WO2024121263A1 - Insecticidal compound based on pyrazole derivatives - Google Patents
Insecticidal compound based on pyrazole derivatives Download PDFInfo
- Publication number
- WO2024121263A1 WO2024121263A1 PCT/EP2023/084608 EP2023084608W WO2024121263A1 WO 2024121263 A1 WO2024121263 A1 WO 2024121263A1 EP 2023084608 W EP2023084608 W EP 2023084608W WO 2024121263 A1 WO2024121263 A1 WO 2024121263A1
- Authority
- WO
- WIPO (PCT)
- Prior art keywords
- spp
- cealkyl
- halogen
- phenyl
- cecycloalkyl
- Prior art date
- Legal status (The legal status is an assumption and is not a legal conclusion. Google has not performed a legal analysis and makes no representation as to the accuracy of the status listed.)
- Ceased
Links
Classifications
-
- C—CHEMISTRY; METALLURGY
- C07—ORGANIC CHEMISTRY
- C07D—HETEROCYCLIC COMPOUNDS
- C07D231/00—Heterocyclic compounds containing 1,2-diazole or hydrogenated 1,2-diazole rings
- C07D231/02—Heterocyclic compounds containing 1,2-diazole or hydrogenated 1,2-diazole rings not condensed with other rings
- C07D231/10—Heterocyclic compounds containing 1,2-diazole or hydrogenated 1,2-diazole rings not condensed with other rings having two or three double bonds between ring members or between ring members and non-ring members
- C07D231/14—Heterocyclic compounds containing 1,2-diazole or hydrogenated 1,2-diazole rings not condensed with other rings having two or three double bonds between ring members or between ring members and non-ring members with hetero atoms or with carbon atoms having three bonds to hetero atoms with at the most one bond to halogen, e.g. ester or nitrile radicals, directly attached to ring carbon atoms
- C07D231/38—Nitrogen atoms
-
- A—HUMAN NECESSITIES
- A01—AGRICULTURE; FORESTRY; ANIMAL HUSBANDRY; HUNTING; TRAPPING; FISHING
- A01N—PRESERVATION OF BODIES OF HUMANS OR ANIMALS OR PLANTS OR PARTS THEREOF; BIOCIDES, e.g. AS DISINFECTANTS, AS PESTICIDES OR AS HERBICIDES; PEST REPELLANTS OR ATTRACTANTS; PLANT GROWTH REGULATORS
- A01N43/00—Biocides, pest repellants or attractants, or plant growth regulators containing heterocyclic compounds
- A01N43/48—Biocides, pest repellants or attractants, or plant growth regulators containing heterocyclic compounds having rings with two nitrogen atoms as the only ring hetero atoms
- A01N43/56—1,2-Diazoles; Hydrogenated 1,2-diazoles
-
- A—HUMAN NECESSITIES
- A01—AGRICULTURE; FORESTRY; ANIMAL HUSBANDRY; HUNTING; TRAPPING; FISHING
- A01N—PRESERVATION OF BODIES OF HUMANS OR ANIMALS OR PLANTS OR PARTS THEREOF; BIOCIDES, e.g. AS DISINFECTANTS, AS PESTICIDES OR AS HERBICIDES; PEST REPELLANTS OR ATTRACTANTS; PLANT GROWTH REGULATORS
- A01N43/00—Biocides, pest repellants or attractants, or plant growth regulators containing heterocyclic compounds
- A01N43/64—Biocides, pest repellants or attractants, or plant growth regulators containing heterocyclic compounds having rings with three nitrogen atoms as the only ring hetero atoms
-
- C—CHEMISTRY; METALLURGY
- C07—ORGANIC CHEMISTRY
- C07D—HETEROCYCLIC COMPOUNDS
- C07D231/00—Heterocyclic compounds containing 1,2-diazole or hydrogenated 1,2-diazole rings
- C07D231/02—Heterocyclic compounds containing 1,2-diazole or hydrogenated 1,2-diazole rings not condensed with other rings
- C07D231/10—Heterocyclic compounds containing 1,2-diazole or hydrogenated 1,2-diazole rings not condensed with other rings having two or three double bonds between ring members or between ring members and non-ring members
- C07D231/14—Heterocyclic compounds containing 1,2-diazole or hydrogenated 1,2-diazole rings not condensed with other rings having two or three double bonds between ring members or between ring members and non-ring members with hetero atoms or with carbon atoms having three bonds to hetero atoms with at the most one bond to halogen, e.g. ester or nitrile radicals, directly attached to ring carbon atoms
- C07D231/44—Oxygen and nitrogen or sulfur and nitrogen atoms
-
- C—CHEMISTRY; METALLURGY
- C07—ORGANIC CHEMISTRY
- C07D—HETEROCYCLIC COMPOUNDS
- C07D401/00—Heterocyclic compounds containing two or more hetero rings, having nitrogen atoms as the only ring hetero atoms, at least one ring being a six-membered ring with only one nitrogen atom
- C07D401/14—Heterocyclic compounds containing two or more hetero rings, having nitrogen atoms as the only ring hetero atoms, at least one ring being a six-membered ring with only one nitrogen atom containing three or more hetero rings
-
- C—CHEMISTRY; METALLURGY
- C07—ORGANIC CHEMISTRY
- C07D—HETEROCYCLIC COMPOUNDS
- C07D405/00—Heterocyclic compounds containing both one or more hetero rings having oxygen atoms as the only ring hetero atoms, and one or more rings having nitrogen as the only ring hetero atom
- C07D405/14—Heterocyclic compounds containing both one or more hetero rings having oxygen atoms as the only ring hetero atoms, and one or more rings having nitrogen as the only ring hetero atom containing three or more hetero rings
-
- C—CHEMISTRY; METALLURGY
- C07—ORGANIC CHEMISTRY
- C07D—HETEROCYCLIC COMPOUNDS
- C07D409/00—Heterocyclic compounds containing two or more hetero rings, at least one ring having sulfur atoms as the only ring hetero atoms
- C07D409/14—Heterocyclic compounds containing two or more hetero rings, at least one ring having sulfur atoms as the only ring hetero atoms containing three or more hetero rings
-
- C—CHEMISTRY; METALLURGY
- C07—ORGANIC CHEMISTRY
- C07D—HETEROCYCLIC COMPOUNDS
- C07D417/00—Heterocyclic compounds containing two or more hetero rings, at least one ring having nitrogen and sulfur atoms as the only ring hetero atoms, not provided for by group C07D415/00
- C07D417/14—Heterocyclic compounds containing two or more hetero rings, at least one ring having nitrogen and sulfur atoms as the only ring hetero atoms, not provided for by group C07D415/00 containing three or more hetero rings
-
- C—CHEMISTRY; METALLURGY
- C07—ORGANIC CHEMISTRY
- C07D—HETEROCYCLIC COMPOUNDS
- C07D471/00—Heterocyclic compounds containing nitrogen atoms as the only ring hetero atoms in the condensed system, at least one ring being a six-membered ring with one nitrogen atom, not provided for by groups C07D451/00 - C07D463/00
- C07D471/02—Heterocyclic compounds containing nitrogen atoms as the only ring hetero atoms in the condensed system, at least one ring being a six-membered ring with one nitrogen atom, not provided for by groups C07D451/00 - C07D463/00 in which the condensed system contains two hetero rings
- C07D471/04—Ortho-condensed systems
-
- C—CHEMISTRY; METALLURGY
- C07—ORGANIC CHEMISTRY
- C07D—HETEROCYCLIC COMPOUNDS
- C07D498/00—Heterocyclic compounds containing in the condensed system at least one hetero ring having nitrogen and oxygen atoms as the only ring hetero atoms
- C07D498/02—Heterocyclic compounds containing in the condensed system at least one hetero ring having nitrogen and oxygen atoms as the only ring hetero atoms in which the condensed system contains two hetero rings
- C07D498/04—Ortho-condensed systems
Definitions
- the present invention relates to pesticidally active, in particular insecticidally active, substituted pyrazole compounds, to compositions comprising those compounds, and to their use for controlling animal pests.
- the present invention relates to a compound of formula (I) wherein:
- Ri is selected from hydrogen, halogen, cyano, hydroxyl, Ci-Cealkyl, Ci-Cehaloalkyl, Ci-Cealkoxy, Ci- Cehaloalkoxy, Cs-Cecycloalkyl, Cs-Cehalocycloalkyl, Ci-Cealkylsulfanyl, Ci-Cealkylsulfinyl, Ci- Cealkylsulfonyl, Ci-Cehaloalkylsulfanyl, Ci-Cehaloalkylsulfinyl, Ci-Cehaloalkylsulfonyl, C3- Cecycloalkylsulfanyl, Cs-Cecycloalkylsulfinyl, Cs-Cecycloalkylsulfonyl, -OS(O)2Re, and Ci-C2haloalkyl substituted by Cs-Cecycloalkyl;
- R2 and R3 are, independently, selected from hydrogen, Ci-Cealkyl, formyl, -C(O)Ci-Cealkyl, and -C(O)OCi-Cealkyl; or
- R 4 is selected from hydrogen, halogen, cyano, Ci-Cealkyl, Ci-Cehaloalkyl, Cs-Cecycloalkyl, C3- Cehalocycloalkyl, Ci-Cealkoxy, Ci-Cehaloalkoxy, phenyl, and 1-methylpyrazole;
- Re is selected from hydrogen, halogen, cyano, Ci-Cealkyl, Ci-Cehaloalkyl, Cs-Cecycloalkyl, C3- Cehalocycloalkyl, Ci-Cealkoxy, Ci-Cehaloalkoxy, 1-methylpyrazole, and -C(O)OCi-Cealkyl;
- Re is selected from Ci-C 4 alkyl, Ci-C 4 haloalkyl, Cs-Cecycloalkyl, and Cs-Cehalocycloalkyl;
- Q is selected from: - a 5- to 6-membered heteroaromatic ring containing 1 , 2 or 3 heteroatom groups selected from N, O, S, CO, SO and SO2, and preferably selected from N, O, and CO, wherein the 5- to 6-membered heteroaromatic ring is optionally substituted by one or more radicals selected from R7; and
- phenyl ring is optionally substituted by one or more radicals selected from R7;
- R7 is selected from hydrogen, hydroxyl, halogen, cyano, Ci-Cealkyl, Ci-Cehaloalkyl, C2-Cealkenyl, C2-Cehaloalkenyl, C2-Cealkynyl, C2-Cehaloalkynyl, Ci-Cealkoxy, Ci-Cehaloalkoxy, Cs-Cecycloalkyl, C3- Cecycloalkyl substituted by a cyano, Cs-Cehalocycloalkyl, -C(O)OCi-Cealkyl, -C(0)OCi-C6haloalkyl, C1- Cealkylsulfanyl, Ci-Cealkylsulfinyl, Ci-Cealkylsulfonyl, Ci-Cehaloalkylsulfanyl, Ci-Cehaloalkylsulfinyl, C1- Cehaloalkylsulfon
- R7 is selected from phenyl and 5- to 6-membered heteroaromatic ring, wherein each is optionally substituted by one or more radicals selected from halogen, hydroxyl, nitro, cyano, Ci-Cealkyl, Ci- Cehaloalkyl, Cs-Cecycloalkyl, Cs-Cehalocycloalkyl, Ci-Cealkoxy, Ci-Cehaloalkoxy, and C1- Cealkylsulfanyl; or when Q is substituted by at least two R7, said two R7 optionally form a 5- to 6-membered ring unsaturated, partially saturated or saturated, optionally containing 1 , 2 or 3 heteroatom groups selected from N, O, S, CO, SO and SO2, and preferably selected from N, O, and CO, said 5- to 6-membered ring being optionally substituted by one or more radicals selected from halogen, cyano, hydroxyl, Ci-Cealkyl, Ci-Cehaloal
- Compounds of formula (I) which have at least one basic centre can form, for example, acid addition salts, for example with strong inorganic acids such as mineral acids, for example perchloric acid, sulfuric acid, nitric acid, nitrous acid, a phosphorus acid or a hydrohalic acid, with strong organic carboxylic acids, such as Ci-C4alkanecarboxylic acids which are unsubstituted or substituted, for example by halogen, for example acetic acid, such as saturated or unsaturated dicarboxylic acids, for example oxalic acid, malonic acid, succinic acid, maleic acid, fumaric acid or phthalic acid, such as hydroxycarboxylic acids, for example ascorbic acid, lactic acid, malic acid, tartaric acid or citric acid, or such as benzoic acid, or with organic sulfonic acids, such as Ci-C4alkane- or arylsulfonic acids which are unsubstituted or substituted, for
- Compounds of formula (I) which have at least one acidic group can form, for example, salts with bases, for example mineral salts such as alkali metal or alkaline earth metal salts, for example sodium, potassium or magnesium salts, or salts with ammonia or an organic amine, such as morpholine, piperidine, pyrrolidine, a mono-, di- or tri-lower-alkylamine, for example ethyl-, diethyl-, triethyl- or dimethylpropylamine, or a mono-, di- or trihydroxy-lower-alkylamine, for example mono-, di- or triethanolamine.
- bases for example mineral salts such as alkali metal or alkaline earth metal salts, for example sodium, potassium or magnesium salts
- salts with ammonia or an organic amine such as morpholine, piperidine, pyrrolidine, a mono-, di- or tri-lower-alkylamine, for example ethyl-, die
- asymmetric carbon atoms in a compound of formula (I) means that the compounds may occur in chiral isomeric forms, i.e., enantiomeric or diastereomeric forms. Also, atropisomers may occur as a result of restricted rotation about a single bond.
- Formula (I) is intended to include all those possible isomeric forms and mixtures thereof. The present invention includes all those possible isomeric forms and mixtures thereof for a compound of formula (I).
- formula (I) is intended to include all possible tautomers (including lactam-lactim tautomerism and keto-enol tautomerism) where present. The present invention includes all possible tautomeric forms for a compound of formula (I).
- the compounds of formula (I) according to the invention are in free form, in oxidized form as an N-oxide, in covalently hydrated form, or in salt form, e.g., an agronomically usable or agrochemically acceptable salt form.
- N-oxides are oxidized forms of tertiary amines or oxidized forms of nitrogen containing heteroaromatic compounds. They are described for instance in the book “Heterocyclic N-oxides” by A. Albini and S. Pietra, CRC Press, Boca Raton 1991.
- the compounds of formula (I) according to the invention also include hydrates, which may be formed during salt formation.
- the compounds of formula (I) according to the invention also include hydrates which may be formed during the salt formation.
- the compounds of formula (I) according to the present invention have been identified as Electron Transport Chain (ETC) Complex II inhibitors.
- halogen refers to fluorine (fluoro), chlorine (chloro), bromine (bromo) or iodine (iodo).
- hydroxyl or “hydroxy” means an -OH group.
- cyano means a -CN group.
- formyl means a -C(O)H group.
- Ci-Cealkyl refers to a straight or branched hydrocarbon chain radical consisting solely of carbon and hydrogen atoms, containing no unsaturation, having from one to six carbon atoms, and which is attached to the rest of the molecule by a single bond.
- the term “Ci-C4alkyl” is to be construed accordingly.
- Ci-Cealkyl examples include, but are not limited to, methyl, ethyl, n- propyl, n-butyl, n-pentyl, n-hexyl and the isomers thereof, for example, iso-propyl, iso-butyl, sec-butyl, tert-butyl or iso-amyl.
- C2-Cealkenyl refers to a straight or branched hydrocarbon chain radical group consisting solely of carbon and hydrogen atoms, containing at least one double bond that may be of either the (E)- or ( ⁇ -configuration, having from two to six carbon atoms, which is attached to the rest of the molecule by a single bond.
- C2-C4alkenyl is to be construed accordingly.
- Examples of C2-Cealkenyl include, but are not limited to, prop-1 -enyl, allyl (prop-2-enyl), and but-1-enyl.
- C2-Cealkynyl refers to a straight or branched hydrocarbon chain radical group consisting solely of carbon and hydrogen atoms, containing at least one triple bond, having from two to six carbon atoms, and which is attached to the rest of the molecule by a single bond.
- Examples of C2- Cealkynyl include, but are not limited to, prop-1 -ynyl, propargyl (prop-2-ynyl), and but-1-ynyl.
- Cs-Cecycloalkyl refers to a stable, monocyclic ring radical which is saturated and contains 3 to 6 carbon atoms.
- Examples of Cs-Cecycloalkyl include, but are not limited to, cyclopropyl, cyclobutyl, cyclopentyl and cyclohexyl.
- Ci-Cehaloalkyl refers to a Ci-Cealkyl radical as generally defined above substituted by one or more of the same or different halogen atoms.
- Ci-C4haloalkyl and Ci-C2haloalkyl are to be construed accordingly.
- Examples of Ci-Cehaloalkyl include, but are not limited to fluoromethyl, fluoroethyl, difluoromethyl, trifluoromethyl, and 2,2,2-trifluoroethyl.
- C3- Cehalocycloalkyl refers to a Cs-Cecycloalkyl ring as defined above substituted by one or more of the same or different halogen atoms.
- C2-Cehaloalkenyl refers to a C2-Cealkenyl group as defined above substituted by one or more of the same or different halogen atoms.
- Examples of C2-Cehaloalkenyl include, but are not limited to 3,3-dichloroallyl, 2 ,3,3-trichloroallyl, 2,3-dich loroallyl, 3,3-dibromoallyl, 2,3,3-tribromoallyl, and 2,3-dibromoallyl.
- C2-Cehaloalkynyl refers to a C2-Cealkynyl radical as generally defined above substituted by one or more of the same or different halogen atoms.
- Ci-Cealkoxy refers to a radical of the formula -OR a wherein R a is a Ci-Cealkyl radical as generally defined above.
- Examples of Ci-Cealkoxy include, but are not limited to methoxy, ethoxy, propoxy, iso-propoxy, and tert-butoxy.
- Ci-Cehaloalkoxy refers to a Ci-Cealkoxy group as defined above substituted by one or more of the same or different halogen atoms.
- Examples of Ci-Cehaloalkoxy include, but are not limited to, fluoromethoxy, difluoromethoxy, fluoroethoxy, trifluoromethoxy, and trifluoroethoxy.
- Ci-Cealkylsulfanyl refers to a radical of the formula -SR a wherein R a is a Ci- Cealkyl radical as generally defined above.
- Ci-Cealkylsulfinyl refers to a radical of the formula -S(O)R a wherein R a is a Ci-Cealkyl radical as generally defined above.
- Ci-Cealkylsulfonyl refers to a radical of the formula -S(O)2R a wherein R a is a Ci-Cealkyl radical as generally defined above.
- Ci-Cehaloalkylsulfanyl refers to a radical of the formula -SR a wherein R a is a Ci-Cehaloalkyl radical as generally defined above.
- Cs-Cecycloalkylsulfanyl refers to a radical of the formula -SR a wherein R a is a Cs-Cecycloalkyl radical as generally defined above.
- Ci-Cehaloalkylsulfinyl refers to a radical of the formula -S(O)R a wherein R a is a Ci-Cehaloalkyl radical as generally defined above.
- Cs-Cecycloalkylsulfinyl refers to a radical of the formula -S(O)R a wherein R a is a Cs-Cecycloalkyl radical as generally defined above.
- Ci-Cehaloalkylsulfonyl refers to a radical of the formula -S(O)2R a wherein R a is a Ci-Cehaloalkyl radical as generally defined above.
- Cs-Cecycloalkylsulfonyl refers to a radical of the formula -S(O)2R a wherein R a is a Cs-Cecycloalkyl radical as generally defined above.
- Ci-C4alkylCi-Cealkylsulfanyl refers to an a Ci-C4alkyl radical substituted with a Ci-Cealkylsulfanyl group.
- Ci-C4alkylCi-Cealkylsulfinyl refers to an a Ci-C4alkyl radical substituted with a Ci-Cealkylsulfinyl group.
- Ci-C4alkylCi-C6alkylsulfonyl refers to an a Ci-C4alkyl radical substituted with a Ci-Cealkylsulfonyl group.
- Ci-C4alkylCi-C6haloalkylsulfanyl refers to an a Ci-C4alkyl radical substituted with a Ci-Cehaloalkylsulfanyl group.
- Ci-C4alkylCi-C6haloalkylsulfinyl refers to an a Ci-C4alkyl radical substituted with a Ci-Cehaloalkylsulfinyl group.
- Ci-C4alkylCi- Cehaloalkylsulfonyl refers to an a Ci-C4alkyl radical substituted with a Ci-Cehaloalkylsulfonyl group.
- -C(O)Ci-C6alkyl refers to a radical of the formula -C(O)R a where R a is a Ci- Cealkyl radical as generally defined above.
- R a is a Ci- Cealkyl radical as generally defined above.
- -C(O)Ci-C4alkyl is to be construed accordingly.
- -C(0)Ci-C4haloalkyl refers to a -C(O)Ci-C4alkyl radical as generally defined above substituted by one or more of the same or different halogen atoms.
- the term “-C(0)C3-C6cycloalkyl” refers to a radical of the formula -C(O)R a where R a is a Cs-Cecycloalkyl radical as generally defined above.
- the term “-C(O)OCi-C6alkyl” refers to a radical of the formula -C(O)OR a where R a is a Ci-Cealkyl radical as generally defined above.
- the term “-C(O)OCi-C4alkyl " is to be construed accordingly.
- -C(0)OCi-C4haloalkyl refers to a -C(O)OCi-C4alkyl radical as generally defined above wherein the Ci-C4alkyl radical is substituted by one or more of the same or different halogen atoms.
- Ci-C4alkylC(O)Ci-C4alkyl refers to a radical of the formula -RbC(O)R a where R a and Rb are, independently, a -Ci-C4alkyl radical as generally defined above.
- Ci-C4alkylC(0)Ci-C4haloalkyl refers to a radical of the formula -RbC(O)R a where R a is a Ci-C4haloalkyl radical as generally defined above and Rb is a Ci-C4alkyl radical as generally defined above.
- Ci-C4alkylC(O)OCi-C4alkyl refers to a radical of the formula -RbC(O)OR a where R a and Rb are, independently, a Ci-C4alkyl radical as generally defined above.
- Ci-C4alkylC(O)OH refers to a radical of the formula -R a C(O)OH where R a is a Ci-C4alkyl radical as generally defined above.
- C2-C4alkenylC(0)C3-C6cycloalkyl refers to a radical of the formula -RbC(O)R a where R a is a Cs-Cecycloalkyl radical as generally defined above and Rb is a C2-C4alkenyl radical as generally defined above.
- -NHC(O)OCi-C4alkyl refers to a radical of the formula -NHC(O)OR a where R a is a Ci-Cealkyl radical as generally defined above.
- -NHOCi-C4alkyl refers to a radical of the formula -NHOR a where R a is a Ci- Cealkyl radical as generally defined above.
- controlling refers to reducing the number of pests, eliminating pests and/or preventing further pest damage such that damage to a plant or to a plant derived product is reduced.
- pest refers to insects, and molluscs that are found in agriculture, horticulture, forestry, the storage of products of vegetable origin (such as fruit, grain and timber); and those pests associated with the damage of man-made structures.
- the term pest encompasses all stages in the life cycle of the pest.
- the term "effective amount” refers to the amount of the compound, or a salt thereof, which, upon single or multiple applications provides the desired effect.
- an effective amount is readily determined by the skilled person in the art, by the use of known techniques and by observing results obtained under analogous circumstances. In determining the effective amount a number of factors are considered including, but not limited to: the type of plant or derived product to be applied; the pest to be controlled & its lifecycle; the particular compound applied; the type of application; and other relevant circumstances.
- Ri is selected from hydrogen, halogen, cyano, hydroxyl, Ci-Cealkyl, Ci-Cehaloalkyl, C3- Cecycloalkyl, Ci-Cealkylsulfanyl, Ci-Cealkylsulfinyl, Ci-Cealkylsulfonyl, -OS(O)2Re, and Ci-C2haloalkyl substituted by Cs-Cecycloalkyl; preferably R1 is selected from hydrogen, halogen, cyano, hydroxyl, Ci- Cealkyl, Ci-Cehaloalkyl, Cs-Cecycloalkyl, Ci-Cealkylsulfanyl, Ci-Cealkylsulfinyl, Ci-Cealkylsulfonyl, and - OS(O) 2 R 6 .
- R4 is selected from hydrogen, Ci-Cealkyl, Ci-Cehaloalkyl, Cs-Cecycloalkyl, phenyl, and 1- methylpyrazole.
- R5 is selected from hydrogen, halogen, Ci-Cealkyl, Ci-Cealkoxy, 1-methylpyrazole, and - C(O)OCi-C 6 alkyl.
- a compound of formula (I) according to the present invention wherein Re is selected from Ci-C4haloalkyl and Cs-Cecycloalkyl.
- a compound of formula (I) according to the present invention wherein Q is a phenyl or 5- to 6-membered heteroaromatic ring selected from pyridine, thiophene, pyrazole, thiazole, oxazole, triazole, imidazole, furan, isothiazole, isoxazole, thiadiazole, pyrrole, and 1 ,1-dioxo-isothiazol-3-one, said phenyl or 5- to 6-membered heteroaromatic ring being optionally substituted with one or more radicals selected from R7; preferably Q is a phenyl or a 5- to 6-membered heteroaromatic ring selected from furan, pyridine, thiophene,
- R? is selected from hydrogen, halogen, cyano, Ci-Cealkyl, Ci-Cehaloalkyl, C2-Cealkenyl, Ci-Cealkoxy, Ci-Cehaloalkoxy, Cs-Cecycloalkyl, Cs-Cecycloalkyl substituted by a cyano, -C(O)OCi-Cealkyl, Ci- Cealkylsulfanyl, Ci-Cealkylsulfonyl, Ci-C4alkylCi-Cealkylsulfonyl, -C(C)Ci-C4haloalkyl, Ci- C4alkylC(O)OCi-C4alkyl, -C(0)C3-C6cycloalkyl, Ci-Cealkyl substituted by an hydroxyl, C2-C4alkenylC(0)C3-C6cycloalkyl, oxetane, tetrahydr
- Ci-Cealkyl is selected from hydrogen, halogen, Ci-Cealkyl, Ci-Cehaloalkyl, C2-Cealkenyl, Ci-Cealkoxy, Ci-Cehaloalkoxy, Cs-Cecycloalkyl substituted by a cyano, Ci-Cealkylsulfanyl, and -C(0)C3-Cecycloalkyl; or
- R? is selected from phenyl, pyrazole, thiophene and pyrimidine, wherein each is optionally substituted by one or more radicals selected from halogen, cyano, Ci-Cealkyl, Ci-Cehaloalkyl, and Ci- Cealkylsulfanyl; preferably R7 is phenyl or thiophene, wherein each is optionally substituted by one or more halogen; or when Q is substituted by at least two R7, said two R7 optionally form a phenyl, pyridine, triazine, thiazole, dioxolane, furan, oxadiazole, triazole, or pyrazole, optionally substituted with one or more radicals selected from halogen, Ci-Cealkyl, Ci-Cehaloalkyl, Ci-Cealkoxy, -C(O)Ci-C4alkyl, and -C(O)OCi-C4alkyl;
- R1 is selected from hydrogen, halogen, cyano, hydroxyl, Ci-Cealkyl, Ci-Cehaloalkyl, Cs-Cecycloalkyl, Ci- Cealkylsulfanyl, Ci-Cealkylsu Ifinyl, Ci-Cealkylsulfonyl, -OS(O)2Re, and Ci-C2haloalkyl substituted by C3- Cecycloalkyl; preferably R1 is selected from hydrogen, halogen, cyano, hydroxyl, Ci-Cealkyl, Ci- Cehaloalkyl, Cs-Cecycloalkyl, Ci-Cealkylsulfanyl, Ci-Cealkylsulfinyl, Ci-Cealkylsulfonyl, and -OS(O)2Re;
- Rs is selected from hydrogen, halogen, Ci-Cealkyl, Ci-Cealkoxy, 1-methylpyrazole, and -C(O)OCi- Cealkyl;
- Re is selected from Ci-C4haloalkyl, and Ce-Cecycloalkyl;
- Q is a phenyl or 5- to 6-membered heteroaromatic ring selected from pyridine, thiophene, pyrazole, thiazole, oxazole, triazole, imidazole, furan, isothiazole, isoxazole, thiadiazole, pyrrole, and 1 ,1-dioxo- isothiazol-3-one, said phenyl or 5- to 6-membered heteroaromatic ring being optionally substituted with one or more radicals selected from R?; preferably Q is a phenyl or a 5- to 6-membered heteroaromatic ring selected from furan, isothiazole, pyridine, thiophene, pyrazole, thiazole, and pyrrole, said phenyl or 5- to 6-membered heteroaromatic ring being optionally substituted with one or more radicals selected from R?; and
- R7 is selected from hydrogen, halogen, cyano, Ci-Cealkyl, Ci-Cehaloalkyl, C2-Cealkenyl, Ci-Cealkoxy, Ci-Cehaloalkoxy, Ce-Cecycloalkyl, Ce-Cecycloalkyl substituted by a cyano, -C(O)OCi-Cealkyl, C1- Cealkylsulfanyl, Ci-Cealkylsulfonyl, Ci-C4alkylCi-Cealkylsulfonyl, -C(C)Ci-C4haloalkyl, C1- C4alkylC(O)OCi-C4alkyl, -C(0)C3-Cecycloalkyl, Ci-Cealkyl substituted by an hydroxyl, C2-C4alkenylC(0)C3-Cecycloalkyl, oxetane, tetrahydr
- R7 is selected from phenyl, pyrazole, thiophene and pyrimidine, wherein each is optionally substituted by one or more radicals selected from halogen, cyano, Ci-Cealkyl, Ci-Cehaloalkyl, and Ci- Cealkylsulfanyl; preferably R7 is phenyl or thiophene, wherein each is optionally substituted by one or more halogen; or when Q is substituted by at least two R7, said two R7 optionally form a phenyl, pyridine, triazine, thiazole, dioxolane, furan, oxadiazole, triazole, or pyrazole, optionally substituted with one or more radicals selected from halogen, Ci-Cealkyl, Ci-Cehaloalkyl, Ci-Cealkoxy, -C(O)Ci-C4alkyl, and -C(O)OCi-C4alkyl;
- R1 is selected from cyano, Ci-Cehaloalkyl, Ci-Cealkylsulfanyl, Ci-Cealkylsulfonyl, and Ci-C2haloalkyl substituted by Cs-Cecycloalkyl; preferably R1 is Ci-Cehaloalkyl; R2 and R3 are, independently, hydrogen or Ci-Cealkyl; preferably R2 and R3 are hydrogen;
- R4 is Ci-Cealkyl or Ci-Cehaloalkyl
- R5 is hydrogen
- Q is selected from phenyl, furan, isothiazole, pyridine, thiophene, pyrazole, thiazole, pyrrole, and thiadiazole, optionally substituted with one or more radicals selected from R7;
- R7 is selected from hydrogen, halogen, Ci-Cealkyl, Ci-Cehaloalkyl, Ci-Cealkoxy, and Cs-Cecycloalkyl; preferably is halogen, or Ci-Cehaloalkyl; or when Q is substituted by at least two R7, said two R7 optionally form a phenyl, optionally substituted with one or more halogen; preferably said two R7 optionally form a phenyl, optionally substituted with one or more halogen.
- the compound according to the present invention is selected from: 4-[3-chloro-5-(trifluoromethyl)phenyl]-2-(1-methylpyrazol-3-yl)pyrazol-3-amine;
- the present invention relates to a composition
- a composition comprising a pesticidally effective amount of a compound of formula (I) as defined in the first aspect, optionally comprising an additional pesticidally active ingredient.
- the present invention relates to a method of combating and/or controlling an invertebrate animal pest which comprises applying to the pest, to a locus of the pest, or to a plant susceptible to attack by the pest a pesticidally effective amount of a compound of formula (I) as defined in the first aspect or a composition as defined in the second aspect.
- the method may exclude methods for the treatment of the human or animal body by surgery or therapy.
- the present invention relates to a method for the protection of plant propagation material, such as a seed, from the attack by an invertebrate animal pest such as insects, acarines, nematodes or molluscs, which comprises treating the plant propagation material or the site, where the plant propagation material is planted, with an effective amount of a compound of formula (I) as defined in the first aspect or a composition as defined in the second aspect.
- the present invention relates to a plant propagation material, such as a seed, comprising, or treated with or adhered thereto, a compound of formula (I) as defined in the first aspect or a composition as defined in the second aspect.
- the present invention in a further aspect provides a method of controlling parasites in or on an animal in need thereof comprising administering an effective amount of a compound of the first aspect.
- the present invention further provides a method of controlling ectoparasites on an animal in need thereof comprising administering an effective amount of a compound of formula (I) as defined in the first aspect.
- the present invention further provides a method for preventing and/or treating diseases transmitted by ectoparasites comprising administering an effective amount of a compound of formula (I) as defined in the first aspect, to an animal in need thereof.
