WO2024081385A1 - Hpk1 inhibitors and methods of use thereof - Google Patents
Hpk1 inhibitors and methods of use thereof Download PDFInfo
- Publication number
- WO2024081385A1 WO2024081385A1 PCT/US2023/035062 US2023035062W WO2024081385A1 WO 2024081385 A1 WO2024081385 A1 WO 2024081385A1 US 2023035062 W US2023035062 W US 2023035062W WO 2024081385 A1 WO2024081385 A1 WO 2024081385A1
- Authority
- WO
- WIPO (PCT)
- Prior art keywords
- alkyl
- cancer
- compound
- inhibitor
- immune checkpoint
- Prior art date
- Legal status (The legal status is an assumption and is not a legal conclusion. Google has not performed a legal analysis and makes no representation as to the accuracy of the status listed.)
- Ceased
Links
Classifications
-
- C—CHEMISTRY; METALLURGY
- C07—ORGANIC CHEMISTRY
- C07D—HETEROCYCLIC COMPOUNDS
- C07D403/00—Heterocyclic compounds containing two or more hetero rings, having nitrogen atoms as the only ring hetero atoms, not provided for by group C07D401/00
- C07D403/14—Heterocyclic compounds containing two or more hetero rings, having nitrogen atoms as the only ring hetero atoms, not provided for by group C07D401/00 containing three or more hetero rings
-
- C—CHEMISTRY; METALLURGY
- C07—ORGANIC CHEMISTRY
- C07D—HETEROCYCLIC COMPOUNDS
- C07D401/00—Heterocyclic compounds containing two or more hetero rings, having nitrogen atoms as the only ring hetero atoms, at least one ring being a six-membered ring with only one nitrogen atom
- C07D401/14—Heterocyclic compounds containing two or more hetero rings, having nitrogen atoms as the only ring hetero atoms, at least one ring being a six-membered ring with only one nitrogen atom containing three or more hetero rings
Definitions
- HPK1 INHIBITORS AND METHODS OF USE THEREOF CROSS-REFERENCE TO RELATED APPLICATIONS [0001] This application claims the benefit of priority to US Provisional Patent Application No. 63/416,426, filed on October 14, 2022, the entire content of which is incorporated by reference herein. BACKGROUND [0002] The following discussion is provided to aid the reader in understanding the disclosure and is not admitted to describe or constitute prior art thereto. [0003] Hematopoietic Progenitor Kinase 1 (HPK1) is a serine/threonine protein kinase in the MAP4K family, and is highly expressed in hematopoietic cells and across T cells, B cells, and dendritic cells.
- HPK1 is a negative regulator of T cell and B cell signaling.
- HPK1 activity has been demonstrated to restrain T cell activation through phosphorylation of SLP-76 at Serine 376, leading to T cell receptor (TCR) disassembly, thereby reducing T cell activity.
- Mediators generated in the tumor microenvironment (TME) such as adenosine, PGE2 and TGF ⁇ can dampen immune cell activity and present a significant barrier to cancer therapy.
- HPK1 inhibition reduces TCR disassembly, and can aid in restoring T cell activity in the suppressive conditions of the TME. Accordingly, inhibition of HPK1 is a promising approach for cancer therapy.
- the present disclosure relates to compounds that inhibit the activity of HPK1.
- the compounds are represented by Formula I: or a pharmaceutically acceptable salt thereof, wherein: X 1 , X 2 , X 3 , and X 4 are each independently N or CR 2 ; each R 2 is independently H, halo, -NR 2a R 2b , -C 1 -C 3 alkyl, -C 1 -C 3 haloalkyl, -C 1 -C 3 hydroxyalkyl, -C 1 -C 3 alkoxy, -S(O) 2 -(C 1 -C 3 alkyl), -C(O)O(C 1 -C 3 -alkyl), -C(O)- NR 2a R 2b , -C 1 -C 3 alkylene-O-(C 1 -C 3 -alkyl), 5- to 6-membered heteroaryl, or 5- to 6- membered heterocycloalky
- L 1 is -O-, -O-(C 1 -C 3 alkylene)-, -NH-, or -NH-(C 1 -C 3 alkylene)-, wherein the alkylene is optionally substituted with one -NH 2 ; and ii.
- R 1a is selected from the group consisting of -C 1 -C 6 alkyl, -C 1 -C 6 hydroxyalkyl, -C 3 -C 6 -cycloalkyl, 6- to 10-membered aryl, 5- to 8- membered heterocycloalkyl, and 5- to 10-membered heteroaryl; wherein said 5- to 8-membered heterocycloalkyl and 5- to 10-membered heteroaryl have 1-3 ring heteroatoms or ring heteroatom groups independently selected from NRo, N, S and O; wherein said 5- to 8-membered heterocycloalkyl and -C 3 -C 6 -cycloalkyl groups are optionally fused to phenyl; and wherein said - C 3 -C 6 -cycloalkyl and 6- to 10-membered aryl groups are optionally substituted with -OH, -C 1 -C 3 hydroxyalkyl, or -NH 2 ; b) 5- to 10-membere
- R 1b is H, -C 1 -C 3 alkyl, -C 1 -C 3 hydroxyalkyl, or -(C 1 -C 3 alkylene)-O-(C 1 -C 3 alkyl); and ii.
- each R 1c is independently selected from the group consisting of -OH, - NR 1d R 1e , -C(O)-NR 1d R 1e , -C 1 -C 6 alkyl, -C 1 -C 6 hydroxyalkyl, -(C 1 -C 3 alkylene)-NH 2 , and phenyl; wherein R 1d and R 1e are independently H, -C 1 - C 3 alkyl, -C 1 -C 3 hydroxyalkyl, and -C(O)-(C 1 -C 3 alkylene)-N(C 1 -C 3 alkyl) 2 ; and c) -(C 1 -C 3 alkylene)-NR 1f R 1g , or -C(O)-NR 1f R 1g ; wherein i.
- R 1f and R 1g are independently H or -C 1 -C 3 alkyl; or ii. R 1f and R 1g taken together with the N atom to which they are attached form a 5- to 8-membered heterocycloalkyl having 0-1 additional ring heteroatom or ring heteroatom group selected from NRo, N, O, and S; or R 1 and R 2 groups together with the adjacent ring atoms to which they are attached form a -C 5 - C 7 -cycloalkyl, or a 5- to 7-membered heterocycloalkyl having 1-3 ring heteroatoms or ring heteroatom groups independently selected from NRo, N, O, and S; wherein said 5- to 7-membered heterocycloalkyl is optionally substituted with one oxo; and wherein said -C 5 -C 7 -cycloalkyl is substituted with one 5-membered heterocycloalkyl having 1- 2 ring heteroatoms or ring heteroatom groups independently selected from
- this disclosure is directed to methods of inhibiting HPK1 in a subject comprising administering to the subject an effective amount of a compound described herein.
- this disclosure provides methods for treating a disease, disorder, or condition mediated at least in part by HPK1 activity in a subject, comprising administering to the subject an effective amount of a compound described herein.
- Diseases, disorders, and conditions mediated by HPK1 include cancer and viral infections.
- Certain aspects of the present disclosure further comprise the administration of one or more additional therapeutic agents as set forth herein below.
- the term “about” refers to the usual error range for the respective value readily known to the skilled person in this technical field. If the degree of approximation is not otherwise clear from the context, “about” means either within plus or minus 10% of the provided value, or rounded to the nearest significant figure, in all cases inclusive of the provided value. Where ranges are provided, they are inclusive of the boundary values.
- alkyl by itself or as part of another substituent, means, unless otherwise stated, a saturated monovalent hydrocarbon radical, having, in some embodiments, one to eight (e.g., C 1 -C 8 alkyl), or one to six (e.g., C 1 -C 6 alkyl), or one to three carbon atoms (e.g., C 1 -C 3 alkyl), respectively.
- alkyl encompasses straight and branched-chain hydrocarbon groups.
- alkyl groups include, but are not limited to, methyl, ethyl, n-propyl, isopropyl, n-butyl, t-butyl, isobutyl, sec-butyl, isopentyl, tert-pentyl, n-pentyl, isohexyl, n- hexyl, n-heptyl, 4-isopropylheptane, n-octyl, and the like.
- the alkyl groups are C 1 -C 6 alkyl groups (e.g., methyl, ethyl, isopropyl, or t-butyl).
- the alkyl groups are C 1 -C 3 alkyl groups (e.g., methyl, ethyl, n-propyl, or iso-propyl).
- alkylene refers to a straight or branched, saturated, hydrocarbon radical having, in some embodiments, one to six (e.g., C 1 -C 6 alkylene), or one to four (e.g., C 1 -C 4 alkylene), or one to three (e.g., C 1 -C 3 alkylene), or one to two (e.g., C 1 -C 2 alkylene) carbon atoms, and linking at least two other groups, i.e., a divalent hydrocarbon radical.
- a straight chain alkylene can be the bivalent radical of -(CH 2 )n-, where n is 1, 2, 3, 4, 5 or 6 (i.e., a C 1 -C 6 alkylene).
- Representative alkylene groups include, but are not limited to, methylene, ethylene, propylene, isopropylene, butylene, isobutylene, secbutylene, pentylene, hexylene and the like.
- the alkylene groups are C 1 -C 2 alkylene groups (e.g., methylene or ethylene) or C 1 -C 3 alkylene groups (e.g., methylene, ethylene, or propylene).
- alkoxy refers to an alkyl group, as defined herein, that is attached to the remainder of the molecule via an oxygen atom (e.g., -O-C 1 -C 12 alkyl, -O-C 1 -C 8 alkyl, -O-C 1 -C 6 alkyl, or -O-C 1 -C 3 alkyl).
- Non-limiting examples of alkoxy groups include methoxy, ethoxy, n-propoxy, iso-propoxy, n-butoxy, sec-butoxy, n-pentoxy, n-hexoxy, and the like.
- the alkoxy groups are C 1 -C 3 -alkoxy groups (e.g., methoxy, ethoxy, propoxy, or iso-propoxy),
- cycloalkyl refers to a monocyclic, bicyclic or polycyclic hydrocarbon ring system having, in some embodiments, 3 to 14 carbon atoms (e.g., C 3 -C 14 cycloalkyl), or 3 to 10 carbon atoms (e.g., C 3 -C 10 cycloalkyl), or 3 to 8 carbon atoms (e.g., C 3 -C 8 cycloalkyl), or 3 to 7 carbon atoms (e.g., C 3 -C 7 cycloalkyl
- Cycloalkyl groups can be saturated or characterized by one or more points of unsaturation (i.e., carbon-carbon double and/or triple bonds), provided that the points of unsaturation do not result in an aromatic system.
- monocyclic cycloalkyl groups include, but are not limited to, cyclopropyl, cyclobutyl, cyclopentyl, cyclohexyl, cyclohexenyl, cyclohexynyl, cycloheptyl, cycloheptenyl, cycloheptadienyl, cyclooctyl, cyclooctenyl, cyclooctadienyl and the like.
- the rings of bicyclic and polycyclic cycloalkyl groups can be fused, bridged, or spirocyclic.
- Non-limiting examples of bicyclic, spirocyclic and polycyclic hydrocarbon groups include bicyclo[2.2.1]heptane, bicyclo[2.2.2]octane, adamantyl, indanyl, spiro[5.5]undecane, spiro[2.2]pentane, spiro[2.2]pentadiene, spiro[2.5]octane, spiro[2.2]pentadiene, and the like.
- the cycloalkyl groups of the present disclosure are monocyclic C 3 -C 7 cycloalkyl moieties (e.g., cyclopropyl, cyclobutyl, cyclopentyl, cyclohexyl, or cycloheptyl). In some embodiments, the cycloalkyl groups of the present disclosure are monocyclic C 3 -C 5 cycloalkyl moieties (e.g., cyclopropyl, cyclobutyl, or cyclopentyl).
- heterocycloalkyl refers to a non-aromatic monocyclic, bicyclic or polycyclic cycloalkyl ring having, in some embodiments, 3 to 14 members (e.g., 3- to 14- membered heterocycloalkyl), or 3 to 10 members (e.g., 3- to 10-membered heterocycloalkyl), or 3 to 8 members (e.g., 3- to 8-membered heterocycloalkyl), or 3 to 7 members (e.g., 3- to 7- membered heterocycloalkyl), or 3 to 6 members (e.g., 3- to 6-membered heterocycloalkyl), or 5 to 6 members (e.g., 5- to 6-membered heterocycloalkyl), and having from one to five, one to four, one to three, one to two or one ring heteroatom selected from nitrogen (N), oxygen (O), and sulfur (S).
- N nitrogen
- O oxygen
- S sulfur
- Heterocycloalkyl groups are saturated or characterized by one or more points of unsaturation (e.g., one or more carbon-carbon double bonds, carbon-carbon triple bonds, carbon-nitrogen double bonds, and/or nitrogen-nitrogen double bonds), provided that the points of unsaturation do not result in an aromatic system.
- the rings of bicyclic and polycyclic heterocycloalkyl groups can be fused, bridged, or spirocyclic.
- heterocycloalkyl groups include aziridine, oxirane, thiirane, pyrrolidine, imidazolidine, pyrazolidine, dioxolane, phthalimide, piperidine, 1,4- dioxane, morpholine, thiomorpholine, thiomorpholine-S-oxide, thiomorpholine-S,S-oxide, piperazine, 3,4,5,6-tetrahydropyridazine, pyran, decahydroisoquinoline, 3-pyrroline, thiopyran, tetrahydrofuran, tetrahydrothiophene, quinuclidine, 2,6-diazaspiro[3.3]heptane, 2- azaspiro[3.3]heptane, 1-oxaspiro[3.3]heptan
- a heterocycloalkyl group can be attached to the remainder of the molecule through a ring carbon atom, or a ring heteroatom, when chemically permissible.
- the heterocycloaklyl groups of the present disclosure are monocyclic or bicyclic 5- to 10-membered heterocycloalkyl moieties having 1-3 ring heteroatoms independently selected from N, and O (e.g., pyrrolidine, imidazolidine, pyrazolidine, piperidine, piperazine, morpholine, diazepine, 3,6-diazabicyclo[3.1.1]heptane, 2,5-diazabicyclo[2.2.1]heptane, 3,8- diazabicyclo[3.2.1]octane, 3-azabicyclo[3.2.1]octane, 3-oxa-6-azabicyclo[3.1.1]heptane, 2- oxa-5-azabicyclo[2.2.1]heptane, 2,5-diazabicyclo[4.1.0]heptane, octahydro-1H-pyrrolo[3,4- b]pyridine, octahydropyrrol
- aryl refers to an aromatic ring system containing one ring, or two or three rings fused together, and having, in some embodiments, six to fourteen (i.e., C 6-14 aryl), or six to ten (i.e., C 6-10 aryl), or six (i.e., C 6 aryl) carbon atoms.
- aryl groups include phenyl, naphthyl and anthracenyl.
- aryl groups are phenyl.
- heteroaryl refers to monocyclic or fused bicyclic aromatic groups (or rings) having, in some embodiments, from 5 to 14 (i.e., 5- to 14-membered heteroaryl), or from 5 to 10 (i.e., 5- to 10-membered heteroaryl), or from 5 to 6 (i.e., 5- to 6-membered heteroaryl) members (i.e., ring vertices), and containing from one to five, one to four, one to three, one to two or one ring heteroatom selected from nitrogen (N), oxygen (O), and sulfur (S).
- N nitrogen
- O oxygen
- S sulfur
- a heteroaryl group can be attached to the remainder of the molecule through a ring carbon atom or a ring heteroatom of the heteroaryl group, when chemically permissible.
- heteroaryl groups include pyridyl, pyridazinyl, pyrazinyl, pyrimindinyl, triazinyl, purinyl, thienopyridinyl, thienopyrimidinyl, pyrazolopyrimidinyl, pyrazolopyridinyl, imidazopyridines, isothiazolyl, pyrazolyl, indazolyl, pteridinyl, imidazolyl, triazolyl, tetrazolyl, oxazolyl, oxadiazolyl, isoxazolyl, thiadiazolyl, pyrrolyl, thiazolyl, furyl, thienyl and the like.
- the heteroaryl groups of the present disclosure are monocyclic 5- to 9-membered heteroaryl moieties (e.g., pyridinyl, pyrimidinyl, pyridazinyl, pyrazinyl, triazolyl, imidazolyl, pyrazolyl, oxazolyl, oxadiazole, thiazolyl, or pyrazolopyridine).
- monocyclic 5- to 9-membered heteroaryl moieties e.g., pyridinyl, pyrimidinyl, pyridazinyl, pyrazinyl, triazolyl, imidazolyl, pyrazolyl, oxazolyl, oxadiazole, thiazolyl, or pyrazolopyridine.
- the heteroaryl groups of the present disclosure are monocyclic 5- to 6-membered heteroaryl moieties (e.g., pyridinyl, pyrimidinyl, pyridazinyl, pyrazinyl, triazolyl, imidazolyl, pyrazolyl, oxazolyl, oxadiazole, or thiazolyl). It is to be understood that when sp 3 hybridized ring N heteroatoms are present (e.g., NH or NR heteroatom groups), their valence is satisfied by a H atom, an R group as defined elsewhere herein, or via connectivity to the remainder of the molecule.
- a wavy line, " ", that intersects a single, double or triple bond in any chemical structure depicted herein, represents that the point of attachment of the single, double, or triple bond to the remainder of the molecule is through either one of the atoms that make up the single, double or triple bond.
- a bond extending from a substituent to the center of a ring is meant to indicate attachment of that substituent to the ring at any of the available ring vertices, i.e., such that attachment of the substituent to the ring results in a chemically stable arrangement.
- halo or halogen
- halogen e.g., 1-3 halo
- C 1 -C 3 haloalkyl is meant to include difluoromethyl, trifluoromethyl, 2,2,2- trifluoroethyl, 4-chlorobutyl, 3-bromopropyl, and the like.
- the haloalkyl is trifluoromethyl, or difluoromethyl.
- C 1 -C 3 haloalkoxy is meant to include trifluoromethoxy, difluoromethoxy, 2,2,2-trifluoroethoxy, 4-chlorobutyoxy, 3-bromopropoxy, and the like.
- the haloalkoxy is trifluoromethoxy.
- hydroxyalkyl refers to an alkyl group, as defined herein, that is substituted with one or more hydroxyl groups (e.g., 1-3 hydroxyl groups).
- Exemplary hydroxyalkyl groups include methanol, ethanol, 1,2-propanediol, 1,2-hexanediol, isopropanol, glycerol, and the like.
- the compounds of the present disclosure can be present in their neutral form, or as a pharmaceutically acceptable salt, isomer, polymorph or solvate thereof, and may be present in a crystalline form, amorphous form or mixtures thereof.
- pharmaceutically acceptable salt is meant to include salts of the compounds according to this disclosure that are prepared with relatively nontoxic acids or bases, depending on the particular substituents found on the compounds described herein.
- base addition salts can be obtained by contacting the neutral form of such compounds with a sufficient amount of the desired base, either neat or in a suitable inert solvent.
- salts derived from pharmaceutically-acceptable inorganic bases include aluminum, ammonium, calcium, copper, ferric, ferrous, lithium, magnesium, manganic, manganous, potassium, sodium, zinc and the like.
- Salts derived from pharmaceutically-acceptable organic bases include salts of primary, secondary and tertiary amines, including substituted amines, cyclic amines, naturally-occurring amines and the like, such as arginine, betaine, caffeine, choline, N,N’-dibenzylethylenediamine, diethylamine, 2-diethylaminoethanol, 2- dimethylaminoethanol, ethanolamine, ethylenediamine, N-ethylmorpholine, N- ethylpiperidine, glucamine, glucosamine, histidine, hydrabamine, isopropylamine, lysine, methylglucamine, morpholine, piperazine, piperidine, polyamine resins, procaine, purines, theobromine, triethylamine, trimethylamine, tripropylamine, tromethamine and the like.
