WO2024138128A2 - Cereblon degrader conjugates, and uses thereof - Google Patents
Cereblon degrader conjugates, and uses thereof Download PDFInfo
- Publication number
- WO2024138128A2 WO2024138128A2 PCT/US2023/085698 US2023085698W WO2024138128A2 WO 2024138128 A2 WO2024138128 A2 WO 2024138128A2 US 2023085698 W US2023085698 W US 2023085698W WO 2024138128 A2 WO2024138128 A2 WO 2024138128A2
- Authority
- WO
- WIPO (PCT)
- Prior art keywords
- och
- degrader
- cereblon
- alkyldiyl
- antibody
- Prior art date
- Legal status (The legal status is an assumption and is not a legal conclusion. Google has not performed a legal analysis and makes no representation as to the accuracy of the status listed.)
- Ceased
Links
Classifications
-
- A—HUMAN NECESSITIES
- A61—MEDICAL OR VETERINARY SCIENCE; HYGIENE
- A61K—PREPARATIONS FOR MEDICAL, DENTAL OR TOILETRY PURPOSES
- A61K47/00—Medicinal preparations characterised by the non-active ingredients used, e.g. carriers or inert additives; Targeting or modifying agents chemically bound to the active ingredient
- A61K47/50—Medicinal preparations characterised by the non-active ingredients used, e.g. carriers or inert additives; Targeting or modifying agents chemically bound to the active ingredient the non-active ingredient being chemically bound to the active ingredient, e.g. polymer-drug conjugates
- A61K47/51—Medicinal preparations characterised by the non-active ingredients used, e.g. carriers or inert additives; Targeting or modifying agents chemically bound to the active ingredient the non-active ingredient being chemically bound to the active ingredient, e.g. polymer-drug conjugates the non-active ingredient being a modifying agent
- A61K47/68—Medicinal preparations characterised by the non-active ingredients used, e.g. carriers or inert additives; Targeting or modifying agents chemically bound to the active ingredient the non-active ingredient being chemically bound to the active ingredient, e.g. polymer-drug conjugates the non-active ingredient being a modifying agent the modifying agent being an antibody, an immunoglobulin or a fragment thereof, e.g. an Fc-fragment
- A61K47/6889—Conjugates wherein the antibody being the modifying agent and wherein the linker, binder or spacer confers particular properties to the conjugates, e.g. peptidic enzyme-labile linkers or acid-labile linkers, providing for an acid-labile immuno conjugate wherein the drug may be released from its antibody conjugated part in an acidic, e.g. tumoural or environment
-
- A—HUMAN NECESSITIES
- A61—MEDICAL OR VETERINARY SCIENCE; HYGIENE
- A61K—PREPARATIONS FOR MEDICAL, DENTAL OR TOILETRY PURPOSES
- A61K47/00—Medicinal preparations characterised by the non-active ingredients used, e.g. carriers or inert additives; Targeting or modifying agents chemically bound to the active ingredient
- A61K47/50—Medicinal preparations characterised by the non-active ingredients used, e.g. carriers or inert additives; Targeting or modifying agents chemically bound to the active ingredient the non-active ingredient being chemically bound to the active ingredient, e.g. polymer-drug conjugates
- A61K47/51—Medicinal preparations characterised by the non-active ingredients used, e.g. carriers or inert additives; Targeting or modifying agents chemically bound to the active ingredient the non-active ingredient being chemically bound to the active ingredient, e.g. polymer-drug conjugates the non-active ingredient being a modifying agent
- A61K47/68—Medicinal preparations characterised by the non-active ingredients used, e.g. carriers or inert additives; Targeting or modifying agents chemically bound to the active ingredient the non-active ingredient being chemically bound to the active ingredient, e.g. polymer-drug conjugates the non-active ingredient being a modifying agent the modifying agent being an antibody, an immunoglobulin or a fragment thereof, e.g. an Fc-fragment
- A61K47/6801—Drug-antibody or immunoglobulin conjugates defined by the pharmacologically or therapeutically active agent
- A61K47/6803—Drugs conjugated to an antibody or immunoglobulin, e.g. cisplatin-antibody conjugates
-
- A—HUMAN NECESSITIES
- A61—MEDICAL OR VETERINARY SCIENCE; HYGIENE
- A61P—SPECIFIC THERAPEUTIC ACTIVITY OF CHEMICAL COMPOUNDS OR MEDICINAL PREPARATIONS
- A61P35/00—Antineoplastic agents
-
- C—CHEMISTRY; METALLURGY
- C07—ORGANIC CHEMISTRY
- C07D—HETEROCYCLIC COMPOUNDS
- C07D401/00—Heterocyclic compounds containing two or more hetero rings, having nitrogen atoms as the only ring hetero atoms, at least one ring being a six-membered ring with only one nitrogen atom
- C07D401/14—Heterocyclic compounds containing two or more hetero rings, having nitrogen atoms as the only ring hetero atoms, at least one ring being a six-membered ring with only one nitrogen atom containing three or more hetero rings
-
- C—CHEMISTRY; METALLURGY
- C07—ORGANIC CHEMISTRY
- C07D—HETEROCYCLIC COMPOUNDS
- C07D471/00—Heterocyclic compounds containing nitrogen atoms as the only ring hetero atoms in the condensed system, at least one ring being a six-membered ring with one nitrogen atom, not provided for by groups C07D451/00 - C07D463/00
- C07D471/12—Heterocyclic compounds containing nitrogen atoms as the only ring hetero atoms in the condensed system, at least one ring being a six-membered ring with one nitrogen atom, not provided for by groups C07D451/00 - C07D463/00 in which the condensed system contains three hetero rings
- C07D471/16—Peri-condensed systems
-
- C—CHEMISTRY; METALLURGY
- C07—ORGANIC CHEMISTRY
- C07D—HETEROCYCLIC COMPOUNDS
- C07D487/00—Heterocyclic compounds containing nitrogen atoms as the only ring hetero atoms in the condensed system, not provided for by groups C07D451/00 - C07D477/00
- C07D487/02—Heterocyclic compounds containing nitrogen atoms as the only ring hetero atoms in the condensed system, not provided for by groups C07D451/00 - C07D477/00 in which the condensed system contains two hetero rings
- C07D487/04—Ortho-condensed systems
Definitions
- CEREBLON DEGRADER CONJUGATES, AND USES THEREOF CROSS REFERENCE TO RELATED APPLICATIONS This application claims the benefit of priority to U.S. Provisional Application No. 63/435,142, filed December 23, 2022, and U.S. Provisional Application No.63/525,282, filed on July 6, 2023, the content of each of which is incorporated by reference in its entirety.
- FIELD The disclosure relates generally to cereblon degrader antibody conjugates (cDACs) compositions, intermediates for their manufacture, and methods of their use.
- the cDACs are useful for facilitating intracellular degradation of target proteins.
- Cereblon is a 442-amino acid multifunctional protein located in the cytoplasm, nucleus and peripheral membrane of the human brain and other tissues (Wada et al., Biochem. & Biophys. Res. Comm.477:388-94 (2016)). Cereblon ensures normal metabolic function and normal physiological function of ion channels, which are important to maintaining cell growth and proliferation. Cereblon is also involved in the occurrence of many diseases, such as cancer (Shi et al, (2017) J. Immunol. Res. Article ID 9130608).
- Cereblon interacts with the DNA damage-binding protein-1 (DDB1), Cullin 4 (Cul4A and Cul4B), and regulator of Cullins 1 (RoC 1 ) to form the functional E3 ubiquitin ligase complex, which is known as the CRL4/CRBN E3 ubiquitin ligase complex. Cereblon's role as part of this complex includes a number of targeting proteins for proteolysis (degradation) via a ubiquitin-proteasome pathway (Chang et al, (2011) Int. J. Biochem. Mol. Biol.2(3):287-94). This complex ubiquitinates a number of other proteins.
- Cereblon is also implicated in the development of cerebral tissues and because of its expression in the hippocampus among other areas, is associated with memory and learning processes (Higgins, et al, (2004) Neurol.63(10):1927-31). Cereblon is a target for immunomodulatory drugs (IMiDs) which adjust immune responses and contain a glutarimide functional group (Kazantsev, A. et al, (2022) Expert Opinion on Therapeutic Patents, 32:2, 171-190; Kronke et al., (2015) Nature 523:183-8; Hagner et al., (2016) Blood 126(6):779-89).
- IMDs immunomodulatory drugs
- the IMiD class includes thalidomide and analogues: lenalidomide, pomalidomide, iberdomide, and apremilast.
- Thalidomide is approved by the FDA for treatment of multiple myeloma.
- Lenalidomide (REVLIMID®) and pomalidomide (POMALYST®) are approved by the FDA for treatment of multiple myeloma and other diseases. Cytokine modulation and T cell co-stimulation by IMiDs results in interleukin-2 production in T cells (Schafer et al., (2003) J. Pharmacol. & Exper. Ther.305:1222-32).
- IMiDs have pleiotropic effects on a wide range of immune cells including natural killer (NK) cell activation and B cell and monocyte inhibition (Corral et al., (1999) J. Immunol.163:380-6).
- Approved drugs, thalidomide and derivatives lenalidomide and pomalidomide have been repurposed as immunomodulatory drugs (IMiDs) for blood cancers (Ito T, et al (2020) Proc Jpn Acad Ser B Phys Biol Sci.96(6):189–203).Structural studies have shown that IMiDs such as thalidomide, lenalidomide and pomalidomide bind in a shallow hydrophobic pocket on the surface of cereblon, and that the binding is mediated by the glutarimide ring.
- Cereblon As the binding protein for IMiDs, cereblon is responsible for the multiple effects of IMiDs like thalidomide and its analogs (P. Ottis, et al (2017) ACS Chem. Biol.12 (4): 892-898; Shi Q, et al (2017) J Immunol Res.2017:9130608; Sperling AS, et al (2019) Blood 134(2):160– 170). Cereblon expression can affect cell metabolism and can be a causative effect of a disease even in the absence of IMiDs. Cereblon orthologs are highly conserved from plants to humans, which underscores its physiological importance (Zhihua H, et al (2011) Annu Rev Plant Biol.
- the ATP-dependent ubiquitin-proteasome system is the main pathway for intracellular protein degradation.
- the UPS system which includes ubiquitin (Ub), proteasomes, catalytic enzymes, and specific substrates, plays an important role in various biological processes. Ubiquitination occurs through a cascade of enzymatic events, particularly in the synergistic action of Ub-activating enzyme (E1), ubiquitin-conjugating enzyme (E2), and ubiquitin-ligase enzyme (E3). Once the substrate protein is polyubiquitinated, it will be recognized and degraded by the proteasome and UPS can digest the substrate protein into small peptides.
- E3 plays an important role in determining the specificity of Ub-mediated protein degradation (B.E. Smith, et al, (2019), Nat. Commun.10 (1):131; K.M. Sakamoto, (2010) Pediatr. Res.67 (5):505-508; M. Scheepstra, et al, (2019), Comput. Struct. Biotechnol. J.17:160-176; P. Ottis, et al, (2017) ACS Chem. Biol.12 (4):892-898).
- PROTACs Proteolysis-targeting chimeras
- the main mechanism of PROTACs technology is to use UPS to degrade proteins of interest (POI) such as targeted proteins that are themselves disease mediators by bringing in proximity the E3 ubiquitin ligase with a POI that is to be targeted for degradation leading to degradation of the targeted protein (Lu et al, (2015) Cell Cancer 22(6):755-63; Wang, C. et al (2021) Eur J Med Chem.225:113749).
- POI proteins of interest
- the E3 ligase ligand of PROTAC can hijack the E3 ligase and label the POI with ubiquitin.
- PROTAC itself is not degraded but is recycled to promote ubiquitination and degradation of other target proteins (M.L. Drummond, et al (2019), J. Chem. Inf. Model.59(4):1634-1644; S. An, et al (2016), EBioMedicine 36:553-562; W. Farnaby, et al, (2019), Nat. Chem. Biol.15(7):672-680; M.S. Gadd, et al, (2017), Nat. Chem. Biol.13(5):514-521; R.P. Nowak, et al, (2016) Nat.
- Molecular glue are degrader constructs which mediate proximity-induced protein degradation interacting with the ligase (more frequently) or the target POI by inducing or stabilizing the protein-protein interaction between the E3 ubiquitin ligase and the POI to form ternary complexes that induce ubiquitination and degradation of target protein POIs (den Besten, W. et al (2020) Nature Chemical Biology 16:1158).
- molecular glues can degrade otherwise unligandable proteins by orchestrating direct interactions between target and ligase (Mayor- Ruiz, C. et al (2020) Nature Chemical Biology 16:1199–1207; Dong G, et al (2021) J Med Chem.64(15):10606-10620).
- the molecular glue degrader may target nuclear receptor GSPT1 (Huber, A.D., et al (2022) ACS Med. Chem. Lett.13:1311-1320).
- both molecular glue and PROTACs are bifunctional protein degraders, they have different mechanisms of action and structural requirements (den Besten, W., et al (2020) Nat Chem Biol 16:1157–1158).
- cereblon ligands can be components of both PROTAC and molecular glue degraders that recruit targeted POIs to CRL4/CRBN E3 ubiquitin ligase for degradation of the POI (Lu et al, (2015) Cell Cancer 22(6):755-63; Wang, C. et al (2021) Eur J Med Chem.225:113749).
- Certain glutarimide compounds such as thalidomide, lenalidomide, and pomalidomide function as a molecular glue to enhance or induce interactions between E3 ligase and the target protein and thereby trigger ubiquitination and degradation (Dong G, et al (2021) J Med Chem.64(15):10606-10620).
- BRD4 bromodomain-containing protein 4
- Certain small- molecule BRD4 inhibitors interfere with protein-protein interactions and have been the subject of antitumor drug development. Limitations include reversible binding of BRD4 inhibitors (e.g. JQ1, OTX015) requiring large systemic drug concentrations and sustained exposure to ensure adequate functional inhibition (J. Shi, et al (2016) Mol. Pharm.15 (9):4139-4147).
- Target protein ligands have been employed in PROTACs with pomalidomide through a PEG linker to various BRD4 target-protein ligands which induced significant degradation of BRD4 in BL (Burkitt's lymphoma) cells, with a DC50 value below 1 nM (J. Lu, et al (2015) Chem. Biol.22(6):755-763).
- PROTACs with other BRD4 and BET target protein ligands showed significant effects on c-MYC, AML (acute myeloid leukemia) cells, and downstream cell proliferation and apoptosis induction in BL cells. (E.W. Georg, et al, (2015) Science 348 (6241):1376-1381).
- Linkers can be classified into cleavable and non-cleavable linkers according to their chemical properties (Beck A, et al, (2017) Nat Rev Drug Discov.16(6):315–37; Tsuchikama K, et al, (2016) Protein Cell.9:33–46).
- Non-cleavable linkers consist of stable bonds resistant to proteolytic degradation, so that cleavage occurs only after lysosome internalization and complete degradation of the antibody. These linkers have higher stability than cleavable ones, but can suffer from lower membrane permeability.
- cleavage of cleavable linkers can depend on external pH (acid-labile linkers), specific lysosomal proteases (protease-cleavable linkers) or glutathione reduction of disulfide linkers (Shen B-Q, et al, (2012) Nat Biotechnol; Bargh JD, et al, (2019) Chem Soc Rev.48:4361–74).
- some linkers may be labile in the blood stream, releasing unacceptable amounts of the drug prior to internalization in a target cell (Khot, A. et al, (2015) Bioanalysis 7(13):1633–1648) while other linkers may provide stability in the bloodstream, but intracellular release effectiveness may be negatively impacted.
- linkers that provide for desired intracellular release may have poor stability in the bloodstream.
- the amount of drug moiety loaded on the antibody, quantified as the drug to antibody ratio (DAR), the amount of aggregate that is formed in the conjugation reaction, and the yield of final purified conjugate that can be obtained are other parameters that need to be addressed and are often interrelated. Accordingly, there is a continuing need for improvements in the design of antibody conjugates including linkers and attachment chemistry to provide for optimized safety and efficacy. Additionally, there is a need for enhanced and targeted delivery of cereblon ligand containing PROTACs and molecular glues to cells that contain the protein target.
- the disclosure is generally directed to a conjugate composition, referred to as a cereblon degrader antibody conjugate or “cDAC”, where a cereblon degrader moiety is covalently attached to an antibody by an antibody linker.
- the cereblon degrader moiety comprises a target protein ligand covalently attached to a cereblon-binding, E3 ubiquitin ligase ligand by a degrader linker.
- the cereblon degrader moiety is a molecular glue.
- the cereblon degrader moiety of the disclosed cDAC is targeted to the appropriate target cell and released as a cereblon degrader compound, thereby carrying out its function to stimulate/induce ubiquitination of a target protein and effect its degradation by the ubiquitin-proteasome system (UPS).
- the cDAC may have enhanced therapeutic benefit in patients suffering from a variety of hyperproliferative disorders such as cancer.
- a cereblon degrader antibody conjugate comprising a cereblon degrader moiety covalently attached to an antibody by a linker (e.g., an antibody linker) wherein the cereblon degrader moiety is a target protein ligand covalently attached to a cereblon-binding, E3 ubiquitin ligase ligand by a degrader linker, or molecular glue, and the antibody is a thiol-containing antibody.
- a linker e.g., an antibody linker
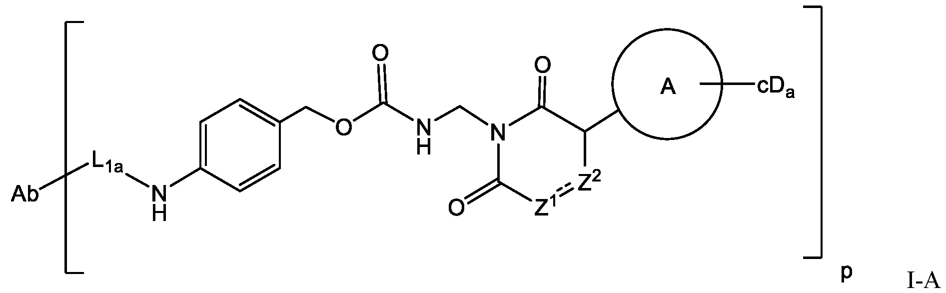
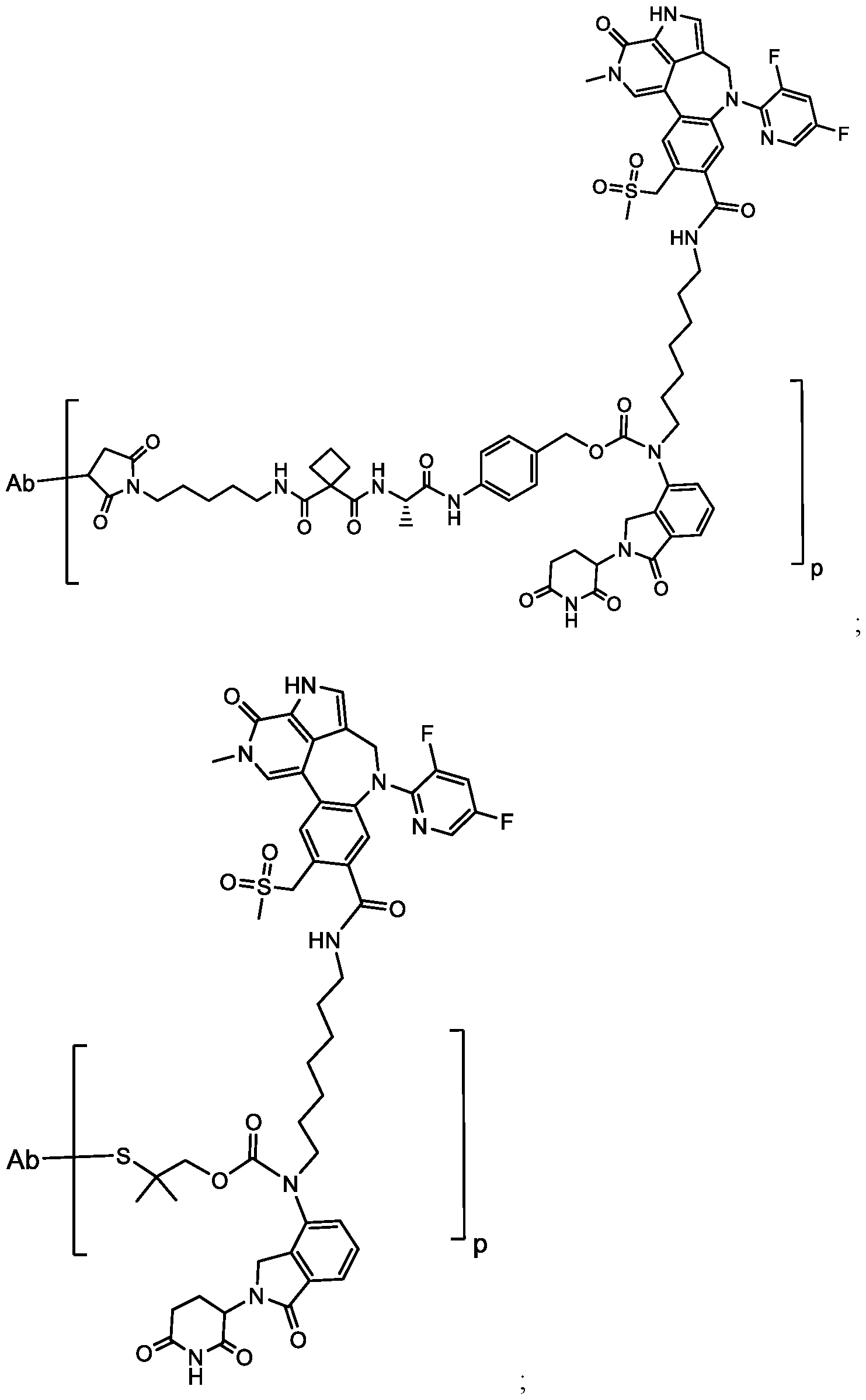
- a cDAC having a structure of Formula I: I or a pharmaceutically acceptable salt thereof, wherein: Ab is an antibody; cD is a cereblon degrader moiety; L 1 is a linker attached to the Ab and the cD; and p is an integer from 1 to 14.
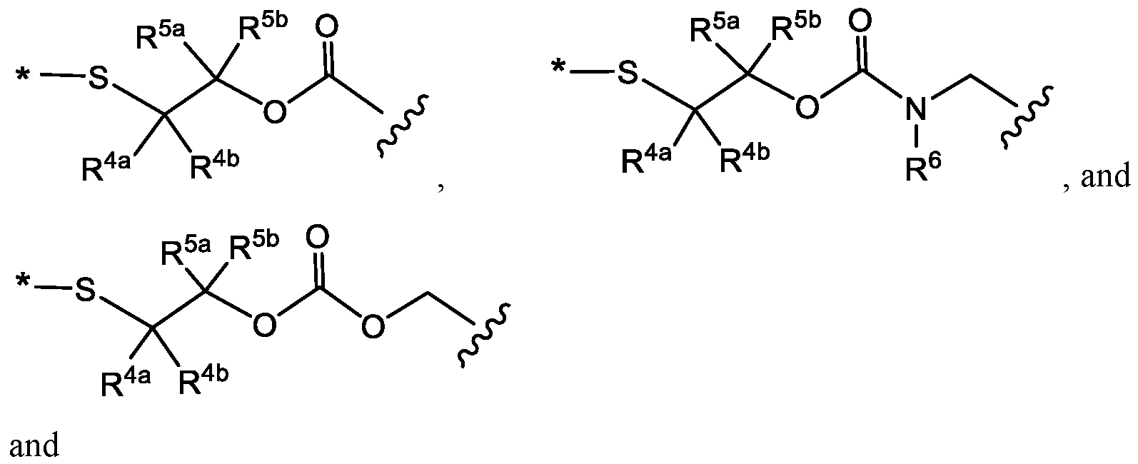
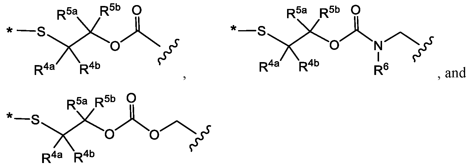
- a cereblon degrader-linker intermediate having a structure of Formula II: wherein: X is a thiol-reactive group; L 3 is a linker selected from: (i) a protease-cleavable, non-peptide linker having the formula: wherein Str is a stretcher unit covalently attached to X, PM is a peptidomimetic unit, and IM is an immolator unit covalently attached to cD; (ii) a disulfide linker selected from the formulae: and (iii) a linker having the formula: wherein * indicates the point of attachment to X, R 4a , R 4b , R 5a , and R 5a are each independently selected from H and C 1 -C 6 alkyl, or R 4a and R 4b together with the carbon atom to which they are bound form a three-, four-, or five- membered cycloalkyl or heterocyclyl, optionally substituted
- Another aspect of the disclosure is a cDAC prepared by conjugation of an antibody with a cereblon degrader intermediate of Formula II.
- Another aspect of the disclosure is a process for preparing a cDAC comprising reacting a thiol-containing antibody with a cereblon degrader intermediate of Formula II.
- Another aspect of the disclosure is a pharmaceutical composition comprising a therapeutically effective amount of the cDAC and one or more pharmaceutically acceptable diluent, vehicle, carrier or excipient.
- Another aspect of the disclosure is a method for treating cancer comprising administering to a patient in need thereof a therapeutically effective amount of the cDAC.
- Another aspect of the disclosure is use of the cDAC in the manufacture of a medicament for the treatment of cancer in a mammal.
- FIG. 1 shows an anti-proliferative effect of in vitro potency by a BRD4-cereblon degrader against KPL-4 and SK-BR-3 cells at 5 days. Cell viability as percent of control is plotted in a graph versus the concentration of cereblon degrader compound cD-5 (nM).
- Figure 2A shows anti-proliferative effects of in vitro potency by treatment after 5 days of HER2+ KPL-4 cells with anti-HER27C2 and anti-CD33 BRD4-cereblon degrader antibody conjugates cDAC-3, cDAC-4, cDAC-5, and cDAC-6 from Table 3. Cell viability as percent of control is plotted in a graph versus the concentration of cDAC ( ⁇ g/mL).
- Figure 2B shows anti-proliferative effects of in vitro potency by treatment after 5 days of HER2+ SK-BR-3 cells with anti-HER27C2 and anti-CD33 BRD4-cereblon degrader antibody conjugates cDAC-3, cDAC-4, cDAC-5, and cDAC-6.
- FIG. 3A shows anti-proliferative effects of in vitro potency by treatment after 5 days of HER2-low/ER+ CAMA1 cells with anti-HER27C2 and anti-CD33 BRD4-cereblon degrader antibody conjugates cDAC-3, cDAC-4, cDAC-5, and cDAC-6.
- Cell viability as percent of control is plotted in a graph versus the concentration of cDAC ( ⁇ g/mL).
- Figure 3B shows anti-proliferative effects of in vitro potency by treatment after 5 days of HER2-low/ER+ EFM19 cells with anti-HER27C2 and anti-CD33 BRD4-cereblon degrader antibody conjugates cDAC-3, cDAC-4, cDAC-5, and cDAC-6. Cell viability as percent of control is plotted in a graph versus the concentration of cDAC ( ⁇ g/mL).
- Figure 4 shows anti-proliferative effects of in vitro potency by treatment after 7 days of various AML cell lines with anti-CD33 BRD4-cereblon degrader antibody conjugate cDAC-3.
- the AML cell lines were MV-4-11, EOL-1, Molm-13, Nomo-1, HL-60, and OCI-AML-2.
- Cell viability as percent of control is plotted in a graph versus the concentration of cDAC ( ⁇ g/mL).
- Figure 5A shows anti-proliferative effects of in vitro potency by treatment after 5 days of EOL-1 AML cells with anti-HER27C2 and anti-CD33 BRD4-cereblon degrader antibody conjugates cDAC-3, cDAC-4, cDAC-5, and cDAC-6.
- Cell viability as percent of control is plotted in a graph versus the concentration of cDAC ( ⁇ g/mL).
- Figure 5B shows anti-proliferative effects of in vitro potency by treatment after 5 days of HL-60 AML cells with anti-HER27C2 and anti-CD33 cereblon degrader antibody conjugates cDAC-3, cDAC-4, cDAC-5, and cDAC-6. Cell viability as percent of control is plotted in a graph versus the concentration of cDAC ( ⁇ g/mL).
- Figure 6A shows anti-proliferative effects of in vitro potency by treatment after 3 days of Molm-13 AML cells with anti-HER27C2 and anti-CD33 BRD4-cereblon degrader antibody conjugates cDAC-3, cDAC-4, cDAC-5, and cDAC-6.
- Cell viability as percent of control is plotted in a graph versus the concentration of cDAC ( ⁇ g/mL).
- Figure 6B shows anti-proliferative effects of in vitro potency by treatment after 3 days of MV-4-11 AML cells with anti-HER27C2 and anti-CD33 BRD4-cereblon degrader antibody conjugates cDAC-3, cDAC-4, cDAC-5, and cDAC-6.
- Cell viability as percent of control is plotted in a graph versus the concentration of cDAC ( ⁇ g/mL).
- Figure 7 shows the in vivo efficacies of anti-CD33 BRD4-cereblon degrader antibody conjugates cDAC-3, cDAC-4, cDAC-5, and cDAC-6 at the following doses in reducing tumor volume over time (21 days) in a HL-60 xenograft mice model.
- antibody is used in the broadest sense and specifically encompasses monoclonal antibodies (including full length monoclonal antibodies), polyclonal antibodies, multispecific antibodies (e.g., bispecific antibodies), and antibody fragments so long as they exhibit the desired biological activity.
- Antibody fragment and all grammatical variants thereof as used herein are defined as a portion of an intact antibody comprising the antigen binding site or variable region of the intact antibody, wherein the portion is free of the constant heavy chain domains (i.e., CH 2 , CH 3 , and CH4, depending on antibody isotype) of the Fc region of the intact antibody.
- constant heavy chain domains i.e., CH 2 , CH 3 , and CH4, depending on antibody isotype
- antibody fragments include Fab, Fab ⁇ , Fab ⁇ -SH, F(ab ') 2 , and Fv fragments; diabodies; any antibody fragment that is a polypeptide having a primary structure consisting of one uninterrupted sequence of contiguous amino acid residues (referred to herein as a “single-chain antibody fragment” or “single chain polypeptide”), including without limitation (1) single-chain Fv (scFv) molecules; (2) single chain polypeptides containing only one light chain variable domain, or a fragment thereof that contains the three CDRs of the light chain variable domain, without an associated heavy chain moiety; (3) single chain polypeptides containing only one heavy chain variable region, or a fragment thereof containing the three CDRs of the heavy chain variable region, without an associated light chain moiety; (4) nanobodies comprising single Ig domains from non-human species or other specific single-domain binding modules; and (5) multispecific or multivalent structures formed from antibody fragments.
- the heavy chain(s) can contain any constant domain sequence (e.g., CH1 in the IgG isotype) found in a non-Fc region of an intact antibody, and/or can contain any hinge region sequence found in an intact antibody, and/or can contain a leucine zipper sequence fused to or situated in the hinge region sequence or the constant domain sequence of the heavy chain(s).
- “Antibody” refers to a polypeptide comprising an antigen binding region (including the complementarity determining region (CDRs)) from an immunoglobulin gene or fragments thereof.
- antibody specifically encompasses monoclonal antibodies (including full length monoclonal antibodies), polyclonal antibodies, multispecific antibodies (e.g., bispecific antibodies), and antibody fragments that exhibit the desired biological activity.
- An exemplary immunoglobulin (antibody) structural unit comprises a tetramer. Each tetramer is composed of two identical pairs of polypeptide chains, each pair having one “light” (about 25 kDa) and one “heavy” chain (about 50-70 kDa) connected by disulfide bonds. Each chain is composed of structural domains, which are referred to as immunoglobulin domains.
- variable domains or regions on the light and heavy chains VL and VH, respectively
- constant domains or regions on the light and heavy chains C L and C H , respectively.
- the N-terminus of each chain defines a variable region of about 100 to 110 or more amino acids, referred to as the paratope, primarily responsible for antigen recognition, i.e., the antigen binding domain.
- Light chains are classified as either kappa or lambda.
- Heavy chains are classified as gamma, mu, alpha, delta, or epsilon, which in turn define the immunoglobulin classes, IgG, IgM, IgA, IgD and IgE, respectively.
- IgG antibodies are large molecules of about 150 kDa composed of four peptide chains.
- IgG antibodies contain two identical class ⁇ heavy chains of about 50 kDa and two identical light chains of about 25 kDa, thus a tetrameric quaternary structure. The two heavy chains are linked to each other and to a light chain each by disulfide bonds. The resulting tetramer has two identical halves, which together form the Y-like shape. Each end of the fork contains an identical antigen binding domain.
- IgG subclasses IgG1, IgG2, IgG3, and IgG4 in humans, named in order of their abundance in serum (i.e., IgG1 is the most abundant).
- an antibody that targets a particular antigen includes a bispecific or multispecific antibody with at least one antigen binding region that targets the particular antigen.
- the targeted monoclonal antibody is a bispecific antibody with at least one antigen binding region that targets tumor cells.
- “Antibody construct” refers to an antibody or a fusion protein comprising (i) an antigen binding domain and (ii) an Fc domain.
- the binding agent is an antigen-binding antibody “fragment,” which is a construct that comprises at least an antigen-binding region of an antibody, alone or with other components that together constitute the antigen-binding construct.
- fragments are known in the art, including, for instance, (i) a Fab fragment, which is a monovalent fragment consisting of the VL, VH, C L , and CH 1 domains, (ii) a F(ab’) 2 fragment, which is a bivalent fragment comprising two Fab fragments linked by a disulfide bridge at the hinge region, (iii) a Fv fragment consisting of the VL and VH domains of a single arm of an antibody, (iv) a Fab’ fragment, which results from breaking the disulfide bridge of an F(ab’) 2 fragment using mild reducing conditions, (v) a disulfide-stabilized Fv fragment (dsFv), and (vi) a single chain Fv (scFv), which is a monovalent molecule consisting of the two domains of the Fv fragment (i.e., VL and VH) joined by a synthetic linker which enables the two domains to be synthesized as
- the antibody or antibody fragments can be part of a larger construct, for example, a conjugate or fusion construct of the antibody fragment to additional regions.
- the antibody fragment can be fused to an Fc region as described herein.
- the antibody fragment e.g., a Fab or scFv
- the antibody fragment can be part of a chimeric antigen receptor or chimeric T-cell receptor, for instance, by fusing to a transmembrane domain (optionally with an intervening linker or “stalk” (e.g., hinge region)) and optional intercellular signaling domain.
- the antibody fragment can be fused to the gamma and/or delta chains of a T-cell receptor, so as to provide a T-cell receptor like construct that binds TROP2.
- the antibody fragment is part of a bispecific T-cell engager (BiTEs) comprising a CD1 or CD3 binding domain and linker.
- BiTEs bispecific T-cell engager
- Epitope means any antigenic determinant or epitopic determinant of an antigen to which an antigen binding domain binds (i.e., at the paratope of the antigen binding domain).
- Antigenic determinants usually consist of chemically active surface groupings of molecules, such as amino acids or sugar side chains, and usually have specific three dimensional structural characteristics, as well as specific charge characteristics.
- Fc receptor refers to a receptor that binds to the Fc region of an antibody.
- Fc ⁇ R which binds to IgG
- Fc ⁇ R which binds to IgA
- Fc ⁇ R which binds to IgE.
- the Fc ⁇ R family includes several members, such as Fc ⁇ I (CD64), Fc ⁇ RIIA (CD32A), Fc ⁇ RIIB (CD32B), Fc ⁇ RIIIA (CD16A), and Fc ⁇ RIIIB (CD16B).
- the Fc ⁇ receptors differ in their affinity for IgG and also have different affinities for the IgG subclasses (e.g., IgG1, IgG2, IgG3, and IgG4).
- Amino acid refers to any monomeric unit that can be incorporated into a peptide, polypeptide, or protein. Amino acids include naturally occurring ⁇ -amino acids and their stereoisomers, as well as unnatural (non-naturally occurring) amino acids and their stereoisomers.
- “Stereoisomers” of a given amino acid refer to isomers having the same molecular formula and intramolecular bonds but different three-dimensional arrangements of bonds and atoms (e.g., an L-amino acid and the corresponding D-amino acid).
- the amino acids can be glycosylated (e.g., N-linked glycans, O-linked glycans, phosphoglycans, C-linked glycans, or glypication) or deglycosylated.
- Amino acids may be referred to herein by either the commonly known three letter symbols or by the one-letter symbols recommended by the IUPAC-IUB Biochemical Nomenclature Commission.
- Naturally occurring amino acids are those encoded by the genetic code, as well as those amino acids that are later modified, e.g., hydroxyproline, ⁇ -carboxyglutamate, and O-phosphoserine.
- Naturally occurring ⁇ -amino acids include, but are not limited to, alanine (Ala), arginine (Arg), asparagine (Asn), aspartic acid (Asp), cysteine (Cys), glutamic acid (Glu), glutamine (Gln), glycine (Gly), histidine (His), isoleucine (Ile), leucine (Leu), lysine (Lys), methionine (Met), phenylalanine (Phe), proline (Pro), serine (Ser), threonine (Thr), tryptophan (Trp), tyrosine (Tyr), valine (Val), and combinations thereof.
- Stereoisomers of naturally- occurring ⁇ -amino acids include, without limitation, D-alanine (D-Ala), D-cysteine (D-Cys), D-aspartic acid (D-Asp), D-glutamic acid (D-Glu), D-phenylalanine (D-Phe), D-histidine (D-His), D-isoleucine (D-Ile), D-arginine (D-Arg), D-lysine (D-Lys), D-leucine (D-Leu), D-methionine (D-Met), D-asparagine (D-Asn), D-proline (D-Pro), D-glutamine (D-Gln), D-serine (D-Ser), D-threonine (D-Thr), D-valine (D-Val), D-tryptophan (D-Trp), D-tyrosine (D-Tyr), and combinations thereof.
- D-Ala D-c
- Naturally occurring amino acids include those formed in proteins by post-translational modification, such as citrulline (Cit).
- Unnatural (non-naturally occurring) amino acids include, without limitation, amino acid analogs, amino acid mimetics, synthetic amino acids, N-substituted glycines, and N-methyl amino acids in either the L- or D-configuration that function in a manner similar to the naturally occurring amino acids.
- amino acid analogs can be unnatural amino acids that have the same basic chemical structure as naturally occurring amino acids (i.e., a carbon that is bonded to a hydrogen, a carboxyl group, an amino group) but have modified side-chain groups or modified peptide backbones, e.g., homoserine, norleucine, methionine sulfoxide, and methionine methyl sulfonium.
- Amino acid mimetics refer to chemical compounds that have a structure that is different from the general chemical structure of an amino acid, but that functions in a manner similar to a naturally occurring amino acid.
- amino acid side chain refers to the group of an amino acid which defines the amino acid and distinguishes one amino acid from other amino acids.
- side chains for a group of representative amino acids are: glycine ( ⁇ H), alanine ( ⁇ CH 3 ), phenylalanine ( ⁇ CH 2 (C 6 H 5 )), lysine ( ⁇ CH 2 CH 2 CH 2 CH 2 NH 2 ), arginine ( ⁇ CH 2 CH 2 CH 2 NHC(NH)NH 2 ), leucine ⁇ CH 2 CH(CH 3 ) 2 , and citrulline ( ⁇ CH 2 CH 2 CH 2 NHC(O)NH 2 ).