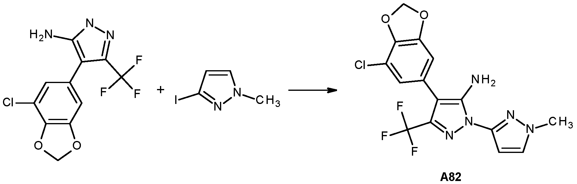
- Scheme 1 Compounds of formula (I), wherein Q, R-i, R2, R3, R4 and Rs are as defined in the present invention, may be prepared by a Suzuki reaction (scheme 1), which involves for example, reacting compounds of formula (II), wherein R1, R2, R3, R4 and Rs are as defined in the present invention and wherein X is a leaving group like, for example, chlorine, bromine or iodine (preferably bromine or Iodine), or an aryl- or alkylsulfonate such as trifluoromethanesulfonate, with compounds of formula Y1-Q, wherein Q is as defined in the present invention, and wherein Y1 can be a boron-derived functional group, such as for example B(OH)2 or B(ORbi)2 wherein Rbi can be a Ci-C4alkyl group or the two groups ORbi can form together with the boron atom a five membered ring, as for example a pinacol boronic
- the reaction may be catalyzed by a palladium based catalyst, for example tetrakis(triphenylphosphine)-palladium(0), (1 ,1 'bis(diphenylphosphino)ferrocene)dichloro-palladium-dichloromethane (1 :1 complex) or chloro(2- dicyclohexylphosphino-2',4',6'-triisopropyl-1 ,1 '-biphenyl)[2-(2'-amino-1 ,1 '-biphenyl)]palladium(ll) (XPhos palladacycle), in presence of a base, like sodium carbonate, tripotassium phosphate or cesium fluoride, in a solvent or a solvent mixture, like, for example dioxane, acetonitrile, N,N-dimethylformamide, a mixture of 1 ,2-dimethoxyethane and water or of dio
- the reaction temperature can preferentially range from 0°C to the boiling point of the reaction mixture, or the reaction may be performed under microwave irradiation.
- Such Suzuki reactions are well known to those skilled in the art and have been reviewed, for example, in J.Orgmet. Chem. 576, 1999, 147-168.
- Compounds of formula (I), wherein Q, R1, R2, R3, R4 and Rs are as defined in the present invention may be prepared by a Stille reaction between compounds of formula Y2-Q, wherein Q is as defined in the present invention, and wherein Y2 is a trialkyl tin derivative, preferably tri-n-butyl tin or tri- methyl-tin, and compounds of formula (II), wherein R1, R2, R3, R4 and Rs are as defined in the present invention and wherein X is a leaving group like, for example, chlorine, bromine or iodine (preferably bromine or Iodine), or an aryl- or alkylsulfonate such as trifluoromethanesulfonate,.
- Y2 is a trialkyl tin derivative, preferably tri-n-butyl tin or tri- methyl-tin
- X is a leaving group like, for example, chlorine, bromine or iodine (preferably bromine or I
- Such Stille reactions are usually carried out in the presence of a palladium catalyst, for example tetrakis(triphenylphosphine)palladium(0), or bis(triphenylphosphine) palladium ⁇ I) dichloride, in an inert solvent such as N,N-dimethylformamide, acetonitrile, toluene or dioxane, optionally in the presence of an additive, such as cesium fluoride, or lithium chloride, and optionally in the presence of a further catalyst, for example copper(l)iodide.
- a palladium catalyst for example tetrakis(triphenylphosphine)palladium(0), or bis(triphenylphosphine) palladium ⁇ I) dichloride
- an inert solvent such as N,N-dimethylformamide, acetonitrile, toluene or dioxane
- an additive such as cesium fluoride, or lithium chloride
- Compounds of formula (II), wherein R-i, R2, R3, R4 and Rs are as defined in the present invention and X is halogen, preferably bromide or iodine, can be prepared by a halogenation reaction, which involves for example, reacting compounds of formula (III), wherein R1, R2, R3, R4 and Rsare as defined in the present invention, with halogenating reagents such as N-chlorosuccinimide (NCS), N-bromo-succinimide (NBS) or N-iodosuccinimide (NIS), or alternatively chlorine, bromine or iodine.
- NCS N-chlorosuccinimide
- NBS N-bromo-succinimide
- N-iodosuccinimide N-iodosuccinimide
- Such halogenation reactions are carried out in an inert solvent, such as chloroform, carbon tetrachloride, 1 ,2-dichloroethane, acetic acid, ethers, acetonitrile or N,N-dimethylformamide, at temperatures ranged from 20°C to 200°C, preferably 20°C to 100°C.
- an inert solvent such as chloroform, carbon tetrachloride, 1 ,2-dichloroethane, acetic acid, ethers, acetonitrile or N,N-dimethylformamide
- Compounds of formula (III), wherein R1, R2, R3, R4 and Rs are as defined in the present invention, can be prepared by a coupling reaction, which involves for example, reacting compounds of formula (IV) with compounds of formula (V), wherein LG is a leaving group, such as halogen (or a pseudo-halogen leaving group, such as a triflate) , preferably fluorine or chlorine, in the presence of a base, such as sodium carbonate, potassium carbonate or cesium carbonate, or sodium hydride, in an appropriate solvent such as for example tetrahydrofuran, dioxane, N,N-dimethylformamide, N,N-dimethylacetamide or acetonitrile, at temperatures ranged from 0°C to 150°C, optionally under microwave irradiation.
- a coupling reaction which involves for example, reacting compounds of formula (IV) with compounds of formula (V), wherein LG is a leaving group, such as halogen (or a pseudo-halogen
- Compounds of formula (III) wherein R1, R2, R3, R4 and Rs are as defined in the present invention can be prepared by a coupling reaction, which involves for example, reacting compounds of formula (IV) with compounds of formula (V), wherein LG is a leaving group, such as halogen (or a pseudo-halogen leaving group, such as a triflate) , preferably bromide or iodine, in the presence of a copper catalyst, for example copper(l) iodide, in the presence of a base, such as sodium carbonate, potassium carbonate or cesium carbonate, in an appropriate solvent such as for example toluene and in the presence of a ligand for example diamine ligands (e.g. N,N'-dimethylethylenediamine or trans- cyclohexyldiamine), at temperatures ranged from 30 to 180°C, optionally under microwave irradiation.
- LG is a leaving group, such as halogen (or a pseudo-halogen leaving
- a compound of formula (I) can be converted in a manner known perse into another compound of formula (I) by replacing one or more substituents of the starting compound of formula (I) in the customary manner by (an)other substituent(s) according to the invention, and by post modification of compounds of with reactions such as oxidation, alkylation, reduction, acylation and other methods known by those skilled in the art.
- Compounds of formula la containing an NH2 could react with an alkylation agent such as methyl iodide in presence of a base, such as potassium carbonate or sodium hydride, to give compounds of formula la containing, for example, an N-CH3.
- the compounds of formula (I) according to the invention are preventively and/or curatively valuable active ingredients in the field of pest control, even at low rates of application, which have a very favourable biocidal spectrum and are well tolerated by warm-blooded species, fish and plants.
- the active ingredients according to the invention act against all or individual developmental stages of normally sensitive, but also resistant, animal pests, such as insects or representatives of the order Acarina.
- the insecticidal or acaricidal activity of the active ingredients according to the invention can manifest itself directly, i. e. in destruction of the pests, which takes place either immediately or only after some time has elapsed, for example during ecdysis, or indirectly, for example in a reduced oviposition and/or hatching rate.
- Examples of the above mentioned animal pests are: from the order Acarina, for example,
- Haematopinus spp. Linognathus spp., Pediculus spp., Pemphigus spp. and Phylloxera spp.; from the order Coleoptera, for example,
- Agriotes spp. Amphimallon majale, Anomala orientalis, Anthonomus spp., Aphodius spp, Astylus atromaculatus, Ataenius spp, Atomaria linearis, Chaetocnema tibialis, Cerotoma spp, Conoderus spp, Cosmopolites spp., Cotinis nitida, Curculio spp., Cyclocephala spp, Dermestes spp., Diabrotica spp., Diloboderus abderus, Epilachna spp., Eremnus spp., Heteronychus arator, Hypothenemus hampei, Lagria vilosa, Leptinotarsa decemlineata, Lissorhoptrus spp., Liogenys spp, Maecolaspis spp, Maladera castanea, Megas
- Hemiptera for example, Acanthocoris scabrator, Acrosternum spp, Adelphocoris lineolatus, Aleurodes spp., Amblypelta nitida, Bathycoelia thalassina, Blissus spp, Cimex spp., Clavigralla tomentosicollis, Creontiades spp, Distantiella theobroma, Dichelops furcatus, Dysdercus spp., Edessa spp, Euchistus spp., Eurydema pulchrum, Eurygaster spp., Halyomorpha halys, Horcias nobilellus, Leptocorisa spp., Lygus spp, Margarodes spp, Murgantia histrionic, Neomegalotomus spp, Nesidiocoris tenuis, Nezara s
- Acyrthosium pisum Adalges spp, Agalliana ensigera, Agonoscena targionii, Aleurodicus spp, Aleurocanthus spp, Aleurolobus barodensis, Aleurothrixus floccosus, Aleyrodes brassicae, Amarasca biguttula, Amritodus atkinsoni, Aonidiella spp., Aphididae, Aphis spp., Aspidiotus spp., Aulacorthum solani, Bactericera cockerelli, Bemisia spp, Brachycaudus spp, Brevicoryne brassicae, Cacopsylla spp, Cavariella aegopodii Scop., Ceroplaster spp., Chrysomphalus aonidium, Chrysomphalus dictyospermi, Cicadella spp, Cofana spec
- Coptotermes spp Corniternes cumulans, Incisitermes spp, Macrotermes spp, Mastotermes spp, Microtermes spp, Reticulitermes spp.; Solenopsis geminate from the order Lepidoptera, for example,
- Damalinea spp. and Trichodectes spp. from the order Orthoptera, for example, Blatta spp., Blattella spp., Gryllotalpa spp., Leucophaea maderae, Locusta spp., Neocurtilla hexadactyla, Periplaneta spp. , Scapteriscus spp, and Schistocerca spp.; from the order Psocoptera, for example,
- Liposcelis spp. from the order Siphonaptera, for example,
- Calliothrips phaseoli Frankliniella spp., Heliothrips spp, Hercinothrips spp., Parthenothrips spp, Scirtothrips aurantii, Sericothrips variabilis, Taeniothrips spp., Thrips spp; from the order Thysanura, for example, Lepisma saccharina.
- the invention may also relate to a method of controlling damage to plant and parts thereof by plant parasitic nematodes (Endoparasitic-, Semiendoparasitic- and Ectoparasitic nematodes), especially plant parasitic nematodes such as root knot nematodes, Meloidogyne hapla, Meloidogyne incognita, Meloidogyne javanica, Meloidogyne arenaria and other Meloidogyne species; cyst-forming nematodes, Globodera rostochiensis and other Globodera species; Heterodera avenae, Heterodera glycines, Heterodera schachtii, Heterodera trifolii, and other Heterodera species; Seed gall nematodes, Anguina species; Stem and foliar nematodes, Aphelenchoides species; Sting nematodes, Belonolai
- the compounds of the invention may also have activity against the molluscs.
- Examples of which include, for example, Ampullariidae; Arion (A. ater, A. circumscriptus, A. hortensis, A. rufus); Bradybaenidae (Bradybaena fruticum); Cepaea (C. hortensis, C. Nemoralis); ochlodina; Deroceras (D. agrestis, D. empiricorum, D. laeve, D. reticulatum); Discus (D. rotundatus); Euomphalia; Galba (G. trunculata); Helicelia (H. itala, H.
- H. aperta Limax (L. cinereoniger, L. flavus, L. marginatus, L. maximus, L. tenellus); Lymnaea; Milax (M. gagates, M. marginatus, M. sowerbyi); Opeas; Pomacea (P. canaticulata); Vallonia and Zanitoides.
- the active ingredients according to the invention can be used for controlling, i. e. containing or destroying, pests of the abovementioned type which occur in particular on plants, especially on useful plants and ornamentals in agriculture, in horticulture and in forests, or on organs, such as fruits, flowers, foliage, stalks, tubers or roots, of such plants, and in some cases even plant organs which are formed at a later point in time remain protected against these pests.
- Suitable target crops are, in particular, cereals, such as wheat, barley, rye, oats, rice, maize or sorghum; beet, such as sugar or fodder beet; fruit, for example pomaceous fruit, stone fruit or soft fruit, such as apples, pears, plums, peaches, almonds, cherries or berries, for example strawberries, raspberries or blackberries; leguminous crops, such as beans, lentils, peas or soya; oil crops, such as oilseed rape, mustard, poppies, olives, sunflowers, coconut, castor, cocoa or ground nuts; cucurbits, such as pumpkins, cucumbers or melons; fibre plants, such as cotton, flax, hemp or jute; citrus fruit, such as oranges, lemons, grapefruit or tangerines; vegetables, such as spinach, lettuce, asparagus, cabbages, carrots, onions, tomatoes, potatoes or bell peppers; Lauraceae, such as avocado, Cinnamonium or camphor; and also tobacco, nuts,
- compositions and/or methods of the present invention may be also used on any ornamental and/or vegetable crops, including flowers, shrubs, broad-leaved trees and evergreens.
- the invention may be used on any of the following ornamental species: Ageratum spp., Alonsoa spp., Anemone spp., Anisodontea capsenisis, Anthemis spp., Antirrhinum spp., Aster spp., Begonia spp. (e.g. B. elatior, B. semperflorens, B. tubereux), Bougainvillea spp., Brachycome spp., Brassica spp.
- Ageratum spp. Ageratum spp., Alonsoa spp., Anemone spp., Anisodontea capsenisis, Anthemis spp., Antirrhinum spp., Aster spp., Begonia spp. (e.g. B. elatior, B. semperflorens, B. tubereux), Bougainvillea spp., Brachycome spp.
- Coreopsis spp. Crassula coccinea, Cuphea ignea, Dahlia spp., Delphinium spp., Dicentra spectabilis, Dorotheantus spp., Eustoma grandiflorum, Forsythia spp., Fuchsia spp., Geranium gnaphalium, Gerbera spp., Gomphrena globosa, Heliotropium spp., Helianthus spp., Hibiscus spp., Hortensia spp., Hydrangea spp., Hypoestes phyllostachya, I mpatiens spp. (/.
- Iresines spp. Kalanchoe spp., Lantana camara, Lavatera trimestris, Leonotis leonurus, Lilium spp., Mesembryanthemum spp., Mimulus spp., Monarda spp., Nemesia spp., Tagetes spp., Dianthus spp. (carnation), Canna spp., Oxalis spp., Bellis spp., Pelargonium spp. (P. peltatum, P. Zonale), Viola spp.
- the invention may be used on any of the following vegetable species: Allium spp. (A sativum, A.. cepa, A. oschaninii, A. Porrum, A. ascalonicum, A. fistulosum), Anthriscus cerefolium, Apium graveolus, Asparagus officinalis, Beta vulgarus, Brassica spp. (B. Oleracea, B. Pekinensis, B. rapa), Capsicum annuum, Cicer arietinum, Cichorium endivia, Cichorum spp. (C. intybus, C. endivia), Citrillus lanatus, Cucumis spp. (C. sativus, C.
- Preferred ornamental species include African violet, Begonia, Dahlia, Gerbera, Hydrangea, Verbena, Rosa, Kalanchoe, Poinsettia, Aster, Centaurea, Coreopsis, Delphinium, Monarda, Phlox, Rudbeckia, Sedum, Petunia, Viola, Impatiens, Geranium, Chrysanthemum, Ranunculus, Fuchsia, Salvia, Hortensia, rosemary, sage, St. Johnswort, mint, sweet pepper, tomato and cucumber.
- the active ingredients according to the invention are especially suitable for controlling Aphis craccivora, Diabrotica balteata, Heliothis virescens, Myzus persicae, Plutella xylostella and Spodoptera littoralis in cotton, vegetable, maize, rice and soya crops.
- the active ingredients according to the invention are further especially suitable for controlling Mamestra (preferably in vegetables), Cydia pomonella (preferably in apples), Empoasca (preferably in vegetables, vineyards), Leptinotarsa (preferably in potatos) and Chilo supressalis (preferably in rice).
- the compounds of formula (I) are particularly suitable for control of mites, spider mites and rust mites, for example, Acarapis spp; Acarapis woodi; Acarus siro; Acarus spp; Aceria sheldoni; Aculops pelekassi; Aculops spp; Aculus pointedendali; Aculus spp; Amblyseius fallacis; Brevipalpus spp; Brevipalpus phoenicis; Bryobia praetiosa; Bryobia rubrioculus; Caloglyphus spp; Cheyletiella blakei; Cheyletiella spp; Cheyletiella yasguri; Chorioptes bovis; Chorioptes spp; Cytodites spp; Demodex bovis; Demodex caballi; Demodex canis; Demodex caprae; Demodex equi; Demodex ovis; Demo
- a compound of formula (I) are especially suitable for controlling one or more of: Aceria sheldoni ; Aculus lycopersici; Aculus pelekassi; Aculus pointedendali; Brevipalpus phoenicis; Brevipalpus spp.; Bryobia rubrioculus; Eotetranychus carpini; Eotetranychus spp.; Epitrimerus pyri; Eriophyes piri; Eriophyes spp.; Eriophyes vitis; Eutetranychus africanus; Eutetranychus orientalis; Oligonychus pratensis; Panonychus citri; Panonychus ulmi; Phyllocoptes vitis; Phyllocoptruta oleivora; Polyphagotarsonemus latus; Tetranychus cinnabarinus; Tetranychus kanzawai; Tetranychus spp.; and Tetranychus
- a compound of formula (I) are more especially suitable for controlling one or more of: Aceria sheldoni ; Aculus pelekassi; Brevipalpus phoenicis; Brevipalpus spp.; Eriophyes piri; Eriophyes vitis; Eutetranychus africanus; Eutetranychus orientalis; Oligonychus pratensis; Panonychus ulmi; Phyllocoptes vitis; Phyllocoptruta oleivora; Polyphagotarsonemus latus; Tetranychus cinnabarinus; Tetranychus kanzawai; Tetranychus spp.; and Tetranychus urticae.
- crops is to be understood as including also crop plants which have been so transformed by the use of recombinant DNA techniques that they are capable of synthesising one or more selectively acting toxins, such as are known, for example, from toxin-producing bacteria, especially those of the genus Bacillus.
- Toxins that can be expressed by such transgenic plants include, for example, insecticidal proteins, for example insecticidal proteins from Bacillus cereus or Bacillus popilliae; or insecticidal proteins from Bacillus thuringiensis, such as 8-endotoxins, e.g.
- Vip vegetative insecticidal proteins
- Vip e.g. Vip1 , Vip2, Vip3 or Vip3A
- insecticidal proteins of bacteria colonising nematodes for example Photorhabdus spp.
- Xenorhabdus spp. such as Photorhabdus luminescens, Xenorhabdus nematophilus
- toxins produced by animals such as scorpion toxins, arachnid toxins, wasp toxins and other insect-specific neurotoxins
- toxins produced by fungi such as Streptomycetes toxins, plant lectins, such as pea lectins, barley lectins or snowdrop lectins
- agglutinins proteinase inhibitors, such as trypsin inhibitors, serine protease inhibitors, patatin, cystatin, papain inhibitors
- ribosome-inactivating proteins (RIP) such as ricin, maize-RIP, abrin, luffin, saporin or bryodin
- steroid metabolism enzymes such as 3-hydroxysteroidoxidase, ecdysteroid-UDP- glycosyl-transferase, cholesterol oxidases, ecd
- 8-endotoxins for example CrylAb, CrylAc, Cry1 F, Cry1 Fa2, Cry2Ab, Cry3A, Cry3Bb1 or Cry9C, or vegetative insecticidal proteins (Vip), for example Vip1 , Vip2, Vip3 or Vip3A, expressly also hybrid toxins, truncated toxins and modified toxins.
- Hybrid toxins are produced recombinantly by a new combination of different domains of those proteins (see, for example, WO 02/15701).
- Truncated toxins for example a truncated CrylAb, are known.
- modified toxins one or more amino acids of the naturally occurring toxin are replaced.
- amino acid replacements preferably non-naturally present protease recognition sequences are inserted into the toxin, such as, for example, in the case of Cry3A055, a cathepsin-G-recognition sequence is inserted into a Cry3A toxin (see WO 03/018810).
- Examples of such toxins or transgenic plants capable of synthesising such toxins are disclosed, for example, in EP-A-0 374 753, WO 93/07278, WO 95/34656, EP-A-0 427 529, EP-A-451 878 and WO 03/052073.
- Cryl-type deoxyribonucleic acids and their preparation are known, for example, from WO 95/34656, EP-A-0 367 474, EP-A-0 401 979 and WO 90/13651.
- the toxin contained in the transgenic plants imparts to the plants tolerance to harmful insects.
- insects can occur in any taxonomic group of insects, but are especially commonly found in the beetles (Coleoptera), two-winged insects (Diptera) and moths (Lepidoptera).
- Transgenic plants containing one or more genes that code for an insecticidal resistance and express one or more toxins are known and some of them are commercially available. Examples of such plants are: YieldGard® (maize variety that expresses a Cry1 Ab toxin); YieldGard Rootworm® (maize variety that expresses a Cry3Bb1 toxin); YieldGard Plus® (maize variety that expresses a CrylAb and a Cry3Bb1 toxin); Starlink® (maize variety that expresses a Cry9C toxin); Herculex I® (maize variety that expresses a Cry1 Fa2 toxin and the enzyme phosphinothricine N-acetyltransferase (PAT) to achieve tolerance to the herbicide glufosinate ammonium); NuCOTN 33B® (cotton variety that expresses a CrylAc toxin); Bollgard I® (cotton variety that expresses
- transgenic crops are:
- Bt11 Maize from Syngenta Seeds SAS, Chemin de I'Hobit 27, F-31 790 St. Sauveur, France, registration number C/FR/96/05/10. Genetically modified Zea mays which has been rendered resistant to attack by the European corn borer (Ostrinia nubilalis and Sesamia nonagrioides) by transgenic expression of a truncated CrylAb toxin. Bt1 1 maize also transgenically expresses the enzyme PAT to achieve tolerance to the herbicide glufosinate ammonium.
- MIR604 Maize from Syngenta Seeds SAS, Chemin de I'Hobit 27, F-31 790 St. Sauveur, France, registration number C/FR/96/05/10. Maize which has been rendered insect-resistant by transgenic expression of a modified Cry3A toxin. This toxin is Cry3A055 modified by insertion of a cathepsin-G- protease recognition sequence. The preparation of such transgenic maize plants is described in WO 03/018810.
- MON 863 Maize from Monsanto Europe S.A. 270-272 Avenue de Tervuren, B-1150 Brussels, Belgium, registration number C/DE/02/9. MON 863 expresses a Cry3Bb1 toxin and has resistance to certain Coleoptera insects.
- NK603 x MON 810 Maize from Monsanto Europe S.A. 270-272 Avenue de Tervuren, B-1150 Brussels, Belgium, registration number C/GB/02/M3/03. Consists of conventionally bred hybrid maize varieties by crossing the genetically modified varieties NK603 and MON 810.
- NK603 x MON 810 Maize transgenically expresses the protein CP4 EPSPS, obtained from Agrobacterium sp. strain CP4, which imparts tolerance to the herbicide Roundup® (contains glyphosate), and also a Cry1 Ab toxin obtained from Bacillus thuringiensis subsp. kurstaki which brings about tolerance to certain Lepidoptera, include the European corn borer.
- crops is to be understood as including also crop plants which have been so transformed by the use of recombinant DNA techniques that they are capable of synthesising antipathogenic substances having a selective action, such as, for example, the so-called "pathogenesis-related proteins" (PRPs, see e.g. EP-A-0 392 225).
- PRPs pathogenesis-related proteins
- Examples of such antipathogenic substances and transgenic plants capable of synthesising such antipathogenic substances are known, for example, from EP-A-0 392 225, WO 95/33818 and EP-A-0 353 191 .
- the methods of producing such transgenic plants are generally known to the person skilled in the art and are described, for example, in the publications mentioned above.
- Crops may also be modified for enhanced resistance to fungal (for example Fusarium, Anthracnose, or Phytophthora), bacterial (for example Pseudomonas) or viral (for example potato leafroll virus, tomato spotted wilt virus, cucumber mosaic virus) pathogens.
- fungal for example Fusarium, Anthracnose, or Phytophthora
- bacterial for example Pseudomonas
- viral for example potato leafroll virus, tomato spotted wilt virus, cucumber mosaic virus
- Crops also include those that have enhanced resistance to nematodes, such as the soybean cyst nematode.
- Crops that are tolerance to abiotic stress include those that have enhanced tolerance to drought, high salt, high temperature, chill, frost, or light radiation, for example through expression of NF-YB or other proteins known in the art.
- Antipathogenic substances which can be expressed by such transgenic plants include, for example, ion channel blockers, such as blockers for sodium and calcium channels, for example the viral KP1 , KP4 or KP6 toxins; stilbene synthases; bibenzyl synthases; chitinases; glucanases; the so-called "pathogenesis-related proteins" (PRPs; see e.g. EP-A-0 392 225); antipathogenic substances produced by microorganisms, for example peptide antibiotics or heterocyclic antibiotics (see e.g. WO 95/33818) or protein or polypeptide factors involved in plant pathogen defence (so-called "plant disease resistance genes", as described in WO 03/000906).
- ion channel blockers such as blockers for sodium and calcium channels
- the viral KP1 , KP4 or KP6 toxins stilbene synthases; bibenzyl synthases; chitinases; glucanases; the so-called
- compositions according to the invention are the protection of stored goods and store rooms and the protection of raw materials, such as wood, textiles, floor coverings or buildings, and also in the hygiene sector, especially the protection of humans, domestic animals and productive livestock against pests of the mentioned type.
- the present invention provides a compound of the first aspect for use in therapy.
- the present invention provides a compound of the first aspect, for use in controlling parasites in or on an animal.
- the present invention further provides a compound of the first aspect, for use in controlling ectoparasites on an animal.
- present invention further provides a compound of the first aspect, for use in preventing and/or treating diseases transmitted by ectoparasites.
- the present invention provides the use of a compound of the first aspect, for the manufacture of a medicament for controlling parasites in or on an animal.
- the present invention further provides the use of a compound of the first aspect, for the manufacture of a medicament for controlling ectoparasites on an animal.
- the present invention further provides the use of a compound of the first aspect, for the manufacture of a medicament for preventing and/or treating diseases transmitted by ectoparasites.
- the present invention provides the use of a compound of the first aspect, in controlling parasites in or on an animal.
- the present invention further provides the use of a compound of the first aspect in controlling ectoparasites on an animal.
- controlling when used in context of parasites in or on an animal refers to reducing the number of pests or parasites, eliminating pests or parasites and/or preventing further pest or parasite infestation.
- treating when used in context of parasites in or on an animal refers to restraining, slowing, stopping or reversing the progression or severity of an existing symptom or disease.
- preventing when used in context of parasites in or on an animal refers to the avoidance of a symptom or disease developing in the animal.
- animal when used in context of parasites in or on an animal may refer to a mammal and a non-mammal, such as a bird or fish. In the case of a mammal, it may be a human or non-human mammal.
- Non-human mammals include, but are not limited to, livestock animals and companion animals.
- Livestock animals include, but are not limited to, cattle, camellids, pigs, sheep, goats and horses.
- Companion animals include, but are not limited to, dogs, cats and rabbits.
- a “parasite” is a pest which lives in or on the host animal and benefits by deriving nutrients at the host animal's expense.
- An “endoparasite” is a parasite which lives in the host animal.
- An “ectoparasite” is a parasite which lives on the host animal. Ectoparasites include, but are not limited to, acari, insects and crustaceans (e.g. sea lice).
- the Acari (or Acarina) sub-class comprises ticks and mites.
- Ticks include, but are not limited to, members of the following genera: Rhipicaphalus, for example, Rhipicaphalus (Boophilus) microplus and Rhipicaphalus sanguineus; Amblyomrna; Dermacentor, Haemaphysalis; Hyalomma; Ixodes; Rhipicentor, Margaropus; Argas; Otobius; and Omithodoros.
- Mites include, but are not limited to, members of the following genera: Chorioptes, for example Chorioptes bovis; Psoroptes, for example Psoroptes ovis; Cheyletiella; Dermanyssus; for example Dermanyssus gallinae; Ortnithonyssus Demodex, for example Demodex canis: Sarcoptes, for example Sarcoptes scabiei; and Psorergates.
- Insects include, but are not limited to, members of the orders: Siphonaptera, Diptera, Phthiraptera, Lepidoptera, Coleoptera and Homoptera.
- Members of the Siphonaptera order include, but are not limited to, Ctenocephalides felis and Ctenocephatides canis.
- Members of the Diptera order include, but are not limited to, Musca spp.; bot fly, for example Gasterophilus intestinalis and Oestrus ovis; biting flies; horse flies, for example Haematopota spp. and Tabunus spp. haematobia, for example haematobia irritans; Stomoxys; Lucilia; midges; and mosquitoes.
- Members of the Phthiraptera class include, but are not limited to, blood sucking lice and chewing lice, for example Bovicola Ovis and Bovicola Bovis.
- an effective amount when used in context of parasites in or on an animal refers to the amount or dose of the compound of the invention, or a salt thereof, which, upon single or multiple dose administration to the animal, provides the desired effect in or on the animal.
- the effective amount can be readily determined by the attending diagnostician, as one skilled in the art, by the use of known techniques and by observing results obtained under analogous circumstances.
- a number of factors are considered by the attending diagnostician, including, but not limited to: the species of mammal; its size, age, and general health; the parasite to be controlled and the degree of infestation; the specific disease or disorder involved; the degree of or involvement or the severity of the disease or disorder; the response of the individual; the particular compound administered; the mode of administration; the bioavailability characteristics of the preparation administered; the dose regimen selected; the use of concomitant medication; and other relevant circumstances.
- the compounds of the invention may be administered to the animal by any route which has the desired effect including, but not limited to topically, orally, parenterally' and subcutaneously.
- Topical administration is preferred.
- Formulations suitable for topical administration include, for example, solutions, emulsions and suspensions and may take the form of a pour-on, spot-on, spray-on, spray race or dip.
- the compounds of the invention may be administered by means of an ear tag or collar.
- Salt forms of the compounds of the invention include both pharmaceutically acceptable salts and veterinary acceptable salts, which can be different to agrochemically acceptable salts.
- Pharmaceutically and veterinary acceptable salts and common methodology for preparing them are well known in the art. See, for example, Gould, P.L., "Salt selection for basic drugs", International Journal of Pharmaceutics, 33: 201 -217 (1986); Bastin, R.J., et al. "Salt Selection and Optimization Procedures for Pharmaceutical New Chemical Entities", Organic Process Research and Development, 4: 427-435 (2000); and Berge, S.M., et al., “Pharmaceutical Salts", Journal of Pharmaceutical Sciences, 66: 1-19, (1977).
- the present invention also provides a method for controlling pests (such as mosquitoes and other disease vectors; see also http://www.who.int/malaria/vector_control/irs/en/).
- the method for controlling pests comprises applying the compositions of the invention to the target pests, to their locus or to a surface or substrate by brushing, rolling, spraying, spreading or dipping.
- an IRS (indoor residual spraying) application of a surface such as a wall, ceiling or floor surface is contemplated by the method of the invention.
- the method for controlling such pests comprises applying a pesticidally effective amount of the compositions of the invention to the target pests, to their locus, orto a surface or substrate so as to provide effective residual pesticidal activity on the surface or substrate.
- a pesticidally effective amount of the compositions of the invention to the target pests, to their locus, orto a surface or substrate so as to provide effective residual pesticidal activity on the surface or substrate.
- Such application may be made by brushing, rolling, spraying, spreading or dipping the pesticidal composition of the invention.
- an IRS application of a surface such as a wall, ceiling or floor surface is contemplated by the method of the invention so as to provide effective residual pesticidal activity on the surface.
- it is contemplated to apply such compositions for residual control of pests on a substrate such as a fabric material in the form of (or which can be used in the manufacture of) netting, clothing, bedding, curtains and tents.
- Substrates including non-woven, fabrics or netting to be treated may be made of natural fibres such as cotton, raffia, jute, flax, sisal, hessian, or wool, or synthetic fibres such as polyamide, polyester, polypropylene, polyacrylonitrile or the like.
- the polyesters are particularly suitable.
- the methods of textile treatment are known, e.g. WO 2008/151984, WO 2003/034823, US 5631072, WO 2005/64072, W02006/128870, EP 1724392, WO 2005113886 or WO 2007/090739.