- acid addition salts can be obtained by contacting the neutral form of such compounds with a sufficient amount of the desired acid, either neat or in a suitable inert solvent.
- pharmaceutically acceptable acid addition salts include those derived from inorganic acids like hydrochloric, hydrobromic, nitric, carbonic, monohydrogencarbonic, phosphoric, monohydrogenphosphoric, dihydrogenphosphoric, sulfuric, monohydrogensulfuric, hydriodic, or phosphorous acids and the like, as well as the salts derived from relatively nontoxic organic acids like acetic, propionic, isobutyric, malonic, benzoic, succinic, suberic, fumaric, mandelic, phthalic, benzenesulfonic, p-tolylsulfonic, citric, tartaric, methanesulfonic, and the like.
- salts of amino acids such as arginate and the like, and salts of organic acids like glucuronic or galactunoric acids and the like (see, for example, Berge, S.M., et al, “Pharmaceutical Salts”, Journal of Pharmaceutical Science, 1977, 66, 1-19).
- Certain specific compounds of the present disclosure contain both basic and acidic functionalities that allow the compounds to be converted into either base or acid addition salts.
- the neutral forms of the compounds may be regenerated by contacting the salt with a base or acid and isolating the parent compound in the conventional manner.
- the parent form of the compound differs from the various salt forms in certain physical properties, such as solubility in polar solvents, but otherwise the salts are equivalent to the parent form of the compound for the purposes of the present disclosure.
- This disclosure also contemplates isomers of the compounds described herein (e.g., stereoisomers and atropisomers).
- certain compounds of the present disclosure possess asymmetric carbon atoms (chiral centers), or hindered rotation about a single bond; the racemates, diastereomers, enantiomers, and atropisomers (e.g., R a , S a , P and M isomers) of which are all intended to be encompassed within the scope of the present disclosure.
- Stereoisomeric forms may be defined, in terms of absolute stereochemistry, as (R) or (S), and/or depicted uses dashes and/or wedges.
- a stereochemical depiction e.g., using dashes, and/or wedges
- a stereochemical assignment e.g., using (R) and (S) notation
- is made in a chemical name it is meant to indicate that the depicted isomer is present and substantially free of one or more other isomer(s) (e.g., enantiomers and diastereomers, when present).
- “Substantially free of” other isomer(s) indicates at least an 70/30 ratio of the indicated isomer to the other isomer(s), more preferably 80/20, 90/10, or 95/5 or more. In some embodiments, the indicated isomer will be present in an amount of at least 99%.
- a chemical bond to an asymmetric carbon that is depicted as a solid line indicates that all possible stereoisomers (e.g., enantiomers, diastereomers, racemic mixtures, etc.) at that carbon atom are included. In such instances, the compound may be present as a racemic mixture, scalemic mixture, or a mixture of diastereomers.
- the compounds of the present disclosure may also contain unnatural proportions of atomic isotopes at one or more of the atoms that constitute such compounds.
- Unnatural proportions of an isotope may be defined as ranging from the amount found in nature to an amount consisting of 100% of the atom in question.
- the compounds may incorporate radioactive isotopes, such as for example tritium ( 3 H), iodine-125 ( 125 I) or carbon- 14 ( 14 C), or non-radioactive isotopes, such as deuterium ( 2 H) or carbon-13 ( 13 C).
- radioactive isotopes such as for example tritium ( 3 H), iodine-125 ( 125 I) or carbon- 14 ( 14 C), or non-radioactive isotopes, such as deuterium ( 2 H) or carbon-13 ( 13 C).
- isotopic variations can provide additional utilities to those described elsewhere herein.
- isotopic variants of the compounds of the disclosure may find additional utility, including but not limited to, as diagnostic and/or imaging reagents, or as cytotoxic/radiotoxic therapeutic agents. Additionally, isotopic variants of the compounds of the disclosure can have altered pharmacokinetic and pharmacodynamic characteristics which can contribute to enhanced safety, tolerability or efficacy during treatment. All isotopic variations of the compounds of the present disclosure, whether radioactive or not, are intended to be encompassed within the scope of the present disclosure. In some embodiments, the compounds according to this disclosure are characterized by one or more deuterium atoms.
- patient or “subject” are used interchangeably to refer to a human or a non- human animal (e.g., a mammal).
- patient or a subject
- non- human animal e.g., a mammal
- treat or treating
- treatment refer to a course of action that eliminates, reduces, suppresses, mitigates, ameliorates, or prevents the worsening of, either temporarily or permanently, a disease, disorder or condition to which the term applies, or at least one of the symptoms associated therewith.
- Treatment includes alleviation of symptoms, diminishment of extent of disease, inhibiting (e.g., arresting the development or further development of the disease, disorder or condition or clinical symptoms association therewith) an active disease, delaying or slowing of disease progression, improving the quality of life, and/or prolonging survival of a subject as compared to expected survival if not receiving treatment or as compared to a published standard of care therapy for a particular disease.
- the term “in need of treatment” as used herein refers to a judgment made by a physician or similar professional that a subject requires or will benefit from treatment. This judgment is made based on a variety of factors that are in the realm of the physician’s expertise, which may include a positive diagnosis of a disease, disorder or condition.
- the terms “prevent”, “preventing”, “prevention”, “prophylaxis” and the like refer to a course of action initiated in a manner (e.g., prior to the onset of a disease, disorder, condition or symptom thereof) so as to prevent, suppress, inhibit or reduce, either temporarily or permanently, a subject’s risk of developing a disease, disorder, condition or the like (as determined by, for example, the absence of clinical symptoms) or delaying the onset thereof, generally in the context of a subject predisposed to having a particular disease, disorder or condition. In certain instances, the terms also refer to slowing the progression of the disease, disorder or condition or inhibiting progression thereof to a harmful or otherwise undesired state.
- Prevention also refers to a course of action initiated in a subject after the subject has been treated for a disease, disorder, condition or a symptom associated therewith in order to prevent relapse of that disease, disorder, condition or symptom.
- the term “in need of prevention” as used herein refers to a judgment made by a physician or other caregiver that a subject requires or will benefit from preventative care. This judgment is made based on a variety of factors that are in the realm of a physician’s or caregiver’s expertise.
- “Substantially pure” indicates that a component (e.g., a compound according to this disclosure) makes up greater than about 50% of the total content of the composition, and typically greater than about 60% of the total content.
- “substantially pure” refers to compositions in which at least 75%, at least 85%, at least 90% or more of the total composition is the component of interest. In some cases, the component of interest will make up greater than about 90%, or greater than about 95% of the total content of the composition.
- Compounds that are selective may be particularly useful in the treatment of certain disorders or may offer a reduced likelihood of undesired side effects. In one embodiment, compounds of the present disclosure are selective over other MAP4K isoforms (e.g., MAP4K2, MAP4K3, MAP4K4, MAP4K5, MAPK6, and MAPK7).
- compounds of the present disclosure are selective over other kinases (e.g., LCK and/or ZAP70).
- Selectivity may be determined, for example, by comparing the inhibition of a compound as described herein against HPK1 against the inhibition of a compound as described herein against another isoform (e.g., MAP4K2, MAP4K3, MAP4K4, and/or MAP4K5), or another kinase (e.g. LCK and/or ZAP70).
- the selective inhibition of HPK1 is at least 1000 times greater, 500 times greater, or 100 times greater, or 20 times greater than inhibition of another protein or isoform.
- Compounds provided herein may have advantageous pharmacokinetic profiles including, for example, e.g., potency against HPK1 in whole blood, inhibition against the human Ether-a-go-go Related Gene potassium ion channel (hERG), hepatocyte stability, clearance, and inhibition against CYP.
- hERG human Ether-a-go-go Related Gene potassium ion channel
- CYP CYP
- the present disclosure relates to compounds that inhibit the activity of HPK1.
- this disclosure is directed to a compound, or a pharmaceutically acceptable salt or solvate thereof, having a structure according to Formula I: wherein X 1 , X 2 , X 3 , X 4 , Z 1 , Z 2 , Z 3 , Z 4 , R 1 , R 4 , and ring Y are defined as described herein.
- this disclosure is directed to a compound, or a pharmaceutically acceptable salt or solvate thereof, having a structure according to Formula I: wherein: X 1 , X 2 , X 3 , and X 4 are each independently N or CR 2 ; each R 2 is independently H, halo, -NR 2a R 2b , -C 1 -C 3 alkyl, -C 1 -C 3 haloalkyl, -C 1 -C 3 hydroxyalkyl, -C 1 -C 3 alkoxy, -S(O) 2 -(C 1 -C 3 alkyl), -C(O)O(C 1 -C 3 -alkyl), -C(O)- NR 2a R 2b , -C 1 -C 3 alkylene-O-(C 1 -C 3 -alkyl), 5- to 6-membered heteroaryl, or 5- to 6- membered heterocycloalkyl; wherein said
- L 1 is -O-, -O-(C 1 -C 3 alkylene)-, -NH-, or -NH-(C 1 -C 3 alkylene)-, wherein the alkylene is optionally substituted with one -NH 2 ; and ii.
- R 1a is selected from the group consisting of -C 1 -C 6 alkyl, -C 1 -C 6 hydroxyalkyl, -C 3 -C 6 -cycloalkyl, 6- to 10-membered aryl, 5- to 8- membered heterocycloalkyl, and 5- to 10-membered heteroaryl; wherein said 5- to 8-membered heterocycloalkyl and 5- to 10-membered heteroaryl have 1-3 ring heteroatoms or ring heteroatom groups independently selected from NRo, N, S and O; wherein said 5- to 8-membered heterocycloalkyl and -C 3 -C 6 -cycloalkyl groups are optionally fused to phenyl; and wherein said - C 3 -C 6 -cycloalkyl and 6- to 10-membered aryl groups are optionally substituted with -OH, -C 1 -C 3 hydroxyalkyl, or -NH 2 ; b) 5- to 10-membere
- R 1b is H, -C 1 -C 3 alkyl, -C 1 -C 3 hydroxyalkyl, or -(C 1 -C 3 alkylene)-O-(C 1 -C 3 alkyl); and ii.
- each R 1c is independently selected from the group consisting of -OH, - NR 1d R 1e , -C(O)-NR 1d R 1e , -C 1 -C 6 alkyl, -C 1 -C 6 hydroxyalkyl, -(C 1 -C 3 alkylene)-NH 2 , and phenyl; wherein R 1d and R 1e are independently H, -C 1 - C 3 alkyl, -C 1 -C 3 hydroxyalkyl, and -C(O)-(C 1 -C 3 alkylene)-N(C 1 -C 3 alkyl) 2 ; and c) -(C 1 -C 3 alkylene)-NR 1f R 1g , or -C(O)-NR 1f R 1g ; wherein i.
- R 1f and R 1g are independently H or -C 1 -C 3 alkyl; or ii. R 1f and R 1g taken together with the N atom to which they are attached form a 5- to 8-membered heterocycloalkyl having 0-1 additional ring heteroatom or ring heteroatom group selected from NRo, N, O, and S; or R 1 and R 2 groups together with the adjacent ring atoms to which they are attached form a -C 5 - C 7 -cycloalkyl, or a 5- to 7-membered heterocycloalkyl having 1-3 ring heteroatoms or ring heteroatom groups independently selected from NRo, N, O, and S; wherein said 5- to 7-membered heterocycloalkyl is optionally substituted with one oxo; and wherein said -C 5 -C 7 -cycloalkyl is substituted with one 5-membered heterocycloalkyl having 1- 2 ring heteroatoms or ring heteroatom groups independently selected from
- X 1 is N, X 2 is CH, X 3 is CH, and X 4 is N.
- X 1 is N, X 2 is CH, X 3 is CR 2 , and X 4 is CH.
- X 1 is N, X 2 is CH, X 3 is CH, and X 4 is CH.
- X 1 is N, X 2 is CH, X 3 is CH, and X 4 is CH.
- X 1 is N, X 2 is CH, X 3 is CH, and X 4 is CR 2 .
- X 1 is N, X 2 is CR 2 , X 3 is CH, and X 4 is CH.
- X 1 is CH, X 2 is N, X 3 is CH, and X 4 is CH. [0043] In some embodiments, X 1 is N, X 2 is CH, X 3 is N, and X 4 is CH. [0044] In some embodiments, X 1 is N, X 2 is N, X 3 is CH, and X 4 is CH. [0045] In some embodiments, R 1 is H. [0046] In some embodiments, R 1 is -L 1 -R 1a .
- L 1 is -O-, -O-(C 1 -C 3 alkylene)-, -NH-, or -NH-(C 1 -C 3 alkylene)-, wherein the alkylene is optionally substituted with one -NH 2 .
- L 1 is -O-.
- L 1 is -O-(C 1 -C 3 alkylene)- .
- L 1 is , each of which is optionally substituted with -NH 2 .
- L 1 is .
- L 1 is -NH-.
- L 1 is -NH-(C 1 -C 3 alkylene)-.
- L 1 is each of which is optionally substituted with -NH 2 .
- L 1 is [0047]
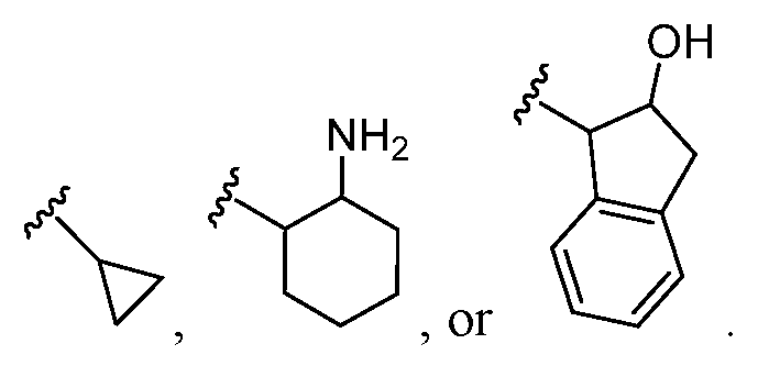
- R 1a is selected from the group consisting of -C 1 -C 6 alkyl, -C 1 - C 6 hydroxyalkyl, -C 3 -C 6 -cycloalkyl, 6- to 10-membered aryl, 5- to 8-membered heterocycloalkyl, and 5- to 10-membered heteroaryl; wherein said 5- to 8-membered heterocycloalkyl and 5- to 10-membered heteroaryl have 1-3 ring heteroatoms or ring heteroatom groups independently selected from NRo, N, S and O; wherein said 5- to 8- membered heterocycloalkyl and -C 3 -C 6 -cycloalkyl groups are optionally fused to phenyl; and wherein said -C 3 -C 6 -cycloalkyl and 6- to 10-membered aryl groups
- R 1a is -C 1 -C 6 alkyl. In some embodiments, R 1a is -C 1- C 4 alkyl. In some embodiments, R 1a is [0049] In some embodiments R 1a is -C 1 -C 6 hydroxyalkyl. In some embodiments, R 1a is -CH 2 - OH. [0050] In some embodiments, R 1a is a -C 3 -C 6 -cycloalkyl optionally fused to phenyl, wherein said -C 3 -C 6 -cycloalkyl is substituted with 0-1 substituent selected from -OH, -C 1 -C 3 hydroxyalkyl, and -NH 2 .
- R 1a is a C 3 -C 6 -cycloalkyl optionally fused to phenyl, and substituted with 0-1 -OH or-NH 2 .
- R 1a is , , optionally fused to phenyl, and substituted with 0-1 -OH or -NH 2 .
- R 1a is each of which is substituted with 0-1 -OH or -NH 2 .
- R 1a is [0051]
- R 1a is a 6- to 10-membered aryl substituted with 0-1 substituent selected from -OH, -C 1 -C 3 hydroxyalkyl, and -NH 2 .
- R 1a is 6- to 10- membered aryl substituted with 0-1 -C 1 -C 3 hydroxyalkyl. In some embodiments, R 1a is phenyl substituted with 0-1 -C 1 -C 3 hydroxyalkyl. In some embodiments, R 1a is . [0052] In some embodiments, R 1a is a 5- to 8-membered heterocycloalkyl having 1-3 ring heteroatoms or ring heteroatom groups independently selected from NRo, N, S and O, wherein said 5- to 8-membered heterocycloalkyl is optionally fused to phenyl.
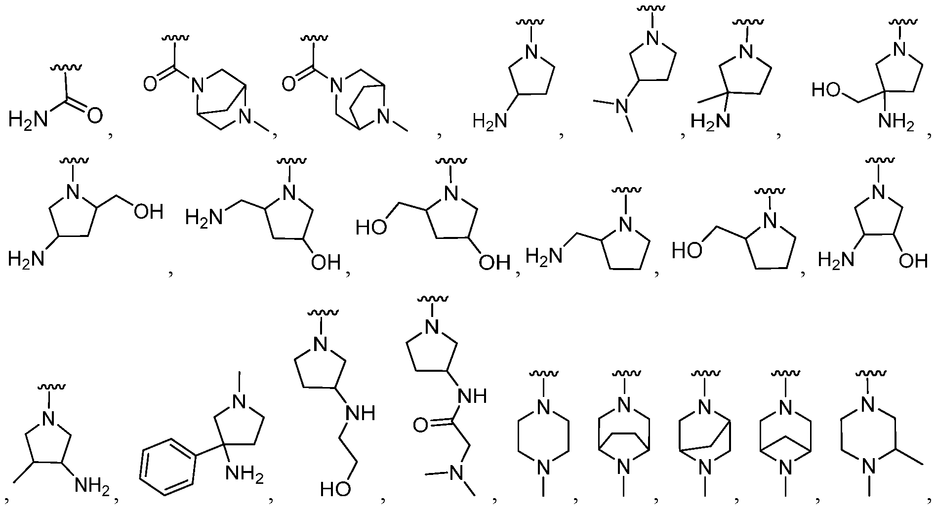
- R 1a is a 5- to 6-membered heterocycloalkyl having 1 NRo heteroatom group, wherein said 5- to 6-membered heterocycloalkyl is optionally fused to phenyl. In some embodiments, R 1a is each of which is optionally fused to phenyl. In some embodiments, R 1a is In some embodiment o s, R is H, or C 1 -C 3 alkyl. In some embodiments, Ro is H. In some embodiments, Ro is C 1 -C 3 alkyl. In some embodiments, Ro is methyl.
- R 1a is 5- to 10-membered heteroaryl having 1-3 ring heteroatoms or ring heteroatom groups independently selected from NRo, N, S and O. In some embodiments, R 1a is a 5-membered heteroaryl having 1-2 ring heteroatoms or ring heteroatom groups independently selected from NRo and N. In some embodiments, R 1a is , or In some embodiments, Ro is H, or C -C alkyl. In so o 1 3 me embodiments, R is H. In some embodiments, Ro is C 1 -C 3 alkyl. In some embodiments, Ro is methyl.
- R 1 is , [0055] In one or more embodiments, R 1 is a 5- to 10-membered heterocycloalkyl having 1-3 ring heteroatoms or ring heteroatom groups independently selected from NR 1b , N, S, and O; wherein said 5- to 10 membered heterocycloalkyl is substituted with 0-3 R 1c . In some embodiments, R 1 is a 5- to 10-membered heterocycloalkyl having 1-2 ring heteroatom or ring heteroatom groups independently selected from NR 1b , and N, wherein said heterocycloalkyl is substituted with 0-3 R 1c .
- R 1 is each o 1c f which is substituted with 0-3 R .
- R 1b is H or methyl.
- R 1 is [0057] In some embodiments, R 1 is -(C 1 -C 3 alkylene)-NR 1f R 1g , or -C(O)-NR 1f R 1g , wherein R 1f and R 1g are independently H or -C 1 -C 3 alkyl; or R 1f and R 1g taken together with the N atom to which they are attached form a 5- to 8-membered heterocycloalkyl having 0-1 additional ring heteroatom or ring heteroatom group selected from NRo, N, O, and S.
