure that all liquid was collected at the bottom of the well. The final concentrations of PLpro and peptide are 100 nM (high protein version) or 10 nM (low protein version) and 40 µM, respectively. The final reaction volume is 30 µl. Plates are incubated for 1.5 h at room temperature. [0823] Fluorescence signals of each well are recorded in relative fluorescent units (RFUs) using a Biotek Synergy Neo plate reader (BioTek, Winooski, VT). The substrate production is normalized against the positive control (PK, column 24) and negative control (NK, column 23) as follows: normalized % inhibition = 100 × (RFUsample–RFUaverageNK)/(RFUaveragePK– RFUaverageNK). Dose response curves are fitted with the four parameter Hill Equation and half- maximal inhibitory constants (IC50) are calculated using GraphPad Prism (Version 9.4.1) from three replicate experiments. Table 4 (PLpro biochemical cleavage assay) Ex. Enzyme (IC50) [μM] Ex. Enzyme (IC50) [μM]
Ex. Enzyme (IC50) [μM] Ex. Enzyme (IC50) [μM] A-23 0.0508 A-66 3.22
Ex. Enzyme (IC50) [μM] Ex. Enzyme (IC50) [μM] A-109 0.78 D-10 9.01
. g y [0824] Huh7.5 cells are seeded in 96-well plates (Corning, Product Number 353072) in 10% FBS-containing media at a density of 1.0×104 cells per well. Plates are incubated for 24 h at 37 ºC, 5% CO2. After addition of compounds (100x in DMSO) to cells, plates are transported to the BSL3 facility (laboratory of Dr. Charles Rice, RU), where SARS-CoV-2 (strain USA-WA1/2020 propagated in Vero E6 cells) diluted in assay media is added to achieve ~30 – 50% infected cells. Plates are incubated for 24 h at 37 ºC, 5% CO2, and then fixed with 3.5% formaldehyde. Fixed cells are analyzed for viral infection by immunostaining for SARS-CoV-2 nucleocapsid protein
using SARS-CoV-2 (COVID-19) nucleocapsid antibody (Genetex, GTX135357) as the primary antibody and Alexa Fluor 488-conjugated goat anti-rabbit IgG (H+L, Invitrogen by Thermo Fisher Scientific, A11008) as the secondary antibody, and antifade-46-diamidino-2-phenylindole (DAPI; Thermo Fisher Scientific D1306) to stain DNA, with PBS 0.05% Tween-20 washes in between fixation and subsequent primary and secondary antibody staining. [0825] Plates are imaged using the ImageXpress Micro Confocal High-Content Imaging System (Molecular Devices) with a 10× objective, with 4 fields imaged per well. Images are analyzed using the Multi-Wavelength Cell Scoring Application Module (MetaXpress), with DAPI staining identifying the host-cell nuclei (the total number of cells in the images) and the SARS-CoV-2 immunofluorescence signal leading to identification of infected cells. [0826] For each condition, the percentage of infection is calculated as the ratio of the number of infected cells stained for coronavirus NP to number of cells stained with DAPI. Treatment of cells with DMSO serves as negative control; treatment of cells with 200 nM Remdesivir serves as positive control. [0827] For dose response experiments, compounds are tested in technical triplicates on different assay plates and dose response curves are fitted with the four parameter Hill Equation. [0828] Representative cellular activities of examples in the SARS-CoV-2/Huh7.5 screening assay are shown below in Table 5. Table 5 (SARS-CoV-2/Huh7.5 screening assay) Cell-based (Viral Cell-based (Viral Cell-based (Cell
Cell-based (Viral 50) Cell-base Cell-based (Viral Cell-based (Cell Ex infection EC d (Cell infection + P- viabilit + P- p
p g [0829] PLpro docking models were generated using SARS-CoV-2 PLpro structures in complex with inhibitors (PDB IDs 7JIR,7CJM, 7JRN, 7LBS, 7LBR, 7LLF, 7LLZ, 7LOS, 7D6H, 7E35). Docking poses were subjected to refinement by 100ns molecular dynamics simulations followed by absolute FEP calculations. The refined model that validated using FEP+ for affinity prediction came from the structure with PDB ID 7JRN (Discovery of SARS-CoV-2 Papain-like Protease Inhibitors through a Combination of High-Throughput Screening and a FlipGFP-Based Reporter Assay. Ma et al, ACS Cent. Sci.2021).