- compositions according to the invention are the field of tree injection/trunk treatment for all ornamental trees as well all sort of fruit and nut trees.
- the compounds according to the present invention are especially suitable against wood-boring insects from the order Lepidoptera as mentioned above and from the order Coleoptera, especially against woodborers listed in the following tables A and B:
- the present invention may be also used to control any insect pests that may be present in turfgrass, including for example beetles, caterpillars, fire ants, ground pearls, millipedes, sow bugs, mites, mole crickets, scales, mealybugs, ticks, spittlebugs, southern chinch bugs and white grubs.
- the present invention may be used to control insect pests at various stages of their life cycle, including eggs, larvae, nymphs and adults.
- the present invention may be used to control insect pests that feed on the roots of turfgrass including white grubs (such as Cyclocephala spp. (e.g. masked chafer, C. lurida), Rhizotrogus spp. (e.g. European chafer, R. majalis), Cotinus spp. (e.g. Green June beetle, C. nitida), Popillia spp. (e.g. Japanese beetle, P. japonica), Phyllophaga spp. (e.g. May/June beetle), Ataenius spp. (e.g. Black turfgrass ataenius, A.
- white grubs such as Cyclocephala spp. (e.g. masked chafer, C. lurida), Rhizotrogus spp. (e.g. European chafer, R. majalis), Cotinus spp
- Maladera spp. e.g. Asiatic garden beetle, M. castanea
- Tomarus spp. ground pearls
- mole crickets tawny, southern, and short-winged; Scapteriscus spp., Gryllotalpa africana) and leatherjackets (European crane fly, Tipula spp.).
- the present invention may also be used to control insect pests of turfgrass that are thatch dwelling, including armyworms (such as fall armyworm Spodoptera frugiperda, and common armyworm Pseudaletia unipuncta), cutworms, billbugs (Sphenophorus spp., such as S. venatus verstitus and S. parvulus), and sod webworms (such as Crambus spp. and the tropical sod webworm, Herpetogramma phaeopteralis).
- armyworms such as fall armyworm Spodoptera frugiperda, and common armyworm Pseudaletia unipuncta
- cutworms such as S. venatus verstitus and S. parvulus
- sod webworms such as Crambus spp. and the tropical sod webworm, Herpetogramma phaeopteralis.
- the present invention may also be used to control insect pests of turfgrass that live above the ground and feed on the turfgrass leaves, including chinch bugs (such as southern chinch bugs, B/issus insularis), Bermudagrass mite (Eriophyes cynodoniensis), rhodesgrass mealybug (Antonina graminis), two-lined spittlebug (Propsapia bicincta), leafhoppers, cutworms (Noctuidae family), and greenbugs.
- chinch bugs such as southern chinch bugs, B/issus insularis
- Bermudagrass mite Eriophyes cynodoniensis
- rhodesgrass mealybug Antonina graminis
- two-lined spittlebug Propsapia bicincta
- the present invention may also be used to control other pests of turfgrass such as red imported fire ants (Solenopsis invicta) that create ant mounds in turf.
- red imported fire ants Solenopsis invicta
- compositions according to the invention are active against ectoparasites such as hard ticks, soft ticks, mange mites, harvest mites, flies (biting and licking), parasitic fly larvae, lice, hair lice, bird lice and fleas.
- ectoparasites such as hard ticks, soft ticks, mange mites, harvest mites, flies (biting and licking), parasitic fly larvae, lice, hair lice, bird lice and fleas.
- Anoplurida Haematopinus spp., Linognathus spp., Pediculus spp. and Phtirus spp., Solenopotes spp..
- Nematocerina and Brachycerina for example Aedes spp., Anopheles spp., Culex spp., Simulium spp., Eusimulium spp., Phlebotomus spp., Lutzomyia spp., Culicoides spp., Chrysops spp., Hybomitra spp., Atylotus spp., Tabanus spp., Haematopota spp., Philipomyia spp., Braula spp., Musca spp., Hydrotaea spp., Stomoxys spp., Haematobia spp., Morellia spp., Fannia spp., Glossina spp., Calliphora spp., Glossina spp., Calliphora spp., Glossina spp., Call
- Siphonaptrida for example Pulex spp., Ctenocephalides spp., Xenopsylla spp., Ceratophyllus spp..
- Heteropterida for example Cimex spp., Triatoma spp., Rhodnius spp., Panstrongylus spp..
- Actinedida Prostigmata
- Acaridida Acaridida
- Acarapis spp. Cheyletiella spp., Ornitrocheyletia spp., Myobia spp., Psorergatesspp., Demodexspp., Trombicula spp., Listrophorus spp., Acarus spp., Tyrophagus spp., Caloglyphus spp., Hypodectes spp., Pterolichus spp., Psoroptes spp., Chorioptes spp., Otodectes spp., Sarcoptes spp., Notoedres spp., Knemidocoptes spp., Cytodites spp. and Laminosioptes spp..
- compositions according to the invention are also suitable for protecting against insect infestation in the case of materials such as wood, textiles, plastics, adhesives, glues, paints, paper and card, leather, floor coverings and buildings.
- compositions according to the invention can be used, for example, against the following pests: beetles such as Hylotrupes bajulus, Chlorophorus pilosis, Anobium punctatum, Xestobium rufovillosum, Ptilinuspecticornis, Dendrobium pertinex, Ernobius mollis, Priobium carpini, Lyctus brunneus, Lyctus africanus, Lyctus planicollis, Lyctus linearis, Lyctus pubescens, Trogoxylon aequale, Minthesrugicollis, Xyleborus spec.,Tryptodendron spec., Apate monachus, Bostrychus capucins, Heterobostrychus brunneus, Sinoxylon spec, and Dinoderus minutus, and also hymenopterans such as Sirex juvencus, Urocerus gigas, Urocerus gigas taign
- Compounds according to the invention may possess any number of benefits including, inter alia, advantageous levels of biological activity for protecting plants against insects or superior properties for use as agrochemical active ingredients (for example, greater biological activity, an advantageous spectrum of activity, an increased safety profile (against non-target organisms above and below ground (such as fish, birds and bees), selectivity between insects versus mammalian, improved physicochemical properties, and/or increased biodegradability).
- advantageous levels of biological activity for protecting plants against insects or superior properties for use as agrochemical active ingredients for example, greater biological activity, an advantageous spectrum of activity, an increased safety profile (against non-target organisms above and below ground (such as fish, birds and bees), selectivity between insects versus mammalian, improved physicochemical properties, and/or increased biodegradability).
- the compounds according to the invention can be used as pesticidal agents in unmodified form, but they are generally formulated into compositions in various ways using formulation adjuvants, such as carriers, solvents and surface-active substances.
- formulation adjuvants such as carriers, solvents and surface-active substances.
- the formulations can be in various physical forms, e.g.
- Such formulations can either be used directly or diluted prior to use.
- the dilutions can be made, for example, with water, liquid fertilisers, micronutrients, biological organisms, oil or solvents.
- the formulations can be prepared e.g. by mixing the active ingredient with the formulation adjuvants in order to obtain compositions in the form of finely divided solids, granules, solutions, dispersions or emulsions.
- the active ingredients can also be formulated with other adjuvants, such as finely divided solids, mineral oils, oils of vegetable or animal origin, modified oils of vegetable or animal origin, organic solvents, water, surface-active substances or combinations thereof.
- the active ingredients can also be contained in very fine microcapsules.
- Microcapsules contain the active ingredients in a porous carrier. This enables the active ingredients to be released into the environment in controlled amounts (e.g. slow-release).
- Microcapsules usually have a diameter of from 0.1 to 500 microns. They contain active ingredients in an amount of about from 25 to 95 % by weight of the capsule weight.
- the active ingredients can be in the form of a monolithic solid, in the form of fine particles in solid or liquid dispersion or in the form of a suitable solution.
- the encapsulating membranes can comprise, for example, natural or synthetic rubbers, cellulose, styrene/butadiene copolymers, polyacrylonitrile, polyacrylate, polyesters, polyamides, polyureas, polyurethane or chemically modified polymers and starch xanthates or other polymers that are known to the person skilled in the art.
- very fine microcapsules can be formed in which the active ingredient is contained in the form of finely divided particles in a solid matrix of base substance, but the microcapsules are not themselves encapsulated.
- liquid carriers there may be used: water, toluene, xylene, petroleum ether, vegetable oils, acetone, methyl ethyl ketone, cyclohexanone, acid anhydrides, acetonitrile, acetophenone, amyl acetate, 2-butanone, butylene carbonate, chlorobenzene, cyclohexane, cyclohexanol, alkyl esters of acetic acid, diacetone alcohol, 1 ,2-dichloropropane, diethanolamine, p- diethylbenzene, diethylene glycol, diethylene glycol abietate, diethylene glycol butyl ether, diethylene glycol ethyl ether, diethylene glycol methyl ether, /V,/V-dimethylformamide, dimethyl sulfoxide, 1 ,4- dioxane,
- Suitable solid carriers are, for example, talc, titanium dioxide, pyrophyllite clay, silica, attapulgite clay, kieselguhr, limestone, calcium carbonate, bentonite, calcium montmorillonite, cottonseed husks, wheat flour, soybean flour, pumice, wood flour, ground walnut shells, lignin and similar substances.
- a large number of surface-active substances can advantageously be used in both solid and liquid formulations, especially in those formulations which can be diluted with a carrier prior to use.
- Surfaceactive substances may be anionic, cationic, non-ionic or polymeric and they can be used as emulsifiers, wetting agents or suspending agents or for other purposes.
- Typical surface-active substances include, for example, salts of alkyl sulfates, such as diethanolammonium lauryl sulfate; salts of alkylarylsulfonates, such as calcium dodecylbenzenesulfonate; alkylphenol/alkylene oxide addition products, such as nonylphenol ethoxylate; alcohol/alkylene oxide addition products, such as tridecylalcohol ethoxylate; soaps, such as sodium stearate; salts of alkylnaphthalenesulfonates, such as sodium dibutylnaphthalenesulfonate; dialkyl esters of sulfosuccinate salts, such as sodium di(2- ethylhexyl)sulfosuccinate; sorbitol esters, such as sorbitol oleate; quaternary amines, such as lauryltrimethylammonium chloride, polyethylene glycol esters of
- Further adjuvants that can be used in pesticidal formulations include crystallisation inhibitors, viscosity modifiers, suspending agents, dyes, anti-oxidants, foaming agents, light absorbers, mixing auxiliaries, antifoams, complexing agents, neutralising or pH-modifying substances and buffers, corrosion inhibitors, fragrances, wetting agents, take-up enhancers, micronutrients, plasticisers, glidants, lubricants, dispersants, thickeners, antifreezes, microbicides, and liquid and solid fertilisers.
- compositions according to the invention can include an additive comprising an oil of vegetable or animal origin, a mineral oil, alkyl esters of such oils or mixtures of such oils and oil derivatives.
- the amount of oil additive in the composition according to the invention is generally from 0.01 to 10 %, based on the mixture to be applied.
- the oil additive can be added to a spray tank in the desired concentration after a spray mixture has been prepared.
- Preferred oil additives comprise mineral oils or an oil of vegetable origin, for example rapeseed oil, olive oil or sunflower oil, emulsified vegetable oil, alkyl esters of oils of vegetable origin, for example the methyl derivatives, or an oil of animal origin, such as fish oil or beef tallow.
- Preferred oil additives comprise alkyl esters of C8-C22 fatty acids, especially the methyl derivatives of C12-C18 fatty acids, for example the methyl esters of lauric acid, palmitic acid and oleic acid (methyl laurate, methyl palmitate and methyl oleate, respectively).
- Many oil derivatives are known from the Compendium of Herbicide Adjuvants, 10 th Edition, Southern Illinois University, 2010.
- inventive compositions generally comprise from 0.1 to 99 % by weight, especially from 0.1 to 95 % by weight, of compounds of the present invention and from 1 to 99.9 % by weight of a formulation adjuvant which preferably includes from 0 to 25 % by weight of a surface-active substance.
- a formulation adjuvant which preferably includes from 0 to 25 % by weight of a surface-active substance.
- commercial products may preferably be formulated as concentrates, the end user will normally employ dilute formulations.
- the rates of application vary within wide limits and depend on the nature of the soil, the method of application, the crop plant, the pest to be controlled, the prevailing climatic conditions, and other factors governed by the method of application, the time of application and the target crop.
- a general guideline compounds may be applied at a rate of from 1 to 2000 l/ha, especially from 10 to 1000 l/ha.
- Preferred formulations can have the following compositions (weight %): Emulsifiable concentrates: active ingredient: 1 to 95 %, preferably 60 to 90 % surface-active agent: 1 to 30 %, preferably 5 to 20 % liquid carrier: 1 to 80 %, preferably 1 to 35 % Dusts: active ingredient: 0.1 to 10 %, preferably 0.1 to 5 % solid carrier: 99.9 to 90 %, preferably 99.9 to 99 %
- Suspension concentrates active ingredient: 5 to 75 %, preferably 10 to 50 % water: 94 to 24 %, preferably 88 to 30 % surface-active agent: 1 to 40 %, preferably 2 to 30 %
- Wettable powders active ingredient: 0.5 to 90 %, preferably 1 to 80 % surface-active agent: 0.5 to 20 %, preferably 1 to 15 % solid carrier: 5 to 95 %, preferably 15 to 90 %
- Granules active ingredient: 0.1 to 30 %, preferably 0.1 to 15 % solid carrier: 99.5 to 70 %, preferably 97 to 85 %
- the combination is thoroughly mixed with the adjuvants and the mixture is thoroughly ground in a suitable mill, affording wettable powders that can be diluted with waterto give suspensions of the desired concentration.
- the combination is thoroughly mixed with the adjuvants and the mixture is thoroughly ground in a suitable mill, affording powders that can be used directly for seed treatment.
- Emulsions of any required dilution which can be used in plant protection, can be obtained from this concentrate by dilution with water.
- Ready-for-use dusts are obtained by mixing the combination with the carrier and grinding the mixture in a suitable mill. Such powders can also be used for dry dressings for seed. The combination is mixed and ground with the adjuvants, and the mixture is moistened with water. The mixture is extruded and then dried in a stream of air.
- the finely ground combination is uniformly applied, in a mixer, to the kaolin moistened with polyethylene glycol.
- Non-dusty coated granules are obtained in this manner.
- the finely ground combination is intimately mixed with the adjuvants, giving a suspension concentrate from which suspensions of any desired dilution can be obtained by dilution with water.
- a suspension concentrate from which suspensions of any desired dilution can be obtained by dilution with water.
- living plants as well as plant propagation material can be treated and protected against infestation by microorganisms, by spraying, pouring or immersion.
- the finely ground combination is intimately mixed with the adjuvants, giving a suspension concentrate from which suspensions of any desired dilution can be obtained by dilution with water.
- a suspension concentrate from which suspensions of any desired dilution can be obtained by dilution with water.
- living plants as well as plant propagation material can be treated and protected against infestation by microorganisms, by spraying, pouring or immersion.
- 28 parts of the combination are mixed with 2 parts of an aromatic solvent and 7 parts of toluene diisocyanate/polymethylene-polyphenylisocyanate-mixture (8:1).
- This mixture is emulsified in a mixture of 1 .2 parts of polyvinylalcohol, 0.05 parts of a defoamer and 51 .6 parts of water until the desired particle size is achieved.
- To this emulsion a mixture of 2.8 parts 1 ,6-diaminohexane in 5.3 parts of water is added. The mixture is agitated until the polymerization reaction is completed.
- the obtained capsule suspension is stabilized by adding 0.25 parts of a thickener and 3 parts of a dispersing agent.
- the capsule suspension formulation contains 28% of the active ingredients.
- the medium capsule diameter is 8-15 microns.
- the resulting formulation is applied to seeds as an aqueous suspension in an apparatus suitable for that purpose.
- Formulation types include an emulsion concentrate (EC), a suspension concentrate (SC), a suspo- emulsion (SE), a capsule suspension (CS), a water dispersible granule (WG), an emulsifiable granule (EG), an emulsion, water in oil (EG), an emulsion, oil in water (EW), a micro-emulsion (ME), an oil dispersion (OD), an oil miscible flowable (OF), an oil miscible liquid (OL), a soluble concentrate (SL), an ultra-low volume suspension (SU), an ultra-low volume liquid (UL), a technical concentrate (TK), a dispersible concentrate (DC), a wettable powder (WP), a soluble granule (SG) or any technically feasible formulation in combination with agriculturally acceptable adjuvants.
- EC emulsion concentrate
- SC suspension concentrate
- SE suspo- emulsion
- CS capsule suspension
- WG water dispersible granule
- compositions according to the invention can be broadened considerably, and adapted to prevailing circumstances, by adding other active ingredients, such as fungicides, herbicides, insecticides, bactericides, acaricides, nematicides, biologicals, and/or plant growth regulators.
- active ingredients such as fungicides, herbicides, insecticides, bactericides, acaricides, nematicides, biologicals, and/or plant growth regulators.
- active ingredients such as fungicides, herbicides, insecticides, bactericides, acaricides, nematicides, biologicals, and/or plant growth regulators.
- the mixtures of the compounds of formula (I) with said other active ingredients may also have further surprising advantages which can also be described, in a wider sense, as synergistic activity. For example, better tolerance by plants, reduced phytotoxicity, insects can be controlled in their different development stages or better behaviour during their production, for example during grinding or mixing, during their storage or during their use.
- compositions according to the invention can also comprise further solid or liquid auxiliaries, such as stabilizers, for example unepoxidized or epoxidized vegetable oils (for example epoxidized coconut oil, rapeseed oil or soya oil), antifoams, for example silicone oil, preservatives, viscosity regulators, binders and/or tackifiers, fertilizers or other active ingredients for achieving specific effects, for example bactericides, fungicides, nematocides, plant activators, molluscicides or herbicides.
- auxiliaries such as stabilizers, for example unepoxidized or epoxidized vegetable oils (for example epoxidized coconut oil, rapeseed oil or soya oil), antifoams, for example silicone oil, preservatives, viscosity regulators, binders and/or tackifiers, fertilizers or other active ingredients for achieving specific effects, for example bactericides, fungicides, nematocides
- compositions according to the invention are prepared in a manner known per se, in the absence of auxiliaries for example by grinding, screening and/or compressing a solid active ingredient and in the presence of at least one auxiliary for example by intimately mixing and/or grinding the active ingredient with the auxiliary (auxiliaries).
- auxiliaries for example by grinding, screening and/or compressing a solid active ingredient and in the presence of at least one auxiliary for example by intimately mixing and/or grinding the active ingredient with the auxiliary (auxiliaries).
- compositions that is the methods of controlling pests of the abovementioned type, such as spraying, atomizing, dusting, brushing on, dressing, scattering or pouring - which are to be selected to suit the intended aims of the prevailing circumstances - and the use of the compositions for controlling pests of the abovementioned type are other subjects of the invention.
- Typical rates of concentration are between 0.1 and 1000 ppm, preferably between 0.1 and 500 ppm, of active ingredient.
- the rate of application per hectare is generally 1 to 2000 g of active ingredient per hectare, in particular 10 to 1000 g/ha, preferably 10 to 600 g/ha.
- a preferred method of application in the field of crop protection is application to the foliage of the plants (foliar application), it being possible to select frequency and rate of application to match the danger of infestation with the pest in question.
- the active ingredient can reach the plants via the root system (systemic action), by drenching the locus of the plants with a liquid composition or by incorporating the active ingredient in solid form into the locus of the plants, for example into the soil, for example in the form of granules (soil application). In the case of paddy rice crops, such granules can be metered into the flooded paddy-field.
- the compounds of formula (I) of the invention and compositions thereof are also be suitable for the protection of plant propagation material, for example seeds, such as fruit, tubers or kernels, or nursery plants, against pests of the abovementioned type.
- the propagation material can be treated with the compound prior to planting, for example seed can be treated prior to sowing.
- the compound can be applied to seed kernels (coating), either by soaking the kernels in a liquid composition or by applying a layer of a solid composition. It is also possible to apply the compositions when the propagation material is planted to the site of application, for example into the seed furrow during drilling.
- These treatment methods for plant propagation material and the plant propagation material thus treated are further subjects of the invention.
- Typical treatment rates would depend on the plant and pest/fungi to be controlled and are generally between 1 to 200 grams per 100 kg of seeds, preferably between 5 to 150 grams per 100 kg of seeds, such as between 10 to 100 grams per 100 kg of seeds.
- seed embraces seeds and plant propagules of all kinds including but not limited to true seeds, seed pieces, suckers, corns, bulbs, fruit, tubers, grains, rhizomes, cuttings, cut shoots and the like and means in a preferred embodiment true seeds.
- the present invention also comprises seeds coated or treated with or containing a compound of formula (I).
- coated or treated with and/or containing generally signifies that the active ingredient is for the most part on the surface of the seed at the time of application, although a greater or lesser part of the ingredient may penetrate into the seed material, depending on the method of application.
- the seed product When the said seed product is (re)planted, it may absorb the active ingredient.
- the present invention makes available a plant propagation material adhered thereto with a compound of formula (I). Further, it is hereby made available, a composition comprising a plant propagation material treated with a compound of formula (I).
- Seed treatment comprises all suitable seed treatment techniques known in the art, such as seed dressing, seed coating, seed dusting, seed soaking and seed pelleting.
- the seed treatment application of the compound formula (I) can be carried out by any known methods, such as spraying or by dusting the seeds before sowing or during the sowing/planting of the seeds.
- the compounds of the invention can be distinguished from other similar compounds by virtue of greater efficacy at low application rates and/or different pest control, which can be verified by the person skilled in the art using the experimental procedures, using lower concentrations if necessary, for example 10 ppm, 5 ppm, 2 ppm, 1 ppm or 0.2 ppm; or lower application rates, such as 300, 200 or 100, mg of Al per m 2 .
- “consisting essentially” and inflections thereof are a preferred embodiment of "comprising” and its inflections
- “consisting of and inflections thereof are a preferred embodiment of "consisting essentially of and its inflections.
- Spectra were recorded on a Mass Spectrometer from Waters Corporation (SQD, SQDII or QDA Single quadrupole mass spectrometer) equipped with an electrospray source (Polarity: positive and negative ions), Capillary: 0.8-3.00 kV, Cone: 5-30 V, Source Temperature: 120-150°C, Desolvation Temperature: 350-600°C, Cone Gas Flow: 50-150 l/h, Desolvation Gas Flow: 650-1000 l/h, Mass range: 100 to 900 Da and an Acquity UPLC from Waters Corporation: Binary pump, heated column compartment , diodearray detector and ELSD.
- Step 2 Preparation of 4,4,5, 5-tetramethvl-2-(7-methvlsulfanvlbenzofuran-5-yl)-1 ,3,2-dioxaborolane
- the 2- Dicyclohexylphosphino-2',4',6'-triisopropylbiphenyl (0.1 equiv., 0.1482 mmol) and [1 ,1 '- bis(diphenylphosphino)ferrocene] dichloropalladium (II) (0.05 equiv., 0.0741 mmol) were added.
- the mixture was heated at 100 °C for 1 h30.
- the reaction mixture was allowed to cool to room temperature (20°C) and water was added.
- the aqueous phase was extracted three times with ethyl acetate.
- the organic layers were combined, dried over anhydrous magnesium sulfate, filtered, and concentrated under vacuum.
- the crude compound was purified by combiflash (silica gel, ethyl acetate / cyclohexane) to give the tittle compound (64.7% yield).
- the product was used without extra purification in the next step.
- Step 3 Preparation of 2-(1-methylpyrazol-3-yl)-4-(7-methylsulfanylbenzofuran-5-yl)-5-(trifluoromethyl) pyrazol-3-amine A22
- Step 1 Preparation of 4-(7-chloro-1 ,3-benzodioxol-5-yl)-3-(trifluoromethyl)-1 H-pyrazol-5-amine
- Step 2 Preparation of 4-(7-chloro-1 ,3-benzodioxol-5-yl)-2-(1-methylpyrazol-3-yl)-5-
- Cotton leaf discs were placed on agar in 24-well microtiter plates and sprayed with aqueous test solutions prepared from 10'000 ppm DMSO stock solutions. After drying the leaf discs were infested with adult white flies. The samples were checked for mortality 6 days after incubation.
- 24-well microtiter plates with artificial diet were treated with aqueous test solutions prepared from 10'000 ppm DMSO stock solutions by pipetting. After drying, the plates were infested with L2 larvae (6- 8 per well). The samples were assessed for mortality, anti-feeding effect, and growth inhibition in comparison to untreated samples 6 days after infestation. Control of Chilo suppressalis by a test sample is given when at least one of the categories mortality, anti-feedant effect, and growth inhibition is higher than the untreated sample.
- Diabrotica balteata (Corn root worm)
- Maize sprouts placed onto an agar layer in 24-well microtiter plates were treated with aqueous test solutions prepared from 10'000 ppm DMSO stock solutions by spraying. After drying, the plates were infested with L2 larvae (6 to 10 per well). The samples were assessed for mortality and growth inhibition in comparison to untreated samples 4 days after infestation.
- Euschistus heros (Neotropical Brown Stink Bug) Soybean leaves on agar in 24-well microtiter plates were sprayed with aqueous test solutions prepared from 10'000 ppm DMSO stock solutions. After drying the leaves were infested with N2 nymphs. The samples were assessed for mortality and growth inhibition in comparison to untreated samples 5 days after infestation.
- Sunflower leaf discs were placed on agar in 24-well microtiter plates and sprayed with aqueous test solutions prepared from 10'000 DMSO stock solutions. After drying the leaf discs were infested with a Frankliniella population of mixed ages. The samples were assessed for mortality 7 days after infestation.
- Myzus persicae (Green peach aphid): Feeding/Contact activity
- Sunflower leaf discs were placed onto agar in a 24-well microtiter plate and sprayed with aqueous test solutions prepared from 10'000 ppm DMSO stock solutions. After drying, the leaf discs were infested with an aphid population of mixed ages. The samples were assessed for mortality 6 days after infestation.
- 24-well microtiter plates with artificial diet were treated with aqueous test solutions prepared from 10'000 ppm DMSO stock solutions by pipetting. After drying, Plutella eggs were pipetted through a plastic stencil onto a gel blotting paper and the plate was closed with it. The samples were assessed for mortality and growth inhibition in comparison to untreated samples 8 days after infestation.
- Cotton leaf discs were placed onto agar in 24-well microtiter plates and sprayed with aqueous test solutions prepared from 10'000 ppm DMSO stock solutions. After drying the leaf discs were infested with five L1 larvae. The samples were assessed for mortality, anti-feeding effect, and growth inhibition in comparison to untreated samples 3 days after infestation. Control of Spodoptera littoralis by a test sample is given when at least one of the categories mortality, anti-feedant effect, and growth inhibition is higher than the untreated sample.
- Tetranychus urticae (Two-spotted spider mite): Feeding/contact activity
- Bean leaf discs on agar in 24-well microtiter plates were sprayed with aqueous test solutions prepared from 10'000 ppm DMSO stock solutions. After drying the leaf discs were infested with a mite population of mixed ages. The samples were assessed for mortality on mixed population (mobile stages) 8 days after infestation.
Landscapes
- Chemical & Material Sciences (AREA)
- Organic Chemistry (AREA)
- Life Sciences & Earth Sciences (AREA)
- Agronomy & Crop Science (AREA)
- Pest Control & Pesticides (AREA)
- Plant Pathology (AREA)
- Health & Medical Sciences (AREA)
- Engineering & Computer Science (AREA)
- Dentistry (AREA)
- General Health & Medical Sciences (AREA)
- Wood Science & Technology (AREA)
- Zoology (AREA)
- Environmental Sciences (AREA)
- Plural Heterocyclic Compounds (AREA)
Abstract
Compounds of formula (I) wherein the substituents are as defined in claim 1, and the salts, stereoisomers, enantiomers, tautomers and N-oxides of those compounds, can be used as insecticides.
Description
INSECTICIDAL COMPOUND BASED ON PYRAZOLE DERIVATIVES
The present invention relates to pesticidally active, in particular insecticidally active, substituted pyrazole compounds, to compositions comprising those compounds, and to their use for controlling animal pests.
It has been found that new substituted pyrazole compounds have insecticidal properties.
Ri is selected from hydrogen, halogen, cyano, hydroxyl, Ci-Cealkyl, Ci-Cehaloalkyl, Ci-Cealkoxy, Ci- Cehaloalkoxy, Cs-Cecycloalkyl, Cs-Cehalocycloalkyl, Ci-Cealkylsulfanyl, Ci-Cealkylsulfinyl, Ci- Cealkylsulfonyl, Ci-Cehaloalkylsulfanyl, Ci-Cehaloalkylsulfinyl, Ci-Cehaloalkylsulfonyl, C3- Cecycloalkylsulfanyl, Cs-Cecycloalkylsulfinyl, Cs-Cecycloalkylsulfonyl, -OS(O)2Re, and Ci-C2haloalkyl substituted by Cs-Cecycloalkyl;
R2 and R3 are, independently, selected from hydrogen, Ci-Cealkyl, formyl, -C(O)Ci-Cealkyl, and -C(O)OCi-Cealkyl; or
R2 and R3 form a group linked by a double bond, said group being selected from =CHNH(Ci-C4alkyl), =CHN(Ci-C4alkyl)2, and =CHOCi-C4alkyl;
R4 is selected from hydrogen, halogen, cyano, Ci-Cealkyl, Ci-Cehaloalkyl, Cs-Cecycloalkyl, C3- Cehalocycloalkyl, Ci-Cealkoxy, Ci-Cehaloalkoxy, phenyl, and 1-methylpyrazole;
Re is selected from hydrogen, halogen, cyano, Ci-Cealkyl, Ci-Cehaloalkyl, Cs-Cecycloalkyl, C3- Cehalocycloalkyl, Ci-Cealkoxy, Ci-Cehaloalkoxy, 1-methylpyrazole, and -C(O)OCi-Cealkyl;
Re is selected from Ci-C4alkyl, Ci-C4haloalkyl, Cs-Cecycloalkyl, and Cs-Cehalocycloalkyl;
Q is selected from:
- a 5- to 6-membered heteroaromatic ring containing 1 , 2 or 3 heteroatom groups selected from N, O, S, CO, SO and SO2, and preferably selected from N, O, and CO, wherein the 5- to 6-membered heteroaromatic ring is optionally substituted by one or more radicals selected from R7; and
- a phenyl, wherein the phenyl ring is optionally substituted by one or more radicals selected from R7; and
R7 is selected from hydrogen, hydroxyl, halogen, cyano, Ci-Cealkyl, Ci-Cehaloalkyl, C2-Cealkenyl, C2-Cehaloalkenyl, C2-Cealkynyl, C2-Cehaloalkynyl, Ci-Cealkoxy, Ci-Cehaloalkoxy, Cs-Cecycloalkyl, C3- Cecycloalkyl substituted by a cyano, Cs-Cehalocycloalkyl, -C(O)OCi-Cealkyl, -C(0)OCi-C6haloalkyl, C1- Cealkylsulfanyl, Ci-Cealkylsulfinyl, Ci-Cealkylsulfonyl, Ci-Cehaloalkylsulfanyl, Ci-Cehaloalkylsulfinyl, C1- Cehaloalkylsulfonyl, Ci-C4alkylCi-C6alkylsulfanyl, Ci-C4alkylCi-C6alkylsulfinyl, Ci-C4alkylCi- Cealkylsulfonyl, Ci-C4alkylCi-C6haloalkylsulfanyl, Ci-C4alkylCi-C6haloalkylsulfinyl, Ci-C4alkylCi- Cehaloalkylsulfonyl, -C(O)Ci-C4alkyl, -C(0)Ci-C4haloalkyl, Ci-C4alkylC(O)Ci-C4alkyl, C1- C4alkylC(0)Ci-C4haloalkyl, Ci-C4alkylC(O)OCi-C4alkyl, Ci-C4alkylC(O)OH, -C(0)C3-C6cycloalkyl, Ci- Cealkyl substituted by an hydroxyl, C2-C4alkenylC(0)C3-C6cycloalkyl, -NHC(O)OCi-C4alkyl, -NHOC1- C4alkyl, morpholine, oxetane, tetrahydrofuran, tetrahydropyran, and cyclopentane substituted by one or more halogen; or
R7 is selected from phenyl and 5- to 6-membered heteroaromatic ring, wherein each is optionally substituted by one or more radicals selected from halogen, hydroxyl, nitro, cyano, Ci-Cealkyl, Ci- Cehaloalkyl, Cs-Cecycloalkyl, Cs-Cehalocycloalkyl, Ci-Cealkoxy, Ci-Cehaloalkoxy, and C1- Cealkylsulfanyl; or when Q is substituted by at least two R7, said two R7 optionally form a 5- to 6-membered ring unsaturated, partially saturated or saturated, optionally containing 1 , 2 or 3 heteroatom groups selected from N, O, S, CO, SO and SO2, and preferably selected from N, O, and CO, said 5- to 6-membered ring being optionally substituted by one or more radicals selected from halogen, cyano, hydroxyl, Ci-Cealkyl, Ci-Cehaloalkyl, Cs-Cecycloalkyl, Cs-Cehalocycloalkyl, Ci-Cealkoxy, Ci-Cehaloalkoxy, -C(O)Ci-C4alkyl, - C(0)Ci-C4haloalkyl, -C(O)OCi-C4alkyl, and -CO2H; or a salt, stereoisomer, enantiomer, tautomer or N-oxide thereof.