- R 1 is -(C 1 -C 3 alkylene)-NR 1f R 1g , wherein R 1f and R 1g are -C 1 -C 3 alkyl. In some embodiments, R 1 is In some embodiments, R 1 is -C(O)- 1f 1g 1g NR R , wherein R are independently H or -C 1 -C 3 alkyl; or R 1f and R 1g taken together with the N atom to which they are attached form a 5- to 8-membered heterocycloalkyl having 0-1 additional ring heteroatom or ring heteroatom group selected from NRo, N, O, and S.
- R 1 is -C(O)-NR 1f R 1g , wherein R 1f and R 1g are H; or R 1f and R 1g taken together with the N atom to which they are attached form a 5- to 8-membered heterocycloalkyl having 0-1 additional ring NRo heteroatom group.
- R 1 is In some embodiments, Ro is H or methyl. In some embodiments, Ro is H. In some embodiments, Ro is methyl. [0058] In one or more embodiments, R 1 is selected from the group consisting of
- R 1 and R 2 groups together with the adjacent ring atoms to which they are attached form a a -C 5 -C 7 -cycloalkyl substituted with one 5-membered heterocycloalkyl having 1-2 ring heteroatoms or ring heteroatom groups independently selected from NRo, N, O, and S. In some embodiments, the moiety .
- R 1 and R 2 groups together with the adjacent ring atoms to which they are attached form a 5- to 7-membered heterocycloalkyl having 1-3 ring heteroatoms or ring heteroatom groups independently selected from NRo, N, O, and S; wherein said 5- to 7-membered heterocycloalkyl is optionally substituted with one oxo.
- R 1 and R 2 groups together with the adjacent ring atoms to which they are attached form a 6-membered heterocycloalkyl having 1 ring NRo heteroatom group, and said 6-membered heterocycloalkyl is optionally substituted with one oxo.
- each R 2 is independently H, halo, -NR 2a R 2b , -C 1 -C 3 alkyl, -C 1 - C 3 haloalkyl, -C 1 -C 3 hydroxyalkyl, -C 1 -C 3 alkoxy, -S(O) 2 -(C 1 -C 3 alkyl), -C(O)O(C 1 -C 3 -alkyl), -C(O)-NR 2a R 2b , -C 1 -C 3 alkylene-O-(C 1 -C 3 -alkyl), 5- to 6-membered heteroaryl, or 5- to 6- membered heterocycloalkyl; wherein said 5- to 6-membered heteroaryl and
- R 2 is H. In some embodiments, R 2 is halo. In some embodiments, R 2 is - Cl, or -F. In some embodiments, R 2 is -NR 2a R 2b , wherein R 2a and R 2b are each independently H or -C 1 -C 3 alkyl. In some embodiments, R 2 is -NH 2 . In some embodiments, R 2 is -C 1 -C 3 alkyl. In some embodiments, R 2 is -CH 3 . In some embodiments, R 2 is -C 1 -C 3 haloalkyl. In some embodiments, R 2 is -CF 3 . In some embodiments, R 2 is -C 1 -C 3 hydroxyalkyl.
- R 2 is -CH 2 OH. In some embodiments, R 2 is -C 1 -C 3 alkoxy. In some embodiments, R 2 is -OCH 3 or -OCH 2 CH 3 . In some embodiments, R 2 is -S(O) 2 -(C 1 -C 3 alkyl). In some embodiments, R 2 is -S(O) 2 CH 3 . In some embodiments, R 2 is -C(O)O(C 1 -C 3 -alkyl). In some embodiments, R 2 is -C(O)OCH 3 .
- R 2 is -C(O)-NR 2a R 2b , wherein R 2a and R 2b are each independently H or -C 1 -C 3 alkyl. In some embodiments, R 2 is -C(O)- NR 2a R 2b , wherein R 2a and R 2b are H. In some embodiments, R 2 is -C(O)NH 2 . In some embodiments, R 2 is -C 1 -C 3 alkylene-O-(C 1 -C 3 -alkyl). In some embodiments R 2 is-CH 2 OCH 3 .
- R 2 is 5- to 6-membered heteroaryl have 1-3 ring heteroatoms independently selected from N, O, and S, wherein said 5- to 6-membered heteroaryl is optionally substituted with -CN, or -C 1 -C 3 alkyl.
- R 2 is or , each of which is optionally substituted with -CN, or -C 1 -C 3 alkyl.
- R 2 is 2
- R is a 5- to 6- membered heterocycloalkyl having 1-3 ring heteroatoms or heteroatom groups independently selected from NRo, N, O, and S.
- R 2 is a 6-membered heterocycloalkyl having 1-3 ring heteroatoms or heteroatom groups independently selected from NRo, N, and O. In some embodiments, R 2 is 2 In some embodiments, R is a 5- to 6-membered heterocycloalkyl having 1-3 ring heteroatoms independently selected from N, O, and S. In some embodiments, R 2 is a 6-membered heterocycloalkyl having 1-3 ring heteroatoms independently selected from N, and O.
- R 2 is [0062] In one or more embodiments, R 2 is selected from the group consisting of -CH 3 , -CF 3 , - Cl, -F, -OCH 3 , -NH 2 , [0063] In some embodiments, Z 1 is CR 3 , Z 2 is CH, Z 3 is N, and Z 4 is N. [0064] In some embodiments, Z 1 is CH, Z 2 is CH, Z 3 is N, and Z 4 is N. [0065] In some embodiments, Z 1 is CH, Z 2 is CH, Z 3 is CR 3 , and Z 4 is N. [0066] In some embodiments, Z 1 is CH, Z 2 is CH, Z 3 is N, and Z 4 is CH.
- Z 1 is CH, Z 2 is N, Z 3 is CR 3 , and Z 4 is CH.
- Z 1 is CH, Z 2 is N, Z 3 is CR 3 , and Z 4 is N.
- Z 1 is CH, Z 2 is CH, Z 3 is CR 3 , and Z 4 is CH.
- each R 3 is independently selected from the group consisting of H, halo, -CN, -C 1 -C 3 alkyl, -C 1 -C 3 hydroxyalkyl, -C(O)NR 3a R 3b , and -NR 3a R 3b ; wherein R 3a and R 3b are independently H, -C 1 -C 3 alkyl, or -(C 1 -C 3 alkylene)-(C 3 -C 6 cycloalkyl).
- R 3 is H.
- R 3 is halo.
- R 3 is -Cl, or -F.
- R 3 is -CN.
- R 3 is -C 1 -C 3 alkyl. In some embodiments, R 3 is methyl. In some embodiments, R 3 is -C 1 -C 3 hydroxyalkyl. In some embodiments, R 3 is -CH 2 OH. In some embodiments, R 3 is -C(O)NR 3a R 3b , wherein R 3a and R 3b are independently H, -C 1 -C 3 alkyl, or -(C 1 -C 3 alkylene)-(C 3 -C 6 cycloalkyl). In some embodiments, R 3 is -C(O)NH 2 .
- R 3 is -NR 3a R 3b , wherein R 3a and R 3b are independently H, -C 1 -C 3 alkyl, or -(C 1 -C 3 alkylene)-(C 3 -C 6 cycloalkyl). In some embodiments, R 3 is -NR 3a R 3b , wherein R 3a and R 3b are independently H, or -(C 1 -C 3 alkylene)- (C 3 -C 6 cycloalkyl).
- R 3 is -NH 2 , or [0071] In one or more embodiments, each R 3 is independently selected from the group consisting of -F, -Cl, -CH 3 , -CN, -NH 2 , [0072] In some embodiments, R 4 is phenyl; 5- to 6-membered heteroaryl having 1-3 ring heteroatoms independently selected from N, O, and S; or -L 2 -phenyl, wherein L 2 is -NH-, -O- (C 1 -C 3 alkylene)-, or –NH-(C 1 -C 3 alkylene)-; wherein R 4 is substituted with 0-3 R 4a .
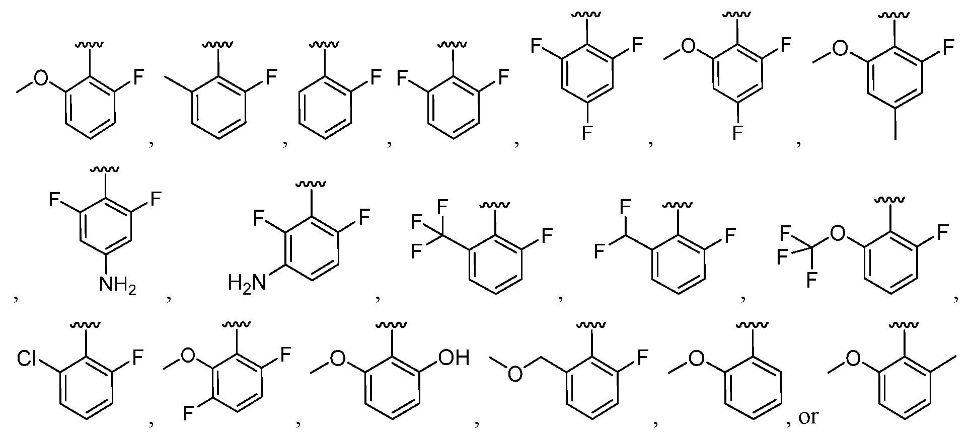
- R 4 is phenyl substituted with 0-3 R 4a . In some embodiments, R 4 is phenyl substituted with 1-3 R 4a . In some embodiments, each R 4a is independently selected from the group consisting of halo, -NH 2 , -OH, -C 1 -C 3 alkyl, -C 1 -C 3 alkoxy, -(C 1 -C 3 alkylene)-O-(C 1 -C 3 alkyl), -C 1 -C 3 haloalkyl, and -C 1 -C 3 haloalkoxy.
- each R 4a is independently -F, -Cl, -OH, -CH 3 , -NH 2 , -CHF 2 , -CF 3 , -OCH 3 , -OCF 3 , or -CH 2 OCH 3 .
- each R 4a is independently halo, or -C 1 -C 3 alkoxy.
- each R 4a is independently Cl, F, or -OCH 3 .
- R 4 is .
- R 4 is In some 4 embodiments, R is phenyl substituted with 1-3 R 4a , wherein each R 4a is independently halo, or C 1 -C 3 alkoxy; or two R 4a groups together with the adjacent ring atoms to which they are attached form a 5-membered heteroaryl having 1-2 ring N heteroatoms. In some embodiments, R 4 is phenyl substituted with 1-3 R 4a , wherein each R 4a is independently -F, or -OCH 3 ; or two R 4a groups together with the adjacent ring atoms to which they are attached form a 5-membered heteroaryl having 1-2 ring N heteroatoms.
- R 4 is In some embodiments, R 4 is 5- to 6-membered heteroaryl having 1-3 ring heteroatoms independently selected from N, O, and S, and substituted with 0-3 R 4a . In some embodiments, R 4 is a 6- membered heteroaryl having 1-3 ring heteroatoms independently selected from N, O, and S, and substituted with 0-3 R 4a . In some embodiments, R 4 is pyridyl substituted with 0-2 R 4a .
- each R 4a is independently selected from the group consisting of halo, - NH 2 , -OH, -C 1 -C 3 alkyl, -C 1 -C 3 alkoxy, -(C 1 -C 3 alkylene)-O-(C 1 -C 3 alkyl), -C 1 -C 3 haloalkyl, and -C 1 -C 3 haloalkoxy.
- each R 4a is independently -C 1 -C 3 alkyl, -C 1 -C 3 alkoxy, or -NH 2 .
- each R 4a is independently -CH 3 , -NH2, or -OCH 3 .
- R 4 is [0073] In one or more embodiments, R 4 is -L 2 -phenyl, wherein L 2 is -NH-, -O-, -O-(C 1 -C 3 alkylene)-, or –NH-(C 1 -C 3 alkylene)-, and R 4 is substituted with 0-3 R 4a . In some embodiments, L 2 is -NH-, and R 4 is substituted with 1-2 R 4a . In some embodiments, each R 4a is independently, halo, -C 1 -C 3 alkyl, or -C 1 -C 3 alkoxy.
- each R 4a is independently -F, -CH 3 , or -OCH 3 .
- R 4 is In some embodiments, L 2 is -O-(C 1 -C 3 alkylene)-, and R 4 is substituted with 0-3 R 4a . In some embodiments, R 4 is substituted with 0-3 R 4a . In s 4a ome embodiments, each R is halo. In some embodiments, each R 4a is independently -Cl, or -F. In some embodiments, R 4 is . In some embodiments, L 2 is –NH-(C 1 -C 3 alkylene)-, and R 4 is substituted with 0-3 R 4a .
- R 4 is substituted with 0-1 R 4a .
- R 4a is -OH.
- R 4 is [0074]
- R 4 is [0075]
- R 4 and R 3 groups together with the adjacent ring atoms to which they are attached form a 5- to 6-membered heterocycloalkyl having from 1 to 3 ring heteroatoms selected from N, O, and S; and said 5- to 6-membered heterocycloalkyl is substituted with 0-3 substituents independently selected from oxo and -C 1 -C 3 alkyl.
- R 4 and R 3 groups together with the adjacent ring atoms to which they are attached form a 5-membered heterocycloalkyl having from 1 ring O heteroatom; and said 5- membered heterocycloalkyl is substituted with one oxo and two -C 1 -C 3 alkyl.
- the moiety In some embodiments, the moiety [0076] In one or more embodiments, the compound of Formula I has a structure of Formula Ia: or pharmaceutically acceptable salt or solvate thereof. [0077] In some embodiments, ring Y is . In some embodiments, ring Y is . In some embodiments, ring Y is . In some embodiments, ring Y is .
- ring Y is . In some embodiments, ring Y is [0078] In one or more embodiments, the compound of Formula I has a structure of Formula Ib: or a pharmaceutically acceptable salt or solvate thereof. [0079] In one or more embodiments, the compound, or pharmaceutically acceptable salt or solvate thereof, according to this disclosure is selected from the compounds provided in Table 1. Therapeutic and Prophylactic Uses [0080] The present disclosure provides methods for using compounds described herein in the preparation of a medicament for inhibiting HPK1. As used herein, the terms “inhibit”, ‘inhibition” and the like refer to the ability of a compound to decrease the function or activity of a particular target, e.g., HPK1.
- the decrease is preferably at least 50% and may be, for example, at least about 55%, at least about 60%, at least about 65%, at least about 70%, at least about 75%, at least about 80%, at least about 85%, at least about 90%, or at least about 95%.
- the present disclosure also encompasses the use of the compounds described herein in the preparation of a medicament for the treatment or prevention of diseases, disorders, and/or conditions that would benefit from inhibition of HPK1.
- the present disclosure encompasses the use of the compounds described herein in the preparation of a medicament for the treatment of cancer.
- the present disclosure encompasses the use of the compounds described herein in the preparation of a medicament for the treatment of an infectious disease, optionally a viral infection.
- HPK1 is a serine/threonine kinase and member of the MAP4K family. Through this activity, HPK1 functions, in one aspect, as a negative regulator of immune cell (e.g., T cell, B, cell, dendritic cell) activation.
- T cell e.g., T cell, B, cell, dendritic cell
- activated HPK1 which is phosphorylated at residues Y381, S171, and T165, binds and phosphorylates adaptor proteins critical for T cell signaling, leading to destabilization of the T cell receptor (TCR) signaling complex and disruption of TCR signaling.
- TCR T cell receptor
- HPK1 phosphorylates SLP76 and GADS leading to recruitment of 14-3-3 and ubiquitin mediated proteasomal degradation of intracellular signaling proteins.
- HPK1 is believed to negatively regulate B cell receptor signaling in an analogous way to T cells and may have a role in limiting dendritic cell activation through TLR4.
- the use of compounds described herein potently inhibit HPK1 activity, resulting in increased immune cell activity and anti-tumor immune responses.
- Diseases, disorders, and/or conditions that would benefit from HPK1 inhibition may include those where greater immune cell (e.g., T cell, NK cell, etc.) activation is desired; where there is limited immune cell stimulation, for example, due to low antigen density, poor quality neoantigen, high PD-L1 expression, T cell exhaustion, or combinations thereof; and/or where the tumor microenvironment is characterized by extracellular immunosuppressive molecules such as adenosine, TGF-beta, PGE2, or combinations thereof.
- the compounds described herein are administered to a subject in need thereof in an amount effective to inhibit HPK1 activity.
- HPK1 activity may be assessed using cells (e.g., T cells, B cells, dendritic cells, or precursors thereof) obtained from a peripheral blood sample or a tissue sample (e.g., a tumor sample) that was obtained from the subject. Activity may be determined, for example, by comparison to a previous sample obtained from the subject (i.e., prior to administration of the compound) or by comparison to a reference value for a control group (e.g., standard of care, a placebo, etc.).
- a measure of HPK1 inhibition may be decreased phosphorylation of SLP76 at S376 and/or GADS in T cells.
- a measure of HPK1 inhibition may be increased MAP kinase pathway signaling and AP-1 transcription in T cells.
- a measure of HPK1 inhibition may be decreased phosphorylation of BLNK Th-152 in B cells.
- the compounds described herein are administered to a subject in need thereof in an amount effective to increase immune cell activity, as compared to a suitable control (e.g., a subject receiving standard of care, a subject receiving no treatment or a placebo treatment, etc.).
- Immune cell activity may be assessed using cells (e.g., T cells, B cells, dendritic cells, or precursors thereof) obtained from a peripheral blood sample or a tissue sample (e.g., a tumor sample) that was obtained from the subject.
- cells e.g., T cells, B cells, dendritic cells, or precursors thereof
- measures of increased immune cell activity may include increased expression, production and/or secretion of chemokines, pro-inflammatory cytokines and/or cytotoxic factors, increased cytotoxic activity, and increased gene expression and/or cell surface markers related to immune cell function and immune signaling.
- pro- inflammatory cytokines include, but are not limited to, IL-1a, IL-1b, IL-2, IL-6, IL-13, IL-17a, interferon gamma (INF- ⁇ or INF-g), tumor necrosis factor-alpha (TNF- ⁇ or TNF-a), TNF-beta (TNF- ⁇ or TNF-b), fibroblast growth factor (FGF) 2, granulocyte macrophage colony- stimulating factor (GM-CSF), soluble intercellular adhesion molecule 1 (sICAM-1), soluble vascular adhesion molecule 1 (sVCAM-1), vascular endothelial growth factor (VEGF), VEGF- C, VEGF-D, and placental growth factor (PLGF).
- INF- ⁇ or INF-g interferon gamma
- TNF- ⁇ or TNF-a tumor necrosis factor-alpha
- TNF- ⁇ or TNF-b TNF-beta
- FGF fibroblast growth
- cytotoxic factors include, but are not limited to, granzyme A, granzyme B, soluble Fas ligand (sFasL), and perforin.
- the compounds described herein are administered to a subject in need thereof in an amount effective to increase immune cell proliferation.
- Immune cell numbers in tissue or blood may be quantified (absolute numbers or relative numbers) by immunophenotyping, i.e., a process of using antibodies (or other antigen- specific reagent) to detect and quantify cell-associated antigens.
- Lymphoid cell markers may include but are not limited to CD3, CD4, CD8, CD16, CD25, CD39, CD45, CD56, CD69, CD103, CD127, and FOXP3.
- CD4 and CD8 can distinguish T cell with different effector functions (e.g., CD4+ T cells and CD8+ T cells).
- Co-expression of different cell markers can further distinguish sub-groups.
- co-expression of CD39 and CD103 can differentiate tumor-specific T cells (CD8+CD39+CD103+ T cells) from bystander T cells in the tumor microenvironment (TME).