Claims
CLAIMS What is claimed is: 1. A compound of formula (I): wherein
X4, X5, X6, X7, X8, X9, and X10 are each independently chosen from C or N, with the proviso that when X10 is N, R6 is not H; R1 is chosen from H, (C1-C3)hydrocarbon, or heterocycle optionally substituted with oxo; R2 is chosen from S(O)2-R8, H, halogen, cyano, (C1-C3)alkoxy, C(O)N(R9)(R10), heterocycle, phenylthio, , or optionally substituted (C1-C3)hydrocarbon, wherein said optionally substituted
is optionally substituted with one or more aliphatic heterocycle or halogen; X11 is NH or NCH3; R3 is chosen from H, halogen, C(O)N(R9)(R10), cyano, (C1-C3)alkoxy, S(O)2-R8, or optionally substituted (C1-C3)hydrocarbon, wherein said optionally substituted (C1-C3)hydrocarbon is optionally substituted with one or more halogen; R4 is chosen from (C1-C3)hydrocarbon, H, or halogen;
R11 is chosen from H, hydroxy, N(R9)(R10), heterocycle, or optionally substituted (C1- C3)hydrocarbon, wherein said optionally substituted (C1-C3)hydrocarbon is optionally substituted with one or more N(R9)(R10); R5 is chosen from H, N(R9)(R10), methyl, optionally substituted (C2-C3)hydrocarbon, optionally substituted heterocycle, optionally substituted (C1-C3)alkoxy, hydroxy, cyano, or halogen, wherein said optionally substituted (C1-C3)hydrocarbon, said optionally substituted heterocycle, and said optionally substituted (C1-C3)alkoxy are optionally substituted with one or more N(R9)(R10) or (C1-C3)alkyl; R6 is chosen from H, 2-oxopiperizine, 2-oxoimidazoline, optionally substituted heterocycle, N(R9)(R10), carboxamide, optionally substituted (C1-C3)hydrocarbon, (C1-C3)alkoxy, -O-R14, -O- CH2-R14, or hydroxy, wherein said optionally substituted heterocycle or said optionally substituted (C1-C3)hydrocarbon is optionally substituted with one or more morpholinyl, optionally substituted pyrrolidinyl, azetadine, hydroxy, (C1-C3)alkoxy, (C1-C3)alkyl, oxo, or N(R9)(R10), wherein said optionally substituted pyrrolidinyl is optionally substituted with one or more methyl or halogen; or R11 and R5 taken together with the atoms to which they are attached form optionally substituted heterocycle or optionally substituted aliphatic carbocycle, wherein said optionally substituted heterocycle or said optionally substituted carbocycle is optionally substituted with one or more N(R9)(R10) or azetidinylmethyl; or R5 and R6 taken together with the atoms to which they are attached form optionally substituted heterocycle or optionally substituted carbocycle, wherein said optionally substituted heterocycle is optionally substituted with one or more aminoethyl or azetidinylmethyl, wherein said optionally substituted carbocycle is optionally substituted with one or more N(R9)(R10); and R14 is optionally substituted heterocycle, wherein said optionally substituted heterocycle is optionally substituted with one or more (C1-C3)alkyl; R7 is chosen from H and (C1-C3)hydrocarbon; R8 is chosen from N(R9)(R10), (C1-C6)hydrocarbon, and optionally substituted heterocycle, wherein said optionally substituted heterocycle is optionally substituted with one or more N(R9)(R10) or halogen;
R9 and R10 are each independently chosen from H, (C1-C6)hydrocarbon, heterocycle, (C1- C6)oxoalkyl, or azetidinylmethyl; R12 is chosen from methyl or ethyl; R13 is H; or R12 and R13 together with the C to which they are attached form a (C1-C6)hydrocarbon; and L is chosen from direct bond and CH2. 2. The compound of claim 1, wherein: R1 is chosen from H, (C1-C3)hydrocarbon, nitrogen-containing heterocycle optionally substituted with oxo; R2 is chosen from S(O)2-R8, H, halogen, cyano, (C1-C3)alkoxy, C(O)N(R9)(R10), nitrogen- containing monocycle, phenylthio, , or optionally substituted (C1- C3)hydrocarbon, wherein said optionally