Compounds of formula (I) which have at least one basic centre can form, for example, acid addition salts, for example with strong inorganic acids such as mineral acids, for example perchloric acid, sulfuric acid, nitric acid, nitrous acid, a phosphorus acid or a hydrohalic acid, with strong organic carboxylic acids, such as Ci-C4alkanecarboxylic acids which are unsubstituted or substituted, for example by halogen, for example acetic acid, such as saturated or unsaturated dicarboxylic acids, for example oxalic acid, malonic acid, succinic acid, maleic acid, fumaric acid or phthalic acid, such as hydroxycarboxylic acids, for example ascorbic acid, lactic acid, malic acid, tartaric acid or citric acid, or such as benzoic acid, or with organic sulfonic acids, such as Ci-C4alkane- or arylsulfonic acids which are unsubstituted or substituted, for example by halogen, for example methane- or p-toluenesulfonic acid. Compounds of formula (I) which have at least one acidic group can form, for example, salts with bases, for example
mineral salts such as alkali metal or alkaline earth metal salts, for example sodium, potassium or magnesium salts, or salts with ammonia or an organic amine, such as morpholine, piperidine, pyrrolidine, a mono-, di- or tri-lower-alkylamine, for example ethyl-, diethyl-, triethyl- or dimethylpropylamine, or a mono-, di- or trihydroxy-lower-alkylamine, for example mono-, di- or triethanolamine.
The presence of one or more possible asymmetric carbon atoms in a compound of formula (I) means that the compounds may occur in chiral isomeric forms, i.e., enantiomeric or diastereomeric forms. Also, atropisomers may occur as a result of restricted rotation about a single bond. Formula (I) is intended to include all those possible isomeric forms and mixtures thereof. The present invention includes all those possible isomeric forms and mixtures thereof for a compound of formula (I). Likewise, formula (I) is intended to include all possible tautomers (including lactam-lactim tautomerism and keto-enol tautomerism) where present. The present invention includes all possible tautomeric forms for a compound of formula (I).
In each case, the compounds of formula (I) according to the invention are in free form, in oxidized form as an N-oxide, in covalently hydrated form, or in salt form, e.g., an agronomically usable or agrochemically acceptable salt form. N-oxides are oxidized forms of tertiary amines or oxidized forms of nitrogen containing heteroaromatic compounds. They are described for instance in the book “Heterocyclic N-oxides” by A. Albini and S. Pietra, CRC Press, Boca Raton 1991. The compounds of formula (I) according to the invention also include hydrates, which may be formed during salt formation.
The compounds of formula (I) according to the invention also include hydrates which may be formed during the salt formation.
Advantageously, the compounds of formula (I) according to the present invention have been identified as Electron Transport Chain (ETC) Complex II inhibitors.
As used herein, the term "halogen" refers to fluorine (fluoro), chlorine (chloro), bromine (bromo) or iodine (iodo).
As used herein, the term “hydroxyl” or “hydroxy” means an -OH group.
As used herein, the term “cyano” means a -CN group.
As used herein, formyl means a -C(O)H group.
As used herein, the term "Ci-Cealkyl" refers to a straight or branched hydrocarbon chain radical consisting solely of carbon and hydrogen atoms, containing no unsaturation, having from one to six carbon atoms, and which is attached to the rest of the molecule by a single bond. The term "Ci-C4alkyl"
is to be construed accordingly. Examples of Ci-Cealkyl include, but are not limited to, methyl, ethyl, n- propyl, n-butyl, n-pentyl, n-hexyl and the isomers thereof, for example, iso-propyl, iso-butyl, sec-butyl, tert-butyl or iso-amyl.
As used herein, the term "C2-Cealkenyl" refers to a straight or branched hydrocarbon chain radical group consisting solely of carbon and hydrogen atoms, containing at least one double bond that may be of either the (E)- or (^-configuration, having from two to six carbon atoms, which is attached to the rest of the molecule by a single bond. C2-C4alkenyl is to be construed accordingly. Examples of C2-Cealkenyl include, but are not limited to, prop-1 -enyl, allyl (prop-2-enyl), and but-1-enyl.
As used herein, the term "C2-Cealkynyl" refers to a straight or branched hydrocarbon chain radical group consisting solely of carbon and hydrogen atoms, containing at least one triple bond, having from two to six carbon atoms, and which is attached to the rest of the molecule by a single bond. Examples of C2- Cealkynyl include, but are not limited to, prop-1 -ynyl, propargyl (prop-2-ynyl), and but-1-ynyl.
As used herein, the term "Cs-Cecycloalkyl" refers to a stable, monocyclic ring radical which is saturated and contains 3 to 6 carbon atoms. Examples of Cs-Cecycloalkyl include, but are not limited to, cyclopropyl, cyclobutyl, cyclopentyl and cyclohexyl.
As used herein, the term "Ci-Cehaloalkyl" refers to a Ci-Cealkyl radical as generally defined above substituted by one or more of the same or different halogen atoms. Ci-C4haloalkyl and Ci-C2haloalkyl are to be construed accordingly. Examples of Ci-Cehaloalkyl include, but are not limited to fluoromethyl, fluoroethyl, difluoromethyl, trifluoromethyl, and 2,2,2-trifluoroethyl. Similarly, the term "C3- Cehalocycloalkyl" refers to a Cs-Cecycloalkyl ring as defined above substituted by one or more of the same or different halogen atoms.
As used herein, the term "C2-Cehaloalkenyl" refers to a C2-Cealkenyl group as defined above substituted by one or more of the same or different halogen atoms. Examples of C2-Cehaloalkenyl include, but are not limited to 3,3-dichloroallyl, 2 ,3,3-trichloroallyl, 2,3-dich loroallyl, 3,3-dibromoallyl, 2,3,3-tribromoallyl, and 2,3-dibromoallyl. Similarly, the term "C2-Cehaloalkynyl" refers to a C2-Cealkynyl radical as generally defined above substituted by one or more of the same or different halogen atoms.
As used herein, the term "Ci-Cealkoxy" refers to a radical of the formula -ORa wherein Ra is a Ci-Cealkyl radical as generally defined above. Examples of Ci-Cealkoxy include, but are not limited to methoxy, ethoxy, propoxy, iso-propoxy, and tert-butoxy.
As used herein, the term "Ci-Cehaloalkoxy" refers to a Ci-Cealkoxy group as defined above substituted by one or more of the same or different halogen atoms. Examples of Ci-Cehaloalkoxy include, but are not limited to, fluoromethoxy, difluoromethoxy, fluoroethoxy, trifluoromethoxy, and trifluoroethoxy.
As used herein, the term “Ci-Cealkylsulfanyl” refers to a radical of the formula -SRa wherein Ra is a Ci- Cealkyl radical as generally defined above.
As used herein, the term “Ci-Cealkylsulfinyl” refers to a radical of the formula -S(O)Ra wherein Ra is a Ci-Cealkyl radical as generally defined above.
As used herein, the term “Ci-Cealkylsulfonyl” refers to a radical of the formula -S(O)2Ra wherein Ra is a Ci-Cealkyl radical as generally defined above.
As used herein, the term “Ci-Cehaloalkylsulfanyl” refers to a radical of the formula -SRa wherein Ra is a Ci-Cehaloalkyl radical as generally defined above. Similarly, the term “Cs-Cecycloalkylsulfanyl” refers to a radical of the formula -SRa wherein Ra is a Cs-Cecycloalkyl radical as generally defined above.
As used herein, the term “Ci-Cehaloalkylsulfinyl” refers to a radical of the formula -S(O)Ra wherein Ra is a Ci-Cehaloalkyl radical as generally defined above. Similarly, the term “Cs-Cecycloalkylsulfinyl” refers to a radical of the formula -S(O)Ra wherein Ra is a Cs-Cecycloalkyl radical as generally defined above.
As used herein, the term “Ci-Cehaloalkylsulfonyl” refers to a radical of the formula -S(O)2Ra wherein Ra is a Ci-Cehaloalkyl radical as generally defined above. Similarly, the term “Cs-Cecycloalkylsulfonyl” refers to a radical of the formula -S(O)2Ra wherein Ra is a Cs-Cecycloalkyl radical as generally defined above.
As used herein, the term “Ci-C4alkylCi-Cealkylsulfanyl” refers to an a Ci-C4alkyl radical substituted with a Ci-Cealkylsulfanyl group. Similarly, the term “Ci-C4alkylCi-Cealkylsulfinyl” refers to an a Ci-C4alkyl radical substituted with a Ci-Cealkylsulfinyl group. Similarly, the term “Ci-C4alkylCi-C6alkylsulfonyl” refers to an a Ci-C4alkyl radical substituted with a Ci-Cealkylsulfonyl group.
As used herein, the term “Ci-C4alkylCi-C6haloalkylsulfanyl” refers to an a Ci-C4alkyl radical substituted with a Ci-Cehaloalkylsulfanyl group. Similarly, the term “Ci-C4alkylCi-C6haloalkylsulfinyl” refers to an a Ci-C4alkyl radical substituted with a Ci-Cehaloalkylsulfinyl group. Similarly, the term “Ci-C4alkylCi- Cehaloalkylsulfonyl” refers to an a Ci-C4alkyl radical substituted with a Ci-Cehaloalkylsulfonyl group.
As used herein, the term "-C(O)Ci-C6alkyl" refers to a radical of the formula -C(O)Ra where Ra is a Ci- Cealkyl radical as generally defined above. The term "-C(O)Ci-C4alkyl " is to be construed accordingly.
As used herein, the term "-C(0)Ci-C4haloalkyl " refers to a -C(O)Ci-C4alkyl radical as generally defined above substituted by one or more of the same or different halogen atoms.
As used herein, the term “-C(0)C3-C6cycloalkyl” refers to a radical of the formula -C(O)Ra where Ra is a Cs-Cecycloalkyl radical as generally defined above.
As used herein, the term "-C(O)OCi-C6alkyl" refers to a radical of the formula -C(O)ORa where Ra is a Ci-Cealkyl radical as generally defined above. The term "-C(O)OCi-C4alkyl " is to be construed accordingly.
As used herein, the term "-C(0)OCi-C4haloalkyl" refers to a -C(O)OCi-C4alkyl radical as generally defined above wherein the Ci-C4alkyl radical is substituted by one or more of the same or different halogen atoms.
As used herein, the term "Ci-C4alkylC(O)Ci-C4alkyl" refers to a radical of the formula -RbC(O)Ra where Ra and Rb are, independently, a -Ci-C4alkyl radical as generally defined above.
As used herein, the term "Ci-C4alkylC(0)Ci-C4haloalkyl" refers to a radical of the formula -RbC(O)Ra where Ra is a Ci-C4haloalkyl radical as generally defined above and Rb is a Ci-C4alkyl radical as generally defined above.
As used herein, the term "Ci-C4alkylC(O)OCi-C4alkyl" refers to a radical of the formula -RbC(O)ORa where Ra and Rb are, independently, a Ci-C4alkyl radical as generally defined above.
As used herein, the term "Ci-C4alkylC(O)OH" refers to a radical of the formula -RaC(O)OH where Ra is a Ci-C4alkyl radical as generally defined above.
As used herein, the term "C2-C4alkenylC(0)C3-C6cycloalkyl" refers to a radical of the formula -RbC(O)Ra where Ra is a Cs-Cecycloalkyl radical as generally defined above and Rb is a C2-C4alkenyl radical as generally defined above.
As used herein, the term "-NHC(O)OCi-C4alkyl" refers to a radical of the formula -NHC(O)ORa where Ra is a Ci-Cealkyl radical as generally defined above.
As used herein, the term "-NHOCi-C4alkyl" refers to a radical of the formula -NHORa where Ra is a Ci- Cealkyl radical as generally defined above.
As used herein, the term "=CHNH(Ci-C4alkyl)" refers to a radical of the formula =CHNHRa where Ra is a Ci-Cealkyl radical as generally defined above.
As used herein, the term "=CHN(Ci-C4alkyl)2" refers to a radical of the formula =CHN(Ra)2 where Ra is a Ci-Cealkyl radical as generally defined above.
As used herein, the term "=CHOCi-C4alkyl" refers to a radical of the formula =CHO(Ra) where Ra is a Ci-Cealkyl radical as generally defined above.
As used herein, the term "controlling" refers to reducing the number of pests, eliminating pests and/or preventing further pest damage such that damage to a plant or to a plant derived product is reduced.
As used herein, the term "pest" refers to insects, and molluscs that are found in agriculture, horticulture, forestry, the storage of products of vegetable origin (such as fruit, grain and timber); and those pests associated with the damage of man-made structures. The term pest encompasses all stages in the life cycle of the pest.
As used herein, the term "effective amount" refers to the amount of the compound, or a salt thereof, which, upon single or multiple applications provides the desired effect.
An effective amount is readily determined by the skilled person in the art, by the use of known techniques and by observing results obtained under analogous circumstances. In determining the effective amount a number of factors are considered including, but not limited to: the type of plant or derived product to be applied; the pest to be controlled & its lifecycle; the particular compound applied; the type of application; and other relevant circumstances.
In a further embodiment, there is provided a compound of formula (I) according to the present invention, wherein Ri is selected from hydrogen, halogen, cyano, hydroxyl, Ci-Cealkyl, Ci-Cehaloalkyl, C3- Cecycloalkyl, Ci-Cealkylsulfanyl, Ci-Cealkylsulfinyl, Ci-Cealkylsulfonyl, -OS(O)2Re, and Ci-C2haloalkyl substituted by Cs-Cecycloalkyl; preferably R1 is selected from hydrogen, halogen, cyano, hydroxyl, Ci- Cealkyl, Ci-Cehaloalkyl, Cs-Cecycloalkyl, Ci-Cealkylsulfanyl, Ci-Cealkylsulfinyl, Ci-Cealkylsulfonyl, and - OS(O)2R6.
In a further embodiment, there is provided a compound of formula (I) according to the present invention, wherein R2 and R3 are, independently, selected from hydrogen, Ci-Cealkyl, formyl, and -C(O)OCi- Cealkyl; or R2 and R3 form a group linked by a double bond, said group being selected from =CHN(Ci- C4alkyl)2 and =CHOCi-C4alkyl.
In a further embodiment, there is provided a compound of formula (I) according to the present invention, wherein R4 is selected from hydrogen, Ci-Cealkyl, Ci-Cehaloalkyl, Cs-Cecycloalkyl, phenyl, and 1- methylpyrazole.
In a further embodiment, there is provided a compound of formula (I) according to the present invention, wherein R5 is selected from hydrogen, halogen, Ci-Cealkyl, Ci-Cealkoxy, 1-methylpyrazole, and - C(O)OCi-C6alkyl.
In a further embodiment, there is provided a compound of formula (I) according to the present invention, wherein Re is selected from Ci-C4haloalkyl and Cs-Cecycloalkyl.
In a further embodiment, there is provided a compound of formula (I) according to the present invention, wherein Q is a phenyl or 5- to 6-membered heteroaromatic ring selected from pyridine, thiophene, pyrazole, thiazole, oxazole, triazole, imidazole, furan, isothiazole, isoxazole, thiadiazole, pyrrole, and 1 ,1-dioxo-isothiazol-3-one, said phenyl or 5- to 6-membered heteroaromatic ring being optionally substituted with one or more radicals selected from R7; preferably Q is a phenyl or a 5- to 6-membered heteroaromatic ring selected from furan, pyridine, thiophene, pyrazole, thiazole, pyrrole, and isothiazole, said phenyl or 5- to 6-membered heteroaromatic ring being optionally substituted with one or more radicals selected from R?
In a further embodiment, there is provided a compound of formula (I) according to the present invention, wherein
R? is selected from hydrogen, halogen, cyano, Ci-Cealkyl, Ci-Cehaloalkyl, C2-Cealkenyl, Ci-Cealkoxy, Ci-Cehaloalkoxy, Cs-Cecycloalkyl, Cs-Cecycloalkyl substituted by a cyano, -C(O)OCi-Cealkyl, Ci- Cealkylsulfanyl, Ci-Cealkylsulfonyl, Ci-C4alkylCi-Cealkylsulfonyl, -C(C)Ci-C4haloalkyl, Ci- C4alkylC(O)OCi-C4alkyl, -C(0)C3-C6cycloalkyl, Ci-Cealkyl substituted by an hydroxyl, C2-C4alkenylC(0)C3-C6cycloalkyl, oxetane, tetrahydropyran, and cyclopentane substituted by one or more halogen; preferably R? is selected from hydrogen, halogen, Ci-Cealkyl, Ci-Cehaloalkyl, C2-Cealkenyl, Ci-Cealkoxy, Ci-Cehaloalkoxy, Cs-Cecycloalkyl substituted by a cyano, Ci-Cealkylsulfanyl, and -C(0)C3-Cecycloalkyl; or
R? is selected from phenyl, pyrazole, thiophene and pyrimidine, wherein each is optionally substituted by one or more radicals selected from halogen, cyano, Ci-Cealkyl, Ci-Cehaloalkyl, and Ci- Cealkylsulfanyl; preferably R7 is phenyl or thiophene, wherein each is optionally substituted by one or more halogen; or when Q is substituted by at least two R7, said two R7 optionally form a phenyl, pyridine, triazine, thiazole, dioxolane, furan, oxadiazole, triazole, or pyrazole, optionally substituted with one or more radicals selected from halogen, Ci-Cealkyl, Ci-Cehaloalkyl, Ci-Cealkoxy, -C(O)Ci-C4alkyl, and -C(O)OCi-C4alkyl; preferably said two R7 optionally form a dioxolane, furan, phenyl, oxadiazole, pyridine, triazole, or pyrazole, optionally substituted by halogen or Ci-Cealkyl.
In a particular embodiment, there is provided a compound of formula (I) according to the present invention, wherein
R1 is selected from hydrogen, halogen, cyano, hydroxyl, Ci-Cealkyl, Ci-Cehaloalkyl, Cs-Cecycloalkyl, Ci- Cealkylsulfanyl, Ci-Cealkylsu Ifinyl, Ci-Cealkylsulfonyl, -OS(O)2Re, and Ci-C2haloalkyl substituted by C3- Cecycloalkyl; preferably R1 is selected from hydrogen, halogen, cyano, hydroxyl, Ci-Cealkyl, Ci- Cehaloalkyl, Cs-Cecycloalkyl, Ci-Cealkylsulfanyl, Ci-Cealkylsulfinyl, Ci-Cealkylsulfonyl, and -OS(O)2Re;
R2 and R3 are, independently, selected from hydrogen, Ci-Cealkyl, formyl, and -C(O)OCi-Cealkyl; or R2 and R3 form a group linked by a double bond, said group being selected from =CHN(Ci-C4alkyl)2 and =CHOCi-C4alkyl;
R4 is selected from Ci-Cealkyl, Ci-Cehaloalkyl, Cs-Cecycloalkyl, phenyl, and 1-methylpyrazole;
Rs is selected from hydrogen, halogen, Ci-Cealkyl, Ci-Cealkoxy, 1-methylpyrazole, and -C(O)OCi- Cealkyl;
Re is selected from Ci-C4haloalkyl, and Ce-Cecycloalkyl;
Q is a phenyl or 5- to 6-membered heteroaromatic ring selected from pyridine, thiophene, pyrazole, thiazole, oxazole, triazole, imidazole, furan, isothiazole, isoxazole, thiadiazole, pyrrole, and 1 ,1-dioxo- isothiazol-3-one, said phenyl or 5- to 6-membered heteroaromatic ring being optionally substituted with one or more radicals selected from R?; preferably Q is a phenyl or a 5- to 6-membered heteroaromatic ring selected from furan, isothiazole, pyridine, thiophene, pyrazole, thiazole, and pyrrole, said phenyl or 5- to 6-membered heteroaromatic ring being optionally substituted with one or more radicals selected from R?; and
R7 is selected from hydrogen, halogen, cyano, Ci-Cealkyl, Ci-Cehaloalkyl, C2-Cealkenyl, Ci-Cealkoxy, Ci-Cehaloalkoxy, Ce-Cecycloalkyl, Ce-Cecycloalkyl substituted by a cyano, -C(O)OCi-Cealkyl, C1- Cealkylsulfanyl, Ci-Cealkylsulfonyl, Ci-C4alkylCi-Cealkylsulfonyl, -C(C)Ci-C4haloalkyl, C1- C4alkylC(O)OCi-C4alkyl, -C(0)C3-Cecycloalkyl, Ci-Cealkyl substituted by an hydroxyl, C2-C4alkenylC(0)C3-Cecycloalkyl, oxetane, tetrahydropyran, and cyclopentane substituted by one or more halogen; preferably R7 is selected from hydrogen, halogen, Ci-Cealkyl, Ci-Cehaloalkyl, C2-Cealkenyl, Ci-Cealkoxy, Ci-Cehaloalkoxy, Cs-Cecycloalkyl substituted by a cyano, Ci-Cealkylsulfanyl, and -C(0)C3-Cecycloalkyl; or
R7 is selected from phenyl, pyrazole, thiophene and pyrimidine, wherein each is optionally substituted by one or more radicals selected from halogen, cyano, Ci-Cealkyl, Ci-Cehaloalkyl, and Ci- Cealkylsulfanyl; preferably R7 is phenyl or thiophene, wherein each is optionally substituted by one or more halogen; or when Q is substituted by at least two R7, said two R7 optionally form a phenyl, pyridine, triazine, thiazole, dioxolane, furan, oxadiazole, triazole, or pyrazole, optionally substituted with one or more radicals selected from halogen, Ci-Cealkyl, Ci-Cehaloalkyl, Ci-Cealkoxy, -C(O)Ci-C4alkyl, and -C(O)OCi-C4alkyl; preferably said two R7 optionally form a dioxolane, furan, phenyl, oxadiazole, pyridine, triazole, or pyrazole, optionally substituted by halogen or Ci-Cealkyl.
In a particular embodiment, there is provided a compound of formula (I) according to the present invention, wherein
R1 is selected from cyano, Ci-Cehaloalkyl, Ci-Cealkylsulfanyl, Ci-Cealkylsulfonyl, and Ci-C2haloalkyl substituted by Cs-Cecycloalkyl; preferably R1 is Ci-Cehaloalkyl;
R2 and R3 are, independently, hydrogen or Ci-Cealkyl; preferably R2 and R3 are hydrogen;
R4 is Ci-Cealkyl or Ci-Cehaloalkyl;
R5 is hydrogen;
Q is selected from phenyl, furan, isothiazole, pyridine, thiophene, pyrazole, thiazole, pyrrole, and thiadiazole, optionally substituted with one or more radicals selected from R7; and
R7 is selected from hydrogen, halogen, Ci-Cealkyl, Ci-Cehaloalkyl, Ci-Cealkoxy, and Cs-Cecycloalkyl; preferably is halogen, or Ci-Cehaloalkyl; or when Q is substituted by at least two R7, said two R7 optionally form a phenyl, optionally substituted with one or more halogen; preferably said two R7 optionally form a phenyl, optionally substituted with one or more halogen.
In a further embodiment, the compound according to the present invention is selected from: 4-[3-chloro-5-(trifluoromethyl)phenyl]-2-(1-methylpyrazol-3-yl)pyrazol-3-amine;
2-(1-methylpyrazol-3-yl)-4-[5-(trifluoromethyl)-2-thienyl]pyrazol-3-amine;
4-[3-chloro-5-(trifluoromethyl)phenyl]-5-methyl-2-(1-methylpyrazol-3-yl)pyrazol-3-amine;
5-methyl-2-(1-methylpyrazol-3-yl)-4-[5-(trifluoromethyl)-2-thienyl]pyrazol-3-amine;
4-[3-isopropyl-5-(trifluoromethyl)phenyl]-2-(1-methylpyrazol-3-yl)-5-(trifluoromethyl)pyrazol-3-amine; 4-[3-isopropenyl-5-(trifluoromethyl)phenyl]-2-(1-methylpyrazol-3-yl)-5-(trifluoromethyl)pyrazol-3-amine; 4-[3-ethyl-5-(trifluoromethyl)phenyl]-2-(1-methylpyrazol-3-yl)-5-(trifluoromethyl)pyrazol-3-amine;
2-(1-methylpyrazol-3-yl)-5-(trifluoromethyl)-4-[3-(trifluoromethyl)-5-vinyl-phenyl]pyrazol-3-amine; 2-(1-methylpyrazol-3-yl)-4-(1-methylpyrazol-4-yl)-5-(trifluoromethyl)pyrazol-3-amine;
4-[3-bromo-5-(trifluoromethyl)phenyl]-2-(1-methylpyrazol-3-yl)-5-(trifluoromethyl)pyrazol-3-amine;
4-[3-(5-chloro-2-thienyl)-5-(trifluoromethyl)phenyl]-2-(1-methylpyrazol-3-yl)-5-(trifluoromethyl)pyrazol-3- amine;
5-ethylsulfanyl-2-(1-methylpyrazol-3-yl)-4-[5-(trifluoromethyl)-2-thienyl]pyrazol-3-amine;
4-[3-chloro-5-(trifluoromethyl)phenyl]-5-ethylsulfonyl-2-(1-methylpyrazol-3-yl)pyrazol-3-amine;
4-[3-chloro-5-(trifluoromethyl)phenyl]-5-ethylsulfinyl-2-(1-methylpyrazol-3-yl)pyrazol-3-amine;
4-[3-chloro-5-(trifluoromethyl)phenyl]-5-cyclopropyl-2-(1-methylpyrazol-3-yl)pyrazol-3-amine;
5-chloro-2-(1-methylpyrazol-3-yl)-4-[5-(trifluoromethyl)-2-thienyl]pyrazol-3-amine;
5-chloro-4-[3-chloro-5-(trifluoromethyl)phenyl]-2-(1-methylpyrazol-3-yl)pyrazol-3-amine;
5-amino-4-[3-chloro-5-(trifluoromethyl)phenyl]-1-(1-methylpyrazol-3-yl)pyrazole-3-carbonitrile;
5-amino-1-(1-methylpyrazol-3-yl)-4-[5-(trifluoromethyl)-2-thienyl]pyrazole-3-carbonitrile;
[5-amino-4-(7-chloro-1 ,3-benzodioxol-5-yl)-1 -(1 -methylpyrazol-3-yl)pyrazol-3-yl] cyclopropanesulfonate;
[5-amino-4-(7-chloro-1 ,3-benzodioxol-5-yl)-1 -(1 -methylpyrazol-3-yl)pyrazol-3-yl] tri fluoromethanesulfonate;
2-(1-methylpyrazol-3-yl)-4-(7-methylsulfanylbenzofuran-5-yl)-5-(trifluoromethyl)pyrazol-3-amine;
4-[3-chloro-5-(trifluoromethyl)phenyl]-2-(1-cyclopropylpyrazol-3-yl)-5-(trifluoromethyl)pyrazol-3-amine;
4-[3-chloro-5-(trifluoromethyl)phenyl]-2-[1-(2,2-difluoroethyl)pyrazol-3-yl]-5-(trifluoromethyl)pyrazol-3- amine;
4-[3-chloro-5-(trifluoromethyl)phenyl]-2-[1-(2,2,2-trifluoroethyl)pyrazol-3-yl]-5-(trifluoromethyl)pyrazol-3- amine;
2-(1-methylpyrazol-3-yl)-5-(trifluoromethyl)-4-[5-(trifluoromethyl)-2-thienyl]pyrazol-3-amine;
4-[3-chloro-5-(trifluoromethyl)phenyl]-5-ethylsulfanyl-2-(1-methylpyrazol-3-yl)pyrazol-3-amine;
[3-[5-amino-1-(1-methylpyrazol-3-yl)-3-(trifluoromethyl)pyrazol-4-yl]-5-chloro-phenyl]-cyclopropyl- methanone;
[5-amino-4-[3-chloro-5-(trifluoromethyl)phenyl]-1-(1-methylpyrazol-3-yl)pyrazol-3-yl] cyclopropanesulfonate;
4-[3-chloro-5-(trifluoromethyl)phenyl]-2-(5-methoxy-1-methyl-pyrazol-3-yl)-5-(trifluoromethyl)pyrazol-3- amine;
4-[3-chloro-5-(trifluoromethyl)phenyl]-2-[1-(1-methylpyrazol-3-yl)pyrazol-3-yl]-5-
(trifluoromethyl)pyrazol-3-amine;
4-[3-chloro-5-(trifluoromethyl)phenyl]-2-[1-methyl-5-(1-methylpyrazol-3-yl)pyrazol-3-yl]-5-
(trifluoromethyl)pyrazol-3-amine;
4-[3-chloro-5-(trifluoromethyl)phenyl]-2-(5-fluoro-1-methyl-pyrazol-3-yl)-5-(trifluoromethyl)pyrazol-3- amine;
1 -[3-[5-amino-1 -(1 -methylpyrazol-3-yl)-3-(trifluoromethyl)pyrazol-4-yl]-5-chloro- phenyl]cyclopropanecarbonitrile;
1-[3-[5-amino-1-(1-methylpyrazol-3-yl)-3-(trifluoromethyl)pyrazol-4-yl]phenyl]cyclopropanecarbonitrile;
5-amino-4-[3-chloro-5-(trifluoromethyl)phenyl]-1-(1-methylpyrazol-3-yl)pyrazol-3-ol;
[5-amino-4-[3-chloro-5-(trifluoromethyl)phenyl]-1-(1-methylpyrazol-3-yl)pyrazol-3-yl] tri fluoromethanesulfonate;
2-(1-methylpyrazol-3-yl)-5-(trifluoromethyl)-4-[4-(trifluoromethyl)-2-thienyl]pyrazol-3-amine;
4-[3-chloro-5-(trifluoromethyl)phenyl]-2-[1-(difluoromethyl)pyrazol-3-yl]-5-(trifluoromethyl)pyrazol-3- amine;
4-(4-methoxy-5-methyl-2-thienyl)-2-(1-methylpyrazol-3-yl)-5-(trifluoromethyl)pyrazol-3-amine;
4-(2,2-difluoro-[1 ,3]dioxolo[4,5-b]pyridin-6-yl)-2-(1-methylpyrazol-3-yl)-5-(trifluoromethyl)pyrazol-3- amine;
4-(7,8-difluoro-3-quinolyl)-2-(1-methylpyrazol-3-yl)-5-(trifluoromethyl)pyrazol-3-amine;
4-(4-chloro-2-thienyl)-2-(1-methylpyrazol-3-yl)-5-(trifluoromethyl)pyrazol-3-amine;
4-(1 ,5-dimethylpyrazol-4-yl)-2-(1-methylpyrazol-3-yl)-5-(trifluoromethyl)pyrazol-3-amine;
4-isothiazol-4-yl-2-(1-methylpyrazol-3-yl)-5-(trifluoromethyl)pyrazol-3-amine;
4-[1-(4-fluorophenyl)pyrazol-4-yl]-2-(1-methylpyrazol-3-yl)-5-(trifluoromethyl)pyrazol-3-amine;
4-(2,5-dichloro-3-thienyl)-2-(1-methylpyrazol-3-yl)-5-(trifluoromethyl)pyrazol-3-amine;
4-(2-chloro-3-thienyl)-2-(1-methylpyrazol-3-yl)-5-(trifluoromethyl)pyrazol-3-amine;
2-(1-methylpyrazol-3-yl)-4-([1 ,2,5]oxadiazolo[3,4-b]pyridin-6-yl)-5-(trifluoromethyl)pyrazol-3-amine;
4-(4-bromo-2-thienyl)-2-(1-methylpyrazol-3-yl)-5-(trifluoromethyl)pyrazol-3-amine; 4-(1-methylindol-3-yl)-2-(1-methylpyrazol-3-yl)-5-(trifluoromethyl)pyrazol-3-amine; 4-(1-isopropylpyrazol-4-yl)-2-(1-methylpyrazol-3-yl)-5-(trifluoromethyl)pyrazol-3-amine; 2-(1-methylpyrazol-3-yl)-4-[2-methyl-5-(trifluoromethyl)pyrazol-3-yl]-5-(trifluoromethyl)pyrazol-3-amine; 2-(1-methylpyrazol-3-yl)-4-(1-methylpyrrolo[2,3-b]pyridin-3-yl)-5-(trifluoromethyl)pyrazol-3-amine; 4-(benzofuran-5-yl)-2-(1-methylpyrazol-3-yl)-5-(trifluoromethyl)pyrazol-3-amine;
4-[3-fluoro-5-(2,2,2-trifluoroethoxy)phenyl]-2-(1-methylpyrazol-3-yl)-5-(trifluoromethyl)pyrazol-3-amine; 2-(1-methylpyrazol-3-yl)-5-(trifluoromethyl)-4-[3-(trifluoromethyl)phenyl]pyrazol-3-amine; 4-(3-furyl)-2-(1-methylpyrazol-3-yl)-5-(trifluoromethyl)pyrazol-3-amine; 2-(1-methylpyrazol-3-yl)-4-thiazol-5-yl-5-(trifluoromethyl)pyrazol-3-amine;
2-(1-methylpyrazol-3-yl)-4-([1 ,2,4]triazolo[1 ,5-a]pyridin-6-yl)-5-(trifluoromethyl)pyrazol-3-amine; 4-(5-fluoro-1-methyl-indazol-6-yl)-2-(1-methylpyrazol-3-yl)-5-(trifluoromethyl)pyrazol-3-amine; 4-(2-methylindazol-5-yl)-2-(1-methylpyrazol-3-yl)-5-(trifluoromethyl)pyrazol-3-amine; 2-(1-methylpyrazol-3-yl)-4-phenyl-5-(trifluoromethyl)pyrazol-3-amine;
4-(benzofuran-2-yl)-2-(1-methylpyrazol-3-yl)-5-(trifluoromethyl)pyrazol-3-amine;
4-(3-fluoro-4-pyridyl)-2-(1-methylpyrazol-3-yl)-5-(trifluoromethyl)pyrazol-3-amine;
4-(1 ,3-benzodioxol-5-yl)-2-(1-methylpyrazol-3-yl)-5-(trifluoromethyl)pyrazol-3-amine;
4-[3, 5-bis(tri fluoro methyl)phenyl]-2-(1-methylpyrazol-3-yl)-5-(trifluoromethyl)pyrazol-3-amine;
2-(1-methylpyrazol-3-yl)-4-[3-methyl-5-(trifluoromethyl)phenyl]-5-(trifluoromethyl)pyrazol-3-amine; 4-(5-fluoro-2-thienyl)-2-(1-methylpyrazol-3-yl)-5-(trifluoromethyl)pyrazol-3-amine; 4-[3-fluoro-5-(trifluoromethyl)phenyl]-2-(1-methylpyrazol-3-yl)-5-(trifluoromethyl)pyrazol-3-amine; 2-(1-methylpyrazol-3-yl)-4-[3-methylsulfanyl-5-(trifluoromethyl)phenyl]-5-(trifluoromethyl)pyrazol-3- amine;
4-[4-(4-bromophenyl)phenyl]-2-(1-methylpyrazol-3-yl)-5-(trifluoromethyl)pyrazol-3-amine;
4-(1-isopropylpyrazol-3-yl)-2-(1-methylpyrazol-3-yl)-5-(trifluoromethyl)pyrazol-3-amine; 4-(3,5-dibromophenyl)-2-(1-methylpyrazol-3-yl)-5-(trifluoromethyl)pyrazol-3-amine; 4-[3-chloro-5-(trifluoromethyl)phenyl]-2-(1-isopropylpyrazol-3-yl)-5-(trifluoromethyl)pyrazol-3-amine; 2-(1-tert-butylpyrazol-3-yl)-4-[3-chloro-5-(trifluoromethyl)phenyl]-5-(trifluoromethyl)pyrazol-3-amine;
4-(3-bromo-5-chloro-phenyl)-2-(1-methylpyrazol-3-yl)-5-(trifluoromethyl)pyrazol-3-amine;
4-(3-chloro-5-methyl-phenyl)-2-(1-methylpyrazol-3-yl)-5-(trifluoromethyl)pyrazol-3-amine;
4-(1-methylindazol-6-yl)-2-(1-methylpyrazol-3-yl)-5-(trifluoromethyl)pyrazol-3-amine;
4-(7-iodo-1 ,3-benzodioxol-5-yl)-2-(1-methylpyrazol-3-yl)-5-(trifluoromethyl)pyrazol-3-amine; 2-(1-methylpyrazol-3-yl)-5-(trifluoromethyl)-4-[7-(trifluoromethyl)-1 ,3-benzodioxol-5-yl]pyrazol-3-amine; 4-(7-chloro-1 ,3-benzodioxol-5-yl)-2-(1-methylpyrazol-3-yl)-5-(trifluoromethyl)pyrazol-3-amine; 4-[3-chloro-5-(trifluoromethyl)phenyl]-2-(1 ,4-dimethylpyrazol-3-yl)-5-(trifluoromethyl)pyrazol-3-amine; methyl 5-[5-amino-4-[3-chloro-5-(trifluoromethyl)phenyl]-3-(trifluoromethyl)pyrazol-1-yl]-2-methyl- pyrazole-3-carboxylate; 4-[3-chloro-5-(trifluoromethyl)phenyl]-2-(1-ethylpyrazol-3-yl)-5-(trifluoromethyl)pyrazol-3-amine; 4-[3-chloro-5-(trifluoromethyl)phenyl]-2-(1-phenylpyrazol-3-yl)-5-(trifluoromethyl)pyrazol-3-amine;
methyl 3-[5-amino-4-[3-chloro-5-(trifluoromethyl)phenyl]-3-(trifluoromethyl)pyrazol-1-yl]-1 -methyl- pyrazole-4-carboxylate; 4-(4-bromophenyl)-2-(1-methylpyrazol-3-yl)-5-(trifluoromethyl)pyrazol-3-amine; 4-(3,5-dichlorophenyl)-2-(1-methylpyrazol-3-yl)-5-(trifluoromethyl)pyrazol-3-amine; 4-(3,4-dichlorophenyl)-2-(1-methylpyrazol-3-yl)-5-(trifluoromethyl)pyrazol-3-amine; 4-(5-chloro-3-thienyl)-2-(1-methylpyrazol-3-yl)-5-(trifluoromethyl)pyrazol-3-amine; 4-(5-chloro-2-thienyl)-2-(1-methylpyrazol-3-yl)-5-(trifluoromethyl)pyrazol-3-amine; 4-[3-chloro-5-(trifluoromethyl)phenyl]-2-(1 ,5-dimethylpyrazol-3-yl)-5-(trifluoromethyl)pyrazol-3-amine; 4-[3-chloro-5-(trifluoromethyl)phenyl]-2-(1-methylpyrazol-3-yl)-5-(trifluoromethyl)pyrazol-3-amine; methyl N-[4-[3-chloro-5-(trifluoromethyl)phenyl]-2-(1-methylpyrazol-3-yl)-5-(trifluoromethyl)pyrazol-3- yl]-N-methoxycarbonyl-carbamate; methyl N-[4-[3-chloro-5-(trifluoromethyl)phenyl]-2-(1-methylpyrazol-3-yl)-5-(trifluoromethyl)pyrazol-3- yl]carbamate; tert-butyl N-[4-[3-chloro-5-(trifluoromethyl)phenyl]-2-(1-methylpyrazol-3-yl)-5-(trifluoromethyl)pyrazol-3- yl]carbamate; N-[4-[3-chloro-5-(trifluoromethyl)phenyl]-2-(1-methylpyrazol-3-yl)-5-(trifluoromethyl)pyrazol-3-yl]-N- methyl-acetamide; 4-[3-chloro-5-(trifluoromethyl)phenyl]-N-methyl-2-(1-methylpyrazol-3-yl)-5-(trifluoromethyl)pyrazol-3- amine;
N '-[4-[3-chloro-5-(trifluoromethyl)phenyl]-2-(1-methylpyrazol-3-yl)-5-(trifluoromethyl)pyrazol-3-yl]-N,N- dimethyl-formamidine;
4-[3-chloro-5-(trifluoromethyl)phenyl]-N,N-dimethyl-2-(1-methylpyrazol-3-yl)-5-(trifluoromethyl)pyrazol-
3-amine; N-[4-[3-chloro-5-(trifluoromethyl)phenyl]-2-(1-methylpyrazol-3-yl)-5-(trifluoromethyl)pyrazol-3- yl]formamide; methyl N-[4-[3-chloro-5-(trifluoromethyl)phenyl]-2-(1-methylpyrazol-3-yl)-5-(trifluoromethyl)pyrazol-3- yl]-N-methyl-carbamate;
5-amino-4-(7-chloro-1 ,3-benzodioxol-5-yl)-1 -(1 -methylpyrazol-3-yl)pyrazol-3-ol;
4-(2-bromo-3-thienyl)-2-(1-methylpyrazol-3-yl)-5-(trifluoromethyl)pyrazol-3-amine;
4-[4-(4-bromo-2-thienyl)-2-thienyl]-2-(1-methylpyrazol-3-yl)-5-(trifluoromethyl)pyrazol-3-amine; and methyl (1 E)-N-[4-[3-chloro-5-(trifluoromethyl)phenyl]-2-(1 -methylpyrazol-3-yl)-5-
(trifluoromethyl)pyrazol-3-yl]methanimidate.