- Linker refers to a functional group that covalently links two or more moieties in a compound or material.
- the linking moiety can serve to covalently bond a drug moiety to an antibody construct in conjugate provided herein or between two or more ligand binding moieties.
- Linking moiety refers to a functional group that covalently bonds two or more moieties in a compound.
- the linking moiety can serve to covalently bond a drug moiety to an antibody in a conjugate.
- Useful bonds for connecting linking moieties to proteins and other materials include, but are not limited to, amides, amines, esters, carbamates, disulfides, ureas, thioethers, thiocarbamates, thiocarbonates, and thioureas.
- “Divalent” refers to a chemical moiety that contains two points of attachment for linking two moieties; polyvalent linking moieties can have additional points of attachment for linking further functional groups. Divalent radicals may be denoted with the suffix “diyl”.
- divalent linking moieties include divalent polymer moieties such as divalent poly(ethylene glycol), divalent cycloalkyl, divalent heterocycloalkyl, divalent aryl, and divalent heteroaryl group.
- a “divalent cycloalkyl, heterocycloalkyl, aryl, or heteroaryl group” refers to a cycloalkyl, heterocycloalkyl, aryl, or heteroaryl group having two points of attachment for covalently linking two moieties in a molecule or material. Cycloalkyl, heterocycloalkyl, aryl, or heteroaryl groups can be substituted or unsubstituted.
- Cycloalkyl, heterocycloalkyl, aryl, or heteroaryl groups can be substituted with one or more groups selected from halo, hydroxy, amino, alkylamino, amido, acyl, nitro, cyano, and alkoxy.
- a wavy line (“ ”) represents a point of attachment of the specified chemical moiety. If the specified chemical moiety has two wavy lines (“ ”) present, it will be understood that the chemical moiety can be used bilaterally, i.e., as read from left to right or from right to left. In some embodiments, a specified moiety having two wavy lines present is considered to be used as read from left to right.
- Alkyl refers to a straight (linear) or branched, saturated, aliphatic radical having the number of carbon atoms indicated. Alkyl can include any number of carbons, for example from one to twelve. Examples of alkyl groups include, but are not limited to, methyl (Me, -CH 3 ), ethyl (Et, -CH 2 CH 3 ), 1-propyl (n-Pr, n-propyl, -CH 2 CH 2 CH 3 ), 2-propyl (i-Pr, i-propyl, -CH(CH 3 ) 2 ), 1- butyl (n-Bu, n-butyl, -CH 2 CH 2 CH 2 CH 3 ), 2-methyl-1-propyl (i-Bu, i-butyl, -CH 2 CH(CH 3 ) 2 ), 2- butyl (s-Bu, s-butyl, -CH(CH 3 )CH 2 CH 3 ), 2-methyl-2-propyl (t-Bu
- alkyldiyl refers to a divalent alkyl radical.
- alkyldiyl groups include, but are not limited to, methylene (-CH 2 -), ethylene (-CH 2 CH 2 -), propylene (- CH 2 CH 2 CH 2 -), and the like.
- An alkyldiyl group may also be referred to as an “alkylene” group.
- alkyldiyl groups can be geminally substituted where a carbon atom of the alkyl forms a spiro, cycloalkyl group such as cyclopropyl, cyclobutyl, cyclopentyl, or cyclohexyl.
- Alkenyl refers to a straight (linear) or branched, unsaturated, aliphatic radical having the number of carbon atoms indicated and at least one carbon-carbon double bond, sp2. Alkenyl can include from two to about 12 or more carbons atoms.
- Alkenyl groups are radicals having “cis” and “trans” orientations, or alternatively, “E” and “Z” orientations.
- alkenylene or “alkenyldiyl” refer to a linear or branched-chain divalent hydrocarbon radical.
- Alkynyl refers to a straight (linear) or branched, unsaturated, aliphatic radical having the number of carbon atoms indicated and at least one carbon-carbon triple bond, sp. Alkynyl can include from two to about 12 or more carbons atoms.
- C 2 -C 6 alkynyl includes, but is not limited to ethynyl propynyl (propargyl, butynyl, pentynyl, hexynyl, and isomers thereof.
- alkynylene or “alkynyldiyl” refer to a divalent alkynyl radical.
- carrier refers to a saturated or partially unsaturated, monocyclic, fused bicyclic, spiro, or bridged polycyclic ring assembly containing from 3 to 12 ring atoms, or the number of atoms indicated.
- Saturated monocyclic carbocyclic rings include, for example, cyclopropyl, cyclobutyl, cyclopentyl, cyclohexyl, and cyclooctyl.
- Saturated bicyclic and polycyclic carbocyclic rings include, for example, norbornane, [2.2.2] bicyclooctane, decahydronaphthalene and adamantane.
- Carbocyclic groups can also be partially unsaturated, having one or more double or triple bonds in the ring.
- carbocyclic groups that are partially unsaturated include, but are not limited to, cyclobutene, cyclopentene, cyclohexene, cyclohexadiene (1,3- and 1,4-isomers), cycloheptene, cycloheptadiene, cyclooctene, cyclooctadiene (1,3-, 1,4- and 1,5-isomers), norbornene, and norbornadiene.
- cycloalkyldiyl refers to a divalent cycloalkyl radical.
- Aryl refers to a monovalent aromatic hydrocarbon radical of 6-20 carbon atoms (C 6 ⁇ C 20 ) derived by the removal of one hydrogen atom from a single carbon atom of a parent aromatic ring system.
- Aryl groups can be monocyclic, fused to form bicyclic or tricyclic groups, or linked by a bond to form a biaryl group.
- Representative aryl groups include phenyl, naphthyl and biphenyl.
- Other aryl groups include benzyl, having a methylene linking group.
- Some aryl groups have from 6 to 12 ring members, such as phenyl, naphthyl or biphenyl.
- aryl groups have from 6 to 10 ring members, such as phenyl or naphthyl.
- heterocycle refers to a saturated or a partially unsaturated (i.e., having one or more double and/or triple bonds within the ring) carbocyclic radical of 3 to about 20 ring atoms in which at least one ring atom is a heteroatom selected from nitrogen, oxygen, phosphorus and sulfur, the remaining ring atoms being C, where one or more ring atoms is optionally substituted independently with one or more substituents described below.
- a heterocycle may be a monocycle having 3 to 7 ring members (2 to 6 carbon atoms and 1 to 4 heteroatoms selected from N, O, P, and S) or a bicycle having 7 to 10 ring members (4 to 9 carbon atoms and 1 to 6 heteroatoms selected from N, O, P, and S), for example: a bicyclo [4,5], [5,5], [5,6], or [6,6] system, or more rings.
- Heterocycles are described in Paquette, Leo A.; “Principles of Modern Heterocyclic Chemistry” (W.A.
- Heterocyclyl also includes radicals where heterocycle radicals are fused with a saturated, partially unsaturated ring, or aromatic carbocyclic or heterocyclic ring.
- heterocyclic rings include, but are not limited to, morpholin-4-yl, piperidin-1- yl, piperazinyl, piperazin-4-yl-2-one, piperazin-4-yl-3-one, pyrrolidin-1-yl, thiomorpholin-4-yl, S-dioxothiomorpholin-4-yl, azocan-1-yl, azetidin-1-yl, octahydropyrido[1,2-a]pyrazin-2-yl, [1,4]diazepan-1-yl, pyrrolidinyl, tetrahydrofuranyl, dihydrofuranyl, tetrahydrothienyl, tetrahydropyranyl, dihydropyranyl, tetrahydrothiopyranyl, piperidino, morpholino, thiomorpholino, thioxanyl, piperazinyl, homopiperazinyl,
- Spiro heterocyclyl moieties are also included within the scope of this definition.
- spiro heterocyclyl moieties include azaspiro[2.5]octanyl and azaspiro[2.4]heptanyl.
- the heterocycle groups herein are optionally substituted independently with one or more substituents described herein.
- heteroaryl refers to a monovalent aromatic radical of 5-, 6-, or 7-membered rings, and includes fused ring systems (at least one of which is aromatic) of 5-20 atoms, containing one or more heteroatoms independently selected from nitrogen, oxygen, and sulfur.
- heteroaryl groups are pyridinyl (including, for example, 2-hydroxypyridinyl), imidazolyl, imidazopyridinyl, pyrimidinyl (including, for example, 4-hydroxypyrimidinyl), pyrazolyl, triazolyl, pyrazinyl, tetrazolyl, furyl, thienyl, isoxazolyl, thiazolyl, oxadiazolyl, oxazolyl, isothiazolyl, pyrrolyl, quinolinyl, isoquinolinyl, tetrahydroisoquinolinyl, indolyl, benzimidazolyl, benzofuranyl, cinnolinyl, indazolyl, indolizinyl, phthalazinyl, pyridazinyl, triazinyl, isoindolyl, pteridinyl, purinyl, oxadiazol
- Heteroaryl groups are optionally substituted independently with one or more substituents described herein.
- the heterocycle or heteroaryl groups may be carbon (carbon-linked), or nitrogen (nitrogen-linked) bonded where such is possible.
- carbon bonded heterocycles or heteroaryls are bonded at position 2, 3, 4, 5, or 6 of a pyridine, position 3, 4, 5, or 6 of a pyridazine, position 2, 4, 5, or 6 of a pyrimidine, position 2, 3, 5, or 6 of a pyrazine, position 2, 3, 4, or 5 of a furan, tetrahydrofuran, thiofuran, thiophene, pyrrole or tetrahydropyrrole, position 2, 4, or 5 of an oxazole, imidazole or thiazole, position 3, 4, or 5 of an isoxazole, pyrazole, or isothiazole, position 2 or 3 of an aziridine, position 2, 3, or 4 of an azetidine
- nitrogen bonded heterocycles or heteroaryls are bonded at position 1 of an aziridine, azetidine, pyrrole, pyrrolidine, 2-pyrroline, 3-pyrroline, imidazole, imidazolidine, 2-imidazoline, 3-imidazoline, pyrazole, pyrazoline, 2-pyrazoline, 3- pyrazoline, piperidine, piperazine, indole, indoline, 1H-indazole, position 2 of an isoindole, or isoindoline, position 4 of a morpholine, and position 9 of a carbazole, or ⁇ -carboline.
- halo and halogen refer to a fluorine, chlorine, bromine, or iodine atom.
- chiral refers to molecules which have the property of non-superimposability of the mirror image partner, while the term “achiral” refers to molecules which are superimposable on their mirror image partner.
- stereoisomers refers to compounds which have identical chemical constitution, but differ with regard to the arrangement of the atoms or groups in space.
- “Diastereomer” refers to a stereoisomer with two or more centers of chirality and whose molecules are not mirror images of one another. Diastereomers have different physical properties, e.g. melting points, boiling points, spectral properties, and reactivities. Mixtures of diastereomers may separate under high resolution analytical procedures such as electrophoresis and chromatography.
- Enantiomers refer to two stereoisomers of a compound which are non-superimposable mirror images of one another. Stereochemical definitions and conventions used herein generally follow S. P.
- the compounds described herein may contain asymmetric or chiral centers, and therefore exist in different stereoisomeric forms. It is intended that all stereoisomeric forms of the compounds described herein, including but not limited to, diastereomers, enantiomers and atropisomers, as well as mixtures thereof such as racemic mixtures, form part of the present disclosure.
- Many organic compounds exist in optically active forms, i.e., they have the ability to rotate the plane of plane-polarized light.
- the prefixes D and L, or R and S are used to denote the absolute configuration of the molecule about its chiral center(s).
- the prefixes d and l or (+) and (-) are employed to designate the sign of rotation of plane-polarized light by the compound, with (-) or 1 meaning that the compound is levorotatory.
- a compound prefixed with (+) or d is dextrorotatory.
- these stereoisomers are identical except that they are mirror images of one another.
- a specific stereoisomer may also be referred to as an enantiomer, and a mixture of such isomers is often called an enantiomeric mixture.
- a 50:50 mixture of enantiomers is referred to as a racemic mixture or a racemate, which may occur where there has been no stereoselection or stereospecificity in a chemical reaction or process.
- the terms “racemic mixture” and “racemate” refer to an equimolar mixture of two enantiomeric species, devoid of optical activity.
- Enantiomers may be separated from a racemic mixture by a chiral separation method, such as supercritical fluid chromatography (SFC). Assignment of configuration at chiral centers in separated enantiomers may be tentative, and depicted in Table 1 structures for illustrative purposes, while stereochemistry is definitively established, such as from x-ray crystallographic data.
- treat refers to any indicia of success in the treatment or amelioration of an injury, pathology, condition (e.g., cancer), or symptom (e.g., cognitive impairment), including any objective or subjective parameter such as abatement; remission; diminishing of symptoms or making the symptom, injury, pathology, or condition more tolerable to the patient; reduction in the rate of symptom progression; decreasing the frequency or duration of the symptom or condition; or, in some situations, preventing the onset of the symptom.
- the treatment or amelioration of symptoms can be based on any objective or subjective parameter, including, for example, the result of a physical examination.
- cancer refers to cells which exhibit autonomous, unregulated growth, such that the cells exhibit an aberrant growth phenotype characterized by a significant loss of control over cell proliferation.
- Cells of interest for detection, analysis, and/or treatment in the context of the present disclosure include cancer cells (e.g., cancer cells from an individual with cancer), malignant cancer cells, pre-metastatic cancer cells, metastatic cancer cells, and non-metastatic cancer cells. Cancers of virtually every tissue are known.
- cancer burden refers to the quantum of cancer cells or cancer volume in a subject. Reducing cancer burden accordingly refers to reducing the number of cancer cells or the cancer cell volume in a subject.
- cancer cell refers to any cell that is a cancer cell (e.g., from any of the cancers for which an individual can be treated, e.g., isolated from an individual having cancer) or is derived from a cancer cell, e.g., clone of a cancer cell.
- a cancer cell can be from an established cancer cell line, can be a primary cell isolated from an individual with cancer, can be a progeny cell from a primary cell isolated from an individual with cancer, and the like.
- the term can also refer to a portion of a cancer cell, such as a sub-cellular portion, a cell membrane portion, or a cell lysate of a cancer cell.
- cancers are known to those of skill in the art, including solid tumors such as carcinomas, sarcomas, glioblastomas, melanomas, lymphomas, and myelomas, and circulating cancers such as leukemias.
- solid tumors such as carcinomas, sarcomas, glioblastomas, melanomas, lymphomas, and myelomas
- circulating cancers such as leukemias.
- cancer includes any form of cancer, including but not limited to, solid tumor cancers (e.g., skin, lung, prostate, breast, gastric, bladder, colon, ovarian, pancreas, kidney, liver, glioblastoma, medulloblastoma, leiomyosarcoma, head & neck squamous cell carcinomas, melanomas, and neuroendocrine) and liquid cancers (e.g., hematological cancers); carcinomas; soft tissue tumors; sarcomas; teratomas; melanomas; leukemias; lymphomas; and brain cancers, including minimal residual disease, and including both primary and metastatic tumors.
- solid tumor cancers e.g., skin, lung, prostate, breast, gastric, bladder, colon, ovarian
- pancreas kidney, liver, glioblastoma, medulloblastoma, leiomyosarcoma, head & neck squamous cell carcinomas, melan
- phrases “effective amount” and “therapeutically effective amount” refer to a dose or amount of a therapeutic agent that produces therapeutic effects for which it is administered. The exact dose will depend on the purpose of the treatment, and will be ascertainable by one skilled in the art using known techniques (see, e.g., Lieberman, Pharmaceutical Dosage Forms (vols. 1-3, 1992); Lloyd, The Art, Science and Technology of Pharmaceutical Compounding (1999); Pickar, Dosage Calculations (1999); Goodman & Gilman’s The Pharmacological Basis of Therapeutics, 11 th Edition (McGraw-Hill, 2006); and Remington: The Science and Practice of Pharmacy, 22 nd Edition, (Pharmaceutical Press, London, 2012)).
- the therapeutically effective amount of the therapeutic agent may reduce the number of cancer cells; reduce the tumor size; inhibit (i.e., slow to some extent and preferably stop) cancer cell infiltration into peripheral organs; inhibit (i.e., slow to some extent and preferably stop) tumor metastasis; inhibit, to some extent, tumor growth; and/or relieve to some extent one or more of the symptoms associated with the cancer.
- the therapeutic agent may prevent growth and/or kill existing cancer cells, it may be cytostatic and/or cytotoxic.
- efficacy can, for example, be measured by assessing the time to disease progression (TTP) and/or determining the response rate (RR)
- TTP time to disease progression
- RR response rate
- Recipient “individual,” “subject,” “host,” and “patient” are used interchangeably and refer to any mammalian subject for whom diagnosis, treatment, or therapy is desired (e.g., humans).
- “Mammal” for purposes of treatment refers to any animal classified as a mammal, including humans, domestic and farm animals, and zoo, sports, or pet animals, such as dogs, horses, cats, cows, sheep, goats, pigs, camels, etc. In certain embodiments, the mammal is human.
- a "patient” or “individual” or “subject” is a mammal.
- Mammals include, but are not limited to, domesticated animals (e.g., cows, sheep, cats, dogs, and horses), primates (e.g., humans and non-human primates such as monkeys), rabbits, and rodents (e.g., mice and rats).
- the patient, individual, or subject is a human.
- the patient may be a "cancer patient,” i.e. one who is suffering or at risk for suffering from one or more symptoms of cancer.
- a "patient population” refers to a group of cancer patients.
- administering refers to parenteral, intravenous, intraperitoneal, intramuscular, intratumoral, intralesional, intranasal, or subcutaneous administration, oral administration, administration as a suppository, topical contact, intrathecal administration, or the implantation of a slow-release device, e.g., a mini-osmotic pump, to the subject.
- a slow-release device e.g., a mini-osmotic pump
- covalently bound or “covalently linked” refers to a chemical bond formed by sharing of one or more pairs of electrons.
- peptidomimetic or PM as used herein means a non-peptide chemical moiety as part of a linker. Whereas peptides are short chains (two or more) of amino acid monomers linked by peptide (amide) bonds, a peptidomimetic chemical moiety includes non-amino acid chemical moieties. A peptidomimetic chemical moiety may also include one or more amino acid that are separated by one or more non-amino acid chemical units. A peptidomimetic chemical moiety does not contain in any portion of its chemical structure two or more adjacent amino acids that are linked by peptide bonds.
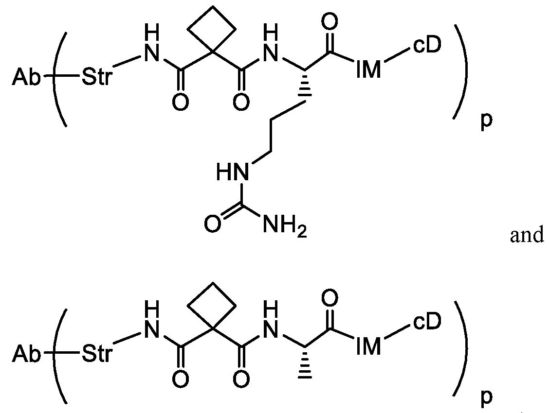
- the cereblon degrader antibody conjugate (cDAC) comprises at least one (p) cereblon degrader moiety (cD) covalently attached to an antibody (Ab) by an antibody linker (L 1 ).
- the cereblon degrader antibody conjugates (cDAC) induce target-specific degradation of tumor-associated proteins and bring specificity to minimize off-target toxicity effects.
- the cD forms a cereblon-based ternary complex between a target protein and the E3 ubiquitin ligase, cereblon.
- Exemplary embodiments of cDAC have a structure of Formula I: I or a pharmaceutically acceptable salt thereof, wherein: Ab is the antibody; L 1 is the antibody linker; cD is the cereblon degrader moiety; and p is an integer from 1 to 14.
- L 1 comprises an immolator moiety.
- L 1 is L 1 a- IM, wherein IM is an immolator moiety, and L 1 a is any remainder of the L 1 antibody linker.
- L 1 is an immolator moiety, IM.
- cD comprises a cereblon-binding, E3 ubiquitin ligase ligand, E3UL.
- cD is E3UL-cDa, wherein E3UL is the cereblon-binding, E3 ubiquitin ligase ligand of the cereblon degrader moiety, and cD a is any remainder of the cD.
- cD a is TPL ⁇ L 2 ⁇ , wherein TPL is a target protein ligand and L 2 is a degrader linker.
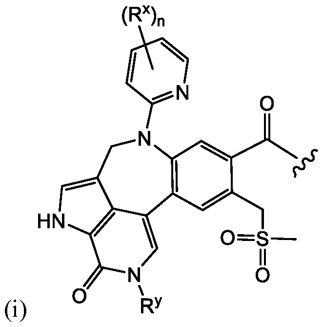
- TPL comprises a ligand that binds BRD4.
- Exemplary embodiments of cDAC have a structure of Formula I’: I’
- the cereblon degrader moiety (cD) of the cDAC is covalently linked through an aminal group to the antibody linker (L 1 ).
- L 1 comprises an immolator moiety, IM, selected from: , wherein * indicates the point of attachment to L 1 a, ** indicates the point of attachment to cDa, and the wavy line indicates the point of attachment to E3UL.
- Exemplary embodiments of cDAC have a structure of Formula I-A wherein Ab is an antibody; L 1a is an antibody linker; ring A is selected from C 6 -C 20 aryl, C 3 -C 20 carbocyclyl, C 3 -C 20 heterocyclyl, and C 3 -C 20 heteroaryl; the dashed line indicates an optional double bond; Z 1 is selected from C(R 1 ) 2 , CR 1 , N, and NR 1a , and Z 2 is selected from C(R 2 ) 2 , CR 2 , N, and NR 2a , wherein R 1 and R 2 are each independently selected from the group consisting of H, F, Cl, Br, I, ⁇ CN, C 1 ⁇ C 12 alkyl, C 2 ⁇ C 12 alkenyl, C 2 ⁇ C 12 alkynyl, (C 1 -C 6 alkyldiyl)-(C 6 -C 20 aryl), ⁇ (C 1 -C 6 alkyl
- Z 1 is CR 1
- Z 2 is CR 2
- R 1 and R 2 are each H.
- ring A is C 3 -C 20 heteroaryl.
- the antibody is a thiol-containing antibody.
- the thiol-containing antibody binds to a tumor-associated antigen or cell-surface receptor.
- the antibody is a cysteine-engineered antibody.
- the cysteine-engineered antibody comprising one or more cysteine mutation is selected from HC A118C, LC K149C, HC A140C, LC V205C, LC S121C, HC L174C, HC L 1 77C, and HC Y373C.
- L 1 a is a protease-cleavable, non-peptide linker.
- cDa is TPL ⁇ L 2 ⁇ , wherein TPL is a target protein ligand and L 2 is a degrader linker.
- TPL comprises a ligand that binds BRD4.
- AA is selected from H, ⁇ CH 3 , ⁇ CH 2 (C 6 H 5 ), ⁇ CH 2 CH 2 CH 2 CH 2 NH 2 , ⁇ CH 2 CH 2 CH 2 NHC(NH)NH 2 , ⁇ CH 2 CH(CH 3 ) 2 , and ⁇ CH 2 CH 2 CH 2 NHC(O)NH 2 .
- R 1 is C 5 alkylene.
- R 2 and R 3 together form a C4 cycloalkyl ring.
- AA is ⁇ CH 3 or ⁇ CH 2 CH 2 CH 2 NHC(O)NH 2 .
- R 1 is C 5 alkylene; R 2 and R 3 together form a C4 cycloalkyl ring; and AA is ⁇ CH 3 or ⁇ CH 2 CH 2 CH 2 NHC(O)NH 2 .
- cDa comprises (i) a target protein ligand covalently attached to a degrader linker, or (ii) a molecular glue moiety.
- cD a is TPL ⁇ L 2 ⁇ , wherein TPL is a target protein ligand and L 2 is a degrader linker.
- TPL comprises a ligand that binds BRD4.
- p is 1, 2, 3, 4, 5, or 6.
- Exemplary embodiments of cDAC have a structure of Formula I-B I-B wherein Ab is an antibody; L 1a is an antibody linker; ring A is selected from C 6 -C 20 aryl, C 3 -C 20 carbocyclyl, C 2 -C 20 heterocyclyl, and C 1 -C 20 heteroaryl; the dashed line indicates an optional double bond; Z 1 is selected from C(R 1 ) 2 , CR 1 , N, and NR 1a , and Z 2 is selected from C(R 2 ) 2 , CR 2 , N, and NR 2a , wherein R 1 and R 2 are each independently selected from the group consisting of H, F, Cl, Br, I, ⁇ CN, C 1 ⁇ C 12 alkyl, C 2 ⁇ C 12 alkenyl, C 2 ⁇ C 12 alkynyl, (C 1 -C 6 alkyldiyl)-(C 6 -C 20 aryl), ⁇ (C 1 -C 6
- Z 1 is CR 1
- Z 2 is CR 2
- R 1 and R 2 are each H.
- ring A is C 3 -C 20 heteroaryl.
- cDa is TPL ⁇ L 2 ⁇ , wherein TPL is a target protein ligand andL 2 is a degrader linker.
- TPL comprises a ligand that binds BRD4.
- the antibody is a thiol-containing antibody.
- the thiol-containing antibody binds to a tumor-associated antigen or cell-surface receptor.
- the antibody is a cysteine-engineered antibody.
- the cysteine-engineered antibody has a cysteine mutation site selected from one or more of HC A118C, LC K149C, HC A140C, LC V205C, LC S121C, HC L174C, HC L 1 77C, and HC Y373C.
- L 1a is a protease-cleavable, non-peptide linker.
- AA is selected from H, ⁇ CH 3 , ⁇ CH 2 (C 6 H 5 ), ⁇ CH 2 CH 2 CH 2 CH 2 NH 2 , ⁇ CH 2 CH 2 CH 2 NHC(NH)NH 2 , ⁇ CH 2 CH(CH 3 ) 2 , and ⁇ CH 2 CH 2 CH 2 NHC(O)NH 2 .
- R 1 is C 5 alkylene.
- R 2 and R 3 together form a C 4 cycloalkyl ring.
- AA is ⁇ CH 3 or ⁇ CH 2 CH 2 CH 2 NHC(O)NH 2 .
- R 1 is C 5 alkylene; R 2 and R 3 together form a C 4 cycloalkyl ring; and AA is ⁇ CH 3 or ⁇ CH 2 CH 2 CH 2 NHC(O)NH 2 .
- cDa comprises (i) a target protein ligand covalently attached to a degrader linker, or (ii) a molecular glue moiety.
- cDa is TPL ⁇ L 2 ⁇ , wherein TPL is a target protein ligand and L 2 is a degrader linker.
- TPL comprises a ligand that binds BRD4.
- p is 1, 2, 3, 4, 5, or 6.
- L 1 is an immolator moiety, IM.
- exemplary embodiments of cDAC have a structure of Formula I”:
- IM is: , wherein * indicates the point of attachment to Ab, ** indicates the point of attachment to cD a , and the wavy line indicates the point of attachment to E3UL.
- R 4a , R 4b , R 5a , and R 5a are independently selected from H and C 1 -C 6 alkyl, or R 4a and R 4b together with the carbon atom to which they are bound form a three-, four-, or five-membered cycloalkyl or heterocyclyl, optionally substituted with F, Cl, and C 1 -C 6 alkyl, wherein C 1 -C 6 alkyl is independently and optionally substituted with one or more groups selected from F, Cl, ⁇ CN, ⁇ NH 2 , ⁇ CH 2 NH 2 , ⁇ OH, ⁇ OCH 3 , ⁇ OCH 2 CH 3 , ⁇ OCH 2 CH 2 OCH 3 , ⁇ OCH 2 CH 2 OH, ⁇ OCH 2 CH 2 N(CH 3 ) 2 , ⁇ OCH 2 F, ⁇ OCHF 2 , ⁇ OCF 3 , ⁇ OP(O)(OH) 2 , ⁇ S(O) 2 N(CH
- Exemplary embodiments of cDAC have a structure of Formula I-C wherein Ab is an antibody; R 4a , R 4b , R 5a , and R 5a are each independently selected from H and C 1 -C 6 alkyl, or R 4a and R 4b together with the carbon atom to which they are bound form a three-, four-, or five- membered cycloalkyl or heterocyclyl, optionally substituted with F, Cl, and C 1 -C 6 alkyl, where C 1 -C 6 alkyl is independently and optionally substituted with one or more groups selected from F, Cl, ⁇ CN, ⁇ NH 2 , ⁇ CH 2 NH 2 , ⁇ OH, ⁇ OCH 3 , ⁇ OCH 2 CH 3 , ⁇ OCH 2 CH 2 OCH 3 , ⁇ OCH 2 CH 2 OH, ⁇ OCH 2 CH 2 N(CH 3 ) 2 , ⁇ OCH 2 F, ⁇ OCHF 2 , ⁇ OCF 3 , ⁇
- the sulfur is conjugated to a cysteine thiol of Ab to form a disulfide linkage.
- Z 1 is CR 1
- Z 2 is CR 2
- R 1 and R 2 are each H.
- ring A is C 3 -C 20 heteroaryl.
- cD a is TPL ⁇ L 2 ⁇ , wherein TPL is a target protein ligand and L 2 is a degrader linker.
- TPL comprises a ligand that binds BRD4.
- the cDAC of Formula I-C includes the structure of Formula I-C’ wherein Ab is an antibody; R 4a , R 4b , R 5a , and R 5a are each independently selected from H and C 1 -C 6 alkyl, or R 4a and R 4b together with the carbon atom to which they are bound form a three-, four-, or five- membered cycloalkyl or heterocyclyl, optionally substituted with F, Cl, and C 1 -C 6 alkyl, where C 1 -C 6 alkyl is independently and optionally substituted with one or more groups selected from F, Cl, ⁇ CN, ⁇ NH 2 , ⁇ CH 2 NH 2 , ⁇ OH, ⁇ OCH 3 , ⁇ OCH 2 CH 3 , ⁇ OCH 2 CH 2 OCH 3 , ⁇ OCH 2 CH 2 OH, ⁇ OCH 2 CH 2 N(CH 3 ) 2 , ⁇ OCH 2 F, ⁇ OCHF 2 , ⁇ OCF
- the antibody is a thiol-containing antibody. In some embodiments, the thiol-containing antibody binds to a tumor-associated antigen or cell-surface receptor. In some embodiments, the antibody is a cysteine-engineered antibody. In some embodiments, the cysteine-engineered antibody comprises one or more cysteine mutations selected from HC A118C, LC K149C, HC A140C, LC V205C, LC S121C, HC L174C, HC L 1 77C, and HC Y373C. In some embodiments, cD a comprises (i) a target protein ligand covalently attached to a degrader linker, or (ii) a molecular glue moiety.
- cD a is TPL ⁇ L 2 ⁇ , wherein TPL is a target protein ligand and L 2 is a degrader linker.
- TPL comprises a ligand that binds BRD4.
- p is 1, 2, 3, 4, 5, or 6.
- CEREBLON DEGRADER-LINKER INTERMEDIATES A cereblon degrader-linker intermediate (cDLI) is a reagent for the process of making a cereblon degrader antibody conjugate (cDAC) by conjugation with a thiol-containing antibody.
- the cereblon degrader-linker intermediate has a thiol-reactive functional group (X).
- a cereblon degrader-linker intermediate has the structure of Formula II: wherein: X is a thiol-reactive group covalently attached to L 3 ; L 3 is a linker covalently attached to X and cD; and cD is a cereblon degrader moiety covalently attached to L 3 .
- cD may be a heterobifunctional bivalent cereblon degrader moiety or a molecular glue cereblon degrader moiety.
- L 3 comprises an immolator moiety.
- L 3 is L 3a - IM, wherein IM is an immolator moiety, and L 3a is any remainder of the L 3 linker. In embodiments, L 3 is an immolator moiety, IM.
- cD comprises a cereblon-binding, E3 ubiquitin ligase ligand, E3UL. In some embodiments, cD is E3UL-cDa, wherein E3UL is the cereblon-binding, E3 ubiquitin ligase ligand of the cereblon degrader moiety, cD, and cD a is any remainder of the cD.
- cDa is TPL ⁇ L 2 ⁇ , wherein TPL is a target protein ligand and L 2 is a degrader linker.
- TPL comprises a ligand that binds BRD4.
- Exemplary embodiments of cDLI have a structure of Formula II’:
- the cereblon degrader moiety (cD) of the cDLI is linked through an aminal group to the antibody linker (L 3 ).
- L 3 comprises an immolator moiety, IM, selected from: , wherein * indicates the point of attachment to any remainder of the L 3 linker, L 3a , ** indicates the point of attachment to cD a , and the wavy line indicates the point of attachment to E3UL.
- IM immolator moiety
- Exemplary embodiments of cDLI have a structure of Formula II-A II-A wherein X is a thiol-reactive group; L 3a is a linker; ring A is selected from C 6 -C 20 aryl, C 3 -C 20 carbocyclyl, C 3 -C 20 heterocyclyl, and C 3 -C 20 heteroaryl; the dashed line indicates an optional double bond; Z 1 is selected from C(R 1 ) 2 , CR 1 , N, and NR 1a , and Z 2 is selected from C(R 2 ) 2 , CR 2 , N, and NR 2a , wherein R 1 and R 2 are each independently selected from the group consisting of H, F, Cl, Br, I, ⁇ CN, C 1 ⁇ C 12 alkyl, C 2 ⁇ C 12 alkenyl, C 2 ⁇ C 12 alkynyl, (C 1 -C 6 alkyldiyl)-(C 6 -C 20 aryl
- Z 1 is CR 1
- Z 2 is CR 2
- R 1 and R 2 are each H.
- ring A is C 3 -C 20 heteroaryl.
- cDa is TPL ⁇ L 2 ⁇ , wherein TPL is a target protein ligand and L 2 is a degrader linker.
- TPL comprises a ligand that binds BRD4.
- AA is selected from H, ⁇ CH 3 , ⁇ CH 2 (C 6 H 5 ), ⁇ CH 2 CH 2 CH 2 CH 2 NH 2 , ⁇ CH 2 CH 2 CH 2 NHC(NH)NH 2 , ⁇ CH 2 CH(CH 3 ) 2 , and ⁇ CH 2 CH 2 CH 2 NHC(O)NH 2 .
- R 1 is C 5 alkylene.
- R 2 and R 3 together form a C 4 cycloalkyl ring.
- AA is ⁇ CH 3 or ⁇ CH 2 CH 2 CH 2 NHC(O)NH 2 .
- R 1 is C 5 alkylene; R 2 and R 3 together form a C 4 cycloalkyl ring; and AA is ⁇ CH 3 or ⁇ CH 2 CH 2 CH 2 NHC(O)NH 2 .
- cDa comprises (i) a target protein ligand covalently attached to a degrader linker, or (ii) a molecular glue moiety.
- cDa is TPL ⁇ L 2 ⁇ , wherein TPL is a target protein ligand and L 2 is a degrader linker.
- TPL comprises a ligand that binds BRD4.
- Exemplary embodiments of cDLI have a structure of Formula II-B wherein X is a thiol-reactive group; L 3a is a linker; ring A is selected from C 6 -C 20 aryl, C 3 -C 20 carbocyclyl, C 2 -C 20 heterocyclyl, and C 1 -C 20 heteroaryl; the dashed line indicates an optional double bond; Z 1 is selected from C(R 1 ) 2 , CR 1 , N, and NR 1a , and Z 2 is selected from C(R 2 ) 2 , CR 2 , N, and NR 2a , wherein R 1 and R 2 are each independently selected from the group consisting of H, F, Cl, Br, I, ⁇ CN, C 1 ⁇ C 12 alkyl, C 2 ⁇ C 12 alkenyl, C 2 ⁇ C 12 alkynyl, (C 1 -C 6 alkyldiyl)-(C 6 -C 20 aryl), ⁇
- Z 1 is CR 1
- Z 2 is CR 2
- R 1 and R 2 are each H.
- ring A is C 3 -C 20 heteroaryl.
- cDa is TPL ⁇ L 2 ⁇ , wherein TPL is a target protein ligand and L 2 is a degrader linker.
- TPL comprises a ligand that binds BRD4.
- the cDLI of Formula II-B includes the structure of Formula II-B’
- X is a thiol-reactive group
- L 3a is a linker
- L 3a is a protease-cleavable, non-peptide linker.
- AA is selected from H, ⁇ CH 3 , ⁇ CH 2 (C 6 H 5 ), ⁇ CH 2 CH 2 CH 2 CH 2 NH 2 , ⁇ CH 2 CH 2 CH 2 NHC(NH)NH 2 , ⁇ CH 2 CH(CH 3 ) 2 , and ⁇ CH 2 CH 2 CH 2 NHC(O)NH 2 .
- R 1 is C 5 alkylene.
- R 2 and R 3 together form a C4 cycloalkyl ring.
- AA is ⁇ CH 3 or ⁇ CH 2 CH 2 CH 2 NHC(O)NH 2 .
- R 1 is C 5 alkylene; R 2 and R 3 together form a C4 cycloalkyl ring; and AA is ⁇ CH 3 or ⁇ CH 2 CH 2 CH 2 NHC(O)NH 2 .
- cDa comprises (i) a target protein ligand covalently attached to a degrader linker, or (ii) a molecular glue moiety.
- cD a is TPL ⁇ L 2 ⁇ , wherein TPL is a target protein ligand and L 2 is a degrader linker.
- TPL comprises a ligand that binds BRD4.
- X-IM comprises , wherein ** indicates the point of attachment to cDa, and the wavy line indicates the point of attachment to E3UL.
- R 4a , R 4b , R 5a , and R 5a are independently selected from H and C 1 -C 6 alkyl, or R 4a and R 4b together with the carbon atom to which they are bound form a three-, four-, or five-membered cycloalkyl or heterocyclyl, optionally substituted with F, Cl, and C 1 -C 6 alkyl, wherein C 1 -C 6 alkyl is independently and optionally substituted with one or more groups selected from F, Cl, ⁇ CN, ⁇ NH 2 , ⁇ CH 2 NH 2 , ⁇ OH, ⁇ OCH 3 , ⁇ OCH 2 CH 3 , ⁇ OCH 2 CH 2 OCH 3 , ⁇ OCH 2 CH 2 OH,
- Exemplary embodiments of cDLI have a structure of Formula II-C II-C wherein R 4a , R 4b , R 5a , and R 5a are each independently selected from H and C 1 -C 6 alkyl, or R 4a and R 4b together with the carbon atom to which they are bound form a three-, four-, or five- membered cycloalkyl or heterocyclyl, optionally substituted with F, Cl, and C 1 -C 6 alkyl, where C 1 -C 6 alkyl is independently and optionally substituted with one or more groups selected from F, Cl, ⁇ CN, ⁇ NH 2 , ⁇ CH 2 NH 2 , ⁇ OH, ⁇ OCH 3 , ⁇ OCH 2 CH 3 , ⁇ OCH 2 CH 2 OCH 3 , ⁇ OCH 2 CH 2 OH, ⁇ OCH 2 CH 2 N(CH 3 ) 2 , ⁇ OCH 2 F, ⁇ OCHF 2 , ⁇ OCF 3 , ⁇ OP
- Z 1 is CR 1
- Z 2 is CR 2
- R 1 and R 2 are each H.