- TAE tumor microenvironment
- suitable markers may include but are not limited to CD11c, HLA-DR, CD141, and CLEC9A.
- suitable markers may include but are not limited to CD14, CD68, CD80, CD83, CD86, CD163, and CD206.
- Ki67 is a non-limiting example of a suitable marker of cell proliferation, such that an increase in Ki67 positive cells (e.g., CD8+ T cells, NK cells, etc.) as compared to a reference sample indicate cell proliferation.
- the compounds described herein are administered to a subject in need thereof in an amount effective to increase T cell activity.
- the T cells are CD8+ T cells, optionally tumor infiltrating CD8+ T cells and/or antigen experienced CD8+ T cells.
- Measures of increased T cell activity may be increased T cell expression, production or secretion of chemokines, pro-inflammatory cytokines (e.g., IFN ⁇ , TNF- ⁇ , IL-2, etc.) and/or cytotoxic factors (e.g. perforin, Granzyme B, etc.); increased pro-inflammatory cytokine levels in the tumor microenvironment or periphery; increased expression of T cell surface markers of activation (e.g., CD69); increased T cell receptor (TCR) signaling; increased calcium flux in a T cell, increased glucose uptake by a T cell; increased glycolysis in a T cell; and increased killing of cancer cells by T cells.
- chemokines e.g., IFN ⁇ , TNF- ⁇ , IL-2, etc.
- cytotoxic factors e.g. perforin, Granzyme B, etc.
- T cell surface markers of activation e.g., CD69
- TCR T cell receptor
- the compounds according to this disclosure are useful in the treatment of a viral infection.
- the viral infection is a disease caused by hepatitis C virus (HCV), human papilloma virus (HPV), cytomegalovirus (CMV), herpes simplex virus (HSV), Epstin-Barr virus (EBV), varicella zoster virus, coxsackie virus, human immunodeficiency virus (HIV), or lymphocytic choriomeningitis virus (LCMV).
- HCV hepatitis C virus
- HPV human papilloma virus
- CMV cytomegalovirus
- HSV herpes simplex virus
- EBV Epstin-Barr virus
- varicella zoster virus varicella zoster virus
- coxsackie virus coxsackie virus
- HMV human immunodeficiency virus
- LCMV lymphocytic choriomeningitis virus
- the compounds described herein are administered to a subject in need thereof to treat cancer, optionally in combination with at least one additional therapy, examples of which are set forth elsewhere herein.
- the compounds described herein are brought into contact with an immune cell or a plurality of immune cells, in vitro or ex vivo, in an amount effective to increase proliferation, activation or activity of the immune cell(s).
- the immune cells may be T cells, B cells or dendritic cells.
- the immune cell(s) may be allogenic immune cell(s) collected from one or more subject, or may be autologous immune cell(s) collected from a subject in need of treatment.
- the cells may be “(re)programmed” allogenic immune cells produced from immune precursor cells (e.g., lymphoid progenitor cells, myeloid progenitor cells, common dendritic cell precursor cells, stem cells, induced pluripotent stem cells, etc.).
- immune precursor cells e.g., lymphoid progenitor cells, myeloid progenitor cells, common dendritic cell precursor cells, stem cells, induced pluripotent stem cells, etc.
- the immune cells may be genetically modified to target the cells to a specific antigen and/or enhance the cells’ anti-tumor effects (e.g., engineered T cell receptor (TCR) cellular therapies, chimeric antigen receptor (CAR) cellular therapies, etc.).
- TCR engineered T cell receptor
- CAR chimeric antigen receptor
- the in vitro or ex vivo treated immune cell(s) are then administered to a subject in need thereof to treat and/or prevent cancer or a cancer-related disease, disorder or condition.
- the in vitro or ex vivo treated immune cells are administered to a subject in need thereof to treat cancer, optionally in combination with at least one additional therapy, examples of which are set forth elsewhere herein.
- the compounds described herein are useful in the treatment and/or prophylaxis of cancer (e.g., carcinomas, sarcomas, leukemias, lymphomas, myelomas, etc.).
- the cancer may be locally advanced and/or unresectable, metastatic, or at risk of becoming metastatic.
- the cancer may be recurrent or no longer responding to a treatment, such as a standard of care treatment known to one of skill in the art.
- Exemplary types of cancer contemplated by this disclosure include cancer of the genitourinary tract (e.g., bladder, kidney, renal cell, penile, prostate, testicular, Von Hippel-Lindau disease, uterus, cerviz, ovary, etc.), breast, gastrointestinal tract (e.g., esophagus, oropharynx, stomach, small or large intestines, colon, or rectum), bone, bone marrow, skin (e.g., melanoma), head and neck, liver, gall bladder, bile ducts, heart, lung, pancreas, salivary gland, adrenal gland, thyroid, brain (e.g., gliomas), ganglia, central nervous system (CNS), peripheral nervous system (PNS), the hematopoietic system (i.e., hematological malignancies), and the immune system (e.g., spleen or thymus).
- genitourinary tract e.g., bladder
- the compounds according to this disclosure are useful in the treatment and/or prophylaxis of hematological malignancies.
- Exemplary types of cancer affecting the hematopoietic system include leukemias, lymphomas and myelomas, including acute myeloid leukemia, adult T-cell leukemia, T-cell large granular lymphocyte leukemia, acute lymphoblastic leukemia, chronic lymphocytic leukemia, chronic myelogenous leukemia, acute monocytic leukemia, Hodgkin’s and Non-Hodgkin’s lymphoma, Diffuse large B Cell lymphoma, and multiple myeloma.
- the compounds according to this disclosure are useful in the treatment of Diffuse large B Cell lymphoma, optionally Diffuse large B Cell lymphoma with Richter transformation. [0092] In another embodiment, the compounds according to this disclosure are useful in the treatment and/or prophylaxis of solid tumors.
- the solid tumor may be, for example, ovarian cancer, endometrial cancer, breast cancer, lung cancer (small cell or non-small cell), colon cancer, prostate cancer, cervical cancer, biliary cancer, pancreatic cancer, gastric cancer, esophageal cancer, liver cancer (hepatocellular carcinoma), kidney cancer (renal cell carcinoma), head-and-neck tumors, mesothelioma, melanoma, sarcomas, central nervous system (CNS) hemangioblastomas, and brain tumors (e.g., gliomas, such as astrocytoma, oligodendroglioma and glioblastomas).
- gliomas such as astrocytoma, oligodendroglioma and glioblastomas.
- the compounds according to this disclosure are useful in the treatment and/or prophylaxis of breast cancer, genitourinary cancer, gastrointestinal cancer, lung cancer, skin cancer, neuroendocrine cancer, head and neck cancer, liver cancer, hematological cancer, or a combination thereof.
- the compounds according to this disclosure are useful in the treatment of breast cancer.
- the breast cancer is hormone receptor positive (e.g., ER ⁇ -positive breast cancer, PR-positive breast cancer, ER ⁇ -positive and PR- positive breast cancer), HER2 positive breast cancer, HER2 over-expressing breast cancer, or any combination thereof.
- the breast cancer is triple negative breast cancer.
- the compounds according to this disclosure are useful in the treatment of genitourinary cancer.
- the genitourinary cancer is gynecologic cancer.
- the gynecologic cancer is endometrial cancer, cervical cancer, ovarian cancer or fallopian tube carcinoma.
- the genitourinary cancer is urothelial cancer.
- the genitourinary cancer is prostate cancer, optionally castration-resistant prostate cancer.
- the compounds according to this disclosure are useful in the treatment of kidney cancer.
- the kidney cancer is renal cell carcinoma.
- the renal cell carcinoma is clear cell renal carcinoma.
- the compounds according to this disclosure are useful in the treatment of liver cancer.
- the liver cancer is hepatocellular carcinoma.
- the compounds according to this disclosure are useful in the treatment of head and neck cancer.
- the head and neck cancer is head and neck squamous cell carcinoma.
- the compounds according to this disclosure are useful in the treatment of skin cancer.
- the skin cancer is melanoma.
- the compounds according to this disclosure are useful in the treatment of lung cancer.
- the lung cancer is mesothelioma, small cell lung cancer (SCLC) or non-small cell lung cancer (NSCLC).
- the NSCLC is lung squamous cell carcinoma or lung adenocarcinoma.
- the compounds according to this disclosure are useful in the treatment of gastrointestinal cancer.
- the gastrointestinal cancer is upper GI cancer, such as esophageal or gastric cancer.
- the upper GI cancer is an adenocarcinoma, a squamous cell carcinoma, or any combination thereof.
- the upper GI cancer is esophageal adenocarcinoma (EAC), esophageal squamous cell carcinoma (ESCC), gastroesophageal junction adenocarcinoma (GEJ), gastric adenocarcinoma (also referred to herein as “gastric cancer”) or any combination thereof.
- the gastrointestinal cancer is lower GI cancer.
- the lower GI cancer is colorectal cancer.
- the compounds according to this disclosure are useful in the treatment of hematological cancer.
- the hematological cancer is lymphoma.
- the lymphoma is Hodgkin’s lymphoma.
- the hematological cancer is leukemia.
- the compounds according to this disclosure are useful in the treatment of a neuroendocrine tumor.
- the neuroendocrine tumor is pancreatic neuroendocrine tumor, pheochromocytoma, paraganglioma, or a tumor of the adrenal gland.
- the compounds according to this disclosure are useful in the treatment of brain cancer.
- the brain cancer is a glioma.
- the glioma is an astrocytoma, an oligodendroglioma, or a glioblastoma.
- the compounds according to this disclosure are useful in the treatment of pancreatic cancer.
- the pancreatic cancer is pancreatic neuroendocrine tumor or pancreatic adenocarcinoma.
- the methods of the present disclosure may be practiced in an adjuvant setting or neoadjuvant setting, optionally in the treatment of locally advanced, unresectable, or metastatic cancer.
- the methods described herein may be indicated as a first line treatment, optionally in the treatment of locally advanced, unresectable, or metastatic cancer.
- the methods described herein may be indicated as a second line, third line, or greater line of treatment, optionally in the treatment of locally advanced, unresectable, or metastatic cancer.
- an earlier line of therapy included a checkpoint inhibitor.
- cancer-related diseases, disorders and conditions refer broadly to conditions that are associated, directly or indirectly, with cancer and non-cancerous proliferative disease, and includes, e.g., angiogenesis, precancerous conditions such as dysplasia, and non-cancerous proliferative diseases disorders or conditions, such as benign proliferative breast disease and papillomas.
- angiogenesis e.g., angiogenesis
- precancerous conditions such as dysplasia
- non-cancerous proliferative diseases disorders or conditions such as benign proliferative breast disease and papillomas.
- the term(s) cancer-related disease, disorder and condition do not include cancer per se.
- the disclosed methods for treating or preventing cancer, or a cancer-related disease, disorder or condition, in a subject in need thereof comprise administering to the subject a compound disclosed herein, or a pharmaceutically acceptable salt thereof.
- the present disclosure provides methods for treating or preventing cancer, or a cancer-related disease, disorder or condition with a compound disclosed herein, or a pharmaceutically acceptable salt thereof, and at least one additional therapy, examples of which are set forth elsewhere herein.
- the compounds are used to increase or enhance an immune response to an antigen by providing adjuvant activity.
- at least one antigen or vaccine is administered to a subject in combination with at least one compound of the present disclosure to prolong an immune response to the antigen or vaccine.
- compositions which include at least one antigenic agent or vaccine component, including, but not limited to, viruses, bacteria, and fungi, or portions thereof, proteins, peptides, tumor-specific antigens, and nucleic acid vaccines, in combination with at least one compound of the present disclosure.
- the methods according to this disclosure may be provided in selected patients, for example subjects identified as having in a relevant tissue or sample, e.g., detectable PD-L1 expression, microsatellite instability (MSI), deficient mismatch repair, (dMMR), high tumor mutational burden, or any combination thereof.
- the subject is identified as having an oncogene driven cancer that has a mutation in at least one gene associated with the cancer.
- patients are selected by assessing the expression of relevant biomarkers, e.g., PD-L1 expression, microsatellite instability markers, T-cell inflamed gene expression profile (GEP), etc., in a relevant sample, such as a peripheral blood sample or a tumor biopsy, using immunohistochemistry, immunophenotyping, PCR-based amplification, RNA sequencing, or other clinically validated assay.
- relevant biomarkers e.g., PD-L1 expression, microsatellite instability markers, T-cell inflamed gene expression profile (GEP), etc.
- the disclosure provides a method of treating cancer in a patient having (i) detectable PD-L1 expression, (ii) elevated PD-L1 expression, (iii) MSI-low, (iv) MSI-high, (v) elevated GEP expression, or (vi) any combination of (i) to (v) by administering a compound as described herein.
- the disclosure provides a method of treating cancer in a patient having (i) detectable PD-L1 expression, (ii) elevated PD-L1 expression, (iii) MSI-low, (iv) MSI-high, (v) elevated GEP expression, or (vi) any combination of (i) to (v) by administering a therapeutically effective amount of a compound as described herein.
- the disclosure provides a method of administering a therapeutically effective amount of a compound as described herein to an individual for the treatment of cancer based on a determination of the relative amount of PD-L1 expression.
- the disclosure provides a method of administering a therapeutically effective amount of a compound described herein to an individual for the treatment of cancer, the method comprising measuring PD-L1 expression and/or microsatellite instability (e.g., MSI-low or MSI-high) in a sample obtained from an individual, for example by immunohistochemistry, immunophenotyping, PCR-based amplification, or other clinically validated test, and administering a therapeutically effective amount of the compound to the individual whose sample contained detectable PD-L1 expression and/or microsatellite instability.
- PD-L1 expression and/or microsatellite instability e.g., MSI-low or MSI-high
- detectable PD-L1 expression may be a tumor proportion (TPS) score of ⁇ 50%, as measured by a clinically validated PD-L1 IHC assay or FDA-approved test.
- detectable PD-L1 expression may be TPS score of ⁇ 50%, as measured by a clinically validated PD-L1 IHC assay or FDA-approved test.
- routes of Administration [0112]
- pharmaceutical compositions containing a compound according to this disclosure may be in a form suitable for oral administration. Oral administration may involve swallowing the formulation thereby allowing the compound to be absorbed into the bloodstream in the gastrointestinal tract.
- oral administration may involve buccal, lingual or sublingual administration, thereby allowing the compound to be absorbed into the blood stream through oral mucosa.
- the pharmaceutical compositions containing a compound according to this disclosure may be in a form suitable for parenteral administration.
- forms of parenteral administration include, but are not limited to, intravenous, intraarterial, intramuscular, intradermal, intraperitoneal, intrathecal, intracisternal, intracerebral, intracerebroventricular, intraventricular, and subcutaneous.
- Pharmaceutical compositions suitable for parenteral administration may be formulated using suitable aqueous or non- aqueous carriers. Depot injections, which are generally administered subcutaneously or intramuscularly, may also be utilized to release the compounds disclosed herein over a defined period of time.
- compositions of the present disclosure contemplate oral administration or parenteral administration.
- compositions suitable for administration to a subject are pharmaceutical compositions comprising a compound according to this disclosure or a pharmaceutically acceptable salt thereof and one or more pharmaceutically acceptable excipients.
- the compound may be present in an effective amount.
- the pharmaceutical compositions may be used in the methods of the present disclosure; thus, for example, the pharmaceutical compositions comprising a compound according to this disclosure can be administered to a subject in order to practice the therapeutic and prophylactic methods and uses described herein.
- compositions of the present disclosure can be formulated to be compatible with the intended method or route of administration. Routes of administration may include those known in the art. Exemplary routes of administration are oral and parenteral. Furthermore, the pharmaceutical compositions may be used in combination with one or more other therapies described herein in order to treat or prevent the diseases, disorders and conditions as contemplated by the present disclosure. In one embodiment, one or more other therapeutic agents contemplated by this disclosure are included in the same pharmaceutical composition that comprises the compound according to this disclosure. In another embodiment, the one or more other therapeutical agents are in a composition that is separate from the pharmaceutical composition comprising the compound according to this disclosure.
- the compounds described herein may be administered orally. Oral administration may be via, for example, capsule or tablets.
- the tablet or capsule typically includes at least one pharmaceutically acceptable excipient.
- pharmaceutically acceptable excipients include lactose, dextrose, sucrose, sorbitol, mannitol, starches, gum acacia, calcium phosphate, alginates, tragacanth, gelatin, calcium silicate, microcrystalline cellulose, polyvinylpyrrolidone, polyethylene glycol, cellulose, sterile water, syrup, and methyl cellulose.
- Additional pharmaceutically acceptable excipients include lubricating agents such as talc, magnesium stearate, and mineral oil; wetting agents; emulsifying and suspending agents; preserving agents such as methyl and propylhydroxy-benzoates.
- lubricating agents such as talc, magnesium stearate, and mineral oil
- wetting agents such as talc, magnesium stearate, and mineral oil
- emulsifying and suspending agents such as methyl and propylhydroxy-benzoates.
- preserving agents such as methyl and propylhydroxy-benzoates.
- compositions described herein may be stored in an appropriate sterile container or containers.
- the container is designed to maintain stability for the pharmaceutical composition over a given period of time.
- Administering [0121]
- the disclosed methods comprise administering a compound described herein, or a composition thereof, in an effective amount to a subject in need thereof.
- An “effective amount” with reference to a HPK1 inhibitor of the present disclosure means an amount of the compound that is sufficient to engage the target (e.g., by inhibiting the target) at a level that is indicative of the potency of the compound.
- target engagement can be determined by one or more biochemical or cellular assays resulting in an EC50, ED50, EC90, IC50, or similar value which can be used as one assessment of the potency of the compound.
- Assays for determining target engagement include, but are not limited to, those described in the Examples.
- the effective amount may be administered as a single quantity or as multiple, smaller quantities (e.g., as one tablet with “x” amount, as two tablets each with “x/2” amount, etc.).
- the disclosed methods comprise administering a therapeutically effective amount of a compound described herein to a subject in need thereof.
- a therapeutically effective amount with reference to compound disclosed herein means a dose regimen (i.e., amount and interval) of the compound that provides the specific pharmacological effect for which the compound is administered to a subject in need of such treatment.
- a therapeutically effective amount may be effective to eliminate or reduce the risk, lessen the severity, or delay the onset of the disease, including biochemical, histological and/or behavioral signs or symptoms of the disease.
- a therapeutically effective amount may be effective to reduce, ameliorate, or eliminate one or more signs or symptoms associated with a disease, delay disease progression, prolong survival, decrease the dose of other medication(s) required to treat the disease, or a combination thereof.
- a therapeutically effective amount may, for example, result in the killing of cancer cells, reduce cancer cell counts, reduce tumor burden, eliminate tumors or metastasis, or reduce metastatic spread.
- a therapeutically effective amount may vary based on, for example, one or more of the following: the age and weight of the subject, the subject’s overall health, the stage of the subject’s disease, the route of administration, and prior or concomitant treatments. [0123] Administration may comprise one or more (e.g., one, two, or three or more) dosing cycles.
- the compounds contemplated by the present disclosure may be administered (e.g., orally, parenterally, etc.) at about 0.01 mg/kg to about 50 mg/kg, or about 1 mg/kg to about 25 mg/kg, of subject’s body weight per day, one or more times a day, a week, or a month, to obtain the desired effect.
- a suitable weight-based dose of a compound contemplated by the present disclosure is used to determine a dose that is administered independent of a subject’s body weight
- the compounds of the present disclosure are administered (e.g., orally, parenterally, etc.) at fixed dosage levels of about 1 mg to about 1000 mg, particularly 1, 3, 5, 10, 15, 20, 25, 50, 75, 100, 150, 200, 250, 300, 400, 500, 600, 750, 800, 900, or 1000 mg, one or more times a day, a week, or a month, to obtain the desired effect.