In a second aspect, the present invention relates to a composition comprising a pesticidally effective amount of a compound of formula (I) as defined in the first aspect, optionally comprising an additional pesticidally active ingredient.
In a third aspect, the present invention relates to a method of combating and/or controlling an invertebrate animal pest which comprises applying to the pest, to a locus of the pest, or to a plant susceptible to attack by the pest a pesticidally effective amount of a compound of formula (I) as defined
in the first aspect or a composition as defined in the second aspect. According to this third aspect of the invention, the method may exclude methods for the treatment of the human or animal body by surgery or therapy.
In a fourth aspect, the present invention relates to a method for the protection of plant propagation material, such as a seed, from the attack by an invertebrate animal pest such as insects, acarines, nematodes or molluscs, which comprises treating the plant propagation material or the site, where the plant propagation material is planted, with an effective amount of a compound of formula (I) as defined in the first aspect or a composition as defined in the second aspect.
In a fifth aspect, the present invention relates to a plant propagation material, such as a seed, comprising, or treated with or adhered thereto, a compound of formula (I) as defined in the first aspect or a composition as defined in the second aspect.
The present invention in a further aspect provides a method of controlling parasites in or on an animal in need thereof comprising administering an effective amount of a compound of the first aspect. The present invention further provides a method of controlling ectoparasites on an animal in need thereof comprising administering an effective amount of a compound of formula (I) as defined in the first aspect. The present invention further provides a method for preventing and/or treating diseases transmitted by ectoparasites comprising administering an effective amount of a compound of formula (I) as defined in the first aspect, to an animal in need thereof.
The process according to the invention for preparing compounds of formula (I) is carried out by methods known to those skilled in the art. Compounds of formula (I), wherein Ri, R2, R3, R4, R5 and Q are as defined in the present invention, can be readily prepared, by analogy, according to, previews literature such as, for example WO13164295, WO11057984, WO10136145, WO08077483, WO09156090, WO10017902, WO12084852, DE102007003036.
A typical example of such a synthesis is shown in Scheme 1 below for compounds of formula (I).
Scheme 1
Compounds of formula (I), wherein Q, R-i, R2, R3, R4 and Rs are as defined in the present invention, may be prepared by a Suzuki reaction (scheme 1), which involves for example, reacting compounds of formula (II), wherein R1, R2, R3, R4 and Rs are as defined in the present invention and wherein X is a leaving group like, for example, chlorine, bromine or iodine (preferably bromine or Iodine), or an aryl- or alkylsulfonate such as trifluoromethanesulfonate, with compounds of formula Y1-Q, wherein Q is as defined in the present invention, and wherein Y1 can be a boron-derived functional group, such as for example B(OH)2 or B(ORbi)2 wherein Rbi can be a Ci-C4alkyl group or the two groups ORbi can form together with the boron atom a five membered ring, as for example a pinacol boronic ester. The reaction may be catalyzed by a palladium based catalyst, for example tetrakis(triphenylphosphine)-palladium(0), (1 ,1 'bis(diphenylphosphino)ferrocene)dichloro-palladium-dichloromethane (1 :1 complex) or chloro(2- dicyclohexylphosphino-2',4',6'-triisopropyl-1 ,1 '-biphenyl)[2-(2'-amino-1 ,1 '-biphenyl)]palladium(ll) (XPhos palladacycle), in presence of a base, like sodium carbonate, tripotassium phosphate or cesium fluoride, in a solvent or a solvent mixture, like, for example dioxane, acetonitrile, N,N-dimethylformamide, a mixture of 1 ,2-dimethoxyethane and water or of dioxane/water, or of toluene/water, preferably under inert atmosphere. The reaction temperature can preferentially range from 0°C to the boiling point of the reaction mixture, or the reaction may be performed under microwave irradiation. Such Suzuki reactions are well known to those skilled in the art and have been reviewed, for example, in J.Orgmet. Chem. 576, 1999, 147-168.
Alternatively Compounds of formula (I), wherein Q, R1, R2, R3, R4 and Rs are as defined in the present invention, may be prepared by a Stille reaction between compounds of formula Y2-Q, wherein Q is as defined in the present invention, and wherein Y2 is a trialkyl tin derivative, preferably tri-n-butyl tin or tri- methyl-tin, and compounds of formula (II), wherein R1, R2, R3, R4 and Rs are as defined in the present invention and wherein X is a leaving group like, for example, chlorine, bromine or iodine (preferably bromine or Iodine), or an aryl- or alkylsulfonate such as trifluoromethanesulfonate,. Such Stille reactions are usually carried out in the presence of a palladium catalyst, for example tetrakis(triphenylphosphine)palladium(0), or bis(triphenylphosphine) palladium^ I) dichloride, in an inert solvent such as N,N-dimethylformamide, acetonitrile, toluene or dioxane, optionally in the presence of an additive, such as cesium fluoride, or lithium chloride, and optionally in the presence of a further catalyst, for example copper(l)iodide. Such Stille couplings are also well known to those skilled in the art, and have been described in for example J. Org. Chem., 2005, 70, 8601-8604, J. Org. Chem., 2009, 74, 5599-5602, and Angew. Chem. Int. Ed., 2004, 43, 1132-1136.
Compounds of formula (II), wherein R-i, R2, R3, R4 and Rs are as defined in the present invention and X is halogen, preferably bromide or iodine, can be prepared by a halogenation reaction, which involves for example, reacting compounds of formula (III), wherein R1, R2, R3, R4 and Rsare as defined in the present invention, with halogenating reagents such as N-chlorosuccinimide (NCS), N-bromo-succinimide (NBS) or N-iodosuccinimide (NIS), or alternatively chlorine, bromine or iodine. Such halogenation reactions are carried out in an inert solvent, such as chloroform, carbon tetrachloride, 1 ,2-dichloroethane, acetic acid, ethers, acetonitrile or N,N-dimethylformamide, at temperatures ranged from 20°C to 200°C, preferably 20°C to 100°C.
Compounds of formula (III), wherein R1, R2, R3, R4 and Rs are as defined in the present invention, can be prepared by a coupling reaction, which involves for example, reacting compounds of formula (IV) with compounds of formula (V), wherein LG is a leaving group, such as halogen (or a pseudo-halogen leaving group, such as a triflate) , preferably fluorine or chlorine, in the presence of a base, such as sodium carbonate, potassium carbonate or cesium carbonate, or sodium hydride, in an appropriate solvent such as for example tetrahydrofuran, dioxane, N,N-dimethylformamide, N,N-dimethylacetamide or acetonitrile, at temperatures ranged from 0°C to 150°C, optionally under microwave irradiation. An example of this type of reaction could be find, for example in Fluorine notes 2018 116 p 9-10.
Alternatively, Compounds of formula (III) wherein R1, R2, R3, R4 and Rs are as defined in the present invention, can be prepared by a coupling reaction, which involves for example, reacting compounds of formula (IV) with compounds of formula (V), wherein LG is a leaving group, such as halogen (or a pseudo-halogen leaving group, such as a triflate) , preferably bromide or iodine, in the presence of a copper catalyst, for example copper(l) iodide, in the presence of a base, such as sodium carbonate, potassium carbonate or cesium carbonate, in an appropriate solvent such as for example toluene and
in the presence of a ligand for example diamine ligands (e.g. N,N'-dimethylethylenediamine or trans- cyclohexyldiamine), at temperatures ranged from 30 to 180°C, optionally under microwave irradiation.
Compounds of formula (IV) and compounds of formula (V), wherein R-i, R2, R3, R4 and R5 are as defined in the present invention are either known, commercially available or may be prepared by methods known to a person skilled in the art.
Compounds of formula (I), wherein Q, R1, R2, R3, R4and R5 are as defined in the present invention, may be prepared by identical reaction described in scheme 3 by using compounds of formula (VI) wherein Q, R1, R2, and R3 are as defined in the present invention.
Compounds of formula (VI), wherein Q, R1, R2 and R3 are as defined in the present invention, are either known, commercially available or may be prepared by methods known to a person skilled in the art. For example, compounds of formula (VI) can be prepared according to known methods: Bioorg. Med. Chem. Lett., 14 (2004), 14, 3669, Bioorg. Med. Chem. Lett., 14 (2004), 14, 3669, WO2016174079, W02008077483, European Journal of Medicinal Chemistry (2011), 46(3), 934-943, WO2021 119343, European Journal of Chemistry (2020), 11 (3), 179-186.
Other synthesis could be used for the synthesis of compounds of formula (III), (IV), (V), (VI) and (I) via the use of the appropriate hydrazine and cyano derivatives to formation of the appropriate amino pyrazole. This type of reactions is well known to a person skilled in the art and described in, for example in, US8513260, US8629273, US2010144672 and references cited in these examples.
A compound of formula (I) can be converted in a manner known perse into another compound of formula (I) by replacing one or more substituents of the starting compound of formula (I) in the customary manner by (an)other substituent(s) according to the invention, and by post modification of compounds of with reactions such as oxidation, alkylation, reduction, acylation and other methods known by those skilled in the art. For example, Compounds of formula la containing an NH2 could react with an alkylation agent such as methyl iodide in presence of a base, such as potassium carbonate or sodium hydride, to give compounds of formula la containing, for example, an N-CH3.
The compounds of formula (I) according to the invention are preventively and/or curatively valuable active ingredients in the field of pest control, even at low rates of application, which have a very favourable biocidal spectrum and are well tolerated by warm-blooded species, fish and plants. The active ingredients according to the invention act against all or individual developmental stages of normally sensitive, but also resistant, animal pests, such as insects or representatives of the order Acarina. The insecticidal or acaricidal activity of the active ingredients according to the invention can manifest itself directly, i. e. in destruction of the pests, which takes place either immediately or only after some time has elapsed, for example during ecdysis, or indirectly, for example in a reduced oviposition and/or hatching rate.
Examples of the above mentioned animal pests are: from the order Acarina, for example,
Acalitus spp, Aculus spp, Acaricalus spp, Aceria spp, Acarus siro, Amblyomma spp., Argas spp., Boophilus spp., Brevipalpus spp., Bryobia spp, Calipitrimerus spp., Chorioptes spp., Dermanyssus gallinae, Dermatophagoides spp, Eotetranychus spp, Eriophyes spp., Hemitarsonemus spp, Hyalomma spp., Ixodes spp., Olygonychus spp, Ornithodoros spp., Polyphagotarsone latus, Panonychus spp., Phyllocoptruta oleivora, Phytonemus spp, Polyphagotarsonemus spp, Psoroptes spp., Rhipicephalus spp., Rhizoglyphus spp., Sarcoptes spp., Steneotarsonemus spp, Tarsonemus spp. and Tetranychus spp.; from the order Anoplura, for example,
Haematopinus spp., Linognathus spp., Pediculus spp., Pemphigus spp. and Phylloxera spp.; from the order Coleoptera, for example,
Agriotes spp., Amphimallon majale, Anomala orientalis, Anthonomus spp., Aphodius spp, Astylus atromaculatus, Ataenius spp, Atomaria linearis, Chaetocnema tibialis, Cerotoma spp, Conoderus spp, Cosmopolites spp., Cotinis nitida, Curculio spp., Cyclocephala spp, Dermestes spp., Diabrotica spp., Diloboderus abderus, Epilachna spp., Eremnus spp., Heteronychus arator, Hypothenemus hampei, Lagria vilosa, Leptinotarsa decemlineata, Lissorhoptrus spp., Liogenys spp, Maecolaspis spp, Maladera castanea, Megascelis spp, Melighetes aeneus, Melolontha spp., Myochrous armatus, Orycaephilus spp., Otiorhynchus spp., Phyllophaga spp, Phlyctinus spp., Popillia spp., Psylliodes spp., Rhyssomatus aubtilis, Rhizopertha spp., Scarabeidae, Sitophilus spp., Sitotroga spp., Somaticus spp, Sphenophorus spp, Sternechus subsignatus, Tenebrio spp., Tribolium spp. and Trogoderma spp.; from the order Diptera, for example,
Aedes spp., Anopheles spp, Antherigona soccata.Bactrocea oleae, Bibio hortulanus, Bradysia spp, Calliphora erythrocephala, Ceratitis spp., Chrysomyia spp., Culex spp., Cuterebra spp., Dacus spp., Delia spp, Drosophila melanogaster, Fannia spp., Gastrophilus spp., Geomyza tripunctata, Glossina spp., Hypoderma spp., Hyppobosca spp., Liriomyza spp., Lucilia spp., Melanagromyza spp., Musca spp., Oestrus spp., Orseolia spp., Oscinella frit, Pegomyia hyoscyami, Phorbia spp., Rhagoletis spp, Rivelia quadrifasciata, Scatella spp, Sciara spp., Stomoxys spp., Tabanus spp., Tannia spp. and Tipula spp.; from the order Hemiptera, for example,
Acanthocoris scabrator, Acrosternum spp, Adelphocoris lineolatus, Aleurodes spp., Amblypelta nitida, Bathycoelia thalassina, Blissus spp, Cimex spp., Clavigralla tomentosicollis, Creontiades spp, Distantiella theobroma, Dichelops furcatus, Dysdercus spp., Edessa spp, Euchistus spp., Eurydema pulchrum, Eurygaster spp., Halyomorpha halys, Horcias nobilellus, Leptocorisa spp., Lygus spp, Margarodes spp, Murgantia histrionic, Neomegalotomus spp, Nesidiocoris tenuis, Nezara spp., Nysius simulans, Oebalus insularis, Piesma spp., Piezodorus spp, Rhodnius spp., Sahlbergella singularis, Scaptocoris castanea, Scotinophara spp. , Thyanta spp , Triatoma spp., Vatiga illudens;
Acyrthosium pisum, Adalges spp, Agalliana ensigera, Agonoscena targionii, Aleurodicus spp, Aleurocanthus spp, Aleurolobus barodensis, Aleurothrixus floccosus, Aleyrodes brassicae, Amarasca biguttula, Amritodus atkinsoni, Aonidiella spp., Aphididae, Aphis spp., Aspidiotus spp., Aulacorthum solani, Bactericera cockerelli, Bemisia spp, Brachycaudus spp, Brevicoryne brassicae, Cacopsylla spp, Cavariella aegopodii Scop., Ceroplaster spp., Chrysomphalus aonidium, Chrysomphalus dictyospermi, Cicadella spp, Cofana spectra, Cryptomyzus spp, Cicadulina spp, Coccus hesperidum, Dalbulus maidis, Dialeurodes spp, Diaphorina citri, Diuraphis noxia, Dysaphis spp, Empoasca spp., Eriosoma larigerum, Erythroneura spp., Gascardia spp., Glycaspis brimblecombei, Hyadaphis pseudobrassicae, Hyalopterus spp, Hyperomyzus pallidus, Idioscopus clypealis, Jacobiasca lybica, Laodelphax spp., Lecanium corni, Lepidosaphes spp., Lopaphis erysimi, Lyogenys maidis, Macrosiphum spp., Mahanarva spp, Metcalfa pruinosa, Metopolophium dirhodum, Myndus crudus, Myzus spp., Neotoxoptera sp, Nephotettix spp., Nilaparvata spp., Nippolachnus piri Mats, Odonaspis ruthae, Oregma lanigera Zehnter, Parabemisia myricae, Paratrioza cockerelli, Parlatoria spp., Pemphigus spp., Peregrinus maidis, Perkinsiella spp, Phorodon humuli, Phylloxera spp, Pianococcus spp., Pseudaulacaspis spp., Pseudococcus spp., Pseudatomoscelis seriatus, Psylla spp., Pulvinaria aethiopica, Quadraspidiotus spp., Quesada gigas, Recilia dorsalis, Rhopalosiphum spp., Saissetia spp., Scaphoideus spp., Schizaphis spp., Sitobion spp., Sogatella furcifera, Spissistilus festinus, Tarophagus Proserpina, Toxoptera spp, Trialeurodes spp, Tridiscus sporoboli, Trionymus spp, Trioza erytreae , Unaspis citri, Zygina flammigera, Zyginidia scutellaris, ; from the order Hymenoptera, for example,
Acromyrmex, Arge spp, Atta spp., Cephus spp., Diprion spp., Diprionidae, Gilpinia polytoma, Hoplo- campa spp., Lasius spp., Monomorium pharaonis, Neodiprion spp., Pogonomyrmex spp, Slenopsis invicta, Solenopsis spp. and Vespa spp.; from the order Isoptera, for example,
Coptotermes spp, Corniternes cumulans, Incisitermes spp, Macrotermes spp, Mastotermes spp, Microtermes spp, Reticulitermes spp.; Solenopsis geminate from the order Lepidoptera, for example,
Acleris spp., Adoxophyes spp., Aegeria spp., Agrotis spp., Alabama argillaceae, Amylois spp., Anticarsia gemmatalis, Archips spp., Argyresthia spp, Argyrotaenia spp., Autographa spp., Bucculatrix thurberiella, Busseola fusca, Cadra cautella, Carposina nipponensis, Chilo spp., Choristoneura spp., Chrysoteuchia topiaria, Clysia ambiguella, Cnaphalocrocis spp., Cnephasia spp., Cochylis spp., Coleophora spp., Colias lesbia, Cosmophila flava, Crambus spp, Crocidolomia binotalis, Cryptophlebia leucotreta, Cydalima perspectalis, Cydia spp., Diaphania perspectalis, Diatraea spp., Diparopsis castanea, Earias
spp., Elasmopalpus lignosellus, Eldana saccharina, Ephestia spp., Epinotia spp, Estigmene acrea, Etiella zinckinella, Eucosma spp., Eupoecilia ambiguella, Euproctis spp., Euxoa spp., Feltia jaculiferia, Grapholita spp., Hedya nubiferana, Heliothis spp., Hellula undalis, Herpetogramma spp, Hyphantria cunea, Keiferia lycopersicella, Lasmopalpus lignosellus, Leucoptera scitella, Lithocollethis spp., Lobesia botrana, Loxostege bifidalis, Lymantria spp., Lyonetia spp., Malacosoma spp., Mamestra brassicae, Manduca sexta, Mythimna spp, Noctua spp, Operophtera spp., Orniodes indica, Ostrinia nubilalis, Pammene spp., Pandemis spp., Panolis flammea, Papaipema nebris, Pectinophora gossypiela, Perileucoptera coffeella, Pseudaletia unipuncta, Phthorimaea operculella, Pieris rapae, Pieris spp., Plutella xylostella, Prays spp., Pseudoplusia spp, Rachiplusia nu, Richia albicosta, Scirpophaga spp., Sesamia spp., Sparganothis spp., Spodoptera spp., Sylepta derogate, Synanthedon spp., Thaumetopoea spp., Tortrix spp., Trichoplusia ni, Tuta absoluta, and Yponomeuta spp.; from the order Mallophaga, for example,
Damalinea spp. and Trichodectes spp.; from the order Orthoptera, for example, Blatta spp., Blattella spp., Gryllotalpa spp., Leucophaea maderae, Locusta spp., Neocurtilla hexadactyla, Periplaneta spp. , Scapteriscus spp, and Schistocerca spp.; from the order Psocoptera, for example,
Liposcelis spp.; from the order Siphonaptera, for example,
Ceratophyllus spp., Ctenocephalides spp. and Xenopsylla cheopis; from the order Thysanoptera, for example,
Calliothrips phaseoli, Frankliniella spp., Heliothrips spp, Hercinothrips spp., Parthenothrips spp, Scirtothrips aurantii, Sericothrips variabilis, Taeniothrips spp., Thrips spp; from the order Thysanura, for example, Lepisma saccharina.
In a further aspect, the invention may also relate to a method of controlling damage to plant and parts thereof by plant parasitic nematodes (Endoparasitic-, Semiendoparasitic- and Ectoparasitic nematodes), especially plant parasitic nematodes such as root knot nematodes, Meloidogyne hapla, Meloidogyne incognita, Meloidogyne javanica, Meloidogyne arenaria and other Meloidogyne species; cyst-forming nematodes, Globodera rostochiensis and other Globodera species; Heterodera avenae, Heterodera glycines, Heterodera schachtii, Heterodera trifolii, and other Heterodera species; Seed gall nematodes, Anguina species; Stem and foliar nematodes, Aphelenchoides species; Sting nematodes, Belonolaimus longicaudatus and other Belonolaimus species; Pine nematodes, Bursaphelenchus xylophilus and other Bursaphelenchus species; Ring nematodes, Criconema species, Criconemella species, Criconemoides species, Mesocriconema species; Stem and bulb nematodes, Ditylenchus destructor, Ditylenchus dipsaci and other Ditylenchus species; Awl nematodes, Dolichodorus species; Spiral nematodes, Heliocotylenchus multicinctus and other Helicotylenchus species; Sheath and sheathoid nematodes, Hemicycliophora species and Hemicriconemoides species; Hirshmanniella species; Lance nematodes, Hoploaimus species; false rootknot nematodes, Nacobbus species; Needle nematodes, Longidorus elongatus and other Longidorus species; Pin nematodes, Pratylenchus species;
Lesion nematodes, Pratylenchus neglectus, Pratylenchus penetrans, Pratylenchus curvitatus, Pratylenchus goodeyi and other Pratylenchus species; Burrowing nematodes, Radopholus similis and other Radopholus species; Reniform nematodes, Rotylenchus robustus, Rotylenchus reniformis and other Rotylenchus species; Scutellonema species; Stubby root nematodes, Trichodorus primitivus and other Trichodorus species, Paratrichodorus species; Stunt nematodes, Tylenchorhynchus claytoni, Tylenchorhynchus dubius and other Tylenchorhynchus species; Citrus nematodes, Tylenchulus species; Dagger nematodes, Xiphinema species; and other plant parasitic nematode species, such as Subanguina spp., Hypsoperine spp., Macroposthonia spp., Melinius spp., Punctodera spp., and Quinisulcius spp..
The compounds of the invention may also have activity against the molluscs. Examples of which include, for example, Ampullariidae; Arion (A. ater, A. circumscriptus, A. hortensis, A. rufus); Bradybaenidae (Bradybaena fruticum); Cepaea (C. hortensis, C. Nemoralis); ochlodina; Deroceras (D. agrestis, D. empiricorum, D. laeve, D. reticulatum); Discus (D. rotundatus); Euomphalia; Galba (G. trunculata); Helicelia (H. itala, H. obvia); Helicidae Helicigona arbustorum); Helicodiscus; Helix (H. aperta); Limax (L. cinereoniger, L. flavus, L. marginatus, L. maximus, L. tenellus); Lymnaea; Milax (M. gagates, M. marginatus, M. sowerbyi); Opeas; Pomacea (P. canaticulata); Vallonia and Zanitoides.
The active ingredients according to the invention can be used for controlling, i. e. containing or destroying, pests of the abovementioned type which occur in particular on plants, especially on useful plants and ornamentals in agriculture, in horticulture and in forests, or on organs, such as fruits, flowers, foliage, stalks, tubers or roots, of such plants, and in some cases even plant organs which are formed at a later point in time remain protected against these pests.
Suitable target crops are, in particular, cereals, such as wheat, barley, rye, oats, rice, maize or sorghum; beet, such as sugar or fodder beet; fruit, for example pomaceous fruit, stone fruit or soft fruit, such as apples, pears, plums, peaches, almonds, cherries or berries, for example strawberries, raspberries or blackberries; leguminous crops, such as beans, lentils, peas or soya; oil crops, such as oilseed rape, mustard, poppies, olives, sunflowers, coconut, castor, cocoa or ground nuts; cucurbits, such as pumpkins, cucumbers or melons; fibre plants, such as cotton, flax, hemp or jute; citrus fruit, such as oranges, lemons, grapefruit or tangerines; vegetables, such as spinach, lettuce, asparagus, cabbages, carrots, onions, tomatoes, potatoes or bell peppers; Lauraceae, such as avocado, Cinnamonium or camphor; and also tobacco, nuts, coffee, eggplants, sugarcane, tea, pepper, grapevines, hops, the plantain family and latex plants.
The compositions and/or methods of the present invention may be also used on any ornamental and/or vegetable crops, including flowers, shrubs, broad-leaved trees and evergreens.