- ring A is C 3 -C 20 heteroaryl.
- cDa is TPL ⁇ L 2 ⁇ , wherein TPL is a target protein ligand and L 2 is a degrader linker.
- TPL comprises a ligand that binds BRD4.
- the cDLI of Formula II-C includes the structure of Formula II-C’ wherein R 4a , R 4b , R 5a , and R 5a are each independently selected from H and C 1 -C 6 alkyl, or R 4a and R 4b together with the carbon atom to which they are bound form a three-, four-, or five- membered cycloalkyl or heterocyclyl, optionally substituted with F, Cl, and C 1 -C 6 alkyl, where C 1 -C 6 alkyl is independently and optionally substituted with one or more groups selected from F, Cl, ⁇ CN, ⁇ NH 2 , ⁇ CH 2 NH 2 , ⁇ OH, ⁇ OCH 3 , ⁇ OCH 2 CH 3 , ⁇ OCH 2 CH 2 OCH 3 , ⁇ OCH 2 CH 2 OH, ⁇ OCH 2 CH 2 N(CH 3 ) 2 , ⁇ OCH 2 F, ⁇ OCHF 2 , ⁇ OCF 3 ,
- cDa comprises (i) a target protein ligand covalently attached to a degrader linker, or (ii) a molecular glue moiety.
- cDa is TPL ⁇ L 2 ⁇ , wherein TPL is a target protein ligand and L 2 is a degrader linker.
- TPL comprises a ligand that binds BRD4.
- CEREBLON-BINDING, E3 UBIQUITIN LIGASE LIGANDS The cereblon-binding, E3 ubiquitin ligase ligand (E3UL) is a moiety that binds to cereblon in the E3 ubiquitin ligase complex.
- the E3UL comprises a glutarimide group.
- the cereblon degrader moiety (cD) of an antibody conjugate (cDAC) has a structure selected from the formulae: wherein the wavy line indicates the point of attachment to the antibody linker L 1 of Formula I or the linker L 3 of Formula II, and the dashed line indicates an optional double bond; Z 1 is selected from C(R 1 ) 2 , CR 1 , N, and NR 1a ; Z 2 is selected from C(R 2 ) 2 , CR 2 , N, and NR 2a ; R is selected from H and C 1 -C 6 alkyl; R 1 and R 2 are independently selected from the group consisting of H, F, Cl, Br, I, ⁇ CN, C 1 ⁇ C 12 alkyl, C 2 ⁇ C 12 alkenyl, C 2 ⁇ C 12 alkynyl, (C 1 -C 6 alkyldiyl)-(C 6 -C 20
- Z 1 and Z 2 are each CR 1 , and R 1 and R 2 are each H. In some embodiments, R is H. In some embodiments, A is C 6 -C 20 aryl. In some embodiments, Z 1 and Z 2 are each CR 1 , wherein R 1 and R 2 are each H; R is H; and A is C 6 -C 20 aryl.
- ANTIBODY LINKERS The antibody linker (L 1 ) is a bifunctional linker that covalently attaches the antibody (Ab) to the cereblon degrader moiety (cD).
- the disclosed antibody linkers provide stability of the cDAC in the bloodstream and while allowing efficient cleavage upon internalization into targeted cells.
- the specific design of the antibody linker influence aspects of cDAC pharmacology including drug stability into circulation, tumor cell permeability, drug-to-antibody ratio (DAR) i.e. the number of payload molecules carried by each antibody), and extent of the bystander effect.
- the disclosed antibody linkers may comprise a cleavable non-peptidic peptidomimetic unit (PM).
- the PM may be a substrate for lysosomal proteases although not containing a peptide (WO 2015/095227; WO 2015/095124; WO 2015/095223).
- the cyclobutane-1,1-dicarboxamide-containing peptidomimetic linker is hydrolyzed predominantly by cathepsin B while the valine ⁇ citrulline dipeptide linker is not.
- Antibody-drug conjugates bearing the PM linker may be as efficacious and stable in vivo as those with a dipeptide linker (Wei et al, (2016) J. Med. Chem.61:989-1000).
- L 1 is a protease-cleavable, non-peptide linker having the formula: wherein Str is a stretcher unit covalently attached to the antibody; PM is a peptidomimetic unit, and IM is an immolator unit covalently attached to the cereblon degrader moiety.
- Str is selected from the following: wherein * indicates the point of attachment to a cysteine thiol of the antibody.
- the C 1 -C 12 alkylene is C 1 -C 5 alkylene.
- R 1 is (CH 2 ) 5 or C 5 alkylene.
- PM has the formula: where R 2 and R 3 together form a C 3 -C 7 cycloalkyl ring optionally substituted with one or more groups selected from F, Cl, ⁇ CN, ⁇ NH 2 , ⁇ CH 2 NH 2 , ⁇ OH, ⁇ OCH 3 , ⁇ OCH 2 CH 3 , ⁇ OCH 2 CH 2 OCH 3 , ⁇ OCH 2 CH 2 OH, ⁇ OCH 2 CH 2 N(CH 3 ) 2 , ⁇ OCH 2 F, ⁇ OCHF 2 , ⁇ OCF 3 , ⁇ OP(O)(OH) 2 , ⁇ S(O) 2 N(CH 3 ) 2 , ⁇ SCH 3 , ⁇ S(O) 2 CH 3 , and ⁇ S(O) 3 H, and AA is a side chain of an amino acid selected from the group consisting of alanine, arginine, asparagine, aspartic acid, cysteine, glutamic acid, glutamine, and ⁇ S(
- AA is selected from H, ⁇ CH 3 , ⁇ CH 2 (C 6 H 5 ), ⁇ CH 2 CH 2 CH 2 CH 2 NH 2 , ⁇ CH 2 CH 2 CH 2 NHC(NH)NH 2 , ⁇ CH 2 CH(CH 3 ) 2 , and ⁇ CH 2 CH 2 CH 2 NHC(O)NH 2 .
- R 2 and R 3 together form a C4 cycloalkyl ring; and AA is ⁇ CH 3 .
- R 2 and R 3 together form a C4 cycloalkyl ring; and AA is ⁇ CH 2 CH 2 CH 2 NHC(O)NH 2 .
- Formula I comprises an immolator moiety selected from: wherein * indicates the point of attachment to the remainder of L 1 , and the wavy line indicates point of attachment to cD;
- R 4a , R 4b , R 5a , and R 5a are independently selected from H and C 1 -C 6 alkyl, or R 4a and R 4b together with the carbon atom to which they are bound form a three-, four-, or five-membered cycloalkyl or heterocyclyl, optionally substituted with F, Cl, and C 1 -C 6 alkyl; and C 1 -C 6 alkyl is independently and optionally substituted with one or more groups selected from F, Cl, ⁇ CN, ⁇ NH 2 , ⁇ CH 2 NH 2 , ⁇ OH, ⁇ OCH 3 , ⁇ OCH 2 CH 3 , ⁇ OCH 2 CH 2 OCH 3 , ⁇ OCH 2 CH 2 OH, ⁇ OCH 2 CH 2 N(CH 3 ) 2 ,
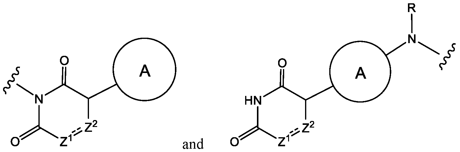
- the cereblon degrader moiety (cD) of the cDAC is linked through an aminal group of the nitrogen atom of the glutarimide group of the cD to the antibody linker (L 1 ).
- the IM ⁇ cD of an antibody conjugate (cDAC) comprises a structure selected from: wherein the wavy line indicates the point of attachment to the the remainder of the linker, L 1 , of a heterobifunctional cD of Formula I or the remainder of the linker, L 3 , of a molecular glue cD of Formula II.
- Z 1 and Z 2 are each CR 1
- R 1 and R 2 are each H.
- R is H.
- A is C 6 -C 20 aryl.
- Z 1 and Z 2 are each CR 1 , wherein R 1 and R 2 are each H; R is H; and A is C 6 -C 20 aryl.
- IM comprises a group selected from 4-aminobenzyl, 4- aminobenzyloxycarbonyl, and (4-aminobenzyl)methylcarbamate.
- L 1 forms a disulfide linkage with a cysteine thiol of the antibody.
- Formula I is selected from the formulae: ,
- L 1 is a linker having the formula: wherein R 4a and R 4b are each independently selected from H and C 1 -C 6 alkyl, or R 4a and R 4b , together with the carbon atom to which they are bound, form a three-, four-, or five-membered cycloalkyl or heterocyclyl, optionally substituted with F, Cl, and C 1 -C 6 alkyl, where C 1 -C 6 alkyl is independently and optionally substituted with one or more groups selected from F, Cl, ⁇ CN, ⁇ OH, ⁇ OCH 3 , ⁇ OCH 2 CH 3 , ⁇ OCH 2 CH 2 OCH 3 , ⁇ OCH 2 CH 2 OH, ⁇ OCH 2 CH 2 N(CH 3 ) 2 , ⁇ OCH 2 F, ⁇ OCHF 2 , ⁇ OCF 3 , ⁇ OP(O)(OH) 2 , ⁇ S(O) 2 N(CH 3 ) 2 , ⁇ OP(O)(
- L 1 is selected from the formulae: wherein R 4a , R 4b , R 5a , and R 5a are each independently selected from H and C 1 -C 6 alkyl, or R 4a and R 4b , together with the carbon atom to which they are bound, form a three-, four-, or five- membered cycloalkyl or heterocyclyl, optionally substituted with F, Cl, and C 1 -C 6 alkyl, where C 1 -C 6 alkyl is independently and optionally substituted with one or more groups selected from F, Cl, ⁇ CN, ⁇ OH, ⁇ OCH 3 , ⁇ OCH 2 CH 3 , ⁇ OCH 2 CH 2 OCH 3 , ⁇ OCH 2 CH 2 OH, ⁇ OCH 2 CH 2 N(CH 3 ) 2 , ⁇ OCH 2 F, ⁇ OCHF 2 , ⁇ OCF 3 , ⁇ OP(O)(OH) 2 , ⁇ S(O) 2 N(CH 3
- R 4a and R 4b are each ⁇ CH 3 .
- R 5a and R 5b are each H.
- R 6 is H.
- R 4a and R 4b are each ⁇ CH 3
- R 5a and R 5b are each H
- R 6 is H.
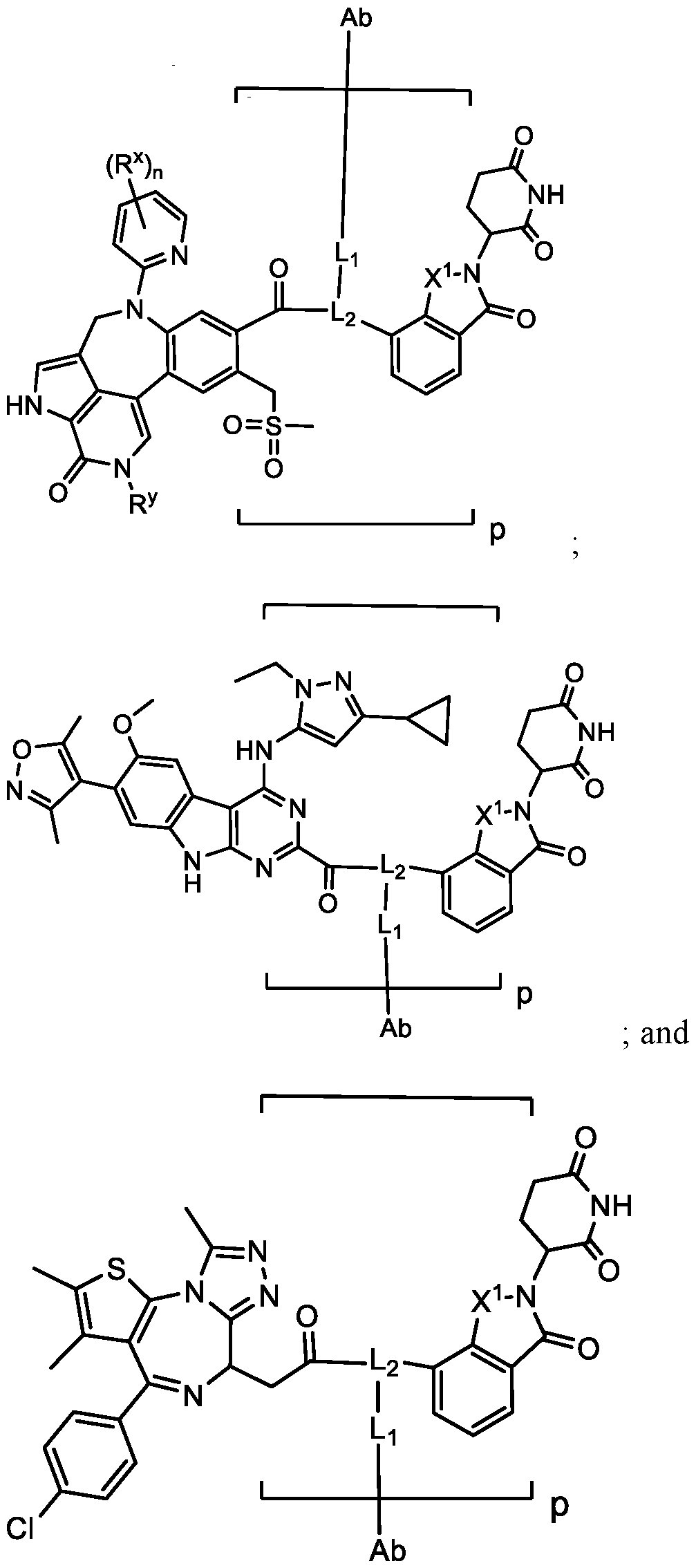
- CEREBLON DEGRADER MOIETIES the cD is a bivalent heterobifunctional cD or a molecular glue cD.
- the cereblon degrader moiety has the formula: E3UL ⁇ cD a wherein E3UL is the cereblon-binding, E3 ubiquitin ligase ligand; cDa is a molecular glue moiety; or cD a is TPL ⁇ L 2 ⁇ , wherein TPL is the target protein ligand, and L 2 is the degrader linker.
- cD comprises a cereblon-binding, E3 ubiquitin ligase ligand (E3UL) covalently attached to a target protein ligand (TPL) by a degrader linker (L 2 ) to form a bivalent heterobifunctional cD.
- E3UL E3 ubiquitin ligase ligand
- TPL target protein ligand
- L 2 degrader linker
- the cereblon degrader moiety has the formula: TPL ⁇ L 2 ⁇ E3UL wherein: TPL is a target protein ligand; E3UL is the cereblon-binding, E3 ubiquitin ligase ligand; L 2 is a degrader linker; and one of TPL, E3UL and L 2 is attached to L 1 .
- TARGET PROTEIN LIGANDS A target-protein ligand (TPL) is a moiety that binds to a protein of interest to be tagged and degraded by the E3 ubiquitin ligase/proteasome system.
- the TPL is covalently attached to the cereblon-binding, E3 ubiquitin ligase ligand by the degrader linker.
- An exemplary target protein of the cereblon degrader antibody conjugate (cDAC) is BRD4.
- BRD4 is a member of the bromodomain and extra terminal domain (BET) family and is an attractive target in a variety of pathological situations, particularly cancer including solid tumors and hematological malignancies.
- Prostate and AML (acute myeloid leukemia) cell lines show sensitivity to inhibition of BRD4 (S.E. Lochrin, et al (2014) Canc. Biol. Ther.15 (12):1583-1585).
- exemplary target proteins of the cereblon degrader antibody conjugate include but are not limited to GSPT1, BET, BRM (SMARCA2), KRAS, and SHP2 (Wang, C. et al (2021) Eur J Med Chem.225:113749).
- a TPL has the structure of the formula: wherein R x is selected from F, Cl, and Br; and n is 0, 1, 2 or 3; R y is selected from H and C 1 -C 6 alkyl; and the wavy line indicates the point of attachment to L 2 .
- a TPL has the structure: where the wavy line indicates the point of attachment to L 2 .
- a TPL has the structure: where the wavy line indicates the point of attachment to L 2 .
- An exemplary target protein of the cereblon degrader antibody conjugate (cDAC) is GSPT1 (G1 To S phase transition protein 1 homologue), a translation termination factor (Huber, A. et al (2022) ACS Med. Chem. Lett., 13:1311 ⁇ 1320; Powell, C.E. et al (2020) ACS Chem. Biol.15:2722 ⁇ 2730; Matyskiela, M.E. (2016) Nature 535(7611):252-257).
- GSPT1 is upregulated in many cancers, particularly hematopoietic malignancies, and acute leukemia cells have been shown to be highly sensitive to GSPT1 degradation. GSPT1 is therefore a potential drug target for future chemotherapies (Matyskiela, M. E. et al, (2016) Nature 535 (7611), 252 ⁇ 7; Surka, C.; et al, (2021) Blood 137(5) 661 ⁇ 677; Takwale, A.D. et al (2022) Bioorganic Chemistry 127:105923; Hansen JD, et al (2021) J Med Chem.64(4):1835-1843).
- the degrader linker (L 2 ) is any suitable bifunctional or trifunctional linker unit that covalently attaches to the target protein ligand (TPL) and the cereblon-binding, E3 ubiquitin ligase ligand (E3UL).
- the degrader linker may be covalently attached to the antibody linker L 1 to form the cereblon degrader antibody conjugate (cDAC).
- cereblon degrader moiety (cD) of an antibody conjugate (cDAC) is a molecular glue cereblon degrader moiety.
- the molecular glue cereblon degrader moiety (cD) comprises an E3UL covalently attached to a molecular glue moiety (cD a ) to form a molecular glue cD.
- the molecular glue cD comprises a structure selected from the formulae: wherein the wavy line indicates the point of attachment to the antibody linker L 1 of Formula I or the linker L 3 of Formula II; cD a is a molecular glue moiety; the dashed line indicates an optional double bond; Z 1 is selected from C(R 1 ) 2 , CR 1 , N, and NR 1a ; Z 2 is selected from C(R 2 ) 2 , CR 2 , N, and NR 2a ; R 1 and R 2 are independently selected from the group consisting of H, F, Cl, Br, I, ⁇ CN, C 1 ⁇ C 12 alkyl, C 2 ⁇ C 12 alkenyl, C 2 ⁇ C 12 alkynyl, (C 1 -C 6 alkyldiyl)-(C 6 -C 20 aryl), ⁇ (C 1 -C 6 alkyldiyl) ⁇ NR a R b , ⁇ (C
- Z 1 and Z 2 are each CR 1 , and R 1 and R 2 are each H. In some embodiments, R is H. In some embodiments, A is C 6 -C 20 aryl. In some embodiments, Z 1 and Z 2 are each CR 1 , wherein R 1 and R 2 are each H; R is H; and A is C 6 -C 20 aryl.
- CEREBLON DEGRADER-LINKER INTERMEDIATES A cereblon degrader-linker intermediate (cDLI) is a reagent for the process of making a cereblon degrader antibody conjugate (cDAC) by conjugation with a thiol-containing antibody.
- the cereblon degrader-linker intermediate has a thiol-reactive functional group (X).
- the thiol- reactive functional group (X) is covalently attached to the cereblon degrader moiety (cD) by a linker (L 3 ).
- a cereblon degrader-linker intermediate has the structure of Formula II: X ⁇ L 3 ⁇ cD II wherein: X is a thiol-reactive group; L 3 is a linker selected from: (i) a protease-cleavable, non-peptide linker having the formula: ⁇ Str ⁇ PM ⁇ Y ⁇ wherein Str is a stretcher unit covalently attached to X, PM is a peptidomimetic unit, and Y is a spacer unit covalently attached to cD; (ii) a disulfide linker selected from the formulae: (iii) a linker having the formula: wherein * indicates the point of attachment to X, R 4a , R 4b , R 5a , and R 5a are independently selected from H and C 1 -C 6 alkyl, or R 4a and R 4b together with the carbon atom to which they are bound form a three-, four-, or five-membered cycl
- the attachment of L 3 to cD comprises a carbamate ( ⁇ OC(O)NH ⁇ ) or methylcarbamate ( ⁇ OC(O)NHCH 2 ⁇ ) group.
- X is selected from a group consisting of maleimide, bromoacetamide, toluenesulfonyl sulfide, and 2-pyridyldisulfide where the pyridyl is optionally substituted with one or two nitro groups.
- the cereblon degrader-linker intermediate has the formula: wherein IM comprises a group selected from 4-aminobenzyl, 4- aminobenzyloxycarbonyl, and (4-aminobenzyl)methylcarbamate, and AA is a side chain of an amino acid selected from the group consisting of alanine, arginine, asparagine, aspartic acid, cysteine, glutamic acid, glutamine, glycine, histidine, isoleucine, leucine, lysine, methionine, phenylalanine, proline, serine, threonine, tryptophan, tyrosine, valine, and citrulline.
- IM comprises a group selected from 4-aminobenzyl, 4- aminobenzyloxycarbonyl, and (4-aminobenzyl)methylcarbamate
- AA is a side chain of an amino acid selected from the group consisting of alanine, arginine, asparagine, as
- AA is selected from H, ⁇ CH 3 , ⁇ CH 2 (C 6 H 5 ), ⁇ CH 2 CH 2 CH 2 CH 2 NH 2 , ⁇ CH 2 CH 2 CH 2 NHC(NH)NH 2 , ⁇ CH 2 CH(CH 3 ) 2 , and ⁇ CH 2 CH 2 CH 2 NHC(O)NH 2 .
- AA is ⁇ CH 3 or ⁇ CH 2 CH 2 CH 2 NHC(O)NH 2 .
- the cereblon degrader-linker intermediate includes the formula: wherein L 3 is a protease-cleavable, non-peptide linker having the formula: ⁇ Str ⁇ PM ⁇ IM ⁇ wherein Str is a stretcher unit covalently attached to X, PM is a peptidomimetic unit, and IM is an immolator unit covalently attached to cD and has the formula: where the wavy line is the attachment to PM.
- the cereblon degrader-linker intermediate includes the formula: wherein L 3 is a protease-cleavable, non-peptide linker having the formula: ⁇ Str ⁇ PM ⁇ IM ⁇ wherein Str is a stretcher unit covalently attached to X, PM is a peptidomimetic unit, and IM is an immolator unit covalently attached to L 2 of cD and has the formula: where the wavy line is the attachment to PM.
- Certain cDLI in Table 2 were prepared which did not possess the necessary properties of stability, cleavage efficiency, and conjugation efficiency with antibodies.
- the sulfonyl-thio cDLI-1 compound failed to react with an antibody under conditions described in Example 102, including pH 8.5 with 3 and 10 equivalents for 3 hours and overnight.
- Analysis by mass spectrometry (LC/MS) showed none of the expected conjugate product cDAC, opening of the glutarimide ring, addition of water (+18 mass units), and addition of Tris buffer to the glutarimide ring.
- the carbamate functional group formed by the glutarimide nitrogen in cDLI-1 is too unstable under these conditions for conjugation.
- Sulfenamide cDLI-2 and bromo-lenalidomide cDLI-3 compounds did not conjugate to antibodies.
- the nitro group of para-nitrobenzyloxymethyl lenalidomide cDLI-7 was reduced to amine in a model study. No cleavage of the para-aminobenzyloxy group was observed by the appearance of lenalidomide was detected.
- the disulfide group of para-nitropyridyl disulfidemethyl lenalidomide cDLI-8 was reduced in a model study. No cleavage of the disulfide group was observed by the appearance of lenalidomide was detected.
- Sulfonyl-thio cDLI-9 with and without methyl adjacent to the glutarimide nitrogen, cleaved to release detectable lenalidomide but was not stable, generating hydrolysis products.
- the cereblon degrader-linker intermediate includes TPL selected from the formulae: wherein R x is selected from F, Cl, and Br, and n is 0, 1, 2 or 3; R y is selected from H and C 1 -C 6 alkyl; ( where the wavy lines indicate the point of attachment of L 2 .
- Exemplary cereblon degrader-linker intermediates (cDLI) are selected from:
- the cereblon degrader-linker intermediates (cDLI) in Table 3 were prepared which possessed the necessary properties of stability, cleavage efficiency, and conjugation efficiency with antibodies. Each cDLI in Table 3 was characterized by NMR and shown to have sufficient purity and the correct mass by LC/MS. Table 3 Examples of cereblon degrader-linker intermediates (cDLI) ANTIBODIES
- the cereblon degrader antibody conjugate (cDAC) provided herein comprises an antibody. Included in the scope of the embodiments of the antibody are functional variants of antibody constructs and antigen binding domains described herein.
- the antibody portion of a cDAC can target a cell that expresses an antigen whereby the antigen specific cDAC is delivered intracellularly to the target cell, typically through endocytosis. While a cDAC that comprise an antibody directed to an antigen that is not found on the cell surface may result in less specific intracellular delivery of the cereblon-degrader moiety into the cell, the cDAC may still undergo pinocytosis. cDACs and methods of their use described herein advantageously utilize antibody recognition at the cellular surface and/or endocytosis of the cDAC to deliver the cereblon degrader moiety portion inside cells.
- immunoconjugates e.g., cDACs
- an anti-HER2 antibody of the cDAC comprises a humanized anti-HER2 antibody, e.g., huMAb4D5-1, huMAb4D5-2, huMAb4D5-3, huMAb4D5-4, huMAb4D5-5, huMAb4D5-6, huMAb4D5-7 and huMAb4D5-8, as described in Table 3 of US 5821337, which is specifically incorporated by reference herein.
- Those antibodies contain human framework regions with the complementarity-determining regions of a murine antibody (4D5) that binds to HER2.
- the humanized antibody huMAb4D5-8 is also referred to as trastuzumab, commercially available under the tradename HERCEPTINTM (Genentech, Inc.).
- the antibody construct or antigen binding domain comprises the CDR regions of trastuzumab.
- the anti-HER2 antibody further comprises the framework regions of the trastuzumab.
- the anti-HER2 antibody further comprises one or both variable regions of trastuzumab. 7C2, Anti-HER2 Antibody Anti-HER2 murine antibody 7C2 binds to an epitope in domain I of HER2. See, e.g., PCT Publication No. WO 98/17797.
- This epitope is distinct from the epitope bound by trastuzumab, which binds to domain IV of HER2, and the epitope bound by pertuzumab, which binds to domain II of HER2.
- trastuzumab disrupts ligand-independent HER2-HER3 complexes, thereby inhibiting downstream signaling (e.g. PI3K/AKT).
- pertuzumab binding to domain II prevents ligand-driven HER2 interaction with other HER family members (e.g. HER3, HER1 or HER4), thus also preventing downstream signal transduction.
- Binding of MAb 7C2 to domain I does not result in interference of trastuzumab or pertuzumab binding to domains IV and II, respectively, thereby offering the potential of combining a MAb 7C2 ADC (antibody drug conjugate) with trastuzumab, trastuzumab emtansine (T-DM1), and/or pertuzumab.
- Murine antibody 7C2, 7C2.B9 is described in WO 1998/017797.
- An anti-HER27C2 humanized antibody is disclosed in WO 2016/040723.
- an anti-HER2 antibody of the cDAC described herein comprises a humanized 7C2 anti-HER2 antibody.
- a humanized 7C2 antibody is an anti-HER2 antibody.
- the cDAC described herein comprises an anti-HER2 antibody comprising at least one, two, three, four, five, or six HVRs selected from (a) HVR-H1 comprising the amino acid sequence of SEQ ID NO: 6; (b) HVR-H2 comprising the amino acid sequence of SEQ ID NO: 7, 11, or 12; (c) HVR-H3 comprising the amino acid sequence of SEQ ID NO: 8 or 13; (d) HVR-L1 comprising the amino acid sequence of SEQ ID NO: 3; (e) HVR- L 2 comprising the amino acid sequence of SEQ ID NO: 4; and (f) HVR-L3 comprising the amino acid sequence of SEQ ID NO: 5.
- HVR-H1 comprising the amino acid sequence of SEQ ID NO: 6
- HVR-H2 comprising the amino acid sequence of SEQ ID NO: 7, 11, or 12
- HVR-H3 comprising the amino acid sequence of SEQ ID NO: 8 or 13
- HVR-L1 comprising the amino acid sequence of SEQ ID
- the cDAC described herein comprises an anti-HER2 antibody comprising at least one, two, three, four, five, or six HVRs selected from (a) HVR-H1 comprising the amino acid sequence of SEQ ID NO: 6; (b) HVR-H2 comprising the amino acid sequence of SEQ ID NO: 7; (c) HVR-H3 comprising the amino acid sequence of SEQ ID NO: 8; (d) HVR-L1 comprising the amino acid sequence of SEQ ID NO: 3; (e) HVR-L 2 comprising the amino acid sequence of SEQ ID NO: 4; and (f) HVR-L3 comprising the amino acid sequence of SEQ ID NO: 5.
- HVR-H1 comprising the amino acid sequence of SEQ ID NO: 6
- HVR-H2 comprising the amino acid sequence of SEQ ID NO: 7
- HVR-H3 comprising the amino acid sequence of SEQ ID NO: 8
- HVR-L1 comprising the amino acid sequence of SEQ ID NO: 3
- HVR-L 2
- the cDAC described herein comprises an antibody that comprises at least one, at least two, or all three VH HVR sequences selected from (a) HVR-H1 comprising the amino acid sequence of SEQ ID NO: 6; (b) HVR-H2 comprising the amino acid sequence of SEQ ID NO: 7, 11, or 12; and (c) HVR-H3 comprising the amino acid sequence of SEQ ID NO: 8 or 13.
- the cDAC described herein comprises an antibody that comprises at least one, at least two, or all three VH HVR sequences selected from (a) HVR-H1 comprising the amino acid sequence of SEQ ID NO: 6; (b) HVR-H2 comprising the amino acid sequence of SEQ ID NO: 7; and (c) HVR-H3 comprising the amino acid sequence of SEQ ID NO: 8.
- the antibody comprises (a) HVR-H1 comprising the amino acid sequence of SEQ ID NO: 6; (b) HVR-H2 comprising the amino acid sequence of SEQ ID NO: 7, 11, or 12; and (c) HVR-H3 comprising the amino acid sequence of SEQ ID NO: 8 or 13.
- the antibody comprises (a) HVR-H1 comprising the amino acid sequence of SEQ ID NO: 6; (b) HVR-H2 comprising the amino acid sequence of SEQ ID NO: 7; and (c) HVR-H3 comprising the amino acid sequence of SEQ ID NO: 8.
- the cDAC described herein comprises an antibody that comprises at least one, at least two, or all three VL HVR sequences selected from (a) HVR-L1 comprising the amino acid sequence of SEQ ID NO: 3; (b) HVR-L 2 comprising the amino acid sequence of SEQ ID NO: 4; and (c) HVR-L3 comprising the amino acid sequence of SEQ ID NO: 5.
- the antibody comprises (a) HVR-L1 comprising the amino acid sequence of SEQ ID NO: 3; (b) HVR-L 2 comprising the amino acid sequence of SEQ ID NO: 4; and (c) HVR-L3 comprising the amino acid sequence of SEQ ID NO: 5.
- the cDAC described herein comprises an antibody comprising (a) a VH domain comprising at least one, at least two, or all three VH HVR sequences selected from (i) HVR-H1 comprising the amino acid sequence of SEQ ID NO: 6, (ii) HVR-H2 comprising the amino acid sequence of SEQ ID NO: 7, 11, or 12, and (iii) HVR-H3 comprising an amino acid sequence selected from SEQ ID NO: 8 or 13; and (b) a VL domain comprising at least one, at least two, or all three VL HVR sequences selected from (i) HVR-L1 comprising the amino acid sequence of SEQ ID NO: 3, (ii) HVR-L 2 comprising the amino acid sequence of SEQ ID NO: 4, and (c) HVR-L3 comprising the amino acid sequence of SEQ ID NO: 5.
- the cDAC described herein comprises: (a) a VH domain comprising at least one, at least two, or all three VH HVR sequences selected from (i) HVR-H1 comprising the amino acid sequence of SEQ ID NO: 6, (ii) HVR-H2 comprising the amino acid sequence of SEQ ID NO: 7, and (iii) HVR-H3 comprising an amino acid sequence selected from SEQ ID NO: 8; and (b) a VL domain comprising at least one, at least two, or all three VL HVR sequences selected from (i) HVR-L1 comprising the amino acid sequence of SEQ ID NO: 3, (ii) HVR-L 2 comprising the amino acid sequence of SEQ ID NO: 4, and (c) HVR-L3 comprising the amino acid sequence of SEQ ID NO: 5.
- the cDAC described herein comprises an antibody that comprises (a) HVR-H1 comprising the amino acid sequence of SEQ ID NO: 6; (b) HVR-H2 comprising the amino acid sequence of SEQ ID NO: 7, 11, or 12; (c) HVR-H3 comprising the amino acid sequence of SEQ ID NO: 8 or 13; (d) HVR-L1 comprising the amino acid sequence of SEQ ID NO: 3; (e) HVR-L 2 comprising the amino acid sequence of SEQ ID NO: 4; and (f) HVR-L3 comprising the amino acid sequence of SEQ ID NO: 5.
- the cDAC described herein comprises an antibody that comprises (a) HVR-H1 comprising the amino acid sequence of SEQ ID NO: 6; (b) HVR-H2 comprising the amino acid sequence of SEQ ID NO: 7; (c) HVR-H3 comprising the amino acid sequence of SEQ ID NO: 8; (d) HVR-L1 comprising the amino acid sequence of SEQ ID NO: 3; (e) HVR-L 2 comprising the amino acid sequence of SEQ ID NO: 4; and (f) HVR-L3 comprising the amino acid sequence of SEQ ID NO: 5.
- an anti-HER2 antibody of an antibody-drug conjugate is humanized.
- an anti-HER2 antibody of an antibody-drug conjugate comprises HVRs as in any of the above embodiments, and further comprises a human acceptor framework, e.g. a human immunoglobulin framework or a human consensus framework.
- an anti-HER2 antibody of an antibody-drug conjugate comprises a heavy chain variable domain (VH) sequence having at least 90%, 91%, 92%, 93%, 94%, 95%, 96%, 97%, 98%, 99%, or 100% sequence identity to the amino acid sequence of SEQ ID NO: 18.
- VH heavy chain variable domain
- a VH sequence having at least 90%, 91%, 92%, 93%, 94%, 95%, 96%, 97%, 98%, or 99% identity to the amino acid sequence of SEQ ID NO: 2 contains substitutions (e.g., conservative substitutions), insertions, or deletions relative to the reference sequence, but an anti-HER2 antibody comprising that sequence retains the ability to bind to HER2.
- a total of 1 to 10 amino acids have been substituted, inserted and/or deleted in SEQ ID NO: 2.
- a total of 1 to 5 amino acids have been substituted, inserted and/or deleted in SEQ ID NO: 2.
- the anti- HER2 antibody comprises the VH sequence of SEQ ID NO: 2, including post-translational modifications of that sequence.
- the VH comprises one, two or three HVRs selected from: (a) HVR-H1 comprising the amino acid sequence of SEQ ID NO: 6, (b) HVR-H2 comprising the amino acid sequence of SEQ ID NO: 7, and (c) HVR-H3 comprising the amino acid sequence of SEQ ID NO: 8.
- an anti-HER2 antibody of an antibody-drug conjugate comprising a light chain variable domain (VL) having at least 90%, 91%, 92%, 93%, 94%, 95%, 96%, 97%, 98%, 99%, or 100% sequence identity to the amino acid sequence of SEQ ID NO: 1.
- VL light chain variable domain
- a VL sequence having at least 90%, 91%, 92%, 93%, 94%, 95%, 96%, 97%, 98%, or 99% identity to the amino acid sequence of SEQ ID NO: 1 contains substitutions (e.g., conservative substitutions), insertions, or deletions relative to the reference sequence, but an anti-HER2 antibody comprising that sequence retains the ability to bind to HER2.
- the anti-HER2 antibody comprises the VL sequence of SEQ ID NO: 1, including post-translational modifications of that sequence.
- the VL comprises one, two or three HVRs selected from (a) HVR-L1 comprising the amino acid sequence of SEQ ID NO: 3; (b) HVR-L 2 comprising the amino acid sequence of SEQ ID NO: 4; and (c) HVR-L3 comprising the amino acid sequence of SEQ ID NO: 5.
- an antibody-drug conjugate comprising an anti-HER2 antibody is provided, wherein the antibody comprises a VH as in any of the embodiments provided above, and a VL as in any of the embodiments provided above.
- an antibody-drug conjugate comprising an antibody comprising an antibody
- the antibody comprises the VH and VL sequences in SEQ ID NO: 2 and SEQ ID NO: 1, respectively, including post-translational modifications of those sequences.
- an antibody-drug conjugate comprising an antibody is provided, wherein the antibody comprises the humanized 7C2.v2.2.LA (hu7C2) K149C kappa light chain sequence of SEQ ID NO: 14
- an antibody-drug conjugate comprising an antibody is provided, wherein the antibody comprises the Hu7C2 A118C IgG1 heavy chain sequence of SEQ ID NO: 15.
- antibody-drug conjugates comprising antibodies that bind to the same epitope as an anti-HER2 antibody provided herein.
- an immunoconjugate comprising an antibody that binds to the same epitope as an anti-HER2 antibody comprising a VH sequence of SEQ ID NO: 2 and a VL sequence of SEQ ID NO: 1, respectively.
- the anti-HER2 antibody of the cDACs according to any of the above embodiments is a monoclonal antibody, including a human antibody.
- an anti-HER2 antibody of an immunoconjugate is an antibody fragment, e.g., a Fv, Fab, Fab’, scFv, diabody, or F(ab’) 2 fragment.
- an immunoconjugate comprises an antibody that is a substantially full length antibody, e.g., an IgG1 antibody, IgG2a antibody or other antibody class or isotype as defined herein.
- the anti-HER2 antibody is a full length antibody.
- the anti-CD33 antibody 15G15.33 of cDAC in Table 4 and Table 5 comprises three light chain hypervariable regions (HVR-L1, HVR-L 2 and HVR-L3) and three heavy chain hypervariable regions (HVR-H1, HVR-H2 and HVR-H3), SEQ ID NO:16-21.
- the anti-CD33 antibody 15G15.33 of cDAC in Table 4 and Table 5 comprises the light chain variable region of SEQ ID NO:22 and/or the heavy chain variable region of SEQ ID NO:23.
- the anti-CD33 antibody 9C 3 comprises three light chain hypervariable regions (HVR- L 1 , HVR-L 2 and HVR-L3) and three heavy chain hypervariable regions (HVR-H1, HVR-H2 and HVR-H3), SEQ ID NO:24-29, and following VL and VH sequences SEQ ID NO:30-37.
- the cDAC described herein comprises an anti-CD33 antibody comprising at least one, two, three, four, five, or six HVRs selected from (a) HVR-H1 comprising the amino acid sequence of SEQ ID NO:27; (b) HVR-H2 comprising the amino acid sequence of SEQ ID NO:28; (c) HVR-H3 comprising the amino acid sequence of SEQ ID NO:29; (d) HVR-L1 comprising the amino acid sequence of SEQ ID NO:24; (e) HVR-L 2 comprising the amino acid sequence of SEQ ID NO:25; and (f) HVR-L3 comprising the amino acid sequence of SEQ ID NO:26.