- the compound is contained in a “unit dosage form”.
- unit dosage form refers to physically discrete units, each unit containing a predetermined amount of the compound, either alone or in combination with one or more additional agents, sufficient to produce the desired effect. It will be appreciated that the parameters of a unit dosage form will depend on the particular agent and the effect to be achieved.
- each additional therapy can be a therapeutic agent or another treatment modality.
- each agent may target a different, but complementary, mechanism of action.
- the additional therapeutic agents can be small chemical molecules; macromolecules such as proteins, antibodies, peptibodies, peptides, DNA, RNA or fragments of such macromolecules; or cellular or gene therapies.
- additional treatment modalities include surgical resection of a tumor, bone marrow transplant, radiation therapy, and photodynamic therapy.
- a compound disclosed herein in combination with one or more additional therapies may have a synergistic therapeutic or prophylactic effect on the underlying disease, disorder, or condition.
- the combination therapy may allow for a dose reduction of one or more of the therapies, thereby ameliorating, reducing or eliminating adverse effects associated with one or more of the agents.
- the compound in embodiments comprising one or more additional treatment modality, can be administered before, after or during treatment with the additional treatment modality.
- the therapeutic agents used in such combination therapy can be formulated as a single composition or as separate compositions. If administered separately, each therapeutic agent in the combination can be given at or around the same time, or at different times.
- the therapeutic agents are administered “in combination” even if they have different forms of administration (e.g., oral capsule and intravenous), they are given at different dosing intervals, one therapeutic agent is given at a constant dosing regimen while another is titrated up, titrated down or discontinued, or each therapeutic agent in the combination is independently titrated up, titrated down, increased or decreased in dosage, or discontinued and/or resumed during a patient’s course of therapy. If the combination is formulated as separate compositions, in some embodiments, the separate compositions are provided together in a kit. Cancer Therapies [0128] The present disclosure contemplates the use of the compounds described herein in combination with one or more additional therapies useful in the treatment of cancer.
- one or more of the additional therapies is an additional treatment modality.
- Exemplary treatment modalities include but are not limited to surgical resection of a tumor, bone marrow transplant, radiation therapy, and photodynamic therapy.
- one or more of the additional therapies is a therapeutic agent.
- Exemplary therapeutic agents include chemotherapeutic agents, radiation therapy, hormone therapies, epigenetic modulators, ATP-adenosine axis-targeting agents, targeted therapies, signal transduction inhibitors, RAS signaling inhibitors, PI3K inhibitors, arginase inhibitors, HIF inhibitors, AXL inhibitors, PAK4 inhibitors, immunotherapeutic agents, cellular therapies, gene therapies, immune checkpoint inhibitors, and agonists of stimulatory or co-stimulatory immune checkpoints.
- one or more of the additional therapeutic agents is a chemotherapeutic agent.
- chemotherapeutic agents include, but are not limited to, alkylating agents such as thiotepa and cyclosphosphamide; alkyl sulfonates such as busulfan, improsulfan and piposulfan; aziridines such as benzodopa, carboquone, meturedopa, and uredopa; ethylenimines and methylamelamines including altretamine, triethylenemelamine, triethylenephosphoramide, triethylenethiophosphoramide and trimethylolomelamime; nitrogen mustards such as chlorambucil, chlornaphazine, cholophosphamide, estramustine, ifosfamide, mechlorethamine, mechlorethamine oxide hydrochloride, melphalan, novembichin, phenesterine, prednimustine, trofosfamide, uracil mustard; nitrosureas such as carmustine, chlorozotoc
- combination therapy comprises a chemotherapy regimen that includes one or more chemotherapeutic agents.
- combination therapy comprises a chemotherapeutic regimen comprising one or more of FOLFOX (folinic acid, fluorouracil, and oxaliplatin), FOLFIRI (e.g., folinic acid, fluorouracil, and irinotecan), FOLFIRINOX ((folinic acid, fluorouracil, irinotecan, and oxaliplatin), a taxoid (e.g., docetaxel, paclitaxel, nab-paclitaxel,etc.), and/or gemcitabine.
- FOLFOX folinic acid, fluorouracil, and oxaliplatin
- FOLFIRI e.g., folinic acid, fluorouracil, and irinotecan
- FOLFIRINOX folinic acid, fluorouracil, irinotecan, and oxaliplatin
- one or more of the additional therapeutic agents is a radiation therapy.
- Radiation therapy includes radiopharmaceuticals which are a form of internal radiation therapy in which a source of radiation (i.e., one or more radionuclide) is put inside a subject’s body.
- the radiation source can be in solid or liquid form.
- Non-limiting examples of radiopharmaceuticals include sodium iodide I-131, radium-223 dichloride, lobenguane iodine- 131, radioiodinated vesicles (e.g., saposin C-dioleoylphosphatidylserine (SapC-DOPS) nanovesicles), various forms of brachytherapy, and various forms of targeted radionuclides.
- Targeted radionuclides comprise a radionuclide associated (e.g., by covalent or ionic interactions) with a molecule (“a targeting agent”) that specifically binds to a target on a cell, typically a cancer cell or an immune cell.
- the targeting agent may be a small molecule, a saccharide (inclusive of oligosaccharides and polysaccharides), an antibody, a lipid, a protein, a peptide, a non-natural polymer, or an aptamer.
- the targeting agent is a saccharide (inclusive of oligosaccharides and polysaccharides), a lipid, a protein, or a peptide and the target is a tumor-associated antigen (enriched but not specific to a cancer cell), a tumor- specific antigen (minimal to no expression in normal tissue), or a neo-antigen (an antigen specific to the genome of a cancer cell generated by non-synonymous mutations in the tumor cell genome).
- a tumor-associated antigen enriched but not specific to a cancer cell
- a tumor- specific antigen minimal to no expression in normal tissue
- a neo-antigen an antigen specific to the genome of a cancer cell generated by non-synonymous mutations in the tumor cell genome
- the targeting agent is an antibody and the target is a tumor- associated antigen (i.e., an antigen enriched but not specific to a cancer cell), a tumor-specific antigen (i.e., an antigen with minimal to no expression in normal tissue), or a neo-antigen (i.e., an antigen specific to the genome of a cancer cell generated by non-synonymous mutations in the tumor cell genome).
- a tumor- associated antigen i.e., an antigen enriched but not specific to a cancer cell
- a tumor-specific antigen i.e., an antigen with minimal to no expression in normal tissue
- a neo-antigen i.e., an antigen specific to the genome of a cancer cell generated by non-synonymous mutations in the tumor cell genome
- Non-limiting examples of targeted radionuclides include radionuclides attached to: somatostatin or peptide analogs thereof (e.g., 177Lu-Dotatate, etc.); prostate specific membrane antigen or peptide analogs thereof (e.g., 177Lu-PSMA-617, 225Ac-PSMA- 617, 177Lu-PSMA-I&T, 177Lu-MIP-1095, etc.); a receptor’s cognate ligand, peptide derived from the ligand, or variants thereof (e.g., 188Re-labeled VEGF 125-136 or variants thereof with higher affinity to VEGF receptor, etc.); antibodies targeting tumor antigens (e.g., 131I- tositumomab, 90Y-ibritumomab tiuxetan, CAM-H2-I131 (Precirix NV), I131-omburtamab, etc.).
- one or more of the additional therapeutic agents is a hormone therapy.
- Hormone therapies act to regulate or inhibit hormonal action on tumors.
- hormone therapies include, but are not limited to: selective estrogen receptor degraders such as fulvestrant, giredestrant, SAR439859, RG6171, AZD9833, rintodestrant, ZN-c5, LSZ102, D- 0502, LY3484356, SHR9549; selective estrogen receptor modulators such as tamoxifen, raloxifene, 4-hydroxytamoxifen, trioxifene, keoxifene, toremifene; aromatase inhibitors such as anastrozole, exemestane, letrozole and other aromatase inhibiting 4(5)-imidazoles; gonadotropin-releasing hormone agonists such as nafarelin, triptorelin, goserelin; gonadotropin-releasing hormone antagonists such as de
- combination therapy comprises administration of a hormone or related hormonal agent. In one embodiment, combination therapy comprises administration of enzalutamide.
- one or more of the additional therapeutic agents is an epigenetic modulator.
- An epigenetic modulator alters an epigenetic mechanism controlling gene expression, and may be, for example, an inhibitor or activator of an epigenetic enzyme.
- Non-limiting examples of epigenetic modulators include DNA methyltransferase (DNMT) inhibitors, hypomethylating agents, and histone deacetylase (HDAC) inhibitors.
- DNMT DNA methyltransferase
- HDAC histone deacetylase
- the compounds accofrding to this disclosure are combined with DNA methyltransferase (DNMT) inhibitors or hypomethylating agents.
- Exemplary DNMT inhibitors include decitabine, zebularine and azacitadine. In one or more embodiments, combinations of the compounds according to this disclosure with a histone deacetylase (HDAC) inhibitor is also contemplated. Exemplary HDAC inhibitors include vorinostat, givinostat, abexinostat, panobinostat, belinostat and trichostatin A. [0135] In some embodiments, one or more of the additional therapeutic agents is an ATP- adenosine axis-targeting agent.
- HDAC histone deacetylase
- ATP-adenosine axis-targeting agents alter signaling mediated by adenine nucleosides and nucleotides (e.g., adenosine, AMP, ADP, ATP), for example by modulating the level of adenosine or targeting adenosine receptors.
- adenine nucleosides and nucleotides e.g., adenosine, AMP, ADP, ATP
- Adenosine and ATP acting at different classes of receptors, often have opposite effects on inflammation, cell proliferation and cell death.
- an ATP-adenosine axis-targeting agent is an inhibitor of an ectonucleotidase involved in the conversion of ATP to adenosine or an antagonist of adenosine receptor.
- Ectonucleotidases involved in the conversion of ATP to adenosine include the ectonucleoside triphosphate diphosphohydrolase 1 (ENTPD1, also known as CD39 or Cluster of Differentiation 39) and the ecto-5'-nucleotidase (NT5E or 5NT, also known as CD73 or Cluster of Differentiation 73).
- ENTPD1 ectonucleoside triphosphate diphosphohydrolase 1
- N5E or 5NT also known as CD73 or Cluster of Differentiation 73
- Exemplary small molecule CD73 inhibitors include CB-708, ORIC-533, LY3475070 and quemliclustat.
- Exemplary anti-CD39 and anti-CD73 antibodies include ES002023, TTX-030, IPH-5201, SRF-617, CPI-006, oleclumab (MEDI9447), NZV930, IPH5301, GS-1423, uliledlimab (TJD5, TJ004309), AB598, and BMS-986179.
- the present disclosure contemplates combination of the compounds described herein with a CD73 inhibitor such as those described in WO 2017/120508, WO 2018/067424, WO 2018/094148, and WO 2020/046813.
- the CD73 inhibitor is quemliclustat (AB680).
- Adenosine can bind to and activate four different G-protein coupled receptors: A1R, A2 A R, A2 B R, and A 3 R.
- a 2 R antagonists include etrumadenant, inupadenant, taminadenant, caffeine citrate, NUV-1182, TT-702, DZD- 2269, INCB-106385, EVOEXS-21546, AZD-4635, imaradenant, RVU-330, ciforadenant, PBF-509, PBF-999, PBF-1129, and CS-3005.
- the present disclosure contemplates the combination of the compounds described herein with an A2 A R antagonist, an A2 B R antagonist, or an antagonist of A2 A R and A2 B R. In some embodiments, the present disclosure contemplates the combination of the compounds described herein with the adenosine receptor antagonists described in WO 2018/136700, WO 2018/204661, WO 2018/213377, or WO 2020/023846. In one embodiment, the adenosine receptor antagonist is etrumadenant. [0136] In some embodiments, one or more of the additional therapeutic agents is a targeted therapy.
- a targeted therapy may comprise a chemotherapeutic agent, a radionuclide, a hormone therapy, or another small molecule drug attached to a targeting agent.
- the targeting agent may be a small molecule, a saccharide (inclusive of oligosaccharides and polysaccharides), an antibody, a lipid, a protein, a peptide, a non-natural polymer, or an aptamer.
- the targeting agent is a saccharide (inclusive of oligosaccharides and polysaccharides), a lipid, a protein, or a peptide and the target is a tumor- associated antigen (enriched but not specific to a cancer cell), a tumor-specific antigen (minimal to no expression in normal tissue), or a neo-antigen (an antigen specific to the genome of a cancer cell generated by non-synonymous mutations in the tumor cell genome).
- a tumor- associated antigen enriched but not specific to a cancer cell
- a tumor-specific antigen minimal to no expression in normal tissue
- a neo-antigen an antigen specific to the genome of a cancer cell generated by non-synonymous mutations in the tumor cell genome
- the targeting agent is an antibody and the target is a tumor-associated antigen (enriched but not specific to a cancer cell), a tumor-specific antigen (minimal to no expression in normal tissue), or a neo-antigen (an antigen specific to the genome of a cancer cell generated by non-synonymous mutations in the tumor cell genome).
- a tumor-associated antigen enriched but not specific to a cancer cell
- a tumor-specific antigen minimal to no expression in normal tissue
- a neo-antigen an antigen specific to the genome of a cancer cell generated by non-synonymous mutations in the tumor cell genome.
- a targeted therapy may inhibit or interfere with a specific protein that helps a tumor grow and/or spread.
- Non-limiting examples of such targeted therapies include signal transduction inhibitors, RAS signaling inhibitors, inhibitors of oncogenic transcription factors, activators of oncogenic transcription factor repressors, angiogenesis inhibitors, immunotherapeutic agents, tyrosine kinase inhibitors, ATP-adenosine axis-targeting agents, AXL inhibitors, PARP inhibitors, PAK4 inhibitors, PI3K inhibitors, HIF-2 ⁇ inhibitors, CD39 inhibitors, CD73 inhibitors, A2R antagonists, TIGIT antagonists, and PD-1 antagonists.
- ATP-adenosine axis-targeting agents are described above, while other agents are described in further detail below.
- one or more of the additional therapeutic agents is a signal transduction inhibitor.
- Signal transduction inhibitors are agents that selectively inhibit one or more steps in a signaling pathway.
- Signal transduction inhibitors (STIs) contemplated by the present disclosure include but are not limited to: (i) BCR-ABL kinase inhibitors (e.g., imatinib); (ii) epidermal growth factor receptor tyrosine kinase inhibitors (EGFR TKIs), including small molecule inhibitors (e.g., CLN-081, gefitinib, erlotinib, afatinib, icotinib, and osimertinib), and anti-EGFR antibodies; (iii) inhibitors of the human epidermal growth factor (HER) family of transmembrane tyrosine kinases, e.g., HER-2/neu receptor inhibitors (e.g., trastuzumab) and HER-3 receptor
- HER
- the additional therapeutic agent comprises a tyrosine kinase inhibitor that inhibits one or more of AXL, EGFR, VEGFR, PDGFR, IGFR, HER-2, HER-3, BRAF, RET, MET, ALK, RAS (e.g., KRAS, MEK, ERK), FLT-3, JAK, STAT, NF-kB, PI3K, AKT, or any combinations thereof.
- RAS e.g., KRAS, MEK, ERK
- FLT-3 JAK
- STAT NF-kB
- PI3K PI3K
- AKT PI3K
- one or more of the additional therapeutic agents is a RAS signaling inhibitor.
- Oncogenic mutations in the RAS family of genes e.g., HRAS, KRAS, and NRAS, are associated with a variety of cancers.
- Indirect inhibitors target effectors other than RAS in the RAS signaling pathway, and include, but are not limited to, inhibitors of RAF, MEK, ERK, PI3K, PTEN, SOS (e.g., SOS1), mTORC1, SHP2 (PTPN11), and AKT.
- Non- limiting examples of indirect inhibitors under development include RMC-4630, RMC-5845, RMC-6291, RMC-6236, JAB-3068, JAB-3312, TNO155, RLY-1971, BI1701963.
- Direct inhibitors of RAS mutants have also been explored, and generally target the KRAS-GTP complex or the KRAS-GDP complex.
- Exemplary direct RAS inhibitors under development include, but are not limited to, sotorasib (AMG510), adagrasib (MRTX849), mRNA-5671 and ARS1620.
- the one or more RAS signaling inhibitors are selected from the group consisting of RAF inhibitors, MEK inhibitors, ERK inhibitors, PI3K inhibitors, PTEN inhibitors, SOS1 inhibitors, mTORC1 inhibitors, SHP2 inhibitors, and AKT inhibitors.
- the one or more RAS signaling inhibitors directly inhibit RAS mutants.
- one or more of the additional therapeutic agents is an inhibitor of a phosphatidylinositol 3-kinase (PI3K), particularly an inhibitor of the PI3K ⁇ and/or the PI3K ⁇ isoforms.
- PI3K phosphatidylinositol 3-kinase
- PI3K ⁇ inhibitors can stimulate an anti-cancer immune response through the modulation of myeloid cells, such as by inhibiting suppressive myeloid cells, dampening immune-suppressive tumor-infiltrating macrophages or by stimulating macrophages and dendritic cells to make cytokines that contribute to effective T cell responses thereby decreasing cancer development and spread.
- PI3K ⁇ inhibitors include copanlisib, duvelisib, AT-104, ZX-101, tenalisib, eganelisib, SF-1126, AZD3458, and pictilisib.
- the compounds according to this disclosure are combined with one or more PI3K ⁇ inhibitors described in WO 2020/0247496A1.
- PI3K ⁇ is expressed on malignant B cells, and plays a role in promoting B-cell activation, differentiation, proliferation and survival.
- Exemplary PI3K ⁇ inhibitors include duvelisib, leniolisib, parsaclisib, copanlisib, umbralisib, zandelisib, eganelisib, linperlisib, pilaralisib, and tenalisib,
- one or more of the additional therapeutic agents is an inhibitor of arginase.
- Arginase has been shown to be either responsible for or participate in inflammation-triggered immune dysfunction, tumor immune escape, immunosuppression and immunopathology of infectious disease.
- Exemplary arginase compounds include CB-1158 and OAT-1746.
- the compounds according to this disclosure are combined with one or more arginase inhibitors described in WO 2019/173188 and WO 2020/102646.
- one or more of the additional therapeutic agents is an inhibitor of an oncogenic transcription factor or an activator of an oncogenic transcription factor repressor.
- Suitable agents may act at the expression level (e.g., RNAi, siRNA, etc.), through physical degradation, at the protein/protein level, at the protein/DNA level, or by binding in an activation/inhibition pocket.
- Non-limiting examples include inhibitors of one or more subunit of the MLL complex (e g., HDAC, DOT1L, BRD4, Menin, LEDGF, WDR5, KDM4C (JMJD2C) and PRMT1), inhibitors of hypoxia-inducible factor (HIF) transcription factor, and the like.
- one or more of the additional therapeutic agents is an inhibitor of a hypoxia-inducible factor (HIF) transcription factor, particularly HIF-2 ⁇ .
- HIF- 2 ⁇ inhibitors include belzutifan, ARO-HIF2, PT-2385, and those described in WO 2021113436, WO 2021188769, and WO 2023077046.
- the compounds according to this disclosure are combined with one or more HIF-2 ⁇ inhibitors described in WO 2021188769.
- one or more of the additional therapeutic agents is an inhibitor of anexelekto (AXL).
- AXL signaling pathway is associated with tumor growth and metastasis, and is believed to mediate resistance to a variety of cancer therapies.
- AXL inhibitors under development that also inhibit other kinases in the TAM family (i.e., TYRO3, MERTK), as well as other receptor tyrosine kinases including MET, FLT3, RON and AURORA, among others.
- Exemplary multikinase inhibitors include sitravatinib, rebastinib, glesatinib, gilteritinib, merestinib, cabozantinib, foretinib, BMS777607, LY2801653, S49076, and RXDX-106.