For example the invention may be used on any of the following ornamental species: Ageratum spp., Alonsoa spp., Anemone spp., Anisodontea capsenisis, Anthemis spp., Antirrhinum spp., Aster spp.,
Begonia spp. (e.g. B. elatior, B. semperflorens, B. tubereux), Bougainvillea spp., Brachycome spp., Brassica spp. (ornamental), Calceolaria spp., Capsicum annuum, Catharanthus roseus, Canna spp., Centaurea spp., Chrysanthemum spp., Cineraria spp. (C. maritime), Coreopsis spp., Crassula coccinea, Cuphea ignea, Dahlia spp., Delphinium spp., Dicentra spectabilis, Dorotheantus spp., Eustoma grandiflorum, Forsythia spp., Fuchsia spp., Geranium gnaphalium, Gerbera spp., Gomphrena globosa, Heliotropium spp., Helianthus spp., Hibiscus spp., Hortensia spp., Hydrangea spp., Hypoestes phyllostachya, I mpatiens spp. (/. Walleriana), Iresines spp., Kalanchoe spp., Lantana camara, Lavatera trimestris, Leonotis leonurus, Lilium spp., Mesembryanthemum spp., Mimulus spp., Monarda spp., Nemesia spp., Tagetes spp., Dianthus spp. (carnation), Canna spp., Oxalis spp., Bellis spp., Pelargonium spp. (P. peltatum, P. Zonale), Viola spp. (pansy), Petunia spp., Phlox spp., Plecthranthus spp., Poinsettia spp., Parthenocissus spp. (P. quinquefolia, P. tricuspidata), Primula spp., Ranunculus spp., Rhododendron spp., Rosa spp. (rose), Rudbeckia spp., Saintpaulia spp., Salvia spp., Scaevola aemola, Schizanthus wisetonensis, Sedum spp., Solanum spp., Surfinia spp., Tagetes spp., Nicotinia spp., Verbena spp., Zinnia spp. and other bedding plants.
For example the invention may be used on any of the following vegetable species: Allium spp. (A sativum, A.. cepa, A. oschaninii, A. Porrum, A. ascalonicum, A. fistulosum), Anthriscus cerefolium, Apium graveolus, Asparagus officinalis, Beta vulgarus, Brassica spp. (B. Oleracea, B. Pekinensis, B. rapa), Capsicum annuum, Cicer arietinum, Cichorium endivia, Cichorum spp. (C. intybus, C. endivia), Citrillus lanatus, Cucumis spp. (C. sativus, C. meld), Cucurbita spp. (C. pepo, C. maxima), Cyanara spp. (C. scolymus, C. cardunculus), Daucus carota, Foeniculum vulgare, Hypericum spp., Lactuca sativa, Lycopersicon spp. (L esculentum, L. lycopersicum), Mentha spp., Ocimum basilicum, Petroselinum crispum, Phaseolus spp. (P. vulgaris, P. coccineus), Pisum sativum, Raphanus sativus, Rheum rhaponticum, Rosemarinus spp., Salvia spp., Scorzonera hispanica, Solanum melongena, Spinacea oleracea, Valerianella spp. (IZ. locusta, V. eriocarpa) and Vicia faba.
Preferred ornamental species include African violet, Begonia, Dahlia, Gerbera, Hydrangea, Verbena, Rosa, Kalanchoe, Poinsettia, Aster, Centaurea, Coreopsis, Delphinium, Monarda, Phlox, Rudbeckia, Sedum, Petunia, Viola, Impatiens, Geranium, Chrysanthemum, Ranunculus, Fuchsia, Salvia, Hortensia, rosemary, sage, St. Johnswort, mint, sweet pepper, tomato and cucumber.
The active ingredients according to the invention are especially suitable for controlling Aphis craccivora, Diabrotica balteata, Heliothis virescens, Myzus persicae, Plutella xylostella and Spodoptera littoralis in cotton, vegetable, maize, rice and soya crops. The active ingredients according to the invention are further especially suitable for controlling Mamestra (preferably in vegetables), Cydia pomonella (preferably in apples), Empoasca (preferably in vegetables, vineyards), Leptinotarsa (preferably in potatos) and Chilo supressalis (preferably in rice).
The compounds of formula (I) are particularly suitable for control of mites, spider mites and rust mites, for example, Acarapis spp; Acarapis woodi; Acarus siro; Acarus spp; Aceria sheldoni; Aculops pelekassi;
Aculops spp; Aculus schlechtendali; Aculus spp; Amblyseius fallacis; Brevipalpus spp; Brevipalpus phoenicis; Bryobia praetiosa; Bryobia rubrioculus; Caloglyphus spp; Cheyletiella blakei; Cheyletiella spp; Cheyletiella yasguri; Chorioptes bovis; Chorioptes spp; Cytodites spp; Demodex bovis; Demodex caballi; Demodex canis; Demodex caprae; Demodex equi; Demodex ovis; Demodex spp; Demodex suis; Dermanyssus gallinae; Dermanyssus spp; Eotetranychus spp; Eotetranychus willamettei; Epitrimerus pyri; Eriophyes ribis; Eriophyes spp; Eriophyes vitis; Eutetranychus spp; Halotydeus destructor; Hemitarsonemus spp; Knemidocoptes spp; Laminosioptes spp; Listrophorus spp; Myobia spp; Neoschongastia xerothermobia; Neotrombicula autumnalis; Neotrombicula desaleri; Notoedres cati; Notoedres spp; Oligonychus coffeae; Oligonychus ilicis; Oligonychus spp; Ornithocheyletia spp; Ornithonyssus bursa; Ornithonyssus spp; Ornithonyssus sylviarum; Otodectes cynotis; Otodectes spp; Panonychus citri; Panonychus spp; Panonychus ulmi; Phyllocoptruta oleivora; Phyllocoptruta spp.; Phytoseiulus spp.; Pneumonyssoides caninum; Polyphagotarsonemus latus; Polyphagotarsonemus spp; Psorergates ovis; Psorergates spp; Psoroptes cuniculi; Psoroptes equi; Psoroptes ovis; Psoroptes spp; Pterolichus spp; Raillietia spp; Rhizoglyphus spp; Sarcoptes bovis; Sarcoptes canis; Sarcoptes caprae; Sarcoptes equi; Sarcoptes ovis; Sarcoptes rupicaprae; Sarcoptes spp; Sarcoptes suis; Steneotarsonemus spinki; Steneotarsonemus spp; Sternostoma spp; Tarsonemus spp; Tetranychus cinnabarinus; Tetranychus kanzawai; Tetranychus spp; Tetranychus urticae; Trombicula akamushi; Trombicula spp; Typhlodromus occidentalis; Tyrophagus spp; Varroa jacobsoni; Varroa spp; Vasates lycopersici; and Zetzellia mali.
In an embodiment, a compound of formula (I) are especially suitable for controlling one or more of: Aceria sheldoni ; Aculus lycopersici; Aculus pelekassi; Aculus schlechtendali; Brevipalpus phoenicis; Brevipalpus spp.; Bryobia rubrioculus; Eotetranychus carpini; Eotetranychus spp.; Epitrimerus pyri; Eriophyes piri; Eriophyes spp.; Eriophyes vitis; Eutetranychus africanus; Eutetranychus orientalis; Oligonychus pratensis; Panonychus citri; Panonychus ulmi; Phyllocoptes vitis; Phyllocoptruta oleivora; Polyphagotarsonemus latus; Tetranychus cinnabarinus; Tetranychus kanzawai; Tetranychus spp.; and Tetranychus urticae.
In a further embodiment, a compound of formula (I) are more especially suitable for controlling one or more of: Aceria sheldoni ; Aculus pelekassi; Brevipalpus phoenicis; Brevipalpus spp.; Eriophyes piri; Eriophyes vitis; Eutetranychus africanus; Eutetranychus orientalis; Oligonychus pratensis; Panonychus ulmi; Phyllocoptes vitis; Phyllocoptruta oleivora; Polyphagotarsonemus latus; Tetranychus cinnabarinus; Tetranychus kanzawai; Tetranychus spp.; and Tetranychus urticae.
The term "crops" is to be understood as including also crop plants which have been so transformed by the use of recombinant DNA techniques that they are capable of synthesising one or more selectively acting toxins, such as are known, for example, from toxin-producing bacteria, especially those of the genus Bacillus.
Toxins that can be expressed by such transgenic plants include, for example, insecticidal proteins, for example insecticidal proteins from Bacillus cereus or Bacillus popilliae; or insecticidal proteins from Bacillus thuringiensis, such as 8-endotoxins, e.g. CrylAb, CrylAc, Cry1 F, Cry1 Fa2, Cry2Ab, Cry3A, Cry3Bb1 or Cry9C, or vegetative insecticidal proteins (Vip), e.g. Vip1 , Vip2, Vip3 or Vip3A; or insecticidal proteins of bacteria colonising nematodes, for example Photorhabdus spp. or Xenorhabdus spp., such as Photorhabdus luminescens, Xenorhabdus nematophilus; toxins produced by animals, such as scorpion toxins, arachnid toxins, wasp toxins and other insect-specific neurotoxins; toxins produced by fungi, such as Streptomycetes toxins, plant lectins, such as pea lectins, barley lectins or snowdrop lectins; agglutinins; proteinase inhibitors, such as trypsin inhibitors, serine protease inhibitors, patatin, cystatin, papain inhibitors; ribosome-inactivating proteins (RIP), such as ricin, maize-RIP, abrin, luffin, saporin or bryodin; steroid metabolism enzymes, such as 3-hydroxysteroidoxidase, ecdysteroid-UDP- glycosyl-transferase, cholesterol oxidases, ecdysone inhibitors, HMG-COA-reductase, ion channel blockers, such as blockers of sodium or calcium channels, juvenile hormone esterase, diuretic hormone receptors, stilbene synthase, bibenzyl synthase, chitinases and glucanases.
In the context of the present invention there are to be understood by 8-endotoxins, for example CrylAb, CrylAc, Cry1 F, Cry1 Fa2, Cry2Ab, Cry3A, Cry3Bb1 or Cry9C, or vegetative insecticidal proteins (Vip), for example Vip1 , Vip2, Vip3 or Vip3A, expressly also hybrid toxins, truncated toxins and modified toxins. Hybrid toxins are produced recombinantly by a new combination of different domains of those proteins (see, for example, WO 02/15701). Truncated toxins, for example a truncated CrylAb, are known. In the case of modified toxins, one or more amino acids of the naturally occurring toxin are replaced. In such amino acid replacements, preferably non-naturally present protease recognition sequences are inserted into the toxin, such as, for example, in the case of Cry3A055, a cathepsin-G-recognition sequence is inserted into a Cry3A toxin (see WO 03/018810).
Examples of such toxins or transgenic plants capable of synthesising such toxins are disclosed, for example, in EP-A-0 374 753, WO 93/07278, WO 95/34656, EP-A-0 427 529, EP-A-451 878 and WO 03/052073.
The processes for the preparation of such transgenic plants are generally known to the person skilled in the art and are described, for example, in the publications mentioned above. Cryl-type deoxyribonucleic acids and their preparation are known, for example, from WO 95/34656, EP-A-0 367 474, EP-A-0 401 979 and WO 90/13651.
The toxin contained in the transgenic plants imparts to the plants tolerance to harmful insects. Such insects can occur in any taxonomic group of insects, but are especially commonly found in the beetles (Coleoptera), two-winged insects (Diptera) and moths (Lepidoptera).
Transgenic plants containing one or more genes that code for an insecticidal resistance and express one or more toxins are known and some of them are commercially available. Examples of such plants
are: YieldGard® (maize variety that expresses a Cry1 Ab toxin); YieldGard Rootworm® (maize variety that expresses a Cry3Bb1 toxin); YieldGard Plus® (maize variety that expresses a CrylAb and a Cry3Bb1 toxin); Starlink® (maize variety that expresses a Cry9C toxin); Herculex I® (maize variety that expresses a Cry1 Fa2 toxin and the enzyme phosphinothricine N-acetyltransferase (PAT) to achieve tolerance to the herbicide glufosinate ammonium); NuCOTN 33B® (cotton variety that expresses a CrylAc toxin); Bollgard I® (cotton variety that expresses a CrylAc toxin); Bollgard II® (cotton variety that expresses a CrylAc and a Cry2Ab toxin); VipCot® (cotton variety that expresses a Vip3A and a CrylAb toxin); NewLeaf® (potato variety that expresses a Cry3A toxin); NatureGard®, Agrisure® GT Advantage (GA21 glyphosate-tolerant trait), Agrisure® CB Advantage (Bt11 corn borer (CB) trait) and Protecta®.
Further examples of such transgenic crops are:
1. Bt11 Maize from Syngenta Seeds SAS, Chemin de I'Hobit 27, F-31 790 St. Sauveur, France, registration number C/FR/96/05/10. Genetically modified Zea mays which has been rendered resistant to attack by the European corn borer (Ostrinia nubilalis and Sesamia nonagrioides) by transgenic expression of a truncated CrylAb toxin. Bt1 1 maize also transgenically expresses the enzyme PAT to achieve tolerance to the herbicide glufosinate ammonium.
2. Bt176 Maize from Syngenta Seeds SAS, Chemin de I'Hobit 27, F-31 790 St. Sauveur, France, registration number C/FR/96/05/10. Genetically modified Zea mays which has been rendered resistant to attack by the European corn borer (Ostrinia nubilalis and Sesamia nonagrioides) by transgenic expression of a CrylAb toxin. Bt176 maize also transgenically expresses the enzyme PAT to achieve tolerance to the herbicide glufosinate ammonium.
3. MIR604 Maize from Syngenta Seeds SAS, Chemin de I'Hobit 27, F-31 790 St. Sauveur, France, registration number C/FR/96/05/10. Maize which has been rendered insect-resistant by transgenic expression of a modified Cry3A toxin. This toxin is Cry3A055 modified by insertion of a cathepsin-G- protease recognition sequence. The preparation of such transgenic maize plants is described in WO 03/018810.
4. MON 863 Maize from Monsanto Europe S.A. 270-272 Avenue de Tervuren, B-1150 Brussels, Belgium, registration number C/DE/02/9. MON 863 expresses a Cry3Bb1 toxin and has resistance to certain Coleoptera insects.
5. IPC 531 Cotton from Monsanto Europe S.A. 270-272 Avenue de Tervuren, B-1150 Brussels, Belgium, registration number C/ES/96/02.
6. 1507 Maize from Pioneer Overseas Corporation, Avenue Tedesco, 7 B-1160 Brussels, Belgium, registration number C/NL/00/10. Genetically modified maize for the expression of the protein Cry1 F for achieving resistance to certain Lepidoptera insects and of the PAT protein for achieving tolerance to the herbicide glufosinate ammonium.
7. NK603 x MON 810 Maize from Monsanto Europe S.A. 270-272 Avenue de Tervuren, B-1150 Brussels, Belgium, registration number C/GB/02/M3/03. Consists of conventionally bred hybrid maize varieties by crossing the genetically modified varieties NK603 and MON 810. NK603 x MON 810 Maize
transgenically expresses the protein CP4 EPSPS, obtained from Agrobacterium sp. strain CP4, which imparts tolerance to the herbicide Roundup® (contains glyphosate), and also a Cry1 Ab toxin obtained from Bacillus thuringiensis subsp. kurstaki which brings about tolerance to certain Lepidoptera, include the European corn borer.
Transgenic crops of insect-resistant plants are also described in BATS (Zentrum fur Biosicherheit und Nachhaltigkeit, Zentrum BATS, Clarastrasse 13, 4058 Basel, Switzerland) Report 2003, (http://bats.ch).
The term "crops" is to be understood as including also crop plants which have been so transformed by the use of recombinant DNA techniques that they are capable of synthesising antipathogenic substances having a selective action, such as, for example, the so-called "pathogenesis-related proteins" (PRPs, see e.g. EP-A-0 392 225). Examples of such antipathogenic substances and transgenic plants capable of synthesising such antipathogenic substances are known, for example, from EP-A-0 392 225, WO 95/33818 and EP-A-0 353 191 . The methods of producing such transgenic plants are generally known to the person skilled in the art and are described, for example, in the publications mentioned above.
Crops may also be modified for enhanced resistance to fungal (for example Fusarium, Anthracnose, or Phytophthora), bacterial (for example Pseudomonas) or viral (for example potato leafroll virus, tomato spotted wilt virus, cucumber mosaic virus) pathogens.
Crops also include those that have enhanced resistance to nematodes, such as the soybean cyst nematode.
Crops that are tolerance to abiotic stress include those that have enhanced tolerance to drought, high salt, high temperature, chill, frost, or light radiation, for example through expression of NF-YB or other proteins known in the art.
Antipathogenic substances which can be expressed by such transgenic plants include, for example, ion channel blockers, such as blockers for sodium and calcium channels, for example the viral KP1 , KP4 or KP6 toxins; stilbene synthases; bibenzyl synthases; chitinases; glucanases; the so-called "pathogenesis-related proteins" (PRPs; see e.g. EP-A-0 392 225); antipathogenic substances produced by microorganisms, for example peptide antibiotics or heterocyclic antibiotics (see e.g. WO 95/33818) or protein or polypeptide factors involved in plant pathogen defence (so-called "plant disease resistance genes", as described in WO 03/000906).
Further areas of use of the compositions according to the invention are the protection of stored goods and store rooms and the protection of raw materials, such as wood, textiles, floor coverings or buildings, and also in the hygiene sector, especially the protection of humans, domestic animals and productive livestock against pests of the mentioned type.
The present invention provides a compound of the first aspect for use in therapy. The present invention provides a compound of the first aspect, for use in controlling parasites in or on an animal. The present invention further provides a compound of the first aspect, for use in controlling ectoparasites on an animal. The present invention further provides a compound of the first aspect, for use in preventing and/or treating diseases transmitted by ectoparasites.
The present invention provides the use of a compound of the first aspect, for the manufacture of a medicament for controlling parasites in or on an animal. The present invention further provides the use of a compound of the first aspect, for the manufacture of a medicament for controlling ectoparasites on an animal. The present invention further provides the use of a compound of the first aspect, for the manufacture of a medicament for preventing and/or treating diseases transmitted by ectoparasites.
The present invention provides the use of a compound of the first aspect, in controlling parasites in or on an animal. The present invention further provides the use of a compound of the first aspect in controlling ectoparasites on an animal.
The term "controlling" when used in context of parasites in or on an animal refers to reducing the number of pests or parasites, eliminating pests or parasites and/or preventing further pest or parasite infestation.
The term "treating" when used in context of parasites in or on an animal refers to restraining, slowing, stopping or reversing the progression or severity of an existing symptom or disease.
The term "preventing" when used in context of parasites in or on an animal refers to the avoidance of a symptom or disease developing in the animal.
The term "animal" when used in context of parasites in or on an animal may refer to a mammal and a non-mammal, such as a bird or fish. In the case of a mammal, it may be a human or non-human mammal. Non-human mammals include, but are not limited to, livestock animals and companion animals. Livestock animals include, but are not limited to, cattle, camellids, pigs, sheep, goats and horses. Companion animals include, but are not limited to, dogs, cats and rabbits.
A "parasite" is a pest which lives in or on the host animal and benefits by deriving nutrients at the host animal's expense. An "endoparasite" is a parasite which lives in the host animal. An "ectoparasite" is a parasite which lives on the host animal. Ectoparasites include, but are not limited to, acari, insects and crustaceans (e.g. sea lice). The Acari (or Acarina) sub-class comprises ticks and mites. Ticks include, but are not limited to, members of the following genera: Rhipicaphalus, for example, Rhipicaphalus (Boophilus) microplus and Rhipicaphalus sanguineus; Amblyomrna; Dermacentor, Haemaphysalis; Hyalomma; Ixodes; Rhipicentor, Margaropus; Argas; Otobius; and Omithodoros. Mites include, but are not limited to, members of the following genera: Chorioptes, for example Chorioptes bovis; Psoroptes, for example Psoroptes ovis; Cheyletiella; Dermanyssus; for example Dermanyssus gallinae;
Ortnithonyssus Demodex, for example Demodex canis: Sarcoptes, for example Sarcoptes scabiei; and Psorergates. Insects include, but are not limited to, members of the orders: Siphonaptera, Diptera, Phthiraptera, Lepidoptera, Coleoptera and Homoptera. Members of the Siphonaptera order include, but are not limited to, Ctenocephalides felis and Ctenocephatides canis. Members of the Diptera order include, but are not limited to, Musca spp.; bot fly, for example Gasterophilus intestinalis and Oestrus ovis; biting flies; horse flies, for example Haematopota spp. and Tabunus spp. haematobia, for example haematobia irritans; Stomoxys; Lucilia; midges; and mosquitoes. Members of the Phthiraptera class include, but are not limited to, blood sucking lice and chewing lice, for example Bovicola Ovis and Bovicola Bovis.
The term "effective amount" when used in context of parasites in or on an animal refers to the amount or dose of the compound of the invention, or a salt thereof, which, upon single or multiple dose administration to the animal, provides the desired effect in or on the animal. The effective amount can be readily determined by the attending diagnostician, as one skilled in the art, by the use of known techniques and by observing results obtained under analogous circumstances. In determining the effective amount a number of factors are considered by the attending diagnostician, including, but not limited to: the species of mammal; its size, age, and general health; the parasite to be controlled and the degree of infestation; the specific disease or disorder involved; the degree of or involvement or the severity of the disease or disorder; the response of the individual; the particular compound administered; the mode of administration; the bioavailability characteristics of the preparation administered; the dose regimen selected; the use of concomitant medication; and other relevant circumstances.
The compounds of the invention may be administered to the animal by any route which has the desired effect including, but not limited to topically, orally, parenterally' and subcutaneously. Topical administration is preferred. Formulations suitable for topical administration include, for example, solutions, emulsions and suspensions and may take the form of a pour-on, spot-on, spray-on, spray race or dip. In the alternative, the compounds of the invention may be administered by means of an ear tag or collar.
Salt forms of the compounds of the invention include both pharmaceutically acceptable salts and veterinary acceptable salts, which can be different to agrochemically acceptable salts. Pharmaceutically and veterinary acceptable salts and common methodology for preparing them are well known in the art. See, for example, Gould, P.L., "Salt selection for basic drugs", International Journal of Pharmaceutics, 33: 201 -217 (1986); Bastin, R.J., et al. "Salt Selection and Optimization Procedures for Pharmaceutical New Chemical Entities", Organic Process Research and Development, 4: 427-435 (2000); and Berge, S.M., et al., "Pharmaceutical Salts", Journal of Pharmaceutical Sciences, 66: 1-19, (1977). One skilled in the art of synthesis will appreciate that the compounds of the invention are readily converted to and may be isolated as a salt, such as a hydrochloride salt, using techniques and conditions well known to one of ordinary skill in the art. In addition, one skilled in the art of synthesis will appreciate that the
compounds of the invention are readily converted to and may be isolated as the corresponding free base from the corresponding salt.
The present invention also provides a method for controlling pests (such as mosquitoes and other disease vectors; see also http://www.who.int/malaria/vector_control/irs/en/). In one embodiment, the method for controlling pests comprises applying the compositions of the invention to the target pests, to their locus or to a surface or substrate by brushing, rolling, spraying, spreading or dipping. By way of example, an IRS (indoor residual spraying) application of a surface such as a wall, ceiling or floor surface is contemplated by the method of the invention. In another embodiment, it is contemplated to apply such compositions to a substrate such as non-woven or a fabric material in the form of (or which can be used in the manufacture of) netting, clothing, bedding, curtains and tents.
In one embodiment, the method for controlling such pests comprises applying a pesticidally effective amount of the compositions of the invention to the target pests, to their locus, orto a surface or substrate so as to provide effective residual pesticidal activity on the surface or substrate. Such application may be made by brushing, rolling, spraying, spreading or dipping the pesticidal composition of the invention. By way of example, an IRS application of a surface such as a wall, ceiling or floor surface is contemplated by the method of the invention so as to provide effective residual pesticidal activity on the surface. In another embodiment, it is contemplated to apply such compositions for residual control of pests on a substrate such as a fabric material in the form of (or which can be used in the manufacture of) netting, clothing, bedding, curtains and tents.
Substrates including non-woven, fabrics or netting to be treated may be made of natural fibres such as cotton, raffia, jute, flax, sisal, hessian, or wool, or synthetic fibres such as polyamide, polyester, polypropylene, polyacrylonitrile or the like. The polyesters are particularly suitable. The methods of textile treatment are known, e.g. WO 2008/151984, WO 2003/034823, US 5631072, WO 2005/64072, W02006/128870, EP 1724392, WO 2005113886 or WO 2007/090739.
Further areas of use of the compositions according to the invention are the field of tree injection/trunk treatment for all ornamental trees as well all sort of fruit and nut trees.
In the field of tree injection/trunk treatment, the compounds according to the present invention are especially suitable against wood-boring insects from the order Lepidoptera as mentioned above and from the order Coleoptera, especially against woodborers listed in the following tables A and B:
Table B. Examples of native woodborers of economic importance.
The present invention may be also used to control any insect pests that may be present in turfgrass, including for example beetles, caterpillars, fire ants, ground pearls, millipedes, sow bugs, mites, mole crickets, scales, mealybugs, ticks, spittlebugs, southern chinch bugs and white grubs. The present invention may be used to control insect pests at various stages of their life cycle, including eggs, larvae, nymphs and adults.
In particular, the present invention may be used to control insect pests that feed on the roots of turfgrass including white grubs (such as Cyclocephala spp. (e.g. masked chafer, C. lurida), Rhizotrogus spp. (e.g. European chafer, R. majalis), Cotinus spp. (e.g. Green June beetle, C. nitida), Popillia spp. (e.g. Japanese beetle, P. japonica), Phyllophaga spp. (e.g. May/June beetle), Ataenius spp. (e.g. Black turfgrass ataenius, A. spretulus), Maladera spp. (e.g. Asiatic garden beetle, M. castanea) and Tomarus spp.), ground pearls (Margarodes spp.), mole crickets (tawny, southern, and short-winged; Scapteriscus spp., Gryllotalpa africana) and leatherjackets (European crane fly, Tipula spp.).
The present invention may also be used to control insect pests of turfgrass that are thatch dwelling, including armyworms (such as fall armyworm Spodoptera frugiperda, and common armyworm Pseudaletia unipuncta), cutworms, billbugs (Sphenophorus spp., such as S. venatus verstitus and S. parvulus), and sod webworms (such as Crambus spp. and the tropical sod webworm, Herpetogramma phaeopteralis).
The present invention may also be used to control insect pests of turfgrass that live above the ground and feed on the turfgrass leaves, including chinch bugs (such as southern chinch bugs, B/issus insularis), Bermudagrass mite (Eriophyes cynodoniensis), rhodesgrass mealybug (Antonina graminis), two-lined spittlebug (Propsapia bicincta), leafhoppers, cutworms (Noctuidae family), and greenbugs.
The present invention may also be used to control other pests of turfgrass such as red imported fire ants (Solenopsis invicta) that create ant mounds in turf.
In the hygiene sector, the compositions according to the invention are active against ectoparasites such as hard ticks, soft ticks, mange mites, harvest mites, flies (biting and licking), parasitic fly larvae, lice, hair lice, bird lice and fleas.
Examples of such parasites are:
Of the order Anoplurida: Haematopinus spp., Linognathus spp., Pediculus spp. and Phtirus spp., Solenopotes spp..
Of the order Mallophagida: Trimenopon spp., Menopon spp., Trinoton spp., Bovicola spp., Werneckiella spp., Lepikentron spp., Damalina spp., Trichodectes spp. and Felicola spp..
Of the order Diptera and the suborders Nematocerina and Brachycerina, for example Aedes spp., Anopheles spp., Culex spp., Simulium spp., Eusimulium spp., Phlebotomus spp., Lutzomyia spp., Culicoides spp., Chrysops spp., Hybomitra spp., Atylotus spp., Tabanus spp., Haematopota spp., Philipomyia spp., Braula spp., Musca spp., Hydrotaea spp., Stomoxys spp., Haematobia spp., Morellia spp., Fannia spp., Glossina spp., Calliphora spp., Lucilia spp., Chrysomyia spp., Wohlfahrtia spp., Sarcophaga spp., Oestrus spp., Hypoderma spp., Gasterophilus spp., Hippobosca spp., Lipoptena spp. and Melophagus spp..
Of the order Siphonapterida, for example Pulex spp., Ctenocephalides spp., Xenopsylla spp., Ceratophyllus spp..
Of the order Heteropterida, for example Cimex spp., Triatoma spp., Rhodnius spp., Panstrongylus spp..
Of the order Blattarida, for example Blatta orientalis, Periplaneta americana, Blattelagermanica and Supella spp..
Of the subclass Acaria (Acarida) and the orders Meta- and Meso-stigmata, for example Argas spp., Ornithodorus spp., Otobius spp., Ixodes spp., Amblyomma spp., Boophilus spp., Dermacentor spp., Haemophysalis spp., Hyalomma spp., Rhipicephalus spp., Dermanyssus spp., Raillietia spp., Pneumonyssus spp., Sternostoma spp. and Varroa spp..
Of the orders Actinedida (Prostigmata) and Acaridida (Astigmata), for example Acarapis spp., Cheyletiella spp., Ornithocheyletia spp., Myobia spp., Psorergatesspp., Demodexspp., Trombicula spp., Listrophorus spp., Acarus spp., Tyrophagus spp., Caloglyphus spp., Hypodectes spp., Pterolichus spp., Psoroptes spp., Chorioptes spp., Otodectes spp., Sarcoptes spp., Notoedres spp., Knemidocoptes spp., Cytodites spp. and Laminosioptes spp..
The compositions according to the invention are also suitable for protecting against insect infestation in the case of materials such as wood, textiles, plastics, adhesives, glues, paints, paper and card, leather, floor coverings and buildings.
The compositions according to the invention can be used, for example, against the following pests: beetles such as Hylotrupes bajulus, Chlorophorus pilosis, Anobium punctatum, Xestobium rufovillosum, Ptilinuspecticornis, Dendrobium pertinex, Ernobius mollis, Priobium carpini, Lyctus brunneus, Lyctus africanus, Lyctus planicollis, Lyctus linearis, Lyctus pubescens, Trogoxylon aequale, Minthesrugicollis, Xyleborus spec.,Tryptodendron spec., Apate monachus, Bostrychus capucins, Heterobostrychus brunneus, Sinoxylon spec, and Dinoderus minutus, and also hymenopterans such as Sirex juvencus, Urocerus gigas, Urocerus gigas taignus and Urocerus augur, and termites such as Kalotermes flavicollis, Cryptotermes brevis, Heterotermes indicola, Reticulitermes flavipes, Reticulitermes
santonensis, Reticulitermes lucifugus, Mastotermes darwiniensis, Zootermopsis nevadensis and Coptotermes formosanus, and bristletails such as Lepisma saccharina.
Compounds according to the invention may possess any number of benefits including, inter alia, advantageous levels of biological activity for protecting plants against insects or superior properties for use as agrochemical active ingredients (for example, greater biological activity, an advantageous spectrum of activity, an increased safety profile (against non-target organisms above and below ground (such as fish, birds and bees), selectivity between insects versus mammalian, improved physicochemical properties, and/or increased biodegradability).
The compounds according to the invention can be used as pesticidal agents in unmodified form, but they are generally formulated into compositions in various ways using formulation adjuvants, such as carriers, solvents and surface-active substances. The formulations can be in various physical forms, e.g. in the form of dusting powders, gels, wettable powders, water-dispersible granules, water- dispersible tablets, effervescent pellets, emulsifiable concentrates, microemulsifiable concentrates, oil- in-water emulsions, oil-flowables, aqueous dispersions, oily dispersions, suspo-emulsions, capsule suspensions, emulsifiable granules, soluble liquids, water-soluble concentrates (with water or a water- miscible organic solvent as carrier), impregnated polymer films or in other forms known e.g. from the Manual on Development and Use of FAO and WHO Specifications for Pesticides, United Nations, First Edition, Second Revision (2010). Such formulations can either be used directly or diluted prior to use. The dilutions can be made, for example, with water, liquid fertilisers, micronutrients, biological organisms, oil or solvents.
The formulations can be prepared e.g. by mixing the active ingredient with the formulation adjuvants in order to obtain compositions in the form of finely divided solids, granules, solutions, dispersions or emulsions. The active ingredients can also be formulated with other adjuvants, such as finely divided solids, mineral oils, oils of vegetable or animal origin, modified oils of vegetable or animal origin, organic solvents, water, surface-active substances or combinations thereof.