- HVR-H1 comprising the amino acid sequence of SEQ ID NO:27
- HVR-H2 comprising the amino acid sequence of SEQ ID NO:28
- HVR-H3 comprising the amino acid sequence of SEQ ID NO:29
- HVR-L1 comprising the amino acid sequence of SEQ ID NO:24
- the cDAC described herein comprises an antibody comprising at least one, at least two, or all three VH HVR sequences selected from (a) HVR-H1 comprising the amino acid sequence of SEQ ID NO:27; (b) HVR-H2 comprising the amino acid sequence of SEQ ID NO:28; and (c) HVR-H3 comprising the amino acid sequence of SEQ ID NO:29.
- the antibody comprises HVR-H3 comprising the amino acid sequence of SEQ ID NO:29.
- the antibody comprises HVR-H3 comprising the amino acid sequence of SEQ ID NO:29 and HVR-L3 comprising the amino acid sequence of SEQ ID NO:26.
- the antibody comprises HVR-H3 comprising the amino acid sequence of SEQ ID NO:29, HVR-L3 comprising the amino acid sequence of SEQ ID NO:26, and HVR-H2 comprising the amino acid sequence of SEQ ID NO:28.
- the antibody comprises (a) HVR-H1 comprising the amino acid sequence of SEQ ID NO:27; (b) HVR-H2 comprising the amino acid sequence of SEQ ID NO:28; and (c) HVR-H3 comprising the amino acid sequence of SEQ ID NO:29.
- the cDAC described herein comprises at least one, at least two, or all three VL HVR sequences selected from (a) HVR-L1 comprising the amino acid sequence of SEQ ID NO:24; (b) HVR-L 2 comprising the amino acid sequence of SEQ ID NO:25; and (c) HVR-L3 comprising the amino acid sequence of SEQ ID NO:26.
- the antibody comprises (a) HVR-L1 comprising the amino acid sequence of SEQ ID NO:24; (b) HVR-L 2 comprising the amino acid sequence of SEQ ID NO:25; and (c) HVR-L3 comprising the amino acid sequence of SEQ ID NO:26.
- the anti-CD33 antibody comprises (a) a VH domain comprising at least one, at least two, or all three VH HVR sequences selected from (i) HVR-H1 comprising the amino acid sequence of SEQ ID NO:27, (ii) HVR-H2 comprising the amino acid sequence of SEQ ID NO:28, and (iii) HVR-H3 comprising an amino acid sequence selected from SEQ ID NO:29; and (b) a VL domain comprising at least one, at least two, or all three VL HVR sequences selected from (i) HVR-L1 comprising the amino acid sequence of SEQ ID NO:24, (ii) HVR-L 2 comprising the amino acid sequence of SEQ ID NO:25, and (c) HVR-L3 comprising the amino acid sequence of SEQ ID NO:26.
- the cDAC described herein comprises: (a) HVR-H1 comprising the amino acid sequence of SEQ ID NO:27; (b) HVR-H2 comprising the amino acid sequence of SEQ ID NO:28; (c) HVR-H3 comprising the amino acid sequence of SEQ ID NO:29; (d) HVR- L 1 comprising the amino acid sequence of SEQ ID NO:24; (e) HVR-L 2 comprising the amino acid sequence of SEQ ID NO:25; and (f) HVR-L3 comprising the amino acid sequence of SEQ ID NO:26.
- an anti-CD33 antibody is humanized.
- an anti-CD33 antibody comprises HVRs as in any of the above embodiments, and further comprises a human acceptor framework, e.g. a human immunoglobulin framework or a human consensus framework.
- the human acceptor framework is the human VL kappa I consensus (VL KI ) framework and/or the VH framework VH 1 .
- the human acceptor framework is the human VL kappa I consensus (VLKI) framework and/or the VH framework VH1 comprising any one of the following mutations.
- an anti-CD33 antibody comprises a heavy chain variable domain (VH) sequence having at least 90%, 91%, 92%, 93%, 94%, 95%, 96%, 97%, 98%, 99%, or 100% sequence identity to the amino acid sequence of SEQ ID NO:31, SEQ ID NO:33, SEQ ID NO:35, and/or SEQ ID NO:37.
- VH heavy chain variable domain
- a VH sequence having at least 90%, 91%, 92%, 93%, 94%, 95%, 96%, 97%, 98%, or 99% identity to the amino acid sequence of SEQ ID NO:31, SEQ ID NO:33, SEQ ID NO:35, and/or SEQ ID NO:37 contains substitutions (e.g., conservative substitutions), insertions, or deletions relative to the reference sequence, but an anti-CD33 antibody comprising that sequence retains the ability to bind to CD33.
- a total of 1 to 10 amino acids have been substituted, inserted and/or deleted in SEQ ID NO:31, SEQ ID NO:33, SEQ ID NO:35, and/or SEQ ID NO:37.
- the anti- CD33 antibody comprises the VH sequence of SEQ ID NO:31, SEQ ID NO:33, SEQ ID NO:35, and/or SEQ ID NO:37, including post-translational modifications of that sequence.
- the VH comprises one, two or three HVRs selected from: (a) HVR-H1 comprising the amino acid sequence of SEQ ID NO:27, (b) HVR-H2 comprising the amino acid sequence of SEQ ID NO:28, and (c) HVR-H3 comprising the amino acid sequence of SEQ ID NO:29.
- an anti-CD33 antibody is provided, wherein the antibody comprises a light chain variable domain (VL) having at least 90%, 91%, 92%, 93%, 94%, 95%, 96%, 97%, 98%, 99%, or 100% sequence identity to the amino acid sequence of SEQ ID NO:30, SEQ ID NO:32, SEQ ID NO:34, and/or SEQ ID NO:36.
- VL light chain variable domain
- a VL sequence having at least 90%, 91%, 92%, 93%, 94%, 95%, 96%, 97%, 98%, or 99% identity to the amino acid sequence of SEQ ID NO:30, SEQ ID NO:32, SEQ ID NO:34, and/or SEQ ID NO:36 contains substitutions (e.g., conservative substitutions), insertions, or deletions relative to the reference sequence, but an anti-CD33 antibody comprising that sequence retains the ability to bind to CD33.
- a total of 1 to 10 amino acids have been substituted, inserted and/or deleted in SEQ ID NO:30, SEQ ID NO:32, SEQ ID NO:34, and/or SEQ ID NO:36.
- the anti-CD33 antibody comprises the VL sequence of SEQ ID NO:30, SEQ ID NO:32, SEQ ID NO:34, and/or SEQ ID NO:36, including post-translational modifications of that sequence.
- the VL comprises one, two or three HVRs selected from (a) HVR-L1 comprising the amino acid sequence of SEQ ID NO:24; (b) HVR-L 2 comprising the amino acid sequence of SEQ ID NO:25; and (c) HVR-L3 comprising the amino acid sequence of SEQ ID NO:26.
- an anti-CD33 antibody is provided, wherein the antibody comprises a VH as in any of the embodiments provided above, and a VL as in any of the embodiments provided above.
- the antibody comprises the VH and VL sequences in SEQ ID NO:31 and SEQ ID NO:30, respectively, including post-translational modifications of those sequences.
- the antibody comprises the VH and VL sequences in SEQ ID NO:33 and SEQ ID NO:32, respectively, including post-translational modifications of those sequences. In one embodiment, the antibody comprises the VH and VL sequences in SEQ ID NO:35 and SEQ ID NO:34, respectively, including post-translational modifications of those sequences. In one embodiment, the antibody comprises the VH and VL sequences in SEQ ID NO:37 and SEQ ID NO:36, respectively, including post-translational modifications of those sequences. In a further aspect, provided herein are antibodies that bind to the same epitope as an anti-CD33 antibody provided herein.
- an antibody that binds to the same epitope as an anti-CD33 antibody comprising a VH sequence of SEQ ID NO:31, SEQ ID NO:33, SEQ ID NO:35, and/or SEQ ID NO:37 and a VL sequence of SEQ ID NO:30, SEQ ID NO:32, SEQ ID NO:34, and/or SEQ ID NO:36, respectively.
- the anti-CD33 antibody is a monoclonal antibody, including a human antibody.
- an anti-CD33 antibody is an antibody fragment, e.g., a Fv, Fab, Fab’, scFv, diabody, or F(ab’) 2 fragment.
- the antibody is a substantially full length antibody, e.g., an IgG1 antibody, IgG2a antibody or other antibody class or isotype as defined herein.
- the anti-CD33 anibody is a full length antibody.
- an anti-CD33 antibody according to any of the above embodiments may incorporate any of the features, singly or in combination, as described below. Cysteine engineered antibody variants
- the substituted residues occur at sites of the antibody that are available for conjugation.
- any one or more of the following residues may be substituted with cysteine: K149 (Kabat numbering) of the light chain; V205 (Kabat numbering) of the light chain; A118 (EU numbering) of the heavy chain; A140 (EU numbering) of the heavy chain; L174 (EU numbering) of the heavy chain; Y373 (EU numbering) of the heavy chain; and S400 (EU numbering) of the heavy chain Fc region.
- the antibodies described herein comprise the HC-A140C (EU numbering) cysteine substitution. In specific embodiments, the antibodies described herein comprise the LC-K149C (Kabat numbering) cysteine substitution. In specific embodiments, the antibodies described herein comprise the HC-A118C (EU numbering) cysteine substitution. Cysteine engineered antibodies may be generated as described, e.g., in US 7521541. In certain embodiments, the antibody comprises one of the following heavy chain cysteine substitutions: In certain embodiments, the antibody comprises one of the following light chain cysteine substitutions:
- a nonlimiting exemplary hu7C2.v2.2.LA light chain (LC) K149C THIOMABTM has the heavy chain and light chain amino acid sequences of SEQ ID NOs: 10 and 14, respectively.
- a nonlimiting exemplary hu7C2.v2.2.LA heavy chain (HC) A118C THIOMABTM has the heavy chain and light chain amino acid sequences of SEQ ID NOs: 15 and 9, respectively.
- the antibody of a cereblon degrader antibody conjugate is capable of binding to one or more tumor-associated antigens (TAA), cell-surface receptors, and immune-specific antigens to confer specificity to the targeting of the cereblon degrader antibody conjugate and enable safe and systemic delivery of an active drug moiety.
- TAA tumor-associated antigens
- cell-surface receptors cell-surface receptors
- immune-specific antigens to confer specificity to the targeting of the cereblon degrader antibody conjugate and enable safe and systemic delivery of an active drug moiety.
- tumor-associated antigens are known in the art, and can be prepared for use in generating antibodies using methods and information which are well known in the art.
- TAAs include, but are not limited to, those listed below including (1)-(55).
- TAAs targeted by antibodies include all amino acid sequence variants and isoforms possessing at least about 70%, 80%, 85%, 90%, or 95% sequence identity relative to the sequences identified in the cited references, and/or which exhibit substantially the same biological properties or characteristics as a TAA having a sequence found in the cited references.
- a TAA having a variant sequence generally is able to bind specifically to an antibody that binds specifically to the TAA with the corresponding sequence listed.
- the sequences and disclosure in the reference specifically recited herein are expressly incorporated by reference.
- the sequences and disclosure in the references specifically recited herein are expressly incorporated by reference.
- Sema 5b (FLJ10372, KIAA1445, Mm.42015, SEMA5B, SEMAG, Semaphorin 5b Hlog, sema domain, seven thrombospondin repeats (type 1 and type 1-like), transmembrane domain (TM) and short cytoplasmic domain, (semaphorin) 5B, Genbank accession no. AB040878) Nagase T., et al.
- MSG783 (RNF124, hypothetical protein FLJ20315, Genbank accession no. NM_017763); WO2003104275 (Claim 1); WO2004046342 (Example 2); WO2003042661 (Claim 12); WO2003083074 (Claim 14; Page 61); WO2003018621 (Claim 1); WO2003024392 (Claim 2; Fig 93); WO200166689 (Example 6); Cross-references: LocusID:54894; NP_060233.2; NM_017763_1.
- STEAP2 (HGNC_8639, IPCA-1, PCANAP1, STAMP1, STEAP2, STMP, prostate cancer associated gene 1, prostate cancer associated protein 1, six transmembrane epithelial antigen of prostate 2, six transmembrane prostate protein, Genbank accession no. AF455138) Lab.
- TrpM4 (BR22450, FLJ20041, TRPM4, TRPM4B, transient receptor potential cation channel, subfamily M, member 4, Genbank accession no. NM_017636) Xu, X.Z., et al. Proc. Natl. Acad. Sci. U.S.A.98 (19):10692-10697 (2001), Cell 109 (3):397-407 (2002), J. Biol.
- NP_003203 or NM_003212 Ciccodicola, A., et al. EMBO J.8 (7):1987-1991 (1989), Am. J. Hum. Genet.49 (3):555-565 (1991)); US2003224411 (Claim 1); WO2003083041 (Example 1); WO2003034984 (Claim 12); WO200288170 (Claim 2; Page 52- 53); WO2003024392 (Claim 2; Fig 58); WO200216413 (Claim 1; Page 94-95, 105); WO200222808 (Claim 2; Fig 1); US5854399 (Example 2; Col 17-18); US5792616 (Fig 2); Cross-references: MIM:187395; NP_003203.1; NM_003212_1.
- CD21 (CR2 (Complement receptor 2) or C 3 DR (C 3 d/Epstein Barr virus receptor) or Hs.73792 Genbank accession no. M26004) Fujisaku et al. (1989) J. Biol. Chem.264 (4):2118- 2125); Weis J.J., et al. J. Exp. Med.167, 1047-1066, 1988; Moore M., et al. Proc. Natl. Acad. Sci. U.S.A.84, 9194-9198, 1987; Barel M., et al. Mol. Immunol.35, 1025-1031, 1998; Weis J.J., et al. Proc. Natl. Acad. Sci.
- FcRH2 (IFGP4, IRTA4, SPAP1A (SH2 domain containing phosphatase anchor protein 1a), SPAP1B, SPAP1C, Genbank accession no. NM_030764, AY358130) Genome Res. 13 (10):2265-2270 (2003), Immunogenetics 54 (2):87-95 (2002), Blood 99 (8):2662-2669 (2002), Proc. Natl. Acad. Sci. U.S.A.98 (17):9772-9777 (2001), Xu, M.J., et al. (2001) Biochem. Biophys. Res.
- NCA CEACAM6, Genbank accession no. M18728
- Barnett T. et al. Genomics 3, 59-66, 1988
- Tawaragi Y. et al. Biochem. Biophys. Res. Commun.150, 89-96, 1988
- Strausberg R.L. et al. Proc. Natl. Acad. Sci.
- PSCA Prostate stem cell antigen precursor, Genbank accession no. AJ297436
- Reiter R.E. et al. Proc. Natl. Acad. Sci. U.S.A.95, 1735-1740, 1998; Gu Z., et al. Oncogene 19, 1288-1296, 2000; Biochem. Biophys. Res. Commun.
- CD22 B-cell receptor CD22-B isoform, BL-CAM, Lyb-8, Lyb8, SIGLEC-2, FLJ22814, Genbank accession No. AK026467); Wilson et al. (1991) J. Exp. Med.173:137-146; WO2003072036 (Claim 1; Fig 1); Cross-references: MIM:107266; NP_001762.1; NM_001771_1.
- CD79a (CD79A, CD79 ⁇ , immunoglobulin-associated alpha, a B cell-specific protein that covalently interacts with Ig beta (CD79B) and forms a complex on the surface with Ig M molecules, transduces a signal involved in B-cell differentiation), pI: 4.84, MW: 25028 TM: 2 [P] Gene Chromosome: 19q13.2, Genbank accession No. NP_001774.10) WO2003088808, US20030228319; WO2003062401 (claim 9); US2002150573 (claim 4, pages 13-14); WO9958658 (claim 13, Fig 16); WO9207574 (Fig 1); US5644033; Ha et al. (1992) J.
- CXCR5 Bokitt's lymphoma receptor 1, a G protein-coupled receptor that is activated by the CXCL 1 3 chemokine, functions in lymphocyte migration and humoral defense, plays a role in HIV-2 infection and perhaps development of AIDS, lymphoma, myeloma, and leukemia); 372 aa, pI: 8.54 MW: 41959 TM: 7 [P] Gene Chromosome: 11q23.3, Genbank accession No.
- NP_001707.1 WO 2004040000; WO2004/015426; US2003105292 (Example 2); US6555339 (Example 2); WO 2002/61087 (Fig 1); WO200157188 (Claim 20, page 269); WO200172830 (pages 12-13); WO 2000/22129 (Example 1, pages 152-153, Example 2, pages 254-256); WO 199928468 (claim 1, page 38); US 5440021 (Example 2, col 49-52); WO9428931 (pages 56-58); WO 1992/17497 (claim 7, Fig 5); Dobner et al. (1992) Eur. J. Immunol.22:2795-2799; Barella et al.
- HLA-DOB Beta subunit of MHC class II molecule (Ia antigen) that binds peptides and presents them to CD4+ T lymphocytes); 273 aa, pI: 6.56 MW: 30820 TM: 1 [P] Gene Chromosome: 6p21.3, Genbank accession No. NP_002111.1) Tonnelle et al. (1985) EMBO J. 4(11):2839-2847; Jonsson et al. (1989) Immunogenetics 29(6):411-413; Beck et al. (1992) J. Mol. Biol.228:433-441; Strausberg et al.
- P2X5 Purinergic receptor P2X ligand-gated ion channel 5, an ion channel gated by extracellular ATP, may be involved in synaptic transmission and neurogenesis, deficiency may contribute to the pathophysiology of idiopathic detrusor instability
- 422 aa pI: 7.63, MW: 47206 TM: 1
- Gene Chromosome 17p13.3, Genbank accession No. NP_002552.2) Le et al. (1997) FEBS Lett.418(1-2):195-199; WO2004047749; WO2003072035 (claim 10); Touchman et al.
- LY64 Lymphocyte antigen 64 (RP105), type I membrane protein of the leucine rich repeat (LRR) family, regulates B-cell activation and apoptosis, loss of function is associated with increased disease activity in patients with systemic lupus erythematosus); 661 aa, pI: 6.20, MW: 74147 TM: 1 [P] Gene Chromosome: 5q12, Genbank accession No. NP_005573.1) US2002193567; WO9707198 (claim 11, pages 39-42); Miura et al. (1996) Genomics 38(3):299- 304; Miura et al.
- FcRH1 Fc receptor-like protein 1, a putative receptor for the immunoglobulin Fc domain that contains C 2 type Ig-like and ITAM domains, may have a role in B-lymphocyte differentiation
- IRTA2 Immunoglobulin superfamily receptor translocation associated 2, a putative immunoreceptor with possible roles in B cell development and lymphomagenesis; deregulation of the gene by translocation occurs in some B cell malignancies; 977 aa, pI: 6.88 MW: 106468 TM: 1 [P] Gene Chromosome: 1q21, Genbank accession No.
- TENB2 (TMEFF 2 , tomoregulin, TPEF, HPP1, TR, putative transmembrane proteoglycan, related to the EGF/heregulin family of growth factors and follistatin); 374 aa, NCBI Accession: AAD55776, AAF91397, AAG49451, NCBI RefSeq: NP_057276; NCBI Gene: 23671; OMIM: 605734; SwissProt Q9UIK5; Genbank accession No.
- TMEFF1 transmembrane protein with EGF-like and two follistatin-like domains 1; Tomoregulin-1); H7365; C9orf2; C9ORF 2 ; U19878; X83961; NM_080655; NM_003692; Harms, P.W. (2003) Genes Dev.17 (21), 2624-2629; Gery, S. et al. (2003) Oncogene 22 (18):2723-2727.
- GDNF-Ra1 GDNF family receptor alpha 1; GFRA1; GDNFR; GDNFRA; RETL 1 ; TRNR1; RET1L; GDNFR-alpha1; GFR-ALPHA-1
- Ly6E lymphocyte antigen 6 complex, locus E; Ly67,RIG-E,SCA-2,TSA-1
- NP_002337.1 NM_002346.2
- de Nooij-van Dalen A.G. et al. (2003) Int. J. Cancer 103 (6), 768-774
- Zammit D.J. et al. (2002) Mol. Cell. Biol.22 (3):946-952.
- TMEM46 shisa homolog 2 (Xenopus laevis); SHISA2); NP_001007539.1; NM_001007538.1; Furushima, K. et al. (2007) Dev.
- Ly6G6D lymphocyte antigen 6 complex, locus G6D; Ly6-D, MEGT1; NP_067079.2; NM_021246.2; Mallya, M. et al. (2002) Genomics 80 (1):113-123; Ribas, G. et al. (1999) J. Immunol.163 (1):278-287. (43) LGR5 (leucine-rich repeat-containing G protein-coupled receptor 5; GPR49, GPR67); NP_003658.1; NM_003667.2; Salanti, G. et al.
- RET ret proto-oncogene
- MEN2A HSCR1; MEN2B; MTC 1 ; PTC; CDHF12; Hs.168114; RET51; RET-ELE1
- NP_066124.1 NM_020975.4
- LY6K lymphocyte antigen 6 complex, locus K; LY6K; HSJ001348; FLJ35226; NP_059997.3; NM_017527.3; Ishikawa, N. et al. (2007) Cancer Res.67 (24):11601-11611; de Nooij-van Dalen, A.G. et al. (2003) Int. J. Cancer 103 (6):768-774.
- GPR19 G protein-coupled receptor 19; Mm.4787
- NP_006134.1 G protein-coupled receptor 19; Mm.4787
- NP_006134.1 NM_006143.2
- GPR54 KISS1 receptor; KISS1R; GPR54; HOT7T175; AXOR12; NP_115940.2; NM_032551.4; Navenot, J.M. et al. (2009) Mol. Pharmacol.75 (6):1300-1306; Hata, K. et al. (2009) Anticancer Res.29 (2):617-623.
- ASPHD1 aspartate beta-hydroxylase domain containing 1; LOC 2 53982
- TMEM118 ring finger protein, transmembrane 2; RNFT2; FLJ14627); NP_001103373.1; NM_001109903.1; Clark, H.F. et al.
- GPR172A G protein-coupled receptor 172A; GPCR41; FLJ11856; D15Ertd747e); NP_078807.1; NM_024531.3; Ericsson, T.A. et al. (2003) Proc. Natl. Acad. Sci. U.S.A.100 (11):6759-6764; Takeda, S. et al. (2002) FEBS Lett.520 (1-3):97-101.
- CD33 a member of the sialic acid binding, immunoglobulin-like lectin family, is a 67-kDa glycosylated transmembrane protein. CD33is expressed on most myeloid and monocytic leukemia cells in addition to committed myelomonocytic and erythroid progenitor cells. It is not seen on the earliest pluripotent stem cells, mature granulocytes, lymphoid cells, or nonhematopoietic cells (Sabbath et al., (1985) J. Clin. Invest.75:756-56; Andrews et al., (1986) Blood 68:1030-5).
- CD33 contains two tyrosine residues on its cytoplasmic tail, each of which is followed by hydrophobic residues similar to the immunoreceptor tyrosine-based inhibitory motif (ITIM) seen in many inhibitory receptors.
- CLL-1 (CLEC 1 2A, MICL, and DCAL 2 ), encodes a member of the C-type lectin/C- type lectin-like domain (CTL/CTLD) superfamily.
- CTL/CTLD C-type lectin/C- type lectin-like domain
- Members of this family share a common protein fold and have diverse functions, such as cell adhesion, cell-cell signaling, glycoprotein turnover, and roles in inflammation and immune response.
- the protein encoded by this gene is a negative regulator of granulocyte and monocyte function.
- CLL-1 has been shown to be a type II transmembrane receptor comprising a single C-type lectin-like domain (which is not predicted to bind either calcium or sugar), a stalk region, a transmembrane domain and a short cytoplasmic tail containing an ITIM motif.
- TROP2 tumor-associated calcium signal transducer 2
- TACSTD2 transmembrane glycoprotein encoded by the TACSTD2 gene
- TROP2 is an intracellular calcium signal transducer that is differentially expressed in many cancers. It signals cells for self-renewal, proliferation, invasion, and survival. It has stem cell-like qualities. TROP2 is expressed in many normal tissues, though in contrast, it is overexpressed in many cancers (Ohmachi T, et al., (2006) Clin.
- TROP2 Overexpression of TROP2 is of prognostic significance. Several ligands have been proposed that interact with TROP2. TROP2 signals the cells via different pathways and it is transcriptionally regulated by a complex network of several transcription factors.
- Human TROP2 (TACSTD2: tumor-associated calcium signal transducer 2, GA733-1, EGP-1, M1S1; hereinafter, referred to as hTROP2) is a single-pass transmembrane type 1 cell membrane protein consisting of 323 amino acid residues. While the presence of a cell membrane protein involved in immune resistance, which is common to human trophoblasts and cancer cells (Faulk W P, et al. (1978), Proc. Natl. Acad.
- an antigen molecule recognized by a monoclonal antibody against a cell membrane protein in a human choriocarcinoma cell line was identified and designated as TROP2 as one of the molecules expressed in human trophoblasts (Lipinski M, et al. (1981), Proc. Natl. Acad. Sci. 78(8), 5147-5150).
- TROP2 an antigen molecule recognized by a monoclonal antibody against a cell membrane protein in a human choriocarcinoma cell line
- This molecule was also designated as tumor antigen GA733-1 recognized by a mouse monoclonal antibody GA733 (Linnenbach A J, et al., (1989) Proc. Natl. Acad. Sci.
- NM_002353 and NP_002344 (NCBI).
- NBI nude mouse xenograft models
- an unconjugated antibody that exhibits in itself antitumor activity in nude mouse xenograft models (WO 2008/144891; WO 2011/145744; WO 2011/155579; WO 2013/077458) as well as an antibody that exhibits antitumor activity as ADC with a cytotoxic drug (WO 2003/074566; WO 2011/068845; WO 2013/068946; US 7999083).
- TROP2 expression in cancer cells has been correlated with drug resistance.
- Several strategies target TROP2 on cancer cells that include antibodies, antibody fusion proteins, chemical inhibitors, nanoparticles, etc.
- the in vitro studies and pre-clinical studies, using these various therapeutic treatments, have resulted in significant inhibition of tumor cell growth both in vitro and in vivo in mice.
- Clinical studies have explored the potential application of Trop2 as both a prognostic biomarker and as a therapeutic target to reverse resistance.
- CD123 (IL-4, IL3RA, IL3ry, IL3RAY, interleukin-3 receptor) is a protein found on cells which helps transmit the signal of interleukin-3, a soluble cytokine important in the immune system.
- the gene coding for the receptor is located in the pseudoautosomal region of the X and Y chromosomes.
- the receptor belongs to the type I cytokine receptor family and is a heterodimer with a unique alpha chain paired with the common beta (beta c or CD131) subunit.
- the gene for the alpha subunit is 40 kilobases long and has 12 exons.
- CD123 is the 70 kD transmembrane ⁇ chain of the IL-3 receptor.
- CD123 binds IL-3 with low affinity; when CD123 associates with CDw131 (common ⁇ chain), it binds IL-3 with high affinity. CD123 does not transduce intracellular signals upon binding IL-3 and requires the ⁇ chain for this function.
- CD123 serves as a diagnostic, prognostic and therapeutic marker in some hematologic malignancies, especially acute leukemia CD123 and TCF4 coexpression by immunohistochemistry is highly specific and sensitive for blastic plasmacytoid dendritic cell neoplasm (BPDCN) (Sun Q, et al. (1996) Blood 87:83; Herling M, et al. (2003) Blood 101:5007; Charles N, et al. (2010) Nat.
- BPDCN blastic plasmacytoid dendritic cell neoplasm
- the antibody target are HER2 and CD33.
- the antibody has a free cysteine thiol group available for conjugation with an electrophilic group of a cereblon degrader-linker intermediate (cDLI).
- the thiol-containing antibody may be a native cysteine thiol or a reduced intrachain or interchain disulfide amino acid residue.
- the thiol-containing antibody may be a cysteine-engineered antibody where one or more cysteine residues have been introduced by mutagenesis based on known techniques and provide for site-specific conjugation of the cereblon degrader-linker intermediate through cysteine substitutions at sites where the engineered cysteines are available for conjugation while not perturbing immunoglobulin folding and assembly or altering antigen binding and effector functions (Junutula, et al., (2008) Nature Biotech., 26(8):925-932; Dornan et al. (2009) Blood 114(13):2721-2729; Shen, B. et al (2012) Nat.
- cysteine-engineered antibody One, two, three or more cysteine amino acids may be introduced into the cysteine-engineered antibody.
- a cDAC may be formed by conjugating one or more antibody cysteine thiol groups to a molar excess of a cereblon degrader-linker intermediate (cDLI) of Formula II. Due to their symmetrical structure, a cysteine-engineered IgG antibody may allow conjugation of up to two cDLI with each mutant cysteine site.
- cysteine-engineered antibody with one mutant cysteine site allows conjugation of up to two cDLI to give a theoretical maximum DAR of 2.
- a cysteine-engineered antibody with two mutant cysteine sites allows conjugation of up to four cDLI to give a theoretical maximum DAR of 4.
- a cysteine-engineered antibody with three mutant cysteine sites allows conjugation of up to six cDLI to give a theoretical maximum DAR of 6.
- Cysteine thiols are reactive nucleophiles at neutral pH, unlike most amines which are protonated and less nucleophilic near pH 7.
- coli culture supernatants, or partially or completely purified protein
- unpaired Cys residues on the surface of the protein can pair and oxidize to form intermolecular disulfides, and hence protein dimers or multimers.
- Disulfide dimer formation renders the new Cys unreactive for conjugation to a drug, ligand, or other label.
- the protein oxidatively forms an intramolecular disulfide bond between the newly engineered Cys and an existing Cys residue, both Cys groups are unavailable for active site participation and interactions.
- the protein may be rendered inactive or non-specific, by mis-folding or loss of tertiary structure (Zhang et al. (2002) Anal. Biochem.311:1-9).
- cysteine-engineered antibodies may have a reactive cysteine thiol residue introduced at a site on the light chain, such as the 149-lysine site (LC K149C), or on the heavy chain such as the 122-serine site (HC S122C), as numbered by Kabat numbering.
- the cysteine-engineered antibodies have a cysteine residue introduced at the 118- alanine site (EU numbering) of the heavy chain (HC A118C). This mutation site is alternatively numbered 121 by Sequential numbering or 114 by Kabat numbering.
- the cysteine-engineered antibodies have a mutant cysteine residue introduced in: (i) the light chain at G64C, R142C, K188C, L201C, T129C, S114C, V205C, or E105C according to Kabat numbering; (ii) the heavy chain at D101C, A140C, L177C, V184C, T205C, or S122C according to Kabat numbering; or (iii) other cysteine-mutant antibodies, as described in Bhakta, S.
- the cysteine-engineered antibody comprises one or more cysteine mutations selected from HC A118C, LC K149C, HC A140C, LC V205C, LC S121C, HC L174C, HC L 1 77C, HC Y373C.
- an antibody provided herein may be further modified to contain additional nonproteinaceous moieties that are known in the art and readily available.
- the moieties suitable for derivatization of the antibody include, but are not limited to, water soluble polymers.
- water soluble polymers include, but are not limited to, polyethylene glycol (PEG), copolymers of ethylene glycol/propylene glycol, carboxymethylcellulose, dextran, polyvinyl alcohol, polyvinyl pyrrolidone, poly-1,3-dioxolane, poly-1,3,6-trioxane, ethylene/maleic anhydride copolymer, polyaminoacids (either homopolymers or random copolymers), and dextran or poly(n-vinyl pyrrolidone)polyethylene glycol, propropylene glycol homopolymers, polypropylene oxide/ethylene oxide co-polymers, polyoxyethylated polyols (e.g.,
- the polymer may be of any molecular weight, and may be branched or unbranched.
- the number of polymers attached to the antibody may vary, and if more than one polymer is attached, they can be the same or different molecules. In general, the number and/or type of polymers used for derivatization can be determined based on considerations including, but not limited to, the particular properties or functions of the antibody to be improved, whether the antibody derivative will be used in a therapy under defined conditions, etc.
- cDAC is a mixture of the cereblon degrader antibody conjugate compounds, wherein the average drug loading per antibody in the mixture of cereblon degrader antibody conjugate compounds is about 2 to about 6.
- Drug loading is represented by p, the number of cereblon degrader moieties (CD) per antibody (Ab) in a cereblon degrader antibody conjugate (cDAC)of Formula I.
- Loading (p) may range from 1 to about 8 CD moieties per antibody.
- cDAC of Formula I include mixtures or collections of antibodies conjugated with a range of cD moieties, from 1 to about 8.
- the number of cD moieties that can be conjugated to an antibody is limited by the number of reactive or available amino acid side chain residues such as lysine and cysteine.
- free cysteine residues are introduced into the antibody amino acid sequence by the methods described herein.
- p may be 1, 2, 3, 4, 5, 6, 7, or 8, and ranges thereof, such as from 1 to 8 or from 2 to 6.
- Exemplary cDACs of Formula I include, but are not limited to, antibodies that have 1, 2, 3, or 4 engineered cysteine amino acids (Lyon, R. et al. (2012) Methods in Enzym.502:123-138).
- one or more free cysteine residues are already present in an antibody forming intra-chain and inter-chain disulfide bonds (native disulfide groups), without the use of engineering, in which case the existing free, reduced cysteine residues may be used to conjugate the antibody to a drug.
- an antibody is exposed to reducing conditions prior to conjugation of the antibody in order to generate one or more free native cysteine residues.
- p may be limited by the number of attachment sites on the antibody.
- an antibody may have only one or a limited number of cysteine thiol groups, or may have only one or a limited number of sufficiently reactive thiol groups, to which the drug may be attached.
- one or more lysine amino groups in the antibody may be available and reactive for conjugation with a cereblon degrader-linker intermediate of Formula II.
- higher drug loading e.g. p >5, may cause aggregation, insolubility, toxicity, or loss of cellular permeability of certain antibody-drug conjugates.
- the average cD loading for an cDAC ranges from 1 to about 8; from about 2 to about 6; or from about 3 to about 5.
- an antibody is subjected to denaturing conditions to reveal reactive nucleophilic groups such as lysine or cysteine.
- the loading (drug/antibody ratio) of an cDAC may be controlled in different ways, and for example, by: (i) limiting the molar excess of the cereblon degrader-linker intermediate compound relative to antibody, (ii) limiting the conjugation reaction time or temperature, and (iii) partial or limiting reductive denaturing conditions for optimized antibody reactivity.
- the resulting product is a mixture of cDAC compounds with a distribution of one or more drug moieties attached to an antibody.
- the average number of drugs per antibody (DAR) may be calculated from the mixture by a dual ELISA antibody assay, which is specific for antibody and specific for the drug.
- Individual cDAC molecules may be identified in the mixture by mass spectroscopy and separated by HPLC, e.g. hydrophobic interaction chromatography (see, e.g., McDonagh et al. (2006) Prot. Engr. Design & Selection 19(7):299- 307; Hamblett et al, (2004) Clin.
- a homogeneous cDAC with a single loading value may be isolated from the conjugation mixture by electrophoresis or chromatography.
- the cereblon degrader moiety of a cDAC has the formula: TPL ⁇ L 2 ⁇ E3UL wherein: TPL is a target protein ligand; E3UL is the cereblon-binding, E3 ubiquitin ligase ligand; L 2 is a degrader linker; and one of TPL, E3UL and L 2 is attached to L 1 ; or the cereblon degrader moiety is a molecular glue.
- TPL has the formula:
- R x is selected from F, Cl, and Br, and n is 0, 1, 2 or 3; R y is selected from H and C 1 -C 6 alkyl; and the wavy line indicates the point of attachment of L 2 .
- TPL has the formula: where the wavy line indicates the point of attachment of L 2 .
- TPL has the formula: where the wavy line indicates the point of attachment of L 2 .
- TPL targets BRD4, GSPT1, BET, BRM (SMARCA2), KRAS, and SHP2.
- E3UL comprises a glutarimide group.
- the cereblon degrader antibody conjugate has the formula: wherein L 1 is a protease-cleavable, non-peptide linker having the formula: ⁇ Str ⁇ PM ⁇ IM ⁇ wherein Str is a stretcher unit covalently attached to X, PM is a peptidomimetic unit, and IM is an immolator unit covalently attached to the glutarimide group of E3UL and has the formula: where the wavy line is the attachment to PM.
- the cereblon degrader antibody conjugate has the formula:
- L 1 is a protease-cleavable, non-peptide linker having the formula: ⁇ Str ⁇ PM ⁇ IM ⁇ wherein Str is a stretcher unit covalently attached to X, PM is a peptidomimetic unit, and IM is an immolator unit covalently attached to L 2 of cD and has the formula: where the wavy line is the attachment to PM.
- a cDAC of Formula I is selected from:
- p of cDAC is 1, 2, 3, 4, 5, or 6.
- Table 4 shows exemplary cDACs prepared with cereblon degrader-linker intermediates from Table 2 and their assay data.
- cDAC cereblon degrader antibody conjugates
- the cytotoxic or cytostatic activity of a cereblon degrader antibody conjugate (cDAC) is measured by exposing mammalian cells having receptor proteins, e.g. HER2, to the antibody of the cDAC in a cell culture medium; culturing the cells for a period from about 6 hours to about 5 days and measuring cell viability.
- cDACs described herein were used to measure viability (proliferation), cytotoxicity, and induction of apoptosis (caspase activation) of the cDAC described herein.
- the in vitro potency of cDACs described herein was measured by a cell proliferation assay such as described in Example 103.
- the cDACs described herein showed surprising and unexpected potency in inhibition of tumor cell proliferation. Potency of the cDACs was correlated with target antigen expression of the cells.
- the tested conjugates are capable of binding to the specific antigen expressed on the surface of cells and causing the death of those cells in vitro.
- the CellTiter-Glo ® Luminescent Cell Viability Assay is a commercially available (Promega Corp., Madison, WI), homogeneous assay method based on the recombinant expression of Coleoptera luciferase (US 5583024; US5674713; US5700670). This cell proliferation assay determines the number of viable cells in culture based on quantitation of the ATP present, an indicator of metabolically active cells (Crouch et al (1993) J. Immunol. Meth. 160:81-88; US 6602677).
- the CellTiter-Glo ® Assay was conducted in 96 well format, making it amenable to automated high-throughput screening (HTS) (Cree et al (1995) AntiCancer Drugs 6:398-404).
- the homogeneous assay procedure involves adding the single reagent (CellTiter- Glo ® Reagent) directly to cells cultured in serum-supplemented medium. Cell washing, removal of medium and multiple pipetting steps are not required.
- the system detects as few as 15 cells/well in a 384-well format in 10 minutes after adding reagent and mixing.
- the cells may be treated continuously with the cDAC, or they may be treated and separated from the cDAC.
- the assay may be conducted in 96- or 384-well format, making it amenable to automated high-throughput screening (HTS). See Cree et al. (1995) AntiCancer Drugs 6:398- 404.
- the assay procedure involves adding a single reagent (CellTiter-Glo ® Reagent) directly to cultured cells. This results in cell lysis and generation of a luminescent signal produced by a luciferase reaction. The luminescent signal is proportional to the amount of ATP present, which is directly proportional to the number of viable cells present in culture. Data can be recorded by luminometer or CCD camera imaging device.
- the luminescence output is expressed as relative light units (RLU).
- RLU relative light units
- the homogeneous “add-mix-measure” format results in cell lysis and generation of a luminescent signal proportional to the amount of ATP present.