hydrocarbon is optionally substituted with one or more nitrogen-containing aliphatic monocycle or halogen; X11 is NH or NCH3; R11 is chosen from H, hydroxy, N(R9)(R10), nitrogen-containing monocycle, or optionally substituted (C1-C3)hydrocarbon, wherein said optionally substituted (C1-C3)hydrocarbon is optionally substituted with one or more N(R9)(R10); R5 is chosen from H, N(R9)(R10), methyl, optionally substituted (C2-C3)hydrocarbon, optionally substituted nitrogen-containing monocycle, optionally substituted (C1-C3)alkoxy, hydroxy, cyano, or halogen, wherein said optionally substituted (C1-C3)hydrocarbon, said optionally substituted nitrogen-containing monocycle, and said optionally substituted (C1-C3)alkoxy are optionally substituted with one or more N(R9)(R10) or (C1-C3)alkyl; R6 is chosen from H, 2-oxopiperizine,
2-oxoimidazoline, optionally substituted nitrogen- containing monocycle, N(R9)(R10), carboxamide, optionally substituted (C1-C3)hydrocarbon, (C1-C3)alkoxy, -O-R14, -O-CH2-R14, or hydroxy, wherein said optionally substituted nitrogen-
containing monocycle or said optionally substituted (C1-C3)hydrocarbon is optionally substituted with one or more morpholinyl, optionally substituted pyrrolidinyl, azetadine, hydroxy, (C1- C3)alkoxy, (C1-C3)alkyl, oxo, or N(R9)(R10) , wherein said optionally substituted pyrrolidinyl is optionally substituted with one or more methyl or halogen; or R11 and R5 taken together with the atoms to which they are attached form optionally substituted nitrogen-containing monocycle or optionally substituted aliphatic carbocycle, wherein said optionally substituted nitrogen-containing monocycle or said optionally substituted carbocycle is optionally substituted with one or more N(R9)(R10) or azetidinylmethyl; or R5 and R6 taken together with the atoms to which they are attached form optionally substituted nitrogen-containing monocycle or optionally substituted carbocycle, wherein said optionally substituted nitrogen-containing monocycle is optionally substituted with one or more aminoethyl or azetidinylmethyl, wherein said optionally substituted carbocycle is optionally substituted with one or more N(R9)(R10); R14 is optionally substituted nitrogen-containing monocycle, wherein said optionally substituted nitrogen-containing monocycle is optionally substituted with one or more (C1-C3)alkyl; R8 is chosen from N(R9)(R10), (C1-C6)hydrocarbon, and optionally substituted nitrogen- containing monocycle, wherein said optionally substituted nitrogen-containing monocycle is optionally substituted with one or more N(R9)(R10) or halogen; and R9 and R10 are each independently chosen from H, (C1-C6)hydrocarbon, heterocycle, (C1- C6)oxoalkyl, or azetidinylmethyl.
3. The compound of claim 1 or claim 2, wherein: R1 is chosen from H, methyl, ethyl, isopropyl, pyrrolidinone, or pyrrolyl; R2 is chosen from S(O)2-R8, H, F, Cl, cyano, phenylthio, phenyloxo, methoxy, C(O)N(R9)(R10), triazolyl, piperidinylmethyl, piperidinylethyl, or trifluoromethyl; R3 is chosen from H, F, Cl, C(O)N(R9)(R10), cyano, methoxy, S(O)2-R8, methyl, or trifluoromethyl; R4 is chosen from methyl, H, or Cl.; R11 is chosen from H, hydroxy, N(R9)(R10), piperazinyl, methyl, aminomethyl, or aminoethyl;
R5 is chosen from H, N(R9)(R10), methyl, aminomethyl, aminoethyl, aminopropyl, piperazinyl, pyrazolyl, pyrazolylmethyl, aminoalkoxy, hydroxy, cyano, F, or Cl; and R6 is chosen from H, N(R9)(R10), carboxamidyl, piperazinyl, piperidinyl, pyridinyl, morpholinyl, 2-oxopiperizine, 2-oxoimidazoline, morpholinylethyl, pyrrolidinylpropyl, hydroxy, methoxy, or aminopyrrolidinyl; or R11 and R5 taken together with the atoms to which they are attached form aminocyclopentanyl, piperidinyl, pyrazolyl, pyrrolyl, pyrrolidinyl, aminopyrrolidinyl, triazolyl, or substituted pyrazole, said substituted pyrazole is substituted with azetidinylmethyl; or R5 and R6 taken together with the atoms to which they are attached form (i) cyclopentyl, substituted with one or more N(R9)(R10), (ii) pyrazolyl substituted with one or more azetidinyl, aminoethyl, azetidinylmethyl, or (iii) pyrrolidinyl substituted with one or more aminoethyl; R7 is chosen from H or methyl; R8 is chosen from N(R9)(R10), methyl, phenyl, piperidine, pyrrolidine, or aminopyrrolidinyl; R9 and R10 are each independently chosen from H, (C1-C6)hydrocarbon, heterocycle, or azetidinylmethyl.