The active ingredients can also be contained in very fine microcapsules. Microcapsules contain the active ingredients in a porous carrier. This enables the active ingredients to be released into the environment in controlled amounts (e.g. slow-release). Microcapsules usually have a diameter of from 0.1 to 500 microns. They contain active ingredients in an amount of about from 25 to 95 % by weight of the capsule weight. The active ingredients can be in the form of a monolithic solid, in the form of fine particles in solid or liquid dispersion or in the form of a suitable solution. The encapsulating membranes can comprise, for example, natural or synthetic rubbers, cellulose, styrene/butadiene copolymers, polyacrylonitrile, polyacrylate, polyesters, polyamides, polyureas, polyurethane or chemically modified polymers and starch xanthates or other polymers that are known to the person skilled in the art. Alternatively, very fine microcapsules can be formed in which the active ingredient is contained in the
form of finely divided particles in a solid matrix of base substance, but the microcapsules are not themselves encapsulated.
The formulation adjuvants that are suitable for the preparation of the compositions according to the invention are known per se. As liquid carriers there may be used: water, toluene, xylene, petroleum ether, vegetable oils, acetone, methyl ethyl ketone, cyclohexanone, acid anhydrides, acetonitrile, acetophenone, amyl acetate, 2-butanone, butylene carbonate, chlorobenzene, cyclohexane, cyclohexanol, alkyl esters of acetic acid, diacetone alcohol, 1 ,2-dichloropropane, diethanolamine, p- diethylbenzene, diethylene glycol, diethylene glycol abietate, diethylene glycol butyl ether, diethylene glycol ethyl ether, diethylene glycol methyl ether, /V,/V-dimethylformamide, dimethyl sulfoxide, 1 ,4- dioxane, dipropylene glycol, dipropylene glycol methyl ether, dipropylene glycol dibenzoate, diproxitol, alkylpyrrolidone, ethyl acetate, 2-ethylhexanol, ethylene carbonate, 1 ,1 ,1 -trichloroethane, 2-heptanone, alpha-pinene, d-limonene, ethyl lactate, ethylene glycol, ethylene glycol butyl ether, ethylene glycol methyl ether, gamma-butyrolactone, glycerol, glycerol acetate, glycerol diacetate, glycerol triacetate, hexadecane, hexylene glycol, isoamyl acetate, isobornyl acetate, isooctane, isophorone, isopropylbenzene, isopropyl myristate, lactic acid, laurylamine, mesityl oxide, methoxypropanol, methyl isoamyl ketone, methyl isobutyl ketone, methyl laurate, methyl octanoate, methyl oleate, methylene chloride, m-xylene, n-hexane, n-octylamine, octadecanoic acid, octylamine acetate, oleic acid, oleylamine, o-xylene, phenol, polyethylene glycol, propionic acid, propyl lactate, propylene carbonate, propylene glycol, propylene glycol methyl ether, p-xylene, toluene, triethyl phosphate, triethylene glycol, xylenesulfonic acid, paraffin, mineral oil, trichloroethylene, perchloroethylene, ethyl acetate, amyl acetate, butyl acetate, propylene glycol methyl ether, diethylene glycol methyl ether, methanol, ethanol, isopropanol, and alcohols of higher molecular weight, such as amyl alcohol, tetrahydrofurfuryl alcohol, hexanol, octanol, ethylene glycol, propylene glycol, glycerol, A/-methyl-2-pyrrolidone and the like.
Suitable solid carriers are, for example, talc, titanium dioxide, pyrophyllite clay, silica, attapulgite clay, kieselguhr, limestone, calcium carbonate, bentonite, calcium montmorillonite, cottonseed husks, wheat flour, soybean flour, pumice, wood flour, ground walnut shells, lignin and similar substances.
A large number of surface-active substances can advantageously be used in both solid and liquid formulations, especially in those formulations which can be diluted with a carrier prior to use. Surfaceactive substances may be anionic, cationic, non-ionic or polymeric and they can be used as emulsifiers, wetting agents or suspending agents or for other purposes. Typical surface-active substances include, for example, salts of alkyl sulfates, such as diethanolammonium lauryl sulfate; salts of alkylarylsulfonates, such as calcium dodecylbenzenesulfonate; alkylphenol/alkylene oxide addition products, such as nonylphenol ethoxylate; alcohol/alkylene oxide addition products, such as tridecylalcohol ethoxylate; soaps, such as sodium stearate; salts of alkylnaphthalenesulfonates, such as sodium dibutylnaphthalenesulfonate; dialkyl esters of sulfosuccinate salts, such as sodium di(2- ethylhexyl)sulfosuccinate; sorbitol esters, such as sorbitol oleate; quaternary amines, such as lauryltrimethylammonium chloride, polyethylene glycol esters of fatty acids, such as polyethylene glycol
stearate; block copolymers of ethylene oxide and propylene oxide; and salts of mono- and dialkylphosphate esters; and also further substances described e.g. in McCutcheon's Detergents and Emulsifiers Annual, MC Publishing Corp., Ridgewood New Jersey (1981).
Further adjuvants that can be used in pesticidal formulations include crystallisation inhibitors, viscosity modifiers, suspending agents, dyes, anti-oxidants, foaming agents, light absorbers, mixing auxiliaries, antifoams, complexing agents, neutralising or pH-modifying substances and buffers, corrosion inhibitors, fragrances, wetting agents, take-up enhancers, micronutrients, plasticisers, glidants, lubricants, dispersants, thickeners, antifreezes, microbicides, and liquid and solid fertilisers.
The compositions according to the invention can include an additive comprising an oil of vegetable or animal origin, a mineral oil, alkyl esters of such oils or mixtures of such oils and oil derivatives. The amount of oil additive in the composition according to the invention is generally from 0.01 to 10 %, based on the mixture to be applied. For example, the oil additive can be added to a spray tank in the desired concentration after a spray mixture has been prepared. Preferred oil additives comprise mineral oils or an oil of vegetable origin, for example rapeseed oil, olive oil or sunflower oil, emulsified vegetable oil, alkyl esters of oils of vegetable origin, for example the methyl derivatives, or an oil of animal origin, such as fish oil or beef tallow. Preferred oil additives comprise alkyl esters of C8-C22 fatty acids, especially the methyl derivatives of C12-C18 fatty acids, for example the methyl esters of lauric acid, palmitic acid and oleic acid (methyl laurate, methyl palmitate and methyl oleate, respectively). Many oil derivatives are known from the Compendium of Herbicide Adjuvants, 10th Edition, Southern Illinois University, 2010.
The inventive compositions generally comprise from 0.1 to 99 % by weight, especially from 0.1 to 95 % by weight, of compounds of the present invention and from 1 to 99.9 % by weight of a formulation adjuvant which preferably includes from 0 to 25 % by weight of a surface-active substance. Whereas commercial products may preferably be formulated as concentrates, the end user will normally employ dilute formulations.
The rates of application vary within wide limits and depend on the nature of the soil, the method of application, the crop plant, the pest to be controlled, the prevailing climatic conditions, and other factors governed by the method of application, the time of application and the target crop. As a general guideline compounds may be applied at a rate of from 1 to 2000 l/ha, especially from 10 to 1000 l/ha.
Preferred formulations can have the following compositions (weight %): Emulsifiable concentrates: active ingredient: 1 to 95 %, preferably 60 to 90 % surface-active agent: 1 to 30 %, preferably 5 to 20 % liquid carrier: 1 to 80 %, preferably 1 to 35 %
Dusts: active ingredient: 0.1 to 10 %, preferably 0.1 to 5 % solid carrier: 99.9 to 90 %, preferably 99.9 to 99 %
Suspension concentrates: active ingredient: 5 to 75 %, preferably 10 to 50 % water: 94 to 24 %, preferably 88 to 30 % surface-active agent: 1 to 40 %, preferably 2 to 30 %
Wettable powders: active ingredient: 0.5 to 90 %, preferably 1 to 80 % surface-active agent: 0.5 to 20 %, preferably 1 to 15 % solid carrier: 5 to 95 %, preferably 15 to 90 %
Granules: active ingredient: 0.1 to 30 %, preferably 0.1 to 15 % solid carrier: 99.5 to 70 %, preferably 97 to 85 %
The combination is thoroughly mixed with the adjuvants and the mixture is thoroughly ground in a suitable mill, affording wettable powders that can be diluted with waterto give suspensions of the desired concentration.
The combination is thoroughly mixed with the adjuvants and the mixture is thoroughly ground in a suitable mill, affording powders that can be used directly for seed treatment.
Emulsions of any required dilution, which can be used in plant protection, can be obtained from this concentrate by dilution with water.
Ready-for-use dusts are obtained by mixing the combination with the carrier and grinding the mixture in a suitable mill. Such powders can also be used for dry dressings for seed.
The combination is mixed and ground with the adjuvants, and the mixture is moistened with water. The mixture is extruded and then dried in a stream of air.
The finely ground combination is uniformly applied, in a mixer, to the kaolin moistened with polyethylene glycol. Non-dusty coated granules are obtained in this manner.
The finely ground combination is intimately mixed with the adjuvants, giving a suspension concentrate from which suspensions of any desired dilution can be obtained by dilution with water. Using such dilutions, living plants as well as plant propagation material can be treated and protected against infestation by microorganisms, by spraying, pouring or immersion.
The finely ground combination is intimately mixed with the adjuvants, giving a suspension concentrate from which suspensions of any desired dilution can be obtained by dilution with water. Using such dilutions, living plants as well as plant propagation material can be treated and protected against infestation by microorganisms, by spraying, pouring or immersion.
Slow Release Capsule Suspension
28 parts of the combination are mixed with 2 parts of an aromatic solvent and 7 parts of toluene diisocyanate/polymethylene-polyphenylisocyanate-mixture (8:1). This mixture is emulsified in a mixture of 1 .2 parts of polyvinylalcohol, 0.05 parts of a defoamer and 51 .6 parts of water until the desired particle size is achieved. To this emulsion a mixture of 2.8 parts 1 ,6-diaminohexane in 5.3 parts of water is added. The mixture is agitated until the polymerization reaction is completed. The obtained capsule suspension is stabilized by adding 0.25 parts of a thickener and 3 parts of a dispersing agent. The capsule suspension formulation contains 28% of the active ingredients. The medium capsule diameter is 8-15 microns. The resulting formulation is applied to seeds as an aqueous suspension in an apparatus suitable for that purpose.
Formulation types include an emulsion concentrate (EC), a suspension concentrate (SC), a suspo- emulsion (SE), a capsule suspension (CS), a water dispersible granule (WG), an emulsifiable granule (EG), an emulsion, water in oil (EG), an emulsion, oil in water (EW), a micro-emulsion (ME), an oil
dispersion (OD), an oil miscible flowable (OF), an oil miscible liquid (OL), a soluble concentrate (SL), an ultra-low volume suspension (SU), an ultra-low volume liquid (UL), a technical concentrate (TK), a dispersible concentrate (DC), a wettable powder (WP), a soluble granule (SG) or any technically feasible formulation in combination with agriculturally acceptable adjuvants.
The activity of the compositions according to the invention can be broadened considerably, and adapted to prevailing circumstances, by adding other active ingredients, such as fungicides, herbicides, insecticides, bactericides, acaricides, nematicides, biologicals, and/or plant growth regulators. The mixtures of the compounds of formula (I) with said other active ingredients may also have further surprising advantages which can also be described, in a wider sense, as synergistic activity. For example, better tolerance by plants, reduced phytotoxicity, insects can be controlled in their different development stages or better behaviour during their production, for example during grinding or mixing, during their storage or during their use.
The compositions according to the invention can also comprise further solid or liquid auxiliaries, such as stabilizers, for example unepoxidized or epoxidized vegetable oils (for example epoxidized coconut oil, rapeseed oil or soya oil), antifoams, for example silicone oil, preservatives, viscosity regulators, binders and/or tackifiers, fertilizers or other active ingredients for achieving specific effects, for example bactericides, fungicides, nematocides, plant activators, molluscicides or herbicides.
The compositions according to the invention are prepared in a manner known per se, in the absence of auxiliaries for example by grinding, screening and/or compressing a solid active ingredient and in the presence of at least one auxiliary for example by intimately mixing and/or grinding the active ingredient with the auxiliary (auxiliaries). These processes for the preparation of the compositions and the use of the compounds I for the preparation of these compositions are also a subject of the invention.
The application methods for the compositions, that is the methods of controlling pests of the abovementioned type, such as spraying, atomizing, dusting, brushing on, dressing, scattering or pouring - which are to be selected to suit the intended aims of the prevailing circumstances - and the use of the compositions for controlling pests of the abovementioned type are other subjects of the invention. Typical rates of concentration are between 0.1 and 1000 ppm, preferably between 0.1 and 500 ppm, of active ingredient. The rate of application per hectare is generally 1 to 2000 g of active ingredient per hectare, in particular 10 to 1000 g/ha, preferably 10 to 600 g/ha.
A preferred method of application in the field of crop protection is application to the foliage of the plants (foliar application), it being possible to select frequency and rate of application to match the danger of infestation with the pest in question. Alternatively, the active ingredient can reach the plants via the root system (systemic action), by drenching the locus of the plants with a liquid composition or by incorporating the active ingredient in solid form into the locus of the plants, for example into the soil, for
example in the form of granules (soil application). In the case of paddy rice crops, such granules can be metered into the flooded paddy-field.
The compounds of formula (I) of the invention and compositions thereof are also be suitable for the protection of plant propagation material, for example seeds, such as fruit, tubers or kernels, or nursery plants, against pests of the abovementioned type. The propagation material can be treated with the compound prior to planting, for example seed can be treated prior to sowing. Alternatively, the compound can be applied to seed kernels (coating), either by soaking the kernels in a liquid composition or by applying a layer of a solid composition. It is also possible to apply the compositions when the propagation material is planted to the site of application, for example into the seed furrow during drilling. These treatment methods for plant propagation material and the plant propagation material thus treated are further subjects of the invention. Typical treatment rates would depend on the plant and pest/fungi to be controlled and are generally between 1 to 200 grams per 100 kg of seeds, preferably between 5 to 150 grams per 100 kg of seeds, such as between 10 to 100 grams per 100 kg of seeds.
The term seed embraces seeds and plant propagules of all kinds including but not limited to true seeds, seed pieces, suckers, corns, bulbs, fruit, tubers, grains, rhizomes, cuttings, cut shoots and the like and means in a preferred embodiment true seeds.
The present invention also comprises seeds coated or treated with or containing a compound of formula (I). The term "coated or treated with and/or containing" generally signifies that the active ingredient is for the most part on the surface of the seed at the time of application, although a greater or lesser part of the ingredient may penetrate into the seed material, depending on the method of application. When the said seed product is (re)planted, it may absorb the active ingredient. In an embodiment, the present invention makes available a plant propagation material adhered thereto with a compound of formula (I). Further, it is hereby made available, a composition comprising a plant propagation material treated with a compound of formula (I).
Seed treatment comprises all suitable seed treatment techniques known in the art, such as seed dressing, seed coating, seed dusting, seed soaking and seed pelleting. The seed treatment application of the compound formula (I) can be carried out by any known methods, such as spraying or by dusting the seeds before sowing or during the sowing/planting of the seeds.
The compounds of the invention can be distinguished from other similar compounds by virtue of greater efficacy at low application rates and/or different pest control, which can be verified by the person skilled in the art using the experimental procedures, using lower concentrations if necessary, for example 10 ppm, 5 ppm, 2 ppm, 1 ppm or 0.2 ppm; or lower application rates, such as 300, 200 or 100, mg of Al per m2.
In each aspect and embodiment of the invention, "consisting essentially" and inflections thereof are a preferred embodiment of "comprising" and its inflections, and "consisting of and inflections thereof are a preferred embodiment of "consisting essentially of and its inflections.
The disclosure in the present application makes available each and every combination of embodiments disclosed herein.
Preparatory Examples:
LCMS Methods:
Method A:
HSS QC method
Spectra were recorded on a ACQUITY Mass Spectrometer from Waters Corporations (SQD or SQDII Single quadrupole mass spectrometer) equipped with an electrospray source (Polarity: positive or negative ions, Capillary: 3.0 kV, Cone: 30V, Extractor: 3.00 V, Source Temperature: 150°C, Desolvation Temperature: 400°C, Cone Gas Flow: 60 L/hr, Desolvation Gas Flow: 700 L/hr, Mass range: 140 to 800 Da) and an ACQUITY UPLC from Waters Corporations with solvent degasser, binary pump, heated column compartment and diode-array detector. Column: Waters UPLC HSS T3, 1.8 pm, 30 x 2.1 mm, Temp: 60 °C, DAD Wavelength range (nm): 210 to 400, Solvent Gradient: A = Water/Methanol 9:1 + 0.1 % formic acid, B= Acetonitrile + 0.1 % formic acid, gradient: 0-100% B in 2.5 min; Flow (ml/min) 0.75.
Method B:
Spectra were recorded on a Mass Spectrometer from Waters Corporation (SQD, SQDII or QDA Single quadrupole mass spectrometer) equipped with an electrospray source (Polarity: positive and negative ions), Capillary: 0.8-3.00 kV, Cone: 5-30 V, Source Temperature: 120-150°C, Desolvation Temperature: 350-600°C, Cone Gas Flow: 50-150 l/h, Desolvation Gas Flow: 650-1000 l/h, Mass range: 100 to 900 Da and an Acquity UPLC from Waters Corporation: Binary pump, heated column compartment , diodearray detector and ELSD. Column: Waters UPLC HSS T3, 1.8 pm, 30 x 2.1 mm, Temp: 60 °C, DAD Wavelength range (nm): 210 to 400, Runtime: 1.5 min; Solvents: A = water + 5% MeOH + 0.05 % HCOOH, B= Acetonitrile + 0.05 % HCOOH; Flow (ml/min) 0.85, Gradient: 10% B isocratic for 0.2 min, then 10-100% B in 1.0 min, 100% B isocratic for 0.2min, 100-10% B in 0.05min, 10% B isocratic for 0.05 min.
To a solution of 3-(trifluoromethyl)-1 h-pyrazol-5-amine (10.0 g, 66.2 mmol) and 2-iodopyrimidine (8.4 g) in Toluene (150 ml) were added potassium carbonate (18.3 g, 132 mmol), Cui (2.52 g, 13.2 mmol) and trans-N,N'-dimethylcyclohexane-1 ,2-diamine (3.76 g, 26.5 mmol). The resulted mixture was heated and stirred at 100°C for 16h. The reaction mixture was allowed to cool to room temperature (20°C). The reaction mixture was partially concentrated under vacuum and diluted with ethyl acetate. The organic solution was washed with water (2x) and brine (1x). Then, the organic layer was dried with sodium sulfate, filtered and concentrated in vacuo to afford 7.5g dark brown solid. The crude compound was purified by combiflash (silica gel, ethyl acetate I hexane) to afford 2-(1-methylpyrazol-3-yl)-5- (trifluoromethyl)pyrazol-3-amine as a solid (yield 55 %). LCMS (Method B): Rt=0.80 m/z= 232 (M+H)+.
To a solution of 2-(1-methylpyrazol-3-yl)-5-(trifluoromethyl) pyrazol-3-amine (10.0 g, 41.1 mmol) in acetonitrile (150.0 mL) was added N-lodosuccinimide (13.9 g, 61.6 mmol). The resulting solution was stirred at room temperature (20°C) for 24 hours. The reaction mixture was diluted with water and ethyl acetate. After separation of the organic phase, the aqueous phase was extracted two times with ethyl acetate (2x200 mL). The organic layers were combined, washed one time with a thiosulfate solution and one time with brine, dried over anhydrous sodium sulfate, filtered, and concentrated under vacuum. The crude compound was purified by combiflash (silica gel, ethyl acetate I hexane) to afford the desired compound (77% yield). LCMS (Method B): Rt=0.97 m/z= 358 (M+H)+.
Example 3: Preparation of 2-(1-methylpyrazol-3-yl)-4-(7-methylsulfanylbenzofuran-5-yl)-5-
(trifluoromethyl) pyrazol-3-amine A22
A mixture of 7-bromo-5-chloro-benzofuran (2g, 6.9123 mmol), cesium carbonate (9 g, 27.649 mmol), 2- methyl-2-thiopseudourea sulfate (1 .92 g, 6.9123 mmol) in dimethyl sulfoxide (DMSO) (4 mL/mmol, 27.65 mL) was stirred at 80°C for 16h . The reaction mixture was allowed to cool to room temperature (20°C) and water was added. The aqueous phase was extracted three times with ethyl acetate. The organic layers were combined, washed with brine, dried over anhydrous magnesium sulfate, filtered, and concentrated under vacuum. The crude compound was purified by combiflash (silica gel, ethyl acetate I cyclohexane) to give the tittle compound (79.1 % yield). LCMS (Method B): Rt=1 .08 m/z= 199 (M+H)+
Step 2: Preparation of 4,4,5, 5-tetramethvl-2-(7-methvlsulfanvlbenzofuran-5-yl)-1 ,3,2-dioxaborolane
To a solution of 5-chloro-7-methylsulfanyl-benzofuran (368 mg, 1 .4819 mmol) in 1 ,4-ioxane (5 mL/mmol, 7.4093 mL) was added bis(pinacolato)diboron (1.2 equiv., 1.778 mmol), potassium acetate (3 equiv., 4.4456 mmol) and the reaction mass was degassed with nitrogen for 10 minutes. The 2- Dicyclohexylphosphino-2',4',6'-triisopropylbiphenyl (0.1 equiv., 0.1482 mmol) and [1 ,1 '- bis(diphenylphosphino)ferrocene] dichloropalladium (II) (0.05 equiv., 0.0741 mmol) were added. The mixture was heated at 100 °C for 1 h30. The reaction mixture was allowed to cool to room temperature (20°C) and water was added. The aqueous phase was extracted three times with ethyl acetate. The organic layers were combined, dried over anhydrous magnesium sulfate, filtered, and concentrated under vacuum. The crude compound was purified by combiflash (silica gel, ethyl acetate / cyclohexane) to give the tittle compound (64.7% yield). The product was used without extra purification in the next step.
Step 3: Preparation of 2-(1-methylpyrazol-3-yl)-4-(7-methylsulfanylbenzofuran-5-yl)-5-(trifluoromethyl) pyrazol-3-amine A22
To a solution of 4-iodo-2-(1-methylpyrazol-3-yl)-5-(trifluoromethyl)pyrazol-3-amine (prepared as described above) (0.264g 0.6823 mmol) in 1 ,4-Dioxane (4 mL/mmol, 1.819 mL) were added Cesium carbonate (0.29 g, 0.9097 mmol, 4,4,5,5-tetramethyl-2-(7-methylsulfanylbenzofuran-5-yl)-1 ,3,2- dioxaborolane (0.264 g, 0.4549 mmol) and the reaction mass was degassed with nitrogen for 10 minutes. [1 ,1 '-bis(diphenylphosphino)ferrocene]dichloropalladium (II) (0.017g, 0.0227 mmol) was added and the reaction mass was degassed with nitrogen for another 5 minutes and heated at 100 °C for 1 h30. The reaction mixture was allowed to cool to room temperature (20°C) and water was added. The aqueous phase was extracted three times with ethyl acetate. The organic layers were combined, dried over anhydrous magnesium sulfate, filtered, and concentrated under vacuum. The crude compound was purified by combiflash (silica gel, ethyl acetate I cyclohexane) then, the fraction containing the product was purified by reverse phase ( water/ acetonitrile) to afford the desired compound (19.5% yield). LCMS (Method B): Rt=1.09 m/z= 394 (M+H)+.
Example 4: Preparation of 2-(1-methylpyrazol-3-yl)-4-(1-methylpyrazol-4-yl)-5-(trifluoromethyl)pyrazol-
To a solution of 4-iodo-2-(1-methylpyrazol-3-yl)-5-(trifluoromethyl) pyrazol-3-amine (prepared as described above) (0.3 g, 0.8402 mmol) and 1-methyl-4-(4,4,5,5-tetramethyl-1 ,3,2-dioxaborolan-2-yl) pyrazole (0.2273 g, 1 .09 mmol) were placed in 20ml supelco vial. Then tetrahydrofuran (2.941 mL, 3.50 mL/mmol) (degassed) was added, followed by the addition of sodium carbonate (2M in water, 2 mol/L, 0.966 mL) (degassed). Finally the Pd(PPh3)4 (0.049035 g, 0.042 mmol) was added, solid, in one portion. The mixture was heated at 85 °C for 15h. The reaction mixture was allowed to cool to room temperature (20°C) and water was added. The aqueous phase was extracted three times with ethyl acetate. The organic layers were combined, dried over anhydrous sodium sulfate, filtered, and concentrated under vacuum. The crude compound was purified by combiflash (silica gel, ethyl acetate I cyclohexane) to afford the desired compound (19.5% yield). LCMS (Method B): Rt=0.82 m/z= 312
(M+H)+.
Example 5: Preparation of 4-(7-chloro-1 ,3-benzodioxol-5-yl)-2-(1-methylpyrazol-3-yl)-5-
(trifluoromethyl)pyrazol-3-amine A82
A 250 mL 2 neck flask was charged with (E)-3-chloro-2-(7-chloro-1 ,3-benzodioxol-5-yl)-4,4,4-trifluoro- but-2-enenitrile (Commercially available CAS: 1481700-17-7, 30.0 g, 77.4 mmol) in ethanol (200 mL). Then, triethylamine (18.2 mL, 155 mmol), hydrazine monohydrate (50.0 %, 15.0 mL, 155 mmol) were added to the reaction. The resulting mixture was stirred at 70 °C, for 1 h. The reaction mixture was diluted with water and extracted with Ethyl acetate (2 x 100 mL). The combined organic layers were washed with brine (50 mL), dried over sodium sulfate and concentrated under reduced pressure to afford crude reaction mixture. The crude reaction mixture was purified by comb flash column chromatography (combiflash.O to 100% Hexane I ethyl acetate). Pure fractions were combined and evaporated under reduced pressure to afford the 4-(7-chloro-1 ,3-benzodioxol-5-yl)-3-(trifluoromethyl)-1 H-pyrazol-5-amine (19.0 g, 62.2 mmol, yield: 80.3 %) as a white solid. H1 NMR (DMSO-d6) 12.32 (1 H, s), 6.75 (2H, s), 6.15 (2H, s), 5.28 (2H, s).
Step 2: Preparation of 4-(7-chloro-1 ,3-benzodioxol-5-yl)-2-(1-methylpyrazol-3-yl)-5-
To a solution of copper iodine (0.0125 g, 0.0654 mmol), 8-hydroxyquinoline (0.0194 g, 0.1309 mmol), tripotassium phosphate (0.281 g, 1.309 mmol), 4-(7-chloro-1 ,3-benzodioxol-5-yl)-3-(trifluoromethyl)-1 H-
pyrazol-5-amine (0.2 g, 0.6544 mmol) and 3-iodo-1-methyl-pyrazole (0.0855 mL, 0.1769 g, 0.8507 mmol) in a MW-vial was added N,N-dimethylacetamide (3.27 mL, 3.1 g, 35 mmol). The solution was purged with N2 and the reaction mixture was stirred at 120°C for 3h30. The reaction mixture was allowed to cool to room temperature (20°C) and diluted with TBME. The phases are separated and the aqueous phase was extracted two times with TBME. The combined organic layers were washed with water and brine, dried over magnesium sulfate, filtered and concentrated in vacuum. The crude compound was purified by combiflash (silica gel, ethyl acetate I hexane) to afford the tittle compound (38.4% yield). LCMS (Method B): Rt=0.96 m/z= 386 (M+H)+. The compounds in Table 1 can be prepared as described in the examples above or similar methodology. The following abbreviations are used in the table below: Rt = retention time, min = minutes.
Biological Examples:
The Examples which follow serve to illustrate the invention. Certain compounds of the invention can be distinguished from known compounds by virtue of greater efficacy at low application rates, which can be verified by the person skilled in the art using the experimental procedures outlined in the Examples, using lower application rates if necessary, for example 50 ppm, 24 ppm, 12.5 ppm, 6 ppm, 3 ppm, 1 .5 ppm, 0.8 ppm or 0.2 ppm
Bemisia tabaci (Cotton white fly): Feeding/contact activity
Cotton leaf discs were placed on agar in 24-well microtiter plates and sprayed with aqueous test solutions prepared from 10'000 ppm DMSO stock solutions. After drying the leaf discs were infested with adult white flies. The samples were checked for mortality 6 days after incubation.
The following compounds resulted in at least 80% mortality at an application rate of 200 ppm:
A21 , A38, A57, A67, A68, A70, A74, A75, A77, A78, A80, A81 , A82, A85, A89, A90, A94
Chilo suppressalis (Striped rice stemborer)
24-well microtiter plates with artificial diet were treated with aqueous test solutions prepared from 10'000 ppm DMSO stock solutions by pipetting. After drying, the plates were infested with L2 larvae (6- 8 per well). The samples were assessed for mortality, anti-feeding effect, and growth inhibition in comparison to untreated samples 6 days after infestation. Control of Chilo suppressalis by a test sample is given when at least one of the categories mortality, anti-feedant effect, and growth inhibition is higher than the untreated sample.
The following compounds resulted in at least 80% control at an application rate of 200 ppm:
A25, A80, A82, A93, A98, A100
Diabrotica balteata (Corn root worm)
Maize sprouts placed onto an agar layer in 24-well microtiter plates were treated with aqueous test solutions prepared from 10'000 ppm DMSO stock solutions by spraying. After drying, the plates were infested with L2 larvae (6 to 10 per well). The samples were assessed for mortality and growth inhibition in comparison to untreated samples 4 days after infestation.
The following compounds gave an effect of at least 80% in at least one of the two categories (mortality or growth inhibition) at an application rate of 200 ppm:
A3, A4, A5, A7, A8, A12, A13, A14, A17, A20, A21 , A24, A26, A27, A29, A37, A38, A39, A40, A41 , A50, A51 , A52, A55, A56, A66, A67, A68, A70, A71 , A74, A75, A77, A78, A79, A80, A81 , A82, A83, A85, A88, A89, A90, A92, A94, A96, A102, A107
Euschistus heros (Neotropical Brown Stink Bug)
Soybean leaves on agar in 24-well microtiter plates were sprayed with aqueous test solutions prepared from 10'000 ppm DMSO stock solutions. After drying the leaves were infested with N2 nymphs. The samples were assessed for mortality and growth inhibition in comparison to untreated samples 5 days after infestation.
The following compounds gave an effect of at least 80% in at least one of the two categories (mortality or growth inhibition) at an application rate of 200 ppm:
A75, A85, A90
Frankliniella occidentalis (Western flower thrips): Feeding/contact activity
Sunflower leaf discs were placed on agar in 24-well microtiter plates and sprayed with aqueous test solutions prepared from 10'000 DMSO stock solutions. After drying the leaf discs were infested with a Frankliniella population of mixed ages. The samples were assessed for mortality 7 days after infestation.
The following compounds resulted in at least 80% mortality at an application rate of 200 ppm:
A75, A85, A94
Myzus persicae (Green peach aphid): Feeding/Contact activity
Sunflower leaf discs were placed onto agar in a 24-well microtiter plate and sprayed with aqueous test solutions prepared from 10'000 ppm DMSO stock solutions. After drying, the leaf discs were infested with an aphid population of mixed ages. The samples were assessed for mortality 6 days after infestation.
The following compounds resulted in at least 80% mortality at an application rate of 200 ppm:
A38, A67, A94
Plutella xylostella (Diamond back moth)
24-well microtiter plates with artificial diet were treated with aqueous test solutions prepared from 10'000 ppm DMSO stock solutions by pipetting. After drying, Plutella eggs were pipetted through a plastic stencil onto a gel blotting paper and the plate was closed with it. The samples were assessed for mortality and growth inhibition in comparison to untreated samples 8 days after infestation.
The following compounds gave an effect of at least 80% in at least one of the two categories (mortality or growth inhibition) at an application rate of 200 ppm:
A3, A4, A5, A10, A11 , A12, A13, A14, A16, A17, A21 , A22, A23, A24, A25, A26, A27, A28, A29, A34, A35, A37, A38, A39, A41 , A51 , A52, A55, A56, A57, A59, A63, A66, A67, A68, A70, A71 , A73, A74, A75, A77, A80, A81 , A82, A83, A85, A86, A87, A88, A89, A90, A92, A94, A96, A102, A107
Spodoptera littoralis (Egyptian cotton leaf worm)
Cotton leaf discs were placed onto agar in 24-well microtiter plates and sprayed with aqueous test solutions prepared from 10'000 ppm DMSO stock solutions. After drying the leaf discs were infested
with five L1 larvae. The samples were assessed for mortality, anti-feeding effect, and growth inhibition in comparison to untreated samples 3 days after infestation. Control of Spodoptera littoralis by a test sample is given when at least one of the categories mortality, anti-feedant effect, and growth inhibition is higher than the untreated sample.