- the amount of ATP is directly proportional to the number of cells present in culture.
- the CellTiter-Glo ® Assay generates a “glow-type” luminescent signal, produced by the luciferase reaction, which has a half-life generally greater than five hours, depending on cell type and medium used. Viable cells are reflected in relative luminescence units (RLU).
- the substrate Beetle Luciferin
- the substrate is oxidatively decarboxylated by recombinant firefly luciferase with concomitant conversion of ATP to AMP and generation of photons.
- Cell-based in vitro assays are used to measure viability (proliferation), cytotoxicity, and induction of apoptosis (caspase activation) of the cDAC described herein.
- the cytotoxic or cytostatic activity of a cDAC is measured by: exposing mammalian cells expressing antigen such as HER2, ER (estrogen receptor) or CD33 polypeptide to cDAC in a cell culture medium; culturing the cells for a period from about 6 hours to about 5 days; and measuring cell viability.
- Figure 1 shows an anti-proliferative effect of in vitro potency by a BRD4-cereblon degrader against KPL-4 and SK-BR-3 cells at 5 days. Cell viability as percent of control is plotted in a graph versus the concentration of cereblon degrader compound cD-5 from Table 1 (nM). The IC50 against KPL-4 was 0.65 nM.
- FIG. 2A shows anti-proliferative effects of in vitro potency by treatment after 5 days of HER2+ KPL-4 cells with anti-HER27C2 and anti-CD33 BRD4-cereblon degrader antibody conjugates cDAC-3, cDAC-4, cDAC-5, and cDAC-6 from Table 4. Cell viability as percent of control is plotted in a graph versus the concentration of cDAC ( ⁇ g/mL).
- Figure 2B shows anti- proliferative effects of in vitro potency by treatment after 5 days of HER2+ SK-BR-3 cells with anti-HER27C2 and anti-CD33 BRD4-cereblon degrader antibody conjugates cDAC-3, cDAC-4, cDAC-5, and cDAC-6 from Table 3.
- Cell viability as percent of control is plotted in a graph versus the concentration of cDAC ( ⁇ g/mL).
- Figure 3A shows anti-proliferative effects of in vitro potency by treatment after 5 days of HER2-low/ER+ CAMA1 cells with anti-HER27C2 and anti-CD33 BRD4-cereblon degrader antibody conjugates cDAC-3, cDAC-4, cDAC-5, and cDAC-6 from Table 4.
- Cell viability as percent of control is plotted in a graph versus the concentration of cDAC ( ⁇ g/mL).
- Figure 3B shows anti-proliferative effects of in vitro potency by treatment after 5 days of HER2-low/ER+ EFM19 cells with anti-HER27C2 and anti-CD33 BRD4-cereblon degrader antibody conjugates cDAC-3, cDAC-4, cDAC-5, and cDAC-6 from Table 4.
- Cell viability as percent of control is plotted in a graph versus the concentration of cDAC ( ⁇ g/mL).
- Table 5 shows that the anti-HER2 cDACs are active in both HER2+ and HER2-low breast cancer cell lines whereas the off-target anti-CD33 cDACs are not active.
- FIG. 4 shows anti-proliferative effects of in vitro potency by treatment after 7 days of AML cell lines with anti-CD33 BRD4-cereblon degrader antibody conjugate cDAC-3.
- AML cell lines were MV-4-11, EOL-1, Molm-13, Nomo-1, HL-60, and OCI-AML-2.
- Cell viability as percent of control is plotted in a graph versus the concentration of cDAC ( ⁇ g/mL).
- Table 6 shows that cDAC-3 is active in inhibiting various AML cell lines
- Table 6 In vitro potency of anti-CD33 BRD4-cereblon degrader antibody conjugate cDAC-3 in various AML cell lines
- Figure 5A shows anti-proliferative effects of in vitro potency by treatment after 5 days of EOL-1 AML cells with anti-HER27C2 and anti-CD33 BRD4-cereblon degrader antibody conjugates cDAC-3, cDAC-4, cDAC-5, and cDAC-6 from Table 4.
- Cell viability as percent of control is plotted in a graph versus the concentration of cDAC ( ⁇ g/mL).
- Figure 5B shows anti- proliferative effects of in vitro potency by treatment after 5 days of HL-60 AML cells with anti- HER2 7C2 and anti-CD33 BRD4-cereblon degrader antibody conjugates cDAC-3, cDAC-4, cDAC-5, and cDAC-6 from Table 4.
- Cell viability as percent of control is plotted in a graph versus the concentration of cDAC ( ⁇ g/mL).
- Table 6 shows EC50 values for the cDAC of Figures 5A and 5B.
- Figure 6A shows anti-proliferative effects of in vitro potency by treatment after 3 days of Molm-13 AML cells with anti-HER27C2 and anti-CD33 BRD4-cereblon degrader antibody conjugates cDAC-3, cDAC-4, cDAC-5, and cDAC-6 from Table 4.
- Cell viability as percent of control is plotted in a graph versus the concentration of cDAC ( ⁇ g/mL).
- Figure 6B shows anti- proliferative effects of in vitro potency by treatment after 3 days of MV-4-11 AML cells with anti-HER27C2 and anti-CD33 BRD4-cereblon degrader antibody conjugates cDAC-3, cDAC-4, cDAC-5, and cDAC-6 from Table 4.
- cDAC-3 and cDAC-5 comprise thio human anti-CD33 antibodies
- cDAC-4 and cDAC-6 comprise thio human anti-7C2 (HER2) antibodies.
- cDAC 3 and cDAC-5 have a concentration-dependent effect on AML cells with CD33 receptors whereas untargeted cDAC-4 and cDAC-6 have the expected lower potency.
- Table 8 Cell killing assay of BRD4-cereblon degrader antibody conjugates cDAC 3 -6 in AML cell lines measured in IC50 (ng/ml)
- the in vitro anti-proliferative effects of the exemplary cDACs indicate that cDAC described herein are biologically active comprised of a broad variety of antibodies, including those binding to the tumor-associated antigens and cell surface receptor proteins described herein.
- the exemplary cDACs of Table 3 comprise antibodies binding to tumor-associated antigens HER2 and CD33.
- HER2 is highly expressed at a level of several million copy numbers per cell in certain solid tumors such as breast cancer and gastric cancer.
- CD33 is expressed in a far lower copy number of about 10,00 per cell in hematological malignancies such as leukemia and lymphoma.
- the mechanisms of recycling and internalization differ between the HER2 and CD33 cell surface proteins.
- the demonstration of significant in vitro potency of the exemplary cDACs comprising HER2 and CD33 reasonably suggests that the cDACs described herein comprising other antibodies besides anti-HER2 and anti-CD33 will be similarly biologically active.
- the in vivo efficacy of cDAC were measured in tumor xenograft studies in mice (Examples 104-105).
- the cDAC described herein showed surprising and unexpected, target- dependent and dose-dependent potency in inhibition of tumor growth. Efficacy of the cDACs may be correlated with target antigen expression of the tumor cells.
- the efficacy of the cDACs provided herein is measured in vivo by implanting allografts or xenografts of cancer cells in rodents and treating the tumors with cDAC. Variable results are to be expected depending on the cell line, the specificity of antibody binding of the cDAC to receptors present on the cancer cells, dosing regimen, and other factors.
- the in vivo efficacy of the cDAC can be measured using a transgenic explant mouse model expressing moderate to high levels of a tumor-associated antigen, including HER2-expressing KPL4, and CD22-expressing BJAB. Subjects may be treated once with cDAC and monitored over 3-6 weeks to measure the time to tumor doubling, log cell kill, and tumor shrinkage. Follow up dose-response and multi- dose experiments may be conducted.
- the in vivo efficacy of an anti-HER2 cDAC described herein can be measured by a high expressing HER2 transgenic explant mouse model (Phillips et al (2008) Cancer Res.68:9280-90).
- An allograft is propagated from the Fo5 mmtv transgenic mouse which does not respond to, or responds poorly to, HERCEPTIN ⁇ (Genentech, Inc.) therapy.
- Subjects are treated once or more with cDAC at certain dose levels (mg/kg) and placebo buffer control (Vehicle) and monitored over two weeks or more to measure the time to tumor doubling, log cell kill, and tumor shrinkage, conducted according to Examples 104-105.
- Figure 7 shows the in vivo efficacies of anti-CD33 BRD4-cereblon degrader antibody conjugates cDAC-3, cDAC-4, cDAC-5, and cDAC-6 at the following doses in reducing tumor volume over time (21 days) in a HL-60 xenograft mice model.
- cDAC-5 showed higher efficacy than cDAC-3 (line 7 vs. line 3 in Figure).
- the amine of the glutarimide group of the cereblon degrader moiety of cDAC-5 is linked to the antibody linker through an aminal structure (Table 3, cDLI-5), whereas the indolinone group of the cereblon degrader moiety of cDAC-3 is linked to the antibody linker through a carbamate group (Table 3, cDLI-1).
- both cDAC-3 and cDAC-5 resulted in tumor volume below the limit of quantification.
- Figure 7 also illustrates that tumors from the non-target HER2-controls cDAC-4 and cDAC-6 at the matched 3 mg/kg groups (line 2 and line 6, respectively) had an initial response, but eventually grew out by the end of study (>21 days).
- This contrast demonstrated the target- specific efficacy of the BRD4-cereblon degrader antibody conjugates provided herein (e.g., cDAC-3 and cDAC-5).
- the LALA-PG mutation within the Fc domain of the anti-CD33 antibody ablates Fc-FcR mediated effector functions without affecting desired affinity (Schlothauer, T. et al (2016) Protein Engineering, Design & Selection, 29(10):457–466).
- cDAC-3 and cDAC-5 were tolerated in mice.
- In vivo and whole blood stability of cDAC can be measured and assessed according to standard assays, including Example 104.
- the stability of cDAC-4 and cDAC-6 were measured in buffer, Cynomolgus monkey whole blood, Human whole blood, Mouse whole blood, and Rat whole blood according to the whole blood assay of Example 104.
- samples were subject to capture by the biotinylated extra-cellular domain (ECD) of HER2 antigen immobilized on streptavidin magnetic beads.
- ECD biotinylated extra-cellular domain
- compositions e.g., a pharmaceutically or pharmacologically acceptable composition or formulation, comprising an cereblon degrader antibody conjugate (cDAC) or a plurality of cDACs as described herein and a pharmaceutically or pharmacologically acceptable carrier.
- cDAC cereblon degrader antibody conjugate
- a cDAC can be formulated for parenteral administration, such as intradermal, subcutaneous (subcut), intramuscular (IM), or intravenous (IV) injections, infusion, or administration into a body cavity or lumen of an organ.
- compositions for injection will commonly comprise a solution of the cDAC dissolved in a pharmaceutically acceptable carrier.
- acceptable vehicles and solvents that can be employed are water and an isotonic solution of one or more salts such as sodium chloride, e.g., Ringer's solution.
- sterile fixed oils can conventionally be employed as a solvent or suspending medium.
- any bland fixed oil can be employed, including synthetic monoglycerides or diglycerides.
- fatty acids such as oleic acid can likewise be used in the preparation of injectables.
- compositions desirably are sterile and generally free of undesirable matter. These compositions can be sterilized by conventional, well known sterilization techniques.
- the compositions can contain pharmaceutically acceptable auxiliary substances as required to approximate physiological conditions such as pH adjusting and buffering agents, toxicity adjusting agents, e.g., sodium acetate, sodium chloride, potassium chloride, calcium chloride, sodium lactate and the like.
- the composition may contain any suitable concentration of the cDACs.
- concentration of the cDAC in the composition can vary widely, and will be selected primarily based on fluid volumes, viscosities, body weight, and the like, in accordance with the particular mode of administration selected and the patient's needs.
- the concentration of an cDAC in a solution formulation for injection will range from about 0.1% (w/w) to about 10% (w/w).
- cDAC cereblon degrader antibody conjugate
- the cDAC direct a tumor-associated antigen-binding antibody to a cell that expresses the antigen and deliver a cereblon-degrading (cD) moiety to the target cell.
- a target protein is ubiquitinated and subsequently degraded.
- cDAC cereblon degrader antibody conjugates
- the method includes administering a therapeutically effective amount of ancDAC as described herein to a subject in need thereof, such as a patient that has cancer and is in need of treatment for the cancer.
- the method includes administering a therapeutically effective amount of a cDAC selected from Table 3.
- the disclosed cDACs include those with anticancer activity.
- the cDAC selectively delivers an effective dose of an active form of the cereblon degrader moiety to tumor tissue, whereby greater selectivity (i.e., a lower efficacious dose) may be achieved while increasing the therapeutic index (“therapeutic window”) relative to an unconjugated cereblon degrader compound.
- the disclosed cDACs may be used to treat various hyperproliferative diseases or disorders, e.g. characterized by the overexpression of a tumor antigen.
- hyperproliferative disorders include benign or malignant solid tumors and hematological disorders such as leukemia and lymphoid malignancies.
- cancers to be treated herein include, but are not limited to, carcinoma, lymphoma, blastoma, sarcoma, leukemia or lymphoid malignancies including acute myeloid leukemia, squamous cell cancer, epithelial squamous cell cancer, lung cancer including small- cell lung cancer, non-small cell lung cancer, adenocarcinoma of the lung and squamous carcinoma of the lung, cancer of the peritoneum, hepatocellular cancer, gastric or stomach cancer including gastrointestinal cancer, pancreatic cancer, glioblastoma, cervical cancer, ovarian cancer, liver cancer, bladder cancer, hepatoma, breast cancer, colon cancer, rectal cancer, colorectal cancer, endometrial or uterine carcinoma, salivary gland carcinoma, kidney or renal cancer, prostate cancer, vulval cancer, thyroid cancer, hepatic carcinoma, anal carcinoma, penile carcinoma, and head and neck cancer.
- carcinoma lymphoma, blastoma, sarcoma
- a cDAC for use as a medicament is provided.
- cDACs described herein for use in a method of treating an individual comprising administering to the individual an effective amount of the cDAC.
- the method further comprises administering to the individual an effective amount of at least one additional therapeutic agent, e.g., as described herein.
- uses of a cDAC described herein in the manufacture or preparation of a medicament in one embodiment, the medicament is for treatment of cancer, the method comprising administering to an individual having cancer an effective amount of the medicament.
- the method further comprises administering to the individual an effective amount of at least one additional therapeutic agent, e.g., as described herein.
- Dosing can be by any suitable route, e.g. by injections, such as intravenous or subcutaneous injections, depending in part on whether the administration is brief or chronic.
- Various dosing schedules including but not limited to single or multiple administrations over various time-points, bolus administration, and pulse infusion are contemplated herein.
- the cDAC dose can range from about 5 mg/kg (body weight) to about 50 mg/kg, from about 10 ⁇ g/kg to about 5 mg/kg, or from about 100 ⁇ g/kg to about 1 mg/kg.
- the cDAC dose can be about 100, 200, 300, 400, or 500 ⁇ g/kg.
- the cDAC dose can be about 1, 2, 3, 4, 5, 6, 7, 8, 9, or 10 mg/kg.
- the cDAC dose can also be outside of these ranges, depending on the particular conjugate as well as the type and severity of the cancer or disorder being treated. Frequency of administration can range from a single dose to multiple doses per week, or more frequently. In some embodiments, the cDAC is administered from about once per month to about five times per week. In some embodiments, the cDAC is administered once per week.
- the disclosed cDACs can be used either alone or in combination with other therapeutic agents in a therapy regimen.
- cDAC may be administered concurrently in a regimen with one or more other drugs during the same treatment cycle, on the same day of treatment as the one or more other drugs, and, optionally, at the same time as the one or more other drugs.
- the concurrently administered drugs are each administered on day-1 of a 3-week cycle.
- a cDAC may be co-administered with at least one additional therapeutic agent, such as a chemotherapeutic agent.
- Such combination therapies encompass combined administration (where two or more therapeutic agents are included in the same or separate formulations), and separate administration, in which case, administration of the cDAC can occur prior to, simultaneously, and/or following, administration of the additional therapeutic agent.
- cDACs can also be used in combination with radiation therapy.
- the disclosed cDACs may be useful in treating a HER2-positive (HER2+) cancer comprising cancer cells which have higher than normal levels of HER2.
- HER2- positive cancer include HER2-positive breast cancer and HER2-positive gastric cancer.
- HER2-positive cancer has an immunohistochemistry (IHC) score of 2+ or 3+ by in situ hybridization (ISH) amplification ratio.
- IHC immunohistochemistry
- ISH in situ hybridization
- HER2-positive cell refers to a cell that expresses HER2 on its surface.
- cDAC may also be useful in treating HER2-low tumor types.
- No.3779-29-1) was converted by limited saponification with aqueous base to the half acid/ester 1,1-cyclobutanedicarboxylic acid, 1-ethyl ester (CAS Reg No.54450-84-9) and activation with a coupling reagent such as TBTU (O-(Benzotriazol-1-yl)-N,N,N′,N′-tetramethyluronium tetrafluoroborate, also called: N,N,N′,N′-Tetramethyl-O-(benzotriazol-1-yl)uronium tetrafluoroborate, CAS No.125700-67-6, Sigma-Aldrich B-2903), and N-hydroxysuccinimide to the NHS ester, 1-(2,5-dioxopyrrolidin-1-yl) 1-ethyl cyclobutane-1,1-dicarboxylate.
- a coupling reagent such as TBTU (O-
- Example cD-6 Synthesis of 4-((3-cyclopropyl-1-ethyl-1H-pyrazol-5-yl)amino)-7- (3,5-dimethylisoxazol-4-yl)-N-(5-((2-(2,6-dioxopiperidin-3-yl)-1-oxoisoindolin-4- yl)amino)pentyl)-6-methoxy-9H-pyrimido[4,5-b]indole-2-carboxamide, cD-6
- Example cDLI-1 Synthesis of 4-((S)-2-(1-((5-(2,5-dioxo-2,5-dihydro-1H-pyrrol-1- yl)pentyl)carbamoyl)cyclobutane-1-carboxamido)propanamido)benzyl (7-(4-(3,5- difluoropyridin-2-yl)-10-methyl-7-((
- the mixture was concentrated and purified by reverse phase chromatography (Xtimate C 1 8® (Welch Materials, Inc.) 150*25mm*5um, acetonitrile 60- 80.6/0.225% FA in water) to afford cDLI-6g (110 mg, 38%) as a white solid.
- the engineered cysteine residues in antibodies exist as mixed disulfides with cellular thiols (e.g., glutathione) and are thus unavailable for conjugation. Partial reduction of these antibodies (e.g., with DTT), purification, and reoxidation with dehydroascorbic acid (DHAA) gives antibodies with free cysteine sulfhydryl groups available for conjugation, as previously described (Junutula et al. (2008) Nat. Biotechnol.26:925-932; US 2011/0301334). Briefly, the antibodies were combined with a cereblon degrader-linker intermediate to allow conjugation to the free cysteine residues of the antibody.
- cellular thiols e.g., glutathione
- the cereblon degrader antibody conjugate is purified.
- the cysteine engineered antibodies were made reactive for conjugation with the cereblon degrader-linker intermediate by treatment with a reducing agent such as DTT (Cleland's reagent, dithiothreitol) or TCEP (tris(2-carboxyethyl)phosphine hydrochloride (Getz et al, (1999) Anal. Biochem.273:73-80; Soltec Ventures, Beverly, MA) in 50 mM Tris pH 7.5 with 2 mM EDTA for 3 hrs at 37 °C or overnight at room temperature.
- a reducing agent such as DTT (Cleland's reagent, dithiothreitol) or TCEP (tris(2-carboxyethyl)phosphine hydrochloride (Getz et al, (1999) Anal. Biochem.273:73-80; Soltec Ventures, Beverly, MA) in
- THIOMABTM Full length, cysteine engineered monoclonal antibodies (THIOMABTM) expressed in CHO cells (Gomez et al, (2010) Biotechnology and Bioeng.105(4):748-760; Gomez et al, (2010) Biotechnol. Prog.26:1438-1445) were reduced, for example with about a 50 fold excess of DTT overnight at room temperature to reduce disulfide bonds which may form between the newly introduced cysteine residues and the cysteine present in the culture media.
- the reduced THIOMABTM was diluted and loaded onto a HiTrap S column in 10 mM sodium acetate, pH 5, and eluted with PBS containing 0.3M sodium chloride.
- the antibody was acidified by addition of 1/20 th volume of 10% acetic acid, diluted with 10 mM succinate pH 5, loaded onto the column and then washed with 10 column volumes of succinate buffer. The column was eluted with 50 mM Tris pH7.5, 2 mM EDTA.
- Light chain amino acids are numbered according to Kabat (Kabat et al., Sequences of proteins of immunological interest, (1991) 5th Ed., US Dept of Health and Human Service, National Institutes of Health, Bethesda, MD).
- Heavy chain amino acids are numbered according to the EU numbering system (Edelman et al, (1969) Proc. Natl. Acad.
- cysteine engineered monoclonal antibodies THIOMABTM expressed in CHO cells bear cysteine adducts (cystines) or glutathionylated on the engineered cysteines due to cell culture conditions.
- cysteine adducts cysteines
- glutathionylated glutathionylated on the engineered cysteines due to cell culture conditions.
- the THIOMABTM was dissolved in 500 mM sodium borate and 500 mM sodium chloride at about pH 8.0 and reduced with about a 50-100 fold excess of 1 mM TCEP for about 1-2 hrs at 37 oC.
- DTT was used as reducing agent.
- the formation of inter-chain disulfide bonds was monitored either by non-reducing SDS-PAGE or by denaturing reverse phase HPLC PLRP column chromatography.
- the reduced THIOMABTM was diluted and loaded onto a HiTrap SP FF column in 10 mM sodium acetate, pH 5, and eluted with PBS containing 0.3M sodium chloride, or 50 mM Tris-Cl, pH 7.5 containing 150 mM sodium chloride. Disulfide bonds were reestablished between cysteine residues present in the parent Mab by carrying out reoxidation.
- the eluted reduced THIOMABTM was treated with 15X or 2 mM dehydroascorbic acid (dhAA) at pH 7 for about 3 hours or for about 3 hrs in 50 mM Tris-Cl, pH 7.5, or with 200 nM to 2 mM aqueous copper sulfate (CuSO4) at room temperature overnight.
- Other oxidants i.e. oxidizing agents, and oxidizing conditions, which are known in the art may be used.
- Ambient air oxidation may also be effective. This mild, partial reoxidation step forms intrachain disulfides efficiently with high fidelity.
- the buffer was exchanged by elution over Sephadex G25 resin and eluted with PBS with 1mM DTPA.
- the thiol/ antibody value was checked by determining the reduced antibody concentration from the absorbance at 280 nm of the solution and the thiol concentration by reaction with DTNB (Aldrich, Milwaukee, WI) and determination of the absorbance at 412 nm.
- Liquid chromatography/Mass Spectrometric Analysis was performed on a TSQ Quantum Triple quadrupoleTM mass spectrometer with extended mass range (Thermo Electron, San Jose California). Samples were chromatographed on a PRLP-S®, 1000 A, microbore column (50mm ⁇ 2.1mm, Polymer Laboratories, Shropshire, UK) heated to 75 °C.
- HIC Hydrophobic Interaction Chromatography
- Example 102 Conjugation of cereblon degrader-linker intermediates (cDLI) and antibodies
- cDLI cereblon degrader-linker intermediates
- PBS phosphate buffered saline
- a thiol-reactive group such as pyridyl disulfide, maleimide, or bromoacetamide
- the cereblon degrader-linker intermediate was added from a DMSO stock at a concentration of about 20 mM in 50 mM Tris, pH 8, to the antibody and monitored until the reaction is complete from about 1 to about 24 hours as determined by LC-MS analysis of the reaction mixture.
- a capping reagent such as ethyl maleimide was added to quench the reaction and cap any unreacted antibody thiol groups.
- the conjugation mixture may be loaded and eluted through a HiTrap SP FF column to remove excess drug and other impurities.
- the reaction mixture was concentrated by centrifugal ultrafiltration and the resulting cysteine engineered cereblon degrader antibody conjugate (cDAC) was purified and desalted by elution through G25 resin in PBS, filtered through 0.2 ⁇ m filters under sterile conditions, and frozen for storage.
- cDAC cysteine engineered cereblon degrader antibody conjugate
- the crude cDAC was applied to a cation exchange column after dilution with 20 mM sodium succinate, pH 5.
- the column was washed with at least 10 column volumes of 20 mM sodium succinate, pH 5, and the antibody was eluted with PBS.
- the cDAC were formulated into 20 mM His/acetate, pH 5, with 240 mM sucrose using gel filtration columns.
- the cDAC was characterized by UV spectroscopy to determine protein concentration, analytical SEC (size-exclusion chromatography) for aggregation analysis and LC-MS before and after treatment with Lysine C endopeptidase. Size exclusion chromatography is performed using a Shodex KW802.5 column in 0.2M potassium phosphate pH 6.2 with 0.25 mM potassium chloride and 15% IPA at a flow rate of 0.75 ml/min. Aggregation state of the cDAC was determined by integration of eluted peak area absorbance at 280 nm. LC-MS analysis may be performed using an Agilent QTOF 6520 ESI instrument.
- the cDAC is treated with 1:500 w/w Endoproteinase Lys C (Promega) in Tris, pH 7.5, for 30 min at 37°C.
- the resulting cleavage fragments are loaded onto a 1000 ⁇ (Angstrom), 8 ⁇ m (micron) PLRP-S (highly cross-linked polystyrene) column heated to 80 °C and eluted with a gradient of 30% B to 40% B in 5 minutes.
- Mobile phase A was H 2 O with 0.05% TFA and mobile phase B was acetonitrile with 0.04% TFA.
- the flow rate was 0.5ml/min.
- Example 103 In vitro cell proliferation assay Efficacy of the cDAC was measured by a cell proliferation assay employing the following protocol (CELLTITER GLOTM Luminescent Cell Viability Assay, Promega Corp. Technical Bulletin TB288; Mendoza et al. (2002) Cancer Res.62:5485-5488): 1.
- the protocol is a modification of the CELLTITER GLOTM Luminescent Cell. Cell lines may be grown in media including RPMI- 1640, 20% HI-FBS, 2mM L-Glutamine.
- Example 104 Whole Blood Stability Assay Whole blood incubation: Matrix collected in lithium heparin-containing tubes (was shipped by the vendor (BioIVT, Westbury NY). Unfrozen plasma and whole blood were collected in the afternoon and shipped cold (2-8°C) overnight so as to arrive within 18 h of collection, while frozen plasma was collected and shipped frozen with normal delivery conditions.
- cDAC source material was formulated to 1mg/mL in Buffer (1X PBS [pH 7.4], 0.5% bovine serum albumin, 15 parts per million Proclin TM ) and then further diluted to a final concentration of 100 ⁇ g/mL. Once mixed, 150 ⁇ L of the whole blood/Buffer stability samples was aliquoted into two separate sets of tubes for the two different time-points.
- the 0 h time- points were then placed in a ⁇ 80°C.
- Whole blood samples were generated, with two aliquots of 150 ⁇ L for 0 and 24 h time-points for whole blood.
- the 0 h samples were immediately placed in a ⁇ 80°C freezer and while 24 h were shaken (about 700 rpm) in 37 °C incubator. Aliquots were collected at 24 h stored in ⁇ 80 °C freezer until affinity capture LC-MS was performed.
- the matrices used to generate the samples were mouse (CB17 SCID), rat (Sprague-Dawley), monkey (cynomolgus) and human.
- Streptavdin (SA)-coated magnetic beads (Thermo Fisher Scientific, catalog #60210) were washed 2x with HBS-EP buffer (GE Healthcare Life Sciences, catalog #BR-1001-88), then mixed with either biotinylated extracellular domain of target (e.g., human HER2) or anti-idiotypic antibody for specific capture or biotinylated human IgG for generic capture using a KingFisher Flex (Thermo Fisher Scientific) and incubated for 2 h at room temperature with gentle agitation.
- target e.g., human HER2
- biotinylated extracellular domain of target e.g., human HER2
- anti-idiotypic antibody for specific capture
- biotinylated human IgG for generic capture using a KingFisher Flex
- the SA-bead/Biotin-capture probe complex was then washed 2x with HBS-EP buffer, mixed with cDAC or precursor stability samples pre- diluted 1:16 with HBS-EP buffer and incubated for 2 h at room temperature with gentle agitation. After the 2 h, the SA-bead/Biotin-capture probe/sample complex was washed 2x with HBS-EP buffer, and then deglycosylated via overnight incubation with PNGase F (New England Biolabs, catalog #P0704B).
- the SA-bead/Biotin-capture probe/sample complex was then washed 2x with HBS-EP buffer, followed by 2x washes of water (OptimaTM LC/MS Grade, Fisher Chemical, catalog #W6-1) and finally 1x wash with 10% acetonitrile.
- the beads were placed in 30% acetonitrile/0.1% formic acid for elution for 30 min at room temperature with gentle agitation before the beads were collected.
- the eluted samples were then loaded on to the LC-MS (Thermo Scientific Q-Exactive Plus) for analysis.10 ⁇ L of cDAC samples was injected and loaded onto a Waters C4 column (1000 ⁇ m ⁇ 10 cm) maintained at 65 °C.
- the cDAC was separated on the column using a Waters Acquity UPLC system at a flow rate of 20 ⁇ L/min with the following gradient: 20% B (100% acetonitrile + 0.1% formic acid) at 0–2 min; 35% B at 2.5 min; 65% B at 5 min; 95% B at 5.5 min; 5% B at 6 min.
- the column was directly coupled for online detection with a Thermo Scientific Q-Exactive Plus mass spectrometer operated in positive electrospray ionization mode with an acquisition mass range from m/z 500 to 4000 Da.
- Example 105 Tumor growth inhibition, in vivo efficacy in CD33 expressing HL-60 mice
- Tumors were established and allowed to grow in CD33 expressing, HL-60 mice to 150- 200 mm 3 in volume (as measured using calipers) before a single treatment on day 0.
- Mice were euthanized before tumor volume reached 3000 mm 3 or when tumors showed signs of impending ulceration.
- Data collected from each experimental group (10 mice per group) is expressed as mean + SE.
- the Fo5 mouse mammary tumor model was employed to evaluate the in vivo efficacy of the anti-HER2 cereblon degrader antibody conjugates (cDAC) after single dose intravenous injections, and as described previously (Phillips GDL, Li GM, Dugger DL, et al. Targeting HER2-Positive Breast Cancer with Trastuzumab-DM1, an Antibody-Cytotoxic Drug Conjugate. (2008) Cancer Res.68:9280-90), incorporated by reference herein.
- cDAC cereblon degrader antibody conjugates
- Anti-HER2 cDACs were tested with the Fo5 model, a transgenic mouse model in which the human HER2 gene is over-expressed in mammary epithelium under transcriptional regulation of the murine mammary tumor virus promoter (MMTV-HER2).
- the HER2 over-expression causes spontaneous development of a mammary tumor.
- the mammary tumor of one of these founder animals (founder #5 [Fo5]) is propagated in subsequent generations of FVB mice by serial transplantation of tumor fragments ( ⁇ 2 x 2 mm in size). All studies are conducted in accordance with the Guide for the Care and Use of Laboratory Animals.
- Each cDAC single dose
- Initial tumor size is about 200 mm 3 volume.
- Other mammary fat pad transplant efficacy models may be employed as described (Chen et al. (2007) Cancer Res.67:4924-4932), evaluating tumor volume after a single intravenous dose and using tumors excised from a mouse bearing an intraperitoneal tumor, then serially passaged into the mammary fat pads of recipient mice. All references, including publications, patent applications, and patents, cited herein are hereby incorporated by reference to the same extent as if each reference were individually and specifically indicated to be incorporated by reference and were set forth in its entirety herein.