- AXL specific inhibitors have also been developed, e.g., small molecule inhibitors including DS-1205, SGI-7079, SLC-391, dubermatinib, bemcentinib, and DP3975; anti-AXL antibodies such as ADCT-601; and antibody drug conjugates (ADCs) such as BA3011.
- AXL signaling involves targeting AXL’s ligand, GAS6.
- GAS6 ligand
- batiraxcept is under development as is a Fc fusion protein that binds the GAS6 ligand thereby inhibiting AXL signaling.
- the compounds according to this disclosure are combined with one or more AXL inhibitors described in WO 2022246177, WO 2022246179, or PCT/US2023/069124.
- the AXL inhibitor is AB801.
- one or more of the additional therapeutic agents is an inhibitor of p21-activated kinase 4 (PAK4). PAK4 overexpression has been shown across a variety of cancer types, notably including those resistant to PD-1 therapies.
- PAK4 p21-activated kinase 4
- PAK4 inhibitors While no PAK4 inhibitors have been approved, some are in development, and exhibit dual PAK4/NAMPT inhibitor activity, e.g., ATG-019 and KPT-9274.
- the compounds according to this disclosure are combined with a PAK4 selective inhibitor.
- the compounds according to this disclosure are combined with a PAK4/NAMPT dual inhibitor, e.g., ATG-019 or KPT-9274.
- one or more of the additional therapeutic agents is (i) an agent that inhibits the enzyme poly (ADP-ribose) polymerase (e.g., olaparib, niraparib and rucaparib, etc.); (ii) an inhibitor of the Bcl-2 family of proteins (e.g., venetoclax, navitoclax, etc.); (iii) an inhibitor of MCL-1; (iv) an inhibitor of the CD47-SIRP ⁇ pathway (e.g., an anti-CD47 antibody); (v) an isocitrate dehydrogenase (IDH) inhibitor, e.g., IDH-1 or IDH-2 inhibitor (e.g., ivosidenib, enasidenib, etc.).
- an agent that inhibits the enzyme poly (ADP-ribose) polymerase e.g., olaparib, niraparib and rucaparib, etc.
- one or more of the additional therapeutic agents is an immunotherapeutic agent.
- Immunotherapeutic agents treat a disease by stimulating or suppressing the immune system.
- Immunotherapeutic agents useful in the treatment of cancers typically elicit or amplify an immune response to cancer cells.
- suitable immunotherapeutic agents include: immunomodulators; cellular immunotherapies; vaccines; gene therapies; ATP-adenosine axis-targeting agents; immune checkpoint modulators; and certain signal transduction inhibitors. ATP-adenosine axis-targeting agents and signal transduction inhibitors are described above.
- Immunomodulators, cellular immunotherapies, vaccines, gene therapies, and immune checkpoint modulators are described further below.
- one or more of the additional therapeutic agents is an immunotherapeutic agent, more specifically a cytokine or chemokine, such as, IL-1, IL-2, IL- 12, IL-18, ELC/CCL19, SLC/CCL21, MCP-1, IL-4, TNF, IL-15, MDC, IFNa/b, M-CSF, IL- 3, GM-CSF, IL-13, and anti-IL-10; bacterial lipopolysaccharides (LPS); an organic or inorganic adjuvant that activates antigen-presenting cells and promote the presentation of antigen epitopes on major histocompatibility complex molecules agonists including, but not limited to Toll-like receptor (TLR) agonists, antagonists of the mevalonate pathway, agonists of STING; indoleamine 2,3-dioxygenase 1 (IDO1) inhibitors and immune-stimulatory oligonucleotides, as well as other T cell adju
- TLR Toll-like
- one or more of the additional therapeutic agents is an immunotherapeutic agent, more specifically a cellular therapy.
- Cellular therapies are a form of treatment in which viable cells are administered to a subject.
- one or more of the additional therapeutic agents is a cellular immunotherapy that activates or suppresses the immune system.
- Cellular immunotherapies useful in the treatment of cancers typically elicit or amplify an immune response.
- the cells can be autologous or allogenic immune cells (e.g., monocytes, macrophages, dendritic cells, NK cells, T cells, etc.) collected from one or more subject.
- the cells can be “(re)programmed” allogenic immune cells produced from immune precursor cells (e.g., lymphoid progenitor cells, myeloid progenitor cells, common dendritic cell precursor cells, stem cells, induced pluripotent stem cells, etc.).
- immune precursor cells e.g., lymphoid progenitor cells, myeloid progenitor cells, common dendritic cell precursor cells, stem cells, induced pluripotent stem cells, etc.
- such cells may be an expanded subset of cells with distinct effector functions and/or maturation markers (e.g., adaptive memory NK cells, tumor infiltrating lymphocytes, immature dendritic cells, monocyte-derived dendritic cells, plasmacytoid dendritic cells, conventional dendritic cells (sometimes referred to as classical dendritic cells), M1 macrophages, M2 macrophages, etc.), may be genetically modified to target the cells to a specific antigen and/or enhance the cells’ anti-tumor effects (e.g., engineered T cell receptor (TCR) cellular therapies, chimeric antigen receptor (CAR) cellular therapies, lymph node homing of antigen-loaded dendritic cells, etc.), may be engineered to express of have increased expression of a tumor-associated antigen, or may be any combination thereof.
- TCR engineered T cell receptor
- CAR chimeric antigen receptor
- Non-limiting types of cellular therapies include CAR-T cell therapy, CAR-NK cell therapy, TCR therapy, and dendritic cell vaccines.
- Exemplary cellular immunotherapies include sipuleucel-T, tisagenlecleucel, lisocabtagene maraleucel, and idecabtagene vicleucel, as well as CTX110, JCAR015, JCAR017, MB-CART19.1, MB-CART20.1, MB- CART2019.1, UniCAR02-T-CD123, BMCA-CAR-T, JNJ-68284528, BNT211, and NK- 92/5.28.z.
- one or more of the additional therapeutic agents is an immunotherapeutic agent, more specifically a gene therapy.
- Gene therapies comprise recombinant nucleic acids administered to a subject or to a subject’s cells ex vivo in order to modify the expression of an endogenous gene or to result in heterologous expression of a protein (e.g., small interfering RNA (siRNA) agents, double-stranded RNA (dsRNA) agents, micro RNA (miRNA) agents, viral or bacterial gene delivery, etc.), as well as gene editing therapies that may or may not comprise a nucleic acid component (e.g., meganucleases, zinc finger nucleases, TAL nucleases, CRISPR/Cas nucleases, etc.), oncolytic viruses, and the like.
- a nucleic acid component e.g., meganucleases, zinc finger nucleases, TAL nucleases, CRISPR/Cas nucleases, etc.
- Non-limiting examples of gene therapies that may be useful in cancer treatment include Gendicine® (rAd-p53), Oncorine® (rAD5-H101), talimogene laherparepvec, Mx-dnG1, ARO-HIF2 (Arrowhead), quaratusugene ozeplasmid (Immunogene), CTX110 (CRISPR Therapeutics), CTX120 (CRISPR Therapeutics), and CTX130 (CRISPR Therapeutics).
- one or more of the additional therapeutic agents is an immunotherapeutic agent, more specifically an agent that modulates an immune checkpoint.
- Immune checkpoints are a set of inhibitory and stimulatory pathways that directly affect the function of immune cells (e.g., B cells, T cells, NK cells, etc.). Immune checkpoints engage when proteins on the surface of immune cells recognize and bind to their cognate ligands.
- the present invention contemplates the use of compounds described herein in combination with agonists of stimulatory or co-stimulatory pathways and/or antagonists of inhibitory pathways.
- Agonists of stimulatory or co-stimulatory pathways and antagonists of inhibitory pathways may have utility as agents to overcome distinct immune suppressive pathways within the tumor microenvironment, inhibit T regulatory cells, reverse/prevent T cell anergy or exhaustion, trigger innate immune activation and/or inflammation at tumor sites, or combinations thereof.
- one or more of the additional therapeutic agents is an immune checkpoint inhibitor.
- immune checkpoint inhibitor refers to an antagonist of an inhibitory or co-inhibitory immune checkpoint.
- checkpoint inhibitor checkpoint inhibitor
- CPI CPI
- Immune checkpoint inhibitors may antagonize an inhibitory or co-inhibitory immune checkpoint by interfering with receptor -ligand binding and/or altering receptor signaling.
- immune checkpoints ligands and receptors
- PD-1 programmed cell death protein 1
- PD-L1 PD1 ligand
- BTLA B and T lymphocyte attenuator
- CTLA-4 cytotoxic T-lymphocyte associated antigen 4
- TIM-3 T cell immunoglobulin and mucin domain containing protein 3
- LAG-3 lymphocyte activation gene 3
- TIGIT T cell immunoreceptor with Ig and ITIM domains
- CD276 B7-H3
- PD-L2 Galectin 9, CEACAM-1, CD69, Galectin-1, CD113, GPR56, VISTA, 2B4, CD48, GARP, PD1H, LAIR1, TIM-1, and TIM-4, and Killer Inhibitory Receptors, which can be divided into two classes based on their structural features: i) killer cell immunoglobulin-like receptors (KIRs), and
- an immune checkpoint inhibitor is a CTLA-4 antagonist.
- the CTLA-4 antagonist can be an antagonistic CTLA-4 antibody.
- Suitable antagonistic CTLA-4 antibodies include, for example, monospecific antibodies such as ipilimumab or tremelimumab, as well as bispecific antibodies such as MEDI5752 and KN046.
- an immune checkpoint inhibitor is a PD-1 antagonist.
- the PD-1 antagonist can be an antagonistic PD-1 antibody, small molecule or peptide.
- Suitable antagonistic PD-1 antibodies include, for example, monospecific antibodies such as balstilimab, budigalimab, camrelizumab, cosibelimab, dostarlimab, cemiplimab, ezabenlimab, MEDI-0680 (AMP-514; WO2012/145493), nivolumab, pembrolizumab, pidilizumab (CT-011), pimivalimab, retifanlimab, sasanlimab, spartalizumab, sintilmab, tislelizumab, toripalimab, and zimberelimab; as well as bi-specific antibodies such as LY3434172.
- monospecific antibodies such as balstilimab, budigalimab, camrelizumab, cosibelimab, dostarlimab, cemiplimab, ezabenlimab, MEDI-06
- the PD-1 antagonist can be a recombinant protein composed of the extracellular domain of PD-L2 (B7-DC) fused to the Fc portion of IgGl (AMP- 224).
- an immune checkpoint inhibitor is zimberelimab.
- an immune checkpoint inhibitor is a PD-L1 antagonist.
- the PD-L1 antagonist can be an antagonistic PD-L1 antibody.
- Suitable antagonistic PD-Ll antibodies include, for example, monospecific antibodies such as avelumab, atezolizumab, durvalumab, BMS-936559, and envafolimab as well as bi-specific antibodies such as LY3434172 and KN046.
- an immune checkpoint inhibitor is a TIGIT antagonist.
- the TIGIT antagonist can be an antagonistic TIGIT antibody.
- Suitable antagonistic anti-TIGIT antibodies include monospecific antibodies such as AGEN1327, AB308 (WO2021247591), BMS 986207, COM902, domvanalimab, EOS-448, etigilimab, IBI- 929, JS006, M6223, ociperlimab, SEA-TGT, tiragolumab, vibostolimab; as well as bi-specific antibodies such as AGEN1777 and AZD2936.
- an immune checkpoint inhibitor is an antagonistic anti-TIGIT antibody disclosed in WO2017152088 or WO2021247591.
- an immune checkpoint inhibitor is domvanalimab or AB308.
- an immune checkpoint inhibitor is a LAG-3 antagonist.
- the LAG-3 antagonist can be an antagonistic LAG-3 antibody.
- Suitable antagonistic LAG-3 antibodies include, for example, BMS-986016 (WO10/19570, WO14/08218), or IMP-731 or IMP-321 (WO08/132601, WO09/44273).
- an immune checkpoint inhibitor is a B7-H3 antagonist.
- the B7-H3 antagonist is an antagonistic B7-H3 antibody.
- Suitable antagonist B7-H3 antibodies include, for example, enoblituzumab (WO11/109400), omburtumab, DS-7300a, ABBV-155, and SHR-A1811.
- one or more of the additional therapeutic agents activates a stimulatory or co-stimulatory immune checkpoint.
- stimulatory or co-stimulatory immune checkpoints include B7-1, B7-2, CD28, 4-1BB (CD137), 4- 1BBL, ICOS, ICOS-L, OX40, OX40L, GITR, GITRL, CD70, CD27, CD40, DR3 and CD2.
- an agent that activates a stimulatory or co-stimulatory immune checkpoint is a CD137 (4-1BB) agonist.
- the CD137 agonist can be an agonistic CD137 antibody.
- Suitable CD137 antibodies include, for example, urelumab and utomilumab (WO12/32433).
- an agent that activates a stimulatory or co- stimulatory immune checkpoint is a GITR agonist.
- the GITR agonist can be an agonistic GITR antibody.
- Suitable GITR antibodies include, for example, BMS- 986153, BMS-986156, TRX-518 (WO06/105021, WO09/009116) and MK-4166 (WO11/028683).
- an agent that activates a stimulatory or co-stimulatory immune checkpoint is an OX40 agonist.
- the OX40 agonist can be an agonistic OX40 antibody.
- Suitable OX40 antibodies include, for example, MEDI-6383, MEDI- 6469, MEDI-0562, PF-04518600, GSK3174998, BMS-986178, and MOXR0916.
- an agent that activates a stimulatory or co-stimulatory immune checkpoint is a CD40 agonist.
- the CD40 agonist can be an agonistic CD40 antibody.
- an agent that activates a stimulatory or co-stimulatory immune checkpoint is a CD27 agonist.
- the CD27 agonist can be an agonistic CD27 antibody.
- Suitable CD27 antibodies include, for example, varlilumab.
- one or more of the additional therapeutic agents is an agent that inhibits or depletes immune-suppressive immune cells.
- each additional therapeutic agent can independently be a chemotherapeutic agent, radiation therapy, a hormone therapy, an epigenetic modulator, a targeted agent, an immunotherapeutic agent, a cellular therapy, or a gene therapy.
- the present disclosure contemplates the use of the compounds described herein in combination with one or more chemotherapeutic agent and optionally one or more additional therapeutic agents, wherein each additional therapeutic agent is independently radiation therapy, a hormone therapy, a targeted agent, an immunotherapeutic agent, a cellular therapy, or a gene therapy.
- each additional therapeutic agent is independently radiation therapy, a hormone therapy, a targeted agent, an immunotherapeutic agent, a cellular therapy, or a gene therapy.
- the present disclosure contemplates the use of the compounds described herein in combination with one or more chemotherapeutic agent and optionally one or more additional therapeutic agents, wherein each additional therapeutic agent is independently a targeted agent, an immunotherapeutic agent, or a cellular therapy.
- the present disclosure contemplates the use of the compounds described herein in combination with one or more immunotherapeutic agents and optionally one or more additional therapeutic agents, wherein each additional therapeutic agent is independently radiation therapy, a hormone therapy, a targeted agent, a chemotherapeutic agent, a cellular therapy, or a gene therapy.
- each additional therapeutic agent is independently radiation therapy, a hormone therapy, a targeted agent, a chemotherapeutic agent, a cellular therapy, or a gene therapy.
- the present disclosure contemplates the use of the compounds described herein in combination with one or more immunotherapeutic agents and optionally one or more additional therapeutic agents, wherein each additional therapeutic agent is independently a chemotherapeutic agent, a targeted agent, or a cellular therapy.
- the present disclosure contemplates the use of the compounds described herein in combination with one or more immune checkpoint inhibitors and/or one or more ATP-adenosine axis-targeting agents, and optionally one or more additional therapeutic agents, wherein each additional therapeutic agent is independently a chemotherapeutic agent, a targeted agent, a tyrosine kinase inhibitor, an immunotherapeutic agent, or a cellular therapy.
- the targeted agent can be a PI3K inhibitor, an arginase inhibitor, a HIF-2 ⁇ inhibitor, an AXL inhibitor, or a PAK4 inhibitor;
- the immunotherapeutic agent is an ATP-adenosine axis-targeting agent or an immune checkpoint inhibitor;
- the ATP-adenosine axis-targeting agent is an A2 A R and/or A2 B R antagonist, a CD73 inhibitor, or a CD39 inhibitor;
- the ATP-adenosine axis-targeting agent is etrumadenant, quemliclustat, or AB598;
- the tyrosine kinase inhibitor can inhibit one or more of AXL, EGFR, VEGF, HER-2, HER-3, BRAF, PDGFR, MET, MEK, ERK, ALK, RET, KIT, IGFR, TRK, and/or FGFR;
- the immunotherapeutic agent is an ATP-adenosine
- the present disclosure contemplates the use of the compounds described herein in combination with domvanalimab, etrumadenant, quemliclustat, zimberelimab, AB801, AB308, AB521, AB598, or any combination thereof.
- Selection of the additional therapeutic agent(s) may be informed by current standard of care for a particular cancer and/or mutational status of a subject’s cancer and/or stage of disease. Detailed standard of care guidelines are published, for example, by National Comprehensive Cancer Network (NCCN).
- NCCN National Comprehensive Cancer Network
- Reactions were monitored by TLC (silica gel 60 with fluorescence F254, visualized with a short wave/long wave UV lamp) and/or LCMS (Agilent 1100 or 1200 series LCMS with UV detection at 254 or 280 nm using a binary solvent system [0.1% formic acid in MeCN/0.1% formic acid in H 2 O] using one of the following columns: Agilent Eclipse Plus C18 [3.5 ⁇ m, 4.6 mm i.d. ⁇ 100 mm], Waters XSelect HSS C18 [3.5 ⁇ m, 2.1 mm i.d. ⁇ 75 mm]).
- Flash chromatography was conducted on silica gel using an automated system (CombiFlash RF+ manufactured by Teledyne ISCO), with detection wavelengths of 254 and 280 nm, and optionally equipped with an evaporative light scattering detector.
- Reverse phase preparative HPLC was conducted on an Agilent 1260 or 1290 Infinity series HPLC. Samples were eluted using a binary solvent system (MeCN/H 2 O with an acid modifier as needed – for example 0.1% TFA or 0.1% formic acid) with gradient elution on a Gemini C18110 ⁇ column (21.2 mm i.d. ⁇ x 250 mm) with variable wavelength detection. Final compounds obtained through preparative HPLC were concentrated through lyophilization. All reported yields are isolated yields.
- RT room temperature
- Step 1 To a mixture of 2,4-dichloropyrimidine (2.0 g, 13.4 mmol), (1-(tetrahydro-2H- pyran-2-yl)-1H-pyrazol-4-yl)boronic acid pinacol ester (3.4 g, 12.1 mmol), Na 2 CO 3 (2.8 g, 26.8 mmol) and Pd(PPh 3 ) 4 (0.76 g, 0.67 mmol) was added 50 mL degassed mixture of toluene/H 2 O/EtOH in 4:2:1 ratio. The reaction mixture was heated to 70 °C and stirred for 16 h under N 2 atmosphere. The reaction mixture filtered through Celite® and concentrated under reduced pressure.
- Step 2 To a stirred solution of chloropyrimidine derivative obtained from step 1 (2.9 g, 11.0 mmol) and 2-fluoro-6-methoxyphenylboronic acid (2.3 g, 13.4 mmol) in 4:2 degassed dioxane/H 2 O (15 ml) was added XPhosPdG2 (865.5 mg, 1.1 mmol), and K 3 PO 4 (2.7 g, 22 mmol). The reaction mixture was heated to 80 °C and stirred for 12 h.
- Step 3 To THP intermediate obtained from step 2 (5.74 g, 16.2 mmol) was added 70 mL of 3M HCl in MeOH. The reaction mixture was stirred at RT for 1 h. Solvent was evaporated in vacuo and the crude material was resuspended in 50 mL CH 3 CN.