The following compounds resulted in at least 80% control at an application rate of 200 ppm:
A3, A7, A23, A24, A67, A75, A77, A80, A81 , A82, A85, A89, A90, A94, A107
Tetranychus urticae (Two-spotted spider mite): Feeding/contact activity
Bean leaf discs on agar in 24-well microtiter plates were sprayed with aqueous test solutions prepared from 10'000 ppm DMSO stock solutions. After drying the leaf discs were infested with a mite population of mixed ages. The samples were assessed for mortality on mixed population (mobile stages) 8 days after infestation.
The following compounds resulted in at least 80% mortality at an application rate of 200 ppm:
A61 , A81 , A82
Claims
Ri is selected from hydrogen, halogen, cyano, hydroxyl, Ci-Cealkyl, Ci-Cehaloalkyl, Ci-Cealkoxy, Ci- Cehaloalkoxy, Cs-Cecycloalkyl, Cs-Cehalocycloalkyl, Ci-Cealkylsulfanyl, Ci-Cealkylsulfinyl, Ci- Cealkylsulfonyl, Ci-Cehaloalkylsulfanyl, Ci-Cehaloalkylsulfinyl, Ci-Cehaloalkylsulfonyl, C3- Cecycloalkylsulfanyl, Cs-Cecycloalkylsulfinyl, Cs-Cecycloalkylsulfonyl, -OS(O)2Re, and Ci-C2haloalkyl substituted by Cs-Cecycloalkyl;
R2 and R3 are, independently, selected from hydrogen, Ci-Cealkyl, formyl, -C(O)Ci-Cealkyl, and -C(O)OCi-Cealkyl; or
R2 and R3 form a group linked by a double bond, said group being selected from =CHNH(Ci-C4alkyl), =CHN(Ci-C4alkyl)2, and =CHOCi-C4alkyl;
R4 is selected from hydrogen, halogen, cyano, Ci-Cealkyl, Ci-Cehaloalkyl, Cs-Cecycloalkyl, C3- Cehalocycloalkyl, Ci-Cealkoxy, Ci-Cehaloalkoxy, phenyl, and 1-methylpyrazole;
Re is selected from hydrogen, halogen, cyano, Ci-Cealkyl, Ci-Cehaloalkyl, Cs-Cecycloalkyl, C3- Cehalocycloalkyl, Ci-Cealkoxy, Ci-Cehaloalkoxy, 1-methylpyrazole, and -C(O)OCi-Cealkyl;
Re is selected from Ci-C4alkyl, Ci-C4haloalkyl, Cs-Cecycloalkyl, and Cs-Cehalocycloalkyl;
Q is selected from:
- a 5- to 6-membered heteroaromatic ring containing 1 , 2 or 3 heteroatom groups selected from N, O, S, CO, SO and SO2, and preferably selected from N, O, and CO, wherein the 5- to 6-membered heteroaromatic ring is optionally substituted by one or more radicals selected from R7; and
- a phenyl, wherein the phenyl ring is optionally substituted by one or more radicals selected from R7; and
R? is selected from hydrogen, hydroxyl, halogen, cyano, Ci-Cealkyl, Ci-Cehaloalkyl, C2-Cealkenyl, C2-Cehaloalkenyl, C2-Cealkynyl, C2-Cehaloalkynyl, Ci-Cealkoxy, Ci-Cehaloalkoxy, Cs-Cecycloalkyl, Cs-Cecycloalkyl substituted by a cyano, Cs-Cehalocycloalkyl, -C(O)OCi-Cealkyl, -C(O)OCi- Cehaloalkyl, Ci-Cealkylsulfanyl, Ci-Cealkylsulfinyl, Ci-Cealkylsulfonyl, Ci-Cehaloalkylsulfanyl, Ci- Cehaloalkylsulfinyl, Ci-Cehaloalkylsulfonyl, Ci-C4alkylCi-Cealkylsulfanyl, Ci-C4alkylCi-
Cealkylsulfinyl, Ci-C4alkylCi-C6alkylsulfonyl, Ci-C4alkylCi-C6haloalkylsulfanyl, Ci-C4alkylCi- Cehaloalkylsulfinyl, Ci-C4alkylCi-C6haloalkylsulfonyl, -C(O)Ci-C4alkyl, -C(0)Ci-C4haloalkyl, Ci- C4alkylC(O)Ci-C4alkyl, Ci-C4alkylC(0)Ci-C4haloalkyl, Ci-C4alkylC(O)OCi-C4alkyl, Ci- C4alkylC(O)OH, -C(0)C3-C6cycloalkyl, Ci-Cealkyl substituted by an hydroxyl, C2-C4alkenylC(O)C3- Cecycloalkyl, -NHC(O)OCi-C4alkyl, -NHOCi-C4alkyl, morpholine, oxetane, tetrahydrofuran, tetrahydropyran, and cyclopentane substituted by one or more halogen; or
R? is selected from phenyl and 5- to 6-membered heteroaromatic ring, wherein each is optionally substituted by one or more radicals selected from halogen, hydroxyl, nitro, cyano, Ci-Cealkyl, Ci- Cehaloalkyl, Cs-Cecycloalkyl, Cs-Cehalocycloalkyl, Ci-Cealkoxy, Ci-Cehaloalkoxy, and Ci- Cealkylsulfanyl; or when Q is substituted by at least two R7, said two R7 optionally form a 5- to 6-membered ring unsaturated, partially saturated or saturated, optionally containing 1 , 2 or 3 heteroatom groups selected from N, O, S, CO, SO and SO2, and preferably selected from N, O, and CO, said 5- to 6- membered ring being optionally substituted by one or more radicals selected from halogen, cyano, hydroxyl, Ci-Cealkyl, Ci-Cehaloalkyl, Cs-Cecycloalkyl, Cs-Cehalocycloalkyl, Ci-Cealkoxy, Ci- Cehaloalkoxy, -C(O)Ci-C4alkyl, -C(0)Ci-C4haloalkyl, -C(O)OCi-C4alkyl, and -CO2H; or a salt, stereoisomer, enantiomer, tautomer or N-oxide thereof.
2. The compound according to claim 1 , wherein R1 is selected from hydrogen, halogen, cyano, hydroxyl, Ci-Cealkyl, Ci-Cehaloalkyl, Cs-Cecycloalkyl, Ci-Cealkylsulfanyl, Ci-Cealkylsulfinyl, C1- Cealkylsulfonyl, and -OS(O)2Re.
3. The compound according to claim 1 or 2, wherein R2 and R3 are, independently, selected from hydrogen, Ci-Cealkyl, formyl, and -C(O)OCi-C6alkyl; or
R2 and R3 form a group linked by a double bond, said group being selected from =CHN(Ci-C4alkyl)2 and =CHOCi-C4alkyl.
4. The compound according to any one of claims 1 to 3, wherein R4 is selected from hydrogen, Ci- Cealkyl, Ci-Cehaloalkyl, Cs-Cecycloalkyl, phenyl, and 1-methylpyrazole.
5. The compound according to any one of claims 1 to 4, wherein R5 is selected from hydrogen, halogen, Ci-Cealkyl, Ci-Cealkoxy, 1-methylpyrazole, and -C(O)OCi-Cealkyl.
The compound according to any one of claims 1 to 5, wherein Re is selected from Ci-C4haloalkyl and Ce-Cecycloalkyl. The compound according to any one of claims 1 to 6, wherein Q is a phenyl or a 5- to 6-membered heteroaromatic ring selected from furan, pyridine, thiophene, pyrazole, thiazole, pyrrole, and isothiazole, said phenyl or 5- to 6-membered heteroaromatic ring being optionally substituted with one or more radicals selected from R7. The compound according to any one of claims 1 to 7, wherein R7 is selected from hydrogen, halogen, Ci-Cealkyl, Ci-Cehaloalkyl, C2-Cealkenyl, Ci-Cealkoxy, Ci-Cehaloalkoxy, Cs-Cecycloalkyl substituted by a cyano, Ci-Cealkylsulfanyl, and -C(0)C3-C6cycloalkyl; or
R7 is phenyl or thiophene, wherein each is optionally substituted by one or more halogen; or when Q is substituted by at least two R7, said two R7 optionally form a dioxolane, furan, phenyl, oxadiazole, pyridine, triazole, or pyrazole, optionally substituted by halogen or Ci-Cealkyl. The compound according to claim 1 wherein:
R1 is selected from hydrogen, halogen, cyano, hydroxyl, Ci-Cealkyl, Ci-Cehaloalkyl, Cs-Cecycloalkyl, Ci-Cealkylsulfanyl, Ci-Cealkylsulfinyl, Ci-Cealkylsulfonyl, -OS(O)2Re, and Ci-C2haloalkyl substituted by Cs-Cecycloalkyl;
R2 and R3 are, independently, selected from hydrogen, Ci-Cealkyl, formyl, and -C(O)OCi-Cealkyl; or R2 and R3 form a group linked by a double bond, said group being selected from =CHN(Ci-C4alkyl)2 and =CHOCi-C4alkyl;
R4 is selected from Ci-Cealkyl, Ci-Cehaloalkyl, Cs-Cecycloalkyl, phenyl, and 1-methylpyrazole;
Re is selected from hydrogen, halogen, Ci-Cealkyl, Ci-Cealkoxy, 1-methylpyrazole, and -C(O)OCi- Cealkyl;
Re is selected from Ci-C4haloalkyl, and Cs-Cecycloalkyl;
Q is a phenyl or 5- to 6-membered heteroaromatic ring selected from pyridine, thiophene, pyrazole, thiazole, oxazole, triazole, imidazole, furan, isothiazole, isoxazole, thiadiazole, pyrrole, and 1 ,1- dioxo-isothiazol-3-one, said phenyl or 5- to 6-membered heteroaromatic ring being optionally substituted with one or more radicals selected from R7; and
R7 is selected from hydrogen, halogen, cyano, Ci-Cealkyl, Ci-Cehaloalkyl, C2-Cealkenyl, Ci- Cealkoxy, Ci-Cehaloalkoxy, Cs-Cecycloalkyl, Cs-Cecycloalkyl substituted by a cyano, -C(O)OCi- Cealkyl, Ci-Cealkylsulfanyl, Ci-Cealkylsulfonyl, Ci-C4alkylCi-Cealkylsulfonyl, -C(C)Ci-C4haloalkyl,
Ci-C4alkylC(O)OCi-C4alkyl, -C(0)C3-C6cycloalkyl, Ci-Cealkyl substituted by an hydroxyl, C2-C4alkenylC(0)C3-C6cycloalkyl, oxetane, tetrahydropyran, and cyclopentane substituted by one or more halogen; or
R? is selected from phenyl, pyrazole, thiophene and pyrimidine, wherein each is optionally substituted by one or more radicals selected from halogen, cyano, Ci-Cealkyl, Ci-Cehaloalkyl, and Ci-Cealkylsulfanyl; or when Q is substituted by at least two R7, said two R7 optionally form a phenyl, pyridine, triazine, thiazole, dioxolane, furan, oxadiazole, triazole, or pyrazole, optionally substituted with one or more radicals selected from halogen, Ci-Cealkyl, Ci-Cehaloalkyl, Ci-Cealkoxy, -C(O)Ci-C4alkyl, and - C(O)OCi-C4alkyl. The compound according to claim 9, wherein:
R1 is selected from hydrogen, halogen, cyano, hydroxyl, Ci-Cealkyl, Ci-Cehaloalkyl, Cs-Cecycloalkyl, Ci-Cealkylsulfanyl, Ci-Cealkylsulfinyl, Ci-Cealkylsulfonyl, and -OS(O)2Re;
Q is a phenyl or a 5- to 6-membered heteroaromatic ring selected from furan, isothiazole, pyridine, thiophene, pyrazole, thiazole, and pyrrole, said phenyl or 5- to 6-membered heteroaromatic ring being optionally substituted with one or more radicals selected from R7; and
R7 is selected from hydrogen, halogen, Ci-Cealkyl, Ci-Cehaloalkyl, C2-Cealkenyl, Ci-Cealkoxy, C1- Cehaloalkoxy, Cs-Cecycloalkyl substituted by a cyano, Ci-Cealkylsulfanyl, and -C(0)C3-C6cycloalkyl; or
R7 is phenyl or thiophene, wherein each is optionally substituted by one or more halogen; or when Q is substituted by at least two R7, said two R7 optionally form a dioxolane, furan, phenyl, oxadiazole, pyridine, triazole, or pyrazole, optionally substituted by halogen or Ci-Cealkyl. The compound according to claim 1 , wherein:
R1 is selected from cyano, Ci-Cehaloalkyl, Ci-Cealkylsulfanyl, Ci-Cealkylsulfonyl, and Ci-C2haloalkyl substituted by Cs-Cecycloalkyl;
R2 and R3 are, independently hydrogen or Ci-Cealkyl;
R4 is Ci-Cealkyl or Ci-Cehaloalkyl;
R5 is hydrogen;
Q is selected from phenyl, furan, isothiazole, pyridine, thiophene, pyrazole, thiazole, pyrrole, and thiadiazole, optionally substituted with one or more radicals selected from R7; and
R? is selected from hydrogen, halogen, Ci-Cealkyl, Ci-Cehaloalkyl, Ci-Cealkoxy, and C3- Cecycloalkyl; or when Q is substituted by at least two R7, said two R7 optionally form a phenyl, optionally substituted with one or more halogen.
12. The compound according to claim 11 , wherein:
R1 is Ci-Cehaloalkyl;
R2 and R3 are hydrogen; and
R7 is halogen, or Ci-Cehaloalkyl; or when Q is substituted by at least two R7, said two R7 optionally form a phenyl, optionally substituted with one or more halogen.
13. A composition comprising a pesticidally effective amount of a compound of formula (I) as defined in any one of claims 1 to 12, optionally comprising an additional pesticidally active ingredient.
14. A method of combating and/or controlling an invertebrate animal pest which comprises applying to the pest, to a locus of the pest, or to a plant susceptible to attack by the pest a pesticidally effective amount of a compound of formula (I) as defined in any one of claims 1 to 12, or a composition as defined in claim 13.
15. A method for the protection of plant propagation material from the attack by an invertebrate animal pest, which comprises treating the plant propagation material or the site, where the plant propagation material is planted, with an effective amount of a compound of formula (I) as defined in any one of claims 1 to 12, or a composition as defined in claim 13.
Applications Claiming Priority (2)
| Application Number | Priority Date | Filing Date | Title |
|---|---|---|---|
| EP22212588 | 2022-12-09 | ||
| EP22212588.2 | 2022-12-09 |
Publications (1)
| Publication Number | Publication Date |
|---|---|
| WO2024121263A1 true WO2024121263A1 (en) | 2024-06-13 |
Family
ID=84487489
Family Applications (1)
| Application Number | Title | Priority Date | Filing Date |
|---|---|---|---|
| PCT/EP2023/084608 Ceased WO2024121263A1 (en) | 2022-12-09 | 2023-12-06 | Insecticidal compound based on pyrazole derivatives |
Country Status (1)
| Country | Link |
|---|---|
| WO (1) | WO2024121263A1 (en) |
Citations (35)
| Publication number | Priority date | Publication date | Assignee | Title |
|---|---|---|---|---|
| EP0353191A2 (en) | 1988-07-29 | 1990-01-31 | Ciba-Geigy Ag | DNA sequences encoding polypeptides having beta-1,3-glucanase activity |
| EP0367474A1 (en) | 1988-11-01 | 1990-05-09 | Mycogen Corporation | Novel bacillus thuringiensis isolate denoted b.t. ps81gg, active against lepidopteran pests, and a gene encoding a lepidopteran-active toxin |
| EP0374753A2 (en) | 1988-12-19 | 1990-06-27 | American Cyanamid Company | Insecticidal toxines, genes coding therefor, antibodies binding them, transgenic plant cells and plants expressing these toxines |
| EP0392225A2 (en) | 1989-03-24 | 1990-10-17 | Ciba-Geigy Ag | Disease-resistant transgenic plants |
| WO1990013651A1 (en) | 1989-05-09 | 1990-11-15 | Imperial Chemical Industries Plc | Bacterial genes |
| EP0401979A2 (en) | 1989-05-18 | 1990-12-12 | Mycogen Corporation | Novel bacillus thuringiensis isolates active against lepidopteran pests, and genes encoding novel lepidopteran-active toxins |
| EP0427529A1 (en) | 1989-11-07 | 1991-05-15 | Pioneer Hi-Bred International, Inc. | Larvicidal lectins and plant insect resistance based thereon |
| EP0451878A1 (en) | 1985-01-18 | 1991-10-16 | Plant Genetic Systems, N.V. | Modifying plants by genetic engineering to combat or control insects |
| WO1993007278A1 (en) | 1991-10-04 | 1993-04-15 | Ciba-Geigy Ag | Synthetic dna sequence having enhanced insecticidal activity in maize |
| WO1995033818A2 (en) | 1994-06-08 | 1995-12-14 | Ciba-Geigy Ag | Genes for the synthesis of antipathogenic substances |
| WO1995034656A1 (en) | 1994-06-10 | 1995-12-21 | Ciba-Geigy Ag | Novel bacillus thuringiensis genes coding toxins active against lepidopteran pests |
| US5631072A (en) | 1995-03-10 | 1997-05-20 | Avondale Incorporated | Method and means for increasing efficacy and wash durability of insecticide treated fabric |
| WO2002015701A2 (en) | 2000-08-25 | 2002-02-28 | Syngenta Participations Ag | Bacillus thuringiensis crystal protein hybrids |
| WO2003000906A2 (en) | 2001-06-22 | 2003-01-03 | Syngenta Participations Ag | Plant disease resistance genes |
| WO2003018810A2 (en) | 2001-08-31 | 2003-03-06 | Syngenta Participations Ag | Modified cry3a toxins and nucleic acid sequences coding therefor |
| WO2003034823A1 (en) | 2001-10-25 | 2003-05-01 | Siamdutch Mosquito Netting Company Limited | Treatment of fabric materials with an insecticide |
| WO2003052073A2 (en) | 2001-12-17 | 2003-06-26 | Syngenta Participations Ag | Novel corn event |
| WO2005064072A2 (en) | 2003-12-22 | 2005-07-14 | Basf Aktiengesellschaft | Composition for the impregnation of fibers, fabrics and nettings imparting a protective activity against pests |
| WO2005113886A1 (en) | 2004-05-12 | 2005-12-01 | Basf Aktiengesellschaft | Method for the treatment of flexible substrates |
| EP1724392A2 (en) | 2005-05-04 | 2006-11-22 | Fritz Blanke Gmbh & Co. Kg | Process for the microbicidal finishing of textile surfaces |
| WO2006128870A2 (en) | 2005-06-03 | 2006-12-07 | Basf Aktiengesellschaft | Composition for the impregnation of fibers, fabrics and nettings imparting a protective activity against pests |
| WO2007090739A1 (en) | 2006-02-03 | 2007-08-16 | Basf Se | Process for treating substrates |
| DE102007003036A1 (en) | 2006-12-20 | 2008-06-26 | Bayer Cropscience Ag | Pyrimidinylpyrazole |
| WO2008151984A1 (en) | 2007-06-12 | 2008-12-18 | Basf Se | Aqueous formulation and process for the impregnation of non-living-materials imparting a protective activity against pests |
| WO2009156090A2 (en) | 2008-06-26 | 2009-12-30 | Bayer Cropscience Aktiengesellschaft | Insecticidal sulfur-derivatized 1-azinylpyrazoles |
| WO2010017902A1 (en) | 2008-08-14 | 2010-02-18 | Bayer Cropscience Aktiengesellschaft | Insecticidal 4-phenyl-1h-pyrazoles |
| WO2010136145A1 (en) | 2009-05-29 | 2010-12-02 | Bayer Cropscience Ag | Pyrazinylpyrazoles |
| WO2011057984A1 (en) | 2009-11-11 | 2011-05-19 | Bayer Cropscience Ag | Novel diazinylpyrazolyl compounds |
| WO2012084852A2 (en) | 2010-12-21 | 2012-06-28 | Bayer Animal Health Gmbh | Ectoparasiticidal active substance combinations |
| WO2013164295A1 (en) | 2012-05-04 | 2013-11-07 | Basf Se | Substituted pyrazole-containing compounds and their use as pesticides |
| WO2016174079A1 (en) | 2015-04-28 | 2016-11-03 | Janssen Sciences Ireland Uc | Rsv antiviral pyrazolo- and triazolo-pyrimidine compounds |
| EP3312162A1 (en) * | 2015-06-18 | 2018-04-25 | Nippon Soda Co., Ltd. | Diaryl azole compound and pesticide |
| WO2019196731A1 (en) * | 2018-04-08 | 2019-10-17 | 海利尔药业集团股份有限公司 | Substituted pyrazolyl pyrazole sulfonylurea compound or pesticide acceptable salt or composition thereof and use thereof |
| EP3556751A1 (en) * | 2016-12-19 | 2019-10-23 | Nippon Soda Co., Ltd. | Diarylpyrazole compound and pest control agent |
| WO2021119343A1 (en) | 2019-12-10 | 2021-06-17 | The Board Of Regents Of The University Of Texas System | Compositions and methods for substituted 7-(piperazin-1-yl)pyrazolo[1,5-a]pyrimidine analogs as inhibitors of kras |
-
2023
- 2023-12-06 WO PCT/EP2023/084608 patent/WO2024121263A1/en not_active Ceased
Patent Citations (39)
| Publication number | Priority date | Publication date | Assignee | Title |
|---|---|---|---|---|
| EP0451878A1 (en) | 1985-01-18 | 1991-10-16 | Plant Genetic Systems, N.V. | Modifying plants by genetic engineering to combat or control insects |
| EP0353191A2 (en) | 1988-07-29 | 1990-01-31 | Ciba-Geigy Ag | DNA sequences encoding polypeptides having beta-1,3-glucanase activity |
| EP0367474A1 (en) | 1988-11-01 | 1990-05-09 | Mycogen Corporation | Novel bacillus thuringiensis isolate denoted b.t. ps81gg, active against lepidopteran pests, and a gene encoding a lepidopteran-active toxin |
| EP0374753A2 (en) | 1988-12-19 | 1990-06-27 | American Cyanamid Company | Insecticidal toxines, genes coding therefor, antibodies binding them, transgenic plant cells and plants expressing these toxines |
| EP0392225A2 (en) | 1989-03-24 | 1990-10-17 | Ciba-Geigy Ag | Disease-resistant transgenic plants |
| WO1990013651A1 (en) | 1989-05-09 | 1990-11-15 | Imperial Chemical Industries Plc | Bacterial genes |
| EP0401979A2 (en) | 1989-05-18 | 1990-12-12 | Mycogen Corporation | Novel bacillus thuringiensis isolates active against lepidopteran pests, and genes encoding novel lepidopteran-active toxins |
| EP0427529A1 (en) | 1989-11-07 | 1991-05-15 | Pioneer Hi-Bred International, Inc. | Larvicidal lectins and plant insect resistance based thereon |
| WO1993007278A1 (en) | 1991-10-04 | 1993-04-15 | Ciba-Geigy Ag | Synthetic dna sequence having enhanced insecticidal activity in maize |
| WO1995033818A2 (en) | 1994-06-08 | 1995-12-14 | Ciba-Geigy Ag | Genes for the synthesis of antipathogenic substances |
| WO1995034656A1 (en) | 1994-06-10 | 1995-12-21 | Ciba-Geigy Ag | Novel bacillus thuringiensis genes coding toxins active against lepidopteran pests |
| US5631072A (en) | 1995-03-10 | 1997-05-20 | Avondale Incorporated | Method and means for increasing efficacy and wash durability of insecticide treated fabric |
| WO2002015701A2 (en) | 2000-08-25 | 2002-02-28 | Syngenta Participations Ag | Bacillus thuringiensis crystal protein hybrids |
| WO2003000906A2 (en) | 2001-06-22 | 2003-01-03 | Syngenta Participations Ag | Plant disease resistance genes |
| WO2003018810A2 (en) | 2001-08-31 | 2003-03-06 | Syngenta Participations Ag | Modified cry3a toxins and nucleic acid sequences coding therefor |
| WO2003034823A1 (en) | 2001-10-25 | 2003-05-01 | Siamdutch Mosquito Netting Company Limited | Treatment of fabric materials with an insecticide |
| WO2003052073A2 (en) | 2001-12-17 | 2003-06-26 | Syngenta Participations Ag | Novel corn event |
| WO2005064072A2 (en) | 2003-12-22 | 2005-07-14 | Basf Aktiengesellschaft | Composition for the impregnation of fibers, fabrics and nettings imparting a protective activity against pests |
| WO2005113886A1 (en) | 2004-05-12 | 2005-12-01 | Basf Aktiengesellschaft | Method for the treatment of flexible substrates |
| EP1724392A2 (en) | 2005-05-04 | 2006-11-22 | Fritz Blanke Gmbh & Co. Kg | Process for the microbicidal finishing of textile surfaces |
| WO2006128870A2 (en) | 2005-06-03 | 2006-12-07 | Basf Aktiengesellschaft | Composition for the impregnation of fibers, fabrics and nettings imparting a protective activity against pests |
| WO2007090739A1 (en) | 2006-02-03 | 2007-08-16 | Basf Se | Process for treating substrates |
| DE102007003036A1 (en) | 2006-12-20 | 2008-06-26 | Bayer Cropscience Ag | Pyrimidinylpyrazole |
| WO2008077483A1 (en) | 2006-12-20 | 2008-07-03 | Bayer Cropscience Ag | Pyrimidinyl pyrazoles as insecticides and parasiticide active agents |
| US20100144672A1 (en) | 2006-12-20 | 2010-06-10 | Bayer Cropscience Ag | Pyrimidinyl pyrazoles as insecticides and parasiticide active agents |
| WO2008151984A1 (en) | 2007-06-12 | 2008-12-18 | Basf Se | Aqueous formulation and process for the impregnation of non-living-materials imparting a protective activity against pests |
| WO2009156090A2 (en) | 2008-06-26 | 2009-12-30 | Bayer Cropscience Aktiengesellschaft | Insecticidal sulfur-derivatized 1-azinylpyrazoles |
| WO2010017902A1 (en) | 2008-08-14 | 2010-02-18 | Bayer Cropscience Aktiengesellschaft | Insecticidal 4-phenyl-1h-pyrazoles |
| US8513260B2 (en) | 2009-05-29 | 2013-08-20 | Bayer Cropscience Ag | Pyrazinylpyrazoles |
| WO2010136145A1 (en) | 2009-05-29 | 2010-12-02 | Bayer Cropscience Ag | Pyrazinylpyrazoles |
| WO2011057984A1 (en) | 2009-11-11 | 2011-05-19 | Bayer Cropscience Ag | Novel diazinylpyrazolyl compounds |
| US8629273B2 (en) | 2009-11-11 | 2014-01-14 | Bayer Intellectual Property Gmbh | Diazinylpyrazolyl compounds |
| WO2012084852A2 (en) | 2010-12-21 | 2012-06-28 | Bayer Animal Health Gmbh | Ectoparasiticidal active substance combinations |
| WO2013164295A1 (en) | 2012-05-04 | 2013-11-07 | Basf Se | Substituted pyrazole-containing compounds and their use as pesticides |
| WO2016174079A1 (en) | 2015-04-28 | 2016-11-03 | Janssen Sciences Ireland Uc | Rsv antiviral pyrazolo- and triazolo-pyrimidine compounds |
| EP3312162A1 (en) * | 2015-06-18 | 2018-04-25 | Nippon Soda Co., Ltd. | Diaryl azole compound and pesticide |
| EP3556751A1 (en) * | 2016-12-19 | 2019-10-23 | Nippon Soda Co., Ltd. | Diarylpyrazole compound and pest control agent |
| WO2019196731A1 (en) * | 2018-04-08 | 2019-10-17 | 海利尔药业集团股份有限公司 | Substituted pyrazolyl pyrazole sulfonylurea compound or pesticide acceptable salt or composition thereof and use thereof |
| WO2021119343A1 (en) | 2019-12-10 | 2021-06-17 | The Board Of Regents Of The University Of Texas System | Compositions and methods for substituted 7-(piperazin-1-yl)pyrazolo[1,5-a]pyrimidine analogs as inhibitors of kras |
Non-Patent Citations (13)
| Title |
|---|
| "Manual on Development and Use of FAO and WHO Specifications for Pesticides, United Nations", 2010, SOUTHERN ILLINOIS UNIVERSITY |
| "McCutcheon's Detergents and Emulsifiers Annual", 1981, MC PUBLISHING CORP |
| ANGEW. CHEM. INT. ED., vol. 43, 2004, pages 1132 - 1136 |
| BASTIN, R.J. ET AL.: "Salt Selection and Optimization Procedures for Pharmaceutical New Chemical Entities", ORGANIC PROCESS RESEARCH AND DEVELOPMENT, vol. 4, 2000, pages 427 - 435 |
| BERGE, S.M. ET AL.: "Pharmaceutical Salts", JOURNAL OF PHARMACEUTICAL SCIENCES, vol. 66, 1977, pages 1 - 19, XP002675560, DOI: 10.1002/jps.2600660104 |
| BIOORG. MED. CHEM. LETT., vol. 14, no. 14, 2004, pages 3669 |
| EUROPEAN JOURNAL OF CHEMISTRY, vol. 11, no. 3, 2020, pages 179 - 186 |
| EUROPEAN JOURNAL OF MEDICINAL CHEMISTRY, vol. 46, no. 3, 2011, pages 934 - 943 |
| FLUORINE NOTES, vol. 116, 2018, pages 9 - 10 |
| GOULD, P.L.: "Salt selection for basic drugs", INTERNATIONAL JOURNAL OF PHARMACEUTICS, vol. 33, 1986, pages 201 - 217, XP025813036, DOI: 10.1016/0378-5173(86)90055-4 |
| J. ORG. CHEM., vol. 70, 2005, pages 8601 - 8604 |
| J. ORG. CHEM., vol. 74, 2009, pages 5599 - 5602 |
| J.ORGMET. CHEM., vol. 576, 1999, pages 147 - 168 |
Similar Documents
| Publication | Publication Date | Title |
|---|---|---|
| JP7551646B2 (en) | Pesticidal Active Diazine-Amide Compounds - Patent application | |
| JP7482855B2 (en) | Pesticidal Azole-Amide Compounds | |
| JP7611848B2 (en) | Pesticidal Active Diazine-Amide Compounds - Patent application | |
| JP2025063023A (en) | Pesticidally active azole-amide compounds | |
| JP7549601B2 (en) | Pesticidal Azole Amide Compounds | |
| KR20220097418A (en) | Insecticidally active fused bicyclic heteroaromatic compounds | |
| KR20210152508A (en) | Insecticidally active diazine-amide compounds | |
| JP7581336B2 (en) | Pesticidal Active Heterocyclic Derivatives with Sulfur and Sulfoximine-Containing Substituents. | |
| BR112021004603A2 (en) | pesticide active azole-amide compounds | |
| JP7725456B2 (en) | Pesticidally active cyclic amine compounds | |
| BR112021016227A2 (en) | PESTICIDEALLY ACTIVE AZOLE-AMIDE COMPOUNDS | |
| JP7788377B2 (en) | Pesticidal active fused bicyclic aromatic heterocyclic amino compounds. | |
| KR20220124757A (en) | Insecticidal Active Heterocyclic Derivatives With Sulfur-Containing Substituents | |
| KR20230058667A (en) | Insecticidally active heterocyclic derivatives having sulfur-containing substituents | |
| JP2025516598A (en) | Alkoxyheteroaryl-carboxamide or thioamide compounds | |
| JP7746286B2 (en) | Pesticidal Active Heterocyclic Derivatives with Sulfur-Containing Substituents - Patent application | |
| JP7738001B2 (en) | Pesticidally active cyclic amine compounds | |
| JP2023540311A (en) | Heterocyclic derivatives with sulfur-containing substituents that are pesticidally active | |
| JP2023540953A (en) | Pesticide-active heterocyclic derivatives with sulfur-containing substituents | |
| WO2024121263A1 (en) | Insecticidal compound based on pyrazole derivatives | |
| WO2024121261A1 (en) | Insecticidal compound based on pyrazole derivatives | |
| WO2024121262A1 (en) | Insecticidal compound based on pyrazole derivatives | |
| WO2024121264A1 (en) | Insecticidal compound based on pyrazole derivatives | |
| AU2022230685B2 (en) | Pesticidal formulations | |
| EA047435B1 (en) | PESTICIDALLY ACTIVE CYCLIC AMINO COMPOUNDS |
Legal Events
| Date | Code | Title | Description |
|---|---|---|---|
| 121 | Ep: the epo has been informed by wipo that ep was designated in this application |
Ref document number: 23821225 Country of ref document: EP Kind code of ref document: A1 |
|
| NENP | Non-entry into the national phase |
Ref country code: DE |
|
| 122 | Ep: pct application non-entry in european phase |
Ref document number: 23821225 Country of ref document: EP Kind code of ref document: A1 |















