Landscapes
- Chemical & Material Sciences (AREA)
- Organic Chemistry (AREA)
- Health & Medical Sciences (AREA)
- Bioinformatics & Cheminformatics (AREA)
- Engineering & Computer Science (AREA)
- General Health & Medical Sciences (AREA)
- Veterinary Medicine (AREA)
- Pharmacology & Pharmacy (AREA)
- Life Sciences & Earth Sciences (AREA)
- Animal Behavior & Ethology (AREA)
- Medicinal Chemistry (AREA)
- Public Health (AREA)
- Immunology (AREA)
- Epidemiology (AREA)
- Nuclear Medicine, Radiotherapy & Molecular Imaging (AREA)
- General Chemical & Material Sciences (AREA)
- Chemical Kinetics & Catalysis (AREA)
- Peptides Or Proteins (AREA)
- Medicinal Preparation (AREA)
- Pharmaceuticals Containing Other Organic And Inorganic Compounds (AREA)
- Medicines Containing Antibodies Or Antigens For Use As Internal Diagnostic Agents (AREA)
Abstract
Description
Claims
Priority Applications (3)
| Application Number | Priority Date | Filing Date | Title |
|---|---|---|---|
| EP23848435.6A EP4637833A2 (en) | 2022-12-23 | 2023-12-22 | Cereblon degrader conjugates, and uses thereof |
| CN202380088484.7A CN120417934A (en) | 2022-12-23 | 2023-12-22 | CEREBLON degrader conjugates and uses thereof |
| JP2025536427A JP2026502860A (en) | 2022-12-23 | 2023-12-22 | Cereblon degrader conjugates and uses thereof |
Applications Claiming Priority (4)
| Application Number | Priority Date | Filing Date | Title |
|---|---|---|---|
| US202263435142P | 2022-12-23 | 2022-12-23 | |
| US63/435,142 | 2022-12-23 | ||
| US202363525282P | 2023-07-06 | 2023-07-06 | |
| US63/525,282 | 2023-07-06 |
Publications (2)
| Publication Number | Publication Date |
|---|---|
| WO2024138128A2 true WO2024138128A2 (en) | 2024-06-27 |
| WO2024138128A3 WO2024138128A3 (en) | 2024-07-25 |
Family
ID=89843299
Family Applications (1)
| Application Number | Title | Priority Date | Filing Date |
|---|---|---|---|
| PCT/US2023/085698 Ceased WO2024138128A2 (en) | 2022-12-23 | 2023-12-22 | Cereblon degrader conjugates, and uses thereof |
Country Status (5)
| Country | Link |
|---|---|
| EP (1) | EP4637833A2 (en) |
| JP (1) | JP2026502860A (en) |
| CN (1) | CN120417934A (en) |
| TW (1) | TW202432187A (en) |
| WO (1) | WO2024138128A2 (en) |
Cited By (2)
| Publication number | Priority date | Publication date | Assignee | Title |
|---|---|---|---|---|
| WO2024238872A3 (en) * | 2023-05-18 | 2024-12-19 | Firefly Bio, Inc. | Isoindolinone-glutarimide antibody conjugates, and uses thereof |
| WO2025054181A1 (en) * | 2023-09-05 | 2025-03-13 | Seagen Inc. | Targeted degrader molecules and ligand drug conjugates thereof |
Citations (256)
| Publication number | Priority date | Publication date | Assignee | Title |
|---|---|---|---|---|
| US798959A (en) | 1904-12-19 | 1905-09-05 | George W Goss | Corn-husker. |
| WO1991002536A1 (en) | 1989-08-23 | 1991-03-07 | Scripps Clinic And Research Foundation | Compositions and methods for detection and treatment of epstein-barr virus infection and immune disorders |
| WO1992007574A1 (en) | 1990-10-25 | 1992-05-14 | Tanox Biosystems, Inc. | Glycoproteins associated with membrane-bound immunoglobulins as antibody targets on b cells |
| WO1992017497A1 (en) | 1991-03-29 | 1992-10-15 | Genentech, Inc. | Human pf4a receptors and their use |
| EP0522868A1 (en) | 1991-07-12 | 1993-01-13 | SHIONOGI SEIYAKU KABUSHIKI KAISHA trading under the name of SHIONOGI & CO. LTD. | A human endothelin receptor |
| JPH053790B2 (en) | 1983-11-02 | 1993-01-18 | Canon Kk | |
| WO1994010312A1 (en) | 1992-10-23 | 1994-05-11 | Chugai Seiyaku Kabushiki Kaisha | Gene coding for megakaryocyte potentiator |
| WO1994028931A1 (en) | 1993-06-11 | 1994-12-22 | Genentech, Inc. | Methods for treating inflammatory disorders |
| US5440021A (en) | 1991-03-29 | 1995-08-08 | Chuntharapai; Anan | Antibodies to human IL-8 type B receptor |
| WO1996030514A1 (en) | 1995-03-31 | 1996-10-03 | University Of Washington | Intracellular domain of the her-2/neu protein for prevention or treatment of malignancies |
| US5583024A (en) | 1985-12-02 | 1996-12-10 | The Regents Of The University Of California | Recombinant expression of Coleoptera luciferase |
| WO1997007198A2 (en) | 1995-08-11 | 1997-02-27 | Genetics Institute, Inc. | Dna sequences and secreted proteins encoded thereby |
| US5644033A (en) | 1992-12-22 | 1997-07-01 | Health Research, Inc. | Monoclonal antibodies that define a unique antigen of human B cell antigen receptor complex and methods of using same for diagnosis and treatment |
| US5677171A (en) | 1988-01-12 | 1997-10-14 | Genentech, Inc. | Monoclonal antibodies directed to the HER2 receptor |
| WO1997044452A1 (en) | 1996-05-17 | 1997-11-27 | Schering Corporation | Human b-cell antigens, related reagents |
| US5700670A (en) | 1995-04-13 | 1997-12-23 | Mitsubishi Chemical Corporation | Method for producing optically active ester of γ-substituted-β-hydroxybutyric acid |
| WO1998017797A1 (en) | 1996-10-18 | 1998-04-30 | Genentech, Inc. | ANTI-ErbB2 ANTIBODIES |
| US5773223A (en) | 1993-09-02 | 1998-06-30 | Chiron Corporation | Endothelin B1, (ETB1) receptor polypeptide and its encoding nucleic acid methods, and uses thereof |
| US5792616A (en) | 1990-05-29 | 1998-08-11 | The United States Of America | Antibodies to human cripto protein |
| WO1998037193A1 (en) | 1997-02-20 | 1998-08-27 | Zymogenetics, Inc. | Zcytor7 cytokine receptor |
| WO1998040403A1 (en) | 1997-03-10 | 1998-09-17 | The Regents Of The University Of California | Psca: prostate stem cell antigen |
| US5821337A (en) | 1991-06-14 | 1998-10-13 | Genentech, Inc. | Immunoglobulin variants |
| EP0875569A1 (en) | 1997-04-28 | 1998-11-04 | Smithkline Beecham Corporation | A human sodium dependent phosphate transporter (IPT-1) |
| WO1998051805A1 (en) | 1997-05-15 | 1998-11-19 | Abbott Laboratories | Reagents and methods useful for detecting diseases of the prostate |
| WO1998051824A1 (en) | 1997-05-15 | 1998-11-19 | Abbott Laboratories | Reagents and methods useful for detecting disease of the urinary tract |
| US5854399A (en) | 1991-08-23 | 1998-12-29 | The United States Of America As Represented By The Department Of Health And Human Services | Antibodies specific for human cripto-related polypeptide CR-3 |
| US5869445A (en) | 1993-03-17 | 1999-02-09 | University Of Washington | Methods for eliciting or enhancing reactivity to HER-2/neu protein |
| WO1999028468A1 (en) | 1997-12-02 | 1999-06-10 | The Regents Of The University Of California | Modulating b lymphocyte chemokine/receptor interactions |
| WO1999046284A2 (en) | 1998-03-13 | 1999-09-16 | The Burnham Institute | Molecules that home to various selected organs or tissues |
| US5976551A (en) | 1991-11-15 | 1999-11-02 | Institut Pasteur And Institut Nationale De La Sante Et De La Recherche Medicale | Altered major histocompatibility complex (MHC) determinant and method of using the determinant |
| WO1999058658A2 (en) | 1998-05-13 | 1999-11-18 | Epimmune, Inc. | Expression vectors for stimulating an immune response and methods of using the same |
| WO2000012130A1 (en) | 1998-08-27 | 2000-03-09 | Smithkline Beecham Corporation | Rp105 agonists and antagonists |
| WO2000014228A1 (en) | 1998-09-03 | 2000-03-16 | Japan Science And Technology Corporation | Neutral amino acid transporter and gene thereof |
| WO2000020579A1 (en) | 1998-10-02 | 2000-04-13 | Mcmaster University | Spliced form of erbb-2/neu oncogene |
| WO2000022129A1 (en) | 1998-10-13 | 2000-04-20 | Arena Pharmaceuticals, Inc. | Non-endogenous, constitutively activated human g protein-coupled receptors |
| US6054297A (en) | 1991-06-14 | 2000-04-25 | Genentech, Inc. | Humanized antibodies and methods for making them |
| WO2000032752A1 (en) | 1998-12-02 | 2000-06-08 | The Regents Of The University Of California | Psca: prostate stem cell antigen and uses thereof |
| WO2000044899A1 (en) | 1999-01-29 | 2000-08-03 | Corixa Corporation | Her-2/neu fusion proteins |
| WO2000055351A1 (en) | 1999-03-12 | 2000-09-21 | Human Genome Sciences, Inc. | Human colon cancer associated gene sequences and polypeptides |
| US6153408A (en) | 1991-11-15 | 2000-11-28 | Institut Pasteur And Institut National De La Sante Et De La Recherche Medicale | Altered major histocompatibility complex (MHC) determinant and methods of using the determinant |
| WO2000075655A1 (en) | 1999-06-03 | 2000-12-14 | Takeda Chemical Industries, Ltd. | Screening method with the use of cd100 |
| WO2000053216A3 (en) | 1999-03-05 | 2001-01-11 | Smithkline Beecham Biolog | Use of casb616 polypeptides and polynucleotides for cancer treatment |
| WO2000040614A3 (en) | 1998-12-30 | 2001-02-22 | Beth Israel Hospital | Characterization of the soc/crac calcium channel protein family |
| WO2000036107A3 (en) | 1998-12-17 | 2001-02-22 | Corixa Corp | Compositions and methods for therapy and diagnosis of ovarian cancer |
| WO2001016318A2 (en) | 1999-09-01 | 2001-03-08 | Genentech, Inc. | Secreted and transmembrane polypeptides and nucleic acids encoding the same |
| WO2001041787A1 (en) | 1999-12-10 | 2001-06-14 | Epimmune Inc. | INDUCING CELLULAR IMMUNE RESPONSES TO HER2/neu USING PEPTIDE AND NUCLEIC ACID COMPOSITIONS |
| WO2001046261A1 (en) | 1999-12-23 | 2001-06-28 | Zymogenetics, Inc. | Method for treating inflammation |
| WO2001048204A1 (en) | 1999-12-23 | 2001-07-05 | Agresearch Limited | Mutated bmp1b receptor as regulator of ovulation rate |
| WO2001000244A3 (en) | 1999-06-25 | 2001-10-04 | Genentech Inc | METHODS OF TREATMENT USING ANTI-ErbB ANTIBODY-MAYTANSINOID CONJUGATES |
| WO2001040309A3 (en) | 1999-10-29 | 2001-11-29 | Genentech Inc | Anti-prostate stem cell antigen (psca) antibody compositions and methods of use |
| WO2001040269A3 (en) | 1999-11-30 | 2001-12-13 | Corixa Corp | Compositions and methods for therapy and diagnosis of breast cancer |
| WO2001038490A3 (en) | 1999-11-29 | 2001-12-27 | Univ Columbia | ISOLATION OF FIVE NOVEL GENES CODING FOR NEW Fc RECEPTORS-TYPE MELANOMA INVOLVED IN THE PATHOGENESIS OF LYMPHOMA/MELANOMA |
| US20010055751A1 (en) | 1997-03-10 | 2001-12-27 | Reiter Robert E | PSCA: Prostate stem cell antigen and uses thereof |
| WO2002002587A1 (en) | 2000-06-30 | 2002-01-10 | Human Genome Sciences, Inc. | B7-like polynucleotides, polypeptides, and antibodies |
| US6339142B1 (en) | 1998-05-06 | 2002-01-15 | Genentech, Inc. | Protein purification |
| WO2001072962A3 (en) | 2000-03-24 | 2002-01-17 | Fahri Saatcioglu | Novel prostate-specific or testis-specific nucleic acid molecules, polypeptides, and diagnostic and therapeutic methods |
| WO2002010187A1 (en) | 2000-07-27 | 2002-02-07 | Mayo Foundation For Medical Education And Research | B7-h3 and b7-h4, novel immunoregulatory molecules |
| WO2001053463A3 (en) | 2000-01-21 | 2002-02-14 | Corixa Corp | COMPOUNDS AND METHODS FOR PREVENTION AND TREATMENT OF HER-2/neu ASSOCIATED MALIGNANCIES |
| WO2001046232A3 (en) | 1999-12-23 | 2002-02-21 | Zymogenetics Inc | Soluble interleukin-20 receptor |
| WO2001057188A3 (en) | 2000-02-03 | 2002-02-28 | Hyseq Inc | Novel nucleic acids and polypeptides |
| US20020034749A1 (en) | 1997-11-18 | 2002-03-21 | Billing-Medel Patricia A. | Reagents and methods useful for detecting diseases of the breast |
| WO2002022636A1 (en) | 2000-09-15 | 2002-03-21 | Isis Pharmaceuticals, Inc. | Antisense modulation of her-2 expression |
| US20020042366A1 (en) | 1999-12-23 | 2002-04-11 | Penny Thompson | Method for treating inflammation |
| WO2001062794A3 (en) | 2000-02-22 | 2002-05-02 | Millennium Pharm Inc | 18607, a human calcium channel |
| WO2001090304A3 (en) | 2000-05-19 | 2002-05-10 | Human Genome Sciences Inc | Nucleic acids, proteins, and antibodies |
| WO2001066689A3 (en) | 2000-03-07 | 2002-05-30 | Hyseq Inc | Novel nucleic acids and polypeptides |
| WO2001072830A3 (en) | 2000-03-31 | 2002-06-20 | Ipf Pharmaceuticals Gmbh | Diagnostic and medicament for analysing the cell surface proteome of tumour and inflammatory cells and for treating tumorous and inflammatory diseases, preferably using a specific chemokine receptor analysis and the chemokine receptor-ligand interaction |
| WO2002002624A3 (en) | 2000-06-30 | 2002-07-04 | Amgen Inc | B7-like molecules and uses thereof |
| WO2002054940A2 (en) | 2001-01-12 | 2002-07-18 | University Of Medicine & Dentistry Of New Jersey | Bone morphogenetic protein-2 in the treatment and diagnosis of cancer |
| WO2002059377A2 (en) | 2001-01-24 | 2002-08-01 | Protein Design Labs | Methods of diagnosis of breast cancer, compositions and methods of screening for modulators of breast cancer |
| WO2002060317A2 (en) | 2001-01-30 | 2002-08-08 | Corixa Corporation | Compositions and methods for the therapy and diagnosis of pancreatic cancer |
| WO2002061087A2 (en) | 2000-12-19 | 2002-08-08 | Lifespan Biosciences, Inc. | Antigenic peptides, such as for g protein-coupled receptors (gpcrs), antibodies thereto, and systems for identifying such antigenic peptides |
| WO2002064798A1 (en) | 2001-02-12 | 2002-08-22 | Bionomics Limited | Dna sequences differentially expressed in tumour cell lines |
| WO2002072596A1 (en) | 2001-03-09 | 2002-09-19 | Incyte Genomics, Inc. | Steap-related protein |
| WO2002071928A2 (en) | 2001-03-14 | 2002-09-19 | Millennium Pharmaceuticals, Inc. | Nucleic acid molecules and proteins for the identification, assessment, prevention, and therapy of ovarian cancer |
| WO2002078524A2 (en) | 2001-03-28 | 2002-10-10 | Zycos Inc. | Translational profiling |
| WO2002081646A2 (en) | 2001-04-06 | 2002-10-17 | Mannkind Corporation | Epitope sequences |
| US20020150573A1 (en) | 2000-11-10 | 2002-10-17 | The Rockefeller University | Anti-Igalpha-Igbeta antibody for lymphoma therapy |
| WO2002083866A2 (en) | 2001-04-17 | 2002-10-24 | The Board Of Trustees Of The University Of Arkansas | Repeat sequences of the ca125 gene and their use for diagnostic and therapeutic interventions |
| WO2002086443A2 (en) | 2001-04-18 | 2002-10-31 | Protein Design Labs, Inc | Methods of diagnosis of lung cancer, compositions and methods of screening for modulators of lung cancer |
| WO2002088170A2 (en) | 2001-04-26 | 2002-11-07 | Biogen, Inc. | Cripto blocking antibodies and uses thereof |
| WO2002089747A2 (en) | 2001-05-09 | 2002-11-14 | Corixa Corporation | Compositions and methods for the therapy and diagnosis of prostate cancer |
| WO2002092836A2 (en) | 2001-05-11 | 2002-11-21 | Sloan-Kettering Institute For Cancer Research | Nucleic acid sequence encoding ovarian antigen, ca125, and uses thereof |
| WO2002094852A2 (en) | 2001-05-24 | 2002-11-28 | Zymogenetics, Inc. | Taci-immunoglobulin fusion proteins |
| WO2002016413A3 (en) | 2000-08-24 | 2002-12-05 | Smithkline Beecham Biolog | Cripto tumour polypeptide |
| WO2002099074A2 (en) | 2001-06-05 | 2002-12-12 | Exelixis, Inc. | Slc7s as modifiers of the p53 pathway and methods of use |
| WO2002098358A2 (en) | 2001-06-04 | 2002-12-12 | Eos Biotechnology, Inc. | Methods of diagnosis and treatment of androgen-dependent prostate cancer, prostate cancer undergoing androgen-withdrawal, and androgen-independent prostate cancer |
| WO2002099122A1 (en) | 2001-06-05 | 2002-12-12 | Exelixis, Inc. | Modifiers of the p53 pathway and methods of use |
| US20020193567A1 (en) | 1995-08-11 | 2002-12-19 | Genetics Institute, Inc. | Secreted proteins and polynucleotides encoding them |
| WO2002101075A2 (en) | 2001-06-13 | 2002-12-19 | Millennium Pharmaceuticals, Inc. | Novel genes, compositions, kits, and methods for identification, assessment, prevention, and therapy of cervical cancer |
| WO2002013847A3 (en) | 2000-08-14 | 2002-12-19 | Corixa Corp | Methods for diagnosis and therapy of hematological and virus-associated malignancies |
| WO2002102235A2 (en) | 2001-06-18 | 2002-12-27 | Eos Biotechnology Inc. | Methods of diagnosis of ovarian cancer, compositions and methods of screening for modulators of ovarian cancer |
| WO2002016429A3 (en) | 2000-08-24 | 2003-01-03 | Genentech Inc | Compositions and methods for the diagnosis and treatment of tumor |
| WO2003000842A2 (en) | 2001-06-04 | 2003-01-03 | Curagen Corporation | Novel proteins and nucleic acids encoding same |
| WO2003002717A2 (en) | 2001-06-28 | 2003-01-09 | Schering Corporation | Biological activity of ak155 |
| WO2001098351A3 (en) | 2000-06-16 | 2003-01-09 | Incyte Genomics Inc | G-protein coupled receptors |
| WO2003003906A2 (en) | 2001-07-03 | 2003-01-16 | Eos Biotechnology, Inc. | Diagnostic and screening methods for bladder cancer |
| WO2002022808A3 (en) | 2000-09-18 | 2003-01-16 | Biogen Inc | Cripto mutant and uses thereof |
| WO2003004989A2 (en) | 2001-06-21 | 2003-01-16 | Millennium Pharmaceuticals, Inc. | Compositions, kits, and methods for identification, assessment, prevention, and therapy of breast cancer |
| WO2003003984A2 (en) | 2001-07-05 | 2003-01-16 | Curagen Corporation | Novel proteins and nucleic acids encoding same |
| WO2003004529A2 (en) | 2001-07-02 | 2003-01-16 | Licentia Ltd. | Ephrin-tie receptor materials and methods |
| WO2001077172A3 (en) | 2000-04-07 | 2003-01-30 | Arena Pharm Inc | Non-endogenous, constitutively activated known g protein-coupled receptors |
| WO2002002634A3 (en) | 2000-06-30 | 2003-01-30 | Incyte Genomics Inc | Human extracellular matrix and cell adhesion polypeptides |
| WO2003009814A2 (en) | 2001-07-25 | 2003-02-06 | Millennium Pharmaceuticals, Inc. | Novel genes, compositions, kits, and methods for identification, assessment, prevention, and therapy of prostate cancer |
| US6518404B1 (en) | 1994-10-17 | 2003-02-11 | Human Genome Sciences, Inc. | Human endothelin-bombesin receptor antibodies |
| WO2003014294A2 (en) | 2001-08-03 | 2003-02-20 | Genentech, Inc. | Tacis and br3 polypeptides and uses thereof |
| WO2003016494A2 (en) | 2001-08-16 | 2003-02-27 | Vitivity, Inc. | Diagnosis and treatment of vascular disease |
| WO2003016475A2 (en) | 2001-08-14 | 2003-02-27 | The General Hospital Corporation | Nucleic acid and amino acid sequences involved in pain |
| WO2003018621A2 (en) | 2001-08-23 | 2003-03-06 | Oxford Biomedica (Uk) Limited | Genes |
| WO2003022995A2 (en) | 2001-09-06 | 2003-03-20 | Agensys, Inc. | Nucleic acid and corresponding protein entitled steap-1 useful in treatment and detection of cancer |
| WO2003023013A2 (en) | 2001-09-13 | 2003-03-20 | Nuvelo, Inc. | Novel nucleic acids and polypeptides |
| EP1295944A2 (en) | 1996-03-19 | 2003-03-26 | Otsuka Pharmaceutical Co., Ltd. | GDP dissociation stimulating protein, brain-specific nucleosome assembly protein, skeletal muscle specific ubiquitin-conjugating enzyme, cell proliferation protein, phosphatidylinositolkinase, nel related proteins |
| WO2003024392A2 (en) | 2001-09-18 | 2003-03-27 | Genentech, Inc. | Compositions and methods for the diagnosis and treatment of tumor |
| WO2003025138A2 (en) | 2001-09-17 | 2003-03-27 | Protein Design Labs, Inc. | Methods of diagnosis of cancer compositions and methods of screening for modulators of cancer |
| WO2003025148A2 (en) | 2001-09-19 | 2003-03-27 | Nuvelo, Inc. | Novel nucleic acids and polypeptides |
| US20030060612A1 (en) | 1997-10-28 | 2003-03-27 | Genentech, Inc. | Compositions and methods for the diagnosis and treatment of tumor |
| WO2003025228A1 (en) | 2001-09-18 | 2003-03-27 | Proteologics, Inc. | Methods and compositions for treating hcap associated diseases |
| US20030064397A1 (en) | 1998-05-22 | 2003-04-03 | Incyte Genomics, Inc. | Transmembrane protein differentially expressed in prostate and lung tumors |
| US20030065143A1 (en) | 1998-12-30 | 2003-04-03 | Genentech, Inc. | Secreted and transmembrane polypeptides and nucleic acids encoding the same |
| WO2003026493A2 (en) | 2001-09-28 | 2003-04-03 | Bing Yang | Diagnosis and treatment of diseases caused by mutations in cd72 |
| WO2003029262A2 (en) | 2001-08-29 | 2003-04-10 | Vanderbilt University | The human mob-5 (il-24) receptors and uses thereof |
| WO2003029421A2 (en) | 2001-10-03 | 2003-04-10 | Origene Technologies, Inc. | Regulated breast cancer genes |
| WO2003029277A2 (en) | 2001-10-03 | 2003-04-10 | Rigel Pharmaceuticals, Inc. | Modulators of lymphocyte activation and migration |
| WO2002012341A3 (en) | 2000-08-03 | 2003-04-17 | Corixa Corp | Her-2/neu fusion proteins |
| WO2003034984A2 (en) | 2001-10-19 | 2003-05-01 | Genentech, Inc. | Compositions and methods for the diagnosis and treatment of inflammatory bowel disorders |
| WO2003035846A2 (en) | 2001-10-24 | 2003-05-01 | National Jewish Medical And Research Center | Structure of tall-1 and its cognate receptor |
| WO2001088133A3 (en) | 2000-05-18 | 2003-05-08 | Lexicon Genetics Inc | Human semaphorin homologs and polynucleotides encoding the same |
| US20030091580A1 (en) | 2001-06-18 | 2003-05-15 | Mitcham Jennifer L. | Compositions and methods for the therapy and diagnosis of ovarian cancer |
| WO2003042661A2 (en) | 2001-11-13 | 2003-05-22 | Protein Design Labs, Inc. | Methods of diagnosis of cancer, compositions and methods of screening for modulators of cancer |
| US20030096961A1 (en) | 2001-06-01 | 2003-05-22 | Genentech, Inc. | Secreted and transmembrane polypeptides and nucleic acids encoding the same |
| WO2001075177A3 (en) | 2000-04-03 | 2003-05-22 | Us Gov Health & Human Serv | Tumor markers in ovarian cancer |
| WO2003045422A1 (en) | 2001-11-29 | 2003-06-05 | Genset S.A. | Agonists and antagonists of prolixin for the treatment of metabolic disorders |
| WO2003048202A2 (en) | 2001-12-03 | 2003-06-12 | Asahi Kasei Pharma Corporation | Nf-kappab activating genes |
| WO2002022153A3 (en) | 2000-09-15 | 2003-06-19 | Zymogenetics Inc | Use of a polypeptide comprising the extracellular domains of il-20rb for the treatment of inflammation |
| US20030119130A1 (en) | 1999-08-17 | 2003-06-26 | Genentech, Inc. | Secreted and transmembrane polypeptides and nucleic acids encoding the same |
| US20030119122A1 (en) | 1999-05-11 | 2003-06-26 | Genentech, Inc. | Secreted and transmembrane polypeptides and nucleic acids encoding the same |
| US20030119128A1 (en) | 1999-07-20 | 2003-06-26 | Genentech, Inc. | Secreted and transmembrane polypeptides and nucleic acids encoding the same |
| US20030119121A1 (en) | 2000-09-15 | 2003-06-26 | Genentech, Inc. | Secreted and transmembrane polypeptides and nucleic acids encoding the same |
| US20030118592A1 (en) | 2001-01-17 | 2003-06-26 | Genecraft, Inc. | Binding domain-immunoglobulin fusion proteins |
| US20030119131A1 (en) | 2000-01-20 | 2003-06-26 | Genentech, Inc. | Secreted and transmembrane polypeptides and nucleic acids encoding the same |
| US20030119125A1 (en) | 2001-01-16 | 2003-06-26 | Genentech, Inc. | Secreted and transmembrane polypeptides and nucleic acids encoding the same |
| US20030119126A1 (en) | 2001-01-16 | 2003-06-26 | Genentech, Inc. | Secreted and transmembrane polypeptides and nucleic acids encoding the same |
| US20030119129A1 (en) | 1999-08-10 | 2003-06-26 | Genentech, Inc. | Secreted and transmembrane polypeptides and nucleic acids encoding the same |
| WO2003054152A2 (en) | 2001-12-10 | 2003-07-03 | Nuvelo, Inc. | Novel nucleic acids and polypeptides |
| US20030124140A1 (en) | 1998-12-17 | 2003-07-03 | Corixa Corporation | Compositions and methods for the therapy and diagnosis of ovarian cancer |
| WO2002006317A3 (en) | 2000-07-17 | 2003-07-03 | Corixa Corp | Compositions and methods for the therapy and diagnosis of ovarian cancer |
| US20030124579A1 (en) | 2001-09-05 | 2003-07-03 | Eos Biotechnology, Inc. | Methods of diagnosis of ovarian cancer, compositions and methods of screening for modulators of ovarian cancer |
| WO2003055443A2 (en) | 2001-10-31 | 2003-07-10 | Alcon, Inc. | Bone morphogenic proteins (bmp), bmp receptors and bmp binding proteins and their use in the diagnosis and treatment of glaucoma |
| WO2003055439A2 (en) | 2001-07-18 | 2003-07-10 | The Regents Of The University Of California | Her2/neu target antigen and use of same to stimulate an immune response |
| US20030129192A1 (en) | 1999-09-10 | 2003-07-10 | Corixa Corporation | Compositions and methods for the therapy and diagnosis of ovarian cancer |
| US20030134790A1 (en) | 2002-01-11 | 2003-07-17 | University Of Medicine And Dentistry Of New Jersey | Bone Morphogenetic Protein-2 And Bone Morphogenetic Protein-4 In The Treatment And Diagnosis Of Cancer |
| WO2002022660A3 (en) | 2000-09-11 | 2003-07-17 | Hyseq Inc | Novel nucleic acids and polypeptides |
| WO2002006339A3 (en) | 2000-07-03 | 2003-07-31 | Curagen Corp | Proteins and nucleic acids encoding same |
| WO2003062401A2 (en) | 2002-01-22 | 2003-07-31 | Corixa Corporation | Compositions and methods for the detection, diagnosis and therapy of hematological malignancies |
| WO2002024909A3 (en) | 2000-09-18 | 2003-07-31 | Biogen Inc | Receptor nucleic acids and polypeptides |
| US20030143557A1 (en) | 2002-01-25 | 2003-07-31 | Reinhold Penner | Methods of screening for TRPM4b modulators |
| US6602677B1 (en) | 1997-09-19 | 2003-08-05 | Promega Corporation | Thermostable luciferases and methods of production |
| US20030157089A1 (en) | 1997-02-25 | 2003-08-21 | Corixa Corporation | Compositions and methods for the therapy and diagnosis of prostate cancer |
| WO2001094641A3 (en) | 2000-06-09 | 2003-08-21 | Idec Pharma Corp | Gene targets and ligands that bind thereto for treatment and diagnosis of ovarian carcinomas |
| US20030165504A1 (en) | 1999-09-24 | 2003-09-04 | Retter Marc W. | Compositions and methods for the therapy and diagnosis of ovarian cancer |
| WO2003072036A2 (en) | 2002-02-21 | 2003-09-04 | Duke University | Treatment methods using anti-cd22 antibodies |
| WO2003072035A2 (en) | 2002-02-22 | 2003-09-04 | Genentech, Inc. | Compositions and methods for the treatment of immune related diseases |
| WO2003074566A2 (en) | 2002-03-01 | 2003-09-12 | Immunomedics, Inc. | Rs7 antibodies |
| WO2002014503A3 (en) | 2000-08-14 | 2003-09-18 | Corixa Corp | Compositions and methods for the therapy and diagnosis of her-2/neu-associated malignancies |
| EP1347046A1 (en) | 2002-03-22 | 2003-09-24 | Research Association for Biotechnology | Full-length cDNA sequences |
| WO2003077836A2 (en) | 2001-11-06 | 2003-09-25 | Corixa Corporation | Compositions and methods for the detection, diagnosis and therapy of hematological malignancies |
| WO2003081210A2 (en) | 2002-03-21 | 2003-10-02 | Sunesis Pharmaceuticals, Inc. | Identification of kinase inhibitors |
| US20030185830A1 (en) | 1997-02-25 | 2003-10-02 | Corixa Corporation | Compositions and methods for the therapy and diagnosis of prostate cancer |
| US20030186372A1 (en) | 2000-02-11 | 2003-10-02 | Genentech, Inc. | Secreted and transmembrane polypeptides and nucleic acids encoding the same |
| WO2003083047A2 (en) | 2002-03-01 | 2003-10-09 | Exelixis, Inc. | MP53s AS MODIFIERS OF THE p53 PATHWAY AND METHODS OF USE |
| WO2002010382A3 (en) | 2000-07-28 | 2003-10-09 | Ulrich Wissenbach | Trp8, trp9 and trp10, markers for cancer |
| WO2003083074A2 (en) | 2002-03-28 | 2003-10-09 | Idec Pharmaceuticals Corporation | Novel gene targets and ligands that bind thereto for treatment and diagnosis of colon carcinomas |
| WO2003083041A2 (en) | 2002-03-22 | 2003-10-09 | Biogen, Inc. | Cripto-specific antibodies |
| US20030194704A1 (en) | 2002-04-03 | 2003-10-16 | Penn Sharron Gaynor | Human genome-derived single exon nucleic acid probes useful for gene expression analysis two |
| WO2003087306A2 (en) | 2002-04-05 | 2003-10-23 | Agensys, Inc. | Nucleic acid and corresponding protein entitled 98p4b6 useful in treatment and detection of cancer |
| WO2003087768A2 (en) | 2002-04-12 | 2003-10-23 | Mitokor | Targets for therapeutic intervention identified in the mitochondrial proteome |
| WO2003089904A2 (en) | 2002-04-17 | 2003-10-30 | Baylor College Of Medicine | Aib1 as a prognostic marker and predictor of resistance to encocrine therapy |
| WO2003089624A2 (en) | 2002-03-25 | 2003-10-30 | Uab Research Foundation | Fc receptor homolog, reagents, and uses thereof |
| WO2003088808A2 (en) | 2002-04-16 | 2003-10-30 | Genentech, Inc. | Compositions and methods for the diagnosis and treatment of tumor |
| US20030206918A1 (en) | 1999-09-10 | 2003-11-06 | Corixa Corporation | Compositions and methods for the therapy and diagnosis of ovarian cancer |
| WO2003093444A2 (en) | 2002-05-03 | 2003-11-13 | Incyte Corporation | Transporters and ion channels |
| US20030219806A1 (en) | 2000-02-22 | 2003-11-27 | Millennium Pharmaceuticals, Inc. | Novel 18607, 15603, 69318, 12303, 48000, 52920, 5433, 38554, 57301, 58324, 55063, 52991, 59914, 59921 and 33751 molecules and uses therefor |
| WO2003097803A2 (en) | 2002-05-15 | 2003-11-27 | Avalon Pharmaceuticals | Cancer-linked gene as target for chemotherapy |
| US20030224454A1 (en) | 2002-05-30 | 2003-12-04 | Ryseck Rolf Peter | Human solute carrier family 7, member 11 (hSLC7A11) |
| US20030224411A1 (en) | 2003-03-13 | 2003-12-04 | Stanton Lawrence W. | Genes that are up- or down-regulated during differentiation of human embryonic stem cells |
| WO2003101400A2 (en) | 2002-06-04 | 2003-12-11 | Avalon Pharmaceuticals, Inc. | Cancer-linked gene as target for chemotherapy |
| WO2003101283A2 (en) | 2002-06-04 | 2003-12-11 | Incyte Corporation | Diagnostics markers for lung cancer |
| US20030232056A1 (en) | 1999-09-10 | 2003-12-18 | Corixa Corporation | Compositions and methods for the therapy and diagnosis of ovarian cancer |
| US20030232350A1 (en) | 2001-11-13 | 2003-12-18 | Eos Biotechnology, Inc. | Methods of diagnosis of cancer, compositions and methods of screening for modulators of cancer |
| WO2003104399A2 (en) | 2002-06-07 | 2003-12-18 | Avalon Pharmaceuticals, Inc | Cancer-linked gene as target for chemotherapy |
| WO2003104270A2 (en) | 2002-06-06 | 2003-12-18 | Ingenium Pharmaceuticals Ag | Dudulin 2 genes, expression products, non-human animal model: uses in human hematological disease |
| WO2003104275A2 (en) | 2002-06-06 | 2003-12-18 | Oncotherapy Science, Inc. | Genes and polypeptides relating to human colon cancers |
| WO2003105758A2 (en) | 2002-06-12 | 2003-12-24 | Avalon Pharmaceuticals, Inc. | Cancer-linked gene as target for chemotherapy |
| WO2004001004A2 (en) | 2002-06-21 | 2003-12-31 | Johns Hopkins University School Of Medicine | Membrane associated tumor endothelium markers |
| WO2004000997A2 (en) | 2002-03-19 | 2003-12-31 | Curagen Corporation | Therapeutic polypeptides, nucleic acids encoding same, and methods of use |
| WO2004000221A2 (en) | 2002-06-20 | 2003-12-31 | The Regents Of The University Of California | Compositions and methods for modulating lymphocyte activity |
| WO2002038766A3 (en) | 2000-11-07 | 2003-12-31 | Zymogenetics Inc | Human tumor necrosis factor receptor |
| US20040005538A1 (en) | 2001-04-11 | 2004-01-08 | Xiaojiang Chen | Three-dimensional structure of complement receptor type 2 and uses thereof |
| US20040005563A1 (en) | 2001-06-18 | 2004-01-08 | Eos Biotechnology, Inc. | Methods of diagnosis of ovarian cancer, compositions and methods of screening for modulators of ovarian cancer |
| WO2004009622A2 (en) | 2002-07-19 | 2004-01-29 | Cellzome Ag | Protein complexes of cellular networks underlying the development of cancer and other diseases |
| WO2004011611A2 (en) | 2002-07-25 | 2004-02-05 | Genentech, Inc. | Taci antibodies and uses thereof |
| US20040022727A1 (en) | 2002-06-18 | 2004-02-05 | Martin Stanton | Aptamer-toxin molecules and methods for using same |
| WO2004015426A1 (en) | 2002-08-06 | 2004-02-19 | Bayer Healthcare Ag | Diagnostics and therapeutics for diseases associated with human cxc chemokine receptor 5(cxcr5) |
| WO2004016225A2 (en) | 2002-08-19 | 2004-02-26 | Genentech, Inc. | Compositions and methods for the diagnosis and treatment of tumor |
| EP1394274A2 (en) | 2002-08-06 | 2004-03-03 | Genox Research, Inc. | Methods of testing for bronchial asthma or chronic obstructive pulmonary disease |
| US20040044179A1 (en) | 2000-07-25 | 2004-03-04 | Genentech, Inc. | Secreted and transmembrane polypeptides and nucleic acids encoding the same |
| WO2004020583A2 (en) | 2002-08-27 | 2004-03-11 | Bristol-Myers Squibb Company | Polynucleotide predictor set for identifying protein tyrosine kinase modulators |
| WO2004020595A2 (en) | 2002-08-29 | 2004-03-11 | Five Prime Therapeutics, Inc. | Novel human polypeptides encoded by polynucleotides |
| WO2004022778A1 (en) | 2002-09-05 | 2004-03-18 | Garvan Institute Of Medical Research | Methods of diagnosis and prognosis of ovarian cancer |
| WO2004022709A2 (en) | 2002-09-06 | 2004-03-18 | Mannkind Corporation | Epitope sequences |
| WO2004027049A2 (en) | 2002-09-20 | 2004-04-01 | Astral, Inc. | Methods and compositions to generate and control the effector profile of t cells by simultaneous loading and activation of selected subsets of antigen presenting cells |
| JP2004113151A (en) | 2002-09-27 | 2004-04-15 | Sankyo Co Ltd | Oncogene and its application |
| WO2004031238A2 (en) | 2002-10-03 | 2004-04-15 | Mcgill Univeristy | Antibodies and cyclic peptides which bind cea (carcinoembryonic antigen) and their use as cancer therapeutics |
| WO2004032842A2 (en) | 2002-10-04 | 2004-04-22 | Van Andel Research Institute | Molecular sub-classification of kidney tumors and the discovery of new diagnostic markers |