4. The compound of any one of claims 1-3, wherein X4, X5, X6, X7, X8, X9, and X10 are each C.
5. The compound of any one of claims 1-4, wherein R2 is S(O)2-R8.
6. The compound of any one of claims 1-5, wherein R1 is methyl or H.
7. The compound of any one of claims 1-6, wherein R3 is H.
8. The compound of any one of claims 1-7, wherein R4 is methyl or H.
9. The compound of any one of claims 1-8, wherein R11 is H.
10. The compound of any one of claims 1-9, wherein R5 is H or N(R9)(R10).
11. The compound of any one of claims 1-10, wherein R6 is piperazine, H, or N(R9)(R10).
12. The compound of any one of claims 1-11, wherein R11 and R5 taken together with the atoms to which they are attached form nitrogen-containing monocycle.
13. The compound of any one of claims 1-11, wherein R5 and R6, taken together with the atoms to which they are attached form nitrogen-containing monocycle.
14. The compound of any one of claims 1-13, wherein R7 is H.
15. The compound of any one of claims 1-14, wherein R8 is piperidine.
16. The compound of any one of claims 1-15, wherein one or both (i) R9 is H and (ii) R10 is H.
17. The compound of any one of claims 1-16, wherein one of R9 and R10 is H and the other is azetidinyl.
18. The compound of claim 1 or claim 2, wherein R6 is -O-R14 or -O-CH2-R14 and R14 is pyrrolidine optionally substituted with one or more methyl.
19. The compound of any one of claims 1-18, wherein R12 is methyl.
20. The compound of any one of claims 1-18, wherein R13 is H.
21. The compound of any one of claims 1-18, wherein R12 and R13 together with the C to which they are attached form a (C1-C6)hydrocarbon.
22. The compound of any one of claims 1-21, wherein L is direct bond.
23. The compound of any one of claims 1-21, wherein L is CH2.
24. A pharmaceutical formulation comprising a pharmaceutically acceptable carrier and a compound according to any one of claims 1-23.
25. A method of inhibiting SARS-CoV-2 PLpro/NSP3 protein in a patient comprising administering a compound according to any one of claims 1-23.
26. A method of treating Covid-19 in a patient comprising administering a compound according to any one of claims 1-23.
Applications Claiming Priority (2)
| Application Number | Priority Date | Filing Date | Title |
|---|---|---|---|
| US202363481565P | 2023-01-25 | 2023-01-25 | |
| US63/481,565 | 2023-01-25 |
Publications (1)
| Publication Number | Publication Date |
|---|---|
| WO2024158872A1 true WO2024158872A1 (en) | 2024-08-02 |
Family
ID=91971164
Family Applications (1)
| Application Number | Title | Priority Date | Filing Date |
|---|---|---|---|
| PCT/US2024/012712 Ceased WO2024158872A1 (en) | 2023-01-25 | 2024-01-24 | 1,3-indole-propanamide inhibitors of sars-cov-2 plpro/nsp3 and derivatives thereof |
Country Status (1)
| Country | Link |
|---|---|
| WO (1) | WO2024158872A1 (en) |
Citations (5)
| Publication number | Priority date | Publication date | Assignee | Title |
|---|---|---|---|---|
| US6043257A (en) * | 1997-08-18 | 2000-03-28 | E. I. Du Pont De Nemours And Company | Amidinoindoles, amidinoazoles, and analogs thereof |
| WO2008147797A2 (en) * | 2007-05-25 | 2008-12-04 | Vertex Pharmaceuticals Incorporated | Ion channel modulators and methods of use |
| US20090093469A1 (en) * | 2004-03-30 | 2009-04-09 | Wyeth | Phenylaminopropanol Derivatives and Methods of Their Use |
| WO2015136463A1 (en) * | 2014-03-11 | 2015-09-17 | Glaxosmithkline Intellectual Property (No.2) Limited | Chemical compounds acting as perk inhibitors |
| US11479550B2 (en) * | 2017-05-22 | 2022-10-25 | Ono Pharmaceutical Co., Ltd. | EP4 antagonist |
-
2024
- 2024-01-24 WO PCT/US2024/012712 patent/WO2024158872A1/en not_active Ceased
Patent Citations (5)
| Publication number | Priority date | Publication date | Assignee | Title |
|---|---|---|---|---|