- Step 4 A round-bottom flask was charged with intermediate obtained from step 3 (658 mg, 2.22 mmol) and commercially available 2,6-dichloropyridine 641 g (4.87 mmol). To this flask was added 5 mL of dry NMP and K 2 CO 3 (1.18 g, 7.3 mmol) and heated at 100 °C for 20 h under N 2 .
- Step 5 To a solution of the chloropyridine derivative obtained from step 4 (50 mg, 0.13 mmol) and N-methylpiperazine (26 mg, 0.26 mmol) in Dioxane (2 mL) was added RuPhos PdG4 (34 mg, 0.04 mmol) and Cs 2 CO 3 (195 mg 0.6 mmol). After degassing for 25 min under N 2 atmosphere, the reaction mixture was heated to 100 °C and stirred for 12 h.
- Step 1 To a solution of 2,4-dichloropyrimidine (2.0 g, 13.4 mmol) and triisopropylacetylene (2.7 mL, 12.1 mmol) in 50 mL dry THF was added CuI (383 mg, 2.1 mmol) and PdCl 2 (PPh 3 ) 2 (470 mg, 0.67 mmol) and Et 3 N (5.6 mL, 40 mmol). The reaction mixture was degassed for 5 minutes under N 2 atmosphere, heated to 70 °C and stirred for 16 h. The reaction mixture was filtered through Celite®, washed with 1:1 mixture of brine and aqueous NH 4 OH and concentrated under reduced pressure.
- Step 2 This step was performed in a similar fashion to step 2 in procedure A.
- Step 3 The TIPS-acetylene intermediate obtained from step 2 (3.3 g, 8.6 mmol) was dissolved in 30 mL of dry THF. To this reaction mixture was added 0.6 mL of 1M TBAF in THF and 0.5 mL H 2 O. After 30 minutes at RT, 20 mL of saturated NH 4 Cl was added. The organic phase was separated and the aqueous phase was extracted twice with 20 mL EtOAc.
- Step 4 The acetylene intermediate obtained from step 3 (100 mg, 0.44 mmol) was dissolved in 2 mL of dry t-BuOH/H 2 O (4:1). To this reaction mixture was added commercially available chloropyridylazide (102 mg, 0.66 mmol), CuSO 4 •5H 2 O (12.5 mg, 0.05 mmol) and sodium ascorbate (19.8 mg, 0.1 mmol). The reaction mixture was then stirred at 60 °C for 1 h.
- Step 5 This step was performed in a similar fashion to step 5 in example 1.
- Step 1 To a solution of intermediate A obtained from step 3, example 1 (270 mg, 1.0 mmol) and 6-chloropicolinic acid (172 mg, 1.0 mmol) in dioxane (5 mL) was added t- BuXPhosPd G 3 (80 g, 0.1 mmol), t-BuXPhos (85 mg, 0.2 mmol) and Cs 2 CO 3 (977 mg, 3.0 mmol).
- reaction mixture After degassing for 1 min under N 2 atmosphere, the reaction mixture was heated to 100 °C and stirred for 16 h. The reaction mixture was quenched with water, extracted with EtOAc. The aqueous layer was acidified with 1N HCl to pH ⁇ 4, extracted twice with EtOAc and concentrated under reduced pressure. The residue was used in next step without purification.
- Step 2 To a stirred solution of compound obtained from step 1 (30 mg, 0.074 mmol), 8-methyl-3,8-diazabicyclo[3.2.1]octane dihydrochloride (22 mg, 0.11 mmol), DIPEA (0.07 mL, 0.37 mmol) in DMF (3 ml) was added HATU (56 mg, 0.15 mmol). The reaction mixture was heated to 45 °C and stirred for 2 h. The reaction mixture was poured into water and extracted twice with EtOAc. The organic layers were dried over Na 2 SO 4 and concentrated in vacuo. Purification by reversed phase HPLC (10 to 90% gradient of CH 3 CN and H 2 O with 0.1% TFA) afforded the title compound.
- reaction mixture was heated to 100 °C and stirred for 24 h.
- the reaction mixture was poured into water and extracted twice with EtOAc.
- the organic layers were dried over Na 2 SO 4 and concentrated in vacuo.
- the residue was purified by flash column chromatography (silica gel; gradient: 0% to 10% MeOH in DCM) to obtain the desired compound (215 mg, 80%).
- Step 2 To a solution of intermediate-A obtained from step 3, example 1 (76 mg, 0.28 mmol) and compound obtained from step 1 (76 mg, 0.28 mmol) in dioxane (5 mL) was added t-BuXPhosPd G 3 (22 g, 0.028 mmol), t-BuXPhos (24 mg, 0.056 mmol) and Cs 2 CO 3 (273 mg, 0.84 mmol). After degassing for 1 min under N 2 atmosphere, the reaction mixture was heated to 100 °C and stirred for 2 h. The reaction mixture was quenched with water, extracted with EtOAc.
- Step 1 To a stirred solution of 4-bromo-2-chlorobenzonitrile (563 mg, 2.6 mmol) and 1-(tetrahydro-2H-pyran-2-yl)-1H-pyrazole-4-boronic acid pinacol ester (722 mg, 2.6 mmol) in toluene/EtOH (8/2 mL) was added 2M Na 2 CO 3 (4mL) and Pd(PPh 3 ) 4 (300 mg, 0.26 mmol). After degassing for 1 min under N 2 atmosphere, the reaction mixture was heated to 70 °C and stirred for 16 h. The reaction mixture was quenched with water, extracted with EtOAc (x2).
- Step 2 To a solution of 2-fluoro-6-methoxyphenylboronic acid (178 mg, 1.04 mmol) and compound obtained from step 1 (250 mg, 0.87 mmol) in dioxane/water (6/2mL) was added XPhosPd G 3 (74 g, 0.087 mmol) and K 3 PO 4 (213 mg, 1.74 mmol).
- Step 3 To a solution of compound obtained from step 2 (265 mg, 0.70 mmol) in DCM (7mL) was added 4.0M HCl in dioxane (1mL). The reaction mixture was stirred at room temperature for 16 h.
- Step 4 To a solution of amine (35 mg, 0.125 mmol) and compound obtained from step 3 (32 mg, 0.125 mmol) in dioxane (5 mL) was added t-BuXPhosPd G 3 (10 g, 0.012 mmol), t- BuXPhos (11 mg, 0.025 mmol) and Cs 2 CO 3 (123 mg, 0.375 mmol). After degassing for 1 min under N 2 atmosphere, the reaction mixture was heated to 100 °C and stirred for 2 h.
- Step 5 To a solution of compound obtained from step 4 (8 mg, 0.016 mmol) in tBuOH (2 mL) was added KOH (20 mg). After stirring at 80 °C for 16 h, the reaction mixture was poured into water and extracted twice with EtOAc. The organic layers were dried over Na 2 SO 4 and concentrated in vacuo. Purification by reversed phase HPLC (10 to 90% gradient of CH 3 CN and H 2 O with 0.1% TFA) afforded the title compound.
- Step 1 A suspension of chloropyrimidine intermediate from step 1, example 1 (1.06 g, 4.0 mmol), aniline derivative (0.56 g, 4.0 mmol), tBuXPhosPdG 3 (0.32 g, 0.4 mmol), and KOAc (1.18 g, 12.0 mmol) in dioxane (28 mL) was degassed by bubbling with nitrogen for 10 min and heated at 100 oC overnight under nitrogen atmosphere. The reaction was cooled to room temperature, filtered through a pad of Celite®, concentrated, and purified via column chromatography on silica gel (50-100% EtOAc/Hexane) to afford desired product (0.76 g, 52%).
- Step 2 The intermediate from step 2 (0.76 g, 2.0 mmol) was treated with 3M HCl solution in MeOH (6 mL) dropwise. The resulting mixture was stirred at 30 oC for 1 h and then concentrated under reduced pressure. The residue was dissolved in 10:1 mixture of MeCN- MeOH (25 mL), then basified with 1M NaOH to pH 10 followed by extraction with EtOAc. The organic extract was washed with brine, dried over Na 2 SO 4 , and concentrated to afford the desired product (0.55 g, 96%).
- Step 3 A heterogenous mixture of intermediate from step 3 (285 mg, 1.0 mmol), 2- chloro-6-fluoropyridine (262 mg, 2.0 mmol), K 2 CO 3 (276 mg, 2.0 mmol), and NMP (3 mL) was heated at 100 °C for 12 h. After cooling to room temperature, the reaction mixture was diluted with water and then extracted with EtOAc. The organic extract was then concentrated to get crude product (411 mg), which was used for next step without further purification.
- Step 4 To a stirred solution of piperazine derivative (66 mg, 0.33 mmol) and crude intermediate from step 3 (119 mg, 0.30 mmol) in dioxane (3 mL) was added RuPhos Pd G 4 (25 mg, 0.03 mmol) and Cs 2 CO 3 (489 mg 1.50 mmol). After degassing for 10 min under N 2 atmosphere, the reaction mixture was heated at 100 °C for 15 h. The reaction mixture was filtered through a pad of Celite® and concentrated under reduced pressure. The resulting residue was purified by reverse phase preparative HPLC to obtain the title compound (29 mg, TFA salt).
- Step 2 A suspension of intermediate from step 1 (1.27 g, 6.0 mmol), boronate ester (1.39 g, 7.2 mmol), tBuXPhosPdG 3 (0.47 g, 0.6 mmol), tBuXPhos (0.51 g, 1.2 mmol), and Cs 2 CO 3 (5.9 g, 18.0 mmol) in dioxane (24 mL) was degassed by bubbling with nitrogen for 10 min and heated at 100 oC for 3.5 h under nitrogen atmosphere.
- Step 3 To a solution of dichloronicotinamide (382 mg, 2.0 mmol) and aniline derivative (250 mg, 2.0 mmol) in THF (6 mL) was added 1M LiHMDS in THF (4 mL) dropwise at room temperature. After stirring at room temperature for 2 h, the reaction was heated at 50 °C for an additional 2 h. The reaction was cooled to room temperature, diluted with EtOAc, washed with sat. NH4Cl, brine, and then concentrated.
- Step 4 A suspension of boronate ester intermediate from step 2 (236 mg, 0.64 mmol), aminopyridine intermediate from step 3 (90 mg, 0.32 mmol), XPhosPdG 3 (33 g, 0.04 mmol), and K 3 PO 4 (135 mg, 0.64 mmol) in 3:1 mixture of dioxane-H 2 O (4 mL) was degassed by bubbling with nitrogen for 10 min and heated at 90 oC overnight under nitrogen atmosphere.
- Step 1 SNAr reaction was performed in a similar fashion to step 3, example 6 using intermediate-A in example 1.
- Step 2 SNAr reaction was performed by following the same protocol as step 1 and purified by reverse phase preparative HPLC to obtain the title compound (29 mg, TFA salt).
- Step 1 A heterogenous mixture of (1S,4S)-2-methyl-2,5-diazabicyclo[2.2.1]heptane dihydrobromide (4.0 g, 14.5 mmol), 2-chloro-6-fluoropyridine (2.68 g, 20.3 mmol), K 3 PO 4 (18.56 g, 87.5 mmol), and dioxane (75 mL) was heated at 100 oC for 48 h. The reaction was cooled to room temperature and filtered through a small pad of Celite®.
- Step 2 To a mixture of compound obtained from step 1 (1.05 g, 4.7 mmol), 4-(4,4,5,5- tetramethyl-1,3,2-dioxaborolan-2-yl)-1H-pyrazole (1.4 g, 7.21 mmol), tBuXPhos-Pd-G3 (370 mg, 0.721 mmol), tBuXPhos (400 mg, 1.44 mmol), and Cs 2 CO 3 (4.6 g, 14.11 mmol) were dissolved in dioxane (20 mL).
- the flask containing the reaction solution was degassed (20 minutes) and the atmosphere therein was replaced by nitrogen.
- the reaction solution was stirred at 100 °C for 3 hours in a nitrogen atmosphere.
- the reaction mixture was filtered, and the filtrate was concentrated under reduced pressure, and the resulting residue was purified by column chromatography (silica gel; gradient: 0% to 30% MeOH in CH 2 Cl 2 ) to give the target compound (1.1 g, 63%).
- Step 3 A mixture of 2-bromo-6-chloropyridin-3-amine (1.5 g, 7.2 mmol), 2-fluoro-6- methoxyphenylboronic acid (1.23 g, 7.2 mmol), XPhos-Pd-G3 (600 mg, 0.72 mmol), K 3 PO 4 (3.05 g, 14.4 mmol), dioxane (12 mL), and H 2 O (3 mL) were combined and degassed by bubbling N 2 for 10 min. The mixture was stirred at 100 °C under inert atmosphere for 3 h and then cooled to room temperature. The reaction was filtered through a pad of Celite ® and the filtrate was concentrated under reduced pressure.
- Step 4 To a mixture of compound obtained from step 2 (0.132 g, 0.346 mmol), and step 3 (0.08 g, 0.36 mmol), was added SPhos-Pd-G3 (0.054 g, 0.07 mmol), SPhos (0.056 mg, 0.11 mmol), Na 2 CO 3 (0.146 g, 1.37 mmol) and dioxane (5 mL). The flask containing the reaction solution was degassed (20 minutes) and the atmosphere therein was replaced by nitrogen.
- the reaction solution was stirred at 100 °C for 12 hours in a nitrogen atmosphere.
- the reaction mixture was filtered, and the filtrate was concentrated under reduced pressure, and the resulting residue was purified by column chromatography (silica gel; gradient: 0% to 30% MeOH in CH 2 Cl 2 ) to give the target compound (0.12 g, 73%).
- Step 1 The stannane, 1-methyl-4-[6-(tributylstannyl)-2-pyridinyl]piperazine (0.800 g, 1.71 mmol) was taken in a dry screw cap vial and to this 3,5-dibromo-1-(tetrahydro-2H-pyran- 2-yl)-1H-pyrazole (0.691 g, 2.2 mmol) followed by Pd(PPh 3 ) 4 (400 mg, 0.34 mmol) and CuI (130 mg, 0.68 mmol) were added under nitrogen.
- Step 2 The mixture of regioisomers obtained from step 1 (0.530 g, 1.3 mmol), bistributyltin (2.27 g, 3.9 mmol) and Pd(PPh 3 ) 4 (0.3 g, 0.026 mmol) were heated at 110 oC in dry toluene for 25 h under argon. The volatiles were removed by rotary evaporation and the crude product was purified by column chromatography (silica gel; gradient: 0% to 30% MeOH in CH 2 Cl 2 ) to provide a regioisomeric mixture of desired compound (0.24 g, 30%).
- Step 3 To a solution of stannane derivative obtained from step 2 (0.235 g, 0.38 mmol) and 2,4-dichloropyrimidine (0.085 g, 0.57 mmol) in dioxane (5 mL) was added Pd(PPh 3 ) 4 (0.09 g, 0.08 mmol) and CuI (0.03 g, 0.15 mmol). After degassing for 15 min under N 2 atmosphere, the reaction mixture was heated to 100 °C and stirred for 20 h. The reaction mixture filtered through Celite® and concentrated under pressure. To this crude intermediate was added TFA (1 mL) dropwise at room temperature. The reaction was stirred for 1 h and then concentrated under reduced pressure.
- the pH of the aqueous layer was adjusted to 11 using K 2 CO 3 and extracted with CH 2 Cl 2 .
- the combined organic layers were dried using anhydrous Na 2 SO 4 and concentrated under reduced pressure.
- the residue was purified by flash column chromatography (silica gel; gradient: 0% to 30% MeOH in CH 2 Cl 2 ) to get the desired compound (0.04 g, 29%).
- Step 4 Pyrazole intermediate from step 3 (0.04 g, 0.11 mmol), 2-fluoro-6- methoxyphenylboronic acid (0.028 g, .16 mmol), XPhos-Pd-G3 (0.016 mg, 0.022 mmol), K 3 PO 4 (0.048 g, 0.23 mmol), dioxane (5 mL), and H 2 O (1 mL) were combined and degassed by bubbling N 2 for 10 min. The mixture was stirred at 100 oC under inert atmosphere for 3 h and then cooled to room temperature. The reaction was filtered through a pad of Celite ® and the filtrate was concentrated under reduced pressure.
- Step 1 To a solution of bromo derivative (174 mg, 0.3 mmol) and boronic ester obtained in step 2 of example 9 (137 mg, 0.36 mmol) in dioxane (4 mL)/H 2 O (1 mL) was added PdG2 Xanthphos (25 mg, 0.01 mmol) and K 3 PO 4 (127 mg, 0.2 mmol). After degassing for 10 min with N 2 , the reaction mixture was heated to 100 °C and stirred for 4 h. The reaction mixture was cooled down to RT, diluted with water and extracted with EtOAc. The combined organic layers were dried over Na 2 SO 4 and concentrated in vacuo.
- Step 2 To a stirred solution of Boc protected derivative from step 1 (46 mg, 0.06 mmol) in DCM (5 ml) was added TFA and stirred at RT until complete consumption of starting material. The reaction mixture was concentrated in vacuo and purified by flash column chromatography (silica gel; gradient: 0% to 30% MeOH in CH 2 Cl 2 ) to obtain the title compound.
- Step 2 To a solution of 2-chloro-4-(4-methylpiperazin-1-yl)pyrimidine.
- Step 2 To a solution of chloro derivative (51 mg, 0.2 mmol) and pyrazole intermediate (54 mg, 0.2 mmol) in dioxane was added tBuXphos PdG3 (16 mg, 0.02 mmol), tBuXphos (17 mg, 0.04 mmol) and Cs 2 CO 3 (195 mg, 0.6 mmol). After degassing for 10 min with N 2 , the reaction mixture was heated to 100 °C and stirred until complete consumption of starting materials.
- Step 1 To a stirred solution of chloropyridine derivative obtained from step 4, example 1 (200 mg, 0.52 mmol) and commercially available boronate-ester (117 mg, 0.52 mmol) in 4:1 degassed dioxane/H 2 O (2 ml) was added XPhosPdG2 (39.3 mg, 0.05 mmol), and K 3 PO 4 (220 mg, 1.0 mmol).
- Step 2 To a stirred solution of the olefin intermediate obtained from step 1 (100 mg, 0.22 mmol) in 3 mL of 1:1 MeOH/DCM was added 10 mg of 10% Pd-C. The reaction mixture was purged with N 2 and stirred under 1 atm of H 2 at room temperature for 12 h.
- HPK1 Biochemical Assay Dose-response assays were performed in CORNING® Low Volume 384-well assay plates containing 100 nL of 22 serial 2-fold compound dilutions. Wells containing DMSO alone were used as negative control. A kinase mixture (5 ⁇ L) containing 2 nM HPK1in assay buffer (50 mM Hepes pH 7.4, 10 mM MgCl 2 , 0.01 % Brij-15, 0.01% bovine serum albumin, and 1 mM dithiothreitol) was added to the assay plates and incubated at 25 °C for 1 hour. Wells without HPK1 were used as positive control.