| WO2004040000A2 (en) | 2002-09-09 | 2004-05-13 | Nura, Inc | G protein coupled receptors and uses thereof |
| WO2004042346A2 (en) | 2002-04-24 | 2004-05-21 | Expression Diagnostics, Inc. | Methods and compositions for diagnosing and monitoring transplant rejection |
| WO2004044178A2 (en) | 2002-11-13 | 2004-05-27 | Genentech, Inc. | Methods and compositions for diagnosing dysplasia |
| WO2004043361A2 (en) | 2002-11-08 | 2004-05-27 | Genentech, Inc. | Compositions and methods for the treatment of natural killer cell related diseases |
| WO2004045520A2 (en) | 2002-11-15 | 2004-06-03 | Musc Foundation For Research Development | Complement receptor 2 targeted complement modulators |
| WO2004045516A2 (en) | 2002-11-15 | 2004-06-03 | Genentech, Inc. | Compositions and methods for the diagnosis and treatment of tumor |
| WO2004045553A2 (en) | 2002-11-15 | 2004-06-03 | The Board Of Trustees Of The University Of Arkansas | Ca125 gene and its use for diagnostic and therapeutic interventions |
| WO2004046342A2 (en) | 2002-11-20 | 2004-06-03 | Biogen Idec Inc. | Novel gene targets and ligands that bind thereto for treatment and diagnosis of carcinomas |
| WO2004047749A2 (en) | 2002-11-21 | 2004-06-10 | University Of Utah Research Foundation | Purinergic modulation of smell |
| WO2004048938A2 (en) | 2002-11-26 | 2004-06-10 | Protein Design Labs, Inc. | Methods of detecting soft tissue sarcoma, compositions and methods of screening for soft tissue sarcoma modulators |
| WO2004053079A2 (en) | 2002-12-06 | 2004-06-24 | Diadexus, Inc. | Compositions, splice variants and methods relating to ovarian specific genes and proteins |
| WO2004058309A1 (en) | 2002-12-23 | 2004-07-15 | Human Genome Sciences, Inc. | Neutrokine-alpha conjugate, neutrokine-alpha complex, and uses thereof |
| EP1439393A2 (en) | 2002-12-13 | 2004-07-21 | Bayer Healthcare LLC | Detection methods using TIMP 1 for colon cancer diagnosis |
| WO2004063709A2 (en) | 2003-01-08 | 2004-07-29 | Bristol-Myers Squibb Company | Biomarkers and methods for determining sensitivity to epidermal growth factor receptor modulators |
| WO2004063355A2 (en) | 2003-01-10 | 2004-07-29 | Protein Design Labs, Inc. | Novel methods of diagnosis of metastatic cancer, compositions and methods of screening for modulators of matastatic cancer |
| WO2004063362A2 (en) | 2003-01-10 | 2004-07-29 | Cyclacel Limited | Cell cycle progression proteins |
| WO2004065577A2 (en) | 2003-01-14 | 2004-08-05 | Bristol-Myers Squibb Company | Polynucleotides and polypeptides associated with the nf-kb pathway |
| WO2004065576A2 (en) | 2003-01-15 | 2004-08-05 | Millennium Pharmaceuticals, Inc. | Methods and compositions for the treatment of urological disorder using differential expressed polypeptides |
| WO2002030268A3 (en) | 2000-10-13 | 2004-08-26 | Eos Biotechnology Inc | Methods of diagnosis of prostate cancer, compositions and methods of screening for modulators of prostate cancer |
| WO2004074320A2 (en) | 2003-02-14 | 2004-09-02 | Sagres Discovery, Inc. | Therapeutic targets in cancer |
| US6800738B1 (en) | 1991-06-14 | 2004-10-05 | Genentech, Inc. | Method for making humanized antibodies |
| US20040197325A1 (en) | 2002-12-20 | 2004-10-07 | Debbie Law | Antibodies against GPR64 and uses thereof |
| US20040249130A1 (en) | 2002-06-18 | 2004-12-09 | Martin Stanton | Aptamer-toxin molecules and methods for using same |
| WO2008144891A1 (en) | 2007-05-30 | 2008-12-04 | F. Hoffmann-La Roche Ag | Humanized and chimeric anti-trop-2 antibodies that mediate cancer cell cytotoxicity |
| US7521541B2 (en) | 2004-09-23 | 2009-04-21 | Genetech Inc. | Cysteine engineered antibodies and conjugates |
| WO2009052249A1 (en) | 2007-10-19 | 2009-04-23 | Genentech, Inc. | Cysteine engineered anti-tenb2 antibodies and antibody drug conjugates |
| US7723485B2 (en) | 2007-05-08 | 2010-05-25 | Genentech, Inc. | Cysteine engineered anti-MUC16 antibodies and antibody drug conjugates |
| WO2011068845A1 (en) | 2009-12-02 | 2011-06-09 | Immunomedics, Inc. | Combining radioimmunotherapy and antibody-drug conjugates for improved cancer therapy |
| US7999083B2 (en) | 2002-12-13 | 2011-08-16 | Immunomedics, Inc. | Immunoconjugates with an intracellularly-cleavable linkage |
| WO2011145744A1 (en) | 2010-05-17 | 2011-11-24 | 株式会社リブテック | Anti-human trop-2 antibody having antitumor activity in vivo |
| US20110301334A1 (en) | 2010-06-08 | 2011-12-08 | Sunil Bhakta | Cysteine engineered antibodies and conjugates |
| WO2011155579A1 (en) | 2010-06-10 | 2011-12-15 | 北海道公立大学法人札幌医科大学 | ANTI-Trop-2 ANTIBODY |
| US20120121615A1 (en) | 2010-11-17 | 2012-05-17 | Flygare John A | Alaninyl maytansinol antibody conjugates |
| WO2013068946A2 (en) | 2011-11-11 | 2013-05-16 | Rinat Neuroscience Corp. | Antibodies specific for trop-2 and their uses |
| WO2013077458A1 (en) | 2011-11-22 | 2013-05-30 | 株式会社リブテック | Anti-human trop-2 antibody exhibiting antitumor activity in vivo |
| WO2015095227A2 (en) | 2013-12-16 | 2015-06-25 | Genentech, Inc. | Peptidomimetic compounds and antibody-drug conjugates thereof |
| WO2015095124A1 (en) | 2013-12-16 | 2015-06-25 | Genentech Inc. | Peptidomimetic compounds and antibody-drug conjugates thereof |
| WO2015095223A2 (en) | 2013-12-16 | 2015-06-25 | Genentech, Inc. | Peptidomimetic compounds and antibody-drug conjugates thereof |
| WO2016040723A1 (en) | 2014-09-12 | 2016-03-17 | Genentech, Inc. | Anti-her2 antibodies and immunoconjugates |
| WO2016040825A1 (en) | 2014-09-12 | 2016-03-17 | Genentech, Inc. | Anthracycline disulfide intermediates, antibody-drug conjugates and methods |
| WO2017214024A1 (en) | 2016-06-06 | 2017-12-14 | Genentech, Inc. | Silvestrol antibody-drug conjugates and methods of use |
| WO2020030426A1 (en) | 2018-08-07 | 2020-02-13 | R. Stahl Schaltgeräte GmbH | Pressure relief device and housing comprising same |
Family Cites Families (3)
| Publication number | Priority date | Publication date | Assignee | Title |
|---|---|---|---|---|
| JP2019522633A (en) * | 2016-05-20 | 2019-08-15 | ジェネンテック, インコーポレイテッド | PROTAC antibody conjugates and methods of use |
| WO2018227018A1 (en) * | 2017-06-07 | 2018-12-13 | Silverback Therapeutics, Inc. | Antibody conjugates of immune-modulatory compounds and uses thereof |
| CN111018857B (en) * | 2018-10-09 | 2023-06-02 | 嘉兴优博生物技术有限公司 | Targeted Protease Degradation Platform (TED) |
-
2023
- 2023-12-22 WO PCT/US2023/085698 patent/WO2024138128A2/en not_active Ceased
- 2023-12-22 EP EP23848435.6A patent/EP4637833A2/en active Pending
- 2023-12-22 CN CN202380088484.7A patent/CN120417934A/en active Pending
- 2023-12-22 JP JP2025536427A patent/JP2026502860A/en active Pending
- 2023-12-22 TW TW112150281A patent/TW202432187A/en unknown
Patent Citations (279)
| Publication number | Priority date | Publication date | Assignee | Title |
|---|---|---|---|---|
| US798959A (en) | 1904-12-19 | 1905-09-05 | George W Goss | Corn-husker. |
| JPH053790B2 (en) | 1983-11-02 | 1993-01-18 | Canon Kk | |
| US5674713A (en) | 1985-12-02 | 1997-10-07 | The Regents Of The University Of California | DNA sequences encoding coleoptera luciferase activity |
| US5583024A (en) | 1985-12-02 | 1996-12-10 | The Regents Of The University Of California | Recombinant expression of Coleoptera luciferase |
| US6165464A (en) | 1988-01-12 | 2000-12-26 | Genetech, Inc. | Monoclonal antibodies directed to the HER2 receptor |
| US5677171A (en) | 1988-01-12 | 1997-10-14 | Genentech, Inc. | Monoclonal antibodies directed to the HER2 receptor |
| WO1991002536A1 (en) | 1989-08-23 | 1991-03-07 | Scripps Clinic And Research Foundation | Compositions and methods for detection and treatment of epstein-barr virus infection and immune disorders |
| US5792616A (en) | 1990-05-29 | 1998-08-11 | The United States Of America | Antibodies to human cripto protein |
| WO1992007574A1 (en) | 1990-10-25 | 1992-05-14 | Tanox Biosystems, Inc. | Glycoproteins associated with membrane-bound immunoglobulins as antibody targets on b cells |
| WO1992017497A1 (en) | 1991-03-29 | 1992-10-15 | Genentech, Inc. | Human pf4a receptors and their use |
| US5440021A (en) | 1991-03-29 | 1995-08-08 | Chuntharapai; Anan | Antibodies to human IL-8 type B receptor |
| US6719971B1 (en) | 1991-06-14 | 2004-04-13 | Genentech, Inc. | Method for making humanized antibodies |
| US5821337A (en) | 1991-06-14 | 1998-10-13 | Genentech, Inc. | Immunoglobulin variants |
| US6639055B1 (en) | 1991-06-14 | 2003-10-28 | Genentech, Inc. | Method for making humanized antibodies |
| US6800738B1 (en) | 1991-06-14 | 2004-10-05 | Genentech, Inc. | Method for making humanized antibodies |
| US6407213B1 (en) | 1991-06-14 | 2002-06-18 | Genentech, Inc. | Method for making humanized antibodies |
| US6054297A (en) | 1991-06-14 | 2000-04-25 | Genentech, Inc. | Humanized antibodies and methods for making them |
| EP0522868A1 (en) | 1991-07-12 | 1993-01-13 | SHIONOGI SEIYAKU KABUSHIKI KAISHA trading under the name of SHIONOGI & CO. LTD. | A human endothelin receptor |
| US5854399A (en) | 1991-08-23 | 1998-12-29 | The United States Of America As Represented By The Department Of Health And Human Services | Antibodies specific for human cripto-related polypeptide CR-3 |
| US6011146A (en) | 1991-11-15 | 2000-01-04 | Institut Pasteur | Altered major histocompatibility complex (MHC) determinant and methods of using the determinant |
| US6153408A (en) | 1991-11-15 | 2000-11-28 | Institut Pasteur And Institut National De La Sante Et De La Recherche Medicale | Altered major histocompatibility complex (MHC) determinant and methods of using the determinant |
| US5976551A (en) | 1991-11-15 | 1999-11-02 | Institut Pasteur And Institut Nationale De La Sante Et De La Recherche Medicale | Altered major histocompatibility complex (MHC) determinant and method of using the determinant |
| WO1994010312A1 (en) | 1992-10-23 | 1994-05-11 | Chugai Seiyaku Kabushiki Kaisha | Gene coding for megakaryocyte potentiator |
| US5644033A (en) | 1992-12-22 | 1997-07-01 | Health Research, Inc. | Monoclonal antibodies that define a unique antigen of human B cell antigen receptor complex and methods of using same for diagnosis and treatment |
| US5869445A (en) | 1993-03-17 | 1999-02-09 | University Of Washington | Methods for eliciting or enhancing reactivity to HER-2/neu protein |
| WO1994028931A1 (en) | 1993-06-11 | 1994-12-22 | Genentech, Inc. | Methods for treating inflammatory disorders |
| US5773223A (en) | 1993-09-02 | 1998-06-30 | Chiron Corporation | Endothelin B1, (ETB1) receptor polypeptide and its encoding nucleic acid methods, and uses thereof |
| US20030109676A1 (en) | 1994-10-17 | 2003-06-12 | Human Genome Sciences, Inc. | Human endothelin-bombesin receptor |
| US6518404B1 (en) | 1994-10-17 | 2003-02-11 | Human Genome Sciences, Inc. | Human endothelin-bombesin receptor antibodies |
| WO1996030514A1 (en) | 1995-03-31 | 1996-10-03 | University Of Washington | Intracellular domain of the her-2/neu protein for prevention or treatment of malignancies |
| US5700670A (en) | 1995-04-13 | 1997-12-23 | Mitsubishi Chemical Corporation | Method for producing optically active ester of γ-substituted-β-hydroxybutyric acid |
| WO1997007198A2 (en) | 1995-08-11 | 1997-02-27 | Genetics Institute, Inc. | Dna sequences and secreted proteins encoded thereby |
| US20020193567A1 (en) | 1995-08-11 | 2002-12-19 | Genetics Institute, Inc. | Secreted proteins and polynucleotides encoding them |
| EP1295944A2 (en) | 1996-03-19 | 2003-03-26 | Otsuka Pharmaceutical Co., Ltd. | GDP dissociation stimulating protein, brain-specific nucleosome assembly protein, skeletal muscle specific ubiquitin-conjugating enzyme, cell proliferation protein, phosphatidylinositolkinase, nel related proteins |
| WO1997044452A1 (en) | 1996-05-17 | 1997-11-27 | Schering Corporation | Human b-cell antigens, related reagents |
| WO1998017797A1 (en) | 1996-10-18 | 1998-04-30 | Genentech, Inc. | ANTI-ErbB2 ANTIBODIES |
| WO1998037193A1 (en) | 1997-02-20 | 1998-08-27 | Zymogenetics, Inc. | Zcytor7 cytokine receptor |
| US20030185830A1 (en) | 1997-02-25 | 2003-10-02 | Corixa Corporation | Compositions and methods for the therapy and diagnosis of prostate cancer |
| US20030157089A1 (en) | 1997-02-25 | 2003-08-21 | Corixa Corporation | Compositions and methods for the therapy and diagnosis of prostate cancer |
| US20010055751A1 (en) | 1997-03-10 | 2001-12-27 | Reiter Robert E | PSCA: Prostate stem cell antigen and uses thereof |
| WO1998040403A1 (en) | 1997-03-10 | 1998-09-17 | The Regents Of The University Of California | Psca: prostate stem cell antigen |
| US6555339B1 (en) | 1997-04-14 | 2003-04-29 | Arena Pharmaceuticals, Inc. | Non-endogenous, constitutively activated human protein-coupled receptors |
| US20030105292A1 (en) | 1997-04-14 | 2003-06-05 | Liaw Chen W. | Non-endogenous, constitutively activated human G protein-coupled receptors |
| EP0875569A1 (en) | 1997-04-28 | 1998-11-04 | Smithkline Beecham Corporation | A human sodium dependent phosphate transporter (IPT-1) |
| US20040018553A1 (en) | 1997-05-15 | 2004-01-29 | Patricia A. Billing-Medel | Reagents and methods useful for detecting diseases of the prostate |
| WO1998051824A1 (en) | 1997-05-15 | 1998-11-19 | Abbott Laboratories | Reagents and methods useful for detecting disease of the urinary tract |
| WO1998051805A1 (en) | 1997-05-15 | 1998-11-19 | Abbott Laboratories | Reagents and methods useful for detecting diseases of the prostate |
| US6602677B1 (en) | 1997-09-19 | 2003-08-05 | Promega Corporation | Thermostable luciferases and methods of production |
| US20030060612A1 (en) | 1997-10-28 | 2003-03-27 | Genentech, Inc. | Compositions and methods for the diagnosis and treatment of tumor |
| US20020034749A1 (en) | 1997-11-18 | 2002-03-21 | Billing-Medel Patricia A. | Reagents and methods useful for detecting diseases of the breast |
| WO1999028468A1 (en) | 1997-12-02 | 1999-06-10 | The Regents Of The University Of California | Modulating b lymphocyte chemokine/receptor interactions |
| WO1999046284A2 (en) | 1998-03-13 | 1999-09-16 | The Burnham Institute | Molecules that home to various selected organs or tissues |
| US7074404B2 (en) | 1998-05-06 | 2006-07-11 | Genentech, Inc. | Protein purification |
| US6339142B1 (en) | 1998-05-06 | 2002-01-15 | Genentech, Inc. | Protein purification |
| US6534482B1 (en) | 1998-05-13 | 2003-03-18 | Epimmune, Inc. | Expression vectors for stimulating an immune response and methods of using the same |
| WO1999058658A2 (en) | 1998-05-13 | 1999-11-18 | Epimmune, Inc. | Expression vectors for stimulating an immune response and methods of using the same |
| US20030064397A1 (en) | 1998-05-22 | 2003-04-03 | Incyte Genomics, Inc. | Transmembrane protein differentially expressed in prostate and lung tumors |
| WO2000012130A1 (en) | 1998-08-27 | 2000-03-09 | Smithkline Beecham Corporation | Rp105 agonists and antagonists |
| WO2000014228A1 (en) | 1998-09-03 | 2000-03-16 | Japan Science And Technology Corporation | Neutral amino acid transporter and gene thereof |
| WO2000020579A1 (en) | 1998-10-02 | 2000-04-13 | Mcmaster University | Spliced form of erbb-2/neu oncogene |
| WO2000022129A1 (en) | 1998-10-13 | 2000-04-20 | Arena Pharmaceuticals, Inc. | Non-endogenous, constitutively activated human g protein-coupled receptors |
| WO2000032752A1 (en) | 1998-12-02 | 2000-06-08 | The Regents Of The University Of California | Psca: prostate stem cell antigen and uses thereof |
| WO2000036107A3 (en) | 1998-12-17 | 2001-02-22 | Corixa Corp | Compositions and methods for therapy and diagnosis of ovarian cancer |
| US20030124140A1 (en) | 1998-12-17 | 2003-07-03 | Corixa Corporation | Compositions and methods for the therapy and diagnosis of ovarian cancer |
| US20030065143A1 (en) | 1998-12-30 | 2003-04-03 | Genentech, Inc. | Secreted and transmembrane polypeptides and nucleic acids encoding the same |
| WO2000040614A3 (en) | 1998-12-30 | 2001-02-22 | Beth Israel Hospital | Characterization of the soc/crac calcium channel protein family |
| WO2000044899A1 (en) | 1999-01-29 | 2000-08-03 | Corixa Corporation | Her-2/neu fusion proteins |
| WO2000053216A3 (en) | 1999-03-05 | 2001-01-11 | Smithkline Beecham Biolog | Use of casb616 polypeptides and polynucleotides for cancer treatment |
| WO2000055351A1 (en) | 1999-03-12 | 2000-09-21 | Human Genome Sciences, Inc. | Human colon cancer associated gene sequences and polypeptides |
| US20030119122A1 (en) | 1999-05-11 | 2003-06-26 | Genentech, Inc. | Secreted and transmembrane polypeptides and nucleic acids encoding the same |
| WO2000075655A1 (en) | 1999-06-03 | 2000-12-14 | Takeda Chemical Industries, Ltd. | Screening method with the use of cd100 |
| WO2001000244A3 (en) | 1999-06-25 | 2001-10-04 | Genentech Inc | METHODS OF TREATMENT USING ANTI-ErbB ANTIBODY-MAYTANSINOID CONJUGATES |
| US20030119128A1 (en) | 1999-07-20 | 2003-06-26 | Genentech, Inc. | Secreted and transmembrane polypeptides and nucleic acids encoding the same |
| US20030119129A1 (en) | 1999-08-10 | 2003-06-26 | Genentech, Inc. | Secreted and transmembrane polypeptides and nucleic acids encoding the same |
| US20030119130A1 (en) | 1999-08-17 | 2003-06-26 | Genentech, Inc. | Secreted and transmembrane polypeptides and nucleic acids encoding the same |
| WO2001016318A2 (en) | 1999-09-01 | 2001-03-08 | Genentech, Inc. | Secreted and transmembrane polypeptides and nucleic acids encoding the same |
| US20030232056A1 (en) | 1999-09-10 | 2003-12-18 | Corixa Corporation | Compositions and methods for the therapy and diagnosis of ovarian cancer |
| US20030206918A1 (en) | 1999-09-10 | 2003-11-06 | Corixa Corporation | Compositions and methods for the therapy and diagnosis of ovarian cancer |
| US20030129192A1 (en) | 1999-09-10 | 2003-07-10 | Corixa Corporation | Compositions and methods for the therapy and diagnosis of ovarian cancer |
| US20030165504A1 (en) | 1999-09-24 | 2003-09-04 | Retter Marc W. | Compositions and methods for the therapy and diagnosis of ovarian cancer |
| WO2001040309A3 (en) | 1999-10-29 | 2001-11-29 | Genentech Inc | Anti-prostate stem cell antigen (psca) antibody compositions and methods of use |
| WO2001038490A3 (en) | 1999-11-29 | 2001-12-27 | Univ Columbia | ISOLATION OF FIVE NOVEL GENES CODING FOR NEW Fc RECEPTORS-TYPE MELANOMA INVOLVED IN THE PATHOGENESIS OF LYMPHOMA/MELANOMA |
| US20040101899A1 (en) | 1999-11-30 | 2004-05-27 | Corixa Corporation | Compositions and methods for the therapy and diagnosis of breast cancer |
| WO2001040269A3 (en) | 1999-11-30 | 2001-12-13 | Corixa Corp | Compositions and methods for therapy and diagnosis of breast cancer |
| WO2001041787A1 (en) | 1999-12-10 | 2001-06-14 | Epimmune Inc. | INDUCING CELLULAR IMMUNE RESPONSES TO HER2/neu USING PEPTIDE AND NUCLEIC ACID COMPOSITIONS |
| US20020042366A1 (en) | 1999-12-23 | 2002-04-11 | Penny Thompson | Method for treating inflammation |
| US20040005320A1 (en) | 1999-12-23 | 2004-01-08 | Penny Thompson | Method for treating inflammation |
| WO2001046261A1 (en) | 1999-12-23 | 2001-06-28 | Zymogenetics, Inc. | Method for treating inflammation |
| WO2001048204A1 (en) | 1999-12-23 | 2001-07-05 | Agresearch Limited | Mutated bmp1b receptor as regulator of ovulation rate |
| WO2001046232A3 (en) | 1999-12-23 | 2002-02-21 | Zymogenetics Inc | Soluble interleukin-20 receptor |
| US20030119131A1 (en) | 2000-01-20 | 2003-06-26 | Genentech, Inc. | Secreted and transmembrane polypeptides and nucleic acids encoding the same |
| WO2001053463A3 (en) | 2000-01-21 | 2002-02-14 | Corixa Corp | COMPOUNDS AND METHODS FOR PREVENTION AND TREATMENT OF HER-2/neu ASSOCIATED MALIGNANCIES |
| WO2001057188A3 (en) | 2000-02-03 | 2002-02-28 | Hyseq Inc | Novel nucleic acids and polypeptides |
| US20030186372A1 (en) | 2000-02-11 | 2003-10-02 | Genentech, Inc. | Secreted and transmembrane polypeptides and nucleic acids encoding the same |
| WO2001062794A3 (en) | 2000-02-22 | 2002-05-02 | Millennium Pharm Inc | 18607, a human calcium channel |
| US20030219806A1 (en) | 2000-02-22 | 2003-11-27 | Millennium Pharmaceuticals, Inc. | Novel 18607, 15603, 69318, 12303, 48000, 52920, 5433, 38554, 57301, 58324, 55063, 52991, 59914, 59921 and 33751 molecules and uses therefor |
| WO2001066689A3 (en) | 2000-03-07 | 2002-05-30 | Hyseq Inc | Novel nucleic acids and polypeptides |
| WO2001072962A3 (en) | 2000-03-24 | 2002-01-17 | Fahri Saatcioglu | Novel prostate-specific or testis-specific nucleic acid molecules, polypeptides, and diagnostic and therapeutic methods |
| WO2001072830A3 (en) | 2000-03-31 | 2002-06-20 | Ipf Pharmaceuticals Gmbh | Diagnostic and medicament for analysing the cell surface proteome of tumour and inflammatory cells and for treating tumorous and inflammatory diseases, preferably using a specific chemokine receptor analysis and the chemokine receptor-ligand interaction |
| WO2001075177A3 (en) | 2000-04-03 | 2003-05-22 | Us Gov Health & Human Serv | Tumor markers in ovarian cancer |
| WO2001077172A3 (en) | 2000-04-07 | 2003-01-30 | Arena Pharm Inc | Non-endogenous, constitutively activated known g protein-coupled receptors |
| WO2001088133A3 (en) | 2000-05-18 | 2003-05-08 | Lexicon Genetics Inc | Human semaphorin homologs and polynucleotides encoding the same |
| WO2001090304A3 (en) | 2000-05-19 | 2002-05-10 | Human Genome Sciences Inc | Nucleic acids, proteins, and antibodies |
| WO2001094641A3 (en) | 2000-06-09 | 2003-08-21 | Idec Pharma Corp | Gene targets and ligands that bind thereto for treatment and diagnosis of ovarian carcinomas |
| WO2001098351A3 (en) | 2000-06-16 | 2003-01-09 | Incyte Genomics Inc | G-protein coupled receptors |
| WO2002002634A3 (en) | 2000-06-30 | 2003-01-30 | Incyte Genomics Inc | Human extracellular matrix and cell adhesion polypeptides |
| WO2002002587A1 (en) | 2000-06-30 | 2002-01-10 | Human Genome Sciences, Inc. | B7-like polynucleotides, polypeptides, and antibodies |
| WO2002002624A3 (en) | 2000-06-30 | 2002-07-04 | Amgen Inc | B7-like molecules and uses thereof |
| WO2002006339A3 (en) | 2000-07-03 | 2003-07-31 | Curagen Corp | Proteins and nucleic acids encoding same |
| WO2002006317A3 (en) | 2000-07-17 | 2003-07-03 | Corixa Corp | Compositions and methods for the therapy and diagnosis of ovarian cancer |
| US20040044179A1 (en) | 2000-07-25 | 2004-03-04 | Genentech, Inc. | Secreted and transmembrane polypeptides and nucleic acids encoding the same |
| WO2002010187A1 (en) | 2000-07-27 | 2002-02-07 | Mayo Foundation For Medical Education And Research | B7-h3 and b7-h4, novel immunoregulatory molecules |
| WO2002010382A3 (en) | 2000-07-28 | 2003-10-09 | Ulrich Wissenbach | Trp8, trp9 and trp10, markers for cancer |
| WO2002012341A3 (en) | 2000-08-03 | 2003-04-17 | Corixa Corp | Her-2/neu fusion proteins |
| WO2002014503A3 (en) | 2000-08-14 | 2003-09-18 | Corixa Corp | Compositions and methods for the therapy and diagnosis of her-2/neu-associated malignancies |
| WO2002013847A3 (en) | 2000-08-14 | 2002-12-19 | Corixa Corp | Methods for diagnosis and therapy of hematological and virus-associated malignancies |
| WO2002016413A3 (en) | 2000-08-24 | 2002-12-05 | Smithkline Beecham Biolog | Cripto tumour polypeptide |
| WO2002016429A3 (en) | 2000-08-24 | 2003-01-03 | Genentech Inc | Compositions and methods for the diagnosis and treatment of tumor |
| WO2002022660A3 (en) | 2000-09-11 | 2003-07-17 | Hyseq Inc | Novel nucleic acids and polypeptides |
| WO2002022153A3 (en) | 2000-09-15 | 2003-06-19 | Zymogenetics Inc | Use of a polypeptide comprising the extracellular domains of il-20rb for the treatment of inflammation |
| US20030186373A1 (en) | 2000-09-15 | 2003-10-02 | Genentech, Inc. | Secreted and transmembrane polypeptides and nucleic acids encoding the same |
| WO2002022636A1 (en) | 2000-09-15 | 2002-03-21 | Isis Pharmaceuticals, Inc. | Antisense modulation of her-2 expression |
| US20030119121A1 (en) | 2000-09-15 | 2003-06-26 | Genentech, Inc. | Secreted and transmembrane polypeptides and nucleic acids encoding the same |
| WO2002024909A3 (en) | 2000-09-18 | 2003-07-31 | Biogen Inc | Receptor nucleic acids and polypeptides |
| WO2002022808A3 (en) | 2000-09-18 | 2003-01-16 | Biogen Inc | Cripto mutant and uses thereof |
| WO2002026822A3 (en) | 2000-09-26 | 2003-03-13 | Genentech Inc | Pumpcn compositions and uses thereof |
| US20040005598A1 (en) | 2000-09-26 | 2004-01-08 | Genentech, Inc. | PUMPCn compositions and uses thereof |
| WO2002030268A3 (en) | 2000-10-13 | 2004-08-26 | Eos Biotechnology Inc | Methods of diagnosis of prostate cancer, compositions and methods of screening for modulators of prostate cancer |
| WO2002038766A3 (en) | 2000-11-07 | 2003-12-31 | Zymogenetics Inc | Human tumor necrosis factor receptor |
| US20020150573A1 (en) | 2000-11-10 | 2002-10-17 | The Rockefeller University | Anti-Igalpha-Igbeta antibody for lymphoma therapy |
| WO2002061087A2 (en) | 2000-12-19 | 2002-08-08 | Lifespan Biosciences, Inc. | Antigenic peptides, such as for g protein-coupled receptors (gpcrs), antibodies thereto, and systems for identifying such antigenic peptides |
| WO2002054940A2 (en) | 2001-01-12 | 2002-07-18 | University Of Medicine & Dentistry Of New Jersey | Bone morphogenetic protein-2 in the treatment and diagnosis of cancer |
| US20030119126A1 (en) | 2001-01-16 | 2003-06-26 | Genentech, Inc. | Secreted and transmembrane polypeptides and nucleic acids encoding the same |
| US20030119125A1 (en) | 2001-01-16 | 2003-06-26 | Genentech, Inc. | Secreted and transmembrane polypeptides and nucleic acids encoding the same |
| US20030118592A1 (en) | 2001-01-17 | 2003-06-26 | Genecraft, Inc. | Binding domain-immunoglobulin fusion proteins |
| WO2002059377A2 (en) | 2001-01-24 | 2002-08-01 | Protein Design Labs | Methods of diagnosis of breast cancer, compositions and methods of screening for modulators of breast cancer |
| WO2002060317A2 (en) | 2001-01-30 | 2002-08-08 | Corixa Corporation | Compositions and methods for the therapy and diagnosis of pancreatic cancer |
| WO2002064798A1 (en) | 2001-02-12 | 2002-08-22 | Bionomics Limited | Dna sequences differentially expressed in tumour cell lines |
| WO2002072596A1 (en) | 2001-03-09 | 2002-09-19 | Incyte Genomics, Inc. | Steap-related protein |
| WO2002071928A2 (en) | 2001-03-14 | 2002-09-19 | Millennium Pharmaceuticals, Inc. | Nucleic acid molecules and proteins for the identification, assessment, prevention, and therapy of ovarian cancer |
| WO2002078524A2 (en) | 2001-03-28 | 2002-10-10 | Zycos Inc. | Translational profiling |
| WO2002081646A2 (en) | 2001-04-06 | 2002-10-17 | Mannkind Corporation | Epitope sequences |
| WO2003008537A2 (en) | 2001-04-06 | 2003-01-30 | Mannkind Corporation | Epitope sequences |
| US20040005538A1 (en) | 2001-04-11 | 2004-01-08 | Xiaojiang Chen | Three-dimensional structure of complement receptor type 2 and uses thereof |
| WO2002083866A2 (en) | 2001-04-17 | 2002-10-24 | The Board Of Trustees Of The University Of Arkansas | Repeat sequences of the ca125 gene and their use for diagnostic and therapeutic interventions |
| WO2002086443A2 (en) | 2001-04-18 | 2002-10-31 | Protein Design Labs, Inc | Methods of diagnosis of lung cancer, compositions and methods of screening for modulators of lung cancer |
| WO2002088170A2 (en) | 2001-04-26 | 2002-11-07 | Biogen, Inc. | Cripto blocking antibodies and uses thereof |
| WO2002089747A2 (en) | 2001-05-09 | 2002-11-14 | Corixa Corporation | Compositions and methods for the therapy and diagnosis of prostate cancer |
| WO2002092836A2 (en) | 2001-05-11 | 2002-11-21 | Sloan-Kettering Institute For Cancer Research | Nucleic acid sequence encoding ovarian antigen, ca125, and uses thereof |
| WO2002094852A2 (en) | 2001-05-24 | 2002-11-28 | Zymogenetics, Inc. | Taci-immunoglobulin fusion proteins |
| US20030096961A1 (en) | 2001-06-01 | 2003-05-22 | Genentech, Inc. | Secreted and transmembrane polypeptides and nucleic acids encoding the same |
| US20040044180A1 (en) | 2001-06-01 | 2004-03-04 | Genentech, Inc. | Secreted and transmembrane polypeptides and nucleic acids encoding the same |
| WO2003000842A2 (en) | 2001-06-04 | 2003-01-03 | Curagen Corporation | Novel proteins and nucleic acids encoding same |
| WO2002098358A2 (en) | 2001-06-04 | 2002-12-12 | Eos Biotechnology, Inc. | Methods of diagnosis and treatment of androgen-dependent prostate cancer, prostate cancer undergoing androgen-withdrawal, and androgen-independent prostate cancer |
| WO2002099074A2 (en) | 2001-06-05 | 2002-12-12 | Exelixis, Inc. | Slc7s as modifiers of the p53 pathway and methods of use |
| WO2002099122A1 (en) | 2001-06-05 | 2002-12-12 | Exelixis, Inc. | Modifiers of the p53 pathway and methods of use |
| WO2002101075A2 (en) | 2001-06-13 | 2002-12-19 | Millennium Pharmaceuticals, Inc. | Novel genes, compositions, kits, and methods for identification, assessment, prevention, and therapy of cervical cancer |
| WO2002102235A2 (en) | 2001-06-18 | 2002-12-27 | Eos Biotechnology Inc. | Methods of diagnosis of ovarian cancer, compositions and methods of screening for modulators of ovarian cancer |
| US20040005563A1 (en) | 2001-06-18 | 2004-01-08 | Eos Biotechnology, Inc. | Methods of diagnosis of ovarian cancer, compositions and methods of screening for modulators of ovarian cancer |
| US20030091580A1 (en) | 2001-06-18 | 2003-05-15 | Mitcham Jennifer L. | Compositions and methods for the therapy and diagnosis of ovarian cancer |
| WO2003004989A2 (en) | 2001-06-21 | 2003-01-16 | Millennium Pharmaceuticals, Inc. | Compositions, kits, and methods for identification, assessment, prevention, and therapy of breast cancer |
| WO2003002717A2 (en) | 2001-06-28 | 2003-01-09 | Schering Corporation | Biological activity of ak155 |
| WO2003004529A2 (en) | 2001-07-02 | 2003-01-16 | Licentia Ltd. | Ephrin-tie receptor materials and methods |
| WO2003003906A2 (en) | 2001-07-03 | 2003-01-16 | Eos Biotechnology, Inc. | Diagnostic and screening methods for bladder cancer |
| WO2003003984A2 (en) | 2001-07-05 | 2003-01-16 | Curagen Corporation | Novel proteins and nucleic acids encoding same |
| WO2003055439A2 (en) | 2001-07-18 | 2003-07-10 | The Regents Of The University Of California | Her2/neu target antigen and use of same to stimulate an immune response |
| WO2003009814A2 (en) | 2001-07-25 | 2003-02-06 | Millennium Pharmaceuticals, Inc. | Novel genes, compositions, kits, and methods for identification, assessment, prevention, and therapy of prostate cancer |
| WO2003014294A2 (en) | 2001-08-03 | 2003-02-20 | Genentech, Inc. | Tacis and br3 polypeptides and uses thereof |
| WO2003016475A2 (en) | 2001-08-14 | 2003-02-27 | The General Hospital Corporation | Nucleic acid and amino acid sequences involved in pain |
| WO2003016494A2 (en) | 2001-08-16 | 2003-02-27 | Vitivity, Inc. | Diagnosis and treatment of vascular disease |
| WO2003018621A2 (en) | 2001-08-23 | 2003-03-06 | Oxford Biomedica (Uk) Limited | Genes |
| WO2003029262A2 (en) | 2001-08-29 | 2003-04-10 | Vanderbilt University | The human mob-5 (il-24) receptors and uses thereof |
| US20030124579A1 (en) | 2001-09-05 | 2003-07-03 | Eos Biotechnology, Inc. | Methods of diagnosis of ovarian cancer, compositions and methods of screening for modulators of ovarian cancer |
| WO2003022995A2 (en) | 2001-09-06 | 2003-03-20 | Agensys, Inc. | Nucleic acid and corresponding protein entitled steap-1 useful in treatment and detection of cancer |
| WO2003023013A2 (en) | 2001-09-13 | 2003-03-20 | Nuvelo, Inc. | Novel nucleic acids and polypeptides |
| WO2003025138A2 (en) | 2001-09-17 | 2003-03-27 | Protein Design Labs, Inc. | Methods of diagnosis of cancer compositions and methods of screening for modulators of cancer |
| WO2003025228A1 (en) | 2001-09-18 | 2003-03-27 | Proteologics, Inc. | Methods and compositions for treating hcap associated diseases |
| WO2003024392A2 (en) | 2001-09-18 | 2003-03-27 | Genentech, Inc. | Compositions and methods for the diagnosis and treatment of tumor |
| WO2003025148A2 (en) | 2001-09-19 | 2003-03-27 | Nuvelo, Inc. | Novel nucleic acids and polypeptides |
| WO2003026493A2 (en) | 2001-09-28 | 2003-04-03 | Bing Yang | Diagnosis and treatment of diseases caused by mutations in cd72 |
| WO2003029277A2 (en) | 2001-10-03 | 2003-04-10 | Rigel Pharmaceuticals, Inc. | Modulators of lymphocyte activation and migration |
| WO2003029421A2 (en) | 2001-10-03 | 2003-04-10 | Origene Technologies, Inc. | Regulated breast cancer genes |
| WO2003034984A2 (en) | 2001-10-19 | 2003-05-01 | Genentech, Inc. | Compositions and methods for the diagnosis and treatment of inflammatory bowel disorders |
| WO2003035846A2 (en) | 2001-10-24 | 2003-05-01 | National Jewish Medical And Research Center | Structure of tall-1 and its cognate receptor |
| WO2003055443A2 (en) | 2001-10-31 | 2003-07-10 | Alcon, Inc. | Bone morphogenic proteins (bmp), bmp receptors and bmp binding proteins and their use in the diagnosis and treatment of glaucoma |
| WO2003077836A2 (en) | 2001-11-06 | 2003-09-25 | Corixa Corporation | Compositions and methods for the detection, diagnosis and therapy of hematological malignancies |
| WO2003042661A2 (en) | 2001-11-13 | 2003-05-22 | Protein Design Labs, Inc. | Methods of diagnosis of cancer, compositions and methods of screening for modulators of cancer |