| US6043257A (en) * | 1997-08-18 | 2000-03-28 | E. I. Du Pont De Nemours And Company | Amidinoindoles, amidinoazoles, and analogs thereof |
| US20090093469A1 (en) * | 2004-03-30 | 2009-04-09 | Wyeth | Phenylaminopropanol Derivatives and Methods of Their Use |
| WO2008147797A2 (en) * | 2007-05-25 | 2008-12-04 | Vertex Pharmaceuticals Incorporated | Ion channel modulators and methods of use |
| WO2015136463A1 (en) * | 2014-03-11 | 2015-09-17 | Glaxosmithkline Intellectual Property (No.2) Limited | Chemical compounds acting as perk inhibitors |
| US11479550B2 (en) * | 2017-05-22 | 2022-10-25 | Ono Pharmaceutical Co., Ltd. | EP4 antagonist |
Non-Patent Citations (1)
| Title |
|---|
| DATABASE PUBCHEM COMPOUND 21 October 2014 (2014-10-21), ANONYMOUS: "2-(5-methylindol-1-yl)-Nphenylpropanamide", XP093198812, retrieved from PUBCHEM Database accession no. 84361219 * |
Similar Documents
| Publication | Publication Date | Title |
|---|---|---|
| CN113272301B (en) | Heterocyclic compounds, intermediates, preparation methods and applications thereof | |
| CA2947338C (en) | Multi-fluoro-substituted compound as bruton's tyrosine kinase (btk) inhibitor | |
| ES2785498T3 (en) | Phthalazinones and isoquinolinones as ROCK inhibitors | |
| CN105837576B (en) | BTK inhibitor | |
| AU2019294414B2 (en) | Compounds | |
| AU2021203051A1 (en) | Inhibitors of cyclin-dependent kinase 7 (CDK7) | |
| BR112020026748A2 (en) | CYCLINE DEPENDENT KINASE INHIBITORS | |
| CA3133753A1 (en) | Novel small molecule inhibitors of tead transcription factors | |
| DK2646443T3 (en) | CAT-II inhibitors | |
| KR101390023B1 (en) | Bicyclic and tricyclic compounds as kat ii inhibitors | |
| JP2022503942A (en) | Isoindoline compounds, methods of preparation thereof, pharmaceutical compositions and uses | |
| CA3061650A1 (en) | Heteroaryl compounds that inhibit g12c mutant ras proteins | |
| TW202342458A (en) | Inhibitors of parg | |
| JP6858560B2 (en) | Substituted thiazole or oxazole P2X7 receptor antagonist | |
| JP2009525350A (en) | Pyrrolo [2,3, B] pyridine derivatives useful as RAF kinase inhibitors | |
| EP3160961B1 (en) | Small molecule agonists of neurotensin receptor 1 | |
| JP7187449B2 (en) | Substituted Fused Bicyclic or Tricyclic Heterocyclic Compounds as EHMT2 Inhibitors | |
| KR20200097294A (en) | 1,2,4-oxadiazole derivatives as histone deacetylase 6 inhibitors | |
| WO2014027053A1 (en) | Benzimidazoles for the treatment of cancer | |
| BR112021015012A2 (en) | COMPOUNDS, PHARMACEUTICAL COMPOSITION, METHOD OF MODULATION OF TLR7, AND METHOD OF TREATMENT OF A DISEASE OR DISORDER IN A PATIENT | |
| WO2021247969A1 (en) | Inhibitors of fibroblast growth factor receptor kinases | |
| CN115991706B (en) | PIM kinase inhibitors | |
| TW202434237A (en) | Inhibitors of kif18a and uses thereof | |
| AU2022202463A1 (en) | Tetrahydroisoquinoline compound, preparation method therefor, pharmaceutical composition containing same, and use thereof | |
| WO2019213403A1 (en) | Inhibitors of cyclin-dependent kinases |
Legal Events
| Date | Code | Title | Description |
|---|---|---|---|
| 121 | Ep: the epo has been informed by wipo that ep was designated in this application |
Ref document number: 24747724 Country of ref document: EP Kind code of ref document: A1 |
|
| NENP | Non-entry into the national phase |
Ref country code: DE |
|
| 122 | Ep: pct application non-entry in european phase |
Ref document number: 24747724 Country of ref document: EP Kind code of ref document: A1 |
































































































































































































































































































































