Landscapes
- Chemical & Material Sciences (AREA)
- Organic Chemistry (AREA)
- Pharmaceuticals Containing Other Organic And Inorganic Compounds (AREA)
Abstract
Description
Claims
Priority Applications (1)
| Application Number | Priority Date | Filing Date | Title |
|---|---|---|---|
| EP23800656.3A EP4602041A1 (en) | 2022-10-14 | 2023-10-12 | Hpk1 inhibitors and methods of use thereof |
Applications Claiming Priority (2)
| Application Number | Priority Date | Filing Date | Title |
|---|---|---|---|
| US202263416426P | 2022-10-14 | 2022-10-14 | |
| US63/416,426 | 2022-10-14 |
Publications (1)
| Publication Number | Publication Date |
|---|---|
| WO2024081385A1 true WO2024081385A1 (en) | 2024-04-18 |
Family
ID=88689532
Family Applications (1)
| Application Number | Title | Priority Date | Filing Date |
|---|---|---|---|
| PCT/US2023/035062 Ceased WO2024081385A1 (en) | 2022-10-14 | 2023-10-12 | Hpk1 inhibitors and methods of use thereof |
Country Status (2)
| Country | Link |
|---|---|
| EP (1) | EP4602041A1 (en) |
| WO (1) | WO2024081385A1 (en) |
Citations (39)
| Publication number | Priority date | Publication date | Assignee | Title |
|---|---|---|---|---|
| WO2006105021A2 (en) | 2005-03-25 | 2006-10-05 | Tolerrx, Inc. | Gitr binding molecules and uses therefor |
| WO2008132601A1 (en) | 2007-04-30 | 2008-11-06 | Immutep | Cytotoxic anti-lag-3 monoclonal antibody and its use in the treatment or prevention of organ transplant rejection and autoimmune disease |
| WO2009009116A2 (en) | 2007-07-12 | 2009-01-15 | Tolerx, Inc. | Combination therapies employing gitr binding molecules |
| WO2009044273A2 (en) | 2007-10-05 | 2009-04-09 | Immutep | Use of recombinant lag-3 or the derivatives thereof for eliciting monocyte immune response |
| WO2010000372A2 (en) * | 2008-06-09 | 2010-01-07 | Ludwig-Maximilians-Universität München | New drug for inhibiting aggregation of proteins involved in diseases linked to protein aggregation and/or neurodegenerative diseases |
| WO2010019570A2 (en) | 2008-08-11 | 2010-02-18 | Medarex, Inc. | Human antibodies that bind lymphocyte activation gene-3 (lag-3), and uses thereof |
| WO2011028683A1 (en) | 2009-09-03 | 2011-03-10 | Schering Corporation | Anti-gitr antibodies |
| WO2011070024A1 (en) | 2009-12-10 | 2011-06-16 | F. Hoffmann-La Roche Ag | Antibodies binding preferentially human csf1r extracellular domain 4 and their use |
| WO2011107553A1 (en) | 2010-03-05 | 2011-09-09 | F. Hoffmann-La Roche Ag | Antibodies against human csf-1r and uses thereof |
| WO2011109400A2 (en) | 2010-03-04 | 2011-09-09 | Macrogenics,Inc. | Antibodies reactive with b7-h3, immunologically active fragments thereof and uses thereof |
| WO2011131407A1 (en) | 2010-03-05 | 2011-10-27 | F. Hoffmann-La Roche Ag | Antibodies against human csf-1r and uses thereof |
| WO2011140249A2 (en) | 2010-05-04 | 2011-11-10 | Five Prime Therapeutics, Inc. | Antibodies that bind csf1r |
| WO2012032433A1 (en) | 2010-09-09 | 2012-03-15 | Pfizer Inc. | 4-1bb binding molecules |
| WO2012145493A1 (en) | 2011-04-20 | 2012-10-26 | Amplimmune, Inc. | Antibodies and other molecules that bind b7-h1 and pd-1 |
| WO2013087699A1 (en) | 2011-12-15 | 2013-06-20 | F. Hoffmann-La Roche Ag | Antibodies against human csf-1r and uses thereof |
| WO2013119716A1 (en) | 2012-02-06 | 2013-08-15 | Genentech, Inc. | Compositions and methods for using csf1r inhibitors |
| WO2013132044A1 (en) | 2012-03-08 | 2013-09-12 | F. Hoffmann-La Roche Ag | Combination therapy of antibodies against human csf-1r and uses thereof |
| WO2013169264A1 (en) | 2012-05-11 | 2013-11-14 | Five Prime Therapeutics, Inc. | Methods of treating conditions with antibodies that bind colony stimulating factor 1 receptor (csf1r) |
| WO2014008218A1 (en) | 2012-07-02 | 2014-01-09 | Bristol-Myers Squibb Company | Optimization of antibodies that bind lymphocyte activation gene-3 (lag-3), and uses thereof |
| WO2017120508A1 (en) | 2016-01-08 | 2017-07-13 | Arcus Biosciences, Inc. | Modulators of 5'-nucleotidase, ecto and the use thereof |
| WO2017152088A1 (en) | 2016-03-04 | 2017-09-08 | JN Biosciences, LLC | Antibodies to tigit |
| WO2018067615A1 (en) * | 2016-10-03 | 2018-04-12 | Sigilon Therapeutics, Inc. | Compounds, devices, and uses thereof |
| WO2018067424A1 (en) | 2016-10-03 | 2018-04-12 | Arcus Biosciences, Inc. | Inhibitors of adenosine 5'-nucleotidase |
| WO2018094148A1 (en) | 2016-11-18 | 2018-05-24 | Arcus Biosciences, Inc. | Inhibitors of cd73-mediated immunosuppression |
| WO2018136700A1 (en) | 2017-01-20 | 2018-07-26 | Arcus Biosciences, Inc. | Azolopyrimidine for the treatment of cancer-related disorders |
| WO2018204661A1 (en) | 2017-05-05 | 2018-11-08 | Arcus Biosciences, Inc. | Quinazoline-pyridine derivatives for the treatment of cancer-related disorders |
| WO2018213377A1 (en) | 2017-05-17 | 2018-11-22 | Arcus Biosciences, Inc. | Quinazoline-pyrazole derivatives for the treatment of cancer-related disorders |
| WO2019173188A1 (en) | 2018-03-05 | 2019-09-12 | Arcus Biosciences, Inc. | Arginase inhibitors |
| WO2020023846A1 (en) | 2018-07-27 | 2020-01-30 | Arcus Biosciences, Inc. | Pyridone a2r antagonists |
| WO2020046813A1 (en) | 2018-08-27 | 2020-03-05 | Arcus Biosciences, Inc. | Cd73 inhibitors |
| WO2020102646A2 (en) | 2018-11-16 | 2020-05-22 | Arcus Biosciences, Inc. | Inhibitors of arg1 and/or arg2 |
| WO2020247496A1 (en) | 2019-06-04 | 2020-12-10 | Arcus Biosciences, Inc. | 2,3,5-trisubstituted pyrazolo[1,5-a]pyrimidine compounds |
| WO2021113436A1 (en) | 2019-12-04 | 2021-06-10 | Arcus Biosciences, Inc. | Inhibitors of hif-2alpha |
| WO2021188769A1 (en) | 2020-03-19 | 2021-09-23 | Arcus Biosciences, Inc. | Tetralin and tetrahydroquinoline compounds as inhibitors of hif-2alpha |
| WO2021247591A1 (en) | 2020-06-02 | 2021-12-09 | Arcus Biosciences, Inc. | Antibodies to tigit |
| WO2022197641A1 (en) * | 2021-03-15 | 2022-09-22 | Rapt Therapeutics, Inc. | 1h-pyrazolo[3,4-d]pyrimidin-6-yl-amine derivatives as hematopoietic progenitor kinase 1 (hpk1) modulators and/or inhibitors for the treatment of cancer and other diseases |
| WO2022246179A1 (en) | 2021-05-21 | 2022-11-24 | Arcus Biosciences, Inc. | Axl inhibitor compounds |
| WO2022246177A1 (en) | 2021-05-21 | 2022-11-24 | Arcus Biosciences, Inc. | Axl compounds |
| WO2023077046A1 (en) | 2021-10-29 | 2023-05-04 | Arcus Biosciences, Inc. | Inhibitors of hif-2alpha and methods of use thereof |
-
2023
- 2023-10-12 WO PCT/US2023/035062 patent/WO2024081385A1/en not_active Ceased
- 2023-10-12 EP EP23800656.3A patent/EP4602041A1/en active Pending
Patent Citations (39)
| Publication number | Priority date | Publication date | Assignee | Title |
|---|---|---|---|---|
| WO2006105021A2 (en) | 2005-03-25 | 2006-10-05 | Tolerrx, Inc. | Gitr binding molecules and uses therefor |
| WO2008132601A1 (en) | 2007-04-30 | 2008-11-06 | Immutep | Cytotoxic anti-lag-3 monoclonal antibody and its use in the treatment or prevention of organ transplant rejection and autoimmune disease |
| WO2009009116A2 (en) | 2007-07-12 | 2009-01-15 | Tolerx, Inc. | Combination therapies employing gitr binding molecules |
| WO2009044273A2 (en) | 2007-10-05 | 2009-04-09 | Immutep | Use of recombinant lag-3 or the derivatives thereof for eliciting monocyte immune response |
| WO2010000372A2 (en) * | 2008-06-09 | 2010-01-07 | Ludwig-Maximilians-Universität München | New drug for inhibiting aggregation of proteins involved in diseases linked to protein aggregation and/or neurodegenerative diseases |
| WO2010019570A2 (en) | 2008-08-11 | 2010-02-18 | Medarex, Inc. | Human antibodies that bind lymphocyte activation gene-3 (lag-3), and uses thereof |
| WO2011028683A1 (en) | 2009-09-03 | 2011-03-10 | Schering Corporation | Anti-gitr antibodies |
| WO2011070024A1 (en) | 2009-12-10 | 2011-06-16 | F. Hoffmann-La Roche Ag | Antibodies binding preferentially human csf1r extracellular domain 4 and their use |
| WO2011109400A2 (en) | 2010-03-04 | 2011-09-09 | Macrogenics,Inc. | Antibodies reactive with b7-h3, immunologically active fragments thereof and uses thereof |
| WO2011107553A1 (en) | 2010-03-05 | 2011-09-09 | F. Hoffmann-La Roche Ag | Antibodies against human csf-1r and uses thereof |
| WO2011131407A1 (en) | 2010-03-05 | 2011-10-27 | F. Hoffmann-La Roche Ag | Antibodies against human csf-1r and uses thereof |
| WO2011140249A2 (en) | 2010-05-04 | 2011-11-10 | Five Prime Therapeutics, Inc. | Antibodies that bind csf1r |
| WO2012032433A1 (en) | 2010-09-09 | 2012-03-15 | Pfizer Inc. | 4-1bb binding molecules |
| WO2012145493A1 (en) | 2011-04-20 | 2012-10-26 | Amplimmune, Inc. | Antibodies and other molecules that bind b7-h1 and pd-1 |
| WO2013087699A1 (en) | 2011-12-15 | 2013-06-20 | F. Hoffmann-La Roche Ag | Antibodies against human csf-1r and uses thereof |
| WO2013119716A1 (en) | 2012-02-06 | 2013-08-15 | Genentech, Inc. | Compositions and methods for using csf1r inhibitors |
| WO2013132044A1 (en) | 2012-03-08 | 2013-09-12 | F. Hoffmann-La Roche Ag | Combination therapy of antibodies against human csf-1r and uses thereof |
| WO2013169264A1 (en) | 2012-05-11 | 2013-11-14 | Five Prime Therapeutics, Inc. | Methods of treating conditions with antibodies that bind colony stimulating factor 1 receptor (csf1r) |
| WO2014008218A1 (en) | 2012-07-02 | 2014-01-09 | Bristol-Myers Squibb Company | Optimization of antibodies that bind lymphocyte activation gene-3 (lag-3), and uses thereof |
| WO2017120508A1 (en) | 2016-01-08 | 2017-07-13 | Arcus Biosciences, Inc. | Modulators of 5'-nucleotidase, ecto and the use thereof |
| WO2017152088A1 (en) | 2016-03-04 | 2017-09-08 | JN Biosciences, LLC | Antibodies to tigit |
| WO2018067615A1 (en) * | 2016-10-03 | 2018-04-12 | Sigilon Therapeutics, Inc. | Compounds, devices, and uses thereof |
| WO2018067424A1 (en) | 2016-10-03 | 2018-04-12 | Arcus Biosciences, Inc. | Inhibitors of adenosine 5'-nucleotidase |
| WO2018094148A1 (en) | 2016-11-18 | 2018-05-24 | Arcus Biosciences, Inc. | Inhibitors of cd73-mediated immunosuppression |
| WO2018136700A1 (en) | 2017-01-20 | 2018-07-26 | Arcus Biosciences, Inc. | Azolopyrimidine for the treatment of cancer-related disorders |
| WO2018204661A1 (en) | 2017-05-05 | 2018-11-08 | Arcus Biosciences, Inc. | Quinazoline-pyridine derivatives for the treatment of cancer-related disorders |
| WO2018213377A1 (en) | 2017-05-17 | 2018-11-22 | Arcus Biosciences, Inc. | Quinazoline-pyrazole derivatives for the treatment of cancer-related disorders |
| WO2019173188A1 (en) | 2018-03-05 | 2019-09-12 | Arcus Biosciences, Inc. | Arginase inhibitors |
| WO2020023846A1 (en) | 2018-07-27 | 2020-01-30 | Arcus Biosciences, Inc. | Pyridone a2r antagonists |
| WO2020046813A1 (en) | 2018-08-27 | 2020-03-05 | Arcus Biosciences, Inc. | Cd73 inhibitors |
| WO2020102646A2 (en) | 2018-11-16 | 2020-05-22 | Arcus Biosciences, Inc. | Inhibitors of arg1 and/or arg2 |
| WO2020247496A1 (en) | 2019-06-04 | 2020-12-10 | Arcus Biosciences, Inc. | 2,3,5-trisubstituted pyrazolo[1,5-a]pyrimidine compounds |
| WO2021113436A1 (en) | 2019-12-04 | 2021-06-10 | Arcus Biosciences, Inc. | Inhibitors of hif-2alpha |
| WO2021188769A1 (en) | 2020-03-19 | 2021-09-23 | Arcus Biosciences, Inc. | Tetralin and tetrahydroquinoline compounds as inhibitors of hif-2alpha |
| WO2021247591A1 (en) | 2020-06-02 | 2021-12-09 | Arcus Biosciences, Inc. | Antibodies to tigit |
| WO2022197641A1 (en) * | 2021-03-15 | 2022-09-22 | Rapt Therapeutics, Inc. | 1h-pyrazolo[3,4-d]pyrimidin-6-yl-amine derivatives as hematopoietic progenitor kinase 1 (hpk1) modulators and/or inhibitors for the treatment of cancer and other diseases |
| WO2022246179A1 (en) | 2021-05-21 | 2022-11-24 | Arcus Biosciences, Inc. | Axl inhibitor compounds |
| WO2022246177A1 (en) | 2021-05-21 | 2022-11-24 | Arcus Biosciences, Inc. | Axl compounds |
| WO2023077046A1 (en) | 2021-10-29 | 2023-05-04 | Arcus Biosciences, Inc. | Inhibitors of hif-2alpha and methods of use thereof |
Non-Patent Citations (7)
| Title |
|---|
| BASAVAIAH UMESHA ET AL: "Synthesis and Study of Antibacterial Activity of 1,4-Benzodioxinylisoxazole and 1,4-Benzodioxinylpyrazole Derivatives", DER PHARMA CHEMICA, vol. 9, no. 14, 1 January 2017 (2017-01-01), India, pages 148 - 156, XP093111294, ISSN: 0975-413X * |
| BERGE, S.M. ET AL.: "Pharmaceutical Salts", JOURNAL OF PHARMACEUTICAL SCIENCE, vol. 66, 1977, pages 1 - 19, XP002675560, DOI: 10.1002/jps.2600660104 |
| BERTRAND HÉLÈNE C. ET AL: "Design, Synthesis, and Evaluation of Triazole Derivatives That Induce Nrf2 Dependent Gene Products and Inhibit the Keap1-Nrf2 Protein-Protein Interaction", JOURNAL OF MEDICINAL CHEMISTRY, vol. 58, no. 18, 14 September 2015 (2015-09-14), US, pages 7186 - 7194, XP093111236, ISSN: 0022-2623, DOI: 10.1021/acs.jmedchem.5b00602 * |
| BHAT B. A. ET AL: "Synthesis of 3,5-Diphenyl-1 H -Pyrazoles", SYNTHETIC COMMUNICATIONS, vol. 35, no. 8, 1 April 2005 (2005-04-01), US, pages 1135 - 1142, XP093111295, ISSN: 0039-7911, DOI: 10.1081/SCC-200054225 * |
| COSTA EDUARDA ET AL: "Antileishmanial Activity and Structure-Activity Relationship of Triazolic Compounds Derived from the Neolignans Grandisin, Veraguensin, and Machilin G", MOLECULES, vol. 21, no. 6, 20 June 2016 (2016-06-20), CH, pages 802, XP093111220, ISSN: 1420-3049, DOI: 10.3390/molecules21060802 * |
| JOSHI Y.C. ET AL: "SYNTHESIS OF NOVEL PYRAZOLE DERIVATIVES FROM DIARYL 1,3-DIKETONES (PART-II)", HETEROCYCLIC COMMUNICATIONS., vol. 10, no. 2-3, 1 January 2004 (2004-01-01), DE, XP093111374, ISSN: 0793-0283, DOI: 10.1515/HC.2004.10.2-3.249 * |
| PARDOLL, NATURE REV. CANCER, vol. 12, April 2012 (2012-04-01), pages 252 - 64 |
Also Published As
| Publication number | Publication date |
|---|---|
| EP4602041A1 (en) | 2025-08-20 |
Similar Documents
| Publication | Publication Date | Title |
|---|---|---|
| EP4341262A1 (en) | Axl inhibitor compounds | |
| US12195482B1 (en) | Compounds as inhibitors of AXL | |
| JP6242885B2 (en) | 5-azaindazole compounds and methods of use | |
| AU2014327235B2 (en) | New 3-(1H-pyrazol-4-yl)-1H-pyrrolo[2,3-c]pyridine derivatives as NIK inhibitors | |
| US20240246967A1 (en) | Axl compounds | |
| JP2025535367A (en) | Oxazepine compounds containing a 6-aza moiety and uses thereof | |
| CA3161339A1 (en) | Cyclic compounds and methods of using same | |
| KR20240162523A (en) | Nitrogen-containing heterocyclic derivative inhibitors, preparation method thereof and applications thereof | |
| CN109851638A (en) | Substituted diaminopyrimidine compounds | |
| US20260028336A1 (en) | Cbl-b inhibitors and methods of use thereof | |
| WO2025076299A1 (en) | Cbl-b inhibitors and methods of use thereof | |
| WO2024081385A1 (en) | Hpk1 inhibitors and methods of use thereof | |
| WO2024015251A1 (en) | Inhibitors of hpk1 and methods of use thereof | |
| US20240425497A1 (en) | Cbl-b Inhibitors and Methods of Use Thereof | |
| WO2024243502A1 (en) | Cbl-b inhibitors and methods of use thereof | |
| HK40116573A (en) | Compounds as inhibitors of axl | |
| EP4308573B1 (en) | Cyclic compounds and methods of using same | |
| TW202012410A (en) | Kinase antagonists and methods for making and using them |
Legal Events
| Date | Code | Title | Description |
|---|---|---|---|
| 121 | Ep: the epo has been informed by wipo that ep was designated in this application |
Ref document number: 23800656 Country of ref document: EP Kind code of ref document: A1 |
|
| WWE | Wipo information: entry into national phase |
Ref document number: 2023800656 Country of ref document: EP |
|
| NENP | Non-entry into the national phase |
Ref country code: DE |
|
| ENP | Entry into the national phase |
Ref document number: 2023800656 Country of ref document: EP Effective date: 20250514 |
|
| WWP | Wipo information: published in national office |
Ref document number: 2023800656 Country of ref document: EP |

























































































