| US20030232350A1 (en) | 2001-11-13 | 2003-12-18 | Eos Biotechnology, Inc. | Methods of diagnosis of cancer, compositions and methods of screening for modulators of cancer |
| WO2003045422A1 (en) | 2001-11-29 | 2003-06-05 | Genset S.A. | Agonists and antagonists of prolixin for the treatment of metabolic disorders |
| WO2003048202A2 (en) | 2001-12-03 | 2003-06-12 | Asahi Kasei Pharma Corporation | Nf-kappab activating genes |
| WO2003054152A2 (en) | 2001-12-10 | 2003-07-03 | Nuvelo, Inc. | Novel nucleic acids and polypeptides |
| US20030134790A1 (en) | 2002-01-11 | 2003-07-17 | University Of Medicine And Dentistry Of New Jersey | Bone Morphogenetic Protein-2 And Bone Morphogenetic Protein-4 In The Treatment And Diagnosis Of Cancer |
| WO2003062401A2 (en) | 2002-01-22 | 2003-07-31 | Corixa Corporation | Compositions and methods for the detection, diagnosis and therapy of hematological malignancies |
| US20030143557A1 (en) | 2002-01-25 | 2003-07-31 | Reinhold Penner | Methods of screening for TRPM4b modulators |
| WO2003072036A2 (en) | 2002-02-21 | 2003-09-04 | Duke University | Treatment methods using anti-cd22 antibodies |
| WO2003072035A2 (en) | 2002-02-22 | 2003-09-04 | Genentech, Inc. | Compositions and methods for the treatment of immune related diseases |
| WO2003074566A2 (en) | 2002-03-01 | 2003-09-12 | Immunomedics, Inc. | Rs7 antibodies |
| WO2003083047A2 (en) | 2002-03-01 | 2003-10-09 | Exelixis, Inc. | MP53s AS MODIFIERS OF THE p53 PATHWAY AND METHODS OF USE |
| WO2004000997A2 (en) | 2002-03-19 | 2003-12-31 | Curagen Corporation | Therapeutic polypeptides, nucleic acids encoding same, and methods of use |
| WO2003081210A2 (en) | 2002-03-21 | 2003-10-02 | Sunesis Pharmaceuticals, Inc. | Identification of kinase inhibitors |
| EP1347046A1 (en) | 2002-03-22 | 2003-09-24 | Research Association for Biotechnology | Full-length cDNA sequences |
| WO2003083041A2 (en) | 2002-03-22 | 2003-10-09 | Biogen, Inc. | Cripto-specific antibodies |
| WO2003089624A2 (en) | 2002-03-25 | 2003-10-30 | Uab Research Foundation | Fc receptor homolog, reagents, and uses thereof |
| WO2003083074A2 (en) | 2002-03-28 | 2003-10-09 | Idec Pharmaceuticals Corporation | Novel gene targets and ligands that bind thereto for treatment and diagnosis of colon carcinomas |
| US20030194704A1 (en) | 2002-04-03 | 2003-10-16 | Penn Sharron Gaynor | Human genome-derived single exon nucleic acid probes useful for gene expression analysis two |
| WO2003087306A2 (en) | 2002-04-05 | 2003-10-23 | Agensys, Inc. | Nucleic acid and corresponding protein entitled 98p4b6 useful in treatment and detection of cancer |
| US20040101874A1 (en) | 2002-04-12 | 2004-05-27 | Mitokor Inc. | Targets for therapeutic intervention identified in the mitochondrial proteome |
| WO2003087768A2 (en) | 2002-04-12 | 2003-10-23 | Mitokor | Targets for therapeutic intervention identified in the mitochondrial proteome |
| US20030228319A1 (en) | 2002-04-16 | 2003-12-11 | Genentech, Inc. | Compositions and methods for the diagnosis and treatment of tumor |
| WO2003088808A2 (en) | 2002-04-16 | 2003-10-30 | Genentech, Inc. | Compositions and methods for the diagnosis and treatment of tumor |
| WO2003089904A2 (en) | 2002-04-17 | 2003-10-30 | Baylor College Of Medicine | Aib1 as a prognostic marker and predictor of resistance to encocrine therapy |
| WO2004042346A2 (en) | 2002-04-24 | 2004-05-21 | Expression Diagnostics, Inc. | Methods and compositions for diagnosing and monitoring transplant rejection |
| WO2003093444A2 (en) | 2002-05-03 | 2003-11-13 | Incyte Corporation | Transporters and ion channels |
| WO2003097803A2 (en) | 2002-05-15 | 2003-11-27 | Avalon Pharmaceuticals | Cancer-linked gene as target for chemotherapy |
| US20030224454A1 (en) | 2002-05-30 | 2003-12-04 | Ryseck Rolf Peter | Human solute carrier family 7, member 11 (hSLC7A11) |
| WO2003101400A2 (en) | 2002-06-04 | 2003-12-11 | Avalon Pharmaceuticals, Inc. | Cancer-linked gene as target for chemotherapy |
| WO2003101283A2 (en) | 2002-06-04 | 2003-12-11 | Incyte Corporation | Diagnostics markers for lung cancer |
| WO2003104270A2 (en) | 2002-06-06 | 2003-12-18 | Ingenium Pharmaceuticals Ag | Dudulin 2 genes, expression products, non-human animal model: uses in human hematological disease |
| WO2003104275A2 (en) | 2002-06-06 | 2003-12-18 | Oncotherapy Science, Inc. | Genes and polypeptides relating to human colon cancers |
| WO2003104399A2 (en) | 2002-06-07 | 2003-12-18 | Avalon Pharmaceuticals, Inc | Cancer-linked gene as target for chemotherapy |
| WO2003105758A2 (en) | 2002-06-12 | 2003-12-24 | Avalon Pharmaceuticals, Inc. | Cancer-linked gene as target for chemotherapy |
| US20040022727A1 (en) | 2002-06-18 | 2004-02-05 | Martin Stanton | Aptamer-toxin molecules and methods for using same |
| US20040249130A1 (en) | 2002-06-18 | 2004-12-09 | Martin Stanton | Aptamer-toxin molecules and methods for using same |
| WO2004000221A2 (en) | 2002-06-20 | 2003-12-31 | The Regents Of The University Of California | Compositions and methods for modulating lymphocyte activity |
| WO2004001004A2 (en) | 2002-06-21 | 2003-12-31 | Johns Hopkins University School Of Medicine | Membrane associated tumor endothelium markers |
| WO2004009622A2 (en) | 2002-07-19 | 2004-01-29 | Cellzome Ag | Protein complexes of cellular networks underlying the development of cancer and other diseases |
| WO2004011611A2 (en) | 2002-07-25 | 2004-02-05 | Genentech, Inc. | Taci antibodies and uses thereof |
| EP1394274A2 (en) | 2002-08-06 | 2004-03-03 | Genox Research, Inc. | Methods of testing for bronchial asthma or chronic obstructive pulmonary disease |
| WO2004015426A1 (en) | 2002-08-06 | 2004-02-19 | Bayer Healthcare Ag | Diagnostics and therapeutics for diseases associated with human cxc chemokine receptor 5(cxcr5) |
| WO2004016225A2 (en) | 2002-08-19 | 2004-02-26 | Genentech, Inc. | Compositions and methods for the diagnosis and treatment of tumor |
| WO2004020583A2 (en) | 2002-08-27 | 2004-03-11 | Bristol-Myers Squibb Company | Polynucleotide predictor set for identifying protein tyrosine kinase modulators |
| WO2004020595A2 (en) | 2002-08-29 | 2004-03-11 | Five Prime Therapeutics, Inc. | Novel human polypeptides encoded by polynucleotides |
| WO2004022778A1 (en) | 2002-09-05 | 2004-03-18 | Garvan Institute Of Medical Research | Methods of diagnosis and prognosis of ovarian cancer |
| WO2004022709A2 (en) | 2002-09-06 | 2004-03-18 | Mannkind Corporation | Epitope sequences |
| WO2004040000A2 (en) | 2002-09-09 | 2004-05-13 | Nura, Inc | G protein coupled receptors and uses thereof |
| WO2004027049A2 (en) | 2002-09-20 | 2004-04-01 | Astral, Inc. | Methods and compositions to generate and control the effector profile of t cells by simultaneous loading and activation of selected subsets of antigen presenting cells |
| JP2004113151A (en) | 2002-09-27 | 2004-04-15 | Sankyo Co Ltd | Oncogene and its application |
| WO2004031238A2 (en) | 2002-10-03 | 2004-04-15 | Mcgill Univeristy | Antibodies and cyclic peptides which bind cea (carcinoembryonic antigen) and their use as cancer therapeutics |
| WO2004032842A2 (en) | 2002-10-04 | 2004-04-22 | Van Andel Research Institute | Molecular sub-classification of kidney tumors and the discovery of new diagnostic markers |
| WO2004043361A2 (en) | 2002-11-08 | 2004-05-27 | Genentech, Inc. | Compositions and methods for the treatment of natural killer cell related diseases |
| WO2004044178A2 (en) | 2002-11-13 | 2004-05-27 | Genentech, Inc. | Methods and compositions for diagnosing dysplasia |
| WO2004045520A2 (en) | 2002-11-15 | 2004-06-03 | Musc Foundation For Research Development | Complement receptor 2 targeted complement modulators |
| WO2004045516A2 (en) | 2002-11-15 | 2004-06-03 | Genentech, Inc. | Compositions and methods for the diagnosis and treatment of tumor |
| WO2004045553A2 (en) | 2002-11-15 | 2004-06-03 | The Board Of Trustees Of The University Of Arkansas | Ca125 gene and its use for diagnostic and therapeutic interventions |
| WO2004046342A2 (en) | 2002-11-20 | 2004-06-03 | Biogen Idec Inc. | Novel gene targets and ligands that bind thereto for treatment and diagnosis of carcinomas |
| WO2004047749A2 (en) | 2002-11-21 | 2004-06-10 | University Of Utah Research Foundation | Purinergic modulation of smell |
| WO2004048938A2 (en) | 2002-11-26 | 2004-06-10 | Protein Design Labs, Inc. | Methods of detecting soft tissue sarcoma, compositions and methods of screening for soft tissue sarcoma modulators |
| WO2004053079A2 (en) | 2002-12-06 | 2004-06-24 | Diadexus, Inc. | Compositions, splice variants and methods relating to ovarian specific genes and proteins |
| EP1439393A2 (en) | 2002-12-13 | 2004-07-21 | Bayer Healthcare LLC | Detection methods using TIMP 1 for colon cancer diagnosis |
| US7999083B2 (en) | 2002-12-13 | 2011-08-16 | Immunomedics, Inc. | Immunoconjugates with an intracellularly-cleavable linkage |
| US20040197325A1 (en) | 2002-12-20 | 2004-10-07 | Debbie Law | Antibodies against GPR64 and uses thereof |
| WO2004058309A1 (en) | 2002-12-23 | 2004-07-15 | Human Genome Sciences, Inc. | Neutrokine-alpha conjugate, neutrokine-alpha complex, and uses thereof |
| WO2004063709A2 (en) | 2003-01-08 | 2004-07-29 | Bristol-Myers Squibb Company | Biomarkers and methods for determining sensitivity to epidermal growth factor receptor modulators |
| WO2004063355A2 (en) | 2003-01-10 | 2004-07-29 | Protein Design Labs, Inc. | Novel methods of diagnosis of metastatic cancer, compositions and methods of screening for modulators of matastatic cancer |
| WO2004063362A2 (en) | 2003-01-10 | 2004-07-29 | Cyclacel Limited | Cell cycle progression proteins |
| WO2004065577A2 (en) | 2003-01-14 | 2004-08-05 | Bristol-Myers Squibb Company | Polynucleotides and polypeptides associated with the nf-kb pathway |
| WO2004065576A2 (en) | 2003-01-15 | 2004-08-05 | Millennium Pharmaceuticals, Inc. | Methods and compositions for the treatment of urological disorder using differential expressed polypeptides |
| WO2004074320A2 (en) | 2003-02-14 | 2004-09-02 | Sagres Discovery, Inc. | Therapeutic targets in cancer |
| US20030224411A1 (en) | 2003-03-13 | 2003-12-04 | Stanton Lawrence W. | Genes that are up- or down-regulated during differentiation of human embryonic stem cells |
| US7521541B2 (en) | 2004-09-23 | 2009-04-21 | Genetech Inc. | Cysteine engineered antibodies and conjugates |
| US7723485B2 (en) | 2007-05-08 | 2010-05-25 | Genentech, Inc. | Cysteine engineered anti-MUC16 antibodies and antibody drug conjugates |
| WO2008144891A1 (en) | 2007-05-30 | 2008-12-04 | F. Hoffmann-La Roche Ag | Humanized and chimeric anti-trop-2 antibodies that mediate cancer cell cytotoxicity |
| WO2009052249A1 (en) | 2007-10-19 | 2009-04-23 | Genentech, Inc. | Cysteine engineered anti-tenb2 antibodies and antibody drug conjugates |
| WO2011068845A1 (en) | 2009-12-02 | 2011-06-09 | Immunomedics, Inc. | Combining radioimmunotherapy and antibody-drug conjugates for improved cancer therapy |
| WO2011145744A1 (en) | 2010-05-17 | 2011-11-24 | 株式会社リブテック | Anti-human trop-2 antibody having antitumor activity in vivo |
| US9000130B2 (en) | 2010-06-08 | 2015-04-07 | Genentech, Inc. | Cysteine engineered antibodies and conjugates |
| US20110301334A1 (en) | 2010-06-08 | 2011-12-08 | Sunil Bhakta | Cysteine engineered antibodies and conjugates |
| WO2011156328A1 (en) | 2010-06-08 | 2011-12-15 | Genentech, Inc. | Cysteine engineered antibodies and conjugates |
| WO2011155579A1 (en) | 2010-06-10 | 2011-12-15 | 北海道公立大学法人札幌医科大学 | ANTI-Trop-2 ANTIBODY |
| US20120121615A1 (en) | 2010-11-17 | 2012-05-17 | Flygare John A | Alaninyl maytansinol antibody conjugates |
| WO2013068946A2 (en) | 2011-11-11 | 2013-05-16 | Rinat Neuroscience Corp. | Antibodies specific for trop-2 and their uses |
| WO2013077458A1 (en) | 2011-11-22 | 2013-05-30 | 株式会社リブテック | Anti-human trop-2 antibody exhibiting antitumor activity in vivo |
| WO2015095227A2 (en) | 2013-12-16 | 2015-06-25 | Genentech, Inc. | Peptidomimetic compounds and antibody-drug conjugates thereof |
| WO2015095124A1 (en) | 2013-12-16 | 2015-06-25 | Genentech Inc. | Peptidomimetic compounds and antibody-drug conjugates thereof |
| WO2015095223A2 (en) | 2013-12-16 | 2015-06-25 | Genentech, Inc. | Peptidomimetic compounds and antibody-drug conjugates thereof |
| WO2016040723A1 (en) | 2014-09-12 | 2016-03-17 | Genentech, Inc. | Anti-her2 antibodies and immunoconjugates |
| WO2016040825A1 (en) | 2014-09-12 | 2016-03-17 | Genentech, Inc. | Anthracycline disulfide intermediates, antibody-drug conjugates and methods |
| WO2017214024A1 (en) | 2016-06-06 | 2017-12-14 | Genentech, Inc. | Silvestrol antibody-drug conjugates and methods of use |
| WO2020030426A1 (en) | 2018-08-07 | 2020-02-13 | R. Stahl Schaltgeräte GmbH | Pressure relief device and housing comprising same |
Non-Patent Citations (226)
| Title |
|---|
| "Antibody-Drug Conjugates, Methods in Molecular Biology", vol. 1045, 2013, article "Engineering THIOMABs for Site-Specific Conjugation of Thiol-Reactive Linkers", pages: 189 - 203 |
| "Genbank", Database accession no. NP_001774.10 |
| "McGraw-Hill Dictionary of Chemical Terms", 1984, MCGRAW-HILL BOOK COMPANY |
| "NCBI", Database accession no. NP_002344 |
| "The Chemistry of Heterocyclic Compounds, A series of Monographs", vol. 13,14,16,19,28, 1950, JOHN WILEY & SONS |
| AM. J. HUM. GENET., vol. 49, no. 3, 1991, pages 555 - 565 |
| ANDREWS ET AL., BLOOD, vol. 68, 1986, pages 1030 - 5 |
| ANNU. REV. NEUROSCI., vol. 21, 1998, pages 309 - 345 |
| ARAI H. ET AL., J. BIOL. CHEM., vol. 268, 1993, pages 3463 - 3470 |
| ARAI H. ET AL., JPN. CIRC. J., vol. 56, 1992, pages 1303 - 1307 |
| ATTIE T ET AL., HUM. MOL. GENET., vol. 4, 1995, pages 2407 - 2409 |
| AURICCHIO A. ET AL., HUM. MOL. GENET., vol. 5, 1996, pages 355 - 357 |
| B.E. SMITH ET AL., NAT. COMMUN., vol. 10, no. 1, 2019, pages 131 |
| BAKKER AB ET AL., CANCER RES., vol. 64, no. 22, 2005, pages 8443 - 50 |
| BAREL M. ET AL., MOL. IMMUNOL., vol. 35, 1998, pages 1025 - 1031 |
| BARELLA ET AL., BIOCHEM. J., vol. 309, 1995, pages 773 - 779 |
| BARGH JD ET AL., CHEM SOC REV., vol. 48, 2019, pages 4361 - 74 |
| BARNETT T. ET AL., GENOMICS, vol. 3, 1988, pages 59 - 66 |
| BECK A ET AL., NAT REV DRUGDISCOV., vol. 16, no. 6, 2017, pages 315 - 37 |
| BECK ET AL., J. MOL. BIOL., vol. 255, 1996, pages 1 - 13 |
| BECK, MOL. BIOL., vol. 228, 1992, pages 433 - 441 |
| BISHOP, D.T. ET AL., NAT. GENET., vol. 41, no. 8, 2009, pages 920 - 925 |
| BLOOD, vol. 100, no. 9, 2002, pages 3068 - 3076 |
| BLUMBERG H. ET AL., CELL, vol. 104, 2001, pages 9 - 19 |
| BOURGEOIS C. ET AL., J. CLIN. ENDOCRINOL. METAB., vol. 82, 1997, pages 3116 - 3123 |
| C. QIN ET AL., J. MED. CHEM., vol. 61, no. 15, 2018, pages 6685 - 1000 |
| CALABRESE G ET AL., CYTOGENET CELL GENET., vol. 92, no. 1-2, 2001, pages 164 - 5 |
| CANCER RES., vol. 61, no. 15, 2001, pages 5857 - 5860 |
| CELL, vol. 109, no. 3, 2002, pages 397 - 407 |
| CHAN, J.WATT, V.M., ONCOGENE, vol. 6, no. 6, 1991, pages 1057 - 1061 |
| CHANG ET AL., INT. J. BIOCHEM. MOL. BIOL., vol. 2, no. 3, 2011, pages 287 - 94 |
| CHARLES N ET AL., NAT. MED., vol. 16, 2010, pages 701 |
| CHEN CH, BLOOD, vol. 107, no. 4, 2006, pages 1459 - 67 |
| CICCODICOLA, A. ET AL., EMBO J., vol. 8, no. 7, 1989, pages 1987 - 1991 |
| CLARK, H.F. ET AL., GENOME RES., vol. 13, no. 10, 2003, pages 2265 - 2270 |
| COUSSENS L. ET AL., SCIENCE, vol. 230, no. 4730, 1985, pages 1132 - 1139 |
| CREE ET AL., ANTICANCER DRUGS, vol. 6, 1995, pages 398 - 404 |
| CROUCH ET AL., J. IMMUNOL. METH., vol. 160, 1993, pages 81 - 88 |
| DAVIS ET AL., PROC. NATL. ACAD. SCI USA, vol. 98, no. 17, 2001, pages 9772 - 9777 |
| DE NOOIJ-VAN DALEN, A.G. ET AL., INT. J. CANCER, vol. 103, no. 6, 2003, pages 768 - 774 |
| DEN BESTEN, W. ET AL., NAT CHEM BIOL, vol. 16, 2020, pages 1157 - 1158 |
| DIJKE, P. ET AL., SCIENCE, vol. 264, no. 5155, 1994, pages 101 - 104 |
| DOBNER ET AL., EUR. J. IMMUNOL., vol. 22, no. 6, 1992, pages 2795 - 2799 |
| DOMAN ET AL., BLOOD, vol. 114, no. 13, 2009, pages 2721 - 2729 |
| DONG G ET AL., J MED CHEM., vol. 64, no. 15, 2021, pages 10606 - 10620 |
| DONG G ET AL., JMED CHEM., vol. 64, no. 15, 2021, pages 10606 - 10620 |
| DRICKAMER K, CURR. OPIN. STRUCT. BIOL., vol. 9, no. 5, 1999, pages 585 - 90 |
| DUMOUTIER L. ET AL., J. IMMUNOL., vol. 167, 2001, pages 3545 - 3549 |
| EDELMAN ET AL., PROC. NATL. ACAD. OF SCI., vol. 63, no. 1, 1969, pages 78 - 85 |
| EHSANI A. ET AL., GENOMICS, vol. 15, 1993, pages 426 - 429 |
| ELSHOURBAGY N.A. ET AL., J. BIOL. CHEM., vol. 268, no. 16, 1992, pages 11267 - 11273 |
| ERICSSON, T.A. ET AL., PROC. NATL. ACAD. SCI. U.S.A., vol. 100, no. 11, 2003, pages 6759 - 6764 |
| FAULK W P ET AL., PROC. NATL. ACAD. SCI., vol. 75, no. 4, 1978, pages 1947 - 1951 |
| FEBS LETT., vol. 418, no. 1-2, 1997, pages 195 - 199 |
| FIELD, J.A. ET AL., BIOCHEM. BIOPHYS. RES. COMMUN., vol. 266, no. 3, 1999, pages 593 - 602 |
| FONG D ET AL., BR. J. CANCER, vol. 99, no. 8, 2008, pages 1290 - 1295 |
| FONG D ET AL., MOD. PATHOL., vol. 21, no. 2, 2008, pages 186 - 191 |
| FORNARO M ET AL., INT. J. CANCER, vol. 62, no. 5, 1995, pages 610 - 618 |
| FUCHS S. ET AL., MOL. MED., vol. 7, 2001, pages 115 - 124 |
| FUJISAKU ET AL., J. BIOL. CHEM., vol. 264, no. 4, 1989, pages 2118 - 2125 |
| FURUSHIMA, K. ET AL., DEV. BIOL., vol. 306, no. 2, 2007, pages 480 - 492 |
| GARY S.C. ET AL., GENE, vol. 256, 2000, pages 139 - 147 |
| GENOMICS, vol. 62, no. 2, 1999, pages 281 - 284 |
| GERHARD, D.S. ET AL., GENOME RES., vol. 14, no. 10B, 2004, pages 2121 - 2127 |
| GERY, S. ET AL., ONCOGENE, vol. 22, no. 18, 2003, pages 2723 - 2727 |
| GETZ ET AL., ANAL. BIOCHEM., vol. 273, 1999, pages 73 - 80 |
| GLYNNE-JONES ET AL., INT J CANCER. OCT 15, vol. 94, no. 2, 2001, pages 178 - 84 |
| GOMEZ ET AL., BIOTECHNOL. PROG., vol. 26, 2010, pages 1438 - 1445 |
| GOMEZ ET AL., BIOTECHNOLOGY AND BIOENG., vol. 105, no. 4, 2010, pages 748 - 760 |
| GU Z. ET AL., ONCOGENE, vol. 19, 2000, pages 1288 - 1296 |
| HAENDLER B. ET AL., J. CARDIOVASC. PHARMACOL., vol. 20, 1992 |
| HAGNER ET AL., BLOOD, vol. 126, no. 6, 2016, pages 779 - 89 |
| HAMBLETT ET AL., CLIN. CANCER RES., vol. 10, 2004, pages 7063 - 7070 |
| HAMBLETT, K.J. ET AL.: "2004 Annual Meeting, March 27-31, 2004, Proceedings of the AACR", vol. 45, March 2004, AMERICAN ASSOCIATION FOR CANCER RESEARCH, article "Effect of drug loading on the pharmacology, pharmacokinetics, and toxicity of an anti-CD30 antibody-drug conjugate" |
| HANSEN JD ET AL., JMEDCHEM., vol. 64, no. 4, 2021, pages 1835 - 1843 |
| HARMS, P.W., GENES DEV., vol. 17, no. 21, 2003, pages 2624 - 2629 |
| HASHIMOTO ET AL., IMMUNOGENETICS, vol. 40, no. 4, 1994, pages 287 - 295 |
| HATA, K., ANTICANCER RES., vol. 29, no. 2, 2009, pages 617 - 623 |
| HERLING M ET AL., BLOOD, vol. 101, 2003, pages 5007 |
| HIGGINS ET AL., NEUROL., vol. 63, no. 10, 2004, pages 1927 - 31 |
| HOFSTRA R.M.W. ET AL., EUR. J. HUM. GENET., vol. 5, 1997, pages 180 - 185 |
| HOFSTRA R.M.W. ET AL., NAT. GENET., vol. 12, 1996, pages 445 - 447 |
| HORIE ET AL., GENOMICS, vol. 67, 2000, pages 146 - 152 |
| HUBER, A.D. ET AL., ACSMED. CHEM. LETT., vol. 13, 2022, pages 1311 - 1320 |
| HUBERT, R.S. ET AL., PROC. NATL. ACAD. SCI. U.S.A., vol. 96, no. 20, 1999, pages 11531 - 11536 |
| IMMUNOGENETICS, vol. 54, no. 2, 2002, pages 87 - 95 |
| INT. REV. CYTOL., vol. 196, 2000, pages 177 - 244 |
| ISHIKAWA, N. ET AL., CANCER RES., vol. 67, no. 24, 2007, pages 11601 - 11611 |
| ITO T ET AL., PROC JPN ACAD SER B PHYS BIOL SCI., vol. 96, no. 6, 2020, pages 189 - 203 |
| J. AM. CHEM. SOC., vol. 82, 1960, pages 5566 |
| J. BIOL. CHEM., vol. 270, no. 37, 1995, pages 21984 - 21990 |
| J. BIOL. CHEM., vol. 276, no. 29, 2001, pages 27371 - 27375 |
| J. BIOL. CHEM., vol. 278, no. 33, 2003, pages 30813 - 30820 |
| J. LU ET AL., CHEM. BIOL., vol. 22, no. 6, 2015, pages 755 - 763 |
| J. SHI ET AL., MOL. PHARM., vol. 15, no. 9, 2018, pages 4139 - 4147 |
| J. ZHANG ET AL., BIOORG. CHEM., vol. 99, 2020, pages 103817 |
| JUNUTULA ET AL., NAT. BIOTECHNOL., vol. 26, no. 191732-72-6, 2008, pages 925 - 932 |
| JUNUTULA ET AL., NATURE BIOTECH., vol. 26, no. 8, 2008, pages 925 - 932 |
| K.M. SAKAMOTO, PEDIATR. RES., vol. 67, no. 5, 2010, pages 505 - 508 |
| K.M. SAKOMOTO ET AL., PROC. NATL. ACAD. SCI. USA, vol. 98, no. 15, 2001, pages 8554 - 8559 |
| KABAT ET AL.: "Sequences of proteins of immunological interest,", 1991, US DEPT OF HEALTH AND HUMAN SERVICE, NATIONAL INSTITUTES OF HEALTH |
| KASAHARA ET AL., IMMUNOGENETICS, vol. 30, no. 1, 1989, pages 411 - 413 |
| KAZANTSEV, A. ET AL., EXPERT OPINION ON THERAPEUTIC PATENTS, vol. 32, no. 2, 2022, pages 171 - 190 |
| KHOT, A. ET AL., BIOANALYSIS, vol. 7, no. 13, 2015, pages 1633 - 1648 |
| KIM, M.H. ET AL., MOL. CELL. BIOL., vol. 29, no. 8, 2009, pages 2264 - 2277 |
| KRONKE ET AL., NATURE, vol. 523, 2015, pages 183 - 8 |
| KUHNS J.J. ET AL., J. BIOL. CHEM., vol. 274, 1999, pages 36422 - 36427 |
| KUMMER, M.P. ET AL., J. BIOL. CHEM., vol. 284, no. 4, 2009, pages 2296 - 2306 |
| L. BAI ET AL., CANC. RES., vol. 77, no. 9, 2017, pages 2476 - 2487 |
| LAB. INVEST., vol. 82, no. 11, 2002, pages 1573 - 1582 |
| LARHAMMAR ET AL., J. BIOL. CHEM., vol. 260, no. 26, 1985, pages 14111 - 14119 |
| LIANG ET AL., CANCER RES., vol. 60, 2000, pages 4907 - 12 |
| LINNENBACH A J ET AL., PROC. NATL. ACAD. SCI., vol. 86, no. 1, 1989, pages 27 - 31 |
| LINNENBACH AJ ET AL., MOL CELL BIOL., vol. 13, no. 3, 1993, pages 1507 - 15 |
| LIPINSKI M ET AL., PROC. NATL. ACAD. SCI., vol. 78, no. 8, 1981, pages 5147 - 5150 |
| LLOYD, THE ART, SCIENCE AND TECHNOLOGY OF PHARMACEUTICAL COMPOUNDING, 1999 |
| LU ET AL., CELL CANCER, vol. 22, no. 6, 2015, pages 755 - 63 |
| M. SCHEEPSTRA ET AL., COMPUT. STRUCT. BIOTECHNOL. J., vol. 17, 2019, pages 160 - 176 |
| M. TOURE ET AL., ANGEW CHEM. INT. ED. ENGL., vol. 55, no. 6, 2016, pages 1966 - 1973 |
| M.L. DRUMMOND ET AL., J. CHEM. INF. MODEL., vol. 59, no. 4, 2019, pages 1634 - 1644 |
| M.S. GADD ET AL., NAT. CHEM. BIOL., vol. 13, no. 5, 2017, pages 514 - 521 |
| MALLYA, M. ET AL., GENOMICS, vol. 80, no. 1, 2002, pages 113 - 123 |
| MARSHALL AS ET AL., EUR. J. IMMUNOL., vol. 36, no. 8, 2006, pages 2159 - 69 |
| MARSHALL AS ET AL., J. BIOL. CHEM., vol. 279, no. 15, 2004, pages 14792 - 802 |
| MARTIN-GAYO E ET AL., BLOOD, vol. 115, 2010, pages 5366 |
| MATYSKIELA, M. E. ET AL., NATURE, vol. 535, no. 7611, 2016, pages 252 - 257 |
| MAYOR-RUIZ, C. ET AL., NATURE CHEMICAL BIOLOGY, vol. 16, 2020, pages 1199 - 1207 |
| MCDONAGH ET AL., PROT. ENGR. DESIGN & SELECTION, vol. 19, no. 7, 2006, pages 299 - 307 |
| MCGLINCHEY, R.P. ET AL., PROC. NATL. ACAD. SCI. U.S.A., vol. 106, no. 33, 2009, pages 13731 - 13736 |
| MENDOZA ET AL., CANCER RES., vol. 62, 2002, pages 5485 - 5488 |
| METHODS IN ENZYM., vol. 502, 2012, pages 123 - 138 |
| MIURA ET AL., BLOOD, vol. 92, no. 8, 1998, pages 2815 - 2822 |
| MIURA ET AL., GENOMICS, vol. 38, no. 3, 1996, pages 299 - 304 |
| MONTPETIT, A.SINNETT, D., HUM. GENET., vol. 105, no. 1-2, 1999, pages 162 - 164 |
| MOORE M. ET AL., PROC. NATL. ACAD. SCI. U.S.A., vol. 84, 1987, pages 9194 - 9198 |
| MUELLER ET AL., EUR. J. BIOCHEM., vol. 22, 1992, pages 1621 - 1625 |
| MUHLMANN G ET AL., J. CLIN. PATHOL., vol. 62, no. 2, 2009, pages 152 - 158 |
| MUNGALL A.J. ET AL., NATURE, vol. 425, 2003, pages 805 - 811 |
| NAGASE T. ET AL., DNA RES., vol. 7, no. 2, 2000, pages 143 - 150 |
| NAKAYAMA ET AL., BIOCHEM. BIOPHYS. RES. COMMUN., vol. 277, no. 1, 2000, pages 124 - 127 |
| NAN, H., J. CANCER, vol. 125, no. 4, 2009, pages 909 - 917 |
| NARITA, N. ET AL., ONCOGENE, vol. 28, no. 34, 2009, pages 3058 - 3068 |
| NARUSE ET AL., TISSUE ANTIGENS, vol. 59, 2002, pages 512 - 519 |
| NATURE, vol. 395, no. 6699, 1998, pages 288 - 291 |
| NAVENOT, J.M. ET AL., MOL. PHARMACOL., vol. 75, no. 6, 2009, pages 1300 - 1306 |
| NING S ET AL., NEUROL. SCI., vol. 34, no. 10, 2013, pages 1745 - 1750 |
| O'DOWD, B.F. ET AL., FEBS LETT., vol. 394, no. 3, 1996, pages 325 - 329 |
| OGAWA Y, BIOPHYS. RES. COMMUN., vol. 178, 1991, pages 248 - 255 |
| OHMACHI T ET AL., CLIN. CANCER RES., vol. 12, no. 10, 2006, pages 3057 - 3063 |
| OKAMOTO Y. ET AL., BIOL. CHEM., vol. 272, 1997, pages 21589 - 21596 |
| ONCOGENE, vol. 10, no. 5, 1995, pages 897 - 905 |
| ONCOGENE, vol. 14, no. 11, 1997, pages 1377 - 1382 |
| P. MARTIN-ACOSTA, EUR. J. MED. CHEM., vol. 210, 2021, pages 112981 |
| P. OTTIS ET AL., ACS CHEM. BIOL., vol. 12, no. 4, 2017, pages 892 - 898 |
| PAQUETTE, LEO A.: "Principles of Modern Heterocyclic Chemistry", 1968, W.A. BENJAMIN |
| PARRISH-NOVAK ET AL., J. BIOL. CHEM., vol. 277, no. 22, 2002, pages 47517 - 47523 |
| PHILLIPS GDLLI GMDUGGER DL ET AL.: "Targeting HER2-Positive Breast Cancer with Trastuzumab-DM1, an Antibody-Cytotoxic Drug Conjugate", CANCER RES., vol. 68, 2008, pages 9280 - 90, XP055013498, DOI: 10.1158/0008-5472.CAN-08-1776 |
| PICKAR, DOSAGE CALCULATIONS, 1999 |
| PINGAULT V ET AL., HUM. GENET., vol. 111, 2002, pages 198 - 206 |
| PLETNEV S. ET AL., BIOCHEMISTRY, vol. 42, 2003, pages 12617 - 12624 |
| POWELL, C.E. ET AL., ACS CHEM. BIOL., vol. 15, 2020, pages 2722 - 2730 |
| PREUD'HOMME ET AL., CLIN. EXP. IMMUNOL., vol. 90, no. 1, 1992, pages 141 - 146 |
| PROC. NATL. ACAD. SCI. U.S.A., vol. 93, no. 1, 1996, pages 136 - 140 |
| PROC. NATL. ACAD. SCI. U.S.A., vol. 98, no. 17, 2001, pages 9772 - 9777 |
| PUFFENBERGER E.G. ET AL., CELL, vol. 79, 1994, pages 1257 - 1266 |
| R.P. NOWAK ET AL., NAT. CHEM. BIOL., vol. 14, no. 7, 2018, pages 706 - 714 |
| REITER R.E. ET AL., PROC. NATL. ACAD. SCI. U.S.A., vol. 95, 1998, pages 1735 - 1740 |
| RIBAS, G. ET AL., J. IMMUNOL., vol. 163, no. 1, 1999, pages 278 - 287 |
| S. AN ET AL., EBIOMEDICINE, vol. 36, 2018, pages 553 - 562 |
| S.E. LOCHRIN ET AL., CANC. BIOL. THER., vol. 15, no. 12, 2014, pages 1583 - 1585 |
| SABBATH ET AL., J. CLIN. INVEST., vol. 75, 1985, pages 756 - 56 |
| SAKAGUCHI ET AL., EMBO J., vol. 7, no. 11, 1988, pages 3457 - 3464 |
| SAKAMOTO A.YANAGISAWA M. ET AL., BIOCHEM. BIOPHYS. RES. COMMUN., vol. 178, 1991, pages 656 - 663 |
| SALANTI, G. ET AL., AM. J. EPIDEMIOL., vol. 170, no. 5, 2009, pages 537 - 545 |
| SCHAFER ET AL., J. PHARMACOL. & EXPER. THER., vol. 305, 2003, pages 1222 - 32 |
| SCHERER, S.E. ET AL., NATURE, vol. 440, no. 7082, 2006, pages 346 - 351 |
| SCHLOTHAUER, T. ET AL., PROTEIN ENGINEERING, DESIGN & SELECTION, vol. 29, no. 10, 2016, pages 457 - 466 |
| SEMBA K. ET AL., PROC. NATL. ACAD. SCI. U.S.A., vol. 82, 1985, pages 6497 - 6501 |
| SERVENIUS ET AL., J. BIOL. CHEM., vol. 262, 1987, pages 8759 - 8766 |
| SHEIKH F. ET AL., J. IMMUNOL., vol. 172, 2004, pages 2006 - 2010 |
| SHEN B-Q ET AL., NAT BIOTECHNOL, 2012 |
| SHEN, B. ET AL., NAT. BIOTECHNOL., vol. 30, no. 2, 2012, pages 184 - 189 |
| SHI ET AL., J. IMMUNOL. RES., 2017 |
| SHI M ET AL., CARDIOVASC HEMATOL DISORD DRUG TARGETS, vol. 19, no. 3, 2019, pages 195 - 204 |
| SHI Q ET AL., J IMMUNOL RES., vol. 2017, 2017, pages 9130608 |
| SINHA S.K. ET AL., J. IMMUNOL., vol. 150, 1993, pages 5311 - 5320 |
| SLAMON ET AL., NEW ENGL. J. MED., vol. 344, 2001, pages 783 - 792 |
| SLAMON ET AL., SCIENCE, vol. 244, 1989, pages 707 - 12 |
| SPERLING AS ET AL., BLOOD, vol. 134, no. 2, 2019, pages 160 - 170 |
| STRAUSBERG ET AL., PROC. NATL. ACAD. SCI USA, vol. 99, 2002, pages 16899 - 16903 |
| STRAUSBERG R.L. ET AL., PROC. NATL. ACAD. SCI. U.S.A., vol. 99, no. 26, 2002, pages 16899 - 16903 |
| SUKUMARAN ET AL., PHARM RES, vol. 32, 2015, pages 1884 - 1893 |
| SUN Q ET AL., BLOOD, vol. 87, 1996, pages 83 |
| SURKA, C. ET AL., BLOOD, vol. 137, no. 5, 2021, pages 661 - 677 |
| SVENSSON P.J. ET AL., HUM. GENET., vol. 103, 1998, pages 145 - 148 |
| SWIERCZ J.M. ET AL., J. CELL BIOL., vol. 165, pages 869 - 880 |
| T.A. BEMIS ET AL., CHEM. COMMUN., vol. 57, no. 8, 2021, pages 1026 - 1029 |
| TAKEDA, S. ET AL., FEBS LETT., vol. 520, no. 1-3, 2002, pages 97 - 101 |
| TAKWALE, A.D. ET AL., BIOORGANIC CHEMISTRY, vol. 127, 2022, pages 105923 |
| TAWARAGI Y. ET AL., BIOCHEM. BIOPHYS. RES. COMMUN., vol. 150, 1988, pages 89 - 96 |
| TESTA U ET AL., CANCERS, vol. 11, no. 9, 2019, pages 1358 - 1388 |
| THOMPSON, J.S. ET AL., SCIENCE, vol. 293, no. 5537, 2001, pages 2108 - 2111 |
| TONNELLE ET AL., EMBO J., vol. 4, no. 11, 1985, pages 2839 - 2847 |
| TOUCHMAN ET AL., GENOME RES., vol. 10, 2000, pages 165 - 173 |
| TREANOR, J.J., NATURE, vol. 382, no. 6586, 1996, pages 80 - 83 |
| TSUCHIKAMA K ET AL., PROTEIN CELL, vol. 9, 2018, pages 33 - 46 |
| TSUKAMOTO, H. ET AL., CANCER SCI., vol. 100, no. 10, 2009, pages 1895 - 1901 |
| TSUTSUMI M. ET AL., GENE, vol. 228, 1999, pages 43 - 49 |
| VAN RHENEN A ET AL., BLOOD, vol. 110, no. 7, 2007, pages 2659 - 66 |
| VERHEIJ J.B. ET AL., AM. J. MED. GENET., vol. 108, 2002, pages 223 - 225 |
| VON HOEGEN ET AL., J. IMMUNOL., vol. 144, no. 12, 1990, pages 4870 - 4877 |
| W. FARNABY ET AL., NAT. CHEM. BIOL., vol. 15, no. 7, 2019, pages 672 - 680 |
| WADA ET AL., BIOCHEM. & BIOPHYS. RES. COMM., vol. 477, 2016, pages 388 - 94 |
| WANG, C. ET AL., EUR J MED CHEM., vol. 225, 2021, pages 113749 |
| WEIS J.J. ET AL., J. EXP. MED., vol. 167, 1988, pages 1047 - 1066 |
| WEIS J.J. ET AL., PROC. NATL. ACAD. SCI. U.S.A., vol. 83, 1986, pages 5639 - 5643 |
| WILSON ET AL., J. EXP. MED., vol. 173, 1991, pages 137 - 146 |
| XU, M.J. ET AL., BIOCHEM. BIOPHYS. RES. COMMUN., vol. 280, no. 3, 2001, pages 768 - 775 |
| XU, X.Z, NATL. ACAD. SCI. U.S.A., vol. 98, no. 19, 2001, pages 10692 - 10697 |
| YAMAGUCHI, N. ET AL., BIOL. CHEM., vol. 269, no. 2, 1994, pages 805 - 808 |
| YAMAMOTO T. ET AL., NATURE, vol. 319, 1986, pages 230 - 234 |
| YAMAMOTO, Y. ET AL., HEPATOLOGY, vol. 37, no. 3, 2003, pages 528 - 533 |
| YU ET AL., J. IMMUNOL., vol. 148, no. 2, 1992, pages 1526 - 1531 |
| ZAMMIT, D.J. ET AL., MOL. CELL. BIOL., vol. 22, no. 3, 2002, pages 946 - 952 |
| ZHANG ET AL., BIOCHEM., vol. 311, 2002, pages 1 - 9 |
| ZHIHUA H ET AL., ANNU REV PLANT BIOL., vol. 62, no. 1, 2011, pages 299 - 334 |
Cited By (2)
| Publication number | Priority date | Publication date | Assignee | Title |
|---|---|---|---|---|
| WO2024238872A3 (en) * | 2023-05-18 | 2024-12-19 | Firefly Bio, Inc. | Isoindolinone-glutarimide antibody conjugates, and uses thereof |
| WO2025054181A1 (en) * | 2023-09-05 | 2025-03-13 | Seagen Inc. | Targeted degrader molecules and ligand drug conjugates thereof |
Also Published As
| Publication number | Publication date |
|---|---|
| CN120417934A (en) | 2025-08-01 |
| JP2026502860A (en) | 2026-01-27 |
| EP4637833A2 (en) | 2025-10-29 |
| TW202432187A (en) | 2024-08-16 |
| WO2024138128A3 (en) | 2024-07-25 |
Similar Documents
| Publication | Publication Date | Title |
|---|---|---|
| US11104673B2 (en) | Quaternary amine compounds and antibody-drug conjugates thereof | |
| EP3033111B1 (en) | 1-(chloromethyl)-2,3-dihydro-1h-benzo[e]indole dimer antibody-drug conjugate compounds, and methods of use and treatment | |
| JP2022137034A (en) | Cysteine engineered antibodies and conjugates | |
| EP3362100B1 (en) | Hindered disulfide drug conjugates | |
| US11576979B2 (en) | Pyrrolobenzodiazepine prodrugs and antibody conjugates thereof | |
| CN103313990B (en) | Alanyl maytansinol antibody coupling matter | |
| EP3082876B1 (en) | 1-(chloromethyl)-2,3-dihydro-1h-benzo[e]indole dimer antibody-drug conjugate compounds, and methods of use and treatment | |
| US11648315B2 (en) | Silvestrol antibody-drug conjugates and methods of use | |
| US10730900B2 (en) | Calicheamicin-antibody-drug conjugates and methods of use | |
| JP2017503011A (en) | Peptidomimetic compounds and antibody-drug conjugates thereof | |
| WO2024138128A2 (en) | Cereblon degrader conjugates, and uses thereof | |
| HK40121911A (en) | Cereblon degrader conjugates, and uses thereof | |
| HK1260079B (en) | Hindered disulfide drug conjugates | |
| HK1222544B (en) | 1-(chloromethyl)-2, 3-dihydro-1h-benzo[e]indole dimer antibody-drug conjugate compounds, and methods of use and treatment |
Legal Events
| Date | Code | Title | Description |
|---|---|---|---|
| 121 | Ep: the epo has been informed by wipo that ep was designated in this application |
Ref document number: 23848435 Country of ref document: EP Kind code of ref document: A2 |
|
| ENP | Entry into the national phase |
Ref document number: 2025536427 Country of ref document: JP Kind code of ref document: A |
|
| WWE | Wipo information: entry into national phase |
Ref document number: 2025536427 Country of ref document: JP |
|
| WWE | Wipo information: entry into national phase |
Ref document number: 202380088484.7 Country of ref document: CN |
|
| WWE | Wipo information: entry into national phase |
Ref document number: 2023848435 Country of ref document: EP |
|
| NENP | Non-entry into the national phase |
Ref country code: DE |
|
| WWP | Wipo information: published in national office |
Ref document number: 202380088484.7 Country of ref document: CN |
|
| WWP | Wipo information: published in national office |
Ref document number: 2023848435 Country of ref document: EP |















































































































































































